Plots of the potential energy vs interatomic spacing, r, are shown below for all diatom sets associated with the interatomic potential. This calculation provides insights into the functional form of the potential's two-body interactions. A system consisting of only two atoms is created, and the potential energy is evaluated for the atoms separated by 0.02 Å <= r <= 6.0> Å in intervals of 0.02 Å. Two plots are shown: one for the "standard" interaction distance range, and one for small values of r. The small r plot is useful for determining whether the potential is suitable for radiation studies.
The calculation method used is available as the iprPy diatom_scan calculation method.
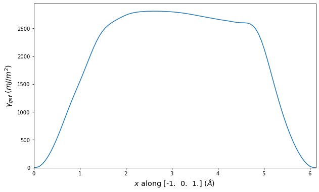
Clicking on the image of a plot will open an interactive version of it in a new tab. The underlying data for the plots can be downloaded by clicking on the links above each plot.
Notes and Disclaimers:
Version Information:
Plots of potential energy vs interatomic spacing, r, are shown below for a number of crystal structures. The structures are generated based on the ideal atomic positions and b/a and c/a lattice parameter ratios for a given crystal prototype. The size of the system is then uniformly scaled, and the energy calculated without relaxing the system. To obtain these plots, values of r are evaluated every 0.02 Å up to 6 Å.
The calculation method used is available as the iprPy E_vs_r_scan calculation method.
Clicking on the image of a plot will open an interactive version of it in a new tab. The underlying data for the plots can be downloaded by clicking on the links above each plot.
Notes and Disclaimers:
Version Information:
Computed lattice constants and cohesive/potential energies are displayed for a variety of crystal structures. The values displayed here are obtained using the following process.
The calculation methods used are implemented into iprPy as the following calculation styles
Notes and Disclaimers:
Version Information:
Download raw data (including filtered results)
Reference structure matches:
A1--Cu--fcc = mp-30, oqmd-592441, oqmd-593869, oqmd-594301, oqmd-594302, oqmd-594517, oqmd-594518, oqmd-594519, oqmd-594520, oqmd-598513, oqmd-635950, oqmd-1214520
A15--beta-W = oqmd-1214965
A2--W--bcc = oqmd-637373, oqmd-1215143
A3'--alpha-La--double-hcp = mp-989695, oqmd-1215411
A3--Mg--hcp = mp-989782, oqmd-1215321
A4--C--dc = oqmd-1215500
A5--beta-Sn = oqmd-1215589
A6--In--bct = mp-998890, mp-1010136, oqmd-1215678
| prototype | method | Ecoh (eV/atom) | Epot (eV/atom) | a0 (Å) | b0 (Å) | c0 (Å) | α (degrees) | β (degrees) | γ (degrees) |
|---|---|---|---|---|---|---|---|---|---|
| A1--Cu--fcc | dynamic | -3.2831 | -3.2831 | 3.6391 | 3.6391 | 3.6391 | 90.0 | 90.0 | 90.0 |
| A3'--alpha-La--double-hcp | dynamic | -3.2797 | -3.2797 | 2.571 | 2.571 | 8.4144 | 90.0 | 90.0 | 120.0 |
| oqmd-1216034 | dynamic | -3.2786 | -3.2786 | 2.5703 | 2.5703 | 18.9384 | 90.0 | 90.0 | 120.0 |
| A3--Mg--hcp | dynamic | -3.2764 | -3.2764 | 2.5689 | 2.5689 | 4.2112 | 90.0 | 90.0 | 120.0 |
| oqmd-1215232 | box | -3.276 | -3.276 | 2.5567 | 4.4729 | 4.2105 | 90.0 | 90.0 | 90.0 |
| A2--W--bcc | dynamic | -3.2427 | -3.2427 | 2.8947 | 2.8947 | 2.8947 | 90.0 | 90.0 | 90.0 |
| oqmd-1214876 | dynamic | -3.2385 | -3.2385 | 6.2698 | 6.2698 | 6.2698 | 90.0 | 90.0 | 90.0 |
| oqmd-1214876 | box | -3.2375 | -3.2375 | 6.2668 | 6.2668 | 6.2668 | 90.0 | 90.0 | 90.0 |
| A15--beta-W | dynamic | -3.2341 | -3.2341 | 4.6311 | 4.6311 | 4.6311 | 90.0 | 90.0 | 90.0 |
| oqmd-1214787 | dynamic | -3.2203 | -3.2203 | 8.9459 | 8.9459 | 8.9459 | 90.0 | 90.0 | 90.0 |
| oqmd-1214787 | static | -3.2203 | -3.2203 | 8.946 | 8.946 | 8.946 | 90.0 | 90.0 | 90.0 |
| oqmd-1214787 | box | -3.2124 | -3.2124 | 8.964 | 8.964 | 8.964 | 90.0 | 90.0 | 90.0 |
| mp-1120774 | dynamic | -3.1773 | -3.1773 | 2.5493 | 2.5493 | 24.8982 | 90.0 | 90.0 | 120.0 |
| mp-1120774 | static | -3.1773 | -3.1773 | 2.5493 | 2.5493 | 24.9191 | 90.0 | 90.0 | 120.0 |
| mp-1120774 | box | -3.1761 | -3.1761 | 2.5491 | 2.5491 | 24.8563 | 90.0 | 90.0 | 120.0 |
| mp-1059259 | box | -3.0884 | -3.0884 | 2.4881 | 8.1846 | 2.5026 | 90.0 | 90.0 | 90.0 |
| oqmd-1215054 | box | -3.0508 | -3.0508 | 4.2283 | 8.9331 | 2.6441 | 90.0 | 90.0 | 90.0 |
| oqmd-1277912 | static | -3.0162 | -3.0162 | 11.5122 | 11.5122 | 11.5122 | 90.0 | 90.0 | 90.0 |
| oqmd-1277912 | box | -3.0153 | -3.0153 | 11.506 | 11.506 | 11.506 | 90.0 | 90.0 | 90.0 |
| oqmd-1214698 | box | -3.0019 | -3.0019 | 3.5379 | 8.4605 | 3.5378 | 90.0 | 90.0 | 90.0 |
| A5--beta-Sn | static | -2.8115 | -2.8115 | 4.4605 | 4.4605 | 2.4466 | 90.0 | 90.0 | 90.0 |
| Ah--alpha-Po--sc | static | -2.6622 | -2.6622 | 2.4071 | 2.4071 | 2.4071 | 90.0 | 90.0 | 90.0 |
| A7--alpha-As | box | -2.4945 | -2.4945 | 3.1828 | 3.1828 | 8.9948 | 90.0 | 90.0 | 120.0 |
| A4--C--dc | static | -2.1389 | -2.1389 | 5.5201 | 5.5201 | 5.5201 | 90.0 | 90.0 | 90.0 |
| mp-1056079 | static | -1.574 | -1.574 | 11.5703 | 2.2629 | 22.2237 | 90.0 | 101.9 | 90.0 |
Download raw data (including filtered results)
Reference structure matches:
| prototype | method | Ecoh (eV/atom) | Epot (eV/atom) | a0 (Å) | b0 (Å) | c0 (Å) | α (degrees) | β (degrees) | γ (degrees) |
|---|---|---|---|---|---|---|---|---|---|
| mp-1188077 | dynamic | -4.7095 | -4.7095 | 12.9001 | 9.3038 | 9.2966 | 90.0 | 90.0 | 90.0 |
| mp-1188077 | static | -4.7095 | -4.7095 | 12.9003 | 9.304 | 9.2968 | 90.0 | 90.0 | 90.0 |
| mp-1188077 | box | -4.7017 | -4.7017 | 12.8969 | 9.2868 | 9.3298 | 90.0 | 90.0 | 90.0 |
| oqmd-20874 | box | -4.7016 | -4.7016 | 9.3348 | 9.2786 | 12.8904 | 90.0 | 90.0 | 90.0 |
Download raw data (including filtered results)
Reference structure matches:
| prototype | method | Ecoh (eV/atom) | Epot (eV/atom) | a0 (Å) | b0 (Å) | c0 (Å) | α (degrees) | β (degrees) | γ (degrees) |
|---|---|---|---|---|---|---|---|---|---|
| mp-1072655 | dynamic | -4.4135 | -4.4135 | 8.7329 | 4.5921 | 4.436 | 90.0 | 90.0 | 90.0 |
| mp-1072655 | box | -4.3994 | -4.3994 | 8.669 | 4.5689 | 4.485 | 90.0 | 90.0 | 90.0 |
| C1--CaF2--fluorite | dynamic | -3.8447 | -3.8447 | 6.0994 | 6.0994 | 6.0994 | 90.0 | 90.0 | 90.0 |
Download raw data (including filtered results)
Reference structure matches:
| prototype | method | Ecoh (eV/atom) | Epot (eV/atom) | a0 (Å) | b0 (Å) | c0 (Å) | α (degrees) | β (degrees) | γ (degrees) |
|---|---|---|---|---|---|---|---|---|---|
| oqmd-1006995 | dynamic | -5.5963 | -5.5963 | 4.7765 | 4.7765 | 20.7864 | 90.0 | 90.0 | 120.0 |
| oqmd-1006995 | box | -5.5836 | -5.5836 | 4.7949 | 4.7949 | 20.7081 | 90.0 | 90.0 | 120.0 |
Download raw data (including filtered results)
Reference structure matches:
D0_3--BiF3 = oqmd-313842
| prototype | method | Ecoh (eV/atom) | Epot (eV/atom) | a0 (Å) | b0 (Å) | c0 (Å) | α (degrees) | β (degrees) | γ (degrees) |
|---|---|---|---|---|---|---|---|---|---|
| D0_3--BiF3 | dynamic | -4.1831 | -4.1831 | 6.1417 | 6.1417 | 6.1417 | 90.0 | 90.0 | 90.0 |
| mp-1188040 | static | -4.0753 | -4.0753 | 5.6206 | 5.6206 | 4.4072 | 90.0 | 90.0 | 120.0 |
| mp-1188040 | box | -4.0629 | -4.0629 | 5.676 | 5.676 | 4.3574 | 90.0 | 90.0 | 120.0 |
| L1_2--AuCu3 | static | -4.0423 | -4.0423 | 3.905 | 3.905 | 3.905 | 90.0 | 90.0 | 90.0 |
| A15--Cr3Si | static | -4.0169 | -4.0169 | 4.8689 | 4.8689 | 4.8689 | 90.0 | 90.0 | 90.0 |
Download raw data (including filtered results)
Reference structure matches:
| prototype | method | Ecoh (eV/atom) | Epot (eV/atom) | a0 (Å) | b0 (Å) | c0 (Å) | α (degrees) | β (degrees) | γ (degrees) |
|---|---|---|---|---|---|---|---|---|---|
| oqmd-756635 | static | -5.0853 | -5.0853 | 7.8816 | 7.8816 | 4.6877 | 90.0 | 90.0 | 120.0 |
| oqmd-756635 | box | -5.043 | -5.043 | 8.1061 | 8.1061 | 4.5434 | 90.0 | 90.0 | 120.0 |
| oqmd-756623 | box | -4.9604 | -4.9604 | 8.164 | 8.164 | 4.5633 | 90.0 | 90.0 | 120.0 |
Download raw data (including filtered results)
Reference structure matches:
| prototype | method | Ecoh (eV/atom) | Epot (eV/atom) | a0 (Å) | b0 (Å) | c0 (Å) | α (degrees) | β (degrees) | γ (degrees) |
|---|---|---|---|---|---|---|---|---|---|
| mp-1216441 | dynamic | -4.0561 | -4.0561 | 11.561 | 11.561 | 7.9431 | 90.0 | 90.0 | 120.0 |
| mp-1216441 | static | -4.0561 | -4.0561 | 11.5603 | 11.5603 | 7.9447 | 90.0 | 90.0 | 120.0 |
| mp-1216441 | box | -4.0357 | -4.0357 | 11.3265 | 11.3265 | 8.3744 | 90.0 | 90.0 | 120.0 |
Download raw data (including filtered results)
Reference structure matches:
| prototype | method | Ecoh (eV/atom) | Epot (eV/atom) | a0 (Å) | b0 (Å) | c0 (Å) | α (degrees) | β (degrees) | γ (degrees) |
|---|---|---|---|---|---|---|---|---|---|
| mp-30603 | dynamic | -3.8481 | -3.8481 | 6.8938 | 6.8938 | 6.8938 | 90.0 | 90.0 | 90.0 |
| mp-30603 | box | -3.848 | -3.848 | 6.8945 | 6.8945 | 6.8945 | 90.0 | 90.0 | 90.0 |
Download raw data (including filtered results)
Reference structure matches:
B2--CsCl = mp-2210, oqmd-116222
| prototype | method | Ecoh (eV/atom) | Epot (eV/atom) | a0 (Å) | b0 (Å) | c0 (Å) | α (degrees) | β (degrees) | γ (degrees) |
|---|---|---|---|---|---|---|---|---|---|
| L1_0--AuCu | dynamic | -5.0298 | -5.0298 | 3.1576 | 3.1576 | 3.3797 | 90.0 | 90.0 | 90.0 |
| L1_0--AuCu | box | -5.0297 | -5.0297 | 3.3354 | 3.3354 | 3.0762 | 90.0 | 90.0 | 90.0 |
| B2--CsCl | static | -5.0262 | -5.0262 | 3.2286 | 3.2286 | 3.2286 | 90.0 | 90.0 | 90.0 |
| oqmd-756622 | dynamic | -4.9588 | -4.9588 | 6.0992 | 4.4829 | 7.5969 | 90.0 | 92.2 | 90.0 |
| oqmd-756649 | dynamic | -4.9542 | -4.9542 | 6.3074 | 4.6112 | 7.377 | 90.0 | 103.3 | 90.0 |
| mp-1080022 | static | -4.9381 | -4.9381 | 6.437 | 8.725 | 5.2748 | 90.0 | 108.2 | 90.0 |
| oqmd-21273 | static | -4.9381 | -4.9381 | 6.437 | 8.725 | 5.275 | 90.0 | 108.2 | 90.0 |
| oqmd-756641 | dynamic | -4.9344 | -4.9344 | 4.4816 | 11.9089 | 5.135 | 90.0 | 90.0 | 90.0 |
| oqmd-756620 | static | -4.9324 | -4.9324 | 7.2909 | 12.5403 | 4.549 | 90.0 | 90.0 | 90.0 |
| oqmd-756633 | dynamic | -4.9314 | -4.9314 | 6.0858 | 4.3807 | 5.1764 | 90.0 | 90.0 | 90.0 |
| mp-1080022 | box | -4.9266 | -4.9266 | 6.5039 | 8.6735 | 5.2605 | 90.0 | 106.1 | 90.0 |
| oqmd-756641 | box | -4.9265 | -4.9265 | 4.5169 | 11.5884 | 5.2419 | 90.0 | 90.0 | 90.0 |
| oqmd-756627 | dynamic | -4.926 | -4.926 | 4.476 | 16.9854 | 4.5215 | 90.0 | 90.0 | 90.0 |
| oqmd-21273 | box | -4.9255 | -4.9255 | 6.5243 | 8.6636 | 5.2511 | 90.0 | 105.4 | 90.0 |
| oqmd-756622 | box | -4.9132 | -4.9132 | 6.1634 | 4.3635 | 7.9103 | 90.0 | 92.1 | 90.0 |
| oqmd-756633 | box | -4.9122 | -4.9122 | 5.8869 | 4.3955 | 5.4312 | 90.0 | 90.0 | 90.0 |
| oqmd-756627 | box | -4.9072 | -4.9072 | 4.4545 | 16.9853 | 4.5648 | 90.0 | 90.0 | 90.0 |
| oqmd-756624 | dynamic | -4.9064 | -4.9064 | 4.464 | 10.0493 | 4.5784 | 90.0 | 90.0 | 90.0 |
| oqmd-756620 | box | -4.9046 | -4.9046 | 7.2175 | 12.677 | 4.5733 | 90.0 | 90.0 | 90.0 |
| oqmd-756640 | static | -4.8928 | -4.8928 | 6.6792 | 4.5751 | 4.4366 | 90.0 | 90.0 | 90.0 |
| oqmd-756640 | dynamic | -4.8928 | -4.8928 | 6.6793 | 4.5751 | 4.4366 | 90.0 | 90.0 | 90.0 |
| oqmd-756624 | box | -4.8761 | -4.8761 | 4.427 | 9.968 | 4.6883 | 90.0 | 90.0 | 90.0 |
| oqmd-756630 | static | -4.872 | -4.872 | 4.5409 | 15.8101 | 4.6282 | 90.0 | 90.0 | 90.0 |
| oqmd-756634 | dynamic | -4.8663 | -4.8663 | 3.4488 | 4.4574 | 8.8243 | 90.0 | 90.0 | 90.0 |
| oqmd-756640 | box | -4.8588 | -4.8588 | 6.7113 | 4.4605 | 4.4603 | 90.0 | 90.0 | 90.0 |
| oqmd-756630 | box | -4.8483 | -4.8483 | 4.6651 | 15.5002 | 4.6649 | 90.0 | 90.0 | 90.0 |
| oqmd-756634 | box | -4.8403 | -4.8403 | 3.4136 | 4.4638 | 8.9756 | 90.0 | 90.0 | 90.0 |
| oqmd-756628 | dynamic | -4.8326 | -4.8326 | 6.1336 | 4.5604 | 7.4983 | 90.0 | 92.6 | 90.0 |
| oqmd-756625 | box | -4.8247 | -4.8247 | 4.7259 | 6.0377 | 9.757 | 90.0 | 90.0 | 90.0 |
| oqmd-109113 | box | -4.82 | -4.82 | 3.8921 | 3.605 | 5.3191 | 90.0 | 111.3 | 90.0 |
| oqmd-756629 | box | -4.8187 | -4.8187 | 4.3905 | 4.9373 | 3.3986 | 90.0 | 90.0 | 90.0 |
| oqmd-756628 | box | -4.811 | -4.811 | 6.0414 | 4.6269 | 7.5419 | 90.0 | 92.1 | 90.0 |
| oqmd-756650 | box | -4.7989 | -4.7989 | 4.3778 | 7.1658 | 4.431 | 90.0 | 90.0 | 90.0 |
| oqmd-756649 | box | -4.7791 | -4.7791 | 6.3019 | 4.7096 | 7.1675 | 90.0 | 100.9 | 90.0 |
| oqmd-756626 | box | -4.776 | -4.776 | 4.2724 | 14.7358 | 4.5171 | 90.0 | 90.0 | 90.0 |
| oqmd-756632 | static | -4.6988 | -4.6988 | 5.8491 | 5.8491 | 4.6687 | 90.0 | 90.0 | 120.0 |
| oqmd-756632 | box | -4.6856 | -4.6856 | 5.9806 | 5.9806 | 4.5865 | 90.0 | 90.0 | 120.0 |
| B1--NaCl--rock-salt | static | -4.5638 | -4.5638 | 5.1266 | 5.1266 | 5.1266 | 90.0 | 90.0 | 90.0 |
| B4--ZnS--wurtzite | box | -3.8173 | -3.8173 | 4.1902 | 4.1902 | 6.5193 | 90.0 | 90.0 | 120.0 |
| B3--ZnS--cubic-zinc-blende | static | -3.7787 | -3.7787 | 5.892 | 5.892 | 5.892 | 90.0 | 90.0 | 90.0 |
Download raw data (including filtered results)
Reference structure matches:
| prototype | method | Ecoh (eV/atom) | Epot (eV/atom) | a0 (Å) | b0 (Å) | c0 (Å) | α (degrees) | β (degrees) | γ (degrees) |
|---|---|---|---|---|---|---|---|---|---|
| mp-193 | dynamic | -5.5008 | -5.5008 | 3.2186 | 3.2186 | 10.9456 | 90.0 | 90.0 | 90.0 |
| oqmd-756637 | dynamic | -5.483 | -5.483 | 3.3214 | 14.4395 | 4.758 | 90.0 | 90.0 | 90.0 |
| oqmd-756637 | static | -5.483 | -5.483 | 3.3213 | 14.44 | 4.7579 | 90.0 | 90.0 | 90.0 |
| oqmd-19518 | box | -5.4824 | -5.4824 | 3.2494 | 3.2494 | 10.7485 | 90.0 | 90.0 | 90.0 |
| mp-193 | box | -5.482 | -5.482 | 3.25 | 3.25 | 10.7461 | 90.0 | 90.0 | 90.0 |
| oqmd-756631 | box | -5.4815 | -5.4815 | 10.7436 | 4.5976 | 4.5961 | 90.0 | 90.0 | 90.0 |
| mp-583800 | dynamic | -5.464 | -5.464 | 12.2116 | 12.2116 | 12.2116 | 90.0 | 90.0 | 90.0 |
| oqmd-19517 | static | -5.464 | -5.464 | 12.2114 | 12.2114 | 12.2114 | 90.0 | 90.0 | 90.0 |
| oqmd-19517 | box | -5.4629 | -5.4629 | 12.2124 | 12.2124 | 12.2124 | 90.0 | 90.0 | 90.0 |
| mp-583800 | box | -5.4628 | -5.4628 | 12.213 | 12.213 | 12.213 | 90.0 | 90.0 | 90.0 |
| oqmd-756637 | box | -5.4479 | -5.4479 | 3.2732 | 14.7082 | 4.7347 | 90.0 | 90.0 | 90.0 |
| mp-1077372 | static | -5.4359 | -5.4359 | 11.609 | 3.2343 | 7.5775 | 90.0 | 125.3 | 90.0 |
| oqmd-756645 | dynamic | -5.3825 | -5.3825 | 7.8459 | 4.6226 | 12.6866 | 90.0 | 93.8 | 90.0 |
| oqmd-756645 | static | -5.3727 | -5.3727 | 7.8188 | 4.6349 | 12.7737 | 90.0 | 93.9 | 90.0 |
| oqmd-756621 | static | -5.3407 | -5.3407 | 4.5624 | 8.5554 | 5.8398 | 90.0 | 90.0 | 90.0 |
| oqmd-756645 | box | -5.3109 | -5.3109 | 7.7212 | 4.5767 | 13.0827 | 90.0 | 90.3 | 90.0 |
| oqmd-756621 | box | -5.2986 | -5.2986 | 4.6433 | 9.0419 | 5.5088 | 90.0 | 90.0 | 90.0 |
| oqmd-756644 | box | -5.2951 | -5.2951 | 4.6034 | 9.4715 | 5.461 | 90.0 | 90.0 | 90.0 |
| C1--CaF2--fluorite | dynamic | -5.1846 | -5.1846 | 6.3183 | 6.3183 | 6.3183 | 90.0 | 90.0 | 90.0 |
Download raw data (including filtered results)
Reference structure matches:
D0_3--BiF3 = oqmd-310963
L1_2--AuCu3 = mp-580287
| prototype | method | Ecoh (eV/atom) | Epot (eV/atom) | a0 (Å) | b0 (Å) | c0 (Å) | α (degrees) | β (degrees) | γ (degrees) |
|---|---|---|---|---|---|---|---|---|---|
| D0_3--BiF3 | dynamic | -5.6473 | -5.6473 | 6.7676 | 6.7676 | 6.7676 | 90.0 | 90.0 | 90.0 |
| oqmd-756651 | dynamic | -5.6431 | -5.6431 | 4.757 | 6.1331 | 5.5463 | 90.0 | 90.0 | 90.0 |
| L1_2--AuCu3 | dynamic | -5.6394 | -5.6394 | 4.3345 | 4.3345 | 4.3345 | 90.0 | 90.0 | 90.0 |
| oqmd-29835 | dynamic | -5.622 | -5.622 | 4.7839 | 4.7839 | 3.4796 | 90.0 | 90.0 | 90.0 |
| oqmd-29835 | box | -5.6074 | -5.6074 | 4.616 | 4.616 | 3.7879 | 90.0 | 90.0 | 90.0 |
| oqmd-756651 | box | -5.6016 | -5.6016 | 4.8478 | 6.0126 | 5.5212 | 90.0 | 90.0 | 90.0 |
| oqmd-300421 | dynamic | -5.5934 | -5.5934 | 4.3301 | 4.3301 | 8.7361 | 90.0 | 90.0 | 90.0 |
| A15--Cr3Si | static | -5.499 | -5.499 | 5.4951 | 5.4951 | 5.4951 | 90.0 | 90.0 | 90.0 |
Download raw data (including filtered results)
Reference structure matches:
| prototype | method | Ecoh (eV/atom) | Epot (eV/atom) | a0 (Å) | b0 (Å) | c0 (Å) | α (degrees) | β (degrees) | γ (degrees) |
|---|---|---|---|---|---|---|---|---|---|
| oqmd-756636 | static | -5.8596 | -5.8596 | 5.5618 | 5.5618 | 4.8164 | 90.0 | 90.0 | 120.0 |
| oqmd-756636 | box | -5.8586 | -5.8586 | 5.5478 | 5.5478 | 4.8299 | 90.0 | 90.0 | 120.0 |
Download raw data (including filtered results)
Reference structure matches:
A1--Cu--fcc = mp-8635, oqmd-7509
A15--beta-W = oqmd-1215034
A2--W--bcc = mp-41, oqmd-9320
A3'--alpha-La--double-hcp = oqmd-1215480
A3--Mg--hcp = mp-131, oqmd-67408, oqmd-758445, oqmd-758446, oqmd-758447, oqmd-758451, oqmd-758458, oqmd-758460, oqmd-758469
A4--C--dc = oqmd-1215569
A5--beta-Sn = oqmd-1215658
A6--In--bct = oqmd-1215747
| prototype | method | Ecoh (eV/atom) | Epot (eV/atom) | a0 (Å) | b0 (Å) | c0 (Å) | α (degrees) | β (degrees) | γ (degrees) |
|---|---|---|---|---|---|---|---|---|---|
| A3--Mg--hcp | dynamic | -6.4693 | -6.4693 | 3.2203 | 3.2203 | 5.2152 | 90.0 | 90.0 | 120.0 |
| A3--Mg--hcp | box | -6.4693 | -6.4693 | 3.2202 | 3.2202 | 5.2152 | 90.0 | 90.0 | 120.0 |
| oqmd-758444 | box | -6.4692 | -6.4692 | 3.2227 | 5.5736 | 5.2152 | 90.0 | 90.0 | 90.0 |
| oqmd-1215301 | box | -6.4684 | -6.4684 | 3.2384 | 5.5461 | 5.216 | 90.0 | 90.0 | 90.0 |
| oqmd-1216106 | dynamic | -6.459 | -6.459 | 3.2177 | 3.2177 | 23.5193 | 90.0 | 90.0 | 120.0 |
| A3'--alpha-La--double-hcp | dynamic | -6.4539 | -6.4539 | 3.2165 | 3.2165 | 10.4638 | 90.0 | 90.0 | 120.0 |
| A1--Cu--fcc | dynamic | -6.4388 | -6.4388 | 4.5445 | 4.5445 | 4.5445 | 90.0 | 90.0 | 90.0 |
| A2--W--bcc | static | -6.4176 | -6.4176 | 3.5623 | 3.5623 | 3.5623 | 90.0 | 90.0 | 90.0 |
| oqmd-1214945 | dynamic | -6.3479 | -6.3479 | 7.8206 | 7.8206 | 7.8206 | 90.0 | 90.0 | 90.0 |
| oqmd-1214856 | dynamic | -6.3175 | -6.3175 | 11.0186 | 11.0186 | 11.0186 | 90.0 | 90.0 | 90.0 |
| oqmd-1214945 | box | -6.3121 | -6.3121 | 7.838 | 7.838 | 7.838 | 90.0 | 90.0 | 90.0 |
| oqmd-1214856 | box | -6.3076 | -6.3076 | 11.0211 | 11.0211 | 11.0211 | 90.0 | 90.0 | 90.0 |
| A15--beta-W | dynamic | -6.2821 | -6.2821 | 5.6808 | 5.6808 | 5.6808 | 90.0 | 90.0 | 90.0 |
| oqmd-1215123 | box | -6.2358 | -6.2358 | 5.1902 | 10.9229 | 3.2685 | 90.0 | 90.0 | 90.0 |
| mp-1056376 | static | -6.1532 | -6.1532 | 3.0806 | 3.0806 | 2.8137 | 90.0 | 90.0 | 120.0 |
| A5--beta-Sn | dynamic | -6.147 | -6.147 | 5.4992 | 5.4992 | 2.9701 | 90.0 | 90.0 | 90.0 |
| Ah--alpha-Po--sc | static | -5.7513 | -5.7513 | 2.8407 | 2.8407 | 2.8407 | 90.0 | 90.0 | 90.0 |
| A7--alpha-As | box | -5.5714 | -5.5714 | 3.8622 | 3.8622 | 10.4207 | 90.0 | 90.0 | 120.0 |
| oqmd-1216014 | static | -5.3649 | -5.3649 | 4.9636 | 4.9636 | 5.1107 | 90.0 | 90.0 | 120.0 |
| mp-1178608 | dynamic | -4.961 | -4.961 | 3.115 | 3.115 | 7.6009 | 90.0 | 90.0 | 120.0 |
| mp-1178608 | static | -4.961 | -4.961 | 3.115 | 3.115 | 7.6005 | 90.0 | 90.0 | 120.0 |
| A4--C--dc | static | -4.6729 | -4.6729 | 6.1486 | 6.1486 | 6.1486 | 90.0 | 90.0 | 90.0 |
| A5--beta-Sn | dynamic | -0.0518 | -0.0518 | 11.6715 | 11.6715 | 6.0271 | 90.0 | 90.0 | 90.0 |
Static elastic constants are displayed for the unique structures identified in Crystal Structure Predictions above. The values displayed here are obtained by measuring the change in virial stresses due to applying small strains to the relaxed crystals. The initial structure and the strained states are all relaxed using force minimization.
The calculation method used is available as the iprPy elastic_constants_static calculation method.
Notes and Disclaimers:
Version Information:
| 178.232 | 128.615 | 128.615 | -0.000 | 0.000 | 0.000 |
| 128.615 | 178.232 | 128.615 | 0.000 | 0.000 | 0.000 |
| 128.615 | 128.615 | 178.232 | 0.000 | -0.000 | 0.000 |
| 0.000 | -0.000 | -0.000 | 85.223 | -0.000 | 0.000 |
| -0.000 | -0.000 | -0.000 | -0.000 | 85.223 | -0.000 |
| -0.000 | -0.000 | -0.000 | -0.000 | 0.000 | 85.223 |
| 178.232 | 128.615 | 128.615 | 0.000 | -0.000 | -0.000 |
| 128.615 | 178.232 | 128.615 | -0.000 | 0.000 | -0.000 |
| 128.615 | 128.615 | 178.232 | 0.000 | -0.000 | -0.000 |
| -0.000 | 0.000 | 0.000 | 85.223 | 0.000 | 0.000 |
| 0.000 | 0.000 | 0.000 | 0.000 | 85.223 | -0.000 |
| 0.000 | 0.000 | 0.000 | 0.000 | 0.000 | 85.223 |
| 178.230 | 128.615 | 128.615 | -0.000 | 0.000 | 0.000 |
| 128.615 | 178.230 | 128.615 | 0.000 | -0.000 | 0.000 |
| 128.615 | 128.615 | 178.230 | 0.000 | 0.000 | 0.000 |
| 0.000 | -0.000 | -0.000 | 85.223 | -0.000 | 0.000 |
| -0.000 | 0.000 | -0.000 | -0.000 | 85.223 | 0.000 |
| -0.000 | -0.000 | 0.000 | -0.000 | 0.000 | 85.223 |
| 178.233 | 128.615 | 128.615 | -0.000 | -0.000 | -0.000 |
| 128.615 | 178.233 | 128.615 | 0.000 | 0.000 | -0.000 |
| 128.615 | 128.615 | 178.233 | -0.000 | 0.000 | -0.000 |
| -0.000 | 0.000 | 0.000 | 85.223 | -0.000 | 0.000 |
| 0.000 | -0.000 | 0.000 | 0.000 | 85.223 | -0.000 |
| 0.000 | 0.000 | -0.000 | 0.000 | -0.000 | 85.223 |
| 178.218 | 128.615 | 128.615 | -0.000 | -0.000 | -0.000 |
| 128.615 | 178.218 | 128.615 | 0.000 | 0.000 | 0.000 |
| 128.615 | 128.615 | 178.218 | -0.000 | -0.000 | 0.000 |
| 0.000 | -0.000 | -0.000 | 85.223 | -0.000 | 0.000 |
| -0.000 | 0.000 | -0.000 | -0.000 | 85.223 | 0.000 |
| -0.000 | -0.000 | 0.000 | -0.000 | 0.000 | 85.223 |
| 178.245 | 128.616 | 128.616 | 0.000 | 0.000 | -0.000 |
| 128.616 | 178.245 | 128.616 | 0.000 | 0.000 | -0.000 |
| 128.616 | 128.616 | 178.245 | 0.000 | 0.000 | -0.000 |
| -0.000 | 0.000 | 0.000 | 85.223 | 0.000 | -0.000 |
| 0.000 | -0.000 | 0.000 | 0.000 | 85.223 | -0.000 |
| 0.000 | 0.000 | -0.000 | 0.000 | -0.000 | 85.223 |
| 203.628 | 98.984 | 98.984 | -0.000 | -0.000 | -0.000 |
| 98.984 | 203.628 | 98.984 | 0.000 | -0.000 | -0.000 |
| 98.984 | 98.984 | 203.628 | -0.000 | -0.000 | -0.000 |
| -0.000 | -0.000 | -0.000 | 42.862 | -0.000 | -0.000 |
| 0.000 | -0.000 | -0.000 | -0.000 | 42.862 | -0.000 |
| -0.000 | -0.000 | -0.000 | 0.000 | -0.000 | 42.862 |
| 203.627 | 98.984 | 98.984 | -0.000 | 0.000 | 0.000 |
| 98.984 | 203.627 | 98.984 | 0.000 | -0.000 | 0.000 |
| 98.984 | 98.984 | 203.627 | -0.000 | -0.000 | 0.000 |
| 0.000 | -0.000 | 0.000 | 42.862 | 0.000 | 0.000 |
| -0.000 | 0.000 | -0.000 | 0.000 | 42.862 | 0.000 |
| 0.000 | 0.000 | 0.000 | -0.000 | 0.000 | 42.862 |
| 198.747 | 101.424 | 101.424 | 0.000 | -0.000 | -0.000 |
| 101.424 | 198.747 | 101.424 | -0.000 | -0.000 | -0.000 |
| 101.424 | 101.424 | 198.747 | -0.000 | 0.000 | -0.000 |
| -0.000 | 0.000 | 0.000 | 42.862 | -0.000 | -0.000 |
| 0.000 | -0.000 | 0.000 | -0.000 | 42.862 | -0.000 |
| 0.000 | 0.000 | -0.000 | 0.000 | -0.000 | 42.862 |
| 198.745 | 101.424 | 101.424 | 0.000 | 0.000 | 0.000 |
| 101.424 | 198.745 | 101.424 | 0.000 | 0.000 | 0.000 |
| 101.424 | 101.424 | 198.745 | 0.000 | -0.000 | 0.000 |
| 0.000 | -0.000 | -0.000 | 42.862 | 0.000 | 0.000 |
| -0.000 | 0.000 | -0.000 | 0.000 | 42.862 | 0.000 |
| -0.000 | -0.000 | 0.000 | -0.000 | -0.000 | 42.862 |
| 203.639 | 98.984 | 98.984 | 0.000 | -0.000 | -0.000 |
| 98.984 | 203.639 | 98.984 | -0.000 | -0.000 | -0.000 |
| 98.984 | 98.984 | 203.639 | -0.000 | 0.000 | -0.000 |
| -0.000 | 0.000 | 0.000 | 42.862 | 0.000 | -0.000 |
| 0.000 | -0.000 | 0.000 | -0.000 | 42.862 | -0.000 |
| 0.000 | 0.000 | -0.000 | -0.000 | -0.000 | 42.862 |
| 203.616 | 98.983 | 98.983 | 0.000 | 0.000 | 0.000 |
| 98.983 | 203.616 | 98.983 | 0.000 | 0.000 | 0.000 |
| 98.983 | 98.983 | 203.616 | 0.000 | 0.000 | 0.000 |
| 0.000 | -0.000 | -0.000 | 42.862 | -0.000 | 0.000 |
| -0.000 | 0.000 | -0.000 | -0.000 | 42.862 | 0.000 |
| -0.000 | -0.000 | 0.000 | 0.000 | -0.000 | 42.862 |
| 153.484 | 131.096 | 131.096 | 0.000 | 0.000 | 0.000 |
| 131.096 | 153.484 | 131.096 | -0.000 | 0.000 | 0.000 |
| 131.096 | 131.096 | 153.484 | -0.000 | 0.000 | -0.000 |
| 0.000 | 0.000 | 0.000 | 80.095 | 0.000 | -0.000 |
| 0.000 | 0.000 | 0.000 | -0.000 | 80.095 | 0.000 |
| 0.000 | 0.000 | 0.000 | -0.000 | 0.000 | 80.095 |
| 153.484 | 131.096 | 131.096 | -0.000 | -0.000 | 0.000 |
| 131.096 | 153.484 | 131.096 | -0.000 | -0.000 | 0.000 |
| 131.096 | 131.096 | 153.484 | -0.000 | -0.000 | -0.000 |
| -0.000 | -0.000 | -0.000 | 80.095 | 0.000 | -0.000 |
| -0.000 | -0.000 | -0.000 | -0.000 | 80.095 | 0.000 |
| -0.000 | -0.000 | -0.000 | 0.000 | -0.000 | 80.095 |
| 153.485 | 131.096 | 131.096 | 0.000 | 0.000 | 0.000 |
| 131.096 | 153.485 | 131.096 | -0.000 | 0.000 | 0.000 |
| 131.096 | 131.096 | 153.485 | 0.000 | 0.000 | -0.000 |
| 0.000 | 0.000 | 0.000 | 80.095 | -0.000 | 0.000 |
| 0.000 | 0.000 | 0.000 | -0.000 | 80.095 | 0.000 |
| 0.000 | 0.000 | 0.000 | 0.000 | 0.000 | 80.095 |
| 153.484 | 131.096 | 131.096 | 0.000 | -0.000 | -0.000 |
| 131.096 | 153.484 | 131.096 | -0.000 | -0.000 | -0.000 |
| 131.096 | 131.096 | 153.484 | 0.000 | -0.000 | -0.000 |
| -0.000 | -0.000 | -0.000 | 80.095 | -0.000 | -0.000 |
| -0.000 | -0.000 | -0.000 | -0.000 | 80.095 | 0.000 |
| -0.000 | -0.000 | -0.000 | 0.000 | -0.000 | 80.095 |
| 153.490 | 131.096 | 131.096 | 0.000 | 0.000 | -0.000 |
| 131.096 | 153.490 | 131.096 | 0.000 | 0.000 | -0.000 |
| 131.096 | 131.096 | 153.490 | 0.000 | 0.000 | 0.000 |
| 0.000 | 0.000 | 0.000 | 80.095 | 0.000 | -0.000 |
| 0.000 | 0.000 | 0.000 | 0.000 | 80.095 | -0.000 |
| 0.000 | 0.000 | 0.000 | 0.000 | 0.000 | 80.095 |
| 153.479 | 131.096 | 131.096 | 0.000 | -0.000 | -0.000 |
| 131.096 | 153.479 | 131.096 | 0.000 | -0.000 | -0.000 |
| 131.096 | 131.096 | 153.479 | 0.000 | -0.000 | -0.000 |
| -0.000 | -0.000 | -0.000 | 80.095 | -0.000 | 0.000 |
| -0.000 | -0.000 | -0.000 | 0.000 | 80.095 | 0.000 |
| -0.000 | -0.000 | -0.000 | -0.000 | -0.000 | 80.095 |
| 213.955 | 130.806 | 96.075 | -0.000 | 0.000 | 0.000 |
| 107.634 | 237.127 | 96.075 | -0.000 | 0.000 | 0.000 |
| 96.075 | 96.075 | 305.269 | -0.000 | 0.000 | 0.000 |
| -0.000 | -0.000 | -0.000 | 53.194 | 0.000 | 0.000 |
| -0.000 | -0.000 | -0.000 | -0.000 | 53.194 | 0.000 |
| 0.000 | 0.000 | -0.000 | -0.000 | 0.000 | 41.574 |
| 213.955 | 130.806 | 96.075 | 0.000 | -0.000 | -0.000 |
| 130.806 | 213.955 | 96.075 | 0.000 | -0.000 | -0.000 |
| 96.075 | 96.075 | 305.269 | 0.000 | -0.000 | -0.000 |
| 0.000 | 0.000 | 0.000 | 53.194 | -0.000 | -0.000 |
| 0.000 | 0.000 | 0.000 | 0.000 | 53.194 | -0.000 |
| -0.000 | -0.000 | 0.000 | 0.000 | -0.000 | 41.574 |
| 237.128 | 107.634 | 96.075 | -0.000 | 0.000 | 0.000 |
| 130.807 | 213.956 | 96.075 | 0.000 | 0.000 | 0.000 |
| 96.075 | 96.075 | 305.267 | -0.000 | 0.000 | 0.000 |
| -0.000 | -0.000 | -0.000 | 53.194 | 0.000 | 0.000 |
| -0.000 | -0.000 | -0.000 | -0.000 | 53.194 | 0.000 |
| 0.000 | 0.000 | -0.000 | -0.000 | 0.000 | 41.574 |
| 213.954 | 130.806 | 96.076 | 0.000 | -0.000 | -0.000 |
| 107.634 | 237.126 | 96.076 | 0.000 | -0.000 | -0.000 |
| 96.076 | 96.076 | 305.270 | 0.000 | -0.000 | -0.000 |
| 0.000 | 0.000 | 0.000 | 53.194 | -0.000 | -0.000 |
| 0.000 | 0.000 | 0.000 | 0.000 | 53.194 | -0.000 |
| -0.000 | -0.000 | 0.000 | 0.000 | -0.000 | 41.574 |
| 213.967 | 130.808 | 96.072 | 0.000 | 0.000 | 0.000 |
| 130.811 | 213.964 | 96.072 | -0.000 | 0.000 | 0.000 |
| 96.072 | 96.072 | 305.255 | -0.000 | 0.000 | 0.000 |
| -0.000 | -0.001 | -0.003 | 53.194 | 0.000 | 0.000 |
| -0.001 | -0.001 | -0.003 | -0.000 | 53.194 | 0.000 |
| 0.002 | 0.003 | -0.000 | -0.000 | 0.000 | 64.746 |
| 237.114 | 107.633 | 96.077 | 0.000 | -0.000 | -0.000 |
| 130.802 | 213.946 | 96.079 | 0.000 | -0.000 | -0.000 |
| 96.079 | 96.079 | 305.283 | 0.000 | -0.000 | -0.000 |
| 0.000 | 0.001 | 0.003 | 53.194 | -0.000 | -0.000 |
| 0.001 | 0.001 | 0.003 | 0.000 | 53.194 | -0.000 |
| -0.002 | -0.003 | 0.000 | 0.000 | -0.000 | 64.746 |
| 221.899 | 137.283 | 105.917 | -0.000 | -0.000 | 0.000 |
| 137.283 | 221.899 | 105.917 | -0.000 | -0.000 | 0.000 |
| 105.917 | 105.917 | 358.037 | -0.000 | -0.000 | -0.000 |
| 0.000 | 0.000 | 0.000 | 63.881 | -0.000 | -0.000 |
| 0.000 | 0.000 | 0.000 | 0.000 | 63.881 | -0.000 |
| 0.000 | 0.000 | 0.000 | -0.000 | 0.000 | 42.308 |
| 221.898 | 137.283 | 105.917 | 0.000 | -0.000 | -0.000 |
| 137.283 | 221.898 | 105.917 | 0.000 | -0.000 | 0.000 |
| 105.917 | 105.917 | 358.037 | -0.000 | -0.000 | 0.000 |
| -0.000 | -0.000 | -0.000 | 63.881 | 0.000 | 0.000 |
| -0.000 | -0.000 | -0.000 | 0.000 | 63.881 | -0.000 |
| -0.000 | -0.000 | -0.000 | -0.000 | 0.000 | 42.308 |
| 221.902 | 137.284 | 105.918 | -0.000 | -0.000 | 0.000 |
| 110.818 | 248.366 | 105.918 | 0.000 | 0.000 | -0.000 |
| 105.917 | 105.917 | 358.037 | 0.000 | -0.000 | -0.000 |
| 0.000 | 0.000 | 0.000 | 63.881 | 0.000 | -0.000 |
| 0.000 | 0.000 | 0.000 | -0.000 | 63.881 | -0.000 |
| 0.001 | 0.001 | 0.000 | 0.000 | 0.000 | 42.308 |
| 248.361 | 110.817 | 105.917 | -0.000 | -0.000 | 0.000 |
| 110.817 | 248.360 | 105.917 | -0.000 | -0.000 | 0.000 |
| 105.917 | 105.917 | 358.037 | -0.000 | -0.000 | -0.000 |
| -0.000 | -0.000 | -0.000 | 63.881 | -0.000 | 0.000 |
| -0.000 | -0.000 | -0.000 | -0.000 | 63.881 | 0.000 |
| -0.001 | -0.001 | -0.000 | -0.000 | 0.000 | 42.308 |
| 221.931 | 137.290 | 105.922 | 0.000 | -0.000 | -0.000 |
| 110.823 | 248.392 | 105.920 | 0.000 | 0.000 | -0.000 |
| 105.917 | 105.917 | 358.036 | -0.000 | -0.000 | -0.000 |
| 0.001 | 0.004 | 0.001 | 63.881 | 0.000 | -0.000 |
| 0.004 | 0.001 | 0.001 | -0.000 | 63.881 | -0.000 |
| 0.011 | 0.007 | 0.003 | -0.000 | 0.000 | 42.308 |
| 248.335 | 110.813 | 105.914 | -0.000 | -0.000 | 0.000 |
| 137.285 | 221.857 | 105.913 | 0.000 | -0.000 | 0.000 |
| 105.917 | 105.917 | 358.038 | 0.000 | -0.000 | 0.000 |
| -0.001 | -0.004 | -0.001 | 63.881 | 0.000 | 0.000 |
| -0.004 | -0.001 | -0.001 | -0.000 | 63.881 | 0.000 |
| -0.011 | -0.007 | -0.003 | 0.000 | -0.000 | 42.308 |
| 10.859 | 17.894 | 17.894 | -0.000 | -0.000 | -0.000 |
| 17.894 | 10.859 | 17.894 | -0.000 | -0.000 | -0.000 |
| 17.894 | 17.894 | 10.859 | -0.000 | -0.000 | -0.000 |
| -0.000 | -0.000 | -0.000 | -23.645 | -0.000 | -0.000 |
| -0.000 | -0.000 | -0.000 | -0.000 | -23.645 | -0.000 |
| -0.000 | -0.000 | -0.000 | -0.000 | -0.000 | -23.645 |
| 10.859 | 17.894 | 17.894 | 0.000 | 0.000 | 0.000 |
| 17.894 | 10.859 | 17.894 | 0.000 | 0.000 | 0.000 |
| 17.894 | 17.894 | 10.859 | 0.000 | 0.000 | 0.000 |
| 0.000 | 0.000 | 0.000 | -23.645 | 0.000 | 0.000 |
| 0.000 | 0.000 | 0.000 | 0.000 | -23.645 | 0.000 |
| 0.000 | 0.000 | 0.000 | 0.000 | 0.000 | -23.645 |
| 10.859 | 17.894 | 17.894 | -0.000 | -0.000 | -0.000 |
| 17.894 | 10.859 | 17.894 | -0.000 | -0.000 | -0.000 |
| 17.894 | 17.894 | 10.859 | -0.000 | -0.000 | -0.000 |
| -0.000 | -0.000 | -0.000 | 5.887 | -0.000 | -0.000 |
| -0.000 | -0.000 | -0.000 | -0.000 | 5.887 | 0.000 |
| -0.000 | -0.000 | -0.000 | -0.000 | 0.000 | 5.887 |
| 10.858 | 17.894 | 17.894 | 0.000 | 0.000 | 0.000 |
| 17.894 | 10.858 | 17.894 | 0.000 | 0.000 | 0.000 |
| 17.894 | 17.894 | 10.858 | 0.000 | 0.000 | 0.000 |
| 0.000 | 0.000 | 0.000 | 5.887 | -0.000 | -0.000 |
| 0.000 | 0.000 | 0.000 | -0.000 | 5.887 | -0.000 |
| 0.000 | 0.000 | 0.000 | -0.000 | -0.000 | 5.887 |
| 10.860 | 17.893 | 17.893 | -0.000 | -0.000 | -0.000 |
| 17.893 | 10.860 | 17.893 | -0.000 | -0.000 | -0.000 |
| 17.893 | 17.893 | 10.860 | -0.000 | -0.000 | -0.000 |
| -0.000 | -0.000 | -0.000 | -23.645 | -0.000 | -0.000 |
| -0.000 | -0.000 | -0.000 | -0.000 | -23.645 | -0.000 |
| -0.000 | -0.000 | -0.000 | -0.000 | -0.000 | -23.645 |
| 10.857 | 17.894 | 17.894 | 0.000 | 0.000 | 0.000 |
| 17.894 | 10.857 | 17.894 | 0.000 | 0.000 | 0.000 |
| 17.894 | 17.894 | 10.857 | 0.000 | 0.000 | 0.000 |
| 0.000 | 0.000 | 0.000 | -23.645 | 0.000 | 0.000 |
| 0.000 | 0.000 | 0.000 | 0.000 | -23.645 | 0.000 |
| 0.000 | 0.000 | 0.000 | 0.000 | 0.000 | -23.645 |
| 126.146 | -15.015 | 37.341 | 0.000 | -0.000 | 0.000 |
| -15.015 | 126.146 | 37.341 | 0.000 | -0.000 | -0.000 |
| 37.341 | 37.341 | 277.634 | 0.000 | 0.000 | -0.000 |
| 0.000 | 0.000 | 0.000 | -9.929 | -0.000 | -0.000 |
| 0.000 | 0.000 | 0.000 | 0.000 | -9.929 | 0.000 |
| 0.000 | 0.000 | 0.000 | 0.000 | -0.000 | -62.218 |
| 126.145 | -15.015 | 37.341 | -0.000 | 0.000 | -0.000 |
| -15.015 | 126.145 | 37.341 | -0.000 | 0.000 | -0.000 |
| 37.341 | 37.341 | 277.634 | -0.000 | 0.000 | 0.000 |
| -0.000 | -0.000 | -0.000 | -9.929 | 0.000 | -0.000 |
| -0.000 | -0.000 | 0.000 | -0.000 | -9.929 | -0.000 |
| -0.000 | -0.000 | -0.000 | -0.000 | 0.000 | -62.218 |
| 25.706 | 85.426 | 37.341 | 0.000 | 0.000 | -0.000 |
| 85.426 | 25.706 | 37.341 | 0.000 | 0.000 | 0.000 |
| 37.341 | 37.341 | 277.632 | 0.000 | -0.000 | -0.000 |
| 0.000 | 0.000 | 0.000 | -9.929 | -0.000 | 0.000 |
| 0.000 | 0.000 | 0.000 | -0.000 | -9.929 | 0.000 |
| 0.000 | 0.000 | 0.000 | 0.000 | -0.000 | -62.218 |
| 126.143 | -15.016 | 37.341 | 0.000 | 0.000 | -0.000 |
| -15.016 | 126.143 | 37.341 | -0.000 | 0.000 | 0.000 |
| 37.341 | 37.341 | 277.636 | -0.000 | 0.000 | 0.000 |
| -0.000 | -0.000 | -0.000 | -9.929 | 0.000 | 0.000 |
| -0.000 | -0.000 | -0.000 | -0.000 | -9.929 | -0.000 |
| -0.000 | -0.000 | -0.000 | 0.000 | 0.000 | -62.218 |
| -561114.502 | -765881.130 | 151316.624 | 25901.350 | -212268.195 | -12060.793 |
| 1298992.532 | 1277413.536 | -246892.923 | 933427.124 | -119821.450 | -821773.281 |
| 37.341 | 37.341 | 277.618 | 0.000 | -0.000 | -0.000 |
| 0.001 | 0.001 | 0.000 | -21.115 | -0.000 | -0.000 |
| 0.001 | 0.001 | 0.000 | 0.000 | -21.115 | -0.000 |
| 0.001 | 0.001 | 0.001 | -0.000 | 0.000 | -62.218 |
| -1699205.381 | -928680.744 | -215590.999 | 125878.313 | 385314.614 | -106878.932 |
| -1096735.583 | 72718.500 | -800700.846 | 49459.859 | -198984.869 | -729048.319 |
| 37.341 | 37.341 | 277.650 | 0.000 | 0.000 | 0.000 |
| -0.001 | -0.001 | -0.000 | -21.115 | 0.000 | 0.000 |
| -0.001 | -0.001 | -0.000 | -0.000 | -21.115 | 0.000 |
| -0.001 | -0.001 | -0.001 | -0.000 | -0.000 | -62.218 |
| 42.493 | 57.709 | 135.993 | -35.706 | -0.000 | -0.000 |
| 57.709 | 42.493 | 135.993 | 35.706 | -0.000 | -0.000 |
| 125.472 | 125.472 | 125.043 | 0.000 | -0.000 | -0.000 |
| -35.706 | 35.706 | 0.000 | 47.976 | -0.000 | -0.000 |
| 0.000 | 0.000 | 0.000 | -0.000 | 47.976 | -35.706 |
| 0.000 | -0.000 | 0.000 | -0.000 | -35.706 | -7.608 |
| 42.493 | 57.709 | 135.993 | -35.706 | 0.000 | 0.000 |
| 57.709 | 42.493 | 135.993 | 35.706 | -0.000 | 0.000 |
| 125.472 | 125.472 | 125.043 | 0.000 | 0.000 | 0.000 |
| -35.706 | 35.706 | -0.000 | 47.976 | 0.000 | 0.000 |
| -0.000 | -0.000 | -0.000 | 0.000 | 47.976 | -35.706 |
| -0.000 | 0.000 | -0.000 | 0.000 | -35.706 | -7.608 |
| 42.492 | 57.709 | 135.993 | -35.706 | -0.000 | -0.000 |
| 57.709 | 42.493 | 135.993 | 35.706 | -0.000 | -0.000 |
| 125.472 | 125.472 | 125.044 | 0.000 | -0.000 | -0.000 |
| -35.706 | 35.706 | 0.000 | 47.976 | -0.000 | -0.000 |
| 0.000 | 0.000 | 0.000 | -0.000 | 47.976 | -35.706 |
| -0.000 | -0.000 | 0.000 | -0.000 | -35.706 | -7.608 |
| 42.493 | 57.709 | 135.993 | -35.706 | 0.000 | 0.000 |
| 57.709 | 42.493 | 135.993 | 35.706 | 0.000 | 0.000 |
| 125.472 | 125.472 | 125.043 | 0.000 | 0.000 | 0.000 |
| -35.706 | 35.706 | -0.000 | 47.976 | 0.000 | 0.000 |
| -0.000 | -0.000 | -0.000 | 0.000 | 47.976 | -35.706 |
| 0.000 | 0.000 | -0.000 | 0.000 | -35.706 | -7.608 |
| 42.490 | 57.709 | 135.994 | -35.707 | -0.000 | -0.000 |
| 57.708 | 42.490 | 135.994 | 35.707 | -0.000 | -0.000 |
| 125.474 | 125.474 | 125.049 | -0.000 | -0.000 | -0.000 |
| -35.705 | 35.707 | 0.002 | 47.977 | -0.000 | -0.000 |
| 0.001 | 0.000 | 0.002 | -0.001 | 47.976 | -35.706 |
| -0.000 | -0.001 | 0.000 | -0.000 | -35.706 | -7.608 |
| 42.496 | 57.709 | 135.992 | -35.705 | 0.000 | 0.000 |
| 57.710 | 42.495 | 135.992 | 35.704 | 0.000 | 0.000 |
| 125.470 | 125.470 | 125.037 | 0.000 | 0.000 | 0.000 |
| -35.706 | 35.705 | -0.002 | 47.975 | 0.000 | 0.000 |
| -0.001 | -0.000 | -0.002 | 0.001 | 47.976 | -35.706 |
| 0.000 | 0.001 | -0.000 | 0.000 | -35.706 | -7.608 |
| 165.941 | 25.099 | 25.099 | -0.000 | 0.000 | 0.000 |
| 25.099 | 165.941 | 25.099 | -0.000 | -0.000 | 0.000 |
| 25.099 | 25.099 | 165.941 | -0.000 | -0.000 | 0.000 |
| 0.000 | 0.000 | 0.000 | -27.855 | -0.000 | 0.000 |
| 0.000 | 0.000 | 0.000 | 0.000 | -27.855 | 0.000 |
| 0.000 | 0.000 | -0.000 | -0.000 | 0.000 | -27.855 |
| 165.940 | 25.099 | 25.099 | -0.000 | -0.000 | -0.000 |
| 25.099 | 165.940 | 25.099 | -0.000 | -0.000 | -0.000 |
| 25.099 | 25.099 | 165.940 | -0.000 | -0.000 | -0.000 |
| -0.000 | -0.000 | -0.000 | -27.855 | 0.000 | -0.000 |
| -0.000 | -0.000 | -0.000 | -0.000 | -27.855 | -0.000 |
| -0.000 | -0.000 | 0.000 | 0.000 | 0.000 | -27.855 |
| 165.942 | 25.099 | 25.099 | -0.000 | 0.000 | 0.000 |
| 25.099 | 165.942 | 25.099 | 0.000 | 0.000 | 0.000 |
| 25.099 | 25.099 | 165.942 | -0.000 | 0.000 | 0.000 |
| 0.000 | 0.000 | 0.000 | -27.855 | -0.000 | 0.000 |
| 0.000 | 0.000 | 0.000 | 0.000 | -27.855 | 0.000 |
| 0.000 | 0.000 | 0.000 | -0.000 | -0.000 | -27.855 |
| 165.939 | 25.099 | 25.099 | -0.000 | 0.000 | -0.000 |
| 25.099 | 165.939 | 25.099 | 0.000 | -0.000 | -0.000 |
| 25.099 | 25.099 | 165.939 | 0.000 | -0.000 | -0.000 |
| -0.000 | -0.000 | -0.000 | -27.855 | 0.000 | -0.000 |
| -0.000 | -0.000 | -0.000 | -0.000 | -27.855 | -0.000 |
| -0.000 | -0.000 | -0.000 | 0.000 | -0.000 | -27.855 |
| 165.954 | 25.101 | 25.101 | -0.000 | -0.000 | 0.000 |
| 25.101 | 165.954 | 25.101 | -0.000 | 0.000 | 0.000 |
| 25.101 | 25.101 | 165.954 | -0.000 | 0.000 | 0.000 |
| 0.000 | 0.001 | 0.001 | -27.855 | 0.000 | 0.000 |
| 0.001 | 0.000 | 0.001 | -0.000 | -27.855 | 0.000 |
| 0.001 | 0.001 | 0.000 | -0.000 | 0.000 | -27.855 |
| 165.927 | 25.098 | 25.098 | 0.000 | -0.000 | -0.000 |
| 25.098 | 165.927 | 25.098 | -0.000 | -0.000 | -0.000 |
| 25.098 | 25.098 | 165.927 | 0.000 | -0.000 | -0.000 |
| -0.000 | -0.001 | -0.001 | -27.855 | -0.000 | -0.000 |
| -0.001 | -0.000 | -0.001 | 0.000 | -27.855 | -0.000 |
| -0.001 | -0.001 | -0.000 | 0.000 | -0.000 | -27.855 |
| 324.957 | 116.676 | 150.522 | 0.000 | 5.163 | -0.000 |
| 99.228 | 276.312 | 62.607 | 0.000 | 0.819 | -0.000 |
| 142.432 | 62.023 | 302.392 | 0.000 | 2.055 | 0.000 |
| -0.767 | -1.520 | -0.630 | 14.573 | -1.554 | 0.809 |
| 3.658 | -0.192 | 2.435 | -0.000 | 74.679 | -0.000 |
| -1.670 | -3.310 | -1.372 | 1.021 | -3.383 | -59.043 |
| 316.399 | 100.265 | 143.161 | 0.000 | 6.177 | 0.000 |
| 116.694 | 309.884 | 77.578 | 0.000 | 1.527 | 0.000 |
| 150.505 | 77.549 | 309.305 | -0.000 | 2.700 | 0.000 |
| 0.767 | 1.520 | 0.630 | 14.573 | 1.554 | 0.809 |
| 5.405 | 3.272 | 3.871 | -0.000 | 78.234 | 0.000 |
| 1.670 | 3.310 | 1.372 | 1.021 | 3.383 | -59.043 |
| 316.051 | 99.569 | 142.880 | -0.000 | 5.213 | 0.000 |
| 99.628 | 277.106 | 62.937 | 0.000 | 1.596 | -0.000 |
| 142.852 | 62.852 | 302.741 | -0.000 | 2.834 | -0.000 |
| -0.078 | -0.155 | -0.064 | 14.573 | -0.158 | 0.808 |
| 4.446 | 1.368 | 3.083 | 0.000 | 76.228 | -0.000 |
| -0.168 | -0.334 | -0.138 | 1.019 | -0.341 | -59.855 |
| 316.131 | 99.725 | 142.945 | -0.000 | 5.387 | -0.000 |
| 99.710 | 277.264 | 63.004 | -0.000 | 1.768 | 0.000 |
| 142.926 | 63.000 | 302.795 | -0.000 | 3.008 | 0.000 |
| 0.078 | 0.155 | 0.064 | 14.573 | 0.158 | 0.808 |
| 4.622 | 1.717 | 3.228 | -0.000 | 76.582 | 0.000 |
| 0.168 | 0.334 | 0.138 | 1.019 | 0.341 | -59.855 |
| 316.073 | 99.631 | 142.897 | -0.000 | 5.478 | -0.000 |
| 99.658 | 277.182 | 62.963 | 0.000 | 1.674 | 0.000 |
| 142.879 | 62.919 | 302.787 | 0.000 | 3.185 | -0.000 |
| -0.013 | -0.026 | -0.011 | 14.573 | -0.027 | 0.751 |
| 4.521 | 1.522 | 3.146 | 0.000 | 76.385 | 0.000 |
| -0.020 | -0.042 | -0.016 | 1.019 | -0.033 | -59.863 |
| 316.101 | 99.660 | 142.914 | 0.000 | 5.526 | 0.000 |
| 99.666 | 277.168 | 62.960 | 0.000 | 1.972 | 0.000 |
| 142.894 | 62.940 | 302.734 | 0.000 | 3.223 | 0.000 |
| 0.013 | 0.026 | 0.011 | 14.573 | 0.027 | 0.751 |
| 4.597 | 1.660 | 3.209 | -0.000 | 76.425 | 0.000 |
| 0.020 | 0.042 | 0.016 | 1.019 | 0.033 | -59.863 |
| 692.186 | 621.580 | 1707.101 | 11.560 | -0.000 | 0.000 |
| 621.784 | 692.389 | 1707.695 | -11.559 | 0.000 | 0.000 |
| 2709.258 | 2709.258 | 8643.436 | -0.000 | -0.000 | 0.000 |
| 2684.652 | 2669.222 | 8561.465 | 14.398 | -0.000 | 0.000 |
| 2713.547 | 2713.547 | 8653.511 | 0.000 | 14.646 | 7.800 |
| 2713.541 | 2713.541 | 8653.490 | 0.000 | 7.800 | 32.994 |
| -2608.827 | -2674.816 | -8656.904 | 7.802 | 0.000 | -0.000 |
| 47.591 | 119.209 | 32.228 | -12.371 | -0.000 | -0.000 |
| -2676.791 | -2676.791 | -8561.071 | 0.000 | -0.000 | -0.000 |
| -2706.027 | -2721.626 | -8654.325 | 14.646 | -0.000 | -0.000 |
| -2713.547 | -2713.547 | -8653.511 | -0.000 | 14.646 | 7.800 |
| -2713.541 | -2713.541 | -8653.490 | -0.000 | 7.800 | 32.994 |
| 172.223 | 101.596 | 188.469 | 11.577 | -0.000 | 0.000 |
| 308.211 | 373.740 | 856.339 | -6.872 | 0.000 | 0.000 |
| 76.752 | 76.752 | 231.940 | 0.000 | -0.000 | 0.000 |
| 12.371 | -12.371 | -0.000 | 22.300 | -0.000 | 0.000 |
| 57.811 | 57.811 | 168.842 | 0.000 | 20.950 | 11.557 |
| 267.666 | 267.666 | 856.081 | 0.000 | 7.714 | 32.996 |
| 119.210 | 47.591 | 32.228 | 12.371 | -0.000 | -0.000 |
| -14.081 | 56.499 | -149.451 | -11.538 | -0.000 | -0.000 |
| -273.792 | -273.792 | -869.625 | -0.000 | 0.000 | -0.000 |
| -263.622 | -279.220 | -865.564 | 14.644 | 0.000 | -0.000 |
| -57.811 | -57.811 | -168.842 | -0.000 | 20.950 | 11.557 |
| -267.666 | -267.666 | -856.081 | -0.000 | 7.714 | 32.996 |
| 129.281 | 62.578 | 73.610 | 8.389 | -0.000 | 0.000 |
| 68.086 | 133.346 | 88.001 | -6.637 | 0.000 | 0.000 |
| 29.163 | 29.163 | 93.388 | 0.000 | 0.000 | 0.000 |
| 17.582 | -5.454 | 17.711 | 20.883 | 0.000 | -0.000 |
| 27.761 | 27.762 | 88.554 | 0.000 | 14.466 | 7.692 |
| -0.001 | -0.003 | -0.000 | 0.000 | 12.371 | 35.809 |
| 119.219 | 47.591 | 32.229 | 12.371 | -0.000 | -0.000 |
| 47.593 | 119.217 | 32.229 | -12.371 | -0.000 | -0.000 |
| 7.903 | 7.903 | 30.418 | -0.000 | 0.000 | -0.000 |
| 5.451 | -17.583 | -17.717 | 20.883 | 0.000 | -0.000 |
| -27.761 | -27.762 | -88.554 | -0.000 | 14.466 | 7.692 |
| 0.001 | 0.003 | 0.000 | -0.000 | 12.371 | 35.809 |
| 120.763 | 48.069 | 32.243 | -12.343 | 0.000 | 0.000 |
| 48.069 | 120.763 | 32.243 | 12.343 | 0.000 | 0.000 |
| 32.243 | 32.243 | 102.429 | 0.000 | -0.000 | 0.000 |
| -12.343 | 12.343 | 0.000 | 22.339 | 0.000 | 0.000 |
| -0.000 | 0.000 | 0.000 | -0.000 | 22.339 | -12.343 |
| -0.000 | -0.000 | 0.000 | -0.000 | -12.343 | 36.347 |
| 219.661 | 147.735 | 329.554 | -11.727 | -0.000 | -0.000 |
| 48.069 | 120.763 | 32.243 | 12.343 | -0.000 | -0.000 |
| 32.243 | 32.243 | 102.429 | -0.000 | -0.000 | -0.000 |
| -12.343 | 12.343 | -0.000 | 22.339 | -0.000 | -0.000 |
| 0.000 | -0.000 | -0.000 | 0.000 | 22.339 | -12.343 |
| 0.000 | 0.000 | -0.000 | -0.000 | -12.343 | 36.347 |
| 120.762 | 48.069 | 32.243 | -12.343 | 0.000 | 0.000 |
| 48.069 | 120.763 | 32.243 | 12.343 | 0.000 | 0.000 |
| 11.095 | 11.095 | 39.193 | -0.000 | 0.000 | 0.000 |
| -29.205 | -7.497 | -54.006 | 19.839 | 0.000 | 0.000 |
| -0.000 | -0.000 | -0.000 | -0.000 | 22.339 | -12.343 |
| -10.278 | -10.279 | -30.767 | -0.000 | -11.719 | 35.958 |
| 120.753 | 48.066 | 32.243 | -12.343 | -0.000 | -0.000 |
| 55.744 | 127.716 | 54.272 | 11.773 | -0.000 | -0.000 |
| 36.518 | 36.518 | 114.226 | -0.000 | -0.000 | -0.000 |
| -12.343 | 12.343 | 0.000 | 22.339 | -0.000 | -0.000 |
| 0.000 | 0.000 | 0.000 | 0.000 | 22.339 | -12.343 |
| 10.278 | 10.279 | 30.767 | 0.000 | -11.719 | 35.958 |
| 114.588 | 43.205 | 15.956 | -11.298 | 0.000 | -0.000 |
| 43.203 | 114.590 | 15.956 | 11.298 | 0.000 | 0.000 |
| 32.242 | 32.242 | 102.427 | 0.000 | 0.000 | 0.000 |
| -13.086 | 9.305 | -5.658 | 20.429 | 0.000 | 0.000 |
| -0.001 | -0.000 | -0.001 | -0.000 | 22.339 | -12.343 |
| 0.005 | -0.001 | -0.000 | -0.000 | -12.343 | 36.344 |
| 118.205 | 46.734 | 26.644 | -11.364 | -0.000 | -0.000 |
| 43.692 | 110.848 | 9.711 | 7.842 | -0.000 | -0.000 |
| 3.321 | 3.321 | 10.360 | -0.000 | -0.000 | -0.000 |
| -4.329 | 12.685 | 12.186 | 15.877 | -0.000 | -0.000 |
| 0.001 | 0.000 | 0.001 | 0.000 | 22.339 | -12.343 |
| -0.005 | 0.001 | 0.000 | 0.000 | -12.343 | 36.344 |
| 110.732 | 38.617 | 16.038 | -11.946 | 0.000 | -0.000 |
| 36.454 | 107.535 | 8.352 | 11.104 | 0.000 | -0.000 |
| 32.201 | 32.201 | 102.294 | -0.000 | 0.000 | -0.000 |
| -20.183 | 3.710 | -12.106 | 21.677 | 0.000 | -0.000 |
| -0.000 | -0.000 | -0.000 | -0.000 | 22.310 | -12.326 |
| -8.235 | -8.235 | -12.102 | -0.000 | -11.947 | 36.058 |
| 120.590 | 48.001 | 32.201 | -12.326 | -0.000 | 0.000 |
| 48.001 | 120.590 | 32.201 | 12.326 | -0.000 | 0.000 |
| 32.201 | 32.201 | 102.294 | -0.000 | -0.000 | 0.000 |
| -3.710 | 20.183 | 12.106 | 21.677 | -0.000 | 0.000 |
| 0.000 | 0.000 | 0.000 | 0.000 | 22.310 | -12.326 |
| 8.235 | 8.235 | 12.102 | 0.000 | -11.947 | 36.058 |
| 120.589 | 48.001 | 32.200 | -12.326 | 0.000 | -0.000 |
| 48.001 | 120.589 | 32.200 | 12.326 | 0.000 | -0.000 |
| 32.200 | 32.200 | 102.294 | -0.000 | 0.000 | -0.000 |
| -12.326 | 12.326 | -0.000 | 22.310 | 0.000 | -0.000 |
| -0.000 | -0.000 | -0.000 | -0.000 | 22.310 | -12.326 |
| -0.836 | -0.836 | -1.228 | -0.000 | -11.941 | 36.055 |
| 120.592 | 48.001 | 32.201 | -12.326 | -0.000 | 0.000 |
| 48.002 | 120.591 | 32.201 | 12.326 | -0.000 | 0.000 |
| 27.081 | 27.081 | 85.028 | 0.000 | -0.000 | 0.000 |
| -12.326 | 12.326 | 0.000 | 22.310 | -0.000 | 0.000 |
| 0.000 | 0.000 | 0.000 | 0.000 | 22.310 | -12.326 |
| 0.836 | 0.836 | 1.228 | 0.000 | -11.941 | 36.055 |
| 120.591 | 48.004 | 32.200 | -12.327 | 0.000 | -0.000 |
| 47.998 | 120.594 | 32.200 | 12.327 | 0.000 | -0.000 |
| -0.052 | -0.052 | -0.020 | 0.000 | -0.000 | -0.000 |
| -12.327 | 12.326 | -0.001 | 22.310 | 0.000 | -0.000 |
| -0.338 | -0.338 | -0.497 | -0.000 | 19.716 | -10.768 |
| 0.000 | -0.003 | -0.000 | -0.000 | -12.326 | 36.296 |
| 120.603 | 48.003 | 32.201 | -12.326 | -0.000 | 0.000 |
| 40.806 | 108.558 | 2.321 | 8.356 | -0.000 | 0.000 |
| 32.201 | 32.201 | 102.295 | 0.000 | -0.000 | 0.000 |
| -12.326 | 12.327 | 0.001 | 22.310 | -0.000 | 0.000 |
| 0.338 | 0.338 | 0.497 | 0.000 | 19.716 | -10.768 |
| -0.000 | 0.003 | 0.000 | 0.000 | -12.326 | 36.296 |
| 222.485 | 111.899 | 163.810 | 0.000 | 0.000 | 0.000 |
| 94.931 | 184.526 | 94.812 | 0.000 | -0.000 | 0.000 |
| 135.318 | 95.394 | 193.597 | 0.000 | 0.000 | 0.000 |
| -0.451 | -0.259 | -0.450 | -19.599 | -0.000 | 0.000 |
| 0.000 | 0.000 | 0.000 | 0.000 | 94.976 | -0.000 |
| -0.450 | -0.258 | -0.449 | 0.000 | -0.000 | -20.055 |
| 194.231 | 95.687 | 135.619 | -0.000 | 0.000 | -0.000 |
| 111.379 | 193.963 | 111.223 | -0.000 | 0.000 | -0.000 |
| 163.809 | 111.741 | 222.024 | -0.000 | 0.000 | 0.000 |
| 0.451 | 0.259 | 0.450 | -19.599 | 0.000 | 0.000 |
| -0.000 | -0.000 | -0.000 | -0.000 | 94.976 | -0.000 |
| 0.450 | 0.258 | 0.449 | -0.000 | 0.000 | -20.055 |
| 222.486 | 111.899 | 163.811 | 0.000 | -0.000 | 0.000 |
| 95.067 | 184.604 | 94.948 | 0.000 | 0.000 | -0.000 |
| 135.455 | 95.472 | 193.733 | 0.000 | 0.000 | 0.000 |
| 0.000 | -0.000 | -0.000 | 42.819 | -0.000 | 0.000 |
| 0.000 | 0.000 | 0.000 | -0.000 | 94.976 | 0.000 |
| -0.045 | -0.026 | -0.044 | 0.000 | -0.000 | -20.061 |
| 194.094 | 95.609 | 135.483 | -0.000 | 0.000 | -0.000 |
| 111.379 | 193.963 | 111.223 | -0.000 | -0.000 | -0.000 |
| 163.809 | 111.741 | 222.024 | -0.000 | -0.000 | 0.000 |
| -0.000 | 0.000 | 0.000 | 42.819 | 0.000 | 0.000 |
| -0.000 | -0.000 | -0.000 | 0.000 | 94.976 | -0.000 |
| 0.045 | 0.026 | 0.044 | -0.000 | 0.000 | -20.061 |
| 194.097 | 95.608 | 135.484 | 0.000 | -0.000 | -0.000 |
| 95.089 | 184.622 | 94.969 | 0.000 | -0.000 | 0.000 |
| 135.470 | 95.480 | 193.747 | 0.000 | -0.000 | 0.000 |
| -0.000 | -0.001 | -0.001 | -19.605 | -0.000 | 0.000 |
| 0.002 | 0.000 | 0.002 | 0.000 | 94.976 | 0.000 |
| -0.002 | -0.001 | -0.000 | 0.000 | -0.000 | -20.061 |
| 194.065 | 95.594 | 135.456 | -0.000 | 0.000 | 0.000 |
| 95.073 | 184.601 | 94.954 | -0.000 | 0.000 | -0.000 |
| 135.467 | 95.481 | 193.746 | -0.000 | 0.000 | 0.000 |
| 0.000 | 0.001 | 0.001 | -19.605 | 0.000 | -0.000 |
| -0.002 | -0.000 | -0.002 | -0.000 | 94.976 | 0.000 |
| 0.002 | 0.001 | 0.000 | -0.000 | 0.000 | -20.061 |
| 207.069 | 102.269 | 102.269 | 0.000 | -0.000 | 0.000 |
| 102.269 | 207.069 | 102.269 | 0.000 | -0.000 | -0.000 |
| 102.269 | 102.269 | 207.069 | 0.000 | -0.000 | 0.000 |
| 3.002 | 3.002 | 3.002 | 27.211 | -0.000 | 0.000 |
| 3.002 | 3.002 | 3.002 | 0.000 | 27.211 | 0.000 |
| 3.002 | 3.002 | 3.002 | -0.000 | -0.000 | 27.211 |
| 208.562 | 99.535 | 99.535 | 0.000 | 0.000 | -0.000 |
| 99.535 | 208.562 | 99.535 | 0.000 | 0.000 | -0.000 |
| 99.535 | 99.535 | 208.562 | 0.000 | 0.000 | -0.000 |
| -3.002 | -3.002 | -3.002 | 27.211 | 0.000 | -0.000 |
| -3.002 | -3.002 | -3.002 | -0.000 | 27.211 | -0.000 |
| -3.002 | -3.002 | -3.002 | -0.000 | 0.000 | 27.211 |
| 215.940 | 96.969 | 96.969 | -0.000 | -0.000 | 0.000 |
| 96.969 | 215.940 | 96.969 | 0.000 | 0.000 | -0.000 |
| 96.969 | 96.969 | 215.940 | 0.000 | -0.000 | 0.000 |
| -0.011 | -0.011 | -0.011 | 31.055 | -0.000 | 0.000 |
| -0.011 | -0.011 | -0.011 | 0.000 | 31.055 | 0.000 |
| -0.011 | -0.011 | -0.011 | 0.000 | -0.000 | 31.055 |
| 215.942 | 96.969 | 96.969 | 0.000 | -0.000 | -0.000 |
| 96.969 | 215.942 | 96.969 | -0.000 | 0.000 | -0.000 |
| 96.969 | 96.969 | 215.942 | 0.000 | 0.000 | -0.000 |
| 0.011 | 0.011 | 0.011 | 31.055 | 0.000 | -0.000 |
| 0.011 | 0.011 | 0.011 | 0.000 | 31.055 | -0.000 |
| 0.011 | 0.011 | 0.011 | -0.000 | 0.000 | 31.055 |
| 215.932 | 96.967 | 96.967 | -0.000 | -0.000 | -0.000 |
| 96.967 | 215.932 | 96.967 | -0.000 | -0.000 | 0.000 |
| 96.967 | 96.967 | 215.932 | 0.000 | -0.000 | 0.000 |
| -0.001 | -0.002 | -0.002 | 41.355 | -0.000 | 0.000 |
| -0.002 | -0.001 | -0.002 | -0.000 | 41.355 | 0.000 |
| -0.002 | -0.002 | -0.001 | -0.000 | -0.000 | 41.355 |
| 215.950 | 96.971 | 96.971 | 0.000 | 0.000 | -0.000 |
| 96.971 | 215.950 | 96.971 | 0.000 | 0.000 | 0.000 |
| 96.971 | 96.971 | 215.950 | -0.000 | 0.000 | 0.000 |
| 0.001 | 0.002 | 0.002 | 41.355 | 0.000 | -0.000 |
| 0.002 | 0.001 | 0.002 | 0.000 | 41.355 | -0.000 |
| 0.002 | 0.002 | 0.001 | -0.000 | 0.000 | 41.355 |
| 899.592 | 805.958 | 805.958 | -0.000 | 0.000 | -0.000 |
| 805.958 | 899.592 | 805.958 | 0.000 | 0.000 | -0.000 |
| 805.958 | 805.958 | 899.592 | 0.000 | 0.000 | 0.000 |
| 0.000 | 0.000 | 0.000 | 41.099 | 0.000 | -0.000 |
| 0.000 | 0.000 | 0.000 | 0.000 | 41.099 | -0.000 |
| 0.000 | 0.000 | 0.000 | -0.000 | 0.000 | 41.099 |
| 123.367 | 17.343 | 17.343 | -0.000 | -0.000 | -0.000 |
| 17.343 | 123.367 | 17.343 | 0.000 | -0.000 | 0.000 |
| 17.343 | 17.343 | 123.367 | -0.000 | -0.000 | 0.000 |
| -0.000 | -0.000 | -0.000 | 41.099 | -0.000 | -0.000 |
| -0.000 | -0.000 | -0.000 | -0.000 | 41.099 | 0.000 |
| -0.000 | -0.000 | -0.000 | -0.000 | -0.000 | 41.099 |
| 213.942 | 96.907 | 96.907 | -0.000 | 0.000 | -0.000 |
| 96.907 | 213.942 | 96.907 | 0.000 | 0.000 | 0.000 |
| 96.907 | 96.907 | 213.942 | 0.000 | 0.000 | -0.000 |
| 0.000 | 0.000 | 0.000 | 41.099 | 0.000 | -0.000 |
| 0.000 | 0.000 | 0.000 | 0.000 | 41.099 | -0.000 |
| 0.000 | 0.000 | 0.000 | 0.000 | 0.000 | 41.099 |
| 122.872 | 29.316 | 29.316 | -0.000 | -0.000 | 0.000 |
| 29.316 | 122.872 | 29.316 | 0.000 | -0.000 | 0.000 |
| 29.316 | 29.316 | 122.872 | -0.000 | -0.000 | -0.000 |
| -0.000 | -0.000 | -0.000 | 41.099 | -0.000 | 0.000 |
| -0.000 | -0.000 | -0.000 | 0.000 | 41.099 | 0.000 |
| -0.000 | -0.000 | -0.000 | 0.000 | -0.000 | 41.099 |
| 213.943 | 96.907 | 96.907 | 0.000 | 0.000 | 0.000 |
| 96.907 | 213.943 | 96.907 | 0.000 | 0.000 | -0.000 |
| 96.907 | 96.907 | 213.943 | 0.000 | -0.000 | -0.000 |
| 7.240 | 7.240 | 7.240 | 26.677 | 0.000 | -0.000 |
| 7.240 | 7.240 | 7.240 | -0.000 | 26.677 | -0.000 |
| 7.240 | 7.240 | 7.240 | -0.000 | 0.000 | 26.677 |
| 193.560 | 89.690 | 89.690 | 0.000 | -0.000 | 0.000 |
| 89.690 | 193.560 | 89.690 | 0.000 | -0.000 | -0.000 |
| 89.690 | 89.690 | 193.560 | 0.000 | -0.000 | 0.000 |
| -7.240 | -7.240 | -7.240 | 26.677 | -0.000 | -0.000 |
| -7.240 | -7.240 | -7.240 | 0.000 | 26.677 | 0.000 |
| -7.240 | -7.240 | -7.240 | 0.000 | -0.000 | 26.677 |
| 518.311 | 450.898 | 450.898 | 0.000 | 0.000 | -0.000 |
| 450.898 | 518.311 | 450.898 | 0.000 | -0.000 | -0.000 |
| 450.898 | 450.898 | 518.311 | -0.000 | 0.000 | -0.000 |
| 0.000 | -0.000 | 0.000 | 66.851 | -0.000 | -0.000 |
| 0.000 | 0.000 | 0.000 | -0.000 | 66.851 | 0.000 |
| 0.000 | -0.000 | 0.000 | -0.000 | 0.000 | 66.851 |
| -166.883 | -234.862 | -234.862 | 0.000 | -0.000 | 0.000 |
| -234.862 | -166.883 | -234.862 | -0.000 | -0.000 | 0.000 |
| -234.862 | -234.862 | -166.883 | -0.000 | -0.000 | 0.000 |
| -0.000 | 0.000 | -0.000 | 66.851 | -0.000 | -0.000 |
| -0.000 | -0.000 | -0.000 | -0.000 | 66.851 | 0.000 |
| -0.000 | -0.000 | -0.000 | 0.000 | -0.000 | 66.851 |
| 205.355 | 139.173 | 139.173 | -0.000 | 0.000 | -0.000 |
| 139.173 | 205.355 | 139.173 | -0.000 | 0.000 | -0.000 |
| 139.173 | 139.173 | 205.355 | 0.000 | 0.000 | 0.000 |
| 24.035 | 24.034 | 24.034 | 59.975 | 0.000 | 0.000 |
| 24.034 | 24.035 | 24.034 | 0.000 | 59.975 | 0.000 |
| 24.034 | 24.034 | 24.035 | 0.000 | 0.000 | 59.975 |
| 199.455 | 112.725 | 112.725 | -0.000 | -0.000 | -0.000 |
| 112.725 | 199.455 | 112.725 | 0.000 | -0.000 | 0.000 |
| 112.725 | 112.725 | 199.455 | 0.000 | -0.000 | -0.000 |
| -24.035 | -24.034 | -24.034 | 59.975 | -0.000 | 0.000 |
| -24.034 | -24.035 | -24.034 | -0.000 | 59.975 | 0.000 |
| -24.034 | -24.034 | -24.035 | -0.000 | -0.000 | 59.975 |
| 199.453 | 112.725 | 112.725 | 0.000 | 0.000 | -0.000 |
| 112.725 | 199.453 | 112.725 | -0.000 | 0.000 | -0.000 |
| 112.725 | 112.725 | 199.453 | 0.000 | 0.000 | 0.000 |
| 2.340 | 2.340 | 2.340 | 61.203 | 0.000 | -0.000 |
| 2.340 | 2.340 | 2.340 | -0.000 | 61.203 | -0.000 |
| 2.340 | 2.340 | 2.340 | 0.000 | 0.000 | 61.203 |
| 199.456 | 112.725 | 112.725 | 0.000 | -0.000 | 0.000 |
| 112.725 | 199.456 | 112.725 | -0.000 | -0.000 | 0.000 |
| 112.725 | 112.725 | 199.456 | -0.000 | -0.000 | 0.000 |
| -2.340 | -2.340 | -2.340 | 61.203 | -0.000 | 0.000 |
| -2.340 | -2.340 | -2.340 | -0.000 | 61.203 | 0.000 |
| -2.340 | -2.340 | -2.340 | 0.000 | -0.000 | 61.203 |
| 154.884 | 89.402 | 89.402 | -0.000 | -0.000 | 0.000 |
| 89.402 | 154.884 | 89.402 | -0.000 | 0.000 | 0.000 |
| 89.402 | 89.402 | 154.884 | -0.000 | 0.000 | 0.000 |
| 0.000 | 0.000 | 0.000 | 64.836 | -0.000 | 0.000 |
| 0.000 | 0.000 | 0.000 | -0.000 | 64.836 | 0.000 |
| 0.000 | 0.000 | 0.000 | -0.000 | -0.000 | 64.836 |
| 212.250 | 145.936 | 145.936 | -0.000 | -0.000 | -0.000 |
| 145.936 | 212.250 | 145.936 | 0.000 | -0.000 | -0.000 |
| 145.936 | 145.936 | 212.250 | 0.000 | -0.000 | -0.000 |
| -0.000 | -0.000 | -0.000 | 64.836 | -0.000 | -0.000 |
| -0.000 | -0.000 | -0.000 | 0.000 | 64.836 | -0.000 |
| -0.000 | -0.000 | -0.000 | 0.000 | 0.000 | 64.836 |
| 182.219 | 105.974 | 105.974 | -0.000 | 0.000 | 0.000 |
| 105.974 | 182.219 | 105.974 | -0.000 | -0.000 | 0.000 |
| 105.974 | 105.974 | 182.219 | -0.000 | 0.000 | 0.000 |
| -1.791 | -1.791 | -1.791 | 59.106 | 0.000 | 0.000 |
| -1.791 | -1.791 | -1.791 | -0.000 | 59.106 | 0.000 |
| -1.791 | -1.791 | -1.791 | -0.000 | 0.000 | 59.106 |
| 194.856 | 111.333 | 111.333 | 0.000 | 0.000 | -0.000 |
| 111.333 | 194.856 | 111.333 | 0.000 | 0.000 | 0.000 |
| 111.333 | 111.333 | 194.856 | 0.000 | 0.000 | -0.000 |
| 1.791 | 1.791 | 1.791 | 59.106 | 0.000 | 0.000 |
| 1.791 | 1.791 | 1.791 | 0.000 | 59.106 | -0.000 |
| 1.791 | 1.791 | 1.791 | 0.000 | 0.000 | 59.106 |
| 194.867 | 111.335 | 111.335 | -0.000 | -0.000 | -0.000 |
| 111.335 | 194.867 | 111.335 | -0.000 | -0.000 | 0.000 |
| 111.335 | 111.335 | 194.867 | -0.000 | -0.000 | 0.000 |
| -0.255 | -0.254 | -0.254 | 60.464 | 0.000 | 0.000 |
| -0.254 | -0.255 | -0.254 | -0.000 | 60.464 | 0.000 |
| -0.254 | -0.254 | -0.255 | -0.000 | -0.000 | 60.464 |
| 184.559 | 108.083 | 108.083 | 0.000 | -0.000 | -0.000 |
| 108.083 | 184.559 | 108.083 | 0.000 | -0.000 | -0.000 |
| 108.083 | 108.083 | 184.559 | 0.000 | -0.000 | 0.000 |
| 0.255 | 0.254 | 0.254 | 60.464 | 0.000 | -0.000 |
| 0.254 | 0.255 | 0.254 | 0.000 | 60.464 | -0.000 |
| 0.254 | 0.254 | 0.255 | 0.000 | 0.000 | 60.464 |
| 303.262 | 52.643 | 116.798 | 0.000 | -0.000 | -0.000 |
| 55.721 | 212.643 | 69.472 | 0.000 | -0.000 | -0.000 |
| 116.310 | 53.884 | 179.766 | 0.000 | -0.000 | 0.000 |
| 0.000 | 0.000 | 0.000 | 14.587 | -0.000 | -0.000 |
| 0.211 | 0.449 | 0.996 | -0.000 | 67.766 | -0.000 |
| 1.499 | 3.192 | 7.087 | 0.000 | -0.000 | -5.213 |
| 304.688 | 55.679 | 123.538 | -0.000 | 0.000 | 0.000 |
| 52.148 | 205.036 | 52.583 | -0.000 | 0.000 | 0.000 |
| 123.676 | 69.569 | 214.586 | -0.000 | 0.000 | -0.000 |
| -0.000 | -0.000 | -0.000 | 14.587 | 0.000 | 0.000 |
| -0.211 | -0.449 | -0.996 | 0.000 | 67.766 | 0.000 |
| -1.499 | -3.192 | -7.087 | -0.000 | 0.000 | -5.213 |
| 303.109 | 52.320 | 116.080 | 0.000 | -0.000 | -0.000 |
| 55.721 | 212.643 | 69.472 | 0.000 | -0.000 | -0.000 |
| 116.154 | 53.552 | 179.031 | 0.000 | -0.000 | -0.000 |
| 0.000 | 0.000 | 0.000 | 14.587 | -0.000 | 0.000 |
| 0.021 | 0.045 | 0.100 | 0.000 | 67.766 | 0.000 |
| 92764311.855 | -83326416.186 | -63109694.697 | 0.000 | -0.000 | -98002451.752 |
| 303.075 | 52.245 | 115.915 | -0.000 | 0.000 | -0.000 |
| 52.307 | 205.375 | 53.335 | -0.000 | 0.000 | 0.000 |
| 116.119 | 53.478 | 178.860 | -0.000 | 0.000 | -0.000 |
| -0.000 | -0.000 | -0.000 | 14.587 | 0.000 | 0.000 |
| -0.021 | -0.045 | -0.100 | -0.000 | 67.766 | 0.000 |
| -92764311.855 | 83326416.186 | 63109694.697 | -0.000 | 0.000 | -98002451.752 |
| 304.684 | 55.679 | 123.536 | 0.000 | -0.000 | -0.000 |
| 52.326 | 205.409 | 53.424 | 0.000 | -0.000 | 0.000 |
| 116.137 | 53.518 | 178.985 | 0.000 | -0.000 | -0.000 |
| 0.015 | 0.038 | 0.096 | -246.985 | -0.000 | 0.000 |
| 0.000 | 0.005 | 0.009 | 0.000 | 67.766 | 0.000 |
| 9276411.248 | -8332679.450 | -6310970.289 | -0.000 | 0.000 | -9800202.246 |
| 303.095 | 52.279 | 115.991 | -0.000 | 0.000 | -0.000 |
| 55.720 | 212.647 | 69.472 | -0.000 | 0.000 | 0.000 |
| 116.136 | 53.511 | 178.906 | -0.000 | 0.000 | 0.000 |
| -0.015 | -0.038 | -0.096 | -246.985 | 0.000 | 0.000 |
| -0.000 | -0.005 | -0.009 | -0.000 | 67.766 | 0.000 |
| -9276411.248 | 8332679.450 | 6310970.289 | 0.000 | 0.000 | -9800202.246 |
| 227.336 | 138.618 | 106.490 | -0.000 | -0.000 | -0.000 |
| 139.910 | 198.759 | 104.975 | -0.000 | 0.000 | -0.000 |
| 107.078 | 104.269 | 356.756 | -0.000 | 0.000 | -0.000 |
| 0.065 | -0.073 | 0.001 | 61.859 | -0.000 | -0.000 |
| 0.242 | -0.274 | 0.005 | -0.000 | 64.439 | -0.000 |
| 0.237 | -0.268 | 0.005 | -0.000 | 0.000 | 42.869 |
| 252.903 | 109.691 | 107.001 | 0.000 | -0.000 | 0.000 |
| 139.424 | 199.309 | 104.965 | 0.000 | 0.000 | 0.000 |
| 107.350 | 103.962 | 356.762 | 0.000 | -0.000 | 0.000 |
| -0.065 | 0.074 | -0.001 | 61.859 | -0.000 | 0.000 |
| -0.242 | 0.274 | -0.005 | 0.000 | 64.439 | 0.000 |
| -0.237 | 0.268 | -0.005 | 0.000 | -0.000 | 42.869 |
| 227.117 | 138.865 | 106.486 | -0.000 | 0.000 | -0.000 |
| 139.691 | 199.007 | 104.970 | -0.000 | 0.000 | -0.000 |
| 106.858 | 104.517 | 356.752 | -0.000 | -0.000 | -0.000 |
| 0.006 | -0.006 | 0.000 | 61.859 | 0.000 | -0.000 |
| 0.024 | -0.027 | 0.001 | -0.000 | 64.439 | -0.000 |
| 0.024 | -0.027 | 0.000 | -0.000 | 0.000 | 42.869 |
| 227.069 | 138.920 | 106.485 | 0.000 | -0.000 | 0.000 |
| 139.642 | 199.061 | 104.970 | 0.000 | 0.000 | 0.000 |
| 106.810 | 104.572 | 356.751 | 0.000 | -0.000 | 0.000 |
| -0.006 | 0.006 | -0.000 | 61.859 | -0.000 | 0.000 |
| -0.024 | 0.027 | -0.001 | 0.000 | 64.439 | 0.000 |
| -0.024 | 0.027 | -0.000 | 0.000 | -0.000 | 42.869 |
| 227.091 | 138.891 | 106.485 | -0.000 | 0.000 | -0.000 |
| 139.671 | 199.033 | 104.969 | -0.000 | -0.000 | -0.000 |
| 106.836 | 104.543 | 356.753 | -0.000 | 0.000 | -0.000 |
| 0.000 | -0.002 | 0.000 | 61.859 | 0.000 | -0.000 |
| 0.003 | -0.003 | 0.001 | -0.000 | 64.439 | -0.000 |
| 0.005 | -0.001 | 0.000 | -0.000 | 0.000 | 42.869 |
| 227.095 | 138.894 | 106.486 | 0.000 | -0.000 | 0.000 |
| 139.663 | 199.035 | 104.972 | 0.000 | 0.000 | 0.000 |
| 106.833 | 104.546 | 356.750 | 0.000 | -0.000 | 0.000 |
| -0.000 | 0.002 | -0.000 | 61.859 | -0.000 | 0.000 |
| -0.003 | 0.003 | -0.001 | 0.000 | 64.439 | 0.000 |
| -0.005 | 0.001 | -0.000 | 0.000 | -0.000 | 42.869 |
| 220.732 | 130.745 | 98.505 | 12.940 | -0.000 | 0.000 |
| 128.659 | 222.076 | 96.580 | -12.675 | -0.000 | 0.000 |
| 99.097 | 99.097 | 321.265 | 0.000 | 0.000 | 0.000 |
| 12.940 | -12.940 | 0.000 | 55.970 | 0.000 | 0.000 |
| -0.000 | -0.000 | -0.000 | -0.000 | 56.486 | 9.600 |
| 0.000 | -0.000 | -0.000 | -0.000 | 9.600 | 66.617 |
| 220.732 | 130.745 | 98.505 | 12.940 | -0.000 | -0.000 |
| 130.745 | 220.732 | 98.505 | -12.940 | 0.000 | -0.000 |
| 98.505 | 98.505 | 318.199 | -0.000 | 0.000 | -0.000 |
| 12.940 | -12.940 | -0.000 | 55.970 | 0.000 | -0.000 |
| 0.000 | 0.000 | 0.000 | 0.000 | 56.486 | 9.600 |
| -0.000 | 0.000 | -0.000 | -0.000 | 9.600 | 66.617 |
| 222.076 | 128.658 | 96.580 | 12.675 | -0.000 | 0.000 |
| 109.236 | 242.471 | 99.097 | -9.600 | -0.000 | 0.000 |
| 99.097 | 99.097 | 321.265 | 0.000 | -0.000 | 0.000 |
| 12.940 | -12.940 | -0.000 | 55.970 | -0.000 | 0.000 |
| -0.000 | -0.000 | -0.000 | -0.000 | 55.970 | 12.940 |
| 0.000 | -0.000 | 0.000 | -0.000 | 12.940 | 44.993 |
| 242.471 | 109.236 | 99.097 | 9.600 | 0.000 | -0.000 |
| 128.658 | 222.077 | 96.580 | -12.675 | 0.000 | -0.000 |
| 99.097 | 99.097 | 321.266 | -0.000 | 0.000 | -0.000 |
| 12.940 | -12.940 | 0.000 | 55.970 | -0.000 | -0.000 |
| 0.000 | 0.000 | 0.000 | 0.000 | 55.970 | 12.940 |
| -0.000 | 0.000 | -0.000 | 0.000 | 12.940 | 44.993 |
| 242.468 | 109.236 | 99.096 | 9.600 | -0.000 | 0.000 |
| 109.234 | 242.470 | 99.096 | -9.599 | -0.000 | 0.000 |
| 98.503 | 98.503 | 318.190 | 0.000 | -0.000 | 0.000 |
| 12.939 | -12.941 | -0.002 | 55.971 | -0.000 | 0.000 |
| -0.001 | -0.000 | -0.001 | -0.001 | 56.486 | 9.600 |
| 0.001 | -0.001 | -0.000 | -0.000 | 9.600 | 66.617 |
| 222.079 | 128.659 | 96.582 | 12.675 | -0.000 | -0.000 |
| 128.660 | 222.078 | 96.582 | -12.675 | -0.000 | 0.000 |
| 98.506 | 98.506 | 318.207 | -0.000 | 0.000 | -0.000 |
| 12.940 | -12.939 | 0.002 | 55.969 | 0.000 | -0.000 |
| 0.001 | 0.000 | 0.001 | 0.001 | 56.486 | 9.600 |
| -0.001 | 0.001 | 0.000 | 0.000 | 9.600 | 66.617 |
| 5962.390 | 5900.008 | 5900.008 | 0.000 | 0.000 | -0.000 |
| 5900.008 | 5962.390 | 5900.008 | 0.000 | 0.000 | 0.000 |
| 5900.008 | 5900.008 | 5962.390 | -0.000 | 0.000 | 0.000 |
| 5823.379 | 5823.379 | 5823.379 | 24.167 | 0.000 | 0.000 |
| 5823.379 | 5823.379 | 5823.379 | 0.000 | 24.167 | 0.000 |
| 5823.379 | 5823.379 | 5823.379 | 0.000 | 0.000 | 24.167 |
| -4853.549 | -4915.096 | -4915.096 | -0.000 | -0.000 | -0.000 |
| -4915.096 | -4853.549 | -4915.096 | -0.000 | -0.000 | -0.000 |
| -4915.096 | -4915.096 | -4853.549 | 0.000 | -0.000 | 0.000 |
| -5823.379 | -5823.379 | -5823.379 | 24.167 | -0.000 | 0.000 |
| -5823.379 | -5823.379 | -5823.379 | 0.000 | 24.167 | -0.000 |
| -5823.379 | -5823.379 | -5823.379 | -0.000 | -0.000 | 24.167 |
| 641.084 | 579.538 | 579.538 | 0.000 | 0.000 | -0.000 |
| 579.538 | 641.084 | 579.538 | 0.000 | 0.000 | -0.000 |
| 579.538 | 579.538 | 641.084 | 0.000 | 0.000 | -0.000 |
| 0.000 | 0.000 | 0.000 | 41.179 | 0.000 | -0.000 |
| 0.000 | 0.000 | 0.000 | 0.000 | 41.179 | -0.000 |
| 0.000 | 0.000 | 0.000 | 0.000 | 0.000 | 41.179 |
| -360.022 | -419.446 | -419.446 | -0.000 | -0.000 | -0.000 |
| -419.446 | -360.022 | -419.446 | -0.000 | -0.000 | 0.000 |
| -419.446 | -419.446 | -360.022 | -0.000 | -0.000 | -0.000 |
| -0.000 | -0.000 | -0.000 | 41.179 | -0.000 | -0.000 |
| -0.000 | -0.000 | -0.000 | -0.000 | 41.179 | 0.000 |
| -0.000 | -0.000 | -0.000 | -0.000 | -0.000 | 41.179 |
| 195.318 | 133.110 | 133.110 | 0.000 | 0.000 | -0.000 |
| 133.110 | 195.318 | 133.110 | 0.000 | 0.000 | -0.000 |
| 133.110 | 133.110 | 195.318 | 0.000 | 0.000 | -0.000 |
| 0.001 | 0.001 | 0.001 | 41.179 | 0.000 | -0.000 |
| 0.001 | 0.001 | 0.001 | -0.000 | 41.179 | -0.000 |
| 0.001 | 0.001 | 0.001 | 0.000 | 0.000 | 41.179 |
| 82.194 | 19.624 | 19.624 | -0.000 | -0.000 | 0.000 |
| 19.624 | 82.194 | 19.624 | -0.000 | -0.000 | 0.000 |
| 19.624 | 19.624 | 82.194 | -0.000 | -0.000 | 0.000 |
| -0.001 | -0.001 | -0.001 | 41.179 | -0.000 | -0.000 |
| -0.001 | -0.001 | -0.001 | -0.000 | 41.179 | 0.000 |
| -0.001 | -0.001 | -0.001 | -0.000 | -0.000 | 41.179 |
| 168.170 | 103.589 | 103.589 | -0.000 | 0.000 | -0.000 |
| 103.589 | 168.170 | 103.589 | -0.000 | 0.000 | -0.000 |
| 103.589 | 103.589 | 168.170 | -0.000 | 0.000 | 0.000 |
| 12.156 | 12.156 | 12.156 | 6.564 | -0.000 | 0.000 |
| 12.156 | 12.156 | 12.156 | 0.000 | 6.564 | -0.000 |
| 12.156 | 12.156 | 12.156 | 0.000 | 0.000 | 6.564 |
| 168.170 | 103.589 | 103.589 | 0.000 | -0.000 | 0.000 |
| 103.589 | 168.170 | 103.589 | 0.000 | 0.000 | 0.000 |
| 103.589 | 103.589 | 168.170 | 0.000 | 0.000 | 0.000 |
| -12.156 | -12.156 | -12.156 | 6.564 | -0.000 | 0.000 |
| -12.156 | -12.156 | -12.156 | 0.000 | 6.564 | 0.000 |
| -12.156 | -12.156 | -12.156 | 0.000 | -0.000 | 6.564 |
| 168.170 | 103.589 | 103.589 | -0.000 | 0.000 | -0.000 |
| 103.589 | 168.170 | 103.589 | -0.000 | -0.000 | -0.000 |
| 103.589 | 103.589 | 168.170 | 0.000 | 0.000 | 0.000 |
| 0.000 | 0.000 | 0.000 | 40.694 | 0.000 | 0.000 |
| 0.000 | 0.000 | 0.000 | -0.000 | 40.694 | -0.000 |
| 0.000 | 0.000 | 0.000 | -0.000 | 0.000 | 40.694 |
| 137.741 | 75.950 | 75.950 | -0.000 | -0.000 | 0.000 |
| 75.950 | 137.741 | 75.950 | 0.000 | -0.000 | 0.000 |
| 75.950 | 75.950 | 137.741 | 0.000 | 0.000 | 0.000 |
| -0.000 | -0.000 | -0.000 | 40.694 | -0.000 | 0.000 |
| -0.000 | -0.000 | -0.000 | -0.000 | 40.694 | 0.000 |
| -0.000 | -0.000 | -0.000 | 0.000 | -0.000 | 40.694 |
| 168.172 | 103.591 | 103.591 | 0.000 | -0.000 | -0.000 |
| 103.591 | 168.172 | 103.591 | -0.000 | 0.000 | -0.000 |
| 103.591 | 103.591 | 168.172 | -0.000 | -0.000 | -0.000 |
| -0.056 | -0.056 | -0.056 | 6.092 | 0.000 | -0.000 |
| -0.056 | -0.056 | -0.056 | -0.000 | 6.092 | -0.000 |
| -0.056 | -0.056 | -0.056 | 0.000 | 0.000 | 6.092 |
| 139.348 | 77.392 | 77.392 | -0.000 | -0.000 | 0.000 |
| 77.392 | 139.348 | 77.392 | -0.000 | -0.000 | 0.000 |
| 77.392 | 77.392 | 139.348 | -0.000 | -0.000 | 0.000 |
| 0.056 | 0.056 | 0.056 | 6.092 | -0.000 | 0.000 |
| 0.056 | 0.056 | 0.056 | 0.000 | 6.092 | 0.000 |
| 0.056 | 0.056 | 0.056 | -0.000 | -0.000 | 6.092 |
| 174.012 | 131.155 | 132.528 | 0.000 | 0.000 | 0.000 |
| 131.068 | 255.106 | 140.264 | 0.000 | -0.000 | 0.000 |
| 133.235 | 141.057 | 260.463 | 0.000 | 0.000 | 0.000 |
| -0.000 | -0.000 | -0.000 | 73.438 | -0.000 | 0.000 |
| -0.000 | 0.000 | 0.000 | 0.000 | 66.113 | 0.000 |
| 84.920 | -48.363 | 342.519 | -0.000 | 0.000 | 56.926 |
| 83.167 | 178.173 | -212.741 | 0.000 | -0.000 | -0.000 |
| 43.941 | 291.666 | -201.849 | -0.000 | 0.000 | -0.000 |
| 45.693 | 193.179 | -95.437 | -0.000 | 0.000 | -0.000 |
| -0.000 | 0.000 | 0.000 | 73.438 | 0.000 | -0.000 |
| 0.000 | -0.000 | -0.000 | -0.000 | 66.113 | -0.000 |
| -84.920 | 48.363 | -342.519 | -0.000 | -0.000 | 56.926 |
| 174.011 | 131.155 | 132.528 | -0.000 | 0.000 | 0.000 |
| 131.068 | 255.106 | 140.264 | -0.000 | -0.000 | 0.000 |
| 133.235 | 141.057 | 260.463 | 0.000 | 0.000 | 0.000 |
| 8.491 | -4.836 | 34.248 | 71.869 | -0.000 | 0.000 |
| -0.000 | -0.000 | -0.000 | 0.000 | 66.113 | 0.000 |
| -0.000 | -0.000 | -0.000 | -0.000 | 0.000 | 62.795 |
| 174.012 | 131.155 | 132.528 | -0.000 | 0.000 | -0.000 |
| 131.068 | 255.106 | 140.264 | -0.000 | -0.000 | -0.000 |
| 121.987 | 149.868 | 212.113 | -0.000 | -0.000 | -0.000 |
| -8.491 | 4.836 | -34.248 | 71.869 | 0.000 | -0.000 |
| 0.000 | 0.000 | 0.000 | 0.000 | 66.113 | -0.000 |
| 0.000 | 0.000 | 0.000 | 0.000 | -0.000 | 62.795 |
| 170.105 | 129.617 | 133.638 | -0.000 | 0.000 | 0.000 |
| 130.527 | 243.606 | 146.499 | 0.000 | -0.000 | 0.000 |
| 132.018 | 144.060 | 252.689 | 0.000 | -0.000 | 0.000 |
| -0.000 | -0.000 | -0.000 | 73.438 | 0.000 | 0.000 |
| -0.000 | -0.000 | -0.000 | -0.000 | 66.113 | 0.000 |
| -0.001 | -0.001 | -0.000 | 0.000 | 0.000 | 62.795 |
| 167.520 | 130.211 | 127.143 | 0.000 | -0.000 | -0.000 |
| 127.062 | 234.751 | 140.238 | 0.000 | 0.000 | -0.000 |
| 133.235 | 141.057 | 260.464 | -0.000 | -0.000 | -0.000 |
| 0.000 | 0.000 | 0.000 | 73.438 | -0.000 | -0.000 |
| 0.000 | 0.000 | 0.000 | 0.000 | 66.113 | -0.000 |
| 0.001 | 0.001 | 0.000 | -0.000 | -0.000 | 62.795 |
| 180.831 | 132.435 | 133.873 | 0.000 | -0.000 | 0.000 |
| 128.062 | 53.908 | -85.769 | 0.000 | 0.000 | -0.000 |
| 128.669 | -50.607 | 22.726 | 0.000 | -0.000 | 0.000 |
| -3.596 | -195.345 | -229.969 | 72.914 | -0.000 | -0.000 |
| 0.000 | 0.000 | 0.000 | 0.000 | 66.164 | 0.000 |
| -193.035 | -770.617 | -413.057 | 0.000 | -0.000 | 55.938 |
| 180.831 | 132.435 | 133.873 | -0.000 | 0.000 | -0.000 |
| 132.435 | 258.180 | 142.243 | -0.000 | -0.000 | -0.000 |
| 133.873 | 142.243 | 261.726 | -0.000 | -0.000 | -0.000 |
| 3.596 | 195.345 | 229.969 | 72.914 | 0.000 | 0.000 |
| -0.000 | 0.000 | -0.000 | -0.000 | 66.164 | 0.000 |
| 193.035 | 770.617 | 413.057 | -0.000 | 0.000 | 55.938 |
| 180.832 | 132.435 | 133.873 | 0.000 | -0.000 | -0.000 |
| 132.435 | 258.179 | 142.243 | 0.000 | -0.000 | -0.000 |
| 90.588 | 38.245 | 194.822 | 0.000 | -0.000 | -0.000 |
| -0.360 | -19.538 | -23.001 | 72.914 | -0.000 | -0.000 |
| 0.000 | 0.000 | 0.000 | 0.000 | 66.164 | -0.000 |
| -0.360 | -19.550 | -23.016 | 0.000 | 0.000 | 60.574 |
| 206.295 | 233.685 | 165.424 | -0.000 | -0.000 | -0.000 |
| 148.280 | 310.922 | 188.179 | -0.000 | 0.000 | 0.000 |
| 132.629 | 164.323 | 275.782 | -0.000 | 0.000 | 0.000 |
| 0.360 | 19.538 | 23.001 | 72.914 | 0.000 | -0.000 |
| -0.000 | -0.000 | -0.000 | -0.000 | 66.164 | -0.000 |
| 0.360 | 19.550 | 23.016 | -0.000 | -0.000 | 60.574 |
| 176.437 | 129.424 | 129.547 | 0.000 | -0.000 | -0.000 |
| 132.435 | 258.178 | 142.244 | 0.000 | -0.000 | -0.000 |
| 131.893 | 143.015 | 248.202 | 0.000 | 0.000 | -0.000 |
| -0.037 | -1.990 | -2.342 | 72.888 | -0.000 | -0.000 |
| 0.001 | 0.000 | 0.001 | 0.000 | 66.164 | -0.000 |
| -1.605 | -6.617 | -3.691 | 0.000 | -0.000 | 56.956 |
| 177.185 | 133.545 | 134.520 | -0.000 | -0.000 | -0.000 |
| 131.726 | 251.953 | 146.999 | -0.000 | 0.000 | -0.000 |
| 133.872 | 142.242 | 261.722 | -0.000 | -0.000 | 0.000 |
| 0.037 | 1.990 | 2.342 | 72.888 | 0.000 | 0.000 |
| -0.001 | -0.000 | -0.001 | -0.000 | 66.164 | -0.000 |
| 1.605 | 6.617 | 3.691 | -0.000 | 0.000 | 56.956 |
| -52.266 | -1072.109 | -1117.756 | -0.000 | -0.000 | 0.000 |
| -143.637 | -987.466 | -1117.759 | -0.000 | -0.000 | 0.000 |
| -162.492 | -1091.310 | -1074.244 | -0.000 | -0.000 | 0.000 |
| -0.000 | -0.000 | 0.000 | 63.582 | -0.000 | 0.000 |
| -246.850 | -475.558 | -379.705 | 0.000 | 61.560 | 0.000 |
| -366.381 | -1679.231 | -1447.675 | -0.000 | -0.000 | 70.493 |
| 529.176 | 1366.343 | 1373.514 | -0.000 | 0.000 | -0.000 |
| 140.641 | 254.842 | 131.376 | -0.000 | 0.000 | -0.000 |
| 419.139 | 1347.559 | 1417.345 | -0.000 | 0.000 | -0.000 |
| 0.000 | 0.000 | -0.000 | 63.582 | 0.000 | -0.000 |
| 246.850 | 475.558 | 379.705 | 0.000 | 61.560 | -0.000 |
| 366.381 | 1679.231 | 1447.675 | 0.000 | 0.000 | 70.493 |
| 261.069 | 141.282 | 133.747 | 0.000 | -0.000 | 0.000 |
| 110.117 | 62.981 | -16.888 | 0.000 | -0.000 | 0.000 |
| 106.704 | 82.767 | 136.785 | 0.000 | -0.000 | 0.000 |
| -24.688 | -47.561 | -37.975 | 58.886 | -0.000 | 0.000 |
| -29.076 | -121.916 | -124.549 | -0.000 | 57.406 | 0.000 |
| -29.059 | -121.900 | -124.544 | 0.000 | -0.000 | 70.635 |
| 261.068 | 141.282 | 133.746 | 0.000 | -0.000 | -0.000 |
| 176.161 | 354.066 | 252.536 | -0.000 | 0.000 | -0.000 |
| 156.099 | 177.889 | 212.788 | -0.000 | 0.000 | -0.000 |
| 24.688 | 47.561 | 37.975 | 58.886 | 0.000 | -0.000 |
| 29.076 | 121.916 | 124.549 | 0.000 | 57.406 | -0.000 |
| 29.059 | 121.900 | 124.544 | 0.000 | 0.000 | 70.635 |
| 248.679 | 139.302 | 128.060 | -0.000 | 0.000 | 0.000 |
| 140.642 | 254.838 | 131.376 | 0.000 | -0.000 | 0.000 |
| 133.297 | 131.567 | 179.438 | 0.000 | -0.000 | 0.000 |
| -2.847 | -11.815 | -12.047 | 54.671 | -0.000 | 0.000 |
| -0.001 | 0.000 | -0.000 | -0.000 | 66.248 | 0.000 |
| -2.472 | -4.763 | -3.804 | -0.000 | -0.000 | 71.666 |
| 253.626 | 149.277 | 135.942 | 0.000 | 0.000 | -0.000 |
| 145.854 | 249.893 | 134.237 | -0.000 | 0.000 | -0.000 |
| 133.296 | 131.567 | 179.433 | 0.000 | 0.000 | -0.000 |
| 2.847 | 11.815 | 12.047 | 54.671 | 0.000 | -0.000 |
| 0.001 | -0.000 | 0.000 | -0.000 | 66.248 | -0.000 |
| 2.472 | 4.763 | 3.804 | 0.000 | 0.000 | 71.666 |
| 161.798 | 116.438 | 116.438 | 0.000 | 0.000 | -0.000 |
| 116.438 | 161.798 | 116.438 | 0.000 | -0.000 | 0.000 |
| 116.438 | 116.438 | 161.798 | 0.000 | 0.000 | -0.000 |
| 0.000 | -0.000 | 0.000 | 19.419 | 0.000 | 0.000 |
| 0.000 | -0.000 | 0.000 | 0.000 | 19.419 | -0.000 |
| 0.000 | -0.000 | 0.000 | 0.000 | 0.000 | 19.419 |
| 161.798 | 116.438 | 116.438 | -0.000 | -0.000 | 0.000 |
| 116.438 | 161.798 | 116.438 | -0.000 | 0.000 | -0.000 |
| 116.438 | 116.438 | 161.798 | -0.000 | -0.000 | 0.000 |
| 0.000 | 0.000 | -0.000 | 19.419 | -0.000 | 0.000 |
| -0.000 | 0.000 | -0.000 | -0.000 | 19.419 | -0.000 |
| -0.000 | 0.000 | -0.000 | -0.000 | -0.000 | 19.419 |
| 161.798 | 116.438 | 116.438 | 0.000 | 0.000 | -0.000 |
| 116.438 | 161.798 | 116.438 | 0.000 | 0.000 | 0.000 |
| 116.438 | 116.438 | 161.798 | 0.000 | 0.000 | -0.000 |
| -0.000 | 0.000 | 0.000 | 64.981 | 0.000 | 0.000 |
| 0.000 | -0.000 | 0.000 | 0.000 | 64.981 | 0.000 |
| 0.000 | 0.000 | -0.000 | 0.000 | 0.000 | 64.981 |
| 161.797 | 116.437 | 116.437 | -0.000 | -0.000 | -0.000 |
| 116.437 | 161.797 | 116.437 | -0.000 | -0.000 | -0.000 |
| 116.437 | 116.437 | 161.797 | -0.000 | -0.000 | -0.000 |
| 0.000 | -0.000 | -0.000 | 64.981 | -0.000 | -0.000 |
| -0.000 | 0.000 | -0.000 | -0.000 | 64.981 | -0.000 |
| -0.000 | -0.000 | 0.000 | -0.000 | 0.000 | 64.981 |
| 161.802 | 116.439 | 116.439 | 0.000 | 0.000 | -0.000 |
| 116.439 | 161.802 | 116.439 | 0.000 | 0.000 | 0.000 |
| 116.439 | 116.439 | 161.802 | 0.000 | 0.000 | -0.000 |
| -0.000 | 0.001 | 0.001 | 64.981 | -0.000 | 0.000 |
| 0.001 | -0.000 | 0.001 | 0.000 | 64.981 | -0.000 |
| 0.001 | 0.001 | -0.000 | 0.000 | 0.000 | 64.981 |
| 161.794 | 116.437 | 116.437 | -0.000 | -0.000 | -0.000 |
| 116.437 | 161.794 | 116.437 | -0.000 | -0.000 | 0.000 |
| 116.437 | 116.437 | 161.794 | -0.000 | -0.000 | 0.000 |
| 0.000 | -0.001 | -0.001 | 64.981 | 0.000 | 0.000 |
| -0.001 | 0.000 | -0.001 | -0.000 | 64.981 | 0.000 |
| -0.001 | -0.001 | 0.000 | -0.000 | 0.000 | 64.981 |
| 151.943 | 121.189 | 97.029 | 0.000 | -0.000 | 0.000 |
| 140.414 | 297.340 | 102.551 | 0.000 | 0.000 | -0.000 |
| 115.062 | 122.086 | 221.720 | 0.000 | -0.000 | -0.000 |
| 0.000 | 0.000 | 0.000 | 38.387 | -0.000 | 0.000 |
| 17.129 | 27.362 | 9.931 | 0.000 | 21.196 | -0.000 |
| 0.000 | 0.000 | 0.000 | 0.000 | -0.000 | 44.811 |
| 131.586 | 89.651 | 85.909 | -0.000 | -0.000 | 0.000 |
| 91.249 | 256.929 | 66.738 | -0.000 | 0.000 | 0.000 |
| 80.563 | 67.206 | 201.932 | -0.000 | 0.000 | 0.000 |
| -0.000 | -0.000 | -0.000 | 38.387 | 0.000 | -0.000 |
| -17.129 | -27.362 | -9.931 | -0.000 | 21.196 | 0.000 |
| -0.000 | -0.000 | -0.000 | -0.000 | 0.000 | 44.811 |
| 151.943 | 121.189 | 97.029 | 0.000 | -0.000 | 0.000 |
| 120.493 | 287.878 | 99.985 | 0.000 | -0.000 | 0.000 |
| 98.009 | 95.522 | 205.169 | 0.000 | -0.000 | 0.000 |
| 1.595 | 2.547 | 0.925 | 37.997 | -0.000 | -0.000 |
| 2.529 | 4.039 | 1.466 | 0.000 | 18.502 | -0.000 |
| 0.000 | -0.000 | 0.000 | 0.000 | -0.000 | 44.811 |
| 142.459 | 121.170 | 90.672 | -0.000 | 0.000 | -0.000 |
| 117.062 | 263.155 | 88.590 | -0.000 | -0.000 | 0.000 |
| 94.768 | 87.813 | 208.229 | -0.000 | 0.000 | 0.000 |
| -1.595 | -2.547 | -0.925 | 37.997 | 0.000 | 0.000 |
| -2.529 | -4.039 | -1.466 | -0.000 | 18.502 | 0.000 |
| -0.000 | 0.000 | -0.000 | -0.000 | 0.000 | 44.811 |
| 151.952 | 121.190 | 97.030 | 0.000 | 0.000 | 0.000 |
| 119.639 | 264.057 | 89.333 | 0.000 | -0.000 | -0.000 |
| 96.878 | 89.181 | 207.587 | 0.000 | -0.000 | -0.000 |
| 0.147 | 0.234 | 0.086 | 38.029 | -0.000 | -0.000 |
| 0.181 | 0.126 | 0.093 | 0.000 | 17.811 | -0.000 |
| 0.001 | -0.000 | 0.000 | 0.000 | -0.000 | 44.811 |
| 151.933 | 121.187 | 97.028 | -0.000 | 0.000 | -0.000 |
| 120.494 | 287.887 | 99.985 | -0.000 | 0.000 | -0.000 |
| 97.995 | 91.793 | 204.451 | -0.000 | 0.000 | 0.000 |
| -0.147 | -0.234 | -0.086 | 38.029 | 0.000 | 0.000 |
| -0.181 | -0.126 | -0.093 | -0.000 | 17.811 | 0.000 |
| -0.001 | 0.000 | -0.000 | -0.000 | 0.000 | 44.811 |
| -400.571 | 1107.225 | -1089.214 | -0.000 | -0.000 | 0.000 |
| 116.851 | 279.347 | 106.921 | -0.000 | -0.000 | 0.000 |
| -267.892 | 171.012 | -1200.631 | -0.000 | 0.000 | 0.000 |
| -0.000 | 0.000 | -0.000 | 42.404 | -0.000 | 0.000 |
| -372.847 | 98.487 | -1440.359 | -0.000 | 6.814 | 0.000 |
| -372.780 | 98.470 | -1440.100 | -0.000 | -0.000 | 11.219 |
| 141.102 | 116.851 | 104.002 | 0.000 | 0.000 | -0.000 |
| 484.682 | 101.731 | 1539.653 | 0.000 | 0.000 | -0.000 |
| 806.009 | -863.650 | 1423.250 | -0.000 | 0.000 | -0.000 |
| 0.000 | -0.000 | 0.000 | 42.404 | 0.000 | -0.000 |
| 372.847 | -98.487 | 1440.359 | 0.000 | 6.814 | -0.000 |
| 372.780 | -98.470 | 1440.100 | 0.000 | 0.000 | 11.219 |
| 86.135 | 203.759 | -24.882 | -0.000 | 0.000 | 0.000 |
| 116.850 | 279.346 | 106.921 | -0.000 | 0.000 | 0.000 |
| 104.002 | 106.921 | 251.287 | -0.000 | 0.000 | 0.000 |
| -37.232 | 9.835 | -143.834 | 41.564 | -0.000 | 0.000 |
| -0.000 | -0.000 | -0.000 | -0.000 | 30.648 | 0.000 |
| -70.317 | 96.497 | -118.401 | -0.000 | -0.000 | 29.414 |
| 162.321 | 96.272 | 238.579 | -0.000 | 0.000 | -0.000 |
| 116.851 | 279.348 | 106.921 | 0.000 | -0.000 | -0.000 |
| 141.713 | 58.944 | 380.000 | -0.000 | 0.000 | -0.000 |
| 37.232 | -9.835 | 143.834 | 41.564 | 0.000 | -0.000 |
| 0.000 | 0.000 | 0.000 | 0.000 | 30.648 | -0.000 |
| 70.317 | -96.497 | 118.401 | 0.000 | 0.000 | 29.414 |
| 131.448 | 111.340 | 95.035 | -0.000 | 0.000 | 0.000 |
| 113.240 | 261.829 | 95.679 | -0.000 | -0.000 | 0.000 |
| 102.496 | 102.956 | 227.773 | -0.000 | -0.000 | 0.000 |
| -0.000 | 0.000 | -0.000 | 42.404 | 0.000 | 0.000 |
| -5.469 | 9.802 | -11.993 | -0.000 | 22.728 | 0.000 |
| -7.218 | 9.914 | -11.768 | -0.000 | -0.000 | 28.806 |
| 137.057 | 112.313 | 108.062 | -0.000 | -0.000 | -0.000 |
| 127.337 | 246.474 | 112.884 | 0.000 | 0.000 | -0.000 |
| 104.242 | 94.717 | 246.796 | 0.000 | -0.000 | 0.000 |
| 0.000 | -0.000 | 0.000 | 42.404 | -0.000 | -0.000 |
| 5.469 | -9.802 | 11.993 | 0.000 | 22.728 | -0.000 |
| 7.218 | -9.914 | 11.768 | 0.000 | 0.000 | 28.806 |
| 178.221 | 84.440 | 95.183 | 3.068 | -0.000 | -0.000 |
| 84.440 | 178.221 | 95.183 | -3.068 | -0.000 | -0.000 |
| 94.403 | 94.403 | 239.335 | -0.000 | -0.000 | -0.000 |
| 3.068 | -3.068 | -0.000 | 55.461 | -0.000 | -0.000 |
| -0.000 | 0.000 | -0.000 | 0.000 | 55.461 | 3.068 |
| 0.000 | 0.000 | 0.000 | 0.000 | 3.068 | 46.890 |
| 178.221 | 84.440 | 95.183 | 3.068 | 0.000 | 0.000 |
| 84.440 | 178.221 | 95.183 | -3.068 | 0.000 | 0.000 |
| 94.403 | 94.403 | 239.335 | 0.000 | 0.000 | 0.000 |
| 3.068 | -3.068 | -0.000 | 55.461 | 0.000 | 0.000 |
| 0.000 | -0.000 | 0.000 | -0.000 | 55.461 | 3.068 |
| -0.000 | -0.000 | -0.000 | -0.000 | 3.068 | 46.891 |
| 178.222 | 84.441 | 95.183 | 3.068 | -0.000 | -0.000 |
| 84.441 | 178.222 | 95.183 | -3.068 | -0.000 | -0.000 |
| 94.403 | 94.403 | 239.335 | 0.000 | -0.000 | -0.000 |
| -265.681 | -270.869 | 123.787 | 52.881 | -0.000 | -0.000 |
| -0.000 | 0.000 | -0.000 | 0.000 | 55.461 | 3.068 |
| -276.204 | -276.204 | 72.500 | 0.000 | 2.333 | 46.194 |
| 451.169 | 358.793 | 22.230 | 2.326 | 0.000 | 0.000 |
| 84.440 | 178.221 | 95.183 | -3.068 | 0.000 | 0.000 |
| 94.403 | 94.403 | 239.336 | 0.000 | 0.000 | 0.000 |
| 3.068 | -3.068 | 0.000 | 55.461 | 0.000 | 0.000 |
| 0.000 | -0.000 | 0.000 | -0.000 | 55.461 | 3.068 |
| 276.204 | 276.204 | -72.500 | -0.000 | 2.333 | 46.194 |
| 147.735 | 55.238 | 108.200 | 2.571 | -0.000 | -0.000 |
| 54.703 | 147.249 | 108.701 | -2.597 | 0.000 | -0.000 |
| 94.403 | 94.403 | 239.332 | -0.000 | -0.000 | -0.000 |
| 3.068 | -3.068 | -0.000 | 55.461 | -0.000 | -0.000 |
| -27.081 | -27.081 | 7.108 | 0.000 | 51.328 | 2.347 |
| -27.573 | -27.573 | 7.238 | 0.000 | 2.335 | 46.196 |
| 178.218 | 84.439 | 95.183 | 3.067 | 0.000 | 0.000 |
| 109.980 | 202.230 | 87.457 | -2.260 | 0.000 | 0.000 |
| 123.986 | 123.986 | 229.943 | 0.000 | -0.000 | 0.000 |
| 29.428 | 24.734 | -7.108 | 51.328 | 0.000 | 0.000 |
| 27.081 | 27.081 | -7.108 | -0.000 | 51.328 | 2.347 |
| 27.573 | 27.573 | -7.238 | -0.000 | 2.335 | 46.196 |
| 229.937 | 121.732 | 121.732 | -0.000 | 0.000 | 0.000 |
| 121.732 | 229.937 | 121.732 | 0.000 | 0.000 | 0.000 |
| 121.732 | 121.732 | 229.937 | -0.000 | 0.000 | 0.000 |
| 0.000 | 0.000 | 0.000 | 25.092 | -0.000 | 0.000 |
| 0.000 | 0.000 | 0.000 | -0.000 | 25.092 | 0.000 |
| 0.000 | 0.000 | 0.000 | -0.000 | 0.000 | 25.092 |
| 241.503 | 115.949 | 115.949 | 0.000 | -0.000 | -0.000 |
| 115.949 | 241.503 | 115.949 | 0.000 | -0.000 | -0.000 |
| 115.949 | 115.949 | 241.503 | 0.000 | 0.000 | 0.000 |
| -0.000 | -0.000 | -0.000 | 25.092 | 0.000 | -0.000 |
| -0.000 | -0.000 | -0.000 | 0.000 | 25.092 | -0.000 |
| -0.000 | -0.000 | -0.000 | 0.000 | -0.000 | 25.092 |
| 241.503 | 115.949 | 115.949 | -0.000 | -0.000 | 0.000 |
| 115.949 | 241.503 | 115.949 | -0.000 | -0.000 | 0.000 |
| 115.949 | 115.949 | 241.503 | -0.000 | 0.000 | -0.000 |
| 0.000 | 0.000 | 0.000 | 25.092 | -0.000 | 0.000 |
| 0.000 | 0.000 | 0.000 | -0.000 | 25.092 | 0.000 |
| 0.000 | 0.000 | 0.000 | -0.000 | 0.000 | 25.092 |
| 229.937 | 121.732 | 121.732 | 0.000 | 0.000 | -0.000 |
| 121.732 | 229.937 | 121.732 | 0.000 | -0.000 | -0.000 |
| 121.732 | 121.732 | 229.937 | 0.000 | -0.000 | -0.000 |
| -0.000 | -0.000 | -0.000 | 25.092 | 0.000 | -0.000 |
| -0.000 | -0.000 | -0.000 | 0.000 | 25.092 | -0.000 |
| -0.000 | -0.000 | -0.000 | 0.000 | -0.000 | 25.092 |
| 241.502 | 115.950 | 115.950 | -0.000 | -0.000 | 0.000 |
| 115.950 | 241.502 | 115.950 | -0.000 | 0.000 | -0.000 |
| 115.950 | 115.950 | 241.502 | 0.000 | -0.000 | -0.000 |
| 0.000 | 0.001 | 0.001 | 25.092 | 0.000 | 0.000 |
| 0.001 | 0.000 | 0.001 | -0.000 | 25.092 | 0.000 |
| 0.001 | 0.001 | 0.000 | -0.000 | 0.000 | 25.092 |
| 229.939 | 121.731 | 121.731 | 0.000 | -0.000 | -0.000 |
| 121.731 | 229.939 | 121.731 | -0.000 | -0.000 | -0.000 |
| 121.731 | 121.731 | 229.939 | 0.000 | -0.000 | -0.000 |
| -0.000 | -0.001 | -0.001 | 25.092 | -0.000 | 0.000 |
| -0.001 | -0.000 | -0.001 | 0.000 | 25.092 | -0.000 |
| -0.001 | -0.001 | -0.000 | 0.000 | -0.000 | 25.092 |
| 278.613 | 186.492 | 186.492 | -0.000 | 0.000 | -0.000 |
| 186.492 | 278.613 | 186.492 | -0.000 | 0.000 | -0.000 |
| 186.492 | 186.492 | 278.613 | -0.000 | -0.000 | -0.000 |
| 0.000 | -0.000 | 0.000 | 104.249 | -0.000 | 0.000 |
| 0.000 | 0.000 | 0.000 | -0.000 | 104.249 | -0.000 |
| 0.000 | 0.000 | 0.000 | -0.000 | 0.000 | 104.249 |
| 278.613 | 186.492 | 186.492 | 0.000 | -0.000 | 0.000 |
| 186.492 | 278.613 | 186.492 | 0.000 | -0.000 | 0.000 |
| 186.492 | 186.492 | 278.613 | 0.000 | -0.000 | 0.000 |
| -0.000 | -0.000 | -0.000 | 104.249 | 0.000 | 0.000 |
| -0.000 | -0.000 | -0.000 | 0.000 | 104.249 | 0.000 |
| -0.000 | -0.000 | -0.000 | 0.000 | 0.000 | 104.249 |
| 278.613 | 186.492 | 186.492 | -0.000 | 0.000 | -0.000 |
| 186.492 | 278.613 | 186.492 | -0.000 | 0.000 | -0.000 |
| 186.492 | 186.492 | 278.613 | -0.000 | 0.000 | -0.000 |
| 0.000 | 0.000 | 0.000 | 104.427 | 0.000 | -0.000 |
| 0.000 | 0.000 | 0.000 | -0.000 | 104.427 | -0.000 |
| 0.000 | 0.000 | 0.000 | -0.000 | 0.000 | 104.427 |
| 278.612 | 186.491 | 186.491 | 0.000 | -0.000 | 0.000 |
| 186.491 | 278.612 | 186.491 | 0.000 | 0.000 | 0.000 |
| 186.491 | 186.491 | 278.612 | 0.000 | 0.000 | 0.000 |
| -0.000 | -0.000 | -0.000 | 104.427 | -0.000 | 0.000 |
| -0.000 | -0.000 | -0.000 | 0.000 | 104.427 | 0.000 |
| -0.000 | -0.000 | -0.000 | 0.000 | -0.000 | 104.427 |
| 278.614 | 186.494 | 186.494 | -0.000 | 0.000 | -0.000 |
| 186.494 | 278.614 | 186.494 | -0.000 | 0.000 | 0.000 |
| 186.494 | 186.494 | 278.614 | -0.000 | 0.000 | -0.000 |
| 0.002 | 0.001 | 0.002 | 104.249 | 0.000 | -0.000 |
| 0.001 | 0.002 | 0.002 | -0.000 | 104.249 | -0.000 |
| 0.001 | 0.002 | 0.002 | -0.000 | 0.000 | 104.249 |
| 278.612 | 186.489 | 186.489 | 0.000 | -0.000 | 0.000 |
| 186.489 | 278.612 | 186.489 | 0.000 | -0.000 | -0.000 |
| 186.489 | 186.489 | 278.612 | 0.000 | -0.000 | 0.000 |
| -0.002 | -0.001 | -0.002 | 104.249 | -0.000 | 0.000 |
| -0.001 | -0.002 | -0.002 | 0.000 | 104.249 | 0.000 |
| -0.001 | -0.002 | -0.002 | 0.000 | -0.000 | 104.249 |
| 44.719 | 108.467 | 108.467 | 0.000 | 0.000 | -0.000 |
| 108.467 | 44.719 | 108.467 | 0.000 | -0.000 | 0.000 |
| 108.467 | 108.467 | 44.719 | 0.000 | -0.000 | 0.000 |
| -0.000 | -0.000 | -0.000 | 29.361 | -0.000 | -0.000 |
| -0.000 | -0.000 | -0.000 | 0.000 | 29.361 | 0.000 |
| -0.000 | -0.000 | -0.000 | 0.000 | -0.000 | 29.361 |
| 44.719 | 108.467 | 108.467 | -0.000 | 0.000 | -0.000 |
| 108.467 | 44.719 | 108.467 | -0.000 | 0.000 | -0.000 |
| 108.467 | 108.467 | 44.719 | -0.000 | -0.000 | 0.000 |
| 0.000 | 0.000 | 0.000 | 29.361 | 0.000 | -0.000 |
| 0.000 | 0.000 | 0.000 | -0.000 | 29.361 | 0.000 |
| 0.000 | 0.000 | 0.000 | -0.000 | 0.000 | 29.361 |
| 44.719 | 108.467 | 108.467 | 0.000 | 0.000 | -0.000 |
| 108.467 | 44.719 | 108.467 | 0.000 | 0.000 | 0.000 |
| 108.467 | 108.467 | 44.719 | 0.000 | -0.000 | -0.000 |
| -0.000 | -0.000 | -0.000 | 29.361 | -0.000 | 0.000 |
| -0.000 | -0.000 | -0.000 | 0.000 | 29.361 | 0.000 |
| -0.000 | -0.000 | -0.000 | -0.000 | 0.000 | 29.361 |
| 44.720 | 108.467 | 108.467 | -0.000 | 0.000 | 0.000 |
| 108.467 | 44.720 | 108.467 | -0.000 | 0.000 | 0.000 |
| 108.467 | 108.467 | 44.720 | -0.000 | -0.000 | 0.000 |
| 0.000 | 0.000 | 0.000 | 29.361 | 0.000 | 0.000 |
| 0.000 | 0.000 | 0.000 | 0.000 | 29.361 | 0.000 |
| 0.000 | 0.000 | 0.000 | -0.000 | -0.000 | 29.361 |
| 44.713 | 108.465 | 108.465 | 0.000 | 0.000 | 0.000 |
| 108.465 | 44.713 | 108.465 | 0.000 | -0.000 | 0.000 |
| 108.465 | 108.465 | 44.713 | -0.000 | -0.000 | 0.000 |
| -0.001 | -0.002 | -0.002 | 29.361 | -0.000 | -0.000 |
| -0.002 | -0.001 | -0.002 | 0.000 | 29.361 | 0.000 |
| -0.002 | -0.002 | -0.001 | 0.000 | -0.000 | 29.361 |
| 44.725 | 108.469 | 108.469 | -0.000 | 0.000 | -0.000 |
| 108.469 | 44.725 | 108.469 | -0.000 | 0.000 | 0.000 |
| 108.469 | 108.469 | 44.725 | -0.000 | 0.000 | 0.000 |
| 0.001 | 0.002 | 0.002 | 29.361 | 0.000 | -0.000 |
| 0.002 | 0.001 | 0.002 | -0.000 | 29.361 | 0.000 |
| 0.002 | 0.002 | 0.001 | -0.000 | 0.000 | 29.361 |
| 142.653 | 72.842 | 70.249 | 0.000 | 0.000 | -0.000 |
| 87.799 | 105.807 | 78.532 | 0.000 | -0.000 | -0.000 |
| 73.580 | 73.580 | 224.104 | -0.000 | -0.000 | -0.000 |
| 0.000 | -0.000 | -0.000 | 26.049 | -0.000 | -0.000 |
| -0.000 | -0.000 | -0.000 | -0.000 | 26.049 | -0.000 |
| 0.983 | 0.983 | -0.744 | 0.000 | 0.000 | -1.309 |
| 142.653 | 72.842 | 70.249 | -0.000 | -0.000 | 0.000 |
| 72.842 | 142.653 | 70.249 | -0.000 | -0.000 | 0.000 |
| 68.051 | 68.051 | 228.289 | -0.000 | 0.000 | 0.000 |
| -0.000 | 0.000 | 0.000 | 26.049 | 0.000 | 0.000 |
| 0.000 | 0.000 | 0.000 | 0.000 | 26.049 | 0.000 |
| -0.983 | -0.983 | 0.744 | -0.000 | 0.000 | -1.309 |
| 142.653 | 72.842 | 70.249 | 0.000 | -0.000 | -0.000 |
| 72.842 | 142.653 | 70.249 | -0.000 | 0.000 | -0.000 |
| 68.051 | 68.051 | 228.288 | -0.000 | 0.000 | -0.000 |
| 0.065 | 0.065 | -0.049 | 24.394 | 0.000 | -0.000 |
| 0.065 | 0.065 | -0.049 | 0.000 | 24.394 | -0.000 |
| 0.000 | 0.000 | -0.000 | 0.000 | 0.000 | 34.905 |
| 142.652 | 72.842 | 70.249 | -0.000 | 0.000 | 0.000 |
| 72.842 | 142.652 | 70.249 | 0.000 | -0.000 | 0.000 |
| 68.051 | 68.051 | 228.289 | -0.000 | 0.000 | 0.000 |
| -0.065 | -0.065 | 0.049 | 24.394 | -0.000 | 0.000 |
| -0.065 | -0.065 | 0.049 | -0.000 | 24.394 | 0.000 |
| -0.000 | -0.000 | 0.000 | -0.000 | -0.000 | 34.905 |
| 80.906 | 112.657 | 78.549 | 0.000 | -0.000 | -0.000 |
| 86.742 | 106.071 | 78.834 | 0.000 | 0.000 | -0.000 |
| 73.176 | 73.176 | 224.408 | 0.000 | 0.000 | -0.000 |
| 0.006 | 0.006 | -0.007 | 24.394 | -0.000 | -0.000 |
| -0.001 | -0.000 | -0.001 | 0.000 | 26.049 | -0.000 |
| 0.010 | 0.011 | -0.009 | 0.000 | 0.000 | -1.394 |
| 58.597 | 149.742 | 72.955 | -0.000 | -0.000 | 0.000 |
| 86.721 | 106.056 | 78.843 | -0.000 | -0.000 | 0.000 |
| 68.051 | 68.051 | 228.290 | -0.000 | -0.000 | 0.000 |
| -0.006 | -0.006 | 0.007 | 24.394 | -0.000 | 0.000 |
| 0.001 | 0.000 | 0.001 | -0.000 | 26.049 | 0.000 |
| -0.010 | -0.011 | 0.009 | -0.000 | -0.000 | -1.394 |
| 79.857 | 31.745 | 38.495 | 0.000 | -0.000 | 0.000 |
| 1669.497 | 1680.037 | -2001.420 | -0.000 | -0.000 | -0.000 |
| 1666.387 | 1666.387 | -1934.735 | 0.000 | -0.000 | 0.000 |
| -0.000 | -0.000 | -0.000 | 30.842 | -0.000 | 0.000 |
| -0.000 | 0.000 | -0.000 | -0.000 | 30.842 | 0.000 |
| 1626.540 | 1626.541 | -2036.505 | -0.000 | -0.000 | 5.283 |
| 79.857 | 31.745 | 38.495 | 0.000 | 0.000 | -0.000 |
| -1455.091 | -1469.820 | 2800.943 | 0.000 | 0.000 | -0.000 |
| 38.411 | 38.411 | 124.952 | 0.000 | 0.000 | -0.000 |
| 0.000 | 0.000 | 0.000 | 30.842 | -0.000 | 0.000 |
| 0.000 | 0.000 | 0.000 | 0.000 | 30.842 | -0.000 |
| -1511.017 | -1511.017 | 2760.284 | -0.000 | 0.000 | -7.384 |
| 216.182 | 205.940 | -168.893 | 0.000 | -0.000 | 0.000 |
| 205.940 | 216.182 | -168.893 | -0.000 | -0.000 | -0.000 |
| 201.301 | 201.301 | -100.625 | 0.000 | -0.000 | 0.000 |
| 162.789 | 162.789 | -203.820 | 18.891 | 0.000 | 0.000 |
| -0.000 | -0.000 | -0.000 | 0.000 | 30.842 | 0.000 |
| 162.899 | 162.900 | -203.958 | -0.000 | -0.000 | 5.255 |
| 79.857 | 31.745 | 38.495 | 0.000 | 0.000 | 0.000 |
| 31.745 | 79.857 | 38.495 | -0.000 | -0.000 | 0.000 |
| 38.412 | 38.412 | 124.953 | -0.000 | 0.000 | -0.000 |
| -162.789 | -162.789 | 203.820 | 18.891 | 0.000 | -0.000 |
| 0.000 | 0.000 | 0.000 | 0.000 | 30.842 | -0.000 |
| -162.900 | -162.899 | 203.958 | -0.000 | 0.000 | 5.255 |
| 38.190 | 88.199 | 10.624 | -0.000 | 0.000 | 0.001 |
| 64.365 | 65.934 | 10.817 | -0.000 | -0.000 | 0.000 |
| 53.336 | 53.336 | 83.995 | 0.000 | -0.000 | 0.000 |
| 16.603 | 16.602 | -20.788 | 18.653 | 0.000 | 0.000 |
| 16.602 | 16.603 | -20.788 | -0.000 | 18.653 | -0.000 |
| 18.441 | 18.441 | -23.089 | -0.000 | -0.000 | 2.772 |
| 20.780 | 43.401 | 72.775 | 0.000 | -0.000 | -0.001 |
| 43.402 | 20.779 | 72.775 | -0.000 | 0.000 | -0.001 |
| 38.412 | 38.412 | 124.956 | -0.000 | 0.000 | -0.000 |
| -16.603 | -16.602 | 20.788 | 18.653 | 0.000 | -0.000 |
| -16.602 | -16.603 | 20.788 | -0.000 | 18.653 | 0.000 |
| -17.087 | -17.085 | 27.911 | -0.000 | 0.000 | -23.923 |
| 106.540 | 88.651 | 117.568 | 0.000 | -0.000 | -0.000 |
| 69.723 | 134.676 | 89.800 | 0.000 | 0.000 | -0.000 |
| 84.239 | 84.239 | 209.368 | 0.000 | 0.000 | -0.000 |
| 0.000 | 0.000 | 0.000 | 46.925 | 0.000 | -0.000 |
| -2.202 | -2.202 | 25.549 | 0.000 | 27.637 | -0.000 |
| 0.000 | 0.000 | 0.000 | -0.000 | 0.000 | 32.476 |
| 128.107 | 83.431 | 69.182 | -0.000 | -0.000 | 0.000 |
| 69.723 | 134.676 | 89.800 | -0.000 | -0.000 | 0.000 |
| 87.751 | 87.751 | 194.812 | 0.000 | 0.000 | 0.000 |
| -0.000 | 0.000 | -0.000 | 46.925 | -0.000 | 0.000 |
| 2.202 | 2.202 | -25.549 | -0.000 | 27.637 | 0.000 |
| 4.621 | 4.621 | -21.152 | -0.000 | -0.000 | 22.553 |
| 134.676 | 69.723 | 89.800 | 0.000 | 0.000 | 0.000 |
| 84.519 | 114.238 | 95.280 | -0.000 | 0.000 | 0.000 |
| 87.751 | 87.751 | 194.812 | -0.000 | 0.000 | -0.000 |
| -0.000 | -0.000 | -0.000 | 46.925 | -0.000 | 0.000 |
| -0.107 | -0.107 | 2.639 | 0.000 | 23.549 | -0.000 |
| 0.000 | 0.000 | -0.000 | 0.000 | 0.000 | 32.476 |
| 110.914 | 90.501 | 87.233 | 0.000 | -0.000 | -0.000 |
| 90.501 | 110.914 | 87.233 | 0.000 | -0.000 | -0.000 |
| 90.099 | 90.099 | 176.482 | 0.000 | -0.000 | 0.000 |
| 0.000 | 0.000 | 0.000 | 46.925 | -0.000 | 0.000 |
| 0.107 | 0.107 | -2.639 | 0.000 | 23.549 | 0.000 |
| -0.000 | -0.000 | 0.000 | -0.000 | -0.000 | 32.477 |
| 109.463 | 89.605 | 92.488 | 0.000 | 0.000 | 0.000 |
| 69.723 | 134.676 | 89.800 | 0.000 | 0.000 | 0.000 |
| 87.751 | 87.751 | 194.811 | -0.000 | -0.000 | -0.000 |
| -0.000 | -0.000 | -0.000 | 46.925 | 0.000 | -0.000 |
| -0.129 | -0.129 | 0.592 | -0.000 | 24.754 | -0.000 |
| 0.072 | 0.073 | 0.043 | 0.000 | 0.000 | 4.438 |
| 134.675 | 69.723 | 89.801 | 0.000 | 0.000 | -0.000 |
| 69.723 | 134.675 | 89.801 | -0.000 | 0.000 | -0.000 |
| 87.751 | 87.751 | 194.813 | 0.000 | 0.000 | 0.000 |
| 0.000 | 0.000 | 0.000 | 46.925 | -0.000 | 0.000 |
| 0.129 | 0.129 | -0.592 | -0.000 | 24.754 | 0.000 |
| -0.072 | -0.073 | -0.043 | 0.000 | -0.000 | 4.439 |
| 1437.001 | 1344.894 | -554.203 | 0.000 | 0.000 | -0.000 |
| 129.911 | 229.721 | 119.658 | -0.000 | 0.000 | 0.000 |
| 3945.895 | 3945.895 | -4291.738 | 0.000 | 0.000 | 0.000 |
| 1215.539 | 1215.539 | -673.059 | 41.921 | -0.000 | 0.000 |
| 3817.930 | 3817.930 | -4401.940 | 0.000 | 30.928 | -0.000 |
| 0.000 | 0.000 | -0.000 | 0.000 | 0.000 | 49.905 |
| -3617.898 | -3691.392 | 4525.073 | 0.000 | -0.000 | 0.000 |
| 129.911 | 229.721 | 119.658 | 0.000 | -0.000 | -0.000 |
| 122.470 | 122.470 | 191.549 | -0.000 | 0.000 | -0.000 |
| -1215.539 | -1215.539 | 673.059 | 41.921 | -0.000 | -0.000 |
| -3817.930 | -3817.930 | 4401.940 | 0.000 | 30.928 | 0.000 |
| -3818.070 | -3818.070 | 4402.142 | -0.000 | -0.000 | 36.753 |
| 342.716 | 250.591 | 51.728 | 0.000 | 0.000 | -0.000 |
| 129.912 | 229.721 | 119.658 | 0.000 | 0.000 | 0.000 |
| 689.008 | 689.008 | -552.011 | 0.000 | 0.000 | 0.000 |
| 607.812 | 607.812 | -792.338 | 32.663 | 0.000 | 0.000 |
| 558.420 | 558.420 | -656.018 | 0.000 | 29.184 | -0.000 |
| 0.000 | 0.000 | -0.000 | 0.000 | 0.000 | 49.905 |
| 99.488 | 7.401 | 186.380 | -0.000 | -0.000 | -0.000 |
| 7.388 | 99.474 | 186.388 | 0.000 | 0.000 | 0.000 |
| 0.750 | 0.750 | 239.299 | 0.000 | -0.000 | -0.000 |
| -607.812 | -607.812 | 792.338 | 32.663 | 0.000 | -0.000 |
| -558.420 | -558.420 | 656.018 | 0.000 | 29.184 | 0.000 |
| -558.493 | -558.494 | 656.090 | -0.000 | -0.000 | 35.844 |
| 239.304 | 163.566 | 80.590 | 0.000 | 0.000 | 0.001 |
| 141.270 | 233.496 | 112.276 | 0.000 | 0.000 | 0.000 |
| 163.084 | 163.084 | 68.013 | -0.000 | 0.000 | 0.000 |
| 55.103 | 55.103 | -64.634 | 29.481 | -0.000 | 0.000 |
| -0.000 | -0.000 | -0.000 | 0.000 | 45.577 | -0.000 |
| -0.001 | 0.000 | -0.000 | -0.000 | 0.000 | 49.905 |
| 229.725 | 129.913 | 119.658 | 0.000 | -0.000 | -0.000 |
| 116.723 | 208.586 | 125.814 | -0.000 | -0.000 | -0.000 |
| 109.828 | 109.828 | 179.233 | -0.000 | -0.000 | -0.000 |
| -55.103 | -55.103 | 64.634 | 29.481 | -0.000 | -0.000 |
| 0.000 | 0.000 | 0.000 | 0.000 | 45.577 | 0.000 |
| 0.001 | -0.000 | 0.000 | 0.000 | -0.000 | 49.905 |
| 337.876 | 224.358 | -285.022 | 0.000 | 0.000 | 0.000 |
| 143.033 | 263.818 | 133.963 | 0.000 | -0.000 | -0.000 |
| 133.966 | 133.966 | 227.815 | -0.000 | -0.000 | -0.000 |
| 81.493 | 81.493 | -415.145 | 42.967 | -0.000 | -0.000 |
| -143.101 | -143.101 | -3135.905 | 0.000 | 30.004 | -0.000 |
| -0.000 | -0.000 | 0.000 | 0.000 | 0.000 | 60.393 |
| 263.818 | 143.033 | 133.963 | -0.000 | -0.000 | 0.000 |
| 61.381 | 174.901 | 545.228 | 0.000 | 0.000 | -0.000 |
| 270.579 | 270.579 | 3305.865 | -0.000 | -0.000 | 0.000 |
| -81.493 | -81.493 | 415.145 | 42.967 | -0.000 | 0.000 |
| 143.101 | 143.101 | 3135.905 | 0.000 | 30.004 | 0.000 |
| -81.464 | -81.464 | 414.999 | 0.000 | -0.000 | 56.761 |
| 263.818 | 143.033 | 133.963 | 0.000 | 0.000 | -0.000 |
| 128.839 | 239.067 | -186.895 | 0.000 | -0.000 | 0.000 |
| 138.362 | 138.362 | 158.767 | -0.000 | 0.000 | -0.000 |
| -0.000 | -0.000 | -0.000 | 49.259 | -0.000 | 0.000 |
| -0.000 | -0.000 | -0.000 | 0.000 | 49.259 | -0.000 |
| 8.149 | 8.149 | -41.514 | -0.000 | -0.000 | 56.759 |
| 263.818 | 143.032 | 133.963 | -0.000 | 0.000 | 0.000 |
| 143.033 | 263.818 | 133.963 | -0.000 | 0.000 | 0.000 |
| 133.966 | 133.966 | 227.815 | -0.000 | 0.000 | 0.000 |
| 0.000 | 0.000 | 0.000 | 49.259 | 0.000 | 0.000 |
| 0.000 | 0.000 | 0.000 | -0.000 | 49.259 | 0.000 |
| 0.000 | 0.000 | 0.000 | -0.000 | -0.000 | 60.393 |
| 263.818 | 143.033 | 133.964 | 0.000 | -0.000 | -0.000 |
| 141.759 | 251.878 | 95.467 | 0.000 | -0.000 | -0.000 |
| 133.966 | 133.966 | 227.816 | 0.000 | 0.000 | -0.000 |
| -0.000 | -0.000 | -0.000 | 49.259 | -0.000 | -0.000 |
| 0.829 | 0.830 | -4.227 | 0.000 | 42.852 | -0.000 |
| -0.000 | -0.000 | -0.000 | 0.000 | 0.000 | 60.393 |
| 255.642 | 142.052 | 134.310 | -0.000 | -0.000 | -0.000 |
| 142.052 | 255.642 | 134.310 | 0.000 | 0.000 | -0.000 |
| 127.877 | 127.877 | 197.677 | -0.000 | 0.000 | 0.000 |
| 0.000 | 0.000 | 0.000 | 49.259 | 0.000 | 0.000 |
| -0.829 | -0.830 | 4.227 | 0.000 | 42.852 | 0.000 |
| -0.815 | -0.815 | 4.151 | 0.000 | 0.000 | 56.760 |
| -13.878 | -94.926 | -94.926 | -0.000 | -0.000 | -0.000 |
| -94.926 | -13.878 | -94.926 | 0.000 | -0.000 | -0.000 |
| -94.926 | -94.926 | -13.878 | -0.000 | -0.000 | 0.000 |
| 0.000 | 0.000 | -0.000 | 84.186 | -0.000 | -0.000 |
| 0.000 | -0.000 | 0.000 | -0.000 | 84.186 | 0.000 |
| 0.000 | 0.000 | -0.000 | -0.000 | -0.000 | 84.186 |
| 520.626 | 439.578 | 439.578 | 0.000 | 0.000 | -0.000 |
| 439.578 | 520.626 | 439.578 | -0.000 | 0.000 | -0.000 |
| 439.578 | 439.578 | 520.626 | -0.000 | 0.000 | -0.000 |
| -0.000 | -0.000 | -0.000 | 84.186 | -0.000 | -0.000 |
| -0.000 | 0.000 | -0.000 | -0.000 | 84.186 | -0.000 |
| -0.000 | 0.000 | 0.000 | -0.000 | 0.000 | 84.186 |
| 234.407 | 141.530 | 141.530 | 0.000 | -0.000 | 0.000 |
| 141.530 | 234.407 | 141.530 | -0.000 | 0.000 | 0.000 |
| 141.530 | 141.530 | 234.407 | -0.000 | -0.000 | 0.000 |
| -0.000 | 0.000 | 0.000 | 84.186 | -0.000 | -0.000 |
| 0.000 | -0.000 | 0.000 | -0.000 | 84.186 | 0.000 |
| 0.000 | 0.000 | -0.000 | -0.000 | -0.000 | 84.186 |
| 280.097 | 199.049 | 199.049 | 0.000 | 0.000 | 0.000 |
| 199.049 | 280.097 | 199.049 | 0.000 | 0.000 | 0.000 |
| 199.049 | 199.049 | 280.097 | 0.000 | 0.000 | 0.000 |
| 0.000 | -0.000 | -0.000 | 84.186 | 0.000 | 0.000 |
| -0.000 | 0.000 | -0.000 | 0.000 | 84.186 | 0.000 |
| -0.000 | -0.000 | 0.000 | 0.000 | 0.000 | 84.186 |
| 267.990 | 166.699 | 166.699 | -0.000 | -0.000 | 0.000 |
| 166.699 | 267.990 | 166.699 | -0.000 | -0.000 | -0.000 |
| 166.699 | 166.699 | 267.990 | -0.000 | -0.000 | -0.000 |
| -2.787 | -2.786 | -2.786 | 83.582 | -0.000 | 0.000 |
| -2.786 | -2.787 | -2.786 | -0.000 | 83.582 | -0.000 |
| -2.786 | -2.786 | -2.787 | -0.000 | -0.000 | 83.582 |
| 267.991 | 166.698 | 166.698 | -0.000 | -0.000 | -0.000 |
| 166.698 | 267.991 | 166.698 | -0.000 | -0.000 | -0.000 |
| 166.698 | 166.698 | 267.991 | 0.000 | 0.000 | 0.000 |
| 2.787 | 2.786 | 2.786 | 83.582 | 0.000 | -0.000 |
| 2.786 | 2.787 | 2.786 | 0.000 | 83.582 | -0.000 |
| 2.786 | 2.786 | 2.787 | 0.000 | 0.000 | 83.582 |
| 252.549 | 172.027 | 172.027 | 0.000 | -0.000 | -0.000 |
| 172.027 | 252.549 | 172.027 | 0.000 | 0.000 | -0.000 |
| 172.027 | 172.027 | 252.549 | 0.000 | 0.000 | -0.000 |
| -0.189 | -0.189 | -0.189 | 82.913 | 0.000 | -0.000 |
| -0.189 | -0.189 | -0.189 | 0.000 | 82.913 | -0.000 |
| -0.189 | -0.189 | -0.189 | 0.000 | 0.000 | 82.913 |
| 267.626 | 166.478 | 166.478 | -0.000 | -0.000 | 0.000 |
| 166.478 | 267.626 | 166.478 | 0.000 | -0.000 | 0.000 |
| 166.478 | 166.478 | 267.626 | -0.000 | -0.000 | 0.000 |
| 0.189 | 0.189 | 0.189 | 82.913 | -0.000 | 0.000 |
| 0.189 | 0.189 | 0.189 | 0.000 | 82.913 | 0.000 |
| 0.189 | 0.189 | 0.189 | -0.000 | -0.000 | 82.913 |
| 267.626 | 166.479 | 166.479 | 0.000 | 0.000 | -0.000 |
| 166.479 | 267.626 | 166.479 | -0.000 | 0.000 | -0.000 |
| 166.479 | 166.479 | 267.626 | 0.000 | -0.000 | -0.000 |
| -0.019 | -0.019 | -0.019 | 82.899 | 0.000 | -0.000 |
| -0.019 | -0.019 | -0.019 | 0.000 | 82.899 | -0.000 |
| -0.019 | -0.019 | -0.019 | 0.000 | 0.000 | 82.899 |
| 254.235 | 169.635 | 169.635 | -0.000 | -0.000 | 0.000 |
| 169.635 | 254.235 | 169.635 | -0.000 | 0.000 | 0.000 |
| 169.635 | 169.635 | 254.235 | -0.000 | -0.000 | 0.000 |
| 0.019 | 0.019 | 0.019 | 82.899 | -0.000 | 0.000 |
| 0.019 | 0.019 | 0.019 | -0.000 | 82.899 | 0.000 |
| 0.019 | 0.019 | 0.019 | -0.000 | 0.000 | 82.899 |
| 267.637 | 166.481 | 166.481 | 0.000 | 0.000 | -0.000 |
| 166.481 | 267.637 | 166.481 | 0.000 | 0.000 | 0.000 |
| 166.481 | 166.481 | 267.637 | 0.000 | 0.000 | -0.000 |
| -0.002 | -0.000 | -0.000 | 82.899 | 0.000 | -0.000 |
| -0.000 | -0.002 | -0.000 | 0.000 | 82.899 | -0.000 |
| -0.000 | -0.000 | -0.002 | 0.000 | 0.000 | 82.899 |
| 254.242 | 169.609 | 169.609 | -0.000 | -0.000 | 0.000 |
| 169.609 | 254.242 | 169.609 | -0.000 | -0.000 | 0.000 |
| 169.609 | 169.609 | 254.242 | 0.000 | -0.000 | 0.000 |
| 0.002 | 0.000 | 0.000 | 82.899 | -0.000 | 0.000 |
| 0.000 | 0.002 | 0.000 | -0.000 | 82.899 | 0.000 |
| 0.000 | 0.000 | 0.002 | 0.000 | -0.000 | 82.899 |
| -58.125 | -138.831 | -138.831 | 0.000 | 0.000 | -0.000 |
| -138.831 | -58.125 | -138.831 | -0.000 | 0.000 | 0.000 |
| -138.831 | -138.831 | -58.125 | -0.000 | -0.000 | 0.000 |
| -310.588 | -310.588 | -310.588 | 83.428 | 0.000 | 0.000 |
| -310.588 | -310.588 | -310.588 | -0.000 | 83.428 | 0.000 |
| -310.588 | -310.588 | -310.588 | -0.000 | -0.000 | 83.428 |
| 571.408 | 478.730 | 478.730 | 0.000 | 0.000 | -0.000 |
| 478.730 | 571.408 | 478.730 | 0.000 | -0.000 | -0.000 |
| 478.730 | 478.730 | 571.408 | 0.000 | -0.000 | 0.000 |
| 310.588 | 310.588 | 310.588 | 83.428 | -0.000 | -0.000 |
| 310.588 | 310.588 | 310.588 | 0.000 | 83.428 | -0.000 |
| 310.588 | 310.588 | 310.588 | 0.000 | 0.000 | 83.428 |
| 229.607 | 136.961 | 136.961 | -0.000 | 0.000 | 0.000 |
| 136.961 | 229.607 | 136.961 | -0.000 | 0.000 | 0.000 |
| 136.961 | 136.961 | 229.607 | -0.000 | -0.000 | -0.000 |
| -31.069 | -31.069 | -31.069 | 83.428 | -0.000 | 0.000 |
| -31.069 | -31.069 | -31.069 | -0.000 | 83.428 | 0.000 |
| -31.069 | -31.069 | -31.069 | -0.000 | -0.000 | 83.428 |
| 291.973 | 199.333 | 199.333 | 0.000 | -0.000 | 0.000 |
| 199.333 | 291.973 | 199.333 | -0.000 | 0.000 | -0.000 |
| 199.333 | 199.333 | 291.973 | -0.000 | -0.000 | -0.000 |
| 31.069 | 31.069 | 31.069 | 83.428 | 0.000 | -0.000 |
| 31.069 | 31.069 | 31.069 | 0.000 | 83.428 | -0.000 |
| 31.069 | 31.069 | 31.069 | -0.000 | -0.000 | 83.428 |
| 249.731 | 169.013 | 169.013 | -0.000 | -0.000 | -0.000 |
| 169.013 | 249.731 | 169.013 | 0.000 | 0.000 | -0.000 |
| 169.013 | 169.013 | 249.731 | -0.000 | -0.000 | 0.000 |
| -3.097 | -3.097 | -3.096 | 82.757 | 0.000 | 0.000 |
| -3.097 | -3.097 | -3.096 | -0.000 | 82.757 | 0.000 |
| -3.097 | -3.096 | -3.097 | -0.000 | 0.000 | 82.757 |
| 255.938 | 175.223 | 175.223 | 0.000 | 0.000 | -0.000 |
| 175.223 | 255.938 | 175.223 | 0.000 | 0.000 | -0.000 |
| 175.223 | 175.223 | 255.938 | -0.000 | -0.000 | -0.000 |
| 3.097 | 3.097 | 3.096 | 82.757 | 0.000 | -0.000 |
| 3.097 | 3.097 | 3.096 | 0.000 | 82.757 | -0.000 |
| 3.097 | 3.096 | 3.097 | 0.000 | -0.000 | 82.757 |
| 378.812 | 31.185 | 31.185 | 0.000 | 0.000 | 0.000 |
| 31.185 | 378.812 | 31.185 | 0.000 | 0.000 | -0.000 |
| 31.185 | 31.185 | 378.812 | 0.000 | 0.000 | 0.000 |
| 0.000 | 0.000 | 0.000 | -4.930 | 0.000 | 0.000 |
| 0.000 | 0.000 | 0.000 | -0.000 | -4.930 | 0.000 |
| 0.000 | 0.000 | 0.000 | 0.000 | 0.000 | -4.930 |
| 378.812 | 31.185 | 31.185 | -0.000 | -0.000 | 0.000 |
| 31.185 | 378.812 | 31.185 | -0.000 | -0.000 | -0.000 |
| 31.185 | 31.185 | 378.812 | -0.000 | -0.000 | -0.000 |
| -0.000 | -0.000 | -0.000 | -4.930 | 0.000 | 0.000 |
| -0.000 | -0.000 | -0.000 | 0.000 | -4.930 | -0.000 |
| -0.000 | -0.000 | -0.000 | 0.000 | -0.000 | -4.930 |
| 378.813 | 31.185 | 31.185 | 0.000 | 0.000 | 0.000 |
| 31.185 | 378.813 | 31.185 | 0.000 | -0.000 | 0.000 |
| 31.185 | 31.185 | 378.813 | 0.000 | 0.000 | 0.000 |
| 0.000 | 0.000 | 0.000 | -4.930 | 0.000 | 0.000 |
| 0.000 | 0.000 | 0.000 | 0.000 | -4.930 | 0.000 |
| 0.000 | 0.000 | 0.000 | 0.000 | 0.000 | -4.930 |
| 378.811 | 31.185 | 31.185 | 0.000 | 0.000 | 0.000 |
| 31.185 | 378.811 | 31.185 | -0.000 | 0.000 | -0.000 |
| 31.185 | 31.185 | 378.811 | -0.000 | -0.000 | 0.000 |
| -0.000 | -0.000 | -0.000 | -4.930 | -0.000 | -0.000 |
| -0.000 | -0.000 | -0.000 | -0.000 | -4.930 | -0.000 |
| -0.000 | -0.000 | -0.000 | -0.000 | -0.000 | -4.930 |
| 378.824 | 31.187 | 31.187 | 0.000 | -0.000 | -0.000 |
| 31.187 | 378.824 | 31.187 | -0.000 | 0.000 | 0.000 |
| 31.187 | 31.187 | 378.824 | 0.000 | 0.000 | 0.000 |
| 0.000 | 0.002 | 0.002 | -4.930 | 0.000 | 0.000 |
| 0.002 | 0.000 | 0.002 | 0.000 | -4.930 | 0.000 |
| 0.002 | 0.002 | 0.000 | 0.000 | 0.000 | -4.930 |
| 378.801 | 31.183 | 31.183 | -0.000 | -0.000 | 0.000 |
| 31.183 | 378.801 | 31.183 | -0.000 | 0.000 | -0.000 |
| 31.183 | 31.183 | 378.801 | -0.000 | -0.000 | -0.000 |
| -0.000 | -0.002 | -0.002 | -4.930 | -0.000 | -0.000 |
| -0.002 | -0.000 | -0.002 | 0.000 | -4.930 | -0.000 |
| -0.002 | -0.002 | -0.000 | 0.000 | -0.000 | -4.930 |
| 69.129 | 102.749 | 102.749 | -0.000 | -0.000 | -0.000 |
| 102.749 | 69.129 | 102.749 | -0.000 | -0.000 | -0.000 |
| 102.749 | 102.749 | 69.129 | -0.000 | -0.000 | -0.000 |
| 0.000 | 0.000 | 0.000 | 56.680 | -0.000 | 0.000 |
| 0.000 | 0.000 | 0.000 | -0.000 | 56.680 | -0.000 |
| 0.000 | 0.000 | 0.000 | -0.000 | -0.000 | 56.680 |
| 69.129 | 102.749 | 102.749 | 0.000 | -0.000 | 0.000 |
| 102.749 | 69.129 | 102.749 | 0.000 | 0.000 | 0.000 |
| 102.749 | 102.749 | 69.129 | -0.000 | -0.000 | 0.000 |
| -0.000 | -0.000 | -0.000 | 56.680 | -0.000 | 0.000 |
| -0.000 | -0.000 | -0.000 | 0.000 | 56.680 | 0.000 |
| -0.000 | -0.000 | -0.000 | 0.000 | -0.000 | 56.680 |
| 69.130 | 102.749 | 102.749 | -0.000 | 0.000 | -0.000 |
| 102.749 | 69.130 | 102.749 | -0.000 | 0.000 | -0.000 |
| 102.749 | 102.749 | 69.130 | -0.000 | -0.000 | -0.000 |
| 0.000 | 0.000 | 0.000 | 56.680 | 0.000 | -0.000 |
| 0.000 | 0.000 | 0.000 | -0.000 | 56.680 | -0.000 |
| 0.000 | 0.000 | 0.000 | -0.000 | 0.000 | 56.680 |
| 69.128 | 102.748 | 102.748 | 0.000 | -0.000 | 0.000 |
| 102.748 | 69.128 | 102.748 | 0.000 | 0.000 | 0.000 |
| 102.748 | 102.748 | 69.128 | -0.000 | -0.000 | 0.000 |
| -0.000 | -0.000 | -0.000 | 56.680 | 0.000 | 0.000 |
| -0.000 | -0.000 | -0.000 | 0.000 | 56.680 | 0.000 |
| -0.000 | -0.000 | -0.000 | 0.000 | 0.000 | 56.680 |
| 69.135 | 102.750 | 102.750 | 0.000 | 0.000 | 0.000 |
| 102.750 | 69.135 | 102.750 | 0.000 | -0.000 | -0.000 |
| 102.750 | 102.750 | 69.135 | 0.000 | -0.000 | -0.000 |
| 0.001 | 0.001 | 0.001 | 56.680 | -0.000 | -0.000 |
| 0.001 | 0.001 | 0.001 | -0.000 | 56.680 | -0.000 |
| 0.001 | 0.001 | 0.001 | 0.000 | -0.000 | 56.680 |
| 69.123 | 102.747 | 102.747 | 0.000 | 0.000 | 0.000 |
| 102.747 | 69.123 | 102.747 | 0.000 | 0.000 | 0.000 |
| 102.747 | 102.747 | 69.123 | 0.000 | 0.000 | 0.000 |
| -0.001 | -0.001 | -0.001 | 56.680 | 0.000 | -0.000 |
| -0.001 | -0.001 | -0.001 | 0.000 | 56.680 | 0.000 |
| -0.001 | -0.001 | -0.001 | 0.000 | 0.000 | 56.680 |
| 64.454 | 68.584 | 68.584 | -0.000 | 0.000 | -0.000 |
| 68.584 | 64.454 | 68.584 | 0.000 | 0.000 | 0.000 |
| 68.584 | 68.584 | 64.454 | 0.000 | 0.000 | -0.000 |
| 0.000 | 0.000 | 0.000 | 27.526 | -0.000 | -0.000 |
| 0.000 | 0.000 | 0.000 | -0.000 | 27.526 | 0.000 |
| 0.000 | 0.000 | 0.000 | -0.000 | 0.000 | 27.526 |
| 64.454 | 68.584 | 68.584 | 0.000 | -0.000 | 0.000 |
| 68.584 | 64.454 | 68.584 | -0.000 | -0.000 | -0.000 |
| 68.584 | 68.584 | 64.454 | -0.000 | -0.000 | 0.000 |
| -0.000 | -0.000 | -0.000 | 27.526 | -0.000 | 0.000 |
| -0.000 | -0.000 | -0.000 | -0.000 | 27.526 | 0.000 |
| -0.000 | -0.000 | -0.000 | -0.000 | -0.000 | 27.526 |
| 64.454 | 68.584 | 68.584 | 0.000 | 0.000 | -0.000 |
| 68.584 | 64.454 | 68.584 | 0.000 | 0.000 | 0.000 |
| 68.584 | 68.584 | 64.454 | 0.000 | 0.000 | 0.000 |
| 0.000 | 0.000 | 0.000 | 27.526 | 0.000 | 0.000 |
| 0.000 | 0.000 | 0.000 | 0.000 | 27.526 | -0.000 |
| 0.000 | 0.000 | 0.000 | 0.000 | 0.000 | 27.526 |
| 64.453 | 68.584 | 68.584 | -0.000 | -0.000 | 0.000 |
| 68.584 | 64.453 | 68.584 | -0.000 | -0.000 | 0.000 |
| 68.584 | 68.584 | 64.453 | -0.000 | -0.000 | -0.000 |
| -0.000 | -0.000 | -0.000 | 27.526 | -0.000 | 0.000 |
| -0.000 | -0.000 | -0.000 | -0.000 | 27.526 | 0.000 |
| -0.000 | -0.000 | -0.000 | 0.000 | -0.000 | 27.526 |
| 64.455 | 68.585 | 68.585 | 0.000 | 0.000 | -0.000 |
| 68.585 | 64.455 | 68.585 | 0.000 | -0.000 | 0.000 |
| 68.585 | 68.585 | 64.455 | 0.000 | 0.000 | -0.000 |
| 0.000 | 0.001 | 0.001 | -8.865 | 0.000 | 0.000 |
| 0.001 | 0.000 | 0.001 | 0.000 | -8.865 | 0.000 |
| 0.001 | 0.001 | 0.000 | 0.000 | 0.000 | -8.865 |
| 64.452 | 68.583 | 68.583 | -0.000 | -0.000 | 0.000 |
| 68.583 | 64.452 | 68.583 | -0.000 | -0.000 | -0.000 |
| 68.583 | 68.583 | 64.452 | 0.000 | -0.000 | -0.000 |
| -0.000 | -0.001 | -0.001 | -8.865 | -0.000 | 0.000 |
| -0.001 | -0.000 | -0.001 | -0.000 | -8.865 | -0.000 |
| -0.001 | -0.001 | -0.000 | -0.000 | -0.000 | -8.865 |
| 145.565 | 125.136 | 118.326 | -0.000 | -0.000 | -0.000 |
| 125.136 | 145.565 | 118.326 | 0.000 | -0.000 | -0.000 |
| 118.326 | 118.326 | 242.628 | -0.000 | -0.000 | -0.000 |
| 0.000 | 0.000 | 0.000 | 70.977 | -0.000 | -0.000 |
| 0.000 | 0.000 | 0.000 | 0.000 | 70.977 | -0.000 |
| 0.000 | 0.000 | 0.000 | 0.000 | -0.000 | 80.462 |
| 145.565 | 125.135 | 118.326 | -0.000 | 0.000 | 0.000 |
| 125.135 | 145.565 | 118.326 | -0.000 | 0.000 | 0.000 |
| 118.326 | 118.326 | 242.629 | -0.000 | 0.000 | 0.000 |
| -0.000 | -0.000 | -0.000 | 70.977 | -0.000 | 0.000 |
| -0.000 | -0.000 | -0.000 | -0.000 | 70.977 | 0.000 |
| -0.000 | -0.000 | -0.000 | -0.000 | 0.000 | 80.462 |
| 145.567 | 125.136 | 118.327 | -0.000 | -0.000 | -0.000 |
| 125.136 | 145.567 | 118.327 | 0.000 | -0.000 | -0.000 |
| 118.326 | 118.326 | 242.628 | -0.000 | -0.000 | -0.000 |
| 0.000 | 0.000 | 0.000 | 70.977 | -0.000 | -0.000 |
| 0.000 | 0.000 | 0.000 | 0.000 | 70.977 | -0.000 |
| 0.000 | 0.000 | 0.000 | 0.000 | -0.000 | 80.462 |
| 145.564 | 125.135 | 118.326 | -0.000 | 0.000 | 0.000 |
| 125.135 | 145.564 | 118.326 | -0.000 | -0.000 | 0.000 |
| 118.326 | 118.326 | 242.629 | -0.000 | 0.000 | 0.000 |
| -0.000 | -0.000 | -0.000 | 70.977 | 0.000 | 0.000 |
| -0.000 | -0.000 | -0.000 | -0.000 | 70.977 | 0.000 |
| -0.000 | -0.000 | -0.000 | -0.000 | 0.000 | 80.462 |
| 145.581 | 125.140 | 118.329 | 0.000 | -0.000 | -0.000 |
| 125.140 | 145.581 | 118.329 | 0.000 | -0.000 | -0.000 |
| 118.328 | 118.328 | 242.620 | 0.000 | -0.000 | -0.000 |
| 0.001 | 0.003 | 0.001 | 70.977 | -0.000 | -0.000 |
| 0.003 | 0.001 | 0.001 | 0.000 | 70.977 | -0.000 |
| 0.004 | 0.004 | 0.001 | 0.000 | -0.000 | 80.462 |
| 145.550 | 125.131 | 118.323 | -0.000 | 0.000 | 0.000 |
| 125.131 | 145.550 | 118.323 | -0.000 | 0.000 | 0.000 |
| 118.325 | 118.325 | 242.637 | -0.000 | 0.000 | 0.000 |
| -0.001 | -0.003 | -0.001 | 70.977 | 0.000 | 0.000 |
| -0.003 | -0.001 | -0.001 | -0.000 | 70.977 | 0.000 |
| -0.004 | -0.004 | -0.001 | -0.000 | 0.000 | 80.462 |
| 140.350 | 102.896 | 126.186 | 0.000 | 0.000 | 0.000 |
| 102.896 | 140.350 | 126.186 | -0.000 | 0.000 | 0.000 |
| 126.186 | 126.186 | 234.300 | -0.000 | 0.000 | 0.000 |
| 0.000 | -0.000 | -0.000 | 76.248 | 0.000 | 0.000 |
| -0.000 | 0.000 | -0.000 | -0.000 | 76.248 | 0.000 |
| -0.000 | -0.000 | 0.000 | 0.000 | 0.000 | 50.109 |
| 140.350 | 102.896 | 126.186 | 0.000 | -0.000 | -0.000 |
| 102.896 | 140.350 | 126.186 | 0.000 | -0.000 | 0.000 |
| 126.186 | 126.186 | 234.300 | 0.000 | -0.000 | -0.000 |
| -0.000 | -0.000 | 0.000 | 76.248 | -0.000 | 0.000 |
| 0.000 | -0.000 | -0.000 | 0.000 | 76.248 | -0.000 |
| 0.000 | 0.000 | -0.000 | -0.000 | -0.000 | 50.109 |
| 140.350 | 102.896 | 126.186 | 0.000 | 0.000 | 0.000 |
| 102.896 | 140.350 | 126.186 | -0.000 | -0.000 | 0.000 |
| 126.186 | 126.186 | 234.300 | 0.000 | 0.000 | 0.000 |
| 0.000 | 0.000 | 0.000 | 76.248 | -0.000 | 0.000 |
| 0.000 | 0.000 | 0.000 | 0.000 | 76.248 | 0.000 |
| -0.000 | -0.000 | 0.000 | -0.000 | 0.000 | 50.109 |
| 140.349 | 102.896 | 126.186 | 0.000 | -0.000 | -0.000 |
| 102.896 | 140.349 | 126.186 | 0.000 | -0.000 | -0.000 |
| 126.186 | 126.186 | 234.299 | 0.000 | -0.000 | -0.000 |
| -0.000 | -0.000 | -0.000 | 76.248 | 0.000 | -0.000 |
| -0.000 | -0.000 | -0.000 | 0.000 | 76.248 | -0.000 |
| 0.000 | 0.000 | -0.000 | 0.000 | -0.000 | 50.109 |
| 140.351 | 102.896 | 126.186 | -0.000 | 0.000 | -0.000 |
| 102.896 | 140.351 | 126.186 | 0.000 | 0.000 | -0.000 |
| 126.186 | 126.186 | 234.304 | 0.000 | 0.000 | 0.000 |
| 0.000 | 0.000 | 0.000 | 76.248 | -0.000 | 0.000 |
| 0.000 | 0.000 | 0.000 | -0.000 | 76.248 | 0.000 |
| -0.000 | -0.000 | 0.000 | 0.000 | 0.000 | 50.109 |
| 140.349 | 102.896 | 126.186 | -0.000 | -0.000 | -0.000 |
| 102.896 | 140.349 | 126.186 | -0.000 | 0.000 | -0.000 |
| 126.186 | 126.186 | 234.295 | 0.000 | -0.000 | 0.000 |
| -0.000 | -0.000 | -0.000 | 76.248 | 0.000 | -0.000 |
| -0.000 | -0.000 | -0.000 | 0.000 | 76.248 | -0.000 |
| 0.000 | 0.000 | -0.000 | -0.000 | -0.000 | 50.109 |
| 145.204 | 116.547 | 72.825 | 0.000 | -15.957 | 0.000 |
| 120.372 | 217.333 | 66.353 | 0.000 | -23.716 | 0.000 |
| 77.336 | 89.474 | 139.138 | 0.000 | -16.514 | 0.000 |
| 0.000 | 0.000 | 0.000 | 27.795 | 0.000 | -12.655 |
| -20.522 | -12.876 | -16.514 | 0.000 | 21.394 | 0.000 |
| 0.000 | 0.000 | -0.000 | -13.143 | 0.000 | 61.306 |
| 124.142 | 100.121 | 90.844 | -0.000 | -19.516 | -0.000 |
| 118.986 | 216.632 | 88.344 | -0.000 | -13.364 | -0.000 |
| 69.676 | 77.147 | 128.687 | -0.000 | -5.726 | -0.000 |
| -0.000 | -0.000 | -0.000 | 27.795 | -0.000 | -12.655 |
| -20.522 | -12.876 | -16.514 | -0.000 | 21.394 | -0.000 |
| -0.000 | -0.000 | 0.000 | -13.143 | -0.000 | 61.306 |
| 129.902 | 108.784 | 68.294 | 0.000 | -23.854 | 0.000 |
| 118.986 | 216.632 | 88.344 | 0.000 | -13.364 | 0.000 |
| 72.809 | 83.520 | 104.625 | 0.000 | -15.835 | 0.000 |
| 0.091 | 1.021 | -4.826 | 14.067 | -2.158 | -21.326 |
| -35.599 | -19.798 | -18.181 | 0.000 | -1.107 | 0.000 |
| -0.000 | 0.000 | 0.000 | -13.143 | 0.000 | 61.306 |
| 145.204 | 116.547 | 72.825 | 0.000 | -15.957 | -0.000 |
| 118.986 | 216.632 | 88.344 | -0.000 | -13.364 | -0.000 |
| 77.336 | 89.474 | 139.138 | -0.000 | -16.514 | -0.000 |
| -0.091 | -1.021 | 4.826 | 14.067 | 2.158 | -21.326 |
| -35.268 | -21.043 | -12.195 | -0.000 | 2.579 | 0.000 |
| 0.000 | -0.000 | -0.000 | -13.143 | -0.000 | 61.306 |
| 130.642 | 108.962 | 69.608 | 0.000 | -22.770 | 0.000 |
| 118.986 | 216.630 | 88.344 | 0.000 | -13.363 | 0.000 |
| 71.831 | 82.863 | 107.800 | 0.000 | -15.290 | 0.000 |
| 0.000 | -0.000 | 0.000 | 27.795 | 0.000 | -12.655 |
| -20.523 | -12.876 | -16.515 | 0.000 | 21.394 | 0.000 |
| 0.108 | 0.085 | -0.136 | -16.785 | -0.052 | 58.071 |
| 145.207 | 116.547 | 72.826 | -0.000 | -15.957 | -0.000 |
| 110.990 | 210.039 | 83.958 | -0.000 | -16.430 | -0.000 |
| 77.337 | 89.474 | 139.138 | -0.000 | -16.515 | -0.000 |
| -0.000 | 0.000 | -0.000 | 27.795 | -0.000 | -12.655 |
| -20.522 | -12.876 | -16.514 | -0.000 | 21.393 | -0.000 |
| -0.108 | -0.085 | 0.136 | -16.785 | 0.052 | 58.071 |
| -208.679 | 195.099 | -284.410 | 0.000 | -40.454 | -0.000 |
| -79.559 | 236.074 | -326.927 | 0.000 | -24.021 | -0.000 |
| 61.481 | 71.270 | 157.338 | -0.000 | -0.504 | -0.000 |
| -153.938 | 99.986 | -341.195 | 19.342 | -41.369 | 0.108 |
| -0.836 | 0.125 | -0.504 | -0.000 | 8.067 | 0.000 |
| -153.916 | 99.973 | -341.148 | 0.116 | -41.363 | 46.095 |
| -51.968 | 93.773 | 63.078 | 0.000 | 2.326 | 0.000 |
| 95.511 | 134.311 | 74.852 | -0.000 | 0.133 | 0.000 |
| 231.175 | -38.714 | 542.888 | -0.000 | 18.271 | 0.000 |
| 153.938 | -99.986 | 341.195 | 19.342 | 41.369 | 0.108 |
| 174.771 | -114.615 | 400.262 | 0.000 | 19.443 | 0.000 |
| 153.916 | -99.973 | 341.148 | 0.116 | 41.363 | 46.095 |
| -72.538 | 105.729 | 16.183 | -0.000 | -2.241 | -0.000 |
| 82.012 | 136.541 | 42.252 | 0.000 | -3.592 | -0.000 |
| 39.275 | 81.427 | 105.644 | 0.000 | -5.112 | 0.000 |
| -15.600 | 10.133 | -34.577 | 19.283 | -4.192 | 0.107 |
| -19.259 | 11.914 | -41.239 | -0.000 | 0.771 | 0.000 |
| -17.627 | 10.316 | -40.413 | 0.069 | -2.477 | 46.096 |
| -51.968 | 93.773 | 63.079 | 0.000 | 2.326 | 0.000 |
| 114.652 | 119.128 | 117.223 | -0.000 | 2.396 | 0.000 |
| 72.705 | 62.256 | 181.825 | -0.000 | 0.937 | 0.000 |
| 15.600 | -10.133 | 34.577 | 19.283 | 4.192 | 0.107 |
| 15.915 | -12.964 | 39.039 | 0.000 | -0.384 | 0.000 |
| 17.627 | -10.316 | 40.413 | 0.069 | 2.477 | 46.096 |
| -51.966 | 93.773 | 63.077 | 0.000 | 2.325 | -0.000 |
| 95.307 | 131.025 | 72.999 | 0.000 | 0.028 | 0.000 |
| 53.167 | 74.473 | 137.220 | 0.000 | -1.218 | 0.000 |
| -2.274 | 1.478 | -5.041 | 17.233 | -0.612 | 0.082 |
| -0.836 | 0.125 | -0.505 | 0.000 | 8.067 | -0.000 |
| -1.539 | 1.000 | -3.410 | 0.116 | -0.414 | 46.095 |
| -54.242 | 95.528 | 58.821 | -0.000 | -1.977 | 0.000 |
| 98.746 | 129.012 | 80.868 | 0.000 | 0.624 | 0.000 |
| 56.572 | 72.313 | 145.101 | 0.000 | -1.492 | 0.000 |
| 2.274 | -1.478 | 5.041 | 17.233 | 0.612 | 0.082 |
| -0.508 | -0.623 | 2.551 | -0.000 | -3.141 | 0.000 |
| 1.539 | -1.000 | 3.410 | 0.116 | 0.414 | 46.095 |
| -354.809 | -358.464 | -229.858 | 0.000 | 202.799 | 0.000 |
| 118.073 | 222.381 | 87.013 | -0.000 | -11.830 | 0.000 |
| 77.803 | 87.951 | 136.493 | 0.000 | -14.418 | 0.000 |
| -485.579 | -471.907 | -304.524 | 21.734 | 224.388 | -12.290 |
| 5.810 | -566.581 | -818.666 | 0.000 | 739.140 | 0.000 |
| -485.585 | -471.914 | -304.528 | -12.929 | 224.391 | 60.315 |
| 616.218 | 585.346 | 379.223 | -0.000 | -246.111 | -0.000 |
| 598.723 | 690.396 | 388.767 | -0.000 | -238.206 | -0.000 |
| 77.803 | 87.951 | 136.493 | 0.000 | -14.418 | -0.000 |
| 485.579 | 471.907 | 304.524 | 21.734 | -224.388 | -12.290 |
| -18.800 | -11.191 | -14.418 | 0.000 | 23.087 | -0.000 |
| 485.585 | 471.914 | 304.528 | -12.929 | -224.391 | 60.315 |
| 141.723 | 115.926 | 73.832 | -0.000 | -13.735 | -0.000 |
| 64.593 | 171.293 | 53.791 | 0.000 | 8.672 | 0.000 |
| 77.803 | 87.951 | 136.493 | 0.000 | -14.418 | 0.000 |
| -48.502 | -47.137 | -30.417 | 21.740 | 22.413 | -12.289 |
| -18.800 | -11.191 | -14.418 | 0.000 | 23.087 | 0.000 |
| -0.000 | -0.000 | -0.000 | -11.283 | -0.000 | 62.173 |
| 121.137 | 162.932 | 151.519 | -0.000 | -100.977 | -0.000 |
| 118.073 | 222.381 | 87.013 | -0.000 | -11.830 | -0.000 |
| 77.803 | 87.951 | 136.493 | -0.000 | -14.418 | -0.000 |
| 48.502 | 47.137 | 30.417 | 21.740 | -22.413 | -12.289 |
| -18.800 | -11.191 | -14.418 | -0.000 | 23.087 | -0.000 |
| 0.000 | 0.000 | 0.000 | -11.283 | 0.000 | 62.173 |
| 119.498 | 98.889 | 60.534 | 0.000 | -25.679 | 0.000 |
| 108.249 | 213.679 | 81.155 | -0.000 | -11.317 | 0.000 |
| 68.090 | 76.658 | 103.269 | 0.000 | -8.619 | 0.000 |
| -0.000 | -0.000 | -0.000 | 27.197 | -0.000 | -10.644 |
| -27.180 | -17.134 | -15.572 | 0.000 | 18.263 | 0.000 |
| -0.001 | -0.001 | -0.000 | -11.283 | -0.000 | 62.173 |
| 123.683 | 113.523 | 80.537 | -0.000 | -38.261 | -0.000 |
| 118.074 | 222.383 | 87.013 | -0.000 | -11.830 | -0.000 |
| 76.190 | 87.802 | 107.806 | -0.000 | -18.849 | -0.000 |
| 0.000 | 0.000 | 0.000 | 27.197 | 0.000 | -10.644 |
| -18.800 | -11.191 | -14.418 | 0.000 | 23.087 | -0.000 |
| 0.001 | 0.001 | 0.000 | -11.283 | 0.000 | 62.173 |
| -183.402 | -451.190 | -1332.129 | -0.000 | 0.000 | -0.000 |
| -617.711 | 421.336 | -464.473 | 0.000 | 0.000 | -0.000 |
| -845.896 | -28.897 | -826.814 | 0.000 | 0.000 | -0.000 |
| -703.890 | 291.402 | -553.267 | 36.719 | 0.000 | -0.000 |
| -703.807 | 291.368 | -553.203 | 0.000 | 28.526 | -0.000 |
| 0.000 | 0.000 | 0.000 | 0.000 | 0.000 | 41.931 |
| 211.200 | 88.226 | 77.661 | 0.000 | -0.000 | 0.000 |
| 470.704 | 662.300 | 1493.525 | 0.000 | -0.000 | 0.000 |
| 781.281 | -202.195 | 694.956 | 0.000 | 0.000 | 0.000 |
| 703.890 | -291.402 | 553.267 | 36.719 | 0.000 | 0.000 |
| 703.807 | -291.368 | 553.203 | -0.000 | 28.526 | 0.000 |
| -0.000 | -0.000 | -0.000 | -0.000 | -0.000 | 41.931 |
| 110.469 | 72.604 | -20.893 | -0.000 | 0.000 | -0.000 |
| 15.769 | 159.010 | 33.455 | -0.000 | 0.000 | -0.000 |
| 79.340 | 91.027 | 149.552 | -0.000 | -0.000 | -0.000 |
| -70.405 | 29.147 | -55.339 | 36.718 | 0.000 | -0.000 |
| -92.255 | -11.660 | -96.336 | -0.000 | 26.557 | -0.000 |
| -70.403 | 29.146 | -55.338 | -0.000 | 0.000 | 32.558 |
| 274.331 | 55.655 | 131.501 | -0.000 | 0.000 | 0.000 |
| 178.305 | 138.015 | 184.326 | 0.000 | 0.000 | 0.000 |
| 168.847 | 99.270 | 232.774 | -0.000 | -0.000 | 0.000 |
| 70.405 | -29.147 | 55.339 | 36.718 | -0.000 | 0.000 |
| 92.255 | 11.660 | 96.336 | -0.000 | 26.557 | 0.000 |
| 70.403 | -29.146 | 55.338 | -0.000 | -0.000 | 32.558 |
| 196.863 | 87.689 | 70.636 | -0.000 | 0.000 | -0.000 |
| 76.961 | 125.588 | 78.512 | -0.000 | 0.000 | -0.000 |
| 71.663 | 82.512 | 120.079 | -0.000 | -0.000 | -0.000 |
| -9.420 | -1.410 | -9.940 | 30.420 | 0.000 | -0.000 |
| -1.680 | 4.125 | -5.649 | 0.000 | 23.453 | -0.000 |
| -3.482 | -5.767 | -14.541 | 0.000 | 0.000 | 7.330 |
| 211.456 | 85.189 | 84.942 | -0.000 | -0.000 | 0.000 |
| 87.247 | 122.758 | 97.192 | -0.000 | 0.000 | 0.000 |
| 78.482 | 91.922 | 143.104 | 0.000 | -0.000 | 0.000 |
| 9.420 | 1.410 | 9.940 | 30.420 | -0.000 | 0.000 |
| 1.680 | -4.125 | 5.649 | 0.000 | 23.453 | 0.000 |
| 3.482 | 5.767 | 14.541 | -0.000 | -0.000 | 7.330 |
| 212.615 | 102.640 | 92.274 | 0.000 | -1.768 | 0.000 |
| 102.336 | 234.764 | 112.990 | -0.000 | 7.898 | 0.000 |
| 93.193 | 112.991 | 231.406 | 0.000 | -23.846 | 0.000 |
| 210.531 | 154.115 | -1883.424 | 58.364 | -255.083 | 7.720 |
| -143.841 | 325.221 | -1905.856 | -0.000 | -455.170 | 0.000 |
| -208.036 | 188.592 | -1571.858 | 7.905 | -747.894 | 48.218 |
| 335.229 | -212.818 | 1963.136 | -0.000 | 487.662 | 0.000 |
| 313.915 | 41.571 | 1682.349 | 0.000 | 756.559 | -0.000 |
| -44.998 | -64.211 | 2261.560 | 0.000 | 267.307 | 0.000 |
| -210.531 | -154.115 | 1883.424 | 58.364 | 255.083 | 7.720 |
| 200.651 | -180.542 | 1545.665 | -0.000 | 789.035 | -0.000 |
| 208.036 | -188.592 | 1571.858 | 7.905 | 747.894 | 48.218 |
| 179.463 | 124.833 | -64.862 | 0.000 | -80.481 | 0.000 |
| 117.799 | 249.493 | -94.024 | -0.000 | -22.152 | 0.000 |
| 72.097 | 143.255 | 31.181 | 0.000 | -83.728 | 0.000 |
| 0.000 | 0.000 | 0.000 | 61.148 | 0.000 | 7.788 |
| -28.115 | 26.918 | -183.422 | 0.000 | -33.598 | -0.000 |
| -20.806 | 18.861 | -157.204 | 7.905 | -74.798 | 48.218 |
| 214.176 | 73.263 | 274.228 | -0.000 | 43.591 | -0.000 |
| 117.225 | 201.250 | 300.495 | -0.000 | 55.167 | 0.000 |
| 97.768 | 80.620 | 408.683 | -0.000 | 15.593 | -0.000 |
| -0.000 | -0.000 | -0.000 | 61.148 | -0.000 | 7.788 |
| 3.796 | -24.297 | 158.486 | 0.000 | 87.607 | -0.000 |
| 20.806 | -18.861 | 157.204 | 7.905 | 74.798 | 48.218 |
| 199.699 | 106.647 | 69.382 | -0.000 | -10.893 | 0.000 |
| 102.333 | 234.764 | 112.990 | -0.000 | 7.899 | 0.000 |
| 87.659 | 113.976 | 195.743 | 0.000 | -36.475 | 0.000 |
| -1.416 | 3.104 | -18.708 | 58.611 | -5.193 | 7.585 |
| -3.518 | 7.898 | -23.845 | 0.000 | 45.458 | 0.000 |
| -0.001 | -0.001 | -0.000 | 7.789 | 0.001 | 52.608 |
| 202.316 | 104.224 | 106.524 | 0.000 | 1.119 | -0.000 |
| 103.056 | 229.755 | 129.024 | -0.000 | 10.351 | -0.000 |
| 93.192 | 112.990 | 231.405 | 0.000 | -23.846 | -0.000 |
| 1.416 | -3.104 | 18.708 | 58.611 | 5.193 | 7.585 |
| -6.463 | 6.133 | -10.558 | 0.000 | 47.548 | -0.000 |
| 0.001 | 0.001 | 0.000 | 7.789 | -0.001 | 52.608 |
| 1290.305 | 302.047 | 429.864 | 0.000 | 764.506 | 0.000 |
| 1224.882 | 438.424 | 460.938 | -0.000 | 762.275 | 0.000 |
| 2664.709 | -266.484 | -779.913 | 0.000 | 1577.539 | 0.000 |
| 1121.252 | 198.714 | 349.760 | 62.476 | 766.944 | -11.113 |
| -8.311 | -9.360 | 16.100 | 0.000 | 35.306 | 0.000 |
| 1121.254 | 198.714 | 349.761 | -10.440 | 766.945 | 45.783 |
| 186.669 | 104.530 | 82.913 | -0.000 | -5.691 | -0.000 |
| 102.076 | 247.383 | 116.260 | -0.000 | -8.687 | -0.000 |
| -1037.075 | -84.479 | -169.913 | -0.000 | -735.727 | -0.000 |
| -1121.252 | -198.714 | -349.760 | 62.476 | -766.944 | -11.113 |
| -1867.793 | 471.179 | 726.871 | -0.000 | -1293.302 | -0.000 |
| -1121.254 | -198.714 | -349.761 | -10.440 | -766.945 | 45.783 |
| 452.381 | 98.503 | -26.813 | 0.000 | 152.784 | 0.000 |
| 352.153 | 202.614 | 21.031 | 0.000 | 147.027 | 0.000 |
| 196.023 | 133.837 | 213.785 | 0.000 | 108.295 | 0.000 |
| 186.250 | -47.719 | -69.730 | 62.531 | 131.469 | -11.812 |
| 181.167 | -53.734 | -40.144 | 0.000 | 153.002 | 0.000 |
| 112.135 | 19.873 | 34.979 | -10.440 | 76.701 | 45.782 |
| 56.693 | 83.451 | 45.098 | -0.000 | -79.049 | -0.000 |
| -8.331 | 220.076 | 76.399 | -0.000 | -81.327 | -0.000 |
| -100.364 | 162.020 | 246.558 | -0.000 | -100.385 | -0.000 |
| -186.250 | 47.719 | 69.730 | 62.531 | -131.469 | -11.812 |
| -310.462 | -10.551 | 149.679 | -0.000 | -138.839 | -0.000 |
| -112.135 | -19.873 | -34.979 | -10.440 | -76.701 | 45.782 |
| 182.486 | 105.469 | 83.955 | 0.000 | 4.819 | 0.000 |
| 114.073 | 240.188 | 113.481 | 0.000 | 2.984 | 0.000 |
| 92.479 | 114.783 | 178.444 | 0.000 | 39.315 | 0.000 |
| 18.572 | -4.748 | -6.936 | 62.534 | 13.109 | -11.807 |
| 13.261 | -10.966 | 22.206 | 0.000 | 34.873 | 0.000 |
| 18.495 | -4.713 | -6.883 | -11.128 | 13.054 | 44.322 |
| 142.642 | 107.836 | 92.137 | 0.000 | -16.742 | -0.000 |
| 67.381 | 244.268 | 127.223 | -0.000 | -23.420 | -0.000 |
| 82.591 | 119.310 | 202.499 | -0.000 | 16.100 | -0.000 |
| -18.572 | 4.748 | 6.936 | 62.534 | -13.109 | -11.807 |
| -23.784 | -1.218 | 36.223 | -0.000 | 8.739 | -0.000 |
| -18.495 | 4.713 | 6.883 | -11.128 | -13.054 | 44.322 |
| 203.268 | 97.391 | 73.000 | -0.000 | -0.000 | 0.000 |
| 98.266 | 172.978 | 98.070 | -0.000 | -0.000 | 0.000 |
| -1277.179 | -1785.283 | 658.841 | -0.000 | -0.000 | 0.000 |
| -1349.397 | -1880.041 | 479.481 | 57.386 | -0.000 | -0.000 |
| -1363.440 | -2185.255 | 971.851 | -0.000 | 33.553 | 0.000 |
| -1363.430 | -2185.239 | 971.844 | -0.000 | 0.000 | 41.264 |
| 1537.180 | 1969.826 | -408.961 | 0.000 | 0.000 | -0.000 |
| 1452.577 | 2342.183 | -878.535 | -0.000 | 0.000 | 0.000 |
| 76.924 | 101.119 | 200.176 | 0.000 | 0.000 | -0.000 |
| 1349.397 | 1880.041 | -479.481 | 57.386 | 0.000 | -0.000 |
| 1363.440 | 2185.255 | -971.851 | 0.000 | 33.553 | 0.000 |
| 1363.430 | 2185.239 | -971.844 | 0.000 | 0.000 | 41.264 |
| 203.268 | 97.391 | 73.000 | -0.000 | -0.000 | -0.000 |
| -42.908 | -30.579 | 141.082 | -0.000 | -0.000 | 0.000 |
| 76.924 | 101.119 | 200.177 | -0.000 | -0.000 | -0.000 |
| -0.000 | 0.000 | 0.000 | 62.138 | -0.000 | 0.000 |
| -134.941 | -188.005 | 47.947 | -0.000 | 33.094 | 0.000 |
| -136.240 | -218.359 | 97.111 | -0.000 | -0.000 | 41.272 |
| 203.268 | 97.391 | 73.000 | 0.000 | 0.000 | -0.000 |
| 225.264 | 375.079 | -3.928 | 0.000 | 0.000 | 0.000 |
| 76.923 | 101.119 | 200.176 | 0.000 | 0.000 | 0.000 |
| 0.000 | -0.000 | -0.000 | 62.138 | 0.000 | 0.000 |
| 134.941 | 188.005 | -47.947 | 0.000 | 33.094 | 0.000 |
| 136.240 | 218.359 | -97.111 | -0.000 | 0.000 | 41.272 |
| 203.308 | 97.391 | 73.001 | -0.000 | -0.000 | -0.000 |
| 78.060 | 138.216 | 97.943 | 0.000 | -0.000 | 0.000 |
| 57.276 | 70.074 | 194.559 | 0.000 | 0.000 | 0.000 |
| -0.000 | 0.000 | 0.001 | 62.138 | -0.000 | 0.000 |
| -13.505 | -18.811 | 4.790 | -0.000 | 33.091 | -0.000 |
| -14.111 | -19.875 | 5.382 | -0.000 | -0.000 | 44.517 |
| 203.270 | 97.391 | 73.000 | 0.000 | 0.000 | 0.000 |
| 105.745 | 177.452 | 87.143 | 0.000 | 0.000 | -0.000 |
| 86.360 | 114.211 | 176.384 | -0.000 | 0.000 | -0.000 |
| 0.000 | -0.000 | -0.001 | 62.138 | 0.000 | 0.000 |
| 13.505 | 18.811 | -4.790 | 0.000 | 33.091 | -0.000 |
| 14.111 | 19.875 | -5.382 | 0.000 | 0.000 | 44.517 |
| 196.750 | 95.184 | 80.304 | 0.000 | 0.000 | -0.000 |
| 95.185 | 162.206 | 107.281 | 0.000 | 0.000 | -0.000 |
| 80.304 | 107.280 | 236.706 | 0.000 | 0.000 | -0.000 |
| 647.000 | 1262.920 | 702.591 | 63.116 | -0.000 | -0.000 |
| 647.000 | 1262.920 | 702.591 | 0.000 | 35.415 | -0.000 |
| 408.001 | 1303.923 | 836.567 | 0.000 | -0.000 | 42.731 |
| -461.079 | -1173.872 | -624.680 | -0.000 | 0.000 | -0.000 |
| -319.161 | -1155.160 | -732.893 | -0.000 | 0.000 | -0.000 |
| -569.819 | -1158.210 | -473.659 | -0.000 | 0.000 | 0.000 |
| -647.000 | -1262.920 | -702.591 | 63.116 | 0.000 | 0.000 |
| -647.000 | -1262.920 | -702.591 | -0.000 | 35.415 | -0.000 |
| -408.001 | -1303.923 | -836.567 | -0.000 | 0.000 | 42.731 |
| 223.194 | 241.151 | 162.429 | 0.000 | -0.000 | 0.000 |
| 95.185 | 162.207 | 107.281 | 0.000 | 0.000 | -0.000 |
| 117.174 | 254.864 | 309.153 | 0.000 | -0.000 | -0.000 |
| -0.000 | -0.000 | -0.000 | 65.106 | -0.000 | 0.000 |
| 0.000 | -0.000 | 0.000 | 0.000 | 36.798 | -0.000 |
| -0.000 | -0.000 | -0.000 | 0.000 | 0.000 | 49.961 |
| 121.281 | -37.246 | 7.642 | -0.000 | 0.000 | 0.000 |
| 48.028 | 18.342 | 20.023 | -0.000 | 0.000 | 0.000 |
| 34.486 | -26.564 | 139.741 | -0.000 | 0.000 | -0.000 |
| 0.000 | 0.000 | 0.000 | 65.106 | 0.000 | 0.000 |
| -0.000 | 0.000 | -0.000 | -0.000 | 36.798 | -0.000 |
| 0.000 | 0.000 | 0.000 | -0.000 | -0.000 | 49.961 |
| 191.112 | 101.172 | 84.791 | 0.000 | -0.000 | -0.000 |
| 93.019 | 164.397 | 112.228 | 0.000 | -0.000 | -0.000 |
| 77.892 | 118.406 | 229.330 | 0.000 | -0.000 | 0.000 |
| 6.548 | 12.780 | 7.110 | 63.093 | -0.000 | -0.000 |
| 4.011 | 13.125 | 8.462 | 0.000 | 34.351 | -0.000 |
| 4.306 | 17.158 | 9.634 | 0.000 | -0.000 | 39.260 |
| 179.698 | 76.186 | 70.706 | -0.000 | 0.000 | -0.000 |
| 84.556 | 134.480 | 93.421 | -0.000 | 0.000 | -0.000 |
| 71.063 | 90.471 | 213.900 | -0.000 | -0.000 | 0.000 |
| -6.548 | -12.780 | -7.110 | 63.093 | 0.000 | 0.000 |
| -4.011 | -13.125 | -8.462 | -0.000 | 34.351 | 0.000 |
| -3.816 | -13.400 | -8.759 | -0.000 | 0.000 | 42.454 |
| 191.600 | 112.576 | 78.772 | -0.000 | -0.000 | -0.000 |
| 1750.490 | 432.645 | -1495.597 | -0.000 | -0.000 | -0.000 |
| 77.238 | 110.324 | 185.821 | -0.000 | -0.000 | -0.000 |
| 1660.141 | 262.165 | -1599.401 | 49.248 | -0.000 | -0.000 |
| 0.000 | 0.000 | -0.000 | -0.000 | 37.893 | -0.000 |
| 1660.219 | 262.177 | -1599.476 | 0.000 | -0.000 | 40.321 |
| -2605.143 | -1007.573 | 2534.907 | 0.000 | 0.000 | 0.000 |
| -2700.281 | -971.390 | 2543.884 | 0.000 | 0.000 | 0.000 |
| 77.238 | 110.324 | 185.821 | 0.000 | 0.000 | 0.000 |
| -1660.141 | -262.165 | 1599.401 | 49.248 | 0.000 | -0.000 |
| 0.000 | -0.000 | 0.000 | 0.000 | 37.893 | 0.000 |
| -1660.219 | -262.177 | 1599.476 | 0.000 | 0.000 | 40.321 |
| 191.600 | 112.576 | 78.772 | 0.000 | 0.000 | -0.000 |
| 108.731 | 208.383 | 108.013 | 0.000 | -0.000 | -0.000 |
| 77.238 | 110.324 | 185.821 | -0.000 | -0.000 | -0.000 |
| 163.978 | 25.895 | -157.979 | 49.464 | -0.000 | -0.000 |
| 166.041 | 26.221 | -159.966 | 0.000 | 20.236 | -0.000 |
| 0.000 | 0.000 | 0.000 | -0.000 | -0.000 | 65.880 |
| 191.600 | 112.576 | 78.772 | 0.000 | -0.000 | 0.000 |
| 108.731 | 208.383 | 108.013 | 0.000 | 0.000 | 0.000 |
| -269.365 | -79.804 | 419.797 | -0.000 | 0.000 | 0.000 |
| -163.978 | -25.895 | 157.979 | 49.464 | 0.000 | 0.000 |
| -166.041 | -26.221 | 159.966 | 0.000 | 20.236 | 0.000 |
| -0.000 | -0.000 | -0.000 | 0.000 | 0.000 | 65.880 |
| 191.602 | 112.576 | 78.771 | 0.000 | -0.000 | -0.000 |
| 113.853 | 185.358 | 88.155 | 0.000 | -0.000 | -0.000 |
| 77.238 | 110.325 | 185.821 | -0.000 | -0.000 | -0.000 |
| 0.000 | 0.000 | 0.000 | 66.878 | -0.000 | -0.000 |
| -0.001 | 0.000 | -0.001 | -0.000 | 37.893 | -0.000 |
| 24.534 | 9.254 | -21.744 | -0.000 | -0.000 | 28.457 |
| 135.927 | 85.907 | 124.419 | 0.000 | 0.000 | 0.000 |
| 69.037 | 151.842 | 121.172 | 0.000 | 0.000 | 0.000 |
| 77.239 | 110.324 | 185.821 | -0.000 | 0.000 | 0.000 |
| -0.000 | -0.000 | -0.000 | 66.878 | 0.000 | -0.000 |
| 0.001 | -0.000 | 0.001 | 0.000 | 37.893 | 0.000 |
| -24.534 | -9.254 | 21.744 | 0.000 | 0.000 | 28.457 |
| 111.222 | 44.950 | 33.462 | -0.000 | -0.000 | 0.000 |
| 88.893 | 112.000 | 78.763 | -0.000 | -0.000 | 0.000 |
| 6.665 | 41.319 | 120.745 | -0.000 | -0.000 | 0.000 |
| 0.000 | -0.000 | 0.000 | 50.395 | -0.000 | -0.000 |
| -53.207 | -24.474 | -24.418 | -0.000 | 32.958 | 0.000 |
| 0.000 | -0.000 | 0.000 | -0.000 | -0.000 | 51.972 |
| 177.879 | 88.655 | 64.383 | 0.000 | 0.000 | -0.000 |
| 88.893 | 112.000 | 78.763 | 0.000 | 0.000 | -0.000 |
| 68.297 | 82.440 | 180.514 | 0.000 | 0.000 | -0.000 |
| -0.000 | -0.000 | -0.000 | 50.395 | 0.000 | 0.000 |
| 53.207 | 24.474 | 24.418 | 0.000 | 32.958 | -0.000 |
| -0.000 | 0.000 | -0.000 | -0.000 | 0.000 | 51.972 |
| 177.880 | 88.655 | 64.383 | -0.000 | -0.000 | 0.000 |
| 88.893 | 112.000 | 78.763 | -0.000 | -0.000 | 0.000 |
| 68.297 | 82.440 | 180.514 | -0.000 | -0.000 | -0.000 |
| -5.779 | -2.658 | -2.652 | 40.680 | -0.000 | -0.000 |
| -0.000 | -0.000 | -0.000 | -0.000 | 36.113 | 0.000 |
| -4.772 | 3.440 | -4.185 | -0.000 | -0.000 | 44.616 |
| 177.879 | 88.655 | 64.383 | 0.000 | -0.000 | -0.000 |
| 72.419 | 64.407 | 63.820 | 0.000 | 0.000 | -0.000 |
| 65.741 | 62.241 | 132.444 | 0.000 | -0.000 | -0.000 |
| 5.779 | 2.658 | 2.652 | 40.680 | 0.000 | -0.000 |
| 0.000 | 0.000 | 0.000 | 0.000 | 36.113 | 0.000 |
| 4.772 | -3.440 | 4.185 | 0.000 | -0.000 | 44.616 |
| 177.882 | 88.656 | 64.382 | 0.000 | -0.000 | 0.000 |
| 60.904 | 45.672 | 53.226 | -0.000 | -0.000 | 0.000 |
| 49.456 | 66.367 | -18.134 | 0.000 | 0.000 | 0.000 |
| -0.504 | 0.446 | -0.473 | 34.929 | -0.000 | 0.000 |
| -0.727 | 0.678 | -0.693 | -0.000 | 25.296 | 0.000 |
| -0.513 | 0.348 | -0.443 | -0.000 | -0.000 | 44.176 |
| 162.183 | 66.564 | 56.805 | 0.000 | 0.000 | -0.000 |
| 88.893 | 112.001 | 78.763 | 0.000 | 0.000 | -0.000 |
| 68.298 | 82.439 | 180.514 | -0.000 | 0.000 | -0.000 |
| 0.504 | -0.446 | 0.473 | 34.929 | 0.000 | -0.000 |
| 0.727 | -0.678 | 0.693 | -0.000 | 25.296 | -0.000 |
| 0.513 | -0.348 | 0.443 | 0.000 | 0.000 | 44.176 |
| 593.914 | 1571.103 | 926.392 | 0.000 | 0.000 | 0.000 |
| 108.705 | 194.316 | 110.232 | 0.000 | 0.000 | 0.000 |
| 73.828 | 110.990 | 211.056 | 0.000 | -0.000 | 0.000 |
| 317.504 | 1155.915 | 593.782 | 68.269 | -0.000 | 0.000 |
| 365.189 | 1379.972 | 816.389 | -0.000 | 30.468 | 0.000 |
| 365.193 | 1379.977 | 816.390 | -0.000 | 0.000 | 64.901 |
| -138.044 | -1059.386 | -529.512 | -0.000 | 0.000 | -0.000 |
| -269.931 | -1211.790 | -721.852 | -0.000 | 0.000 | -0.000 |
| 73.828 | 110.990 | 211.056 | -0.000 | 0.000 | -0.000 |
| -317.504 | -1155.915 | -593.782 | 68.269 | -0.000 | 0.000 |
| -365.189 | -1379.972 | -816.389 | 0.000 | 30.468 | -0.000 |
| -365.193 | -1379.977 | -816.390 | 0.000 | 0.000 | 64.901 |
| 219.617 | 241.298 | 149.267 | 0.000 | 0.000 | 0.000 |
| 129.125 | 289.015 | 157.219 | 0.000 | -0.000 | 0.000 |
| 97.366 | 213.204 | 257.243 | 0.000 | 0.000 | 0.000 |
| 41.575 | 147.722 | 86.325 | 66.890 | -0.000 | 0.000 |
| 41.610 | 147.845 | 86.410 | 0.000 | 31.433 | 0.000 |
| 31.754 | 115.606 | 59.386 | 0.000 | -0.000 | 65.395 |
| 136.654 | -53.782 | -23.176 | -0.000 | 0.000 | -0.000 |
| 108.705 | 194.316 | 110.232 | 0.000 | 0.000 | -0.000 |
| 33.674 | -18.421 | 138.163 | 0.000 | -0.000 | -0.000 |
| -41.575 | -147.722 | -86.325 | 66.890 | 0.000 | -0.000 |
| -41.610 | -147.845 | -86.410 | -0.000 | 31.433 | -0.000 |
| -31.754 | -115.606 | -59.386 | 0.000 | 0.000 | 65.395 |
| 181.827 | 107.025 | 70.804 | 0.000 | 0.000 | 0.000 |
| 98.370 | 180.092 | 102.053 | -0.000 | 0.000 | 0.000 |
| 68.518 | 109.741 | 203.496 | -0.000 | -0.000 | 0.000 |
| 3.255 | 11.851 | 6.087 | 68.207 | 0.000 | -0.000 |
| 3.302 | 12.024 | 6.176 | -0.000 | 32.589 | 0.000 |
| -0.000 | 0.000 | -0.000 | 0.000 | -0.000 | 66.290 |
| 187.878 | 107.928 | 72.293 | -0.000 | -0.000 | -0.000 |
| 90.993 | 153.770 | 86.730 | -0.000 | -0.000 | -0.000 |
| 73.829 | 110.990 | 211.059 | -0.000 | 0.000 | -0.000 |
| -3.255 | -11.851 | -6.087 | 68.207 | -0.000 | -0.000 |
| -3.302 | -12.024 | -6.176 | -0.000 | 32.589 | -0.000 |
| 0.000 | -0.000 | 0.000 | -0.000 | -0.000 | 66.290 |
| 183.227 | 108.589 | 67.494 | -0.000 | -0.000 | 0.000 |
| 90.825 | 176.440 | 106.051 | -0.000 | 0.000 | 0.000 |
| 67.493 | 113.302 | 199.686 | -0.000 | -0.000 | 0.000 |
| 0.000 | -0.000 | -0.000 | 71.112 | -0.000 | 0.000 |
| -4.098 | -0.358 | 8.517 | 0.000 | 24.838 | 0.000 |
| -5.088 | -2.711 | 8.793 | -0.000 | 0.000 | 64.556 |
| 183.227 | 108.589 | 67.494 | 0.000 | -0.000 | 0.000 |
| 108.589 | 200.024 | 113.302 | 0.000 | -0.000 | 0.000 |
| 58.171 | 97.553 | 157.530 | -0.000 | 0.000 | -0.000 |
| -0.000 | 0.000 | 0.000 | 71.112 | 0.000 | 0.000 |
| 4.098 | 0.358 | -8.517 | 0.000 | 24.838 | -0.000 |
| 5.088 | 2.711 | -8.793 | -0.000 | -0.000 | 64.556 |
| 174.812 | 98.137 | 59.594 | -0.000 | 0.000 | 0.000 |
| 96.704 | 179.214 | 102.323 | -0.000 | 0.000 | -0.000 |
| 47.142 | 90.361 | 142.514 | -0.000 | -0.000 | 0.000 |
| -0.000 | -0.000 | -0.000 | 71.112 | 0.000 | 0.000 |
| 0.000 | -0.000 | 0.000 | 0.000 | 26.490 | -0.000 |
| 0.000 | -0.000 | -0.000 | 0.000 | 0.000 | 66.137 |
| 171.834 | 95.578 | 43.077 | -0.000 | 0.000 | -0.000 |
| 97.255 | 178.205 | 100.428 | 0.000 | -0.000 | -0.000 |
| 55.485 | 97.655 | 172.081 | 0.000 | -0.000 | 0.000 |
| 0.000 | 0.000 | 0.000 | 71.112 | -0.000 | 0.000 |
| -0.000 | 0.000 | -0.000 | 0.000 | 26.490 | 0.000 |
| -0.000 | 0.000 | 0.000 | 0.000 | 0.000 | 66.137 |
| 183.226 | 108.589 | 67.494 | -0.000 | -0.000 | -0.000 |
| 108.589 | 200.021 | 113.301 | -0.000 | 0.000 | -0.000 |
| 52.791 | 95.093 | 169.738 | -0.000 | 0.000 | 0.000 |
| -0.000 | -0.001 | -0.001 | 71.112 | 0.000 | 0.000 |
| 0.000 | -0.000 | 0.001 | -0.000 | 26.490 | 0.000 |
| 0.012 | 0.061 | 0.158 | 0.000 | -0.000 | 64.462 |
| 175.084 | 97.951 | 58.677 | 0.000 | -0.000 | 0.000 |
| 96.573 | 177.912 | 100.891 | 0.000 | -0.000 | 0.000 |
| 67.493 | 113.302 | 199.681 | 0.000 | -0.000 | -0.000 |
| 0.000 | 0.001 | 0.001 | 71.112 | -0.000 | 0.000 |
| -0.000 | 0.000 | -0.001 | 0.000 | 26.490 | -0.000 |
| -0.012 | -0.061 | -0.158 | 0.000 | 0.000 | 64.462 |
| -737.442 | -330.053 | 457.203 | 0.000 | 426.475 | 0.000 |
| 94.650 | 144.997 | 88.294 | -0.000 | 12.624 | 0.000 |
| 101.745 | 87.796 | 215.611 | 0.000 | -22.686 | 0.000 |
| -327.464 | -191.419 | 98.136 | 38.586 | 69.408 | 17.645 |
| 15.044 | 12.891 | -22.686 | 0.000 | 60.879 | 0.000 |
| -1613.846 | -244.143 | 365.762 | 24.349 | 261.461 | 48.975 |
| 494.890 | 283.500 | -0.805 | -0.000 | -57.203 | -0.000 |
| 967.456 | 544.528 | -269.983 | -0.000 | -398.230 | -0.000 |
| 978.213 | 496.386 | -148.673 | 0.000 | -435.162 | -0.000 |
| 327.464 | 191.419 | -98.136 | 38.586 | -69.408 | 17.645 |
| 882.286 | 427.993 | -374.684 | -0.000 | -359.451 | -0.000 |
| 1613.846 | 244.143 | -365.762 | 24.349 | -261.461 | 48.975 |
| 204.270 | 93.517 | 99.799 | 0.000 | 16.752 | 0.000 |
| 94.650 | 144.997 | 88.294 | 0.000 | 12.624 | -0.000 |
| 101.745 | 87.796 | 215.611 | -0.000 | -22.686 | 0.000 |
| -87.677 | -41.543 | 35.253 | 28.302 | 41.281 | 21.603 |
| 15.044 | 12.891 | -22.686 | 0.000 | 60.879 | 0.000 |
| -160.688 | -24.726 | 36.708 | 24.316 | 26.573 | 49.059 |
| 202.064 | 111.230 | 87.689 | -0.000 | 5.539 | 0.000 |
| 94.650 | 144.997 | 88.294 | -0.000 | 12.623 | -0.000 |
| 101.745 | 87.796 | 215.611 | -0.000 | -22.686 | -0.000 |
| 87.677 | 41.543 | -35.253 | 28.302 | -41.281 | 21.603 |
| 95.406 | 54.719 | -58.252 | -0.000 | 11.315 | -0.000 |
| 160.688 | 24.726 | -36.708 | 24.316 | -26.573 | 49.059 |
| 204.265 | 93.517 | 99.799 | 0.000 | 16.754 | 0.000 |
| 94.651 | 144.994 | 88.294 | 0.000 | 12.624 | 0.000 |
| 96.024 | 80.477 | 207.385 | 0.000 | -20.945 | 0.000 |
| 0.000 | -0.000 | 0.000 | 47.754 | 0.000 | 12.319 |
| 15.044 | 12.891 | -22.687 | 0.000 | 60.879 | 0.000 |
| -2.556 | -1.494 | 0.766 | 16.208 | 0.542 | 53.248 |
| 177.379 | 94.888 | 96.371 | 0.000 | 11.946 | 0.000 |
| 94.650 | 145.000 | 88.294 | 0.000 | 12.623 | -0.000 |
| 102.005 | 87.639 | 205.120 | -0.000 | -24.803 | 0.000 |
| -0.000 | 0.000 | -0.000 | 47.754 | -0.000 | 12.319 |
| 13.595 | 17.497 | -25.074 | -0.000 | 51.429 | -0.000 |
| 2.556 | 1.494 | -0.766 | 16.208 | -0.542 | 53.248 |
| 212.287 | 102.758 | 105.201 | 0.000 | 18.142 | -0.000 |
| 102.068 | 179.149 | 103.965 | -0.000 | 15.365 | -0.000 |
| -214.116 | 226.227 | 634.607 | 0.000 | -401.963 | 0.000 |
| 0.000 | 0.000 | 0.000 | 55.519 | -0.000 | 14.880 |
| -460.881 | 122.299 | 259.343 | 0.000 | -173.881 | -0.000 |
| -473.107 | 105.509 | 281.898 | 19.373 | -224.417 | 53.230 |
| 656.973 | -3.517 | -179.966 | -0.000 | 239.784 | 0.000 |
| 102.068 | 179.149 | 103.964 | -0.000 | 15.365 | -0.000 |
| 576.952 | -0.938 | -67.368 | -0.000 | 201.766 | 0.000 |
| -0.000 | -0.000 | 0.000 | 55.519 | 0.000 | 14.880 |
| 15.518 | 15.365 | -20.908 | -0.000 | 58.321 | -0.000 |
| 473.107 | -105.509 | -281.898 | 19.373 | 224.417 | 53.230 |
| 212.288 | 102.758 | 105.201 | -0.000 | 18.142 | 0.000 |
| 54.106 | 182.629 | 132.855 | 0.000 | -5.761 | -0.000 |
| 72.083 | 115.749 | 254.823 | -0.000 | -60.142 | 0.000 |
| -28.587 | 3.020 | 43.993 | 40.395 | -39.987 | 23.577 |
| -35.072 | 27.342 | 5.604 | 0.000 | 28.063 | -0.000 |
| 0.000 | 0.000 | 0.000 | 14.880 | -0.000 | 57.620 |
| 183.570 | 97.139 | 55.371 | -0.000 | 53.387 | 0.000 |
| 148.772 | 161.530 | 76.448 | -0.000 | 39.141 | 0.000 |
| 151.141 | 94.024 | 186.316 | -0.000 | -0.220 | 0.000 |
| 28.587 | -3.020 | -43.993 | 40.395 | 39.987 | 23.577 |
| 15.518 | 15.365 | -20.908 | 0.000 | 58.321 | -0.000 |
| -0.000 | -0.000 | -0.000 | 14.880 | 0.000 | 57.620 |
| 159.216 | 99.879 | 107.377 | -0.000 | 10.761 | 0.000 |
| 96.521 | 172.867 | 107.597 | 0.000 | 14.426 | -0.000 |
| 100.413 | 104.827 | 216.827 | 0.000 | -25.910 | 0.000 |
| -2.278 | 0.296 | 4.904 | 38.582 | -4.561 | 24.138 |
| 15.519 | 15.366 | -20.908 | -0.000 | 58.322 | 0.000 |
| 0.001 | 0.001 | 0.000 | 14.880 | -0.000 | 57.620 |
| 179.534 | 100.660 | 97.980 | -0.000 | 16.774 | 0.000 |
| 102.066 | 179.147 | 103.963 | 0.000 | 15.365 | 0.000 |
| 108.440 | 103.551 | 211.451 | -0.000 | -20.503 | 0.000 |
| 2.278 | -0.296 | -4.904 | 38.582 | 4.561 | 24.138 |
| 15.131 | 14.794 | -26.708 | -0.000 | 53.815 | 0.000 |
| -0.001 | -0.001 | -0.000 | 14.880 | 0.000 | 57.620 |
| 186.852 | 59.250 | 109.584 | 0.000 | 0.000 | -0.000 |
| 70.709 | 229.906 | 85.684 | 0.000 | 0.000 | -0.000 |
| 115.754 | 80.395 | 234.260 | 0.000 | 0.000 | -0.000 |
| -0.002 | -0.006 | -0.009 | 42.598 | 0.000 | 0.000 |
| -0.002 | -0.006 | -0.009 | 0.000 | 60.267 | -0.000 |
| 0.000 | 0.000 | 0.000 | 0.000 | 0.000 | 25.038 |
| 186.856 | 59.262 | 109.603 | -0.000 | -0.000 | 0.000 |
| 70.714 | 229.917 | 85.703 | -0.000 | -0.000 | 0.000 |
| 115.757 | 80.401 | 234.269 | -0.000 | -0.000 | 0.000 |
| 0.002 | 0.006 | 0.009 | 42.598 | 0.000 | 0.000 |
| 0.002 | 0.006 | 0.009 | -0.000 | 60.267 | 0.000 |
| -0.000 | -0.000 | -0.000 | -0.000 | -0.000 | 25.038 |
| 186.854 | 59.256 | 109.594 | -0.000 | 0.000 | -0.000 |
| 70.712 | 229.912 | 85.694 | -0.000 | -0.000 | -0.000 |
| 115.757 | 80.401 | 234.270 | -0.000 | 0.000 | -0.000 |
| 0.000 | 0.000 | 0.000 | 42.598 | 0.000 | -0.000 |
| -0.000 | -0.000 | -0.001 | 0.000 | 60.267 | -0.000 |
| 0.000 | 0.000 | 0.000 | 0.000 | 0.000 | 25.038 |
| 186.854 | 59.257 | 109.595 | -0.000 | -0.000 | 0.000 |
| 70.712 | 229.911 | 85.694 | -0.000 | -0.000 | 0.000 |
| 115.757 | 80.401 | 234.270 | -0.000 | -0.000 | 0.000 |
| -0.000 | -0.000 | -0.000 | 42.598 | -0.000 | -0.000 |
| 0.000 | 0.000 | 0.001 | -0.000 | 60.267 | 0.000 |
| -0.000 | -0.000 | -0.000 | -0.000 | -0.000 | 25.038 |
| 186.856 | 59.257 | 109.596 | 0.000 | 0.000 | -0.000 |
| 70.713 | 229.916 | 85.696 | 0.000 | -0.000 | -0.000 |
| 115.759 | 80.404 | 234.275 | 0.000 | -0.000 | -0.000 |
| 0.001 | 0.002 | 0.002 | 42.598 | 0.000 | -0.000 |
| 0.001 | 0.001 | 0.002 | 0.000 | 60.267 | -0.000 |
| 0.000 | 0.001 | 0.001 | 0.000 | 0.000 | 25.038 |
| 186.852 | 59.255 | 109.592 | -0.000 | -0.000 | 0.000 |
| 70.710 | 229.906 | 85.691 | -0.000 | -0.000 | 0.000 |
| 115.754 | 80.398 | 234.264 | -0.000 | -0.000 | 0.000 |
| -0.001 | -0.002 | -0.002 | 42.598 | -0.000 | 0.000 |
| -0.001 | -0.001 | -0.002 | -0.000 | 60.267 | 0.000 |
| -0.000 | -0.001 | -0.001 | -0.000 | -0.000 | 25.038 |
| 140.897 | 91.652 | 65.643 | 0.000 | -0.000 | -0.000 |
| 462.827 | -585.563 | -861.338 | 0.000 | -0.000 | -0.000 |
| 264.778 | -508.063 | -558.496 | 0.000 | -0.000 | -0.000 |
| 0.000 | 0.000 | 0.000 | 62.359 | -0.000 | 0.000 |
| 0.000 | 0.000 | 0.000 | 0.000 | 25.087 | -0.000 |
| 0.000 | 0.000 | 0.000 | 0.000 | -0.000 | 44.510 |
| -67.859 | 708.224 | 806.791 | -0.000 | 0.000 | 0.000 |
| -107.151 | 765.206 | 842.128 | -0.000 | 0.000 | 0.000 |
| -130.543 | 718.782 | 914.475 | -0.000 | 0.000 | 0.000 |
| -0.000 | -0.000 | -0.000 | 62.359 | 0.000 | 0.000 |
| -0.000 | -0.000 | -0.000 | -0.000 | 25.087 | 0.000 |
| -0.000 | -0.000 | -0.000 | -0.000 | 0.000 | 44.510 |
| 149.986 | 33.117 | -3.733 | 0.000 | 0.000 | -0.000 |
| 122.807 | 78.465 | 10.753 | 0.000 | 0.000 | -0.000 |
| 86.285 | 45.812 | 107.006 | 0.000 | -0.000 | 0.000 |
| 19.583 | -60.774 | -72.961 | 49.755 | -0.000 | -0.000 |
| 0.000 | 0.000 | 0.000 | 0.000 | 25.087 | -0.000 |
| 19.850 | -61.604 | -73.959 | 0.000 | -0.000 | 31.289 |
| 109.805 | 156.018 | 143.869 | -0.000 | 0.000 | -0.000 |
| 89.509 | 164.897 | 108.130 | -0.000 | -0.000 | 0.000 |
| 64.552 | 109.181 | 215.858 | -0.000 | -0.000 | 0.000 |
| -19.583 | 60.774 | 72.961 | 49.755 | 0.000 | -0.000 |
| -0.000 | -0.000 | -0.000 | -0.000 | 25.087 | 0.000 |
| -19.850 | 61.604 | 73.959 | -0.000 | -0.000 | 31.289 |
| 140.901 | 91.653 | 65.644 | 0.000 | 0.000 | -0.000 |
| 89.510 | 164.897 | 108.131 | 0.000 | -0.000 | -0.000 |
| 75.879 | 98.883 | 178.111 | 0.000 | -0.000 | -0.000 |
| 4.479 | -6.532 | -8.999 | 52.288 | 0.000 | -0.000 |
| 3.127 | -7.355 | -9.280 | 0.000 | 22.332 | -0.000 |
| 4.694 | -9.650 | -12.528 | 0.000 | -0.000 | 19.212 |
| 126.182 | 100.294 | 77.114 | -0.000 | 0.000 | 0.000 |
| 89.509 | 164.897 | 108.129 | -0.000 | -0.000 | 0.000 |
| 66.483 | 112.048 | 196.130 | -0.000 | 0.000 | 0.000 |
| -4.479 | 6.532 | 8.999 | 52.288 | -0.000 | 0.000 |
| -3.127 | 7.355 | 9.280 | -0.000 | 22.332 | 0.000 |
| -4.694 | 9.650 | 12.528 | -0.000 | 0.000 | 19.212 |
| 72.428 | 33.000 | 72.668 | 0.000 | 0.000 | -0.000 |
| 33.000 | 72.428 | 72.668 | -0.000 | -0.000 | 0.000 |
| 60.136 | 60.136 | 147.025 | -0.000 | -0.000 | 0.000 |
| 0.000 | 0.000 | -0.000 | 36.523 | -0.000 | -0.000 |
| -4.510 | -4.510 | 4.740 | -0.000 | 25.626 | -0.000 |
| 0.000 | 0.000 | -0.000 | -0.000 | -0.000 | 29.495 |
| 81.542 | 47.233 | 65.393 | 0.000 | 0.000 | 0.000 |
| 52.134 | 111.123 | 62.551 | 0.000 | 0.000 | 0.000 |
| 60.999 | 60.999 | 152.423 | 0.000 | 0.000 | -0.000 |
| -0.000 | -0.000 | 0.000 | 36.523 | 0.000 | -0.000 |
| 4.510 | 4.510 | -4.740 | 0.000 | 25.626 | 0.000 |
| -0.000 | -0.000 | 0.000 | 0.000 | 0.000 | 29.495 |
| 77.138 | 38.301 | 66.794 | -0.000 | -0.000 | -0.000 |
| 40.994 | 75.690 | 69.556 | 0.000 | 0.000 | -0.000 |
| 65.304 | 65.304 | 144.280 | -0.000 | -0.000 | 0.000 |
| -0.000 | -0.000 | -0.000 | 36.523 | -0.000 | -0.000 |
| -0.477 | -0.477 | 0.501 | -0.000 | 24.993 | -0.000 |
| -0.944 | -0.944 | 0.993 | -0.000 | -0.000 | 14.927 |
| 111.123 | 52.134 | 62.551 | 0.000 | -0.000 | -0.000 |
| 39.710 | 78.709 | 65.397 | 0.000 | -0.000 | -0.000 |
| 62.289 | 62.289 | 144.403 | 0.000 | 0.000 | -0.000 |
| 0.000 | 0.000 | 0.000 | 36.523 | 0.000 | 0.000 |
| 0.477 | 0.477 | -0.501 | 0.000 | 24.993 | 0.000 |
| 0.944 | 0.944 | -0.993 | 0.000 | 0.000 | 14.927 |
| 111.127 | 52.135 | 62.550 | -0.000 | -0.000 | -0.000 |
| 38.928 | 77.823 | 66.165 | -0.000 | -0.000 | -0.000 |
| 60.998 | 60.998 | 152.416 | -0.000 | -0.000 | -0.000 |
| -0.048 | -0.048 | 0.049 | 24.985 | -0.000 | -0.000 |
| -0.048 | -0.048 | 0.049 | -0.000 | 24.985 | -0.000 |
| 0.001 | 0.001 | -0.000 | -0.000 | -0.000 | 29.495 |
| 111.119 | 52.133 | 62.551 | 0.000 | 0.000 | 0.000 |
| 41.323 | 76.337 | 69.081 | 0.000 | -0.000 | -0.000 |
| 62.102 | 62.102 | 144.658 | 0.000 | 0.000 | 0.000 |
| 0.048 | 0.048 | -0.049 | 24.985 | 0.000 | 0.000 |
| 0.048 | 0.048 | -0.049 | 0.000 | 24.985 | -0.000 |
| -0.001 | -0.001 | 0.000 | 0.000 | 0.000 | 29.495 |
| 876.165 | 268.863 | -540.435 | -0.000 | -0.000 | 0.000 |
| 109.907 | 249.417 | 65.183 | -0.000 | 0.000 | -0.000 |
| 628.529 | 289.354 | -817.214 | -0.000 | -0.000 | -0.000 |
| 786.130 | 157.483 | -598.635 | 12.249 | -0.000 | 0.000 |
| -0.000 | -0.000 | -0.000 | -0.000 | 8.763 | -0.000 |
| 786.140 | 157.485 | -598.643 | -0.000 | -0.000 | 55.187 |
| 102.124 | 109.077 | 56.487 | 0.000 | 0.000 | 0.000 |
| 109.907 | 249.417 | 65.183 | 0.000 | 0.000 | 0.000 |
| 58.469 | 66.335 | 79.595 | 0.000 | -0.000 | 0.000 |
| -786.130 | -157.483 | 598.635 | 12.249 | 0.000 | -0.000 |
| 0.000 | 0.000 | 0.000 | 0.000 | 8.763 | 0.000 |
| -786.140 | -157.485 | 598.643 | 0.000 | 0.000 | 55.187 |
| 142.488 | 136.333 | -21.770 | -0.000 | -0.000 | 0.000 |
| 109.907 | 249.417 | 65.183 | -0.000 | -0.000 | -0.000 |
| 143.341 | 81.771 | 2.896 | -0.000 | -0.000 | 0.000 |
| 78.613 | 15.748 | -59.863 | 12.249 | -0.000 | 0.000 |
| -0.000 | -0.000 | -0.000 | -0.000 | 8.763 | -0.000 |
| 78.708 | 15.767 | -59.936 | -0.000 | -0.000 | 55.184 |
| 102.124 | 109.078 | 56.487 | -0.000 | 0.000 | 0.000 |
| 32.530 | 231.887 | 124.681 | 0.000 | 0.000 | -0.000 |
| 9.883 | 41.262 | 136.666 | 0.000 | 0.000 | 0.000 |
| -78.613 | -15.748 | 59.863 | 12.249 | 0.000 | -0.000 |
| 0.000 | 0.000 | 0.000 | 0.000 | 8.763 | 0.000 |
| -78.708 | -15.767 | 59.936 | 0.000 | 0.000 | 55.183 |
| 90.514 | 114.840 | 52.499 | -0.000 | -0.000 | 0.000 |
| 119.814 | 248.039 | 49.567 | -0.000 | -0.000 | -0.000 |
| 74.927 | 63.087 | 5.090 | -0.000 | 0.000 | -0.000 |
| 7.857 | 1.573 | -5.984 | 12.249 | -0.000 | 0.000 |
| 8.738 | 0.782 | -14.662 | 0.000 | -150.945 | 0.000 |
| -0.002 | -0.002 | -0.001 | -0.000 | -0.000 | 57.872 |
| 62.928 | 117.920 | 108.647 | 0.000 | 0.000 | -0.000 |
| 109.910 | 249.419 | 65.184 | 0.000 | 0.000 | 0.000 |
| 58.473 | 66.337 | 79.602 | 0.000 | 0.000 | 0.000 |
| -7.857 | -1.573 | 5.984 | 12.249 | 0.000 | -0.000 |
| -8.738 | -0.782 | 14.662 | 0.000 | -150.945 | -0.000 |
| 0.002 | 0.002 | 0.001 | 0.000 | 0.000 | 57.872 |
| 152.646 | 113.824 | 85.209 | -0.000 | -0.000 | 0.000 |
| -1861.674 | -58.511 | -2280.371 | -0.000 | 0.000 | 0.000 |
| -2400.300 | -397.362 | -1831.864 | -0.000 | 0.000 | -0.000 |
| -1862.530 | -368.581 | -542.061 | 53.281 | 0.000 | 0.000 |
| -1862.538 | -368.582 | -542.064 | 0.000 | 33.699 | 0.000 |
| -1862.528 | -368.580 | -542.061 | -0.000 | 0.000 | 66.551 |
| 2000.262 | 480.601 | 626.591 | 0.000 | 0.000 | -0.000 |
| 2085.407 | 608.688 | 2488.433 | 0.000 | -0.000 | -0.000 |
| 2560.996 | 604.251 | 2150.060 | -0.000 | -0.000 | -0.000 |
| 1862.530 | 368.581 | 542.061 | 53.281 | -0.000 | -0.000 |
| 1862.538 | 368.582 | 542.064 | -0.000 | 33.699 | -0.000 |
| 1862.528 | 368.580 | 542.061 | 0.000 | -0.000 | 66.551 |
| -117.604 | 61.674 | -111.860 | -0.000 | -0.000 | 0.000 |
| 113.824 | 276.432 | 103.554 | -0.000 | 0.000 | 0.000 |
| -107.472 | 65.758 | 112.874 | 0.000 | 0.000 | 0.000 |
| -248.061 | -50.080 | -199.091 | 53.179 | 0.000 | -0.000 |
| -186.416 | -36.890 | -54.254 | 0.000 | 33.694 | 0.000 |
| -186.363 | -36.880 | -54.238 | -0.000 | -0.000 | 66.550 |
| 322.716 | 148.630 | 138.373 | -0.000 | -0.000 | -0.000 |
| 297.973 | 312.253 | 157.862 | -0.000 | -0.000 | -0.000 |
| 265.621 | 139.573 | 221.708 | -0.000 | -0.000 | -0.000 |
| 248.061 | 50.080 | 199.091 | 53.179 | -0.000 | 0.000 |
| 186.416 | 36.890 | 54.254 | 0.000 | 33.694 | -0.000 |
| 186.363 | 36.880 | 54.238 | -0.000 | -0.000 | 66.550 |
| 107.786 | 106.829 | 66.519 | -0.000 | 0.000 | 0.000 |
| 93.008 | 271.696 | 98.213 | -0.000 | 0.000 | 0.000 |
| 85.208 | 103.554 | 173.797 | -0.000 | -0.000 | 0.000 |
| -18.640 | -3.688 | -5.425 | 53.280 | -0.000 | 0.000 |
| -0.000 | -0.000 | -0.001 | -0.000 | 39.530 | 0.000 |
| -24.621 | -4.963 | -18.655 | 0.000 | -0.000 | 67.254 |
| 154.860 | 115.547 | 89.948 | -0.000 | -0.000 | -0.000 |
| 136.836 | 279.854 | 125.270 | -0.000 | -0.000 | 0.000 |
| 99.269 | 106.598 | 174.090 | -0.000 | -0.000 | -0.000 |
| 18.640 | 3.688 | 5.425 | 53.280 | 0.000 | -0.000 |
| 0.000 | 0.000 | 0.001 | 0.000 | 39.530 | -0.000 |
| 24.621 | 4.963 | 18.655 | 0.000 | -0.000 | 67.254 |
| 157.045 | 201.667 | 115.086 | 0.000 | 0.000 | -0.000 |
| 134.449 | 250.996 | 111.037 | -0.000 | 0.000 | 0.000 |
| 130.922 | 112.775 | 231.044 | 0.000 | 0.000 | -0.000 |
| 0.000 | 0.000 | 0.000 | 57.906 | 0.000 | -0.000 |
| -71.199 | 67.664 | -13.276 | 0.000 | 70.221 | 0.000 |
| -0.000 | 0.000 | 0.000 | -0.000 | 0.000 | 76.062 |
| 234.064 | 133.471 | 128.207 | 0.000 | -0.000 | -0.000 |
| 210.325 | 197.857 | 160.399 | -0.000 | -0.000 | -0.000 |
| 130.922 | 112.775 | 231.044 | -0.000 | -0.000 | 0.000 |
| -0.000 | -0.000 | -0.000 | 57.906 | -0.000 | 0.000 |
| 71.199 | -67.664 | 13.276 | -0.000 | 70.221 | -0.000 |
| 0.000 | -0.000 | -0.000 | -0.000 | -0.000 | 76.062 |
| 220.960 | 140.856 | 127.021 | 0.000 | 0.000 | 0.000 |
| 127.593 | 256.368 | 109.362 | 0.000 | 0.000 | 0.000 |
| 130.922 | 112.775 | 231.043 | -0.000 | 0.000 | -0.000 |
| -7.197 | 6.840 | -1.342 | 53.357 | 0.000 | -0.000 |
| -0.000 | 0.000 | -0.000 | 0.000 | 74.668 | 0.000 |
| -7.119 | 6.766 | -1.327 | 0.000 | 0.000 | 76.062 |
| 234.064 | 133.471 | 128.207 | -0.000 | -0.000 | -0.000 |
| 134.449 | 250.995 | 111.036 | -0.000 | -0.000 | -0.000 |
| 138.930 | 110.074 | 230.072 | -0.000 | -0.000 | -0.000 |
| 7.197 | -6.840 | 1.342 | 53.357 | -0.000 | -0.000 |
| 0.000 | -0.000 | 0.000 | -0.000 | 74.668 | -0.000 |
| 7.119 | -6.766 | 1.327 | -0.000 | -0.000 | 76.062 |
| 234.060 | 133.471 | 128.206 | -0.000 | 0.000 | -0.000 |
| 134.078 | 246.779 | 111.816 | 0.000 | 0.000 | 0.000 |
| 130.923 | 112.775 | 231.040 | 0.000 | 0.000 | -0.000 |
| -0.936 | 0.491 | 0.096 | 40.654 | -0.000 | -0.000 |
| -0.001 | 0.000 | -0.000 | -0.000 | 74.668 | -0.000 |
| -0.713 | 0.677 | -0.133 | 0.000 | 0.000 | 76.062 |
| 227.043 | 133.390 | 128.010 | -0.000 | -0.000 | 0.000 |
| 134.448 | 250.990 | 111.035 | 0.000 | -0.000 | -0.000 |
| 130.923 | 112.774 | 231.065 | 0.000 | -0.000 | 0.000 |
| 0.936 | -0.491 | -0.096 | 40.654 | 0.000 | 0.000 |
| 0.001 | -0.000 | 0.000 | 0.000 | 74.668 | -0.000 |
| 0.713 | -0.677 | 0.133 | -0.000 | -0.000 | 76.062 |
| 262.337 | 136.021 | 139.829 | -0.000 | 0.000 | 0.000 |
| 139.497 | 263.542 | 123.545 | -0.000 | -0.000 | 0.000 |
| 140.348 | 120.254 | 235.744 | -0.000 | 0.000 | 0.000 |
| 0.000 | 0.000 | 0.000 | 59.493 | 0.000 | 0.000 |
| 0.181 | -0.323 | 1.510 | -0.000 | 71.818 | 0.000 |
| 0.000 | 0.000 | 0.000 | -0.000 | -0.000 | 75.166 |
| 262.337 | 136.021 | 139.829 | -0.000 | -0.000 | -0.000 |
| 137.607 | 265.425 | 118.927 | 0.000 | 0.000 | -0.000 |
| 138.025 | 123.474 | 228.857 | -0.000 | -0.000 | -0.000 |
| -0.000 | -0.000 | -0.000 | 59.493 | -0.000 | -0.000 |
| -0.181 | 0.323 | -1.510 | 0.000 | 71.818 | -0.000 |
| -0.000 | -0.000 | -0.000 | -0.000 | 0.000 | 75.166 |
| 253.754 | 137.426 | 140.034 | -0.000 | -0.000 | 0.000 |
| 137.805 | 263.303 | 123.189 | 0.000 | 0.000 | 0.000 |
| 140.214 | 120.815 | 233.565 | -0.000 | -0.000 | 0.000 |
| 0.021 | -0.038 | 0.179 | 54.000 | -0.000 | 0.000 |
| 0.018 | -0.032 | 0.148 | -0.000 | 71.994 | 0.000 |
| 0.000 | 0.000 | 0.000 | -0.000 | 0.000 | 75.166 |
| 262.337 | 136.021 | 139.829 | -0.000 | -0.000 | -0.000 |
| 136.021 | 266.485 | 118.936 | 0.000 | -0.000 | -0.000 |
| 140.173 | 120.927 | 233.094 | 0.000 | 0.000 | -0.000 |
| -0.021 | 0.038 | -0.179 | 54.000 | -0.000 | -0.000 |
| -0.018 | 0.032 | -0.148 | 0.000 | 71.994 | -0.000 |
| -0.000 | -0.000 | -0.000 | 0.000 | -0.000 | 75.166 |
| 254.017 | 137.639 | 140.060 | -0.000 | 0.000 | 0.000 |
| 136.022 | 266.490 | 118.937 | -0.000 | 0.000 | 0.000 |
| 139.829 | 118.936 | 238.798 | -0.000 | 0.000 | 0.000 |
| 0.000 | 0.000 | 0.000 | 59.493 | 0.000 | 0.000 |
| 0.007 | -0.008 | 0.023 | 0.000 | 71.047 | 0.000 |
| 0.003 | -0.004 | 0.020 | -0.000 | 0.000 | 75.166 |
| 254.001 | 137.644 | 140.036 | 0.000 | 0.000 | -0.000 |
| 136.020 | 266.480 | 118.935 | 0.000 | -0.000 | -0.000 |
| 139.829 | 118.935 | 238.803 | 0.000 | -0.000 | -0.000 |
| -0.000 | -0.000 | -0.000 | 59.493 | -0.000 | -0.000 |
| -0.007 | 0.008 | -0.023 | -0.000 | 71.047 | -0.000 |
| -0.003 | 0.004 | -0.020 | 0.000 | 0.000 | 75.166 |
| 114.431 | 88.251 | 88.797 | -0.000 | -0.000 | 0.000 |
| 2232.449 | 475.248 | -85.571 | -0.000 | 0.000 | 0.000 |
| 2159.320 | 193.259 | -92.261 | 0.000 | 0.000 | 0.000 |
| 2069.082 | 115.195 | -272.063 | 48.457 | 0.000 | 0.000 |
| 2153.439 | 279.104 | -164.830 | -0.000 | 44.475 | 0.000 |
| 0.000 | 0.000 | 0.000 | -0.000 | 0.000 | 47.866 |
| -1985.944 | -26.575 | 365.607 | -0.000 | -0.000 | -0.000 |
| 88.250 | 215.816 | 83.823 | 0.000 | 0.000 | -0.000 |
| -2062.167 | -198.220 | 345.452 | 0.000 | -0.000 | -0.000 |
| -2069.082 | -115.195 | 272.063 | 48.457 | 0.000 | -0.000 |
| -2153.439 | -279.104 | 164.830 | 0.000 | 44.475 | -0.000 |
| -0.000 | -0.000 | -0.000 | 0.000 | -0.000 | 47.866 |
| 289.917 | 100.122 | 66.352 | -0.000 | 0.000 | -0.000 |
| 290.598 | 207.144 | 51.813 | -0.000 | 0.000 | -0.000 |
| 297.014 | 89.660 | 152.669 | 0.000 | 0.000 | -0.000 |
| 206.894 | 11.519 | -27.204 | 48.457 | 0.000 | 0.000 |
| 0.000 | 0.000 | 0.000 | -0.000 | 48.050 | 0.000 |
| 0.000 | 0.000 | 0.000 | -0.000 | 0.000 | 47.866 |
| -123.667 | 77.111 | 120.739 | 0.000 | 0.000 | 0.000 |
| -137.857 | 169.502 | 96.851 | 0.000 | 0.000 | -0.000 |
| -124.079 | 53.089 | 197.179 | 0.000 | 0.000 | -0.000 |
| -206.894 | -11.519 | 27.204 | 48.457 | -0.000 | -0.000 |
| -0.000 | -0.000 | -0.000 | 0.000 | 48.050 | -0.000 |
| -0.000 | -0.000 | -0.000 | 0.000 | -0.000 | 47.866 |
| 114.427 | 88.251 | 88.797 | -0.000 | -0.000 | 0.000 |
| 105.316 | 200.241 | 77.102 | -0.000 | 0.000 | -0.000 |
| 88.797 | 83.825 | 183.907 | -0.000 | -0.000 | -0.000 |
| 20.548 | 1.144 | -2.701 | 48.458 | 0.000 | -0.000 |
| 0.001 | 0.000 | 0.001 | -0.000 | 48.050 | 0.000 |
| 20.248 | 1.127 | -2.662 | 0.000 | -0.000 | 45.682 |
| 59.975 | 77.933 | 92.958 | 0.000 | 0.000 | -0.000 |
| 68.557 | 194.892 | 81.038 | 0.000 | -0.000 | -0.000 |
| 69.433 | 76.331 | 182.278 | 0.000 | 0.000 | -0.000 |
| -20.548 | -1.144 | 2.701 | 48.458 | 0.000 | -0.000 |
| -0.001 | -0.000 | -0.001 | 0.000 | 48.050 | 0.000 |
| -20.248 | -1.127 | 2.662 | 0.000 | -0.000 | 45.682 |
| 287.992 | 118.621 | 83.121 | -0.000 | 0.000 | 0.000 |
| 258.074 | 194.241 | 61.079 | -0.000 | 0.000 | 0.000 |
| 93.727 | 80.653 | 182.732 | 0.000 | 0.000 | 0.000 |
| 0.000 | -0.000 | -0.000 | 41.954 | 0.000 | 0.000 |
| -0.000 | 0.000 | 0.000 | -0.000 | 51.550 | 0.000 |
| 0.000 | 0.000 | -0.000 | -0.000 | 0.000 | 53.267 |
| -308.523 | -720.060 | -17.215 | -0.000 | -0.000 | -0.000 |
| -108.082 | 145.326 | 85.636 | -0.000 | -0.000 | -0.000 |
| 93.727 | 80.653 | 182.732 | -0.000 | 0.000 | -0.000 |
| -0.000 | 0.000 | 0.000 | 41.954 | 0.000 | -0.000 |
| 0.000 | -0.000 | -0.000 | 0.000 | 51.550 | -0.000 |
| 0.000 | -0.000 | 0.000 | 0.000 | -0.000 | 53.267 |
| 138.588 | 100.189 | 93.330 | -0.000 | 0.000 | 0.000 |
| 98.160 | 197.849 | 78.226 | -0.000 | 0.000 | 0.000 |
| 93.727 | 80.653 | 182.732 | -0.000 | -0.000 | 0.000 |
| -0.000 | -0.000 | -0.000 | 41.954 | 0.000 | 0.000 |
| -0.000 | -0.000 | 0.000 | -0.000 | 51.550 | 0.000 |
| 39.196 | 49.339 | 4.796 | -0.000 | 0.000 | 47.908 |
| 89.093 | 95.177 | 97.277 | -0.000 | 0.000 | -0.000 |
| 98.160 | 197.850 | 78.226 | 0.000 | -0.000 | -0.000 |
| 75.221 | 70.688 | 178.896 | -0.000 | -0.000 | -0.000 |
| 0.000 | 0.000 | 0.000 | 41.954 | -0.000 | -0.000 |
| 0.000 | 0.000 | -0.000 | 0.000 | 51.550 | -0.000 |
| -39.196 | -49.339 | -4.796 | 0.000 | -0.000 | 47.908 |
| 108.424 | 97.501 | 95.925 | -0.000 | 0.000 | 0.000 |
| 96.518 | 149.804 | 66.036 | 0.000 | 0.000 | 0.000 |
| 97.597 | 75.222 | 178.563 | -0.000 | 0.000 | 0.000 |
| 1.234 | 0.145 | -0.088 | 40.876 | 0.000 | 0.000 |
| 3.554 | 0.419 | -0.252 | -0.000 | 48.930 | 0.000 |
| 2.237 | 2.157 | 0.162 | -0.000 | 0.000 | 50.403 |
| 104.847 | 97.068 | 96.173 | -0.000 | -0.000 | -0.000 |
| 44.414 | 32.162 | 53.440 | -0.000 | 0.000 | -0.000 |
| 94.454 | 73.836 | 178.105 | -0.000 | -0.000 | -0.000 |
| -1.234 | -0.145 | 0.088 | 40.876 | 0.000 | -0.000 |
| -3.554 | -0.419 | 0.252 | 0.000 | 48.930 | -0.000 |
| -2.237 | -2.157 | -0.162 | 0.000 | -0.000 | 50.403 |
| 133.283 | 223.241 | -82.798 | 0.000 | -0.000 | -0.000 |
| 39.840 | 286.466 | -52.686 | 0.000 | -0.000 | -0.000 |
| -1.235 | 207.005 | 13.983 | -0.000 | -0.000 | -0.000 |
| -65.322 | 113.614 | -143.520 | 52.357 | -0.000 | -0.000 |
| -70.691 | 113.837 | -143.153 | -0.000 | 19.854 | -0.000 |
| -65.318 | 113.607 | -143.511 | 0.000 | -0.000 | 68.860 |
| 272.549 | -0.656 | 207.609 | 0.000 | 0.000 | 0.000 |
| 114.923 | 192.567 | 101.087 | 0.000 | 0.000 | 0.000 |
| 129.332 | -20.089 | 300.851 | 0.000 | 0.000 | 0.000 |
| 65.322 | -113.614 | 143.520 | 52.357 | 0.000 | 0.000 |
| 69.482 | -114.011 | 145.970 | 0.000 | 19.994 | 0.000 |
| 65.318 | -113.607 | 143.511 | -0.000 | 0.000 | 68.860 |
| 212.532 | 114.924 | 68.109 | -0.000 | -0.000 | -0.000 |
| 105.591 | 189.460 | 81.615 | -0.000 | -0.000 | -0.000 |
| 68.109 | 101.088 | 169.318 | -0.000 | -0.000 | -0.000 |
| -6.568 | 11.424 | -14.431 | 52.331 | -0.000 | -0.000 |
| -0.000 | -0.000 | -0.000 | -0.000 | 24.435 | -0.000 |
| -6.490 | 11.633 | -14.431 | -0.000 | -0.000 | 68.858 |
| 212.532 | 114.924 | 68.109 | 0.000 | 0.000 | 0.000 |
| 114.923 | 192.567 | 101.087 | 0.000 | 0.000 | 0.000 |
| 71.739 | 85.022 | 175.298 | -0.000 | 0.000 | 0.000 |
| 6.568 | -11.424 | 14.431 | 52.331 | 0.000 | 0.000 |
| 0.000 | 0.000 | 0.000 | 0.000 | 24.435 | 0.000 |
| 6.490 | -11.633 | 14.431 | 0.000 | 0.000 | 68.858 |
| 202.698 | 113.306 | 62.201 | -0.000 | 0.000 | -0.000 |
| 113.089 | 178.910 | 94.643 | -0.000 | -0.000 | -0.000 |
| 68.109 | 101.088 | 169.315 | -0.000 | -0.000 | -0.000 |
| -0.715 | 1.243 | -1.571 | 51.923 | -0.000 | -0.000 |
| -0.000 | -0.000 | -0.001 | -0.000 | 24.435 | -0.000 |
| -0.000 | -0.000 | -0.000 | -0.000 | -0.000 | 71.170 |
| 206.883 | 111.223 | 64.925 | -0.000 | 0.000 | 0.000 |
| 106.493 | 165.784 | 92.443 | -0.000 | 0.000 | 0.000 |
| 62.858 | 88.640 | 156.088 | -0.000 | -0.000 | 0.000 |
| 0.715 | -1.243 | 1.571 | 51.923 | 0.000 | 0.000 |
| 0.000 | 0.000 | 0.001 | 0.000 | 24.435 | 0.000 |
| 0.000 | 0.000 | 0.000 | 0.000 | 0.000 | 71.170 |
| 324.608 | 1230.556 | -466.018 | -0.000 | 0.002 | -0.000 |
| 103.846 | 173.567 | 85.623 | 0.000 | 0.000 | -0.000 |
| 226.404 | 1324.856 | -548.106 | -0.000 | 0.002 | -0.000 |
| -0.000 | 0.000 | 0.000 | 40.878 | 0.000 | -0.000 |
| 0.000 | -0.000 | 0.000 | 0.000 | 4.416 | 0.000 |
| -0.000 | -0.000 | -0.000 | 0.000 | 0.000 | 58.788 |
| 172.864 | 104.841 | 47.732 | 0.000 | -0.000 | -0.000 |
| 103.846 | 173.567 | 85.623 | -0.000 | -0.000 | 0.000 |
| 47.715 | 86.600 | 110.292 | -0.000 | -0.000 | -0.000 |
| 0.000 | -0.000 | -0.000 | 40.878 | -0.000 | 0.000 |
| -0.000 | -0.000 | -0.000 | -0.000 | 4.416 | 0.000 |
| 0.000 | 0.000 | 0.000 | -0.000 | -0.000 | 58.788 |
| 172.864 | 104.840 | 47.732 | -0.000 | 0.000 | -0.000 |
| 107.997 | 229.198 | 77.045 | -0.000 | 0.000 | -0.000 |
| 38.637 | 88.528 | 57.714 | -0.000 | 0.000 | -0.000 |
| -8.680 | 7.480 | -20.743 | 35.850 | 0.000 | -0.000 |
| 0.000 | -0.000 | 0.000 | -0.000 | 4.416 | 0.000 |
| -4.451 | 43.255 | -7.796 | 0.000 | -0.000 | 54.916 |
| 178.881 | 97.291 | 68.085 | 0.000 | -0.000 | 0.000 |
| 103.846 | 173.568 | 85.623 | -0.000 | 0.000 | 0.000 |
| 56.086 | 72.254 | 92.938 | 0.000 | -0.000 | 0.000 |
| 8.680 | -7.480 | 20.743 | 35.850 | -0.000 | 0.000 |
| -0.000 | 0.000 | -0.000 | -0.000 | 4.416 | 0.000 |
| 4.451 | -43.255 | 7.796 | -0.000 | 0.000 | 54.916 |
| 170.200 | 105.017 | 47.521 | 0.000 | -0.000 | -0.000 |
| 103.541 | 153.362 | 82.128 | -0.000 | 0.000 | -0.000 |
| 109.870 | 427.095 | -323.651 | 0.000 | -0.000 | -0.000 |
| 1.194 | 9.853 | -3.320 | 35.990 | 0.000 | -0.000 |
| 0.001 | -0.000 | 0.001 | 0.000 | 4.416 | 0.000 |
| -0.001 | -0.001 | -0.000 | 0.000 | 0.000 | 58.788 |
| 170.744 | 104.288 | 48.681 | 0.000 | -0.000 | 0.000 |
| 103.848 | 173.572 | 85.624 | -0.000 | 0.000 | 0.000 |
| 90.625 | 316.436 | -204.430 | -0.000 | 0.000 | 0.000 |
| -1.194 | -9.853 | 3.320 | 35.990 | -0.000 | 0.000 |
| -0.001 | 0.000 | -0.001 | -0.000 | 4.416 | 0.000 |
| 0.001 | 0.001 | 0.000 | 0.000 | -0.000 | 58.788 |
| -1947.867 | -789.859 | -2663.596 | -1.080 | -2249.245 | 0.080 |
| -2252.907 | -1406.919 | -3302.579 | 2.016 | -3122.732 | -0.151 |
| -1081.529 | -569.806 | -1198.155 | 0.189 | -1217.595 | -0.014 |
| -0.000 | 0.000 | -0.000 | 25.741 | 0.000 | 5.233 |
| 5.978 | 3.458 | -5.245 | 0.000 | 64.071 | 0.000 |
| 0.000 | 0.000 | -0.000 | 3.544 | 0.000 | 55.565 |
| 376.435 | 486.357 | 732.487 | 0.145 | 435.129 | -0.011 |
| 2085.208 | 896.713 | 2861.295 | 1.069 | 2235.374 | -0.080 |
| 386.967 | 483.480 | 781.513 | 0.147 | 423.389 | -0.011 |
| 0.000 | -0.000 | 0.000 | 25.741 | -0.000 | 5.233 |
| 5.978 | 3.458 | -5.245 | -0.000 | 64.071 | -0.000 |
| -0.000 | -0.000 | 0.000 | 3.544 | -0.000 | 55.565 |
| 138.405 | 102.034 | 117.107 | 0.000 | 14.883 | 0.000 |
| 104.026 | 146.606 | 78.439 | 0.000 | 1.769 | 0.000 |
| 119.194 | 76.865 | 174.331 | 0.000 | -5.245 | 0.000 |
| -26.127 | -36.920 | -59.922 | -2.818 | -41.015 | 9.714 |
| -27.166 | -41.766 | -79.266 | -0.016 | -7.955 | 0.001 |
| -224.918 | -138.141 | -331.981 | -3.057 | -300.762 | -34.948 |
| 138.405 | 102.034 | 117.107 | -0.000 | 14.884 | -0.000 |
| 193.890 | 161.383 | 224.070 | -0.015 | 118.251 | 0.001 |
| 119.194 | 76.865 | 174.332 | -0.000 | -5.245 | -0.000 |
| 26.132 | 36.928 | 59.934 | -2.796 | 41.023 | 9.713 |
| 104.669 | 68.852 | 103.040 | -0.014 | 141.885 | 0.001 |
| 224.847 | 137.811 | 331.809 | -3.166 | 300.390 | -34.911 |
| 82.436 | 74.756 | 94.796 | 0.002 | -7.382 | -0.000 |
| 101.955 | 115.859 | 85.848 | -0.001 | -3.463 | 0.000 |
| 119.194 | 76.865 | 174.330 | 0.000 | -5.245 | 0.000 |
| -1.189 | -1.681 | -2.727 | 12.751 | -1.866 | 7.272 |
| -14.105 | 1.071 | -36.221 | 0.002 | 15.443 | -0.000 |
| -12.484 | -7.077 | -14.154 | 9.271 | -12.626 | 8.383 |
| 105.940 | 87.660 | 121.893 | -0.001 | 15.307 | 0.000 |
| 105.926 | 123.305 | 94.163 | 0.001 | 2.903 | -0.000 |
| 123.011 | 98.183 | 152.971 | 0.003 | -6.797 | -0.000 |
| 1.189 | 1.681 | 2.727 | 12.751 | 1.867 | 7.272 |
| 5.979 | 3.459 | -5.244 | 0.000 | 64.072 | -0.000 |
| 12.481 | 7.078 | 14.154 | 9.268 | 12.624 | 8.387 |
| 152.894 | 99.294 | 94.120 | -0.000 | -1.165 | 0.000 |
| 1112.184 | 277.252 | 11.044 | 0.000 | -174.305 | -0.000 |
| 1858.926 | 394.595 | 354.989 | 0.000 | 52.914 | -0.000 |
| -0.000 | 0.000 | -0.000 | 21.784 | -0.000 | -3.362 |
| 1003.900 | 128.343 | -55.886 | 0.000 | -119.729 | -0.000 |
| 1017.863 | 130.538 | -50.579 | -3.312 | -172.338 | 49.340 |
| -1645.499 | -247.437 | -70.447 | -0.000 | -58.352 | 0.000 |
| -923.544 | 16.165 | 112.199 | -0.000 | 170.372 | 0.000 |
| -925.588 | -69.050 | 251.956 | -0.000 | 167.117 | 0.000 |
| 0.000 | -0.000 | 0.000 | 21.784 | 0.000 | -3.362 |
| -1031.820 | -132.732 | 45.272 | -0.000 | 224.943 | 0.000 |
| -1017.863 | -130.538 | 50.579 | -3.312 | 172.338 | 49.340 |
| 300.471 | 122.256 | 103.739 | 0.000 | 3.720 | -0.000 |
| 263.248 | 173.656 | 73.799 | 0.000 | 2.624 | -0.000 |
| 95.451 | 64.039 | 205.354 | -0.000 | -5.621 | 0.000 |
| 176.871 | 33.596 | 15.827 | 18.704 | 5.642 | -3.952 |
| -14.150 | -3.042 | -5.621 | -0.000 | 54.868 | 0.000 |
| 176.712 | 33.559 | 15.798 | -3.950 | 5.615 | 43.237 |
| -74.312 | 17.505 | 77.619 | -0.000 | -12.127 | 0.000 |
| -91.458 | 105.709 | 41.778 | -0.000 | -8.764 | 0.000 |
| 95.450 | 64.039 | 205.353 | 0.000 | -5.621 | -0.000 |
| -176.871 | -33.596 | -15.827 | 18.704 | -5.642 | -3.952 |
| -115.789 | -15.245 | -0.244 | -0.000 | 69.825 | 0.000 |
| -176.712 | -33.559 | -15.798 | -3.950 | -5.615 | 43.237 |
| 150.141 | 95.613 | 91.221 | 0.000 | -2.295 | -0.000 |
| 105.081 | 148.093 | 61.087 | 0.000 | -3.788 | -0.000 |
| 108.226 | 61.359 | 197.099 | 0.000 | -2.041 | -0.000 |
| 10.084 | 1.294 | -0.501 | 19.032 | -1.708 | -3.313 |
| 4.267 | 0.782 | -2.160 | 0.000 | 50.343 | -0.000 |
| 19.604 | 6.535 | 0.964 | -3.580 | 0.388 | 45.150 |
| 125.323 | 91.885 | 91.958 | -0.000 | 1.646 | 0.000 |
| 100.013 | 156.034 | 64.038 | 0.000 | -3.042 | -0.000 |
| 95.449 | 64.039 | 205.346 | 0.000 | -5.620 | -0.000 |
| -10.084 | -1.294 | 0.501 | 19.032 | 1.708 | -3.313 |
| -24.543 | -3.422 | -4.731 | -0.000 | 54.047 | 0.000 |
| -19.604 | -6.535 | -0.964 | -3.580 | -0.388 | 45.150 |
| 187.115 | 85.433 | 37.730 | -0.000 | 0.000 | -0.000 |
| 87.297 | 119.321 | 82.759 | -0.000 | 0.000 | 0.000 |
| 42.930 | 88.078 | 182.212 | 0.000 | 0.000 | 0.000 |
| -1.945 | -1.595 | -2.165 | 53.814 | 0.000 | -0.001 |
| -1.098 | -0.492 | -1.117 | -0.000 | 17.044 | -0.000 |
| -1.947 | -1.596 | -2.166 | -0.000 | 0.000 | 53.072 |
| 185.976 | 87.532 | 36.114 | 0.000 | -0.000 | 0.001 |
| 86.374 | 111.885 | 82.354 | 0.000 | -0.000 | 0.000 |
| 37.657 | 85.896 | 176.097 | 0.000 | -0.000 | 0.001 |
| 1.945 | 1.595 | 2.165 | 53.814 | -0.000 | 0.001 |
| 1.098 | 0.492 | 1.117 | 0.000 | 17.044 | 0.000 |
| 1.947 | 1.596 | 2.166 | 0.000 | -0.000 | 53.074 |
| 186.808 | 88.371 | 37.036 | -0.000 | 0.000 | -0.000 |
| 83.867 | 106.479 | 80.107 | -0.000 | 0.000 | -0.000 |
| 36.528 | 84.639 | 174.879 | -0.000 | 0.000 | -0.000 |
| -0.174 | -0.145 | -0.193 | 54.235 | 0.000 | -0.000 |
| -0.110 | -0.049 | -0.112 | -0.000 | 17.044 | -0.000 |
| -0.112 | -0.050 | -0.115 | -0.000 | 0.000 | 54.119 |
| 184.898 | 86.636 | 34.916 | 0.000 | -0.000 | 0.000 |
| 84.154 | 108.130 | 80.263 | 0.000 | -0.000 | 0.000 |
| 42.930 | 88.078 | 182.213 | 0.000 | 0.000 | -0.000 |
| 0.174 | 0.145 | 0.193 | 54.235 | 0.000 | 0.000 |
| 0.110 | 0.049 | 0.112 | 0.000 | 17.044 | 0.000 |
| 0.112 | 0.050 | 0.115 | 0.000 | -0.000 | 54.119 |
| 186.936 | 88.424 | 37.166 | -0.000 | 0.000 | -0.000 |
| 84.644 | 109.974 | 80.636 | -0.000 | -0.000 | -0.000 |
| 38.834 | 86.427 | 177.455 | -0.000 | 0.000 | -0.000 |
| -0.008 | -0.008 | -0.008 | 55.882 | 0.000 | -0.000 |
| -0.018 | -0.016 | -0.021 | -0.000 | 17.044 | -0.000 |
| -0.009 | -0.006 | -0.009 | -0.000 | 0.000 | 54.151 |
| 186.819 | 88.615 | 37.012 | 0.000 | -0.000 | 0.000 |
| 84.886 | 110.014 | 80.929 | 0.000 | -0.000 | 0.000 |
| 38.946 | 86.241 | 177.613 | 0.000 | -0.000 | 0.000 |
| 0.008 | 0.008 | 0.008 | 55.882 | -0.000 | 0.000 |
| 0.018 | 0.016 | 0.021 | 0.000 | 17.044 | 0.000 |
| 0.009 | 0.006 | 0.009 | 0.000 | -0.000 | 54.151 |
| 168.260 | 92.406 | 92.406 | -0.000 | -0.000 | -0.000 |
| 92.406 | 168.260 | 92.406 | 0.000 | -0.000 | -0.000 |
| 92.406 | 92.406 | 168.260 | 0.000 | 0.000 | -0.000 |
| -0.000 | -0.000 | -0.000 | 46.976 | 0.000 | -0.000 |
| -0.000 | 0.000 | -0.000 | 0.000 | 46.976 | -0.000 |
| -0.000 | -0.000 | -0.000 | -0.000 | 0.000 | 46.976 |
| 168.260 | 92.407 | 92.407 | 0.000 | -0.000 | 0.000 |
| 92.407 | 168.260 | 92.407 | 0.000 | 0.000 | 0.000 |
| 92.407 | 92.407 | 168.260 | 0.000 | 0.000 | 0.000 |
| 0.000 | 0.000 | 0.000 | 46.976 | -0.000 | 0.000 |
| 0.000 | -0.000 | 0.000 | -0.000 | 46.976 | 0.000 |
| 0.000 | 0.000 | 0.000 | 0.000 | 0.000 | 46.976 |
| 168.259 | 92.406 | 92.406 | -0.000 | -0.000 | -0.000 |
| 92.406 | 168.259 | 92.406 | 0.000 | -0.000 | -0.000 |
| 92.406 | 92.406 | 168.259 | 0.000 | 0.000 | -0.000 |
| -0.000 | -0.000 | -0.000 | 32.605 | -0.000 | -0.000 |
| -0.000 | -0.000 | -0.000 | 0.000 | 32.605 | -0.000 |
| -0.000 | -0.000 | -0.000 | 0.000 | -0.000 | 32.605 |
| 168.261 | 92.407 | 92.407 | -0.000 | 0.000 | 0.000 |
| 92.407 | 168.261 | 92.407 | 0.000 | -0.000 | 0.000 |
| 92.407 | 92.407 | 168.261 | -0.000 | 0.000 | 0.000 |
| 0.000 | 0.000 | 0.000 | 32.605 | 0.000 | 0.000 |
| 0.000 | 0.000 | 0.000 | -0.000 | 32.605 | 0.000 |
| 0.000 | 0.000 | 0.000 | -0.000 | -0.000 | 32.605 |
| 168.250 | 92.404 | 92.404 | 0.000 | -0.000 | -0.000 |
| 92.404 | 168.250 | 92.404 | 0.000 | 0.000 | -0.000 |
| 92.404 | 92.404 | 168.250 | -0.000 | -0.000 | -0.000 |
| -0.000 | -0.003 | -0.003 | 46.976 | -0.000 | -0.000 |
| -0.003 | -0.000 | -0.003 | 0.000 | 46.976 | -0.000 |
| -0.003 | -0.003 | -0.000 | 0.000 | -0.000 | 46.976 |
| 168.269 | 92.409 | 92.409 | -0.000 | -0.000 | 0.000 |
| 92.409 | 168.269 | 92.409 | -0.000 | -0.000 | 0.000 |
| 92.409 | 92.409 | 168.269 | -0.000 | 0.000 | 0.000 |
| 0.000 | 0.003 | 0.003 | 46.976 | 0.000 | 0.000 |
| 0.003 | 0.000 | 0.003 | 0.000 | 46.976 | 0.000 |
| 0.003 | 0.003 | 0.000 | -0.000 | 0.000 | 46.976 |
| 94.180 | 59.941 | 77.501 | 0.000 | -0.000 | -0.000 |
| 59.941 | 94.180 | 77.501 | 0.000 | -0.000 | 0.000 |
| 77.501 | 77.501 | 112.031 | 0.000 | -0.000 | -0.000 |
| -0.000 | -0.000 | -0.000 | 55.432 | -0.000 | 0.000 |
| -0.000 | -0.000 | -0.000 | 0.000 | 55.432 | 0.000 |
| 0.000 | -0.000 | 0.000 | 0.000 | -0.000 | 36.127 |
| 94.180 | 59.941 | 77.501 | -0.000 | -0.000 | 0.000 |
| 59.941 | 94.180 | 77.501 | -0.000 | -0.000 | 0.000 |
| 77.501 | 77.501 | 112.031 | -0.000 | 0.000 | 0.000 |
| 0.000 | 0.000 | 0.000 | 55.432 | 0.000 | 0.000 |
| 0.000 | 0.000 | 0.000 | -0.000 | 55.432 | -0.000 |
| -0.000 | 0.000 | -0.000 | -0.000 | 0.000 | 36.127 |
| 94.180 | 59.941 | 77.500 | 0.000 | 0.000 | 0.000 |
| 59.941 | 94.180 | 77.500 | 0.000 | -0.000 | 0.000 |
| 80.740 | 80.740 | 119.673 | 0.000 | -0.000 | -0.000 |
| -0.000 | -0.000 | -0.000 | 55.909 | -0.000 | 0.000 |
| -0.000 | -0.000 | -0.000 | 0.000 | 55.909 | 0.000 |
| 0.000 | 0.000 | -0.000 | 0.000 | -0.000 | 36.127 |
| 95.553 | 61.314 | 80.740 | -0.000 | 0.000 | -0.000 |
| 61.314 | 95.553 | 80.740 | -0.000 | 0.000 | 0.000 |
| 80.740 | 80.740 | 119.675 | -0.000 | 0.000 | 0.000 |
| 0.000 | 0.000 | 0.000 | 55.909 | 0.000 | -0.000 |
| 0.000 | 0.000 | 0.000 | -0.000 | 55.909 | 0.000 |
| -0.000 | -0.000 | 0.000 | -0.000 | 0.000 | 36.127 |
| 94.181 | 59.941 | 77.500 | 0.000 | -0.000 | 0.000 |
| 59.941 | 94.181 | 77.500 | -0.000 | -0.000 | -0.000 |
| 80.739 | 80.739 | 119.660 | 0.000 | -0.000 | -0.000 |
| -0.000 | -0.001 | -0.001 | 55.909 | -0.000 | 0.000 |
| -0.001 | -0.000 | -0.001 | 0.000 | 55.909 | -0.000 |
| 0.000 | 0.000 | -0.000 | 0.000 | -0.000 | 36.127 |
| 95.551 | 61.313 | 80.741 | -0.000 | -0.000 | -0.000 |
| 61.313 | 95.551 | 80.741 | -0.000 | -0.000 | 0.000 |
| 77.502 | 77.502 | 112.045 | -0.000 | 0.000 | -0.000 |
| 0.000 | 0.001 | 0.001 | 55.909 | 0.000 | -0.000 |
| 0.001 | 0.000 | 0.001 | -0.000 | 55.909 | -0.000 |
| -0.000 | -0.000 | 0.000 | -0.000 | 0.000 | 36.127 |
| 76.880 | 54.495 | 80.293 | 0.000 | -0.000 | -0.000 |
| 54.495 | 76.880 | 80.293 | 0.000 | -0.000 | -0.000 |
| 79.381 | 79.381 | 158.432 | 0.000 | -0.000 | -0.000 |
| 0.000 | -0.000 | -0.000 | 54.406 | -0.000 | -0.000 |
| 0.000 | 0.000 | 0.000 | 0.000 | 54.406 | -0.000 |
| 0.000 | 0.000 | 0.000 | 0.000 | -0.000 | 29.658 |
| 77.507 | 55.121 | 82.191 | -0.000 | 0.000 | 0.000 |
| 55.121 | 77.507 | 82.191 | -0.000 | 0.000 | 0.000 |
| 79.381 | 79.381 | 158.432 | -0.000 | 0.000 | 0.000 |
| -0.000 | -0.000 | -0.000 | 54.406 | 0.000 | 0.000 |
| -0.000 | -0.000 | -0.000 | -0.000 | 54.406 | 0.000 |
| -0.000 | -0.000 | -0.000 | -0.000 | 0.000 | 29.658 |
| 76.881 | 54.495 | 80.293 | 0.000 | -0.000 | -0.000 |
| 54.495 | 76.881 | 80.293 | 0.000 | -0.000 | -0.000 |
| 81.279 | 81.279 | 164.181 | 0.000 | -0.000 | -0.000 |
| -0.000 | -0.000 | -0.000 | 55.658 | -0.000 | -0.000 |
| -0.000 | -0.000 | -0.000 | 0.000 | 55.658 | -0.000 |
| -0.000 | -0.000 | -0.000 | 0.000 | -0.000 | 29.658 |
| 77.506 | 55.121 | 82.191 | -0.000 | 0.000 | 0.000 |
| 55.121 | 77.506 | 82.191 | -0.000 | 0.000 | 0.000 |
| 81.279 | 81.279 | 164.182 | -0.000 | 0.000 | 0.000 |
| 0.000 | 0.000 | 0.000 | 55.658 | 0.000 | 0.000 |
| 0.000 | 0.000 | 0.000 | -0.000 | 55.658 | 0.000 |
| 0.000 | 0.000 | 0.000 | -0.000 | 0.000 | 29.658 |
| 76.885 | 54.495 | 80.293 | 0.000 | -0.000 | -0.000 |
| 54.495 | 76.885 | 80.293 | 0.000 | -0.000 | -0.000 |
| 81.277 | 81.277 | 164.178 | 0.000 | -0.000 | -0.000 |
| -0.001 | -0.003 | -0.005 | 54.408 | -0.000 | -0.000 |
| -0.003 | -0.001 | -0.005 | 0.000 | 54.408 | -0.000 |
| -0.008 | -0.008 | -0.000 | 0.000 | -0.000 | 29.666 |
| 76.895 | 54.511 | 80.299 | -0.000 | 0.000 | 0.000 |
| 54.511 | 76.895 | 80.299 | -0.000 | 0.000 | 0.000 |
| 81.285 | 81.285 | 164.207 | -0.000 | 0.000 | 0.000 |
| 0.001 | 0.003 | 0.005 | 54.408 | 0.000 | 0.000 |
| 0.003 | 0.001 | 0.005 | -0.000 | 54.408 | 0.000 |
| 0.008 | 0.008 | 0.000 | -0.000 | 0.000 | 29.666 |
| 132.488 | 71.354 | 71.354 | 0.000 | 0.000 | 0.000 |
| 71.354 | 132.488 | 71.354 | 0.000 | 0.000 | 0.000 |
| 71.354 | 71.354 | 132.488 | -0.000 | 0.000 | 0.000 |
| -0.000 | -0.000 | -0.000 | 46.890 | -0.000 | 0.000 |
| -0.000 | -0.000 | -0.000 | -0.000 | 46.890 | 0.000 |
| -0.000 | -0.000 | -0.000 | -0.000 | 0.000 | 46.890 |
| 1764.907 | 1730.149 | 1730.149 | 0.000 | 0.000 | -0.000 |
| 1730.149 | 1764.907 | 1730.149 | 0.000 | -0.000 | 0.000 |
| 1730.149 | 1730.149 | 1764.907 | -0.000 | -0.000 | 0.000 |
| 0.000 | 0.000 | 0.000 | 46.890 | 0.000 | -0.000 |
| 0.000 | 0.000 | 0.000 | 0.000 | 46.890 | -0.000 |
| 0.000 | 0.000 | -0.000 | 0.000 | -0.000 | 46.890 |
| 132.488 | 71.354 | 71.354 | -0.000 | -0.000 | 0.000 |
| 71.354 | 132.488 | 71.354 | -0.000 | -0.000 | 0.000 |
| 71.354 | 71.354 | 132.488 | -0.000 | 0.000 | -0.000 |
| -0.000 | -0.000 | -0.000 | 46.890 | -0.000 | 0.000 |
| -0.000 | -0.000 | -0.000 | -0.000 | 46.890 | 0.000 |
| -0.000 | -0.000 | -0.000 | -0.000 | 0.000 | 46.890 |
| 132.488 | 71.354 | 71.354 | 0.000 | 0.000 | -0.000 |
| 71.354 | 132.488 | 71.354 | 0.000 | -0.000 | -0.000 |
| 71.354 | 71.354 | 132.488 | 0.000 | -0.000 | 0.000 |
| 0.000 | 0.000 | 0.000 | 46.890 | -0.000 | -0.000 |
| 0.000 | 0.000 | 0.000 | 0.000 | 46.890 | -0.000 |
| 0.000 | 0.000 | 0.000 | 0.000 | -0.000 | 46.890 |
| 132.490 | 71.354 | 71.354 | 0.000 | 0.000 | 0.000 |
| 71.354 | 132.490 | 71.354 | -0.000 | 0.000 | 0.000 |
| 71.354 | 71.354 | 132.490 | 0.000 | 0.000 | 0.000 |
| -16.815 | -16.815 | -16.815 | 40.579 | 0.000 | -0.000 |
| -16.815 | -16.815 | -16.815 | -0.000 | 40.579 | -0.000 |
| -16.815 | -16.815 | -16.815 | -0.000 | -0.000 | 40.579 |
| 118.580 | 100.280 | 100.280 | -0.000 | 0.000 | 0.000 |
| 100.280 | 118.580 | 100.280 | -0.000 | -0.000 | 0.000 |
| 100.280 | 100.280 | 118.580 | 0.000 | -0.000 | -0.000 |
| 16.815 | 16.815 | 16.815 | 40.579 | -0.000 | 0.000 |
| 16.815 | 16.815 | 16.815 | 0.000 | 40.579 | 0.000 |
| 16.815 | 16.815 | 16.815 | 0.000 | -0.000 | 40.579 |
| 77.091 | 56.940 | 56.940 | -0.000 | -0.000 | 0.000 |
| 56.940 | 77.091 | 56.940 | -0.000 | -0.000 | 0.000 |
| 56.940 | 56.940 | 77.091 | 0.000 | 0.000 | -0.000 |
| -0.000 | -0.000 | 0.000 | 46.993 | 0.000 | 0.000 |
| -0.000 | -0.000 | 0.000 | -0.000 | 46.993 | -0.000 |
| -0.000 | 0.000 | 0.000 | -0.000 | 0.000 | 46.993 |
| 132.804 | 71.424 | 71.424 | 0.000 | 0.000 | 0.000 |
| 71.424 | 132.804 | 71.424 | 0.000 | 0.000 | -0.000 |
| 71.424 | 71.424 | 132.804 | 0.000 | 0.000 | 0.000 |
| 0.000 | 0.000 | 0.000 | 46.993 | 0.000 | -0.000 |
| 0.000 | 0.000 | -0.000 | 0.000 | 46.993 | 0.000 |
| 0.000 | 0.000 | 0.000 | 0.000 | 0.000 | 46.993 |
| 132.804 | 71.424 | 71.424 | -0.000 | -0.000 | -0.000 |
| 71.424 | 132.804 | 71.424 | -0.000 | -0.000 | 0.000 |
| 71.424 | 71.424 | 132.804 | -0.000 | -0.000 | -0.000 |
| -0.000 | 0.000 | 0.000 | 46.993 | -0.000 | -0.000 |
| 0.000 | -0.000 | 0.000 | -0.000 | 46.993 | 0.000 |
| 0.000 | 0.000 | -0.000 | -0.000 | -0.000 | 46.993 |
| 104.634 | 83.213 | 83.213 | 0.000 | 0.000 | 0.000 |
| 83.213 | 104.634 | 83.213 | 0.000 | 0.000 | 0.000 |
| 83.213 | 83.213 | 104.634 | 0.000 | 0.000 | -0.000 |
| 0.000 | -0.000 | -0.000 | 46.993 | -0.000 | -0.000 |
| -0.000 | 0.000 | -0.000 | -0.000 | 46.993 | 0.000 |
| -0.000 | -0.000 | 0.000 | 0.000 | -0.000 | 46.993 |
| 101.745 | 80.724 | 80.724 | -0.000 | -0.000 | -0.000 |
| 80.724 | 101.745 | 80.724 | -0.000 | 0.000 | -0.000 |
| 80.724 | 80.724 | 101.745 | -0.000 | 0.000 | -0.000 |
| -0.000 | 0.000 | 0.000 | 46.993 | 0.000 | -0.000 |
| 0.000 | -0.000 | 0.000 | -0.000 | 46.993 | -0.000 |
| 0.000 | 0.000 | -0.000 | -0.000 | -0.000 | 46.993 |
| 101.388 | 83.368 | 83.368 | 0.000 | -0.000 | 0.000 |
| 83.368 | 101.388 | 83.368 | -0.000 | 0.000 | 0.000 |
| 83.368 | 83.368 | 101.388 | -0.000 | -0.000 | 0.000 |
| 0.000 | -0.000 | -0.000 | 46.993 | 0.000 | 0.000 |
| -0.000 | 0.000 | -0.000 | 0.000 | 46.993 | 0.000 |
| -0.000 | -0.000 | 0.000 | 0.000 | -0.000 | 46.993 |
| 16.506 | -2.472 | -2.472 | 0.000 | -0.000 | -0.000 |
| -2.472 | 16.506 | -2.472 | -0.000 | 0.000 | -0.000 |
| -2.472 | -2.472 | 16.506 | 0.000 | 0.000 | -0.000 |
| -0.000 | 0.000 | 0.000 | 46.951 | 0.000 | -0.000 |
| -0.000 | 0.000 | 0.000 | 0.000 | 46.951 | -0.000 |
| -0.000 | 0.000 | 0.000 | -0.000 | 0.000 | 46.951 |
| 132.788 | 71.373 | 71.373 | -0.000 | -0.000 | 0.000 |
| 71.373 | 132.788 | 71.373 | -0.000 | 0.000 | 0.000 |
| 71.373 | 71.373 | 132.788 | 0.000 | -0.000 | 0.000 |
| 0.000 | -0.000 | -0.000 | 46.951 | -0.000 | 0.000 |
| 0.000 | -0.000 | -0.000 | -0.000 | 46.951 | 0.000 |
| 0.000 | -0.000 | -0.000 | -0.000 | -0.000 | 46.951 |
| 132.788 | 71.373 | 71.373 | 0.000 | 0.000 | -0.000 |
| 71.373 | 132.788 | 71.373 | 0.000 | 0.000 | -0.000 |
| 71.373 | 71.373 | 132.788 | 0.000 | 0.000 | -0.000 |
| 0.000 | 0.000 | 0.000 | 46.951 | 0.000 | -0.000 |
| 0.000 | 0.000 | 0.000 | 0.000 | 46.951 | -0.000 |
| 0.000 | 0.000 | 0.000 | 0.000 | 0.000 | 46.951 |
| 109.775 | 88.210 | 88.210 | -0.000 | -0.000 | 0.000 |
| 88.210 | 109.775 | 88.210 | -0.000 | -0.000 | 0.000 |
| 88.210 | 88.210 | 109.775 | -0.000 | -0.000 | 0.000 |
| -0.000 | -0.000 | -0.000 | 46.951 | -0.000 | 0.000 |
| -0.000 | -0.000 | -0.000 | -0.000 | 46.951 | 0.000 |
| -0.000 | -0.000 | -0.000 | -0.000 | -0.000 | 46.951 |
| 100.938 | 80.233 | 80.233 | 0.000 | 0.000 | -0.000 |
| 80.233 | 100.938 | 80.233 | 0.000 | 0.000 | -0.000 |
| 80.233 | 80.233 | 100.938 | 0.000 | 0.000 | -0.000 |
| -0.723 | -0.723 | -0.723 | 37.860 | 0.000 | -0.000 |
| -0.723 | -0.723 | -0.723 | 0.000 | 37.860 | -0.000 |
| -0.723 | -0.723 | -0.723 | 0.000 | 0.000 | 37.860 |
| 132.788 | 71.373 | 71.373 | -0.000 | 0.000 | 0.000 |
| 71.373 | 132.788 | 71.373 | -0.000 | -0.000 | 0.000 |
| 71.373 | 71.373 | 132.788 | -0.000 | -0.000 | 0.000 |
| 0.723 | 0.723 | 0.723 | 37.860 | -0.000 | 0.000 |
| 0.723 | 0.723 | 0.723 | -0.000 | 37.860 | 0.000 |
| 0.723 | 0.723 | 0.723 | -0.000 | -0.000 | 37.860 |
| 78.738 | 56.476 | 82.664 | 0.000 | -0.000 | 0.000 |
| 56.476 | 78.738 | 82.664 | -0.000 | -0.000 | 0.000 |
| 81.755 | 81.755 | 159.377 | -0.000 | -0.000 | 0.000 |
| 0.000 | 0.000 | -0.000 | 56.023 | 0.000 | 0.000 |
| 0.000 | 0.000 | -0.000 | 0.000 | 56.023 | 0.000 |
| 0.000 | 0.000 | -0.000 | -0.000 | -0.000 | 30.814 |
| 77.359 | 55.097 | 78.572 | 0.000 | 0.000 | 0.000 |
| 55.097 | 77.359 | 78.572 | -0.000 | 0.000 | -0.000 |
| 79.118 | 79.118 | 151.553 | 0.000 | 0.000 | -0.000 |
| -0.000 | -0.000 | 0.000 | 56.023 | -0.000 | 0.000 |
| -0.000 | -0.000 | -0.000 | -0.000 | 56.023 | -0.000 |
| -0.000 | -0.000 | -0.000 | 0.000 | 0.000 | 30.814 |
| 78.705 | 56.443 | 82.565 | 0.000 | -0.000 | 0.000 |
| 56.443 | 78.705 | 82.565 | 0.000 | -0.000 | 0.000 |
| 79.877 | 79.877 | 153.804 | 0.000 | -0.000 | 0.000 |
| 0.147 | 0.147 | 0.436 | 54.840 | -0.000 | 0.000 |
| 0.147 | 0.147 | 0.436 | 0.000 | 54.840 | 0.000 |
| 0.000 | 0.000 | 0.000 | -0.000 | -0.000 | 30.814 |
| 78.705 | 56.443 | 82.565 | 0.000 | 0.000 | -0.000 |
| 56.443 | 78.705 | 82.565 | 0.000 | 0.000 | -0.000 |
| 81.755 | 81.755 | 159.377 | -0.000 | 0.000 | -0.000 |
| -0.147 | -0.147 | -0.436 | 54.840 | 0.000 | -0.000 |
| -0.147 | -0.147 | -0.436 | 0.000 | 54.840 | -0.000 |
| -0.000 | -0.000 | -0.000 | -0.000 | 0.000 | 30.814 |
| 78.706 | 56.445 | 82.567 | -0.000 | -0.000 | 0.000 |
| 56.445 | 78.706 | 82.567 | -0.000 | 0.000 | 0.000 |
| 79.815 | 79.815 | 153.621 | 0.000 | -0.000 | 0.000 |
| 0.015 | 0.016 | 0.044 | 54.823 | -0.000 | 0.000 |
| 0.016 | 0.015 | 0.044 | 0.000 | 54.823 | 0.000 |
| 0.009 | 0.009 | 0.021 | -0.000 | -0.000 | 30.814 |
| 78.704 | 56.441 | 82.564 | 0.000 | 0.000 | -0.000 |
| 56.441 | 78.704 | 82.564 | -0.000 | 0.000 | -0.000 |
| 79.800 | 79.800 | 153.577 | 0.000 | 0.000 | -0.000 |
| -0.015 | -0.016 | -0.044 | 54.823 | 0.000 | -0.000 |
| -0.016 | -0.015 | -0.044 | 0.000 | 54.823 | -0.000 |
| -0.009 | -0.009 | -0.021 | 0.000 | 0.000 | 30.814 |
| 153.298 | 54.555 | 87.632 | 0.000 | 0.000 | 0.000 |
| 56.680 | 105.597 | 80.492 | -0.000 | 0.000 | 0.000 |
| 85.725 | 76.461 | 160.749 | -0.000 | 0.000 | -0.000 |
| 42.339 | 148.325 | 70.262 | -0.310 | 0.000 | 0.000 |
| 0.000 | 0.000 | 0.000 | -0.000 | 49.663 | -0.000 |
| 0.000 | 0.000 | 0.000 | -0.000 | 0.000 | 31.096 |
| 153.298 | 54.555 | 87.632 | 0.000 | -0.000 | -0.000 |
| 11.159 | -56.338 | 25.826 | -0.000 | -0.000 | -0.000 |
| 14.278 | -21.940 | 43.473 | 0.000 | -0.000 | 0.000 |
| -42.339 | -148.325 | -70.262 | -0.310 | -0.000 | -0.000 |
| -0.000 | -0.000 | -0.000 | 0.000 | 49.663 | 0.000 |
| -0.000 | -0.000 | -0.000 | -0.000 | -0.000 | 31.096 |
| 153.298 | 54.555 | 87.632 | -0.000 | 0.000 | 0.000 |
| 61.898 | 104.833 | 102.143 | -0.000 | 0.000 | 0.000 |
| 85.725 | 76.462 | 160.749 | -0.000 | 0.000 | 0.000 |
| 2.800 | 19.684 | 7.221 | -39.810 | 0.000 | -0.000 |
| 7.292 | 13.555 | 17.719 | 0.000 | 47.071 | 0.000 |
| 0.000 | 0.000 | 0.000 | -0.000 | 0.000 | 31.096 |
| 132.566 | 40.186 | 79.245 | 0.000 | -0.000 | -0.000 |
| 46.835 | 78.253 | 64.318 | 0.000 | -0.000 | -0.000 |
| 85.725 | 76.461 | 160.749 | -0.000 | -0.000 | -0.000 |
| -2.800 | -19.684 | -7.221 | -39.810 | -0.000 | -0.000 |
| -7.292 | -13.555 | -17.719 | -0.000 | 47.071 | -0.000 |
| -0.000 | -0.000 | -0.000 | -0.000 | -0.000 | 31.096 |
| 139.358 | 52.263 | 91.935 | -0.000 | 0.000 | 0.000 |
| 56.680 | 105.598 | 80.492 | 0.000 | 0.000 | -0.000 |
| 85.726 | 76.462 | 160.751 | 0.000 | 0.000 | -0.000 |
| 0.000 | 0.000 | 0.000 | 47.728 | 0.000 | -0.000 |
| 0.000 | 0.000 | 0.000 | 0.000 | 49.663 | 0.000 |
| 0.253 | -0.019 | -1.184 | 0.000 | 0.000 | 1.756 |
| 153.297 | 54.554 | 87.631 | 0.000 | -0.000 | 0.000 |
| 52.281 | 78.460 | 89.349 | -0.000 | -0.000 | 0.000 |
| 82.312 | 76.371 | 136.065 | -0.000 | 0.000 | -0.000 |
| -0.000 | -0.000 | -0.000 | 47.728 | -0.000 | -0.000 |
| -0.000 | -0.000 | -0.000 | 0.000 | 49.663 | 0.000 |
| -0.253 | 0.019 | 1.184 | -0.000 | -0.000 | 1.756 |
| 160.328 | 81.469 | 81.595 | 0.000 | 0.000 | 0.000 |
| 296.464 | 170.135 | 108.582 | 0.000 | 0.000 | 0.000 |
| 296.580 | 109.139 | 169.913 | 0.000 | 0.000 | 0.000 |
| 220.644 | 74.852 | 74.276 | 10.874 | 0.000 | -0.000 |
| 257.056 | 82.839 | 96.739 | 0.000 | 53.596 | 0.000 |
| 257.041 | 82.834 | 96.734 | 0.000 | 0.000 | 53.540 |
| 160.328 | 81.469 | 81.595 | -0.000 | -0.000 | -0.000 |
| -179.433 | 13.039 | -61.832 | -0.000 | -0.000 | -0.000 |
| -144.699 | -40.563 | 21.365 | -0.000 | -0.000 | 0.000 |
| -220.644 | -74.852 | -74.276 | 10.874 | -0.000 | -0.000 |
| -257.056 | -82.839 | -96.739 | -0.000 | 53.596 | 0.000 |
| -257.041 | -82.834 | -96.734 | -0.000 | -0.000 | 53.540 |
| 160.328 | 81.469 | 81.595 | 0.000 | 0.000 | -0.000 |
| 97.850 | 102.756 | 41.722 | 0.000 | 0.000 | 0.000 |
| 64.046 | 29.996 | 92.679 | 0.000 | 0.000 | 0.000 |
| 25.703 | 8.283 | 9.673 | 10.868 | 0.000 | 0.000 |
| 22.061 | 7.484 | 7.426 | 0.000 | 54.774 | 0.000 |
| -1.822 | -0.627 | 0.118 | 0.000 | 0.000 | 51.344 |
| 160.327 | 81.469 | 81.595 | -0.000 | -0.000 | -0.000 |
| 69.087 | 92.901 | 31.554 | -0.000 | -0.000 | -0.000 |
| 82.420 | 36.460 | 97.809 | -0.000 | -0.000 | -0.000 |
| -25.703 | -8.283 | -9.673 | 10.868 | -0.000 | -0.000 |
| -22.061 | -7.484 | -7.426 | -0.000 | 54.774 | -0.000 |
| 1.822 | 0.627 | -0.118 | -0.000 | -0.000 | 51.344 |
| 155.964 | 80.013 | 80.197 | 0.000 | 0.000 | 0.000 |
| 78.906 | 96.305 | 35.404 | 0.000 | 0.000 | 0.000 |
| 82.419 | 36.458 | 97.792 | 0.000 | -0.000 | 0.000 |
| -2.562 | -0.890 | -0.756 | 10.868 | 0.000 | 0.000 |
| -2.989 | -1.029 | -0.904 | 0.000 | 64.897 | 0.000 |
| -0.001 | -0.001 | -0.001 | 0.000 | 0.000 | 56.624 |
| 147.748 | 77.306 | 77.257 | -0.000 | -0.000 | -0.000 |
| 76.844 | 95.627 | 34.571 | -0.000 | -0.000 | 0.000 |
| 77.328 | 34.800 | 95.986 | -0.000 | -0.000 | -0.000 |
| 2.562 | 0.890 | 0.756 | 10.868 | -0.000 | -0.000 |
| 2.989 | 1.029 | 0.904 | -0.000 | 64.897 | -0.000 |
| 0.001 | 0.001 | 0.001 | -0.000 | -0.000 | 56.624 |
| 107.669 | 93.893 | 96.452 | 0.000 | -0.000 | 0.000 |
| -42.777 | 206.237 | 57.280 | -0.000 | -0.000 | 0.000 |
| 96.385 | 79.306 | 133.821 | 0.000 | -0.000 | -0.000 |
| 78.207 | -193.724 | 119.560 | 38.681 | 0.000 | -0.000 |
| 78.149 | -193.604 | 119.474 | -0.000 | 53.873 | -0.000 |
| 172.586 | -383.804 | 258.901 | -0.000 | -0.000 | 49.986 |
| 246.627 | 90.522 | 121.373 | 0.000 | -0.000 | 0.000 |
| 95.859 | 204.074 | 81.339 | -0.000 | -0.000 | 0.000 |
| 236.761 | 75.055 | 159.397 | 0.000 | 0.000 | -0.000 |
| -78.207 | 193.724 | -119.560 | 38.681 | -0.000 | -0.000 |
| -78.149 | 193.604 | -119.474 | 0.000 | 53.873 | -0.000 |
| -172.586 | 383.804 | -258.901 | 0.000 | -0.000 | 49.986 |
| 122.593 | 57.519 | 120.885 | -0.000 | -0.000 | 0.000 |
| 95.859 | 204.074 | 81.339 | -0.000 | 0.000 | -0.000 |
| 96.385 | 79.306 | 133.821 | 0.000 | -0.000 | -0.000 |
| 0.000 | 0.000 | -0.000 | 39.073 | -0.000 | 0.000 |
| 17.258 | -38.378 | 25.889 | 0.000 | 53.873 | -0.000 |
| 0.000 | 0.000 | 0.000 | 0.000 | 0.000 | 54.081 |
| 88.088 | 134.298 | 69.094 | -0.000 | 0.000 | 0.000 |
| 80.650 | 239.754 | 57.399 | 0.000 | -0.000 | 0.000 |
| 84.737 | 103.801 | 118.139 | -0.000 | -0.000 | -0.000 |
| -0.000 | -0.000 | 0.000 | 39.073 | 0.000 | 0.000 |
| -17.258 | 38.378 | -25.889 | -0.000 | 53.873 | 0.000 |
| -0.000 | -0.000 | -0.000 | -0.000 | -0.000 | 54.081 |
| 107.672 | 93.894 | 96.454 | -0.000 | -0.000 | 0.000 |
| 99.672 | 197.327 | 86.012 | -0.000 | -0.000 | 0.000 |
| 96.387 | 79.306 | 133.825 | 0.000 | 0.000 | -0.000 |
| 0.000 | 0.000 | -0.000 | 39.073 | -0.000 | -0.000 |
| 1.727 | -3.837 | 2.591 | 0.000 | 53.873 | -0.000 |
| 1.725 | -3.834 | 2.587 | -0.000 | -0.000 | 49.989 |
| 103.549 | 99.937 | 92.271 | 0.000 | 0.000 | 0.000 |
| 95.857 | 204.072 | 81.338 | -0.000 | -0.000 | 0.000 |
| 96.382 | 79.305 | 133.817 | -0.000 | -0.000 | -0.000 |
| -0.000 | -0.000 | 0.000 | 39.073 | 0.000 | 0.000 |
| -1.727 | 3.837 | -2.591 | 0.000 | 53.873 | 0.000 |
| -1.725 | 3.834 | -2.587 | -0.000 | -0.000 | 49.989 |
| 134.275 | 99.384 | 95.312 | -0.000 | 0.000 | 0.000 |
| 92.265 | 193.540 | 89.544 | -0.000 | 0.000 | 0.000 |
| 97.775 | 82.956 | 138.357 | -0.000 | 0.000 | 0.000 |
| -0.000 | 0.000 | 0.000 | 42.543 | 0.000 | 0.000 |
| -0.000 | -0.000 | -0.000 | -0.000 | 56.849 | 0.000 |
| -0.000 | -0.000 | 0.000 | -0.000 | 0.000 | 50.622 |
| 146.994 | 93.452 | 97.775 | 0.000 | -0.000 | -0.000 |
| 93.451 | 199.120 | 82.955 | 0.000 | -0.000 | -0.000 |
| 97.775 | 82.956 | 138.357 | 0.000 | -0.000 | -0.000 |
| 0.000 | -0.000 | -0.000 | 42.543 | -0.000 | -0.000 |
| 0.000 | 0.000 | 0.000 | -0.000 | 56.849 | -0.000 |
| 0.000 | 0.000 | 0.000 | 0.000 | -0.000 | 50.622 |
| 146.994 | 93.452 | 97.775 | -0.000 | 0.000 | 0.000 |
| 95.870 | 194.218 | 86.063 | -0.000 | 0.000 | 0.000 |
| 97.775 | 82.956 | 138.356 | -0.000 | 0.000 | 0.000 |
| -0.000 | 0.000 | 0.000 | 42.543 | 0.000 | 0.000 |
| -0.000 | -0.000 | -0.000 | -0.000 | 56.849 | 0.000 |
| -0.000 | -0.000 | -0.000 | -0.000 | 0.000 | 50.622 |
| 146.994 | 93.452 | 97.775 | 0.000 | -0.000 | -0.000 |
| 97.187 | 194.112 | 84.809 | 0.000 | -0.000 | -0.000 |
| 96.891 | 85.085 | 135.749 | 0.000 | -0.000 | -0.000 |
| 0.000 | -0.000 | -0.000 | 42.543 | -0.000 | -0.000 |
| 0.000 | 0.000 | 0.000 | 0.000 | 56.849 | -0.000 |
| 0.000 | 0.000 | 0.000 | -0.000 | -0.000 | 50.622 |
| 142.528 | 98.196 | 95.329 | -0.000 | 0.000 | 0.000 |
| 99.282 | 192.031 | 87.926 | 0.000 | 0.000 | 0.000 |
| 97.775 | 82.956 | 138.351 | -0.000 | 0.000 | 0.000 |
| -0.000 | 0.000 | 0.000 | 42.543 | 0.000 | 0.000 |
| -0.000 | -0.000 | -0.001 | -0.000 | 56.849 | 0.000 |
| -0.001 | -0.001 | -0.000 | -0.000 | 0.000 | 50.622 |
| 140.888 | 99.602 | 92.923 | -0.000 | -0.000 | -0.000 |
| 93.452 | 199.121 | 82.954 | 0.000 | -0.000 | -0.000 |
| 95.987 | 85.793 | 135.461 | 0.000 | -0.000 | -0.000 |
| 0.000 | -0.000 | -0.000 | 42.543 | -0.000 | -0.000 |
| 0.000 | 0.000 | 0.001 | 0.000 | 56.849 | -0.000 |
| 0.001 | 0.001 | 0.000 | 0.000 | -0.000 | 50.622 |
| 190.594 | 54.476 | 54.615 | 0.000 | 0.000 | -0.000 |
| 51.754 | 92.137 | 58.736 | 0.000 | 0.000 | 0.000 |
| 54.780 | 39.368 | 105.346 | -0.000 | -0.000 | 0.000 |
| -4.910 | -4.295 | 17.494 | 28.066 | 0.000 | 0.000 |
| -4.887 | -4.274 | 17.410 | 0.000 | 44.695 | 0.000 |
| -4.887 | -4.274 | 17.410 | 0.000 | 0.000 | 44.603 |
| 190.594 | 54.476 | 54.615 | -0.000 | -0.000 | -0.000 |
| 62.384 | 81.588 | 41.420 | -0.000 | -0.000 | -0.000 |
| 61.809 | 45.598 | 79.242 | -0.000 | -0.000 | -0.000 |
| 4.910 | 4.295 | -17.494 | 28.066 | -0.000 | 0.000 |
| 4.887 | 4.274 | -17.410 | -0.000 | 44.695 | -0.000 |
| 4.887 | 4.274 | -17.410 | -0.000 | -0.000 | 44.603 |
| 190.594 | 54.476 | 54.615 | -0.000 | 0.000 | -0.000 |
| 54.646 | 105.012 | 39.373 | -0.000 | -0.000 | 0.000 |
| 54.780 | 39.368 | 105.347 | -0.000 | -0.000 | -0.000 |
| -0.704 | -0.615 | 2.507 | 25.792 | 0.000 | 0.000 |
| 0.000 | 0.000 | 0.000 | 0.000 | 45.485 | 0.000 |
| -0.508 | -0.444 | 1.809 | 0.000 | 0.000 | 44.573 |
| 189.414 | 57.424 | 55.815 | -0.000 | -0.000 | -0.000 |
| 57.033 | 78.304 | 57.641 | -0.000 | -0.000 | -0.000 |
| 58.142 | 42.415 | 91.993 | -0.000 | -0.000 | -0.000 |
| 0.704 | 0.615 | -2.507 | 25.792 | -0.000 | 0.000 |
| -0.000 | -0.000 | -0.000 | -0.000 | 45.485 | -0.000 |
| 0.508 | 0.444 | -1.809 | -0.000 | -0.000 | 44.573 |
| 190.594 | 54.477 | 54.615 | 0.000 | -0.000 | 0.000 |
| 56.026 | 74.800 | 63.345 | 0.000 | 0.000 | 0.000 |
| 59.067 | 43.289 | 87.869 | 0.000 | 0.000 | 0.000 |
| -0.170 | -0.130 | 0.581 | 3.385 | 0.000 | 0.000 |
| 0.001 | 0.000 | 0.001 | -0.000 | 45.485 | -0.000 |
| -0.077 | -0.067 | 0.277 | 0.000 | 0.000 | 44.165 |
| 190.593 | 54.475 | 54.615 | 0.000 | -0.000 | 0.000 |
| 56.832 | 77.562 | 58.825 | -0.000 | 0.000 | 0.000 |
| 58.939 | 43.165 | 88.475 | -0.000 | -0.000 | 0.000 |
| 0.170 | 0.130 | -0.581 | 3.385 | -0.000 | 0.000 |
| -0.001 | -0.000 | -0.001 | -0.000 | 45.485 | -0.000 |
| 0.077 | 0.067 | -0.277 | -0.000 | -0.000 | 44.165 |
| 182.896 | 73.355 | 81.757 | 0.000 | -23.006 | 0.000 |
| 72.757 | 152.433 | 81.070 | 0.000 | 0.249 | 0.000 |
| 588.842 | 467.996 | -715.295 | 0.000 | 450.097 | -0.000 |
| 0.000 | -0.000 | -0.000 | 53.780 | 0.000 | -1.761 |
| 92.275 | 100.820 | -362.212 | 0.000 | 229.230 | -0.000 |
| 0.000 | -0.000 | -0.000 | -0.500 | 0.000 | 43.451 |
| 354.831 | 43.586 | 366.799 | 0.000 | -236.578 | -0.000 |
| 72.756 | 152.433 | 81.070 | -0.000 | 0.249 | -0.000 |
| 81.749 | 81.694 | 150.282 | -0.000 | 4.714 | -0.000 |
| -0.000 | 0.000 | 0.000 | 53.780 | -0.000 | -1.761 |
| -25.848 | -1.012 | 4.714 | -0.000 | 54.115 | 0.000 |
| -0.000 | 0.000 | 0.000 | -0.500 | -0.000 | 43.451 |
| 182.896 | 73.355 | 81.757 | 0.000 | -23.006 | 0.000 |
| 79.790 | 140.930 | 37.250 | -0.000 | 10.014 | -0.000 |
| 81.749 | 81.694 | 150.282 | -0.000 | 4.714 | 0.000 |
| 0.000 | 0.000 | 0.000 | 53.780 | 0.000 | -1.761 |
| -25.848 | -1.012 | 4.714 | -0.000 | 54.115 | 0.000 |
| -18.025 | 2.924 | -29.126 | 0.035 | 21.738 | 41.204 |
| 193.263 | 69.485 | 106.915 | 0.000 | -42.746 | -0.000 |
| 72.757 | 152.434 | 81.070 | -0.000 | 0.249 | -0.000 |
| 81.749 | 81.694 | 150.281 | -0.000 | 4.714 | -0.000 |
| -0.000 | -0.000 | -0.000 | 53.780 | -0.000 | -1.761 |
| -3.830 | -6.028 | 37.917 | -0.000 | 24.743 | -0.000 |
| 18.025 | -2.924 | 29.126 | 0.035 | -21.738 | 41.204 |
| 173.112 | 73.275 | 72.352 | 0.000 | -16.721 | 0.000 |
| 72.757 | 152.435 | 81.070 | 0.000 | 0.249 | 0.000 |
| 81.749 | 81.694 | 150.283 | 0.000 | 4.715 | 0.000 |
| 0.000 | 0.000 | 0.000 | 53.780 | 0.000 | -1.761 |
| -25.848 | -1.012 | 4.715 | 0.000 | 54.115 | 0.000 |
| -0.003 | -0.001 | 0.000 | -0.500 | 0.000 | 43.452 |
| 182.908 | 73.358 | 81.757 | -0.000 | -23.006 | -0.000 |
| 72.758 | 152.429 | 81.069 | 0.000 | 0.249 | -0.000 |
| 81.749 | 81.693 | 150.280 | 0.000 | 4.714 | -0.000 |
| -0.000 | -0.000 | -0.000 | 53.780 | -0.000 | -1.761 |
| -18.553 | -3.827 | 13.820 | 0.000 | 42.134 | -0.000 |
| 0.003 | 0.001 | -0.000 | -0.500 | -0.000 | 43.452 |
| 171.410 | 74.519 | 80.217 | -0.000 | -4.101 | 0.000 |
| 74.380 | 152.724 | 82.104 | 0.000 | 2.120 | -0.000 |
| 79.918 | 82.104 | 154.486 | 0.000 | 4.566 | -0.000 |
| -0.000 | 0.000 | 0.000 | 52.586 | -0.000 | 2.269 |
| -7.503 | 2.120 | 4.566 | 0.000 | 51.708 | -0.000 |
| -0.000 | 0.000 | 0.000 | 2.269 | 0.000 | 43.436 |
| 268.915 | 0.198 | 271.258 | -0.000 | -94.176 | -0.000 |
| 74.380 | 152.724 | 82.104 | 0.000 | 2.120 | 0.000 |
| 192.112 | 1.747 | 325.535 | -0.000 | -81.312 | -0.000 |
| 0.000 | 0.000 | -0.000 | 52.586 | 0.000 | 2.269 |
| 103.821 | -73.934 | 198.368 | -0.000 | -46.328 | -0.000 |
| 0.000 | -0.000 | -0.000 | 2.269 | -0.000 | 43.436 |
| 171.407 | 74.519 | 80.215 | -0.000 | -4.099 | -0.000 |
| 74.380 | 152.725 | 82.104 | 0.000 | 2.120 | -0.000 |
| 64.763 | 86.584 | 111.378 | 0.000 | 11.641 | 0.000 |
| -23.872 | 25.216 | -36.063 | 35.311 | 30.347 | 9.148 |
| -38.348 | 28.323 | -31.231 | 0.000 | 53.759 | -0.000 |
| 0.000 | 0.000 | 0.000 | 2.269 | 0.000 | 43.436 |
| 164.748 | 69.628 | 95.911 | -0.000 | -18.056 | -0.000 |
| 74.380 | 152.724 | 82.104 | -0.000 | 2.120 | 0.000 |
| 79.918 | 82.104 | 154.486 | 0.000 | 4.566 | 0.000 |
| 23.872 | -25.216 | 36.063 | 35.311 | -30.347 | 9.148 |
| -0.473 | -4.504 | 23.074 | -0.000 | 29.460 | -0.000 |
| -0.000 | -0.000 | -0.000 | 2.269 | -0.000 | 43.436 |
| 171.408 | 74.519 | 80.216 | 0.000 | -4.098 | -0.000 |
| 75.734 | 142.396 | 77.607 | 0.000 | 3.923 | 0.000 |
| 72.854 | 76.100 | 122.634 | -0.000 | 6.267 | -0.000 |
| -1.798 | 1.813 | -2.756 | 39.188 | 2.165 | 7.195 |
| -13.420 | 4.139 | 1.223 | 0.000 | 39.103 | 0.000 |
| -1.147 | 0.766 | -1.931 | 4.259 | 0.838 | 36.779 |
| 149.578 | 75.863 | 75.305 | -0.000 | -16.464 | -0.000 |
| 74.377 | 152.720 | 82.103 | 0.000 | 2.121 | -0.000 |
| 77.611 | 78.349 | 133.998 | -0.000 | 2.491 | -0.000 |
| 1.798 | -1.813 | 2.756 | 39.188 | -2.165 | 7.195 |
| -7.500 | 2.120 | 4.567 | 0.000 | 51.705 | -0.000 |
| 1.147 | -0.766 | 1.931 | 4.259 | -0.838 | 36.779 |
| 75.801 | 9.845 | 9.845 | -0.000 | -0.000 | 0.000 |
| 9.845 | 75.801 | 9.845 | 0.000 | -0.000 | 0.000 |
| 9.845 | 9.845 | 75.801 | -0.000 | -0.000 | 0.000 |
| 0.000 | -0.000 | -0.000 | 2.230 | -0.000 | -0.000 |
| 0.000 | -0.000 | -0.000 | 0.000 | 2.230 | 0.000 |
| 0.000 | -0.000 | -0.000 | 0.000 | 0.000 | 2.230 |
| 81.146 | 7.173 | 7.173 | -0.000 | -0.000 | -0.000 |
| 7.173 | 81.146 | 7.173 | -0.000 | -0.000 | -0.000 |
| 7.173 | 7.173 | 81.146 | 0.000 | -0.000 | -0.000 |
| -0.000 | 0.000 | 0.000 | 2.230 | 0.000 | -0.000 |
| -0.000 | 0.000 | 0.000 | -0.000 | 2.230 | -0.000 |
| -0.000 | 0.000 | 0.000 | -0.000 | -0.000 | 2.230 |
| 75.801 | 9.845 | 9.845 | 0.000 | -0.000 | -0.000 |
| 9.845 | 75.801 | 9.845 | 0.000 | -0.000 | 0.000 |
| 9.845 | 9.845 | 75.801 | 0.000 | -0.000 | 0.000 |
| -0.000 | 0.000 | 0.000 | -11.181 | -0.000 | 0.000 |
| 0.000 | -0.000 | 0.000 | -0.000 | -11.181 | 0.000 |
| 0.000 | 0.000 | -0.000 | 0.000 | -0.000 | -11.181 |
| 75.802 | 9.845 | 9.845 | -0.000 | -0.000 | -0.000 |
| 9.845 | 75.802 | 9.845 | -0.000 | 0.000 | -0.000 |
| 9.845 | 9.845 | 75.802 | -0.000 | -0.000 | 0.000 |
| 0.000 | -0.000 | -0.000 | -11.181 | 0.000 | 0.000 |
| -0.000 | 0.000 | -0.000 | -0.000 | -11.181 | -0.000 |
| -0.000 | -0.000 | 0.000 | -0.000 | 0.000 | -11.181 |
| 81.141 | 7.172 | 7.172 | 0.000 | 0.000 | 0.000 |
| 7.172 | 81.141 | 7.172 | 0.000 | 0.000 | -0.000 |
| 7.172 | 7.172 | 81.141 | 0.000 | -0.000 | 0.000 |
| -0.000 | -0.000 | -0.000 | 2.230 | -0.000 | -0.000 |
| -0.000 | -0.000 | -0.000 | -0.000 | 2.230 | 0.000 |
| -0.000 | -0.000 | -0.000 | 0.000 | 0.000 | 2.230 |
| 75.806 | 9.846 | 9.846 | -0.000 | 0.000 | -0.000 |
| 9.846 | 75.806 | 9.846 | 0.000 | -0.000 | -0.000 |
| 9.846 | 9.846 | 75.806 | -0.000 | 0.000 | 0.000 |
| 0.000 | 0.000 | 0.000 | 2.230 | 0.000 | -0.000 |
| 0.000 | 0.000 | 0.000 | 0.000 | 2.230 | -0.000 |
| 0.000 | 0.000 | 0.000 | -0.000 | -0.000 | 2.230 |
| 199.255 | 110.849 | 110.849 | 0.000 | -0.000 | -0.000 |
| 110.849 | 199.255 | 110.849 | -0.000 | -0.000 | 0.000 |
| 110.849 | 110.849 | 199.255 | -0.000 | -0.000 | -0.000 |
| -0.000 | 0.000 | 0.000 | 66.458 | -0.000 | 0.000 |
| -0.000 | 0.000 | 0.000 | 0.000 | 66.458 | 0.000 |
| -0.000 | 0.000 | 0.000 | -0.000 | -0.000 | 66.458 |
| 199.255 | 110.849 | 110.849 | 0.000 | 0.000 | 0.000 |
| 110.849 | 199.255 | 110.849 | 0.000 | 0.000 | -0.000 |
| 110.849 | 110.849 | 199.255 | -0.000 | 0.000 | 0.000 |
| 0.000 | -0.000 | -0.000 | 66.458 | 0.000 | -0.000 |
| -0.000 | -0.000 | -0.000 | 0.000 | 66.458 | 0.000 |
| 0.000 | -0.000 | -0.000 | 0.000 | 0.000 | 66.458 |
| 199.255 | 110.849 | 110.849 | -0.000 | -0.000 | -0.000 |
| 110.849 | 199.255 | 110.849 | -0.000 | -0.000 | -0.000 |
| 110.849 | 110.849 | 199.255 | -0.000 | -0.000 | -0.000 |
| 0.000 | 0.000 | 0.000 | 58.542 | -0.000 | -0.000 |
| 0.000 | 0.000 | 0.000 | 0.000 | 58.542 | 0.000 |
| 0.000 | 0.000 | 0.000 | 0.000 | -0.000 | 58.542 |
| 199.255 | 110.849 | 110.849 | 0.000 | -0.000 | -0.000 |
| 110.849 | 199.255 | 110.849 | 0.000 | 0.000 | 0.000 |
| 110.849 | 110.849 | 199.255 | 0.000 | -0.000 | 0.000 |
| -0.000 | -0.000 | -0.000 | 58.542 | 0.000 | 0.000 |
| -0.000 | -0.000 | -0.000 | -0.000 | 58.542 | -0.000 |
| -0.000 | -0.000 | -0.000 | -0.000 | 0.000 | 58.542 |
| 199.257 | 110.850 | 110.850 | -0.000 | -0.000 | 0.000 |
| 110.850 | 199.257 | 110.850 | -0.000 | -0.000 | -0.000 |
| 110.850 | 110.850 | 199.257 | 0.000 | -0.000 | -0.000 |
| 0.000 | 0.000 | 0.000 | 66.458 | -0.000 | -0.000 |
| 0.000 | 0.000 | 0.000 | 0.000 | 66.458 | 0.000 |
| 0.000 | 0.000 | 0.000 | -0.000 | -0.000 | 66.458 |
| 199.253 | 110.848 | 110.848 | 0.000 | 0.000 | 0.000 |
| 110.848 | 199.253 | 110.848 | 0.000 | 0.000 | 0.000 |
| 110.848 | 110.848 | 199.253 | 0.000 | 0.000 | 0.000 |
| -0.000 | -0.000 | -0.000 | 66.458 | 0.000 | -0.000 |
| -0.000 | -0.000 | -0.000 | 0.000 | 66.458 | 0.000 |
| -0.000 | -0.000 | -0.000 | 0.000 | 0.000 | 66.458 |
| 108.137 | 50.444 | 50.444 | -0.000 | 0.000 | -0.000 |
| 50.444 | 108.137 | 50.444 | 0.000 | 0.000 | -0.000 |
| 50.444 | 50.444 | 108.137 | 0.000 | -0.000 | -0.000 |
| -0.000 | -0.000 | -0.000 | 46.601 | 0.000 | -0.000 |
| -0.000 | -0.000 | -0.000 | 0.000 | 46.601 | -0.000 |
| -0.000 | -0.000 | -0.000 | 0.000 | -0.000 | 46.601 |
| 108.137 | 50.444 | 50.444 | -0.000 | -0.000 | 0.000 |
| 50.444 | 108.137 | 50.444 | 0.000 | -0.000 | 0.000 |
| 50.444 | 50.444 | 108.137 | 0.000 | 0.000 | 0.000 |
| 0.000 | 0.000 | 0.000 | 46.601 | 0.000 | 0.000 |
| 0.000 | 0.000 | 0.000 | -0.000 | 46.601 | 0.000 |
| 0.000 | 0.000 | 0.000 | -0.000 | -0.000 | 46.601 |
| 108.290 | 50.482 | 50.482 | 0.000 | -0.000 | -0.000 |
| 50.482 | 108.290 | 50.482 | 0.000 | -0.000 | -0.000 |
| 50.482 | 50.482 | 108.290 | 0.000 | 0.000 | -0.000 |
| 0.012 | 0.030 | 0.030 | 46.625 | -0.000 | -0.000 |
| 0.030 | 0.012 | 0.030 | 0.000 | 46.625 | -0.000 |
| 0.030 | 0.030 | 0.012 | 0.000 | 0.000 | 46.625 |
| 108.138 | 50.444 | 50.444 | -0.000 | -0.000 | 0.000 |
| 50.444 | 108.138 | 50.444 | 0.000 | 0.000 | 0.000 |
| 50.444 | 50.444 | 108.138 | 0.000 | 0.000 | 0.000 |
| -0.012 | -0.030 | -0.030 | 46.625 | 0.000 | 0.000 |
| -0.030 | -0.012 | -0.030 | -0.000 | 46.625 | 0.000 |
| -0.030 | -0.030 | -0.012 | -0.000 | 0.000 | 46.625 |
| 108.360 | 50.554 | 50.554 | -0.000 | 0.000 | -0.000 |
| 50.554 | 108.360 | 50.554 | -0.000 | -0.000 | -0.000 |
| 50.554 | 50.554 | 108.360 | 0.000 | -0.000 | -0.000 |
| 0.048 | 0.068 | 0.068 | 46.657 | -0.000 | -0.000 |
| 0.068 | 0.048 | 0.068 | -0.000 | 46.657 | -0.000 |
| 0.068 | 0.068 | 0.048 | 0.000 | 0.000 | 46.657 |
| 108.145 | 50.444 | 50.444 | -0.000 | -0.000 | 0.000 |
| 50.444 | 108.145 | 50.444 | -0.000 | 0.000 | 0.000 |
| 50.444 | 50.444 | 108.145 | -0.000 | -0.000 | 0.000 |
| -0.048 | -0.068 | -0.068 | 46.657 | 0.000 | 0.000 |
| -0.068 | -0.048 | -0.068 | -0.000 | 46.657 | 0.000 |
| -0.068 | -0.068 | -0.048 | -0.000 | 0.000 | 46.657 |
| 101.757 | 33.232 | 73.290 | 0.000 | -0.000 | -0.000 |
| 33.232 | 101.757 | 73.290 | 0.000 | -0.000 | -0.000 |
| 73.290 | 73.290 | 20.963 | 0.000 | -0.000 | -0.000 |
| 0.000 | -0.000 | -0.000 | 59.892 | -0.000 | -0.000 |
| -0.000 | 0.000 | -0.000 | 0.000 | 59.892 | -0.000 |
| 0.000 | 0.000 | 0.000 | -0.000 | -0.000 | 20.710 |
| 101.757 | 33.232 | 73.290 | 0.000 | 0.000 | 0.000 |
| 33.232 | 101.757 | 73.290 | 0.000 | 0.000 | 0.000 |
| 73.290 | 73.290 | 20.963 | -0.000 | 0.000 | 0.000 |
| -0.000 | 0.000 | 0.000 | 59.892 | 0.000 | 0.000 |
| 0.000 | -0.000 | 0.000 | -0.000 | 59.892 | 0.000 |
| -0.000 | -0.000 | -0.000 | 0.000 | 0.000 | 20.710 |
| 101.757 | 33.232 | 73.290 | -0.000 | -0.000 | -0.000 |
| 33.232 | 101.757 | 73.290 | 0.000 | -0.000 | -0.000 |
| 73.290 | 73.290 | 20.963 | 0.000 | 0.000 | -0.000 |
| 0.000 | -0.000 | -0.000 | 59.892 | -0.000 | -0.000 |
| -0.000 | 0.000 | -0.000 | -0.000 | 59.892 | -0.000 |
| 0.000 | 0.000 | 0.000 | 0.000 | -0.000 | 20.710 |
| 101.758 | 33.232 | 73.290 | -0.000 | 0.000 | 0.000 |
| 33.232 | 101.758 | 73.290 | 0.000 | 0.000 | 0.000 |
| 73.290 | 73.290 | 20.963 | -0.000 | 0.000 | 0.000 |
| -0.000 | 0.000 | 0.000 | 59.892 | 0.000 | 0.000 |
| 0.000 | -0.000 | 0.000 | -0.000 | 59.892 | 0.000 |
| -0.000 | -0.000 | -0.000 | 0.000 | 0.000 | 20.710 |
| 101.752 | 33.233 | 73.290 | -0.000 | -0.000 | -0.000 |
| 33.233 | 101.752 | 73.290 | 0.000 | -0.000 | -0.000 |
| 73.290 | 73.290 | 20.961 | 0.000 | -0.000 | -0.000 |
| 0.000 | -0.000 | -0.000 | 59.892 | -0.000 | -0.000 |
| -0.000 | 0.000 | -0.000 | -0.000 | 59.892 | -0.000 |
| 0.000 | 0.000 | 0.000 | 0.000 | -0.000 | 20.710 |
| 101.762 | 33.231 | 73.290 | -0.000 | 0.000 | 0.000 |
| 33.231 | 101.762 | 73.290 | -0.000 | 0.000 | 0.000 |
| 73.290 | 73.290 | 20.965 | -0.000 | 0.000 | 0.000 |
| -0.000 | 0.000 | 0.000 | 59.892 | 0.000 | 0.000 |
| 0.000 | -0.000 | 0.000 | -0.000 | 59.892 | 0.000 |
| -0.000 | -0.000 | -0.000 | 0.000 | 0.000 | 20.710 |
| 184.212 | 73.394 | 93.929 | 0.000 | -0.000 | 0.000 |
| 73.394 | 184.212 | 93.929 | 0.000 | 0.000 | 0.000 |
| 93.929 | 93.929 | 206.844 | 0.000 | 0.000 | -0.000 |
| -0.000 | -0.000 | -0.000 | 66.338 | -0.000 | -0.000 |
| -0.000 | -0.000 | -0.000 | 0.000 | 66.338 | 0.000 |
| -0.000 | -0.000 | -0.000 | 0.000 | -0.000 | 47.376 |
| 184.212 | 73.394 | 93.929 | -0.000 | -0.000 | -0.000 |
| 73.394 | 184.212 | 93.929 | 0.000 | -0.000 | -0.000 |
| 93.929 | 93.929 | 206.844 | 0.000 | 0.000 | -0.000 |
| 0.000 | 0.000 | 0.000 | 66.338 | 0.000 | -0.000 |
| 0.000 | 0.000 | 0.000 | 0.000 | 66.338 | 0.000 |
| 0.000 | 0.000 | 0.000 | -0.000 | -0.000 | 47.376 |
| 184.212 | 73.394 | 93.929 | 0.000 | 0.000 | -0.000 |
| 73.394 | 184.212 | 93.929 | 0.000 | 0.000 | -0.000 |
| 93.929 | 93.929 | 206.844 | -0.000 | 0.000 | 0.000 |
| -0.000 | -0.000 | -0.000 | 66.338 | -0.000 | -0.000 |
| -0.000 | -0.000 | -0.000 | 0.000 | 66.338 | 0.000 |
| -0.000 | -0.000 | -0.000 | 0.000 | 0.000 | 47.376 |
| 184.212 | 73.394 | 93.929 | -0.000 | -0.000 | -0.000 |
| 73.394 | 184.212 | 93.929 | -0.000 | -0.000 | -0.000 |
| 93.929 | 93.929 | 206.843 | -0.000 | 0.000 | -0.000 |
| 0.000 | 0.000 | 0.000 | 66.338 | 0.000 | -0.000 |
| 0.000 | 0.000 | 0.000 | -0.000 | 66.338 | 0.000 |
| 0.000 | 0.000 | 0.000 | -0.000 | 0.000 | 47.376 |
| 184.207 | 73.394 | 93.928 | 0.000 | -0.000 | -0.000 |
| 73.394 | 184.207 | 93.928 | -0.000 | 0.000 | 0.000 |
| 93.929 | 93.929 | 206.848 | -0.000 | -0.000 | -0.000 |
| -0.000 | -0.001 | -0.000 | 66.338 | 0.000 | 0.000 |
| -0.001 | -0.000 | -0.000 | -0.000 | 66.338 | 0.000 |
| -0.001 | -0.001 | -0.000 | 0.000 | 0.000 | 47.376 |
| 184.217 | 73.394 | 93.929 | -0.000 | -0.000 | -0.000 |
| 73.394 | 184.217 | 93.929 | -0.000 | -0.000 | 0.000 |
| 93.928 | 93.928 | 206.839 | -0.000 | -0.000 | -0.000 |
| 0.000 | 0.001 | 0.000 | 66.338 | -0.000 | 0.000 |
| 0.001 | 0.000 | 0.000 | -0.000 | 66.338 | -0.000 |
| 0.001 | 0.001 | 0.000 | -0.000 | -0.000 | 47.376 |
| 87.069 | 57.099 | 38.154 | -0.000 | 0.000 | -0.000 |
| 57.099 | 87.069 | 38.154 | 0.000 | -0.000 | -0.000 |
| 38.154 | 38.154 | 60.863 | 0.000 | -0.000 | -0.000 |
| 0.000 | 0.000 | -0.000 | 31.654 | -0.000 | -0.000 |
| 0.000 | 0.000 | -0.000 | -0.000 | 31.654 | -0.000 |
| 0.000 | 0.000 | 0.000 | 0.000 | -0.000 | 47.917 |
| 87.069 | 57.099 | 38.154 | -0.000 | -0.000 | -0.000 |
| 57.099 | 87.069 | 38.154 | -0.000 | -0.000 | 0.000 |
| 38.154 | 38.154 | 60.863 | -0.000 | -0.000 | 0.000 |
| -0.000 | -0.000 | -0.000 | 31.654 | 0.000 | 0.000 |
| -0.000 | -0.000 | -0.000 | -0.000 | 31.654 | 0.000 |
| -0.000 | -0.000 | -0.000 | -0.000 | -0.000 | 47.917 |
| 93.115 | 51.053 | 38.154 | 0.000 | -0.000 | -0.000 |
| 51.053 | 93.115 | 38.154 | 0.000 | -0.000 | -0.000 |
| 38.154 | 38.154 | 60.863 | 0.000 | 0.000 | -0.000 |
| 0.000 | 0.000 | 0.000 | 31.654 | -0.000 | -0.000 |
| 0.000 | 0.000 | 0.000 | -0.000 | 31.654 | -0.000 |
| 0.000 | 0.000 | 0.000 | 0.000 | 0.000 | 47.917 |
| 87.068 | 57.098 | 38.153 | -0.000 | 0.000 | 0.000 |
| 57.098 | 87.068 | 38.153 | -0.000 | -0.000 | 0.000 |
| 38.153 | 38.153 | 60.863 | 0.000 | 0.000 | 0.000 |
| -0.000 | -0.000 | -0.000 | 31.654 | 0.000 | 0.000 |
| -0.000 | -0.000 | -0.000 | -0.000 | 31.654 | 0.000 |
| -0.000 | -0.000 | -0.000 | 0.000 | -0.000 | 47.917 |
| 93.121 | 51.054 | 38.156 | 0.000 | 0.000 | -0.000 |
| 51.054 | 93.121 | 38.156 | -0.000 | -0.000 | -0.000 |
| 38.155 | 38.155 | 60.860 | -0.000 | 0.000 | -0.000 |
| 0.001 | 0.002 | 0.001 | 31.654 | -0.000 | -0.000 |
| 0.002 | 0.001 | 0.001 | -0.000 | 31.654 | -0.000 |
| 0.001 | 0.001 | 0.001 | 0.000 | 0.000 | 47.917 |
| 93.109 | 51.051 | 38.151 | -0.000 | -0.000 | 0.000 |
| 51.051 | 93.109 | 38.151 | -0.000 | 0.000 | 0.000 |
| 38.153 | 38.153 | 60.866 | 0.000 | 0.000 | 0.000 |
| -0.001 | -0.002 | -0.001 | 31.654 | 0.000 | 0.000 |
| -0.002 | -0.001 | -0.001 | -0.000 | 31.654 | 0.000 |
| -0.001 | -0.001 | -0.001 | -0.000 | -0.000 | 47.917 |
| 200.970 | 77.574 | 78.646 | -0.000 | 0.000 | 0.000 |
| 77.574 | 153.898 | 54.753 | -0.000 | -0.000 | 0.000 |
| 78.646 | 54.753 | 152.436 | -0.000 | -0.000 | 0.000 |
| 53.154 | -602.149 | 829.156 | 19.630 | 0.000 | 0.000 |
| 53.152 | -602.118 | 829.112 | -0.000 | 48.331 | 0.000 |
| -0.000 | -0.000 | -0.000 | -0.000 | -0.000 | 56.606 |
| 138.493 | 682.582 | -747.046 | 0.000 | -0.000 | -0.000 |
| 77.574 | 153.898 | 54.753 | 0.000 | 0.000 | -0.000 |
| 78.646 | 54.753 | 152.436 | 0.000 | 0.000 | -0.000 |
| -53.154 | 602.149 | -829.156 | 19.630 | -0.000 | 0.000 |
| -53.152 | 602.118 | -829.112 | -0.000 | 48.331 | -0.000 |
| 0.000 | 0.000 | 0.000 | 0.000 | -0.000 | 56.606 |
| 200.970 | 77.574 | 78.646 | -0.000 | -0.000 | -0.000 |
| 77.574 | 153.898 | 54.753 | -0.000 | 0.000 | -0.000 |
| 78.646 | 54.753 | 152.435 | -0.000 | 0.000 | 0.000 |
| 5.320 | -60.265 | 82.984 | 19.617 | 0.000 | 0.000 |
| 17.168 | -77.519 | 80.854 | -0.000 | 47.808 | 0.000 |
| -0.000 | -0.000 | -0.000 | -0.000 | 0.000 | 56.606 |
| 200.970 | 77.574 | 78.646 | 0.000 | -0.000 | -0.000 |
| 72.997 | 207.151 | -20.777 | 0.000 | -0.000 | -0.000 |
| 78.646 | 54.753 | 152.436 | 0.000 | 0.000 | 0.000 |
| -5.320 | 60.265 | -82.984 | 19.617 | -0.000 | 0.000 |
| -17.168 | 77.519 | -80.854 | 0.000 | 47.808 | -0.000 |
| 0.000 | 0.000 | 0.000 | 0.000 | 0.000 | 56.606 |
| 197.229 | 75.276 | 85.027 | -0.000 | 0.000 | -0.000 |
| 79.915 | 137.881 | 70.893 | -0.000 | -0.000 | 0.000 |
| 81.588 | 55.445 | 148.341 | -0.000 | 0.000 | 0.000 |
| -0.000 | -0.000 | -0.001 | 36.237 | 0.000 | 0.000 |
| 1.196 | -6.307 | 7.079 | -0.000 | 49.283 | -0.000 |
| 0.327 | -3.720 | 5.121 | -0.000 | 0.000 | 53.836 |
| 200.971 | 77.575 | 78.646 | 0.000 | -0.000 | -0.000 |
| 77.574 | 153.894 | 54.753 | -0.000 | 0.000 | -0.000 |
| 78.646 | 54.753 | 152.434 | 0.000 | -0.000 | 0.000 |
| 0.000 | 0.000 | 0.001 | 36.237 | 0.000 | 0.000 |
| -1.196 | 6.307 | -7.079 | 0.000 | 49.283 | -0.000 |
| -0.327 | 3.720 | -5.121 | 0.000 | -0.000 | 53.836 |
| 189.405 | 72.349 | 68.591 | 0.000 | -0.000 | 0.000 |
| 68.710 | 157.663 | 54.293 | 0.000 | 0.000 | 0.000 |
| 66.377 | 55.717 | 143.463 | 0.000 | 0.000 | 0.000 |
| 0.001 | 0.001 | 0.000 | 33.069 | 0.000 | 0.000 |
| 252.662 | 83.990 | -331.005 | 0.000 | 42.915 | 0.000 |
| 0.003 | 0.003 | 0.001 | 0.000 | -0.000 | 46.213 |
| 189.398 | 72.342 | 68.588 | -0.000 | -0.000 | -0.000 |
| 68.704 | 157.658 | 54.291 | -0.000 | 0.000 | -0.000 |
| 66.377 | 55.718 | 143.463 | -0.000 | -0.000 | -0.000 |
| -0.001 | -0.001 | -0.000 | 33.069 | -0.000 | -0.000 |
| -252.662 | -83.990 | 331.005 | -0.000 | 42.915 | -0.000 |
| -0.003 | -0.003 | -0.001 | -0.000 | -0.000 | 46.213 |
| 189.411 | 72.354 | 68.594 | 0.000 | 0.000 | 0.000 |
| 93.547 | 164.150 | 23.748 | -0.000 | 0.000 | 0.000 |
| 88.795 | 81.928 | 98.081 | 0.000 | 0.000 | 0.000 |
| 19.337 | 21.317 | -33.111 | 14.153 | 0.000 | 0.000 |
| 25.427 | 8.452 | -33.310 | 0.000 | 42.897 | 0.000 |
| 0.006 | 0.006 | 0.002 | 0.000 | 0.000 | 46.216 |
| 161.504 | 64.024 | 104.273 | -0.000 | -0.000 | -0.000 |
| 50.418 | 128.868 | 93.958 | -0.000 | -0.000 | -0.000 |
| 43.804 | 49.280 | 170.833 | -0.000 | -0.000 | -0.000 |
| -19.334 | -21.316 | 33.108 | 14.154 | -0.000 | -0.000 |
| -25.427 | -8.452 | 33.310 | -0.000 | 42.897 | -0.000 |
| -0.006 | -0.006 | -0.002 | -0.000 | 0.000 | 46.216 |
| 188.269 | 75.395 | 68.541 | 0.000 | 0.000 | 0.000 |
| 68.718 | 157.673 | 54.297 | 0.000 | 0.000 | 0.000 |
| 71.038 | 63.201 | 128.660 | 0.000 | 0.000 | 0.000 |
| 4.376 | 1.457 | -5.727 | 25.209 | 0.000 | 0.000 |
| 2.087 | 1.637 | -3.216 | 0.000 | 37.777 | 0.000 |
| 2.735 | 0.913 | -3.572 | 0.000 | -0.000 | 44.558 |
| 189.401 | 72.343 | 68.587 | -0.000 | -0.000 | -0.000 |
| 65.194 | 154.029 | 61.658 | -0.000 | -0.000 | -0.000 |
| 68.145 | 59.568 | 134.411 | -0.000 | -0.000 | -0.000 |
| -4.376 | -1.457 | 5.727 | 25.209 | -0.000 | -0.000 |
| -2.087 | -1.637 | 3.216 | -0.000 | 37.777 | -0.000 |
| -2.735 | -0.913 | 3.572 | -0.000 | -0.000 | 44.558 |
| 153.286 | 112.884 | 37.334 | -0.000 | 0.000 | -0.000 |
| 46.919 | 128.356 | 50.723 | 0.000 | 0.000 | -0.000 |
| 51.080 | 51.080 | 126.116 | -0.000 | -0.000 | 0.000 |
| 51.075 | 51.075 | -15.047 | 44.383 | -0.000 | -0.000 |
| -0.000 | -0.000 | -0.000 | -0.000 | 44.838 | -0.000 |
| -0.000 | -0.000 | 0.000 | 0.000 | -0.000 | 40.719 |
| 49.195 | 12.908 | 67.394 | 0.000 | 0.000 | 0.000 |
| 46.919 | 128.356 | 50.723 | -0.000 | -0.000 | -0.000 |
| 1.660 | 1.660 | 140.676 | 0.000 | 0.000 | 0.000 |
| -51.075 | -51.075 | 15.047 | 44.383 | -0.000 | 0.000 |
| 0.000 | 0.000 | 0.000 | 0.000 | 44.838 | 0.000 |
| 0.000 | 0.000 | -0.000 | -0.000 | -0.000 | 40.719 |
| 111.176 | 62.164 | 51.008 | 0.000 | 0.000 | -0.000 |
| 46.919 | 128.355 | 50.723 | 0.000 | -0.000 | -0.000 |
| 57.818 | 57.818 | 124.131 | 0.000 | 0.000 | -0.000 |
| 5.314 | 5.314 | -1.566 | 44.365 | 0.000 | -0.000 |
| 5.105 | 5.105 | -1.504 | -0.000 | 44.017 | -0.000 |
| -0.000 | -0.000 | -0.000 | 0.000 | 0.000 | 40.719 |
| 107.271 | 43.088 | 54.394 | -0.000 | 0.000 | 0.000 |
| 46.919 | 128.357 | 50.723 | -0.000 | -0.000 | -0.000 |
| 51.080 | 51.080 | 126.116 | -0.000 | -0.000 | -0.000 |
| -5.314 | -5.314 | 1.566 | 44.365 | -0.000 | -0.000 |
| -5.105 | -5.105 | 1.504 | 0.000 | 44.017 | 0.000 |
| 0.000 | 0.000 | 0.000 | -0.000 | 0.000 | 40.719 |
| 128.350 | 46.918 | 50.722 | 0.000 | -0.000 | -0.000 |
| 50.454 | 109.599 | 52.963 | 0.000 | 0.000 | -0.000 |
| 53.223 | 53.223 | 125.487 | -0.000 | -0.000 | -0.000 |
| -0.001 | -0.002 | -0.001 | 44.838 | -0.000 | -0.000 |
| -0.002 | -0.001 | -0.001 | -0.000 | 44.838 | -0.000 |
| 1.118 | 1.118 | -0.331 | 0.000 | 0.000 | 24.538 |
| 102.221 | 61.750 | 52.391 | 0.000 | 0.000 | 0.000 |
| 61.752 | 102.219 | 52.391 | 0.000 | 0.000 | 0.000 |
| 52.204 | 52.204 | 125.783 | -0.000 | 0.000 | 0.000 |
| 0.001 | 0.002 | 0.001 | 44.838 | -0.000 | -0.000 |
| 0.002 | 0.001 | 0.001 | 0.000 | 44.838 | 0.000 |
| -1.118 | -1.118 | 0.331 | -0.000 | -0.000 | 24.538 |
| 112.825 | 59.873 | 53.485 | -0.000 | -0.000 | 0.000 |
| 47.452 | 132.031 | 52.437 | -0.000 | -0.000 | 0.000 |
| 52.437 | 52.437 | 128.126 | -0.000 | -0.000 | 0.000 |
| 3.616 | 3.616 | -1.117 | 46.187 | -0.000 | 0.000 |
| -0.000 | -0.000 | -0.000 | -0.000 | 46.696 | 0.000 |
| 5.878 | 5.878 | -1.815 | -0.000 | -0.000 | 29.055 |
| 112.335 | 46.489 | 55.627 | 0.000 | 0.000 | -0.000 |
| 62.488 | 100.551 | 54.976 | 0.000 | 0.000 | -0.000 |
| 52.437 | 52.437 | 128.126 | 0.000 | 0.000 | -0.000 |
| -3.616 | -3.616 | 1.117 | 46.187 | 0.000 | -0.000 |
| 0.000 | 0.000 | 0.000 | 0.000 | 46.696 | -0.000 |
| -5.878 | -5.878 | 1.815 | 0.000 | 0.000 | 29.055 |
| 132.030 | 47.452 | 52.437 | -0.000 | -0.000 | 0.000 |
| 47.452 | 132.031 | 52.437 | -0.000 | -0.000 | 0.000 |
| 54.301 | 54.301 | 127.551 | -0.000 | -0.000 | 0.000 |
| 0.334 | 0.334 | -0.103 | 45.854 | -0.000 | 0.000 |
| 0.577 | 0.577 | -0.178 | -0.000 | 45.883 | 0.000 |
| -0.000 | -0.000 | -0.000 | -0.000 | -0.000 | 42.289 |
| 132.031 | 47.452 | 52.437 | 0.000 | 0.000 | -0.000 |
| 47.452 | 132.031 | 52.437 | 0.000 | 0.000 | -0.000 |
| 53.633 | 53.633 | 127.757 | 0.000 | 0.000 | -0.000 |
| -0.334 | -0.334 | 0.103 | 45.854 | 0.000 | -0.000 |
| -0.577 | -0.577 | 0.178 | 0.000 | 45.883 | -0.000 |
| 0.000 | 0.000 | 0.000 | 0.000 | 0.000 | 42.289 |
| 106.411 | 64.032 | 53.837 | -0.000 | -0.000 | 0.000 |
| 65.963 | 103.692 | 53.960 | -0.000 | -0.000 | 0.000 |
| 52.436 | 52.436 | 128.124 | -0.000 | -0.000 | 0.000 |
| 0.059 | 0.058 | -0.019 | 45.854 | -0.000 | 0.000 |
| -0.002 | -0.001 | -0.001 | -0.000 | 46.696 | 0.000 |
| -0.001 | -0.001 | -0.001 | -0.000 | -0.000 | 42.289 |
| 103.911 | 65.843 | 53.942 | 0.000 | 0.000 | -0.000 |
| 51.272 | 113.187 | 54.759 | 0.000 | -0.000 | -0.000 |
| 53.934 | 53.934 | 127.666 | 0.000 | 0.000 | -0.000 |
| -0.059 | -0.058 | 0.019 | 45.854 | 0.000 | -0.000 |
| 0.002 | 0.001 | 0.001 | 0.000 | 46.696 | -0.000 |
| 0.001 | 0.001 | 0.001 | 0.000 | 0.000 | 42.289 |
| 109.152 | 76.681 | 76.681 | -0.000 | -0.000 | 0.000 |
| 76.681 | 109.152 | 76.681 | -0.000 | -0.000 | 0.000 |
| 76.681 | 76.681 | 109.152 | -0.000 | -0.000 | 0.000 |
| -0.000 | 0.000 | -0.000 | 64.048 | -0.000 | 0.000 |
| -0.000 | -0.000 | -0.000 | -0.000 | 64.048 | 0.000 |
| 0.000 | 0.000 | -0.000 | -0.000 | 0.000 | 64.048 |
| 109.152 | 76.681 | 76.681 | 0.000 | -0.000 | -0.000 |
| 76.681 | 109.152 | 76.681 | 0.000 | -0.000 | -0.000 |
| 76.681 | 76.681 | 109.152 | 0.000 | 0.000 | -0.000 |
| 0.000 | -0.000 | 0.000 | 64.048 | -0.000 | -0.000 |
| -0.000 | 0.000 | 0.000 | 0.000 | 64.048 | -0.000 |
| -0.000 | -0.000 | 0.000 | 0.000 | -0.000 | 64.048 |
| 109.153 | 76.681 | 76.681 | -0.000 | -0.000 | 0.000 |
| 76.681 | 109.153 | 76.681 | -0.000 | 0.000 | 0.000 |
| 76.681 | 76.681 | 109.153 | -0.000 | 0.000 | 0.000 |
| -0.000 | 0.000 | 0.000 | 64.048 | -0.000 | 0.000 |
| 0.000 | -0.000 | 0.000 | -0.000 | 64.048 | 0.000 |
| 0.000 | 0.000 | -0.000 | -0.000 | 0.000 | 64.048 |
| 109.150 | 76.681 | 76.681 | 0.000 | -0.000 | -0.000 |
| 76.681 | 109.150 | 76.681 | 0.000 | 0.000 | -0.000 |
| 76.681 | 76.681 | 109.150 | 0.000 | -0.000 | -0.000 |
| 0.000 | -0.000 | -0.000 | 64.048 | 0.000 | -0.000 |
| -0.000 | 0.000 | -0.000 | 0.000 | 64.048 | -0.000 |
| -0.000 | -0.000 | 0.000 | 0.000 | 0.000 | 64.048 |
| 109.164 | 76.682 | 76.682 | -0.000 | 0.000 | 0.000 |
| 76.682 | 109.164 | 76.682 | -0.000 | 0.000 | 0.000 |
| 76.682 | 76.682 | 109.164 | -0.000 | 0.000 | 0.000 |
| -0.000 | 0.000 | 0.000 | 64.048 | -0.000 | 0.000 |
| 0.000 | -0.000 | 0.000 | -0.000 | 64.048 | 0.000 |
| 0.000 | 0.000 | -0.000 | -0.000 | -0.000 | 64.048 |
| 109.139 | 76.680 | 76.680 | 0.000 | 0.000 | -0.000 |
| 76.680 | 109.139 | 76.680 | 0.000 | 0.000 | -0.000 |
| 76.680 | 76.680 | 109.139 | 0.000 | 0.000 | -0.000 |
| 0.000 | -0.000 | -0.000 | 64.048 | 0.000 | -0.000 |
| -0.000 | 0.000 | -0.000 | 0.000 | 64.048 | -0.000 |
| -0.000 | -0.000 | 0.000 | 0.000 | -0.000 | 64.048 |
| 168.351 | 55.085 | 55.085 | 0.000 | -0.000 | -0.000 |
| 55.085 | 168.351 | 55.085 | -0.000 | -0.000 | -0.000 |
| 55.085 | 55.085 | 168.351 | 0.000 | -0.000 | -0.000 |
| -0.000 | -0.000 | -0.000 | 10.429 | -0.000 | -0.000 |
| -0.000 | -0.000 | -0.000 | 0.000 | 10.429 | -0.000 |
| -0.000 | -0.000 | -0.000 | 0.000 | -0.000 | 10.429 |
| 168.351 | 55.085 | 55.085 | -0.000 | 0.000 | 0.000 |
| 55.085 | 168.351 | 55.085 | 0.000 | 0.000 | 0.000 |
| 55.085 | 55.085 | 168.351 | -0.000 | 0.000 | 0.000 |
| 0.000 | -0.000 | 0.000 | 10.429 | 0.000 | 0.000 |
| 0.000 | 0.000 | 0.000 | -0.000 | 10.429 | 0.000 |
| 0.000 | 0.000 | 0.000 | 0.000 | 0.000 | 10.429 |
| 168.363 | 55.079 | 55.079 | -0.000 | -0.000 | -0.000 |
| 55.079 | 168.363 | 55.079 | -0.000 | -0.000 | -0.000 |
| 55.079 | 55.079 | 168.363 | -0.000 | -0.000 | -0.000 |
| -0.000 | -0.000 | -0.000 | 10.429 | -0.000 | -0.000 |
| -0.000 | -0.000 | -0.000 | -0.000 | 10.429 | -0.000 |
| -0.000 | -0.000 | -0.000 | -0.000 | -0.000 | 10.429 |
| 168.351 | 55.085 | 55.085 | 0.000 | 0.000 | 0.000 |
| 55.085 | 168.351 | 55.085 | 0.000 | 0.000 | 0.000 |
| 55.085 | 55.085 | 168.351 | -0.000 | 0.000 | 0.000 |
| 0.000 | 0.000 | 0.000 | 10.429 | 0.000 | 0.000 |
| 0.000 | 0.000 | 0.000 | -0.000 | 10.429 | 0.000 |
| 0.000 | 0.000 | 0.000 | -0.000 | 0.000 | 10.429 |
| 168.367 | 55.080 | 55.080 | -0.000 | -0.000 | -0.000 |
| 55.080 | 168.367 | 55.080 | 0.000 | -0.000 | -0.000 |
| 55.080 | 55.080 | 168.367 | -0.000 | -0.000 | -0.000 |
| -0.000 | -0.000 | -0.000 | 10.460 | -0.000 | -0.000 |
| -0.000 | -0.000 | -0.000 | 0.000 | 10.460 | -0.000 |
| -0.000 | -0.000 | -0.000 | 0.000 | -0.000 | 10.460 |
| 168.358 | 55.079 | 55.079 | -0.000 | 0.000 | 0.000 |
| 55.079 | 168.358 | 55.079 | 0.000 | 0.000 | 0.000 |
| 55.079 | 55.079 | 168.358 | -0.000 | 0.000 | 0.000 |
| 0.000 | 0.000 | 0.000 | 10.460 | 0.000 | 0.000 |
| 0.000 | 0.000 | 0.000 | -0.000 | 10.460 | 0.000 |
| 0.000 | 0.000 | 0.000 | -0.000 | 0.000 | 10.460 |
| 95.441 | 108.737 | 108.737 | 0.000 | -0.000 | -0.000 |
| 108.737 | 95.441 | 108.737 | -0.000 | -0.000 | -0.000 |
| 108.737 | 108.737 | 95.442 | -0.000 | -0.000 | -0.000 |
| -0.000 | -0.000 | 0.000 | 41.698 | 0.000 | -0.000 |
| -0.000 | 0.000 | 0.000 | 0.000 | 41.698 | -0.000 |
| -0.000 | -0.000 | 0.000 | -0.000 | -0.000 | 41.698 |
| 95.441 | 108.737 | 108.737 | -0.000 | 0.000 | 0.000 |
| 108.737 | 95.441 | 108.737 | -0.000 | -0.000 | 0.000 |
| 108.737 | 108.737 | 95.441 | -0.000 | 0.000 | 0.000 |
| -0.000 | 0.000 | -0.000 | 41.698 | -0.000 | -0.000 |
| 0.000 | -0.000 | -0.000 | 0.000 | 41.698 | 0.000 |
| 0.000 | -0.000 | -0.000 | -0.000 | 0.000 | 41.698 |
| 95.442 | 108.737 | 108.737 | -0.000 | -0.000 | 0.000 |
| 108.737 | 95.442 | 108.737 | -0.000 | -0.000 | -0.000 |
| 108.737 | 108.737 | 95.442 | -0.000 | -0.000 | -0.000 |
| -0.000 | -0.000 | -0.000 | 41.698 | 0.000 | 0.000 |
| -0.000 | -0.000 | -0.000 | 0.000 | 41.698 | -0.000 |
| -0.000 | -0.000 | -0.000 | -0.000 | -0.000 | 41.698 |
| 95.441 | 108.737 | 108.737 | -0.000 | 0.000 | 0.000 |
| 108.737 | 95.441 | 108.737 | -0.000 | 0.000 | 0.000 |
| 108.737 | 108.737 | 95.441 | -0.000 | 0.000 | -0.000 |
| 0.000 | 0.000 | 0.000 | 41.698 | -0.000 | 0.000 |
| 0.000 | 0.000 | 0.000 | -0.000 | 41.698 | 0.000 |
| 0.000 | 0.000 | 0.000 | 0.000 | 0.000 | 41.698 |
| 95.444 | 108.737 | 108.737 | -0.000 | -0.000 | 0.000 |
| 108.737 | 95.444 | 108.737 | 0.000 | -0.000 | -0.000 |
| 108.737 | 108.737 | 95.444 | 0.000 | 0.000 | -0.000 |
| -0.000 | -0.000 | -0.000 | 41.698 | 0.000 | -0.000 |
| -0.000 | -0.000 | -0.000 | 0.000 | 41.698 | 0.000 |
| -0.000 | -0.000 | -0.000 | 0.000 | -0.000 | 41.698 |
| 95.439 | 108.737 | 108.737 | 0.000 | 0.000 | 0.000 |
| 108.737 | 95.439 | 108.737 | -0.000 | 0.000 | 0.000 |
| 108.737 | 108.737 | 95.439 | -0.000 | 0.000 | 0.000 |
| 0.000 | 0.000 | 0.000 | 41.698 | 0.000 | 0.000 |
| 0.000 | 0.000 | 0.000 | -0.000 | 41.698 | 0.000 |
| 0.000 | 0.000 | 0.000 | -0.000 | 0.000 | 41.698 |
| 145.077 | 79.291 | 54.057 | 0.000 | -0.000 | 0.000 |
| 63.032 | 161.336 | 54.057 | 0.000 | 0.000 | -0.000 |
| 54.057 | 54.057 | 177.473 | -0.000 | -0.000 | 0.000 |
| -0.000 | 0.000 | -0.000 | 40.130 | 0.000 | 0.000 |
| 0.000 | -0.000 | -0.000 | 0.000 | 40.130 | 0.000 |
| 0.000 | 0.000 | -0.000 | -0.000 | -0.000 | 32.893 |
| 145.077 | 79.291 | 54.057 | -0.000 | 0.000 | -0.000 |
| 63.032 | 161.336 | 54.057 | 0.000 | 0.000 | -0.000 |
| 54.057 | 54.057 | 177.473 | -0.000 | 0.000 | -0.000 |
| 0.000 | -0.000 | 0.000 | 40.130 | -0.000 | 0.000 |
| -0.000 | 0.000 | 0.000 | -0.000 | 40.130 | -0.000 |
| -0.000 | -0.000 | 0.000 | 0.000 | 0.000 | 32.893 |
| 161.337 | 63.032 | 54.057 | 0.000 | -0.000 | -0.000 |
| 79.291 | 145.078 | 54.057 | 0.000 | -0.000 | 0.000 |
| 54.057 | 54.057 | 177.472 | 0.000 | -0.000 | 0.000 |
| -0.000 | 0.000 | -0.000 | 40.130 | -0.000 | 0.000 |
| 0.000 | -0.000 | -0.000 | 0.000 | 40.130 | 0.000 |
| 0.000 | 0.000 | 0.000 | -0.000 | -0.000 | 32.893 |
| 161.336 | 63.032 | 54.057 | 0.000 | 0.000 | -0.000 |
| 79.291 | 145.077 | 54.057 | 0.000 | 0.000 | -0.000 |
| 54.057 | 54.057 | 177.473 | 0.000 | -0.000 | -0.000 |
| 0.000 | -0.000 | 0.000 | 40.130 | 0.000 | -0.000 |
| -0.000 | 0.000 | 0.000 | -0.000 | 40.130 | -0.000 |
| -0.000 | -0.000 | -0.000 | -0.000 | 0.000 | 32.893 |
| 145.082 | 79.292 | 54.058 | 0.000 | -0.000 | 0.000 |
| 79.291 | 145.083 | 54.058 | 0.000 | -0.000 | 0.000 |
| 54.057 | 54.057 | 177.468 | -0.000 | 0.000 | 0.000 |
| 0.000 | 0.000 | -0.001 | 40.130 | 0.000 | 0.000 |
| 0.000 | 0.000 | -0.001 | 0.000 | 40.130 | -0.000 |
| 0.001 | 0.001 | 0.000 | 0.000 | -0.000 | 32.893 |
| 145.072 | 79.289 | 54.056 | -0.000 | 0.000 | -0.000 |
| 79.290 | 145.071 | 54.056 | 0.000 | 0.000 | -0.000 |
| 54.057 | 54.057 | 177.478 | -0.000 | 0.000 | -0.000 |
| -0.000 | -0.000 | 0.001 | 40.130 | -0.000 | 0.000 |
| -0.000 | -0.000 | 0.001 | -0.000 | 40.130 | -0.000 |
| -0.001 | -0.001 | -0.000 | -0.000 | 0.000 | 32.893 |
| 165.558 | 65.239 | 63.532 | 0.000 | 0.000 | -0.000 |
| 65.239 | 165.558 | 63.532 | 0.000 | 0.000 | 0.000 |
| 63.537 | 63.537 | 180.269 | 0.000 | 0.000 | 0.000 |
| -0.000 | -0.000 | -0.000 | 48.345 | 0.000 | 0.000 |
| -0.000 | -0.000 | -0.000 | 0.000 | 48.345 | 0.000 |
| -0.000 | -0.000 | -0.000 | 0.000 | 0.000 | 50.160 |
| 165.558 | 65.239 | 63.532 | -0.000 | 0.000 | -0.000 |
| 65.239 | 165.558 | 63.532 | -0.000 | -0.000 | 0.000 |
| 63.537 | 63.537 | 180.269 | -0.000 | -0.000 | -0.000 |
| 0.000 | 0.000 | 0.000 | 48.345 | -0.000 | -0.000 |
| 0.000 | 0.000 | 0.000 | -0.000 | 48.345 | -0.000 |
| 0.000 | 0.000 | 0.000 | -0.000 | -0.000 | 50.160 |
| 165.557 | 65.238 | 63.532 | -0.000 | 0.000 | -0.000 |
| 65.238 | 165.557 | 63.532 | 0.000 | 0.000 | 0.000 |
| 63.537 | 63.537 | 180.268 | -0.000 | 0.000 | -0.000 |
| -0.000 | -0.000 | -0.000 | 48.345 | 0.000 | 0.000 |
| -0.000 | -0.000 | -0.000 | 0.000 | 48.345 | 0.000 |
| -0.000 | -0.000 | -0.000 | 0.000 | 0.000 | 50.160 |
| 149.200 | 81.597 | 63.532 | -0.000 | 0.000 | 0.000 |
| 81.597 | 149.200 | 63.532 | -0.000 | 0.000 | -0.000 |
| 63.537 | 63.537 | 180.269 | -0.000 | -0.000 | 0.000 |
| 0.000 | 0.000 | 0.000 | 48.345 | -0.000 | -0.000 |
| 0.000 | 0.000 | 0.000 | 0.000 | 48.345 | 0.000 |
| 0.000 | 0.000 | 0.000 | -0.000 | -0.000 | 50.160 |
| 165.552 | 65.238 | 63.532 | 0.000 | -0.000 | 0.000 |
| 81.598 | 149.191 | 63.532 | 0.000 | 0.000 | -0.000 |
| 63.537 | 63.537 | 180.266 | -0.000 | -0.000 | -0.000 |
| -0.000 | -0.001 | -0.000 | 48.345 | 0.000 | 0.000 |
| -0.001 | -0.000 | -0.000 | 0.000 | 48.345 | 0.000 |
| -0.002 | -0.001 | -0.000 | 0.000 | 0.000 | 33.801 |
| 149.206 | 81.598 | 63.532 | -0.000 | 0.000 | -0.000 |
| 81.597 | 149.207 | 63.532 | -0.000 | -0.000 | -0.000 |
| 63.537 | 63.537 | 180.271 | 0.000 | -0.000 | -0.000 |
| 0.000 | 0.001 | 0.000 | 48.345 | -0.000 | -0.000 |
| 0.001 | 0.000 | 0.000 | -0.000 | 48.345 | -0.000 |
| 0.002 | 0.001 | 0.000 | -0.000 | -0.000 | 33.801 |
| 148.841 | 81.623 | 63.381 | 0.000 | -0.000 | 0.000 |
| 81.623 | 148.841 | 63.381 | 0.000 | -0.000 | 0.000 |
| 63.381 | 63.381 | 180.190 | 0.000 | 0.000 | 0.000 |
| 0.000 | 0.000 | -0.000 | 48.292 | -0.000 | 0.000 |
| 0.000 | 0.000 | -0.000 | 0.000 | 48.292 | 0.000 |
| 0.000 | 0.000 | 0.000 | 0.000 | 0.000 | 33.609 |
| 148.841 | 81.623 | 63.381 | -0.000 | -0.000 | 0.000 |
| 65.103 | 165.362 | 63.381 | -0.000 | -0.000 | -0.000 |
| 63.381 | 63.381 | 180.190 | -0.000 | -0.000 | -0.000 |
| -0.000 | -0.000 | 0.000 | 48.292 | -0.000 | 0.000 |
| -0.000 | -0.000 | 0.000 | -0.000 | 48.292 | -0.000 |
| -0.000 | -0.000 | -0.000 | 0.000 | -0.000 | 33.609 |
| 148.842 | 81.624 | 63.381 | 0.000 | 0.000 | 0.000 |
| 81.623 | 148.843 | 63.381 | 0.000 | 0.000 | 0.000 |
| 63.381 | 63.381 | 180.190 | 0.000 | 0.000 | 0.000 |
| 0.000 | 0.000 | -0.000 | 48.292 | 0.000 | 0.000 |
| 0.000 | 0.000 | -0.000 | 0.000 | 48.292 | 0.000 |
| 0.000 | 0.000 | 0.000 | 0.000 | 0.000 | 33.609 |
| 165.361 | 65.102 | 63.381 | -0.000 | -0.000 | -0.000 |
| 81.623 | 148.840 | 63.381 | -0.000 | -0.000 | 0.000 |
| 63.381 | 63.381 | 180.190 | -0.000 | -0.000 | -0.000 |
| -0.000 | -0.000 | 0.000 | 48.292 | 0.000 | -0.000 |
| -0.000 | -0.000 | 0.000 | -0.000 | 48.292 | -0.000 |
| -0.000 | -0.000 | -0.000 | -0.000 | -0.000 | 33.609 |
| 148.852 | 81.626 | 63.383 | 0.000 | 0.000 | -0.000 |
| 81.621 | 148.857 | 63.383 | 0.000 | 0.000 | -0.000 |
| 63.381 | 63.381 | 180.188 | 0.000 | -0.000 | 0.000 |
| 0.000 | 0.001 | -0.000 | 48.292 | -0.000 | 0.000 |
| 0.001 | 0.000 | -0.000 | 0.000 | 48.292 | -0.000 |
| 0.005 | 0.002 | 0.001 | -0.000 | 0.000 | 33.609 |
| 148.830 | 81.621 | 63.379 | -0.000 | -0.000 | -0.000 |
| 81.625 | 148.826 | 63.379 | -0.000 | -0.000 | -0.000 |
| 63.380 | 63.380 | 180.193 | -0.000 | -0.000 | -0.000 |
| -0.000 | -0.001 | 0.000 | 48.292 | 0.000 | 0.000 |
| -0.001 | -0.000 | 0.000 | -0.000 | 48.292 | -0.000 |
| -0.005 | -0.002 | -0.001 | 0.000 | 0.000 | 33.609 |
| -13.854 | 18.013 | 18.013 | -0.000 | 0.000 | -0.000 |
| 18.013 | -13.854 | 18.013 | -0.000 | -0.000 | -0.000 |
| 18.013 | 18.013 | -13.854 | -0.000 | 0.000 | -0.000 |
| 0.000 | -0.000 | -0.000 | -6.111 | -0.000 | 0.000 |
| -0.000 | -0.000 | -0.000 | 0.000 | -6.111 | 0.000 |
| 0.000 | -0.000 | -0.000 | 0.000 | 0.000 | -6.111 |
| -13.854 | 18.013 | 18.013 | -0.000 | -0.000 | -0.000 |
| 18.013 | -13.854 | 18.013 | -0.000 | -0.000 | -0.000 |
| 18.013 | 18.013 | -13.854 | -0.000 | -0.000 | -0.000 |
| -0.000 | 0.000 | 0.000 | -6.111 | -0.000 | -0.000 |
| -0.000 | 0.000 | 0.000 | -0.000 | -6.111 | -0.000 |
| -0.000 | 0.000 | 0.000 | -0.000 | -0.000 | -6.111 |
| -13.854 | 18.013 | 18.013 | -0.000 | 0.000 | -0.000 |
| 18.013 | -13.854 | 18.013 | -0.000 | -0.000 | -0.000 |
| 18.013 | 18.013 | -13.854 | -0.000 | -0.000 | -0.000 |
| -63411057.349 | -62194147.705 | -57379108.005 | 896427.574 | -468995.351 | -714077.918 |
| -62029863.454 | -61499541.230 | -60828841.198 | 559707.246 | 701919.632 | 465310.335 |
| -63196626.167 | -63784153.230 | -66813626.612 | -42054.337 | 210873.663 | 678388.458 |
| -13.853 | 18.013 | 18.013 | 0.000 | 0.000 | 0.000 |
| 18.013 | -13.853 | 18.013 | 0.000 | 0.000 | 0.000 |
| 18.013 | 18.013 | -13.853 | 0.000 | 0.000 | 0.000 |
| 67400717.704 | 68010357.737 | 65552513.464 | -470437.790 | -617458.920 | 1025389.475 |
| 66102236.163 | 67211604.681 | 66751911.883 | 365440.678 | -600807.972 | 574815.046 |
| 62303283.830 | 63204639.278 | 65164359.107 | 165880.751 | 767945.590 | -244785.810 |
| -13.858 | 18.013 | 18.013 | -0.000 | 0.000 | 0.000 |
| 18.013 | -13.858 | 18.013 | 0.000 | 0.000 | 0.000 |
| 18.013 | 18.013 | -13.858 | -0.000 | -0.000 | -0.000 |
| -6427270.218 | -5730826.999 | -5985486.383 | -49069.798 | 59534.423 | 31303.433 |
| -5959067.465 | -6562718.007 | -5949150.285 | -39876.060 | 108694.246 | 34411.571 |
| -5732581.278 | -5796676.821 | -6214086.850 | 95744.853 | -47937.912 | 48179.905 |
| -13.849 | 18.014 | 18.014 | -0.000 | 0.000 | -0.000 |
| 18.014 | -13.849 | 18.014 | -0.000 | 0.000 | -0.000 |
| 18.014 | 18.014 | -13.849 | -0.000 | -0.000 | -0.000 |
| 6463143.176 | 6185395.560 | 6419227.769 | -9733.231 | -88730.692 | 18202.908 |
| 6191253.876 | 6453805.707 | 6193187.875 | 75143.138 | 48221.719 | -40015.692 |
| 6501987.792 | 6497810.366 | 6906557.675 | -75708.363 | 39649.743 | -30554.229 |
| 319.255 | 87.091 | 97.096 | -0.000 | 0.000 | -0.000 |
| 87.091 | 319.255 | 97.096 | 0.000 | 0.000 | -0.000 |
| 97.096 | 97.096 | 247.321 | -0.000 | -0.000 | 0.000 |
| -0.000 | 0.000 | 0.000 | 17.912 | 0.000 | 0.000 |
| 0.000 | -0.000 | 0.000 | -0.000 | 17.912 | -0.000 |
| -0.000 | -0.000 | 0.000 | -0.000 | 0.000 | 6.751 |
| 319.255 | 87.091 | 97.096 | 0.000 | 0.000 | 0.000 |
| 87.091 | 319.255 | 97.096 | -0.000 | 0.000 | 0.000 |
| 97.096 | 97.096 | 247.321 | -0.000 | -0.000 | -0.000 |
| 0.000 | -0.000 | -0.000 | 17.912 | -0.000 | -0.000 |
| -0.000 | 0.000 | -0.000 | 0.000 | 17.912 | 0.000 |
| 0.000 | 0.000 | -0.000 | -0.000 | -0.000 | 6.751 |
| 267.323 | 139.024 | 97.096 | -0.000 | -0.000 | -0.000 |
| 139.024 | 267.323 | 97.096 | -0.000 | 0.000 | -0.000 |
| 97.096 | 97.096 | 247.321 | -0.000 | 0.000 | 0.000 |
| -0.000 | 0.000 | 0.000 | 17.912 | 0.000 | 0.000 |
| 0.000 | -0.000 | 0.000 | -0.000 | 17.912 | -0.000 |
| -0.000 | -0.000 | -0.000 | 0.000 | 0.000 | 6.751 |
| 319.255 | 87.091 | 97.096 | 0.000 | 0.000 | 0.000 |
| 87.091 | 319.255 | 97.096 | 0.000 | -0.000 | 0.000 |
| 97.096 | 97.096 | 247.320 | 0.000 | 0.000 | 0.000 |
| 0.000 | -0.000 | -0.000 | 17.912 | -0.000 | 0.000 |
| -0.000 | 0.000 | -0.000 | -0.000 | 17.912 | 0.000 |
| 0.000 | 0.000 | 0.000 | 0.000 | -0.000 | 6.751 |
| 286.377 | 119.971 | 97.099 | -0.000 | -0.000 | -0.000 |
| 119.971 | 286.377 | 97.099 | -0.000 | 0.000 | 0.000 |
| 97.096 | 97.096 | 247.324 | -0.000 | 0.000 | 0.000 |
| -0.000 | 0.000 | 0.000 | 17.912 | -0.000 | -0.000 |
| 0.000 | -0.000 | 0.000 | 0.000 | 17.912 | 0.000 |
| -0.000 | -0.000 | -0.000 | -0.000 | 0.000 | 6.751 |
| 319.254 | 87.091 | 97.095 | 0.000 | 0.000 | -0.000 |
| 87.091 | 319.254 | 97.095 | -0.000 | 0.000 | -0.000 |
| 97.095 | 97.095 | 247.317 | -0.000 | 0.000 | -0.000 |
| 0.000 | -0.000 | -0.000 | 17.912 | 0.000 | -0.000 |
| -0.000 | 0.000 | -0.000 | 0.000 | 17.912 | 0.000 |
| 0.000 | 0.000 | 0.000 | 0.000 | -0.000 | 6.751 |
| 1.578 | 0.000 | 0.121 | -0.000 | 0.000 | 0.000 |
| -0.000 | 1.578 | 0.121 | -0.000 | -0.000 | -0.000 |
| 0.121 | 0.121 | 1.796 | 0.000 | 0.000 | 0.000 |
| -0.000 | -0.000 | -0.000 | 0.100 | -0.000 | -0.000 |
| -0.000 | 0.000 | -0.000 | -0.000 | 0.100 | 0.000 |
| -0.000 | 0.000 | 0.000 | -0.000 | -0.000 | -0.000 |
| 1.578 | -0.000 | 0.121 | 0.000 | 0.000 | 0.000 |
| 0.000 | 1.578 | 0.121 | 0.000 | 0.000 | 0.000 |
| 0.121 | 0.121 | 1.796 | -0.000 | -0.000 | 0.000 |
| -0.000 | 0.000 | 0.000 | 0.100 | 0.000 | -0.000 |
| 0.000 | -0.000 | 0.000 | 0.000 | 0.100 | -0.000 |
| 0.000 | -0.000 | -0.000 | 0.000 | -0.000 | 0.000 |
| 1.578 | 0.000 | 0.121 | -0.000 | -0.000 | -0.000 |
| -0.000 | 1.578 | 0.121 | 0.000 | -0.000 | 0.000 |
| 0.121 | 0.121 | 1.796 | -0.000 | -0.000 | -0.000 |
| -0.000 | -0.000 | -0.000 | 0.121 | -0.000 | 0.000 |
| -0.000 | -0.000 | -0.000 | -0.000 | 0.121 | -0.000 |
| -0.000 | -0.000 | -0.000 | -0.000 | 0.000 | 0.000 |
| 1.578 | -0.000 | 0.121 | -0.000 | -0.000 | -0.000 |
| 0.000 | 1.578 | 0.121 | 0.000 | 0.000 | -0.000 |
| 0.121 | 0.121 | 1.796 | -0.000 | -0.000 | 0.000 |
| 0.000 | 0.000 | 0.000 | 0.121 | 0.000 | 0.000 |
| 0.000 | 0.000 | 0.000 | 0.000 | 0.121 | 0.000 |
| 0.000 | 0.000 | 0.000 | 0.000 | -0.000 | -0.000 |
| 1.461 | 0.117 | 0.121 | -0.000 | 0.000 | 0.000 |
| 0.117 | 1.461 | 0.121 | 0.000 | -0.000 | 0.000 |
| 0.121 | 0.121 | 1.796 | -0.000 | -0.000 | 0.000 |
| 0.000 | -0.000 | -0.000 | 0.084 | 0.000 | 0.000 |
| -0.000 | 0.000 | -0.000 | 0.000 | 0.084 | 0.000 |
| -0.000 | -0.000 | -0.000 | -0.000 | -0.000 | 0.000 |
| 1.382 | 0.196 | 0.121 | -0.000 | 0.000 | -0.000 |
| 0.196 | 1.382 | 0.121 | 0.000 | -0.000 | -0.000 |
| 0.121 | 0.121 | 1.796 | 0.000 | -0.000 | -0.000 |
| -0.000 | 0.000 | 0.000 | 0.084 | -0.000 | -0.000 |
| 0.000 | -0.000 | 0.000 | -0.000 | 0.084 | -0.000 |
| 0.000 | 0.000 | 0.000 | 0.000 | -0.000 | 0.000 |
| 75.537 | 75.440 | 135.274 | -69.102 | 0.000 | 0.000 |
| 75.466 | 75.563 | 135.359 | 69.102 | 0.000 | 0.000 |
| 127.053 | 127.053 | 88.078 | 0.000 | -0.000 | -0.000 |
| -69.076 | 69.128 | 0.086 | 43.800 | 0.000 | -0.000 |
| 0.026 | 0.026 | 0.086 | -0.000 | 43.800 | -69.102 |
| 0.026 | 0.026 | 0.086 | 0.000 | -69.102 | 0.048 |
| 75.537 | 75.440 | 135.274 | -69.102 | 0.000 | 0.000 |
| 75.414 | 75.511 | 135.188 | 69.102 | -0.000 | -0.000 |
| 127.027 | 127.027 | 87.993 | 0.000 | -0.000 | 0.000 |
| -69.128 | 69.076 | -0.086 | 43.800 | -0.000 | -0.000 |
| -0.026 | -0.026 | -0.086 | 0.000 | 43.800 | -69.102 |
| -0.026 | -0.026 | -0.086 | -0.000 | -69.102 | 0.048 |
| 75.536 | 75.440 | 135.274 | -69.102 | 0.000 | 0.000 |
| 75.440 | 75.536 | 135.274 | 69.102 | -0.000 | -0.000 |
| 127.055 | 127.055 | 88.086 | -0.000 | -0.000 | -0.000 |
| -69.100 | 69.105 | 0.008 | 43.800 | -0.000 | 0.000 |
| 0.002 | 0.003 | 0.008 | 0.000 | 43.800 | -69.102 |
| -0.000 | -0.000 | -0.000 | 0.000 | -69.102 | 0.048 |
| 75.535 | 75.437 | 135.265 | -69.102 | 0.000 | 0.000 |
| 75.437 | 75.535 | 135.265 | 69.102 | -0.000 | -0.000 |
| 127.053 | 127.053 | 88.079 | 0.000 | 0.000 | -0.000 |
| -69.102 | 69.102 | 0.000 | 43.800 | -0.000 | -0.000 |
| -0.002 | -0.003 | -0.008 | -0.000 | 43.800 | -69.102 |
| 0.000 | 0.000 | 0.000 | -0.000 | -69.102 | 0.048 |
| 75.532 | 75.439 | 135.274 | -69.102 | 0.000 | -0.000 |
| 75.440 | 75.532 | 135.274 | 69.102 | 0.000 | 0.000 |
| 127.052 | 127.052 | 88.071 | 0.000 | -0.000 | -0.000 |
| -69.103 | 69.101 | -0.001 | 43.800 | 0.000 | 0.000 |
| -0.001 | -0.000 | -0.000 | 0.000 | 43.800 | -69.102 |
| -0.001 | -0.001 | 0.001 | 0.000 | -69.102 | 0.048 |
| 75.542 | 75.440 | 135.273 | -69.103 | -0.000 | 0.000 |
| 75.440 | 75.542 | 135.273 | 69.103 | -0.000 | -0.000 |
| 127.053 | 127.053 | 88.086 | -0.000 | 0.000 | -0.000 |
| -69.102 | 69.103 | 0.000 | 43.800 | -0.000 | -0.000 |
| 0.001 | 0.000 | 0.000 | -0.000 | 43.800 | -69.102 |
| 0.001 | 0.001 | -0.001 | -0.000 | -69.102 | 0.048 |
| 191.153 | -1.703 | -1.703 | 0.000 | -0.000 | 0.000 |
| -1.703 | 191.153 | -1.703 | 0.000 | -0.000 | -0.000 |
| -1.703 | -1.703 | 191.153 | -0.000 | -0.000 | -0.000 |
| 0.000 | 0.000 | 0.000 | -47.342 | -0.000 | 0.000 |
| 0.000 | 0.000 | 0.000 | -0.000 | -47.342 | 0.000 |
| 0.000 | 0.000 | 0.000 | -0.000 | -0.000 | -47.342 |
| 191.153 | -1.703 | -1.703 | 0.000 | 0.000 | -0.000 |
| -1.703 | 191.153 | -1.703 | 0.000 | 0.000 | -0.000 |
| -1.703 | -1.703 | 191.153 | 0.000 | 0.000 | -0.000 |
| -0.000 | -0.000 | -0.000 | -47.342 | -0.000 | -0.000 |
| -0.000 | -0.000 | -0.000 | 0.000 | -47.342 | -0.000 |
| -0.000 | -0.000 | -0.000 | 0.000 | 0.000 | -47.342 |
| 191.154 | -1.703 | -1.703 | -0.000 | -0.000 | 0.000 |
| -1.703 | 191.154 | -1.703 | -0.000 | -0.000 | 0.000 |
| -1.703 | -1.703 | 191.154 | 0.000 | 0.000 | -0.000 |
| 0.000 | 0.000 | 0.000 | -47.342 | -0.000 | 0.000 |
| 0.000 | 0.000 | 0.000 | -0.000 | -47.342 | 0.000 |
| 0.000 | 0.000 | 0.000 | -0.000 | -0.000 | -47.342 |
| 191.152 | -1.703 | -1.703 | 0.000 | -0.000 | -0.000 |
| -1.703 | 191.152 | -1.703 | -0.000 | 0.000 | -0.000 |
| -1.703 | -1.703 | 191.152 | -0.000 | 0.000 | -0.000 |
| -0.000 | -0.000 | -0.000 | -47.342 | 0.000 | -0.000 |
| -0.000 | -0.000 | -0.000 | 0.000 | -47.342 | -0.000 |
| -0.000 | -0.000 | -0.000 | -0.000 | 0.000 | -47.342 |
| 191.159 | -1.701 | -1.701 | 0.000 | -0.000 | 0.000 |
| -1.701 | 191.159 | -1.701 | 0.000 | -0.000 | 0.000 |
| -1.701 | -1.701 | 191.159 | 0.000 | -0.000 | 0.000 |
| 0.000 | 0.001 | 0.001 | -47.342 | -0.000 | 0.000 |
| 0.001 | 0.000 | 0.001 | 0.000 | -47.342 | 0.000 |
| 0.001 | 0.001 | 0.000 | 0.000 | -0.000 | -47.342 |
| 191.147 | -1.705 | -1.705 | -0.000 | -0.000 | -0.000 |
| -1.705 | 191.147 | -1.705 | 0.000 | 0.000 | -0.000 |
| -1.705 | -1.705 | 191.147 | -0.000 | 0.000 | -0.000 |
| -0.000 | -0.001 | -0.001 | -47.342 | 0.000 | -0.000 |
| -0.001 | -0.000 | -0.001 | 0.000 | -47.342 | -0.000 |
| -0.001 | -0.001 | -0.000 | -0.000 | 0.000 | -47.342 |
| 194.715 | 86.928 | 31.905 | 0.000 | 0.000 | -0.000 |
| 86.928 | 194.715 | 31.905 | -0.000 | 0.000 | 0.000 |
| 31.905 | 31.905 | 225.214 | 0.000 | -0.000 | -0.000 |
| 0.000 | -0.000 | 0.000 | -2.512 | 0.000 | -0.000 |
| 0.000 | -0.000 | 0.000 | -0.000 | -2.512 | -0.000 |
| 0.000 | -0.000 | 0.000 | -0.000 | 0.000 | 53.893 |
| 194.715 | 86.928 | 31.904 | 0.000 | 0.000 | -0.000 |
| 86.928 | 194.715 | 31.904 | -0.000 | -0.000 | -0.000 |
| 31.905 | 31.905 | 225.214 | -0.000 | -0.000 | 0.000 |
| -0.000 | 0.000 | -0.000 | -2.512 | -0.000 | -0.000 |
| -0.000 | 0.000 | -0.000 | 0.000 | -2.512 | 0.000 |
| -0.000 | 0.000 | -0.000 | 0.000 | -0.000 | 53.893 |
| 194.715 | 86.928 | 31.905 | 0.000 | 0.000 | -0.000 |
| 86.928 | 194.715 | 31.905 | -0.000 | 0.000 | 0.000 |
| 31.905 | 31.905 | 225.215 | -0.000 | 0.000 | -0.000 |
| -0.000 | -0.000 | 0.000 | -2.512 | 0.000 | -0.000 |
| -0.000 | -0.000 | 0.000 | 0.000 | -2.512 | 0.000 |
| 0.000 | 0.000 | -0.000 | 0.000 | 0.000 | 53.893 |
| 194.714 | 86.928 | 31.904 | -0.000 | -0.000 | 0.000 |
| 86.928 | 194.714 | 31.904 | -0.000 | -0.000 | 0.000 |
| 31.904 | 31.904 | 225.214 | 0.000 | 0.000 | 0.000 |
| 0.000 | 0.000 | -0.000 | -2.512 | -0.000 | -0.000 |
| 0.000 | 0.000 | -0.000 | -0.000 | -2.512 | 0.000 |
| -0.000 | -0.000 | 0.000 | -0.000 | -0.000 | 53.893 |
| 194.717 | 86.929 | 31.905 | 0.000 | 0.000 | 0.000 |
| 86.929 | 194.716 | 31.905 | -0.000 | 0.000 | -0.000 |
| 31.906 | 31.906 | 225.218 | -0.000 | -0.000 | 0.000 |
| -0.008 | -0.020 | -0.007 | -2.500 | 0.000 | 0.000 |
| -0.021 | -0.007 | -0.007 | 0.000 | -2.499 | 0.000 |
| -0.019 | -0.006 | -0.007 | 0.000 | 0.000 | 53.904 |
| 194.794 | 86.954 | 31.934 | 0.000 | -0.000 | 0.000 |
| 86.940 | 194.794 | 31.930 | -0.000 | -0.000 | 0.000 |
| 31.920 | 31.920 | 225.220 | -0.000 | -0.000 | 0.000 |
| 0.008 | 0.020 | 0.007 | -2.500 | -0.000 | 0.000 |
| 0.021 | 0.007 | 0.007 | -0.000 | -2.499 | 0.000 |
| 0.019 | 0.006 | 0.007 | -0.000 | -0.000 | 53.904 |
| 100629405.830 | 108130152.247 | 106862924.373 | -2352999.515 | -1096457.307 | 2311497.470 |
| 100567780.663 | 108108452.739 | 106778960.077 | -2374404.718 | -1096116.313 | 2276158.330 |
| 100681395.948 | 108223666.222 | 106969213.828 | -2315030.465 | -1137307.226 | 2306558.217 |
| 100667663.683 | 108197195.493 | 106964525.501 | -2324976.043 | -1138820.899 | 2314236.921 |
| 100586985.930 | 108066897.945 | 106769952.037 | -2382090.907 | -1042492.124 | 2300947.890 |
| 100603048.117 | 108094387.965 | 106802753.063 | -2374164.281 | -1068590.754 | 2291473.827 |
| -100557362.400 | -108075329.274 | -106779360.941 | 2366179.130 | 1086968.401 | -2274305.069 |
| -100611307.861 | -108093435.603 | -106831921.454 | 2362470.549 | 1063258.359 | -2308798.567 |
| -100504855.312 | -108044964.062 | -106821833.828 | 2347743.931 | 1128165.972 | -2322242.862 |
| -100519519.012 | -108074446.176 | -106822375.912 | 2344668.193 | 1125274.384 | -2306151.257 |
| -100594927.074 | -108118465.386 | -106782667.842 | 2370446.062 | 1077883.021 | -2260143.807 |
| -100575024.379 | -108084366.333 | -106771278.073 | 2381874.010 | 1080245.775 | -2278045.539 |
| 10054951.750 | 10825756.395 | 10689354.715 | -219189.294 | -128616.471 | 230050.657 |
| 9997211.825 | 10823762.658 | 10691075.709 | -218255.550 | -56446.407 | 229368.060 |
| 10104739.430 | 10843988.543 | 10699889.562 | -210656.979 | -119180.261 | 208331.794 |
| 10091295.915 | 10828338.529 | 10688975.678 | -213091.880 | -104495.110 | 226797.189 |
| 10061480.080 | 10784665.964 | 10673861.791 | -228615.939 | -104649.073 | 246133.379 |
| 10064804.107 | 10817917.183 | 10693571.672 | -229661.368 | -105964.199 | 234010.681 |
| -9951792.978 | -10818509.732 | -10572384.583 | 259307.305 | 101217.472 | -247484.339 |
| -10075005.981 | -10793203.840 | -10678928.965 | 225194.344 | 99305.916 | -239745.047 |
| -9943572.610 | -10601380.288 | -10679369.176 | 332686.456 | 130436.998 | -267680.557 |
| -9966714.744 | -10810534.801 | -10631225.873 | 242920.972 | 113318.105 | -254396.759 |
| -10061867.118 | -10869537.220 | -10606524.523 | 235015.016 | 101025.387 | -256522.010 |
| -10044339.462 | -10807622.727 | -10676415.702 | 232620.037 | 116626.684 | -226076.926 |
| 974222.871 | 1060626.903 | 1030392.433 | -37537.075 | -32470.914 | 10793.418 |
| 970051.761 | 1065873.736 | 1068340.931 | -7505.644 | -25060.967 | 23086.591 |
| 985327.364 | 1096012.293 | 1061653.230 | -19044.035 | -9140.263 | 20722.637 |
| 995854.707 | 1054136.388 | 1069262.445 | -28487.466 | -16115.201 | 23837.483 |
| 989814.787 | 1026831.946 | 1036153.817 | -30784.559 | -20826.928 | 35585.648 |
| 1002068.619 | 1074977.485 | 1068984.351 | -29273.327 | -11526.732 | 20649.280 |
| -998866.847 | -1070042.283 | -1061006.688 | 697.300 | 16565.315 | -10770.943 |
| -980800.509 | -1048115.617 | -1064739.933 | 21087.034 | 5315.439 | -32320.316 |
| -1023321.074 | -1082703.551 | -1050428.458 | 7223.997 | 5842.838 | -29796.236 |
| -995402.632 | -1056752.508 | -1082381.409 | -10755.646 | 20071.596 | -18124.436 |
| -975960.929 | -1079852.351 | -1046240.832 | 23679.748 | 26822.446 | -16221.038 |
| -983277.131 | -1071384.745 | -1054562.874 | 30480.790 | 15481.572 | -42588.556 |
| 64.426 | 31.445 | 0.000 | 0.000 | 0.000 | 0.000 |
| 31.445 | 64.426 | 0.000 | 0.000 | 0.000 | 0.000 |
| 0.000 | -0.000 | 0.000 | 0.000 | 0.000 | 0.000 |
| 0.000 | -0.000 | 0.000 | 0.000 | 0.000 | 0.000 |
| 0.000 | 0.000 | 0.000 | 0.000 | 0.000 | 0.000 |
| -0.000 | 0.000 | 0.000 | 0.000 | 0.000 | 16.490 |
| 64.426 | 31.445 | -0.000 | -0.000 | -0.000 | 0.000 |
| 31.445 | 64.426 | -0.000 | -0.000 | -0.000 | -0.000 |
| -0.000 | 0.000 | -0.000 | -0.000 | -0.000 | -0.000 |
| -0.000 | 0.000 | -0.000 | -0.000 | -0.000 | -0.000 |
| -0.000 | -0.000 | -0.000 | -0.000 | -0.000 | -0.000 |
| 0.000 | -0.000 | -0.000 | -0.000 | -0.000 | 16.490 |
| 64.426 | 31.445 | 0.000 | 0.000 | 0.000 | 0.000 |
| 31.445 | 64.426 | 0.000 | 0.000 | 0.000 | 0.000 |
| 0.000 | -0.000 | 0.000 | 0.000 | 0.000 | 0.000 |
| 0.000 | -0.000 | 0.000 | 0.000 | 0.000 | 0.000 |
| 0.000 | 0.000 | 0.000 | 0.000 | 0.000 | 0.000 |
| -0.000 | 0.000 | 0.000 | 0.000 | 0.000 | 16.490 |
| 64.426 | 31.445 | -0.000 | -0.000 | -0.000 | -0.000 |
| 31.445 | 64.426 | -0.000 | -0.000 | -0.000 | -0.000 |
| -0.000 | 0.000 | -0.000 | -0.000 | -0.000 | -0.000 |
| -0.000 | 0.000 | -0.000 | -0.000 | -0.000 | -0.000 |
| -0.000 | -0.000 | -0.000 | -0.000 | -0.000 | -0.000 |
| 0.000 | -0.000 | -0.000 | -0.000 | -0.000 | 16.490 |
| 64.426 | 31.445 | 0.000 | 0.000 | 0.000 | 0.000 |
| 31.445 | 64.426 | 0.000 | 0.000 | 0.000 | 0.000 |
| 0.000 | -0.000 | 0.000 | 0.000 | 0.000 | 0.000 |
| 0.000 | -0.000 | 0.000 | 0.000 | 0.000 | 0.000 |
| 0.000 | 0.000 | 0.000 | 0.000 | 0.000 | 0.000 |
| -0.000 | 0.000 | 0.000 | 0.000 | 0.000 | 16.490 |
| 64.426 | 31.445 | -0.000 | -0.000 | -0.000 | -0.000 |
| 31.445 | 64.426 | -0.000 | -0.000 | -0.000 | -0.000 |
| -0.000 | 0.000 | -0.000 | -0.000 | -0.000 | -0.000 |
| -0.000 | 0.000 | -0.000 | -0.000 | -0.000 | -0.000 |
| -0.000 | -0.000 | -0.000 | -0.000 | -0.000 | -0.000 |
| 0.000 | -0.000 | -0.000 | -0.000 | -0.000 | 16.490 |
| 278.962 | 193.746 | 193.746 | -0.000 | 0.000 | 0.000 |
| 193.746 | 278.962 | 193.746 | 0.000 | 0.000 | 0.000 |
| 193.746 | 193.746 | 278.962 | -0.000 | 0.000 | 0.000 |
| -0.000 | -0.000 | -0.000 | 16.617 | 0.000 | 0.000 |
| -0.000 | -0.000 | -0.000 | -0.000 | 16.617 | 0.000 |
| -0.000 | -0.000 | -0.000 | -0.000 | 0.000 | 16.617 |
| -14.582 | -110.060 | -110.060 | 0.000 | 0.000 | -0.000 |
| -110.060 | -14.582 | -110.060 | 0.000 | -0.000 | -0.000 |
| -110.060 | -110.060 | -14.582 | 0.000 | -0.000 | -0.000 |
| -0.000 | 0.000 | 0.000 | 16.617 | 0.000 | -0.000 |
| 0.000 | 0.000 | 0.000 | 0.000 | 16.617 | -0.000 |
| 0.000 | 0.000 | 0.000 | 0.000 | -0.000 | 16.617 |
| 152.185 | 66.839 | 66.839 | -0.000 | 0.000 | 0.000 |
| 66.839 | 152.185 | 66.839 | -0.000 | 0.000 | 0.000 |
| 66.839 | 66.839 | 152.185 | -0.000 | 0.000 | 0.000 |
| 0.000 | -0.000 | -0.000 | 16.617 | -0.000 | 0.000 |
| -0.000 | -0.000 | -0.000 | -0.000 | 16.617 | 0.000 |
| -0.000 | -0.000 | 0.000 | -0.000 | 0.000 | 16.617 |
| 130.340 | 34.878 | 34.878 | 0.000 | -0.000 | -0.000 |
| 34.878 | 130.340 | 34.878 | 0.000 | 0.000 | -0.000 |
| 34.878 | 34.878 | 130.340 | 0.000 | -0.000 | -0.000 |
| -0.000 | 0.000 | 0.000 | 16.617 | 0.000 | 0.000 |
| 0.000 | 0.000 | 0.000 | 0.000 | 16.617 | -0.000 |
| 0.000 | 0.000 | -0.000 | 0.000 | -0.000 | 16.617 |
| 157.776 | 52.737 | 52.737 | -0.000 | 0.000 | 0.000 |
| 52.737 | 157.776 | 52.737 | -0.000 | -0.000 | 0.000 |
| 52.737 | 52.737 | 157.776 | 0.000 | 0.000 | 0.000 |
| 0.000 | -0.000 | -0.000 | 16.617 | 0.000 | 0.000 |
| -0.000 | 0.000 | -0.000 | -0.000 | 16.617 | 0.000 |
| -0.000 | -0.000 | 0.000 | -0.000 | 0.000 | 16.617 |
| 143.317 | 50.036 | 50.036 | -0.000 | -0.000 | -0.000 |
| 50.036 | 143.317 | 50.036 | 0.000 | -0.000 | -0.000 |
| 50.036 | 50.036 | 143.317 | 0.000 | -0.000 | -0.000 |
| -0.000 | 0.000 | 0.000 | 16.617 | -0.000 | 0.000 |
| 0.000 | -0.000 | 0.000 | 0.000 | 16.617 | -0.000 |
| 0.000 | 0.000 | -0.000 | 0.000 | -0.000 | 16.617 |
| 156.196 | 51.471 | 51.471 | -0.000 | 0.000 | -0.000 |
| 51.471 | 156.196 | 51.471 | -0.000 | -0.000 | -0.000 |
| 51.471 | 51.471 | 156.196 | -0.000 | 0.000 | -0.000 |
| 0.000 | 0.000 | 0.000 | 16.435 | 0.000 | -0.000 |
| 0.000 | 0.000 | 0.000 | -0.000 | 16.435 | -0.000 |
| 0.000 | 0.000 | 0.000 | 0.000 | 0.000 | 16.435 |
| 156.196 | 51.471 | 51.471 | -0.000 | -0.000 | 0.000 |
| 51.471 | 156.196 | 51.471 | -0.000 | -0.000 | 0.000 |
| 51.471 | 51.471 | 156.196 | -0.000 | -0.000 | 0.000 |
| -0.000 | -0.000 | -0.000 | 16.435 | -0.000 | 0.000 |
| -0.000 | -0.000 | -0.000 | -0.000 | 16.435 | 0.000 |
| -0.000 | -0.000 | -0.000 | -0.000 | -0.000 | 16.435 |
| 214.071 | 122.785 | 122.785 | 0.000 | 0.000 | -0.000 |
| 122.785 | 214.071 | 122.785 | -0.000 | 0.000 | -0.000 |
| 122.785 | 122.785 | 214.071 | 0.000 | 0.000 | -0.000 |
| 0.000 | 0.000 | 0.000 | 16.435 | 0.000 | -0.000 |
| 0.000 | 0.000 | 0.000 | 0.000 | 16.435 | -0.000 |
| 0.000 | 0.000 | 0.000 | 0.000 | 0.000 | 16.435 |
| 156.196 | 51.471 | 51.471 | -0.000 | -0.000 | 0.000 |
| 51.471 | 156.196 | 51.471 | -0.000 | -0.000 | 0.000 |
| 51.471 | 51.471 | 156.196 | -0.000 | -0.000 | 0.000 |
| -0.000 | -0.000 | -0.000 | 16.435 | 0.000 | 0.000 |
| -0.000 | -0.000 | -0.000 | -0.000 | 16.435 | 0.000 |
| -0.000 | -0.000 | -0.000 | -0.000 | 0.000 | 16.435 |
| 156.199 | 51.473 | 51.473 | 0.000 | 0.000 | -0.000 |
| 51.473 | 156.199 | 51.473 | 0.000 | 0.000 | -0.000 |
| 51.473 | 51.473 | 156.199 | -0.000 | 0.000 | -0.000 |
| 0.000 | 0.001 | 0.001 | 16.435 | 0.000 | -0.000 |
| 0.001 | 0.000 | 0.001 | 0.000 | 16.435 | -0.000 |
| 0.001 | 0.001 | 0.000 | 0.000 | 0.000 | 16.435 |
| 156.193 | 51.470 | 51.470 | -0.000 | 0.000 | 0.000 |
| 51.470 | 156.193 | 51.470 | -0.000 | -0.000 | 0.000 |
| 51.470 | 51.470 | 156.193 | 0.000 | -0.000 | 0.000 |
| -0.000 | -0.001 | -0.001 | 16.435 | 0.000 | 0.000 |
| -0.001 | -0.000 | -0.001 | 0.000 | 16.435 | 0.000 |
| -0.001 | -0.001 | -0.000 | -0.000 | -0.000 | 16.435 |
| 105.690 | 58.597 | 58.597 | -0.000 | 0.000 | 0.000 |
| 58.597 | 105.690 | 58.597 | 0.000 | 0.000 | -0.000 |
| 58.597 | 58.597 | 105.690 | -0.000 | 0.000 | -0.000 |
| -0.000 | -0.000 | -0.000 | 46.778 | 0.000 | 0.000 |
| -0.000 | -0.000 | -0.000 | 0.000 | 46.778 | 0.000 |
| -0.000 | -0.000 | -0.000 | -0.000 | 0.000 | 46.778 |
| 99.603 | 57.851 | 57.851 | -0.000 | -0.000 | -0.000 |
| 57.851 | 99.603 | 57.851 | -0.000 | -0.000 | -0.000 |
| 57.851 | 57.851 | 99.603 | -0.000 | -0.000 | -0.000 |
| 0.000 | 0.000 | 0.000 | 46.778 | -0.000 | -0.000 |
| 0.000 | 0.000 | 0.000 | 0.000 | 46.778 | 0.000 |
| 0.000 | -0.000 | 0.000 | 0.000 | -0.000 | 46.778 |
| 99.823 | 56.976 | 56.976 | 0.000 | 0.000 | -0.000 |
| 56.976 | 99.823 | 56.976 | 0.000 | 0.000 | 0.000 |
| 56.976 | 56.976 | 99.823 | 0.000 | 0.000 | 0.000 |
| -0.104 | -0.104 | -0.104 | 42.700 | 0.000 | 0.000 |
| -0.104 | -0.104 | -0.104 | 0.000 | 42.700 | -0.000 |
| -0.104 | -0.104 | -0.104 | 0.000 | 0.000 | 42.700 |
| 94.700 | 61.712 | 61.712 | 0.000 | -0.000 | 0.000 |
| 61.712 | 94.700 | 61.712 | -0.000 | -0.000 | 0.000 |
| 61.712 | 61.712 | 94.700 | -0.000 | -0.000 | 0.000 |
| 0.104 | 0.104 | 0.104 | 42.700 | -0.000 | -0.000 |
| 0.104 | 0.104 | 0.104 | -0.000 | 42.700 | 0.000 |
| 0.104 | 0.104 | 0.104 | -0.000 | -0.000 | 42.700 |
| 105.691 | 58.597 | 58.597 | -0.000 | 0.000 | 0.000 |
| 58.597 | 105.691 | 58.597 | -0.000 | 0.000 | 0.000 |
| 58.597 | 58.597 | 105.691 | -0.000 | 0.000 | -0.000 |
| -0.007 | -0.007 | -0.007 | 41.449 | 0.000 | -0.000 |
| -0.007 | -0.007 | -0.007 | 0.000 | 41.449 | -0.000 |
| -0.007 | -0.007 | -0.007 | 0.000 | 0.000 | 41.449 |
| 99.822 | 57.051 | 57.051 | -0.000 | -0.000 | 0.000 |
| 57.051 | 99.822 | 57.051 | -0.000 | -0.000 | -0.000 |
| 57.051 | 57.051 | 99.822 | -0.000 | -0.000 | -0.000 |
| 0.007 | 0.007 | 0.007 | 41.449 | -0.000 | -0.000 |
| 0.007 | 0.007 | 0.007 | -0.000 | 41.449 | -0.000 |
| 0.007 | 0.007 | 0.007 | -0.000 | -0.000 | 41.449 |
| 100.982 | 53.900 | 53.900 | -0.000 | 0.000 | 0.000 |
| 53.900 | 100.982 | 53.900 | 0.000 | 0.000 | 0.000 |
| 53.900 | 53.900 | 100.982 | 0.000 | 0.000 | 0.000 |
| 3.529 | 3.529 | 3.529 | 43.847 | 0.000 | 0.000 |
| 3.529 | 3.529 | 3.529 | 0.000 | 43.847 | -0.000 |
| 3.529 | 3.529 | 3.529 | -0.000 | 0.000 | 43.847 |
| 85.169 | 54.195 | 54.195 | -0.000 | -0.000 | 0.000 |
| 54.195 | 85.169 | 54.195 | 0.000 | -0.000 | -0.000 |
| 54.195 | 54.195 | 85.169 | -0.000 | -0.000 | -0.000 |
| -3.529 | -3.529 | -3.529 | 43.847 | -0.000 | -0.000 |
| -3.529 | -3.529 | -3.529 | -0.000 | 43.847 | 0.000 |
| -3.529 | -3.529 | -3.529 | 0.000 | -0.000 | 43.847 |
| 100.982 | 53.900 | 53.900 | 0.000 | 0.000 | 0.000 |
| 53.900 | 100.982 | 53.900 | -0.000 | 0.000 | 0.000 |
| 53.900 | 53.900 | 100.982 | -0.000 | 0.000 | 0.000 |
| 0.000 | -0.000 | -0.000 | 46.637 | 0.000 | 0.000 |
| -0.000 | 0.000 | -0.000 | -0.000 | 46.637 | 0.000 |
| -0.000 | -0.000 | 0.000 | 0.000 | 0.000 | 46.637 |
| 94.368 | 51.740 | 51.740 | -0.000 | -0.000 | -0.000 |
| 51.740 | 94.368 | 51.740 | 0.000 | -0.000 | -0.000 |
| 51.740 | 51.740 | 94.368 | 0.000 | -0.000 | -0.000 |
| -0.000 | 0.000 | 0.000 | 46.637 | -0.000 | -0.000 |
| 0.000 | -0.000 | 0.000 | 0.000 | 46.637 | -0.000 |
| 0.000 | 0.000 | -0.000 | 0.000 | -0.000 | 46.637 |
| 88.302 | 57.306 | 57.306 | 0.000 | 0.000 | 0.000 |
| 57.306 | 88.302 | 57.306 | -0.000 | 0.000 | 0.000 |
| 57.306 | 57.306 | 88.302 | -0.000 | 0.000 | 0.000 |
| 0.050 | 0.050 | 0.050 | 42.698 | 0.000 | 0.000 |
| 0.050 | 0.050 | 0.050 | 0.000 | 42.698 | 0.000 |
| 0.050 | 0.050 | 0.050 | -0.000 | 0.000 | 42.698 |
| 88.237 | 57.239 | 57.239 | 0.000 | -0.000 | 0.000 |
| 57.239 | 88.237 | 57.239 | -0.000 | -0.000 | -0.000 |
| 57.239 | 57.239 | 88.237 | 0.000 | -0.000 | -0.000 |
| -0.050 | -0.050 | -0.050 | 42.698 | -0.000 | -0.000 |
| -0.050 | -0.050 | -0.050 | -0.000 | 42.698 | -0.000 |
| -0.050 | -0.050 | -0.050 | -0.000 | -0.000 | 42.698 |
| 155.097 | 17.040 | 90.670 | 0.000 | 0.000 | 0.000 |
| 16.820 | 214.269 | 46.742 | -0.000 | 0.000 | 0.000 |
| 97.549 | 65.104 | 154.635 | -0.000 | 0.000 | -0.000 |
| 5.166 | 14.501 | -12.760 | 6.500 | 0.000 | 0.000 |
| 5.179 | 14.536 | -12.790 | 0.000 | 59.059 | 0.000 |
| -0.000 | 0.000 | 0.000 | 0.000 | 0.000 | -16.971 |
| 149.494 | 1.314 | 104.514 | -0.000 | -0.000 | -0.000 |
| -6.028 | 150.119 | 103.449 | -0.000 | -0.000 | 0.000 |
| 87.192 | 36.032 | 180.214 | 0.000 | -0.000 | -0.000 |
| -5.166 | -14.501 | 12.760 | 6.500 | -0.000 | -0.000 |
| -5.179 | -14.536 | 12.790 | -0.000 | 59.059 | 0.000 |
| 0.000 | -0.000 | -0.000 | -0.000 | -0.000 | -16.971 |
| 155.097 | 17.040 | 90.670 | 0.000 | 0.000 | 0.000 |
| 16.820 | 214.270 | 46.742 | -0.000 | 0.000 | -0.000 |
| 91.316 | 47.608 | 170.045 | -0.000 | 0.000 | 0.000 |
| 1.861 | 5.225 | -4.617 | 7.468 | 0.000 | -0.000 |
| 0.000 | 0.000 | -0.000 | 0.000 | 59.059 | -0.000 |
| -1.198 | -3.363 | 2.985 | 0.000 | 0.000 | -40.898 |
| 151.727 | 7.579 | 99.037 | -0.000 | -0.000 | 0.000 |
| 16.820 | 214.268 | 46.742 | 0.000 | -0.000 | 0.000 |
| 91.316 | 47.608 | 170.044 | 0.000 | -0.000 | 0.000 |
| -1.861 | -5.225 | 4.617 | 7.468 | -0.000 | 0.000 |
| -0.000 | -0.000 | 0.000 | -0.000 | 59.059 | -0.000 |
| 1.198 | 3.363 | -2.985 | -0.000 | -0.000 | -40.898 |
| 153.854 | 13.552 | 93.761 | 0.000 | 0.000 | -0.000 |
| 15.683 | 211.077 | 49.576 | 0.000 | -0.000 | 0.000 |
| 92.423 | 50.714 | 167.299 | 0.000 | 0.000 | 0.000 |
| 0.000 | 0.001 | -0.001 | 14.798 | 0.000 | -0.000 |
| 0.000 | 0.000 | -0.000 | -0.000 | 59.059 | -0.000 |
| 0.204 | 0.575 | -0.507 | -0.000 | 0.000 | -19.781 |
| 154.622 | 15.704 | 91.851 | -0.000 | -0.000 | 0.000 |
| 15.576 | 210.773 | 49.828 | -0.000 | -0.000 | 0.000 |
| 92.318 | 50.422 | 167.550 | -0.000 | -0.000 | -0.000 |
| -0.000 | -0.001 | 0.001 | 14.798 | -0.000 | -0.000 |
| -0.000 | -0.000 | 0.000 | 0.000 | 59.059 | 0.000 |
| -0.204 | -0.575 | 0.507 | -0.000 | -0.000 | -19.781 |
| 146.016 | 82.973 | 62.949 | 0.000 | -0.000 | 0.000 |
| 65.285 | 164.546 | 62.595 | 0.000 | -0.000 | 0.000 |
| 62.634 | 63.549 | 180.414 | 0.000 | -0.000 | 0.000 |
| 0.000 | 0.000 | 0.000 | 47.614 | -0.000 | 0.000 |
| 0.030 | -0.029 | 0.001 | 0.000 | 48.548 | 0.000 |
| 0.029 | -0.029 | 0.001 | 0.000 | -0.000 | 33.536 |
| 163.167 | 66.026 | 63.542 | -0.000 | 0.000 | -0.000 |
| 82.232 | 147.798 | 63.181 | -0.000 | 0.000 | -0.000 |
| 63.198 | 62.991 | 180.434 | -0.000 | 0.000 | -0.000 |
| -0.000 | -0.000 | -0.000 | 47.614 | 0.000 | -0.000 |
| -0.030 | 0.029 | -0.001 | -0.000 | 48.548 | -0.000 |
| -0.029 | 0.029 | -0.001 | -0.000 | 0.000 | 33.536 |
| 145.990 | 83.000 | 62.948 | 0.000 | -0.000 | 0.000 |
| 82.265 | 147.767 | 63.182 | 0.000 | -0.000 | 0.000 |
| 63.198 | 62.991 | 180.434 | 0.000 | -0.000 | 0.000 |
| 0.000 | 0.000 | 0.000 | 47.614 | -0.000 | 0.000 |
| 0.003 | -0.003 | 0.000 | 0.000 | 48.548 | 0.000 |
| 0.003 | -0.003 | 0.000 | 0.000 | -0.000 | 33.536 |
| 145.983 | 83.006 | 62.947 | -0.000 | 0.000 | -0.000 |
| 82.259 | 147.771 | 63.182 | -0.000 | 0.000 | -0.000 |
| 62.600 | 63.581 | 180.413 | -0.000 | 0.000 | -0.000 |
| -0.000 | -0.000 | -0.000 | 47.614 | 0.000 | -0.000 |
| -0.003 | 0.003 | -0.000 | -0.000 | 48.548 | -0.000 |
| -0.003 | 0.003 | -0.000 | -0.000 | 0.000 | 33.536 |
| 145.989 | 83.003 | 62.950 | 0.000 | -0.000 | 0.000 |
| 82.261 | 147.779 | 63.185 | 0.000 | -0.000 | 0.000 |
| 63.200 | 62.993 | 180.437 | 0.000 | -0.000 | 0.000 |
| 0.001 | 0.001 | 0.001 | 47.608 | -0.000 | 0.000 |
| 0.001 | 0.000 | 0.001 | 0.000 | 48.548 | 0.000 |
| 0.001 | -0.000 | 0.001 | 0.000 | -0.000 | 33.536 |
| 145.984 | 83.002 | 62.946 | -0.000 | 0.000 | -0.000 |
| 65.284 | 164.542 | 62.593 | -0.000 | 0.000 | -0.000 |
| 63.196 | 62.989 | 180.430 | -0.000 | 0.000 | -0.000 |
| -0.001 | -0.001 | -0.001 | 47.608 | 0.000 | -0.000 |
| -0.001 | -0.000 | -0.001 | -0.000 | 48.548 | 0.000 |
| -0.001 | 0.000 | -0.001 | -0.000 | 0.000 | 33.536 |
| 60.207 | 33.074 | 0.034 | 0.000 | -0.000 | 0.000 |
| 33.074 | 60.207 | 0.034 | -0.000 | -0.000 | 0.000 |
| 0.034 | 0.034 | 35.080 | -0.000 | -0.000 | 0.000 |
| 0.000 | 0.000 | -0.000 | -16.955 | -0.000 | 0.000 |
| 0.000 | 0.000 | -0.000 | 0.000 | -16.955 | 0.000 |
| -0.000 | -0.000 | -0.000 | -0.000 | -0.000 | -34.653 |
| 60.207 | 33.074 | 0.034 | 0.000 | 0.000 | -0.000 |
| 33.074 | 60.207 | 0.034 | -0.000 | 0.000 | -0.000 |
| 0.034 | 0.034 | 35.080 | -0.000 | 0.000 | -0.000 |
| -0.000 | -0.000 | 0.000 | -16.955 | 0.000 | -0.000 |
| -0.000 | -0.000 | 0.000 | 0.000 | -16.955 | -0.000 |
| 0.000 | 0.000 | 0.000 | -0.000 | 0.000 | -34.653 |
| 11.987 | 81.294 | 0.034 | 0.000 | -0.000 | 0.000 |
| 33.074 | 60.206 | 0.034 | 0.000 | -0.000 | 0.000 |
| 0.035 | 0.035 | 35.080 | -0.000 | -0.000 | 0.000 |
| 0.000 | 0.000 | 0.000 | -16.955 | -0.000 | 0.000 |
| 0.000 | 0.000 | 0.000 | 0.000 | -16.955 | 0.000 |
| -0.000 | -0.000 | 0.000 | 0.000 | -0.000 | 13.566 |
| -2.703 | 95.984 | 0.034 | 0.000 | 0.000 | -0.000 |
| 81.294 | 11.987 | 0.034 | -0.000 | 0.000 | -0.000 |
| 0.034 | 0.034 | 35.079 | -0.000 | 0.000 | -0.000 |
| -0.000 | -0.000 | -0.000 | -16.955 | 0.000 | -0.000 |
| -0.000 | -0.000 | -0.000 | -0.000 | -16.955 | -0.000 |
| 0.000 | 0.000 | -0.000 | -0.000 | 0.000 | 13.566 |
| 60.204 | 33.074 | 0.035 | 0.000 | -0.000 | 0.000 |
| -6365884.600 | -6788983.313 | -2312195.940 | 6822.567 | -8995.042 | 16561.211 |
| 0.035 | 0.035 | 35.084 | 0.000 | -0.000 | 0.000 |
| 0.000 | 0.000 | 0.001 | -16.955 | -0.000 | 0.000 |
| 0.000 | 0.000 | 0.001 | 0.000 | -16.955 | 0.000 |
| -5765650.155 | -5633912.022 | -2604175.566 | -6946.178 | 3056.480 | 18257.780 |
| 6231267.621 | 6629363.869 | 2391703.895 | 5256.105 | -4558.920 | -97419.798 |
| 7482062.035 | 7614573.196 | 5705450.985 | 7759.753 | 45504.167 | 229509.092 |
| 0.034 | 0.034 | 35.076 | -0.000 | 0.000 | -0.000 |
| -0.000 | -0.000 | -0.001 | -16.955 | 0.000 | -0.000 |
| -0.000 | -0.000 | -0.001 | -0.000 | -16.955 | -0.000 |
| 5632405.298 | 5738006.917 | 2075680.149 | -6067.769 | -2601.997 | -120893.034 |
| 150.913 | 78.377 | 63.284 | 0.000 | 0.000 | 0.000 |
| 84.381 | 146.171 | 63.321 | 0.000 | 0.000 | 0.000 |
| 66.316 | 60.348 | 180.181 | 0.000 | 0.000 | 0.000 |
| 3.060 | -3.031 | -0.015 | 48.338 | 0.000 | -0.000 |
| -0.000 | 0.000 | -0.000 | 0.000 | 48.138 | 0.000 |
| 3.093 | -3.064 | -0.015 | 0.000 | 0.000 | 33.163 |
| 144.782 | 84.450 | 63.314 | -0.000 | -0.000 | -0.000 |
| 78.250 | 152.245 | 63.351 | -0.000 | -0.000 | 0.000 |
| 63.169 | 63.466 | 180.196 | -0.000 | -0.000 | -0.000 |
| -3.060 | 3.031 | 0.015 | 48.338 | -0.000 | -0.000 |
| 0.000 | -0.000 | 0.000 | -0.000 | 48.138 | -0.000 |
| -3.093 | 3.064 | 0.015 | -0.000 | -0.000 | 33.163 |
| 164.448 | 64.970 | 63.218 | 0.000 | 0.000 | 0.000 |
| 64.872 | 165.497 | 63.416 | 0.000 | 0.000 | 0.000 |
| 63.557 | 63.081 | 180.194 | 0.000 | 0.000 | 0.000 |
| 0.261 | -0.259 | -0.001 | 48.338 | 0.000 | 0.000 |
| -0.000 | 0.000 | -0.000 | 0.000 | 48.138 | 0.000 |
| 0.309 | -0.306 | -0.002 | 0.000 | 0.000 | 33.158 |
| 164.448 | 64.969 | 63.218 | -0.000 | -0.000 | 0.000 |
| 64.872 | 165.499 | 63.416 | -0.000 | -0.000 | -0.000 |
| 62.944 | 63.689 | 180.198 | -0.000 | -0.000 | -0.000 |
| -0.261 | 0.259 | 0.001 | 48.338 | -0.000 | -0.000 |
| 0.000 | -0.000 | 0.000 | -0.000 | 48.138 | 0.000 |
| -0.309 | 0.306 | 0.002 | -0.000 | -0.000 | 33.158 |
| 147.876 | 81.384 | 63.298 | 0.000 | 0.000 | 0.000 |
| 81.349 | 149.164 | 63.334 | 0.000 | 0.000 | 0.000 |
| 63.281 | 63.355 | 180.191 | 0.000 | 0.000 | 0.000 |
| 0.010 | -0.011 | -0.001 | 48.338 | 0.000 | 0.000 |
| -0.001 | 0.000 | -0.001 | 0.000 | 48.138 | 0.000 |
| 0.030 | -0.030 | -0.000 | 0.000 | 0.000 | 33.158 |
| 147.827 | 81.436 | 63.300 | -0.000 | -0.000 | -0.000 |
| 81.282 | 149.254 | 63.338 | -0.000 | -0.000 | -0.000 |
| 63.169 | 63.474 | 180.216 | -0.000 | -0.000 | 0.000 |
| -0.010 | 0.011 | 0.001 | 48.338 | -0.000 | -0.000 |
| 0.001 | -0.000 | 0.001 | -0.000 | 48.138 | -0.000 |
| -0.030 | 0.030 | 0.000 | -0.000 | -0.000 | 33.158 |
Phonon band structures and crystal properties estimated from quasi-harmonic approximation (QHA) calculations are displayed for select crystals. The calculations were performed using phonopy and LAMMPS. For the phonon calculations, 3x3 supercells of the potential-specific relaxed crystals were used. The QHA calculations were based on 11 strain states ranging from -0.05 to 0.05.
The calculation method used is available as the iprPy phonon calculation method.
Notes and Disclaimers:
Version Information:















































































































































































Static free surface formation energies are displayed for select crystals. The values displayed here are obtained by taking a perfect periodic bulk crystal, slicing along a crystallographic plane, and using force minimization to statically relax the surfaces. The free surface formation energy is computed by comparing the energy of the defect system to the bulk system and dividing by the total surface area created by the cut.
The calculation method used is available as the iprPy surface_energy_static calculation method.
Notes and Disclaimers:
Version Information:
| Surface | γfs (mJ/m2) |
|---|---|
| (111) | 902.60 |
| (332) | 1013.65 |
| (322) | 1025.88 |
| (221) | 1064.66 |
| (100) | 1082.89 |
| (211) | 1090.03 |
| (331) | 1108.12 |
| (311) | 1140.49 |
| (110) | 1153.83 |
| (321) | 1157.36 |
| (310) | 1209.79 |
| (320) | 1213.67 |
| (210) | 1228.37 |
| Surface | γfs (mJ/m2) |
|---|---|
| (211) 2 | 933.16 |
| (210) | 938.00 |
| (100) | 971.02 |
| (311) | 980.00 |
| (332) 2 | 980.26 |
| (321) 2 | 983.10 |
| (221) | 999.30 |
| (321) 1 | 1002.58 |
| (111) | 1003.74 |
| (322) | 1016.31 |
| (320) | 1016.94 |
| (331) | 1020.45 |
| (310) | 1023.78 |
| (332) 1 | 1044.09 |
| (211) 1 | 1054.11 |
| (110) | 1090.49 |
| Surface | γfs (mJ/m2) |
|---|---|
| (321) | 9.06 |
| (211) | 188.59 |
| (110) | 922.24 |
| (320) | 1014.15 |
| (331) | 1029.26 |
| (210) | 1055.76 |
| (221) | 1069.68 |
| (322) | 1086.93 |
| (310) | 1088.93 |
| (311) | 1092.08 |
| (332) | 1099.76 |
| (100) | 1109.10 |
| (111) | 1133.79 |
| Surface | γfs (mJ/m2) |
|---|---|
| (0001) | 893.26 |
| (2021) 1 | 991.52 |
| (1012) 2 | 1005.00 |
| (1011) 1 | 1013.65 |
| (2021) 2 | 1095.50 |
| (2131) 1 | 1146.74 |
| (1120) | 1147.50 |
| (1010) | 1162.02 |
| (2132) 1 | 1163.60 |
| (2132) 2 | 1167.92 |
| (1012) 1 | 1168.54 |
| (2241) | 1170.12 |
| (1121) | 1185.96 |
| (2130) | 1195.51 |
| (2112) | 1198.56 |
| (1011) 2 | 1205.28 |
| (2131) 2 | 1227.56 |
| Surface | γfs (mJ/m2) |
|---|---|
| (111) | 1233.25 |
| (332) | 1359.01 |
| (322) | 1371.68 |
| (100) | 1371.75 |
| (221) | 1413.76 |
| (211) | 1436.17 |
| (331) | 1457.48 |
| (311) | 1478.65 |
| (110) | 1493.58 |
| (321) | 1506.36 |
| (310) | 1531.61 |
| (320) | 1552.59 |
| (210) | 1562.35 |
| Surface | γfs (mJ/m2) |
|---|---|
| (331) | -6809.20 |
| (321) 2 | -6325.38 |
| (322) | -5852.64 |
| (321) 1 | -5490.72 |
| (310) | -4337.54 |
| (320) | -3995.75 |
| (311) | -3850.87 |
| (332) 2 | -2786.94 |
| (332) 1 | -2697.62 |
| (210) | -2014.65 |
| (221) | -2013.99 |
| (110) | -1908.31 |
| (211) 2 | -1462.17 |
| (211) 1 | -715.88 |
| (111) | 1237.72 |
| (100) | 1279.27 |
| Surface | γfs (mJ/m2) |
|---|---|
| (0001) | 1257.72 |
| (1012) 2 | 1327.73 |
| (2021) 1 | 1361.94 |
| (1011) 1 | 1371.74 |
| (2021) 2 | 1456.76 |
| (1120) | 1508.21 |
| (2131) 1 | 1514.95 |
| (1010) | 1520.26 |
| (2132) 2 | 1526.10 |
| (2132) 1 | 1532.19 |
| (2241) | 1533.40 |
| (1012) 1 | 1535.87 |
| (1011) 2 | 1546.50 |
| (1121) | 1549.60 |
| (2112) | 1556.55 |
| (2130) | 1562.75 |
| (2131) 2 | 1587.75 |
| Surface | γfs (mJ/m2) |
|---|---|
| (0001) | 1282.14 |
| (1011) 2 | 1342.61 |
| (1010) 1 | 1352.17 |
| (2021) 1 | 1385.12 |
| (1012) 1 | 1498.39 |
| (2130) 1 | 1507.33 |
| (2112) | 1510.78 |
| (1012) 2 | 1522.27 |
| (1120) | 1524.64 |
| (2132) 2 | 1528.78 |
| (2132) 1 | 1532.33 |
| (2131) 2 | 1540.32 |
| (2131) 1 | 1555.96 |
| (2241) | 1564.75 |
| (1121) | 1567.63 |
| (2021) 2 | 1567.94 |
| (2130) 2 | 1652.48 |
| (1010) 2 | 1725.09 |
| (1011) 1 | 1759.46 |
| Surface | γfs (mJ/m2) |
|---|---|
| (211) 1 | -10154.29 |
| (211) 2 | -9747.34 |
| (201) | -5359.95 |
| (111) | -4847.32 |
| (001) | -983.12 |
| (112) | -491.83 |
| (101) 1 | -306.95 |
| (101) 2 | -306.95 |
| (100) | 1191.15 |
| (110) | 1371.12 |
| Surface | γfs (mJ/m2) |
|---|---|
| (100) | 3.93 |
| (101) 1 | 5.41 |
| (110) | 5.56 |
| (201) | 5.65 |
| (112) | 5.72 |
| (001) | 6.09 |
| (111) | 6.56 |
| (211) 1 | 6.64 |
| (211) 2 | 6.64 |
| (101) 2 | 9.02 |
Stacking fault energy plots and maps are displayed for select crystals. The values are computed by
The calculation method used is available as the iprPy stacking_fault_map_2D calculation method.
Notes and Disclaimers:
Version Information:
| E_usf a/2 [0 -1 1] | 1005.92 |
| τ_ideal a/2 [0 -1 1] | 14.50 |




| E_isf | 38.09 |
| E_usf a/2 [0 -1 1] | 266.25 |
| τ_ideal a/2 [0 -1 1] | 5.02 |




| E_usf a/2 [-1 1 -1] | 406.29 |
| τ_ideal a/2 [-1 1 -1] | 6.22 |




| E_usf a/2 [-1 -1 1] | 510.81 |
| τ_ideal a/2 [-1 -1 1] | 7.60 |




| E_usf a/2 [-1 -1 1] | 491.08 |
| τ_ideal a/2 [-1 -1 1] | 7.43 |




| E_usf a/2 [0 -1 1] | 870.78 |
| τ_ideal a/2 [0 -1 1] | 11.61 |




| E_isf | -108.61 |
| E_usf a/2 [0 -1 1] | 221.68 |
| τ_ideal a/2 [0 -1 1] | 5.48 |




| E_isf | 109.47 |
| E_usf a/3 [-2 1 1 0] | 332.21 |
| τ_ideal a/3 [-2 1 1 0] | 5.52 |




| E_usf a/3 [-1 2 -1 0] | 369.05 |
| τ_ideal a/3 [-1 2 -1 0] | 5.70 |




| E_usf a/3 [-1 2 -1 0] | 1189.34 |
| τ_ideal a/3 [-1 2 -1 0] | 15.11 |




| E_usf a/3 [-1 2 -1 0] | 489.36 |
| E_usf a/3 [-2 1 1 3] | 2588.11 |
| τ_ideal a/3 [-1 2 -1 0] | 7.31 |
| τ_ideal a/3 [-2 1 1 3] | 30.15 |





| E_usf a/3 [-1 2 -1 0] | 706.58 |
| E_usf a/3 [-2 1 1 3] | 975.10 |
| τ_ideal a/3 [-1 2 -1 0] | 9.25 |
| τ_ideal a/3 [-2 1 1 3] | 9.39 |





| E_usf a/3 [-2 1 1 3] | 1328.51 |
| τ_ideal a/3 [-2 1 1 3] | 11.31 |




Static point defect formation energies, Ef, and elastic dipole tensors, pij, are displayed for select crystals. Relaxed defect configurations are obtained by taking a 12x12x12 supercell of a perfect periodic bulk crystal, inserting the point defect, and using force minimization to statically relax the atomic positions while keeping the system dimensions constant. Ef is computed by comparing the energy of the defect system to the same number of atoms in a perfect bulk crystal. pij is estimated as the difference in the system's global pressure with and without the defect multiplied by the system's volume.
Simple structural comparisons of the unrelaxed and relaxed defect configurations are used to help determine if the defect structure has relaxed to a different configuration. Relaxed structures that are identified as no longer consistent with the ideal defect definition are excluded from the table below. The only exception to this is if the lowest energy interstitial configuration does not coincide with a known ideal defect, its energies and pressure tensor are included under the listing "relaxed interstitial". The full list of calculation results including the transformed structures and the structural comparison values is included in the csv file available from the "Download raw data" link.
The calculation method used is available as the iprPy point_defect_static calculation method.
Notes and Disclaimers:
| Point Defect | Ef (eV) | p11 (eV) | p22 (eV) | p33 (eV) | p12 (eV) | p13 (eV) | p23 (eV) |
|---|---|---|---|---|---|---|---|
| vacancy | 1.048 | -3.218 | -3.218 | -3.218 | -0.000 | -0.000 | -0.000 |
| 1nn divacancy | 1.963 | -6.656 | -6.399 | -6.399 | -0.000 | -0.000 | 0.067 |
| 2nn divacancy | 2.155 | -6.810 | -6.810 | -6.773 | -0.000 | -0.000 | -0.000 |
| 100 dumbbell | 2.802 | 13.932 | 13.932 | 15.108 | -0.000 | -0.000 | -0.000 |
| 111 dumbbell | 2.936 | 11.957 | 11.957 | 11.957 | 3.695 | 3.695 | 3.695 |
| octahedral interstitial | 2.979 | 13.371 | 13.371 | 13.371 | -0.000 | -0.000 | -0.000 |
| tetrahedral interstitial | 2.990 | 14.195 | 14.195 | 14.195 | -0.000 | 0.000 | -0.000 |
| 110 dumbbell | 3.006 | 17.021 | 13.374 | 13.374 | -0.000 | -0.000 | 7.492 |
| Point Defect | Ef (eV) | p11 (eV) | p22 (eV) | p33 (eV) | p12 (eV) | p13 (eV) | p23 (eV) |
|---|---|---|---|---|---|---|---|
| vacancy | 0.823 | -8.542 | -8.542 | -8.542 | 0.000 | -0.000 | -0.000 |
| 2nn divacancy | 1.596 | -18.348 | -18.348 | -20.580 | 0.000 | -0.000 | 0.000 |
| 1nn divacancy | 1.624 | -13.661 | -13.661 | -13.661 | 0.193 | 0.193 | 0.193 |
| 111 dumbbell | 1.891 | 3.220 | 3.220 | 3.220 | 0.673 | 0.673 | 0.673 |
| crowdion interstitial | 1.896 | 3.139 | 3.139 | 3.139 | 0.619 | 0.619 | 0.619 |
| Point Defect | Ef (eV) | p11 (eV) | p22 (eV) | p33 (eV) | p12 (eV) | p13 (eV) | p23 (eV) |
|---|---|---|---|---|---|---|---|
| vacancy | 2.239 | -0.594 | -0.594 | -0.594 | 0.000 | -0.000 | 0.000 |
| 100 dumbbell | 2.940 | 10.229 | 10.229 | 11.072 | 0.000 | 0.000 | 0.000 |
| 111 dumbbell | 3.073 | 8.919 | 8.919 | 8.919 | 3.095 | 3.095 | 3.095 |
| 110 dumbbell | 3.140 | 11.205 | 9.082 | 9.082 | 0.000 | 0.000 | 5.573 |
| tetrahedral interstitial | 3.369 | 10.811 | 10.811 | 10.811 | -0.000 | -0.000 | 0.000 |
| octahedral interstitial | 3.775 | 11.624 | 11.624 | 11.624 | -0.000 | -0.000 | -0.000 |
| 1nn divacancy | 4.169 | -2.022 | -1.130 | -1.130 | 0.000 | -0.000 | -0.059 |
| 2nn divacancy | 4.419 | -1.482 | -1.482 | -2.064 | 0.000 | 0.000 | -0.000 |
| Point Defect | Ef (eV) | p11 (eV) | p22 (eV) | p33 (eV) | p12 (eV) | p13 (eV) | p23 (eV) |
|---|---|---|---|---|---|---|---|
| vacancy | 2.269 | -0.637 | -0.637 | -0.776 | 0.000 | -0.000 | -0.000 |
| relaxed interstitial | 2.864 | 14.025 | 14.025 | 5.964 | 0.000 | 0.000 | -0.000 |
| 0001 dumbbell | 3.581 | 7.388 | 7.388 | 17.172 | 0.000 | -0.000 | -0.000 |
Plots of the atomic structure of dislocation cores are shown here. The dislocations were constructed using dislocation monopole configurations in which a straight dislocation is created in the center of the system using anisotropic elasticity and the elastic constants computed above. A cylindrical region centered around the dislocation is allowed to relax while the remaining atoms are held fixed. The relaxation consists of 1 million NVT steps at 10 K followed by an energy/force minimization. The final plots show the atomic configuration near the center of the monopole system, and display differential displacement arrows and Nye tensor color maps that are both taken with respect to the Burgers vector direction.
These plots show a wide range of final structures, some corresponding to expected dislocation structures and others not. While the characterizations are dislocation-type dependent, some general classification guidelines are listed here.
The calculation method used is available as the iprPy dislocation_monopole calculation method.
Links are provided above the images allowing for users to download the final defect configuration and a corresponding defect-free configuration if they wish to further analyze the structures or use them for subsequent simulations.
Notes and Disclaimers:
Version Information:
Plots of lattice and elastic constants are shown as a function of temperature. The 0K points were taken from the Crystal Structure Predictions and the Elastic Constants Predictions sections above for the unique crystal structures relaxed with the "dynamic" method. Starting from the 0 K relaxed crystal unit cells, supercell systems are created by replicating all three dimensions by the same multiplier to achieve at least 4000 atoms. The systems are then relaxed at 50 K and zero pressure using 1 million NPT steps. Lattice constants are estimated by averaging the measured box dimensions. Temperatures are iteratively increased by 50 K, with each subsequent relaxation calculation starting from the final atomic configuration at the previous temperature and relaxing for another 1 million steps.
The elastic constants are calculated using the deformation–fluctuation hybrid method. Starting from the final atomic configurations of the dynamic relaxations, the system is allowed to evolve at constant volume with a Langevin thermostat. The Born matrix is computed during this run by evaluating how the atomic forces would vary due to applied linear strain fields. The elastic constants can then be estimated using the averaged Born matrix values and the averaged stresses on the system.
The calculation methods used are available as the iprPy relax_dynamic and elastic_constants_dynamic calculation methods.
Clicking on the image of a plot will open an interactive version of it in a new tab. The underlying data for the plots can be downloaded by clicking on the links above each plot.
Notes and Disclaimers:
Version Information:
Plots of radial distribution functions at different temperatures and the temperature-dependent diffusion and viscosity are shown here for elemental liquids. Melt phases are constructed by starting with a 10x10x10 fcc super cell and relaxing with 50,000 NPT steps at zero pressure and a high melting temperature (3000 K for most potentials and elements). Following the melt, liquid structures are relaxed by running NPT for 10,000 steps over which the temperature is dropped by 50 K, then 50,000 NPT at the target temperature to estimate the equilibrium volume, followed by 20,000 NVT steps at the averaged equilibrium volume and target temperature. Structures from the NVT run are sampled to compute the radial distribution function of the liquid at the corresponding temperature.
The final relaxed configurations at each temperature explored are used as the initial configurations for the diffusion and viscosity calculations. For diffusion, the system is integrated for 100 runs of 2,000 NVT steps during which both the mean squared displacement (MSD) and the velocity auto correlation function (VACF) are computed. From these simulations, three estimates of diffusion are computed: one from the MSD of the full 200,000 step run, one in which the MSD is reset for each short run and then averaged, and one from the VACF computed for each short run and averaged. For viscosity, the Green-Kubo method is used which is evaluated during a 1 million step NVT run.
The calculation methods used are available as the iprPy relax_liquid_redo, diffusion_liquid, and viscosity_green_kubo calculation methods.
Clicking on the image of a plot will open an interactive version of it in a new tab. The underlying data for the plots can be downloaded by clicking on the links above each plot.
Notes and Disclaimers:
Version Information:
Estimated melting temperatures are tabulated below. The melting temperature is computed here using a two-phase solid-liquid atomic configuration. The two-phase configuration is created by starting with a crystalline system in which the c box vector is roughly twice the length of the other two box vectors. Based on some input temperature Tinit, an NPH plus a Berensen thermostat simulation is performed for 10,000 steps in which half the system is subjected to a temperature of 1.25*Tinit and the other half to a temperature of 0.5*Tinit. This is then followed by 10,000 steps during which the temperature of the two regions are both scaled to Tinit. The system is then ran for 200,000 NPH steps to equilibrate the system. For the second half of the final NPH run, the average temperature of the system is calculated and the polyhedral template matching algorithm is used to estimate the number of solid and liquid atoms for a number of configuration snapshots. If the averaged fraction of solid atoms is found to be between 0.25-0.75, then the averaged temperature provides an estimate of the melting temperature.
This calculation is iteratively performed where the Tinit value is adjusted up or down if the fraction of solid atoms is outside the range 0.25-0.75. Iterations are repeated until 10 calculations are performed that produce solid fractions in the target range, or 30 total calculations are performed.
The calculation method used is available as the iprPy melting_temperature calculation method.
Notes and Disclaimers:
Version Information:
| prototype | Tmelt | stderr |
|---|---|---|
| A1--Cu--fcc | 1352.71 | 0.94 |
Plots of internal energy, Gibbs free energy, entropy, heat capacity and volume are shown here as a function of temperature for various crystal structures and liquid phases. The included crystal structures correspond to those in the Solid Structures vs. Temperature section, and the liquid phases to those in the Liquid Properties section. Internal energy and volume are taken from the associated structure relaxations mentioned in those previous sections. Constant pressure heat capacity is estimated using 3-point numerical derivatives of enthalpy versus temperature. Note that since all simulations done here are at 0 pressure, internal energy and enthalpy are equivalent.
The Gibbs energies of the phases are estimated using thermodynamic integration between the interatomic potential in question and a simpler model with known Gibbs free energy values. For solids, the reference model is an Einstein solid, while for liquids it is the Uhlenbeck-Ford potential. Besides a short run at the start of the solid calculations to estimate Einstein model spring constants, the two calculations proceed similarly. Starting with the final relaxation configurations, the systems are stabilized for 25,000 steps. Then, over the next 50,000 steps the potential is swapped out for the reference potential. The system is then stabilized for another 25,000 steps with the reference model before a reverse swap of 50,000 steps is performed. The simulation ends with one final 25,000 step stabilization period. From the simulation, the irreversible work of transformation is estimated and used to compute the absolute Gibbs free energy of the target phase and potential relative to the reference potential. Entropy is estimated as the difference in enthalpy and Gibbs free energy and divided by temperature.
The calculation methods used are available as the iprPy relax_dynamic, relax_liquid_redo, free_energy, and free_energy_liquid calculation methods.
Clicking on the image of a plot will open an interactive version of it in a new tab. The underlying data for the plots can be downloaded by clicking on the links above each plot.
Notes and Disclaimers:
Version Information:






