Plots of the potential energy vs interatomic spacing, r, are shown below for all diatom sets associated with the interatomic potential. This calculation provides insights into the functional form of the potential's two-body interactions. A system consisting of only two atoms is created, and the potential energy is evaluated for the atoms separated by 0.02 Å <= r <= 6.0> Å in intervals of 0.02 Å. Two plots are shown: one for the "standard" interaction distance range, and one for small values of r. The small r plot is useful for determining whether the potential is suitable for radiation studies.
The calculation method used is available as the iprPy diatom_scan calculation method.
Clicking on the image of a plot will open an interactive version of it in a new tab. The underlying data for the plots can be downloaded by clicking on the links above each plot.
Notes and Disclaimers:
Version Information:
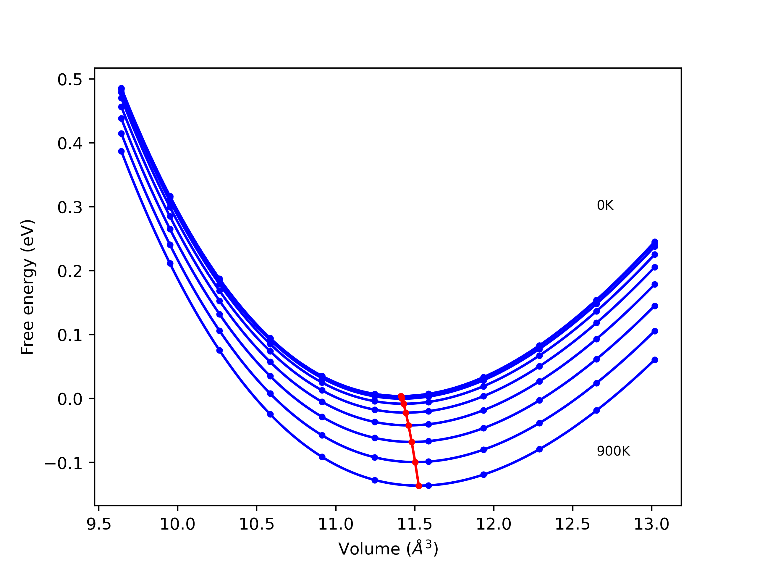
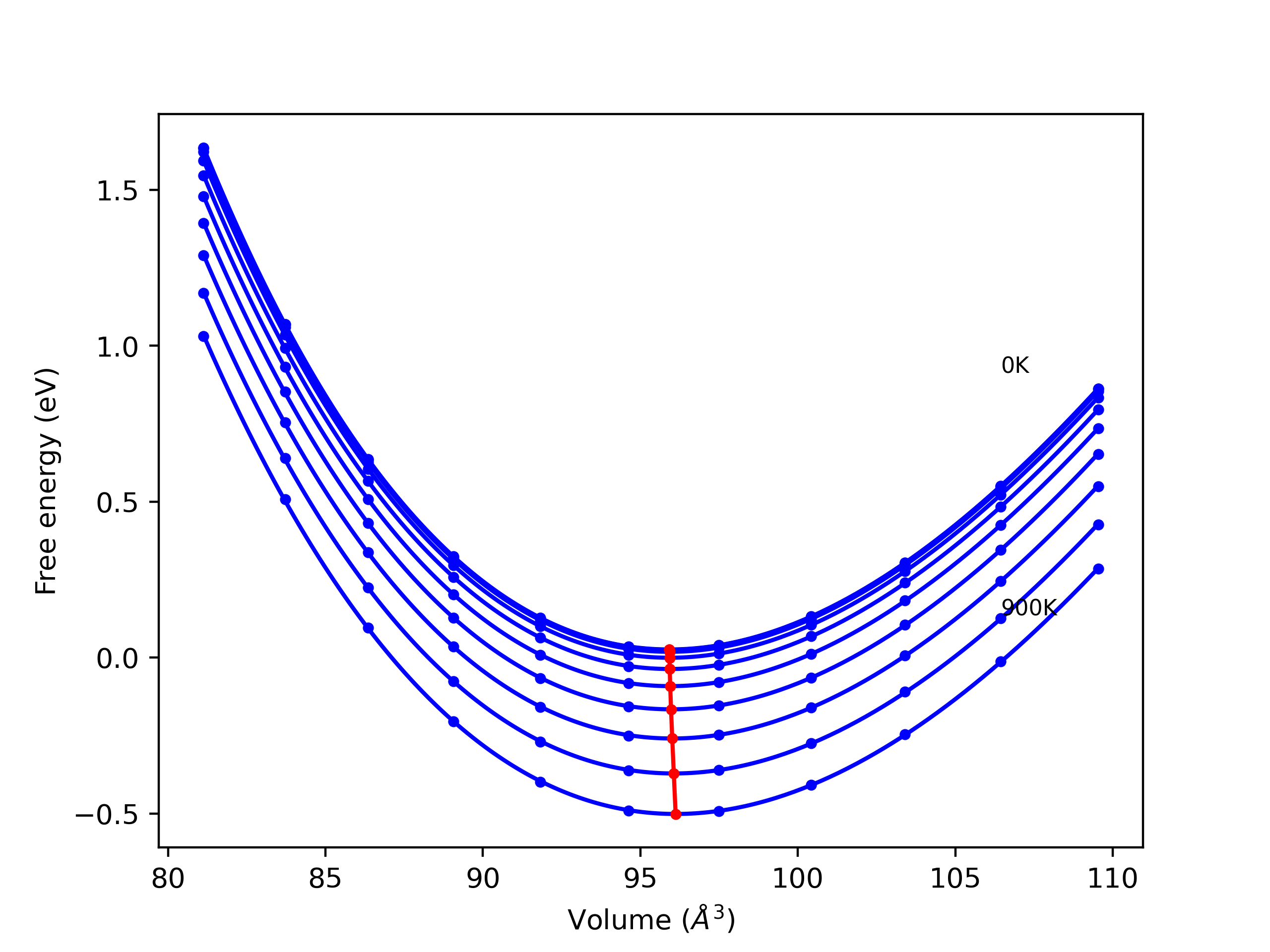
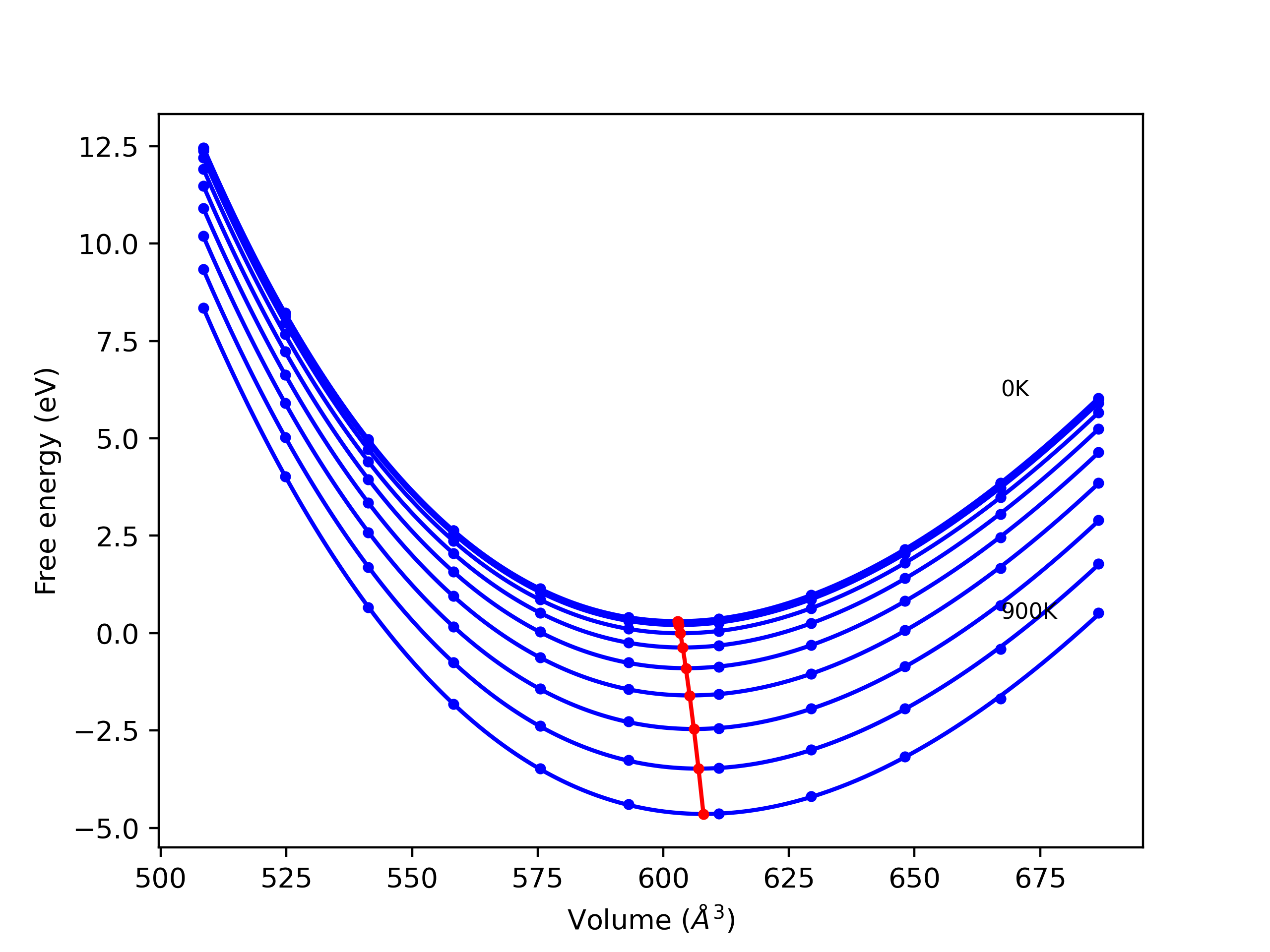
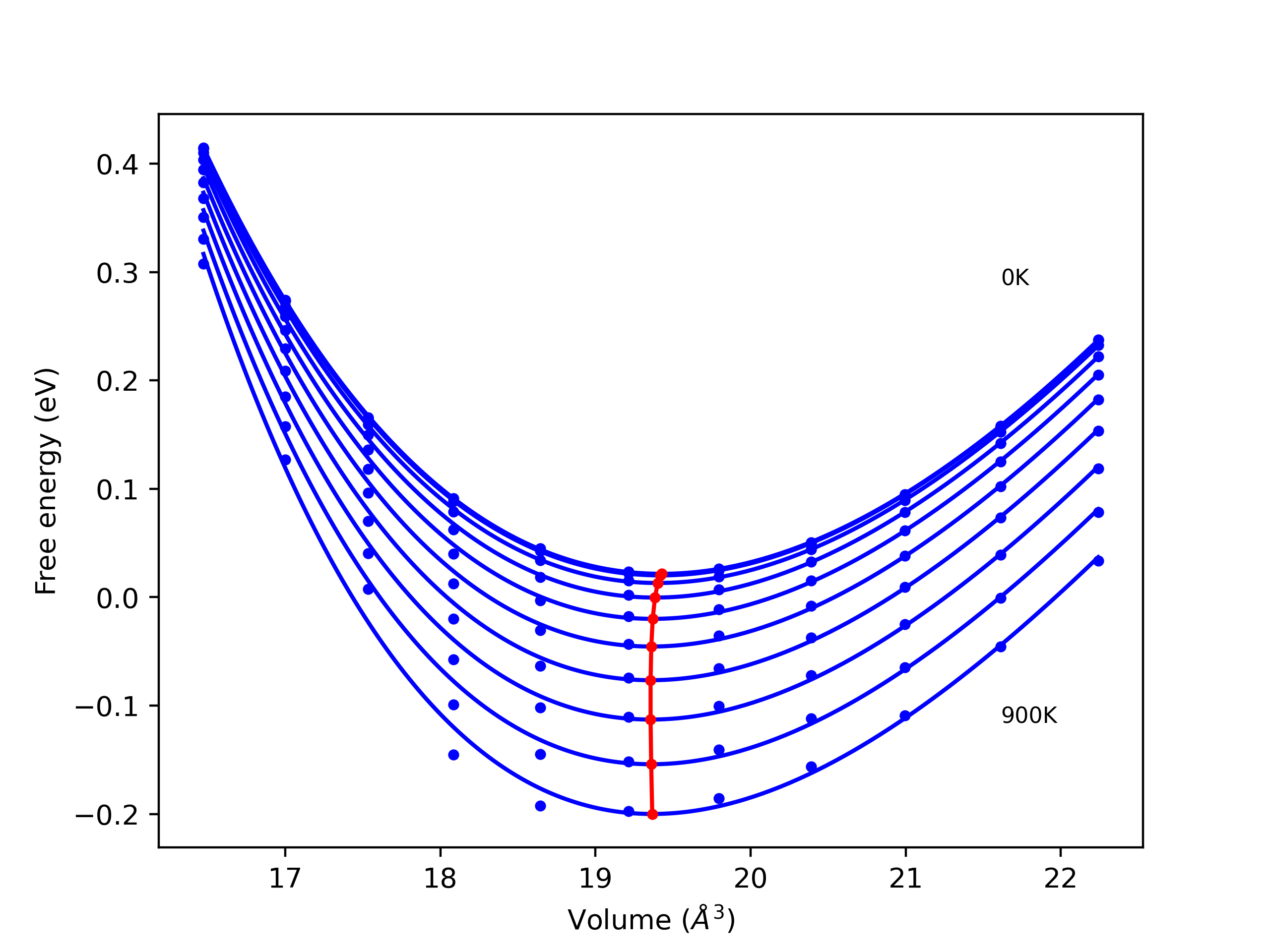
Plots of potential energy vs interatomic spacing, r, are shown below for a number of crystal structures. The structures are generated based on the ideal atomic positions and b/a and c/a lattice parameter ratios for a given crystal prototype. The size of the system is then uniformly scaled, and the energy calculated without relaxing the system. To obtain these plots, values of r are evaluated every 0.02 Å up to 6 Å.
The calculation method used is available as the iprPy E_vs_r_scan calculation method.
Clicking on the image of a plot will open an interactive version of it in a new tab. The underlying data for the plots can be downloaded by clicking on the links above each plot.
Notes and Disclaimers:
Version Information:
Computed lattice constants and cohesive/potential energies are displayed for a variety of crystal structures. The values displayed here are obtained using the following process.
The calculation methods used are implemented into iprPy as the following calculation styles
Notes and Disclaimers:
Version Information:
Download raw data (including filtered results)
Reference structure matches:
A1--Cu--fcc = oqmd-1214512
A15--beta-W = oqmd-1214957
A2--W--bcc = oqmd-1215135
A3'--alpha-La--double-hcp = oqmd-1215403
A3--Mg--hcp = oqmd-1215313
A4--C--dc = mp-66, oqmd-675640
A5--beta-Sn = oqmd-1215581
A6--In--bct = mp-1181996, oqmd-1215670
A7--alpha-As = oqmd-594528
Ah--alpha-Po--sc = mp-998866, oqmd-636457, oqmd-1214601
| prototype | method | Ecoh (eV/atom) | Epot (eV/atom) | a0 (Å) | b0 (Å) | c0 (Å) | α (degrees) | β (degrees) | γ (degrees) |
|---|---|---|---|---|---|---|---|---|---|
| A7--alpha-As | dynamic | -7.4036 | -7.4036 | 2.4546 | 2.4546 | 11.0545 | 90.0 | 90.0 | 120.0 |
| mp-568806 | dynamic | -7.3959 | -7.3959 | 2.4556 | 2.4556 | 3.6684 | 90.0 | 90.0 | 120.0 |
| oqmd-610551 | box | -7.3958 | -7.3958 | 2.4553 | 2.4553 | 3.6684 | 90.0 | 90.0 | 120.0 |
| A7--alpha-As | box | -7.3902 | -7.3902 | 2.4554 | 2.4554 | 10.9361 | 90.0 | 90.0 | 120.0 |
| oqmd-683820 | dynamic | -7.3887 | -7.3887 | 2.4574 | 4.2469 | 7.3637 | 90.0 | 90.0 | 90.0 |
| oqmd-683820 | box | -7.3887 | -7.3887 | 2.4568 | 4.248 | 7.3653 | 90.0 | 90.0 | 90.0 |
| oqmd-683819 | box | -7.3887 | -7.3887 | 2.4567 | 4.248 | 7.3655 | 90.0 | 90.0 | 90.0 |
| oqmd-1214690 | box | -7.3886 | -7.3886 | 2.4563 | 4.2487 | 7.3664 | 90.0 | 90.0 | 90.0 |
| mp-937760 | box | -7.3886 | -7.3886 | 2.4572 | 4.2472 | 7.3696 | 90.0 | 90.0 | 90.0 |
| mp-48 | static | -7.3882 | -7.3882 | 2.4554 | 2.4554 | 7.269 | 90.0 | 90.0 | 120.0 |
| oqmd-590101 | box | -7.3882 | -7.3882 | 2.4554 | 2.4554 | 7.269 | 90.0 | 90.0 | 120.0 |
| mp-568286 | box | -7.3881 | -7.3881 | 2.456 | 4.2492 | 7.3852 | 90.0 | 90.0 | 90.0 |
| oqmd-1215937 | box | -7.388 | -7.388 | 2.4554 | 2.4554 | 7.2691 | 90.0 | 90.0 | 120.0 |
| mp-568363 | box | -7.3852 | -7.3852 | 2.4565 | 4.2482 | 7.5068 | 90.0 | 90.0 | 90.0 |
| mp-569416 | dynamic | -7.3781 | -7.3781 | 2.454 | 2.454 | 57.2026 | 90.0 | 90.0 | 120.0 |
| oqmd-589492 | static | -7.3781 | -7.3781 | 2.454 | 2.454 | 57.8364 | 90.0 | 90.0 | 120.0 |
| oqmd-589492 | dynamic | -7.3781 | -7.3781 | 2.454 | 2.454 | 54.4312 | 90.0 | 90.0 | 120.0 |
| mp-569416 | static | -7.3781 | -7.3781 | 2.454 | 2.454 | 57.7586 | 90.0 | 90.0 | 120.0 |
| mp-569416 | box | -7.375 | -7.375 | 2.4545 | 2.4545 | 57.5676 | 90.0 | 90.0 | 120.0 |
| oqmd-589492 | box | -7.375 | -7.375 | 2.4545 | 2.4545 | 57.7433 | 90.0 | 90.0 | 120.0 |
| mp-606949 | box | -7.3706 | -7.3706 | 2.4542 | 2.4542 | 30.9086 | 90.0 | 90.0 | 120.0 |
| oqmd-589493 | box | -7.3706 | -7.3706 | 2.4541 | 2.4541 | 31.3601 | 90.0 | 90.0 | 120.0 |
| A4--C--dc | dynamic | -7.37 | -7.37 | 3.5565 | 3.5565 | 3.5565 | 90.0 | 90.0 | 90.0 |
| mp-569304 | dynamic | -7.3682 | -7.3682 | 2.453 | 2.453 | 34.4928 | 90.0 | 90.0 | 120.0 |
| oqmd-589491 | dynamic | -7.3682 | -7.3682 | 2.453 | 2.453 | 33.5472 | 90.0 | 90.0 | 120.0 |
| oqmd-589491 | static | -7.3682 | -7.3682 | 2.453 | 2.453 | 36.378 | 90.0 | 90.0 | 120.0 |
| mp-569304 | static | -7.3682 | -7.3682 | 2.453 | 2.453 | 35.5364 | 90.0 | 90.0 | 120.0 |
| oqmd-589491 | box | -7.3627 | -7.3627 | 2.4535 | 2.4535 | 35.9984 | 90.0 | 90.0 | 120.0 |
| mp-569304 | box | -7.3618 | -7.3618 | 2.4536 | 2.4536 | 35.08 | 90.0 | 90.0 | 120.0 |
| mp-616440 | dynamic | -7.3595 | -7.3595 | 2.5146 | 2.5146 | 16.4546 | 90.0 | 90.0 | 120.0 |
| oqmd-599494 | dynamic | -7.3582 | -7.3582 | 2.5146 | 2.5146 | 43.2046 | 90.0 | 90.0 | 120.0 |
| oqmd-599494 | static | -7.3581 | -7.3581 | 2.514 | 2.514 | 43.2249 | 90.0 | 90.0 | 120.0 |
| mp-611448 | dynamic | -7.3563 | -7.3563 | 2.5145 | 2.5145 | 12.3486 | 90.0 | 90.0 | 120.0 |
| mp-569517 | dynamic | -7.3543 | -7.3543 | 2.5143 | 2.5143 | 30.8852 | 90.0 | 90.0 | 120.0 |
| oqmd-599492 | box | -7.3517 | -7.3517 | 2.5044 | 2.5044 | 16.6112 | 90.0 | 90.0 | 120.0 |
| mp-616440 | box | -7.3514 | -7.3514 | 2.5042 | 2.5042 | 16.6142 | 90.0 | 90.0 | 120.0 |
| mp-611426 | dynamic | -7.3513 | -7.3513 | 2.5141 | 2.5141 | 8.2416 | 90.0 | 90.0 | 120.0 |
| mp-569567 | box | -7.3492 | -7.3492 | 2.5032 | 2.5032 | 43.6638 | 90.0 | 90.0 | 120.0 |
| mp-611448 | box | -7.3463 | -7.3463 | 2.5018 | 2.5018 | 12.4936 | 90.0 | 90.0 | 120.0 |
| mp-47 | dynamic | -7.3444 | -7.3444 | 2.5135 | 2.5135 | 4.1264 | 90.0 | 90.0 | 120.0 |
| mp-569517 | box | -7.3426 | -7.3426 | 2.5001 | 2.5001 | 31.2918 | 90.0 | 90.0 | 120.0 |
| oqmd-599493 | box | -7.3418 | -7.3418 | 2.4998 | 2.4998 | 31.3055 | 90.0 | 90.0 | 120.0 |
| mp-611426 | box | -7.3375 | -7.3375 | 2.498 | 2.498 | 8.3647 | 90.0 | 90.0 | 120.0 |
| oqmd-637444 | static | -7.3341 | -7.3341 | 4.0031 | 4.0031 | 4.0031 | 90.0 | 90.0 | 90.0 |
| mp-997182 | dynamic | -7.3335 | -7.3335 | 2.4513 | 2.4513 | 12.0458 | 90.0 | 90.0 | 120.0 |
| mp-1040425 | dynamic | -7.3335 | -7.3335 | 2.4513 | 2.4513 | 19.9983 | 90.0 | 90.0 | 120.0 |
| mp-990448 | dynamic | -7.3335 | -7.3335 | 2.4513 | 2.4513 | 8.5238 | 90.0 | 90.0 | 120.0 |
| mp-47 | box | -7.3197 | -7.3197 | 2.4908 | 2.4908 | 4.2157 | 90.0 | 90.0 | 120.0 |
| oqmd-599489 | box | -7.3192 | -7.3192 | 2.4906 | 2.4906 | 4.2167 | 90.0 | 90.0 | 120.0 |
| oqmd-637443 | static | -7.2495 | -7.2495 | 5.1722 | 5.1722 | 5.1722 | 90.0 | 90.0 | 90.0 |
| mp-1096869 | dynamic | -7.2471 | -7.2471 | 25.4572 | 14.7005 | 7.4494 | 90.0 | 90.0 | 90.0 |
| mp-1078845 | dynamic | -7.2222 | -7.2222 | 4.2586 | 8.966 | 2.463 | 90.0 | 90.0 | 90.0 |
| mp-1008374 | box | -7.1418 | -7.1418 | 2.6678 | 7.8119 | 2.5224 | 90.0 | 90.0 | 90.0 |
| oqmd-637443 | box | -7.0941 | -7.0941 | 5.2116 | 5.2116 | 5.2116 | 90.0 | 90.0 | 90.0 |
| mp-1188817 | box | -7.087 | -7.087 | 5.2126 | 5.2126 | 5.2126 | 90.0 | 90.0 | 90.0 |
| mp-1078845 | box | -7.0853 | -7.0853 | 4.3158 | 8.9323 | 2.4829 | 90.0 | 90.0 | 90.0 |
| oqmd-610557 | box | -7.0564 | -7.0564 | 4.7365 | 5.6117 | 4.3375 | 90.0 | 90.0 | 90.0 |
| oqmd-610556 | box | -7.0533 | -7.0533 | 4.7355 | 5.6117 | 4.3397 | 90.0 | 90.0 | 90.0 |
| mp-568410 | box | -7.0497 | -7.0497 | 4.7356 | 5.6133 | 4.341 | 90.0 | 90.0 | 90.0 |
| oqmd-637353 | box | -7.0125 | -7.0125 | 4.4996 | 4.4996 | 2.4535 | 90.0 | 90.0 | 90.0 |
| mp-1008395 | box | -7.0095 | -7.0095 | 4.5004 | 4.5004 | 2.4538 | 90.0 | 90.0 | 90.0 |
| mp-683919 | static | -6.9215 | -6.9215 | 8.8935 | 17.5394 | 17.8315 | 90.0 | 90.0 | 90.0 |
| oqmd-689315 | static | -6.9215 | -6.9215 | 8.8929 | 17.5385 | 17.8327 | 90.0 | 90.0 | 90.0 |
| mp-1245190 | dynamic | -6.9026 | -6.9026 | 9.3464 | 9.4496 | 9.6926 | 89.5 | 89.8 | 87.9 |
| oqmd-684315 | dynamic | -6.8862 | -6.8862 | 8.6623 | 13.8597 | 9.0025 | 90.0 | 90.0 | 90.0 |
| mp-1196857 | dynamic | -6.8711 | -6.8711 | 7.8828 | 16.3193 | 3.9261 | 90.0 | 90.0 | 90.0 |
| mp-680372 | dynamic | -6.8688 | -6.8688 | 9.1328 | 9.1328 | 24.7083 | 90.0 | 90.0 | 120.0 |
| oqmd-614417 | static | -6.8688 | -6.8688 | 9.1328 | 9.1328 | 24.7079 | 90.0 | 90.0 | 120.0 |
| mp-680372 | static | -6.8688 | -6.8688 | 9.1364 | 9.1364 | 24.8296 | 90.0 | 90.0 | 120.0 |
| mp-683919 | box | -6.8684 | -6.8684 | 10.1639 | 17.5242 | 18.0335 | 90.0 | 90.0 | 90.0 |
| oqmd-614417 | dynamic | -6.8677 | -6.8677 | 9.1329 | 9.1329 | 24.6311 | 90.0 | 90.0 | 120.0 |
| mp-1182684 | dynamic | -6.8616 | -6.8616 | 6.6255 | 7.9062 | 13.6708 | 90.0 | 90.0 | 90.0 |
| mp-630227 | static | -6.8529 | -6.8529 | 9.0541 | 9.1263 | 14.8231 | 90.0 | 90.0 | 90.0 |
| mp-1147718 | dynamic | -6.8513 | -6.8513 | 10.3519 | 13.117 | 9.0774 | 90.0 | 90.0 | 90.0 |
| mp-1147718 | static | -6.8513 | -6.8513 | 10.3516 | 13.117 | 9.0773 | 90.0 | 90.0 | 90.0 |
| oqmd-684627 | dynamic | -6.85 | -6.85 | 9.0944 | 9.0944 | 14.503 | 90.0 | 90.0 | 90.0 |
| oqmd-689315 | box | -6.8468 | -6.8468 | 10.0958 | 17.5905 | 18.0366 | 90.0 | 90.0 | 90.0 |
| mp-1244964 | dynamic | -6.8409 | -6.8409 | 8.309 | 10.519 | 10.8624 | 86.5 | 87.7 | 79.6 |
| oqmd-603085 | static | -6.8366 | -6.8366 | 13.6545 | 13.6545 | 13.6545 | 90.0 | 90.0 | 90.0 |
| mp-568028 | static | -6.8323 | -6.8323 | 8.2306 | 14.0341 | 9.2616 | 90.0 | 90.0 | 90.0 |
| mp-1205283 | static | -6.831 | -6.831 | 9.323 | 13.2657 | 9.0555 | 90.0 | 90.0 | 90.0 |
| oqmd-614417 | box | -6.829 | -6.829 | 9.2421 | 9.2421 | 24.2629 | 90.0 | 90.0 | 120.0 |
| mp-1080826 | box | -6.8285 | -6.8285 | 9.4175 | 2.5749 | 4.2133 | 90.0 | 98.2 | 90.0 |
| oqmd-637352 | box | -6.8269 | -6.8269 | 9.4157 | 2.5753 | 4.2139 | 90.0 | 98.2 | 90.0 |
| oqmd-595714 | box | -6.8265 | -6.8265 | 9.0922 | 9.2116 | 14.6616 | 90.0 | 90.0 | 90.0 |
| mp-680372 | box | -6.8262 | -6.8262 | 9.2674 | 9.2674 | 25.2892 | 90.0 | 90.0 | 120.0 |
| mp-667273 | static | -6.8226 | -6.8226 | 14.2353 | 14.2353 | 14.2353 | 90.0 | 90.0 | 90.0 |
| oqmd-677227 | dynamic | -6.8226 | -6.8226 | 13.9442 | 13.9442 | 13.9442 | 90.0 | 90.0 | 90.0 |
| mp-1196583 | static | -6.8226 | -6.8226 | 13.9445 | 13.9445 | 13.9445 | 90.0 | 90.0 | 90.0 |
| mp-630227 | box | -6.8127 | -6.8127 | 9.0963 | 9.2025 | 15.6512 | 90.0 | 90.0 | 90.0 |
| oqmd-603085 | box | -6.8083 | -6.8083 | 13.9525 | 13.9525 | 13.9525 | 90.0 | 90.0 | 90.0 |
| mp-1147718 | box | -6.8058 | -6.8058 | 10.2719 | 14.7116 | 9.2256 | 90.0 | 90.0 | 90.0 |
| mp-1190171 | box | -6.805 | -6.805 | 9.3042 | 2.58 | 4.2181 | 90.0 | 90.0 | 90.0 |
| oqmd-637130 | box | -6.8039 | -6.8039 | 9.3024 | 2.5804 | 4.2184 | 90.0 | 90.0 | 90.0 |
| mp-667273 | box | -6.8027 | -6.8027 | 14.4166 | 14.4166 | 14.4166 | 90.0 | 90.0 | 90.0 |
| oqmd-677227 | box | -6.7948 | -6.7948 | 14.1406 | 14.1406 | 14.1406 | 90.0 | 90.0 | 90.0 |
| mp-1196583 | box | -6.7937 | -6.7937 | 14.3577 | 14.3577 | 14.3577 | 90.0 | 90.0 | 90.0 |
| oqmd-684627 | box | -6.793 | -6.793 | 9.176 | 9.176 | 15.276 | 90.0 | 90.0 | 90.0 |
| mp-624889 | box | -6.678 | -6.678 | 4.7327 | 5.1652 | 5.668 | 90.0 | 90.0 | 90.0 |
| oqmd-610552 | box | -6.5849 | -6.5849 | 4.7338 | 5.2685 | 6.5227 | 90.0 | 90.0 | 90.0 |
| mp-568028 | box | -6.5807 | -6.5807 | 8.6235 | 14.2731 | 9.6082 | 90.0 | 90.0 | 90.0 |
| mp-579909 | box | -6.5756 | -6.5756 | 4.733 | 5.267 | 6.9465 | 90.0 | 90.0 | 90.0 |
| mp-1192619 | dynamic | -6.5706 | -6.5706 | 7.8231 | 7.8231 | 7.8231 | 90.0 | 90.0 | 90.0 |
| mp-1244964 | static | -6.5357 | -6.5357 | 9.4897 | 9.774 | 10.8485 | 86.4 | 87.9 | 88.9 |
| mp-1245190 | static | -6.5092 | -6.5092 | 9.5287 | 10.1674 | 10.1756 | 88.8 | 88.4 | 85.8 |
| oqmd-684315 | static | -6.4535 | -6.4535 | 9.2672 | 15.7225 | 8.9224 | 90.0 | 90.0 | 90.0 |
| mp-1244913 | dynamic | -6.4004 | -6.4004 | 9.2782 | 12.5595 | 12.6256 | 98.3 | 91.7 | 104.1 |
| mp-1244913 | static | -6.3916 | -6.3916 | 9.528 | 10.2556 | 10.3809 | 82.7 | 82.9 | 88.8 |
| mp-570002 | static | -6.2284 | -6.2284 | 5.0331 | 5.0331 | 5.0331 | 90.0 | 90.0 | 90.0 |
| mp-24 | box | -5.9897 | -5.9897 | 4.689 | 4.689 | 4.689 | 90.0 | 90.0 | 90.0 |
| mp-1196857 | static | -5.7295 | -5.7295 | 6.2546 | 18.1878 | 5.3434 | 90.0 | 90.0 | 90.0 |
| mp-1205283 | box | -5.7105 | -5.7105 | 11.3543 | 13.4589 | 9.3143 | 90.0 | 90.0 | 90.0 |
| mp-1056957 | static | -5.6229 | -5.6229 | 6.5479 | 3.1893 | 2.348 | 90.0 | 90.0 | 90.0 |
| oqmd-585286 | box | -5.4434 | -5.4434 | 5.3564 | 5.3564 | 5.3564 | 90.0 | 90.0 | 90.0 |
| mp-570002 | box | -5.4423 | -5.4423 | 5.3568 | 5.3568 | 5.3568 | 90.0 | 90.0 | 90.0 |
| mp-1196857 | box | -5.4349 | -5.4349 | 8.715 | 19.2545 | 6.2116 | 90.0 | 90.0 | 90.0 |
| mp-1197903 | static | -5.4327 | -5.4327 | 7.3096 | 15.5264 | 20.2166 | 76.2 | 88.5 | 76.8 |
| oqmd-684315 | box | -5.3916 | -5.3916 | 10.6359 | 15.6987 | 9.6469 | 90.0 | 90.0 | 90.0 |
| mp-1095633 | dynamic | -4.7619 | -4.7619 | 8.2206 | 8.2206 | 14.4908 | 90.0 | 90.0 | 90.0 |
| mp-1095633 | static | -4.7619 | -4.7619 | 7.8933 | 7.8933 | 14.4509 | 90.0 | 90.0 | 90.0 |
| mp-1245190 | box | -4.6282 | -4.6282 | 10.8584 | 12.0341 | 12.5891 | 84.5 | 90.0 | 88.5 |
| A7--alpha-As | box | -4.3092 | -4.3092 | 2.8301 | 2.8301 | 7.2453 | 90.0 | 90.0 | 120.0 |
| A3'--alpha-La--double-hcp | box | -3.9973 | -3.9973 | 2.8086 | 2.8086 | 4.9645 | 90.0 | 90.0 | 120.0 |
| A5--beta-Sn | box | -3.953 | -3.953 | 3.8633 | 3.8633 | 2.1405 | 90.0 | 90.0 | 90.0 |
| Ah--alpha-Po--sc | static | -3.8984 | -3.8984 | 2.0684 | 2.0684 | 2.0684 | 90.0 | 90.0 | 90.0 |
| mp-1095534 | box | -3.7946 | -3.7946 | 13.0965 | 13.0965 | 2.6067 | 90.0 | 90.0 | 90.0 |
| mp-1182684 | box | -3.72 | -3.72 | 10.3113 | 15.7487 | 20.5107 | 90.0 | 90.0 | 90.0 |
| A6--In--bct | static | -3.6933 | -3.6933 | 2.0015 | 2.0015 | 6.2095 | 90.0 | 90.0 | 90.0 |
| mp-1205417 | box | -3.5761 | -3.5761 | 17.3176 | 17.3176 | 10.1475 | 90.0 | 90.0 | 90.0 |
| oqmd-1214868 | box | -3.4783 | -3.4783 | 9.4301 | 9.4301 | 9.4301 | 90.0 | 90.0 | 90.0 |
| mp-1192619 | box | -3.4108 | -3.4108 | 13.1054 | 13.1054 | 13.1054 | 90.0 | 90.0 | 90.0 |
| mp-1097832 | static | -3.4035 | -3.4035 | 2.9722 | 2.9722 | 9.8799 | 90.0 | 90.0 | 90.0 |
| A2--W--bcc | box | -2.9173 | -2.9173 | 2.6077 | 2.6077 | 2.6077 | 90.0 | 90.0 | 90.0 |
| A3--Mg--hcp | box | -2.8568 | -2.8568 | 2.2337 | 2.2337 | 5.7752 | 90.0 | 90.0 | 120.0 |
| mp-1095633 | box | -2.6964 | -2.6964 | 16.8903 | 16.8903 | 3.8226 | 90.0 | 90.0 | 90.0 |
| A3--Mg--hcp | box | -2.529 | -2.529 | 2.3834 | 2.3834 | 3.9133 | 90.0 | 90.0 | 120.0 |
| A3'--alpha-La--double-hcp | box | -2.5271 | -2.5271 | 2.3863 | 2.3863 | 7.8152 | 90.0 | 90.0 | 120.0 |
| A1--Cu--fcc | static | -2.5252 | -2.5252 | 3.3791 | 3.3791 | 3.3791 | 90.0 | 90.0 | 90.0 |
| A15--beta-W | static | -2.4762 | -2.4762 | 4.3042 | 4.3042 | 4.3042 | 90.0 | 90.0 | 90.0 |
Download raw data (including filtered results)
Reference structure matches:
| prototype | method | Ecoh (eV/atom) | Epot (eV/atom) | a0 (Å) | b0 (Å) | c0 (Å) | α (degrees) | β (degrees) | γ (degrees) |
|---|---|---|---|---|---|---|---|---|---|
| C1--CaF2--fluorite | static | -7.3205 | -7.3205 | 5.1532 | 5.1532 | 5.1532 | 90.0 | 90.0 | 90.0 |
| C1--CaF2--fluorite | static | -0.0 | -0.0 | 10.6232 | 10.6232 | 10.6232 | 90.0 | 90.0 | 90.0 |
| C1--CaF2--fluorite | box | 0.1412 | 0.1412 | 9.1886 | 9.1886 | 9.1886 | 90.0 | 90.0 | 90.0 |
Download raw data (including filtered results)
Reference structure matches:
| prototype | method | Ecoh (eV/atom) | Epot (eV/atom) | a0 (Å) | b0 (Å) | c0 (Å) | α (degrees) | β (degrees) | γ (degrees) |
|---|---|---|---|---|---|---|---|---|---|
| L1_2--AuCu3 | static | -5.831 | -5.831 | 3.457 | 3.457 | 3.457 | 90.0 | 90.0 | 90.0 |
| A15--Cr3Si | static | -5.7552 | -5.7552 | 4.3892 | 4.3892 | 4.3892 | 90.0 | 90.0 | 90.0 |
| D0_3--BiF3 | box | -5.3264 | -5.3264 | 5.3712 | 5.3712 | 5.3712 | 90.0 | 90.0 | 90.0 |
| D0_3--BiF3 | static | -0.0 | -0.0 | 10.6232 | 10.6232 | 10.6232 | 90.0 | 90.0 | 90.0 |
Download raw data (including filtered results)
Reference structure matches:
| prototype | method | Ecoh (eV/atom) | Epot (eV/atom) | a0 (Å) | b0 (Å) | c0 (Å) | α (degrees) | β (degrees) | γ (degrees) |
|---|---|---|---|---|---|---|---|---|---|
| B1--NaCl--rock-salt | dynamic | -8.15 | -8.15 | 4.56 | 4.56 | 4.56 | 90.0 | 90.0 | 90.0 |
| B4--ZnS--wurtzite | dynamic | -8.0395 | -8.0395 | 3.0424 | 3.0424 | 6.4504 | 90.0 | 90.0 | 120.0 |
| B4--ZnS--wurtzite | box | -7.5557 | -7.5557 | 3.3056 | 3.3056 | 5.4375 | 90.0 | 90.0 | 120.0 |
| B3--ZnS--cubic-zinc-blende | static | -7.5556 | -7.5556 | 4.6861 | 4.6861 | 4.6861 | 90.0 | 90.0 | 90.0 |
| B2--CsCl | static | -7.0422 | -7.0422 | 2.8735 | 2.8735 | 2.8735 | 90.0 | 90.0 | 90.0 |
| B4--ZnS--wurtzite | dynamic | -5.3361 | -5.3361 | 7.7012 | 7.7012 | 10.9716 | 90.0 | 90.0 | 120.0 |
| B3--ZnS--cubic-zinc-blende | static | -0.0 | -0.0 | 10.6232 | 10.6232 | 10.6232 | 90.0 | 90.0 | 90.0 |
| B4--ZnS--wurtzite | static | -0.0 | -0.0 | 7.5158 | 7.5158 | 12.2732 | 90.0 | 90.0 | 120.0 |
Download raw data (including filtered results)
Reference structure matches:
| prototype | method | Ecoh (eV/atom) | Epot (eV/atom) | a0 (Å) | b0 (Å) | c0 (Å) | α (degrees) | β (degrees) | γ (degrees) |
|---|---|---|---|---|---|---|---|---|---|
| C1--CaF2--fluorite | static | -7.1466 | -7.1466 | 5.5282 | 5.5282 | 5.5282 | 90.0 | 90.0 | 90.0 |
Download raw data (including filtered results)
Reference structure matches:
| prototype | method | Ecoh (eV/atom) | Epot (eV/atom) | a0 (Å) | b0 (Å) | c0 (Å) | α (degrees) | β (degrees) | γ (degrees) |
|---|---|---|---|---|---|---|---|---|---|
| D0_3--BiF3 | static | -7.1502 | -7.1502 | 6.0622 | 6.0622 | 6.0622 | 90.0 | 90.0 | 90.0 |
| A15--Cr3Si | box | -7.0625 | -7.0625 | 4.9001 | 4.9001 | 4.9001 | 90.0 | 90.0 | 90.0 |
| L1_2--AuCu3 | static | -6.8237 | -6.8237 | 3.8712 | 3.8712 | 3.8712 | 90.0 | 90.0 | 90.0 |
| A15--Cr3Si | box | -1.6285 | -1.6285 | 7.4786 | 7.4786 | 7.4786 | 90.0 | 90.0 | 90.0 |
Download raw data (including filtered results)
Reference structure matches:
A1--Cu--fcc = mp-8636, oqmd-676151, oqmd-1214547
A15--beta-W = oqmd-1214992, oqmd-1280310
A2--W--bcc = mp-75, oqmd-677905, oqmd-685533, oqmd-1215170
A3'--alpha-La--double-hcp = oqmd-1215438
A3--Mg--hcp = oqmd-1215348
A4--C--dc = oqmd-1215527
A5--beta-Sn = oqmd-1215616
A6--In--bct = oqmd-1215705
| prototype | method | Ecoh (eV/atom) | Epot (eV/atom) | a0 (Å) | b0 (Å) | c0 (Å) | α (degrees) | β (degrees) | γ (degrees) |
|---|---|---|---|---|---|---|---|---|---|
| A15--beta-W | dynamic | -7.4754 | -7.4754 | 5.2671 | 5.2671 | 5.2671 | 90.0 | 90.0 | 90.0 |
| A2--W--bcc | dynamic | -7.47 | -7.47 | 3.3024 | 3.3024 | 3.3024 | 90.0 | 90.0 | 90.0 |
| mp-1104341 | box | -7.4689 | -7.4689 | 2.86 | 4.6701 | 9.7687 | 103.8 | 95.6 | 90.0 |
| oqmd-1214814 | dynamic | -7.4258 | -7.4258 | 10.1993 | 10.1993 | 10.1993 | 90.0 | 90.0 | 90.0 |
| oqmd-1214814 | box | -7.4233 | -7.4233 | 10.1975 | 10.1975 | 10.1975 | 90.0 | 90.0 | 90.0 |
| mp-1094120 | box | -7.3616 | -7.3616 | 5.4115 | 6.6594 | 7.2901 | 107.9 | 110.0 | 101.9 |
| oqmd-1215259 | box | -7.3395 | -7.3395 | 2.7783 | 5.4623 | 4.7614 | 90.0 | 90.0 | 90.0 |
| A3--Mg--hcp | box | -7.3365 | -7.3365 | 2.9666 | 2.9666 | 4.7495 | 90.0 | 90.0 | 120.0 |
| A6--In--bct | static | -7.3358 | -7.3358 | 2.7705 | 2.7705 | 4.7075 | 90.0 | 90.0 | 90.0 |
| A3'--alpha-La--double-hcp | static | -7.3313 | -7.3313 | 2.9564 | 2.9564 | 9.5657 | 90.0 | 90.0 | 120.0 |
| oqmd-1214903 | box | -7.3303 | -7.3303 | 7.169 | 7.169 | 7.169 | 90.0 | 90.0 | 90.0 |
| A1--Cu--fcc | box | -7.3263 | -7.3263 | 4.1682 | 4.1682 | 4.1682 | 90.0 | 90.0 | 90.0 |
| oqmd-1215081 | box | -7.143 | -7.143 | 3.1085 | 4.8442 | 9.6548 | 90.0 | 90.0 | 90.0 |
| oqmd-1214725 | box | -7.1386 | -7.1386 | 3.1056 | 4.8613 | 9.6889 | 90.0 | 90.0 | 90.0 |
| A5--beta-Sn | box | -7.0229 | -7.0229 | 4.8378 | 4.8378 | 3.0666 | 90.0 | 90.0 | 90.0 |
| oqmd-1215972 | box | -6.6919 | -6.6919 | 4.1446 | 4.1446 | 5.1185 | 90.0 | 90.0 | 120.0 |
| Ah--alpha-Po--sc | static | -6.5806 | -6.5806 | 2.6056 | 2.6056 | 2.6056 | 90.0 | 90.0 | 90.0 |
| A7--alpha-As | box | -6.5284 | -6.5284 | 3.6091 | 3.6091 | 9.6092 | 90.0 | 90.0 | 120.0 |
| A4--C--dc | static | -6.0611 | -6.0611 | 5.4209 | 5.4209 | 5.4209 | 90.0 | 90.0 | 90.0 |
Static elastic constants are displayed for the unique structures identified in Crystal Structure Predictions above. The values displayed here are obtained by measuring the change in virial stresses due to applying small strains to the relaxed crystals. The initial structure and the strained states are all relaxed using force minimization.
The calculation method used is available as the iprPy elastic_constants_static calculation method.
Notes and Disclaimers:
Version Information:
| 215.084 | 274.486 | 274.486 | -0.000 | 0.000 | 0.000 |
| 274.486 | 215.084 | 274.486 | 0.000 | -0.000 | -0.000 |
| 274.486 | 274.486 | 215.084 | -0.000 | -0.000 | -0.000 |
| 0.000 | -0.000 | -0.000 | -79.796 | -0.000 | -0.000 |
| 0.000 | 0.000 | -0.000 | -0.000 | -79.796 | -0.000 |
| 0.000 | -0.000 | 0.000 | -0.000 | -0.000 | -79.796 |
| 215.084 | 274.486 | 274.486 | 0.000 | 0.000 | 0.000 |
| 274.486 | 215.084 | 274.486 | -0.000 | 0.000 | 0.000 |
| 274.486 | 274.486 | 215.084 | 0.000 | 0.000 | 0.000 |
| -0.000 | -0.000 | -0.000 | -79.796 | 0.000 | 0.000 |
| -0.000 | -0.000 | 0.000 | 0.000 | -79.796 | 0.000 |
| -0.000 | 0.000 | -0.000 | 0.000 | 0.000 | -79.796 |
| 215.085 | 274.486 | 274.486 | -0.000 | 0.000 | 0.000 |
| 274.486 | 215.085 | 274.486 | 0.000 | 0.000 | -0.000 |
| 274.486 | 274.486 | 215.085 | -0.000 | -0.000 | -0.000 |
| 0.000 | 0.000 | 0.000 | -79.796 | -0.000 | -0.000 |
| 0.000 | 0.000 | 0.000 | -0.000 | -79.796 | -0.000 |
| 0.000 | 0.000 | 0.000 | -0.000 | 0.000 | -79.796 |
| 215.084 | 274.486 | 274.486 | 0.000 | 0.000 | 0.000 |
| 274.486 | 215.084 | 274.486 | 0.000 | 0.000 | 0.000 |
| 274.486 | 274.486 | 215.084 | 0.000 | 0.000 | 0.000 |
| -0.000 | -0.000 | -0.000 | -79.796 | 0.000 | 0.000 |
| -0.000 | -0.000 | -0.000 | 0.000 | -79.796 | -0.000 |
| -0.000 | -0.000 | -0.000 | 0.000 | -0.000 | -79.796 |
| 215.086 | 274.487 | 274.487 | -0.000 | 0.000 | 0.000 |
| 274.487 | 215.086 | 274.487 | 0.000 | -0.000 | -0.000 |
| 274.487 | 274.487 | 215.086 | -0.000 | -0.000 | -0.000 |
| 0.000 | 0.000 | 0.000 | -79.796 | -0.000 | -0.000 |
| 0.000 | 0.000 | 0.000 | -0.000 | -79.796 | -0.000 |
| 0.000 | 0.000 | 0.000 | 0.000 | 0.000 | -79.796 |
| 215.083 | 274.485 | 274.485 | 0.000 | -0.000 | -0.000 |
| 274.485 | 215.083 | 274.485 | -0.000 | 0.000 | 0.000 |
| 274.485 | 274.485 | 215.083 | 0.000 | 0.000 | 0.000 |
| -0.000 | -0.000 | -0.000 | -79.796 | 0.000 | 0.000 |
| -0.000 | -0.000 | -0.000 | 0.000 | -79.796 | -0.000 |
| -0.000 | -0.000 | -0.000 | 0.000 | -0.000 | -79.796 |
| 59.279 | 312.236 | 312.236 | -0.000 | -0.000 | -0.000 |
| 312.236 | 59.279 | 312.236 | 0.000 | 0.000 | 0.000 |
| 312.236 | 312.236 | 59.279 | 0.000 | 0.000 | -0.000 |
| -0.000 | -0.000 | -0.000 | -340.729 | 0.000 | 0.000 |
| -0.000 | 0.000 | -0.000 | 0.000 | -340.729 | -0.000 |
| -0.000 | -0.000 | -0.000 | 0.000 | -0.000 | -340.729 |
| 57.180 | 313.286 | 313.286 | -0.000 | -0.000 | -0.000 |
| 313.286 | 57.180 | 313.286 | -0.000 | -0.000 | -0.000 |
| 313.286 | 313.286 | 57.180 | -0.000 | 0.000 | -0.000 |
| 0.000 | 0.000 | 0.000 | -340.730 | -0.000 | -0.000 |
| 0.000 | 0.000 | 0.000 | -0.000 | -340.730 | 0.000 |
| 0.000 | 0.000 | 0.000 | 0.000 | -0.000 | -340.729 |
| 59.279 | 312.236 | 312.236 | -0.000 | 0.000 | -0.000 |
| 312.236 | 59.279 | 312.236 | 0.000 | 0.000 | -0.000 |
| 312.236 | 312.236 | 59.279 | 0.000 | 0.000 | -0.000 |
| -133272898.431 | -132522967.282 | -145308490.509 | -8895809.641 | -1202308.136 | -5995124.730 |
| -131849329.427 | -128759213.333 | -138361127.575 | 6292016.291 | -11458649.470 | -2605616.801 |
| -138412999.703 | -137770649.819 | -136366776.248 | 1232351.337 | -7080821.552 | -4395871.766 |
| 59.279 | 312.236 | 312.236 | 0.000 | -0.000 | 0.000 |
| 312.236 | 59.279 | 312.236 | -0.000 | -0.000 | -0.000 |
| 312.236 | 312.236 | 59.279 | -0.000 | -0.000 | -0.000 |
| 126146004.007 | 128687574.940 | 133932353.029 | -11293978.254 | -4010321.895 | 965214.681 |
| 133707998.110 | 123257384.976 | 130752304.472 | -1059457.641 | -10545033.637 | 990442.079 |
| 130095044.688 | 138537085.788 | 128778474.809 | -3637754.681 | -4056236.306 | -10510950.355 |
| 59.280 | 312.237 | 312.237 | 0.000 | 0.000 | 0.000 |
| 312.237 | 59.280 | 312.237 | 0.000 | 0.000 | 0.000 |
| 312.237 | 312.237 | 59.280 | 0.000 | 0.000 | 0.000 |
| -13061937.302 | -13789029.537 | -13642829.158 | -518829.123 | 327421.989 | -106029.858 |
| -13878829.953 | -12805869.118 | -13120869.223 | 603915.464 | -1133587.133 | -64560.373 |
| -13214798.062 | -13629905.070 | -13404079.528 | 480503.506 | -131550.011 | -702172.604 |
| 59.278 | 312.235 | 312.235 | 0.000 | -0.000 | 0.000 |
| 312.235 | 59.278 | 312.235 | 0.000 | -0.000 | -0.000 |
| 312.235 | 312.235 | 59.278 | -0.000 | -0.000 | 0.000 |
| 12917513.829 | 13723308.841 | 14187314.727 | -904065.145 | 188204.031 | 173812.534 |
| 13085747.890 | 12554590.809 | 13934478.086 | 86092.666 | -1550430.799 | 715186.859 |
| 13116625.700 | 13427811.081 | 12949338.775 | -380971.924 | 700274.748 | -750593.574 |
| 1369.884 | -242.672 | -242.672 | 0.000 | 0.000 | -0.000 |
| -242.672 | 1369.884 | -242.672 | 0.000 | 0.000 | 0.000 |
| -242.672 | -242.672 | 1369.884 | 0.000 | 0.000 | -0.000 |
| -0.000 | 0.000 | 0.000 | -244.297 | -0.000 | 0.000 |
| 0.000 | -0.000 | 0.000 | 0.000 | -244.297 | 0.000 |
| 0.000 | 0.000 | -0.000 | 0.000 | -0.000 | -244.297 |
| 1369.884 | -242.672 | -242.672 | -0.000 | 0.000 | 0.000 |
| -242.672 | 1369.884 | -242.672 | -0.000 | -0.000 | -0.000 |
| -242.672 | -242.672 | 1369.884 | -0.000 | 0.000 | -0.000 |
| 0.000 | -0.000 | -0.000 | -244.297 | -0.000 | 0.000 |
| -0.000 | 0.000 | -0.000 | -0.000 | -244.297 | 0.000 |
| -0.000 | 0.000 | 0.000 | -0.000 | -0.000 | -244.297 |
| 1369.884 | -242.672 | -242.672 | 0.000 | 0.000 | 0.000 |
| -242.672 | 1369.884 | -242.672 | -0.000 | 0.000 | -0.000 |
| -242.672 | -242.672 | 1369.884 | -0.000 | 0.000 | -0.000 |
| -0.000 | 0.000 | 0.000 | -244.297 | -0.000 | -0.000 |
| 0.000 | -0.000 | 0.000 | 0.000 | -244.297 | -0.000 |
| 0.000 | 0.000 | -0.000 | 0.000 | -0.000 | -244.297 |
| 1369.883 | -242.672 | -242.672 | -0.000 | 0.000 | 0.000 |
| -242.672 | 1369.883 | -242.672 | -0.000 | -0.000 | -0.000 |
| -242.672 | -242.672 | 1369.883 | -0.000 | 0.000 | 0.000 |
| 0.000 | -0.000 | -0.000 | -244.297 | 0.000 | 0.000 |
| -0.000 | 0.000 | -0.000 | -0.000 | -244.297 | 0.000 |
| -0.000 | -0.000 | 0.000 | -0.000 | 0.000 | -244.297 |
| 1369.891 | -242.671 | -242.671 | 0.000 | 0.000 | 0.000 |
| -242.671 | 1369.891 | -242.671 | 0.000 | 0.000 | 0.000 |
| -242.671 | -242.671 | 1369.891 | 0.000 | 0.000 | -0.000 |
| -0.002 | 0.001 | 0.000 | -244.297 | -0.000 | -0.000 |
| 0.001 | -0.002 | 0.000 | 0.000 | -244.297 | 0.000 |
| 0.001 | 0.000 | -0.002 | 0.000 | 0.000 | -244.297 |
| 1369.876 | -242.674 | -242.674 | -0.000 | 0.000 | 0.000 |
| -242.674 | 1369.876 | -242.674 | -0.000 | -0.000 | -0.000 |
| -242.674 | -242.674 | 1369.876 | 0.000 | -0.000 | 0.000 |
| 0.002 | -0.001 | -0.000 | -244.297 | -0.000 | 0.000 |
| -0.001 | 0.002 | -0.000 | -0.000 | -244.297 | 0.000 |
| -0.001 | -0.000 | 0.002 | 0.000 | -0.000 | -244.297 |
| 164.884 | 297.323 | 307.378 | 0.000 | -0.000 | -0.000 |
| 316.731 | 145.476 | 307.378 | -0.000 | 0.000 | 0.000 |
| 307.378 | 307.378 | 139.235 | -0.000 | 0.000 | 0.000 |
| -0.000 | 0.000 | -0.000 | -55.161 | 0.000 | 0.000 |
| -0.000 | -0.000 | -0.000 | -0.000 | -55.161 | -0.000 |
| -1626792310.512 | -1279890875.863 | -1116922255.095 | -33381828.882 | 18444204.366 | -100539365.732 |
| 145.476 | 316.731 | 307.378 | 0.000 | -0.000 | -0.000 |
| 297.323 | 164.884 | 307.378 | -0.000 | 0.000 | -0.000 |
| 307.378 | 307.378 | 139.234 | 0.000 | -0.000 | -0.000 |
| -0.000 | 0.000 | 0.000 | -55.161 | -0.000 | -0.000 |
| 0.000 | 0.000 | 0.000 | 0.000 | -55.161 | -0.000 |
| 1545014351.474 | 1349603918.242 | 1108620734.279 | -24216436.709 | 4704157.880 | -93760861.125 |
| -149618434.729 | -126368587.007 | -102455697.989 | 3906112.397 | 582006.924 | 2161567.716 |
| 297.323 | 164.884 | 307.378 | -0.000 | -0.000 | 0.000 |
| 307.378 | 307.378 | 139.235 | -0.000 | 0.000 | 0.000 |
| 0.000 | 0.000 | -0.000 | -55.161 | 0.000 | 0.000 |
| 0.000 | 0.000 | -0.000 | -0.000 | -55.161 | 0.000 |
| 0.000 | 0.000 | 0.000 | -0.000 | 0.000 | -85.627 |
| 168549915.293 | 169254120.802 | 105618549.347 | -1023703.988 | 1622467.712 | -7656956.165 |
| 316.731 | 145.476 | 307.378 | 0.000 | -0.000 | -0.000 |
| 307.378 | 307.378 | 139.234 | -0.000 | -0.000 | -0.000 |
| -0.000 | -0.000 | 0.000 | -55.161 | -0.000 | -0.000 |
| -0.000 | -0.000 | 0.000 | -0.000 | -55.161 | -0.000 |
| -0.000 | -0.000 | -0.000 | -0.000 | 0.000 | -85.627 |
| 164.885 | 297.324 | 307.379 | 0.000 | -0.000 | 0.000 |
| 297.324 | 164.885 | 307.379 | 0.000 | -0.000 | 0.000 |
| 307.379 | 307.379 | 139.236 | 0.000 | 0.000 | 0.000 |
| 0.000 | 0.000 | -0.000 | -55.161 | -0.000 | 0.000 |
| 0.000 | 0.000 | -0.000 | 0.000 | -55.161 | 0.000 |
| -17624545.491 | -14088019.184 | -10881392.305 | -347174.722 | 121388.628 | -616664.085 |
| 16867974.506 | 17628909.976 | 10526558.696 | 34802.041 | 460523.973 | -481116.897 |
| 297.322 | 164.882 | 307.377 | 0.000 | 0.000 | -0.000 |
| 307.377 | 307.377 | 139.233 | 0.000 | -0.000 | -0.000 |
| -0.000 | -0.000 | 0.000 | -55.161 | -0.000 | -0.000 |
| -0.000 | -0.000 | 0.000 | -0.000 | -55.161 | 0.000 |
| 17231974.705 | 14392108.177 | 10951784.704 | 56510.089 | 115117.092 | -1272590.446 |
| 581.389 | 380.434 | -0.637 | -0.000 | -0.000 | -0.000 |
| 429.073 | 532.750 | -0.637 | -0.000 | -0.000 | -0.000 |
| -0.637 | -0.637 | 1064.200 | -0.000 | 0.000 | -0.000 |
| 0.000 | -0.000 | -0.000 | -34.025 | -0.000 | -0.000 |
| 0.000 | 0.000 | -0.000 | 0.000 | -34.025 | -0.000 |
| 0.000 | 0.000 | -0.000 | 0.000 | -0.000 | 51.839 |
| 581.389 | 380.434 | -0.637 | 0.000 | 0.000 | 0.000 |
| 429.073 | 532.750 | -0.637 | -0.000 | -0.000 | 0.000 |
| -0.637 | -0.637 | 1064.200 | -0.000 | 0.000 | 0.000 |
| 0.000 | -0.000 | 0.000 | -34.025 | 0.000 | 0.000 |
| -0.000 | -0.000 | 0.000 | -0.000 | -34.025 | 0.000 |
| -0.000 | -0.000 | 0.000 | -0.000 | -0.000 | 51.839 |
| 532.751 | 429.072 | -0.637 | -0.000 | 0.000 | -0.000 |
| 429.073 | 532.751 | -0.637 | -0.000 | 0.000 | -0.000 |
| -0.637 | -0.637 | 1064.201 | 0.000 | 0.000 | 0.000 |
| 0.000 | 0.000 | -0.000 | -34.025 | -0.000 | -0.000 |
| 0.000 | 0.000 | -0.000 | 0.000 | -34.025 | -0.000 |
| 0.000 | 0.000 | -0.000 | -0.000 | 0.000 | 51.839 |
| 532.749 | 429.073 | -0.637 | -0.000 | -0.000 | 0.000 |
| 429.072 | 532.750 | -0.637 | -0.000 | -0.000 | 0.000 |
| -0.637 | -0.637 | 1064.199 | -0.000 | -0.000 | 0.000 |
| -0.000 | -0.000 | 0.000 | -34.025 | -0.000 | 0.000 |
| -0.000 | -0.000 | 0.000 | 0.000 | -34.025 | 0.000 |
| -0.000 | -0.000 | 0.000 | 0.000 | -0.000 | 51.839 |
| 532.762 | 429.069 | -0.638 | 0.000 | 0.000 | -0.000 |
| 429.073 | 532.758 | -0.638 | -0.000 | 0.000 | -0.000 |
| -0.639 | -0.639 | 1064.209 | -0.000 | 0.000 | -0.000 |
| 0.000 | 0.001 | -0.000 | -34.025 | -0.000 | -0.000 |
| 0.001 | 0.000 | -0.000 | 0.000 | -34.025 | -0.000 |
| 0.000 | 0.001 | -0.000 | -0.000 | -0.000 | 100.478 |
| 532.739 | 429.076 | -0.637 | 0.000 | -0.000 | 0.000 |
| 429.072 | 532.743 | -0.637 | 0.000 | 0.000 | 0.000 |
| -0.636 | -0.636 | 1064.191 | 0.000 | -0.000 | 0.000 |
| -0.000 | -0.001 | 0.000 | -34.025 | -0.000 | 0.000 |
| -0.001 | -0.000 | 0.000 | 0.000 | -34.025 | 0.000 |
| -0.000 | -0.001 | 0.000 | 0.000 | 0.000 | 100.478 |
| 247.581 | 358.616 | -110.939 | -0.000 | -0.000 | -0.000 |
| 364.969 | 241.228 | -110.939 | 0.000 | -0.000 | -0.000 |
| -110.938 | -110.938 | 107.855 | 0.000 | -0.000 | 0.000 |
| 0.000 | 0.000 | -0.000 | 134.909 | -0.000 | 0.000 |
| 0.000 | 0.000 | -0.000 | 0.000 | 134.909 | 0.000 |
| 0.000 | -0.000 | -0.000 | 0.000 | -0.000 | -61.871 |
| 241.228 | 364.969 | -110.939 | -0.000 | 0.000 | 0.000 |
| 364.969 | 241.228 | -110.939 | -0.000 | 0.000 | 0.000 |
| -110.938 | -110.938 | 107.855 | -0.000 | -0.000 | 0.000 |
| -0.000 | -0.000 | 0.000 | 134.909 | 0.000 | 0.000 |
| -0.000 | -0.000 | 0.000 | 0.000 | 134.909 | 0.000 |
| -0.000 | 0.000 | -0.000 | -0.000 | -0.000 | -61.871 |
| 241.228 | 364.969 | -110.939 | 0.000 | 0.000 | -0.000 |
| 364.969 | 241.228 | -110.939 | 0.000 | -0.000 | -0.000 |
| -110.938 | -110.938 | 107.855 | 0.000 | -0.000 | 0.000 |
| 0.000 | 0.000 | -0.000 | 134.909 | -0.000 | -0.000 |
| 0.000 | 0.000 | -0.000 | 0.000 | 134.909 | -0.000 |
| 0.000 | 0.000 | -0.000 | 0.000 | -0.000 | -61.871 |
| 241.227 | 364.969 | -110.939 | -0.000 | 0.000 | 0.000 |
| 364.969 | 241.227 | -110.939 | -0.000 | -0.000 | 0.000 |
| -110.938 | -110.938 | 107.855 | -0.000 | 0.000 | 0.000 |
| -0.000 | -0.000 | 0.000 | 134.909 | -0.000 | 0.000 |
| -0.000 | -0.000 | 0.000 | -0.000 | 134.909 | -0.000 |
| -0.000 | -0.000 | 0.000 | 0.000 | 0.000 | -61.871 |
| 247.582 | 358.617 | -110.939 | 0.000 | -0.000 | -0.000 |
| 358.617 | 247.582 | -110.939 | -0.000 | -0.000 | -0.000 |
| -110.938 | -110.938 | 107.855 | 0.000 | -0.000 | -0.000 |
| 0.001 | 0.001 | -0.001 | 134.909 | 0.000 | -0.000 |
| 0.001 | 0.001 | -0.001 | 0.000 | 134.909 | -0.000 |
| 0.000 | 0.000 | -0.000 | 0.000 | -0.000 | -61.871 |
| 241.226 | 364.968 | -110.939 | 0.000 | -0.000 | 0.000 |
| 364.968 | 241.226 | -110.939 | -0.000 | 0.000 | 0.000 |
| -110.938 | -110.938 | 107.854 | -0.000 | -0.000 | -0.000 |
| -0.001 | -0.001 | 0.001 | 134.909 | -0.000 | -0.000 |
| -0.001 | -0.001 | 0.001 | -0.000 | 134.909 | 0.000 |
| -0.000 | -0.000 | 0.000 | -0.000 | 0.000 | -61.871 |
| 122.514 | 345.614 | 306.855 | 0.000 | 0.000 | 0.000 |
| 345.614 | 122.514 | 306.855 | 0.000 | 0.000 | 0.000 |
| 306.855 | 306.855 | 130.402 | 0.000 | 0.000 | 0.000 |
| -0.000 | 0.000 | -0.000 | -63.777 | 0.000 | 0.000 |
| -0.000 | 0.000 | -0.000 | 0.000 | -63.777 | 0.000 |
| 0.000 | -0.000 | 0.000 | 0.000 | 0.000 | -69.305 |
| 164.759 | 303.369 | 306.855 | -0.000 | -0.000 | 0.000 |
| 303.369 | 164.759 | 306.855 | -0.000 | -0.000 | 0.000 |
| 306.855 | 306.855 | 130.402 | -0.000 | -0.000 | -0.000 |
| 0.000 | -0.000 | 0.000 | -63.777 | -0.000 | -0.000 |
| 0.000 | -0.000 | 0.000 | -0.000 | -63.777 | -0.000 |
| -0.000 | -0.000 | -0.000 | 0.000 | 0.000 | -69.305 |
| 164.759 | 303.369 | 306.855 | 0.000 | 0.000 | 0.000 |
| -155240118.572 | -175738106.020 | -98499459.119 | 5285842.209 | 212949.584 | 5099030.813 |
| 306.855 | 306.855 | 130.402 | 0.000 | 0.000 | 0.000 |
| 0.000 | -0.000 | -0.000 | -63.777 | 0.000 | 0.000 |
| 0.000 | 0.000 | -0.000 | -0.000 | -63.777 | -0.000 |
| 0.000 | -0.000 | 0.000 | 0.000 | 0.000 | -69.305 |
| 164.759 | 303.369 | 306.855 | -0.000 | -0.000 | 0.000 |
| 303.369 | 164.759 | 306.855 | 0.000 | -0.000 | 0.000 |
| 306.855 | 306.855 | 130.402 | 0.000 | -0.000 | 0.000 |
| -0.000 | 0.000 | 0.000 | -63.777 | -0.000 | -0.000 |
| -0.000 | -0.000 | 0.000 | 0.000 | -63.777 | -0.000 |
| -0.000 | 0.000 | -0.000 | -0.000 | -0.000 | -69.305 |
| 164.760 | 303.370 | 306.856 | 0.000 | 0.000 | -0.000 |
| -15064762.897 | -16756276.849 | -9555221.100 | -117721.694 | 274271.663 | 435233.138 |
| 306.856 | 306.856 | 130.403 | 0.000 | 0.000 | 0.000 |
| 0.000 | -0.000 | -0.000 | -63.777 | 0.000 | 0.000 |
| 0.000 | 0.000 | -0.000 | -0.000 | -63.777 | 0.000 |
| -16636978.215 | -16412866.343 | -9702057.759 | 140588.189 | -188320.203 | 357201.590 |
| 15494015.074 | 16181217.957 | 9403332.644 | -523432.005 | -5503.738 | 50234.556 |
| 14796148.359 | 11821038.831 | 10027502.307 | -92375.356 | -752091.677 | 237183.251 |
| 306.854 | 306.854 | 130.401 | -0.000 | -0.000 | -0.000 |
| -0.000 | -0.000 | 0.000 | -63.777 | -0.000 | 0.000 |
| -0.000 | -0.000 | 0.000 | 0.000 | -63.777 | 0.000 |
| 16209582.818 | 16379865.739 | 9174375.413 | 48247.361 | 451204.133 | -1378740.512 |
| 1079.358 | 127.240 | 127.240 | -0.000 | -0.000 | -0.000 |
| 127.240 | 1079.358 | 127.240 | -0.000 | -0.000 | -0.000 |
| 127.240 | 127.240 | 1079.358 | -0.000 | -0.000 | -0.000 |
| 0.000 | 0.000 | 0.000 | 622.742 | -0.000 | -0.000 |
| 0.000 | 0.000 | 0.000 | -0.000 | 622.742 | -0.000 |
| 0.000 | 0.000 | 0.000 | -0.000 | -0.000 | 622.742 |
| 1079.358 | 127.239 | 127.239 | 0.000 | 0.000 | 0.000 |
| 127.239 | 1079.358 | 127.239 | 0.000 | 0.000 | 0.000 |
| 127.239 | 127.239 | 1079.358 | 0.000 | 0.000 | 0.000 |
| -0.000 | -0.000 | -0.000 | 622.742 | 0.000 | 0.000 |
| -0.000 | -0.000 | -0.000 | 0.000 | 622.742 | 0.000 |
| -0.000 | -0.000 | -0.000 | 0.000 | 0.000 | 622.742 |
| 1079.358 | 127.240 | 127.240 | -0.000 | -0.000 | -0.000 |
| 127.240 | 1079.358 | 127.240 | -0.000 | -0.000 | -0.000 |
| 127.240 | 127.240 | 1079.358 | -0.000 | -0.000 | -0.000 |
| 0.000 | 0.000 | 0.000 | 622.742 | -0.000 | -0.000 |
| 0.000 | 0.000 | 0.000 | -0.000 | 622.742 | -0.000 |
| 0.000 | 0.000 | 0.000 | -0.000 | -0.000 | 622.742 |
| 1079.358 | 127.239 | 127.239 | 0.000 | 0.000 | 0.000 |
| 127.239 | 1079.358 | 127.239 | 0.000 | 0.000 | 0.000 |
| 127.239 | 127.239 | 1079.358 | 0.000 | 0.000 | 0.000 |
| -0.000 | -0.000 | -0.000 | 622.742 | 0.000 | 0.000 |
| -0.000 | -0.000 | -0.000 | 0.000 | 622.742 | 0.000 |
| -0.000 | -0.000 | -0.000 | 0.000 | 0.000 | 622.742 |
| 1079.361 | 127.240 | 127.240 | -0.000 | -0.000 | -0.000 |
| 127.240 | 1079.361 | 127.240 | -0.000 | -0.000 | -0.000 |
| 127.240 | 127.240 | 1079.361 | -0.000 | -0.000 | -0.000 |
| 0.000 | 0.001 | 0.001 | 622.742 | -0.000 | -0.000 |
| 0.001 | 0.000 | 0.001 | -0.000 | 622.742 | -0.000 |
| 0.001 | 0.001 | 0.000 | -0.000 | -0.000 | 622.742 |
| 1079.355 | 127.239 | 127.239 | 0.000 | 0.000 | 0.000 |
| 127.239 | 1079.355 | 127.239 | 0.000 | 0.000 | 0.000 |
| 127.239 | 127.239 | 1079.355 | 0.000 | 0.000 | 0.000 |
| -0.000 | -0.001 | -0.001 | 622.742 | 0.000 | 0.000 |
| -0.001 | -0.000 | -0.001 | 0.000 | 622.742 | 0.000 |
| -0.001 | -0.001 | -0.000 | 0.000 | 0.000 | 622.742 |
| 463.488 | 342.745 | 269.870 | -0.000 | 0.000 | 0.000 |
| 342.744 | 463.488 | 269.870 | -0.000 | 0.000 | 0.000 |
| 269.868 | 269.872 | 496.197 | -0.000 | 0.000 | -0.000 |
| -0.007 | 0.007 | 0.000 | -1964.032 | 0.000 | 0.000 |
| -0.006 | 0.006 | 0.000 | -0.000 | -1964.032 | 0.000 |
| -0.002 | 0.002 | 0.000 | -0.000 | 0.000 | 114.030 |
| 463.488 | 342.744 | 269.870 | 0.000 | -0.000 | -0.000 |
| 342.745 | 463.488 | 269.870 | 0.000 | -0.000 | -0.000 |
| 269.872 | 269.868 | 496.196 | 0.000 | -0.000 | 0.000 |
| 0.007 | -0.007 | -0.000 | -1964.032 | -0.000 | -0.000 |
| 0.006 | -0.006 | -0.000 | 0.000 | -1964.032 | -0.000 |
| 0.002 | -0.002 | -0.000 | 0.000 | -0.000 | 114.030 |
| 463.488 | 342.745 | 269.870 | -0.000 | 0.000 | 0.000 |
| 342.745 | 463.488 | 269.870 | -0.000 | 0.000 | 0.000 |
| 269.870 | 269.870 | 496.197 | -0.000 | 0.000 | 0.000 |
| -0.003 | 0.006 | 0.001 | -1964.032 | 0.000 | 0.000 |
| 0.005 | -0.002 | 0.001 | -0.000 | -1964.032 | -0.000 |
| -0.000 | 0.000 | -0.000 | 0.000 | 0.000 | 114.030 |
| 463.488 | 342.744 | 269.870 | 0.000 | -0.000 | -0.000 |
| 342.744 | 463.488 | 269.870 | 0.000 | -0.000 | -0.000 |
| 269.870 | 269.869 | 496.196 | 0.000 | -0.000 | -0.000 |
| 0.003 | -0.006 | -0.001 | -1964.032 | -0.000 | 0.000 |
| -0.005 | 0.002 | -0.001 | 0.000 | -1964.032 | -0.000 |
| 0.000 | -0.000 | 0.000 | 0.000 | -0.000 | 114.030 |
| 463.492 | 342.746 | 269.871 | -0.000 | 0.000 | 0.000 |
| 342.746 | 463.492 | 269.871 | -0.000 | 0.000 | 0.000 |
| 269.871 | 269.871 | 496.200 | -0.000 | 0.000 | 0.000 |
| -0.029 | 0.058 | 0.008 | -1964.031 | 0.000 | -0.000 |
| 0.058 | -0.029 | 0.008 | -0.000 | -1964.031 | -0.000 |
| -0.000 | 0.000 | -0.000 | -0.000 | 0.000 | 114.030 |
| 463.484 | 342.743 | 269.869 | 0.000 | -0.000 | 0.000 |
| 342.744 | 463.484 | 269.869 | 0.000 | 0.000 | -0.000 |
| 269.869 | 269.869 | 496.193 | 0.000 | -0.000 | -0.000 |
| 0.029 | -0.058 | -0.008 | -1964.031 | -0.000 | -0.000 |
| -0.058 | 0.029 | -0.008 | 0.000 | -1964.031 | -0.000 |
| 0.000 | -0.000 | 0.000 | 0.000 | -0.000 | 114.030 |
| 452.277 | 304.229 | -72.915 | -0.000 | -0.000 | -0.000 |
| 304.229 | 452.277 | -72.915 | -0.000 | -0.000 | 0.000 |
| -72.915 | -72.915 | 126.682 | -0.000 | -0.000 | 0.000 |
| 0.000 | 0.000 | -0.000 | 327.873 | -0.000 | -0.000 |
| 0.000 | 0.000 | -0.000 | -0.000 | 327.873 | -0.000 |
| -0.000 | 0.000 | 0.000 | -0.000 | -0.000 | 97.018 |
| 452.277 | 304.229 | -72.915 | 0.000 | -0.000 | -0.000 |
| 304.229 | 452.277 | -72.915 | 0.000 | 0.000 | 0.000 |
| -72.915 | -72.915 | 126.682 | 0.000 | 0.000 | 0.000 |
| -0.000 | -0.000 | 0.000 | 327.873 | 0.000 | 0.000 |
| -0.000 | -0.000 | 0.000 | 0.000 | 327.873 | -0.000 |
| 0.000 | -0.000 | -0.000 | 0.000 | 0.000 | 97.018 |
| 452.277 | 304.229 | -72.915 | -0.000 | -0.000 | 0.000 |
| 304.229 | 452.277 | -72.915 | -0.000 | -0.000 | -0.000 |
| -72.915 | -72.915 | 126.682 | -0.000 | -0.000 | 0.000 |
| 0.000 | 0.000 | -0.000 | 327.873 | -0.000 | -0.000 |
| 0.000 | 0.000 | -0.000 | -0.000 | 327.873 | -0.000 |
| 0.000 | 0.000 | -0.000 | -0.000 | -0.000 | 97.018 |
| 452.276 | 304.229 | -72.915 | 0.000 | 0.000 | 0.000 |
| 304.229 | 452.276 | -72.915 | 0.000 | 0.000 | 0.000 |
| -72.915 | -72.915 | 126.682 | 0.000 | 0.000 | -0.000 |
| -0.000 | -0.000 | 0.000 | 327.873 | 0.000 | 0.000 |
| -0.000 | -0.000 | 0.000 | 0.000 | 327.873 | 0.000 |
| -0.000 | -0.000 | 0.000 | 0.000 | 0.000 | 97.018 |
| 452.281 | 304.230 | -72.915 | -0.000 | -0.000 | 0.000 |
| 304.230 | 452.281 | -72.915 | -0.000 | -0.000 | 0.000 |
| -72.915 | -72.915 | 126.682 | -0.000 | -0.000 | 0.000 |
| 0.002 | 0.002 | -0.001 | 327.873 | -0.000 | -0.000 |
| 0.002 | 0.002 | -0.001 | -0.000 | 327.873 | -0.000 |
| 0.000 | 0.000 | -0.000 | -0.000 | -0.000 | 97.018 |
| 452.273 | 304.229 | -72.915 | -0.000 | 0.000 | -0.000 |
| 304.229 | 452.273 | -72.915 | 0.000 | -0.000 | 0.000 |
| -72.915 | -72.915 | 126.681 | 0.000 | 0.000 | 0.000 |
| -0.002 | -0.002 | 0.001 | 327.873 | 0.000 | 0.000 |
| -0.002 | -0.002 | 0.001 | 0.000 | 327.873 | 0.000 |
| -0.000 | -0.000 | 0.000 | 0.000 | 0.000 | 97.018 |
| 975.560 | 9.514 | 9.225 | 22.441 | 0.000 | 0.000 |
| 9.514 | 975.560 | 9.225 | -22.441 | -0.000 | 0.000 |
| 9.857 | 9.857 | 51.050 | 0.000 | 0.000 | 0.000 |
| 20.347 | -20.347 | -0.000 | 283.269 | -0.000 | 0.000 |
| -0.005 | -0.005 | -0.007 | -0.000 | 283.205 | 22.445 |
| -0.000 | 0.000 | 0.000 | -0.000 | 20.347 | 551.311 |
| 1044.297 | -58.325 | 9.857 | 20.347 | -0.000 | -0.000 |
| -58.325 | 1044.297 | 9.857 | -20.347 | -0.000 | -0.000 |
| 9.265 | 9.265 | 50.215 | 0.000 | -0.000 | -0.000 |
| 22.450 | -22.440 | 0.007 | 283.205 | 0.000 | -0.000 |
| 0.005 | 0.005 | 0.007 | 0.000 | 283.205 | 22.445 |
| 0.000 | -0.000 | -0.000 | -0.000 | 20.347 | 551.311 |
| 975.712 | 10.011 | 9.681 | 22.446 | 0.000 | 0.000 |
| 9.928 | 975.794 | 9.682 | -22.443 | 0.000 | 0.000 |
| 9.247 | 9.247 | 50.189 | -0.000 | 0.000 | 0.000 |
| 22.440 | -22.441 | -0.001 | 283.205 | -0.000 | 0.000 |
| -0.001 | -0.001 | -0.001 | -0.000 | 283.205 | 22.441 |
| -0.000 | -0.000 | -0.001 | 0.000 | 22.441 | 483.023 |
| 1044.296 | -58.325 | 9.857 | 20.347 | -0.000 | -0.000 |
| 9.532 | 975.579 | 9.251 | -22.441 | -0.000 | -0.000 |
| 9.857 | 9.857 | 51.050 | 0.000 | -0.000 | -0.000 |
| 22.441 | -22.440 | 0.001 | 283.205 | -0.000 | -0.000 |
| 0.001 | 0.001 | 0.001 | 0.000 | 283.205 | 22.441 |
| 0.000 | 0.000 | 0.001 | -0.000 | 22.441 | 483.023 |
| 975.749 | 9.977 | 9.682 | 22.445 | -0.000 | 0.000 |
| 9.539 | 975.571 | 9.248 | -22.441 | -0.000 | 0.000 |
| 9.249 | 9.249 | 50.193 | -0.000 | 0.000 | 0.000 |
| 22.440 | -22.441 | 0.000 | 283.208 | 0.000 | 0.000 |
| -0.000 | -0.000 | 0.000 | -0.003 | 283.205 | 22.441 |
| -0.000 | 0.001 | -0.000 | 0.000 | 22.441 | 483.023 |
| 975.289 | 9.820 | 9.252 | 22.450 | -0.000 | -0.000 |
| 9.522 | 975.581 | 9.248 | -22.440 | 0.000 | -0.000 |
| 9.857 | 9.857 | 51.050 | 0.000 | -0.000 | -0.000 |
| 20.347 | -20.347 | -0.000 | 283.266 | 0.000 | -0.000 |
| 0.000 | 0.000 | -0.000 | 0.003 | 283.205 | 22.441 |
| 0.000 | -0.001 | 0.000 | -0.000 | 22.441 | 483.023 |
| 1052.880 | -58.542 | 11.147 | 20.982 | -0.000 | -0.000 |
| -58.542 | 1052.880 | 11.147 | -20.982 | -0.000 | 0.000 |
| 10.380 | 10.380 | 57.124 | -0.000 | -0.000 | 0.000 |
| 20.982 | -20.982 | -0.000 | 279.173 | -0.000 | 0.000 |
| 0.009 | 0.008 | 0.010 | -0.000 | 279.117 | 22.958 |
| 0.009 | 0.008 | 0.010 | -0.000 | 22.944 | 487.346 |
| 984.033 | 9.341 | 10.569 | 22.944 | 0.000 | -0.000 |
| 9.791 | 984.276 | 10.984 | -22.947 | 0.000 | -0.000 |
| 9.807 | 9.810 | 56.439 | 0.000 | 0.000 | -0.000 |
| 22.949 | -22.966 | -0.010 | 279.117 | 0.000 | -0.000 |
| -0.009 | -0.008 | -0.010 | 0.000 | 279.117 | 22.958 |
| -0.009 | -0.008 | -0.010 | 0.000 | 22.944 | 487.346 |
| 984.300 | 9.786 | 10.995 | 22.947 | -0.000 | 0.000 |
| 9.375 | 984.066 | 10.608 | -22.944 | -0.000 | 0.000 |
| 10.380 | 10.380 | 57.124 | -0.000 | -0.000 | 0.000 |
| 20.982 | -20.982 | 0.000 | 279.174 | -0.000 | 0.000 |
| -0.000 | -0.000 | 0.000 | -0.000 | 279.173 | 20.982 |
| -0.000 | 0.000 | 0.000 | 0.000 | 20.982 | 555.711 |
| 1052.880 | -58.542 | 11.147 | 20.982 | 0.000 | 0.000 |
| 9.786 | 984.295 | 10.993 | -22.947 | 0.000 | -0.000 |
| 9.835 | 9.835 | 56.470 | 0.000 | 0.000 | -0.000 |
| 20.982 | -20.982 | -0.000 | 279.173 | 0.000 | -0.000 |
| 0.000 | 0.000 | -0.000 | 0.000 | 279.173 | 20.982 |
| 0.000 | -0.000 | -0.000 | -0.000 | 20.982 | 555.711 |
| 984.075 | 9.364 | 10.606 | 22.944 | -0.000 | 0.000 |
| 9.795 | 984.292 | 10.994 | -22.947 | -0.000 | 0.000 |
| 9.839 | 9.839 | 56.475 | -0.000 | -0.000 | 0.000 |
| 22.944 | -22.945 | 0.000 | 279.120 | -0.000 | 0.000 |
| -0.000 | -0.000 | 0.000 | -0.003 | 279.173 | 20.982 |
| -0.000 | 0.001 | -0.000 | 0.000 | 20.982 | 555.711 |
| 984.286 | 9.794 | 10.994 | 22.947 | 0.000 | -0.000 |
| 9.362 | 984.068 | 10.604 | -22.944 | 0.000 | -0.000 |
| 9.838 | 9.838 | 56.473 | 0.000 | 0.000 | -0.000 |
| 22.945 | -22.944 | -0.000 | 279.115 | 0.000 | -0.000 |
| 0.000 | 0.000 | -0.000 | 0.003 | 279.173 | 20.982 |
| 0.000 | -0.001 | 0.000 | -0.000 | 20.982 | 555.711 |
| 1055.911 | -58.409 | 11.555 | 21.185 | -0.000 | -0.000 |
| -58.409 | 1055.911 | 11.555 | -21.185 | -0.000 | -0.000 |
| 10.625 | 10.625 | 58.971 | 0.000 | -0.000 | -0.000 |
| 23.088 | -23.088 | 0.000 | 277.594 | -0.000 | 0.001 |
| 0.000 | -0.000 | -0.000 | -0.000 | 277.647 | 21.185 |
| 0.002 | -0.001 | 0.000 | -0.000 | 23.087 | 488.763 |
| 987.290 | 9.954 | 11.409 | 23.089 | 0.000 | -0.001 |
| 9.527 | 987.054 | 11.034 | -23.086 | 0.000 | -0.001 |
| 10.625 | 10.625 | 58.971 | 0.000 | -0.000 | 0.000 |
| 21.185 | -21.185 | 0.000 | 277.647 | -0.000 | 0.000 |
| -0.000 | 0.000 | 0.000 | 0.000 | 277.647 | 21.185 |
| -0.002 | 0.001 | -0.000 | 0.000 | 23.087 | 488.762 |
| 987.054 | 9.528 | 11.034 | 23.086 | -0.000 | 0.000 |
| 9.530 | 987.052 | 11.034 | -23.087 | 0.000 | 0.000 |
| 10.105 | 10.103 | 58.382 | -0.000 | -0.000 | 0.000 |
| 23.087 | -23.087 | -0.000 | 277.595 | -0.000 | 0.000 |
| 0.000 | -0.000 | -0.000 | -0.000 | 277.594 | 23.087 |
| -0.000 | 0.000 | -0.000 | 0.000 | 21.185 | 557.160 |
| 987.291 | 9.954 | 11.409 | 23.089 | 0.000 | -0.000 |
| 9.528 | 987.054 | 11.034 | -23.087 | 0.000 | -0.000 |
| 10.625 | 10.625 | 58.971 | -0.000 | 0.000 | 0.000 |
| 21.185 | -21.185 | -0.000 | 277.647 | 0.000 | 0.000 |
| -0.000 | 0.000 | 0.000 | 0.000 | 277.594 | 23.086 |
| 0.000 | -0.000 | 0.000 | -0.000 | 21.185 | 557.160 |
| 987.284 | 9.965 | 11.409 | 23.089 | -0.000 | 0.000 |
| 9.537 | 987.048 | 11.034 | -23.087 | -0.000 | 0.000 |
| 10.104 | 10.104 | 58.382 | -0.000 | -0.000 | 0.000 |
| 23.086 | -23.087 | -0.000 | 277.597 | -0.000 | 0.000 |
| -0.000 | -0.000 | 0.000 | -0.003 | 277.647 | 21.185 |
| -0.000 | 0.001 | -0.000 | 0.000 | 23.087 | 488.762 |
| 987.281 | 9.960 | 11.409 | 23.089 | 0.000 | -0.000 |
| 9.520 | 987.058 | 11.034 | -23.086 | 0.000 | -0.000 |
| 10.625 | 10.625 | 58.971 | -0.000 | -0.000 | 0.000 |
| 23.087 | -23.086 | 0.000 | 277.592 | 0.000 | -0.000 |
| 0.000 | 0.000 | -0.000 | 0.003 | 277.647 | 21.185 |
| 0.000 | -0.001 | 0.000 | -0.000 | 23.087 | 488.762 |
| 392.769 | -222.128 | 23.345 | 19.752 | 0.000 | -0.000 |
| -222.129 | 392.768 | 23.345 | -19.752 | 0.000 | 0.000 |
| -46.002 | -46.002 | 83.044 | -0.000 | -0.000 | 0.000 |
| 57.810 | -57.810 | 0.000 | 84.918 | 0.000 | -0.000 |
| 0.000 | 0.000 | 0.000 | 0.000 | 84.918 | 57.810 |
| 0.000 | 0.000 | 0.000 | 0.000 | 57.810 | 201.076 |
| 392.768 | -222.129 | 23.346 | 19.752 | 0.000 | 0.000 |
| -128.939 | 273.213 | 122.163 | -57.810 | -0.000 | -0.000 |
| 52.816 | 52.816 | -657.660 | 0.000 | -0.000 | 0.000 |
| 57.810 | -57.810 | -0.000 | 84.918 | -0.000 | 0.000 |
| 0.000 | -0.000 | -0.000 | -0.000 | 84.918 | 57.810 |
| 0.000 | -0.000 | -0.000 | -0.000 | 57.810 | 201.076 |
| 392.769 | -222.129 | 23.346 | 19.752 | -0.000 | 0.000 |
| -222.129 | 392.769 | 23.346 | -19.752 | 0.000 | 0.000 |
| -46.002 | -46.002 | 83.044 | 0.000 | 0.000 | -0.000 |
| 57.810 | -57.810 | 0.000 | 84.918 | -0.000 | -0.000 |
| -0.000 | -0.000 | 0.000 | -0.000 | 84.918 | 57.810 |
| 0.000 | 0.000 | 0.000 | 0.000 | 57.810 | 201.076 |
| 279.033 | -117.357 | 56.939 | 58.840 | 0.000 | 0.000 |
| -117.358 | 279.034 | 56.939 | -58.840 | -0.000 | 0.000 |
| 52.816 | 52.816 | -657.656 | -0.000 | 0.000 | 0.000 |
| 57.810 | -57.810 | -0.000 | 84.918 | -0.000 | -0.000 |
| 0.000 | 0.000 | -0.000 | 0.000 | 84.918 | 57.810 |
| -0.000 | -0.000 | -0.000 | -0.000 | 57.810 | 201.076 |
| 279.044 | -117.364 | 56.936 | 58.838 | 0.000 | -0.000 |
| -128.941 | 273.218 | 122.162 | -57.810 | -0.000 | -0.000 |
| 52.822 | 52.822 | -657.696 | 0.000 | -0.000 | -0.000 |
| 57.810 | -57.810 | 0.000 | 84.918 | 0.000 | 0.000 |
| 0.000 | 0.000 | 0.000 | 0.000 | 98.534 | 19.752 |
| 0.001 | 0.001 | -0.000 | 0.000 | 57.810 | 201.076 |
| 279.024 | -117.351 | 56.941 | 58.842 | 0.000 | 0.000 |
| -128.939 | 273.208 | 122.163 | -57.809 | -0.000 | -0.000 |
| 52.810 | 52.810 | -657.623 | 0.000 | -0.000 | 0.000 |
| 19.752 | -19.752 | -0.000 | 98.534 | 0.000 | 0.000 |
| -0.000 | -0.000 | -0.000 | -0.000 | 98.534 | 19.752 |
| -0.001 | -0.001 | 0.000 | -0.000 | 57.810 | 201.076 |
| 455.330 | 265.111 | 265.111 | -0.000 | -0.000 | 0.000 |
| 265.111 | 455.330 | 265.111 | 0.000 | -0.000 | 0.000 |
| 265.111 | 265.111 | 455.330 | -0.000 | -0.000 | 0.000 |
| 0.000 | 0.000 | 0.000 | 86.073 | -0.000 | 0.000 |
| 0.000 | 0.000 | 0.000 | -0.000 | 86.073 | 0.000 |
| 0.000 | 0.000 | 0.000 | 0.000 | 0.000 | 86.073 |
| 455.330 | 265.111 | 265.111 | -0.000 | 0.000 | 0.000 |
| 265.111 | 455.330 | 265.111 | -0.000 | 0.000 | -0.000 |
| 265.111 | 265.111 | 455.330 | -0.000 | -0.000 | -0.000 |
| -0.000 | -0.000 | -0.000 | 86.073 | 0.000 | 0.000 |
| -0.000 | -0.000 | -0.000 | 0.000 | 86.073 | -0.000 |
| -0.000 | -0.000 | -0.000 | 0.000 | 0.000 | 86.073 |
| 455.331 | 265.111 | 265.111 | -0.000 | 0.000 | -0.000 |
| 265.111 | 455.331 | 265.111 | 0.000 | -0.000 | 0.000 |
| 265.111 | 265.111 | 455.331 | -0.000 | -0.000 | 0.000 |
| -0.000 | -0.000 | 0.000 | 86.073 | -0.000 | 0.000 |
| -0.000 | -0.000 | 0.000 | 0.000 | 86.073 | 0.000 |
| -0.000 | 0.000 | -0.000 | -0.000 | -0.000 | 86.073 |
| 455.330 | 265.111 | 265.111 | 0.000 | 0.000 | -0.000 |
| 265.111 | 455.330 | 265.111 | -0.000 | 0.000 | 0.000 |
| 265.111 | 265.111 | 455.330 | 0.000 | 0.000 | -0.000 |
| 0.000 | 0.000 | -0.000 | 86.073 | 0.000 | 0.000 |
| 0.000 | 0.000 | -0.000 | -0.000 | 86.073 | -0.000 |
| 0.000 | -0.000 | 0.000 | -0.000 | -0.000 | 86.073 |
| 455.334 | 265.112 | 265.112 | 0.000 | -0.000 | 0.000 |
| 265.112 | 455.334 | 265.112 | -0.000 | 0.000 | -0.000 |
| 265.112 | 265.112 | 455.334 | 0.000 | 0.000 | 0.000 |
| -0.000 | -0.000 | 0.000 | 86.073 | 0.000 | -0.000 |
| -0.000 | -0.000 | 0.000 | -0.000 | 86.073 | 0.000 |
| -0.000 | 0.000 | -0.000 | -0.000 | 0.000 | 86.073 |
| 455.326 | 265.110 | 265.110 | 0.000 | 0.000 | -0.000 |
| 265.110 | 455.326 | 265.110 | -0.000 | 0.000 | -0.000 |
| 265.110 | 265.110 | 455.326 | -0.000 | -0.000 | 0.000 |
| 0.000 | 0.000 | -0.000 | 86.073 | 0.000 | 0.000 |
| 0.000 | 0.000 | -0.000 | 0.000 | 86.073 | -0.000 |
| 0.000 | -0.000 | 0.000 | -0.000 | 0.000 | 86.073 |
| 464.654 | 165.288 | 18.277 | -0.000 | -0.000 | -0.000 |
| 158.413 | 997.946 | 79.811 | -0.000 | -0.000 | 0.000 |
| 44.117 | 105.591 | 1113.819 | -0.000 | -0.000 | -0.000 |
| 0.930 | 1.963 | -2.698 | 653.615 | -0.000 | 0.000 |
| 1.018 | 2.520 | -3.155 | -0.000 | 217.138 | -0.000 |
| 5.951 | 14.730 | -18.440 | -0.000 | 0.000 | 123.722 |
| 462.678 | 160.420 | 24.387 | -0.000 | 0.000 | 0.000 |
| 153.809 | 1032.524 | 69.118 | 0.000 | 0.000 | -0.000 |
| 12.972 | -25.665 | 1239.737 | -0.000 | -0.000 | 0.000 |
| -0.930 | -1.963 | 2.698 | 653.615 | -0.000 | 0.000 |
| -1.018 | -2.520 | 3.155 | 0.000 | 217.138 | 0.000 |
| -5.951 | -14.730 | 18.440 | 0.000 | -0.000 | 123.722 |
| 463.572 | 159.044 | 23.566 | 0.000 | 0.000 | 0.000 |
| 185.024 | 1144.285 | -46.337 | -0.000 | -0.000 | -0.000 |
| 12.972 | -25.665 | 1239.737 | 0.000 | -0.000 | -0.000 |
| 0.093 | 0.196 | -0.270 | 653.621 | -0.000 | -0.000 |
| 0.102 | 0.252 | -0.315 | -0.000 | 217.138 | -0.000 |
| -0.202 | -0.582 | 0.670 | 0.000 | 0.000 | 119.944 |
| 463.373 | 158.608 | 24.151 | 0.000 | 0.000 | -0.000 |
| 157.322 | 995.546 | 83.028 | -0.000 | -0.000 | 0.000 |
| 42.945 | 69.678 | 1135.373 | -0.000 | 0.000 | 0.000 |
| -0.093 | -0.196 | 0.270 | 653.621 | 0.000 | 0.000 |
| -0.102 | -0.252 | 0.315 | 0.000 | 217.138 | 0.000 |
| 0.202 | 0.582 | -0.670 | -0.000 | -0.000 | 119.944 |
| 463.485 | 158.847 | 23.830 | -0.000 | 0.000 | 0.000 |
| 157.428 | 995.774 | 82.722 | 0.000 | -0.000 | 0.000 |
| 43.131 | 103.418 | 1116.734 | -0.000 | -0.000 | -0.000 |
| 0.009 | 0.020 | -0.026 | 653.621 | -0.000 | 0.000 |
| 0.010 | 0.025 | -0.032 | -0.000 | 217.138 | -0.000 |
| 9513608.535 | 837219.805 | -3617728.057 | -0.000 | 0.000 | 1199041.519 |
| 463.461 | 158.805 | 23.887 | -0.000 | 0.000 | 0.000 |
| 157.414 | 995.752 | 82.751 | -0.000 | -0.000 | -0.000 |
| 43.119 | 103.399 | 1116.756 | 0.000 | 0.000 | -0.000 |
| -0.009 | -0.020 | 0.026 | 653.621 | 0.000 | 0.000 |
| -0.010 | -0.025 | 0.032 | -0.000 | 217.138 | 0.000 |
| -9513608.533 | -837219.804 | 3617728.056 | -0.000 | -0.000 | 1199041.518 |
| 1148.083 | 624.169 | -617.282 | 0.000 | -0.000 | 0.000 |
| 624.169 | 1148.083 | -617.282 | 0.000 | -0.000 | 0.000 |
| 125.320 | 125.320 | 991.260 | 0.000 | 0.000 | 0.000 |
| 287.434 | 287.434 | -446.385 | 523.721 | 0.000 | 0.000 |
| 287.434 | 287.434 | -446.385 | 0.000 | 523.721 | 0.000 |
| 287.709 | 287.709 | -446.813 | 0.000 | -0.000 | 176.408 |
| 570.250 | 46.252 | 280.158 | -0.000 | -0.000 | 0.000 |
| 46.252 | 570.250 | 280.158 | -0.000 | 0.000 | -0.000 |
| -449.263 | -449.263 | 1883.589 | -0.000 | -0.000 | -0.000 |
| -287.434 | -287.434 | 446.385 | 523.721 | -0.000 | -0.000 |
| -287.434 | -287.434 | 446.385 | -0.000 | 523.721 | -0.000 |
| -287.709 | -287.709 | 446.813 | -0.000 | 0.000 | 176.408 |
| 503.951 | 747.742 | -213.067 | 0.000 | 0.000 | 0.000 |
| 747.742 | 503.951 | -213.067 | 0.000 | -0.000 | 0.000 |
| -133.242 | -133.242 | 1392.809 | 0.000 | -0.000 | 0.000 |
| 28.741 | 28.741 | -44.635 | 523.721 | -0.000 | 0.000 |
| 28.741 | 28.741 | -44.635 | 0.000 | 523.721 | 0.000 |
| 28.728 | 28.728 | -44.615 | 0.000 | 0.000 | 165.971 |
| 446.489 | 690.284 | -123.834 | -0.000 | -0.000 | 0.000 |
| 690.284 | 446.489 | -123.834 | -0.000 | 0.000 | 0.000 |
| -190.701 | -190.701 | 1482.040 | -0.000 | 0.000 | -0.000 |
| -28.741 | -28.741 | 44.635 | 523.721 | 0.000 | -0.000 |
| -28.741 | -28.741 | 44.635 | -0.000 | 523.721 | -0.000 |
| -28.728 | -28.728 | 44.615 | -0.000 | 0.000 | 165.971 |
| 478.082 | 721.937 | -172.936 | 0.000 | 0.000 | 0.000 |
| 721.937 | 478.082 | -172.936 | 0.000 | 0.000 | 0.000 |
| -159.100 | -159.100 | 1432.970 | 0.000 | 0.000 | 0.000 |
| 2.873 | 2.874 | -4.462 | 523.655 | 0.000 | 0.000 |
| 2.874 | 2.873 | -4.462 | 0.000 | 523.655 | 0.000 |
| 2.873 | 2.873 | -4.461 | 0.000 | 0.000 | 165.972 |
| 472.361 | 716.095 | -163.972 | -0.000 | -0.000 | -0.000 |
| 716.095 | 472.361 | -163.972 | -0.000 | -0.000 | 0.000 |
| -164.843 | -164.843 | 1441.879 | -0.000 | -0.000 | -0.000 |
| -2.873 | -2.874 | 4.462 | 523.655 | 0.000 | 0.000 |
| -2.874 | -2.873 | 4.462 | -0.000 | 523.655 | -0.000 |
| -2.873 | -2.873 | 4.461 | -0.000 | 0.000 | 165.972 |
| 544.959 | 123.497 | 123.497 | -0.000 | 0.000 | 0.000 |
| 123.497 | 544.959 | 123.497 | -0.000 | 0.000 | 0.000 |
| 123.497 | 123.497 | 544.959 | 0.000 | -0.000 | 0.000 |
| -0.000 | -0.000 | -0.000 | 334.939 | -0.000 | 0.000 |
| 0.000 | -0.000 | 0.000 | -0.000 | 334.939 | -0.000 |
| -0.000 | 0.000 | -0.000 | 0.000 | 0.000 | 334.939 |
| 553.710 | 119.121 | 119.121 | -0.000 | 0.000 | -0.000 |
| 119.121 | 553.710 | 119.121 | 0.000 | -0.000 | -0.000 |
| 119.121 | 119.121 | 553.710 | 0.000 | 0.000 | -0.000 |
| 0.000 | 0.000 | 0.000 | 334.939 | -0.000 | -0.000 |
| -0.000 | -0.000 | -0.000 | -0.000 | 334.939 | -0.000 |
| 0.000 | -0.000 | 0.000 | -0.000 | -0.000 | 334.939 |
| 544.959 | 123.497 | 123.497 | 0.000 | -0.000 | 0.000 |
| 123.497 | 544.959 | 123.497 | 0.000 | 0.000 | 0.000 |
| 123.497 | 123.497 | 544.959 | -0.000 | -0.000 | 0.000 |
| 0.000 | -0.000 | 0.000 | 334.939 | 0.000 | 0.000 |
| -0.000 | 0.000 | 0.000 | 0.000 | 334.939 | 0.000 |
| -0.000 | 0.000 | 0.000 | -0.000 | 0.000 | 334.939 |
| 553.710 | 119.121 | 119.121 | 0.000 | -0.000 | -0.000 |
| 119.121 | 553.710 | 119.121 | 0.000 | -0.000 | -0.000 |
| 119.121 | 119.121 | 553.710 | -0.000 | 0.000 | -0.000 |
| -0.000 | 0.000 | -0.000 | 334.939 | -0.000 | -0.000 |
| 0.000 | -0.000 | -0.000 | -0.000 | 334.939 | -0.000 |
| 0.000 | -0.000 | -0.000 | 0.000 | -0.000 | 334.939 |
| 544.960 | 123.497 | 123.497 | 0.000 | -0.000 | 0.000 |
| 123.497 | 544.960 | 123.497 | -0.000 | 0.000 | 0.000 |
| 123.497 | 123.497 | 544.960 | 0.000 | -0.000 | 0.000 |
| 0.000 | -0.000 | 0.000 | 334.939 | 0.000 | 0.000 |
| -0.000 | 0.000 | 0.000 | 0.000 | 334.939 | 0.000 |
| -0.000 | 0.000 | 0.000 | -0.000 | 0.000 | 334.939 |
| 544.958 | 123.496 | 123.496 | 0.000 | -0.000 | 0.000 |
| 123.496 | 544.958 | 123.496 | 0.000 | -0.000 | -0.000 |
| 123.496 | 123.496 | 544.958 | -0.000 | -0.000 | -0.000 |
| -0.000 | 0.000 | -0.000 | 334.939 | -0.000 | 0.000 |
| 0.000 | -0.000 | -0.000 | 0.000 | 334.939 | -0.000 |
| 0.000 | -0.000 | -0.000 | -0.000 | -0.000 | 334.939 |
| 1240.817 | 111.837 | -206.271 | -0.000 | -0.000 | 0.000 |
| 91.818 | 1024.378 | -36.110 | -0.000 | -0.000 | 0.000 |
| -336.695 | -27.549 | 1553.588 | -0.000 | -0.000 | 0.000 |
| 0.000 | -0.000 | -0.000 | 524.803 | -0.000 | 0.000 |
| 0.000 | -0.000 | -0.000 | 0.000 | 578.456 | -0.000 |
| 0.000 | -0.000 | -0.000 | -0.000 | -0.000 | 310.155 |
| 565.257 | 576.898 | 58.469 | 0.000 | 0.000 | 0.000 |
| 91.818 | 1024.378 | -36.110 | 0.000 | 0.000 | 0.000 |
| -336.695 | -27.549 | 1553.588 | 0.000 | 0.000 | 0.000 |
| -0.000 | -0.000 | 0.000 | 524.803 | 0.000 | -0.000 |
| -0.000 | 0.000 | 0.000 | -0.000 | 578.456 | -0.000 |
| -0.000 | 0.000 | 0.000 | 0.000 | 0.000 | 310.155 |
| 897.960 | 343.607 | -73.176 | -0.000 | -0.000 | 0.000 |
| 385.969 | 689.508 | -81.488 | -0.000 | -0.000 | -0.000 |
| -138.796 | -47.263 | 1392.199 | -0.000 | -0.000 | -0.000 |
| 33.206 | -26.258 | -10.664 | 505.355 | -0.000 | -0.000 |
| 0.000 | 0.000 | 0.000 | -0.000 | 578.456 | 0.000 |
| 0.000 | 0.000 | 0.000 | -0.000 | -0.000 | 310.155 |
| 1395.269 | 100.354 | -336.719 | 0.000 | 0.000 | -0.000 |
| 352.129 | 729.251 | -83.423 | -0.000 | 0.000 | -0.000 |
| -173.366 | -31.789 | 1411.785 | 0.000 | 0.000 | 0.000 |
| -33.206 | 26.258 | 10.664 | 505.355 | 0.000 | 0.000 |
| -0.000 | -0.000 | -0.000 | -0.000 | 578.456 | -0.000 |
| -0.000 | -0.000 | -0.000 | 0.000 | 0.000 | 310.155 |
| 870.504 | 362.735 | -62.216 | -0.000 | -0.000 | 0.000 |
| 372.448 | 699.525 | -86.919 | -0.000 | -0.000 | -0.000 |
| -72.259 | -72.499 | 1359.035 | -0.000 | -0.000 | -0.000 |
| 3.544 | -2.802 | -1.138 | 504.044 | -0.000 | -0.000 |
| 1.701 | -1.345 | -0.546 | -0.000 | 532.026 | -0.000 |
| 3.573 | -2.447 | -1.461 | 0.000 | -0.000 | 218.683 |
| 862.555 | 380.562 | -66.408 | -0.000 | -0.000 | -0.000 |
| 370.786 | 704.232 | -87.882 | -0.000 | 0.000 | 0.000 |
| -70.055 | -77.111 | 1361.005 | 0.000 | 0.000 | -0.000 |
| -3.544 | 2.802 | 1.138 | 504.044 | 0.000 | 0.000 |
| -1.701 | 1.345 | 0.546 | -0.000 | 532.026 | 0.000 |
| -3.573 | 2.447 | 1.461 | -0.000 | 0.000 | 218.683 |
| 849.931 | -87.274 | 134.925 | -0.000 | -153.773 | 0.000 |
| 427.799 | 916.938 | 44.868 | 0.000 | -127.763 | 0.000 |
| 448.729 | -129.871 | 1071.700 | 0.000 | -212.033 | 0.000 |
| 95.993 | -153.151 | 113.913 | 657.657 | -114.084 | -109.903 |
| 294.735 | -103.199 | -97.219 | 0.000 | -51.483 | 0.000 |
| 298.213 | -103.908 | 18.108 | -144.563 | -112.496 | 195.302 |
| 494.768 | 159.032 | 13.633 | -0.000 | 113.272 | -0.000 |
| -180.454 | 1141.986 | -10.455 | -0.000 | 96.734 | -0.000 |
| 93.094 | 58.169 | 1022.281 | -0.000 | 18.864 | 0.000 |
| -95.993 | 153.151 | -113.913 | 657.657 | 114.084 | -109.903 |
| -106.249 | 144.929 | -207.498 | 0.000 | 283.563 | -0.000 |
| -298.212 | 103.908 | -18.108 | -144.563 | 112.496 | 195.302 |
| 603.100 | -15.975 | 143.995 | -0.000 | -17.916 | 0.000 |
| 140.268 | 996.050 | 52.638 | -0.000 | -19.685 | 0.000 |
| 204.339 | -73.159 | 1100.352 | -0.000 | -102.945 | -0.000 |
| 11.398 | -18.185 | 13.526 | 642.992 | -13.546 | -114.464 |
| -54.646 | 72.612 | -199.872 | -0.000 | -89.881 | 0.000 |
| 26.729 | -9.712 | 1.983 | -139.736 | -10.343 | 201.435 |
| 566.881 | 25.213 | 114.820 | 0.000 | 6.477 | -0.000 |
| 184.766 | 902.501 | 210.519 | -0.000 | 168.613 | 0.000 |
| 176.178 | -63.685 | 1108.369 | 0.000 | -77.467 | 0.000 |
| -11.398 | 18.185 | -13.526 | 642.992 | 13.546 | -114.464 |
| -145.973 | 177.156 | -328.032 | 0.000 | -80.016 | 0.000 |
| -26.729 | 9.712 | -1.983 | -139.736 | 10.343 | 201.435 |
| 447.545 | 181.748 | -112.940 | 0.000 | -158.847 | 0.000 |
| 249.149 | 831.741 | 304.846 | 0.000 | 143.613 | 0.000 |
| -26.599 | 256.616 | 642.106 | 0.000 | -310.534 | -0.000 |
| 3.766 | -3.280 | 3.511 | 634.319 | -3.063 | -117.560 |
| -119.999 | 149.610 | -303.238 | 0.000 | -91.013 | 0.000 |
| 2.753 | 0.768 | -1.392 | -128.547 | 0.085 | 202.835 |
| 437.273 | 191.726 | -125.029 | -0.000 | -156.332 | -0.000 |
| 238.871 | 841.688 | 292.780 | 0.000 | 146.114 | -0.000 |
| -36.887 | 266.630 | 630.004 | -0.000 | -307.723 | -0.000 |
| -3.766 | 3.280 | -3.511 | 634.319 | 3.063 | -117.560 |
| -102.320 | 130.603 | -271.118 | -0.000 | -80.825 | -0.000 |
| -2.753 | -0.768 | 1.392 | -128.547 | -0.085 | 202.835 |
| -50.388 | -2.201 | -26.699 | -0.000 | 0.000 | 0.000 |
| -2.201 | -50.388 | -26.699 | -0.000 | 0.000 | 0.000 |
| -24.307 | -24.307 | 74.441 | -0.000 | 0.000 | 0.000 |
| 0.138 | 0.138 | -1.135 | -5.287 | 0.000 | -0.000 |
| 0.138 | 0.138 | -1.135 | -0.000 | -5.287 | -0.000 |
| -4.446 | -4.446 | -2.780 | -0.000 | 0.000 | -13.552 |
| -41.902 | 7.366 | -19.104 | 0.000 | -0.000 | -0.000 |
| 7.366 | -41.902 | -19.104 | 0.000 | -0.000 | -0.000 |
| -1.091 | -1.091 | 97.739 | 0.000 | -0.000 | 0.000 |
| -0.138 | -0.138 | 1.135 | -5.287 | -0.000 | 0.000 |
| -0.138 | -0.138 | 1.135 | 0.000 | -5.287 | -0.000 |
| 4.446 | 4.446 | 2.780 | 0.000 | -0.000 | -13.552 |
| -10762429.224 | -1549007.399 | -6457004.023 | -75415.889 | 164356.247 | 161.059 |
| -365250.216 | -10611352.987 | -5757082.208 | -7911.592 | 154454.798 | -153689.926 |
| -2.495 | -2.495 | 104.341 | -0.000 | 0.000 | 0.000 |
| -0.175 | -0.175 | -0.148 | -5.524 | 0.000 | 0.000 |
| -0.175 | -0.175 | -0.148 | -0.000 | -5.524 | 0.000 |
| -0.478 | -0.478 | -0.288 | -0.000 | 0.000 | -13.654 |
| 1190767.867 | 11109764.621 | 5812063.680 | -88212.325 | -73307.319 | -47507.008 |
| 10869447.821 | 663077.174 | 5620473.816 | -369799.137 | 72361.716 | 3371.736 |
| -20.227 | -20.227 | 76.455 | 0.000 | -0.000 | 0.000 |
| 0.175 | 0.175 | 0.148 | -5.524 | -0.000 | -0.000 |
| 0.175 | 0.175 | 0.148 | 0.000 | -5.524 | 0.000 |
| 0.478 | 0.478 | 0.288 | 0.000 | -0.000 | -13.654 |
| -1088801.826 | -44619.644 | -271631.022 | 34279.088 | 15545.279 | 25299.960 |
| -78316.748 | -1212419.158 | -317188.783 | 28154.658 | 14023.675 | 300.863 |
| -1.866 | -1.866 | 97.460 | -0.000 | 0.000 | -0.000 |
| -0.037 | -0.037 | -0.018 | -5.525 | 0.000 | -0.000 |
| -0.037 | -0.037 | -0.018 | -0.000 | -5.525 | -0.000 |
| -0.045 | -0.045 | -0.028 | -0.000 | 0.000 | -13.669 |
| 75101.810 | 1194330.482 | 166917.523 | 17592.588 | -7579.186 | -12010.159 |
| 999925.667 | 115559.822 | 31748.371 | -21595.369 | -18895.917 | -3600.324 |
| -20.553 | -20.553 | 76.295 | 0.000 | -0.000 | 0.000 |
| 0.037 | 0.037 | 0.018 | -5.525 | -0.000 | 0.000 |
| 0.037 | 0.037 | 0.018 | 0.000 | -5.525 | 0.000 |
| 0.045 | 0.045 | 0.028 | 0.000 | -0.000 | -13.669 |
| 18.089 | 0.559 | 14.970 | -0.000 | -0.001 | 0.001 |
| 0.559 | 18.091 | 14.970 | -0.000 | -0.001 | 0.001 |
| -1.453 | -1.450 | -0.842 | -0.000 | -0.000 | 0.000 |
| -1.190 | -1.186 | -1.586 | -0.058 | -0.000 | -0.002 |
| -1.190 | -1.186 | -1.586 | -0.000 | -0.058 | -0.002 |
| -1.955 | -1.952 | -0.066 | -0.000 | -0.003 | 1.951 |
| 20.669 | 2.919 | 16.594 | 0.000 | 0.001 | -0.001 |
| 2.919 | 20.667 | 16.595 | 0.000 | 0.001 | -0.001 |
| 1.755 | 1.752 | 0.687 | 0.000 | 0.000 | -0.000 |
| 1.190 | 1.186 | 1.586 | -0.058 | 0.000 | 0.002 |
| 1.190 | 1.186 | 1.586 | 0.000 | -0.058 | 0.002 |
| 1.952 | 1.949 | 0.062 | 0.000 | 0.003 | 1.959 |
| 1.114 | -1.790 | 0.280 | -0.000 | 0.000 | 0.000 |
| -1.790 | 1.115 | 0.280 | -0.000 | 0.000 | 0.000 |
| -0.161 | -0.161 | -0.075 | -0.000 | -0.000 | 0.000 |
| -0.180 | -0.180 | -0.073 | -0.001 | -0.000 | -0.000 |
| -0.180 | -0.180 | -0.073 | -0.000 | -0.001 | -0.000 |
| -0.058 | -0.057 | 0.667 | -0.000 | -0.001 | 0.086 |
| 0.380 | -1.330 | 0.466 | 0.000 | 0.002 | 0.000 |
| -1.330 | 0.379 | 0.466 | 0.000 | 0.002 | 0.000 |
| 0.164 | 0.164 | 0.074 | 0.000 | 0.000 | -0.000 |
| 0.180 | 0.180 | 0.073 | -0.001 | 0.000 | 0.000 |
| 0.180 | 0.180 | 0.073 | 0.000 | -0.001 | 0.000 |
| 0.058 | 0.057 | -0.667 | 0.000 | 0.001 | 0.086 |
| -0.017 | -0.017 | -0.008 | -0.000 | -0.000 | -0.000 |
| -0.008 | 0.022 | 0.334 | 0.000 | 0.000 | -0.000 |
| -0.020 | -0.020 | -0.015 | -0.000 | -0.000 | 0.000 |
| -0.021 | -0.021 | -0.023 | 0.707 | -0.000 | 0.000 |
| -0.021 | -0.021 | -0.023 | -0.000 | 0.707 | 0.000 |
| -0.005 | -0.005 | 0.072 | -0.000 | -0.000 | 0.001 |
| -0.031 | -0.050 | -0.215 | -0.000 | -0.000 | 0.000 |
| -0.050 | -0.031 | -0.213 | -0.000 | -0.000 | 0.000 |
| 0.020 | 0.020 | 0.015 | 0.000 | 0.000 | -0.000 |
| 0.021 | 0.021 | 0.023 | 0.707 | 0.000 | -0.000 |
| 0.021 | 0.021 | 0.023 | 0.000 | 0.707 | -0.000 |
| 0.005 | 0.005 | -0.072 | 0.000 | 0.000 | 0.001 |
| 506.361 | -18.245 | 0.487 | 0.000 | 2.330 | 0.000 |
| 147.366 | 432.707 | 0.282 | 0.000 | -7.715 | 0.002 |
| 18.195 | 82.285 | 0.013 | 0.000 | -8.225 | 0.002 |
| 0.000 | -0.000 | -0.000 | 0.521 | 0.000 | 1.453 |
| 2.330 | -0.301 | -0.005 | 0.000 | 0.582 | 0.000 |
| 17.768 | 81.693 | 0.007 | -0.485 | -8.177 | 110.902 |
| 442.025 | -103.140 | 0.534 | 0.000 | 27.822 | 0.001 |
| 53.149 | 310.763 | 0.674 | -0.000 | 70.062 | -0.002 |
| -146.136 | 6.179 | 0.015 | 0.000 | 26.220 | 0.001 |
| -0.000 | 0.000 | 0.000 | 0.521 | -0.000 | 1.453 |
| 2.330 | -0.301 | -0.005 | -0.000 | 0.582 | -0.000 |
| -17.768 | -81.693 | -0.007 | -0.485 | 8.177 | 110.899 |
| 440.620 | 45.727 | 0.435 | 0.000 | -6.807 | 0.000 |
| -18.245 | 506.939 | 0.306 | 0.000 | -0.301 | 0.000 |
| 16.747 | -19.998 | -0.168 | -0.000 | -7.869 | -0.000 |
| 1.527 | -25.280 | -0.368 | -0.220 | -12.622 | -4.123 |
| 7.644 | 2.748 | -0.035 | 0.000 | -7.122 | 0.000 |
| -12.684 | -57.574 | -0.840 | -0.889 | -11.793 | 196.560 |
| 506.361 | -18.245 | 0.487 | -0.000 | 2.330 | -0.000 |
| -27.730 | 493.308 | 0.287 | -0.000 | 1.604 | 0.000 |
| -8.417 | -1.799 | 0.039 | -0.000 | 6.990 | -0.000 |
| -16.149 | 20.214 | 0.174 | -0.193 | 7.869 | 2.996 |
| -15.179 | 18.250 | 0.176 | 0.000 | 7.632 | 0.000 |
| 12.684 | 57.574 | 0.840 | -0.889 | 11.793 | 196.560 |
| 454.719 | 22.183 | 0.464 | 0.000 | -0.495 | 0.000 |
| 20.130 | 459.811 | 0.281 | 0.000 | -0.574 | 0.000 |
| 1.275 | 0.561 | 0.003 | 0.000 | -0.702 | 0.000 |
| 1.398 | 0.014 | -0.000 | 0.191 | -0.254 | 1.703 |
| 0.029 | 0.601 | -0.003 | 0.000 | -0.790 | 0.000 |
| 1.061 | -0.756 | -0.009 | 0.022 | -0.768 | 213.187 |
| 463.519 | 22.002 | 0.452 | -0.000 | 1.779 | -0.000 |
| 21.909 | 464.223 | 0.297 | -0.000 | -0.064 | -0.000 |
| 0.180 | -0.545 | 0.005 | -0.000 | 0.066 | -0.000 |
| -1.398 | -0.014 | 0.000 | 0.191 | 0.254 | 1.703 |
| 0.242 | -1.113 | 0.002 | 0.000 | 0.459 | 0.000 |
| -1.061 | 0.756 | 0.009 | 0.022 | 0.768 | 213.187 |
| 135.332 | 69.578 | 0.000 | 0.000 | 0.000 | -0.000 |
| 69.578 | 135.332 | 0.000 | 0.000 | 0.000 | -0.000 |
| -0.000 | 0.000 | 0.000 | 0.000 | 0.000 | 0.000 |
| -0.000 | -0.000 | 0.000 | 0.000 | 0.000 | -0.000 |
| 0.000 | 0.000 | 0.000 | 0.000 | 0.000 | -0.000 |
| 0.000 | 0.000 | 0.000 | 0.000 | 0.000 | 10.138 |
| 135.332 | 69.578 | -0.000 | -0.000 | -0.000 | 0.000 |
| 69.578 | 135.332 | -0.000 | -0.000 | -0.000 | 0.000 |
| -0.000 | 0.000 | -0.000 | -0.000 | -0.000 | 0.000 |
| 0.000 | 0.000 | -0.000 | -0.000 | -0.000 | 0.000 |
| 0.000 | 0.000 | -0.000 | -0.000 | -0.000 | 0.000 |
| -0.000 | -0.000 | -0.000 | -0.000 | -0.000 | 10.138 |
| 135.332 | 69.578 | 0.000 | 0.000 | 0.000 | -0.000 |
| 69.578 | 135.332 | 0.000 | 0.000 | 0.000 | -0.000 |
| -0.000 | 0.000 | 0.000 | 0.000 | 0.000 | 0.000 |
| -0.000 | -0.000 | 0.000 | 0.000 | 0.000 | -0.000 |
| -0.000 | -0.000 | 0.000 | 0.000 | 0.000 | -0.000 |
| 0.000 | 0.000 | 0.000 | 0.000 | 0.000 | 10.138 |
| 135.332 | 69.578 | -0.000 | -0.000 | -0.000 | 0.000 |
| 69.578 | 135.332 | -0.000 | -0.000 | -0.000 | 0.000 |
| -0.000 | 0.000 | -0.000 | -0.000 | -0.000 | 0.000 |
| -0.000 | 0.000 | -0.000 | -0.000 | -0.000 | 0.000 |
| 0.000 | 0.000 | -0.000 | -0.000 | -0.000 | 0.000 |
| -0.000 | -0.000 | -0.000 | -0.000 | -0.000 | 10.138 |
| 135.332 | 69.578 | 0.000 | 0.000 | 0.000 | 0.000 |
| 69.578 | 135.332 | 0.000 | 0.000 | 0.000 | 0.000 |
| -0.000 | 0.000 | 0.000 | 0.000 | 0.000 | 0.000 |
| 0.000 | -0.000 | 0.000 | 0.000 | 0.000 | -0.000 |
| 0.000 | 0.000 | 0.000 | 0.000 | 0.000 | -0.000 |
| 0.000 | 0.000 | 0.000 | 0.000 | 0.000 | 10.138 |
| 135.331 | 69.577 | -0.000 | -0.000 | -0.000 | 0.000 |
| 69.577 | 135.331 | -0.000 | -0.000 | -0.000 | 0.000 |
| -0.000 | 0.000 | -0.000 | -0.000 | -0.000 | 0.000 |
| -0.000 | -0.000 | -0.000 | -0.000 | -0.000 | 0.000 |
| 0.000 | 0.000 | -0.000 | -0.000 | -0.000 | 0.000 |
| -0.000 | -0.000 | -0.000 | -0.000 | -0.000 | 10.138 |
| 1839.748 | -125.931 | -1419.639 | 0.000 | -0.000 | 0.000 |
| 160.730 | -877.439 | 383.504 | 0.000 | 0.000 | 0.000 |
| 16.518 | 2.066 | 505.414 | 0.000 | -0.000 | 0.000 |
| 130.072 | -1158.796 | 356.971 | 158.272 | -0.000 | -0.000 |
| 1494.208 | -176.020 | -1466.097 | 0.000 | 156.054 | -0.000 |
| 1494.252 | -176.026 | -1466.140 | 0.000 | 0.000 | 150.769 |
| 130.444 | 1193.559 | -304.270 | 0.000 | -0.000 | 0.000 |
| -100.208 | 1442.278 | -329.182 | -0.000 | 0.000 | 0.000 |
| -2409.608 | 10849.551 | -2212.101 | -0.000 | 0.000 | -0.000 |
| -130.072 | 1158.796 | -356.971 | 158.272 | -0.000 | 0.000 |
| -1494.208 | 176.020 | 1466.097 | 0.000 | 156.054 | 0.000 |
| -1494.252 | 176.026 | 1466.140 | -0.000 | -0.000 | 150.769 |
| 107.781 | -1067.947 | 142.122 | 0.000 | 0.000 | 0.000 |
| 47.860 | 155.779 | 56.919 | 0.000 | 0.000 | 0.000 |
| 63.138 | -475.670 | 201.438 | 0.000 | -0.000 | 0.000 |
| 17.199 | -114.732 | 30.889 | 156.891 | 0.000 | -0.000 |
| 16.353 | -115.158 | 31.941 | 0.000 | 152.367 | 0.000 |
| 148.827 | -17.532 | -146.027 | 0.000 | -0.000 | 151.069 |
| 453.185 | 17.580 | 14.836 | -0.000 | -0.000 | 0.000 |
| -93.433 | 362.163 | 184.513 | -0.000 | -0.000 | -0.000 |
| -86.707 | 648.527 | -137.948 | -0.000 | -0.000 | -0.000 |
| -17.199 | 114.732 | -30.889 | 156.891 | 0.000 | 0.000 |
| -16.353 | 115.158 | -31.941 | -0.000 | 152.367 | 0.000 |
| -148.827 | 17.532 | 146.027 | -0.000 | -0.000 | 151.069 |
| 92.327 | -77.317 | -1.267 | 0.000 | -0.000 | 0.000 |
| 18.739 | 459.316 | 1.544 | 0.000 | 0.000 | 0.000 |
| 25.589 | -42.911 | 185.806 | 0.000 | -0.000 | 0.000 |
| 44.148 | -107.378 | 13.590 | 34.331 | -0.000 | -0.000 |
| 3.841 | -30.432 | 6.581 | 0.000 | 80.100 | -0.000 |
| 4.303 | -12.445 | 0.837 | 0.000 | 0.000 | 117.595 |
| -16.371 | 8.086 | -59.034 | -0.000 | 0.000 | -0.000 |
| 35.090 | 204.728 | 7.943 | -0.000 | 0.000 | 0.000 |
| -52.833 | 20.805 | 146.655 | -0.000 | 0.000 | 0.000 |
| -44.148 | 107.378 | -13.590 | 34.331 | 0.000 | -0.000 |
| -3.841 | 30.432 | -6.581 | -0.000 | 80.100 | 0.000 |
| -4.303 | 12.445 | -0.837 | -0.000 | -0.000 | 117.595 |
| -473.575 | -1269.191 | 1255.117 | 0.000 | 0.000 | -0.000 |
| 18.388 | 533.863 | 30.906 | 0.000 | -0.000 | 0.000 |
| -234.946 | -1237.421 | 1003.655 | 0.000 | 0.000 | -0.000 |
| -173.385 | -622.784 | 658.935 | 47.627 | 0.000 | -0.000 |
| -0.000 | -0.000 | 0.000 | 0.000 | 264.187 | 0.000 |
| -0.000 | -0.000 | 0.000 | 0.000 | -0.000 | 254.533 |
| 530.333 | 18.385 | 21.011 | -0.000 | 0.000 | -0.000 |
| 278.964 | 835.760 | -507.239 | -0.000 | -0.000 | 0.000 |
| 509.606 | 1466.857 | -1062.545 | -0.000 | -0.000 | 0.000 |
| 173.385 | 622.784 | -658.935 | 47.626 | -0.000 | 0.000 |
| 0.000 | 0.000 | -0.000 | -0.000 | 264.187 | -0.000 |
| 0.000 | -0.000 | -0.000 | -0.000 | -0.000 | 254.533 |
| 238.586 | -34.292 | 135.894 | -0.000 | -0.000 | -0.000 |
| 25.098 | 188.522 | 159.173 | 0.000 | -0.000 | -0.000 |
| 78.903 | 64.598 | 397.284 | 0.000 | 0.000 | -0.000 |
| 0.000 | -0.000 | 0.000 | 266.736 | -0.000 | -0.000 |
| -0.000 | 0.000 | 0.000 | -0.000 | 264.187 | 0.000 |
| -0.000 | 0.000 | 0.000 | 0.000 | -0.000 | 254.533 |
| 189.192 | 166.914 | -73.834 | -0.000 | -0.000 | 0.000 |
| 84.851 | 275.707 | -48.707 | -0.000 | -0.000 | -0.000 |
| 105.751 | 145.708 | 299.849 | -0.000 | -0.000 | 0.000 |
| -0.000 | 0.000 | -0.000 | 266.736 | -0.000 | -0.000 |
| 0.000 | -0.000 | -0.000 | -0.000 | 264.187 | -0.000 |
| 0.000 | -0.000 | -0.000 | -0.000 | 0.000 | 254.533 |
| 163.264 | 32.719 | 45.701 | 0.000 | 0.000 | -0.000 |
| 58.258 | 242.821 | 91.053 | 0.000 | 0.000 | -0.000 |
| 35.796 | 54.585 | 222.879 | 0.000 | 0.000 | -0.000 |
| -3.430 | -10.480 | 9.040 | 109.718 | 0.000 | -0.000 |
| -0.000 | 0.000 | 0.000 | 0.000 | 264.187 | 0.000 |
| -3.235 | -9.901 | 8.945 | 0.000 | 0.000 | 103.662 |
| 167.638 | 56.965 | 24.924 | -0.000 | -0.000 | 0.000 |
| 64.311 | 260.135 | 72.934 | -0.000 | -0.000 | 0.000 |
| 43.702 | 76.061 | 229.086 | -0.000 | -0.000 | 0.000 |
| 3.430 | 10.480 | -9.040 | 109.718 | -0.000 | 0.000 |
| 0.000 | -0.000 | -0.000 | -0.000 | 264.187 | -0.000 |
| 3.235 | 9.901 | -8.945 | -0.000 | -0.000 | 103.662 |
| 344.590 | 0.000 | 0.000 | 0.000 | 0.000 | 0.000 |
| -0.000 | 0.000 | 0.000 | 0.000 | 0.000 | 0.000 |
| 8.490 | 0.000 | 906.906 | -0.000 | -87.746 | 0.000 |
| 0.000 | 0.000 | 0.000 | 0.000 | 0.000 | 0.000 |
| -0.000 | 0.000 | 0.000 | 0.000 | 0.000 | 0.000 |
| 0.000 | 0.000 | 0.000 | 0.000 | 0.000 | 0.000 |
| 344.590 | -0.000 | -0.000 | -0.000 | -0.000 | -0.000 |
| -0.000 | -0.000 | -0.000 | -0.000 | -0.000 | -0.000 |
| -0.000 | -0.000 | -0.000 | -0.000 | -0.000 | -0.000 |
| -0.000 | -0.000 | -0.000 | -0.000 | -0.000 | -0.000 |
| -0.821 | -0.000 | -87.716 | -0.000 | 8.487 | -0.000 |
| -0.000 | -0.000 | -0.000 | -0.000 | -0.000 | -0.000 |
| 344.591 | 0.000 | 0.000 | 0.000 | 0.000 | 0.000 |
| 0.000 | 0.000 | 0.000 | 0.000 | 0.000 | 0.000 |
| 8.488 | 0.000 | 906.922 | -0.000 | -87.748 | 0.000 |
| 0.000 | 0.000 | 0.000 | 0.000 | 0.000 | 0.000 |
| -0.000 | 0.000 | 0.000 | 0.000 | 0.000 | 0.000 |
| 0.000 | 0.000 | 0.000 | 0.000 | 0.000 | 0.000 |
| 344.590 | -0.000 | -0.000 | -0.000 | -0.000 | -0.000 |
| 0.000 | -0.000 | -0.000 | -0.000 | -0.000 | -0.000 |
| 0.000 | -0.000 | -0.000 | -0.000 | -0.000 | -0.000 |
| -0.000 | -0.000 | -0.000 | -0.000 | -0.000 | -0.000 |
| -0.821 | -0.000 | -87.746 | 0.000 | 8.490 | -0.000 |
| -0.000 | -0.000 | -0.000 | -0.000 | -0.000 | -0.000 |
| 344.591 | 0.000 | 0.000 | 0.000 | 0.000 | 0.000 |
| -0.006 | 506.329 | 0.000 | 0.000 | 0.000 | -0.000 |
| 8.471 | 0.000 | 906.778 | 0.000 | -87.734 | 0.000 |
| 0.000 | 0.000 | 0.000 | 0.000 | 0.000 | 0.000 |
| -0.000 | 0.000 | 0.000 | 0.000 | 0.000 | 0.000 |
| 0.000 | 0.000 | 0.000 | 0.000 | 0.000 | 0.000 |
| 344.590 | -0.000 | -0.000 | -0.000 | -0.000 | -0.000 |
| -0.000 | -0.000 | -0.000 | -0.000 | -0.000 | -0.000 |
| 0.000 | -0.000 | -0.000 | -0.000 | -0.000 | -0.000 |
| -0.000 | -0.000 | -0.000 | -0.000 | -0.000 | -0.000 |
| -0.821 | -0.000 | -87.748 | 0.000 | 8.490 | -0.000 |
| -0.000 | -0.000 | -0.000 | -0.000 | -0.000 | -0.000 |
| 259.456 | 42.429 | 20.009 | 0.000 | 39.683 | 0.000 |
| 44.529 | 379.956 | 16.843 | 0.000 | -19.415 | 0.000 |
| 16.884 | 16.843 | 417.936 | 0.000 | 28.884 | 0.000 |
| -0.000 | 0.000 | -0.000 | 198.103 | -0.000 | 11.542 |
| 17.999 | -16.192 | 30.297 | 0.000 | 101.606 | 0.000 |
| 0.001 | 0.011 | -0.045 | 7.632 | -0.011 | 109.368 |
| 259.456 | 42.429 | 20.009 | -0.000 | 39.683 | -0.000 |
| 50.383 | 309.884 | 47.946 | -0.000 | -15.432 | -0.000 |
| 16.884 | 16.843 | 417.936 | -0.000 | 28.884 | -0.000 |
| 0.000 | -0.000 | 0.000 | 198.103 | 0.000 | 11.542 |
| 25.330 | -19.415 | 28.884 | -0.000 | 132.692 | -0.000 |
| -0.001 | -0.011 | 0.045 | 7.632 | 0.011 | 109.368 |
| 211.392 | 48.058 | 46.514 | 0.000 | 27.848 | 0.000 |
| 50.383 | 309.901 | 47.890 | 0.000 | -15.446 | 0.000 |
| 26.326 | 26.075 | 202.451 | 0.000 | 43.905 | 0.000 |
| 0.000 | 0.001 | -0.005 | 149.737 | -0.001 | 7.183 |
| 25.330 | -19.415 | 28.884 | 0.000 | 132.692 | 0.000 |
| 0.000 | 0.001 | -0.004 | 7.632 | -0.001 | 109.368 |
| 174.153 | 55.556 | 28.492 | 0.000 | 26.656 | 0.000 |
| 57.482 | 247.819 | 19.279 | 0.000 | -11.461 | 0.000 |
| 36.520 | 37.577 | 313.266 | -0.000 | 30.083 | -0.000 |
| -0.000 | -0.001 | 0.005 | 149.737 | 0.001 | 7.183 |
| 17.068 | -12.481 | 36.863 | 0.000 | 81.720 | -0.000 |
| -0.000 | -0.001 | 0.004 | 7.632 | 0.001 | 109.368 |
| 154.212 | 48.371 | 33.108 | 0.000 | 21.649 | 0.000 |
| 44.768 | 185.496 | 23.347 | 0.000 | -10.722 | 0.000 |
| 37.441 | 11.450 | 149.376 | 0.000 | 51.310 | -0.000 |
| 0.000 | 0.000 | -0.000 | 149.737 | -0.000 | 7.183 |
| 17.992 | -16.199 | 30.338 | 0.000 | 101.592 | 0.000 |
| -0.001 | 0.000 | -0.000 | 6.310 | 0.000 | 83.072 |
| 125.208 | 40.633 | 36.818 | -0.000 | 19.791 | -0.000 |
| 32.092 | 154.314 | 5.481 | -0.000 | -3.865 | -0.000 |
| 37.423 | 11.416 | 149.403 | -0.000 | 51.330 | 0.000 |
| -0.000 | -0.000 | 0.000 | 149.737 | 0.000 | 7.183 |
| 13.996 | -10.394 | 39.872 | -0.000 | 62.413 | -0.000 |
| 0.001 | -0.000 | 0.000 | 6.310 | -0.000 | 83.072 |
| 24.201 | 7.788 | 8.825 | 0.000 | 2.021 | -0.000 |
| 17.188 | 105.748 | 32.827 | 0.000 | 5.465 | 0.000 |
| 16.788 | 46.620 | 63.698 | 0.000 | 11.824 | 0.000 |
| 49.801 | 95.039 | 120.097 | -27.730 | 97.930 | -6.288 |
| 19.323 | 75.525 | 24.529 | 0.000 | 7.695 | 0.000 |
| 13.427 | 31.841 | 12.170 | 1.987 | 8.928 | 5.299 |
| 23.968 | 7.448 | 8.441 | -0.000 | 1.722 | -0.000 |
| 6.845 | 72.585 | 16.330 | -0.000 | 1.627 | -0.000 |
| -13.943 | -67.015 | 13.887 | -0.000 | -3.456 | -0.000 |
| -18.648 | -74.935 | -22.684 | 15.038 | -4.476 | 0.702 |
| -12.081 | -29.841 | -9.556 | -0.000 | -2.744 | -0.000 |
| -13.427 | -31.841 | -12.170 | 1.987 | -8.928 | 5.299 |
| -1.224 | 7.856 | 5.130 | 0.000 | 0.979 | 0.000 |
| -1.305 | 31.970 | 11.630 | 0.000 | 1.095 | 0.000 |
| 3.850 | 18.025 | 50.828 | 0.000 | 3.898 | 0.000 |
| 1.130 | 1.650 | 1.864 | 31.061 | 1.452 | 1.482 |
| 3.587 | 7.013 | 7.240 | 0.000 | 1.483 | 0.000 |
| 2.279 | 9.947 | 7.469 | 0.099 | 4.905 | -0.321 |
| -5.799 | -7.087 | -5.452 | -0.000 | -2.317 | -0.000 |
| -6.089 | 19.446 | 4.921 | -0.000 | -0.166 | -0.000 |
| 2.279 | -3.882 | 24.687 | -0.000 | -0.286 | -0.000 |
| -1.130 | -1.650 | -1.864 | 31.061 | -1.452 | 1.482 |
| -4.192 | -9.340 | -4.374 | -0.000 | -3.516 | -0.000 |
| -2.279 | -9.947 | -7.469 | 0.099 | -4.905 | -0.321 |
| 0.384 | 1.076 | 2.523 | 0.000 | 0.208 | 0.000 |
| 0.366 | 1.236 | 0.146 | 0.000 | 0.178 | 0.000 |
| 0.326 | -1.106 | 1.998 | 0.000 | 0.207 | 0.000 |
| 0.217 | 0.634 | 1.191 | 1.958 | 0.254 | 0.000 |
| 0.249 | 0.836 | 1.040 | 0.000 | 1.155 | 0.000 |
| 0.233 | 0.774 | 0.979 | 0.016 | 0.228 | 0.247 |
| -0.428 | -1.234 | -0.921 | -0.000 | -0.263 | -0.000 |
| -0.262 | -0.343 | -0.790 | -0.000 | -0.252 | -0.000 |
| -0.262 | -1.804 | 0.568 | -0.000 | -0.214 | -0.000 |
| -0.217 | -0.634 | -1.191 | 1.958 | -0.254 | 0.000 |
| -0.248 | -0.671 | -0.906 | -0.000 | 0.063 | -0.000 |
| -0.356 | -0.585 | -1.264 | -0.010 | -0.195 | 0.545 |
| 826.740 | 35.640 | 35.640 | 0.000 | 0.000 | 0.000 |
| 35.640 | 826.740 | 35.640 | 0.000 | 0.000 | 0.000 |
| 35.640 | 35.640 | 826.740 | -0.000 | 0.000 | 0.000 |
| 0.000 | 0.000 | 0.000 | 393.224 | -0.000 | -0.000 |
| 0.000 | 0.000 | 0.000 | 0.000 | 393.224 | -0.000 |
| 0.000 | 0.000 | -0.000 | 0.000 | -0.000 | 393.224 |
| 826.740 | 35.640 | 35.640 | -0.000 | -0.000 | -0.000 |
| 35.640 | 826.740 | 35.640 | -0.000 | -0.000 | -0.000 |
| 77.404 | 77.404 | 744.702 | -0.000 | -0.000 | -0.000 |
| -0.000 | -0.000 | -0.000 | 393.224 | -0.000 | -0.000 |
| -0.000 | -0.000 | -0.000 | 0.000 | 393.224 | -0.000 |
| -0.000 | -0.000 | 0.000 | -0.000 | -0.000 | 393.224 |
| 743.108 | 76.445 | 76.445 | 0.000 | 0.000 | 0.000 |
| 76.445 | 743.108 | 76.445 | 0.000 | 0.000 | -0.000 |
| 76.445 | 76.445 | 743.108 | 0.000 | 0.000 | 0.000 |
| -0.372 | -0.372 | -0.372 | 334.095 | 0.000 | 0.000 |
| -0.372 | -0.372 | -0.372 | 0.000 | 334.095 | 0.000 |
| -0.372 | -0.372 | -0.372 | 0.000 | 0.000 | 334.095 |
| 715.314 | 90.156 | 90.156 | -0.000 | -0.000 | -0.000 |
| 90.156 | 715.314 | 90.156 | -0.000 | 0.000 | -0.000 |
| 90.156 | 90.156 | 715.314 | -0.000 | -0.000 | 0.000 |
| 0.372 | 0.372 | 0.372 | 334.095 | -0.000 | 0.000 |
| 0.372 | 0.372 | 0.372 | -0.000 | 334.095 | -0.000 |
| 0.372 | 0.372 | 0.372 | -0.000 | 0.000 | 334.095 |
| 698.700 | 97.976 | 97.976 | 0.000 | 0.000 | -0.000 |
| 97.976 | 698.700 | 97.976 | 0.000 | -0.000 | -0.000 |
| 89.928 | 89.928 | 715.163 | 0.000 | 0.000 | -0.000 |
| -0.017 | -0.017 | -0.017 | 330.837 | 0.000 | 0.000 |
| -0.017 | -0.017 | -0.017 | 0.000 | 330.837 | 0.000 |
| -0.017 | -0.017 | -0.017 | -0.000 | 0.000 | 330.837 |
| 715.185 | 89.969 | 89.969 | 0.000 | -0.000 | -0.000 |
| 89.969 | 715.185 | 89.969 | -0.000 | -0.000 | -0.000 |
| 89.969 | 89.969 | 715.185 | -0.000 | 0.000 | 0.000 |
| 0.017 | 0.017 | 0.017 | 330.837 | 0.000 | -0.000 |
| 0.017 | 0.017 | 0.017 | -0.000 | 330.837 | 0.000 |
| 0.017 | 0.017 | 0.017 | 0.000 | -0.000 | 330.837 |
| -416858.977 | -566718.959 | -189997.590 | 60198.393 | -167554.829 | -34103.682 |
| -413856.475 | -480296.535 | -82867.406 | 61836.248 | -141201.785 | -19707.496 |
| -364700.071 | -592594.778 | -260252.356 | 54723.382 | -101514.365 | -70659.847 |
| -325858.256 | -602008.890 | -114841.922 | 69706.137 | -119046.145 | -81597.128 |
| -414813.543 | -617693.037 | -193813.185 | 91827.901 | -101756.046 | -57082.814 |
| -446586.370 | -579244.667 | -80632.133 | 127560.471 | -89470.496 | -81166.377 |
| 402927.477 | 568372.444 | 120069.901 | -93149.299 | 66573.819 | 97008.555 |
| 326135.815 | 516191.064 | 124892.457 | -166345.062 | 144046.586 | 54965.038 |
| 400013.813 | 591766.817 | 110401.721 | -93812.508 | 119340.576 | 61485.470 |
| 527434.217 | 550424.336 | 146358.681 | -76442.013 | 76094.025 | 71744.765 |
| 431983.170 | 489383.292 | 185834.505 | -155369.566 | 28383.102 | 89480.683 |
| 452080.882 | 539459.354 | 103805.493 | -91198.278 | 83076.102 | 72032.114 |
| -30807.559 | -52708.361 | -9785.655 | 9829.921 | -15099.734 | -3747.039 |
| -47448.193 | -62581.249 | -15318.478 | 5855.896 | -8161.181 | 442.366 |
| -42122.924 | -52403.756 | -21677.146 | 9113.290 | -8529.692 | -3021.473 |
| -38540.758 | -49365.660 | -17984.313 | 9731.064 | -13079.957 | -3709.682 |
| -35037.433 | -53105.609 | -18529.079 | 8693.222 | -11833.931 | -1829.943 |
| -52154.438 | -49488.427 | -15464.389 | 13044.963 | -9320.334 | -12101.656 |
| 39711.339 | 55460.768 | 17588.009 | -13922.568 | 9199.316 | 2129.036 |
| 32613.483 | 57460.198 | 18701.120 | -12423.081 | 1867.385 | 7482.328 |
| 40904.030 | 56390.300 | 15677.314 | -11574.213 | 8775.670 | 3379.680 |
| 34665.023 | 45985.700 | 6353.172 | -7242.056 | 10275.516 | 5757.095 |
| 39151.909 | 67080.137 | 20180.926 | -16126.202 | 14204.024 | 7325.864 |
| 43683.704 | 57824.147 | 17735.278 | -15867.270 | 11098.148 | 742.958 |
| -3902.406 | -5305.964 | -1480.459 | 1124.605 | -1049.415 | -711.757 |
| -4332.348 | -5649.824 | -2375.745 | 433.480 | -651.942 | -992.884 |
| -3152.735 | -5407.099 | -1931.725 | 1425.585 | -1555.820 | -1306.139 |
| -3713.280 | -5029.881 | -687.370 | 1111.799 | -1183.657 | -1031.588 |
| -3456.489 | -4914.624 | -1860.714 | 1011.241 | -932.199 | -321.461 |
| -4488.418 | -5722.313 | -1269.976 | 864.244 | -913.872 | -1487.288 |
| 3672.646 | 5401.517 | 1775.756 | -941.068 | 851.756 | 125.122 |
| 4809.233 | 6173.629 | 1826.774 | -1126.636 | 1068.143 | 785.516 |
| 4549.365 | 5957.272 | 2608.135 | -922.528 | 1338.168 | 704.865 |
| 3988.647 | 5711.997 | 2303.034 | -952.586 | 1195.883 | 569.844 |
| 4631.177 | 5331.063 | 1823.920 | -1323.879 | 1549.812 | 1406.087 |
| 4629.301 | 5405.247 | 2938.827 | -2088.936 | 397.448 | 1299.143 |
| 803.632 | 518.797 | 518.797 | 0.000 | 0.000 | 0.000 |
| 518.797 | 803.632 | 518.797 | 0.000 | 0.000 | 0.000 |
| 518.797 | 518.797 | 803.632 | 0.000 | 0.000 | 0.000 |
| 5348.589 | 5348.589 | 5348.589 | -201.338 | 0.000 | 0.000 |
| 5348.589 | 5348.589 | 5348.589 | -0.000 | -201.338 | 0.000 |
| 5348.589 | 5348.589 | 5348.589 | -0.000 | 0.000 | -201.338 |
| -111.612 | -395.558 | -395.558 | -0.000 | -0.000 | -0.000 |
| -395.558 | -111.612 | -395.558 | -0.000 | -0.000 | -0.000 |
| -395.558 | -395.558 | -111.612 | -0.000 | -0.000 | -0.000 |
| -5348.589 | -5348.589 | -5348.589 | -201.338 | -0.000 | -0.000 |
| -5348.589 | -5348.589 | -5348.589 | -0.000 | -201.338 | 0.000 |
| -5348.589 | -5348.589 | -5348.589 | 0.000 | -0.000 | -201.338 |
| 489.177 | 17.246 | 17.246 | 0.000 | 0.000 | -0.000 |
| 17.246 | 489.177 | 17.246 | 0.000 | 0.000 | 0.000 |
| 17.246 | 17.246 | 489.177 | 0.000 | 0.000 | 0.000 |
| 601.554 | 601.554 | 601.554 | -182.157 | 0.000 | 0.000 |
| 601.554 | 601.554 | 601.554 | -0.000 | -182.157 | -0.000 |
| 601.554 | 601.554 | 601.554 | -0.000 | 0.000 | -182.157 |
| -918.667 | -632.213 | -632.213 | 0.000 | -0.000 | 0.000 |
| -632.213 | -918.667 | -632.213 | -0.000 | -0.000 | 0.000 |
| -632.213 | -632.213 | -918.667 | 0.000 | -0.000 | 0.000 |
| -601.554 | -601.554 | -601.554 | -182.157 | -0.000 | -0.000 |
| -601.554 | -601.554 | -601.554 | 0.000 | -182.157 | 0.000 |
| -601.554 | -601.554 | -601.554 | 0.000 | -0.000 | -182.157 |
| 372.652 | 59.641 | 59.641 | 0.000 | 0.000 | 0.000 |
| 59.641 | 372.652 | 59.641 | 0.000 | 0.000 | 0.000 |
| 59.641 | 59.641 | 372.652 | 0.000 | 0.000 | 0.000 |
| 37.947 | 37.947 | 37.947 | 23.935 | 0.000 | -0.000 |
| 24.367 | 24.366 | 24.367 | 0.000 | 19.598 | -0.000 |
| 37.947 | 37.947 | 37.947 | 0.000 | 0.000 | 23.935 |
| -68.364 | -153.153 | -153.153 | -0.000 | -0.000 | 0.000 |
| -153.153 | -68.364 | -153.153 | -0.000 | -0.000 | 0.000 |
| -153.153 | -153.153 | -68.364 | -0.000 | -0.000 | 0.000 |
| -37.151 | -37.151 | -37.151 | 45.990 | -0.000 | 0.000 |
| -24.367 | -24.366 | -24.367 | -0.000 | 19.598 | 0.000 |
| -127.038 | -127.038 | -127.038 | -0.000 | -0.000 | -82.322 |
| 338.486 | 108.331 | 108.332 | 0.000 | 0.000 | 0.000 |
| 108.332 | 338.485 | 108.332 | 0.000 | 0.000 | 0.000 |
| 108.332 | 108.331 | 338.486 | 0.000 | 0.000 | 0.000 |
| 58.030 | 58.030 | 58.030 | 158.676 | -0.000 | -0.000 |
| 58.030 | 58.030 | 58.030 | 0.000 | 158.676 | -0.000 |
| 58.030 | 58.030 | 58.030 | 0.000 | -0.000 | 158.676 |
| 244.115 | 13.955 | 13.954 | -0.000 | -0.000 | -0.000 |
| 13.954 | 244.116 | 13.954 | -0.000 | -0.000 | -0.000 |
| 13.954 | 13.955 | 244.115 | -0.000 | -0.000 | -0.000 |
| -58.030 | -58.030 | -58.030 | 158.676 | 0.000 | 0.000 |
| -58.030 | -58.030 | -58.030 | -0.000 | 158.676 | -0.000 |
| -58.030 | -58.030 | -58.030 | -0.000 | 0.000 | 158.676 |
| -572.347 | -353.905 | -353.906 | -0.000 | -0.000 | -0.000 |
| -353.906 | -572.347 | -353.906 | -0.000 | -0.000 | -0.000 |
| -353.906 | -353.906 | -572.347 | -0.000 | -0.000 | -0.000 |
| 5.832 | 5.832 | 5.832 | 155.923 | 0.000 | 0.000 |
| 5.832 | 5.832 | 5.832 | 0.000 | 155.923 | 0.000 |
| 5.832 | 5.832 | 5.832 | 0.000 | 0.000 | 155.923 |
| 296.488 | 7.643 | 7.643 | -0.000 | -0.000 | -0.000 |
| 7.643 | 296.488 | 7.643 | -0.000 | -0.000 | -0.000 |
| 7.643 | 7.643 | 296.488 | -0.000 | -0.000 | -0.000 |
| -5.832 | -5.832 | -5.832 | 155.923 | -0.000 | -0.000 |
| -5.832 | -5.832 | -5.832 | -0.000 | 155.923 | -0.000 |
| -5.832 | -5.832 | -5.832 | -0.000 | -0.000 | 155.923 |
| 67.633 | 4.559 | 4.559 | 0.000 | 0.000 | 0.000 |
| 4.559 | 67.633 | 4.559 | 0.000 | 0.000 | 0.000 |
| 4.559 | 4.559 | 67.633 | 0.000 | 0.000 | 0.000 |
| 0.349 | 0.348 | 0.349 | 147.210 | 0.000 | 0.000 |
| 0.348 | 0.349 | 0.349 | 0.000 | 147.210 | 0.000 |
| 0.348 | 0.349 | 0.349 | 0.000 | 0.000 | 147.210 |
| 8.919 | -65.921 | -65.921 | -0.000 | -0.000 | -0.000 |
| -65.921 | 8.919 | -65.921 | -0.000 | -0.000 | -0.000 |
| -65.921 | -65.921 | 8.919 | -0.000 | -0.000 | -0.000 |
| -0.349 | -0.348 | -0.349 | 147.210 | -0.000 | -0.000 |
| -0.348 | -0.349 | -0.349 | -0.000 | 147.210 | -0.000 |
| -0.348 | -0.349 | -0.349 | -0.000 | -0.000 | 147.210 |
| 59.273 | 9.167 | 11.896 | 0.000 | -0.000 | -0.000 |
| 9.703 | 693.481 | 62.840 | 0.000 | -0.000 | 0.000 |
| 11.896 | -1.622 | 865.345 | -0.000 | -0.000 | 0.000 |
| -0.000 | 0.000 | 0.000 | 430.581 | -0.000 | 0.000 |
| -0.000 | -0.000 | 0.000 | -0.000 | 140.017 | -0.000 |
| -0.000 | -0.000 | -0.000 | 0.000 | -0.000 | 261.023 |
| 55.144 | 8.320 | 6.544 | 0.000 | 0.000 | -0.000 |
| 9.617 | 693.384 | 62.821 | 0.000 | 0.000 | -0.000 |
| 11.896 | -1.622 | 865.345 | 0.000 | 0.000 | 0.000 |
| 0.000 | -0.000 | -0.000 | 430.581 | 0.000 | 0.000 |
| 0.000 | 0.000 | -0.000 | 0.000 | 140.017 | 0.000 |
| 0.000 | 0.000 | 0.000 | -0.000 | 0.000 | 261.023 |
| 56.942 | 16.826 | 0.552 | 0.000 | -0.000 | 0.000 |
| 9.665 | 693.439 | 62.831 | 0.000 | -0.000 | 0.000 |
| 11.896 | -1.622 | 865.345 | -0.000 | -0.000 | -0.000 |
| -0.000 | -0.000 | 0.000 | 430.581 | -0.000 | 0.000 |
| 0.002 | -0.000 | 0.001 | -0.000 | 47.877 | 0.000 |
| -0.000 | -0.000 | -0.000 | -0.000 | -0.000 | 261.023 |
| 53.706 | 11.766 | 6.820 | 0.000 | 0.000 | -0.000 |
| 13.088 | 759.557 | 75.209 | 0.000 | 0.000 | -0.000 |
| 5.459 | 60.508 | 752.479 | 0.000 | 0.000 | -0.000 |
| 0.000 | 0.000 | -0.000 | 430.581 | 0.000 | 0.000 |
| -0.002 | 0.000 | -0.001 | 0.000 | 47.877 | -0.000 |
| 0.000 | 0.000 | 0.000 | -0.000 | 0.000 | 261.023 |
| 53.726 | 11.765 | 6.817 | -0.000 | -0.000 | 0.000 |
| 9.433 | 670.369 | 63.752 | -0.000 | -0.000 | 0.000 |
| 6.239 | 67.700 | 747.792 | -0.000 | -0.000 | 0.000 |
| 0.001 | -0.000 | 0.001 | 283.465 | -0.000 | 0.000 |
| 0.000 | -0.000 | -0.000 | -0.000 | 47.877 | 0.000 |
| -0.000 | -0.000 | 0.000 | -0.000 | -0.000 | 240.209 |
| 56.938 | 16.832 | 0.541 | 0.000 | 0.000 | -0.000 |
| 13.089 | 759.554 | 75.210 | -0.000 | 0.000 | -0.000 |
| 5.866 | 65.572 | 748.794 | -0.000 | 0.000 | -0.000 |
| -0.001 | 0.000 | -0.001 | 283.465 | 0.000 | -0.000 |
| -0.000 | 0.000 | 0.000 | -0.000 | 47.877 | -0.000 |
| 0.000 | 0.000 | -0.000 | 0.000 | 0.000 | 240.209 |
| 120.594 | 101.264 | -41.477 | -0.031 | -0.001 | 1.994 |
| 130.415 | 400.603 | 92.577 | -0.027 | -0.001 | 1.749 |
| 3.977 | 21.429 | 75.599 | -0.046 | 0.000 | 1.595 |
| -0.000 | -0.000 | -0.000 | 150.758 | -0.000 | -0.000 |
| 16.901 | -31.836 | -37.346 | -0.042 | 40.822 | 1.237 |
| 3.504 | -111.841 | -68.438 | -0.028 | 0.000 | 48.006 |
| 96.978 | 140.306 | -34.379 | 0.030 | 0.001 | -1.928 |
| 107.589 | 439.612 | 93.260 | 0.025 | 0.001 | -1.650 |
| -29.484 | 129.582 | 37.588 | 0.032 | 0.000 | -1.034 |
| 0.000 | 0.000 | 0.000 | 150.758 | 0.000 | -0.000 |
| -16.901 | 31.836 | 37.347 | 0.042 | 40.821 | -1.237 |
| -11.367 | 18.012 | 2.877 | 0.027 | 0.001 | 122.418 |
| 12.402 | 7.166 | -32.850 | -0.003 | 0.000 | 0.353 |
| 117.246 | 429.125 | 82.169 | -0.002 | -0.000 | 0.148 |
| -30.558 | -16.219 | 12.206 | -0.002 | -0.000 | 0.318 |
| -0.000 | -0.000 | -0.000 | 150.758 | 0.000 | -0.000 |
| 1.344 | -5.154 | -6.584 | -0.004 | 16.561 | 0.153 |
| -3.456 | -17.372 | -6.781 | -0.004 | -0.000 | 67.197 |
| 48.461 | 79.179 | -23.582 | 0.003 | -0.000 | -0.113 |
| 114.964 | 433.826 | 80.805 | 0.002 | 0.000 | -0.144 |
| -7.353 | 15.611 | 12.496 | 0.007 | 0.000 | 0.164 |
| 0.000 | 0.000 | 0.000 | 150.758 | 0.000 | -0.000 |
| -1.344 | 5.154 | 6.584 | 0.004 | 16.561 | -0.153 |
| 6.865 | 18.979 | 11.080 | 0.001 | -0.000 | 61.216 |
| -4.855 | 8.402 | -6.220 | 0.000 | 0.000 | 0.000 |
| 10.589 | 154.237 | 17.280 | -0.000 | -0.000 | 0.015 |
| -11.926 | 11.689 | 8.942 | 0.000 | 0.000 | -0.089 |
| -1.096 | -1.895 | -0.196 | 61.127 | -0.000 | 0.006 |
| 0.097 | -0.686 | -0.567 | -0.000 | 10.585 | 0.012 |
| -0.976 | -1.254 | 0.053 | -0.000 | 0.000 | 52.824 |
| -2.712 | 12.175 | -5.564 | 0.000 | -0.000 | -0.019 |
| 12.810 | 158.026 | 17.350 | -0.000 | -0.000 | -0.003 |
| -6.923 | 16.763 | 8.908 | -0.000 | -0.000 | -0.027 |
| 1.179 | 1.883 | 0.120 | 61.140 | 0.000 | -0.019 |
| -0.097 | 0.686 | 0.567 | 0.000 | 10.585 | -0.012 |
| 0.557 | 1.110 | -0.492 | 0.000 | -0.000 | 53.197 |
| 501.937 | 41.929 | 61.853 | -0.000 | -0.000 | -0.000 |
| 1586.458 | 701.773 | 814.861 | 0.000 | -0.000 | -0.000 |
| 1950.807 | 4769.117 | -430.333 | 0.000 | -0.000 | -0.000 |
| 2924.638 | 6096.481 | -1523.702 | 147.726 | -0.000 | -0.000 |
| 1845.976 | 4721.938 | -857.977 | 0.000 | 126.459 | -0.000 |
| 2924.177 | 6093.859 | -1522.948 | 0.000 | -0.000 | 157.548 |
| -1554.401 | -4672.692 | 974.029 | -0.000 | 0.000 | 0.000 |
| -1505.374 | 453.216 | -751.419 | -0.001 | 0.000 | 0.000 |
| -1451.941 | -87.875 | -258.945 | -0.000 | 0.000 | 0.000 |
| -2924.638 | -6096.481 | 1523.702 | 147.725 | 0.000 | 0.000 |
| -1845.976 | -4721.938 | 857.977 | -0.000 | 126.459 | 0.000 |
| -2924.177 | -6093.859 | 1522.948 | -0.000 | 0.000 | 157.548 |
| 726.120 | 769.857 | -23.278 | 0.000 | -0.000 | -0.000 |
| 733.214 | 1329.583 | -202.949 | 0.000 | -0.000 | -0.000 |
| 402.268 | 636.326 | 261.015 | 0.000 | -0.000 | -0.000 |
| 154.550 | 12.395 | 78.303 | 211.509 | -0.000 | -0.000 |
| 674.144 | 888.919 | -230.658 | 0.000 | 138.895 | -0.000 |
| 291.780 | 608.135 | -152.104 | 0.000 | -0.000 | 157.799 |
| 501.937 | 41.929 | 61.853 | 0.000 | 0.000 | -0.000 |
| -116.604 | 14.096 | 134.632 | -0.000 | 0.000 | 0.000 |
| 61.854 | 14.244 | 598.050 | -0.000 | 0.000 | -0.000 |
| -154.550 | -12.395 | -78.303 | 211.509 | 0.000 | 0.000 |
| -674.144 | -888.919 | 230.658 | -0.000 | 138.895 | 0.000 |
| -291.780 | -608.135 | 152.104 | -0.000 | 0.000 | 157.799 |
| 348.202 | 109.735 | 106.430 | 0.000 | -0.000 | -0.000 |
| 78.131 | 534.566 | 22.631 | 0.000 | -0.000 | -0.000 |
| 187.893 | 134.617 | 360.914 | 0.000 | -0.000 | -0.000 |
| 48.632 | 81.995 | -18.006 | 140.018 | -0.000 | -0.000 |
| 50.757 | 81.098 | -16.626 | 0.000 | 121.323 | -0.000 |
| 44.059 | 79.143 | -18.320 | 0.000 | -0.000 | 146.038 |
| 269.108 | -9.886 | 127.488 | -0.000 | 0.000 | 0.000 |
| 41.927 | 631.564 | 14.242 | 0.000 | 0.000 | -0.000 |
| 91.501 | -28.928 | 416.347 | -0.000 | 0.000 | 0.000 |
| -48.632 | -81.995 | 18.006 | 140.018 | 0.000 | 0.000 |
| -50.757 | -81.098 | 16.626 | -0.000 | 121.323 | 0.000 |
| -44.059 | -79.143 | 18.320 | -0.000 | 0.000 | 146.038 |
| 412.658 | 36.192 | 3424.576 | 0.000 | 0.000 | -0.000 |
| 651.422 | 8.570 | 4684.128 | 0.000 | 0.000 | 0.000 |
| 18.479 | 10.376 | 473.796 | 0.000 | 0.000 | 0.000 |
| 392.563 | -113.045 | 923.820 | 143.780 | 0.000 | 0.000 |
| 392.576 | -113.073 | 924.013 | 0.000 | 150.609 | 0.000 |
| 0.000 | 0.000 | -0.000 | -0.000 | 0.000 | 198.003 |
| -292.452 | 35.550 | -3331.010 | -0.000 | -0.000 | 0.000 |
| 10.639 | 448.603 | 7.620 | 0.000 | -0.000 | 0.000 |
| -350.532 | 133.506 | -611.087 | -0.000 | -0.000 | -0.000 |
| -392.563 | 113.045 | -923.820 | 143.780 | -0.000 | -0.000 |
| -392.576 | 113.073 | -924.013 | 0.000 | 150.609 | -0.000 |
| -0.000 | -0.000 | -0.000 | 0.000 | -0.000 | 198.003 |
| 409.489 | 36.311 | 115.422 | 0.000 | 0.000 | -0.000 |
| 83.689 | 268.323 | 114.334 | 0.000 | 0.000 | -0.000 |
| 85.888 | 31.677 | 364.646 | 0.000 | 0.000 | -0.000 |
| -12.703 | -9.282 | 59.370 | 148.833 | 0.000 | -0.000 |
| 0.000 | 0.000 | 0.000 | 0.000 | 232.162 | 0.000 |
| -12.861 | -9.398 | 60.108 | -0.000 | 0.000 | 130.035 |
| 292.545 | 54.647 | -65.318 | -0.000 | -0.000 | -0.000 |
| -4.345 | -18.611 | -292.625 | -0.000 | -0.000 | -0.000 |
| 74.713 | 63.085 | 292.731 | 0.000 | -0.000 | 0.000 |
| 12.703 | 9.282 | -59.370 | 148.833 | -0.000 | 0.000 |
| -0.000 | -0.000 | -0.000 | -0.000 | 232.162 | -0.000 |
| 12.861 | 9.398 | -60.108 | 0.000 | -0.000 | 130.035 |
| 212.588 | -11.304 | 31.714 | 0.000 | 0.000 | -0.000 |
| 21.997 | 93.169 | 37.999 | 0.000 | 0.000 | -0.000 |
| 64.353 | 39.094 | 249.649 | -0.000 | 0.000 | -0.000 |
| 2.532 | 0.187 | 22.518 | 63.629 | 0.000 | -0.000 |
| -1.083 | -0.791 | 5.060 | 0.000 | 165.578 | -0.000 |
| -1.230 | -0.898 | 5.746 | 0.000 | 0.000 | 133.029 |
| 215.805 | 14.385 | -4.215 | -0.000 | -0.000 | 0.000 |
| -9.232 | 69.883 | -42.660 | -0.000 | -0.000 | -0.000 |
| -7.853 | -33.927 | 109.981 | -0.000 | -0.000 | -0.000 |
| -2.532 | -0.187 | -22.518 | 63.629 | -0.000 | 0.000 |
| 1.083 | 0.791 | -5.060 | 0.000 | 165.578 | 0.000 |
| 1.230 | 0.898 | -5.746 | -0.000 | -0.000 | 133.029 |
| -4.416 | -4.444 | -23.734 | 1.067 | -0.512 | -1.294 |
| -3.880 | -4.744 | -21.913 | 0.580 | -0.446 | -1.186 |
| -3.277 | -4.962 | -24.152 | 1.095 | -0.283 | -1.519 |
| -3.908 | -4.485 | -26.190 | 0.181 | -0.423 | -1.141 |
| -3.849 | -4.203 | -25.675 | 0.896 | -0.797 | -1.387 |
| -3.685 | -4.079 | -24.933 | 0.874 | -0.980 | -1.388 |
| 4.494 | 5.599 | 28.316 | -1.172 | -0.081 | 1.180 |
| 3.894 | 4.422 | 19.284 | -0.335 | 0.785 | 1.362 |
| 4.019 | 4.699 | 25.440 | -1.023 | 0.730 | 1.644 |
| 3.320 | 4.464 | 25.175 | -0.917 | 0.470 | 1.386 |
| 4.121 | 4.647 | 27.451 | -0.861 | 0.343 | 1.360 |
| 3.628 | 4.138 | 18.848 | -0.848 | 0.776 | 1.032 |
| -0.392 | -0.463 | -3.116 | 0.081 | -0.038 | -0.142 |
| -0.389 | -0.493 | -3.020 | 0.073 | -0.058 | -0.142 |
| -0.389 | -0.473 | -3.029 | 0.072 | -0.036 | -0.144 |
| -0.392 | -0.487 | -2.973 | 0.077 | -0.049 | -0.144 |
| -0.397 | -0.477 | -3.167 | 0.071 | -0.057 | -0.139 |
| -0.396 | -0.498 | -2.882 | 0.075 | -0.052 | -0.125 |
| 0.366 | 0.469 | 2.754 | -0.072 | 0.017 | 0.115 |
| 0.339 | 0.515 | 3.059 | -0.064 | 0.066 | 0.136 |
| 0.399 | 0.462 | 3.108 | -0.075 | 0.039 | 0.136 |
| 0.432 | 0.434 | 2.904 | -0.111 | 0.046 | 0.158 |
| 0.403 | 0.482 | 3.197 | -0.073 | 0.045 | 0.140 |
| 0.406 | 0.421 | 2.811 | -0.063 | 0.047 | 0.124 |
| -0.036 | -0.049 | -0.316 | 0.007 | -0.005 | -0.013 |
| -0.041 | -0.048 | -0.319 | 0.007 | -0.005 | -0.014 |
| -0.040 | -0.047 | -0.296 | 0.010 | -0.004 | -0.014 |
| -0.040 | -0.049 | -0.302 | 0.006 | -0.005 | -0.014 |
| -0.040 | -0.048 | -0.318 | 0.007 | -0.005 | -0.013 |
| -0.038 | -0.047 | -0.305 | 0.006 | -0.005 | -0.013 |
| 0.041 | 0.045 | 0.309 | -0.006 | 0.006 | 0.013 |
| 0.042 | 0.047 | 0.309 | -0.007 | 0.005 | 0.014 |
| 0.037 | 0.047 | 0.303 | -0.008 | 0.004 | 0.013 |
| 0.040 | 0.048 | 0.315 | -0.009 | 0.005 | 0.014 |
| 0.040 | 0.046 | 0.303 | -0.007 | 0.007 | 0.013 |
| 0.035 | 0.044 | 0.245 | -0.008 | 0.002 | 0.014 |
| 126.492 | 1209.961 | -62.994 | 238.355 | 99.652 | -118.915 |
| 73.953 | 708.983 | 26.612 | 278.007 | -57.674 | -136.207 |
| 26.550 | 16.574 | 582.592 | 12.188 | 20.063 | 2.916 |
| -12.863 | 373.683 | -2.371 | 402.470 | -43.249 | -121.582 |
| 37.650 | 361.907 | 4.720 | 275.281 | 137.713 | -133.059 |
| -442.516 | 1632.131 | -548.278 | 118.015 | -160.647 | 104.360 |
| 545.483 | -32.947 | 192.873 | -134.306 | -75.611 | 202.521 |
| 140.527 | 356.446 | 164.444 | -116.003 | -123.433 | 165.228 |
| 149.540 | -51.286 | 562.134 | -109.129 | -99.077 | 175.645 |
| -5.963 | -6.012 | 12.188 | 261.177 | -6.228 | 17.359 |
| 105.464 | -99.135 | 136.393 | -130.157 | 106.704 | 166.571 |
| 436.603 | -1617.923 | 469.963 | -83.882 | 244.515 | 176.200 |
| 476.455 | 65.091 | 55.580 | -2.037 | 51.867 | 10.275 |
| 52.874 | 465.765 | 30.014 | 16.104 | 2.592 | -28.236 |
| 26.550 | 16.574 | 582.592 | 12.188 | 20.063 | 2.916 |
| -13.365 | 32.269 | 3.742 | 152.948 | -2.892 | -1.185 |
| 36.662 | -13.455 | 20.063 | -6.228 | 309.975 | -6.210 |
| -15.383 | -8.203 | 4.210 | 16.957 | 13.789 | 276.813 |
| 481.943 | 49.993 | 80.548 | -24.683 | 29.854 | 42.283 |
| 32.769 | 560.183 | 17.360 | 10.836 | -13.857 | -6.215 |
| 26.550 | 16.574 | 582.592 | 12.188 | 20.063 | 2.916 |
| -6.204 | -15.574 | 23.004 | 169.367 | -22.167 | 22.385 |
| 27.882 | -83.808 | 24.716 | -17.922 | 151.240 | 21.327 |
| -0.171 | -21.836 | 11.028 | -7.226 | -4.957 | 221.812 |
| 323.506 | 64.497 | 40.418 | -7.386 | 30.462 | 12.056 |
| 67.858 | 307.445 | 24.665 | 10.217 | -10.209 | -13.512 |
| 60.668 | 38.467 | 354.916 | 9.650 | 18.495 | 0.169 |
| -11.437 | 12.229 | -13.711 | 98.135 | -3.562 | 4.596 |
| 30.081 | -11.652 | 19.473 | -1.558 | 186.917 | -4.826 |
| -6.392 | -9.947 | 1.559 | 12.757 | 10.402 | 164.793 |
| 433.623 | 64.599 | 65.961 | -12.832 | 44.069 | 23.000 |
| 60.696 | 204.910 | 27.694 | 11.595 | -6.508 | -21.378 |
| 57.146 | 14.191 | 318.215 | -9.911 | 14.636 | -2.091 |
| -11.614 | -7.401 | 12.664 | 193.852 | -11.331 | 9.177 |
| 30.621 | -20.278 | 19.644 | -4.794 | 188.036 | -1.158 |
| -1.540 | -26.599 | -3.478 | 5.586 | 11.453 | 142.505 |
| 628.269 | 18.703 | 44.173 | 6.045 | -30.230 | -11.896 |
| 42.452 | 353.170 | 724.213 | 216.175 | 288.282 | 6.757 |
| 85.139 | 100.707 | 502.925 | 149.569 | -81.695 | -85.505 |
| 5.825 | -11.539 | -16.268 | 245.028 | 0.501 | -13.314 |
| 3.683 | -107.136 | 630.405 | 238.567 | 428.791 | 1.072 |
| -6.366 | -110.041 | 640.495 | 238.929 | 273.055 | 211.905 |
| 500.926 | 10.104 | -77.736 | -168.781 | 46.518 | 78.419 |
| 47.339 | 555.185 | -579.983 | -282.247 | -306.041 | -24.158 |
| 113.244 | 156.518 | -631.081 | -257.251 | -417.848 | 25.546 |
| 5.825 | -11.539 | -16.268 | 245.028 | 0.501 | -13.314 |
| -4.013 | -6.699 | -6.440 | 0.501 | 265.363 | -8.720 |
| -6.048 | -8.271 | 3.337 | -13.353 | -29.170 | 315.772 |
| 628.269 | 18.703 | 44.173 | 6.045 | -30.230 | -11.896 |
| 41.884 | 458.440 | 132.721 | -8.979 | 19.905 | -7.227 |
| 69.361 | 66.736 | 377.628 | 2.595 | -16.975 | -10.609 |
| -1.247 | -29.210 | 47.560 | 167.603 | 15.707 | -10.908 |
| -4.761 | -10.841 | 2.319 | 8.137 | 192.729 | -15.144 |
| 1.437 | -1.273 | 11.163 | 6.231 | -29.556 | 241.989 |
| 358.161 | 23.296 | 7.751 | -34.398 | -80.805 | -7.160 |
| 42.334 | 536.093 | 50.836 | -46.659 | -7.548 | 2.852 |
| 78.703 | 81.791 | 203.234 | -34.978 | -39.817 | -12.496 |
| 5.825 | -11.539 | -16.268 | 245.028 | 0.501 | -13.314 |
| -1.278 | -18.840 | -125.504 | -50.242 | 4.714 | -16.415 |
| -6.048 | -8.271 | 3.337 | -13.353 | -29.170 | 315.772 |
| 383.754 | 25.695 | 97.123 | -1.927 | -14.175 | 1.022 |
| 15.817 | 405.039 | 77.072 | -30.265 | 1.364 | -16.918 |
| 86.513 | 61.587 | 210.954 | -6.674 | -5.399 | -28.714 |
| -8.259 | -22.807 | -4.428 | 139.574 | -5.564 | -3.292 |
| -5.646 | -12.745 | -8.725 | -3.615 | 206.454 | -8.872 |
| -3.450 | -8.373 | -2.153 | -8.807 | -21.819 | 228.078 |
| 407.394 | 29.609 | 81.346 | -7.248 | -17.392 | -4.899 |
| 20.412 | 413.276 | 59.084 | -37.684 | -16.290 | -15.313 |
| 87.635 | 68.448 | 218.467 | -17.090 | -17.312 | -20.442 |
| -4.365 | -16.529 | -13.766 | 192.680 | -4.509 | -9.022 |
| 1.067 | -10.466 | -15.330 | -10.556 | 160.422 | -9.896 |
| -3.674 | -7.429 | -10.714 | -12.657 | -25.247 | 228.870 |
| 550.302 | 101.982 | -0.110 | 64.752 | -93.887 | -122.235 |
| 378.502 | 241.115 | 3.559 | 46.034 | -100.367 | -117.675 |
| 4.804 | 18.839 | 235.376 | -15.036 | 9.467 | -2.158 |
| 692.925 | 198.992 | 264.751 | 78.062 | 144.407 | -237.824 |
| 331.799 | 157.305 | -62.016 | 198.030 | 11.306 | -139.192 |
| 691.957 | 254.293 | 370.949 | 192.673 | 40.094 | -246.529 |
| -100.685 | -140.641 | 80.103 | -193.157 | 104.541 | 129.426 |
| -291.062 | -134.163 | -39.199 | -186.886 | 12.236 | 244.026 |
| -315.437 | -138.464 | 266.345 | -217.870 | 101.275 | 123.137 |
| -683.117 | -253.264 | -384.960 | -192.689 | -54.434 | 224.120 |
| -690.634 | -229.517 | -371.971 | -197.820 | -56.227 | 227.226 |
| -314.890 | -151.093 | 68.448 | -190.954 | 69.214 | 222.498 |
| 98.417 | 13.166 | 32.384 | 11.215 | 12.744 | -17.396 |
| 77.533 | 26.043 | 80.605 | 2.104 | 37.989 | -41.271 |
| 78.094 | 37.797 | 38.943 | 3.053 | 11.704 | -27.738 |
| 37.425 | 7.219 | -27.911 | 112.855 | -9.430 | -8.072 |
| 41.512 | 28.295 | 12.743 | 14.083 | 74.399 | -36.562 |
| 42.047 | 20.614 | -8.363 | 26.521 | -33.662 | 84.852 |
| 55.218 | -23.289 | 8.045 | -0.543 | 13.025 | 10.530 |
| -24.320 | 100.654 | 8.295 | -28.109 | 6.188 | 33.136 |
| -46.946 | -3.411 | 4.415 | -26.957 | 2.553 | 13.251 |
| -28.324 | -23.756 | -13.012 | 77.616 | 9.606 | 17.242 |
| -25.274 | -14.432 | 14.774 | -19.563 | 113.589 | -1.226 |
| 4.642 | 2.210 | -1.460 | 6.066 | -30.771 | 124.534 |
| 119.296 | 6.322 | 14.017 | 6.005 | 8.252 | -0.863 |
| 1.837 | 26.628 | 17.632 | -14.334 | 8.185 | 1.373 |
| 10.760 | 22.806 | 65.862 | -14.334 | 8.454 | -4.244 |
| 9.224 | -4.350 | -16.604 | 51.331 | -4.840 | 0.432 |
| 11.067 | 12.787 | 11.876 | 1.148 | 37.167 | -16.000 |
| 9.591 | 11.315 | 1.590 | 5.771 | -19.742 | 44.034 |
| 76.186 | -4.093 | -0.926 | -3.679 | 5.829 | 0.835 |
| -12.320 | 10.731 | -1.543 | -16.643 | 6.007 | 11.707 |
| 7.690 | 18.662 | 88.417 | -18.066 | 3.532 | 0.013 |
| -11.380 | -21.953 | -23.879 | 31.365 | -2.461 | 6.755 |
| -4.927 | 1.862 | 3.826 | -1.486 | 41.880 | -11.224 |
| -0.499 | 8.025 | -3.399 | 3.089 | -19.439 | 55.322 |
| -10585931252.755 | 4136071811.492 | 3206199311.116 | -0.000 | -0.000 | -0.000 |
| 3206199312.954 | -10585931253.593 | 4136071810.119 | 0.000 | -0.001 | -0.000 |
| 4136071809.832 | 3206199314.412 | -10585931253.970 | 0.000 | -0.000 | -0.000 |
| -2612332449.493 | -2167521709.999 | 3901269300.328 | -2959965349.344 | 0.028 | -0.054 |
| 3901269559.647 | -2612332019.045 | -2167522126.789 | 0.143 | -2959964976.726 | -0.054 |
| -2167522067.739 | 3901269500.767 | -2612332018.736 | -0.064 | 0.293 | -2959965037.375 |
| 1090.233 | -29.175 | -29.175 | -0.000 | -0.000 | 0.000 |
| -29.175 | 1090.233 | -29.175 | -0.000 | 0.000 | 0.000 |
| -29.175 | -29.175 | 1090.233 | -0.000 | 0.000 | 0.000 |
| 2612332450.062 | 2167521710.060 | -3901269300.381 | -2959965349.974 | -0.124 | 0.475 |
| -3901269558.920 | 2612332019.779 | 2167522125.987 | 0.017 | -2959964977.532 | -0.000 |
| 2167522067.356 | -3901269499.800 | 2612332019.322 | -0.143 | 0.578 | -2959965038.125 |
| -1058592571.680 | 413607306.301 | 320619923.374 | 0.002 | -0.000 | 0.000 |
| 320619923.587 | -1058592571.952 | 413607306.332 | -0.000 | -0.028 | -0.000 |
| 413607306.346 | 320619923.623 | -1058592571.997 | 0.000 | 0.000 | -0.024 |
| -261233136.874 | -216752013.163 | 390126722.607 | -295996304.445 | -0.023 | 0.030 |
| 390126801.670 | -261233093.870 | -216752108.055 | 0.061 | -295996212.632 | 0.019 |
| -216752048.824 | 390126742.474 | -261233093.958 | 0.007 | -0.002 | -295996273.361 |
| -413606845.742 | -320619992.816 | 1058593179.262 | -0.000 | 0.000 | -0.018 |
| 1058593179.055 | -413606845.582 | -320619992.705 | 0.015 | 0.000 | 0.000 |
| -320619992.665 | 1058593178.973 | -413606845.494 | -0.000 | -0.034 | 0.000 |
| 261233136.899 | 216752013.133 | -390126722.610 | -295996304.438 | -0.001 | -0.000 |
| -390126801.642 | 261233093.949 | 216752107.955 | 0.001 | -295996212.596 | 0.004 |
| 216752048.819 | -390126742.510 | 261233093.937 | -0.003 | -0.000 | -295996273.308 |
| -105858703.479 | 41360856.069 | 32061984.230 | 0.001 | -0.000 | -0.000 |
| 32061984.230 | -105858703.478 | 41360856.069 | 0.000 | -0.001 | -0.000 |
| 41360856.070 | 32061984.230 | -105858703.479 | -0.000 | 0.000 | 0.005 |
| -26123205.657 | -21675043.415 | 39012464.756 | -29599399.948 | 0.000 | -0.004 |
| 39012525.957 | -26123201.350 | -21675106.188 | -0.005 | -29599336.139 | -0.001 |
| -21675046.987 | 39012466.751 | -26123201.355 | 0.000 | 0.000 | -29599396.837 |
| -41360395.292 | -32062053.578 | 105859310.844 | 0.000 | -0.000 | 0.004 |
| 105859310.859 | -41360395.294 | -32062053.594 | 0.006 | -0.000 | 0.000 |
| -32062053.571 | 105859310.855 | -41360395.324 | 0.000 | 0.003 | 0.000 |
| 26123205.649 | 21675043.421 | -39012464.757 | -29599399.955 | -0.000 | 0.001 |
| -39012525.950 | 26123201.360 | 21675106.182 | 0.007 | -29599336.153 | -0.002 |
| 21675046.987 | -39012466.751 | 26123201.352 | 0.001 | -0.006 | -29599396.834 |
| 1635.007 | 312.105 | -597.938 | -0.000 | -0.000 | 0.000 |
| 30.057 | 1344.937 | 3.939 | -0.000 | -0.000 | 0.000 |
| -554.995 | -554.995 | 2347.040 | -0.000 | -0.000 | -0.000 |
| -0.026 | -0.026 | 0.054 | 370.629 | -0.000 | 0.000 |
| -0.026 | -0.026 | 0.054 | -0.000 | 370.629 | -0.000 |
| 0.000 | 0.000 | 0.000 | 0.000 | -0.000 | 661.451 |
| 1344.944 | 30.065 | 3.924 | -0.000 | 0.000 | 0.000 |
| 67.491 | 1314.602 | -3.528 | 0.000 | 0.000 | 0.000 |
| -554.994 | -554.994 | 2347.040 | 0.000 | 0.000 | -0.000 |
| 0.026 | 0.026 | -0.054 | 370.629 | 0.000 | 0.000 |
| 0.025 | 0.026 | -0.054 | 0.000 | 370.629 | -0.000 |
| -0.000 | -0.000 | -0.000 | 0.000 | 0.000 | 661.451 |
| 1344.442 | 29.575 | 4.968 | 0.000 | -0.000 | 0.000 |
| 312.105 | 1635.008 | -597.938 | -0.000 | -0.000 | 0.000 |
| 39.557 | 39.557 | 1096.085 | 0.000 | -0.000 | 0.000 |
| -0.003 | -0.003 | 0.006 | 370.629 | -0.000 | -0.000 |
| -0.003 | -0.003 | 0.006 | -0.000 | 370.629 | -0.000 |
| 0.000 | 0.000 | -0.000 | 0.000 | -0.000 | 661.451 |
| 1344.910 | 30.031 | 3.995 | -0.000 | 0.000 | -0.000 |
| 30.031 | 1344.910 | 3.995 | -0.000 | 0.000 | -0.000 |
| 39.542 | 39.542 | 1096.116 | 0.000 | 0.000 | 0.000 |
| 0.003 | 0.003 | -0.006 | 370.629 | 0.000 | 0.000 |
| 0.003 | 0.003 | -0.006 | 0.000 | 370.629 | -0.000 |
| -0.000 | -0.000 | 0.000 | 0.000 | 0.000 | 661.451 |
| 1314.944 | 67.824 | -4.233 | -0.000 | -0.000 | -0.000 |
| 66.840 | 1314.883 | -3.134 | -0.000 | -0.000 | -0.000 |
| 40.778 | 40.778 | 1093.523 | -0.000 | -0.000 | -0.000 |
| -0.006 | -0.004 | 0.012 | 370.629 | -0.000 | -0.000 |
| 0.001 | 0.001 | -0.002 | 0.000 | 468.008 | -0.000 |
| 0.000 | 0.002 | -0.001 | -0.000 | -0.000 | 661.451 |
| 1314.588 | 67.493 | -3.522 | 0.000 | 0.000 | 0.000 |
| 67.147 | 1314.244 | -2.796 | 0.000 | 0.000 | 0.000 |
| 39.425 | 39.425 | 1096.357 | 0.000 | 0.000 | 0.000 |
| 0.006 | 0.004 | -0.012 | 370.629 | 0.000 | 0.000 |
| -0.001 | -0.001 | 0.002 | 0.000 | 468.008 | -0.000 |
| -0.000 | -0.002 | 0.001 | 0.000 | 0.000 | 661.451 |
| 1027.714 | -28.961 | 8.823 | -0.000 | 0.000 | -0.000 |
| -28.961 | 1027.713 | 8.823 | -0.000 | -0.000 | -0.000 |
| 8.823 | 8.823 | 37.813 | -0.000 | 0.000 | 0.000 |
| -0.000 | 0.000 | -0.000 | 158.631 | -0.000 | -0.000 |
| -0.000 | 0.000 | 0.000 | -0.000 | 158.631 | 0.000 |
| 0.000 | 0.000 | 0.000 | 0.000 | -0.000 | 528.337 |
| 1027.713 | -28.961 | 8.823 | 0.000 | 0.000 | 0.000 |
| 59.978 | 938.775 | 8.823 | -0.000 | 0.000 | 0.000 |
| 8.823 | 8.823 | 37.813 | -0.000 | 0.000 | -0.000 |
| 0.000 | -0.000 | 0.000 | 158.631 | 0.000 | -0.000 |
| 0.000 | -0.000 | -0.000 | 0.000 | 158.631 | -0.000 |
| -0.000 | -0.000 | -0.000 | -0.000 | 0.000 | 528.337 |
| 1027.714 | -28.961 | 8.823 | -0.000 | -0.000 | -0.000 |
| 31.571 | 967.182 | 8.823 | 0.000 | -0.000 | 0.000 |
| 8.823 | 8.823 | 37.813 | -0.000 | -0.000 | 0.000 |
| -0.000 | -0.000 | 0.000 | 158.631 | -0.000 | 0.000 |
| -0.000 | -0.000 | 0.000 | 0.000 | 158.631 | 0.000 |
| -0.000 | 0.000 | -0.000 | 0.000 | -0.000 | 528.337 |
| 938.801 | 59.951 | 8.823 | 0.000 | 0.000 | 0.000 |
| -28.961 | 1027.713 | 8.823 | 0.000 | 0.000 | 0.000 |
| 8.823 | 8.823 | 37.813 | -0.000 | 0.000 | -0.000 |
| 0.000 | -0.000 | -0.000 | 158.631 | 0.000 | -0.000 |
| 0.000 | 0.000 | -0.000 | -0.000 | 158.631 | -0.000 |
| 0.000 | -0.000 | 0.000 | 0.000 | 0.000 | 528.337 |
| 967.193 | 31.564 | 8.823 | 0.000 | -0.000 | 0.000 |
| 30.827 | 967.929 | 8.823 | 0.000 | -0.000 | 0.000 |
| 8.823 | 8.823 | 37.813 | 0.000 | -0.000 | 0.000 |
| -0.000 | -0.000 | 0.000 | 158.631 | -0.000 | -0.000 |
| -0.000 | -0.000 | 0.000 | 0.000 | 158.631 | -0.000 |
| 0.005 | -0.004 | 0.000 | 0.000 | -0.000 | 439.399 |
| 929.446 | 69.303 | 8.823 | 0.000 | 0.000 | 0.000 |
| 31.563 | 967.186 | 8.823 | -0.000 | 0.000 | 0.000 |
| 8.823 | 8.823 | 37.812 | 0.000 | 0.000 | -0.000 |
| 0.000 | 0.000 | -0.000 | 158.631 | 0.000 | 0.000 |
| 0.000 | 0.000 | -0.000 | 0.000 | 158.631 | -0.000 |
| -0.005 | 0.004 | -0.000 | 0.000 | 0.000 | 439.399 |
| -110.131 | 629.508 | -17.539 | -0.000 | 0.000 | 0.000 |
| -935.599 | 171.860 | 849.847 | -0.000 | 0.000 | -0.000 |
| -443.880 | 597.555 | 411.216 | -0.000 | 0.000 | 0.000 |
| -0.000 | 0.000 | 0.000 | 289.432 | -0.000 | 0.000 |
| -0.000 | 0.000 | -0.000 | 0.000 | 259.354 | 0.000 |
| -1014.932 | -297.865 | 807.903 | -0.000 | -0.000 | 120.243 |
| 492.356 | 55.040 | 69.205 | -0.000 | -0.000 | -0.000 |
| 723.799 | 939.056 | 123.504 | 0.000 | 0.000 | -0.000 |
| 647.396 | -527.023 | 638.875 | -0.000 | -0.000 | -0.000 |
| 0.000 | -0.000 | 0.000 | 289.432 | 0.000 | -0.000 |
| 0.000 | -0.000 | 0.000 | -0.000 | 259.354 | -0.000 |
| 1014.932 | 297.865 | -807.903 | 0.000 | -0.000 | 120.243 |
| 378.332 | 124.831 | 85.798 | 0.000 | -0.000 | 0.000 |
| 19.198 | 64.864 | -106.530 | -0.000 | -0.000 | 0.000 |
| 105.281 | -175.034 | 293.641 | -0.000 | -0.000 | 0.000 |
| 0.000 | -0.000 | 0.000 | 289.432 | 0.000 | 0.000 |
| -14.840 | -204.473 | -70.385 | 0.000 | 51.983 | 0.000 |
| -64.243 | -53.209 | -6.082 | 0.000 | -0.000 | 54.057 |
| 489.107 | 9.103 | 110.314 | 0.000 | -0.000 | -0.000 |
| 116.106 | 549.103 | 47.634 | 0.000 | 0.000 | -0.000 |
| 132.231 | 202.690 | 459.929 | 0.000 | 0.000 | -0.000 |
| -0.000 | 0.000 | -0.000 | 289.432 | 0.000 | -0.000 |
| 14.840 | 204.473 | 70.385 | 0.000 | 51.983 | -0.000 |
| 64.243 | 53.209 | 6.082 | 0.000 | 0.000 | 54.057 |
| 258.406 | 39.058 | 106.319 | 0.000 | 0.000 | 0.000 |
| 72.965 | 492.813 | 34.731 | -0.000 | -0.000 | 0.000 |
| 113.392 | 2.216 | 417.011 | -0.000 | 0.000 | 0.000 |
| -9.278 | -0.632 | 5.798 | 201.433 | -0.000 | 0.000 |
| -7.290 | -16.133 | -5.428 | -0.000 | 117.835 | 0.000 |
| -4.251 | -8.094 | -3.134 | -0.000 | 0.000 | 127.185 |
| 305.515 | 78.982 | 118.100 | 0.000 | 0.000 | -0.000 |
| 75.675 | 472.240 | 30.329 | 0.000 | -0.000 | -0.000 |
| 121.167 | 25.612 | 419.429 | -0.000 | 0.000 | 0.000 |
| 9.278 | 0.632 | -5.798 | 201.433 | 0.000 | -0.000 |
| 7.290 | 16.133 | 5.428 | -0.000 | 117.835 | -0.000 |
| 4.251 | 8.094 | 3.134 | 0.000 | -0.000 | 127.185 |
| 475.706 | -27.674 | 978.201 | 0.517 | -0.005 | -0.383 |
| 14.900 | -89.549 | 568.489 | 0.839 | 0.000 | -0.409 |
| 36.992 | 30.099 | 532.432 | -0.000 | -0.000 | -0.000 |
| 86.375 | -39.154 | 547.933 | -35.898 | 0.016 | -0.243 |
| 17.027 | -52.404 | 41.563 | 1.068 | 209.320 | -0.444 |
| -14.494 | -110.015 | 268.235 | 0.518 | 0.006 | -14.615 |
| -101.888 | -165.689 | -846.078 | -0.824 | -0.001 | 0.399 |
| 73.615 | 468.161 | 12.410 | -1.137 | 0.004 | 0.473 |
| -231.451 | -25.454 | -726.350 | -0.593 | -0.018 | 0.243 |
| -16.824 | 51.779 | -41.067 | 180.569 | 0.004 | 0.438 |
| 0.000 | -0.000 | -0.000 | -0.000 | 275.685 | 0.000 |
| 4.688 | 45.917 | -89.215 | -0.739 | 0.004 | 171.263 |
| 234.080 | 80.179 | 62.808 | 0.098 | -0.000 | -0.039 |
| -7.179 | 55.884 | 8.115 | 0.097 | -0.000 | -0.047 |
| 71.875 | 48.692 | 221.738 | 0.067 | -0.000 | -0.032 |
| 12.540 | -5.850 | 51.310 | 38.536 | 0.000 | -0.036 |
| 0.811 | -6.030 | 25.275 | 0.087 | 71.931 | -0.042 |
| 18.177 | -1.110 | 65.611 | 0.098 | 0.000 | -55.444 |
| 159.629 | -28.040 | -93.548 | -0.090 | 0.000 | 0.038 |
| 53.615 | 112.243 | -13.864 | -0.116 | 0.000 | 0.054 |
| 70.961 | 62.156 | 171.491 | -0.060 | -0.000 | 0.030 |
| -1.752 | 5.391 | -4.276 | 178.868 | 0.000 | 0.046 |
| -4.817 | 5.099 | -31.019 | -0.070 | 57.803 | 0.033 |
| -17.607 | 4.258 | -59.754 | -0.073 | -0.001 | -44.652 |
| 182.829 | -15.147 | -29.126 | 0.009 | 0.000 | -0.004 |
| -5.942 | 53.133 | -10.768 | 0.008 | -0.000 | -0.004 |
| -32.891 | 1.057 | -98.194 | 0.007 | -0.000 | -0.004 |
| 1.619 | -0.255 | 5.828 | 41.379 | 0.000 | -0.003 |
| 1.173 | -0.029 | 3.980 | 0.009 | 49.146 | -0.004 |
| 1.994 | -0.225 | 6.837 | 0.009 | -0.000 | -58.421 |
| 174.725 | -16.160 | -40.639 | -0.008 | 0.000 | 0.004 |
| -10.294 | 52.502 | -8.254 | -0.007 | 0.001 | 0.004 |
| -38.949 | -18.932 | -107.287 | -0.009 | 0.000 | 0.003 |
| -1.730 | 0.356 | -7.112 | 40.716 | -0.000 | 0.004 |
| -1.641 | 0.325 | -6.685 | -0.008 | 47.313 | 0.004 |
| -1.994 | 0.225 | -6.837 | -0.009 | 0.000 | -58.414 |
| 948.839 | 27.534 | 14.732 | 0.000 | 0.000 | -0.000 |
| 26.863 | 959.511 | -0.022 | 0.000 | 0.000 | -0.000 |
| 15.026 | 0.051 | 29.307 | 0.000 | 0.000 | -0.000 |
| 0.267 | -0.267 | -0.003 | 4.108 | 0.000 | 0.000 |
| -0.571 | 0.570 | 0.006 | 0.000 | 6.237 | -0.000 |
| -0.272 | 0.271 | 0.003 | 0.000 | 0.000 | 463.809 |
| 949.383 | 26.991 | 14.726 | -0.000 | -0.000 | 0.000 |
| 27.406 | 958.969 | -0.028 | -0.000 | -0.000 | 0.000 |
| 15.854 | -0.776 | 29.297 | -0.000 | -0.000 | 0.000 |
| -0.268 | 0.267 | 0.003 | 4.108 | -0.000 | -0.000 |
| 0.571 | -0.570 | -0.006 | -0.000 | 6.237 | 0.000 |
| 0.272 | -0.271 | -0.003 | -0.000 | -0.000 | 463.809 |
| 949.117 | 27.257 | 14.729 | 0.000 | 0.000 | -0.000 |
| 27.075 | 959.299 | -0.024 | 0.000 | 0.000 | -0.000 |
| 14.853 | 0.223 | 29.309 | 0.000 | 0.000 | -0.000 |
| -0.055 | 0.055 | 0.001 | 4.029 | 0.000 | -0.000 |
| -0.057 | 0.057 | 0.001 | 0.000 | 6.237 | -0.000 |
| -0.027 | 0.027 | 0.000 | 0.000 | 0.000 | 463.841 |
| 949.170 | 27.204 | 14.728 | -0.000 | -0.000 | 0.000 |
| 27.128 | 959.246 | -0.025 | -0.000 | -0.000 | 0.000 |
| 14.905 | 0.171 | 29.308 | -0.000 | -0.000 | 0.000 |
| 0.055 | -0.055 | -0.001 | 4.029 | -0.000 | 0.000 |
| 0.057 | -0.057 | -0.001 | -0.000 | 6.237 | 0.000 |
| 0.027 | -0.027 | -0.000 | -0.000 | -0.000 | 463.841 |
| 949.152 | 27.226 | 14.729 | 0.000 | 0.000 | -0.000 |
| 27.106 | 959.272 | -0.025 | 0.000 | 0.000 | -0.000 |
| 14.848 | 0.228 | 29.309 | 0.000 | 0.000 | -0.000 |
| -0.006 | 0.006 | 0.000 | 4.029 | 0.000 | -0.000 |
| -0.006 | 0.006 | 0.000 | 0.000 | 6.237 | -0.000 |
| -0.003 | 0.004 | 0.000 | 0.000 | 0.000 | 463.841 |
| 949.136 | 27.234 | 14.729 | -0.000 | -0.000 | 0.000 |
| 27.097 | 959.274 | -0.024 | -0.000 | -0.000 | 0.000 |
| 14.853 | 0.223 | 29.308 | -0.000 | -0.000 | 0.000 |
| 0.006 | -0.006 | -0.000 | 4.029 | -0.000 | 0.000 |
| 0.006 | -0.006 | -0.000 | -0.000 | 6.237 | 0.000 |
| 0.003 | -0.004 | -0.000 | -0.000 | -0.000 | 463.841 |
| 939.610 | 26.343 | 13.174 | 0.000 | 0.000 | 0.000 |
| 27.030 | 946.556 | -0.294 | 0.000 | 0.000 | 0.000 |
| 14.431 | -0.665 | 25.835 | 0.000 | -0.000 | 0.000 |
| 0.435 | -0.435 | -0.004 | 4.384 | -0.000 | 0.000 |
| 0.316 | -0.316 | -0.003 | 0.000 | 6.182 | 0.000 |
| 0.182 | -0.182 | -0.002 | 0.000 | 0.000 | 458.420 |
| 939.247 | 26.707 | 13.178 | -0.000 | 0.000 | 0.000 |
| 26.667 | 946.919 | -0.290 | -0.000 | 0.000 | -0.000 |
| 13.895 | -0.128 | 25.840 | -0.000 | -0.000 | -0.000 |
| -0.435 | 0.435 | 0.004 | 4.384 | 0.000 | -0.000 |
| -0.316 | 0.316 | 0.003 | -0.000 | 6.182 | -0.000 |
| -0.182 | 0.182 | 0.002 | -0.000 | -0.000 | 458.420 |
| 939.476 | 26.478 | 13.176 | 0.000 | 0.000 | 0.000 |
| 26.839 | 946.747 | -0.292 | 0.000 | -0.000 | 0.000 |
| 13.824 | -0.058 | 25.841 | 0.000 | -0.000 | 0.000 |
| 0.033 | -0.033 | -0.000 | 4.064 | -0.000 | 0.000 |
| 0.032 | -0.032 | -0.000 | 0.000 | 6.182 | 0.000 |
| 0.018 | -0.018 | -0.000 | 0.000 | -0.000 | 458.448 |
| 939.438 | 26.516 | 13.176 | -0.000 | -0.000 | -0.000 |
| 26.801 | 946.785 | -0.292 | -0.000 | 0.000 | -0.000 |
| 13.789 | -0.023 | 25.841 | -0.000 | -0.000 | -0.000 |
| -0.033 | 0.033 | 0.000 | 4.064 | -0.000 | -0.000 |
| -0.032 | 0.032 | 0.000 | -0.000 | 6.182 | -0.000 |
| -0.018 | 0.018 | 0.000 | -0.000 | 0.000 | 458.448 |
| 939.469 | 26.488 | 13.176 | 0.000 | 0.000 | 0.000 |
| 26.829 | 946.760 | -0.292 | 0.000 | -0.000 | 0.000 |
| 13.781 | -0.014 | 25.842 | 0.000 | 0.000 | 0.000 |
| 0.003 | -0.003 | -0.000 | 4.065 | 0.000 | 0.000 |
| 0.003 | -0.003 | -0.000 | 0.000 | 6.182 | 0.000 |
| 0.002 | -0.001 | -0.000 | 0.000 | -0.000 | 458.449 |
| 939.445 | 26.505 | 13.176 | -0.000 | 0.000 | -0.000 |
| 26.810 | 946.772 | -0.292 | -0.000 | -0.000 | -0.000 |
| 13.777 | -0.011 | 25.841 | -0.000 | 0.000 | -0.000 |
| -0.003 | 0.003 | 0.000 | 4.065 | -0.000 | -0.000 |
| -0.003 | 0.003 | 0.000 | -0.000 | 6.182 | -0.000 |
| -0.002 | 0.001 | 0.000 | -0.000 | -0.000 | 458.449 |
| -122.206 | -1711.806 | 483.048 | -0.003 | -0.000 | -0.000 |
| -413.005 | 240.182 | 489.493 | 0.002 | 0.000 | 0.000 |
| -1126.249 | -1174.896 | 1583.768 | -0.003 | -0.000 | -0.000 |
| -0.000 | 0.000 | 0.000 | 81.188 | 0.000 | -0.000 |
| -1109.811 | -1409.495 | 529.317 | 0.001 | 49.989 | -0.000 |
| -340.026 | -215.783 | 347.122 | 0.002 | 0.000 | -116.283 |
| 1267.925 | 7.675 | -177.472 | 0.000 | -0.000 | 0.000 |
| 800.595 | 1522.192 | -331.302 | 0.003 | 0.000 | 0.000 |
| -147.719 | 118.659 | 1150.370 | 0.000 | -0.000 | 0.000 |
| 1109.675 | 1409.371 | -529.295 | -43.715 | -0.000 | 0.000 |
| 1109.811 | 1409.494 | -529.317 | -0.001 | 49.989 | 0.000 |
| 340.026 | 215.783 | -347.122 | -0.002 | -0.000 | -116.283 |
| 1154.002 | -51.766 | -68.338 | 0.000 | 0.000 | 0.000 |
| -420.111 | -28.147 | 250.925 | -0.000 | -0.000 | -0.000 |
| -127.482 | 93.581 | 1107.402 | -0.000 | -0.000 | -0.000 |
| 0.000 | -0.000 | -0.000 | 81.188 | 0.000 | -0.000 |
| -111.048 | -140.980 | 53.007 | 0.000 | 49.949 | -0.000 |
| -110.973 | -140.941 | 52.927 | -0.001 | -0.000 | -224.145 |
| 1203.758 | -20.283 | -119.081 | -0.000 | -0.000 | -0.000 |
| -198.174 | 253.719 | 145.069 | 0.000 | 0.000 | 0.000 |
| 94.299 | 375.375 | 1001.713 | 0.000 | 0.000 | 0.000 |
| -0.000 | 0.000 | 0.000 | 81.188 | -0.000 | 0.000 |
| 111.048 | 140.980 | -53.007 | -0.000 | 49.949 | 0.000 |
| 110.973 | 140.941 | -52.927 | 0.001 | 0.000 | -224.145 |
| 976.498 | -316.433 | -40.978 | 0.000 | 0.000 | -0.000 |
| -320.237 | 98.693 | 203.295 | -0.000 | 0.000 | 0.000 |
| -80.298 | 145.538 | 1077.573 | 0.000 | 0.000 | 0.000 |
| -11.099 | -14.099 | 5.293 | -43.805 | 0.000 | -0.000 |
| -10.995 | -14.048 | 5.272 | 0.000 | 50.007 | -0.000 |
| -11.096 | -14.097 | 5.293 | 0.000 | 0.000 | -224.146 |
| 998.602 | -288.322 | -51.544 | -0.000 | -0.000 | 0.000 |
| -298.055 | 126.861 | 192.706 | 0.000 | -0.000 | -0.000 |
| -5.411 | 248.616 | 1049.173 | -0.000 | -0.000 | 0.000 |
| 11.099 | 14.099 | -5.293 | -43.805 | -0.000 | 0.000 |
| 10.995 | 14.048 | -5.272 | -0.000 | 50.007 | 0.000 |
| 11.096 | 14.097 | -5.293 | -0.000 | -0.000 | -224.146 |
| 1026.580 | -36.935 | 9.827 | 0.000 | 0.000 | 0.000 |
| 25.362 | 964.283 | 9.827 | 0.000 | 0.000 | 0.000 |
| 9.827 | 9.827 | 36.391 | 0.000 | -0.000 | 0.000 |
| -0.000 | 0.000 | -0.000 | 7.326 | 0.000 | 0.000 |
| -0.000 | 0.000 | -0.000 | -0.000 | 7.326 | 0.000 |
| -0.000 | 0.000 | 0.000 | 0.000 | 0.000 | 469.460 |
| 964.283 | 25.362 | 9.827 | -0.000 | 0.000 | -0.000 |
| -36.935 | 1026.580 | 9.827 | 0.000 | 0.000 | -0.000 |
| 9.827 | 9.827 | 36.391 | 0.000 | 0.000 | -0.000 |
| 0.000 | -0.000 | 0.000 | 7.326 | -0.000 | -0.000 |
| 0.000 | -0.000 | 0.000 | -0.000 | 7.326 | -0.000 |
| 0.000 | -0.000 | -0.000 | 0.000 | -0.000 | 469.460 |
| 964.284 | 25.361 | 9.827 | 0.000 | 0.000 | 0.000 |
| 25.362 | 964.282 | 9.827 | -0.000 | 0.000 | 0.000 |
| 9.827 | 9.827 | 36.391 | 0.000 | -0.000 | 0.000 |
| -0.000 | 0.000 | 0.000 | 7.326 | 0.000 | 0.000 |
| -0.000 | 0.000 | 0.000 | -0.000 | 7.326 | 0.000 |
| -0.000 | 0.000 | 0.000 | -0.000 | 0.000 | 469.460 |
| 1026.579 | -36.935 | 9.827 | -0.000 | -0.000 | -0.000 |
| 25.361 | 964.283 | 9.827 | 0.000 | -0.000 | -0.000 |
| 9.827 | 9.827 | 36.391 | -0.000 | 0.000 | -0.000 |
| 0.000 | -0.000 | -0.000 | 7.326 | -0.000 | -0.000 |
| 0.000 | -0.000 | -0.000 | -0.000 | 7.326 | -0.000 |
| 0.000 | -0.000 | -0.000 | 0.000 | -0.000 | 469.460 |
| 964.293 | 25.355 | 9.827 | 0.000 | -0.000 | 0.000 |
| 25.369 | 964.279 | 9.827 | -0.000 | 0.000 | 0.000 |
| 9.827 | 9.827 | 36.391 | 0.000 | -0.000 | 0.000 |
| -0.000 | -0.000 | 0.000 | 7.326 | -0.000 | 0.000 |
| -0.000 | -0.000 | 0.000 | -0.000 | 7.326 | 0.000 |
| -0.000 | 0.001 | 0.000 | 0.000 | 0.000 | 469.460 |
| 964.272 | 25.368 | 9.827 | 0.000 | -0.000 | -0.000 |
| 25.354 | 964.286 | 9.827 | -0.000 | -0.000 | -0.000 |
| 9.827 | 9.827 | 36.390 | -0.000 | -0.000 | -0.000 |
| 0.000 | 0.000 | -0.000 | 7.326 | 0.000 | -0.000 |
| 0.000 | 0.000 | -0.000 | -0.000 | 7.326 | -0.000 |
| 0.000 | -0.001 | -0.000 | -0.000 | 0.000 | 469.460 |
| 647.212 | -33.256 | 3.553 | 11.932 | -0.000 | 0.000 |
| -33.256 | 647.212 | 3.553 | -11.932 | -0.000 | 0.000 |
| 3.106 | 3.105 | 15.429 | 0.000 | -0.000 | 0.000 |
| -21.183 | 19.317 | 0.062 | 75.847 | 0.000 | 0.001 |
| -0.000 | -0.000 | 0.000 | -0.000 | 104.727 | 11.932 |
| -0.047 | -0.047 | 0.003 | 0.000 | 10.323 | 296.070 |
| 603.031 | 10.868 | 3.503 | 10.323 | 0.000 | -0.000 |
| 10.868 | 603.031 | 3.503 | -10.323 | 0.000 | -0.000 |
| 3.553 | 3.553 | 15.668 | -0.000 | 0.000 | -0.000 |
| 11.932 | -11.932 | 0.000 | 104.727 | 0.000 | -0.000 |
| -0.000 | 0.000 | -0.000 | 0.000 | 104.727 | 11.932 |
| 0.047 | 0.047 | -0.003 | -0.000 | 10.323 | 296.070 |
| 647.212 | -33.256 | 3.553 | 11.932 | -0.000 | -0.000 |
| -33.256 | 647.212 | 3.553 | -11.932 | -0.000 | -0.000 |
| 3.097 | 3.097 | 15.203 | 0.000 | -0.000 | 0.000 |
| 11.932 | -11.932 | 0.000 | 104.727 | -0.000 | -0.000 |
| 0.000 | -0.000 | 0.000 | -0.000 | 104.727 | 11.932 |
| -0.000 | 0.000 | 0.000 | 0.000 | 11.932 | 340.234 |
| 602.597 | 10.473 | 3.242 | 9.413 | 0.000 | -0.000 |
| 10.472 | 602.598 | 3.242 | -9.413 | 0.000 | -0.000 |
| 3.553 | 3.553 | 15.668 | -0.000 | 0.000 | -0.000 |
| 0.322 | 0.218 | -0.070 | 0.254 | 0.000 | -0.000 |
| -0.000 | 0.000 | -0.000 | 0.000 | 104.727 | 11.932 |
| 0.000 | -0.000 | 0.000 | -0.000 | 11.932 | 340.234 |
| 602.608 | 10.459 | 3.268 | 9.477 | -0.000 | 0.000 |
| 10.832 | 602.974 | 3.506 | -10.323 | -0.000 | 0.000 |
| 3.034 | 3.034 | 15.089 | 0.000 | 0.000 | 0.000 |
| -0.034 | -0.020 | 0.007 | 0.028 | -0.000 | 0.000 |
| 0.000 | -0.000 | 0.000 | -0.000 | 104.727 | 11.932 |
| -0.001 | 0.000 | 0.000 | 0.000 | 10.325 | 296.136 |
| 647.209 | -33.256 | 3.553 | 11.932 | -0.000 | -0.000 |
| 10.821 | 602.983 | 3.506 | -10.323 | 0.000 | -0.000 |
| 3.553 | 3.553 | 15.668 | -0.000 | 0.000 | -0.000 |
| 0.061 | -0.007 | -0.007 | -0.109 | -0.000 | -0.000 |
| -0.000 | 0.000 | -0.000 | 0.000 | 104.727 | 11.932 |
| 0.001 | -0.000 | -0.000 | -0.000 | 10.325 | 296.136 |
| 647.617 | -33.628 | 3.558 | 11.956 | -0.000 | -0.000 |
| 9.863 | 601.665 | 3.655 | -9.760 | -0.068 | 0.046 |
| 3.423 | 2.863 | 15.612 | -0.161 | -0.006 | 0.101 |
| -1.083 | 2.809 | 7.150 | -16.037 | -0.408 | 0.031 |
| 0.000 | -0.000 | -0.000 | -0.000 | 104.942 | 11.956 |
| -0.000 | 0.000 | -0.000 | -0.000 | 11.956 | 340.623 |
| 602.843 | 11.267 | 2.274 | 9.472 | 0.095 | -0.043 |
| 11.345 | 602.766 | 2.225 | -5.948 | 0.099 | -0.043 |
| 3.601 | 2.782 | 11.802 | 3.543 | 0.204 | 0.039 |
| 3.905 | -1.265 | -1.393 | 60.452 | 0.165 | -0.143 |
| -0.146 | 0.699 | -0.026 | 0.244 | 100.689 | 7.093 |
| -0.739 | -1.663 | -5.525 | 6.124 | 1.072 | 295.709 |
| 602.773 | 10.208 | 3.282 | 8.333 | -0.007 | 0.004 |
| 10.612 | 602.494 | 3.323 | -5.053 | -0.021 | 0.003 |
| 3.257 | 3.146 | 15.498 | -0.032 | -0.001 | 0.020 |
| -0.059 | 0.259 | 0.558 | -0.496 | -0.038 | 0.002 |
| 0.000 | -0.000 | 0.000 | -0.000 | 104.942 | 11.956 |
| 0.039 | 0.126 | 0.494 | -0.586 | 1.105 | 295.561 |
| 603.330 | 10.528 | 3.510 | 10.363 | 0.000 | -0.005 |
| 10.502 | 603.356 | 3.510 | -10.347 | 0.000 | -0.005 |
| 0.983 | 0.328 | 2.367 | 2.697 | 0.156 | 0.035 |
| -0.115 | -0.119 | -0.612 | 0.606 | 0.038 | -0.002 |
| 0.328 | 0.245 | -0.304 | 0.645 | 1.871 | -0.563 |
| 0.000 | -0.000 | 0.000 | -0.000 | 11.956 | 340.623 |
| 601.807 | 11.249 | 2.832 | -0.825 | -0.004 | 0.000 |
| 10.536 | 601.446 | 0.348 | -0.063 | -0.004 | 0.000 |
| -0.077 | -0.062 | 0.345 | -0.080 | -0.005 | -0.000 |
| 0.003 | 0.021 | 0.061 | -0.088 | -0.004 | 0.000 |
| -0.034 | -0.024 | 0.031 | -0.065 | 0.015 | -0.006 |
| 0.003 | 0.018 | 0.056 | -0.066 | 0.013 | 295.451 |
| 601.544 | 11.438 | 2.626 | -1.129 | 0.004 | -0.000 |
| 11.031 | 601.984 | 2.711 | 1.112 | 0.004 | -0.000 |
| -0.196 | -0.222 | -0.342 | 0.134 | 0.008 | 0.001 |
| 0.033 | 0.026 | -0.031 | 0.108 | 0.004 | -0.000 |
| 0.034 | 0.024 | -0.031 | 0.065 | 0.022 | -0.007 |
| 0.036 | 0.021 | -0.030 | 0.065 | 0.191 | 295.467 |
| 795.413 | -34.674 | 5.661 | 3.482 | 0.000 | -0.000 |
| -34.674 | 795.413 | 5.661 | -3.482 | 0.000 | -0.000 |
| 18.348 | 18.915 | 7.422 | -0.000 | 0.000 | -0.017 |
| 3.482 | -3.482 | 0.000 | 130.541 | 0.000 | -0.000 |
| -0.000 | -0.000 | 0.000 | -0.000 | 130.541 | 3.482 |
| -0.000 | 0.000 | -0.000 | 0.000 | 3.482 | 415.044 |
| 795.413 | -34.674 | 5.661 | 3.482 | -0.000 | -0.000 |
| -34.674 | 795.413 | 5.661 | -3.482 | -0.000 | -0.000 |
| -0.007 | 2.401 | 26.574 | 0.003 | 0.001 | -0.074 |
| 3.482 | -3.482 | -0.000 | 130.541 | 0.000 | -0.000 |
| 0.000 | 0.000 | -0.000 | 0.000 | 130.541 | 3.482 |
| 0.000 | -0.000 | -0.000 | -0.000 | 3.482 | 415.044 |
| 795.414 | -34.674 | 5.661 | 3.482 | -0.000 | -0.000 |
| -34.674 | 795.414 | 5.661 | -3.482 | 0.000 | -0.000 |
| 5.661 | 5.661 | 24.112 | 0.000 | 0.000 | -0.000 |
| 3.482 | -3.482 | -0.000 | 130.541 | 0.000 | -0.000 |
| -0.000 | -0.000 | -0.000 | -0.000 | 130.541 | 3.482 |
| -0.000 | 0.000 | -0.000 | -0.000 | 3.482 | 415.044 |
| 795.413 | -34.674 | 5.661 | 3.482 | -0.000 | 0.000 |
| -34.674 | 795.413 | 5.661 | -3.482 | -0.000 | -0.000 |
| 5.661 | 5.661 | 24.112 | -0.000 | 0.000 | 0.000 |
| 3.482 | -3.482 | -0.000 | 130.541 | 0.000 | 0.000 |
| 0.000 | 0.000 | -0.000 | 0.000 | 130.541 | 3.482 |
| 0.000 | -0.000 | 0.000 | 0.000 | 3.482 | 415.044 |
| 795.417 | -34.674 | 5.661 | 3.482 | 0.000 | 0.000 |
| -34.673 | 795.416 | 5.661 | -3.482 | 0.000 | -0.000 |
| 3.490 | 3.505 | 21.748 | -0.000 | 0.000 | -0.000 |
| 3.482 | -3.482 | 0.000 | 130.542 | 0.000 | 0.000 |
| -0.000 | -0.000 | 0.000 | -0.001 | 130.541 | 3.482 |
| -0.000 | 0.001 | -0.000 | -0.000 | 3.482 | 415.044 |
| 744.419 | 16.057 | 5.612 | 3.657 | 0.000 | -0.000 |
| -34.674 | 795.411 | 5.661 | -3.482 | -0.000 | 0.000 |
| 5.661 | 5.661 | 24.112 | -0.000 | -0.000 | 0.000 |
| 3.482 | -3.482 | -0.000 | 130.540 | -0.000 | 0.000 |
| 0.000 | 0.000 | -0.000 | 0.001 | 130.541 | 3.482 |
| 0.000 | -0.001 | 0.000 | 0.000 | 3.482 | 415.044 |
| 748.055 | -15.288 | 2.937 | 1.902 | 0.046 | 0.213 |
| -34.885 | 792.160 | 5.642 | -3.467 | -0.000 | -0.000 |
| -6.592 | -6.581 | 21.378 | 0.150 | 0.050 | 0.146 |
| 3.467 | -3.467 | -0.000 | 130.176 | -0.000 | 0.000 |
| -4.079 | -3.796 | -0.953 | 0.053 | 127.008 | 4.381 |
| -11.534 | -11.486 | -2.387 | 0.147 | 1.815 | 381.767 |
| 770.691 | 8.133 | 7.714 | 1.641 | -0.045 | -0.216 |
| -34.885 | 792.159 | 5.642 | -3.467 | 0.000 | -0.000 |
| 9.445 | 9.164 | 24.917 | -0.053 | 0.009 | -0.576 |
| 7.881 | -0.004 | 0.953 | 126.963 | 0.009 | -0.580 |
| 4.080 | 3.797 | 0.953 | -0.053 | 127.025 | 3.221 |
| 26.993 | 27.282 | -11.247 | -1.136 | -12.839 | 341.626 |
| 739.286 | 14.074 | 5.057 | 1.832 | 0.004 | 0.033 |
| 14.705 | 736.733 | 4.882 | 0.185 | 0.009 | 0.034 |
| 4.039 | 4.041 | 23.568 | 0.015 | 0.005 | 0.016 |
| 3.467 | -3.467 | -0.000 | 130.176 | 0.000 | -0.000 |
| -0.000 | -0.000 | 0.000 | -0.000 | 130.176 | 3.467 |
| -2.640 | -2.648 | 0.084 | 0.063 | -4.847 | 360.480 |
| 792.159 | -34.885 | 5.642 | 3.467 | 0.000 | 0.000 |
| -34.885 | 792.159 | 5.642 | -3.467 | 0.000 | 0.000 |
| 5.797 | 5.769 | 24.065 | -0.005 | 0.001 | -0.057 |
| 3.467 | -3.467 | -0.000 | 130.176 | 0.000 | 0.000 |
| 2.618 | 2.645 | 0.526 | -0.033 | 106.689 | -1.709 |
| 1.976 | 1.973 | 0.271 | -0.032 | -0.553 | 361.015 |
| 737.908 | 15.793 | 4.901 | -1.978 | 0.001 | 0.003 |
| 22.753 | 732.096 | 5.136 | 26.514 | 0.008 | 0.005 |
| 4.399 | 4.395 | 23.103 | 0.008 | 0.003 | -0.001 |
| -22.293 | 21.544 | 0.200 | 6.736 | 0.007 | 0.004 |
| -0.371 | -0.377 | 0.200 | 0.015 | 6.715 | -21.919 |
| -0.201 | -0.207 | 0.356 | 0.021 | -26.324 | 354.790 |
| 733.774 | 20.585 | 4.403 | -19.519 | -0.006 | -0.004 |
| 16.282 | 740.790 | 5.592 | -3.653 | 0.000 | -0.003 |
| 5.491 | 5.491 | 24.045 | -0.000 | 0.000 | -0.000 |
| -21.157 | 21.261 | -0.373 | 6.419 | -0.006 | -0.005 |
| 0.371 | 0.377 | -0.200 | -0.015 | 6.702 | -21.928 |
| 0.201 | 0.207 | -0.356 | -0.021 | -26.335 | 354.782 |
| 1526.319 | 192.513 | -378.456 | 27.646 | -0.000 | 0.000 |
| 1310.760 | 2593.433 | -2687.593 | -21.985 | -0.000 | -0.000 |
| 113.576 | 113.576 | 999.400 | -0.000 | 0.000 | 0.000 |
| 89.824 | 57.413 | -162.608 | 430.518 | 0.000 | -0.000 |
| 72.800 | 72.800 | -160.881 | -0.000 | 430.536 | 16.208 |
| 0.000 | -0.000 | -0.000 | -0.000 | 27.646 | 666.903 |
| 102.957 | -1183.414 | 2575.003 | 22.395 | -0.000 | 0.000 |
| 192.513 | 1526.319 | -378.454 | -27.646 | 0.000 | 0.000 |
| -29.586 | -29.586 | 1315.962 | -0.000 | 0.000 | -0.000 |
| -1228.145 | -1272.554 | 2640.064 | 471.083 | 0.000 | 0.000 |
| -72.800 | -72.800 | 160.881 | -0.000 | 430.536 | 16.208 |
| -0.000 | 0.000 | 0.000 | 0.000 | 27.646 | 666.903 |
| 1526.320 | 192.513 | -378.455 | 27.646 | -0.000 | 0.000 |
| 192.513 | 1526.320 | -378.455 | -27.646 | 0.000 | -0.000 |
| 45.630 | 45.630 | 1149.539 | 0.000 | -0.000 | 0.000 |
| 152.376 | 108.435 | -275.346 | 469.520 | 0.000 | -0.000 |
| 0.000 | 0.000 | -0.000 | 0.000 | 507.475 | 27.646 |
| 0.388 | 0.389 | -1.588 | 0.000 | 15.712 | 611.299 |
| 1240.231 | -53.351 | 181.584 | 23.193 | -0.000 | 0.000 |
| -53.352 | 1240.231 | 181.584 | -23.193 | 0.000 | -0.000 |
| -14.079 | -14.079 | 1276.364 | 0.000 | 0.000 | 0.000 |
| -108.434 | -152.376 | 275.346 | 469.520 | 0.000 | 0.000 |
| -0.000 | -0.000 | 0.000 | -0.000 | 507.475 | 27.646 |
| -0.388 | -0.389 | 1.588 | -0.000 | 15.712 | 611.299 |
| 1282.282 | 64.978 | 11.657 | 15.148 | -0.000 | 0.000 |
| 66.266 | 1283.949 | 8.551 | -15.190 | 0.000 | -0.000 |
| 27.843 | 27.843 | 1187.049 | -0.000 | -0.000 | -0.000 |
| 8.401 | -17.674 | 9.684 | 409.113 | -0.000 | -0.000 |
| 6.430 | 6.429 | -13.406 | 0.000 | 405.522 | 12.485 |
| 5.631 | 5.631 | -11.733 | 0.000 | 12.125 | 589.552 |
| 1268.187 | 86.944 | 3.819 | 12.013 | -0.000 | 0.000 |
| 64.320 | 1271.168 | 24.134 | -14.040 | -0.000 | 0.000 |
| 25.006 | 25.006 | 1192.925 | 0.000 | 0.000 | -0.000 |
| 27.645 | -27.646 | 0.001 | 507.476 | 0.000 | 0.000 |
| -6.430 | -6.429 | 13.406 | -0.000 | 405.522 | 12.485 |
| -5.631 | -5.631 | 11.733 | -0.000 | 12.125 | 589.552 |
| 1496.251 | 150.776 | -307.281 | 20.116 | 0.000 | -0.000 |
| 150.776 | 1496.251 | -307.280 | -20.116 | 0.000 | -0.000 |
| 12848.285 | 12848.285 | -25029.966 | 0.000 | 0.000 | -0.000 |
| 20.116 | -20.116 | -0.000 | 523.675 | -0.000 | 0.000 |
| 0.000 | 0.000 | -0.000 | 0.000 | 523.675 | 20.116 |
| 2948.830 | 2948.830 | -5435.045 | 0.000 | 5.509 | 528.425 |
| -11447.621 | -12580.988 | 25962.120 | 7.777 | -0.000 | -0.000 |
| -3359.095 | -2230.784 | 6498.078 | -9.890 | -0.000 | 0.000 |
| 3495.851 | 3495.851 | -6560.798 | 0.000 | -0.000 | -0.000 |
| -12709.102 | -12724.532 | 26013.147 | 406.248 | 0.000 | -0.000 |
| -0.000 | -0.000 | 0.000 | -0.000 | 523.675 | 20.116 |
| -2948.830 | -2948.830 | 5435.045 | 0.000 | 5.509 | 528.425 |
| 1486.201 | 428.863 | -513.654 | 5.565 | 0.000 | 0.000 |
| 428.863 | 1486.202 | -513.654 | -5.565 | 0.000 | -0.000 |
| 1436.836 | 1436.836 | -1689.187 | 0.000 | -0.000 | 0.000 |
| 380.648 | 356.280 | -691.977 | 440.033 | -0.000 | -0.000 |
| 0.000 | 0.000 | -0.000 | 0.000 | 523.675 | 20.116 |
| 0.000 | 0.000 | -0.000 | 0.000 | 20.116 | 672.737 |
| 1471.146 | 244.227 | -432.400 | 12.930 | -0.000 | -0.000 |
| -238.446 | 887.308 | 661.142 | -9.735 | -0.000 | 0.000 |
| 476.368 | 476.368 | 220.507 | -0.000 | -0.000 | -0.000 |
| 20.116 | -20.116 | 0.000 | 523.675 | 0.000 | -0.000 |
| -0.000 | -0.000 | 0.000 | -0.000 | 523.675 | 20.116 |
| -0.000 | -0.000 | 0.000 | -0.000 | 20.116 | 672.737 |
| 1300.609 | 10.580 | 48.169 | 16.755 | -0.000 | 0.000 |
| 138.459 | 1300.790 | -81.425 | -11.765 | 0.000 | 0.000 |
| 89.325 | 89.325 | 1080.923 | -0.000 | 0.000 | 0.000 |
| 25.477 | 12.070 | -32.454 | 383.633 | 0.000 | -0.000 |
| 18.777 | 18.776 | -32.461 | 0.000 | 383.634 | 6.705 |
| -33.918 | -33.916 | 76.350 | 0.000 | 13.297 | 616.487 |
| 1214.916 | 42.089 | 95.063 | 10.103 | -0.000 | 0.000 |
| 86.227 | 1171.035 | 94.704 | -6.742 | -0.000 | -0.000 |
| 34.629 | 34.629 | 1183.848 | -0.000 | 0.000 | -0.000 |
| -112.132 | -128.648 | 246.183 | 411.402 | -0.000 | 0.000 |
| -18.777 | -18.776 | 32.461 | -0.000 | 383.634 | 6.705 |
| 33.918 | 33.916 | -76.350 | -0.000 | 13.297 | 616.487 |
| 1444.411 | 159.397 | -294.385 | 21.338 | -0.000 | -0.000 |
| 497.353 | 1489.112 | -684.423 | 0.892 | -0.000 | -0.000 |
| -294.384 | -294.384 | 1963.296 | 0.000 | -0.000 | 0.000 |
| 21.338 | -21.338 | -0.000 | 538.396 | 0.000 | 0.000 |
| 0.000 | 0.000 | -0.000 | -0.000 | 538.396 | 21.338 |
| 0.000 | 0.000 | -0.000 | -0.000 | 21.338 | 642.507 |
| 1444.411 | 159.397 | -294.384 | 21.338 | 0.000 | -0.000 |
| 159.397 | 1444.411 | -294.384 | -21.338 | 0.000 | -0.000 |
| -294.384 | -294.384 | 1963.295 | 0.000 | 0.000 | -0.000 |
| -54.114 | -75.937 | 127.079 | 436.546 | 0.000 | -0.000 |
| -0.000 | -0.000 | -0.000 | 0.000 | 538.396 | 21.338 |
| -0.000 | -0.000 | -0.000 | 0.000 | 21.338 | 642.507 |
| 1444.412 | 159.397 | -294.384 | 21.338 | -0.000 | 0.000 |
| 51.725 | 1282.240 | -15.283 | -17.020 | -0.000 | 0.000 |
| -51.824 | -51.824 | 1462.155 | -0.000 | -0.000 | 0.000 |
| 8.415 | -3.958 | -3.417 | 387.086 | -0.000 | -0.000 |
| 0.000 | 0.000 | -0.000 | 0.000 | 538.396 | 21.338 |
| 0.000 | 0.000 | 0.000 | 0.000 | 21.338 | 642.507 |
| 1444.411 | 159.397 | -294.384 | 21.338 | 0.000 | -0.000 |
| 44.740 | 1274.483 | -0.661 | -16.959 | 0.000 | -0.000 |
| -294.383 | -294.383 | 1963.294 | -0.000 | 0.000 | -0.000 |
| 21.338 | -21.338 | 0.000 | 538.396 | -0.000 | -0.000 |
| -0.000 | -0.000 | 0.000 | -0.000 | 538.396 | 21.338 |
| -0.000 | -0.000 | 0.000 | -0.000 | 21.338 | 642.507 |
| 1444.417 | 159.397 | -294.384 | 21.338 | -0.000 | -0.000 |
| 55.152 | 1288.567 | -25.629 | -17.249 | -0.000 | 0.000 |
| -76.041 | -76.041 | 1511.987 | -0.000 | -0.000 | 0.000 |
| 7.510 | -9.629 | 2.314 | 405.114 | 0.000 | 0.000 |
| 0.001 | 0.001 | -0.000 | 0.000 | 538.396 | 21.338 |
| -0.000 | 0.002 | -0.000 | 0.000 | 21.338 | 642.507 |
| 1444.405 | 159.398 | -294.384 | 21.338 | 0.000 | 0.000 |
| 159.396 | 1444.406 | -294.384 | -21.338 | 0.000 | -0.000 |
| -60.518 | -60.518 | 1479.839 | 0.000 | 0.000 | -0.000 |
| 6.315 | -10.932 | 4.764 | 401.891 | 0.000 | 0.000 |
| -0.001 | -0.001 | 0.000 | -0.000 | 538.396 | 21.338 |
| 0.000 | -0.002 | 0.000 | -0.000 | 21.338 | 642.507 |
| 403.394 | 197.703 | 197.703 | 0.000 | 0.000 | 0.000 |
| 197.703 | 403.394 | 197.703 | 0.000 | 0.000 | 0.000 |
| 197.703 | 197.703 | 403.394 | 0.000 | 0.000 | 0.000 |
| -0.000 | -0.000 | -0.000 | 265.237 | 0.000 | 0.000 |
| -0.000 | -0.000 | -0.000 | 0.000 | 265.237 | 0.000 |
| -0.000 | -0.000 | -0.000 | 0.000 | 0.000 | 265.237 |
| 403.394 | 197.703 | 197.703 | -0.000 | -0.000 | -0.000 |
| 197.703 | 403.394 | 197.703 | -0.000 | -0.000 | -0.000 |
| 197.703 | 197.703 | 403.394 | -0.000 | -0.000 | -0.000 |
| 0.000 | 0.000 | 0.000 | 265.237 | -0.000 | -0.000 |
| 0.000 | 0.000 | 0.000 | -0.000 | 265.237 | -0.000 |
| 0.000 | 0.000 | 0.000 | -0.000 | -0.000 | 265.237 |
| 403.394 | 197.703 | 197.703 | 0.000 | -0.000 | 0.000 |
| 197.703 | 403.394 | 197.703 | 0.000 | 0.000 | 0.000 |
| 197.703 | 197.703 | 403.394 | 0.000 | 0.000 | 0.000 |
| 0.000 | -0.000 | 0.000 | 265.237 | 0.000 | 0.000 |
| -0.000 | 0.000 | 0.000 | 0.000 | 265.237 | 0.000 |
| -0.000 | 0.000 | 0.000 | 0.000 | 0.000 | 265.237 |
| 403.394 | 197.703 | 197.703 | -0.000 | -0.000 | -0.000 |
| 197.703 | 403.394 | 197.703 | -0.000 | -0.000 | -0.000 |
| 197.703 | 197.703 | 403.394 | -0.000 | -0.000 | -0.000 |
| -0.000 | 0.000 | -0.000 | 265.237 | -0.000 | -0.000 |
| 0.000 | -0.000 | -0.000 | -0.000 | 265.237 | -0.000 |
| 0.000 | -0.000 | -0.000 | -0.000 | -0.000 | 265.237 |
| 403.396 | 197.703 | 197.703 | 0.000 | 0.000 | 0.000 |
| 197.703 | 403.396 | 197.703 | 0.000 | -0.000 | 0.000 |
| 197.703 | 197.703 | 403.396 | 0.000 | 0.000 | 0.000 |
| -0.000 | -0.000 | 0.000 | 141.843 | -0.000 | 0.000 |
| -0.000 | -0.000 | 0.000 | 0.000 | 141.843 | -0.000 |
| -0.000 | 0.000 | -0.000 | 0.000 | -0.000 | 141.843 |
| 403.392 | 197.702 | 197.702 | -0.000 | -0.000 | -0.000 |
| 197.702 | 403.392 | 197.702 | -0.000 | -0.000 | -0.000 |
| 197.702 | 197.702 | 403.392 | -0.000 | 0.000 | -0.000 |
| 0.000 | 0.000 | -0.000 | 141.843 | 0.000 | 0.000 |
| 0.000 | 0.000 | -0.000 | 0.000 | 141.843 | -0.000 |
| 0.000 | -0.000 | 0.000 | 0.000 | 0.000 | 141.843 |
| 157.238 | 69.738 | 69.738 | 0.000 | 0.000 | -0.000 |
| 69.738 | 157.238 | 69.738 | 0.000 | 0.000 | -0.000 |
| 69.738 | 69.738 | 157.238 | 0.000 | 0.000 | -0.000 |
| 0.000 | 0.000 | 0.000 | 174.196 | 0.000 | -0.000 |
| 0.000 | 0.000 | 0.000 | 0.000 | 174.196 | 0.000 |
| 0.000 | 0.000 | 0.000 | 0.000 | 0.000 | 174.196 |
| 157.238 | 69.738 | 69.738 | -0.000 | -0.000 | 0.000 |
| 69.738 | 157.238 | 69.738 | -0.000 | -0.000 | -0.000 |
| 69.738 | 69.738 | 157.238 | -0.000 | -0.000 | -0.000 |
| -0.000 | -0.000 | -0.000 | 174.195 | -0.000 | 0.000 |
| -0.000 | -0.000 | -0.000 | -0.000 | 174.195 | 0.000 |
| -0.000 | -0.000 | -0.000 | -0.000 | -0.000 | 174.196 |
| 133.865 | 76.682 | 76.682 | 0.000 | 0.000 | -0.000 |
| 76.682 | 133.865 | 76.682 | 0.000 | 0.000 | -0.000 |
| 76.682 | 76.682 | 133.865 | 0.000 | 0.000 | 0.000 |
| 0.000 | 0.000 | 0.000 | 174.196 | 0.000 | -0.000 |
| 0.000 | 0.000 | 0.000 | 0.000 | 174.196 | -0.000 |
| 0.000 | 0.000 | 0.000 | 0.000 | 0.000 | 174.196 |
| 157.238 | 69.738 | 69.738 | -0.000 | -0.000 | 0.000 |
| 69.738 | 157.238 | 69.738 | -0.000 | -0.000 | 0.000 |
| 69.738 | 69.738 | 157.238 | -0.000 | -0.000 | 0.000 |
| -0.000 | -0.000 | -0.000 | 174.196 | -0.000 | 0.000 |
| -0.000 | -0.000 | -0.000 | -0.000 | 174.196 | 0.000 |
| -0.000 | -0.000 | -0.000 | -0.000 | -0.000 | 174.196 |
| 131.457 | 80.332 | 80.332 | 0.000 | 0.000 | -0.000 |
| 80.332 | 131.457 | 80.332 | 0.000 | 0.000 | -0.000 |
| 80.332 | 80.332 | 131.457 | 0.000 | 0.000 | -0.000 |
| 0.000 | -0.000 | 0.000 | 174.196 | 0.000 | -0.000 |
| -0.000 | 0.000 | 0.000 | 0.000 | 174.196 | -0.000 |
| -0.000 | 0.000 | 0.000 | 0.000 | 0.000 | 174.196 |
| 131.454 | 80.332 | 80.332 | -0.000 | -0.000 | 0.000 |
| 80.332 | 131.454 | 80.332 | -0.000 | -0.000 | 0.000 |
| 80.332 | 80.332 | 131.454 | -0.000 | -0.000 | 0.000 |
| -0.000 | 0.000 | -0.000 | 174.196 | -0.000 | 0.000 |
| 0.000 | -0.000 | -0.000 | -0.000 | 174.196 | 0.000 |
| 0.000 | -0.000 | -0.000 | -0.000 | -0.000 | 174.196 |
| 690.792 | -2.063 | 3.567 | -0.448 | -0.235 | -0.023 |
| -13.803 | 705.284 | 3.557 | -0.136 | -0.074 | -0.511 |
| 4.604 | 4.604 | 19.990 | -0.000 | -0.000 | 0.000 |
| -39.032 | 27.600 | 1.258 | 54.166 | -0.984 | 1.645 |
| -26.017 | 21.522 | 10.001 | -4.597 | -29.677 | 0.633 |
| -32.329 | 20.823 | 0.630 | -1.473 | -0.768 | 339.001 |
| 719.239 | -8.900 | 1.043 | 2.549 | 1.322 | -1.408 |
| -31.431 | 734.944 | 4.671 | 0.000 | 0.000 | 0.000 |
| 40.943 | -26.437 | 15.474 | 2.117 | 1.099 | -1.603 |
| 8.436 | 3.506 | 1.071 | 110.323 | 0.074 | -0.015 |
| 8.439 | 3.504 | 1.071 | 0.141 | 110.255 | -0.015 |
| 6.058 | 5.669 | 1.053 | 0.138 | 0.074 | 364.436 |
| 678.403 | 23.378 | 3.673 | -0.459 | -0.237 | 0.087 |
| 17.990 | 683.888 | 4.353 | -0.144 | -0.075 | 0.076 |
| 2.858 | 4.626 | 19.451 | -0.045 | -0.024 | 0.026 |
| -4.034 | 3.403 | 0.181 | 51.729 | -0.105 | 0.152 |
| 0.000 | -0.000 | 0.000 | -0.000 | 114.542 | 0.000 |
| 0.022 | -1.173 | -0.104 | -0.013 | -0.008 | 336.031 |
| 684.420 | 19.214 | 4.678 | 0.002 | 0.002 | 0.178 |
| 18.469 | 686.119 | 4.687 | 0.030 | 0.016 | 0.116 |
| 4.400 | 6.164 | 19.853 | 0.027 | 0.016 | 0.231 |
| 0.000 | -0.000 | -0.000 | 114.542 | -0.000 | -0.000 |
| -0.000 | 0.000 | -0.000 | -0.000 | 114.542 | 0.000 |
| 0.000 | -0.000 | 0.000 | 0.000 | 0.000 | 383.187 |
| 681.246 | 21.736 | 4.342 | -0.013 | -0.007 | 0.010 |
| 21.170 | 681.813 | 4.345 | -0.013 | -0.007 | 0.009 |
| 4.421 | 4.101 | 19.466 | -0.005 | -0.003 | -0.042 |
| -0.731 | 0.572 | 0.033 | 0.429 | -0.019 | 0.039 |
| -0.902 | 0.673 | 0.023 | -0.037 | 0.951 | 0.052 |
| -0.312 | 0.245 | 0.018 | -0.019 | -0.010 | 329.818 |
| 681.764 | 21.395 | 4.308 | 0.014 | 0.007 | -0.010 |
| 21.587 | 681.513 | 4.343 | 0.013 | 0.007 | -0.008 |
| 3.671 | 0.907 | 9.523 | 0.092 | 0.048 | -0.070 |
| 0.377 | -0.292 | -0.051 | 0.095 | 0.019 | -0.012 |
| 0.902 | -0.673 | -0.023 | 0.037 | 0.990 | -0.052 |
| 0.312 | -0.245 | -0.018 | 0.019 | 0.010 | 329.798 |
| 1549.965 | 225.978 | -435.161 | -0.000 | 0.000 | 0.000 |
| 225.978 | 1549.965 | -435.161 | 0.000 | 0.000 | 0.000 |
| 2009.288 | 2009.288 | -3064.459 | 0.000 | 0.000 | 0.000 |
| 1986.834 | 1986.834 | -4251.551 | 395.197 | 0.000 | 0.000 |
| 1987.954 | 1987.954 | -4253.905 | -0.000 | 395.194 | 0.000 |
| 3013.460 | 3013.460 | -6387.533 | 0.000 | 0.000 | 622.030 |
| -696.812 | -1910.068 | 4246.695 | -0.000 | -0.000 | -0.000 |
| 225.978 | 1549.965 | -435.161 | -0.000 | -0.000 | 0.000 |
| -1963.965 | -1963.965 | 5437.732 | -0.000 | -0.000 | -0.000 |
| -1986.834 | -1986.834 | 4251.551 | 395.197 | -0.000 | -0.000 |
| -1987.954 | -1987.954 | 4253.905 | 0.000 | 395.194 | -0.000 |
| -3013.460 | -3013.460 | 6387.533 | 0.000 | -0.000 | 622.030 |
| 1368.153 | 124.422 | -143.451 | 0.000 | 0.000 | 0.000 |
| 278.648 | 1490.382 | -435.232 | -0.000 | 0.000 | 0.000 |
| 217.238 | 217.238 | 770.124 | -0.000 | 0.000 | 0.000 |
| 198.704 | 198.704 | -425.189 | 388.351 | 0.000 | 0.000 |
| 309.173 | 309.173 | -655.344 | 0.000 | 417.784 | 0.000 |
| 307.257 | 307.257 | -651.282 | 0.000 | 0.000 | 621.246 |
| 1090.422 | -121.877 | 421.285 | 0.000 | -0.000 | -0.000 |
| -107.520 | 1078.282 | 418.860 | 0.000 | -0.000 | -0.000 |
| -71.456 | -71.456 | 1388.762 | -0.000 | -0.000 | -0.000 |
| -198.704 | -198.704 | 425.189 | 388.351 | -0.000 | -0.000 |
| -309.173 | -309.173 | 655.344 | -0.000 | 417.784 | -0.000 |
| -307.257 | -307.257 | 651.282 | 0.000 | -0.000 | 621.246 |
| 1334.606 | 48.671 | -23.080 | 0.000 | 0.000 | 0.000 |
| 48.673 | 1334.605 | -23.080 | -0.000 | 0.000 | -0.000 |
| 43.920 | 43.920 | 1141.195 | 0.000 | 0.000 | 0.000 |
| 19.449 | 19.450 | -41.678 | 389.882 | 0.000 | 0.000 |
| 19.513 | 19.512 | -41.809 | 0.000 | 389.892 | 0.000 |
| 18.232 | 18.232 | -38.925 | 0.000 | 0.000 | 592.963 |
| 1262.443 | 61.007 | 41.607 | -0.000 | -0.000 | -0.000 |
| 59.457 | 1254.190 | 51.814 | -0.000 | -0.000 | -0.000 |
| 3.695 | 3.695 | 1227.239 | 0.000 | -0.000 | -0.000 |
| -19.449 | -19.450 | 41.678 | 389.882 | -0.000 | -0.000 |
| -19.513 | -19.512 | 41.809 | -0.000 | 389.892 | -0.000 |
| -18.232 | -18.232 | 38.925 | 0.000 | -0.000 | 592.963 |
| 1479.115 | 241.479 | -424.020 | 0.000 | 0.000 | 0.000 |
| 241.479 | 1479.115 | -424.020 | -0.000 | -0.000 | 0.000 |
| -424.020 | -424.020 | 2242.767 | -0.000 | -0.000 | 0.000 |
| 1.305 | 1.305 | -2.690 | 352.010 | -0.000 | 0.000 |
| -0.000 | -0.000 | -0.000 | 0.000 | 512.605 | 0.000 |
| -0.000 | -0.000 | -0.000 | 0.000 | -0.000 | 618.818 |
| 1479.115 | 241.479 | -424.020 | 0.000 | 0.000 | -0.000 |
| 127.347 | 1234.583 | -55.042 | 0.000 | 0.000 | -0.000 |
| -60.545 | -60.545 | 1494.598 | -0.000 | 0.000 | -0.000 |
| -1.305 | -1.305 | 2.690 | 352.010 | 0.000 | -0.000 |
| 0.000 | 0.000 | 0.000 | 0.000 | 512.605 | 0.000 |
| 0.000 | 0.000 | 0.000 | 0.000 | -0.000 | 618.818 |
| 1275.000 | 73.824 | -41.087 | 0.000 | -0.000 | 0.000 |
| 73.351 | 1274.424 | -40.007 | -0.000 | -0.000 | -0.000 |
| -66.701 | -66.701 | 1506.658 | 0.000 | -0.000 | -0.000 |
| 0.130 | 0.130 | -0.268 | 352.003 | -0.000 | 0.000 |
| 0.000 | 0.000 | -0.000 | -0.000 | 512.605 | -0.000 |
| 0.154 | 0.155 | -0.318 | -0.000 | -0.000 | 551.599 |
| 1275.056 | 73.856 | -41.178 | -0.000 | 0.000 | 0.000 |
| 73.735 | 1274.908 | -40.901 | -0.000 | 0.000 | 0.000 |
| -66.857 | -66.857 | 1506.978 | 0.000 | 0.000 | -0.000 |
| -0.130 | -0.130 | 0.268 | 352.003 | 0.000 | -0.000 |
| -0.000 | -0.000 | 0.000 | 0.000 | 512.605 | -0.000 |
| -0.154 | -0.155 | 0.318 | 0.000 | -0.000 | 551.599 |
| 1230.473 | 141.952 | -65.545 | -0.000 | -0.000 | 0.000 |
| 127.846 | 1235.105 | -56.088 | -0.000 | 0.000 | 0.000 |
| -59.745 | -59.745 | 1492.955 | -0.000 | -0.000 | 0.000 |
| 0.010 | 0.012 | -0.021 | 352.003 | -0.000 | -0.000 |
| -0.017 | -0.018 | 0.037 | -0.000 | 351.950 | -0.000 |
| 0.000 | 0.002 | -0.000 | -0.000 | -0.000 | 618.818 |
| 1280.588 | 78.413 | -51.575 | -0.000 | 0.000 | -0.000 |
| 132.840 | 1241.218 | -67.540 | 0.000 | -0.000 | -0.000 |
| -60.559 | -60.559 | 1494.619 | 0.000 | 0.000 | 0.000 |
| -0.010 | -0.012 | 0.021 | 352.003 | 0.000 | -0.000 |
| 0.017 | 0.018 | -0.037 | 0.000 | 351.950 | -0.000 |
| -0.000 | -0.002 | 0.000 | 0.000 | 0.000 | 618.818 |
| -1887.823 | -3084.140 | 6875.216 | 0.000 | -0.000 | 0.000 |
| -184.361 | 990.090 | 776.084 | -0.000 | 0.000 | 0.000 |
| -81.981 | -81.981 | 1627.777 | -0.000 | -0.000 | 0.000 |
| -2893.365 | -2893.365 | 6309.181 | 424.006 | 0.000 | 0.000 |
| -220.988 | -220.988 | 663.154 | -0.000 | 413.267 | 0.000 |
| -220.460 | -220.460 | 662.039 | 0.000 | -0.000 | 587.324 |
| 3881.201 | 2688.277 | -5709.113 | -0.000 | -0.000 | -0.000 |
| 254.825 | 1429.718 | -544.507 | -0.000 | -0.000 | -0.000 |
| 1789.744 | 1789.744 | -2678.510 | -0.000 | 0.000 | -0.000 |
| 2893.365 | 2893.365 | -6309.181 | 424.006 | 0.000 | -0.000 |
| 220.988 | 220.988 | -663.154 | -0.000 | 413.267 | -0.000 |
| 220.460 | 220.460 | -662.039 | 0.000 | -0.000 | 587.324 |
| 801.398 | -415.154 | 1038.479 | -0.000 | -0.000 | 0.000 |
| -415.154 | 801.398 | 1038.479 | -0.000 | -0.000 | 0.000 |
| -317.340 | -317.340 | 1923.629 | -0.000 | 0.000 | 0.000 |
| -21.920 | -21.920 | 65.933 | 413.282 | 0.000 | 0.000 |
| -175.839 | -175.839 | 387.076 | 0.000 | 415.501 | 0.000 |
| -0.000 | 0.000 | -0.000 | 0.000 | 0.000 | 668.812 |
| 1508.601 | 170.978 | -340.329 | 0.000 | -0.000 | -0.000 |
| 51.220 | 1238.754 | 45.655 | -0.000 | -0.000 | -0.000 |
| 143.558 | 143.558 | 937.490 | 0.000 | 0.000 | -0.000 |
| 21.920 | 21.920 | -65.933 | 413.282 | -0.000 | -0.000 |
| 175.839 | 175.839 | -387.076 | 0.000 | 415.501 | -0.000 |
| 0.000 | -0.000 | 0.000 | -0.000 | -0.000 | 668.812 |
| 1234.333 | 54.869 | 70.286 | -0.000 | -0.000 | 0.000 |
| 10.703 | 1295.290 | 53.281 | 0.000 | 0.000 | 0.000 |
| -3.141 | -3.141 | 1266.471 | -0.000 | -0.000 | 0.000 |
| -17.536 | -17.535 | 38.609 | 413.021 | 0.000 | 0.000 |
| -0.705 | -0.706 | 3.399 | -0.000 | 415.581 | 0.000 |
| -17.595 | -17.595 | 38.755 | -0.000 | 0.000 | 585.502 |
| 1508.595 | 170.978 | -340.329 | -0.000 | -0.000 | -0.000 |
| 170.977 | 1508.596 | -340.329 | 0.000 | -0.000 | -0.000 |
| 43.897 | 43.897 | 1164.160 | 0.000 | -0.000 | -0.000 |
| 17.536 | 17.535 | -38.609 | 413.021 | -0.000 | -0.000 |
| 0.705 | 0.706 | -3.399 | -0.000 | 415.581 | -0.000 |
| 17.595 | 17.595 | -38.755 | 0.000 | 0.000 | 585.502 |
| 1452.431 | 180.670 | -327.253 | -0.000 | -0.000 | 0.000 |
| 180.670 | 1452.431 | -327.253 | 0.000 | 0.000 | 0.000 |
| 468.832 | 468.832 | 375.295 | 0.000 | 0.000 | 0.000 |
| 589.473 | 589.473 | -1233.906 | 489.461 | -0.000 | 0.000 |
| -0.000 | -0.000 | 0.000 | 0.000 | 531.525 | 0.000 |
| 587.150 | 587.150 | -1229.045 | 0.000 | -0.000 | 612.671 |
| 1452.431 | 180.670 | -327.253 | -0.000 | -0.000 | 0.000 |
| -483.285 | 744.834 | 1104.695 | -0.000 | 0.000 | -0.000 |
| -713.139 | -713.139 | 2852.580 | -0.000 | 0.000 | 0.000 |
| -589.473 | -589.473 | 1233.906 | 489.461 | -0.000 | -0.000 |
| 0.000 | 0.000 | -0.000 | -0.000 | 531.525 | 0.000 |
| -587.150 | -587.150 | 1229.045 | -0.000 | 0.000 | 612.671 |
| 1452.432 | 180.670 | -327.253 | -0.000 | 0.000 | -0.000 |
| 82.880 | 1279.411 | -49.925 | -0.000 | -0.000 | 0.000 |
| -24.705 | -24.705 | 1408.037 | 0.000 | 0.000 | -0.000 |
| 88.037 | 88.037 | -184.281 | 468.703 | 0.000 | -0.000 |
| 88.041 | 88.041 | -184.290 | 0.000 | 468.700 | -0.000 |
| 77.563 | 77.564 | -162.359 | 0.000 | -0.000 | 605.220 |
| 1249.611 | 19.845 | 49.935 | 0.000 | 0.000 | 0.000 |
| 19.845 | 1249.611 | 49.935 | -0.000 | 0.000 | 0.000 |
| -70.827 | -70.827 | 1511.510 | -0.000 | -0.000 | -0.000 |
| -88.037 | -88.037 | 184.281 | 468.703 | -0.000 | 0.000 |
| -88.041 | -88.041 | 184.290 | -0.000 | 468.700 | 0.000 |
| -77.563 | -77.564 | 162.359 | -0.000 | 0.000 | 605.220 |
| 1452.437 | 180.670 | -327.253 | 0.000 | -0.000 | 0.000 |
| 63.624 | 1287.385 | -35.901 | 0.000 | -0.000 | -0.000 |
| -61.268 | -61.268 | 1484.801 | 0.000 | 0.000 | 0.000 |
| -0.366 | -0.364 | 0.579 | 392.662 | 0.000 | 0.000 |
| 3.822 | 3.821 | -8.147 | 0.000 | 386.528 | 0.000 |
| 0.000 | 0.002 | -0.000 | 0.000 | -0.000 | 635.880 |
| 1452.425 | 180.671 | -327.253 | -0.000 | 0.000 | 0.000 |
| 92.055 | 1229.360 | -7.986 | -0.000 | -0.000 | -0.000 |
| -41.364 | -41.364 | 1448.330 | 0.000 | 0.000 | 0.000 |
| 0.366 | 0.364 | -0.579 | 392.662 | -0.000 | -0.000 |
| -3.822 | -3.821 | 8.147 | -0.000 | 386.528 | -0.000 |
| -0.000 | -0.002 | 0.000 | -0.000 | 0.000 | 635.880 |
| 1484.944 | 136.116 | -281.950 | -0.000 | 0.000 | -0.000 |
| 136.116 | 1484.944 | -281.950 | -0.000 | 0.000 | 0.000 |
| -263.181 | -263.181 | 1821.254 | -0.000 | 0.000 | 0.000 |
| 0.000 | 0.000 | -0.000 | 530.059 | -0.000 | -0.000 |
| -64.385 | -64.385 | 135.440 | 0.000 | 487.376 | -0.000 |
| -64.566 | -64.566 | 135.821 | 0.000 | 0.000 | 632.486 |
| 1484.944 | 136.116 | -281.950 | -0.000 | -0.000 | 0.000 |
| 136.116 | 1484.944 | -281.950 | -0.000 | -0.000 | 0.000 |
| 9.509 | 9.509 | 1248.592 | 0.000 | -0.000 | -0.000 |
| -0.000 | -0.000 | 0.000 | 530.059 | -0.000 | 0.000 |
| 64.385 | 64.385 | -135.440 | -0.000 | 487.376 | 0.000 |
| 64.566 | 64.566 | -135.821 | -0.000 | -0.000 | 632.486 |
| 1484.945 | 136.116 | -281.950 | 0.000 | 0.000 | 0.000 |
| 64.332 | 1256.162 | 32.369 | -0.000 | 0.000 | -0.000 |
| -24.803 | -24.803 | 1320.799 | -0.000 | 0.000 | 0.000 |
| 0.000 | 0.000 | 0.000 | 530.059 | 0.000 | 0.000 |
| -12.726 | -12.726 | 26.770 | -0.000 | 445.697 | -0.000 |
| -13.105 | -13.105 | 27.568 | 0.000 | 0.000 | 589.311 |
| 1484.944 | 136.116 | -281.950 | -0.000 | -0.000 | -0.000 |
| 35.069 | 1326.326 | -9.403 | 0.000 | -0.000 | 0.000 |
| 31.875 | 31.875 | 1203.808 | 0.000 | -0.000 | -0.000 |
| -0.000 | -0.000 | -0.000 | 530.059 | -0.000 | -0.000 |
| 12.726 | 12.726 | -26.770 | 0.000 | 445.697 | 0.000 |
| 13.105 | 13.105 | -27.568 | -0.000 | -0.000 | 589.311 |
| 1484.950 | 136.116 | -281.950 | 0.000 | 0.000 | -0.000 |
| 67.860 | 1259.451 | 25.214 | -0.000 | -0.000 | -0.000 |
| 10.084 | 10.084 | 1249.570 | 0.000 | 0.000 | 0.000 |
| -1.295 | -1.293 | 2.723 | 444.382 | 0.000 | -0.000 |
| 0.000 | 0.001 | 0.000 | 0.000 | 530.059 | -0.000 |
| -0.000 | 0.002 | -0.000 | 0.000 | 0.000 | 674.414 |
| 1259.906 | 68.466 | 24.087 | -0.000 | -0.000 | -0.000 |
| 32.443 | 1324.443 | -4.658 | -0.000 | -0.000 | -0.000 |
| 28.292 | 28.292 | 1211.331 | 0.000 | -0.000 | -0.000 |
| 1.295 | 1.293 | -2.723 | 444.382 | -0.000 | -0.000 |
| -0.000 | -0.001 | -0.000 | -0.000 | 530.059 | -0.000 |
| 0.000 | -0.002 | 0.000 | -0.000 | -0.000 | 674.414 |
| 905.512 | -189.586 | 248.241 | 0.000 | -0.000 | 0.000 |
| -227.322 | 641.402 | 240.218 | 0.000 | -0.000 | 0.000 |
| -86.897 | -68.974 | -789.893 | -0.000 | -0.000 | -0.000 |
| -0.000 | 0.000 | 0.000 | 141.135 | -0.000 | -0.000 |
| -0.000 | 0.000 | 0.000 | 0.000 | 338.894 | -0.000 |
| 0.000 | -0.000 | 0.000 | 0.000 | -0.000 | 351.171 |
| 1059.629 | -110.338 | -238.507 | -0.000 | 0.000 | -0.000 |
| -73.174 | 720.657 | -246.726 | -0.000 | 0.000 | -0.000 |
| 2.326 | 2.114 | 570.228 | -0.000 | 0.000 | 0.000 |
| 0.000 | -0.000 | -0.000 | 141.135 | 0.000 | 0.000 |
| 0.000 | -0.000 | -0.000 | 0.000 | 338.894 | 0.000 |
| -0.000 | 0.000 | -0.000 | -0.000 | 0.000 | 351.171 |
| 984.979 | -149.405 | -8.057 | 0.000 | -0.000 | -0.000 |
| -149.275 | 682.946 | -8.138 | 0.000 | -0.000 | -0.000 |
| 2.326 | 2.114 | 570.228 | 0.000 | -0.000 | -0.000 |
| -9.819 | -5.048 | 31.017 | 125.949 | 0.000 | 0.000 |
| -0.000 | 0.000 | 0.000 | 0.000 | 338.894 | -0.000 |
| 0.000 | 0.000 | 0.000 | -0.000 | -0.000 | 351.171 |
| 990.445 | -145.789 | -19.035 | -0.000 | 0.000 | -0.000 |
| -149.274 | 682.945 | -8.138 | -0.000 | 0.000 | 0.000 |
| 11.122 | 0.818 | 13.540 | -0.000 | 0.000 | -0.000 |
| 9.819 | 5.048 | -31.017 | 125.949 | 0.000 | -0.000 |
| 0.000 | -0.000 | -0.000 | -0.000 | 338.894 | 0.000 |
| -0.000 | -0.000 | -0.000 | -0.000 | 0.000 | 351.171 |
| 981.552 | -150.562 | 7.505 | 0.000 | -0.000 | 0.000 |
| -150.078 | 677.502 | -15.248 | 0.000 | -0.000 | 0.000 |
| 1.199 | -5.744 | -66.717 | -0.000 | -0.000 | -0.000 |
| -1.042 | -0.712 | -12.193 | 14.056 | -0.000 | 0.000 |
| 2.077 | 0.403 | -30.235 | 0.000 | 41.993 | 0.000 |
| -0.377 | -0.330 | -3.639 | 0.000 | -0.000 | 273.431 |
| 982.683 | -148.900 | 0.758 | -0.000 | 0.000 | -0.000 |
| -148.581 | 678.803 | -7.993 | -0.000 | 0.000 | -0.000 |
| 3.355 | -5.711 | -51.635 | -0.000 | 0.000 | -0.000 |
| 1.042 | 0.712 | 12.193 | 14.056 | 0.000 | -0.000 |
| -2.077 | -0.403 | 30.235 | -0.000 | 41.993 | -0.000 |
| 0.377 | 0.330 | 3.639 | -0.000 | 0.000 | 273.431 |
| -2237.917 | -2964.774 | -2558.952 | 0.000 | -0.000 | 0.000 |
| -520.054 | -957.250 | -1343.874 | -0.000 | -0.000 | -0.000 |
| -1013.367 | -2184.657 | -2062.691 | -0.000 | -0.000 | -0.000 |
| -1001.246 | -2207.894 | -2303.031 | 99.096 | 0.000 | -0.000 |
| -221.441 | -873.344 | 145.345 | -0.000 | 163.306 | -0.000 |
| -577.601 | -1242.917 | -1398.029 | -0.000 | -0.000 | 143.822 |
| 556.062 | 15.299 | -3.824 | 0.000 | 0.000 | -0.000 |
| 1012.636 | 2465.135 | 2318.173 | 0.000 | 0.000 | 0.000 |
| 609.210 | 1302.960 | 1672.392 | 0.000 | 0.000 | 0.000 |
| 1001.246 | 2207.894 | 2303.031 | 99.096 | 0.000 | 0.000 |
| 221.441 | 873.344 | -145.345 | 0.000 | 163.306 | 0.000 |
| 577.601 | 1242.917 | 1398.029 | 0.000 | 0.000 | 143.822 |
| -45.342 | -258.962 | -285.341 | -0.000 | -0.000 | 0.000 |
| -87.258 | 27.883 | -208.718 | -0.000 | -0.000 | -0.000 |
| -26.163 | -64.346 | 126.134 | 0.000 | -0.000 | -0.000 |
| -22.082 | -87.089 | 14.494 | 157.586 | -0.000 | -0.000 |
| -252.831 | -364.859 | -288.954 | -0.000 | 106.462 | -0.000 |
| -98.661 | -217.964 | -226.309 | -0.000 | 0.000 | 126.970 |
| 556.062 | 15.299 | -3.824 | 0.000 | 0.000 | 0.000 |
| 99.200 | 450.383 | 53.491 | 0.000 | 0.000 | 0.000 |
| 89.508 | 184.426 | 420.415 | 0.000 | 0.000 | 0.000 |
| 22.082 | 87.089 | -14.494 | 157.586 | 0.000 | 0.000 |
| 252.831 | 364.859 | 288.954 | 0.000 | 106.462 | 0.000 |
| 98.661 | 217.964 | 226.309 | 0.000 | 0.000 | 126.970 |
| 427.489 | 62.552 | 25.450 | -0.000 | -0.000 | -0.000 |
| -40.438 | 104.044 | -53.289 | -0.000 | -0.000 | 0.000 |
| -4.100 | 30.182 | 479.692 | -0.000 | 0.000 | 0.000 |
| -5.921 | -11.677 | -16.160 | 103.472 | -0.000 | 0.000 |
| -27.424 | -37.836 | -28.404 | 0.000 | 88.780 | -0.000 |
| -16.429 | -27.008 | -24.103 | -0.000 | -0.000 | 106.661 |
| 332.530 | 67.148 | 47.475 | 0.000 | 0.000 | 0.000 |
| 41.705 | 216.210 | 47.447 | 0.000 | -0.000 | 0.000 |
| 24.285 | 69.761 | 387.280 | 0.000 | 0.000 | 0.000 |
| 5.921 | 11.677 | 16.160 | 103.472 | 0.000 | -0.000 |
| 27.424 | 37.836 | 28.404 | 0.000 | 88.780 | 0.000 |
| 16.429 | 27.008 | 24.103 | 0.000 | 0.000 | 106.661 |
| 204.539 | -105.857 | -105.857 | -0.000 | -0.000 | -0.000 |
| -105.857 | 204.539 | -105.857 | 0.000 | 0.000 | 0.000 |
| -105.857 | -105.857 | 204.539 | 0.000 | -0.000 | 0.000 |
| -0.000 | 0.000 | 0.000 | 216.804 | 0.000 | 0.000 |
| -0.000 | 0.000 | 0.000 | 0.000 | 216.804 | -0.000 |
| -0.000 | 0.000 | -0.000 | 0.000 | -0.000 | 216.804 |
| 459.433 | 15.474 | 15.474 | -0.000 | -0.000 | 0.000 |
| 15.474 | 459.433 | 15.474 | 0.000 | 0.000 | -0.000 |
| 15.474 | 15.474 | 459.433 | -0.000 | -0.000 | -0.000 |
| 0.000 | -0.000 | -0.000 | 216.804 | 0.000 | -0.000 |
| 0.000 | -0.000 | -0.000 | 0.000 | 216.804 | 0.000 |
| 0.000 | -0.000 | 0.000 | -0.000 | 0.000 | 216.804 |
| 459.433 | 15.474 | 15.474 | 0.000 | 0.000 | 0.000 |
| 15.474 | 459.433 | 15.474 | 0.000 | -0.000 | 0.000 |
| 15.474 | 15.474 | 459.433 | -0.000 | 0.000 | -0.000 |
| -64.428 | -64.428 | -64.428 | 93.092 | -0.000 | 0.000 |
| -64.428 | -64.428 | -64.428 | -0.000 | 93.092 | -0.000 |
| -64.428 | -64.428 | -64.428 | -0.000 | 0.000 | 93.092 |
| 377.032 | 61.862 | 61.862 | 0.000 | 0.000 | -0.000 |
| 61.862 | 377.032 | 61.862 | -0.000 | 0.000 | -0.000 |
| 61.862 | 61.862 | 377.032 | 0.000 | 0.000 | -0.000 |
| 64.428 | 64.428 | 64.428 | 93.092 | 0.000 | -0.000 |
| 64.428 | 64.428 | 64.428 | 0.000 | 93.092 | 0.000 |
| 64.428 | 64.428 | 64.428 | 0.000 | 0.000 | 93.092 |
| 11.119 | -44.404 | -44.404 | -0.000 | -0.000 | 0.000 |
| -44.404 | 11.119 | -44.404 | -0.000 | -0.000 | -0.000 |
| -44.404 | -44.404 | 11.119 | -0.000 | -0.000 | -0.000 |
| -1.748 | -1.748 | -1.748 | 146.308 | -0.000 | 0.000 |
| -1.748 | -1.748 | -1.748 | -0.000 | 146.308 | -0.000 |
| -1.748 | -1.748 | -1.748 | -0.000 | -0.000 | 146.308 |
| 102.054 | 31.615 | 31.615 | 0.000 | 0.000 | -0.000 |
| 33.796 | 94.132 | 33.796 | -0.000 | 0.000 | -0.000 |
| 31.615 | 31.615 | 102.054 | 0.000 | 0.000 | -0.000 |
| 1.748 | 1.748 | 1.748 | 146.308 | 0.000 | 0.000 |
| 1.748 | 1.748 | 1.748 | 0.000 | 146.308 | 0.000 |
| 1.748 | 1.748 | 1.748 | -0.000 | 0.000 | 146.308 |
| 599.447 | 33.301 | 19.441 | 1.958 | -0.000 | -0.000 |
| 33.301 | 599.447 | 19.441 | -1.958 | 0.000 | 0.000 |
| 120.229 | 120.230 | -29.771 | 0.000 | -0.000 | -0.000 |
| 1.958 | -1.958 | 0.000 | 265.321 | -0.000 | -0.000 |
| 0.000 | 0.000 | 0.000 | -0.000 | 265.321 | 1.958 |
| 0.000 | 0.000 | 0.000 | 0.000 | 1.958 | 283.073 |
| 296.377 | 2.124 | 416.865 | -9.693 | -0.001 | -0.002 |
| 21.538 | 328.843 | 342.955 | 10.091 | 0.000 | 0.000 |
| 19.441 | 19.441 | 521.933 | 0.000 | 0.000 | 0.000 |
| 1.958 | -1.958 | -0.000 | 265.321 | 0.000 | 0.000 |
| -0.000 | -0.000 | -0.000 | 0.000 | 265.321 | 1.958 |
| -0.000 | -0.000 | -0.000 | 0.000 | 1.958 | 283.073 |
| 599.448 | 33.301 | 19.441 | 1.958 | 0.000 | -0.000 |
| 33.301 | 599.448 | 19.441 | -1.958 | -0.000 | -0.000 |
| 19.441 | 19.441 | 521.933 | 0.000 | 0.000 | -0.000 |
| 1.958 | -1.958 | 0.000 | 265.321 | 0.000 | -0.000 |
| -9.832 | -9.830 | 14.463 | -0.000 | 170.004 | 4.852 |
| 3.958 | 3.958 | -25.437 | -0.000 | -9.364 | 149.612 |
| 365.148 | 66.908 | 96.171 | -10.573 | 0.000 | 0.000 |
| 33.301 | 599.447 | 19.441 | -1.958 | 0.000 | 0.000 |
| 62.436 | 62.435 | 297.321 | 0.000 | -0.000 | -0.000 |
| -17.358 | -0.892 | 51.409 | 114.509 | 0.000 | 0.000 |
| 9.832 | 9.830 | -14.463 | 0.000 | 170.004 | 4.852 |
| -3.958 | -3.958 | 25.437 | 0.000 | -9.364 | 149.612 |
| 361.742 | 77.136 | 66.667 | -10.355 | 0.000 | 0.000 |
| 77.007 | 361.988 | 66.605 | 10.363 | 0.000 | 0.000 |
| 66.008 | 66.008 | 256.004 | 0.000 | -0.000 | -0.000 |
| 1.958 | -1.958 | 0.000 | 265.321 | -0.000 | -0.000 |
| 0.000 | 0.000 | 0.000 | -0.000 | 265.321 | 1.958 |
| -0.618 | -0.617 | 0.909 | -0.000 | 3.776 | 208.471 |
| 482.372 | 90.909 | 46.202 | 4.087 | -0.000 | -0.000 |
| 33.301 | 599.445 | 19.441 | -1.958 | -0.000 | 0.000 |
| 47.063 | 47.063 | 202.485 | 0.000 | -0.000 | -0.000 |
| -8.497 | 7.802 | 2.265 | 143.545 | -0.000 | -0.000 |
| -0.000 | -0.000 | -0.000 | 0.000 | 265.321 | 1.958 |
| 0.618 | 0.617 | -0.909 | 0.000 | 3.776 | 208.471 |
| 578.872 | 172.391 | -330.836 | 1.371 | -0.319 | -0.470 |
| 165.784 | 585.480 | -330.839 | -5.820 | -0.319 | -0.470 |
| 136.686 | 143.305 | 55.545 | -2.228 | -0.320 | -0.470 |
| 108.165 | 107.582 | -366.553 | 194.605 | -0.319 | -0.470 |
| 104.569 | 111.179 | -366.554 | -2.225 | 196.511 | 3.126 |
| 104.568 | 111.178 | -366.550 | -2.225 | 3.277 | 206.057 |
| 369.679 | -49.944 | 402.292 | 5.823 | 0.319 | 0.470 |
| -43.331 | 363.069 | 402.288 | -1.371 | 0.319 | 0.470 |
| -72.511 | -79.112 | 788.868 | 2.222 | 0.319 | 0.469 |
| -100.973 | -114.776 | 366.555 | 199.055 | 0.319 | 0.470 |
| -104.569 | -111.179 | 366.554 | 2.225 | 197.149 | 4.066 |
| -104.568 | -111.178 | 366.550 | 2.225 | 3.915 | 206.996 |
| 399.568 | 111.765 | -122.923 | -3.691 | -0.021 | -0.031 |
| 71.618 | 485.561 | -1.006 | -3.814 | -0.032 | -0.047 |
| 42.967 | 43.641 | 384.004 | -0.227 | -0.033 | -0.048 |
| 14.079 | 7.539 | -36.730 | 196.500 | -0.032 | -0.047 |
| 10.478 | 11.141 | -36.730 | -0.223 | 196.690 | 3.554 |
| 10.466 | 11.127 | -36.687 | -0.223 | 3.566 | 206.423 |
| 561.490 | 17.866 | 16.925 | 1.114 | 0.000 | -0.000 |
| 17.866 | 561.490 | 16.925 | -1.114 | 0.000 | -0.000 |
| 10.508 | 10.071 | 450.325 | 0.146 | 0.021 | 0.031 |
| 1.114 | -1.114 | -0.000 | 249.673 | 0.000 | -0.000 |
| -10.478 | -11.141 | 36.731 | 0.223 | 196.753 | 3.648 |
| -10.466 | -11.128 | 36.687 | 0.223 | 3.630 | 206.516 |
| 333.681 | 69.745 | 40.563 | -6.027 | -0.001 | -0.002 |
| 68.134 | 464.127 | 33.924 | -3.947 | -0.004 | -0.005 |
| 13.253 | 13.253 | 491.582 | -0.000 | -0.000 | 0.000 |
| 0.409 | 8.128 | -17.518 | 129.995 | -0.002 | -0.002 |
| 4.252 | 4.286 | -17.519 | -0.012 | 130.004 | -3.845 |
| 1.090 | 1.160 | -3.822 | -0.023 | 3.699 | 203.730 |
| 459.477 | 66.750 | 42.776 | 4.010 | 0.004 | 0.005 |
| 66.804 | 459.446 | 42.765 | -3.957 | 0.004 | 0.005 |
| 13.252 | 13.252 | 491.581 | 0.000 | -0.000 | -0.000 |
| -8.096 | -0.442 | 17.520 | 130.018 | 0.002 | 0.002 |
| -4.252 | -4.286 | 17.519 | 0.012 | 130.008 | -3.841 |
| -1.090 | -1.160 | 3.822 | 0.023 | 3.706 | 203.735 |
| 1547.344 | 659.198 | -1353.185 | 0.000 | -0.000 | -0.000 |
| 1346.065 | 887.769 | -1359.180 | 0.000 | -0.000 | -0.000 |
| 1104.955 | -866.079 | 1348.854 | 0.000 | 0.000 | -0.000 |
| 0.000 | -0.000 | 0.000 | 229.089 | -0.000 | -0.000 |
| 1264.121 | 582.513 | -1420.245 | -0.000 | 131.753 | -0.000 |
| 0.000 | -0.000 | 0.000 | -0.000 | 0.000 | 202.844 |
| -980.052 | -506.165 | 1487.116 | -0.000 | -0.000 | 0.000 |
| -1182.036 | -275.019 | 1479.820 | -0.000 | 0.000 | 0.000 |
| -1206.284 | -517.838 | 1827.186 | -0.000 | -0.000 | 0.000 |
| -0.000 | -0.000 | 0.000 | 229.089 | -0.000 | 0.000 |
| -1264.121 | -582.513 | 1420.245 | 0.000 | 131.753 | 0.000 |
| -0.000 | -0.000 | -0.000 | -0.000 | -0.000 | 202.844 |
| 433.139 | 36.199 | 13.471 | -0.000 | -0.000 | -0.000 |
| 208.656 | 356.138 | -76.695 | 0.000 | -0.000 | -0.000 |
| 178.456 | 116.693 | 281.469 | -0.000 | 0.000 | -0.000 |
| 0.000 | 0.000 | 0.000 | 229.089 | 0.000 | -0.000 |
| 0.000 | 0.000 | 0.000 | 0.000 | 231.809 | 0.000 |
| 125.153 | 57.671 | -140.610 | 0.000 | 0.000 | 110.530 |
| 164.112 | 17.111 | 205.794 | 0.000 | 0.000 | 0.000 |
| -46.909 | 257.842 | 198.501 | -0.000 | 0.000 | 0.000 |
| -62.034 | 12.323 | 533.484 | 0.000 | -0.000 | 0.000 |
| -0.000 | -0.000 | -0.000 | 229.089 | 0.000 | 0.000 |
| -0.000 | -0.000 | -0.000 | -0.000 | 231.809 | -0.000 |
| -125.153 | -57.671 | 140.610 | -0.000 | 0.000 | 110.530 |
| 53.680 | -12.819 | 29.544 | 0.000 | 0.000 | -0.000 |
| 79.613 | 326.558 | 49.972 | 0.000 | -0.000 | -0.000 |
| 60.215 | 55.130 | 434.258 | 0.000 | 0.000 | -0.000 |
| 0.000 | 0.000 | 0.000 | 229.089 | -0.000 | -0.000 |
| 15.462 | -2.824 | -1.785 | 0.000 | 122.469 | -0.000 |
| 0.000 | 0.000 | 0.000 | -0.000 | 0.000 | 202.844 |
| 153.743 | 83.008 | 53.870 | -0.000 | 0.000 | 0.000 |
| -162.663 | 24.320 | -62.011 | -0.000 | 0.000 | 0.000 |
| 13.446 | 13.591 | 543.128 | -0.000 | -0.000 | -0.000 |
| -0.000 | -0.000 | -0.000 | 229.089 | -0.000 | 0.000 |
| -15.462 | 2.824 | 1.785 | -0.000 | 122.469 | -0.000 |
| -0.000 | -0.000 | -0.000 | -0.000 | -0.000 | 202.844 |
| 956.710 | 27.512 | 15.819 | -0.000 | -0.000 | -0.000 |
| 26.894 | 966.618 | 0.156 | 0.000 | -0.000 | -0.000 |
| 15.180 | 0.785 | 31.693 | 0.000 | 0.000 | 0.000 |
| -0.453 | 0.452 | 0.006 | 3.976 | 0.000 | -0.000 |
| -0.453 | 0.452 | 0.006 | -0.000 | 6.256 | -0.000 |
| -0.452 | 0.451 | 0.006 | -0.000 | -0.000 | 467.381 |
| 957.616 | 26.608 | 15.808 | 0.000 | 0.000 | 0.000 |
| -35.854 | 1029.285 | 0.927 | 0.000 | -0.000 | 0.000 |
| 16.411 | -0.445 | 31.678 | -0.000 | -0.000 | 0.000 |
| 0.453 | -0.452 | -0.006 | 3.976 | 0.000 | 0.000 |
| 0.453 | -0.452 | -0.006 | 0.000 | 6.256 | 0.000 |
| 0.452 | -0.451 | -0.006 | 0.000 | -0.000 | 467.381 |
| 957.119 | 27.105 | 15.814 | -0.000 | 0.000 | -0.000 |
| 27.302 | 966.211 | 0.151 | -0.000 | -0.000 | -0.000 |
| 15.913 | 0.053 | 31.684 | -0.000 | 0.000 | -0.000 |
| -0.045 | 0.045 | 0.001 | 3.976 | -0.000 | -0.000 |
| -0.045 | 0.045 | 0.001 | -0.000 | 6.256 | -0.000 |
| -0.045 | 0.045 | 0.001 | -0.000 | 0.000 | 467.381 |
| 957.207 | 27.015 | 15.813 | 0.000 | -0.000 | 0.000 |
| 27.391 | 966.121 | 0.149 | -0.000 | -0.000 | 0.000 |
| 16.004 | -0.037 | 31.683 | -0.000 | 0.000 | 0.000 |
| 0.045 | -0.045 | -0.001 | 3.976 | -0.000 | 0.000 |
| 0.045 | -0.045 | -0.001 | 0.000 | 6.256 | 0.000 |
| 0.045 | -0.045 | -0.001 | 0.000 | -0.000 | 467.381 |
| 957.169 | 27.058 | 15.813 | -0.000 | 0.000 | -0.000 |
| 27.350 | 966.166 | 0.150 | -0.000 | -0.000 | -0.000 |
| 15.954 | 0.012 | 31.684 | -0.000 | 0.000 | -0.000 |
| -0.005 | 0.005 | 0.000 | 3.976 | -0.000 | -0.000 |
| -0.005 | 0.005 | 0.000 | 0.000 | 6.256 | -0.000 |
| -0.005 | 0.005 | 0.000 | 0.000 | 0.000 | 467.381 |
| 957.157 | 27.062 | 15.813 | -0.000 | 0.000 | 0.000 |
| 27.344 | 966.165 | 0.150 | 0.000 | 0.000 | 0.000 |
| 15.963 | 0.003 | 31.683 | -0.000 | -0.000 | 0.000 |
| 0.005 | -0.005 | -0.000 | 3.976 | 0.000 | 0.000 |
| 0.005 | -0.005 | -0.000 | -0.000 | 6.256 | 0.000 |
| 0.005 | -0.005 | -0.000 | -0.000 | 0.000 | 467.381 |
| 280.693 | 5.212 | 0.946 | 1.021 | 0.032 | -0.002 |
| 5.200 | 280.709 | 0.952 | -1.156 | 0.031 | -0.002 |
| -0.283 | -0.255 | -0.966 | -0.193 | 0.063 | -0.004 |
| -0.084 | -0.006 | -0.184 | -0.036 | 0.026 | -0.002 |
| -0.051 | -0.039 | -0.184 | -0.079 | 0.069 | -0.034 |
| -0.048 | -0.034 | -0.171 | -0.074 | -0.303 | 137.888 |
| 280.986 | 5.140 | 1.493 | -0.523 | -0.023 | 0.001 |
| -15.690 | 302.178 | 1.660 | 5.579 | 0.000 | 0.000 |
| 0.187 | 0.159 | 1.158 | 0.191 | -0.062 | 0.004 |
| 0.019 | 0.070 | 0.184 | 0.122 | -0.026 | 0.002 |
| 0.051 | 0.039 | 0.184 | 0.079 | 0.017 | -0.031 |
| 0.048 | 0.034 | 0.171 | 0.074 | -0.356 | 137.891 |
| 280.586 | 4.857 | -0.101 | -0.004 | 0.003 | -0.000 |
| 4.875 | 280.568 | -0.101 | -0.013 | 0.003 | -0.000 |
| -0.088 | -0.085 | -0.104 | -0.019 | 0.006 | -0.000 |
| -0.006 | -0.003 | -0.018 | -0.006 | 0.003 | -0.000 |
| -0.005 | -0.004 | -0.018 | -0.008 | 0.003 | -0.000 |
| -0.005 | -0.004 | -0.018 | -0.008 | -0.002 | 137.856 |
| 280.611 | 4.919 | 0.109 | 0.013 | -0.003 | 0.000 |
| 4.901 | 280.629 | 0.109 | 0.004 | -0.003 | 0.000 |
| -0.041 | -0.044 | 0.106 | 0.019 | -0.006 | 0.000 |
| 0.005 | 0.004 | 0.018 | 0.007 | -0.003 | 0.000 |
| 0.005 | 0.004 | 0.018 | 0.008 | -0.002 | -0.000 |
| 0.005 | 0.004 | 0.018 | 0.008 | -0.007 | 137.856 |
| 280.597 | 4.884 | -0.010 | -0.003 | 0.000 | -0.000 |
| 4.885 | 280.596 | -0.011 | -0.003 | 0.000 | -0.000 |
| -0.067 | -0.067 | -0.010 | -0.002 | 0.001 | -0.000 |
| 0.001 | -0.001 | -0.002 | 0.005 | 0.000 | -0.000 |
| -0.000 | -0.000 | -0.002 | -0.001 | 0.000 | -0.000 |
| 0.000 | -0.001 | -0.002 | -0.001 | 0.000 | 137.856 |
| 280.600 | 4.889 | 0.011 | 0.004 | -0.000 | 0.000 |
| 4.888 | 280.600 | 0.011 | 0.003 | -0.000 | 0.000 |
| -0.062 | -0.063 | 0.011 | 0.002 | -0.001 | 0.000 |
| 0.001 | -0.000 | 0.002 | -0.010 | -0.000 | 0.000 |
| 0.000 | 0.000 | 0.002 | 0.001 | -0.000 | 0.000 |
| -0.000 | 0.001 | 0.002 | 0.001 | -0.000 | 137.856 |
| 958.184 | 26.587 | 15.792 | -0.000 | 0.000 | 0.000 |
| 27.376 | 965.043 | 0.133 | -0.000 | 0.000 | -0.000 |
| 16.185 | -0.262 | 31.643 | 0.000 | 0.000 | 0.000 |
| -0.000 | -0.000 | 0.000 | 4.457 | 0.000 | -0.000 |
| 0.000 | -0.000 | -0.000 | 0.000 | 6.253 | -0.000 |
| 0.000 | -0.000 | -0.000 | 0.000 | 0.000 | 467.309 |
| 958.184 | 26.587 | 15.792 | 0.000 | -0.000 | 0.000 |
| 27.376 | 965.043 | 0.133 | -0.000 | 0.000 | 0.000 |
| 15.400 | 0.523 | 31.653 | 0.000 | -0.000 | 0.000 |
| 0.000 | 0.000 | -0.000 | 4.457 | 0.000 | 0.000 |
| -0.000 | 0.000 | 0.000 | -0.000 | 6.253 | 0.000 |
| -0.000 | 0.000 | 0.000 | 0.000 | -0.000 | 467.309 |
| 958.185 | 26.586 | 15.792 | -0.000 | -0.000 | -0.000 |
| 27.376 | 965.043 | 0.133 | -0.000 | -0.000 | -0.000 |
| 16.185 | -0.262 | 31.643 | 0.000 | 0.000 | -0.000 |
| 0.000 | -0.000 | -0.000 | 3.965 | -0.000 | 0.000 |
| -0.000 | -0.000 | 0.000 | 0.000 | 6.253 | -0.000 |
| -0.000 | 0.000 | 0.000 | 0.000 | 0.000 | 467.309 |
| 958.183 | 26.588 | 15.792 | 0.000 | -0.000 | 0.000 |
| 27.375 | 965.043 | 0.133 | 0.000 | -0.000 | -0.000 |
| 15.400 | 0.523 | 31.653 | 0.000 | -0.000 | 0.000 |
| 0.000 | -0.000 | 0.000 | 3.965 | -0.000 | -0.000 |
| 0.000 | 0.000 | -0.000 | -0.000 | 6.253 | 0.000 |
| 0.000 | -0.000 | -0.000 | -0.000 | -0.000 | 467.309 |
| 958.195 | 26.580 | 15.792 | -0.000 | 0.000 | -0.000 |
| 27.383 | 965.039 | 0.133 | -0.000 | 0.000 | -0.000 |
| 15.400 | 0.523 | 31.653 | -0.000 | -0.000 | -0.000 |
| -0.000 | 0.000 | -0.000 | 3.965 | -0.000 | 0.000 |
| -0.000 | -0.000 | 0.000 | -0.000 | 6.253 | 0.000 |
| -0.000 | 0.001 | 0.000 | 0.000 | -0.000 | 467.309 |
| 958.174 | 26.594 | 15.792 | -0.000 | -0.000 | 0.000 |
| 27.368 | 965.047 | 0.133 | -0.000 | -0.000 | -0.000 |
| 16.185 | -0.262 | 31.643 | -0.000 | -0.000 | 0.000 |
| 0.000 | -0.000 | 0.000 | 3.965 | -0.000 | -0.000 |
| 0.000 | 0.000 | -0.000 | 0.000 | 6.253 | -0.000 |
| 0.000 | -0.001 | -0.000 | 0.000 | -0.000 | 467.309 |
| 46.385 | 47.275 | 47.275 | -0.000 | 0.000 | 0.000 |
| 47.275 | 46.385 | 47.275 | -0.000 | 0.000 | 0.000 |
| 47.275 | 47.275 | 46.385 | -0.000 | 0.000 | 0.000 |
| 60.287 | 60.287 | 60.287 | 4.135 | 0.000 | 0.000 |
| 60.287 | 60.287 | 60.287 | 0.000 | 4.135 | 0.000 |
| 60.287 | 60.287 | 60.287 | -0.000 | 0.000 | 4.135 |
| -57.165 | -52.027 | -52.027 | 0.000 | -0.000 | -0.000 |
| -52.027 | -57.165 | -52.027 | 0.000 | -0.000 | -0.000 |
| -52.027 | -52.027 | -57.165 | 0.000 | -0.000 | 0.000 |
| -60.287 | -60.287 | -60.287 | 4.135 | -0.000 | 0.000 |
| -60.287 | -60.287 | -60.287 | -0.000 | 4.135 | 0.000 |
| -60.287 | -60.287 | -60.287 | 0.000 | -0.000 | 4.135 |
| 1.744 | 7.115 | 7.115 | -0.000 | 0.000 | -0.000 |
| 7.115 | 1.744 | 7.115 | -0.000 | 0.000 | -0.000 |
| 7.115 | 7.115 | 1.744 | -0.000 | 0.000 | 0.000 |
| 4.426 | 4.426 | 4.426 | -4.146 | 0.000 | 0.000 |
| 4.426 | 4.426 | 4.426 | -0.000 | -4.146 | 0.000 |
| 4.426 | 4.426 | 4.426 | -0.000 | 0.000 | -4.146 |
| -7.955 | -2.747 | -2.747 | 0.000 | 0.000 | 0.000 |
| -2.747 | -7.955 | -2.747 | 0.000 | 0.000 | -0.000 |
| -2.747 | -2.747 | -7.955 | 0.000 | -0.000 | -0.000 |
| -4.426 | -4.426 | -4.426 | -4.146 | -0.000 | 0.000 |
| -4.426 | -4.426 | -4.426 | 0.000 | -4.146 | -0.000 |
| -4.426 | -4.426 | -4.426 | 0.000 | -0.000 | -4.146 |
| -53931.278 | -222082.228 | -221364.221 | 7986.127 | 12891.200 | 3091.849 |
| -104898.260 | 39617.317 | -127687.869 | -13261.131 | -5603.755 | 4927.767 |
| -119758.228 | -127555.712 | 59519.739 | -25017.942 | 113.209 | 15943.596 |
| 1.106 | 1.106 | 1.106 | -2.601 | 0.000 | -0.000 |
| 1.106 | 1.106 | 1.106 | -0.000 | -2.601 | -0.000 |
| 1.106 | 1.106 | 1.106 | -0.000 | 0.000 | -2.601 |
| 590433.847 | 379728.181 | 380891.556 | -339.930 | 1475.328 | 644.229 |
| 383067.148 | 583293.638 | 381813.743 | -1530.862 | -611.277 | 1055.514 |
| 381172.814 | 383547.256 | 587637.036 | -1372.419 | -1071.724 | 1171.640 |
| -1.106 | -1.106 | -1.106 | -2.601 | -0.000 | -0.000 |
| -1.106 | -1.106 | -1.106 | -0.000 | -2.601 | -0.000 |
| -1.106 | -1.106 | -1.106 | 0.000 | -0.000 | -2.601 |
| 1027.634 | -28.982 | 8.822 | 0.000 | 0.000 | -0.000 |
| -28.982 | 1027.634 | 8.822 | -0.000 | -0.000 | -0.000 |
| 8.813 | 8.813 | 37.809 | 0.000 | 0.000 | 0.000 |
| -0.000 | 0.000 | -0.000 | 158.632 | 0.000 | 0.000 |
| -0.000 | 0.000 | 0.000 | -0.000 | 158.632 | 0.000 |
| -0.000 | 0.000 | 0.000 | 0.000 | 0.000 | 528.308 |
| 967.106 | 31.546 | 8.822 | -0.000 | -0.000 | -0.000 |
| 59.952 | 938.700 | 8.822 | 0.000 | -0.000 | 0.000 |
| 8.813 | 8.813 | 37.809 | 0.000 | 0.000 | -0.000 |
| 0.000 | -0.000 | -0.000 | 158.632 | -0.000 | -0.000 |
| 0.000 | -0.000 | -0.000 | 0.000 | 158.632 | -0.000 |
| 0.000 | -0.000 | -0.000 | 0.000 | -0.000 | 528.308 |
| 1027.634 | -28.982 | 8.822 | -0.000 | 0.000 | -0.000 |
| 59.953 | 938.700 | 8.822 | -0.000 | -0.000 | -0.000 |
| 8.813 | 8.813 | 37.809 | 0.000 | -0.000 | 0.000 |
| -0.000 | 0.000 | 0.000 | 158.632 | -0.000 | 0.000 |
| -0.000 | -0.000 | 0.000 | -0.000 | 158.632 | 0.000 |
| -0.000 | 0.000 | -0.000 | 0.000 | 0.000 | 528.308 |
| 938.699 | 59.953 | 8.822 | 0.000 | 0.000 | -0.000 |
| -28.982 | 1027.634 | 8.822 | 0.000 | -0.000 | 0.000 |
| 8.813 | 8.813 | 37.809 | -0.000 | -0.000 | -0.000 |
| 0.000 | -0.000 | -0.000 | 158.632 | -0.000 | -0.000 |
| 0.000 | 0.000 | -0.000 | 0.000 | 158.632 | -0.000 |
| 0.000 | -0.000 | 0.000 | -0.000 | -0.000 | 528.308 |
| 966.366 | 32.290 | 8.822 | -0.000 | 0.000 | 0.000 |
| 31.536 | 967.120 | 8.822 | -0.000 | 0.000 | 0.000 |
| 8.813 | 8.813 | 37.809 | -0.000 | -0.000 | 0.000 |
| -0.000 | -0.000 | 0.000 | 158.632 | -0.000 | -0.000 |
| -0.000 | -0.000 | 0.000 | -0.000 | 158.632 | 0.000 |
| -0.000 | 0.001 | -0.000 | -0.000 | 0.000 | 467.780 |
| 967.847 | 30.802 | 8.822 | 0.000 | 0.000 | -0.000 |
| 59.941 | 938.707 | 8.822 | 0.000 | -0.000 | -0.000 |
| 8.813 | 8.813 | 37.808 | 0.000 | 0.000 | -0.000 |
| 0.000 | 0.000 | -0.000 | 158.632 | 0.000 | 0.000 |
| 0.000 | 0.000 | -0.000 | 0.000 | 158.632 | 0.000 |
| 0.000 | -0.001 | 0.000 | 0.000 | -0.000 | 467.780 |
| 158.304 | 70.257 | 70.257 | 0.000 | 0.000 | -0.000 |
| 70.257 | 158.304 | 70.257 | -0.000 | 0.000 | 0.000 |
| 70.257 | 70.257 | 158.304 | -0.000 | 0.000 | -0.000 |
| 0.000 | 0.000 | 0.000 | 174.613 | 0.000 | -0.000 |
| 0.000 | 0.000 | 0.000 | -0.000 | 174.613 | 0.000 |
| 0.000 | 0.000 | 0.000 | 0.000 | 0.000 | 174.613 |
| 132.767 | 80.686 | 80.686 | -0.000 | -0.000 | 0.000 |
| 80.686 | 132.767 | 80.686 | -0.000 | -0.000 | 0.000 |
| 80.686 | 80.686 | 132.767 | -0.000 | -0.000 | -0.000 |
| -0.000 | -0.000 | -0.000 | 174.613 | -0.000 | 0.000 |
| -0.000 | -0.000 | -0.000 | 0.000 | 174.613 | -0.000 |
| -0.000 | -0.000 | -0.000 | -0.000 | -0.000 | 174.613 |
| 135.194 | 77.006 | 77.006 | -0.000 | 0.000 | -0.000 |
| 77.006 | 135.194 | 77.006 | 0.000 | 0.000 | -0.000 |
| 77.006 | 77.006 | 135.194 | -0.000 | 0.000 | 0.000 |
| 0.000 | 0.000 | 0.000 | 174.613 | 0.000 | -0.000 |
| 0.000 | 0.000 | 0.000 | -0.000 | 174.613 | 0.000 |
| 0.000 | 0.000 | 0.000 | 0.000 | 0.000 | 174.613 |
| 135.194 | 77.006 | 77.006 | 0.000 | -0.000 | -0.000 |
| 77.006 | 135.194 | 77.006 | -0.000 | -0.000 | -0.000 |
| 77.006 | 77.006 | 135.194 | 0.000 | -0.000 | 0.000 |
| -0.000 | -0.000 | -0.000 | 174.613 | -0.000 | -0.000 |
| -0.000 | -0.000 | -0.000 | 0.000 | 174.613 | -0.000 |
| -0.000 | -0.000 | -0.000 | -0.000 | -0.000 | 174.613 |
| 135.195 | 77.006 | 77.006 | -0.000 | 0.000 | 0.000 |
| 77.006 | 135.195 | 77.006 | 0.000 | 0.000 | 0.000 |
| 77.006 | 77.006 | 135.195 | 0.000 | 0.000 | -0.000 |
| -0.000 | -0.000 | 0.000 | 128.645 | 0.000 | 0.000 |
| -0.000 | -0.000 | 0.000 | 0.000 | 128.645 | 0.000 |
| -0.000 | 0.000 | -0.000 | 0.000 | 0.000 | 128.645 |
| 132.768 | 80.685 | 80.685 | 0.000 | -0.000 | 0.000 |
| 80.685 | 132.768 | 80.685 | -0.000 | -0.000 | -0.000 |
| 80.685 | 80.685 | 132.768 | -0.000 | -0.000 | 0.000 |
| 0.000 | 0.000 | -0.000 | 128.645 | -0.000 | -0.000 |
| 0.000 | 0.000 | -0.000 | 0.000 | 128.645 | -0.000 |
| 0.000 | -0.000 | 0.000 | -0.000 | -0.000 | 128.645 |
| 548.675 | 70.157 | 9.641 | 6.979 | -0.070 | -1.007 |
| 32.868 | 613.914 | 75.308 | -34.082 | -0.836 | -0.747 |
| 153.823 | 188.588 | 732.396 | -121.582 | -3.334 | -0.763 |
| 20.214 | 28.855 | 95.730 | -11.129 | -1.062 | -0.417 |
| 153.194 | 187.347 | 727.464 | -119.064 | -134.695 | -13.652 |
| 161.670 | 187.338 | 747.058 | -65.933 | -4.449 | 290.669 |
| 638.793 | -33.159 | 3.509 | 11.793 | 0.000 | 0.000 |
| -148.318 | 404.120 | -743.957 | 103.282 | 2.607 | 0.762 |
| -6.844 | -29.582 | -59.322 | 30.469 | 0.848 | 0.770 |
| -162.270 | -171.997 | -711.356 | -28.433 | 3.725 | 1.043 |
| -153.227 | -187.418 | -727.730 | 119.199 | -128.428 | -12.175 |
| 0.000 | -0.000 | -0.000 | -0.000 | 11.793 | 335.976 |
| 590.811 | 15.422 | 3.809 | 9.970 | -0.004 | -0.057 |
| 26.793 | 611.614 | 74.688 | -3.751 | -0.187 | -0.070 |
| 14.279 | 18.545 | 70.340 | -13.247 | -0.364 | -0.103 |
| 0.945 | 13.961 | 29.124 | -53.813 | -0.209 | -0.085 |
| 0.000 | -0.000 | -0.000 | -0.000 | 103.508 | 11.793 |
| -0.318 | 1.087 | 0.355 | -0.100 | 10.046 | 287.803 |
| 576.716 | -7.508 | -73.324 | -1.517 | 0.335 | 0.085 |
| -3.650 | 573.061 | -72.882 | 23.078 | 0.309 | 0.083 |
| -10.643 | -15.421 | -54.613 | 15.093 | 0.414 | 0.114 |
| -11.872 | -3.623 | -30.504 | -45.393 | 0.219 | 0.087 |
| -3.376 | -3.706 | -3.571 | 0.868 | 86.435 | 9.911 |
| 0.000 | -0.000 | 0.000 | -0.000 | 11.793 | 335.976 |
| 595.095 | 10.463 | 3.495 | 10.204 | -0.000 | -0.005 |
| 11.939 | 595.047 | 7.426 | -0.387 | -0.015 | -0.007 |
| 3.376 | 3.376 | 15.484 | 0.000 | -0.000 | 0.000 |
| -0.128 | 0.536 | 1.179 | 0.631 | -0.014 | -0.008 |
| 1.620 | 1.849 | 7.425 | -0.526 | -0.038 | 0.011 |
| 1.356 | 1.593 | 6.221 | -0.669 | -2.863 | 291.132 |
| 591.114 | 9.338 | -6.501 | -2.849 | 0.019 | 0.007 |
| 9.831 | 594.453 | 2.997 | -9.273 | 0.002 | 0.005 |
| -1.705 | -2.042 | -7.448 | 1.106 | 0.030 | 0.008 |
| -0.310 | -0.098 | -1.178 | 1.713 | 0.014 | 0.008 |
| -1.628 | -1.859 | -7.463 | 0.526 | 0.005 | -0.000 |
| -0.272 | -0.414 | -0.343 | 0.085 | 8.727 | 292.327 |
| 797.323 | 84.336 | 19.238 | -9.764 | -0.000 | 0.000 |
| 84.325 | 797.333 | 19.238 | 9.764 | -0.000 | -0.000 |
| 47.040 | 47.040 | 36.145 | -0.000 | -0.000 | 0.000 |
| 3.452 | -3.452 | 0.000 | 129.425 | -0.000 | -0.000 |
| -0.000 | -0.000 | -0.000 | -0.000 | 129.425 | 3.452 |
| -0.000 | 0.000 | -0.000 | 0.000 | 3.452 | 411.495 |
| 668.516 | -44.445 | -8.636 | -10.188 | -0.000 | -0.000 |
| -34.377 | 788.614 | 5.613 | -3.452 | 0.000 | 0.000 |
| 14.142 | 14.081 | 181.792 | -0.000 | -0.001 | -0.078 |
| -36.662 | -47.407 | -12.697 | 110.307 | -0.000 | -0.000 |
| 0.000 | 0.000 | 0.000 | 0.000 | 129.425 | 3.452 |
| 0.000 | -0.000 | 0.000 | 0.000 | 3.452 | 411.495 |
| 736.192 | 18.587 | 5.676 | 3.633 | 0.000 | 0.000 |
| 20.718 | 740.111 | 6.361 | 0.468 | -0.000 | 0.000 |
| 5.613 | 5.613 | 23.906 | -0.000 | 0.000 | -0.000 |
| 3.120 | 10.506 | 2.016 | 97.590 | -0.000 | -0.000 |
| 4.691 | 4.691 | 1.417 | -0.000 | 108.091 | 5.595 |
| -0.000 | 0.000 | 0.000 | -0.000 | 3.452 | 411.495 |
| 731.099 | 11.634 | 3.691 | -0.140 | 0.000 | -0.000 |
| 11.632 | 731.101 | 3.691 | 0.140 | 0.000 | 0.000 |
| 0.866 | 0.866 | 22.202 | 0.000 | -0.000 | -0.000 |
| 0.904 | -10.286 | -1.417 | 108.091 | -0.000 | -0.000 |
| -4.691 | -4.691 | -1.417 | 0.000 | 108.091 | 5.595 |
| 0.000 | -0.000 | -0.000 | 0.000 | 3.452 | 411.495 |
| 730.757 | 19.901 | 4.397 | -17.157 | -0.000 | -0.000 |
| 16.545 | 737.528 | 5.569 | -3.627 | -0.000 | 0.000 |
| 5.613 | 5.613 | 23.906 | -0.000 | 0.000 | -0.000 |
| -16.755 | 21.691 | 0.732 | 14.367 | -0.000 | -0.000 |
| -0.000 | -0.000 | 0.000 | -0.001 | 129.425 | 3.452 |
| 1.398 | 1.399 | 0.403 | -0.000 | -10.828 | 357.080 |
| 734.745 | 15.603 | 4.804 | -0.492 | 0.000 | 0.000 |
| 15.590 | 734.758 | 4.804 | 0.492 | 0.000 | -0.000 |
| 5.613 | 5.613 | 23.906 | 0.000 | 0.000 | 0.000 |
| 3.452 | -3.452 | -0.000 | 129.424 | -0.000 | 0.000 |
| 0.000 | 0.000 | -0.000 | 0.001 | 129.425 | 3.452 |
| -1.398 | -1.399 | -0.403 | 0.000 | -10.828 | 357.080 |
| 759.120 | 42.808 | -3.378 | 3.972 | 0.431 | 1.933 |
| 13.033 | 788.895 | -3.380 | -3.806 | 0.431 | 1.934 |
| -8.665 | 21.269 | 16.031 | 0.084 | 0.433 | 1.943 |
| -10.603 | 11.415 | -9.276 | 135.405 | 0.431 | 1.934 |
| -14.492 | 15.304 | -9.276 | 0.083 | 135.752 | 5.823 |
| -14.488 | 15.300 | -9.274 | 0.083 | 4.320 | 374.975 |
| 788.083 | 12.221 | 15.170 | 3.806 | -0.431 | -1.934 |
| 41.995 | 758.308 | 15.168 | -3.972 | -0.431 | -1.933 |
| 3798.049 | 3772.355 | 17476.823 | 0.115 | -0.406 | -4.692 |
| 18.380 | -19.193 | 9.276 | 135.238 | -0.431 | -1.934 |
| 14.491 | -15.304 | 9.276 | -0.083 | 134.890 | 1.955 |
| 14.488 | -15.300 | 9.274 | -0.083 | 3.458 | 371.110 |
| 773.418 | 27.783 | 4.987 | 3.893 | 0.042 | 0.190 |
| 24.963 | 776.238 | 4.985 | -3.877 | 0.042 | 0.190 |
| 4.440 | 7.430 | 24.420 | 0.008 | 0.043 | 0.194 |
| 2.435 | -2.354 | -0.931 | 135.322 | 0.043 | 0.194 |
| -1.454 | 1.536 | -0.931 | 0.008 | 135.357 | 4.084 |
| -1.422 | 1.502 | -0.910 | 0.008 | 3.927 | 374.423 |
| 837.949 | -36.527 | 5.964 | 3.668 | 0.000 | 0.000 |
| -36.527 | 837.949 | 5.964 | -3.668 | 0.000 | -0.000 |
| 7.339 | 4.370 | 26.275 | -0.008 | -0.043 | -0.193 |
| 5.344 | -5.426 | 0.931 | 135.305 | -0.043 | -0.194 |
| 1.454 | -1.536 | 0.931 | -0.008 | 135.270 | 3.696 |
| 1.422 | -1.501 | 0.910 | -0.008 | 3.842 | 374.058 |
| 710.735 | 8.133 | -179.135 | -5.455 | 0.004 | 0.016 |
| 8.022 | 710.957 | -179.271 | 5.561 | 0.004 | 0.016 |
| 5.964 | 5.964 | 25.403 | 0.000 | 0.000 | -0.000 |
| 3.668 | -3.668 | 0.000 | 137.522 | -0.000 | 0.000 |
| -0.000 | -0.000 | 0.000 | -0.001 | 137.521 | 3.668 |
| -0.000 | 0.001 | -0.000 | -0.000 | 3.668 | 437.238 |
| 837.946 | -36.527 | 5.964 | 3.668 | -0.000 | 0.000 |
| -36.528 | 837.947 | 5.964 | -3.668 | -0.000 | -0.000 |
| 5.964 | 5.964 | 25.403 | -0.000 | -0.000 | -0.000 |
| 3.668 | -3.668 | -0.000 | 137.520 | 0.000 | 0.000 |
| 0.000 | 0.000 | -0.000 | 0.001 | 137.521 | 3.668 |
| 0.000 | -0.001 | 0.000 | 0.000 | 3.668 | 437.238 |
| 729.969 | 83.637 | 22.527 | -96.142 | 3.289 | 0.057 |
| -34.732 | 788.716 | 5.617 | -3.452 | 0.000 | 0.000 |
| -2.536 | 69.197 | 42.386 | -181.751 | 6.325 | 0.820 |
| 12.871 | 49.922 | 17.666 | 8.016 | 3.315 | 0.051 |
| -0.000 | -0.000 | -0.000 | -0.000 | 129.610 | 3.452 |
| 10.960 | 28.866 | 10.767 | -45.665 | 2.756 | 392.972 |
| 684.691 | 56.807 | 2.320 | 15.301 | -0.366 | 0.753 |
| 54.907 | 686.553 | 2.310 | 7.731 | -0.367 | 0.756 |
| -1.833 | 0.372 | 20.625 | 11.652 | -0.371 | 0.763 |
| 3.452 | -3.452 | 0.000 | 129.610 | -0.000 | -0.000 |
| -0.000 | 0.000 | -0.000 | 0.000 | 129.610 | 3.452 |
| -10.960 | -28.874 | -10.769 | 45.675 | -0.422 | 392.645 |
| 727.902 | 28.990 | 7.612 | -51.541 | 1.244 | 0.215 |
| 10.944 | 745.295 | 6.290 | -5.857 | 0.147 | -0.006 |
| 6.234 | 9.674 | 25.138 | -9.514 | 0.329 | 0.005 |
| 1.860 | 2.764 | 1.251 | 109.922 | 0.186 | 0.034 |
| -1.113 | 7.167 | 2.103 | -20.865 | 74.158 | -7.638 |
| -1.820 | 6.859 | 1.934 | -21.568 | -7.065 | 357.701 |
| 741.564 | 7.125 | 4.253 | 5.860 | -0.147 | 0.006 |
| 8.158 | 740.386 | 4.215 | 2.853 | -0.151 | 0.005 |
| 5.449 | -1.789 | 21.082 | 18.336 | -0.638 | -0.083 |
| 3.452 | -3.452 | 0.000 | 129.610 | -0.000 | -0.000 |
| 0.000 | 0.000 | 0.000 | 0.000 | 129.610 | 3.452 |
| -1.355 | -4.873 | -1.749 | 9.402 | -1.620 | 356.437 |
| 730.985 | 20.749 | 5.024 | -19.338 | 0.125 | 0.022 |
| 15.882 | 736.546 | 5.285 | -1.390 | 0.020 | 0.000 |
| 5.433 | 5.410 | 23.892 | -0.120 | 0.004 | -0.008 |
| -21.839 | 22.468 | 0.397 | 1.830 | 0.160 | 0.029 |
| -0.725 | 1.143 | 0.312 | -4.561 | 7.208 | -21.446 |
| 0.157 | 0.372 | 0.143 | -0.599 | 0.745 | 360.221 |
| 730.598 | 20.989 | 4.424 | -18.434 | -0.173 | -0.032 |
| 24.286 | 726.550 | 3.960 | 32.252 | -0.195 | -0.036 |
| 4.746 | 3.791 | 22.559 | 2.401 | -0.084 | -0.012 |
| -20.595 | 19.966 | -0.397 | 10.951 | -0.160 | -0.029 |
| 0.724 | -1.111 | -0.275 | 4.500 | 8.526 | -21.490 |
| 0.633 | -1.019 | -0.253 | 4.040 | -18.525 | 355.198 |
| 666.178 | 31.907 | 1.399 | -0.347 | -0.152 | -0.043 |
| -31.056 | 726.450 | 4.617 | -0.000 | 0.000 | 0.000 |
| -0.764 | 11.276 | 10.753 | -0.861 | -0.377 | -0.134 |
| -61.454 | -23.568 | -193.365 | -127.458 | -5.028 | -0.464 |
| 0.000 | -0.000 | -0.000 | 0.000 | 113.213 | -0.000 |
| -22.416 | 10.446 | -29.242 | -2.686 | -1.175 | 333.762 |
| 687.375 | 9.655 | 19.858 | 1.507 | 0.659 | 0.228 |
| 82.383 | 638.835 | 71.093 | 5.707 | 2.496 | 0.675 |
| 9.376 | -2.422 | 27.298 | 0.822 | 0.360 | 0.128 |
| 40.367 | -12.506 | 70.125 | 0.927 | 2.591 | 0.691 |
| -0.000 | 0.000 | 0.000 | 0.000 | 113.213 | -0.000 |
| 0.000 | -0.000 | 0.000 | -0.000 | -0.000 | 378.753 |
| 678.101 | 17.274 | 4.584 | -0.003 | -0.001 | 0.001 |
| 21.940 | 670.852 | -0.963 | -0.424 | -0.185 | -0.053 |
| 4.020 | 5.149 | 19.683 | -0.005 | -0.002 | 0.002 |
| -3.790 | 0.075 | -8.397 | -11.021 | -0.271 | -0.051 |
| -0.729 | 1.300 | -0.674 | -0.074 | 98.297 | -0.010 |
| -3.253 | 0.957 | -5.963 | -0.493 | -0.216 | 322.152 |
| 678.329 | 16.207 | 4.825 | 0.035 | 0.015 | 0.004 |
| 17.297 | 677.970 | 4.628 | 0.003 | 0.001 | -0.001 |
| 5.585 | 3.428 | 20.436 | 0.163 | 0.071 | 0.024 |
| 3.794 | -1.222 | 5.518 | 15.673 | 0.215 | 0.068 |
| 0.726 | -1.295 | 0.671 | 0.073 | 98.425 | 0.010 |
| 0.632 | -0.809 | 0.951 | 0.097 | 0.042 | 329.188 |
| 679.280 | 16.051 | 4.604 | -0.000 | -0.000 | 0.000 |
| 21.409 | 673.409 | 4.033 | -0.022 | -0.009 | -0.003 |
| -0.959 | -0.480 | -2.838 | -0.188 | -0.082 | -0.006 |
| -0.345 | 0.008 | -0.767 | -0.175 | -0.025 | -0.005 |
| -0.380 | 0.110 | -0.684 | -0.057 | -0.066 | -0.006 |
| -0.199 | 0.073 | -0.366 | -0.030 | -0.013 | 325.935 |
| 673.589 | 21.349 | 4.439 | 0.031 | 0.013 | 0.003 |
| 21.625 | 673.324 | 4.466 | 0.026 | 0.011 | 0.003 |
| 1.090 | 0.608 | 4.067 | 0.185 | 0.081 | 0.006 |
| 0.367 | -0.049 | 0.735 | -0.040 | 0.025 | 0.005 |
| 0.419 | -0.115 | 0.638 | 0.057 | 0.248 | 0.008 |
| 0.180 | -0.091 | 0.237 | 0.022 | 0.010 | 326.002 |
| 1027.854 | -28.922 | 8.825 | 0.000 | -0.000 | 0.000 |
| 31.616 | 967.316 | 8.825 | 0.000 | -0.000 | 0.000 |
| 8.842 | 8.842 | 37.816 | -0.000 | -0.000 | 0.000 |
| -0.000 | 0.000 | 0.000 | 158.627 | -0.000 | 0.000 |
| -0.000 | 0.000 | 0.000 | 0.000 | 158.627 | 0.000 |
| 0.000 | 0.000 | 0.000 | 0.000 | -0.000 | 528.388 |
| 967.316 | 31.616 | 8.825 | -0.000 | 0.000 | -0.000 |
| 31.616 | 967.316 | 8.825 | -0.000 | 0.000 | -0.000 |
| 8.842 | 8.842 | 37.816 | -0.000 | 0.000 | -0.000 |
| 0.000 | -0.000 | -0.000 | 158.627 | 0.000 | -0.000 |
| 0.000 | -0.000 | -0.000 | 0.000 | 158.627 | 0.000 |
| -0.000 | -0.000 | -0.000 | 0.000 | 0.000 | 528.388 |
| 938.908 | 60.024 | 8.825 | -0.000 | -0.000 | -0.000 |
| -28.922 | 1027.854 | 8.825 | 0.000 | -0.000 | 0.000 |
| 8.842 | 8.842 | 37.816 | 0.000 | -0.000 | 0.000 |
| -0.000 | 0.000 | 0.000 | 158.627 | -0.000 | 0.000 |
| -0.000 | -0.000 | 0.000 | -0.000 | 158.627 | 0.000 |
| -0.000 | 0.000 | -0.000 | 0.000 | -0.000 | 467.850 |
| 1027.853 | -28.922 | 8.825 | -0.000 | 0.000 | 0.000 |
| 31.615 | 967.317 | 8.825 | 0.000 | 0.000 | -0.000 |
| 8.842 | 8.842 | 37.816 | -0.000 | 0.000 | -0.000 |
| 0.000 | 0.000 | -0.000 | 158.627 | 0.000 | -0.000 |
| 0.000 | 0.000 | -0.000 | -0.000 | 158.627 | -0.000 |
| 0.000 | -0.000 | 0.000 | -0.000 | 0.000 | 467.850 |
| 967.327 | 31.609 | 8.825 | 0.000 | -0.000 | 0.000 |
| 60.036 | 938.899 | 8.825 | -0.000 | -0.000 | -0.000 |
| 8.842 | 8.842 | 37.817 | -0.000 | -0.000 | 0.000 |
| -0.000 | 0.000 | 0.000 | 158.627 | -0.000 | 0.000 |
| 0.000 | -0.000 | 0.000 | 0.000 | 158.627 | 0.000 |
| 0.005 | -0.004 | 0.000 | 0.000 | -0.000 | 439.441 |
| 967.306 | 31.622 | 8.825 | -0.000 | 0.000 | -0.000 |
| 60.015 | 938.913 | 8.825 | -0.000 | 0.000 | -0.000 |
| 8.842 | 8.842 | 37.816 | 0.000 | 0.000 | -0.000 |
| 0.000 | -0.000 | -0.000 | 158.627 | 0.000 | -0.000 |
| -0.000 | 0.000 | -0.000 | -0.000 | 158.627 | 0.000 |
| -0.005 | 0.004 | -0.000 | -0.000 | 0.000 | 439.441 |
| -3723.435 | -7729.401 | -5178.422 | -0.000 | -0.000 | -0.001 |
| 29.475 | 524.423 | 40.361 | 0.000 | -0.000 | 0.000 |
| -7608.997 | -10753.282 | -7495.401 | -0.000 | -0.000 | -0.001 |
| 397.128 | -1702.725 | -1216.169 | 150.467 | -0.000 | -0.001 |
| 397.099 | -1702.600 | -1216.080 | -0.000 | 156.000 | -0.001 |
| 397.083 | -1702.532 | -1216.031 | -0.000 | -0.000 | 169.562 |
| 19.052 | 1786.071 | 1254.186 | 0.000 | 0.000 | 0.001 |
| 29.475 | 524.423 | 40.361 | -0.000 | 0.000 | -0.000 |
| 13.361 | 37.882 | 500.212 | 0.000 | 0.000 | -0.000 |
| -397.128 | 1702.725 | 1216.169 | 150.467 | 0.000 | 0.001 |
| -397.099 | 1702.600 | 1216.080 | 0.000 | 156.000 | 0.001 |
| -397.083 | 1702.532 | 1216.031 | 0.000 | 0.000 | 169.565 |
| 438.530 | -77.415 | -78.472 | -0.000 | -0.000 | -0.000 |
| 29.475 | 524.423 | 40.361 | 0.000 | -0.000 | 0.000 |
| -597.310 | -1013.287 | -680.084 | -0.000 | -0.000 | 0.000 |
| -744.320 | -1076.749 | -749.045 | 9.439 | 0.000 | -0.000 |
| 0.000 | 0.000 | 0.000 | 0.000 | 258.360 | 0.000 |
| 38.991 | -167.179 | -119.408 | -0.000 | -0.000 | 171.433 |
| 391.346 | 247.558 | 156.786 | 0.000 | 0.000 | 0.000 |
| 60.240 | 520.720 | 203.953 | 0.000 | 0.000 | 0.000 |
| 182.252 | 428.294 | 536.249 | -0.000 | 0.000 | -0.000 |
| 744.320 | 1076.749 | 749.045 | 9.439 | -0.000 | 0.000 |
| -0.000 | -0.000 | -0.000 | -0.000 | 258.360 | -0.000 |
| -38.991 | 167.179 | 119.408 | 0.000 | 0.000 | 171.433 |
| 576.154 | 29.145 | 15.511 | 0.000 | -0.000 | 0.000 |
| -47.269 | 48.181 | -61.789 | 0.000 | -0.000 | 0.000 |
| -89.068 | -60.345 | 39.313 | 0.000 | 0.000 | -0.000 |
| -12.434 | -39.140 | -24.573 | 101.865 | 0.000 | 0.000 |
| -43.084 | -78.097 | -47.893 | 0.000 | 83.529 | 0.000 |
| -11.076 | -39.088 | -24.750 | 0.000 | -0.000 | 148.771 |
| 276.726 | 127.910 | 31.738 | 0.000 | 0.000 | -0.000 |
| 84.588 | 278.486 | 100.076 | -0.000 | 0.000 | 0.000 |
| 51.713 | 137.955 | 216.622 | 0.000 | -0.000 | 0.000 |
| 12.434 | 39.140 | 24.573 | 101.865 | 0.000 | -0.000 |
| 43.084 | 78.097 | 47.893 | -0.000 | 83.529 | -0.000 |
| 24.354 | 54.734 | 36.459 | 0.000 | 0.000 | 119.431 |
| 1635.333 | 312.008 | -598.044 | 0.000 | -0.000 | 0.000 |
| 312.008 | 1635.333 | -598.044 | 0.000 | 0.000 | -0.000 |
| -554.963 | -554.963 | 2346.285 | 0.000 | 0.000 | 0.000 |
| 0.000 | 0.000 | -0.000 | 467.822 | 0.000 | 0.000 |
| 6.102 | 6.102 | -12.841 | 0.000 | 370.851 | 0.000 |
| 0.000 | 0.000 | -0.000 | 0.000 | 0.000 | 661.663 |
| 1635.333 | 312.008 | -598.044 | -0.000 | 0.000 | -0.000 |
| 312.008 | 1635.333 | -598.044 | -0.000 | -0.000 | -0.000 |
| 38.324 | 38.324 | 1097.806 | -0.000 | -0.000 | -0.000 |
| -0.000 | -0.000 | -0.000 | 467.822 | -0.000 | 0.000 |
| -6.102 | -6.102 | 12.841 | -0.000 | 370.851 | 0.000 |
| -0.000 | -0.000 | 0.000 | -0.000 | -0.000 | 661.663 |
| 1314.912 | 67.397 | -3.534 | 0.000 | -0.000 | 0.000 |
| 66.819 | 1314.318 | -2.299 | 0.000 | 0.000 | 0.000 |
| 40.258 | 40.258 | 1093.736 | 0.000 | 0.000 | 0.000 |
| 0.610 | 0.610 | -1.284 | 370.755 | 0.000 | 0.000 |
| 0.610 | 0.610 | -1.284 | 0.000 | 370.755 | -0.000 |
| 0.000 | 0.000 | -0.000 | -0.000 | 0.000 | 661.663 |
| 1344.864 | 29.575 | 4.747 | -0.000 | -0.000 | -0.000 |
| 67.569 | 1315.098 | -3.911 | -0.000 | -0.000 | -0.000 |
| 39.662 | 39.662 | 1094.990 | 0.000 | -0.000 | -0.000 |
| -0.610 | -0.610 | 1.284 | 370.755 | -0.000 | -0.000 |
| -0.610 | -0.610 | 1.284 | -0.000 | 370.755 | -0.000 |
| -0.000 | -0.000 | 0.000 | 0.000 | -0.000 | 661.663 |
| 1315.231 | 66.786 | -3.220 | 0.000 | 0.000 | 0.000 |
| 67.218 | 1314.736 | -3.154 | 0.000 | 0.000 | 0.000 |
| 41.336 | 41.336 | 1091.473 | 0.000 | 0.000 | 0.000 |
| 0.001 | 0.001 | -0.002 | 467.822 | 0.000 | 0.000 |
| 0.057 | 0.056 | -0.117 | 0.000 | 370.755 | -0.000 |
| 0.156 | 0.158 | -0.329 | 0.000 | 0.000 | 623.757 |
| 1314.345 | 66.841 | -2.358 | -0.000 | -0.000 | -0.000 |
| 29.444 | 1344.720 | 5.031 | 0.000 | -0.000 | 0.000 |
| 39.946 | 39.946 | 1094.387 | -0.000 | -0.000 | -0.000 |
| -0.001 | -0.001 | 0.002 | 467.822 | -0.000 | -0.000 |
| -0.057 | -0.056 | 0.117 | -0.000 | 370.755 | -0.000 |
| -0.156 | -0.158 | 0.329 | -0.000 | -0.000 | 623.757 |
| 1238.985 | 150.611 | -89.588 | 0.000 | 0.000 | -0.000 |
| 339.500 | 1537.699 | -590.997 | 0.000 | -0.000 | -0.000 |
| -590.997 | -590.997 | 2591.826 | 0.000 | 0.000 | -0.000 |
| -0.001 | -0.001 | 0.001 | 313.556 | 0.000 | -0.000 |
| 0.000 | 0.000 | 0.000 | -0.000 | 492.933 | -0.000 |
| -0.002 | -0.002 | 0.005 | -0.000 | 0.000 | 544.187 |
| 1287.481 | 95.934 | -83.233 | -0.000 | 0.000 | 0.000 |
| 95.934 | 1287.481 | -83.233 | -0.000 | -0.000 | 0.000 |
| -590.997 | -590.997 | 2591.825 | -0.000 | 0.000 | 0.000 |
| 0.001 | 0.001 | -0.001 | 313.556 | -0.000 | 0.000 |
| -0.000 | -0.000 | -0.000 | -0.000 | 492.933 | -0.000 |
| 0.002 | 0.002 | -0.005 | -0.000 | -0.000 | 544.187 |
| 1239.010 | 150.635 | -89.638 | 0.000 | 0.000 | -0.000 |
| 150.635 | 1239.010 | -89.638 | 0.000 | 0.000 | -0.000 |
| -89.490 | -89.490 | 1560.413 | 0.000 | -0.000 | -0.000 |
| -0.001 | -0.000 | 0.001 | 313.556 | 0.000 | -0.000 |
| 0.000 | 0.000 | -0.000 | 0.000 | 492.933 | 0.000 |
| 0.000 | 0.000 | -0.000 | 0.000 | 0.000 | 544.187 |
| 1238.955 | 150.582 | -89.528 | -0.000 | -0.000 | 0.000 |
| 95.914 | 1287.460 | -83.191 | -0.000 | 0.000 | 0.000 |
| -89.677 | -89.677 | 1560.796 | -0.000 | -0.000 | 0.000 |
| 0.001 | 0.000 | -0.001 | 313.556 | -0.000 | 0.000 |
| -0.000 | -0.000 | 0.000 | -0.000 | 492.933 | -0.000 |
| -0.000 | -0.000 | 0.000 | -0.000 | -0.000 | 544.187 |
| 1239.258 | 150.867 | -90.126 | 0.000 | 0.000 | -0.000 |
| 150.869 | 1239.257 | -90.127 | 0.000 | 0.000 | -0.000 |
| -88.647 | -88.647 | 1558.686 | 0.000 | 0.000 | -0.000 |
| -0.005 | -0.003 | 0.010 | 313.556 | 0.000 | -0.000 |
| -0.003 | -0.005 | 0.010 | 0.000 | 313.556 | -0.000 |
| 0.000 | 0.002 | -0.001 | 0.000 | 0.000 | 599.100 |
| 1238.700 | 150.343 | -89.026 | -0.000 | -0.000 | 0.000 |
| 150.612 | 1238.972 | -89.583 | -0.000 | -0.000 | 0.000 |
| -90.517 | -90.517 | 1562.520 | -0.000 | -0.000 | 0.000 |
| 0.005 | 0.003 | -0.010 | 313.556 | -0.000 | 0.000 |
| 0.003 | 0.005 | -0.010 | -0.000 | 313.556 | -0.000 |
| -0.000 | -0.002 | 0.001 | -0.000 | -0.000 | 599.100 |
| 1507.609 | 171.228 | -340.075 | 0.000 | 0.000 | 0.000 |
| 310.794 | 1556.024 | -532.899 | 0.000 | 0.000 | 0.000 |
| -317.501 | -317.501 | 1925.829 | -0.000 | 0.000 | 0.000 |
| 306.567 | 306.567 | -640.670 | 470.836 | 0.000 | 0.000 |
| 0.000 | 0.000 | 0.000 | 0.000 | 516.726 | -0.000 |
| 0.000 | 0.000 | 0.000 | 0.000 | 0.000 | 668.191 |
| 1021.222 | -209.120 | 564.205 | -0.000 | -0.000 | -0.000 |
| -233.774 | 1046.056 | 567.629 | -0.000 | -0.000 | -0.000 |
| -205.024 | -205.024 | 1687.175 | -0.000 | 0.000 | 0.000 |
| -306.567 | -306.567 | 640.670 | 470.836 | -0.000 | -0.000 |
| -0.000 | -0.000 | -0.000 | -0.000 | 516.726 | 0.000 |
| -0.000 | -0.000 | -0.000 | -0.000 | -0.000 | 668.191 |
| 1290.721 | 94.370 | -32.243 | -0.000 | 0.000 | 0.000 |
| 94.383 | 1290.739 | -32.275 | 0.000 | 0.000 | 0.000 |
| 6.665 | 6.665 | 1244.710 | 0.000 | -0.000 | 0.000 |
| 27.859 | 27.860 | -57.777 | 421.154 | 0.000 | -0.000 |
| 56.443 | 56.443 | -117.956 | 0.000 | 432.236 | -0.000 |
| 57.635 | 57.635 | -120.447 | 0.000 | 0.000 | 601.889 |
| 1249.296 | 34.118 | 73.537 | -0.000 | -0.000 | -0.000 |
| 33.621 | 1248.651 | 74.736 | 0.000 | -0.000 | 0.000 |
| -43.164 | -43.164 | 1348.993 | -0.000 | 0.000 | -0.000 |
| -27.859 | -27.860 | 57.777 | 421.154 | -0.000 | -0.000 |
| -56.443 | -56.443 | 117.956 | -0.000 | 432.236 | -0.000 |
| -57.635 | -57.635 | 120.447 | -0.000 | -0.000 | 601.889 |
| 1270.517 | 64.415 | 19.971 | -0.000 | 0.000 | 0.000 |
| 96.964 | 1262.782 | -5.642 | 0.000 | 0.000 | -0.000 |
| -16.002 | -16.002 | 1292.152 | 0.000 | 0.000 | -0.000 |
| 0.001 | 0.001 | -0.000 | 516.726 | 0.000 | 0.000 |
| 0.001 | 0.001 | -0.000 | 0.000 | 516.726 | 0.000 |
| 1.340 | 1.340 | -2.810 | 0.000 | -0.000 | 582.684 |
| 1323.686 | 34.974 | -3.643 | -0.000 | -0.000 | -0.000 |
| 89.684 | 1255.474 | 9.578 | -0.000 | -0.000 | -0.000 |
| 19.468 | 19.468 | 1219.707 | 0.000 | -0.000 | -0.000 |
| -0.001 | -0.001 | 0.000 | 516.726 | -0.000 | 0.000 |
| -0.001 | -0.001 | 0.000 | 0.000 | 516.726 | -0.000 |
| -1.340 | -1.340 | 2.810 | -0.000 | -0.000 | 582.684 |
| 1739.884 | 640.894 | -1025.968 | 0.000 | -0.000 | -0.000 |
| 594.994 | 1745.503 | -989.522 | 0.000 | -0.000 | -0.000 |
| 1605.740 | 1605.740 | -2072.033 | 0.000 | -0.000 | -0.000 |
| 1616.711 | 1616.711 | -3360.205 | 438.241 | -0.000 | -0.000 |
| 0.000 | 0.000 | -0.000 | 0.000 | 530.863 | -0.000 |
| 1617.020 | 1617.020 | -3360.845 | 0.000 | -0.000 | 584.036 |
| 1482.962 | 136.581 | -281.422 | 0.000 | 0.000 | 0.000 |
| -492.966 | 607.432 | 1238.981 | 0.000 | 0.000 | 0.000 |
| -431.503 | -431.503 | 2126.463 | -0.000 | 0.000 | 0.000 |
| -1616.711 | -1616.711 | 3360.205 | 438.241 | 0.000 | 0.000 |
| -0.000 | 0.000 | 0.000 | -0.000 | 530.863 | 0.000 |
| -1617.020 | -1617.020 | 3360.846 | -0.000 | 0.000 | 584.036 |
| 1203.278 | 2.688 | 154.816 | -0.000 | 0.000 | -0.000 |
| 136.581 | 1482.963 | -281.422 | -0.000 | -0.000 | -0.000 |
| -263.472 | -263.472 | 1825.493 | -0.000 | -0.000 | -0.000 |
| 0.000 | 0.000 | 0.000 | 530.863 | -0.000 | -0.000 |
| 160.426 | 160.425 | -333.432 | 0.000 | 438.955 | -0.000 |
| 161.121 | 161.121 | -334.877 | 0.000 | -0.000 | 584.357 |
| 1482.962 | 136.581 | -281.422 | 0.000 | 0.000 | 0.000 |
| -70.011 | 1200.754 | 229.886 | 0.000 | 0.000 | 0.000 |
| 20.809 | 20.809 | 1228.452 | -0.000 | 0.000 | 0.000 |
| -0.000 | -0.000 | -0.000 | 530.863 | 0.000 | 0.000 |
| -160.426 | -160.425 | 333.432 | -0.000 | 438.955 | 0.000 |
| -161.121 | -161.121 | 334.877 | 0.000 | 0.000 | 584.357 |
| 1252.912 | 94.969 | 3.058 | 0.000 | -0.000 | -0.000 |
| 36.067 | 1324.505 | -9.730 | 0.000 | -0.000 | -0.000 |
| 30.627 | 30.627 | 1211.144 | -0.000 | 0.000 | -0.000 |
| 15.276 | 15.278 | -31.751 | 443.332 | -0.000 | -0.000 |
| 15.278 | 15.276 | -31.751 | 0.000 | 443.332 | -0.000 |
| 4.706 | 4.706 | -9.377 | -0.000 | -0.000 | 580.359 |
| 1318.762 | 28.697 | 3.814 | 0.000 | 0.000 | 0.000 |
| 84.510 | 1244.540 | 21.625 | -0.000 | 0.000 | 0.000 |
| 21.410 | 21.410 | 1229.886 | 0.000 | 0.000 | 0.000 |
| -15.276 | -15.278 | 31.751 | 443.332 | 0.000 | 0.000 |
| -15.278 | -15.276 | 31.751 | 0.000 | 443.332 | 0.000 |
| -4.706 | -4.706 | 9.377 | 0.000 | 0.000 | 580.359 |
| 1438.389 | 143.456 | -269.741 | 0.000 | 0.000 | 0.000 |
| -733.545 | 402.744 | 1875.213 | 0.000 | 0.000 | -0.000 |
| -837.903 | -837.903 | 3260.467 | 0.000 | 0.000 | 0.000 |
| -2270.570 | -2270.570 | 4802.195 | 500.510 | 0.000 | -0.000 |
| -827.521 | -827.521 | 1881.534 | -0.000 | 435.861 | -0.000 |
| -2270.732 | -2270.732 | 4802.539 | 0.000 | 0.000 | 616.222 |
| 3601.933 | 2371.257 | -4920.343 | -0.000 | -0.000 | 0.000 |
| 2363.550 | 3594.448 | -4904.253 | 0.000 | 0.000 | 0.000 |
| 2166.828 | 2166.828 | -3230.746 | -0.000 | -0.000 | 0.000 |
| 2270.570 | 2270.570 | -4802.195 | 500.510 | 0.000 | 0.000 |
| 827.521 | 827.521 | -1881.534 | 0.000 | 435.861 | -0.000 |
| 2270.732 | 2270.732 | -4802.539 | 0.000 | 0.000 | 616.222 |
| 1144.187 | 13.702 | 182.610 | -0.000 | 0.000 | -0.000 |
| -140.009 | 1101.460 | 380.650 | 0.000 | -0.000 | -0.000 |
| -164.837 | -164.837 | 1714.521 | 0.000 | 0.000 | 0.000 |
| -232.006 | -232.006 | 490.686 | 499.572 | -0.000 | -0.000 |
| 0.000 | 0.000 | 0.000 | 0.000 | 543.549 | 0.000 |
| -0.000 | 0.000 | -0.000 | 0.000 | 0.000 | 647.466 |
| 1325.835 | 232.265 | -264.710 | -0.000 | 0.000 | 0.000 |
| 316.022 | 1523.166 | -551.185 | -0.000 | -0.000 | 0.000 |
| 80.044 | 80.044 | 1175.636 | -0.000 | -0.000 | 0.000 |
| 232.006 | 232.006 | -490.686 | 499.572 | 0.000 | 0.000 |
| -0.000 | -0.000 | -0.000 | -0.000 | 543.549 | -0.000 |
| 0.000 | -0.000 | 0.000 | 0.000 | -0.000 | 647.466 |
| 1224.475 | 109.168 | -14.477 | -0.000 | 0.000 | -0.000 |
| 109.136 | 1224.463 | -14.433 | 0.000 | 0.000 | -0.000 |
| -29.776 | -29.776 | 1420.468 | 0.000 | 0.000 | -0.000 |
| -15.585 | -15.584 | 33.544 | 415.398 | 0.000 | -0.000 |
| -15.584 | -15.585 | 33.544 | 0.000 | 415.398 | 0.000 |
| -42.776 | -42.774 | 90.470 | -0.000 | 0.000 | 588.608 |
| 1229.306 | 133.150 | -47.488 | 0.000 | -0.000 | 0.000 |
| 55.922 | 1283.761 | -20.776 | 0.000 | -0.000 | 0.000 |
| -45.905 | -45.905 | 1446.218 | -0.000 | -0.000 | 0.000 |
| 15.585 | 15.584 | -33.544 | 415.398 | -0.000 | 0.000 |
| 45.029 | 45.030 | -95.237 | 0.000 | 458.197 | 0.000 |
| 42.776 | 42.774 | -90.470 | -0.000 | -0.000 | 588.608 |
| 452.439 | -819.630 | 1830.000 | 20.790 | 0.000 | 0.000 |
| 192.435 | 1526.437 | -378.491 | -27.636 | -0.000 | 0.000 |
| -352.238 | -352.238 | 1985.473 | -0.000 | -0.000 | 0.000 |
| -864.534 | -904.496 | 1877.150 | 456.185 | 0.000 | 0.000 |
| -884.709 | -884.709 | 1877.557 | 0.000 | 456.174 | 19.979 |
| -884.307 | -884.307 | 1876.706 | -0.000 | 19.983 | 632.382 |
| 1526.437 | 192.435 | -378.494 | 27.636 | -0.000 | -0.000 |
| 915.960 | 2171.340 | -1836.980 | -18.946 | -0.000 | -0.000 |
| -352.238 | -352.238 | 1985.472 | 0.000 | -0.000 | -0.000 |
| 417.388 | 389.679 | -875.223 | 414.638 | -0.000 | -0.000 |
| 884.709 | 884.709 | -1877.557 | -0.000 | 456.174 | 19.979 |
| 884.307 | 884.307 | -1876.706 | -0.000 | 19.983 | 632.382 |
| 1264.616 | -24.604 | 125.974 | 22.686 | -0.000 | 0.000 |
| -24.578 | 1264.647 | 125.915 | -22.687 | 0.000 | 0.000 |
| -21.925 | -21.925 | 1292.244 | 0.000 | 0.000 | 0.000 |
| 27.636 | -27.636 | -0.000 | 507.367 | 0.000 | 0.000 |
| -39.637 | -39.637 | 86.077 | 0.000 | 412.305 | 13.509 |
| -0.000 | 0.000 | -0.000 | 0.000 | 27.636 | 667.001 |
| 1526.437 | 192.435 | -378.491 | 27.636 | 0.000 | -0.000 |
| 192.435 | 1526.437 | -378.491 | -27.636 | 0.000 | -0.000 |
| 52.936 | 52.936 | 1132.654 | -0.000 | -0.000 | -0.000 |
| 27.636 | -27.636 | 0.000 | 507.367 | -0.000 | -0.000 |
| 39.637 | 39.637 | -86.077 | -0.000 | 412.305 | 13.509 |
| 0.000 | -0.000 | 0.000 | -0.000 | 27.636 | 667.001 |
| 1263.044 | 53.253 | 44.573 | 14.333 | -0.000 | 0.000 |
| 192.436 | 1526.443 | -378.491 | -27.636 | -0.000 | 0.000 |
| 19.582 | 19.582 | 1204.506 | -0.000 | -0.000 | 0.000 |
| 12.337 | -13.474 | 1.468 | 408.072 | 0.000 | 0.000 |
| -16.578 | -16.579 | 35.184 | 0.000 | 411.450 | 13.290 |
| -18.035 | -18.034 | 38.275 | 0.000 | 12.027 | 596.392 |
| 1326.900 | 37.828 | -6.382 | 22.670 | -0.000 | -0.000 |
| 68.629 | 1283.679 | 6.210 | -14.899 | -0.000 | -0.000 |
| 60.994 | 60.994 | 1117.022 | -0.000 | -0.000 | -0.000 |
| 13.483 | -12.333 | -1.482 | 408.080 | 0.000 | -0.000 |
| 16.578 | 16.579 | -35.184 | -0.000 | 411.450 | 13.290 |
| 18.035 | 18.034 | -38.275 | -0.000 | 12.027 | 596.392 |
| 690.898 | -460.539 | 897.935 | 14.039 | 0.000 | -0.000 |
| -460.501 | 690.941 | 897.863 | -14.040 | 0.000 | -0.000 |
| -1739.582 | -1739.582 | 4745.977 | 0.000 | 0.000 | 0.000 |
| -1730.757 | -1755.381 | 3385.604 | 397.511 | 0.000 | -0.000 |
| -0.000 | -0.000 | 0.000 | 0.000 | 524.063 | 29.674 |
| -0.000 | 0.000 | 0.000 | 0.000 | 29.674 | 629.169 |
| 1463.137 | 204.799 | -365.750 | 29.674 | -0.000 | 0.000 |
| 204.799 | 1463.137 | -365.750 | -29.674 | -0.000 | 0.000 |
| 793.895 | 793.895 | -53.353 | 0.000 | -0.000 | 0.000 |
| 29.674 | -29.674 | 0.000 | 524.063 | -0.000 | 0.000 |
| 0.000 | 0.000 | 0.000 | -0.000 | 524.063 | 29.674 |
| 0.000 | -0.000 | -0.000 | -0.000 | 29.674 | 629.169 |
| 974.177 | -176.661 | 510.161 | 13.951 | 0.000 | -0.000 |
| -176.674 | 974.160 | 510.191 | -13.951 | 0.000 | -0.000 |
| -202.595 | -202.595 | 1763.436 | 0.000 | 0.000 | -0.000 |
| 29.674 | -29.674 | -0.000 | 524.063 | 0.000 | -0.000 |
| 0.000 | 0.000 | -0.000 | 0.000 | 524.063 | 29.674 |
| 0.000 | 0.000 | -0.000 | 0.000 | 29.674 | 629.169 |
| 1412.196 | 275.106 | -366.435 | 12.293 | -0.000 | 0.000 |
| 275.086 | 1412.149 | -366.360 | -12.289 | -0.000 | 0.000 |
| 134.119 | 134.119 | 1110.613 | -0.000 | -0.000 | 0.000 |
| 45.666 | 17.295 | -43.220 | 410.236 | -0.000 | -0.000 |
| -0.000 | -0.000 | 0.000 | -0.000 | 524.063 | 29.674 |
| -0.000 | -0.000 | 0.000 | -0.000 | 29.674 | 629.169 |
| 1214.871 | 81.690 | 13.275 | 11.732 | 0.000 | -0.000 |
| 44.524 | 1254.016 | 14.343 | -22.529 | 0.000 | -0.000 |
| -61.376 | -61.376 | 1489.984 | 0.000 | 0.000 | -0.000 |
| -6.695 | -22.266 | 27.961 | 371.764 | 0.000 | -0.000 |
| 0.001 | 0.001 | -0.001 | 0.000 | 524.063 | 29.674 |
| -27.759 | -27.758 | 55.003 | 0.000 | 9.502 | 558.131 |
| 1463.131 | 204.800 | -365.749 | 29.674 | -0.000 | 0.000 |
| 148.611 | 1247.114 | -83.997 | -7.482 | -0.000 | 0.000 |
| -26.365 | -26.365 | 1422.004 | 0.000 | -0.000 | 0.000 |
| 22.269 | 6.695 | -27.963 | 371.761 | -0.000 | 0.000 |
| -0.001 | -0.001 | 0.000 | -0.000 | 524.063 | 29.674 |
| 27.759 | 27.758 | -55.003 | -0.000 | 9.502 | 558.131 |
| 233.383 | 10.215 | 10.215 | 0.000 | -0.000 | 0.000 |
| 10.215 | 233.383 | 10.215 | 0.000 | -0.000 | 0.000 |
| 10.215 | 10.215 | 233.383 | 0.000 | -0.000 | 0.000 |
| -63.248 | -63.248 | -63.248 | 115.147 | -0.000 | 0.000 |
| -63.248 | -63.248 | -63.248 | 0.000 | 115.146 | 0.000 |
| -63.248 | -63.248 | -63.248 | 0.000 | -0.000 | 115.147 |
| 360.383 | 136.558 | 136.558 | -0.000 | 0.000 | -0.000 |
| 136.558 | 360.383 | 136.558 | -0.000 | 0.000 | -0.000 |
| 136.558 | 136.558 | 360.383 | -0.000 | -0.000 | -0.000 |
| 63.248 | 63.248 | 63.248 | 115.146 | 0.000 | -0.000 |
| 63.248 | 63.248 | 63.248 | -0.000 | 115.147 | -0.000 |
| 63.248 | 63.248 | 63.248 | -0.000 | 0.000 | 115.146 |
| 89.172 | -5.705 | -5.705 | 0.000 | -0.000 | 0.000 |
| -5.705 | 89.172 | -5.705 | 0.000 | -0.000 | 0.000 |
| -5.705 | -5.705 | 89.172 | -0.000 | -0.000 | 0.000 |
| -6.202 | -6.202 | -6.202 | 117.247 | -0.000 | 0.000 |
| -6.202 | -6.202 | -6.202 | 0.000 | 117.247 | 0.000 |
| -6.202 | -6.202 | -6.202 | 0.000 | -0.000 | 117.247 |
| 223.234 | 109.216 | 109.216 | -0.000 | 0.000 | -0.000 |
| 109.216 | 223.234 | 109.216 | -0.000 | 0.000 | -0.000 |
| 109.216 | 109.216 | 223.234 | -0.000 | 0.000 | -0.000 |
| 6.202 | 6.202 | 6.202 | 117.247 | 0.000 | -0.000 |
| 6.202 | 6.202 | 6.202 | 0.000 | 117.247 | -0.000 |
| 6.202 | 6.202 | 6.202 | -0.000 | 0.000 | 117.247 |
| 22.002 | -29.456 | -29.456 | -0.000 | -0.000 | 0.000 |
| -29.456 | 22.002 | -29.456 | 0.000 | -0.000 | 0.000 |
| -29.456 | -29.456 | 22.002 | -0.000 | -0.000 | 0.000 |
| -8.272 | -8.273 | -8.272 | 50.889 | 0.000 | 0.000 |
| -6.172 | -6.172 | -6.172 | 0.000 | 66.168 | 0.000 |
| -8.273 | -8.272 | -8.272 | 0.000 | -0.000 | 50.889 |
| 198.582 | 55.781 | 55.781 | -0.000 | 0.000 | -0.000 |
| 55.781 | 198.582 | 55.781 | 0.000 | -0.000 | -0.000 |
| 55.781 | 55.781 | 198.582 | -0.000 | -0.000 | -0.000 |
| 8.272 | 8.273 | 8.272 | 50.889 | 0.000 | -0.000 |
| 6.172 | 6.172 | 6.172 | 0.000 | 66.168 | -0.000 |
| 8.273 | 8.272 | 8.272 | -0.000 | 0.000 | 50.889 |
| 965.083 | 25.629 | 9.834 | -0.000 | -0.000 | -0.000 |
| -36.706 | 1027.419 | 9.834 | -0.000 | -0.000 | 0.000 |
| 9.941 | 9.940 | 36.413 | -0.000 | -0.000 | -0.000 |
| 0.000 | -0.000 | -0.000 | 7.325 | -0.000 | -0.000 |
| 0.000 | -0.000 | -0.000 | -0.000 | 7.325 | -0.000 |
| 0.000 | 0.000 | 0.000 | -0.000 | -0.000 | 469.727 |
| 965.083 | 25.630 | 9.834 | 0.000 | 0.000 | 0.000 |
| 25.629 | 965.083 | 9.834 | 0.000 | 0.000 | 0.000 |
| 9.940 | 9.941 | 36.413 | -0.000 | 0.000 | 0.000 |
| -0.000 | 0.000 | 0.000 | 7.325 | 0.000 | 0.000 |
| -0.000 | 0.000 | 0.000 | 0.000 | 7.325 | 0.000 |
| -0.000 | -0.000 | -0.000 | 0.000 | 0.000 | 469.727 |
| 965.065 | 25.648 | 9.834 | -0.000 | -0.000 | -0.000 |
| 25.630 | 965.083 | 9.834 | -0.000 | -0.000 | -0.000 |
| 9.941 | 9.941 | 36.413 | 0.000 | -0.000 | -0.000 |
| 0.000 | -0.000 | 0.000 | 7.325 | -0.000 | -0.000 |
| 0.000 | -0.000 | 0.000 | -0.000 | 7.325 | -0.000 |
| -0.000 | 0.000 | 0.000 | -0.000 | -0.000 | 469.727 |
| 965.082 | 25.630 | 9.834 | 0.000 | 0.000 | 0.000 |
| 25.648 | 965.064 | 9.834 | 0.000 | 0.000 | 0.000 |
| 9.940 | 9.941 | 36.413 | -0.000 | 0.000 | 0.000 |
| -0.000 | 0.000 | -0.000 | 7.325 | -0.000 | 0.000 |
| -0.000 | 0.000 | -0.000 | -0.000 | 7.325 | 0.000 |
| 0.000 | -0.000 | -0.000 | 0.000 | 0.000 | 469.727 |
| 965.093 | 25.623 | 9.834 | 0.000 | -0.000 | -0.000 |
| 25.637 | 965.079 | 9.834 | -0.000 | -0.000 | -0.000 |
| 9.941 | 9.941 | 36.414 | -0.000 | -0.000 | -0.000 |
| -0.000 | -0.000 | 0.000 | 7.325 | -0.000 | -0.000 |
| -0.000 | -0.000 | 0.000 | 0.000 | 7.325 | -0.000 |
| -0.000 | 0.001 | 0.000 | -0.000 | -0.000 | 469.727 |
| 965.073 | 25.636 | 9.834 | -0.000 | 0.000 | 0.000 |
| 25.622 | 965.087 | 9.834 | -0.000 | 0.000 | 0.000 |
| 9.940 | 9.940 | 36.413 | 0.000 | 0.000 | 0.000 |
| 0.000 | 0.000 | -0.000 | 7.325 | 0.000 | 0.000 |
| 0.000 | 0.000 | -0.000 | -0.000 | 7.325 | 0.000 |
| 0.000 | -0.001 | -0.000 | 0.000 | 0.000 | 469.727 |
| 797.308 | -78.117 | -4.970 | -0.000 | 0.000 | -0.000 |
| -53.425 | 416.463 | -10.986 | -0.000 | 0.000 | 0.000 |
| 25.704 | -3.956 | 230.778 | -0.000 | 0.000 | -0.000 |
| -0.000 | 0.000 | 0.000 | 122.209 | 0.000 | -0.000 |
| 0.008 | -0.008 | -0.037 | -0.000 | 165.005 | 0.000 |
| 0.008 | -0.008 | -0.034 | -0.000 | 0.000 | 238.176 |
| 786.075 | -63.151 | 0.085 | 0.000 | -0.000 | 0.000 |
| -67.615 | 436.291 | 19.997 | 0.000 | -0.000 | 0.000 |
| 0.755 | -4.318 | -29.198 | 0.000 | -0.000 | 0.000 |
| 0.000 | -0.000 | -0.000 | 122.209 | 0.000 | 0.000 |
| -0.008 | 0.008 | 0.037 | 0.000 | 165.005 | -0.000 |
| -0.008 | 0.008 | 0.034 | 0.000 | 0.000 | 238.176 |
| 797.308 | -78.117 | -4.971 | -0.000 | -0.000 | -0.000 |
| -67.616 | 436.291 | 19.997 | -0.000 | 0.000 | -0.000 |
| 2.658 | -7.947 | -28.712 | 0.000 | 0.000 | 0.000 |
| 0.000 | -0.000 | 0.000 | 122.209 | 0.000 | -0.000 |
| 0.005 | -0.003 | -0.021 | -0.000 | 11.009 | -0.000 |
| 0.000 | 0.000 | 0.000 | -0.000 | 0.000 | 316.971 |
| 797.308 | -78.117 | -4.971 | 0.000 | -0.000 | 0.000 |
| -67.615 | 436.290 | 19.997 | 0.000 | -0.000 | 0.000 |
| 0.762 | -4.331 | -29.254 | 0.000 | 0.000 | 0.000 |
| -0.000 | 0.000 | -0.000 | 122.209 | -0.000 | 0.000 |
| -0.005 | 0.003 | 0.021 | 0.000 | 11.009 | 0.000 |
| -0.000 | -0.000 | -0.000 | 0.000 | -0.000 | 316.971 |
| 797.310 | -78.116 | -4.971 | -0.000 | -0.000 | -0.000 |
| -53.430 | 416.465 | -10.951 | -0.000 | -0.000 | -0.000 |
| 0.762 | -4.331 | -29.230 | -0.000 | -0.000 | 0.000 |
| 0.000 | -0.000 | -0.000 | 80.088 | 0.000 | -0.000 |
| 0.000 | -0.000 | -0.001 | -0.000 | 11.009 | -0.000 |
| 0.000 | 0.000 | -0.000 | -0.000 | 0.000 | 238.176 |
| 786.006 | -63.584 | -5.506 | 0.000 | 0.000 | -0.000 |
| -67.615 | 436.288 | 19.997 | 0.000 | -0.000 | 0.000 |
| 2.656 | -7.941 | -28.624 | 0.000 | -0.000 | 0.000 |
| -0.000 | 0.000 | 0.000 | 80.088 | -0.000 | 0.000 |
| -0.000 | 0.000 | 0.001 | 0.000 | 11.009 | 0.000 |
| -0.000 | -0.000 | 0.000 | 0.000 | 0.000 | 238.176 |
| 1264.007 | 10.933 | -174.884 | 0.000 | -0.000 | -0.000 |
| 2.965 | 509.836 | 85.507 | -0.000 | -0.000 | 0.000 |
| -16.404 | 232.057 | 1066.548 | -0.000 | 0.000 | -0.000 |
| 0.000 | 0.000 | 0.000 | 78.835 | -0.000 | -0.000 |
| -0.503 | -0.410 | 1.160 | -0.000 | 499.623 | 0.000 |
| 0.000 | 0.000 | 0.000 | -0.000 | -0.000 | -49.581 |
| 1027.760 | -209.767 | -76.343 | 0.000 | -0.000 | -0.000 |
| 2.965 | 509.836 | 85.507 | 0.000 | 0.000 | 0.000 |
| -147.319 | 121.039 | 1158.194 | 0.000 | -0.000 | -0.000 |
| 0.000 | -0.000 | -0.000 | 78.835 | 0.000 | 0.000 |
| 0.503 | 0.410 | -1.160 | 0.000 | 499.623 | -0.000 |
| -0.000 | -0.000 | -0.000 | 0.000 | -0.000 | -49.581 |
| 1264.007 | 10.933 | -174.884 | -0.000 | -0.000 | -0.000 |
| -317.249 | 114.883 | 198.392 | 0.000 | -0.000 | -0.000 |
| -15.850 | 233.627 | 1065.044 | -0.000 | 0.000 | -0.000 |
| 0.000 | -0.000 | -0.000 | 78.835 | -0.000 | -0.000 |
| -0.176 | -0.385 | 0.225 | 0.000 | -131.034 | -0.000 |
| 0.000 | -0.000 | -0.000 | 0.000 | 0.000 | -49.581 |
| 1176.606 | -31.255 | -93.999 | 0.000 | -0.000 | -0.000 |
| -315.379 | 115.730 | 198.563 | 0.000 | -0.000 | -0.000 |
| -78.519 | 148.406 | 1084.522 | 0.000 | -0.000 | -0.000 |
| -0.000 | 0.000 | 0.000 | 78.835 | -0.000 | 0.000 |
| 0.176 | 0.385 | -0.225 | 0.000 | -131.034 | 0.000 |
| -0.000 | 0.000 | 0.000 | 0.000 | -0.000 | -49.581 |
| 965.958 | -309.216 | -43.369 | -0.000 | -0.000 | -0.000 |
| -317.204 | 115.026 | 198.250 | -0.000 | -0.000 | 0.000 |
| -15.819 | 233.743 | 1064.910 | -0.000 | 0.000 | -0.000 |
| -0.006 | -0.006 | 0.014 | 10.488 | -0.000 | 0.000 |
| -0.022 | -0.119 | 0.113 | 0.000 | -131.035 | -0.000 |
| 0.020 | -0.004 | -0.003 | -0.000 | -0.000 | -231.885 |
| 965.864 | -309.272 | -43.382 | 0.000 | 0.000 | 0.000 |
| -317.348 | 114.841 | 198.242 | 0.000 | -0.000 | -0.000 |
| -53.305 | 191.438 | 1072.662 | -0.000 | -0.000 | -0.000 |
| 0.006 | 0.006 | -0.014 | 10.488 | -0.000 | -0.000 |
| 0.022 | 0.119 | -0.113 | 0.000 | -131.035 | 0.000 |
| -0.020 | 0.004 | 0.003 | 0.000 | -0.000 | -231.885 |
| 344.160 | -979.466 | 351.118 | 0.005 | 0.005 | 0.000 |
| -308.479 | 348.759 | 424.417 | 0.004 | 0.003 | -0.000 |
| -626.888 | -433.232 | 1462.220 | 0.005 | 0.005 | 0.000 |
| -611.464 | -666.446 | 393.354 | -53.068 | 0.003 | 0.000 |
| -259.701 | -123.174 | 294.453 | 0.004 | 502.765 | -0.000 |
| -267.202 | -126.731 | 302.957 | 0.004 | 0.003 | -105.396 |
| 1455.587 | 103.535 | -414.350 | -0.004 | -0.004 | 0.000 |
| 290.087 | 780.741 | -195.291 | -0.005 | -0.005 | -0.000 |
| -147.140 | 121.901 | 1161.117 | -0.000 | 0.000 | 0.000 |
| 611.464 | 666.446 | -393.354 | -53.074 | -0.003 | -0.000 |
| 259.701 | 123.174 | -294.452 | -0.004 | 502.759 | 0.000 |
| 267.202 | 126.731 | -302.957 | -0.004 | -0.003 | -105.396 |
| 894.485 | -379.652 | -2.896 | 0.001 | 0.000 | 0.000 |
| -382.515 | 47.656 | 237.387 | 0.001 | 0.000 | 0.000 |
| -76.604 | 166.568 | 1108.257 | 0.000 | 0.000 | 0.000 |
| -31.589 | -14.983 | 35.816 | 12.148 | 0.000 | -0.000 |
| -61.098 | -66.650 | 39.284 | 0.000 | -255.902 | 0.000 |
| -61.147 | -66.645 | 39.335 | 0.001 | 0.000 | -234.939 |
| 1187.915 | -23.438 | -111.815 | -0.000 | -0.000 | 0.000 |
| -260.234 | 180.932 | 158.722 | -0.001 | -0.000 | -0.000 |
| 45.701 | 299.770 | 1029.541 | -0.000 | -0.000 | -0.000 |
| 31.589 | 14.983 | -35.816 | 12.148 | -0.000 | 0.000 |
| 61.098 | 66.650 | -39.284 | -0.000 | -255.903 | -0.000 |
| 61.147 | 66.645 | -39.335 | -0.001 | -0.000 | -234.939 |
| 949.570 | -319.628 | -38.310 | 0.000 | 0.000 | 0.000 |
| -327.341 | 107.828 | 201.952 | 0.000 | 0.000 | -0.000 |
| -81.132 | 147.666 | 1090.869 | 0.000 | 0.000 | -0.000 |
| -6.058 | -6.595 | 3.916 | -53.077 | 0.000 | 0.000 |
| -5.855 | -6.547 | 3.886 | 0.000 | -255.664 | 0.000 |
| -6.111 | -6.664 | 3.933 | 0.000 | 0.000 | -234.939 |
| 961.677 | -306.398 | -46.146 | -0.000 | -0.000 | -0.000 |
| -315.266 | 120.939 | 194.121 | -0.000 | -0.000 | 0.000 |
| -9.313 | 239.885 | 1064.938 | -0.000 | -0.000 | -0.000 |
| 6.058 | 6.595 | -3.916 | -53.077 | -0.000 | -0.000 |
| 5.855 | 6.547 | -3.886 | -0.000 | -255.665 | -0.000 |
| 6.111 | 6.664 | -3.933 | -0.000 | -0.000 | -234.939 |
| 799.973 | 582.474 | 2178.739 | -4.843 | -0.000 | -0.000 |
| 29.888 | 609.321 | 23.692 | 4.287 | -0.000 | -0.000 |
| -3535.033 | -3535.033 | 17194.621 | -0.000 | 0.000 | -0.000 |
| -4.287 | 4.287 | -0.000 | 270.657 | 0.000 | -0.000 |
| -0.000 | 0.000 | -0.000 | -0.000 | 270.657 | -4.287 |
| -3591.762 | -3591.762 | 17145.999 | -0.000 | -30.591 | 234.156 |
| 1168.369 | 585.311 | -8119.539 | -36.791 | -0.000 | 0.000 |
| 3536.776 | 3809.148 | -18951.850 | 18.334 | 0.000 | 0.000 |
| 1465.390 | 1465.390 | -11177.560 | -0.000 | 0.000 | 0.000 |
| -433.360 | -423.675 | -2105.325 | 114.427 | 0.000 | 0.000 |
| 0.000 | -0.000 | 0.000 | 0.000 | 270.657 | -4.287 |
| 3591.762 | 3591.762 | -17145.999 | 0.000 | -30.591 | 234.156 |
| 609.321 | 29.888 | 23.692 | -4.287 | -0.000 | -0.000 |
| 195.940 | 414.201 | 280.858 | 4.842 | -0.000 | -0.000 |
| 23.691 | 23.691 | 499.582 | -0.000 | -0.000 | -0.000 |
| -99.259 | -26.524 | 807.912 | 227.444 | 0.000 | -0.000 |
| 0.000 | 0.000 | 0.000 | -0.000 | 270.657 | -4.287 |
| 42.672 | 42.672 | 209.648 | -0.000 | -4.840 | 109.752 |
| 609.321 | 29.888 | 23.692 | -4.287 | 0.000 | 0.000 |
| 109.685 | 330.717 | -138.631 | 4.838 | 0.000 | 0.000 |
| 259.787 | 259.787 | -1156.215 | -0.000 | 0.000 | 0.000 |
| 26.519 | 99.248 | -807.863 | 227.435 | -0.000 | 0.000 |
| -0.000 | -0.000 | -0.000 | 0.000 | 270.657 | -4.287 |
| -42.672 | -42.672 | -209.648 | 0.000 | -4.840 | 109.752 |
| 427.619 | 129.050 | 76.441 | -4.719 | -0.000 | -0.000 |
| 29.888 | 609.323 | 23.692 | 4.287 | 0.000 | -0.000 |
| 44.413 | 44.413 | 312.820 | -0.000 | -0.000 | -0.000 |
| -1.291 | 8.175 | 16.911 | 145.165 | -0.000 | -0.000 |
| 3.442 | 3.442 | 16.912 | 0.000 | 145.160 | -4.733 |
| -0.802 | -0.802 | 55.984 | -0.000 | -21.832 | 180.413 |
| 427.956 | 118.952 | 42.977 | -4.703 | 0.000 | 0.000 |
| 60.959 | 420.055 | 1.501 | 21.000 | -0.000 | 0.000 |
| 66.945 | 66.945 | 307.403 | -0.000 | 0.000 | 0.000 |
| -22.512 | 25.826 | -60.092 | 164.592 | 0.000 | 0.000 |
| -3.442 | -3.442 | -16.912 | -0.000 | 145.160 | -4.733 |
| 0.802 | 0.802 | -55.984 | 0.000 | -21.832 | 180.413 |
| 1773.052 | 1356.844 | -2261.835 | 4.645 | 0.007 | 0.010 |
| 1357.033 | 1772.862 | -2261.834 | -4.503 | 0.007 | 0.010 |
| 2366.396 | 2366.312 | -2641.814 | 0.033 | 0.003 | 0.005 |
| 1302.961 | 1293.619 | -2326.376 | 198.506 | 0.007 | 0.010 |
| -0.000 | 0.000 | -0.000 | -0.000 | 253.764 | 3.580 |
| -0.000 | 0.000 | -0.000 | 0.000 | 3.580 | 272.466 |
| 565.935 | 21.002 | 36.429 | 3.580 | 0.000 | -0.000 |
| -2241.753 | -1932.777 | 2971.526 | 3.312 | -0.003 | -0.005 |
| -2210.581 | -2210.498 | 3110.896 | -0.032 | -0.003 | -0.005 |
| -2291.527 | -2284.908 | 2876.461 | 132.704 | -0.003 | -0.005 |
| -0.000 | -0.000 | 0.000 | 0.000 | 253.764 | 3.580 |
| -0.000 | -0.000 | 0.000 | 0.000 | 3.580 | 272.466 |
| 607.236 | 191.323 | -173.119 | 4.582 | 0.001 | 0.001 |
| 21.002 | 565.935 | 36.429 | -3.580 | -0.000 | -0.000 |
| 183.825 | 183.806 | 166.490 | 0.007 | 0.001 | 0.001 |
| 3.580 | -3.580 | 0.000 | 253.764 | -0.000 | -0.000 |
| 130.099 | 130.080 | -233.104 | 0.007 | 198.324 | 4.579 |
| 129.859 | 129.840 | -232.674 | 0.007 | 4.577 | 207.851 |
| 565.935 | 21.002 | 36.429 | 3.580 | 0.000 | -0.000 |
| 21.002 | 565.935 | 36.429 | -3.580 | 0.000 | -0.000 |
| -152.859 | -152.851 | 516.343 | -0.003 | -0.000 | -0.000 |
| -125.573 | -134.712 | 233.200 | 198.294 | -0.001 | -0.001 |
| -130.099 | -130.080 | 233.104 | -0.007 | 198.323 | 4.577 |
| -129.859 | -129.840 | 232.674 | -0.007 | 4.576 | 207.849 |
| 319.182 | 95.359 | 30.456 | -3.008 | 0.000 | 0.000 |
| 89.806 | 308.349 | 22.984 | 3.149 | 0.000 | 0.000 |
| 111.627 | 111.626 | 160.794 | 0.000 | 0.000 | 0.000 |
| 19.721 | 10.258 | -26.858 | 189.886 | 0.000 | 0.000 |
| 0.000 | 0.000 | 0.000 | -0.000 | 253.764 | 3.580 |
| 25.344 | 25.344 | -30.263 | 0.000 | -5.127 | 142.087 |
| 447.325 | 53.437 | 90.285 | 4.744 | -0.000 | -0.000 |
| 33.881 | 278.189 | 130.670 | 7.160 | -0.000 | -0.000 |
| 59.483 | 59.489 | 315.617 | -0.002 | -0.000 | -0.000 |
| 3.580 | -3.580 | -0.000 | 253.764 | -0.000 | 0.000 |
| -0.000 | -0.000 | -0.000 | 0.000 | 253.764 | 3.580 |
| -25.344 | -25.344 | 30.263 | -0.000 | -5.127 | 142.087 |
| 754.673 | 34.795 | 29.782 | -0.000 | 0.013 | 0.000 |
| 38.674 | 1143.817 | -102.385 | 0.000 | -0.000 | 0.000 |
| -210.216 | -119.351 | 1420.599 | 0.000 | -0.000 | 0.000 |
| 1.429 | -0.010 | -0.762 | 603.932 | -0.000 | 0.000 |
| 0.000 | 0.000 | 0.000 | 0.000 | 1138.963 | 0.000 |
| 1.111 | 0.180 | -0.612 | -0.000 | 0.000 | 301.175 |
| 848.616 | 18.410 | 3.968 | 0.000 | -0.000 | -0.000 |
| 65.009 | 1065.045 | -63.137 | 0.000 | 0.000 | -0.000 |
| -210.216 | -119.351 | 1420.599 | 0.000 | -0.000 | -0.000 |
| -1.429 | 0.010 | 0.762 | 603.932 | -0.000 | -0.000 |
| -0.000 | -0.000 | -0.000 | 0.000 | 1138.963 | -0.000 |
| -1.111 | -0.180 | 0.612 | 0.000 | 0.000 | 301.175 |
| 755.109 | 31.966 | 29.138 | -0.000 | -0.000 | 0.000 |
| 63.098 | 1066.518 | -62.297 | 0.000 | 0.000 | 0.000 |
| 83.465 | -111.085 | 1164.929 | 0.000 | -0.000 | 0.000 |
| 0.145 | 0.116 | -0.034 | 603.181 | -0.000 | 0.000 |
| -0.065 | -0.032 | 0.099 | 0.000 | 483.502 | 0.000 |
| 0.056 | 0.080 | 0.012 | 0.000 | -0.000 | 300.942 |
| 754.835 | 31.689 | 29.197 | 0.000 | -0.000 | -0.000 |
| 38.674 | 1143.817 | -102.385 | -0.000 | 0.000 | -0.000 |
| 63.834 | -141.390 | 1204.857 | 0.000 | -0.000 | -0.000 |
| -0.145 | -0.116 | 0.034 | 603.181 | -0.000 | -0.000 |
| 0.065 | 0.032 | -0.099 | 0.000 | 483.502 | -0.000 |
| -0.056 | -0.080 | -0.012 | 0.000 | 0.000 | 300.942 |
| 801.099 | 10.084 | 43.108 | -0.000 | -0.000 | 0.000 |
| 95.009 | 1020.412 | -53.931 | -0.000 | 0.000 | 0.000 |
| 75.361 | -70.868 | 1138.820 | -0.000 | 0.000 | 0.000 |
| 0.014 | 0.012 | -0.002 | 603.181 | 0.000 | 0.000 |
| -0.010 | -0.003 | 0.013 | -0.000 | 483.502 | 0.000 |
| 0.006 | 0.008 | 0.001 | -0.000 | -0.000 | 300.943 |
| 754.959 | 31.820 | 29.156 | -0.000 | 0.000 | -0.000 |
| 94.974 | 1020.368 | -53.914 | 0.000 | 0.000 | -0.000 |
| 75.335 | -70.912 | 1138.829 | -0.000 | -0.000 | -0.000 |
| -0.014 | -0.012 | 0.002 | 603.181 | -0.000 | -0.000 |
| 0.010 | 0.003 | -0.013 | -0.000 | 483.502 | -0.000 |
| -0.006 | -0.008 | -0.001 | 0.000 | -0.000 | 300.943 |
| 733.554 | -166.257 | 318.311 | -0.000 | -130.411 | 0.000 |
| 80.044 | 1145.815 | -114.070 | -0.000 | -5.442 | 0.000 |
| 348.251 | -185.689 | 1215.304 | -0.000 | -184.275 | -0.000 |
| 197.435 | -180.538 | 196.509 | 562.099 | -82.291 | -139.731 |
| 176.365 | -193.387 | 102.623 | -0.000 | -40.414 | -0.000 |
| 0.000 | 0.000 | 0.000 | -95.222 | -0.000 | 254.801 |
| -183.745 | 1061.570 | -1300.647 | 0.000 | -389.690 | -0.000 |
| 80.044 | 1145.815 | -114.070 | 0.000 | -5.442 | -0.000 |
| 186.268 | -151.346 | 1203.669 | -0.000 | -105.227 | -0.000 |
| -197.435 | 180.538 | -196.509 | 562.099 | 82.291 | -139.731 |
| -67.977 | 140.500 | -237.874 | -0.000 | 251.041 | 0.000 |
| -0.000 | -0.000 | -0.000 | -95.222 | -0.000 | 254.801 |
| 591.557 | -18.863 | 151.784 | 0.000 | -21.450 | -0.000 |
| 272.455 | 839.499 | 271.678 | -0.000 | 76.766 | -0.000 |
| 47.790 | 148.590 | 783.617 | -0.000 | -321.449 | 0.000 |
| 6.381 | -16.762 | 16.212 | 637.184 | -9.831 | -116.301 |
| -62.385 | 67.666 | -193.146 | -0.000 | -68.293 | 0.000 |
| 7.475 | -19.635 | 18.990 | -131.243 | -11.515 | 223.291 |
| 506.426 | 37.738 | 96.281 | 0.000 | -44.440 | -0.000 |
| 180.784 | 924.003 | 181.760 | -0.000 | 122.391 | -0.000 |
| -94.050 | 350.171 | 513.843 | 0.000 | -334.455 | -0.000 |
| -6.381 | 16.762 | -16.212 | 637.184 | 9.831 | -116.301 |
| -117.672 | 121.488 | -256.976 | 0.000 | -44.571 | -0.000 |
| -7.475 | 19.635 | -18.990 | -131.243 | 11.515 | 223.291 |
| 448.687 | 177.241 | -107.208 | 0.000 | -155.238 | -0.000 |
| 249.615 | 827.778 | 311.644 | 0.000 | 147.825 | 0.000 |
| -25.179 | 253.870 | 643.827 | 0.000 | -308.984 | 0.000 |
| 0.657 | -1.725 | 1.670 | 634.288 | -1.012 | -117.203 |
| -118.728 | 146.460 | -299.487 | -0.000 | -89.111 | 0.000 |
| 1.699 | -0.358 | 0.612 | -127.348 | 0.077 | 202.360 |
| 436.153 | 194.749 | -130.845 | -0.000 | -159.875 | -0.000 |
| 237.132 | 845.202 | 288.110 | -0.000 | 143.232 | -0.000 |
| -37.758 | 271.779 | 619.861 | -0.000 | -313.208 | 0.000 |
| -0.657 | 1.725 | -1.670 | 634.288 | 1.012 | -117.203 |
| -131.253 | 163.972 | -323.128 | -0.000 | -93.756 | -0.000 |
| -1.699 | 0.358 | -0.612 | -127.348 | -0.077 | 202.360 |
| 739.106 | 398.674 | -124.498 | 0.000 | 0.000 | -0.000 |
| 398.674 | 739.106 | -124.498 | -0.000 | -0.000 | -0.000 |
| -181.669 | -181.669 | 1468.095 | -0.000 | 0.000 | -0.000 |
| 0.005 | 0.005 | -0.007 | 523.695 | 0.000 | -0.000 |
| 0.005 | 0.005 | -0.007 | 0.000 | 523.695 | -0.000 |
| 0.002 | 0.002 | -0.003 | 0.000 | 0.000 | 165.966 |
| 739.150 | 398.631 | -124.499 | 0.000 | -0.000 | 0.000 |
| 398.631 | 739.150 | -124.499 | -0.000 | -0.000 | 0.000 |
| -161.978 | -161.978 | 1437.511 | 0.000 | -0.000 | 0.000 |
| -0.005 | -0.005 | 0.007 | 523.695 | -0.000 | 0.000 |
| -0.005 | -0.005 | 0.007 | -0.000 | 523.695 | 0.000 |
| -0.002 | -0.002 | 0.003 | -0.000 | -0.000 | 165.966 |
| 475.399 | 718.997 | -168.464 | 0.000 | 0.000 | -0.000 |
| 718.997 | 475.399 | -168.464 | -0.000 | 0.000 | -0.000 |
| -161.976 | -161.976 | 1437.508 | 0.000 | 0.000 | -0.000 |
| 0.000 | 0.001 | -0.001 | 523.695 | 0.000 | -0.000 |
| 0.001 | 0.000 | -0.001 | 0.000 | 523.695 | -0.000 |
| 0.000 | 0.000 | -0.000 | 0.000 | 0.000 | 165.966 |
| 739.128 | 398.651 | -124.498 | -0.000 | -0.000 | 0.000 |
| 398.651 | 739.128 | -124.498 | -0.000 | -0.000 | 0.000 |
| -161.976 | -161.976 | 1437.507 | 0.000 | -0.000 | 0.000 |
| -0.000 | -0.001 | 0.001 | 523.695 | -0.000 | -0.000 |
| -0.001 | -0.000 | 0.001 | -0.000 | 523.695 | 0.000 |
| -0.000 | -0.000 | 0.000 | 0.000 | -0.000 | 165.966 |
| 475.385 | 719.043 | -168.482 | -0.000 | 0.000 | 0.000 |
| 719.043 | 475.385 | -168.482 | 0.000 | 0.000 | -0.000 |
| -161.977 | -161.977 | 1437.515 | -0.000 | 0.000 | 0.000 |
| 0.000 | 0.001 | 0.000 | 523.695 | -0.000 | -0.000 |
| 0.001 | 0.000 | 0.000 | -0.000 | 523.695 | -0.000 |
| -0.000 | -0.000 | 0.000 | -0.000 | 0.000 | 165.966 |
| 475.416 | 718.940 | -168.440 | 0.000 | -0.000 | 0.000 |
| 718.940 | 475.416 | -168.440 | 0.000 | -0.000 | -0.000 |
| -161.975 | -161.975 | 1437.500 | -0.000 | -0.000 | -0.000 |
| -0.000 | -0.001 | -0.000 | 523.695 | -0.000 | 0.000 |
| -0.001 | -0.000 | -0.000 | 0.000 | 523.695 | 0.000 |
| 0.000 | 0.000 | -0.000 | 0.000 | -0.000 | 165.966 |
| 803.613 | 89.709 | 89.709 | -0.000 | 0.000 | 0.000 |
| 89.709 | 803.613 | 89.709 | -0.000 | 0.000 | 0.000 |
| 89.709 | 89.709 | 803.613 | -0.000 | 0.000 | 0.000 |
| -0.000 | 0.000 | 0.000 | 412.969 | 0.000 | 0.000 |
| -0.000 | 0.000 | 0.000 | -0.000 | 412.969 | 0.000 |
| -0.000 | 0.000 | 0.000 | -0.000 | 0.000 | 412.969 |
| 888.114 | 49.186 | 49.186 | 0.000 | -0.000 | -0.000 |
| 49.186 | 888.114 | 49.186 | 0.000 | -0.000 | -0.000 |
| 49.186 | 49.186 | 888.114 | 0.000 | -0.000 | -0.000 |
| 0.000 | -0.000 | -0.000 | 412.969 | -0.000 | -0.000 |
| 0.000 | 0.000 | -0.000 | 0.000 | 412.969 | -0.000 |
| 0.000 | -0.000 | 0.000 | 0.000 | -0.000 | 412.969 |
| 888.114 | 49.186 | 49.186 | -0.000 | 0.000 | 0.000 |
| 49.186 | 888.114 | 49.186 | -0.000 | 0.000 | 0.000 |
| 49.186 | 49.186 | 888.114 | -0.000 | 0.000 | 0.000 |
| 0.000 | 0.000 | 0.000 | 412.969 | 0.000 | 0.000 |
| 0.000 | 0.000 | 0.000 | -0.000 | 412.969 | 0.000 |
| 0.000 | 0.000 | 0.000 | -0.000 | 0.000 | 412.969 |
| 805.396 | 90.033 | 90.033 | 0.000 | -0.000 | -0.000 |
| 90.033 | 805.395 | 90.033 | 0.000 | 0.000 | 0.000 |
| 90.033 | 90.033 | 805.395 | 0.000 | 0.000 | 0.000 |
| -0.000 | -0.000 | -0.000 | 412.969 | -0.000 | -0.000 |
| -0.000 | -0.000 | -0.000 | 0.000 | 412.969 | -0.000 |
| -0.000 | -0.000 | -0.000 | 0.000 | -0.000 | 412.969 |
| 766.992 | 108.789 | 108.789 | -0.000 | -0.000 | 0.000 |
| 108.789 | 766.992 | 108.789 | -0.000 | 0.000 | 0.000 |
| 108.789 | 108.789 | 766.992 | -0.000 | 0.000 | 0.000 |
| -0.026 | -0.026 | -0.025 | 347.698 | -0.000 | -0.000 |
| -0.026 | -0.026 | -0.025 | -0.000 | 347.698 | 0.000 |
| -0.026 | -0.025 | -0.026 | -0.000 | 0.000 | 347.698 |
| 781.525 | 101.468 | 101.468 | 0.000 | -0.000 | -0.000 |
| 101.468 | 781.525 | 101.468 | 0.000 | 0.000 | 0.000 |
| 101.468 | 101.468 | 781.525 | 0.000 | 0.000 | 0.000 |
| 0.026 | 0.026 | 0.025 | 347.698 | 0.000 | -0.000 |
| 0.026 | 0.026 | 0.025 | 0.000 | 347.698 | -0.000 |
| 0.026 | 0.025 | 0.026 | 0.000 | -0.000 | 347.698 |
| 755.050 | 46.265 | 46.265 | -0.000 | -0.000 | -0.000 |
| 46.265 | 755.050 | 46.265 | 0.000 | 0.000 | -0.000 |
| 46.265 | 46.265 | 755.050 | -0.000 | -0.000 | -0.000 |
| 0.000 | 0.000 | 0.000 | 393.363 | 0.000 | -0.000 |
| 0.000 | 0.000 | 0.000 | 0.000 | 393.363 | -0.000 |
| 0.000 | 0.000 | 0.000 | 0.000 | 0.000 | 393.363 |
| 827.170 | 35.733 | 35.733 | 0.000 | -0.000 | 0.000 |
| 35.733 | 827.170 | 35.733 | -0.000 | 0.000 | 0.000 |
| 35.733 | 35.733 | 827.170 | 0.000 | -0.000 | 0.000 |
| -0.000 | -0.000 | -0.000 | 393.363 | 0.000 | 0.000 |
| -0.000 | -0.000 | -0.000 | 0.000 | 393.363 | 0.000 |
| -0.000 | -0.000 | -0.000 | 0.000 | 0.000 | 393.363 |
| 715.214 | 84.124 | 84.124 | 0.000 | -0.000 | -0.000 |
| 84.124 | 715.214 | 84.124 | 0.000 | 0.000 | -0.000 |
| 84.124 | 84.124 | 715.214 | 0.000 | -0.000 | -0.000 |
| -5.530 | -5.530 | -5.530 | 359.961 | -0.000 | 0.000 |
| -5.530 | -5.530 | -5.530 | -0.000 | 359.961 | -0.000 |
| -5.530 | -5.530 | -5.530 | 0.000 | -0.000 | 359.961 |
| 766.364 | 68.320 | 68.320 | 0.000 | 0.000 | 0.000 |
| 68.320 | 766.364 | 68.320 | 0.000 | 0.000 | 0.000 |
| 68.320 | 68.320 | 766.364 | 0.000 | -0.000 | 0.000 |
| 5.530 | 5.530 | 5.530 | 359.961 | -0.000 | 0.000 |
| 5.530 | 5.530 | 5.530 | 0.000 | 359.961 | 0.000 |
| 5.530 | 5.530 | 5.530 | 0.000 | -0.000 | 359.961 |
| 744.008 | 76.100 | 76.100 | -0.000 | -0.000 | -0.000 |
| 76.100 | 744.008 | 76.100 | 0.000 | -0.000 | -0.000 |
| 76.100 | 76.100 | 744.008 | 0.000 | -0.000 | -0.000 |
| -0.443 | -0.443 | -0.443 | 330.955 | 0.000 | 0.000 |
| -0.443 | -0.443 | -0.443 | 0.000 | 330.955 | -0.000 |
| -0.443 | -0.443 | -0.443 | -0.000 | 0.000 | 330.955 |
| 716.027 | 90.467 | 90.467 | 0.000 | -0.000 | 0.000 |
| 90.467 | 716.027 | 90.467 | -0.000 | -0.000 | 0.000 |
| 90.467 | 90.467 | 716.027 | 0.000 | -0.000 | 0.000 |
| 0.443 | 0.443 | 0.443 | 330.955 | 0.000 | 0.000 |
| 0.443 | 0.443 | 0.443 | 0.000 | 330.955 | 0.000 |
| 0.443 | 0.443 | 0.443 | -0.000 | 0.000 | 330.955 |
| 461.467 | 500.441 | 500.441 | 0.000 | -0.000 | -0.000 |
| 500.441 | 461.467 | 500.441 | 0.000 | -0.000 | -0.000 |
| 500.441 | 500.441 | 461.467 | 0.000 | -0.000 | -0.000 |
| 212.826 | 212.826 | 212.826 | 85.546 | -0.000 | -0.000 |
| 212.826 | 212.826 | 212.826 | 0.000 | 85.546 | 0.000 |
| 212.826 | 212.826 | 212.826 | 0.000 | -0.000 | 85.546 |
| 489.195 | 17.250 | 17.250 | -0.000 | 0.000 | -0.000 |
| 17.250 | 489.195 | 17.250 | -0.000 | 0.000 | 0.000 |
| 17.250 | 17.250 | 489.195 | 0.000 | 0.000 | -0.000 |
| -212.826 | -212.826 | -212.826 | 85.546 | 0.000 | -0.000 |
| -212.826 | -212.826 | -212.826 | -0.000 | 85.546 | 0.000 |
| -212.826 | -212.826 | -212.826 | -0.000 | 0.000 | 85.546 |
| 98.165 | 324.773 | 324.772 | -0.000 | -0.000 | -0.000 |
| 324.772 | 98.165 | 324.773 | -0.000 | -0.000 | -0.000 |
| 324.773 | 324.772 | 98.165 | -0.000 | -0.000 | -0.000 |
| 274.841 | 274.841 | 274.841 | -250.370 | -0.000 | -0.000 |
| 274.841 | 274.841 | 274.841 | -0.000 | -250.370 | 0.000 |
| -131.613 | -131.613 | -131.613 | 0.000 | 0.000 | 41.980 |
| -500.041 | -144.353 | -144.354 | -0.000 | 0.000 | 0.000 |
| 200.506 | -97.885 | 200.506 | -0.000 | 0.000 | -0.000 |
| -144.353 | -144.354 | -500.041 | -0.000 | 0.000 | 0.000 |
| 131.613 | 131.613 | 131.613 | 41.980 | -0.000 | -0.000 |
| -274.841 | -274.841 | -274.841 | -0.000 | -250.370 | 0.000 |
| 100.599 | 100.599 | 100.599 | 0.000 | 0.000 | 14.405 |
| 39.745 | 4.284 | 4.284 | 0.000 | -0.000 | -0.000 |
| 4.284 | 39.745 | 4.284 | 0.000 | -0.000 | -0.000 |
| 4.284 | 4.284 | 39.745 | 0.000 | -0.000 | -0.000 |
| -12.426 | -12.424 | -12.425 | 9.706 | -0.000 | -0.000 |
| -12.431 | -12.432 | -12.431 | 0.000 | 9.730 | -0.000 |
| -12.424 | -12.425 | -12.426 | 0.000 | -0.000 | 9.706 |
| -71.741 | 85.330 | 85.330 | -0.000 | 0.000 | 0.000 |
| 85.330 | -71.741 | 85.330 | -0.000 | 0.000 | 0.000 |
| 85.330 | 85.330 | -71.741 | -0.000 | 0.000 | 0.000 |
| 12.426 | 12.424 | 12.425 | 9.706 | 0.000 | 0.000 |
| 12.431 | 12.432 | 12.431 | 0.000 | 9.730 | 0.000 |
| 12.424 | 12.425 | 12.426 | -0.000 | 0.000 | 9.706 |
| 292.366 | -13.408 | -13.408 | 0.000 | -0.000 | -0.000 |
| -13.407 | 292.365 | -13.408 | 0.000 | -0.000 | -0.000 |
| -13.407 | -13.408 | 292.365 | 0.000 | -0.000 | -0.000 |
| -932.193 | -932.193 | -932.193 | -62.781 | -0.000 | -0.000 |
| -494.864 | -494.864 | -494.864 | 0.000 | -192.198 | -0.000 |
| -932.193 | -932.193 | -932.193 | 0.000 | 0.000 | -62.781 |
| 418.999 | 113.213 | 113.213 | -0.000 | 0.000 | 0.000 |
| 113.213 | 418.999 | 113.213 | -0.000 | 0.000 | 0.000 |
| 113.213 | 113.213 | 418.999 | 0.000 | 0.000 | 0.000 |
| 932.193 | 932.193 | 932.193 | -62.781 | 0.000 | 0.000 |
| 932.193 | 932.193 | 932.193 | -0.000 | -62.781 | -0.000 |
| 494.864 | 494.864 | 494.864 | -0.000 | 0.000 | -192.198 |
| -542.102 | -470.133 | -470.132 | -0.000 | -0.000 | -0.000 |
| -171.982 | -398.336 | -171.983 | -0.000 | -0.000 | -0.000 |
| -171.983 | -171.982 | -398.336 | 0.000 | -0.000 | -0.000 |
| -67.328 | -67.327 | -67.327 | -236.564 | -0.000 | -0.000 |
| -117.417 | -117.416 | -117.417 | 0.000 | -216.338 | -0.000 |
| -67.326 | -67.327 | -67.328 | 0.000 | -0.000 | -236.564 |
| 361.962 | 56.258 | 56.258 | 0.000 | 0.000 | 0.000 |
| 56.258 | 361.962 | 56.258 | -0.000 | 0.000 | 0.000 |
| 56.258 | 56.258 | 361.962 | -0.000 | 0.000 | 0.000 |
| 117.416 | 117.417 | 117.417 | -216.338 | 0.000 | 0.000 |
| 117.417 | 117.416 | 117.417 | 0.000 | -216.338 | 0.000 |
| 117.417 | 117.417 | 117.416 | 0.000 | 0.000 | -216.338 |
| 46.597 | 8.794 | 8.794 | -0.000 | -0.000 | -0.000 |
| 8.794 | 46.597 | 8.794 | 0.000 | -0.000 | -0.000 |
| 8.794 | 8.794 | 46.597 | 0.000 | -0.000 | -0.000 |
| -1.327 | -1.327 | -1.327 | 125.183 | -0.000 | -0.000 |
| -1.327 | -1.327 | -1.327 | 0.000 | 125.183 | -0.000 |
| -1.327 | -1.327 | -1.327 | 0.000 | -0.000 | 125.183 |
| -58.742 | 28.109 | 28.110 | -0.000 | 0.000 | 0.000 |
| 28.110 | -58.742 | 28.109 | -0.000 | 0.000 | 0.000 |
| 28.109 | 28.110 | -58.742 | -0.000 | 0.000 | 0.000 |
| 1.327 | 1.327 | 1.327 | 125.183 | 0.000 | 0.000 |
| 1.327 | 1.327 | 1.327 | -0.000 | 125.183 | 0.000 |
| 1.327 | 1.327 | 1.327 | -0.000 | 0.000 | 125.183 |
| 957.206 | 27.228 | 15.806 | -0.000 | 0.000 | 0.000 |
| 27.065 | 966.010 | 0.147 | -0.000 | -0.000 | 0.000 |
| 16.215 | -0.265 | 31.660 | -0.000 | 0.000 | 0.000 |
| -1.069 | 1.068 | 0.013 | 4.336 | 0.000 | 0.000 |
| -0.697 | 0.696 | 0.009 | -0.000 | 6.255 | 0.000 |
| -0.324 | 0.323 | 0.004 | -0.000 | -0.000 | 467.318 |
| 957.854 | 26.581 | 15.798 | 0.000 | 0.000 | -0.000 |
| 27.713 | 965.363 | 0.139 | 0.000 | -0.000 | -0.000 |
| 17.117 | -1.166 | 31.649 | 0.000 | -0.000 | -0.000 |
| 1.069 | -1.068 | -0.013 | 4.336 | -0.000 | -0.000 |
| 0.697 | -0.696 | -0.009 | 0.000 | 6.255 | -0.000 |
| 0.324 | -0.323 | -0.004 | 0.000 | -0.000 | 467.318 |
| 957.527 | 26.908 | 15.803 | -0.000 | -0.000 | 0.000 |
| 27.329 | 965.747 | 0.143 | -0.000 | 0.000 | 0.000 |
| 16.038 | -0.088 | 31.662 | -0.000 | -0.000 | 0.000 |
| -0.101 | 0.101 | 0.001 | 3.973 | 0.000 | 0.000 |
| -0.070 | 0.070 | 0.001 | -0.000 | 6.255 | 0.000 |
| -0.032 | 0.032 | 0.000 | -0.000 | 0.000 | 467.347 |
| 957.589 | 26.844 | 15.802 | 0.000 | -0.000 | -0.000 |
| 27.393 | 965.683 | 0.143 | 0.000 | -0.000 | -0.000 |
| 16.101 | -0.151 | 31.661 | 0.000 | -0.000 | -0.000 |
| 0.101 | -0.101 | -0.001 | 3.973 | -0.000 | -0.000 |
| 0.070 | -0.070 | -0.001 | 0.000 | 6.255 | -0.000 |
| 0.032 | -0.032 | -0.000 | 0.000 | -0.000 | 467.347 |
| 957.566 | 26.872 | 15.802 | -0.000 | 0.000 | 0.000 |
| 27.365 | 965.715 | 0.143 | -0.000 | -0.000 | 0.000 |
| 16.044 | -0.094 | 31.662 | -0.000 | 0.000 | 0.000 |
| -0.010 | 0.010 | 0.000 | 3.972 | 0.000 | 0.000 |
| -0.007 | 0.007 | 0.000 | -0.000 | 6.255 | 0.000 |
| -0.003 | 0.004 | 0.000 | -0.000 | -0.000 | 467.347 |
| 957.551 | 26.879 | 15.802 | 0.000 | 0.000 | -0.000 |
| 27.356 | 965.716 | 0.143 | 0.000 | 0.000 | -0.000 |
| 16.050 | -0.101 | 31.662 | 0.000 | -0.000 | -0.000 |
| 0.010 | -0.010 | -0.000 | 3.972 | -0.000 | -0.000 |
| 0.007 | -0.007 | -0.000 | 0.000 | 6.255 | -0.000 |
| 0.003 | -0.004 | -0.000 | 0.000 | 0.000 | 467.347 |
| 957.534 | 26.897 | 15.806 | -0.000 | 0.000 | 0.000 |
| 27.361 | 965.782 | 0.144 | -0.000 | 0.000 | 0.000 |
| 16.040 | -0.086 | 31.669 | 0.000 | -0.000 | 0.000 |
| -0.000 | 0.000 | 0.000 | 3.972 | 0.000 | 0.000 |
| 0.000 | -0.000 | -0.000 | 0.000 | 6.255 | 0.000 |
| 0.000 | -0.000 | 0.000 | 0.000 | -0.000 | 467.359 |
| 1020.915 | -36.419 | 15.025 | -0.000 | 0.000 | -0.000 |
| -35.955 | 1029.032 | 0.924 | -0.000 | 0.000 | -0.000 |
| 16.040 | -0.086 | 31.669 | -0.000 | -0.000 | -0.000 |
| -0.000 | 0.000 | 0.000 | 3.972 | -0.000 | -0.000 |
| -0.000 | 0.000 | 0.000 | -0.000 | 6.255 | -0.000 |
| -0.000 | 0.000 | -0.000 | -0.000 | -0.000 | 467.359 |
| 957.535 | 26.896 | 15.806 | 0.000 | 0.000 | 0.000 |
| 27.283 | 965.860 | 0.145 | 0.000 | -0.000 | 0.000 |
| 16.040 | -0.086 | 31.669 | -0.000 | -0.000 | 0.000 |
| 0.000 | -0.000 | -0.000 | 3.972 | 0.000 | 0.000 |
| 0.000 | -0.000 | 0.000 | 0.000 | 6.255 | 0.000 |
| -0.000 | 0.000 | -0.000 | -0.000 | -0.000 | 532.580 |
| 957.533 | 26.897 | 15.806 | -0.000 | -0.000 | -0.000 |
| 27.360 | 965.782 | 0.144 | 0.000 | 0.000 | -0.000 |
| 15.259 | 0.694 | 31.679 | -0.000 | 0.000 | 0.000 |
| -0.000 | 0.000 | 0.000 | 3.972 | 0.000 | -0.000 |
| -0.000 | 0.000 | -0.000 | 0.000 | 6.255 | -0.000 |
| 0.000 | -0.000 | 0.000 | 0.000 | -0.000 | 532.580 |
| 957.544 | 26.890 | 15.806 | -0.000 | -0.000 | -0.000 |
| 27.368 | 965.778 | 0.144 | 0.000 | -0.000 | 0.000 |
| 15.259 | 0.694 | 31.679 | 0.000 | 0.000 | -0.000 |
| -0.000 | 0.000 | -0.000 | 3.972 | -0.000 | 0.000 |
| -0.000 | -0.000 | 0.000 | 0.000 | 6.255 | 0.000 |
| -0.000 | 0.001 | 0.000 | 0.000 | -0.000 | 467.359 |
| 957.523 | 26.904 | 15.806 | -0.000 | -0.000 | -0.000 |
| 27.353 | 965.786 | 0.144 | -0.000 | -0.000 | -0.000 |
| 16.040 | -0.086 | 31.669 | 0.000 | -0.000 | -0.000 |
| 0.000 | -0.000 | 0.000 | 3.972 | -0.000 | -0.000 |
| 0.000 | 0.000 | -0.000 | -0.000 | 6.255 | -0.000 |
| 0.000 | -0.001 | -0.000 | -0.000 | -0.000 | 467.359 |
| 956.558 | 27.328 | 15.826 | 0.000 | 0.000 | -0.000 |
| 27.323 | 966.789 | 0.159 | -0.000 | -0.000 | -0.000 |
| 15.823 | 0.162 | 31.707 | 0.000 | 0.000 | 0.000 |
| -0.034 | 0.034 | 0.000 | 3.983 | 0.000 | 0.000 |
| -0.003 | 0.003 | 0.000 | -0.000 | 6.258 | -0.000 |
| -0.003 | 0.003 | 0.000 | -0.000 | 0.000 | 467.416 |
| 956.563 | 27.323 | 15.826 | -0.000 | -0.000 | 0.000 |
| 27.328 | 966.783 | 0.159 | 0.000 | -0.000 | -0.000 |
| 15.829 | 0.157 | 31.707 | 0.000 | -0.000 | -0.000 |
| 0.034 | -0.034 | -0.000 | 3.983 | -0.000 | -0.000 |
| 0.003 | -0.003 | -0.000 | 0.000 | 6.258 | 0.000 |
| 0.003 | -0.003 | -0.000 | -0.000 | -0.000 | 467.416 |
| 956.562 | 27.325 | 15.826 | 0.000 | 0.000 | -0.000 |
| 27.326 | 966.786 | 0.159 | 0.000 | 0.000 | -0.000 |
| 15.826 | 0.160 | 31.707 | -0.000 | -0.000 | -0.000 |
| -0.003 | 0.003 | 0.000 | 3.983 | 0.000 | 0.000 |
| -0.000 | 0.000 | 0.000 | -0.000 | 6.258 | -0.000 |
| -0.000 | 0.000 | 0.000 | 0.000 | 0.000 | 467.416 |
| 956.560 | 27.326 | 15.826 | -0.000 | -0.000 | -0.000 |
| 27.325 | 966.786 | 0.159 | 0.000 | -0.000 | -0.000 |
| 15.826 | 0.159 | 31.707 | -0.000 | 0.000 | 0.000 |
| 0.003 | -0.003 | -0.000 | 3.983 | 0.000 | -0.000 |
| 0.000 | -0.000 | -0.000 | 0.000 | 6.258 | -0.000 |
| 0.000 | -0.000 | -0.000 | -0.000 | 0.000 | 467.416 |
| 956.571 | 27.319 | 15.826 | -0.000 | -0.000 | 0.000 |
| 27.333 | 966.782 | 0.159 | -0.000 | -0.000 | 0.000 |
| 15.826 | 0.159 | 31.707 | -0.000 | 0.000 | -0.000 |
| -0.000 | 0.000 | 0.000 | 3.983 | 0.000 | 0.000 |
| -0.000 | 0.000 | 0.000 | 0.000 | 6.258 | -0.000 |
| -0.000 | 0.001 | 0.000 | -0.000 | 0.000 | 467.416 |
| 956.550 | 27.332 | 15.826 | -0.000 | -0.000 | -0.000 |
| 27.318 | 966.790 | 0.159 | 0.000 | 0.000 | -0.000 |
| 15.826 | 0.159 | 31.707 | 0.000 | -0.000 | 0.000 |
| 0.000 | -0.000 | -0.000 | 3.983 | 0.000 | -0.000 |
| 0.000 | -0.000 | -0.000 | -0.000 | 6.258 | 0.000 |
| 0.000 | -0.001 | -0.000 | 0.000 | -0.000 | 467.416 |
| 293.527 | 1604.572 | 705.407 | 0.000 | 0.000 | -0.000 |
| 18.802 | 657.732 | 22.285 | -0.000 | 0.000 | 0.000 |
| 116.397 | 1495.391 | 956.857 | 0.000 | 0.000 | -0.000 |
| 85.453 | 2745.693 | 194.592 | 88.932 | -0.000 | 0.000 |
| 0.000 | 0.000 | -0.000 | -0.000 | 279.376 | -0.000 |
| 1070.044 | 29.835 | -590.537 | -0.000 | -0.000 | 202.419 |
| 142.382 | -2609.362 | -68.721 | 0.000 | 0.000 | -0.000 |
| -981.369 | 466.833 | 660.065 | 0.000 | 0.000 | -0.000 |
| -971.624 | 34.256 | 1050.714 | 0.000 | 0.000 | -0.000 |
| -85.453 | -2745.693 | -194.592 | 88.932 | 0.000 | -0.000 |
| 0.000 | -0.000 | 0.000 | 0.000 | 279.376 | 0.000 |
| -1070.044 | -29.835 | 590.537 | 0.000 | 0.000 | 202.419 |
| 534.187 | 111.988 | 50.087 | -0.000 | -0.000 | 0.000 |
| 184.373 | 518.213 | 6.778 | -0.000 | -0.000 | 0.000 |
| 58.585 | 22.284 | 604.333 | -0.000 | 0.000 | -0.000 |
| 105.553 | 2.943 | -58.253 | 205.801 | -0.000 | 0.000 |
| 0.000 | 0.000 | 0.000 | 0.000 | 279.376 | -0.000 |
| 7.501 | 141.182 | 49.526 | 0.000 | 0.000 | 150.778 |
| 321.123 | -32.277 | 73.012 | -0.000 | -0.000 | 0.000 |
| 93.407 | 282.994 | -40.288 | -0.000 | -0.000 | 0.000 |
| 58.585 | 22.284 | 604.332 | 0.000 | -0.000 | 0.000 |
| -105.553 | -2.943 | 58.253 | 205.801 | 0.000 | -0.000 |
| -0.000 | -0.000 | -0.000 | 0.000 | 279.376 | 0.000 |
| -7.501 | -141.182 | -49.526 | -0.000 | -0.000 | 150.778 |
| 261.775 | 114.442 | 92.282 | 0.000 | 0.000 | -0.000 |
| 73.262 | 412.946 | 36.689 | -0.000 | -0.000 | 0.000 |
| 73.721 | 52.543 | 332.259 | -0.000 | -0.000 | 0.000 |
| -5.092 | 33.402 | 1.930 | 131.418 | -0.000 | 0.000 |
| 5.613 | 8.585 | 0.111 | -0.000 | 173.488 | 0.000 |
| 0.334 | 17.201 | 2.754 | -0.000 | -0.000 | 139.190 |
| 361.279 | 87.063 | 109.799 | 0.000 | 0.000 | -0.000 |
| 65.443 | 304.364 | 15.719 | 0.000 | 0.000 | -0.000 |
| 98.300 | -12.644 | 341.507 | 0.000 | 0.000 | -0.000 |
| 5.092 | -33.402 | -1.930 | 131.418 | 0.000 | -0.000 |
| -5.613 | -8.585 | -0.111 | 0.000 | 173.488 | -0.000 |
| -0.334 | -17.201 | -2.754 | 0.000 | 0.000 | 139.190 |
| 570.335 | -461.008 | 194.528 | -0.071 | 0.066 | -0.000 |
| 21.108 | 410.245 | 9.361 | 0.000 | -0.000 | -0.000 |
| 379.527 | -469.612 | 412.154 | -0.070 | 0.065 | -0.000 |
| -662.332 | 1546.701 | -68.271 | -124.896 | 0.065 | 0.000 |
| 323.873 | -501.460 | 137.056 | -0.070 | 104.463 | -0.000 |
| -165.773 | 644.128 | -185.301 | -0.010 | -0.000 | 37.196 |
| 143.787 | -97.215 | -85.066 | 0.068 | -0.061 | 0.000 |
| 21.108 | 410.245 | 9.361 | -0.000 | -0.000 | 0.000 |
| -268.607 | 533.681 | 138.281 | 0.070 | -0.065 | 0.000 |
| 662.331 | -1546.700 | 68.270 | -124.765 | -0.065 | -0.000 |
| -53.175 | -153.186 | -143.261 | 0.067 | 78.471 | 0.000 |
| -323.593 | 501.026 | -136.937 | 0.070 | -0.065 | 113.605 |
| 182.168 | 82.435 | 72.017 | -0.006 | 0.005 | -0.000 |
| 21.108 | 410.245 | 9.361 | 0.000 | -0.000 | 0.000 |
| 90.427 | -18.728 | 284.001 | -0.007 | 0.007 | -0.000 |
| 0.000 | -0.000 | 0.000 | 184.022 | 0.000 | -0.000 |
| 32.556 | -50.408 | 13.777 | -0.007 | 104.144 | -0.000 |
| 30.280 | -46.884 | 12.814 | -0.007 | 0.006 | 117.976 |
| 219.844 | 90.799 | 40.501 | 0.006 | -0.006 | 0.000 |
| 51.799 | -7.257 | -5.803 | 0.002 | -0.001 | -0.000 |
| 33.231 | 9.631 | 367.000 | -0.000 | 0.000 | 0.000 |
| -0.000 | 0.000 | -0.000 | 184.022 | -0.000 | 0.000 |
| -32.556 | 50.407 | -13.777 | 0.007 | 104.132 | 0.000 |
| -30.280 | 46.884 | -12.814 | 0.007 | -0.006 | 117.976 |
| 26.822 | 14.683 | 33.825 | -0.001 | 0.001 | 0.000 |
| -24.125 | 32.296 | -26.718 | -0.001 | 0.001 | 0.000 |
| -30.372 | -15.687 | 11.850 | -0.001 | 0.001 | -0.000 |
| -0.395 | 4.063 | 1.603 | 72.235 | 0.001 | -0.000 |
| -1.200 | 7.754 | 0.090 | -0.001 | 23.528 | 0.000 |
| -1.108 | 5.456 | -0.445 | -0.000 | 0.000 | 70.730 |
| 9.186 | -30.565 | -17.365 | 0.001 | -0.001 | -0.000 |
| -26.736 | -34.015 | -26.089 | 0.000 | -0.000 | -0.000 |
| -13.347 | -37.640 | 23.933 | 0.001 | -0.001 | 0.000 |
| 0.395 | -4.063 | -1.603 | 72.236 | -0.001 | 0.000 |
| 1.200 | -7.754 | -0.090 | 0.001 | 23.527 | -0.000 |
| 1.108 | -5.456 | 0.445 | 0.000 | -0.000 | 70.730 |
| 825.642 | 618.520 | -96.823 | 0.000 | 0.000 | 0.000 |
| 618.520 | 825.642 | -96.823 | 0.000 | 0.000 | 0.000 |
| 26.025 | 26.025 | 523.350 | -0.000 | 0.000 | 0.000 |
| -0.000 | 0.000 | 0.000 | 258.337 | 0.000 | 0.000 |
| 0.000 | 0.000 | 0.000 | 0.000 | 258.337 | 0.000 |
| 496.283 | 496.283 | -187.528 | 0.000 | 0.000 | 146.747 |
| -171.494 | -369.590 | 279.263 | -0.000 | -0.000 | -0.000 |
| -369.590 | -171.494 | 279.263 | -0.000 | -0.000 | -0.000 |
| 26.025 | 26.025 | 523.350 | 0.000 | -0.000 | -0.000 |
| -0.000 | 0.000 | -0.000 | 258.337 | -0.000 | -0.000 |
| -0.000 | -0.000 | -0.000 | -0.000 | 258.337 | -0.000 |
| -496.283 | -496.283 | 187.528 | -0.000 | -0.000 | 146.746 |
| 439.329 | 135.330 | 56.635 | 0.000 | 0.000 | 0.000 |
| 135.330 | 439.329 | 56.635 | 0.000 | 0.000 | 0.000 |
| 26.025 | 26.025 | 523.350 | -0.000 | 0.000 | 0.000 |
| 133.639 | 133.639 | -43.656 | 111.138 | 0.000 | 0.000 |
| 133.639 | 133.639 | -43.656 | 0.000 | 111.138 | 0.000 |
| 40.692 | 40.693 | -15.376 | 0.000 | 0.000 | 170.367 |
| 325.373 | 74.303 | 95.606 | -0.000 | -0.000 | -0.000 |
| 74.303 | 325.373 | 95.606 | -0.000 | -0.000 | -0.000 |
| -169.843 | -169.843 | 190.759 | 0.000 | -0.000 | 0.000 |
| -133.639 | -133.639 | 43.656 | 111.138 | -0.000 | -0.000 |
| -133.639 | -133.639 | 43.656 | -0.000 | 111.138 | -0.000 |
| -40.692 | -40.693 | 15.376 | -0.000 | -0.000 | 170.367 |
| 305.025 | 94.291 | 62.297 | 0.000 | 0.000 | -0.000 |
| 94.291 | 305.025 | 62.297 | 0.000 | 0.000 | -0.000 |
| 68.724 | 68.724 | 402.819 | 0.000 | 0.000 | 0.000 |
| 13.278 | 13.278 | -4.264 | 104.923 | 0.000 | 0.000 |
| 13.278 | 13.278 | -4.264 | 0.000 | 104.923 | 0.000 |
| 22.636 | 22.636 | -0.690 | 0.000 | 0.000 | 84.486 |
| 211.586 | 37.686 | 38.892 | -0.000 | -0.000 | -0.000 |
| 37.686 | 211.586 | 38.892 | -0.000 | -0.000 | -0.000 |
| -38.460 | -38.460 | 103.299 | -0.000 | -0.000 | 0.000 |
| -13.278 | -13.278 | 4.264 | 104.923 | -0.000 | -0.000 |
| -13.278 | -13.278 | 4.264 | -0.000 | 104.923 | -0.000 |
| -22.636 | -22.636 | 0.690 | -0.000 | -0.000 | 84.486 |
| -7070.110 | -7254.290 | 8457.524 | -0.000 | 0.000 | 0.000 |
| -7254.290 | -7070.110 | 8457.524 | 0.000 | 0.000 | 0.000 |
| -2028.576 | -2028.576 | 3340.418 | -0.000 | 0.000 | 0.000 |
| -10705.520 | -10705.520 | 14575.270 | 54.817 | 0.000 | 0.001 |
| -10705.520 | -10705.520 | 14575.270 | -0.000 | 54.817 | 0.001 |
| -11238.288 | -11238.288 | 12017.675 | -0.000 | -0.000 | 93.832 |
| 7502.970 | 7317.906 | -8337.865 | 0.000 | 0.000 | -0.000 |
| 7317.906 | 7502.970 | -8337.865 | 0.000 | -0.000 | -0.000 |
| 11322.433 | 11322.433 | -14224.173 | 0.000 | -0.000 | 0.000 |
| 10705.520 | 10705.520 | -14575.270 | 54.817 | -0.000 | -0.001 |
| 10705.520 | 10705.520 | -14575.270 | 0.000 | 54.817 | -0.001 |
| 11238.288 | 11238.288 | -12017.675 | 0.000 | 0.000 | 93.831 |
| -1033.275 | -1066.052 | 1299.404 | -0.000 | 0.000 | -0.000 |
| -1066.052 | -1033.275 | 1299.404 | 0.000 | 0.000 | -0.000 |
| -132.322 | -132.322 | 610.720 | -0.000 | 0.000 | 0.000 |
| -726.673 | -726.673 | 837.618 | 77.311 | 0.000 | 0.000 |
| -726.673 | -726.673 | 837.618 | -0.000 | 77.311 | 0.000 |
| 0.000 | 0.000 | 0.000 | -0.000 | 0.000 | 260.299 |
| 946.461 | 757.450 | -779.292 | 0.000 | -0.000 | -0.000 |
| 757.450 | 946.461 | -779.292 | 0.000 | -0.000 | -0.000 |
| 795.600 | 795.600 | -720.606 | 0.000 | -0.000 | -0.000 |
| 726.673 | 726.673 | -837.618 | 77.311 | -0.000 | -0.000 |
| 726.673 | 726.673 | -837.618 | 0.000 | 77.311 | -0.000 |
| -0.000 | -0.000 | -0.000 | 0.000 | -0.000 | 260.299 |
| 58.046 | -98.507 | 86.953 | -0.000 | 0.000 | 0.000 |
| -37.467 | 149.128 | 141.473 | -0.000 | 0.000 | 0.000 |
| -35.367 | -35.367 | 161.541 | -0.000 | 0.000 | -0.000 |
| -107.549 | -107.549 | 148.583 | 50.186 | 0.000 | -0.000 |
| -107.549 | -107.549 | 148.583 | -0.000 | 50.186 | -0.000 |
| -110.337 | -110.337 | 144.647 | -0.000 | 0.000 | 66.129 |
| 371.874 | 83.875 | 9.401 | 0.000 | -0.000 | -0.000 |
| 83.875 | 371.874 | 9.401 | 0.000 | 0.000 | -0.000 |
| 52.595 | 52.595 | -169.443 | -0.000 | -0.000 | -0.000 |
| 107.549 | 107.549 | -148.583 | 50.186 | -0.000 | 0.000 |
| 107.549 | 107.549 | -148.583 | 0.000 | 50.186 | 0.000 |
| 110.337 | 110.337 | -144.647 | 0.000 | -0.000 | 66.129 |
| 236.863 | 293.748 | -107.796 | 0.000 | 0.000 | 0.000 |
| 35.535 | 449.724 | 11.977 | 0.000 | -0.000 | -0.000 |
| 2980.075 | 654.720 | -3531.687 | 0.000 | -0.000 | 0.000 |
| 0.000 | 0.000 | -0.000 | 230.093 | -0.000 | 0.000 |
| 2587.609 | -54.979 | -2418.302 | 0.000 | -141.379 | 0.000 |
| -94.296 | 231.849 | -160.221 | -0.000 | 0.000 | 140.219 |
| 435.619 | 36.399 | 12.303 | -0.000 | 0.000 | 0.000 |
| 156.334 | 117.761 | 211.132 | -0.000 | -0.000 | -0.000 |
| 12.287 | 12.825 | 546.344 | -0.000 | -0.000 | 0.000 |
| -0.000 | 0.000 | -0.000 | 230.093 | -0.000 | 0.000 |
| -2587.609 | 54.979 | 2418.302 | 0.000 | -141.379 | -0.000 |
| 94.296 | -231.849 | 160.221 | -0.000 | 0.000 | 140.219 |
| 296.790 | 99.292 | -44.535 | 0.000 | -0.000 | 0.000 |
| 52.650 | 372.528 | 34.929 | 0.000 | 0.000 | 0.000 |
| 43.581 | 77.016 | 423.254 | 0.000 | 0.000 | 0.000 |
| -9.367 | 23.031 | -15.916 | 158.408 | 0.000 | 0.000 |
| -9.381 | 23.066 | -15.940 | 0.000 | 164.289 | -0.000 |
| -9.454 | 23.244 | -16.063 | 0.000 | -0.000 | 140.056 |
| 335.298 | 39.826 | 70.648 | -0.000 | 0.000 | -0.000 |
| 71.831 | 325.146 | 67.483 | -0.000 | -0.000 | -0.000 |
| 59.597 | 27.923 | 462.599 | -0.000 | 0.000 | -0.000 |
| 9.367 | -23.031 | 15.916 | 158.408 | -0.000 | -0.000 |
| 9.381 | -23.066 | 15.940 | -0.000 | 164.289 | -0.000 |
| 9.454 | -23.244 | 16.063 | -0.000 | -0.000 | 140.056 |
| 180.222 | 85.785 | 40.457 | 0.000 | -0.000 | 0.000 |
| 49.126 | 100.085 | 15.602 | 0.000 | -0.000 | -0.000 |
| 51.946 | 54.984 | 439.300 | 0.000 | 0.000 | 0.000 |
| 9.787 | 2.609 | -11.419 | 66.951 | -0.000 | -0.000 |
| 3.111 | 4.788 | -8.045 | 0.000 | 119.337 | -0.000 |
| 0.000 | 0.000 | 0.000 | 0.000 | -0.000 | 203.864 |
| -13.647 | -52.260 | 17.476 | -0.000 | 0.000 | -0.000 |
| -11.669 | 89.651 | 25.078 | -0.000 | 0.000 | 0.000 |
| 21.171 | 30.117 | 193.256 | -0.000 | 0.000 | -0.000 |
| -9.787 | -2.609 | 11.419 | 66.951 | 0.000 | 0.000 |
| -3.111 | -4.788 | 8.045 | -0.000 | 119.337 | -0.000 |
| -0.000 | -0.000 | -0.000 | -0.000 | -0.000 | 203.864 |
| 475.902 | 243.935 | 243.935 | -0.000 | -0.000 | -0.000 |
| 243.935 | 475.902 | 243.935 | 0.000 | -0.000 | -0.000 |
| 243.935 | 243.935 | 475.902 | -0.000 | -0.000 | -0.000 |
| 0.000 | 0.000 | 0.000 | -12.133 | -0.000 | -0.000 |
| 0.000 | 0.000 | 0.000 | -0.000 | -12.133 | -0.000 |
| 0.000 | 0.000 | 0.000 | -0.000 | -0.000 | -12.133 |
| 475.902 | 243.935 | 243.934 | 0.000 | 0.000 | 0.000 |
| 243.934 | 475.902 | 243.934 | 0.000 | 0.000 | -0.000 |
| 243.934 | 243.934 | 475.902 | -0.000 | 0.000 | 0.000 |
| -0.000 | -0.000 | -0.000 | -12.133 | 0.000 | 0.000 |
| -0.000 | -0.000 | -0.000 | -0.000 | -12.133 | 0.000 |
| -0.000 | -0.000 | -0.000 | 0.000 | 0.000 | -12.133 |
| 475.902 | 243.935 | 243.935 | -0.000 | -0.000 | 0.000 |
| 243.935 | 475.902 | 243.935 | -0.000 | -0.000 | -0.000 |
| 243.935 | 243.935 | 475.902 | 0.000 | -0.000 | 0.000 |
| -0.000 | 0.000 | 0.000 | -12.133 | -0.000 | -0.000 |
| 0.000 | -0.000 | 0.000 | -0.000 | -12.133 | 0.000 |
| 0.000 | -0.000 | -0.000 | -0.000 | -0.000 | -12.133 |
| 475.902 | 243.934 | 243.934 | 0.000 | 0.000 | -0.000 |
| 243.934 | 475.902 | 243.934 | -0.000 | 0.000 | 0.000 |
| 243.934 | 243.934 | 475.902 | 0.000 | 0.000 | 0.000 |
| 0.000 | -0.000 | -0.000 | -12.133 | 0.000 | 0.000 |
| -0.000 | 0.000 | -0.000 | -0.000 | -12.133 | 0.000 |
| -0.000 | 0.000 | 0.000 | 0.000 | 0.000 | -12.133 |
| 475.903 | 243.935 | 243.935 | -0.000 | -0.000 | -0.000 |
| 243.935 | 475.903 | 243.935 | -0.000 | -0.000 | -0.000 |
| 243.935 | 243.935 | 475.903 | -0.000 | -0.000 | -0.000 |
| -0.000 | 0.000 | -0.000 | -12.133 | -0.000 | 0.000 |
| 0.000 | -0.000 | -0.000 | -0.000 | -12.133 | 0.000 |
| 0.000 | -0.000 | -0.000 | -0.000 | -0.000 | -12.133 |
| 475.901 | 243.934 | 243.934 | -0.000 | 0.000 | 0.000 |
| 243.934 | 475.901 | 243.934 | -0.000 | 0.000 | 0.000 |
| 243.934 | 243.934 | 475.901 | 0.000 | 0.000 | -0.000 |
| 0.000 | -0.000 | 0.000 | -12.133 | 0.000 | 0.000 |
| -0.000 | 0.000 | 0.000 | -0.000 | -12.133 | 0.000 |
| -0.000 | 0.000 | 0.000 | 0.000 | 0.000 | -12.133 |
| 329.653 | 46.529 | 46.529 | 0.000 | 0.000 | -0.000 |
| 46.529 | 329.653 | 46.529 | 0.000 | -0.000 | 0.000 |
| 46.529 | 46.529 | 329.653 | 0.000 | 0.000 | -0.000 |
| 3463236.295 | 1712553.125 | 1733897.587 | -1478097.756 | 4726.430 | 2362.265 |
| 1379547.083 | 3436321.549 | 1873749.863 | 17655.927 | -1334360.262 | 584.741 |
| 1732796.245 | 1726709.769 | 3168031.155 | 139205.742 | -46755.031 | -1425303.548 |
| 329.655 | 46.529 | 46.529 | 0.000 | 0.000 | 0.000 |
| 46.529 | 329.655 | 46.529 | 0.000 | 0.000 | 0.000 |
| 46.529 | 46.529 | 329.655 | 0.000 | 0.000 | 0.000 |
| -3629085.609 | -1488083.648 | -1509881.321 | -1760848.384 | -87945.262 | 46571.219 |
| -1687435.002 | -3381040.598 | -1590340.534 | 99486.975 | -1525987.771 | 98972.972 |
| -1992876.533 | -1956009.872 | -3786459.017 | -3828.446 | -54370.941 | -1646731.605 |
| 329.644 | 46.529 | 46.529 | -0.000 | -0.000 | 0.000 |
| 46.529 | 329.644 | 46.529 | -0.000 | -0.000 | -0.000 |
| 46.529 | 46.529 | 329.644 | -0.000 | 0.000 | 0.000 |
| 289242.435 | 158427.445 | 155023.249 | -115875.929 | 1669.002 | -3637.333 |
| 155925.903 | 287114.714 | 152932.248 | 2056.472 | -118032.296 | -3833.320 |
| 155045.856 | 150943.899 | 293047.048 | -2075.887 | -1035.989 | -114144.761 |
| 329.665 | 46.529 | 46.529 | -0.000 | -0.000 | 0.000 |
| 46.529 | 329.665 | 46.529 | -0.000 | 0.000 | 0.000 |
| 46.529 | 46.529 | 329.665 | -0.000 | 0.000 | 0.000 |
| -297042.864 | -157941.676 | -143598.585 | -114004.639 | 3507.935 | 1619.492 |
| -78414.057 | -148976.509 | -76722.656 | -300.283 | -62660.339 | -170.868 |
| -132504.168 | -121479.387 | -240580.947 | 2332.086 | 5825.273 | -98194.881 |
| 329.552 | 46.529 | 46.529 | -0.000 | -0.000 | -0.000 |
| 46.529 | 329.552 | 46.529 | -0.000 | -0.000 | -0.000 |
| 46.529 | 46.529 | 329.552 | -0.000 | -0.000 | 0.000 |
| 4007.058 | 3374.437 | 3660.628 | -3626.587 | 353.526 | 686.769 |
| 5011.784 | 7552.384 | 5075.767 | 328.285 | -4485.574 | -136.807 |
| 4086.094 | 2777.086 | 5948.062 | 955.816 | -355.176 | -4039.072 |
| 329.757 | 46.529 | 46.529 | 0.000 | 0.000 | 0.000 |
| 46.529 | 329.757 | 46.529 | 0.000 | 0.000 | 0.000 |
| 46.529 | 46.529 | 329.757 | 0.000 | 0.000 | 0.000 |
| -6149.611 | -3721.958 | -4381.911 | -4768.273 | 773.614 | -620.711 |
| -5080.156 | -7525.503 | -5404.636 | 666.683 | -4930.935 | 320.364 |
| -7693.922 | -7335.363 | -13975.234 | 20.192 | 62.317 | -5901.990 |
| -896638.851 | -1122679.587 | -797591.419 | 238332.398 | 17677.414 | 5004.267 |
| -600615.044 | -553875.353 | -543951.495 | -48461.362 | 72177.031 | 81121.062 |
| -462830.787 | 754683.240 | -320372.326 | -924731.653 | 298616.890 | -719349.043 |
| 237.777 | 237.777 | 237.777 | 237.777 | -0.000 | -0.000 |
| 237.777 | 237.777 | 237.777 | -0.000 | 237.777 | -0.000 |
| 237.777 | 237.777 | 237.777 | -0.000 | -0.000 | 237.777 |
| -0.000 | -0.000 | -0.000 | -0.000 | -0.000 | -0.000 |
| -0.000 | -0.000 | -0.000 | -0.000 | -0.000 | -0.000 |
| -0.000 | -0.000 | -0.000 | -0.000 | -0.000 | -0.000 |
| -237.777 | -237.777 | -237.777 | 237.777 | -0.000 | 0.000 |
| -237.777 | -237.777 | -237.777 | -0.000 | 237.777 | 0.000 |
| -237.777 | -237.777 | -237.777 | 0.000 | -0.000 | 237.777 |
| 409461.887 | -27387.393 | -22943.235 | -111516.476 | 231658.525 | -303643.402 |
| -132730.381 | -81986.285 | -143105.482 | 56692.568 | 10977.786 | -22558.093 |
| 216105.374 | 1887.364 | 35374.939 | -92830.895 | 121260.728 | -152895.609 |
| -430.510 | -430.510 | -430.510 | 1079.599 | -61.248 | 129.232 |
| -430.510 | -430.510 | -430.510 | -61.248 | 1079.599 | 129.232 |
| -141.582 | -141.582 | -141.582 | -108.648 | 124.708 | 543.665 |
| -0.000 | -0.000 | -0.000 | -0.000 | -0.000 | -0.000 |
| -0.000 | -0.000 | -0.000 | -0.000 | -0.000 | -0.000 |
| -0.000 | -0.000 | -0.000 | -0.000 | -0.000 | -0.000 |
| 98.615 | 98.615 | 98.615 | 661.547 | -112.941 | -128.114 |
| 98.615 | 98.615 | 98.615 | -112.941 | 661.547 | -128.114 |
| 41.588 | 41.587 | 41.587 | 143.112 | 114.976 | 624.976 |
| 124899.453 | 15511.603 | 33925.076 | 32532.596 | 71563.425 | 65470.520 |
| -19374.563 | -13870.933 | -20627.296 | 4435.511 | 5034.590 | -1124.734 |
| -4155.542 | -7677.375 | 10100.149 | 6181.299 | -4501.787 | -3283.216 |
| -2763.828 | -2184.018 | -2737.918 | -669.820 | 364.030 | 375.091 |
| -1658.828 | -2469.901 | -3133.638 | -113.850 | -321.897 | -608.058 |
| -335.110 | -1726.147 | -603.707 | -628.410 | 137.453 | 357.952 |
| -0.000 | -0.000 | -0.000 | -0.000 | -0.000 | -0.000 |
| -0.000 | -0.000 | -0.000 | -0.000 | -0.000 | -0.000 |
| -0.000 | -0.000 | -0.000 | -0.000 | -0.000 | -0.000 |
| 371.024 | 652.408 | 139.408 | 22.530 | -92.457 | -392.917 |
| 880.938 | 262.459 | 406.542 | 56.870 | -250.797 | 5.190 |
| 1839.431 | 2319.440 | 3026.051 | -152.127 | -6.719 | 136.369 |
| 395.090 | 331.399 | 331.399 | 0.000 | -0.000 | 0.000 |
| 331.399 | 395.090 | 331.399 | 0.000 | 0.000 | -0.000 |
| 331.399 | 331.399 | 395.090 | -0.000 | -0.000 | -0.000 |
| -768765832.659 | -635884188.146 | -686332385.183 | -31374486.834 | 3070864.838 | 4421930.501 |
| -634738421.214 | -777928529.714 | -653324735.750 | 11840236.490 | -8389553.196 | 15703022.522 |
| -612974304.039 | -725841442.198 | -781580508.113 | 22530284.217 | 4285451.674 | -14742886.921 |
| 353.493 | 352.197 | 352.197 | 0.000 | -0.000 | 0.000 |
| 352.197 | 353.493 | 352.197 | 0.000 | -0.000 | 0.000 |
| 352.197 | 352.197 | 353.493 | 0.000 | 0.000 | -0.000 |
| 811307207.578 | 604969005.740 | 732927244.454 | -34031938.684 | -10911191.260 | 11178332.713 |
| 0.000 | 0.000 | 0.000 | -0.000 | -66.600 | -0.000 |
| 597916883.792 | 743841626.220 | 825856117.580 | 5497801.664 | -362163.133 | -36726083.894 |
| 353.493 | 352.198 | 352.198 | 0.000 | 0.000 | 0.000 |
| 352.198 | 353.493 | 352.198 | 0.000 | 0.000 | -0.000 |
| 352.198 | 352.198 | 353.493 | 0.000 | 0.000 | 0.000 |
| -81177658.706 | -65990297.728 | -68920379.296 | -2967247.364 | -773824.301 | -1794606.692 |
| -61736240.702 | -80022296.383 | -65555252.150 | -918550.679 | -4175738.602 | -2547992.772 |
| -62661734.354 | -72406701.178 | -77416381.647 | -1681518.329 | -1087570.899 | -3764943.261 |
| 353.492 | 352.197 | 352.197 | -0.000 | -0.000 | 0.000 |
| 352.197 | 353.492 | 352.197 | -0.000 | -0.000 | 0.000 |
| 352.197 | 352.197 | 353.492 | -0.000 | -0.000 | -0.000 |
| 77241672.894 | 64517535.181 | 78021690.931 | -3596529.314 | 2243091.260 | 26379.902 |
| 65093970.866 | 84526179.804 | 68886751.814 | -1542354.071 | -3171064.991 | -38772.086 |
| 64388124.505 | 71255180.121 | 77017077.031 | 1506269.233 | -907225.216 | -1504067.341 |
| 353.494 | 352.198 | 352.198 | 0.000 | 0.000 | 0.000 |
| 352.198 | 353.494 | 352.198 | 0.000 | 0.000 | -0.000 |
| 352.198 | 352.198 | 353.494 | 0.000 | 0.000 | 0.000 |
| -7636223.730 | -6515666.508 | -6714249.349 | -267754.054 | -42881.888 | -351414.079 |
| -6481061.206 | -8229941.934 | -6788078.100 | -12478.818 | -328244.244 | -182596.769 |
| -6158642.323 | -6816664.409 | -7662133.157 | -238867.991 | -247705.171 | 6134.062 |
| 353.491 | 352.197 | 352.197 | 0.000 | -0.000 | 0.000 |
| 352.197 | 353.491 | 352.197 | -0.000 | -0.000 | 0.000 |
| 352.197 | 352.197 | 353.491 | -0.000 | -0.000 | -0.000 |
| 7836072.984 | 6057688.657 | 7669450.386 | -355758.621 | 52898.859 | -39626.808 |
| 6698293.197 | 8309953.734 | 7188452.871 | 2165.498 | -227970.932 | 122067.894 |
| 6429224.167 | 7051433.907 | 8403556.128 | 276270.267 | 156631.762 | 58912.332 |
| 757.210 | 101.244 | 101.244 | -0.000 | 0.000 | 0.000 |
| 101.244 | 757.210 | 101.244 | -0.000 | -0.000 | 0.000 |
| 101.244 | 101.244 | 757.210 | -0.000 | 0.000 | 0.000 |
| -0.000 | 0.000 | -0.000 | -61.747 | -0.000 | -0.000 |
| 0.000 | -0.000 | -0.000 | -0.000 | -61.747 | 0.000 |
| 0.000 | -0.000 | -0.000 | -0.000 | -0.000 | -61.747 |
| 757.210 | 101.244 | 101.244 | 0.000 | 0.000 | -0.000 |
| 101.244 | 757.210 | 101.244 | 0.000 | -0.000 | 0.000 |
| 101.244 | 101.244 | 757.210 | 0.000 | 0.000 | -0.000 |
| 0.000 | -0.000 | 0.000 | -61.747 | -0.000 | 0.000 |
| -0.000 | 0.000 | 0.000 | 0.000 | -61.747 | 0.000 |
| -0.000 | -0.000 | 0.000 | 0.000 | -0.000 | -61.747 |
| 757.210 | 101.244 | 101.244 | -0.000 | -0.000 | -0.000 |
| 101.244 | 757.210 | 101.244 | -0.000 | -0.000 | 0.000 |
| 101.244 | 101.244 | 757.210 | -0.000 | 0.000 | -0.000 |
| -0.000 | 0.000 | 0.000 | -61.747 | -0.000 | -0.000 |
| 0.000 | -0.000 | 0.000 | -0.000 | -61.747 | 0.000 |
| 0.000 | 0.000 | -0.000 | -0.000 | 0.000 | -61.747 |
| 757.210 | 101.244 | 101.244 | 0.000 | -0.000 | -0.000 |
| 101.244 | 757.210 | 101.244 | 0.000 | 0.000 | -0.000 |
| 101.244 | 101.244 | 757.210 | 0.000 | -0.000 | 0.000 |
| 0.000 | -0.000 | -0.000 | -61.747 | -0.000 | 0.000 |
| -0.000 | 0.000 | -0.000 | 0.000 | -61.747 | -0.000 |
| -0.000 | -0.000 | 0.000 | 0.000 | -0.000 | -61.747 |
| 757.210 | 101.246 | 101.246 | -0.000 | 0.000 | 0.000 |
| 101.246 | 757.210 | 101.246 | -0.000 | -0.000 | 0.000 |
| 101.246 | 101.246 | 757.210 | -0.000 | -0.000 | 0.000 |
| -0.001 | 0.001 | 0.000 | -61.747 | 0.000 | 0.000 |
| 0.001 | -0.001 | 0.000 | -0.000 | -61.747 | 0.000 |
| 0.001 | 0.000 | -0.001 | -0.000 | 0.000 | -61.747 |
| 757.209 | 101.242 | 101.242 | 0.000 | 0.000 | -0.000 |
| 101.242 | 757.209 | 101.242 | 0.000 | -0.000 | -0.000 |
| 101.242 | 101.242 | 757.209 | 0.000 | -0.000 | -0.000 |
| 0.001 | -0.001 | -0.000 | -61.747 | -0.000 | -0.000 |
| -0.001 | 0.001 | -0.000 | 0.000 | -61.747 | 0.000 |
| -0.001 | -0.000 | 0.001 | 0.000 | 0.000 | -61.747 |
| -7454455.505 | -9535483.457 | -4824326.331 | -1470331.860 | -1553483.582 | 250077.637 |
| -11248851.573 | -9540323.158 | -10331575.465 | 289793.486 | 51240.705 | -171621.544 |
| -9773915.149 | -10111157.245 | -8455462.083 | 120829.802 | 207236.037 | 553476.785 |
| -953361.097 | -3427022.259 | -3037787.583 | -1163407.315 | 215006.762 | 169164.413 |
| -3222554.551 | -641281.844 | -2370690.271 | 161920.786 | -1139961.153 | -282361.830 |
| -3583115.173 | -2382605.857 | -919931.182 | 34009.248 | 87663.004 | -1246724.003 |
| -0.000 | -0.000 | -0.000 | -0.000 | -0.000 | -0.000 |
| -0.000 | -0.000 | -0.000 | -0.000 | -0.000 | -0.000 |
| -0.000 | -0.000 | -0.000 | -0.000 | -0.000 | -0.000 |
| 703337.726 | 3189132.270 | 2728425.777 | -772346.241 | 78386.261 | -41942.041 |
| 3036684.044 | 1234182.294 | 2436927.095 | -18164.722 | -727570.369 | -100929.144 |
| 2876228.011 | 2493433.037 | 1136367.771 | 174772.186 | -150645.102 | -1055256.971 |
| -849268.016 | -822771.153 | -1171734.948 | 205332.172 | 174692.029 | 182469.461 |
| -1087238.018 | -940551.160 | -1001584.812 | 40852.861 | 131511.031 | -195357.275 |
| -1190032.468 | -1045762.797 | -1139935.346 | -59642.521 | 17890.284 | -5775.474 |
| -427672.987 | -2572721.088 | -2542858.055 | -1242736.908 | -11629.604 | -20345.435 |
| -2932008.657 | -605039.225 | -2971295.094 | -12666.866 | -1572582.945 | 8966.973 |
| -2695605.007 | -2511090.387 | -581393.555 | -17365.434 | 12662.146 | -1355105.837 |
| -0.000 | -0.000 | -0.000 | -0.000 | -0.000 | -0.000 |
| -0.000 | -0.000 | -0.000 | -0.000 | -0.000 | -0.000 |
| -0.000 | -0.000 | -0.000 | -0.000 | -0.000 | -0.000 |
| 642959.776 | 2818432.654 | 2824093.181 | -1363166.564 | 33697.961 | -13396.887 |
| 2976528.890 | 640570.732 | 2780445.669 | 25778.511 | -1494866.137 | -16881.465 |
| 2877857.413 | 2817805.060 | 552239.659 | 48198.184 | 11707.601 | -1430596.661 |
| -97713.246 | -84017.351 | -88208.827 | 1361.337 | 3374.449 | 2024.064 |
| -73917.648 | -71934.102 | -60693.388 | -16046.245 | 5457.639 | 6466.265 |
| -97947.547 | -98805.788 | -110588.319 | 5448.227 | 906.425 | -5134.254 |
| -51100.977 | -189234.501 | -189417.652 | -123143.148 | 2115.248 | 3040.582 |
| -175019.068 | -48097.321 | -168315.367 | -5.023 | -108892.104 | -566.890 |
| -181797.047 | -193439.914 | -56640.867 | 609.909 | -1405.248 | -126917.353 |
| -0.000 | -0.000 | -0.000 | -0.000 | -0.000 | -0.000 |
| -0.000 | -0.000 | -0.000 | -0.000 | -0.000 | -0.000 |
| -0.000 | -0.000 | -0.000 | -0.000 | -0.000 | -0.000 |
| 43134.949 | 176458.152 | 173167.901 | -124696.621 | -1354.270 | 2601.682 |
| 156275.626 | 29685.792 | 165133.928 | 1595.296 | -113351.830 | -2617.156 |
| 154147.285 | 159698.525 | 20890.673 | -3213.052 | 885.069 | -113561.973 |
| 463.810 | 300.039 | 300.039 | 0.000 | -0.000 | -0.000 |
| 300.039 | 463.810 | 300.039 | -0.000 | 0.000 | -0.000 |
| 300.039 | 300.039 | 463.810 | -0.000 | 0.000 | -0.000 |
| -0.000 | -0.000 | -0.000 | 13.828 | 0.000 | -0.000 |
| -0.000 | -0.000 | -0.000 | 0.000 | 13.828 | -0.000 |
| -0.000 | -0.000 | -0.000 | 0.000 | -0.000 | 13.828 |
| 463.810 | 300.039 | 300.039 | -0.000 | -0.000 | 0.000 |
| 300.039 | 463.810 | 300.039 | -0.000 | -0.000 | -0.000 |
| 300.039 | 300.039 | 463.810 | 0.000 | 0.000 | 0.000 |
| 0.000 | 0.000 | 0.000 | 13.828 | -0.000 | 0.000 |
| 0.000 | -0.000 | 0.000 | -0.000 | 13.828 | -0.000 |
| 0.000 | 0.000 | 0.000 | 0.000 | -0.000 | 13.828 |
| 463.810 | 300.039 | 300.039 | -0.000 | -0.000 | -0.000 |
| 300.039 | 463.810 | 300.039 | -0.000 | -0.000 | -0.000 |
| 300.039 | 300.039 | 463.810 | -0.000 | -0.000 | -0.000 |
| 0.000 | 0.000 | 0.000 | 13.828 | 0.000 | 0.000 |
| 0.000 | 0.000 | 0.000 | 0.000 | 13.828 | 0.000 |
| 0.000 | 0.000 | 0.000 | -0.000 | 0.000 | 13.828 |
| 463.810 | 300.039 | 300.039 | -0.000 | 0.000 | 0.000 |
| 300.039 | 463.810 | 300.039 | 0.000 | -0.000 | 0.000 |
| 300.039 | 300.039 | 463.810 | 0.000 | 0.000 | 0.000 |
| -0.000 | -0.000 | -0.000 | 13.828 | -0.000 | 0.000 |
| -0.000 | -0.000 | -0.000 | -0.000 | 13.828 | 0.000 |
| -0.000 | -0.000 | -0.000 | 0.000 | 0.000 | 13.828 |
| 463.812 | 300.040 | 300.040 | -0.000 | 0.000 | -0.000 |
| 300.040 | 463.812 | 300.040 | -0.000 | -0.000 | 0.000 |
| 300.040 | 300.040 | 463.812 | -0.000 | 0.000 | -0.000 |
| 0.000 | 0.000 | 0.000 | 13.828 | 0.000 | -0.000 |
| 0.000 | 0.000 | 0.000 | -0.000 | 13.828 | -0.000 |
| 0.000 | 0.000 | 0.000 | 0.000 | -0.000 | 13.828 |
| 463.808 | 300.038 | 300.038 | 0.000 | 0.000 | 0.000 |
| 300.038 | 463.808 | 300.038 | 0.000 | -0.000 | 0.000 |
| 300.038 | 300.038 | 463.808 | 0.000 | 0.000 | 0.000 |
| -0.000 | -0.000 | -0.000 | 13.828 | -0.000 | 0.000 |
| -0.000 | -0.000 | -0.000 | -0.000 | 13.828 | 0.000 |
| -0.000 | -0.000 | -0.000 | -0.000 | -0.000 | 13.828 |
| 549.363 | 235.315 | 235.315 | -0.000 | 0.000 | 0.000 |
| 235.315 | 549.363 | 235.315 | -0.000 | 0.000 | -0.000 |
| 235.315 | 235.315 | 549.363 | 0.000 | 0.000 | 0.000 |
| 0.000 | 0.000 | 0.000 | 173.236 | 0.000 | -0.000 |
| 0.000 | 0.000 | 0.000 | 0.000 | 173.236 | 0.000 |
| 0.000 | 0.000 | 0.000 | -0.000 | 0.000 | 173.236 |
| 549.363 | 235.315 | 235.315 | -0.000 | -0.000 | -0.000 |
| 235.315 | 549.363 | 235.315 | -0.000 | -0.000 | 0.000 |
| 235.315 | 235.315 | 549.363 | -0.000 | -0.000 | -0.000 |
| -0.000 | -0.000 | -0.000 | 173.236 | -0.000 | 0.000 |
| -0.000 | -0.000 | -0.000 | -0.000 | 173.236 | 0.000 |
| -0.000 | -0.000 | -0.000 | 0.000 | -0.000 | 173.236 |
| 549.364 | 235.315 | 235.315 | -0.000 | 0.000 | -0.000 |
| 235.315 | 549.364 | 235.315 | -0.000 | 0.000 | -0.000 |
| 235.315 | 235.315 | 549.364 | 0.000 | 0.000 | -0.000 |
| -0.000 | -0.000 | 0.000 | 173.236 | 0.000 | 0.000 |
| -0.000 | -0.000 | 0.000 | 0.000 | 173.236 | 0.000 |
| -0.000 | 0.000 | 0.000 | 0.000 | 0.000 | 173.236 |
| 549.363 | 235.315 | 235.315 | -0.000 | -0.000 | 0.000 |
| 235.315 | 549.363 | 235.315 | -0.000 | -0.000 | -0.000 |
| 235.315 | 235.315 | 549.363 | -0.000 | -0.000 | 0.000 |
| 0.000 | 0.000 | -0.000 | 173.236 | -0.000 | -0.000 |
| 0.000 | 0.000 | -0.000 | -0.000 | 173.236 | -0.000 |
| 0.000 | -0.000 | -0.000 | -0.000 | -0.000 | 173.236 |
| 549.366 | 235.316 | 235.316 | -0.000 | 0.000 | -0.000 |
| 235.316 | 549.366 | 235.316 | -0.000 | 0.000 | -0.000 |
| 235.316 | 235.316 | 549.366 | 0.000 | 0.000 | -0.000 |
| -0.000 | -0.000 | 0.000 | 173.236 | 0.000 | -0.000 |
| -0.000 | -0.000 | 0.000 | 0.000 | 173.236 | 0.000 |
| -0.000 | 0.000 | -0.000 | -0.000 | 0.000 | 173.236 |
| 549.360 | 235.315 | 235.315 | -0.000 | -0.000 | -0.000 |
| 235.315 | 549.360 | 235.315 | -0.000 | -0.000 | -0.000 |
| 235.315 | 235.315 | 549.360 | -0.000 | -0.000 | -0.000 |
| 0.000 | 0.000 | -0.000 | 173.236 | -0.000 | -0.000 |
| 0.000 | 0.000 | -0.000 | -0.000 | 173.236 | 0.000 |
| 0.000 | -0.000 | 0.000 | -0.000 | -0.000 | 173.236 |
| 388.447 | 288.966 | 288.966 | 0.000 | 0.000 | 0.000 |
| 288.966 | 388.447 | 288.966 | 0.000 | 0.000 | 0.000 |
| 288.966 | 288.966 | 388.447 | 0.000 | -0.000 | 0.000 |
| 0.000 | -0.000 | 0.000 | -16.056 | -0.000 | 0.000 |
| 0.000 | 0.000 | 0.000 | 0.000 | -16.056 | 0.000 |
| 0.000 | 0.000 | 0.000 | -0.000 | -0.000 | -16.056 |
| 388.447 | 288.966 | 288.966 | -0.000 | -0.000 | -0.000 |
| 288.966 | 388.447 | 288.966 | -0.000 | -0.000 | 0.000 |
| 288.966 | 288.966 | 388.447 | -0.000 | 0.000 | 0.000 |
| -0.000 | -0.000 | -0.000 | -16.056 | -0.000 | -0.000 |
| -0.000 | -0.000 | -0.000 | -0.000 | -16.056 | -0.000 |
| -0.000 | 0.000 | -0.000 | -0.000 | -0.000 | -16.056 |
| 388.447 | 288.966 | 288.966 | 0.000 | 0.000 | 0.000 |
| 288.966 | 388.447 | 288.966 | 0.000 | 0.000 | -0.000 |
| 288.966 | 288.966 | 388.447 | -0.000 | -0.000 | 0.000 |
| 0.000 | 0.000 | 0.000 | -16.056 | 0.000 | 0.000 |
| 0.000 | 0.000 | 0.000 | 0.000 | -16.056 | 0.000 |
| 0.000 | 0.000 | 0.000 | 0.000 | 0.000 | -16.056 |
| 388.447 | 288.966 | 288.966 | -0.000 | -0.000 | -0.000 |
| 288.966 | 388.447 | 288.966 | 0.000 | -0.000 | -0.000 |
| 288.966 | 288.966 | 388.447 | -0.000 | -0.000 | -0.000 |
| -0.000 | -0.000 | -0.000 | -16.056 | -0.000 | -0.000 |
| -0.000 | -0.000 | -0.000 | -0.000 | -16.056 | -0.000 |
| -0.000 | -0.000 | -0.000 | -0.000 | -0.000 | -16.056 |
| 388.448 | 288.967 | 288.967 | 0.000 | 0.000 | 0.000 |
| 288.967 | 388.448 | 288.967 | 0.000 | 0.000 | 0.000 |
| 288.967 | 288.967 | 388.448 | -0.000 | 0.000 | 0.000 |
| 0.000 | 0.000 | 0.000 | -16.056 | 0.000 | 0.000 |
| 0.000 | 0.000 | 0.000 | 0.000 | -16.056 | 0.000 |
| 0.000 | 0.000 | 0.000 | 0.000 | 0.000 | -16.056 |
| 388.446 | 288.965 | 288.965 | -0.000 | -0.000 | -0.000 |
| 288.965 | 388.446 | 288.965 | 0.000 | 0.000 | -0.000 |
| 288.965 | 288.965 | 388.446 | -0.000 | -0.000 | -0.000 |
| -0.000 | -0.000 | -0.000 | -16.056 | -0.000 | -0.000 |
| -0.000 | -0.000 | -0.000 | -0.000 | -16.056 | -0.000 |
| -0.000 | -0.000 | -0.000 | -0.000 | -0.000 | -16.056 |
| -104.809 | 371.556 | 371.556 | -0.001 | -0.001 | -0.001 |
| 371.556 | -104.809 | 371.556 | -0.001 | -0.001 | -0.001 |
| 371.556 | 371.556 | -104.809 | -0.001 | -0.001 | -0.001 |
| 260838821.682 | 174448728.217 | 177619105.744 | -69230991.869 | -35222277.116 | -11893362.748 |
| 181148636.348 | 261850018.655 | 164480930.843 | -43939337.435 | -62145344.972 | 1540912.086 |
| 184996793.252 | 171571822.424 | 245423876.352 | -35487117.993 | -11378645.234 | -55145265.451 |
| -104.809 | 371.556 | 371.556 | 0.000 | -0.000 | 0.000 |
| 371.556 | -104.809 | 371.556 | 0.000 | 0.000 | -0.000 |
| 371.556 | 371.556 | -104.809 | -0.000 | -0.000 | 0.000 |
| -314998588.786 | -173406145.433 | -161988701.681 | 8410207.152 | -17202114.050 | -7385439.159 |
| -180630606.963 | -321395570.488 | -154038515.919 | -16054752.511 | 5681374.590 | -11403627.067 |
| -179536335.505 | -158834986.604 | -326251894.791 | -15122039.504 | -14680846.645 | 6847713.164 |
| -104.809 | 371.556 | 371.556 | -0.000 | 0.000 | 0.000 |
| 371.556 | -104.809 | 371.556 | 0.000 | -0.000 | 0.000 |
| 371.556 | 371.556 | -104.809 | 0.000 | 0.000 | -0.000 |
| 28346711.471 | 18323242.943 | 18943096.759 | -2779543.889 | 996.460 | -1788194.761 |
| 18260553.920 | 28266506.187 | 18715395.294 | -112857.531 | -2758239.276 | -2207542.941 |
| 17178286.097 | 19623266.910 | 29489549.416 | 696298.268 | -764329.202 | -2425258.014 |
| -104.809 | 371.556 | 371.556 | 0.000 | 0.000 | 0.000 |
| 371.556 | -104.809 | 371.556 | 0.000 | 0.000 | 0.000 |
| 371.556 | 371.556 | -104.809 | 0.000 | 0.000 | 0.000 |
| -27893506.865 | -21900549.038 | -14490440.092 | -1288246.032 | 2080178.808 | 1613160.100 |
| -21777401.839 | -28244841.372 | -14310372.044 | 1187755.102 | -1639483.479 | 1806305.269 |
| -21252896.546 | -14952870.321 | -27713602.490 | 2563006.998 | 491982.755 | -2492124.209 |
| -104.809 | 371.557 | 371.557 | -0.000 | 0.000 | 0.000 |
| 371.557 | -104.809 | 371.557 | 0.000 | -0.000 | 0.000 |
| 371.557 | 371.557 | -104.809 | -0.000 | 0.000 | -0.000 |
| 2830239.040 | 1917761.062 | 1896590.398 | -237480.806 | -308610.616 | -295135.004 |
| 1899687.484 | 2723098.073 | 1979290.545 | -253008.666 | -242912.395 | -336968.731 |
| 1924793.527 | 1963729.125 | 2797327.373 | -296237.670 | -328152.033 | -192378.500 |
| -104.810 | 371.556 | 371.556 | -0.000 | -0.000 | -0.000 |
| 371.556 | -104.810 | 371.556 | -0.000 | -0.000 | -0.000 |
| 371.556 | 371.556 | -104.810 | -0.000 | -0.000 | 0.000 |
| -3492103.547 | -1868672.539 | -1497177.296 | 162678.628 | 302107.122 | -186088.195 |
| -1875064.621 | -3464076.381 | -1520446.373 | 263907.316 | 132219.712 | -190668.841 |
| -1739347.594 | -1396890.614 | -3642631.550 | 323118.936 | -227381.157 | 104561.070 |
| -0.007 | -0.001 | 0.003 | -0.013 | -0.002 | 0.019 |
| -0.053 | -0.097 | -0.063 | 0.013 | -0.019 | 0.039 |
| 32.281 | -7.865 | 122.273 | 107.266 | 13.615 | -3.434 |
| 111.514 | 111.514 | 111.514 | 111.514 | -0.000 | -0.000 |
| 111.514 | 111.514 | 111.514 | -0.000 | 111.514 | -0.000 |
| 111.514 | 111.514 | 111.514 | -0.000 | -0.000 | 111.514 |
| -0.000 | -0.000 | -0.000 | 0.000 | 0.000 | 0.000 |
| -0.000 | -0.000 | -0.000 | 0.000 | 0.000 | 0.000 |
| -0.000 | -0.000 | -0.000 | 0.000 | 0.000 | 0.000 |
| -111.514 | -111.514 | -111.514 | 111.514 | -0.000 | 0.000 |
| -111.514 | -111.514 | -111.514 | -0.000 | 111.514 | 0.000 |
| -111.514 | -111.514 | -111.514 | -0.000 | 0.000 | 111.514 |
| -7752.052 | -7775.705 | -7924.036 | -7801.659 | -7778.063 | -7701.626 |
| 0.001 | 0.001 | 0.001 | -0.001 | 0.000 | 0.000 |
| -11.445 | -3.078 | -15.480 | -4.323 | -7.291 | 8.828 |
| -0.001 | -0.000 | -0.000 | 0.000 | -0.000 | -0.000 |
| -0.001 | -0.001 | -0.001 | -0.000 | 0.001 | -0.001 |
| -0.000 | 0.000 | -0.000 | 0.000 | -0.000 | 0.000 |
| -0.000 | -0.000 | -0.000 | 0.000 | 0.000 | 0.000 |
| -0.000 | -0.000 | -0.000 | 0.000 | 0.000 | 0.000 |
| -0.000 | -0.000 | -0.000 | 0.000 | 0.000 | 0.000 |
| -0.000 | -0.000 | -0.000 | -0.000 | 0.000 | 0.000 |
| -0.000 | -0.000 | -0.000 | -0.000 | -0.000 | 0.000 |
| 0.000 | 0.000 | 0.000 | 0.000 | -0.000 | 0.000 |
| 1441.002 | 1486.447 | 457.186 | 880.510 | 2714.335 | -4335.149 |
| 1451.563 | 2913.569 | 2198.354 | 8279.522 | 10088.980 | 6938.456 |
| -0.002 | 0.003 | -0.000 | -0.000 | 0.004 | 0.004 |
| -0.000 | -0.000 | -0.000 | 0.000 | 0.000 | 0.000 |
| -0.000 | -0.000 | 0.000 | -0.000 | 0.000 | 0.000 |
| -0.000 | -0.000 | -0.000 | -0.000 | 0.000 | 0.000 |
| -0.000 | -0.000 | -0.000 | 0.000 | 0.000 | 0.000 |
| -0.000 | -0.000 | -0.000 | 0.000 | 0.000 | 0.000 |
| -0.000 | -0.000 | -0.000 | 0.000 | 0.000 | 0.000 |
| -0.000 | -0.000 | -0.000 | -0.000 | 0.000 | 0.000 |
| 0.000 | 0.000 | 0.000 | -0.000 | 0.000 | -0.000 |
| 0.000 | 0.000 | 0.000 | -0.000 | 0.000 | -0.000 |
| 206.309 | 246.522 | 246.522 | -0.000 | 0.000 | 0.000 |
| 246.522 | 206.309 | 246.522 | 0.000 | 0.000 | -0.000 |
| 246.522 | 246.522 | 206.309 | 0.000 | 0.000 | 0.000 |
| 0.000 | 0.000 | 0.000 | 31.948 | 0.000 | 0.000 |
| -0.000 | 0.000 | 0.000 | 0.000 | 31.948 | 0.000 |
| -0.000 | 0.000 | 0.000 | 0.000 | 0.000 | 31.948 |
| 206.309 | 246.522 | 246.522 | -0.000 | 0.000 | -0.000 |
| 246.522 | 206.309 | 246.522 | 0.000 | -0.000 | -0.000 |
| 246.522 | 246.522 | 206.309 | -0.000 | -0.000 | -0.000 |
| -0.000 | 0.000 | -0.000 | 31.948 | -0.000 | -0.000 |
| 0.000 | -0.000 | -0.000 | -0.000 | 31.948 | -0.000 |
| 0.000 | -0.000 | -0.000 | -0.000 | 0.000 | 31.948 |
| 206.309 | 246.522 | 246.522 | 0.000 | 0.000 | 0.000 |
| 246.522 | 206.309 | 246.522 | 0.000 | -0.000 | 0.000 |
| 246.522 | 246.522 | 206.309 | -0.000 | -0.000 | 0.000 |
| 0.000 | -0.000 | -0.000 | -1.248 | 0.000 | 0.000 |
| -0.000 | 0.000 | -0.000 | 0.000 | -1.248 | 0.000 |
| -0.000 | -0.000 | 0.000 | 0.000 | 0.000 | -1.248 |
| 206.309 | 246.522 | 246.522 | -0.000 | 0.000 | -0.000 |
| 246.522 | 206.309 | 246.522 | -0.000 | -0.000 | -0.000 |
| 246.522 | 246.522 | 206.309 | -0.000 | -0.000 | -0.000 |
| -0.000 | 0.000 | 0.000 | -1.248 | -0.000 | -0.000 |
| 0.000 | -0.000 | 0.000 | -0.000 | -1.248 | -0.000 |
| 0.000 | 0.000 | -0.000 | -0.000 | -0.000 | -1.248 |
| 206.310 | 246.523 | 246.523 | 0.000 | 0.000 | 0.000 |
| 246.523 | 206.310 | 246.523 | 0.000 | 0.000 | 0.000 |
| 246.523 | 246.523 | 206.310 | 0.000 | 0.000 | 0.000 |
| 0.000 | -0.000 | 0.000 | 31.948 | 0.000 | 0.000 |
| -0.000 | 0.000 | 0.000 | 0.000 | 31.948 | 0.000 |
| -0.000 | 0.000 | 0.000 | 0.000 | 0.000 | 31.948 |
| 206.309 | 246.521 | 246.521 | -0.000 | -0.000 | -0.000 |
| 246.521 | 206.309 | 246.521 | -0.000 | -0.000 | -0.000 |
| 246.521 | 246.521 | 206.309 | -0.000 | -0.000 | -0.000 |
| -0.000 | 0.000 | -0.000 | 31.948 | -0.000 | -0.000 |
| 0.000 | -0.000 | -0.000 | -0.000 | 31.948 | -0.000 |
| 0.000 | -0.000 | -0.000 | -0.000 | -0.000 | 31.948 |
| 228.484 | 220.782 | 220.782 | -0.000 | -0.000 | -0.000 |
| 220.782 | 228.484 | 220.782 | -0.000 | -0.000 | 0.000 |
| 220.782 | 220.782 | 228.484 | 0.000 | -0.000 | 0.000 |
| -0.000 | -0.000 | -0.000 | -53.054 | 0.000 | 0.000 |
| -0.000 | -0.000 | -0.000 | 0.000 | -53.054 | 0.000 |
| -0.000 | -0.000 | -0.000 | 0.000 | 0.000 | -53.054 |
| 228.484 | 220.782 | 220.782 | -0.000 | -0.000 | 0.000 |
| 220.782 | 228.484 | 220.782 | -0.000 | 0.000 | -0.000 |
| 220.782 | 220.782 | 228.484 | -0.000 | 0.000 | 0.000 |
| 0.000 | 0.000 | 0.000 | -53.054 | -0.000 | 0.000 |
| 0.000 | 0.000 | 0.000 | -0.000 | -53.054 | -0.000 |
| 0.000 | 0.000 | 0.000 | -0.000 | 0.000 | -53.054 |
| 228.282 | 220.883 | 220.883 | -0.000 | 0.000 | 0.000 |
| 220.883 | 228.282 | 220.883 | 0.000 | 0.000 | -0.000 |
| 220.883 | 220.883 | 228.282 | -0.000 | 0.000 | -0.000 |
| 20842743.152 | 31741645.747 | 31947398.948 | 4220564.042 | -1528131.920 | 161238.537 |
| 30536392.477 | 19036351.132 | 31364646.721 | 70352.730 | 4446096.025 | 427775.143 |
| 32719729.746 | 32517916.870 | 18366217.805 | 631702.269 | 781553.980 | 2570657.651 |
| 228.282 | 220.883 | 220.883 | 0.000 | -0.000 | 0.000 |
| 220.883 | 228.282 | 220.883 | -0.000 | 0.000 | -0.000 |
| 220.883 | 220.883 | 228.282 | 0.000 | -0.000 | -0.000 |
| -19685467.532 | -31224109.682 | -31093328.305 | 5302844.006 | -20229.466 | 495334.549 |
| -32123217.357 | -20071306.132 | -29071572.538 | -471093.499 | 3510977.024 | 231720.402 |
| -31573406.966 | -31717109.852 | -20665623.632 | -676874.296 | -364696.099 | 4004685.756 |
| 228.283 | 220.884 | 220.884 | -0.000 | 0.000 | -0.000 |
| 220.884 | 228.283 | 220.884 | -0.000 | -0.000 | 0.000 |
| 220.884 | 220.884 | 228.283 | 0.000 | 0.000 | -0.000 |
| 2095830.094 | 3138746.579 | 3085179.521 | 315476.242 | 38005.834 | 19703.578 |
| -2410259.099 | -3004621.008 | -2410270.637 | 0.001 | -5769521.796 | -0.001 |
| 3076010.201 | 3038515.831 | 2120665.744 | -13218.439 | -134140.790 | 303915.737 |
| 228.282 | 220.883 | 220.883 | 0.000 | -0.000 | -0.000 |
| 220.883 | 228.282 | 220.883 | -0.000 | 0.000 | 0.000 |
| 220.883 | 220.883 | 228.282 | 0.000 | 0.000 | 0.000 |
| -2143547.022 | -3136883.633 | -3011347.743 | 383221.704 | -3734.962 | -109150.245 |
| 2410259.100 | 3004621.008 | 2410270.637 | -0.001 | -5769521.794 | 0.001 |
| -3170012.381 | -2992167.780 | -2248533.205 | -122795.718 | -31547.148 | 383060.191 |
| -240214265.036 | -52359871.044 | -45499061.130 | 462047.974 | -1351251.480 | 1247557.127 |
| -55466861.246 | -230690460.639 | -50846067.049 | 411984.508 | -1574582.280 | -211899.946 |
| -58721884.011 | -46943300.826 | -245252041.621 | -716050.949 | 16995.736 | -2736136.347 |
| -968271078.973 | -685136133.709 | -687971762.840 | -98004411.305 | 1381524.264 | -4571349.113 |
| -673535577.363 | -968350283.115 | -685471729.060 | -2081688.476 | -75438395.874 | -2090942.584 |
| -645997162.231 | -655748561.433 | -910016628.992 | 228942.844 | 2456300.804 | -80467628.613 |
| 121143977.677 | 154311165.947 | 147564177.428 | 919957.822 | -1601912.815 | 568060.673 |
| 148190010.847 | 123412495.319 | 155605138.698 | -466626.548 | -128330.431 | -980942.600 |
| 156102310.336 | 145999004.868 | 123311739.866 | -424912.368 | 1004480.922 | 1729480.545 |
| 977433315.751 | 688713691.078 | 675948016.051 | -88203374.362 | 2613439.425 | -449236.787 |
| 669757767.478 | 949030283.243 | 679431475.586 | -905757.913 | -79437742.492 | 3142762.681 |
| 685757513.662 | 676879191.000 | 964763473.371 | -5343516.074 | 4971537.253 | -83984232.156 |
| -23129995.144 | -5058511.715 | -4612825.991 | 27941.787 | 32067.296 | 72720.611 |
| -5907244.810 | -23761785.115 | -4546075.302 | 3527.624 | 108311.571 | 178294.728 |
| -5107249.844 | -4745407.602 | -23482622.522 | -14308.108 | 128319.683 | -68133.812 |
| -92414701.553 | -66901340.491 | -65250833.072 | -6866612.408 | -305876.514 | 104968.293 |
| -67345200.702 | -93452247.985 | -67042083.972 | 102994.287 | -8375790.971 | 93692.594 |
| -66862103.177 | -65673605.497 | -92963142.001 | 6104.379 | -334419.449 | -7271920.903 |
| 24067861.692 | 26534666.048 | 24873738.525 | 79494.706 | 350271.795 | 14311.034 |
| 25689469.472 | 24172441.454 | 26695428.843 | 232439.089 | -16633.510 | 112197.628 |
| 26165616.305 | 24830683.883 | 23768649.309 | 248330.501 | 90757.203 | 458432.322 |
| 95005539.128 | 67740645.813 | 67029090.976 | -7393933.554 | 24012.028 | -60399.477 |
| 65257423.149 | 90752912.272 | 65976773.384 | 109383.363 | -6852450.668 | -299075.419 |
| 66731550.536 | 66769292.863 | 93531944.727 | 98800.233 | 155378.487 | -6925286.637 |
| -2324047.542 | -520411.137 | -439539.601 | 2441.863 | 3783.071 | -2308.253 |
| -510746.340 | -2285675.050 | -473886.619 | 5577.982 | -1810.706 | 3584.385 |
| -462895.230 | -519071.577 | -2308554.774 | 11283.099 | -1477.215 | -38692.772 |
| -9326102.988 | -6663693.807 | -6659758.559 | -768626.526 | 10476.434 | 13434.597 |
| -6515113.051 | -9028114.443 | -6535274.465 | -49544.696 | -771677.516 | -62642.993 |
| -6811364.394 | -6761852.227 | -9496883.905 | 33461.850 | 26574.185 | -752579.303 |
| 1184406.240 | 1441778.511 | 1298854.495 | -14336.073 | -18730.353 | 24753.424 |
| 1370163.037 | 1185066.615 | 1454070.353 | 2349.412 | -18652.795 | -4568.983 |
| 1497423.939 | 1324173.477 | 1185815.086 | 8748.700 | 13267.527 | -12157.321 |
| 8975302.888 | 6509816.715 | 6458565.952 | -667820.807 | -3682.613 | -22009.798 |
| 6325819.578 | 8845934.615 | 6416464.033 | -3339.484 | -699165.897 | -15453.682 |
| 6549964.809 | 6616058.338 | 9227547.113 | -14240.586 | -19215.714 | -785304.799 |
| 285.178 | 185.332 | 185.332 | -0.000 | -0.000 | -0.000 |
| 185.332 | 285.178 | 185.332 | -0.000 | -0.000 | -0.000 |
| 185.332 | 185.332 | 285.178 | -0.000 | -0.000 | 0.000 |
| 0.000 | 0.000 | -0.000 | 1.744 | 0.000 | -0.000 |
| 0.000 | 0.000 | -0.000 | -0.000 | 1.744 | -0.000 |
| 0.000 | 0.000 | -0.000 | -0.000 | 0.000 | 1.744 |
| 285.178 | 185.332 | 185.332 | 0.000 | -0.000 | -0.000 |
| 185.332 | 285.178 | 185.332 | 0.000 | 0.000 | -0.000 |
| 185.332 | 185.332 | 285.178 | 0.000 | -0.000 | 0.000 |
| -0.000 | -0.000 | 0.000 | 1.744 | -0.000 | 0.000 |
| -0.000 | -0.000 | -0.000 | 0.000 | 1.744 | 0.000 |
| -0.000 | -0.000 | -0.000 | 0.000 | -0.000 | 1.744 |
| 285.178 | 185.332 | 185.332 | -0.000 | 0.000 | 0.000 |
| 185.332 | 285.178 | 185.332 | -0.000 | -0.000 | -0.000 |
| 185.332 | 185.332 | 285.178 | -0.000 | 0.000 | 0.000 |
| 0.000 | 0.000 | 0.000 | 13.635 | 0.000 | -0.000 |
| 0.000 | 0.000 | 0.000 | -0.000 | 13.635 | -0.000 |
| 0.000 | 0.000 | 0.000 | -0.000 | -0.000 | 13.635 |
| 285.178 | 185.332 | 185.332 | 0.000 | 0.000 | 0.000 |
| 185.332 | 285.178 | 185.332 | 0.000 | -0.000 | 0.000 |
| 185.332 | 185.332 | 285.178 | 0.000 | -0.000 | -0.000 |
| -0.000 | -0.000 | -0.000 | 13.635 | 0.000 | 0.000 |
| -0.000 | -0.000 | -0.000 | 0.000 | 13.635 | 0.000 |
| -0.000 | -0.000 | -0.000 | 0.000 | -0.000 | 13.635 |
| 285.179 | 185.333 | 185.333 | -0.000 | -0.000 | -0.000 |
| 185.333 | 285.179 | 185.333 | -0.000 | -0.000 | -0.000 |
| 185.333 | 185.333 | 285.179 | 0.000 | 0.000 | 0.000 |
| 0.000 | 0.000 | 0.000 | 13.635 | -0.000 | -0.000 |
| 0.000 | 0.000 | 0.000 | -0.000 | 13.635 | -0.000 |
| 0.000 | 0.000 | 0.000 | -0.000 | -0.000 | 13.635 |
| 285.178 | 185.331 | 185.331 | 0.000 | -0.000 | -0.000 |
| 185.331 | 285.178 | 185.331 | 0.000 | 0.000 | -0.000 |
| 185.331 | 185.331 | 285.178 | 0.000 | -0.000 | 0.000 |
| -0.000 | -0.000 | -0.000 | 13.635 | -0.000 | 0.000 |
| -0.000 | -0.000 | -0.000 | -0.000 | 13.635 | 0.000 |
| -0.000 | -0.000 | -0.000 | 0.000 | -0.000 | 13.635 |
| 187.975 | 227.476 | 227.476 | 0.000 | 0.000 | -0.000 |
| 227.476 | 187.975 | 227.476 | 0.000 | 0.000 | -0.000 |
| 227.476 | 227.476 | 187.975 | -0.000 | -0.000 | -0.000 |
| 0.000 | -0.000 | -0.000 | 7.435 | 0.000 | -0.000 |
| 0.000 | -0.000 | -0.000 | 0.000 | 7.435 | 0.000 |
| 0.000 | -0.000 | -0.000 | 0.000 | -0.000 | 7.435 |
| 187.975 | 227.476 | 227.476 | -0.000 | -0.000 | 0.000 |
| 227.476 | 187.975 | 227.476 | -0.000 | 0.000 | 0.000 |
| 227.476 | 227.476 | 187.975 | 0.000 | 0.000 | 0.000 |
| 0.000 | 0.000 | 0.000 | 7.435 | 0.000 | 0.000 |
| 0.000 | 0.000 | 0.000 | -0.000 | 7.435 | 0.000 |
| -0.000 | 0.000 | 0.000 | -0.000 | -0.000 | 7.435 |
| 187.975 | 227.476 | 227.476 | 0.000 | -0.000 | -0.000 |
| 227.476 | 187.975 | 227.476 | 0.000 | 0.000 | -0.000 |
| 227.476 | 227.476 | 187.975 | 0.000 | -0.000 | 0.000 |
| 0.000 | 0.000 | 0.000 | 7.435 | -0.000 | -0.000 |
| 0.000 | 0.000 | 0.000 | 0.000 | 7.435 | -0.000 |
| 0.000 | 0.000 | 0.000 | 0.000 | -0.000 | 7.435 |
| 187.975 | 227.476 | 227.476 | -0.000 | 0.000 | -0.000 |
| 227.476 | 187.975 | 227.476 | -0.000 | -0.000 | -0.000 |
| 227.476 | 227.476 | 187.975 | -0.000 | 0.000 | 0.000 |
| -0.000 | -0.000 | -0.000 | 7.435 | 0.000 | 0.000 |
| -0.000 | -0.000 | -0.000 | -0.000 | 7.435 | 0.000 |
| -0.000 | -0.000 | -0.000 | -0.000 | -0.000 | 7.435 |
| 187.976 | 227.477 | 227.477 | -0.000 | -0.000 | 0.000 |
| 227.477 | 187.976 | 227.477 | 0.000 | -0.000 | -0.000 |
| 227.477 | 227.477 | 187.976 | -0.000 | -0.000 | -0.000 |
| 0.000 | 0.000 | 0.000 | 7.435 | -0.000 | -0.000 |
| 0.000 | 0.000 | 0.000 | 0.000 | 7.435 | -0.000 |
| 0.000 | 0.000 | 0.000 | 0.000 | -0.000 | 7.435 |
| 187.975 | 227.476 | 227.476 | -0.000 | -0.000 | -0.000 |
| 227.476 | 187.975 | 227.476 | 0.000 | 0.000 | 0.000 |
| 227.476 | 227.476 | 187.975 | -0.000 | 0.000 | -0.000 |
| -0.000 | -0.000 | -0.000 | 7.435 | -0.000 | 0.000 |
| -0.000 | -0.000 | -0.000 | -0.000 | 7.435 | -0.000 |
| -0.000 | -0.000 | -0.000 | -0.000 | 0.000 | 7.435 |
| 147.898 | 175.024 | 175.024 | -0.000 | 0.000 | -0.000 |
| 175.024 | 147.898 | 175.024 | -0.000 | -0.000 | -0.000 |
| 175.024 | 175.024 | 147.898 | 0.000 | 0.000 | -0.000 |
| -0.000 | 0.000 | 0.000 | 18.183 | -0.000 | -0.000 |
| -0.000 | -0.000 | 0.000 | -0.000 | 18.183 | -0.000 |
| -0.000 | -0.000 | -0.000 | 0.000 | -0.000 | 18.183 |
| 147.898 | 175.024 | 175.024 | 0.000 | 0.000 | 0.000 |
| 175.024 | 147.898 | 175.024 | 0.000 | 0.000 | 0.000 |
| 175.024 | 175.024 | 147.898 | -0.000 | -0.000 | 0.000 |
| 0.000 | 0.000 | -0.000 | 18.183 | -0.000 | 0.000 |
| 0.000 | 0.000 | 0.000 | -0.000 | 18.183 | 0.000 |
| 0.000 | 0.000 | 0.000 | -0.000 | 0.000 | 18.183 |
| 147.898 | 175.024 | 175.024 | -0.000 | 0.000 | -0.000 |
| 175.024 | 147.898 | 175.024 | -0.000 | -0.000 | -0.000 |
| 175.024 | 175.024 | 147.898 | -0.000 | -0.000 | -0.000 |
| 0.000 | 0.000 | 0.000 | 18.183 | 0.000 | -0.000 |
| 0.000 | 0.000 | 0.000 | 0.000 | 18.183 | -0.000 |
| 0.000 | 0.000 | 0.000 | 0.000 | -0.000 | 18.183 |
| 147.898 | 175.024 | 175.024 | 0.000 | 0.000 | 0.000 |
| 175.024 | 147.898 | 175.024 | 0.000 | -0.000 | 0.000 |
| 175.024 | 175.024 | 147.898 | 0.000 | 0.000 | 0.000 |
| -0.000 | -0.000 | -0.000 | 18.183 | 0.000 | 0.000 |
| -0.000 | -0.000 | -0.000 | -0.000 | 18.183 | 0.000 |
| -0.000 | -0.000 | -0.000 | 0.000 | 0.000 | 18.183 |
| 147.898 | 175.025 | 175.025 | -0.000 | -0.000 | -0.000 |
| 175.025 | 147.898 | 175.025 | -0.000 | -0.000 | -0.000 |
| 175.025 | 175.025 | 147.898 | -0.000 | -0.000 | -0.000 |
| 0.000 | 0.000 | 0.000 | 18.183 | 0.000 | -0.000 |
| 0.000 | 0.000 | 0.000 | 0.000 | 18.183 | -0.000 |
| 0.000 | 0.000 | 0.000 | -0.000 | 0.000 | 18.183 |
| 147.898 | 175.024 | 175.024 | 0.000 | 0.000 | 0.000 |
| 175.024 | 147.898 | 175.024 | 0.000 | 0.000 | 0.000 |
| 175.024 | 175.024 | 147.898 | 0.000 | -0.000 | 0.000 |
| -0.000 | -0.000 | -0.000 | 18.183 | 0.000 | 0.000 |
| -0.000 | -0.000 | -0.000 | -0.000 | 18.183 | 0.000 |
| -0.000 | -0.000 | -0.000 | 0.000 | 0.000 | 18.183 |
| 213.542 | 161.063 | 161.063 | -0.000 | -0.000 | -0.000 |
| 161.063 | 213.542 | 161.063 | -0.000 | -0.000 | -0.000 |
| 161.063 | 161.063 | 213.542 | 0.000 | 0.000 | -0.000 |
| 0.000 | 0.000 | -0.000 | 39.563 | 0.000 | 0.000 |
| 0.000 | 0.000 | 0.000 | -0.000 | 39.563 | -0.000 |
| 0.000 | 0.000 | -0.000 | -0.000 | -0.000 | 39.563 |
| 213.554 | 161.057 | 161.057 | 0.000 | -0.000 | 0.000 |
| 161.057 | 213.554 | 161.057 | 0.000 | 0.000 | 0.000 |
| 161.057 | 161.057 | 213.554 | 0.000 | 0.000 | 0.000 |
| -0.000 | -0.000 | 0.000 | 39.563 | -0.000 | 0.000 |
| -0.000 | -0.000 | -0.000 | -0.000 | 39.563 | -0.000 |
| -0.000 | -0.000 | 0.000 | -0.000 | -0.000 | 39.563 |
| 213.542 | 161.063 | 161.063 | -0.000 | 0.000 | 0.000 |
| 161.063 | 213.542 | 161.063 | -0.000 | 0.000 | -0.000 |
| 161.063 | 161.063 | 213.542 | 0.000 | 0.000 | -0.000 |
| 0.000 | 0.000 | 0.000 | 39.563 | 0.000 | -0.000 |
| 0.000 | 0.000 | 0.000 | -0.000 | 39.563 | -0.000 |
| 0.000 | 0.000 | 0.000 | -0.000 | -0.000 | 39.563 |
| 213.542 | 161.063 | 161.063 | 0.000 | 0.000 | 0.000 |
| 161.063 | 213.542 | 161.063 | 0.000 | 0.000 | -0.000 |
| 161.063 | 161.063 | 213.542 | -0.000 | -0.000 | 0.000 |
| -0.000 | -0.000 | -0.000 | 39.563 | -0.000 | -0.000 |
| -0.000 | -0.000 | -0.000 | 0.000 | 39.563 | 0.000 |
| -0.000 | -0.000 | -0.000 | 0.000 | -0.000 | 39.563 |
| 213.555 | 161.057 | 161.057 | -0.000 | -0.000 | -0.000 |
| 161.057 | 213.555 | 161.057 | -0.000 | 0.000 | 0.000 |
| 161.057 | 161.057 | 213.555 | -0.000 | 0.000 | -0.000 |
| 0.000 | 0.000 | 0.000 | 39.563 | 0.000 | 0.000 |
| 0.000 | 0.000 | 0.000 | -0.000 | 39.563 | 0.000 |
| 0.000 | 0.000 | 0.000 | -0.000 | 0.000 | 39.563 |
| 213.554 | 161.057 | 161.057 | 0.000 | -0.000 | 0.000 |
| 161.057 | 213.554 | 161.057 | 0.000 | -0.000 | -0.000 |
| 161.057 | 161.057 | 213.554 | 0.000 | -0.000 | 0.000 |
| -0.000 | -0.000 | -0.000 | 39.563 | -0.000 | 0.000 |
| -0.000 | -0.000 | -0.000 | 0.000 | 39.563 | 0.000 |
| -0.000 | -0.000 | -0.000 | 0.000 | 0.000 | 39.563 |
| 252.727 | 133.117 | 133.117 | 0.000 | -0.000 | 0.000 |
| 133.117 | 252.727 | 133.117 | 0.000 | 0.000 | 0.000 |
| 133.117 | 133.117 | 252.727 | 0.000 | 0.000 | 0.000 |
| -0.000 | -0.000 | -0.000 | 31.854 | -0.000 | 0.000 |
| -0.000 | -0.000 | -0.000 | 0.000 | 31.854 | 0.000 |
| -0.000 | -0.000 | -0.000 | 0.000 | -0.000 | 31.854 |
| 252.727 | 133.117 | 133.117 | -0.000 | -0.000 | -0.000 |
| 133.117 | 252.727 | 133.117 | 0.000 | -0.000 | -0.000 |
| 133.117 | 133.117 | 252.727 | -0.000 | -0.000 | -0.000 |
| 0.000 | 0.000 | 0.000 | 31.854 | 0.000 | -0.000 |
| 0.000 | 0.000 | 0.000 | 0.000 | 31.854 | -0.000 |
| 0.000 | 0.000 | 0.000 | 0.000 | -0.000 | 31.854 |
| 252.727 | 133.117 | 133.117 | 0.000 | 0.000 | 0.000 |
| 133.117 | 252.727 | 133.117 | 0.000 | 0.000 | 0.000 |
| 133.117 | 133.117 | 252.727 | 0.000 | 0.000 | 0.000 |
| -0.000 | 0.000 | 0.000 | 31.854 | 0.000 | 0.000 |
| 0.000 | 0.000 | 0.000 | 0.000 | 31.854 | 0.000 |
| 0.000 | 0.000 | -0.000 | 0.000 | -0.000 | 31.854 |
| 252.727 | 133.117 | 133.117 | -0.000 | 0.000 | -0.000 |
| 133.117 | 252.727 | 133.117 | -0.000 | -0.000 | -0.000 |
| 133.117 | 133.117 | 252.727 | -0.000 | 0.000 | -0.000 |
| 0.000 | -0.000 | -0.000 | 31.854 | -0.000 | -0.000 |
| -0.000 | -0.000 | -0.000 | -0.000 | 31.854 | -0.000 |
| -0.000 | -0.000 | 0.000 | -0.000 | -0.000 | 31.854 |
| 252.728 | 133.117 | 133.117 | 0.000 | 0.000 | 0.000 |
| 133.117 | 252.728 | 133.117 | 0.000 | 0.000 | 0.000 |
| 133.117 | 133.117 | 252.728 | 0.000 | 0.000 | 0.000 |
| 0.000 | 0.000 | 0.000 | 31.854 | 0.000 | 0.000 |
| 0.000 | 0.000 | 0.000 | 0.000 | 31.854 | 0.000 |
| 0.000 | 0.000 | 0.000 | -0.000 | 0.000 | 31.854 |
| 252.727 | 133.116 | 133.116 | -0.000 | -0.000 | -0.000 |
| 133.116 | 252.727 | 133.116 | -0.000 | 0.000 | -0.000 |
| 133.116 | 133.116 | 252.727 | -0.000 | -0.000 | -0.000 |
| -0.000 | -0.000 | -0.000 | 31.854 | -0.000 | -0.000 |
| -0.000 | -0.000 | -0.000 | -0.000 | 31.854 | -0.000 |
| -0.000 | -0.000 | -0.000 | -0.000 | 0.000 | 31.854 |
| 178.000 | 164.315 | 155.224 | -0.000 | 0.000 | -0.000 |
| 164.315 | 178.000 | 155.224 | -0.000 | 0.000 | 0.000 |
| 155.224 | 155.224 | 190.269 | -0.000 | 0.000 | 0.000 |
| 0.000 | -0.000 | -0.000 | -2.881 | 0.000 | 0.000 |
| -0.000 | -0.000 | -0.000 | -0.000 | -2.881 | 0.000 |
| -0.000 | -0.000 | -0.000 | -0.000 | 0.000 | 6.842 |
| 178.000 | 164.315 | 155.224 | -0.000 | -0.000 | -0.000 |
| 173.700 | 168.616 | 155.224 | -0.000 | -0.000 | -0.000 |
| 155.224 | 155.224 | 190.269 | -0.000 | -0.000 | -0.000 |
| -0.000 | 0.000 | 0.000 | -2.881 | -0.000 | -0.000 |
| 0.000 | 0.000 | 0.000 | 0.000 | -2.881 | 0.000 |
| 0.000 | 0.000 | 0.000 | -0.000 | -0.000 | 6.842 |
| 178.000 | 164.316 | 155.224 | 0.000 | 0.000 | 0.000 |
| 164.316 | 178.000 | 155.224 | 0.000 | 0.000 | 0.000 |
| 155.224 | 155.224 | 190.269 | 0.000 | 0.000 | 0.000 |
| 0.000 | -0.000 | 0.000 | -2.881 | 0.000 | 0.000 |
| -0.000 | 0.000 | 0.000 | 0.000 | -2.881 | 0.000 |
| -0.000 | 0.000 | 0.000 | -0.000 | 0.000 | 6.842 |
| 168.616 | 173.700 | 155.224 | 0.000 | -0.000 | -0.000 |
| 164.315 | 178.000 | 155.224 | 0.000 | -0.000 | 0.000 |
| 155.224 | 155.224 | 190.269 | -0.000 | -0.000 | 0.000 |
| -0.000 | 0.000 | -0.000 | -2.881 | -0.000 | 0.000 |
| 0.000 | -0.000 | -0.000 | 0.000 | -2.881 | 0.000 |
| 0.000 | -0.000 | -0.000 | 0.000 | -0.000 | 6.842 |
| 178.001 | 164.316 | 155.224 | 0.000 | 0.000 | 0.000 |
| 164.316 | 178.001 | 155.224 | -0.000 | 0.000 | -0.000 |
| 155.224 | 155.224 | 190.269 | 0.000 | 0.000 | 0.000 |
| 0.000 | -0.000 | 0.000 | -2.881 | 0.000 | 0.000 |
| -0.000 | 0.000 | 0.000 | -0.000 | -2.881 | -0.000 |
| -0.000 | 0.000 | -0.000 | 0.000 | 0.000 | 2.150 |
| 178.000 | 164.315 | 155.223 | 0.000 | 0.000 | -0.000 |
| 183.366 | 158.948 | 155.223 | -0.000 | -0.000 | -0.000 |
| 155.223 | 155.223 | 190.268 | -0.000 | -0.000 | -0.000 |
| -0.000 | 0.000 | -0.000 | -2.881 | -0.000 | -0.000 |
| 0.000 | -0.000 | -0.000 | 0.000 | -2.881 | -0.000 |
| 0.000 | -0.000 | 0.000 | -0.000 | -0.000 | 2.150 |
| 176.188 | 164.205 | 156.647 | -0.000 | 0.000 | 0.000 |
| 213.309 | 127.084 | 156.647 | -0.000 | 0.000 | -0.000 |
| 156.647 | 156.647 | 190.293 | -0.000 | 0.000 | 0.000 |
| 0.000 | -0.000 | -0.000 | -2.817 | 0.000 | 0.000 |
| -0.000 | 0.000 | -0.000 | -0.000 | -2.817 | 0.000 |
| 0.000 | -0.000 | -0.000 | -0.000 | 0.000 | -13.926 |
| 176.188 | 164.205 | 156.647 | 0.000 | -0.000 | 0.000 |
| 184.123 | 156.271 | 156.647 | 0.000 | -0.000 | 0.000 |
| 156.647 | 156.647 | 190.293 | 0.000 | -0.000 | -0.000 |
| 0.000 | -0.000 | 0.000 | -2.817 | -0.000 | -0.000 |
| 0.000 | -0.000 | 0.000 | 0.000 | -2.817 | 0.000 |
| -0.000 | 0.000 | 0.000 | 0.000 | -0.000 | -13.926 |
| 176.188 | 164.205 | 156.647 | -0.000 | 0.000 | 0.000 |
| 164.205 | 176.188 | 156.647 | -0.000 | 0.000 | 0.000 |
| 156.647 | 156.647 | 190.294 | -0.000 | 0.000 | 0.000 |
| 0.000 | -0.000 | 0.000 | -2.817 | 0.000 | 0.000 |
| -0.000 | 0.000 | 0.000 | -0.000 | -2.817 | 0.000 |
| -0.000 | 0.000 | 0.000 | -0.000 | 0.000 | 5.992 |
| 156.270 | 184.123 | 156.647 | 0.000 | -0.000 | -0.000 |
| 164.205 | 176.188 | 156.647 | 0.000 | -0.000 | 0.000 |
| 156.647 | 156.647 | 190.293 | 0.000 | -0.000 | -0.000 |
| -0.000 | 0.000 | -0.000 | -2.817 | -0.000 | -0.000 |
| 0.000 | -0.000 | -0.000 | 0.000 | -2.817 | 0.000 |
| 0.000 | -0.000 | -0.000 | 0.000 | -0.000 | 5.992 |
| 140.144 | 200.251 | 156.647 | -0.000 | 0.000 | 0.000 |
| 164.206 | 176.189 | 156.647 | -0.000 | 0.000 | 0.000 |
| 156.647 | 156.647 | 190.294 | -0.000 | 0.000 | 0.000 |
| 0.000 | -0.000 | 0.000 | -2.817 | 0.000 | 0.000 |
| -0.000 | 0.000 | 0.000 | -0.000 | -2.817 | -0.000 |
| -0.001 | 0.001 | -0.000 | -0.000 | 0.000 | -30.054 |
| 156.270 | 184.123 | 156.646 | 0.000 | -0.000 | -0.000 |
| 164.205 | 176.188 | 156.646 | 0.000 | -0.000 | -0.000 |
| 156.646 | 156.646 | 190.293 | 0.000 | -0.000 | -0.000 |
| -0.000 | 0.000 | -0.000 | -2.817 | -0.000 | -0.000 |
| 0.000 | -0.000 | -0.000 | 0.000 | -2.817 | -0.000 |
| 0.001 | -0.001 | 0.000 | 0.000 | -0.000 | -30.054 |
| 34.986 | 106.276 | 106.276 | -0.000 | 0.000 | -0.000 |
| 106.276 | 34.986 | 106.276 | 0.000 | -0.000 | -0.000 |
| 106.276 | 106.276 | 34.986 | -0.000 | -0.000 | -0.000 |
| -1101552704.563 | -1077811286.810 | -1092906322.395 | -13771715.541 | 19055036.095 | 18635649.116 |
| -1077597965.043 | -1095719122.833 | -1087724636.971 | 17621126.191 | -12739681.019 | 13756060.827 |
| -1082987462.095 | -1089256221.391 | -1103753086.133 | 10245457.590 | 10704182.239 | -20882157.755 |
| 34.986 | 106.276 | 106.276 | -0.000 | -0.000 | -0.000 |
| 106.276 | 34.986 | 106.276 | -0.000 | -0.000 | -0.000 |
| 106.276 | 106.276 | 34.986 | -0.000 | -0.000 | -0.000 |
| 1089790188.892 | 1086939860.684 | 1088847045.072 | -18812528.790 | 3892191.302 | 3297950.329 |
| 1078469371.520 | 1104798947.562 | 1090059023.033 | 1108661.702 | -19941046.561 | 9632014.561 |
| 1076908832.918 | 1085529657.298 | 1096509749.703 | 8121798.291 | 5466524.084 | -21957030.534 |
| 34.986 | 106.276 | 106.276 | 0.000 | 0.000 | 0.000 |
| 106.276 | 34.986 | 106.276 | 0.000 | 0.000 | 0.000 |
| 106.276 | 106.276 | 34.986 | 0.000 | 0.000 | 0.000 |
| -109231731.948 | -109081729.731 | -109213565.295 | -2382837.745 | 1326641.692 | 924229.915 |
| -108493592.578 | -109247509.204 | -109339901.222 | 2376938.607 | -2742555.707 | 1234050.333 |
| 0.000 | 0.000 | 0.000 | -0.000 | -0.000 | -13.831 |
| 34.986 | 106.276 | 106.276 | -0.000 | 0.000 | 0.000 |
| 106.276 | 34.986 | 106.276 | -0.000 | -0.000 | 0.000 |
| 106.276 | 106.276 | 34.986 | 0.000 | 0.000 | -0.000 |
| 110432787.292 | 108560676.288 | 107210649.936 | -2423451.106 | 359863.511 | 163874.239 |
| 108253097.817 | 110552188.661 | 107525138.822 | 164163.879 | -1718830.608 | -676531.657 |
| 107536795.091 | 109852972.638 | 110414131.320 | -865351.626 | -1195938.310 | -786746.806 |
| 34.986 | 106.276 | 106.276 | 0.000 | 0.000 | -0.000 |
| 106.276 | 34.986 | 106.276 | 0.000 | -0.000 | -0.000 |
| 106.276 | 106.276 | 34.986 | 0.000 | 0.000 | 0.000 |
| -10736911.337 | -10929612.541 | -10974956.618 | -225214.812 | 108353.741 | 127736.732 |
| -11075195.044 | -10699928.705 | -10903329.195 | 24133.821 | -209535.659 | 183204.028 |
| -11235688.356 | -10766086.237 | -10626788.582 | 32347.183 | 207768.556 | -247406.427 |
| 34.986 | 106.276 | 106.276 | -0.000 | -0.000 | -0.000 |
| 106.276 | 34.986 | 106.276 | -0.000 | -0.000 | -0.000 |
| 106.276 | 106.276 | 34.986 | -0.000 | -0.000 | -0.000 |
| 11119666.385 | 10772054.529 | 10788027.246 | -215202.720 | -66691.735 | -102731.868 |
| 10800038.213 | 11026781.215 | 10810179.488 | -82122.042 | -267913.311 | -323.619 |
| 10835426.150 | 10714549.683 | 10937904.995 | -29234.029 | 25376.257 | -206060.753 |
| 196.051 | 141.493 | 124.673 | -0.000 | -0.000 | -0.000 |
| 141.493 | 196.051 | 124.673 | -0.000 | -0.000 | -0.000 |
| 124.673 | 124.673 | 163.178 | -0.000 | -0.000 | -0.000 |
| -0.000 | 0.000 | 0.000 | 17.898 | -0.000 | 0.000 |
| -0.000 | -0.000 | 0.000 | -0.000 | 17.898 | 0.000 |
| 0.000 | -0.000 | 0.000 | -0.000 | -0.000 | -81.553 |
| 196.051 | 141.493 | 124.673 | 0.000 | -0.000 | 0.000 |
| 141.493 | 196.051 | 124.673 | 0.000 | -0.000 | 0.000 |
| 124.673 | 124.673 | 163.178 | 0.000 | 0.000 | -0.000 |
| 0.000 | -0.000 | -0.000 | 17.898 | -0.000 | 0.000 |
| -0.000 | 0.000 | -0.000 | 0.000 | 17.898 | 0.000 |
| -0.000 | 0.000 | -0.000 | 0.000 | 0.000 | -81.553 |
| 196.051 | 141.493 | 124.673 | 0.000 | 0.000 | -0.000 |
| 141.493 | 196.051 | 124.673 | -0.000 | -0.000 | 0.000 |
| 124.673 | 124.673 | 163.178 | -0.000 | -0.000 | -0.000 |
| -0.000 | 0.000 | 0.000 | 17.898 | -0.000 | -0.000 |
| 0.000 | -0.000 | 0.000 | 0.000 | 17.898 | -0.000 |
| 0.000 | -0.000 | -0.000 | -0.000 | -0.000 | -81.553 |
| 196.051 | 141.493 | 124.673 | 0.000 | 0.000 | 0.000 |
| 141.493 | 196.051 | 124.673 | 0.000 | 0.000 | 0.000 |
| 124.673 | 124.673 | 163.178 | 0.000 | 0.000 | 0.000 |
| 0.000 | -0.000 | -0.000 | 17.898 | 0.000 | 0.000 |
| -0.000 | 0.000 | -0.000 | 0.000 | 17.898 | -0.000 |
| -0.000 | 0.000 | 0.000 | 0.000 | 0.000 | -81.553 |
| 196.052 | 141.493 | 124.674 | -0.000 | 0.000 | -0.000 |
| 141.493 | 196.052 | 124.674 | -0.000 | -0.000 | -0.000 |
| 124.673 | 124.673 | 163.177 | -0.000 | -0.000 | -0.000 |
| -0.000 | 0.000 | 0.000 | 17.898 | -0.000 | 0.000 |
| 0.000 | -0.000 | 0.000 | -0.000 | 17.898 | -0.000 |
| 0.000 | -0.000 | -0.000 | -0.000 | -0.000 | -81.553 |
| 196.051 | 141.493 | 124.673 | 0.000 | 0.000 | 0.000 |
| 141.493 | 196.051 | 124.673 | 0.000 | 0.000 | 0.000 |
| 124.673 | 124.673 | 163.178 | -0.000 | -0.000 | 0.000 |
| 0.000 | -0.000 | -0.000 | 17.898 | 0.000 | 0.000 |
| -0.000 | 0.000 | -0.000 | 0.000 | 17.898 | 0.000 |
| -0.000 | 0.000 | 0.000 | -0.000 | 0.000 | -81.553 |
| 190.532 | 145.649 | 158.725 | 0.000 | -0.000 | 0.000 |
| 145.649 | 190.532 | 158.725 | 0.000 | -0.000 | 0.000 |
| 158.725 | 158.725 | 185.766 | 0.000 | -0.000 | 0.000 |
| -0.000 | -0.000 | -0.000 | 19.882 | -0.000 | 0.000 |
| -0.000 | -0.000 | -0.000 | 0.000 | 19.882 | 0.000 |
| -0.000 | -0.000 | -0.000 | 0.000 | -0.000 | -47.819 |
| 190.532 | 145.649 | 158.725 | -0.000 | 0.000 | -0.000 |
| 145.649 | 190.532 | 158.725 | -0.000 | 0.000 | 0.000 |
| 158.725 | 158.725 | 185.766 | -0.000 | 0.000 | -0.000 |
| 0.000 | 0.000 | 0.000 | 19.882 | 0.000 | -0.000 |
| 0.000 | 0.000 | 0.000 | -0.000 | 19.882 | -0.000 |
| 0.000 | 0.000 | 0.000 | -0.000 | 0.000 | -47.819 |
| 190.532 | 145.649 | 158.725 | -0.000 | -0.000 | -0.000 |
| 145.649 | 190.532 | 158.725 | 0.000 | -0.000 | 0.000 |
| 158.725 | 158.725 | 185.766 | 0.000 | -0.000 | 0.000 |
| 0.000 | 0.000 | -0.000 | 19.882 | 0.000 | 0.000 |
| 0.000 | 0.000 | -0.000 | 0.000 | 19.882 | 0.000 |
| 0.000 | -0.000 | 0.000 | 0.000 | -0.000 | -47.819 |
| 190.532 | 145.649 | 158.725 | -0.000 | 0.000 | 0.000 |
| 145.649 | 190.532 | 158.725 | -0.000 | 0.000 | -0.000 |
| 158.725 | 158.725 | 185.766 | -0.000 | 0.000 | 0.000 |
| -0.000 | -0.000 | 0.000 | 19.882 | 0.000 | 0.000 |
| -0.000 | -0.000 | 0.000 | -0.000 | 19.882 | 0.000 |
| -0.000 | 0.000 | -0.000 | -0.000 | 0.000 | -47.819 |
| 190.533 | 145.650 | 158.725 | -0.000 | -0.000 | 0.000 |
| 145.650 | 190.533 | 158.725 | 0.000 | -0.000 | 0.000 |
| 158.725 | 158.725 | 185.767 | 0.000 | 0.000 | 0.000 |
| 0.000 | 0.000 | -0.000 | 19.882 | -0.000 | 0.000 |
| 0.000 | 0.000 | -0.000 | 0.000 | 19.882 | -0.000 |
| 0.000 | -0.000 | 0.000 | 0.000 | -0.000 | -47.819 |
| 190.531 | 145.649 | 158.724 | -0.000 | 0.000 | 0.000 |
| 145.649 | 190.531 | 158.724 | -0.000 | -0.000 | -0.000 |
| 158.724 | 158.724 | 185.766 | -0.000 | 0.000 | -0.000 |
| -0.000 | -0.000 | 0.000 | 19.882 | 0.000 | -0.000 |
| -0.000 | -0.000 | 0.000 | -0.000 | 19.882 | -0.000 |
| -0.000 | 0.000 | -0.000 | -0.000 | 0.000 | -47.819 |
| 64.379 | 126.140 | 166.892 | -42.310 | 0.000 | -0.000 |
| 126.140 | 64.379 | 166.891 | 42.310 | -0.000 | -0.000 |
| 155.872 | 155.872 | 39.425 | -0.000 | -0.000 | -0.000 |
| -42.310 | 42.310 | 0.000 | -10.174 | -0.000 | -0.000 |
| 0.000 | -0.000 | 0.000 | -0.000 | -10.174 | -42.310 |
| -0.000 | -0.000 | 0.000 | -0.000 | -42.310 | -30.881 |
| 64.379 | 126.140 | 166.892 | -42.310 | -0.000 | 0.000 |
| 126.140 | 64.379 | 166.891 | 42.310 | 0.000 | 0.000 |
| 155.872 | 155.872 | 39.425 | 0.000 | 0.000 | 0.000 |
| -42.310 | 42.310 | -0.000 | -10.174 | 0.000 | 0.000 |
| -0.000 | 0.000 | 0.000 | 0.000 | -10.174 | -42.310 |
| 0.000 | 0.000 | -0.000 | 0.000 | -42.310 | -30.881 |
| 64.379 | 126.140 | 166.892 | -42.310 | -0.000 | -0.000 |
| 126.140 | 64.379 | 166.892 | 42.310 | -0.000 | -0.000 |
| 155.872 | 155.872 | 39.425 | -0.000 | -0.000 | -0.000 |
| -42.310 | 42.310 | 0.000 | -10.174 | -0.000 | -0.000 |
| -0.000 | -0.000 | 0.000 | -0.000 | -10.174 | -42.310 |
| -0.000 | 0.000 | 0.000 | -0.000 | -42.310 | -30.881 |
| 64.379 | 126.140 | 166.891 | -42.310 | 0.000 | 0.000 |
| 126.140 | 64.379 | 166.891 | 42.310 | 0.000 | 0.000 |
| 155.872 | 155.872 | 39.425 | 0.000 | -0.000 | 0.000 |
| -42.310 | 42.310 | -0.000 | -10.174 | 0.000 | 0.000 |
| 0.000 | 0.000 | -0.000 | 0.000 | -10.174 | -42.310 |
| 0.000 | 0.000 | -0.000 | 0.000 | -42.310 | -30.881 |
| 64.379 | 126.141 | 166.892 | -42.310 | -0.000 | -0.000 |
| 126.141 | 64.379 | 166.892 | 42.310 | -0.000 | -0.000 |
| 155.872 | 155.872 | 39.425 | -0.000 | -0.000 | -0.000 |
| -42.310 | 42.310 | 0.000 | -10.174 | -0.000 | -0.000 |
| 0.000 | 0.000 | 0.000 | -0.000 | -10.174 | -42.310 |
| 0.000 | 0.000 | -0.000 | -0.000 | -42.310 | -30.881 |
| 64.378 | 126.140 | 166.891 | -42.310 | 0.000 | 0.000 |
| 126.140 | 64.378 | 166.891 | 42.310 | -0.000 | 0.000 |
| 155.872 | 155.872 | 39.425 | 0.000 | 0.000 | 0.000 |
| -42.310 | 42.310 | -0.000 | -10.174 | -0.000 | 0.000 |
| -0.000 | -0.000 | -0.000 | 0.000 | -10.174 | -42.310 |
| -0.000 | -0.000 | 0.000 | 0.000 | -42.310 | -30.881 |
| 174.987 | 112.405 | 112.405 | 0.000 | 0.000 | -0.000 |
| 112.405 | 174.987 | 112.405 | 0.000 | 0.000 | -0.000 |
| 112.405 | 112.405 | 174.987 | 0.000 | 0.000 | -0.000 |
| -0.000 | -0.000 | -0.000 | -61.709 | -0.000 | -0.000 |
| -0.000 | -0.000 | -0.000 | 0.000 | -61.709 | 0.000 |
| -0.000 | -0.000 | -0.000 | 0.000 | 0.000 | -61.709 |
| 174.987 | 112.405 | 112.405 | -0.000 | -0.000 | 0.000 |
| 112.405 | 174.987 | 112.405 | -0.000 | -0.000 | 0.000 |
| 112.405 | 112.405 | 174.987 | -0.000 | -0.000 | 0.000 |
| 0.000 | 0.000 | 0.000 | -61.709 | 0.000 | 0.000 |
| 0.000 | 0.000 | 0.000 | 0.000 | -61.709 | 0.000 |
| 0.000 | 0.000 | 0.000 | -0.000 | -0.000 | -61.709 |
| 174.987 | 112.405 | 112.405 | 0.000 | -0.000 | -0.000 |
| 112.405 | 174.987 | 112.405 | 0.000 | -0.000 | -0.000 |
| 112.405 | 112.405 | 174.987 | 0.000 | -0.000 | -0.000 |
| -0.000 | -0.000 | -0.000 | -61.709 | 0.000 | 0.000 |
| -0.000 | -0.000 | -0.000 | 0.000 | -61.709 | 0.000 |
| -0.000 | -0.000 | -0.000 | 0.000 | 0.000 | -61.709 |
| 174.987 | 112.405 | 112.405 | -0.000 | -0.000 | 0.000 |
| 112.405 | 174.987 | 112.405 | -0.000 | -0.000 | 0.000 |
| 112.405 | 112.405 | 174.987 | -0.000 | -0.000 | 0.000 |
| 0.000 | 0.000 | 0.000 | -61.709 | 0.000 | 0.000 |
| 0.000 | 0.000 | 0.000 | 0.000 | -61.709 | 0.000 |
| 0.000 | 0.000 | 0.000 | -0.000 | -0.000 | -61.709 |
| 174.987 | 112.404 | 112.404 | 0.000 | 0.000 | -0.000 |
| 112.404 | 174.987 | 112.404 | 0.000 | 0.000 | -0.000 |
| 112.404 | 112.404 | 174.987 | -0.000 | 0.000 | -0.000 |
| -0.001 | -0.001 | -0.001 | -61.709 | 0.000 | -0.000 |
| -0.001 | -0.001 | -0.001 | 0.000 | -61.709 | -0.000 |
| -0.001 | -0.001 | -0.001 | 0.000 | 0.000 | -61.709 |
| 174.987 | 112.405 | 112.405 | -0.000 | 0.000 | 0.000 |
| 112.405 | 174.987 | 112.405 | -0.000 | -0.000 | -0.000 |
| 112.405 | 112.405 | 174.987 | -0.000 | -0.000 | 0.000 |
| 0.001 | 0.001 | 0.001 | -61.709 | -0.000 | 0.000 |
| 0.001 | 0.001 | 0.001 | -0.000 | -61.709 | -0.000 |
| 0.001 | 0.001 | 0.001 | -0.000 | -0.000 | -61.709 |
| 269.803 | 86.965 | 76.208 | 0.143 | 79.832 | 17.903 |
| 151.453 | 202.008 | 144.706 | 10.953 | 1.420 | -1.940 |
| 144.378 | 144.467 | 199.426 | 0.045 | 2.965 | 0.328 |
| 55.982 | -35.462 | -39.907 | 22.408 | 32.996 | 3.580 |
| 83.727 | -59.419 | -69.659 | -4.623 | 101.126 | 15.894 |
| -3.515 | -1.639 | 1.748 | 0.750 | 12.812 | 26.025 |
| 130.707 | 180.691 | 188.747 | 5.325 | -23.514 | -1.360 |
| 83.018 | 257.476 | 206.719 | 13.339 | -59.563 | -12.433 |
| 81.716 | 209.758 | 260.308 | 4.520 | -56.495 | -12.011 |
| 5.253 | 0.264 | 0.045 | 23.949 | 1.474 | 0.156 |
| -102.696 | 66.283 | 84.921 | 8.794 | -56.091 | -18.750 |
| -3.515 | -1.639 | 1.748 | 0.750 | 12.812 | 26.025 |
| 186.254 | 143.367 | 145.504 | 6.138 | 9.392 | 2.379 |
| 152.895 | 186.871 | 138.957 | 8.633 | 5.383 | -0.723 |
| 154.002 | 132.731 | 187.641 | -0.150 | 12.984 | 2.252 |
| 10.113 | -4.595 | -3.587 | 21.846 | 4.799 | 0.529 |
| -0.438 | -1.174 | 1.351 | 1.765 | 28.651 | -0.276 |
| -0.996 | -5.221 | -2.249 | 0.895 | 15.419 | 25.125 |
| 169.620 | 155.677 | 158.628 | 7.615 | -4.097 | -0.601 |
| 143.081 | 194.181 | 146.851 | 9.313 | -2.145 | -1.066 |
| 140.891 | 145.467 | 199.775 | 0.255 | 2.040 | 0.199 |
| -0.119 | 5.802 | 6.419 | 22.300 | -3.930 | -0.625 |
| -11.123 | 5.865 | 9.921 | 1.717 | 21.686 | -1.186 |
| -3.515 | -1.639 | 1.748 | 0.750 | 12.812 | 26.025 |
| 178.102 | 147.522 | 151.439 | 6.419 | 3.106 | 0.970 |
| 151.037 | 188.997 | 139.685 | 8.866 | 5.045 | 0.072 |
| 149.550 | 139.640 | 193.133 | -0.201 | 8.414 | 1.460 |
| 5.522 | -1.003 | -0.020 | 22.473 | 1.870 | 0.208 |
| -4.608 | 1.527 | 4.731 | 1.777 | 25.803 | -0.697 |
| -6.261 | 0.244 | 2.988 | 1.197 | 10.537 | 24.237 |
| 175.825 | 150.575 | 154.267 | 6.946 | 0.484 | 0.382 |
| 148.863 | 190.412 | 141.593 | 8.945 | 3.104 | -0.372 |
| 144.378 | 144.466 | 199.425 | 0.045 | 2.965 | 0.328 |
| 4.863 | -0.511 | 0.494 | 22.533 | 1.455 | 0.162 |
| -10.350 | 4.093 | 8.422 | 2.149 | 21.734 | -1.611 |
| -8.041 | 1.921 | 4.453 | 1.375 | 8.997 | 23.779 |
| 215.422 | 153.065 | 150.376 | -0.027 | 5.079 | 0.020 |
| 151.731 | 224.760 | 142.377 | 10.164 | 13.164 | 3.258 |
| 151.712 | 142.394 | 224.738 | -0.032 | -13.180 | 0.002 |
| -0.013 | 0.023 | -0.032 | 41.163 | -0.015 | 13.180 |
| -0.002 | 13.173 | -13.180 | -0.015 | 50.489 | 0.005 |
| 0.014 | 3.256 | -3.254 | 13.171 | 12.477 | 50.487 |
| 215.422 | 153.065 | 150.376 | -0.027 | 5.079 | 0.020 |
| 151.731 | 224.760 | 142.377 | 10.164 | 13.164 | 3.258 |
| 151.712 | 142.394 | 224.738 | -0.032 | -13.180 | 0.002 |
| -0.013 | 0.023 | -0.032 | 41.163 | -0.015 | 13.180 |
| -0.002 | 13.173 | -13.180 | -0.015 | 50.489 | 0.005 |
| 0.014 | 3.256 | -3.254 | 13.171 | 12.477 | 50.487 |
| 215.422 | 153.065 | 150.376 | -0.027 | 5.079 | 0.020 |
| 151.731 | 224.760 | 142.377 | 10.164 | 13.164 | 3.258 |
| 151.712 | 142.394 | 224.738 | -0.032 | -13.180 | 0.002 |
| -0.013 | 0.023 | -0.032 | 41.163 | -0.015 | 13.180 |
| -0.002 | 13.173 | -13.180 | -0.015 | 50.489 | 0.005 |
| 0.014 | 3.256 | -3.254 | 13.171 | 12.477 | 50.487 |
| 215.422 | 153.065 | 150.376 | -0.027 | 5.079 | 0.020 |
| 151.731 | 224.760 | 142.377 | 10.164 | 13.164 | 3.258 |
| 151.712 | 142.394 | 224.738 | -0.032 | -13.180 | 0.002 |
| -0.013 | 0.023 | -0.032 | 41.163 | -0.015 | 13.180 |
| -0.002 | 13.173 | -13.180 | -0.015 | 50.489 | 0.005 |
| 0.014 | 3.256 | -3.254 | 13.171 | 12.477 | 50.487 |
| 215.423 | 153.065 | 150.377 | -0.027 | 5.079 | 0.020 |
| 151.731 | 224.761 | 142.377 | 10.164 | 13.164 | 3.258 |
| 151.713 | 142.394 | 224.739 | -0.032 | -13.180 | 0.002 |
| -0.013 | 0.023 | -0.032 | 41.163 | -0.015 | 13.180 |
| -0.002 | 13.173 | -13.180 | -0.015 | 50.489 | 0.005 |
| 0.014 | 3.256 | -3.254 | 13.171 | 12.477 | 50.487 |
| 215.422 | 153.064 | 150.376 | -0.027 | 5.079 | 0.020 |
| 151.730 | 224.759 | 142.376 | 10.164 | 13.164 | 3.258 |
| 151.712 | 142.393 | 224.737 | -0.032 | -13.180 | 0.002 |
| -0.013 | 0.023 | -0.032 | 41.163 | -0.015 | 13.180 |
| -0.002 | 13.173 | -13.180 | -0.015 | 50.489 | 0.005 |
| 0.014 | 3.256 | -3.254 | 13.171 | 12.477 | 50.487 |
| 193.935 | 153.875 | 153.875 | 0.000 | 0.000 | -0.000 |
| 153.875 | 193.935 | 153.875 | 0.000 | 0.000 | -0.000 |
| 153.875 | 153.875 | 193.935 | 0.000 | 0.000 | 0.000 |
| 0.000 | 0.000 | 0.000 | 24.741 | 0.000 | 0.000 |
| 0.000 | 0.000 | 0.000 | 0.000 | 24.741 | 0.000 |
| 0.000 | 0.000 | -0.000 | 0.000 | 0.000 | 24.741 |
| 193.935 | 153.875 | 153.875 | -0.000 | -0.000 | 0.000 |
| 153.875 | 193.935 | 153.875 | -0.000 | -0.000 | -0.000 |
| 153.875 | 153.875 | 193.935 | -0.000 | -0.000 | -0.000 |
| -0.000 | -0.000 | -0.000 | 24.741 | -0.000 | 0.000 |
| -0.000 | -0.000 | 0.000 | -0.000 | 24.741 | -0.000 |
| -0.000 | -0.000 | 0.000 | -0.000 | -0.000 | 24.741 |
| 193.935 | 153.875 | 153.875 | 0.000 | 0.000 | -0.000 |
| 153.875 | 193.935 | 153.875 | 0.000 | 0.000 | 0.000 |
| 153.875 | 153.875 | 193.935 | 0.000 | -0.000 | 0.000 |
| -0.254 | -0.254 | -0.254 | 22.609 | 0.000 | 0.000 |
| -0.254 | -0.254 | -0.254 | 0.000 | 22.609 | -0.000 |
| -0.254 | -0.254 | -0.254 | 0.000 | 0.000 | 22.609 |
| 191.188 | 152.425 | 152.425 | -0.000 | -0.000 | 0.000 |
| 152.425 | 191.188 | 152.425 | -0.000 | -0.000 | -0.000 |
| 152.425 | 152.425 | 191.188 | -0.000 | -0.000 | -0.000 |
| 0.254 | 0.254 | 0.254 | 22.609 | 0.000 | -0.000 |
| 0.254 | 0.254 | 0.254 | -0.000 | 22.609 | 0.000 |
| 0.254 | 0.254 | 0.254 | -0.000 | -0.000 | 22.609 |
| 190.774 | 152.255 | 152.255 | 0.000 | 0.000 | 0.000 |
| 152.255 | 190.774 | 152.255 | 0.000 | 0.000 | -0.000 |
| 152.255 | 152.255 | 190.774 | 0.000 | 0.000 | 0.000 |
| -0.035 | -0.035 | -0.035 | 21.839 | -0.000 | 0.000 |
| -0.035 | -0.035 | -0.035 | 0.000 | 21.839 | 0.000 |
| -0.035 | -0.035 | -0.035 | 0.000 | 0.000 | 21.839 |
| 191.242 | 152.345 | 152.345 | -0.000 | -0.000 | -0.000 |
| 152.345 | 191.242 | 152.345 | -0.000 | -0.000 | -0.000 |
| 152.345 | 152.345 | 191.242 | -0.000 | -0.000 | 0.000 |
| 0.035 | 0.035 | 0.035 | 21.839 | -0.000 | -0.000 |
| 0.035 | 0.035 | 0.035 | -0.000 | 21.839 | -0.000 |
| 0.035 | 0.035 | 0.035 | -0.000 | -0.000 | 21.839 |
| -57.826 | -96.933 | -96.933 | -0.000 | 0.000 | 0.000 |
| -96.933 | -57.826 | -96.933 | 0.000 | 0.000 | 0.000 |
| -96.933 | -96.933 | -57.826 | -0.000 | 0.000 | 0.000 |
| -342.955 | -342.955 | -342.955 | 21.526 | 0.000 | 0.000 |
| -342.955 | -342.955 | -342.955 | 0.000 | 21.526 | 0.000 |
| -342.955 | -342.955 | -342.955 | 0.000 | 0.000 | 21.526 |
| 193.428 | 153.424 | 153.424 | 0.000 | -0.000 | 0.000 |
| 153.424 | 193.428 | 153.424 | -0.000 | -0.000 | 0.000 |
| 153.424 | 153.424 | 193.428 | 0.000 | -0.000 | 0.000 |
| 342.955 | 342.955 | 342.955 | 21.526 | -0.000 | 0.000 |
| 342.955 | 342.955 | 342.955 | 0.000 | 21.526 | 0.000 |
| 342.955 | 342.955 | 342.955 | 0.000 | -0.000 | 21.526 |
| 156.047 | 117.447 | 117.447 | -0.000 | -0.000 | -0.000 |
| 117.447 | 156.047 | 117.447 | -0.000 | -0.000 | 0.000 |
| 117.447 | 117.447 | 156.047 | 0.000 | 0.000 | -0.000 |
| -24.925 | -24.925 | -24.925 | 23.022 | 0.000 | -0.000 |
| -24.925 | -24.925 | -24.925 | 0.000 | 23.022 | -0.000 |
| -24.925 | -24.925 | -24.925 | 0.000 | 0.000 | 23.022 |
| 216.059 | 176.944 | 176.944 | -0.000 | -0.000 | -0.000 |
| 176.944 | 216.059 | 176.944 | 0.000 | -0.000 | 0.000 |
| 176.944 | 176.944 | 216.059 | 0.000 | -0.000 | -0.000 |
| 24.925 | 24.925 | 24.925 | 23.022 | -0.000 | -0.000 |
| 24.925 | 24.925 | 24.925 | 0.000 | 23.022 | -0.000 |
| 24.925 | 24.925 | 24.925 | 0.000 | -0.000 | 23.022 |
| 188.528 | 149.486 | 149.486 | 0.000 | 0.000 | -0.000 |
| 149.486 | 188.528 | 149.486 | 0.000 | 0.000 | 0.000 |
| 149.486 | 149.486 | 188.528 | 0.000 | 0.000 | -0.000 |
| 0.000 | 0.000 | 0.000 | 24.666 | 0.000 | -0.000 |
| 0.000 | 0.000 | 0.000 | 0.000 | 24.666 | 0.000 |
| 0.000 | 0.000 | 0.000 | -0.000 | 0.000 | 24.666 |
| 193.428 | 153.423 | 153.423 | 0.000 | -0.000 | 0.000 |
| 153.423 | 193.428 | 153.423 | 0.000 | -0.000 | 0.000 |
| 153.423 | 153.423 | 193.428 | -0.000 | -0.000 | 0.000 |
| -0.000 | -0.000 | -0.000 | 24.666 | -0.000 | 0.000 |
| -0.000 | -0.000 | -0.000 | 0.000 | 24.666 | 0.000 |
| -0.000 | -0.000 | -0.000 | -0.000 | -0.000 | 24.666 |
| 179.253 | 152.307 | 152.307 | 0.000 | -0.000 | 0.000 |
| 152.307 | 179.253 | 152.307 | 0.000 | -0.000 | 0.000 |
| 152.307 | 152.307 | 179.253 | 0.000 | -0.000 | 0.000 |
| 0.103 | 0.103 | 0.103 | 13.672 | -0.000 | 0.000 |
| 0.103 | 0.103 | 0.103 | 0.000 | 13.672 | 0.000 |
| 0.103 | 0.103 | 0.103 | 0.000 | -0.000 | 13.672 |
| 179.075 | 152.158 | 152.158 | -0.000 | 0.000 | -0.000 |
| 152.158 | 179.075 | 152.158 | -0.000 | 0.000 | -0.000 |
| 152.158 | 152.158 | 179.075 | 0.000 | 0.000 | -0.000 |
| -0.103 | -0.103 | -0.103 | 13.672 | 0.000 | -0.000 |
| -0.103 | -0.103 | -0.103 | -0.000 | 13.672 | -0.000 |
| -0.103 | -0.103 | -0.103 | -0.000 | 0.000 | 13.672 |
| 181.857 | 153.277 | 153.277 | 0.000 | -0.000 | -0.000 |
| 153.277 | 181.857 | 153.277 | 0.000 | 0.000 | -0.000 |
| 153.277 | 153.277 | 181.857 | 0.000 | -0.000 | 0.000 |
| 0.017 | 0.017 | 0.017 | 12.611 | -0.000 | 0.000 |
| 0.017 | 0.017 | 0.017 | 0.000 | 12.611 | 0.000 |
| 0.017 | 0.017 | 0.017 | 0.000 | -0.000 | 12.611 |
| 179.163 | 152.228 | 152.228 | -0.000 | 0.000 | -0.000 |
| 152.228 | 179.163 | 152.228 | -0.000 | 0.000 | -0.000 |
| 152.228 | 152.228 | 179.163 | 0.000 | 0.000 | -0.000 |
| -0.017 | -0.017 | -0.017 | 12.611 | 0.000 | -0.000 |
| -0.017 | -0.017 | -0.017 | -0.000 | 12.611 | -0.000 |
| -0.017 | -0.017 | -0.017 | 0.000 | 0.000 | 12.611 |
| 181.857 | 153.277 | 153.277 | 0.000 | -0.000 | -0.000 |
| 153.277 | 181.857 | 153.277 | 0.000 | -0.000 | 0.000 |
| 153.277 | 153.277 | 181.857 | -0.000 | -0.000 | 0.000 |
| 0.000 | 0.000 | 0.000 | 14.879 | -0.000 | -0.000 |
| 0.000 | 0.000 | 0.000 | 0.000 | 14.879 | 0.000 |
| 0.000 | 0.000 | 0.000 | -0.000 | -0.000 | 14.879 |
| 177.151 | 153.661 | 153.661 | -0.000 | 0.000 | 0.000 |
| 153.661 | 177.151 | 153.661 | 0.000 | 0.000 | -0.000 |
| 153.661 | 153.661 | 177.151 | 0.000 | 0.000 | 0.000 |
| -0.000 | -0.000 | -0.000 | 14.879 | 0.000 | -0.000 |
| -0.000 | -0.000 | -0.000 | 0.000 | 14.879 | -0.000 |
| -0.000 | -0.000 | -0.000 | -0.000 | 0.000 | 14.879 |
| 188.808 | 106.416 | 113.661 | -0.000 | -0.000 | 0.000 |
| 106.742 | 171.580 | 116.508 | -0.000 | 0.000 | 0.000 |
| 114.000 | 116.522 | 175.199 | -0.000 | -0.000 | 0.000 |
| 0.000 | 0.000 | 0.000 | -306.034 | 0.000 | 0.000 |
| 0.000 | 0.000 | -0.000 | -0.000 | -29.417 | 0.000 |
| 0.000 | 0.000 | 0.000 | 0.000 | 0.000 | 24.387 |
| 198.564 | 121.644 | 129.299 | 0.000 | 0.000 | -0.000 |
| 106.742 | 171.580 | 116.508 | 0.000 | -0.000 | -0.000 |
| 129.638 | 140.931 | 200.266 | 0.000 | -0.000 | -0.000 |
| -0.000 | -0.000 | -0.000 | -306.034 | -0.000 | -0.000 |
| -0.000 | -0.000 | 0.000 | 0.000 | -29.417 | -0.000 |
| -0.000 | -0.000 | -0.000 | -0.000 | -0.000 | 24.387 |
| 198.564 | 121.644 | 129.299 | 0.000 | 0.000 | 0.000 |
| 106.742 | 171.580 | 116.508 | -0.000 | 0.000 | 0.000 |
| 114.000 | 116.521 | 175.199 | 0.000 | 0.000 | 0.000 |
| -0.000 | 0.000 | -0.000 | -22.759 | 0.000 | 0.000 |
| 0.000 | -0.000 | -0.000 | -0.000 | -29.417 | 0.000 |
| 0.000 | 0.000 | 0.000 | -0.000 | -0.000 | 24.387 |
| 188.808 | 106.416 | 113.661 | 0.000 | -0.000 | -0.000 |
| 106.742 | 171.580 | 116.508 | -0.000 | -0.000 | -0.000 |
| 129.638 | 140.931 | 200.266 | 0.000 | 0.000 | -0.000 |
| 0.000 | -0.000 | 0.000 | -22.759 | -0.000 | -0.000 |
| -0.000 | 0.000 | 0.000 | 0.000 | -29.417 | -0.000 |
| -0.000 | -0.000 | -0.000 | 0.000 | -0.000 | 24.387 |
| 188.808 | 106.417 | 113.661 | 0.000 | -0.000 | 0.000 |
| 106.742 | 171.581 | 116.508 | -0.000 | 0.000 | 0.000 |
| 114.000 | 116.522 | 175.200 | -0.000 | 0.000 | 0.000 |
| -2781580.062 | 4757119.119 | 689266.031 | -3024078.942 | 0.000 | 0.000 |
| 2280738.027 | -2077125.984 | -2682512.304 | -0.000 | -11290430.292 | 0.000 |
| -0.000 | -0.000 | 0.000 | -0.000 | 0.000 | 24.387 |
| 188.807 | 106.416 | 113.660 | 0.000 | -0.000 | -0.000 |
| 106.742 | 171.580 | 116.508 | -0.000 | -0.000 | -0.000 |
| 113.999 | 116.521 | 175.198 | 0.000 | -0.000 | -0.000 |
| 2781580.062 | -4757119.119 | -689266.031 | -3024078.942 | -0.000 | 0.000 |
| -2280738.027 | 2077125.984 | 2682512.304 | 0.000 | -11290430.292 | -0.000 |
| 0.000 | 0.000 | -0.000 | 0.000 | -0.000 | 24.387 |
| 161.572 | 106.513 | 95.850 | 0.000 | 0.000 | -0.000 |
| 114.765 | 153.320 | 95.850 | 0.000 | 0.000 | -0.000 |
| 95.850 | 95.850 | 144.413 | 0.000 | 0.000 | -0.000 |
| -0.000 | 0.000 | 0.000 | 21.244 | 0.000 | -0.000 |
| -0.000 | 0.000 | 0.000 | 0.000 | 21.244 | -0.000 |
| -0.000 | 0.000 | 0.000 | 0.000 | 0.000 | 27.530 |
| 153.320 | 114.765 | 95.850 | -0.000 | -0.000 | 0.000 |
| 106.513 | 161.572 | 95.850 | -0.000 | -0.000 | 0.000 |
| 95.850 | 95.850 | 144.413 | -0.000 | -0.000 | 0.000 |
| 0.000 | -0.000 | -0.000 | 21.244 | -0.000 | 0.000 |
| 0.000 | -0.000 | -0.000 | -0.000 | 21.244 | 0.000 |
| 0.000 | -0.000 | -0.000 | 0.000 | -0.000 | 27.530 |
| 161.572 | 106.513 | 95.850 | 0.000 | 0.000 | -0.000 |
| 106.513 | 161.572 | 95.850 | 0.000 | 0.000 | -0.000 |
| 95.850 | 95.850 | 144.413 | 0.000 | 0.000 | -0.000 |
| 0.000 | 0.000 | 0.000 | 21.244 | -0.000 | -0.000 |
| 0.000 | 0.000 | 0.000 | 0.000 | 21.244 | -0.000 |
| -0.000 | 0.000 | 0.000 | 0.000 | 0.000 | 23.096 |
| 153.320 | 114.765 | 95.850 | -0.000 | -0.000 | 0.000 |
| 114.765 | 153.320 | 95.850 | -0.000 | -0.000 | 0.000 |
| 95.850 | 95.850 | 144.413 | -0.000 | -0.000 | 0.000 |
| -0.000 | -0.000 | -0.000 | 21.244 | 0.000 | 0.000 |
| -0.000 | -0.000 | -0.000 | -0.000 | 21.244 | 0.000 |
| 0.000 | -0.000 | -0.000 | -0.000 | -0.000 | 23.096 |
| 161.573 | 106.513 | 95.850 | 0.000 | 0.000 | -0.000 |
| 110.946 | 157.139 | 95.850 | 0.000 | 0.000 | -0.000 |
| 95.850 | 95.850 | 144.414 | 0.000 | 0.000 | -0.000 |
| 0.000 | 0.000 | -0.000 | 21.244 | 0.000 | -0.000 |
| 0.000 | 0.000 | -0.000 | 0.000 | 21.244 | -0.000 |
| -0.000 | 0.000 | 0.000 | 0.000 | 0.000 | 27.530 |
| 161.572 | 106.513 | 95.850 | -0.000 | -0.000 | 0.000 |
| 106.512 | 161.572 | 95.850 | -0.000 | -0.000 | 0.000 |
| 95.850 | 95.850 | 144.413 | -0.000 | -0.000 | 0.000 |
| -0.000 | -0.000 | 0.000 | 21.244 | -0.000 | 0.000 |
| -0.000 | -0.000 | 0.000 | -0.000 | 21.244 | 0.000 |
| 0.000 | -0.000 | -0.000 | -0.000 | -0.000 | 27.530 |
Phonon band structures and crystal properties estimated from quasi-harmonic approximation (QHA) calculations are displayed for select crystals. The calculations were performed using phonopy and LAMMPS. For the phonon calculations, 3x3 supercells of the potential-specific relaxed crystals were used. The QHA calculations were based on 11 strain states ranging from -0.05 to 0.05.
The calculation method used is available as the iprPy phonon calculation method.
Notes and Disclaimers:
Version Information:




























































Static free surface formation energies are displayed for select crystals. The values displayed here are obtained by taking a perfect periodic bulk crystal, slicing along a crystallographic plane, and using force minimization to statically relax the surfaces. The free surface formation energy is computed by comparing the energy of the defect system to the bulk system and dividing by the total surface area created by the cut.
The calculation method used is available as the iprPy surface_energy_static calculation method.
Notes and Disclaimers:
Version Information:
| Surface | γfs (mJ/m2) |
|---|---|
| (111) 2 | 2069.22 |
| (331) 2 | 2673.97 |
| (110) | 3843.80 |
| (321) | 3915.92 |
| (332) | 4172.62 |
| (211) | 4242.51 |
| (320) | 4719.00 |
| (311) 2 | 4774.93 |
| (322) | 4789.84 |
| (210) | 5255.62 |
| (311) 1 | 5351.34 |
| (221) | 5465.99 |
| (310) | 5629.16 |
| (331) 1 | 5891.59 |
| (111) 1 | 6320.92 |
| (100) | 7123.56 |
| Surface | γfs (mJ/m2) |
|---|---|
| (100) | 2446.67 |
| (210) | 2447.40 |
| (211) 2 | 2465.61 |
| (321) 2 | 2521.67 |
| (311) | 2522.89 |
| (221) | 2534.30 |
| (331) | 2539.01 |
| (320) | 2539.06 |
| (310) | 2543.16 |
| (332) 2 | 2543.22 |
| (321) 1 | 2547.71 |
| (111) | 2552.22 |
| (322) | 2558.72 |
| (110) | 2561.65 |
| (332) 1 | 2572.20 |
| (211) 1 | 2576.11 |
| Surface | γfs (mJ/m2) |
|---|---|
| (110) | 2398.49 |
| (320) | 2541.13 |
| (331) | 2544.23 |
| (211) | 2545.29 |
| (321) | 2546.55 |
| (311) | 2571.00 |
| (221) | 2579.53 |
| (210) | 2584.12 |
| (111) | 2585.11 |
| (322) | 2593.28 |
| (332) | 2594.24 |
| (310) | 2598.11 |
| (100) | 2599.04 |
Static point defect formation energies, Ef, and elastic dipole tensors, pij, are displayed for select crystals. Relaxed defect configurations are obtained by taking a 12x12x12 supercell of a perfect periodic bulk crystal, inserting the point defect, and using force minimization to statically relax the atomic positions while keeping the system dimensions constant. Ef is computed by comparing the energy of the defect system to the same number of atoms in a perfect bulk crystal. pij is estimated as the difference in the system's global pressure with and without the defect multiplied by the system's volume.
Simple structural comparisons of the unrelaxed and relaxed defect configurations are used to help determine if the defect structure has relaxed to a different configuration. Relaxed structures that are identified as no longer consistent with the ideal defect definition are excluded from the table below. The only exception to this is if the lowest energy interstitial configuration does not coincide with a known ideal defect, its energies and pressure tensor are included under the listing "relaxed interstitial". The full list of calculation results including the transformed structures and the structural comparison values is included in the csv file available from the "Download raw data" link.
The calculation method used is available as the iprPy point_defect_static calculation method.
Notes and Disclaimers:
| Point Defect | Ef (eV) | p11 (eV) | p22 (eV) | p33 (eV) | p12 (eV) | p13 (eV) | p23 (eV) |
|---|---|---|---|---|---|---|---|
| vacancy | 3.349 | 4.649 | 4.649 | 4.649 | -0.000 | -0.000 | -0.000 |
| 1nn divacancy | 4.856 | 4.777 | 4.777 | 4.777 | -5.493 | -5.493 | -5.493 |
| 100 dumbbell | 9.383 | 17.141 | 17.141 | 74.886 | -0.000 | -0.000 | -0.000 |
| Point Defect | Ef (eV) | p11 (eV) | p22 (eV) | p33 (eV) | p12 (eV) | p13 (eV) | p23 (eV) |
|---|---|---|---|---|---|---|---|
| 110 dumbbell | 2.518 | 22.811 | 21.087 | 21.087 | -0.000 | -0.000 | 1.699 |
| vacancy | 2.675 | -10.820 | -10.820 | -10.820 | 0.000 | -0.000 | -0.000 |
| 100 dumbbell | 3.633 | 18.181 | 18.181 | 24.676 | -0.000 | -0.000 | 0.000 |
| 2nn divacancy | 5.058 | -22.982 | -22.982 | -23.946 | -0.000 | -0.000 | -0.000 |
| 1nn divacancy | 5.403 | -19.654 | -19.654 | -19.654 | 0.497 | 0.497 | 0.497 |
Plots of the atomic structure of dislocation cores are shown here. The dislocations were constructed using dislocation monopole configurations in which a straight dislocation is created in the center of the system using anisotropic elasticity and the elastic constants computed above. A cylindrical region centered around the dislocation is allowed to relax while the remaining atoms are held fixed. The relaxation consists of 1 million NVT steps at 10 K followed by an energy/force minimization. The final plots show the atomic configuration near the center of the monopole system, and display differential displacement arrows and Nye tensor color maps that are both taken with respect to the Burgers vector direction.
These plots show a wide range of final structures, some corresponding to expected dislocation structures and others not. While the characterizations are dislocation-type dependent, some general classification guidelines are listed here.
The calculation method used is available as the iprPy dislocation_monopole calculation method.
Links are provided above the images allowing for users to download the final defect configuration and a corresponding defect-free configuration if they wish to further analyze the structures or use them for subsequent simulations.
Notes and Disclaimers:
Version Information:
Plots of lattice and elastic constants are shown as a function of temperature. The 0K points were taken from the Crystal Structure Predictions and the Elastic Constants Predictions sections above for the unique crystal structures relaxed with the "dynamic" method. Starting from the 0 K relaxed crystal unit cells, supercell systems are created by replicating all three dimensions by the same multiplier to achieve at least 4000 atoms. The systems are then relaxed at 50 K and zero pressure using 1 million NPT steps. Lattice constants are estimated by averaging the measured box dimensions. Temperatures are iteratively increased by 50 K, with each subsequent relaxation calculation starting from the final atomic configuration at the previous temperature and relaxing for another 1 million steps.
The elastic constants are calculated using the deformation–fluctuation hybrid method. Starting from the final atomic configurations of the dynamic relaxations, the system is allowed to evolve at constant volume with a Langevin thermostat. The Born matrix is computed during this run by evaluating how the atomic forces would vary due to applied linear strain fields. The elastic constants can then be estimated using the averaged Born matrix values and the averaged stresses on the system.
The calculation methods used are available as the iprPy relax_dynamic and elastic_constants_dynamic calculation methods.
Clicking on the image of a plot will open an interactive version of it in a new tab. The underlying data for the plots can be downloaded by clicking on the links above each plot.
Notes and Disclaimers:
Version Information:
Plots of internal energy, Gibbs free energy, entropy, heat capacity and volume are shown here as a function of temperature for various crystal structures and liquid phases. The included crystal structures correspond to those in the Solid Structures vs. Temperature section, and the liquid phases to those in the Liquid Properties section. Internal energy and volume are taken from the associated structure relaxations mentioned in those previous sections. Constant pressure heat capacity is estimated using 3-point numerical derivatives of enthalpy versus temperature. Note that since all simulations done here are at 0 pressure, internal energy and enthalpy are equivalent.
The Gibbs energies of the phases are estimated using thermodynamic integration between the interatomic potential in question and a simpler model with known Gibbs free energy values. For solids, the reference model is an Einstein solid, while for liquids it is the Uhlenbeck-Ford potential. Besides a short run at the start of the solid calculations to estimate Einstein model spring constants, the two calculations proceed similarly. Starting with the final relaxation configurations, the systems are stabilized for 25,000 steps. Then, over the next 50,000 steps the potential is swapped out for the reference potential. The system is then stabilized for another 25,000 steps with the reference model before a reverse swap of 50,000 steps is performed. The simulation ends with one final 25,000 step stabilization period. From the simulation, the irreversible work of transformation is estimated and used to compute the absolute Gibbs free energy of the target phase and potential relative to the reference potential. Entropy is estimated as the difference in enthalpy and Gibbs free energy and divided by temperature.
The calculation methods used are available as the iprPy relax_dynamic, relax_liquid_redo, free_energy, and free_energy_liquid calculation methods.
Clicking on the image of a plot will open an interactive version of it in a new tab. The underlying data for the plots can be downloaded by clicking on the links above each plot.
Notes and Disclaimers:
Version Information:





