Plots of the potential energy vs interatomic spacing, r, are shown below for all diatom sets associated with the interatomic potential. This calculation provides insights into the functional form of the potential's two-body interactions. A system consisting of only two atoms is created, and the potential energy is evaluated for the atoms separated by 0.02 Å <= r <= 6.0> Å in intervals of 0.02 Å. Two plots are shown: one for the "standard" interaction distance range, and one for small values of r. The small r plot is useful for determining whether the potential is suitable for radiation studies.
The calculation method used is available as the iprPy diatom_scan calculation method.
Clicking on the image of a plot will open an interactive version of it in a new tab. The underlying data for the plots can be downloaded by clicking on the links above each plot.
Notes and Disclaimers:
Version Information:
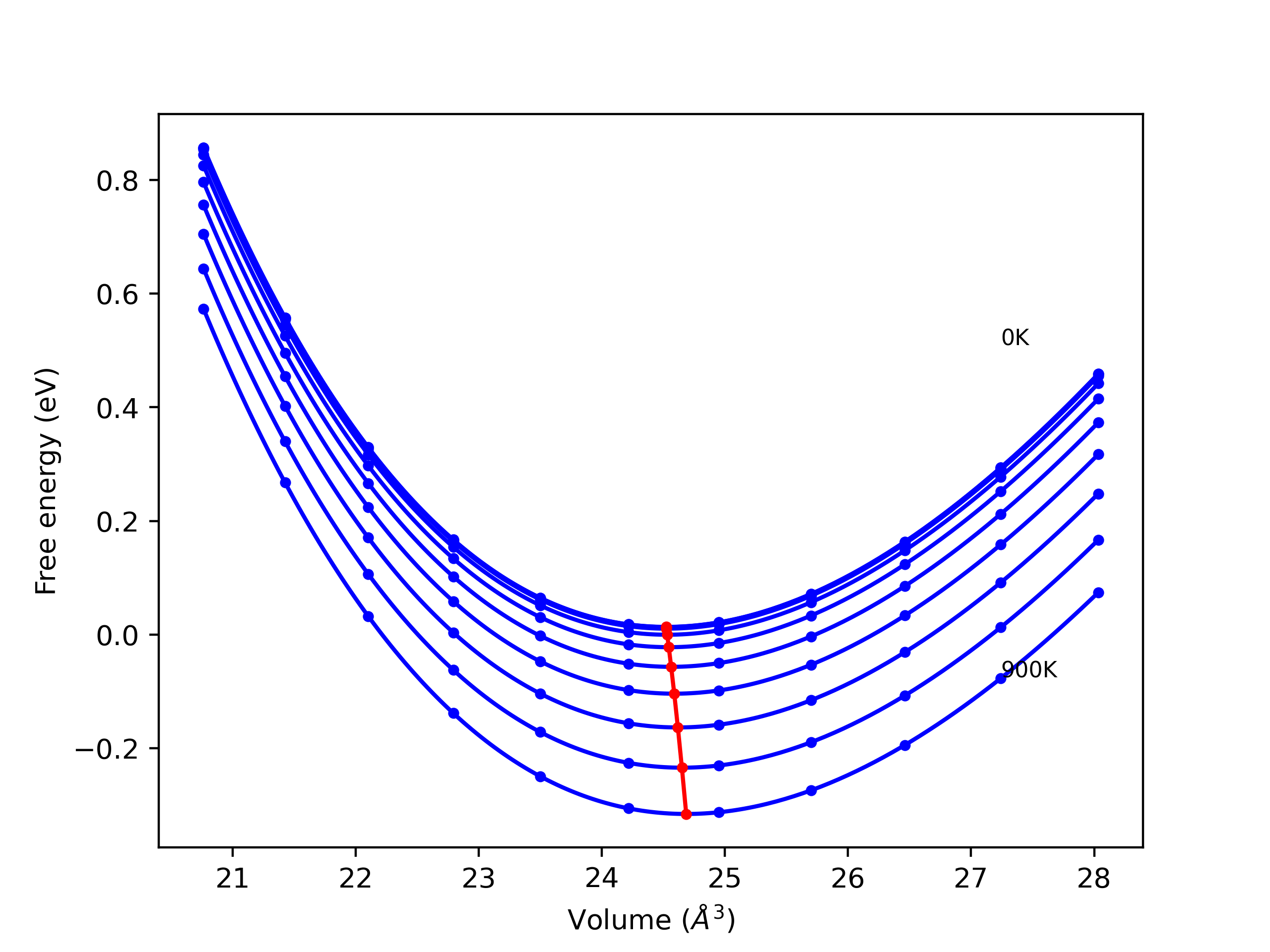
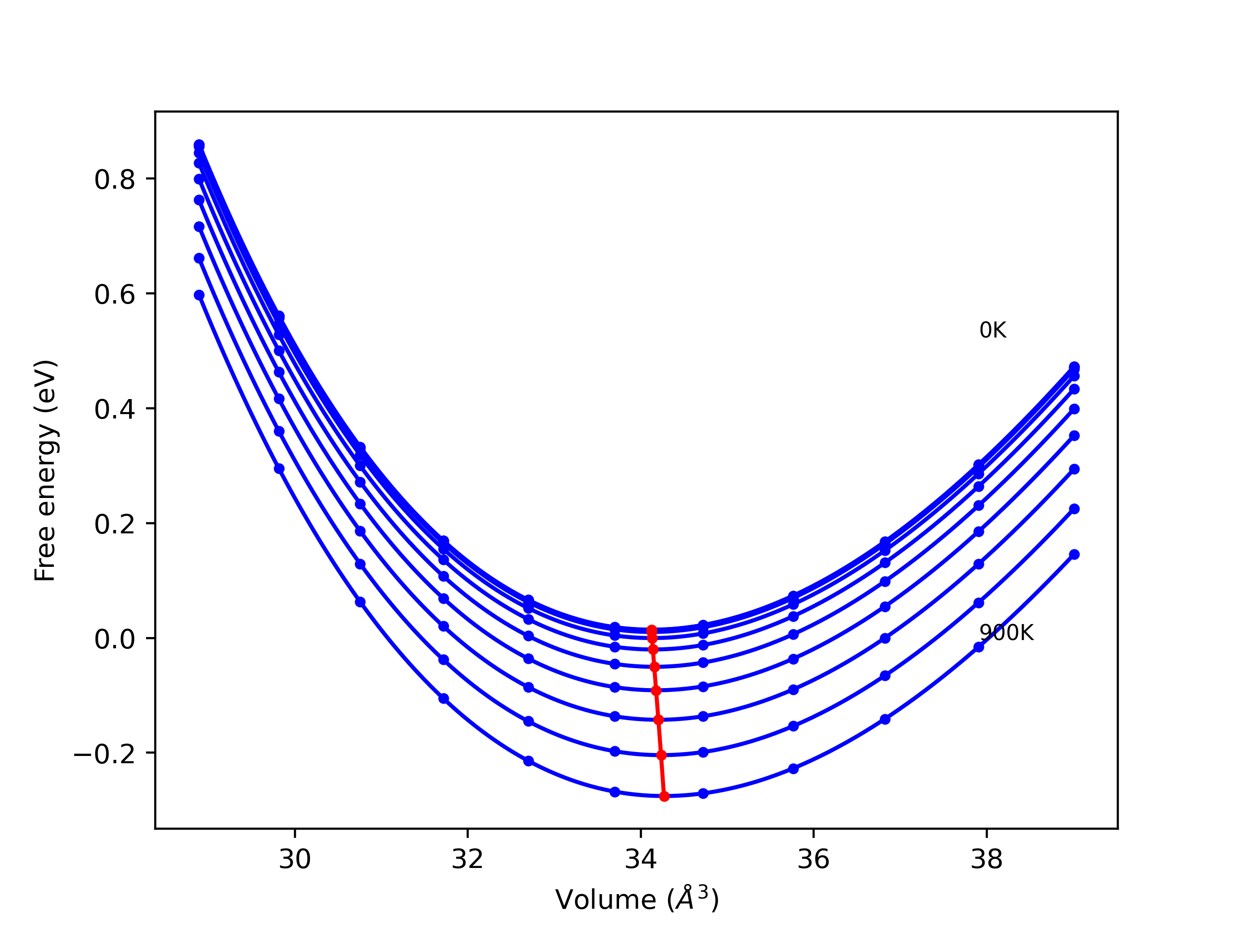
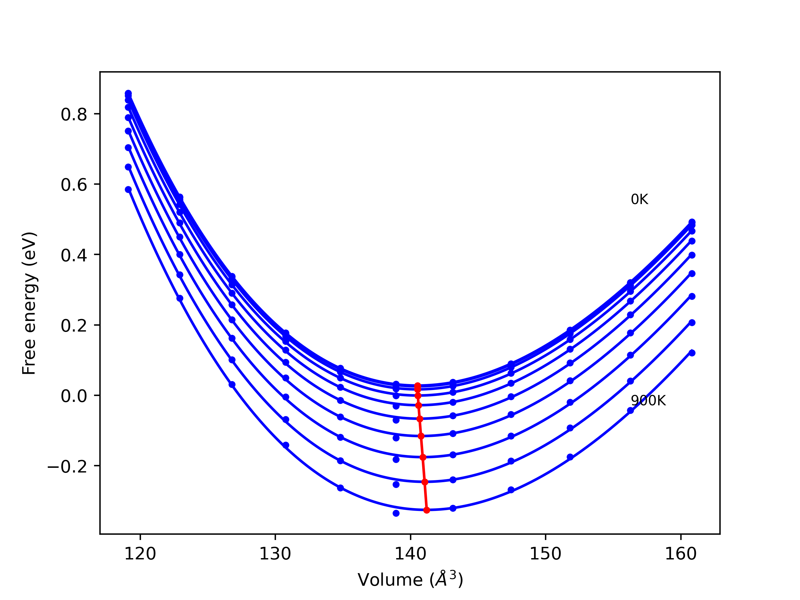
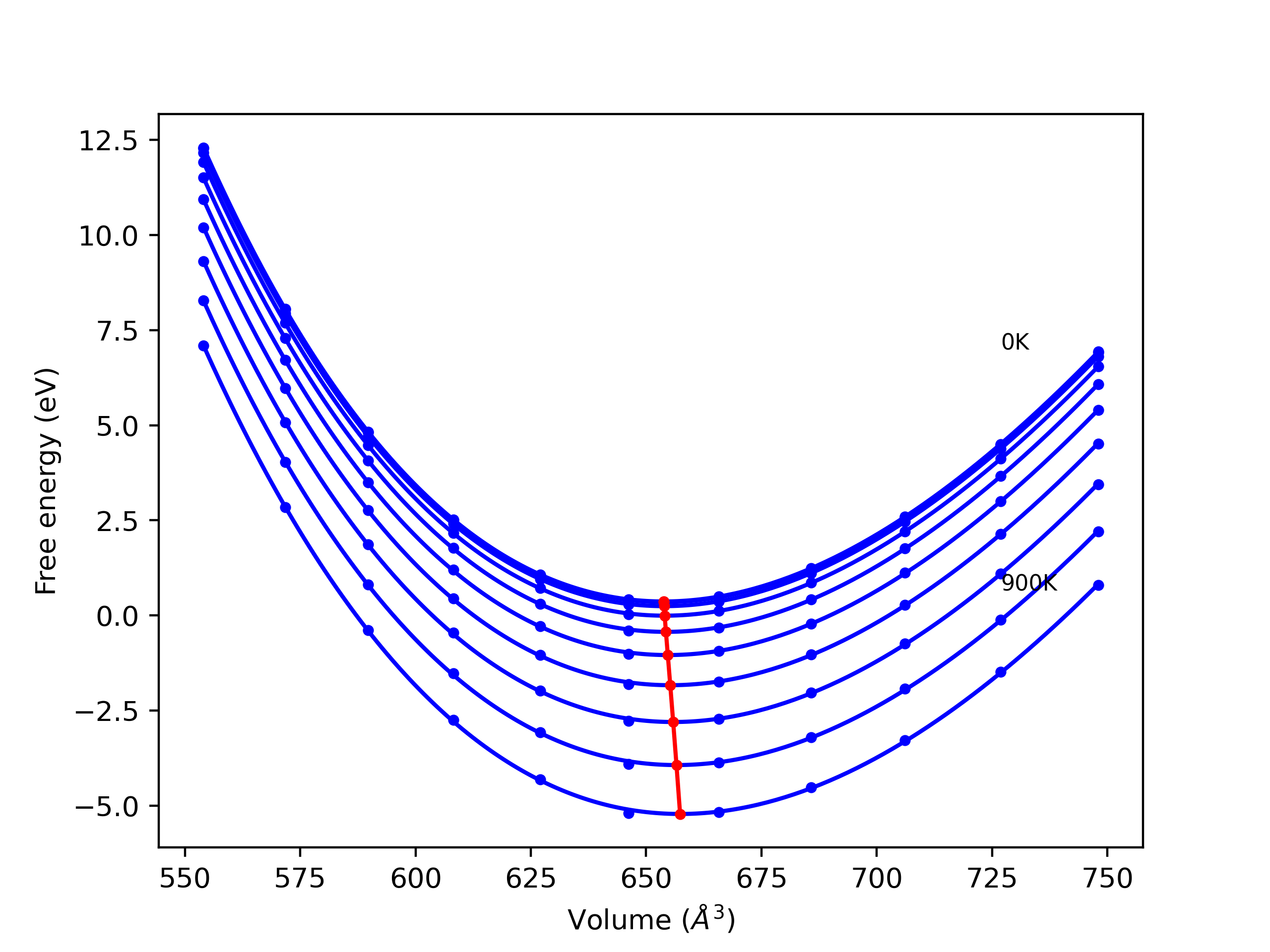
Plots of potential energy vs interatomic spacing, r, are shown below for a number of crystal structures. The structures are generated based on the ideal atomic positions and b/a and c/a lattice parameter ratios for a given crystal prototype. The size of the system is then uniformly scaled, and the energy calculated without relaxing the system. To obtain these plots, values of r are evaluated every 0.02 Å up to 6 Å.
The calculation method used is available as the iprPy E_vs_r_scan calculation method.
Clicking on the image of a plot will open an interactive version of it in a new tab. The underlying data for the plots can be downloaded by clicking on the links above each plot.
Notes and Disclaimers:
Version Information:
Computed lattice constants and cohesive/potential energies are displayed for a variety of crystal structures. The values displayed here are obtained using the following process.
The calculation methods used are implemented into iprPy as the following calculation styles
Notes and Disclaimers:
Version Information:
Download raw data (including filtered results)
Reference structure matches:
A1--Cu--fcc = oqmd-1214507
A15--beta-W = oqmd-1214952
A2--W--bcc = oqmd-1215130
A3'--alpha-La--double-hcp = oqmd-1215398
A3--Mg--hcp = oqmd-1215308
A4--C--dc = oqmd-1215487
A5--beta-Sn = oqmd-1215576
A6--In--bct = oqmd-1215665
| prototype | method | Ecoh (eV/atom) | Epot (eV/atom) | a0 (Å) | b0 (Å) | c0 (Å) | α (degrees) | β (degrees) | γ (degrees) |
|---|---|---|---|---|---|---|---|---|---|
| A3'--alpha-La--double-hcp | static | -2.3878 | -2.3878 | 1.1956 | 1.1956 | 14.2463 | 90.0 | 90.0 | 120.0 |
| A3--Mg--hcp | static | -2.3878 | -2.3878 | 1.1956 | 1.1956 | 5.3535 | 90.0 | 90.0 | 120.0 |
| mp-1055985 | static | -2.3878 | -2.3878 | 1.1958 | 1.1958 | 3.6354 | 90.0 | 90.0 | 120.0 |
| oqmd-1215041 | static | -2.2963 | -2.2963 | 1.2063 | 2.0894 | 9.2689 | 90.0 | 90.0 | 90.0 |
| A5--beta-Sn | static | -2.2402 | -2.2402 | 4.41 | 4.41 | 0.6821 | 90.0 | 90.0 | 90.0 |
| oqmd-639397 | static | -1.9718 | -1.9718 | 6.4156 | 6.4156 | 3.5574 | 90.0 | 90.0 | 90.0 |
| oqmd-589600 | static | -1.9307 | -1.9307 | 6.4756 | 6.4756 | 3.5584 | 90.0 | 90.0 | 90.0 |
| oqmd-585618 | static | -1.8401 | -1.8401 | 6.4888 | 6.4888 | 3.5616 | 90.0 | 90.0 | 90.0 |
| mp-1104251 | static | -1.7757 | -1.7757 | 4.161 | 4.161 | 8.4906 | 90.0 | 90.0 | 120.0 |
| mp-160 | static | -1.5744 | -1.5744 | 3.7419 | 3.7419 | 9.5232 | 90.0 | 90.0 | 120.0 |
| oqmd-520774 | static | -1.5685 | -1.5685 | 3.7433 | 3.7433 | 9.5466 | 90.0 | 90.0 | 120.0 |
| oqmd-620379 | static | -1.5657 | -1.5657 | 3.7565 | 3.7565 | 9.5904 | 90.0 | 90.0 | 120.0 |
| oqmd-613825 | static | -1.5656 | -1.5656 | 3.7453 | 3.7453 | 9.5618 | 90.0 | 90.0 | 120.0 |
| oqmd-595869 | static | -1.5651 | -1.5651 | 3.7473 | 3.7473 | 9.5707 | 90.0 | 90.0 | 120.0 |
| oqmd-598035 | static | -1.5649 | -1.5649 | 3.7435 | 3.7435 | 9.5632 | 90.0 | 90.0 | 120.0 |
| oqmd-636882 | static | -1.5648 | -1.5648 | 3.7422 | 3.7422 | 9.5588 | 90.0 | 90.0 | 120.0 |
| A1--Cu--fcc | static | -1.5254 | -1.5254 | 2.0966 | 2.0966 | 2.0966 | 90.0 | 90.0 | 90.0 |
| A3'--alpha-La--double-hcp | static | -1.5254 | -1.5254 | 1.4825 | 1.4825 | 4.8418 | 90.0 | 90.0 | 120.0 |
| A3--Mg--hcp | static | -1.5254 | -1.5254 | 1.4825 | 1.4825 | 2.4208 | 90.0 | 90.0 | 120.0 |
| mp-632401 | static | -1.4421 | -1.4421 | 2.0952 | 4.18 | 4.4741 | 101.3 | 92.4 | 103.7 |
| A4--C--dc | dynamic | -1.4324 | -1.4324 | 2.9292 | 2.9292 | 2.9292 | 90.0 | 90.0 | 90.0 |
| mp-1182425 | static | -1.3708 | -1.3708 | 5.6467 | 6.3468 | 3.611 | 90.0 | 119.2 | 90.0 |
| mp-1228790 | static | -1.3549 | -1.3549 | 8.3438 | 8.3438 | 18.0377 | 90.0 | 90.0 | 120.0 |
| Ah--alpha-Po--sc | dynamic | -1.2492 | -1.2492 | 1.4805 | 1.4805 | 1.4805 | 90.0 | 90.0 | 90.0 |
| A7--alpha-As | static | -1.2492 | -1.2492 | 2.0938 | 2.0938 | 5.1288 | 90.0 | 90.0 | 120.0 |
| A5--beta-Sn | static | -0.9263 | -0.9263 | 3.012 | 3.012 | 1.8614 | 90.0 | 90.0 | 90.0 |
| A5--beta-Sn | box | -0.8882 | -0.8882 | 3.2721 | 3.2721 | 1.6897 | 90.0 | 90.0 | 90.0 |
| A1--Cu--fcc | static | -0.8682 | -0.8682 | 2.7417 | 2.7417 | 2.7417 | 90.0 | 90.0 | 90.0 |
| A3'--alpha-La--double-hcp | static | -0.8682 | -0.8682 | 1.9389 | 1.9389 | 6.3324 | 90.0 | 90.0 | 120.0 |
| A3--Mg--hcp | static | -0.8682 | -0.8682 | 1.9391 | 1.9391 | 3.1666 | 90.0 | 90.0 | 120.0 |
| oqmd-676234 | static | -0.8086 | -0.8086 | 10.2878 | 10.2878 | 23.8326 | 90.0 | 90.0 | 120.0 |
| oqmd-1216021 | static | -0.7945 | -0.7945 | 1.9618 | 1.9618 | 17.2293 | 90.0 | 90.0 | 120.0 |
| A2--W--bcc | static | -0.5788 | -0.5788 | 2.2386 | 2.2386 | 2.2386 | 90.0 | 90.0 | 90.0 |
| A15--beta-W | box | -0.5734 | -0.5734 | 3.3945 | 3.3945 | 3.3945 | 90.0 | 90.0 | 90.0 |
| A15--beta-W | static | -0.5728 | -0.5728 | 3.4919 | 3.4919 | 3.4919 | 90.0 | 90.0 | 90.0 |
| A6--In--bct | box | -0.5228 | -0.5228 | 2.0145 | 2.0145 | 2.757 | 90.0 | 90.0 | 90.0 |
| A5--beta-Sn | dynamic | -0.4511 | -0.4511 | 2.8282 | 2.8282 | 1.4608 | 90.0 | 90.0 | 90.0 |
| oqmd-639397 | box | 0.0 | 0.0 | 10.6973 | 10.6973 | 6.1836 | 90.0 | 90.0 | 90.0 |
Download raw data (including filtered results)
Reference structure matches:
| prototype | method | Ecoh (eV/atom) | Epot (eV/atom) | a0 (Å) | b0 (Å) | c0 (Å) | α (degrees) | β (degrees) | γ (degrees) |
|---|---|---|---|---|---|---|---|---|---|
| mp-576 | static | -2.0915 | -2.0915 | 5.5336 | 5.5336 | 11.9514 | 90.0 | 90.0 | 120.0 |
Download raw data (including filtered results)
Reference structure matches:
| prototype | method | Ecoh (eV/atom) | Epot (eV/atom) | a0 (Å) | b0 (Å) | c0 (Å) | α (degrees) | β (degrees) | γ (degrees) |
|---|---|---|---|---|---|---|---|---|---|
| C1--CaF2--fluorite | dynamic | -4.3144 | -4.3144 | 4.0948 | 4.0948 | 4.0948 | 90.0 | 90.0 | 90.0 |
Download raw data (including filtered results)
Reference structure matches:
| prototype | method | Ecoh (eV/atom) | Epot (eV/atom) | a0 (Å) | b0 (Å) | c0 (Å) | α (degrees) | β (degrees) | γ (degrees) |
|---|---|---|---|---|---|---|---|---|---|
| mp-989472 | dynamic | -7.395 | -7.395 | 8.3535 | 8.3535 | 23.2968 | 90.0 | 90.0 | 120.0 |
| mp-989461 | dynamic | -7.395 | -7.395 | 8.4083 | 8.4083 | 15.9114 | 90.0 | 90.0 | 120.0 |
| mp-989460 | dynamic | -7.395 | -7.395 | 8.3395 | 8.3395 | 13.4654 | 90.0 | 90.0 | 120.0 |
| mp-989472 | static | -7.3847 | -7.3847 | 8.6274 | 8.6274 | 11.3725 | 90.0 | 90.0 | 120.0 |
| mp-989468 | dynamic | -7.3146 | -7.3146 | 4.9122 | 6.7253 | 8.761 | 88.6 | 89.1 | 78.5 |
| mp-1097791 | dynamic | -7.2825 | -7.2825 | 4.3142 | 8.8817 | 9.5346 | 89.9 | 89.9 | 89.0 |
| mp-1097791 | static | -7.2825 | -7.2825 | 2.6341 | 8.6836 | 9.5346 | 89.8 | 89.8 | 86.3 |
| mp-1096872 | static | -7.2454 | -7.2454 | 2.2567 | 9.3131 | 7.8518 | 90.0 | 90.0 | 90.0 |
| mp-989466 | dynamic | -7.226 | -7.226 | 19.1458 | 4.3558 | 7.1168 | 90.0 | 99.1 | 90.0 |
| mp-989466 | static | -7.2227 | -7.2227 | 19.0678 | 4.3452 | 7.1162 | 90.0 | 99.0 | 90.0 |
| mp-989468 | box | -7.1828 | -7.1828 | 4.8676 | 6.6997 | 8.7671 | 91.1 | 90.3 | 101.3 |
| mp-1097791 | box | -6.9886 | -6.9886 | 5.4693 | 8.2859 | 9.3764 | 89.9 | 89.9 | 88.0 |
| mp-1096872 | box | -6.4072 | -6.4072 | 5.2614 | 5.8236 | 8.2066 | 90.0 | 90.0 | 90.0 |
Download raw data (including filtered results)
Reference structure matches:
| prototype | method | Ecoh (eV/atom) | Epot (eV/atom) | a0 (Å) | b0 (Å) | c0 (Å) | α (degrees) | β (degrees) | γ (degrees) |
|---|---|---|---|---|---|---|---|---|---|
| mp-1008527 | dynamic | -6.5041 | -6.5041 | 2.5513 | 2.5513 | 3.6617 | 90.0 | 90.0 | 90.0 |
| mp-1008527 | box | -6.5018 | -6.5018 | 2.5504 | 2.5504 | 3.6601 | 90.0 | 90.0 | 90.0 |
| mp-1008526 | dynamic | -6.4835 | -6.4835 | 2.553 | 2.553 | 4.2163 | 90.0 | 90.0 | 120.0 |
| mp-1008525 | dynamic | -6.4835 | -6.4835 | 2.553 | 2.553 | 12.6489 | 90.0 | 90.0 | 120.0 |
| mp-1079333 | static | -6.4674 | -6.4674 | 2.565 | 2.6608 | 7.1499 | 90.0 | 90.0 | 90.0 |
| mp-1008525 | box | -6.4586 | -6.4586 | 2.5203 | 2.5203 | 12.9516 | 90.0 | 90.0 | 120.0 |
| mp-1008526 | box | -6.4503 | -6.4503 | 2.5125 | 2.5125 | 4.3417 | 90.0 | 90.0 | 120.0 |
| mp-1079333 | dynamic | -6.4401 | -6.4401 | 2.565 | 2.661 | 9.1995 | 90.0 | 90.0 | 90.0 |
| mp-1079333 | box | -6.1356 | -6.1356 | 2.5196 | 2.5286 | 7.5801 | 90.0 | 90.0 | 90.0 |
| L2_1--AlCu2Mn--heusler | dynamic | -5.1118 | -5.1118 | 4.2277 | 4.2277 | 4.2277 | 90.0 | 90.0 | 90.0 |
Download raw data (including filtered results)
Reference structure matches:
| prototype | method | Ecoh (eV/atom) | Epot (eV/atom) | a0 (Å) | b0 (Å) | c0 (Å) | α (degrees) | β (degrees) | γ (degrees) |
|---|---|---|---|---|---|---|---|---|---|
| mp-1228638 | dynamic | -7.2863 | -7.2863 | 2.4969 | 2.4969 | 30.9033 | 90.0 | 90.0 | 120.0 |
| mp-1228638 | box | -7.1723 | -7.1723 | 2.5084 | 2.5084 | 30.9755 | 90.0 | 90.0 | 120.0 |
Download raw data (including filtered results)
Reference structure matches:
| prototype | method | Ecoh (eV/atom) | Epot (eV/atom) | a0 (Å) | b0 (Å) | c0 (Å) | α (degrees) | β (degrees) | γ (degrees) |
|---|---|---|---|---|---|---|---|---|---|
| C1--CaF2--fluorite | static | -6.9378 | -6.9378 | 3.9969 | 3.9969 | 3.9969 | 90.0 | 90.0 | 90.0 |
| oqmd-1241351 | static | -6.5972 | -6.5972 | 6.6757 | 6.6757 | 6.6757 | 90.0 | 90.0 | 90.0 |
| oqmd-1231727 | static | -5.1265 | -5.1265 | 4.4121 | 4.4121 | 2.3747 | 90.0 | 90.0 | 90.0 |
Download raw data (including filtered results)
Reference structure matches:
| prototype | method | Ecoh (eV/atom) | Epot (eV/atom) | a0 (Å) | b0 (Å) | c0 (Å) | α (degrees) | β (degrees) | γ (degrees) |
|---|---|---|---|---|---|---|---|---|---|
| A15--Cr3Si | dynamic | -3.0303 | -3.0303 | 3.3421 | 3.3421 | 3.3421 | 90.0 | 90.0 | 90.0 |
| D0_3--BiF3 | static | -2.1574 | -2.1574 | 4.314 | 4.314 | 4.314 | 90.0 | 90.0 | 90.0 |
| L1_2--AuCu3 | static | -2.0499 | -2.0499 | 2.722 | 2.722 | 2.722 | 90.0 | 90.0 | 90.0 |
Download raw data (including filtered results)
Reference structure matches:
| prototype | method | Ecoh (eV/atom) | Epot (eV/atom) | a0 (Å) | b0 (Å) | c0 (Å) | α (degrees) | β (degrees) | γ (degrees) |
|---|---|---|---|---|---|---|---|---|---|
| mp-642462 | static | -7.2011 | -7.2011 | 7.1131 | 5.0803 | 8.7851 | 90.0 | 90.0 | 90.0 |
Download raw data (including filtered results)
Reference structure matches:
| prototype | method | Ecoh (eV/atom) | Epot (eV/atom) | a0 (Å) | b0 (Å) | c0 (Å) | α (degrees) | β (degrees) | γ (degrees) |
|---|---|---|---|---|---|---|---|---|---|
| mp-1246452 | static | -7.0232 | -7.0232 | 8.6106 | 14.9511 | 18.1094 | 90.0 | 90.0 | 90.0 |
| mp-1246452 | box | -6.7149 | -6.7149 | 8.8537 | 14.6592 | 18.5873 | 90.0 | 90.0 | 90.0 |
Download raw data (including filtered results)
Reference structure matches:
D0_3--BiF3 = oqmd-312868
L1_2--AuCu3 = oqmd-347013
| prototype | method | Ecoh (eV/atom) | Epot (eV/atom) | a0 (Å) | b0 (Å) | c0 (Å) | α (degrees) | β (degrees) | γ (degrees) |
|---|---|---|---|---|---|---|---|---|---|
| A15--Cr3Si | static | -5.1039 | -5.1039 | 3.2735 | 3.2735 | 3.2735 | 90.0 | 90.0 | 90.0 |
| L1_2--AuCu3 | static | -3.7487 | -3.7487 | 2.6076 | 2.6076 | 2.6076 | 90.0 | 90.0 | 90.0 |
| D0_3--BiF3 | dynamic | -3.6818 | -3.6818 | 4.1448 | 4.1448 | 4.1448 | 90.0 | 90.0 | 90.0 |
| L1_2--AuCu3 | dynamic | 0.0 | 0.0 | 2.9812 | 2.9812 | 2.9812 | 90.0 | 90.0 | 90.0 |
Download raw data (including filtered results)
Reference structure matches:
| prototype | method | Ecoh (eV/atom) | Epot (eV/atom) | a0 (Å) | b0 (Å) | c0 (Å) | α (degrees) | β (degrees) | γ (degrees) |
|---|---|---|---|---|---|---|---|---|---|
| mp-8035 | static | -2.9486 | -2.9486 | 4.8515 | 4.8515 | 17.9292 | 90.0 | 90.0 | 120.0 |
| mp-530074 | static | -2.5091 | -2.5091 | 4.9558 | 4.9667 | 21.7847 | 92.7 | 94.9 | 114.0 |
| mp-696746 | static | -2.4897 | -2.4897 | 5.2211 | 5.2211 | 12.0591 | 90.0 | 90.0 | 120.0 |
| mp-571655 | static | -2.3553 | -2.3553 | 7.0148 | 7.0148 | 8.7507 | 90.0 | 90.0 | 120.0 |
Download raw data (including filtered results)
Reference structure matches:
| prototype | method | Ecoh (eV/atom) | Epot (eV/atom) | a0 (Å) | b0 (Å) | c0 (Å) | α (degrees) | β (degrees) | γ (degrees) |
|---|---|---|---|---|---|---|---|---|---|
| mp-633538 | static | -2.1543 | -2.1543 | 3.3298 | 4.5131 | 6.0427 | 80.1 | 88.3 | 82.0 |
| mp-633538 | box | -1.5688 | -1.5688 | 4.2041 | 4.6614 | 7.1849 | 82.9 | 81.5 | 79.3 |
Download raw data (including filtered results)
Reference structure matches:
| prototype | method | Ecoh (eV/atom) | Epot (eV/atom) | a0 (Å) | b0 (Å) | c0 (Å) | α (degrees) | β (degrees) | γ (degrees) |
|---|---|---|---|---|---|---|---|---|---|
| mp-1228623 | dynamic | -5.6435 | -5.6435 | 2.6503 | 2.6503 | 6.8852 | 90.0 | 90.0 | 120.0 |
| B3--ZnS--cubic-zinc-blende | dynamic | -5.2586 | -5.2586 | 3.7684 | 3.7684 | 3.7684 | 90.0 | 90.0 | 90.0 |
| B4--ZnS--wurtzite | dynamic | -5.2586 | -5.2586 | 2.6646 | 2.6646 | 4.3513 | 90.0 | 90.0 | 120.0 |
| B4--ZnS--wurtzite | box | -5.2586 | -5.2586 | 2.6643 | 2.6643 | 4.3525 | 90.0 | 90.0 | 120.0 |
| mp-984728 | box | -5.1484 | -5.1484 | 2.5816 | 2.5816 | 4.6202 | 90.0 | 90.0 | 120.0 |
| B1--NaCl--rock-salt | dynamic | -4.1058 | -4.1058 | 3.6336 | 3.6336 | 3.6336 | 90.0 | 90.0 | 90.0 |
| L1_0--AuCu | dynamic | -3.7403 | -3.7403 | 2.0441 | 2.0441 | 2.3827 | 90.0 | 90.0 | 90.0 |
| B2--CsCl | dynamic | -3.7044 | -3.7044 | 2.1636 | 2.1636 | 2.1636 | 90.0 | 90.0 | 90.0 |
Download raw data (including filtered results)
Reference structure matches:
| prototype | method | Ecoh (eV/atom) | Epot (eV/atom) | a0 (Å) | b0 (Å) | c0 (Å) | α (degrees) | β (degrees) | γ (degrees) |
|---|---|---|---|---|---|---|---|---|---|
| C1--CaF2--fluorite | dynamic | -4.6922 | -4.6922 | 4.0878 | 4.0878 | 4.0878 | 90.0 | 90.0 | 90.0 |
Download raw data (including filtered results)
Reference structure matches:
| prototype | method | Ecoh (eV/atom) | Epot (eV/atom) | a0 (Å) | b0 (Å) | c0 (Å) | α (degrees) | β (degrees) | γ (degrees) |
|---|---|---|---|---|---|---|---|---|---|
| mp-629458 | dynamic | -6.7692 | -6.7692 | 2.5329 | 2.5469 | 3.6396 | 90.0 | 90.0 | 90.0 |
| mp-30148 | dynamic | -6.7634 | -6.7634 | 3.6114 | 3.613 | 3.5994 | 90.0 | 90.0 | 90.0 |
| mp-629458 | box | -6.709 | -6.709 | 2.5383 | 2.562 | 3.6183 | 90.0 | 90.0 | 90.0 |
| mp-30148 | box | -6.7027 | -6.7027 | 3.5996 | 3.6239 | 3.6074 | 90.0 | 90.0 | 90.0 |
| mp-1078541 | dynamic | -6.5667 | -6.5667 | 5.1925 | 5.1778 | 4.2184 | 90.0 | 107.8 | 90.0 |
| mp-1078541 | box | -6.5614 | -6.5614 | 5.1574 | 5.1754 | 4.1892 | 90.0 | 105.7 | 90.0 |
| mp-1079201 | dynamic | -6.3909 | -6.3909 | 5.0043 | 5.1261 | 3.6162 | 90.0 | 91.9 | 90.0 |
| mp-1008523 | dynamic | -6.3876 | -6.3876 | 2.5597 | 2.5597 | 3.7034 | 90.0 | 90.0 | 90.0 |
| mp-1079201 | box | -6.3344 | -6.3344 | 5.0687 | 5.1432 | 3.6038 | 90.0 | 91.7 | 90.0 |
| mp-1008523 | box | -6.3337 | -6.3337 | 2.5763 | 2.5763 | 3.6539 | 90.0 | 90.0 | 90.0 |
| mp-1080483 | dynamic | -6.187 | -6.187 | 5.2336 | 5.1763 | 3.7097 | 90.0 | 92.7 | 90.0 |
| L2_1--AlCu2Mn--heusler | dynamic | -4.5133 | -4.5133 | 4.2856 | 4.2856 | 4.2856 | 90.0 | 90.0 | 90.0 |
Download raw data (including filtered results)
Reference structure matches:
| prototype | method | Ecoh (eV/atom) | Epot (eV/atom) | a0 (Å) | b0 (Å) | c0 (Å) | α (degrees) | β (degrees) | γ (degrees) |
|---|---|---|---|---|---|---|---|---|---|
| mp-1239206 | static | -5.883 | -5.883 | 7.4196 | 7.4196 | 7.4196 | 90.0 | 90.0 | 90.0 |
| mp-1239206 | box | -5.8471 | -5.8471 | 7.5195 | 7.5195 | 7.5195 | 90.0 | 90.0 | 90.0 |
| A15--Cr3Si | dynamic | -3.728 | -3.728 | 3.406 | 3.406 | 3.406 | 90.0 | 90.0 | 90.0 |
| D0_3--BiF3 | static | -3.6226 | -3.6226 | 4.3361 | 4.3361 | 4.3361 | 90.0 | 90.0 | 90.0 |
| L1_2--AuCu3 | static | -3.1058 | -3.1058 | 2.7301 | 2.7301 | 2.7301 | 90.0 | 90.0 | 90.0 |
| A15--Cr3Si | static | -3.0819 | -3.0819 | 3.724 | 3.724 | 3.724 | 90.0 | 90.0 | 90.0 |
Download raw data (including filtered results)
Reference structure matches:
| prototype | method | Ecoh (eV/atom) | Epot (eV/atom) | a0 (Å) | b0 (Å) | c0 (Å) | α (degrees) | β (degrees) | γ (degrees) |
|---|---|---|---|---|---|---|---|---|---|
| mp-1077743 | dynamic | -6.118 | -6.118 | 2.5945 | 7.8189 | 3.6996 | 90.0 | 90.0 | 90.0 |
| mp-1095514 | dynamic | -6.1165 | -6.1165 | 4.5101 | 4.5137 | 4.5158 | 60.0 | 80.4 | 70.5 |
| mp-1077125 | dynamic | -6.1145 | -6.1145 | 2.5965 | 2.5965 | 11.1343 | 90.0 | 90.0 | 90.0 |
| mp-1018649 | dynamic | -6.1108 | -6.1108 | 2.598 | 2.598 | 6.4151 | 90.0 | 90.0 | 120.0 |
| mp-1095514 | box | -6.1088 | -6.1088 | 4.5035 | 4.5137 | 4.523 | 60.3 | 70.5 | 80.8 |
| mp-1077125 | box | -6.1022 | -6.1022 | 2.5949 | 2.5949 | 11.1937 | 90.0 | 90.0 | 90.0 |
| mp-1018649 | box | -6.1011 | -6.1011 | 2.5831 | 2.5831 | 6.4955 | 90.0 | 90.0 | 120.0 |
| mp-1077743 | box | -6.1 | -6.1 | 2.5714 | 7.8796 | 3.7145 | 90.0 | 90.0 | 90.0 |
Download raw data (including filtered results)
Reference structure matches:
| prototype | method | Ecoh (eV/atom) | Epot (eV/atom) | a0 (Å) | b0 (Å) | c0 (Å) | α (degrees) | β (degrees) | γ (degrees) |
|---|---|---|---|---|---|---|---|---|---|
| mp-1079046 | dynamic | -6.2208 | -6.2208 | 2.5908 | 5.1972 | 3.685 | 90.0 | 90.0 | 90.0 |
| mp-1095030 | dynamic | -6.2201 | -6.2201 | 3.6748 | 3.6748 | 3.6748 | 90.0 | 90.0 | 90.0 |
| mp-1078935 | dynamic | -6.2198 | -6.2198 | 2.5913 | 2.5913 | 7.3917 | 90.0 | 90.0 | 90.0 |
| mp-1095030 | box | -6.2194 | -6.2194 | 3.6744 | 3.6744 | 3.6744 | 90.0 | 90.0 | 90.0 |
| mp-1079661 | dynamic | -6.2168 | -6.2168 | 2.5924 | 2.5924 | 25.5646 | 90.0 | 90.0 | 120.0 |
| mp-1080030 | dynamic | -6.2168 | -6.2168 | 2.5924 | 2.5924 | 8.5215 | 90.0 | 90.0 | 120.0 |
| mp-1078935 | box | -6.2091 | -6.2091 | 2.59 | 2.59 | 7.4247 | 90.0 | 90.0 | 90.0 |
| mp-1079046 | box | -6.2087 | -6.2087 | 2.5786 | 5.2203 | 3.6931 | 90.0 | 90.0 | 90.0 |
| mp-1079661 | box | -6.2066 | -6.2066 | 2.578 | 2.578 | 25.8716 | 90.0 | 90.0 | 120.0 |
| mp-1080030 | box | -6.2063 | -6.2063 | 2.5784 | 2.5784 | 8.6231 | 90.0 | 90.0 | 120.0 |
Download raw data (including filtered results)
Reference structure matches:
| prototype | method | Ecoh (eV/atom) | Epot (eV/atom) | a0 (Å) | b0 (Å) | c0 (Å) | α (degrees) | β (degrees) | γ (degrees) |
|---|---|---|---|---|---|---|---|---|---|
| L2_1--AlCu2Mn--heusler | dynamic | -6.0626 | -6.0626 | 4.0956 | 4.0956 | 4.0956 | 90.0 | 90.0 | 90.0 |
Download raw data (including filtered results)
Reference structure matches:
B1--NaCl--rock-salt = oqmd-1106039, oqmd-1234835
B2--CsCl = oqmd-306854
B3--ZnS--cubic-zinc-blende = mp-1639, oqmd-1218562, oqmd-1236324, oqmd-1236326, oqmd-1236347
L1_0--AuCu = oqmd-338396
| prototype | method | Ecoh (eV/atom) | Epot (eV/atom) | a0 (Å) | b0 (Å) | c0 (Å) | α (degrees) | β (degrees) | γ (degrees) |
|---|---|---|---|---|---|---|---|---|---|
| B4--ZnS--wurtzite | dynamic | -7.7766 | -7.7766 | 2.4705 | 2.4705 | 4.0343 | 90.0 | 90.0 | 120.0 |
| B3--ZnS--cubic-zinc-blende | dynamic | -7.7766 | -7.7766 | 3.4938 | 3.4938 | 3.4938 | 90.0 | 90.0 | 90.0 |
| B4--ZnS--wurtzite | box | -7.7766 | -7.7766 | 2.4701 | 2.4701 | 4.0356 | 90.0 | 90.0 | 120.0 |
| oqmd-7497 | box | -7.7766 | -7.7766 | 2.4695 | 2.4695 | 4.0374 | 90.0 | 90.0 | 120.0 |
| mp-2653 | box | -7.7766 | -7.7766 | 2.4695 | 2.4695 | 4.0377 | 90.0 | 90.0 | 120.0 |
| mp-13151 | dynamic | -7.6352 | -7.6352 | 4.2722 | 4.2722 | 2.4754 | 90.0 | 90.0 | 90.0 |
| mp-13151 | box | -7.6311 | -7.6311 | 4.2641 | 4.2641 | 2.4816 | 90.0 | 90.0 | 90.0 |
| oqmd-20624 | box | -7.6305 | -7.6305 | 4.2597 | 4.2597 | 2.4838 | 90.0 | 90.0 | 90.0 |
| mp-1077506 | dynamic | -7.6087 | -7.6087 | 2.4251 | 6.8158 | 4.1721 | 90.0 | 90.0 | 90.0 |
| mp-344 | dynamic | -7.6002 | -7.6002 | 1.9995 | 9.741 | 4.3215 | 90.0 | 100.2 | 90.0 |
| mp-1077506 | box | -7.583 | -7.583 | 2.3924 | 6.8538 | 4.2122 | 90.0 | 90.0 | 90.0 |
| oqmd-20626 | dynamic | -7.5631 | -7.5631 | 12.7371 | 2.4962 | 4.2254 | 90.0 | 94.4 | 90.0 |
| oqmd-20626 | box | -7.5475 | -7.5475 | 12.6992 | 2.5174 | 4.1903 | 90.0 | 94.0 | 90.0 |
| mp-1599 | box | -7.5473 | -7.5473 | 12.6973 | 2.5177 | 4.1904 | 90.0 | 94.0 | 90.0 |
| oqmd-105062 | dynamic | -7.5069 | -7.5069 | 2.4979 | 2.4979 | 6.0725 | 90.0 | 90.0 | 120.0 |
| mp-685145 | dynamic | -7.5069 | -7.5069 | 2.4979 | 6.9906 | 4.3264 | 90.0 | 90.0 | 90.0 |
| mp-13150 | dynamic | -7.5069 | -7.5069 | 2.4979 | 2.4979 | 10.1029 | 90.0 | 90.0 | 120.0 |
| mp-13150 | static | -7.5069 | -7.5069 | 2.4979 | 2.4979 | 10.0712 | 90.0 | 90.0 | 120.0 |
| oqmd-20622 | dynamic | -7.5069 | -7.5069 | 2.4979 | 2.4979 | 9.0573 | 90.0 | 90.0 | 120.0 |
| oqmd-20623 | dynamic | -7.5069 | -7.5069 | 2.4979 | 2.4979 | 6.0409 | 90.0 | 90.0 | 120.0 |
| oqmd-109277 | dynamic | -7.5069 | -7.5069 | 2.4979 | 2.4979 | 6.5131 | 90.0 | 90.0 | 120.0 |
| mp-604884 | dynamic | -7.5069 | -7.5069 | 2.4979 | 2.4979 | 6.7657 | 90.0 | 90.0 | 120.0 |
| mp-629015 | dynamic | -7.5069 | -7.5069 | 2.4979 | 2.4979 | 6.8546 | 90.0 | 90.0 | 120.0 |
| mp-984 | dynamic | -7.5069 | -7.5069 | 2.4979 | 2.4979 | 7.7073 | 90.0 | 90.0 | 120.0 |
| mp-7991 | dynamic | -7.5069 | -7.5069 | 2.4979 | 2.4979 | 7.3693 | 90.0 | 90.0 | 120.0 |
| oqmd-5429 | dynamic | -7.5069 | -7.5069 | 2.4979 | 2.4979 | 6.6953 | 90.0 | 90.0 | 120.0 |
| oqmd-20627 | box | -7.4799 | -7.4799 | 2.9336 | 9.4621 | 4.2893 | 90.0 | 104.3 | 90.0 |
| oqmd-105067 | box | -7.4774 | -7.4774 | 3.0133 | 9.4298 | 4.2876 | 90.0 | 104.6 | 90.0 |
| mp-344 | box | -7.4737 | -7.4737 | 3.1288 | 9.3847 | 4.2827 | 90.0 | 105.1 | 90.0 |
| oqmd-20625 | dynamic | -7.4363 | -7.4363 | 4.759 | 2.579 | 4.121 | 90.0 | 90.0 | 90.0 |
| mp-644751 | box | -7.4222 | -7.4222 | 4.6603 | 2.5761 | 4.1778 | 90.0 | 90.0 | 90.0 |
| oqmd-20625 | box | -7.419 | -7.419 | 4.6377 | 2.5755 | 4.1912 | 90.0 | 90.0 | 90.0 |
| mp-601223 | dynamic | -7.0216 | -7.0216 | 2.2997 | 2.2997 | 3.9974 | 90.0 | 90.0 | 120.0 |
| oqmd-20628 | static | -6.9879 | -6.9879 | 3.7076 | 4.9683 | 4.9683 | 90.0 | 130.8 | 90.0 |
| mp-569655 | static | -6.9879 | -6.9879 | 4.275 | 4.9682 | 4.9683 | 90.0 | 116.7 | 90.0 |
| B1--NaCl--rock-salt | dynamic | -6.9695 | -6.9695 | 3.3145 | 3.3145 | 3.3145 | 90.0 | 90.0 | 90.0 |
| B2--CsCl | dynamic | -6.8813 | -6.8813 | 1.9999 | 1.9999 | 1.9999 | 90.0 | 90.0 | 90.0 |
| oqmd-1108152 | static | -6.6414 | -6.6414 | 3.9965 | 2.4796 | 6.5735 | 90.0 | 90.0 | 90.0 |
| mp-1245228 | box | -6.1207 | -6.1207 | 10.4543 | 10.7877 | 10.8732 | 94.2 | 91.6 | 91.0 |
| oqmd-1228241 | static | -2.1228 | -2.1228 | 1.2038 | 1.2038 | 4.0785 | 90.0 | 90.0 | 120.0 |
| oqmd-1217776 | dynamic | 0.0 | 0.0 | 4.1767 | 2.7722 | 4.2591 | 90.0 | 90.0 | 90.0 |
Download raw data (including filtered results)
Reference structure matches:
| prototype | method | Ecoh (eV/atom) | Epot (eV/atom) | a0 (Å) | b0 (Å) | c0 (Å) | α (degrees) | β (degrees) | γ (degrees) |
|---|---|---|---|---|---|---|---|---|---|
| C1--CaF2--fluorite | static | -6.9397 | -6.9397 | 3.9963 | 3.9963 | 3.9963 | 90.0 | 90.0 | 90.0 |
| oqmd-1241350 | static | -6.5972 | -6.5972 | 6.6757 | 6.6757 | 6.6757 | 90.0 | 90.0 | 90.0 |
Download raw data (including filtered results)
Reference structure matches:
D0_3--BiF3 = oqmd-311985
L1_2--AuCu3 = oqmd-347896
| prototype | method | Ecoh (eV/atom) | Epot (eV/atom) | a0 (Å) | b0 (Å) | c0 (Å) | α (degrees) | β (degrees) | γ (degrees) |
|---|---|---|---|---|---|---|---|---|---|
| oqmd-323410 | dynamic | -5.3338 | -5.3338 | 3.0455 | 3.0455 | 5.2004 | 90.0 | 90.0 | 120.0 |
| A15--Cr3Si | dynamic | -5.2657 | -5.2657 | 3.2629 | 3.2629 | 3.2629 | 90.0 | 90.0 | 90.0 |
| D0_3--BiF3 | static | -3.8144 | -3.8144 | 4.0133 | 4.0133 | 4.0133 | 90.0 | 90.0 | 90.0 |
| L1_2--AuCu3 | static | -3.6746 | -3.6746 | 2.6098 | 2.6098 | 2.6098 | 90.0 | 90.0 | 90.0 |
| A15--Cr3Si | static | -0.225 | -0.225 | 3.6918 | 3.6918 | 3.6918 | 90.0 | 90.0 | 90.0 |
| L1_2--AuCu3 | dynamic | 0.0 | 0.0 | 3.0481 | 3.0481 | 3.0481 | 90.0 | 90.0 | 90.0 |
Download raw data (including filtered results)
Reference structure matches:
A1--Cu--fcc = oqmd-1214512
A15--beta-W = oqmd-1214957
A2--W--bcc = oqmd-1215135
A3'--alpha-La--double-hcp = oqmd-1215403
A3--Mg--hcp = oqmd-1215313
A4--C--dc = mp-66, oqmd-675640
A5--beta-Sn = oqmd-1215581
A6--In--bct = mp-1181996, oqmd-1215670
A7--alpha-As = oqmd-594528
Ah--alpha-Po--sc = mp-998866, oqmd-636457, oqmd-1214601
| prototype | method | Ecoh (eV/atom) | Epot (eV/atom) | a0 (Å) | b0 (Å) | c0 (Å) | α (degrees) | β (degrees) | γ (degrees) |
|---|---|---|---|---|---|---|---|---|---|
| oqmd-1215848 | static | -9.0465 | -9.0465 | 3.4043 | 3.4043 | 1.2865 | 90.0 | 90.0 | 120.0 |
| mp-1095633 | dynamic | -8.0567 | -8.0567 | 6.8501 | 6.8501 | 6.2337 | 90.0 | 90.0 | 90.0 |
| mp-1205417 | box | -8.0245 | -8.0245 | 11.7687 | 11.7687 | 6.8341 | 90.0 | 90.0 | 90.0 |
| mp-606949 | dynamic | -7.9777 | -7.9777 | 2.492 | 2.492 | 30.0384 | 90.0 | 90.0 | 120.0 |
| oqmd-683819 | dynamic | -7.9777 | -7.9777 | 2.492 | 4.3164 | 6.6661 | 90.0 | 90.0 | 90.0 |
| mp-606949 | static | -7.9777 | -7.9777 | 2.492 | 2.492 | 29.4914 | 90.0 | 90.0 | 120.0 |
| oqmd-589492 | dynamic | -7.9777 | -7.9777 | 2.492 | 2.492 | 53.495 | 90.0 | 90.0 | 120.0 |
| mp-569416 | dynamic | -7.9777 | -7.9777 | 2.492 | 2.492 | 55.6784 | 90.0 | 90.0 | 120.0 |
| oqmd-610551 | static | -7.9777 | -7.9777 | 2.492 | 2.492 | 3.5015 | 90.0 | 90.0 | 120.0 |
| oqmd-683820 | static | -7.9777 | -7.9777 | 2.492 | 4.3164 | 6.774 | 90.0 | 90.0 | 90.0 |
| oqmd-683820 | dynamic | -7.9777 | -7.9777 | 2.492 | 4.3164 | 6.8163 | 90.0 | 90.0 | 90.0 |
| mp-937760 | static | -7.9777 | -7.9777 | 2.492 | 4.3164 | 7.1733 | 90.0 | 90.0 | 90.0 |
| oqmd-589493 | dynamic | -7.9777 | -7.9777 | 2.492 | 2.492 | 28.956 | 90.0 | 90.0 | 120.0 |
| mp-990424 | static | -7.9777 | -7.9777 | 2.492 | 2.492 | 24.1327 | 90.0 | 90.0 | 120.0 |
| oqmd-683819 | static | -7.9777 | -7.9777 | 2.492 | 4.3164 | 6.6529 | 90.0 | 90.0 | 90.0 |
| mp-568286 | static | -7.9777 | -7.9777 | 2.492 | 4.3164 | 7.0345 | 90.0 | 90.0 | 90.0 |
| mp-990424 | dynamic | -7.9777 | -7.9777 | 2.492 | 2.492 | 23.2878 | 90.0 | 90.0 | 120.0 |
| mp-569304 | dynamic | -7.9777 | -7.9777 | 2.492 | 2.492 | 33.1564 | 90.0 | 90.0 | 120.0 |
| mp-937760 | dynamic | -7.9777 | -7.9777 | 2.492 | 4.3164 | 7.399 | 90.0 | 90.0 | 90.0 |
| mp-169 | static | -7.9777 | -7.9777 | 4.3164 | 2.492 | 3.7635 | 90.0 | 111.5 | 90.0 |
| mp-169 | dynamic | -7.9777 | -7.9777 | 4.3164 | 2.492 | 3.6113 | 90.0 | 112.8 | 90.0 |
| oqmd-589491 | dynamic | -7.9777 | -7.9777 | 2.492 | 2.492 | 33.3582 | 90.0 | 90.0 | 120.0 |
| mp-997182 | dynamic | -7.9777 | -7.9777 | 2.492 | 2.492 | 12.0459 | 90.0 | 90.0 | 120.0 |
| mp-1040425 | dynamic | -7.9777 | -7.9777 | 2.492 | 2.492 | 19.9983 | 90.0 | 90.0 | 120.0 |
| mp-48 | dynamic | -7.9777 | -7.9777 | 2.492 | 2.492 | 7.8031 | 90.0 | 90.0 | 120.0 |
| oqmd-590101 | dynamic | -7.9777 | -7.9777 | 2.492 | 2.492 | 6.7965 | 90.0 | 90.0 | 120.0 |
| mp-632329 | dynamic | -7.9777 | -7.9777 | 4.3164 | 2.492 | 3.5532 | 90.0 | 94.3 | 90.0 |
| mp-569304 | static | -7.9777 | -7.9777 | 2.492 | 2.492 | 33.1908 | 90.0 | 90.0 | 120.0 |
| mp-568363 | dynamic | -7.9777 | -7.9777 | 2.492 | 4.3164 | 8.4476 | 90.0 | 90.0 | 90.0 |
| oqmd-1214690 | dynamic | -7.9777 | -7.9777 | 2.492 | 4.3164 | 6.6767 | 90.0 | 90.0 | 90.0 |
| mp-632329 | static | -7.9777 | -7.9777 | 4.3164 | 2.492 | 3.7378 | 90.0 | 94.1 | 90.0 |
| mp-990448 | static | -7.9777 | -7.9777 | 2.492 | 2.492 | 8.5238 | 90.0 | 90.0 | 120.0 |
| oqmd-637444 | dynamic | -7.9777 | -7.9777 | 4.0695 | 4.0695 | 4.0695 | 90.0 | 90.0 | 90.0 |
| oqmd-1215937 | dynamic | -7.9777 | -7.9777 | 2.492 | 2.492 | 7.3725 | 90.0 | 90.0 | 120.0 |
| A7--alpha-As | dynamic | -7.9777 | -7.9777 | 2.492 | 2.492 | 10.2131 | 90.0 | 90.0 | 120.0 |
| oqmd-590101 | static | -7.9777 | -7.9777 | 2.492 | 2.492 | 6.7959 | 90.0 | 90.0 | 120.0 |
| mp-568363 | static | -7.9777 | -7.9777 | 2.492 | 4.3164 | 8.1499 | 90.0 | 90.0 | 90.0 |
| oqmd-589493 | static | -7.9777 | -7.9777 | 2.492 | 2.492 | 28.9535 | 90.0 | 90.0 | 120.0 |
| mp-569416 | static | -7.9777 | -7.9777 | 2.492 | 2.492 | 54.6902 | 90.0 | 90.0 | 120.0 |
| mp-1096869 | static | -7.9658 | -7.9658 | 25.2311 | 14.9972 | 2.1001 | 90.0 | 94.8 | 90.0 |
| mp-1095534 | box | -7.8444 | -7.8444 | 9.6168 | 9.6168 | 2.5281 | 90.0 | 90.0 | 90.0 |
| mp-1197903 | static | -7.8364 | -7.8364 | 7.8552 | 10.3314 | 23.5154 | 101.0 | 95.1 | 103.3 |
| mp-1244913 | static | -7.8302 | -7.8302 | 10.5517 | 10.7067 | 10.8753 | 95.0 | 90.8 | 90.8 |
| mp-1095633 | box | -7.8055 | -7.8055 | 6.5196 | 6.5196 | 6.8915 | 90.0 | 90.0 | 90.0 |
| mp-1182684 | static | -7.6508 | -7.6508 | 10.7421 | 12.2262 | 14.9319 | 90.0 | 90.0 | 90.0 |
| mp-1244964 | static | -7.6488 | -7.6488 | 10.1361 | 10.4697 | 10.9349 | 85.0 | 89.0 | 89.6 |
| mp-1244913 | box | -7.3413 | -7.3413 | 10.6 | 10.9271 | 11.0051 | 89.9 | 87.7 | 84.5 |
| oqmd-689315 | dynamic | -7.2348 | -7.2348 | 9.9882 | 17.2883 | 18.596 | 90.0 | 90.0 | 90.0 |
| mp-683919 | dynamic | -7.2348 | -7.2348 | 10.1749 | 17.6173 | 18.596 | 90.0 | 90.0 | 90.0 |
| mp-683919 | static | -7.2348 | -7.2348 | 10.2978 | 17.8274 | 18.5939 | 90.0 | 90.0 | 90.0 |
| oqmd-689315 | static | -7.2348 | -7.2348 | 10.2723 | 17.8073 | 18.5939 | 90.0 | 90.0 | 90.0 |
| mp-683919 | box | -7.2284 | -7.2284 | 10.3424 | 17.793 | 18.3881 | 90.0 | 90.0 | 90.0 |
| mp-568028 | dynamic | -7.2245 | -7.2245 | 7.896 | 14.2591 | 9.7475 | 90.0 | 90.0 | 90.0 |
| mp-1205283 | static | -7.2192 | -7.2192 | 9.1228 | 13.0965 | 9.4067 | 90.0 | 90.0 | 90.0 |
| oqmd-689315 | box | -7.2101 | -7.2101 | 10.3037 | 17.783 | 18.408 | 90.0 | 90.0 | 90.0 |
| mp-1244964 | box | -7.2035 | -7.2035 | 10.4099 | 10.4105 | 11.1927 | 91.3 | 95.0 | 90.7 |
| mp-579909 | dynamic | -7.1843 | -7.1843 | 4.7853 | 5.5313 | 6.2851 | 90.0 | 90.0 | 90.0 |
| mp-624889 | dynamic | -7.1843 | -7.1843 | 4.7853 | 5.5313 | 5.4133 | 90.0 | 90.0 | 90.0 |
| mp-624889 | static | -7.1843 | -7.1843 | 4.7853 | 5.5313 | 5.5008 | 90.0 | 90.0 | 90.0 |
| oqmd-610552 | static | -7.1843 | -7.1843 | 4.7853 | 5.5313 | 6.2724 | 90.0 | 90.0 | 90.0 |
| oqmd-610552 | dynamic | -7.1843 | -7.1843 | 4.7853 | 5.5313 | 5.94 | 90.0 | 90.0 | 90.0 |
| mp-579909 | static | -7.1843 | -7.1843 | 4.7853 | 5.5313 | 6.6805 | 90.0 | 90.0 | 90.0 |
| mp-1192619 | dynamic | -7.1755 | -7.1755 | 9.0192 | 9.0192 | 9.0192 | 90.0 | 90.0 | 90.0 |
| oqmd-1214779 | static | -7.1755 | -7.1755 | 8.8431 | 8.8431 | 8.8431 | 90.0 | 90.0 | 90.0 |
| oqmd-1214779 | dynamic | -7.1755 | -7.1755 | 8.5945 | 8.5945 | 8.5945 | 90.0 | 90.0 | 90.0 |
| mp-1192619 | static | -7.1755 | -7.1755 | 9.1938 | 9.1938 | 9.1938 | 90.0 | 90.0 | 90.0 |
| mp-1008374 | dynamic | -7.174 | -7.174 | 2.5504 | 7.9623 | 2.5482 | 90.0 | 90.0 | 90.0 |
| mp-1008374 | box | -7.1606 | -7.1606 | 2.523 | 8.0972 | 2.5245 | 90.0 | 90.0 | 90.0 |
| oqmd-610552 | box | -7.1596 | -7.1596 | 4.6521 | 5.6917 | 6.3566 | 90.0 | 90.0 | 90.0 |
| mp-579909 | box | -7.1557 | -7.1557 | 4.6404 | 5.7068 | 6.7774 | 90.0 | 90.0 | 90.0 |
| mp-1196583 | dynamic | -7.1543 | -7.1543 | 14.4126 | 14.4126 | 14.4126 | 90.0 | 90.0 | 90.0 |
| mp-667273 | dynamic | -7.1543 | -7.1543 | 14.407 | 14.407 | 14.407 | 90.0 | 90.0 | 90.0 |
| oqmd-677227 | dynamic | -7.1543 | -7.1543 | 14.054 | 14.054 | 14.054 | 90.0 | 90.0 | 90.0 |
| oqmd-603085 | static | -7.1543 | -7.1543 | 14.224 | 14.224 | 14.224 | 90.0 | 90.0 | 90.0 |
| oqmd-603085 | dynamic | -7.1543 | -7.1543 | 13.8442 | 13.8442 | 13.8442 | 90.0 | 90.0 | 90.0 |
| oqmd-677227 | static | -7.1543 | -7.1543 | 14.4206 | 14.4206 | 14.4206 | 90.0 | 90.0 | 90.0 |
| mp-1196583 | static | -7.1543 | -7.1543 | 14.6475 | 14.6475 | 14.6475 | 90.0 | 90.0 | 90.0 |
| mp-667273 | static | -7.1543 | -7.1543 | 14.7104 | 14.7104 | 14.7104 | 90.0 | 90.0 | 90.0 |
| mp-1196583 | box | -7.1539 | -7.1539 | 14.648 | 14.648 | 14.648 | 90.0 | 90.0 | 90.0 |
| oqmd-603085 | box | -7.1538 | -7.1538 | 14.2243 | 14.2243 | 14.2243 | 90.0 | 90.0 | 90.0 |
| mp-667273 | box | -7.1537 | -7.1537 | 14.7111 | 14.7111 | 14.7111 | 90.0 | 90.0 | 90.0 |
| mp-624889 | box | -7.1485 | -7.1485 | 4.8355 | 5.3111 | 5.5937 | 90.0 | 90.0 | 90.0 |
| oqmd-677227 | box | -7.1439 | -7.1439 | 14.4285 | 14.4285 | 14.4285 | 90.0 | 90.0 | 90.0 |
| mp-568028 | box | -7.1433 | -7.1433 | 8.4938 | 14.2341 | 9.7619 | 90.0 | 90.0 | 90.0 |
| mp-1147718 | dynamic | -7.1395 | -7.1395 | 10.2747 | 14.7538 | 9.4252 | 90.0 | 90.0 | 90.0 |
| mp-1147718 | static | -7.1395 | -7.1395 | 10.4224 | 14.9684 | 9.4252 | 90.0 | 90.0 | 90.0 |
| mp-1147718 | box | -7.1334 | -7.1334 | 10.4236 | 14.9684 | 9.428 | 90.0 | 90.0 | 90.0 |
| mp-630227 | dynamic | -7.1267 | -7.1267 | 9.3476 | 9.4397 | 15.5999 | 90.0 | 90.0 | 90.0 |
| oqmd-595714 | dynamic | -7.1267 | -7.1267 | 9.3476 | 9.4397 | 14.4217 | 90.0 | 90.0 | 90.0 |
| oqmd-595714 | static | -7.1267 | -7.1267 | 9.3475 | 9.4396 | 14.8335 | 90.0 | 90.0 | 90.0 |
| mp-630227 | static | -7.1267 | -7.1267 | 9.3474 | 9.4395 | 15.8941 | 90.0 | 90.0 | 90.0 |
| oqmd-684627 | dynamic | -7.1265 | -7.1265 | 9.3943 | 9.3943 | 15.0305 | 90.0 | 90.0 | 90.0 |
| oqmd-684627 | static | -7.1265 | -7.1265 | 9.3942 | 9.3942 | 15.4663 | 90.0 | 90.0 | 90.0 |
| oqmd-595714 | box | -7.1134 | -7.1134 | 9.2795 | 9.363 | 14.7776 | 90.0 | 90.0 | 90.0 |
| mp-630227 | box | -7.1124 | -7.1124 | 9.2701 | 9.3507 | 15.8721 | 90.0 | 90.0 | 90.0 |
| oqmd-614417 | dynamic | -7.1071 | -7.1071 | 9.5216 | 9.5216 | 23.8718 | 90.0 | 90.0 | 120.0 |
| mp-680372 | dynamic | -7.1071 | -7.1071 | 9.5216 | 9.5216 | 25.0496 | 90.0 | 90.0 | 120.0 |
| oqmd-614417 | static | -7.1071 | -7.1071 | 9.5216 | 9.5216 | 24.0009 | 90.0 | 90.0 | 120.0 |
| mp-680372 | static | -7.1068 | -7.1068 | 9.4933 | 9.4933 | 25.2347 | 90.0 | 90.0 | 120.0 |
| mp-1205283 | box | -7.1014 | -7.1014 | 9.8789 | 13.4475 | 9.2564 | 90.0 | 90.0 | 90.0 |
| oqmd-684627 | box | -7.0951 | -7.0951 | 9.3203 | 9.3203 | 15.5229 | 90.0 | 90.0 | 90.0 |
| oqmd-614417 | box | -7.0871 | -7.0871 | 9.3858 | 9.3858 | 24.4735 | 90.0 | 90.0 | 120.0 |
| mp-680372 | box | -7.0859 | -7.0859 | 9.3976 | 9.3976 | 25.6483 | 90.0 | 90.0 | 120.0 |
| oqmd-610557 | dynamic | -7.0733 | -7.0733 | 4.8382 | 5.373 | 4.4617 | 90.0 | 90.0 | 90.0 |
| oqmd-610557 | box | -7.0603 | -7.0603 | 4.7875 | 5.4168 | 4.5046 | 90.0 | 90.0 | 90.0 |
| oqmd-610556 | box | -7.0598 | -7.0598 | 4.7837 | 5.4262 | 4.5047 | 90.0 | 90.0 | 90.0 |
| mp-1245190 | box | -7.0586 | -7.0586 | 10.435 | 10.6611 | 10.972 | 88.5 | 89.9 | 87.4 |
| mp-568410 | box | -7.0585 | -7.0585 | 4.7798 | 5.4327 | 4.5066 | 90.0 | 90.0 | 90.0 |
| oqmd-637443 | dynamic | -6.9559 | -6.9559 | 5.2812 | 5.2812 | 5.2812 | 90.0 | 90.0 | 90.0 |
| mp-1196857 | dynamic | -6.9533 | -6.9533 | 9.1031 | 19.4144 | 5.914 | 90.0 | 90.0 | 90.0 |
| mp-1196857 | static | -6.9533 | -6.9533 | 14.3693 | 20.2831 | 2.1012 | 90.0 | 90.0 | 90.0 |
| oqmd-637443 | box | -6.9462 | -6.9462 | 5.278 | 5.278 | 5.278 | 90.0 | 90.0 | 90.0 |
| mp-1188817 | box | -6.942 | -6.942 | 5.2776 | 5.2776 | 5.2776 | 90.0 | 90.0 | 90.0 |
| oqmd-684315 | static | -6.879 | -6.879 | 10.372 | 15.3664 | 9.3501 | 90.0 | 90.0 | 90.0 |
| mp-1192619 | box | -6.7917 | -6.7917 | 9.1765 | 9.1765 | 9.1765 | 90.0 | 90.0 | 90.0 |
| oqmd-1214779 | box | -6.7164 | -6.7164 | 8.8074 | 8.8074 | 8.8074 | 90.0 | 90.0 | 90.0 |
| mp-569517 | dynamic | -6.5366 | -6.5366 | 2.5775 | 2.5775 | 31.5678 | 90.0 | 90.0 | 120.0 |
| mp-611426 | dynamic | -6.5366 | -6.5366 | 2.5775 | 2.5775 | 8.4181 | 90.0 | 90.0 | 120.0 |
| oqmd-599491 | dynamic | -6.5366 | -6.5366 | 2.5775 | 2.5775 | 12.6271 | 90.0 | 90.0 | 120.0 |
| oqmd-599492 | dynamic | -6.5366 | -6.5366 | 2.5775 | 2.5775 | 16.8361 | 90.0 | 90.0 | 120.0 |
| A4--C--dc | dynamic | -6.5366 | -6.5366 | 3.6451 | 3.6451 | 3.6451 | 90.0 | 90.0 | 90.0 |
| oqmd-599494 | dynamic | -6.5366 | -6.5366 | 2.5775 | 2.5775 | 44.1949 | 90.0 | 90.0 | 120.0 |
| mp-47 | dynamic | -6.5366 | -6.5366 | 2.5775 | 2.5775 | 4.209 | 90.0 | 90.0 | 120.0 |
| oqmd-599489 | box | -6.5365 | -6.5365 | 2.5768 | 2.5768 | 4.2113 | 90.0 | 90.0 | 120.0 |
| mp-47 | box | -6.5365 | -6.5365 | 2.5766 | 2.5766 | 4.2118 | 90.0 | 90.0 | 120.0 |
| oqmd-599492 | box | -6.5359 | -6.5359 | 2.5772 | 2.5772 | 16.8415 | 90.0 | 90.0 | 120.0 |
| mp-616440 | box | -6.5358 | -6.5358 | 2.5773 | 2.5773 | 16.8401 | 90.0 | 90.0 | 120.0 |
| oqmd-599491 | box | -6.5358 | -6.5358 | 2.5773 | 2.5773 | 12.6311 | 90.0 | 90.0 | 120.0 |
| mp-569567 | box | -6.5357 | -6.5357 | 2.5774 | 2.5774 | 44.2046 | 90.0 | 90.0 | 120.0 |
| mp-611448 | box | -6.5356 | -6.5356 | 2.5773 | 2.5773 | 12.6306 | 90.0 | 90.0 | 120.0 |
| oqmd-599493 | box | -6.5356 | -6.5356 | 2.5774 | 2.5774 | 31.5756 | 90.0 | 90.0 | 120.0 |
| mp-569517 | box | -6.5356 | -6.5356 | 2.5773 | 2.5773 | 31.5782 | 90.0 | 90.0 | 120.0 |
| mp-611426 | box | -6.5355 | -6.5355 | 2.5771 | 2.5771 | 8.422 | 90.0 | 90.0 | 120.0 |
| oqmd-599490 | box | -6.5354 | -6.5354 | 2.5773 | 2.5773 | 8.4207 | 90.0 | 90.0 | 120.0 |
| mp-1078845 | dynamic | -6.4364 | -6.4364 | 4.3083 | 8.9213 | 2.5922 | 90.0 | 90.0 | 90.0 |
| mp-1078845 | box | -6.4276 | -6.4276 | 4.3235 | 8.979 | 2.5753 | 90.0 | 90.0 | 90.0 |
| mp-1008395 | dynamic | -6.3822 | -6.3822 | 4.4672 | 4.4672 | 2.5792 | 90.0 | 90.0 | 90.0 |
| oqmd-637353 | box | -6.3765 | -6.3765 | 4.4898 | 4.4898 | 2.5588 | 90.0 | 90.0 | 90.0 |
| mp-1008395 | box | -6.3761 | -6.3761 | 4.4906 | 4.4906 | 2.5581 | 90.0 | 90.0 | 90.0 |
| oqmd-637130 | dynamic | -6.3541 | -6.3541 | 9.2367 | 2.6045 | 4.2434 | 90.0 | 90.0 | 90.0 |
| mp-1080826 | dynamic | -6.3513 | -6.3513 | 9.3232 | 2.6067 | 4.242 | 90.0 | 97.4 | 90.0 |
| oqmd-637352 | box | -6.3385 | -6.3385 | 9.3047 | 2.5994 | 4.2608 | 90.0 | 96.8 | 90.0 |
| mp-1080826 | box | -6.3382 | -6.3382 | 9.3048 | 2.5993 | 4.2618 | 90.0 | 96.8 | 90.0 |
| oqmd-637130 | box | -6.3381 | -6.3381 | 9.2242 | 2.5981 | 4.2621 | 90.0 | 90.0 | 90.0 |
| mp-1190171 | box | -6.3381 | -6.3381 | 9.2246 | 2.5978 | 4.263 | 90.0 | 90.0 | 90.0 |
| mp-570002 | dynamic | -6.1284 | -6.1284 | 5.016 | 5.016 | 5.016 | 90.0 | 90.0 | 90.0 |
| mp-24 | dynamic | -6.0851 | -6.0851 | 4.4765 | 4.4765 | 4.4765 | 90.0 | 90.0 | 90.0 |
| oqmd-585286 | box | -6.0464 | -6.0464 | 5.0286 | 5.0286 | 5.0286 | 90.0 | 90.0 | 90.0 |
| mp-570002 | box | -6.046 | -6.046 | 5.0287 | 5.0287 | 5.0287 | 90.0 | 90.0 | 90.0 |
| mp-24 | box | -5.9879 | -5.9879 | 4.5381 | 4.5381 | 4.5381 | 90.0 | 90.0 | 90.0 |
| oqmd-684315 | box | -5.9775 | -5.9775 | 11.1984 | 15.3945 | 9.1162 | 90.0 | 90.0 | 90.0 |
| A6--In--bct | static | -4.8723 | -4.8723 | 1.6626 | 1.6626 | 6.3803 | 90.0 | 90.0 | 90.0 |
| oqmd-1216026 | static | -4.8723 | -4.8723 | 2.3513 | 2.3513 | 9.1654 | 90.0 | 93.2 | 90.0 |
| A6--In--bct | static | -4.8723 | -4.8723 | 1.6626 | 1.6626 | 3.4801 | 90.0 | 90.0 | 90.0 |
| mp-1097832 | static | -4.8723 | -4.8723 | 2.3513 | 2.3513 | 9.8799 | 90.0 | 90.0 | 90.0 |
| A6--In--bct | static | -4.8723 | -4.8723 | 1.6626 | 1.6626 | 6.5525 | 90.0 | 90.0 | 90.0 |
| mp-1056957 | static | -4.8723 | -4.8723 | 2.3513 | 2.3513 | 6.5533 | 90.0 | 90.0 | 90.0 |
| oqmd-1215224 | static | -4.8722 | -4.8722 | 1.663 | 3.2085 | 2.0998 | 90.0 | 113.3 | 90.0 |
| A3--Mg--hcp | static | -4.3083 | -4.3083 | 2.5525 | 2.5525 | 2.0988 | 90.0 | 90.0 | 120.0 |
| A3'--alpha-La--double-hcp | dynamic | -4.2809 | -4.2809 | 2.553 | 2.553 | 4.1972 | 90.0 | 90.0 | 120.0 |
| Ah--alpha-Po--sc | dynamic | -4.2536 | -4.2536 | 1.8093 | 1.8093 | 1.8093 | 90.0 | 90.0 | 90.0 |
| A3'--alpha-La--double-hcp | box | -4.2338 | -4.2338 | 2.5326 | 2.5326 | 4.2307 | 90.0 | 90.0 | 120.0 |
| A15--beta-W | static | -3.5858 | -3.5858 | 3.4334 | 3.4334 | 3.4334 | 90.0 | 90.0 | 90.0 |
| A2--W--bcc | box | -3.5435 | -3.5435 | 2.1726 | 2.1726 | 2.1726 | 90.0 | 90.0 | 90.0 |
| oqmd-1214868 | static | -3.1008 | -3.1008 | 7.4599 | 7.4599 | 7.4599 | 90.0 | 90.0 | 90.0 |
| oqmd-1214868 | dynamic | -3.1008 | -3.1008 | 6.7936 | 6.7936 | 6.7936 | 90.0 | 90.0 | 90.0 |
| oqmd-1214868 | box | -3.0548 | -3.0548 | 7.4939 | 7.4939 | 7.4939 | 90.0 | 90.0 | 90.0 |
| A3--Mg--hcp | box | -3.0023 | -3.0023 | 1.9391 | 1.9391 | 3.1672 | 90.0 | 90.0 | 120.0 |
| A3'--alpha-La--double-hcp | box | -3.0021 | -3.0021 | 1.9392 | 1.9392 | 6.3339 | 90.0 | 90.0 | 120.0 |
| A1--Cu--fcc | static | -3.0019 | -3.0019 | 2.7425 | 2.7425 | 2.7425 | 90.0 | 90.0 | 90.0 |
| A1--Cu--fcc | dynamic | 0.0 | 0.0 | 3.0645 | 3.0645 | 3.0645 | 90.0 | 90.0 | 90.0 |
Download raw data (including filtered results)
Reference structure matches:
| prototype | method | Ecoh (eV/atom) | Epot (eV/atom) | a0 (Å) | b0 (Å) | c0 (Å) | α (degrees) | β (degrees) | γ (degrees) |
|---|---|---|---|---|---|---|---|---|---|
| mp-1104073 | dynamic | -6.8138 | -6.8138 | 3.6282 | 3.6282 | 7.2871 | 90.0 | 90.0 | 90.0 |
| mp-1104073 | box | -6.7344 | -6.7344 | 3.5992 | 3.5992 | 7.1466 | 90.0 | 90.0 | 90.0 |
| mp-1104513 | static | -6.252 | -6.252 | 3.3604 | 4.1654 | 7.4357 | 90.0 | 90.0 | 90.0 |
| mp-1104513 | box | -5.8183 | -5.8183 | 3.4268 | 3.6908 | 8.0063 | 90.0 | 90.0 | 90.0 |
Download raw data (including filtered results)
Reference structure matches:
| prototype | method | Ecoh (eV/atom) | Epot (eV/atom) | a0 (Å) | b0 (Å) | c0 (Å) | α (degrees) | β (degrees) | γ (degrees) |
|---|---|---|---|---|---|---|---|---|---|
| mp-2718 | dynamic | -6.7938 | -6.7938 | 11.1652 | 11.1652 | 11.1652 | 90.0 | 90.0 | 90.0 |
| mp-2718 | static | -6.7938 | -6.7938 | 11.1241 | 11.1241 | 11.1241 | 90.0 | 90.0 | 90.0 |
| mp-2718 | box | -6.4592 | -6.4592 | 11.6776 | 11.6776 | 11.6776 | 90.0 | 90.0 | 90.0 |
| C1--CaF2--fluorite | dynamic | -6.3688 | -6.3688 | 4.0834 | 4.0834 | 4.0834 | 90.0 | 90.0 | 90.0 |
Download raw data (including filtered results)
Reference structure matches:
| prototype | method | Ecoh (eV/atom) | Epot (eV/atom) | a0 (Å) | b0 (Å) | c0 (Å) | α (degrees) | β (degrees) | γ (degrees) |
|---|---|---|---|---|---|---|---|---|---|
| mp-1078791 | dynamic | -7.1967 | -7.1967 | 7.9021 | 4.6987 | 4.2512 | 90.0 | 90.0 | 90.0 |
| mp-1078791 | box | -6.9339 | -6.9339 | 7.7425 | 4.4956 | 4.11 | 90.0 | 90.0 | 90.0 |
Download raw data (including filtered results)
Reference structure matches:
D0_3--BiF3 = mp-1014311
L1_2--AuCu3 = mp-1014316
| prototype | method | Ecoh (eV/atom) | Epot (eV/atom) | a0 (Å) | b0 (Å) | c0 (Å) | α (degrees) | β (degrees) | γ (degrees) |
|---|---|---|---|---|---|---|---|---|---|
| mp-1096864 | dynamic | -8.4388 | -8.4388 | 3.5894 | 6.848 | 7.0588 | 90.0 | 90.0 | 90.0 |
| mp-1014296 | static | -8.0192 | -8.0192 | 2.4837 | 4.3019 | 13.2518 | 90.0 | 90.0 | 90.0 |
| mp-1014296 | dynamic | -8.0192 | -8.0192 | 2.4837 | 4.3019 | 13.3196 | 90.0 | 90.0 | 90.0 |
| mp-1014333 | static | -7.9532 | -7.9532 | 4.0639 | 5.2977 | 9.2724 | 90.0 | 90.0 | 90.0 |
| mp-1014333 | dynamic | -7.9532 | -7.9532 | 4.0974 | 4.812 | 9.4183 | 90.0 | 90.0 | 90.0 |
| mp-1014333 | box | -7.8635 | -7.8635 | 4.0669 | 5.2988 | 9.3943 | 90.0 | 90.0 | 90.0 |
| mp-1014214 | static | -7.6296 | -7.6296 | 2.8985 | 2.8985 | 2.8985 | 90.0 | 90.0 | 90.0 |
| mp-1014324 | dynamic | -7.351 | -7.351 | 7.1472 | 7.5571 | 3.4686 | 90.0 | 90.0 | 90.0 |
| mp-1096864 | static | -6.9762 | -6.9762 | 3.9791 | 4.1878 | 7.0124 | 90.0 | 90.0 | 90.0 |
| mp-1014297 | box | -6.2723 | -6.2723 | 6.3263 | 6.3263 | 6.3263 | 90.0 | 90.0 | 90.0 |
| A15--Cr3Si | static | -4.7995 | -4.7995 | 3.3544 | 3.3544 | 3.3544 | 90.0 | 90.0 | 90.0 |
| mp-1014332 | static | -4.5985 | -4.5985 | 7.4089 | 7.4089 | 5.3769 | 90.0 | 90.0 | 90.0 |
| mp-1096892 | static | -4.4789 | -4.4789 | 9.204 | 9.204 | 5.5556 | 90.0 | 90.0 | 90.0 |
| D0_3--BiF3 | static | -4.4192 | -4.4192 | 4.2967 | 4.2967 | 4.2967 | 90.0 | 90.0 | 90.0 |
| L1_2--AuCu3 | box | -3.8103 | -3.8103 | 2.7098 | 2.7098 | 2.7098 | 90.0 | 90.0 | 90.0 |
| mp-1014332 | box | -3.3999 | -3.3999 | 7.0186 | 7.0186 | 6.288 | 90.0 | 90.0 | 90.0 |
| mp-1014286 | static | -3.1046 | -3.1046 | 4.4409 | 4.4409 | 6.0907 | 90.0 | 90.0 | 120.0 |
| A15--Cr3Si | static | -3.0819 | -3.0819 | 3.724 | 3.724 | 3.724 | 90.0 | 90.0 | 90.0 |
| mp-1014214 | dynamic | 0.0 | 0.0 | 4.1481 | 4.1481 | 4.1481 | 90.0 | 90.0 | 90.0 |
| L1_2--AuCu3 | dynamic | 0.0 | 0.0 | 3.1127 | 3.1127 | 3.1127 | 90.0 | 90.0 | 90.0 |
Download raw data (including filtered results)
Reference structure matches:
| prototype | method | Ecoh (eV/atom) | Epot (eV/atom) | a0 (Å) | b0 (Å) | c0 (Å) | α (degrees) | β (degrees) | γ (degrees) |
|---|---|---|---|---|---|---|---|---|---|
| mp-1105655 | dynamic | -7.095 | -7.095 | 5.2452 | 5.2452 | 5.2452 | 90.0 | 90.0 | 90.0 |
| mp-1105655 | box | -7.0544 | -7.0544 | 5.2408 | 5.2408 | 5.2408 | 90.0 | 90.0 | 90.0 |
| mp-1188347 | box | -7.0352 | -7.0352 | 5.2348 | 5.2348 | 5.2348 | 90.0 | 90.0 | 90.0 |
Download raw data (including filtered results)
Reference structure matches:
| prototype | method | Ecoh (eV/atom) | Epot (eV/atom) | a0 (Å) | b0 (Å) | c0 (Å) | α (degrees) | β (degrees) | γ (degrees) |
|---|---|---|---|---|---|---|---|---|---|
| mp-2852 | dynamic | -7.432 | -7.432 | 5.5152 | 5.5152 | 5.5152 | 90.0 | 90.0 | 90.0 |
| mp-2852 | box | -7.4287 | -7.4287 | 5.5116 | 5.5116 | 5.5116 | 90.0 | 90.0 | 90.0 |
| mp-1985 | dynamic | -7.4216 | -7.4216 | 6.5263 | 6.5263 | 2.5173 | 90.0 | 90.0 | 120.0 |
| mp-1985 | box | -7.4175 | -7.4175 | 6.5441 | 6.5441 | 2.4984 | 90.0 | 90.0 | 120.0 |
| mp-9410 | dynamic | -7.3832 | -7.3832 | 6.6975 | 6.6975 | 4.8177 | 90.0 | 90.0 | 120.0 |
| mp-9410 | box | -7.3397 | -7.3397 | 6.6807 | 6.6807 | 4.7931 | 90.0 | 90.0 | 120.0 |
| mp-971684 | dynamic | -7.2671 | -7.2671 | 7.6008 | 13.165 | 7.1376 | 90.0 | 90.0 | 90.0 |
| mp-1193580 | dynamic | -7.2671 | -7.2671 | 7.6008 | 7.6008 | 7.0399 | 90.0 | 90.0 | 120.0 |
| mp-1104403 | dynamic | -7.2671 | -7.2671 | 7.6008 | 7.6008 | 3.6194 | 90.0 | 90.0 | 120.0 |
| mp-1182172 | static | -7.2669 | -7.2669 | 2.5559 | 9.3439 | 5.5127 | 90.0 | 90.0 | 90.0 |
| mp-1182172 | dynamic | -7.2669 | -7.2669 | 2.5559 | 9.3158 | 5.8602 | 90.0 | 90.0 | 90.0 |
| mp-570572 | dynamic | -7.2665 | -7.2665 | 5.0437 | 5.0437 | 10.7067 | 90.0 | 90.0 | 120.0 |
| mp-971683 | dynamic | -7.2665 | -7.2665 | 5.0437 | 5.0437 | 10.1704 | 90.0 | 90.0 | 120.0 |
| mp-567885 | dynamic | -7.2665 | -7.2665 | 5.0437 | 5.0437 | 7.0775 | 90.0 | 90.0 | 120.0 |
| mp-570572 | static | -7.2665 | -7.2665 | 5.0437 | 5.0437 | 9.3762 | 90.0 | 90.0 | 120.0 |
| mp-971683 | static | -7.2561 | -7.2561 | 5.0246 | 5.0246 | 6.3903 | 90.0 | 90.0 | 120.0 |
| mp-1182172 | box | -7.219 | -7.219 | 2.5212 | 9.1838 | 5.6774 | 90.0 | 90.0 | 90.0 |
| mp-571653 | dynamic | -7.0759 | -7.0759 | 3.6047 | 3.6047 | 3.6047 | 90.0 | 90.0 | 90.0 |
| mp-571653 | box | -6.9111 | -6.9111 | 3.5083 | 3.5083 | 3.5083 | 90.0 | 90.0 | 90.0 |
| mp-563 | dynamic | -6.5614 | -6.5614 | 6.7218 | 6.7218 | 6.7218 | 90.0 | 90.0 | 90.0 |
| mp-563 | box | -6.5612 | -6.5612 | 6.7226 | 6.7226 | 6.7226 | 90.0 | 90.0 | 90.0 |
| mp-1182484 | dynamic | -6.415 | -6.415 | 6.5626 | 6.5626 | 22.0539 | 90.0 | 90.0 | 120.0 |
| mp-1182484 | static | -6.415 | -6.415 | 6.6615 | 6.6615 | 22.0539 | 90.0 | 90.0 | 120.0 |
| mp-1078219 | static | -3.3943 | -3.3943 | 8.0904 | 8.0904 | 2.1315 | 90.0 | 90.0 | 120.0 |
| mp-1078219 | dynamic | -3.3943 | -3.3943 | 7.549 | 7.549 | 2.1315 | 90.0 | 90.0 | 120.0 |
Download raw data (including filtered results)
Reference structure matches:
| prototype | method | Ecoh (eV/atom) | Epot (eV/atom) | a0 (Å) | b0 (Å) | c0 (Å) | α (degrees) | β (degrees) | γ (degrees) |
|---|---|---|---|---|---|---|---|---|---|
| mp-1214748 | dynamic | -6.7624 | -6.7624 | 10.97 | 13.0905 | 14.26 | 90.0 | 90.0 | 90.0 |
| mp-1214748 | static | -6.7624 | -6.7624 | 11.1077 | 11.8103 | 15.5124 | 90.0 | 90.0 | 90.0 |
| mp-1214748 | box | -6.3927 | -6.3927 | 11.4114 | 12.7819 | 15.3836 | 90.0 | 90.0 | 90.0 |
Download raw data (including filtered results)
Reference structure matches:
| prototype | method | Ecoh (eV/atom) | Epot (eV/atom) | a0 (Å) | b0 (Å) | c0 (Å) | α (degrees) | β (degrees) | γ (degrees) |
|---|---|---|---|---|---|---|---|---|---|
| mp-651723 | box | -5.7095 | -5.7095 | 9.7457 | 9.7457 | 12.5097 | 90.0 | 90.0 | 120.0 |
Download raw data (including filtered results)
Reference structure matches:
| prototype | method | Ecoh (eV/atom) | Epot (eV/atom) | a0 (Å) | b0 (Å) | c0 (Å) | α (degrees) | β (degrees) | γ (degrees) |
|---|---|---|---|---|---|---|---|---|---|
| B3--ZnS--cubic-zinc-blende | dynamic | -7.5122 | -7.5122 | 3.5349 | 3.5349 | 3.5349 | 90.0 | 90.0 | 90.0 |
| B4--ZnS--wurtzite | dynamic | -7.5122 | -7.5122 | 2.4995 | 2.4995 | 4.0817 | 90.0 | 90.0 | 120.0 |
| B4--ZnS--wurtzite | box | -7.5122 | -7.5122 | 2.4992 | 2.4992 | 4.0828 | 90.0 | 90.0 | 120.0 |
| mp-27461 | static | -6.2858 | -6.2858 | 2.1002 | 6.0318 | 10.0468 | 90.0 | 90.0 | 90.0 |
| mp-27461 | dynamic | -6.2858 | -6.2858 | 6.4973 | 7.4063 | 6.656 | 90.0 | 90.0 | 90.0 |
| B1--NaCl--rock-salt | dynamic | -5.8655 | -5.8655 | 3.4314 | 3.4314 | 3.4314 | 90.0 | 90.0 | 90.0 |
| L1_0--AuCu | dynamic | -5.4203 | -5.4203 | 2.0454 | 2.0454 | 2.1979 | 90.0 | 90.0 | 90.0 |
| B2--CsCl | dynamic | -5.3984 | -5.3984 | 2.0485 | 2.0485 | 2.0485 | 90.0 | 90.0 | 90.0 |
| B2--CsCl | box | -5.3693 | -5.3693 | 2.1042 | 2.1042 | 2.1042 | 90.0 | 90.0 | 90.0 |
Download raw data (including filtered results)
Reference structure matches:
| prototype | method | Ecoh (eV/atom) | Epot (eV/atom) | a0 (Å) | b0 (Å) | c0 (Å) | α (degrees) | β (degrees) | γ (degrees) |
|---|---|---|---|---|---|---|---|---|---|
| mp-1077595 | dynamic | -6.323 | -6.323 | 2.5981 | 5.4703 | 4.5729 | 90.0 | 90.0 | 90.0 |
| mp-1009818 | dynamic | -6.3058 | -6.3058 | 2.602 | 2.602 | 4.7734 | 90.0 | 90.0 | 90.0 |
| mp-1102681 | dynamic | -6.2642 | -6.2642 | 6.6932 | 6.6932 | 2.8147 | 90.0 | 90.0 | 90.0 |
| mp-1009818 | box | -6.1304 | -6.1304 | 2.6797 | 2.6797 | 4.6187 | 90.0 | 90.0 | 90.0 |
| mp-1077595 | box | -5.9914 | -5.9914 | 2.5453 | 6.2429 | 4.5778 | 90.0 | 90.0 | 90.0 |
| mp-1102681 | box | -5.9355 | -5.9355 | 6.6093 | 6.6093 | 3.3332 | 90.0 | 90.0 | 90.0 |
| C1--CaF2--fluorite | dynamic | -5.9349 | -5.9349 | 4.0886 | 4.0886 | 4.0886 | 90.0 | 90.0 | 90.0 |
| mp-1019086 | dynamic | -5.7032 | -5.7032 | 3.3815 | 3.3815 | 4.7055 | 90.0 | 90.0 | 90.0 |
| mp-1019086 | static | -5.7032 | -5.7032 | 3.3815 | 3.3815 | 3.4785 | 90.0 | 90.0 | 90.0 |
| mp-1019086 | box | -5.4566 | -5.4566 | 3.6179 | 3.6179 | 3.9067 | 90.0 | 90.0 | 90.0 |
| mp-1214163 | static | -5.3369 | -5.3369 | 2.0499 | 11.1436 | 112.328 | 90.0 | 90.0 | 90.0 |
| mp-1214163 | dynamic | -5.28 | -5.28 | 7.9257 | 9.7994 | 8.3773 | 90.0 | 90.0 | 90.0 |
| mp-1018655 | box | -4.8015 | -4.8015 | 2.4697 | 2.4697 | 10.1792 | 90.0 | 90.0 | 120.0 |
Download raw data (including filtered results)
Reference structure matches:
| prototype | method | Ecoh (eV/atom) | Epot (eV/atom) | a0 (Å) | b0 (Å) | c0 (Å) | α (degrees) | β (degrees) | γ (degrees) |
|---|---|---|---|---|---|---|---|---|---|
| A15--Cr3Si | dynamic | -4.2738 | -4.2738 | 3.3293 | 3.3293 | 3.3293 | 90.0 | 90.0 | 90.0 |
| D0_3--BiF3 | box | -3.079 | -3.079 | 4.1479 | 4.1479 | 4.1479 | 90.0 | 90.0 | 90.0 |
| L1_2--AuCu3 | box | -2.7629 | -2.7629 | 2.6788 | 2.6788 | 2.6788 | 90.0 | 90.0 | 90.0 |
Download raw data (including filtered results)
Reference structure matches:
A1--Cu--fcc = oqmd-1214545
A15--beta-W = oqmd-1214990
A2--W--bcc = oqmd-1215168
A3'--alpha-La--double-hcp = oqmd-1215436
A3--Mg--hcp = mp-12103, mp-1061298, oqmd-30774, oqmd-1215346
A4--C--dc = oqmd-1215525
A5--beta-Sn = oqmd-1215614
A6--In--bct = oqmd-1215703
A7--alpha-As = oqmd-1215792
Ah--alpha-Po--sc = oqmd-1214634
| prototype | method | Ecoh (eV/atom) | Epot (eV/atom) | a0 (Å) | b0 (Å) | c0 (Å) | α (degrees) | β (degrees) | γ (degrees) |
|---|---|---|---|---|---|---|---|---|---|
| mp-672233 | static | -4.9464 | -4.9464 | 4.1672 | 4.1672 | 2.1236 | 90.0 | 90.0 | 120.0 |
| oqmd-4723 | static | -4.9449 | -4.9449 | 3.5625 | 3.5625 | 2.1247 | 90.0 | 90.0 | 120.0 |
| mp-570747 | static | -4.9047 | -4.9047 | 2.1386 | 2.1386 | 5.3459 | 90.0 | 90.0 | 90.0 |
| oqmd-3234 | static | -4.8388 | -4.8388 | 3.0811 | 3.0811 | 3.0811 | 90.0 | 90.0 | 90.0 |
| mp-154 | static | -4.831 | -4.831 | 3.0573 | 3.0573 | 3.0573 | 90.0 | 90.0 | 90.0 |
| oqmd-3113 | static | -4.7688 | -4.7688 | 3.0333 | 3.0333 | 3.0333 | 90.0 | 90.0 | 90.0 |
| oqmd-1214723 | static | -4.7588 | -4.7588 | 4.3749 | 2.1884 | 3.7273 | 90.0 | 90.0 | 90.0 |
| oqmd-4722 | static | -4.7573 | -4.7573 | 2.1797 | 2.1797 | 4.6827 | 90.0 | 90.0 | 90.0 |
| mp-25 | static | -4.7297 | -4.7297 | 3.0404 | 3.0404 | 3.0404 | 90.0 | 90.0 | 90.0 |
| oqmd-1214901 | dynamic | -3.0138 | -3.0138 | 5.8827 | 5.8827 | 5.8827 | 90.0 | 90.0 | 90.0 |
| mp-568584 | static | -2.2366 | -2.2366 | 5.9362 | 5.9362 | 8.1831 | 90.0 | 90.0 | 120.0 |
| oqmd-7386 | static | -1.8766 | -1.8766 | 6.7935 | 6.7935 | 7.257 | 90.0 | 90.0 | 120.0 |
| A3--Mg--hcp | dynamic | -1.8729 | -1.8729 | 1.2079 | 1.2079 | 4.4743 | 90.0 | 90.0 | 120.0 |
| A3--Mg--hcp | static | -1.8729 | -1.8729 | 1.2079 | 1.2079 | 4.1614 | 90.0 | 90.0 | 120.0 |
| A3--Mg--hcp | dynamic | -1.7277 | -1.7277 | 2.096 | 2.096 | 1.1417 | 90.0 | 90.0 | 120.0 |
| mp-1080711 | dynamic | -1.6773 | -1.6773 | 6.39 | 6.39 | 6.39 | 90.0 | 90.0 | 90.0 |
| A4--C--dc | dynamic | -1.5391 | -1.5391 | 2.9593 | 2.9593 | 2.9593 | 90.0 | 90.0 | 90.0 |
| oqmd-4724 | static | -1.5272 | -1.5272 | 2.2362 | 2.2362 | 2.2362 | 90.0 | 90.0 | 90.0 |
| Ah--alpha-Po--sc | dynamic | -1.2826 | -1.2826 | 1.4761 | 1.4761 | 1.4761 | 90.0 | 90.0 | 90.0 |
| A1--Cu--fcc | dynamic | -1.2555 | -1.2555 | 2.0932 | 2.0932 | 2.0932 | 90.0 | 90.0 | 90.0 |
| A3'--alpha-La--double-hcp | dynamic | -1.2555 | -1.2555 | 1.48 | 1.48 | 4.8347 | 90.0 | 90.0 | 120.0 |
| A3--Mg--hcp | dynamic | -1.2554 | -1.2554 | 1.4799 | 1.4799 | 2.4177 | 90.0 | 90.0 | 120.0 |
| A15--beta-W | dynamic | -1.1093 | -1.1093 | 2.5261 | 2.5261 | 2.5261 | 90.0 | 90.0 | 90.0 |
| A2--W--bcc | dynamic | -1.0515 | -1.0515 | 1.6129 | 1.6129 | 1.6129 | 90.0 | 90.0 | 90.0 |
| A1--Cu--fcc | dynamic | 0.0 | 0.0 | 3.0792 | 3.0792 | 3.0792 | 90.0 | 90.0 | 90.0 |
| mp-25 | box | 0.0 | 0.0 | 10.5618 | 10.5618 | 10.5618 | 90.0 | 90.0 | 90.0 |
| mp-672234 | dynamic | 0.0 | 0.0 | 5.6054 | 5.6054 | 5.6054 | 90.0 | 90.0 | 90.0 |
| A3--Mg--hcp | dynamic | 0.0 | 0.0 | 2.1725 | 2.1725 | 3.5216 | 90.0 | 90.0 | 120.0 |
| A3--Mg--hcp | dynamic | 0.0 | 0.0 | 3.7606 | 3.7606 | 6.0863 | 90.0 | 90.0 | 120.0 |
Static elastic constants are displayed for the unique structures identified in Crystal Structure Predictions above. The values displayed here are obtained by measuring the change in virial stresses due to applying small strains to the relaxed crystals. The initial structure and the strained states are all relaxed using force minimization.
The calculation method used is available as the iprPy elastic_constants_static calculation method.
Notes and Disclaimers:
Version Information:
| 14112622.565 | -7037136.622 | -7037136.622 | 0.000 | 0.000 | 0.000 |
| -7037136.622 | 14112622.566 | -7037136.622 | 0.000 | 0.000 | 0.000 |
| -7037136.622 | -7037136.622 | 14112622.565 | -0.000 | -0.000 | 0.000 |
| 0.177 | -0.030 | 0.062 | 14074460.581 | -0.000 | -0.000 |
| -0.030 | 0.177 | 0.062 | 0.000 | 14074460.581 | -0.000 |
| -0.029 | 0.062 | 0.177 | 0.000 | -0.000 | 14074460.580 |
| 14112621.689 | -7037136.394 | -7037136.394 | -0.000 | -0.000 | -0.000 |
| -7037136.393 | 14112621.689 | -7037136.394 | -0.000 | -0.000 | -0.000 |
| -7037136.393 | -7037136.393 | 14112621.689 | -0.000 | -0.000 | 0.000 |
| -0.179 | 0.022 | -0.052 | 14074460.582 | -0.000 | -0.000 |
| 0.022 | -0.179 | -0.052 | -0.000 | 14074460.582 | 0.000 |
| 0.022 | -0.052 | -0.179 | -0.000 | -0.000 | 14074460.581 |
| 14112626.386 | -7037137.587 | -7037137.587 | -0.000 | 0.000 | 0.000 |
| -7037137.587 | 14112626.386 | -7037137.587 | 0.000 | -0.000 | 0.000 |
| -7037137.587 | -7037137.587 | 14112626.386 | 0.000 | 0.000 | 0.000 |
| 1.923 | -0.794 | 0.963 | 14074460.528 | 0.000 | -0.000 |
| -0.794 | 1.923 | 0.963 | 0.000 | 14074460.528 | -0.000 |
| -0.794 | 0.963 | 1.923 | 0.000 | -0.000 | 14074460.528 |
| 14112617.589 | -7037135.289 | -7037135.289 | -0.000 | -0.000 | 0.000 |
| -7037135.289 | 14112617.589 | -7037135.289 | -0.000 | -0.000 | -0.000 |
| -7037135.289 | -7037135.289 | 14112617.589 | -0.000 | 0.000 | -0.000 |
| -1.923 | 0.793 | -0.962 | 14074460.528 | 0.000 | -0.000 |
| 0.793 | -1.923 | -0.962 | 0.000 | 14074460.528 | -0.000 |
| 0.793 | -0.961 | -1.923 | 0.000 | -0.000 | 14074460.528 |
| 14112663.832 | -7037146.855 | -7037146.855 | 0.000 | 0.000 | -0.000 |
| -7037146.855 | 14112663.832 | -7037146.855 | 0.000 | 0.000 | -0.000 |
| -7037146.855 | -7037146.855 | 14112663.832 | 0.000 | 0.000 | -0.000 |
| 19.248 | -7.951 | 9.623 | 14074458.392 | 0.000 | 0.000 |
| -7.951 | 19.248 | 9.623 | 0.000 | 14074458.392 | 0.000 |
| -7.951 | 9.623 | 19.248 | 0.000 | 0.000 | 14074458.392 |
| 14112575.869 | -7037123.884 | -7037123.884 | -0.000 | -0.000 | -0.000 |
| -7037123.884 | 14112575.869 | -7037123.884 | -0.000 | 0.000 | 0.000 |
| -7037123.884 | -7037123.884 | 14112575.869 | -0.000 | -0.000 | -0.000 |
| -19.248 | 7.951 | -9.623 | 14074458.392 | -0.000 | 0.000 |
| 7.951 | -19.248 | -9.623 | -0.000 | 14074458.392 | 0.000 |
| 7.951 | -9.623 | -19.248 | -0.000 | 0.000 | 14074458.392 |
| 2013630.802 | -1006035.414 | -1006035.414 | -0.000 | -0.000 | -0.000 |
| -1006035.414 | 2013630.801 | -1006035.414 | -0.000 | -0.000 | -0.000 |
| -1006035.414 | -1006035.414 | 2013630.802 | 0.000 | -0.000 | -0.000 |
| 0.085 | 0.078 | 0.093 | 2012780.707 | -0.000 | -0.000 |
| 0.079 | 0.084 | 0.093 | -0.000 | 2012780.707 | -0.000 |
| 0.079 | 0.093 | 0.084 | -0.000 | 0.000 | 2012780.707 |
| 2013630.105 | -1006035.321 | -1006035.321 | 0.000 | 0.000 | 0.000 |
| -1006035.321 | 2013630.105 | -1006035.321 | 0.000 | 0.000 | 0.000 |
| -1006035.321 | -1006035.321 | 2013630.105 | 0.000 | 0.000 | 0.000 |
| -0.084 | -0.078 | -0.094 | 2012780.706 | -0.000 | 0.000 |
| -0.078 | -0.084 | -0.094 | 0.000 | 2012780.707 | 0.000 |
| -0.078 | -0.094 | -0.084 | 0.000 | 0.000 | 2012780.707 |
| 2013633.836 | -1006035.782 | -1006035.782 | -0.000 | -0.000 | -0.000 |
| -1006035.782 | 2013633.836 | -1006035.782 | -0.000 | -0.000 | -0.000 |
| -1006035.782 | -1006035.782 | 2013633.836 | -0.000 | -0.000 | -0.000 |
| 0.868 | 0.720 | 0.971 | 2012780.701 | 0.000 | -0.000 |
| 0.720 | 0.868 | 0.971 | 0.000 | 2012780.701 | -0.000 |
| 0.720 | 0.971 | 0.868 | 0.000 | 0.000 | 2012780.701 |
| 2013627.036 | -1006034.935 | -1006034.935 | 0.000 | -0.000 | 0.000 |
| -1006034.935 | 2013627.036 | -1006034.935 | -0.000 | 0.000 | 0.000 |
| -1006034.935 | -1006034.935 | 2013627.036 | -0.000 | -0.000 | 0.000 |
| -0.868 | -0.720 | -0.971 | 2012780.701 | -0.000 | 0.000 |
| -0.720 | -0.868 | -0.971 | -0.000 | 2012780.701 | 0.000 |
| -0.720 | -0.971 | -0.868 | -0.000 | -0.000 | 2012780.701 |
| 2013664.152 | -1006039.449 | -1006039.449 | -0.000 | -0.000 | -0.000 |
| -1006039.449 | 2013664.152 | -1006039.449 | -0.000 | -0.000 | -0.000 |
| -1006039.449 | -1006039.449 | 2013664.152 | -0.000 | -0.000 | -0.000 |
| 8.687 | 7.197 | 9.713 | 2012780.420 | -0.000 | -0.000 |
| 7.197 | 8.687 | 9.713 | -0.000 | 2012780.420 | -0.000 |
| 7.197 | 9.713 | 8.687 | -0.000 | -0.000 | 2012780.420 |
| 2013596.157 | -1006030.987 | -1006030.987 | 0.000 | 0.000 | 0.000 |
| -1006030.987 | 2013596.157 | -1006030.987 | 0.000 | 0.000 | 0.000 |
| -1006030.987 | -1006030.987 | 2013596.157 | 0.000 | 0.000 | 0.000 |
| -8.687 | -7.197 | -9.713 | 2012780.420 | 0.000 | 0.000 |
| -7.197 | -8.687 | -9.713 | 0.000 | 2012780.420 | 0.000 |
| -7.197 | -9.713 | -8.687 | 0.000 | 0.000 | 2012780.420 |
| 676.514 | 781.362 | 781.362 | -0.000 | -0.000 | -0.000 |
| 781.362 | 676.514 | 781.362 | -0.000 | 0.000 | -0.000 |
| 781.362 | 781.362 | 676.513 | -0.000 | -0.000 | -0.000 |
| 0.000 | 0.000 | 0.000 | 395.053 | 0.000 | -0.000 |
| 0.000 | 0.000 | 0.000 | -0.000 | 395.053 | -0.000 |
| 0.000 | 0.000 | 0.000 | 0.000 | -0.000 | 395.053 |
| 676.506 | 781.366 | 781.366 | 0.000 | -0.000 | 0.000 |
| 781.366 | 676.506 | 781.366 | -0.000 | -0.000 | 0.000 |
| 781.366 | 781.366 | 676.506 | 0.000 | 0.000 | 0.000 |
| -0.000 | -0.000 | -0.000 | 395.053 | -0.000 | -0.000 |
| -0.000 | -0.000 | -0.000 | -0.000 | 395.053 | 0.000 |
| -0.000 | -0.000 | -0.000 | 0.000 | 0.000 | 395.053 |
| 676.548 | 781.346 | 781.346 | -0.000 | -0.000 | -0.000 |
| 781.346 | 676.548 | 781.346 | -0.000 | -0.000 | -0.000 |
| 781.346 | 781.346 | 676.548 | 0.000 | -0.000 | -0.000 |
| 0.002 | 0.001 | 0.001 | 395.053 | 0.000 | 0.000 |
| 0.001 | 0.002 | 0.001 | -0.000 | 395.053 | -0.000 |
| 0.001 | 0.001 | 0.002 | -0.000 | -0.000 | 395.053 |
| 676.470 | 781.382 | 781.382 | 0.000 | -0.000 | 0.000 |
| 781.382 | 676.470 | 781.382 | 0.000 | -0.000 | 0.000 |
| 781.382 | 781.382 | 676.470 | 0.000 | 0.000 | 0.000 |
| -0.002 | -0.001 | -0.001 | 395.053 | -0.000 | 0.000 |
| -0.001 | -0.002 | -0.001 | 0.000 | 395.053 | 0.000 |
| -0.001 | -0.001 | -0.002 | 0.000 | 0.000 | 395.053 |
| 676.519 | 781.375 | 781.375 | 0.000 | -0.000 | -0.000 |
| 781.375 | 676.519 | 781.375 | -0.000 | -0.000 | -0.000 |
| 781.375 | 781.375 | 676.519 | -0.000 | -0.000 | -0.000 |
| 0.024 | 0.006 | 0.007 | 395.053 | -0.000 | -0.000 |
| 0.006 | 0.024 | 0.007 | -0.000 | 395.053 | -0.000 |
| 0.006 | 0.007 | 0.024 | -0.000 | -0.000 | 395.053 |
| 676.500 | 781.353 | 781.353 | -0.000 | 0.000 | 0.000 |
| 781.353 | 676.500 | 781.353 | 0.000 | 0.000 | 0.000 |
| 781.353 | 781.353 | 676.500 | 0.000 | 0.000 | -0.000 |
| -0.024 | -0.006 | -0.007 | 395.053 | -0.000 | -0.000 |
| -0.006 | -0.024 | -0.007 | 0.000 | 395.053 | 0.000 |
| -0.006 | -0.007 | -0.024 | -0.000 | 0.000 | 395.053 |
| -1114805154.015 | -118536292.006 | -221033132.141 | -18977363.795 | -7784271.035 | 26713798.477 |
| -43156970.778 | -832366509.293 | 142831905.724 | -12376690.809 | 190403688.153 | -25818399.548 |
| -199245658.395 | -239694515.574 | -1442623344.160 | -8333937.455 | -6866353.234 | -61883237.260 |
| -1010975789.213 | -718603730.781 | -781434148.797 | 351266516.729 | -29043532.662 | 41507230.211 |
| -775843308.942 | -1223526242.808 | -799469067.573 | -324410.955 | 427088855.996 | 5602620.208 |
| -854789454.072 | -798398849.185 | -1193774441.032 | 24146330.401 | -16024338.836 | 421881858.766 |
| 259032228.061 | 2298399743.512 | 2258618553.148 | 96569821.016 | -81950688.396 | -24323406.856 |
| 75907729.458 | 1650498400.744 | 152408215.363 | 10563530.923 | 27156822.105 | -1223822.264 |
| 1848068490.657 | 1673472419.871 | 1018163893.357 | 3854574.234 | 30438544.917 | 72083162.427 |
| 1511042420.143 | 968186275.517 | 985798042.802 | 712475408.940 | 59326600.292 | 29536168.802 |
| 893790848.727 | 1424385858.636 | 827194627.093 | 59514276.441 | 634901096.498 | 42361199.788 |
| 912948461.222 | 972177537.899 | 1489002945.968 | -26818272.719 | -14616632.837 | 641085994.012 |
| -205993497.260 | -7539409.484 | -10450463.092 | -481978.083 | -1171096.728 | -5753873.332 |
| 3760722.560 | -157713402.835 | 7819705.894 | 3095999.401 | 18198706.976 | -333435.805 |
| -4363635.998 | -2969495.117 | -167557634.460 | -3161668.557 | -4664437.808 | 3871006.366 |
| 23258116.524 | 11312880.755 | 12894314.324 | 19698002.147 | 3476921.379 | 3367572.942 |
| -106824193.284 | -101108628.988 | -108439183.635 | -2809434.215 | -40841707.796 | -3293096.970 |
| -12565659.630 | -30762381.029 | 8329533.391 | 2226118.929 | 639264.847 | -1085284.587 |
| 73474833.973 | -107862606.608 | -119257608.189 | -1135702.585 | -5816672.113 | 4175034.572 |
| -15002103.896 | 132118130.886 | -3332889.570 | 7342904.068 | 243229.032 | -8925484.483 |
| 31266718.932 | 34555891.183 | 161410149.408 | -10560128.495 | 4543140.547 | -2852058.859 |
| -12161803.394 | 24306293.576 | 12231396.872 | 2535860.698 | -14644286.682 | 12446419.397 |
| 30986983.199 | 23855875.617 | 13881153.007 | 6610161.906 | -6124326.293 | -219934.964 |
| 62270529.890 | 49349094.461 | 65986480.936 | -2500894.233 | 19239492.184 | -2252574.433 |
| -15750515.356 | 973341.014 | 734400.723 | 1999842.538 | 140239.734 | 218123.039 |
| -531181.116 | -17693383.689 | -252755.772 | -709523.476 | 420977.036 | -238167.399 |
| 1980950.589 | 2350821.897 | -12078157.523 | -281478.512 | 387624.106 | 2938595.616 |
| -1058489.691 | -3940536.229 | -3970415.920 | -2541802.772 | 816919.917 | -491278.307 |
| -6357845.821 | -1691972.440 | -5071951.615 | 1607359.011 | -3369041.743 | 1110563.089 |
| -5599292.967 | -5447244.373 | -7448236.597 | 3013823.186 | 2013103.661 | -3920729.895 |
| 4531672.663 | 3771752.356 | 1850909.459 | 170936.404 | -5742861.925 | -6959947.080 |
| 9020172.326 | 10679986.674 | 10447909.234 | -5087434.530 | 422087.472 | -4439677.635 |
| 9964015.818 | 8732614.390 | 10365992.211 | -4506986.106 | -4959431.421 | 494724.860 |
| 7204311.749 | 4591986.655 | 2207539.974 | -784200.293 | 86091.945 | 604448.250 |
| 9019760.883 | 13218096.500 | 9737182.744 | -276972.859 | -3513236.076 | -8334.042 |
| 10508661.640 | 10618941.911 | 13002645.115 | -274756.591 | -98682.324 | -3107023.419 |
| 317.785 | 317.894 | 317.894 | 0.000 | 0.000 | 0.000 |
| 317.894 | 317.785 | 317.894 | 0.000 | -0.000 | -0.000 |
| 317.894 | 317.894 | 317.785 | -0.000 | -0.000 | 0.000 |
| -0.000 | -0.000 | 0.000 | -449.892 | 0.000 | 0.000 |
| -0.000 | -0.000 | 0.000 | -0.000 | -449.892 | 0.000 |
| 0.000 | -0.000 | 0.000 | -0.000 | -0.000 | -449.892 |
| 317.786 | 317.894 | 317.894 | -0.000 | 0.000 | 0.000 |
| 317.894 | 317.786 | 317.894 | -0.000 | -0.000 | -0.000 |
| 317.894 | 317.894 | 317.786 | -0.000 | -0.000 | -0.000 |
| 0.000 | -0.000 | -0.000 | -449.892 | 0.000 | -0.000 |
| -0.000 | 0.000 | -0.000 | 0.000 | -449.892 | 0.000 |
| -0.000 | 0.000 | 0.000 | 0.000 | -0.000 | -449.892 |
| 317.784 | 317.893 | 317.893 | 0.000 | 0.000 | -0.000 |
| 317.893 | 317.784 | 317.893 | 0.000 | 0.000 | 0.000 |
| 317.893 | 317.893 | 317.784 | 0.000 | 0.000 | 0.000 |
| -0.000 | -0.000 | -0.000 | -449.892 | -0.000 | -0.000 |
| -0.000 | -0.000 | -0.000 | 0.000 | -449.892 | 0.000 |
| -0.000 | -0.000 | -0.000 | 0.000 | 0.000 | -449.892 |
| 317.787 | 317.895 | 317.895 | -0.000 | -0.000 | -0.000 |
| 317.895 | 317.787 | 317.895 | -0.000 | -0.000 | -0.000 |
| 317.895 | 317.895 | 317.787 | -0.000 | -0.000 | -0.000 |
| 0.000 | 0.000 | 0.000 | -449.892 | -0.000 | 0.000 |
| 0.000 | 0.000 | 0.000 | -0.000 | -449.892 | -0.000 |
| 0.000 | 0.000 | 0.000 | -0.000 | -0.000 | -449.892 |
| 317.772 | 317.881 | 317.881 | 0.000 | 0.000 | 0.000 |
| 317.881 | 317.772 | 317.881 | 0.000 | 0.000 | 0.000 |
| 317.881 | 317.881 | 317.772 | 0.000 | -0.000 | 0.000 |
| -0.003 | -0.002 | -0.003 | -449.892 | 0.000 | 0.000 |
| -0.002 | -0.003 | -0.003 | 0.000 | -449.892 | 0.000 |
| -0.002 | -0.003 | -0.003 | 0.000 | -0.000 | -449.892 |
| 317.799 | 317.906 | 317.906 | -0.000 | -0.000 | 0.000 |
| 317.906 | 317.799 | 317.906 | -0.000 | 0.000 | 0.000 |
| 317.906 | 317.906 | 317.799 | -0.000 | -0.000 | -0.000 |
| 0.003 | 0.002 | 0.003 | -449.892 | -0.000 | -0.000 |
| 0.002 | 0.003 | 0.003 | -0.000 | -449.892 | -0.000 |
| 0.002 | 0.003 | 0.003 | -0.000 | -0.000 | -449.892 |
| 70.606 | 6.249 | 9.051 | -0.000 | 0.000 | 0.000 |
| 6.249 | 70.606 | 9.051 | -0.001 | -0.000 | -0.000 |
| 9.051 | 9.051 | 85.011 | -0.001 | -0.000 | -0.000 |
| -0.000 | 0.000 | -0.000 | 6.241 | 0.000 | 0.000 |
| 0.000 | -0.000 | -0.000 | -0.001 | 6.242 | -0.000 |
| -0.000 | -0.000 | -0.000 | -0.001 | 0.000 | -0.018 |
| 70.606 | 6.249 | 9.051 | 0.000 | 0.000 | 0.000 |
| 6.249 | 70.606 | 9.051 | 0.000 | -0.000 | 0.000 |
| 9.051 | 9.051 | 85.011 | 0.001 | -0.000 | 0.000 |
| 0.000 | -0.000 | 0.000 | 6.242 | -0.000 | 0.000 |
| 0.000 | 0.000 | 0.000 | 0.001 | 6.242 | 0.000 |
| 0.000 | 0.000 | 0.000 | 0.001 | -0.000 | -0.018 |
| 70.606 | 6.249 | 9.051 | -0.000 | 0.000 | 0.000 |
| 6.249 | 70.606 | 9.051 | -0.000 | 0.000 | -0.000 |
| 9.051 | 9.051 | 85.011 | -0.000 | 0.000 | -0.000 |
| -0.000 | 0.000 | 0.000 | 6.242 | 0.000 | 0.000 |
| 0.000 | -0.000 | -0.000 | -0.000 | 6.242 | 0.000 |
| -0.000 | -0.000 | -0.000 | -0.000 | 0.000 | -0.018 |
| 76.857 | -0.001 | 9.051 | 0.000 | -0.000 | -0.000 |
| -0.001 | 76.857 | 9.051 | 0.000 | -0.000 | -0.000 |
| 9.051 | 9.051 | 85.011 | 0.000 | -0.000 | -0.000 |
| 0.000 | 0.000 | 0.000 | 6.242 | -0.000 | -0.000 |
| 0.000 | 0.000 | 0.000 | 0.000 | 6.242 | -0.000 |
| 0.000 | 0.000 | 0.000 | 0.000 | -0.000 | -0.018 |
| 70.606 | 6.249 | 9.051 | -0.000 | 0.000 | 0.000 |
| 6.249 | 70.606 | 9.051 | -0.000 | 0.000 | 0.000 |
| 9.051 | 9.051 | 85.011 | -0.000 | 0.000 | 0.000 |
| -0.000 | 0.000 | -0.000 | 6.242 | 0.000 | 0.000 |
| 0.000 | -0.000 | -0.000 | -0.000 | 6.242 | -0.000 |
| -0.000 | -0.000 | -0.000 | -0.000 | 0.000 | -0.018 |
| 70.606 | 6.249 | 9.051 | 0.000 | -0.000 | 0.000 |
| 6.249 | 70.606 | 9.051 | 0.000 | -0.000 | -0.000 |
| 9.051 | 9.051 | 85.010 | 0.000 | -0.000 | -0.000 |
| 0.000 | -0.000 | 0.000 | 6.242 | -0.000 | -0.000 |
| -0.000 | 0.000 | 0.000 | 0.000 | 6.242 | 0.000 |
| 0.000 | 0.000 | 0.000 | 0.000 | -0.000 | -0.018 |
| 623.894 | 767.140 | 877.181 | 0.000 | -0.000 | 0.000 |
| 767.140 | 623.894 | 877.181 | 0.000 | -0.000 | 0.000 |
| 877.181 | 877.181 | 967.495 | 0.000 | -0.000 | -0.000 |
| -0.000 | 0.000 | -0.000 | -93.298 | 0.000 | -0.000 |
| 0.000 | -0.000 | -0.000 | 0.000 | -93.298 | -0.000 |
| -0.000 | 0.000 | 0.000 | 0.000 | -0.000 | -0.001 |
| 623.894 | 767.140 | 877.181 | -0.000 | -0.000 | 0.000 |
| 767.140 | 623.894 | 877.181 | -0.000 | -0.000 | -0.000 |
| 877.181 | 877.181 | 967.495 | -0.000 | 0.000 | 0.000 |
| 0.000 | -0.000 | 0.000 | -93.298 | -0.000 | -0.000 |
| -0.000 | 0.000 | -0.000 | -0.000 | -93.298 | 0.000 |
| 0.000 | -0.000 | -0.000 | -0.000 | 0.000 | -0.001 |
| 623.895 | 767.141 | 877.181 | 0.000 | -0.000 | 0.000 |
| 767.141 | 623.895 | 877.181 | 0.000 | 0.000 | -0.000 |
| 877.182 | 877.182 | 967.496 | 0.000 | 0.000 | -0.000 |
| -0.001 | 0.000 | -0.000 | -93.298 | 0.000 | 0.000 |
| 0.000 | -0.001 | -0.000 | 0.000 | -93.298 | 0.000 |
| -0.000 | -0.000 | -0.000 | 0.000 | -0.000 | -0.001 |
| 623.894 | 767.140 | 877.180 | -0.000 | -0.000 | 0.000 |
| 767.140 | 623.894 | 877.180 | -0.000 | -0.000 | 0.000 |
| 877.180 | 877.180 | 967.495 | -0.000 | 0.000 | 0.000 |
| 0.001 | -0.000 | 0.000 | -93.298 | -0.000 | 0.000 |
| -0.000 | 0.001 | 0.000 | -0.000 | -93.298 | -0.000 |
| 0.000 | 0.000 | 0.000 | -0.000 | 0.000 | -0.001 |
| 623.897 | 767.145 | 877.186 | 0.000 | -0.000 | 0.000 |
| 767.145 | 623.897 | 877.186 | 0.000 | 0.000 | 0.000 |
| 877.188 | 877.188 | 967.502 | 0.000 | -0.000 | 0.000 |
| -0.005 | 0.004 | -0.001 | -93.298 | 0.000 | -0.000 |
| 0.004 | -0.005 | -0.001 | 0.000 | -93.298 | -0.000 |
| -0.000 | -0.000 | -0.000 | 0.000 | -0.000 | -0.001 |
| 623.892 | 767.135 | 877.175 | -0.000 | 0.000 | -0.000 |
| 767.135 | 623.892 | 877.175 | -0.000 | -0.000 | -0.000 |
| 877.174 | 877.174 | 967.489 | 0.000 | 0.000 | 0.000 |
| 0.005 | -0.004 | 0.001 | -93.298 | -0.000 | -0.000 |
| -0.004 | 0.005 | 0.001 | -0.000 | -93.298 | 0.000 |
| 0.000 | 0.000 | 0.000 | -0.000 | 0.000 | -0.001 |
| 1742.605 | 4623.989 | 4103.535 | -0.000 | -0.000 | -0.000 |
| 4623.989 | 1742.605 | 4103.535 | -0.000 | -0.000 | -0.000 |
| 4103.534 | 4103.534 | 2603.358 | 0.000 | 0.000 | 0.000 |
| 0.000 | -0.002 | 0.001 | -2030.867 | -0.000 | -0.000 |
| -0.002 | 0.000 | 0.001 | -0.000 | -2030.867 | 0.000 |
| -0.001 | -0.001 | 0.001 | -0.000 | -0.000 | -1778.378 |
| 1742.608 | 4623.988 | 4103.534 | 0.000 | 0.000 | 0.000 |
| 4623.988 | 1742.608 | 4103.534 | -0.000 | 0.000 | 0.000 |
| 4103.535 | 4103.535 | 2603.359 | -0.000 | -0.000 | -0.000 |
| -0.000 | 0.002 | -0.001 | -2030.867 | 0.000 | 0.000 |
| 0.002 | -0.000 | -0.001 | 0.000 | -2030.867 | 0.000 |
| 0.001 | 0.001 | -0.001 | 0.000 | 0.000 | -1778.378 |
| 1742.591 | 4623.990 | 4103.540 | -0.000 | -0.000 | -0.000 |
| 4623.990 | 1742.591 | 4103.540 | -0.000 | -0.000 | -0.000 |
| 4103.529 | 4103.529 | 2603.358 | 0.000 | -0.000 | 0.000 |
| 0.001 | -0.016 | 0.007 | -2030.867 | -0.000 | 0.000 |
| -0.016 | 0.001 | 0.007 | -0.000 | -2030.867 | 0.000 |
| -0.007 | -0.007 | 0.007 | -0.000 | -0.000 | -1778.378 |
| 1742.622 | 4623.987 | 4103.528 | 0.000 | 0.000 | 0.000 |
| 4623.987 | 1742.622 | 4103.528 | 0.000 | 0.000 | -0.000 |
| 4103.539 | 4103.539 | 2603.360 | 0.000 | 0.000 | 0.000 |
| -0.001 | 0.016 | -0.007 | -2030.867 | 0.000 | -0.000 |
| 0.016 | -0.001 | -0.007 | 0.000 | -2030.867 | -0.000 |
| 0.007 | 0.007 | -0.007 | 0.000 | 0.000 | -1778.378 |
| 1742.449 | 4624.006 | 4103.590 | -0.000 | -0.000 | 0.000 |
| 4624.006 | 1742.449 | 4103.590 | -0.000 | -0.000 | -0.000 |
| 4103.488 | 4103.488 | 2603.345 | -0.000 | -0.000 | 0.000 |
| 0.014 | -0.159 | 0.071 | -2030.867 | -0.000 | -0.000 |
| -0.159 | 0.014 | 0.071 | -0.000 | -2030.867 | 0.000 |
| -0.068 | -0.070 | 0.069 | -0.000 | -0.000 | -1778.378 |
| 1742.764 | 4623.970 | 4103.478 | 0.000 | 0.000 | 0.000 |
| 4623.970 | 1742.764 | 4103.478 | 0.000 | 0.000 | -0.000 |
| 4103.580 | 4103.580 | 2603.373 | -0.000 | 0.000 | -0.000 |
| -0.014 | 0.159 | -0.071 | -2030.867 | 0.000 | 0.000 |
| 0.159 | -0.014 | -0.071 | 0.000 | -2030.867 | -0.000 |
| 0.068 | 0.070 | -0.069 | 0.000 | 0.000 | -1778.378 |
| 7893.707 | 4132.650 | 4132.650 | 0.000 | 0.000 | 0.000 |
| 4132.650 | 7893.707 | 4132.649 | 0.000 | 0.000 | 0.000 |
| 4132.650 | 4132.650 | 7893.707 | 0.000 | 0.000 | 0.000 |
| 0.000 | 0.000 | 0.000 | 3878.928 | 0.000 | 0.000 |
| 0.000 | 0.000 | 0.000 | 0.000 | 3878.928 | 0.000 |
| 0.000 | 0.000 | 0.000 | 0.000 | 0.000 | 3878.927 |
| 7893.706 | 4132.649 | 4132.649 | 0.000 | 0.000 | 0.000 |
| 4132.649 | 7893.706 | 4132.649 | 0.000 | 0.000 | 0.000 |
| 4132.649 | 4132.649 | 7893.706 | 0.000 | 0.000 | 0.000 |
| -0.000 | -0.000 | -0.000 | 3878.927 | -0.000 | -0.000 |
| -0.000 | -0.000 | -0.000 | -0.000 | 3878.928 | -0.000 |
| -0.000 | -0.000 | -0.000 | -0.000 | -0.000 | 3878.927 |
| 7893.711 | 4132.652 | 4132.652 | 0.000 | 0.000 | 0.000 |
| 4132.652 | 7893.711 | 4132.652 | 0.000 | 0.000 | -0.000 |
| 4132.652 | 4132.652 | 7893.711 | -0.000 | 0.000 | -0.000 |
| 0.001 | -0.000 | 0.000 | 3878.927 | 0.000 | 0.000 |
| -0.000 | 0.001 | 0.000 | 0.000 | 3878.927 | 0.000 |
| -0.000 | 0.000 | 0.001 | 0.000 | 0.000 | 3878.927 |
| 7893.702 | 4132.646 | 4132.646 | -0.000 | -0.000 | -0.000 |
| 4132.646 | 7893.702 | 4132.646 | -0.000 | -0.000 | -0.000 |
| 4132.646 | 4132.646 | 7893.702 | -0.000 | -0.000 | -0.000 |
| -0.001 | 0.000 | -0.000 | 3878.927 | -0.000 | -0.000 |
| 0.000 | -0.001 | -0.000 | -0.000 | 3878.927 | -0.000 |
| 0.000 | -0.000 | -0.001 | -0.000 | -0.000 | 3878.927 |
| 7893.751 | 4132.680 | 4132.680 | -0.000 | 0.000 | -0.000 |
| 4132.680 | 7893.751 | 4132.680 | -0.000 | 0.000 | 0.000 |
| 4132.680 | 4132.680 | 7893.751 | -0.000 | 0.000 | -0.000 |
| 0.009 | -0.002 | 0.003 | 3878.927 | 0.000 | 0.000 |
| -0.002 | 0.009 | 0.003 | 0.000 | 3878.927 | 0.000 |
| -0.002 | 0.003 | 0.009 | 0.000 | 0.000 | 3878.927 |
| 7893.662 | 4132.618 | 4132.618 | 0.000 | 0.000 | 0.000 |
| 4132.618 | 7893.662 | 4132.618 | 0.000 | 0.000 | 0.000 |
| 4132.618 | 4132.618 | 7893.662 | -0.000 | -0.000 | 0.000 |
| -0.009 | 0.002 | -0.003 | 3878.927 | -0.000 | -0.000 |
| 0.002 | -0.009 | -0.003 | -0.000 | 3878.927 | -0.000 |
| 0.002 | -0.003 | -0.009 | -0.000 | -0.000 | 3878.927 |
| -27962800.563 | 134103345.610 | -3023367.386 | 604382.696 | -2371908.412 | -50978.911 |
| -26525192.376 | 151754935.417 | -3140902.851 | 639043.414 | 2453977.514 | -263669.284 |
| -11399819.600 | 52826513.640 | 275735.476 | -427739.062 | -683437.784 | -3259463.408 |
| -23053587.235 | 111367713.431 | -137741.725 | -574647.183 | -1483898.401 | -5605755.028 |
| -11135726.932 | 57182563.575 | 323023.126 | 531713.631 | -326124.824 | -1657690.981 |
| -10592279.331 | 59566716.349 | -724898.019 | -492487.928 | -465879.295 | 831213.437 |
| 28037270.257 | -78191905.710 | 325614.864 | -7167980.900 | -2240326.558 | 1778973.378 |
| 17832646.761 | -84386702.463 | 1535382.321 | 719410.517 | 253526.806 | -940255.060 |
| 6244593.333 | -38756794.545 | 1461278.107 | 1602336.859 | 207843.153 | 11168.221 |
| 26116234.382 | -111150350.017 | 1073232.422 | -17376.979 | -1290248.704 | -3652234.197 |
| 45231553.692 | -185602900.385 | 5368387.439 | -326744.332 | -705074.122 | 2855683.927 |
| 29651299.874 | -131191336.820 | 2435678.129 | 2127767.520 | -3961126.298 | 1207718.756 |
| -1198468.738 | 7629276.939 | 1992.320 | 118092.365 | -787242.226 | 78506.395 |
| -3397643.195 | 37130409.720 | -1579445.291 | -322605.108 | 1158526.816 | -520270.125 |
| 204433.895 | 3943.163 | -169267.609 | 96162.733 | 43466.184 | 56584.161 |
| -4608409.038 | 19178001.490 | -509307.410 | -173575.990 | 156951.453 | -369632.031 |
| -2771135.975 | 12227058.117 | -380962.409 | -93481.069 | 191536.589 | 11869.412 |
| -2911061.659 | 10571643.324 | 77525.664 | -399316.516 | -603196.561 | 474659.197 |
| 1870806.487 | -7931115.551 | -52063.000 | 36331.714 | 100026.299 | 36751.120 |
| 1784268.312 | -7422861.658 | -88891.627 | -366453.811 | -11937.044 | -160320.558 |
| -13385.499 | -145641.959 | 127925.688 | -10119.200 | 47960.132 | -72614.285 |
| 4532480.002 | -17305023.438 | 398491.661 | 193817.868 | 12511.414 | 329123.568 |
| 858989.718 | -1874521.202 | -207304.892 | 23973.085 | -143087.837 | -19258.557 |
| 1487830.739 | -6210495.779 | 34416.500 | -24658.447 | -54514.812 | 28948.202 |
| -246545.562 | 1610437.354 | -14402.169 | -48899.761 | -17822.104 | -27891.343 |
| -87366.170 | 377019.483 | 13939.070 | 12356.824 | -27689.015 | -8857.119 |
| -209473.398 | 996920.958 | -6281.256 | -14561.384 | -5691.063 | 25915.815 |
| -125438.568 | 551935.541 | -2985.801 | -4197.446 | 1188.415 | 25222.834 |
| -104879.320 | 711101.080 | -9796.481 | -42270.339 | -18453.991 | 1177.250 |
| -29905.731 | 636320.694 | -29948.853 | -112698.955 | -48678.484 | 59227.298 |
| 210338.617 | -1173410.482 | 48898.136 | -4760.474 | 25910.691 | -20748.464 |
| 328414.254 | -1631155.984 | 78936.029 | 14005.383 | -32286.232 | 42185.745 |
| 306094.869 | -1482712.118 | 53332.070 | 27511.659 | -22088.141 | -17663.259 |
| -105466.474 | -637135.422 | 11940.667 | -19852.902 | 101095.614 | 40636.289 |
| 328273.662 | -1836488.685 | 55996.898 | -6868.924 | 12365.817 | -20861.850 |
| 168149.688 | -794813.412 | 13104.304 | -1436.967 | -3889.303 | -6186.975 |
| 923908.534 | -877714.923 | -40043.903 | 25117.128 | -3.969 | 8.665 |
| -881425.839 | 785209.334 | 102384.995 | -38008.452 | -5.159 | 10.266 |
| 13100.528 | 13087.577 | -20120.336 | 0.016 | -3.783 | 8.765 |
| 41755.939 | -43959.140 | 2226.420 | -73397.479 | -6.191 | 9.618 |
| 5320.645 | 5312.128 | -10555.710 | 1.354 | 26773.810 | 6036.013 |
| 2826.118 | 2811.830 | -5595.404 | 0.380 | 25296.466 | 898581.525 |
| 941368.809 | -938296.629 | 2877.234 | 11819.780 | 3.961 | -8.001 |
| -922111.427 | 914247.193 | 13648.184 | 6162.346 | 3.638 | -8.181 |
| -63300.597 | -63289.650 | 132458.552 | -0.670 | 3.606 | -7.816 |
| 15118.498 | -25376.912 | 10196.957 | 40344.855 | 3.585 | -8.381 |
| -5183.592 | -5176.707 | 10166.234 | -0.976 | -12340.171 | -1075.187 |
| -2825.882 | -2811.594 | 5594.933 | -0.382 | 25305.185 | 898562.357 |
| 932711.266 | -932997.863 | 6246.634 | -5144.491 | -0.381 | 0.806 |
| -926368.305 | 929739.696 | 2607.951 | -1780.274 | -0.384 | 0.813 |
| 2776.382 | 2775.326 | 413.748 | 0.052 | -0.384 | 0.813 |
| 271.081 | 839.360 | -1099.417 | -8317.079 | -0.405 | 0.826 |
| 541.638 | 540.609 | -1067.670 | 0.053 | -778.207 | 36.818 |
| 533.830 | 532.466 | -1050.782 | 0.052 | 272.033 | 927668.604 |
| 928278.002 | -927550.984 | 5209.598 | -1942.514 | 0.381 | -0.812 |
| -928185.093 | 929163.412 | 4961.989 | 1575.337 | 0.381 | -0.811 |
| 2079.768 | 2080.863 | 629.059 | -0.008 | 0.362 | -0.805 |
| -1261.208 | 175.286 | 1019.137 | -667.388 | 0.380 | -0.796 |
| -551.367 | -550.343 | 1057.775 | -0.050 | -117.931 | -181.692 |
| -514.725 | -513.378 | 1007.727 | -0.047 | -1704.440 | 927863.475 |
| 927941.375 | -928373.723 | -205.792 | 337.970 | -0.038 | 0.081 |
| -927925.611 | 927774.569 | -272.375 | 281.124 | -0.038 | 0.081 |
| 34.715 | 34.610 | -249.463 | 0.004 | -0.037 | 0.083 |
| 30.020 | 78.319 | -106.708 | -57.318 | -0.038 | 0.081 |
| 53.618 | 53.808 | -106.004 | 0.006 | 428.843 | -222.212 |
| 57.701 | 54.507 | -106.178 | -0.001 | -15.094 | 927753.406 |
| 927895.997 | -927729.964 | 582.010 | 68.515 | 0.038 | -0.081 |
| -927933.980 | 928001.310 | 140.487 | -7.703 | 0.038 | -0.081 |
| 707.068 | 707.175 | -1141.058 | -0.003 | 0.038 | -0.081 |
| -72.290 | -28.445 | 98.014 | -61.147 | 0.038 | -0.081 |
| -53.767 | -53.956 | 106.279 | -0.006 | 342.123 | -177.005 |
| -57.536 | -54.345 | 105.774 | 0.006 | 62.822 | 927879.587 |
| -0.000 | -0.000 | -0.000 | -0.000 | -0.000 | -0.000 |
| -0.000 | -0.000 | -0.000 | 0.000 | -0.000 | -0.000 |
| -0.000 | -0.000 | -0.000 | -0.000 | -0.000 | 0.000 |
| -0.000 | -0.000 | -0.000 | -0.000 | -0.000 | 0.000 |
| -0.000 | 0.000 | -0.000 | -0.000 | -0.000 | 0.000 |
| -0.000 | 0.000 | -0.000 | -0.000 | -0.000 | 0.000 |
| -0.000 | -0.000 | 0.000 | 0.000 | 0.000 | -0.000 |
| -0.000 | -0.000 | 0.000 | 0.000 | 0.000 | 0.000 |
| -0.000 | -0.000 | 0.000 | -0.000 | 0.000 | -0.000 |
| 0.000 | 0.000 | 0.000 | 0.000 | 0.000 | 0.000 |
| 0.000 | -0.000 | 0.000 | 0.000 | -0.000 | -0.000 |
| 0.000 | -0.000 | 0.000 | 0.000 | 0.000 | 0.000 |
| -0.000 | -0.000 | -0.000 | -0.000 | -0.000 | 0.000 |
| -0.000 | -0.000 | -0.000 | 0.000 | -0.000 | 0.000 |
| -0.000 | -0.000 | -0.000 | -0.000 | -0.000 | -0.000 |
| -0.000 | -0.000 | -0.000 | 0.000 | -0.000 | -0.000 |
| -0.000 | -0.000 | -0.000 | -0.000 | 0.000 | -0.000 |
| -0.000 | -0.000 | -0.000 | 0.000 | -0.000 | 0.000 |
| -0.000 | -0.000 | -0.000 | 0.000 | 0.000 | 0.000 |
| -0.000 | -0.000 | -0.000 | -0.000 | 0.000 | -0.000 |
| -0.000 | -0.000 | 0.000 | -0.000 | 0.000 | -0.000 |
| 0.000 | 0.000 | 0.000 | 0.000 | 0.000 | -0.000 |
| 0.000 | 0.000 | 0.000 | -0.000 | 0.000 | -0.000 |
| 0.000 | 0.000 | 0.000 | 0.000 | 0.000 | 0.000 |
| -0.000 | -0.000 | -0.000 | -0.000 | -0.000 | 0.000 |
| -0.000 | -0.000 | -0.000 | -0.000 | -0.000 | 0.000 |
| -0.000 | -0.000 | 0.000 | -0.000 | -0.000 | 0.000 |
| 0.000 | -0.000 | -0.000 | 0.000 | -0.000 | -0.000 |
| -0.000 | 0.000 | -0.000 | -0.000 | 0.000 | -0.000 |
| -0.000 | 0.000 | -0.000 | 0.000 | -0.000 | 0.000 |
| -0.000 | -0.000 | -0.000 | 0.000 | 0.000 | -0.000 |
| -0.000 | -0.000 | -0.000 | 0.000 | 0.000 | -0.000 |
| -0.000 | -0.000 | 0.000 | 0.000 | 0.000 | -0.000 |
| 0.000 | -0.000 | 0.000 | 0.000 | 0.000 | -0.000 |
| -0.000 | 0.000 | 0.000 | 0.000 | 0.000 | -0.000 |
| 0.000 | -0.000 | 0.000 | 0.000 | 0.000 | 0.000 |
| 924245.311 | -890021.725 | -28622.888 | 15068.181 | 48.587 | -38.695 |
| -907315.857 | 886159.724 | 26152.972 | 10067.316 | 47.327 | -38.006 |
| -61005.816 | -61560.758 | 128073.542 | -252.643 | 48.934 | -39.060 |
| 15873.888 | -24198.108 | 7990.621 | 40710.218 | 52.723 | -41.961 |
| -3821.241 | -4351.731 | 7661.600 | -250.698 | 23572.464 | 4917.723 |
| -1709.019 | -2232.065 | -1797.471 | -231.403 | -3970.430 | 909937.205 |
| 916982.162 | -888419.788 | -22207.419 | 13407.570 | -48.412 | 38.634 |
| -882911.535 | 921559.043 | -32312.182 | -15172.100 | -48.415 | 38.694 |
| 9863.900 | 10415.038 | -13384.952 | 248.821 | -47.562 | 38.234 |
| 47840.363 | -34695.263 | -13044.001 | -76865.030 | -37.151 | 32.048 |
| 4458.698 | 5064.600 | -9203.955 | 272.558 | -455.996 | 22033.794 |
| 4381.455 | 4938.858 | -6047.727 | 238.939 | -8045.867 | 870796.791 |
| 797105.543 | -1000390.653 | 59371.833 | 2475.831 | 35.104 | 0.517 |
| -987369.575 | 793757.564 | 31165.584 | -1927.301 | 34.759 | 0.439 |
| -101413.193 | -101354.987 | 56204.724 | -159.743 | 36.144 | 2.196 |
| -103573.279 | -103083.138 | 56879.398 | 990.816 | 34.921 | 0.447 |
| -103816.654 | -103816.348 | 56544.704 | -156.153 | -960.635 | -611.317 |
| -101721.396 | -101719.722 | 46615.303 | -158.950 | -4722.321 | 899706.756 |
| 1004055.426 | -799398.017 | -54527.643 | 3376.053 | -35.142 | -0.251 |
| -797070.094 | 1009865.509 | -46593.830 | 1371.800 | -34.678 | -0.490 |
| 103609.978 | 103616.594 | -61195.531 | 165.187 | -37.426 | 0.823 |
| 101632.133 | 105109.388 | -55986.704 | -151.871 | -35.225 | -0.588 |
| 102106.895 | 102107.701 | -57510.397 | 154.119 | 7843.211 | 707.661 |
| 109358.224 | 109359.098 | -60512.217 | 154.126 | 2239.793 | 908178.823 |
| 890627.109 | -911680.174 | 5712.343 | -70.386 | 3.505 | 0.049 |
| -911658.700 | 890667.915 | 5574.915 | -26.920 | 3.502 | 0.048 |
| -10566.897 | -10566.915 | 6306.411 | -15.544 | 3.503 | 0.048 |
| -10382.663 | -10233.835 | 5851.679 | 87.158 | 3.503 | 0.048 |
| -10268.114 | -10267.858 | 5676.851 | -15.553 | -275.306 | 34.962 |
| -10396.115 | -10399.224 | 5588.315 | -15.545 | 127.199 | 901213.001 |
| 911549.804 | -890459.893 | -6581.187 | 751.838 | -3.499 | -0.037 |
| -889206.688 | 913404.592 | -6979.356 | -479.265 | -3.492 | -0.045 |
| 10205.040 | 10206.021 | -5832.510 | 15.419 | -3.494 | 0.016 |
| 10865.236 | 9719.505 | -6182.122 | -26.522 | -3.507 | -0.046 |
| 10459.333 | 10459.057 | -5620.693 | 15.535 | 377.281 | 30.580 |
| 10560.345 | 10563.018 | -5443.367 | 15.270 | 57.134 | 901369.887 |
| -202226397.932 | -80696689.260 | -100001736.520 | 10475609.322 | 1268560.161 | -3262599.815 |
| -231299350.025 | -86215564.962 | -113415603.729 | 4997791.694 | 2246820.616 | -4833373.450 |
| -216773136.727 | -76755479.064 | -102638836.379 | 9553699.671 | 221536.817 | -4499614.357 |
| -218702663.727 | -95120550.660 | -112448075.349 | 8359389.969 | 1310596.252 | -1138453.948 |
| -184609335.525 | -72238228.016 | -91927143.127 | 9492187.018 | 282657.920 | -3432711.564 |
| -247534489.642 | -101417765.518 | -129701408.258 | 8407212.189 | -90893.424 | -3539629.321 |
| 212758651.109 | 86030839.337 | 110477258.870 | -8898413.852 | -1714800.486 | 3050808.794 |
| 231474274.450 | 89877609.988 | 117276782.150 | -8636877.506 | -1645762.482 | 3147637.095 |
| 223630201.347 | 82564713.748 | 101161038.367 | -9921043.990 | -3688555.106 | -1234621.677 |
| 195345727.671 | 79407234.457 | 98873229.800 | -6850145.419 | -253794.660 | 4643725.930 |
| 218938481.905 | 92540688.257 | 116032231.798 | -9215884.649 | -254736.913 | 2757335.556 |
| 219539642.053 | 91183944.765 | 112046440.826 | -6690934.882 | -1613647.291 | 5349471.340 |
| -20838121.673 | -9142723.825 | -10386102.330 | 939002.608 | 423913.479 | -383456.997 |
| -22537443.444 | -8559630.754 | -11210275.752 | 786924.019 | 133151.700 | -570200.883 |
| -22466750.828 | -9267776.911 | -12167430.309 | 968910.398 | 25803.259 | -311589.884 |
| -16869469.696 | -7496727.264 | -8875907.239 | 1245624.064 | 54487.852 | -213177.456 |
| -22058076.773 | -8843904.342 | -11450463.146 | 676329.141 | 184450.036 | -493675.513 |
| -16787460.567 | -7934331.056 | -9325831.123 | 1269660.912 | -169307.708 | -419367.749 |
| 21316527.269 | 8522415.035 | 10714938.309 | -1015416.087 | -207423.001 | 324019.376 |
| 23308212.394 | 9200500.374 | 11836850.455 | -704384.261 | -191213.261 | 321213.391 |
| 22787053.577 | 9162767.434 | 11826032.191 | -780843.610 | -161610.138 | 408578.254 |
| 21275155.580 | 8614322.859 | 10814120.959 | -708507.009 | -104826.384 | 547279.846 |
| 21822739.393 | 8484001.326 | 11222573.206 | -794111.742 | -2141.938 | 372800.300 |
| 22645212.006 | 8715610.436 | 11558608.340 | -920420.099 | 64371.565 | 680512.339 |
| -2304903.294 | -851698.426 | -1024610.112 | 88451.774 | -12671.753 | -19317.597 |
| -2199960.380 | -875037.997 | -1119506.566 | 60296.761 | 23408.756 | -34905.917 |
| -2199336.002 | -782419.686 | -1075754.033 | 75592.197 | 18906.825 | -74786.719 |
| -1871233.315 | -756313.416 | -919529.303 | 100121.917 | 5388.735 | -32018.384 |
| -2273662.479 | -907727.219 | -1129895.963 | 68622.622 | -1478.004 | -65552.919 |
| -2222181.742 | -871618.159 | -1106621.568 | 84520.339 | -2505.694 | -31542.270 |
| 2249883.079 | 875666.845 | 1149962.996 | -72978.837 | -12839.032 | 53818.120 |
| 2097014.036 | 858932.804 | 1066736.974 | -94018.333 | -10617.316 | 37371.459 |
| 2111159.587 | 879562.601 | 1110220.025 | -83003.809 | -9248.156 | 33362.911 |
| 2010884.873 | 819982.079 | 1016607.882 | -99905.496 | 2397.430 | 40209.870 |
| 2227732.626 | 867902.487 | 1087896.041 | -77878.963 | -13936.709 | 64442.816 |
| 2293018.130 | 878574.261 | 1140570.341 | -82787.231 | -23549.521 | 44955.666 |
| 25584.261 | 3041.098 | -46538.922 | -6081.386 | -9561.831 | -10295.271 |
| 25584.217 | 3041.060 | -46538.938 | -6081.384 | -9561.847 | -10295.222 |
| 25583.675 | 3040.499 | -46442.590 | -6081.140 | -9561.921 | -10294.664 |
| 25583.976 | 3040.836 | -46541.077 | -6084.026 | -9561.974 | -10294.967 |
| 25584.019 | 3040.887 | -46541.177 | -6081.391 | -9564.476 | -10295.021 |
| 25583.614 | 3040.524 | -46540.977 | -6081.370 | -9562.067 | -10294.564 |
| -25583.631 | -3040.538 | 46543.605 | 6081.376 | 9562.066 | 10294.585 |
| -25583.674 | -3040.575 | 46543.588 | 6081.377 | 9562.052 | 10294.632 |
| -25584.213 | -3041.133 | 46639.934 | 6081.621 | 9561.979 | 10295.188 |
| -25583.911 | -3040.796 | 46541.446 | 6078.735 | 9561.925 | 10294.884 |
| -25583.870 | -3040.746 | 46541.347 | 6081.370 | 9559.424 | 10294.832 |
| -25584.277 | -3041.112 | 46541.550 | 6081.392 | 9561.831 | 10295.291 |
| 2558.711 | 304.363 | -4651.786 | -608.143 | -956.077 | -1029.837 |
| 2558.667 | 304.325 | -4651.802 | -608.141 | -956.094 | -1029.788 |
| 2558.127 | 303.766 | -4555.456 | -607.898 | -956.165 | -1029.233 |
| 2558.427 | 304.102 | -4653.942 | -610.783 | -956.219 | -1029.535 |
| 2558.470 | 304.154 | -4654.043 | -608.148 | -958.721 | -1029.588 |
| 2558.063 | 303.788 | -4653.840 | -608.127 | -956.313 | -1029.130 |
| -2558.078 | -303.801 | 4656.467 | 608.133 | 956.313 | 1029.149 |
| -2558.123 | -303.839 | 4656.451 | 608.135 | 956.296 | 1029.198 |
| -2558.663 | -304.398 | 4752.798 | 608.378 | 956.225 | 1029.754 |
| -2558.362 | -304.062 | 4654.310 | 605.493 | 956.171 | 1029.451 |
| -2558.319 | -304.010 | 4654.210 | 608.128 | 953.669 | 1029.397 |
| -2558.727 | -304.376 | 4654.413 | 608.149 | 956.077 | 1029.857 |
| 256.159 | 30.692 | -463.076 | -60.819 | -95.500 | -103.296 |
| 256.114 | 30.653 | -463.090 | -60.817 | -95.517 | -103.247 |
| 255.575 | 30.095 | -366.748 | -60.574 | -95.588 | -102.692 |
| 255.872 | 30.428 | -465.229 | -63.459 | -95.643 | -102.991 |
| 255.916 | 30.481 | -465.330 | -60.824 | -98.145 | -103.046 |
| 255.511 | 30.117 | -465.130 | -60.803 | -95.736 | -102.589 |
| -255.525 | -30.129 | 467.756 | 60.809 | 95.736 | 102.608 |
| -255.569 | -30.167 | 467.740 | 60.811 | 95.720 | 102.656 |
| -256.110 | -30.727 | 564.090 | 61.054 | 95.648 | 103.213 |
| -255.807 | -30.388 | 465.597 | 58.168 | 95.595 | 102.907 |
| -255.765 | -30.337 | 465.497 | 60.804 | 93.094 | 102.855 |
| -256.174 | -30.705 | 465.703 | 60.825 | 95.500 | 103.316 |
| 3256.297 | -1414.117 | 2808.083 | 2472.586 | -370.094 | -2990.869 |
| 2273.535 | -837.160 | 1900.168 | 2451.743 | 508.806 | -2449.531 |
| 2025.929 | -1537.569 | 1854.699 | 2080.825 | 636.893 | -2498.474 |
| -428.231 | -967.445 | 273.730 | 440.066 | 1821.166 | -1454.232 |
| 907.656 | -1236.204 | 505.325 | 1854.766 | 1289.639 | -1647.964 |
| -189.665 | 66.935 | -123.801 | -34.013 | 125.188 | 390.881 |
| 203.295 | 1596.542 | 438.467 | -1617.404 | -1688.328 | 1353.728 |
| -115.929 | 2346.502 | 190.079 | -1069.043 | -2069.393 | 1318.309 |
| 452.746 | 205.308 | 1404.443 | 148.545 | -373.338 | -116.467 |
| -2011.546 | 1740.837 | -1539.276 | -2028.399 | -435.234 | 2573.771 |
| -941.562 | 1299.075 | -614.669 | -1888.714 | -969.046 | 1690.252 |
| -1154.914 | 1315.492 | -839.367 | -1988.661 | -955.229 | 1941.339 |
| 604.011 | 132.557 | 236.119 | 145.978 | 172.590 | -153.227 |
| 206.677 | 403.228 | 271.805 | -1.513 | 208.825 | -97.890 |
| 267.823 | 154.670 | 626.035 | 159.186 | 164.812 | -115.284 |
| -306.300 | -104.203 | -447.348 | 163.580 | 416.347 | 138.441 |
| 56.916 | -113.490 | 0.096 | 167.170 | 314.287 | -175.367 |
| 123.487 | -130.371 | 146.365 | 190.689 | 61.347 | -101.898 |
| 528.011 | 396.642 | 235.720 | -180.041 | -153.247 | 139.388 |
| 37.658 | 669.875 | 56.210 | -258.766 | 54.861 | 283.860 |
| 16.021 | 404.735 | 448.697 | -201.639 | -46.480 | 269.221 |
| 0.785 | 56.946 | -61.011 | 75.908 | -159.603 | 160.525 |
| -39.775 | 152.433 | 4.041 | -162.380 | -1.605 | 119.908 |
| 247.443 | 157.060 | 469.376 | 128.839 | -390.683 | 160.665 |
| 561.558 | 233.573 | 203.516 | -4.448 | 52.833 | 7.904 |
| 238.955 | 524.132 | 242.136 | -2.649 | 11.523 | 28.837 |
| 193.811 | 248.089 | 677.175 | 3.332 | 27.134 | 26.497 |
| -18.195 | -31.287 | -9.775 | 187.860 | 23.860 | -11.626 |
| 61.540 | 5.825 | 37.017 | 52.326 | 139.348 | -43.958 |
| -23.629 | 56.136 | 40.211 | 17.123 | -12.407 | 164.748 |
| 567.261 | 241.431 | 223.166 | -16.919 | -4.291 | 11.954 |
| 202.626 | 541.139 | 197.055 | -39.826 | 10.054 | 71.232 |
| 214.685 | 230.926 | 632.768 | -17.746 | 13.774 | 38.407 |
| -16.683 | -25.043 | -13.931 | 159.823 | 3.588 | 15.394 |
| 23.635 | 35.575 | 21.709 | 13.930 | 122.370 | -5.030 |
| -34.180 | 79.489 | 11.847 | -7.624 | -28.906 | 184.714 |
| 592.103 | 460.560 | 460.560 | 0.000 | 0.000 | -0.000 |
| 460.560 | 592.103 | 460.560 | 0.000 | 0.000 | -0.000 |
| 460.560 | 460.560 | 592.102 | -0.000 | -0.000 | -0.000 |
| 0.000 | -0.000 | -0.000 | 444.491 | 0.000 | -0.000 |
| 0.000 | 0.000 | -0.000 | 0.000 | 444.491 | -0.000 |
| 0.000 | -0.000 | -0.000 | 0.000 | 0.000 | 444.491 |
| 592.104 | 460.560 | 460.561 | -0.000 | -0.000 | 0.000 |
| 460.560 | 592.103 | 460.561 | -0.000 | -0.000 | -0.000 |
| 460.560 | 460.560 | 592.103 | -0.000 | -0.000 | 0.000 |
| -0.000 | 0.000 | -0.000 | 444.491 | -0.000 | 0.000 |
| -0.000 | -0.000 | 0.000 | -0.000 | 444.491 | 0.000 |
| -0.000 | 0.000 | 0.000 | -0.000 | -0.000 | 444.491 |
| 592.103 | 460.561 | 460.561 | 0.000 | 0.000 | 0.000 |
| 460.561 | 592.103 | 460.561 | 0.000 | 0.000 | -0.000 |
| 460.561 | 460.561 | 592.103 | 0.000 | 0.000 | -0.000 |
| 0.000 | -0.000 | 0.000 | 444.491 | 0.000 | -0.000 |
| 0.000 | 0.000 | 0.000 | 0.000 | 444.491 | 0.000 |
| 0.000 | 0.000 | 0.000 | 0.000 | 0.000 | 444.491 |
| 592.103 | 460.560 | 460.560 | -0.000 | -0.000 | 0.000 |
| 460.560 | 592.103 | 460.560 | -0.000 | -0.000 | 0.000 |
| 460.560 | 460.560 | 592.103 | -0.000 | -0.000 | 0.000 |
| -0.000 | 0.000 | -0.000 | 444.491 | -0.000 | -0.000 |
| 0.000 | -0.000 | -0.000 | -0.000 | 444.491 | 0.000 |
| -0.000 | -0.000 | -0.000 | -0.000 | -0.000 | 444.491 |
| 592.104 | 460.562 | 460.562 | 0.000 | 0.000 | -0.000 |
| 460.562 | 592.104 | 460.562 | 0.000 | 0.000 | -0.000 |
| 460.562 | 460.562 | 592.104 | 0.000 | 0.000 | -0.000 |
| 0.001 | -0.000 | 0.001 | 480.782 | -0.000 | -0.000 |
| 0.000 | 0.001 | 0.001 | 0.000 | 444.491 | 0.000 |
| -0.000 | 0.001 | 0.001 | -0.000 | -0.000 | 480.782 |
| 592.102 | 460.559 | 460.559 | 0.000 | 0.000 | 0.000 |
| 460.559 | 592.102 | 460.559 | 0.000 | 0.000 | 0.000 |
| 460.559 | 460.559 | 592.102 | -0.000 | -0.000 | 0.000 |
| -0.001 | 0.000 | -0.001 | 480.782 | 0.000 | 0.000 |
| 0.000 | -0.001 | -0.001 | -0.000 | 480.782 | 0.000 |
| 0.000 | -0.001 | -0.001 | 0.000 | 0.000 | 480.782 |
| 860.736 | 190.880 | 53.613 | -185.936 | -0.001 | 0.000 |
| -257.589 | -75.216 | 1014.542 | 16.710 | 0.001 | -0.001 |
| -316.865 | -316.865 | 1410.025 | -0.005 | -0.007 | 0.000 |
| -594.969 | -582.026 | 761.892 | 134.155 | 0.000 | 0.000 |
| -0.000 | -0.000 | -0.001 | -0.000 | 258.771 | -185.936 |
| 0.000 | -0.000 | -0.001 | 0.000 | -185.936 | 334.928 |
| 1202.271 | 754.440 | -472.024 | -109.019 | -0.001 | 0.001 |
| 190.880 | 860.737 | 53.612 | 185.935 | 0.000 | -0.001 |
| 753.373 | 753.374 | 83.316 | 0.000 | 0.000 | -0.000 |
| -185.936 | 185.936 | 0.001 | 258.771 | -0.000 | 0.001 |
| -0.000 | 0.000 | 0.000 | 0.000 | 258.771 | -185.936 |
| 0.000 | 0.000 | 0.001 | 0.000 | -185.936 | 334.928 |
| 584.003 | 179.855 | 268.649 | -93.825 | -0.000 | -0.000 |
| 223.468 | 581.601 | 254.622 | 77.723 | -0.000 | 0.000 |
| 172.897 | 172.897 | 793.237 | 0.000 | -0.000 | -0.000 |
| -146.301 | 39.049 | 66.549 | 194.094 | -0.000 | -0.000 |
| -36.139 | -36.139 | 46.787 | -0.000 | 182.246 | -75.730 |
| 0.000 | -0.000 | -0.000 | -0.000 | -185.936 | 334.928 |
| 688.400 | 284.532 | 139.272 | -93.697 | 0.000 | 0.000 |
| 278.989 | 683.625 | 146.460 | 93.867 | -0.000 | -0.000 |
| 260.533 | 260.533 | 666.208 | -0.000 | 0.000 | -0.000 |
| -39.050 | 146.302 | -66.549 | 194.094 | 0.000 | 0.000 |
| 36.139 | 36.139 | -46.787 | 0.000 | 182.246 | -75.730 |
| -0.000 | 0.000 | 0.000 | 0.000 | -185.936 | 334.928 |
| 633.149 | 228.679 | 207.776 | -93.856 | 0.000 | 0.000 |
| 230.246 | 633.691 | 207.065 | 93.564 | -0.000 | -0.000 |
| 72.363 | 72.363 | 1001.112 | 0.000 | -0.000 | -0.000 |
| -185.936 | 185.936 | -0.000 | 258.771 | 0.000 | -0.000 |
| 0.000 | 0.000 | -0.000 | -0.000 | 258.771 | -185.936 |
| -4.352 | -4.352 | 5.467 | -0.000 | -94.027 | 202.442 |
| 860.734 | 190.879 | 53.613 | -185.935 | 0.000 | 0.000 |
| 239.451 | 643.862 | 194.312 | 93.836 | -0.000 | 0.000 |
| 212.499 | 212.499 | 738.007 | 0.000 | -0.000 | -0.000 |
| -91.928 | 97.898 | -3.864 | 195.566 | -0.000 | 0.000 |
| -0.000 | -0.000 | 0.000 | 0.000 | 258.771 | -185.936 |
| 4.352 | 4.352 | -5.467 | 0.000 | -94.027 | 202.442 |
| 153.889 | -197.086 | 1160.746 | -16.807 | -0.004 | -0.001 |
| -158.598 | 156.810 | 1140.511 | 1.933 | -0.000 | -0.001 |
| -203.257 | -203.258 | 1668.370 | 0.000 | 0.001 | -0.001 |
| -489.247 | -455.585 | 980.905 | 199.387 | -0.001 | 0.000 |
| -472.417 | -472.417 | 980.904 | 0.002 | 199.384 | -16.830 |
| -473.684 | -473.685 | 983.534 | -0.002 | -16.844 | 174.269 |
| 1099.513 | 755.886 | -810.992 | -16.923 | 0.000 | 0.000 |
| 193.818 | 856.542 | 53.425 | 11.668 | 0.002 | -0.001 |
| 676.809 | 676.809 | -220.023 | 0.003 | -0.000 | 0.000 |
| -11.668 | 11.669 | 0.001 | 264.327 | -0.000 | -0.000 |
| 472.417 | 472.417 | -980.904 | -0.002 | 199.385 | -16.829 |
| 473.684 | 473.685 | -983.535 | 0.002 | -16.844 | 174.270 |
| 564.501 | 227.352 | 292.576 | -17.031 | 0.000 | 0.000 |
| 227.350 | 564.516 | 292.563 | 17.031 | -0.000 | -0.000 |
| 176.560 | 176.560 | 824.577 | -0.000 | -0.000 | 0.000 |
| -11.668 | 11.668 | -0.000 | 264.326 | 0.000 | -0.000 |
| -46.470 | -46.470 | 96.487 | -0.000 | 200.446 | -16.745 |
| -50.051 | -50.050 | 103.922 | -0.000 | -17.137 | 165.375 |
| 641.550 | 339.872 | 92.585 | -17.615 | 0.000 | 0.000 |
| 313.847 | 634.034 | 111.028 | 5.508 | 0.000 | 0.000 |
| 256.644 | 256.644 | 652.757 | 0.000 | 0.000 | 0.000 |
| 29.724 | 63.215 | -96.487 | 200.446 | 0.001 | -0.000 |
| 46.470 | 46.470 | -96.487 | 0.000 | 200.446 | -16.745 |
| 50.050 | 50.050 | -103.922 | 0.000 | -17.137 | 165.375 |
| 586.854 | 267.716 | 212.133 | -5.951 | -0.000 | 0.000 |
| 274.400 | 588.781 | 206.772 | 0.442 | 0.000 | 0.000 |
| 208.795 | 208.795 | 753.196 | 0.000 | 0.000 | 0.000 |
| -9.567 | 0.560 | 9.629 | 200.448 | -0.000 | -0.000 |
| -4.503 | -4.503 | 9.628 | 0.000 | 200.456 | -5.063 |
| -4.200 | -4.200 | 9.173 | -0.000 | -5.508 | 160.084 |
| 605.073 | 286.280 | 187.627 | -17.333 | 0.000 | -0.000 |
| 276.029 | 595.578 | 193.550 | 5.935 | 0.000 | -0.000 |
| 231.542 | 231.542 | 721.022 | 0.000 | -0.000 | -0.000 |
| -12.093 | 21.274 | -9.531 | 201.222 | -0.000 | -0.000 |
| 4.503 | 4.503 | -9.628 | -0.000 | 200.456 | -5.063 |
| 4.200 | 4.200 | -9.173 | 0.000 | -5.508 | 160.084 |
| 676.128 | 132.705 | 301.995 | -0.000 | -0.000 | -0.000 |
| 132.705 | 676.127 | 301.996 | -0.000 | -0.000 | -0.000 |
| 302.097 | 302.097 | 511.501 | -0.000 | 0.000 | -0.000 |
| -0.004 | -0.004 | -0.003 | 284.997 | -0.000 | -0.000 |
| -0.004 | -0.004 | -0.003 | -0.000 | 284.997 | -0.000 |
| -0.004 | -0.004 | -0.004 | -0.000 | -0.000 | 103.872 |
| 676.136 | 132.715 | 302.003 | -0.000 | -0.000 | 0.000 |
| 132.715 | 676.136 | 302.003 | 0.000 | 0.000 | 0.000 |
| 302.106 | 302.106 | 511.508 | -0.000 | 0.000 | 0.000 |
| 0.004 | 0.004 | 0.003 | 284.997 | 0.000 | 0.000 |
| 0.004 | 0.004 | 0.003 | 0.000 | 284.997 | 0.000 |
| 0.004 | 0.004 | 0.003 | -0.000 | 0.000 | 103.872 |
| 676.131 | 132.710 | 301.999 | -0.000 | -0.000 | -0.000 |
| 132.710 | 676.131 | 301.999 | -0.000 | -0.000 | -0.000 |
| 302.101 | 302.101 | 511.504 | -0.000 | -0.000 | -0.000 |
| -0.001 | -0.001 | -0.000 | 284.184 | -0.000 | -0.000 |
| -0.001 | -0.001 | -0.000 | -0.000 | 284.184 | -0.000 |
| -0.000 | -0.000 | -0.000 | -0.000 | -0.000 | 103.872 |
| 676.132 | 132.711 | 302.000 | 0.000 | 0.000 | 0.000 |
| 132.711 | 676.132 | 302.000 | -0.000 | -0.000 | 0.000 |
| 302.102 | 302.102 | 511.505 | 0.000 | 0.000 | 0.000 |
| 0.001 | 0.001 | 0.000 | 284.184 | 0.000 | 0.000 |
| 0.001 | 0.001 | 0.000 | 0.000 | 284.184 | 0.000 |
| 0.000 | 0.000 | 0.000 | 0.000 | 0.000 | 103.872 |
| 676.123 | 133.017 | 302.123 | 0.000 | 0.000 | -0.000 |
| 133.017 | 676.123 | 302.123 | 0.000 | -0.000 | -0.000 |
| 302.102 | 302.102 | 511.505 | -0.000 | -0.000 | -0.000 |
| 0.000 | -0.000 | -0.000 | 284.184 | -0.000 | -0.000 |
| -0.000 | 0.000 | -0.000 | 0.000 | 284.184 | -0.000 |
| -0.000 | -0.000 | -0.000 | -0.000 | -0.000 | 103.872 |
| 676.121 | 133.016 | 302.121 | -0.000 | 0.000 | 0.000 |
| 133.016 | 676.121 | 302.121 | -0.000 | 0.000 | 0.000 |
| 302.100 | 302.100 | 511.504 | 0.000 | 0.000 | 0.000 |
| -0.000 | 0.000 | 0.000 | 284.184 | 0.000 | -0.000 |
| 0.000 | -0.000 | 0.000 | -0.000 | 284.184 | 0.000 |
| 0.000 | 0.000 | 0.000 | 0.000 | 0.000 | 103.872 |
| 674.371 | 131.153 | 300.155 | 0.000 | -0.000 | 0.000 |
| 131.153 | 674.371 | 300.155 | -0.000 | -0.000 | 0.000 |
| 300.279 | 300.279 | 510.008 | 0.000 | 0.000 | -0.000 |
| 0.000 | 0.000 | 0.000 | 284.927 | -0.000 | 0.001 |
| 0.000 | 0.000 | 0.000 | 0.000 | 284.927 | 0.000 |
| 0.000 | 0.000 | 0.000 | 0.000 | 0.000 | 104.023 |
| 674.370 | 131.153 | 300.155 | -0.000 | 0.000 | -0.000 |
| 131.152 | 674.371 | 300.155 | -0.000 | -0.000 | -0.000 |
| 300.279 | 300.279 | 510.008 | -0.000 | -0.000 | -0.000 |
| -0.000 | 0.000 | 0.000 | 284.927 | 0.000 | 0.001 |
| -0.000 | -0.000 | 0.000 | -0.000 | 284.927 | -0.000 |
| -0.000 | -0.000 | -0.000 | -0.000 | -0.000 | 104.023 |
| 674.371 | 131.153 | 300.155 | 0.000 | 0.000 | 0.000 |
| 131.153 | 674.371 | 300.155 | 0.000 | 0.000 | -0.000 |
| 300.279 | 300.279 | 510.008 | 0.000 | -0.000 | 0.000 |
| 0.000 | -0.000 | -0.000 | 284.119 | -0.000 | 0.000 |
| -0.000 | 0.000 | 0.000 | 0.000 | 284.119 | -0.000 |
| 0.000 | -0.000 | -0.000 | 0.000 | 0.000 | 104.023 |
| 674.371 | 131.152 | 300.155 | -0.000 | -0.000 | -0.000 |
| 131.152 | 674.371 | 300.155 | -0.000 | -0.000 | -0.000 |
| 300.279 | 300.279 | 510.008 | 0.000 | -0.000 | -0.000 |
| -0.000 | 0.000 | -0.000 | 284.119 | 0.000 | 0.000 |
| 0.000 | -0.000 | -0.000 | -0.000 | 284.119 | 0.000 |
| -0.000 | -0.000 | 0.000 | -0.000 | -0.000 | 104.023 |
| 674.362 | 131.461 | 300.280 | 0.000 | -0.000 | 0.000 |
| 131.461 | 674.362 | 300.280 | -0.000 | 0.000 | 0.000 |
| 300.280 | 300.280 | 510.008 | -0.000 | -0.000 | 0.000 |
| 0.000 | -0.000 | -0.000 | 284.119 | 0.000 | -0.000 |
| -0.000 | 0.000 | -0.000 | 0.000 | 284.119 | 0.000 |
| -0.000 | -0.000 | -0.000 | -0.000 | -0.000 | 104.023 |
| 674.360 | 131.460 | 300.278 | -0.000 | -0.000 | -0.000 |
| 131.460 | 674.360 | 300.278 | -0.000 | -0.000 | 0.000 |
| 300.278 | 300.278 | 510.007 | 0.000 | -0.000 | -0.000 |
| -0.000 | 0.000 | 0.000 | 284.119 | -0.000 | -0.000 |
| 0.000 | -0.000 | 0.000 | -0.000 | 284.119 | -0.000 |
| 0.000 | 0.000 | 0.000 | -0.000 | -0.000 | 104.023 |
| 585.171 | 107.289 | 198.707 | -0.000 | 0.000 | -0.000 |
| -68.886 | 896.167 | 316.199 | 0.000 | 0.000 | 0.000 |
| -14.820 | 72.265 | 74.856 | -0.000 | -0.000 | 0.000 |
| -0.502 | 0.021 | -2.257 | 194.629 | -0.000 | -0.000 |
| -9.029 | -14.414 | -16.279 | 0.000 | -120.151 | 0.000 |
| 0.705 | -0.080 | -0.107 | 0.000 | 0.000 | 92.658 |
| 584.621 | 107.207 | 198.853 | 0.000 | -0.000 | -0.000 |
| -68.886 | 896.167 | 316.199 | 0.000 | 0.000 | -0.000 |
| -10.171 | 77.484 | 84.219 | 0.000 | -0.000 | -0.000 |
| 0.502 | -0.021 | 2.257 | 194.629 | -0.000 | -0.000 |
| 7.543 | 4.450 | 10.588 | 0.000 | -121.580 | 0.000 |
| -0.705 | 0.080 | 0.107 | -0.000 | -0.000 | 92.658 |
| 584.940 | 107.238 | 198.776 | 0.000 | 0.000 | -0.000 |
| -46.341 | 542.951 | 71.197 | -0.000 | -0.000 | -0.000 |
| 45.270 | 31.601 | 102.511 | -0.000 | 0.000 | -0.000 |
| -0.383 | -0.625 | -0.766 | 194.091 | 0.000 | 0.000 |
| 0.036 | 0.068 | -0.017 | 0.000 | 121.545 | 0.000 |
| 0.070 | -0.008 | -0.011 | 0.000 | 0.000 | 92.658 |
| 472.181 | -38.266 | -7.651 | 0.000 | -0.000 | -0.000 |
| -45.878 | 543.474 | 72.134 | -0.000 | -0.000 | -0.000 |
| -12.263 | 75.135 | 80.005 | -0.000 | -0.000 | -0.000 |
| 0.383 | 0.625 | 0.766 | 194.091 | -0.000 | 0.000 |
| -0.036 | -0.068 | 0.017 | -0.000 | 121.545 | -0.000 |
| -0.070 | 0.008 | 0.011 | 0.000 | -0.000 | 92.658 |
| 471.906 | -38.526 | -8.162 | -0.000 | -0.000 | 0.000 |
| -46.126 | 543.179 | 71.619 | 0.000 | -0.000 | 0.000 |
| -12.512 | 74.888 | 79.528 | -0.000 | -0.000 | -0.000 |
| 0.004 | 0.005 | -0.001 | 248.438 | 0.000 | 0.000 |
| -0.072 | -0.045 | -0.105 | -0.000 | -121.773 | -0.000 |
| 0.007 | -0.001 | -0.001 | -0.000 | 0.000 | 92.658 |
| 471.987 | -38.523 | -8.077 | -0.000 | -0.000 | -0.000 |
| -46.092 | 543.246 | 71.713 | 0.000 | 0.000 | -0.000 |
| -12.473 | 74.900 | 79.584 | 0.000 | -0.000 | -0.000 |
| -0.004 | -0.005 | 0.001 | 248.438 | -0.000 | 0.000 |
| 0.072 | 0.045 | 0.105 | 0.000 | -121.773 | -0.000 |
| -0.007 | 0.001 | 0.001 | 0.000 | -0.000 | 92.658 |
| 672.246 | -56.925 | 209.485 | 0.000 | 0.000 | 0.000 |
| -87.171 | 667.804 | 0.084 | 0.001 | 0.000 | -0.000 |
| -0.001 | -0.001 | -0.001 | -0.000 | -0.000 | -0.000 |
| -0.000 | -0.000 | -0.000 | 155.472 | 0.000 | -0.000 |
| -0.000 | 0.000 | -0.000 | 0.000 | 147.058 | -0.000 |
| -0.000 | -0.000 | -0.000 | 0.000 | 0.000 | 83.203 |
| 672.246 | -56.924 | 209.484 | 0.000 | -0.000 | 0.000 |
| -56.925 | 1059.184 | 212.280 | 0.000 | -0.000 | -0.000 |
| 0.001 | 0.001 | 0.001 | 0.000 | 0.000 | 0.000 |
| 0.000 | 0.000 | 0.000 | 155.472 | -0.000 | -0.000 |
| 0.000 | -0.000 | 0.000 | -0.000 | 147.058 | 0.000 |
| 0.000 | 0.000 | 0.000 | 0.000 | -0.000 | 83.203 |
| 672.246 | -56.925 | 209.485 | 0.000 | 0.000 | -0.000 |
| -4.510 | 770.120 | 155.911 | -0.000 | 0.000 | -0.000 |
| -0.000 | -0.000 | -0.000 | 0.000 | -0.000 | 0.000 |
| 0.000 | -0.001 | -0.000 | 0.000 | 0.000 | 0.000 |
| -0.001 | 0.000 | -0.000 | -0.000 | 0.000 | 0.000 |
| -0.000 | -0.000 | -0.000 | -0.000 | 0.000 | 83.203 |
| 672.246 | -56.925 | 209.484 | -0.000 | -0.000 | 0.000 |
| -87.172 | 667.808 | 0.085 | -0.000 | -0.000 | 0.000 |
| 0.000 | 0.000 | 0.000 | -0.000 | 0.000 | -0.000 |
| -0.000 | 0.001 | 0.000 | -0.000 | -0.000 | 0.000 |
| 0.001 | -0.000 | 0.000 | 0.000 | -0.000 | -0.000 |
| 0.000 | 0.000 | 0.000 | 0.000 | 0.000 | 83.203 |
| 417.382 | -87.334 | -0.001 | -0.000 | 0.000 | -0.000 |
| -87.355 | 667.803 | -0.004 | -0.000 | -0.000 | -0.000 |
| 0.000 | 0.001 | 0.000 | -0.000 | -0.000 | -0.000 |
| 0.000 | -0.000 | 0.000 | 184.304 | 0.000 | -0.000 |
| -0.005 | 0.004 | -0.001 | -0.000 | 0.000 | -0.000 |
| -0.000 | -0.000 | -0.000 | 0.000 | 0.000 | 83.203 |
| 417.400 | -87.362 | 0.001 | 0.000 | 0.000 | 0.000 |
| -87.341 | 667.803 | 0.004 | 0.000 | 0.000 | 0.000 |
| -0.000 | -0.001 | -0.000 | 0.000 | 0.000 | -0.000 |
| -0.000 | 0.000 | -0.000 | 184.304 | 0.000 | -0.000 |
| 0.005 | -0.004 | 0.001 | 0.000 | 0.000 | -0.000 |
| 0.000 | 0.000 | 0.000 | -0.000 | -0.000 | 83.203 |
| 959.295 | 184.313 | 53.357 | -193.824 | -0.001 | 0.001 |
| 184.313 | 959.296 | 53.356 | 193.824 | -0.000 | 0.002 |
| 52.264 | 52.263 | 1187.518 | 0.000 | -0.002 | 0.003 |
| -193.823 | 193.823 | -0.001 | 269.040 | -0.001 | 0.002 |
| -0.000 | 0.000 | 0.001 | -0.000 | 269.039 | -193.822 |
| -0.000 | 0.000 | 0.000 | -0.000 | -193.825 | 387.494 |
| 959.295 | 184.312 | 53.359 | -193.823 | -0.000 | -0.000 |
| -10.403 | 557.660 | 641.401 | 123.965 | -0.000 | -0.001 |
| -20.037 | -20.037 | 1316.237 | 0.001 | 0.001 | 0.001 |
| -193.824 | 193.824 | 0.001 | 269.040 | 0.001 | 0.001 |
| -0.000 | 0.000 | 0.001 | 0.000 | 269.041 | -193.825 |
| -0.000 | 0.000 | -0.000 | 0.000 | -193.823 | 387.490 |
| 959.296 | 184.313 | 53.358 | -193.824 | -0.000 | -0.000 |
| 266.864 | 702.658 | 238.948 | 76.661 | -0.000 | 0.000 |
| 248.473 | 248.473 | 781.365 | 0.000 | -0.000 | 0.000 |
| -193.824 | 193.824 | 0.000 | 269.040 | -0.000 | 0.000 |
| 0.000 | -0.000 | -0.000 | -0.000 | 269.040 | -193.824 |
| 0.000 | 0.000 | 0.000 | -0.000 | -193.824 | 387.491 |
| 681.296 | 253.813 | 276.138 | -73.790 | 0.000 | -0.000 |
| 184.313 | 959.295 | 53.358 | 193.824 | -0.000 | -0.001 |
| 227.451 | 227.451 | 812.124 | 0.000 | 0.000 | -0.000 |
| -193.824 | 193.823 | -0.000 | 269.040 | 0.000 | -0.000 |
| -0.000 | 0.000 | 0.001 | 0.000 | 269.040 | -193.824 |
| -0.000 | -0.000 | -0.000 | 0.000 | -193.824 | 387.491 |
| 753.480 | 234.384 | 217.594 | -105.500 | 0.000 | 0.000 |
| 184.313 | 959.298 | 53.360 | 193.825 | -0.000 | 0.000 |
| 217.683 | 217.683 | 837.720 | -0.000 | -0.000 | -0.000 |
| -100.652 | 104.010 | -3.357 | 205.629 | -0.000 | 0.000 |
| 0.000 | 0.000 | -0.000 | -0.000 | 269.040 | -193.824 |
| 0.000 | 0.000 | 0.000 | -0.000 | -193.824 | 387.491 |
| 755.635 | 241.594 | 209.615 | -103.689 | 0.000 | -0.000 |
| 239.292 | 750.489 | 215.026 | 103.206 | 0.000 | -0.000 |
| 212.297 | 212.297 | 848.183 | -0.000 | 0.000 | -0.000 |
| -104.538 | 103.410 | 1.222 | 206.673 | 0.000 | -0.000 |
| -0.000 | -0.000 | 0.000 | 0.000 | 269.040 | -193.824 |
| -0.000 | -0.000 | -0.000 | 0.000 | -193.824 | 387.491 |
| 183.502 | 141.178 | 141.178 | -0.000 | 0.000 | 0.000 |
| 141.178 | 183.502 | 141.178 | -0.000 | -0.000 | 0.000 |
| 141.178 | 141.178 | 183.502 | -0.000 | 0.000 | 0.000 |
| 0.000 | -0.000 | -0.000 | 175.668 | -0.000 | 0.000 |
| -0.000 | -0.000 | -0.000 | -0.000 | 175.668 | -0.000 |
| -0.000 | -0.000 | -0.000 | -0.000 | 0.000 | 175.668 |
| 183.502 | 141.178 | 141.178 | 0.000 | 0.000 | -0.000 |
| 141.178 | 183.502 | 141.178 | 0.000 | -0.000 | -0.000 |
| 141.178 | 141.178 | 183.502 | 0.000 | 0.000 | -0.000 |
| 0.000 | 0.000 | -0.000 | 175.668 | 0.000 | 0.000 |
| 0.000 | -0.000 | 0.000 | 0.000 | 175.668 | -0.000 |
| 0.000 | 0.000 | -0.000 | 0.000 | -0.000 | 175.668 |
| 183.502 | 141.178 | 141.178 | 0.000 | 0.000 | -0.000 |
| 141.178 | 183.502 | 141.178 | -0.000 | -0.000 | 0.000 |
| 141.178 | 141.178 | 183.502 | -0.000 | 0.000 | 0.000 |
| -0.000 | -0.000 | -0.000 | 60.215 | -0.000 | 0.000 |
| -0.000 | 0.000 | -0.000 | -0.000 | 60.215 | 0.000 |
| -0.000 | 0.000 | -0.000 | -0.000 | -0.000 | 60.215 |
| 183.502 | 141.178 | 141.178 | -0.000 | -0.000 | -0.000 |
| 141.178 | 183.502 | 141.178 | 0.000 | -0.000 | -0.000 |
| 141.178 | 141.178 | 183.502 | 0.000 | -0.000 | -0.000 |
| 0.000 | 0.000 | 0.000 | 60.215 | -0.000 | -0.000 |
| 0.000 | -0.000 | 0.000 | 0.000 | 60.215 | -0.000 |
| 0.000 | 0.000 | 0.000 | -0.000 | 0.000 | 60.215 |
| 183.502 | 141.179 | 141.179 | -0.000 | 0.000 | -0.000 |
| 141.179 | 183.502 | 141.179 | -0.000 | -0.000 | -0.000 |
| 141.179 | 141.179 | 183.502 | -0.000 | 0.000 | -0.000 |
| -0.000 | -0.000 | -0.000 | 60.215 | -0.000 | 0.000 |
| -0.000 | -0.000 | -0.000 | -0.000 | 60.215 | 0.000 |
| -0.000 | -0.000 | -0.000 | -0.000 | 0.000 | 60.215 |
| 183.502 | 141.178 | 141.178 | -0.000 | -0.000 | -0.000 |
| 141.178 | 183.502 | 141.178 | 0.000 | -0.000 | -0.000 |
| 141.178 | 141.178 | 183.502 | 0.000 | -0.000 | -0.000 |
| 0.000 | 0.000 | 0.000 | 60.215 | 0.000 | -0.000 |
| 0.000 | 0.000 | 0.000 | 0.000 | 60.215 | -0.000 |
| 0.000 | 0.000 | 0.000 | 0.000 | 0.000 | 60.215 |
| 15467.258 | 8000.257 | 8000.257 | 0.000 | 0.000 | 0.000 |
| 8000.257 | 15467.257 | 8000.257 | 0.000 | 0.000 | -0.000 |
| 8000.257 | 8000.257 | 15467.258 | 0.000 | 0.000 | -0.000 |
| 0.004 | 0.001 | 0.001 | 12957.454 | -0.000 | 0.000 |
| 0.001 | 0.004 | 0.001 | 0.000 | 12957.454 | -0.000 |
| 0.001 | 0.001 | 0.004 | -0.000 | 0.000 | 12957.454 |
| 15465.518 | 8001.126 | 8001.126 | -0.000 | 0.000 | 0.000 |
| 8001.126 | 15465.518 | 8001.126 | -0.000 | -0.000 | -0.000 |
| 8001.126 | 8001.126 | 15465.518 | -0.000 | -0.000 | -0.000 |
| -0.004 | -0.001 | -0.001 | 12957.454 | -0.000 | 0.000 |
| -0.001 | -0.004 | -0.001 | -0.000 | 12957.454 | 0.000 |
| -0.001 | -0.001 | -0.004 | -0.000 | -0.000 | 12957.454 |
| 15466.444 | 8000.667 | 8000.667 | -0.000 | -0.000 | 0.000 |
| 8000.667 | 15466.444 | 8000.667 | -0.000 | 0.000 | -0.000 |
| 8000.667 | 8000.667 | 15466.444 | 0.000 | 0.000 | -0.000 |
| 0.037 | 0.007 | 0.010 | 12957.454 | -0.000 | 0.000 |
| 0.007 | 0.037 | 0.010 | 0.000 | 12957.454 | -0.000 |
| 0.007 | 0.010 | 0.037 | 0.000 | -0.000 | 12957.454 |
| 15452.439 | 8007.663 | 8007.663 | -0.000 | -0.000 | 0.000 |
| 8007.663 | 15452.439 | 8007.663 | -0.000 | -0.000 | 0.000 |
| 8007.663 | 8007.663 | 15452.439 | -0.000 | 0.000 | -0.000 |
| -0.037 | -0.007 | -0.010 | 12957.454 | -0.000 | 0.000 |
| -0.007 | -0.037 | -0.010 | -0.000 | 12957.454 | -0.000 |
| -0.007 | -0.010 | -0.037 | -0.000 | -0.000 | 12957.454 |
| 15466.474 | 8000.683 | 8000.683 | -0.000 | -0.000 | -0.000 |
| 8000.683 | 15466.474 | 8000.683 | 0.000 | -0.000 | -0.000 |
| 8000.683 | 8000.683 | 15466.474 | -0.000 | 0.000 | -0.000 |
| 0.368 | 0.071 | 0.096 | 12957.451 | -0.000 | -0.000 |
| 0.071 | 0.368 | 0.096 | 0.000 | 12957.451 | -0.000 |
| 0.071 | 0.096 | 0.368 | 0.000 | 0.000 | 12957.451 |
| 15466.400 | 8000.650 | 8000.650 | 0.000 | 0.000 | -0.000 |
| 8000.650 | 15466.400 | 8000.650 | 0.000 | 0.000 | 0.000 |
| 8000.650 | 8000.650 | 15466.400 | -0.000 | 0.000 | 0.000 |
| -0.368 | -0.071 | -0.096 | 12957.451 | 0.000 | -0.000 |
| -0.071 | -0.368 | -0.096 | 0.000 | 12957.451 | 0.000 |
| -0.071 | -0.096 | -0.368 | 0.000 | 0.000 | 12957.451 |
| 898.734 | 845.130 | 845.130 | 0.000 | 0.001 | 0.001 |
| 845.130 | 898.734 | 845.130 | 0.000 | -0.000 | 0.001 |
| 845.130 | 845.130 | 898.734 | 0.000 | 0.000 | -0.000 |
| 0.000 | 0.000 | 0.000 | 371.194 | -0.000 | -0.000 |
| -0.000 | 0.000 | 0.000 | -0.000 | 371.194 | -0.000 |
| -0.000 | 0.000 | -0.000 | 0.000 | -0.000 | 371.194 |
| 898.734 | 845.130 | 845.130 | 0.000 | 0.000 | 0.000 |
| 845.130 | 898.734 | 845.130 | 0.000 | 0.000 | -0.000 |
| 845.131 | 845.130 | 898.734 | -0.000 | 0.000 | 0.000 |
| 0.000 | -0.000 | -0.000 | 371.194 | 0.000 | -0.000 |
| -0.000 | -0.000 | -0.000 | -0.000 | 371.194 | 0.000 |
| -0.000 | -0.000 | 0.000 | -0.000 | 0.000 | 371.194 |
| 898.733 | 845.129 | 845.129 | 0.000 | 0.000 | -0.000 |
| 845.129 | 898.733 | 845.129 | -0.000 | 0.000 | 0.000 |
| 845.129 | 845.129 | 898.733 | -0.000 | -0.000 | -0.000 |
| -0.010 | -0.007 | -0.010 | -13179.684 | 0.000 | 0.000 |
| -0.007 | -0.010 | -0.010 | 0.000 | -13179.684 | -0.000 |
| -0.007 | -0.010 | -0.010 | 0.000 | 0.000 | -13179.684 |
| 898.735 | 845.131 | 845.131 | 0.000 | -0.000 | 0.000 |
| 845.131 | 898.735 | 845.131 | 0.000 | 0.000 | -0.000 |
| 845.131 | 845.131 | 898.735 | -0.000 | -0.000 | 0.000 |
| 0.010 | 0.007 | 0.010 | -13179.684 | -0.000 | 0.000 |
| 0.007 | 0.010 | 0.010 | -0.000 | -13179.684 | -0.000 |
| 0.007 | 0.010 | 0.010 | 0.000 | 0.000 | -13179.684 |
| 898.724 | 845.121 | 845.121 | 0.000 | -0.000 | -0.000 |
| 845.121 | 898.724 | 845.121 | -0.000 | -0.000 | -0.000 |
| 845.121 | 845.121 | 898.724 | 0.000 | -0.000 | -0.000 |
| -0.099 | -0.073 | -0.099 | -13179.667 | 0.000 | -0.000 |
| -0.073 | -0.099 | -0.099 | 0.000 | -13179.667 | -0.000 |
| -0.073 | -0.099 | -0.099 | 0.000 | -0.000 | -13179.667 |
| 898.745 | 845.139 | 845.139 | 0.000 | 0.000 | 0.000 |
| 845.139 | 898.745 | 845.139 | 0.000 | -0.000 | -0.000 |
| 845.139 | 845.139 | 898.745 | 0.000 | 0.000 | 0.000 |
| 0.099 | 0.073 | 0.099 | -13179.667 | 0.000 | -0.000 |
| 0.073 | 0.099 | 0.099 | -0.000 | -13179.667 | 0.000 |
| 0.073 | 0.099 | 0.099 | 0.000 | -0.000 | -13179.667 |
| 1194577.828 | -592292.748 | -592292.748 | -0.000 | -0.000 | -0.000 |
| -592292.748 | 1194577.827 | -592292.747 | -0.000 | -0.000 | -0.000 |
| -592292.748 | -592292.748 | 1194577.828 | -0.000 | -0.000 | -0.000 |
| 0.037 | 0.020 | 0.038 | 1191222.606 | -0.001 | -0.000 |
| 0.020 | 0.037 | 0.038 | -0.001 | 1191222.606 | -0.000 |
| 0.020 | 0.038 | 0.037 | -0.001 | -0.000 | 1191222.607 |
| 1194577.561 | -592292.709 | -592292.709 | 0.001 | 0.000 | 0.001 |
| -592292.709 | 1194577.561 | -592292.709 | 0.000 | 0.001 | 0.000 |
| -592292.709 | -592292.709 | 1194577.561 | 0.000 | 0.000 | 0.001 |
| -0.037 | -0.020 | -0.038 | 1191222.607 | 0.001 | 0.000 |
| -0.020 | -0.037 | -0.038 | 0.001 | 1191222.607 | 0.001 |
| -0.020 | -0.038 | -0.037 | 0.001 | 0.000 | 1191222.607 |
| 1194579.038 | -592292.927 | -592292.927 | -0.000 | -0.000 | -0.000 |
| -592292.927 | 1194579.038 | -592292.927 | -0.000 | -0.000 | -0.000 |
| -592292.927 | -592292.927 | 1194579.038 | -0.000 | -0.000 | -0.000 |
| 0.358 | 0.223 | 0.372 | 1191222.606 | -0.000 | -0.000 |
| 0.223 | 0.358 | 0.372 | -0.000 | 1191222.606 | -0.000 |
| 0.223 | 0.372 | 0.358 | -0.000 | -0.000 | 1191222.606 |
| 1194576.364 | -592292.537 | -592292.537 | 0.000 | 0.000 | 0.000 |
| -592292.537 | 1194576.365 | -592292.537 | 0.000 | 0.000 | 0.000 |
| -592292.537 | -592292.537 | 1194576.364 | 0.000 | 0.000 | 0.000 |
| -0.358 | -0.223 | -0.372 | 1191222.606 | 0.000 | 0.000 |
| -0.223 | -0.358 | -0.372 | 0.000 | 1191222.606 | 0.000 |
| -0.223 | -0.372 | -0.358 | 0.000 | 0.000 | 1191222.606 |
| 1194590.894 | -592294.595 | -592294.595 | -0.000 | -0.000 | -0.000 |
| -592294.595 | 1194590.894 | -592294.595 | -0.000 | -0.000 | -0.000 |
| -592294.595 | -592294.595 | 1194590.894 | -0.000 | -0.000 | -0.000 |
| 3.575 | 2.234 | 3.724 | 1191222.431 | 0.000 | -0.000 |
| 2.234 | 3.575 | 3.724 | -0.000 | 1191222.431 | -0.000 |
| 2.234 | 3.724 | 3.575 | -0.000 | -0.000 | 1191222.431 |
| 1194564.156 | -592290.692 | -592290.692 | 0.000 | 0.000 | 0.000 |
| -592290.692 | 1194564.156 | -592290.692 | 0.000 | 0.000 | 0.000 |
| -592290.692 | -592290.692 | 1194564.156 | 0.000 | 0.000 | 0.000 |
| -3.575 | -2.234 | -3.724 | 1191222.431 | -0.000 | 0.000 |
| -2.234 | -3.575 | -3.724 | -0.000 | 1191222.431 | 0.000 |
| -2.234 | -3.724 | -3.575 | -0.000 | 0.000 | 1191222.431 |
| 0.000 | -0.000 | 0.000 | 0.000 | 0.000 | 0.000 |
| 0.000 | 799.250 | 143.757 | 0.000 | 0.000 | 0.000 |
| 0.000 | 144.319 | 813.634 | 0.000 | 0.000 | 0.000 |
| 0.000 | 0.036 | -0.024 | 344.940 | 0.000 | 0.000 |
| 0.000 | 0.000 | 0.000 | -0.000 | 0.000 | 0.000 |
| 0.000 | 0.000 | -0.000 | 0.000 | 0.000 | 0.000 |
| -0.000 | -0.000 | 0.000 | 0.000 | 0.000 | -0.000 |
| -0.000 | 902.105 | 50.060 | -0.000 | -0.000 | -0.000 |
| -0.000 | 50.060 | 924.060 | 0.000 | -0.000 | -0.000 |
| -0.000 | -0.036 | 0.024 | 344.940 | -0.000 | -0.000 |
| 0.000 | -0.000 | -0.000 | 0.000 | -0.000 | -0.000 |
| -0.000 | -0.000 | 0.000 | -0.000 | -0.000 | -0.000 |
| 0.000 | -0.000 | 0.000 | 0.000 | 0.000 | 0.000 |
| 0.000 | 806.440 | 143.092 | 0.000 | -0.000 | 0.000 |
| 0.000 | 142.405 | 821.202 | -0.000 | 0.000 | 0.000 |
| 0.000 | 0.006 | -0.003 | 335.714 | -0.000 | 0.000 |
| -0.000 | 0.000 | -0.000 | -0.000 | 0.000 | 0.000 |
| -0.000 | -0.000 | 0.000 | 0.000 | -0.000 | 0.000 |
| -0.000 | -0.000 | 0.000 | 0.000 | 0.000 | -0.000 |
| -0.000 | 806.436 | 143.093 | -0.000 | 0.000 | -0.000 |
| -0.000 | 142.396 | 821.208 | 0.000 | 0.000 | -0.000 |
| -0.000 | -0.006 | 0.003 | 335.714 | -0.000 | -0.000 |
| 0.000 | -0.000 | 0.000 | 0.000 | -0.000 | -0.000 |
| 0.000 | 0.000 | -0.000 | -0.000 | -0.000 | -0.000 |
| 0.000 | -0.000 | 0.000 | 0.000 | 0.000 | 0.000 |
| 0.000 | 796.495 | 148.239 | 0.000 | 0.000 | 0.000 |
| 0.000 | 148.827 | 810.328 | 0.000 | 0.000 | 0.000 |
| 0.000 | 0.000 | 0.000 | 344.940 | 0.000 | 0.000 |
| 0.000 | -0.000 | -0.000 | -0.000 | 0.000 | 0.000 |
| -0.000 | -0.000 | -0.000 | -0.000 | 0.000 | 0.000 |
| -0.000 | -0.000 | 0.000 | 0.000 | 0.000 | 0.000 |
| -0.000 | 795.806 | 150.234 | -0.000 | -0.000 | -0.000 |
| -0.000 | 150.284 | 809.750 | 0.000 | 0.000 | -0.000 |
| -0.000 | -0.000 | -0.000 | 344.940 | 0.000 | -0.000 |
| 0.000 | 0.000 | 0.000 | 0.000 | -0.000 | 0.000 |
| 0.000 | 0.000 | 0.000 | 0.000 | -0.000 | -0.000 |
| -1172894.487 | -697732.298 | 3078678.938 | -2225.640 | -1101.572 | -10165.852 |
| -1468399.683 | -815616.728 | 3050548.240 | -602.247 | 20095.675 | -21035.055 |
| -3749480.816 | -1726329.431 | 2530893.222 | 8089.619 | 11615.410 | -7486.053 |
| -4114160.537 | -2008596.091 | 2202165.468 | 7075.417 | 14521.070 | -32861.985 |
| -2015539.784 | -1573528.979 | 2732014.325 | 7156.160 | -11518.845 | -9998.803 |
| -680128.930 | -1309766.173 | 2798915.454 | 11199.251 | 13200.172 | 13097.641 |
| 2541217.466 | 1643884.042 | -3013716.370 | -13093.270 | -7906.910 | 13305.244 |
| 2197054.918 | 1033807.738 | -2998328.805 | -13777.645 | -5487.136 | 18136.804 |
| -2014052.186 | -747734.537 | -1963814.799 | -6390.235 | -39592.905 | 22384.064 |
| 1802853.642 | 3042506.803 | -2150520.508 | -21890.893 | -42766.446 | -37755.062 |
| 154117.330 | -5765574.429 | -2633627.835 | -50377.463 | -501.560 | 12892.876 |
| -455228.728 | -177430.974 | -2610127.695 | -3909.916 | -4452.161 | 18000.997 |
| -59889.224 | -46264.855 | 294148.793 | 825.061 | 1236.741 | -384.823 |
| -31680.247 | -31948.251 | 291901.601 | 932.949 | 1724.853 | -152.903 |
| -208945.770 | -255158.631 | 261275.944 | 5982.412 | 657.996 | -1562.658 |
| -64466.635 | -75640.568 | 304454.206 | 1119.613 | 962.960 | -1962.937 |
| -92083.546 | -93959.744 | 302343.362 | 507.218 | 805.646 | -547.651 |
| -205823.336 | 13180.536 | 229646.724 | 253.337 | 2055.027 | -2341.116 |
| 77835.688 | 9367.599 | -199636.555 | -453.764 | -347.863 | 1812.200 |
| 86048.030 | 241040.190 | -186010.550 | -6663.538 | -2577.664 | 61.382 |
| 219261.967 | 147369.676 | -279610.563 | -480.965 | -1516.626 | -285.142 |
| 210268.254 | 233014.412 | -201971.423 | 549.856 | -448.172 | 1152.676 |
| 405568.545 | 214549.937 | -212199.405 | -615.426 | -1680.980 | 1470.700 |
| 126325.739 | 113652.811 | -292653.630 | -561.190 | 127.026 | 1164.570 |
| 4634.376 | 7773.845 | 18558.688 | 332.477 | 190.948 | -234.739 |
| -46673.015 | -26474.581 | 20464.364 | 64.559 | 146.175 | -83.715 |
| -46403.647 | -20358.499 | 22286.630 | 62.536 | 167.835 | -139.741 |
| -28082.846 | -16074.581 | 24983.933 | 386.912 | 38.415 | -205.217 |
| -42404.925 | -29603.093 | 17986.308 | 52.172 | 45.054 | -0.066 |
| -41648.217 | -20156.673 | 22132.931 | 51.826 | 223.639 | -111.069 |
| 29435.003 | 7248.480 | -30410.117 | -70.790 | -112.758 | 186.615 |
| 10976.538 | 7331.410 | -30761.101 | 70.954 | -143.521 | 227.945 |
| 37543.921 | 19036.987 | -20798.709 | 17.646 | -197.395 | 300.701 |
| 15370.679 | 3439.532 | -29488.966 | -44.652 | -38.389 | 151.833 |
| -2272.476 | 9857.456 | -29941.213 | -51.772 | -400.439 | 32.498 |
| 34004.903 | 10283.531 | -29247.775 | -47.209 | -186.633 | 4941.205 |
| 1794.075 | 780.382 | 780.382 | 0.000 | 0.000 | -0.000 |
| 780.382 | 1794.075 | 780.382 | 0.000 | 0.000 | -0.000 |
| 780.382 | 780.382 | 1794.075 | 0.000 | 0.000 | -0.000 |
| -0.007 | 0.012 | 0.013 | 59888.024 | 0.000 | -0.000 |
| 0.013 | -0.007 | 0.014 | 0.000 | 59888.024 | -0.000 |
| 0.012 | 0.014 | -0.007 | 0.000 | 0.000 | 59888.024 |
| 61325.921 | -28985.546 | -28985.554 | -0.000 | -0.000 | 0.000 |
| -28985.554 | 61325.921 | -28985.546 | -0.000 | -0.000 | 0.000 |
| -28985.546 | -28985.554 | 61325.920 | -0.000 | -0.000 | -0.000 |
| 0.006 | -0.013 | -0.013 | 59888.024 | -0.000 | -0.000 |
| -0.013 | 0.006 | -0.013 | -0.000 | 59888.024 | -0.000 |
| -0.013 | -0.013 | 0.006 | -0.000 | -0.000 | 59888.024 |
| 878.104 | 1238.367 | 1238.367 | 0.000 | 0.000 | -0.000 |
| 1238.367 | 878.104 | 1238.367 | 0.000 | 0.000 | 0.000 |
| 1238.367 | 1238.367 | 878.104 | 0.000 | 0.000 | -0.000 |
| 37589642.901 | 37590328.156 | 37590139.812 | -23646668.425 | 23699941.979 | 23700074.086 |
| 37589964.863 | 37589498.129 | 37589960.133 | 23699849.746 | -23646160.634 | 23699847.376 |
| 37589964.481 | 37589959.750 | 37589497.741 | -23699849.790 | -23699847.420 | -23646160.709 |
| 1788.848 | 782.996 | 782.996 | -0.000 | -0.000 | 0.000 |
| 782.996 | 1788.848 | 782.996 | -0.000 | -0.000 | 0.000 |
| 782.996 | 782.996 | 1788.848 | -0.000 | -0.000 | 0.000 |
| -37589498.112 | -37589964.903 | -37589960.149 | -23646160.667 | -23699849.729 | 23699847.353 |
| -37589964.826 | -37589498.167 | -37589960.119 | -23699849.748 | -23646160.634 | 23699847.375 |
| -15845866.199 | -15760732.711 | -15555529.801 | -13137901.575 | 13166710.063 | -11728534.337 |
| 1789.159 | 782.838 | 782.838 | 0.000 | -0.000 | -0.000 |
| 782.838 | 1789.159 | 782.838 | 0.000 | -0.000 | -0.000 |
| 782.838 | 782.838 | 1789.159 | 0.000 | 0.000 | -0.000 |
| 3759170.907 | 3759637.490 | 3759632.884 | -2306001.201 | 2359689.869 | 2359687.511 |
| 3764719.828 | 3764102.477 | 3764127.955 | -2358765.078 | -2306219.547 | -2358454.327 |
| 3759637.552 | 3759632.938 | 3759170.969 | 2359689.859 | 2359687.500 | -2306001.196 |
| 1789.675 | 782.585 | 782.585 | -0.000 | -0.000 | 0.000 |
| 782.585 | 1789.675 | 782.585 | -0.000 | -0.000 | 0.000 |
| 782.585 | 782.585 | 1789.675 | -0.000 | 0.000 | -0.000 |
| -3759170.966 | -3759637.550 | -3759632.938 | -2306001.192 | -2359689.862 | 2359687.503 |
| -3759637.542 | -3759170.968 | -3759632.929 | 2359689.864 | -2306001.191 | -2359687.504 |
| -3759637.473 | -3759632.859 | -3759170.870 | 2359689.873 | -2359687.513 | -2306001.205 |
| 2769.108 | 378.633 | 378.633 | -0.000 | -0.000 | -0.000 |
| 378.633 | 2769.108 | 378.633 | -0.000 | -0.000 | -0.000 |
| 378.633 | 378.633 | 2769.108 | -0.000 | -0.000 | -0.000 |
| -0.000 | -0.000 | -0.000 | 225.745 | 0.000 | -0.000 |
| -0.000 | -0.000 | 0.000 | -0.000 | 225.745 | -0.000 |
| -0.000 | -0.000 | 0.000 | 0.000 | 0.000 | 225.744 |
| 2769.109 | 378.633 | 378.633 | 0.000 | 0.000 | 0.000 |
| 378.633 | 2769.109 | 378.633 | 0.000 | 0.000 | 0.000 |
| 378.633 | 378.633 | 2769.109 | 0.000 | 0.000 | 0.000 |
| 0.000 | 0.000 | -0.000 | 225.745 | -0.000 | 0.000 |
| 0.000 | 0.000 | 0.000 | 0.000 | 225.745 | 0.000 |
| 0.000 | 0.000 | 0.000 | 0.000 | 0.000 | 225.745 |
| 2769.107 | 378.633 | 378.633 | -0.000 | -0.000 | -0.000 |
| 378.633 | 2769.107 | 378.633 | -0.000 | -0.000 | -0.000 |
| 378.633 | 378.633 | 2769.107 | -0.000 | -0.000 | -0.000 |
| 0.000 | -0.000 | -0.000 | 225.745 | -0.000 | -0.000 |
| -0.000 | 0.000 | -0.000 | -0.000 | 225.745 | -0.000 |
| -0.000 | -0.000 | 0.000 | -0.000 | 0.000 | 225.745 |
| 2769.110 | 378.632 | 378.632 | 0.000 | 0.000 | 0.000 |
| 378.632 | 2769.110 | 378.632 | 0.000 | -0.000 | 0.000 |
| 378.632 | 378.632 | 2769.110 | 0.000 | 0.000 | 0.000 |
| -0.000 | 0.000 | 0.000 | 225.745 | 0.000 | 0.000 |
| 0.000 | -0.000 | 0.000 | 0.000 | 225.745 | 0.000 |
| 0.000 | 0.000 | -0.000 | 0.000 | -0.000 | 225.745 |
| 2769.095 | 378.638 | 378.638 | -0.000 | 0.000 | -0.000 |
| 378.638 | 2769.095 | 378.638 | -0.000 | -0.000 | -0.000 |
| 378.638 | 378.638 | 2769.095 | -0.000 | 0.000 | -0.000 |
| -0.000 | 0.000 | -0.001 | 180.085 | 0.000 | -0.000 |
| 0.000 | -0.000 | -0.001 | -0.000 | 180.085 | -0.000 |
| 0.000 | -0.001 | -0.000 | 0.000 | 0.000 | 180.085 |
| 2769.122 | 378.628 | 378.628 | 0.000 | 0.000 | 0.000 |
| 378.628 | 2769.122 | 378.628 | 0.000 | 0.000 | 0.000 |
| 378.628 | 378.628 | 2769.122 | -0.000 | -0.000 | 0.000 |
| 0.000 | -0.000 | 0.001 | 180.085 | 0.000 | 0.000 |
| -0.000 | 0.000 | 0.001 | 0.000 | 180.085 | 0.000 |
| -0.000 | 0.001 | 0.000 | 0.000 | -0.000 | 180.085 |
| 1727746.642 | -863281.894 | -863281.894 | -0.001 | -0.001 | -0.001 |
| -863281.894 | 1727746.642 | -863281.894 | -0.001 | -0.001 | -0.001 |
| -863281.894 | -863281.894 | 1727746.643 | -0.001 | -0.001 | -0.001 |
| 0.023 | -0.004 | 0.015 | 1727428.418 | -0.001 | -0.001 |
| -0.004 | 0.023 | 0.015 | -0.001 | 1727428.418 | -0.001 |
| -0.005 | 0.014 | 0.023 | -0.001 | -0.001 | 1727428.418 |
| 1727746.514 | -863281.863 | -863281.863 | 0.001 | 0.001 | 0.001 |
| -863281.863 | 1727746.514 | -863281.863 | 0.001 | 0.001 | 0.001 |
| -863281.863 | -863281.863 | 1727746.514 | 0.001 | 0.001 | 0.001 |
| -0.026 | 0.007 | -0.014 | 1727428.419 | 0.001 | 0.001 |
| 0.007 | -0.026 | -0.014 | 0.001 | 1727428.419 | 0.001 |
| 0.007 | -0.014 | -0.026 | 0.001 | 0.001 | 1727428.419 |
| 1727747.215 | -863282.031 | -863282.031 | -0.000 | -0.000 | -0.000 |
| -863282.031 | 1727747.215 | -863282.031 | -0.000 | -0.000 | -0.000 |
| -863282.031 | -863282.031 | 1727747.215 | -0.000 | -0.000 | -0.000 |
| 0.256 | -0.071 | 0.146 | 1727428.418 | -0.000 | -0.000 |
| -0.071 | 0.256 | 0.146 | -0.000 | 1727428.418 | -0.000 |
| -0.071 | 0.146 | 0.256 | -0.000 | -0.000 | 1727428.418 |
| 1727745.955 | -863281.732 | -863281.732 | 0.000 | 0.000 | 0.000 |
| -863281.732 | 1727745.955 | -863281.732 | 0.000 | 0.000 | 0.000 |
| -863281.732 | -863281.732 | 1727745.955 | 0.000 | 0.000 | 0.000 |
| -0.256 | 0.071 | -0.146 | 1727428.418 | 0.000 | 0.000 |
| 0.071 | -0.256 | -0.146 | 0.000 | 1727428.418 | 0.000 |
| 0.071 | -0.146 | -0.256 | 0.000 | 0.000 | 1727428.418 |
| 1727752.618 | -863283.242 | -863283.242 | -0.000 | -0.000 | -0.000 |
| -863283.242 | 1727752.618 | -863283.242 | -0.000 | -0.000 | -0.000 |
| -863283.242 | -863283.242 | 1727752.618 | -0.000 | -0.000 | -0.000 |
| 2.554 | -0.702 | 1.457 | 1727428.156 | -0.000 | -0.000 |
| -0.702 | 2.554 | 1.457 | -0.000 | 1727428.156 | -0.000 |
| -0.702 | 1.457 | 2.554 | -0.000 | -0.000 | 1727428.156 |
| 1727740.028 | -863280.259 | -863280.259 | 0.000 | 0.000 | 0.000 |
| -863280.259 | 1727740.028 | -863280.259 | 0.000 | 0.000 | 0.000 |
| -863280.259 | -863280.259 | 1727740.028 | 0.000 | 0.000 | 0.000 |
| -2.554 | 0.702 | -1.457 | 1727428.156 | 0.000 | 0.000 |
| 0.702 | -2.554 | -1.457 | 0.000 | 1727428.156 | 0.000 |
| 0.702 | -1.457 | -2.554 | 0.000 | 0.000 | 1727428.156 |
| 939.032 | -0.000 | 0.000 | 0.000 | -0.000 | -0.000 |
| 0.000 | 939.032 | 0.000 | -0.000 | 0.000 | 0.000 |
| 0.000 | -0.000 | 939.032 | 0.000 | 0.000 | 0.000 |
| 0.000 | 0.000 | 0.000 | 48.184 | 0.000 | 0.000 |
| 0.000 | -0.000 | 0.000 | 0.000 | 48.184 | -0.000 |
| 0.000 | 0.000 | 0.000 | 0.000 | -0.000 | 48.184 |
| 939.031 | 0.000 | -0.000 | -0.000 | -0.000 | -0.000 |
| -0.000 | 939.031 | -0.000 | -0.000 | -0.000 | -0.000 |
| -0.000 | -0.000 | 939.031 | -0.000 | -0.000 | -0.000 |
| -0.000 | -0.000 | -0.000 | 48.184 | -0.000 | -0.000 |
| -0.000 | 0.000 | -0.000 | -0.000 | 48.184 | 0.000 |
| -0.000 | -0.000 | -0.000 | -0.000 | -0.000 | 48.184 |
| 939.032 | -0.000 | 0.000 | 0.000 | 0.000 | -0.000 |
| 0.000 | 939.032 | 0.000 | 0.000 | 0.000 | -0.000 |
| 0.000 | -0.000 | 939.032 | 0.000 | 0.000 | 0.000 |
| 0.000 | 0.000 | -0.000 | 48.184 | -0.000 | 0.000 |
| 0.000 | -0.000 | -0.000 | -0.000 | 48.184 | -0.000 |
| 0.000 | -0.000 | 0.000 | 0.000 | -0.000 | 48.184 |
| 939.031 | 0.000 | -0.000 | -0.000 | 0.000 | 0.000 |
| -0.000 | 939.031 | -0.000 | 0.000 | -0.000 | -0.000 |
| -0.000 | 0.000 | 939.031 | -0.000 | -0.000 | -0.000 |
| -0.000 | -0.000 | 0.000 | 48.184 | -0.000 | -0.000 |
| -0.000 | 0.000 | 0.000 | -0.000 | 48.184 | 0.000 |
| -0.000 | 0.000 | -0.000 | -0.000 | 0.000 | 48.184 |
| 939.036 | -0.000 | 0.000 | 0.000 | -0.000 | -0.000 |
| 0.000 | 939.036 | 0.000 | -0.000 | 0.000 | 0.000 |
| 0.000 | -0.000 | 939.036 | 0.000 | 0.000 | 0.000 |
| 0.000 | 0.000 | -0.000 | 48.184 | -0.000 | -0.000 |
| 0.000 | 0.000 | -0.000 | -0.000 | 48.184 | -0.000 |
| 0.000 | -0.000 | 0.000 | -0.000 | -0.000 | 48.184 |
| 939.026 | 0.000 | -0.000 | -0.000 | 0.000 | -0.000 |
| -0.000 | 939.026 | -0.000 | 0.000 | -0.000 | 0.000 |
| -0.000 | 0.000 | 939.026 | 0.000 | -0.000 | -0.000 |
| -0.000 | -0.000 | 0.000 | 48.184 | 0.000 | -0.000 |
| -0.000 | -0.000 | 0.000 | 0.000 | 48.184 | 0.000 |
| -0.000 | 0.000 | -0.000 | 0.000 | 0.000 | 48.184 |
| 2166.887 | 2063.328 | 2063.328 | 0.000 | 0.000 | 0.000 |
| 2063.328 | 2166.888 | 2063.328 | 0.000 | 0.000 | 0.000 |
| 2063.328 | 2063.328 | 2166.888 | 0.000 | 0.000 | 0.000 |
| -0.000 | 0.000 | 0.000 | 692.280 | 0.000 | 0.000 |
| -0.000 | 0.000 | 0.000 | 0.000 | 692.280 | 0.000 |
| -0.000 | -0.000 | 0.001 | 0.000 | 0.000 | 692.280 |
| 2166.888 | 2063.328 | 2063.328 | 0.000 | -0.000 | -0.000 |
| 2063.328 | 2166.888 | 2063.328 | -0.000 | -0.000 | -0.000 |
| 2063.328 | 2063.328 | 2166.888 | 0.000 | -0.000 | -0.000 |
| 0.000 | 0.000 | -0.000 | 692.280 | -0.000 | -0.000 |
| 0.000 | -0.000 | -0.000 | -0.000 | 692.280 | -0.000 |
| -0.000 | -0.000 | -0.000 | -0.000 | -0.000 | 692.280 |
| 2166.886 | 2063.326 | 2063.326 | 0.000 | 0.000 | 0.000 |
| 2063.326 | 2166.886 | 2063.326 | 0.000 | 0.000 | 0.000 |
| 2063.326 | 2063.326 | 2166.886 | 0.000 | 0.000 | 0.000 |
| 0.000 | 0.000 | 0.000 | 692.280 | 0.000 | 0.000 |
| 0.000 | 0.000 | 0.000 | 0.000 | 692.280 | 0.000 |
| 0.000 | 0.000 | 0.000 | 0.000 | 0.000 | 692.280 |
| 2166.890 | 2063.330 | 2063.330 | 0.000 | -0.000 | -0.000 |
| 2063.330 | 2166.890 | 2063.330 | -0.000 | -0.000 | -0.000 |
| 2063.330 | 2063.330 | 2166.890 | -0.000 | -0.000 | -0.000 |
| -0.000 | -0.000 | -0.000 | 692.280 | -0.000 | -0.000 |
| -0.000 | -0.000 | -0.000 | -0.000 | 692.280 | -0.000 |
| -0.000 | -0.000 | -0.000 | -0.000 | -0.000 | 692.280 |
| 2166.866 | 2063.310 | 2063.310 | -0.000 | 0.000 | 0.000 |
| 2063.310 | 2166.866 | 2063.310 | -0.000 | 0.000 | 0.000 |
| 2063.310 | 2063.310 | 2166.866 | -0.000 | 0.000 | 0.000 |
| 0.004 | 0.002 | 0.004 | 692.280 | 0.000 | 0.000 |
| 0.002 | 0.004 | 0.004 | 0.000 | 692.280 | 0.000 |
| 0.002 | 0.004 | 0.004 | -0.000 | 0.000 | 692.280 |
| 2166.910 | 2063.346 | 2063.346 | -0.000 | -0.000 | -0.000 |
| 2063.346 | 2166.910 | 2063.346 | -0.000 | -0.000 | -0.000 |
| 2063.346 | 2063.346 | 2166.910 | -0.000 | -0.000 | -0.000 |
| -0.004 | -0.002 | -0.004 | 692.280 | -0.000 | -0.000 |
| -0.002 | -0.004 | -0.004 | -0.000 | 692.280 | -0.000 |
| -0.002 | -0.004 | -0.004 | -0.000 | -0.000 | 692.280 |
| 406.564 | 231.597 | 231.597 | -0.000 | -0.000 | -0.000 |
| 231.598 | 406.564 | 231.598 | -0.000 | -0.000 | -0.001 |
| 231.598 | 231.597 | 406.564 | -0.000 | -0.000 | -0.000 |
| -0.000 | 0.000 | -0.000 | 383.344 | -0.000 | -0.000 |
| -0.000 | 0.001 | -0.000 | -0.000 | 383.344 | -0.000 |
| -0.000 | 0.000 | -0.000 | -0.000 | -0.000 | 383.344 |
| 406.564 | 231.598 | 231.598 | 0.000 | 0.000 | 0.000 |
| 231.598 | 406.565 | 231.598 | 0.000 | 0.000 | 0.001 |
| 231.598 | 231.598 | 406.565 | 0.000 | 0.000 | 0.000 |
| -0.000 | -0.000 | 0.000 | 383.345 | 0.000 | 0.000 |
| -0.000 | 0.000 | 0.000 | 0.000 | 383.345 | 0.000 |
| 0.000 | -0.000 | 0.000 | 0.000 | 0.000 | 383.345 |
| 406.564 | 231.598 | 231.598 | -0.000 | -0.000 | -0.000 |
| 231.598 | 406.564 | 231.598 | -0.000 | -0.000 | -0.000 |
| 231.598 | 231.598 | 406.564 | -0.000 | -0.000 | -0.000 |
| 0.000 | -0.000 | -0.000 | 234.481 | -0.000 | -0.000 |
| -0.000 | -0.000 | -0.000 | -0.000 | 234.481 | -0.000 |
| -0.000 | -0.000 | -0.000 | -0.000 | -0.000 | 234.481 |
| 406.564 | 231.598 | 231.598 | 0.000 | 0.000 | 0.000 |
| 231.598 | 406.564 | 231.598 | 0.000 | 0.000 | 0.000 |
| 231.598 | 231.598 | 406.564 | 0.000 | 0.000 | 0.000 |
| -0.000 | 0.000 | 0.000 | 234.481 | 0.000 | 0.000 |
| 0.000 | -0.000 | 0.000 | 0.000 | 234.481 | 0.000 |
| 0.000 | 0.000 | 0.000 | 0.000 | 0.000 | 234.482 |
| 406.565 | 231.598 | 231.598 | -0.000 | -0.000 | -0.000 |
| 231.598 | 406.565 | 231.598 | -0.000 | -0.000 | -0.000 |
| 231.598 | 231.598 | 406.565 | -0.000 | -0.000 | -0.000 |
| 0.000 | -0.000 | -0.000 | 234.481 | 0.000 | -0.000 |
| -0.000 | 0.000 | -0.000 | -0.000 | 234.481 | -0.000 |
| -0.000 | -0.000 | 0.000 | -0.000 | -0.000 | 234.481 |
| 406.564 | 231.597 | 231.597 | 0.000 | 0.000 | 0.000 |
| 231.597 | 406.564 | 231.597 | 0.000 | 0.000 | 0.000 |
| 231.597 | 231.597 | 406.564 | 0.000 | 0.000 | 0.000 |
| -0.000 | 0.000 | 0.000 | 234.481 | 0.000 | 0.000 |
| 0.000 | -0.000 | 0.000 | 0.000 | 234.481 | 0.000 |
| 0.000 | 0.000 | -0.000 | 0.000 | 0.000 | 234.481 |
| 361.286 | 31.987 | 0.000 | 0.000 | 0.000 | -0.000 |
| 31.987 | 361.286 | 0.000 | 0.000 | 0.000 | -0.000 |
| -0.000 | 0.000 | 0.000 | 0.000 | 0.000 | -0.000 |
| -0.000 | 0.000 | 0.000 | 0.000 | 0.000 | -0.000 |
| -0.000 | 0.000 | 0.000 | 0.000 | 0.000 | -0.000 |
| -0.000 | -0.000 | 0.000 | 0.000 | 0.000 | 123.304 |
| 319.940 | 73.333 | -0.000 | -0.000 | -0.000 | 0.000 |
| 73.333 | 319.940 | -0.000 | -0.000 | -0.000 | 0.000 |
| 0.000 | -0.000 | -0.000 | -0.000 | -0.000 | 0.000 |
| 0.000 | 0.000 | -0.000 | -0.000 | -0.000 | 0.000 |
| -0.000 | -0.000 | -0.000 | -0.000 | -0.000 | 0.000 |
| 0.000 | -0.000 | -0.000 | -0.000 | -0.000 | 123.304 |
| 319.941 | 73.333 | 0.000 | 0.000 | 0.000 | -0.000 |
| 73.333 | 319.940 | 0.000 | 0.000 | 0.000 | -0.000 |
| -0.000 | 0.000 | 0.000 | 0.000 | 0.000 | -0.000 |
| -0.000 | 0.000 | 0.000 | 0.000 | 0.000 | -0.000 |
| -0.000 | 0.000 | 0.000 | 0.000 | 0.000 | -0.000 |
| -0.000 | 0.000 | 0.000 | 0.000 | 0.000 | 123.304 |
| 319.940 | 73.333 | -0.000 | -0.000 | -0.000 | 0.000 |
| 31.987 | 361.286 | -0.000 | -0.000 | -0.000 | 0.000 |
| 0.000 | -0.000 | -0.000 | -0.000 | -0.000 | 0.000 |
| 0.000 | -0.000 | -0.000 | -0.000 | -0.000 | 0.000 |
| -0.000 | -0.000 | -0.000 | -0.000 | -0.000 | 0.000 |
| 0.000 | -0.000 | -0.000 | -0.000 | -0.000 | 123.304 |
| 319.942 | 73.332 | 0.000 | 0.000 | 0.000 | -0.000 |
| 73.334 | 319.940 | 0.000 | 0.000 | 0.000 | -0.000 |
| -0.000 | 0.000 | 0.000 | 0.000 | 0.000 | -0.000 |
| -0.000 | 0.000 | 0.000 | 0.000 | 0.000 | -0.000 |
| -0.000 | -0.000 | 0.000 | 0.000 | 0.000 | -0.000 |
| -0.000 | 0.000 | 0.000 | 0.000 | 0.000 | 123.304 |
| 319.939 | 73.334 | -0.000 | -0.000 | -0.000 | 0.000 |
| 73.331 | 319.941 | -0.000 | -0.000 | -0.000 | 0.000 |
| 0.000 | -0.000 | -0.000 | -0.000 | -0.000 | 0.000 |
| 0.000 | 0.000 | -0.000 | -0.000 | -0.000 | 0.000 |
| -0.000 | -0.000 | -0.000 | -0.000 | -0.000 | 0.000 |
| 0.000 | -0.000 | -0.000 | -0.000 | -0.000 | 123.304 |
| 677.488 | 165.251 | 25.402 | 0.001 | 0.001 | 0.000 |
| 243.037 | 455.404 | 119.535 | 0.001 | 0.001 | 0.001 |
| 66.696 | 66.696 | 727.149 | 0.001 | 0.000 | 0.000 |
| -0.000 | -0.000 | 0.000 | 188.438 | 0.001 | -0.001 |
| -0.000 | -0.000 | 0.000 | -0.000 | 188.438 | 0.000 |
| -0.000 | -0.000 | 0.000 | -0.000 | 0.001 | 114.452 |
| 677.488 | 165.251 | 25.403 | -0.001 | -0.000 | 0.000 |
| 165.251 | 677.488 | 25.403 | -0.002 | -0.000 | -0.000 |
| 173.823 | 173.823 | 587.380 | -0.000 | -0.000 | -0.000 |
| 0.000 | 0.000 | -0.000 | 188.437 | -0.001 | -0.000 |
| 0.000 | -0.000 | -0.000 | 0.000 | 188.437 | -0.000 |
| 0.000 | 0.000 | -0.000 | 0.000 | -0.001 | 114.453 |
| 453.718 | 224.787 | 132.541 | 0.000 | -0.000 | 0.000 |
| 243.038 | 455.403 | 119.536 | 0.000 | 0.000 | 0.000 |
| 173.823 | 173.823 | 587.379 | 0.000 | 0.000 | 0.000 |
| 0.000 | 0.000 | -0.000 | 237.378 | 0.000 | 0.000 |
| 0.000 | 0.000 | -0.000 | -0.000 | 237.378 | 0.000 |
| -0.000 | -0.000 | 0.000 | 0.000 | 0.000 | 114.452 |
| 455.402 | 243.038 | 119.536 | -0.000 | -0.000 | -0.000 |
| 243.051 | 455.366 | 119.551 | -0.000 | -0.000 | -0.000 |
| 66.696 | 66.696 | 727.149 | -0.000 | -0.000 | 0.000 |
| -0.000 | -0.000 | 0.000 | 237.378 | -0.000 | -0.000 |
| -0.000 | -0.000 | 0.000 | 0.000 | 237.378 | -0.000 |
| 0.000 | 0.000 | -0.000 | 0.000 | -0.000 | 114.452 |
| 453.722 | 224.815 | 132.521 | 0.000 | 0.000 | 0.000 |
| 224.797 | 453.692 | 132.553 | 0.000 | 0.000 | 0.000 |
| 173.827 | 173.827 | 587.376 | 0.000 | 0.000 | -0.000 |
| 0.000 | -0.000 | -0.000 | 188.438 | 0.000 | 0.000 |
| -0.000 | 0.000 | -0.000 | -0.000 | 188.438 | 0.000 |
| 0.001 | -0.001 | -0.000 | 0.000 | 0.000 | 114.438 |
| 453.677 | 224.830 | 132.539 | -0.000 | -0.000 | -0.000 |
| 224.784 | 453.727 | 132.536 | -0.000 | -0.000 | -0.000 |
| 173.818 | 173.818 | 587.383 | -0.000 | -0.000 | 0.000 |
| -0.000 | 0.000 | 0.000 | 188.438 | -0.000 | -0.000 |
| 0.000 | -0.000 | 0.000 | 0.000 | 188.438 | -0.000 |
| -0.001 | 0.001 | 0.000 | -0.000 | -0.000 | 114.438 |
| 1933.492 | 1810.732 | 1810.732 | -0.000 | -0.000 | -0.000 |
| 1810.733 | 1933.492 | 1810.732 | 0.000 | -0.000 | -0.000 |
| 1810.733 | 1810.732 | 1933.492 | 0.000 | 0.000 | -0.000 |
| 0.000 | -0.000 | 0.000 | 1574.896 | 0.000 | -0.000 |
| 0.000 | -0.000 | 0.000 | 0.000 | 1574.896 | -0.000 |
| -0.000 | -0.000 | -0.000 | 0.000 | 0.000 | 1574.896 |
| 1933.493 | 1810.734 | 1810.733 | -0.000 | -0.000 | 0.000 |
| 1810.733 | 1933.494 | 1810.733 | -0.000 | 0.000 | 0.000 |
| 1810.734 | 1810.734 | 1933.493 | 0.000 | 0.000 | 0.000 |
| -0.000 | 0.001 | -0.000 | 840.147 | 0.000 | 0.000 |
| 0.000 | 0.001 | 0.000 | 0.000 | 840.147 | 0.000 |
| 0.000 | 0.000 | -0.000 | -0.000 | -0.000 | 840.148 |
| 1933.491 | 1810.732 | 1810.732 | 0.000 | -0.000 | -0.000 |
| 1810.732 | 1933.491 | 1810.732 | -0.000 | -0.000 | -0.000 |
| 1810.732 | 1810.732 | 1933.491 | -0.000 | -0.000 | -0.000 |
| 0.000 | -0.000 | 0.000 | 1574.896 | 0.000 | -0.000 |
| -0.000 | 0.000 | 0.000 | 0.000 | 1574.896 | -0.000 |
| -0.000 | 0.000 | 0.000 | 0.000 | 0.000 | 1574.896 |
| 1933.494 | 1810.734 | 1810.734 | 0.000 | 0.000 | 0.000 |
| 1810.734 | 1933.494 | 1810.734 | 0.000 | 0.000 | 0.000 |
| 1810.734 | 1810.734 | 1933.494 | -0.000 | -0.000 | 0.000 |
| -0.000 | 0.000 | -0.000 | 1574.896 | -0.000 | 0.000 |
| 0.000 | -0.000 | -0.000 | -0.000 | 1574.896 | 0.000 |
| 0.000 | -0.000 | -0.000 | 0.000 | -0.000 | 1574.896 |
| 1933.477 | 1810.720 | 1810.720 | -0.000 | 0.000 | -0.000 |
| 1810.720 | 1933.477 | 1810.720 | 0.000 | -0.000 | -0.000 |
| 1810.720 | 1810.720 | 1933.477 | -0.000 | -0.000 | -0.000 |
| -0.004 | -0.006 | -0.004 | 840.148 | -0.000 | -0.000 |
| -0.006 | -0.004 | -0.004 | -0.000 | 840.148 | -0.000 |
| -0.006 | -0.004 | -0.004 | 0.000 | 0.000 | 840.148 |
| 1933.509 | 1810.745 | 1810.745 | 0.000 | 0.000 | 0.000 |
| 1810.745 | 1933.509 | 1810.745 | 0.000 | 0.000 | 0.000 |
| 1810.745 | 1810.745 | 1933.509 | -0.000 | -0.000 | 0.000 |
| 0.004 | 0.006 | 0.004 | 840.148 | 0.000 | 0.000 |
| 0.006 | 0.004 | 0.004 | -0.000 | 840.148 | 0.000 |
| 0.006 | 0.004 | 0.004 | -0.000 | -0.000 | 840.148 |
| 691.730 | 95.555 | 283.112 | -0.000 | 0.000 | 0.000 |
| 95.555 | 691.730 | 283.112 | -0.000 | 0.000 | 0.000 |
| 283.175 | 283.175 | 517.564 | -0.000 | 0.000 | 0.000 |
| 0.000 | 0.000 | 0.000 | 296.993 | 0.000 | 0.000 |
| 0.000 | 0.000 | 0.000 | 0.000 | 296.993 | 0.000 |
| 0.000 | 0.000 | 0.000 | 0.000 | 0.000 | 115.195 |
| 691.730 | 95.555 | 283.112 | 0.000 | 0.000 | -0.000 |
| 95.555 | 691.730 | 283.112 | 0.000 | -0.000 | -0.000 |
| 283.175 | 283.175 | 517.563 | 0.000 | 0.000 | -0.000 |
| -0.000 | -0.000 | -0.000 | 296.993 | -0.000 | -0.000 |
| -0.000 | -0.000 | -0.000 | -0.000 | 296.993 | 0.000 |
| -0.000 | -0.000 | -0.000 | -0.000 | -0.000 | 115.195 |
| 691.730 | 95.555 | 283.112 | -0.000 | 0.000 | 0.000 |
| 95.555 | 691.730 | 283.112 | -0.000 | 0.000 | 0.000 |
| 283.175 | 283.175 | 517.564 | -0.000 | 0.000 | 0.000 |
| 0.000 | -0.000 | 0.000 | 296.993 | 0.000 | -0.000 |
| -0.000 | 0.000 | 0.000 | 0.000 | 296.993 | 0.000 |
| -0.000 | -0.000 | 0.000 | 0.000 | 0.000 | 115.195 |
| 691.730 | 95.555 | 283.112 | 0.000 | -0.000 | -0.000 |
| 95.555 | 691.730 | 283.112 | 0.000 | 0.000 | -0.000 |
| 283.174 | 283.174 | 517.564 | 0.000 | 0.000 | -0.000 |
| -0.000 | 0.000 | -0.000 | 296.993 | -0.000 | -0.000 |
| 0.000 | -0.000 | -0.000 | -0.000 | 296.993 | -0.000 |
| 0.000 | 0.000 | -0.000 | -0.000 | 0.000 | 115.195 |
| 691.730 | 95.606 | 283.176 | 0.000 | -0.000 | 0.000 |
| 95.606 | 691.730 | 283.176 | -0.000 | 0.000 | 0.000 |
| 283.175 | 283.175 | 517.564 | -0.000 | -0.000 | 0.000 |
| 0.000 | -0.000 | 0.000 | 296.993 | 0.000 | -0.000 |
| -0.000 | 0.000 | 0.000 | 0.000 | 296.993 | 0.000 |
| -0.000 | -0.000 | -0.000 | -0.000 | 0.000 | 115.195 |
| 691.728 | 95.605 | 283.173 | 0.000 | -0.000 | -0.000 |
| 95.605 | 691.728 | 283.173 | 0.000 | -0.000 | -0.000 |
| 283.174 | 283.174 | 517.563 | 0.000 | 0.000 | -0.000 |
| -0.000 | 0.000 | -0.000 | 296.993 | -0.000 | -0.000 |
| 0.000 | -0.000 | -0.000 | 0.000 | 296.993 | -0.000 |
| 0.000 | 0.000 | 0.000 | 0.000 | 0.000 | 115.195 |
| 709.187 | 86.353 | 288.008 | -0.000 | -0.000 | 0.000 |
| 86.353 | 709.187 | 288.008 | -0.000 | 0.000 | 0.000 |
| 283.159 | 283.158 | 505.930 | 0.000 | 0.000 | 0.000 |
| 0.337 | 0.337 | 0.799 | 288.174 | 0.000 | 0.000 |
| 0.337 | 0.337 | 0.799 | 0.000 | 288.174 | 0.000 |
| 0.281 | 0.280 | 0.665 | 0.000 | -0.000 | 119.238 |
| 708.637 | 85.762 | 286.655 | -0.000 | 0.000 | -0.000 |
| 85.762 | 708.637 | 286.655 | -0.000 | -0.000 | 0.000 |
| 282.597 | 282.597 | 504.600 | -0.000 | -0.000 | -0.000 |
| -0.337 | -0.337 | -0.799 | 288.174 | -0.000 | -0.000 |
| -0.337 | -0.337 | -0.799 | -0.000 | 288.174 | -0.000 |
| -0.281 | -0.280 | -0.665 | -0.000 | -0.000 | 119.238 |
| 708.938 | 86.088 | 287.399 | -0.000 | 0.000 | 0.000 |
| 86.088 | 708.938 | 287.399 | 0.000 | 0.000 | 0.000 |
| 282.906 | 282.906 | 505.331 | 0.000 | -0.000 | -0.000 |
| 0.034 | 0.034 | 0.080 | 288.157 | 0.000 | 0.000 |
| 0.034 | 0.034 | 0.080 | 0.000 | 288.157 | 0.000 |
| 0.028 | 0.028 | 0.066 | 0.000 | 0.000 | 119.238 |
| 708.883 | 86.029 | 287.263 | -0.000 | -0.000 | -0.000 |
| 86.029 | 708.883 | 287.263 | 0.000 | 0.000 | -0.000 |
| 282.850 | 282.850 | 505.198 | -0.000 | -0.000 | -0.000 |
| -0.034 | -0.034 | -0.080 | 288.157 | -0.000 | -0.000 |
| -0.034 | -0.034 | -0.080 | -0.000 | 288.157 | -0.000 |
| -0.028 | -0.028 | -0.066 | -0.000 | -0.000 | 119.238 |
| 708.914 | 86.102 | 287.386 | -0.000 | -0.000 | -0.000 |
| 86.102 | 708.914 | 287.386 | 0.000 | 0.000 | 0.000 |
| 282.882 | 282.882 | 505.272 | 0.000 | -0.000 | 0.000 |
| 0.004 | 0.003 | 0.008 | 288.156 | -0.000 | 0.000 |
| 0.003 | 0.004 | 0.008 | 0.000 | 288.156 | 0.000 |
| 0.003 | 0.003 | 0.007 | -0.000 | 0.000 | 119.238 |
| 708.906 | 86.096 | 287.371 | 0.000 | 0.000 | -0.000 |
| 86.096 | 708.906 | 287.371 | -0.000 | -0.000 | -0.000 |
| 282.874 | 282.874 | 505.257 | -0.000 | -0.000 | -0.000 |
| -0.004 | -0.003 | -0.008 | 288.156 | 0.000 | -0.000 |
| -0.003 | -0.004 | -0.008 | -0.000 | 288.156 | -0.000 |
| -0.003 | -0.003 | -0.007 | 0.000 | -0.000 | 119.238 |
| 422.578 | -49.690 | 138.186 | -0.001 | 68.224 | -0.000 |
| -48.182 | 970.019 | 196.848 | 0.000 | 0.677 | 0.000 |
| 130.703 | 198.145 | 874.895 | -0.000 | 39.120 | -0.000 |
| 0.000 | -0.000 | -0.000 | 483.915 | -0.000 | 19.722 |
| 160.083 | -603.443 | 510.325 | 0.000 | -35.587 | -0.000 |
| -0.000 | -0.000 | 0.000 | 17.801 | -0.000 | 70.877 |
| 422.578 | -49.690 | 138.187 | -0.000 | 68.224 | -0.000 |
| -27.402 | 930.387 | 306.224 | -0.000 | 323.864 | 0.000 |
| 130.703 | 198.145 | 874.895 | -0.000 | 39.120 | 0.000 |
| 0.000 | -0.000 | -0.000 | 483.915 | 0.000 | 19.722 |
| -32.855 | 130.497 | -44.338 | -0.000 | 414.486 | -0.000 |
| -0.000 | 0.000 | -0.000 | 17.801 | 0.000 | 70.877 |
| 326.945 | 4.500 | 203.172 | -0.000 | 11.357 | -0.000 |
| -48.182 | 970.019 | 196.848 | -0.000 | 0.677 | 0.000 |
| 196.185 | 238.728 | 683.659 | -0.000 | 19.744 | -0.000 |
| 6.605 | -27.225 | 21.641 | 342.890 | -2.578 | 16.254 |
| 20.418 | -34.173 | 59.978 | -0.000 | 62.525 | -0.000 |
| 3.286 | -11.415 | 10.181 | 16.571 | -34.614 | 70.225 |
| 422.578 | -49.690 | 138.186 | 0.000 | 68.224 | 0.000 |
| -3.236 | 829.441 | 302.620 | 0.000 | 10.281 | 0.000 |
| 184.265 | 283.226 | 657.734 | 0.000 | 49.372 | 0.000 |
| -6.605 | 27.225 | -21.641 | 342.890 | 2.578 | 16.254 |
| -1.814 | 52.692 | -7.465 | 0.000 | 103.468 | 0.000 |
| -3.286 | 11.415 | -10.181 | 16.571 | 34.614 | 70.225 |
| 334.681 | 22.461 | 172.248 | -0.000 | 18.909 | -0.000 |
| 26.534 | 804.395 | 284.474 | -0.000 | 6.374 | -0.000 |
| 171.390 | 276.388 | 685.039 | -0.000 | 31.490 | -0.000 |
| 0.717 | -1.936 | 0.809 | 349.559 | -1.061 | 17.141 |
| 11.023 | -9.866 | 55.004 | -0.000 | 56.174 | -0.000 |
| 0.925 | -3.814 | 3.032 | 12.943 | -0.361 | 70.072 |
| 334.327 | 21.613 | 176.780 | 0.000 | 29.448 | 0.000 |
| 22.090 | 810.194 | 276.154 | -0.000 | 5.809 | -0.000 |
| 169.227 | 281.801 | 682.696 | 0.000 | 33.353 | -0.000 |
| -0.717 | 1.936 | -0.809 | 349.559 | 1.061 | 17.141 |
| 8.009 | 11.773 | 34.233 | 0.000 | 57.872 | 0.000 |
| -0.925 | 3.814 | -3.032 | 12.943 | 0.361 | 70.072 |
| 1505.011 | 286.606 | 775.874 | -0.001 | 229.761 | 0.000 |
| -91.863 | 968.252 | 296.832 | 0.000 | -4.347 | 0.000 |
| 247.695 | 296.027 | 510.279 | -0.001 | -21.448 | 0.000 |
| 556.408 | 138.054 | 328.718 | -83.925 | 418.945 | -5.297 |
| 779.350 | 368.579 | 558.744 | -0.000 | 759.825 | 0.000 |
| 0.000 | 0.000 | -0.000 | -10.680 | -0.000 | 124.618 |
| 814.864 | -88.218 | 251.644 | -0.000 | -38.277 | -0.000 |
| -91.863 | 968.252 | 296.832 | 0.000 | -4.347 | -0.000 |
| 247.695 | 296.027 | 510.279 | -0.000 | -21.448 | -0.000 |
| -556.408 | -138.054 | -328.719 | -83.925 | -418.945 | -5.297 |
| -51.975 | -4.541 | -21.448 | -0.000 | 448.854 | -0.000 |
| -0.000 | -0.000 | 0.000 | -10.680 | 0.000 | 124.618 |
| 632.644 | 83.910 | 249.024 | -0.000 | -41.603 | 0.000 |
| 92.881 | 779.533 | 289.596 | 0.000 | 3.219 | 0.000 |
| 247.695 | 296.027 | 510.279 | 0.000 | -21.448 | 0.000 |
| -0.000 | 0.000 | 0.000 | 513.366 | -0.000 | -10.875 |
| -51.975 | -4.541 | -21.448 | 0.000 | 448.854 | 0.000 |
| -0.000 | -0.000 | -0.000 | -10.680 | -0.000 | 124.618 |
| 536.136 | 117.006 | 219.574 | -0.000 | -79.131 | -0.000 |
| -49.585 | 700.127 | 168.585 | -0.000 | -89.302 | -0.000 |
| 45.668 | 178.142 | 339.834 | -0.000 | -123.025 | -0.000 |
| 0.000 | -0.000 | -0.000 | 513.366 | 0.000 | -10.875 |
| -51.975 | -4.541 | -21.448 | 0.000 | 448.854 | -0.000 |
| 0.000 | 0.000 | 0.000 | -10.680 | -0.000 | 124.618 |
| 514.325 | 25.736 | 161.110 | -0.000 | -89.741 | 0.000 |
| 29.469 | 743.990 | 233.213 | 0.000 | -43.899 | 0.000 |
| 162.162 | 226.930 | 422.652 | 0.000 | -75.992 | 0.000 |
| 8.382 | 3.468 | 5.842 | 300.758 | 3.573 | -10.504 |
| -86.030 | -43.573 | -68.717 | 0.000 | 264.002 | 0.000 |
| -0.000 | -0.000 | -0.000 | -10.680 | -0.000 | 124.618 |
| 508.257 | 38.484 | 170.411 | 0.000 | -81.321 | -0.000 |
| 36.505 | 743.025 | 234.341 | -0.000 | -45.912 | -0.000 |
| 139.965 | 218.193 | 407.074 | 0.000 | -85.232 | -0.000 |
| -8.382 | -3.468 | -5.842 | 300.758 | -3.573 | -10.504 |
| -88.489 | -43.519 | -69.315 | -0.000 | 261.102 | -0.000 |
| 0.000 | 0.000 | 0.000 | -10.680 | -0.000 | 124.618 |
| 544.240 | 287.406 | 294.348 | -0.000 | 0.000 | 0.000 |
| 298.329 | 547.190 | 296.797 | -0.000 | 0.000 | 0.000 |
| 295.940 | 287.483 | 553.114 | -0.000 | -0.000 | 0.000 |
| -1.171 | -10.582 | -1.679 | 330.669 | 0.000 | 0.000 |
| -1.021 | -9.648 | -1.429 | 0.000 | 334.350 | 0.000 |
| -0.471 | -6.141 | -0.516 | 0.000 | -0.000 | 328.791 |
| 546.017 | 298.516 | 297.119 | -0.000 | -0.000 | -0.000 |
| 300.338 | 561.699 | 300.291 | -0.000 | -0.000 | -0.000 |
| 298.631 | 299.981 | 557.917 | -0.000 | -0.000 | -0.000 |
| 1.171 | 10.582 | 1.679 | 330.669 | 0.000 | -0.000 |
| 1.021 | 9.648 | 1.429 | 0.000 | 334.350 | -0.000 |
| 1.325 | 10.816 | 1.914 | -0.000 | 0.000 | 332.784 |
| 545.023 | 296.481 | 295.286 | -0.000 | 0.000 | 0.000 |
| 299.039 | 556.159 | 297.611 | 0.000 | -0.000 | 0.000 |
| 298.631 | 299.981 | 557.917 | -0.000 | -0.000 | 0.000 |
| -0.046 | -0.603 | -0.051 | 335.384 | 0.000 | 0.000 |
| -0.123 | -1.001 | -0.169 | -0.000 | 335.449 | 0.000 |
| -0.134 | -1.066 | -0.189 | -0.000 | 0.000 | 330.158 |
| 545.218 | 298.606 | 295.751 | 0.000 | 0.000 | -0.000 |
| 299.547 | 557.995 | 298.358 | 0.000 | -0.000 | -0.000 |
| 297.243 | 298.845 | 555.160 | 0.000 | -0.000 | -0.000 |
| 0.046 | 0.603 | 0.051 | 335.384 | -0.000 | -0.000 |
| 0.123 | 1.001 | 0.169 | 0.000 | 335.449 | -0.000 |
| 0.134 | 1.066 | 0.189 | 0.000 | 0.000 | 330.158 |
| 545.084 | 297.493 | 295.566 | -0.000 | 0.000 | -0.000 |
| 299.416 | 556.894 | 298.177 | -0.000 | 0.000 | 0.000 |
| 297.084 | 297.764 | 554.963 | -0.000 | 0.000 | 0.000 |
| -0.012 | -0.112 | -0.018 | 329.061 | -0.000 | 0.000 |
| -0.013 | -0.100 | -0.017 | -0.000 | 335.449 | 0.000 |
| -0.014 | -0.107 | -0.019 | 0.000 | -0.000 | 330.138 |
| 546.017 | 298.515 | 297.118 | -0.000 | -0.000 | -0.000 |
| 299.353 | 557.152 | 298.194 | 0.000 | 0.000 | -0.000 |
| 298.630 | 299.980 | 557.916 | 0.000 | 0.000 | -0.000 |
| 0.012 | 0.112 | 0.018 | 329.061 | 0.000 | -0.000 |
| 0.013 | 0.100 | 0.017 | 0.000 | 335.449 | -0.000 |
| 0.014 | 0.107 | 0.019 | 0.000 | -0.000 | 330.138 |
| 556.790 | 301.292 | 301.344 | -0.000 | 0.001 | -0.000 |
| 301.466 | 552.855 | 299.196 | -0.000 | 0.000 | -0.000 |
| 303.866 | 300.794 | 558.808 | 0.000 | 0.000 | -0.000 |
| 0.000 | -0.001 | -0.000 | 340.131 | 0.000 | -0.000 |
| 0.000 | -0.001 | 0.000 | 0.000 | 324.352 | -0.000 |
| 0.000 | -0.001 | -0.000 | 0.000 | 0.000 | 331.425 |
| 556.790 | 301.293 | 301.344 | 0.000 | -0.001 | 0.000 |
| 301.466 | 552.856 | 299.196 | 0.000 | -0.000 | 0.000 |
| 301.975 | 299.396 | 556.012 | 0.000 | -0.000 | 0.000 |
| -0.000 | 0.001 | 0.000 | 340.132 | -0.000 | 0.000 |
| -0.000 | 0.001 | -0.000 | -0.000 | 324.351 | 0.000 |
| -0.000 | 0.001 | 0.000 | 0.000 | -0.001 | 331.425 |
| 556.525 | 301.557 | 301.749 | 0.000 | 0.000 | -0.000 |
| 301.549 | 552.741 | 299.209 | 0.000 | 0.000 | -0.000 |
| 301.695 | 299.238 | 555.886 | -0.000 | 0.000 | -0.000 |
| 0.000 | -0.000 | -0.000 | 338.172 | 0.000 | -0.000 |
| -0.000 | -0.000 | -0.000 | 0.000 | 330.904 | -0.000 |
| -0.000 | 0.000 | 0.000 | 0.000 | 0.000 | 519.598 |
| 556.589 | 301.479 | 301.748 | -0.000 | -0.000 | -0.000 |
| 301.466 | 552.855 | 299.196 | 0.000 | -0.000 | 0.000 |
| 303.866 | 300.795 | 558.808 | -0.000 | -0.000 | 0.000 |
| -0.000 | 0.000 | 0.000 | 338.172 | -0.000 | 0.000 |
| 0.000 | 0.000 | 0.000 | -0.000 | 323.377 | 0.000 |
| 0.000 | -0.000 | -0.000 | -0.000 | -0.000 | 519.598 |
| 556.790 | 301.293 | 301.345 | -0.000 | 0.000 | -0.000 |
| 301.467 | 552.856 | 299.197 | -0.000 | 0.000 | -0.000 |
| 301.760 | 299.211 | 555.877 | -0.000 | 0.000 | -0.000 |
| 0.000 | -0.001 | 0.000 | 338.193 | 0.000 | -0.000 |
| -0.001 | 0.000 | -0.000 | 0.000 | 324.351 | -0.000 |
| -0.001 | -0.000 | 0.000 | 0.000 | 0.000 | 331.304 |
| 561.186 | 302.499 | 303.865 | 0.000 | -0.000 | 0.000 |
| 301.465 | 552.854 | 299.195 | 0.000 | -0.000 | 0.000 |
| 301.974 | 299.394 | 556.011 | 0.000 | -0.000 | 0.000 |
| -0.000 | 0.001 | -0.000 | 338.193 | -0.000 | 0.000 |
| 0.001 | -0.000 | 0.000 | 0.000 | 324.351 | 0.000 |
| 0.001 | 0.000 | -0.000 | 0.000 | -0.000 | 331.304 |
| 682.974 | 94.294 | 319.251 | 0.000 | -0.000 | -0.000 |
| 94.868 | 836.505 | 281.633 | -0.000 | -0.000 | 0.000 |
| 325.083 | 276.425 | 554.847 | -0.000 | -0.000 | -0.000 |
| 0.000 | -0.001 | -0.000 | 317.777 | -0.000 | 0.000 |
| 0.000 | -0.000 | -0.000 | -0.000 | 341.483 | -0.000 |
| 0.000 | -0.000 | -0.000 | -0.000 | -0.000 | 127.474 |
| 682.974 | 94.295 | 319.251 | 0.000 | 0.000 | 0.000 |
| 94.868 | 836.505 | 281.633 | 0.000 | 0.000 | -0.000 |
| 325.082 | 276.426 | 554.847 | 0.000 | -0.000 | 0.000 |
| -0.000 | 0.000 | 0.000 | 317.777 | 0.000 | 0.000 |
| -0.000 | 0.000 | -0.000 | 0.000 | 341.483 | -0.000 |
| -0.000 | 0.001 | 0.000 | 0.000 | -0.000 | 127.474 |
| 682.947 | 94.740 | 319.387 | -0.000 | -0.000 | -0.000 |
| 94.868 | 836.505 | 281.633 | 0.000 | -0.000 | -0.000 |
| 319.335 | 281.881 | 554.428 | 0.000 | -0.000 | -0.000 |
| -0.000 | -0.000 | -0.000 | 317.777 | -0.000 | -0.000 |
| -0.000 | -0.000 | 0.000 | -0.000 | 340.626 | -0.000 |
| 0.000 | -0.000 | -0.000 | -0.000 | -0.000 | 127.474 |
| 682.947 | 94.740 | 319.387 | 0.000 | 0.000 | 0.000 |
| 94.867 | 836.505 | 281.633 | -0.000 | 0.000 | 0.000 |
| 319.335 | 281.881 | 554.427 | 0.000 | 0.000 | 0.000 |
| 0.000 | 0.000 | 0.000 | 317.777 | 0.000 | 0.000 |
| 0.000 | 0.000 | -0.000 | 0.000 | 340.626 | 0.000 |
| -0.000 | 0.000 | 0.000 | -0.000 | 0.000 | 127.474 |
| 682.947 | 94.741 | 319.388 | 0.000 | -0.000 | -0.000 |
| 94.740 | 836.502 | 281.669 | -0.000 | 0.000 | -0.000 |
| 319.388 | 281.668 | 554.423 | 0.000 | -0.000 | -0.000 |
| -0.000 | -0.000 | -0.000 | 317.777 | -0.000 | -0.000 |
| -0.001 | 0.000 | 0.000 | 0.000 | 340.626 | -0.000 |
| -0.000 | -0.000 | 0.000 | -0.000 | -0.000 | 127.474 |
| 682.947 | 94.739 | 319.385 | -0.000 | -0.000 | 0.000 |
| 94.740 | 836.499 | 281.666 | -0.000 | 0.000 | 0.000 |
| 319.386 | 281.667 | 554.422 | 0.000 | 0.000 | 0.000 |
| 0.000 | 0.000 | 0.000 | 317.777 | 0.000 | -0.000 |
| 0.001 | -0.000 | -0.000 | -0.000 | 340.626 | 0.000 |
| 0.000 | 0.000 | -0.000 | 0.000 | 0.000 | 127.474 |
| 828.528 | 83.861 | 288.396 | -0.000 | -0.000 | -0.000 |
| 92.440 | 699.603 | 307.661 | 0.001 | -0.000 | -0.000 |
| 317.206 | 280.410 | 551.958 | 0.000 | -0.000 | 0.000 |
| -0.028 | 0.021 | -0.002 | 335.944 | -0.000 | -0.000 |
| -0.028 | 0.020 | -0.002 | -0.000 | 316.347 | -0.000 |
| -0.031 | 0.025 | -0.002 | 0.000 | 0.000 | 134.173 |
| 828.585 | 83.818 | 288.399 | -0.000 | 0.000 | 0.000 |
| 92.497 | 699.559 | 307.665 | 0.000 | 0.000 | -0.000 |
| 286.069 | 306.714 | 545.234 | 0.000 | -0.000 | 0.000 |
| 0.028 | -0.021 | 0.002 | 335.944 | 0.000 | -0.000 |
| 0.028 | -0.020 | 0.002 | 0.000 | 316.348 | 0.000 |
| 0.031 | -0.025 | 0.002 | -0.000 | 0.000 | 134.173 |
| 828.553 | 83.842 | 288.397 | -0.000 | -0.000 | -0.000 |
| 92.890 | 699.557 | 307.796 | -0.000 | -0.000 | 0.000 |
| 291.386 | 301.411 | 544.736 | 0.000 | 0.000 | -0.000 |
| -0.003 | 0.002 | -0.000 | 335.150 | -0.000 | -0.000 |
| -0.003 | 0.002 | -0.000 | -0.000 | 316.347 | -0.000 |
| -0.003 | 0.003 | -0.000 | 0.000 | 0.000 | 134.173 |
| 828.559 | 83.837 | 288.398 | -0.000 | 0.000 | 0.000 |
| 92.895 | 699.552 | 307.796 | 0.000 | 0.000 | 0.000 |
| 291.392 | 301.407 | 544.736 | -0.000 | 0.000 | 0.000 |
| 0.003 | -0.002 | 0.000 | 335.150 | 0.000 | 0.000 |
| 0.003 | -0.002 | 0.000 | 0.000 | 316.347 | 0.000 |
| 0.003 | -0.002 | 0.000 | -0.000 | -0.000 | 134.173 |
| 828.551 | 83.700 | 288.429 | 0.000 | 0.000 | -0.000 |
| 92.894 | 699.555 | 307.798 | -0.000 | 0.000 | 0.000 |
| 291.240 | 301.417 | 544.732 | -0.000 | 0.000 | -0.000 |
| 0.000 | -0.000 | 0.000 | 335.150 | -0.000 | 0.000 |
| -0.000 | 0.000 | -0.000 | 0.000 | 316.347 | -0.000 |
| -0.000 | 0.000 | -0.000 | 0.000 | -0.000 | 134.173 |
| 828.549 | 83.700 | 288.426 | -0.000 | 0.000 | 0.000 |
| 89.256 | 702.124 | 304.235 | 0.000 | 0.000 | -0.000 |
| 291.239 | 301.415 | 544.731 | 0.000 | -0.000 | 0.000 |
| -0.000 | 0.000 | -0.000 | 335.150 | 0.000 | -0.000 |
| 0.000 | -0.000 | 0.000 | 0.000 | 316.347 | 0.000 |
| 0.000 | -0.000 | 0.000 | -0.000 | -0.000 | 134.173 |
| 3417.693 | 2717.750 | 2717.750 | -0.000 | -0.001 | -0.000 |
| 2717.751 | 3417.693 | 2717.750 | -0.000 | -0.001 | -0.000 |
| 2717.751 | 2717.750 | 3417.693 | 0.000 | 0.001 | -0.000 |
| -0.000 | 0.000 | 0.000 | 517.020 | -0.000 | -0.000 |
| 0.000 | -0.000 | 0.001 | 0.000 | 517.021 | -0.000 |
| 0.001 | -0.000 | 0.000 | 0.000 | -0.000 | 517.020 |
| 3417.691 | 2717.753 | 2717.752 | 0.000 | 0.001 | 0.000 |
| 2717.752 | 3417.691 | 2717.752 | 0.001 | 0.001 | 0.000 |
| 2717.752 | 2717.753 | 3417.691 | 0.001 | 0.001 | 0.000 |
| -0.000 | 0.000 | 0.000 | 517.020 | 0.000 | -0.000 |
| -0.000 | 0.000 | -0.001 | -0.000 | 517.021 | 0.000 |
| -0.000 | -0.000 | -0.000 | -0.000 | 0.000 | 517.021 |
| 3402.614 | 2725.291 | 2725.291 | -0.000 | -0.000 | -0.000 |
| 2725.291 | 3402.614 | 2725.291 | -0.000 | -0.000 | -0.000 |
| 2725.291 | 2725.291 | 3402.614 | -0.000 | -0.000 | -0.000 |
| -0.000 | 0.000 | 0.001 | 517.021 | -0.000 | 0.000 |
| 0.000 | -0.001 | 0.001 | -0.000 | 517.021 | 0.000 |
| 0.000 | 0.000 | -0.000 | 0.000 | -0.000 | 517.021 |
| 3417.689 | 2717.753 | 2717.753 | 0.000 | 0.000 | 0.000 |
| 2717.753 | 3417.689 | 2717.753 | 0.000 | 0.000 | 0.000 |
| 2717.753 | 2717.753 | 3417.689 | 0.000 | 0.000 | 0.000 |
| 0.000 | -0.000 | -0.001 | 517.020 | 0.000 | -0.000 |
| -0.000 | 0.001 | -0.001 | 0.000 | 517.021 | -0.000 |
| -0.000 | -0.001 | 0.001 | 0.000 | 0.000 | 517.021 |
| 3417.728 | 2717.737 | 2717.737 | -0.000 | -0.000 | 0.000 |
| 2717.737 | 3417.728 | 2717.737 | -0.000 | -0.000 | 0.000 |
| 2717.737 | 2717.737 | 3417.728 | -0.000 | -0.000 | -0.000 |
| -0.005 | 0.004 | 0.005 | 517.021 | 0.000 | -0.000 |
| 0.004 | -0.005 | 0.005 | -0.000 | 517.021 | 0.000 |
| 0.004 | 0.005 | -0.005 | -0.000 | -0.000 | 517.021 |
| 3402.580 | 2725.306 | 2725.306 | 0.000 | 0.000 | 0.000 |
| 2725.306 | 3402.580 | 2725.306 | 0.000 | -0.000 | 0.000 |
| 2725.306 | 2725.306 | 3402.580 | 0.000 | 0.000 | 0.000 |
| 0.005 | -0.004 | -0.005 | 517.021 | -0.000 | -0.000 |
| -0.004 | 0.005 | -0.005 | 0.000 | 517.021 | -0.000 |
| -0.004 | -0.005 | 0.005 | 0.000 | 0.000 | 517.021 |
| 11166.483 | 3606.478 | 3606.478 | -0.000 | -0.000 | 0.000 |
| 3606.478 | 11166.484 | 3606.478 | -0.000 | -0.000 | -0.000 |
| 3606.478 | 3606.478 | 11166.483 | -0.000 | -0.000 | -0.000 |
| -0.000 | -0.000 | -0.000 | 347.851 | -0.000 | -0.000 |
| -0.000 | -0.000 | -0.000 | -0.000 | 347.851 | 0.000 |
| -0.000 | -0.000 | -0.000 | 0.000 | -0.000 | 347.851 |
| 11166.490 | 3606.479 | 3606.479 | 0.000 | 0.000 | -0.000 |
| 3606.479 | 11166.490 | 3606.479 | 0.000 | 0.000 | 0.000 |
| 3606.479 | 3606.479 | 11166.490 | 0.000 | 0.000 | -0.000 |
| 0.000 | 0.000 | 0.000 | 347.851 | 0.000 | -0.000 |
| 0.000 | 0.000 | 0.000 | -0.000 | 347.852 | -0.000 |
| 0.000 | 0.000 | 0.000 | -0.000 | 0.000 | 347.851 |
| 11166.454 | 3606.475 | 3606.475 | -0.000 | -0.000 | -0.000 |
| 3606.475 | 11166.454 | 3606.475 | -0.000 | -0.000 | 0.000 |
| 3606.475 | 3606.475 | 11166.454 | 0.000 | 0.000 | 0.000 |
| -0.001 | -0.000 | -0.000 | 347.849 | -0.000 | 0.000 |
| -0.000 | -0.001 | -0.000 | 0.000 | 347.849 | -0.000 |
| -0.000 | -0.000 | -0.001 | 0.000 | -0.000 | 347.849 |
| 11166.519 | 3606.482 | 3606.482 | 0.000 | -0.000 | -0.000 |
| 3606.482 | 11166.519 | 3606.482 | -0.000 | 0.000 | -0.000 |
| 3606.482 | 3606.482 | 11166.519 | 0.000 | 0.000 | 0.000 |
| 0.001 | 0.000 | 0.000 | 347.849 | 0.000 | 0.000 |
| 0.000 | 0.001 | 0.000 | -0.000 | 347.849 | 0.000 |
| 0.000 | 0.000 | 0.001 | 0.000 | 0.000 | 347.849 |
| 11166.137 | 3606.455 | 3606.455 | -0.000 | -0.000 | 0.000 |
| 3606.455 | 11166.137 | 3606.455 | -0.000 | -0.000 | -0.000 |
| 3606.455 | 3606.455 | 11166.137 | -0.000 | -0.000 | 0.000 |
| -0.003 | -0.005 | -0.008 | 347.851 | -0.000 | 0.000 |
| -0.005 | -0.003 | -0.008 | -0.000 | 347.851 | 0.000 |
| -0.005 | -0.008 | -0.003 | 0.000 | -0.000 | 347.851 |
| 11166.784 | 3606.528 | 3606.528 | 0.000 | 0.000 | -0.000 |
| 3606.528 | 11166.784 | 3606.528 | -0.000 | 0.000 | 0.000 |
| 3606.528 | 3606.528 | 11166.784 | 0.000 | 0.000 | 0.000 |
| 0.003 | 0.005 | 0.008 | 347.851 | 0.000 | -0.000 |
| 0.005 | 0.003 | 0.008 | 0.000 | 347.851 | 0.000 |
| 0.005 | 0.008 | 0.003 | 0.000 | 0.000 | 347.851 |
| 2307.266 | 2203.565 | 2203.565 | -0.000 | 0.000 | -0.000 |
| 2203.565 | 2307.265 | 2203.565 | 0.000 | 0.000 | 0.000 |
| 2203.565 | 2203.565 | 2307.266 | -0.000 | 0.000 | 0.000 |
| -0.000 | -0.000 | -0.000 | -4748.080 | 0.000 | 0.000 |
| -0.000 | -0.000 | -0.000 | 0.000 | -4748.080 | 0.000 |
| -0.000 | -0.000 | -0.000 | 0.000 | 0.000 | -4748.080 |
| 2307.267 | 2203.566 | 2203.566 | -0.000 | -0.000 | -0.000 |
| 2203.566 | 2307.267 | 2203.566 | -0.000 | -0.000 | -0.000 |
| 2203.566 | 2203.566 | 2307.266 | 0.000 | -0.000 | 0.000 |
| 0.000 | 0.000 | 0.000 | -4748.080 | -0.000 | -0.000 |
| 0.000 | 0.000 | 0.000 | -0.000 | -4748.080 | -0.000 |
| 0.000 | 0.000 | 0.000 | 0.000 | -0.000 | -4748.080 |
| 2307.264 | 2203.565 | 2203.565 | -0.000 | -0.000 | -0.000 |
| 2203.565 | 2307.264 | 2203.565 | -0.000 | -0.000 | -0.000 |
| 2203.565 | 2203.565 | 2307.264 | 0.000 | 0.000 | -0.000 |
| -0.001 | 0.000 | -0.001 | -4748.080 | 0.000 | 0.000 |
| 0.000 | -0.001 | -0.001 | -0.000 | -4748.080 | 0.000 |
| 0.000 | -0.001 | -0.001 | 0.000 | 0.000 | -4748.080 |
| 2307.268 | 2203.567 | 2203.567 | -0.000 | -0.000 | -0.000 |
| 2203.567 | 2307.268 | 2203.567 | -0.000 | -0.000 | -0.000 |
| 2203.567 | 2203.567 | 2307.268 | -0.000 | -0.000 | -0.000 |
| 0.001 | -0.000 | 0.001 | -4748.080 | -0.000 | -0.000 |
| -0.000 | 0.001 | 0.001 | -0.000 | -4748.080 | -0.000 |
| -0.000 | 0.001 | 0.001 | 0.000 | -0.000 | -4748.080 |
| 2307.250 | 2203.553 | 2203.553 | -0.000 | 0.000 | -0.000 |
| 2203.553 | 2307.250 | 2203.553 | -0.000 | 0.000 | 0.000 |
| 2203.553 | 2203.553 | 2307.250 | 0.000 | 0.000 | -0.000 |
| -0.009 | 0.001 | -0.009 | -4748.078 | 0.000 | 0.000 |
| 0.001 | -0.009 | -0.009 | 0.000 | -4748.078 | 0.000 |
| 0.001 | -0.009 | -0.009 | 0.000 | 0.000 | -4748.078 |
| 2307.282 | 2203.578 | 2203.578 | -0.000 | -0.000 | -0.000 |
| 2203.578 | 2307.282 | 2203.578 | 0.000 | -0.000 | 0.000 |
| 2203.578 | 2203.578 | 2307.282 | 0.000 | -0.000 | -0.000 |
| 0.009 | -0.001 | 0.009 | -4748.078 | -0.000 | -0.000 |
| -0.001 | 0.009 | 0.009 | 0.000 | -4748.078 | -0.000 |
| -0.001 | 0.009 | 0.009 | 0.000 | -0.000 | -4748.078 |
| 4900.209 | 6686.940 | 6686.939 | -0.000 | 0.000 | 0.000 |
| 6686.940 | 4900.210 | 6686.939 | -0.000 | 0.000 | 0.001 |
| 6686.940 | 6686.940 | 4900.209 | -0.000 | 0.000 | 0.000 |
| 0.000 | 0.001 | 0.000 | -1007.489 | 0.000 | 0.000 |
| 0.000 | 0.001 | 0.000 | 0.000 | -1007.488 | 0.000 |
| 0.000 | 0.001 | -0.000 | -0.000 | -0.000 | -1007.488 |
| 4900.209 | 6686.939 | 6686.940 | 0.000 | -0.000 | -0.001 |
| 6686.940 | 4900.208 | 6686.940 | 0.000 | -0.000 | -0.001 |
| 6686.940 | 6686.939 | 4900.209 | 0.000 | -0.000 | -0.000 |
| -0.000 | -0.000 | -0.000 | -1007.489 | -0.000 | -0.000 |
| -0.000 | -0.001 | -0.000 | -0.000 | -1007.489 | -0.001 |
| -0.000 | -0.001 | 0.000 | 0.000 | -0.000 | -1007.490 |
| 4900.209 | 6686.939 | 6686.939 | -0.000 | 0.000 | 0.000 |
| 6686.939 | 4900.209 | 6686.939 | -0.000 | 0.000 | 0.000 |
| 6686.939 | 6686.939 | 4900.209 | -0.000 | 0.000 | 0.000 |
| 0.000 | 0.001 | 0.001 | -1007.489 | 0.000 | 0.000 |
| 0.001 | 0.000 | 0.001 | -0.000 | -1007.489 | 0.000 |
| 0.001 | 0.001 | 0.000 | -0.000 | 0.000 | -1007.488 |
| 4900.208 | 6686.940 | 6686.941 | -0.000 | -0.000 | -0.000 |
| 6686.941 | 4900.208 | 6686.941 | 0.000 | -0.000 | -0.000 |
| 6686.941 | 6686.940 | 4900.208 | -0.000 | -0.000 | -0.000 |
| -0.000 | -0.001 | -0.001 | -1007.489 | -0.000 | -0.000 |
| -0.001 | -0.000 | -0.001 | 0.000 | -1007.489 | -0.000 |
| -0.001 | -0.001 | -0.000 | 0.000 | 0.000 | -1007.489 |
| 4900.213 | 6686.930 | 6686.930 | -0.000 | -0.000 | 0.000 |
| 6686.930 | 4900.213 | 6686.930 | 0.000 | 0.000 | 0.000 |
| 6686.930 | 6686.930 | 4900.213 | 0.000 | 0.000 | 0.000 |
| 0.003 | 0.012 | 0.011 | -1007.489 | 0.000 | -0.000 |
| 0.012 | 0.003 | 0.011 | -0.000 | -1007.489 | 0.000 |
| 0.012 | 0.011 | 0.003 | -0.000 | -0.000 | -1007.489 |
| 4900.205 | 6686.950 | 6686.950 | 0.000 | -0.000 | -0.000 |
| 6686.950 | 4900.204 | 6686.950 | -0.000 | -0.000 | -0.000 |
| 6686.950 | 6686.950 | 4900.205 | 0.000 | 0.000 | -0.000 |
| -0.003 | -0.012 | -0.011 | -1007.489 | -0.000 | -0.000 |
| -0.012 | -0.003 | -0.011 | -0.000 | -1007.489 | -0.000 |
| -0.012 | -0.011 | -0.003 | 0.000 | 0.000 | -1007.489 |
| 479.313 | 236.244 | 236.244 | 0.000 | -0.000 | 0.000 |
| 236.243 | 479.313 | 236.244 | -0.000 | 0.000 | 0.000 |
| 236.243 | 236.243 | 479.313 | -0.000 | 0.000 | 0.000 |
| 0.023 | 0.023 | 0.023 | 284.939 | 0.000 | 0.000 |
| 0.023 | 0.022 | 0.023 | 0.000 | 284.939 | -0.000 |
| 0.023 | 0.022 | 0.023 | 0.000 | 0.000 | 284.938 |
| 462.015 | 235.228 | 235.229 | -0.000 | -0.000 | 0.000 |
| 235.229 | 462.014 | 235.229 | -0.000 | -0.000 | 0.000 |
| 235.229 | 235.228 | 462.015 | -0.000 | -0.000 | 0.000 |
| -0.023 | -0.022 | -0.023 | 284.939 | -0.000 | 0.000 |
| -0.023 | -0.023 | -0.023 | -0.000 | 284.939 | 0.001 |
| -0.023 | -0.022 | -0.023 | -0.000 | -0.000 | 284.938 |
| 479.313 | 236.244 | 236.244 | -0.000 | -0.000 | -0.000 |
| 236.244 | 479.313 | 236.244 | 0.000 | -0.000 | 0.000 |
| 236.244 | 236.244 | 479.313 | 0.000 | -0.000 | -0.000 |
| 0.000 | -0.000 | 0.000 | 426.215 | -0.000 | -0.000 |
| -0.000 | 0.000 | 0.000 | 0.000 | 426.215 | 0.000 |
| -0.000 | 0.000 | 0.000 | 0.000 | 0.000 | 426.215 |
| 462.032 | 235.258 | 235.258 | -0.000 | -0.000 | 0.000 |
| 235.258 | 462.032 | 235.258 | -0.000 | -0.000 | -0.000 |
| 235.258 | 235.258 | 462.032 | -0.000 | -0.000 | 0.000 |
| -0.000 | 0.000 | -0.000 | 426.215 | 0.000 | 0.000 |
| 0.000 | -0.000 | -0.000 | -0.000 | 426.215 | -0.000 |
| 0.000 | -0.000 | -0.000 | -0.000 | 0.000 | 426.215 |
| 442.076 | 215.706 | 215.706 | 0.000 | 0.000 | -0.000 |
| 215.706 | 442.076 | 215.706 | 0.000 | 0.000 | -0.000 |
| 215.706 | 215.706 | 442.076 | 0.000 | 0.000 | -0.000 |
| 0.000 | -0.000 | 0.000 | 284.940 | 0.000 | -0.000 |
| -0.000 | 0.000 | 0.000 | 0.000 | 284.940 | 0.000 |
| -0.000 | 0.000 | 0.000 | -0.000 | 0.000 | 284.940 |
| 445.649 | 218.659 | 218.659 | -0.000 | -0.000 | 0.000 |
| 218.659 | 445.649 | 218.659 | -0.000 | -0.000 | 0.000 |
| 218.659 | 218.659 | 445.649 | -0.000 | -0.000 | 0.000 |
| -0.000 | 0.000 | -0.000 | 284.940 | -0.000 | 0.000 |
| 0.000 | -0.000 | -0.000 | -0.000 | 284.940 | 0.000 |
| 0.000 | -0.000 | -0.000 | -0.000 | -0.000 | 284.940 |
| 305.532 | 61.148 | 61.148 | 0.000 | -0.000 | 0.000 |
| 61.148 | 305.532 | 61.148 | 0.000 | -0.000 | 0.000 |
| 61.148 | 61.148 | 305.532 | 0.000 | -0.000 | 0.000 |
| 26.073 | 26.073 | 26.073 | 221.712 | -0.000 | 0.000 |
| 26.073 | 26.073 | 26.073 | 0.000 | 221.711 | -0.000 |
| 26.073 | 26.073 | 26.073 | 0.000 | -0.000 | 221.711 |
| 293.245 | 48.788 | 48.789 | -0.000 | -0.000 | -0.000 |
| 48.789 | 293.245 | 48.789 | -0.000 | -0.000 | -0.000 |
| 48.789 | 48.788 | 293.245 | -0.000 | 0.000 | -0.000 |
| -26.073 | -26.074 | -26.073 | 221.711 | -0.000 | -0.000 |
| -26.073 | -26.073 | -26.073 | -0.000 | 221.711 | 0.000 |
| -26.073 | -26.073 | -26.073 | -0.000 | 0.000 | 221.711 |
| 460.318 | 215.604 | 215.604 | 0.000 | -0.000 | -0.000 |
| 215.604 | 460.318 | 215.604 | 0.000 | -0.000 | -0.000 |
| 215.604 | 215.604 | 460.318 | 0.000 | -0.000 | -0.000 |
| 0.000 | -0.000 | 0.000 | 759.764 | -0.000 | 0.000 |
| -0.000 | 0.000 | 0.000 | 0.000 | 759.764 | 0.000 |
| 1.817 | 1.817 | 1.817 | 0.000 | 0.000 | 384.846 |
| 457.238 | 212.523 | 212.523 | -0.000 | 0.000 | 0.000 |
| 212.523 | 457.238 | 212.523 | -0.000 | 0.000 | 0.000 |
| 212.523 | 212.523 | 457.238 | -0.000 | -0.000 | 0.000 |
| -0.000 | 0.000 | -0.000 | 759.764 | -0.000 | -0.000 |
| 0.000 | -0.000 | -0.000 | -0.000 | 759.764 | 0.000 |
| 0.000 | -0.000 | -0.000 | -0.000 | 0.000 | 759.764 |
| 460.832 | 216.115 | 216.115 | -0.000 | -0.000 | -0.000 |
| 216.115 | 460.832 | 216.115 | -0.000 | 0.000 | 0.000 |
| 216.115 | 216.115 | 460.832 | 0.000 | 0.000 | 0.000 |
| -0.076 | -0.076 | -0.076 | 290.227 | 0.000 | 0.000 |
| -0.076 | -0.076 | -0.076 | 0.000 | 290.227 | -0.000 |
| -0.076 | -0.076 | -0.076 | 0.000 | 0.000 | 290.227 |
| 455.151 | 217.428 | 217.428 | -0.000 | 0.000 | -0.000 |
| 217.428 | 455.151 | 217.428 | -0.000 | 0.000 | 0.000 |
| 217.428 | 217.428 | 455.151 | 0.000 | 0.000 | -0.000 |
| 0.076 | 0.076 | 0.076 | 290.227 | -0.000 | -0.000 |
| 0.076 | 0.076 | 0.076 | -0.000 | 290.227 | -0.000 |
| 0.076 | 0.076 | 0.076 | -0.000 | -0.000 | 290.227 |
| -2246.209 | -2634.265 | 4754.010 | 58.741 | 0.000 | -0.000 |
| -4193.737 | -3609.968 | 7874.282 | -126.597 | -0.001 | -0.000 |
| -4229.338 | -4229.338 | 8554.939 | -0.000 | 0.000 | -0.000 |
| -3767.082 | -3965.789 | 6906.610 | 211.488 | 0.000 | 0.001 |
| -4350.908 | -4350.908 | 7762.532 | 0.000 | 230.768 | 126.245 |
| -4351.158 | -4351.158 | 7762.928 | -0.000 | 126.233 | 291.360 |
| 5091.527 | 4509.817 | -7652.042 | 125.884 | -0.000 | 0.000 |
| 3070.215 | 3459.005 | -4399.599 | -58.995 | -0.000 | -0.000 |
| 30.527 | 30.528 | 966.703 | 0.000 | -0.000 | -0.000 |
| 2911.362 | 2793.640 | -4576.908 | 184.051 | -0.000 | 0.000 |
| 4350.908 | 4350.908 | -7762.533 | -0.000 | 230.769 | 126.245 |
| 4351.158 | 4351.159 | -7762.928 | 0.000 | 126.234 | 291.360 |
| 306.161 | -201.216 | 818.994 | 99.627 | 0.000 | -0.000 |
| -277.264 | 309.886 | 882.426 | -127.769 | -0.000 | -0.000 |
| -307.189 | -307.189 | 1556.394 | -0.000 | 0.000 | 0.000 |
| -309.222 | -560.223 | 775.110 | 230.250 | 0.000 | 0.000 |
| -434.630 | -434.630 | 774.962 | -0.000 | 230.277 | 125.539 |
| 0.000 | -0.000 | -0.000 | 0.000 | 168.907 | 352.966 |
| 893.961 | 498.347 | -278.842 | 61.361 | -0.000 | 0.000 |
| 572.855 | 1080.072 | -563.615 | -99.571 | -0.000 | 0.000 |
| 549.507 | 549.507 | 30.094 | -0.000 | -0.000 | -0.000 |
| 343.409 | 224.803 | -455.855 | 184.361 | 0.000 | -0.000 |
| 434.630 | 434.630 | -774.962 | 0.000 | 230.277 | 125.539 |
| -0.000 | 0.000 | 0.000 | -0.000 | 168.907 | 352.966 |
| 662.141 | 134.562 | 199.273 | 107.118 | 0.000 | 0.000 |
| 146.372 | 655.441 | 196.572 | -100.219 | 0.000 | -0.000 |
| 111.166 | 111.166 | 810.708 | -0.000 | 0.000 | -0.000 |
| 56.783 | -102.945 | 37.034 | 198.820 | -0.000 | -0.000 |
| 0.000 | 0.000 | -0.000 | 0.000 | 261.439 | 168.907 |
| -21.152 | -21.152 | 33.939 | -0.000 | 87.307 | 235.240 |
| 708.939 | 215.617 | 90.779 | 95.223 | -0.000 | 0.000 |
| 222.300 | 736.109 | 57.951 | -102.346 | 0.000 | -0.000 |
| 173.805 | 173.805 | 702.940 | -0.000 | 0.000 | 0.000 |
| 138.687 | -61.024 | -69.591 | 211.779 | 0.000 | -0.000 |
| -0.000 | -0.000 | 0.000 | -0.000 | 261.439 | 168.907 |
| 21.152 | 21.152 | -33.939 | 0.000 | 87.307 | 235.240 |
| 704.701 | 47.294 | 249.646 | -0.000 | -0.000 | -0.000 |
| 47.293 | 704.701 | 249.646 | -0.000 | 0.000 | -0.000 |
| 250.736 | 250.736 | 512.259 | -0.000 | 0.000 | 0.000 |
| -0.000 | 0.000 | 0.000 | 477.399 | 0.000 | 0.000 |
| 0.000 | -0.000 | 0.000 | -0.000 | 477.399 | -0.000 |
| -0.000 | -0.000 | 0.000 | -0.000 | 0.000 | 128.208 |
| 703.036 | 48.880 | 249.207 | 0.000 | -0.000 | 0.000 |
| 48.880 | 703.036 | 249.207 | 0.000 | 0.000 | 0.000 |
| 251.406 | 251.407 | 518.890 | 0.000 | 0.000 | 0.000 |
| 0.000 | -0.000 | -0.000 | 477.399 | -0.000 | 0.000 |
| -0.000 | 0.000 | -0.000 | 0.000 | 477.399 | 0.000 |
| 0.000 | 0.000 | 0.000 | 0.000 | -0.000 | 128.208 |
| 845.638 | -93.597 | 249.864 | -0.000 | -0.000 | -0.000 |
| -93.597 | 845.638 | 249.864 | -0.000 | -0.000 | -0.000 |
| 250.730 | 250.730 | 512.169 | 0.000 | -0.000 | -0.000 |
| -0.000 | 0.000 | 0.000 | 477.399 | 0.000 | 0.000 |
| 0.000 | -0.000 | 0.000 | -0.000 | 477.399 | -0.000 |
| -0.000 | -0.000 | 0.000 | -0.000 | -0.000 | 128.208 |
| 704.692 | 47.280 | 249.503 | 0.000 | -0.000 | -0.000 |
| 47.280 | 704.692 | 249.503 | 0.000 | 0.000 | 0.000 |
| 250.902 | 250.902 | 513.545 | 0.000 | -0.000 | 0.000 |
| 0.000 | -0.000 | -0.000 | 477.399 | -0.000 | 0.000 |
| -0.000 | 0.000 | -0.000 | 0.000 | 477.399 | 0.000 |
| 0.000 | 0.000 | -0.000 | 0.000 | -0.000 | 128.208 |
| 703.042 | 48.894 | 249.336 | -0.000 | 0.000 | -0.000 |
| 48.894 | 703.042 | 249.336 | -0.000 | 0.000 | 0.000 |
| 250.730 | 250.730 | 512.161 | -0.000 | 0.000 | -0.000 |
| 0.001 | -0.000 | 0.001 | 332.317 | 0.000 | 0.000 |
| -0.000 | 0.001 | 0.001 | 0.000 | 332.317 | -0.000 |
| -0.000 | -0.000 | 0.000 | -0.000 | -0.000 | 128.208 |
| 704.692 | 47.280 | 249.513 | 0.000 | 0.000 | 0.000 |
| 47.280 | 704.692 | 249.514 | 0.000 | 0.000 | -0.000 |
| 250.729 | 250.729 | 512.157 | 0.000 | 0.000 | 0.000 |
| -0.001 | 0.000 | -0.001 | 332.317 | -0.000 | 0.000 |
| 0.000 | -0.001 | -0.001 | -0.000 | 332.317 | 0.000 |
| 0.000 | 0.000 | -0.000 | 0.000 | -0.000 | 128.208 |
| 693.429 | 42.973 | 262.767 | -0.000 | 0.000 | -0.000 |
| -88.183 | 855.642 | 238.712 | 0.000 | 0.000 | -0.000 |
| 270.173 | 234.303 | 518.422 | -0.001 | 0.000 | -0.000 |
| 1.172 | -0.933 | 0.248 | 321.025 | 0.000 | -0.000 |
| 0.000 | -0.000 | 0.000 | -0.000 | 483.905 | -0.000 |
| 2.792 | -2.316 | 0.318 | -0.000 | 0.000 | 132.899 |
| 687.621 | 48.277 | 261.996 | 0.000 | -0.000 | 0.000 |
| 54.715 | 720.850 | 239.319 | 0.000 | -0.000 | 0.000 |
| 265.669 | 237.621 | 512.243 | -0.000 | -0.000 | -0.000 |
| -1.172 | 0.933 | -0.248 | 321.025 | -0.000 | -0.000 |
| 0.000 | 0.000 | -0.000 | -0.000 | 483.905 | 0.000 |
| -2.792 | 2.315 | -0.318 | 0.000 | -0.000 | 132.899 |
| 688.770 | 47.556 | 262.046 | -0.000 | 0.000 | -0.000 |
| 55.889 | 719.866 | 239.442 | -0.000 | -0.000 | -0.000 |
| 268.962 | 235.049 | 512.409 | -0.000 | 0.000 | -0.000 |
| 0.142 | -0.119 | 0.027 | 320.299 | 0.000 | -0.000 |
| 0.000 | -0.000 | 0.000 | -0.000 | 483.905 | -0.000 |
| 0.000 | -0.000 | 0.000 | 0.000 | 0.000 | 133.968 |
| 688.493 | 47.787 | 261.993 | 0.000 | -0.000 | 0.000 |
| -88.183 | 855.642 | 238.712 | 0.000 | 0.000 | 0.000 |
| 267.552 | 236.055 | 512.394 | -0.000 | -0.000 | -0.000 |
| -0.142 | 0.119 | -0.027 | 320.299 | -0.000 | -0.000 |
| -0.000 | 0.000 | -0.000 | 0.000 | 483.905 | 0.000 |
| 0.000 | 0.000 | -0.000 | -0.000 | -0.000 | 133.968 |
| 688.646 | 47.661 | 262.023 | 0.000 | 0.000 | -0.000 |
| 58.379 | 715.789 | 239.900 | -0.000 | 0.000 | 0.000 |
| 268.344 | 235.661 | 512.382 | -0.000 | 0.000 | -0.000 |
| 0.014 | -0.012 | 0.003 | 320.299 | 0.000 | -0.000 |
| 0.014 | -0.011 | 0.003 | -0.000 | 333.624 | 0.000 |
| 0.014 | -0.011 | 0.004 | -0.000 | 0.000 | 132.377 |
| 689.187 | 46.961 | 262.230 | 0.000 | -0.000 | 0.000 |
| 58.047 | 716.364 | 239.689 | 0.000 | -0.000 | -0.000 |
| 267.746 | 235.893 | 512.417 | 0.000 | -0.000 | 0.000 |
| -0.014 | 0.012 | -0.003 | 320.299 | -0.000 | -0.000 |
| -0.014 | 0.011 | -0.003 | 0.000 | 333.624 | -0.000 |
| -0.014 | 0.011 | -0.004 | 0.000 | -0.000 | 132.377 |
| 148.668 | 64.952 | -347.293 | -133.100 | 471.883 | 210.074 |
| -777.967 | 45.058 | -1449.903 | 64.266 | 314.420 | -296.961 |
| -412.916 | 42.027 | 29.858 | -45.323 | 340.233 | 97.538 |
| 225.068 | 87.066 | 215.361 | 176.755 | -117.473 | -70.705 |
| -189.156 | -22.487 | -215.095 | 36.685 | 334.360 | 113.865 |
| -92.606 | -13.065 | -338.103 | -202.825 | 147.660 | 266.506 |
| 942.007 | 257.152 | 486.665 | 164.073 | -223.633 | -22.963 |
| 759.719 | 589.542 | 514.740 | 150.583 | -562.999 | 10.946 |
| -326.295 | 271.044 | 173.023 | 86.049 | 351.175 | 13.886 |
| 225.068 | 87.066 | 215.361 | 176.755 | -117.473 | -70.705 |
| 867.655 | 294.018 | 1378.690 | -27.753 | -253.865 | 435.832 |
| 342.592 | 262.301 | 397.970 | 112.971 | -150.273 | 52.044 |
| 609.370 | 140.310 | 81.692 | 10.460 | -18.428 | 97.820 |
| 125.359 | 432.323 | 72.569 | -1.793 | -17.677 | 140.375 |
| -62.142 | -1.813 | -111.573 | 13.807 | -8.629 | -69.255 |
| -2.877 | 29.970 | 6.932 | 67.626 | 49.064 | -12.480 |
| -51.220 | -6.115 | -100.607 | 72.123 | 225.240 | 83.429 |
| 6.128 | 115.989 | -57.408 | -64.811 | 89.386 | 158.466 |
| 634.884 | 164.601 | 158.737 | 21.063 | -77.229 | 79.129 |
| 181.879 | 479.086 | 144.329 | 25.034 | -66.492 | 110.952 |
| 131.002 | 67.153 | 421.565 | 56.672 | -105.340 | -4.878 |
| 53.646 | 40.721 | 86.055 | 67.941 | -2.967 | -35.672 |
| 1.174 | -28.993 | -36.743 | 42.573 | 75.612 | 24.941 |
| 335.497 | 128.575 | 161.725 | -26.701 | -157.033 | 197.826 |
| 539.030 | 112.779 | 21.353 | 8.274 | -39.609 | 55.049 |
| 111.345 | 414.987 | 15.889 | 7.218 | -32.577 | 105.773 |
| 19.554 | 31.767 | 21.813 | 8.330 | -40.339 | -32.373 |
| -5.416 | -9.550 | -21.832 | 11.384 | 5.554 | -7.744 |
| -42.047 | -46.670 | -61.712 | -5.812 | 56.392 | 27.359 |
| 72.793 | 108.184 | -35.665 | -14.285 | 17.752 | 91.005 |
| 552.556 | 118.987 | 49.152 | 6.492 | -44.844 | 63.837 |
| 141.689 | 422.804 | 57.050 | -1.059 | -48.789 | 116.868 |
| 36.954 | 38.858 | 52.328 | 6.159 | -51.278 | -25.930 |
| 16.741 | 12.014 | 21.237 | 2.877 | -12.644 | -1.967 |
| -25.075 | -37.140 | -30.691 | -6.998 | 48.751 | 35.006 |
| 125.709 | 143.655 | 34.092 | -14.083 | 1.891 | 115.715 |
| 869.984 | -97.789 | 253.524 | 0.000 | -0.000 | -0.000 |
| -97.789 | 869.984 | 253.524 | 0.000 | -0.000 | -0.000 |
| 254.253 | 254.253 | 525.876 | 0.000 | -0.000 | 0.000 |
| -0.086 | -0.086 | -0.845 | 346.149 | -0.000 | -0.000 |
| -0.086 | -0.086 | -0.845 | 0.000 | 346.149 | 0.000 |
| -0.000 | -0.000 | 0.000 | 0.000 | -0.000 | 134.031 |
| 869.984 | -97.789 | 253.524 | -0.000 | 0.000 | 0.000 |
| -97.789 | 869.984 | 253.524 | -0.000 | 0.000 | 0.000 |
| 254.636 | 254.636 | 529.722 | -0.000 | 0.000 | -0.000 |
| 0.086 | 0.086 | 0.845 | 346.149 | 0.000 | 0.000 |
| 0.086 | 0.086 | 0.845 | -0.000 | 346.149 | -0.000 |
| 0.000 | 0.000 | 0.000 | -0.000 | 0.000 | 134.031 |
| 727.324 | 44.701 | 252.709 | 0.000 | -0.000 | 0.000 |
| 44.701 | 727.324 | 252.709 | 0.000 | -0.000 | 0.000 |
| 254.449 | 254.449 | 527.834 | 0.000 | -0.000 | 0.000 |
| -0.000 | 0.000 | 0.000 | 490.314 | -0.000 | 0.000 |
| 0.000 | -0.000 | 0.000 | 0.000 | 490.314 | -0.000 |
| -0.000 | -0.000 | 0.000 | 0.000 | -0.000 | 134.031 |
| 727.381 | 44.751 | 253.216 | -0.000 | 0.000 | 0.000 |
| 44.751 | 727.381 | 253.216 | -0.000 | 0.000 | 0.000 |
| 254.311 | 254.311 | 526.711 | -0.000 | 0.000 | -0.000 |
| 0.000 | -0.000 | -0.000 | 490.314 | 0.000 | 0.000 |
| -0.000 | 0.000 | -0.000 | -0.000 | 490.314 | 0.000 |
| 0.000 | 0.000 | 0.000 | -0.000 | 0.000 | 134.031 |
| 727.506 | 44.603 | 253.099 | 0.000 | -0.000 | -0.000 |
| 44.603 | 727.506 | 253.099 | 0.000 | -0.000 | 0.000 |
| 254.310 | 254.310 | 526.781 | 0.000 | -0.000 | 0.000 |
| -0.003 | -0.003 | -0.028 | 337.945 | -0.000 | 0.000 |
| -0.003 | -0.003 | -0.028 | 0.000 | 337.945 | -0.000 |
| -0.003 | -0.003 | -0.027 | 0.000 | -0.000 | 134.031 |
| 727.355 | 44.728 | 252.988 | -0.000 | 0.000 | -0.000 |
| 44.728 | 727.355 | 252.988 | -0.000 | 0.000 | -0.000 |
| 254.470 | 254.470 | 528.052 | -0.000 | 0.000 | -0.000 |
| 0.003 | 0.003 | 0.028 | 337.945 | 0.000 | 0.000 |
| 0.003 | 0.003 | 0.028 | -0.000 | 337.945 | 0.000 |
| 0.003 | 0.003 | 0.027 | -0.000 | 0.000 | 134.031 |
| 737.383 | 45.034 | 259.224 | -0.000 | 0.000 | 0.000 |
| 45.034 | 737.383 | 259.224 | 0.000 | 0.000 | -0.000 |
| 259.606 | 259.606 | 533.663 | -0.000 | 0.000 | -0.000 |
| 0.000 | 0.000 | 0.000 | 337.019 | 0.000 | -0.000 |
| 0.000 | -0.000 | 0.000 | -0.000 | 337.019 | -0.000 |
| 0.000 | -0.000 | 0.000 | -0.000 | 0.000 | 135.031 |
| 737.383 | 45.034 | 259.223 | -0.000 | -0.000 | -0.000 |
| 45.034 | 737.383 | 259.223 | 0.000 | -0.000 | -0.000 |
| 259.606 | 259.606 | 533.663 | 0.000 | -0.000 | 0.000 |
| -0.000 | -0.000 | -0.000 | 337.019 | -0.000 | -0.000 |
| -0.000 | 0.000 | -0.000 | -0.000 | 337.019 | 0.000 |
| -0.000 | 0.000 | -0.000 | 0.000 | -0.000 | 135.032 |
| 737.230 | 45.158 | 259.083 | 0.000 | 0.000 | -0.000 |
| 45.158 | 737.230 | 259.083 | 0.000 | 0.000 | -0.000 |
| 259.097 | 259.097 | 528.535 | 0.000 | 0.000 | -0.000 |
| -0.000 | 0.000 | 0.000 | 336.317 | 0.000 | -0.000 |
| 0.000 | -0.000 | 0.000 | 0.000 | 336.317 | -0.000 |
| -0.000 | -0.000 | 0.000 | -0.000 | 0.000 | 135.032 |
| 737.230 | 45.158 | 259.083 | 0.000 | -0.000 | 0.000 |
| 45.158 | 737.230 | 259.083 | -0.000 | -0.000 | 0.000 |
| 259.243 | 259.243 | 529.715 | -0.000 | -0.000 | 0.000 |
| 0.000 | -0.000 | -0.000 | 336.317 | -0.000 | -0.000 |
| -0.000 | 0.000 | -0.000 | -0.000 | 336.317 | 0.000 |
| 0.000 | 0.000 | -0.000 | 0.000 | -0.000 | 135.032 |
| 737.230 | 45.159 | 259.084 | 0.000 | 0.000 | -0.000 |
| 45.159 | 737.230 | 259.084 | -0.000 | 0.000 | -0.000 |
| 259.070 | 259.070 | 528.186 | -0.000 | 0.000 | -0.000 |
| 0.000 | -0.000 | 0.000 | 336.313 | 0.000 | -0.000 |
| -0.000 | 0.000 | 0.000 | 0.000 | 336.313 | -0.000 |
| -0.000 | -0.000 | 0.000 | -0.000 | 0.000 | 135.032 |
| 737.229 | 45.158 | 259.082 | 0.000 | -0.000 | 0.000 |
| 45.158 | 737.229 | 259.082 | -0.000 | -0.000 | 0.000 |
| 259.069 | 259.069 | 528.185 | -0.000 | -0.000 | 0.000 |
| -0.000 | 0.000 | -0.000 | 336.313 | -0.000 | -0.000 |
| 0.000 | -0.000 | -0.000 | -0.000 | 336.313 | 0.000 |
| 0.000 | 0.000 | -0.000 | 0.000 | -0.000 | 135.032 |
| 733.457 | 35.241 | 260.879 | -0.000 | 0.000 | 0.000 |
| 58.376 | 729.080 | 249.355 | -0.000 | -0.000 | -0.000 |
| 277.626 | 236.289 | 526.417 | -0.000 | -0.000 | -0.000 |
| -0.000 | -0.000 | 0.000 | 486.790 | -0.000 | -0.000 |
| 8.128 | -7.549 | -1.743 | 0.000 | 345.483 | 0.000 |
| 11.316 | -10.532 | -0.912 | -0.000 | -0.000 | 137.222 |
| 715.751 | 51.808 | 262.478 | 0.000 | 0.000 | 0.000 |
| 42.333 | 744.049 | 251.618 | 0.000 | 0.000 | 0.000 |
| 253.864 | 258.417 | 529.071 | 0.000 | 0.000 | 0.000 |
| 0.000 | 0.000 | -0.000 | 486.791 | 0.000 | -0.000 |
| -8.128 | 7.549 | 1.743 | -0.000 | 345.484 | 0.000 |
| -11.316 | 10.532 | 0.912 | 0.000 | 0.000 | 137.222 |
| 724.382 | 43.806 | 261.051 | -0.000 | 0.000 | -0.000 |
| -94.924 | 878.532 | 248.993 | 0.000 | 0.000 | -0.000 |
| 266.192 | 246.785 | 526.766 | -0.000 | -0.000 | -0.000 |
| 0.808 | -0.749 | -0.148 | 335.702 | -0.000 | -0.000 |
| 0.860 | -0.798 | -0.166 | 0.000 | 346.498 | -0.000 |
| 0.884 | -0.816 | -0.310 | -0.000 | -0.000 | 136.061 |
| 723.052 | 45.023 | 261.389 | 0.000 | 0.000 | -0.000 |
| 49.472 | 737.401 | 250.626 | 0.000 | 0.000 | 0.000 |
| 262.355 | 250.499 | 527.434 | -0.000 | 0.000 | 0.000 |
| -0.808 | 0.749 | 0.148 | 335.702 | 0.000 | -0.000 |
| -0.860 | 0.798 | 0.166 | -0.000 | 346.498 | -0.000 |
| -0.884 | 0.816 | 0.310 | 0.000 | 0.000 | 136.061 |
| 723.939 | 44.199 | 261.262 | -0.000 | -0.000 | -0.000 |
| 50.831 | 736.314 | 250.629 | -0.000 | -0.000 | 0.000 |
| 263.924 | 249.040 | 527.274 | -0.000 | -0.000 | -0.000 |
| 0.080 | -0.075 | -0.014 | 334.160 | -0.000 | 0.000 |
| 0.079 | -0.074 | -0.012 | -0.000 | 344.780 | 0.000 |
| 0.090 | -0.083 | -0.031 | 0.000 | -0.000 | 136.041 |
| 723.492 | 44.632 | 261.201 | 0.000 | 0.000 | 0.000 |
| 50.668 | 736.462 | 250.654 | -0.000 | 0.000 | 0.000 |
| 263.633 | 249.307 | 527.301 | 0.000 | 0.000 | 0.000 |
| -0.080 | 0.075 | 0.014 | 334.160 | 0.000 | 0.000 |
| -0.079 | 0.074 | 0.012 | 0.000 | 344.780 | 0.000 |
| -0.090 | 0.083 | 0.031 | 0.000 | 0.000 | 136.041 |
| 734.897 | 47.832 | 258.195 | -0.000 | 0.000 | -0.000 |
| 47.579 | 737.111 | 260.282 | -0.000 | 0.000 | 0.000 |
| 259.547 | 258.975 | 531.787 | 0.000 | 0.000 | -0.000 |
| 0.000 | -0.000 | 0.000 | 335.344 | 0.000 | -0.000 |
| 0.000 | -0.000 | 0.000 | 0.000 | 342.974 | -0.000 |
| 0.000 | -0.001 | 0.000 | 0.000 | 0.000 | 134.249 |
| 880.322 | -98.370 | 259.547 | -0.000 | -0.000 | 0.000 |
| 47.579 | 737.111 | 260.282 | -0.000 | -0.000 | 0.000 |
| 257.096 | 261.415 | 528.339 | 0.000 | -0.000 | 0.000 |
| -0.000 | 0.000 | -0.000 | 335.344 | -0.000 | -0.000 |
| -0.000 | 0.000 | -0.000 | -0.000 | 342.974 | 0.000 |
| -0.000 | 0.001 | -0.000 | -0.000 | -0.000 | 134.249 |
| 880.322 | -98.370 | 259.547 | 0.000 | 0.000 | 0.000 |
| 48.086 | 736.840 | 260.341 | -0.000 | 0.000 | 0.000 |
| 258.129 | 260.368 | 527.929 | 0.000 | 0.000 | -0.000 |
| 0.000 | -0.000 | 0.000 | 343.511 | -0.000 | -0.000 |
| 0.000 | -0.000 | -0.000 | 0.000 | 342.530 | -0.000 |
| 0.000 | -0.000 | 0.000 | 0.000 | 0.000 | 133.379 |
| 880.322 | -98.370 | 259.547 | -0.000 | -0.000 | 0.000 |
| 47.579 | 737.111 | 260.282 | -0.000 | -0.000 | 0.000 |
| 258.129 | 260.368 | 527.929 | 0.000 | -0.000 | 0.000 |
| -0.000 | 0.000 | -0.000 | 343.511 | 0.000 | -0.000 |
| -0.000 | 0.000 | -0.000 | -0.000 | 342.530 | -0.000 |
| -0.000 | 0.000 | -0.000 | -0.000 | -0.000 | 133.379 |
| 736.693 | 46.131 | 258.276 | -0.000 | 0.000 | -0.000 |
| 48.042 | 736.839 | 260.373 | 0.000 | 0.000 | -0.000 |
| 258.066 | 260.411 | 527.926 | -0.000 | 0.000 | -0.000 |
| -0.000 | -0.000 | 0.000 | 335.287 | 0.000 | -0.000 |
| -0.000 | 0.000 | 0.000 | 0.000 | 342.974 | -0.000 |
| -0.000 | -0.000 | 0.000 | -0.000 | 0.000 | 134.249 |
| 734.568 | 48.030 | 258.145 | -0.000 | 0.000 | 0.000 |
| 48.085 | 736.839 | 260.340 | 0.000 | -0.000 | 0.000 |
| 257.096 | 261.414 | 528.338 | 0.000 | -0.000 | 0.000 |
| 0.000 | 0.000 | -0.000 | 335.287 | -0.000 | -0.000 |
| 0.000 | -0.000 | -0.000 | -0.000 | 342.974 | 0.000 |
| 0.000 | 0.000 | -0.000 | 0.000 | -0.000 | 134.249 |
| 732.545 | 248.957 | 3.391 | -47.647 | 0.001 | 0.000 |
| 147.752 | 876.463 | 16.654 | 87.511 | 0.000 | 0.000 |
| 28.232 | 28.233 | 988.306 | -0.000 | -0.000 | 0.000 |
| 97.865 | 90.338 | -162.251 | 148.281 | -0.000 | 0.000 |
| -0.000 | 0.000 | 0.000 | -0.000 | 268.979 | -87.511 |
| 0.000 | 0.000 | -0.002 | -0.000 | -87.511 | 364.355 |
| 876.462 | 147.752 | 16.660 | -87.511 | 0.000 | -0.000 |
| 147.753 | 876.463 | 16.660 | 87.511 | -0.000 | -0.000 |
| 28.233 | 28.233 | 988.304 | 0.000 | -0.000 | -0.000 |
| -90.338 | -97.864 | 162.255 | 148.283 | -0.001 | -0.000 |
| -0.000 | -0.000 | -0.002 | 0.000 | 268.978 | -87.511 |
| -0.000 | -0.000 | 0.001 | 0.000 | -87.511 | 364.355 |
| 697.164 | 220.803 | 113.909 | -47.254 | -0.000 | 0.000 |
| 220.796 | 697.181 | 113.901 | 47.258 | 0.000 | 0.000 |
| 28.233 | 28.233 | 988.307 | -0.000 | -0.000 | 0.000 |
| -40.111 | 48.971 | -7.639 | 212.157 | -0.000 | 0.000 |
| 0.000 | 0.000 | 0.000 | -0.000 | 268.978 | -87.511 |
| 4.219 | 4.219 | -7.273 | -0.000 | -46.593 | 236.108 |
| 876.463 | 147.752 | 16.655 | -87.511 | -0.000 | -0.000 |
| 212.957 | 687.547 | 129.004 | 46.971 | 0.000 | -0.000 |
| 28.233 | 28.233 | 988.306 | 0.000 | -0.000 | -0.000 |
| -48.972 | 40.111 | 7.639 | 212.158 | -0.000 | -0.000 |
| -0.000 | -0.000 | -0.000 | 0.000 | 268.978 | -87.511 |
| -4.219 | -4.219 | 7.273 | 0.000 | -46.593 | 236.108 |
| 697.030 | 208.484 | 123.709 | -58.378 | -0.000 | 0.000 |
| 208.462 | 697.085 | 123.678 | 58.391 | -0.000 | 0.000 |
| 130.133 | 130.133 | 798.585 | -0.000 | 0.000 | 0.000 |
| -51.256 | 51.996 | -0.638 | 221.526 | 0.000 | 0.000 |
| 0.000 | 0.000 | -0.000 | -0.000 | 268.978 | -87.511 |
| 0.430 | 0.430 | -2.300 | 0.000 | -50.074 | 233.926 |
| 702.262 | 212.637 | 116.255 | -49.370 | -0.000 | -0.000 |
| 207.551 | 696.682 | 125.510 | 57.953 | 0.000 | -0.000 |
| 133.659 | 133.659 | 792.258 | 0.000 | 0.000 | -0.000 |
| -50.380 | 49.637 | 1.771 | 218.687 | 0.000 | -0.000 |
| -0.000 | -0.000 | 0.000 | 0.000 | 268.978 | -87.511 |
| -0.430 | -0.430 | 2.300 | -0.000 | -50.074 | 233.926 |
| 699.406 | 211.385 | 118.899 | -3.053 | 0.000 | 0.000 |
| 198.805 | 689.751 | 137.463 | -0.192 | 0.001 | 0.000 |
| 28.011 | 28.011 | 987.929 | 0.002 | 0.001 | 0.000 |
| 1.817 | -1.817 | -0.001 | 268.711 | 0.001 | 0.000 |
| -0.000 | 0.000 | -0.002 | -0.001 | 268.713 | 1.817 |
| -0.000 | 0.000 | -0.002 | -0.001 | 1.818 | 364.268 |
| 706.605 | 215.613 | 109.216 | -2.994 | -0.000 | -0.000 |
| 147.387 | 875.923 | 16.598 | -1.815 | -0.000 | -0.000 |
| 132.503 | 132.503 | 793.598 | -0.002 | -0.000 | -0.000 |
| 1.817 | -1.817 | 0.003 | 268.711 | -0.002 | 0.000 |
| -0.000 | -0.000 | 0.001 | 0.001 | 268.710 | 1.817 |
| -0.000 | -0.000 | 0.001 | 0.001 | 1.815 | 364.268 |
| 875.924 | 147.387 | 16.595 | 1.817 | 0.000 | 0.000 |
| 213.213 | 702.900 | 114.380 | 3.019 | -0.000 | -0.000 |
| 128.693 | 128.693 | 800.158 | 0.000 | 0.000 | 0.000 |
| 1.372 | -2.658 | 1.003 | 219.179 | 0.000 | 0.000 |
| 0.000 | 0.000 | -0.000 | 0.000 | 268.712 | 1.817 |
| -0.248 | -0.248 | 0.416 | 0.000 | -2.931 | 247.031 |
| 691.068 | 202.195 | 134.126 | 0.806 | -0.000 | -0.000 |
| 147.387 | 875.923 | 16.595 | -1.817 | -0.000 | 0.000 |
| 129.371 | 129.371 | 798.992 | -0.000 | -0.000 | -0.000 |
| 2.658 | -1.373 | -1.003 | 219.179 | 0.000 | -0.000 |
| 0.000 | -0.000 | -0.000 | 0.000 | 268.711 | 1.817 |
| 0.248 | 0.248 | -0.416 | -0.000 | -2.931 | 247.031 |
| 679.127 | 225.921 | 124.291 | -3.130 | 0.000 | 0.000 |
| 232.748 | 674.355 | 122.433 | 1.387 | -0.000 | -0.000 |
| 133.507 | 133.507 | 791.276 | 0.000 | 0.000 | -0.000 |
| -2.817 | 2.769 | 0.040 | 221.411 | 0.000 | -0.000 |
| 0.000 | 0.000 | -0.000 | -0.000 | 268.712 | 1.817 |
| -0.025 | -0.025 | 0.042 | -0.000 | -2.931 | 247.034 |
| 703.262 | 213.457 | 113.865 | -3.017 | -0.000 | -0.000 |
| 227.404 | 675.734 | 126.995 | 0.131 | 0.000 | -0.000 |
| 134.464 | 134.464 | 788.548 | -0.000 | -0.000 | 0.000 |
| 2.117 | -1.989 | -0.100 | 219.156 | 0.000 | -0.000 |
| -0.000 | -0.000 | 0.000 | -0.000 | 268.712 | 1.817 |
| 0.025 | 0.025 | -0.042 | 0.000 | -2.931 | 247.034 |
| 701.847 | 207.981 | 128.086 | -0.375 | -0.001 | 0.000 |
| 138.436 | 879.229 | 22.863 | -0.914 | -0.000 | -0.000 |
| 22.862 | 22.862 | 1013.071 | 0.000 | -0.000 | 0.000 |
| 0.915 | -0.914 | -0.000 | 256.433 | -0.001 | -0.000 |
| -0.001 | -0.001 | 0.001 | -0.000 | 207.078 | -2.010 |
| 0.000 | 0.000 | -0.000 | 0.000 | 0.914 | 370.397 |
| 713.780 | 200.655 | 125.409 | -2.060 | 0.001 | 0.000 |
| 138.436 | 879.229 | 22.863 | -0.915 | 0.000 | 0.000 |
| 22.862 | 22.862 | 1013.072 | -0.000 | 0.000 | -0.000 |
| 0.915 | -0.915 | 0.000 | 256.432 | 0.000 | 0.000 |
| 0.001 | 0.001 | -0.001 | 0.000 | 207.080 | -2.010 |
| -0.000 | -0.000 | -0.000 | 0.000 | 0.915 | 370.397 |
| 713.780 | 200.655 | 125.411 | -2.059 | 0.000 | 0.000 |
| 207.982 | 701.847 | 128.086 | 0.375 | -0.000 | -0.000 |
| 124.121 | 124.121 | 808.558 | 0.000 | -0.000 | -0.000 |
| -2.010 | 2.010 | 0.000 | 207.079 | -0.000 | -0.000 |
| 0.000 | 0.000 | 0.000 | -0.000 | 256.432 | 0.915 |
| -0.000 | -0.000 | 0.000 | -0.000 | -2.068 | 256.225 |
| 713.780 | 200.655 | 125.411 | -2.059 | 0.000 | 0.000 |
| 138.436 | 879.229 | 22.862 | -0.915 | 0.000 | -0.000 |
| 124.133 | 124.133 | 808.535 | -0.000 | 0.000 | 0.000 |
| 0.915 | -0.915 | 0.000 | 256.432 | 0.000 | 0.000 |
| -0.000 | -0.000 | -0.000 | 0.000 | 256.432 | 0.915 |
| 0.000 | 0.000 | -0.000 | 0.000 | -2.068 | 256.225 |
| 713.779 | 200.656 | 125.413 | -2.059 | -0.000 | -0.000 |
| 206.898 | 690.543 | 141.896 | 0.998 | -0.000 | -0.000 |
| 128.322 | 128.322 | 800.824 | 0.000 | -0.000 | -0.000 |
| -0.256 | 0.258 | -0.002 | 202.849 | -0.000 | -0.000 |
| 0.001 | 0.000 | -0.002 | 0.000 | 204.360 | 1.155 |
| 0.000 | 0.000 | 0.000 | 0.000 | 0.915 | 370.397 |
| 701.848 | 207.980 | 128.084 | -0.374 | -0.000 | -0.000 |
| 207.982 | 701.845 | 128.085 | 0.375 | 0.000 | 0.000 |
| 124.129 | 124.129 | 808.541 | -0.000 | -0.000 | 0.000 |
| -2.010 | 2.010 | 0.000 | 207.079 | 0.000 | -0.000 |
| -0.001 | -0.000 | 0.002 | -0.000 | 204.360 | 1.155 |
| -0.000 | -0.000 | -0.000 | -0.000 | 0.915 | 370.397 |
| 527.325 | 259.219 | 259.219 | -0.000 | -0.000 | 0.000 |
| 259.219 | 527.324 | 259.219 | -0.000 | -0.000 | -0.000 |
| 259.219 | 259.219 | 527.325 | -0.000 | -0.000 | 0.000 |
| -0.000 | -0.000 | -0.000 | 341.886 | -0.000 | 0.000 |
| -0.000 | -0.000 | -0.000 | -0.000 | 341.886 | -0.000 |
| -0.000 | -0.000 | -0.000 | -0.000 | -0.000 | 341.886 |
| 527.325 | 259.220 | 259.219 | 0.000 | 0.000 | 0.000 |
| 259.220 | 527.325 | 259.219 | 0.000 | 0.000 | -0.000 |
| 259.220 | 259.220 | 527.325 | 0.000 | 0.000 | -0.000 |
| 0.000 | 0.000 | 0.000 | 341.886 | 0.000 | -0.000 |
| 0.000 | 0.001 | 0.000 | 0.000 | 341.886 | -0.000 |
| 0.000 | 0.000 | 0.000 | 0.000 | 0.000 | 341.886 |
| 527.325 | 259.219 | 259.219 | -0.000 | -0.000 | -0.000 |
| 259.219 | 527.325 | 259.219 | -0.000 | -0.000 | 0.000 |
| 259.219 | 259.219 | 527.325 | -0.000 | -0.000 | 0.000 |
| 0.000 | -0.000 | -0.000 | 341.300 | -0.000 | 0.000 |
| -0.000 | -0.000 | -0.000 | -0.000 | 341.300 | -0.000 |
| -0.000 | -0.000 | 0.000 | -0.000 | -0.000 | 341.300 |
| 528.897 | 259.271 | 259.271 | 0.000 | 0.000 | -0.000 |
| 259.271 | 528.897 | 259.271 | 0.000 | 0.000 | -0.000 |
| 259.271 | 259.271 | 528.897 | 0.000 | 0.000 | -0.000 |
| -0.000 | 0.000 | 0.000 | 341.300 | 0.000 | 0.000 |
| 0.000 | -0.000 | 0.000 | 0.000 | 341.300 | -0.000 |
| 0.000 | 0.000 | -0.000 | 0.000 | 0.000 | 341.300 |
| 528.897 | 259.272 | 259.272 | -0.000 | -0.000 | 0.000 |
| 259.272 | 528.897 | 259.272 | -0.000 | -0.000 | 0.000 |
| 259.272 | 259.272 | 528.897 | -0.000 | -0.000 | 0.000 |
| 0.000 | -0.001 | 0.000 | 341.297 | -0.000 | 0.000 |
| -0.001 | 0.000 | 0.000 | -0.000 | 341.297 | 0.000 |
| -0.001 | 0.000 | 0.000 | -0.000 | -0.000 | 341.297 |
| 527.324 | 259.219 | 259.219 | 0.000 | 0.000 | -0.000 |
| 259.219 | 527.324 | 259.219 | 0.000 | 0.000 | -0.000 |
| 259.219 | 259.219 | 527.324 | 0.000 | 0.000 | -0.000 |
| -0.000 | 0.001 | -0.000 | 341.297 | 0.000 | -0.000 |
| 0.001 | -0.000 | -0.000 | 0.000 | 341.297 | -0.000 |
| 0.001 | -0.000 | -0.000 | 0.000 | 0.000 | 341.297 |
| 528.486 | 258.827 | 258.827 | 0.000 | -0.000 | 0.000 |
| 258.827 | 528.486 | 258.827 | 0.000 | 0.000 | -0.000 |
| 258.827 | 258.827 | 528.486 | -0.000 | -0.000 | 0.000 |
| -0.000 | -0.000 | -0.000 | 345.101 | -0.000 | -0.000 |
| -0.000 | -0.000 | -0.000 | 0.000 | 345.101 | 0.000 |
| -0.000 | -0.000 | 0.000 | -0.000 | 0.000 | 345.101 |
| 526.913 | 258.775 | 258.775 | -0.000 | -0.000 | 0.000 |
| 258.775 | 526.914 | 258.775 | -0.000 | -0.000 | 0.000 |
| 258.775 | 258.775 | 526.913 | -0.000 | -0.000 | 0.000 |
| 0.000 | 0.000 | 0.000 | 345.101 | -0.000 | 0.000 |
| 0.000 | -0.000 | 0.000 | -0.000 | 345.101 | -0.000 |
| 0.000 | 0.000 | 0.000 | -0.000 | -0.000 | 345.101 |
| 526.913 | 258.775 | 258.775 | 0.000 | -0.000 | -0.000 |
| 258.775 | 526.913 | 258.775 | 0.000 | -0.000 | -0.000 |
| 258.775 | 258.775 | 526.913 | 0.000 | 0.000 | 0.000 |
| 0.000 | -0.000 | -0.000 | 341.220 | 0.000 | 0.000 |
| -0.000 | 0.000 | -0.000 | 0.000 | 341.220 | 0.000 |
| -0.000 | 0.000 | 0.000 | 0.000 | 0.000 | 341.220 |
| 526.913 | 258.775 | 258.775 | 0.000 | 0.000 | -0.000 |
| 258.775 | 526.913 | 258.775 | 0.000 | 0.000 | 0.000 |
| 258.775 | 258.775 | 526.913 | -0.000 | -0.000 | 0.000 |
| -0.000 | 0.000 | 0.000 | 341.220 | -0.000 | -0.000 |
| 0.000 | -0.000 | 0.000 | -0.000 | 341.220 | 0.000 |
| 0.000 | -0.000 | -0.000 | 0.000 | 0.000 | 341.220 |
| 526.914 | 258.776 | 258.776 | 0.000 | 0.000 | 0.000 |
| 258.776 | 526.914 | 258.776 | 0.000 | 0.000 | -0.000 |
| 258.776 | 258.776 | 526.914 | 0.000 | 0.000 | 0.000 |
| 0.000 | -0.001 | 0.000 | 341.217 | 0.000 | 0.000 |
| -0.001 | 0.000 | 0.000 | 0.000 | 341.217 | 0.000 |
| -0.001 | 0.000 | 0.000 | 0.000 | 0.000 | 341.217 |
| 526.911 | 258.810 | 258.810 | -0.000 | -0.000 | 0.000 |
| 258.810 | 526.911 | 258.810 | -0.000 | -0.000 | -0.000 |
| 258.810 | 258.810 | 526.911 | 0.000 | 0.000 | 0.000 |
| -0.000 | 0.001 | -0.000 | 341.217 | -0.000 | -0.000 |
| 0.001 | -0.000 | -0.000 | -0.000 | 341.217 | 0.000 |
| 0.001 | -0.000 | -0.000 | -0.000 | 0.000 | 341.217 |
| 12120.217 | 728.582 | 728.582 | 0.000 | 0.000 | 0.000 |
| 728.581 | 12120.218 | 728.582 | 0.000 | 0.000 | 0.000 |
| 728.581 | 728.582 | 12120.217 | 0.000 | 0.000 | 0.000 |
| -0.000 | 0.000 | -0.000 | 625.255 | 0.000 | -0.000 |
| -0.001 | -0.000 | -0.000 | -0.000 | 625.256 | -0.000 |
| -0.001 | 0.000 | -0.000 | 0.000 | 0.000 | 625.255 |
| 12120.217 | 728.582 | 728.583 | 0.000 | 0.000 | -0.000 |
| 728.582 | 12120.218 | 728.583 | 0.000 | 0.000 | 0.000 |
| 728.582 | 728.582 | 12120.218 | -0.000 | -0.000 | 0.000 |
| -0.000 | 0.000 | 0.000 | 625.255 | -0.000 | 0.000 |
| 0.001 | 0.000 | -0.000 | -0.000 | 625.255 | -0.000 |
| 0.001 | -0.000 | 0.000 | -0.000 | -0.000 | 625.255 |
| 12120.220 | 728.583 | 728.583 | -0.000 | -0.000 | -0.000 |
| 728.583 | 12120.220 | 728.583 | -0.000 | 0.000 | -0.000 |
| 728.583 | 728.583 | 12120.220 | -0.000 | -0.000 | 0.000 |
| 0.000 | 0.000 | -0.001 | 625.255 | 0.000 | -0.000 |
| -0.000 | 0.000 | -0.000 | 0.000 | 625.255 | -0.000 |
| -0.000 | -0.000 | 0.000 | 0.000 | 0.000 | 625.255 |
| 12120.216 | 728.580 | 728.580 | -0.000 | 0.000 | -0.000 |
| 728.580 | 12120.216 | 728.580 | 0.000 | 0.000 | 0.000 |
| 728.580 | 728.580 | 12120.216 | -0.000 | 0.000 | -0.000 |
| -0.000 | 0.000 | 0.000 | 625.255 | -0.000 | 0.000 |
| 0.000 | -0.000 | 0.000 | -0.000 | 625.255 | 0.000 |
| 0.000 | 0.000 | -0.000 | -0.000 | -0.000 | 625.255 |
| 12120.238 | 728.597 | 728.597 | -0.000 | 0.000 | 0.000 |
| 728.597 | 12120.238 | 728.597 | 0.000 | -0.000 | 0.000 |
| 728.597 | 728.597 | 12120.238 | 0.000 | 0.000 | 0.000 |
| 0.001 | -0.000 | -0.005 | 624.439 | 0.000 | 0.000 |
| -0.000 | 0.001 | -0.005 | 0.000 | 624.439 | 0.000 |
| -0.000 | -0.005 | 0.001 | -0.000 | 0.000 | 624.439 |
| 12120.198 | 728.566 | 728.566 | -0.000 | -0.000 | -0.000 |
| 728.566 | 12120.198 | 728.566 | -0.000 | -0.000 | 0.000 |
| 728.566 | 728.566 | 12120.198 | 0.000 | 0.000 | -0.000 |
| -0.001 | 0.000 | 0.005 | 624.439 | -0.000 | 0.000 |
| 0.000 | -0.001 | 0.005 | -0.000 | 624.439 | 0.000 |
| 0.000 | 0.005 | -0.001 | 0.000 | -0.000 | 624.439 |
| 1762.207 | 0.000 | 0.000 | 0.000 | 0.000 | 0.000 |
| 0.001 | 1762.207 | 0.000 | 0.000 | 0.000 | 0.000 |
| 0.001 | 0.000 | 1762.207 | 0.000 | 0.000 | 0.000 |
| 0.001 | 0.000 | 0.000 | 92.379 | 0.000 | 0.000 |
| 0.001 | 0.000 | 0.000 | 0.000 | 92.379 | 0.000 |
| 0.001 | 0.000 | 0.000 | 0.000 | 0.000 | 92.378 |
| 1762.206 | -0.000 | -0.000 | -0.000 | -0.000 | -0.000 |
| -0.001 | 1762.206 | -0.000 | -0.000 | -0.000 | -0.000 |
| -0.001 | -0.000 | 1762.207 | -0.000 | -0.000 | -0.000 |
| -0.001 | -0.000 | -0.000 | 92.378 | -0.000 | -0.000 |
| -0.001 | -0.000 | -0.000 | -0.000 | 92.378 | -0.000 |
| -0.001 | -0.000 | -0.000 | -0.000 | -0.000 | 92.378 |
| 1762.208 | 0.000 | 0.000 | 0.000 | 0.000 | 0.000 |
| 0.000 | 1762.208 | 0.000 | 0.000 | 0.000 | 0.000 |
| 0.000 | 0.000 | 1762.207 | 0.000 | 0.000 | 0.000 |
| 0.000 | 0.000 | -0.000 | 92.378 | 0.000 | 0.000 |
| 0.000 | 0.000 | -0.000 | 0.000 | 92.378 | 0.000 |
| 0.000 | -0.000 | 0.000 | 0.000 | 0.000 | 92.378 |
| 1762.206 | -0.000 | -0.000 | -0.000 | -0.000 | -0.000 |
| -0.000 | 1762.206 | -0.000 | -0.000 | -0.000 | -0.000 |
| -0.000 | -0.000 | 1762.206 | -0.000 | -0.000 | -0.000 |
| -0.000 | -0.000 | 0.000 | 92.378 | -0.000 | -0.000 |
| -0.000 | -0.000 | 0.000 | -0.000 | 92.378 | -0.000 |
| -0.000 | 0.000 | -0.000 | -0.000 | -0.000 | 92.378 |
| 1762.215 | 0.000 | 0.000 | 0.000 | 0.000 | 0.000 |
| 0.000 | 1762.215 | 0.000 | 0.000 | 0.000 | 0.000 |
| 0.000 | 0.000 | 1762.215 | 0.000 | 0.000 | 0.000 |
| 0.000 | -0.000 | -0.001 | 92.378 | 0.000 | 0.000 |
| -0.000 | 0.000 | -0.001 | 0.000 | 92.378 | 0.000 |
| -0.000 | -0.001 | 0.000 | 0.000 | 0.000 | 92.378 |
| 1762.198 | -0.000 | -0.000 | -0.000 | -0.000 | -0.000 |
| -0.000 | 1762.198 | -0.000 | -0.000 | -0.000 | -0.000 |
| -0.000 | -0.000 | 1762.198 | -0.000 | -0.000 | -0.000 |
| -0.000 | 0.000 | 0.001 | 92.378 | -0.000 | -0.000 |
| 0.000 | -0.000 | 0.001 | -0.000 | 92.378 | -0.000 |
| 0.000 | 0.001 | -0.000 | -0.000 | -0.000 | 92.378 |
| 150401.863 | 1319.786 | 1319.787 | 0.000 | -0.000 | 0.000 |
| 1319.786 | 150401.864 | 1319.787 | -0.000 | 0.000 | 0.000 |
| 1319.786 | 1319.786 | 150401.864 | -0.000 | -0.000 | 0.000 |
| 0.000 | 0.000 | -0.001 | 740.215 | -0.000 | 0.000 |
| -0.000 | 0.000 | -0.001 | -0.000 | 740.215 | 0.000 |
| 0.000 | -0.001 | 0.001 | -0.000 | 0.000 | 740.215 |
| 150401.860 | 1319.784 | 1319.783 | -0.000 | -0.000 | -0.000 |
| 1319.784 | 150401.860 | 1319.783 | -0.000 | -0.000 | -0.000 |
| 1319.784 | 1319.784 | 150401.860 | -0.000 | -0.000 | -0.000 |
| -0.000 | -0.000 | 0.001 | 740.215 | -0.000 | -0.000 |
| -0.000 | -0.000 | 0.001 | 0.000 | 740.215 | -0.000 |
| -0.000 | 0.002 | -0.001 | 0.000 | -0.000 | 740.215 |
| 150401.880 | 1319.796 | 1319.796 | 0.000 | 0.000 | 0.000 |
| 1319.796 | 150401.880 | 1319.796 | 0.000 | 0.000 | 0.000 |
| 1319.796 | 1319.796 | 150401.880 | 0.000 | 0.000 | 0.000 |
| 0.000 | -0.000 | -0.007 | 740.215 | 0.000 | 0.000 |
| -0.000 | 0.000 | -0.007 | 0.000 | 740.215 | 0.000 |
| -0.000 | -0.007 | 0.000 | -0.000 | 0.000 | 740.215 |
| 150401.841 | 1319.774 | 1319.774 | -0.000 | -0.000 | -0.000 |
| 1319.774 | 150401.841 | 1319.774 | -0.000 | -0.000 | -0.000 |
| 1319.774 | 1319.774 | 150401.841 | -0.000 | -0.000 | -0.000 |
| -0.000 | 0.000 | 0.007 | 740.215 | -0.000 | -0.000 |
| 0.000 | -0.000 | 0.007 | -0.000 | 740.215 | -0.000 |
| 0.000 | 0.007 | -0.000 | 0.000 | -0.000 | 740.215 |
| 150402.058 | 1319.892 | 1319.892 | -0.000 | 0.000 | 0.000 |
| 1319.892 | 150402.058 | 1319.892 | 0.000 | -0.000 | 0.000 |
| 1319.892 | 1319.892 | 150402.058 | 0.000 | 0.000 | 0.000 |
| 0.001 | -0.000 | -0.074 | 740.215 | 0.000 | 0.000 |
| -0.000 | 0.001 | -0.074 | 0.000 | 740.215 | 0.000 |
| -0.000 | -0.074 | 0.001 | 0.000 | 0.000 | 740.215 |
| 150401.663 | 1319.678 | 1319.678 | -0.000 | -0.000 | -0.000 |
| 1319.678 | 150401.663 | 1319.678 | -0.000 | -0.000 | -0.000 |
| 1319.678 | 1319.678 | 150401.663 | 0.000 | 0.000 | -0.000 |
| -0.001 | 0.000 | 0.074 | 740.215 | -0.000 | -0.000 |
| 0.000 | -0.001 | 0.074 | -0.000 | 740.215 | -0.000 |
| 0.000 | 0.074 | -0.001 | -0.000 | -0.000 | 740.215 |
| 635.991 | 381.504 | 381.503 | 0.001 | 0.001 | 0.001 |
| 381.504 | 635.991 | 381.503 | 0.001 | 0.001 | 0.001 |
| 381.504 | 381.504 | 635.990 | 0.001 | 0.001 | 0.001 |
| 0.000 | 0.000 | 0.000 | 345.959 | 0.000 | -0.000 |
| -0.000 | 0.000 | 0.000 | 0.000 | 345.959 | -0.000 |
| 0.000 | 0.001 | 0.000 | -0.000 | -0.000 | 345.959 |
| 635.990 | 381.502 | 381.503 | -0.000 | -0.000 | -0.000 |
| 381.503 | 635.990 | 381.503 | -0.000 | -0.000 | -0.000 |
| 381.503 | 381.502 | 635.991 | -0.000 | -0.000 | 0.000 |
| 0.000 | 0.000 | -0.000 | 345.959 | 0.000 | 0.000 |
| -0.000 | -0.000 | 0.000 | 0.000 | 345.959 | -0.000 |
| -0.000 | -0.000 | 0.000 | -0.000 | 0.000 | 345.959 |
| 635.990 | 381.503 | 381.503 | 0.000 | 0.000 | 0.000 |
| 381.503 | 635.990 | 381.503 | 0.000 | 0.000 | -0.000 |
| 381.503 | 381.503 | 635.990 | -0.000 | 0.000 | 0.000 |
| 0.000 | -0.000 | 0.000 | 345.959 | 0.000 | -0.000 |
| -0.000 | 0.000 | 0.000 | -0.000 | 345.959 | 0.000 |
| -0.000 | 0.000 | -0.000 | -0.000 | 0.000 | 345.959 |
| 635.990 | 381.503 | 381.503 | -0.000 | -0.000 | -0.000 |
| 381.503 | 635.990 | 381.503 | -0.000 | -0.000 | -0.000 |
| 381.503 | 381.503 | 635.990 | -0.000 | -0.000 | -0.000 |
| -0.000 | 0.000 | -0.000 | 345.959 | -0.000 | 0.000 |
| 0.000 | -0.000 | 0.000 | 0.000 | 345.959 | -0.000 |
| 0.000 | -0.000 | 0.000 | -0.000 | -0.000 | 345.959 |
| 635.991 | 381.504 | 381.504 | 0.000 | 0.000 | 0.000 |
| 381.504 | 635.991 | 381.504 | 0.000 | 0.000 | 0.000 |
| 381.504 | 381.504 | 635.991 | 0.000 | 0.000 | 0.000 |
| 0.000 | -0.001 | -0.000 | 345.959 | 0.000 | 0.000 |
| -0.001 | 0.000 | -0.000 | 0.000 | 345.959 | 0.000 |
| -0.001 | -0.000 | 0.000 | 0.000 | 0.000 | 345.959 |
| 635.990 | 381.502 | 381.502 | -0.000 | -0.000 | 0.000 |
| 381.502 | 635.990 | 381.502 | -0.000 | -0.000 | 0.000 |
| 381.502 | 381.502 | 635.990 | -0.000 | -0.000 | 0.000 |
| -0.000 | 0.001 | 0.000 | 345.959 | 0.000 | -0.000 |
| 0.001 | -0.000 | 0.000 | 0.000 | 345.959 | -0.000 |
| 0.001 | 0.000 | -0.000 | 0.000 | -0.000 | 345.959 |
| 249.143 | 454.952 | -24.078 | 0.001 | -0.001 | -0.000 |
| 151.231 | 1164.176 | 118.498 | 0.000 | -0.000 | 0.000 |
| 7.116 | 463.827 | 893.215 | 0.001 | -0.000 | 0.000 |
| -197.698 | 159.927 | -9.882 | 267.607 | -0.000 | 0.000 |
| 0.000 | -0.000 | -0.000 | 0.000 | 180.602 | 0.000 |
| 0.000 | -0.000 | -0.000 | 0.000 | -0.000 | 257.051 |
| 579.498 | 144.354 | 36.800 | -0.001 | 0.001 | 0.000 |
| 151.231 | 1164.178 | 118.498 | -0.001 | 0.001 | -0.000 |
| 326.357 | 54.634 | 1057.060 | -0.000 | 0.001 | 0.000 |
| -0.000 | 0.000 | 0.000 | 409.303 | 0.000 | -0.000 |
| -0.000 | -0.000 | 0.000 | -0.000 | 180.602 | 0.000 |
| -0.000 | 0.000 | 0.000 | -0.000 | 0.000 | 257.051 |
| 363.105 | 240.368 | 149.661 | -0.000 | -0.000 | -0.000 |
| 224.595 | 884.516 | 273.107 | 0.000 | -0.000 | 0.000 |
| 102.355 | 329.214 | 972.143 | -0.000 | -0.000 | 0.000 |
| -11.764 | 18.652 | -11.519 | 278.411 | -0.000 | 0.000 |
| 0.000 | -0.000 | -0.000 | -0.000 | 180.602 | -0.000 |
| 0.000 | -0.000 | -0.000 | -0.000 | -0.000 | 257.051 |
| 399.693 | 195.356 | 149.073 | -0.000 | 0.000 | 0.000 |
| 262.889 | 848.441 | 282.418 | -0.000 | 0.000 | 0.000 |
| 128.881 | 301.742 | 981.799 | -0.000 | 0.000 | 0.000 |
| 11.764 | -18.652 | 11.519 | 278.411 | 0.000 | 0.000 |
| -0.000 | 0.000 | 0.000 | 0.000 | 180.602 | 0.000 |
| -0.000 | 0.000 | 0.000 | 0.000 | 0.000 | 257.051 |
| 377.235 | 239.660 | 143.192 | 0.000 | -0.000 | 0.000 |
| 243.288 | 868.484 | 276.465 | -0.000 | 0.000 | -0.000 |
| 153.873 | 283.626 | 968.609 | -0.000 | -0.000 | -0.000 |
| -1.757 | 1.513 | -0.198 | 278.690 | -0.000 | 0.000 |
| -1.618 | 1.995 | -0.742 | 0.000 | 137.053 | -0.000 |
| -1.671 | 2.649 | -1.636 | 0.000 | -0.000 | 102.462 |
| 380.728 | 225.007 | 153.712 | 0.000 | 0.000 | 0.000 |
| 242.524 | 864.897 | 280.604 | 0.000 | 0.000 | -0.000 |
| 155.434 | 286.092 | 970.670 | -0.000 | -0.000 | 0.000 |
| 1.757 | -1.513 | 0.198 | 278.690 | 0.000 | 0.000 |
| 1.618 | -1.995 | 0.742 | -0.000 | 137.053 | 0.000 |
| 1.671 | -2.649 | 1.636 | -0.000 | 0.000 | 102.462 |
| 724.904 | 226.937 | 277.493 | -0.000 | -0.000 | -0.028 |
| 226.796 | 725.044 | 277.493 | -0.000 | -0.000 | -0.028 |
| 283.277 | 283.362 | 892.966 | -0.000 | 0.000 | -0.016 |
| 1.627 | 1.734 | -2.795 | 189.868 | -0.000 | -0.020 |
| 1.627 | 1.734 | -2.795 | -0.000 | 189.868 | -0.020 |
| 2.588 | 2.757 | -4.446 | -0.000 | -0.000 | 79.184 |
| 722.357 | 224.108 | 281.964 | 0.000 | -0.000 | 0.028 |
| 224.249 | 722.217 | 281.964 | 0.000 | 0.000 | 0.028 |
| 280.674 | 280.589 | 897.437 | 0.000 | -0.000 | 0.016 |
| -1.627 | -1.734 | 2.795 | 189.868 | 0.000 | 0.019 |
| -1.627 | -1.734 | 2.795 | 0.000 | 189.868 | 0.019 |
| -2.588 | -2.758 | 4.446 | 0.000 | 0.000 | 79.246 |
| 723.754 | 225.665 | 279.507 | -0.000 | -0.000 | -0.003 |
| 225.651 | 723.768 | 279.507 | -0.000 | -0.000 | -0.003 |
| 282.105 | 282.114 | 894.979 | -0.000 | -0.000 | -0.002 |
| 0.163 | 0.173 | -0.280 | 189.862 | -0.000 | -0.002 |
| 0.163 | 0.173 | -0.280 | -0.000 | 189.862 | -0.002 |
| 0.259 | 0.276 | -0.445 | -0.000 | -0.000 | 79.171 |
| 723.507 | 225.380 | 279.949 | 0.000 | -0.000 | 0.003 |
| 225.394 | 723.493 | 279.949 | 0.000 | 0.000 | 0.003 |
| 281.846 | 281.837 | 895.424 | 0.000 | -0.000 | 0.002 |
| -0.163 | -0.173 | 0.280 | 189.862 | 0.000 | 0.002 |
| -0.163 | -0.173 | 0.280 | 0.000 | 189.862 | 0.002 |
| -0.259 | -0.276 | 0.445 | 0.000 | 0.000 | 79.177 |
| 723.603 | 225.549 | 279.732 | -0.000 | -0.000 | -0.000 |
| 225.547 | 723.604 | 279.732 | -0.000 | -0.000 | -0.000 |
| 281.986 | 281.987 | 895.186 | -0.000 | -0.000 | -0.000 |
| 0.016 | 0.017 | -0.028 | 189.862 | -0.000 | -0.000 |
| 0.016 | 0.018 | -0.028 | -0.000 | 189.862 | -0.000 |
| 0.026 | 0.027 | -0.045 | -0.000 | 0.000 | 79.173 |
| 723.658 | 225.496 | 279.725 | 0.000 | 0.000 | 0.000 |
| 225.498 | 723.657 | 279.725 | 0.000 | -0.000 | 0.000 |
| 281.965 | 281.964 | 895.217 | 0.000 | -0.000 | 0.000 |
| -0.016 | -0.017 | 0.028 | 189.862 | 0.000 | 0.000 |
| -0.016 | -0.018 | 0.028 | 0.000 | 189.862 | 0.000 |
| -0.026 | -0.027 | 0.045 | 0.000 | 0.000 | 79.174 |
| 1082.060 | 33.306 | 138.340 | -0.000 | -0.000 | 0.000 |
| 33.306 | 1082.060 | 138.340 | 0.000 | 0.000 | 0.000 |
| 138.341 | 138.340 | 1128.295 | -0.000 | -0.000 | 0.000 |
| -0.000 | 0.000 | -0.000 | 344.130 | 0.000 | 0.000 |
| -0.000 | 0.000 | 0.000 | 0.000 | 344.130 | 0.000 |
| 0.008 | 0.008 | -0.013 | 0.000 | 0.000 | 80.727 |
| 1082.060 | 33.306 | 138.340 | 0.000 | 0.000 | -0.000 |
| 33.307 | 1082.060 | 138.340 | 0.000 | 0.000 | -0.000 |
| 280.762 | 280.762 | 888.513 | -0.000 | -0.000 | -0.000 |
| -0.000 | -0.000 | 0.000 | 344.130 | 0.000 | -0.000 |
| -0.000 | 0.000 | -0.000 | -0.000 | 344.130 | -0.000 |
| -0.008 | -0.008 | 0.014 | -0.000 | -0.000 | 80.727 |
| 723.159 | 223.013 | 280.768 | -0.000 | -0.000 | -0.000 |
| 223.013 | 723.159 | 280.768 | -0.000 | -0.000 | 0.000 |
| 280.767 | 280.767 | 888.506 | 0.000 | -0.000 | 0.000 |
| 0.001 | 0.000 | -0.001 | 188.842 | 0.000 | 0.000 |
| 0.000 | 0.001 | -0.001 | 0.000 | 188.842 | 0.000 |
| 0.001 | 0.001 | -0.001 | 0.000 | 0.000 | 80.727 |
| 723.166 | 223.009 | 280.764 | 0.000 | 0.000 | 0.000 |
| 223.009 | 723.166 | 280.764 | -0.000 | -0.000 | -0.000 |
| 280.766 | 280.766 | 888.506 | 0.000 | -0.000 | -0.000 |
| -0.001 | -0.000 | 0.001 | 188.842 | -0.000 | -0.000 |
| -0.000 | -0.001 | 0.001 | -0.000 | 188.842 | -0.000 |
| -0.001 | -0.001 | 0.001 | -0.000 | -0.000 | 80.727 |
| 723.123 | 223.023 | 280.792 | -0.000 | -0.000 | -0.000 |
| 223.023 | 723.123 | 280.792 | -0.000 | -0.000 | 0.000 |
| 280.764 | 280.764 | 888.513 | 0.000 | -0.000 | 0.000 |
| 0.000 | -0.000 | -0.000 | 188.842 | -0.000 | 0.000 |
| -0.000 | 0.000 | -0.000 | -0.000 | 188.842 | 0.000 |
| -0.000 | -0.000 | -0.000 | 0.000 | 0.000 | 80.727 |
| 723.202 | 222.999 | 280.741 | -0.000 | -0.000 | -0.000 |
| 222.999 | 723.202 | 280.741 | 0.000 | -0.000 | 0.000 |
| 280.768 | 280.768 | 888.500 | -0.000 | -0.000 | -0.000 |
| -0.000 | 0.000 | 0.000 | 188.842 | 0.000 | -0.000 |
| 0.000 | -0.000 | 0.000 | -0.000 | 188.842 | -0.000 |
| 0.000 | 0.000 | 0.000 | -0.000 | -0.000 | 80.727 |
| 43.031 | 296.675 | 930.583 | -0.000 | -709.022 | -0.000 |
| 207.882 | 192.154 | 1310.895 | -0.000 | -1185.927 | -0.000 |
| 26.906 | 53.258 | 422.175 | -0.000 | -85.291 | -0.000 |
| 0.000 | 0.000 | 0.000 | 164.191 | -0.000 | -13.429 |
| -214.549 | -783.764 | 1310.461 | -0.000 | -1201.674 | -0.000 |
| 0.000 | 0.000 | -0.000 | -13.917 | 0.000 | 280.669 |
| -121.665 | 1204.230 | -449.939 | 0.000 | 375.220 | 0.000 |
| -419.042 | 1811.208 | -506.985 | 0.000 | 465.051 | 0.000 |
| 294.193 | 887.503 | -1108.413 | 0.000 | 1172.782 | 0.000 |
| -0.000 | 0.000 | 0.000 | 164.191 | -0.000 | -13.428 |
| -60.856 | 671.338 | -1339.644 | 0.000 | 1229.071 | 0.000 |
| -0.000 | -0.000 | 0.000 | -13.917 | 0.000 | 280.670 |
| 537.825 | 156.980 | 118.119 | -0.000 | -75.718 | -0.000 |
| 86.481 | 951.644 | 60.426 | -0.000 | 20.262 | -0.000 |
| 114.039 | 56.384 | 340.859 | -0.000 | -80.894 | -0.000 |
| -0.000 | 0.000 | 0.000 | 164.191 | -0.000 | -13.429 |
| -30.586 | -87.585 | 57.197 | -0.000 | -87.086 | -0.000 |
| 5.967 | -56.351 | 91.966 | -21.761 | -70.743 | 192.945 |
| 505.248 | 232.649 | 18.928 | 0.000 | 20.223 | 0.000 |
| 185.839 | 807.214 | 94.699 | 0.000 | -2.810 | 0.000 |
| 104.681 | 131.085 | 219.391 | 0.000 | 10.370 | 0.000 |
| -0.000 | -0.000 | 0.000 | 164.191 | 0.000 | -13.429 |
| -70.812 | 20.750 | -85.291 | 0.000 | 57.801 | 0.000 |
| -5.967 | 56.351 | -91.966 | -21.761 | 70.743 | 192.945 |
| 529.394 | 166.689 | 96.863 | -0.000 | -50.769 | -0.000 |
| 178.041 | 796.580 | 132.477 | -0.000 | -37.256 | -0.000 |
| 89.911 | 103.599 | 308.666 | -0.000 | -58.778 | -0.000 |
| 2.917 | -4.778 | 2.702 | 104.462 | -2.090 | -1.839 |
| -35.833 | -35.394 | -45.382 | -0.000 | 9.126 | -0.000 |
| -0.255 | -5.260 | 10.515 | -5.849 | -8.929 | 180.911 |
| 532.582 | 179.317 | 78.947 | 0.000 | -41.376 | 0.000 |
| 177.498 | 810.650 | 109.378 | 0.000 | -15.641 | 0.000 |
| 115.109 | 103.820 | 277.159 | 0.000 | -44.092 | 0.000 |
| -2.917 | 4.778 | -2.702 | 104.462 | 2.090 | -1.839 |
| -52.744 | -13.086 | -59.909 | 0.000 | 34.849 | 0.000 |
| 0.255 | 5.260 | -10.515 | -5.849 | 8.929 | 180.911 |
| 811.275 | 345.415 | 241.520 | -0.000 | 0.000 | -0.001 |
| 345.416 | 811.274 | 241.520 | -0.000 | 0.000 | -0.001 |
| 236.114 | 236.113 | 928.271 | -0.000 | 0.000 | -0.000 |
| 0.001 | -0.000 | 0.000 | 283.558 | 0.000 | -0.001 |
| 0.001 | -0.000 | 0.000 | -0.000 | 283.559 | -0.000 |
| 0.001 | -0.000 | 0.000 | 0.000 | 0.000 | 437.067 |
| 1101.136 | 227.005 | 71.022 | 0.000 | -0.000 | 0.000 |
| 227.004 | 1101.137 | 71.022 | 0.000 | 0.000 | 0.000 |
| 236.282 | 236.283 | 927.932 | 0.000 | -0.000 | -0.000 |
| -0.001 | 0.000 | 0.000 | 283.559 | -0.000 | 0.001 |
| -0.001 | 0.000 | 0.000 | -0.000 | 283.559 | -0.000 |
| -0.001 | -0.000 | 0.000 | -0.000 | -0.000 | 437.066 |
| 811.347 | 345.497 | 241.366 | -0.000 | 0.000 | -0.000 |
| 345.498 | 811.345 | 241.367 | 0.000 | 0.000 | -0.000 |
| 236.131 | 236.131 | 928.236 | -0.000 | 0.000 | -0.000 |
| 0.000 | -0.000 | 0.000 | 283.559 | -0.000 | -0.000 |
| -0.008 | -0.008 | 0.017 | -0.000 | 201.237 | 0.000 |
| -0.009 | -0.009 | 0.018 | 0.000 | 0.000 | 229.735 |
| 811.354 | 345.519 | 241.337 | -0.000 | -0.000 | 0.000 |
| 345.525 | 811.339 | 241.346 | 0.000 | -0.000 | 0.000 |
| 236.210 | 236.210 | 928.078 | 0.000 | -0.000 | -0.000 |
| -0.000 | 0.000 | -0.000 | 283.559 | -0.000 | 0.000 |
| 0.008 | 0.008 | -0.017 | 0.000 | 201.237 | -0.000 |
| 0.009 | 0.009 | -0.018 | 0.000 | -0.000 | 229.735 |
| 811.292 | 351.687 | 235.268 | -0.000 | -0.000 | -0.000 |
| 345.517 | 811.328 | 241.367 | -0.000 | -0.000 | -0.000 |
| 236.213 | 236.213 | 928.075 | -0.000 | -0.000 | 0.000 |
| 0.000 | 0.000 | -0.000 | 283.559 | -0.000 | 0.000 |
| 0.000 | 0.000 | -0.000 | 0.000 | 283.559 | -0.000 |
| -0.002 | -0.001 | 0.002 | 0.000 | 0.000 | 229.735 |
| 811.359 | 345.504 | 241.344 | -0.000 | -0.000 | 0.000 |
| 351.715 | 811.223 | 235.303 | -0.000 | -0.000 | 0.000 |
| 236.183 | 236.183 | 928.128 | 0.000 | -0.000 | 0.000 |
| -0.000 | -0.000 | 0.000 | 283.559 | -0.000 | 0.000 |
| -0.000 | -0.000 | 0.000 | 0.000 | 283.559 | 0.000 |
| 0.002 | 0.001 | -0.002 | -0.000 | -0.000 | 229.735 |
| -10.555 | -17.435 | 268.822 | 0.001 | 38.905 | 0.000 |
| 86.734 | 608.372 | 438.761 | 0.001 | -26.097 | -0.000 |
| 90.050 | 126.693 | 971.513 | 0.001 | -70.842 | 0.000 |
| 0.000 | -0.000 | 0.000 | 391.796 | 0.000 | -51.761 |
| -41.523 | -185.167 | 135.024 | 0.001 | 87.295 | -0.000 |
| -40.982 | -136.640 | 178.926 | -37.559 | 25.246 | 93.094 |
| 40.440 | 145.418 | 75.243 | -0.001 | -18.761 | 0.000 |
| 165.730 | 782.635 | 182.181 | -0.001 | -81.421 | 0.000 |
| 138.371 | 389.193 | 653.172 | -0.001 | -67.887 | 0.000 |
| -0.000 | -0.000 | 0.000 | 391.795 | -0.000 | -51.761 |
| 38.251 | 81.401 | -213.970 | -0.001 | 40.282 | 0.000 |
| 40.982 | 136.640 | -178.926 | -37.561 | -25.246 | 93.095 |
| 29.481 | 97.120 | 111.370 | 0.000 | 21.853 | -0.000 |
| 114.325 | 740.469 | 278.560 | 0.000 | -40.097 | 0.000 |
| 103.145 | 255.102 | 824.592 | 0.000 | -51.556 | -0.000 |
| -2.549 | -8.498 | 11.128 | 240.522 | 1.570 | -42.505 |
| -3.844 | -55.629 | -34.155 | 0.000 | 78.251 | -0.000 |
| -0.000 | 0.000 | 0.000 | -52.442 | 0.000 | 140.841 |
| 32.655 | 117.790 | 88.271 | -0.000 | 15.842 | 0.000 |
| 128.284 | 733.146 | 260.456 | -0.000 | -33.857 | 0.000 |
| 90.050 | 126.693 | 971.512 | -0.000 | -70.842 | 0.000 |
| 2.549 | 8.498 | -11.128 | 240.522 | -1.570 | -42.505 |
| 0.628 | -26.361 | -70.842 | -0.000 | 127.523 | 0.000 |
| 0.000 | 0.000 | 0.000 | -52.442 | -0.000 | 140.841 |
| 30.402 | 111.907 | 97.776 | 0.000 | 11.375 | -0.000 |
| 121.715 | 719.870 | 277.826 | 0.000 | -29.724 | -0.000 |
| 108.065 | 265.327 | 809.906 | 0.000 | -45.641 | -0.000 |
| -0.096 | -0.400 | 0.100 | 203.308 | 0.477 | -47.073 |
| -6.546 | -29.660 | -52.110 | 0.000 | 69.397 | -0.000 |
| -0.417 | -1.389 | 1.818 | -37.318 | 0.257 | 92.317 |
| 32.358 | 107.597 | 97.998 | -0.000 | 19.725 | -0.000 |
| 121.951 | 720.904 | 276.647 | -0.000 | -30.405 | 0.000 |
| 106.565 | 272.251 | 807.102 | -0.000 | -53.710 | 0.000 |
| 0.096 | 0.400 | -0.100 | 203.308 | -0.477 | -47.073 |
| -6.722 | -33.634 | -48.773 | -0.000 | 69.380 | -0.000 |
| 0.417 | 1.389 | -1.818 | -37.318 | -0.257 | 92.317 |
| 904.495 | 121.321 | 0.000 | 0.000 | 0.000 | -0.000 |
| 243.383 | 782.433 | 0.000 | 0.000 | 0.000 | -0.000 |
| -0.000 | -0.000 | 0.000 | 0.000 | 0.000 | -0.000 |
| -0.000 | 0.000 | 0.000 | 0.000 | 0.000 | -0.000 |
| -0.000 | 0.000 | 0.000 | 0.000 | 0.000 | -0.000 |
| -0.000 | -0.000 | 0.000 | 0.000 | 0.000 | 269.525 |
| 782.432 | 243.383 | -0.000 | -0.000 | -0.000 | -0.000 |
| 243.383 | 782.432 | -0.000 | -0.000 | -0.000 | 0.000 |
| 0.000 | 0.000 | -0.000 | -0.000 | -0.000 | 0.000 |
| 0.000 | -0.000 | -0.000 | -0.000 | -0.000 | 0.000 |
| 0.000 | -0.000 | -0.000 | -0.000 | -0.000 | 0.000 |
| -0.000 | -0.000 | -0.000 | -0.000 | -0.000 | 269.525 |
| 782.433 | 243.382 | 0.000 | 0.000 | 0.000 | -0.000 |
| 243.372 | 782.443 | 0.000 | 0.000 | 0.000 | -0.000 |
| -0.000 | -0.000 | 0.000 | 0.000 | 0.000 | -0.000 |
| -0.000 | 0.000 | 0.000 | 0.000 | 0.000 | -0.000 |
| -0.000 | -0.000 | 0.000 | 0.000 | 0.000 | -0.000 |
| 0.000 | 0.000 | 0.000 | 0.000 | 0.000 | 391.587 |
| 904.494 | 121.320 | -0.000 | -0.000 | -0.000 | 0.000 |
| 243.382 | 782.433 | -0.000 | -0.000 | -0.000 | 0.000 |
| 0.000 | 0.000 | -0.000 | -0.000 | -0.000 | 0.000 |
| 0.000 | 0.000 | -0.000 | -0.000 | -0.000 | 0.000 |
| 0.000 | 0.000 | -0.000 | -0.000 | -0.000 | 0.000 |
| -0.000 | -0.000 | -0.000 | -0.000 | -0.000 | 391.587 |
| 782.441 | 243.377 | 0.000 | 0.000 | 0.000 | -0.000 |
| 243.391 | 782.427 | 0.000 | 0.000 | 0.000 | -0.000 |
| -0.000 | -0.000 | 0.000 | 0.000 | 0.000 | -0.000 |
| -0.000 | 0.000 | 0.000 | 0.000 | 0.000 | -0.000 |
| -0.000 | -0.000 | 0.000 | 0.000 | 0.000 | -0.000 |
| -0.000 | 0.000 | 0.000 | 0.000 | 0.000 | 269.525 |
| 782.424 | 243.389 | -0.000 | -0.000 | -0.000 | 0.000 |
| 243.375 | 782.438 | -0.000 | -0.000 | -0.000 | 0.000 |
| 0.000 | 0.000 | -0.000 | -0.000 | -0.000 | 0.000 |
| 0.000 | -0.000 | -0.000 | -0.000 | -0.000 | 0.000 |
| 0.000 | -0.000 | -0.000 | -0.000 | -0.000 | 0.000 |
| 0.000 | -0.000 | -0.000 | -0.000 | -0.000 | 269.525 |
| 459.600 | 169.726 | 309.845 | -0.001 | 0.010 | 0.000 |
| 177.854 | 693.714 | 342.363 | -0.001 | 0.010 | 0.000 |
| 320.481 | 340.539 | 631.019 | -0.001 | 0.011 | 0.000 |
| 0.229 | -0.807 | 0.504 | 248.246 | 0.007 | 0.000 |
| 0.310 | -1.093 | 0.682 | -0.001 | 82.987 | 0.000 |
| 1.563 | -5.519 | 3.443 | -0.005 | 0.047 | 60.294 |
| 458.243 | 171.649 | 309.142 | 0.001 | -0.010 | -0.000 |
| 176.499 | 695.634 | 341.662 | 0.001 | -0.011 | -0.000 |
| 319.210 | 342.408 | 630.306 | 0.001 | -0.011 | -0.000 |
| -0.229 | 0.807 | -0.504 | 248.247 | -0.007 | -0.000 |
| -0.310 | 1.093 | -0.682 | 0.001 | 82.969 | -0.000 |
| -1.563 | 5.519 | -3.443 | 0.005 | -0.047 | 60.294 |
| 459.323 | 170.182 | 309.651 | -0.000 | 0.001 | 0.000 |
| 176.468 | 694.919 | 342.251 | -0.000 | 0.001 | 0.000 |
| 316.956 | 343.228 | 631.034 | -0.000 | 0.001 | 0.000 |
| 0.023 | -0.081 | 0.050 | 248.390 | 0.001 | 0.000 |
| 0.125 | -0.035 | -0.049 | -0.000 | 82.491 | 0.000 |
| 0.143 | -0.505 | 0.315 | -0.000 | 0.004 | 60.842 |
| 459.200 | 170.371 | 309.575 | 0.000 | -0.001 | -0.000 |
| 176.333 | 695.108 | 342.182 | 0.000 | -0.001 | -0.000 |
| 316.819 | 343.419 | 630.966 | 0.000 | -0.001 | -0.000 |
| -0.023 | 0.081 | -0.050 | 248.390 | -0.001 | -0.000 |
| -0.125 | 0.035 | 0.049 | 0.000 | 82.489 | -0.000 |
| -0.143 | 0.505 | -0.315 | 0.000 | -0.004 | 60.842 |
| 459.206 | 170.280 | 309.645 | -0.000 | 0.000 | 0.000 |
| 176.391 | 695.024 | 342.216 | -0.000 | 0.000 | 0.000 |
| 316.870 | 343.338 | 631.001 | -0.000 | 0.000 | 0.000 |
| 0.002 | -0.009 | 0.005 | 248.391 | 0.000 | 0.000 |
| 0.012 | -0.005 | -0.004 | -0.000 | 82.495 | 0.000 |
| 0.014 | -0.050 | 0.031 | -0.000 | 0.000 | 60.848 |
| 459.324 | 170.265 | 309.583 | 0.000 | -0.000 | -0.000 |
| 176.394 | 695.010 | 342.221 | 0.000 | -0.000 | -0.000 |
| 316.846 | 343.346 | 631.006 | 0.000 | -0.000 | -0.000 |
| -0.002 | 0.009 | -0.005 | 248.391 | -0.000 | -0.000 |
| -0.012 | 0.005 | 0.004 | 0.000 | 82.495 | -0.000 |
| -0.014 | 0.050 | -0.031 | 0.000 | -0.000 | 60.848 |
| 791.831 | 0.000 | 246.306 | -0.000 | 0.000 | 0.000 |
| 0.000 | 0.000 | -0.000 | -0.000 | 0.000 | 0.000 |
| 246.306 | 0.000 | 791.831 | -0.000 | 0.000 | 0.000 |
| 0.000 | -0.000 | -0.000 | -0.000 | 0.000 | -0.000 |
| -0.000 | 0.000 | -0.000 | -0.000 | 272.763 | 0.000 |
| -0.000 | 0.000 | -0.000 | -0.000 | 0.000 | 0.000 |
| 791.833 | -0.000 | 246.307 | 0.000 | -0.000 | -0.000 |
| -0.000 | -0.000 | 0.000 | 0.000 | -0.000 | -0.000 |
| 246.306 | -0.000 | 791.832 | 0.000 | -0.000 | -0.000 |
| -0.000 | 0.000 | 0.000 | 0.000 | -0.000 | -0.000 |
| 0.001 | -0.000 | 0.000 | 0.000 | 272.763 | -0.000 |
| 0.000 | -0.000 | 0.000 | 0.000 | -0.000 | -0.000 |
| 791.832 | 0.000 | 246.306 | -0.000 | 0.000 | 0.000 |
| 0.000 | 0.000 | -0.000 | -0.000 | 0.000 | 0.000 |
| 246.307 | 0.000 | 791.831 | -0.000 | 0.000 | 0.000 |
| 0.000 | -0.000 | -0.000 | -0.000 | 0.000 | -0.000 |
| -0.000 | 0.000 | 0.000 | -0.000 | 396.291 | 0.000 |
| -0.000 | 0.000 | -0.000 | -0.000 | 0.000 | 0.000 |
| 791.875 | -0.000 | 246.262 | 0.000 | -0.000 | -0.000 |
| -0.000 | -0.000 | 0.000 | 0.000 | -0.000 | -0.000 |
| 246.306 | -0.000 | 791.832 | 0.000 | -0.000 | -0.000 |
| -0.000 | -0.000 | 0.000 | 0.000 | -0.000 | -0.000 |
| -0.000 | -0.000 | -0.000 | 0.000 | 396.291 | -0.000 |
| 0.000 | -0.000 | 0.000 | 0.000 | -0.000 | -0.000 |
| 791.840 | 0.000 | 246.300 | -0.000 | 0.000 | 0.000 |
| 0.000 | 0.000 | -0.000 | -0.000 | 0.000 | 0.000 |
| 246.315 | 0.000 | 791.826 | -0.000 | 0.000 | 0.000 |
| -0.000 | 0.000 | -0.000 | -0.000 | 0.000 | -0.000 |
| -0.000 | 0.000 | 0.000 | -0.000 | 272.763 | 0.000 |
| -0.000 | 0.000 | -0.000 | -0.000 | 0.000 | 0.000 |
| 791.823 | -0.000 | 246.312 | 0.000 | -0.000 | -0.000 |
| -0.000 | -0.000 | 0.000 | 0.000 | -0.000 | -0.000 |
| 246.298 | -0.000 | 791.837 | 0.000 | -0.000 | -0.000 |
| 0.000 | 0.000 | 0.000 | 0.000 | -0.000 | -0.000 |
| 0.000 | -0.000 | -0.000 | 0.000 | 272.763 | -0.000 |
| 0.000 | -0.000 | 0.000 | 0.000 | -0.000 | -0.000 |
| 774.718 | 103.914 | 0.000 | 0.000 | 0.000 | 0.000 |
| 208.462 | 670.169 | 0.000 | 0.000 | 0.000 | 0.000 |
| -0.000 | -0.000 | 0.000 | 0.000 | 0.000 | 0.001 |
| -0.000 | -0.000 | 0.000 | 0.000 | 0.000 | 0.000 |
| -0.000 | 0.000 | 0.000 | 0.000 | 0.000 | 0.000 |
| 0.000 | 0.000 | 0.000 | 0.000 | 0.000 | 230.854 |
| 670.170 | 208.462 | -0.000 | -0.000 | -0.000 | -0.000 |
| 208.462 | 670.169 | -0.000 | -0.000 | -0.000 | 0.000 |
| 0.000 | 0.000 | -0.000 | -0.000 | -0.000 | -0.001 |
| 0.000 | 0.000 | -0.000 | -0.000 | -0.000 | -0.001 |
| 0.000 | -0.000 | -0.000 | -0.000 | -0.000 | -0.000 |
| -0.000 | -0.000 | -0.000 | -0.000 | -0.000 | 230.853 |
| 670.170 | 208.462 | 0.000 | 0.000 | 0.000 | 0.000 |
| 208.453 | 670.179 | 0.000 | 0.000 | 0.000 | 0.000 |
| -0.000 | -0.000 | 0.000 | 0.000 | 0.000 | 0.000 |
| -0.000 | -0.000 | 0.000 | 0.000 | 0.000 | 0.000 |
| -0.000 | 0.000 | 0.000 | 0.000 | 0.000 | 0.000 |
| -0.000 | 0.000 | 0.000 | 0.000 | 0.000 | 335.402 |
| 774.718 | 103.913 | -0.000 | -0.000 | -0.000 | -0.000 |
| 208.462 | 670.170 | -0.000 | -0.000 | -0.000 | 0.000 |
| 0.000 | 0.000 | -0.000 | -0.000 | -0.000 | -0.000 |
| 0.000 | 0.000 | -0.000 | -0.000 | -0.000 | -0.000 |
| 0.000 | -0.000 | -0.000 | -0.000 | -0.000 | -0.000 |
| -0.000 | -0.000 | -0.000 | -0.000 | -0.000 | 335.402 |
| 670.177 | 208.457 | 0.000 | 0.000 | 0.000 | 0.000 |
| 208.469 | 670.165 | 0.000 | 0.000 | 0.000 | -0.000 |
| -0.000 | -0.000 | 0.000 | 0.000 | 0.000 | 0.000 |
| -0.000 | -0.000 | 0.000 | 0.000 | 0.000 | 0.000 |
| -0.000 | 0.000 | 0.000 | 0.000 | 0.000 | 0.000 |
| -0.000 | 0.000 | 0.000 | 0.000 | 0.000 | 230.854 |
| 670.162 | 208.467 | -0.000 | -0.000 | -0.000 | 0.000 |
| 208.455 | 670.174 | -0.000 | -0.000 | -0.000 | -0.000 |
| 0.000 | 0.000 | -0.000 | -0.000 | -0.000 | -0.000 |
| 0.000 | 0.000 | -0.000 | -0.000 | -0.000 | -0.000 |
| 0.000 | 0.000 | -0.000 | -0.000 | -0.000 | -0.000 |
| 0.000 | -0.000 | -0.000 | -0.000 | -0.000 | 230.854 |
| 831.062 | 111.471 | 0.000 | 0.000 | 0.000 | -0.000 |
| 223.624 | 718.909 | 0.000 | 0.000 | 0.000 | -0.001 |
| 0.001 | -0.000 | 0.000 | 0.000 | 0.000 | -0.001 |
| 0.001 | 0.000 | 0.000 | 0.000 | 0.000 | -0.001 |
| 0.000 | -0.000 | 0.000 | 0.000 | 0.000 | -0.000 |
| 0.000 | 0.000 | 0.000 | 0.000 | 0.000 | 247.643 |
| 718.908 | 223.623 | -0.000 | -0.000 | -0.000 | 0.000 |
| 223.623 | 718.909 | -0.000 | -0.000 | -0.000 | -0.000 |
| -0.001 | 0.000 | -0.000 | -0.000 | -0.000 | 0.001 |
| -0.001 | 0.000 | -0.000 | -0.000 | -0.000 | 0.001 |
| -0.000 | 0.000 | -0.000 | -0.000 | -0.000 | 0.000 |
| 0.000 | 0.000 | -0.000 | -0.000 | -0.000 | 247.643 |
| 718.910 | 223.623 | 0.000 | 0.000 | 0.000 | -0.000 |
| 223.614 | 718.919 | 0.000 | 0.000 | 0.000 | 0.000 |
| 0.000 | -0.000 | 0.000 | 0.000 | 0.000 | -0.000 |
| 0.000 | 0.000 | 0.000 | 0.000 | 0.000 | -0.000 |
| -0.000 | -0.000 | 0.000 | 0.000 | 0.000 | -0.000 |
| 0.000 | 0.000 | 0.000 | 0.000 | 0.000 | 359.795 |
| 831.061 | 111.471 | -0.000 | -0.000 | -0.000 | 0.000 |
| 223.622 | 718.910 | -0.000 | -0.000 | -0.000 | 0.000 |
| -0.000 | 0.000 | -0.000 | -0.000 | -0.000 | 0.000 |
| -0.000 | 0.000 | -0.000 | -0.000 | -0.000 | 0.000 |
| -0.000 | 0.000 | -0.000 | -0.000 | -0.000 | 0.000 |
| -0.000 | -0.000 | -0.000 | -0.000 | -0.000 | 359.795 |
| 718.917 | 223.618 | 0.000 | 0.000 | 0.000 | -0.000 |
| 223.631 | 718.904 | 0.000 | 0.000 | 0.000 | -0.000 |
| 0.000 | -0.000 | 0.000 | 0.000 | 0.000 | -0.000 |
| 0.000 | -0.000 | 0.000 | 0.000 | 0.000 | -0.000 |
| 0.000 | -0.000 | 0.000 | 0.000 | 0.000 | -0.000 |
| -0.000 | 0.000 | 0.000 | 0.000 | 0.000 | 247.643 |
| 718.901 | 223.629 | -0.000 | -0.000 | -0.000 | -0.000 |
| 223.616 | 718.914 | -0.000 | -0.000 | -0.000 | 0.000 |
| -0.000 | 0.000 | -0.000 | -0.000 | -0.000 | 0.000 |
| -0.000 | 0.000 | -0.000 | -0.000 | -0.000 | 0.000 |
| -0.000 | 0.000 | -0.000 | -0.000 | -0.000 | 0.000 |
| 0.000 | -0.000 | -0.000 | -0.000 | -0.000 | 247.643 |
| 53.983 | -158.970 | 295.054 | -0.000 | -40.997 | -0.000 |
| 144.914 | 490.738 | 510.332 | 0.000 | -91.391 | -0.000 |
| 87.600 | 131.942 | 1012.946 | -0.000 | -72.857 | 0.000 |
| 33.045 | -247.470 | 176.655 | 147.619 | -48.908 | -35.635 |
| 60.762 | -206.741 | -26.391 | 0.000 | 114.454 | 0.000 |
| 37.911 | -283.912 | 202.669 | -33.835 | -56.110 | 81.604 |
| -33.833 | 316.962 | 30.040 | 0.000 | -33.561 | -0.000 |
| 50.987 | 986.157 | 215.461 | -0.000 | -88.111 | 0.000 |
| 80.748 | 545.141 | 630.778 | 0.000 | -6.838 | -0.000 |
| -33.045 | 247.470 | -176.655 | 147.619 | 48.908 | -35.635 |
| -73.091 | 146.254 | -87.208 | 0.000 | 12.391 | -0.000 |
| -37.911 | 283.912 | -202.669 | -33.835 | 56.110 | 81.604 |
| 31.224 | 88.008 | 105.324 | 0.000 | 15.649 | -0.000 |
| 128.118 | 752.915 | 281.248 | -0.000 | -27.452 | 0.000 |
| 108.321 | 262.631 | 851.345 | -0.000 | -52.644 | 0.000 |
| 9.744 | -23.114 | 1.833 | 234.760 | 8.648 | -44.995 |
| -0.257 | -47.818 | -51.810 | -0.000 | 69.754 | 0.000 |
| 3.326 | -24.911 | 17.782 | -36.010 | -4.923 | 88.481 |
| 20.752 | 129.258 | 87.843 | 0.000 | 4.491 | 0.000 |
| 111.913 | 801.039 | 269.232 | 0.000 | -37.556 | 0.000 |
| 99.861 | 286.057 | 843.663 | 0.000 | -53.030 | 0.000 |
| -9.744 | 23.115 | -1.833 | 234.760 | -8.648 | -44.995 |
| -0.301 | -25.132 | -72.857 | 0.000 | 123.555 | -0.000 |
| -3.326 | 24.911 | -17.782 | -36.010 | 4.923 | 88.481 |
| 28.999 | 102.317 | 95.523 | 0.000 | 18.235 | -0.000 |
| 119.237 | 759.048 | 288.753 | -0.000 | -29.200 | 0.000 |
| 101.867 | 269.966 | 855.411 | 0.000 | -56.164 | -0.000 |
| 0.156 | -2.769 | 2.053 | 207.212 | 1.873 | -50.287 |
| -5.291 | -33.420 | -55.003 | 0.000 | 67.741 | 0.000 |
| 0.744 | -1.438 | -0.086 | -49.993 | -0.322 | 78.308 |
| 26.350 | 111.569 | 91.894 | -0.000 | 9.442 | 0.000 |
| 118.140 | 763.436 | 287.010 | 0.000 | -26.342 | 0.000 |
| 101.442 | 272.260 | 853.982 | -0.000 | -55.671 | -0.000 |
| -0.156 | 2.769 | -2.053 | 207.212 | -1.873 | -50.287 |
| -6.527 | -29.869 | -55.905 | -0.000 | 66.853 | 0.000 |
| -0.744 | 1.438 | 0.086 | -49.993 | 0.322 | 78.308 |
| 983.429 | 131.908 | 0.000 | 0.000 | 0.000 | -0.000 |
| 264.623 | 850.715 | 0.000 | 0.000 | 0.000 | -0.000 |
| 0.000 | -0.000 | 0.000 | 0.000 | 0.000 | -0.000 |
| 0.000 | 0.000 | 0.000 | 0.000 | 0.000 | -0.000 |
| 0.000 | -0.000 | 0.000 | 0.000 | 0.000 | -0.000 |
| -0.000 | -0.000 | 0.000 | 0.000 | 0.000 | 293.046 |
| 850.714 | 264.623 | -0.000 | -0.000 | -0.000 | 0.000 |
| 264.622 | 850.715 | -0.000 | -0.000 | -0.000 | 0.000 |
| -0.000 | 0.000 | -0.000 | -0.000 | -0.000 | 0.000 |
| -0.000 | -0.000 | -0.000 | -0.000 | -0.000 | 0.000 |
| -0.000 | 0.000 | -0.000 | -0.000 | -0.000 | 0.000 |
| -0.000 | 0.000 | -0.000 | -0.000 | -0.000 | 293.046 |
| 850.715 | 264.622 | 0.000 | 0.000 | 0.000 | -0.000 |
| 264.611 | 850.726 | 0.000 | 0.000 | 0.000 | -0.000 |
| 0.000 | -0.000 | 0.000 | 0.000 | 0.000 | -0.000 |
| 0.000 | 0.000 | 0.000 | 0.000 | 0.000 | -0.000 |
| -0.000 | -0.000 | 0.000 | 0.000 | 0.000 | -0.000 |
| 0.000 | 0.000 | 0.000 | 0.000 | 0.000 | 425.761 |
| 983.429 | 131.908 | -0.000 | -0.000 | -0.000 | 0.000 |
| 264.622 | 850.715 | -0.000 | -0.000 | -0.000 | 0.000 |
| -0.000 | 0.000 | -0.000 | -0.000 | -0.000 | 0.000 |
| -0.000 | -0.000 | -0.000 | -0.000 | -0.000 | 0.000 |
| -0.000 | 0.000 | -0.000 | -0.000 | -0.000 | 0.000 |
| -0.000 | -0.000 | -0.000 | -0.000 | -0.000 | 425.761 |
| 850.724 | 264.616 | 0.000 | 0.000 | 0.000 | -0.000 |
| 264.631 | 850.709 | 0.000 | 0.000 | 0.000 | -0.000 |
| 0.000 | -0.000 | 0.000 | 0.000 | 0.000 | -0.000 |
| 0.000 | 0.000 | 0.000 | 0.000 | 0.000 | -0.000 |
| 0.000 | -0.000 | 0.000 | 0.000 | 0.000 | -0.000 |
| -0.000 | 0.000 | 0.000 | 0.000 | 0.000 | 293.046 |
| 850.705 | 264.629 | -0.000 | -0.000 | -0.000 | -0.000 |
| 264.614 | 850.720 | -0.000 | -0.000 | -0.000 | 0.000 |
| -0.000 | 0.000 | -0.000 | -0.000 | -0.000 | 0.000 |
| -0.000 | 0.000 | -0.000 | -0.000 | -0.000 | 0.000 |
| -0.000 | 0.000 | -0.000 | -0.000 | -0.000 | 0.000 |
| 0.000 | -0.000 | -0.000 | -0.000 | -0.000 | 293.046 |
| 1060.309 | 142.220 | 0.000 | 0.000 | 0.000 | -0.000 |
| 285.310 | 917.220 | 0.000 | 0.000 | 0.000 | 0.000 |
| 0.000 | -0.000 | 0.000 | 0.000 | 0.000 | -0.000 |
| 0.000 | 0.000 | 0.000 | 0.000 | 0.000 | -0.000 |
| 0.000 | -0.000 | 0.000 | 0.000 | 0.000 | -0.000 |
| -0.000 | -0.000 | 0.000 | 0.000 | 0.000 | 315.955 |
| 917.220 | 285.310 | -0.000 | -0.000 | -0.000 | 0.001 |
| 285.309 | 917.220 | -0.000 | -0.000 | -0.000 | 0.000 |
| -0.000 | 0.000 | -0.000 | -0.000 | -0.000 | 0.000 |
| -0.000 | 0.000 | -0.000 | -0.000 | -0.000 | 0.001 |
| -0.000 | -0.000 | -0.000 | -0.000 | -0.000 | 0.000 |
| 0.000 | -0.000 | -0.000 | -0.000 | -0.000 | 315.956 |
| 917.221 | 285.309 | 0.000 | 0.000 | 0.000 | 0.000 |
| 285.297 | 917.233 | 0.000 | 0.000 | 0.000 | -0.000 |
| 0.000 | -0.000 | 0.000 | 0.000 | 0.000 | -0.000 |
| 0.000 | 0.000 | 0.000 | 0.000 | 0.000 | -0.000 |
| 0.000 | -0.000 | 0.000 | 0.000 | 0.000 | -0.000 |
| 0.000 | 0.000 | 0.000 | 0.000 | 0.000 | 459.045 |
| 1060.309 | 142.220 | -0.000 | -0.000 | -0.000 | -0.000 |
| 285.309 | 917.221 | -0.000 | -0.000 | -0.000 | 0.000 |
| -0.000 | 0.000 | -0.000 | -0.000 | -0.000 | 0.000 |
| -0.000 | -0.000 | -0.000 | -0.000 | -0.000 | 0.000 |
| -0.000 | -0.000 | -0.000 | -0.000 | -0.000 | 0.000 |
| -0.000 | -0.000 | -0.000 | -0.000 | -0.000 | 459.045 |
| 917.230 | 285.303 | 0.000 | 0.000 | 0.000 | -0.000 |
| 285.319 | 917.214 | 0.000 | 0.000 | 0.000 | -0.000 |
| 0.000 | -0.000 | 0.000 | 0.000 | 0.000 | -0.000 |
| 0.000 | 0.000 | 0.000 | 0.000 | 0.000 | -0.000 |
| 0.000 | 0.000 | 0.000 | 0.000 | 0.000 | -0.000 |
| -0.000 | 0.000 | 0.000 | 0.000 | 0.000 | 315.955 |
| 917.210 | 285.316 | -0.000 | -0.000 | -0.000 | 0.000 |
| 285.300 | 917.226 | -0.000 | -0.000 | -0.000 | 0.000 |
| -0.000 | 0.000 | -0.000 | -0.000 | -0.000 | 0.000 |
| -0.000 | -0.000 | -0.000 | -0.000 | -0.000 | 0.000 |
| -0.000 | 0.000 | -0.000 | -0.000 | -0.000 | 0.000 |
| 0.000 | -0.000 | -0.000 | -0.000 | -0.000 | 315.955 |
| 725.925 | 229.462 | 277.857 | -0.000 | 0.000 | -0.002 |
| 229.462 | 725.925 | 277.857 | -0.000 | 0.000 | -0.002 |
| 285.090 | 285.090 | 896.997 | -0.000 | -0.000 | -0.001 |
| 1.800 | 1.800 | -2.979 | 190.090 | -0.000 | -0.001 |
| 1.800 | 1.800 | -2.979 | -0.000 | 190.090 | -0.001 |
| 2.865 | 2.866 | -4.742 | -0.000 | 0.000 | 78.185 |
| 723.050 | 226.585 | 282.616 | 0.000 | -0.000 | 0.002 |
| 226.586 | 723.050 | 282.616 | 0.000 | -0.000 | 0.002 |
| 282.219 | 282.219 | 901.749 | 0.000 | 0.000 | 0.001 |
| -1.800 | -1.800 | 2.979 | 190.090 | 0.000 | 0.001 |
| -1.800 | -1.800 | 2.979 | 0.000 | 190.091 | 0.001 |
| -2.865 | -2.866 | 4.742 | 0.000 | -0.000 | 78.189 |
| 724.807 | 227.790 | 280.166 | -0.000 | 0.000 | -0.000 |
| 227.790 | 724.807 | 280.166 | -0.000 | 0.000 | -0.000 |
| 283.752 | 283.752 | 899.212 | -0.000 | 0.000 | -0.000 |
| 0.180 | 0.180 | -0.298 | 190.177 | -0.000 | -0.000 |
| 0.180 | 0.180 | -0.298 | -0.000 | 190.177 | -0.000 |
| 0.286 | 0.286 | -0.473 | -0.000 | 0.000 | 78.284 |
| 724.528 | 227.501 | 280.636 | 0.000 | -0.000 | 0.000 |
| 227.501 | 724.528 | 280.636 | 0.000 | 0.000 | 0.000 |
| 283.465 | 283.465 | 899.686 | 0.000 | -0.000 | 0.000 |
| -0.180 | -0.180 | 0.298 | 190.177 | 0.000 | 0.000 |
| -0.180 | -0.180 | 0.298 | 0.000 | 190.177 | 0.000 |
| -0.286 | -0.286 | 0.473 | 0.000 | -0.000 | 78.285 |
| 724.642 | 227.668 | 280.405 | -0.000 | 0.000 | -0.000 |
| 227.668 | 724.642 | 280.405 | -0.000 | 0.000 | -0.000 |
| 283.620 | 283.620 | 899.433 | -0.000 | 0.000 | -0.000 |
| 0.018 | 0.018 | -0.030 | 190.178 | -0.000 | -0.000 |
| 0.018 | 0.018 | -0.030 | -0.000 | 190.178 | -0.000 |
| 0.028 | 0.028 | -0.048 | -0.000 | 0.000 | 78.285 |
| 724.696 | 227.615 | 280.400 | 0.000 | -0.000 | 0.000 |
| 227.615 | 724.696 | 280.400 | 0.000 | -0.000 | 0.000 |
| 283.596 | 283.596 | 899.466 | 0.000 | 0.000 | 0.000 |
| -0.018 | -0.018 | 0.030 | 190.178 | 0.000 | 0.000 |
| -0.018 | -0.018 | 0.030 | 0.000 | 190.178 | 0.000 |
| -0.028 | -0.028 | 0.048 | 0.000 | -0.000 | 78.285 |
| 451.746 | 172.440 | 306.848 | 0.005 | 0.007 | 0.000 |
| 178.252 | 698.034 | 342.854 | 0.005 | 0.007 | 0.000 |
| 317.434 | 346.537 | 638.829 | 0.005 | 0.007 | -0.000 |
| 0.269 | 1.530 | -1.392 | 250.192 | 0.004 | 0.000 |
| 0.364 | 2.072 | -1.884 | 0.006 | 83.402 | 0.000 |
| -1.517 | 1.804 | -0.535 | 0.008 | 0.014 | 60.214 |
| 452.183 | 169.379 | 309.043 | -0.005 | -0.007 | 0.000 |
| 178.688 | 694.975 | 345.049 | -0.005 | -0.007 | 0.000 |
| 317.850 | 343.490 | 641.026 | -0.005 | -0.007 | -0.000 |
| -0.269 | -1.530 | 1.391 | 250.182 | -0.004 | -0.000 |
| -0.365 | -2.072 | 1.884 | -0.006 | 83.391 | 0.000 |
| 1.517 | -1.804 | 0.535 | -0.008 | -0.014 | 60.214 |
| 452.015 | 170.972 | 307.865 | 0.001 | 0.001 | 0.000 |
| 178.265 | 696.739 | 343.887 | 0.001 | 0.001 | 0.000 |
| 316.895 | 345.614 | 639.896 | 0.001 | 0.001 | 0.000 |
| 0.027 | 0.153 | -0.139 | 250.223 | 0.000 | -0.000 |
| -0.141 | -0.017 | 0.099 | 0.000 | 82.727 | -0.000 |
| -0.148 | 0.179 | -0.054 | 0.001 | 0.001 | 60.318 |
| 452.073 | 170.663 | 308.079 | -0.001 | -0.001 | -0.000 |
| 178.310 | 696.430 | 344.108 | -0.001 | -0.001 | -0.000 |
| 316.937 | 345.307 | 640.117 | -0.001 | -0.001 | -0.000 |
| -0.027 | -0.153 | 0.139 | 250.223 | -0.000 | -0.000 |
| 0.141 | 0.017 | -0.099 | -0.000 | 82.726 | 0.000 |
| 0.148 | -0.179 | 0.054 | -0.001 | -0.001 | 60.318 |
| 451.974 | 170.849 | 307.990 | 0.000 | 0.000 | 0.000 |
| 178.275 | 696.617 | 343.981 | 0.000 | 0.000 | 0.000 |
| 316.912 | 345.486 | 639.990 | 0.000 | 0.000 | 0.000 |
| 0.003 | 0.015 | -0.014 | 250.223 | 0.000 | 0.000 |
| -0.015 | -0.003 | 0.011 | 0.000 | 82.727 | -0.000 |
| -0.015 | 0.018 | -0.006 | 0.000 | 0.000 | 60.319 |
| 452.116 | 170.784 | 307.954 | -0.000 | -0.000 | -0.000 |
| 178.297 | 696.553 | 344.015 | -0.000 | -0.000 | -0.000 |
| 316.905 | 345.443 | 640.024 | -0.000 | -0.000 | -0.000 |
| -0.003 | -0.015 | 0.014 | 250.223 | -0.000 | -0.000 |
| 0.015 | 0.003 | -0.011 | -0.000 | 82.727 | 0.000 |
| 0.015 | -0.018 | 0.006 | -0.000 | -0.000 | 60.319 |
| 904.314 | -20.065 | 185.866 | 0.000 | 0.000 | -0.000 |
| 51.276 | 721.583 | 383.003 | -0.000 | -0.000 | 0.000 |
| 314.591 | 333.273 | 591.172 | -0.000 | -0.000 | -0.000 |
| -0.001 | -0.000 | 0.000 | 240.307 | -0.000 | -0.000 |
| -0.001 | -0.000 | 0.001 | -0.000 | 82.150 | 0.000 |
| -0.003 | -0.000 | 0.002 | 0.000 | 0.000 | 63.090 |
| 515.902 | 86.646 | 358.580 | -0.000 | -0.000 | -0.000 |
| -20.065 | 953.304 | 251.200 | -0.000 | -0.000 | 0.000 |
| 279.828 | 358.454 | 594.580 | -0.000 | -0.000 | 0.000 |
| 0.001 | 0.000 | -0.001 | 240.307 | -0.000 | 0.000 |
| 0.001 | 0.000 | -0.001 | 0.000 | 82.150 | -0.000 |
| 0.003 | 0.000 | -0.002 | -0.000 | -0.000 | 63.090 |
| 488.632 | 166.925 | 314.594 | 0.000 | 0.000 | -0.000 |
| -20.065 | 953.304 | 251.200 | 0.000 | 0.000 | 0.000 |
| 314.574 | 333.252 | 591.200 | 0.000 | 0.000 | 0.000 |
| -0.000 | 0.000 | 0.000 | 433.280 | 0.000 | -0.000 |
| -0.000 | -0.000 | 0.000 | -0.000 | 278.450 | 0.000 |
| -0.000 | 0.000 | 0.000 | 0.000 | 0.000 | 63.090 |
| 488.643 | 166.921 | 314.589 | -0.000 | -0.000 | 0.000 |
| 51.277 | 721.581 | 383.004 | 0.000 | 0.000 | -0.000 |
| 279.827 | 358.453 | 594.581 | -0.000 | -0.000 | 0.000 |
| 0.000 | -0.000 | -0.000 | 433.280 | -0.000 | 0.000 |
| 0.000 | 0.000 | -0.000 | 0.000 | 278.450 | 0.000 |
| 0.000 | -0.000 | -0.000 | -0.000 | -0.000 | 63.090 |
| 515.852 | 86.659 | 358.604 | -0.000 | -0.000 | 0.000 |
| 166.915 | 687.630 | 333.268 | 0.000 | 0.000 | -0.000 |
| 314.599 | 333.276 | 591.167 | 0.000 | 0.000 | -0.000 |
| 0.000 | -0.001 | 0.000 | 240.307 | 0.000 | 0.000 |
| -0.001 | -0.001 | 0.001 | 0.000 | 81.645 | 0.000 |
| -0.000 | 0.000 | -0.000 | 0.000 | 0.000 | 63.090 |
| 488.691 | 166.906 | 314.568 | -0.000 | -0.000 | 0.000 |
| 166.931 | 687.598 | 333.278 | -0.000 | -0.000 | 0.000 |
| 314.587 | 333.267 | 591.177 | 0.000 | -0.000 | 0.000 |
| -0.000 | 0.001 | -0.000 | 240.307 | -0.000 | 0.000 |
| 0.001 | 0.001 | -0.001 | -0.000 | 81.645 | 0.000 |
| 0.000 | -0.000 | 0.000 | -0.000 | -0.000 | 63.090 |
| 751.306 | -456.854 | 713.495 | -0.000 | -580.580 | 0.000 |
| 322.785 | 275.079 | 716.334 | -0.000 | -538.110 | -0.000 |
| 74.475 | -830.061 | 1403.492 | -0.000 | -633.975 | -0.000 |
| 428.015 | -207.330 | 26.349 | -31.311 | -522.421 | 35.322 |
| -49.626 | -955.484 | 1017.316 | 0.000 | -523.488 | 0.000 |
| 244.801 | -693.116 | 717.591 | -18.305 | -695.332 | 139.494 |
| 461.419 | 1196.911 | -1001.640 | 0.000 | 527.817 | -0.000 |
| 298.309 | 1618.856 | -963.241 | 0.000 | 530.528 | -0.000 |
| 26.800 | 53.346 | 422.387 | 0.000 | -85.168 | -0.000 |
| -428.014 | 207.330 | -26.349 | -31.311 | 522.421 | 35.322 |
| -38.636 | 442.225 | -658.204 | 0.000 | 468.607 | -0.000 |
| -244.801 | 693.116 | -717.591 | -18.305 | 695.332 | 139.494 |
| 551.481 | 104.717 | 160.213 | -0.000 | -101.990 | 0.000 |
| 205.245 | 743.401 | 169.044 | 0.000 | -68.726 | -0.000 |
| 104.057 | 62.705 | 348.366 | 0.000 | -97.075 | 0.000 |
| 15.340 | -67.293 | 72.946 | 108.042 | -55.692 | -15.532 |
| -45.183 | -76.027 | 13.323 | -0.000 | -19.050 | 0.000 |
| 14.416 | -71.301 | 77.914 | -14.019 | -57.324 | 192.375 |
| 512.496 | 227.046 | 36.418 | -0.000 | -0.538 | -0.000 |
| 221.810 | 814.157 | 54.391 | 0.000 | 8.860 | -0.000 |
| 17.653 | 221.394 | 253.512 | 0.000 | 1.678 | 0.000 |
| -15.340 | 67.293 | -72.946 | 108.042 | 55.692 | -15.532 |
| -72.915 | 45.446 | -113.738 | 0.000 | 79.707 | -0.000 |
| -14.416 | 71.301 | -77.914 | -14.019 | 57.324 | 192.375 |
| 537.568 | 166.725 | 92.829 | -0.000 | -54.377 | -0.000 |
| 184.342 | 798.541 | 123.274 | -0.000 | -31.817 | -0.000 |
| 97.249 | 97.605 | 305.653 | -0.000 | -57.540 | -0.000 |
| 1.273 | -5.399 | 6.163 | 103.030 | -5.345 | -4.354 |
| -47.145 | -35.127 | -45.230 | -0.000 | 30.988 | -0.000 |
| 3.980 | -5.988 | 3.283 | -4.712 | -4.438 | 180.834 |
| 531.685 | 181.551 | 78.290 | 0.000 | -40.888 | 0.000 |
| 182.610 | 811.474 | 104.900 | 0.000 | -15.546 | 0.000 |
| 104.671 | 107.808 | 284.921 | 0.000 | -47.065 | -0.000 |
| -1.273 | 5.399 | -6.163 | 103.030 | 5.345 | -4.354 |
| -46.689 | -22.929 | -59.751 | 0.000 | 38.461 | -0.000 |
| -3.980 | 5.988 | -3.283 | -4.712 | 4.438 | 180.834 |
| -41.025 | 217.878 | 115.633 | 0.000 | -147.957 | 0.000 |
| 108.644 | 966.569 | 139.465 | 0.002 | -24.698 | 0.000 |
| 85.787 | 135.593 | 1043.322 | 0.001 | -73.735 | -0.000 |
| 24.271 | -70.017 | 61.870 | 110.120 | -93.909 | -32.458 |
| 27.965 | -148.431 | 46.338 | 0.001 | -91.934 | -0.000 |
| 33.928 | -97.876 | 86.487 | -25.758 | -131.275 | 57.036 |
| 85.725 | 62.669 | -0.707 | -0.001 | 188.575 | -0.000 |
| 112.680 | 806.083 | 236.079 | -0.000 | 66.622 | -0.000 |
| 88.596 | 477.082 | 674.409 | -0.001 | 46.063 | -0.000 |
| -24.271 | 70.017 | -61.870 | 110.118 | 93.909 | -32.458 |
| 56.264 | -82.409 | -142.601 | -0.001 | 239.176 | 0.000 |
| -33.928 | 97.876 | -86.487 | -25.761 | 131.275 | 57.036 |
| 21.368 | 95.462 | 106.519 | 0.000 | 4.018 | 0.000 |
| 112.715 | 811.627 | 290.631 | 0.000 | -44.189 | 0.000 |
| 100.247 | 295.271 | 872.149 | 0.000 | -63.136 | 0.000 |
| 1.252 | -3.610 | 3.190 | 262.314 | -4.842 | -41.120 |
| 0.184 | -50.085 | -45.062 | 0.000 | 59.922 | 0.000 |
| 2.161 | -6.235 | 5.510 | -34.834 | -8.363 | 85.430 |
| 26.302 | 109.276 | 83.375 | -0.000 | 20.200 | -0.000 |
| 110.329 | 814.628 | 288.366 | -0.000 | -35.061 | -0.000 |
| 98.199 | 286.811 | 873.770 | -0.000 | -51.854 | -0.000 |
| 5.462 | -3.580 | -9.971 | 232.235 | 21.915 | -45.542 |
| -0.524 | -24.280 | -73.735 | -0.000 | 120.577 | -0.000 |
| -2.161 | 6.235 | -5.510 | -34.834 | 8.363 | 85.430 |
| 24.579 | 107.235 | 90.147 | 0.000 | 8.038 | 0.000 |
| 111.594 | 816.186 | 286.474 | 0.000 | -39.817 | -0.000 |
| 100.061 | 291.298 | 871.622 | 0.000 | -58.476 | 0.000 |
| -0.123 | 0.028 | 0.496 | 215.459 | -0.977 | -51.419 |
| -7.161 | -34.099 | -51.069 | 0.000 | 63.988 | 0.000 |
| -0.161 | -0.155 | 0.846 | -39.151 | -1.350 | 80.354 |
| 24.826 | 107.370 | 89.089 | -0.000 | 10.219 | -0.000 |
| 115.984 | 791.869 | 294.923 | -0.000 | -23.978 | -0.000 |
| 101.279 | 286.575 | 872.347 | -0.000 | -48.613 | -0.000 |
| 0.123 | -0.028 | -0.496 | 215.459 | 0.977 | -51.419 |
| -1.562 | -42.254 | -52.671 | -0.000 | 73.486 | 0.000 |
| 0.161 | 0.155 | -0.846 | -39.151 | 1.350 | 80.354 |
| 956.672 | 128.319 | 0.000 | 0.000 | 0.000 | -0.000 |
| 257.422 | 827.567 | 0.000 | 0.000 | 0.000 | -0.000 |
| -0.000 | -0.000 | 0.000 | 0.000 | 0.000 | 0.000 |
| -0.000 | -0.000 | 0.000 | 0.000 | 0.000 | 0.000 |
| 0.000 | 0.000 | 0.000 | 0.000 | 0.000 | 0.000 |
| -0.000 | 0.000 | 0.000 | 0.000 | 0.000 | 285.073 |
| 827.567 | 257.422 | -0.000 | -0.000 | -0.000 | 0.000 |
| 257.423 | 827.568 | -0.000 | -0.000 | -0.000 | -0.000 |
| 0.000 | 0.000 | -0.000 | -0.000 | -0.000 | -0.000 |
| 0.000 | -0.000 | -0.000 | -0.000 | -0.000 | 0.000 |
| -0.000 | 0.000 | -0.000 | -0.000 | -0.000 | 0.000 |
| 0.000 | -0.000 | -0.000 | -0.000 | -0.000 | 285.073 |
| 827.569 | 257.422 | 0.000 | 0.000 | 0.000 | 0.000 |
| 257.411 | 827.579 | 0.000 | 0.000 | 0.000 | -0.000 |
| -0.000 | -0.000 | 0.000 | 0.000 | 0.000 | 0.000 |
| -0.000 | -0.000 | 0.000 | 0.000 | 0.000 | 0.000 |
| 0.000 | -0.000 | 0.000 | 0.000 | 0.000 | -0.000 |
| 0.000 | 0.000 | 0.000 | 0.000 | 0.000 | 414.176 |
| 956.671 | 128.319 | -0.000 | -0.000 | -0.000 | 0.000 |
| 257.422 | 827.568 | -0.000 | -0.000 | -0.000 | 0.000 |
| 0.000 | 0.000 | -0.000 | -0.000 | -0.000 | -0.000 |
| 0.000 | 0.000 | -0.000 | -0.000 | -0.000 | -0.000 |
| 0.000 | 0.000 | -0.000 | -0.000 | -0.000 | -0.000 |
| -0.000 | -0.000 | -0.000 | -0.000 | -0.000 | 414.176 |
| 827.577 | 257.416 | 0.000 | 0.000 | 0.000 | 0.000 |
| 257.431 | 827.562 | 0.000 | 0.000 | 0.000 | -0.000 |
| -0.000 | -0.000 | 0.000 | 0.000 | 0.000 | 0.000 |
| -0.000 | -0.000 | 0.000 | 0.000 | 0.000 | 0.000 |
| -0.000 | -0.000 | 0.000 | 0.000 | 0.000 | 0.000 |
| -0.000 | 0.000 | 0.000 | 0.000 | 0.000 | 285.073 |
| 827.559 | 257.429 | -0.000 | -0.000 | -0.000 | 0.000 |
| 257.414 | 827.573 | -0.000 | -0.000 | -0.000 | 0.000 |
| 0.000 | 0.000 | -0.000 | -0.000 | -0.000 | -0.000 |
| 0.000 | 0.000 | -0.000 | -0.000 | -0.000 | -0.000 |
| -0.000 | 0.000 | -0.000 | -0.000 | -0.000 | 0.000 |
| 0.000 | -0.000 | -0.000 | -0.000 | -0.000 | 285.073 |
| 811.436 | 345.443 | 241.568 | 0.000 | -0.000 | -0.000 |
| 226.992 | 1101.259 | 71.067 | -0.000 | 0.000 | 0.000 |
| 71.867 | 71.867 | 1255.127 | 0.000 | 0.000 | 0.000 |
| -0.000 | 0.000 | -0.000 | 283.464 | -0.000 | 0.001 |
| -0.000 | 0.000 | -0.001 | -0.000 | 283.465 | 0.000 |
| -0.060 | -0.059 | 0.115 | -0.000 | -0.000 | 229.794 |
| 811.545 | 345.561 | 241.346 | 0.000 | -0.000 | 0.000 |
| 226.993 | 1101.257 | 71.072 | 0.000 | 0.000 | -0.000 |
| 71.868 | 71.867 | 1255.132 | -0.000 | 0.000 | 0.000 |
| 0.000 | -0.000 | -0.000 | 283.465 | 0.000 | -0.001 |
| 0.000 | -0.000 | 0.001 | 0.000 | 283.464 | 0.000 |
| 0.060 | 0.059 | -0.115 | 0.000 | 0.000 | 229.794 |
| 811.485 | 345.496 | 241.468 | -0.000 | 0.000 | 0.000 |
| 226.992 | 1101.258 | 71.069 | -0.000 | -0.000 | 0.000 |
| 71.867 | 71.867 | 1255.130 | 0.000 | -0.000 | -0.000 |
| -0.006 | -0.006 | 0.011 | 201.137 | 0.000 | -0.000 |
| -0.006 | -0.006 | 0.011 | -0.000 | 201.137 | -0.000 |
| -0.006 | -0.006 | 0.012 | -0.000 | 0.000 | 229.794 |
| 811.335 | 351.746 | 235.399 | 0.000 | 0.000 | 0.000 |
| 226.992 | 1101.257 | 71.069 | -0.000 | 0.000 | 0.000 |
| 236.212 | 236.212 | 928.109 | 0.000 | -0.000 | 0.000 |
| 0.006 | 0.006 | -0.011 | 201.137 | 0.000 | 0.000 |
| 0.006 | 0.006 | -0.011 | 0.000 | 201.137 | 0.000 |
| 0.006 | 0.006 | -0.012 | 0.000 | 0.000 | 229.794 |
| 811.487 | 345.503 | 241.460 | -0.000 | 0.000 | 0.000 |
| 226.993 | 1101.261 | 71.069 | 0.000 | -0.000 | 0.000 |
| 236.209 | 236.209 | 928.119 | -0.000 | -0.000 | -0.000 |
| 0.000 | 0.000 | -0.000 | 283.464 | 0.000 | -0.000 |
| 0.000 | 0.000 | -0.000 | 0.000 | 283.464 | 0.000 |
| -0.001 | -0.001 | 0.001 | 0.000 | -0.000 | 229.794 |
| 811.493 | 345.500 | 241.453 | 0.000 | 0.000 | 0.000 |
| 345.603 | 811.241 | 241.601 | -0.000 | 0.000 | -0.000 |
| 236.193 | 236.193 | 928.144 | -0.000 | 0.000 | 0.000 |
| -0.000 | -0.000 | 0.000 | 283.464 | 0.000 | -0.000 |
| -0.000 | -0.000 | 0.000 | -0.000 | 283.464 | -0.000 |
| 0.001 | 0.001 | -0.001 | 0.000 | -0.000 | 229.794 |
| 812.104 | 351.199 | 235.692 | 0.000 | -0.000 | 0.001 |
| 226.373 | 1101.379 | 71.249 | 0.000 | 0.000 | 0.001 |
| 71.244 | 71.244 | 1256.508 | -0.001 | -0.000 | 0.000 |
| -0.000 | -0.000 | -0.000 | 282.373 | 0.000 | 0.000 |
| -0.001 | 0.000 | -0.000 | -0.000 | 200.149 | 0.000 |
| -0.000 | 0.000 | -0.000 | 0.001 | -0.000 | 437.503 |
| 812.276 | 344.774 | 241.949 | 0.000 | -0.000 | -0.001 |
| 226.373 | 1101.378 | 71.253 | 0.000 | -0.000 | -0.000 |
| 71.244 | 71.244 | 1256.508 | 0.001 | -0.001 | -0.000 |
| 0.000 | -0.000 | -0.000 | 282.373 | -0.000 | -0.000 |
| 0.001 | -0.000 | 0.000 | 0.000 | 200.149 | -0.000 |
| -0.000 | -0.001 | -0.000 | 0.000 | -0.000 | 437.502 |
| 812.276 | 344.774 | 241.947 | 0.000 | -0.000 | 0.000 |
| 344.732 | 812.379 | 241.886 | 0.000 | 0.000 | 0.000 |
| 235.694 | 235.694 | 927.608 | -0.000 | 0.000 | 0.000 |
| 0.000 | 0.000 | 0.000 | 282.373 | -0.000 | 0.000 |
| -0.000 | 0.000 | 0.000 | -0.000 | 282.373 | 0.000 |
| -0.000 | -0.000 | 0.000 | -0.000 | 0.000 | 230.452 |
| 812.276 | 344.774 | 241.947 | 0.000 | 0.000 | -0.000 |
| 344.773 | 812.278 | 241.946 | -0.000 | 0.000 | -0.000 |
| 235.691 | 235.691 | 927.614 | 0.000 | -0.000 | -0.000 |
| -0.000 | -0.000 | -0.000 | 282.373 | -0.000 | -0.000 |
| 0.000 | -0.000 | -0.000 | 0.000 | 282.373 | -0.000 |
| 0.000 | -0.000 | -0.000 | 0.000 | 0.000 | 230.452 |
| 812.273 | 344.776 | 241.949 | -0.000 | -0.000 | 0.000 |
| 344.786 | 812.249 | 241.964 | -0.000 | 0.000 | 0.000 |
| 235.660 | 235.660 | 927.678 | -0.000 | -0.000 | 0.000 |
| 0.000 | 0.000 | -0.000 | 282.373 | -0.000 | 0.000 |
| 0.000 | 0.000 | -0.000 | -0.000 | 282.373 | 0.000 |
| -0.001 | -0.000 | 0.000 | -0.000 | -0.000 | 230.452 |
| 812.106 | 351.197 | 235.690 | -0.000 | 0.000 | -0.000 |
| 344.762 | 812.302 | 241.930 | -0.000 | 0.000 | -0.000 |
| 235.677 | 235.677 | 927.639 | -0.000 | -0.000 | -0.000 |
| -0.000 | -0.000 | 0.000 | 282.373 | -0.000 | -0.000 |
| -0.000 | -0.000 | 0.000 | 0.000 | 282.373 | -0.000 |
| 0.001 | 0.000 | -0.000 | 0.000 | 0.000 | 230.452 |
| 183.502 | 141.178 | 141.178 | -0.000 | -0.000 | -0.000 |
| 141.178 | 183.502 | 141.178 | -0.000 | -0.000 | -0.000 |
| 141.178 | 141.178 | 183.502 | -0.000 | -0.000 | -0.000 |
| -0.000 | -0.000 | 0.000 | 60.215 | -0.000 | -0.000 |
| -0.000 | -0.000 | 0.000 | -0.000 | 60.215 | -0.000 |
| -0.000 | -0.000 | 0.000 | -0.000 | -0.000 | 60.215 |
| 183.502 | 141.178 | 141.178 | 0.000 | 0.000 | 0.000 |
| 141.178 | 183.502 | 141.178 | 0.000 | 0.000 | 0.000 |
| 141.178 | 141.178 | 183.502 | 0.000 | 0.000 | 0.000 |
| 0.000 | 0.000 | -0.000 | 60.215 | 0.000 | 0.000 |
| 0.000 | 0.000 | -0.000 | 0.000 | 60.215 | 0.000 |
| 0.000 | 0.000 | -0.000 | 0.000 | 0.000 | 60.215 |
| 183.502 | 141.178 | 141.178 | -0.000 | -0.000 | -0.000 |
| 141.178 | 183.502 | 141.178 | -0.000 | -0.000 | -0.000 |
| 141.178 | 141.178 | 183.502 | -0.000 | -0.000 | -0.000 |
| -0.000 | -0.000 | 0.000 | 60.215 | -0.000 | -0.000 |
| -0.000 | -0.000 | 0.000 | -0.000 | 60.215 | -0.000 |
| -0.000 | -0.000 | 0.000 | -0.000 | -0.000 | 60.215 |
| 183.502 | 141.178 | 141.178 | 0.000 | 0.000 | 0.000 |
| 141.178 | 183.502 | 141.178 | 0.000 | 0.000 | 0.000 |
| 141.178 | 141.178 | 183.502 | 0.000 | 0.000 | 0.000 |
| 0.000 | 0.000 | -0.000 | 60.215 | 0.000 | 0.000 |
| 0.000 | 0.000 | -0.000 | 0.000 | 60.215 | 0.000 |
| 0.000 | 0.000 | 0.000 | 0.000 | 0.000 | 60.215 |
| 183.502 | 141.179 | 141.179 | 0.000 | 0.000 | -0.000 |
| 141.179 | 183.502 | 141.179 | 0.000 | 0.000 | -0.000 |
| 141.179 | 141.179 | 183.502 | 0.000 | 0.000 | -0.000 |
| -0.000 | -0.000 | -0.000 | 60.215 | -0.000 | -0.000 |
| -0.000 | -0.000 | -0.000 | -0.000 | 60.215 | -0.000 |
| -0.000 | -0.000 | -0.000 | -0.000 | -0.000 | 60.215 |
| 183.502 | 141.178 | 141.178 | 0.000 | 0.000 | 0.000 |
| 141.178 | 183.502 | 141.178 | 0.000 | 0.000 | 0.000 |
| 141.178 | 141.178 | 183.502 | 0.000 | 0.000 | 0.000 |
| 0.000 | 0.000 | 0.000 | 60.215 | -0.000 | 0.000 |
| 0.000 | 0.000 | 0.000 | 0.000 | 60.215 | 0.000 |
| 0.000 | 0.000 | 0.000 | 0.000 | 0.000 | 60.215 |
| 1199793270.990 | 1163441793.369 | 1149595672.666 | -59989247.578 | 72337151.833 | -19898691.039 |
| 372713702.196 | 460891322.853 | 544763253.999 | 1875406.922 | -22581339.406 | 46847810.344 |
| 572537332.174 | 617321303.337 | 673891981.840 | -28157085.112 | -27427683.325 | 27853687.615 |
| -0.000 | -0.000 | 0.000 | 9.500 | -0.000 | -0.000 |
| -0.000 | -0.000 | -0.000 | -0.000 | 9.500 | 0.000 |
| -0.000 | 0.000 | -0.000 | 0.000 | -0.000 | 9.500 |
| 215.315 | 63.994 | 63.994 | 0.000 | 0.000 | 0.000 |
| 63.994 | 215.315 | 63.994 | 0.000 | 0.000 | 0.000 |
| 63.994 | 63.994 | 215.315 | 0.000 | -0.000 | 0.000 |
| 0.000 | 0.000 | 0.000 | 9.500 | 0.000 | 0.000 |
| 0.000 | 0.000 | 0.000 | 0.000 | 9.500 | -0.000 |
| 0.000 | -0.000 | 0.000 | 0.000 | 0.000 | 9.500 |
| -20523631.317 | 3959757.201 | 3959756.219 | -0.000 | -0.000 | 0.000 |
| 3959756.219 | -20523631.317 | 3959757.201 | 0.000 | -0.000 | -0.000 |
| 3959757.201 | 3959756.219 | -20523631.317 | -0.000 | 0.000 | -0.000 |
| -0.000 | -0.000 | -0.000 | 9.500 | -0.000 | 0.000 |
| -0.000 | -0.000 | -0.000 | -0.000 | 9.500 | 0.000 |
| -0.000 | -0.000 | -0.000 | -0.000 | -0.000 | 9.500 |
| -17908628.198 | 15256703.556 | 15256704.604 | 0.000 | -0.000 | -0.000 |
| 15256704.604 | -17908628.198 | 15256703.556 | -0.000 | 0.000 | -0.000 |
| 15256703.556 | 15256704.604 | -17908628.198 | -0.000 | -0.000 | 0.000 |
| 0.000 | 0.000 | 0.000 | 9.500 | 0.000 | -0.000 |
| 0.000 | 0.000 | 0.000 | 0.000 | 9.500 | -0.000 |
| 0.000 | 0.000 | 0.000 | 0.000 | 0.000 | 9.500 |
| -2052141.300 | 396006.295 | 396006.285 | -0.000 | 0.000 | 0.000 |
| 396006.285 | -2052141.300 | 396006.295 | 0.000 | -0.000 | 0.000 |
| 396006.295 | 396006.285 | -2052141.300 | 0.000 | 0.000 | -0.000 |
| -0.000 | -0.000 | -0.000 | 9.500 | -0.000 | 0.000 |
| -0.000 | -0.000 | -0.000 | -0.000 | 9.500 | -0.000 |
| -0.000 | -0.000 | -0.000 | 0.000 | -0.000 | 9.500 |
| -1790720.093 | 1525755.436 | 1525755.446 | 0.000 | -0.000 | 0.000 |
| 1525755.446 | -1790720.093 | 1525755.436 | 0.000 | 0.000 | -0.000 |
| 1525755.436 | 1525755.446 | -1790720.093 | -0.000 | 0.000 | 0.000 |
| 0.000 | 0.000 | 0.000 | 9.500 | 0.000 | -0.000 |
| 0.000 | 0.000 | 0.000 | -0.000 | 9.500 | 0.000 |
| 0.000 | 0.000 | 0.000 | 0.000 | 0.000 | 9.500 |
| 331.545 | 513.130 | 513.130 | 0.000 | 0.000 | -0.000 |
| 513.130 | 331.545 | 513.130 | 0.000 | 0.000 | -0.000 |
| 513.130 | 513.130 | 331.545 | -0.000 | 0.000 | -0.000 |
| 0.000 | -0.000 | -0.000 | 345.639 | 0.000 | -0.000 |
| -0.000 | -0.000 | -0.000 | -0.000 | 345.639 | -0.000 |
| -0.000 | -0.000 | -0.000 | -0.000 | 0.000 | 345.638 |
| 331.545 | 513.130 | 513.130 | -0.000 | -0.000 | 0.000 |
| 513.130 | 331.546 | 513.130 | 0.000 | -0.000 | 0.000 |
| 513.130 | 513.130 | 331.545 | -0.000 | -0.000 | 0.000 |
| -0.000 | 0.000 | 0.000 | 345.639 | -0.000 | 0.000 |
| 0.000 | 0.000 | 0.000 | 0.000 | 345.639 | 0.000 |
| 0.000 | 0.000 | 0.000 | 0.000 | -0.000 | 345.639 |
| 331.545 | 513.130 | 513.130 | 0.000 | 0.000 | -0.000 |
| 513.130 | 331.545 | 513.130 | 0.000 | 0.000 | -0.000 |
| 513.130 | 513.130 | 331.545 | 0.000 | 0.000 | -0.000 |
| 0.000 | -0.000 | 0.000 | 345.639 | 0.000 | -0.000 |
| -0.000 | 0.000 | 0.000 | -0.000 | 345.639 | -0.000 |
| -0.000 | 0.000 | 0.000 | 0.000 | 0.000 | 345.639 |
| 331.546 | 513.130 | 513.130 | 0.000 | -0.000 | 0.000 |
| 513.130 | 331.546 | 513.130 | -0.000 | -0.000 | 0.000 |
| 513.130 | 513.130 | 331.546 | -0.000 | -0.000 | 0.000 |
| -0.000 | 0.000 | -0.000 | 345.639 | -0.000 | 0.000 |
| 0.000 | -0.000 | -0.000 | 0.000 | 345.639 | 0.000 |
| 0.000 | -0.000 | -0.000 | 0.000 | -0.000 | 345.639 |
| 331.540 | 513.132 | 513.132 | -0.000 | -0.000 | -0.000 |
| 513.132 | 331.540 | 513.132 | -0.000 | 0.000 | -0.000 |
| 513.132 | 513.132 | 331.540 | 0.000 | 0.000 | -0.000 |
| 25844873.100 | 29561169.328 | 27656542.639 | 172500.638 | 92965.013 | -119710.323 |
| 4.502 | 10.297 | 4.464 | -0.000 | -18978.708 | -0.000 |
| 29399551.501 | 28367237.813 | 24999128.352 | 40439.357 | 148788.021 | -62278.844 |
| 331.551 | 513.128 | 513.128 | -0.000 | -0.000 | 0.000 |
| 513.128 | 331.551 | 513.128 | -0.000 | -0.000 | 0.000 |
| 513.128 | 513.128 | 331.551 | 0.000 | 0.000 | 0.000 |
| -10.297 | -4.502 | -4.464 | -18978.731 | 0.000 | 0.000 |
| -4.502 | -10.297 | -4.464 | 0.000 | -18978.724 | -0.000 |
| -4.502 | -4.464 | -10.297 | 0.000 | 0.000 | -18978.774 |
| 600.052 | 290.575 | 290.575 | 0.000 | 0.000 | 0.000 |
| 290.575 | 600.052 | 290.575 | 0.000 | 0.000 | 0.000 |
| 290.575 | 290.575 | 600.052 | 0.000 | 0.000 | -0.000 |
| 0.000 | 0.000 | -0.000 | 281.695 | 0.000 | 0.000 |
| 0.000 | 0.000 | -0.000 | 0.000 | 281.695 | 0.000 |
| 0.000 | -0.000 | -0.000 | 0.000 | 0.000 | 281.695 |
| 600.052 | 290.574 | 290.575 | -0.000 | -0.000 | -0.000 |
| 290.575 | 600.052 | 290.575 | -0.000 | -0.000 | -0.000 |
| 290.575 | 290.574 | 600.052 | -0.000 | -0.000 | -0.000 |
| -0.000 | -0.000 | -0.000 | 281.695 | -0.000 | -0.000 |
| -0.000 | -0.000 | -0.000 | -0.000 | 281.695 | -0.000 |
| -0.000 | 0.000 | 0.000 | -0.000 | -0.000 | 281.695 |
| 600.052 | 290.575 | 290.575 | 0.000 | 0.000 | 0.000 |
| 290.575 | 600.052 | 290.575 | 0.000 | 0.000 | 0.000 |
| 290.575 | 290.575 | 600.052 | 0.000 | 0.000 | -0.000 |
| -0.000 | 0.000 | 0.000 | 281.695 | 0.000 | 0.000 |
| 0.000 | -0.000 | 0.000 | 0.000 | 281.695 | 0.000 |
| 0.000 | 0.000 | -0.000 | 0.000 | 0.000 | 281.695 |
| 600.052 | 290.574 | 290.574 | -0.000 | -0.000 | -0.000 |
| 290.574 | 600.052 | 290.574 | -0.000 | -0.000 | 0.000 |
| 290.574 | 290.574 | 600.052 | -0.000 | -0.000 | -0.000 |
| 0.000 | -0.000 | -0.000 | 281.695 | -0.000 | -0.000 |
| -0.000 | 0.000 | -0.000 | -0.000 | 281.695 | -0.000 |
| -0.000 | -0.000 | 0.000 | -0.000 | -0.000 | 281.695 |
| 600.053 | 290.576 | 290.576 | 0.000 | 0.000 | 0.000 |
| 290.576 | 600.053 | 290.576 | 0.000 | 0.000 | 0.000 |
| 290.576 | 290.576 | 600.053 | 0.000 | 0.000 | 0.000 |
| -0.000 | 0.000 | 0.001 | 281.695 | 0.000 | 0.000 |
| 0.000 | -0.000 | 0.001 | 0.000 | 281.695 | 0.000 |
| 0.000 | 0.001 | -0.000 | 0.000 | 0.000 | 281.695 |
| 600.051 | 290.573 | 290.573 | 0.000 | -0.000 | -0.000 |
| 290.573 | 600.051 | 290.573 | -0.000 | -0.000 | -0.000 |
| 290.573 | 290.573 | 600.051 | -0.000 | -0.000 | -0.000 |
| 0.000 | -0.000 | -0.001 | 281.695 | -0.000 | -0.000 |
| -0.000 | 0.000 | -0.001 | -0.000 | 281.695 | -0.000 |
| -0.000 | -0.001 | 0.000 | 0.000 | 0.000 | 281.695 |
| 764.892 | 531.340 | 0.000 | 0.000 | 0.000 | -0.000 |
| 313.409 | 1019.770 | 0.000 | 0.000 | 0.000 | -0.000 |
| -0.458 | -0.459 | 0.000 | 0.000 | 0.000 | -0.000 |
| -0.458 | -0.460 | 0.000 | 0.000 | 0.000 | -0.001 |
| -0.458 | -0.459 | 0.000 | 0.000 | 0.000 | -0.000 |
| -0.258 | -0.259 | 0.000 | 0.000 | 0.000 | 122.488 |
| 776.805 | 538.929 | -0.000 | -0.000 | -0.000 | 0.000 |
| 538.927 | 776.806 | -0.000 | -0.000 | -0.000 | 0.000 |
| 0.458 | 0.459 | -0.000 | -0.000 | -0.000 | 0.000 |
| 0.458 | 0.459 | -0.000 | -0.000 | -0.000 | 0.000 |
| 0.458 | 0.459 | -0.000 | -0.000 | -0.000 | -0.000 |
| 0.258 | 0.259 | -0.000 | -0.000 | -0.000 | 122.488 |
| 776.268 | 538.869 | 0.000 | 0.000 | 0.000 | -0.000 |
| 538.859 | 776.279 | 0.000 | 0.000 | 0.000 | -0.000 |
| -0.046 | -0.046 | 0.000 | 0.000 | 0.000 | -0.000 |
| -0.046 | -0.046 | 0.000 | 0.000 | 0.000 | -0.000 |
| -0.046 | -0.046 | 0.000 | 0.000 | 0.000 | 0.000 |
| 0.000 | 0.000 | 0.000 | 0.000 | 0.000 | 353.181 |
| 1019.770 | 313.408 | -0.000 | -0.000 | -0.000 | 0.000 |
| 538.873 | 776.372 | -0.000 | -0.000 | -0.000 | 0.000 |
| 0.046 | 0.046 | -0.000 | -0.000 | -0.000 | 0.000 |
| 0.046 | 0.046 | -0.000 | -0.000 | -0.000 | 0.000 |
| 0.046 | 0.046 | -0.000 | -0.000 | -0.000 | 0.000 |
| -0.000 | 0.000 | -0.000 | -0.000 | -0.000 | 353.181 |
| 765.277 | 531.867 | 0.000 | 0.000 | 0.000 | -0.000 |
| 531.910 | 765.231 | 0.000 | 0.000 | 0.000 | -0.000 |
| -0.005 | -0.005 | 0.000 | 0.000 | 0.000 | -0.000 |
| -0.005 | -0.005 | 0.000 | 0.000 | 0.000 | 0.000 |
| -0.005 | -0.005 | 0.000 | 0.000 | 0.000 | 0.000 |
| 0.000 | 0.000 | 0.000 | 0.000 | 0.000 | 353.181 |
| 764.590 | 537.284 | -0.000 | -0.000 | -0.000 | 0.000 |
| 313.407 | 1019.767 | -0.000 | -0.000 | -0.000 | 0.000 |
| 0.005 | 0.005 | -0.000 | -0.000 | -0.000 | 0.000 |
| 0.005 | 0.005 | -0.000 | -0.000 | -0.000 | 0.000 |
| 0.005 | 0.005 | -0.000 | -0.000 | -0.000 | -0.000 |
| -0.000 | -0.000 | -0.000 | -0.000 | -0.000 | 353.181 |
| 3716.532 | 5433.887 | 5433.887 | -0.000 | -0.000 | -0.000 |
| 5433.887 | 3716.532 | 5433.887 | -0.000 | 0.000 | -0.000 |
| 5433.887 | 5433.887 | 3716.531 | -0.000 | -0.000 | -0.000 |
| 0.000 | -0.000 | 0.000 | -1061.846 | 0.000 | -0.001 |
| 0.000 | 0.000 | 0.000 | 0.000 | -1061.846 | -0.000 |
| 0.000 | 0.000 | 0.000 | -0.000 | 0.000 | -1061.847 |
| 3716.531 | 5433.887 | 5433.887 | 0.000 | 0.000 | 0.001 |
| 5433.887 | 3716.531 | 5433.887 | 0.000 | -0.000 | 0.000 |
| 5433.887 | 5433.887 | 3716.531 | 0.000 | 0.000 | 0.000 |
| -0.000 | -0.000 | -0.000 | -1061.846 | -0.000 | 0.000 |
| -0.000 | -0.000 | -0.000 | -0.000 | -1061.846 | 0.001 |
| -0.000 | -0.000 | -0.000 | -0.000 | -0.000 | -1061.846 |
| 3716.533 | 5433.887 | 5433.887 | 0.000 | 0.000 | -0.000 |
| 5433.887 | 3716.533 | 5433.887 | 0.000 | 0.000 | -0.000 |
| 5433.887 | 5433.887 | 3716.533 | 0.000 | 0.000 | -0.000 |
| 0.001 | 0.001 | 0.001 | -1061.846 | -0.000 | -0.000 |
| 0.001 | 0.001 | 0.001 | 0.000 | -1061.846 | -0.000 |
| 0.001 | 0.001 | 0.001 | 0.000 | 0.000 | -1061.846 |
| 3716.530 | 5433.887 | 5433.887 | 0.000 | 0.000 | 0.000 |
| 5433.887 | 3716.530 | 5433.887 | 0.000 | 0.000 | 0.000 |
| 5433.887 | 5433.887 | 3716.530 | -0.000 | -0.000 | 0.000 |
| -0.001 | -0.001 | -0.001 | -1061.846 | -0.000 | 0.000 |
| -0.001 | -0.001 | -0.001 | -0.000 | -1061.846 | 0.000 |
| -0.001 | -0.001 | -0.001 | -0.000 | -0.000 | -1061.846 |
| 3716.545 | 5433.888 | 5433.888 | 0.000 | -0.000 | -0.000 |
| 5433.888 | 3716.545 | 5433.888 | 0.000 | 0.000 | -0.000 |
| 5433.888 | 5433.888 | 3716.545 | -0.000 | -0.000 | -0.000 |
| 0.007 | 0.008 | 0.007 | -1061.846 | -0.000 | -0.000 |
| 0.008 | 0.007 | 0.007 | 0.000 | -1061.846 | -0.000 |
| 0.008 | 0.007 | 0.007 | -0.000 | -0.000 | -1061.846 |
| 3716.518 | 5433.886 | 5433.886 | -0.000 | -0.000 | 0.000 |
| 5433.886 | 3716.518 | 5433.886 | -0.000 | -0.000 | 0.000 |
| 5433.886 | 5433.886 | 3716.518 | 0.000 | 0.000 | 0.000 |
| -0.007 | -0.008 | -0.007 | -1061.846 | 0.000 | 0.000 |
| -0.008 | -0.007 | -0.007 | -0.000 | -1061.846 | 0.000 |
| -0.008 | -0.007 | -0.007 | 0.000 | 0.000 | -1061.846 |
| -80.021 | 1766.068 | 1766.068 | 0.000 | 0.000 | 0.000 |
| 1766.068 | -80.021 | 1766.068 | 0.000 | 0.000 | 0.000 |
| 1766.068 | 1766.068 | -80.021 | 0.000 | -0.000 | 0.000 |
| 21278495449.121 | 21258551803.573 | 21278443927.130 | 122209073.820 | -168592168.376 | -75741150.081 |
| 21070285855.939 | 21546374043.315 | 20948096496.146 | 116762309.797 | -14712181.746 | 31971164.852 |
| 21739259596.944 | 21314771187.646 | 21966946526.091 | 30755996.919 | 140917915.366 | 81415715.638 |
| -80.022 | 1766.068 | 1766.068 | -0.000 | -0.000 | -0.000 |
| 1766.068 | -80.022 | 1766.068 | -0.000 | -0.000 | -0.000 |
| 1766.068 | 1766.068 | -80.022 | -0.000 | -0.000 | -0.000 |
| -21727732130.278 | -21023672648.276 | -21099931073.307 | 87487545.279 | -257747574.300 | -18171851.390 |
| -20905283757.310 | -21482104237.502 | -20458048445.843 | -202284640.240 | 162113843.970 | -154675202.728 |
| -21301437499.570 | -21136695015.203 | -21267219090.713 | -6365086.086 | -104453983.318 | -10994385.710 |
| -80.018 | 1766.068 | 1766.068 | 0.000 | 0.000 | 0.000 |
| 1766.068 | -80.018 | 1766.068 | 0.000 | 0.000 | 0.000 |
| 1766.068 | 1766.068 | -80.018 | 0.000 | 0.000 | 0.000 |
| 2139897852.177 | 2119548207.707 | 2120814213.186 | 10483764.709 | 14891686.063 | -17142230.801 |
| 2150662818.499 | 2151547243.752 | 2177906447.817 | -8816971.942 | 14930884.358 | 13115783.881 |
| 2116233463.071 | 2153010161.279 | 2139890371.446 | 4791593.395 | -18579223.839 | 11314496.014 |
| -80.025 | 1766.068 | 1766.068 | -0.000 | -0.000 | -0.000 |
| 1766.068 | -80.025 | 1766.068 | -0.000 | -0.000 | -0.000 |
| 1766.068 | 1766.068 | -80.025 | -0.000 | -0.000 | -0.000 |
| -2206816990.252 | -2110213933.059 | -2095466588.724 | 17426364.467 | 3523671.515 | 13970959.791 |
| -2145310864.706 | -2236444105.758 | -2109919108.860 | 18098703.812 | -16704905.310 | 11948378.633 |
| -2144720167.655 | -2107202705.963 | -2155163057.819 | -18954042.688 | 15515618.372 | -1063353.689 |
| -79.983 | 1766.070 | 1766.070 | 0.000 | 0.000 | 0.000 |
| 1766.070 | -79.983 | 1766.070 | 0.000 | -0.000 | 0.000 |
| 1766.070 | 1766.070 | -79.983 | 0.000 | 0.000 | 0.000 |
| 216692958.761 | 212636469.614 | 212236792.325 | -1164645.229 | -2206137.258 | -1405804.090 |
| 212923768.494 | 205878209.429 | 214948471.111 | -1338959.310 | -3001906.778 | -2544122.728 |
| 207396034.737 | 212699450.567 | 211075678.570 | -845056.153 | -2279276.259 | -1504831.912 |
| -80.060 | 1766.066 | 1766.066 | -0.000 | -0.000 | -0.000 |
| 1766.066 | -80.060 | 1766.066 | -0.000 | -0.000 | -0.000 |
| 1766.066 | 1766.066 | -80.060 | -0.000 | -0.000 | -0.000 |
| -215617212.486 | -204843550.432 | -208395998.910 | -1269766.094 | 395388.217 | 972564.739 |
| -206149419.598 | -208441713.109 | -203304547.600 | -599914.628 | 1581341.550 | -948999.509 |
| -210446786.096 | -207511023.293 | -216210600.382 | 582800.339 | 713326.574 | 596999.230 |
| 2293.680 | 2190.359 | 2190.359 | -0.000 | 0.000 | 0.000 |
| 2190.359 | 2293.681 | 2190.359 | -0.000 | -0.000 | 0.000 |
| 2190.359 | 2190.359 | 2293.680 | -0.000 | -0.000 | 0.000 |
| 0.000 | 0.000 | -0.000 | -712.287 | 0.000 | 0.000 |
| 0.000 | 0.000 | 0.000 | 0.000 | -712.287 | 0.000 |
| 0.000 | 0.000 | 0.000 | 0.000 | 0.000 | -712.287 |
| 2293.680 | 2190.359 | 2190.358 | -0.000 | -0.000 | -0.000 |
| 2190.359 | 2293.680 | 2190.358 | 0.000 | -0.000 | -0.000 |
| 2190.359 | 2190.359 | 2293.681 | 0.000 | -0.000 | -0.000 |
| -0.000 | -0.000 | -0.000 | -712.287 | -0.000 | -0.000 |
| -0.000 | -0.000 | -0.000 | -0.000 | -712.287 | -0.000 |
| -0.000 | -0.000 | -0.000 | -0.000 | -0.000 | -712.287 |
| 2293.680 | 2190.358 | 2190.358 | 0.000 | 0.000 | 0.000 |
| 2190.358 | 2293.680 | 2190.358 | 0.000 | 0.000 | 0.000 |
| 2190.358 | 2190.358 | 2293.680 | -0.000 | 0.000 | 0.000 |
| 0.001 | 0.001 | 0.001 | -712.287 | 0.000 | 0.000 |
| 0.001 | 0.001 | 0.001 | -0.000 | -712.287 | 0.000 |
| 0.001 | 0.000 | 0.001 | -0.000 | 0.000 | -712.287 |
| 2293.681 | 2190.359 | 2190.359 | -0.000 | -0.000 | -0.000 |
| 2190.359 | 2293.681 | 2190.359 | 0.000 | -0.000 | -0.000 |
| 2190.359 | 2190.359 | 2293.681 | 0.000 | 0.000 | -0.000 |
| -0.001 | -0.001 | -0.001 | -712.287 | -0.000 | 0.000 |
| -0.001 | -0.001 | -0.001 | 0.000 | -712.287 | -0.000 |
| -0.001 | -0.000 | -0.001 | 0.000 | -0.000 | -712.287 |
| 2293.671 | 2190.353 | 2190.353 | -0.000 | 0.000 | 0.000 |
| 2190.353 | 2293.671 | 2190.353 | -0.000 | 0.000 | 0.000 |
| 2190.353 | 2190.353 | 2293.671 | -0.000 | -0.000 | 0.000 |
| 0.006 | 0.006 | 0.005 | -712.287 | 0.000 | 0.000 |
| 0.006 | 0.006 | 0.005 | -0.000 | -712.287 | 0.000 |
| 0.006 | 0.005 | 0.006 | -0.000 | 0.000 | -712.287 |
| 2293.690 | 2190.364 | 2190.364 | 0.000 | -0.000 | -0.000 |
| 2190.364 | 2293.690 | 2190.364 | -0.000 | -0.000 | -0.000 |
| 2190.364 | 2190.364 | 2293.690 | -0.000 | -0.000 | -0.000 |
| -0.006 | -0.006 | -0.005 | -712.287 | -0.000 | -0.000 |
| -0.006 | -0.006 | -0.005 | 0.000 | -712.287 | -0.000 |
| -0.006 | -0.005 | -0.006 | 0.000 | -0.000 | -712.287 |
| 3515.780 | 5502.728 | 5568.993 | 0.000 | 0.001 | -0.001 |
| 9959298357.669 | 5224741984.762 | 108651453.534 | -14420165.014 | 17490293.054 | -304129249.521 |
| 5568.994 | 5568.993 | 3439.128 | -0.000 | -0.000 | -0.000 |
| 0.000 | -0.000 | 0.000 | -975.293 | -0.000 | -0.000 |
| 0.000 | 0.000 | 0.000 | 0.000 | -975.293 | -0.000 |
| 0.000 | -0.000 | -0.000 | 0.000 | -0.000 | -993.474 |
| -10122280323.090 | -5468867897.073 | -288689217.908 | 567480.325 | 2781232.729 | 370616155.680 |
| -10992267143.129 | -11663510528.875 | -12920248259.597 | 97513602.201 | 115524053.854 | -667731476.024 |
| 5568.993 | 5568.993 | 3439.128 | 0.000 | 0.001 | -0.000 |
| -0.000 | 0.000 | 0.000 | -975.292 | 0.001 | 0.000 |
| -0.000 | -0.000 | -0.000 | -0.000 | -975.293 | 0.000 |
| -0.000 | 0.000 | 0.000 | -0.000 | -0.000 | -993.474 |
| 3515.783 | 5502.728 | 5568.993 | 0.000 | 0.000 | -0.000 |
| 984804810.297 | 538179543.380 | 15296941.566 | -92341.218 | 442467.491 | -33435981.382 |
| 5568.994 | 5568.994 | 3439.131 | -0.000 | -0.000 | -0.000 |
| 0.000 | 0.000 | 0.001 | -975.292 | -0.000 | -0.000 |
| 0.001 | 0.000 | 0.001 | 0.000 | -975.292 | -0.000 |
| 0.001 | 0.001 | 0.001 | 0.000 | -0.000 | -993.474 |
| -1006531816.849 | -535210514.278 | -41499763.275 | 1009281.791 | 3192719.451 | 35774258.535 |
| -1096857967.472 | -1194311568.038 | -1315039114.069 | 232935.758 | 7417568.630 | -66656991.208 |
| 5568.993 | 5568.993 | 3439.126 | 0.000 | 0.000 | 0.000 |
| -0.000 | -0.001 | -0.001 | -975.292 | 0.000 | 0.000 |
| -0.001 | -0.000 | -0.000 | -0.000 | -975.292 | -0.000 |
| -0.001 | -0.001 | -0.001 | -0.000 | -0.000 | -993.474 |
| 108114668.227 | 114041747.879 | 124375112.809 | -908013.822 | -74904.437 | 5525255.585 |
| 99432225.941 | 54091302.659 | 2202950.043 | 137267.562 | 120252.373 | -4577737.294 |
| 5568.996 | 5568.996 | 3439.154 | 0.000 | 0.000 | -0.000 |
| 0.004 | 0.005 | 0.005 | -975.292 | 0.000 | -0.000 |
| 0.005 | 0.004 | 0.005 | 0.000 | -975.292 | -0.000 |
| 77728088.327 | 91760642.086 | 1216832.242 | -94658.230 | 128412.548 | -12833461.455 |
| -99023873.610 | -53485394.636 | -3558987.663 | 2997.281 | -614538.629 | 3761781.373 |
| -115759400.963 | -121295865.133 | -129305476.390 | 546817.497 | -760647.556 | -4532442.019 |
| 5568.992 | 5568.992 | 3439.102 | 0.000 | 0.000 | 0.000 |
| -0.004 | -0.005 | -0.005 | -975.292 | -0.000 | 0.000 |
| -0.005 | -0.004 | -0.005 | 0.000 | -975.292 | 0.000 |
| -63099140.623 | -106223293.426 | -1526017.982 | 10984.761 | -56410.231 | -10560080.699 |
| 1011.723 | 329.286 | 626.420 | 0.000 | 0.000 | -0.001 |
| 329.286 | 1011.722 | 626.420 | 0.000 | 0.000 | -0.001 |
| 632.056 | 632.056 | 767.877 | -0.000 | 0.000 | -0.001 |
| -0.001 | 0.000 | 0.000 | 585.522 | -0.000 | -0.001 |
| -0.000 | 0.000 | -0.000 | -0.000 | 585.522 | -0.001 |
| 0.000 | -0.000 | -0.000 | -0.000 | 0.000 | 110.877 |
| 781.382 | 559.626 | 626.420 | 0.000 | -0.000 | 0.001 |
| 559.625 | 781.383 | 626.420 | 0.000 | -0.000 | 0.001 |
| 632.057 | 632.056 | 767.877 | 0.000 | -0.000 | 0.001 |
| 0.001 | -0.000 | 0.000 | 585.522 | 0.000 | 0.001 |
| 0.000 | -0.000 | 0.000 | 0.000 | 585.522 | 0.001 |
| 0.000 | 0.000 | 0.000 | 0.000 | -0.000 | 110.879 |
| 781.384 | 559.624 | 626.420 | -0.000 | 0.000 | -0.000 |
| 329.286 | 1011.722 | 626.420 | 0.000 | 0.000 | -0.000 |
| 632.056 | 632.056 | 767.877 | -0.000 | 0.000 | -0.000 |
| 0.000 | 0.000 | 0.000 | 585.522 | 0.000 | -0.000 |
| 0.000 | 0.000 | 0.000 | -0.000 | 585.522 | -0.000 |
| -0.000 | -0.000 | -0.000 | 0.000 | 0.000 | 341.218 |
| 781.420 | 559.590 | 626.421 | 0.000 | -0.000 | 0.000 |
| 559.624 | 781.385 | 626.421 | 0.000 | -0.000 | 0.000 |
| 632.056 | 632.056 | 767.878 | 0.000 | 0.000 | 0.000 |
| -0.000 | -0.000 | -0.000 | 585.522 | -0.000 | 0.000 |
| -0.000 | -0.000 | -0.000 | 0.000 | 585.522 | 0.000 |
| 0.000 | 0.000 | 0.000 | -0.000 | -0.000 | 341.218 |
| 781.398 | 559.602 | 626.417 | -0.000 | 0.000 | -0.000 |
| 559.643 | 781.357 | 626.417 | 0.000 | 0.000 | -0.000 |
| 632.053 | 632.053 | 767.872 | -0.000 | 0.000 | -0.000 |
| 0.001 | 0.000 | 0.002 | 585.522 | 0.000 | -0.000 |
| 0.002 | -0.000 | 0.002 | 0.000 | 585.522 | -0.000 |
| -0.001 | -0.000 | -0.000 | -0.000 | 0.000 | 110.878 |
| 781.367 | 559.650 | 626.424 | 0.000 | -0.000 | 0.000 |
| 559.609 | 781.408 | 626.424 | 0.000 | -0.000 | 0.000 |
| 632.060 | 632.060 | 767.882 | 0.000 | 0.000 | 0.000 |
| -0.001 | -0.000 | -0.002 | 585.522 | 0.000 | 0.000 |
| -0.002 | 0.000 | -0.002 | -0.000 | 585.522 | 0.000 |
| 0.001 | 0.000 | 0.000 | 0.000 | -0.000 | 110.878 |
| 8681407069.312 | 9467457288.215 | 5401433744.649 | -33695886.537 | 97782244.163 | -206373002.126 |
| 5503.873 | 3518.155 | 5568.651 | -0.000 | -0.003 | 0.000 |
| 5568.651 | 5568.651 | 3432.625 | 0.002 | 0.002 | 0.000 |
| -0.000 | 0.000 | -0.001 | -1024.101 | 0.000 | 0.001 |
| -0.000 | -0.000 | -0.001 | 0.001 | -1024.103 | 0.000 |
| -0.000 | -0.000 | 0.000 | -0.000 | -0.003 | -992.860 |
| -10437207635.369 | -6740659289.054 | 2407606379.206 | 22776856.177 | 42288027.859 | -931461110.842 |
| 5503.873 | 3518.154 | 5568.651 | 0.000 | 0.003 | -0.000 |
| 5568.651 | 5568.651 | 3432.624 | -0.002 | 0.001 | -0.000 |
| 0.000 | -0.000 | 0.000 | -1024.104 | 0.000 | -0.001 |
| 0.000 | -0.000 | -0.000 | -0.002 | -1024.105 | -0.000 |
| 0.000 | 0.000 | -0.000 | 0.000 | 0.003 | -992.858 |
| 866565274.644 | 1010364486.925 | 541217145.285 | 6000273.731 | 255136.069 | -32824137.832 |
| 1071945689.813 | 661017100.951 | -196146533.865 | -1885421.957 | -4100370.457 | 124044914.498 |
| 5568.651 | 5568.651 | 3432.628 | 0.000 | -0.000 | -0.000 |
| 0.000 | 0.001 | 0.001 | -1024.104 | -0.000 | 0.000 |
| 0.001 | 0.000 | 0.000 | 0.000 | -1024.104 | 0.000 |
| 665534828.819 | 1155483728.045 | -162032403.539 | 655840.443 | -1187090.152 | -133407771.672 |
| -1068862882.315 | -670550333.650 | 207608455.663 | -1130554.952 | -3898954.749 | -106502791.333 |
| -873243748.287 | -1007653655.109 | -498504650.640 | 531184.761 | -2993821.479 | 26868360.436 |
| 5568.651 | 5568.651 | 3432.623 | -0.000 | -0.000 | 0.000 |
| -0.000 | -0.001 | -0.000 | -1024.104 | -0.000 | -0.000 |
| -0.001 | -0.000 | -0.001 | -0.000 | -1024.104 | -0.000 |
| -792385984.282 | -1003168648.461 | 118766573.307 | -611443.359 | -2690340.282 | -62832738.433 |
| 82434482.035 | 95817839.927 | 44592711.125 | -39592.910 | 92529.987 | -3770143.516 |
| 105146133.592 | 67527459.107 | -21370540.435 | 250694.953 | 46596.047 | 11141497.982 |
| 5568.653 | 5568.653 | 3432.652 | 0.000 | 0.000 | 0.000 |
| 0.005 | 0.006 | 0.005 | -1024.104 | -0.000 | -0.000 |
| 0.006 | 0.005 | 0.005 | 0.000 | -1024.104 | -0.000 |
| 63298652.664 | 98795245.212 | -19409794.823 | 94896.026 | -204022.092 | -17578488.800 |
| -107828146.298 | -69995151.146 | 17891237.384 | 127046.773 | 329584.651 | -9957525.024 |
| -87718484.955 | -98961788.144 | -48588559.787 | -389378.532 | 41426.454 | 3266414.945 |
| 5568.649 | 5568.649 | 3432.599 | -0.000 | 0.000 | -0.000 |
| -0.005 | -0.006 | -0.005 | -1024.104 | 0.000 | -0.000 |
| -0.006 | -0.005 | -0.005 | -0.000 | -1024.104 | 0.000 |
| -82380777.062 | -92721107.671 | 15909058.906 | 303334.305 | 139773.998 | -11345860.721 |
| 1142.443 | 363.661 | 705.302 | -0.000 | -0.001 | 0.000 |
| 602.707 | 903.398 | 705.302 | -0.000 | -0.001 | 0.001 |
| 705.302 | 705.302 | 12217.789 | -0.000 | -0.001 | 0.001 |
| 0.000 | -0.000 | -0.000 | 521.171 | -0.001 | 0.000 |
| -0.000 | -0.000 | -0.000 | -0.000 | 521.171 | -0.000 |
| -0.000 | 0.000 | -0.000 | -0.000 | -0.001 | 150.345 |
| 903.398 | 602.706 | 705.303 | 0.000 | 0.001 | -0.001 |
| 363.662 | 1142.444 | 705.303 | 0.000 | 0.000 | 0.000 |
| 705.302 | 705.302 | 12217.790 | 0.000 | 0.001 | -0.001 |
| -0.000 | 0.000 | 0.000 | 521.172 | 0.000 | -0.001 |
| 0.000 | -0.000 | 0.000 | 0.000 | 521.172 | -0.000 |
| 0.000 | -0.001 | 0.000 | 0.000 | 0.001 | 150.345 |
| 903.402 | 602.703 | 705.302 | -0.000 | -0.000 | 0.000 |
| 602.711 | 903.394 | 705.302 | -0.000 | -0.000 | 0.000 |
| 705.303 | 705.303 | 12217.790 | -0.000 | -0.000 | 0.000 |
| 0.000 | 0.000 | -0.000 | 521.171 | -0.000 | 0.000 |
| 0.000 | 0.000 | -0.000 | -0.000 | 521.171 | 0.000 |
| -0.000 | -0.000 | -0.000 | -0.000 | -0.000 | 150.346 |
| 903.537 | 602.569 | 705.303 | 0.000 | 0.000 | 0.000 |
| 602.703 | 903.403 | 705.303 | 0.000 | 0.000 | 0.000 |
| 705.301 | 705.301 | 12217.789 | 0.000 | 0.000 | -0.000 |
| -0.000 | -0.000 | 0.000 | 521.171 | 0.000 | -0.000 |
| -0.000 | -0.000 | 0.000 | 0.000 | 521.172 | -0.000 |
| 0.000 | 0.000 | 0.000 | 0.000 | 0.000 | 150.346 |
| 903.433 | 602.663 | 705.299 | -0.000 | -0.000 | 0.000 |
| 602.744 | 903.353 | 705.299 | -0.000 | -0.000 | -0.000 |
| 705.312 | 705.312 | 12217.798 | -0.000 | -0.000 | 0.000 |
| 0.001 | 0.004 | -0.003 | 521.171 | -0.000 | 0.000 |
| 0.001 | 0.003 | -0.003 | -0.000 | 521.171 | 0.000 |
| -0.000 | -0.001 | -0.000 | -0.000 | -0.000 | 150.346 |
| 903.363 | 602.750 | 705.306 | 0.000 | 0.000 | -0.000 |
| 602.670 | 903.443 | 705.306 | 0.000 | 0.000 | 0.000 |
| 705.293 | 705.293 | 12217.781 | 0.000 | 0.000 | -0.000 |
| -0.001 | -0.004 | 0.003 | 521.171 | 0.000 | -0.000 |
| -0.001 | -0.003 | 0.003 | 0.000 | 521.171 | -0.000 |
| 0.000 | 0.001 | 0.000 | 0.000 | 0.000 | 150.346 |
| 573.079 | 267.597 | 267.597 | 0.000 | 0.000 | 0.000 |
| 267.597 | 573.079 | 267.597 | 0.000 | 0.000 | -0.000 |
| 267.597 | 267.597 | 573.078 | 0.000 | 0.000 | -0.000 |
| 0.000 | 0.001 | 0.000 | 531.589 | 0.000 | 0.000 |
| 0.000 | -0.001 | 0.000 | 0.000 | 531.588 | -0.001 |
| 0.000 | 0.001 | 0.000 | 0.000 | 0.000 | 531.589 |
| 573.078 | 267.597 | 267.597 | -0.000 | -0.000 | -0.000 |
| 267.597 | 573.078 | 267.597 | -0.000 | -0.000 | -0.000 |
| 267.597 | 267.597 | 573.078 | -0.000 | -0.000 | -0.000 |
| -0.000 | -0.000 | -0.000 | 531.588 | -0.000 | -0.000 |
| -0.000 | -0.001 | -0.000 | -0.000 | 531.588 | -0.001 |
| -0.000 | -0.000 | -0.000 | -0.000 | 0.000 | 531.588 |
| 573.078 | 267.597 | 267.597 | 0.000 | 0.000 | 0.000 |
| 267.597 | 573.078 | 267.597 | 0.000 | 0.000 | -0.000 |
| 267.597 | 267.597 | 573.078 | 0.000 | 0.000 | 0.000 |
| 0.000 | -0.000 | 0.000 | 389.453 | 0.000 | -0.000 |
| -0.000 | 0.000 | 0.000 | 0.000 | 389.453 | 0.000 |
| -0.000 | 0.000 | 0.000 | 0.000 | 0.000 | 389.453 |
| 573.078 | 267.597 | 267.597 | -0.000 | -0.000 | -0.000 |
| 267.597 | 573.078 | 267.597 | -0.000 | -0.000 | -0.000 |
| 267.597 | 267.597 | 573.078 | -0.000 | -0.000 | -0.000 |
| -0.000 | 0.000 | -0.000 | 389.453 | -0.000 | 0.000 |
| 0.000 | -0.000 | -0.000 | -0.000 | 389.453 | 0.000 |
| 0.000 | 0.000 | -0.000 | -0.000 | -0.000 | 389.453 |
| 573.079 | 267.598 | 267.598 | 0.000 | 0.000 | 0.000 |
| 267.598 | 573.079 | 267.598 | 0.000 | 0.000 | 0.000 |
| 267.598 | 267.598 | 573.079 | 0.000 | 0.000 | 0.000 |
| 0.000 | -0.001 | 0.000 | 389.453 | 0.000 | -0.000 |
| -0.001 | 0.000 | 0.000 | 0.000 | 389.453 | 0.000 |
| -0.001 | 0.000 | 0.000 | -0.000 | -0.000 | 389.453 |
| 573.078 | 267.596 | 267.596 | -0.000 | -0.000 | -0.000 |
| 267.596 | 573.078 | 267.596 | -0.000 | -0.000 | -0.000 |
| 267.596 | 267.596 | 573.078 | -0.000 | -0.000 | 0.000 |
| -0.000 | 0.001 | -0.000 | 389.453 | -0.000 | 0.000 |
| 0.001 | -0.000 | -0.000 | -0.000 | 389.453 | 0.000 |
| 0.001 | -0.000 | -0.000 | -0.000 | -0.000 | 389.453 |
| 943.914 | -0.000 | 0.000 | 0.000 | 0.000 | -0.000 |
| -0.000 | 943.914 | 0.000 | 0.000 | 0.000 | -0.000 |
| -0.000 | -0.000 | 0.000 | 0.000 | 0.000 | -0.000 |
| -0.000 | -0.000 | 0.000 | 0.000 | 0.000 | -0.000 |
| -0.000 | -0.000 | 0.000 | 0.000 | 0.000 | -0.000 |
| 0.000 | 0.000 | 0.000 | 0.000 | 0.000 | 112.225 |
| 943.913 | 0.000 | -0.000 | -0.000 | -0.000 | 0.000 |
| 0.000 | 943.913 | -0.000 | -0.000 | -0.000 | 0.000 |
| 0.000 | 0.000 | -0.000 | -0.000 | -0.000 | 0.000 |
| 0.000 | 0.000 | -0.000 | -0.000 | -0.000 | 0.000 |
| 0.000 | 0.000 | -0.000 | -0.000 | -0.000 | 0.000 |
| -0.000 | -0.000 | -0.000 | -0.000 | -0.000 | 112.225 |
| 943.914 | -0.000 | 0.000 | 0.000 | 0.000 | -0.000 |
| -0.000 | 943.914 | 0.000 | 0.000 | 0.000 | -0.000 |
| -0.000 | -0.000 | 0.000 | 0.000 | 0.000 | -0.000 |
| -0.000 | -0.000 | 0.000 | 0.000 | 0.000 | -0.000 |
| -0.000 | -0.000 | 0.000 | 0.000 | 0.000 | -0.000 |
| 0.000 | -0.000 | 0.000 | 0.000 | 0.000 | 112.225 |
| 943.913 | 0.000 | -0.000 | -0.000 | -0.000 | 0.000 |
| 0.000 | 943.913 | -0.000 | -0.000 | -0.000 | 0.000 |
| 0.000 | 0.000 | -0.000 | -0.000 | -0.000 | 0.000 |
| 0.000 | 0.000 | -0.000 | -0.000 | -0.000 | 0.000 |
| 0.000 | 0.000 | -0.000 | -0.000 | -0.000 | 0.000 |
| -0.000 | 0.000 | -0.000 | -0.000 | -0.000 | 112.225 |
| 943.918 | -0.000 | 0.000 | 0.000 | 0.000 | -0.000 |
| -0.000 | 943.918 | 0.000 | 0.000 | 0.000 | -0.000 |
| -0.000 | -0.000 | 0.000 | 0.000 | 0.000 | -0.000 |
| -0.000 | -0.000 | 0.000 | 0.000 | 0.000 | -0.000 |
| -0.000 | -0.000 | 0.000 | 0.000 | 0.000 | -0.000 |
| -0.000 | -0.000 | 0.000 | 0.000 | 0.000 | 112.225 |
| 943.909 | 0.000 | -0.000 | -0.000 | -0.000 | 0.000 |
| 0.000 | 943.909 | -0.000 | -0.000 | -0.000 | 0.000 |
| 0.000 | 0.000 | -0.000 | -0.000 | -0.000 | 0.000 |
| 0.000 | 0.000 | -0.000 | -0.000 | -0.000 | 0.000 |
| 0.000 | 0.000 | -0.000 | -0.000 | -0.000 | 0.000 |
| 0.000 | 0.000 | -0.000 | -0.000 | -0.000 | 112.225 |
| 1730.532 | -0.000 | 0.000 | 0.000 | 0.000 | -0.000 |
| -0.000 | 1730.532 | 0.000 | 0.000 | 0.000 | -0.000 |
| -0.000 | -0.000 | 0.000 | 0.000 | 0.000 | -0.000 |
| -0.000 | -0.000 | 0.000 | 0.000 | 0.000 | -0.000 |
| -0.000 | -0.000 | 0.000 | 0.000 | 0.000 | -0.000 |
| -0.000 | -0.000 | 0.000 | 0.000 | 0.000 | 205.748 |
| 964.642 | -0.000 | 0.000 | 0.000 | 0.000 | -0.000 |
| -0.000 | 964.642 | 0.000 | 0.000 | 0.000 | -0.000 |
| -0.000 | -0.000 | 0.000 | 0.000 | 0.000 | -0.000 |
| -0.000 | -0.000 | 0.000 | 0.000 | 0.000 | -0.000 |
| -0.000 | -0.000 | 0.000 | 0.000 | 0.000 | -0.000 |
| -0.000 | -0.000 | 0.000 | 0.000 | 0.000 | 114.689 |
| 1730.532 | 0.000 | -0.000 | -0.000 | -0.000 | -0.000 |
| 0.000 | 1730.532 | -0.000 | -0.000 | -0.000 | 0.000 |
| 0.000 | 0.000 | -0.000 | -0.000 | -0.000 | 0.000 |
| 0.000 | -0.000 | -0.000 | -0.000 | -0.000 | 0.000 |
| -0.000 | 0.000 | -0.000 | -0.000 | -0.000 | 0.000 |
| 0.000 | 0.000 | -0.000 | -0.000 | -0.000 | 205.748 |
| 964.642 | 0.000 | -0.000 | -0.000 | -0.000 | -0.000 |
| 0.000 | 964.642 | -0.000 | -0.000 | -0.000 | 0.000 |
| 0.000 | 0.000 | -0.000 | -0.000 | -0.000 | 0.000 |
| 0.000 | 0.000 | -0.000 | -0.000 | -0.000 | 0.000 |
| 0.000 | 0.000 | -0.000 | -0.000 | -0.000 | 0.000 |
| 0.000 | 0.000 | -0.000 | -0.000 | -0.000 | 114.689 |
| 1730.532 | -0.000 | 0.000 | 0.000 | 0.000 | -0.000 |
| -0.000 | 1730.532 | 0.000 | 0.000 | 0.000 | -0.000 |
| -0.000 | -0.000 | 0.000 | 0.000 | 0.000 | -0.000 |
| -0.000 | -0.000 | 0.000 | 0.000 | 0.000 | -0.000 |
| 0.000 | -0.000 | 0.000 | 0.000 | 0.000 | 0.000 |
| -0.000 | -0.000 | 0.000 | 0.000 | 0.000 | 205.748 |
| 964.643 | -0.000 | 0.000 | 0.000 | 0.000 | -0.000 |
| -0.000 | 964.643 | 0.000 | 0.000 | 0.000 | -0.000 |
| -0.000 | -0.000 | 0.000 | 0.000 | 0.000 | -0.000 |
| -0.000 | 0.000 | 0.000 | 0.000 | 0.000 | -0.000 |
| -0.000 | -0.000 | 0.000 | 0.000 | 0.000 | -0.000 |
| -0.000 | -0.000 | 0.000 | 0.000 | 0.000 | 114.689 |
| 1730.531 | 0.000 | -0.000 | -0.000 | -0.000 | 0.000 |
| 0.000 | 1730.531 | -0.000 | -0.000 | -0.000 | 0.000 |
| 0.000 | 0.000 | -0.000 | -0.000 | -0.000 | 0.000 |
| 0.000 | 0.000 | -0.000 | -0.000 | -0.000 | 0.000 |
| 0.000 | 0.000 | -0.000 | -0.000 | -0.000 | 0.000 |
| -0.000 | 0.000 | -0.000 | -0.000 | -0.000 | 205.748 |
| 964.642 | 0.000 | -0.000 | -0.000 | -0.000 | 0.000 |
| 0.000 | 964.642 | -0.000 | -0.000 | -0.000 | 0.000 |
| 0.000 | 0.000 | -0.000 | -0.000 | -0.000 | 0.000 |
| 0.000 | 0.000 | -0.000 | -0.000 | -0.000 | 0.000 |
| 0.000 | 0.000 | -0.000 | -0.000 | -0.000 | 0.000 |
| -0.000 | 0.000 | -0.000 | -0.000 | -0.000 | 114.689 |
| 1730.540 | -0.000 | 0.000 | 0.000 | 0.000 | 0.000 |
| -0.000 | 1730.540 | 0.000 | 0.000 | 0.000 | -0.000 |
| 1869.145 | 1869.145 | 8189.160 | 0.000 | 0.000 | 0.000 |
| -0.000 | -0.000 | 0.000 | 0.000 | 0.000 | -0.000 |
| -0.000 | -0.000 | 0.000 | 0.000 | 0.000 | -0.000 |
| -0.000 | -0.000 | 0.000 | 0.000 | 0.000 | 205.748 |
| 964.647 | -0.000 | 0.000 | 0.000 | 0.000 | 0.000 |
| -0.000 | 964.647 | 0.000 | 0.000 | 0.000 | -0.000 |
| -0.000 | -0.000 | 0.000 | 0.000 | 0.000 | -0.000 |
| -0.000 | -0.000 | 0.000 | 0.000 | 0.000 | -0.000 |
| -0.000 | -0.000 | 0.000 | 0.000 | 0.000 | -0.000 |
| -0.000 | -0.000 | 0.000 | 0.000 | 0.000 | 114.689 |
| 1730.523 | 0.000 | -0.000 | -0.000 | -0.000 | 0.000 |
| 0.000 | 1730.523 | -0.000 | -0.000 | -0.000 | 0.000 |
| 0.000 | 0.000 | -0.000 | -0.000 | -0.000 | 0.000 |
| 0.000 | 0.000 | -0.000 | -0.000 | -0.000 | 0.000 |
| 0.000 | 0.000 | -0.000 | -0.000 | -0.000 | 0.000 |
| 0.000 | 0.000 | -0.000 | -0.000 | -0.000 | 205.748 |
| 964.638 | 0.000 | -0.000 | -0.000 | -0.000 | 0.000 |
| 0.000 | 964.638 | -0.000 | -0.000 | -0.000 | 0.000 |
| 0.000 | 0.000 | -0.000 | -0.000 | -0.000 | 0.000 |
| 0.000 | 0.000 | -0.000 | -0.000 | -0.000 | 0.000 |
| 0.000 | 0.000 | -0.000 | -0.000 | -0.000 | 0.000 |
| 0.000 | 0.000 | -0.000 | -0.000 | -0.000 | 114.689 |
| 942.266 | 1.798 | 0.000 | 0.000 | -0.000 | 0.000 |
| 57.634 | 886.431 | 0.000 | 0.000 | -0.000 | 0.001 |
| 0.000 | -0.000 | 0.000 | 0.000 | -0.000 | 0.001 |
| 0.000 | -0.000 | 0.000 | 0.000 | -0.000 | 0.001 |
| 0.001 | -0.000 | -0.000 | 0.000 | -0.000 | 0.001 |
| -0.000 | -0.000 | 0.000 | 0.000 | -0.000 | 414.400 |
| 886.431 | 57.634 | -0.000 | -0.000 | 0.000 | -0.001 |
| 1.798 | 942.267 | -0.000 | -0.000 | 0.000 | -0.001 |
| -0.000 | 0.000 | -0.000 | -0.000 | 0.000 | -0.001 |
| -0.001 | 0.000 | -0.000 | -0.000 | 0.000 | -0.001 |
| -0.000 | 0.000 | 0.000 | -0.000 | 0.000 | -0.001 |
| 0.000 | 0.000 | -0.000 | -0.000 | 0.000 | 414.397 |
| 886.431 | 57.634 | 0.000 | 0.000 | -0.000 | 0.000 |
| 1.798 | 942.267 | -0.000 | 0.000 | -0.000 | 0.000 |
| 0.000 | -0.000 | 0.000 | 0.000 | -0.000 | 0.000 |
| 0.000 | -0.000 | 0.000 | 0.000 | -0.000 | 0.000 |
| 0.000 | -0.000 | 0.000 | 0.000 | -0.000 | 0.000 |
| -0.000 | 0.000 | 0.000 | 0.000 | -0.000 | 414.398 |
| 886.431 | 57.634 | -0.000 | -0.000 | 0.000 | -0.000 |
| 57.634 | 886.430 | -0.000 | -0.000 | 0.000 | -0.000 |
| -0.000 | 0.000 | 0.000 | -0.000 | 0.000 | -0.000 |
| -0.000 | 0.000 | -0.000 | -0.000 | 0.000 | -0.000 |
| -0.000 | 0.000 | 0.000 | -0.000 | 0.000 | -0.000 |
| -0.000 | -0.000 | -0.000 | -0.000 | 0.000 | 414.398 |
| 942.269 | 1.799 | 0.000 | 0.000 | -0.000 | 0.000 |
| 57.634 | 886.433 | 0.000 | 0.000 | -0.000 | 0.000 |
| 0.000 | -0.000 | -0.000 | 0.000 | -0.000 | 0.000 |
| 0.000 | -0.000 | 0.000 | 0.000 | -0.000 | 0.000 |
| 0.000 | -0.000 | 0.000 | 0.000 | -0.000 | 0.000 |
| -0.000 | 0.000 | 0.000 | 0.000 | -0.000 | 414.398 |
| 886.430 | 57.631 | -0.000 | -0.000 | 0.000 | -0.000 |
| 57.633 | 886.428 | -0.000 | -0.000 | 0.000 | -0.000 |
| -0.000 | 0.000 | -0.000 | -0.000 | 0.000 | -0.000 |
| -0.000 | 0.000 | -0.000 | -0.000 | 0.000 | -0.000 |
| -0.000 | -0.000 | -0.000 | -0.000 | 0.000 | -0.000 |
| 0.000 | -0.000 | -0.000 | -0.000 | 0.000 | 414.398 |
| 1112.762 | 2.124 | 0.000 | 0.000 | -0.000 | 0.000 |
| 68.062 | 1046.824 | 0.000 | 0.000 | -0.000 | 0.000 |
| 0.000 | 0.000 | 0.000 | 0.000 | 0.000 | -0.000 |
| 0.000 | -0.000 | 0.000 | 0.000 | -0.000 | 0.000 |
| 0.000 | 0.000 | 0.000 | 0.000 | -0.000 | -0.000 |
| 0.000 | 0.000 | 0.000 | 0.000 | -0.000 | 489.381 |
| 1046.823 | 68.062 | 0.000 | 0.000 | -0.000 | -0.000 |
| 2.123 | 1112.762 | -0.000 | -0.000 | -0.000 | -0.000 |
| -0.000 | -0.000 | 0.000 | -0.000 | -0.000 | 0.000 |
| -0.000 | 0.000 | -0.000 | -0.000 | 0.000 | 0.000 |
| 0.000 | -0.000 | -0.000 | -0.000 | -0.000 | 0.000 |
| -0.000 | -0.000 | -0.000 | -0.000 | -0.000 | 489.381 |
| 1046.824 | 68.062 | 0.000 | 0.000 | -0.000 | -0.000 |
| 2.124 | 1112.763 | 0.000 | -0.000 | 0.000 | 0.000 |
| 0.000 | 0.000 | 0.000 | 0.000 | 0.000 | -0.000 |
| 0.000 | -0.000 | 0.000 | 0.000 | -0.000 | -0.000 |
| -0.000 | 0.000 | 0.000 | 0.000 | -0.000 | -0.000 |
| -0.000 | 0.000 | 0.000 | -0.000 | -0.000 | 489.381 |
| 1046.823 | 68.062 | -0.000 | -0.000 | 0.000 | -0.000 |
| 68.062 | 1046.823 | -0.000 | -0.000 | 0.000 | 0.000 |
| -0.000 | -0.000 | -0.000 | 0.000 | 0.000 | 0.000 |
| -0.000 | -0.000 | -0.000 | 0.000 | 0.000 | 0.000 |
| -0.000 | -0.000 | -0.000 | -0.000 | 0.000 | 0.000 |
| 0.000 | -0.000 | -0.000 | 0.000 | -0.000 | 489.381 |
| 1112.766 | 2.124 | -0.000 | 0.000 | 0.000 | 0.000 |
| 68.063 | 1046.826 | -0.000 | 0.000 | -0.000 | -0.000 |
| 0.000 | 0.000 | -0.000 | 0.000 | 0.000 | -0.000 |
| 0.000 | 0.000 | 0.000 | -0.000 | 0.000 | 0.000 |
| -0.000 | 0.000 | 0.000 | 0.000 | 0.000 | 0.000 |
| -0.000 | 0.000 | -0.000 | -0.000 | -0.000 | 489.381 |
| 1046.823 | 68.059 | 0.000 | 0.000 | 0.000 | -0.000 |
| 68.062 | 1046.821 | -0.000 | -0.000 | -0.000 | 0.000 |
| -0.000 | -0.000 | 0.000 | -0.000 | -0.000 | 0.000 |
| -0.000 | -0.000 | -0.000 | -0.000 | 0.000 | -0.000 |
| -0.000 | -0.000 | -0.000 | -0.000 | -0.000 | 0.000 |
| 0.000 | -0.000 | 0.000 | 0.000 | 0.000 | 489.381 |
| 1835.884 | 145.162 | 145.162 | -0.000 | -0.000 | -0.000 |
| 145.162 | 1835.884 | 145.162 | -0.000 | -0.000 | -0.000 |
| 145.162 | 145.162 | 1835.884 | -0.000 | -0.000 | -0.000 |
| -0.000 | -0.000 | 0.000 | 61.430 | -0.000 | 0.000 |
| 0.000 | -0.000 | -0.000 | -0.000 | 61.430 | -0.000 |
| 0.000 | -0.000 | -0.000 | -0.000 | -0.000 | 61.430 |
| 1835.884 | 145.163 | 145.162 | 0.000 | 0.000 | -0.000 |
| 145.163 | 1835.883 | 145.162 | 0.000 | 0.000 | 0.000 |
| 145.163 | 145.163 | 1835.883 | 0.000 | 0.000 | -0.000 |
| 0.000 | -0.000 | -0.000 | 61.430 | -0.000 | -0.000 |
| -0.000 | 0.000 | -0.000 | -0.000 | 61.430 | 0.000 |
| 0.000 | 0.000 | 0.000 | 0.000 | 0.000 | 61.430 |
| 1835.885 | 145.162 | 145.162 | -0.000 | -0.000 | -0.000 |
| 145.162 | 1835.885 | 145.162 | -0.000 | -0.000 | -0.000 |
| 145.162 | 145.162 | 1835.885 | -0.000 | -0.000 | 0.000 |
| -0.000 | 0.000 | -0.000 | 61.430 | -0.000 | -0.000 |
| -0.000 | -0.000 | -0.000 | -0.000 | 61.430 | 0.000 |
| -0.000 | -0.000 | -0.000 | 0.000 | -0.000 | 61.430 |
| 1835.883 | 145.163 | 145.163 | 0.000 | 0.000 | 0.000 |
| 145.163 | 1835.883 | 145.163 | 0.000 | 0.000 | 0.000 |
| 145.163 | 145.163 | 1835.883 | 0.000 | 0.000 | -0.000 |
| 0.000 | -0.000 | 0.000 | 61.430 | 0.000 | -0.000 |
| -0.000 | 0.000 | 0.000 | 0.000 | 61.430 | -0.000 |
| 0.000 | 0.000 | 0.000 | -0.000 | -0.000 | 61.430 |
| 1835.894 | 145.155 | 145.155 | -0.000 | -0.000 | -0.000 |
| 145.155 | 1835.894 | 145.155 | -0.000 | -0.000 | -0.000 |
| 145.155 | 145.155 | 1835.894 | -0.000 | -0.000 | -0.000 |
| -0.000 | -0.000 | -0.001 | 61.430 | -0.000 | -0.000 |
| -0.000 | -0.000 | -0.001 | -0.000 | 61.430 | 0.000 |
| -0.000 | -0.001 | -0.000 | -0.000 | -0.000 | 61.430 |
| 1835.873 | 145.170 | 145.170 | -0.000 | -0.000 | -0.000 |
| 145.170 | 1835.873 | 145.170 | -0.000 | -0.000 | 0.000 |
| 145.170 | 145.170 | 1835.873 | 0.000 | 0.000 | -0.000 |
| 0.000 | 0.000 | 0.001 | 61.430 | 0.000 | -0.000 |
| 0.000 | 0.000 | 0.001 | 0.000 | 61.430 | 0.000 |
| 0.000 | 0.001 | 0.000 | 0.000 | 0.000 | 61.430 |
| 302.663 | 174.378 | 24.215 | 0.000 | -0.000 | -0.000 |
| 128.498 | 1051.258 | 149.280 | 0.000 | -0.000 | -0.000 |
| -15.785 | 241.836 | 1097.734 | -0.000 | -0.000 | -0.000 |
| 0.008 | 0.058 | -0.055 | 527.717 | 0.000 | -0.000 |
| 0.008 | 0.054 | -0.051 | 0.000 | 69.127 | -0.000 |
| 0.003 | 0.001 | -0.004 | 0.000 | -0.000 | 90.640 |
| 302.682 | 174.139 | 24.377 | -0.000 | 0.000 | -0.000 |
| 202.730 | 824.261 | 230.055 | -0.000 | 0.000 | 0.000 |
| -54.445 | 133.356 | 1232.224 | -0.000 | 0.000 | 0.000 |
| -0.008 | -0.058 | 0.055 | 527.717 | 0.000 | 0.000 |
| -0.008 | -0.054 | 0.051 | -0.000 | 69.127 | 0.000 |
| -0.003 | -0.001 | 0.004 | -0.000 | 0.000 | 90.640 |
| 300.758 | 193.482 | 11.800 | 0.000 | -0.000 | -0.000 |
| 160.869 | 844.772 | 268.225 | 0.000 | -0.000 | -0.000 |
| -54.445 | 133.356 | 1232.224 | 0.000 | -0.000 | -0.000 |
| 0.001 | 0.005 | -0.006 | 495.302 | 0.000 | -0.000 |
| 0.001 | 0.005 | -0.005 | 0.000 | 69.127 | -0.000 |
| 0.000 | 0.000 | -0.000 | 0.000 | -0.000 | 90.640 |
| 300.757 | 193.471 | 11.810 | -0.000 | 0.000 | 0.000 |
| 202.737 | 824.312 | 230.006 | -0.000 | 0.000 | 0.000 |
| 5.135 | 214.055 | 1092.310 | -0.000 | 0.000 | 0.000 |
| -0.001 | -0.005 | 0.006 | 495.302 | 0.000 | 0.000 |
| -0.001 | -0.005 | 0.005 | -0.000 | 69.127 | 0.000 |
| -0.000 | -0.000 | 0.000 | 0.000 | 0.000 | 90.640 |
| 300.770 | 193.470 | 11.795 | 0.000 | -0.000 | -0.000 |
| 202.745 | 824.278 | 230.026 | 0.000 | -0.000 | -0.000 |
| 5.142 | 214.077 | 1092.287 | 0.000 | -0.000 | -0.000 |
| 0.000 | -0.001 | 0.001 | 495.302 | -0.000 | -0.000 |
| 0.000 | 0.001 | -0.001 | 0.000 | 69.127 | -0.000 |
| -0.000 | 0.001 | -0.001 | 0.000 | 0.000 | 121.267 |
| 300.760 | 193.474 | 11.804 | -0.000 | 0.000 | -0.000 |
| 202.731 | 824.350 | 229.982 | -0.000 | 0.000 | 0.000 |
| 5.144 | 214.082 | 1092.274 | -0.000 | 0.000 | 0.000 |
| -0.000 | 0.001 | -0.001 | 495.302 | 0.000 | 0.000 |
| -0.000 | -0.001 | 0.001 | -0.000 | 69.127 | 0.000 |
| 0.000 | -0.001 | 0.001 | -0.000 | -0.000 | 121.267 |
| 703.873 | 78.133 | 171.613 | -0.000 | 0.001 | -0.000 |
| 78.133 | 703.874 | 171.613 | 0.001 | 0.001 | -0.000 |
| 144.465 | 144.465 | 875.195 | 0.000 | 0.000 | 0.000 |
| -0.000 | -0.000 | 0.000 | 207.232 | 0.001 | -0.000 |
| -0.000 | -0.000 | 0.000 | 0.001 | 207.232 | 0.000 |
| -0.000 | -0.000 | 0.000 | 0.000 | 0.001 | 69.510 |
| 863.433 | 18.542 | 72.377 | -0.001 | -0.001 | 0.000 |
| 18.542 | 863.433 | 72.377 | -0.000 | -0.001 | -0.000 |
| 72.377 | 72.377 | 1018.315 | -0.001 | -0.001 | -0.000 |
| 0.000 | 0.000 | -0.000 | 207.231 | -0.001 | 0.000 |
| 0.000 | 0.000 | -0.000 | -0.000 | 207.230 | -0.000 |
| 0.000 | 0.000 | -0.000 | -0.001 | -0.001 | 69.510 |
| 703.873 | 78.134 | 171.614 | 0.000 | 0.000 | -0.000 |
| 78.134 | 703.873 | 171.614 | 0.000 | 0.000 | 0.000 |
| 144.465 | 144.465 | 875.195 | 0.000 | 0.000 | 0.000 |
| 0.000 | -0.000 | -0.000 | 207.231 | 0.000 | -0.000 |
| -0.000 | 0.000 | -0.000 | 0.000 | 207.231 | -0.000 |
| -0.000 | -0.000 | 0.000 | 0.000 | 0.000 | 69.510 |
| 863.433 | 18.542 | 72.377 | -0.000 | -0.000 | 0.000 |
| 18.542 | 863.433 | 72.377 | -0.000 | -0.000 | 0.000 |
| 144.465 | 144.465 | 875.195 | -0.000 | -0.000 | -0.000 |
| -0.000 | 0.000 | 0.000 | 207.231 | -0.000 | -0.000 |
| 0.000 | -0.000 | 0.000 | -0.000 | 207.231 | 0.000 |
| 0.000 | 0.000 | -0.000 | -0.000 | -0.000 | 69.510 |
| 694.812 | 114.539 | 144.472 | 0.000 | 0.000 | -0.000 |
| 114.539 | 694.812 | 144.472 | 0.000 | 0.000 | -0.000 |
| 144.466 | 144.466 | 875.196 | 0.000 | 0.000 | 0.000 |
| 0.000 | -0.000 | -0.000 | 207.231 | 0.000 | 0.000 |
| -0.000 | 0.000 | -0.000 | 0.000 | 207.231 | 0.000 |
| -0.000 | -0.000 | -0.000 | 0.000 | 0.000 | 69.510 |
| 694.829 | 114.528 | 144.462 | -0.000 | -0.000 | 0.000 |
| 114.528 | 694.829 | 144.462 | -0.000 | -0.000 | -0.000 |
| 144.464 | 144.464 | 875.194 | -0.000 | -0.000 | 0.000 |
| -0.000 | 0.000 | 0.000 | 207.231 | -0.000 | -0.000 |
| 0.000 | -0.000 | 0.000 | -0.000 | 207.231 | 0.000 |
| 0.000 | 0.000 | 0.000 | -0.000 | -0.000 | 69.510 |
| 699.362 | 72.188 | 180.039 | 0.000 | 0.000 | 0.000 |
| 72.188 | 699.362 | 180.039 | 0.000 | 0.000 | 0.000 |
| 144.734 | 144.734 | 869.769 | -0.000 | -0.000 | 0.000 |
| 0.000 | 0.000 | 0.000 | 332.812 | 0.000 | 0.000 |
| 0.000 | 0.000 | 0.000 | 0.000 | 332.812 | 0.000 |
| 0.000 | 0.000 | 0.000 | 0.001 | 0.000 | 73.660 |
| 850.231 | 15.007 | 81.476 | -0.000 | -0.000 | -0.000 |
| 15.007 | 850.231 | 81.476 | -0.000 | -0.000 | -0.000 |
| 144.733 | 144.733 | 869.769 | -0.000 | -0.000 | -0.000 |
| -0.000 | 0.000 | -0.000 | 332.811 | -0.000 | -0.000 |
| -0.000 | -0.000 | -0.000 | -0.000 | 332.812 | -0.000 |
| -0.000 | 0.000 | -0.000 | -0.000 | -0.000 | 73.660 |
| 850.232 | 15.007 | 81.476 | 0.000 | -0.000 | 0.000 |
| 15.007 | 850.231 | 81.476 | 0.000 | 0.000 | 0.000 |
| 144.734 | 144.734 | 869.769 | 0.000 | 0.000 | 0.000 |
| 0.000 | -0.000 | -0.000 | 203.961 | 0.000 | 0.000 |
| -0.000 | 0.000 | -0.000 | 0.000 | 203.961 | 0.000 |
| 0.000 | -0.000 | -0.000 | 0.000 | 0.000 | 73.660 |
| 690.931 | 106.253 | 153.071 | -0.000 | -0.000 | -0.000 |
| 106.253 | 690.931 | 153.071 | -0.000 | -0.000 | -0.000 |
| 73.138 | 73.138 | 1020.408 | 0.000 | 0.000 | -0.000 |
| -0.000 | 0.000 | 0.000 | 203.961 | -0.000 | -0.000 |
| 0.000 | -0.000 | 0.000 | -0.000 | 203.961 | -0.000 |
| -0.000 | 0.000 | 0.000 | -0.000 | -0.000 | 73.660 |
| 690.923 | 106.257 | 153.078 | 0.000 | 0.000 | 0.000 |
| 106.257 | 690.923 | 153.078 | 0.000 | 0.000 | 0.000 |
| 144.735 | 144.735 | 869.769 | 0.000 | 0.000 | 0.000 |
| 0.000 | -0.000 | -0.000 | 203.961 | 0.000 | 0.000 |
| -0.000 | 0.000 | -0.000 | 0.000 | 203.961 | 0.000 |
| -0.000 | -0.000 | 0.000 | 0.000 | 0.000 | 139.633 |
| 690.940 | 106.236 | 153.076 | -0.000 | -0.000 | -0.000 |
| 106.236 | 690.940 | 153.076 | -0.000 | -0.000 | -0.000 |
| 144.734 | 144.734 | 869.765 | -0.000 | -0.000 | -0.000 |
| -0.000 | 0.000 | 0.000 | 203.961 | -0.000 | -0.000 |
| 0.000 | -0.000 | 0.000 | -0.000 | 203.961 | -0.000 |
| 0.000 | 0.000 | -0.000 | -0.000 | -0.000 | 139.633 |
| 178.203 | 11.586 | 0.000 | 0.000 | 0.000 | 0.000 |
| 0.361 | 189.428 | 0.000 | 0.000 | 0.000 | 0.000 |
| -0.000 | -0.000 | 0.000 | 0.000 | 0.000 | -0.000 |
| 0.000 | 0.000 | 0.000 | 0.000 | 0.000 | -0.000 |
| 0.000 | 0.000 | 0.000 | 0.000 | 0.000 | 0.000 |
| 0.000 | 0.000 | 0.000 | 0.000 | 0.000 | 83.308 |
| 178.203 | 11.586 | -0.000 | -0.000 | -0.000 | -0.000 |
| 0.362 | 189.428 | -0.000 | -0.000 | -0.000 | -0.000 |
| -0.000 | -0.000 | -0.000 | -0.000 | -0.000 | -0.000 |
| -0.000 | -0.000 | -0.000 | -0.000 | -0.000 | 0.000 |
| -0.000 | -0.000 | -0.000 | -0.000 | -0.000 | -0.000 |
| -0.000 | -0.000 | -0.000 | -0.000 | -0.000 | 83.308 |
| 178.203 | 11.586 | 0.000 | 0.000 | 0.000 | 0.000 |
| 11.586 | 178.203 | 0.000 | 0.000 | 0.000 | 0.000 |
| -0.000 | -0.000 | 0.000 | 0.000 | 0.000 | -0.000 |
| -0.000 | 0.000 | 0.000 | 0.000 | 0.000 | 0.000 |
| 0.000 | 0.000 | 0.000 | 0.000 | 0.000 | 0.000 |
| 0.000 | 0.000 | 0.000 | 0.000 | 0.000 | 83.308 |
| 178.203 | 11.586 | -0.000 | -0.000 | -0.000 | -0.000 |
| 11.586 | 178.203 | -0.000 | -0.000 | -0.000 | -0.000 |
| -0.000 | -0.000 | -0.000 | -0.000 | -0.000 | -0.000 |
| -0.000 | -0.000 | -0.000 | -0.000 | -0.000 | -0.000 |
| -0.000 | -0.000 | -0.000 | -0.000 | -0.000 | -0.000 |
| -0.000 | -0.000 | -0.000 | -0.000 | -0.000 | 83.308 |
| 178.204 | 11.587 | 0.000 | 0.000 | 0.000 | 0.000 |
| 11.587 | 178.204 | 0.000 | 0.000 | 0.000 | 0.000 |
| -0.000 | -0.000 | 0.000 | 0.000 | 0.000 | -0.000 |
| 0.000 | 0.000 | 0.000 | 0.000 | 0.000 | -0.000 |
| 0.000 | 0.000 | 0.000 | 0.000 | 0.000 | 0.000 |
| 0.000 | 0.000 | 0.000 | 0.000 | 0.000 | 94.533 |
| 178.203 | 11.586 | -0.000 | -0.000 | -0.000 | -0.000 |
| 11.586 | 178.203 | -0.000 | -0.000 | -0.000 | -0.000 |
| -0.000 | -0.000 | -0.000 | -0.000 | -0.000 | -0.000 |
| -0.000 | -0.000 | -0.000 | -0.000 | -0.000 | -0.000 |
| -0.000 | -0.000 | -0.000 | -0.000 | -0.000 | -0.000 |
| -0.000 | -0.000 | -0.000 | -0.000 | -0.000 | 94.533 |
| 582.474 | 358.680 | 0.000 | 0.000 | 0.000 | 0.000 |
| 358.680 | 582.474 | 0.000 | 0.000 | 0.000 | 0.000 |
| -0.000 | 0.000 | 0.000 | 0.000 | 0.000 | 0.000 |
| -0.000 | 0.000 | 0.000 | 0.000 | 0.000 | 0.000 |
| -0.000 | 0.000 | 0.000 | 0.000 | 0.000 | 0.000 |
| 0.000 | 0.000 | 0.000 | 0.000 | 0.000 | 470.577 |
| 582.474 | 358.680 | -0.000 | -0.000 | -0.000 | -0.000 |
| 358.680 | 582.474 | -0.000 | -0.000 | -0.000 | -0.000 |
| 0.000 | -0.000 | -0.000 | -0.000 | -0.000 | -0.000 |
| 0.000 | -0.000 | -0.000 | -0.000 | -0.000 | -0.000 |
| 0.000 | -0.000 | -0.000 | -0.000 | -0.000 | -0.000 |
| -0.000 | -0.000 | -0.000 | -0.000 | -0.000 | 470.577 |
| 582.474 | 358.680 | 0.000 | 0.000 | 0.000 | 0.000 |
| 358.680 | 582.474 | 0.000 | 0.000 | 0.000 | 0.000 |
| -0.000 | 0.000 | 0.000 | 0.000 | 0.000 | 0.000 |
| -0.000 | 0.000 | 0.000 | 0.000 | 0.000 | 0.000 |
| 0.000 | 0.000 | 0.000 | 0.000 | 0.000 | 0.000 |
| 0.000 | 0.000 | 0.000 | 0.000 | 0.000 | 470.577 |
| 582.474 | 358.680 | -0.000 | -0.000 | -0.000 | -0.000 |
| 358.680 | 582.474 | -0.000 | -0.000 | -0.000 | -0.000 |
| 0.000 | -0.000 | -0.000 | -0.000 | -0.000 | -0.000 |
| 0.000 | -0.000 | -0.000 | -0.000 | -0.000 | -0.000 |
| 0.000 | -0.000 | -0.000 | -0.000 | -0.000 | -0.000 |
| -0.000 | -0.000 | -0.000 | -0.000 | -0.000 | 470.577 |
| 582.475 | 358.682 | 0.000 | 0.000 | 0.000 | 0.000 |
| 358.682 | 582.475 | 0.000 | 0.000 | 0.000 | 0.000 |
| -0.000 | 0.000 | 0.000 | 0.000 | 0.000 | 0.000 |
| -0.000 | 0.000 | 0.000 | 0.000 | 0.000 | 0.000 |
| -0.000 | 0.000 | 0.000 | 0.000 | 0.000 | 0.000 |
| 0.000 | 0.001 | 0.000 | 0.000 | 0.000 | 470.577 |
| 582.472 | 358.679 | -0.000 | -0.000 | -0.000 | -0.000 |
| 358.679 | 582.472 | -0.000 | -0.000 | -0.000 | -0.000 |
| 0.000 | -0.000 | -0.000 | -0.000 | -0.000 | -0.000 |
| 0.000 | -0.000 | -0.000 | -0.000 | -0.000 | -0.000 |
| 0.000 | -0.000 | -0.000 | -0.000 | -0.000 | -0.000 |
| -0.000 | -0.001 | -0.000 | -0.000 | -0.000 | 470.577 |
| 769.346 | 56.242 | 191.060 | 0.001 | 0.000 | -0.000 |
| 139.635 | 667.149 | 224.995 | 0.000 | 0.000 | 0.000 |
| 37.571 | 112.867 | 993.176 | 0.001 | 0.000 | 0.000 |
| 12.630 | -39.154 | 36.811 | 215.134 | 0.001 | -0.000 |
| 0.000 | -0.000 | -0.000 | 0.001 | 296.317 | 0.000 |
| 3.193 | -40.434 | 58.026 | 0.002 | 0.000 | 130.855 |
| 957.105 | 12.449 | 44.188 | -0.000 | -0.000 | 0.000 |
| 13.599 | 870.154 | 120.635 | -0.000 | -0.000 | -0.000 |
| 37.571 | 112.867 | 993.176 | 0.001 | -0.000 | -0.000 |
| -12.630 | 39.154 | -36.811 | 215.134 | -0.000 | -0.000 |
| 0.000 | 0.000 | -0.000 | -0.001 | 296.316 | -0.000 |
| -3.193 | 40.434 | -58.027 | -0.002 | -0.000 | 130.855 |
| 957.105 | 12.449 | 44.188 | 0.000 | 0.000 | 0.000 |
| 94.572 | 706.751 | 212.346 | 0.000 | 0.000 | 0.000 |
| 119.849 | 182.841 | 832.433 | 0.000 | 0.000 | -0.000 |
| 1.714 | -3.566 | 3.749 | 230.008 | -0.000 | 0.000 |
| -0.000 | -0.000 | -0.000 | -0.000 | 296.317 | -0.000 |
| 1.356 | -4.203 | 3.952 | -0.000 | 0.000 | 150.908 |
| 957.105 | 12.449 | 44.188 | 0.000 | 0.000 | 0.000 |
| 92.601 | 713.369 | 205.763 | 0.000 | -0.000 | -0.000 |
| 122.343 | 187.329 | 825.887 | 0.000 | -0.000 | -0.000 |
| -1.714 | 3.566 | -3.749 | 230.008 | -0.000 | -0.000 |
| 0.000 | 0.000 | 0.000 | 0.000 | 296.316 | 0.000 |
| -1.356 | 4.203 | -3.952 | 0.000 | -0.000 | 150.908 |
| 761.788 | 115.956 | 124.853 | 0.000 | 0.000 | 0.000 |
| 116.748 | 706.255 | 192.030 | 0.000 | 0.000 | 0.000 |
| 118.311 | 186.356 | 828.923 | -0.000 | 0.000 | -0.000 |
| -0.006 | -0.409 | 0.629 | 229.844 | -0.000 | -0.000 |
| 0.119 | -0.370 | 0.348 | 0.000 | 215.141 | 0.000 |
| 0.246 | -0.289 | 0.380 | -0.000 | 0.000 | 130.515 |
| 761.402 | 114.853 | 125.337 | -0.000 | -0.000 | -0.000 |
| 115.494 | 706.878 | 193.045 | -0.000 | -0.000 | -0.000 |
| 117.997 | 187.158 | 828.087 | 0.000 | -0.000 | -0.000 |
| 0.006 | 0.409 | -0.629 | 229.844 | -0.000 | 0.000 |
| -0.119 | 0.370 | -0.348 | -0.000 | 215.141 | -0.000 |
| -0.246 | 0.289 | -0.380 | 0.000 | -0.000 | 130.515 |
| 464.025 | 714.111 | -333.561 | -0.000 | -423.465 | 0.000 |
| -69.681 | 1300.965 | -335.016 | -0.000 | -513.171 | -0.000 |
| 58.522 | 799.782 | 131.928 | 0.000 | -362.160 | 0.000 |
| 0.000 | 0.000 | 0.000 | 381.667 | 0.000 | -105.204 |
| -104.152 | 541.490 | -469.017 | -0.000 | -233.240 | 0.000 |
| -122.981 | 601.880 | -541.606 | -31.502 | -437.760 | 147.137 |
| 827.458 | -518.999 | 723.796 | 0.000 | 473.443 | -0.000 |
| 208.108 | 133.911 | 735.925 | 0.000 | 372.815 | 0.000 |
| 306.280 | -406.234 | 1215.922 | -0.000 | 515.540 | -0.000 |
| -0.000 | 0.000 | -0.000 | 381.667 | -0.000 | -105.204 |
| 205.099 | -655.035 | 596.974 | 0.000 | 644.940 | 0.000 |
| 122.981 | -601.880 | 541.606 | -31.501 | 437.760 | 147.137 |
| 644.590 | 162.379 | 142.023 | -0.000 | -8.523 | -0.000 |
| 15.292 | 886.894 | 131.516 | -0.000 | -114.266 | 0.000 |
| 135.326 | 137.006 | 783.193 | -0.000 | 96.207 | 0.000 |
| -12.415 | 60.759 | -54.674 | 281.272 | -44.191 | -28.203 |
| 5.879 | 2.043 | 16.713 | -0.000 | 157.973 | 0.000 |
| 0.000 | 0.000 | 0.000 | -107.780 | 0.000 | 226.591 |
| 833.720 | 3.193 | 142.359 | 0.000 | 77.090 | -0.000 |
| 126.154 | 652.949 | 246.115 | 0.000 | -12.696 | 0.000 |
| 202.713 | 144.190 | 712.289 | 0.000 | 118.801 | 0.000 |
| 12.415 | -60.759 | 54.674 | 281.272 | 44.191 | -28.203 |
| 35.382 | -110.774 | 117.141 | 0.000 | 233.763 | 0.000 |
| -0.000 | -0.000 | -0.000 | -107.780 | -0.000 | 226.591 |
| 660.412 | 111.276 | 185.078 | -0.000 | 31.780 | -0.000 |
| 92.278 | 721.849 | 198.788 | -0.000 | -61.492 | -0.000 |
| 187.450 | 204.711 | 654.947 | -0.000 | 61.649 | 0.000 |
| -1.608 | 5.758 | -5.103 | 279.253 | -4.326 | -30.577 |
| 16.362 | -47.951 | 61.129 | -0.000 | 188.463 | -0.000 |
| -2.135 | 5.765 | -4.794 | -32.326 | -4.356 | 151.326 |
| 663.973 | 99.032 | 195.247 | 0.000 | 39.759 | -0.000 |
| 113.779 | 707.187 | 198.024 | 0.000 | -54.234 | 0.000 |
| 135.325 | 137.005 | 783.190 | 0.000 | 96.206 | -0.000 |
| 1.608 | -5.758 | 5.103 | 279.253 | 4.326 | -30.577 |
| 20.443 | -62.036 | 76.791 | 0.000 | 196.524 | 0.000 |
| 2.135 | -5.765 | 4.794 | -32.326 | 4.356 | 151.326 |
| 598.284 | 50.847 | 22.148 | -0.000 | -0.000 | -0.000 |
| 50.847 | 598.284 | 22.148 | -0.000 | 0.000 | -0.000 |
| 0.709 | 0.709 | 128.628 | -0.000 | -0.000 | -0.000 |
| -264528977.340 | -184593702.935 | -106395754.927 | -303814451.665 | -2351477.462 | 660297.786 |
| -184872417.820 | -265082713.067 | -106582840.356 | -2442074.068 | -303529395.666 | 589173.441 |
| -0.000 | -0.000 | 0.000 | -0.000 | -0.000 | 106.476 |
| 779.003 | 19.213 | 6.810 | 0.000 | 0.000 | -0.000 |
| 19.213 | 779.003 | 6.810 | 0.000 | 0.000 | -0.000 |
| 0.709 | 0.709 | 128.628 | 0.000 | 0.000 | -0.000 |
| 264079645.521 | 184808683.218 | 106307499.912 | -303921348.545 | 5920378.088 | 862287.378 |
| 184723939.784 | 264943518.651 | 106208249.703 | 1223594.423 | -304046742.527 | -154446.732 |
| 0.000 | 0.000 | -0.000 | 0.000 | 0.000 | 106.475 |
| 779.004 | 19.213 | 6.810 | -0.000 | -0.000 | 0.000 |
| 19.213 | 779.004 | 6.810 | -0.000 | -0.000 | 0.000 |
| 59.745 | 59.745 | 98.287 | -0.000 | 0.000 | 0.000 |
| 0.000 | 0.000 | 0.000 | 63.128 | 0.000 | 0.000 |
| 0.000 | 0.000 | 0.000 | 0.000 | 63.128 | 0.000 |
| -1.687 | -1.687 | -0.416 | -0.000 | 0.000 | 49.938 |
| 476.556 | 112.152 | 52.913 | 0.000 | 0.000 | -0.000 |
| 112.152 | 476.556 | 52.913 | 0.000 | 0.000 | 0.000 |
| 35.465 | 35.465 | 103.674 | 0.000 | -0.000 | -0.000 |
| -0.000 | -0.000 | -0.000 | 63.128 | 0.000 | -0.000 |
| -0.000 | -0.000 | -0.000 | 0.000 | 63.128 | -0.000 |
| 1.687 | 1.687 | 0.416 | 0.000 | -0.000 | 49.938 |
| 422.126 | -0.839 | 72.920 | -0.000 | 0.000 | -0.000 |
| 15.743 | 419.104 | 66.785 | -0.000 | 0.000 | -0.000 |
| 47.954 | 47.954 | 100.189 | -0.000 | 0.000 | 0.000 |
| -2686672.031 | -1843067.146 | -1066777.375 | -3034211.790 | -26284.785 | 6941.422 |
| -1847383.216 | -2694530.659 | -1068598.643 | -10633.397 | -3029955.075 | 4515.999 |
| -0.099 | -0.099 | -0.011 | 0.000 | 0.000 | -0.857 |
| 422.121 | -0.583 | 72.954 | 0.000 | -0.000 | -0.000 |
| -0.583 | 422.121 | 72.954 | 0.000 | -0.000 | -0.000 |
| 48.099 | 48.099 | 100.207 | -0.000 | 0.000 | -0.000 |
| 2692140.636 | 1844861.319 | 1068862.116 | -3033557.686 | -10100.540 | -8429.297 |
| 1842085.054 | 2682473.358 | 1066108.008 | 6625.062 | -3036348.642 | -5764.538 |
| 0.099 | 0.099 | 0.011 | 0.000 | -0.000 | -0.857 |
| 160.105 | 70.766 | 1299.690 | 0.000 | 0.000 | 0.000 |
| 70.766 | 160.105 | 1299.690 | 0.000 | 0.000 | 0.000 |
| 181.548 | 181.548 | 1447.064 | -0.000 | -0.000 | 0.000 |
| 61.147 | 61.147 | 1154.958 | 125.987 | 0.000 | 0.000 |
| 61.147 | 61.147 | 1154.958 | -0.000 | 125.987 | 0.000 |
| -0.000 | -0.000 | 0.001 | 0.000 | 0.000 | 68.395 |
| 44.420 | -47.764 | -992.217 | -0.000 | -0.000 | -0.000 |
| -47.764 | 44.420 | -992.217 | -0.000 | 0.000 | -0.000 |
| 63.087 | 63.087 | -855.739 | -0.000 | -0.000 | -0.000 |
| -61.147 | -61.147 | -1154.958 | 125.987 | -0.000 | -0.000 |
| -61.147 | -61.147 | -1154.958 | 0.000 | 125.987 | -0.000 |
| 0.000 | 0.000 | -0.001 | -0.000 | -0.000 | 68.395 |
| 131.397 | 52.787 | 233.868 | -0.000 | -0.000 | -0.000 |
| 52.787 | 131.397 | 233.868 | -0.000 | -0.000 | -0.000 |
| 108.278 | 108.278 | 485.990 | 0.000 | 0.000 | 0.000 |
| -1.095 | -1.095 | 150.879 | 102.331 | 0.000 | 0.000 |
| -1.095 | -1.095 | 150.879 | -0.000 | 102.331 | 0.000 |
| -1.353 | -1.353 | 142.252 | -0.000 | -0.000 | 40.551 |
| 133.017 | 54.128 | -49.140 | 0.000 | 0.000 | -0.000 |
| 54.128 | 133.017 | -49.140 | 0.000 | 0.000 | 0.000 |
| 108.687 | 108.687 | 189.569 | -0.000 | -0.000 | -0.000 |
| 1.095 | 1.095 | -150.879 | 102.331 | -0.000 | -0.000 |
| 1.095 | 1.095 | -150.879 | 0.000 | 102.331 | -0.000 |
| 1.353 | 1.353 | -142.252 | 0.000 | 0.000 | 40.551 |
| 122.763 | 60.209 | 112.905 | -0.000 | -0.000 | 0.000 |
| 60.209 | 122.763 | 112.905 | -0.000 | -0.000 | -0.000 |
| 107.604 | 107.604 | 341.825 | -0.000 | -0.000 | 0.000 |
| -2988766.846 | -3003255.873 | 3914850.553 | -92310.941 | 6317.964 | -6737.327 |
| -3007035.500 | -2989521.626 | 3987785.914 | 1957.066 | -84731.537 | 1196.932 |
| -0.319 | -0.319 | 21.893 | 0.000 | -0.000 | 29.577 |
| 143.755 | 30.343 | 87.106 | 0.000 | -0.000 | -0.000 |
| 30.343 | 143.755 | 87.106 | -0.000 | -0.000 | 0.000 |
| 107.074 | 107.074 | 314.948 | 0.000 | 0.000 | -0.000 |
| 3002143.156 | 2990967.083 | -3960034.913 | -68563.447 | 2647.820 | -8194.130 |
| 3009070.674 | 2985019.305 | -3987452.877 | 3233.886 | -106432.730 | -5207.248 |
| 0.319 | 0.319 | -21.893 | 0.000 | 0.000 | 29.577 |
| 377.259 | 232.311 | 0.000 | 0.000 | 0.000 | 0.000 |
| 232.311 | 377.259 | 0.000 | 0.000 | 0.000 | 0.000 |
| 0.000 | 0.000 | 0.000 | 0.000 | 0.000 | 0.000 |
| 0.000 | 0.000 | 0.000 | 0.000 | 0.000 | 0.000 |
| 0.000 | 0.000 | 0.000 | 0.000 | 0.000 | 0.000 |
| -0.000 | 0.000 | 0.000 | 0.000 | 0.000 | 304.785 |
| 377.259 | 232.311 | -0.000 | -0.000 | -0.000 | -0.000 |
| 232.311 | 377.259 | -0.000 | -0.000 | -0.000 | -0.000 |
| -0.000 | -0.000 | -0.000 | -0.000 | -0.000 | -0.000 |
| 0.000 | -0.000 | -0.000 | -0.000 | -0.000 | -0.000 |
| -0.000 | -0.000 | -0.000 | -0.000 | -0.000 | -0.000 |
| -0.000 | -0.000 | -0.000 | -0.000 | -0.000 | 304.785 |
| 377.259 | 232.311 | 0.000 | 0.000 | 0.000 | 0.000 |
| 232.311 | 377.259 | 0.000 | 0.000 | 0.000 | 0.000 |
| 0.000 | 0.000 | 0.000 | 0.000 | 0.000 | 0.000 |
| 0.000 | 0.000 | 0.000 | 0.000 | 0.000 | 0.000 |
| 0.000 | 0.000 | 0.000 | 0.000 | 0.000 | 0.000 |
| 0.000 | 0.000 | 0.000 | 0.000 | 0.000 | 304.785 |
| 377.259 | 232.311 | -0.000 | -0.000 | -0.000 | -0.000 |
| 232.311 | 377.259 | -0.000 | -0.000 | -0.000 | -0.000 |
| -0.000 | -0.000 | -0.000 | -0.000 | -0.000 | -0.000 |
| 0.000 | -0.000 | -0.000 | -0.000 | -0.000 | -0.000 |
| -0.000 | -0.000 | -0.000 | -0.000 | -0.000 | -0.000 |
| -0.000 | -0.000 | -0.000 | -0.000 | -0.000 | 304.785 |
| 377.259 | 232.312 | 0.000 | 0.000 | 0.000 | 0.000 |
| 232.312 | 377.259 | 0.000 | 0.000 | 0.000 | 0.000 |
| 0.000 | 0.000 | 0.000 | 0.000 | 0.000 | 0.000 |
| -0.000 | 0.000 | 0.000 | 0.000 | 0.000 | 0.000 |
| 0.000 | 0.000 | 0.000 | 0.000 | 0.000 | 0.000 |
| 0.000 | 0.001 | 0.000 | 0.000 | 0.000 | 304.785 |
| 377.258 | 232.310 | -0.000 | -0.000 | -0.000 | -0.000 |
| 232.310 | 377.258 | -0.000 | -0.000 | -0.000 | -0.000 |
| -0.000 | -0.000 | -0.000 | -0.000 | -0.000 | -0.000 |
| -0.000 | -0.000 | -0.000 | -0.000 | -0.000 | -0.000 |
| -0.000 | -0.000 | -0.000 | -0.000 | -0.000 | -0.000 |
| -0.000 | -0.001 | -0.000 | -0.000 | -0.000 | 304.785 |
| 386.846 | 64.582 | 68.820 | -0.000 | -0.000 | -0.000 |
| 64.582 | 386.052 | 69.502 | -0.000 | -0.000 | -0.001 |
| 68.820 | 69.501 | 454.836 | -0.001 | 0.000 | -0.000 |
| 0.007 | 0.003 | 0.015 | 64.842 | -0.000 | -0.000 |
| 0.005 | 0.001 | 0.000 | -0.001 | 115.101 | -0.000 |
| 0.005 | 0.002 | 0.001 | -0.000 | 0.000 | 93.355 |
| 386.846 | 64.582 | 68.820 | 0.000 | 0.000 | -0.000 |
| 95.684 | 246.816 | 107.810 | 0.000 | 0.000 | 0.000 |
| 68.820 | 69.501 | 454.836 | 0.000 | 0.000 | 0.001 |
| -0.008 | -0.003 | -0.015 | 64.842 | -0.001 | 0.000 |
| -0.005 | -0.002 | -0.001 | -0.000 | 115.101 | 0.000 |
| -0.005 | -0.002 | -0.000 | -0.000 | -0.000 | 93.355 |
| 247.350 | 96.044 | 106.236 | -0.000 | 0.000 | -0.000 |
| 95.691 | 246.819 | 107.810 | -0.000 | -0.000 | -0.000 |
| 64.862 | 65.915 | 188.755 | 0.000 | 0.000 | -0.000 |
| 0.000 | 0.000 | 0.000 | 191.697 | 0.000 | -0.000 |
| 0.000 | 0.000 | -0.000 | 0.000 | 191.051 | -0.000 |
| 0.001 | 0.000 | 0.000 | -0.000 | 0.000 | 93.355 |
| 386.846 | 64.582 | 68.820 | -0.000 | -0.000 | 0.000 |
| -30.686 | 26.826 | -12.921 | 0.000 | -0.000 | 0.000 |
| 104.131 | 106.066 | 315.965 | -0.000 | -0.000 | 0.000 |
| -0.000 | -0.000 | -0.000 | 191.697 | 0.000 | 0.000 |
| 0.000 | -0.000 | 0.000 | -0.000 | 191.051 | 0.000 |
| -0.001 | -0.000 | -0.000 | 0.000 | -0.000 | 93.355 |
| 40.922 | 4.528 | -6.769 | -0.000 | 0.000 | -0.000 |
| 82.355 | 113.391 | 59.223 | -0.000 | 0.000 | -0.000 |
| 68.820 | 69.502 | 454.837 | 0.000 | 0.000 | 0.000 |
| 0.000 | 0.000 | 0.000 | 191.697 | 0.000 | -0.000 |
| -0.000 | 0.000 | -0.000 | 0.000 | 115.101 | -0.000 |
| -0.000 | -0.000 | 0.000 | -0.000 | -0.000 | 93.355 |
| 40.924 | 4.519 | -6.779 | -0.000 | -0.000 | 0.000 |
| -30.700 | 26.815 | -12.923 | 0.000 | -0.000 | 0.000 |
| 104.132 | 106.065 | 315.965 | 0.000 | -0.000 | 0.000 |
| -0.000 | -0.000 | -0.000 | 191.697 | 0.000 | 0.000 |
| 0.000 | -0.000 | 0.000 | 0.000 | 115.101 | 0.000 |
| 0.000 | 0.000 | -0.000 | 0.000 | -0.000 | 93.355 |
| 370.455 | 61.869 | 65.857 | 0.000 | 0.000 | -0.000 |
| -120.230 | -1196.298 | 1424.209 | 0.000 | 0.000 | 0.000 |
| -121.291 | -1049.978 | 1705.756 | 0.000 | 0.000 | 0.000 |
| -202.586 | -1385.339 | 1348.019 | 86.449 | 0.000 | -0.000 |
| -365.313 | -1390.570 | 1301.051 | 0.000 | 69.142 | 0.000 |
| -365.310 | -1390.555 | 1301.033 | 0.000 | 0.000 | 44.465 |
| 465.151 | 1239.716 | -1300.936 | -0.000 | -0.000 | 0.000 |
| 422.510 | 1533.416 | -1252.594 | -0.000 | -0.000 | -0.000 |
| 319.664 | 1248.137 | -1093.957 | -0.000 | -0.000 | -0.000 |
| 202.586 | 1385.339 | -1348.019 | 86.449 | -0.000 | -0.000 |
| 365.313 | 1390.570 | -1301.051 | -0.000 | 69.141 | -0.000 |
| 365.311 | 1390.555 | -1301.033 | -0.000 | -0.000 | 44.465 |
| 167.369 | -57.554 | 211.035 | 0.000 | 0.000 | 0.000 |
| 19.888 | -1.096 | 178.715 | 0.000 | 0.000 | 0.000 |
| -33.062 | -170.779 | 236.456 | 0.000 | -0.000 | 0.000 |
| -36.604 | -139.414 | 130.620 | 70.816 | 0.000 | 0.000 |
| -36.603 | -139.407 | 130.617 | -0.000 | 68.885 | -0.000 |
| -20.299 | -138.915 | 135.090 | 0.000 | 0.000 | 65.275 |
| 266.059 | 205.931 | -40.987 | -0.000 | -0.000 | 0.000 |
| 102.808 | 327.326 | -58.905 | -0.000 | -0.000 | 0.000 |
| 65.899 | 66.553 | 435.685 | -0.000 | -0.000 | -0.000 |
| 36.604 | 139.414 | -130.620 | 70.816 | 0.000 | 0.000 |
| 34.966 | 206.579 | -106.240 | -0.000 | 35.843 | 0.000 |
| 20.299 | 138.915 | -135.090 | -0.000 | -0.000 | 65.275 |
| 237.973 | 79.320 | 115.250 | 0.000 | 0.000 | -0.000 |
| 77.568 | 123.459 | 77.868 | 0.000 | 0.000 | 0.000 |
| 60.224 | 45.936 | 211.407 | 0.000 | 0.000 | -0.000 |
| -4.038 | -14.986 | 14.521 | 61.690 | -0.000 | 0.000 |
| -4.028 | -14.945 | 14.486 | -0.000 | 59.969 | 0.000 |
| -4.159 | -16.102 | 11.510 | 0.000 | 0.000 | 22.780 |
| 91.080 | 64.555 | 18.903 | -0.000 | -0.000 | 0.000 |
| 82.798 | 149.629 | 48.766 | -0.000 | -0.000 | -0.000 |
| 70.781 | 86.164 | 199.031 | -0.000 | 0.000 | 0.000 |
| 4.038 | 14.986 | -14.521 | 61.690 | -0.000 | -0.000 |
| 4.028 | 14.945 | -14.486 | -0.000 | 59.969 | 0.000 |
| 4.159 | 16.102 | -11.510 | -0.000 | -0.000 | 22.780 |
| 1266.667 | 0.000 | 0.000 | 0.000 | 0.000 | 0.000 |
| -0.000 | 0.000 | 0.000 | 0.000 | 0.000 | 0.000 |
| -0.000 | 0.000 | 0.000 | 0.000 | 0.000 | 0.000 |
| -0.000 | 0.000 | 0.000 | 0.000 | 0.000 | 0.000 |
| -0.000 | 0.000 | 0.000 | 0.000 | 0.000 | 0.000 |
| -0.000 | 0.000 | 0.000 | 0.000 | 0.000 | 0.000 |
| 1266.667 | -0.000 | -0.000 | -0.000 | -0.000 | -0.000 |
| 0.000 | -0.000 | -0.000 | -0.000 | -0.000 | -0.000 |
| 0.000 | -0.000 | -0.000 | -0.000 | -0.000 | -0.000 |
| 0.000 | -0.000 | -0.000 | -0.000 | -0.000 | -0.000 |
| 0.000 | -0.000 | -0.000 | -0.000 | -0.000 | -0.000 |
| 0.000 | -0.000 | -0.000 | -0.000 | -0.000 | -0.000 |
| 1266.668 | 0.000 | 0.000 | 0.000 | 0.000 | 0.000 |
| -0.000 | 0.000 | 0.000 | 0.000 | 0.000 | 0.000 |
| -0.000 | 0.000 | 0.000 | 0.000 | 0.000 | 0.000 |
| -0.000 | 0.000 | 0.000 | 0.000 | 0.000 | 0.000 |
| -0.000 | 0.000 | 0.000 | 0.000 | 0.000 | 0.000 |
| -0.000 | 0.000 | 0.000 | 0.000 | 0.000 | 0.000 |
| 1266.667 | -0.000 | -0.000 | -0.000 | -0.000 | -0.000 |
| 0.000 | -0.000 | -0.000 | -0.000 | -0.000 | -0.000 |
| 0.000 | -0.000 | -0.000 | -0.000 | -0.000 | -0.000 |
| 0.000 | -0.000 | -0.000 | -0.000 | -0.000 | -0.000 |
| 0.000 | -0.000 | -0.000 | -0.000 | -0.000 | -0.000 |
| 0.000 | -0.000 | -0.000 | -0.000 | -0.000 | -0.000 |
| 1266.672 | 0.000 | 0.000 | 0.000 | 0.000 | 0.000 |
| -0.000 | 0.000 | 0.000 | 0.000 | 0.000 | 0.000 |
| -0.000 | 0.000 | 0.000 | 0.000 | 0.000 | 0.000 |
| -0.000 | 0.000 | 0.000 | 0.000 | 0.000 | 0.000 |
| -0.000 | 0.000 | 0.000 | 0.000 | 0.000 | 0.000 |
| -0.000 | 0.000 | 0.000 | 0.000 | 0.000 | 0.000 |
| 1266.663 | -0.000 | -0.000 | -0.000 | -0.000 | -0.000 |
| 0.000 | -0.000 | -0.000 | -0.000 | -0.000 | -0.000 |
| 0.000 | -0.000 | -0.000 | -0.000 | -0.000 | -0.000 |
| 0.000 | -0.000 | -0.000 | -0.000 | -0.000 | -0.000 |
| 0.000 | -0.000 | -0.000 | -0.000 | -0.000 | -0.000 |
| 0.000 | -0.000 | -0.000 | -0.000 | -0.000 | -0.000 |
| 1266.668 | 0.000 | 0.000 | 0.000 | 0.000 | 0.000 |
| -0.000 | 0.000 | 0.000 | 0.000 | 0.000 | 0.000 |
| 0.000 | 0.000 | 0.000 | 0.000 | 0.000 | 0.000 |
| -0.000 | 0.000 | 0.000 | 0.000 | 0.000 | 0.000 |
| 0.000 | 0.000 | 0.000 | 0.000 | 0.000 | 0.000 |
| -0.000 | 0.000 | 0.000 | 0.000 | 0.000 | 0.000 |
| 1266.667 | -0.000 | -0.000 | -0.000 | -0.000 | -0.000 |
| 0.000 | -0.000 | -0.000 | -0.000 | -0.000 | -0.000 |
| 0.000 | -0.000 | -0.000 | -0.000 | -0.000 | -0.000 |
| 0.000 | -0.000 | -0.000 | -0.000 | -0.000 | -0.000 |
| -0.000 | -0.000 | -0.000 | -0.000 | -0.000 | -0.000 |
| -0.000 | -0.000 | -0.000 | -0.000 | -0.000 | -0.000 |
| 1266.668 | 0.000 | 0.000 | 0.000 | 0.000 | 0.000 |
| -0.000 | 0.000 | 0.000 | 0.000 | 0.000 | 0.000 |
| -0.000 | 0.000 | 0.000 | 0.000 | 0.000 | 0.000 |
| -0.000 | 0.000 | 0.000 | 0.000 | 0.000 | 0.000 |
| 0.000 | 0.000 | 0.000 | 0.000 | 0.000 | 0.000 |
| -0.000 | 0.000 | 0.000 | 0.000 | 0.000 | 0.000 |
| 1266.667 | -0.000 | -0.000 | -0.000 | -0.000 | -0.000 |
| 0.000 | -0.000 | -0.000 | -0.000 | -0.000 | -0.000 |
| 0.000 | -0.000 | -0.000 | -0.000 | -0.000 | -0.000 |
| 0.000 | -0.000 | -0.000 | -0.000 | -0.000 | -0.000 |
| -0.000 | -0.000 | -0.000 | -0.000 | -0.000 | -0.000 |
| 0.000 | -0.000 | -0.000 | -0.000 | -0.000 | -0.000 |
| 1266.672 | 0.000 | 0.000 | 0.000 | 0.000 | 0.000 |
| -0.000 | 0.000 | 0.000 | 0.000 | 0.000 | 0.000 |
| -0.000 | 0.000 | 0.000 | 0.000 | 0.000 | 0.000 |
| -0.000 | 0.000 | 0.000 | 0.000 | 0.000 | 0.000 |
| -0.000 | 0.000 | 0.000 | 0.000 | 0.000 | 0.000 |
| -0.000 | 0.000 | 0.000 | 0.000 | 0.000 | 0.000 |
| 1266.663 | -0.000 | -0.000 | -0.000 | -0.000 | -0.000 |
| 0.000 | -0.000 | -0.000 | -0.000 | -0.000 | -0.000 |
| 0.000 | -0.000 | -0.000 | -0.000 | -0.000 | -0.000 |
| 0.000 | -0.000 | -0.000 | -0.000 | -0.000 | -0.000 |
| 0.000 | -0.000 | -0.000 | -0.000 | -0.000 | -0.000 |
| 0.000 | -0.000 | -0.000 | -0.000 | -0.000 | -0.000 |
| 733.743 | 89.012 | 89.012 | -0.000 | -0.000 | -0.000 |
| 89.012 | 733.743 | 89.012 | -0.000 | -0.000 | -0.000 |
| 89.012 | 89.012 | 733.743 | -0.000 | -0.000 | 0.000 |
| -0.000 | 0.000 | 0.000 | 292.756 | -0.000 | 0.000 |
| 0.000 | 0.000 | 0.000 | -0.000 | 292.756 | 0.000 |
| 0.000 | 0.000 | 0.000 | -0.000 | -0.000 | 292.756 |
| 604.357 | 151.916 | 151.916 | 0.000 | 0.000 | -0.000 |
| 151.916 | 604.356 | 151.916 | 0.000 | 0.000 | -0.000 |
| 151.916 | 151.916 | 604.357 | -0.000 | 0.000 | 0.000 |
| -0.000 | -0.000 | -0.000 | 292.756 | 0.000 | -0.000 |
| -0.000 | -0.000 | -0.000 | 0.000 | 292.756 | -0.000 |
| -0.000 | -0.000 | -0.000 | 0.000 | 0.000 | 292.756 |
| 604.162 | 151.794 | 151.794 | -0.000 | -0.000 | 0.000 |
| 151.794 | 604.162 | 151.794 | -0.000 | -0.000 | 0.000 |
| 151.794 | 151.794 | 604.162 | -0.000 | -0.000 | 0.000 |
| -0.015 | -0.015 | -0.015 | 188.697 | -0.000 | 0.000 |
| -0.015 | -0.015 | -0.015 | -0.000 | 188.697 | 0.000 |
| -0.015 | -0.015 | -0.015 | -0.000 | -0.000 | 188.697 |
| 604.197 | 151.816 | 151.816 | 0.000 | 0.000 | -0.000 |
| 151.816 | 604.197 | 151.816 | 0.000 | 0.000 | -0.000 |
| 151.816 | 151.816 | 604.197 | 0.000 | 0.000 | 0.000 |
| 0.015 | 0.015 | 0.015 | 188.697 | 0.000 | -0.000 |
| 0.015 | 0.015 | 0.015 | 0.000 | 188.697 | -0.000 |
| 0.015 | 0.015 | 0.015 | 0.000 | 0.000 | 188.697 |
| 593.847 | 155.678 | 155.678 | -0.000 | -0.000 | -0.000 |
| 155.678 | 593.847 | 155.678 | -0.000 | -0.000 | 0.000 |
| 155.678 | 155.678 | 593.847 | 0.000 | -0.000 | -0.000 |
| -0.001 | -0.002 | -0.002 | 188.697 | -0.000 | -0.000 |
| -0.002 | -0.001 | -0.002 | 0.000 | 188.697 | 0.000 |
| -0.002 | -0.002 | -0.001 | -0.000 | -0.000 | 188.697 |
| 594.042 | 155.307 | 155.307 | -0.000 | 0.000 | 0.000 |
| 155.307 | 594.042 | 155.307 | 0.000 | 0.000 | -0.000 |
| 155.307 | 155.307 | 594.042 | 0.000 | 0.000 | 0.000 |
| 0.001 | 0.002 | 0.002 | 188.697 | 0.000 | -0.000 |
| 0.002 | 0.001 | 0.002 | 0.000 | 188.697 | -0.000 |
| 0.002 | 0.002 | 0.001 | 0.000 | 0.000 | 188.697 |
| 374.265 | 342.233 | 240.125 | -0.000 | -0.000 | 0.000 |
| -255.229 | 940.133 | 294.158 | -0.000 | -0.000 | -0.000 |
| 150.726 | 162.061 | 745.256 | -0.000 | -0.000 | 0.000 |
| -265.052 | 104.950 | 231.384 | 257.713 | -0.000 | 0.000 |
| -295.019 | 245.762 | 27.701 | -0.000 | 179.972 | -0.000 |
| -274.391 | 112.436 | 236.823 | -0.000 | -0.000 | 134.572 |
| 1099.964 | -166.422 | 45.416 | 0.000 | 0.000 | -0.000 |
| 357.456 | 567.218 | 14.250 | -0.000 | 0.000 | -0.000 |
| 623.743 | -45.621 | 502.088 | -0.000 | 0.000 | 0.000 |
| 265.052 | -104.951 | -231.384 | 257.713 | 0.000 | -0.000 |
| 295.019 | -245.762 | -27.701 | -0.000 | 179.972 | -0.000 |
| 274.390 | -112.436 | -236.823 | 0.000 | 0.000 | 134.572 |
| 646.723 | 117.479 | 212.377 | 0.000 | -0.000 | 0.000 |
| 78.043 | 724.128 | 207.888 | -0.000 | -0.000 | 0.000 |
| 176.486 | 234.102 | 623.500 | 0.000 | -0.000 | 0.000 |
| -22.862 | 19.045 | 2.147 | 284.072 | -0.000 | -0.000 |
| 0.000 | -0.000 | 0.000 | 0.000 | 340.211 | -0.000 |
| 0.000 | 0.000 | 0.000 | 0.000 | -0.000 | 202.691 |
| 700.807 | 71.991 | 207.722 | 0.000 | 0.000 | -0.000 |
| 127.262 | 688.775 | 201.477 | 0.000 | 0.000 | -0.000 |
| 226.249 | 201.153 | 625.340 | 0.000 | 0.000 | -0.000 |
| 22.862 | -19.045 | -2.147 | 284.072 | 0.000 | -0.000 |
| -0.000 | 0.000 | -0.000 | -0.000 | 340.211 | -0.000 |
| -0.000 | 0.000 | -0.000 | -0.000 | 0.000 | 202.691 |
| 666.376 | 97.716 | 202.774 | 0.000 | -0.000 | 0.000 |
| 87.271 | 704.535 | 223.937 | -0.000 | -0.000 | 0.000 |
| 192.097 | 225.636 | 606.879 | 0.000 | -0.000 | -0.000 |
| -2.550 | 0.809 | 2.629 | 280.730 | -0.000 | 0.000 |
| -2.882 | 2.031 | 0.616 | -0.000 | 207.160 | 0.000 |
| -2.085 | 1.736 | 0.196 | 0.000 | -0.000 | 147.722 |
| 672.824 | 94.830 | 203.206 | 0.000 | 0.000 | -0.000 |
| 100.436 | 707.515 | 206.890 | -0.000 | 0.000 | -0.000 |
| 202.506 | 226.569 | 596.884 | -0.000 | 0.000 | -0.000 |
| 2.550 | -0.809 | -2.629 | 280.730 | 0.000 | 0.000 |
| 2.882 | -2.031 | -0.616 | -0.000 | 207.160 | 0.000 |
| 2.085 | -1.736 | -0.196 | -0.000 | 0.000 | 147.722 |
| 199.181 | 121.233 | 121.234 | 0.000 | 0.000 | -0.000 |
| 121.233 | 199.181 | 121.234 | 0.000 | 0.000 | -0.000 |
| 121.233 | 121.233 | 199.181 | -0.000 | 0.000 | -0.000 |
| -0.000 | -0.000 | -0.000 | 147.422 | 0.000 | -0.000 |
| -0.000 | -0.000 | -0.000 | 0.000 | 147.422 | -0.000 |
| -0.000 | -0.000 | 0.000 | -0.000 | 0.000 | 147.421 |
| 199.181 | 121.234 | 121.234 | -0.000 | -0.000 | 0.000 |
| 121.234 | 199.181 | 121.234 | 0.000 | -0.000 | 0.000 |
| 121.234 | 121.234 | 199.181 | -0.000 | -0.000 | 0.000 |
| 0.000 | 0.000 | 0.000 | 147.422 | -0.000 | 0.000 |
| 0.000 | 0.000 | 0.000 | 0.000 | 147.421 | 0.000 |
| 0.000 | 0.000 | 0.000 | 0.000 | -0.000 | 147.422 |
| 132.644 | 89.972 | 89.972 | -0.000 | 0.000 | -0.000 |
| 89.971 | 132.642 | 89.971 | -0.000 | 0.000 | -0.000 |
| 89.972 | 89.972 | 132.644 | -0.000 | 0.000 | -0.000 |
| -0.000 | -0.000 | 0.000 | 147.422 | 0.000 | -0.000 |
| -0.000 | -0.000 | 0.000 | 0.000 | 147.422 | -0.000 |
| -0.000 | -0.000 | -0.000 | -0.000 | 0.000 | 147.422 |
| 42.953 | 21.782 | 21.782 | 0.000 | -0.000 | 0.000 |
| 21.782 | 42.953 | 21.782 | 0.000 | -0.000 | 0.000 |
| 21.782 | 21.782 | 42.953 | 0.000 | -0.000 | 0.000 |
| 0.000 | 0.000 | -0.000 | 147.422 | -0.000 | 0.000 |
| 0.000 | 0.000 | -0.000 | -0.000 | 147.422 | 0.000 |
| 0.000 | 0.000 | -0.000 | -0.000 | -0.000 | 147.422 |
| 26.753 | 2.582 | 2.582 | -0.000 | 0.000 | -0.000 |
| 21.626 | 42.648 | 21.626 | -0.000 | 0.000 | -0.000 |
| 2.582 | 2.582 | 26.753 | 0.000 | 0.000 | -0.000 |
| 0.000 | -0.000 | -0.000 | 28.420 | 0.000 | -0.000 |
| -0.000 | 0.000 | -0.000 | 0.000 | 28.420 | -0.000 |
| -0.000 | -0.000 | 0.000 | -0.000 | 0.000 | 28.420 |
| 42.700 | 21.629 | 21.629 | 0.000 | -0.000 | 0.000 |
| 21.629 | 42.700 | 21.629 | 0.000 | -0.000 | 0.000 |
| 21.629 | 21.629 | 42.700 | 0.000 | -0.000 | 0.000 |
| -0.000 | 0.000 | 0.000 | 28.420 | -0.000 | 0.000 |
| 0.000 | -0.000 | 0.000 | 0.000 | 28.420 | 0.000 |
| 0.000 | 0.000 | -0.000 | 0.000 | -0.000 | 28.420 |
| 186.520 | 113.527 | 113.527 | -0.000 | 0.000 | -0.000 |
| 113.527 | 186.520 | 113.527 | 0.000 | 0.000 | -0.000 |
| 113.527 | 113.527 | 186.520 | -0.000 | 0.000 | 0.000 |
| -60.794 | -60.794 | -60.794 | 32.646 | -0.005 | -0.004 |
| -60.794 | -60.794 | -60.794 | -0.005 | 32.646 | -0.004 |
| 0.000 | 0.000 | -0.000 | -0.000 | 0.000 | 138.050 |
| 170.368 | 134.189 | 134.189 | 0.008 | 0.009 | 0.007 |
| 134.189 | 170.368 | 134.189 | 0.008 | 0.009 | 0.007 |
| 134.189 | 134.189 | 170.368 | 0.008 | 0.009 | 0.007 |
| 0.000 | -0.000 | 0.000 | 138.050 | -0.000 | 0.000 |
| -0.000 | 0.000 | 0.000 | 0.000 | 138.050 | 0.000 |
| -0.000 | -0.000 | -0.000 | 0.000 | -0.000 | 138.050 |
| 186.520 | 113.527 | 113.527 | -0.000 | 0.000 | -0.000 |
| 113.527 | 186.520 | 113.527 | 0.000 | 0.000 | -0.000 |
| 113.527 | 113.527 | 186.520 | 0.000 | 0.000 | 0.000 |
| -4.155 | -4.155 | -4.155 | 53.954 | -0.001 | -0.001 |
| -4.155 | -4.155 | -4.155 | -0.001 | 53.954 | -0.001 |
| -0.000 | 0.000 | 0.000 | -0.000 | 0.000 | 138.050 |
| 186.520 | 113.527 | 113.527 | 0.000 | -0.000 | 0.000 |
| 113.527 | 186.520 | 113.527 | 0.000 | -0.000 | -0.000 |
| 113.527 | 113.527 | 186.520 | 0.000 | -0.000 | 0.000 |
| 4.155 | 4.155 | 4.155 | 53.953 | 0.001 | 0.001 |
| 4.155 | 4.155 | 4.155 | 0.001 | 53.953 | 0.001 |
| 4.155 | 4.155 | 4.155 | 0.001 | 0.001 | 53.953 |
| 23.957 | 1.407 | 1.407 | -0.000 | -0.000 | -0.000 |
| 1.407 | 23.957 | 1.407 | -0.000 | -0.000 | -0.000 |
| 1.407 | 1.407 | 23.957 | -0.000 | -0.000 | -0.000 |
| -0.908 | -0.908 | -0.908 | 26.624 | -0.000 | -0.000 |
| -0.908 | -0.908 | -0.908 | -0.000 | 26.624 | -0.000 |
| -0.908 | -0.908 | -0.908 | -0.000 | -0.000 | 26.624 |
| 26.120 | 3.407 | 3.407 | 0.000 | 0.000 | 0.000 |
| 3.407 | 26.120 | 3.407 | 0.000 | 0.000 | 0.000 |
| 3.407 | 3.407 | 26.120 | 0.000 | 0.000 | 0.000 |
| 0.908 | 0.908 | 0.908 | 26.624 | 0.000 | 0.000 |
| 0.908 | 0.908 | 0.908 | 0.000 | 26.624 | 0.000 |
| 0.908 | 0.908 | 0.908 | 0.000 | 0.000 | 26.624 |
| 400.933 | 60.198 | 60.197 | -0.001 | -0.001 | -0.000 |
| 60.198 | 400.933 | 60.197 | -0.001 | 0.000 | -0.000 |
| 60.196 | 60.198 | 400.933 | -0.001 | -0.001 | -0.000 |
| -0.001 | -0.000 | -0.000 | 170.366 | -0.001 | -0.000 |
| -0.001 | 0.000 | -0.001 | -0.000 | 170.368 | -0.000 |
| -0.000 | -0.000 | -0.000 | -0.001 | -0.001 | 170.368 |
| 54.982 | -1.833 | -1.832 | 0.001 | 0.001 | 0.000 |
| -1.832 | 54.981 | -1.832 | 0.001 | 0.001 | 0.000 |
| -1.833 | -1.833 | 54.982 | 0.001 | 0.001 | 0.000 |
| 0.001 | -0.000 | 0.000 | 170.368 | -0.000 | -0.000 |
| -0.000 | -0.000 | 0.000 | 0.000 | 170.368 | 0.000 |
| 0.001 | 0.000 | 0.000 | 0.001 | 0.000 | 170.368 |
| 257.552 | 93.357 | 93.357 | -0.000 | -0.000 | -0.000 |
| 93.357 | 257.552 | 93.357 | -0.000 | -0.000 | -0.000 |
| 93.357 | 93.357 | 257.552 | -0.000 | -0.000 | -0.000 |
| -0.000 | 0.000 | -0.000 | 170.367 | -0.000 | -0.000 |
| -0.000 | 0.000 | -0.000 | -0.000 | 170.368 | -0.000 |
| -0.000 | 0.000 | -0.000 | -0.000 | -0.000 | 170.368 |
| 257.552 | 93.356 | 93.356 | 0.000 | 0.000 | 0.000 |
| -1.786 | 55.001 | -1.786 | 0.000 | 0.000 | 0.000 |
| 93.356 | 93.356 | 257.552 | 0.000 | 0.000 | 0.000 |
| 0.000 | -0.000 | 0.000 | 170.368 | 0.000 | 0.000 |
| -0.000 | -0.000 | 0.000 | 0.000 | 170.368 | 0.000 |
| 0.000 | -0.000 | 0.000 | 0.000 | 0.000 | 170.368 |
| 92.659 | 50.578 | 50.578 | -0.000 | 0.000 | 0.000 |
| 50.578 | 92.659 | 50.578 | -0.000 | -0.000 | -0.000 |
| 50.578 | 50.578 | 92.659 | -0.000 | -0.000 | -0.000 |
| 0.000 | 0.000 | 0.000 | 44.715 | -0.000 | -0.000 |
| -0.000 | 0.000 | 0.000 | -0.000 | 44.715 | -0.000 |
| 0.000 | 0.000 | 0.000 | -0.000 | 0.000 | 44.715 |
| 57.552 | -2.238 | -2.239 | 0.000 | 0.000 | 0.000 |
| -2.239 | 57.552 | -2.238 | 0.000 | 0.000 | 0.000 |
| -2.238 | -2.239 | 57.552 | 0.000 | 0.000 | 0.000 |
| -0.000 | -0.000 | -0.000 | 44.715 | 0.000 | 0.000 |
| 0.000 | -0.000 | -0.000 | 0.000 | 44.715 | 0.000 |
| -0.000 | -0.000 | -0.000 | 0.000 | 0.000 | 44.715 |
| 268.021 | 89.736 | 89.736 | 0.000 | 0.001 | -0.000 |
| 89.735 | 268.021 | 89.736 | -0.000 | 0.001 | -0.000 |
| 89.736 | 89.736 | 268.021 | -0.000 | -0.001 | -0.000 |
| -0.000 | 0.000 | 0.000 | 158.809 | 0.002 | -0.000 |
| 0.001 | 0.000 | -0.000 | 0.000 | 158.811 | -0.000 |
| 0.000 | 0.000 | 0.000 | 0.000 | 0.001 | 158.810 |
| 373.735 | 56.115 | 56.115 | -0.001 | 0.000 | 0.000 |
| 56.114 | 373.735 | 56.115 | 0.000 | -0.001 | 0.000 |
| 56.114 | 56.115 | 373.735 | -0.000 | -0.000 | 0.000 |
| 0.000 | -0.000 | 0.000 | 158.810 | -0.001 | 0.000 |
| -0.001 | -0.000 | 0.000 | -0.000 | 158.810 | 0.000 |
| -0.000 | 0.000 | -0.000 | -0.000 | -0.000 | 158.810 |
| 249.126 | 85.949 | 85.949 | 0.000 | 0.000 | -0.000 |
| 85.949 | 249.126 | 85.949 | 0.000 | -0.000 | -0.000 |
| 85.949 | 85.949 | 249.126 | -0.000 | 0.000 | 0.000 |
| 0.228 | 0.228 | 0.228 | 50.264 | 0.000 | -0.000 |
| 0.228 | 0.228 | 0.228 | 0.000 | 50.264 | -0.000 |
| 0.228 | 0.228 | 0.228 | 0.000 | 0.000 | 50.264 |
| 99.386 | 30.363 | 30.363 | -0.000 | 0.000 | 0.000 |
| 30.363 | 99.386 | 30.363 | -0.000 | 0.000 | -0.000 |
| 30.363 | 30.363 | 99.386 | -0.000 | -0.000 | 0.000 |
| -0.228 | -0.228 | -0.228 | 50.264 | -0.000 | 0.000 |
| -0.228 | -0.228 | -0.228 | 0.000 | 50.264 | 0.000 |
| -0.228 | -0.228 | -0.228 | 0.000 | -0.000 | 50.264 |
| 54.441 | 3.152 | 3.152 | 0.000 | 0.000 | -0.000 |
| 3.152 | 54.441 | 3.152 | 0.000 | 0.000 | -0.000 |
| 3.152 | 3.152 | 54.441 | -0.000 | -0.000 | -0.000 |
| 0.165 | 0.164 | 0.165 | 37.267 | 0.000 | -0.000 |
| 0.165 | 0.165 | 0.165 | 0.000 | 37.267 | -0.000 |
| 0.164 | 0.165 | 0.165 | 0.000 | 0.000 | 37.267 |
| 19.620 | -37.208 | -37.208 | -0.000 | -0.000 | 0.000 |
| -37.208 | 19.620 | -37.208 | -0.000 | 0.000 | 0.000 |
| -37.208 | -37.208 | 19.620 | -0.000 | -0.000 | 0.000 |
| -0.165 | -0.164 | -0.165 | 37.267 | -0.000 | 0.000 |
| -0.165 | -0.165 | -0.165 | -0.000 | 37.267 | 0.000 |
| -0.164 | -0.165 | -0.165 | -0.000 | -0.000 | 37.267 |
| -5315.025 | -5350.392 | -5350.391 | 0.000 | 0.002 | 0.000 |
| -5350.364 | -5314.997 | -5350.363 | 0.000 | 0.002 | 0.000 |
| -5350.391 | -5350.392 | -5315.026 | 0.000 | 0.002 | 0.000 |
| -1004.022 | -1004.023 | -1004.023 | 79.291 | 0.001 | 0.000 |
| -1004.023 | -1004.023 | -1004.023 | -0.000 | 79.292 | 0.000 |
| -1004.023 | -1004.023 | -1004.023 | 0.000 | 0.001 | 79.293 |
| 1244.061 | 1084.654 | 1084.654 | -0.000 | -0.002 | -0.000 |
| 1084.653 | 1244.061 | 1084.654 | -0.000 | 0.002 | -0.000 |
| 1084.653 | 1084.654 | 1244.061 | 0.001 | -0.002 | -0.000 |
| 1004.023 | 1004.023 | 1004.023 | 79.291 | -0.001 | -0.000 |
| 1004.022 | 1004.023 | 1004.023 | -0.001 | 79.293 | -0.000 |
| 1004.023 | 1004.023 | 1004.023 | -0.000 | -0.001 | 79.293 |
| -509.240 | -536.460 | -536.460 | 0.000 | 0.000 | 0.000 |
| -536.460 | -509.240 | -536.460 | 0.000 | 0.000 | 0.000 |
| -536.460 | -536.460 | -509.240 | 0.000 | 0.000 | 0.000 |
| -531.324 | -531.324 | -531.324 | 18.709 | 0.000 | 0.000 |
| -531.324 | -531.324 | -531.324 | 0.000 | 18.709 | 0.000 |
| -531.324 | -531.324 | -531.324 | 0.000 | 0.000 | 18.709 |
| 658.813 | 631.719 | 631.719 | -0.000 | -0.000 | -0.000 |
| 631.719 | 658.813 | 631.719 | -0.000 | 0.000 | -0.000 |
| 631.719 | 631.719 | 658.813 | -0.000 | -0.000 | -0.000 |
| 531.324 | 531.324 | 531.324 | 18.709 | -0.000 | -0.000 |
| 531.324 | 531.324 | 531.324 | 0.000 | 18.709 | -0.000 |
| 531.324 | 531.324 | 531.324 | -0.000 | -0.000 | 18.709 |
| 34.856 | -1.990 | -1.990 | 0.000 | -0.000 | 0.000 |
| -1.990 | 34.856 | -1.990 | 0.000 | 0.000 | 0.000 |
| -1.990 | -1.990 | 34.856 | 0.000 | -0.000 | 0.000 |
| -33.686 | -33.686 | -33.686 | 45.747 | 0.000 | 0.000 |
| -33.686 | -33.686 | -33.686 | 0.000 | 45.746 | 0.000 |
| -33.686 | -33.686 | -33.686 | -0.000 | 0.000 | 45.746 |
| 264.344 | 92.751 | 92.751 | -0.000 | -0.000 | -0.000 |
| 92.751 | 264.344 | 92.751 | -0.000 | -0.000 | -0.000 |
| 92.751 | 92.751 | 264.344 | -0.000 | -0.000 | -0.000 |
| 33.686 | 33.686 | 33.686 | 45.746 | -0.000 | -0.000 |
| 33.686 | 33.686 | 33.686 | 0.000 | 45.746 | -0.000 |
| 33.686 | 33.686 | 33.686 | -0.000 | -0.000 | 45.746 |
| 387.554 | 67.463 | 89.380 | -0.000 | 0.000 | -0.000 |
| 95.228 | 474.657 | -101.410 | -1.077 | 4.802 | 0.406 |
| 132.913 | 226.042 | 244.366 | -1.030 | 4.592 | 0.388 |
| -0.000 | 0.000 | -0.000 | 213.870 | 0.000 | -0.000 |
| 13.435 | 32.027 | -155.296 | -1.223 | 125.009 | 0.251 |
| -470.604 | -374.226 | -514.906 | -1.524 | 4.678 | -57.835 |
| 435.252 | -754.364 | 1309.177 | -0.186 | -4.177 | 1.709 |
| 86.267 | 199.265 | 281.705 | 1.022 | -4.557 | -0.385 |
| 122.324 | 56.956 | 527.403 | 1.211 | -5.302 | -0.245 |
| -4.088 | -139.549 | 192.089 | 149.713 | -4.672 | -0.395 |
| -13.427 | -32.000 | 155.195 | 1.222 | 114.366 | -0.250 |
| 470.598 | 374.183 | 514.915 | 1.524 | -4.678 | -58.596 |
| 285.611 | 97.772 | 108.616 | -0.111 | 0.495 | 0.042 |
| 95.489 | 328.020 | 79.797 | -0.136 | 0.606 | 0.051 |
| 128.353 | 101.441 | 417.602 | -0.100 | 0.448 | 0.038 |
| -74.656 | -44.882 | -86.238 | 47.042 | 0.241 | 0.011 |
| 1.360 | 1.681 | -13.976 | -0.116 | 123.017 | 0.022 |
| 1.458 | 0.971 | -14.057 | -0.120 | 0.522 | 78.689 |
| 213.143 | 53.572 | 129.324 | 0.081 | -0.253 | -0.053 |
| 65.500 | 193.239 | 58.351 | 0.128 | -0.413 | -0.040 |
| 136.293 | 79.014 | 432.180 | 0.125 | -0.558 | -0.047 |
| 44.100 | 80.761 | 93.501 | 5.679 | -0.328 | -0.019 |
| 74.831 | 35.662 | 133.855 | 0.033 | -5.898 | -0.029 |
| 113.836 | 54.018 | 138.278 | 0.106 | -0.582 | 31.785 |
| 35.254 | -20.596 | 4.310 | -0.006 | 0.042 | 0.000 |
| -38.945 | 127.955 | -6.106 | 0.006 | 0.040 | -0.002 |
| 18.910 | -8.384 | 217.379 | -0.010 | 0.040 | 0.003 |
| -5.014 | -2.715 | -6.356 | 59.772 | 0.037 | -0.002 |
| -4.783 | -1.291 | -5.070 | -0.007 | 50.289 | 0.001 |
| -5.191 | -2.608 | -6.845 | -0.008 | 0.032 | 27.312 |
| 54.863 | -24.334 | 20.776 | 0.006 | -0.037 | -0.001 |
| -11.620 | 152.483 | 5.097 | 0.006 | -0.028 | -0.002 |
| 23.844 | -1.689 | 226.214 | 0.008 | -0.031 | -0.003 |
| 3.476 | 2.009 | 7.185 | 66.808 | -0.035 | -0.001 |
| 4.784 | 1.293 | 5.066 | 0.007 | 50.218 | -0.001 |
| 5.120 | 2.156 | 6.063 | 0.007 | -0.039 | 25.062 |
| 194.732 | 13.960 | 17.320 | 0.000 | -0.000 | 0.000 |
| 13.960 | 194.732 | 17.320 | 0.000 | -0.000 | -0.000 |
| 63.017 | 63.017 | -4.255 | -0.001 | -0.000 | 0.000 |
| -93.358 | -93.359 | -45.590 | 10.062 | -0.001 | 0.000 |
| -42.362 | -42.362 | -107.283 | -0.003 | 19.300 | 0.000 |
| 0.000 | -0.000 | 0.000 | 0.000 | -0.000 | 36.574 |
| 194.732 | 13.960 | 17.320 | -0.000 | 0.000 | -0.000 |
| 13.960 | 194.732 | 17.320 | -0.000 | 0.000 | -0.000 |
| 21.842 | 21.842 | 135.691 | -0.000 | 0.000 | -0.000 |
| 42.358 | 42.358 | 107.282 | 19.305 | 0.000 | -0.000 |
| 42.361 | 42.362 | 107.282 | 0.003 | 19.302 | 0.000 |
| -0.000 | 0.000 | -0.000 | -0.000 | 0.000 | 36.574 |
| 146.816 | 20.199 | 19.760 | -0.000 | -0.000 | -0.000 |
| 20.199 | 146.816 | 19.760 | -0.000 | -0.000 | -0.000 |
| 21.842 | 21.842 | 135.691 | 0.000 | -0.000 | 0.000 |
| 2.334 | 2.334 | -8.165 | 31.488 | -0.000 | 0.000 |
| 2.334 | 2.334 | -8.165 | -0.000 | 31.488 | 0.000 |
| 2.165 | 2.165 | -2.386 | -0.000 | -0.000 | 21.059 |
| 118.469 | 41.541 | 36.592 | 0.000 | 0.000 | 0.000 |
| 41.541 | 118.469 | 36.592 | 0.000 | 0.000 | 0.000 |
| 21.842 | 21.842 | 135.691 | -0.000 | 0.000 | 0.000 |
| -2.334 | -2.334 | 8.165 | 31.488 | 0.000 | -0.000 |
| -2.334 | -2.334 | 8.165 | 0.000 | 31.488 | 0.000 |
| -2.165 | -2.165 | 2.386 | 0.000 | 0.000 | 21.059 |
| -2522803.147 | -2456610.344 | 1096766.280 | 3434.455 | 1402.828 | 327.382 |
| -2457404.377 | -2520971.016 | 1094534.218 | 5230.902 | -5358.203 | -234.299 |
| 37.658 | 37.658 | 85.118 | -0.000 | -0.000 | 0.000 |
| -2431715.768 | -2490864.073 | 1132303.569 | -7852.391 | 3466.474 | -3124.679 |
| -2484341.446 | -2433390.776 | 1131362.239 | -4697.891 | -17492.129 | 4303.367 |
| -2458812.178 | -2456249.766 | 1036653.264 | -2606.488 | 4793.223 | -13708.634 |
| 2455660.683 | 2527518.147 | -1099439.086 | -6236.561 | 5772.522 | 568.570 |
| 2525923.841 | 2454346.493 | -1097349.171 | -5266.636 | -373.052 | -510.987 |
| 42.828 | 42.828 | 85.662 | 0.000 | 0.000 | -0.000 |
| 2433170.013 | 2487521.922 | -1130888.580 | -9284.979 | -3565.115 | -2826.604 |
| 2488453.697 | 2431580.528 | -1133540.151 | 4842.684 | -15767.375 | 3903.904 |
| 2460747.337 | 2456707.452 | -1040969.962 | -613.138 | 96.968 | -11155.266 |
| -842539.192 | -1665680.568 | -44428690.490 | 13698489.865 | 32901928.767 | -25937.654 |
| -842747.209 | -1665604.331 | -44428779.088 | 13698484.296 | 32901795.923 | -25943.161 |
| -842659.578 | -1665692.854 | -44428623.808 | 13698492.155 | 32901867.848 | -25954.239 |
| -842867.278 | -1665790.986 | -44428864.662 | 13698542.111 | 32901753.349 | -25968.848 |
| -842682.455 | -1665743.307 | -44428764.962 | 13698491.580 | 32901929.879 | -25958.225 |
| -842815.793 | -1665747.529 | -44428843.548 | 13698498.561 | 32901775.696 | -25918.196 |
| 843160.684 | 1665860.995 | 44429018.300 | -13698512.941 | -32901603.943 | 25996.122 |
| 842952.633 | 1665937.221 | 44428929.664 | -13698518.500 | -32901736.795 | 25990.615 |
| 843040.277 | 1665848.703 | 44429084.958 | -13698510.645 | -32901664.867 | 25979.537 |
| 842832.563 | 1665750.565 | 44428844.089 | -13698460.684 | -32901779.370 | 25964.928 |
| 843017.405 | 1665798.251 | 44428943.811 | -13698511.222 | -32901602.835 | 25975.552 |
| 842884.049 | 1665794.022 | 44428865.203 | -13698504.235 | -32901757.023 | 26015.580 |
| -83974.433 | -166486.929 | -4442721.739 | 1369838.659 | 3290338.988 | -2567.460 |
| -84182.288 | -166410.635 | -4442810.158 | 1369833.040 | 3290206.198 | -2572.962 |
| -84094.715 | -166499.179 | -4442654.943 | 1369840.916 | 3290278.103 | -2584.041 |
| -84302.351 | -166597.288 | -4442895.726 | 1369890.854 | 3290163.626 | -2598.649 |
| -84117.620 | -166549.641 | -4442796.127 | 1369840.350 | 3290340.125 | -2588.028 |
| -84250.865 | -166553.832 | -4442874.611 | 1369847.303 | 3290185.972 | -2547.997 |
| 84595.927 | 166667.356 | 4443049.550 | -1369861.734 | -3290014.162 | 2625.927 |
| 84387.712 | 166743.525 | 4442960.734 | -1369867.244 | -3290147.069 | 2620.416 |
| 84475.414 | 166655.027 | 4443116.093 | -1369859.407 | -3290075.122 | 2609.340 |
| 84267.636 | 166556.868 | 4442875.152 | -1369809.427 | -3290189.646 | 2594.729 |
| 84452.571 | 166604.586 | 4442974.976 | -1369859.992 | -3290013.080 | 2605.355 |
| 84319.121 | 166600.324 | 4442896.266 | -1369852.977 | -3290167.299 | 2645.381 |
| -8119.448 | -16568.109 | -444126.599 | 136974.028 | 329179.594 | -230.472 |
| -8325.863 | -16491.289 | -444213.341 | 136967.936 | 329047.204 | -235.944 |
| -8238.830 | -16580.027 | -444058.744 | 136975.985 | 329118.952 | -247.035 |
| -8445.870 | -16677.923 | -444298.845 | 137025.732 | 329004.649 | -261.629 |
| -8261.980 | -16630.578 | -444200.212 | 136975.499 | 329180.905 | -251.027 |
| -8394.382 | -16634.465 | -444277.727 | 136982.180 | 329026.997 | -210.977 |
| 8740.864 | 16748.521 | 444454.365 | -136997.098 | -328854.824 | 288.934 |
| 8531.291 | 16824.180 | 444363.919 | -137002.140 | -328988.073 | 283.398 |
| 8619.491 | 16735.868 | 444519.871 | -136994.473 | -328915.999 | 272.331 |
| 8411.155 | 16637.502 | 444278.272 | -136944.304 | -329030.669 | 257.709 |
| 8596.872 | 16685.512 | 444379.027 | -136995.136 | -328853.901 | 268.350 |
| 8462.637 | 16680.958 | 444299.383 | -136987.854 | -329008.324 | 308.361 |
| -749858.736 | -93372.056 | -7350.167 | 197425.685 | -369650.231 | -118163.221 |
| -706356.984 | 47468.017 | 1614.615 | 244482.031 | -382101.827 | -187643.082 |
| -776408.838 | -101354.125 | -15674.682 | 204507.164 | -383760.646 | -119075.954 |
| -769107.209 | -94273.784 | 11273.451 | 215535.905 | -387703.820 | -112252.381 |
| -808833.448 | -96485.530 | 7596.457 | 228944.868 | -412763.314 | -119765.717 |
| -571162.545 | -91765.119 | -55047.450 | 81476.383 | -216083.554 | -116923.648 |
| 535583.873 | -30678.932 | 42424.256 | -140736.299 | 242292.582 | 166321.360 |
| 761125.372 | 96730.606 | 25393.012 | -194450.588 | 373566.814 | 125214.342 |
| 759988.439 | 99043.416 | 11063.150 | -199049.361 | 375205.727 | 117511.179 |
| 765506.152 | 92346.809 | -8364.936 | -212107.872 | 385567.131 | 113710.120 |
| 775609.536 | 100754.001 | 9103.981 | -203672.117 | 383253.529 | 119473.117 |
| 726304.022 | 101085.811 | 20388.824 | -176182.095 | 346538.557 | 116353.053 |
| -76416.039 | -9129.407 | 2006.951 | 21638.950 | -38706.351 | -11080.849 |
| -70276.781 | -18922.905 | 40638.094 | 8711.734 | -34603.644 | -7955.377 |
| -75054.052 | -9089.894 | 199.546 | 20741.792 | -38063.866 | -11432.836 |
| -70063.170 | -11201.155 | -2832.963 | 15666.655 | -32388.346 | -10939.335 |
| -66293.327 | -7110.070 | -338.170 | 14976.120 | -30825.082 | -13135.013 |
| -73680.286 | -9567.401 | -2110.001 | 18302.733 | -35555.715 | -12207.842 |
| 67883.776 | 12874.793 | 5154.475 | -12827.591 | 29700.863 | 10676.151 |
| 75643.227 | 9575.279 | -43.068 | -20382.701 | 37576.209 | 11452.608 |
| 54606.987 | 10915.035 | -15383.434 | -6318.969 | 22900.399 | 9770.413 |
| 29064.012 | -7507.952 | 17729.756 | -9911.020 | 11320.656 | 12906.256 |
| 67799.824 | 9816.000 | 4013.943 | -14518.519 | 30793.134 | 11870.048 |
| 75617.552 | 9618.030 | -818.280 | -20397.122 | 37610.256 | 11376.956 |
| -4701.245 | 287.644 | -137.478 | 1116.506 | -2235.950 | -1401.707 |
| -6870.809 | -722.581 | -209.820 | 1644.949 | -3302.048 | -1283.581 |
| -4445.667 | -446.626 | 388.268 | 837.103 | -1947.144 | -1041.281 |
| 244.287 | 1134.761 | 4188.922 | 543.419 | -677.635 | -583.748 |
| -6274.858 | -1145.901 | -461.990 | 1145.021 | -2634.467 | -1054.161 |
| -7523.178 | -1046.040 | -305.263 | 1857.500 | -3769.564 | -1353.112 |
| 7785.373 | 1020.675 | 53.073 | -2037.976 | 3769.638 | 1141.868 |
| 8007.071 | 1043.988 | 330.175 | -2094.246 | 4026.780 | 1346.840 |
| 7702.783 | 970.702 | 23.872 | -2204.896 | 3893.676 | 1096.081 |
| 4482.025 | -1747.136 | -6910.001 | -1673.136 | 3331.778 | 2091.677 |
| -49.856 | 88.153 | -2805.044 | 173.152 | 443.890 | -48.153 |
| 3621.928 | -284.030 | 219.432 | -949.892 | 1600.595 | 1232.427 |
| -2955033.277 | -4262429.281 | 1079651.084 | 1904001.912 | -230198.549 | -264938.377 |
| -592031.252 | 1429854.190 | 2140555.425 | 4275703.897 | 1164965.768 | 3272868.044 |
| -1932006.174 | -3588637.199 | 908585.465 | 1517244.926 | -507808.668 | 150929.967 |
| -2732716.437 | -2830374.139 | 1713573.668 | 2758722.815 | 266754.269 | 507033.765 |
| -2933458.858 | -2439634.737 | 2359617.511 | 3285986.800 | 511016.400 | 565741.993 |
| -1249173.978 | -1235987.881 | 743854.843 | 967305.192 | -493715.641 | 360334.582 |
| 2442665.226 | 1306181.736 | -2030871.102 | -3583526.702 | -836485.058 | -1343349.008 |
| 3215898.008 | 3147009.132 | -2203864.226 | -2964831.973 | -208199.876 | 42107.509 |
| 2505866.649 | 4255553.235 | -849469.263 | -1721880.725 | 393526.482 | 395393.709 |
| 3325900.449 | 4874900.500 | -781784.172 | -1791250.604 | 110295.318 | 1377849.477 |
| 121878.055 | 241850.724 | -2378737.240 | -2450543.054 | 371763.738 | -2965730.515 |
| 2784691.237 | 3036867.001 | -1479202.224 | -2672569.626 | -296768.377 | -449688.097 |
| -127022.536 | -232703.976 | 84348.128 | 119632.076 | -61324.178 | 47320.629 |
| -373407.004 | -509141.903 | 80549.432 | 185598.559 | -4670.700 | -134343.485 |
| -146294.738 | 251008.533 | 59238.173 | 52759.877 | -32960.983 | 37601.332 |
| -192195.084 | -307883.409 | 126175.258 | 206339.233 | -30043.144 | 72541.554 |
| -313038.933 | -297867.485 | 215808.101 | 301788.291 | 37056.646 | 12377.018 |
| -238730.997 | -401722.435 | 45720.048 | 125402.975 | -10656.082 | -125929.655 |
| 205136.102 | 351870.744 | -90129.266 | -175952.556 | 70847.632 | -7780.535 |
| 322161.438 | 269611.048 | -254747.666 | -329758.738 | -31140.273 | -19577.366 |
| 310910.415 | 366700.675 | -177610.537 | -247286.032 | -2744.801 | 2683.872 |
| 121083.456 | 238299.568 | -67731.024 | -100928.110 | 43948.994 | -17149.483 |
| 74159.219 | 83480.391 | -79062.309 | -89872.604 | 65059.158 | -86690.267 |
| 196510.169 | 264501.684 | -135893.060 | -239291.678 | 3406.431 | -92345.763 |
| -20593.612 | -36336.010 | 11319.841 | 19245.142 | -5446.156 | 3298.835 |
| -5355.421 | -9593.867 | 8130.634 | 8746.936 | -6823.568 | 10268.281 |
| -14185.557 | -17050.330 | 6217.192 | 9301.813 | -3332.655 | -503.426 |
| -43522.056 | -55597.860 | 6290.609 | 19828.831 | 736.220 | -22083.700 |
| -31856.006 | -27053.184 | 21337.971 | 32119.519 | 3712.566 | 2147.291 |
| -40392.855 | -43564.045 | 14754.792 | 26699.253 | 3903.357 | -6854.623 |
| 38651.284 | 41437.653 | -20801.064 | -27828.784 | -1965.577 | 7085.741 |
| 24676.762 | 41470.039 | -6587.022 | -15063.658 | 2792.951 | 8097.152 |
| 21718.983 | 40337.364 | -9621.638 | -16108.519 | 5191.909 | 654.446 |
| 30462.849 | 24525.820 | -26073.569 | -33407.446 | -4850.601 | -3604.394 |
| 22647.658 | 36650.155 | -10792.233 | -20927.091 | 4868.914 | -2505.445 |
| 21267.580 | 32064.960 | -12937.151 | -19768.880 | 2414.061 | -6597.950 |
| 698.768 | 140.638 | 140.638 | 0.000 | -0.001 | 0.000 |
| 140.638 | 698.768 | 140.638 | -0.000 | -0.000 | -0.000 |
| 140.638 | 140.638 | 698.768 | -0.000 | -0.000 | 0.000 |
| 0.000 | -0.001 | -0.000 | 360.018 | 0.000 | -0.000 |
| 0.000 | -0.000 | 0.000 | -0.000 | 360.017 | 0.000 |
| 0.000 | -0.001 | 0.000 | -0.000 | 0.000 | 360.017 |
| 698.768 | 140.638 | 140.638 | 0.001 | -0.000 | 0.000 |
| 140.638 | 698.768 | 140.638 | 0.000 | -0.000 | 0.000 |
| 140.638 | 140.638 | 698.768 | 0.000 | 0.000 | 0.000 |
| 0.000 | 0.000 | 0.000 | 360.018 | 0.000 | -0.000 |
| -0.000 | -0.000 | -0.000 | -0.000 | 360.017 | -0.000 |
| -0.000 | 0.000 | -0.000 | 0.000 | 0.000 | 360.018 |
| 461.375 | 226.647 | 226.647 | 0.000 | -0.000 | 0.000 |
| 226.647 | 461.375 | 226.647 | -0.000 | -0.000 | -0.000 |
| 226.647 | 226.647 | 461.375 | -0.000 | -0.000 | 0.000 |
| 0.000 | 0.000 | 0.000 | 360.018 | -0.000 | -0.000 |
| -0.000 | 0.000 | 0.000 | 0.000 | 360.018 | 0.000 |
| 0.000 | 0.000 | 0.000 | -0.000 | -0.000 | 360.018 |
| 480.090 | 192.133 | 192.132 | -0.000 | 0.000 | -0.000 |
| 192.133 | 480.091 | 192.132 | 0.000 | 0.000 | -0.000 |
| 192.133 | 192.133 | 480.090 | 0.000 | -0.000 | -0.000 |
| -0.000 | -0.000 | -0.000 | 360.018 | -0.000 | -0.000 |
| 0.000 | -0.000 | -0.000 | -0.000 | 360.018 | -0.000 |
| -0.000 | -0.000 | -0.000 | -0.000 | 0.000 | 360.018 |
| 461.367 | 226.644 | 226.643 | -0.000 | -0.000 | -0.000 |
| 226.643 | 461.367 | 226.644 | 0.000 | 0.000 | 0.000 |
| 226.644 | 226.643 | 461.367 | -0.000 | -0.000 | 0.000 |
| -0.000 | -0.000 | -0.000 | 218.770 | -0.000 | -0.000 |
| 0.001 | 0.001 | 0.001 | -0.000 | 221.359 | 0.000 |
| -0.000 | -0.000 | -0.000 | 0.000 | 0.000 | 218.770 |
| 461.372 | 226.639 | 226.640 | 0.000 | 0.000 | 0.000 |
| 226.640 | 461.372 | 226.639 | 0.000 | -0.000 | 0.000 |
| 226.639 | 226.640 | 461.372 | 0.000 | -0.000 | -0.000 |
| 0.000 | 0.000 | 0.000 | 218.770 | -0.000 | 0.000 |
| -0.001 | -0.001 | -0.001 | 0.000 | 221.359 | -0.000 |
| 0.000 | 0.000 | 0.000 | 0.000 | -0.000 | 218.770 |
| 952.065 | 141.962 | 14.640 | 0.000 | 0.000 | -0.000 |
| 141.962 | 952.065 | 14.640 | -0.000 | 0.000 | -0.001 |
| 15.331 | 15.331 | 1076.809 | 0.000 | 0.000 | -0.000 |
| 0.000 | 0.000 | 0.000 | 279.772 | 0.000 | -0.000 |
| -0.000 | 0.000 | -0.000 | 0.000 | 279.772 | -0.001 |
| -0.000 | -0.000 | -0.000 | 0.000 | 0.000 | 405.051 |
| 997.754 | 457.396 | -344.698 | -0.000 | -0.000 | -0.001 |
| 141.962 | 952.064 | 14.638 | -0.000 | -0.000 | 0.000 |
| 337.273 | 337.273 | 436.107 | -0.000 | -0.000 | 0.001 |
| 0.000 | -0.000 | -0.000 | 279.772 | -0.000 | -0.000 |
| 0.000 | -0.000 | 0.000 | -0.000 | 279.772 | 0.000 |
| 0.001 | -0.000 | -0.000 | -0.000 | -0.000 | 405.051 |
| 743.989 | 206.961 | 157.009 | 0.000 | 0.000 | -0.000 |
| 206.962 | 743.985 | 157.012 | 0.000 | 0.000 | -0.000 |
| 87.311 | 87.311 | 933.563 | -0.000 | -0.000 | -0.000 |
| 0.000 | 0.000 | -0.000 | 279.772 | 0.000 | -0.000 |
| -22.641 | -22.641 | 45.058 | 0.000 | 232.470 | -0.000 |
| 0.000 | 0.000 | 0.000 | 0.000 | -0.000 | 405.051 |
| 788.790 | 255.511 | 64.118 | -0.000 | -0.000 | 0.000 |
| 254.437 | 788.434 | 65.541 | -0.000 | -0.000 | 0.000 |
| 132.758 | 132.758 | 843.117 | -0.000 | 0.000 | 0.000 |
| -0.000 | 0.000 | 0.000 | 279.772 | 0.000 | 0.000 |
| 22.641 | 22.641 | -45.058 | -0.000 | 232.470 | 0.000 |
| -0.000 | 0.000 | 0.000 | -0.000 | 0.000 | 405.051 |
| 763.881 | 228.191 | 116.093 | 0.000 | -0.000 | -0.000 |
| 230.502 | 763.834 | 113.839 | 0.000 | -0.000 | -0.000 |
| 107.762 | 107.762 | 892.863 | 0.000 | 0.000 | -0.000 |
| -2.262 | -2.263 | 4.502 | 232.508 | 0.000 | -0.000 |
| 0.000 | 0.000 | -0.000 | 0.000 | 279.772 | -0.000 |
| -2.273 | -2.273 | 4.523 | 0.000 | 0.000 | 266.639 |
| 768.230 | 232.982 | 106.992 | 0.000 | -0.000 | 0.000 |
| 232.932 | 768.331 | 106.942 | -0.000 | -0.000 | 0.000 |
| 112.303 | 112.303 | 883.821 | -0.000 | -0.000 | 0.000 |
| 2.262 | 2.263 | -4.502 | 232.508 | 0.000 | 0.000 |
| -0.000 | -0.000 | 0.000 | 0.000 | 279.772 | 0.000 |
| 2.273 | 2.273 | -4.523 | -0.000 | 0.000 | 266.639 |
| 913.426 | 59.389 | 0.000 | 0.000 | 0.000 | 0.000 |
| 1.853 | 970.962 | 0.000 | 0.000 | 0.000 | 0.000 |
| -0.000 | -0.000 | 0.000 | 0.000 | 0.000 | -0.000 |
| -0.000 | 0.000 | 0.000 | 0.000 | 0.000 | 0.000 |
| 0.000 | 0.000 | 0.000 | 0.000 | 0.000 | 0.000 |
| 0.001 | -0.000 | 0.000 | 0.000 | 0.000 | 427.019 |
| 913.425 | 59.389 | -0.000 | -0.000 | -0.000 | 0.000 |
| 1.853 | 970.962 | -0.000 | -0.000 | -0.000 | -0.000 |
| -0.000 | -0.000 | -0.000 | -0.000 | -0.000 | -0.000 |
| 0.000 | -0.000 | -0.000 | -0.000 | -0.000 | -0.000 |
| -0.000 | -0.000 | -0.000 | -0.000 | -0.000 | -0.000 |
| -0.001 | -0.000 | -0.000 | -0.000 | -0.000 | 427.018 |
| 913.426 | 59.389 | 0.000 | 0.000 | 0.000 | 0.000 |
| 1.853 | 970.962 | 0.000 | 0.000 | 0.000 | 0.000 |
| -0.000 | -0.000 | 0.000 | 0.000 | 0.000 | -0.000 |
| -0.000 | 0.000 | 0.000 | 0.000 | 0.000 | 0.000 |
| 0.000 | 0.000 | 0.000 | 0.000 | 0.000 | 0.000 |
| 0.000 | 0.000 | 0.000 | 0.000 | 0.000 | 427.018 |
| 913.425 | 59.389 | -0.000 | -0.000 | -0.000 | -0.000 |
| 59.389 | 913.425 | -0.000 | -0.000 | -0.000 | -0.000 |
| -0.000 | -0.000 | -0.000 | -0.000 | -0.000 | -0.000 |
| -0.000 | -0.000 | -0.000 | -0.000 | -0.000 | -0.000 |
| -0.000 | -0.000 | -0.000 | -0.000 | -0.000 | -0.000 |
| -0.000 | -0.000 | -0.000 | -0.000 | -0.000 | 427.018 |
| 913.428 | 59.390 | 0.000 | 0.000 | 0.000 | 0.000 |
| 59.390 | 913.428 | 0.000 | 0.000 | 0.000 | 0.000 |
| -0.000 | -0.000 | 0.000 | 0.000 | 0.000 | -0.000 |
| 0.000 | 0.000 | 0.000 | 0.000 | 0.000 | 0.000 |
| 0.000 | 0.000 | 0.000 | 0.000 | 0.000 | 0.000 |
| -0.000 | 0.000 | 0.000 | 0.000 | 0.000 | 427.018 |
| 913.423 | 59.388 | -0.000 | -0.000 | -0.000 | -0.000 |
| 59.389 | 913.423 | -0.000 | -0.000 | -0.000 | -0.000 |
| -0.000 | -0.000 | -0.000 | -0.000 | -0.000 | -0.000 |
| 0.000 | -0.000 | -0.000 | -0.000 | -0.000 | -0.000 |
| -0.000 | -0.000 | -0.000 | -0.000 | -0.000 | -0.000 |
| 0.000 | -0.000 | -0.000 | -0.000 | -0.000 | 427.018 |
| 556.448 | -14.374 | 189.092 | -0.000 | 0.000 | -0.000 |
| -80.012 | 614.110 | 39.466 | 0.000 | 0.000 | 0.000 |
| 63.814 | 27.736 | 657.854 | -0.000 | -0.000 | -0.000 |
| 37.171 | 7.160 | 2.616 | 136.586 | 0.000 | 0.008 |
| -0.828 | -0.147 | -0.043 | 0.000 | 177.736 | -0.000 |
| -0.000 | -0.000 | 0.000 | 0.000 | 0.000 | 505.065 |
| 394.729 | 94.323 | 159.308 | -0.000 | -0.000 | 0.000 |
| 407.759 | 744.865 | 64.718 | -0.001 | -0.000 | -0.000 |
| 102.643 | 139.921 | 568.165 | -0.001 | 0.000 | 0.000 |
| -37.035 | -7.135 | -2.606 | 136.581 | 0.000 | 0.008 |
| 0.828 | 0.147 | 0.043 | -0.000 | 177.736 | 0.000 |
| -0.001 | -0.000 | -0.000 | 0.000 | -0.000 | 505.065 |
| 429.299 | 93.291 | 163.994 | 0.000 | -0.000 | -0.000 |
| 142.458 | 424.997 | 142.857 | 0.000 | -0.000 | -0.000 |
| 369.989 | 64.718 | 695.894 | 0.000 | 0.000 | -0.000 |
| 0.000 | 0.000 | 0.000 | 260.153 | -0.000 | 0.000 |
| 0.011 | 0.002 | 0.001 | -0.000 | 251.758 | -0.000 |
| 0.006 | 0.002 | 0.001 | 0.000 | 0.000 | 195.890 |
| 357.400 | 152.380 | 176.593 | -0.000 | -0.000 | -0.000 |
| 143.474 | 425.233 | 142.919 | -0.000 | -0.000 | 0.000 |
| 63.775 | 27.720 | 657.854 | -0.000 | -0.000 | 0.000 |
| -0.000 | -0.000 | -0.000 | 260.153 | 0.000 | -0.000 |
| -0.011 | -0.002 | -0.001 | -0.000 | 251.758 | -0.000 |
| -0.006 | -0.002 | -0.001 | -0.000 | 0.000 | 195.890 |
| 227.452 | 131.203 | 165.718 | 0.000 | 0.000 | -0.000 |
| 138.171 | 423.968 | 142.567 | 0.000 | -0.000 | 0.000 |
| 102.110 | 137.817 | 569.911 | 0.000 | 0.000 | -0.000 |
| -0.017 | -0.003 | -0.001 | 168.157 | -0.000 | 0.000 |
| 0.373 | 0.069 | 0.027 | 0.000 | 167.157 | 0.000 |
| -0.002 | -0.000 | 0.000 | 0.000 | 0.000 | 189.436 |
| 387.865 | 93.145 | 158.806 | -0.000 | -0.000 | 0.000 |
| 186.149 | 529.876 | 96.462 | 0.000 | -0.000 | 0.000 |
| 136.203 | 105.291 | 435.589 | -0.000 | 0.000 | -0.000 |
| 0.017 | 0.003 | 0.001 | 168.157 | -0.000 | -0.000 |
| -0.373 | -0.069 | -0.027 | -0.000 | 167.157 | -0.000 |
| 0.002 | 0.000 | -0.000 | -0.000 | 0.000 | 189.436 |
| 3271.689 | 2988.045 | 2590.126 | 0.000 | -0.000 | -0.000 |
| 2507.149 | 2997.097 | 2374.017 | -0.000 | 0.000 | -0.010 |
| 1225.385 | 1311.835 | 1518.827 | -0.000 | 0.000 | -0.000 |
| 4474.433 | 4851.949 | 4207.017 | 133.714 | 0.000 | -0.000 |
| 6153.767 | 6672.970 | 5785.985 | -0.000 | 105.992 | -0.010 |
| 1674.821 | 1816.114 | 1574.710 | -0.000 | -0.000 | 65.530 |
| -5831.921 | -6229.981 | -5373.864 | 0.000 | 0.000 | 0.010 |
| -10015.310 | -10687.029 | -9443.639 | 0.000 | -0.000 | 0.000 |
| -811.649 | -906.786 | -393.250 | 0.000 | -0.000 | 0.010 |
| -7280.844 | -7895.146 | -6845.709 | 121.342 | 0.000 | 0.010 |
| -559.089 | -606.246 | -525.662 | 0.000 | 176.322 | 0.010 |
| -10278.526 | -11145.776 | -9664.264 | 0.000 | -0.000 | 52.290 |
| 1142.375 | 923.331 | 806.139 | -0.000 | 0.000 | -0.000 |
| 603.051 | 853.257 | 539.641 | -0.000 | -0.000 | -0.000 |
| 211.118 | 202.261 | 568.210 | 0.000 | 0.000 | -0.001 |
| 111.720 | 121.146 | 105.043 | 171.824 | 0.000 | -0.000 |
| 18.553 | 20.117 | 17.443 | -0.000 | 198.662 | -0.001 |
| 186.762 | 202.520 | 175.600 | 0.000 | 0.000 | 135.753 |
| -1598.390 | -1828.087 | -1566.722 | 0.000 | 0.000 | 0.001 |
| -415.744 | -225.916 | -393.239 | 0.000 | 0.000 | 0.001 |
| -276.475 | -332.359 | 27.944 | -0.000 | 0.000 | 0.001 |
| -18.554 | -20.118 | -17.444 | 218.223 | -0.000 | 0.001 |
| -55.879 | -60.592 | -52.538 | 0.000 | 176.339 | 0.001 |
| -1029.607 | -1116.480 | -968.076 | 0.000 | 0.000 | 52.206 |
| 3939.100 | 4147.526 | 3633.701 | -0.000 | -0.000 | -0.000 |
| 338.652 | 519.431 | 299.940 | 0.000 | 0.000 | -0.000 |
| 168.253 | 150.139 | 427.027 | -0.000 | 0.000 | -0.000 |
| 52.419 | 56.842 | 49.286 | 129.586 | 0.000 | -0.000 |
| 28.266 | 30.651 | 26.577 | -0.000 | 128.167 | -0.000 |
| 98.310 | 106.607 | 92.437 | 0.000 | -0.000 | 71.890 |
| -3668.380 | -4106.151 | -3529.735 | -0.000 | 0.000 | 0.000 |
| 26.420 | 240.071 | 17.969 | 0.000 | -0.000 | 0.000 |
| -84.748 | -130.639 | 157.279 | -0.000 | 0.000 | 0.000 |
| -50.793 | -55.078 | -47.757 | 130.397 | 0.000 | 0.000 |
| -28.266 | -30.651 | -26.577 | -0.000 | 128.167 | 0.000 |
| -88.477 | -95.940 | -83.187 | -0.000 | 0.000 | 48.784 |
| 943.720 | 1.800 | 0.000 | 0.000 | 0.000 | -0.000 |
| 57.723 | 887.797 | 0.000 | 0.000 | 0.000 | -0.000 |
| 0.001 | -0.000 | 0.000 | 0.000 | 0.000 | -0.000 |
| 0.001 | -0.000 | 0.000 | 0.000 | 0.000 | -0.000 |
| 0.000 | -0.000 | 0.000 | 0.000 | 0.000 | -0.000 |
| 0.000 | -0.000 | 0.000 | 0.000 | 0.000 | 415.037 |
| 887.797 | 57.723 | -0.000 | -0.000 | -0.000 | 0.000 |
| 1.800 | 943.719 | -0.000 | -0.000 | -0.000 | -0.000 |
| -0.001 | 0.000 | -0.000 | -0.000 | -0.000 | 0.000 |
| -0.001 | 0.000 | -0.000 | -0.000 | -0.000 | 0.000 |
| -0.000 | 0.000 | -0.000 | -0.000 | -0.000 | 0.000 |
| -0.000 | 0.000 | -0.000 | -0.000 | -0.000 | 415.038 |
| 887.797 | 57.723 | 0.000 | 0.000 | 0.000 | 0.000 |
| 1.801 | 943.719 | 0.000 | 0.000 | 0.000 | -0.000 |
| 0.000 | -0.000 | 0.000 | 0.000 | 0.000 | -0.000 |
| 0.000 | -0.000 | 0.000 | 0.000 | 0.000 | -0.000 |
| 0.000 | -0.000 | 0.000 | 0.000 | 0.000 | -0.000 |
| 0.000 | 0.000 | 0.000 | 0.000 | 0.000 | 415.037 |
| 943.719 | 1.801 | -0.000 | -0.000 | -0.000 | 0.000 |
| 57.723 | 887.797 | -0.000 | -0.000 | -0.000 | 0.000 |
| -0.000 | 0.000 | -0.000 | -0.000 | -0.000 | 0.000 |
| -0.000 | 0.000 | -0.000 | -0.000 | -0.000 | -0.000 |
| -0.000 | 0.000 | -0.000 | -0.000 | -0.000 | -0.000 |
| -0.000 | -0.000 | -0.000 | -0.000 | -0.000 | 415.037 |
| 887.799 | 57.723 | 0.000 | 0.000 | 0.000 | -0.000 |
| 57.723 | 887.799 | 0.000 | 0.000 | 0.000 | -0.000 |
| 0.000 | -0.000 | 0.000 | 0.000 | 0.000 | -0.000 |
| 0.000 | -0.000 | 0.000 | 0.000 | 0.000 | 0.000 |
| 0.000 | -0.000 | 0.000 | 0.000 | 0.000 | -0.000 |
| -0.000 | 0.000 | 0.000 | 0.000 | 0.000 | 415.037 |
| 887.793 | 57.724 | -0.000 | -0.000 | -0.000 | 0.000 |
| 57.722 | 887.795 | -0.000 | -0.000 | -0.000 | 0.000 |
| -0.000 | 0.000 | -0.000 | -0.000 | -0.000 | 0.000 |
| -0.000 | -0.000 | -0.000 | -0.000 | -0.000 | 0.000 |
| -0.000 | 0.000 | -0.000 | -0.000 | -0.000 | -0.000 |
| 0.000 | -0.000 | -0.000 | -0.000 | -0.000 | 415.037 |
| 874.553 | 56.862 | 0.000 | 0.000 | 0.000 | 0.000 |
| 56.861 | 874.555 | 0.000 | 0.000 | 0.000 | -0.000 |
| 0.000 | -0.000 | 0.000 | 0.000 | 0.000 | 0.000 |
| -0.000 | -0.000 | 0.000 | 0.000 | 0.000 | 0.000 |
| 0.000 | -0.000 | 0.000 | 0.000 | 0.000 | -0.000 |
| -0.001 | 0.001 | 0.000 | 0.000 | 0.000 | 408.846 |
| 929.641 | 1.774 | -0.000 | -0.000 | -0.000 | 0.000 |
| 56.862 | 874.553 | -0.000 | -0.000 | -0.000 | -0.000 |
| 0.000 | -0.000 | -0.000 | -0.000 | -0.000 | 0.000 |
| 0.000 | -0.000 | -0.000 | -0.000 | -0.000 | -0.000 |
| -0.000 | 0.000 | -0.000 | -0.000 | -0.000 | 0.000 |
| 0.001 | -0.001 | -0.000 | -0.000 | -0.000 | 408.846 |
| 929.642 | 1.774 | 0.000 | 0.000 | 0.000 | 0.000 |
| 56.862 | 874.554 | 0.000 | 0.000 | 0.000 | -0.000 |
| 0.000 | -0.000 | 0.000 | 0.000 | 0.000 | 0.000 |
| -0.000 | -0.000 | 0.000 | 0.000 | 0.000 | 0.000 |
| 0.000 | -0.000 | 0.000 | 0.000 | 0.000 | -0.000 |
| -0.000 | 0.000 | 0.000 | 0.000 | 0.000 | 408.846 |
| 874.553 | 56.862 | -0.000 | -0.000 | -0.000 | 0.000 |
| 1.774 | 929.641 | -0.000 | -0.000 | -0.000 | -0.000 |
| 0.000 | -0.000 | -0.000 | -0.000 | -0.000 | 0.000 |
| 0.000 | 0.000 | -0.000 | -0.000 | -0.000 | -0.000 |
| -0.000 | 0.000 | -0.000 | -0.000 | -0.000 | 0.000 |
| 0.000 | -0.000 | -0.000 | -0.000 | -0.000 | 408.846 |
| 874.554 | 56.864 | 0.000 | 0.000 | 0.000 | 0.000 |
| 56.862 | 874.556 | 0.000 | 0.000 | 0.000 | 0.000 |
| 0.000 | -0.000 | 0.000 | 0.000 | 0.000 | 0.000 |
| -0.000 | -0.000 | 0.000 | 0.000 | 0.000 | 0.000 |
| 0.000 | -0.000 | 0.000 | 0.000 | 0.000 | -0.000 |
| -0.000 | 0.000 | 0.000 | 0.000 | 0.000 | 408.846 |
| 874.551 | 56.861 | -0.000 | -0.000 | -0.000 | -0.000 |
| 56.863 | 874.549 | -0.000 | -0.000 | -0.000 | 0.000 |
| 0.000 | -0.000 | -0.000 | -0.000 | -0.000 | 0.000 |
| 0.000 | -0.000 | -0.000 | -0.000 | -0.000 | 0.000 |
| -0.000 | -0.000 | -0.000 | -0.000 | -0.000 | -0.000 |
| 0.000 | -0.000 | -0.000 | -0.000 | -0.000 | 408.846 |
| 929.641 | 1.774 | 0.000 | 0.000 | 0.000 | 0.000 |
| 56.862 | 874.553 | 0.000 | 0.000 | 0.000 | 0.000 |
| 0.000 | -0.000 | 0.000 | 0.000 | 0.000 | 0.000 |
| 0.000 | -0.000 | 0.000 | 0.000 | 0.000 | -0.000 |
| -0.000 | -0.000 | 0.000 | 0.000 | 0.000 | 0.000 |
| 0.000 | -0.000 | 0.000 | 0.000 | 0.000 | 408.846 |
| 874.554 | 56.862 | -0.000 | -0.000 | -0.000 | -0.000 |
| 1.774 | 929.641 | -0.000 | -0.000 | -0.000 | -0.000 |
| -0.000 | 0.000 | -0.000 | -0.000 | -0.000 | -0.000 |
| -0.000 | 0.000 | -0.000 | -0.000 | -0.000 | -0.000 |
| -0.000 | 0.000 | -0.000 | -0.000 | -0.000 | -0.000 |
| 0.000 | 0.000 | -0.000 | -0.000 | -0.000 | 408.846 |
| 874.554 | 56.862 | 0.000 | 0.000 | 0.000 | 0.000 |
| 1.774 | 929.641 | 0.000 | 0.000 | 0.000 | -0.000 |
| 0.000 | -0.000 | 0.000 | 0.000 | 0.000 | 0.000 |
| -0.000 | -0.000 | 0.000 | 0.000 | 0.000 | 0.000 |
| 0.000 | -0.000 | 0.000 | 0.000 | 0.000 | 0.000 |
| -0.000 | 0.000 | 0.000 | 0.000 | 0.000 | 408.846 |
| 929.641 | 1.774 | -0.000 | -0.000 | -0.000 | -0.000 |
| 56.862 | 874.553 | -0.000 | -0.000 | -0.000 | 0.000 |
| -0.000 | 0.000 | -0.000 | -0.000 | -0.000 | -0.000 |
| -0.000 | 0.000 | -0.000 | -0.000 | -0.000 | 0.000 |
| 0.000 | 0.000 | -0.000 | -0.000 | -0.000 | -0.000 |
| 0.000 | -0.000 | -0.000 | -0.000 | -0.000 | 408.846 |
| 874.556 | 56.862 | 0.000 | 0.000 | 0.000 | 0.000 |
| 56.862 | 874.556 | 0.000 | 0.000 | 0.000 | 0.000 |
| 0.000 | -0.000 | 0.000 | 0.000 | 0.000 | 0.000 |
| 0.000 | -0.000 | 0.000 | 0.000 | 0.000 | -0.000 |
| -0.000 | -0.000 | 0.000 | 0.000 | 0.000 | 0.000 |
| -0.000 | 0.000 | 0.000 | 0.000 | 0.000 | 408.846 |
| 874.549 | 56.863 | -0.000 | -0.000 | -0.000 | 0.000 |
| 56.861 | 874.551 | -0.000 | -0.000 | -0.000 | 0.000 |
| -0.000 | 0.000 | -0.000 | -0.000 | -0.000 | -0.000 |
| -0.000 | 0.000 | -0.000 | -0.000 | -0.000 | -0.000 |
| 0.000 | 0.000 | -0.000 | -0.000 | -0.000 | 0.000 |
| 0.000 | -0.000 | -0.000 | -0.000 | -0.000 | 408.846 |
| 736.452 | 182.603 | 133.682 | -0.000 | -0.000 | 0.000 |
| 235.073 | 252.321 | 41.771 | 0.000 | -0.000 | 0.000 |
| 60.054 | 6.090 | 1043.238 | -0.000 | -0.000 | 0.000 |
| 0.205 | -0.125 | -0.864 | 82.903 | -0.000 | 0.000 |
| 0.000 | 0.000 | -0.000 | -0.000 | 450.372 | 0.000 |
| 0.143 | -0.087 | -0.604 | -0.000 | -0.000 | 134.106 |
| 902.488 | 124.307 | 46.108 | 0.000 | 0.000 | -0.000 |
| 131.113 | 381.313 | -1.049 | 0.000 | 0.000 | -0.000 |
| 60.054 | 6.090 | 1043.238 | 0.000 | 0.000 | -0.000 |
| -0.205 | 0.125 | 0.864 | 82.903 | 0.000 | -0.000 |
| -0.000 | -0.000 | 0.000 | 0.000 | 450.373 | -0.000 |
| -0.143 | 0.087 | 0.604 | 0.000 | 0.000 | 134.106 |
| 719.297 | 224.439 | 99.075 | -0.000 | -0.000 | 0.000 |
| 234.812 | 252.515 | 42.619 | -0.000 | -0.000 | 0.000 |
| 115.319 | 48.341 | 908.772 | 0.000 | -0.000 | 0.000 |
| 0.000 | -0.000 | -0.000 | 129.831 | -0.000 | 0.000 |
| 0.035 | -0.017 | -0.032 | -0.000 | 308.811 | 0.000 |
| 0.014 | -0.009 | -0.060 | -0.000 | -0.000 | 134.109 |
| 736.443 | 182.643 | 134.211 | 0.000 | 0.000 | -0.000 |
| 231.943 | 252.372 | 43.273 | -0.000 | 0.000 | -0.000 |
| 60.054 | 6.090 | 1043.237 | 0.000 | 0.000 | -0.000 |
| -0.000 | 0.000 | 0.000 | 129.831 | 0.000 | -0.000 |
| -0.035 | 0.017 | 0.032 | 0.000 | 308.811 | -0.000 |
| -0.014 | 0.009 | 0.060 | 0.000 | 0.000 | 134.109 |
| 719.290 | 224.459 | 99.135 | -0.000 | -0.000 | 0.000 |
| 231.338 | 252.352 | 44.367 | -0.000 | -0.000 | 0.000 |
| 114.527 | 50.292 | 908.349 | -0.000 | -0.000 | 0.000 |
| 0.002 | -0.001 | -0.009 | 82.902 | -0.000 | 0.000 |
| 0.000 | 0.000 | 0.000 | -0.000 | 450.373 | 0.000 |
| 0.000 | -0.002 | -0.007 | -0.000 | -0.000 | 117.401 |
| 736.424 | 182.645 | 134.177 | 0.000 | 0.000 | -0.000 |
| 234.767 | 252.553 | 42.718 | 0.000 | 0.000 | -0.000 |
| 114.172 | 50.347 | 908.786 | 0.000 | 0.000 | -0.000 |
| -0.002 | 0.001 | 0.009 | 82.902 | 0.000 | -0.000 |
| -0.000 | -0.000 | -0.000 | 0.000 | 450.373 | -0.000 |
| -0.000 | 0.002 | 0.007 | 0.000 | 0.000 | 117.401 |
| 930.479 | 60.498 | 0.000 | 0.000 | 0.000 | 0.000 |
| 1.888 | 989.089 | 0.000 | 0.000 | 0.000 | -0.000 |
| 0.000 | -0.000 | 0.000 | 0.000 | 0.000 | 0.000 |
| -0.000 | 0.000 | 0.000 | 0.000 | 0.000 | 0.000 |
| -0.000 | -0.000 | 0.000 | 0.000 | 0.000 | -0.000 |
| -0.000 | 0.001 | 0.000 | 0.000 | 0.000 | 434.990 |
| 930.479 | 60.498 | -0.000 | -0.000 | -0.000 | -0.000 |
| 1.888 | 989.088 | -0.000 | -0.000 | -0.000 | -0.000 |
| 0.000 | -0.000 | -0.000 | -0.000 | -0.000 | 0.000 |
| 0.000 | 0.000 | -0.000 | -0.000 | -0.000 | 0.000 |
| 0.000 | 0.000 | -0.000 | -0.000 | -0.000 | 0.000 |
| 0.000 | -0.001 | -0.000 | -0.000 | -0.000 | 434.991 |
| 930.479 | 60.498 | 0.000 | 0.000 | 0.000 | -0.000 |
| 60.498 | 930.479 | 0.000 | 0.000 | 0.000 | -0.000 |
| 0.000 | -0.000 | 0.000 | 0.000 | 0.000 | 0.000 |
| -0.000 | -0.000 | 0.000 | 0.000 | 0.000 | -0.000 |
| -0.000 | 0.000 | 0.000 | 0.000 | 0.000 | -0.000 |
| -0.000 | 0.000 | 0.000 | 0.000 | 0.000 | 434.990 |
| 930.478 | 60.498 | -0.000 | -0.000 | -0.000 | 0.000 |
| 60.498 | 930.478 | -0.000 | -0.000 | -0.000 | 0.000 |
| 0.000 | -0.000 | -0.000 | -0.000 | -0.000 | 0.000 |
| 0.000 | -0.000 | -0.000 | -0.000 | -0.000 | -0.000 |
| 0.000 | 0.000 | -0.000 | -0.000 | -0.000 | 0.000 |
| 0.000 | -0.000 | -0.000 | -0.000 | -0.000 | 434.990 |
| 930.481 | 60.499 | 0.000 | 0.000 | 0.000 | -0.000 |
| 60.498 | 930.481 | 0.000 | 0.000 | 0.000 | -0.000 |
| 0.000 | -0.000 | 0.000 | 0.000 | 0.000 | 0.000 |
| -0.000 | -0.000 | 0.000 | 0.000 | 0.000 | -0.000 |
| -0.000 | 0.000 | 0.000 | 0.000 | 0.000 | -0.000 |
| 0.000 | 0.000 | 0.000 | 0.000 | 0.000 | 493.601 |
| 930.476 | 60.497 | -0.000 | -0.000 | -0.000 | 0.000 |
| 60.499 | 930.474 | -0.000 | -0.000 | -0.000 | 0.000 |
| 0.000 | -0.000 | -0.000 | -0.000 | -0.000 | 0.000 |
| 0.000 | -0.000 | -0.000 | -0.000 | -0.000 | 0.000 |
| 0.000 | 0.000 | -0.000 | -0.000 | -0.000 | 0.000 |
| -0.000 | -0.000 | -0.000 | -0.000 | -0.000 | 493.601 |
| 951.519 | 141.286 | 14.849 | 35.706 | 0.000 | 0.000 |
| 231.749 | 806.798 | 69.051 | -23.106 | 0.000 | 0.001 |
| 131.766 | 131.767 | 844.113 | -0.000 | 0.000 | 0.001 |
| 35.706 | -35.707 | -0.001 | 279.121 | 0.000 | -0.000 |
| 0.002 | -0.000 | -0.000 | -0.000 | 279.121 | 35.707 |
| 0.000 | -0.000 | -0.001 | -0.000 | 35.707 | 405.116 |
| 951.519 | 141.288 | 14.851 | 35.707 | -0.000 | 0.000 |
| 187.870 | 765.855 | 153.784 | -21.596 | -0.000 | -0.000 |
| 89.830 | 89.831 | 927.898 | 0.000 | -0.000 | -0.001 |
| 35.707 | -35.706 | 0.001 | 279.121 | -0.000 | 0.000 |
| -0.001 | 0.000 | 0.001 | 0.000 | 279.120 | 35.706 |
| -0.000 | 0.000 | 0.001 | 0.000 | 35.706 | 405.116 |
| 951.520 | 141.287 | 14.850 | 35.707 | 0.000 | 0.000 |
| 141.287 | 951.520 | 14.850 | -35.707 | 0.000 | 0.000 |
| 111.554 | 111.554 | 884.497 | -0.000 | 0.000 | -0.000 |
| 35.707 | -35.707 | -0.000 | 279.121 | 0.000 | -0.000 |
| 1.868 | 1.868 | -3.733 | -0.000 | 231.729 | 22.295 |
| 1.915 | 1.915 | -3.826 | -0.000 | 21.958 | 291.970 |
| 789.187 | 203.402 | 114.960 | 22.070 | -0.000 | -0.000 |
| 203.401 | 789.188 | 114.960 | -22.070 | -0.000 | 0.000 |
| 107.767 | 107.767 | 892.062 | 0.000 | -0.000 | 0.000 |
| 20.426 | -24.163 | 3.733 | 231.729 | -0.000 | 0.000 |
| -1.868 | -1.868 | 3.733 | 0.000 | 231.729 | 22.295 |
| -1.915 | -1.915 | 3.826 | 0.000 | 21.958 | 291.970 |
| 791.287 | 205.489 | 110.781 | 22.071 | 0.000 | -0.000 |
| 234.272 | 763.394 | 109.891 | -22.192 | 0.000 | -0.000 |
| 109.835 | 109.835 | 887.934 | -0.000 | 0.000 | -0.000 |
| 22.506 | -22.133 | -0.373 | 231.816 | 0.000 | -0.000 |
| 0.186 | 0.187 | -0.373 | -0.000 | 231.816 | 22.319 |
| 0.191 | 0.191 | -0.382 | -0.000 | 21.968 | 292.052 |
| 766.504 | 243.564 | 97.498 | 24.278 | -0.000 | -0.000 |
| 141.287 | 951.516 | 14.850 | -35.706 | -0.000 | 0.000 |
| 15.000 | 15.000 | 1077.395 | 0.000 | -0.000 | -0.000 |
| 22.132 | -22.505 | 0.373 | 231.816 | -0.000 | 0.000 |
| -0.186 | -0.187 | 0.373 | 0.000 | 231.816 | 22.319 |
| -0.191 | -0.191 | 0.382 | 0.000 | 21.968 | 292.052 |
| 951.928 | 141.314 | 15.031 | 25.513 | -0.000 | -0.000 |
| 141.315 | 951.926 | 15.030 | -25.513 | -0.000 | -0.000 |
| 109.789 | 109.789 | 888.695 | 0.000 | -0.000 | -0.000 |
| 15.941 | -15.940 | -0.003 | 231.645 | -0.000 | -0.000 |
| -0.000 | -0.000 | -0.001 | 0.000 | 279.023 | 25.513 |
| 0.001 | 0.001 | -0.002 | 0.000 | 15.756 | 297.453 |
| 951.925 | 141.315 | 15.032 | 25.513 | 0.000 | 0.000 |
| 200.520 | 796.707 | 111.046 | -15.814 | 0.000 | 0.000 |
| 15.031 | 15.032 | 1078.210 | -0.000 | 0.000 | 0.000 |
| 15.941 | -15.942 | 0.003 | 231.645 | 0.000 | -0.000 |
| -0.000 | 0.000 | 0.002 | -0.000 | 279.023 | 25.513 |
| -0.001 | -0.001 | 0.002 | -0.000 | 15.756 | 297.453 |
| 796.707 | 200.520 | 111.045 | 15.814 | -0.000 | -0.000 |
| 200.521 | 796.707 | 111.045 | -15.814 | -0.000 | -0.000 |
| 15.032 | 15.032 | 1078.209 | 0.000 | -0.000 | -0.000 |
| 25.513 | -25.513 | -0.000 | 279.023 | -0.000 | -0.000 |
| -0.000 | 0.000 | -0.000 | -0.000 | 231.645 | 15.941 |
| -0.000 | 0.000 | -0.000 | 0.000 | 25.513 | 405.306 |
| 951.926 | 141.314 | 15.032 | 25.513 | 0.000 | 0.000 |
| 141.314 | 951.926 | 15.032 | -25.513 | 0.000 | -0.000 |
| 109.796 | 109.796 | 888.680 | 0.000 | 0.000 | -0.000 |
| 25.513 | -25.513 | 0.000 | 279.023 | 0.000 | 0.000 |
| -0.000 | -0.000 | 0.000 | 0.000 | 231.645 | 15.941 |
| 0.000 | -0.000 | 0.000 | -0.000 | 25.513 | 405.306 |
| 951.929 | 141.315 | 15.032 | 25.513 | -0.000 | -0.000 |
| 231.685 | 765.682 | 110.908 | -15.828 | -0.000 | -0.000 |
| 109.792 | 109.792 | 888.692 | 0.000 | -0.000 | 0.000 |
| 15.941 | -15.941 | -0.000 | 231.645 | -0.000 | -0.000 |
| 0.000 | 0.000 | -0.000 | 0.000 | 279.023 | 25.513 |
| 0.006 | -0.004 | -0.002 | 0.001 | 17.962 | 273.409 |
| 951.923 | 141.314 | 15.032 | 25.513 | 0.000 | 0.000 |
| 231.685 | 765.674 | 110.911 | -15.828 | 0.000 | 0.000 |
| 109.785 | 109.785 | 888.699 | -0.000 | 0.000 | 0.000 |
| 15.941 | -15.941 | 0.000 | 231.645 | 0.000 | 0.000 |
| -0.000 | -0.000 | 0.000 | -0.000 | 279.023 | 25.513 |
| -0.006 | 0.004 | 0.002 | -0.001 | 17.962 | 273.409 |
| -3771.113 | -4273.771 | 9169.070 | 11.554 | -0.000 | -0.000 |
| -4274.047 | -3771.407 | 9169.621 | -11.552 | 0.000 | -0.000 |
| -2449.974 | -2449.975 | 6016.890 | -0.000 | -0.000 | -0.000 |
| -4503.742 | -4526.751 | 9046.957 | 209.401 | -0.000 | -0.000 |
| 0.001 | -0.000 | 0.016 | 0.000 | 278.691 | 25.490 |
| -4515.119 | -4515.119 | 9046.694 | -0.000 | 11.505 | 250.800 |
| 3378.220 | 2753.530 | -5033.410 | 17.525 | 0.000 | -0.000 |
| 3305.618 | 3891.573 | -6100.804 | -15.959 | -0.000 | 0.000 |
| 4637.657 | 4637.657 | -8184.237 | -0.001 | -0.001 | 0.000 |
| 4526.752 | 4503.742 | -9046.956 | 209.400 | 0.000 | 0.000 |
| -0.001 | -0.000 | -0.015 | 0.000 | 278.690 | 25.490 |
| 4515.119 | 4515.119 | -9046.695 | 0.000 | 11.506 | 250.801 |
| 951.490 | 140.929 | 15.093 | 25.490 | 0.000 | 0.000 |
| -211.834 | 301.153 | 1020.022 | -12.021 | 0.000 | -0.000 |
| -319.808 | -319.808 | 1748.788 | -0.000 | -0.000 | -0.000 |
| -240.996 | -275.889 | 517.827 | 238.838 | -0.000 | -0.000 |
| -258.410 | -258.410 | 517.763 | -0.000 | 238.843 | 17.448 |
| -449.142 | -449.142 | 899.919 | -0.000 | 11.579 | 251.611 |
| 1068.230 | 434.864 | -396.329 | 17.938 | -0.000 | -0.000 |
| 692.714 | 1185.669 | -772.308 | -11.114 | -0.000 | 0.000 |
| 568.122 | 568.122 | -30.310 | -0.000 | 0.000 | 0.000 |
| 461.916 | 438.835 | -902.394 | 209.577 | -0.000 | 0.000 |
| 258.410 | 258.410 | -517.762 | 0.000 | 238.843 | 17.448 |
| 449.142 | 449.142 | -899.919 | 0.000 | 11.579 | 251.611 |
| 951.493 | 140.930 | 15.093 | 25.490 | 0.000 | -0.000 |
| 140.929 | 951.493 | 15.093 | -25.490 | -0.000 | -0.000 |
| 92.572 | 92.572 | 922.526 | 0.000 | 0.000 | -0.000 |
| -12.775 | -45.604 | 58.485 | 233.725 | -0.000 | -0.000 |
| -29.189 | -29.189 | 58.484 | -0.000 | 233.726 | 16.415 |
| -36.377 | -36.377 | 72.887 | -0.000 | 14.223 | 280.821 |
| 805.423 | 247.602 | 54.556 | 14.050 | -0.000 | 0.000 |
| 247.593 | 805.435 | 54.552 | -14.051 | -0.000 | -0.000 |
| 149.565 | 149.565 | 808.328 | 0.000 | -0.000 | -0.000 |
| 45.604 | 12.775 | -58.484 | 233.726 | -0.000 | -0.000 |
| 29.189 | 29.189 | -58.484 | 0.000 | 233.726 | 16.415 |
| 36.377 | 36.377 | -72.887 | 0.000 | 14.223 | 280.821 |
| 527.124 | 121.471 | 121.471 | 0.000 | 0.000 | 0.000 |
| 121.471 | 527.124 | 121.471 | 0.000 | 0.000 | 0.000 |
| 121.471 | 121.471 | 527.124 | 0.000 | 0.000 | 0.000 |
| -0.163 | -0.164 | -0.164 | 60.918 | 0.000 | 0.000 |
| -0.163 | -0.164 | -0.164 | 0.000 | 60.918 | 0.000 |
| -0.163 | -0.164 | -0.164 | 0.000 | 0.000 | 60.918 |
| 650.421 | 61.397 | 61.397 | -0.000 | -0.000 | -0.000 |
| 61.396 | 650.422 | 61.397 | -0.000 | -0.000 | -0.000 |
| 61.396 | 61.397 | 650.422 | -0.000 | -0.000 | -0.000 |
| 0.163 | 0.164 | 0.164 | 60.918 | -0.000 | -0.000 |
| 0.163 | 0.164 | 0.164 | -0.000 | 60.918 | -0.000 |
| 0.163 | 0.164 | 0.164 | -0.000 | -0.000 | 60.918 |
| 527.200 | 121.547 | 121.547 | 0.000 | 0.000 | 0.000 |
| 121.547 | 527.200 | 121.547 | 0.000 | 0.000 | 0.000 |
| 121.547 | 121.547 | 527.200 | 0.000 | 0.000 | 0.000 |
| 0.000 | -0.000 | -0.000 | 52.035 | 0.000 | 0.000 |
| 0.000 | -0.000 | -0.000 | 0.000 | 52.035 | 0.000 |
| 0.000 | -0.000 | -0.000 | -0.000 | 0.000 | 52.035 |
| 528.883 | 118.863 | 118.863 | -0.000 | -0.000 | -0.000 |
| 118.862 | 528.883 | 118.863 | -0.000 | -0.000 | -0.000 |
| 118.862 | 118.863 | 528.883 | -0.000 | -0.000 | -0.000 |
| -0.000 | 0.000 | 0.000 | 52.035 | -0.000 | -0.000 |
| -0.000 | 0.000 | 0.000 | -0.000 | 52.035 | -0.000 |
| -0.000 | 0.000 | 0.000 | -0.000 | -0.000 | 52.035 |
| 527.208 | 121.556 | 121.556 | 0.000 | 0.000 | 0.000 |
| 121.556 | 527.207 | 121.556 | 0.000 | 0.000 | 0.000 |
| 121.556 | 121.556 | 527.208 | 0.000 | 0.000 | 0.000 |
| -0.002 | -0.002 | -0.002 | 60.905 | 0.000 | 0.000 |
| -0.002 | -0.002 | -0.002 | 0.000 | 60.905 | 0.000 |
| -0.002 | -0.002 | -0.002 | 0.000 | 0.000 | 60.905 |
| 527.210 | 121.555 | 121.555 | -0.000 | -0.000 | -0.000 |
| 121.555 | 527.210 | 121.555 | -0.000 | -0.000 | -0.000 |
| 121.555 | 121.555 | 527.210 | -0.000 | -0.000 | -0.000 |
| 0.002 | 0.002 | 0.002 | 60.905 | -0.000 | -0.000 |
| 0.002 | 0.002 | 0.002 | -0.000 | 60.905 | -0.000 |
| 0.002 | 0.002 | 0.002 | -0.000 | -0.000 | 60.905 |
| 602.458 | 108.407 | 52.523 | -0.000 | 0.000 | 0.000 |
| 225.011 | 294.392 | 22.549 | 0.000 | -0.000 | 0.000 |
| -20.174 | 53.791 | 25.515 | -0.000 | -0.000 | 0.000 |
| -8.780 | 14.674 | 0.641 | 31.828 | 0.000 | 0.000 |
| -6.643 | 11.103 | 0.485 | -0.000 | 71.729 | 0.000 |
| -6.527 | 10.908 | 0.477 | -0.000 | -0.000 | 198.108 |
| 602.458 | 108.407 | 52.523 | -0.000 | 0.000 | -0.000 |
| 209.375 | 256.913 | -10.108 | -0.000 | 0.000 | -0.000 |
| 60.231 | 0.042 | 373.432 | -0.000 | 0.000 | -0.000 |
| 8.780 | -14.674 | -0.642 | 31.828 | 0.000 | -0.000 |
| 6.643 | -11.103 | -0.485 | 0.000 | 71.729 | -0.000 |
| 6.527 | -10.908 | -0.477 | -0.000 | 0.000 | 198.108 |
| 602.458 | 108.407 | 52.523 | 0.000 | -0.000 | 0.000 |
| 232.640 | 281.855 | 22.150 | -0.000 | -0.000 | 0.000 |
| 7.384 | -1.289 | 1.010 | -0.000 | -0.000 | 0.000 |
| -0.877 | 1.466 | 0.064 | 31.850 | -0.000 | 0.000 |
| -0.663 | 1.108 | 0.048 | -0.000 | 71.988 | 0.000 |
| -0.561 | 1.471 | 0.254 | -0.000 | -0.000 | 198.343 |
| 424.885 | 202.722 | -3.551 | -0.000 | 0.000 | -0.000 |
| 206.455 | 270.586 | -1.010 | -0.000 | 0.000 | -0.000 |
| -14.423 | 38.874 | 10.345 | -0.000 | 0.000 | -0.000 |
| 0.877 | -1.466 | -0.064 | 31.850 | 0.000 | -0.000 |
| 0.663 | -1.108 | -0.048 | 0.000 | 71.988 | -0.000 |
| 0.561 | -1.471 | -0.254 | -0.000 | 0.000 | 198.343 |
| 423.876 | 195.764 | 0.101 | 0.000 | -0.000 | 0.000 |
| 210.764 | 275.823 | 29.648 | 0.000 | -0.000 | 0.000 |
| 7.644 | -2.590 | 0.112 | -0.000 | -0.000 | 0.000 |
| 0.000 | -0.000 | -0.000 | 63.577 | -0.000 | 0.000 |
| 0.096 | -0.131 | 0.426 | -0.000 | 0.001 | 0.000 |
| -0.065 | 0.109 | 0.005 | 0.000 | -0.000 | 198.377 |
| 423.950 | 195.451 | -0.110 | -0.000 | 0.000 | -0.000 |
| 211.641 | 274.448 | 29.746 | 0.000 | 0.000 | -0.000 |
| 7.737 | -2.960 | -0.093 | -0.000 | 0.000 | -0.000 |
| -0.000 | 0.000 | 0.000 | 63.577 | 0.000 | -0.000 |
| -0.096 | 0.131 | -0.426 | 0.000 | 0.001 | -0.000 |
| 0.065 | -0.109 | -0.005 | -0.000 | 0.000 | 198.377 |
| 710.678 | 1.356 | -0.000 | -0.000 | -0.000 | 0.000 |
| 43.469 | 668.566 | 0.000 | -0.000 | 0.000 | -0.000 |
| -0.000 | 0.000 | -0.000 | -0.000 | 0.000 | 0.000 |
| -0.000 | 0.000 | -0.000 | -0.000 | 0.000 | 0.000 |
| -0.000 | 0.000 | 0.000 | -0.000 | 0.000 | 0.000 |
| 0.000 | 0.000 | 0.000 | -0.000 | -0.000 | 354.661 |
| 668.566 | 43.469 | -0.000 | -0.000 | -0.000 | -0.000 |
| 1.356 | 710.678 | -0.000 | 0.000 | -0.000 | -0.000 |
| 0.000 | -0.000 | -0.000 | 0.000 | 0.000 | -0.000 |
| 0.000 | -0.000 | 0.000 | 0.000 | 0.000 | -0.000 |
| 0.000 | -0.000 | -0.000 | 0.000 | -0.000 | -0.000 |
| 0.000 | -0.000 | 0.000 | 0.000 | -0.000 | 354.661 |
| 668.566 | 43.469 | -0.000 | -0.000 | 0.000 | 0.000 |
| 1.356 | 710.679 | 0.000 | 0.000 | 0.000 | 0.000 |
| -0.000 | 0.000 | -0.000 | -0.000 | -0.000 | 0.000 |
| -0.000 | 0.000 | 0.000 | -0.000 | 0.000 | 0.000 |
| -0.000 | 0.000 | 0.000 | -0.000 | -0.000 | 0.000 |
| 0.000 | 0.000 | 0.000 | -0.000 | -0.000 | 354.661 |
| 710.678 | 1.356 | 0.000 | -0.000 | -0.000 | 0.000 |
| 43.469 | 668.566 | -0.000 | 0.000 | -0.000 | -0.000 |
| 0.000 | -0.000 | -0.000 | 0.000 | -0.000 | -0.000 |
| 0.000 | -0.000 | -0.000 | 0.000 | -0.000 | -0.000 |
| 0.000 | -0.000 | -0.000 | 0.000 | -0.000 | -0.000 |
| -0.000 | -0.000 | -0.000 | 0.000 | -0.000 | 354.661 |
| 668.568 | 43.469 | -0.000 | -0.000 | 0.000 | -0.000 |
| 43.468 | 668.569 | -0.000 | 0.000 | 0.000 | -0.000 |
| -0.000 | 0.000 | -0.000 | 0.000 | -0.000 | 0.000 |
| -0.000 | 0.000 | -0.000 | -0.000 | 0.000 | 0.000 |
| -0.000 | 0.000 | 0.000 | -0.000 | 0.000 | 0.000 |
| -0.000 | 0.000 | -0.000 | 0.000 | 0.000 | 312.549 |
| 710.676 | 1.356 | -0.000 | -0.000 | -0.000 | 0.000 |
| 43.468 | 668.564 | -0.000 | 0.000 | 0.000 | -0.000 |
| 0.000 | -0.000 | 0.000 | 0.000 | -0.000 | -0.000 |
| 0.000 | -0.000 | -0.000 | -0.000 | 0.000 | -0.000 |
| 0.000 | -0.000 | -0.000 | 0.000 | -0.000 | -0.000 |
| 0.000 | -0.000 | 0.000 | -0.000 | -0.000 | 312.549 |
| 951.531 | 141.456 | 14.735 | -0.000 | 0.000 | 0.000 |
| 141.455 | 951.531 | 14.734 | -0.000 | 0.000 | 0.001 |
| -487.336 | -487.336 | 2079.356 | 0.000 | -0.000 | 0.000 |
| -609.415 | -609.415 | 1215.859 | 224.011 | 0.000 | -0.000 |
| -609.415 | -609.415 | 1215.859 | -0.000 | 224.011 | -0.001 |
| -521.193 | -521.192 | 1039.844 | -0.000 | -0.000 | 286.884 |
| 1307.248 | 733.519 | -930.738 | -0.000 | -0.000 | -0.000 |
| 831.288 | 1373.473 | -1094.332 | 0.000 | 0.000 | 0.001 |
| 729.541 | 729.542 | -348.467 | 0.000 | -0.000 | 0.000 |
| 609.415 | 609.415 | -1215.860 | 224.011 | 0.000 | -0.000 |
| 609.415 | 609.415 | -1215.859 | 0.000 | 224.011 | 0.000 |
| 521.193 | 521.192 | -1039.844 | 0.000 | -0.000 | 286.884 |
| 714.615 | 157.751 | 234.819 | -0.000 | 0.000 | -0.000 |
| 141.455 | 951.531 | 14.736 | -0.000 | -0.000 | -0.000 |
| 57.506 | 57.506 | 992.328 | 0.000 | 0.000 | 0.000 |
| -52.204 | -52.204 | 104.153 | 232.066 | 0.000 | -0.000 |
| -52.206 | -52.206 | 104.157 | -0.000 | 232.065 | -0.000 |
| -49.347 | -49.347 | 98.454 | 0.000 | -0.000 | 291.322 |
| 845.164 | 256.532 | 6.047 | 0.000 | 0.000 | 0.000 |
| 141.455 | 951.531 | 14.736 | 0.000 | -0.000 | 0.000 |
| 15.076 | 15.076 | 1076.981 | 0.000 | -0.000 | 0.000 |
| 52.204 | 52.204 | -104.153 | 232.066 | 0.000 | 0.000 |
| 52.206 | 52.206 | -104.157 | 0.000 | 232.065 | -0.000 |
| 49.347 | 49.347 | -98.454 | 0.000 | 0.000 | 291.322 |
| 755.922 | 229.746 | 121.796 | -0.000 | -0.000 | -0.000 |
| 229.744 | 755.925 | 121.794 | -0.000 | -0.000 | 0.000 |
| 104.844 | 104.844 | 897.884 | -0.000 | -0.000 | -0.000 |
| -5.279 | -5.279 | 10.532 | 231.410 | -0.000 | -0.000 |
| -5.222 | -5.221 | 10.417 | -0.000 | 232.055 | -0.000 |
| -4.488 | -4.492 | 8.958 | -0.000 | 0.000 | 275.626 |
| 790.846 | 215.491 | 101.171 | 0.000 | 0.000 | -0.000 |
| 240.536 | 766.091 | 100.882 | -0.000 | 0.000 | 0.000 |
| 115.342 | 115.342 | 876.934 | 0.000 | -0.000 | 0.000 |
| 5.279 | 5.279 | -10.532 | 231.410 | -0.000 | 0.000 |
| 5.222 | 5.221 | -10.417 | 0.000 | 232.055 | 0.000 |
| 4.488 | 4.492 | -8.958 | 0.000 | 0.000 | 275.626 |
| 951.926 | 141.314 | 15.032 | 0.000 | 0.000 | 0.000 |
| 209.516 | 786.861 | 111.894 | 0.000 | -0.000 | 0.001 |
| 15.032 | 15.032 | 1078.208 | 0.000 | -0.000 | 0.000 |
| -0.000 | 0.000 | -0.000 | 279.023 | -0.000 | 0.001 |
| 0.000 | -0.001 | 0.002 | 0.000 | 231.645 | 0.001 |
| 0.001 | -0.001 | 0.001 | 0.000 | 0.000 | 262.061 |
| 762.640 | 248.694 | 96.938 | -0.000 | -0.000 | -0.000 |
| 248.693 | 762.641 | 96.938 | -0.000 | -0.000 | -0.001 |
| 15.032 | 15.032 | 1078.208 | -0.000 | -0.000 | -0.000 |
| 0.000 | -0.000 | 0.000 | 279.023 | 0.000 | -0.001 |
| 0.000 | 0.001 | -0.002 | -0.000 | 231.645 | -0.001 |
| -0.000 | 0.001 | -0.001 | -0.000 | -0.000 | 262.060 |
| 951.926 | 141.315 | 15.032 | 0.000 | 0.000 | 0.000 |
| 209.517 | 786.862 | 111.893 | 0.000 | 0.000 | 0.000 |
| 109.789 | 109.789 | 888.695 | 0.000 | 0.000 | 0.000 |
| 0.000 | -0.000 | -0.000 | 279.023 | 0.000 | 0.000 |
| 0.000 | 0.000 | -0.000 | 0.000 | 279.023 | 0.000 |
| 0.000 | -0.000 | -0.000 | 0.000 | 0.000 | 262.061 |
| 786.863 | 209.517 | 111.892 | -0.000 | -0.000 | -0.000 |
| 248.693 | 762.641 | 96.938 | -0.000 | -0.000 | -0.000 |
| 109.796 | 109.796 | 888.679 | -0.000 | -0.000 | -0.000 |
| -0.000 | 0.000 | 0.000 | 279.023 | -0.000 | -0.000 |
| -0.000 | 0.000 | 0.000 | -0.000 | 279.023 | -0.000 |
| -0.000 | 0.000 | 0.000 | -0.000 | -0.000 | 262.060 |
| 762.639 | 248.695 | 96.941 | 0.000 | -0.000 | 0.000 |
| 248.695 | 762.632 | 96.948 | 0.000 | 0.000 | 0.000 |
| 109.792 | 109.792 | 888.692 | 0.000 | 0.000 | 0.000 |
| 0.000 | 0.000 | -0.000 | 279.023 | -0.000 | 0.000 |
| -0.000 | 0.000 | -0.000 | -0.000 | 231.645 | 0.000 |
| -0.000 | -0.000 | 0.000 | 0.000 | 0.000 | 287.588 |
| 786.864 | 209.515 | 111.891 | -0.000 | -0.000 | -0.000 |
| 209.600 | 786.658 | 112.012 | -0.000 | -0.000 | -0.000 |
| 109.785 | 109.785 | 888.699 | -0.000 | -0.000 | -0.000 |
| -0.000 | -0.000 | 0.000 | 279.023 | 0.000 | -0.000 |
| 0.000 | -0.000 | 0.000 | 0.000 | 231.645 | -0.000 |
| 0.000 | 0.000 | -0.000 | -0.000 | 0.000 | 287.588 |
| 758.186 | 175.248 | 174.187 | -0.000 | 0.000 | -0.000 |
| 141.348 | 951.617 | 14.857 | -0.000 | 0.000 | 0.000 |
| 15.032 | 15.032 | 1077.455 | -0.000 | 0.001 | 0.001 |
| 0.000 | -0.000 | -0.004 | 279.164 | -0.000 | -0.000 |
| -29.875 | -29.876 | 59.676 | -0.000 | 229.024 | 0.000 |
| -26.345 | -26.346 | 52.612 | -0.000 | 0.000 | 298.826 |
| 827.485 | 229.714 | 50.576 | -0.000 | 0.000 | -0.000 |
| 235.090 | 817.300 | 55.378 | 0.000 | -0.000 | -0.000 |
| 15.031 | 15.031 | 1077.449 | 0.000 | -0.000 | -0.001 |
| -0.000 | 0.000 | 0.004 | 279.163 | 0.000 | -0.000 |
| 29.876 | 29.876 | -59.675 | -0.000 | 229.024 | -0.000 |
| 26.346 | 26.345 | -52.614 | 0.000 | -0.000 | 298.826 |
| 785.601 | 216.482 | 105.623 | -0.000 | 0.000 | 0.000 |
| 199.956 | 790.709 | 117.027 | -0.000 | 0.000 | 0.000 |
| 107.367 | 107.367 | 893.014 | -0.000 | 0.000 | 0.000 |
| 0.000 | 0.000 | -0.000 | 279.163 | 0.000 | -0.000 |
| -2.798 | -2.798 | 5.588 | -0.000 | 232.311 | -0.000 |
| -2.408 | -2.408 | 4.810 | 0.000 | 0.000 | 288.616 |
| 796.264 | 205.786 | 105.656 | 0.000 | -0.000 | 0.000 |
| 141.347 | 951.617 | 14.855 | 0.000 | 0.000 | -0.000 |
| 112.987 | 112.987 | 881.789 | 0.000 | -0.000 | 0.000 |
| -0.000 | 0.000 | 0.000 | 279.163 | -0.000 | -0.000 |
| 2.798 | 2.798 | -5.588 | 0.000 | 232.310 | 0.000 |
| 2.408 | 2.408 | -4.810 | -0.000 | -0.000 | 288.616 |
| 767.303 | 243.975 | 96.442 | 0.000 | 0.000 | -0.000 |
| 202.303 | 793.921 | 111.477 | -0.000 | 0.000 | 0.000 |
| 109.422 | 109.422 | 888.913 | -0.000 | 0.000 | 0.000 |
| -0.282 | -0.282 | 0.563 | 231.843 | -0.000 | 0.000 |
| -0.282 | -0.282 | 0.563 | 0.000 | 231.843 | -0.000 |
| -0.289 | -0.288 | 0.576 | -0.000 | 0.000 | 295.099 |
| 951.615 | 141.347 | 14.855 | 0.000 | -0.000 | -0.000 |
| 202.876 | 794.486 | 110.336 | -0.000 | -0.000 | 0.000 |
| 109.980 | 109.980 | 887.792 | 0.000 | -0.000 | -0.000 |
| 0.282 | 0.282 | -0.563 | 231.843 | -0.000 | -0.000 |
| 0.282 | 0.282 | -0.563 | -0.000 | 231.843 | 0.000 |
| 0.289 | 0.288 | -0.576 | -0.000 | 0.000 | 295.099 |
| 714.724 | 179.499 | 213.668 | -0.000 | -0.000 | -0.000 |
| 141.249 | 951.702 | 14.972 | -0.000 | 0.000 | -0.000 |
| 116.410 | 116.411 | 875.088 | -0.000 | -0.000 | -0.000 |
| -0.000 | -0.000 | 0.001 | 279.015 | -0.001 | -0.000 |
| -0.000 | -0.000 | 0.001 | -0.000 | 279.016 | -0.000 |
| -0.000 | -0.000 | 0.002 | -0.000 | 0.000 | 405.226 |
| 767.596 | 267.809 | 72.503 | 0.001 | 0.000 | 0.000 |
| 220.279 | 839.713 | 47.926 | 0.000 | -0.000 | 0.000 |
| 14.992 | 14.992 | 1077.891 | 0.000 | 0.000 | 0.000 |
| 0.000 | 0.000 | -0.002 | 279.016 | 0.000 | 0.000 |
| 0.000 | 0.000 | -0.001 | 0.000 | 279.015 | 0.000 |
| -0.000 | 0.000 | -0.001 | 0.000 | -0.000 | 405.227 |
| 951.702 | 141.249 | 14.968 | -0.000 | 0.000 | -0.000 |
| 141.249 | 951.703 | 14.968 | -0.000 | -0.000 | -0.000 |
| 106.796 | 106.796 | 894.319 | -0.000 | -0.000 | -0.000 |
| 0.000 | -0.000 | 0.000 | 279.015 | 0.000 | -0.000 |
| -2.860 | -2.860 | 5.719 | -0.000 | 230.683 | -0.000 |
| -0.000 | -0.000 | 0.000 | -0.000 | -0.000 | 405.226 |
| 796.469 | 210.646 | 100.790 | 0.000 | -0.000 | 0.000 |
| 141.249 | 951.702 | 14.967 | 0.000 | 0.000 | 0.000 |
| 112.405 | 112.405 | 883.101 | 0.000 | 0.000 | 0.000 |
| -0.000 | 0.000 | -0.000 | 279.015 | 0.000 | 0.000 |
| 2.860 | 2.860 | -5.719 | 0.000 | 230.683 | 0.000 |
| -0.000 | -0.000 | -0.000 | 0.000 | -0.000 | 405.227 |
| 770.577 | 225.048 | 112.280 | -0.000 | 0.000 | -0.000 |
| 198.655 | 797.933 | 111.317 | -0.000 | 0.000 | -0.000 |
| 14.992 | 14.992 | 1077.899 | -0.000 | 0.000 | -0.000 |
| 0.000 | 0.000 | -0.000 | 279.015 | -0.000 | -0.000 |
| 0.000 | 0.000 | -0.000 | 0.000 | 279.015 | -0.000 |
| 0.000 | 0.000 | 0.000 | 0.000 | 0.000 | 405.227 |
| 798.453 | 199.237 | 110.211 | 0.000 | -0.000 | 0.000 |
| 199.236 | 798.457 | 110.208 | 0.000 | -0.000 | 0.000 |
| 14.992 | 14.992 | 1077.891 | 0.000 | -0.000 | 0.000 |
| -0.000 | -0.000 | 0.000 | 279.015 | 0.000 | 0.000 |
| -0.000 | -0.000 | 0.000 | 0.000 | 279.015 | 0.000 |
| -0.000 | -0.000 | -0.000 | -0.000 | -0.000 | 405.227 |
| 802.332 | 256.127 | 713.881 | -0.000 | -0.000 | -0.000 |
| 109.669 | 532.458 | 10.055 | -0.000 | -0.000 | -0.000 |
| 124.901 | 135.585 | 605.806 | -0.000 | -0.000 | -0.000 |
| -12.593 | 18.443 | 488.900 | -40.140 | -0.000 | -0.000 |
| 0.000 | 0.000 | -0.000 | -0.000 | 243.545 | -0.000 |
| -13.265 | 19.426 | 514.976 | -0.000 | 0.000 | 119.434 |
| 852.199 | 117.989 | 58.955 | 0.000 | 0.000 | 0.000 |
| 72.503 | 170.095 | -657.118 | 0.000 | -0.000 | 0.000 |
| 133.739 | 66.126 | -446.766 | 0.000 | -0.000 | 0.000 |
| 12.593 | -18.442 | -488.900 | -40.140 | 0.000 | 0.000 |
| -0.000 | -0.000 | 0.000 | 0.000 | 243.545 | 0.000 |
| 13.265 | -19.426 | -514.976 | 0.000 | 0.000 | 119.434 |
| 680.455 | 223.136 | 71.552 | -0.000 | -0.000 | -0.000 |
| 109.669 | 532.458 | 10.055 | -0.000 | -0.000 | -0.000 |
| 60.758 | 20.178 | 468.032 | -0.000 | -0.000 | -0.000 |
| -0.559 | 0.819 | 21.706 | 21.564 | -0.000 | -0.000 |
| -0.482 | 0.706 | 18.708 | -0.000 | 79.069 | -0.000 |
| 13.108 | 9.413 | 70.319 | -0.000 | 0.000 | 174.793 |
| 654.152 | 205.651 | -70.205 | 0.000 | -0.000 | 0.000 |
| 248.744 | 307.399 | 16.501 | 0.000 | 0.000 | 0.000 |
| -11.280 | 0.700 | -70.203 | 0.000 | 0.000 | 0.000 |
| 0.559 | -0.819 | -21.706 | 21.564 | 0.000 | 0.000 |
| 0.482 | -0.706 | -18.708 | 0.000 | 79.069 | 0.000 |
| -13.108 | -9.413 | -70.319 | 0.000 | 0.000 | 174.793 |
| 668.621 | 219.256 | 5.108 | -0.000 | -0.000 | -0.000 |
| 207.997 | 296.914 | 7.007 | -0.000 | 0.000 | -0.000 |
| 3.117 | 11.066 | 7.004 | -0.000 | -0.000 | -0.000 |
| 1.799 | 0.510 | 8.311 | 20.642 | -0.000 | -0.000 |
| 2.242 | 0.696 | 11.863 | -0.000 | 27.318 | -0.000 |
| 1.961 | 0.466 | 6.853 | -0.000 | -0.000 | 174.777 |
| 666.052 | 218.421 | -9.432 | 0.000 | 0.000 | 0.000 |
| 212.336 | 299.814 | 43.893 | 0.000 | 0.000 | 0.000 |
| 0.503 | 9.153 | -7.010 | 0.000 | 0.000 | 0.000 |
| -1.799 | -0.510 | -8.311 | 20.642 | 0.000 | 0.000 |
| -2.242 | -0.696 | -11.863 | 0.000 | 27.318 | 0.000 |
| -1.961 | -0.466 | -6.853 | 0.000 | 0.000 | 174.777 |
| 318.731 | 117.118 | 110.045 | -0.000 | -0.000 | -0.000 |
| 79.297 | 452.924 | 69.143 | 0.000 | 0.000 | -0.000 |
| 110.000 | 97.377 | 263.401 | -0.000 | -0.000 | -0.000 |
| 0.006 | -0.000 | -0.002 | 57.196 | -0.000 | -0.000 |
| 0.005 | -0.000 | -0.002 | -0.000 | 68.832 | -0.000 |
| 0.004 | -0.000 | -0.002 | 0.000 | -0.000 | 138.295 |
| 448.299 | 79.297 | 73.873 | 0.000 | -0.000 | 0.000 |
| 119.061 | 324.722 | 98.873 | 0.000 | 0.000 | 0.000 |
| 109.993 | 97.378 | 263.403 | 0.000 | 0.000 | 0.000 |
| -0.006 | 0.000 | 0.002 | 57.196 | 0.000 | 0.000 |
| -0.005 | 0.000 | 0.002 | -0.000 | 68.832 | 0.000 |
| -0.003 | 0.000 | 0.002 | -0.000 | 0.000 | 138.296 |
| 212.405 | 87.436 | 87.637 | 0.000 | -0.000 | -0.000 |
| 81.237 | 207.174 | 73.773 | 0.000 | 0.000 | -0.000 |
| 73.874 | 69.143 | 382.651 | -0.000 | -0.000 | -0.000 |
| 0.000 | -0.000 | 0.000 | 182.302 | -0.000 | -0.000 |
| 0.000 | 0.000 | 0.000 | -0.000 | 186.964 | -0.000 |
| -0.000 | 0.000 | 0.000 | 0.000 | -0.000 | 215.695 |
| 159.563 | 31.733 | 25.745 | -0.000 | 0.000 | 0.000 |
| 79.297 | 452.924 | 69.143 | -0.000 | 0.000 | 0.000 |
| 109.996 | 97.377 | 263.403 | -0.000 | -0.000 | 0.000 |
| -0.000 | 0.000 | -0.000 | 182.302 | 0.000 | 0.000 |
| -0.000 | -0.000 | -0.000 | 0.000 | 186.964 | 0.000 |
| 0.000 | -0.000 | -0.000 | -0.000 | 0.000 | 215.695 |
| 182.118 | 50.831 | 77.276 | 0.000 | -0.000 | -0.000 |
| 118.976 | 325.012 | 98.805 | -0.000 | -0.000 | -0.000 |
| 89.316 | 79.043 | 134.316 | 0.000 | -0.000 | -0.000 |
| 0.000 | -0.000 | -0.000 | 100.927 | -0.000 | -0.000 |
| -0.000 | 0.000 | -0.000 | -0.000 | 109.683 | -0.000 |
| -0.000 | -0.000 | 0.000 | 0.000 | -0.000 | 138.295 |
| 212.388 | 87.419 | 87.623 | -0.000 | 0.000 | 0.000 |
| 81.247 | 207.135 | 73.782 | -0.000 | -0.000 | 0.000 |
| 11.297 | 0.327 | 33.783 | -0.000 | 0.000 | 0.000 |
| -0.000 | 0.000 | 0.000 | 100.927 | 0.000 | 0.000 |
| 0.000 | -0.000 | 0.000 | -0.000 | 109.683 | 0.000 |
| 0.000 | 0.000 | -0.000 | -0.000 | 0.000 | 138.295 |
| 869.545 | 349.904 | 727.137 | 0.000 | 0.000 | 0.000 |
| 1166.483 | 976.230 | 2208.902 | -0.000 | 0.000 | -0.000 |
| 674.232 | 2573.965 | 3610.937 | 0.000 | 0.000 | 0.000 |
| 611.155 | 215.362 | 602.733 | 62.976 | 0.000 | -0.000 |
| -0.000 | 0.000 | 0.000 | -0.000 | 185.511 | 0.000 |
| -0.000 | 0.000 | 0.000 | -0.000 | 0.000 | 211.842 |
| -432.862 | -2497.320 | -3432.200 | 0.000 | 0.000 | 0.000 |
| -594.197 | -2342.476 | -3454.061 | 0.000 | -0.000 | 0.000 |
| 72.699 | 69.723 | 379.714 | -0.000 | -0.000 | -0.000 |
| -611.155 | -215.362 | -602.734 | 62.976 | -0.000 | 0.000 |
| 0.000 | -0.000 | -0.000 | 0.000 | 185.511 | -0.000 |
| 0.000 | -0.000 | -0.000 | 0.000 | -0.000 | 211.842 |
| 322.738 | 154.389 | 182.330 | 0.000 | 0.000 | 0.000 |
| 97.588 | 426.599 | 379.067 | -0.000 | 0.000 | -0.000 |
| 72.699 | 69.723 | 379.714 | 0.000 | 0.000 | 0.000 |
| 60.327 | 21.258 | 59.496 | 64.485 | 0.000 | 0.000 |
| 60.338 | 21.262 | 59.506 | -0.000 | 75.328 | -0.000 |
| -0.000 | 0.000 | 0.000 | 0.000 | 0.000 | 211.842 |
| 444.490 | 79.852 | 72.568 | 0.000 | -0.000 | -0.000 |
| 78.954 | 446.177 | 68.694 | -0.000 | -0.000 | 0.000 |
| -6.968 | -197.288 | -210.210 | 0.000 | -0.000 | 0.000 |
| -60.327 | -21.258 | -59.496 | 64.485 | -0.000 | -0.000 |
| -60.338 | -21.262 | -59.506 | 0.000 | 75.328 | -0.000 |
| 0.000 | -0.000 | -0.000 | -0.000 | -0.000 | 211.842 |
| 444.491 | 79.852 | 72.568 | -0.000 | 0.000 | 0.000 |
| 78.955 | 446.178 | 68.694 | -0.000 | 0.000 | -0.000 |
| 61.347 | 75.484 | 71.594 | -0.000 | 0.000 | -0.000 |
| 10.235 | 7.341 | 20.854 | 52.848 | 0.000 | -0.000 |
| 4.550 | 1.603 | 4.487 | -0.000 | 102.422 | -0.000 |
| 7.301 | 18.632 | 27.899 | -0.000 | 0.000 | 75.850 |
| 128.250 | 9.670 | 6.156 | 0.000 | -0.000 | -0.000 |
| 6.130 | 110.825 | -0.957 | -0.000 | -0.000 | 0.000 |
| 76.983 | 73.020 | 124.755 | 0.000 | -0.000 | -0.000 |
| -10.235 | -7.341 | -20.854 | 52.848 | -0.000 | 0.000 |
| -4.550 | -1.603 | -4.487 | 0.000 | 102.422 | 0.000 |
| -7.301 | -18.632 | -27.899 | -0.000 | -0.000 | 75.850 |
| 1130.377 | 73.495 | 0.000 | 0.000 | 0.000 | -0.000 |
| 73.495 | 1130.377 | 0.000 | 0.000 | 0.000 | -0.000 |
| 0.000 | -0.001 | 0.000 | 0.000 | 0.000 | 0.000 |
| 0.000 | -0.000 | 0.000 | 0.000 | 0.000 | 0.000 |
| 0.000 | -0.001 | 0.000 | 0.000 | 0.000 | 0.000 |
| 0.000 | -0.000 | 0.000 | 0.000 | 0.000 | 528.441 |
| 1130.377 | 73.495 | -0.000 | -0.000 | -0.000 | 0.000 |
| 73.495 | 1130.378 | -0.000 | -0.000 | -0.000 | 0.000 |
| -0.000 | 0.001 | -0.000 | -0.000 | -0.000 | -0.000 |
| -0.000 | 0.001 | -0.000 | -0.000 | -0.000 | 0.000 |
| -0.000 | 0.001 | -0.000 | -0.000 | -0.000 | 0.000 |
| -0.000 | 0.000 | -0.000 | -0.000 | -0.000 | 528.441 |
| 1130.378 | 73.495 | 0.000 | 0.000 | 0.000 | -0.000 |
| 73.495 | 1130.377 | 0.000 | 0.000 | 0.000 | -0.000 |
| 0.000 | -0.000 | 0.000 | 0.000 | 0.000 | -0.000 |
| 0.000 | -0.000 | 0.000 | 0.000 | 0.000 | -0.000 |
| 0.000 | -0.000 | 0.000 | 0.000 | 0.000 | -0.000 |
| 0.000 | 0.000 | 0.000 | 0.000 | 0.000 | 528.441 |
| 1130.377 | 73.495 | -0.000 | -0.000 | -0.000 | 0.000 |
| 73.495 | 1130.377 | -0.000 | -0.000 | -0.000 | 0.000 |
| -0.000 | 0.000 | -0.000 | -0.000 | -0.000 | 0.000 |
| -0.000 | 0.000 | -0.000 | -0.000 | -0.000 | -0.000 |
| -0.000 | 0.000 | -0.000 | -0.000 | -0.000 | 0.000 |
| -0.000 | -0.000 | -0.000 | -0.000 | -0.000 | 528.441 |
| 1130.380 | 73.495 | 0.000 | 0.000 | 0.000 | -0.000 |
| 73.496 | 1130.380 | 0.000 | 0.000 | 0.000 | -0.000 |
| 0.000 | -0.000 | 0.000 | 0.000 | 0.000 | 0.000 |
| 0.000 | -0.000 | 0.000 | 0.000 | 0.000 | 0.000 |
| 0.000 | -0.000 | 0.000 | 0.000 | 0.000 | 0.000 |
| -0.000 | 0.000 | 0.000 | 0.000 | 0.000 | 528.441 |
| 1130.374 | 73.494 | -0.000 | -0.000 | -0.000 | 0.000 |
| 73.494 | 1130.374 | -0.000 | -0.000 | -0.000 | 0.000 |
| -0.000 | 0.000 | -0.000 | -0.000 | -0.000 | -0.000 |
| -0.000 | 0.000 | -0.000 | -0.000 | -0.000 | 0.000 |
| -0.000 | 0.000 | -0.000 | -0.000 | -0.000 | 0.000 |
| 0.000 | -0.000 | -0.000 | -0.000 | -0.000 | 528.441 |
| 424.723 | 63.770 | 63.775 | -0.000 | 0.001 | 0.000 |
| 63.770 | 424.724 | 63.771 | -0.001 | 0.001 | -0.000 |
| 63.771 | 63.771 | 424.727 | 0.000 | -0.000 | -0.000 |
| -0.001 | -0.000 | 0.001 | 180.476 | -0.000 | -0.000 |
| -0.001 | 0.000 | -0.001 | 0.000 | 180.475 | -0.000 |
| -0.001 | -0.000 | -0.001 | -0.000 | -0.001 | 180.477 |
| 272.838 | 98.897 | 98.901 | -0.000 | -0.001 | 0.000 |
| 98.897 | 272.837 | 98.895 | -0.000 | -0.001 | 0.000 |
| 98.897 | 98.897 | 272.829 | -0.000 | -0.000 | 0.000 |
| 0.001 | 0.000 | -0.002 | 180.476 | 0.000 | 0.000 |
| 0.001 | -0.001 | 0.000 | -0.001 | 180.478 | 0.000 |
| 0.000 | 0.000 | 0.001 | -0.000 | -0.000 | 180.478 |
| 272.873 | 98.887 | 98.888 | 0.000 | 0.000 | -0.000 |
| 98.888 | 272.873 | 98.888 | -0.000 | -0.000 | 0.000 |
| 98.888 | 98.888 | 272.873 | -0.000 | -0.000 | -0.000 |
| -0.000 | -0.000 | -0.001 | 101.606 | 0.000 | -0.000 |
| -0.000 | -0.000 | 0.000 | 0.000 | 101.605 | -0.000 |
| -0.000 | -0.000 | 0.000 | 0.000 | 0.000 | 101.606 |
| 272.798 | 98.905 | 98.904 | -0.000 | 0.000 | 0.000 |
| 98.905 | 272.797 | 98.906 | -0.000 | -0.000 | -0.000 |
| 98.905 | 98.905 | 272.798 | 0.000 | -0.000 | 0.000 |
| 0.000 | 0.000 | 0.001 | 101.606 | 0.000 | 0.000 |
| 0.000 | 0.000 | -0.000 | -0.000 | 101.605 | 0.000 |
| 0.000 | 0.000 | -0.000 | -0.000 | -0.000 | 101.606 |
| 97.945 | 53.627 | 53.628 | -0.000 | -0.000 | -0.000 |
| 53.628 | 97.945 | 53.627 | -0.000 | 0.000 | -0.000 |
| 53.627 | 53.628 | 97.945 | -0.000 | 0.000 | -0.000 |
| 0.000 | -0.000 | -0.000 | 101.606 | -0.000 | -0.000 |
| -0.000 | 0.000 | 0.000 | -0.000 | 101.606 | 0.000 |
| -0.000 | -0.000 | -0.000 | 0.000 | 0.000 | 101.606 |
| 33.863 | -40.710 | -40.710 | 0.000 | 0.000 | 0.000 |
| -40.710 | 33.863 | -40.710 | 0.000 | -0.000 | 0.000 |
| -40.710 | -40.710 | 33.863 | -0.000 | 0.000 | 0.000 |
| -0.000 | 0.000 | 0.000 | 101.606 | 0.000 | 0.000 |
| 0.000 | -0.000 | -0.000 | 0.000 | 101.606 | 0.000 |
| 0.000 | 0.000 | 0.000 | 0.000 | 0.000 | 101.606 |
| 300.218 | 84.955 | 84.955 | 0.000 | 0.000 | -0.000 |
| 84.953 | 300.221 | 84.955 | 0.000 | 0.000 | 0.000 |
| 84.952 | 84.955 | 300.221 | 0.000 | 0.000 | -0.000 |
| -0.002 | 0.000 | -0.000 | 167.972 | -0.000 | -0.000 |
| -0.001 | 0.000 | 0.000 | -0.000 | 167.972 | -0.000 |
| -0.001 | 0.000 | -0.000 | 0.000 | 0.000 | 167.972 |
| 294.445 | 79.063 | 79.062 | 0.000 | 0.000 | 0.000 |
| 79.064 | 294.443 | 79.062 | -0.000 | 0.000 | -0.000 |
| 79.064 | 79.063 | 294.443 | 0.000 | 0.000 | 0.000 |
| 0.001 | 0.000 | 0.000 | 167.972 | 0.000 | -0.000 |
| 0.001 | -0.000 | 0.000 | -0.000 | 167.972 | -0.000 |
| 0.001 | 0.000 | -0.000 | 0.000 | -0.000 | 167.972 |
| 293.753 | 83.211 | 83.211 | -0.000 | 0.000 | 0.000 |
| 83.210 | 293.753 | 83.211 | 0.000 | -0.000 | 0.000 |
| 83.210 | 83.211 | 293.753 | -0.000 | 0.000 | 0.000 |
| 0.297 | 0.298 | 0.298 | 106.830 | -0.000 | 0.000 |
| 0.297 | 0.298 | 0.298 | -0.000 | 106.830 | 0.000 |
| 0.297 | 0.298 | 0.298 | 0.000 | -0.000 | 106.830 |
| 293.241 | 82.578 | 82.578 | 0.000 | -0.000 | -0.000 |
| 5.701 | 51.166 | 5.700 | -0.000 | 0.000 | -0.000 |
| 5.701 | 5.700 | 51.166 | -0.000 | -0.000 | 0.000 |
| -0.297 | -0.298 | -0.298 | 106.830 | -0.000 | 0.000 |
| 0.000 | -0.000 | -0.000 | -0.000 | 167.972 | -0.000 |
| -0.297 | -0.298 | -0.298 | -0.000 | -0.000 | 106.830 |
| 52.676 | 5.007 | 5.008 | -0.000 | 0.000 | -0.000 |
| 5.008 | 52.676 | 5.007 | 0.000 | 0.000 | 0.000 |
| 5.007 | 5.008 | 52.676 | 0.000 | 0.000 | -0.000 |
| 0.035 | 0.035 | 0.035 | 96.168 | 0.000 | 0.000 |
| 0.035 | 0.035 | 0.035 | -0.000 | 96.168 | 0.000 |
| 0.035 | 0.035 | 0.035 | 0.000 | 0.000 | 96.168 |
| 91.863 | 49.781 | 49.782 | 0.000 | -0.000 | 0.000 |
| 49.782 | 91.863 | 49.781 | -0.000 | 0.000 | -0.000 |
| 49.781 | 49.782 | 91.863 | -0.000 | -0.000 | -0.000 |
| -0.035 | -0.035 | -0.035 | 96.168 | 0.000 | -0.000 |
| -0.035 | -0.035 | -0.035 | -0.000 | 96.168 | -0.000 |
| -0.035 | -0.035 | -0.035 | -0.000 | 0.000 | 96.168 |
| 1580.141 | 1449.745 | 1449.745 | -0.000 | 0.000 | 0.000 |
| 1449.746 | 1580.141 | 1449.745 | 0.000 | 0.000 | 0.000 |
| 1449.744 | 1449.745 | 1580.141 | 0.000 | 0.000 | -0.000 |
| 5298.279 | 5298.279 | 5298.279 | 25.068 | 0.000 | 0.000 |
| 0.000 | 0.000 | 0.000 | -0.000 | 167.938 | -0.000 |
| 5298.278 | 5298.279 | 5298.279 | 0.000 | 0.000 | 25.068 |
| -1141.898 | -1269.801 | -1269.801 | 0.000 | -0.000 | 0.000 |
| -1269.800 | -1141.898 | -1269.801 | -0.000 | -0.000 | 0.000 |
| -1269.801 | -1269.801 | -1141.898 | 0.000 | -0.000 | 0.000 |
| -5298.279 | -5298.279 | -5298.279 | 25.068 | -0.000 | 0.000 |
| -5298.280 | -5298.279 | -5298.279 | -0.000 | 25.068 | 0.000 |
| -5298.278 | -5298.279 | -5298.279 | -0.000 | -0.000 | 25.068 |
| 599.612 | 539.917 | 539.917 | -0.000 | -0.000 | -0.000 |
| 539.917 | 599.612 | 539.917 | -0.000 | 0.000 | -0.000 |
| 539.917 | 539.917 | 599.612 | 0.000 | -0.000 | -0.000 |
| 134.412 | 134.412 | 134.412 | 65.783 | -0.000 | 0.000 |
| 134.411 | 134.412 | 134.412 | 0.000 | 65.783 | -0.000 |
| 134.411 | 134.412 | 134.412 | 0.000 | 0.000 | 65.783 |
| -781.502 | -781.305 | -781.305 | -0.000 | 0.000 | 0.000 |
| -781.305 | -781.501 | -781.305 | -0.000 | -0.000 | -0.000 |
| -781.305 | -781.305 | -781.502 | -0.000 | -0.000 | -0.000 |
| -134.412 | -134.412 | -134.412 | 65.783 | -0.000 | -0.000 |
| -134.411 | -134.412 | -134.412 | -0.000 | 65.783 | 0.000 |
| -134.412 | -134.412 | -134.412 | -0.000 | -0.000 | 65.783 |
| 166.976 | 95.650 | 95.651 | -0.000 | 0.000 | -0.000 |
| 95.651 | 166.976 | 95.650 | 0.000 | 0.000 | -0.000 |
| 95.650 | 95.651 | 166.976 | 0.000 | 0.000 | 0.000 |
| 0.000 | -0.000 | 0.000 | 167.938 | 0.000 | 0.000 |
| 59.488 | 59.488 | 59.489 | -0.000 | 24.342 | 0.000 |
| -0.000 | 0.000 | 0.000 | -0.000 | -0.000 | 167.938 |
| -42.217 | -115.328 | -115.328 | 0.000 | -0.000 | 0.000 |
| -115.328 | -42.217 | -115.328 | -0.000 | -0.000 | -0.000 |
| -115.328 | -115.328 | -42.217 | -0.000 | 0.000 | -0.000 |
| -0.000 | 0.000 | -0.000 | 167.938 | -0.000 | 0.000 |
| -59.488 | -59.488 | -59.489 | 0.000 | 24.342 | 0.000 |
| 0.000 | -0.000 | -0.000 | 0.000 | 0.000 | 167.938 |
| 3727.745 | 3598.940 | 2808.202 | -20.465 | -0.000 | 0.000 |
| 3599.246 | 3728.011 | 2808.181 | 20.467 | -0.000 | 0.000 |
| 4087.965 | 4087.965 | 3360.293 | 0.000 | -0.000 | 0.000 |
| 3982.764 | 4007.186 | 3238.788 | 65.575 | -0.000 | -0.000 |
| 3523.488 | 3523.488 | 2697.953 | 0.000 | 50.922 | -20.545 |
| 1352.758 | 1352.758 | -135.145 | 0.000 | -11.906 | 125.367 |
| -989.515 | -1239.840 | 262.342 | -11.919 | -0.000 | 0.000 |
| -1239.840 | -989.516 | 262.343 | 11.919 | 0.000 | -0.000 |
| 90.351 | 90.351 | 345.290 | -0.000 | 0.000 | -0.000 |
| -3540.308 | -3499.251 | -2698.335 | 51.141 | 0.000 | 0.000 |
| -3523.488 | -3523.489 | -2697.953 | -0.000 | 50.922 | -20.545 |
| -1352.758 | -1352.758 | 135.145 | -0.000 | -11.906 | 125.367 |
| 632.312 | 453.973 | 413.034 | -12.293 | -0.000 | 0.000 |
| 453.975 | 632.317 | 413.037 | 12.292 | -0.000 | -0.000 |
| 473.311 | 473.311 | 381.982 | 0.000 | -0.000 | 0.000 |
| 329.425 | 370.307 | 268.542 | 52.098 | -0.000 | 0.000 |
| 0.000 | 0.000 | 0.000 | 0.000 | 200.328 | -6.035 |
| 134.656 | 134.656 | -13.453 | 0.000 | -11.880 | 125.795 |
| 505.248 | 67.392 | 88.111 | -6.035 | 0.000 | -0.000 |
| -347.647 | -177.627 | -235.074 | 11.849 | -0.000 | -0.000 |
| 90.351 | 90.351 | 345.290 | -0.000 | -0.000 | 0.000 |
| -411.128 | -386.858 | -323.187 | 65.901 | 0.000 | 0.000 |
| 0.000 | -0.000 | -0.000 | -0.000 | 200.328 | -6.035 |
| -134.656 | -134.656 | 13.453 | -0.000 | -11.880 | 125.795 |
| 288.545 | 106.238 | 130.237 | -9.993 | 0.000 | -0.000 |
| 126.808 | 385.043 | 123.970 | 11.671 | -0.000 | 0.000 |
| 134.073 | 134.073 | 242.150 | 0.000 | -0.000 | 0.000 |
| 45.674 | 60.734 | 35.284 | 65.619 | 0.000 | -0.000 |
| 29.921 | 29.921 | 23.691 | 0.000 | 74.928 | -18.337 |
| 12.120 | 12.120 | -1.211 | -0.000 | -11.296 | 135.100 |
| 347.389 | 103.509 | 129.637 | -12.122 | 0.000 | -0.000 |
| 48.473 | 197.541 | 89.838 | 20.387 | -0.000 | 0.000 |
| 90.351 | 90.351 | 345.290 | -0.000 | 0.000 | 0.000 |
| -60.747 | -45.683 | -35.297 | 65.586 | 0.000 | -0.000 |
| -29.921 | -29.921 | -23.691 | -0.000 | 74.928 | -18.337 |
| -12.120 | -12.120 | 1.211 | 0.000 | -11.296 | 135.100 |
| 501.250 | 60.766 | 88.018 | -5.733 | -0.000 | -0.000 |
| 60.766 | 501.250 | 88.017 | 5.732 | -0.000 | -0.000 |
| 88.019 | 88.019 | 322.855 | -0.000 | -0.000 | 0.000 |
| -11.621 | 11.622 | -0.001 | 122.384 | -0.000 | -0.000 |
| 0.000 | -0.000 | -0.001 | -0.000 | 195.334 | -5.733 |
| 0.000 | -0.000 | -0.001 | -0.000 | -5.733 | 220.242 |
| 366.756 | 109.062 | 123.204 | -11.917 | 0.001 | 0.000 |
| 60.766 | 501.250 | 88.020 | 5.733 | 0.001 | 0.000 |
| 88.019 | 88.019 | 322.857 | 0.001 | 0.001 | 0.000 |
| -5.732 | 5.733 | 0.001 | 195.334 | 0.000 | -0.000 |
| -0.000 | 0.000 | 0.001 | 0.000 | 195.335 | -5.732 |
| -0.000 | 0.000 | 0.001 | 0.000 | -5.732 | 220.242 |
| 224.950 | 48.100 | 89.499 | -6.603 | -0.000 | -0.000 |
| 60.766 | 501.250 | 88.019 | 5.732 | -0.000 | 0.000 |
| 88.019 | 88.019 | 322.856 | -0.000 | -0.000 | -0.000 |
| -5.732 | 5.732 | -0.000 | 195.334 | -0.000 | -0.000 |
| 0.000 | -0.000 | -0.000 | -0.000 | 79.776 | -16.904 |
| 0.000 | -0.000 | -0.000 | -0.000 | -5.733 | 220.242 |
| 366.757 | 109.062 | 123.202 | -11.918 | 0.000 | -0.000 |
| 70.601 | 257.440 | 115.993 | 18.433 | 0.000 | 0.000 |
| 121.738 | 121.738 | 212.671 | -0.000 | 0.000 | 0.000 |
| -11.622 | 11.622 | 0.000 | 122.384 | 0.000 | 0.000 |
| -0.000 | 0.000 | 0.000 | 0.000 | 79.776 | -16.904 |
| -0.000 | -0.000 | 0.000 | 0.000 | -5.732 | 220.242 |
| 366.746 | 109.067 | 123.206 | -11.918 | -0.000 | 0.000 |
| 109.065 | 366.752 | 123.204 | 11.918 | -0.000 | -0.000 |
| 121.732 | 121.732 | 212.690 | 0.000 | -0.000 | -0.000 |
| -5.732 | 5.732 | 0.000 | 195.334 | -0.000 | -0.000 |
| -0.000 | 0.000 | -0.000 | -0.000 | 122.384 | -11.622 |
| -0.000 | 0.000 | 0.000 | -0.000 | -5.732 | 220.242 |
| 366.375 | 109.199 | 123.301 | -11.935 | 0.000 | 0.000 |
| 109.120 | 366.594 | 123.244 | 11.925 | 0.000 | -0.000 |
| 121.727 | 121.727 | 212.705 | 0.000 | 0.000 | 0.000 |
| -16.905 | 16.905 | 0.000 | 79.774 | 0.000 | 0.000 |
| 0.000 | -0.000 | 0.000 | 0.000 | 122.384 | -11.622 |
| 0.000 | -0.000 | -0.000 | 0.000 | -5.732 | 220.242 |
| 374.565 | 69.400 | 62.111 | -0.000 | -0.001 | -0.000 |
| 76.669 | 122.588 | 62.804 | -0.000 | -0.001 | 0.000 |
| 62.111 | 52.952 | 508.126 | 0.001 | -0.001 | -0.000 |
| 0.000 | -0.000 | -0.001 | 188.029 | -0.000 | 0.000 |
| 0.007 | -0.000 | -0.008 | 0.000 | 121.279 | 0.000 |
| 0.008 | 0.000 | -0.008 | 0.000 | -0.000 | 88.415 |
| 250.301 | 98.026 | 98.942 | -0.000 | 0.001 | -0.000 |
| 99.224 | 271.966 | 92.520 | -0.001 | 0.001 | -0.000 |
| 97.746 | 89.695 | 381.045 | -0.000 | 0.000 | -0.000 |
| -0.000 | 0.000 | 0.001 | 188.028 | 0.000 | -0.000 |
| -0.007 | -0.000 | 0.008 | -0.000 | 121.280 | -0.000 |
| -0.008 | -0.000 | 0.008 | -0.000 | 0.001 | 88.415 |
| 250.299 | 98.029 | 98.936 | 0.000 | -0.000 | 0.000 |
| 76.661 | 122.600 | 62.807 | 0.000 | -0.000 | 0.000 |
| 62.111 | 52.952 | 508.126 | 0.000 | -0.000 | 0.000 |
| 0.000 | -0.000 | 0.000 | 188.028 | -0.000 | 0.000 |
| 0.000 | 0.000 | -0.002 | 0.000 | 23.012 | 0.000 |
| 0.001 | -0.000 | -0.001 | 0.000 | -0.000 | 88.416 |
| 250.301 | 98.028 | 98.937 | -0.000 | 0.000 | -0.000 |
| 76.663 | 122.583 | 62.813 | -0.000 | 0.000 | -0.000 |
| 63.366 | 59.401 | 193.087 | -0.000 | 0.000 | -0.000 |
| -0.000 | 0.000 | -0.000 | 188.028 | 0.000 | -0.000 |
| -0.000 | -0.000 | 0.002 | -0.000 | 23.012 | -0.000 |
| -0.001 | 0.000 | 0.001 | -0.000 | 0.000 | 88.415 |
| 28.948 | -14.822 | -6.923 | 0.000 | -0.000 | 0.000 |
| 4.838 | 60.971 | 8.558 | 0.000 | -0.000 | 0.000 |
| 63.369 | 59.404 | 193.079 | -0.000 | -0.000 | 0.000 |
| 0.000 | -0.000 | -0.000 | 120.130 | -0.000 | 0.000 |
| -0.000 | 0.000 | 0.000 | 0.000 | 190.651 | -0.000 |
| -0.000 | -0.000 | 0.000 | 0.000 | -0.000 | 88.416 |
| 29.545 | -14.631 | -6.699 | -0.000 | 0.000 | -0.000 |
| 76.659 | 122.611 | 62.807 | -0.000 | 0.000 | -0.000 |
| 48.998 | 38.308 | 166.231 | -0.000 | 0.000 | 0.000 |
| -0.000 | 0.000 | 0.000 | 120.130 | 0.000 | -0.000 |
| 0.000 | -0.000 | -0.000 | -0.000 | 190.651 | -0.000 |
| 0.000 | 0.000 | -0.000 | -0.000 | 0.000 | 88.416 |
| -2587.232 | 1082.193 | -2030.847 | -0.001 | -0.000 | 0.000 |
| -2558.239 | 1069.749 | -2051.202 | -0.000 | -0.000 | 0.000 |
| -1363.842 | 751.528 | -814.958 | -0.001 | -0.001 | 0.000 |
| -0.000 | -0.000 | 0.000 | 181.237 | -0.000 | 0.000 |
| -0.000 | -0.000 | 0.000 | -0.001 | 184.018 | 0.000 |
| -0.000 | -0.001 | -0.000 | -0.001 | -0.000 | 155.962 |
| 1062.349 | 34.199 | -177.987 | 0.001 | 0.000 | -0.000 |
| 979.658 | 143.119 | -185.929 | 0.000 | 0.001 | -0.000 |
| 1467.430 | -645.403 | 1364.459 | 0.000 | 0.001 | -0.000 |
| 0.000 | 0.000 | -0.000 | 181.237 | 0.000 | 0.000 |
| 0.000 | 0.000 | -0.000 | 0.000 | 184.019 | -0.000 |
| 0.000 | 0.001 | -0.000 | -0.000 | 0.000 | 155.962 |
| 7.170 | 136.324 | -51.795 | -0.000 | -0.000 | 0.000 |
| -212.990 | 134.849 | -181.281 | -0.000 | -0.000 | -0.000 |
| -93.017 | 120.760 | 164.333 | -0.000 | -0.000 | 0.000 |
| 0.000 | -0.000 | 0.000 | 181.236 | -0.000 | -0.000 |
| -141.694 | 69.168 | -106.967 | -0.000 | 82.409 | 0.000 |
| -141.402 | 69.518 | -108.074 | -0.000 | -0.000 | 38.951 |
| 299.082 | -2.416 | 161.428 | 0.000 | 0.000 | 0.000 |
| 207.316 | 97.997 | 160.498 | 0.000 | 0.000 | 0.000 |
| 188.795 | 93.718 | 293.776 | 0.000 | 0.000 | 0.000 |
| 0.000 | 0.000 | -0.000 | 181.236 | 0.000 | 0.000 |
| 141.694 | -69.168 | 106.967 | 0.000 | 82.409 | 0.000 |
| 141.402 | -69.518 | 108.074 | 0.000 | 0.000 | 38.951 |
| 364.370 | 66.949 | 61.337 | -0.000 | -0.000 | -0.000 |
| -6.219 | 60.503 | 1.127 | -0.000 | -0.000 | 0.000 |
| -38.526 | -10.139 | 66.173 | -0.000 | -0.000 | 0.000 |
| -5.742 | 0.482 | 1.917 | 106.871 | -0.000 | -0.000 |
| -5.819 | 0.489 | 1.943 | -0.000 | 108.488 | 0.000 |
| -6.462 | 0.543 | 2.157 | -0.000 | -0.000 | 79.062 |
| 244.689 | 95.913 | 96.699 | 0.000 | 0.000 | -0.000 |
| 89.137 | 123.828 | 71.925 | 0.000 | 0.000 | -0.000 |
| 45.593 | 13.583 | 158.676 | 0.000 | 0.000 | -0.000 |
| 5.742 | -0.482 | -1.917 | 106.871 | 0.000 | -0.000 |
| 5.819 | -0.489 | -1.943 | 0.000 | 108.488 | -0.000 |
| 6.462 | -0.543 | -2.157 | 0.000 | 0.000 | 79.062 |
| 893.171 | 58.072 | 0.000 | 0.000 | 0.000 | 0.000 |
| 1.812 | 949.431 | 0.000 | 0.000 | 0.000 | 0.000 |
| 0.000 | 0.000 | 0.000 | 0.000 | 0.000 | 0.000 |
| 0.000 | 0.000 | 0.000 | 0.000 | 0.000 | 0.000 |
| 0.000 | 0.000 | 0.000 | 0.000 | 0.000 | 0.000 |
| 0.000 | 0.000 | 0.000 | 0.000 | 0.000 | 417.549 |
| 949.430 | 1.812 | -0.000 | -0.000 | -0.000 | -0.000 |
| 58.072 | 893.170 | -0.000 | -0.000 | -0.000 | -0.000 |
| -0.000 | -0.000 | -0.000 | -0.000 | -0.000 | -0.000 |
| -0.000 | -0.000 | -0.000 | -0.000 | -0.000 | -0.000 |
| -0.000 | -0.000 | -0.000 | -0.000 | -0.000 | -0.000 |
| -0.000 | -0.000 | -0.000 | -0.000 | -0.000 | 417.549 |
| 949.431 | 1.812 | 0.000 | 0.000 | 0.000 | 0.000 |
| 58.072 | 893.171 | 0.000 | 0.000 | 0.000 | 0.000 |
| 0.000 | 0.000 | 0.000 | 0.000 | 0.000 | 0.000 |
| 0.000 | 0.000 | 0.000 | 0.000 | 0.000 | 0.000 |
| 0.000 | 0.000 | 0.000 | 0.000 | 0.000 | 0.000 |
| -0.000 | 0.000 | 0.000 | 0.000 | 0.000 | 417.549 |
| 893.170 | 58.072 | -0.000 | -0.000 | -0.000 | -0.000 |
| 1.812 | 949.431 | -0.000 | -0.000 | -0.000 | -0.000 |
| -0.000 | -0.000 | -0.000 | -0.000 | -0.000 | -0.000 |
| -0.000 | -0.000 | -0.000 | -0.000 | -0.000 | -0.000 |
| -0.000 | -0.000 | -0.000 | -0.000 | -0.000 | -0.000 |
| -0.000 | -0.000 | -0.000 | -0.000 | -0.000 | 417.549 |
| 893.173 | 58.073 | 0.000 | 0.000 | 0.000 | 0.000 |
| 58.073 | 893.173 | 0.000 | 0.000 | 0.000 | 0.000 |
| 0.000 | 0.000 | 0.000 | 0.000 | 0.000 | 0.000 |
| 0.000 | 0.000 | 0.000 | 0.000 | 0.000 | 0.000 |
| 0.000 | 0.000 | 0.000 | 0.000 | 0.000 | 0.000 |
| -0.000 | 0.000 | 0.000 | 0.000 | 0.000 | 417.549 |
| 893.168 | 58.071 | -0.000 | -0.000 | -0.000 | -0.000 |
| 58.074 | 893.166 | -0.000 | -0.000 | -0.000 | -0.000 |
| -0.000 | -0.000 | -0.000 | -0.000 | -0.000 | -0.000 |
| -0.000 | -0.000 | -0.000 | -0.000 | -0.000 | -0.000 |
| -0.000 | -0.000 | -0.000 | -0.000 | -0.000 | -0.000 |
| 0.000 | -0.000 | -0.000 | -0.000 | -0.000 | 417.549 |
| 275.948 | 17.942 | 0.000 | 0.000 | 0.000 | 0.000 |
| 0.560 | 293.330 | 0.000 | 0.000 | 0.000 | 0.000 |
| -0.000 | -0.000 | 0.000 | 0.000 | 0.000 | 0.000 |
| 0.000 | -0.000 | 0.000 | 0.000 | 0.000 | 0.000 |
| 0.000 | 0.000 | 0.000 | 0.000 | 0.000 | -0.000 |
| 0.000 | -0.000 | 0.000 | 0.000 | 0.000 | 129.003 |
| 275.948 | 17.942 | -0.000 | -0.000 | -0.000 | 0.000 |
| 0.560 | 293.330 | -0.000 | -0.000 | -0.000 | 0.000 |
| -0.000 | -0.000 | -0.000 | -0.000 | -0.000 | 0.000 |
| -0.000 | 0.000 | -0.000 | -0.000 | -0.000 | -0.000 |
| -0.000 | 0.000 | -0.000 | -0.000 | -0.000 | -0.000 |
| -0.000 | -0.000 | -0.000 | -0.000 | -0.000 | 129.003 |
| 275.948 | 17.942 | 0.000 | 0.000 | 0.000 | 0.000 |
| 0.560 | 293.330 | 0.000 | 0.000 | 0.000 | 0.000 |
| -0.000 | -0.000 | 0.000 | 0.000 | 0.000 | 0.000 |
| -0.000 | 0.000 | 0.000 | 0.000 | 0.000 | 0.000 |
| 0.000 | -0.000 | 0.000 | 0.000 | 0.000 | -0.000 |
| -0.000 | 0.000 | 0.000 | 0.000 | 0.000 | 129.003 |
| 275.948 | 17.942 | -0.000 | -0.000 | -0.000 | 0.000 |
| 17.942 | 275.948 | -0.000 | -0.000 | -0.000 | -0.000 |
| -0.000 | -0.000 | -0.000 | -0.000 | -0.000 | 0.000 |
| -0.000 | -0.000 | -0.000 | -0.000 | -0.000 | -0.000 |
| -0.000 | 0.000 | -0.000 | -0.000 | -0.000 | -0.000 |
| 0.000 | -0.000 | -0.000 | -0.000 | -0.000 | 129.003 |
| 293.331 | 0.560 | 0.000 | 0.000 | 0.000 | 0.000 |
| 17.942 | 275.949 | 0.000 | 0.000 | 0.000 | -0.000 |
| -0.000 | -0.000 | 0.000 | 0.000 | 0.000 | 0.000 |
| 0.000 | 0.000 | 0.000 | 0.000 | 0.000 | 0.000 |
| 0.000 | 0.000 | 0.000 | 0.000 | 0.000 | 0.000 |
| -0.000 | 0.000 | 0.000 | 0.000 | 0.000 | 129.003 |
| 275.947 | 17.941 | -0.000 | -0.000 | -0.000 | -0.000 |
| 17.941 | 275.947 | -0.000 | -0.000 | -0.000 | -0.000 |
| -0.000 | -0.000 | -0.000 | -0.000 | -0.000 | 0.000 |
| -0.000 | -0.000 | -0.000 | -0.000 | -0.000 | -0.000 |
| -0.000 | -0.000 | -0.000 | -0.000 | -0.000 | -0.000 |
| 0.000 | -0.000 | -0.000 | -0.000 | -0.000 | 129.003 |
| 356.410 | 23.173 | 0.000 | 0.000 | 0.000 | 0.000 |
| 0.723 | 378.860 | 0.000 | 0.000 | 0.000 | 0.000 |
| -0.000 | -0.000 | 0.000 | 0.000 | 0.000 | -0.000 |
| -0.000 | -0.000 | 0.000 | 0.000 | 0.000 | 0.000 |
| 0.000 | -0.000 | 0.000 | 0.000 | 0.000 | 0.000 |
| 0.000 | 0.000 | 0.000 | 0.000 | 0.000 | 166.618 |
| 356.410 | 23.173 | -0.000 | -0.000 | -0.000 | -0.000 |
| 0.723 | 378.860 | -0.000 | -0.000 | -0.000 | -0.000 |
| -0.000 | -0.000 | -0.000 | -0.000 | -0.000 | -0.000 |
| -0.000 | 0.000 | -0.000 | -0.000 | -0.000 | -0.000 |
| -0.000 | 0.000 | -0.000 | -0.000 | -0.000 | -0.000 |
| -0.000 | 0.000 | -0.000 | -0.000 | -0.000 | 166.618 |
| 356.410 | 23.173 | 0.000 | 0.000 | 0.000 | 0.000 |
| 23.173 | 356.410 | 0.000 | 0.000 | 0.000 | 0.000 |
| -0.000 | -0.000 | 0.000 | 0.000 | 0.000 | -0.000 |
| -0.000 | -0.000 | 0.000 | 0.000 | 0.000 | 0.000 |
| 0.000 | -0.000 | 0.000 | 0.000 | 0.000 | 0.000 |
| -0.000 | 0.000 | 0.000 | 0.000 | 0.000 | 166.618 |
| 356.410 | 23.173 | -0.000 | -0.000 | -0.000 | -0.000 |
| 23.173 | 356.410 | -0.000 | -0.000 | -0.000 | 0.000 |
| -0.000 | -0.000 | -0.000 | -0.000 | -0.000 | -0.000 |
| -0.000 | 0.000 | -0.000 | -0.000 | -0.000 | 0.000 |
| -0.000 | 0.000 | -0.000 | -0.000 | -0.000 | -0.000 |
| 0.000 | -0.000 | -0.000 | -0.000 | -0.000 | 166.618 |
| 356.411 | 23.173 | 0.000 | 0.000 | 0.000 | -0.000 |
| 23.173 | 356.411 | 0.000 | 0.000 | 0.000 | -0.000 |
| -0.000 | -0.000 | 0.000 | 0.000 | 0.000 | -0.000 |
| -0.000 | -0.000 | 0.000 | 0.000 | 0.000 | 0.000 |
| 0.000 | -0.000 | 0.000 | 0.000 | 0.000 | 0.000 |
| 0.000 | 0.000 | 0.000 | 0.000 | 0.000 | 189.068 |
| 356.409 | 23.173 | -0.000 | -0.000 | -0.000 | 0.000 |
| 23.174 | 356.408 | -0.000 | -0.000 | -0.000 | -0.000 |
| -0.000 | -0.000 | -0.000 | -0.000 | -0.000 | -0.000 |
| 0.000 | 0.000 | -0.000 | -0.000 | -0.000 | 0.000 |
| -0.000 | 0.000 | -0.000 | -0.000 | -0.000 | -0.000 |
| -0.000 | -0.000 | -0.000 | -0.000 | -0.000 | 189.068 |
| 475.246 | 30.899 | 0.000 | 0.000 | 0.000 | -0.000 |
| 0.964 | 505.181 | 0.000 | 0.000 | 0.000 | -0.000 |
| -0.000 | -0.000 | 0.000 | 0.000 | 0.000 | 0.000 |
| -0.000 | 0.000 | 0.000 | 0.000 | 0.000 | -0.000 |
| 0.000 | 0.000 | 0.000 | 0.000 | 0.000 | 0.000 |
| 0.000 | -0.000 | 0.000 | 0.000 | 0.000 | 222.173 |
| 475.246 | 30.900 | -0.000 | -0.000 | -0.000 | 0.000 |
| 0.964 | 505.181 | -0.000 | -0.000 | -0.000 | 0.000 |
| -0.000 | -0.000 | -0.000 | -0.000 | -0.000 | 0.000 |
| 0.000 | 0.000 | -0.000 | -0.000 | -0.000 | 0.000 |
| -0.000 | -0.000 | -0.000 | -0.000 | -0.000 | -0.000 |
| -0.000 | -0.000 | -0.000 | -0.000 | -0.000 | 222.173 |
| 475.246 | 30.900 | 0.000 | 0.000 | 0.000 | 0.000 |
| 0.964 | 505.181 | 0.000 | 0.000 | 0.000 | 0.000 |
| -0.000 | -0.000 | 0.000 | 0.000 | 0.000 | 0.000 |
| 0.000 | 0.000 | 0.000 | 0.000 | 0.000 | -0.000 |
| 0.000 | 0.000 | 0.000 | 0.000 | 0.000 | -0.000 |
| 0.000 | 0.000 | 0.000 | 0.000 | 0.000 | 222.173 |
| 475.246 | 30.899 | -0.000 | -0.000 | -0.000 | -0.000 |
| 30.899 | 475.246 | -0.000 | -0.000 | -0.000 | -0.000 |
| -0.000 | -0.000 | -0.000 | -0.000 | -0.000 | 0.000 |
| -0.000 | 0.000 | -0.000 | -0.000 | -0.000 | 0.000 |
| -0.000 | -0.000 | -0.000 | -0.000 | -0.000 | 0.000 |
| -0.000 | -0.000 | -0.000 | -0.000 | -0.000 | 222.173 |
| 475.247 | 30.900 | 0.000 | 0.000 | 0.000 | -0.000 |
| 30.900 | 475.247 | 0.000 | 0.000 | 0.000 | 0.000 |
| -0.000 | -0.000 | 0.000 | 0.000 | 0.000 | 0.000 |
| 0.000 | 0.000 | 0.000 | 0.000 | 0.000 | -0.000 |
| 0.000 | -0.000 | 0.000 | 0.000 | 0.000 | -0.000 |
| -0.000 | 0.000 | 0.000 | 0.000 | 0.000 | 222.173 |
| 475.245 | 30.899 | -0.000 | -0.000 | -0.000 | 0.000 |
| 30.899 | 475.244 | -0.000 | -0.000 | -0.000 | -0.000 |
| -0.000 | -0.000 | -0.000 | -0.000 | -0.000 | 0.000 |
| 0.000 | 0.000 | -0.000 | -0.000 | -0.000 | 0.000 |
| -0.000 | -0.000 | -0.000 | -0.000 | -0.000 | -0.000 |
| 0.000 | -0.000 | -0.000 | -0.000 | -0.000 | 222.173 |
| 210.967 | 128.407 | 128.407 | 0.000 | 0.000 | -0.000 |
| 128.407 | 210.967 | 128.407 | -0.000 | 0.000 | 0.000 |
| 128.407 | 128.407 | 210.967 | -0.000 | 0.000 | -0.000 |
| -169.838 | -169.838 | -169.838 | -2.324 | -0.017 | -0.030 |
| -30.462 | -30.462 | -30.462 | -0.036 | 99.967 | 0.077 |
| -100.314 | -100.314 | -100.314 | -0.073 | 0.091 | -32.837 |
| 206.850 | 139.929 | 139.929 | 0.030 | -0.037 | -0.064 |
| 139.929 | 206.850 | 139.929 | 0.030 | -0.037 | -0.064 |
| 139.929 | 139.929 | 206.850 | 0.030 | -0.037 | -0.064 |
| 100.276 | 100.275 | 100.275 | -32.849 | -0.091 | -0.157 |
| -0.000 | 0.000 | -0.000 | 0.000 | 156.144 | 0.000 |
| -0.000 | 0.000 | 0.000 | 0.000 | -0.000 | 156.144 |
| 22.875 | 0.499 | 0.499 | 0.006 | -0.008 | -0.014 |
| 0.499 | 22.875 | 0.499 | 0.006 | -0.008 | -0.014 |
| 0.499 | 0.499 | 22.875 | 0.006 | -0.008 | -0.014 |
| -6.060 | -6.060 | -6.060 | 41.083 | 0.004 | 0.008 |
| -10.624 | -10.624 | -10.624 | -0.002 | 35.340 | 0.005 |
| -5.015 | -5.015 | -5.015 | -0.006 | 0.007 | 63.593 |
| 148.100 | 102.008 | 102.008 | 0.007 | -0.009 | -0.015 |
| 102.008 | 148.101 | 102.008 | 0.007 | -0.009 | -0.015 |
| 102.008 | 102.008 | 148.101 | 0.007 | -0.009 | -0.015 |
| 6.061 | 6.061 | 6.061 | 41.067 | -0.004 | -0.008 |
| 6.061 | 6.061 | 6.061 | 0.004 | 41.060 | -0.008 |
| 10.623 | 10.623 | 10.623 | 0.002 | -0.003 | 35.334 |
| 17.264 | -14.947 | -14.947 | -0.001 | 0.001 | 0.002 |
| -14.947 | 17.264 | -14.947 | -0.001 | 0.001 | 0.002 |
| -14.947 | -14.947 | 17.264 | -0.001 | 0.001 | 0.002 |
| -1.756 | -1.756 | -1.756 | 30.596 | 0.000 | 0.001 |
| -0.603 | -0.602 | -0.602 | -0.000 | 41.136 | 0.001 |
| -1.007 | -1.007 | -1.007 | -0.000 | 0.000 | 26.398 |
| 19.190 | -9.930 | -9.930 | -0.002 | 0.003 | 0.005 |
| -9.930 | 19.190 | -9.930 | -0.002 | 0.003 | 0.005 |
| -9.930 | -9.930 | 19.190 | -0.002 | 0.003 | 0.005 |
| 0.602 | 0.603 | 0.602 | 41.136 | -0.000 | -0.001 |
| 3.311 | 3.311 | 3.311 | 0.000 | 10.866 | -0.001 |
| 3.311 | 3.311 | 3.311 | 0.000 | -0.000 | 10.862 |
| -2.493 | -302.888 | -302.903 | -0.015 | -0.016 | 0.002 |
| -302.890 | -2.488 | -302.902 | -0.015 | -0.016 | 0.002 |
| -302.898 | -302.895 | -2.514 | -0.015 | -0.016 | 0.002 |
| 0.000 | 0.000 | 0.000 | 575.148 | -0.000 | 0.000 |
| -0.000 | 0.000 | -0.000 | -0.000 | 575.148 | 0.000 |
| -0.000 | -0.000 | -0.000 | -0.000 | -0.000 | 575.148 |
| 83.207 | -190.964 | -190.948 | 0.016 | 0.018 | -0.002 |
| -190.963 | 83.202 | -190.950 | 0.016 | 0.018 | -0.002 |
| -190.955 | -190.958 | 83.230 | 0.016 | 0.018 | -0.002 |
| 0.000 | 0.000 | -0.000 | 575.148 | 0.000 | -0.000 |
| -0.000 | -0.000 | -0.000 | 0.000 | 575.148 | -0.000 |
| -0.000 | -0.000 | -0.000 | 0.000 | -0.000 | 575.148 |
| 10.888 | 10.800 | 10.797 | -0.003 | -0.003 | 0.000 |
| 10.799 | 10.889 | 10.797 | -0.003 | -0.003 | 0.000 |
| 10.799 | 10.800 | 10.886 | -0.003 | -0.003 | 0.000 |
| 11.223 | 11.223 | 11.221 | -0.341 | -0.003 | 0.000 |
| 11.223 | 11.224 | 11.221 | -0.003 | -0.341 | 0.000 |
| 11.223 | 11.223 | 11.221 | -0.002 | -0.003 | -0.338 |
| 96.979 | 42.755 | 42.757 | 0.003 | 0.003 | -0.000 |
| 42.755 | 96.978 | 42.757 | 0.003 | 0.003 | -0.000 |
| 42.755 | 42.755 | 96.981 | 0.003 | 0.003 | -0.000 |
| -11.223 | -11.223 | -11.221 | -0.336 | 0.003 | -0.000 |
| -11.223 | -11.224 | -11.221 | 0.003 | -0.336 | -0.000 |
| -11.223 | -11.223 | -11.221 | 0.003 | 0.003 | -0.339 |
| 5.360 | -0.986 | -0.986 | -0.000 | -0.000 | 0.000 |
| -0.986 | 5.360 | -0.986 | -0.000 | -0.000 | 0.000 |
| -0.986 | -0.986 | 5.359 | -0.000 | -0.000 | 0.000 |
| 1.143 | 1.143 | 1.143 | -0.004 | -0.000 | 0.000 |
| 1.143 | 1.143 | 1.143 | -0.000 | -0.004 | 0.000 |
| 1.143 | 1.143 | 1.143 | -0.000 | -0.000 | -0.003 |
| 0.084 | -0.091 | -0.091 | 0.000 | 0.000 | -0.000 |
| -0.091 | 0.084 | -0.091 | 0.000 | 0.000 | -0.000 |
| -0.091 | -0.091 | 0.084 | 0.000 | 0.000 | -0.000 |
| -1.143 | -1.143 | -1.143 | -0.003 | 0.000 | -0.000 |
| -1.143 | -1.143 | -1.143 | 0.000 | -0.003 | -0.000 |
| -1.123 | -1.123 | -1.113 | 0.000 | 0.000 | -1.024 |
| 0.000 | 0.000 | 0.000 | 0.000 | 0.002 | 0.000 |
| 0.000 | 0.000 | 0.000 | 0.001 | 0.003 | 0.000 |
| 0.000 | 0.000 | 1433.312 | 0.000 | 0.002 | 0.000 |
| 0.000 | -0.000 | 0.000 | 0.001 | 0.003 | -0.000 |
| -0.000 | 0.000 | 0.000 | 0.001 | 0.000 | 0.000 |
| 0.000 | 0.000 | 0.000 | 0.000 | 0.002 | 0.000 |
| -0.000 | -0.000 | -0.000 | -0.000 | -0.003 | -0.000 |
| -0.000 | -0.000 | -0.000 | -0.001 | -0.003 | -0.000 |
| -0.000 | -0.000 | 1433.311 | -0.001 | -0.002 | -0.000 |
| -0.000 | -0.000 | -0.000 | -0.001 | -0.003 | -0.000 |
| -0.000 | -0.000 | -0.000 | -0.000 | -0.002 | -0.000 |
| -0.000 | -0.000 | -0.000 | -0.000 | -0.003 | -0.000 |
| 0.000 | 0.000 | 0.000 | 0.000 | 0.000 | 0.000 |
| 0.000 | 0.000 | 0.000 | 0.000 | 0.000 | 0.000 |
| 0.000 | 0.000 | 1433.312 | 0.000 | 0.000 | 0.000 |
| 0.000 | -0.000 | -0.000 | 0.000 | 0.000 | -0.000 |
| -0.000 | 0.000 | -0.000 | 0.000 | 0.000 | 0.000 |
| 0.000 | 0.000 | 0.000 | 0.000 | 0.000 | 0.000 |
| -0.000 | -0.000 | -0.000 | -0.000 | -0.000 | -0.000 |
| -0.000 | -0.000 | -0.000 | -0.000 | -0.000 | -0.000 |
| -0.000 | -0.000 | 1433.311 | -0.000 | -0.000 | -0.000 |
| -0.000 | 0.000 | 0.000 | -0.000 | -0.000 | -0.000 |
| 0.000 | -0.000 | 0.000 | -0.000 | -0.000 | -0.000 |
| -0.000 | -0.000 | -0.000 | -0.000 | -0.000 | -0.000 |
| 0.000 | 0.000 | 0.000 | 0.000 | 0.000 | 0.000 |
| 0.000 | 0.000 | 0.000 | 0.000 | 0.000 | 0.000 |
| 0.000 | 0.000 | 1433.317 | 0.000 | 0.000 | 0.000 |
| 0.000 | -0.000 | -0.001 | 0.000 | 0.000 | -0.000 |
| -0.000 | 0.000 | -0.001 | 0.000 | 0.000 | 0.000 |
| 0.000 | 0.000 | 0.000 | 0.000 | 0.000 | 0.000 |
| -0.000 | -0.000 | -0.000 | -0.000 | -0.000 | -0.000 |
| -0.000 | -0.000 | -0.000 | -0.000 | -0.000 | -0.000 |
| -0.000 | -0.000 | 1433.306 | -0.000 | -0.000 | -0.000 |
| -0.000 | 0.000 | 0.001 | -0.000 | -0.000 | -0.000 |
| 0.000 | -0.000 | 0.001 | -0.000 | -0.000 | -0.000 |
| -0.000 | -0.000 | -0.000 | -0.000 | -0.000 | -0.000 |
| 966.774 | 62.858 | 0.000 | 0.000 | 0.000 | 0.000 |
| 1.961 | 1027.670 | 0.000 | 0.000 | 0.000 | 0.000 |
| -0.000 | -0.000 | 0.000 | 0.000 | 0.000 | -0.000 |
| 0.000 | -0.000 | 0.000 | 0.000 | 0.000 | 0.000 |
| 0.000 | 0.000 | 0.000 | 0.000 | 0.000 | 0.000 |
| 0.001 | 0.000 | 0.000 | 0.000 | 0.000 | 451.958 |
| 966.773 | 62.858 | -0.000 | -0.000 | -0.000 | -0.000 |
| 1.961 | 1027.670 | -0.000 | -0.000 | -0.000 | -0.000 |
| -0.000 | -0.000 | -0.000 | -0.000 | -0.000 | -0.000 |
| 0.000 | -0.000 | -0.000 | -0.000 | -0.000 | -0.000 |
| -0.000 | 0.000 | -0.000 | -0.000 | -0.000 | -0.000 |
| -0.000 | -0.000 | -0.000 | -0.000 | -0.000 | 451.958 |
| 966.774 | 62.858 | 0.000 | 0.000 | 0.000 | 0.000 |
| 1.961 | 1027.670 | 0.000 | 0.000 | 0.000 | 0.000 |
| -0.000 | -0.000 | 0.000 | 0.000 | 0.000 | -0.000 |
| -0.000 | 0.000 | 0.000 | 0.000 | 0.000 | 0.000 |
| 0.000 | -0.000 | 0.000 | 0.000 | 0.000 | 0.000 |
| 0.000 | 0.000 | 0.000 | 0.000 | 0.000 | 451.958 |
| 966.773 | 62.858 | -0.000 | -0.000 | -0.000 | -0.000 |
| 62.858 | 966.773 | -0.000 | -0.000 | -0.000 | -0.000 |
| -0.000 | -0.000 | -0.000 | -0.000 | -0.000 | -0.000 |
| 0.000 | -0.000 | -0.000 | -0.000 | -0.000 | -0.000 |
| -0.000 | -0.000 | -0.000 | -0.000 | -0.000 | -0.000 |
| -0.000 | -0.000 | -0.000 | -0.000 | -0.000 | 451.958 |
| 1027.673 | 1.962 | 0.000 | 0.000 | 0.000 | 0.000 |
| 62.858 | 966.776 | 0.000 | 0.000 | 0.000 | 0.000 |
| -0.000 | -0.000 | 0.000 | 0.000 | 0.000 | -0.000 |
| -0.000 | 0.000 | 0.000 | 0.000 | 0.000 | 0.000 |
| 0.000 | 0.000 | 0.000 | 0.000 | 0.000 | 0.000 |
| -0.000 | 0.000 | 0.000 | 0.000 | 0.000 | 451.958 |
| 966.771 | 62.857 | -0.000 | -0.000 | -0.000 | -0.000 |
| 62.857 | 966.771 | -0.000 | -0.000 | -0.000 | -0.000 |
| -0.000 | -0.000 | -0.000 | -0.000 | -0.000 | -0.000 |
| 0.000 | -0.000 | -0.000 | -0.000 | -0.000 | -0.000 |
| -0.000 | -0.000 | -0.000 | -0.000 | -0.000 | -0.000 |
| 0.000 | -0.000 | -0.000 | -0.000 | -0.000 | 451.958 |
| 610.931 | 376.204 | 0.000 | 0.000 | 0.000 | 0.000 |
| 376.204 | 610.931 | 0.000 | 0.000 | 0.000 | 0.000 |
| 0.000 | 0.000 | 0.000 | 0.000 | 0.000 | 0.000 |
| 0.000 | 0.000 | 0.000 | 0.000 | 0.000 | 0.000 |
| -0.000 | 0.000 | 0.000 | 0.000 | 0.000 | -0.000 |
| 0.000 | -0.000 | 0.000 | 0.000 | 0.000 | 493.567 |
| 610.931 | 376.204 | -0.000 | -0.000 | -0.000 | -0.000 |
| 376.204 | 610.931 | -0.000 | -0.000 | -0.000 | -0.000 |
| -0.000 | -0.000 | -0.000 | -0.000 | -0.000 | -0.000 |
| -0.000 | -0.000 | -0.000 | -0.000 | -0.000 | 0.000 |
| -0.000 | -0.000 | -0.000 | -0.000 | -0.000 | -0.000 |
| -0.000 | -0.000 | -0.000 | -0.000 | -0.000 | 493.567 |
| 610.931 | 376.204 | 0.000 | 0.000 | 0.000 | 0.000 |
| 376.204 | 610.931 | 0.000 | 0.000 | 0.000 | 0.000 |
| 0.000 | 0.000 | 0.000 | 0.000 | 0.000 | 0.000 |
| 0.000 | 0.000 | 0.000 | 0.000 | 0.000 | -0.000 |
| 0.000 | 0.000 | 0.000 | 0.000 | 0.000 | 0.000 |
| 0.000 | 0.000 | 0.000 | 0.000 | 0.000 | 493.567 |
| 610.931 | 376.204 | -0.000 | -0.000 | -0.000 | -0.000 |
| 376.204 | 610.931 | -0.000 | -0.000 | -0.000 | -0.000 |
| -0.000 | -0.000 | -0.000 | -0.000 | -0.000 | -0.000 |
| -0.000 | -0.000 | -0.000 | -0.000 | -0.000 | -0.000 |
| 0.000 | -0.000 | -0.000 | -0.000 | -0.000 | 0.000 |
| -0.000 | -0.000 | -0.000 | -0.000 | -0.000 | 493.567 |
| 610.932 | 376.205 | 0.000 | 0.000 | 0.000 | 0.000 |
| 376.205 | 610.932 | 0.000 | 0.000 | 0.000 | 0.000 |
| 0.000 | 0.000 | 0.000 | 0.000 | 0.000 | 0.000 |
| 0.000 | 0.000 | 0.000 | 0.000 | 0.000 | -0.000 |
| 0.000 | 0.000 | 0.000 | 0.000 | 0.000 | 0.000 |
| 0.000 | 0.001 | 0.000 | 0.000 | 0.000 | 493.567 |
| 610.930 | 376.202 | -0.000 | -0.000 | -0.000 | -0.000 |
| 376.202 | 610.930 | -0.000 | -0.000 | -0.000 | 0.000 |
| -0.000 | -0.000 | -0.000 | -0.000 | -0.000 | -0.000 |
| -0.000 | -0.000 | -0.000 | -0.000 | -0.000 | -0.000 |
| -0.000 | -0.000 | -0.000 | -0.000 | -0.000 | -0.000 |
| -0.000 | -0.001 | -0.000 | -0.000 | -0.000 | 493.567 |
| 527.506 | 121.768 | 121.767 | 0.000 | 0.000 | 0.000 |
| 121.768 | 527.506 | 121.767 | 0.000 | 0.000 | 0.000 |
| 121.768 | 121.768 | 527.506 | 0.000 | 0.000 | 0.000 |
| -0.000 | -0.000 | -0.000 | 51.984 | 0.000 | 0.000 |
| -0.000 | -0.000 | -0.000 | -0.000 | 51.984 | -0.000 |
| 0.000 | -0.000 | -0.000 | 0.000 | 0.000 | 51.984 |
| 529.214 | 119.029 | 119.029 | 0.000 | -0.000 | -0.000 |
| 119.029 | 529.213 | 119.029 | -0.000 | -0.000 | -0.000 |
| 119.029 | 119.029 | 529.213 | -0.000 | -0.000 | -0.000 |
| 0.000 | 0.000 | 0.000 | 51.984 | -0.000 | -0.000 |
| -0.000 | 0.000 | 0.000 | 0.000 | 51.984 | -0.000 |
| 0.000 | 0.000 | 0.000 | -0.000 | 0.000 | 51.984 |
| 650.909 | 61.510 | 61.510 | 0.000 | -0.000 | 0.000 |
| 61.510 | 650.909 | 61.510 | 0.000 | -0.000 | 0.000 |
| 61.510 | 61.510 | 650.909 | -0.000 | 0.000 | 0.000 |
| -0.000 | -0.000 | -0.000 | 180.356 | -0.000 | 0.000 |
| -0.000 | 0.000 | -0.000 | 0.000 | 180.356 | 0.000 |
| -0.000 | -0.000 | -0.000 | 0.000 | 0.000 | 180.356 |
| 650.909 | 61.510 | 61.510 | -0.000 | -0.000 | -0.000 |
| 61.510 | 650.909 | 61.510 | -0.000 | -0.000 | -0.000 |
| 61.510 | 61.510 | 650.909 | 0.000 | -0.000 | -0.000 |
| 0.000 | 0.000 | 0.000 | 180.356 | 0.000 | -0.000 |
| 0.000 | -0.000 | 0.000 | -0.000 | 180.356 | -0.000 |
| 0.000 | 0.000 | 0.000 | 0.000 | -0.000 | 180.356 |
| 527.505 | 121.768 | 121.768 | 0.000 | 0.000 | -0.000 |
| 121.768 | 527.505 | 121.768 | -0.000 | 0.000 | 0.000 |
| 121.768 | 121.768 | 527.505 | -0.000 | 0.000 | -0.000 |
| 0.000 | -0.000 | -0.000 | 51.984 | 0.000 | 0.000 |
| -0.000 | 0.000 | -0.000 | -0.000 | 51.984 | 0.000 |
| -0.000 | -0.000 | 0.000 | 0.000 | -0.000 | 51.984 |
| 527.506 | 121.766 | 121.766 | 0.000 | 0.000 | 0.000 |
| 121.766 | 527.506 | 121.766 | -0.000 | -0.000 | -0.000 |
| 121.766 | 121.766 | 527.506 | -0.000 | -0.000 | 0.000 |
| -0.000 | 0.000 | 0.000 | 51.984 | -0.000 | 0.000 |
| 0.000 | -0.000 | 0.000 | -0.000 | 51.984 | 0.000 |
| 0.000 | 0.000 | -0.000 | -0.000 | -0.000 | 51.984 |
| 1048.708 | 68.185 | 0.000 | 0.000 | 0.000 | -0.000 |
| 2.127 | 1114.765 | 0.000 | 0.000 | 0.000 | -0.000 |
| -0.000 | -0.000 | 0.000 | 0.000 | 0.000 | 0.000 |
| 0.000 | 0.000 | 0.000 | 0.000 | 0.000 | -0.000 |
| 0.000 | -0.000 | 0.000 | 0.000 | 0.000 | -0.000 |
| 0.000 | 0.000 | 0.000 | 0.000 | 0.000 | 490.261 |
| 1048.804 | 68.191 | 0.000 | 0.000 | 0.000 | -0.000 |
| 2.128 | 1114.868 | 0.000 | 0.000 | 0.000 | -0.000 |
| 0.000 | -0.000 | 0.000 | 0.000 | 0.000 | -0.000 |
| -0.000 | 0.000 | 0.000 | 0.000 | 0.000 | 0.000 |
| -0.000 | 0.000 | 0.000 | 0.000 | 0.000 | -0.000 |
| -0.000 | 0.000 | 0.000 | 0.000 | 0.000 | 490.306 |
| 1048.707 | 68.185 | -0.000 | -0.000 | -0.000 | 0.000 |
| 2.127 | 1114.765 | -0.000 | -0.000 | -0.000 | 0.000 |
| -0.000 | -0.000 | -0.000 | -0.000 | -0.000 | 0.000 |
| 0.000 | -0.000 | -0.000 | -0.000 | -0.000 | -0.000 |
| -0.000 | 0.000 | -0.000 | -0.000 | -0.000 | 0.000 |
| -0.000 | -0.000 | -0.000 | -0.000 | -0.000 | 490.262 |
| 1048.804 | 68.191 | -0.000 | -0.000 | -0.000 | 0.000 |
| 2.127 | 1114.867 | -0.000 | -0.000 | -0.000 | -0.000 |
| 0.000 | -0.000 | -0.000 | -0.000 | -0.000 | -0.000 |
| 0.000 | -0.000 | -0.000 | -0.000 | -0.000 | 0.000 |
| 0.000 | -0.000 | -0.000 | -0.000 | -0.000 | 0.000 |
| -0.000 | -0.000 | -0.000 | -0.000 | -0.000 | 490.306 |
| 1048.708 | 68.185 | 0.000 | 0.000 | 0.000 | -0.000 |
| 2.127 | 1114.766 | 0.000 | 0.000 | 0.000 | -0.000 |
| -0.000 | -0.000 | 0.000 | 0.000 | 0.000 | 0.000 |
| -0.000 | 0.000 | 0.000 | 0.000 | 0.000 | -0.000 |
| 0.000 | -0.000 | 0.000 | 0.000 | 0.000 | -0.000 |
| 0.000 | 0.000 | 0.000 | 0.000 | 0.000 | 490.261 |
| 1048.804 | 68.191 | 0.000 | 0.000 | 0.000 | 0.000 |
| 2.128 | 1114.868 | 0.000 | 0.000 | 0.000 | 0.000 |
| 0.000 | -0.000 | 0.000 | 0.000 | 0.000 | -0.000 |
| -0.000 | 0.000 | 0.000 | 0.000 | 0.000 | -0.000 |
| 0.000 | 0.000 | 0.000 | 0.000 | 0.000 | -0.000 |
| -0.000 | 0.000 | 0.000 | 0.000 | 0.000 | 490.306 |
| 1048.707 | 68.185 | -0.000 | -0.000 | -0.000 | 0.000 |
| 68.185 | 1048.707 | -0.000 | -0.000 | -0.000 | 0.000 |
| -0.000 | -0.000 | -0.000 | -0.000 | -0.000 | 0.000 |
| 0.000 | -0.000 | -0.000 | -0.000 | -0.000 | -0.000 |
| -0.000 | -0.000 | -0.000 | -0.000 | -0.000 | 0.000 |
| -0.000 | -0.000 | -0.000 | -0.000 | -0.000 | 490.261 |
| 1048.804 | 68.191 | -0.000 | -0.000 | -0.000 | -0.000 |
| 68.191 | 1048.804 | -0.000 | -0.000 | -0.000 | 0.000 |
| 0.000 | -0.000 | -0.000 | -0.000 | -0.000 | -0.000 |
| 0.000 | -0.000 | -0.000 | -0.000 | -0.000 | 0.000 |
| -0.000 | -0.000 | -0.000 | -0.000 | -0.000 | -0.000 |
| 0.000 | -0.000 | -0.000 | -0.000 | -0.000 | 490.306 |
| 1114.769 | 2.128 | 0.000 | 0.000 | 0.000 | -0.000 |
| 68.185 | 1048.711 | 0.000 | 0.000 | 0.000 | -0.000 |
| -0.000 | -0.000 | 0.000 | 0.000 | 0.000 | 0.000 |
| 0.000 | 0.000 | 0.000 | 0.000 | 0.000 | -0.000 |
| 0.000 | 0.000 | 0.000 | 0.000 | 0.000 | -0.000 |
| -0.000 | 0.000 | 0.000 | 0.000 | 0.000 | 490.261 |
| 1114.871 | 2.128 | 0.000 | 0.000 | 0.000 | -0.000 |
| 68.192 | 1048.807 | 0.000 | 0.000 | 0.000 | 0.000 |
| 0.000 | -0.000 | 0.000 | 0.000 | 0.000 | -0.000 |
| -0.000 | 0.000 | 0.000 | 0.000 | 0.000 | 0.000 |
| -0.000 | 0.000 | 0.000 | 0.000 | 0.000 | 0.000 |
| -0.000 | 0.000 | 0.000 | 0.000 | 0.000 | 490.306 |
| 1048.705 | 68.184 | -0.000 | -0.000 | -0.000 | 0.000 |
| 68.184 | 1048.705 | -0.000 | -0.000 | -0.000 | 0.000 |
| -0.000 | -0.000 | -0.000 | -0.000 | -0.000 | 0.000 |
| -0.000 | -0.000 | -0.000 | -0.000 | -0.000 | 0.000 |
| -0.000 | 0.000 | -0.000 | -0.000 | -0.000 | 0.000 |
| 0.000 | -0.000 | -0.000 | -0.000 | -0.000 | 490.261 |
| 1048.801 | 68.190 | -0.000 | -0.000 | -0.000 | 0.000 |
| 68.191 | 1048.801 | -0.000 | -0.000 | -0.000 | -0.000 |
| 0.000 | -0.000 | -0.000 | -0.000 | -0.000 | -0.000 |
| 0.000 | -0.000 | -0.000 | -0.000 | -0.000 | -0.000 |
| -0.000 | -0.000 | -0.000 | -0.000 | -0.000 | -0.000 |
| 0.000 | -0.000 | -0.000 | -0.000 | -0.000 | 490.306 |
| 470.918 | 86.141 | 77.131 | -0.000 | -0.000 | -0.000 |
| 85.973 | 474.260 | 72.733 | -0.000 | 0.000 | -0.000 |
| -3647.073 | 2752.091 | -4231.152 | 0.000 | -0.000 | -0.000 |
| -2060.203 | 1252.386 | -2383.567 | 17.346 | 0.000 | -0.000 |
| -974.692 | 777.564 | -1088.591 | 0.000 | 76.812 | -0.000 |
| -974.734 | 777.588 | -1088.643 | 0.000 | 0.000 | 103.654 |
| 1235.550 | -667.984 | 1179.198 | 0.000 | -0.000 | 0.000 |
| 720.474 | -336.072 | 645.566 | -0.000 | 0.000 | 0.000 |
| 78.494 | 74.265 | 406.747 | 0.000 | 0.000 | 0.000 |
| 2060.203 | -1252.386 | 2383.566 | 17.346 | 0.000 | -0.000 |
| 974.692 | -777.564 | 1088.591 | -0.000 | 76.812 | 0.000 |
| 974.734 | -777.588 | 1088.643 | 0.000 | -0.000 | 103.654 |
| 142.652 | 186.452 | -20.397 | -0.000 | -0.000 | -0.000 |
| 58.107 | 438.405 | 42.093 | -0.000 | 0.000 | -0.000 |
| -6.955 | 170.173 | 77.475 | 0.000 | -0.000 | 0.000 |
| -60.625 | 71.041 | -55.222 | 121.465 | -0.000 | -0.000 |
| -60.590 | 71.000 | -55.190 | -0.000 | 129.811 | -0.000 |
| -355.787 | 265.064 | -403.966 | -0.000 | 0.000 | 3.149 |
| 369.824 | 31.603 | 202.018 | 0.000 | -0.000 | 0.000 |
| 85.973 | 474.260 | 72.733 | 0.000 | -0.000 | 0.000 |
| 193.417 | 14.615 | 332.231 | -0.000 | 0.000 | -0.000 |
| 60.625 | -71.041 | 55.222 | 121.465 | -0.000 | 0.000 |
| 60.590 | -71.000 | 55.190 | 0.000 | 129.811 | 0.000 |
| 355.787 | -265.064 | 403.966 | 0.000 | 0.000 | 3.149 |
| 144.992 | 62.465 | 24.239 | 0.000 | 0.000 | -0.000 |
| 121.144 | 345.895 | 98.081 | -0.000 | -0.000 | -0.000 |
| -43.688 | 1.182 | -27.865 | 0.000 | -0.000 | -0.000 |
| -15.709 | 11.150 | -17.444 | 52.482 | -0.000 | -0.000 |
| -9.743 | 6.715 | -11.464 | 0.000 | 73.398 | -0.000 |
| -10.668 | 7.456 | -12.494 | -0.000 | -0.000 | 91.835 |
| 343.085 | 117.484 | 121.807 | 0.000 | 0.000 | 0.000 |
| 107.670 | 195.892 | 94.506 | 0.000 | -0.000 | -0.000 |
| 55.934 | -1.638 | 94.779 | -0.000 | -0.000 | 0.000 |
| 15.709 | -11.150 | 17.444 | 52.482 | -0.000 | 0.000 |
| 9.743 | -6.715 | 11.464 | -0.000 | 73.398 | 0.000 |
| 10.668 | -7.456 | 12.494 | -0.000 | -0.000 | 91.835 |
| 471.408 | 83.384 | 77.682 | 0.000 | 0.000 | -0.000 |
| -53.672 | 42.128 | 137.333 | 0.000 | -0.000 | -0.000 |
| 77.682 | 72.707 | 402.376 | 0.000 | -0.000 | -0.000 |
| -9.177 | -29.667 | -8.810 | 99.976 | -0.000 | -0.000 |
| -48.027 | -120.196 | 50.973 | 0.000 | 75.656 | -0.000 |
| -48.811 | -122.129 | 51.891 | 0.000 | -0.000 | 105.301 |
| 471.407 | 83.385 | 77.682 | -0.000 | 0.000 | 0.000 |
| 125.337 | 389.143 | 105.652 | -0.000 | 0.000 | 0.000 |
| 138.558 | 147.782 | 249.207 | -0.000 | 0.000 | -0.000 |
| 9.177 | 29.667 | 8.810 | 99.976 | 0.000 | 0.000 |
| 48.027 | 120.196 | -50.973 | -0.000 | 75.656 | 0.000 |
| 48.811 | 122.129 | -51.891 | -0.000 | 0.000 | 105.301 |
| 471.408 | 83.384 | 77.682 | 0.000 | 0.000 | -0.000 |
| 77.803 | 200.994 | 87.701 | 0.000 | -0.000 | -0.000 |
| 51.517 | 16.791 | 69.018 | 0.000 | -0.000 | -0.000 |
| -0.859 | -2.778 | -0.825 | 105.825 | -0.000 | 0.000 |
| -0.863 | -2.790 | -0.829 | 0.000 | 115.046 | -0.000 |
| -0.000 | 0.000 | 0.000 | 0.000 | -0.000 | 226.813 |
| 237.561 | 109.636 | 84.218 | -0.000 | 0.000 | 0.000 |
| 122.716 | 354.847 | 102.286 | -0.000 | -0.000 | 0.000 |
| 102.569 | 102.574 | 152.790 | -0.000 | 0.000 | 0.000 |
| 0.859 | 2.778 | 0.825 | 105.825 | 0.000 | 0.000 |
| 0.863 | 2.790 | 0.829 | -0.000 | 115.046 | 0.000 |
| -0.000 | -0.000 | -0.000 | -0.000 | 0.000 | 226.813 |
| 175.947 | 40.796 | 54.660 | -0.000 | -0.000 | -0.000 |
| 50.483 | 186.486 | 66.458 | -0.000 | -0.000 | 0.000 |
| 115.327 | 101.922 | 277.739 | 0.000 | 0.000 | 0.000 |
| -0.642 | -1.569 | 0.788 | 60.154 | -0.000 | -0.000 |
| -0.000 | 0.000 | 0.000 | 0.000 | 196.602 | 0.000 |
| -1.487 | -2.729 | -0.641 | 0.000 | -0.000 | 63.983 |
| 178.259 | 45.468 | 53.250 | -0.000 | 0.000 | 0.000 |
| 86.511 | 219.256 | 76.776 | -0.000 | 0.000 | 0.000 |
| -8.618 | -23.249 | 22.826 | -0.000 | 0.000 | 0.000 |
| 0.642 | 1.569 | -0.788 | 60.154 | 0.000 | -0.000 |
| 0.000 | -0.000 | -0.000 | -0.000 | 196.602 | 0.000 |
| 1.487 | 2.729 | 0.641 | -0.000 | 0.000 | 63.983 |
| 766.150 | 230.507 | 111.586 | 0.000 | -0.000 | -0.001 |
| 141.926 | 952.087 | 14.675 | 0.000 | 0.000 | -0.000 |
| 15.316 | 15.316 | 1076.951 | 0.000 | 0.000 | -0.001 |
| -0.000 | -0.000 | -0.000 | 232.446 | 0.000 | -0.000 |
| -0.000 | 0.000 | -0.000 | -0.000 | 279.722 | -0.001 |
| -0.000 | -0.000 | 0.000 | 0.000 | 0.000 | 266.683 |
| 952.087 | 141.927 | 14.676 | 0.000 | -0.000 | 0.000 |
| 141.927 | 952.087 | 14.676 | 0.000 | -0.000 | 0.001 |
| 110.031 | 110.031 | 888.390 | -0.000 | 0.000 | 0.000 |
| 0.000 | 0.000 | -0.000 | 232.446 | -0.000 | 0.000 |
| -0.000 | -0.000 | 0.000 | 0.000 | 279.721 | 0.000 |
| 0.000 | -0.000 | -0.000 | -0.000 | -0.000 | 266.684 |
| 766.160 | 230.502 | 111.581 | 0.000 | 0.000 | -0.000 |
| 230.507 | 766.149 | 111.587 | 0.000 | 0.000 | 0.000 |
| 110.031 | 110.031 | 888.389 | 0.000 | 0.000 | -0.000 |
| 0.000 | -0.000 | 0.000 | 232.446 | -0.000 | -0.000 |
| 0.000 | 0.000 | -0.000 | -0.000 | 279.722 | -0.000 |
| 0.000 | 0.000 | -0.000 | -0.000 | -0.000 | 405.080 |
| 952.087 | 141.926 | 14.675 | -0.000 | -0.000 | 0.000 |
| 232.748 | 766.116 | 109.389 | -0.000 | -0.000 | 0.000 |
| 110.030 | 110.030 | 888.389 | -0.000 | -0.000 | 0.000 |
| -0.000 | 0.000 | -0.000 | 232.446 | -0.000 | 0.000 |
| -0.000 | -0.000 | 0.000 | 0.000 | 279.722 | 0.000 |
| -0.000 | -0.000 | 0.000 | 0.000 | 0.000 | 405.080 |
| 766.112 | 232.751 | 109.392 | 0.000 | 0.000 | -0.000 |
| 230.467 | 766.235 | 111.543 | 0.000 | -0.000 | -0.000 |
| 110.034 | 110.034 | 888.385 | 0.000 | 0.000 | 0.000 |
| 0.000 | -0.000 | -0.000 | 232.446 | 0.000 | -0.000 |
| -0.000 | 0.000 | -0.000 | 0.000 | 232.446 | -0.000 |
| -0.001 | -0.000 | 0.000 | 0.000 | 0.000 | 266.683 |
| 766.118 | 232.746 | 109.387 | -0.000 | -0.000 | 0.000 |
| 230.500 | 766.162 | 111.579 | -0.000 | -0.000 | -0.000 |
| 110.048 | 110.048 | 888.351 | 0.000 | -0.000 | 0.000 |
| -0.000 | 0.000 | 0.000 | 232.446 | -0.000 | 0.000 |
| 0.000 | -0.000 | 0.000 | -0.000 | 232.446 | 0.000 |
| 0.001 | 0.000 | -0.000 | -0.000 | -0.000 | 266.683 |
| 951.926 | 141.315 | 15.032 | 0.000 | 0.000 | 0.000 |
| 229.571 | 766.502 | 112.199 | -0.000 | 0.000 | 0.001 |
| 109.790 | 109.790 | 888.693 | -0.000 | 0.000 | 0.000 |
| -0.000 | -0.000 | 0.000 | 279.023 | -0.000 | 0.001 |
| 0.001 | 0.001 | -0.002 | -0.000 | 231.645 | 0.000 |
| 0.001 | 0.001 | -0.002 | -0.000 | -0.000 | 267.218 |
| 951.926 | 141.315 | 15.032 | 0.000 | -0.000 | -0.000 |
| 141.315 | 951.926 | 15.032 | -0.000 | 0.000 | -0.000 |
| 15.032 | 15.032 | 1078.208 | 0.000 | -0.000 | -0.000 |
| 0.000 | 0.000 | 0.000 | 279.024 | 0.000 | -0.001 |
| -0.001 | -0.001 | 0.002 | 0.000 | 231.645 | -0.000 |
| -0.001 | -0.001 | 0.002 | 0.000 | 0.000 | 267.217 |
| 766.501 | 229.570 | 112.202 | -0.000 | -0.000 | 0.000 |
| 232.008 | 766.495 | 109.770 | -0.000 | 0.000 | 0.000 |
| 109.789 | 109.789 | 888.695 | -0.000 | -0.000 | 0.000 |
| 0.000 | 0.000 | -0.000 | 231.645 | -0.000 | 0.000 |
| 0.000 | 0.000 | 0.000 | -0.000 | 279.023 | 0.000 |
| 0.000 | 0.000 | -0.000 | -0.000 | 0.000 | 267.217 |
| 951.926 | 141.314 | 15.032 | 0.000 | -0.000 | -0.000 |
| 229.569 | 766.502 | 112.201 | -0.000 | -0.000 | -0.000 |
| 109.796 | 109.796 | 888.680 | 0.000 | 0.000 | -0.000 |
| -0.000 | -0.000 | 0.000 | 231.645 | 0.000 | -0.000 |
| -0.000 | -0.000 | -0.000 | 0.000 | 279.023 | -0.000 |
| -0.000 | -0.000 | 0.000 | 0.000 | -0.000 | 267.217 |
| 766.598 | 229.525 | 112.152 | -0.000 | 0.000 | 0.000 |
| 229.576 | 766.490 | 112.209 | -0.000 | -0.000 | 0.000 |
| 109.792 | 109.792 | 888.691 | -0.000 | 0.000 | 0.000 |
| 0.000 | -0.000 | -0.000 | 231.645 | -0.000 | 0.000 |
| -0.000 | 0.000 | -0.000 | -0.000 | 231.645 | 0.000 |
| 0.000 | 0.000 | 0.000 | -0.000 | 0.000 | 405.306 |
| 766.504 | 229.567 | 112.199 | 0.000 | -0.000 | -0.000 |
| 232.193 | 766.103 | 109.974 | 0.000 | -0.000 | -0.000 |
| 109.785 | 109.785 | 888.699 | 0.000 | -0.000 | -0.000 |
| -0.000 | 0.000 | 0.000 | 231.645 | 0.000 | -0.000 |
| 0.000 | -0.000 | 0.000 | 0.000 | 231.645 | -0.000 |
| -0.000 | -0.000 | -0.000 | 0.000 | -0.000 | 405.306 |
| 783.195 | 206.282 | 117.873 | -0.000 | 0.000 | -0.000 |
| 206.282 | 783.195 | 117.873 | -0.000 | -0.000 | -0.000 |
| 15.036 | 15.035 | 1076.996 | -0.000 | 0.000 | -0.000 |
| -3.236 | -3.236 | 6.458 | 231.978 | 0.000 | -0.000 |
| -0.000 | 0.000 | -0.000 | -0.000 | 279.254 | -0.000 |
| -3.338 | -3.338 | 6.663 | 0.000 | -0.000 | 287.335 |
| 765.646 | 250.108 | 91.652 | 0.000 | -0.000 | 0.001 |
| 141.375 | 951.440 | 14.750 | 0.000 | -0.000 | 0.000 |
| 15.035 | 15.036 | 1076.997 | 0.000 | -0.000 | 0.000 |
| 3.236 | 3.236 | -6.458 | 231.979 | -0.000 | 0.000 |
| 0.000 | -0.000 | 0.001 | 0.000 | 279.253 | -0.000 |
| 3.338 | 3.339 | -6.663 | 0.000 | 0.000 | 287.336 |
| 951.441 | 141.375 | 14.748 | -0.000 | 0.000 | -0.000 |
| 141.375 | 951.441 | 14.748 | -0.000 | 0.000 | -0.000 |
| 109.319 | 109.319 | 888.816 | -0.000 | 0.000 | -0.000 |
| -0.324 | -0.324 | 0.646 | 231.985 | 0.000 | -0.000 |
| 0.000 | 0.000 | -0.000 | -0.000 | 279.254 | 0.000 |
| -0.334 | -0.334 | 0.666 | -0.000 | 0.000 | 287.334 |
| 762.254 | 247.966 | 97.173 | 0.000 | -0.000 | 0.000 |
| 247.976 | 762.231 | 97.187 | 0.000 | -0.000 | 0.000 |
| 15.035 | 15.035 | 1076.995 | 0.000 | -0.000 | 0.000 |
| 0.324 | 0.324 | -0.646 | 231.985 | -0.000 | 0.000 |
| -0.000 | -0.000 | 0.000 | 0.000 | 279.254 | -0.000 |
| 0.334 | 0.334 | -0.666 | 0.000 | -0.000 | 287.334 |
| 786.387 | 209.591 | 111.389 | -0.000 | 0.000 | -0.000 |
| 209.614 | 786.332 | 111.421 | 0.000 | 0.000 | -0.000 |
| 109.616 | 109.616 | 888.227 | 0.000 | 0.000 | 0.000 |
| 0.000 | 0.000 | -0.000 | 279.254 | -0.000 | -0.000 |
| -0.033 | -0.032 | 0.064 | -0.000 | 231.985 | 0.000 |
| -0.034 | -0.033 | 0.067 | -0.000 | 0.000 | 287.334 |
| 786.402 | 209.675 | 111.284 | 0.000 | -0.000 | -0.000 |
| 209.673 | 786.407 | 111.281 | 0.000 | -0.000 | 0.000 |
| 109.674 | 109.674 | 888.104 | 0.000 | -0.000 | 0.000 |
| -0.000 | -0.000 | 0.000 | 279.254 | 0.000 | 0.000 |
| 0.033 | 0.032 | -0.064 | 0.000 | 231.985 | 0.000 |
| 0.034 | 0.033 | -0.067 | 0.000 | -0.000 | 287.334 |
| 773.045 | 186.392 | 148.134 | 0.000 | -0.000 | -0.001 |
| 186.392 | 773.046 | 148.134 | -0.000 | -0.000 | -0.000 |
| 109.925 | 109.925 | 887.908 | -0.000 | -0.000 | -0.000 |
| -20.120 | -20.119 | 40.148 | 232.415 | 0.000 | -0.000 |
| 0.000 | 0.000 | -0.000 | 0.000 | 279.316 | -0.000 |
| -19.797 | -19.797 | 39.506 | 0.000 | -0.000 | 294.268 |
| 778.741 | 244.736 | 84.239 | 0.000 | 0.000 | 0.000 |
| 244.736 | 778.741 | 84.239 | -0.000 | 0.000 | 0.000 |
| 145.610 | 145.609 | 816.704 | -0.000 | 0.000 | 0.000 |
| 20.120 | 20.119 | -40.148 | 232.415 | 0.000 | 0.000 |
| 0.000 | -0.000 | 0.000 | -0.000 | 279.316 | 0.000 |
| 19.798 | 19.798 | -39.506 | -0.000 | -0.000 | 294.269 |
| 791.709 | 200.869 | 115.069 | 0.000 | -0.000 | 0.000 |
| 216.558 | 782.650 | 108.454 | 0.000 | -0.000 | -0.000 |
| 107.940 | 107.940 | 891.869 | -0.000 | -0.000 | -0.000 |
| -0.000 | 0.000 | 0.000 | 279.316 | -0.000 | -0.000 |
| -2.028 | -2.028 | 4.047 | -0.000 | 232.037 | -0.000 |
| -2.072 | -2.072 | 4.135 | -0.000 | 0.000 | 294.562 |
| 795.679 | 205.038 | 106.948 | -0.000 | 0.000 | 0.000 |
| 220.269 | 786.874 | 100.537 | 0.000 | 0.000 | 0.000 |
| 111.976 | 111.976 | 883.816 | -0.000 | 0.000 | 0.000 |
| 0.000 | -0.000 | -0.000 | 279.316 | 0.000 | 0.000 |
| 2.028 | 2.028 | -4.047 | 0.000 | 232.037 | 0.000 |
| 2.072 | 2.072 | -4.135 | 0.000 | 0.000 | 294.562 |
| 793.924 | 202.579 | 111.155 | -0.000 | -0.000 | -0.000 |
| 202.581 | 793.920 | 111.158 | -0.000 | 0.000 | -0.000 |
| 109.542 | 109.542 | 888.674 | 0.000 | -0.000 | -0.000 |
| 0.000 | 0.000 | -0.000 | 279.316 | -0.000 | -0.000 |
| 0.000 | 0.000 | -0.000 | -0.000 | 279.316 | -0.000 |
| -0.207 | -0.206 | 0.412 | -0.000 | -0.000 | 294.990 |
| 759.678 | 238.396 | 109.582 | -0.000 | 0.000 | 0.000 |
| 238.358 | 759.746 | 109.552 | -0.000 | -0.000 | -0.000 |
| 110.018 | 110.018 | 887.719 | 0.000 | -0.000 | 0.000 |
| -0.000 | -0.000 | 0.000 | 279.316 | -0.000 | 0.000 |
| -0.000 | -0.000 | 0.000 | 0.000 | 279.316 | 0.000 |
| 0.207 | 0.206 | -0.412 | 0.000 | -0.000 | 294.990 |
| 951.925 | 141.315 | 15.030 | 0.000 | -0.000 | 0.001 |
| 141.314 | 951.927 | 15.030 | 0.000 | -0.000 | 0.000 |
| 109.775 | 109.775 | 888.719 | 0.000 | -0.000 | -0.001 |
| -0.000 | -0.000 | 0.001 | 279.023 | -0.000 | -0.000 |
| -0.013 | -0.013 | 0.024 | 0.000 | 231.645 | -0.000 |
| -0.013 | -0.013 | 0.026 | 0.000 | -0.000 | 260.305 |
| 794.535 | 202.524 | 111.216 | -0.000 | 0.000 | 0.002 |
| 202.524 | 794.535 | 111.216 | -0.000 | 0.000 | 0.001 |
| 109.802 | 109.802 | 888.670 | -0.000 | -0.000 | 0.001 |
| 0.000 | 0.000 | -0.001 | 279.023 | 0.000 | 0.000 |
| 0.013 | 0.013 | -0.024 | -0.000 | 231.645 | 0.002 |
| 0.013 | 0.013 | -0.026 | -0.000 | -0.000 | 260.305 |
| 794.520 | 202.510 | 111.242 | 0.000 | -0.000 | -0.000 |
| 202.510 | 794.520 | 111.243 | 0.000 | -0.000 | -0.000 |
| 109.788 | 109.788 | 888.697 | 0.000 | 0.000 | -0.000 |
| 0.000 | -0.000 | 0.000 | 279.023 | -0.000 | -0.000 |
| -0.001 | -0.001 | 0.003 | 0.000 | 231.645 | -0.000 |
| -0.001 | -0.001 | 0.003 | 0.000 | -0.000 | 295.264 |
| 951.926 | 141.314 | 15.032 | -0.000 | 0.000 | -0.000 |
| 202.512 | 794.524 | 111.237 | -0.000 | -0.000 | -0.000 |
| 15.032 | 15.032 | 1078.208 | -0.000 | -0.000 | -0.000 |
| -0.000 | 0.000 | -0.000 | 279.023 | 0.000 | 0.000 |
| 0.001 | 0.001 | -0.003 | -0.000 | 231.645 | 0.000 |
| 0.001 | 0.001 | -0.003 | -0.000 | 0.000 | 295.264 |
| 951.929 | 141.315 | 15.032 | 0.000 | -0.000 | -0.000 |
| 202.449 | 794.684 | 111.142 | 0.000 | -0.000 | 0.000 |
| 109.792 | 109.792 | 888.692 | 0.000 | -0.000 | -0.000 |
| 0.000 | 0.000 | -0.000 | 279.023 | -0.000 | -0.000 |
| 0.000 | 0.000 | -0.000 | 0.000 | 279.023 | -0.000 |
| 0.006 | -0.005 | -0.002 | 0.000 | -0.000 | 266.480 |
| 794.521 | 202.510 | 111.239 | 0.000 | -0.000 | -0.000 |
| 245.970 | 767.620 | 94.680 | -0.000 | -0.000 | -0.000 |
| 109.786 | 109.786 | 888.699 | -0.000 | -0.000 | 0.000 |
| -0.000 | -0.000 | 0.000 | 279.023 | 0.000 | 0.000 |
| -0.000 | -0.000 | 0.000 | -0.000 | 279.023 | 0.000 |
| -0.006 | 0.005 | 0.002 | -0.000 | -0.000 | 266.480 |
| 951.721 | 141.521 | 14.780 | 0.000 | 0.000 | -0.001 |
| 141.525 | 951.718 | 14.779 | 0.000 | -0.000 | -0.001 |
| 15.119 | 15.115 | 1077.218 | 0.000 | 0.000 | -0.001 |
| -39.016 | -39.016 | 77.836 | 241.539 | -0.000 | -0.001 |
| -83.413 | -83.412 | 166.421 | 0.000 | 197.684 | -0.001 |
| -0.004 | -0.000 | -0.001 | 0.000 | 0.000 | 405.099 |
| 863.084 | 231.693 | 13.247 | -0.000 | 0.000 | 0.001 |
| 322.545 | 773.998 | 11.488 | -0.000 | -0.000 | 0.001 |
| 205.917 | 205.917 | 696.527 | -0.000 | 0.000 | 0.000 |
| 39.016 | 39.016 | -77.837 | 241.539 | -0.000 | 0.001 |
| 83.412 | 83.412 | -166.420 | -0.000 | 197.685 | 0.001 |
| 0.003 | 0.000 | 0.001 | -0.000 | -0.000 | 405.099 |
| 784.494 | 200.460 | 122.809 | -0.000 | -0.000 | -0.000 |
| 195.105 | 791.230 | 121.431 | 0.000 | -0.000 | -0.000 |
| 106.024 | 106.024 | 895.831 | 0.000 | 0.000 | -0.000 |
| 0.000 | -0.000 | 0.000 | 279.344 | -0.000 | -0.000 |
| -0.000 | -0.000 | 0.000 | 0.000 | 279.344 | -0.000 |
| -0.000 | -0.000 | 0.000 | 0.000 | -0.000 | 405.099 |
| 800.685 | 205.190 | 101.938 | -0.000 | 0.000 | 0.000 |
| 242.634 | 768.992 | 96.201 | 0.000 | 0.000 | 0.000 |
| 15.115 | 15.115 | 1077.214 | -0.000 | -0.000 | 0.000 |
| -0.000 | 0.000 | -0.000 | 279.344 | 0.000 | 0.000 |
| 0.000 | 0.000 | -0.000 | -0.000 | 279.344 | 0.000 |
| 0.000 | 0.000 | -0.000 | -0.000 | 0.000 | 405.099 |
| 797.500 | 198.885 | 111.408 | 0.000 | 0.000 | -0.000 |
| 198.882 | 797.509 | 111.403 | 0.000 | 0.000 | 0.000 |
| 15.115 | 15.115 | 1077.219 | 0.000 | 0.000 | -0.000 |
| -0.483 | -0.484 | 0.964 | 232.032 | 0.000 | -0.000 |
| 0.000 | 0.000 | -0.000 | 0.000 | 279.344 | -0.000 |
| -0.502 | -0.499 | 0.999 | 0.000 | -0.000 | 272.284 |
| 951.716 | 141.521 | 14.781 | -0.000 | -0.000 | 0.000 |
| 199.867 | 798.462 | 109.464 | -0.000 | -0.000 | 0.000 |
| 110.262 | 110.262 | 887.372 | -0.000 | 0.000 | 0.000 |
| 0.483 | 0.484 | -0.964 | 232.032 | 0.000 | -0.000 |
| -0.000 | -0.000 | 0.000 | -0.000 | 279.344 | 0.000 |
| 0.502 | 0.499 | -0.999 | -0.000 | 0.000 | 272.284 |
| 951.925 | 141.312 | 15.032 | 0.000 | -0.000 | -0.001 |
| 141.315 | 951.924 | 15.031 | 0.000 | -0.000 | 0.001 |
| 109.783 | 109.782 | 888.709 | 0.000 | 0.001 | -0.000 |
| -0.006 | -0.007 | 0.015 | 231.645 | 0.000 | -0.000 |
| -0.000 | -0.001 | 0.000 | -0.000 | 279.023 | -0.000 |
| -0.005 | -0.006 | 0.010 | 0.000 | 0.000 | 278.440 |
| 798.351 | 199.038 | 110.886 | -0.000 | -0.000 | -0.000 |
| 141.314 | 951.928 | 15.032 | -0.000 | -0.000 | 0.001 |
| 109.795 | 109.795 | 888.680 | -0.000 | -0.000 | -0.000 |
| 0.006 | 0.007 | -0.016 | 231.645 | -0.000 | 0.000 |
| 0.000 | 0.001 | -0.000 | -0.000 | 279.023 | -0.000 |
| 0.005 | 0.006 | -0.010 | 0.000 | -0.000 | 278.440 |
| 951.926 | 141.315 | 15.032 | -0.000 | 0.000 | 0.000 |
| 141.315 | 951.926 | 15.032 | 0.000 | 0.000 | -0.000 |
| 109.788 | 109.788 | 888.696 | -0.000 | 0.000 | -0.000 |
| 0.000 | -0.000 | 0.000 | 279.023 | 0.000 | -0.000 |
| -0.001 | -0.001 | 0.002 | -0.000 | 231.645 | 0.000 |
| 0.000 | -0.000 | 0.000 | 0.000 | 0.000 | 405.306 |
| 798.346 | 199.032 | 110.895 | 0.000 | -0.000 | -0.000 |
| 230.928 | 778.701 | 98.643 | 0.000 | -0.000 | 0.000 |
| 15.032 | 15.032 | 1078.208 | -0.000 | -0.000 | -0.000 |
| -0.000 | 0.000 | -0.000 | 279.023 | -0.000 | 0.000 |
| 0.001 | 0.001 | -0.002 | 0.000 | 231.645 | 0.000 |
| 0.000 | 0.000 | -0.000 | -0.000 | -0.000 | 405.306 |
| 770.152 | 226.614 | 111.509 | -0.000 | 0.000 | -0.000 |
| 199.034 | 798.342 | 110.900 | -0.000 | 0.000 | -0.000 |
| 109.789 | 109.789 | 888.697 | -0.000 | 0.000 | -0.000 |
| 0.000 | 0.000 | -0.000 | 279.023 | 0.000 | -0.000 |
| 0.000 | 0.000 | -0.000 | -0.000 | 279.023 | 0.000 |
| -0.001 | -0.000 | 0.001 | -0.000 | 0.000 | 299.094 |
| 770.166 | 226.604 | 111.499 | -0.000 | -0.000 | 0.000 |
| 199.030 | 798.344 | 110.896 | 0.000 | -0.000 | 0.000 |
| 109.785 | 109.785 | 888.699 | 0.000 | -0.000 | -0.000 |
| -0.000 | -0.000 | 0.000 | 279.023 | -0.000 | 0.000 |
| -0.000 | -0.000 | 0.000 | 0.000 | 279.023 | -0.000 |
| 0.001 | 0.000 | -0.001 | 0.000 | -0.000 | 299.094 |
| 951.540 | 141.362 | 14.808 | 35.711 | 0.000 | -0.001 |
| 141.363 | 951.542 | 14.809 | -35.711 | 0.000 | 0.000 |
| 119.400 | 119.400 | 868.859 | 0.000 | 0.000 | 0.000 |
| 48.614 | 13.795 | -62.305 | 214.556 | 0.000 | -0.000 |
| 0.000 | -0.000 | 0.001 | 0.000 | 279.206 | 35.711 |
| 0.000 | 0.000 | 0.002 | 0.000 | 35.712 | 405.090 |
| 730.999 | 190.332 | 186.100 | 19.340 | -0.000 | 0.001 |
| 141.362 | 951.541 | 14.805 | -35.711 | -0.000 | 0.000 |
| 108.100 | 108.099 | 891.419 | -0.000 | -0.000 | -0.001 |
| 35.711 | -35.711 | -0.002 | 279.206 | -0.000 | 0.001 |
| -0.000 | -0.000 | -0.002 | -0.000 | 279.206 | 35.711 |
| 0.000 | -0.000 | -0.002 | -0.000 | 35.711 | 405.090 |
| 781.493 | 228.234 | 97.849 | 23.549 | 0.000 | -0.000 |
| 228.234 | 781.492 | 97.849 | -23.549 | 0.000 | 0.000 |
| 112.345 | 112.345 | 882.945 | 0.000 | 0.000 | 0.000 |
| 35.711 | -35.711 | 0.000 | 279.206 | 0.000 | 0.000 |
| -0.000 | 0.000 | 0.000 | 0.000 | 279.206 | 35.711 |
| 0.000 | 0.000 | 0.000 | 0.000 | 35.711 | 405.089 |
| 763.075 | 233.482 | 110.996 | 22.836 | -0.000 | -0.000 |
| 203.340 | 788.066 | 116.138 | -22.016 | -0.000 | -0.000 |
| 107.169 | 107.169 | 893.279 | -0.000 | -0.000 | -0.000 |
| 35.711 | -35.711 | -0.000 | 279.206 | -0.000 | -0.000 |
| -0.000 | -0.000 | -0.000 | -0.000 | 279.206 | 35.711 |
| 0.000 | -0.000 | -0.000 | -0.000 | 35.711 | 405.089 |
| 791.323 | 205.634 | 110.599 | 22.075 | -0.000 | 0.000 |
| 234.113 | 763.576 | 109.869 | -22.167 | 0.000 | -0.000 |
| 109.911 | 109.911 | 887.807 | 0.000 | 0.000 | -0.000 |
| 22.550 | -22.093 | -0.456 | 231.907 | 0.000 | -0.000 |
| 0.000 | 0.000 | -0.000 | 0.000 | 279.206 | 35.711 |
| 0.000 | 0.000 | 0.000 | 0.000 | 35.711 | 405.089 |
| 790.837 | 205.175 | 111.538 | 22.073 | -0.000 | -0.000 |
| 242.961 | 766.432 | 98.179 | -24.301 | -0.000 | 0.000 |
| 109.447 | 109.447 | 888.728 | -0.000 | -0.000 | -0.000 |
| 22.093 | -22.549 | 0.456 | 231.907 | -0.000 | 0.000 |
| -0.000 | -0.000 | 0.000 | -0.000 | 279.206 | 35.711 |
| -0.000 | -0.000 | -0.000 | -0.000 | 35.711 | 405.089 |
| 328.725 | 95.957 | 95.958 | 0.000 | 0.000 | 0.000 |
| 95.960 | 328.724 | 95.958 | -0.000 | -0.000 | -0.000 |
| 95.959 | 95.958 | 328.724 | -0.000 | 0.000 | -0.000 |
| 10.971 | 10.970 | 10.971 | 85.407 | -0.000 | -0.000 |
| 10.972 | 10.970 | 10.970 | -0.000 | 85.407 | -0.000 |
| 10.972 | 10.971 | 10.971 | -0.000 | -0.000 | 85.407 |
| 220.783 | 68.959 | 68.959 | 0.000 | 0.000 | 0.000 |
| 68.957 | 220.784 | 68.959 | 0.000 | 0.000 | 0.000 |
| 68.958 | 68.959 | 220.784 | 0.000 | -0.000 | 0.000 |
| -10.971 | -10.970 | -10.971 | 85.407 | 0.000 | 0.000 |
| -10.972 | -10.970 | -10.970 | -0.000 | 85.407 | -0.000 |
| -10.972 | -10.971 | -10.970 | 0.000 | 0.000 | 85.407 |
| 117.661 | 62.745 | 62.745 | -0.000 | -0.000 | 0.000 |
| 62.745 | 117.661 | 62.745 | -0.000 | -0.000 | 0.000 |
| 62.745 | 62.745 | 117.661 | -0.000 | -0.000 | 0.000 |
| 2.122 | 2.122 | 2.122 | 53.707 | -0.000 | 0.000 |
| 2.122 | 2.122 | 2.122 | 0.000 | 53.707 | 0.000 |
| 2.122 | 2.122 | 2.122 | 0.000 | -0.000 | 53.707 |
| 285.185 | 102.449 | 102.449 | 0.000 | -0.000 | 0.000 |
| 102.449 | 285.185 | 102.449 | 0.000 | 0.000 | 0.000 |
| 102.449 | 102.449 | 285.185 | 0.000 | -0.000 | 0.000 |
| -2.122 | -2.122 | -2.122 | 53.707 | 0.000 | 0.000 |
| -2.122 | -2.122 | -2.122 | 0.000 | 53.707 | -0.000 |
| -2.122 | -2.122 | -2.122 | 0.000 | 0.000 | 53.707 |
| 102.720 | 56.315 | 56.315 | -0.000 | -0.000 | 0.000 |
| 56.315 | 102.720 | 56.315 | -0.000 | -0.000 | -0.000 |
| 56.315 | 56.315 | 102.720 | 0.000 | -0.000 | 0.000 |
| 0.029 | 0.029 | 0.029 | 105.905 | -0.000 | -0.000 |
| 0.029 | 0.029 | 0.029 | -0.000 | 105.905 | 0.000 |
| 0.029 | 0.029 | 0.029 | -0.000 | 0.000 | 105.905 |
| 284.063 | 103.090 | 103.090 | 0.000 | 0.000 | 0.000 |
| 103.090 | 284.063 | 103.090 | -0.000 | 0.000 | 0.000 |
| 103.090 | 103.090 | 284.063 | 0.000 | -0.000 | 0.000 |
| -0.029 | -0.029 | -0.029 | 105.905 | 0.000 | -0.000 |
| -0.029 | -0.029 | -0.029 | -0.000 | 105.905 | 0.000 |
| -0.029 | -0.029 | -0.029 | -0.000 | -0.000 | 105.905 |
| 408.101 | 61.275 | 61.277 | 0.000 | -0.000 | -0.000 |
| 61.275 | 408.102 | 61.275 | 0.000 | -0.000 | -0.000 |
| 61.275 | 61.275 | 408.099 | 0.000 | -0.000 | -0.000 |
| -0.000 | 0.001 | 0.002 | 173.413 | -0.000 | -0.000 |
| -0.000 | 0.001 | -0.001 | 0.000 | 173.413 | -0.000 |
| -0.000 | 0.001 | -0.000 | 0.000 | -0.000 | 173.414 |
| 245.906 | 91.425 | 91.422 | -0.000 | 0.000 | 0.000 |
| 91.421 | 245.906 | 91.420 | -0.000 | 0.000 | 0.000 |
| 91.421 | 91.421 | 245.905 | -0.000 | -0.000 | 0.000 |
| -0.000 | -0.001 | -0.002 | 173.412 | -0.000 | 0.000 |
| 0.000 | -0.001 | 0.001 | -0.000 | 173.413 | -0.000 |
| 0.000 | -0.001 | 0.000 | -0.000 | 0.000 | 173.414 |
| 408.102 | 61.275 | 61.274 | 0.000 | -0.000 | 0.000 |
| 61.274 | 408.102 | 61.274 | 0.000 | -0.000 | 0.000 |
| 61.275 | 61.275 | 408.102 | 0.000 | -0.000 | -0.000 |
| -0.000 | -0.000 | -0.000 | 173.414 | -0.000 | 0.000 |
| 0.000 | -0.000 | 0.000 | -0.000 | 173.413 | 0.000 |
| 0.000 | 0.000 | 0.000 | 0.000 | -0.000 | 173.414 |
| 90.008 | 50.081 | 50.080 | -0.000 | 0.000 | -0.000 |
| 50.081 | 90.008 | 50.081 | -0.000 | 0.000 | 0.000 |
| 50.081 | 50.080 | 90.008 | 0.000 | 0.000 | -0.000 |
| 0.000 | -0.000 | 0.000 | 173.414 | 0.000 | 0.000 |
| -0.000 | 0.000 | -0.000 | 0.000 | 173.413 | -0.000 |
| -0.000 | -0.000 | -0.000 | 0.000 | 0.000 | 173.414 |
| 94.445 | 51.715 | 51.716 | -0.000 | -0.000 | 0.000 |
| 51.716 | 94.445 | 51.715 | 0.000 | -0.000 | 0.000 |
| 51.715 | 51.716 | 94.445 | 0.000 | 0.000 | 0.000 |
| 0.047 | 0.047 | 0.047 | 97.626 | -0.000 | -0.000 |
| 0.047 | 0.047 | 0.047 | -0.000 | 97.626 | 0.000 |
| 0.047 | 0.047 | 0.047 | 0.000 | 0.000 | 97.626 |
| 93.036 | 51.533 | 51.533 | -0.000 | -0.000 | 0.000 |
| 51.533 | 93.036 | 51.534 | 0.000 | -0.000 | 0.000 |
| 51.533 | 51.533 | 93.036 | -0.000 | 0.000 | 0.000 |
| -0.047 | -0.047 | -0.047 | 97.626 | -0.000 | 0.000 |
| -0.047 | -0.047 | -0.047 | 0.000 | 97.626 | -0.000 |
| -0.047 | -0.047 | -0.047 | 0.000 | -0.000 | 97.626 |
| 533.353 | -50.187 | 333.990 | -0.000 | 0.000 | 0.000 |
| 125.134 | 461.437 | 3.233 | -0.000 | -0.000 | -0.000 |
| 63.661 | 0.672 | 396.576 | -0.000 | -0.000 | 0.000 |
| 0.000 | 0.000 | -0.001 | 67.266 | -0.000 | -0.000 |
| 0.000 | 0.000 | 0.000 | 0.000 | 190.885 | -0.000 |
| 0.000 | 0.000 | -0.000 | 0.000 | 0.000 | 264.227 |
| 331.581 | 540.013 | -158.886 | -0.000 | 0.000 | -0.000 |
| 125.133 | 461.437 | 3.236 | -0.000 | 0.000 | -0.000 |
| 63.660 | 0.672 | 396.578 | 0.000 | -0.000 | 0.000 |
| -0.000 | -0.000 | 0.001 | 67.266 | 0.000 | 0.000 |
| -0.000 | -0.000 | -0.000 | -0.000 | 190.885 | 0.000 |
| -0.000 | -0.000 | 0.000 | 0.000 | 0.000 | 264.227 |
| 643.815 | 114.531 | 55.621 | -0.000 | -0.000 | -0.000 |
| 258.849 | 265.316 | 47.584 | 0.000 | 0.000 | 0.000 |
| 63.661 | 0.672 | 396.575 | -0.000 | 0.000 | -0.000 |
| 10.621 | -30.949 | 25.810 | 33.445 | -0.000 | -0.000 |
| 8.075 | -23.529 | 19.623 | 0.000 | 75.019 | -0.000 |
| 8.056 | -23.475 | 19.578 | -0.000 | -0.000 | 208.153 |
| 450.336 | 254.313 | -30.257 | -0.000 | 0.000 | 0.000 |
| 234.268 | 327.848 | 1.034 | 0.000 | -0.000 | 0.000 |
| -35.533 | 74.374 | -17.220 | -0.000 | 0.000 | -0.000 |
| -10.621 | 30.949 | -25.810 | 33.445 | -0.000 | 0.000 |
| -8.075 | 23.529 | -19.623 | 0.000 | 75.019 | -0.000 |
| -8.056 | 23.475 | -19.578 | 0.000 | -0.000 | 208.153 |
| 456.499 | 203.857 | 3.787 | 0.000 | 0.000 | -0.000 |
| 218.593 | 285.189 | 3.784 | 0.000 | 0.000 | -0.000 |
| 9.343 | -5.395 | 3.779 | 0.000 | -0.000 | 0.000 |
| 0.000 | -0.000 | -0.000 | 67.266 | 0.000 | -0.000 |
| 0.797 | -2.321 | 1.936 | -0.000 | 76.567 | 0.000 |
| 1.078 | -3.173 | 3.147 | 0.000 | -0.000 | 209.669 |
| 453.894 | 209.513 | -3.835 | -0.000 | -0.000 | 0.000 |
| 216.033 | 290.779 | -3.779 | -0.000 | 0.000 | 0.000 |
| 6.735 | 0.268 | -3.778 | 0.000 | 0.000 | -0.000 |
| -0.000 | 0.000 | 0.000 | 67.265 | -0.000 | -0.000 |
| -0.797 | 2.321 | -1.936 | 0.000 | 76.567 | 0.000 |
| -1.078 | 3.173 | -3.147 | 0.000 | 0.000 | 209.669 |
| 2041.367 | -1226.231 | -253.296 | 0.000 | -0.000 | 0.000 |
| 1616.043 | -1170.025 | -400.101 | 0.000 | 0.000 | -0.000 |
| 59.193 | 7.049 | 1046.694 | 0.000 | -0.000 | 0.000 |
| 1376.279 | -1416.000 | -436.340 | 80.447 | -0.000 | 0.000 |
| -0.002 | -0.000 | -0.013 | -0.000 | 453.395 | 0.000 |
| 1372.976 | -1412.601 | -435.292 | -0.000 | -0.000 | 88.804 |
| 910.311 | 123.137 | 45.821 | -0.000 | 0.002 | -0.000 |
| -1136.883 | 1662.800 | 471.289 | 0.000 | -0.000 | -0.000 |
| -1217.135 | 1515.797 | 1268.311 | -0.001 | -0.000 | -0.000 |
| -1376.279 | 1416.000 | 436.338 | 80.447 | -0.000 | -0.000 |
| -1370.185 | 1409.729 | 434.402 | -0.000 | 281.963 | -0.000 |
| -1372.976 | 1412.601 | 435.292 | 0.000 | -0.000 | 88.804 |
| 850.031 | 73.798 | 83.993 | -0.000 | -0.000 | 0.000 |
| 128.738 | 383.090 | -0.725 | 0.000 | -0.000 | 0.000 |
| 250.317 | -61.456 | 866.185 | 0.000 | 0.000 | 0.000 |
| 136.954 | -140.907 | -43.420 | 80.683 | 0.000 | 0.000 |
| 108.131 | -111.252 | -34.282 | -0.000 | 318.106 | 0.000 |
| -0.000 | 0.000 | -0.001 | 0.000 | -0.000 | 224.269 |
| 604.605 | 380.190 | 114.096 | 0.000 | -0.000 | -0.000 |
| 108.220 | 403.213 | 58.026 | 0.000 | 0.000 | -0.000 |
| 64.726 | 164.605 | 892.163 | -0.000 | 0.000 | -0.000 |
| -136.954 | 140.907 | 43.420 | 80.683 | 0.000 | -0.000 |
| -108.129 | 111.249 | 34.281 | -0.000 | 318.108 | -0.000 |
| 0.000 | -0.000 | 0.001 | 0.000 | -0.000 | 224.269 |
| 741.552 | 208.180 | 97.634 | 0.000 | -0.000 | 0.000 |
| 242.785 | 234.891 | 43.529 | -0.000 | -0.000 | 0.000 |
| 126.689 | 34.875 | 911.100 | -0.000 | 0.000 | 0.000 |
| 13.111 | -18.901 | 0.327 | 70.809 | -0.000 | 0.000 |
| 21.212 | -30.391 | 0.373 | 0.000 | 316.281 | 0.000 |
| 9.392 | -9.663 | -2.977 | 0.000 | 0.000 | 131.603 |
| 715.878 | 240.312 | 100.149 | 0.000 | 0.000 | -0.000 |
| 218.187 | 265.788 | 45.321 | 0.000 | -0.000 | -0.000 |
| 101.523 | 65.693 | 913.132 | -0.000 | -0.000 | -0.000 |
| -13.111 | 18.901 | -0.327 | 70.809 | -0.000 | -0.000 |
| -21.212 | 30.391 | -0.373 | -0.000 | 316.281 | -0.000 |
| -9.392 | 9.663 | 2.977 | -0.000 | -0.000 | 131.603 |
| 2507.276 | -301.558 | -1826.292 | 0.000 | 0.000 | -0.000 |
| 1954.483 | -186.387 | -1922.746 | 0.000 | 0.000 | 0.000 |
| 1601.325 | -679.815 | -793.307 | -0.000 | 0.000 | -0.000 |
| 1487.543 | -732.748 | -1707.330 | 81.560 | 0.000 | 0.000 |
| 1552.701 | -805.922 | -1673.540 | -0.000 | 338.308 | 0.000 |
| 1743.222 | -481.357 | -1930.751 | 0.000 | 0.000 | 132.692 |
| -753.681 | 955.990 | 1809.654 | -0.000 | -0.000 | -0.000 |
| -1535.065 | 778.393 | 1940.339 | 0.000 | -0.000 | 0.000 |
| -1373.927 | 785.349 | 2620.955 | 0.000 | -0.000 | 0.000 |
| -1487.543 | 732.748 | 1707.330 | 81.560 | -0.000 | -0.000 |
| -1552.701 | 805.922 | 1673.540 | -0.000 | 338.308 | -0.000 |
| -1743.223 | 481.358 | 1930.751 | -0.000 | -0.000 | 132.691 |
| 904.018 | 145.982 | -82.924 | 0.000 | 0.000 | 0.000 |
| 399.900 | 234.813 | -188.547 | -0.000 | 0.000 | -0.000 |
| 303.965 | -11.460 | 738.423 | 0.000 | 0.000 | 0.000 |
| 178.496 | -49.288 | -197.698 | 95.194 | 0.000 | 0.000 |
| 169.301 | -46.749 | -187.513 | -0.000 | 342.247 | 0.000 |
| 148.126 | -75.401 | -170.464 | 0.000 | 0.000 | 121.268 |
| 582.740 | 299.504 | 271.521 | -0.000 | -0.000 | -0.000 |
| 74.245 | 331.249 | 211.556 | -0.000 | -0.000 | 0.000 |
| -36.412 | 128.088 | 1083.050 | 0.000 | -0.000 | -0.000 |
| -178.496 | 49.288 | 197.698 | 95.194 | -0.000 | -0.000 |
| -169.301 | 46.749 | 187.513 | 0.000 | 342.247 | -0.000 |
| -148.126 | 75.401 | 170.464 | 0.000 | -0.000 | 121.268 |
| 748.102 | 215.468 | 81.969 | 0.000 | 0.000 | 0.000 |
| 245.756 | 241.313 | 28.026 | 0.000 | 0.000 | -0.000 |
| 129.549 | 42.684 | 896.913 | 0.000 | 0.000 | 0.000 |
| 10.613 | -9.365 | -12.949 | 70.338 | 0.000 | -0.000 |
| 15.511 | -4.283 | -17.180 | -0.000 | 351.654 | 0.000 |
| 14.654 | -8.470 | -17.052 | 0.000 | 0.000 | 115.019 |
| 735.388 | 185.760 | 149.294 | -0.000 | -0.000 | -0.000 |
| 203.269 | 261.039 | 72.305 | -0.000 | -0.000 | -0.000 |
| 98.132 | 58.943 | 929.868 | 0.000 | -0.000 | -0.000 |
| -10.613 | 9.365 | 12.949 | 70.338 | -0.000 | -0.000 |
| -15.511 | 4.283 | 17.180 | -0.000 | 351.654 | -0.000 |
| -14.654 | 8.470 | 17.052 | 0.000 | -0.000 | 115.019 |
| 522.024 | 70.447 | 90.962 | -6.268 | -0.000 | -0.000 |
| 8816.239 | 9010.293 | -8260.197 | 18.072 | -0.000 | 0.001 |
| 11805.683 | 11805.682 | -13007.269 | -0.002 | 0.001 | -0.001 |
| 11706.942 | 11727.125 | -13196.315 | 87.668 | 0.000 | 0.000 |
| -0.000 | 0.001 | 0.004 | -0.000 | 207.414 | -6.265 |
| 11712.203 | 11712.203 | -13188.936 | -0.002 | -10.102 | 109.937 |
| -8433.835 | -8627.751 | 8512.337 | -18.079 | 0.000 | -0.001 |
| -8627.211 | -8433.209 | 8512.602 | 18.080 | -0.000 | -0.001 |
| -12126.081 | -12126.082 | 7407.554 | 0.003 | -0.001 | -0.000 |
| -6.266 | 6.264 | -0.003 | 207.416 | 0.000 | -0.001 |
| 0.000 | -0.001 | -0.005 | 0.001 | 207.414 | -6.265 |
| -11712.203 | -11712.203 | 13188.935 | 0.001 | -10.101 | 109.936 |
| 1348.871 | 1179.925 | -871.289 | -11.184 | -0.000 | 0.000 |
| 1259.121 | 1437.127 | -673.137 | 12.644 | 0.000 | 0.000 |
| 997.094 | 997.094 | -668.207 | -0.000 | 0.000 | 0.000 |
| 1160.869 | 1181.062 | -1318.687 | 87.715 | -0.000 | -0.000 |
| 0.000 | 0.000 | 0.000 | -0.000 | 207.414 | -6.265 |
| 1219.035 | 1219.035 | -732.103 | -0.000 | -12.689 | 88.864 |
| -890.687 | -1111.212 | 1421.452 | -10.060 | -0.000 | -0.000 |
| -32.961 | 156.089 | 69.031 | 14.420 | -0.000 | -0.000 |
| -19.872 | -19.872 | 117.031 | 0.000 | 0.000 | -0.000 |
| -891.789 | -855.617 | 840.565 | 84.646 | -0.000 | -0.000 |
| -0.000 | -0.000 | -0.001 | 0.000 | 207.414 | -6.265 |
| -1219.035 | -1219.035 | 732.103 | 0.000 | -12.690 | 88.863 |
| 522.025 | 70.445 | 90.962 | -6.265 | 0.000 | 0.000 |
| 183.272 | 391.803 | -27.890 | 10.438 | 0.000 | 0.000 |
| 171.770 | 171.770 | 180.932 | -0.000 | 0.000 | 0.000 |
| 2.293 | 30.416 | 7.333 | 100.593 | 0.000 | 0.000 |
| 111.890 | 111.890 | -97.485 | -0.000 | 68.235 | -10.983 |
| 115.768 | 115.768 | -129.376 | -0.000 | -10.352 | 107.140 |
| 115.761 | -43.006 | 183.152 | -10.797 | -0.000 | -0.000 |
| 70.444 | 522.022 | 90.961 | 6.265 | 0.000 | -0.000 |
| 93.576 | 93.576 | 359.339 | 0.000 | -0.000 | -0.000 |
| -122.886 | -100.946 | 97.531 | 68.261 | -0.000 | -0.000 |
| -111.890 | -111.890 | 97.485 | 0.000 | 68.235 | -10.983 |
| -115.768 | -115.768 | 129.376 | 0.000 | -10.352 | 107.139 |
| 1741.057 | 1512.831 | -1873.061 | -12.573 | -0.000 | 0.000 |
| 974.251 | 1301.755 | -1477.673 | 10.263 | 0.000 | 0.000 |
| 994.401 | 994.401 | -1342.132 | 0.000 | -0.000 | 0.000 |
| 869.187 | 889.732 | -1596.809 | 148.228 | 0.000 | 0.000 |
| 0.002 | 0.000 | 0.000 | 0.000 | 202.031 | -5.929 |
| 0.001 | -0.000 | 0.000 | -0.000 | -5.929 | 227.793 |
| -455.301 | -782.548 | 1712.271 | -10.272 | -0.000 | -0.000 |
| -782.826 | -455.618 | 1712.803 | 10.273 | 0.000 | -0.000 |
| -762.976 | -762.976 | 1848.690 | 0.000 | -0.000 | 0.000 |
| -5.929 | 5.929 | 0.000 | 202.031 | -0.000 | -0.000 |
| -0.002 | -0.000 | -0.000 | -0.000 | 202.031 | -5.929 |
| -0.001 | -0.000 | 0.000 | -0.000 | -5.929 | 227.792 |
| 518.435 | 62.850 | 91.037 | -5.929 | -0.000 | 0.000 |
| 62.850 | 518.435 | 91.037 | 5.929 | -0.000 | 0.000 |
| 204.895 | 204.895 | 90.935 | 0.000 | 0.000 | 0.000 |
| 78.276 | 98.883 | -160.831 | 147.840 | 0.000 | 0.000 |
| 88.577 | 88.576 | -160.826 | 0.000 | 147.842 | -10.304 |
| 0.000 | 0.000 | 0.000 | 0.000 | -5.929 | 227.793 |
| 126.608 | -88.470 | 313.771 | -12.382 | -0.000 | -0.000 |
| 62.850 | 518.435 | 91.037 | 5.929 | -0.000 | -0.000 |
| 9.753 | 9.753 | 370.770 | -0.000 | 0.000 | -0.000 |
| -98.880 | -78.273 | 160.826 | 147.842 | -0.000 | 0.000 |
| -88.577 | -88.576 | 160.826 | -0.000 | 147.842 | -10.304 |
| -0.000 | -0.000 | -0.000 | -0.000 | -5.929 | 227.793 |
| 518.436 | 62.850 | 91.037 | -5.929 | 0.000 | 0.000 |
| 123.993 | 395.819 | 103.547 | 12.147 | 0.000 | 0.000 |
| 131.877 | 131.877 | 216.039 | -0.000 | 0.000 | 0.000 |
| -0.257 | 22.668 | -20.345 | 133.479 | 0.000 | 0.000 |
| 11.206 | 11.206 | -20.347 | -0.000 | 133.473 | -11.463 |
| 10.462 | 10.462 | -18.995 | -0.000 | -11.096 | 151.448 |
| 254.392 | 65.087 | 139.457 | -18.854 | -0.000 | -0.000 |
| 96.222 | 381.277 | 145.074 | 11.699 | -0.000 | 0.000 |
| 91.036 | 91.036 | 333.924 | -0.000 | -0.000 | 0.000 |
| -22.670 | 0.257 | 20.347 | 133.472 | -0.000 | -0.000 |
| -11.206 | -11.206 | 20.347 | 0.000 | 133.473 | -11.463 |
| -10.461 | -10.462 | 18.995 | 0.000 | -11.096 | 151.448 |
| -64.626 | 208.615 | 1153.152 | 0.000 | 0.000 | 0.000 |
| -1171.631 | 979.911 | 1080.713 | 0.000 | 0.000 | -0.000 |
| -929.734 | 738.638 | 943.907 | 0.000 | -0.000 | -0.000 |
| 0.000 | -0.000 | -0.000 | 404.732 | 0.000 | -0.000 |
| -1309.157 | 277.764 | 887.039 | 0.000 | 218.948 | 0.000 |
| -1185.938 | 479.781 | 410.350 | 0.000 | 0.000 | 92.530 |
| 1848.246 | -360.082 | -197.445 | -0.000 | -0.000 | -0.000 |
| -11.955 | 884.914 | 159.385 | -0.000 | 0.000 | 0.000 |
| 150.455 | 162.043 | 744.883 | -0.000 | 0.000 | 0.000 |
| -0.000 | -0.000 | 0.000 | 404.731 | -0.000 | -0.000 |
| 1309.157 | -277.764 | -887.039 | -0.000 | 218.948 | -0.000 |
| 1185.938 | -479.781 | -410.350 | -0.000 | -0.000 | 92.530 |
| 569.179 | 140.098 | 245.858 | 0.000 | 0.000 | 0.000 |
| 16.686 | 712.642 | 262.828 | 0.000 | -0.000 | -0.000 |
| 134.829 | 251.482 | 646.250 | 0.000 | 0.000 | -0.000 |
| 0.000 | 0.000 | 0.000 | 404.731 | 0.000 | -0.000 |
| -128.230 | 31.284 | 79.857 | 0.000 | 200.495 | 0.000 |
| -83.199 | 33.659 | 28.788 | 0.000 | 0.000 | 125.409 |
| 725.211 | 82.605 | 191.632 | -0.000 | 0.000 | -0.000 |
| 170.897 | 662.278 | 200.987 | -0.000 | 0.000 | -0.000 |
| 150.455 | 162.043 | 744.883 | -0.000 | -0.000 | -0.000 |
| -0.000 | -0.000 | -0.000 | 404.731 | -0.000 | -0.000 |
| 81.958 | -33.157 | -28.359 | -0.000 | 183.270 | 0.000 |
| 83.199 | -33.659 | -28.788 | -0.000 | -0.000 | 125.409 |
| 660.873 | 99.939 | 207.502 | 0.000 | 0.000 | -0.000 |
| 80.353 | 700.131 | 237.443 | 0.000 | -0.000 | 0.000 |
| 188.292 | 222.704 | 618.293 | 0.000 | 0.000 | 0.000 |
| -6.425 | 2.599 | 2.223 | 285.004 | -0.000 | 0.000 |
| -8.846 | 2.882 | 4.260 | 0.000 | 206.584 | -0.000 |
| -8.583 | 2.965 | 3.844 | 0.000 | 0.000 | 146.485 |
| 678.029 | 94.109 | 199.269 | -0.000 | -0.000 | 0.000 |
| 105.332 | 706.415 | 204.055 | -0.000 | -0.000 | -0.000 |
| 212.283 | 215.121 | 595.441 | -0.000 | 0.000 | -0.000 |
| 6.425 | -2.599 | -2.223 | 285.004 | 0.000 | 0.000 |
| 8.846 | -2.882 | -4.260 | -0.000 | 206.584 | 0.000 |
| 8.583 | -2.965 | -3.844 | -0.000 | -0.000 | 146.485 |
| 833.630 | 3.121 | 142.486 | -0.000 | 77.185 | -0.000 |
| 15.062 | 886.969 | 131.793 | 0.000 | -114.244 | -0.001 |
| 135.107 | 137.141 | 783.255 | -0.000 | 96.345 | -0.000 |
| 89.994 | 2.228 | -41.963 | 279.403 | -11.087 | -30.336 |
| 88.968 | -39.211 | 22.705 | -0.000 | 173.946 | -0.000 |
| 89.831 | 2.163 | -41.823 | -33.208 | -11.062 | 152.036 |
| 573.685 | 103.419 | 233.644 | -0.000 | 48.421 | 0.000 |
| 15.062 | 886.969 | 131.793 | -0.000 | -114.244 | 0.000 |
| 112.884 | 204.307 | 691.966 | -0.000 | 77.520 | 0.000 |
| -89.994 | -2.228 | 41.963 | 279.403 | 11.087 | -30.336 |
| 43.615 | -111.700 | 96.345 | 0.000 | 326.019 | 0.000 |
| -89.831 | -2.163 | 41.823 | -33.208 | 11.062 | 152.037 |
| 833.631 | 3.122 | 142.486 | 0.000 | 77.185 | -0.000 |
| 100.111 | 716.917 | 200.634 | 0.000 | -57.711 | -0.000 |
| 135.107 | 137.142 | 783.255 | 0.000 | 96.345 | -0.000 |
| 0.000 | 0.000 | 0.000 | 381.427 | -0.000 | -105.251 |
| 43.615 | -111.701 | 96.345 | -0.000 | 326.019 | -0.000 |
| 0.000 | 0.000 | -0.000 | -107.795 | -0.000 | 226.719 |
| 654.013 | 104.434 | 194.598 | 0.000 | 36.645 | 0.000 |
| 84.887 | 717.348 | 208.017 | 0.000 | -56.705 | 0.000 |
| 177.731 | 198.422 | 661.923 | 0.000 | 73.105 | 0.000 |
| -0.000 | -0.000 | -0.000 | 381.427 | 0.000 | -105.251 |
| 9.128 | -54.108 | 70.695 | 0.000 | 193.859 | 0.000 |
| 0.000 | 0.000 | 0.000 | -107.795 | 0.000 | 226.719 |
| 669.566 | 101.837 | 196.539 | -0.000 | 26.501 | -0.000 |
| 108.838 | 713.338 | 193.657 | -0.000 | -57.360 | -0.000 |
| 190.301 | 198.607 | 659.153 | 0.000 | 65.702 | -0.000 |
| 0.652 | 0.104 | -0.397 | 280.297 | -0.089 | -27.786 |
| 19.468 | -56.376 | 71.884 | -0.000 | 191.683 | -0.000 |
| 0.595 | 0.095 | -0.362 | -37.023 | -0.081 | 153.066 |
| 662.213 | 106.121 | 191.738 | 0.000 | 37.248 | 0.000 |
| 111.188 | 712.884 | 193.674 | 0.000 | -58.529 | 0.000 |
| 186.453 | 198.398 | 657.971 | 0.000 | 72.068 | 0.000 |
| -0.652 | -0.104 | 0.397 | 280.297 | 0.089 | -27.786 |
| 17.817 | -56.160 | 72.210 | 0.000 | 191.891 | 0.000 |
| -0.595 | -0.095 | 0.362 | -37.023 | 0.081 | 153.066 |
| 690.939 | 106.271 | 153.054 | 0.001 | 0.000 | -0.000 |
| 106.271 | 690.940 | 153.054 | 0.000 | 0.000 | 0.000 |
| 73.136 | 73.137 | 1020.408 | 0.001 | 0.001 | 0.000 |
| -0.000 | 0.000 | -0.000 | 203.969 | 0.000 | -0.000 |
| -0.000 | 0.000 | -0.000 | 0.000 | 203.969 | -0.000 |
| -0.000 | -0.000 | -0.000 | 0.001 | 0.001 | 139.622 |
| 850.260 | 15.015 | 81.458 | -0.000 | -0.001 | -0.000 |
| 15.015 | 850.260 | 81.458 | -0.001 | -0.001 | 0.000 |
| 73.137 | 73.136 | 1020.409 | -0.000 | -0.000 | 0.000 |
| 0.000 | 0.000 | -0.000 | 203.968 | -0.000 | 0.000 |
| 0.000 | 0.000 | 0.000 | -0.001 | 203.967 | 0.000 |
| 0.000 | 0.000 | 0.000 | -0.001 | -0.001 | 139.622 |
| 690.964 | 106.262 | 153.038 | 0.000 | 0.000 | -0.000 |
| 106.262 | 690.964 | 153.038 | 0.000 | 0.000 | -0.000 |
| 73.136 | 73.137 | 1020.409 | 0.000 | 0.000 | -0.000 |
| 0.000 | -0.000 | 0.000 | 332.823 | 0.000 | 0.000 |
| -0.000 | 0.000 | 0.000 | 0.000 | 332.823 | 0.000 |
| -0.000 | -0.000 | 0.000 | 0.000 | 0.000 | 139.622 |
| 699.374 | 72.200 | 180.021 | -0.000 | -0.000 | 0.000 |
| 72.200 | 699.373 | 180.021 | -0.000 | -0.000 | 0.000 |
| 144.733 | 144.733 | 869.784 | -0.000 | -0.000 | 0.000 |
| -0.000 | 0.000 | -0.000 | 332.823 | -0.000 | 0.000 |
| 0.000 | -0.000 | -0.000 | -0.000 | 332.823 | 0.000 |
| 0.000 | 0.000 | 0.000 | -0.000 | -0.000 | 139.622 |
| 690.933 | 106.274 | 153.060 | 0.000 | 0.000 | 0.000 |
| 106.274 | 690.933 | 153.060 | 0.000 | 0.000 | -0.000 |
| 144.734 | 144.734 | 869.785 | 0.000 | 0.000 | -0.000 |
| 0.000 | -0.000 | -0.000 | 203.968 | 0.000 | 0.000 |
| -0.000 | 0.000 | -0.000 | 0.000 | 203.968 | 0.000 |
| -0.000 | -0.000 | -0.000 | 0.000 | 0.000 | 73.651 |
| 690.696 | 106.362 | 153.211 | -0.000 | -0.000 | 0.000 |
| 106.362 | 690.696 | 153.211 | -0.000 | -0.000 | 0.000 |
| 144.732 | 144.732 | 869.784 | -0.000 | -0.000 | -0.000 |
| -0.000 | 0.000 | 0.000 | 203.968 | -0.000 | 0.000 |
| 0.000 | -0.000 | 0.000 | -0.000 | 203.968 | 0.000 |
| 0.000 | 0.000 | 0.000 | -0.000 | -0.000 | 73.651 |
| 511.819 | 190.763 | 190.763 | 0.000 | -0.000 | 0.000 |
| 190.763 | 511.819 | 190.763 | 0.000 | -0.000 | -0.000 |
| 190.763 | 190.763 | 511.819 | 0.000 | -0.000 | 0.000 |
| 0.000 | -0.000 | -0.000 | 292.726 | -0.000 | 0.000 |
| 0.000 | 0.000 | 0.000 | 0.000 | 292.725 | 0.000 |
| 0.000 | -0.000 | -0.000 | 0.000 | -0.000 | 292.725 |
| 621.892 | 171.000 | 171.000 | -0.000 | 0.000 | 0.000 |
| 171.000 | 621.893 | 171.000 | -0.000 | 0.000 | 0.000 |
| 171.000 | 171.000 | 621.892 | -0.000 | 0.000 | -0.000 |
| -0.000 | -0.000 | 0.000 | 292.726 | 0.000 | -0.000 |
| -0.000 | -0.000 | 0.000 | -0.000 | 292.725 | -0.000 |
| -0.000 | 0.000 | 0.000 | -0.000 | 0.000 | 292.725 |
| 591.385 | 153.651 | 153.651 | -0.000 | -0.000 | -0.000 |
| 153.651 | 591.385 | 153.651 | 0.000 | -0.000 | 0.000 |
| 153.651 | 153.651 | 591.385 | 0.000 | -0.000 | -0.000 |
| 0.000 | -0.000 | 0.000 | 292.725 | -0.000 | 0.000 |
| -0.000 | 0.000 | 0.000 | 0.000 | 292.725 | 0.000 |
| -0.000 | 0.000 | 0.000 | 0.000 | -0.000 | 292.725 |
| 733.609 | 88.968 | 88.968 | -0.000 | 0.000 | -0.000 |
| 88.968 | 733.609 | 88.968 | 0.000 | 0.000 | -0.000 |
| 88.968 | 88.968 | 733.609 | -0.000 | -0.000 | -0.000 |
| -0.000 | 0.000 | -0.000 | 292.725 | -0.000 | -0.000 |
| 0.000 | 0.000 | 0.000 | -0.000 | 292.725 | -0.000 |
| 0.000 | -0.000 | -0.000 | -0.000 | 0.000 | 292.725 |
| 593.698 | 155.088 | 155.088 | -0.000 | -0.000 | 0.000 |
| 155.088 | 593.698 | 155.088 | -0.000 | -0.000 | 0.000 |
| 155.088 | 155.088 | 593.698 | -0.000 | -0.000 | -0.000 |
| -0.325 | -0.325 | -0.325 | 172.804 | 0.000 | 0.000 |
| -0.325 | -0.325 | -0.325 | 0.000 | 172.804 | -0.000 |
| -0.325 | -0.325 | -0.325 | 0.000 | -0.000 | 172.804 |
| 594.187 | 155.397 | 155.397 | -0.000 | 0.000 | -0.000 |
| 155.397 | 594.187 | 155.397 | -0.000 | 0.000 | -0.000 |
| 155.397 | 155.397 | 594.187 | -0.000 | 0.000 | -0.000 |
| 0.325 | 0.325 | 0.325 | 172.804 | 0.000 | -0.000 |
| 0.325 | 0.325 | 0.325 | -0.000 | 172.804 | 0.000 |
| 0.325 | 0.325 | 0.325 | -0.000 | 0.000 | 172.804 |
| 389.374 | 209.168 | 209.168 | 0.000 | 0.000 | 0.000 |
| 209.168 | 389.374 | 209.168 | 0.000 | 0.000 | -0.000 |
| 209.168 | 209.168 | 389.374 | 0.000 | 0.000 | 0.000 |
| -0.000 | 0.000 | -0.000 | 248.554 | 0.000 | -0.000 |
| -0.000 | -0.000 | -0.000 | 0.000 | 335.520 | 0.000 |
| -0.000 | 0.000 | -0.000 | 0.000 | 0.000 | 248.554 |
| 537.448 | 135.131 | 135.131 | -0.000 | -0.000 | 0.000 |
| 135.131 | 537.448 | 135.131 | 0.000 | -0.000 | 0.000 |
| 135.131 | 135.131 | 537.448 | -0.000 | -0.000 | 0.000 |
| -0.000 | -0.000 | 0.000 | 248.554 | -0.000 | -0.000 |
| 0.000 | -0.000 | 0.000 | 0.000 | 335.520 | 0.000 |
| 0.000 | 0.000 | 0.000 | -0.000 | -0.000 | 248.554 |
| 389.375 | 209.167 | 209.167 | 0.000 | 0.000 | -0.000 |
| 209.167 | 389.375 | 209.167 | 0.000 | 0.000 | -0.000 |
| 209.167 | 209.167 | 389.375 | 0.000 | 0.000 | -0.000 |
| 0.000 | -0.000 | -0.000 | 248.554 | 0.000 | -0.000 |
| 0.000 | -0.000 | 0.000 | 0.000 | 335.520 | -0.000 |
| 0.000 | 0.000 | -0.000 | 0.000 | 0.000 | 335.520 |
| 389.373 | 209.169 | 209.169 | -0.000 | -0.000 | 0.000 |
| 209.169 | 389.373 | 209.169 | -0.000 | -0.000 | 0.000 |
| 209.169 | 209.169 | 389.373 | -0.000 | -0.000 | -0.000 |
| -0.000 | 0.000 | 0.000 | 248.554 | -0.000 | -0.000 |
| 0.000 | -0.000 | 0.000 | -0.000 | 248.554 | -0.000 |
| 0.000 | 0.000 | -0.000 | -0.000 | -0.000 | 248.554 |
| 389.387 | 209.162 | 209.162 | 0.000 | 0.000 | 0.000 |
| 209.162 | 389.387 | 209.162 | -0.000 | 0.000 | -0.000 |
| 209.162 | 209.162 | 389.387 | 0.000 | 0.000 | -0.000 |
| 0.000 | -0.000 | -0.000 | 248.554 | 0.000 | -0.000 |
| -0.000 | 0.000 | -0.000 | 0.000 | 248.554 | 0.000 |
| -0.000 | -0.000 | 0.000 | 0.000 | 0.000 | 248.554 |
| 389.361 | 209.174 | 209.174 | -0.000 | -0.000 | -0.000 |
| 209.174 | 389.361 | 209.174 | 0.000 | -0.000 | 0.000 |
| 209.174 | 209.174 | 389.361 | -0.000 | -0.000 | 0.000 |
| -0.000 | 0.000 | 0.000 | 248.554 | -0.000 | -0.000 |
| 0.000 | -0.000 | 0.000 | -0.000 | 248.554 | -0.000 |
| 0.000 | 0.000 | -0.000 | -0.000 | -0.000 | 248.554 |
| 423.116 | 63.530 | 63.528 | 0.000 | -0.000 | 0.000 |
| 63.529 | 423.116 | 63.529 | -0.000 | -0.001 | -0.000 |
| 63.529 | 63.529 | 423.115 | 0.000 | -0.000 | 0.000 |
| 0.001 | 0.001 | -0.000 | 179.793 | -0.001 | -0.000 |
| 0.000 | 0.001 | -0.000 | 0.000 | 179.792 | 0.000 |
| 0.000 | -0.001 | -0.000 | -0.000 | -0.001 | 179.794 |
| 423.115 | 63.527 | 63.529 | 0.000 | 0.001 | 0.000 |
| 63.528 | 423.114 | 63.529 | 0.000 | 0.001 | -0.000 |
| 63.528 | 63.528 | 423.115 | -0.000 | 0.001 | 0.000 |
| -0.001 | -0.001 | 0.000 | 179.794 | 0.000 | -0.000 |
| -0.000 | -0.001 | 0.000 | 0.000 | 179.794 | -0.000 |
| -0.000 | -0.002 | 0.000 | -0.000 | 0.001 | 179.793 |
| 271.838 | 98.514 | 98.514 | 0.000 | -0.000 | 0.000 |
| 98.514 | 271.838 | 98.514 | -0.000 | -0.000 | -0.000 |
| 98.514 | 98.514 | 271.838 | -0.000 | 0.000 | 0.000 |
| 0.000 | 0.000 | 0.000 | 101.221 | -0.000 | 0.000 |
| 0.000 | 0.000 | 0.000 | 0.000 | 101.221 | -0.000 |
| 0.000 | 0.000 | 0.000 | -0.000 | -0.000 | 101.221 |
| 271.803 | 98.521 | 98.521 | 0.000 | 0.000 | -0.000 |
| 98.521 | 271.803 | 98.521 | 0.000 | 0.000 | -0.000 |
| 98.521 | 98.521 | 271.803 | 0.000 | 0.000 | 0.000 |
| -0.000 | -0.000 | -0.000 | 101.221 | 0.000 | 0.000 |
| -0.000 | -0.000 | -0.000 | 0.000 | 101.221 | 0.000 |
| -0.000 | -0.000 | -0.000 | 0.000 | 0.000 | 101.221 |
| 97.691 | 53.421 | 53.421 | -0.000 | -0.000 | 0.000 |
| 53.421 | 97.691 | 53.421 | -0.000 | -0.000 | 0.000 |
| 53.421 | 53.421 | 97.691 | -0.000 | -0.000 | -0.000 |
| 0.000 | -0.000 | 0.000 | 179.793 | -0.000 | -0.000 |
| -0.000 | 0.000 | 0.000 | -0.000 | 179.793 | -0.000 |
| -0.000 | 0.000 | 0.000 | -0.000 | -0.000 | 179.793 |
| 97.601 | 53.404 | 53.405 | 0.000 | 0.000 | 0.000 |
| 53.405 | 97.601 | 53.405 | 0.000 | 0.000 | -0.000 |
| 53.405 | 53.405 | 97.601 | 0.000 | 0.000 | -0.000 |
| -0.000 | 0.000 | -0.000 | 179.793 | 0.000 | -0.000 |
| 0.000 | -0.000 | -0.000 | 0.000 | 179.793 | -0.000 |
| 0.000 | -0.000 | -0.000 | 0.000 | 0.000 | 179.793 |
| 391.655 | 58.807 | 58.805 | -0.000 | 0.000 | 0.000 |
| 58.805 | 391.657 | 58.805 | -0.000 | 0.001 | 0.000 |
| 58.805 | 58.807 | 391.655 | -0.001 | -0.000 | -0.000 |
| 10.825 | 10.827 | 10.825 | 41.508 | 0.000 | -0.000 |
| 10.825 | 10.827 | 10.825 | 0.001 | 41.510 | 0.000 |
| 10.825 | 10.827 | 10.825 | -0.000 | 0.001 | 41.510 |
| 391.656 | 58.804 | 58.805 | 0.000 | 0.000 | -0.000 |
| 58.805 | 391.654 | 58.805 | 0.000 | -0.001 | -0.000 |
| 58.805 | 58.804 | 391.654 | 0.001 | -0.001 | -0.000 |
| -32.494 | -32.495 | -32.495 | 12.203 | 0.000 | -0.000 |
| -32.494 | -32.496 | -32.494 | -0.000 | 12.202 | -0.000 |
| -10.825 | -10.825 | -10.825 | 0.001 | -0.001 | 41.510 |
| 244.224 | 93.874 | 93.874 | -0.000 | -0.000 | 0.000 |
| 93.874 | 244.224 | 93.874 | -0.000 | 0.000 | 0.000 |
| 93.874 | 93.874 | 244.224 | -0.000 | -0.000 | 0.000 |
| 0.705 | 0.705 | 0.705 | 85.072 | 0.000 | 0.000 |
| 0.705 | 0.705 | 0.705 | -0.000 | 85.072 | 0.000 |
| 0.705 | 0.705 | 0.705 | -0.000 | 0.000 | 85.072 |
| 391.655 | 58.805 | 58.805 | 0.000 | -0.000 | -0.000 |
| 58.805 | 391.655 | 58.805 | 0.000 | -0.000 | -0.000 |
| 58.805 | 58.805 | 391.655 | 0.000 | 0.000 | 0.000 |
| -0.705 | -0.705 | -0.705 | 85.072 | 0.000 | 0.000 |
| -0.705 | -0.705 | -0.705 | -0.000 | 85.072 | 0.000 |
| -0.705 | -0.705 | -0.705 | 0.000 | -0.000 | 85.072 |
| 90.262 | 49.554 | 49.554 | -0.000 | 0.000 | -0.000 |
| 49.554 | 90.262 | 49.554 | -0.000 | 0.000 | 0.000 |
| 49.554 | 49.554 | 90.262 | -0.000 | 0.000 | 0.000 |
| 0.063 | 0.063 | 0.063 | 93.593 | 0.000 | -0.000 |
| -0.000 | 0.000 | 0.000 | -0.000 | 166.425 | -0.000 |
| 0.063 | 0.063 | 0.063 | -0.000 | 0.000 | 93.593 |
| 391.654 | 58.805 | 58.805 | 0.000 | -0.000 | -0.000 |
| 58.805 | 391.654 | 58.805 | 0.000 | -0.000 | -0.000 |
| 58.805 | 58.805 | 391.654 | 0.000 | -0.000 | -0.000 |
| -0.063 | -0.063 | -0.063 | 93.593 | 0.000 | -0.000 |
| 0.000 | -0.000 | -0.000 | 0.000 | 166.425 | 0.000 |
| -0.063 | -0.063 | -0.063 | 0.000 | -0.000 | 93.593 |
| -2144.849 | -2211.752 | -2211.753 | -0.000 | -0.002 | 0.000 |
| -2211.753 | -2144.850 | -2211.753 | -0.000 | -0.002 | 0.000 |
| -2211.753 | -2211.754 | -2144.849 | 0.000 | -0.004 | 0.000 |
| -2242.302 | -2242.302 | -2242.302 | 33.497 | -0.001 | 0.001 |
| -2242.302 | -2242.301 | -2242.302 | -0.001 | 33.495 | 0.000 |
| -2242.302 | -2242.302 | -2242.302 | -0.000 | -0.001 | 33.497 |
| 765.886 | 604.681 | 604.680 | -0.000 | 0.001 | -0.000 |
| 604.680 | 765.887 | 604.680 | 0.000 | 0.001 | -0.000 |
| 604.680 | 604.682 | 765.886 | 0.000 | 0.004 | -0.000 |
| 2242.302 | 2242.302 | 2242.302 | 33.497 | 0.002 | 0.000 |
| 2242.302 | 2242.302 | 2242.302 | -0.001 | 33.497 | -0.000 |
| 2242.302 | 2242.301 | 2242.302 | 0.000 | 0.001 | 33.497 |
| -371.612 | -449.060 | -449.060 | -0.000 | -0.000 | 0.000 |
| -449.060 | -371.612 | -449.060 | -0.000 | -0.000 | 0.000 |
| -449.060 | -449.060 | -371.612 | -0.000 | -0.000 | -0.000 |
| -392.196 | -392.196 | -392.196 | 27.214 | -0.000 | 0.000 |
| -392.196 | -392.196 | -392.196 | 0.000 | 27.214 | -0.000 |
| -280.582 | -280.582 | -280.582 | -0.000 | -0.000 | 2.177 |
| 340.920 | 361.862 | 361.862 | 0.000 | -0.000 | -0.000 |
| 361.862 | 340.920 | 361.862 | 0.000 | -0.000 | -0.000 |
| 254.789 | 254.789 | 323.330 | 0.000 | 0.000 | -0.000 |
| 392.196 | 392.196 | 392.196 | 27.214 | 0.000 | 0.000 |
| 392.196 | 392.196 | 392.196 | 0.000 | 27.215 | -0.000 |
| 280.582 | 280.582 | 280.582 | 0.000 | 0.000 | 2.177 |
| 12.904 | -3.808 | -3.808 | -0.000 | -0.000 | 0.000 |
| -79.490 | -10.082 | -79.490 | -0.000 | -0.000 | -0.000 |
| -79.490 | -79.490 | -10.082 | -0.000 | 0.000 | 0.000 |
| -25.701 | -25.701 | -25.701 | 16.078 | -0.000 | -0.000 |
| -25.701 | -25.701 | -25.701 | 0.000 | 16.078 | 0.000 |
| -25.701 | -25.701 | -25.701 | -0.000 | -0.000 | 16.078 |
| 127.124 | 66.182 | 66.183 | 0.000 | 0.000 | -0.000 |
| 66.183 | 127.124 | 66.182 | -0.000 | 0.000 | -0.000 |
| 66.182 | 66.183 | 127.124 | 0.000 | 0.000 | -0.000 |
| 25.701 | 25.701 | 25.701 | 16.078 | 0.000 | -0.000 |
| 25.701 | 25.701 | 25.701 | 0.000 | 16.078 | -0.000 |
| 25.701 | 25.701 | 25.701 | 0.000 | 0.000 | 16.078 |
| -1409.107 | 5568.980 | 4236.611 | -0.006 | -0.004 | -1.290 |
| -149148.017 | 465369.543 | 315510.705 | -1.878 | -0.713 | -102.059 |
| -149551.091 | 466521.221 | 315934.649 | -1.894 | -0.717 | -102.267 |
| -51375.221 | 169143.108 | 271280.070 | 17.575 | -0.169 | -47.045 |
| -107708.643 | 342836.782 | 238262.377 | -0.899 | 11.623 | -76.239 |
| -1663.181 | 5510.419 | 4109.868 | -0.006 | -0.004 | 58.377 |
| 21184.963 | -71840.384 | -246832.701 | 0.140 | 0.071 | 27.690 |
| 150793.112 | -470268.299 | -335428.005 | 1.950 | 0.730 | 104.045 |
| 68999.170 | -224640.750 | -284946.816 | 0.464 | 0.239 | 57.850 |
| 105362.242 | -335706.246 | -233573.932 | 6.277 | 0.411 | 74.716 |
| 1663.183 | -5510.426 | -4109.823 | 0.006 | 114.877 | 1.290 |
| 1663.184 | -5510.425 | -4109.737 | 0.006 | 0.004 | 60.957 |
| -2621.778 | 9161.269 | 25168.645 | -0.017 | -0.009 | -3.160 |
| -10199.869 | 32633.812 | 30667.193 | -0.083 | -0.040 | -7.721 |
| -14904.328 | 46527.556 | 33341.724 | -0.188 | -0.071 | -10.305 |
| -3300.291 | 11042.027 | 25676.526 | 26.942 | -0.011 | -3.543 |
| -494.488 | 1635.686 | 1155.979 | -0.002 | 96.184 | -0.379 |
| -8677.475 | 27860.527 | 19383.580 | -0.062 | -0.031 | 5.318 |
| 3922.602 | -12839.468 | -26103.206 | 0.024 | 0.012 | 3.902 |
| 11442.024 | -36315.264 | -24851.347 | 0.101 | 0.046 | 8.040 |
| 1154.389 | -3773.015 | -24372.782 | 0.009 | 0.004 | 2.082 |
| 6824.424 | -22230.779 | -28400.990 | 12.517 | 0.024 | 5.740 |
| 2475.962 | -8136.153 | -5842.321 | 0.011 | 60.614 | 1.872 |
| 9364.540 | -29984.663 | -20999.315 | 0.070 | 0.035 | 17.042 |
| -276.934 | 1148.194 | 873.846 | -0.002 | -0.001 | -0.262 |
| 42.162 | 287.877 | 113.644 | -0.000 | -0.000 | -0.013 |
| 28.836 | 290.655 | 1789.335 | -0.001 | -0.000 | -0.182 |
| -480.766 | 1586.448 | 2683.853 | 19.275 | -0.002 | -0.450 |
| -843.897 | 2712.209 | 1903.687 | -0.006 | 21.650 | -0.608 |
| -1499.251 | 4679.122 | 3450.022 | -0.019 | -0.007 | 0.819 |
| 925.389 | -2938.165 | -2023.010 | 0.007 | 0.003 | 0.655 |
| 942.555 | -3036.683 | -3024.465 | 0.007 | 0.004 | 0.731 |
| 1402.805 | -4515.362 | -3343.218 | 0.011 | 0.005 | 1.015 |
| 1160.454 | -3679.568 | -2492.455 | 4.096 | 0.005 | 0.813 |
| 16.629 | -55.096 | -41.096 | 0.000 | 114.882 | 0.013 |
| 1495.856 | -4667.107 | -3240.227 | 0.019 | 0.007 | 2.942 |
| -5334.764 | -5355.685 | -14413.064 | 0.000 | 0.000 | -0.000 |
| -5355.685 | -5334.765 | -14413.064 | 0.000 | -0.000 | 0.000 |
| -5330.165 | -5330.166 | -14379.770 | 0.001 | 0.000 | -0.000 |
| -5351.305 | -5351.305 | -14421.600 | -26.341 | 0.000 | -0.000 |
| -5351.305 | -5351.305 | -14421.600 | 0.000 | -26.341 | -0.000 |
| 192.404 | 192.404 | -2281.746 | 0.000 | 0.000 | 114.481 |
| 113.484 | -65.022 | 2376.663 | -0.000 | -0.000 | -0.000 |
| -65.023 | 113.483 | 2376.663 | -0.000 | 0.000 | -0.000 |
| 6239.083 | 6239.083 | 13920.836 | -0.001 | -0.000 | 0.000 |
| 5351.305 | 5351.305 | 14421.600 | -26.342 | -0.000 | -0.000 |
| 5351.305 | 5351.305 | 14421.600 | -0.000 | -26.341 | 0.000 |
| -192.404 | -192.404 | 2281.746 | -0.000 | 0.000 | 114.481 |
| -354.523 | -318.970 | -1295.705 | 0.000 | 0.000 | -0.000 |
| -318.970 | -354.523 | -1295.705 | 0.000 | 0.000 | 0.000 |
| -510.771 | -510.771 | -1385.911 | 0.000 | -0.000 | 0.000 |
| -312.078 | -312.078 | -1310.494 | -36.450 | 0.000 | -0.000 |
| -312.078 | -312.078 | -1310.494 | 0.000 | -36.450 | -0.000 |
| -207.028 | -207.028 | -713.032 | 0.000 | 0.000 | 39.990 |
| 316.261 | 246.211 | 709.332 | -0.000 | -0.000 | 0.000 |
| 246.211 | 316.261 | 709.332 | -0.000 | -0.000 | -0.000 |
| 550.677 | 550.677 | 1446.717 | -0.000 | -0.000 | -0.000 |
| 312.078 | 312.078 | 1310.494 | -36.450 | -0.000 | -0.000 |
| 312.078 | 312.078 | 1310.494 | -0.000 | -36.450 | -0.000 |
| 207.028 | 207.028 | 713.032 | -0.000 | -0.000 | 39.990 |
| 99.298 | -24.728 | -129.575 | 0.000 | 0.000 | 0.000 |
| -24.728 | 99.298 | -129.575 | 0.000 | 0.000 | 0.000 |
| -87.593 | -87.593 | -120.081 | 0.000 | 0.000 | -0.000 |
| -65.225 | -65.225 | -155.993 | 31.317 | 0.000 | 0.000 |
| -65.225 | -65.225 | -155.993 | 0.000 | 31.317 | -0.000 |
| -15.898 | -15.898 | -72.289 | 0.000 | 0.000 | 61.691 |
| 232.290 | 102.295 | 126.698 | -0.000 | -0.000 | 0.000 |
| 102.295 | 232.290 | 126.698 | -0.000 | -0.000 | 0.000 |
| 93.459 | 93.459 | 219.390 | -0.000 | -0.000 | -0.000 |
| 65.225 | 65.225 | 155.993 | 31.317 | -0.000 | 0.000 |
| 65.225 | 65.225 | 155.993 | -0.000 | 31.317 | 0.000 |
| 15.898 | 15.898 | 72.289 | -0.000 | -0.000 | 61.691 |
| 324.655 | 119.130 | 105.525 | 0.000 | 0.000 | 0.000 |
| 119.131 | 324.656 | 105.524 | -0.000 | 0.000 | 0.000 |
| 72.178 | 72.178 | 385.345 | -0.001 | 0.000 | 0.000 |
| -0.000 | -0.000 | -0.000 | 186.142 | -0.000 | 0.000 |
| -0.000 | -0.000 | -0.000 | 0.000 | 186.141 | 0.000 |
| 0.000 | -0.000 | -0.000 | 0.000 | -0.000 | 217.768 |
| 324.654 | 119.135 | 105.520 | -0.000 | 0.000 | -0.000 |
| 119.135 | 324.655 | 105.521 | -0.000 | 0.000 | -0.000 |
| 104.548 | 104.548 | 265.431 | -0.000 | -0.000 | 0.000 |
| -0.000 | -0.000 | 0.000 | 186.141 | -0.000 | 0.000 |
| 0.000 | 0.000 | 0.000 | -0.000 | 186.140 | -0.000 |
| 0.000 | 0.000 | 0.000 | -0.000 | -0.000 | 217.768 |
| 182.920 | 50.772 | 71.809 | 0.000 | 0.000 | -0.000 |
| 50.772 | 182.920 | 71.809 | 0.000 | 0.000 | 0.000 |
| 104.538 | 104.538 | 265.464 | 0.000 | 0.000 | 0.000 |
| 0.000 | -0.000 | -0.000 | 186.141 | 0.000 | 0.000 |
| -0.000 | 0.000 | -0.000 | 0.000 | 186.141 | 0.000 |
| -0.000 | -0.000 | 0.000 | -0.000 | -0.000 | 139.850 |
| 212.328 | 85.858 | 80.989 | -0.000 | -0.000 | -0.000 |
| 85.858 | 212.328 | 80.989 | -0.000 | -0.000 | 0.000 |
| 104.556 | 104.556 | 265.399 | 0.000 | 0.000 | 0.000 |
| -0.000 | 0.000 | -0.000 | 186.141 | -0.000 | -0.000 |
| 0.000 | 0.000 | 0.000 | -0.000 | 186.141 | -0.000 |
| 0.000 | 0.000 | -0.000 | 0.000 | 0.000 | 139.850 |
| 170.241 | 41.501 | 46.430 | 0.000 | -0.000 | 0.000 |
| 41.501 | 170.241 | 46.430 | -0.000 | -0.000 | 0.000 |
| 85.154 | 85.154 | 135.260 | 0.000 | 0.000 | 0.000 |
| 0.000 | -0.000 | -0.000 | 106.076 | 0.000 | 0.000 |
| -0.000 | 0.000 | -0.000 | 0.000 | 106.076 | 0.000 |
| -0.000 | -0.000 | 0.000 | 0.000 | 0.000 | 139.850 |
| 158.444 | 26.864 | 8.219 | -0.000 | -0.000 | -0.000 |
| 26.864 | 158.444 | 8.219 | -0.000 | -0.000 | -0.000 |
| 85.191 | 85.191 | 135.106 | -0.000 | -0.000 | -0.000 |
| -0.000 | 0.000 | 0.000 | 106.076 | -0.000 | -0.000 |
| 0.000 | -0.000 | 0.000 | -0.000 | 106.076 | -0.000 |
| 0.000 | 0.000 | -0.000 | -0.000 | -0.000 | 139.850 |
| 381.353 | 70.658 | 63.237 | 0.000 | 0.000 | 0.000 |
| 78.054 | 124.805 | 63.951 | 0.000 | 0.000 | 0.000 |
| 63.237 | 53.912 | 517.337 | 0.000 | 0.000 | 0.000 |
| 0.002 | -0.000 | -0.000 | 122.308 | -0.000 | 0.000 |
| -0.001 | 0.000 | 0.000 | 0.000 | 123.478 | 0.000 |
| -0.001 | -0.000 | 0.000 | 0.000 | 0.000 | 90.018 |
| 254.838 | 99.806 | 100.730 | -0.000 | -0.000 | 0.000 |
| 58.657 | 95.949 | 38.074 | -0.000 | 0.000 | -0.000 |
| 99.524 | 91.319 | 387.951 | -0.000 | -0.000 | -0.000 |
| -0.002 | 0.000 | -0.000 | 122.308 | -0.000 | 0.000 |
| 0.001 | -0.000 | -0.000 | -0.000 | 123.478 | -0.000 |
| 0.001 | 0.000 | -0.000 | -0.000 | -0.000 | 90.018 |
| 78.570 | 57.052 | 47.429 | 0.000 | -0.000 | 0.000 |
| 70.658 | 410.502 | 53.912 | 0.000 | -0.000 | 0.000 |
| 63.237 | 53.912 | 517.338 | 0.000 | -0.000 | 0.000 |
| -0.000 | 0.000 | -0.000 | 191.437 | -0.000 | -0.000 |
| 0.000 | 0.000 | 0.000 | -0.000 | 194.107 | -0.000 |
| -0.000 | 0.000 | 0.000 | 0.000 | 0.000 | 90.018 |
| 254.839 | 99.806 | 100.730 | -0.000 | -0.000 | -0.000 |
| 58.656 | 95.934 | 38.073 | -0.000 | -0.000 | -0.000 |
| 64.515 | 60.477 | 196.584 | -0.000 | -0.000 | -0.000 |
| -0.000 | -0.000 | -0.000 | 191.437 | -0.000 | 0.000 |
| -0.000 | -0.000 | -0.000 | -0.000 | 194.107 | 0.000 |
| 0.000 | -0.000 | -0.000 | -0.000 | -0.000 | 90.018 |
| 115.683 | 80.678 | 72.531 | 0.000 | 0.000 | 0.000 |
| 101.034 | 276.886 | 94.191 | 0.000 | 0.000 | -0.000 |
| -11.503 | -13.985 | 128.264 | 0.000 | 0.000 | -0.000 |
| 0.000 | -0.000 | -0.000 | 122.307 | -0.000 | 0.000 |
| -0.000 | 0.000 | 0.000 | 0.000 | 194.107 | 0.000 |
| -0.000 | -0.000 | 0.000 | 0.000 | 0.000 | 90.018 |
| 50.125 | 21.935 | 19.334 | -0.000 | 0.000 | 0.000 |
| 58.662 | 95.923 | 38.082 | 0.000 | -0.000 | -0.000 |
| 64.533 | 60.496 | 196.526 | -0.000 | -0.000 | 0.000 |
| -0.000 | 0.000 | 0.000 | 122.307 | 0.000 | 0.000 |
| 0.000 | -0.000 | -0.000 | -0.000 | 194.107 | 0.000 |
| 0.000 | 0.000 | -0.000 | -0.000 | -0.000 | 90.018 |
| 365.314 | 67.175 | 61.410 | -0.000 | 0.000 | 0.000 |
| 778.891 | -1109.460 | 140.699 | -0.000 | 0.000 | 0.000 |
| -293.918 | -1197.313 | -362.645 | -0.000 | -0.000 | 0.000 |
| 0.002 | -0.000 | 0.000 | 181.863 | -0.000 | 0.000 |
| 684.369 | -1369.690 | 45.076 | -0.000 | 90.809 | -0.000 |
| -898.391 | -2184.788 | -930.913 | 0.000 | 0.000 | -3.380 |
| 477.164 | 1331.501 | 678.534 | -0.000 | -0.000 | -0.000 |
| 431.730 | 1397.700 | 685.642 | -0.000 | 0.000 | -0.000 |
| 60.615 | 52.109 | 492.409 | 0.000 | 0.000 | -0.000 |
| -0.002 | 0.000 | -0.000 | 181.863 | -0.000 | -0.000 |
| -684.370 | 1369.690 | -45.076 | 0.000 | 90.809 | -0.000 |
| 898.411 | 2184.807 | 930.930 | 0.000 | 0.000 | -3.382 |
| 365.313 | 67.175 | 61.410 | 0.000 | 0.000 | 0.000 |
| 67.175 | 391.735 | 52.904 | 0.000 | -0.000 | 0.000 |
| 24.939 | -69.790 | 199.565 | -0.000 | 0.000 | 0.000 |
| 0.000 | -0.000 | 0.000 | 181.863 | 0.000 | 0.000 |
| 0.000 | 0.000 | 0.000 | -0.000 | 184.631 | 0.000 |
| 0.000 | 0.000 | 0.000 | -0.000 | 0.000 | 156.386 |
| 173.795 | 221.287 | 95.887 | -0.000 | 0.000 | -0.000 |
| 129.310 | 226.903 | 112.105 | -0.000 | -0.000 | -0.000 |
| 60.615 | 52.109 | 492.409 | 0.000 | -0.000 | -0.000 |
| -0.000 | 0.000 | -0.000 | 181.863 | -0.000 | -0.000 |
| -0.000 | -0.000 | -0.000 | 0.000 | 184.631 | -0.000 |
| -0.000 | 0.000 | -0.000 | -0.000 | 0.000 | 156.386 |
| 36.304 | 29.303 | 32.261 | 0.000 | 0.000 | 0.000 |
| 72.170 | 107.035 | 57.102 | 0.000 | -0.000 | 0.000 |
| -29.141 | -32.398 | 106.220 | -0.000 | 0.000 | -0.000 |
| 0.000 | -0.000 | 0.000 | 181.863 | 0.000 | 0.000 |
| -0.000 | 0.000 | 0.000 | -0.000 | 184.631 | 0.000 |
| -2.212 | -11.862 | -5.147 | -0.000 | -0.000 | 40.390 |
| 245.839 | 104.714 | 94.957 | 0.000 | -0.000 | -0.000 |
| 16.456 | 64.458 | 12.457 | 0.000 | 0.000 | 0.000 |
| 60.615 | 52.109 | 492.408 | 0.000 | 0.000 | -0.000 |
| -0.000 | 0.000 | -0.000 | 181.863 | -0.000 | -0.000 |
| 0.000 | -0.000 | -0.000 | 0.000 | 184.631 | 0.000 |
| 2.212 | 11.862 | 5.147 | 0.000 | -0.000 | 40.390 |
| 2192.781 | 1951.431 | 2191.802 | -0.000 | -0.001 | 0.021 |
| 1951.430 | 2192.781 | 2191.802 | -0.000 | -0.001 | 0.021 |
| 1203.573 | 1203.573 | 1187.467 | -0.000 | 0.000 | -0.001 |
| 1668.331 | 1668.331 | 1919.843 | 285.065 | -0.000 | 0.003 |
| 1668.319 | 1668.319 | 1919.829 | -0.000 | 285.068 | 0.003 |
| 1702.971 | 1702.971 | 1947.544 | -0.000 | 0.000 | 535.465 |
| -1143.915 | -1385.268 | -1647.777 | 0.000 | 0.001 | -0.021 |
| -1385.267 | -1143.915 | -1647.777 | 0.000 | 0.001 | -0.022 |
| -651.417 | -651.417 | -154.270 | 0.000 | -0.000 | 0.001 |
| -1668.331 | -1668.331 | -1919.843 | 285.066 | 0.000 | -0.002 |
| -1668.331 | -1668.331 | -1919.843 | 0.000 | 285.065 | -0.002 |
| -1702.971 | -1702.971 | -1947.544 | 0.000 | -0.000 | 535.459 |
| 625.578 | 375.261 | 349.627 | -0.000 | 0.000 | -0.000 |
| 375.261 | 625.578 | 349.627 | -0.000 | 0.000 | -0.000 |
| 370.756 | 370.756 | 586.229 | -0.000 | 0.000 | -0.000 |
| 152.329 | 152.329 | 156.093 | 292.227 | -0.000 | 0.000 |
| 152.329 | 152.329 | 156.093 | -0.000 | 292.227 | 0.000 |
| 69.773 | 69.773 | 47.726 | -0.000 | -0.000 | 367.118 |
| 440.464 | 186.459 | 212.882 | 0.000 | -0.000 | 0.000 |
| 186.459 | 440.464 | 212.882 | 0.000 | -0.000 | 0.000 |
| 181.556 | 181.556 | 447.107 | 0.000 | -0.000 | 0.000 |
| -152.329 | -152.329 | -156.093 | 292.227 | 0.000 | -0.000 |
| -152.329 | -152.329 | -156.093 | 0.000 | 292.227 | -0.000 |
| -69.773 | -69.773 | -47.726 | 0.000 | -0.000 | 367.118 |
| 548.357 | 302.114 | 297.091 | -0.000 | 0.000 | 0.000 |
| 302.114 | 548.357 | 297.091 | -0.000 | 0.000 | 0.000 |
| 286.189 | 286.189 | 519.979 | -0.000 | -0.000 | 0.000 |
| 15.780 | 15.779 | 14.954 | 297.192 | -0.000 | 0.000 |
| 15.779 | 15.780 | 14.954 | -0.000 | 297.192 | 0.000 |
| 4.713 | 4.713 | 3.049 | -0.000 | -0.000 | 325.231 |
| 507.853 | 267.118 | 254.211 | 0.000 | 0.000 | -0.000 |
| 265.390 | 508.741 | 252.794 | 0.000 | 0.000 | -0.000 |
| 252.821 | 252.821 | 481.582 | 0.000 | 0.000 | -0.000 |
| -15.780 | -15.779 | -14.954 | 297.192 | 0.000 | -0.000 |
| -15.779 | -15.780 | -14.954 | 0.000 | 297.192 | -0.000 |
| -4.713 | -4.713 | -3.049 | 0.000 | 0.000 | 325.231 |
| -176373.264 | -7821287.934 | 545365.070 | 14864394.323 | 7218053.131 | -2274510.656 |
| -154021.854 | -9795176.747 | 132422.457 | 11502644.441 | 5717643.717 | -369682.646 |
| 867648.954 | 47752.237 | 1362381.440 | 14748775.671 | 7373209.651 | -3837301.395 |
| -122626.049 | -8115223.241 | 67543.944 | 9162004.757 | 4587123.243 | 170278.376 |
| -58558.445 | -10328748.164 | -905653.688 | 11306737.802 | 5112526.626 | -365096.705 |
| -133124.840 | -9821365.814 | 28481.137 | 14260567.561 | 6898865.891 | -1601873.423 |
| 129907.677 | 8078831.831 | 450730.708 | -13447596.595 | -5904679.562 | 1043845.979 |
| 111570.514 | 7267231.857 | -578450.848 | -14694718.372 | -7394522.896 | 351247.023 |
| 65740.221 | 7782387.859 | 341291.963 | -16190481.017 | -7465631.604 | 1221111.975 |
| -190972.991 | 4452879.539 | -181701.223 | -14622357.938 | -6980281.488 | 161724.533 |
| -175023.202 | 5405541.183 | -223848.909 | -14554840.297 | -6952438.679 | 203250.417 |
| 14311.824 | 8263056.756 | 503535.753 | -16218550.525 | -7494149.848 | 520729.166 |
| -18448.241 | -780629.464 | -19297.166 | 1622099.617 | 761607.392 | -136801.711 |
| 38751.408 | -561172.519 | 83142.955 | 1188181.812 | 622563.320 | -94100.717 |
| 22657.339 | -557047.701 | 22522.697 | 1357198.009 | 648915.377 | -132380.839 |
| -15185.244 | -676216.787 | 4179.067 | 1365117.326 | 626172.502 | -54337.463 |
| -4968.705 | -730978.768 | 53395.460 | 1488714.166 | 715730.777 | -40984.145 |
| 9134.418 | -774690.106 | 45668.734 | 1197283.781 | 588918.952 | 21215.727 |
| -197216.989 | -5204.333 | -118329.079 | -1452086.207 | -754138.067 | -324596.501 |
| 18227.174 | 799796.340 | 42922.280 | -1633457.415 | -742706.778 | 116468.039 |
| 21857.532 | -66103.631 | -111968.801 | -163115.696 | -192450.148 | -82370.801 |
| -7443.000 | 634577.238 | -23311.059 | -1480955.589 | -687582.619 | 108190.063 |
| 19.731 | -115.858 | 76.502 | 10.597 | 800.830 | -5.757 |
| -11466.334 | 504736.699 | 36345.057 | -1650210.280 | -728568.472 | 12378.829 |
| -2459.162 | -11353.710 | 2631.905 | 6085.622 | 14127.922 | 7112.707 |
| 307.019 | -59467.383 | 4722.111 | 148100.727 | 71402.572 | -4503.027 |
| -1844.679 | -97477.091 | 63.968 | 143825.972 | 67573.915 | -2074.045 |
| 832.673 | -58664.593 | -42.911 | 120134.629 | 54112.152 | 1995.622 |
| -4.957 | -68206.722 | -1583.323 | 135859.309 | 62009.136 | -10173.211 |
| -3254.861 | 26543.032 | 5931.876 | 9904.208 | 17704.253 | 8139.743 |
| 751.690 | 59843.837 | 301.234 | -135477.947 | -62294.185 | 3815.180 |
| -10998.820 | -120561.545 | -4219.445 | -3729.754 | -1828.593 | -5121.384 |
| -3957.946 | 44635.755 | -1347.659 | -140803.433 | -66238.794 | 19723.795 |
| -5.043 | -8.721 | -1.798 | 1211.744 | 10.602 | -119.538 |
| -195.545 | 77482.294 | -2162.756 | -143020.729 | -69131.495 | 1682.308 |
| 2142.806 | 87232.471 | 2008.548 | -161070.336 | -76919.566 | 10264.841 |
| 40548.076 | 496.156 | 496.157 | 0.000 | -0.000 | -0.000 |
| 496.157 | 40548.076 | 496.157 | -0.000 | -0.000 | -0.000 |
| 496.157 | 496.156 | 40548.077 | -0.000 | 0.000 | -0.000 |
| 0.000 | -0.000 | 0.000 | 281.179 | 0.000 | 0.000 |
| -0.000 | -0.000 | 0.000 | -0.000 | 281.179 | 0.000 |
| -0.000 | -0.000 | -0.000 | -0.000 | -0.000 | 281.178 |
| 40548.081 | 496.158 | 496.159 | -0.000 | 0.000 | -0.000 |
| 496.158 | 40548.082 | 496.159 | 0.000 | -0.000 | -0.000 |
| 496.159 | 496.158 | 40548.081 | 0.000 | 0.000 | 0.000 |
| -0.000 | 0.001 | -0.000 | 281.179 | -0.000 | -0.000 |
| 0.000 | 0.001 | -0.000 | 0.000 | 281.179 | 0.000 |
| 0.000 | 0.001 | -0.000 | -0.000 | -0.000 | 281.178 |
| 40548.056 | 496.155 | 496.155 | 0.000 | -0.000 | -0.000 |
| 496.155 | 40548.056 | 496.155 | 0.000 | 0.000 | -0.000 |
| 496.155 | 496.155 | 40548.056 | 0.000 | -0.000 | 0.000 |
| 0.000 | -0.000 | -0.002 | 284.580 | -0.000 | 0.000 |
| -0.000 | -0.000 | -0.002 | 0.000 | 284.580 | -0.000 |
| -0.000 | -0.002 | 0.000 | -0.000 | -0.000 | 284.580 |
| 40548.102 | 496.161 | 496.161 | 0.000 | 0.000 | 0.000 |
| 496.161 | 40548.102 | 496.161 | -0.000 | 0.000 | -0.000 |
| 496.161 | 496.161 | 40548.102 | -0.000 | -0.000 | -0.000 |
| -0.000 | 0.000 | 0.002 | 284.580 | -0.000 | 0.000 |
| 0.000 | -0.000 | 0.002 | -0.000 | 284.580 | -0.000 |
| 0.000 | 0.002 | -0.000 | -0.000 | 0.000 | 284.580 |
| 40547.850 | 496.125 | 496.125 | 0.000 | -0.000 | 0.000 |
| 496.125 | 40547.850 | 496.125 | 0.000 | -0.000 | -0.000 |
| 496.125 | 496.125 | 40547.850 | -0.000 | -0.000 | 0.000 |
| -0.000 | -0.000 | -0.019 | 281.179 | -0.000 | 0.000 |
| -0.000 | -0.000 | -0.019 | -0.000 | 281.179 | -0.000 |
| -0.000 | -0.020 | -0.000 | -0.000 | -0.000 | 281.179 |
| 40548.308 | 496.191 | 496.191 | -0.000 | 0.000 | -0.000 |
| 496.191 | 40548.308 | 496.191 | -0.000 | 0.000 | -0.000 |
| 496.191 | 496.191 | 40548.308 | -0.000 | 0.000 | -0.000 |
| 0.000 | 0.000 | 0.019 | 281.179 | 0.000 | -0.000 |
| 0.000 | 0.000 | 0.019 | 0.000 | 281.179 | 0.000 |
| 0.000 | 0.020 | 0.000 | -0.000 | -0.000 | 281.179 |
| 122.397 | 49.158 | 49.158 | -0.000 | 0.000 | -0.000 |
| 49.158 | 122.398 | 49.158 | -0.000 | 0.000 | -0.000 |
| 49.158 | 49.158 | 122.397 | -0.000 | 0.000 | 0.000 |
| 0.001 | 0.001 | 0.001 | 72.620 | 0.000 | -0.000 |
| 0.001 | 0.001 | 0.001 | -0.000 | 72.620 | -0.000 |
| 0.001 | 0.001 | 0.001 | 0.000 | -0.000 | 72.620 |
| 170.292 | 50.760 | 50.760 | 0.000 | 0.000 | -0.000 |
| 50.760 | 170.292 | 50.760 | 0.000 | -0.000 | 0.000 |
| 50.760 | 50.760 | 170.292 | 0.000 | 0.000 | 0.000 |
| -0.001 | -0.001 | -0.001 | 72.620 | -0.000 | 0.000 |
| -0.001 | -0.001 | -0.001 | 0.000 | 72.620 | 0.000 |
| -0.001 | -0.001 | -0.001 | 0.000 | -0.000 | 72.620 |
| 61.868 | 26.316 | 26.316 | -0.000 | -0.000 | -0.000 |
| 26.316 | 61.868 | 26.316 | -0.000 | 0.000 | 0.000 |
| 26.316 | 26.316 | 61.868 | -0.000 | 0.000 | -0.000 |
| 0.000 | 0.000 | 0.000 | 72.681 | -0.000 | -0.000 |
| -0.000 | -0.000 | 0.000 | 0.000 | 97.928 | -0.000 |
| 0.000 | 0.000 | 0.000 | -0.000 | 0.000 | 72.681 |
| 170.292 | 50.760 | 50.760 | 0.000 | 0.000 | 0.000 |
| 50.760 | 170.292 | 50.760 | 0.000 | -0.000 | 0.000 |
| 50.760 | 50.760 | 170.292 | 0.000 | 0.000 | 0.000 |
| -0.000 | -0.000 | -0.000 | 72.681 | -0.000 | 0.000 |
| -0.000 | -0.000 | -0.000 | 0.000 | 72.681 | 0.000 |
| -0.000 | -0.000 | -0.000 | 0.000 | -0.000 | 72.681 |
| 122.398 | 49.156 | 49.156 | -0.000 | 0.000 | 0.000 |
| -1.280 | 1.895 | -1.279 | -0.000 | -0.000 | -0.000 |
| -1.279 | -1.280 | 1.895 | -0.000 | 0.000 | -0.000 |
| -0.000 | -0.000 | -0.000 | 9.476 | -0.000 | -0.000 |
| -0.000 | -0.000 | -0.000 | -0.000 | 9.476 | -0.000 |
| -0.000 | -0.000 | -0.000 | -0.000 | 0.000 | 9.476 |
| 1.700 | -1.527 | -1.527 | 0.000 | -0.000 | 0.000 |
| 4.415 | 13.215 | 4.415 | 0.000 | -0.000 | 0.000 |
| 4.415 | 4.415 | 13.215 | 0.000 | 0.000 | 0.000 |
| 0.000 | 0.000 | 0.000 | 9.476 | -0.000 | 0.000 |
| 0.000 | 0.000 | 0.000 | 0.000 | 9.476 | 0.000 |
| -0.000 | 0.000 | -0.000 | 0.000 | -0.000 | 32.295 |
| 76.381 | 19.811 | 19.258 | -0.571 | 0.304 | 0.166 |
| -142.992 | -134.463 | -143.200 | -0.546 | 0.288 | 0.117 |
| 37.077 | 36.990 | 120.035 | -0.334 | 0.059 | 0.084 |
| -153.231 | -153.288 | -153.354 | -2.956 | 0.184 | 0.159 |
| -153.237 | -153.294 | -153.360 | -0.661 | -2.084 | 0.161 |
| -140.971 | -140.652 | -140.660 | -0.366 | 0.234 | 2.550 |
| 108.603 | 64.085 | 64.433 | 0.603 | -0.250 | -0.255 |
| 154.942 | 148.244 | 155.047 | 0.522 | -0.252 | -0.027 |
| 64.129 | 64.100 | 108.893 | 0.604 | -0.250 | -0.255 |
| 4.650 | 4.727 | 4.723 | 59.242 | -0.053 | -0.075 |
| 108.960 | 109.092 | 109.017 | 0.621 | 8.517 | -0.056 |
| 108.881 | 109.012 | 108.939 | 0.621 | -0.171 | 8.648 |
| -13.482 | -15.455 | -15.475 | -0.057 | 0.023 | 0.011 |
| -11.675 | -13.922 | -11.687 | -0.055 | 0.023 | 0.010 |
| -15.338 | -15.331 | -13.813 | -0.056 | 0.024 | 0.010 |
| -13.826 | -13.819 | -13.838 | -0.611 | 0.023 | 0.009 |
| -13.017 | -13.015 | -13.033 | -0.058 | 2.120 | 0.016 |
| -13.980 | -13.972 | -13.995 | -0.057 | 0.023 | -0.291 |
| 16.228 | 13.290 | 13.317 | 0.059 | -0.026 | -0.014 |
| 11.037 | 14.839 | 11.053 | 0.055 | -0.024 | -0.010 |
| 18.524 | 18.517 | 13.318 | 0.054 | -0.023 | -0.009 |
| 13.154 | 13.148 | 13.174 | 2.156 | -0.025 | -0.014 |
| 13.466 | 13.461 | 13.485 | 0.056 | 1.431 | -0.014 |
| 13.671 | 13.663 | 13.687 | 0.057 | -0.026 | 1.115 |
| -1.318 | -1.035 | -1.037 | -0.006 | 0.002 | 0.001 |
| -1.268 | -1.294 | -1.269 | -0.006 | 0.002 | 0.001 |
| -0.912 | -0.911 | -1.564 | -0.006 | 0.002 | 0.001 |
| -1.376 | -1.376 | -1.377 | 0.438 | 0.002 | 0.001 |
| -1.367 | -1.366 | -1.368 | -0.006 | -0.043 | 0.001 |
| -1.385 | -1.385 | -1.387 | -0.006 | 0.002 | 0.254 |
| 1.376 | 1.184 | 1.186 | 0.006 | -0.002 | -0.001 |
| 0.145 | 1.867 | 0.146 | 0.006 | -0.002 | -0.001 |
| 1.586 | 1.585 | 1.361 | 0.006 | -0.002 | -0.001 |
| 1.341 | 1.340 | 1.342 | 0.056 | -0.002 | -0.001 |
| 1.425 | 1.424 | 1.426 | 0.006 | 0.120 | -0.001 |
| 1.377 | 1.375 | 1.378 | 0.006 | -0.002 | 0.321 |
| 568.717 | 309.188 | 246.505 | -0.001 | 0.019 | -0.024 |
| 305.111 | 380.414 | 127.146 | -0.001 | 0.289 | -0.034 |
| 241.156 | 136.855 | 569.915 | -0.002 | 0.259 | -0.029 |
| -0.515 | 5.377 | 2.325 | 174.364 | 0.095 | 0.001 |
| -0.391 | 2.454 | 1.100 | -0.001 | 71.475 | -0.012 |
| -0.377 | 3.002 | 1.345 | -0.001 | 0.177 | 75.901 |
| 569.538 | 303.518 | 243.976 | 0.001 | -0.015 | 0.024 |
| 305.906 | 367.551 | 121.251 | 0.002 | -0.293 | 0.035 |
| 241.741 | 124.126 | 563.989 | 0.001 | -0.268 | 0.032 |
| 0.515 | -5.378 | -2.325 | 174.365 | -0.095 | -0.001 |
| 0.391 | -2.455 | -1.100 | 0.001 | 71.146 | 0.012 |
| 0.377 | -3.002 | -1.345 | 0.001 | -0.177 | 75.924 |
| 568.883 | 304.199 | 241.109 | -0.000 | 0.024 | -0.003 |
| 305.652 | 373.979 | 129.041 | 0.000 | 0.045 | 0.006 |
| 241.943 | 128.317 | 566.868 | 0.000 | 0.045 | 0.006 |
| -0.048 | 0.640 | 0.271 | 174.050 | 0.018 | -0.001 |
| -0.046 | 0.314 | 0.136 | -0.000 | 71.415 | -0.001 |
| 0.001 | 0.512 | 0.229 | -0.000 | 0.014 | 75.637 |
| 568.927 | 303.122 | 240.617 | 0.000 | -0.024 | 0.003 |
| 305.710 | 372.755 | 128.513 | -0.000 | -0.045 | -0.006 |
| 241.946 | 127.126 | 566.348 | -0.000 | -0.045 | -0.006 |
| 0.048 | -0.640 | -0.271 | 174.050 | -0.018 | 0.001 |
| 0.046 | -0.314 | -0.135 | 0.000 | 71.382 | 0.001 |
| -0.001 | -0.512 | -0.229 | 0.000 | -0.014 | 75.639 |
| 568.902 | 303.498 | 240.820 | -0.000 | 0.001 | -0.000 |
| 305.684 | 373.417 | 128.817 | -0.000 | 0.001 | -0.000 |
| 241.943 | 127.774 | 566.634 | -0.000 | 0.002 | -0.000 |
| -0.005 | 0.063 | 0.028 | 174.050 | 0.002 | -0.000 |
| -0.005 | 0.031 | 0.013 | -0.000 | 71.401 | -0.000 |
| 0.000 | 0.051 | 0.022 | -0.000 | 0.001 | 75.638 |
| 568.908 | 303.394 | 240.748 | 0.000 | -0.001 | 0.000 |
| 305.680 | 373.315 | 128.760 | 0.000 | -0.001 | -0.000 |
| 241.950 | 127.654 | 566.580 | 0.000 | -0.002 | 0.000 |
| 0.005 | -0.063 | -0.028 | 174.050 | -0.002 | 0.000 |
| 0.005 | -0.031 | -0.013 | 0.000 | 71.397 | 0.000 |
| -0.000 | -0.051 | -0.022 | 0.000 | -0.001 | 75.638 |
| 5001.601 | 2407.145 | 2407.145 | -0.000 | 0.000 | -0.000 |
| 2407.145 | 5001.601 | 2407.145 | -0.000 | 0.000 | -0.000 |
| 2407.145 | 2407.145 | 5001.601 | -0.000 | -0.000 | -0.000 |
| 0.000 | -0.000 | -0.000 | -74.436 | 0.000 | -0.000 |
| -0.000 | 0.000 | -0.000 | -0.000 | -74.436 | -0.000 |
| -0.000 | -0.000 | -0.000 | -0.000 | 0.000 | -74.436 |
| 5001.601 | 2407.145 | 2407.145 | 0.000 | -0.000 | 0.000 |
| 2407.145 | 5001.601 | 2407.145 | 0.000 | -0.000 | 0.000 |
| 2407.145 | 2407.145 | 5001.601 | 0.000 | -0.000 | 0.000 |
| -0.000 | 0.000 | 0.000 | -74.436 | -0.000 | -0.000 |
| -0.000 | -0.000 | 0.000 | -0.000 | -74.436 | 0.000 |
| 0.000 | 0.000 | 0.000 | -0.000 | -0.000 | -74.436 |
| 5001.603 | 2407.145 | 2407.145 | -0.000 | -0.000 | -0.000 |
| 2407.145 | 5001.603 | 2407.145 | -0.000 | 0.000 | -0.000 |
| 2407.145 | 2407.145 | 5001.603 | 0.000 | 0.000 | -0.000 |
| 0.000 | -0.001 | -0.001 | -74.436 | 0.000 | -0.000 |
| -0.001 | 0.000 | -0.002 | -0.000 | -74.436 | -0.000 |
| -0.001 | -0.001 | 0.000 | -0.000 | 0.000 | -74.436 |
| 5001.600 | 2407.145 | 2407.145 | 0.000 | -0.000 | 0.000 |
| 2407.145 | 5001.600 | 2407.145 | 0.000 | -0.000 | 0.000 |
| 2407.145 | 2407.145 | 5001.600 | -0.000 | -0.000 | 0.000 |
| -0.000 | 0.001 | 0.001 | -74.436 | 0.000 | 0.000 |
| 0.001 | -0.000 | 0.001 | 0.000 | -74.436 | 0.000 |
| 0.001 | 0.001 | -0.000 | 0.000 | -0.000 | -74.436 |
| 5001.617 | 2407.141 | 2407.141 | 0.000 | 0.000 | -0.000 |
| 2407.141 | 5001.617 | 2407.141 | 0.000 | 0.000 | -0.000 |
| 2407.141 | 2407.141 | 5001.617 | -0.000 | -0.000 | -0.000 |
| 0.002 | -0.014 | -0.015 | -74.436 | 0.000 | -0.000 |
| -0.014 | 0.002 | -0.015 | 0.000 | -74.436 | -0.000 |
| -0.014 | -0.015 | 0.002 | 0.000 | 0.000 | -74.436 |
| 5001.586 | 2407.149 | 2407.149 | 0.000 | -0.000 | 0.000 |
| 2407.149 | 5001.586 | 2407.149 | 0.000 | -0.000 | 0.000 |
| 2407.149 | 2407.149 | 5001.586 | -0.000 | -0.000 | 0.000 |
| -0.002 | 0.014 | 0.015 | -74.436 | -0.000 | 0.000 |
| 0.014 | -0.002 | 0.015 | 0.000 | -74.436 | 0.000 |
| 0.014 | 0.015 | -0.002 | -0.000 | -0.000 | -74.436 |
| 11166.483 | 3606.478 | 3606.478 | -0.000 | -0.000 | 0.000 |
| 3606.478 | 11166.484 | 3606.478 | -0.000 | -0.000 | -0.000 |
| 3606.478 | 3606.478 | 11166.483 | -0.000 | -0.000 | -0.000 |
| -0.000 | -0.000 | -0.000 | 347.851 | -0.000 | -0.000 |
| -0.000 | -0.000 | -0.000 | -0.000 | 347.851 | 0.000 |
| -0.000 | -0.000 | -0.000 | 0.000 | -0.000 | 347.851 |
| 11166.490 | 3606.479 | 3606.479 | 0.000 | 0.000 | -0.000 |
| 3606.479 | 11166.490 | 3606.479 | 0.000 | 0.000 | 0.000 |
| 3606.479 | 3606.479 | 11166.490 | 0.000 | 0.000 | -0.000 |
| 0.000 | 0.000 | 0.000 | 347.851 | 0.000 | -0.000 |
| 0.000 | 0.000 | 0.000 | -0.000 | 347.852 | -0.000 |
| 0.000 | 0.000 | 0.000 | -0.000 | 0.000 | 347.851 |
| 11166.454 | 3606.475 | 3606.475 | -0.000 | -0.000 | -0.000 |
| 3606.475 | 11166.454 | 3606.475 | -0.000 | -0.000 | 0.000 |
| 3606.475 | 3606.475 | 11166.454 | 0.000 | 0.000 | 0.000 |
| -0.001 | -0.000 | -0.000 | 347.849 | -0.000 | 0.000 |
| -0.000 | -0.001 | -0.000 | 0.000 | 347.849 | -0.000 |
| -0.000 | -0.000 | -0.001 | 0.000 | -0.000 | 347.849 |
| 11166.519 | 3606.482 | 3606.482 | 0.000 | -0.000 | -0.000 |
| 3606.482 | 11166.519 | 3606.482 | -0.000 | 0.000 | -0.000 |
| 3606.482 | 3606.482 | 11166.519 | 0.000 | 0.000 | 0.000 |
| 0.001 | 0.000 | 0.000 | 347.849 | 0.000 | 0.000 |
| 0.000 | 0.001 | 0.000 | -0.000 | 347.849 | 0.000 |
| 0.000 | 0.000 | 0.001 | 0.000 | 0.000 | 347.849 |
| 11166.137 | 3606.455 | 3606.455 | -0.000 | -0.000 | 0.000 |
| 3606.455 | 11166.137 | 3606.455 | -0.000 | -0.000 | -0.000 |
| 3606.455 | 3606.455 | 11166.137 | -0.000 | -0.000 | 0.000 |
| -0.003 | -0.005 | -0.008 | 347.851 | -0.000 | 0.000 |
| -0.005 | -0.003 | -0.008 | -0.000 | 347.851 | 0.000 |
| -0.005 | -0.008 | -0.003 | 0.000 | -0.000 | 347.851 |
| 11166.784 | 3606.528 | 3606.528 | 0.000 | 0.000 | -0.000 |
| 3606.528 | 11166.784 | 3606.528 | -0.000 | 0.000 | 0.000 |
| 3606.528 | 3606.528 | 11166.784 | 0.000 | 0.000 | 0.000 |
| 0.003 | 0.005 | 0.008 | 347.851 | 0.000 | -0.000 |
| 0.005 | 0.003 | 0.008 | 0.000 | 347.851 | 0.000 |
| 0.005 | 0.008 | 0.003 | 0.000 | 0.000 | 347.851 |
| 2341.589 | 2217.237 | 2217.237 | -0.000 | -0.000 | -0.000 |
| 2217.236 | 2341.590 | 2217.237 | -0.000 | -0.000 | -0.000 |
| 2217.237 | 2217.237 | 2341.590 | -0.000 | -0.000 | -0.000 |
| 0.000 | -0.000 | -0.000 | 943.881 | 0.000 | 0.000 |
| -0.000 | -0.000 | -0.000 | 0.000 | 943.881 | -0.000 |
| -0.000 | -0.000 | -0.000 | -0.000 | -0.000 | 943.881 |
| 2341.591 | 2217.237 | 2217.237 | -0.000 | -0.000 | -0.000 |
| 2217.237 | 2341.591 | 2217.237 | -0.000 | -0.000 | 0.000 |
| 2217.237 | 2217.237 | 2341.590 | 0.000 | 0.000 | 0.000 |
| 0.000 | 0.000 | 0.000 | 943.881 | 0.000 | -0.000 |
| 0.000 | 0.000 | 0.000 | -0.000 | 943.881 | 0.000 |
| 0.000 | 0.000 | 0.000 | 0.000 | 0.000 | 943.881 |
| 2341.589 | 2217.236 | 2217.236 | 0.000 | -0.000 | -0.000 |
| 2217.236 | 2341.589 | 2217.236 | -0.000 | -0.000 | -0.000 |
| 2217.236 | 2217.236 | 2341.589 | -0.000 | -0.000 | -0.000 |
| -0.001 | 0.000 | -0.001 | -4613.693 | -0.000 | -0.000 |
| 0.000 | -0.001 | -0.001 | -0.000 | -4613.693 | -0.000 |
| 0.000 | -0.001 | -0.001 | -0.000 | 0.000 | -4613.693 |
| 2341.591 | 2217.238 | 2217.238 | 0.000 | 0.000 | -0.000 |
| 2217.238 | 2341.591 | 2217.238 | -0.000 | 0.000 | 0.000 |
| 2217.238 | 2217.238 | 2341.591 | 0.000 | 0.000 | 0.000 |
| 0.001 | -0.000 | 0.001 | -4613.693 | 0.000 | 0.000 |
| -0.000 | 0.001 | 0.001 | 0.000 | -4613.693 | -0.000 |
| -0.000 | 0.001 | 0.001 | -0.000 | -0.000 | -4613.693 |
| 2341.576 | 2217.228 | 2217.228 | -0.000 | -0.000 | -0.000 |
| 2217.228 | 2341.576 | 2217.228 | -0.000 | -0.000 | -0.000 |
| 2217.228 | 2217.228 | 2341.576 | -0.000 | -0.000 | -0.000 |
| -0.005 | 0.004 | -0.006 | -4613.690 | -0.000 | -0.000 |
| 0.004 | -0.005 | -0.006 | -0.000 | -4613.690 | 0.000 |
| 0.004 | -0.006 | -0.005 | -0.000 | -0.000 | -4613.690 |
| 2341.604 | 2217.247 | 2217.247 | -0.000 | 0.000 | 0.000 |
| 2217.247 | 2341.604 | 2217.247 | 0.000 | -0.000 | 0.000 |
| 2217.247 | 2217.247 | 2341.604 | -0.000 | -0.000 | 0.000 |
| 0.005 | -0.004 | 0.006 | -4613.690 | 0.000 | 0.000 |
| -0.004 | 0.005 | 0.006 | 0.000 | -4613.690 | 0.000 |
| -0.004 | 0.006 | 0.005 | -0.000 | -0.000 | -4613.690 |
| 4732.692 | 6103.834 | 6103.831 | -0.000 | 0.000 | 0.001 |
| 6103.831 | 4732.694 | 6103.831 | -0.000 | 0.000 | -0.001 |
| 6103.831 | 6103.834 | 4732.692 | -0.000 | -0.000 | 0.001 |
| -0.000 | -0.001 | 0.000 | -686.881 | -0.000 | -0.002 |
| -0.000 | -0.002 | -0.000 | -0.000 | -686.881 | -0.002 |
| 0.000 | -0.001 | -0.000 | -0.000 | -0.000 | -686.882 |
| 4732.692 | 6103.829 | 6103.831 | 0.000 | -0.000 | -0.001 |
| 6103.831 | 4732.691 | 6103.831 | 0.000 | 0.000 | -0.001 |
| 6103.831 | 6103.829 | 4732.692 | 0.000 | -0.000 | -0.002 |
| 0.000 | 0.001 | 0.000 | -686.880 | 0.000 | 0.001 |
| 0.000 | -0.000 | 0.000 | 0.000 | -686.880 | 0.001 |
| 0.000 | 0.001 | 0.000 | 0.000 | 0.000 | -686.878 |
| 4732.692 | 6103.830 | 6103.830 | -0.000 | -0.000 | -0.000 |
| 6103.830 | 4732.692 | 6103.830 | -0.000 | -0.000 | -0.000 |
| 6103.830 | 6103.830 | 4732.692 | -0.000 | -0.000 | -0.000 |
| -0.000 | 0.001 | 0.001 | -686.880 | -0.000 | -0.000 |
| 0.001 | -0.000 | 0.001 | -0.000 | -686.880 | -0.000 |
| 0.001 | 0.001 | -0.000 | -0.000 | -0.000 | -686.881 |
| 4732.693 | 6103.833 | 6103.833 | 0.000 | 0.000 | 0.000 |
| 6103.833 | 4732.693 | 6103.833 | 0.000 | 0.000 | 0.000 |
| 6103.832 | 6103.833 | 4732.693 | 0.000 | 0.000 | 0.000 |
| 0.000 | -0.001 | -0.001 | -686.880 | 0.000 | 0.000 |
| -0.001 | 0.000 | -0.001 | 0.000 | -686.880 | 0.000 |
| -0.001 | -0.001 | 0.000 | 0.000 | 0.000 | -686.880 |
| 4732.688 | 6103.817 | 6103.817 | -0.000 | 0.000 | -0.000 |
| 6103.817 | 4732.688 | 6103.817 | -0.000 | -0.000 | -0.000 |
| 6103.817 | 6103.817 | 4732.688 | -0.000 | -0.000 | -0.000 |
| -0.003 | 0.013 | 0.013 | -686.880 | -0.000 | -0.000 |
| 0.013 | -0.003 | 0.013 | -0.000 | -686.880 | -0.000 |
| 0.013 | 0.013 | -0.003 | -0.000 | -0.000 | -686.880 |
| 4732.696 | 6103.845 | 6103.845 | 0.000 | 0.000 | 0.000 |
| 6103.845 | 4732.696 | 6103.845 | 0.000 | 0.000 | 0.000 |
| 6103.845 | 6103.845 | 4732.696 | 0.000 | 0.000 | 0.000 |
| 0.003 | -0.013 | -0.013 | -686.880 | 0.000 | 0.000 |
| -0.013 | 0.003 | -0.013 | 0.000 | -686.880 | 0.000 |
| -0.013 | -0.013 | 0.003 | 0.000 | 0.000 | -686.880 |
| 1102.484 | 36.648 | -0.000 | -0.000 | 0.000 | 0.000 |
| 36.648 | 1102.485 | -0.000 | 0.000 | -0.000 | -0.000 |
| -0.000 | -0.000 | -0.000 | 0.000 | 0.000 | 0.000 |
| -0.000 | -0.000 | -0.000 | 0.000 | 0.000 | 0.000 |
| 0.000 | -0.000 | -0.000 | 0.000 | -0.000 | 0.000 |
| 0.001 | -0.001 | -0.000 | 0.000 | 0.000 | 450.002 |
| 1019.567 | 119.564 | 0.000 | 0.000 | -0.000 | -0.000 |
| 36.648 | 1102.484 | 0.000 | 0.000 | -0.000 | -0.000 |
| 0.000 | 0.000 | 0.000 | -0.000 | 0.000 | -0.000 |
| 0.000 | 0.000 | 0.000 | -0.000 | 0.000 | -0.000 |
| -0.000 | 0.000 | 0.000 | -0.000 | 0.000 | -0.000 |
| -0.001 | 0.001 | 0.000 | -0.000 | 0.000 | 450.002 |
| 1019.569 | 119.564 | -0.000 | 0.000 | 0.000 | 0.000 |
| 119.564 | 1019.568 | -0.000 | -0.000 | 0.000 | -0.000 |
| -0.000 | -0.000 | -0.000 | 0.000 | 0.000 | 0.000 |
| -0.000 | 0.000 | -0.000 | 0.000 | -0.000 | 0.000 |
| 0.000 | -0.000 | -0.000 | 0.000 | -0.000 | 0.000 |
| 0.000 | -0.000 | 0.000 | 0.000 | 0.000 | 449.999 |
| 1019.568 | 119.564 | 0.000 | 0.000 | -0.000 | -0.000 |
| 36.648 | 1102.484 | 0.000 | 0.000 | -0.000 | -0.000 |
| 0.000 | 0.000 | 0.000 | 0.000 | -0.000 | -0.000 |
| 0.000 | 0.000 | 0.000 | -0.000 | 0.000 | -0.000 |
| -0.000 | 0.000 | 0.000 | -0.000 | 0.000 | -0.000 |
| -0.000 | 0.000 | -0.000 | -0.000 | -0.000 | 449.999 |
| 1019.489 | 119.646 | -0.000 | 0.000 | 0.000 | 0.000 |
| 119.566 | 1019.569 | -0.000 | -0.000 | 0.000 | 0.000 |
| -0.000 | -0.000 | -0.000 | 0.000 | 0.000 | 0.000 |
| -0.000 | -0.000 | -0.000 | 0.000 | 0.000 | 0.000 |
| 0.000 | -0.000 | -0.000 | 0.000 | -0.000 | 0.000 |
| 0.000 | 0.000 | 0.000 | 0.000 | 0.000 | 449.999 |
| 1019.564 | 119.564 | 0.000 | 0.000 | 0.000 | 0.000 |
| 119.562 | 1019.567 | 0.000 | -0.000 | -0.000 | -0.000 |
| 0.000 | 0.000 | 0.000 | 0.000 | -0.000 | -0.000 |
| 0.000 | -0.000 | 0.000 | -0.000 | 0.000 | -0.000 |
| -0.000 | 0.000 | 0.000 | -0.000 | 0.000 | -0.000 |
| -0.000 | -0.000 | -0.000 | -0.000 | 0.000 | 449.999 |
| 17.999 | 16.015 | 16.015 | 0.006 | -0.008 | 0.003 |
| 16.015 | 17.999 | 16.015 | 0.006 | -0.008 | 0.003 |
| 16.015 | 16.015 | 17.999 | 0.006 | -0.008 | 0.003 |
| 1.517 | 1.517 | 1.517 | 34.601 | -0.008 | 0.001 |
| 1.518 | 1.518 | 1.518 | 0.008 | 34.579 | 0.001 |
| 1.517 | 1.517 | 1.517 | 0.008 | -0.008 | 34.593 |
| 3.641 | 1.593 | 1.593 | -0.006 | 0.008 | -0.003 |
| 1.593 | 3.641 | 1.593 | -0.006 | 0.008 | -0.003 |
| 1.592 | 1.592 | 3.641 | -0.006 | 0.008 | -0.003 |
| -1.518 | -1.518 | -1.518 | 34.580 | 0.008 | -0.001 |
| -1.517 | -1.517 | -1.517 | -0.008 | 34.601 | -0.001 |
| -1.518 | -1.518 | -1.518 | -0.008 | 0.008 | 34.588 |
| 11.350 | 8.373 | 8.373 | -0.004 | 0.004 | -0.001 |
| 8.373 | 11.350 | 8.373 | -0.004 | 0.004 | -0.001 |
| 8.373 | 8.373 | 11.350 | -0.004 | 0.004 | -0.001 |
| 0.253 | 0.253 | 0.253 | 34.565 | -0.001 | 0.000 |
| 0.253 | 0.253 | 0.253 | 0.001 | 34.563 | 0.000 |
| 0.253 | 0.253 | 0.253 | 0.001 | -0.001 | 34.564 |
| 9.917 | 6.941 | 6.942 | 0.004 | -0.004 | 0.001 |
| 6.942 | 9.917 | 6.941 | 0.004 | -0.004 | 0.001 |
| 6.941 | 6.942 | 9.917 | 0.004 | -0.004 | 0.001 |
| -0.253 | -0.253 | -0.253 | 34.563 | 0.001 | -0.000 |
| -0.253 | -0.253 | -0.253 | -0.001 | 34.565 | -0.000 |
| -0.253 | -0.253 | -0.253 | -0.001 | 0.001 | 34.564 |
| 10.704 | 7.690 | 7.690 | -0.000 | 0.000 | -0.000 |
| 7.690 | 10.704 | 7.690 | -0.000 | 0.000 | -0.000 |
| 7.690 | 7.690 | 10.704 | -0.000 | 0.000 | -0.000 |
| 0.035 | 0.034 | 0.034 | 34.563 | -0.000 | 0.000 |
| 0.034 | 0.035 | 0.034 | 0.000 | 34.563 | 0.000 |
| 0.034 | 0.034 | 0.035 | 0.000 | -0.000 | 34.563 |
| 10.557 | 7.551 | 7.551 | 0.000 | -0.000 | 0.000 |
| 7.551 | 10.557 | 7.551 | 0.000 | -0.000 | 0.000 |
| 7.551 | 7.551 | 10.557 | 0.000 | -0.000 | 0.000 |
| -0.035 | -0.034 | -0.034 | 34.563 | 0.000 | -0.000 |
| -0.034 | -0.035 | -0.034 | -0.000 | 34.563 | -0.000 |
| -0.034 | -0.034 | -0.035 | -0.000 | 0.000 | 34.563 |
| 160756.594 | 137228.135 | -263458.162 | -25.833 | 11.062 | -136030.866 |
| 7178108.459 | 6970903.902 | -1544050.227 | 2659.365 | -5482.423 | 64661.633 |
| 15627811.738 | 16358434.171 | -1955730.687 | -3335.678 | 4356.708 | 291054.871 |
| 939547.580 | 924698.450 | -19074.084 | -310.930 | -23.211 | -1005997.839 |
| 2467722.669 | 2168259.178 | -477107.865 | -35.829 | 62.270 | 1712.573 |
| 1997145.766 | 1648036.952 | -1333091.665 | 8043.775 | 3127.389 | -313341.685 |
| -5133516.638 | -5124419.592 | 1475756.413 | 3103.218 | -2582.920 | 117191.348 |
| 721753.449 | 412371.594 | 2077067.144 | 14789.483 | -19526.956 | 18417.093 |
| -2034902.315 | -2054704.612 | 1313548.964 | 1308.368 | -1527.641 | 496991.128 |
| -9149393.410 | -9457925.451 | 2212338.001 | 46337.008 | -35903.573 | -441818.806 |
| 507612.423 | 540265.579 | 42331.711 | -5.985 | 654.031 | -122053.126 |
| -1549231.096 | -1514163.100 | 998716.248 | 842.880 | -280.166 | 77427.010 |
| 159970.708 | 181455.387 | -218696.059 | -641.612 | 201.838 | 35708.636 |
| 153706.238 | 146304.313 | -92201.459 | -144.538 | 17.600 | 25368.220 |
| 283037.037 | 251337.763 | -148969.825 | -386.385 | -21.616 | -19907.362 |
| 256954.959 | 257249.875 | -16057.173 | 38.142 | -1.696 | -49002.749 |
| 275634.620 | 270147.199 | -148558.819 | -348.059 | 249.285 | 2955.371 |
| 355371.947 | 366738.566 | -170992.438 | -823.556 | 470.835 | 9486.007 |
| -305763.778 | -229310.500 | 135928.682 | 82.202 | 385.590 | 4103.225 |
| -29012.261 | -61202.363 | 27558.082 | 3.860 | -0.852 | 75309.055 |
| -56098.183 | -46265.804 | 61965.254 | 15.680 | -1.682 | -5691.647 |
| -145215.528 | -147137.453 | 226541.165 | -17273.743 | 199.457 | -39259.120 |
| -951033.732 | -1016515.955 | 163972.182 | 1035.131 | 1693.234 | -18837.214 |
| 100674.866 | 98316.664 | 8634.565 | 1.594 | -1.888 | 42388.686 |
| 19350.529 | 17211.184 | -18036.297 | -18.147 | 41.702 | 5902.431 |
| 20643.913 | 20272.379 | -15556.917 | -30.960 | 42.457 | 1072.243 |
| 22640.966 | 21803.671 | -13854.075 | -25.591 | -4.632 | 3.840 |
| 142976.300 | 136813.327 | -19916.272 | -74.722 | 53.191 | 17593.094 |
| 33102.474 | 34943.885 | -19037.335 | -75.999 | -0.446 | 2739.953 |
| -4357.073 | -1913.387 | -719.744 | -0.135 | -0.042 | 143367.474 |
| -44736.282 | -48501.417 | 25172.310 | 23.940 | -251.128 | -4210.701 |
| -45387.811 | -51253.586 | 27193.650 | 490.913 | -513.619 | 863.607 |
| -55986.498 | -53572.856 | 20582.559 | 75.201 | -1.990 | 2771.937 |
| -3094.269 | -3275.190 | 444.603 | 166.362 | -0.017 | -289.789 |
| -26283.416 | -27287.316 | 14546.406 | 76.999 | -14122.556 | 933.039 |
| -16834.555 | -17158.910 | 3370.429 | 0.736 | -0.228 | 2209.303 |
| 106.983 | 27.766 | 85.026 | 0.017 | 0.037 | -0.063 |
| 27.285 | 28.724 | 111.442 | -0.047 | 0.042 | 0.051 |
| 91.061 | 117.095 | 585.600 | 0.014 | 0.048 | -0.053 |
| -0.244 | -0.071 | 0.488 | 126.421 | 0.024 | -0.029 |
| -0.357 | 0.097 | 0.462 | 0.022 | 88.341 | -0.071 |
| -0.088 | -0.036 | 0.569 | 0.003 | 0.029 | 31.627 |
| 107.724 | 28.545 | 84.710 | -0.020 | -0.036 | 0.066 |
| 28.560 | 29.437 | 111.761 | 0.028 | -0.040 | -0.016 |
| 91.751 | 118.460 | 585.018 | -0.012 | -0.043 | 0.059 |
| 0.243 | 0.070 | -0.487 | 126.413 | -0.023 | 0.029 |
| 0.359 | -0.094 | -0.464 | 0.016 | 88.275 | 0.071 |
| 0.089 | 0.027 | -0.566 | -0.004 | -0.029 | 31.704 |
| 106.914 | 27.687 | 84.878 | -0.005 | 0.008 | 0.007 |
| 28.073 | 29.228 | 111.520 | 0.006 | 0.002 | -0.006 |
| 90.942 | 117.481 | 585.125 | -0.001 | 0.003 | -0.002 |
| -0.070 | -0.079 | 0.022 | 126.388 | 0.003 | -0.010 |
| -0.021 | -0.045 | 0.021 | -0.002 | 88.360 | -0.005 |
| 0.040 | -0.033 | -0.071 | 0.001 | 0.004 | 30.811 |
| 107.174 | 27.833 | 84.623 | 0.003 | -0.008 | -0.007 |
| 28.094 | 29.284 | 111.600 | -0.006 | -0.001 | 0.006 |
| 91.158 | 117.620 | 584.970 | 0.001 | -0.004 | 0.001 |
| 0.070 | 0.079 | -0.022 | 126.387 | -0.003 | 0.009 |
| 0.021 | 0.045 | -0.021 | -0.002 | 88.354 | 0.004 |
| -0.040 | 0.033 | 0.071 | -0.001 | -0.004 | 30.823 |
| 107.042 | 27.773 | 84.743 | -0.000 | 0.001 | -0.000 |
| 28.053 | 29.250 | 111.520 | -0.000 | 0.000 | -0.002 |
| 91.064 | 117.542 | 585.027 | 0.000 | 0.001 | 0.000 |
| -0.009 | -0.011 | 0.002 | 126.402 | 0.000 | -0.001 |
| -0.005 | 0.002 | -0.006 | 0.000 | 88.356 | -0.000 |
| 0.003 | -0.003 | -0.006 | 0.000 | 0.001 | 30.809 |
| 107.072 | 27.812 | 84.773 | 0.000 | -0.001 | 0.000 |
| 28.080 | 29.282 | 111.534 | 0.000 | -0.000 | 0.001 |
| 91.063 | 117.554 | 585.032 | 0.000 | 0.000 | 0.000 |
| 0.009 | 0.011 | -0.002 | 126.402 | -0.000 | 0.001 |
| 0.005 | -0.002 | 0.006 | -0.000 | 88.356 | 0.000 |
| -0.003 | 0.003 | 0.006 | -0.000 | -0.001 | 30.810 |
| 730.499 | 106.167 | 106.167 | -0.000 | -0.000 | 0.000 |
| 106.167 | 730.499 | 106.167 | 0.000 | 0.000 | -0.000 |
| 106.167 | 106.167 | 730.499 | -0.000 | -0.000 | -0.000 |
| 0.000 | 0.000 | 0.000 | 274.022 | -0.000 | -0.000 |
| 0.000 | 0.000 | 0.000 | -0.000 | 274.022 | 0.000 |
| 0.000 | -0.000 | 0.000 | -0.000 | 0.000 | 274.022 |
| 730.499 | 106.167 | 106.167 | 0.000 | -0.000 | -0.000 |
| 106.167 | 730.499 | 106.167 | 0.000 | 0.000 | -0.000 |
| 106.167 | 106.167 | 730.499 | 0.000 | 0.000 | -0.000 |
| -0.000 | -0.000 | -0.000 | 274.022 | 0.000 | -0.000 |
| -0.000 | -0.000 | -0.000 | 0.000 | 274.022 | -0.000 |
| -0.000 | -0.000 | -0.000 | 0.000 | 0.000 | 274.022 |
| 579.915 | 177.919 | 177.919 | -0.000 | -0.000 | -0.000 |
| 177.919 | 579.915 | 177.919 | 0.000 | 0.000 | 0.000 |
| 177.919 | 177.919 | 579.915 | 0.000 | -0.000 | 0.000 |
| -0.000 | -0.000 | 0.000 | 274.022 | 0.000 | 0.000 |
| -0.000 | 0.000 | 0.000 | -0.000 | 274.022 | -0.000 |
| -0.000 | 0.000 | 0.000 | -0.000 | -0.000 | 274.022 |
| 581.638 | 178.933 | 178.933 | 0.000 | -0.000 | 0.000 |
| 106.167 | 730.499 | 106.167 | -0.000 | 0.000 | -0.000 |
| 178.933 | 178.933 | 581.638 | -0.000 | -0.000 | -0.000 |
| -0.000 | 0.000 | -0.000 | 274.022 | 0.000 | 0.000 |
| -0.000 | -0.000 | -0.000 | 0.000 | 274.022 | 0.000 |
| 0.000 | -0.000 | -0.000 | 0.000 | -0.000 | 274.022 |
| 569.822 | 181.817 | 181.817 | -0.000 | -0.000 | -0.000 |
| 181.817 | 569.822 | 181.817 | 0.000 | 0.000 | -0.000 |
| 181.817 | 181.817 | 569.822 | -0.000 | 0.000 | -0.000 |
| -0.254 | -0.250 | -0.250 | 145.376 | -0.000 | -0.000 |
| -0.250 | -0.254 | -0.250 | -0.000 | 145.376 | 0.000 |
| -0.250 | -0.250 | -0.254 | 0.000 | 0.000 | 145.376 |
| 569.807 | 182.098 | 182.098 | -0.000 | -0.000 | -0.000 |
| 182.098 | 569.807 | 182.098 | -0.000 | 0.000 | 0.000 |
| 182.098 | 182.098 | 569.807 | -0.000 | 0.000 | -0.000 |
| 0.254 | 0.250 | 0.250 | 145.376 | -0.000 | 0.000 |
| 0.250 | 0.254 | 0.250 | 0.000 | 145.376 | -0.000 |
| 0.250 | 0.250 | 0.254 | -0.000 | -0.000 | 145.376 |
| 679.666 | 290.637 | 290.637 | -0.000 | 0.000 | -0.000 |
| 290.638 | 679.666 | 290.637 | -0.000 | -0.000 | -0.000 |
| 290.638 | 290.637 | 679.666 | 0.000 | 0.000 | -0.000 |
| 104.774 | 104.773 | 104.772 | 151.470 | 0.000 | -0.000 |
| 104.774 | 104.773 | 104.772 | 0.000 | 151.470 | -0.000 |
| 205.062 | 205.062 | 205.063 | -0.000 | 0.000 | 285.002 |
| 737.998 | 108.738 | 108.738 | -0.000 | 0.000 | 0.000 |
| 108.738 | 737.998 | 108.738 | 0.000 | 0.000 | 0.000 |
| 108.737 | 108.738 | 737.998 | -0.000 | -0.000 | 0.000 |
| -130.672 | -130.669 | -130.667 | -135.017 | -0.000 | 0.000 |
| -130.672 | -130.669 | -130.667 | -0.000 | -135.017 | 0.000 |
| -205.062 | -205.062 | -205.063 | -0.000 | -0.000 | 285.002 |
| 578.418 | 214.468 | 214.468 | 0.000 | -0.000 | -0.000 |
| 214.466 | 578.419 | 214.466 | 0.000 | 0.000 | -0.000 |
| 214.466 | 214.466 | 578.419 | 0.000 | 0.000 | -0.000 |
| -2.144 | -2.144 | -2.145 | 64.493 | 0.000 | -0.000 |
| -2.144 | -2.144 | -2.145 | 0.000 | 64.493 | -0.000 |
| -2.144 | -2.144 | -2.144 | -0.000 | 0.000 | 64.493 |
| 471.435 | 240.311 | 240.311 | -0.000 | 0.000 | 0.000 |
| 240.311 | 471.435 | 240.311 | -0.000 | -0.000 | 0.000 |
| 240.311 | 240.311 | 471.435 | -0.000 | -0.000 | 0.000 |
| 2.144 | 2.144 | 2.145 | 64.493 | -0.000 | 0.000 |
| 2.144 | 2.144 | 2.145 | -0.000 | 64.493 | 0.000 |
| 2.144 | 2.144 | 2.144 | -0.000 | -0.000 | 64.493 |
| 573.488 | 187.032 | 187.032 | 0.000 | 0.000 | -0.000 |
| 187.032 | 573.488 | 187.032 | 0.000 | 0.000 | -0.000 |
| 187.032 | 187.032 | 573.488 | -0.000 | -0.000 | -0.000 |
| -0.114 | -0.115 | -0.114 | 163.087 | -0.000 | -0.000 |
| -0.115 | -0.114 | -0.114 | -0.000 | 163.087 | -0.000 |
| -0.115 | -0.114 | -0.114 | 0.000 | 0.000 | 163.087 |
| 570.551 | 186.558 | 186.558 | 0.000 | 0.000 | 0.000 |
| 186.558 | 570.551 | 186.558 | -0.000 | 0.000 | 0.000 |
| 186.558 | 186.558 | 570.551 | -0.000 | -0.000 | 0.000 |
| 0.114 | 0.115 | 0.114 | 163.087 | -0.000 | 0.000 |
| 0.115 | 0.114 | 0.114 | -0.000 | 163.087 | 0.000 |
| 0.115 | 0.114 | 0.114 | 0.000 | 0.000 | 163.087 |
| 316.150 | 72.025 | 43.863 | -0.000 | 43.530 | 0.000 |
| 69.393 | 304.371 | 58.274 | -0.000 | 6.017 | 0.000 |
| 134.562 | 47.990 | 862.555 | 0.000 | -226.302 | -0.000 |
| -0.000 | -0.001 | 0.000 | 143.529 | -0.000 | -11.969 |
| -171.911 | -5.706 | -160.468 | 0.000 | -65.541 | -0.000 |
| -125.103 | -18.953 | 61.828 | -26.529 | -199.781 | 17.813 |
| 316.150 | 72.026 | 43.862 | 0.000 | 43.530 | 0.000 |
| 1.949 | 205.458 | 108.463 | 0.000 | 266.215 | 0.000 |
| 134.562 | 47.991 | 862.555 | 0.000 | -226.302 | 0.000 |
| -0.000 | -0.000 | -0.000 | 143.530 | 0.000 | -11.969 |
| -59.790 | 63.606 | -266.701 | 0.000 | 341.289 | -0.000 |
| 125.103 | 18.953 | -61.828 | -26.528 | 199.781 | 17.813 |
| 14.599 | 12.206 | 5.005 | -0.000 | -24.375 | -0.000 |
| 112.018 | 157.230 | 68.402 | -0.000 | -10.456 | 0.000 |
| 194.145 | 53.291 | 711.795 | -0.000 | -280.170 | -0.000 |
| -63.283 | -7.649 | -7.394 | 1.045 | -41.165 | 3.740 |
| 1.884 | 13.560 | -267.024 | -0.000 | 139.997 | -0.000 |
| -16.694 | 1.112 | -4.462 | -6.092 | -21.330 | 24.496 |
| 68.848 | 11.728 | 18.725 | 0.000 | 19.727 | 0.000 |
| 79.307 | 53.023 | 29.145 | 0.000 | 18.514 | 0.000 |
| 187.494 | 58.222 | 703.232 | 0.000 | -254.705 | 0.000 |
| 9.954 | 2.260 | -5.087 | 32.193 | 21.773 | -12.378 |
| -35.160 | -3.681 | -261.264 | 0.000 | 161.961 | 0.000 |
| 16.694 | -1.112 | 4.462 | -6.092 | 21.330 | 24.496 |
| -2.074 | 1.484 | 9.514 | -0.000 | -7.280 | -0.000 |
| -3.584 | 1.556 | 10.615 | -0.000 | -6.092 | 0.000 |
| 96.027 | -5.116 | 665.582 | -0.000 | -271.068 | -0.000 |
| -3.138 | 0.424 | -0.985 | 24.880 | -2.523 | -9.150 |
| -68.876 | -17.994 | -287.715 | -0.000 | 117.926 | -0.000 |
| -3.433 | 0.320 | -1.361 | -9.151 | -2.418 | 18.961 |
| 30.235 | -19.138 | -4.522 | 0.000 | -6.835 | 0.000 |
| 5.999 | -1.485 | 11.094 | 0.000 | -1.680 | -0.000 |
| 129.760 | -8.021 | 649.937 | 0.000 | -280.483 | 0.000 |
| 3.138 | -0.424 | 0.985 | 24.880 | 2.523 | -9.150 |
| -64.261 | -32.397 | -275.489 | 0.000 | 129.244 | -0.000 |
| 3.433 | -0.320 | 1.361 | -9.151 | 2.418 | 18.961 |
| 773.652 | 150.326 | 80.115 | -0.001 | 0.000 | 0.000 |
| -207.634 | 98.397 | -959.579 | -0.001 | -0.001 | 0.001 |
| 591.218 | 591.217 | -434.509 | -0.001 | -0.002 | -0.001 |
| 0.000 | 0.001 | -0.000 | 268.446 | -0.001 | 0.001 |
| 387.639 | 387.639 | -1336.016 | -0.001 | -319.189 | -0.001 |
| 388.293 | 388.292 | -1338.263 | -0.001 | -0.001 | -377.239 |
| -162.962 | 203.013 | 1375.472 | 0.001 | 0.001 | 0.001 |
| 813.734 | 807.465 | 1114.630 | 0.002 | 0.001 | 0.000 |
| 736.629 | 736.631 | 1528.815 | 0.000 | 0.002 | 0.002 |
| -0.000 | -0.001 | 0.000 | 268.448 | 0.001 | 0.001 |
| -387.639 | -387.639 | 1336.016 | 0.001 | -319.186 | 0.001 |
| -388.290 | -388.290 | 1338.258 | 0.001 | 0.001 | -377.234 |
| 582.853 | 259.176 | 152.312 | -0.000 | -0.000 | -0.000 |
| 259.184 | 582.839 | 152.317 | -0.000 | -0.000 | -0.000 |
| 109.810 | 109.810 | 622.762 | -0.000 | -0.000 | -0.000 |
| -52.633 | -52.633 | -99.629 | 119.597 | -0.000 | -0.000 |
| -28.983 | -28.983 | -122.130 | 0.000 | 128.698 | -0.000 |
| 0.000 | -0.000 | -0.000 | -0.000 | 0.000 | 311.661 |
| 585.144 | 233.794 | 198.478 | 0.000 | 0.000 | -0.000 |
| 150.328 | 773.649 | 80.115 | 0.000 | 0.000 | -0.000 |
| 181.015 | 181.015 | 807.178 | 0.000 | 0.000 | -0.000 |
| 52.633 | 52.633 | 99.629 | 119.597 | 0.000 | 0.000 |
| 28.983 | 28.983 | 122.130 | 0.000 | 128.698 | 0.000 |
| 17.711 | 17.711 | 56.269 | 0.000 | 0.000 | 115.914 |
| 583.443 | 263.040 | 152.633 | -0.000 | -0.000 | 0.000 |
| 235.197 | 607.349 | 162.589 | -0.000 | -0.000 | -0.000 |
| 153.543 | 153.543 | 761.949 | -0.000 | -0.000 | 0.000 |
| 0.630 | 0.630 | -2.171 | 172.983 | -0.000 | 0.000 |
| 0.630 | 0.630 | -2.171 | 0.000 | 172.983 | 0.000 |
| 0.722 | 0.722 | -2.488 | -0.000 | -0.000 | 183.554 |
| 575.752 | 261.012 | 171.221 | 0.000 | 0.000 | 0.000 |
| 233.114 | 607.270 | 166.770 | 0.000 | -0.000 | -0.000 |
| 156.750 | 156.750 | 792.845 | 0.000 | 0.000 | 0.000 |
| -0.630 | -0.629 | 2.171 | 172.983 | 0.000 | 0.000 |
| -0.630 | -0.630 | 2.171 | 0.000 | 172.983 | 0.000 |
| 0.205 | 0.206 | 3.536 | 0.000 | 0.000 | 163.641 |
| 591.847 | 279.612 | 279.620 | -0.000 | 0.002 | 0.001 |
| 279.632 | 591.827 | 279.620 | -0.001 | 0.001 | 0.001 |
| 279.631 | 279.612 | 591.835 | -0.001 | 0.002 | 0.001 |
| -0.171 | -0.191 | -0.182 | 277.762 | 0.002 | 0.001 |
| -0.170 | -0.191 | -0.182 | -0.000 | 277.765 | 0.001 |
| -0.170 | -0.191 | -0.182 | -0.000 | 0.002 | 277.764 |
| 588.199 | 279.877 | 279.869 | 0.001 | -0.002 | -0.001 |
| 279.672 | 592.752 | 279.683 | 0.000 | -0.002 | -0.001 |
| 279.672 | 279.691 | 592.744 | 0.001 | -0.002 | -0.001 |
| 0.170 | 0.191 | 0.182 | 277.763 | -0.002 | -0.001 |
| 0.171 | 0.191 | 0.182 | 0.001 | 277.761 | -0.001 |
| 0.171 | 0.191 | 0.182 | 0.001 | -0.002 | 277.762 |
| 592.302 | 279.620 | 279.621 | -0.000 | 0.000 | 0.000 |
| 279.622 | 592.300 | 279.621 | -0.000 | 0.000 | 0.000 |
| 279.622 | 279.620 | 592.301 | -0.000 | 0.000 | 0.000 |
| 0.000 | 0.000 | 0.000 | 406.772 | 0.000 | -0.000 |
| 0.000 | 0.000 | 0.000 | -0.000 | 406.772 | 0.000 |
| 0.000 | 0.000 | -0.000 | -0.000 | 0.000 | 406.772 |
| 592.391 | 279.628 | 279.627 | 0.000 | -0.000 | -0.000 |
| 279.626 | 592.393 | 279.627 | 0.000 | -0.000 | -0.000 |
| 279.626 | 279.628 | 592.392 | 0.000 | -0.000 | -0.000 |
| -0.000 | -0.000 | -0.000 | 406.772 | -0.000 | -0.000 |
| -0.000 | -0.000 | -0.000 | -0.000 | 406.772 | -0.000 |
| -0.000 | -0.000 | 0.000 | 0.000 | -0.000 | 406.772 |
| 588.387 | 279.107 | 279.107 | -0.000 | 0.000 | 0.000 |
| 279.108 | 588.387 | 279.107 | -0.000 | 0.000 | 0.000 |
| 279.108 | 279.107 | 588.387 | -0.000 | 0.000 | 0.000 |
| -0.001 | -0.002 | -0.002 | 277.823 | 0.000 | 0.000 |
| -0.002 | -0.002 | -0.002 | -0.000 | 277.823 | 0.000 |
| -0.002 | -0.002 | -0.001 | -0.000 | 0.000 | 277.823 |
| 592.353 | 279.622 | 279.622 | 0.000 | -0.000 | -0.000 |
| 279.622 | 592.353 | 279.622 | 0.000 | -0.000 | -0.000 |
| 279.622 | 279.622 | 592.353 | 0.000 | -0.000 | -0.000 |
| 0.001 | 0.002 | 0.002 | 277.823 | -0.000 | -0.000 |
| 0.002 | 0.002 | 0.002 | 0.000 | 277.823 | -0.000 |
| 0.002 | 0.002 | 0.001 | 0.000 | -0.000 | 277.823 |
| 1112.724 | 88.696 | 88.696 | -0.000 | 0.000 | -0.000 |
| 88.696 | 1112.724 | 88.696 | 0.000 | -0.000 | -0.000 |
| 88.696 | 88.696 | 1112.724 | -0.000 | 0.000 | -0.000 |
| 0.000 | -0.000 | 0.000 | 225.142 | 0.000 | 0.000 |
| -0.000 | 0.000 | 0.000 | -0.000 | 225.142 | -0.000 |
| -0.000 | 0.000 | -0.000 | 0.000 | 0.000 | 225.142 |
| 1112.724 | 88.696 | 88.696 | -0.000 | -0.000 | 0.000 |
| 88.695 | 1112.724 | 88.696 | 0.000 | -0.000 | -0.000 |
| 88.695 | 88.696 | 1112.724 | 0.000 | 0.000 | 0.000 |
| 0.000 | 0.000 | 0.000 | 225.142 | -0.000 | 0.000 |
| 0.000 | -0.000 | 0.000 | -0.000 | 225.142 | 0.000 |
| 0.000 | -0.000 | -0.000 | -0.000 | -0.000 | 225.142 |
| 883.369 | 200.821 | 200.821 | 0.000 | 0.000 | -0.000 |
| 200.821 | 883.369 | 200.821 | 0.000 | 0.000 | 0.000 |
| 200.821 | 200.821 | 883.369 | 0.000 | -0.000 | -0.000 |
| 0.000 | -0.000 | -0.000 | 225.142 | -0.000 | -0.000 |
| -0.000 | 0.000 | -0.000 | -0.000 | 225.142 | -0.000 |
| -0.000 | -0.000 | 0.000 | -0.000 | 0.000 | 225.142 |
| 1112.724 | 88.696 | 88.696 | -0.000 | 0.000 | 0.000 |
| 88.696 | 1112.724 | 88.696 | -0.000 | -0.000 | 0.000 |
| 88.696 | 88.696 | 1112.724 | -0.000 | -0.000 | 0.000 |
| -0.000 | 0.000 | 0.000 | 225.142 | 0.000 | -0.000 |
| 0.000 | -0.000 | 0.000 | -0.000 | 225.142 | -0.000 |
| 0.000 | 0.000 | -0.000 | 0.000 | -0.000 | 225.142 |
| 883.370 | 200.844 | 200.844 | 0.000 | 0.000 | 0.000 |
| 200.844 | 883.370 | 200.844 | 0.000 | 0.000 | 0.000 |
| 200.844 | 200.844 | 883.370 | 0.000 | 0.000 | 0.000 |
| -0.001 | -0.001 | -0.001 | 110.121 | 0.000 | -0.000 |
| -0.001 | -0.001 | -0.001 | 0.000 | 110.121 | -0.000 |
| -0.001 | -0.001 | -0.001 | 0.000 | 0.000 | 110.121 |
| 883.144 | 201.606 | 201.606 | 0.000 | -0.000 | 0.000 |
| 201.606 | 883.144 | 201.606 | 0.000 | -0.000 | 0.000 |
| 201.606 | 201.606 | 883.144 | 0.000 | -0.000 | -0.000 |
| 0.001 | 0.001 | 0.001 | 110.121 | 0.000 | -0.000 |
| 0.001 | 0.001 | 0.001 | 0.000 | 110.121 | 0.000 |
| 0.001 | 0.001 | 0.001 | -0.000 | 0.000 | 110.121 |
| 1111.484 | 88.401 | 88.401 | 0.000 | -0.000 | -0.000 |
| 88.400 | 1111.484 | 88.401 | -0.000 | -0.000 | -0.000 |
| 88.400 | 88.401 | 1111.484 | 0.000 | -0.000 | 0.000 |
| -0.031 | -0.031 | -0.031 | 110.198 | 0.000 | 0.000 |
| -0.031 | -0.031 | -0.031 | -0.000 | 110.198 | 0.000 |
| -0.031 | -0.031 | -0.031 | -0.000 | -0.000 | 110.198 |
| 882.519 | 201.077 | 201.077 | 0.000 | -0.000 | -0.000 |
| 201.078 | 882.519 | 201.077 | 0.000 | 0.000 | -0.000 |
| 201.078 | 201.077 | 882.519 | 0.000 | -0.000 | -0.000 |
| 0.031 | 0.031 | 0.031 | 110.198 | -0.000 | -0.000 |
| 0.031 | 0.031 | 0.031 | 0.000 | 110.198 | -0.000 |
| 0.031 | 0.031 | 0.031 | 0.000 | -0.000 | 110.198 |
| 882.466 | 201.025 | 201.025 | -0.000 | 0.000 | 0.000 |
| 201.025 | 882.466 | 201.025 | -0.000 | -0.000 | 0.000 |
| 201.025 | 201.025 | 882.466 | -0.000 | -0.000 | 0.000 |
| -0.004 | -0.004 | -0.004 | 103.051 | -0.000 | 0.000 |
| -0.004 | -0.004 | -0.004 | -0.000 | 103.051 | 0.000 |
| -0.004 | -0.004 | -0.004 | -0.000 | -0.000 | 103.051 |
| 1111.484 | 88.401 | 88.401 | 0.000 | 0.000 | -0.000 |
| 88.401 | 1111.484 | 88.401 | 0.000 | 0.000 | -0.000 |
| 88.401 | 88.401 | 1111.484 | 0.000 | 0.000 | -0.000 |
| 0.004 | 0.004 | 0.004 | 103.051 | 0.000 | -0.000 |
| 0.004 | 0.004 | 0.004 | -0.000 | 103.051 | -0.000 |
| 0.004 | 0.004 | 0.004 | 0.000 | 0.000 | 103.051 |
| 882.476 | 201.028 | 201.028 | -0.000 | 0.000 | 0.000 |
| 201.028 | 882.476 | 201.028 | -0.000 | 0.000 | -0.000 |
| 201.028 | 201.028 | 882.476 | -0.000 | 0.000 | -0.000 |
| -0.000 | -0.001 | -0.001 | 103.104 | 0.000 | 0.000 |
| -0.001 | -0.000 | -0.001 | -0.000 | 103.104 | 0.000 |
| -0.001 | -0.001 | -0.000 | -0.000 | -0.000 | 103.104 |
| 882.476 | 201.026 | 201.026 | 0.000 | 0.000 | 0.000 |
| 201.026 | 882.476 | 201.026 | 0.000 | 0.000 | -0.000 |
| 201.026 | 201.026 | 882.476 | 0.000 | -0.000 | -0.000 |
| 0.001 | 0.001 | 0.001 | 103.104 | 0.000 | -0.000 |
| 0.001 | 0.000 | 0.001 | 0.000 | 103.104 | -0.000 |
| 0.001 | 0.001 | 0.000 | 0.000 | 0.000 | 103.104 |
| 461.704 | 272.504 | 272.504 | -0.000 | -0.000 | -0.000 |
| 272.504 | 461.704 | 272.504 | -0.000 | -0.000 | -0.000 |
| 272.504 | 272.504 | 461.704 | -0.000 | -0.000 | -0.000 |
| -0.115 | -0.114 | -0.114 | 262.284 | 0.000 | 0.000 |
| -0.114 | -0.114 | -0.114 | 0.000 | 262.284 | 0.000 |
| -0.114 | -0.114 | -0.114 | 0.000 | 0.000 | 262.284 |
| 462.709 | 273.509 | 273.509 | 0.000 | 0.000 | 0.000 |
| 273.509 | 462.709 | 273.510 | 0.000 | 0.000 | 0.000 |
| 273.509 | 273.509 | 462.709 | 0.000 | 0.000 | 0.000 |
| 0.114 | 0.115 | 0.114 | 262.283 | -0.000 | -0.000 |
| 0.114 | 0.114 | 0.114 | -0.000 | 262.283 | -0.000 |
| 0.114 | 0.114 | 0.114 | -0.000 | -0.000 | 262.284 |
| 462.156 | 272.957 | 272.957 | -0.000 | -0.000 | -0.000 |
| 272.957 | 462.156 | 272.957 | -0.000 | -0.000 | -0.000 |
| 272.957 | 272.957 | 462.156 | -0.000 | -0.000 | -0.000 |
| -0.077 | -0.077 | -0.077 | 246.980 | 0.000 | 0.000 |
| -0.077 | -0.077 | -0.077 | 0.000 | 246.980 | 0.000 |
| -0.077 | -0.077 | -0.077 | 0.000 | 0.000 | 246.980 |
| 462.257 | 273.057 | 273.057 | 0.000 | 0.000 | 0.000 |
| 273.057 | 462.257 | 273.057 | 0.000 | 0.000 | 0.000 |
| 273.057 | 273.057 | 462.257 | 0.000 | 0.000 | 0.000 |
| 0.077 | 0.077 | 0.077 | 246.980 | -0.000 | -0.000 |
| 0.077 | 0.077 | 0.077 | -0.000 | 246.980 | -0.000 |
| 0.077 | 0.077 | 0.077 | -0.000 | -0.000 | 246.980 |
| 462.202 | 273.002 | 273.002 | -0.000 | -0.000 | -0.000 |
| 273.002 | 462.202 | 273.002 | -0.000 | -0.000 | -0.000 |
| 273.002 | 273.002 | 462.202 | -0.000 | -0.000 | -0.000 |
| -0.008 | -0.008 | -0.008 | 246.980 | 0.000 | 0.000 |
| -0.008 | -0.008 | -0.008 | 0.000 | 246.980 | -0.000 |
| -0.008 | -0.008 | -0.008 | 0.000 | 0.000 | 246.980 |
| 462.211 | 273.011 | 273.011 | 0.000 | 0.000 | 0.000 |
| 273.011 | 462.211 | 273.011 | 0.000 | 0.000 | 0.000 |
| 273.011 | 273.011 | 462.211 | 0.000 | 0.000 | 0.000 |
| 0.008 | 0.008 | 0.008 | 246.980 | -0.000 | -0.000 |
| 0.008 | 0.008 | 0.008 | -0.000 | 246.980 | -0.000 |
| 0.008 | 0.008 | 0.008 | -0.000 | -0.000 | 246.980 |
| 402.870 | 201.426 | 201.426 | 0.000 | 0.000 | 0.000 |
| 201.426 | 402.870 | 201.426 | 0.000 | 0.000 | 0.000 |
| 201.426 | 201.426 | 402.870 | 0.000 | 0.000 | 0.000 |
| 0.002 | 0.002 | 0.002 | 237.027 | -0.000 | -0.000 |
| 0.002 | 0.002 | 0.002 | -0.000 | 237.027 | -0.000 |
| 0.002 | 0.002 | 0.002 | -0.000 | -0.000 | 237.027 |
| 402.867 | 201.424 | 201.424 | -0.000 | -0.000 | -0.000 |
| 201.424 | 402.867 | 201.424 | -0.000 | -0.000 | -0.000 |
| 201.424 | 201.424 | 402.867 | -0.000 | -0.000 | -0.000 |
| -0.002 | -0.002 | -0.002 | 237.027 | 0.000 | 0.000 |
| -0.002 | -0.002 | -0.002 | 0.000 | 237.027 | 0.000 |
| -0.002 | -0.002 | -0.002 | 0.000 | 0.000 | 237.027 |
| 402.869 | 201.425 | 201.425 | 0.000 | 0.000 | 0.000 |
| 201.425 | 402.869 | 201.425 | 0.000 | 0.000 | 0.000 |
| 201.425 | 201.425 | 402.869 | 0.000 | 0.000 | 0.000 |
| 0.000 | -0.000 | 0.000 | 414.173 | -0.000 | 0.000 |
| -0.000 | 0.000 | 0.000 | 0.000 | 414.173 | -0.000 |
| -0.000 | 0.000 | 0.000 | 0.000 | -0.000 | 414.173 |
| 402.868 | 201.425 | 201.425 | -0.000 | -0.000 | -0.000 |
| 201.425 | 402.868 | 201.425 | -0.000 | -0.000 | -0.000 |
| 201.425 | 201.425 | 402.868 | -0.000 | -0.000 | -0.000 |
| -0.000 | 0.000 | -0.000 | 414.173 | 0.000 | 0.000 |
| 0.000 | -0.000 | -0.000 | -0.000 | 414.173 | 0.000 |
| 0.000 | -0.000 | -0.000 | -0.000 | 0.000 | 414.173 |
| 402.869 | 201.425 | 201.425 | 0.000 | 0.000 | 0.000 |
| 201.425 | 402.869 | 201.425 | 0.000 | 0.000 | 0.000 |
| 201.425 | 201.425 | 402.869 | 0.000 | 0.000 | 0.000 |
| 0.000 | -0.000 | 0.000 | 235.607 | -0.000 | -0.000 |
| -0.000 | 0.000 | 0.000 | -0.000 | 235.607 | -0.000 |
| -0.000 | 0.000 | 0.000 | -0.000 | -0.000 | 235.607 |
| 402.868 | 201.424 | 201.424 | -0.000 | -0.000 | -0.000 |
| 201.424 | 402.868 | 201.424 | -0.000 | -0.000 | -0.000 |
| 201.424 | 201.424 | 402.868 | -0.000 | -0.000 | -0.000 |
| -0.000 | 0.000 | -0.000 | 235.607 | 0.000 | 0.000 |
| 0.000 | -0.000 | -0.000 | 0.000 | 235.607 | 0.000 |
| 0.000 | -0.000 | -0.000 | 0.000 | 0.000 | 235.607 |
| 212.359 | -87.181 | 956.248 | -0.000 | 13.125 | -0.001 |
| 52.053 | 342.813 | 303.897 | -0.000 | -6.560 | 0.000 |
| 108.360 | 108.360 | 840.259 | -0.000 | -0.000 | -0.000 |
| -0.000 | 0.000 | -0.000 | 283.177 | -0.002 | -9.703 |
| -320.895 | -347.228 | 727.460 | -0.000 | 125.546 | -0.000 |
| -212.778 | -212.781 | 70.713 | -6.555 | -0.001 | 145.200 |
| 767.883 | 477.780 | 162.708 | 0.000 | 6.556 | -0.000 |
| 150.750 | 802.482 | 109.499 | 0.000 | -9.701 | -0.000 |
| 559.938 | 559.940 | -152.988 | 0.001 | 0.001 | -0.000 |
| 0.000 | -0.000 | -0.000 | 283.180 | 0.003 | -9.702 |
| 219.340 | 206.233 | -70.715 | 0.001 | 104.917 | -0.000 |
| 212.779 | 212.781 | -70.713 | -6.554 | 0.001 | 145.199 |
| 802.482 | 150.750 | 109.499 | -0.000 | 9.702 | 0.000 |
| 239.238 | 546.075 | 234.493 | -0.000 | -6.698 | -0.000 |
| 207.682 | 207.682 | 600.116 | -0.000 | -0.000 | 0.000 |
| -3.726 | -3.726 | 59.561 | 163.591 | -0.000 | -0.801 |
| 9.703 | -9.703 | 0.000 | -0.000 | 283.179 | -0.000 |
| 0.000 | 0.000 | 0.000 | -9.703 | -0.000 | 325.866 |
| 802.481 | 150.750 | 109.499 | 0.000 | 9.703 | -0.000 |
| 150.750 | 802.481 | 109.499 | 0.000 | -9.702 | 0.000 |
| 247.178 | 247.178 | 589.495 | 0.000 | 0.000 | -0.000 |
| 3.726 | 3.726 | -59.561 | 163.591 | 0.000 | -0.801 |
| 27.251 | 13.940 | -6.844 | 0.000 | 110.640 | -0.000 |
| -0.000 | -0.000 | -0.000 | -9.702 | 0.000 | 325.866 |
| 608.426 | 228.389 | 204.382 | -0.000 | 0.808 | 0.000 |
| 228.873 | 628.244 | 196.513 | -0.000 | -7.504 | 0.000 |
| 201.498 | 201.498 | 630.985 | -0.000 | -0.000 | 0.000 |
| -1.383 | -1.384 | -0.297 | 158.093 | -0.000 | -0.320 |
| 6.514 | -11.688 | 5.220 | -0.000 | 155.424 | 0.000 |
| -1.562 | -1.561 | 7.852 | -7.791 | 0.000 | 184.410 |
| 598.447 | 228.929 | 203.487 | 0.000 | 7.001 | -0.000 |
| 230.474 | 611.676 | 204.597 | 0.000 | -0.507 | -0.000 |
| 206.114 | 206.114 | 632.145 | 0.000 | 0.000 | -0.000 |
| 1.383 | 1.384 | 0.297 | 158.093 | 0.000 | -0.320 |
| 1.703 | 1.066 | 0.296 | 0.000 | 157.998 | -0.000 |
| 1.485 | 1.484 | -0.493 | -7.507 | 0.000 | 199.844 |
| 472.314 | 170.990 | 0.000 | 0.000 | 0.000 | 0.001 |
| 170.990 | 472.313 | 0.000 | 0.000 | 0.000 | 0.000 |
| 0.000 | 0.000 | 0.000 | 0.000 | 0.000 | 0.000 |
| 0.000 | 0.000 | 0.000 | 0.000 | 0.000 | 0.000 |
| 0.000 | 0.000 | 0.000 | 0.000 | 0.000 | 0.000 |
| -0.001 | 0.001 | 0.000 | 0.000 | 0.000 | 169.414 |
| 377.617 | 81.283 | -0.000 | -0.000 | -0.000 | -0.001 |
| 81.127 | 629.310 | -0.000 | -0.000 | -0.000 | -0.001 |
| -0.000 | -0.000 | -0.000 | -0.000 | -0.000 | -0.000 |
| -0.000 | -0.000 | -0.000 | -0.000 | -0.000 | -0.000 |
| -0.000 | -0.000 | -0.000 | -0.000 | -0.000 | -0.000 |
| 0.001 | -0.001 | -0.000 | -0.000 | -0.000 | 169.413 |
| 472.314 | 170.990 | 0.000 | 0.000 | 0.000 | 0.000 |
| 81.203 | 377.754 | 0.000 | 0.000 | 0.000 | 0.000 |
| 0.000 | 0.000 | 0.000 | 0.000 | 0.000 | 0.000 |
| 0.000 | 0.000 | 0.000 | 0.000 | 0.000 | 0.000 |
| 0.000 | 0.000 | 0.000 | 0.000 | 0.000 | 0.000 |
| -0.000 | 0.000 | 0.000 | 0.000 | 0.000 | 169.413 |
| 629.310 | 81.128 | -0.000 | -0.000 | -0.000 | -0.000 |
| 170.989 | 472.316 | -0.000 | -0.000 | -0.000 | -0.000 |
| -0.000 | -0.000 | -0.000 | -0.000 | -0.000 | -0.000 |
| -0.000 | -0.000 | -0.000 | -0.000 | -0.000 | -0.000 |
| -0.000 | -0.000 | -0.000 | -0.000 | -0.000 | -0.000 |
| 0.000 | -0.000 | -0.000 | -0.000 | -0.000 | 169.413 |
| 377.611 | 81.284 | 0.000 | 0.000 | 0.000 | 0.000 |
| 64.466 | 341.407 | 0.000 | 0.000 | 0.000 | 0.000 |
| 0.000 | 0.000 | 0.000 | 0.000 | 0.000 | 0.000 |
| 0.000 | 0.000 | 0.000 | 0.000 | 0.000 | 0.000 |
| 0.000 | 0.000 | 0.000 | 0.000 | 0.000 | 0.000 |
| -0.000 | 0.001 | 0.000 | 0.000 | 0.000 | 137.980 |
| 347.351 | 61.204 | -0.000 | -0.000 | -0.000 | -0.000 |
| 71.877 | 336.203 | -0.000 | -0.000 | -0.000 | -0.000 |
| -0.000 | -0.000 | -0.000 | -0.000 | -0.000 | -0.000 |
| -0.000 | -0.000 | -0.000 | -0.000 | -0.000 | -0.000 |
| -0.000 | -0.000 | -0.000 | -0.000 | -0.000 | -0.000 |
| 0.000 | -0.001 | -0.000 | -0.000 | -0.000 | 137.980 |
| 88.831 | 29.904 | 88.628 | 0.000 | 0.001 | 0.000 |
| 34.305 | 51.282 | 47.581 | 0.000 | 0.000 | 0.000 |
| 90.545 | 57.249 | 214.238 | -0.000 | 0.001 | 0.000 |
| 0.003 | -0.002 | -0.008 | 70.128 | -0.000 | 0.000 |
| 0.002 | -0.002 | -0.006 | 0.000 | 88.929 | 0.000 |
| -0.000 | -0.000 | -0.000 | 0.000 | 0.000 | 63.624 |
| 132.566 | 26.838 | 85.770 | -0.000 | -0.001 | 0.000 |
| 30.035 | 111.515 | 55.368 | -0.000 | -0.000 | 0.000 |
| 85.770 | 52.195 | 277.779 | -0.000 | -0.000 | -0.000 |
| -0.003 | 0.002 | 0.008 | 70.128 | -0.000 | -0.000 |
| -0.002 | 0.002 | 0.006 | 0.000 | 88.929 | -0.000 |
| -0.000 | 0.000 | -0.000 | -0.000 | 0.000 | 63.624 |
| 36.879 | 24.306 | 55.943 | 0.000 | 0.000 | -0.000 |
| 26.838 | 135.586 | 52.194 | 0.000 | -0.000 | 0.000 |
| 62.740 | 49.411 | 156.904 | 0.000 | 0.000 | 0.000 |
| 0.000 | -0.000 | -0.001 | 70.128 | 0.000 | -0.000 |
| 0.000 | -0.000 | -0.001 | -0.000 | 88.992 | 0.000 |
| 0.000 | -0.000 | 0.000 | 0.000 | -0.000 | 63.624 |
| 89.023 | 29.893 | 88.622 | 0.000 | 0.000 | -0.000 |
| 30.015 | 111.684 | 55.339 | -0.000 | 0.000 | 0.000 |
| 90.542 | 57.254 | 214.232 | -0.000 | -0.000 | -0.000 |
| -0.000 | 0.000 | 0.001 | 70.128 | -0.000 | -0.000 |
| -0.000 | 0.000 | 0.001 | -0.000 | 88.992 | -0.000 |
| -0.000 | 0.000 | 0.000 | -0.000 | 0.000 | 63.624 |
| 53.836 | 30.935 | 70.747 | 0.000 | -0.000 | 0.000 |
| 0.658 | 6.499 | 4.603 | 0.000 | 0.000 | 0.000 |
| -6.687 | -3.645 | 6.034 | 0.000 | -0.000 | 0.000 |
| -0.000 | -0.000 | -0.000 | 47.160 | -0.000 | 0.000 |
| -0.000 | 0.000 | -0.000 | -0.000 | 36.876 | 0.000 |
| -0.000 | -0.000 | -0.000 | 0.000 | 0.000 | 24.881 |
| 132.566 | 26.838 | 85.770 | -0.000 | -0.000 | -0.000 |
| 33.759 | 55.595 | 47.148 | -0.000 | -0.000 | -0.000 |
| 41.593 | 27.558 | 99.481 | 0.000 | -0.000 | -0.000 |
| 0.000 | 0.000 | 0.000 | 47.160 | 0.000 | -0.000 |
| 0.000 | -0.000 | 0.000 | -0.000 | 36.876 | -0.000 |
| 0.000 | 0.000 | 0.000 | -0.000 | -0.000 | 24.881 |
| 36.978 | 108.544 | 186.611 | 0.001 | -0.000 | -0.000 |
| 76.527 | 83.975 | 168.110 | 0.001 | 0.000 | -0.000 |
| 77.818 | 122.666 | 351.341 | 0.001 | -0.000 | -0.000 |
| 241.374 | 283.900 | 946.180 | -18.727 | 0.000 | -0.000 |
| 32.312 | 71.933 | 109.076 | 0.001 | 49.702 | -0.000 |
| 238.108 | 284.511 | 956.491 | 0.001 | -0.000 | -16.223 |
| -94.571 | -163.745 | -295.508 | -0.001 | -0.000 | 0.000 |
| -11.406 | -28.022 | -174.357 | -0.001 | 0.000 | 0.000 |
| -239.267 | -376.975 | -671.883 | -0.001 | 0.000 | 0.000 |
| -104.313 | -176.016 | -317.335 | 7.413 | 0.000 | 0.000 |
| -32.312 | -71.933 | -109.076 | -0.001 | 49.702 | 0.000 |
| -0.000 | -0.000 | -0.000 | 0.000 | -0.000 | 51.385 |
| 67.684 | 30.676 | 87.656 | 0.000 | -0.000 | -0.000 |
| 28.910 | 81.194 | 46.233 | 0.000 | 0.000 | -0.000 |
| 8.112 | -1.418 | 36.163 | 0.000 | -0.000 | -0.000 |
| 2.268 | 5.271 | 13.298 | 37.484 | -0.000 | -0.000 |
| 18.422 | 20.164 | 36.186 | 0.000 | 11.685 | -0.000 |
| 14.156 | 16.890 | 31.155 | 0.000 | 0.000 | 1.497 |
| -0.854 | -19.587 | -13.646 | -0.000 | -0.000 | 0.000 |
| 22.567 | 103.466 | 38.523 | -0.000 | 0.000 | 0.000 |
| 82.709 | 46.459 | 200.895 | -0.000 | 0.000 | 0.000 |
| -2.268 | -5.271 | -13.298 | 37.484 | -0.000 | 0.000 |
| -18.422 | -20.164 | -36.186 | -0.000 | 11.685 | 0.000 |
| -1.022 | -2.275 | -3.450 | -0.000 | -0.000 | 34.762 |
| 7.072 | -5.948 | 15.156 | 0.000 | -0.000 | -0.000 |
| 1.910 | 9.819 | 10.144 | 0.000 | 0.000 | -0.000 |
| -4.606 | -6.183 | 7.762 | 0.000 | -0.000 | -0.000 |
| 1.063 | 1.392 | 2.644 | 20.124 | -0.000 | -0.000 |
| 1.563 | 2.111 | 4.579 | 0.000 | 2.189 | -0.000 |
| 1.169 | 1.645 | 3.310 | 0.000 | -0.000 | 4.730 |
| 15.440 | 2.807 | 23.903 | -0.000 | 0.000 | 0.000 |
| -4.943 | 1.599 | -6.270 | -0.000 | 0.000 | 0.000 |
| -7.681 | -9.867 | -1.971 | -0.000 | 0.000 | 0.000 |
| -1.510 | -2.103 | -5.368 | 1.577 | 0.000 | 0.000 |
| -1.904 | -2.038 | -3.989 | 0.000 | 9.172 | 0.000 |
| -1.169 | -1.645 | -3.310 | -0.000 | 0.000 | 4.730 |
| 2338.044 | 2248.851 | 6519.408 | -8.355 | 0.578 | -0.559 |
| 987.535 | 878.842 | 5758.093 | -9.964 | 0.483 | -0.468 |
| 1007.815 | 998.837 | 5780.594 | -3.722 | 0.436 | -0.422 |
| -21.394 | 21.395 | -0.000 | 30.369 | 0.000 | -0.000 |
| 352.412 | 293.588 | 1816.989 | -24.393 | -0.873 | 19.649 |
| -0.000 | 0.000 | 0.000 | -0.000 | -21.394 | 85.788 |
| 206.999 | 35.421 | 13.157 | -21.394 | -0.000 | 0.000 |
| 35.421 | 206.999 | 13.157 | 21.394 | -0.000 | 0.000 |
| -2205.019 | -2194.562 | -6529.407 | 4.336 | -0.507 | 0.491 |
| -331.829 | -318.001 | -1827.758 | 20.613 | -2.867 | 2.780 |
| -353.622 | -294.596 | -1823.224 | 24.477 | -6.699 | 25.336 |
| -353.255 | -294.290 | -1821.331 | 24.452 | 19.660 | -13.609 |
| 55.170 | 107.360 | 491.581 | 1.808 | 0.051 | -0.049 |
| 35.421 | 206.999 | 13.157 | 21.394 | 0.000 | -0.000 |
| 129.633 | 128.826 | 532.919 | -0.335 | 0.039 | -0.038 |
| 48.577 | 8.605 | 160.836 | -1.968 | 0.252 | -0.245 |
| 0.000 | 0.000 | -0.000 | -0.000 | 30.369 | -21.394 |
| 90.316 | 89.341 | 538.092 | -0.404 | 4.479 | -41.615 |
| 206.999 | 35.421 | 13.157 | -21.394 | -0.000 | 0.000 |
| -69.560 | -149.930 | -525.345 | -2.112 | -0.027 | 0.026 |
| 13.157 | 13.157 | 195.802 | 0.000 | -0.000 | 0.000 |
| -13.477 | -46.234 | -167.947 | 1.112 | -0.263 | 0.255 |
| -96.288 | -95.275 | -573.808 | 0.420 | -0.556 | 6.026 |
| 0.000 | -0.000 | -0.000 | 0.000 | -21.394 | 85.789 |
| 58.778 | 44.454 | 64.878 | -0.844 | 0.007 | -0.006 |
| 44.648 | 56.906 | 65.259 | 0.526 | 0.007 | -0.006 |
| 15.063 | 14.888 | 60.343 | -0.073 | 0.009 | -0.008 |
| -6.205 | 8.278 | 5.831 | 19.350 | 0.009 | -0.009 |
| 10.612 | 10.482 | 53.210 | -0.054 | 4.462 | 0.683 |
| 6.254 | 6.089 | 34.504 | -0.069 | 0.415 | 3.821 |
| -14.189 | -26.978 | -64.478 | -0.533 | -0.006 | 0.006 |
| 24.409 | 0.984 | -25.358 | -3.290 | -0.007 | 0.007 |
| -27.658 | -27.577 | -52.980 | 0.034 | -0.004 | 0.004 |
| -5.443 | -8.224 | -40.827 | 6.119 | -0.006 | 0.006 |
| -6.434 | -6.361 | -38.317 | 0.030 | 9.545 | -2.820 |
| -8.292 | -8.160 | -43.374 | 0.054 | -0.520 | 4.955 |
| 1420.521 | -0.000 | 0.000 | 0.000 | 0.000 | 0.000 |
| -0.000 | 1420.521 | 0.000 | 0.000 | 0.000 | -0.000 |
| -0.000 | -0.000 | 1420.521 | -0.000 | -0.000 | 0.000 |
| -0.000 | -0.000 | 0.000 | 81.734 | -0.000 | -0.000 |
| -0.000 | -0.000 | 0.000 | 0.000 | 81.734 | 0.000 |
| -0.000 | -0.000 | 0.000 | -0.000 | -0.000 | 81.734 |
| 1420.522 | 0.000 | -0.000 | -0.000 | -0.000 | -0.000 |
| 0.000 | 1420.522 | -0.000 | 0.000 | 0.000 | 0.000 |
| 0.000 | 0.000 | 1420.522 | 0.000 | 0.000 | 0.000 |
| -0.000 | 0.000 | -0.000 | 81.734 | 0.000 | -0.000 |
| 0.000 | -0.000 | -0.000 | -0.000 | 81.734 | 0.000 |
| 0.000 | -0.000 | -0.000 | 0.000 | 0.000 | 81.734 |
| 1420.522 | -0.000 | 0.000 | 0.000 | 0.000 | 0.000 |
| -0.000 | 1420.522 | 0.000 | 0.000 | 0.000 | 0.000 |
| -0.000 | -0.000 | 1420.522 | 0.000 | 0.000 | 0.000 |
| 0.000 | -0.000 | -0.000 | 81.733 | -0.000 | 0.000 |
| -0.000 | 0.000 | -0.000 | 0.000 | 81.733 | -0.000 |
| -0.000 | -0.000 | 0.000 | -0.000 | -0.000 | 81.733 |
| 1420.521 | 0.000 | -0.000 | -0.000 | -0.000 | -0.000 |
| 0.000 | 1420.521 | -0.000 | -0.000 | -0.000 | -0.000 |
| 0.000 | 0.000 | 1420.521 | -0.000 | -0.000 | -0.000 |
| -0.000 | -0.000 | 0.000 | 81.733 | -0.000 | -0.000 |
| 0.000 | -0.000 | 0.000 | -0.000 | 81.733 | -0.000 |
| 0.000 | 0.000 | -0.000 | 0.000 | 0.000 | 81.733 |
| 1420.529 | -0.000 | 0.000 | 0.000 | -0.000 | 0.000 |
| -0.000 | 1420.529 | 0.000 | 0.000 | -0.000 | -0.000 |
| -0.000 | -0.000 | 1420.529 | -0.000 | -0.000 | -0.000 |
| 0.000 | -0.000 | -0.001 | 81.734 | -0.000 | 0.000 |
| -0.000 | 0.000 | -0.001 | 0.000 | 81.734 | 0.000 |
| -0.000 | -0.001 | 0.000 | -0.000 | -0.000 | 81.734 |
| 1420.515 | 0.000 | -0.000 | -0.000 | -0.000 | -0.000 |
| 0.000 | 1420.515 | -0.000 | -0.000 | 0.000 | 0.000 |
| 0.000 | 0.000 | 1420.515 | 0.000 | 0.000 | 0.000 |
| -0.000 | 0.000 | 0.001 | 81.734 | 0.000 | 0.000 |
| 0.000 | -0.000 | 0.001 | -0.000 | 81.734 | -0.000 |
| 0.000 | 0.001 | -0.000 | 0.000 | 0.000 | 81.734 |
| 629.575 | 480.423 | 480.423 | 0.000 | 0.000 | 0.000 |
| 480.423 | 629.575 | 480.423 | 0.000 | 0.000 | 0.000 |
| 480.423 | 480.423 | 629.575 | 0.000 | 0.000 | 0.000 |
| -0.000 | -0.000 | 0.000 | 503.427 | 0.000 | 0.000 |
| 0.000 | 0.000 | 0.000 | 0.000 | 503.428 | 0.000 |
| -0.000 | 0.000 | -0.000 | 0.000 | 0.000 | 503.428 |
| 629.575 | 480.423 | 480.423 | -0.000 | 0.000 | -0.000 |
| 480.423 | 629.575 | 480.423 | 0.000 | -0.000 | -0.000 |
| 480.423 | 480.423 | 629.575 | 0.000 | -0.000 | -0.000 |
| -0.000 | 0.000 | -0.000 | 503.428 | 0.000 | -0.000 |
| 0.000 | -0.000 | -0.000 | -0.000 | 503.428 | -0.000 |
| 0.000 | -0.000 | 0.000 | -0.000 | -0.000 | 503.428 |
| 629.575 | 480.423 | 480.423 | -0.000 | 0.000 | 0.000 |
| 480.423 | 629.575 | 480.423 | -0.000 | 0.000 | 0.000 |
| 480.423 | 480.423 | 629.575 | -0.000 | 0.000 | 0.000 |
| 0.000 | -0.000 | 0.000 | 503.428 | 0.000 | 0.000 |
| 0.000 | 0.000 | 0.000 | 0.000 | 503.428 | 0.000 |
| -0.000 | 0.000 | 0.000 | 0.000 | 0.000 | 503.428 |
| 629.575 | 480.423 | 480.423 | 0.000 | -0.000 | -0.000 |
| 480.423 | 629.575 | 480.423 | 0.000 | -0.000 | -0.000 |
| 480.423 | 480.423 | 629.575 | 0.000 | -0.000 | -0.000 |
| -0.000 | 0.000 | -0.000 | 503.428 | -0.000 | -0.000 |
| -0.000 | -0.000 | -0.000 | -0.000 | 503.428 | -0.000 |
| 0.000 | -0.000 | -0.000 | -0.000 | -0.000 | 503.428 |
| 629.576 | 480.425 | 480.425 | -0.000 | 0.000 | 0.000 |
| 480.425 | 629.576 | 480.425 | 0.000 | 0.000 | 0.000 |
| 480.425 | 480.425 | 629.576 | 0.000 | 0.000 | 0.000 |
| 0.001 | -0.000 | 0.001 | 503.428 | 0.000 | 0.000 |
| -0.000 | 0.001 | 0.001 | 0.000 | 503.428 | 0.000 |
| -0.000 | 0.001 | 0.001 | -0.000 | 0.000 | 503.428 |
| 629.574 | 480.422 | 480.422 | -0.000 | -0.000 | -0.000 |
| 480.422 | 629.574 | 480.422 | 0.000 | 0.000 | -0.000 |
| 480.422 | 480.422 | 629.574 | 0.000 | -0.000 | -0.000 |
| -0.001 | 0.000 | -0.001 | 503.428 | -0.000 | -0.000 |
| 0.000 | -0.001 | -0.001 | -0.000 | 503.428 | -0.000 |
| 0.000 | -0.001 | -0.001 | 0.000 | -0.000 | 503.428 |
| 643.411 | 340.586 | 340.586 | 0.000 | 0.000 | -0.000 |
| 340.586 | 643.411 | 340.586 | 0.000 | -0.000 | -0.000 |
| 340.586 | 340.586 | 643.412 | 0.000 | -0.000 | -0.000 |
| -0.000 | 0.000 | -0.000 | 596.217 | -0.000 | -0.000 |
| -0.000 | 0.000 | -0.000 | 0.000 | 596.217 | -0.000 |
| -0.000 | -0.000 | -0.000 | -0.000 | -0.000 | 596.217 |
| 643.411 | 340.586 | 340.586 | -0.000 | -0.000 | 0.000 |
| 340.586 | 643.411 | 340.586 | -0.000 | -0.000 | 0.000 |
| 340.586 | 340.586 | 643.411 | -0.000 | -0.000 | -0.000 |
| 0.000 | -0.000 | 0.000 | 596.217 | 0.000 | 0.000 |
| 0.000 | -0.000 | 0.000 | -0.000 | 596.217 | -0.000 |
| 0.000 | -0.000 | 0.000 | -0.000 | 0.000 | 596.217 |
| 643.411 | 340.586 | 340.586 | 0.000 | 0.000 | -0.000 |
| 340.586 | 643.411 | 340.586 | 0.000 | 0.000 | -0.000 |
| 340.586 | 340.586 | 643.411 | 0.000 | -0.000 | -0.000 |
| 0.000 | -0.000 | -0.000 | 396.059 | -0.000 | -0.000 |
| -0.000 | 0.000 | -0.000 | 0.000 | 396.059 | -0.000 |
| -0.000 | -0.000 | -0.000 | 0.000 | 0.000 | 396.059 |
| 643.411 | 340.586 | 340.586 | -0.000 | -0.000 | -0.000 |
| 340.586 | 643.411 | 340.586 | -0.000 | -0.000 | -0.000 |
| 340.586 | 340.586 | 643.411 | -0.000 | -0.000 | -0.000 |
| -0.000 | 0.000 | 0.000 | 396.059 | -0.000 | -0.000 |
| 0.000 | -0.000 | 0.000 | -0.000 | 396.059 | 0.000 |
| 0.000 | -0.000 | -0.000 | 0.000 | -0.000 | 396.059 |
| 643.412 | 340.587 | 340.587 | 0.000 | 0.000 | 0.000 |
| 340.587 | 643.412 | 340.587 | 0.000 | 0.000 | 0.000 |
| 340.587 | 340.587 | 643.412 | 0.000 | 0.000 | 0.000 |
| 0.000 | -0.001 | 0.000 | 396.059 | -0.000 | -0.000 |
| -0.001 | 0.000 | 0.000 | 0.000 | 396.059 | -0.000 |
| -0.001 | 0.000 | 0.000 | 0.000 | 0.000 | 396.059 |
| 643.411 | 340.585 | 340.585 | -0.000 | -0.000 | -0.000 |
| 340.585 | 643.411 | 340.585 | -0.000 | -0.000 | -0.000 |
| 340.585 | 340.585 | 643.411 | -0.000 | -0.000 | -0.000 |
| -0.000 | 0.001 | -0.000 | 396.059 | 0.000 | 0.000 |
| 0.001 | -0.000 | -0.000 | -0.000 | 396.059 | 0.000 |
| 0.001 | -0.000 | -0.000 | 0.000 | -0.000 | 396.059 |
| 940.225 | 168.517 | 627.339 | 0.000 | -0.000 | 0.000 |
| 168.517 | 940.225 | 627.339 | 0.000 | -0.000 | -0.000 |
| 627.339 | 627.338 | 1518.736 | -0.000 | -0.000 | -0.000 |
| 0.000 | 0.000 | 0.001 | 280.803 | -0.000 | 0.000 |
| -0.000 | 0.000 | 0.000 | 0.000 | 280.803 | 0.000 |
| 0.000 | -0.000 | 0.001 | 0.000 | 0.000 | 70.369 |
| 940.224 | 168.517 | 627.338 | -0.000 | -0.000 | 0.000 |
| 168.517 | 940.225 | 627.338 | 0.000 | 0.000 | 0.000 |
| 627.338 | 627.339 | 1518.735 | 0.000 | 0.000 | 0.000 |
| -0.000 | -0.000 | -0.000 | 280.803 | -0.000 | 0.000 |
| 0.000 | -0.000 | -0.000 | -0.000 | 280.803 | 0.000 |
| -0.000 | 0.000 | -0.000 | -0.000 | 0.000 | 70.369 |
| 940.226 | 168.516 | 627.339 | -0.000 | -0.000 | -0.000 |
| 168.516 | 940.226 | 627.339 | -0.000 | -0.000 | -0.000 |
| 627.338 | 627.338 | 1518.733 | 0.000 | -0.000 | -0.000 |
| 0.000 | -0.000 | -0.000 | 280.803 | 0.000 | -0.000 |
| -0.000 | 0.000 | -0.000 | 0.000 | 280.803 | 0.000 |
| 0.000 | -0.000 | 0.000 | 0.000 | -0.000 | 70.369 |
| 940.224 | 168.518 | 627.338 | -0.000 | 0.000 | -0.000 |
| 168.518 | 940.224 | 627.338 | -0.000 | 0.000 | -0.000 |
| 627.339 | 627.339 | 1518.739 | 0.000 | 0.000 | 0.000 |
| -0.000 | 0.000 | 0.000 | 280.803 | -0.000 | -0.000 |
| 0.000 | -0.000 | 0.000 | -0.000 | 280.803 | 0.000 |
| -0.000 | 0.000 | -0.000 | -0.000 | -0.000 | 70.369 |
| 940.237 | 168.507 | 627.341 | -0.000 | 0.000 | -0.000 |
| 168.507 | 940.237 | 627.341 | -0.000 | -0.000 | 0.000 |
| 627.334 | 627.334 | 1518.704 | 0.000 | -0.000 | -0.000 |
| 0.001 | -0.002 | -0.001 | 280.803 | -0.000 | 0.000 |
| -0.002 | 0.001 | -0.001 | 0.000 | 280.803 | -0.000 |
| -0.000 | -0.000 | -0.000 | 0.000 | 0.000 | 70.369 |
| 940.213 | 168.527 | 627.336 | -0.000 | 0.000 | -0.000 |
| 168.527 | 940.213 | 627.336 | 0.000 | -0.000 | -0.000 |
| 627.343 | 627.343 | 1518.768 | -0.000 | 0.000 | -0.000 |
| -0.001 | 0.002 | 0.001 | 280.803 | 0.000 | 0.000 |
| 0.002 | -0.001 | 0.001 | -0.000 | 280.803 | -0.000 |
| 0.000 | 0.000 | 0.000 | -0.000 | -0.000 | 70.369 |
| 907.836 | 144.057 | 613.143 | -0.000 | -0.000 | -0.000 |
| 144.057 | 907.836 | 613.143 | 0.000 | -0.000 | -0.000 |
| 551.457 | 551.457 | 1263.774 | 0.000 | -0.000 | -0.000 |
| 0.012 | 0.012 | 0.056 | 222.145 | 0.000 | -0.000 |
| 0.012 | 0.012 | 0.056 | 0.000 | 222.145 | -0.000 |
| 0.015 | 0.015 | 0.072 | -0.000 | 0.000 | 81.360 |
| 903.474 | 132.226 | 573.988 | -0.000 | -0.000 | 0.000 |
| 132.227 | 903.474 | 573.988 | 0.000 | 0.000 | 0.000 |
| 551.428 | 551.428 | 1263.631 | 0.000 | 0.000 | 0.000 |
| -0.012 | -0.012 | -0.057 | 222.145 | -0.000 | 0.000 |
| -0.012 | -0.012 | -0.056 | -0.000 | 222.145 | 0.000 |
| -0.015 | -0.015 | -0.072 | 0.000 | 0.000 | 81.360 |
| 903.492 | 132.241 | 574.067 | 0.000 | -0.000 | -0.000 |
| 132.241 | 903.492 | 574.067 | 0.000 | -0.000 | -0.000 |
| 551.444 | 551.444 | 1263.708 | 0.000 | 0.000 | -0.000 |
| 0.002 | 0.001 | 0.008 | 221.478 | -0.000 | 0.000 |
| 0.001 | 0.002 | 0.008 | 0.000 | 221.478 | -0.000 |
| 0.001 | 0.001 | 0.007 | -0.000 | -0.000 | 81.360 |
| 903.486 | 132.241 | 574.053 | -0.000 | -0.000 | 0.000 |
| 132.241 | 903.486 | 574.053 | -0.000 | 0.000 | 0.000 |
| 551.442 | 551.442 | 1263.698 | -0.000 | 0.000 | 0.000 |
| -0.002 | -0.001 | -0.008 | 221.478 | -0.000 | 0.000 |
| -0.001 | -0.002 | -0.008 | -0.000 | 221.478 | 0.000 |
| -0.001 | -0.001 | -0.007 | 0.000 | -0.000 | 81.360 |
| 903.504 | 132.229 | 574.063 | -0.000 | -0.000 | -0.000 |
| 132.229 | 903.504 | 574.063 | -0.000 | 0.000 | -0.000 |
| 551.438 | 551.438 | 1263.680 | 0.000 | -0.000 | -0.000 |
| 0.002 | -0.003 | -0.001 | 221.478 | -0.000 | -0.000 |
| -0.003 | 0.002 | -0.001 | 0.000 | 221.478 | -0.000 |
| -0.000 | -0.000 | 0.000 | -0.000 | -0.000 | 81.360 |
| 903.474 | 132.253 | 574.057 | 0.000 | -0.000 | 0.000 |
| 132.253 | 903.474 | 574.057 | 0.000 | -0.000 | 0.000 |
| 551.447 | 551.447 | 1263.726 | 0.000 | -0.000 | 0.000 |
| -0.002 | 0.003 | 0.001 | 221.478 | 0.000 | 0.000 |
| 0.003 | -0.002 | 0.001 | -0.000 | 221.478 | 0.000 |
| 0.000 | 0.000 | -0.000 | 0.000 | 0.000 | 81.360 |
| 477.203 | 161.901 | 29.037 | 17.644 | -0.000 | -0.000 |
| 103.251 | 615.717 | 15.057 | -78.585 | -0.000 | -0.000 |
| 9.325 | 9.318 | 0.010 | 0.003 | 0.000 | -0.000 |
| -0.332 | -0.346 | 0.041 | 0.007 | -0.000 | -0.001 |
| -0.335 | -0.342 | 0.041 | 0.002 | 0.004 | 0.003 |
| 826800070.260 | 826800599.240 | 158.408 | -376.008 | -81.916 | 87.926 |
| -826800878.952 | -826799315.798 | -475.841 | -1318.019 | 0.000 | 0.001 |
| 171.249 | 443.769 | -58.576 | -8.671 | 0.000 | 0.000 |
| 9.463 | 9.470 | -0.010 | -0.003 | 0.000 | 0.001 |
| 0.339 | 0.338 | -0.041 | 0.002 | 0.000 | 0.000 |
| 0.335 | 0.342 | -0.041 | -0.002 | 0.005 | 0.004 |
| -826799886.307 | -826800843.243 | -286.300 | 680.263 | -77.191 | 91.238 |
| 492.911 | 192.616 | 24.083 | 12.449 | -0.000 | -0.000 |
| 192.618 | 492.910 | 24.083 | -12.448 | 0.000 | -0.000 |
| 9.386 | 9.385 | -0.000 | 0.000 | 0.000 | -0.000 |
| -0.034 | -0.034 | 0.004 | 0.000 | -0.000 | -0.000 |
| -0.034 | -0.034 | 0.004 | 0.000 | 0.000 | -0.000 |
| 82679971.203 | 82680079.021 | -32.926 | -76.672 | -23.021 | 129.348 |
| 615.717 | 103.250 | 15.057 | 78.585 | -0.000 | -0.000 |
| 161.968 | 477.256 | 28.988 | -17.640 | 0.000 | 0.000 |
| 9.399 | 9.400 | 0.000 | -0.000 | 0.000 | 0.000 |
| 0.034 | 0.034 | -0.004 | -0.000 | 0.000 | 0.000 |
| 0.034 | 0.034 | -0.004 | -0.000 | 0.000 | 0.000 |
| -82679969.781 | -82680048.032 | 75.556 | 55.508 | -17.125 | 133.522 |
| 9261536.957 | 15037267.703 | 524.511 | 5118.386 | 1.812 | 40519.403 |
| 192.626 | 492.907 | 24.081 | -12.445 | -0.000 | -0.000 |
| 9.392 | 9.392 | -0.015 | 0.000 | -0.000 | -0.000 |
| -0.004 | -0.002 | 0.001 | -0.001 | -0.000 | -0.000 |
| -0.004 | -0.003 | 0.001 | -0.000 | -0.000 | -0.000 |
| 8268004.966 | 8268000.952 | -0.986 | 2.859 | 2.302 | 147.167 |
| -8267524.438 | -8267812.080 | 0.397 | -2.469 | 0.000 | 0.000 |
| -8839994.296 | -13552496.589 | 0.077 | -1445.448 | -0.828 | 6132.037 |
| 9.390 | 9.390 | 0.012 | -0.000 | 0.000 | 0.000 |
| 0.004 | 0.002 | -0.001 | 0.001 | 0.000 | 0.000 |
| 0.004 | 0.003 | -0.001 | 0.000 | 0.000 | 0.000 |
| -8268005.103 | -8268001.043 | 1.253 | -2.908 | 2.351 | 147.204 |
| 317.818 | -225.305 | -0.109 | -0.000 | 0.003 | -0.006 |
| -225.421 | 317.935 | -0.109 | -0.000 | 0.003 | -0.006 |
| -8.714 | -8.586 | 0.374 | -0.026 | -0.056 | -0.001 |
| 0.230 | 0.312 | 0.009 | 1.755 | -0.036 | -0.001 |
| 0.230 | 0.312 | 0.009 | -0.017 | 1.734 | -0.001 |
| 0.849 | 0.996 | 0.031 | -0.021 | -0.039 | 170.986 |
| 319.596 | -223.759 | -0.004 | 0.000 | -0.003 | 0.006 |
| -223.643 | 319.480 | -0.004 | 0.000 | -0.003 | 0.006 |
| -9.616 | -9.751 | 0.338 | 0.028 | 0.059 | 0.001 |
| -0.230 | -0.312 | -0.009 | 1.798 | 0.036 | 0.001 |
| -0.230 | -0.312 | -0.009 | 0.017 | 1.819 | 0.001 |
| -0.849 | -0.996 | -0.031 | 0.021 | 0.039 | 170.992 |
| 319.737 | -223.423 | -0.006 | -0.000 | 0.000 | -0.001 |
| -223.434 | 319.749 | -0.006 | -0.000 | 0.000 | -0.001 |
| -14.226 | -14.210 | 0.181 | -0.002 | -0.004 | -0.000 |
| 0.084 | 0.099 | 0.003 | -0.004 | -0.004 | -0.000 |
| 0.084 | 0.099 | 0.003 | -0.002 | -0.006 | -0.000 |
| 0.104 | 0.110 | 0.004 | -0.002 | -0.004 | 171.075 |
| 319.935 | -223.245 | 0.005 | 0.000 | -0.000 | 0.001 |
| -223.233 | 319.923 | 0.005 | 0.000 | -0.000 | 0.001 |
| -14.391 | -14.408 | 0.174 | 0.002 | 0.004 | 0.000 |
| -0.084 | -0.099 | -0.003 | 0.001 | 0.004 | 0.000 |
| -0.084 | -0.099 | -0.003 | 0.002 | 0.003 | 0.000 |
| -0.104 | -0.110 | -0.004 | 0.002 | 0.004 | 171.075 |
| 319.784 | -223.400 | -0.003 | 0.000 | 0.000 | -0.000 |
| -223.401 | 319.785 | -0.003 | 0.000 | 0.000 | -0.000 |
| -18.092 | -18.090 | -0.000 | -0.000 | -0.000 | -0.000 |
| 0.008 | 0.009 | 0.000 | -0.000 | -0.000 | -0.000 |
| 0.008 | 0.009 | 0.000 | -0.000 | -0.000 | -0.000 |
| 0.010 | 0.011 | 0.000 | -0.000 | -0.000 | 171.077 |
| 319.912 | -223.242 | 0.003 | -0.000 | -0.000 | 0.000 |
| -223.241 | 319.911 | 0.003 | -0.000 | -0.000 | 0.000 |
| -18.073 | -18.075 | 0.001 | 0.000 | 0.000 | 0.000 |
| -0.008 | -0.009 | -0.000 | 0.000 | 0.000 | 0.000 |
| -0.008 | -0.009 | -0.000 | 0.000 | 0.000 | 0.000 |
| -0.010 | -0.011 | -0.000 | 0.000 | 0.000 | 171.077 |
| 746.656 | 69.714 | -29.185 | 0.000 | 0.000 | 0.000 |
| 28.845 | -9.029 | 178.197 | 0.001 | 0.000 | 0.000 |
| -183.358 | -639.111 | 246.859 | 0.000 | 0.000 | 0.000 |
| 0.000 | 0.000 | 0.000 | 208.137 | 0.000 | 0.000 |
| 0.000 | 0.000 | 0.000 | 0.000 | 120.608 | 0.000 |
| 0.000 | 0.000 | 0.000 | -0.000 | 0.000 | 348.381 |
| 746.656 | 69.715 | -29.185 | -0.000 | -0.000 | -0.000 |
| 119.605 | 452.699 | 8.639 | -0.000 | -0.000 | -0.000 |
| 61.659 | -33.024 | 367.457 | -0.000 | -0.000 | -0.000 |
| -0.000 | -0.000 | -0.000 | 208.135 | -0.000 | -0.000 |
| -0.000 | -0.000 | -0.000 | 0.000 | 120.608 | -0.000 |
| -0.000 | -0.000 | -0.000 | 0.000 | -0.000 | 348.381 |
| 746.656 | 69.715 | -29.185 | 0.000 | 0.000 | 0.000 |
| -47.429 | -196.938 | -168.635 | 0.000 | 0.000 | 0.000 |
| 14.881 | 17.758 | 459.630 | 0.000 | 0.000 | 0.000 |
| 0.000 | 0.000 | 0.000 | 208.136 | 0.000 | 0.000 |
| 0.000 | 0.000 | -0.000 | 0.000 | 120.608 | 0.000 |
| 0.000 | 0.000 | 0.000 | 0.000 | 0.000 | 348.381 |
| 614.261 | 29.117 | -10.107 | -0.000 | -0.000 | -0.000 |
| -51.883 | -142.597 | -145.826 | -0.000 | -0.000 | 0.000 |
| 16.930 | 34.872 | 458.385 | -0.000 | -0.000 | -0.000 |
| -0.000 | -0.000 | -0.000 | 208.136 | -0.000 | -0.000 |
| -0.000 | -0.000 | 0.000 | -0.000 | 120.608 | -0.000 |
| -0.000 | -0.000 | -0.000 | -0.000 | -0.000 | 348.381 |
| 571.761 | -106.027 | -77.903 | 0.000 | 0.000 | 0.000 |
| -56.172 | -183.953 | -166.436 | 0.000 | 0.000 | 0.000 |
| -17.090 | -167.543 | 385.698 | 0.000 | 0.000 | 0.000 |
| -0.783 | -2.198 | -0.036 | 104.444 | 0.000 | 0.000 |
| -0.150 | -0.777 | 0.584 | 0.000 | 87.079 | 0.000 |
| -1.854 | -3.461 | -1.254 | 0.000 | 0.000 | 177.275 |
| 584.009 | -94.620 | -67.040 | -0.000 | -0.000 | -0.000 |
| -53.298 | -177.451 | -164.143 | -0.000 | -0.000 | -0.000 |
| -52.790 | -181.376 | 378.180 | -0.000 | -0.000 | -0.000 |
| 0.879 | 2.154 | 0.458 | 104.225 | -0.000 | -0.000 |
| 0.150 | 0.777 | -0.584 | -0.000 | 87.079 | -0.000 |
| 1.854 | 3.461 | 1.254 | -0.000 | -0.000 | 177.275 |
| 524.533 | 225.861 | 50.527 | 0.000 | -0.000 | -0.000 |
| 225.861 | 524.533 | 50.527 | 0.000 | 0.000 | -0.000 |
| 78.740 | 78.740 | 447.107 | -0.000 | 0.000 | -0.000 |
| 5.902 | 5.902 | 2.015 | 158.522 | -0.000 | -0.000 |
| 5.902 | 5.902 | 2.015 | -0.000 | 158.522 | -0.000 |
| 0.000 | -0.000 | -0.000 | -0.000 | -0.000 | 367.714 |
| 365.950 | 170.666 | 65.299 | 0.000 | 0.000 | 0.000 |
| 170.666 | 365.950 | 65.299 | 0.001 | 0.000 | 0.000 |
| 88.947 | 88.947 | 54.827 | 0.000 | -0.000 | 0.000 |
| -5.902 | -5.902 | -2.015 | 158.522 | 0.000 | 0.000 |
| -5.902 | -5.902 | -2.015 | 0.000 | 158.522 | 0.000 |
| -0.000 | -0.000 | -0.000 | -0.000 | -0.000 | 367.714 |
| 374.171 | 179.049 | 68.214 | -0.000 | -0.000 | -0.000 |
| 179.049 | 374.171 | 68.214 | -0.000 | -0.000 | -0.000 |
| -58.888 | -58.888 | -95.275 | -0.000 | 0.000 | -0.000 |
| 0.696 | 0.696 | 2.340 | 139.849 | -0.000 | -0.000 |
| 0.696 | 0.696 | 2.340 | -0.000 | 139.849 | -0.000 |
| 0.584 | 0.584 | 0.200 | -0.000 | 0.000 | 229.812 |
| 373.651 | 177.834 | 67.573 | 0.000 | 0.000 | 0.000 |
| 177.834 | 373.651 | 67.573 | 0.000 | 0.000 | 0.000 |
| -59.052 | -59.052 | -97.099 | 0.000 | 0.000 | 0.000 |
| -0.696 | -0.696 | -2.340 | 139.849 | -0.000 | 0.000 |
| -0.696 | -0.696 | -2.340 | 0.000 | 139.849 | 0.000 |
| -0.584 | -0.584 | -0.200 | 0.000 | -0.000 | 229.812 |
| 266.855 | 99.610 | -105.419 | -0.000 | -0.000 | -0.000 |
| 99.610 | 266.855 | -105.419 | -0.000 | -0.000 | -0.000 |
| -77.618 | -77.618 | -102.979 | -0.000 | -0.000 | -0.000 |
| 0.069 | 0.069 | 0.234 | 139.940 | -0.000 | -0.000 |
| 0.069 | 0.069 | 0.234 | -0.000 | 139.940 | -0.000 |
| 0.036 | 0.037 | 0.236 | -0.000 | -0.000 | 219.066 |
| 267.424 | 100.172 | -105.548 | 0.000 | -0.000 | 0.000 |
| 100.172 | 267.424 | -105.548 | 0.000 | 0.000 | 0.000 |
| -77.075 | -77.075 | -103.017 | 0.000 | -0.000 | 0.000 |
| -0.069 | -0.069 | -0.234 | 139.940 | 0.000 | 0.000 |
| -0.069 | -0.069 | -0.234 | 0.000 | 139.940 | 0.000 |
| -0.036 | -0.037 | -0.236 | 0.000 | 0.000 | 219.066 |
| 18913.408 | 8575.556 | 8575.556 | -0.000 | 0.000 | -0.000 |
| 8575.556 | 18913.408 | 8575.556 | -0.000 | -0.000 | 0.000 |
| 8575.556 | 8575.556 | 18913.408 | -0.000 | 0.000 | -0.000 |
| -0.000 | -0.000 | -0.000 | 6967.222 | 0.000 | -0.000 |
| -0.000 | -0.000 | 0.000 | 0.000 | 6967.222 | -0.000 |
| -0.000 | -0.000 | -0.000 | -0.000 | -0.000 | 6967.222 |
| 19674.670 | 8194.926 | 8194.926 | 0.000 | 0.000 | -0.000 |
| 8194.926 | 19674.670 | 8194.926 | 0.000 | -0.000 | 0.000 |
| 8194.926 | 8194.926 | 19674.670 | 0.000 | 0.000 | 0.000 |
| 0.000 | 0.000 | 0.000 | 6967.222 | -0.000 | 0.000 |
| 0.000 | 0.000 | 0.000 | 0.000 | 6967.222 | 0.000 |
| 0.000 | 0.000 | 0.000 | 0.000 | -0.000 | 6967.222 |
| 18913.372 | 8575.573 | 8575.573 | -0.000 | -0.000 | -0.000 |
| 8575.573 | 18913.372 | 8575.573 | -0.000 | -0.000 | -0.000 |
| 8575.573 | 8575.573 | 18913.372 | -0.000 | -0.000 | 0.000 |
| -0.001 | -0.001 | -0.001 | 6967.222 | -0.000 | 0.000 |
| -0.001 | -0.001 | -0.001 | -0.000 | 6967.222 | 0.000 |
| -0.001 | -0.001 | -0.001 | -0.000 | 0.000 | 6967.222 |
| 18913.396 | 8575.564 | 8575.564 | 0.000 | 0.000 | 0.000 |
| 8575.564 | 18913.396 | 8575.564 | 0.000 | -0.000 | 0.000 |
| 8575.564 | 8575.564 | 18913.396 | 0.000 | 0.000 | 0.000 |
| 0.001 | 0.001 | 0.001 | 6967.222 | -0.000 | 0.000 |
| 0.001 | 0.001 | 0.001 | 0.000 | 6967.222 | 0.000 |
| 0.001 | 0.001 | 0.001 | 0.000 | -0.000 | 6967.222 |
| 18913.516 | 8575.488 | 8575.488 | -0.000 | -0.000 | -0.000 |
| 8575.488 | 18913.516 | 8575.488 | -0.000 | -0.000 | -0.000 |
| 8575.488 | 8575.488 | 18913.516 | -0.000 | -0.000 | -0.000 |
| -0.010 | -0.015 | -0.006 | 6967.222 | -0.000 | 0.000 |
| -0.015 | -0.010 | -0.006 | 0.000 | 6967.222 | -0.000 |
| -0.015 | -0.006 | -0.010 | -0.000 | 0.000 | 6967.222 |
| 18913.416 | 8575.566 | 8575.566 | 0.000 | -0.000 | 0.000 |
| 8575.566 | 18913.416 | 8575.566 | 0.000 | 0.000 | 0.000 |
| 8575.566 | 8575.566 | 18913.416 | 0.000 | -0.000 | 0.000 |
| 0.010 | 0.015 | 0.006 | 6967.222 | 0.000 | 0.000 |
| 0.015 | 0.010 | 0.006 | 0.000 | 6967.222 | 0.000 |
| 0.015 | 0.006 | 0.010 | 0.000 | -0.000 | 6967.222 |
| 518.264 | 323.657 | 323.657 | 0.000 | 0.000 | 0.000 |
| 323.657 | 518.264 | 323.657 | 0.000 | 0.000 | 0.000 |
| 323.657 | 323.657 | 518.264 | 0.000 | 0.000 | 0.000 |
| 0.000 | 0.000 | -0.000 | 283.551 | -0.000 | 0.000 |
| 0.000 | 0.000 | -0.000 | -0.000 | 283.551 | 0.000 |
| 0.000 | 0.000 | 0.000 | -0.000 | -0.000 | 283.551 |
| 518.263 | 323.656 | 323.657 | 0.000 | 0.000 | 0.000 |
| 323.656 | 518.263 | 323.657 | 0.000 | 0.000 | -0.000 |
| 323.656 | 323.656 | 518.263 | -0.000 | -0.000 | 0.000 |
| -0.000 | -0.000 | 0.000 | 283.551 | 0.000 | -0.000 |
| -0.000 | -0.000 | 0.000 | 0.000 | 283.552 | 0.000 |
| -0.000 | -0.000 | -0.000 | 0.000 | 0.000 | 283.551 |
| 518.263 | 323.657 | 323.657 | -0.000 | -0.000 | -0.000 |
| 323.657 | 518.263 | 323.657 | -0.000 | -0.000 | -0.000 |
| 323.657 | 323.657 | 518.263 | -0.000 | -0.000 | -0.000 |
| 236815067.233 | 280676398.062 | 314387691.593 | 26289133.365 | -7642319.972 | 2934769.018 |
| 278111576.590 | 242246463.631 | 313135942.436 | -253485.969 | 17228286.669 | -922524.894 |
| 284073567.005 | 294058950.422 | 245772968.123 | 5423282.610 | 8721783.470 | 18197217.096 |
| 518.264 | 323.656 | 323.656 | -0.000 | -0.000 | -0.000 |
| 323.656 | 518.264 | 323.656 | -0.000 | -0.000 | -0.000 |
| 323.656 | 323.656 | 518.264 | 0.000 | 0.000 | -0.000 |
| -247321406.482 | -286129910.554 | -298934499.828 | 1699109.750 | 3008333.652 | -692543.880 |
| -282036703.982 | -245308643.440 | -286639111.854 | -5200626.806 | 9314976.657 | 5936780.099 |
| -277927564.344 | -304484174.243 | -260610201.326 | 868653.598 | -345607.074 | -3814735.128 |
| 518.258 | 323.659 | 323.659 | 0.000 | 0.000 | 0.000 |
| 323.659 | 518.258 | 323.659 | 0.000 | 0.000 | 0.000 |
| 323.659 | 323.659 | 518.258 | -0.000 | -0.000 | 0.000 |
| 1421155.176 | 235170.928 | 235164.081 | -3423179.378 | 0.001 | 0.000 |
| 235170.928 | 1421155.176 | 235164.081 | 0.000 | -3423179.378 | 0.000 |
| 235170.928 | 235164.081 | 1421155.176 | 0.001 | 0.001 | -3423179.378 |
| 518.269 | 323.655 | 323.655 | 0.000 | -0.000 | -0.000 |
| 323.655 | 518.269 | 323.655 | -0.000 | -0.000 | 0.000 |
| 323.655 | 323.655 | 518.269 | 0.000 | -0.000 | 0.000 |
| -1421155.176 | -235170.928 | -235164.081 | -3423179.378 | -0.000 | -0.001 |
| -235170.928 | -1421155.176 | -235164.081 | -0.000 | -3423179.378 | -0.001 |
| -235170.928 | -235164.081 | -1421155.176 | -0.000 | -0.000 | -3423179.378 |
| 1924.663 | 2279.733 | 2279.733 | 0.000 | -0.000 | -0.000 |
| 2279.733 | 1924.663 | 2279.733 | 0.000 | -0.000 | 0.000 |
| 2279.733 | 2279.733 | 1924.663 | 0.000 | -0.000 | -0.000 |
| -0.000 | -0.000 | 0.000 | -123.301 | -0.000 | 0.000 |
| 0.000 | -0.000 | -0.000 | 0.000 | -123.301 | -0.000 |
| -0.000 | 0.000 | 0.000 | 0.000 | 0.000 | -123.301 |
| 1924.663 | 2279.733 | 2279.734 | -0.000 | 0.000 | 0.000 |
| 2279.733 | 1924.665 | 2279.734 | -0.000 | 0.000 | 0.000 |
| 2279.733 | 2279.733 | 1924.663 | 0.000 | 0.000 | 0.000 |
| 0.000 | -0.000 | -0.000 | -123.301 | 0.000 | -0.000 |
| 0.000 | -0.000 | -0.000 | -0.000 | -123.301 | -0.000 |
| 0.000 | -0.000 | -0.000 | -0.000 | 0.000 | -123.301 |
| 1924.661 | 2279.731 | 2279.731 | 0.000 | -0.000 | -0.000 |
| 2279.731 | 1924.661 | 2279.731 | 0.000 | -0.000 | -0.000 |
| 2279.731 | 2279.731 | 1924.661 | -0.000 | -0.000 | -0.000 |
| -0.001 | 0.000 | 0.000 | -123.301 | -0.000 | -0.000 |
| 0.000 | -0.001 | 0.000 | 0.000 | -123.301 | 0.000 |
| 0.000 | 0.000 | -0.001 | 0.000 | 0.000 | -123.301 |
| 1924.665 | 2279.735 | 2279.735 | -0.000 | 0.000 | 0.000 |
| 2279.735 | 1924.665 | 2279.735 | 0.000 | 0.000 | -0.000 |
| 2279.735 | 2279.735 | 1924.665 | -0.000 | 0.000 | 0.000 |
| 0.001 | -0.000 | -0.000 | -123.301 | 0.000 | -0.000 |
| -0.000 | 0.001 | -0.000 | -0.000 | -123.301 | -0.000 |
| -0.000 | -0.000 | 0.001 | -0.000 | 0.000 | -123.301 |
| 1924.645 | 2279.716 | 2279.716 | 0.000 | -0.000 | 0.000 |
| 2279.716 | 1924.645 | 2279.716 | 0.000 | -0.000 | -0.000 |
| 2279.716 | 2279.716 | 1924.645 | 0.000 | -0.000 | 0.000 |
| -0.007 | 0.004 | 0.004 | -123.301 | -0.000 | 0.000 |
| 0.004 | -0.007 | 0.004 | 0.000 | -123.301 | 0.000 |
| 0.004 | 0.004 | -0.007 | 0.000 | -0.000 | -123.301 |
| 1924.682 | 2279.750 | 2279.750 | -0.000 | 0.000 | 0.000 |
| 2279.750 | 1924.682 | 2279.750 | -0.000 | 0.000 | 0.000 |
| 2279.750 | 2279.750 | 1924.682 | 0.000 | 0.000 | 0.000 |
| 0.007 | -0.004 | -0.004 | -123.301 | 0.000 | -0.000 |
| -0.004 | 0.007 | -0.004 | -0.000 | -123.301 | -0.000 |
| -0.004 | -0.004 | 0.007 | -0.000 | 0.000 | -123.301 |
| 9929.606 | 149.753 | 149.752 | -0.000 | -0.000 | 0.000 |
| 149.752 | 9929.607 | 149.752 | 0.000 | 0.000 | 0.000 |
| 149.752 | 149.753 | 9929.606 | -0.000 | -0.000 | 0.000 |
| -0.000 | 0.000 | -0.000 | 42.948 | -0.000 | 0.000 |
| -0.000 | 0.000 | -0.000 | -0.000 | 42.948 | 0.000 |
| -0.000 | 0.000 | -0.000 | -0.000 | -0.000 | 42.948 |
| 9929.606 | 149.752 | 149.752 | -0.000 | -0.000 | -0.000 |
| 149.752 | 9929.606 | 149.752 | 0.000 | 0.000 | -0.000 |
| 149.752 | 149.752 | 9929.607 | 0.000 | 0.000 | -0.000 |
| 0.000 | -0.000 | -0.000 | 42.948 | -0.000 | -0.000 |
| 0.000 | -0.000 | 0.000 | 0.000 | 42.948 | -0.000 |
| 0.000 | -0.000 | 0.000 | 0.000 | 0.000 | 42.948 |
| 9929.605 | 149.753 | 149.753 | 0.000 | 0.000 | 0.000 |
| 149.753 | 9929.605 | 149.753 | 0.000 | 0.000 | -0.000 |
| 149.753 | 149.753 | 9929.605 | 0.000 | 0.000 | 0.000 |
| 0.000 | 0.000 | -0.000 | 42.948 | -0.000 | 0.000 |
| 0.000 | 0.000 | -0.000 | -0.000 | 42.948 | 0.000 |
| 0.000 | -0.000 | -0.000 | -0.000 | -0.000 | 42.948 |
| 9929.608 | 149.751 | 149.751 | 0.000 | 0.000 | 0.000 |
| 149.751 | 9929.608 | 149.751 | 0.000 | -0.000 | 0.000 |
| 149.751 | 149.751 | 9929.608 | 0.000 | 0.000 | -0.000 |
| -0.000 | -0.000 | 0.000 | 42.948 | 0.000 | -0.000 |
| 0.000 | -0.000 | 0.000 | 0.000 | 42.948 | -0.000 |
| 0.000 | 0.000 | 0.000 | 0.000 | 0.000 | 42.948 |
| 9929.593 | 149.760 | 149.760 | 0.000 | 0.000 | 0.000 |
| 149.760 | 9929.593 | 149.760 | -0.000 | 0.000 | -0.000 |
| 149.760 | 149.760 | 9929.593 | 0.000 | 0.000 | 0.000 |
| -0.000 | 0.000 | -0.005 | 42.948 | 0.000 | 0.000 |
| 0.000 | -0.000 | -0.005 | 0.000 | 42.948 | 0.000 |
| 0.000 | -0.005 | -0.000 | -0.000 | -0.000 | 42.948 |
| 9929.619 | 149.744 | 149.744 | 0.000 | 0.000 | -0.000 |
| 149.744 | 9929.619 | 149.744 | 0.000 | 0.000 | -0.000 |
| 149.744 | 149.744 | 9929.619 | -0.000 | -0.000 | -0.000 |
| 0.000 | -0.000 | 0.005 | 42.948 | 0.000 | -0.000 |
| -0.000 | 0.000 | 0.005 | 0.000 | 42.948 | -0.000 |
| -0.000 | 0.005 | 0.000 | 0.000 | -0.000 | 42.948 |
| 308.671 | 70.440 | 70.441 | -0.000 | 0.000 | -0.000 |
| 70.440 | 308.671 | 70.441 | -0.000 | -0.000 | 0.000 |
| 70.441 | 70.440 | 308.671 | 0.000 | 0.000 | -0.000 |
| 0.000 | 0.000 | 0.000 | 65.140 | 0.000 | 0.000 |
| 0.000 | 0.000 | 0.000 | 0.000 | 65.140 | 0.000 |
| 0.000 | -0.000 | 0.001 | 0.000 | 0.000 | 65.139 |
| 308.670 | 70.440 | 70.440 | 0.000 | -0.000 | 0.000 |
| 70.440 | 308.670 | 70.440 | 0.000 | -0.000 | -0.000 |
| 70.440 | 70.441 | 308.670 | -0.000 | -0.000 | 0.000 |
| -0.000 | 0.000 | -0.000 | 65.139 | -0.000 | 0.000 |
| -0.000 | -0.000 | -0.001 | -0.000 | 65.139 | -0.000 |
| -0.000 | -0.000 | -0.001 | -0.000 | -0.000 | 65.139 |
| 308.670 | 70.440 | 70.440 | -0.000 | 0.000 | -0.000 |
| 70.440 | 308.670 | 70.440 | 0.000 | 0.000 | -0.000 |
| 70.440 | 70.440 | 308.670 | -0.000 | 0.000 | 0.000 |
| 0.000 | 0.000 | 0.000 | 65.139 | 0.000 | 0.000 |
| 0.000 | 0.000 | 0.000 | 0.000 | 65.139 | 0.000 |
| 0.000 | 0.000 | 0.000 | 0.000 | 0.000 | 65.139 |
| 308.670 | 70.440 | 70.440 | -0.000 | -0.000 | -0.000 |
| 70.440 | 308.670 | 70.440 | -0.000 | -0.000 | -0.000 |
| 70.440 | 70.440 | 308.670 | -0.000 | -0.000 | 0.000 |
| -0.000 | 0.000 | -0.000 | 65.139 | -0.000 | -0.000 |
| -0.000 | -0.000 | -0.000 | -0.000 | 65.139 | -0.000 |
| -0.000 | -0.000 | -0.000 | -0.000 | -0.000 | 65.139 |
| 308.671 | 70.441 | 70.441 | -0.000 | 0.000 | -0.000 |
| 70.441 | 308.671 | 70.441 | 0.000 | 0.000 | -0.000 |
| 70.441 | 70.441 | 308.671 | 0.000 | 0.000 | -0.000 |
| 0.000 | 0.000 | 0.000 | 65.139 | 0.000 | 0.000 |
| 0.000 | 0.000 | 0.000 | 0.000 | 65.139 | -0.000 |
| 0.000 | 0.000 | 0.000 | 0.000 | 0.000 | 65.139 |
| 308.670 | 70.440 | 70.440 | 0.000 | 0.000 | 0.000 |
| 70.440 | 308.670 | 70.440 | 0.000 | -0.000 | 0.000 |
| 70.440 | 70.440 | 308.670 | 0.000 | -0.000 | 0.000 |
| -0.000 | -0.000 | -0.000 | 65.139 | -0.000 | 0.000 |
| -0.000 | -0.000 | -0.000 | -0.000 | 65.139 | 0.000 |
| -0.000 | -0.000 | -0.000 | -0.000 | -0.000 | 65.139 |
| 195.548 | 115.132 | 115.132 | -0.000 | -0.000 | -0.000 |
| 115.132 | 195.548 | 115.132 | -0.000 | -0.000 | -0.000 |
| 115.132 | 115.132 | 195.548 | -0.000 | -0.000 | -0.000 |
| -0.000 | -0.000 | 0.000 | 111.335 | -0.000 | -0.000 |
| -0.000 | 0.000 | -0.000 | 0.000 | 111.335 | -0.000 |
| -0.000 | 0.000 | -0.000 | -0.000 | -0.000 | 111.335 |
| 195.548 | 115.132 | 115.132 | -0.000 | 0.000 | 0.000 |
| 115.132 | 195.548 | 115.132 | 0.000 | 0.000 | 0.000 |
| 115.132 | 115.132 | 195.548 | 0.000 | 0.000 | 0.000 |
| -0.000 | 0.000 | 0.000 | 111.335 | 0.000 | 0.000 |
| 0.000 | -0.000 | 0.000 | 0.000 | 111.335 | 0.000 |
| 0.000 | -0.000 | 0.000 | 0.000 | 0.000 | 111.335 |
| 195.548 | 115.132 | 115.132 | -0.000 | -0.000 | -0.000 |
| 115.132 | 195.548 | 115.132 | -0.000 | -0.000 | -0.000 |
| 115.132 | 115.132 | 195.548 | -0.000 | -0.000 | -0.000 |
| 0.000 | -0.000 | 0.000 | 111.335 | -0.000 | -0.000 |
| -0.000 | 0.000 | 0.000 | -0.000 | 111.335 | -0.000 |
| -0.000 | 0.000 | -0.000 | -0.000 | -0.000 | 111.335 |
| 195.548 | 115.132 | 115.132 | 0.000 | 0.000 | 0.000 |
| 115.132 | 195.548 | 115.132 | 0.000 | 0.000 | 0.000 |
| 115.132 | 115.132 | 195.548 | 0.000 | 0.000 | -0.000 |
| -0.000 | 0.000 | -0.000 | 111.335 | 0.000 | 0.000 |
| 0.000 | -0.000 | -0.000 | 0.000 | 111.335 | 0.000 |
| 0.000 | -0.000 | 0.000 | 0.000 | 0.000 | 111.335 |
| 195.549 | 115.132 | 115.132 | -0.000 | -0.000 | -0.000 |
| 115.132 | 195.549 | 115.132 | -0.000 | -0.000 | -0.000 |
| 115.132 | 115.132 | 195.549 | -0.000 | -0.000 | -0.000 |
| 0.000 | -0.000 | 0.000 | 111.335 | -0.000 | -0.000 |
| -0.000 | 0.000 | 0.000 | -0.000 | 111.335 | -0.000 |
| -0.000 | 0.000 | 0.000 | -0.000 | -0.000 | 111.335 |
| 195.548 | 115.132 | 115.132 | 0.000 | 0.000 | 0.000 |
| 115.132 | 195.548 | 115.132 | 0.000 | 0.000 | 0.000 |
| 115.132 | 115.132 | 195.548 | 0.000 | 0.000 | 0.000 |
| -0.000 | 0.000 | -0.000 | 111.335 | 0.000 | 0.000 |
| 0.000 | -0.000 | -0.000 | 0.000 | 111.335 | 0.000 |
| 0.000 | -0.000 | -0.000 | 0.000 | 0.000 | 111.335 |
| 3487.643 | 3357.627 | 3381.051 | -0.000 | -0.000 | 0.001 |
| 3357.625 | 3487.647 | 3381.050 | -0.000 | -0.001 | 0.001 |
| 3381.049 | 3381.051 | 3468.468 | 0.001 | 0.001 | 0.001 |
| -0.001 | 0.001 | 0.001 | 3274.469 | 0.001 | 0.001 |
| -0.001 | 0.001 | 0.001 | 0.000 | 3274.470 | 0.001 |
| -0.000 | -0.000 | -0.001 | -0.000 | -0.001 | 1658.127 |
| 3487.646 | 3357.625 | 3381.049 | 0.000 | 0.000 | -0.001 |
| 1764.508 | 5080.763 | 3381.050 | 0.000 | 0.000 | 0.001 |
| 3381.050 | 3381.048 | 3468.465 | -0.000 | -0.000 | -0.002 |
| 0.001 | -0.001 | -0.001 | 3274.468 | -0.001 | -0.001 |
| 0.001 | -0.001 | -0.001 | -0.001 | 3274.469 | -0.001 |
| 0.001 | 0.001 | 0.001 | -0.000 | 0.000 | 1658.128 |
| 5080.763 | 1764.509 | 3381.050 | 0.000 | -0.000 | -0.000 |
| 1764.509 | 5080.763 | 3381.050 | -0.000 | -0.000 | -0.000 |
| 3381.050 | 3381.050 | 3468.467 | 0.000 | 0.000 | 0.000 |
| -0.000 | -0.001 | 0.000 | 3274.469 | 0.000 | 0.000 |
| -0.001 | -0.000 | 0.000 | 0.000 | 3274.469 | 0.000 |
| -0.000 | -0.000 | -0.000 | 0.000 | -0.000 | 1658.127 |
| 3487.649 | 3357.622 | 3381.049 | -0.000 | 0.000 | -0.000 |
| 3357.629 | 3487.641 | 3381.049 | 0.000 | 0.000 | -0.000 |
| 3381.049 | 3381.049 | 3468.466 | -0.000 | -0.000 | -0.000 |
| 0.000 | 0.001 | 0.000 | 3274.469 | -0.000 | -0.000 |
| 0.001 | 0.000 | 0.000 | -0.000 | 3274.469 | -0.000 |
| 0.001 | 0.000 | 0.000 | -0.000 | 0.000 | 1658.128 |
| 3487.606 | 3357.672 | 3381.056 | 0.000 | 0.000 | 0.000 |
| 3357.597 | 3487.681 | 3381.056 | -0.000 | -0.000 | 0.000 |
| 3381.057 | 3381.057 | 3468.467 | 0.000 | 0.000 | -0.000 |
| -0.002 | -0.008 | -0.001 | 3274.469 | -0.000 | 0.000 |
| -0.008 | -0.001 | -0.001 | -0.000 | 3274.469 | 0.000 |
| -0.000 | -0.004 | -0.002 | 0.000 | -0.000 | 65.009 |
| 3487.684 | 3357.581 | 3381.043 | -0.000 | 0.000 | -0.000 |
| 3357.656 | 3487.609 | 3381.043 | -0.000 | 0.000 | -0.000 |
| 3381.042 | 3381.042 | 3468.465 | -0.000 | -0.000 | -0.000 |
| 0.002 | 0.008 | 0.001 | 3274.469 | 0.000 | -0.000 |
| 0.008 | 0.001 | 0.001 | -0.000 | 3274.469 | -0.000 |
| 0.000 | 0.004 | 0.002 | -0.000 | 0.000 | 65.009 |
| 16344.218 | 5623.890 | 0.000 | 0.000 | 0.000 | 0.000 |
| 5623.890 | 16344.219 | 0.000 | 0.000 | 0.000 | 0.000 |
| 0.000 | 0.000 | 0.000 | 0.000 | 0.000 | 0.000 |
| 0.000 | 0.000 | 0.000 | 0.000 | 0.000 | 0.000 |
| 0.000 | 0.000 | 0.000 | 0.000 | 0.000 | 0.000 |
| -0.000 | 0.001 | 0.000 | 0.000 | 0.000 | 5360.165 |
| 17573.324 | 6046.813 | 0.000 | 0.000 | 0.000 | 0.000 |
| 6046.813 | 17573.324 | 0.000 | 0.000 | 0.000 | 0.001 |
| -0.000 | 0.000 | 0.000 | 0.000 | 0.000 | 0.001 |
| -0.000 | -0.000 | 0.000 | 0.000 | 0.000 | 0.001 |
| -0.000 | 0.000 | 0.000 | 0.000 | 0.000 | 0.001 |
| -0.000 | 0.000 | 0.000 | 0.000 | 0.000 | 5763.257 |
| 16344.219 | 5623.888 | -0.000 | -0.000 | -0.000 | -0.000 |
| 5623.889 | 16344.218 | -0.000 | -0.000 | -0.000 | -0.001 |
| -0.000 | -0.000 | -0.000 | -0.000 | -0.000 | -0.000 |
| -0.000 | -0.001 | -0.000 | -0.000 | -0.000 | -0.000 |
| -0.000 | -0.000 | -0.000 | -0.000 | -0.000 | -0.000 |
| 0.000 | -0.001 | -0.000 | -0.000 | -0.000 | 5360.165 |
| 17573.324 | 6046.813 | -0.000 | -0.000 | -0.000 | -0.001 |
| 6046.813 | 17573.325 | -0.000 | -0.000 | -0.000 | -0.002 |
| 0.000 | -0.000 | -0.000 | -0.000 | -0.000 | -0.001 |
| 0.000 | 0.000 | -0.000 | -0.000 | -0.000 | -0.001 |
| 0.000 | -0.000 | -0.000 | -0.000 | -0.000 | -0.001 |
| 0.000 | 0.000 | -0.000 | -0.000 | -0.000 | 5763.255 |
| 16344.217 | 5623.891 | 0.000 | 0.000 | 0.000 | 0.000 |
| 5623.891 | 16344.216 | 0.000 | 0.000 | 0.000 | 0.000 |
| 0.000 | 0.000 | 0.000 | 0.000 | 0.000 | 0.000 |
| 0.000 | 0.000 | 0.000 | 0.000 | 0.000 | 0.000 |
| 0.000 | 0.000 | 0.000 | 0.000 | 0.000 | 0.000 |
| -0.002 | -0.001 | 0.000 | 0.000 | 0.000 | 5360.165 |
| 17573.322 | 6046.814 | 0.000 | 0.000 | 0.000 | 0.000 |
| 6046.815 | 17573.321 | 0.000 | 0.000 | 0.000 | 0.000 |
| -0.000 | 0.000 | 0.000 | 0.000 | 0.000 | 0.000 |
| -0.000 | -0.000 | 0.000 | 0.000 | 0.000 | 0.000 |
| -0.000 | 0.000 | 0.000 | 0.000 | 0.000 | 0.000 |
| -0.002 | -0.001 | 0.000 | 0.000 | 0.000 | 5763.256 |
| 16344.221 | 5623.888 | -0.000 | -0.000 | -0.000 | -0.000 |
| 5623.888 | 16344.221 | -0.000 | -0.000 | -0.000 | -0.000 |
| -0.000 | -0.000 | -0.000 | -0.000 | -0.000 | -0.000 |
| -0.000 | -0.000 | -0.000 | -0.000 | -0.000 | -0.000 |
| -0.000 | -0.000 | -0.000 | -0.000 | -0.000 | -0.000 |
| 0.002 | 0.001 | -0.000 | -0.000 | -0.000 | 5360.164 |
| 17573.326 | 6046.812 | -0.000 | -0.000 | -0.000 | -0.000 |
| 6046.811 | 17573.327 | -0.000 | -0.000 | -0.000 | -0.000 |
| 0.000 | -0.000 | -0.000 | -0.000 | -0.000 | -0.000 |
| 0.000 | 0.000 | -0.000 | -0.000 | -0.000 | -0.000 |
| 0.000 | -0.000 | -0.000 | -0.000 | -0.000 | -0.000 |
| 0.002 | 0.001 | -0.000 | -0.000 | -0.000 | 5763.255 |
| 16344.199 | 5623.901 | 0.000 | 0.000 | 0.000 | 0.000 |
| 5623.907 | 16344.193 | 0.000 | 0.000 | 0.000 | 0.000 |
| 0.000 | 0.000 | 0.000 | 0.000 | 0.000 | 0.000 |
| 0.000 | 0.000 | 0.000 | 0.000 | 0.000 | 0.000 |
| 0.000 | 0.000 | 0.000 | 0.000 | 0.000 | 0.000 |
| -0.019 | -0.008 | 0.000 | 0.000 | 0.000 | 5360.165 |
| 17573.303 | 6046.825 | 0.000 | 0.000 | 0.000 | 0.000 |
| 6046.831 | 17573.297 | 0.000 | 0.000 | 0.000 | 0.000 |
| -0.000 | 0.000 | 0.000 | 0.000 | 0.000 | 0.000 |
| -0.000 | -0.000 | 0.000 | 0.000 | 0.000 | 0.000 |
| -0.000 | 0.000 | 0.000 | 0.000 | 0.000 | 0.000 |
| -0.020 | -0.008 | 0.000 | 0.000 | 0.000 | 5763.256 |
| 16344.238 | 5623.878 | -0.000 | -0.000 | -0.000 | -0.000 |
| 5623.873 | 16344.244 | -0.000 | -0.000 | -0.000 | -0.000 |
| -0.000 | -0.000 | -0.000 | -0.000 | -0.000 | -0.000 |
| -0.000 | -0.000 | -0.000 | -0.000 | -0.000 | -0.000 |
| -0.000 | -0.000 | -0.000 | -0.000 | -0.000 | -0.000 |
| 0.019 | 0.008 | -0.000 | -0.000 | -0.000 | 5360.165 |
| 17573.345 | 6046.801 | -0.000 | -0.000 | -0.000 | -0.000 |
| 6046.795 | 17573.351 | -0.000 | -0.000 | -0.000 | -0.000 |
| 0.000 | -0.000 | -0.000 | -0.000 | -0.000 | -0.000 |
| 0.000 | 0.000 | -0.000 | -0.000 | -0.000 | -0.000 |
| 0.000 | -0.000 | -0.000 | -0.000 | -0.000 | -0.000 |
| 0.020 | 0.008 | -0.000 | -0.000 | -0.000 | 5763.256 |
| 7813.944 | 3930.454 | 3930.453 | 0.000 | 0.000 | 0.001 |
| 3930.453 | 7813.943 | 3930.453 | 0.001 | 0.000 | -0.000 |
| 3930.453 | 3930.454 | 7813.943 | 0.000 | -0.000 | 0.000 |
| -0.000 | -0.000 | -0.000 | 3731.114 | -0.000 | -0.000 |
| -0.000 | 0.000 | 0.000 | -0.000 | 3731.114 | 0.000 |
| -0.000 | -0.000 | -0.000 | -0.000 | 0.000 | 3731.114 |
| 7813.944 | 3930.453 | 3930.453 | -0.000 | -0.001 | -0.001 |
| 3930.454 | 7813.944 | 3930.453 | -0.000 | -0.000 | -0.000 |
| 3930.454 | 3930.453 | 7813.944 | 0.000 | -0.000 | -0.000 |
| -0.000 | 0.000 | 0.000 | 3731.114 | -0.000 | -0.000 |
| 0.000 | 0.000 | 0.000 | -0.000 | 3731.114 | -0.000 |
| 0.000 | -0.000 | 0.000 | -0.000 | -0.000 | 3731.114 |
| 7813.941 | 3930.453 | 3930.452 | 0.000 | 0.000 | 0.000 |
| 3930.453 | 7813.941 | 3930.452 | 0.000 | 0.000 | 0.000 |
| 3930.453 | 3930.453 | 7813.941 | 0.000 | 0.000 | 0.000 |
| -0.000 | -0.001 | -0.001 | 3731.114 | 0.000 | 0.000 |
| -0.001 | -0.000 | -0.001 | 0.000 | 3731.114 | 0.000 |
| -0.001 | -0.001 | -0.000 | -0.000 | 0.000 | 3731.114 |
| 7813.946 | 3930.453 | 3930.453 | -0.000 | -0.000 | -0.000 |
| 3930.453 | 7813.946 | 3930.453 | -0.000 | -0.000 | 0.000 |
| 3930.453 | 3930.453 | 7813.946 | -0.000 | -0.000 | -0.000 |
| 0.000 | 0.001 | 0.001 | 3731.114 | -0.000 | -0.000 |
| 0.001 | 0.000 | 0.001 | -0.000 | 3731.114 | 0.000 |
| 0.001 | 0.001 | 0.000 | 0.000 | -0.000 | 3731.114 |
| 7813.917 | 3930.448 | 3930.448 | 0.000 | 0.000 | 0.000 |
| 3930.448 | 7813.917 | 3930.448 | 0.000 | 0.000 | 0.000 |
| 3930.448 | 3930.448 | 7813.917 | 0.000 | 0.000 | 0.000 |
| -0.001 | -0.014 | -0.008 | 3731.114 | 0.000 | 0.000 |
| -0.014 | -0.001 | -0.008 | 0.000 | 3731.114 | 0.000 |
| -0.014 | -0.008 | -0.001 | 0.000 | -0.000 | 3731.114 |
| 7813.970 | 3930.458 | 3930.458 | -0.000 | 0.000 | -0.000 |
| 3930.458 | 7813.970 | 3930.458 | -0.000 | 0.000 | 0.000 |
| 3930.458 | 3930.458 | 7813.970 | 0.000 | -0.000 | -0.000 |
| 0.001 | 0.014 | 0.008 | 3731.114 | 0.000 | 0.000 |
| 0.014 | 0.001 | 0.008 | -0.000 | 3731.114 | -0.000 |
| 0.014 | 0.008 | 0.001 | 0.000 | -0.000 | 3731.114 |
| 4267.340 | 2273.574 | 2273.574 | -0.000 | -0.000 | 0.000 |
| 2273.574 | 4267.340 | 2273.574 | 0.000 | 0.000 | 0.000 |
| 2273.574 | 2273.574 | 4267.340 | 0.000 | -0.000 | 0.000 |
| 0.000 | -0.000 | -0.000 | 2112.384 | 0.000 | 0.000 |
| -0.000 | 0.000 | -0.000 | 0.000 | 2112.384 | 0.000 |
| -0.000 | -0.000 | 0.000 | -0.000 | 0.000 | 2112.384 |
| 4267.341 | 2273.574 | 2273.574 | -0.000 | -0.000 | -0.000 |
| 2273.574 | 4267.341 | 2273.574 | 0.000 | -0.000 | -0.000 |
| 2273.574 | 2273.574 | 4267.341 | 0.000 | -0.000 | -0.000 |
| -0.000 | 0.000 | 0.000 | 2112.384 | 0.000 | 0.000 |
| 0.000 | 0.000 | 0.000 | 0.000 | 2112.384 | 0.000 |
| 0.000 | 0.000 | -0.000 | 0.000 | 0.000 | 2112.384 |
| 4267.339 | 2273.574 | 2273.574 | 0.000 | 0.000 | 0.000 |
| 2273.574 | 4267.339 | 2273.574 | -0.000 | 0.000 | 0.000 |
| 2273.574 | 2273.574 | 4267.339 | 0.000 | 0.000 | 0.000 |
| -0.000 | -0.001 | -0.001 | 2112.384 | 0.000 | 0.000 |
| -0.001 | -0.000 | -0.001 | 0.000 | 2112.384 | 0.000 |
| -0.001 | -0.001 | -0.000 | 0.000 | 0.000 | 2112.384 |
| 4267.342 | 2273.574 | 2273.574 | -0.000 | 0.000 | -0.000 |
| 2273.574 | 4267.342 | 2273.574 | -0.000 | -0.000 | -0.000 |
| 2273.574 | 2273.574 | 4267.342 | -0.000 | -0.000 | -0.000 |
| 0.000 | 0.001 | 0.001 | 2112.384 | -0.000 | -0.000 |
| 0.001 | 0.000 | 0.001 | -0.000 | 2112.384 | -0.000 |
| 0.001 | 0.001 | 0.000 | -0.000 | -0.000 | 2112.384 |
| 4267.326 | 2273.572 | 2273.572 | -0.000 | -0.000 | 0.000 |
| 2273.572 | 4267.326 | 2273.572 | 0.000 | 0.000 | 0.000 |
| 2273.572 | 2273.572 | 4267.326 | 0.000 | -0.000 | 0.000 |
| -0.000 | -0.012 | -0.009 | 2112.384 | -0.000 | 0.000 |
| -0.012 | -0.000 | -0.009 | -0.000 | 2112.384 | 0.000 |
| -0.012 | -0.009 | -0.000 | -0.000 | 0.000 | 2112.384 |
| 4267.355 | 2273.577 | 2273.577 | 0.000 | -0.000 | -0.000 |
| 2273.577 | 4267.355 | 2273.577 | 0.000 | 0.000 | -0.000 |
| 2273.577 | 2273.577 | 4267.355 | -0.000 | -0.000 | -0.000 |
| 0.000 | 0.012 | 0.009 | 2112.384 | 0.000 | -0.000 |
| 0.012 | 0.000 | 0.009 | 0.000 | 2112.384 | -0.000 |
| 0.012 | 0.009 | 0.000 | -0.000 | -0.000 | 2112.384 |
| 6782.867 | 4631.478 | 4631.479 | 0.000 | 0.000 | 0.000 |
| 4631.478 | 6782.867 | 4631.479 | 0.000 | 0.000 | 0.000 |
| 4631.478 | 4631.478 | 6782.867 | 0.000 | 0.000 | 0.000 |
| -0.000 | 0.000 | 0.000 | 2518.958 | 0.000 | 0.000 |
| -0.000 | -0.000 | -0.000 | 0.000 | 2518.958 | 0.000 |
| -0.000 | -0.000 | 0.000 | 0.000 | 0.000 | 2518.958 |
| 6782.868 | 4631.478 | 4631.478 | -0.000 | -0.000 | -0.000 |
| 4631.478 | 6782.868 | 4631.478 | -0.000 | -0.000 | -0.000 |
| 4631.478 | 4631.478 | 6782.868 | -0.000 | -0.000 | -0.000 |
| 0.000 | 0.000 | -0.000 | 2518.958 | -0.000 | -0.000 |
| 0.000 | 0.000 | 0.000 | -0.000 | 2518.958 | -0.000 |
| 0.000 | 0.000 | 0.000 | -0.000 | -0.000 | 2518.958 |
| 6782.863 | 4631.480 | 4631.480 | 0.000 | 0.000 | -0.000 |
| 4631.480 | 6782.863 | 4631.480 | 0.000 | 0.000 | 0.000 |
| 4631.480 | 4631.480 | 6782.863 | 0.000 | 0.000 | 0.000 |
| -0.001 | -0.001 | -0.000 | 2518.958 | 0.000 | 0.000 |
| -0.001 | -0.001 | -0.000 | 0.000 | 2518.958 | 0.000 |
| -0.001 | -0.000 | -0.001 | 0.000 | 0.000 | 2518.958 |
| 6782.871 | 4631.477 | 4631.477 | -0.000 | -0.000 | -0.000 |
| 4631.477 | 6782.871 | 4631.477 | -0.000 | -0.000 | -0.000 |
| 4631.477 | 4631.477 | 6782.871 | -0.000 | -0.000 | -0.000 |
| 0.001 | 0.001 | 0.000 | 2518.958 | -0.000 | -0.000 |
| 0.001 | 0.001 | 0.000 | -0.000 | 2518.958 | -0.000 |
| 0.001 | 0.000 | 0.001 | -0.000 | -0.000 | 2518.958 |
| 6782.825 | 4631.493 | 4631.493 | 0.000 | 0.000 | -0.000 |
| 4631.493 | 6782.825 | 4631.493 | 0.000 | 0.000 | 0.000 |
| 4631.493 | 4631.493 | 6782.825 | 0.000 | 0.000 | 0.000 |
| -0.010 | -0.008 | -0.004 | 2518.958 | 0.000 | 0.000 |
| -0.008 | -0.010 | -0.004 | 0.000 | 2518.958 | -0.000 |
| -0.008 | -0.004 | -0.010 | 0.000 | 0.000 | 2518.958 |
| 6782.909 | 4631.463 | 4631.463 | -0.000 | -0.000 | -0.000 |
| 4631.463 | 6782.909 | 4631.463 | -0.000 | -0.000 | -0.000 |
| 4631.463 | 4631.463 | 6782.909 | -0.000 | -0.000 | -0.000 |
| 0.010 | 0.008 | 0.004 | 2518.958 | -0.000 | -0.000 |
| 0.008 | 0.010 | 0.004 | -0.000 | 2518.958 | -0.000 |
| 0.008 | 0.004 | 0.010 | -0.000 | -0.000 | 2518.958 |
Phonon band structures and crystal properties estimated from quasi-harmonic approximation (QHA) calculations are displayed for select crystals. The calculations were performed using phonopy and LAMMPS. For the phonon calculations, 3x3 supercells of the potential-specific relaxed crystals were used. The QHA calculations were based on 11 strain states ranging from -0.05 to 0.05.
The calculation method used is available as the iprPy phonon calculation method.
Notes and Disclaimers:
Version Information:
































































































































































Static free surface formation energies are displayed for select crystals. The values displayed here are obtained by taking a perfect periodic bulk crystal, slicing along a crystallographic plane, and using force minimization to statically relax the surfaces. The free surface formation energy is computed by comparing the energy of the defect system to the bulk system and dividing by the total surface area created by the cut.
The calculation method used is available as the iprPy surface_energy_static calculation method.
Notes and Disclaimers:
Version Information:
| Surface | γfs (mJ/m2) |
|---|---|
| (101) 2 | -11398.82 |
| (101) 1 | -5249.94 |
| (100) | -3650.36 |
| Surface | γfs (mJ/m2) |
|---|---|
| (322) | -11384.69 |
| (332) | -3497.04 |
| (111) | -3171.43 |
| (311) | -2160.94 |
| (211) | -1919.90 |
| (221) | 172.72 |
| (321) | 230.76 |
| (100) | 406.07 |
| (310) | 699.32 |
| (210) | 809.45 |
| (320) | 928.44 |
| (110) | 1088.32 |
| Surface | γfs (mJ/m2) |
|---|---|
| (311) 2 | -1469.14 |
| (111) 2 | -1246.22 |
| (100) | -943.50 |
| (211) | -864.00 |
| (331) 2 | -832.78 |
| (321) | -675.88 |
| (110) | -425.10 |
| (320) | -361.47 |
| (311) 1 | -333.75 |
| (210) | -194.92 |
| (310) | -30.74 |
| (332) | 318.97 |
| (322) | 504.98 |
| (221) | 1249.21 |
| (331) 1 | 2212.91 |
| (111) 1 | 6569.32 |
| Surface | γfs (mJ/m2) |
|---|---|
| (311) | -239998.64 |
| (221) | -87357.12 |
| (210) | -72800.01 |
| (100) | -56.38 |
| (110) | 425.89 |
| Surface | γfs (mJ/m2) |
|---|---|
| (310) | -1171.84 |
| (100) | -1152.13 |
| (311) | -1064.78 |
| (211) | -1062.19 |
| (321) | -1056.57 |
| (331) | -1041.67 |
| (221) | -1037.05 |
| (210) | -1035.83 |
| (322) | -1023.16 |
| (332) | -1008.14 |
| (320) | -1005.64 |
| (111) | -932.14 |
| (110) | -887.20 |
| Surface | γfs (mJ/m2) |
|---|---|
| (211) 1 | -4120.77 |
| (331) | -3639.21 |
| (332) 1 | -3557.49 |
| (320) | -3520.37 |
| (321) 1 | -3513.62 |
| (221) | -3492.25 |
| (310) | -3487.51 |
| (321) 2 | -3475.97 |
| (311) | -3469.28 |
| (322) | -3427.52 |
| (332) 2 | -3401.65 |
| (111) | -3376.05 |
| (100) | -3329.30 |
| (210) | -3307.27 |
| (211) 2 | -3160.75 |
| (110) | -3093.67 |
| Surface | γfs (mJ/m2) |
|---|---|
| (322) | -3454.07 |
| (111) | -3452.13 |
| (332) | -3451.42 |
| (221) | -3446.77 |
| (321) | -3325.83 |
| (331) | -3315.67 |
| (311) | -3293.18 |
| (211) | -3281.25 |
| (210) | -3109.82 |
| (320) | -3048.85 |
| (310) | -3019.61 |
| (110) | -2825.38 |
| (100) | -2747.66 |
| Surface | γfs (mJ/m2) |
|---|---|
| (322) | -6816.74 |
| (211) | -3813.80 |
| (331) | -2307.40 |
| (321) | -967.89 |
| (221) | -658.09 |
| (332) | -40.47 |
| (111) | 549.49 |
| (100) | 630.03 |
| (310) | 851.30 |
| (311) | 868.21 |
| (210) | 924.38 |
| (320) | 977.14 |
| (110) | 1033.20 |
Stacking fault energy plots and maps are displayed for select crystals. The values are computed by
The calculation method used is available as the iprPy stacking_fault_map_2D calculation method.
Notes and Disclaimers:
Version Information:
| E_usf a/2 [0 -1 1] | 791.21 |
| τ_ideal a/2 [0 -1 1] | 461.63 |




| E_isf | 1.31 |
| E_usf a/2 [0 -1 1] | 1945.59 |
| τ_ideal a/2 [0 -1 1] | 195.65 |




| E_usf a/2 [-1 1 -1] | 460.11 |
| τ_ideal a/2 [-1 1 -1] | 1471.48 |




Static point defect formation energies, Ef, and elastic dipole tensors, pij, are displayed for select crystals. Relaxed defect configurations are obtained by taking a 12x12x12 supercell of a perfect periodic bulk crystal, inserting the point defect, and using force minimization to statically relax the atomic positions while keeping the system dimensions constant. Ef is computed by comparing the energy of the defect system to the same number of atoms in a perfect bulk crystal. pij is estimated as the difference in the system's global pressure with and without the defect multiplied by the system's volume.
Simple structural comparisons of the unrelaxed and relaxed defect configurations are used to help determine if the defect structure has relaxed to a different configuration. Relaxed structures that are identified as no longer consistent with the ideal defect definition are excluded from the table below. The only exception to this is if the lowest energy interstitial configuration does not coincide with a known ideal defect, its energies and pressure tensor are included under the listing "relaxed interstitial". The full list of calculation results including the transformed structures and the structural comparison values is included in the csv file available from the "Download raw data" link.
The calculation method used is available as the iprPy point_defect_static calculation method.
Notes and Disclaimers:
| Point Defect | Ef (eV) | p11 (eV) | p22 (eV) | p33 (eV) | p12 (eV) | p13 (eV) | p23 (eV) |
|---|---|---|---|---|---|---|---|
| 1nn divacancy | -3.685 | 6.186 | 6.186 | 6.186 | -1.624 | -1.624 | -1.624 |
| vacancy | -2.466 | 4.263 | 4.263 | 4.263 | 0.000 | 0.000 | 0.000 |
| 100 dumbbell | 2.445 | 13.285 | 13.285 | 29.382 | 0.000 | 0.000 | 0.000 |
| tetragonal interstitial | 11.140 | 37.536 | 37.536 | 37.536 | 0.000 | 0.000 | -0.000 |
| Point Defect | Ef (eV) | p11 (eV) | p22 (eV) | p33 (eV) | p12 (eV) | p13 (eV) | p23 (eV) |
|---|---|---|---|---|---|---|---|
| 2nn divacancy | -1.309 | -12.028 | -12.028 | -8.144 | -0.000 | -0.000 | -0.000 |
| 1nn divacancy | -1.197 | -11.486 | -11.866 | -11.866 | -0.000 | -0.000 | -0.168 |
| vacancy | -0.687 | -6.034 | -6.034 | -6.034 | -0.000 | -0.000 | -0.000 |
| 100 dumbbell | 0.799 | 17.033 | 17.033 | 55.320 | -0.000 | -0.000 | -0.000 |
| 111 dumbbell | 2.154 | -0.091 | -0.091 | -0.091 | 2.433 | 2.433 | 2.433 |
| crowdion interstitial | 2.308 | 25.247 | 25.247 | 12.075 | 4.929 | -0.000 | -0.000 |
| octahedral interstitial | 2.547 | 12.259 | 12.259 | 12.259 | -0.000 | -0.000 | -0.000 |
| 110 dumbbell | 2.636 | -0.007 | 4.962 | 4.962 | -0.000 | -0.000 | 1.589 |
| tetrahedral interstitial | 3.435 | 18.087 | 18.087 | 18.087 | -0.000 | -0.000 | -0.000 |
| Point Defect | Ef (eV) | p11 (eV) | p22 (eV) | p33 (eV) | p12 (eV) | p13 (eV) | p23 (eV) |
|---|---|---|---|---|---|---|---|
| 1nn divacancy | -2.561 | -6.307 | -6.307 | -6.307 | 0.052 | 0.052 | 0.052 |
| 2nn divacancy | -2.553 | -6.453 | -6.453 | -6.819 | 0.000 | 0.000 | -0.000 |
| vacancy | -1.411 | -3.451 | -3.451 | -3.451 | 0.000 | 0.000 | -0.000 |
| 110 dumbbell | 0.520 | 4.118 | 2.595 | 2.595 | 0.000 | 0.000 | 0.667 |
| 111 dumbbell | 2.214 | 5.288 | 5.288 | 5.288 | 1.163 | 1.163 | 1.163 |
| crowdion interstitial | 2.300 | 5.598 | 5.598 | 5.598 | 1.399 | 1.399 | 1.399 |
| octahedral interstitial | 2.318 | 6.598 | 4.370 | 4.370 | 0.000 | 0.000 | 0.000 |
| 100 dumbbell | 2.527 | 6.005 | 6.005 | 7.890 | 0.000 | 0.000 | 0.000 |
| tetrahedral interstitial | 2.549 | 5.063 | 5.446 | 5.063 | 0.000 | 0.000 | 0.000 |
Plots of the atomic structure of dislocation cores are shown here. The dislocations were constructed using dislocation monopole configurations in which a straight dislocation is created in the center of the system using anisotropic elasticity and the elastic constants computed above. A cylindrical region centered around the dislocation is allowed to relax while the remaining atoms are held fixed. The relaxation consists of 1 million NVT steps at 10 K followed by an energy/force minimization. The final plots show the atomic configuration near the center of the monopole system, and display differential displacement arrows and Nye tensor color maps that are both taken with respect to the Burgers vector direction.
These plots show a wide range of final structures, some corresponding to expected dislocation structures and others not. While the characterizations are dislocation-type dependent, some general classification guidelines are listed here.
The calculation method used is available as the iprPy dislocation_monopole calculation method.
Links are provided above the images allowing for users to download the final defect configuration and a corresponding defect-free configuration if they wish to further analyze the structures or use them for subsequent simulations.
Notes and Disclaimers:
Version Information:
Plots of lattice and elastic constants are shown as a function of temperature. The 0K points were taken from the Crystal Structure Predictions and the Elastic Constants Predictions sections above for the unique crystal structures relaxed with the "dynamic" method. Starting from the 0 K relaxed crystal unit cells, supercell systems are created by replicating all three dimensions by the same multiplier to achieve at least 4000 atoms. The systems are then relaxed at 50 K and zero pressure using 1 million NPT steps. Lattice constants are estimated by averaging the measured box dimensions. Temperatures are iteratively increased by 50 K, with each subsequent relaxation calculation starting from the final atomic configuration at the previous temperature and relaxing for another 1 million steps.
The elastic constants are calculated using the deformation–fluctuation hybrid method. Starting from the final atomic configurations of the dynamic relaxations, the system is allowed to evolve at constant volume with a Langevin thermostat. The Born matrix is computed during this run by evaluating how the atomic forces would vary due to applied linear strain fields. The elastic constants can then be estimated using the averaged Born matrix values and the averaged stresses on the system.
The calculation methods used are available as the iprPy relax_dynamic and elastic_constants_dynamic calculation methods.
Clicking on the image of a plot will open an interactive version of it in a new tab. The underlying data for the plots can be downloaded by clicking on the links above each plot.
Notes and Disclaimers:
Version Information:
Plots of radial distribution functions at different temperatures and the temperature-dependent diffusion and viscosity are shown here for elemental liquids. Melt phases are constructed by starting with a 10x10x10 fcc super cell and relaxing with 50,000 NPT steps at zero pressure and a high melting temperature (3000 K for most potentials and elements). Following the melt, liquid structures are relaxed by running NPT for 10,000 steps over which the temperature is dropped by 50 K, then 50,000 NPT at the target temperature to estimate the equilibrium volume, followed by 20,000 NVT steps at the averaged equilibrium volume and target temperature. Structures from the NVT run are sampled to compute the radial distribution function of the liquid at the corresponding temperature.
The final relaxed configurations at each temperature explored are used as the initial configurations for the diffusion and viscosity calculations. For diffusion, the system is integrated for 100 runs of 2,000 NVT steps during which both the mean squared displacement (MSD) and the velocity auto correlation function (VACF) are computed. From these simulations, three estimates of diffusion are computed: one from the MSD of the full 200,000 step run, one in which the MSD is reset for each short run and then averaged, and one from the VACF computed for each short run and averaged. For viscosity, the Green-Kubo method is used which is evaluated during a 1 million step NVT run.
The calculation methods used are available as the iprPy relax_liquid_redo, diffusion_liquid, and viscosity_green_kubo calculation methods.
Clicking on the image of a plot will open an interactive version of it in a new tab. The underlying data for the plots can be downloaded by clicking on the links above each plot.
Notes and Disclaimers:
Version Information:
Plots of internal energy, Gibbs free energy, entropy, heat capacity and volume are shown here as a function of temperature for various crystal structures and liquid phases. The included crystal structures correspond to those in the Solid Structures vs. Temperature section, and the liquid phases to those in the Liquid Properties section. Internal energy and volume are taken from the associated structure relaxations mentioned in those previous sections. Constant pressure heat capacity is estimated using 3-point numerical derivatives of enthalpy versus temperature. Note that since all simulations done here are at 0 pressure, internal energy and enthalpy are equivalent.
The Gibbs energies of the phases are estimated using thermodynamic integration between the interatomic potential in question and a simpler model with known Gibbs free energy values. For solids, the reference model is an Einstein solid, while for liquids it is the Uhlenbeck-Ford potential. Besides a short run at the start of the solid calculations to estimate Einstein model spring constants, the two calculations proceed similarly. Starting with the final relaxation configurations, the systems are stabilized for 25,000 steps. Then, over the next 50,000 steps the potential is swapped out for the reference potential. The system is then stabilized for another 25,000 steps with the reference model before a reverse swap of 50,000 steps is performed. The simulation ends with one final 25,000 step stabilization period. From the simulation, the irreversible work of transformation is estimated and used to compute the absolute Gibbs free energy of the target phase and potential relative to the reference potential. Entropy is estimated as the difference in enthalpy and Gibbs free energy and divided by temperature.
The calculation methods used are available as the iprPy relax_dynamic, relax_liquid_redo, free_energy, and free_energy_liquid calculation methods.
Clicking on the image of a plot will open an interactive version of it in a new tab. The underlying data for the plots can be downloaded by clicking on the links above each plot.
Notes and Disclaimers:
Version Information:






