Plots of the potential energy vs interatomic spacing, r, are shown below for all diatom sets associated with the interatomic potential. This calculation provides insights into the functional form of the potential's two-body interactions. A system consisting of only two atoms is created, and the potential energy is evaluated for the atoms separated by 0.02 Å <= r <= 6.0> Å in intervals of 0.02 Å. Two plots are shown: one for the "standard" interaction distance range, and one for small values of r. The small r plot is useful for determining whether the potential is suitable for radiation studies.
The calculation method used is available as the iprPy diatom_scan calculation method.
Clicking on the image of a plot will open an interactive version of it in a new tab. The underlying data for the plots can be downloaded by clicking on the links above each plot.
Notes and Disclaimers:
Version Information:
Plots of potential energy vs interatomic spacing, r, are shown below for a number of crystal structures. The structures are generated based on the ideal atomic positions and b/a and c/a lattice parameter ratios for a given crystal prototype. The size of the system is then uniformly scaled, and the energy calculated without relaxing the system. To obtain these plots, values of r are evaluated every 0.02 Å up to 6 Å.
The calculation method used is available as the iprPy E_vs_r_scan calculation method.
Clicking on the image of a plot will open an interactive version of it in a new tab. The underlying data for the plots can be downloaded by clicking on the links above each plot.
Notes and Disclaimers:
Version Information:
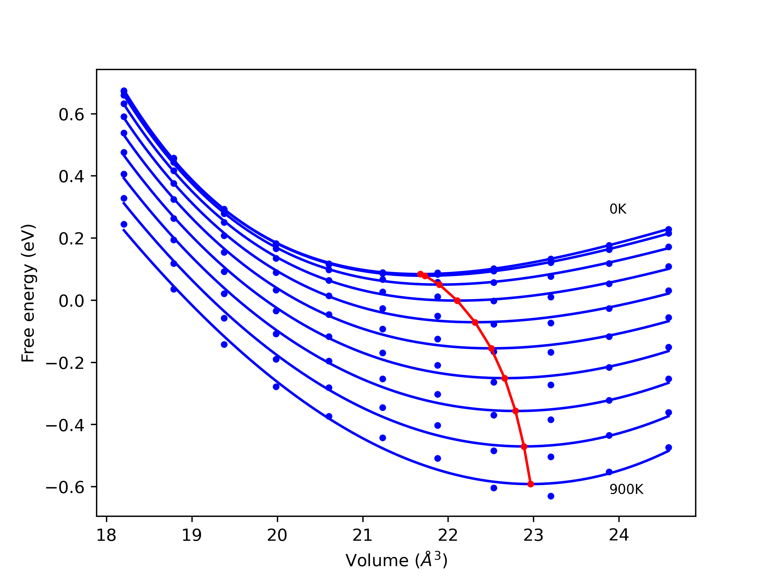
Computed lattice constants and cohesive/potential energies are displayed for a variety of crystal structures. The values displayed here are obtained using the following process.
The calculation methods used are implemented into iprPy as the following calculation styles
Notes and Disclaimers:
Version Information:
Download raw data (including filtered results)
Reference structure matches:
A1--Cu--fcc = mp-150, oqmd-7505, oqmd-1214525
A15--beta-W = oqmd-1214970
A2--W--bcc = mp-13, oqmd-8568, oqmd-22514, oqmd-1215148
A3'--alpha-La--double-hcp = oqmd-1215416
A3--Mg--hcp = mp-136, oqmd-30158, oqmd-51781, oqmd-1215326, oqmd-1215391
A4--C--dc = oqmd-1215505
A5--beta-Sn = oqmd-1215594
A6--In--bct = oqmd-1215683
Ah--alpha-Po--sc = mp-568345
| prototype | method | Ecoh (eV/atom) | Epot (eV/atom) | a0 (Å) | b0 (Å) | c0 (Å) | α (degrees) | β (degrees) | γ (degrees) |
|---|---|---|---|---|---|---|---|---|---|
| A2--W--bcc | dynamic | -4.1224 | -4.1224 | 2.8553 | 2.8553 | 2.8553 | 90.0 | 90.0 | 90.0 |
| A15--beta-W | dynamic | -4.0464 | -4.0464 | 4.5362 | 4.5362 | 4.5362 | 90.0 | 90.0 | 90.0 |
| oqmd-1214792 | dynamic | -4.0341 | -4.0341 | 8.8486 | 8.8486 | 8.8486 | 90.0 | 90.0 | 90.0 |
| oqmd-1214792 | box | -4.0286 | -4.0286 | 8.8332 | 8.8332 | 8.8332 | 90.0 | 90.0 | 90.0 |
| A3--Mg--hcp | dynamic | -4.0049 | -4.0049 | 2.6206 | 2.6206 | 4.1453 | 90.0 | 90.0 | 120.0 |
| oqmd-1216039 | dynamic | -4.0039 | -4.0039 | 2.6142 | 2.6142 | 18.7145 | 90.0 | 90.0 | 120.0 |
| oqmd-1216039 | box | -4.0039 | -4.0039 | 2.6145 | 2.6145 | 18.7112 | 90.0 | 90.0 | 120.0 |
| A3'--alpha-La--double-hcp | dynamic | -4.0034 | -4.0034 | 2.6094 | 2.6094 | 8.338 | 90.0 | 90.0 | 120.0 |
| A1--Cu--fcc | dynamic | -4.002 | -4.002 | 3.6584 | 3.6584 | 3.6584 | 90.0 | 90.0 | 90.0 |
| A6--In--bct | box | -4.0018 | -4.0018 | 2.6144 | 2.6144 | 3.5689 | 90.0 | 90.0 | 90.0 |
| oqmd-1214881 | static | -3.9963 | -3.9963 | 6.1773 | 6.1773 | 6.1773 | 90.0 | 90.0 | 90.0 |
| oqmd-1214881 | box | -3.9956 | -3.9956 | 6.1691 | 6.1691 | 6.1691 | 90.0 | 90.0 | 90.0 |
| oqmd-1215237 | box | -3.991 | -3.991 | 2.5624 | 4.3922 | 4.3431 | 90.0 | 90.0 | 90.0 |
| oqmd-21053 | dynamic | -3.9709 | -3.9709 | 8.6019 | 8.6019 | 4.6065 | 90.0 | 90.0 | 90.0 |
| mp-1245108 | dynamic | -3.964 | -3.964 | 10.346 | 10.7256 | 10.8018 | 92.4 | 90.8 | 90.8 |
| mp-1245108 | static | -3.9569 | -3.9569 | 10.3707 | 10.731 | 10.7706 | 87.4 | 89.9 | 88.0 |
| oqmd-21053 | box | -3.9565 | -3.9565 | 8.5071 | 8.5071 | 4.6447 | 90.0 | 90.0 | 90.0 |
| mp-1194030 | box | -3.95 | -3.95 | 8.477 | 8.477 | 4.6589 | 90.0 | 90.0 | 90.0 |
| mp-1245108 | box | -3.914 | -3.914 | 10.5235 | 10.5496 | 10.8843 | 90.4 | 91.8 | 91.8 |
| oqmd-1215059 | box | -3.8174 | -3.8174 | 2.7217 | 4.0857 | 8.9267 | 90.0 | 90.0 | 90.0 |
| A5--beta-Sn | static | -3.629 | -3.629 | 4.667 | 4.667 | 2.4302 | 90.0 | 90.0 | 90.0 |
| mp-1096950 | static | -3.5569 | -3.5569 | 2.5227 | 2.5227 | 2.4982 | 90.0 | 90.0 | 120.0 |
| Ah--alpha-Po--sc | static | -3.4175 | -3.4175 | 2.2421 | 2.2421 | 2.2421 | 90.0 | 90.0 | 90.0 |
| oqmd-1215950 | box | -3.1876 | -3.1876 | 3.8695 | 4.1278 | 3.8835 | 90.0 | 119.6 | 90.0 |
| A7--alpha-As | box | -3.1046 | -3.1046 | 3.427 | 3.427 | 9.0029 | 90.0 | 90.0 | 120.0 |
| A4--C--dc | static | -2.7063 | -2.7063 | 5.4137 | 5.4137 | 5.4137 | 90.0 | 90.0 | 90.0 |
| oqmd-21731 | box | 0.0 | 0.0 | 5.3004 | 5.3004 | 15.9494 | 90.0 | 90.0 | 90.0 |
Download raw data (including filtered results)
Reference structure matches:
| prototype | method | Ecoh (eV/atom) | Epot (eV/atom) | a0 (Å) | b0 (Å) | c0 (Å) | α (degrees) | β (degrees) | γ (degrees) |
|---|---|---|---|---|---|---|---|---|---|
| mp-1224697 | dynamic | -4.1292 | -4.1414 | 2.5216 | 2.5216 | 5.9631 | 90.0 | 90.0 | 120.0 |
| mp-1077745 | dynamic | -3.9467 | -3.9589 | 6.425 | 6.425 | 6.425 | 90.0 | 90.0 | 90.0 |
| C1--CaF2--fluorite | static | -3.724 | -3.7362 | 5.5061 | 5.5061 | 5.5061 | 90.0 | 90.0 | 90.0 |
| mp-1224697 | box | -3.4834 | -3.4956 | 3.3648 | 3.3648 | 4.1173 | 90.0 | 90.0 | 120.0 |
| oqmd-1232964 | box | -3.076 | -3.0881 | 5.3525 | 5.3525 | 3.4636 | 90.0 | 90.0 | 90.0 |
| oqmd-1236414 | static | -2.1867 | -2.1989 | 10.8719 | 10.8719 | 10.8719 | 90.0 | 90.0 | 90.0 |
| C1--CaF2--fluorite | static | -0.0 | -0.0122 | 12.7014 | 12.7014 | 12.7014 | 90.0 | 90.0 | 90.0 |
| C1--CaF2--fluorite | dynamic | -0.0 | -0.0122 | 13.3152 | 13.3152 | 13.3152 | 90.0 | 90.0 | 90.0 |
| C1--CaF2--fluorite | static | 3.7057 | 3.6935 | 3.8561 | 3.8561 | 3.8561 | 90.0 | 90.0 | 90.0 |
Download raw data (including filtered results)
Reference structure matches:
| prototype | method | Ecoh (eV/atom) | Epot (eV/atom) | a0 (Å) | b0 (Å) | c0 (Å) | α (degrees) | β (degrees) | γ (degrees) |
|---|---|---|---|---|---|---|---|---|---|
| oqmd-427042 | box | -3.8009 | -3.8228 | 6.2233 | 6.2233 | 11.6097 | 90.0 | 90.0 | 120.0 |
Download raw data (including filtered results)
Reference structure matches:
D0_3--BiF3 = mp-1007853, oqmd-312075
L1_2--AuCu3 = mp-999189, oqmd-343549
| prototype | method | Ecoh (eV/atom) | Epot (eV/atom) | a0 (Å) | b0 (Å) | c0 (Å) | α (degrees) | β (degrees) | γ (degrees) |
|---|---|---|---|---|---|---|---|---|---|
| A15--Cr3Si | dynamic | -4.1806 | -4.1897 | 4.4826 | 4.4826 | 4.4826 | 90.0 | 90.0 | 90.0 |
| L1_2--AuCu3 | dynamic | -4.1728 | -4.1819 | 3.482 | 3.482 | 3.482 | 90.0 | 90.0 | 90.0 |
| mp-1224780 | dynamic | -4.1701 | -4.1792 | 2.985 | 3.8857 | 7.8317 | 90.0 | 90.0 | 90.0 |
| mp-1224780 | box | -4.1645 | -4.1736 | 2.9647 | 3.9121 | 7.8073 | 90.0 | 90.0 | 90.0 |
| oqmd-319063 | dynamic | -4.1461 | -4.1552 | 4.9157 | 4.9157 | 4.0817 | 90.0 | 90.0 | 120.0 |
| oqmd-319063 | box | -4.1461 | -4.1552 | 4.916 | 4.916 | 4.0821 | 90.0 | 90.0 | 120.0 |
| oqmd-301533 | static | -4.1339 | -4.143 | 3.4293 | 3.4293 | 7.3667 | 90.0 | 90.0 | 90.0 |
| D0_3--BiF3 | static | -4.125 | -4.1341 | 5.6104 | 5.6104 | 5.6104 | 90.0 | 90.0 | 90.0 |
| mp-1224827 | dynamic | -4.0948 | -4.1039 | 2.534 | 2.534 | 24.1654 | 90.0 | 90.0 | 120.0 |
| mp-1224827 | static | -4.0948 | -4.1039 | 2.534 | 2.534 | 24.1651 | 90.0 | 90.0 | 120.0 |
| mp-1224827 | box | -4.0822 | -4.0913 | 2.5333 | 2.5333 | 23.9472 | 90.0 | 90.0 | 120.0 |
| D0_3--BiF3 | static | -0.9694 | -0.9785 | 4.105 | 4.105 | 4.105 | 90.0 | 90.0 | 90.0 |
| A15--Cr3Si | static | -0.8369 | -0.846 | 3.2688 | 3.2688 | 3.2688 | 90.0 | 90.0 | 90.0 |
| L1_2--AuCu3 | static | -0.738 | -0.7471 | 2.5884 | 2.5884 | 2.5884 | 90.0 | 90.0 | 90.0 |
| A15--Cr3Si | static | -0.0007 | -0.0098 | 9.4262 | 9.4262 | 9.4262 | 90.0 | 90.0 | 90.0 |
| L1_2--AuCu3 | static | -0.0 | -0.0091 | 7.778 | 7.778 | 7.778 | 90.0 | 90.0 | 90.0 |
| D0_3--BiF3 | static | -0.0 | -0.0091 | 12.7014 | 12.7014 | 12.7014 | 90.0 | 90.0 | 90.0 |
| D0_3--BiF3 | dynamic | -0.0 | -0.0091 | 13.2115 | 13.2115 | 13.2115 | 90.0 | 90.0 | 90.0 |
| L1_2--AuCu3 | dynamic | 0.0 | -0.0091 | 8.4624 | 8.4624 | 8.4624 | 90.0 | 90.0 | 90.0 |
Download raw data (including filtered results)
Reference structure matches:
| prototype | method | Ecoh (eV/atom) | Epot (eV/atom) | a0 (Å) | b0 (Å) | c0 (Å) | α (degrees) | β (degrees) | γ (degrees) |
|---|---|---|---|---|---|---|---|---|---|
| mp-1225009 | dynamic | -4.2668 | -4.2814 | 2.5007 | 2.5007 | 16.903 | 90.0 | 90.0 | 90.0 |
| mp-1225009 | box | -4.2604 | -4.275 | 2.9389 | 2.9389 | 12.6885 | 90.0 | 90.0 | 90.0 |
Download raw data (including filtered results)
Reference structure matches:
B1--NaCl--rock-salt = oqmd-1105634
B2--CsCl = oqmd-306449
B3--ZnS--cubic-zinc-blende = oqmd-1222507
L1_0--AuCu = mp-2213, oqmd-17225, oqmd-30230, oqmd-337991
| prototype | method | Ecoh (eV/atom) | Epot (eV/atom) | a0 (Å) | b0 (Å) | c0 (Å) | α (degrees) | β (degrees) | γ (degrees) |
|---|---|---|---|---|---|---|---|---|---|
| L1_0--AuCu | static | -7.4594 | -7.4776 | 1.7411 | 1.7411 | 2.717 | 90.0 | 90.0 | 90.0 |
| L1_0--AuCu | static | -7.4594 | -7.4776 | 1.7412 | 1.7412 | 2.7168 | 90.0 | 90.0 | 90.0 |
| B2--CsCl | static | -5.8528 | -5.871 | 2.0355 | 2.0355 | 2.0355 | 90.0 | 90.0 | 90.0 |
| L1_0--AuCu | dynamic | -4.3406 | -4.3588 | 2.4733 | 2.4733 | 3.3736 | 90.0 | 90.0 | 90.0 |
| L1_0--AuCu | box | -4.3123 | -4.3306 | 2.9349 | 2.9349 | 2.5006 | 90.0 | 90.0 | 90.0 |
| oqmd-1220313 | box | -4.3008 | -4.3191 | 4.0259 | 2.4736 | 4.1721 | 90.0 | 90.0 | 90.0 |
| B2--CsCl | box | -4.2828 | -4.301 | 2.7873 | 2.7873 | 2.7873 | 90.0 | 90.0 | 90.0 |
| oqmd-327533 | dynamic | -4.1734 | -4.1916 | 2.4925 | 2.4925 | 11.8382 | 90.0 | 90.0 | 120.0 |
| oqmd-1229478 | dynamic | -4.1658 | -4.1841 | 2.4895 | 2.4895 | 3.9602 | 90.0 | 90.0 | 120.0 |
| B1--NaCl--rock-salt | static | -3.7291 | -3.7474 | 4.7583 | 4.7583 | 4.7583 | 90.0 | 90.0 | 90.0 |
| oqmd-1225992 | static | -3.1806 | -3.1988 | 4.0837 | 4.0837 | 4.7385 | 90.0 | 90.0 | 120.0 |
| B4--ZnS--wurtzite | box | -2.867 | -2.8852 | 3.7886 | 3.7886 | 6.2762 | 90.0 | 90.0 | 120.0 |
| B3--ZnS--cubic-zinc-blende | static | -2.8575 | -2.8757 | 5.3593 | 5.3593 | 5.3593 | 90.0 | 90.0 | 90.0 |
| B1--NaCl--rock-salt | static | -0.6691 | -0.6873 | 3.283 | 3.283 | 3.283 | 90.0 | 90.0 | 90.0 |
| L1_0--AuCu | static | -0.0 | -0.0182 | 5.7069 | 5.7069 | 7.4737 | 90.0 | 90.0 | 90.0 |
| B2--CsCl | static | -0.0 | -0.0182 | 6.3507 | 6.3507 | 6.3507 | 90.0 | 90.0 | 90.0 |
| L1_0--AuCu | box | -0.0 | -0.0182 | 5.7069 | 5.7069 | 7.4738 | 90.0 | 90.0 | 90.0 |
| B1--NaCl--rock-salt | static | -0.0 | -0.0182 | 10.9998 | 10.9998 | 10.9998 | 90.0 | 90.0 | 90.0 |
| B3--ZnS--cubic-zinc-blende | static | -0.0 | -0.0182 | 12.7014 | 12.7014 | 12.7014 | 90.0 | 90.0 | 90.0 |
| B4--ZnS--wurtzite | static | -0.0 | -0.0182 | 8.9863 | 8.9863 | 14.6742 | 90.0 | 90.0 | 120.0 |
| B1--NaCl--rock-salt | dynamic | -0.0 | -0.0182 | 11.6672 | 11.6672 | 11.6672 | 90.0 | 90.0 | 90.0 |
| B3--ZnS--cubic-zinc-blende | dynamic | -0.0 | -0.0182 | 13.4354 | 13.4354 | 13.4354 | 90.0 | 90.0 | 90.0 |
| B4--ZnS--wurtzite | dynamic | 0.0 | -0.0182 | 8.9863 | 8.9863 | 19.0655 | 90.0 | 90.0 | 120.0 |
| L1_0--AuCu | dynamic | 0.0 | -0.0182 | 6.3593 | 6.3593 | 8.8 | 90.0 | 90.0 | 90.0 |
| B2--CsCl | dynamic | 0.0 | -0.0182 | 7.2131 | 7.2131 | 7.2131 | 90.0 | 90.0 | 90.0 |
| B4--ZnS--wurtzite | static | 9.2447 | 9.2265 | 2.3758 | 2.3758 | 3.9379 | 90.0 | 90.0 | 120.0 |
| B4--ZnS--wurtzite | static | 9.247 | 9.2288 | 2.3788 | 2.3788 | 3.929 | 90.0 | 90.0 | 120.0 |
| B3--ZnS--cubic-zinc-blende | static | 10.9255 | 10.9073 | 3.3776 | 3.3776 | 3.3776 | 90.0 | 90.0 | 90.0 |
Download raw data (including filtered results)
Reference structure matches:
| prototype | method | Ecoh (eV/atom) | Epot (eV/atom) | a0 (Å) | b0 (Å) | c0 (Å) | α (degrees) | β (degrees) | γ (degrees) |
|---|---|---|---|---|---|---|---|---|---|
| mp-1072076 | static | -4.095 | -4.1193 | 6.4919 | 6.4919 | 6.4919 | 90.0 | 90.0 | 90.0 |
| C1--CaF2--fluorite | static | -3.7706 | -3.7949 | 5.4675 | 5.4675 | 5.4675 | 90.0 | 90.0 | 90.0 |
| C1--CaF2--fluorite | static | -2.9661 | -2.9904 | 3.7099 | 3.7099 | 3.7099 | 90.0 | 90.0 | 90.0 |
| oqmd-1236413 | static | -2.1001 | -2.1244 | 10.7475 | 10.7475 | 10.7475 | 90.0 | 90.0 | 90.0 |
| C1--CaF2--fluorite | static | -0.0 | -0.0243 | 12.7014 | 12.7014 | 12.7014 | 90.0 | 90.0 | 90.0 |
| C1--CaF2--fluorite | dynamic | -0.0 | -0.0243 | 13.3152 | 13.3152 | 13.3152 | 90.0 | 90.0 | 90.0 |
| oqmd-1236413 | box | 0.0033 | -0.021 | 22.1692 | 22.1692 | 22.1692 | 90.0 | 90.0 | 90.0 |
Download raw data (including filtered results)
Reference structure matches:
D0_3--BiF3 = mp-1007854, oqmd-308521
L1_2--AuCu3 = mp-1418, oqmd-7241, oqmd-347103
| prototype | method | Ecoh (eV/atom) | Epot (eV/atom) | a0 (Å) | b0 (Å) | c0 (Å) | α (degrees) | β (degrees) | γ (degrees) |
|---|---|---|---|---|---|---|---|---|---|
| L1_2--AuCu3 | static | -13.9486 | -13.976 | 2.5117 | 2.5117 | 2.5117 | 90.0 | 90.0 | 90.0 |
| A15--Cr3Si | static | -13.3417 | -13.369 | 3.1687 | 3.1687 | 3.1687 | 90.0 | 90.0 | 90.0 |
| D0_3--BiF3 | static | -11.4032 | -11.4305 | 3.9609 | 3.9609 | 3.9609 | 90.0 | 90.0 | 90.0 |
| L1_2--AuCu3 | dynamic | -4.4135 | -4.4408 | 3.4613 | 3.4613 | 3.4613 | 90.0 | 90.0 | 90.0 |
| oqmd-322617 | dynamic | -4.3769 | -4.4043 | 4.8887 | 4.8887 | 4.0293 | 90.0 | 90.0 | 120.0 |
| oqmd-322617 | box | -4.3755 | -4.4028 | 4.8896 | 4.8896 | 4.027 | 90.0 | 90.0 | 120.0 |
| mp-1007855 | dynamic | -4.3643 | -4.3917 | 3.4413 | 3.4413 | 7.0906 | 90.0 | 90.0 | 90.0 |
| mp-1079337 | dynamic | -4.3365 | -4.3638 | 4.0405 | 4.8648 | 4.2919 | 90.0 | 90.0 | 90.0 |
| mp-1079337 | box | -4.3296 | -4.3569 | 4.0306 | 4.8946 | 4.2571 | 90.0 | 90.0 | 90.0 |
| mp-1225078 | dynamic | -4.3093 | -4.3366 | 2.4942 | 2.4942 | 23.906 | 90.0 | 90.0 | 120.0 |
| mp-1225078 | box | -4.3083 | -4.3356 | 2.4943 | 2.4943 | 23.8631 | 90.0 | 90.0 | 120.0 |
| A15--Cr3Si | dynamic | -4.2472 | -4.2745 | 4.4732 | 4.4732 | 4.4732 | 90.0 | 90.0 | 90.0 |
| D0_3--BiF3 | static | -4.2446 | -4.2719 | 5.569 | 5.569 | 5.569 | 90.0 | 90.0 | 90.0 |
| L1_2--AuCu3 | static | -0.0 | -0.0273 | 7.778 | 7.778 | 7.778 | 90.0 | 90.0 | 90.0 |
| D0_3--BiF3 | static | -0.0 | -0.0273 | 12.7014 | 12.7014 | 12.7014 | 90.0 | 90.0 | 90.0 |
| L1_2--AuCu3 | dynamic | -0.0 | -0.0273 | 8.4624 | 8.4624 | 8.4624 | 90.0 | 90.0 | 90.0 |
| D0_3--BiF3 | dynamic | 0.0 | -0.0273 | 13.2115 | 13.2115 | 13.2115 | 90.0 | 90.0 | 90.0 |
Download raw data (including filtered results)
Reference structure matches:
A1--Cu--fcc = mp-23, oqmd-676148, oqmd-1214550
A15--beta-W = oqmd-1214995, oqmd-1280360
A2--W--bcc = mp-1008728, oqmd-22516, oqmd-1215173
A3'--alpha-La--double-hcp = oqmd-1215441
A3--Mg--hcp = mp-10257, oqmd-677944, oqmd-1215351
A4--C--dc = oqmd-1215530
A5--beta-Sn = oqmd-1215619
A6--In--bct = oqmd-1215708
| prototype | method | Ecoh (eV/atom) | Epot (eV/atom) | a0 (Å) | b0 (Å) | c0 (Å) | α (degrees) | β (degrees) | γ (degrees) |
|---|---|---|---|---|---|---|---|---|---|
| A3--Mg--hcp | static | -23.0018 | -23.0382 | 1.7411 | 1.7411 | 2.8496 | 90.0 | 90.0 | 120.0 |
| A1--Cu--fcc | static | -22.9988 | -23.0353 | 2.4641 | 2.4641 | 2.4641 | 90.0 | 90.0 | 90.0 |
| A3'--alpha-La--double-hcp | static | -22.9596 | -22.996 | 1.7453 | 1.7453 | 5.6703 | 90.0 | 90.0 | 120.0 |
| A2--W--bcc | static | -22.9035 | -22.94 | 1.9557 | 1.9557 | 1.9557 | 90.0 | 90.0 | 90.0 |
| A15--beta-W | static | -21.3072 | -21.3436 | 3.1076 | 3.1076 | 3.1076 | 90.0 | 90.0 | 90.0 |
| A5--beta-Sn | static | -19.7316 | -19.768 | 3.0498 | 3.0498 | 1.6355 | 90.0 | 90.0 | 90.0 |
| Ah--alpha-Po--sc | static | -17.7809 | -17.8173 | 1.5668 | 1.5668 | 1.5668 | 90.0 | 90.0 | 90.0 |
| A1--Cu--fcc | dynamic | -4.4138 | -4.4503 | 3.52 | 3.52 | 3.52 | 90.0 | 90.0 | 90.0 |
| A3'--alpha-La--double-hcp | dynamic | -4.4089 | -4.4453 | 2.4873 | 2.4873 | 8.1718 | 90.0 | 90.0 | 120.0 |
| oqmd-1216067 | dynamic | -4.4074 | -4.4439 | 2.4867 | 2.4867 | 18.4268 | 90.0 | 90.0 | 120.0 |
| A3--Mg--hcp | dynamic | -4.4045 | -4.441 | 2.4855 | 2.4855 | 4.1096 | 90.0 | 90.0 | 120.0 |
| oqmd-1215262 | box | -4.404 | -4.4404 | 2.4787 | 4.3167 | 4.1104 | 90.0 | 90.0 | 90.0 |
| A4--C--dc | static | -4.4011 | -4.4376 | 3.1982 | 3.1982 | 3.1982 | 90.0 | 90.0 | 90.0 |
| A2--W--bcc | static | -4.3374 | -4.3739 | 2.812 | 2.812 | 2.812 | 90.0 | 90.0 | 90.0 |
| oqmd-1214906 | dynamic | -4.3262 | -4.3627 | 6.093 | 6.093 | 6.093 | 90.0 | 90.0 | 90.0 |
| oqmd-1214906 | box | -4.3248 | -4.3613 | 6.092 | 6.092 | 6.092 | 90.0 | 90.0 | 90.0 |
| oqmd-1214817 | dynamic | -4.3173 | -4.3538 | 8.6877 | 8.6877 | 8.6877 | 90.0 | 90.0 | 90.0 |
| oqmd-1214817 | box | -4.3141 | -4.3506 | 8.6852 | 8.6852 | 8.6852 | 90.0 | 90.0 | 90.0 |
| A15--beta-W | static | -4.2817 | -4.3182 | 4.4904 | 4.4904 | 4.4904 | 90.0 | 90.0 | 90.0 |
| oqmd-1215084 | box | -4.2178 | -4.2543 | 2.4895 | 4.2316 | 9.0083 | 90.0 | 90.0 | 90.0 |
| oqmd-1214728 | box | -4.1214 | -4.1579 | 2.4244 | 2.4244 | 8.3751 | 90.0 | 90.0 | 90.0 |
| A5--beta-Sn | static | -4.0191 | -4.0555 | 4.5769 | 4.5769 | 2.4183 | 90.0 | 90.0 | 90.0 |
| mp-1014111 | dynamic | -3.8731 | -3.9096 | 2.4596 | 2.4596 | 13.5228 | 90.0 | 90.0 | 120.0 |
| mp-1014111 | static | -3.8731 | -3.9096 | 2.4596 | 2.4596 | 13.526 | 90.0 | 90.0 | 120.0 |
| Ah--alpha-Po--sc | static | -3.8721 | -3.9085 | 2.3657 | 2.3657 | 2.3657 | 90.0 | 90.0 | 90.0 |
| A7--alpha-As | box | -3.4432 | -3.4796 | 3.1599 | 3.1599 | 10.266 | 90.0 | 90.0 | 120.0 |
| oqmd-1215975 | static | -3.4012 | -3.4376 | 3.9555 | 3.9555 | 4.4131 | 90.0 | 90.0 | 120.0 |
| A4--C--dc | static | -2.9388 | -2.9752 | 5.1966 | 5.1966 | 5.1966 | 90.0 | 90.0 | 90.0 |
Static elastic constants are displayed for the unique structures identified in Crystal Structure Predictions above. The values displayed here are obtained by measuring the change in virial stresses due to applying small strains to the relaxed crystals. The initial structure and the strained states are all relaxed using force minimization.
The calculation method used is available as the iprPy elastic_constants_static calculation method.
Notes and Disclaimers:
Version Information:
| 68.015 | 40.322 | 40.322 | 0.000 | 0.000 | 0.000 |
| 40.322 | 68.015 | 40.322 | 0.000 | 0.000 | 0.000 |
| 40.322 | 40.322 | 68.015 | 0.000 | 0.000 | 0.000 |
| -0.000 | 0.000 | 0.000 | 9.654 | 0.000 | 0.000 |
| 0.000 | 0.000 | 0.000 | 0.000 | 9.654 | 0.000 |
| 0.000 | 0.000 | -0.000 | 0.000 | 0.000 | 9.654 |
| 68.015 | 40.322 | 40.322 | -0.000 | -0.000 | -0.000 |
| 40.322 | 68.015 | 40.322 | -0.000 | -0.000 | -0.000 |
| 40.322 | 40.322 | 68.015 | -0.000 | -0.000 | -0.000 |
| 0.000 | -0.000 | -0.000 | 9.654 | -0.000 | -0.000 |
| -0.000 | -0.000 | -0.000 | -0.000 | 9.654 | -0.000 |
| -0.000 | -0.000 | 0.000 | -0.000 | -0.000 | 9.654 |
| 68.015 | 40.322 | 40.322 | 0.000 | 0.000 | 0.000 |
| 40.322 | 68.015 | 40.322 | 0.000 | 0.000 | 0.000 |
| 40.322 | 40.322 | 68.015 | 0.000 | 0.000 | 0.000 |
| -0.000 | 0.000 | 0.000 | 9.654 | 0.000 | 0.000 |
| 0.000 | -0.000 | 0.000 | 0.000 | 9.654 | 0.000 |
| 0.000 | 0.000 | -0.000 | 0.000 | 0.000 | 9.654 |
| 68.015 | 40.322 | 40.322 | -0.000 | -0.000 | -0.000 |
| 40.322 | 68.015 | 40.322 | -0.000 | -0.000 | -0.000 |
| 40.322 | 40.322 | 68.015 | -0.000 | -0.000 | -0.000 |
| 0.000 | -0.000 | -0.000 | 9.654 | -0.000 | -0.000 |
| -0.000 | 0.000 | -0.000 | -0.000 | 9.654 | -0.000 |
| -0.000 | -0.000 | 0.000 | -0.000 | -0.000 | 9.654 |
| 68.015 | 40.323 | 40.323 | 0.000 | 0.000 | 0.000 |
| 40.323 | 68.015 | 40.323 | 0.000 | 0.000 | 0.000 |
| 40.323 | 40.323 | 68.015 | 0.000 | 0.000 | 0.000 |
| -0.000 | 0.001 | 0.001 | 9.654 | 0.000 | 0.000 |
| 0.001 | -0.000 | 0.001 | 0.000 | 9.654 | 0.000 |
| 0.001 | 0.001 | -0.000 | 0.000 | 0.000 | 9.654 |
| 68.016 | 40.321 | 40.321 | -0.000 | -0.000 | -0.000 |
| 40.321 | 68.016 | 40.321 | -0.000 | -0.000 | -0.000 |
| 40.321 | 40.321 | 68.016 | -0.000 | -0.000 | -0.000 |
| 0.000 | -0.001 | -0.001 | 9.654 | -0.000 | -0.000 |
| -0.001 | 0.000 | -0.001 | -0.000 | 9.654 | -0.000 |
| -0.001 | -0.001 | 0.000 | -0.000 | -0.000 | 9.654 |
| 280.313 | 62.157 | 62.157 | 0.000 | 0.000 | -0.000 |
| 62.157 | 280.313 | 62.157 | 0.000 | 0.000 | -0.000 |
| 62.157 | 62.157 | 280.313 | -0.000 | 0.000 | -0.000 |
| 0.000 | 0.000 | -0.000 | 31.095 | -0.000 | -0.000 |
| 0.000 | 0.000 | -0.000 | -0.000 | 31.095 | -0.000 |
| 0.000 | 0.000 | -0.000 | 0.000 | 0.000 | 31.095 |
| 280.666 | 61.981 | 61.981 | 0.000 | -0.000 | 0.000 |
| 61.981 | 280.666 | 61.981 | -0.000 | 0.000 | 0.000 |
| 61.981 | 61.981 | 280.666 | 0.000 | 0.000 | 0.000 |
| -0.000 | -0.000 | 0.000 | 31.095 | 0.000 | 0.000 |
| -0.000 | -0.000 | 0.000 | -0.000 | 31.095 | 0.000 |
| -0.000 | -0.000 | 0.000 | -0.000 | -0.000 | 31.095 |
| 280.666 | 61.981 | 61.981 | 0.000 | 0.000 | -0.000 |
| 61.981 | 280.666 | 61.981 | -0.000 | 0.000 | -0.000 |
| 61.981 | 61.981 | 280.666 | 0.000 | -0.000 | -0.000 |
| 0.000 | 0.000 | 0.000 | 33.319 | -0.000 | 0.000 |
| 0.000 | 0.000 | 0.000 | 0.000 | 33.319 | -0.000 |
| 0.000 | 0.000 | 0.000 | 0.000 | -0.000 | 33.319 |
| 280.313 | 62.157 | 62.157 | -0.000 | -0.000 | 0.000 |
| 62.157 | 280.313 | 62.157 | -0.000 | -0.000 | 0.000 |
| 62.157 | 62.157 | 280.313 | -0.000 | -0.000 | 0.000 |
| -0.000 | -0.000 | -0.000 | 33.319 | 0.000 | 0.000 |
| -0.000 | -0.000 | -0.000 | 0.000 | 33.319 | 0.000 |
| -0.000 | -0.000 | -0.000 | -0.000 | -0.000 | 33.319 |
| 280.669 | 61.981 | 61.981 | 0.000 | 0.000 | -0.000 |
| 61.981 | 280.669 | 61.981 | 0.000 | -0.000 | -0.000 |
| 61.981 | 61.981 | 280.669 | 0.000 | 0.000 | 0.000 |
| 0.000 | 0.000 | 0.000 | 31.095 | -0.000 | -0.000 |
| 0.000 | 0.000 | 0.000 | 0.000 | 31.095 | -0.000 |
| 0.000 | 0.000 | 0.000 | -0.000 | 0.000 | 31.095 |
| 280.663 | 61.980 | 61.980 | -0.000 | -0.000 | 0.000 |
| 61.980 | 280.663 | 61.980 | -0.000 | -0.000 | 0.000 |
| 61.980 | 61.980 | 280.663 | -0.000 | -0.000 | 0.000 |
| -0.000 | -0.000 | -0.000 | 31.095 | 0.000 | 0.000 |
| -0.000 | -0.000 | -0.000 | 0.000 | 31.095 | 0.000 |
| -0.000 | -0.000 | -0.000 | -0.000 | -0.000 | 31.095 |
| 243.359 | 145.009 | 145.009 | -0.000 | 0.000 | -0.000 |
| 145.009 | 243.359 | 145.009 | 0.000 | 0.000 | -0.000 |
| 145.009 | 145.009 | 243.359 | -0.000 | 0.000 | -0.000 |
| -0.000 | 0.000 | 0.000 | 116.037 | 0.000 | 0.000 |
| -0.000 | 0.000 | 0.000 | 0.000 | 116.037 | -0.000 |
| -0.000 | 0.000 | 0.000 | 0.000 | 0.000 | 116.037 |
| 243.359 | 145.009 | 145.009 | -0.000 | -0.000 | 0.000 |
| 145.009 | 243.359 | 145.009 | -0.000 | -0.000 | -0.000 |
| 145.009 | 145.009 | 243.359 | 0.000 | 0.000 | -0.000 |
| 0.000 | -0.000 | -0.000 | 116.037 | -0.000 | 0.000 |
| 0.000 | -0.000 | -0.000 | -0.000 | 116.037 | 0.000 |
| 0.000 | -0.000 | -0.000 | -0.000 | -0.000 | 116.037 |
| 243.359 | 145.009 | 145.009 | 0.000 | 0.000 | -0.000 |
| 145.009 | 243.359 | 145.009 | -0.000 | 0.000 | 0.000 |
| 145.009 | 145.009 | 243.359 | -0.000 | 0.000 | -0.000 |
| -0.000 | -0.000 | 0.000 | 116.037 | 0.000 | -0.000 |
| -0.000 | 0.000 | 0.000 | 0.000 | 116.037 | -0.000 |
| -0.000 | 0.000 | -0.000 | 0.000 | 0.000 | 116.037 |
| 243.359 | 145.009 | 145.009 | 0.000 | -0.000 | -0.000 |
| 145.009 | 243.359 | 145.009 | -0.000 | -0.000 | 0.000 |
| 145.009 | 145.009 | 243.359 | 0.000 | -0.000 | 0.000 |
| 0.000 | 0.000 | -0.000 | 116.037 | -0.000 | 0.000 |
| 0.000 | -0.000 | -0.000 | 0.000 | 116.037 | -0.000 |
| 0.000 | -0.000 | -0.000 | -0.000 | -0.000 | 116.037 |
| 243.359 | 145.009 | 145.009 | 0.000 | 0.000 | 0.000 |
| 145.009 | 243.359 | 145.009 | 0.000 | 0.000 | 0.000 |
| 145.009 | 145.009 | 243.359 | 0.000 | 0.000 | -0.000 |
| -0.000 | -0.000 | 0.000 | 116.037 | 0.000 | -0.000 |
| -0.000 | -0.000 | 0.000 | 0.000 | 116.037 | -0.000 |
| -0.000 | 0.000 | -0.000 | 0.000 | 0.000 | 116.037 |
| 243.360 | 145.009 | 145.009 | -0.000 | -0.000 | 0.000 |
| 145.009 | 243.360 | 145.009 | -0.000 | -0.000 | 0.000 |
| 145.009 | 145.009 | 243.360 | 0.000 | -0.000 | -0.000 |
| 0.000 | 0.000 | -0.000 | 116.037 | -0.000 | 0.000 |
| 0.000 | 0.000 | -0.000 | -0.000 | 116.037 | 0.000 |
| 0.000 | -0.000 | 0.000 | -0.000 | -0.000 | 116.037 |
| 48.474 | 36.691 | 58.213 | 0.000 | 0.000 | 0.000 |
| 36.691 | 48.474 | 58.213 | -0.000 | 0.000 | 0.000 |
| 58.213 | 58.213 | 108.020 | -0.000 | -0.000 | 0.000 |
| 0.000 | -0.000 | 0.000 | 27.465 | 0.000 | -0.000 |
| -0.000 | -0.000 | 0.000 | -0.000 | 27.465 | 0.000 |
| -0.000 | -0.000 | -0.000 | 0.000 | 0.000 | 5.891 |
| 48.376 | 36.790 | 58.213 | 0.000 | -0.000 | -0.000 |
| 36.691 | 48.474 | 58.213 | 0.000 | -0.000 | -0.000 |
| 58.213 | 58.213 | 108.020 | 0.000 | -0.000 | 0.000 |
| -0.000 | 0.000 | -0.000 | 27.465 | -0.000 | -0.000 |
| 0.000 | 0.000 | -0.000 | 0.000 | 27.465 | -0.000 |
| 0.000 | 0.000 | 0.000 | 0.000 | -0.000 | 5.891 |
| 48.376 | 36.790 | 58.213 | -0.000 | 0.000 | 0.000 |
| 36.790 | 48.376 | 58.213 | -0.000 | 0.000 | 0.000 |
| 58.214 | 58.214 | 108.020 | -0.000 | 0.000 | 0.000 |
| -0.000 | -0.000 | 0.000 | 27.465 | 0.000 | 0.000 |
| -0.000 | -0.000 | 0.000 | -0.000 | 27.465 | 0.000 |
| -0.000 | -0.000 | -0.000 | -0.000 | 0.000 | 5.891 |
| 48.475 | 36.691 | 58.213 | 0.000 | -0.000 | 0.000 |
| 36.790 | 48.376 | 58.213 | 0.000 | -0.000 | -0.000 |
| 58.213 | 58.213 | 108.020 | 0.000 | 0.000 | -0.000 |
| 0.000 | 0.000 | -0.000 | 27.465 | -0.000 | -0.000 |
| 0.000 | 0.000 | -0.000 | 0.000 | 27.465 | -0.000 |
| 0.000 | 0.000 | 0.000 | 0.000 | -0.000 | 5.891 |
| 48.374 | 36.789 | 58.213 | -0.000 | 0.000 | 0.000 |
| 36.789 | 48.374 | 58.213 | -0.000 | 0.000 | 0.000 |
| 58.214 | 58.214 | 108.023 | 0.000 | -0.000 | 0.000 |
| -0.000 | -0.000 | 0.000 | 27.465 | 0.000 | 0.000 |
| -0.000 | -0.000 | 0.000 | -0.000 | 27.465 | 0.000 |
| -0.000 | -0.000 | -0.000 | -0.000 | 0.000 | 5.891 |
| 48.476 | 36.692 | 58.213 | 0.000 | 0.000 | -0.000 |
| 36.790 | 48.378 | 58.214 | 0.000 | -0.000 | -0.000 |
| 58.213 | 58.213 | 108.018 | 0.000 | -0.000 | -0.000 |
| 0.000 | 0.000 | -0.000 | 27.465 | -0.000 | -0.000 |
| 0.000 | 0.000 | -0.000 | 0.000 | 27.465 | -0.000 |
| 0.000 | 0.000 | 0.000 | 0.000 | -0.000 | 5.891 |
| 64.396 | 42.050 | 65.558 | 0.000 | -0.000 | -0.000 |
| 42.050 | 64.396 | 65.558 | 0.000 | -0.000 | -0.000 |
| 65.558 | 65.558 | 138.771 | -0.000 | -0.000 | -0.000 |
| -0.000 | -0.000 | 0.000 | 34.743 | -0.000 | -0.000 |
| -0.000 | -0.000 | 0.000 | 0.000 | 34.743 | -0.000 |
| -0.000 | -0.000 | -0.000 | 0.000 | 0.000 | 11.173 |
| 64.396 | 42.050 | 65.558 | -0.000 | 0.000 | 0.000 |
| 42.050 | 64.396 | 65.558 | -0.000 | -0.000 | 0.000 |
| 65.558 | 65.558 | 138.771 | -0.000 | 0.000 | 0.000 |
| 0.000 | 0.000 | -0.000 | 34.743 | -0.000 | 0.000 |
| 0.000 | 0.000 | -0.000 | -0.000 | 34.743 | 0.000 |
| 0.000 | 0.000 | 0.000 | -0.000 | 0.000 | 11.173 |
| 64.396 | 42.050 | 65.558 | 0.000 | -0.000 | -0.000 |
| 42.256 | 64.190 | 65.558 | 0.000 | -0.000 | -0.000 |
| 65.558 | 65.558 | 138.771 | 0.000 | -0.000 | -0.000 |
| -0.000 | -0.000 | 0.000 | 34.743 | -0.000 | -0.000 |
| -0.000 | -0.000 | 0.000 | 0.000 | 34.743 | -0.000 |
| -0.000 | -0.000 | -0.000 | 0.000 | -0.000 | 11.173 |
| 64.190 | 42.256 | 65.558 | -0.000 | 0.000 | 0.000 |
| 42.256 | 64.190 | 65.558 | -0.000 | 0.000 | 0.000 |
| 65.558 | 65.558 | 138.771 | -0.000 | 0.000 | 0.000 |
| 0.000 | 0.000 | -0.000 | 34.743 | 0.000 | 0.000 |
| 0.000 | 0.000 | -0.000 | -0.000 | 34.743 | 0.000 |
| 0.000 | 0.000 | 0.000 | -0.000 | 0.000 | 11.173 |
| 64.394 | 42.050 | 65.558 | 0.000 | -0.000 | -0.000 |
| 42.050 | 64.394 | 65.558 | 0.000 | -0.000 | -0.000 |
| 65.559 | 65.559 | 138.774 | 0.000 | -0.000 | -0.000 |
| -0.000 | -0.000 | 0.000 | 34.743 | 0.000 | -0.000 |
| -0.000 | -0.000 | 0.000 | 0.000 | 34.743 | 0.000 |
| -0.000 | -0.000 | -0.000 | 0.000 | -0.000 | 11.173 |
| 64.191 | 42.257 | 65.558 | -0.000 | 0.000 | 0.000 |
| 42.051 | 64.397 | 65.558 | -0.000 | 0.000 | 0.000 |
| 65.557 | 65.557 | 138.768 | -0.000 | 0.000 | 0.000 |
| 0.000 | 0.000 | -0.000 | 34.743 | 0.000 | 0.000 |
| 0.000 | 0.000 | -0.000 | -0.000 | 34.743 | 0.000 |
| 0.000 | 0.000 | 0.000 | -0.000 | 0.000 | 11.173 |
| 41.074 | 51.565 | 51.565 | -0.000 | 0.000 | -0.000 |
| 51.565 | 41.075 | 51.565 | -0.000 | -0.000 | -0.000 |
| 51.565 | 51.565 | 41.074 | 0.000 | -0.000 | -0.000 |
| -0.000 | 0.000 | -0.000 | -15.913 | -0.000 | -0.000 |
| -0.000 | 0.000 | -0.000 | -0.000 | -15.913 | -0.000 |
| -0.000 | 0.000 | -0.000 | -0.000 | -0.000 | -15.913 |
| 41.075 | 51.565 | 51.565 | 0.000 | 0.000 | 0.000 |
| 51.565 | 41.074 | 51.565 | -0.000 | 0.000 | 0.000 |
| 51.565 | 51.565 | 41.074 | 0.000 | 0.000 | 0.000 |
| 0.000 | -0.000 | 0.000 | -15.913 | 0.000 | 0.000 |
| 0.000 | -0.000 | 0.000 | -0.000 | -15.913 | 0.000 |
| 0.000 | -0.000 | 0.000 | 0.000 | 0.000 | -15.913 |
| 41.075 | 51.565 | 51.565 | 0.000 | 0.000 | -0.000 |
| 51.565 | 41.075 | 51.565 | 0.000 | -0.000 | -0.000 |
| 51.565 | 51.565 | 41.075 | -0.000 | -0.000 | -0.000 |
| 0.000 | 0.000 | 0.000 | 37.584 | -0.000 | -0.000 |
| 0.000 | 0.000 | 0.000 | -0.000 | 37.584 | -0.000 |
| 0.000 | 0.000 | 0.000 | -0.000 | -0.000 | 37.584 |
| 41.075 | 51.565 | 51.565 | 0.000 | 0.000 | 0.000 |
| 51.565 | 41.075 | 51.565 | -0.000 | 0.000 | 0.000 |
| 51.565 | 51.565 | 41.075 | 0.000 | 0.000 | 0.000 |
| -0.000 | -0.000 | -0.000 | 37.584 | 0.000 | 0.000 |
| -0.000 | -0.000 | -0.000 | 0.000 | 37.584 | 0.000 |
| -0.000 | -0.000 | -0.000 | 0.000 | 0.000 | 37.584 |
| 41.074 | 51.565 | 51.565 | 0.000 | -0.000 | -0.000 |
| 51.565 | 41.074 | 51.565 | -0.000 | -0.000 | -0.000 |
| 51.565 | 51.565 | 41.074 | -0.000 | -0.000 | -0.000 |
| -0.000 | -0.000 | -0.000 | -15.913 | -0.000 | -0.000 |
| -0.000 | -0.000 | -0.000 | -0.000 | -15.913 | -0.000 |
| -0.000 | -0.000 | -0.000 | 0.000 | -0.000 | -15.913 |
| 41.075 | 51.564 | 51.564 | -0.000 | 0.000 | 0.000 |
| 51.564 | 41.075 | 51.564 | -0.000 | 0.000 | 0.000 |
| 51.564 | 51.564 | 41.075 | 0.000 | 0.000 | 0.000 |
| 0.000 | 0.000 | 0.000 | -15.913 | 0.000 | 0.000 |
| 0.000 | 0.000 | 0.000 | 0.000 | -15.913 | 0.000 |
| 0.000 | 0.000 | 0.000 | 0.000 | 0.000 | -15.913 |
| 198.121 | -41.882 | 58.971 | 0.000 | -0.000 | -0.000 |
| -41.882 | 198.121 | 58.971 | -0.000 | -0.000 | -0.000 |
| 58.971 | 58.971 | 310.832 | 0.000 | 0.000 | -0.000 |
| -0.000 | -0.000 | 0.000 | 26.365 | -0.000 | -0.000 |
| -0.000 | -0.000 | 0.000 | -0.000 | 26.365 | -0.000 |
| -0.000 | -0.000 | -0.000 | -0.000 | -0.000 | -78.856 |
| 203.304 | -47.065 | 58.971 | 0.000 | 0.000 | 0.000 |
| -47.065 | 203.304 | 58.971 | -0.000 | 0.000 | 0.000 |
| 58.971 | 58.971 | 310.832 | 0.000 | -0.000 | 0.000 |
| 0.000 | 0.000 | -0.000 | 26.365 | 0.000 | 0.000 |
| 0.000 | 0.000 | 0.000 | 0.000 | 26.365 | 0.000 |
| 0.000 | 0.000 | 0.000 | -0.000 | -0.000 | -78.856 |
| 198.121 | -41.882 | 58.971 | 0.000 | -0.000 | -0.000 |
| -41.882 | 198.121 | 58.971 | 0.000 | -0.000 | -0.000 |
| 58.971 | 58.971 | 310.832 | 0.000 | 0.000 | -0.000 |
| -0.000 | -0.000 | -0.000 | 24.515 | 0.000 | -0.000 |
| -0.000 | -0.000 | -0.000 | -0.000 | 24.515 | -0.000 |
| -0.000 | -0.000 | -0.000 | -0.000 | 0.000 | -78.856 |
| 198.121 | -41.882 | 58.971 | 0.000 | 0.000 | 0.000 |
| -41.882 | 198.121 | 58.971 | -0.000 | -0.000 | 0.000 |
| 58.971 | 58.971 | 310.832 | -0.000 | 0.000 | 0.000 |
| 0.000 | 0.000 | 0.000 | 24.515 | -0.000 | -0.000 |
| 0.000 | 0.000 | 0.000 | -0.000 | 24.515 | 0.000 |
| 0.000 | 0.000 | 0.000 | 0.000 | -0.000 | -78.856 |
| 198.120 | -41.883 | 58.971 | -0.000 | -0.000 | -0.000 |
| -41.883 | 198.120 | 58.971 | 0.000 | -0.000 | -0.000 |
| 58.971 | 58.971 | 310.832 | 0.000 | -0.000 | -0.000 |
| -0.000 | -0.000 | -0.000 | 24.515 | 0.000 | -0.000 |
| -0.000 | -0.000 | -0.000 | -0.000 | 24.515 | -0.000 |
| -0.000 | -0.001 | -0.000 | -0.000 | -0.000 | -78.856 |
| 198.122 | -41.882 | 58.971 | -0.000 | 0.000 | 0.000 |
| -41.882 | 198.122 | 58.971 | -0.000 | 0.000 | 0.000 |
| 58.971 | 58.971 | 310.832 | 0.000 | -0.000 | 0.000 |
| 0.000 | 0.000 | 0.000 | 24.515 | 0.000 | -0.000 |
| 0.000 | 0.000 | 0.000 | -0.000 | 24.515 | -0.000 |
| 0.000 | 0.001 | 0.000 | 0.000 | -0.000 | -78.856 |
| 74.778 | 75.665 | 60.367 | 0.000 | -0.000 | -0.000 |
| 75.665 | 74.778 | 60.367 | -0.000 | 0.000 | -0.000 |
| 60.367 | 60.367 | 18.603 | 0.000 | 0.000 | 0.000 |
| 0.000 | 0.000 | 0.000 | 29.784 | 0.000 | -0.000 |
| 0.000 | 0.000 | 0.000 | -0.000 | 29.784 | -0.000 |
| -0.000 | -0.000 | 0.000 | 0.000 | 0.000 | 45.126 |
| 74.778 | 75.665 | 60.367 | 0.000 | -0.000 | -0.000 |
| 75.665 | 74.778 | 60.367 | 0.000 | -0.000 | 0.000 |
| 60.367 | 60.367 | 18.603 | -0.000 | -0.000 | 0.000 |
| -0.000 | -0.000 | -0.000 | 29.784 | -0.000 | -0.000 |
| -0.000 | -0.000 | -0.000 | -0.000 | 29.784 | 0.000 |
| 0.000 | 0.000 | -0.000 | -0.000 | -0.000 | 45.126 |
| 74.778 | 75.665 | 60.367 | 0.000 | 0.000 | -0.000 |
| 75.665 | 74.778 | 60.367 | 0.000 | 0.000 | 0.000 |
| 60.367 | 60.367 | 18.603 | 0.000 | 0.000 | -0.000 |
| 0.000 | 0.000 | 0.000 | 29.784 | 0.000 | 0.000 |
| 0.000 | 0.000 | 0.000 | -0.000 | 29.784 | -0.000 |
| -0.000 | -0.000 | 0.000 | 0.000 | 0.000 | 45.126 |
| 74.778 | 75.665 | 60.367 | -0.000 | -0.000 | 0.000 |
| 75.665 | 74.778 | 60.367 | 0.000 | -0.000 | 0.000 |
| 60.367 | 60.367 | 18.603 | -0.000 | -0.000 | -0.000 |
| -0.000 | -0.000 | -0.000 | 29.784 | -0.000 | 0.000 |
| -0.000 | -0.000 | -0.000 | -0.000 | 29.784 | 0.000 |
| 0.000 | 0.000 | -0.000 | 0.000 | -0.000 | 45.126 |
| 74.776 | 75.665 | 60.368 | 0.000 | 0.000 | -0.000 |
| 75.665 | 74.776 | 60.368 | 0.000 | 0.000 | 0.000 |
| 60.368 | 60.368 | 18.603 | -0.000 | 0.000 | 0.000 |
| 0.000 | 0.000 | 0.001 | 29.784 | 0.000 | -0.000 |
| 0.000 | 0.000 | 0.001 | 0.000 | 29.784 | 0.000 |
| -0.000 | -0.000 | 0.000 | 0.000 | 0.000 | 45.126 |
| 74.779 | 75.665 | 60.367 | 0.000 | -0.000 | 0.000 |
| 75.665 | 74.779 | 60.367 | -0.000 | -0.000 | 0.000 |
| 60.367 | 60.367 | 18.604 | -0.000 | -0.000 | 0.000 |
| -0.000 | -0.000 | -0.001 | 29.784 | -0.000 | -0.000 |
| -0.000 | -0.000 | -0.001 | 0.000 | 29.784 | 0.000 |
| 0.000 | 0.000 | -0.000 | 0.000 | -0.000 | 45.126 |
| -74.879 | -16.238 | 80.888 | -57.588 | -0.000 | 0.000 |
| -16.238 | -74.879 | 80.888 | 57.588 | -0.000 | 0.000 |
| 72.622 | 72.622 | 30.632 | -0.000 | 0.000 | 0.000 |
| -57.588 | 57.588 | 0.000 | 50.922 | 0.000 | 0.000 |
| -0.000 | 0.000 | -0.000 | -0.000 | 50.922 | -57.588 |
| -0.000 | -0.000 | 0.000 | 0.000 | -57.588 | -29.321 |
| -74.879 | -16.238 | 80.888 | -57.588 | 0.000 | -0.000 |
| -16.238 | -74.879 | 80.888 | 57.588 | 0.000 | -0.000 |
| 72.622 | 72.622 | 30.632 | -0.000 | 0.000 | -0.000 |
| -57.588 | 57.588 | -0.000 | 50.922 | -0.000 | -0.000 |
| 0.000 | -0.000 | 0.000 | 0.000 | 50.922 | -57.588 |
| 0.000 | 0.000 | -0.000 | -0.000 | -57.588 | -29.321 |
| -74.879 | -16.238 | 80.888 | -57.588 | -0.000 | 0.000 |
| -16.238 | -74.879 | 80.888 | 57.588 | -0.000 | 0.000 |
| 72.622 | 72.622 | 30.632 | -0.000 | -0.000 | 0.000 |
| -57.588 | 57.588 | -0.000 | 50.922 | -0.000 | 0.000 |
| -0.000 | -0.000 | -0.000 | -0.000 | 50.922 | -57.588 |
| -0.000 | -0.000 | -0.000 | -0.000 | -57.588 | -29.321 |
| -74.879 | -16.238 | 80.888 | -57.588 | 0.000 | -0.000 |
| -16.238 | -74.879 | 80.888 | 57.588 | 0.000 | -0.000 |
| 72.622 | 72.622 | 30.632 | 0.000 | 0.000 | -0.000 |
| -57.588 | 57.588 | 0.000 | 50.922 | 0.000 | -0.000 |
| 0.000 | 0.000 | 0.000 | 0.000 | 50.922 | -57.588 |
| 0.000 | 0.000 | 0.000 | 0.000 | -57.588 | -29.321 |
| -74.881 | -16.238 | 80.888 | -57.588 | 0.000 | 0.000 |
| -16.238 | -74.880 | 80.888 | 57.588 | -0.000 | 0.000 |
| 72.622 | 72.622 | 30.631 | -0.000 | -0.000 | 0.000 |
| -57.588 | 57.588 | -0.000 | 50.922 | -0.000 | 0.000 |
| -0.000 | -0.000 | -0.000 | -0.000 | 50.922 | -57.588 |
| -0.000 | -0.000 | -0.000 | -0.000 | -57.588 | -29.321 |
| -74.878 | -16.238 | 80.888 | -57.588 | -0.000 | -0.000 |
| -16.238 | -74.878 | 80.888 | 57.588 | 0.000 | -0.000 |
| 72.622 | 72.622 | 30.634 | -0.000 | -0.000 | -0.000 |
| -57.588 | 57.588 | 0.000 | 50.922 | -0.000 | -0.000 |
| 0.000 | 0.000 | 0.000 | 0.000 | 50.922 | -57.588 |
| 0.000 | 0.000 | 0.000 | 0.000 | -57.588 | -29.321 |
| 672.455 | 7.860 | 7.860 | -0.000 | -0.000 | -0.000 |
| 7.860 | 672.455 | 7.860 | -0.000 | -0.000 | 0.000 |
| 7.860 | 7.860 | 672.455 | -0.000 | 0.000 | -0.000 |
| -0.000 | 0.000 | -0.000 | -25.767 | -0.000 | 0.000 |
| 0.000 | 0.000 | -0.000 | -0.000 | -25.767 | -0.000 |
| 0.000 | -0.000 | -0.000 | -0.000 | -0.000 | -25.767 |
| 672.455 | 7.860 | 7.860 | 0.000 | -0.000 | 0.000 |
| 7.860 | 672.455 | 7.860 | 0.000 | -0.000 | 0.000 |
| 7.860 | 7.860 | 672.455 | 0.000 | 0.000 | 0.000 |
| 0.000 | -0.000 | -0.000 | -25.767 | 0.000 | -0.000 |
| -0.000 | -0.000 | 0.000 | 0.000 | -25.767 | 0.000 |
| -0.000 | 0.000 | -0.000 | -0.000 | -0.000 | -25.767 |
| 672.456 | 7.860 | 7.860 | -0.000 | -0.000 | -0.000 |
| 7.860 | 672.456 | 7.860 | -0.000 | 0.000 | 0.000 |
| 7.860 | 7.860 | 672.456 | -0.000 | 0.000 | -0.000 |
| 0.000 | 0.000 | 0.000 | -25.767 | -0.000 | 0.000 |
| 0.000 | 0.000 | 0.000 | -0.000 | -25.767 | -0.000 |
| 0.000 | 0.000 | 0.000 | -0.000 | 0.000 | -25.767 |
| 672.454 | 7.860 | 7.860 | 0.000 | -0.000 | -0.000 |
| 7.860 | 672.454 | 7.860 | 0.000 | 0.000 | 0.000 |
| 7.860 | 7.860 | 672.454 | 0.000 | 0.000 | 0.000 |
| -0.000 | -0.000 | -0.000 | -25.767 | 0.000 | -0.000 |
| -0.000 | -0.000 | -0.000 | 0.000 | -25.767 | 0.000 |
| -0.000 | -0.000 | -0.000 | 0.000 | -0.000 | -25.767 |
| 672.463 | 7.861 | 7.861 | -0.000 | 0.000 | -0.000 |
| 7.861 | 672.463 | 7.861 | -0.000 | -0.000 | -0.000 |
| 7.861 | 7.861 | 672.463 | -0.000 | -0.000 | -0.000 |
| 0.000 | 0.001 | 0.000 | -25.767 | 0.000 | 0.000 |
| 0.001 | 0.000 | 0.000 | -0.000 | -25.767 | 0.000 |
| 0.001 | 0.000 | 0.000 | -0.000 | 0.000 | -25.767 |
| 672.447 | 7.859 | 7.859 | 0.000 | 0.000 | 0.000 |
| 7.859 | 672.447 | 7.859 | 0.000 | 0.000 | 0.000 |
| 7.859 | 7.859 | 672.447 | 0.000 | -0.000 | 0.000 |
| -0.000 | -0.001 | -0.000 | -25.767 | -0.000 | -0.000 |
| -0.001 | -0.000 | -0.000 | 0.000 | -25.767 | -0.000 |
| -0.001 | -0.000 | -0.000 | -0.000 | -0.000 | -25.767 |
| 163.852 | 77.140 | -25.903 | 0.000 | 0.000 | 0.000 |
| 77.140 | 163.852 | -25.903 | 0.000 | -0.000 | 0.000 |
| -25.903 | -25.903 | 150.527 | 0.000 | 0.000 | 0.000 |
| 0.000 | -0.000 | -0.000 | -56.500 | 0.000 | -0.000 |
| -0.000 | 0.000 | -0.000 | 0.000 | -56.500 | -0.000 |
| 0.000 | 0.000 | 0.000 | 0.000 | 0.000 | 43.356 |
| 163.852 | 77.140 | -25.903 | -0.000 | -0.000 | -0.000 |
| 77.140 | 163.852 | -25.903 | -0.000 | -0.000 | 0.000 |
| -25.903 | -25.903 | 150.527 | -0.000 | -0.000 | -0.000 |
| -0.000 | 0.000 | 0.000 | -56.500 | -0.000 | -0.000 |
| 0.000 | -0.000 | 0.000 | -0.000 | -56.500 | 0.000 |
| -0.000 | -0.000 | -0.000 | -0.000 | -0.000 | 43.356 |
| 163.852 | 77.140 | -25.903 | 0.000 | 0.000 | 0.000 |
| 77.140 | 163.852 | -25.903 | 0.000 | -0.000 | 0.000 |
| -25.903 | -25.903 | 150.526 | 0.000 | -0.000 | 0.000 |
| -0.000 | -0.000 | -0.000 | -56.500 | 0.000 | -0.000 |
| -0.000 | -0.000 | -0.000 | 0.000 | -56.500 | 0.000 |
| 0.000 | 0.000 | -0.000 | 0.000 | -0.000 | 43.356 |
| 163.852 | 77.140 | -25.903 | -0.000 | -0.000 | 0.000 |
| 77.140 | 163.852 | -25.903 | -0.000 | -0.000 | -0.000 |
| -25.903 | -25.903 | 150.527 | -0.000 | -0.000 | -0.000 |
| 0.000 | 0.000 | 0.000 | -56.500 | -0.000 | -0.000 |
| 0.000 | 0.000 | 0.000 | -0.000 | -56.500 | 0.000 |
| -0.000 | -0.000 | 0.000 | 0.000 | -0.000 | 43.356 |
| 163.854 | 77.140 | -25.904 | 0.000 | -0.000 | -0.000 |
| 77.141 | 163.854 | -25.904 | 0.000 | 0.000 | -0.000 |
| -25.904 | -25.904 | 150.526 | 0.000 | -0.000 | 0.000 |
| -0.000 | -0.000 | -0.001 | -56.500 | 0.000 | -0.000 |
| -0.000 | -0.000 | -0.001 | 0.000 | -56.500 | 0.000 |
| 0.000 | 0.001 | -0.000 | 0.000 | 0.000 | 43.356 |
| 163.850 | 77.140 | -25.903 | -0.000 | -0.000 | 0.000 |
| 77.139 | 163.850 | -25.903 | -0.000 | 0.000 | -0.000 |
| -25.903 | -25.903 | 150.528 | -0.000 | -0.000 | -0.000 |
| 0.000 | 0.000 | 0.001 | -56.500 | -0.000 | 0.000 |
| 0.000 | 0.000 | 0.001 | -0.000 | -56.500 | 0.000 |
| -0.000 | -0.001 | 0.000 | -0.000 | 0.000 | 43.356 |
| 388.139 | 281.000 | -24.924 | 0.000 | -0.000 | 0.000 |
| 281.000 | 388.139 | -24.924 | -0.000 | -0.000 | -0.000 |
| 255.742 | 255.742 | 116.726 | 0.000 | 0.000 | 0.000 |
| 0.000 | 0.000 | -0.000 | 42.966 | 0.000 | -0.000 |
| 0.000 | 0.000 | -0.000 | 0.000 | 42.966 | 0.000 |
| 0.000 | 0.000 | -0.000 | 0.000 | 0.000 | 57.613 |
| 232.128 | 91.519 | 69.138 | -0.000 | -0.000 | 0.000 |
| 91.519 | 232.128 | 69.138 | -0.000 | 0.000 | 0.000 |
| -109.155 | -109.155 | 304.365 | 0.000 | -0.000 | 0.000 |
| -0.000 | -0.000 | 0.000 | 42.966 | -0.000 | 0.000 |
| -0.000 | -0.000 | 0.000 | 0.000 | 42.966 | 0.000 |
| -0.000 | -0.000 | 0.000 | -0.000 | -0.000 | 57.614 |
| 220.357 | 103.884 | 60.411 | 0.000 | 0.000 | -0.000 |
| 103.884 | 220.357 | 60.411 | 0.000 | 0.000 | -0.000 |
| 73.182 | 73.182 | 213.381 | -0.000 | 0.000 | -0.000 |
| 0.000 | 0.000 | 0.000 | 42.966 | 0.000 | 0.000 |
| 0.000 | 0.000 | 0.000 | -0.000 | 42.966 | -0.000 |
| -0.000 | 0.000 | -0.000 | 0.000 | 0.000 | 57.614 |
| 159.030 | 73.139 | 69.531 | -0.000 | -0.000 | -0.000 |
| 73.139 | 159.030 | 69.531 | -0.000 | -0.000 | 0.000 |
| 54.338 | 54.338 | 219.227 | -0.000 | -0.000 | 0.000 |
| -0.000 | -0.000 | -0.000 | 42.966 | 0.000 | 0.000 |
| -0.000 | -0.000 | -0.000 | -0.000 | 42.966 | 0.000 |
| 0.000 | -0.000 | 0.000 | 0.000 | -0.000 | 57.614 |
| 232.128 | 91.520 | 69.139 | 0.000 | 0.000 | -0.000 |
| 91.520 | 232.128 | 69.139 | 0.000 | 0.000 | -0.000 |
| 73.182 | 73.182 | 213.382 | -0.000 | 0.000 | -0.000 |
| 1.757 | 1.757 | -0.828 | 37.392 | 0.000 | -0.000 |
| 1.757 | 1.757 | -0.828 | -0.000 | 37.392 | -0.000 |
| 0.931 | 0.931 | -0.667 | 0.000 | 0.000 | 40.238 |
| 210.894 | 91.986 | 68.914 | -0.000 | 0.000 | 0.000 |
| 91.986 | 210.894 | 68.914 | -0.000 | -0.000 | 0.000 |
| 73.182 | 73.182 | 213.380 | 0.000 | 0.000 | 0.000 |
| -1.757 | -1.757 | 0.828 | 37.392 | 0.000 | -0.000 |
| -1.757 | -1.757 | 0.828 | -0.000 | 37.392 | 0.000 |
| -0.931 | -0.931 | 0.667 | -0.000 | -0.000 | 40.238 |
| -382.850 | 364.274 | -398.442 | 1592.854 | -705.585 | 1666.137 |
| -98.299 | 910.309 | -175.514 | 1511.255 | -274.914 | 1350.331 |
| -312.210 | 697.764 | -49.851 | 1610.299 | -169.353 | 1395.132 |
| -16.946 | 656.526 | -24.806 | 602.825 | 45.456 | 974.589 |
| 33.598 | 1008.712 | -278.180 | 291.217 | -110.214 | 552.306 |
| 28.326 | 1003.851 | -280.598 | 289.395 | -157.479 | 604.150 |
| 378.334 | -631.545 | 359.622 | -1505.445 | 279.565 | -1353.358 |
| 664.216 | -85.411 | 583.770 | -1585.066 | 707.203 | -1666.753 |
| 108.939 | -560.824 | 208.439 | -562.913 | -40.862 | -976.054 |
| 18.804 | -653.349 | 13.737 | -511.084 | -44.249 | -976.601 |
| 21.681 | -654.270 | 23.168 | -556.672 | 0.034 | -971.992 |
| 402.169 | -606.609 | 239.011 | -1617.577 | 179.152 | -1349.393 |
| 113.240 | 133.152 | 62.125 | 186.413 | -26.613 | 150.364 |
| 98.085 | 307.704 | 65.489 | 33.804 | -15.788 | 50.721 |
| 89.284 | 159.589 | 187.285 | 49.730 | 8.470 | 97.084 |
| -38.071 | 62.683 | -29.439 | 206.296 | -15.802 | 137.779 |
| 6.162 | 101.290 | -25.053 | 29.738 | 37.080 | 58.706 |
| -3.195 | 62.175 | -2.060 | 54.779 | 10.095 | 146.555 |
| 262.685 | 51.878 | 119.216 | -181.036 | 33.446 | -147.200 |
| 167.721 | 146.948 | 122.279 | -178.771 | 29.389 | -151.984 |
| 92.846 | 28.636 | 191.070 | -61.649 | -0.489 | -98.004 |
| 77.243 | -37.523 | 22.472 | -137.841 | 31.677 | -150.100 |
| 2.551 | -0.391 | 3.329 | 0.337 | 62.657 | 3.471 |
| -5.205 | -105.218 | 28.779 | -30.189 | 22.528 | 0.863 |
| 223.509 | 94.047 | 91.897 | 3.470 | 3.504 | -0.585 |
| 85.578 | 191.586 | 90.867 | 23.282 | -3.640 | 11.703 |
| 88.402 | 101.174 | 184.873 | 9.327 | 1.491 | 12.635 |
| 0.773 | 8.112 | -5.839 | 51.705 | 0.974 | 8.700 |
| -4.615 | 3.618 | 1.215 | 20.387 | 41.024 | 19.026 |
| -4.419 | 0.189 | -4.614 | 14.255 | -1.015 | 62.052 |
| 195.143 | 88.558 | 93.523 | -15.702 | 6.510 | -13.407 |
| 96.321 | 178.404 | 96.421 | -10.817 | 2.746 | -16.222 |
| 92.260 | 86.749 | 190.780 | -20.564 | 6.998 | -14.075 |
| 8.133 | 0.757 | -1.670 | 30.095 | 8.583 | -18.159 |
| 5.893 | -7.407 | 6.975 | -13.829 | 46.163 | -9.464 |
| 0.947 | -10.209 | 2.134 | -16.569 | 8.435 | 33.338 |
| 961.026 | 600.406 | 1967.899 | 270.250 | 772.255 | -569.115 |
| 2064.485 | 218.632 | 3844.016 | 1260.910 | 1956.052 | 142.619 |
| 1307.453 | 377.427 | 2737.426 | 748.114 | 1073.443 | -496.687 |
| 4086.568 | 1471.132 | 6949.870 | 2832.580 | 2083.454 | 979.533 |
| -5.530 | 2.314 | 0.275 | 1.516 | 63.540 | -0.664 |
| 5.517 | -0.264 | 1.516 | 2.336 | -0.111 | 62.727 |
| -104.673 | 38.756 | -1590.239 | 329.000 | -66.360 | 563.040 |
| -212.018 | 142.386 | -1593.700 | 330.274 | -60.585 | 556.157 |
| -1132.983 | -214.449 | -2408.784 | -763.285 | -1077.749 | 492.755 |
| -4740.888 | -1650.562 | -7607.738 | -3103.677 | -2243.201 | -1294.483 |
| -3392.710 | -1285.136 | -5813.977 | -2379.246 | -2291.778 | -555.730 |
| -777.443 | -516.685 | -1881.064 | -267.857 | -777.215 | 612.680 |
| 522.236 | 216.238 | 661.445 | 234.989 | 225.224 | 59.190 |
| 286.457 | 178.931 | 455.281 | 127.129 | 196.840 | 10.896 |
| 169.507 | 135.386 | 355.174 | 19.978 | 77.162 | -58.183 |
| 32.338 | 0.892 | -34.293 | 7.661 | -5.348 | -25.409 |
| 400.792 | 151.467 | 695.939 | 280.317 | 251.496 | 100.687 |
| 5.517 | -0.264 | 1.516 | 2.336 | -0.111 | 62.727 |
| -13.660 | 81.749 | -295.583 | -128.340 | -203.986 | -12.513 |
| -108.679 | 169.688 | -296.777 | -124.728 | -194.078 | -18.480 |
| -34.785 | 51.862 | -93.347 | -83.176 | -109.724 | 47.506 |
| -260.768 | -55.311 | -521.571 | -137.039 | -226.540 | -10.332 |
| -130.970 | -28.155 | -259.353 | -76.904 | -69.645 | 51.929 |
| -26.355 | -7.104 | -167.434 | 35.074 | -5.697 | 104.276 |
| 216.516 | 87.373 | 89.203 | -5.357 | -4.202 | 2.830 |
| 101.696 | 177.650 | 107.635 | 8.316 | 11.541 | -8.475 |
| 108.578 | 84.944 | 208.609 | 5.522 | 18.484 | -3.621 |
| 8.711 | 6.499 | 11.204 | 43.860 | 6.788 | -3.719 |
| 32.378 | 18.842 | 68.951 | 28.994 | 63.800 | 12.401 |
| 55.943 | 10.806 | 76.485 | 33.956 | 22.914 | 53.748 |
| 144.872 | 73.784 | 10.419 | -30.351 | -28.549 | -5.131 |
| 90.676 | 213.519 | 88.844 | 2.094 | 2.365 | -0.264 |
| 56.601 | 73.045 | 105.327 | -29.651 | -26.322 | -6.495 |
| -43.694 | -14.671 | -82.746 | 15.304 | -20.165 | -8.698 |
| -20.941 | -1.450 | -27.357 | -8.680 | 27.554 | 7.351 |
| -24.057 | -10.833 | -56.030 | -16.563 | -20.022 | 34.144 |
| 50.067 | 52.315 | 29.743 | -0.006 | 0.000 | -0.000 |
| 52.116 | 85.259 | 42.232 | -0.006 | -0.000 | -0.000 |
| 39.934 | 45.794 | 56.071 | 0.000 | 0.000 | -0.000 |
| -0.000 | -0.000 | 0.000 | 15.596 | 0.000 | -0.000 |
| 0.000 | 0.000 | 0.000 | -0.001 | 9.901 | -0.000 |
| 0.001 | 0.000 | 0.001 | -0.006 | -0.000 | 18.384 |
| 50.066 | 52.314 | 29.740 | 0.006 | 0.000 | 0.000 |
| 52.115 | 85.259 | 42.230 | 0.006 | 0.000 | 0.000 |
| 30.312 | 43.001 | 33.412 | 0.006 | 0.000 | 0.000 |
| 0.000 | 0.000 | -0.000 | 15.596 | 0.000 | 0.000 |
| -0.000 | -0.000 | -0.000 | 0.001 | 9.901 | -0.000 |
| -0.001 | -0.000 | -0.001 | 0.006 | 0.000 | 18.384 |
| 50.066 | 52.315 | 29.741 | -0.001 | -0.000 | -0.000 |
| 52.115 | 85.259 | 42.231 | -0.001 | 0.000 | -0.000 |
| 39.934 | 45.794 | 56.071 | 0.000 | 0.000 | -0.000 |
| -0.000 | -0.000 | -0.000 | 11.391 | -0.000 | -0.000 |
| -0.000 | -0.000 | -0.000 | -0.000 | 9.901 | 0.000 |
| 0.000 | 0.000 | 0.000 | -0.001 | 0.000 | 18.384 |
| 50.066 | 52.315 | 29.741 | 0.001 | 0.000 | 0.000 |
| 52.115 | 85.259 | 42.231 | 0.001 | 0.000 | 0.000 |
| 39.934 | 45.794 | 56.071 | -0.000 | -0.000 | -0.000 |
| 0.000 | 0.000 | 0.000 | 11.391 | 0.000 | 0.000 |
| 0.000 | 0.000 | 0.000 | 0.000 | 9.901 | 0.000 |
| -0.000 | -0.000 | -0.000 | 0.001 | -0.000 | 18.384 |
| 50.064 | 52.315 | 29.741 | -0.000 | 0.000 | -0.000 |
| 52.116 | 85.261 | 42.230 | -0.000 | -0.000 | -0.000 |
| 30.311 | 43.000 | 33.410 | -0.000 | -0.000 | -0.000 |
| -0.000 | -0.000 | 0.000 | 15.596 | 0.000 | -0.000 |
| -0.000 | -0.000 | -0.000 | -0.000 | 9.901 | -0.000 |
| 0.000 | 0.001 | -0.000 | -0.000 | -0.000 | 22.526 |
| 50.068 | 52.315 | 29.742 | 0.000 | 0.000 | 0.000 |
| 52.115 | 85.257 | 42.232 | 0.000 | 0.000 | 0.000 |
| 30.313 | 43.002 | 33.416 | 0.000 | -0.000 | 0.000 |
| 0.000 | 0.000 | -0.000 | 15.596 | -0.000 | 0.000 |
| 0.000 | 0.000 | 0.000 | 0.000 | 9.901 | -0.000 |
| -0.000 | -0.001 | 0.000 | 0.000 | -0.000 | 22.526 |
| 6178.855 | 6083.806 | 6083.806 | 0.000 | 0.000 | 0.000 |
| 6083.806 | 6178.855 | 6083.806 | -0.000 | -0.000 | 0.000 |
| 6083.806 | 6083.806 | 6178.855 | -0.000 | 0.000 | 0.000 |
| 6111.678 | 6111.678 | 6111.678 | 31.211 | -0.000 | 0.000 |
| 6111.678 | 6111.678 | 6111.678 | 0.000 | 31.211 | 0.000 |
| 6111.678 | 6111.678 | 6111.678 | 0.000 | -0.000 | 31.211 |
| -2720.304 | -2804.491 | -2804.491 | 0.000 | -0.000 | -0.000 |
| -2804.491 | -2720.304 | -2804.491 | -0.000 | -0.000 | -0.000 |
| -2804.491 | -2804.491 | -2720.304 | -0.000 | 0.000 | -0.000 |
| -6111.678 | -6111.678 | -6111.678 | 31.211 | 0.000 | -0.000 |
| -6111.678 | -6111.678 | -6111.678 | 0.000 | 31.211 | -0.000 |
| -6111.678 | -6111.678 | -6111.678 | -0.000 | 0.000 | 31.211 |
| 202.667 | 74.394 | 74.394 | -0.000 | -0.000 | 0.000 |
| 74.394 | 202.667 | 74.394 | -0.000 | -0.000 | 0.000 |
| 74.394 | 74.394 | 202.667 | -0.000 | -0.000 | 0.000 |
| 286.881 | 286.881 | 286.881 | 28.049 | -0.000 | 0.000 |
| 286.881 | 286.881 | 286.881 | 0.000 | 28.049 | 0.000 |
| 286.881 | 286.881 | 286.881 | 0.000 | -0.000 | 28.049 |
| -526.733 | -620.783 | -620.783 | -0.000 | -0.000 | -0.000 |
| -620.783 | -526.733 | -620.783 | -0.000 | -0.000 | -0.000 |
| -620.783 | -620.783 | -526.733 | 0.000 | 0.000 | -0.000 |
| -286.881 | -286.881 | -286.881 | 28.049 | 0.000 | -0.000 |
| -286.881 | -286.881 | -286.881 | 0.000 | 28.049 | -0.000 |
| -286.881 | -286.881 | -286.881 | -0.000 | 0.000 | 28.049 |
| 202.667 | 74.394 | 74.394 | 0.000 | -0.000 | 0.000 |
| 74.394 | 202.667 | 74.394 | -0.000 | -0.000 | 0.000 |
| 74.394 | 74.394 | 202.667 | -0.000 | -0.000 | 0.000 |
| 60.676 | 60.676 | 60.676 | 27.073 | -0.000 | 0.000 |
| 60.676 | 60.676 | 60.676 | -0.000 | 27.073 | 0.000 |
| 60.676 | 60.676 | 60.676 | 0.000 | -0.000 | 27.073 |
| 103.129 | 8.028 | 8.028 | -0.000 | 0.000 | -0.000 |
| 8.028 | 103.129 | 8.028 | -0.000 | -0.000 | -0.000 |
| 8.028 | 8.028 | 103.129 | -0.000 | 0.000 | -0.000 |
| -60.676 | -60.676 | -60.676 | 27.073 | -0.000 | -0.000 |
| -60.676 | -60.676 | -60.676 | 0.000 | 27.073 | -0.000 |
| -60.676 | -60.676 | -60.676 | -0.000 | 0.000 | 27.073 |
| -1445.298 | -1547.951 | -1547.951 | -0.000 | -0.000 | 0.000 |
| -1547.951 | -1445.298 | -1547.951 | 0.000 | -0.000 | 0.000 |
| -1547.951 | -1547.951 | -1445.298 | -0.000 | 0.000 | 0.000 |
| 0.000 | -0.000 | -0.000 | 44.783 | -0.000 | 0.000 |
| 0.000 | -0.000 | 0.000 | 0.000 | 44.783 | 0.000 |
| -0.000 | -0.000 | 0.000 | 0.000 | -0.000 | 44.783 |
| 877.445 | 796.311 | 796.311 | -0.000 | 0.000 | -0.000 |
| 796.311 | 877.445 | 796.311 | -0.000 | -0.000 | -0.000 |
| 796.311 | 796.311 | 877.445 | 0.000 | 0.000 | -0.000 |
| -0.000 | 0.000 | -0.000 | 44.783 | -0.000 | -0.000 |
| -0.000 | -0.000 | -0.000 | -0.000 | 44.783 | -0.000 |
| 0.000 | 0.000 | -0.000 | -0.000 | 0.000 | 44.783 |
| 203.003 | 73.870 | 73.870 | 0.000 | -0.000 | 0.000 |
| 73.870 | 203.003 | 73.870 | 0.000 | 0.000 | 0.000 |
| 73.870 | 73.870 | 203.003 | -0.000 | -0.000 | 0.000 |
| -72.932 | -72.932 | -72.932 | 26.936 | -0.000 | 0.000 |
| -72.932 | -72.932 | -72.932 | 0.000 | 26.936 | 0.000 |
| -72.932 | -72.932 | -72.932 | -0.000 | -0.000 | 26.936 |
| 203.003 | 73.870 | 73.870 | -0.000 | 0.000 | -0.000 |
| 73.870 | 203.003 | 73.870 | -0.000 | 0.000 | -0.000 |
| 73.870 | 73.870 | 203.003 | 0.000 | 0.000 | -0.000 |
| 72.932 | 72.932 | 72.932 | 26.936 | 0.000 | 0.000 |
| 72.932 | 72.932 | 72.932 | -0.000 | 26.936 | -0.000 |
| 72.932 | 72.932 | 72.932 | -0.000 | 0.000 | 26.936 |
| 140.536 | 53.783 | 53.783 | -0.000 | -0.000 | 0.000 |
| 53.783 | 140.536 | 53.783 | -0.000 | -0.000 | 0.000 |
| 53.783 | 53.783 | 140.536 | -0.000 | 0.000 | 0.000 |
| -0.000 | -0.000 | -0.000 | 44.783 | -0.000 | 0.000 |
| -0.000 | -0.000 | -0.000 | 0.000 | 44.783 | 0.000 |
| -0.000 | -0.000 | -0.000 | -0.000 | 0.000 | 44.783 |
| 181.052 | 82.358 | 82.358 | -0.000 | 0.000 | 0.000 |
| 82.358 | 181.052 | 82.358 | 0.000 | 0.000 | -0.000 |
| 82.358 | 82.358 | 181.052 | 0.000 | 0.000 | -0.000 |
| 0.000 | 0.000 | 0.000 | 44.783 | 0.000 | -0.000 |
| 0.000 | 0.000 | 0.000 | -0.000 | 44.783 | -0.000 |
| 0.000 | 0.000 | 0.000 | 0.000 | -0.000 | 44.783 |
| 67.410 | 78.359 | 78.357 | 0.000 | -0.000 | -0.000 |
| 78.359 | 67.410 | 78.357 | 0.000 | -0.000 | -0.000 |
| 78.359 | 78.359 | 67.408 | 0.000 | -0.000 | -0.000 |
| 2.980 | 2.980 | 2.980 | 14.168 | -0.000 | -0.000 |
| 2.980 | 2.980 | 2.980 | 0.000 | 14.168 | -0.000 |
| 2.981 | 2.981 | 2.980 | 0.000 | -0.000 | 14.168 |
| 73.610 | 70.211 | 70.214 | -0.000 | 0.000 | 0.000 |
| 70.211 | 73.610 | 70.214 | -0.000 | 0.000 | 0.000 |
| 70.211 | 70.211 | 73.612 | -0.000 | 0.000 | 0.000 |
| -2.981 | -2.980 | -2.980 | 14.168 | 0.000 | 0.000 |
| -2.980 | -2.980 | -2.980 | -0.000 | 14.168 | 0.000 |
| -2.980 | -2.980 | -2.980 | -0.000 | 0.000 | 14.168 |
| 65.851 | 74.513 | 74.513 | 0.000 | -0.000 | -0.000 |
| 74.513 | 65.851 | 74.513 | 0.000 | -0.000 | -0.000 |
| 74.513 | 74.513 | 65.851 | 0.000 | -0.000 | -0.000 |
| 0.298 | 0.298 | 0.298 | 14.160 | -0.000 | -0.000 |
| 0.298 | 0.298 | 0.298 | 0.000 | 14.160 | -0.000 |
| 0.298 | 0.298 | 0.298 | 0.000 | -0.000 | 14.160 |
| 76.307 | 72.831 | 72.831 | -0.000 | 0.000 | 0.000 |
| 72.831 | 76.307 | 72.831 | -0.000 | 0.000 | 0.000 |
| 68.355 | 68.355 | 114.976 | -0.000 | -0.000 | 0.000 |
| -0.298 | -0.298 | -0.298 | 14.160 | 0.000 | 0.000 |
| -0.298 | -0.298 | -0.298 | -0.000 | 14.160 | 0.000 |
| -0.298 | -0.298 | -0.298 | -0.000 | 0.000 | 14.160 |
| 76.635 | 73.151 | 73.151 | 0.000 | -0.000 | -0.000 |
| 73.151 | 76.635 | 73.151 | 0.000 | -0.000 | -0.000 |
| 73.151 | 73.151 | 76.635 | 0.000 | -0.000 | -0.000 |
| -0.000 | 0.000 | 0.000 | 39.624 | 0.000 | -0.000 |
| 0.000 | -0.000 | 0.000 | 0.000 | 39.624 | -0.000 |
| 0.000 | 0.000 | -0.000 | 0.000 | -0.000 | 39.624 |
| 65.676 | 74.063 | 74.063 | -0.000 | 0.000 | 0.000 |
| 74.063 | 65.676 | 74.063 | -0.000 | 0.000 | 0.000 |
| 74.063 | 74.063 | 65.676 | -0.000 | 0.000 | 0.000 |
| 0.000 | -0.000 | -0.000 | 39.624 | 0.000 | 0.000 |
| -0.000 | 0.000 | -0.000 | -0.000 | 39.624 | 0.000 |
| -0.000 | -0.000 | 0.000 | -0.000 | 0.000 | 39.624 |
| 508.556 | 506.125 | 506.125 | -0.000 | -0.000 | 0.000 |
| 506.125 | 508.556 | 506.125 | -0.000 | -0.000 | -0.000 |
| 506.125 | 506.125 | 508.556 | -0.000 | -0.000 | -0.000 |
| 427.634 | 427.634 | 427.634 | 9.247 | -0.000 | 0.000 |
| 427.634 | 427.634 | 427.634 | 0.000 | 9.247 | -0.000 |
| 427.634 | 427.634 | 427.634 | 0.000 | -0.000 | 9.247 |
| -359.004 | -362.067 | -362.067 | 0.000 | 0.000 | 0.000 |
| -362.067 | -359.004 | -362.067 | -0.000 | 0.000 | -0.000 |
| -362.067 | -362.067 | -359.004 | -0.000 | 0.000 | -0.000 |
| -427.634 | -427.634 | -427.634 | 9.247 | 0.000 | 0.000 |
| -427.634 | -427.634 | -427.634 | -0.000 | 9.247 | -0.000 |
| -427.634 | -427.634 | -427.634 | -0.000 | 0.000 | 9.247 |
| 112.760 | 67.203 | 67.203 | -0.000 | -0.000 | -0.000 |
| 67.203 | 112.760 | 67.203 | -0.000 | -0.000 | 0.000 |
| 67.203 | 67.203 | 112.760 | -0.000 | -0.000 | 0.000 |
| -0.000 | 0.000 | 0.000 | 38.957 | -0.000 | -0.000 |
| 0.000 | -0.000 | 0.000 | -0.000 | 38.957 | 0.000 |
| 0.000 | 0.000 | -0.000 | 0.000 | -0.000 | 38.957 |
| 112.760 | 67.203 | 67.203 | 0.000 | 0.000 | 0.000 |
| 67.203 | 112.760 | 67.203 | 0.000 | 0.000 | 0.000 |
| 67.203 | 67.203 | 112.760 | 0.000 | 0.000 | -0.000 |
| 0.000 | -0.000 | -0.000 | 38.957 | 0.000 | -0.000 |
| -0.000 | 0.000 | -0.000 | 0.000 | 38.957 | 0.000 |
| -0.000 | -0.000 | 0.000 | 0.000 | -0.000 | 38.957 |
| 73.241 | 73.659 | 73.659 | -0.000 | 0.000 | -0.000 |
| 73.659 | 73.241 | 73.659 | -0.000 | 0.000 | 0.000 |
| 73.659 | 73.659 | 73.241 | -0.000 | -0.000 | -0.000 |
| 3.063 | 3.063 | 3.063 | 9.827 | -0.000 | -0.000 |
| 3.063 | 3.063 | 3.063 | -0.000 | 9.827 | -0.000 |
| 3.063 | 3.063 | 3.063 | -0.000 | -0.000 | 9.827 |
| 112.760 | 67.203 | 67.203 | 0.000 | 0.000 | -0.000 |
| 67.203 | 112.760 | 67.203 | 0.000 | 0.000 | 0.000 |
| 67.203 | 67.203 | 112.760 | 0.000 | 0.000 | -0.000 |
| -3.063 | -3.063 | -3.063 | 9.827 | 0.000 | 0.000 |
| -3.063 | -3.063 | -3.063 | 0.000 | 9.827 | 0.000 |
| -3.063 | -3.063 | -3.063 | 0.000 | 0.000 | 9.827 |
| 168.864 | 119.655 | 61.725 | -0.000 | -0.000 | 0.000 |
| 119.562 | 234.819 | 4.559 | -0.000 | 0.000 | 0.000 |
| 13.168 | -44.738 | 140.057 | -0.000 | -0.000 | 0.000 |
| 0.000 | -0.000 | 0.000 | -32.859 | -0.000 | 0.000 |
| 10.146 | 10.325 | 14.780 | -0.000 | -144.829 | 0.000 |
| 0.000 | -0.000 | 0.000 | 0.000 | -0.000 | 84.075 |
| 133.429 | 83.595 | 10.104 | 0.000 | 0.000 | -0.000 |
| 119.562 | 234.819 | 4.559 | -0.000 | 0.000 | -0.000 |
| 9.641 | -48.328 | 134.918 | 0.000 | 0.000 | -0.000 |
| -0.000 | 0.000 | -0.000 | -32.859 | 0.000 | -0.000 |
| -10.146 | -10.325 | -14.780 | -0.000 | -144.829 | -0.000 |
| -0.000 | 0.000 | -0.000 | 0.000 | 0.000 | 84.075 |
| 168.864 | 119.655 | 61.725 | -0.000 | -0.000 | 0.000 |
| 119.562 | 234.819 | 4.559 | -0.000 | -0.000 | 0.000 |
| 11.581 | -46.354 | 137.744 | -0.000 | 0.000 | 0.000 |
| -26059452.779 | 43345372.071 | -48577830.359 | -54077899.988 | -0.000 | 0.000 |
| -0.000 | -0.000 | -0.000 | -0.000 | 24.496 | 0.000 |
| -0.000 | -0.000 | -0.000 | -0.000 | -0.000 | 84.075 |
| 168.864 | 119.655 | 61.725 | 0.000 | 0.000 | -0.000 |
| 85.121 | 199.772 | -45.613 | 0.000 | 0.000 | -0.000 |
| 60.456 | 3.382 | 208.943 | 0.000 | 0.000 | -0.000 |
| 26059452.779 | -43345372.071 | 48577830.359 | -54077899.988 | 0.000 | -0.000 |
| 0.000 | 0.000 | 0.000 | 0.000 | 24.496 | -0.000 |
| 0.000 | 0.000 | 0.000 | 0.000 | 0.000 | 84.075 |
| 135.211 | 85.409 | 12.700 | -0.000 | -0.000 | 0.000 |
| 85.315 | 199.969 | -45.332 | -0.000 | -0.000 | 0.000 |
| 11.421 | -46.516 | 137.511 | -0.000 | -0.000 | 0.000 |
| -2605939.747 | 4334549.023 | -4857822.662 | -5407737.000 | -0.000 | 0.000 |
| 0.100 | 0.104 | 0.146 | -0.000 | -147.393 | 0.000 |
| -0.000 | -0.000 | -0.000 | 0.000 | -0.000 | 84.075 |
| 168.865 | 119.654 | 61.725 | 0.000 | 0.000 | -0.000 |
| 85.280 | 199.933 | -45.381 | 0.000 | 0.000 | -0.000 |
| 11.388 | -46.550 | 137.464 | 0.000 | 0.000 | -0.000 |
| 2605939.747 | -4334549.023 | 4857822.662 | -5407737.000 | 0.000 | -0.000 |
| -0.100 | -0.104 | -0.146 | 0.000 | -147.393 | -0.000 |
| 0.000 | 0.000 | 0.000 | -0.000 | 0.000 | 84.075 |
| 126.542 | 80.353 | 39.801 | -0.054 | -0.000 | 0.000 |
| 80.098 | 161.063 | 34.150 | -0.094 | -0.000 | 0.000 |
| 41.876 | 37.016 | 61.482 | -0.073 | -0.000 | 0.000 |
| 0.019 | -0.049 | -0.034 | 5.998 | -0.000 | 0.000 |
| 0.018 | -0.047 | -0.033 | -0.049 | 10.496 | 0.000 |
| 0.020 | -0.053 | -0.037 | -0.055 | 0.000 | 45.673 |
| 126.492 | 80.484 | 39.892 | 0.057 | 0.000 | -0.000 |
| 79.975 | 161.385 | 34.374 | 0.087 | 0.000 | -0.000 |
| 41.795 | 37.227 | 61.629 | 0.067 | 0.000 | -0.000 |
| -0.018 | 0.048 | 0.034 | 6.103 | 0.000 | -0.000 |
| -0.018 | 0.047 | 0.033 | 0.049 | 10.496 | -0.000 |
| -0.020 | 0.053 | 0.037 | 0.055 | 0.000 | 45.673 |
| 124.739 | 85.072 | 43.086 | 0.003 | -0.000 | 0.000 |
| 79.327 | 163.079 | 35.553 | 0.000 | 0.000 | 0.000 |
| 41.454 | 38.120 | 62.251 | -0.000 | -0.000 | 0.000 |
| 0.002 | -0.005 | -0.004 | 6.015 | -0.000 | 0.000 |
| 0.002 | -0.005 | -0.003 | -0.005 | 10.496 | 0.000 |
| -0.000 | 0.000 | -0.000 | -0.000 | -0.000 | 45.840 |
| 124.694 | 85.188 | 43.166 | -0.004 | 0.000 | -0.000 |
| 79.327 | 163.079 | 35.553 | -0.000 | 0.000 | -0.000 |
| 41.454 | 38.120 | 62.251 | -0.000 | -0.000 | -0.000 |
| -0.002 | 0.005 | 0.004 | 6.026 | 0.000 | -0.000 |
| -0.002 | 0.005 | 0.003 | 0.005 | 10.496 | -0.000 |
| 0.000 | -0.000 | 0.000 | -0.000 | 0.000 | 45.840 |
| 126.686 | 79.983 | 39.542 | 0.000 | -0.000 | 0.000 |
| 84.592 | 149.306 | 25.963 | -0.003 | -0.000 | 0.000 |
| 41.453 | 38.119 | 62.250 | -0.000 | -0.000 | 0.000 |
| 0.000 | -0.001 | -0.001 | 6.019 | 0.000 | 0.000 |
| -0.000 | -0.001 | -0.001 | -0.000 | 10.496 | 0.000 |
| -0.000 | 0.001 | -0.000 | 0.000 | 0.000 | 45.840 |
| 124.646 | 85.309 | 43.251 | 0.000 | 0.000 | -0.000 |
| 84.585 | 149.319 | 25.976 | 0.003 | 0.000 | -0.000 |
| 41.454 | 38.120 | 62.252 | -0.000 | 0.000 | -0.000 |
| -0.000 | 0.001 | 0.001 | 6.020 | 0.000 | -0.000 |
| 0.000 | 0.001 | 0.001 | 0.000 | 10.496 | -0.000 |
| 0.000 | -0.001 | 0.000 | -0.000 | 0.000 | 45.840 |
| 1076.577 | -30.393 | -884.571 | -0.001 | -442.299 | 0.000 |
| 72.880 | 234.453 | 61.885 | -0.000 | -2.344 | 0.000 |
| 1291.757 | -85.193 | -1223.498 | -0.001 | -384.044 | 0.000 |
| 894.767 | -118.044 | -1288.729 | 27.302 | -392.763 | -2.482 |
| 880.188 | -120.736 | -1279.345 | -0.001 | -455.328 | 0.000 |
| 893.600 | -117.880 | -1287.215 | -4.071 | -394.336 | 42.779 |
| -285.785 | 116.275 | 1059.843 | -0.000 | 690.078 | 0.000 |
| 72.880 | 234.453 | 61.885 | 0.000 | -2.344 | -0.000 |
| -188.564 | 47.988 | 800.396 | -0.000 | 284.295 | 0.000 |
| -0.000 | 0.000 | -0.000 | 28.886 | -0.000 | -2.929 |
| -908.837 | 115.265 | 1297.416 | 0.001 | 330.754 | -0.000 |
| -893.601 | 117.880 | 1287.217 | -4.071 | 394.334 | 42.779 |
| 272.024 | 75.660 | 274.110 | -0.000 | -88.662 | 0.000 |
| 177.928 | 216.935 | -95.300 | -0.000 | -41.794 | 0.000 |
| 486.663 | 21.017 | -63.900 | -0.000 | -30.315 | 0.000 |
| 89.477 | -11.804 | -128.873 | 27.298 | -39.276 | -2.481 |
| 73.812 | -14.221 | -117.759 | -0.000 | -102.136 | 0.000 |
| 89.477 | -11.804 | -128.873 | -2.235 | -39.276 | 42.271 |
| 220.989 | 67.076 | 328.659 | -0.000 | 26.298 | 0.000 |
| 27.488 | 234.080 | 118.091 | -0.000 | 44.583 | 0.000 |
| 233.170 | 63.665 | 312.916 | -0.000 | 28.979 | 0.000 |
| -89.477 | 11.804 | 128.873 | 27.298 | 39.276 | -2.481 |
| -103.734 | 9.053 | 137.796 | 0.000 | -23.062 | -0.000 |
| -89.477 | 11.804 | 128.873 | -2.235 | 39.276 | 42.271 |
| 191.091 | 86.407 | 390.796 | -0.000 | -53.217 | 0.000 |
| 97.413 | 227.556 | 20.667 | -0.000 | -6.425 | 0.000 |
| 406.083 | 31.653 | 52.173 | -0.000 | 5.046 | 0.000 |
| 8.947 | -1.180 | -12.886 | 27.298 | -3.928 | -2.481 |
| 1.449 | -1.188 | -2.122 | 0.000 | -12.574 | -0.000 |
| 8.948 | -1.180 | -12.888 | -2.235 | -3.928 | 42.271 |
| 173.159 | 88.766 | 416.599 | 0.000 | -45.403 | -0.000 |
| 79.521 | 229.917 | 46.434 | 0.000 | 1.429 | -0.000 |
| 388.233 | 33.985 | 77.831 | 0.000 | 12.901 | -0.000 |
| -8.947 | 1.180 | 12.886 | 27.298 | 3.928 | -2.481 |
| -13.079 | -4.223 | 5.339 | -0.000 | -57.768 | 0.000 |
| -8.948 | 1.180 | 12.888 | -2.235 | 3.928 | 42.271 |
| 55.285 | 38.985 | 61.245 | 0.409 | -0.000 | 0.000 |
| 38.985 | 55.285 | 61.245 | -0.409 | -0.000 | -0.000 |
| 61.178 | 61.178 | 119.005 | 0.000 | 0.000 | -0.000 |
| 0.487 | -0.487 | 0.000 | 30.428 | -0.000 | -0.000 |
| -0.000 | -0.000 | 0.000 | 0.000 | 30.428 | 0.487 |
| -0.000 | -0.000 | -0.000 | 0.000 | 0.487 | 8.005 |
| 55.285 | 38.985 | 61.245 | 0.409 | 0.000 | 0.000 |
| 39.039 | 55.182 | 61.078 | -0.452 | 0.000 | -0.000 |
| 61.178 | 61.178 | 119.005 | -0.000 | 0.000 | 0.000 |
| 0.409 | -0.409 | -0.000 | 30.470 | 0.000 | 0.000 |
| 0.000 | 0.000 | -0.000 | -0.000 | 30.428 | 0.487 |
| 0.000 | 0.000 | 0.000 | -0.000 | 0.487 | 8.005 |
| 55.130 | 39.120 | 61.178 | 0.487 | -0.000 | -0.000 |
| 38.985 | 55.285 | 61.245 | -0.409 | -0.000 | -0.000 |
| 61.178 | 61.178 | 119.005 | 0.000 | -0.000 | -0.000 |
| 0.409 | -0.409 | 0.000 | 30.470 | -0.000 | -0.000 |
| -0.000 | -0.000 | 0.000 | 0.000 | 30.428 | 0.487 |
| -0.000 | -0.000 | -0.000 | 0.000 | 0.409 | 8.150 |
| 55.285 | 38.985 | 61.245 | 0.409 | 0.000 | 0.000 |
| 39.039 | 55.182 | 61.078 | -0.452 | 0.000 | 0.000 |
| 61.245 | 61.245 | 119.469 | 0.000 | 0.000 | 0.000 |
| 0.409 | -0.409 | -0.000 | 30.470 | 0.000 | 0.000 |
| 0.000 | 0.000 | -0.000 | -0.000 | 30.428 | 0.487 |
| 0.000 | 0.000 | 0.000 | -0.000 | 0.409 | 8.150 |
| 55.180 | 39.039 | 61.078 | 0.452 | -0.000 | -0.000 |
| 39.039 | 55.180 | 61.078 | -0.452 | -0.000 | -0.000 |
| 61.179 | 61.179 | 119.007 | -0.000 | -0.000 | -0.000 |
| 0.487 | -0.488 | 0.000 | 30.428 | -0.000 | -0.000 |
| -0.000 | -0.000 | 0.000 | 0.000 | 30.428 | 0.487 |
| -0.000 | -0.000 | -0.000 | 0.000 | 0.409 | 8.150 |
| 55.287 | 38.985 | 61.245 | 0.409 | 0.000 | 0.000 |
| 38.985 | 55.287 | 61.245 | -0.409 | 0.000 | 0.000 |
| 61.177 | 61.177 | 119.002 | -0.000 | 0.000 | 0.000 |
| 0.487 | -0.487 | -0.000 | 30.428 | 0.000 | 0.000 |
| 0.000 | 0.000 | -0.000 | -0.000 | 30.428 | 0.487 |
| 0.000 | 0.000 | 0.000 | -0.000 | 0.409 | 8.150 |
| 55.707 | 39.126 | 61.441 | 0.433 | 0.000 | 0.000 |
| 170.825 | 187.340 | 976.801 | -0.450 | 0.000 | 0.000 |
| 193.026 | 193.026 | 1034.932 | 0.000 | 0.000 | 0.000 |
| 132.109 | 131.210 | 915.314 | 30.641 | 0.000 | -0.000 |
| 0.000 | 0.000 | 0.000 | 0.000 | 30.651 | 0.433 |
| -0.000 | -0.000 | -0.000 | 0.000 | 0.433 | 8.290 |
| 55.707 | 39.126 | 61.441 | 0.433 | -0.000 | -0.000 |
| -92.509 | -75.995 | -853.940 | -0.450 | -0.000 | 0.000 |
| -70.293 | -70.293 | -795.696 | -0.000 | -0.000 | 0.000 |
| -131.210 | -132.109 | -915.314 | 30.641 | -0.000 | -0.000 |
| -0.000 | -0.000 | -0.000 | -0.000 | 30.651 | 0.433 |
| 0.000 | 0.000 | 0.000 | -0.000 | 0.433 | 8.290 |
| 68.832 | 52.317 | 152.917 | 0.450 | 0.000 | -0.000 |
| 52.436 | 68.721 | 152.942 | -0.510 | 0.000 | -0.000 |
| 61.434 | 61.434 | 120.083 | 0.000 | 0.000 | -0.000 |
| 13.616 | 12.716 | 91.531 | 30.641 | 0.000 | -0.000 |
| -0.000 | -0.000 | 0.000 | 0.000 | 30.651 | 0.433 |
| -0.000 | -0.000 | -0.000 | 0.000 | 0.433 | 8.290 |
| 42.379 | 26.093 | -30.194 | 0.510 | -0.000 | -0.000 |
| 39.126 | 55.707 | 61.441 | -0.433 | 0.000 | -0.000 |
| 48.201 | 48.201 | 28.086 | -0.000 | -0.000 | -0.000 |
| -12.716 | -13.616 | -91.531 | 30.641 | -0.000 | 0.000 |
| 0.000 | 0.000 | -0.000 | -0.000 | 30.651 | 0.433 |
| 0.000 | 0.000 | 0.000 | -0.000 | 0.433 | 8.290 |
| 56.862 | 40.584 | 70.527 | 0.512 | 0.000 | -0.000 |
| 40.466 | 56.980 | 70.528 | -0.450 | 0.000 | -0.000 |
| 62.684 | 62.684 | 128.776 | 0.000 | 0.000 | -0.000 |
| 1.767 | 0.867 | 9.157 | 30.641 | 0.000 | 0.000 |
| 1.317 | 1.317 | 9.154 | 0.000 | 30.641 | 0.450 |
| 1.316 | 1.316 | 9.154 | 0.000 | 0.512 | 8.140 |
| 54.232 | 37.951 | 52.221 | 0.512 | -0.000 | 0.000 |
| 37.951 | 54.232 | 52.221 | -0.512 | -0.000 | 0.000 |
| 60.050 | 60.050 | 110.462 | -0.000 | -0.000 | -0.000 |
| -0.805 | -1.829 | -9.156 | 30.609 | -0.000 | -0.000 |
| -1.317 | -1.317 | -9.154 | -0.000 | 30.641 | 0.450 |
| -1.316 | -1.316 | -9.154 | -0.000 | 0.512 | 8.140 |
| 229.388 | 90.482 | 69.136 | -0.000 | 0.000 | 0.000 |
| 90.482 | 229.388 | 69.136 | -0.000 | -0.000 | -0.000 |
| -84.441 | -84.441 | -27.753 | -0.000 | 0.000 | 0.000 |
| -156.770 | -156.770 | -240.999 | 38.268 | 0.000 | 0.000 |
| -156.770 | -156.770 | -240.999 | 0.000 | 38.268 | 0.000 |
| 0.000 | -0.000 | 0.000 | -0.000 | -0.000 | 58.244 |
| 726.379 | 669.074 | 101.919 | 0.000 | -0.000 | 0.000 |
| 669.074 | 726.379 | 101.919 | 0.000 | 0.000 | -0.000 |
| 72.179 | 72.179 | 217.039 | 0.000 | -0.000 | -0.000 |
| 156.770 | 156.770 | 240.999 | 38.268 | 0.000 | -0.000 |
| 156.770 | 156.770 | 240.999 | -0.000 | 38.268 | -0.000 |
| -0.000 | 0.000 | -0.000 | 0.000 | 0.000 | 58.244 |
| 229.388 | 90.482 | 69.136 | -0.000 | -0.000 | 0.000 |
| 90.482 | 229.388 | 69.136 | 0.000 | -0.000 | 0.000 |
| 72.179 | 72.179 | 217.039 | -0.000 | 0.000 | -0.000 |
| -15.695 | -15.695 | -24.128 | 38.263 | 0.000 | 0.000 |
| -15.695 | -15.695 | -24.128 | 0.000 | 38.263 | 0.000 |
| -0.000 | 0.000 | 0.000 | 0.000 | -0.000 | 58.244 |
| 229.388 | 90.482 | 69.135 | -0.000 | -0.000 | -0.000 |
| 90.482 | 229.388 | 69.135 | -0.000 | 0.000 | -0.000 |
| 72.179 | 72.179 | 217.039 | -0.000 | -0.000 | 0.000 |
| 15.695 | 15.695 | 24.128 | 38.263 | 0.000 | -0.000 |
| 15.695 | 15.695 | 24.128 | -0.000 | 38.263 | -0.000 |
| 0.000 | -0.000 | 0.000 | 0.000 | 0.000 | 58.244 |
| 208.974 | 92.264 | 66.378 | -0.000 | -0.000 | 0.000 |
| 92.264 | 208.974 | 66.378 | -0.000 | -0.000 | 0.000 |
| 69.600 | 69.600 | 211.828 | -0.000 | -0.000 | -0.000 |
| -1.664 | -1.664 | -2.558 | 38.003 | 0.000 | 0.000 |
| -1.664 | -1.664 | -2.558 | 0.000 | 38.003 | 0.000 |
| -0.000 | 0.000 | -0.000 | -0.000 | -0.000 | 58.244 |
| 211.017 | 94.558 | 69.842 | -0.000 | -0.000 | 0.000 |
| 94.558 | 211.017 | 69.842 | 0.000 | 0.000 | -0.000 |
| 72.117 | 72.117 | 213.383 | -0.000 | -0.000 | -0.000 |
| 1.664 | 1.664 | 2.558 | 38.003 | 0.000 | -0.000 |
| 1.664 | 1.664 | 2.558 | -0.000 | 38.003 | -0.000 |
| 0.000 | -0.000 | 0.000 | 0.000 | 0.000 | 58.244 |
| -94.758 | -200.522 | 494.649 | 0.000 | -0.000 | -0.000 |
| -200.522 | -94.758 | 494.649 | 0.000 | -0.000 | 0.000 |
| 68.043 | 68.043 | 231.899 | 0.000 | -0.000 | -0.000 |
| -293.165 | -293.165 | 430.155 | 36.522 | -0.000 | 0.000 |
| -293.165 | -293.165 | 430.155 | -0.000 | 36.522 | -0.000 |
| -293.162 | -293.162 | 430.150 | 0.000 | -0.000 | 46.165 |
| 214.828 | 85.510 | 68.043 | 0.000 | 0.000 | 0.000 |
| 85.510 | 214.828 | 68.043 | 0.000 | 0.000 | 0.000 |
| 68.043 | 68.043 | 231.899 | 0.000 | 0.000 | -0.000 |
| 293.165 | 293.165 | -430.155 | 36.522 | 0.000 | 0.000 |
| 293.165 | 293.165 | -430.155 | 0.000 | 36.522 | 0.000 |
| 293.162 | 293.162 | -430.150 | 0.000 | 0.000 | 46.165 |
| 169.690 | 63.014 | 107.701 | 0.000 | -0.000 | -0.000 |
| 63.014 | 169.690 | 107.701 | 0.000 | -0.000 | -0.000 |
| 68.043 | 68.043 | 231.899 | -0.000 | -0.000 | -0.000 |
| -0.000 | 0.000 | 0.000 | 40.542 | -0.000 | -0.000 |
| 0.000 | -0.000 | 0.000 | -0.000 | 40.542 | -0.000 |
| 20.875 | 20.875 | 54.543 | -0.000 | -0.000 | 25.082 |
| 214.828 | 85.510 | 68.043 | -0.000 | 0.000 | 0.000 |
| 85.510 | 214.828 | 68.043 | 0.000 | 0.000 | 0.000 |
| 68.043 | 68.043 | 231.899 | 0.000 | 0.000 | 0.000 |
| 0.000 | -0.000 | -0.000 | 40.542 | 0.000 | 0.000 |
| -0.000 | 0.000 | -0.000 | 0.000 | 40.542 | 0.000 |
| -20.875 | -20.875 | -54.543 | -0.000 | 0.000 | 25.082 |
| 214.829 | 85.510 | 68.043 | -0.000 | -0.000 | -0.000 |
| 85.510 | 214.829 | 68.043 | 0.000 | -0.000 | -0.000 |
| 68.043 | 68.043 | 231.901 | -0.000 | -0.000 | -0.000 |
| -0.000 | 0.000 | 0.000 | 40.542 | -0.000 | -0.000 |
| 0.000 | -0.000 | 0.000 | -0.000 | 40.542 | -0.000 |
| -0.443 | -0.443 | 4.017 | -0.000 | -0.000 | 39.965 |
| 196.358 | 96.322 | 60.779 | -0.000 | 0.000 | 0.000 |
| 96.322 | 196.358 | 60.779 | -0.000 | 0.000 | -0.000 |
| 68.043 | 68.043 | 231.898 | -0.000 | 0.000 | -0.000 |
| 0.000 | -0.000 | -0.000 | 40.542 | 0.000 | 0.000 |
| -0.000 | 0.000 | -0.000 | 0.000 | 40.542 | 0.000 |
| 0.443 | 0.443 | -4.017 | 0.000 | 0.000 | 39.965 |
| -0.000 | -0.000 | -0.000 | 0.000 | 0.000 | 0.000 |
| -0.000 | -0.000 | -0.000 | 0.000 | -0.000 | -0.000 |
| -0.000 | -0.000 | -0.000 | 0.000 | 0.000 | -0.000 |
| 0.000 | -0.000 | 0.000 | 0.000 | 0.000 | 0.000 |
| -0.000 | 0.000 | 0.000 | -0.000 | 0.000 | 0.000 |
| -0.000 | 0.000 | 0.000 | 0.000 | 0.000 | 0.000 |
| -0.000 | -0.000 | -0.000 | 0.000 | 0.000 | -0.000 |
| -0.000 | -0.000 | -0.000 | -0.000 | -0.000 | -0.000 |
| -0.000 | -0.000 | -0.000 | -0.000 | -0.000 | -0.000 |
| -0.000 | 0.000 | -0.000 | 0.000 | -0.000 | -0.000 |
| 0.000 | -0.000 | -0.000 | 0.000 | 0.000 | -0.000 |
| -0.000 | -0.000 | -0.000 | -0.000 | -0.000 | 0.000 |
| -0.000 | -0.000 | -0.000 | 0.000 | 0.000 | -0.000 |
| -0.000 | -0.000 | -0.000 | 0.000 | -0.000 | -0.000 |
| -0.000 | -0.000 | -0.000 | 0.000 | 0.000 | -0.000 |
| 0.000 | -0.000 | 0.000 | 0.000 | 0.000 | 0.000 |
| -0.000 | 0.000 | 0.000 | -0.000 | 0.000 | 0.000 |
| -0.000 | 0.000 | 0.000 | 0.000 | -0.000 | 0.000 |
| -0.000 | -0.000 | -0.000 | 0.000 | 0.000 | -0.000 |
| -0.000 | -0.000 | -0.000 | 0.000 | -0.000 | 0.000 |
| -0.000 | -0.000 | -0.000 | 0.000 | 0.000 | -0.000 |
| -0.000 | 0.000 | -0.000 | 0.000 | -0.000 | -0.000 |
| 0.000 | -0.000 | -0.000 | 0.000 | 0.000 | -0.000 |
| 0.000 | -0.000 | -0.000 | -0.000 | -0.000 | 0.000 |
| -0.000 | -0.000 | -0.000 | 0.000 | 0.000 | 0.000 |
| -0.000 | -0.000 | -0.000 | -0.000 | -0.000 | -0.000 |
| -0.000 | -0.000 | -0.000 | -0.000 | -0.000 | -0.000 |
| 0.000 | -0.000 | 0.000 | 0.000 | -0.000 | 0.000 |
| -0.000 | 0.000 | 0.000 | -0.000 | 0.000 | 0.000 |
| -0.000 | 0.000 | 0.000 | 0.000 | 0.000 | 0.000 |
| -0.000 | -0.000 | -0.000 | 0.000 | -0.000 | -0.000 |
| -0.000 | -0.000 | -0.000 | 0.000 | -0.000 | 0.000 |
| -0.000 | -0.000 | -0.000 | 0.000 | 0.000 | -0.000 |
| -0.000 | 0.000 | -0.000 | 0.000 | 0.000 | -0.000 |
| 0.000 | -0.000 | -0.000 | 0.000 | 0.000 | -0.000 |
| 0.000 | -0.000 | -0.000 | -0.000 | -0.000 | 0.000 |
| 364809950.416 | 364809578.205 | 364809578.205 | -0.000 | 0.000 | -0.000 |
| 364809578.035 | 364809950.246 | 364809578.035 | -0.000 | 0.000 | -0.000 |
| 364809577.682 | 364809577.682 | 364809949.893 | -0.000 | -0.000 | 0.000 |
| -15.896 | -15.896 | -15.896 | 1274.232 | 0.000 | -0.000 |
| -16.753 | -16.753 | -16.753 | -0.000 | 1274.232 | -0.000 |
| -16.485 | -16.485 | -16.485 | -0.000 | -0.000 | 1274.232 |
| 364883555.970 | 364883177.296 | 364883177.297 | 0.000 | 0.000 | -0.000 |
| 364883176.941 | 364883555.614 | 364883176.941 | 0.000 | 0.000 | 0.000 |
| 364883178.026 | 364883178.026 | 364883556.699 | 0.000 | -0.000 | 0.000 |
| 15.682 | 15.682 | 15.682 | 1274.232 | 0.000 | -0.000 |
| 15.074 | 15.074 | 15.074 | 0.000 | 1274.232 | -0.000 |
| 17.142 | 17.142 | 17.142 | 0.000 | -0.000 | 1274.232 |
| 364478844.573 | 364478501.410 | 364478501.410 | -0.000 | -0.000 | 0.000 |
| 364478501.317 | 364478844.479 | 364478501.317 | -0.000 | -0.000 | 0.000 |
| 364478501.055 | 364478501.055 | 364478844.217 | -0.000 | 0.000 | -0.000 |
| 7.297 | 7.297 | 7.297 | 1274.232 | 0.000 | 0.000 |
| 7.349 | 7.349 | 7.349 | -0.000 | 1274.232 | -0.000 |
| 7.377 | 7.378 | 7.378 | -0.000 | 0.000 | 1274.232 |
| 365214667.970 | 365214260.183 | 365214260.183 | 0.000 | 0.000 | -0.000 |
| 365214260.221 | 365214668.008 | 365214260.221 | 0.000 | 0.000 | -0.000 |
| 365214260.083 | 365214260.083 | 365214667.870 | 0.000 | 0.000 | -0.000 |
| -7.329 | -7.328 | -7.329 | 1274.232 | 0.000 | 0.000 |
| -7.459 | -7.459 | -7.459 | 0.000 | 1274.232 | -0.000 |
| -7.529 | -7.529 | -7.529 | 0.000 | 0.000 | 1274.232 |
| 361167622.878 | 361167567.302 | 361167567.302 | 0.000 | 0.000 | -0.000 |
| 361167567.311 | 361167622.887 | 361167567.311 | 0.000 | 0.000 | 0.000 |
| 361167567.295 | 361167567.295 | 361167622.871 | 0.000 | -0.000 | -0.000 |
| 77.902 | 77.900 | 77.902 | 1274.232 | 0.000 | -0.000 |
| 77.899 | 77.901 | 77.901 | -0.000 | 1274.232 | -0.000 |
| 77.920 | 77.923 | 77.923 | -0.000 | -0.000 | 1274.232 |
| 368525867.312 | 368525165.488 | 368525165.487 | -0.000 | 0.000 | -0.000 |
| 368525165.489 | 368525867.313 | 368525165.489 | -0.000 | -0.000 | -0.000 |
| 368525165.504 | 368525165.504 | 368525867.328 | 0.000 | 0.000 | -0.000 |
| -77.874 | -77.872 | -77.874 | 1274.232 | 0.000 | -0.000 |
| -77.889 | -77.891 | -77.891 | 0.000 | 1274.232 | -0.000 |
| -77.923 | -77.925 | -77.926 | 0.000 | 0.000 | 1274.232 |
| 178.002 | 215.101 | 215.101 | -0.000 | -0.000 | 0.000 |
| 215.101 | 178.002 | 215.101 | -0.000 | -0.000 | 0.000 |
| 215.101 | 215.101 | 178.002 | -0.000 | -0.000 | 0.000 |
| 0.000 | 0.000 | 0.000 | 182.675 | -0.000 | 0.000 |
| 0.000 | 0.000 | 0.000 | -0.000 | 182.675 | 0.000 |
| 0.000 | 0.000 | 0.000 | -0.000 | -0.000 | 182.675 |
| 178.002 | 215.101 | 215.101 | -0.000 | -0.000 | -0.000 |
| 215.101 | 178.002 | 215.101 | 0.000 | 0.000 | -0.000 |
| 215.101 | 215.101 | 178.002 | 0.000 | 0.000 | -0.000 |
| -0.000 | -0.000 | -0.000 | 182.675 | 0.000 | -0.000 |
| -0.000 | -0.000 | -0.000 | 0.000 | 182.675 | -0.000 |
| -0.000 | -0.000 | -0.000 | 0.000 | 0.000 | 182.675 |
| 178.002 | 215.101 | 215.101 | -0.000 | -0.000 | 0.000 |
| 215.101 | 178.002 | 215.101 | -0.000 | 0.000 | 0.000 |
| 215.101 | 215.101 | 178.002 | -0.000 | 0.000 | 0.000 |
| -0.000 | -0.000 | -0.000 | -24.265 | -0.000 | -0.000 |
| -0.000 | -0.000 | -0.000 | -0.000 | -24.265 | 0.000 |
| -0.000 | -0.000 | -0.000 | -0.000 | -0.000 | -24.265 |
| 178.002 | 215.101 | 215.101 | -0.000 | -0.000 | -0.000 |
| 215.101 | 178.002 | 215.101 | 0.000 | 0.000 | -0.000 |
| 215.101 | 215.101 | 178.002 | 0.000 | -0.000 | -0.000 |
| 0.000 | 0.000 | 0.000 | -24.265 | 0.000 | -0.000 |
| 0.000 | 0.000 | 0.000 | 0.000 | -24.265 | -0.000 |
| 0.000 | 0.000 | 0.000 | 0.000 | 0.000 | -24.265 |
| 178.002 | 215.102 | 215.102 | -0.000 | 0.000 | 0.000 |
| 215.102 | 178.002 | 215.102 | -0.000 | 0.000 | 0.000 |
| 215.102 | 215.102 | 178.002 | -0.000 | 0.000 | 0.000 |
| -0.000 | -0.000 | -0.000 | -24.265 | -0.000 | 0.000 |
| -0.000 | -0.000 | -0.000 | -0.000 | -24.265 | 0.000 |
| -0.000 | -0.000 | -0.000 | -0.000 | -0.000 | -24.265 |
| 178.001 | 215.100 | 215.100 | 0.000 | 0.000 | -0.000 |
| 215.100 | 178.001 | 215.100 | 0.000 | -0.000 | -0.000 |
| 215.100 | 215.100 | 178.001 | -0.000 | -0.000 | -0.000 |
| 0.000 | 0.000 | 0.000 | -24.265 | 0.000 | -0.000 |
| 0.000 | 0.000 | 0.000 | 0.000 | -24.265 | -0.000 |
| 0.000 | 0.000 | 0.000 | -0.000 | -0.000 | -24.265 |
| 0.000 | 0.000 | 0.000 | -0.000 | -0.000 | -0.000 |
| 0.000 | 0.000 | 0.000 | -0.000 | -0.000 | -0.000 |
| 0.000 | 0.000 | 0.000 | -0.000 | -0.000 | -0.000 |
| 0.000 | 0.000 | 0.000 | 0.000 | -0.000 | 0.000 |
| 0.000 | 0.000 | 0.000 | -0.000 | 0.000 | 0.000 |
| 0.000 | 0.000 | 0.000 | -0.000 | 0.000 | 0.000 |
| 0.000 | 0.000 | 0.000 | 0.000 | -0.000 | 0.000 |
| 0.000 | 0.000 | 0.000 | -0.000 | 0.000 | 0.000 |
| 0.000 | 0.000 | 0.000 | -0.000 | -0.000 | 0.000 |
| -0.000 | -0.000 | -0.000 | 0.000 | 0.000 | 0.000 |
| -0.000 | -0.000 | -0.000 | 0.000 | 0.000 | 0.000 |
| -0.000 | -0.000 | -0.000 | 0.000 | 0.000 | 0.000 |
| 0.000 | 0.000 | 0.000 | -0.000 | -0.000 | -0.000 |
| 0.000 | 0.000 | 0.000 | -0.000 | -0.000 | -0.000 |
| 0.000 | 0.000 | 0.000 | -0.000 | -0.000 | -0.000 |
| 0.000 | 0.000 | 0.000 | 0.000 | -0.000 | -0.000 |
| 0.000 | 0.000 | 0.000 | -0.000 | 0.000 | -0.000 |
| 0.000 | 0.000 | 0.000 | -0.000 | -0.000 | 0.000 |
| 0.000 | 0.000 | 0.000 | 0.000 | 0.000 | 0.000 |
| 0.000 | 0.000 | 0.000 | 0.000 | 0.000 | 0.000 |
| 0.000 | 0.000 | 0.000 | 0.000 | 0.000 | 0.000 |
| -0.000 | -0.000 | -0.000 | 0.000 | 0.000 | 0.000 |
| -0.000 | -0.000 | -0.000 | 0.000 | 0.000 | 0.000 |
| -0.000 | -0.000 | -0.000 | 0.000 | -0.000 | 0.000 |
| 0.000 | 0.000 | 0.000 | 0.000 | -0.000 | -0.000 |
| 0.000 | 0.000 | 0.000 | -0.000 | 0.000 | -0.000 |
| 0.000 | 0.000 | 0.000 | -0.000 | -0.000 | 0.000 |
| 0.000 | 0.000 | 0.000 | 0.000 | -0.000 | -0.000 |
| 0.000 | 0.000 | 0.000 | -0.000 | 0.000 | -0.000 |
| 0.000 | 0.000 | 0.000 | -0.000 | 0.000 | 0.000 |
| 0.000 | 0.000 | 0.000 | 0.000 | -0.000 | 0.000 |
| 0.000 | 0.000 | 0.000 | -0.000 | 0.000 | 0.000 |
| 0.000 | 0.000 | 0.000 | 0.000 | 0.000 | 0.000 |
| -0.000 | -0.000 | -0.000 | 0.000 | 0.000 | -0.000 |
| -0.000 | -0.000 | -0.000 | 0.000 | 0.000 | -0.000 |
| -0.000 | -0.000 | -0.000 | 0.000 | 0.000 | 0.000 |
| 385.156 | 163.998 | 163.998 | -0.000 | 0.000 | -0.000 |
| 163.998 | 385.156 | 163.998 | -0.000 | -0.000 | -0.000 |
| 163.998 | 163.998 | 385.156 | -0.000 | -0.000 | -0.000 |
| 0.000 | 0.000 | -0.000 | 130.210 | 0.000 | -0.000 |
| 0.000 | -0.000 | -0.000 | -0.000 | 130.210 | -0.000 |
| 0.000 | 0.000 | -0.000 | -0.000 | -0.000 | 130.210 |
| 385.156 | 163.998 | 163.998 | 0.000 | -0.000 | 0.000 |
| 163.998 | 385.156 | 163.998 | 0.000 | 0.000 | 0.000 |
| 163.998 | 163.998 | 385.156 | 0.000 | -0.000 | 0.000 |
| 0.000 | 0.000 | 0.000 | 130.210 | 0.000 | 0.000 |
| -0.000 | 0.000 | 0.000 | 0.000 | 130.210 | 0.000 |
| -0.000 | -0.000 | 0.000 | 0.000 | -0.000 | 130.210 |
| 385.156 | 163.998 | 163.998 | -0.000 | 0.000 | -0.000 |
| 163.998 | 385.156 | 163.998 | -0.000 | -0.000 | -0.000 |
| 163.998 | 163.998 | 385.156 | -0.000 | 0.000 | -0.000 |
| 0.000 | 0.000 | 0.000 | 127.384 | 0.000 | -0.000 |
| 0.000 | 0.000 | 0.000 | -0.000 | 127.384 | -0.000 |
| 0.000 | 0.000 | 0.000 | -0.000 | 0.000 | 127.384 |
| 385.156 | 163.998 | 163.998 | 0.000 | -0.000 | 0.000 |
| 163.998 | 385.156 | 163.998 | 0.000 | 0.000 | 0.000 |
| 163.998 | 163.998 | 385.156 | 0.000 | 0.000 | 0.000 |
| -0.000 | -0.000 | -0.000 | 127.384 | -0.000 | 0.000 |
| -0.000 | -0.000 | -0.000 | 0.000 | 127.384 | 0.000 |
| -0.000 | -0.000 | -0.000 | 0.000 | -0.000 | 127.384 |
| 385.159 | 164.000 | 164.000 | -0.000 | -0.000 | -0.000 |
| 164.000 | 385.159 | 164.000 | -0.000 | 0.000 | -0.000 |
| 164.000 | 164.000 | 385.159 | -0.000 | -0.000 | -0.000 |
| 0.000 | 0.001 | 0.001 | 127.384 | -0.000 | -0.000 |
| 0.001 | 0.000 | 0.001 | -0.000 | 127.384 | -0.000 |
| 0.001 | 0.001 | 0.000 | -0.000 | 0.000 | 127.384 |
| 385.153 | 163.996 | 163.996 | 0.000 | -0.000 | 0.000 |
| 163.996 | 385.153 | 163.996 | 0.000 | 0.000 | 0.000 |
| 163.996 | 163.996 | 385.153 | 0.000 | 0.000 | 0.000 |
| -0.000 | -0.001 | -0.001 | 127.384 | -0.000 | 0.000 |
| -0.001 | -0.000 | -0.001 | 0.000 | 127.384 | 0.000 |
| -0.001 | -0.001 | -0.000 | 0.000 | -0.000 | 127.384 |
| 133.653 | 12.848 | -171.314 | -56.879 | -0.000 | -0.000 |
| 102.961 | 258.317 | 145.242 | 83.261 | -0.000 | 0.000 |
| 25.232 | 25.232 | 236.064 | 0.000 | -0.000 | -0.000 |
| -179.992 | -22.560 | -298.539 | 113.430 | -0.000 | 0.000 |
| 0.000 | -0.000 | 0.000 | -0.000 | 120.371 | -83.261 |
| -100.909 | -100.909 | -297.455 | 0.000 | -56.879 | 60.403 |
| 258.317 | 102.961 | 145.241 | -83.261 | 0.000 | -0.000 |
| 102.961 | 258.317 | 145.241 | 83.261 | 0.000 | 0.000 |
| 227.050 | 227.050 | 830.974 | -0.000 | 0.000 | -0.000 |
| 44.029 | 157.788 | 297.455 | 80.082 | 0.000 | -0.000 |
| -0.000 | -0.000 | -0.000 | 0.000 | 120.371 | -83.261 |
| 100.909 | 100.909 | 297.455 | -0.000 | -56.879 | 60.403 |
| 224.471 | 103.665 | 96.395 | -56.880 | -0.000 | 0.000 |
| 102.961 | 258.317 | 145.242 | 83.261 | -0.000 | 0.000 |
| 145.242 | 145.242 | 589.823 | -0.000 | -0.000 | 0.000 |
| -66.970 | 46.789 | -29.745 | 80.082 | -0.000 | -0.000 |
| -13.511 | -13.511 | -39.828 | -0.000 | 111.111 | -77.198 |
| 0.000 | 0.000 | 0.000 | -0.000 | -83.261 | 77.678 |
| 258.316 | 102.961 | 145.241 | -83.261 | 0.000 | 0.000 |
| 115.944 | 259.591 | 166.256 | 74.321 | 0.000 | 0.000 |
| 136.232 | 136.232 | 563.264 | -0.000 | 0.000 | -0.000 |
| -63.686 | 90.709 | 39.828 | 111.111 | 0.000 | 0.000 |
| 13.511 | 13.511 | 39.828 | 0.000 | 111.111 | -77.198 |
| -0.000 | -0.000 | -0.000 | 0.000 | -83.261 | 77.678 |
| 258.319 | 102.961 | 145.242 | -83.262 | -0.000 | -0.000 |
| 102.962 | 258.318 | 145.242 | 83.262 | -0.000 | -0.000 |
| 125.133 | 125.133 | 530.551 | 0.000 | -0.000 | -0.000 |
| -64.744 | 54.125 | -15.650 | 83.985 | -0.000 | -0.000 |
| 0.000 | 0.000 | 0.001 | -0.001 | 120.371 | -83.261 |
| -4.730 | -4.729 | -13.942 | -0.000 | -62.035 | 63.779 |
| 245.837 | 99.256 | 121.390 | -76.563 | 0.000 | -0.000 |
| 99.255 | 245.838 | 121.390 | 76.563 | 0.000 | -0.000 |
| 127.148 | 127.148 | 536.487 | -0.000 | 0.000 | 0.000 |
| -83.261 | 83.261 | -0.001 | 120.371 | 0.000 | 0.000 |
| -0.000 | -0.000 | -0.001 | 0.001 | 120.371 | -83.261 |
| 4.730 | 4.729 | 13.942 | 0.000 | -62.035 | 63.779 |
| 63.328 | 34.242 | 136.835 | 90.814 | -0.000 | -0.000 |
| 87.643 | 181.142 | 192.540 | -140.657 | -0.000 | -0.000 |
| 127.469 | 127.469 | -7.696 | 0.000 | -0.000 | -0.000 |
| 140.657 | -140.657 | 0.000 | 149.177 | -0.000 | -0.000 |
| -0.476 | -0.476 | -0.310 | -0.000 | 91.982 | 103.699 |
| -0.476 | -0.476 | -0.310 | 0.000 | 103.698 | 22.868 |
| 64.946 | 35.675 | 137.828 | 90.957 | 0.000 | 0.000 |
| 14.576 | 60.316 | 129.457 | -103.700 | -0.000 | 0.000 |
| 128.945 | 128.944 | -6.736 | 0.000 | 0.000 | 0.000 |
| 140.657 | -140.657 | -0.000 | 149.177 | -0.000 | 0.000 |
| 0.476 | 0.476 | 0.310 | -0.000 | 91.982 | 103.699 |
| 0.476 | 0.476 | 0.310 | 0.000 | 103.698 | 22.868 |
| 64.056 | 34.888 | 137.282 | 90.878 | -0.000 | -0.000 |
| 34.887 | 64.056 | 137.282 | -90.878 | -0.000 | -0.000 |
| 128.133 | 128.133 | -7.264 | 0.000 | -0.000 | -0.000 |
| 140.657 | -140.657 | 0.000 | 149.177 | -0.000 | -0.000 |
| -0.048 | -0.048 | -0.031 | 0.000 | 91.983 | 103.700 |
| -0.048 | -0.048 | -0.031 | 0.000 | 103.700 | 22.870 |
| 59.652 | 13.913 | 129.025 | 103.700 | 0.000 | 0.000 |
| 87.643 | 181.142 | 192.539 | -140.657 | -0.000 | 0.000 |
| 191.770 | 191.770 | 34.144 | 0.000 | 0.000 | 0.000 |
| 103.748 | -103.652 | 0.031 | 91.983 | 0.000 | 0.000 |
| 0.048 | 0.048 | 0.031 | -0.000 | 91.983 | 103.700 |
| 0.048 | 0.048 | 0.031 | -0.000 | 103.700 | 22.870 |
| 181.143 | 87.643 | 192.540 | 140.657 | 0.000 | -0.000 |
| 34.952 | 64.131 | 137.328 | -90.885 | -0.000 | -0.000 |
| 128.200 | 128.200 | -7.220 | -0.000 | -0.000 | -0.000 |
| 103.695 | -103.705 | -0.003 | 91.983 | -0.000 | -0.000 |
| -0.005 | -0.005 | -0.003 | 0.000 | 91.983 | 103.700 |
| -0.005 | -0.005 | -0.003 | 0.000 | 103.700 | 22.870 |
| 64.144 | 34.965 | 137.335 | 90.885 | -0.000 | 0.000 |
| 34.966 | 64.144 | 137.335 | -90.885 | 0.000 | 0.000 |
| 128.215 | 128.215 | -7.211 | -0.000 | 0.000 | 0.000 |
| 103.705 | -103.695 | 0.003 | 91.983 | 0.000 | 0.000 |
| 0.005 | 0.005 | 0.003 | -0.000 | 91.983 | 103.700 |
| 0.005 | 0.005 | 0.003 | -0.000 | 103.700 | 22.870 |
| 46.294 | 130.097 | 96.844 | 0.000 | -0.000 | 0.000 |
| 130.097 | 46.294 | 96.844 | 0.000 | -0.000 | 0.000 |
| 94.073 | 94.073 | 184.017 | 0.000 | -0.000 | 0.000 |
| 0.000 | 0.000 | 0.000 | -73.262 | -0.000 | 0.000 |
| 0.000 | 0.000 | 0.000 | 0.000 | -73.262 | 0.000 |
| 0.000 | -0.000 | 0.000 | 0.000 | -0.000 | 95.869 |
| 42.530 | 126.660 | 73.789 | 0.000 | 0.000 | -0.000 |
| 126.660 | 42.530 | 73.789 | -0.000 | 0.000 | -0.000 |
| 94.073 | 94.073 | 184.017 | -0.000 | 0.000 | -0.000 |
| -0.000 | -0.000 | -0.000 | -73.262 | 0.000 | -0.000 |
| -0.000 | -0.000 | -0.000 | -0.000 | -73.262 | -0.000 |
| -0.000 | 0.000 | -0.000 | 0.000 | 0.000 | 95.869 |
| 42.530 | 126.660 | 73.789 | -0.000 | -0.000 | 0.000 |
| 126.660 | 42.530 | 73.789 | -0.000 | -0.000 | 0.000 |
| 72.016 | 72.016 | 42.788 | 0.000 | -0.000 | 0.000 |
| 0.000 | 0.000 | 0.000 | -73.262 | -0.000 | 0.000 |
| 0.000 | 0.000 | 0.000 | 0.000 | -73.262 | 0.000 |
| -0.000 | -0.000 | -0.000 | 0.000 | -0.000 | 97.915 |
| 42.530 | 126.660 | 73.789 | -0.000 | 0.000 | -0.000 |
| 126.660 | 42.530 | 73.789 | -0.000 | 0.000 | -0.000 |
| 72.016 | 72.016 | 42.789 | -0.000 | 0.000 | -0.000 |
| -0.000 | -0.000 | -0.000 | -73.262 | 0.000 | -0.000 |
| -0.000 | -0.000 | -0.000 | -0.000 | -73.262 | -0.000 |
| 0.000 | 0.000 | 0.000 | 0.000 | 0.000 | 97.915 |
| 42.530 | 126.660 | 73.789 | 0.000 | -0.000 | 0.000 |
| 126.660 | 42.530 | 73.789 | 0.000 | -0.000 | 0.000 |
| 72.016 | 72.016 | 42.783 | 0.000 | -0.000 | 0.000 |
| 0.001 | 0.000 | 0.001 | -73.262 | -0.000 | 0.000 |
| 0.000 | 0.001 | 0.001 | -0.000 | -73.262 | 0.000 |
| -0.000 | -0.000 | -0.000 | 0.000 | -0.000 | 97.915 |
| 42.529 | 126.660 | 73.789 | 0.000 | 0.000 | -0.000 |
| 126.660 | 42.529 | 73.789 | 0.000 | 0.000 | -0.000 |
| 72.016 | 72.016 | 42.794 | -0.000 | 0.000 | -0.000 |
| -0.001 | -0.000 | -0.001 | -73.262 | 0.000 | -0.000 |
| -0.000 | -0.001 | -0.001 | 0.000 | -73.262 | -0.000 |
| 0.000 | 0.000 | 0.000 | -0.000 | 0.000 | 97.915 |
| 31.705 | 32.092 | 32.092 | 0.000 | 0.000 | 0.000 |
| 32.092 | 31.705 | 32.092 | 0.000 | 0.000 | 0.000 |
| 32.092 | 32.092 | 31.705 | 0.000 | 0.000 | 0.000 |
| 0.000 | -0.000 | -0.000 | -1.150 | 0.000 | 0.000 |
| 0.000 | -0.000 | -0.000 | 0.000 | -1.150 | 0.000 |
| 0.000 | -0.000 | -0.000 | 0.000 | 0.000 | -1.150 |
| 31.705 | 32.092 | 32.092 | -0.000 | -0.000 | -0.000 |
| 32.092 | 31.705 | 32.092 | -0.000 | -0.000 | -0.000 |
| 32.092 | 32.092 | 31.705 | -0.000 | -0.000 | -0.000 |
| 0.000 | 0.000 | 0.000 | -1.150 | -0.000 | -0.000 |
| -0.000 | 0.000 | 0.000 | -0.000 | -1.150 | -0.000 |
| -0.000 | 0.000 | 0.000 | -0.000 | -0.000 | -1.150 |
| 31.705 | 32.092 | 32.092 | 0.000 | 0.000 | 0.000 |
| 32.092 | 31.705 | 32.092 | 0.000 | 0.000 | 0.000 |
| 32.092 | 32.092 | 31.705 | 0.000 | 0.000 | 0.000 |
| -0.000 | -0.000 | -0.000 | -1.150 | 0.000 | 0.000 |
| -0.000 | -0.000 | -0.000 | 0.000 | -1.150 | 0.000 |
| -0.000 | -0.000 | -0.000 | 0.000 | 0.000 | -1.150 |
| 31.705 | 32.092 | 32.092 | -0.000 | -0.000 | -0.000 |
| 32.092 | 31.705 | 32.092 | -0.000 | -0.000 | -0.000 |
| 32.092 | 32.092 | 31.705 | -0.000 | -0.000 | -0.000 |
| 0.000 | 0.000 | 0.000 | -1.150 | -0.000 | -0.000 |
| 0.000 | 0.000 | 0.000 | -0.000 | -1.150 | -0.000 |
| 0.000 | 0.000 | 0.000 | -0.000 | -0.000 | -1.150 |
| 31.706 | 32.093 | 32.093 | 0.000 | 0.000 | 0.000 |
| 32.093 | 31.706 | 32.093 | 0.000 | 0.000 | 0.000 |
| 32.093 | 32.093 | 31.706 | 0.000 | 0.000 | 0.000 |
| -0.000 | -0.000 | -0.000 | -1.150 | 0.000 | 0.000 |
| -0.000 | -0.000 | -0.000 | 0.000 | -1.150 | 0.000 |
| -0.000 | -0.000 | -0.000 | 0.000 | 0.000 | -1.150 |
| 31.705 | 32.092 | 32.092 | -0.000 | -0.000 | -0.000 |
| 32.092 | 31.705 | 32.092 | -0.000 | -0.000 | -0.000 |
| 32.092 | 32.092 | 31.705 | -0.000 | -0.000 | -0.000 |
| 0.000 | 0.000 | 0.000 | -1.150 | -0.000 | -0.000 |
| 0.000 | 0.000 | 0.000 | -0.000 | -1.150 | -0.000 |
| 0.000 | 0.000 | 0.000 | -0.000 | -0.000 | -1.150 |
| 474.252 | 191.794 | 133.199 | -4.378 | 0.000 | 0.000 |
| 191.794 | 474.252 | 133.199 | 4.378 | 0.000 | 0.000 |
| 243.029 | 243.028 | 258.942 | -0.000 | 0.000 | 0.000 |
| -4.378 | 4.378 | -0.000 | 91.298 | 0.000 | 0.000 |
| 0.000 | 0.000 | -0.000 | 0.000 | -46.548 | -14.312 |
| 0.000 | 0.000 | 0.000 | -0.000 | -4.378 | 141.229 |
| 201.388 | 299.266 | 256.915 | -5.033 | -0.000 | 0.000 |
| 191.794 | 474.252 | 133.199 | 4.378 | -0.000 | -0.000 |
| 189.616 | 189.616 | 307.963 | 0.000 | -0.000 | -0.000 |
| -40.789 | 40.789 | 0.000 | -8.024 | -0.000 | -0.000 |
| -0.000 | -0.000 | 0.000 | 0.000 | -46.548 | -14.312 |
| -0.000 | -0.000 | 0.000 | 0.000 | -4.378 | 141.229 |
| 248.559 | 256.235 | 254.013 | -17.867 | 0.000 | 0.000 |
| 191.794 | 474.252 | 133.199 | 4.378 | 0.000 | 0.000 |
| 189.616 | 189.616 | 307.963 | -0.000 | 0.000 | -0.000 |
| -14.312 | 14.312 | 0.000 | -46.548 | 0.000 | 0.000 |
| 0.000 | -0.000 | -0.000 | 0.000 | -8.024 | -40.789 |
| -0.000 | -0.000 | -0.000 | 0.000 | -13.732 | -12.047 |
| 227.592 | 246.492 | 257.295 | -13.647 | -0.000 | -0.000 |
| 191.793 | 474.251 | 133.199 | 4.378 | -0.000 | -0.000 |
| 137.612 | 137.612 | 450.038 | -0.000 | 0.000 | 0.000 |
| -4.378 | 4.378 | -0.000 | 91.298 | 0.000 | -0.000 |
| -0.000 | 0.000 | 0.000 | 0.000 | -8.024 | -40.789 |
| 0.000 | 0.000 | 0.000 | -0.000 | -13.732 | -12.047 |
| 311.999 | 267.343 | 175.311 | -33.478 | 0.000 | 0.000 |
| 267.413 | 311.849 | 175.350 | 33.505 | 0.000 | 0.000 |
| 137.614 | 137.614 | 450.040 | -0.000 | 0.000 | 0.000 |
| -14.311 | 14.311 | 0.000 | -46.547 | 0.000 | 0.000 |
| -0.000 | 0.000 | 0.000 | -0.000 | -46.548 | -14.312 |
| 0.000 | 0.000 | 0.000 | -0.000 | -4.378 | 141.229 |
| 248.576 | 256.226 | 254.009 | -17.863 | -0.000 | -0.000 |
| 256.233 | 248.580 | 253.995 | 17.868 | 0.000 | -0.000 |
| 189.615 | 189.615 | 307.965 | 0.000 | -0.000 | -0.000 |
| -40.786 | 40.786 | 0.000 | -8.017 | -0.000 | -0.000 |
| 0.000 | -0.000 | -0.000 | 0.000 | -46.548 | -14.312 |
| -0.000 | -0.000 | -0.000 | 0.000 | -4.378 | 141.229 |
| 4763273238.078 | 4763268528.731 | 4763268528.731 | 0.000 | 0.000 | -0.000 |
| 4763268529.383 | 4763273238.733 | 4763268529.383 | 0.000 | 0.000 | -0.000 |
| 4763268529.411 | 4763268529.411 | 4763273238.764 | 0.000 | 0.000 | -0.000 |
| 33.383 | 33.383 | 33.383 | 161.982 | 0.000 | -0.000 |
| 28.639 | 28.639 | 28.639 | 0.000 | 161.980 | -0.000 |
| 39.055 | 39.055 | 39.055 | 0.000 | 0.000 | 131.451 |
| 4764145124.963 | 4764140495.158 | 4764140495.158 | 0.000 | -0.000 | 0.000 |
| 4764140487.998 | 4764145117.803 | 4764140487.998 | 0.000 | -0.000 | 0.000 |
| 4764140495.556 | 4764140495.556 | 4764145125.361 | -0.000 | -0.000 | 0.000 |
| -34.491 | -34.491 | -34.491 | 161.981 | -0.000 | 0.000 |
| -33.610 | -33.610 | -33.610 | -0.000 | 161.981 | 0.000 |
| -26.764 | -26.764 | -26.764 | -0.000 | -0.000 | 126.759 |
| 4759349216.875 | 4759344172.487 | 4759344172.487 | 0.000 | 0.000 | -0.000 |
| 4759344949.085 | 4759346464.204 | 4759344949.085 | 0.000 | 0.000 | -0.000 |
| 4759344579.674 | 4759344579.679 | 4759347695.682 | -0.000 | 0.000 | -0.000 |
| 19.549 | 19.548 | 19.548 | 160.033 | 0.000 | -0.000 |
| 19.517 | 19.518 | 19.517 | 0.000 | 159.917 | -0.000 |
| 19.977 | 19.977 | 19.978 | 0.000 | 0.000 | 160.002 |
| 4768069051.888 | 4768064780.593 | 4768064780.593 | 0.000 | 0.000 | 0.000 |
| 4768064780.326 | 4768069051.620 | 4768064780.326 | 0.000 | -0.000 | 0.000 |
| 4768064780.599 | 4768064780.599 | 4768069051.894 | 0.000 | -0.000 | 0.000 |
| -19.368 | -19.366 | -19.366 | 160.089 | -0.000 | 0.000 |
| -19.571 | -19.572 | -19.571 | -0.000 | 160.015 | 0.000 |
| -19.736 | -19.735 | -19.737 | -0.000 | -0.000 | 160.017 |
| 4720106917.437 | 4720100856.100 | 4720100856.100 | -0.000 | -0.000 | -0.000 |
| 4720100847.128 | 4720106818.651 | 4720100847.128 | 0.000 | -0.000 | -0.000 |
| 4720100852.348 | 4720100852.348 | 4720106875.712 | -0.000 | 0.000 | -0.000 |
| 9802.528 | 9802.138 | 9802.129 | -5266.014 | 0.000 | -0.000 |
| -420.985 | -420.955 | -420.987 | 0.000 | -94.541 | -0.000 |
| 10001.639 | 10001.630 | 10002.032 | 0.000 | 0.000 | -5299.089 |
| 4807308016.466 | 4807307362.740 | 4807307362.740 | -0.000 | -0.000 | 0.000 |
| 4807306934.248 | 4807307059.568 | 4807306934.248 | 0.000 | -0.000 | 0.000 |
| 4807306934.490 | 4807306934.490 | 4807307060.150 | 0.000 | -0.000 | -0.000 |
| 363.758 | 363.786 | 363.788 | -67.008 | -0.000 | 0.000 |
| 339.063 | 339.036 | 339.065 | -0.000 | -55.260 | 0.000 |
| -9765.868 | -9765.859 | -9766.258 | -0.000 | -0.000 | -5259.976 |
| 365.388 | 80.429 | 80.429 | -0.000 | 0.000 | 0.000 |
| 80.429 | 365.388 | 80.429 | -0.000 | 0.000 | -0.000 |
| 80.429 | 80.429 | 365.388 | -0.000 | 0.000 | -0.000 |
| 0.000 | 0.000 | 0.000 | 49.359 | 0.000 | -0.000 |
| 0.000 | 0.000 | 0.000 | -0.000 | 49.359 | -0.000 |
| 0.000 | 0.000 | 0.000 | -0.000 | 0.000 | 49.359 |
| 365.798 | 80.224 | 80.224 | 0.000 | -0.000 | 0.000 |
| 80.224 | 365.798 | 80.224 | 0.000 | -0.000 | -0.000 |
| 80.224 | 80.224 | 365.798 | 0.000 | -0.000 | -0.000 |
| -0.000 | -0.000 | -0.000 | 49.359 | -0.000 | 0.000 |
| -0.000 | -0.000 | -0.000 | 0.000 | 49.359 | 0.000 |
| -0.000 | -0.000 | -0.000 | 0.000 | -0.000 | 49.359 |
| 365.388 | 80.429 | 80.429 | -0.000 | 0.000 | -0.000 |
| 80.429 | 365.388 | 80.429 | -0.000 | 0.000 | -0.000 |
| 80.429 | 80.429 | 365.388 | -0.000 | 0.000 | -0.000 |
| 0.000 | 0.000 | 0.000 | 49.359 | 0.000 | 0.000 |
| 0.000 | 0.000 | 0.000 | -0.000 | 49.359 | 0.000 |
| 0.000 | 0.000 | 0.000 | 0.000 | 0.000 | 49.359 |
| 365.798 | 80.224 | 80.224 | 0.000 | -0.000 | 0.000 |
| 80.224 | 365.798 | 80.224 | 0.000 | -0.000 | 0.000 |
| 80.224 | 80.224 | 365.798 | 0.000 | -0.000 | -0.000 |
| -0.000 | -0.000 | -0.000 | 49.359 | -0.000 | 0.000 |
| -0.000 | -0.000 | -0.000 | 0.000 | 49.359 | 0.000 |
| -0.000 | -0.000 | -0.000 | -0.000 | -0.000 | 49.359 |
| 365.391 | 80.430 | 80.430 | -0.000 | 0.000 | -0.000 |
| 80.430 | 365.391 | 80.430 | 0.000 | 0.000 | -0.000 |
| 80.430 | 80.430 | 365.391 | -0.000 | 0.000 | -0.000 |
| 0.000 | 0.000 | 0.000 | 49.359 | 0.000 | -0.000 |
| 0.000 | 0.000 | 0.000 | 0.000 | 49.359 | -0.000 |
| 0.000 | 0.000 | 0.000 | 0.000 | 0.000 | 49.359 |
| 365.385 | 80.428 | 80.428 | 0.000 | -0.000 | -0.000 |
| 80.428 | 365.385 | 80.428 | 0.000 | -0.000 | 0.000 |
| 80.428 | 80.428 | 365.385 | -0.000 | -0.000 | 0.000 |
| -0.000 | -0.000 | -0.000 | 49.359 | -0.000 | 0.000 |
| -0.000 | -0.000 | -0.000 | 0.000 | 49.359 | 0.000 |
| -0.000 | -0.000 | -0.000 | 0.000 | -0.000 | 49.359 |
| 0.192 | 0.098 | 0.098 | 0.000 | -0.000 | 0.000 |
| 0.098 | 0.192 | 0.098 | 0.000 | 0.000 | 0.000 |
| 0.098 | 0.098 | 0.192 | 0.000 | 0.000 | -0.000 |
| 0.000 | 0.000 | 0.000 | 0.098 | 0.000 | -0.000 |
| 0.000 | -0.000 | 0.000 | 0.000 | 0.098 | -0.000 |
| 0.000 | 0.000 | -0.000 | 0.000 | -0.000 | 0.098 |
| 0.192 | 0.098 | 0.098 | -0.000 | 0.000 | 0.000 |
| 0.098 | 0.192 | 0.098 | -0.000 | 0.000 | 0.000 |
| 0.098 | 0.098 | 0.192 | -0.000 | -0.000 | -0.000 |
| -0.000 | -0.000 | -0.000 | 0.098 | -0.000 | -0.000 |
| -0.000 | -0.000 | 0.000 | -0.000 | 0.098 | 0.000 |
| -0.000 | -0.000 | 0.000 | -0.000 | -0.000 | 0.098 |
| 0.193 | 0.098 | 0.098 | 0.000 | -0.000 | -0.000 |
| 0.098 | 0.193 | 0.098 | 0.000 | 0.000 | 0.000 |
| 0.098 | 0.098 | 0.193 | -0.000 | 0.000 | -0.000 |
| -0.000 | 0.000 | 0.000 | 0.098 | 0.000 | 0.000 |
| 0.000 | -0.000 | 0.000 | 0.000 | 0.098 | -0.000 |
| 0.000 | 0.000 | -0.000 | 0.000 | -0.000 | 0.098 |
| 0.192 | 0.098 | 0.098 | -0.000 | 0.000 | 0.000 |
| 0.098 | 0.192 | 0.098 | -0.000 | -0.000 | 0.000 |
| 0.098 | 0.098 | 0.192 | -0.000 | 0.000 | -0.000 |
| 0.000 | -0.000 | -0.000 | 0.098 | 0.000 | 0.000 |
| -0.000 | 0.000 | -0.000 | 0.000 | 0.098 | 0.000 |
| -0.000 | -0.000 | 0.000 | -0.000 | 0.000 | 0.098 |
| 0.190 | 0.099 | 0.099 | -0.000 | 0.000 | -0.000 |
| 0.099 | 0.190 | 0.099 | 0.000 | 0.000 | -0.000 |
| 0.099 | 0.099 | 0.190 | -0.000 | -0.000 | -0.000 |
| -0.000 | 0.000 | 0.000 | 0.098 | 0.000 | -0.000 |
| 0.000 | -0.000 | 0.000 | 0.000 | 0.098 | 0.000 |
| 0.000 | 0.000 | -0.000 | -0.000 | 0.000 | 0.098 |
| 0.190 | 0.099 | 0.099 | -0.000 | -0.000 | 0.000 |
| 0.099 | 0.190 | 0.099 | -0.000 | -0.000 | 0.000 |
| 0.099 | 0.099 | 0.190 | -0.000 | -0.000 | 0.000 |
| 0.000 | -0.000 | -0.000 | 0.098 | -0.000 | 0.000 |
| -0.000 | 0.000 | -0.000 | -0.000 | 0.098 | -0.000 |
| -0.000 | -0.000 | 0.000 | 0.000 | -0.000 | 0.098 |
| 4839297592.734 | 4839299248.274 | 4839299248.274 | 0.000 | -0.000 | -0.000 |
| 4839299248.893 | 4839297593.353 | 4839299248.893 | -0.000 | -0.001 | -0.000 |
| 4839299248.821 | 4839299248.822 | 4839297593.282 | -0.000 | 0.000 | -0.000 |
| -1.607 | -1.607 | -1.606 | 2124.022 | -0.000 | -0.000 |
| 2.047 | 2.047 | 2.047 | 0.000 | 2124.021 | -0.000 |
| -2.657 | -2.657 | -2.657 | 0.000 | -0.000 | 2124.021 |
| 4840186361.183 | 4840188048.509 | 4840188048.509 | 0.000 | 0.000 | 0.000 |
| 4840188046.394 | 4840186359.068 | 4840188046.394 | 0.000 | 0.000 | 0.000 |
| 4840188042.697 | 4840188042.697 | 4840186355.370 | 0.000 | 0.000 | 0.000 |
| 3.995 | 3.995 | 3.995 | 2124.021 | 0.000 | 0.000 |
| 0.657 | 0.657 | 0.657 | 0.000 | 2124.021 | 0.000 |
| 1.492 | 1.492 | 1.492 | 0.000 | 0.000 | 2124.019 |
| 4835298262.062 | 4835299774.709 | 4835299774.709 | 0.000 | -0.000 | -0.000 |
| 4835299774.900 | 4835298262.253 | 4835299774.900 | 0.000 | 0.000 | -0.000 |
| 4835299775.519 | 4835299775.519 | 4835298262.872 | 0.000 | -0.000 | -0.000 |
| 71.534 | 71.533 | 71.534 | 2123.706 | -0.000 | -0.000 |
| 73.403 | 73.403 | 73.403 | 0.000 | 2122.278 | -0.000 |
| 78.754 | 78.754 | 78.754 | 0.000 | -0.000 | 2118.199 |
| 4844185607.788 | 4844187438.297 | 4844187438.297 | -0.000 | 0.000 | 0.000 |
| 4844187438.084 | 4844185607.575 | 4844187438.084 | 0.000 | -0.000 | 0.000 |
| 4844187437.715 | 4844187437.715 | 4844185607.206 | 0.000 | 0.000 | 0.000 |
| -71.225 | -71.224 | -71.225 | 2123.972 | 0.000 | 0.000 |
| -563.112 | -563.112 | -563.113 | -0.000 | 1831.136 | 0.000 |
| -73.405 | -73.406 | -73.406 | -0.000 | 0.000 | 2122.463 |
| 4795304993.827 | 4795305090.537 | 4795305090.537 | -0.000 | 0.000 | -0.000 |
| 4795305090.546 | 4795304993.836 | 4795305090.545 | -0.000 | 0.000 | -0.000 |
| 4795305090.532 | 4795305090.532 | 4795304993.823 | -0.000 | 0.000 | -0.000 |
| 716.834 | 716.829 | 716.834 | 2124.051 | 0.000 | -0.000 |
| 716.833 | 716.839 | 716.838 | 0.000 | 2124.051 | -0.000 |
| 716.801 | 716.807 | 716.807 | 0.000 | -0.000 | 2124.051 |
| 4884178418.535 | 4884181693.875 | 4884181693.875 | -0.000 | -0.000 | -0.000 |
| 4884181693.870 | 4884178418.531 | 4884181693.870 | 0.000 | 0.000 | 0.000 |
| 4884181693.798 | 4884181693.798 | 4884178418.458 | 0.000 | 0.000 | -0.000 |
| -716.812 | -716.806 | -716.811 | 2124.051 | -0.000 | 0.000 |
| -716.808 | -716.813 | -716.813 | -0.000 | 2124.051 | 0.000 |
| -716.809 | -716.814 | -716.814 | -0.000 | 0.000 | 2124.051 |
| 188.518 | 197.059 | 197.059 | -0.000 | -0.000 | -0.000 |
| 197.059 | 188.518 | 197.059 | -0.000 | 0.000 | -0.000 |
| 197.059 | 197.059 | 188.518 | -0.000 | -0.000 | -0.000 |
| 0.000 | -0.000 | -0.000 | 146.543 | -0.000 | -0.000 |
| -0.000 | -0.000 | -0.000 | -0.000 | 146.543 | -0.000 |
| -0.000 | -0.000 | -0.000 | -0.000 | -0.000 | 146.543 |
| 188.518 | 197.059 | 197.059 | 0.000 | 0.000 | -0.000 |
| 197.059 | 188.518 | 197.059 | 0.000 | 0.000 | 0.000 |
| 197.059 | 197.059 | 188.518 | 0.000 | 0.000 | -0.000 |
| -0.000 | 0.000 | 0.000 | 146.543 | 0.000 | 0.000 |
| 0.000 | 0.000 | 0.000 | 0.000 | 146.543 | 0.000 |
| 0.000 | 0.000 | 0.000 | 0.000 | 0.000 | 146.543 |
| 188.518 | 197.059 | 197.059 | -0.000 | -0.000 | -0.000 |
| 197.059 | 188.518 | 197.059 | -0.000 | 0.000 | -0.000 |
| 197.059 | 197.059 | 188.518 | -0.000 | -0.000 | -0.000 |
| 0.000 | 0.000 | 0.000 | 174.511 | -0.000 | -0.000 |
| 0.000 | 0.000 | 0.000 | -0.000 | 174.511 | -0.000 |
| 0.000 | 0.000 | 0.000 | -0.000 | -0.000 | 174.511 |
| 188.518 | 197.059 | 197.059 | 0.000 | 0.000 | -0.000 |
| 197.059 | 188.518 | 197.059 | 0.000 | -0.000 | -0.000 |
| 197.059 | 197.059 | 188.518 | 0.000 | 0.000 | -0.000 |
| -0.000 | -0.000 | -0.000 | 174.511 | 0.000 | 0.000 |
| -0.000 | -0.000 | -0.000 | 0.000 | 174.511 | 0.000 |
| -0.000 | -0.000 | -0.000 | 0.000 | -0.000 | 174.511 |
| 188.518 | 197.059 | 197.059 | -0.000 | -0.000 | 0.000 |
| 197.059 | 188.518 | 197.059 | -0.000 | 0.000 | 0.000 |
| 197.059 | 197.059 | 188.518 | -0.000 | -0.000 | -0.000 |
| 0.000 | -0.000 | 0.000 | 146.543 | 0.000 | -0.000 |
| -0.000 | 0.000 | 0.000 | -0.000 | 146.543 | -0.000 |
| -0.000 | 0.000 | 0.000 | -0.000 | -0.000 | 146.543 |
| 188.519 | 197.058 | 197.058 | 0.000 | 0.000 | -0.000 |
| 197.058 | 188.519 | 197.058 | 0.000 | -0.000 | 0.000 |
| 197.058 | 197.058 | 188.519 | 0.000 | 0.000 | 0.000 |
| -0.000 | 0.000 | -0.000 | 146.543 | -0.000 | -0.000 |
| 0.000 | -0.000 | -0.000 | 0.000 | 146.543 | 0.000 |
| 0.000 | -0.000 | -0.000 | 0.000 | 0.000 | 146.543 |
| 0.000 | 0.000 | 0.000 | 0.000 | 0.000 | 0.000 |
| 0.000 | 0.000 | 0.000 | 0.000 | 0.000 | 0.000 |
| 0.000 | 0.000 | 0.000 | 0.000 | 0.000 | -0.000 |
| 0.000 | 0.000 | 0.000 | 0.000 | 0.000 | 0.000 |
| 0.000 | 0.000 | 0.000 | 0.000 | 0.000 | 0.000 |
| 0.000 | 0.000 | 0.000 | -0.000 | 0.000 | 0.000 |
| 0.000 | 0.000 | 0.000 | -0.000 | -0.000 | -0.000 |
| 0.000 | 0.000 | 0.000 | -0.000 | -0.000 | -0.000 |
| 0.000 | 0.000 | 0.000 | -0.000 | -0.000 | 0.000 |
| -0.000 | -0.000 | -0.000 | 0.000 | -0.000 | 0.000 |
| -0.000 | -0.000 | -0.000 | -0.000 | 0.000 | 0.000 |
| -0.000 | -0.000 | -0.000 | -0.000 | -0.000 | 0.000 |
| 0.000 | 0.000 | 0.000 | 0.000 | 0.000 | -0.000 |
| 0.000 | 0.000 | 0.000 | 0.000 | 0.000 | -0.000 |
| 0.000 | 0.000 | 0.000 | 0.000 | 0.000 | 0.000 |
| 0.000 | 0.000 | 0.000 | 0.000 | 0.000 | -0.000 |
| 0.000 | 0.000 | 0.000 | 0.000 | 0.000 | -0.000 |
| 0.000 | 0.000 | 0.000 | -0.000 | -0.000 | 0.000 |
| 0.000 | 0.000 | 0.000 | -0.000 | 0.000 | 0.000 |
| 0.000 | 0.000 | 0.000 | 0.000 | -0.000 | 0.000 |
| 0.000 | 0.000 | 0.000 | -0.000 | -0.000 | -0.000 |
| -0.000 | -0.000 | -0.000 | 0.000 | -0.000 | 0.000 |
| -0.000 | -0.000 | -0.000 | -0.000 | 0.000 | 0.000 |
| -0.000 | -0.000 | -0.000 | -0.000 | -0.000 | 0.000 |
| 0.000 | 0.000 | 0.000 | 0.000 | 0.000 | 0.000 |
| 0.000 | 0.000 | 0.000 | 0.000 | 0.000 | 0.000 |
| 0.000 | 0.000 | 0.000 | 0.000 | 0.000 | 0.000 |
| 0.000 | 0.000 | 0.000 | 0.000 | 0.000 | -0.000 |
| 0.000 | 0.000 | 0.000 | 0.000 | 0.000 | -0.000 |
| 0.000 | 0.000 | 0.000 | 0.000 | 0.000 | 0.000 |
| 0.000 | 0.000 | 0.000 | -0.000 | -0.000 | 0.000 |
| 0.000 | 0.000 | 0.000 | -0.000 | -0.000 | 0.000 |
| 0.000 | 0.000 | 0.000 | -0.000 | -0.000 | -0.000 |
| -0.000 | -0.000 | -0.000 | 0.000 | 0.000 | 0.000 |
| -0.000 | -0.000 | -0.000 | 0.000 | 0.000 | 0.000 |
| -0.000 | -0.000 | -0.000 | -0.000 | 0.000 | 0.000 |
| 348931354.235 | 348929385.015 | 348929385.015 | -0.000 | -0.000 | -0.000 |
| 348929386.500 | 348931355.720 | 348929386.500 | -0.000 | -0.000 | -0.000 |
| 348929387.439 | 348929387.438 | 348931356.658 | -0.000 | -0.000 | 0.000 |
| -6.135 | -6.135 | -6.135 | 2114.686 | -0.000 | -0.000 |
| -4.753 | -4.753 | -4.753 | -0.000 | 2114.686 | -0.000 |
| -2.973 | -2.973 | -2.973 | -0.000 | -0.000 | 2114.686 |
| 349007214.444 | 349005243.761 | 349005243.761 | 0.000 | 0.000 | -0.000 |
| 349005246.595 | 349007217.278 | 349005246.595 | 0.000 | 0.000 | 0.000 |
| 349005249.122 | 349005249.122 | 349007219.805 | 0.000 | 0.000 | 0.000 |
| 7.882 | 7.882 | 7.882 | 2114.686 | 0.000 | 0.000 |
| 7.107 | 7.107 | 7.107 | 0.000 | 2114.686 | 0.000 |
| 4.655 | 4.655 | 4.655 | 0.000 | 0.000 | 2114.686 |
| 348590106.998 | 348588144.354 | 348588144.354 | -0.000 | -0.000 | 0.000 |
| 348588144.037 | 348590106.681 | 348588144.037 | 0.000 | -0.000 | -0.000 |
| 348588143.724 | 348588143.724 | 348590106.368 | -0.000 | -0.000 | -0.000 |
| 6.602 | 6.602 | 6.602 | 2114.686 | -0.000 | -0.000 |
| 6.654 | 6.654 | 6.654 | -0.000 | 2114.686 | -0.000 |
| 6.797 | 6.797 | 6.796 | 0.000 | -0.000 | 2114.686 |
| 349348456.212 | 349346478.937 | 349346478.937 | 0.000 | 0.000 | 0.000 |
| 349346478.828 | 349348456.103 | 349346478.828 | 0.000 | 0.000 | -0.000 |
| 349346478.624 | 349346478.624 | 349348455.899 | 0.000 | 0.000 | 0.000 |
| -6.689 | -6.690 | -6.690 | 2114.686 | 0.000 | 0.000 |
| -6.642 | -6.642 | -6.643 | 0.000 | 2114.686 | 0.000 |
| -6.765 | -6.766 | -6.765 | -0.000 | -0.000 | 2114.686 |
| 345177525.104 | 345175627.513 | 345175627.513 | -0.000 | -0.000 | 0.000 |
| 345175627.497 | 345177525.088 | 345175627.497 | -0.000 | -0.000 | -0.000 |
| 345175627.492 | 345175627.492 | 345177525.083 | -0.000 | -0.000 | -0.000 |
| 69.736 | 69.739 | 69.742 | 2114.686 | -0.000 | -0.000 |
| 69.735 | 69.732 | 69.738 | -0.000 | 2114.686 | -0.000 |
| 69.746 | 69.750 | 69.743 | -0.000 | -0.000 | 2114.686 |
| 352761005.848 | 352758961.946 | 352758961.946 | 0.000 | 0.000 | 0.000 |
| 352758961.940 | 352761005.842 | 352758961.940 | -0.000 | 0.000 | 0.000 |
| 352758961.941 | 352758961.941 | 352761005.843 | 0.000 | 0.000 | 0.000 |
| -69.740 | -69.743 | -69.746 | 2114.686 | 0.000 | 0.000 |
| -69.740 | -69.737 | -69.743 | 0.000 | 2114.686 | 0.000 |
| -69.753 | -69.757 | -69.750 | 0.000 | 0.000 | 2114.686 |
| 242.742 | 189.083 | 189.083 | 0.000 | -0.000 | -0.000 |
| 189.083 | 242.742 | 189.083 | 0.000 | 0.000 | -0.000 |
| 189.083 | 189.083 | 242.742 | 0.000 | -0.000 | 0.000 |
| 0.000 | 0.000 | 0.000 | 172.089 | 0.000 | -0.000 |
| 0.000 | -0.000 | 0.000 | 0.000 | 172.089 | -0.000 |
| 0.000 | 0.000 | -0.000 | -0.000 | -0.000 | 172.089 |
| 242.742 | 189.083 | 189.083 | -0.000 | 0.000 | 0.000 |
| 189.083 | 242.742 | 189.083 | -0.000 | 0.000 | 0.000 |
| 189.083 | 189.083 | 242.742 | 0.000 | 0.000 | -0.000 |
| -0.000 | -0.000 | -0.000 | 172.089 | -0.000 | 0.000 |
| -0.000 | 0.000 | -0.000 | 0.000 | 172.089 | 0.000 |
| -0.000 | -0.000 | 0.000 | -0.000 | 0.000 | 172.089 |
| 242.743 | 189.083 | 189.083 | 0.000 | -0.000 | -0.000 |
| 189.083 | 242.743 | 189.083 | 0.000 | -0.000 | -0.000 |
| 189.083 | 189.083 | 242.743 | 0.000 | -0.000 | -0.000 |
| 0.000 | 0.000 | 0.000 | 172.089 | 0.000 | -0.000 |
| 0.000 | 0.000 | 0.000 | 0.000 | 172.089 | -0.000 |
| 0.000 | 0.000 | 0.000 | 0.000 | 0.000 | 172.089 |
| 242.742 | 189.083 | 189.083 | -0.000 | 0.000 | 0.000 |
| 189.083 | 242.742 | 189.083 | 0.000 | -0.000 | 0.000 |
| 189.083 | 189.083 | 242.742 | -0.000 | 0.000 | 0.000 |
| -0.000 | -0.000 | -0.000 | 172.089 | 0.000 | 0.000 |
| -0.000 | -0.000 | -0.000 | 0.000 | 172.089 | 0.000 |
| -0.000 | -0.000 | -0.000 | -0.000 | 0.000 | 172.089 |
| 242.744 | 189.084 | 189.084 | 0.000 | 0.000 | -0.000 |
| 189.084 | 242.744 | 189.084 | 0.000 | 0.000 | -0.000 |
| 189.084 | 189.084 | 242.744 | -0.000 | 0.000 | 0.000 |
| 0.000 | 0.001 | 0.001 | 172.089 | -0.000 | -0.000 |
| 0.001 | 0.000 | 0.001 | 0.000 | 172.089 | -0.000 |
| 0.001 | 0.001 | 0.000 | 0.000 | -0.000 | 172.089 |
| 242.741 | 189.081 | 189.081 | -0.000 | 0.000 | 0.000 |
| 189.081 | 242.741 | 189.081 | -0.000 | -0.000 | 0.000 |
| 189.081 | 189.081 | 242.741 | -0.000 | -0.000 | 0.000 |
| -0.000 | -0.001 | -0.001 | 172.089 | 0.000 | 0.000 |
| -0.001 | -0.000 | -0.001 | 0.000 | 172.089 | 0.000 |
| -0.001 | -0.001 | -0.000 | -0.000 | 0.000 | 172.089 |
| 0.000 | 0.000 | 0.000 | 0.000 | 0.000 | 0.000 |
| 0.000 | 0.000 | 0.000 | 0.000 | -0.000 | 0.000 |
| 0.000 | 0.000 | 0.000 | 0.000 | 0.000 | 0.000 |
| -0.000 | 0.000 | 0.000 | 0.000 | 0.000 | 0.000 |
| 0.000 | -0.000 | 0.000 | 0.000 | 0.000 | 0.000 |
| 0.000 | 0.000 | -0.000 | 0.000 | 0.000 | 0.000 |
| 0.000 | 0.000 | 0.000 | -0.000 | -0.000 | -0.000 |
| 0.000 | 0.000 | 0.000 | -0.000 | 0.000 | -0.000 |
| 0.000 | 0.000 | 0.000 | -0.000 | -0.000 | -0.000 |
| 0.000 | -0.000 | -0.000 | 0.000 | -0.000 | -0.000 |
| -0.000 | 0.000 | -0.000 | -0.000 | 0.000 | -0.000 |
| -0.000 | -0.000 | 0.000 | -0.000 | -0.000 | 0.000 |
| 0.000 | 0.000 | 0.000 | -0.000 | 0.000 | 0.000 |
| 0.000 | 0.000 | 0.000 | 0.000 | 0.000 | 0.000 |
| 0.000 | 0.000 | 0.000 | 0.000 | 0.000 | -0.000 |
| -0.000 | 0.000 | 0.000 | 0.000 | 0.000 | 0.000 |
| 0.000 | -0.000 | 0.000 | 0.000 | 0.000 | 0.000 |
| 0.000 | 0.000 | -0.000 | 0.000 | 0.000 | 0.000 |
| 0.000 | 0.000 | 0.000 | -0.000 | -0.000 | -0.000 |
| 0.000 | 0.000 | 0.000 | -0.000 | -0.000 | -0.000 |
| 0.000 | 0.000 | 0.000 | -0.000 | -0.000 | 0.000 |
| 0.000 | -0.000 | -0.000 | 0.000 | -0.000 | -0.000 |
| -0.000 | 0.000 | -0.000 | -0.000 | 0.000 | -0.000 |
| -0.000 | -0.000 | 0.000 | -0.000 | -0.000 | 0.000 |
| 0.000 | 0.000 | 0.000 | 0.000 | 0.000 | 0.000 |
| 0.000 | 0.000 | 0.000 | 0.000 | 0.000 | 0.000 |
| 0.000 | 0.000 | 0.000 | 0.000 | 0.000 | -0.000 |
| -0.000 | 0.000 | 0.000 | 0.000 | 0.000 | 0.000 |
| 0.000 | -0.000 | 0.000 | 0.000 | 0.000 | -0.000 |
| 0.000 | 0.000 | -0.000 | 0.000 | -0.000 | 0.000 |
| 0.000 | 0.000 | 0.000 | -0.000 | -0.000 | -0.000 |
| 0.000 | 0.000 | 0.000 | -0.000 | -0.000 | -0.000 |
| 0.000 | 0.000 | 0.000 | -0.000 | -0.000 | 0.000 |
| 0.000 | -0.000 | -0.000 | 0.000 | -0.000 | -0.000 |
| -0.000 | 0.000 | -0.000 | -0.000 | 0.000 | -0.000 |
| -0.000 | -0.000 | 0.000 | -0.000 | -0.000 | 0.000 |
| 345.014 | 178.008 | 216.207 | 0.000 | 0.000 | -0.000 |
| 180.098 | 234.709 | 42.875 | 0.000 | 0.000 | 0.000 |
| 215.752 | 40.331 | 359.061 | -0.000 | 0.000 | 0.000 |
| -0.000 | 0.000 | 0.000 | 5.832 | 0.000 | 0.000 |
| 0.007 | -0.001 | 0.009 | -0.000 | 161.881 | -0.000 |
| 0.004 | -0.000 | 0.005 | 0.000 | 0.000 | 146.939 |
| 380.021 | 174.550 | 259.319 | -0.000 | -0.000 | 0.000 |
| 180.090 | 234.710 | 42.865 | -0.000 | 0.000 | -0.000 |
| 258.866 | 36.071 | 412.158 | -0.000 | -0.000 | -0.000 |
| -0.000 | -0.000 | -0.000 | 5.832 | -0.000 | 0.000 |
| -0.007 | 0.001 | -0.009 | 0.000 | 161.881 | 0.000 |
| -0.004 | 0.000 | -0.005 | -0.000 | -0.000 | 146.939 |
| 380.021 | 174.550 | 259.320 | 0.000 | 0.000 | -0.000 |
| 180.095 | 234.710 | 42.871 | 0.000 | -0.000 | -0.000 |
| 258.866 | 36.071 | 412.158 | 0.000 | -0.000 | 0.000 |
| -0.000 | 0.000 | -0.000 | 5.832 | 0.000 | -0.000 |
| 0.001 | -0.000 | 0.001 | 0.000 | 161.881 | -0.000 |
| 0.000 | -0.000 | 0.001 | 0.000 | 0.000 | 146.939 |
| 380.021 | 174.550 | 259.319 | 0.000 | -0.000 | 0.000 |
| 180.094 | 234.710 | 42.870 | -0.000 | 0.000 | -0.000 |
| 215.748 | 40.331 | 359.056 | -0.000 | -0.000 | -0.000 |
| 0.000 | -0.000 | 0.000 | 5.832 | 0.000 | -0.000 |
| -0.001 | 0.000 | -0.001 | -0.000 | 161.881 | -0.000 |
| -0.000 | 0.000 | -0.001 | -0.000 | -0.000 | 146.939 |
| 345.009 | 178.009 | 216.201 | 0.000 | -0.000 | -0.000 |
| 180.095 | 234.710 | 42.870 | 0.000 | 0.000 | -0.000 |
| 215.747 | 40.331 | 359.054 | 0.000 | 0.000 | 0.000 |
| -0.000 | -0.000 | -0.000 | 5.832 | -0.000 | -0.000 |
| -0.001 | 0.000 | -0.001 | 0.000 | 161.881 | -0.000 |
| 0.000 | 0.000 | 0.000 | -0.000 | 0.000 | 146.939 |
| 345.009 | 178.008 | 216.200 | -0.000 | -0.000 | -0.000 |
| 180.093 | 234.709 | 42.870 | 0.000 | -0.000 | 0.000 |
| 215.748 | 40.331 | 359.058 | 0.000 | 0.000 | -0.000 |
| 0.000 | 0.000 | 0.000 | 5.832 | 0.000 | 0.000 |
| 0.001 | -0.000 | 0.001 | -0.000 | 161.881 | 0.000 |
| -0.000 | -0.000 | -0.000 | 0.000 | -0.000 | 146.939 |
| 387.319 | 173.454 | 248.117 | -0.000 | 0.000 | 0.000 |
| 173.454 | 229.960 | 35.893 | -0.000 | 0.000 | 0.000 |
| 210.079 | 39.833 | 357.239 | -0.000 | 0.000 | -0.000 |
| 0.022 | -0.002 | 0.025 | 2.042 | 0.000 | 0.000 |
| 0.000 | -0.000 | 0.000 | -0.000 | 219.814 | 0.000 |
| 0.001 | -0.000 | 0.001 | 0.000 | 0.000 | 145.114 |
| 354.955 | 176.806 | 210.076 | 0.000 | -0.000 | -0.000 |
| 173.454 | 229.960 | 35.893 | -0.000 | -0.000 | 0.000 |
| 210.076 | 39.833 | 357.236 | 0.000 | 0.000 | 0.000 |
| -0.022 | 0.002 | -0.025 | 2.042 | 0.000 | 0.000 |
| -0.000 | 0.000 | -0.000 | 0.000 | 219.814 | -0.000 |
| -0.001 | 0.000 | -0.001 | -0.000 | -0.000 | 145.114 |
| 354.956 | 176.806 | 210.078 | 0.000 | 0.000 | 0.000 |
| 173.454 | 229.960 | 35.893 | -0.000 | -0.000 | 0.000 |
| 210.078 | 39.833 | 357.238 | -0.000 | -0.000 | -0.000 |
| -0.000 | -0.000 | -0.000 | 7.488 | -0.000 | 0.000 |
| 0.000 | -0.000 | 0.000 | 0.000 | 160.461 | 0.000 |
| 0.000 | 0.000 | 0.000 | 0.000 | 0.000 | 145.114 |
| 387.319 | 173.454 | 248.116 | 0.000 | -0.000 | -0.000 |
| 173.454 | 229.960 | 35.893 | 0.000 | -0.000 | -0.000 |
| 210.078 | 39.833 | 357.238 | 0.000 | 0.000 | 0.000 |
| 0.000 | 0.000 | 0.000 | 7.488 | 0.000 | 0.000 |
| -0.000 | 0.000 | -0.000 | -0.000 | 160.461 | -0.000 |
| -0.000 | -0.000 | -0.000 | -0.000 | -0.000 | 145.114 |
| 354.957 | 176.807 | 210.080 | -0.000 | 0.000 | 0.000 |
| 176.807 | 229.614 | 39.833 | -0.000 | 0.000 | -0.000 |
| 210.079 | 39.833 | 357.239 | 0.000 | 0.000 | -0.000 |
| -0.000 | -0.000 | -0.000 | 7.488 | -0.000 | 0.000 |
| 0.000 | 0.000 | 0.001 | 0.000 | 160.461 | 0.000 |
| 0.000 | 0.000 | 0.000 | -0.000 | 0.000 | 145.114 |
| 354.956 | 176.805 | 210.077 | 0.000 | -0.000 | -0.000 |
| 176.805 | 229.613 | 39.833 | -0.000 | -0.000 | -0.000 |
| 210.072 | 39.833 | 357.231 | -0.000 | -0.000 | 0.000 |
| 0.000 | 0.000 | 0.000 | 7.488 | 0.000 | -0.000 |
| -0.000 | -0.000 | -0.001 | -0.000 | 160.461 | -0.000 |
| -0.000 | -0.000 | -0.000 | 0.000 | -0.000 | 145.114 |
| 218.474 | 91.602 | 138.041 | 72.865 | 0.000 | 0.000 |
| 91.602 | 218.474 | 138.041 | -72.865 | 0.000 | 0.000 |
| 574.745 | 574.745 | 2062.586 | -0.000 | 0.000 | 0.000 |
| 72.865 | -72.865 | 0.000 | 105.059 | 0.000 | 0.000 |
| -0.000 | -0.000 | 0.000 | 0.000 | 105.059 | 72.865 |
| -0.000 | 0.000 | 0.000 | 0.000 | 72.865 | 63.436 |
| 218.474 | 91.602 | 138.041 | 72.865 | -0.000 | -0.000 |
| 91.602 | 218.474 | 138.041 | -72.865 | -0.000 | -0.000 |
| 135.478 | 135.478 | 526.479 | -0.000 | -0.000 | -0.000 |
| -402.186 | -536.790 | -1641.792 | 95.961 | -0.000 | -0.000 |
| -0.000 | 0.000 | -0.000 | -0.000 | 105.059 | 72.865 |
| 0.000 | -0.000 | -0.000 | -0.000 | 72.865 | 63.436 |
| 218.475 | 91.602 | 138.041 | 72.865 | 0.000 | 0.000 |
| 91.603 | 218.474 | 138.041 | -72.865 | 0.000 | 0.000 |
| 152.325 | 152.325 | 585.390 | -0.000 | 0.000 | 0.000 |
| 115.398 | -18.898 | 168.730 | 95.709 | 0.000 | 0.000 |
| 0.000 | 0.000 | 0.000 | 0.000 | 105.059 | 72.865 |
| 0.000 | 0.000 | 0.000 | 0.000 | 72.865 | 63.436 |
| 218.474 | 91.602 | 138.041 | 72.865 | -0.000 | -0.000 |
| 91.602 | 218.474 | 138.041 | -72.865 | -0.000 | -0.000 |
| 135.478 | 135.478 | 526.478 | 0.000 | -0.000 | -0.000 |
| -1.088 | -92.783 | -164.133 | 60.875 | -0.000 | -0.000 |
| -0.000 | -0.000 | -0.000 | -0.000 | 105.059 | 72.865 |
| -0.000 | -0.000 | -0.000 | -0.000 | 72.865 | 63.436 |
| 203.196 | 90.536 | 109.457 | 61.242 | 0.000 | 0.000 |
| 91.603 | 218.477 | 138.041 | -72.865 | 0.000 | 0.000 |
| 110.083 | 110.083 | 437.671 | -0.000 | 0.000 | 0.000 |
| 70.583 | -45.899 | 43.160 | 81.143 | 0.000 | 0.000 |
| 0.000 | 0.000 | 0.001 | 0.001 | 105.059 | 72.865 |
| 0.000 | 0.001 | 0.000 | 0.000 | 72.865 | 63.436 |
| 199.651 | 80.447 | 85.629 | 66.597 | -0.000 | -0.000 |
| 91.602 | 218.472 | 138.041 | -72.864 | -0.000 | -0.000 |
| 100.684 | 100.684 | 404.804 | 0.000 | -0.000 | -0.000 |
| 45.899 | -70.583 | -43.160 | 81.144 | -0.000 | -0.000 |
| -0.000 | -0.000 | -0.001 | -0.001 | 105.059 | 72.865 |
| -0.000 | -0.001 | -0.000 | -0.000 | 72.865 | 63.436 |
| 214.352 | 89.541 | 118.992 | 63.957 | 0.000 | -0.000 |
| 89.541 | 214.352 | 118.992 | -63.957 | -0.000 | -0.000 |
| 118.990 | 118.990 | 454.624 | 0.000 | -0.000 | -0.000 |
| 63.957 | -63.957 | -0.000 | 92.100 | 0.000 | -0.000 |
| -0.000 | -0.000 | -0.000 | 0.000 | 92.100 | 63.957 |
| 0.001 | 0.001 | 0.003 | -0.000 | 32.970 | 42.255 |
| 214.352 | 89.541 | 118.992 | 63.957 | 0.000 | 0.000 |
| 89.541 | 214.352 | 118.992 | -63.957 | -0.000 | 0.000 |
| 118.990 | 118.990 | 454.624 | -0.000 | -0.000 | 0.000 |
| 63.957 | -63.957 | 0.000 | 92.100 | 0.000 | 0.000 |
| 0.000 | 0.000 | 0.000 | -0.000 | 92.100 | 63.957 |
| -0.001 | -0.001 | -0.003 | 0.000 | 32.970 | 42.255 |
| 214.352 | 89.541 | 118.992 | 63.957 | 0.000 | -0.000 |
| 100.399 | 184.909 | 85.514 | -32.970 | 0.000 | -0.000 |
| 85.512 | 85.512 | 334.018 | -0.000 | -0.000 | -0.000 |
| 63.957 | -63.957 | 0.000 | 92.100 | 0.000 | -0.000 |
| 0.000 | 0.000 | 0.000 | 0.000 | 92.100 | 63.957 |
| 0.000 | 0.000 | 0.000 | 0.000 | 63.957 | 62.405 |
| 196.654 | 82.666 | 74.729 | 55.635 | -0.000 | 0.000 |
| 82.666 | 196.654 | 74.729 | -55.635 | -0.000 | 0.000 |
| 85.512 | 85.512 | 334.018 | 0.000 | -0.000 | 0.000 |
| 32.970 | -32.970 | -0.000 | 44.451 | 0.000 | 0.000 |
| -0.000 | -0.000 | -0.000 | -0.000 | 92.100 | 63.957 |
| -0.000 | -0.000 | -0.000 | -0.000 | 63.957 | 62.405 |
| 214.355 | 89.542 | 118.992 | 63.957 | 0.000 | -0.000 |
| 82.667 | 196.656 | 74.729 | -55.636 | 0.000 | -0.000 |
| 85.511 | 85.511 | 334.019 | -0.000 | -0.000 | -0.000 |
| 32.970 | -32.971 | -0.001 | 44.450 | 0.000 | -0.000 |
| -0.001 | -0.000 | -0.001 | 0.000 | 44.451 | 32.970 |
| 0.000 | 0.001 | 0.000 | 0.000 | 63.957 | 62.405 |
| 214.348 | 89.541 | 118.992 | 63.956 | 0.000 | 0.000 |
| 89.540 | 214.349 | 118.992 | -63.956 | -0.000 | 0.000 |
| 85.512 | 85.512 | 334.018 | 0.000 | -0.000 | 0.000 |
| 32.971 | -32.970 | 0.001 | 44.451 | -0.000 | 0.000 |
| 0.001 | 0.000 | 0.001 | -0.000 | 44.451 | 32.970 |
| -0.000 | -0.001 | -0.000 | -0.000 | 63.957 | 62.405 |
| 174.994 | 260.691 | 107.586 | -0.000 | -0.000 | 0.000 |
| 260.691 | 174.994 | 107.586 | -0.000 | -0.000 | -0.000 |
| 107.586 | 107.586 | 200.634 | 0.000 | -0.000 | 0.000 |
| 0.000 | -0.000 | 0.000 | 86.558 | 0.000 | -0.000 |
| 0.000 | -0.000 | 0.000 | 0.000 | 86.558 | 0.000 |
| 0.000 | -0.000 | 0.000 | -0.000 | -0.000 | 229.453 |
| 174.994 | 260.691 | 107.586 | 0.000 | 0.000 | 0.000 |
| 260.691 | 174.994 | 107.586 | 0.000 | 0.000 | 0.000 |
| 107.586 | 107.586 | 200.634 | -0.000 | 0.000 | -0.000 |
| -0.000 | 0.000 | -0.000 | 86.558 | -0.000 | 0.000 |
| -0.000 | 0.000 | -0.000 | -0.000 | 86.558 | 0.000 |
| -0.000 | 0.000 | -0.000 | 0.000 | 0.000 | 229.453 |
| 174.994 | 260.692 | 107.586 | 0.000 | -0.000 | -0.000 |
| 260.692 | 174.994 | 107.586 | -0.000 | -0.000 | 0.000 |
| 107.586 | 107.586 | 200.634 | -0.000 | -0.000 | 0.000 |
| 0.000 | 0.000 | 0.000 | 81.346 | -0.000 | -0.000 |
| 0.000 | 0.000 | 0.000 | -0.000 | 81.346 | 0.000 |
| 0.000 | 0.000 | 0.000 | -0.000 | -0.000 | 229.453 |
| 184.835 | 250.850 | 107.586 | -0.000 | 0.000 | -0.000 |
| 250.850 | 184.835 | 107.586 | -0.000 | 0.000 | 0.000 |
| 107.586 | 107.586 | 200.634 | -0.000 | 0.000 | -0.000 |
| -0.000 | -0.000 | -0.000 | 81.346 | 0.000 | -0.000 |
| -0.000 | -0.000 | -0.000 | 0.000 | 81.346 | -0.000 |
| -0.000 | -0.000 | -0.000 | 0.000 | 0.000 | 229.453 |
| 184.836 | 250.852 | 107.587 | -0.000 | -0.000 | -0.000 |
| 250.852 | 184.836 | 107.587 | 0.000 | -0.000 | -0.000 |
| 107.587 | 107.587 | 200.634 | 0.000 | -0.000 | 0.000 |
| 0.000 | 0.000 | 0.000 | 86.558 | -0.000 | -0.000 |
| 0.000 | 0.000 | 0.000 | 0.000 | 86.558 | 0.000 |
| 0.001 | 0.001 | 0.000 | -0.000 | -0.000 | 229.453 |
| 184.834 | 250.849 | 107.586 | -0.000 | 0.000 | -0.000 |
| 250.849 | 184.834 | 107.586 | -0.000 | 0.000 | -0.000 |
| 107.586 | 107.586 | 200.635 | 0.000 | 0.000 | -0.000 |
| -0.000 | -0.000 | -0.000 | 86.558 | 0.000 | 0.000 |
| -0.000 | -0.000 | -0.000 | -0.000 | 86.558 | 0.000 |
| -0.001 | -0.001 | -0.000 | 0.000 | 0.000 | 229.453 |
| 349.681 | 173.651 | 54.604 | 0.000 | 0.000 | 0.000 |
| 173.651 | 349.681 | 54.604 | -0.000 | 0.000 | 0.000 |
| 59.040 | 59.040 | 290.673 | 0.000 | 0.000 | 0.000 |
| 0.000 | -0.000 | 0.000 | 41.440 | -0.000 | 0.000 |
| -0.000 | -0.000 | 0.000 | -0.000 | 41.440 | 0.000 |
| 0.000 | 0.000 | -0.000 | -0.000 | -0.000 | 124.216 |
| 349.679 | 173.653 | 54.604 | -0.000 | -0.000 | -0.000 |
| 142.260 | 390.692 | 59.040 | -0.000 | 0.000 | -0.000 |
| 57.804 | 57.804 | 289.533 | -0.000 | 0.000 | -0.000 |
| 0.000 | 0.000 | -0.000 | 41.440 | 0.000 | -0.000 |
| 0.000 | 0.000 | -0.000 | -0.000 | 41.440 | -0.000 |
| -0.000 | -0.000 | 0.000 | 0.000 | -0.000 | 124.216 |
| 349.680 | 173.652 | 54.604 | 0.000 | 0.000 | 0.000 |
| 205.485 | 323.515 | 57.217 | -0.000 | 0.000 | 0.000 |
| 59.040 | 59.040 | 290.673 | 0.000 | -0.000 | 0.000 |
| 0.000 | 0.000 | 0.000 | 41.440 | -0.000 | 0.000 |
| -0.000 | 0.000 | 0.000 | 0.000 | 39.454 | 0.000 |
| 0.000 | 0.000 | 0.000 | -0.000 | 0.000 | 124.216 |
| 390.692 | 142.260 | 59.040 | -0.000 | -0.000 | -0.000 |
| 142.260 | 390.692 | 59.040 | 0.000 | -0.000 | -0.000 |
| 59.040 | 59.040 | 290.672 | -0.000 | -0.000 | -0.000 |
| -0.000 | -0.000 | -0.000 | 41.440 | 0.000 | -0.000 |
| 0.000 | -0.000 | -0.000 | 0.000 | 39.454 | -0.000 |
| -0.000 | -0.000 | -0.000 | 0.000 | 0.000 | 124.216 |
| 349.685 | 173.653 | 54.605 | 0.000 | 0.000 | 0.000 |
| 142.262 | 390.697 | 59.040 | -0.000 | -0.000 | 0.000 |
| 57.805 | 57.805 | 289.537 | 0.000 | 0.000 | 0.000 |
| 0.000 | 0.000 | 0.001 | 41.440 | 0.000 | 0.000 |
| -0.000 | 0.001 | 0.001 | -0.000 | 39.454 | 0.000 |
| -0.000 | 0.001 | -0.000 | 0.000 | 0.000 | 57.515 |
| 323.508 | 205.486 | 57.217 | -0.000 | -0.000 | -0.000 |
| 142.258 | 390.688 | 59.039 | -0.000 | 0.000 | -0.000 |
| 59.039 | 59.039 | 290.669 | -0.000 | -0.000 | -0.000 |
| -0.000 | -0.000 | -0.001 | 41.440 | 0.000 | -0.000 |
| 0.000 | -0.001 | -0.001 | -0.000 | 39.454 | -0.000 |
| 0.000 | -0.001 | 0.000 | 0.000 | -0.000 | 57.515 |
| 349.204 | 172.916 | 54.178 | -0.000 | -0.000 | 0.000 |
| 141.908 | 389.867 | 58.721 | -0.000 | -0.000 | 0.000 |
| 58.721 | 58.721 | 289.546 | -0.000 | -0.000 | 0.000 |
| 0.000 | 0.000 | -0.000 | 41.240 | -0.000 | 0.000 |
| 0.000 | -0.000 | -0.000 | -0.000 | 39.129 | 0.000 |
| 0.000 | 0.000 | -0.000 | -0.000 | -0.000 | 123.980 |
| 389.867 | 141.908 | 58.721 | 0.000 | 0.000 | -0.000 |
| 204.940 | 322.843 | 56.843 | 0.000 | 0.000 | -0.000 |
| 58.721 | 58.721 | 289.546 | 0.000 | 0.000 | -0.000 |
| 0.000 | -0.000 | 0.000 | 41.240 | 0.000 | -0.000 |
| -0.000 | 0.000 | 0.000 | 0.000 | 39.129 | -0.000 |
| -0.000 | -0.000 | 0.000 | 0.000 | 0.000 | 123.980 |
| 389.868 | 141.908 | 58.721 | -0.000 | -0.000 | 0.000 |
| 172.916 | 349.204 | 54.178 | -0.000 | -0.000 | 0.000 |
| 58.721 | 58.721 | 289.546 | -0.000 | -0.000 | 0.000 |
| 0.000 | 0.000 | 0.000 | 41.240 | -0.000 | 0.000 |
| -0.000 | 0.000 | 0.000 | -0.000 | 39.129 | 0.000 |
| 0.000 | 0.000 | 0.000 | -0.000 | -0.000 | 123.980 |
| 389.867 | 141.908 | 58.721 | 0.000 | 0.000 | -0.000 |
| 141.908 | 389.867 | 58.721 | 0.000 | 0.000 | -0.000 |
| 58.721 | 58.721 | 289.545 | 0.000 | 0.000 | -0.000 |
| -0.000 | -0.000 | -0.000 | 41.240 | 0.000 | -0.000 |
| 0.000 | -0.000 | -0.000 | 0.000 | 39.129 | -0.000 |
| -0.000 | -0.000 | -0.000 | 0.000 | 0.000 | 123.980 |
| 349.209 | 172.916 | 54.178 | -0.000 | -0.000 | 0.000 |
| 141.909 | 389.871 | 58.721 | -0.000 | -0.000 | 0.000 |
| 58.722 | 58.722 | 289.549 | -0.000 | -0.000 | 0.000 |
| 0.001 | -0.000 | 0.001 | 39.129 | -0.000 | 0.000 |
| -0.000 | 0.001 | 0.001 | -0.000 | 39.129 | 0.000 |
| 0.000 | 0.001 | 0.000 | -0.000 | -0.000 | 123.980 |
| 389.863 | 141.908 | 58.721 | 0.000 | 0.000 | -0.000 |
| 204.950 | 322.831 | 56.844 | 0.000 | 0.000 | -0.000 |
| 58.720 | 58.720 | 289.542 | 0.000 | 0.000 | -0.000 |
| -0.001 | 0.000 | -0.001 | 39.129 | 0.000 | -0.000 |
| 0.000 | -0.001 | -0.001 | 0.000 | 39.129 | -0.000 |
| -0.000 | -0.001 | -0.000 | 0.000 | 0.000 | 123.980 |
| -1736.688 | -2038.370 | -2130.983 | 0.000 | -0.000 | -0.000 |
| -2038.370 | -1736.688 | -2130.983 | 0.000 | -0.000 | -0.000 |
| -3191.964 | -3191.964 | -3434.817 | 0.000 | 0.000 | -0.000 |
| 0.000 | 0.000 | 0.000 | 288.117 | 0.000 | -0.000 |
| 0.000 | 0.000 | 0.000 | 0.000 | 288.117 | -0.000 |
| -739.837 | -739.837 | -662.212 | 0.000 | -0.000 | 133.350 |
| 1175.204 | 873.522 | 949.368 | -0.000 | -0.000 | 0.000 |
| 873.522 | 1175.204 | 949.368 | -0.000 | 0.000 | 0.000 |
| 1026.496 | 1026.496 | 1011.521 | -0.000 | -0.000 | 0.000 |
| -0.000 | -0.000 | 0.000 | 288.117 | -0.000 | 0.000 |
| -0.000 | -0.000 | -0.000 | -0.000 | 288.117 | 0.000 |
| 739.837 | 739.837 | 662.212 | -0.000 | 0.000 | 133.350 |
| 447.969 | 146.287 | 299.111 | 0.000 | 0.000 | -0.000 |
| 146.287 | 447.969 | 299.111 | 0.000 | -0.000 | -0.000 |
| 212.428 | 212.428 | 282.861 | 0.000 | -0.000 | -0.000 |
| -132.351 | -132.351 | -153.227 | 216.146 | -0.000 | 0.000 |
| -132.351 | -132.351 | -153.227 | 0.000 | 216.146 | -0.000 |
| -344.064 | -344.064 | -374.267 | 0.000 | -0.000 | 133.350 |
| 528.371 | 226.689 | 396.173 | -0.000 | 0.000 | 0.000 |
| 226.689 | 528.371 | 396.173 | -0.000 | 0.000 | 0.000 |
| 360.806 | 360.806 | 415.678 | -0.000 | 0.000 | 0.000 |
| 132.351 | 132.351 | 153.227 | 216.146 | 0.000 | 0.000 |
| 132.351 | 132.351 | 153.227 | -0.000 | 216.146 | 0.000 |
| 344.064 | 344.064 | 374.267 | -0.000 | 0.000 | 133.350 |
| 365.604 | 63.918 | 211.260 | 0.000 | 0.000 | -0.000 |
| 63.918 | 365.604 | 211.260 | 0.000 | -0.000 | -0.000 |
| 276.637 | 276.637 | 340.220 | 0.000 | -0.000 | -0.000 |
| -24.971 | -24.971 | -27.164 | 212.852 | -0.000 | -0.000 |
| -24.971 | -24.971 | -27.164 | 0.000 | 212.852 | -0.000 |
| -7.398 | -7.398 | -6.621 | 0.000 | -0.000 | 133.350 |
| 447.964 | 146.286 | 299.110 | -0.000 | 0.000 | -0.000 |
| 146.286 | 447.964 | 299.110 | -0.000 | -0.000 | -0.000 |
| 299.109 | 299.109 | 361.253 | -0.000 | 0.000 | 0.000 |
| 24.971 | 24.971 | 27.164 | 212.852 | 0.000 | 0.000 |
| 24.971 | 24.971 | 27.164 | -0.000 | 212.852 | 0.000 |
| 7.398 | 7.398 | 6.621 | -0.000 | 0.000 | 133.350 |
| 357.372 | 315.547 | 325.647 | 0.000 | 0.000 | 0.000 |
| 315.547 | 357.372 | 325.647 | 0.000 | 0.000 | 0.000 |
| 250.994 | 250.994 | 417.806 | -0.000 | 0.000 | 0.000 |
| 0.000 | -0.000 | 0.000 | 225.166 | 0.000 | 0.000 |
| -0.000 | 0.000 | 0.000 | 0.000 | 225.166 | 0.000 |
| 21.301 | 21.301 | 38.485 | -0.000 | 0.000 | 273.027 |
| 332.585 | 290.760 | 245.082 | 0.000 | -0.000 | -0.000 |
| 290.760 | 332.585 | 245.082 | -0.000 | -0.000 | -0.000 |
| 244.389 | 244.389 | 399.273 | 0.000 | -0.000 | -0.000 |
| -0.000 | 0.000 | -0.000 | 225.166 | -0.000 | -0.000 |
| 0.000 | -0.000 | 0.000 | 0.000 | 225.166 | -0.000 |
| -21.301 | -21.301 | -38.485 | 0.000 | -0.000 | 273.027 |
| 325.016 | 283.190 | 227.833 | -0.000 | 0.000 | 0.000 |
| 283.190 | 325.016 | 227.833 | -0.000 | 0.000 | 0.000 |
| 213.162 | 213.162 | 311.458 | 0.000 | 0.000 | 0.000 |
| 0.000 | 0.000 | 0.000 | 225.166 | -0.000 | 0.000 |
| 0.000 | 0.000 | 0.000 | -0.000 | 225.166 | 0.000 |
| 0.000 | 0.000 | 0.000 | -0.000 | 0.000 | 273.027 |
| 312.761 | 270.935 | 196.199 | 0.000 | -0.000 | -0.000 |
| 270.935 | 312.761 | 196.199 | 0.000 | -0.000 | -0.000 |
| 209.046 | 209.046 | 318.937 | 0.000 | 0.000 | -0.000 |
| -0.000 | -0.000 | -0.000 | 225.166 | -0.000 | -0.000 |
| -0.000 | -0.000 | -0.000 | 0.000 | 225.166 | -0.000 |
| -0.000 | -0.000 | -0.000 | 0.000 | -0.000 | 273.027 |
| 332.585 | 290.761 | 245.083 | -0.000 | 0.000 | 0.000 |
| 290.761 | 332.585 | 245.083 | -0.000 | 0.000 | 0.000 |
| 213.197 | 213.197 | 325.658 | 0.000 | 0.000 | 0.000 |
| 0.001 | 0.000 | 0.001 | 225.166 | 0.000 | 0.000 |
| 0.000 | 0.001 | 0.001 | -0.000 | 225.166 | 0.000 |
| 0.214 | 0.214 | 0.386 | -0.000 | -0.000 | 273.027 |
| 323.772 | 281.944 | 229.706 | -0.000 | -0.000 | -0.000 |
| 281.944 | 323.772 | 229.706 | 0.000 | -0.000 | -0.000 |
| 244.387 | 244.387 | 399.269 | 0.000 | -0.000 | -0.000 |
| -0.001 | -0.000 | -0.001 | 225.166 | -0.000 | -0.000 |
| -0.000 | -0.001 | -0.001 | -0.000 | 225.166 | -0.000 |
| -0.214 | -0.214 | -0.386 | 0.000 | -0.000 | 273.027 |
| 7703646599.229 | 7703639867.950 | 7703639867.950 | 0.000 | -0.000 | -0.000 |
| 7703639863.842 | 7703646595.121 | 7703639863.842 | 0.000 | 0.000 | -0.000 |
| 7703639854.889 | 7703639854.889 | 7703646586.168 | -0.000 | -0.001 | -0.000 |
| -60.976 | -60.977 | -60.977 | -1258.330 | 0.000 | -0.000 |
| -66.734 | -66.734 | -66.734 | -0.000 | -1258.331 | -0.000 |
| -64.096 | -64.097 | -64.097 | 0.000 | -0.000 | -1258.331 |
| 7704925241.625 | 7704918731.163 | 7704918731.163 | -0.000 | -0.000 | 0.000 |
| 7704918736.211 | 7704925246.674 | 7704918736.211 | -0.000 | 0.001 | 0.000 |
| 7704918723.298 | 7704918723.298 | 7704925233.761 | 0.000 | 0.001 | 0.000 |
| 68.586 | 68.586 | 68.586 | -1258.330 | -0.000 | 0.000 |
| 67.242 | 67.242 | 67.242 | 0.000 | -1258.330 | 0.000 |
| 69.144 | 69.145 | 69.145 | -0.000 | 0.000 | -1258.330 |
| 7697893492.478 | 7697885768.433 | 7697885768.433 | -0.000 | -0.000 | -0.000 |
| 7697885768.676 | 7697893492.721 | 7697885768.676 | -0.000 | -0.000 | -0.000 |
| 7697885768.843 | 7697885768.843 | 7697893492.889 | -0.000 | -0.000 | -0.000 |
| -111.557 | -111.557 | -111.558 | -1258.330 | 0.000 | -0.000 |
| -111.953 | -111.953 | -111.954 | 0.000 | -1258.330 | -0.000 |
| -113.127 | -113.128 | -113.127 | -0.000 | -0.000 | -1258.330 |
| 7710678419.798 | 7710672903.917 | 7710672903.916 | -0.000 | 0.000 | 0.000 |
| 7710672903.690 | 7710678419.572 | 7710672903.690 | -0.000 | -0.000 | 0.000 |
| 7710672902.959 | 7710672902.959 | 7710678418.841 | -0.000 | -0.000 | 0.000 |
| 112.194 | 112.194 | 112.194 | -1258.330 | 0.000 | 0.000 |
| 112.267 | 112.267 | 112.268 | -0.000 | -1258.330 | 0.000 |
| 113.683 | 113.683 | 113.683 | -0.000 | 0.000 | -1258.330 |
| 7640360982.055 | 7640343411.994 | 7640343411.994 | 0.000 | 0.000 | -0.000 |
| 7640343412.043 | 7640360982.105 | 7640343412.043 | -0.000 | -0.000 | -0.000 |
| 7640343411.996 | 7640343411.996 | 7640360982.058 | -0.000 | -0.000 | -0.000 |
| -1091.123 | -1091.122 | -1091.128 | -1258.330 | -0.000 | -0.000 |
| -1091.155 | -1091.156 | -1091.161 | 0.000 | -1258.330 | -0.000 |
| -1091.212 | -1091.218 | -1091.213 | -0.000 | -0.000 | -1258.330 |
| 7768210132.402 | 7768214643.975 | 7768214643.975 | -0.000 | -0.000 | 0.000 |
| 7768214643.883 | 7768210132.309 | 7768214643.883 | 0.000 | -0.000 | 0.000 |
| 7768214643.985 | 7768214643.985 | 7768210132.412 | -0.000 | 0.000 | 0.000 |
| 1091.112 | 1091.111 | 1091.116 | -1258.330 | 0.000 | 0.000 |
| 1091.127 | 1091.128 | 1091.133 | -0.000 | -1258.330 | 0.000 |
| 1091.152 | 1091.158 | 1091.153 | 0.000 | 0.000 | -1258.330 |
| 701.676 | 18.885 | 18.885 | -0.000 | -0.000 | -0.000 |
| 18.885 | 701.676 | 18.885 | 0.000 | 0.000 | -0.000 |
| 18.885 | 18.885 | 701.676 | -0.000 | -0.000 | -0.000 |
| 0.000 | 0.000 | -0.000 | -27.469 | 0.000 | -0.000 |
| -0.000 | 0.000 | -0.000 | -0.000 | -27.469 | -0.000 |
| -0.000 | -0.000 | -0.000 | 0.000 | -0.000 | -27.469 |
| 701.676 | 18.885 | 18.885 | 0.000 | 0.000 | 0.000 |
| 18.885 | 701.676 | 18.885 | 0.000 | -0.000 | 0.000 |
| 18.885 | 18.885 | 701.676 | 0.000 | 0.000 | 0.000 |
| -0.000 | -0.000 | 0.000 | -27.469 | -0.000 | 0.000 |
| 0.000 | -0.000 | 0.000 | 0.000 | -27.469 | 0.000 |
| 0.000 | 0.000 | 0.000 | -0.000 | 0.000 | -27.469 |
| 701.677 | 18.885 | 18.885 | 0.000 | -0.000 | -0.000 |
| 18.885 | 701.677 | 18.885 | -0.000 | 0.000 | -0.000 |
| 18.885 | 18.885 | 701.677 | -0.000 | -0.000 | -0.000 |
| 0.000 | 0.000 | -0.000 | -27.469 | 0.000 | -0.000 |
| 0.000 | 0.000 | -0.000 | 0.000 | -27.469 | -0.000 |
| 0.000 | -0.000 | 0.000 | 0.000 | -0.000 | -27.469 |
| 701.676 | 18.885 | 18.885 | 0.000 | 0.000 | 0.000 |
| 18.885 | 701.676 | 18.885 | -0.000 | -0.000 | 0.000 |
| 18.885 | 18.885 | 701.676 | 0.000 | 0.000 | 0.000 |
| -0.000 | -0.000 | 0.000 | -27.469 | -0.000 | 0.000 |
| -0.000 | -0.000 | 0.000 | -0.000 | -27.469 | 0.000 |
| -0.000 | 0.000 | -0.000 | -0.000 | 0.000 | -27.469 |
| 701.683 | 18.885 | 18.885 | -0.000 | 0.000 | -0.000 |
| 18.885 | 701.683 | 18.885 | -0.000 | 0.000 | -0.000 |
| 18.885 | 18.885 | 701.683 | -0.000 | 0.000 | -0.000 |
| 0.000 | 0.000 | -0.000 | -27.469 | 0.000 | -0.000 |
| 0.000 | 0.000 | -0.000 | -0.000 | -27.469 | -0.000 |
| 0.000 | -0.000 | 0.000 | -0.000 | -0.000 | -27.469 |
| 701.670 | 18.885 | 18.885 | 0.000 | 0.000 | 0.000 |
| 18.885 | 701.670 | 18.885 | -0.000 | -0.000 | 0.000 |
| 18.885 | 18.885 | 701.670 | -0.000 | 0.000 | 0.000 |
| -0.000 | -0.000 | 0.000 | -27.469 | -0.000 | 0.000 |
| -0.000 | -0.000 | 0.000 | 0.000 | -27.469 | 0.000 |
| -0.000 | 0.000 | -0.000 | 0.000 | 0.000 | -27.469 |
| 0.000 | -0.000 | -0.000 | 0.000 | 0.000 | -0.000 |
| -0.000 | 0.000 | -0.000 | 0.000 | 0.000 | -0.000 |
| -0.000 | -0.000 | 0.000 | 0.000 | -0.000 | 0.000 |
| 0.000 | 0.000 | -0.000 | 0.000 | 0.000 | -0.000 |
| 0.000 | 0.000 | -0.000 | 0.000 | 0.000 | -0.000 |
| 0.000 | -0.000 | 0.000 | 0.000 | 0.000 | 0.000 |
| 0.000 | -0.000 | -0.000 | 0.000 | 0.000 | -0.000 |
| -0.000 | 0.000 | -0.000 | 0.000 | 0.000 | 0.000 |
| -0.000 | -0.000 | 0.000 | 0.000 | 0.000 | 0.000 |
| -0.000 | -0.000 | 0.000 | 0.000 | -0.000 | 0.000 |
| -0.000 | -0.000 | 0.000 | -0.000 | 0.000 | 0.000 |
| -0.000 | 0.000 | -0.000 | -0.000 | 0.000 | 0.000 |
| 0.000 | -0.000 | -0.000 | 0.000 | 0.000 | -0.000 |
| -0.000 | 0.000 | -0.000 | 0.000 | 0.000 | -0.000 |
| -0.000 | -0.000 | 0.000 | -0.000 | -0.000 | 0.000 |
| 0.000 | 0.000 | -0.000 | 0.000 | 0.000 | -0.000 |
| 0.000 | 0.000 | -0.000 | -0.000 | 0.000 | -0.000 |
| 0.000 | -0.000 | 0.000 | 0.000 | 0.000 | 0.000 |
| 0.000 | -0.000 | -0.000 | 0.000 | 0.000 | 0.000 |
| -0.000 | 0.000 | -0.000 | 0.000 | 0.000 | -0.000 |
| -0.000 | -0.000 | 0.000 | 0.000 | 0.000 | 0.000 |
| -0.000 | -0.000 | 0.000 | 0.000 | -0.000 | -0.000 |
| -0.000 | -0.000 | 0.000 | 0.000 | 0.000 | -0.000 |
| -0.000 | 0.000 | -0.000 | -0.000 | -0.000 | 0.000 |
| 0.000 | -0.000 | -0.000 | 0.000 | 0.000 | -0.000 |
| -0.000 | 0.000 | -0.000 | -0.000 | 0.000 | -0.000 |
| -0.000 | -0.000 | 0.000 | -0.000 | 0.000 | 0.000 |
| 0.000 | 0.000 | -0.000 | 0.000 | -0.000 | 0.000 |
| 0.000 | 0.000 | -0.000 | 0.000 | 0.000 | -0.000 |
| 0.000 | -0.000 | 0.000 | 0.000 | -0.000 | 0.000 |
| 0.000 | -0.000 | -0.000 | 0.000 | 0.000 | -0.000 |
| -0.000 | 0.000 | -0.000 | 0.000 | 0.000 | -0.000 |
| -0.000 | -0.000 | 0.000 | -0.000 | -0.000 | 0.000 |
| -0.000 | -0.000 | 0.000 | 0.000 | 0.000 | -0.000 |
| -0.000 | -0.000 | 0.000 | -0.000 | 0.000 | 0.000 |
| -0.000 | 0.000 | -0.000 | -0.000 | 0.000 | 0.000 |
| 9108843641.815 | 9108845923.408 | 9108845923.408 | -0.000 | -0.000 | 0.000 |
| 9108845910.985 | 9108843629.392 | 9108845910.985 | 0.000 | -0.000 | -0.000 |
| 9108845927.700 | 9108845927.700 | 9108843646.106 | -0.000 | 0.000 | -0.000 |
| 109.233 | 109.232 | 109.233 | 2426.529 | -0.000 | 0.000 |
| 115.332 | 115.332 | 115.332 | -0.000 | 2426.529 | -0.000 |
| 89.126 | 89.126 | 89.126 | 0.000 | -0.000 | 2426.529 |
| 9110450347.632 | 9110452590.209 | 9110452590.209 | 0.000 | -0.000 | -0.000 |
| 9110452590.661 | 9110450348.084 | 9110452590.661 | 0.000 | 0.000 | -0.000 |
| 9110452552.475 | 9110452552.475 | 9110450309.898 | 0.000 | 0.000 | -0.000 |
| -134.987 | -134.987 | -134.987 | 2426.529 | 0.000 | 0.000 |
| -126.741 | -126.741 | -126.741 | 0.000 | 2426.529 | -0.000 |
| -104.149 | -104.149 | -104.149 | -0.000 | -0.000 | 2426.529 |
| 9101613137.035 | 9101615594.034 | 9101615594.034 | -0.000 | -0.000 | -0.000 |
| 9101615593.459 | 9101613136.460 | 9101615593.459 | -0.000 | -0.000 | 0.000 |
| 9101615594.519 | 9101615594.519 | 9101613137.520 | -0.000 | 0.000 | -0.000 |
| 174.485 | 174.484 | 174.485 | 2426.529 | -0.000 | -0.000 |
| 175.286 | 175.287 | 175.287 | -0.000 | 2426.529 | 0.000 |
| 173.400 | 173.400 | 173.400 | -0.000 | -0.000 | 2426.529 |
| 9117680968.910 | 9117683035.741 | 9117683035.741 | -0.000 | 0.000 | -0.000 |
| 9117683035.990 | 9117680969.159 | 9117683035.990 | 0.000 | -0.000 | -0.000 |
| 9117683034.541 | 9117683034.541 | 9117680967.710 | 0.000 | 0.000 | 0.000 |
| -175.027 | -175.026 | -175.027 | 2426.529 | -0.000 | -0.000 |
| -176.167 | -176.168 | -176.168 | 0.000 | 2426.529 | -0.000 |
| -174.620 | -174.620 | -174.620 | 0.000 | 0.000 | 2426.529 |
| 9029307458.591 | 9029311654.308 | 9029311654.308 | -0.000 | 0.000 | -0.000 |
| 9029311654.248 | 9029307458.531 | 9029311654.248 | 0.000 | -0.000 | 0.000 |
| 9029311654.424 | 9029311654.424 | 9029307458.707 | 0.000 | 0.000 | 0.000 |
| 1724.651 | 1724.646 | 1724.652 | 2426.530 | 0.000 | -0.000 |
| 1724.512 | 1724.517 | 1724.518 | 0.000 | 2426.530 | 0.000 |
| 1724.464 | 1724.470 | 1724.469 | -0.000 | -0.000 | 2426.530 |
| 9189985954.869 | 9189986248.914 | 9189986248.914 | -0.000 | 0.000 | -0.000 |
| 9189986248.877 | 9189985954.832 | 9189986248.877 | -0.000 | -0.000 | 0.000 |
| 9189986248.888 | 9189986248.888 | 9189985954.843 | -0.000 | -0.000 | 0.000 |
| -1724.607 | -1724.602 | -1724.608 | 2426.530 | 0.000 | -0.000 |
| -1724.533 | -1724.538 | -1724.539 | 0.000 | 2426.530 | -0.000 |
| -1724.325 | -1724.331 | -1724.330 | 0.000 | 0.000 | 2426.530 |
| 205.508 | 291.753 | 291.753 | -0.000 | -0.000 | -0.000 |
| 291.753 | 205.508 | 291.753 | 0.000 | -0.000 | 0.000 |
| 291.753 | 291.753 | 205.508 | -0.000 | 0.000 | 0.000 |
| 0.000 | 0.000 | 0.000 | 278.545 | 0.000 | 0.000 |
| 0.000 | 0.000 | 0.000 | 0.000 | 278.545 | 0.000 |
| 0.000 | 0.000 | 0.000 | -0.000 | -0.000 | 278.545 |
| 205.508 | 291.753 | 291.753 | 0.000 | -0.000 | -0.000 |
| 291.753 | 205.508 | 291.753 | 0.000 | -0.000 | -0.000 |
| 291.753 | 291.753 | 205.508 | 0.000 | 0.000 | 0.000 |
| -0.000 | -0.000 | -0.000 | 278.545 | -0.000 | 0.000 |
| -0.000 | -0.000 | -0.000 | 0.000 | 278.545 | -0.000 |
| -0.000 | -0.000 | -0.000 | -0.000 | 0.000 | 278.545 |
| 205.508 | 291.753 | 291.753 | 0.000 | -0.000 | -0.000 |
| 291.753 | 205.508 | 291.753 | -0.000 | -0.000 | -0.000 |
| 291.753 | 291.753 | 205.508 | -0.000 | -0.000 | -0.000 |
| 0.000 | 0.000 | 0.000 | 278.545 | 0.000 | -0.000 |
| 0.000 | 0.000 | 0.000 | -0.000 | 278.545 | -0.000 |
| 0.000 | 0.000 | 0.000 | -0.000 | -0.000 | 278.545 |
| 205.508 | 291.753 | 291.753 | 0.000 | 0.000 | 0.000 |
| 291.753 | 205.508 | 291.753 | 0.000 | 0.000 | -0.000 |
| 291.753 | 291.753 | 205.508 | 0.000 | -0.000 | -0.000 |
| -0.000 | -0.000 | -0.000 | 278.545 | -0.000 | 0.000 |
| -0.000 | -0.000 | -0.000 | 0.000 | 278.545 | -0.000 |
| -0.000 | -0.000 | -0.000 | 0.000 | 0.000 | 278.545 |
| 205.509 | 291.755 | 291.755 | 0.000 | -0.000 | -0.000 |
| 291.755 | 205.509 | 291.755 | -0.000 | -0.000 | -0.000 |
| 291.755 | 291.755 | 205.509 | -0.000 | -0.000 | -0.000 |
| 0.001 | 0.001 | 0.001 | 278.545 | 0.000 | 0.000 |
| 0.001 | 0.001 | 0.001 | -0.000 | 278.545 | 0.000 |
| 0.001 | 0.001 | 0.001 | -0.000 | -0.000 | 278.545 |
| 205.508 | 291.752 | 291.752 | 0.000 | 0.000 | 0.000 |
| 291.752 | 205.508 | 291.752 | 0.000 | 0.000 | 0.000 |
| 291.752 | 291.752 | 205.508 | -0.000 | 0.000 | 0.000 |
| -0.001 | -0.001 | -0.001 | 278.545 | 0.000 | 0.000 |
| -0.001 | -0.001 | -0.001 | -0.000 | 278.545 | -0.000 |
| -0.001 | -0.001 | -0.001 | 0.000 | 0.000 | 278.545 |
| 0.000 | 0.000 | 0.000 | 0.000 | 0.000 | 0.000 |
| 0.000 | 0.000 | 0.000 | 0.000 | 0.000 | 0.000 |
| 0.000 | 0.000 | 0.000 | 0.000 | 0.000 | 0.000 |
| 0.000 | 0.000 | 0.000 | 0.000 | 0.000 | -0.000 |
| 0.000 | 0.000 | 0.000 | 0.000 | 0.000 | -0.000 |
| 0.000 | 0.000 | 0.000 | 0.000 | -0.000 | 0.000 |
| 0.000 | 0.000 | 0.000 | 0.000 | -0.000 | -0.000 |
| 0.000 | 0.000 | 0.000 | -0.000 | 0.000 | -0.000 |
| 0.000 | 0.000 | 0.000 | -0.000 | -0.000 | -0.000 |
| -0.000 | -0.000 | -0.000 | 0.000 | -0.000 | -0.000 |
| -0.000 | -0.000 | -0.000 | -0.000 | 0.000 | -0.000 |
| -0.000 | -0.000 | -0.000 | -0.000 | -0.000 | 0.000 |
| 0.000 | 0.000 | 0.000 | 0.000 | 0.000 | 0.000 |
| 0.000 | 0.000 | 0.000 | 0.000 | 0.000 | 0.000 |
| 0.000 | 0.000 | 0.000 | 0.000 | 0.000 | 0.000 |
| 0.000 | 0.000 | 0.000 | 0.000 | 0.000 | 0.000 |
| 0.000 | 0.000 | 0.000 | 0.000 | 0.000 | 0.000 |
| 0.000 | 0.000 | 0.000 | 0.000 | -0.000 | 0.000 |
| 0.000 | 0.000 | 0.000 | -0.000 | -0.000 | -0.000 |
| 0.000 | 0.000 | 0.000 | -0.000 | -0.000 | -0.000 |
| 0.000 | 0.000 | 0.000 | -0.000 | -0.000 | -0.000 |
| -0.000 | -0.000 | -0.000 | 0.000 | -0.000 | -0.000 |
| -0.000 | -0.000 | -0.000 | -0.000 | 0.000 | -0.000 |
| -0.000 | -0.000 | -0.000 | -0.000 | -0.000 | 0.000 |
| 0.000 | 0.000 | 0.000 | 0.000 | 0.000 | 0.000 |
| 0.000 | 0.000 | 0.000 | 0.000 | 0.000 | 0.000 |
| 0.000 | 0.000 | 0.000 | 0.000 | 0.000 | 0.000 |
| 0.000 | 0.000 | 0.000 | 0.000 | 0.000 | 0.000 |
| 0.000 | 0.000 | 0.000 | 0.000 | 0.000 | 0.000 |
| 0.000 | 0.000 | 0.000 | 0.000 | 0.000 | 0.000 |
| 0.000 | 0.000 | 0.000 | -0.000 | -0.000 | -0.000 |
| 0.000 | 0.000 | 0.000 | -0.000 | -0.000 | -0.000 |
| 0.000 | 0.000 | 0.000 | -0.000 | -0.000 | -0.000 |
| -0.000 | -0.000 | -0.000 | 0.000 | 0.000 | -0.000 |
| -0.000 | -0.000 | -0.000 | 0.000 | 0.000 | -0.000 |
| -0.000 | -0.000 | -0.000 | 0.000 | -0.000 | 0.000 |
| 410231741.189 | 410234338.633 | 410234338.632 | -0.000 | 0.001 | 0.000 |
| 410234338.814 | 410231741.369 | 410234338.813 | -0.000 | 0.001 | -0.000 |
| 410234340.308 | 410234340.308 | 410231742.863 | -0.000 | 0.002 | -0.000 |
| -10.461 | -10.463 | -10.463 | -3231.421 | 0.001 | -0.001 |
| -10.360 | -10.361 | -10.360 | -0.001 | -3232.473 | -0.001 |
| -1.875 | -1.876 | -1.876 | -0.000 | 0.002 | 1062.734 |
| 410304898.316 | 410307489.325 | 410307489.325 | 0.000 | -0.002 | -0.000 |
| 410307489.126 | 410304898.119 | 410307489.126 | -0.000 | -0.002 | -0.000 |
| 410307487.788 | 410307487.789 | 410304896.782 | 0.000 | -0.002 | 0.000 |
| 0.964 | 0.965 | 0.965 | 1062.735 | -0.002 | 0.000 |
| 1.253 | 1.254 | 1.255 | 0.000 | 1062.734 | 0.000 |
| 2.061 | 2.062 | 2.062 | -0.000 | -0.001 | 1062.734 |
| 409902574.794 | 409905201.178 | 409905201.177 | -0.000 | 0.000 | -0.000 |
| 409905201.199 | 409902574.815 | 409905201.199 | -0.000 | 0.000 | 0.000 |
| 409905201.325 | 409905201.325 | 409902574.941 | -0.000 | 0.000 | -0.000 |
| 4.885 | 4.885 | 4.885 | 1062.734 | 0.000 | 0.000 |
| 4.900 | 4.900 | 4.900 | 0.000 | 1062.734 | -0.000 |
| 4.823 | 4.823 | 4.823 | -0.000 | 0.000 | 1062.734 |
| 410634070.616 | 410636632.627 | 410636632.627 | -0.000 | -0.000 | 0.000 |
| 410636632.626 | 410634070.615 | 410636632.626 | -0.000 | -0.000 | 0.000 |
| 410636632.571 | 410636632.571 | 410634070.560 | 0.000 | -0.000 | -0.000 |
| -4.951 | -4.951 | -4.951 | 1062.734 | -0.000 | -0.000 |
| -4.938 | -4.938 | -4.938 | -0.000 | 1062.734 | -0.000 |
| -4.857 | -4.857 | -4.857 | -0.000 | -0.000 | 1062.734 |
| 406610838.321 | 406613751.544 | 406613751.544 | 0.000 | 0.000 | -0.000 |
| 406613751.547 | 406610838.324 | 406613751.547 | -0.000 | 0.000 | -0.000 |
| 406613751.551 | 406613751.551 | 406610838.328 | 0.000 | 0.000 | -0.000 |
| 1217056382.826 | 1217056793.527 | 1217057336.691 | 606055.145 | 9.297 | 282.471 |
| 1223112202.892 | 1223087181.504 | 1223113763.091 | 198.434 | -7283961.920 | 392.075 |
| 1217818505.160 | 1217817876.115 | 1217818529.754 | -71.975 | -2500.165 | 38595.930 |
| 413925785.602 | 413928055.093 | 413928055.093 | 0.000 | -0.000 | 0.000 |
| 413928055.095 | 413925785.603 | 413928055.095 | 0.000 | -0.000 | 0.000 |
| 413928055.088 | 413928055.088 | 413925785.596 | 0.000 | -0.000 | 0.000 |
| -1217673552.175 | -1217709143.792 | -1217709216.443 | -8877070.587 | -240.865 | 53.484 |
| -1217443941.777 | -1217392240.500 | -1217443867.636 | 108.955 | -10540158.293 | 8.406 |
| -1216996245.269 | -1216996238.872 | -1216996006.062 | 2.899 | -85.127 | -235478.530 |
| 68.030 | 114.150 | 114.150 | -0.000 | -0.000 | -0.000 |
| 114.150 | 68.030 | 114.150 | -0.000 | -0.000 | -0.000 |
| 114.150 | 114.150 | 68.030 | -0.000 | -0.000 | -0.000 |
| -0.000 | -0.000 | -0.000 | -53.394 | -0.000 | -0.000 |
| -0.000 | -0.000 | -0.000 | -0.000 | -53.394 | -0.000 |
| -0.000 | -0.000 | -0.000 | -0.000 | -0.000 | -53.394 |
| 68.030 | 114.150 | 114.150 | 0.000 | 0.000 | 0.000 |
| 114.150 | 68.030 | 114.150 | 0.000 | -0.000 | 0.000 |
| 114.150 | 114.150 | 68.030 | 0.000 | 0.000 | 0.000 |
| 0.000 | -0.000 | 0.000 | -53.394 | 0.000 | 0.000 |
| 0.000 | 0.000 | 0.000 | 0.000 | -53.394 | 0.000 |
| 0.000 | 0.000 | 0.000 | 0.000 | 0.000 | -53.394 |
| 68.030 | 114.150 | 114.150 | -0.000 | -0.000 | -0.000 |
| 114.150 | 68.030 | 114.150 | -0.000 | -0.000 | -0.000 |
| 114.150 | 114.150 | 68.030 | -0.000 | -0.000 | -0.000 |
| 0.000 | 0.000 | 0.000 | -53.394 | 0.000 | -0.000 |
| 0.000 | 0.000 | 0.000 | -0.000 | -53.394 | -0.000 |
| 0.000 | 0.000 | 0.000 | -0.000 | -0.000 | -53.394 |
| 68.030 | 114.150 | 114.150 | 0.000 | 0.000 | 0.000 |
| 114.150 | 68.030 | 114.150 | 0.000 | -0.000 | 0.000 |
| 114.150 | 114.150 | 68.030 | 0.000 | 0.000 | 0.000 |
| -0.000 | -0.000 | -0.000 | -53.394 | 0.000 | 0.000 |
| -0.000 | -0.000 | -0.000 | 0.000 | -53.394 | 0.000 |
| -0.000 | -0.000 | -0.000 | 0.000 | 0.000 | -53.394 |
| 68.031 | 114.150 | 114.150 | -0.000 | -0.000 | -0.000 |
| 114.150 | 68.031 | 114.150 | -0.000 | -0.000 | -0.000 |
| 114.150 | 114.150 | 68.031 | -0.000 | -0.000 | -0.000 |
| 0.000 | 0.000 | 0.000 | -53.394 | -0.000 | -0.000 |
| 0.000 | 0.000 | 0.000 | -0.000 | -53.394 | -0.000 |
| 0.000 | 0.000 | 0.000 | -0.000 | -0.000 | -53.394 |
| 68.030 | 114.150 | 114.150 | 0.000 | 0.000 | 0.000 |
| 114.150 | 68.030 | 114.150 | 0.000 | 0.000 | 0.000 |
| 114.150 | 114.150 | 68.030 | 0.000 | 0.000 | 0.000 |
| -0.000 | -0.000 | -0.000 | -53.394 | 0.000 | 0.000 |
| -0.000 | -0.000 | -0.000 | 0.000 | -53.394 | 0.000 |
| -0.000 | -0.000 | -0.000 | 0.000 | 0.000 | -53.394 |
| 0.000 | 0.000 | 0.000 | -0.000 | -0.000 | -0.000 |
| 0.000 | 0.000 | 0.000 | -0.000 | -0.000 | -0.000 |
| 0.000 | 0.000 | 0.000 | -0.000 | -0.000 | -0.000 |
| 0.000 | 0.000 | 0.000 | 0.000 | -0.000 | -0.000 |
| 0.000 | 0.000 | 0.000 | -0.000 | 0.000 | -0.000 |
| 0.000 | 0.000 | 0.000 | -0.000 | -0.000 | 0.000 |
| 0.000 | 0.000 | 0.000 | -0.000 | 0.000 | 0.000 |
| 0.000 | 0.000 | 0.000 | 0.000 | -0.000 | 0.000 |
| 0.000 | 0.000 | 0.000 | 0.000 | 0.000 | -0.000 |
| -0.000 | -0.000 | -0.000 | 0.000 | 0.000 | 0.000 |
| -0.000 | -0.000 | -0.000 | 0.000 | 0.000 | 0.000 |
| -0.000 | -0.000 | -0.000 | 0.000 | 0.000 | 0.000 |
| 0.000 | 0.000 | 0.000 | -0.000 | -0.000 | -0.000 |
| 0.000 | 0.000 | 0.000 | -0.000 | -0.000 | -0.000 |
| 0.000 | 0.000 | 0.000 | -0.000 | -0.000 | -0.000 |
| 0.000 | 0.000 | 0.000 | 0.000 | -0.000 | -0.000 |
| 0.000 | 0.000 | 0.000 | -0.000 | 0.000 | -0.000 |
| 0.000 | 0.000 | 0.000 | -0.000 | -0.000 | 0.000 |
| 0.000 | 0.000 | 0.000 | 0.000 | 0.000 | 0.000 |
| 0.000 | 0.000 | 0.000 | 0.000 | 0.000 | 0.000 |
| 0.000 | 0.000 | 0.000 | 0.000 | 0.000 | 0.000 |
| -0.000 | -0.000 | -0.000 | 0.000 | 0.000 | 0.000 |
| -0.000 | -0.000 | -0.000 | 0.000 | 0.000 | 0.000 |
| -0.000 | -0.000 | -0.000 | 0.000 | 0.000 | 0.000 |
| 0.000 | 0.000 | 0.000 | -0.000 | -0.000 | -0.000 |
| 0.000 | 0.000 | 0.000 | -0.000 | -0.000 | -0.000 |
| 0.000 | 0.000 | 0.000 | -0.000 | -0.000 | -0.000 |
| 0.000 | 0.000 | 0.000 | 0.000 | -0.000 | -0.000 |
| 0.000 | 0.000 | 0.000 | -0.000 | 0.000 | -0.000 |
| 0.000 | 0.000 | 0.000 | -0.000 | -0.000 | 0.000 |
| 0.000 | 0.000 | 0.000 | 0.000 | 0.000 | 0.000 |
| 0.000 | 0.000 | 0.000 | 0.000 | 0.000 | 0.000 |
| 0.000 | 0.000 | 0.000 | 0.000 | 0.000 | 0.000 |
| -0.000 | -0.000 | -0.000 | 0.000 | 0.000 | 0.000 |
| -0.000 | -0.000 | -0.000 | 0.000 | 0.000 | 0.000 |
| -0.000 | -0.000 | -0.000 | 0.000 | 0.000 | 0.000 |
| 526.503 | 156.973 | 333.920 | -0.000 | 0.000 | 0.000 |
| 156.973 | 526.503 | 333.920 | -0.000 | 0.000 | 0.000 |
| 333.920 | 333.920 | 434.598 | 0.000 | 0.000 | 0.000 |
| 0.000 | 0.000 | 0.000 | 330.335 | -0.000 | 0.000 |
| 0.000 | 0.000 | 0.000 | 0.000 | 330.335 | 0.000 |
| 0.000 | 0.000 | 0.000 | 0.000 | 0.000 | 149.945 |
| 526.503 | 156.973 | 333.920 | 0.000 | -0.000 | -0.000 |
| 156.973 | 526.503 | 333.920 | -0.000 | 0.000 | -0.000 |
| 333.920 | 333.920 | 434.598 | -0.000 | -0.000 | -0.000 |
| -0.000 | -0.000 | -0.000 | 330.335 | 0.000 | -0.000 |
| -0.000 | -0.000 | -0.000 | -0.000 | 330.335 | -0.000 |
| -0.000 | -0.000 | -0.000 | -0.000 | -0.000 | 149.945 |
| 526.503 | 156.973 | 333.921 | -0.000 | 0.000 | 0.000 |
| 156.973 | 526.503 | 333.921 | 0.000 | 0.000 | 0.000 |
| 333.921 | 333.921 | 434.598 | 0.000 | 0.000 | 0.000 |
| 0.000 | 0.000 | 0.000 | 330.335 | 0.000 | 0.000 |
| 0.000 | 0.000 | 0.000 | 0.000 | 330.335 | 0.000 |
| 0.000 | 0.000 | 0.000 | 0.000 | 0.000 | 149.945 |
| 526.502 | 156.973 | 333.920 | -0.000 | -0.000 | -0.000 |
| 156.973 | 526.502 | 333.920 | -0.000 | -0.000 | -0.000 |
| 333.920 | 333.920 | 434.597 | 0.000 | -0.000 | -0.000 |
| -0.000 | -0.000 | -0.000 | 330.335 | -0.000 | -0.000 |
| -0.000 | -0.000 | -0.000 | 0.000 | 330.335 | -0.000 |
| -0.000 | -0.000 | -0.000 | 0.000 | -0.000 | 149.945 |
| 526.506 | 156.974 | 333.923 | 0.000 | 0.000 | 0.000 |
| 156.974 | 526.506 | 333.923 | 0.000 | -0.000 | 0.000 |
| 333.924 | 333.924 | 434.601 | 0.000 | 0.000 | 0.000 |
| 0.001 | 0.001 | 0.002 | 330.335 | 0.000 | 0.000 |
| 0.001 | 0.001 | 0.002 | -0.000 | 330.335 | 0.000 |
| 0.000 | 0.000 | 0.001 | 0.000 | 0.000 | 149.945 |
| 526.499 | 156.972 | 333.918 | -0.000 | -0.000 | -0.000 |
| 156.972 | 526.499 | 333.918 | 0.000 | -0.000 | -0.000 |
| 333.917 | 333.917 | 434.594 | -0.000 | -0.000 | -0.000 |
| -0.001 | -0.001 | -0.002 | 330.335 | -0.000 | -0.000 |
| -0.001 | -0.001 | -0.002 | 0.000 | 330.335 | -0.000 |
| -0.000 | -0.000 | -0.001 | -0.000 | -0.000 | 149.945 |
| 340.700 | 342.355 | 277.741 | 0.000 | 0.000 | 0.000 |
| 342.355 | 340.700 | 277.741 | 0.000 | 0.000 | -0.000 |
| 277.741 | 277.741 | 533.951 | 0.000 | 0.000 | 0.000 |
| 0.000 | 0.000 | 0.000 | 264.746 | 0.000 | -0.000 |
| 0.000 | 0.000 | 0.000 | 0.000 | 264.746 | 0.000 |
| 0.000 | 0.000 | 0.000 | 0.000 | 0.000 | 330.770 |
| 340.700 | 342.355 | 277.741 | -0.000 | -0.000 | -0.000 |
| 342.355 | 340.700 | 277.741 | -0.000 | -0.000 | -0.000 |
| 277.741 | 277.741 | 533.951 | -0.000 | -0.000 | -0.000 |
| -0.000 | -0.000 | -0.000 | 264.746 | -0.000 | -0.000 |
| -0.000 | -0.000 | -0.000 | -0.000 | 264.746 | 0.000 |
| -0.000 | -0.000 | -0.000 | -0.000 | -0.000 | 330.770 |
| 340.700 | 342.355 | 277.741 | 0.000 | 0.000 | -0.000 |
| 342.355 | 340.700 | 277.741 | 0.000 | 0.000 | -0.000 |
| 277.741 | 277.741 | 533.952 | 0.000 | 0.000 | 0.000 |
| 0.000 | 0.000 | 0.000 | 264.746 | 0.000 | 0.000 |
| 0.000 | 0.000 | 0.000 | 0.000 | 264.746 | 0.000 |
| 0.000 | 0.000 | 0.000 | 0.000 | 0.000 | 330.770 |
| 340.700 | 342.355 | 277.741 | -0.000 | -0.000 | -0.000 |
| 342.355 | 340.700 | 277.741 | -0.000 | -0.000 | -0.000 |
| 277.741 | 277.741 | 533.951 | -0.000 | -0.000 | -0.000 |
| -0.000 | -0.000 | -0.000 | 264.746 | -0.000 | 0.000 |
| -0.000 | -0.000 | -0.000 | -0.000 | 264.746 | -0.000 |
| -0.000 | -0.000 | -0.000 | -0.000 | -0.000 | 330.770 |
| 340.700 | 342.357 | 277.742 | 0.000 | 0.000 | 0.000 |
| 342.357 | 340.700 | 277.742 | 0.000 | 0.000 | -0.000 |
| 277.742 | 277.742 | 533.956 | 0.000 | 0.000 | 0.000 |
| 0.001 | 0.001 | 0.001 | 264.746 | 0.000 | 0.000 |
| 0.001 | 0.001 | 0.001 | 0.000 | 264.746 | 0.000 |
| 0.001 | 0.002 | 0.001 | 0.000 | 0.000 | 330.770 |
| 340.700 | 342.354 | 277.740 | 0.000 | -0.000 | -0.000 |
| 342.354 | 340.700 | 277.740 | 0.000 | -0.000 | 0.000 |
| 277.740 | 277.740 | 533.946 | -0.000 | -0.000 | -0.000 |
| -0.001 | -0.001 | -0.001 | 264.746 | -0.000 | -0.000 |
| -0.001 | -0.001 | -0.001 | -0.000 | 264.746 | 0.000 |
| -0.001 | -0.002 | -0.001 | -0.000 | -0.000 | 330.770 |
| 0.000 | 0.000 | 0.000 | 0.000 | -0.000 | 0.000 |
| 0.000 | 0.000 | 0.000 | -0.000 | 0.000 | 0.000 |
| 0.000 | 0.000 | 0.001 | 0.000 | 0.000 | 0.000 |
| 0.000 | 0.000 | 0.000 | 0.000 | 0.000 | 0.000 |
| 0.000 | 0.000 | 0.000 | 0.000 | 0.000 | 0.000 |
| 0.000 | 0.000 | 0.000 | 0.000 | 0.000 | 0.000 |
| 0.000 | 0.000 | 0.000 | 0.000 | -0.000 | -0.000 |
| 0.000 | 0.000 | 0.000 | -0.000 | 0.000 | -0.000 |
| 0.000 | 0.000 | 0.001 | -0.000 | -0.000 | 0.000 |
| -0.000 | -0.000 | -0.000 | 0.000 | 0.000 | -0.000 |
| -0.000 | -0.000 | -0.000 | 0.000 | 0.000 | -0.000 |
| -0.000 | -0.000 | -0.000 | -0.000 | 0.000 | 0.000 |
| 0.000 | 0.000 | 0.000 | -0.000 | -0.000 | 0.000 |
| 0.000 | 0.000 | 0.000 | -0.000 | -0.000 | 0.000 |
| 0.000 | 0.000 | 0.001 | -0.000 | -0.000 | -0.000 |
| 0.000 | 0.000 | 0.000 | 0.000 | -0.000 | 0.000 |
| 0.000 | 0.000 | 0.000 | -0.000 | 0.000 | 0.000 |
| 0.000 | 0.000 | 0.000 | -0.000 | -0.000 | 0.000 |
| 0.000 | 0.000 | 0.000 | -0.000 | -0.000 | -0.000 |
| 0.000 | 0.000 | 0.000 | -0.000 | -0.000 | -0.000 |
| 0.000 | 0.000 | 0.001 | -0.000 | -0.000 | -0.000 |
| -0.000 | -0.000 | -0.000 | 0.000 | 0.000 | -0.000 |
| -0.000 | -0.000 | -0.000 | 0.000 | 0.000 | -0.000 |
| -0.000 | -0.000 | -0.000 | -0.000 | -0.000 | 0.000 |
| 0.000 | 0.000 | 0.000 | 0.000 | 0.000 | 0.000 |
| 0.000 | 0.000 | 0.000 | 0.000 | 0.000 | 0.000 |
| 0.000 | 0.000 | 0.001 | 0.000 | 0.000 | 0.000 |
| 0.000 | 0.000 | 0.000 | 0.000 | 0.000 | 0.000 |
| 0.000 | 0.000 | 0.000 | 0.000 | 0.000 | 0.000 |
| 0.000 | 0.000 | 0.000 | 0.000 | 0.000 | 0.000 |
| 0.000 | 0.000 | 0.000 | 0.000 | 0.000 | -0.000 |
| 0.000 | 0.000 | 0.000 | 0.000 | 0.000 | -0.000 |
| 0.000 | 0.000 | 0.001 | 0.000 | 0.000 | -0.000 |
| -0.000 | -0.000 | -0.000 | 0.000 | 0.000 | -0.000 |
| -0.000 | -0.000 | -0.000 | 0.000 | 0.000 | -0.000 |
| -0.000 | -0.000 | -0.000 | 0.000 | 0.000 | 0.000 |
| 0.000 | 0.000 | 0.000 | 0.000 | -0.000 | -0.000 |
| 0.000 | 0.000 | 0.000 | -0.000 | 0.000 | -0.000 |
| 0.000 | 0.000 | 0.001 | -0.000 | -0.000 | -0.000 |
| 0.000 | 0.000 | 0.000 | 0.000 | 0.000 | -0.000 |
| 0.000 | 0.000 | 0.000 | 0.000 | 0.000 | -0.000 |
| 0.000 | 0.000 | 0.000 | -0.000 | -0.000 | 0.000 |
| 0.000 | 0.000 | 0.000 | 0.000 | -0.000 | 0.000 |
| 0.000 | 0.000 | 0.000 | -0.000 | 0.000 | 0.000 |
| 0.000 | 0.000 | 0.001 | 0.000 | 0.000 | 0.000 |
| -0.000 | -0.000 | -0.000 | 0.000 | 0.000 | 0.000 |
| -0.000 | -0.000 | -0.000 | 0.000 | 0.000 | 0.000 |
| -0.000 | -0.000 | -0.000 | -0.000 | -0.000 | 0.000 |
| 0.000 | 0.000 | 0.000 | -0.000 | -0.000 | -0.000 |
| 0.000 | 0.000 | 0.000 | -0.000 | -0.000 | -0.000 |
| 0.000 | 0.000 | 0.001 | 0.000 | 0.000 | -0.000 |
| 0.000 | 0.000 | 0.000 | 0.000 | 0.000 | -0.000 |
| 0.000 | 0.000 | 0.000 | 0.000 | 0.000 | -0.000 |
| 0.000 | 0.000 | 0.000 | -0.000 | -0.000 | 0.000 |
| 0.000 | 0.000 | 0.000 | 0.000 | 0.000 | 0.000 |
| 0.000 | 0.000 | 0.000 | 0.000 | 0.000 | 0.000 |
| 0.000 | 0.000 | 0.001 | 0.000 | 0.000 | 0.000 |
| -0.000 | -0.000 | -0.000 | 0.000 | -0.000 | 0.000 |
| -0.000 | -0.000 | -0.000 | -0.000 | 0.000 | 0.000 |
| -0.000 | -0.000 | -0.000 | 0.000 | -0.000 | 0.000 |
| 0.000 | 0.000 | 0.000 | -0.000 | -0.000 | -0.000 |
| 0.000 | 0.000 | 0.000 | -0.000 | -0.000 | -0.000 |
| 0.000 | 0.000 | 0.001 | -0.000 | -0.000 | -0.000 |
| 0.000 | 0.000 | 0.000 | 0.000 | -0.000 | -0.000 |
| 0.000 | 0.000 | 0.000 | -0.000 | 0.000 | -0.000 |
| 0.000 | 0.000 | 0.000 | 0.000 | 0.000 | 0.000 |
| 0.000 | 0.000 | 0.000 | 0.000 | 0.000 | 0.000 |
| 0.000 | 0.000 | 0.000 | 0.000 | 0.000 | 0.000 |
| 0.000 | 0.000 | 0.001 | 0.000 | 0.000 | 0.000 |
| -0.000 | -0.000 | -0.000 | 0.000 | 0.000 | 0.000 |
| -0.000 | -0.000 | -0.000 | 0.000 | 0.000 | 0.000 |
| -0.000 | -0.000 | -0.000 | -0.000 | 0.000 | 0.000 |
| 348.674 | 129.569 | 165.512 | -106.452 | -0.000 | -0.000 |
| 129.569 | 348.674 | 165.512 | 106.452 | -0.000 | -0.000 |
| 165.512 | 165.512 | 612.124 | -0.000 | -0.000 | -0.000 |
| -106.452 | 106.452 | 0.000 | 146.666 | -0.000 | 0.000 |
| 0.000 | 0.000 | 0.000 | -0.000 | 146.666 | -106.452 |
| 0.000 | 0.000 | -0.000 | -0.000 | -106.452 | 109.552 |
| 348.674 | 129.569 | 165.512 | -106.452 | 0.000 | 0.000 |
| 129.569 | 348.674 | 165.512 | 106.452 | 0.000 | 0.000 |
| 165.512 | 165.512 | 612.124 | -0.000 | 0.000 | 0.000 |
| -106.452 | 106.452 | -0.000 | 146.666 | 0.000 | -0.000 |
| -0.000 | -0.000 | -0.000 | 0.000 | 146.666 | -106.452 |
| -0.000 | -0.000 | 0.000 | -0.000 | -106.452 | 109.552 |
| 348.674 | 129.569 | 165.512 | -106.452 | -0.000 | -0.000 |
| 129.569 | 348.674 | 165.512 | 106.452 | -0.000 | -0.000 |
| 165.512 | 165.512 | 612.124 | 0.000 | 0.000 | 0.000 |
| -106.452 | 106.452 | 0.000 | 146.666 | -0.000 | 0.000 |
| 0.000 | 0.000 | 0.000 | -0.000 | 146.666 | -106.452 |
| 0.000 | 0.000 | 0.000 | -0.000 | -106.452 | 109.552 |
| 348.673 | 129.569 | 165.512 | -106.452 | 0.000 | -0.000 |
| 129.569 | 348.673 | 165.512 | 106.452 | 0.000 | -0.000 |
| 165.512 | 165.512 | 612.123 | 0.000 | 0.000 | 0.000 |
| -106.452 | 106.452 | -0.000 | 146.666 | -0.000 | 0.000 |
| -0.000 | -0.000 | -0.000 | 0.000 | 146.666 | -106.452 |
| -0.000 | -0.000 | -0.000 | 0.000 | -106.452 | 109.552 |
| 348.676 | 129.569 | 165.512 | -106.452 | -0.000 | -0.000 |
| 129.569 | 348.675 | 165.512 | 106.453 | 0.000 | 0.000 |
| 165.513 | 165.513 | 612.129 | 0.000 | -0.000 | -0.000 |
| -106.452 | 106.453 | 0.002 | 146.667 | -0.000 | -0.000 |
| 0.001 | 0.000 | 0.002 | -0.001 | 146.666 | -106.452 |
| 0.000 | 0.001 | 0.000 | -0.000 | -106.452 | 109.552 |
| 348.672 | 129.569 | 165.511 | -106.451 | -0.000 | -0.000 |
| 129.569 | 348.672 | 165.511 | 106.451 | -0.000 | -0.000 |
| 165.511 | 165.511 | 612.118 | -0.000 | 0.000 | 0.000 |
| -106.452 | 106.451 | -0.002 | 146.665 | 0.000 | -0.000 |
| -0.001 | -0.000 | -0.002 | 0.001 | 146.666 | -106.452 |
| -0.000 | -0.001 | -0.000 | 0.000 | -106.452 | 109.552 |
| 423.494 | 91.392 | 146.072 | 0.000 | 0.000 | 0.000 |
| 91.146 | 409.201 | 402.357 | 0.000 | 0.000 | 0.000 |
| 31.911 | 280.162 | 689.803 | 0.000 | 0.000 | 0.000 |
| -0.255 | -0.273 | 0.282 | 238.827 | 0.000 | 0.000 |
| -0.077 | -0.083 | 0.085 | 0.000 | 19.341 | 0.000 |
| -0.972 | -1.039 | 1.075 | 0.000 | 0.000 | 195.759 |
| 425.542 | 93.622 | 143.809 | -0.000 | -0.000 | -0.000 |
| 204.833 | 534.946 | 276.846 | -0.000 | -0.000 | -0.000 |
| 148.943 | 405.656 | 560.383 | -0.000 | -0.000 | -0.000 |
| 0.255 | 0.273 | -0.282 | 238.827 | -0.000 | -0.000 |
| 0.077 | 0.083 | -0.085 | -0.000 | 19.341 | -0.000 |
| 0.972 | 1.039 | -1.075 | -0.000 | -0.000 | 195.759 |
| 424.417 | 92.396 | 145.053 | 0.000 | 0.000 | 0.000 |
| 92.069 | 410.206 | 401.338 | 0.000 | 0.000 | 0.000 |
| 82.492 | 323.666 | 633.284 | 0.000 | 0.000 | 0.000 |
| -0.042 | -0.046 | 0.047 | 238.793 | -0.000 | 0.000 |
| -0.231 | -0.252 | 0.255 | 0.000 | 11.371 | 0.000 |
| -0.097 | -0.104 | 0.108 | 0.000 | 0.000 | 195.759 |
| 424.619 | 92.617 | 144.828 | -0.000 | -0.000 | -0.000 |
| 92.271 | 410.426 | 401.114 | -0.000 | -0.000 | -0.000 |
| 148.020 | 404.651 | 561.402 | -0.000 | -0.000 | -0.000 |
| 0.042 | 0.046 | -0.047 | 238.793 | 0.000 | -0.000 |
| 0.231 | 0.252 | -0.255 | -0.000 | 11.371 | -0.000 |
| 0.097 | 0.104 | -0.108 | -0.000 | -0.000 | 195.759 |
| 424.459 | 92.429 | 145.013 | 0.000 | 0.000 | 0.000 |
| 92.170 | 410.318 | 401.229 | 0.000 | 0.000 | 0.000 |
| 147.921 | 404.548 | 561.521 | 0.000 | 0.000 | 0.000 |
| -0.005 | -0.004 | 0.007 | 238.793 | -0.000 | 0.000 |
| -0.021 | -0.023 | 0.023 | 0.000 | 11.371 | 0.000 |
| -0.009 | -0.011 | 0.012 | 0.000 | 0.000 | 195.759 |
| 424.514 | 92.505 | 144.937 | -0.000 | -0.000 | -0.000 |
| 92.170 | 410.314 | 401.223 | -0.000 | -0.000 | -0.000 |
| 82.583 | 323.750 | 633.173 | -0.000 | -0.000 | -0.000 |
| 0.005 | 0.004 | -0.007 | 238.793 | 0.000 | -0.000 |
| 0.021 | 0.023 | -0.023 | -0.000 | 11.371 | -0.000 |
| 0.009 | 0.011 | -0.012 | -0.000 | -0.000 | 195.759 |
| 266.852 | 204.610 | 147.233 | -0.000 | 0.000 | -0.000 |
| 128.198 | 343.264 | 147.233 | -0.000 | 0.000 | -0.000 |
| 147.233 | 147.233 | 587.940 | -0.000 | 0.000 | -0.000 |
| 0.000 | 0.000 | 0.000 | 127.437 | 0.000 | -0.000 |
| 0.000 | 0.000 | 0.000 | -0.000 | 127.437 | -0.000 |
| 0.000 | 0.000 | 0.000 | -0.000 | 0.000 | 107.533 |
| 266.851 | 204.610 | 147.233 | 0.000 | -0.000 | 0.000 |
| 204.610 | 266.851 | 147.233 | 0.000 | -0.000 | 0.000 |
| 147.233 | 147.233 | 587.940 | 0.000 | -0.000 | 0.000 |
| -0.000 | -0.000 | -0.000 | 127.437 | -0.000 | 0.000 |
| -0.000 | -0.000 | -0.000 | 0.000 | 127.437 | 0.000 |
| -0.000 | 0.000 | -0.000 | 0.000 | -0.000 | 107.533 |
| 266.852 | 204.610 | 147.233 | -0.000 | 0.000 | -0.000 |
| 128.198 | 343.264 | 147.233 | -0.000 | 0.000 | -0.000 |
| 147.233 | 147.233 | 587.941 | -0.000 | 0.000 | -0.000 |
| 0.000 | 0.000 | 0.000 | 127.437 | 0.000 | -0.000 |
| 0.000 | 0.000 | 0.000 | -0.000 | 127.437 | -0.000 |
| 0.000 | 0.000 | 0.000 | -0.000 | 0.000 | 107.533 |
| 266.851 | 204.610 | 147.232 | 0.000 | -0.000 | 0.000 |
| 128.198 | 343.263 | 147.232 | 0.000 | -0.000 | 0.000 |
| 147.232 | 147.232 | 587.939 | 0.000 | -0.000 | 0.000 |
| -0.000 | -0.000 | -0.000 | 127.437 | -0.000 | 0.000 |
| -0.000 | -0.000 | -0.000 | 0.000 | 127.437 | 0.000 |
| -0.000 | -0.000 | -0.000 | 0.000 | -0.000 | 107.533 |
| 266.844 | 204.621 | 147.234 | -0.000 | 0.000 | -0.000 |
| 128.199 | 343.266 | 147.234 | -0.000 | 0.000 | -0.000 |
| 147.235 | 147.235 | 587.947 | -0.000 | 0.000 | -0.000 |
| 0.001 | 0.000 | 0.002 | 127.437 | 0.000 | -0.000 |
| 0.000 | 0.001 | 0.002 | -0.000 | 127.437 | -0.000 |
| 0.000 | 0.000 | 0.000 | -0.000 | 0.000 | 31.121 |
| 266.846 | 204.612 | 147.231 | 0.000 | -0.000 | 0.000 |
| 204.609 | 266.849 | 147.231 | 0.000 | -0.000 | 0.000 |
| 147.230 | 147.230 | 587.932 | 0.000 | -0.000 | 0.000 |
| -0.001 | -0.000 | -0.002 | 127.437 | -0.000 | 0.000 |
| -0.000 | -0.001 | -0.002 | 0.000 | 127.437 | 0.000 |
| -0.000 | -0.000 | -0.000 | 0.000 | -0.000 | 31.121 |
| 10471959953.939 | 10471960635.504 | 10471960635.504 | -0.001 | -0.000 | -0.000 |
| 10471960621.254 | 10471959939.690 | 10471960621.253 | 0.000 | -0.001 | -0.000 |
| 10471960648.169 | 10471960648.169 | 10471959966.604 | -0.000 | -0.002 | -0.000 |
| -85.247 | -85.247 | -85.247 | 1313.704 | -0.001 | -0.000 |
| -65.741 | -65.741 | -65.741 | -0.000 | 1587.526 | -0.000 |
| -107.138 | -107.138 | -107.137 | 0.000 | -0.000 | 1754.109 |
| 10473683449.781 | 10473684183.350 | 10473684183.350 | 0.000 | 0.000 | 0.000 |
| 10473684173.761 | 10473683440.192 | 10473684173.761 | 0.000 | 0.000 | 0.000 |
| 10473684207.733 | 10473684207.733 | 10473683474.163 | 0.001 | 0.001 | 0.000 |
| 94.504 | 94.504 | 94.504 | 1622.548 | 0.001 | 0.000 |
| 150.187 | 150.188 | 150.187 | -0.000 | 1754.119 | 0.000 |
| 81.644 | 81.644 | 81.644 | 0.000 | 0.000 | 1604.422 |
| 10464204578.256 | 10464205026.010 | 10464205026.010 | 0.000 | -0.000 | -0.000 |
| 10464205025.058 | 10464204577.304 | 10464205025.058 | 0.000 | 0.000 | -0.000 |
| 10464205026.269 | 10464205026.269 | 10464204578.515 | -0.000 | -0.000 | -0.000 |
| 43.442 | 43.441 | 43.442 | 1754.196 | -0.000 | -0.000 |
| 44.492 | 44.493 | 44.493 | -0.000 | 1754.196 | -0.000 |
| 43.747 | 43.748 | 43.748 | 0.000 | -0.000 | 1754.196 |
| 10481438441.579 | 10481439409.381 | 10481439409.382 | 0.000 | 0.000 | -0.000 |
| 10481439408.693 | 10481438440.890 | 10481439408.693 | -0.000 | 0.000 | 0.000 |
| 10481439409.324 | 10481439409.324 | 10481438441.521 | -0.000 | -0.000 | 0.000 |
| -44.694 | -44.694 | -44.694 | 1754.196 | 0.000 | 0.000 |
| -44.480 | -44.480 | -44.480 | 0.000 | 1754.196 | 0.000 |
| -43.530 | -43.530 | -43.530 | -0.000 | 0.000 | 1754.196 |
| 10386651863.732 | 10386649992.428 | 10386649992.428 | 0.000 | 0.000 | -0.000 |
| 10386649992.329 | 10386651863.633 | 10386649992.329 | -0.000 | 0.000 | 0.000 |
| 10386649992.139 | 10386649992.139 | 10386651863.443 | -0.000 | -0.000 | -0.000 |
| 567.013 | 567.008 | 567.012 | 1754.196 | -0.000 | -0.000 |
| 566.998 | 567.002 | 567.002 | -0.000 | 1754.196 | -0.000 |
| 567.028 | 567.032 | 567.032 | 0.000 | -0.000 | 1754.196 |
| 10558990324.859 | 10558993654.041 | 10558993654.041 | 0.000 | -0.000 | 0.000 |
| 10558993654.095 | 10558990324.912 | 10558993654.095 | -0.000 | -0.000 | -0.000 |
| 10558993654.487 | 10558993654.487 | 10558990325.305 | 0.000 | -0.000 | 0.000 |
| -566.731 | -566.727 | -566.731 | 1754.196 | 0.000 | 0.000 |
| -566.703 | -566.708 | -566.707 | 0.000 | 1754.196 | 0.000 |
| -566.991 | -566.995 | -566.996 | 0.000 | 0.000 | 1754.196 |
| 157.036 | 242.149 | 242.149 | 0.000 | -0.000 | -0.000 |
| 242.149 | 157.037 | 242.149 | 0.000 | -0.000 | 0.000 |
| 242.149 | 242.149 | 157.037 | 0.000 | 0.000 | -0.000 |
| -0.000 | 0.000 | 0.000 | -85.367 | 0.000 | -0.000 |
| -0.000 | -0.000 | 0.000 | 0.000 | -85.367 | -0.000 |
| -0.000 | -0.000 | 0.000 | -0.000 | 0.000 | -85.367 |
| 157.036 | 242.149 | 242.149 | -0.000 | -0.000 | 0.000 |
| 242.149 | 157.036 | 242.149 | -0.000 | -0.000 | 0.000 |
| 242.149 | 242.149 | 157.036 | -0.000 | -0.000 | 0.000 |
| 0.000 | 0.000 | -0.000 | -85.367 | -0.000 | -0.000 |
| 0.000 | -0.000 | -0.000 | -0.000 | -85.367 | 0.000 |
| 0.000 | 0.000 | -0.000 | 0.000 | -0.000 | -85.367 |
| 157.037 | 242.149 | 242.149 | 0.000 | 0.000 | -0.000 |
| 242.149 | 157.037 | 242.149 | 0.000 | -0.000 | -0.000 |
| 242.149 | 242.149 | 157.037 | 0.000 | 0.000 | -0.000 |
| 0.000 | -0.000 | -0.000 | -85.367 | 0.000 | -0.000 |
| -0.000 | 0.000 | -0.000 | 0.000 | -85.367 | -0.000 |
| -0.000 | -0.000 | 0.000 | 0.000 | 0.000 | -85.367 |
| 157.036 | 242.148 | 242.148 | -0.000 | 0.000 | 0.000 |
| 242.148 | 157.036 | 242.148 | -0.000 | 0.000 | 0.000 |
| 242.148 | 242.148 | 157.036 | -0.000 | -0.000 | 0.000 |
| -0.000 | 0.000 | 0.000 | -85.367 | -0.000 | 0.000 |
| 0.000 | -0.000 | 0.000 | -0.000 | -85.367 | 0.000 |
| 0.000 | 0.000 | -0.000 | -0.000 | -0.000 | -85.367 |
| 157.038 | 242.150 | 242.150 | 0.000 | -0.000 | -0.000 |
| 242.150 | 157.038 | 242.150 | 0.000 | 0.000 | -0.000 |
| 242.150 | 242.150 | 157.038 | 0.000 | 0.000 | -0.000 |
| 0.000 | -0.000 | -0.000 | -85.367 | 0.000 | 0.000 |
| -0.000 | 0.000 | -0.000 | 0.000 | -85.367 | -0.000 |
| -0.000 | -0.000 | 0.000 | 0.000 | 0.000 | -85.367 |
| 157.035 | 242.147 | 242.147 | -0.000 | 0.000 | 0.000 |
| 242.147 | 157.035 | 242.147 | -0.000 | -0.000 | 0.000 |
| 242.147 | 242.147 | 157.035 | -0.000 | -0.000 | 0.000 |
| -0.000 | 0.000 | 0.000 | -85.367 | -0.000 | 0.000 |
| 0.000 | -0.000 | 0.000 | -0.000 | -85.367 | 0.000 |
| 0.000 | 0.000 | -0.000 | -0.000 | -0.000 | -85.367 |
| 0.000 | 0.000 | 0.000 | -0.000 | -0.000 | -0.000 |
| 0.000 | 0.000 | 0.000 | -0.000 | -0.000 | -0.000 |
| 0.000 | 0.000 | 0.000 | -0.000 | -0.000 | -0.000 |
| 0.000 | 0.000 | 0.000 | 0.000 | -0.000 | 0.000 |
| 0.000 | 0.000 | 0.000 | -0.000 | 0.000 | 0.000 |
| 0.000 | 0.000 | 0.000 | -0.000 | 0.000 | 0.000 |
| 0.000 | 0.000 | 0.000 | 0.000 | -0.000 | 0.000 |
| 0.000 | 0.000 | 0.000 | -0.000 | 0.000 | 0.000 |
| 0.000 | 0.000 | 0.000 | -0.000 | -0.000 | 0.000 |
| -0.000 | -0.000 | -0.000 | 0.000 | 0.000 | 0.000 |
| -0.000 | -0.000 | -0.000 | 0.000 | 0.000 | 0.000 |
| -0.000 | -0.000 | -0.000 | 0.000 | 0.000 | 0.000 |
| 0.000 | 0.000 | 0.000 | -0.000 | -0.000 | -0.000 |
| 0.000 | 0.000 | 0.000 | -0.000 | -0.000 | -0.000 |
| 0.000 | 0.000 | 0.000 | -0.000 | -0.000 | -0.000 |
| 0.000 | 0.000 | 0.000 | 0.000 | -0.000 | -0.000 |
| 0.000 | 0.000 | 0.000 | -0.000 | 0.000 | -0.000 |
| 0.000 | 0.000 | 0.000 | -0.000 | -0.000 | 0.000 |
| 0.000 | 0.000 | 0.000 | 0.000 | 0.000 | 0.000 |
| 0.000 | 0.000 | 0.000 | 0.000 | 0.000 | 0.000 |
| 0.000 | 0.000 | 0.000 | 0.000 | 0.000 | 0.000 |
| -0.000 | -0.000 | -0.000 | 0.000 | 0.000 | 0.000 |
| -0.000 | -0.000 | -0.000 | 0.000 | 0.000 | 0.000 |
| -0.000 | -0.000 | -0.000 | 0.000 | -0.000 | 0.000 |
| 0.000 | 0.000 | 0.000 | 0.000 | -0.000 | -0.000 |
| 0.000 | 0.000 | 0.000 | -0.000 | 0.000 | -0.000 |
| 0.000 | 0.000 | 0.000 | -0.000 | -0.000 | 0.000 |
| 0.000 | 0.000 | 0.000 | 0.000 | -0.000 | -0.000 |
| 0.000 | 0.000 | 0.000 | -0.000 | 0.000 | -0.000 |
| 0.000 | 0.000 | 0.000 | -0.000 | 0.000 | 0.000 |
| 0.000 | 0.000 | 0.000 | 0.000 | -0.000 | 0.000 |
| 0.000 | 0.000 | 0.000 | -0.000 | 0.000 | 0.000 |
| 0.000 | 0.000 | 0.000 | 0.000 | 0.000 | 0.000 |
| -0.000 | -0.000 | -0.000 | 0.000 | 0.000 | -0.000 |
| -0.000 | -0.000 | -0.000 | 0.000 | 0.000 | -0.000 |
| -0.000 | -0.000 | -0.000 | 0.000 | 0.000 | 0.000 |
| 359.596 | 161.589 | 161.589 | 0.000 | 0.000 | 0.000 |
| 161.589 | 359.596 | 161.589 | 0.000 | 0.000 | 0.000 |
| 161.589 | 161.589 | 359.596 | -0.000 | 0.000 | 0.000 |
| -0.000 | 0.000 | -0.000 | 132.762 | 0.000 | 0.000 |
| 0.000 | -0.000 | 0.000 | 0.000 | 132.762 | 0.000 |
| 0.000 | -0.000 | 0.000 | -0.000 | 0.000 | 132.762 |
| 359.596 | 161.589 | 161.589 | -0.000 | -0.000 | -0.000 |
| 161.589 | 359.596 | 161.589 | -0.000 | -0.000 | -0.000 |
| 161.589 | 161.589 | 359.596 | -0.000 | -0.000 | -0.000 |
| 0.000 | 0.000 | 0.000 | 132.762 | -0.000 | -0.000 |
| 0.000 | 0.000 | 0.000 | -0.000 | 132.762 | -0.000 |
| -0.000 | -0.000 | 0.000 | 0.000 | -0.000 | 132.762 |
| 359.597 | 161.589 | 161.589 | -0.000 | 0.000 | 0.000 |
| 161.589 | 359.597 | 161.589 | 0.000 | 0.000 | 0.000 |
| 161.589 | 161.589 | 359.597 | 0.000 | 0.000 | 0.000 |
| -0.000 | 0.000 | 0.000 | 132.747 | 0.000 | 0.000 |
| 0.000 | -0.000 | 0.000 | 0.000 | 132.747 | 0.000 |
| 0.000 | 0.000 | -0.000 | -0.000 | 0.000 | 132.747 |
| 359.596 | 161.589 | 161.589 | -0.000 | -0.000 | -0.000 |
| 161.589 | 359.596 | 161.589 | -0.000 | -0.000 | -0.000 |
| 161.589 | 161.589 | 359.596 | -0.000 | -0.000 | -0.000 |
| 0.000 | -0.000 | -0.000 | 132.747 | -0.000 | -0.000 |
| -0.000 | -0.000 | -0.000 | -0.000 | 132.747 | -0.000 |
| -0.000 | -0.000 | 0.000 | -0.000 | -0.000 | 132.747 |
| 359.598 | 161.589 | 161.589 | 0.000 | 0.000 | 0.000 |
| 161.589 | 359.598 | 161.589 | -0.000 | 0.000 | 0.000 |
| 161.589 | 161.589 | 359.598 | 0.000 | 0.000 | 0.000 |
| 0.000 | 0.000 | 0.000 | 132.747 | 0.000 | 0.000 |
| 0.000 | 0.000 | 0.000 | -0.000 | 132.747 | 0.000 |
| 0.000 | 0.000 | 0.000 | 0.000 | 0.000 | 132.747 |
| 359.595 | 161.589 | 161.589 | -0.000 | -0.000 | -0.000 |
| 161.589 | 359.595 | 161.589 | -0.000 | -0.000 | -0.000 |
| 161.589 | 161.589 | 359.595 | -0.000 | -0.000 | -0.000 |
| -0.000 | -0.000 | -0.000 | 132.747 | -0.000 | -0.000 |
| -0.000 | -0.000 | -0.000 | -0.000 | 132.747 | -0.000 |
| -0.000 | -0.000 | -0.000 | 0.000 | -0.000 | 132.747 |
| 24.559 | 27.491 | 27.491 | 0.000 | 0.000 | 0.000 |
| 27.491 | 24.559 | 27.491 | 0.000 | 0.000 | 0.000 |
| 27.491 | 27.491 | 24.559 | 0.000 | 0.000 | 0.000 |
| -0.000 | -0.000 | -0.000 | 25.359 | 0.000 | 0.000 |
| -0.000 | 0.000 | -0.000 | 0.000 | 25.359 | 0.000 |
| -0.000 | 0.000 | -0.000 | 0.000 | 0.000 | 25.359 |
| 24.559 | 27.491 | 27.491 | -0.000 | -0.000 | -0.000 |
| 27.491 | 24.559 | 27.491 | -0.000 | -0.000 | -0.000 |
| 27.491 | 27.491 | 24.559 | -0.000 | -0.000 | -0.000 |
| 0.000 | 0.000 | 0.000 | 25.359 | 0.000 | -0.000 |
| 0.000 | -0.000 | 0.000 | 0.000 | 25.359 | -0.000 |
| 0.000 | -0.000 | 0.000 | 0.000 | -0.000 | 25.359 |
| 24.559 | 27.491 | 27.491 | 0.000 | 0.000 | 0.000 |
| 27.491 | 24.559 | 27.491 | 0.000 | 0.000 | 0.000 |
| 27.491 | 27.491 | 24.559 | 0.000 | 0.000 | 0.000 |
| -0.000 | -0.000 | -0.000 | 25.359 | 0.000 | 0.000 |
| -0.000 | -0.000 | -0.000 | 0.000 | 25.359 | 0.000 |
| -0.000 | -0.000 | -0.000 | 0.000 | 0.000 | 25.359 |
| 24.559 | 27.491 | 27.491 | -0.000 | -0.000 | -0.000 |
| 27.491 | 24.559 | 27.491 | -0.000 | -0.000 | -0.000 |
| 27.491 | 27.491 | 24.559 | -0.000 | -0.000 | -0.000 |
| 0.000 | 0.000 | 0.000 | 25.359 | 0.000 | -0.000 |
| 0.000 | 0.000 | 0.000 | 0.000 | 25.359 | -0.000 |
| 0.000 | 0.000 | 0.000 | 0.000 | -0.000 | 25.359 |
| 24.559 | 27.491 | 27.491 | 0.000 | 0.000 | 0.000 |
| 27.491 | 24.559 | 27.491 | 0.000 | 0.000 | 0.000 |
| 27.491 | 27.491 | 24.559 | 0.000 | 0.000 | 0.000 |
| -0.000 | -0.000 | -0.000 | -4.674 | 0.000 | 0.000 |
| -0.000 | -0.000 | -0.000 | 0.000 | -4.674 | 0.000 |
| -0.000 | -0.000 | -0.000 | 0.000 | 0.000 | -4.674 |
| 24.559 | 27.492 | 27.492 | -0.000 | -0.000 | -0.000 |
| 27.492 | 24.559 | 27.492 | -0.000 | -0.000 | -0.000 |
| 27.492 | 27.492 | 24.559 | -0.000 | -0.000 | -0.000 |
| 0.000 | 0.000 | 0.000 | -4.674 | -0.000 | -0.000 |
| 0.000 | 0.000 | 0.000 | -0.000 | -4.674 | -0.000 |
| 0.000 | 0.000 | 0.000 | -0.000 | -0.000 | -4.674 |
| -0.129 | -0.129 | -0.129 | -0.000 | 0.000 | 0.000 |
| -0.129 | -0.129 | -0.129 | 0.000 | -0.000 | 0.000 |
| -0.129 | -0.129 | -0.129 | 0.000 | 0.000 | -0.000 |
| -0.000 | -0.000 | -0.000 | -0.129 | -0.000 | 0.000 |
| -0.000 | -0.000 | -0.000 | -0.000 | -0.129 | 0.000 |
| -0.000 | -0.000 | -0.000 | -0.000 | 0.000 | -0.129 |
| -0.129 | -0.129 | -0.129 | -0.000 | -0.000 | -0.000 |
| -0.129 | -0.129 | -0.129 | -0.000 | -0.000 | -0.000 |
| -0.129 | -0.129 | -0.129 | -0.000 | -0.000 | -0.000 |
| 0.000 | 0.000 | 0.000 | -0.129 | -0.000 | -0.000 |
| 0.000 | 0.000 | 0.000 | -0.000 | -0.129 | -0.000 |
| 0.000 | 0.000 | 0.000 | -0.000 | -0.000 | -0.129 |
| -0.129 | -0.129 | -0.129 | -0.000 | -0.000 | 0.000 |
| -0.129 | -0.129 | -0.129 | -0.000 | -0.000 | 0.000 |
| -0.129 | -0.129 | -0.129 | 0.000 | 0.000 | -0.000 |
| -0.000 | -0.000 | -0.000 | -0.129 | 0.000 | 0.000 |
| -0.000 | -0.000 | -0.000 | 0.000 | -0.129 | 0.000 |
| -0.000 | -0.000 | -0.000 | 0.000 | 0.000 | -0.129 |
| -0.129 | -0.129 | -0.129 | 0.000 | -0.000 | -0.000 |
| -0.129 | -0.129 | -0.129 | -0.000 | 0.000 | -0.000 |
| -0.129 | -0.129 | -0.129 | -0.000 | -0.000 | 0.000 |
| 0.000 | 0.000 | 0.000 | -0.129 | 0.000 | -0.000 |
| 0.000 | 0.000 | 0.000 | 0.000 | -0.129 | -0.000 |
| 0.000 | 0.000 | 0.000 | 0.000 | 0.000 | -0.129 |
| -0.129 | -0.129 | -0.129 | -0.000 | 0.000 | 0.000 |
| -0.129 | -0.129 | -0.129 | 0.000 | -0.000 | 0.000 |
| -0.129 | -0.129 | -0.129 | 0.000 | 0.000 | -0.000 |
| -0.000 | -0.000 | -0.000 | -0.147 | -0.000 | 0.000 |
| -0.000 | -0.000 | -0.000 | -0.000 | -0.147 | 0.000 |
| -0.000 | -0.000 | -0.000 | -0.000 | 0.000 | -0.147 |
| -0.129 | -0.129 | -0.129 | 0.000 | 0.000 | -0.000 |
| -0.129 | -0.129 | -0.129 | 0.000 | 0.000 | -0.000 |
| -0.129 | -0.129 | -0.129 | -0.000 | -0.000 | 0.000 |
| 0.000 | 0.000 | 0.000 | -0.147 | -0.000 | -0.000 |
| 0.000 | 0.000 | 0.000 | -0.000 | -0.147 | -0.000 |
| 0.000 | 0.000 | 0.000 | -0.000 | -0.000 | -0.147 |
| 13025717055.583 | 13003879575.668 | 13003879577.379 | 0.000 | -0.000 | -0.000 |
| 13003879609.637 | 13025717090.892 | 13003879609.596 | -0.000 | -0.000 | -0.000 |
| 13003879612.731 | 13003879614.413 | 13025717095.912 | -0.000 | -0.000 | -0.000 |
| 80.358 | 80.374 | 81.185 | 833.940 | -0.000 | -0.000 |
| 75.885 | 75.510 | 77.334 | 0.000 | 833.940 | -0.000 |
| 73.289 | 71.598 | 76.013 | -0.000 | -0.000 | 833.940 |
| 13013351891.290 | 13013330361.732 | 13013330362.507 | 0.000 | 0.000 | 0.000 |
| 13013330236.374 | 13013352148.391 | 13013330233.429 | -0.000 | 0.000 | 0.000 |
| 13013330400.095 | 13013330398.197 | 13013351827.868 | 0.000 | 0.000 | 0.000 |
| -99.135 | -98.173 | -98.983 | 833.940 | 0.000 | 0.000 |
| -84.619 | -85.035 | -86.048 | 0.000 | 833.940 | 0.000 |
| -69.112 | -68.377 | -71.752 | 0.000 | 0.000 | 833.940 |
| 13001178703.965 | 13001451166.216 | 13001451166.555 | 0.000 | 0.000 | -0.000 |
| 13001466314.835 | 13001148467.762 | 13001466314.724 | 0.000 | -0.000 | -0.000 |
| 13001465078.403 | 13001465078.620 | 13001150937.605 | -0.000 | 0.000 | -0.000 |
| 63.123 | 54.071 | 58.843 | 833.630 | -0.000 | -0.000 |
| 59.753 | 64.676 | 62.159 | -0.000 | 833.847 | -0.000 |
| 52.775 | 64.570 | 70.323 | -0.000 | -0.000 | 833.619 |
| 13023516289.671 | 13022947747.956 | 13022947747.963 | -0.000 | -0.000 | 0.000 |
| 13022999902.499 | 13023412045.681 | 13022999902.513 | -0.000 | 0.000 | -0.000 |
| 13022947493.017 | 13022947492.884 | 13023516795.726 | -0.000 | 0.000 | 0.000 |
| -63.757 | -59.161 | -61.602 | 833.847 | 0.000 | 0.000 |
| -60.138 | -65.091 | -62.541 | 0.000 | 833.849 | 0.000 |
| -58.782 | -61.570 | -63.181 | 0.000 | 0.000 | 833.847 |
| 12903103846.309 | 12903493991.236 | 12903493991.236 | -0.000 | 0.000 | 0.000 |
| 12903493143.436 | 12903105545.607 | 12903493143.446 | 0.000 | -0.000 | -0.000 |
| 12903426605.928 | 12903426605.932 | 12903238577.074 | -0.000 | -0.000 | -0.000 |
| 506.555 | 525.594 | 514.644 | 833.942 | -0.000 | -0.000 |
| 524.987 | 505.972 | 514.098 | -0.000 | 833.942 | -0.000 |
| 525.108 | 514.189 | 506.118 | -0.000 | -0.000 | 833.942 |
| 13121300003.088 | 13121048977.557 | 13121048977.551 | 0.000 | 0.000 | 0.000 |
| 13121070262.416 | 13121257367.177 | 13121070262.402 | -0.000 | 0.000 | -0.000 |
| 13121125481.628 | 13121125481.633 | 13121146787.796 | 0.000 | 0.000 | -0.000 |
| -506.606 | -525.634 | -514.699 | 833.942 | 0.000 | 0.000 |
| -525.083 | -506.069 | -514.198 | -0.000 | 833.942 | 0.000 |
| -525.133 | -514.210 | -506.151 | -0.000 | 0.000 | 833.942 |
| 413.104 | 84.904 | 84.904 | 0.000 | 0.000 | -0.000 |
| 84.904 | 413.104 | 84.904 | -0.000 | 0.000 | -0.000 |
| 84.904 | 84.904 | 413.104 | 0.000 | 0.000 | -0.000 |
| -0.000 | 0.000 | -0.000 | 57.267 | -0.000 | -0.000 |
| -0.000 | 0.000 | -0.000 | -0.000 | 57.267 | -0.000 |
| 0.000 | 0.000 | -0.000 | -0.000 | 0.000 | 57.267 |
| 413.124 | 84.894 | 84.894 | 0.000 | 0.000 | 0.000 |
| 84.894 | 413.124 | 84.894 | 0.000 | 0.000 | 0.000 |
| 84.894 | 84.894 | 413.124 | 0.000 | -0.000 | 0.000 |
| 0.000 | -0.000 | 0.000 | 57.267 | 0.000 | 0.000 |
| 0.000 | -0.000 | 0.000 | 0.000 | 57.267 | 0.000 |
| 0.000 | -0.000 | 0.000 | 0.000 | -0.000 | 57.267 |
| 413.104 | 84.904 | 84.904 | -0.000 | 0.000 | -0.000 |
| 84.904 | 413.104 | 84.904 | 0.000 | 0.000 | -0.000 |
| 84.904 | 84.904 | 413.104 | 0.000 | 0.000 | -0.000 |
| 0.000 | 0.000 | 0.000 | 57.818 | -0.000 | -0.000 |
| 0.000 | 0.000 | 0.000 | -0.000 | 57.818 | -0.000 |
| 0.000 | 0.000 | 0.000 | -0.000 | 0.000 | 57.818 |
| 413.124 | 84.894 | 84.894 | -0.000 | 0.000 | 0.000 |
| 84.894 | 413.124 | 84.894 | 0.000 | 0.000 | 0.000 |
| 84.894 | 84.894 | 413.124 | 0.000 | 0.000 | 0.000 |
| -0.000 | -0.000 | -0.000 | 57.818 | 0.000 | 0.000 |
| -0.000 | -0.000 | -0.000 | 0.000 | 57.818 | 0.000 |
| -0.000 | -0.000 | -0.000 | 0.000 | -0.000 | 57.818 |
| 413.126 | 84.894 | 84.894 | -0.000 | 0.000 | -0.000 |
| 84.894 | 413.126 | 84.894 | 0.000 | 0.000 | -0.000 |
| 84.894 | 84.894 | 413.126 | 0.000 | 0.000 | -0.000 |
| 0.000 | 0.000 | 0.000 | 57.818 | -0.000 | -0.000 |
| 0.000 | 0.000 | 0.000 | -0.000 | 57.818 | -0.000 |
| 0.000 | 0.000 | 0.000 | -0.000 | 0.000 | 57.818 |
| 413.102 | 84.904 | 84.904 | 0.000 | -0.000 | 0.000 |
| 84.904 | 413.102 | 84.904 | 0.000 | -0.000 | 0.000 |
| 84.904 | 84.904 | 413.102 | -0.000 | -0.000 | 0.000 |
| -0.000 | -0.000 | -0.000 | 57.818 | 0.000 | 0.000 |
| -0.000 | -0.000 | -0.000 | 0.000 | 57.818 | 0.000 |
| -0.000 | -0.000 | -0.000 | 0.000 | -0.000 | 57.818 |
| 4619482719.158 | 4619482315.456 | 4619482315.455 | -0.000 | -0.000 | 0.000 |
| 4619482311.719 | 4619482715.422 | 4619482311.718 | -0.001 | -0.000 | 0.000 |
| 4619482317.457 | 4619482317.457 | 4619482721.159 | -0.000 | 0.000 | 0.000 |
| -52.315 | -52.314 | -52.315 | 2817.655 | 0.000 | 0.000 |
| -55.414 | -55.414 | -55.414 | 0.000 | 2817.655 | 0.000 |
| -57.282 | -57.282 | -57.282 | 0.000 | 0.000 | 2817.655 |
| 4620268352.318 | 4620268004.316 | 4620268004.318 | 0.000 | -0.000 | -0.000 |
| 4620267999.378 | 4620268347.379 | 4620267999.379 | -0.000 | -0.000 | 0.000 |
| 4620268006.467 | 4620268006.467 | 4620268354.469 | -0.000 | 0.000 | -0.000 |
| 47.940 | 47.940 | 47.940 | 2817.656 | -0.000 | 0.000 |
| 50.090 | 50.090 | 50.091 | -0.000 | 2817.656 | -0.000 |
| 44.648 | 44.648 | 44.648 | -0.000 | -0.001 | 2817.656 |
| 4615947908.918 | 4615947254.792 | 4615947254.792 | 0.000 | -0.000 | 0.000 |
| 4615947254.500 | 4615947908.626 | 4615947254.500 | 0.000 | 0.000 | 0.000 |
| 4615947253.781 | 4615947253.781 | 4615947907.906 | 0.000 | -0.000 | 0.000 |
| 32.691 | 32.690 | 32.691 | 2814.301 | 0.000 | 0.000 |
| 32.718 | 32.719 | 32.719 | 0.000 | 2814.296 | 0.000 |
| 32.570 | 32.571 | 32.571 | -0.000 | 0.000 | 2814.352 |
| 4623803271.913 | 4623803174.805 | 4623803174.805 | -0.000 | -0.000 | 0.000 |
| 4623803175.068 | 4623803272.176 | 4623803175.068 | -0.000 | -0.000 | -0.000 |
| 4623803174.726 | 4623803174.726 | 4623803271.835 | 0.000 | 0.000 | 0.000 |
| -60.574 | -60.574 | -60.574 | 2696.162 | -0.000 | -0.000 |
| -32.778 | -32.778 | -32.778 | 0.000 | 2814.348 | -0.000 |
| -32.959 | -32.959 | -32.959 | -0.000 | -0.000 | 2814.295 |
| 4580598573.339 | 4580595436.083 | 4580595436.083 | 0.000 | -0.000 | 0.000 |
| 4580595436.102 | 4580598573.359 | 4580595436.102 | -0.000 | -0.000 | 0.000 |
| 4580595435.998 | 4580595435.997 | 4580598573.254 | -0.000 | -0.000 | 0.000 |
| 754.765 | 754.759 | 754.764 | 2661.432 | 0.000 | 0.000 |
| 1132.655 | 1132.661 | 1132.660 | 0.000 | 2515.612 | 0.000 |
| 1168.437 | 1168.441 | 1168.443 | -0.000 | 0.000 | 2502.237 |
| 4659152173.834 | 4659154606.747 | 4659154606.747 | 0.000 | 0.000 | 0.000 |
| 4659154606.655 | 4659152173.743 | 4659154606.655 | 0.000 | 0.000 | -0.000 |
| 4659154606.733 | 4659154606.733 | 4659152173.821 | -0.000 | -0.000 | -0.000 |
| -378.139 | -378.133 | -378.138 | 2817.691 | -0.000 | -0.000 |
| -378.141 | -378.147 | -378.146 | 0.000 | 2817.691 | -0.000 |
| -378.009 | -378.014 | -378.014 | 0.000 | -0.000 | 2817.691 |
| 157.106 | 235.383 | 235.383 | -0.000 | -0.000 | 0.000 |
| 235.383 | 157.106 | 235.383 | -0.000 | 0.000 | 0.000 |
| 235.383 | 235.383 | 157.106 | -0.000 | -0.000 | 0.000 |
| -0.000 | 0.000 | -0.000 | 194.184 | 0.000 | 0.000 |
| -0.000 | -0.000 | -0.000 | -0.000 | 194.184 | 0.000 |
| -0.000 | -0.000 | -0.000 | -0.000 | -0.000 | 194.184 |
| 157.106 | 235.383 | 235.383 | 0.000 | 0.000 | -0.000 |
| 235.383 | 157.106 | 235.383 | 0.000 | 0.000 | -0.000 |
| 235.383 | 235.383 | 157.106 | 0.000 | 0.000 | -0.000 |
| 0.000 | 0.000 | 0.000 | 194.184 | -0.000 | 0.000 |
| 0.000 | 0.000 | 0.000 | 0.000 | 194.184 | -0.000 |
| 0.000 | 0.000 | 0.000 | 0.000 | -0.000 | 194.184 |
| 157.107 | 235.383 | 235.383 | -0.000 | 0.000 | 0.000 |
| 235.383 | 157.107 | 235.383 | -0.000 | 0.000 | -0.000 |
| 235.383 | 235.383 | 157.107 | 0.000 | -0.000 | 0.000 |
| 0.000 | 0.000 | 0.000 | 218.543 | -0.000 | 0.000 |
| 0.000 | 0.000 | 0.000 | -0.000 | 218.543 | 0.000 |
| 0.000 | 0.000 | 0.000 | -0.000 | 0.000 | 218.543 |
| 157.106 | 235.383 | 235.383 | 0.000 | -0.000 | -0.000 |
| 235.383 | 157.106 | 235.383 | 0.000 | 0.000 | 0.000 |
| 235.383 | 235.383 | 157.106 | 0.000 | 0.000 | 0.000 |
| -0.000 | -0.000 | -0.000 | 218.543 | 0.000 | 0.000 |
| -0.000 | -0.000 | -0.000 | 0.000 | 218.543 | 0.000 |
| -0.000 | -0.000 | -0.000 | 0.000 | 0.000 | 218.543 |
| 157.108 | 235.384 | 235.384 | -0.000 | -0.000 | -0.000 |
| 235.384 | 157.108 | 235.384 | -0.000 | -0.000 | -0.000 |
| 235.384 | 235.384 | 157.108 | -0.000 | 0.000 | 0.000 |
| 0.000 | -0.000 | 0.000 | 194.184 | -0.000 | -0.000 |
| -0.000 | 0.000 | 0.000 | -0.000 | 194.184 | 0.000 |
| -0.000 | 0.000 | 0.000 | -0.000 | -0.000 | 194.184 |
| 157.105 | 235.382 | 235.382 | 0.000 | -0.000 | -0.000 |
| 235.382 | 157.105 | 235.382 | 0.000 | 0.000 | -0.000 |
| 235.382 | 235.382 | 157.105 | 0.000 | 0.000 | -0.000 |
| -0.000 | 0.000 | -0.000 | 194.184 | 0.000 | -0.000 |
| 0.000 | -0.000 | -0.000 | 0.000 | 194.184 | -0.000 |
| 0.000 | -0.000 | -0.000 | 0.000 | 0.000 | 194.184 |
| 0.000 | 0.000 | 0.000 | 0.000 | 0.000 | 0.000 |
| 0.000 | 0.000 | 0.000 | 0.000 | 0.000 | 0.000 |
| 0.000 | 0.000 | 0.000 | -0.000 | -0.000 | 0.000 |
| 0.000 | 0.000 | 0.000 | 0.000 | -0.000 | 0.000 |
| 0.000 | 0.000 | 0.000 | -0.000 | 0.000 | 0.000 |
| 0.000 | 0.000 | 0.000 | -0.000 | 0.000 | 0.000 |
| 0.000 | 0.000 | 0.000 | -0.000 | -0.000 | -0.000 |
| 0.000 | 0.000 | 0.000 | -0.000 | -0.000 | -0.000 |
| 0.000 | 0.000 | 0.000 | -0.000 | -0.000 | 0.000 |
| -0.000 | -0.000 | -0.000 | 0.000 | -0.000 | -0.000 |
| -0.000 | -0.000 | -0.000 | -0.000 | 0.000 | -0.000 |
| -0.000 | -0.000 | -0.000 | -0.000 | -0.000 | 0.000 |
| 0.000 | 0.000 | 0.000 | -0.000 | -0.000 | -0.000 |
| 0.000 | 0.000 | 0.000 | -0.000 | -0.000 | -0.000 |
| 0.000 | 0.000 | 0.000 | -0.000 | -0.000 | -0.000 |
| 0.000 | 0.000 | 0.000 | 0.000 | -0.000 | 0.000 |
| 0.000 | 0.000 | 0.000 | -0.000 | 0.000 | 0.000 |
| 0.000 | 0.000 | 0.000 | -0.000 | -0.000 | 0.000 |
| 0.000 | 0.000 | 0.000 | 0.000 | 0.000 | 0.000 |
| 0.000 | 0.000 | 0.000 | 0.000 | 0.000 | 0.000 |
| 0.000 | 0.000 | 0.000 | 0.000 | 0.000 | 0.000 |
| -0.000 | -0.000 | -0.000 | 0.000 | -0.000 | -0.000 |
| -0.000 | -0.000 | -0.000 | -0.000 | 0.000 | -0.000 |
| -0.000 | -0.000 | -0.000 | -0.000 | -0.000 | 0.000 |
| 0.000 | 0.000 | 0.000 | 0.000 | 0.000 | 0.000 |
| 0.000 | 0.000 | 0.000 | 0.000 | 0.000 | 0.000 |
| 0.000 | 0.000 | 0.000 | 0.000 | 0.000 | 0.000 |
| 0.000 | 0.000 | 0.000 | 0.000 | 0.000 | -0.000 |
| 0.000 | 0.000 | 0.000 | 0.000 | 0.000 | -0.000 |
| 0.000 | 0.000 | 0.000 | 0.000 | 0.000 | 0.000 |
| 0.000 | 0.000 | 0.000 | -0.000 | -0.000 | -0.000 |
| 0.000 | 0.000 | 0.000 | -0.000 | -0.000 | -0.000 |
| 0.000 | 0.000 | 0.000 | -0.000 | -0.000 | -0.000 |
| -0.000 | -0.000 | -0.000 | 0.000 | 0.000 | -0.000 |
| -0.000 | -0.000 | -0.000 | 0.000 | 0.000 | -0.000 |
| -0.000 | -0.000 | -0.000 | -0.000 | 0.000 | 0.000 |
| 13487496586.433 | 13397653834.555 | 13397653833.418 | 0.001 | 0.000 | 0.000 |
| 13397653820.882 | 13487496566.029 | 13397653814.502 | 0.000 | -0.001 | 0.000 |
| 13397653748.168 | 13397653742.942 | 13487496488.105 | 0.001 | -0.000 | 0.000 |
| -375.175 | -367.722 | -367.068 | 2117.040 | 0.000 | 0.000 |
| -355.134 | -365.801 | -356.811 | 0.000 | 2117.040 | 0.000 |
| -374.004 | -377.546 | -392.018 | -0.000 | -0.000 | 2117.040 |
| 13489806047.650 | 13399933506.210 | 13399933510.097 | 0.000 | 0.000 | -0.000 |
| 13399933527.473 | 13489806063.586 | 13399933529.027 | 0.000 | -0.000 | -0.000 |
| 13399933532.389 | 13399933530.924 | 13489806072.193 | -0.000 | -0.001 | -0.000 |
| 281.800 | 268.589 | 272.728 | 2117.040 | -0.000 | -0.000 |
| 322.253 | 332.152 | 324.952 | -0.000 | 2117.040 | -0.000 |
| 374.705 | 377.994 | 388.964 | 0.000 | 0.000 | 2117.040 |
| 13477106525.334 | 13387397847.980 | 13387397848.513 | -0.000 | 0.000 | 0.000 |
| 13387397842.488 | 13477106520.444 | 13387397843.123 | 0.000 | 0.000 | 0.000 |
| 13387397834.920 | 13387397835.105 | 13477106513.203 | 0.000 | 0.000 | 0.000 |
| 232.854 | 246.907 | 242.288 | 2117.040 | 0.000 | 0.000 |
| 242.835 | 230.343 | 239.154 | 0.000 | 2117.040 | 0.000 |
| 246.089 | 241.746 | 233.886 | 0.000 | 0.000 | 2117.040 |
| 13500195885.058 | 13410189270.444 | 13410189270.704 | 0.000 | -0.000 | -0.000 |
| 13410189265.239 | 13500195880.287 | 13410189265.620 | -0.000 | 0.000 | -0.000 |
| 13410189258.803 | 13410189259.030 | 13500195874.038 | -0.000 | 0.000 | -0.000 |
| -232.959 | -246.079 | -242.855 | 2117.040 | -0.000 | -0.000 |
| -247.346 | -234.600 | -244.018 | -0.000 | 2117.040 | -0.000 |
| -246.383 | -242.286 | -233.692 | 0.000 | 0.000 | 2117.040 |
| 13373204089.190 | 13284836137.959 | 13284836137.936 | 0.000 | 0.000 | 0.000 |
| 13284836138.340 | 13373204089.454 | 13284836138.289 | 0.000 | 0.000 | -0.000 |
| 13284836138.595 | 13284836138.530 | 13373204089.755 | -0.000 | 0.000 | -0.000 |
| 2487.376 | 2613.216 | 2568.361 | 2117.041 | 0.000 | 0.000 |
| 2613.255 | 2487.449 | 2568.394 | -0.000 | 2117.041 | 0.000 |
| 2613.028 | 2568.162 | 2487.238 | -0.000 | 0.000 | 2117.041 |
| 13604097224.193 | 13512749884.187 | 13512749884.159 | -0.000 | -0.000 | -0.000 |
| 13512749884.123 | 13604097223.993 | 13512749884.024 | -0.000 | -0.000 | -0.000 |
| 13512749884.382 | 13512749884.298 | 13604097224.229 | -0.000 | -0.000 | 0.000 |
| -2487.266 | -2613.035 | -2568.145 | 2117.041 | -0.000 | -0.000 |
| -2613.208 | -2487.419 | -2568.335 | -0.000 | 2117.041 | -0.000 |
| -2613.118 | -2568.224 | -2487.308 | -0.000 | 0.000 | 2117.041 |
| 412.157 | 240.337 | 240.337 | -0.000 | -0.000 | 0.000 |
| 240.337 | 412.157 | 240.337 | -0.000 | -0.000 | 0.000 |
| 240.337 | 240.337 | 412.157 | -0.000 | -0.000 | 0.000 |
| -0.000 | 0.000 | 0.000 | 237.511 | -0.000 | 0.000 |
| 0.000 | -0.000 | 0.000 | -0.000 | 237.511 | 0.000 |
| 0.000 | 0.000 | -0.000 | -0.000 | -0.000 | 237.511 |
| 412.157 | 240.337 | 240.337 | 0.000 | 0.000 | -0.000 |
| 240.337 | 412.157 | 240.337 | 0.000 | 0.000 | -0.000 |
| 240.337 | 240.337 | 412.157 | 0.000 | 0.000 | -0.000 |
| 0.000 | -0.000 | -0.000 | 237.511 | 0.000 | -0.000 |
| -0.000 | 0.000 | -0.000 | 0.000 | 237.511 | -0.000 |
| -0.000 | -0.000 | -0.000 | 0.000 | 0.000 | 237.511 |
| 412.157 | 240.337 | 240.337 | -0.000 | -0.000 | 0.000 |
| 240.337 | 412.157 | 240.337 | -0.000 | -0.000 | 0.000 |
| 240.337 | 240.337 | 412.157 | -0.000 | -0.000 | 0.000 |
| -0.000 | 0.000 | 0.000 | 237.511 | -0.000 | 0.000 |
| 0.000 | -0.000 | 0.000 | -0.000 | 237.511 | 0.000 |
| 0.000 | 0.000 | 0.000 | -0.000 | -0.000 | 237.511 |
| 412.156 | 240.336 | 240.336 | 0.000 | 0.000 | -0.000 |
| 240.336 | 412.156 | 240.336 | 0.000 | 0.000 | -0.000 |
| 240.336 | 240.336 | 412.156 | 0.000 | 0.000 | -0.000 |
| 0.000 | -0.000 | -0.000 | 237.511 | -0.000 | -0.000 |
| -0.000 | -0.000 | -0.000 | 0.000 | 237.511 | -0.000 |
| -0.000 | -0.000 | -0.000 | 0.000 | 0.000 | 237.511 |
| 412.160 | 240.339 | 240.339 | -0.000 | -0.000 | 0.000 |
| 240.339 | 412.160 | 240.339 | -0.000 | -0.000 | 0.000 |
| 240.339 | 240.339 | 412.160 | -0.000 | -0.000 | 0.000 |
| -0.000 | 0.001 | 0.002 | 237.511 | -0.000 | 0.000 |
| 0.001 | -0.000 | 0.002 | 0.000 | 237.511 | 0.000 |
| 0.001 | 0.002 | -0.000 | -0.000 | -0.000 | 237.511 |
| 412.153 | 240.334 | 240.334 | 0.000 | 0.000 | -0.000 |
| 240.334 | 412.153 | 240.334 | -0.000 | 0.000 | -0.000 |
| 240.334 | 240.334 | 412.153 | -0.000 | 0.000 | -0.000 |
| 0.000 | -0.001 | -0.002 | 237.511 | 0.000 | -0.000 |
| -0.001 | 0.000 | -0.002 | -0.000 | 237.511 | -0.000 |
| -0.001 | -0.002 | 0.000 | 0.000 | 0.000 | 237.511 |
| 0.000 | 0.000 | 0.000 | 0.000 | 0.000 | 0.000 |
| 0.000 | 0.000 | 0.000 | 0.000 | -0.000 | 0.000 |
| 0.000 | 0.000 | 0.000 | 0.000 | 0.000 | 0.000 |
| -0.000 | 0.000 | 0.000 | 0.000 | 0.000 | 0.000 |
| 0.000 | -0.000 | 0.000 | 0.000 | 0.000 | 0.000 |
| 0.000 | 0.000 | -0.000 | 0.000 | 0.000 | 0.000 |
| 0.000 | 0.000 | 0.000 | -0.000 | -0.000 | -0.000 |
| 0.000 | 0.000 | 0.000 | -0.000 | 0.000 | -0.000 |
| 0.000 | 0.000 | 0.000 | -0.000 | -0.000 | -0.000 |
| 0.000 | -0.000 | -0.000 | 0.000 | -0.000 | -0.000 |
| -0.000 | 0.000 | -0.000 | -0.000 | 0.000 | -0.000 |
| -0.000 | -0.000 | 0.000 | -0.000 | -0.000 | 0.000 |
| 0.000 | 0.000 | 0.000 | -0.000 | 0.000 | 0.000 |
| 0.000 | 0.000 | 0.000 | 0.000 | 0.000 | 0.000 |
| 0.000 | 0.000 | 0.000 | 0.000 | 0.000 | -0.000 |
| -0.000 | 0.000 | 0.000 | 0.000 | 0.000 | 0.000 |
| 0.000 | -0.000 | 0.000 | 0.000 | 0.000 | 0.000 |
| 0.000 | 0.000 | -0.000 | 0.000 | 0.000 | 0.000 |
| 0.000 | 0.000 | 0.000 | -0.000 | -0.000 | -0.000 |
| 0.000 | 0.000 | 0.000 | -0.000 | -0.000 | -0.000 |
| 0.000 | 0.000 | 0.000 | -0.000 | -0.000 | 0.000 |
| 0.000 | -0.000 | -0.000 | 0.000 | -0.000 | -0.000 |
| -0.000 | 0.000 | -0.000 | -0.000 | 0.000 | -0.000 |
| -0.000 | -0.000 | 0.000 | -0.000 | -0.000 | 0.000 |
| 0.000 | 0.000 | 0.000 | 0.000 | 0.000 | 0.000 |
| 0.000 | 0.000 | 0.000 | 0.000 | 0.000 | 0.000 |
| 0.000 | 0.000 | 0.000 | 0.000 | 0.000 | -0.000 |
| -0.000 | 0.000 | 0.000 | 0.000 | 0.000 | 0.000 |
| 0.000 | -0.000 | 0.000 | 0.000 | 0.000 | -0.000 |
| 0.000 | 0.000 | -0.000 | 0.000 | -0.000 | 0.000 |
| 0.000 | 0.000 | 0.000 | -0.000 | -0.000 | -0.000 |
| 0.000 | 0.000 | 0.000 | -0.000 | -0.000 | -0.000 |
| 0.000 | 0.000 | 0.000 | -0.000 | -0.000 | 0.000 |
| 0.000 | -0.000 | -0.000 | 0.000 | -0.000 | -0.000 |
| -0.000 | 0.000 | -0.000 | -0.000 | 0.000 | -0.000 |
| -0.000 | -0.000 | 0.000 | -0.000 | -0.000 | 0.000 |
| 375.298 | 270.248 | 176.215 | -0.000 | -0.000 | -0.000 |
| 270.248 | 375.298 | 176.215 | -0.000 | -0.000 | 0.000 |
| 176.215 | 176.215 | 256.969 | -0.000 | -0.000 | -0.000 |
| 0.000 | 0.000 | 0.000 | 168.775 | -0.000 | -0.000 |
| 0.000 | -0.000 | 0.000 | -0.000 | 168.775 | 0.000 |
| 0.000 | 0.000 | -0.000 | -0.000 | 0.000 | 262.523 |
| 375.298 | 270.248 | 176.215 | -0.000 | 0.000 | -0.000 |
| 270.248 | 375.298 | 176.215 | 0.000 | 0.000 | 0.000 |
| 176.215 | 176.215 | 256.968 | 0.000 | 0.000 | -0.000 |
| -0.000 | -0.000 | -0.000 | 168.775 | 0.000 | -0.000 |
| -0.000 | 0.000 | -0.000 | 0.000 | 168.775 | -0.000 |
| -0.000 | -0.000 | 0.000 | 0.000 | 0.000 | 262.523 |
| 375.299 | 270.248 | 176.215 | -0.000 | -0.000 | 0.000 |
| 270.248 | 375.299 | 176.215 | -0.000 | 0.000 | -0.000 |
| 176.215 | 176.215 | 256.969 | -0.000 | -0.000 | -0.000 |
| -0.000 | 0.000 | 0.000 | 168.774 | -0.000 | -0.000 |
| 0.000 | -0.000 | 0.000 | -0.000 | 168.774 | -0.000 |
| 0.000 | 0.000 | -0.000 | -0.000 | -0.000 | 262.523 |
| 375.296 | 270.250 | 176.215 | -0.000 | -0.000 | -0.000 |
| 270.250 | 375.296 | 176.215 | 0.000 | 0.000 | -0.000 |
| 176.215 | 176.215 | 256.968 | 0.000 | 0.000 | 0.000 |
| 0.000 | -0.000 | -0.000 | 168.774 | 0.000 | 0.000 |
| -0.000 | 0.000 | -0.000 | 0.000 | 168.774 | 0.000 |
| -0.000 | -0.000 | 0.000 | 0.000 | 0.000 | 262.523 |
| 375.299 | 270.252 | 176.217 | -0.000 | -0.000 | 0.000 |
| 270.252 | 375.299 | 176.217 | -0.000 | -0.000 | 0.000 |
| 176.217 | 176.217 | 256.972 | -0.000 | -0.000 | -0.000 |
| -0.000 | 0.001 | 0.002 | 168.774 | -0.000 | 0.000 |
| 0.001 | -0.000 | 0.002 | -0.000 | 168.774 | 0.000 |
| 0.001 | 0.002 | -0.000 | -0.000 | -0.000 | 262.523 |
| 375.293 | 270.247 | 176.212 | -0.000 | 0.000 | -0.000 |
| 270.247 | 375.293 | 176.212 | -0.000 | 0.000 | -0.000 |
| 176.212 | 176.212 | 256.966 | 0.000 | 0.000 | -0.000 |
| 0.000 | -0.001 | -0.002 | 168.774 | 0.000 | 0.000 |
| -0.001 | 0.000 | -0.002 | 0.000 | 168.774 | 0.000 |
| -0.001 | -0.002 | 0.000 | 0.000 | 0.000 | 262.523 |
| 343.152 | 68.683 | 98.533 | -0.000 | -0.000 | 0.000 |
| 70.473 | 537.527 | 160.154 | -0.000 | 0.000 | 0.000 |
| 128.291 | 127.876 | 478.761 | -0.000 | 0.000 | 0.000 |
| 0.000 | 0.000 | 0.000 | 149.342 | -0.000 | 0.000 |
| 90.054 | -110.993 | 165.585 | 0.000 | 78.713 | 0.000 |
| 90.628 | -112.947 | 168.249 | 0.000 | 0.000 | 62.971 |
| 343.152 | 68.683 | 98.533 | 0.000 | 0.000 | -0.000 |
| 25.044 | 574.386 | 102.187 | 0.000 | -0.000 | -0.000 |
| 97.581 | 157.411 | 445.453 | 0.000 | 0.000 | -0.000 |
| -0.000 | -0.000 | -0.000 | 149.342 | 0.000 | -0.000 |
| -90.054 | 110.993 | -165.585 | -0.000 | 78.713 | -0.000 |
| -90.628 | 112.947 | -168.249 | 0.000 | 0.000 | 62.971 |
| 343.152 | 68.683 | 98.533 | -0.000 | -0.000 | 0.000 |
| 95.569 | 507.406 | 207.041 | 0.000 | 0.000 | 0.000 |
| 97.581 | 157.412 | 445.454 | -0.000 | -0.000 | 0.000 |
| 0.000 | 0.000 | 0.000 | 149.342 | -0.000 | 0.000 |
| 8.453 | -9.551 | 14.425 | -0.000 | 76.118 | 0.000 |
| 8.879 | -11.084 | 16.507 | 0.000 | 0.000 | 62.980 |
| 313.887 | 98.203 | 45.826 | -0.000 | 0.000 | -0.000 |
| 72.824 | 530.874 | 170.380 | -0.000 | -0.000 | -0.000 |
| 61.624 | 186.567 | 380.386 | -0.000 | -0.000 | -0.000 |
| -0.000 | -0.000 | -0.000 | 149.342 | 0.000 | -0.000 |
| -8.453 | 9.551 | -14.425 | -0.000 | 76.118 | -0.000 |
| -8.879 | 11.084 | -16.507 | -0.000 | -0.000 | 62.980 |
| 331.218 | 75.409 | 79.154 | 0.000 | 0.000 | 0.000 |
| 90.214 | 511.049 | 202.461 | 0.000 | -0.000 | 0.000 |
| 60.787 | 196.912 | 371.208 | 0.000 | -0.000 | 0.000 |
| 0.000 | 0.000 | 0.002 | 149.342 | 0.000 | 0.000 |
| 0.001 | 0.000 | 0.000 | -0.000 | 87.991 | 0.000 |
| 0.001 | 0.000 | 0.000 | 0.000 | -0.000 | 63.413 |
| 321.759 | 88.722 | 59.002 | 0.000 | -0.000 | -0.000 |
| 86.509 | 514.052 | 196.542 | -0.000 | -0.000 | -0.000 |
| 59.135 | 199.172 | 367.551 | 0.000 | 0.000 | -0.000 |
| -0.000 | -0.000 | -0.002 | 149.342 | -0.000 | -0.000 |
| -0.001 | -0.000 | -0.000 | 0.000 | 87.991 | -0.000 |
| -0.001 | -0.000 | -0.000 | 0.000 | 0.000 | 63.413 |
| -824.643 | 1300.977 | -2002.199 | -0.000 | 0.000 | -0.000 |
| 58.427 | 579.500 | 142.204 | 0.000 | -0.000 | -0.000 |
| -909.420 | 994.417 | -1409.805 | -0.000 | 0.000 | -0.000 |
| -1247.724 | 1297.135 | -2236.345 | 103.265 | 0.000 | -0.000 |
| -1114.919 | 1219.858 | -2055.544 | 0.000 | 77.750 | -0.000 |
| -1114.886 | 1219.911 | -2055.496 | -0.000 | 0.000 | 49.203 |
| 317.510 | 58.427 | 97.905 | -0.000 | -0.000 | 0.000 |
| 58.427 | 579.500 | 142.204 | 0.000 | 0.000 | 0.000 |
| 1044.265 | -676.210 | 2125.404 | 0.000 | -0.000 | 0.000 |
| 1247.724 | -1297.135 | 2236.345 | 103.265 | -0.000 | 0.000 |
| 1114.919 | -1219.858 | 2055.544 | 0.000 | 77.750 | 0.000 |
| 1114.886 | -1219.911 | 2055.496 | 0.000 | -0.000 | 49.203 |
| 317.510 | 58.427 | 97.905 | 0.000 | -0.000 | -0.000 |
| 58.427 | 579.501 | 142.204 | -0.000 | -0.000 | -0.000 |
| -69.144 | 308.170 | 112.919 | -0.000 | 0.000 | -0.000 |
| -98.688 | 84.384 | -178.573 | 118.390 | 0.000 | -0.000 |
| 0.000 | 0.000 | 0.000 | -0.000 | 88.836 | -0.000 |
| -97.695 | 83.535 | -176.777 | -0.000 | 0.000 | 49.203 |
| 317.510 | 58.427 | 97.905 | -0.000 | -0.000 | 0.000 |
| 58.427 | 579.500 | 142.204 | -0.000 | -0.000 | 0.000 |
| 163.421 | 76.352 | 531.977 | 0.000 | -0.000 | 0.000 |
| 98.688 | -84.384 | 178.573 | 118.390 | -0.000 | 0.000 |
| -0.000 | -0.000 | -0.000 | -0.000 | 88.836 | 0.000 |
| 97.695 | -83.535 | 176.777 | 0.000 | -0.000 | 49.203 |
| 279.095 | 92.851 | 33.201 | -0.000 | 0.000 | -0.000 |
| 58.426 | 579.506 | 142.204 | 0.000 | -0.000 | -0.000 |
| 43.773 | 191.612 | 314.446 | 0.000 | 0.000 | -0.000 |
| -14.838 | 12.688 | -26.848 | 111.093 | 0.000 | -0.000 |
| -12.473 | 12.962 | -22.352 | -0.000 | 76.359 | -0.000 |
| 0.001 | 0.000 | 0.000 | -0.000 | 0.000 | 49.203 |
| 308.066 | 61.536 | 84.457 | 0.000 | -0.000 | 0.000 |
| 58.427 | 579.494 | 142.204 | 0.000 | 0.000 | 0.000 |
| 67.941 | 165.139 | 359.000 | 0.000 | -0.000 | 0.000 |
| 14.838 | -12.688 | 26.848 | 111.093 | -0.000 | 0.000 |
| 12.473 | -12.962 | 22.352 | 0.000 | 76.359 | 0.000 |
| -0.001 | -0.000 | -0.000 | 0.000 | -0.000 | 49.203 |
| 333.217 | 125.089 | 142.225 | 72.596 | -0.000 | 0.000 |
| 125.089 | 333.217 | 142.225 | -72.596 | -0.000 | 0.000 |
| 142.225 | 142.225 | 581.891 | 0.000 | -0.000 | 0.000 |
| 71.168 | -51.379 | 39.814 | 109.172 | -0.000 | 0.000 |
| 9.895 | 9.895 | 39.814 | 0.000 | 109.172 | 61.273 |
| -0.000 | -0.000 | -0.000 | 0.000 | 72.596 | 104.064 |
| 333.217 | 125.089 | 142.225 | 72.596 | 0.000 | -0.000 |
| 122.809 | 310.129 | 91.187 | -61.273 | 0.000 | -0.000 |
| 121.107 | 121.107 | 496.915 | -0.000 | 0.000 | -0.000 |
| 72.596 | -72.596 | -0.000 | 121.494 | -0.000 | -0.000 |
| -9.895 | -9.895 | -39.814 | -0.000 | 109.172 | 61.273 |
| 0.000 | 0.000 | 0.000 | -0.000 | 72.596 | 104.064 |
| 333.217 | 125.089 | 142.225 | 72.596 | -0.000 | 0.000 |
| 126.015 | 324.840 | 127.234 | -67.534 | -0.000 | 0.000 |
| 142.225 | 142.225 | 581.891 | 0.000 | -0.000 | 0.000 |
| 67.858 | -61.419 | 12.954 | 112.834 | -0.000 | 0.000 |
| 0.000 | 0.000 | 0.000 | 0.000 | 121.494 | 72.596 |
| 0.000 | 0.000 | 0.000 | 0.000 | 72.596 | 104.064 |
| 319.034 | 131.714 | 127.019 | 61.273 | 0.000 | -0.000 |
| 123.076 | 325.296 | 122.240 | -69.382 | 0.000 | 0.000 |
| 130.012 | 130.012 | 532.747 | -0.000 | 0.000 | -0.000 |
| 72.596 | -72.596 | -0.000 | 121.494 | 0.000 | -0.000 |
| -0.000 | -0.000 | -0.000 | -0.000 | 121.494 | 72.596 |
| -0.000 | -0.000 | -0.000 | -0.000 | 72.596 | 104.064 |
| 325.457 | 124.392 | 125.207 | 68.752 | -0.000 | 0.000 |
| 132.803 | 320.124 | 131.399 | -61.274 | -0.000 | 0.000 |
| 142.227 | 142.227 | 581.896 | -0.000 | -0.000 | 0.000 |
| 72.596 | -72.596 | 0.001 | 121.493 | -0.000 | 0.000 |
| 0.099 | 0.099 | 0.399 | 0.000 | 109.172 | 61.273 |
| 0.099 | 0.099 | 0.398 | 0.000 | 61.273 | 93.660 |
| 319.923 | 132.604 | 130.603 | 61.273 | 0.000 | -0.000 |
| 125.088 | 333.215 | 142.224 | -72.596 | 0.000 | -0.000 |
| 142.224 | 142.224 | 581.886 | -0.000 | 0.000 | -0.000 |
| 72.596 | -72.596 | -0.001 | 121.494 | 0.000 | 0.000 |
| -0.099 | -0.099 | -0.399 | -0.000 | 109.172 | 61.273 |
| -0.099 | -0.099 | -0.398 | -0.000 | 61.273 | 93.660 |
| 563.819 | 191.400 | 93.050 | -0.000 | 0.000 | 0.000 |
| 231.133 | 523.944 | 92.646 | -0.000 | -0.000 | -0.000 |
| 92.803 | 92.803 | 361.259 | 0.000 | -0.000 | -0.000 |
| -0.000 | -0.000 | 0.000 | 88.242 | 0.000 | -0.000 |
| -0.000 | -0.000 | 0.000 | -0.000 | 88.242 | -0.000 |
| 0.000 | 0.000 | 0.000 | -0.000 | 0.000 | 146.360 |
| 531.425 | 223.508 | 92.237 | 0.000 | -0.000 | 0.000 |
| 223.508 | 531.425 | 92.237 | 0.000 | -0.000 | 0.000 |
| 93.050 | 93.050 | 362.673 | 0.000 | 0.000 | -0.000 |
| 0.000 | -0.000 | -0.000 | 88.242 | -0.000 | 0.000 |
| 0.000 | 0.000 | -0.000 | 0.000 | 88.242 | 0.000 |
| -0.000 | -0.000 | 0.000 | -0.000 | 0.000 | 146.360 |
| 523.887 | 231.279 | 92.899 | -0.000 | -0.000 | 0.000 |
| 191.400 | 563.819 | 93.050 | 0.000 | 0.000 | 0.000 |
| 92.803 | 92.803 | 361.260 | -0.000 | -0.000 | 0.000 |
| 0.000 | 0.000 | 0.000 | 88.242 | 0.000 | 0.000 |
| 0.000 | 0.000 | 0.000 | -0.000 | 88.242 | -0.000 |
| 0.000 | 0.000 | 0.000 | -0.000 | 0.000 | 186.209 |
| 523.944 | 231.133 | 92.646 | 0.000 | -0.000 | 0.000 |
| 191.400 | 563.818 | 93.050 | 0.000 | -0.000 | 0.000 |
| 93.050 | 93.050 | 362.673 | 0.000 | -0.000 | 0.000 |
| -0.000 | -0.000 | -0.000 | 88.242 | -0.000 | 0.000 |
| -0.000 | -0.000 | -0.000 | 0.000 | 88.242 | 0.000 |
| -0.000 | -0.000 | -0.000 | 0.000 | -0.000 | 186.209 |
| 563.825 | 191.401 | 93.051 | 0.000 | 0.000 | -0.000 |
| 223.510 | 531.431 | 92.236 | -0.000 | 0.000 | -0.000 |
| 92.804 | 92.804 | 361.264 | -0.000 | -0.000 | 0.000 |
| 0.000 | 0.000 | 0.001 | 86.147 | -0.000 | -0.000 |
| 0.000 | 0.000 | 0.001 | -0.000 | 86.147 | -0.000 |
| 0.000 | 0.002 | -0.000 | -0.000 | 0.000 | 146.360 |
| 563.812 | 191.399 | 93.050 | 0.000 | -0.000 | -0.000 |
| 231.134 | 523.936 | 92.646 | 0.000 | 0.000 | 0.000 |
| 93.049 | 93.049 | 362.669 | -0.000 | 0.000 | -0.000 |
| -0.000 | -0.000 | -0.001 | 86.147 | -0.000 | -0.000 |
| -0.000 | -0.000 | -0.001 | 0.000 | 86.147 | 0.000 |
| -0.000 | -0.002 | 0.000 | 0.000 | -0.000 | 146.360 |
| 561.917 | 190.545 | 94.311 | 0.000 | -0.000 | -0.000 |
| 190.545 | 561.917 | 94.311 | 0.000 | -0.000 | 0.000 |
| 94.059 | 94.059 | 366.977 | 0.000 | -0.000 | 0.000 |
| 0.000 | -0.000 | 0.000 | 87.094 | -0.000 | -0.000 |
| 0.000 | -0.000 | 0.000 | -0.000 | 89.328 | -0.000 |
| 0.000 | 0.000 | 0.000 | 0.000 | -0.000 | 185.686 |
| 521.751 | 230.562 | 93.882 | -0.000 | 0.000 | 0.000 |
| 222.918 | 529.243 | 93.446 | -0.000 | 0.000 | 0.000 |
| 94.059 | 94.059 | 366.977 | -0.000 | 0.000 | -0.000 |
| -0.000 | 0.000 | -0.000 | 87.094 | 0.000 | -0.000 |
| -0.000 | -0.000 | -0.000 | 0.000 | 89.329 | -0.000 |
| -0.000 | -0.000 | -0.000 | -0.000 | 0.000 | 185.686 |
| 561.917 | 190.545 | 94.311 | -0.000 | -0.000 | 0.000 |
| 230.562 | 521.751 | 93.882 | -0.000 | -0.000 | -0.000 |
| 94.059 | 94.059 | 366.978 | -0.000 | -0.000 | -0.000 |
| 0.000 | 0.000 | 0.000 | 87.094 | -0.000 | -0.000 |
| 0.000 | 0.000 | 0.000 | 0.000 | 89.329 | 0.000 |
| 0.000 | 0.000 | 0.000 | 0.000 | -0.000 | 185.686 |
| 529.242 | 222.918 | 93.446 | 0.000 | 0.000 | -0.000 |
| 190.545 | 561.916 | 94.311 | -0.000 | 0.000 | 0.000 |
| 94.059 | 94.059 | 366.977 | -0.000 | 0.000 | -0.000 |
| -0.000 | -0.000 | -0.000 | 87.094 | 0.000 | 0.000 |
| -0.000 | -0.000 | -0.000 | -0.000 | 89.329 | 0.000 |
| -0.000 | -0.000 | -0.000 | -0.000 | 0.000 | 185.686 |
| 529.250 | 222.918 | 93.446 | 0.000 | -0.000 | 0.000 |
| 230.565 | 521.755 | 93.882 | -0.000 | -0.000 | 0.000 |
| 94.060 | 94.060 | 366.982 | 0.000 | -0.000 | -0.000 |
| 0.000 | 0.000 | 0.001 | 89.329 | -0.000 | 0.000 |
| 0.000 | 0.000 | 0.001 | -0.000 | 87.094 | -0.000 |
| 0.000 | 0.002 | -0.000 | 0.000 | -0.000 | 152.818 |
| 529.236 | 222.918 | 93.446 | 0.000 | 0.000 | -0.000 |
| 230.559 | 521.747 | 93.882 | 0.000 | 0.000 | -0.000 |
| 93.792 | 93.792 | 365.451 | -0.000 | 0.000 | -0.000 |
| -0.000 | -0.000 | -0.001 | 89.329 | 0.000 | 0.000 |
| -0.000 | -0.000 | -0.001 | -0.000 | 87.094 | 0.000 |
| -0.000 | -0.002 | 0.000 | 0.000 | 0.000 | 152.818 |
| 17400325602.340 | 17400324546.519 | 17400324546.518 | -0.000 | -0.000 | 0.000 |
| 17400324503.372 | 17400325559.193 | 17400324503.372 | 0.000 | -0.000 | 0.000 |
| 17400324494.122 | 17400324494.122 | 17400325549.944 | 0.000 | 0.000 | -0.000 |
| -350.735 | -350.735 | -350.735 | 2378.981 | 0.000 | 0.000 |
| -331.470 | -331.470 | -331.470 | 0.000 | 2378.981 | 0.000 |
| -333.813 | -333.813 | -333.813 | 0.000 | -0.000 | 2378.981 |
| 17403158719.902 | 17403157683.045 | 17403157683.045 | 0.000 | -0.000 | -0.000 |
| 17403157705.241 | 17403158742.098 | 17403157705.241 | -0.000 | 0.000 | -0.000 |
| 17403157741.374 | 17403157741.373 | 17403158778.231 | -0.000 | -0.000 | -0.000 |
| 528.975 | 528.975 | 528.975 | 2378.981 | -0.000 | -0.000 |
| 458.884 | 458.884 | 458.884 | -0.000 | 2378.981 | -0.000 |
| 407.299 | 407.299 | 407.299 | -0.000 | -0.000 | 2378.981 |
| 17387580131.973 | 17387578990.892 | 17387578990.892 | 0.000 | 0.000 | 0.000 |
| 17387578994.119 | 17387580135.200 | 17387578994.119 | 0.000 | 0.000 | -0.000 |
| 17387578993.458 | 17387578993.458 | 17387580134.540 | 0.000 | -0.000 | 0.000 |
| 266.346 | 266.346 | 266.346 | 2378.981 | -0.000 | 0.000 |
| 266.609 | 266.609 | 266.610 | -0.000 | 2378.981 | 0.000 |
| 263.231 | 263.231 | 263.231 | 0.000 | -0.000 | 2378.981 |
| 17415903491.461 | 17415902540.018 | 17415902540.018 | 0.000 | 0.000 | 0.000 |
| 17415902537.895 | 17415903489.338 | 17415902537.894 | 0.000 | -0.000 | -0.000 |
| 17415902531.484 | 17415902531.484 | 17415903482.927 | 0.000 | -0.000 | -0.000 |
| -262.428 | -262.428 | -262.429 | 2378.981 | 0.000 | -0.000 |
| -261.456 | -261.456 | -261.457 | -0.000 | 2378.981 | -0.000 |
| -263.154 | -263.155 | -263.154 | -0.000 | -0.000 | 2378.981 |
| 17260124909.505 | 17260122922.728 | 17260122922.728 | 0.000 | -0.000 | 0.000 |
| 17260122922.753 | 17260124909.530 | 17260122922.753 | -0.000 | 0.000 | 0.000 |
| 17260122922.414 | 17260122922.414 | 17260124909.190 | 0.000 | 0.000 | 0.000 |
| 3152.246 | 3152.247 | 3152.251 | 2378.982 | 0.000 | 0.000 |
| 3152.117 | 3152.116 | 3152.121 | 0.000 | 2378.982 | 0.000 |
| 3151.891 | 3151.895 | 3151.891 | -0.000 | 0.000 | 2378.982 |
| 17543357324.148 | 17543357233.755 | 17543357233.755 | 0.000 | -0.000 | 0.000 |
| 17543357233.367 | 17543357323.760 | 17543357233.367 | -0.000 | 0.000 | 0.000 |
| 17543357233.078 | 17543357233.078 | 17543357323.471 | -0.000 | -0.000 | 0.000 |
| -3150.753 | -3150.753 | -3150.758 | 2378.982 | -0.000 | -0.000 |
| -3151.115 | -3151.115 | -3151.119 | 0.000 | 2378.982 | -0.000 |
| -3151.144 | -3151.149 | -3151.144 | 0.000 | 0.000 | 2378.982 |
| 244.177 | 148.533 | 148.533 | -0.000 | -0.000 | 0.000 |
| 148.533 | 244.177 | 148.533 | -0.000 | -0.000 | -0.000 |
| 148.533 | 148.533 | 244.177 | -0.000 | -0.000 | 0.000 |
| 0.000 | 0.000 | 0.000 | 125.470 | -0.000 | 0.000 |
| 0.000 | 0.000 | 0.000 | -0.000 | 125.470 | -0.000 |
| 0.000 | 0.000 | 0.000 | -0.000 | -0.000 | 125.470 |
| 244.177 | 148.533 | 148.533 | 0.000 | 0.000 | -0.000 |
| 148.533 | 244.177 | 148.533 | 0.000 | 0.000 | -0.000 |
| 148.533 | 148.533 | 244.177 | 0.000 | 0.000 | -0.000 |
| -0.000 | -0.000 | -0.000 | 125.470 | 0.000 | -0.000 |
| -0.000 | -0.000 | -0.000 | 0.000 | 125.470 | -0.000 |
| -0.000 | -0.000 | -0.000 | 0.000 | 0.000 | 125.470 |
| 244.177 | 148.533 | 148.533 | -0.000 | -0.000 | 0.000 |
| 148.533 | 244.177 | 148.533 | -0.000 | -0.000 | -0.000 |
| 148.533 | 148.533 | 244.177 | -0.000 | -0.000 | -0.000 |
| -0.000 | 0.000 | 0.000 | 125.470 | -0.000 | 0.000 |
| 0.000 | -0.000 | 0.000 | -0.000 | 125.470 | 0.000 |
| 0.000 | 0.000 | -0.000 | -0.000 | -0.000 | 125.470 |
| 244.177 | 148.533 | 148.533 | 0.000 | 0.000 | 0.000 |
| 148.533 | 244.177 | 148.533 | 0.000 | 0.000 | -0.000 |
| 148.533 | 148.533 | 244.177 | -0.000 | 0.000 | 0.000 |
| 0.000 | -0.000 | -0.000 | 125.470 | 0.000 | -0.000 |
| -0.000 | 0.000 | -0.000 | 0.000 | 125.470 | -0.000 |
| -0.000 | -0.000 | 0.000 | -0.000 | 0.000 | 125.470 |
| 244.178 | 148.534 | 148.534 | -0.000 | -0.000 | 0.000 |
| 148.534 | 244.178 | 148.534 | -0.000 | -0.000 | 0.000 |
| 148.534 | 148.534 | 244.178 | 0.000 | -0.000 | 0.000 |
| -0.000 | 0.000 | 0.000 | 125.470 | -0.000 | 0.000 |
| 0.000 | -0.000 | 0.000 | -0.000 | 125.470 | 0.000 |
| 0.000 | 0.000 | -0.000 | -0.000 | -0.000 | 125.470 |
| 244.175 | 148.531 | 148.531 | 0.000 | 0.000 | -0.000 |
| 148.531 | 244.175 | 148.531 | 0.000 | 0.000 | 0.000 |
| 148.531 | 148.531 | 244.175 | 0.000 | 0.000 | 0.000 |
| 0.000 | -0.000 | -0.000 | 125.470 | 0.000 | -0.000 |
| -0.000 | 0.000 | -0.000 | 0.000 | 125.470 | -0.000 |
| -0.000 | -0.000 | 0.000 | 0.000 | 0.000 | 125.470 |
| 12721489833.806 | 12721518500.095 | 12721518502.714 | 0.000 | 0.000 | 0.000 |
| 12721511267.113 | 12721504298.301 | 12721511267.400 | 0.000 | -0.000 | 0.000 |
| 12721507248.052 | 12721507243.275 | 12721512281.744 | 0.000 | 0.000 | 0.000 |
| 386.668 | 384.068 | 386.718 | 593.810 | 0.000 | -0.000 |
| 499.104 | 505.424 | 502.126 | 0.000 | 593.810 | -0.000 |
| 458.001 | 451.960 | 471.198 | 0.000 | -0.000 | 593.810 |
| 12723718168.606 | 12723472945.872 | 12723472944.969 | -0.000 | -0.000 | 0.000 |
| 12723472942.824 | 12723718081.296 | 12723472949.744 | -0.000 | -0.000 | 0.000 |
| 12723472899.751 | 12723472910.288 | 12723718213.031 | -0.000 | -0.000 | 0.000 |
| -419.628 | -419.283 | -421.604 | 593.810 | -0.000 | 0.000 |
| -524.335 | -530.271 | -530.166 | -0.000 | 593.810 | 0.000 |
| -491.401 | -484.264 | -502.320 | -0.000 | -0.000 | 593.810 |
| 12712297934.195 | 12712301127.444 | 12712301127.626 | 0.000 | -0.000 | -0.000 |
| 12712301315.316 | 12712297549.894 | 12712301315.419 | -0.000 | 0.000 | -0.000 |
| 12712299271.125 | 12712299270.573 | 12712301565.314 | 0.000 | 0.000 | -0.000 |
| 174.578 | 176.432 | 173.205 | 593.810 | -0.000 | -0.000 |
| 168.460 | 166.739 | 165.882 | 0.000 | 593.810 | 0.000 |
| 114.660 | 195.582 | 127.599 | 0.000 | 0.000 | 593.491 |
| 12733639120.949 | 12732325581.205 | 12732325581.198 | 0.000 | -0.000 | 0.000 |
| 12732325336.266 | 12733639607.337 | 12732325336.754 | -0.000 | 0.000 | 0.000 |
| 12732325038.716 | 12732325038.898 | 12733640208.179 | -0.000 | -0.000 | -0.000 |
| -173.011 | -175.297 | -171.983 | 593.810 | 0.000 | -0.000 |
| -38.206 | -158.605 | -246.535 | -0.000 | 592.967 | 0.000 |
| -171.185 | -167.988 | -170.906 | -0.000 | -0.000 | 593.810 |
| 12619913352.014 | 12620364618.270 | 12620364618.283 | -0.000 | -0.000 | 0.000 |
| 12620306386.488 | 12620029732.161 | 12620306386.478 | -0.000 | -0.000 | 0.000 |
| 12620355046.741 | 12620355046.722 | 12619932482.555 | 0.000 | -0.000 | -0.000 |
| 832.118 | -3613.047 | 5918.809 | 591.120 | -0.000 | -0.000 |
| -10137.084 | 543.135 | 12753.100 | 0.000 | 585.592 | -0.000 |
| -10033.778 | 12685.888 | 506.586 | 0.000 | 0.000 | 585.598 |
| 12825138725.692 | 12824702738.047 | 12824702738.018 | 0.000 | 0.000 | -0.000 |
| 12824704824.103 | 12825134551.514 | 12824704824.077 | -0.000 | -0.000 | -0.000 |
| 12824702594.665 | 12824702594.730 | 12825139012.656 | 0.000 | -0.000 | 0.000 |
| -614.937 | 9171.380 | -11715.632 | 585.593 | -0.000 | 0.000 |
| 2939.995 | -864.239 | -5215.861 | -0.000 | 591.505 | 0.000 |
| 2069.822 | -4314.491 | -890.934 | -0.000 | 0.000 | 592.006 |
| 379.838 | 69.226 | 69.226 | -0.000 | 0.000 | 0.000 |
| 69.226 | 379.838 | 69.226 | 0.000 | 0.000 | 0.000 |
| 69.226 | 69.226 | 379.838 | 0.000 | 0.000 | 0.000 |
| -0.000 | 0.000 | -0.000 | -1.276 | 0.000 | 0.000 |
| 0.000 | -0.000 | -0.000 | 0.000 | -1.276 | 0.000 |
| 0.000 | 0.000 | -0.000 | 0.000 | 0.000 | -1.276 |
| 379.838 | 69.226 | 69.226 | -0.000 | -0.000 | -0.000 |
| 69.226 | 379.838 | 69.226 | -0.000 | -0.000 | -0.000 |
| 69.226 | 69.226 | 379.838 | -0.000 | -0.000 | -0.000 |
| -0.000 | -0.000 | 0.000 | -1.276 | -0.000 | -0.000 |
| -0.000 | -0.000 | 0.000 | -0.000 | -1.276 | -0.000 |
| 0.000 | -0.000 | 0.000 | -0.000 | 0.000 | -1.276 |
| 379.838 | 69.226 | 69.226 | -0.000 | -0.000 | 0.000 |
| 69.226 | 379.838 | 69.226 | 0.000 | 0.000 | 0.000 |
| 69.226 | 69.226 | 379.838 | -0.000 | -0.000 | 0.000 |
| 0.000 | 0.000 | -0.000 | -1.276 | 0.000 | 0.000 |
| 0.000 | 0.000 | -0.000 | 0.000 | -1.276 | 0.000 |
| 0.000 | -0.000 | 0.000 | 0.000 | 0.000 | -1.276 |
| 382.179 | 68.055 | 68.055 | 0.000 | -0.000 | -0.000 |
| 68.055 | 382.179 | 68.055 | 0.000 | -0.000 | -0.000 |
| 68.055 | 68.055 | 382.179 | 0.000 | -0.000 | -0.000 |
| -0.000 | -0.000 | 0.000 | -1.276 | -0.000 | -0.000 |
| -0.000 | -0.000 | 0.000 | -0.000 | -1.276 | -0.000 |
| -0.000 | 0.000 | -0.000 | -0.000 | -0.000 | -1.276 |
| 382.182 | 68.056 | 68.056 | 0.000 | 0.000 | 0.000 |
| 68.056 | 382.182 | 68.056 | 0.000 | 0.000 | -0.000 |
| 68.056 | 68.056 | 382.182 | 0.000 | 0.000 | 0.000 |
| 0.000 | 0.000 | -0.000 | -1.276 | -0.000 | 0.000 |
| 0.000 | 0.000 | -0.000 | 0.000 | -1.276 | 0.000 |
| 0.000 | -0.000 | 0.000 | -0.000 | 0.000 | -1.276 |
| 379.835 | 69.225 | 69.225 | 0.000 | 0.000 | -0.000 |
| 69.225 | 379.835 | 69.225 | 0.000 | 0.000 | -0.000 |
| 69.225 | 69.225 | 379.835 | 0.000 | 0.000 | -0.000 |
| -0.000 | -0.000 | 0.000 | -1.276 | 0.000 | -0.000 |
| -0.000 | -0.000 | 0.000 | -0.000 | -1.276 | -0.000 |
| -0.000 | 0.000 | -0.000 | -0.000 | 0.000 | -1.276 |
| 17189557770.926 | 17189557079.291 | 17189557079.291 | 0.000 | 0.000 | 0.000 |
| 17189557082.084 | 17189557773.719 | 17189557082.084 | 0.000 | 0.000 | 0.000 |
| 17189557041.582 | 17189557041.582 | 17189557733.217 | 0.000 | 0.000 | 0.000 |
| -895.374 | -895.373 | -895.373 | 3053.347 | 0.000 | 0.000 |
| -912.252 | -912.253 | -912.252 | -0.000 | 3053.347 | 0.000 |
| -825.064 | -825.064 | -825.065 | 0.000 | 0.000 | 3053.347 |
| 17192340088.218 | 17192339403.507 | 17192339403.507 | -0.000 | -0.000 | -0.000 |
| 17192339464.515 | 17192340149.226 | 17192339464.515 | 0.000 | -0.000 | -0.000 |
| 17192339601.663 | 17192339601.663 | 17192340286.374 | 0.000 | 0.000 | -0.000 |
| 953.577 | 953.576 | 953.576 | 3053.347 | -0.000 | -0.000 |
| 910.971 | 910.972 | 910.971 | -0.000 | 3053.347 | -0.000 |
| 884.431 | 884.431 | 884.432 | 0.000 | -0.000 | 3053.347 |
| 17177044484.895 | 17177043762.149 | 17177043762.149 | 0.000 | -0.000 | 0.000 |
| 17177043758.023 | 17177044480.769 | 17177043758.023 | -0.000 | 0.000 | 0.000 |
| 17177043758.859 | 17177043758.859 | 17177044481.606 | 0.000 | -0.000 | 0.000 |
| 139.429 | 139.437 | 139.438 | 3053.347 | 0.000 | 0.000 |
| 146.747 | 146.739 | 146.748 | 0.000 | 3053.347 | 0.000 |
| 152.788 | 152.789 | 152.780 | 0.000 | -0.000 | 3053.347 |
| 17204853426.907 | 17204852773.398 | 17204852773.398 | 0.000 | 0.000 | 0.000 |
| 17204852768.081 | 17204853421.590 | 17204852768.081 | 0.000 | -0.000 | -0.000 |
| 17204852762.123 | 17204852762.123 | 17204853415.632 | 0.000 | 0.000 | -0.000 |
| -168.343 | -168.351 | -168.352 | 3053.347 | 0.000 | -0.000 |
| -163.754 | -163.745 | -163.754 | -0.000 | 3053.347 | -0.000 |
| -166.221 | -166.222 | -166.213 | 0.000 | -0.000 | 3053.347 |
| 17051904804.755 | 17051903774.925 | 17051903774.925 | -0.000 | 0.000 | -0.000 |
| 17051903774.934 | 17051904804.764 | 17051903774.934 | 0.000 | 0.000 | 0.000 |
| 17051903774.934 | 17051903774.934 | 17051904804.764 | 0.000 | 0.000 | 0.000 |
| 2142.309 | 2142.394 | 2142.399 | 3053.347 | 0.000 | 0.000 |
| 2141.395 | 2141.310 | 2141.401 | 0.000 | 3053.347 | 0.000 |
| 2140.665 | 2140.671 | 2140.581 | 0.000 | -0.000 | 3053.347 |
| 17329991820.318 | 17329991482.889 | 17329991482.889 | -0.000 | 0.000 | -0.000 |
| 17329991482.810 | 17329991820.239 | 17329991482.810 | 0.000 | -0.000 | 0.000 |
| 17329991483.866 | 17329991483.866 | 17329991821.295 | -0.000 | 0.000 | 0.000 |
| -2139.256 | -2139.340 | -2139.346 | 3053.347 | -0.000 | -0.000 |
| -2139.592 | -2139.507 | -2139.597 | 0.000 | 3053.347 | -0.000 |
| -2139.778 | -2139.784 | -2139.694 | -0.000 | -0.000 | 3053.347 |
| 101.114 | 164.382 | 164.382 | -0.000 | 0.000 | -0.000 |
| 164.382 | 101.114 | 164.382 | 0.000 | 0.000 | -0.000 |
| 164.382 | 164.382 | 101.114 | 0.000 | -0.000 | -0.000 |
| 0.000 | 0.000 | 0.000 | 135.463 | 0.000 | -0.000 |
| -0.000 | 0.000 | 0.000 | -0.000 | 135.463 | -0.000 |
| 0.000 | 0.000 | 0.000 | 0.000 | 0.000 | 135.463 |
| 101.114 | 164.382 | 164.382 | -0.000 | 0.000 | -0.000 |
| 164.382 | 101.114 | 164.382 | -0.000 | -0.000 | 0.000 |
| 164.382 | 164.382 | 101.114 | -0.000 | -0.000 | -0.000 |
| -0.000 | -0.000 | -0.000 | 135.463 | -0.000 | 0.000 |
| -0.000 | -0.000 | -0.000 | 0.000 | 135.463 | 0.000 |
| 0.000 | 0.000 | -0.000 | -0.000 | -0.000 | 135.463 |
| 101.114 | 164.382 | 164.382 | 0.000 | -0.000 | -0.000 |
| 164.382 | 101.114 | 164.382 | 0.000 | 0.000 | -0.000 |
| 164.382 | 164.382 | 101.114 | 0.000 | -0.000 | 0.000 |
| 0.000 | -0.000 | 0.000 | 135.463 | 0.000 | -0.000 |
| -0.000 | 0.000 | 0.000 | 0.000 | 135.463 | -0.000 |
| -0.000 | 0.000 | 0.000 | 0.000 | 0.000 | 135.463 |
| 101.113 | 164.382 | 164.382 | -0.000 | -0.000 | -0.000 |
| 164.382 | 101.113 | 164.382 | -0.000 | -0.000 | 0.000 |
| 164.382 | 164.382 | 101.113 | -0.000 | -0.000 | 0.000 |
| -0.000 | 0.000 | -0.000 | 135.463 | -0.000 | -0.000 |
| 0.000 | -0.000 | -0.000 | 0.000 | 135.463 | 0.000 |
| 0.000 | -0.000 | -0.000 | -0.000 | 0.000 | 135.463 |
| 101.116 | 164.384 | 164.384 | 0.000 | -0.000 | -0.000 |
| 164.384 | 101.116 | 164.384 | 0.000 | -0.000 | -0.000 |
| 164.384 | 164.384 | 101.116 | -0.000 | 0.000 | -0.000 |
| 0.000 | -0.000 | 0.000 | 135.463 | 0.000 | -0.000 |
| -0.000 | 0.000 | 0.000 | 0.000 | 135.463 | -0.000 |
| -0.000 | 0.000 | 0.000 | -0.000 | 0.000 | 135.463 |
| 101.111 | 164.380 | 164.380 | -0.000 | -0.000 | 0.000 |
| 164.380 | 101.111 | 164.380 | 0.000 | -0.000 | 0.000 |
| 164.380 | 164.380 | 101.111 | 0.000 | -0.000 | 0.000 |
| -0.000 | 0.000 | -0.000 | 135.463 | -0.000 | 0.000 |
| 0.000 | -0.000 | -0.000 | 0.000 | 135.463 | 0.000 |
| 0.000 | -0.000 | -0.000 | 0.000 | 0.000 | 135.463 |
| 3145385860.999 | 3145440367.999 | 3151101507.999 | 0.018 | 0.130 | 0.126 |
| 3145440402.999 | 3145385895.998 | 3151101541.999 | 0.032 | -0.297 | 0.093 |
| 3151102402.001 | 3151102402.001 | 3156688486.997 | 0.101 | 0.084 | 0.138 |
| 79.001 | 79.001 | 79.001 | -14878.489 | -0.220 | 0.107 |
| 84.999 | 84.999 | 84.999 | 0.114 | -14878.938 | 0.144 |
| 51.001 | 51.001 | 50.999 | 0.229 | -0.194 | -34269.123 |
| -11650142082361.418 | -11650142130686.484 | -11671319579576.936 | -2170.148 | -469.401 | -1388.486 |
| 3144744393.001 | 3144689853.999 | 3150404177.000 | -0.205 | 0.239 | -0.100 |
| 3150403599.000 | 3150403599.000 | 3155988273.999 | -0.041 | 0.270 | -0.161 |
| -90.000 | -90.000 | -91.000 | -14878.772 | 0.204 | -0.120 |
| -67.999 | -69.001 | -68.999 | -0.179 | -14878.617 | -0.139 |
| -11651261816827.734 | -11651266494466.174 | -11672464953073.717 | -41846.490 | -208850.389 | 651949695.192 |
| 1165093158570.170 | 1164604256036.234 | 1166994467866.930 | 38960.810 | 869.626 | -993.624 |
| 1164911895631.797 | 1165330249148.408 | 1167262503723.328 | 327561.355 | 2121.563 | 4436.691 |
| 3154246081.300 | 3154246081.400 | 3159838505.700 | 0.009 | -0.041 | 0.011 |
| 28.100 | 28.100 | 28.200 | -14878.687 | -0.002 | 0.012 |
| 27.600 | 27.600 | 27.700 | 0.005 | -14878.719 | 0.018 |
| 1164381813256.903 | 1164388870120.354 | 1166534991408.270 | 6746.039 | 145297.865 | 253271299.484 |
| -1164855708862.799 | -1165344071198.154 | -1167250246886.746 | 45072.616 | -3723.847 | 5372.516 |
| -1165304194297.879 | -1164782704380.953 | -1167193242902.095 | 155301.750 | -1142.013 | 845.866 |
| 3147259985.100 | 3147259985.100 | 3152838320.800 | 0.003 | 0.030 | -0.013 |
| -28.400 | -28.400 | -28.500 | -14878.704 | -0.003 | -0.013 |
| -27.700 | -27.700 | -27.800 | -0.018 | -14878.685 | -0.014 |
| -1165060994980.467 | -1165068429172.936 | -1167214790913.032 | -1476.163 | 61824.206 | 252239402.230 |
| 116540235291.352 | 116495071067.646 | 116731861931.962 | 19384.801 | -440.884 | 486.599 |
| 116481626677.163 | 116525438484.601 | 116717897170.949 | -184.640 | -40.851 | 92.014 |
| 3185683625.110 | 3185683625.110 | 3191339471.750 | 0.001 | -0.000 | 0.001 |
| 218.960 | 219.000 | 219.340 | -14878.698 | -0.001 | 0.001 |
| 218.490 | 218.450 | 218.830 | -0.001 | -14878.700 | 0.001 |
| 116509293514.093 | 116509839082.203 | 116723857808.972 | 134.751 | 430.276 | 22267093.611 |
| -116491658613.442 | -116535756425.551 | -116728120417.035 | -15550.435 | -780.064 | -1106.513 |
| -116533195777.843 | -116487879812.812 | -116724754534.147 | -11938.971 | -150.571 | 816.071 |
| 3115822778.760 | 3115822778.760 | 3121337739.180 | -0.001 | 0.002 | -0.001 |
| -219.050 | -219.100 | -219.440 | -14878.700 | 0.002 | -0.001 |
| -218.440 | -218.390 | -218.770 | -0.001 | -14878.696 | -0.001 |
| -116524620144.032 | -116525163468.697 | -116739231259.827 | -501.537 | 213.120 | 22398082.139 |
| 319.625 | 122.715 | 80.585 | 0.000 | -0.000 | -0.000 |
| 139.969 | 302.371 | 80.585 | 0.000 | 0.000 | -0.000 |
| 80.585 | 80.585 | 273.518 | 0.000 | 0.000 | 0.000 |
| -0.000 | -0.000 | 0.000 | 56.674 | 0.000 | -0.000 |
| -0.000 | -0.000 | 0.000 | 0.000 | 56.674 | 0.000 |
| -0.000 | -0.000 | 0.000 | -0.000 | -0.000 | 98.455 |
| 302.371 | 139.969 | 80.585 | -0.000 | -0.000 | 0.000 |
| 139.969 | 302.371 | 80.585 | -0.000 | -0.000 | -0.000 |
| 80.585 | 80.585 | 273.518 | -0.000 | -0.000 | 0.000 |
| 0.000 | 0.000 | -0.000 | 56.674 | -0.000 | -0.000 |
| 0.000 | 0.000 | -0.000 | -0.000 | 56.674 | 0.000 |
| 0.000 | 0.000 | -0.000 | -0.000 | 0.000 | 98.455 |
| 302.371 | 139.969 | 80.585 | 0.000 | 0.000 | -0.000 |
| 139.969 | 302.371 | 80.585 | 0.000 | -0.000 | -0.000 |
| 80.585 | 80.585 | 273.519 | 0.000 | 0.000 | -0.000 |
| 0.000 | 0.000 | 0.000 | 56.674 | 0.000 | 0.000 |
| 0.000 | 0.000 | 0.000 | 0.000 | 56.674 | -0.000 |
| -0.000 | 0.000 | -0.000 | 0.000 | -0.000 | 81.201 |
| 302.371 | 139.969 | 80.585 | -0.000 | 0.000 | 0.000 |
| 139.969 | 302.371 | 80.585 | -0.000 | -0.000 | 0.000 |
| 80.585 | 80.585 | 273.518 | -0.000 | -0.000 | -0.000 |
| -0.000 | -0.000 | -0.000 | 56.674 | -0.000 | 0.000 |
| -0.000 | -0.000 | -0.000 | -0.000 | 56.674 | 0.000 |
| 0.000 | -0.000 | 0.000 | -0.000 | -0.000 | 81.201 |
| 302.373 | 139.969 | 80.585 | 0.000 | 0.000 | -0.000 |
| 139.970 | 302.372 | 80.585 | 0.000 | -0.000 | -0.000 |
| 80.586 | 80.586 | 273.521 | 0.000 | 0.000 | -0.000 |
| 0.000 | -0.000 | 0.001 | 56.674 | 0.000 | -0.000 |
| 0.000 | 0.000 | 0.001 | 0.000 | 56.674 | 0.000 |
| -0.000 | 0.001 | -0.000 | 0.000 | 0.000 | 81.201 |
| 302.369 | 139.969 | 80.585 | -0.000 | 0.000 | 0.000 |
| 139.968 | 302.370 | 80.585 | -0.000 | -0.000 | 0.000 |
| 80.585 | 80.585 | 273.516 | -0.000 | -0.000 | 0.000 |
| -0.000 | 0.000 | -0.001 | 56.674 | -0.000 | -0.000 |
| -0.000 | -0.000 | -0.001 | -0.000 | 56.674 | -0.000 |
| 0.000 | -0.001 | 0.000 | -0.000 | -0.000 | 81.201 |
| 16153771003.700 | 16153730456.000 | 16100581656.100 | -0.059 | 0.010 | 0.019 |
| 16153730787.399 | 16153771013.000 | 16100581825.900 | -0.040 | -0.018 | 0.012 |
| 16100586978.600 | 16100586978.700 | 16047684206.100 | -0.071 | 0.055 | 0.024 |
| 253.000 | 253.000 | 252.100 | 11993.973 | 0.078 | 0.023 |
| 311.400 | 311.400 | 310.200 | -0.029 | 11993.953 | 0.010 |
| 197.600 | 197.600 | 196.900 | -0.079 | -0.062 | 18358.080 |
| 16156628090.300 | 16156585379.100 | 16103428381.299 | 0.101 | -0.080 | 0.004 |
| 16156585727.800 | 16156628308.200 | 16103428663.700 | 0.056 | -0.063 | -0.014 |
| 16103424474.599 | 16103424474.599 | 16050512141.900 | 0.054 | 0.073 | -0.022 |
| -68.199 | -68.199 | -67.900 | 11994.061 | -0.063 | -0.001 |
| -322.500 | -322.600 | -321.400 | 0.033 | 11993.978 | -0.022 |
| -207.799 | -207.799 | -207.100 | 0.068 | 0.018 | 20768.680 |
| 16140918241.650 | 16140874650.990 | 16087769139.420 | -0.002 | -0.002 | 0.002 |
| 16140879725.840 | 16140913003.350 | 16087769057.970 | -0.000 | 0.005 | 0.002 |
| 16087816313.320 | 16087816313.320 | 16034956567.090 | -0.004 | 0.001 | 0.002 |
| 133.840 | 133.840 | 133.400 | 11993.968 | -0.012 | 0.001 |
| 125.890 | 125.900 | 125.480 | -0.002 | 11993.974 | 0.003 |
| 120.270 | 120.270 | 119.870 | -0.006 | 0.002 | 15413.113 |
| 16169476676.580 | 16169446049.070 | 16116241242.490 | 0.004 | 0.001 | -0.001 |
| 16169448390.860 | 16169475142.870 | 16116241645.190 | 0.007 | -0.005 | -0.003 |
| 16116194501.480 | 16116194501.490 | 16063239142.620 | 0.008 | 0.003 | -0.002 |
| -131.190 | -131.180 | -130.750 | 11993.982 | 0.008 | 0.001 |
| -126.430 | -126.440 | -126.010 | 0.004 | 11993.971 | -0.000 |
| -255.870 | -255.880 | -255.030 | 0.004 | -0.003 | -5813.894 |
| 16012363755.146 | 16012341503.277 | 15959643038.790 | 0.000 | -0.000 | 0.000 |
| 16012341996.479 | 16012363263.589 | 15959643039.610 | -0.000 | 0.000 | 0.000 |
| 15960113647.272 | 15960113647.272 | 15907684062.013 | -0.001 | 0.002 | 0.000 |
| 1111.414 | 1111.385 | 1107.772 | 11993.975 | 0.002 | 0.000 |
| 1110.138 | 1110.168 | 1106.530 | -0.001 | 11993.976 | 0.000 |
| 813.638 | 813.737 | 810.954 | -0.001 | 0.001 | 9070.281 |
| 16298012060.799 | 16297995244.826 | 16244365921.808 | 0.001 | 0.000 | -0.000 |
| 16297985092.613 | 16298019812.235 | 16244364725.342 | 0.000 | 0.000 | -0.000 |
| 16243895777.568 | 16243895777.568 | 16190510064.925 | 0.001 | 0.001 | -0.000 |
| -1110.294 | -1110.263 | -1106.655 | 11993.977 | -0.001 | -0.000 |
| -1110.044 | -1110.075 | -1106.437 | 0.001 | 11993.975 | -0.000 |
| -814.165 | -814.264 | -811.479 | 0.001 | 0.000 | 9607.697 |
| 324.010 | 125.034 | 91.412 | 0.000 | 0.000 | -0.000 |
| 141.242 | 307.801 | 91.412 | -0.000 | -0.000 | -0.000 |
| 91.412 | 91.412 | 346.079 | -0.000 | -0.000 | 0.000 |
| 0.000 | -0.000 | 0.000 | 66.612 | 0.000 | -0.000 |
| 0.000 | -0.000 | 0.000 | 0.000 | 66.612 | -0.000 |
| 0.000 | 0.000 | -0.000 | 0.000 | -0.000 | 99.488 |
| 324.010 | 125.034 | 91.412 | 0.000 | 0.000 | 0.000 |
| 141.242 | 307.801 | 91.412 | -0.000 | 0.000 | 0.000 |
| 91.412 | 91.412 | 346.079 | -0.000 | -0.000 | -0.000 |
| -0.000 | 0.000 | 0.000 | 66.612 | 0.000 | -0.000 |
| -0.000 | 0.000 | -0.000 | 0.000 | 66.612 | 0.000 |
| -0.000 | -0.000 | 0.000 | -0.000 | 0.000 | 99.488 |
| 307.801 | 141.242 | 91.411 | -0.000 | -0.000 | -0.000 |
| 141.242 | 307.801 | 91.411 | -0.000 | -0.000 | -0.000 |
| 91.411 | 91.411 | 346.079 | 0.000 | -0.000 | 0.000 |
| 0.000 | -0.000 | 0.000 | 66.612 | 0.000 | -0.000 |
| -0.000 | 0.000 | 0.000 | 0.000 | 66.612 | -0.000 |
| -0.000 | 0.000 | -0.000 | -0.000 | -0.000 | 83.280 |
| 307.801 | 141.242 | 91.412 | -0.000 | 0.000 | 0.000 |
| 125.034 | 324.010 | 91.412 | 0.000 | -0.000 | 0.000 |
| 91.412 | 91.412 | 346.079 | -0.000 | 0.000 | -0.000 |
| -0.000 | 0.000 | -0.000 | 66.612 | -0.000 | 0.000 |
| 0.000 | -0.000 | -0.000 | 0.000 | 66.612 | 0.000 |
| 0.000 | -0.000 | 0.000 | 0.000 | 0.000 | 83.280 |
| 307.802 | 141.242 | 91.411 | -0.000 | 0.000 | -0.000 |
| 141.242 | 307.802 | 91.411 | -0.000 | 0.000 | -0.000 |
| 91.411 | 91.411 | 346.080 | -0.000 | -0.000 | 0.000 |
| 0.000 | -0.000 | 0.000 | 66.612 | -0.000 | -0.000 |
| -0.000 | 0.000 | 0.000 | 0.000 | 66.612 | 0.000 |
| -0.000 | 0.000 | 0.000 | 0.000 | -0.000 | 99.488 |
| 307.800 | 141.243 | 91.412 | 0.000 | 0.000 | 0.000 |
| 141.242 | 307.801 | 91.412 | 0.000 | 0.000 | 0.000 |
| 91.412 | 91.412 | 346.078 | -0.000 | 0.000 | -0.000 |
| -0.000 | 0.000 | -0.000 | 66.612 | 0.000 | 0.000 |
| 0.000 | -0.000 | -0.000 | 0.000 | 66.612 | -0.000 |
| 0.000 | -0.000 | -0.000 | -0.000 | 0.000 | 99.488 |
| 13048810508.427 | 13048814887.930 | 13048814887.931 | 0.001 | 0.002 | 0.002 |
| 13048814898.362 | 13048810518.855 | 13048814898.361 | 0.001 | 0.001 | 0.002 |
| 13048814897.757 | 13048814897.755 | 13048810518.250 | 0.001 | 0.001 | 0.001 |
| -329.135 | -329.136 | -329.136 | 3265.856 | 0.000 | 0.000 |
| -334.995 | -334.996 | -334.996 | -0.000 | 3267.976 | -0.000 |
| -330.543 | -330.545 | -330.544 | -0.000 | -0.000 | 3273.104 |
| 13050731923.795 | 13050736181.622 | 13050736181.620 | -0.000 | -0.002 | -0.002 |
| 13050736218.624 | 13050731960.801 | 13050736218.625 | -0.001 | -0.001 | -0.002 |
| 13050736232.310 | 13050736232.311 | 13050731974.486 | -0.002 | -0.002 | -0.002 |
| 533.474 | 533.476 | 533.475 | 336.020 | 0.002 | 0.001 |
| 532.396 | 532.396 | 532.396 | 0.002 | 321.331 | 0.002 |
| 531.114 | 531.115 | 531.115 | 0.002 | 0.003 | 301.885 |
| 13040168852.098 | 13040173778.723 | 13040173778.723 | 0.000 | 0.000 | 0.000 |
| 13040173775.879 | 13040168849.254 | 13040173775.879 | 0.000 | 0.000 | 0.000 |
| 13040173770.216 | 13040173770.215 | 13040168843.590 | 0.000 | -0.000 | 0.000 |
| -162.813 | -162.814 | -162.813 | -59.765 | 0.000 | 0.000 |
| -126.071 | -126.070 | -126.070 | 0.000 | 475.989 | 0.000 |
| -126.181 | -126.181 | -126.181 | 0.000 | 0.000 | 473.252 |
| 13059373504.982 | 13059377214.800 | 13059377214.800 | -0.000 | -0.000 | -0.000 |
| 13059377217.681 | 13059373507.864 | 13059377217.682 | -0.000 | -0.000 | -0.000 |
| 13059377213.804 | 13059377213.804 | 13059373503.986 | -0.000 | -0.000 | -0.000 |
| 125.229 | 125.230 | 125.229 | 489.815 | -0.000 | -0.000 |
| 125.334 | 125.334 | 125.334 | -0.000 | 487.711 | -0.000 |
| 125.022 | 125.022 | 125.022 | -0.000 | -0.000 | 492.701 |
| 12953748151.706 | 12953758509.667 | 12953758509.667 | -0.000 | 0.000 | -0.000 |
| 12953758509.542 | 12953748151.581 | 12953758509.542 | -0.000 | 0.000 | -0.000 |
| 12953758509.261 | 12953758509.261 | 12953748151.299 | -0.000 | -0.000 | -0.000 |
| 1528.433 | 1528.426 | 1528.435 | 3456.569 | -0.000 | -0.000 |
| 1528.433 | 1528.440 | 1528.442 | -0.000 | 3456.569 | -0.000 |
| 1529.120 | 1529.129 | 1529.127 | -0.000 | -0.000 | 3456.569 |
| 13145793496.983 | 13145791686.867 | 13145791686.867 | -0.000 | 0.000 | -0.000 |
| 13145791687.400 | 13145793497.516 | 13145791687.400 | -0.000 | -0.000 | -0.000 |
| 13145791687.419 | 13145791687.419 | 13145793497.534 | -0.000 | 0.000 | -0.000 |
| -1528.793 | -1528.786 | -1528.795 | 3456.569 | 0.000 | 0.000 |
| -1528.555 | -1528.562 | -1528.564 | 0.000 | 3456.569 | 0.000 |
| -1528.458 | -1528.467 | -1528.465 | 0.000 | 0.000 | 3456.569 |
| 78.987 | 120.031 | 120.031 | -0.000 | -0.000 | -0.000 |
| 120.031 | 78.987 | 120.031 | -0.000 | -0.000 | -0.000 |
| 120.031 | 120.031 | 78.987 | -0.000 | -0.000 | -0.000 |
| 0.000 | 0.000 | -0.000 | -55.469 | -0.000 | -0.000 |
| 0.000 | 0.000 | -0.000 | -0.000 | -55.469 | -0.000 |
| 0.000 | 0.000 | -0.000 | -0.000 | -0.000 | -55.469 |
| 78.987 | 120.031 | 120.031 | 0.000 | 0.000 | 0.000 |
| 120.031 | 78.987 | 120.031 | 0.000 | 0.000 | 0.000 |
| 120.031 | 120.031 | 78.987 | 0.000 | 0.000 | 0.000 |
| 0.000 | -0.000 | 0.000 | -55.469 | 0.000 | 0.000 |
| 0.000 | -0.000 | 0.000 | 0.000 | -55.469 | 0.000 |
| -0.000 | -0.000 | 0.000 | 0.000 | 0.000 | -55.469 |
| 78.987 | 120.031 | 120.031 | -0.000 | -0.000 | -0.000 |
| 120.031 | 78.987 | 120.031 | -0.000 | -0.000 | -0.000 |
| 120.031 | 120.031 | 78.987 | -0.000 | -0.000 | -0.000 |
| -0.000 | -0.000 | -0.000 | -55.469 | -0.000 | -0.000 |
| -0.000 | -0.000 | -0.000 | -0.000 | -55.469 | -0.000 |
| -0.000 | -0.000 | -0.000 | -0.000 | -0.000 | -55.469 |
| 78.987 | 120.031 | 120.031 | 0.000 | 0.000 | 0.000 |
| 120.031 | 78.987 | 120.031 | 0.000 | 0.000 | 0.000 |
| 120.031 | 120.031 | 78.987 | 0.000 | 0.000 | 0.000 |
| 0.000 | 0.000 | 0.000 | -55.469 | 0.000 | 0.000 |
| 0.000 | 0.000 | 0.000 | 0.000 | -55.469 | 0.000 |
| 0.000 | 0.000 | 0.000 | 0.000 | 0.000 | -55.469 |
| 78.987 | 120.032 | 120.032 | -0.000 | -0.000 | -0.000 |
| 120.032 | 78.987 | 120.032 | -0.000 | -0.000 | -0.000 |
| 120.032 | 120.032 | 78.987 | -0.000 | -0.000 | -0.000 |
| -0.000 | -0.000 | -0.000 | -55.469 | -0.000 | -0.000 |
| -0.000 | -0.000 | -0.000 | -0.000 | -55.469 | -0.000 |
| -0.000 | -0.000 | -0.000 | -0.000 | -0.000 | -55.469 |
| 78.986 | 120.031 | 120.031 | 0.000 | 0.000 | 0.000 |
| 120.031 | 78.986 | 120.031 | 0.000 | 0.000 | 0.000 |
| 120.031 | 120.031 | 78.986 | 0.000 | 0.000 | 0.000 |
| 0.000 | 0.000 | 0.000 | -55.469 | 0.000 | 0.000 |
| 0.000 | 0.000 | 0.000 | 0.000 | -55.469 | 0.000 |
| 0.000 | 0.000 | 0.000 | 0.000 | 0.000 | -55.469 |
| -260.722 | 679.432 | 67.792 | 0.000 | -0.000 | 0.000 |
| 679.432 | -260.722 | 67.792 | -0.000 | 0.000 | 0.000 |
| 67.792 | 67.792 | 382.736 | 0.000 | -0.000 | 0.000 |
| -0.000 | 0.000 | 0.000 | -19.803 | -0.000 | 0.000 |
| -0.000 | 0.000 | -0.000 | 0.000 | -19.803 | -0.000 |
| -0.000 | -0.000 | 0.000 | -0.000 | -0.000 | -25.280 |
| 385.761 | 32.950 | 67.792 | 0.000 | -0.000 | -0.000 |
| 32.950 | 385.761 | 67.792 | 0.000 | 0.000 | 0.000 |
| 67.792 | 67.792 | 382.736 | 0.000 | -0.000 | -0.000 |
| 0.000 | -0.000 | -0.000 | -19.803 | 0.000 | 0.000 |
| 0.000 | -0.000 | -0.000 | 0.000 | -19.803 | 0.000 |
| 0.000 | 0.000 | 0.000 | 0.000 | 0.000 | -25.280 |
| 385.761 | 32.950 | 67.792 | -0.000 | 0.000 | 0.000 |
| 32.950 | 385.761 | 67.792 | -0.000 | 0.000 | 0.000 |
| 67.792 | 67.792 | 382.737 | -0.000 | -0.000 | 0.000 |
| -0.000 | 0.000 | -0.000 | -19.803 | -0.000 | 0.000 |
| 0.000 | -0.000 | -0.000 | -0.000 | -19.803 | 0.000 |
| -0.000 | -0.000 | -0.000 | -0.000 | -0.000 | -25.280 |
| 385.760 | 32.950 | 67.792 | -0.000 | 0.000 | -0.000 |
| 32.950 | 385.760 | 67.792 | 0.000 | 0.000 | -0.000 |
| 67.792 | 67.792 | 382.736 | 0.000 | 0.000 | -0.000 |
| 0.000 | -0.000 | 0.000 | -19.803 | -0.000 | 0.000 |
| -0.000 | 0.000 | 0.000 | 0.000 | -19.803 | -0.000 |
| 0.000 | 0.000 | 0.000 | 0.000 | -0.000 | -25.280 |
| -495.681 | 914.382 | 67.792 | -0.000 | -0.000 | -0.000 |
| 914.382 | -495.681 | 67.792 | -0.000 | -0.000 | -0.000 |
| 67.793 | 67.793 | 382.739 | -0.000 | 0.000 | 0.000 |
| -0.000 | 0.000 | -0.000 | -19.803 | 0.000 | -0.000 |
| 0.000 | -0.000 | -0.000 | 0.000 | -19.803 | -0.000 |
| 0.000 | -0.000 | -0.000 | -0.000 | -0.000 | -25.280 |
| -378.184 | 796.900 | 67.792 | 0.000 | -0.000 | 0.000 |
| 796.900 | -378.184 | 67.792 | -0.000 | 0.000 | 0.000 |
| 67.791 | 67.791 | 382.733 | -0.000 | 0.000 | -0.000 |
| 0.000 | -0.000 | 0.000 | -19.803 | 0.000 | -0.000 |
| -0.000 | 0.000 | 0.000 | 0.000 | -19.803 | 0.000 |
| -0.000 | 0.000 | 0.000 | 0.000 | 0.000 | -25.280 |
| 15617234319.767 | 15617221985.633 | 15617221985.633 | -0.000 | -0.000 | -0.000 |
| 15617221967.691 | 15617234301.824 | 15617221967.691 | 0.000 | -0.000 | -0.000 |
| 15617221861.343 | 15617221861.343 | 15617234195.476 | -0.000 | -0.000 | -0.000 |
| 313.188 | 313.187 | 313.187 | -1548.477 | 0.000 | -0.000 |
| 378.626 | 378.626 | 378.626 | -0.000 | -1548.477 | 0.000 |
| 427.870 | 427.870 | 427.869 | -0.000 | -0.000 | -1548.477 |
| 15619674145.592 | 15619662180.723 | 15619662180.723 | 0.000 | 0.000 | -0.000 |
| 15619662205.240 | 15619674170.109 | 15619662205.240 | 0.000 | 0.000 | -0.000 |
| 15619662144.825 | 15619662144.825 | 15619674109.694 | 0.000 | -0.000 | 0.000 |
| -391.758 | -391.758 | -391.757 | -1548.477 | 0.000 | -0.000 |
| -378.188 | -378.188 | -378.188 | 0.000 | -1548.476 | 0.000 |
| -369.654 | -369.653 | -369.653 | -0.000 | 0.000 | -1548.477 |
| 15606250617.184 | 15606236622.788 | 15606236622.788 | -0.000 | -0.000 | -0.000 |
| 15606236623.225 | 15606250617.621 | 15606236623.225 | -0.000 | -0.000 | 0.000 |
| 15606236621.608 | 15606236621.608 | 15606250616.004 | -0.000 | -0.000 | 0.000 |
| -53.639 | -53.639 | -53.640 | -1548.477 | -0.000 | 0.000 |
| -52.983 | -52.983 | -52.984 | -0.000 | -1548.477 | -0.000 |
| -47.118 | -47.119 | -47.118 | -0.000 | -0.000 | -1548.477 |
| 15630657637.851 | 15630647336.103 | 15630647336.103 | -0.000 | -0.000 | 0.000 |
| 15630647338.470 | 15630657640.219 | 15630647338.470 | -0.000 | 0.000 | 0.000 |
| 15630647333.385 | 15630647333.385 | 15630657635.134 | 0.000 | -0.000 | 0.000 |
| 50.072 | 50.072 | 50.073 | -1548.477 | 0.000 | -0.000 |
| 53.114 | 53.114 | 53.115 | 0.000 | -1548.477 | 0.000 |
| 50.050 | 50.051 | 50.050 | -0.000 | 0.000 | -1548.477 |
| 15496418013.556 | 15496387545.121 | 15496387545.121 | 0.000 | -0.000 | 0.000 |
| 15496387545.067 | 15496418013.502 | 15496387545.067 | -0.000 | -0.000 | -0.000 |
| 15496387544.490 | 15496387544.490 | 15496418012.925 | 0.000 | 0.000 | 0.000 |
| -1027.999 | -1027.996 | -1028.005 | -1548.476 | -0.000 | -0.000 |
| -1028.434 | -1028.437 | -1028.443 | -0.000 | -1548.476 | -0.000 |
| -1030.064 | -1030.073 | -1030.067 | -0.000 | -0.000 | -1548.476 |
| 15740488735.263 | 15740495193.292 | 15740495193.292 | -0.000 | 0.000 | -0.000 |
| 15740495193.157 | 15740488735.127 | 15740495193.157 | 0.000 | 0.000 | -0.000 |
| 15740495191.747 | 15740495191.747 | 15740488733.718 | 0.000 | -0.000 | -0.000 |
| 1029.065 | 1029.062 | 1029.071 | -1548.476 | 0.000 | -0.000 |
| 1028.972 | 1028.975 | 1028.981 | 0.000 | -1548.476 | 0.000 |
| 1029.950 | 1029.960 | 1029.954 | 0.000 | 0.000 | -1548.476 |
| 407.780 | 39.378 | 39.378 | 0.000 | 0.000 | -0.000 |
| 39.378 | 407.780 | 39.378 | 0.000 | -0.000 | -0.000 |
| 39.378 | 39.378 | 407.780 | 0.000 | 0.000 | 0.000 |
| 0.000 | 0.000 | 0.000 | -27.635 | 0.000 | 0.000 |
| 0.000 | -0.000 | 0.000 | 0.000 | -27.635 | -0.000 |
| 0.000 | -0.000 | 0.000 | 0.000 | -0.000 | -27.635 |
| 407.780 | 39.378 | 39.378 | -0.000 | 0.000 | 0.000 |
| 39.378 | 407.780 | 39.378 | -0.000 | -0.000 | 0.000 |
| 39.378 | 39.378 | 407.780 | -0.000 | 0.000 | 0.000 |
| -0.000 | -0.000 | -0.000 | -27.635 | -0.000 | 0.000 |
| -0.000 | -0.000 | -0.000 | -0.000 | -27.635 | 0.000 |
| -0.000 | 0.000 | -0.000 | -0.000 | -0.000 | -27.635 |
| 407.780 | 39.378 | 39.378 | 0.000 | 0.000 | 0.000 |
| 39.378 | 407.780 | 39.378 | 0.000 | -0.000 | 0.000 |
| 39.378 | 39.378 | 407.780 | 0.000 | 0.000 | 0.000 |
| 0.000 | 0.000 | -0.000 | -27.635 | 0.000 | -0.000 |
| 0.000 | 0.000 | -0.000 | 0.000 | -27.635 | -0.000 |
| 0.000 | -0.000 | 0.000 | 0.000 | 0.000 | -27.635 |
| 407.780 | 39.378 | 39.378 | -0.000 | 0.000 | 0.000 |
| 39.378 | 407.780 | 39.378 | -0.000 | -0.000 | 0.000 |
| 39.378 | 39.378 | 407.780 | -0.000 | 0.000 | -0.000 |
| -0.000 | -0.000 | 0.000 | -27.635 | -0.000 | -0.000 |
| -0.000 | -0.000 | 0.000 | -0.000 | -27.635 | 0.000 |
| -0.000 | 0.000 | -0.000 | -0.000 | -0.000 | -27.635 |
| 407.783 | 39.377 | 39.377 | 0.000 | 0.000 | -0.000 |
| 39.377 | 407.783 | 39.377 | 0.000 | 0.000 | -0.000 |
| 39.377 | 39.377 | 407.783 | 0.000 | 0.000 | -0.000 |
| 0.000 | 0.000 | -0.000 | -27.635 | -0.000 | -0.000 |
| 0.000 | 0.000 | -0.000 | 0.000 | -27.635 | -0.000 |
| 0.000 | -0.000 | 0.000 | 0.000 | 0.000 | -27.635 |
| 407.778 | 39.378 | 39.378 | -0.000 | -0.000 | -0.000 |
| 39.378 | 407.778 | 39.378 | -0.000 | -0.000 | -0.000 |
| 39.378 | 39.378 | 407.778 | -0.000 | -0.000 | 0.000 |
| -0.000 | -0.000 | 0.000 | -27.635 | 0.000 | 0.000 |
| -0.000 | -0.000 | 0.000 | -0.000 | -27.635 | 0.000 |
| -0.000 | 0.000 | -0.000 | -0.000 | -0.000 | -27.635 |
| 58.294 | -107.929 | 54.385 | 0.000 | 0.000 | -0.000 |
| 26.888 | 41.935 | 140.035 | 0.000 | 0.000 | -0.000 |
| 8.049 | 10.908 | 85.579 | 0.000 | 0.000 | -0.000 |
| -46.596 | -115.599 | 54.388 | -5.507 | 0.000 | -0.000 |
| -46.904 | -116.266 | 53.824 | 0.000 | -12.803 | -0.000 |
| -45.976 | -114.137 | 54.385 | 0.000 | 0.000 | 18.550 |
| 150.247 | 120.346 | -54.385 | -0.000 | -0.000 | 0.000 |
| 28.324 | 67.483 | -71.448 | -0.000 | -0.000 | 0.000 |
| -1.371 | 6.142 | -80.958 | -0.000 | -0.000 | 0.000 |
| 46.596 | 115.599 | -54.388 | -5.507 | -0.000 | -0.000 |
| 46.904 | 116.266 | -53.824 | -0.000 | -12.803 | 0.000 |
| 45.976 | 114.137 | -54.385 | -0.000 | -0.000 | 18.550 |
| 99.673 | -5.205 | 5.438 | 0.000 | 0.000 | -0.000 |
| 4.414 | 3.033 | 5.438 | 0.000 | 0.000 | -0.000 |
| -7.317 | -16.936 | 5.437 | 0.000 | 0.000 | -0.000 |
| -15.985 | -38.277 | 5.497 | -10.120 | 0.000 | 0.000 |
| -9.200 | -21.628 | -0.685 | 0.000 | -19.482 | -0.000 |
| -4.598 | -11.414 | 5.438 | 0.000 | 0.000 | 18.550 |
| 112.817 | 26.932 | -5.400 | -0.000 | -0.000 | 0.000 |
| 13.609 | 25.860 | -5.438 | -0.000 | -0.000 | 0.000 |
| -0.088 | 1.321 | -6.086 | -0.000 | -0.000 | 0.000 |
| 15.985 | 38.277 | -5.497 | -10.120 | -0.000 | 0.000 |
| 9.200 | 21.628 | 0.685 | -0.000 | -19.482 | 0.000 |
| 4.598 | 11.414 | -5.438 | -0.000 | -0.000 | 18.550 |
| 103.812 | 5.067 | 0.543 | 0.000 | 0.000 | 0.000 |
| 8.552 | 13.305 | 0.543 | 0.000 | 0.000 | -0.000 |
| -0.031 | 0.674 | 1.378 | 0.000 | 0.000 | -0.000 |
| 0.008 | -0.077 | 0.920 | -4.232 | 0.000 | 0.000 |
| 3373904.048 | 3464226.541 | 0.542 | -0.002 | 0.001 | 0.000 |
| -0.460 | -1.141 | 0.544 | 0.000 | 0.000 | 18.550 |
| 104.730 | 7.350 | -0.543 | -0.000 | -0.000 | 0.000 |
| 9.471 | 15.587 | -0.543 | -0.000 | -0.000 | 0.000 |
| -2.259 | -4.380 | -0.532 | -0.000 | -0.000 | 0.000 |
| -0.008 | 0.077 | -0.920 | -4.232 | -0.000 | -0.000 |
| -3373904.048 | -3464226.541 | -0.542 | 0.002 | 0.001 | -0.000 |
| 0.460 | 1.141 | -0.544 | -0.000 | -0.000 | 18.550 |
| 378.728 | 49.740 | 83.853 | 0.000 | -0.000 | 0.000 |
| 49.740 | 378.728 | 83.853 | 0.000 | 0.000 | 0.000 |
| 91.192 | 91.192 | 319.601 | 0.000 | 0.000 | 0.000 |
| -0.000 | -0.000 | 0.000 | -62.597 | -0.000 | 0.000 |
| -0.000 | -0.000 | 0.000 | 0.000 | -62.597 | 0.000 |
| -0.000 | -0.000 | -0.000 | 0.000 | 0.000 | 0.798 |
| 360.165 | 31.176 | 92.492 | -0.000 | 0.000 | -0.000 |
| 31.176 | 360.165 | 92.492 | -0.000 | -0.000 | -0.000 |
| 82.554 | 82.554 | 323.621 | -0.000 | -0.000 | -0.000 |
| 0.000 | 0.000 | -0.000 | -62.597 | 0.000 | -0.000 |
| 0.000 | 0.000 | -0.000 | -0.000 | -62.597 | -0.000 |
| 0.000 | 0.000 | -0.000 | -0.000 | -0.000 | 0.798 |
| 360.165 | 31.176 | 92.492 | 0.000 | 0.000 | 0.000 |
| 31.176 | 360.165 | 92.492 | 0.000 | -0.000 | 0.000 |
| 82.554 | 82.554 | 323.621 | 0.000 | -0.000 | 0.000 |
| -0.000 | -0.000 | -0.000 | -62.597 | 0.000 | 0.000 |
| -0.000 | -0.000 | -0.000 | 0.000 | -62.597 | 0.000 |
| -0.000 | -0.000 | 0.000 | 0.000 | 0.000 | 0.798 |
| 378.728 | 49.740 | 83.853 | -0.000 | 0.000 | -0.000 |
| 49.740 | 378.728 | 83.853 | -0.000 | 0.000 | -0.000 |
| 91.192 | 91.192 | 319.601 | -0.000 | -0.000 | -0.000 |
| 0.000 | 0.000 | 0.000 | -62.597 | -0.000 | -0.000 |
| 0.000 | 0.000 | 0.000 | -0.000 | -62.597 | -0.000 |
| 0.000 | 0.000 | -0.000 | -0.000 | -0.000 | 0.798 |
| 360.167 | 31.176 | 92.492 | 0.000 | 0.000 | 0.000 |
| 31.176 | 360.167 | 92.492 | 0.000 | 0.000 | 0.000 |
| 91.192 | 91.192 | 319.603 | 0.000 | 0.000 | 0.000 |
| -0.001 | -0.000 | -0.000 | -62.597 | 0.000 | 0.000 |
| -0.000 | -0.001 | -0.000 | 0.000 | -62.597 | 0.000 |
| 0.000 | -0.000 | 0.000 | 0.000 | 0.000 | 0.798 |
| 360.162 | 31.176 | 92.492 | -0.000 | -0.000 | -0.000 |
| 31.176 | 360.162 | 92.492 | -0.000 | 0.000 | -0.000 |
| 91.192 | 91.192 | 319.600 | -0.000 | -0.000 | -0.000 |
| 0.001 | 0.000 | 0.000 | -62.597 | -0.000 | -0.000 |
| 0.000 | 0.001 | 0.000 | -0.000 | -62.597 | -0.000 |
| -0.000 | 0.000 | -0.000 | -0.000 | -0.000 | 0.798 |
| -27.432 | -173.335 | -173.335 | 0.000 | -0.000 | -0.000 |
| -173.335 | -27.432 | -173.335 | 0.000 | 0.000 | -0.000 |
| -173.335 | -173.335 | -27.432 | 0.000 | -0.000 | -0.000 |
| 0.000 | -0.000 | 0.000 | 61.665 | -0.000 | -0.000 |
| 0.000 | -0.000 | 0.000 | -0.000 | 61.665 | 0.000 |
| 0.000 | -0.000 | 0.000 | 0.000 | -0.000 | 61.665 |
| 324.858 | 94.866 | 94.866 | -0.000 | -0.000 | -0.000 |
| 94.866 | 324.858 | 94.866 | -0.000 | 0.000 | 0.000 |
| 94.866 | 94.866 | 324.858 | 0.000 | 0.000 | -0.000 |
| -0.000 | 0.000 | -0.000 | 61.665 | 0.000 | 0.000 |
| -0.000 | 0.000 | 0.000 | 0.000 | 61.665 | 0.000 |
| -0.000 | 0.000 | 0.000 | -0.000 | -0.000 | 61.665 |
| 294.456 | 102.969 | 102.969 | -0.000 | -0.000 | -0.000 |
| 102.969 | 294.456 | 102.969 | 0.000 | -0.000 | -0.000 |
| 102.969 | 102.969 | 294.456 | 0.000 | 0.000 | -0.000 |
| -4.376 | -4.376 | -4.376 | 38.615 | -0.000 | -0.000 |
| -4.376 | -4.376 | -4.376 | 0.000 | 38.615 | -0.000 |
| -4.376 | -4.376 | -4.376 | 0.000 | -0.000 | 38.615 |
| 304.148 | 111.306 | 111.306 | -0.000 | 0.000 | 0.000 |
| 111.306 | 304.148 | 111.306 | -0.000 | 0.000 | -0.000 |
| 111.306 | 111.306 | 304.148 | 0.000 | -0.000 | -0.000 |
| 4.376 | 4.376 | 4.376 | 38.615 | 0.000 | 0.000 |
| 4.376 | 4.376 | 4.376 | -0.000 | 38.615 | 0.000 |
| 4.376 | 4.376 | 4.376 | -0.000 | 0.000 | 38.615 |
| 324.861 | 94.867 | 94.867 | 0.000 | -0.000 | -0.000 |
| 94.867 | 324.861 | 94.867 | 0.000 | 0.000 | -0.000 |
| 94.867 | 94.867 | 324.861 | 0.000 | -0.000 | -0.000 |
| -2.276 | -2.276 | -2.276 | 28.110 | -0.000 | -0.000 |
| -2.276 | -2.276 | -2.276 | 0.000 | 28.110 | -0.000 |
| -2.276 | -2.276 | -2.276 | 0.000 | 0.000 | 28.110 |
| 299.229 | 107.954 | 107.954 | 0.000 | -0.000 | 0.000 |
| 107.954 | 299.229 | 107.954 | -0.000 | 0.000 | -0.000 |
| 107.954 | 107.954 | 299.229 | -0.000 | 0.000 | 0.000 |
| 2.276 | 2.276 | 2.276 | 28.110 | 0.000 | -0.000 |
| 2.276 | 2.276 | 2.276 | -0.000 | 28.110 | 0.000 |
| 2.276 | 2.276 | 2.276 | -0.000 | 0.000 | 28.110 |
| 504.997 | 340.710 | 340.710 | 0.000 | 0.000 | -0.000 |
| 340.710 | 504.997 | 340.710 | 0.000 | 0.000 | -0.000 |
| 340.710 | 340.710 | 504.997 | 0.000 | 0.000 | 0.000 |
| 448.541 | 448.541 | 448.541 | 13.622 | 0.000 | 0.000 |
| 448.541 | 448.541 | 448.541 | 0.000 | 13.622 | 0.000 |
| 448.541 | 448.541 | 448.541 | 0.000 | 0.000 | 13.622 |
| 55.184 | -109.116 | -109.116 | -0.000 | 0.000 | -0.000 |
| -109.116 | 55.184 | -109.116 | -0.000 | -0.000 | -0.000 |
| -109.116 | -109.116 | 55.184 | -0.000 | 0.000 | -0.000 |
| -448.541 | -448.541 | -448.541 | 13.622 | -0.000 | -0.000 |
| -448.541 | -448.541 | -448.541 | -0.000 | 13.622 | -0.000 |
| -448.541 | -448.541 | -448.541 | -0.000 | -0.000 | 13.622 |
| 325.983 | 124.569 | 124.569 | 0.000 | 0.000 | 0.000 |
| 124.569 | 325.983 | 124.569 | 0.000 | 0.000 | 0.000 |
| 124.569 | 124.569 | 325.983 | 0.000 | 0.000 | 0.000 |
| 43.690 | 43.690 | 43.690 | 15.069 | 0.000 | 0.000 |
| 43.690 | 43.690 | 43.690 | 0.000 | 15.069 | 0.000 |
| 43.690 | 43.690 | 43.690 | 0.000 | 0.000 | 15.069 |
| 257.511 | 93.232 | 93.232 | -0.000 | -0.000 | -0.000 |
| 93.232 | 257.511 | 93.232 | -0.000 | 0.000 | -0.000 |
| 93.232 | 93.232 | 257.511 | 0.000 | 0.000 | -0.000 |
| -43.690 | -43.690 | -43.690 | 15.069 | -0.000 | -0.000 |
| -43.690 | -43.690 | -43.690 | -0.000 | 15.069 | -0.000 |
| -43.690 | -43.690 | -43.690 | -0.000 | -0.000 | 15.069 |
| 293.146 | 112.788 | 112.788 | 0.000 | 0.000 | -0.000 |
| 112.788 | 293.146 | 112.788 | 0.000 | 0.000 | -0.000 |
| 112.788 | 112.788 | 293.146 | 0.000 | 0.000 | 0.000 |
| 2.095 | 2.095 | 2.095 | 44.420 | 0.000 | 0.000 |
| 2.095 | 2.095 | 2.095 | 0.000 | 44.420 | 0.000 |
| 2.095 | 2.095 | 2.095 | 0.000 | 0.000 | 44.420 |
| 288.208 | 107.317 | 107.317 | -0.000 | -0.000 | 0.000 |
| 107.317 | 288.208 | 107.317 | -0.000 | -0.000 | 0.000 |
| 107.317 | 107.317 | 288.208 | -0.000 | 0.000 | -0.000 |
| -2.095 | -2.095 | -2.095 | 44.420 | -0.000 | -0.000 |
| -2.095 | -2.095 | -2.095 | -0.000 | 44.420 | -0.000 |
| -2.095 | -2.095 | -2.095 | -0.000 | -0.000 | 44.420 |
| 157.205 | 46.758 | 46.758 | 0.000 | 0.000 | -0.000 |
| 46.758 | 157.204 | 46.758 | 0.000 | 0.000 | -0.000 |
| 46.758 | 46.758 | 157.204 | 0.000 | 0.000 | -0.000 |
| 0.000 | -0.000 | 0.000 | 100.731 | 0.000 | 0.000 |
| 0.000 | 0.000 | 0.000 | 0.000 | 100.731 | 0.000 |
| 0.000 | 0.000 | 0.000 | -0.000 | -0.000 | 100.731 |
| 262.322 | 132.694 | 132.694 | -0.000 | -0.000 | -0.000 |
| 132.694 | 262.322 | 132.694 | -0.000 | 0.000 | 0.000 |
| 132.694 | 132.694 | 262.322 | -0.000 | 0.000 | -0.000 |
| -0.000 | 0.000 | -0.000 | 100.731 | 0.000 | 0.000 |
| -0.000 | -0.000 | -0.000 | -0.000 | 100.731 | -0.000 |
| -0.000 | -0.000 | -0.000 | -0.000 | 0.000 | 100.731 |
| 262.322 | 132.694 | 132.694 | 0.000 | 0.000 | 0.000 |
| 132.694 | 262.322 | 132.694 | 0.000 | -0.000 | 0.000 |
| 132.694 | 132.694 | 262.322 | 0.000 | -0.000 | 0.000 |
| -9.108 | -9.108 | -9.108 | 74.875 | 0.000 | -0.000 |
| -9.108 | -9.108 | -9.108 | 0.000 | 74.875 | -0.000 |
| -9.108 | -9.108 | -9.108 | 0.000 | 0.000 | 74.875 |
| 258.292 | 147.298 | 147.298 | -0.000 | -0.000 | 0.000 |
| 147.298 | 258.292 | 147.298 | -0.000 | -0.000 | 0.000 |
| 147.298 | 147.298 | 258.292 | -0.000 | -0.000 | 0.000 |
| 9.108 | 9.108 | 9.108 | 74.875 | -0.000 | 0.000 |
| 9.108 | 9.108 | 9.108 | -0.000 | 74.875 | 0.000 |
| 9.108 | 9.108 | 9.108 | -0.000 | -0.000 | 74.875 |
| 246.255 | 136.855 | 136.855 | 0.000 | 0.000 | -0.000 |
| 136.855 | 246.255 | 136.855 | 0.000 | 0.000 | -0.000 |
| 136.855 | 136.855 | 246.255 | 0.000 | 0.000 | -0.000 |
| -0.873 | -0.873 | -0.873 | 75.955 | 0.000 | -0.000 |
| -0.873 | -0.873 | -0.873 | 0.000 | 75.955 | -0.000 |
| -0.873 | -0.873 | -0.873 | 0.000 | 0.000 | 75.955 |
| 262.321 | 132.694 | 132.694 | -0.000 | 0.000 | 0.000 |
| 132.694 | 262.321 | 132.694 | -0.000 | -0.000 | -0.000 |
| 132.694 | 132.694 | 262.321 | -0.000 | -0.000 | 0.000 |
| 0.873 | 0.873 | 0.873 | 75.955 | -0.000 | 0.000 |
| 0.873 | 0.873 | 0.873 | -0.000 | 75.955 | 0.000 |
| 0.873 | 0.873 | 0.873 | -0.000 | -0.000 | 75.955 |
| -166.882 | -192.221 | -192.221 | -0.000 | 0.000 | 0.000 |
| -192.221 | -166.882 | -192.221 | -0.000 | 0.000 | 0.000 |
| -192.221 | -192.221 | -166.882 | -0.000 | 0.000 | 0.000 |
| 0.000 | -0.000 | -0.000 | 100.540 | -0.000 | -0.000 |
| 0.000 | -0.000 | -0.000 | 0.000 | 100.540 | -0.000 |
| 0.000 | -0.000 | -0.000 | 0.000 | -0.000 | 100.540 |
| 262.038 | 132.694 | 132.694 | -0.000 | 0.000 | 0.000 |
| 132.694 | 262.038 | 132.694 | -0.000 | -0.000 | 0.000 |
| 132.694 | 132.694 | 262.038 | -0.000 | 0.000 | 0.000 |
| -0.000 | 0.000 | 0.000 | 100.540 | 0.000 | 0.000 |
| -0.000 | 0.000 | 0.000 | -0.000 | 100.540 | 0.000 |
| -0.000 | 0.000 | -0.000 | 0.000 | 0.000 | 100.540 |
| 262.038 | 132.694 | 132.694 | 0.000 | -0.000 | -0.000 |
| 132.694 | 262.038 | 132.694 | 0.000 | 0.000 | -0.000 |
| 132.694 | 132.694 | 262.038 | 0.000 | -0.000 | -0.000 |
| -38.691 | -38.691 | -38.691 | 67.046 | -0.000 | -0.000 |
| -38.691 | -38.691 | -38.691 | -0.000 | 67.046 | -0.000 |
| -38.691 | -38.691 | -38.691 | -0.000 | -0.000 | 67.046 |
| 262.038 | 132.695 | 132.695 | -0.000 | -0.000 | 0.000 |
| 132.695 | 262.038 | 132.695 | -0.000 | -0.000 | 0.000 |
| 132.695 | 132.695 | 262.038 | -0.000 | -0.000 | 0.000 |
| 38.691 | 38.691 | 38.691 | 67.046 | 0.000 | 0.000 |
| 38.691 | 38.691 | 38.691 | 0.000 | 67.046 | 0.000 |
| 38.691 | 38.691 | 38.691 | 0.000 | 0.000 | 67.046 |
| 238.999 | 136.944 | 136.944 | 0.000 | -0.000 | -0.000 |
| 136.944 | 238.999 | 136.944 | -0.000 | -0.000 | -0.000 |
| 136.944 | 136.944 | 238.999 | -0.000 | -0.000 | -0.000 |
| -3.225 | -3.225 | -3.225 | 68.919 | -0.000 | -0.000 |
| -3.225 | -3.225 | -3.225 | -0.000 | 68.919 | -0.000 |
| -3.225 | -3.225 | -3.225 | -0.000 | -0.000 | 68.919 |
| 262.038 | 132.695 | 132.695 | -0.000 | 0.000 | 0.000 |
| 132.695 | 262.038 | 132.695 | -0.000 | -0.000 | 0.000 |
| 132.695 | 132.695 | 262.038 | -0.000 | -0.000 | 0.000 |
| 3.225 | 3.225 | 3.225 | 68.919 | 0.000 | 0.000 |
| 3.225 | 3.225 | 3.225 | 0.000 | 68.919 | 0.000 |
| 3.225 | 3.225 | 3.225 | 0.000 | 0.000 | 68.919 |
| 320.798 | 149.709 | 79.861 | -0.000 | -0.000 | 0.000 |
| 149.409 | 351.987 | 21.207 | -0.000 | 0.000 | 0.000 |
| 80.818 | 21.392 | 344.499 | 0.000 | -0.000 | 0.000 |
| 0.000 | -0.000 | 0.000 | -21.522 | 0.000 | 0.000 |
| 0.000 | -0.000 | 0.000 | -0.000 | 36.250 | 0.000 |
| 0.000 | -0.000 | 0.000 | -0.000 | 0.000 | 105.019 |
| 305.965 | 148.539 | 79.811 | 0.000 | -0.000 | -0.000 |
| 148.773 | 351.936 | 21.205 | -0.000 | 0.000 | -0.000 |
| 80.548 | 21.371 | 344.498 | -0.000 | 0.000 | -0.000 |
| -0.000 | 0.000 | -0.000 | -21.522 | -0.000 | -0.000 |
| -0.000 | 0.000 | -0.000 | 0.000 | 36.250 | -0.000 |
| -0.000 | 0.000 | -0.000 | 0.000 | -0.000 | 105.019 |
| 320.798 | 149.709 | 79.861 | -0.000 | -0.000 | 0.000 |
| 149.123 | 351.964 | 21.206 | -0.000 | 0.000 | 0.000 |
| 80.531 | 21.369 | 344.498 | -0.000 | -0.000 | 0.000 |
| -0.000 | 0.000 | -0.000 | -21.522 | 0.000 | 0.000 |
| 0.241 | 0.019 | 0.001 | -0.000 | -58.931 | 0.000 |
| 0.000 | 0.000 | 0.000 | 0.000 | -0.000 | 105.019 |
| 306.251 | 148.562 | 79.812 | 0.000 | -0.000 | -0.000 |
| 149.059 | 351.959 | 21.206 | 0.000 | 0.000 | -0.000 |
| 80.467 | 21.364 | 344.497 | 0.000 | 0.000 | -0.000 |
| 0.000 | -0.000 | 0.000 | -21.522 | -0.000 | -0.000 |
| -0.241 | -0.019 | -0.001 | 0.000 | -58.931 | -0.000 |
| -0.000 | -0.000 | -0.000 | -0.000 | -0.000 | 105.019 |
| 306.288 | 148.565 | 79.812 | -0.000 | 0.000 | 0.000 |
| 149.095 | 351.964 | 21.206 | -0.000 | -0.000 | 0.000 |
| 80.503 | 21.367 | 344.501 | -0.000 | 0.000 | 0.000 |
| -0.000 | 0.000 | -0.000 | -21.522 | -0.000 | 0.000 |
| 0.000 | 0.000 | 0.000 | -0.000 | 36.250 | 0.000 |
| 0.003 | 0.001 | 0.000 | -0.000 | -0.000 | 105.019 |
| 306.279 | 148.564 | 79.812 | 0.000 | -0.000 | -0.000 |
| 149.087 | 351.959 | 21.206 | 0.000 | -0.000 | -0.000 |
| 80.548 | 21.371 | 344.495 | 0.000 | -0.000 | -0.000 |
| 0.000 | -0.000 | 0.000 | -21.522 | 0.000 | -0.000 |
| -0.000 | -0.000 | -0.000 | 0.000 | 36.250 | -0.000 |
| -0.003 | -0.001 | -0.000 | 0.000 | -0.000 | 105.019 |
| 317.303 | 138.209 | 90.554 | -0.000 | 0.000 | -0.000 |
| 139.130 | 304.502 | 92.299 | -0.000 | 0.000 | -0.000 |
| 91.120 | 91.871 | 345.756 | -0.000 | -0.000 | -0.000 |
| -0.000 | 0.000 | 0.000 | 67.298 | 0.000 | -0.000 |
| -0.000 | 0.000 | 0.000 | -0.000 | 65.661 | -0.000 |
| -0.000 | 0.000 | -0.000 | -0.000 | 0.000 | 80.966 |
| 317.303 | 138.209 | 90.554 | 0.000 | -0.000 | 0.000 |
| 139.131 | 304.502 | 92.299 | 0.000 | -0.000 | 0.000 |
| 91.120 | 91.871 | 345.756 | 0.000 | 0.000 | 0.000 |
| 0.000 | -0.000 | -0.000 | 67.298 | 0.000 | 0.000 |
| 0.000 | -0.000 | -0.000 | 0.000 | 65.661 | -0.000 |
| 0.000 | -0.000 | 0.000 | 0.000 | 0.000 | 80.966 |
| 317.303 | 138.210 | 90.554 | -0.000 | 0.000 | -0.000 |
| 139.131 | 304.501 | 92.299 | -0.000 | 0.000 | -0.000 |
| 91.084 | 91.906 | 345.756 | -0.000 | 0.000 | -0.000 |
| 0.000 | 0.000 | 0.000 | 67.298 | 0.000 | -0.000 |
| 0.000 | 0.000 | 0.000 | -0.000 | 65.661 | 0.000 |
| -0.000 | 0.000 | -0.000 | -0.000 | -0.000 | 80.965 |
| 317.303 | 138.210 | 90.554 | 0.000 | -0.000 | -0.000 |
| 139.131 | 304.501 | 92.299 | 0.000 | -0.000 | 0.000 |
| 91.084 | 91.906 | 345.756 | 0.000 | -0.000 | 0.000 |
| -0.000 | -0.000 | -0.000 | 67.298 | -0.000 | 0.000 |
| -0.000 | -0.000 | -0.000 | 0.000 | 65.661 | 0.000 |
| 0.000 | -0.000 | 0.000 | 0.000 | 0.000 | 80.965 |
| 317.305 | 138.209 | 90.553 | -0.000 | 0.000 | -0.000 |
| 139.131 | 304.502 | 92.298 | -0.000 | 0.000 | -0.000 |
| 91.083 | 91.907 | 345.757 | -0.000 | 0.000 | -0.000 |
| 0.000 | 0.000 | 0.000 | 67.298 | 0.000 | -0.000 |
| 0.000 | 0.000 | 0.000 | -0.000 | 65.661 | -0.000 |
| -0.000 | 0.000 | -0.000 | -0.000 | 0.000 | 80.965 |
| 317.301 | 138.211 | 90.555 | 0.000 | -0.000 | 0.000 |
| 139.131 | 304.501 | 92.300 | 0.000 | -0.000 | 0.000 |
| 91.083 | 91.907 | 345.755 | 0.000 | -0.000 | 0.000 |
| -0.000 | -0.000 | -0.000 | 67.298 | -0.000 | 0.000 |
| -0.000 | -0.000 | -0.000 | 0.000 | 65.661 | -0.000 |
| 0.000 | -0.000 | 0.000 | 0.000 | 0.000 | 80.965 |
| 168.213 | 296.066 | 53.074 | -0.000 | 0.000 | 0.000 |
| 296.066 | 168.213 | 53.074 | 0.000 | 0.000 | 0.000 |
| 53.074 | 53.074 | 373.621 | -0.000 | -0.000 | 0.000 |
| 0.000 | -0.000 | 0.000 | -32.413 | -0.000 | 0.000 |
| 0.000 | -0.000 | 0.000 | -0.000 | -32.413 | 0.000 |
| 0.000 | -0.000 | 0.000 | 0.000 | 0.000 | 70.692 |
| 129.071 | 335.208 | 53.074 | -0.000 | -0.000 | 0.000 |
| 161.447 | 302.831 | 53.074 | 0.000 | -0.000 | -0.000 |
| 53.073 | 53.073 | 373.620 | -0.000 | 0.000 | -0.000 |
| 0.000 | -0.000 | -0.000 | -32.413 | 0.000 | -0.000 |
| -0.000 | 0.000 | -0.000 | -0.000 | -32.413 | -0.000 |
| -0.000 | 0.000 | -0.000 | 0.000 | -0.000 | 70.692 |
| -57300499.198 | -50024406.554 | -47548200.176 | -338935.377 | 245213.631 | 440235.831 |
| 161.451 | 302.835 | 53.077 | -0.000 | 0.000 | 0.000 |
| 53.076 | 53.076 | 373.623 | 0.000 | 0.000 | 0.000 |
| 0.000 | 0.000 | -0.000 | -32.413 | -0.000 | 0.000 |
| 0.000 | 0.000 | -0.000 | 0.000 | -32.413 | 0.000 |
| -61889180.805 | -64053887.658 | -101217228.355 | -206238.819 | 118923.344 | -664939.589 |
| 168.215 | 296.056 | 53.071 | 0.000 | -0.000 | -0.000 |
| 161.444 | 302.828 | 53.071 | 0.000 | -0.000 | -0.000 |
| 53.071 | 53.071 | 373.619 | -0.000 | 0.000 | -0.000 |
| -0.000 | -0.000 | 0.000 | -32.413 | 0.000 | -0.000 |
| -0.000 | -0.000 | 0.000 | -0.000 | -32.413 | -0.000 |
| 54430955.139 | 56738545.587 | 84062314.700 | 671691.868 | -262713.935 | -1739961.414 |
| -5482223.741 | -4740483.574 | -4285770.718 | -681.082 | 12075.533 | 15073.454 |
| -5000697.353 | -6057224.272 | -8535147.127 | -21610.988 | -10171.360 | 188132.828 |
| 53.096 | 53.096 | 373.640 | 0.000 | -0.000 | 0.000 |
| 0.000 | 0.000 | -0.000 | -32.413 | 0.000 | 0.000 |
| 0.000 | 0.000 | -0.000 | 0.000 | -32.413 | 0.000 |
| -5236461.108 | -6095095.607 | -8932717.073 | 10197.170 | -41203.834 | -131476.430 |
| 4737716.156 | 5930479.077 | 7870816.317 | 37663.550 | 6993.200 | 46684.387 |
| 5715606.753 | 5195344.943 | 4893699.985 | 14996.236 | 34516.455 | 87058.102 |
| 53.051 | 53.051 | 373.602 | -0.000 | -0.000 | -0.000 |
| -0.000 | -0.000 | 0.000 | -32.413 | -0.000 | -0.000 |
| -0.000 | -0.000 | 0.000 | -0.000 | -32.413 | -0.000 |
| 5583510.859 | 5877685.313 | 9163480.346 | 53411.888 | -19238.295 | -173594.142 |
| 308.959 | 139.326 | 93.234 | 11.317 | -0.000 | -0.000 |
| 139.326 | 308.959 | 93.234 | -11.317 | -0.000 | -0.000 |
| 93.253 | 93.253 | 345.971 | -0.000 | -0.000 | 0.000 |
| 11.307 | -11.307 | -0.000 | 68.737 | -0.000 | -0.000 |
| -0.000 | 0.000 | 0.000 | -0.000 | 68.777 | 12.080 |
| -0.000 | 0.000 | 0.000 | -0.000 | 12.080 | 99.607 |
| 308.957 | 139.329 | 93.234 | 11.317 | 0.000 | 0.000 |
| 139.329 | 308.957 | 93.234 | -11.317 | -0.000 | 0.000 |
| 93.253 | 93.253 | 345.971 | 0.000 | 0.000 | 0.000 |
| 12.080 | -12.080 | -0.000 | 68.777 | -0.000 | 0.000 |
| 0.000 | 0.000 | -0.000 | 0.000 | 68.777 | 12.080 |
| 0.000 | -0.000 | -0.000 | 0.000 | 12.080 | 99.607 |
| 308.958 | 139.327 | 93.234 | 11.317 | -0.000 | -0.000 |
| 139.328 | 308.958 | 93.234 | -11.317 | -0.000 | -0.000 |
| 93.253 | 93.253 | 345.971 | -0.000 | -0.000 | -0.000 |
| 11.307 | -11.307 | 0.000 | 68.737 | -0.000 | 0.000 |
| -0.000 | 0.000 | 0.000 | 0.000 | 68.777 | 12.080 |
| -0.000 | 0.000 | -0.000 | -0.000 | 11.307 | 84.623 |
| 308.803 | 139.556 | 93.253 | 11.307 | 0.000 | 0.000 |
| 139.556 | 308.803 | 93.253 | -11.307 | 0.000 | 0.000 |
| 93.253 | 93.253 | 345.971 | 0.000 | 0.000 | -0.000 |
| 11.307 | -11.307 | -0.000 | 68.737 | 0.000 | 0.000 |
| 0.000 | -0.000 | -0.000 | -0.000 | 68.777 | 12.080 |
| 0.000 | -0.000 | 0.000 | 0.000 | 11.307 | 84.623 |
| 308.960 | 139.328 | 93.234 | 11.317 | -0.000 | 0.000 |
| 124.582 | 323.797 | 93.257 | -12.080 | -0.000 | 0.000 |
| 93.257 | 93.257 | 345.974 | 0.000 | -0.000 | -0.000 |
| 12.080 | -12.080 | 0.000 | 68.777 | 0.000 | -0.000 |
| -0.000 | 0.000 | 0.000 | 0.000 | 68.737 | 11.307 |
| -0.000 | 0.000 | -0.000 | -0.000 | 11.307 | 84.623 |
| 323.794 | 124.581 | 93.257 | 12.080 | 0.000 | 0.000 |
| 139.327 | 308.957 | 93.234 | -11.317 | 0.000 | 0.000 |
| 93.252 | 93.252 | 345.971 | 0.000 | 0.000 | 0.000 |
| 12.080 | -12.080 | -0.000 | 68.777 | -0.000 | 0.000 |
| 0.000 | -0.000 | -0.000 | -0.000 | 68.737 | 11.307 |
| 0.000 | -0.000 | 0.000 | 0.000 | 11.307 | 84.623 |
Phonon band structures and crystal properties estimated from quasi-harmonic approximation (QHA) calculations are displayed for select crystals. The calculations were performed using phonopy and LAMMPS. For the phonon calculations, 3x3 supercells of the potential-specific relaxed crystals were used. The QHA calculations were based on 11 strain states ranging from -0.05 to 0.05.
The calculation method used is available as the iprPy phonon calculation method.
Notes and Disclaimers:
Version Information:




































































































Static free surface formation energies are displayed for select crystals. The values displayed here are obtained by taking a perfect periodic bulk crystal, slicing along a crystallographic plane, and using force minimization to statically relax the surfaces. The free surface formation energy is computed by comparing the energy of the defect system to the bulk system and dividing by the total surface area created by the cut.
The calculation method used is available as the iprPy surface_energy_static calculation method.
Notes and Disclaimers:
Version Information:
| Surface | γfs (mJ/m2) |
|---|---|
| (322) | -3238.92 |
| (321) | -2203.76 |
| (311) | -1590.77 |
| (320) | -975.55 |
| (211) | -730.27 |
| (310) | -365.95 |
| (210) | -10.32 |
| (111) | 1433.56 |
| (100) | 1573.29 |
| (332) | 1573.41 |
| (221) | 1633.17 |
| (331) | 1679.58 |
| (110) | 1713.63 |
| Surface | γfs (mJ/m2) |
|---|---|
| (211) 2 | 1573.40 |
| (210) | 1638.76 |
| (332) 2 | 1640.27 |
| (321) 2 | 1666.91 |
| (111) | 1674.50 |
| (311) | 1675.05 |
| (321) 1 | 1676.47 |
| (221) | 1682.70 |
| (322) | 1690.76 |
| (331) | 1715.04 |
| (100) | 1721.44 |
| (332) 1 | 1737.45 |
| (320) | 1742.06 |
| (310) | 1748.00 |
| (211) 1 | 1767.28 |
| (110) | 1773.43 |
| Surface | γfs (mJ/m2) |
|---|---|
| (110) | 1650.59 |
| (320) | 1777.03 |
| (100) | 1785.25 |
| (210) | 1826.44 |
| (310) | 1854.26 |
| (321) | 1856.15 |
| (331) | 1863.28 |
| (211) | 1886.93 |
| (311) | 1924.46 |
| (221) | 1929.96 |
| (322) | 1962.12 |
| (332) | 1968.70 |
| (111) | 1997.91 |
| Surface | γfs (mJ/m2) |
|---|---|
| (2021) 1 | -330.36 |
| (2021) 2 | -126.60 |
| (1012) 1 | 59.65 |
| (2130) | 480.93 |
| (2131) 1 | 487.82 |
| (2131) 2 | 489.60 |
| (2132) 2 | 515.64 |
| (2241) | 542.79 |
| (1121) | 556.34 |
| (2132) 1 | 709.11 |
| (1011) 1 | 775.94 |
| (1010) | 1015.74 |
| (2112) | 1149.51 |
| (1011) 2 | 1190.96 |
| (0001) | 1425.18 |
| (1012) 2 | 1524.51 |
| (1120) | 1714.17 |
| Surface | γfs (mJ/m2) |
|---|---|
| (2132) 2 | -1424.81 |
| (2132) 1 | -1116.25 |
| (1012) 1 | -527.57 |
| (1011) 1 | 30.78 |
| (2130) 2 | 469.47 |
| (2112) | 490.13 |
| (2131) 2 | 507.74 |
| (2241) | 541.83 |
| (1121) | 586.69 |
| (2131) 1 | 617.18 |
| (2130) 1 | 618.18 |
| (0001) | 1424.19 |
| (1010) 1 | 1526.36 |
| (1011) 2 | 1527.21 |
| (2021) 1 | 1573.56 |
| (1012) 2 | 1706.58 |
| (1120) | 1713.42 |
| (2021) 2 | 1791.44 |
| (1010) 2 | 1976.42 |
| Surface | γfs (mJ/m2) |
|---|---|
| (111) | 1623.74 |
| (100) | 1754.95 |
| (332) | 1797.24 |
| (322) | 1815.83 |
| (221) | 1873.76 |
| (211) | 1909.22 |
| (331) | 1937.00 |
| (311) | 1972.67 |
| (110) | 1977.65 |
| (321) | 2012.19 |
| (310) | 2028.77 |
| (320) | 2065.72 |
| (210) | 2082.64 |
| Surface | γfs (mJ/m2) |
|---|---|
| (0001) | 1611.94 |
| (1012) 2 | 1705.32 |
| (2021) 1 | 1768.44 |
| (1011) 1 | 1782.37 |
| (2021) 2 | 1905.30 |
| (1120) | 1967.09 |
| (2131) 1 | 1989.03 |
| (1010) | 2000.98 |
| (2241) | 2008.28 |
| (2132) 2 | 2008.81 |
| (1011) 2 | 2013.06 |
| (2132) 1 | 2020.03 |
| (1012) 1 | 2029.99 |
| (1121) | 2038.13 |
| (2130) | 2054.08 |
| (2112) | 2065.55 |
| (2131) 2 | 2091.96 |
Stacking fault energy plots and maps are displayed for select crystals. The values are computed by
The calculation method used is available as the iprPy stacking_fault_map_2D calculation method.
Notes and Disclaimers:
Version Information:
| E_usf a/2 [0 -1 1] | 1054.32 |
| τ_ideal a/2 [0 -1 1] | 17.20 |




| E_isf | -13.69 |
| E_usf a/2 [0 -1 1] | 12.15 |
| τ_ideal a/2 [0 -1 1] | 3.33 |




| E_usf a/2 [-1 1 -1] | 660.04 |
| τ_ideal a/2 [-1 1 -1] | 9.28 |




| E_usf a/2 [-1 -1 1] | 766.89 |
| τ_ideal a/2 [-1 -1 1] | 12.92 |




| E_usf a/2 [-1 -1 1] | 754.43 |
| τ_ideal a/2 [-1 -1 1] | 12.73 |




| E_isf | 17.15 |
| E_usf a/3 [-2 1 1 0] | 51.77 |
| τ_ideal a/3 [-2 1 1 0] | 2.74 |




| E_usf a/3 [-1 2 -1 0] | 307.84 |
| τ_ideal a/3 [-1 2 -1 0] | 5.45 |




| E_usf a/3 [-1 2 -1 0] | 1408.09 |
| τ_ideal a/3 [-1 2 -1 0] | 22.02 |




| E_usf a/3 [-1 2 -1 0] | 484.38 |
| E_usf a/3 [-2 1 1 3] | 3005.51 |
| τ_ideal a/3 [-1 2 -1 0] | 9.03 |
| τ_ideal a/3 [-2 1 1 3] | 52.90 |





| E_usf a/3 [-1 2 -1 0] | 701.73 |
| E_usf a/3 [-2 1 1 3] | 1158.88 |
| τ_ideal a/3 [-1 2 -1 0] | 11.41 |
| τ_ideal a/3 [-2 1 1 3] | 16.12 |





| E_usf a/3 [-2 1 1 3] | 1334.65 |
| τ_ideal a/3 [-2 1 1 3] | 16.90 |




| E_usf a/2 [0 -1 1] | 916.49 |
| τ_ideal a/2 [0 -1 1] | 13.51 |




| E_isf | 57.47 |
| E_usf a/2 [0 -1 1] | 225.88 |
| τ_ideal a/2 [0 -1 1] | 5.00 |




Static point defect formation energies, Ef, and elastic dipole tensors, pij, are displayed for select crystals. Relaxed defect configurations are obtained by taking a 12x12x12 supercell of a perfect periodic bulk crystal, inserting the point defect, and using force minimization to statically relax the atomic positions while keeping the system dimensions constant. Ef is computed by comparing the energy of the defect system to the same number of atoms in a perfect bulk crystal. pij is estimated as the difference in the system's global pressure with and without the defect multiplied by the system's volume.
Simple structural comparisons of the unrelaxed and relaxed defect configurations are used to help determine if the defect structure has relaxed to a different configuration. Relaxed structures that are identified as no longer consistent with the ideal defect definition are excluded from the table below. The only exception to this is if the lowest energy interstitial configuration does not coincide with a known ideal defect, its energies and pressure tensor are included under the listing "relaxed interstitial". The full list of calculation results including the transformed structures and the structural comparison values is included in the csv file available from the "Download raw data" link.
The calculation method used is available as the iprPy point_defect_static calculation method.
Notes and Disclaimers:
| Point Defect | Ef (eV) | p11 (eV) | p22 (eV) | p33 (eV) | p12 (eV) | p13 (eV) | p23 (eV) |
|---|---|---|---|---|---|---|---|
| relaxed interstitial | -359.507 | -2456.806 | -2458.713 | -2466.451 | 606.451 | 596.742 | 594.845 |
| octahedral interstitial | 1.618 | 4.436 | 4.436 | 4.436 | 0.000 | 0.000 | 0.000 |
| vacancy | 1.756 | -1.377 | -1.377 | -1.377 | 0.000 | 0.000 | 0.000 |
| Point Defect | Ef (eV) | p11 (eV) | p22 (eV) | p33 (eV) | p12 (eV) | p13 (eV) | p23 (eV) |
|---|---|---|---|---|---|---|---|
| vacancy | 1.712 | -2.976 | -2.976 | -2.976 | -0.000 | 0.000 | 0.000 |
| 2nn divacancy | 3.188 | -6.463 | -6.463 | -7.010 | 0.000 | -0.000 | 0.000 |
| 1nn divacancy | 3.297 | -4.901 | -4.901 | -4.901 | 0.634 | 0.634 | 0.634 |
| 110 dumbbell | 3.526 | 17.796 | 14.618 | 14.618 | 0.000 | 0.000 | 3.798 |
| crowdion interstitial | 4.008 | 12.839 | 12.839 | 12.839 | 6.486 | 6.486 | 6.486 |
| 111 dumbbell | 4.013 | 12.373 | 12.373 | 12.373 | 6.423 | 6.423 | 6.423 |
| octahedral interstitial | 4.194 | 17.788 | 9.962 | 9.962 | -0.000 | 0.000 | -0.000 |
| Point Defect | Ef (eV) | p11 (eV) | p22 (eV) | p33 (eV) | p12 (eV) | p13 (eV) | p23 (eV) |
|---|---|---|---|---|---|---|---|
| relaxed interstitial | -178.327 | -1559.555 | -2334.211 | -2346.725 | -832.008 | -0.040 | -0.142 |
| vacancy | 1.768 | -2.179 | -2.179 | -2.023 | 0.000 | -0.000 | -0.000 |
| Point Defect | Ef (eV) | p11 (eV) | p22 (eV) | p33 (eV) | p12 (eV) | p13 (eV) | p23 (eV) |
|---|---|---|---|---|---|---|---|
| vacancy | 1.560 | -2.093 | -2.093 | -2.093 | 0.000 | 0.000 | -0.000 |
| 1nn divacancy | 2.937 | -5.523 | -4.084 | -4.084 | 0.000 | 0.000 | 0.029 |
| 2nn divacancy | 3.085 | -4.550 | -4.550 | -4.667 | 0.000 | 0.000 | -0.000 |
| 100 dumbbell | 4.640 | 29.228 | 29.228 | 27.833 | 0.000 | 0.000 | 0.000 |
| crowdion interstitial | 5.012 | 27.955 | 27.955 | 34.049 | 16.523 | 0.000 | -0.000 |
Plots of the atomic structure of dislocation cores are shown here. The dislocations were constructed using dislocation monopole configurations in which a straight dislocation is created in the center of the system using anisotropic elasticity and the elastic constants computed above. A cylindrical region centered around the dislocation is allowed to relax while the remaining atoms are held fixed. The relaxation consists of 1 million NVT steps at 10 K followed by an energy/force minimization. The final plots show the atomic configuration near the center of the monopole system, and display differential displacement arrows and Nye tensor color maps that are both taken with respect to the Burgers vector direction.
These plots show a wide range of final structures, some corresponding to expected dislocation structures and others not. While the characterizations are dislocation-type dependent, some general classification guidelines are listed here.
The calculation method used is available as the iprPy dislocation_monopole calculation method.
Links are provided above the images allowing for users to download the final defect configuration and a corresponding defect-free configuration if they wish to further analyze the structures or use them for subsequent simulations.
Notes and Disclaimers:
Version Information:
Plots of lattice and elastic constants are shown as a function of temperature. The 0K points were taken from the Crystal Structure Predictions and the Elastic Constants Predictions sections above for the unique crystal structures relaxed with the "dynamic" method. Starting from the 0 K relaxed crystal unit cells, supercell systems are created by replicating all three dimensions by the same multiplier to achieve at least 4000 atoms. The systems are then relaxed at 50 K and zero pressure using 1 million NPT steps. Lattice constants are estimated by averaging the measured box dimensions. Temperatures are iteratively increased by 50 K, with each subsequent relaxation calculation starting from the final atomic configuration at the previous temperature and relaxing for another 1 million steps.
The elastic constants are calculated using the deformation–fluctuation hybrid method. Starting from the final atomic configurations of the dynamic relaxations, the system is allowed to evolve at constant volume with a Langevin thermostat. The Born matrix is computed during this run by evaluating how the atomic forces would vary due to applied linear strain fields. The elastic constants can then be estimated using the averaged Born matrix values and the averaged stresses on the system.
The calculation methods used are available as the iprPy relax_dynamic and elastic_constants_dynamic calculation methods.
Clicking on the image of a plot will open an interactive version of it in a new tab. The underlying data for the plots can be downloaded by clicking on the links above each plot.
Notes and Disclaimers:
Version Information:
Plots of radial distribution functions at different temperatures and the temperature-dependent diffusion and viscosity are shown here for elemental liquids. Melt phases are constructed by starting with a 10x10x10 fcc super cell and relaxing with 50,000 NPT steps at zero pressure and a high melting temperature (3000 K for most potentials and elements). Following the melt, liquid structures are relaxed by running NPT for 10,000 steps over which the temperature is dropped by 50 K, then 50,000 NPT at the target temperature to estimate the equilibrium volume, followed by 20,000 NVT steps at the averaged equilibrium volume and target temperature. Structures from the NVT run are sampled to compute the radial distribution function of the liquid at the corresponding temperature.
The final relaxed configurations at each temperature explored are used as the initial configurations for the diffusion and viscosity calculations. For diffusion, the system is integrated for 100 runs of 2,000 NVT steps during which both the mean squared displacement (MSD) and the velocity auto correlation function (VACF) are computed. From these simulations, three estimates of diffusion are computed: one from the MSD of the full 200,000 step run, one in which the MSD is reset for each short run and then averaged, and one from the VACF computed for each short run and averaged. For viscosity, the Green-Kubo method is used which is evaluated during a 1 million step NVT run.
The calculation methods used are available as the iprPy relax_liquid_redo, diffusion_liquid, and viscosity_green_kubo calculation methods.
Clicking on the image of a plot will open an interactive version of it in a new tab. The underlying data for the plots can be downloaded by clicking on the links above each plot.
Notes and Disclaimers:
Version Information:
Estimated melting temperatures are tabulated below. The melting temperature is computed here using a two-phase solid-liquid atomic configuration. The two-phase configuration is created by starting with a crystalline system in which the c box vector is roughly twice the length of the other two box vectors. Based on some input temperature Tinit, an NPH plus a Berensen thermostat simulation is performed for 10,000 steps in which half the system is subjected to a temperature of 1.25*Tinit and the other half to a temperature of 0.5*Tinit. This is then followed by 10,000 steps during which the temperature of the two regions are both scaled to Tinit. The system is then ran for 200,000 NPH steps to equilibrate the system. For the second half of the final NPH run, the average temperature of the system is calculated and the polyhedral template matching algorithm is used to estimate the number of solid and liquid atoms for a number of configuration snapshots. If the averaged fraction of solid atoms is found to be between 0.25-0.75, then the averaged temperature provides an estimate of the melting temperature.
This calculation is iteratively performed where the Tinit value is adjusted up or down if the fraction of solid atoms is outside the range 0.25-0.75. Iterations are repeated until 10 calculations are performed that produce solid fractions in the target range, or 30 total calculations are performed.
The calculation method used is available as the iprPy melting_temperature calculation method.
Notes and Disclaimers:
Version Information:
| prototype | Tmelt | stderr |
|---|---|---|
| A2--W--bcc | 1771.78 | 1.44 |
| A3--Mg--hcp | 572.85 | 109.87 |
| prototype | Tmelt | stderr |
|---|---|---|
| A1--Cu--fcc | 1623.39 | 1.17 |
Plots of internal energy, Gibbs free energy, entropy, heat capacity and volume are shown here as a function of temperature for various crystal structures and liquid phases. The included crystal structures correspond to those in the Solid Structures vs. Temperature section, and the liquid phases to those in the Liquid Properties section. Internal energy and volume are taken from the associated structure relaxations mentioned in those previous sections. Constant pressure heat capacity is estimated using 3-point numerical derivatives of enthalpy versus temperature. Note that since all simulations done here are at 0 pressure, internal energy and enthalpy are equivalent.
The Gibbs energies of the phases are estimated using thermodynamic integration between the interatomic potential in question and a simpler model with known Gibbs free energy values. For solids, the reference model is an Einstein solid, while for liquids it is the Uhlenbeck-Ford potential. Besides a short run at the start of the solid calculations to estimate Einstein model spring constants, the two calculations proceed similarly. Starting with the final relaxation configurations, the systems are stabilized for 25,000 steps. Then, over the next 50,000 steps the potential is swapped out for the reference potential. The system is then stabilized for another 25,000 steps with the reference model before a reverse swap of 50,000 steps is performed. The simulation ends with one final 25,000 step stabilization period. From the simulation, the irreversible work of transformation is estimated and used to compute the absolute Gibbs free energy of the target phase and potential relative to the reference potential. Entropy is estimated as the difference in enthalpy and Gibbs free energy and divided by temperature.
The calculation methods used are available as the iprPy relax_dynamic, relax_liquid_redo, free_energy, and free_energy_liquid calculation methods.
Clicking on the image of a plot will open an interactive version of it in a new tab. The underlying data for the plots can be downloaded by clicking on the links above each plot.
Notes and Disclaimers:
Version Information:






