Plots of the potential energy vs interatomic spacing, r, are shown below for all diatom sets associated with the interatomic potential. This calculation provides insights into the functional form of the potential's two-body interactions. A system consisting of only two atoms is created, and the potential energy is evaluated for the atoms separated by 0.02 Å <= r <= 6.0> Å in intervals of 0.02 Å. Two plots are shown: one for the "standard" interaction distance range, and one for small values of r. The small r plot is useful for determining whether the potential is suitable for radiation studies.
The calculation method used is available as the iprPy diatom_scan calculation method.
Clicking on the image of a plot will open an interactive version of it in a new tab. The underlying data for the plots can be downloaded by clicking on the links above each plot.
Notes and Disclaimers:
Version Information:
Plots of potential energy vs interatomic spacing, r, are shown below for a number of crystal structures. The structures are generated based on the ideal atomic positions and b/a and c/a lattice parameter ratios for a given crystal prototype. The size of the system is then uniformly scaled, and the energy calculated without relaxing the system. To obtain these plots, values of r are evaluated every 0.02 Å up to 6 Å.
The calculation method used is available as the iprPy E_vs_r_scan calculation method.
Clicking on the image of a plot will open an interactive version of it in a new tab. The underlying data for the plots can be downloaded by clicking on the links above each plot.
Notes and Disclaimers:
Version Information:
Computed lattice constants and cohesive/potential energies are displayed for a variety of crystal structures. The values displayed here are obtained using the following process.
The calculation methods used are implemented into iprPy as the following calculation styles
Notes and Disclaimers:
Version Information:
Download raw data (including filtered results)
Reference structure matches:
A1--Cu--fcc = oqmd-1214512
A15--beta-W = oqmd-1214957
A2--W--bcc = oqmd-1215135
A3'--alpha-La--double-hcp = oqmd-1215403
A3--Mg--hcp = oqmd-1215313
A4--C--dc = mp-66, oqmd-675640
A5--beta-Sn = oqmd-1215581
A6--In--bct = mp-1181996, oqmd-1215670
A7--alpha-As = oqmd-594528
Ah--alpha-Po--sc = mp-998866, oqmd-636457, oqmd-1214601
| prototype | method | Ecoh (eV/atom) | Epot (eV/atom) | a0 (Å) | b0 (Å) | c0 (Å) | α (degrees) | β (degrees) | γ (degrees) |
|---|---|---|---|---|---|---|---|---|---|
| oqmd-610551 | box | -7.3936 | -7.3936 | 2.4564 | 2.4564 | 3.5194 | 90.0 | 90.0 | 120.0 |
| oqmd-1214690 | dynamic | -7.3838 | -7.3838 | 2.4605 | 4.2465 | 6.9035 | 90.0 | 90.0 | 90.0 |
| A7--alpha-As | dynamic | -7.376 | -7.376 | 2.4559 | 2.4559 | 9.9031 | 90.0 | 90.0 | 120.0 |
| mp-1190171 | static | -7.372 | -7.372 | 14.0922 | 2.4536 | 4.2471 | 90.0 | 90.0 | 90.0 |
| oqmd-637352 | static | -7.3718 | -7.3718 | 14.1806 | 2.4536 | 4.2472 | 90.0 | 96.6 | 90.0 |
| A4--C--dc | dynamic | -7.37 | -7.37 | 3.5565 | 3.5565 | 3.5565 | 90.0 | 90.0 | 90.0 |
| A7--alpha-As | dynamic | -7.368 | -7.368 | 2.4536 | 2.4536 | 10.6305 | 90.0 | 90.0 | 120.0 |
| oqmd-590101 | dynamic | -7.3635 | -7.3635 | 2.454 | 2.454 | 7.0391 | 90.0 | 90.0 | 120.0 |
| mp-568286 | dynamic | -7.3597 | -7.3597 | 2.4561 | 4.2463 | 7.0602 | 90.0 | 90.0 | 90.0 |
| mp-568286 | static | -7.3597 | -7.3597 | 2.4561 | 4.2463 | 7.063 | 90.0 | 90.0 | 90.0 |
| mp-568286 | box | -7.3596 | -7.3596 | 2.4548 | 4.2485 | 7.0639 | 90.0 | 90.0 | 90.0 |
| oqmd-599492 | dynamic | -7.3595 | -7.3595 | 2.5147 | 2.5147 | 16.4546 | 90.0 | 90.0 | 120.0 |
| mp-569567 | dynamic | -7.3582 | -7.3582 | 2.5146 | 2.5146 | 43.2048 | 90.0 | 90.0 | 120.0 |
| oqmd-599494 | static | -7.3581 | -7.3581 | 2.5142 | 2.5142 | 43.2163 | 90.0 | 90.0 | 120.0 |
| mp-569416 | dynamic | -7.3567 | -7.3567 | 2.4533 | 2.4533 | 55.7729 | 90.0 | 90.0 | 120.0 |
| oqmd-589492 | static | -7.3567 | -7.3567 | 2.4533 | 2.4533 | 56.1073 | 90.0 | 90.0 | 120.0 |
| oqmd-589492 | dynamic | -7.3567 | -7.3567 | 2.4533 | 2.4533 | 54.2028 | 90.0 | 90.0 | 120.0 |
| mp-569416 | static | -7.3567 | -7.3567 | 2.4533 | 2.4533 | 55.9056 | 90.0 | 90.0 | 120.0 |
| oqmd-589492 | box | -7.3564 | -7.3564 | 2.4534 | 2.4534 | 56.0046 | 90.0 | 90.0 | 120.0 |
| mp-611448 | dynamic | -7.3563 | -7.3563 | 2.5145 | 2.5145 | 12.3486 | 90.0 | 90.0 | 120.0 |
| mp-569517 | dynamic | -7.3543 | -7.3543 | 2.5143 | 2.5143 | 30.8852 | 90.0 | 90.0 | 120.0 |
| oqmd-589493 | box | -7.3539 | -7.3539 | 2.4532 | 2.4532 | 30.3769 | 90.0 | 90.0 | 120.0 |
| oqmd-599492 | box | -7.3517 | -7.3517 | 2.5044 | 2.5044 | 16.6112 | 90.0 | 90.0 | 120.0 |
| mp-616440 | box | -7.3514 | -7.3514 | 2.5042 | 2.5042 | 16.6142 | 90.0 | 90.0 | 120.0 |
| oqmd-599490 | dynamic | -7.3513 | -7.3513 | 2.5141 | 2.5141 | 8.2416 | 90.0 | 90.0 | 120.0 |
| mp-569304 | static | -7.35 | -7.35 | 2.4526 | 2.4526 | 34.3139 | 90.0 | 90.0 | 120.0 |
| mp-569304 | dynamic | -7.35 | -7.35 | 2.4526 | 2.4526 | 33.9358 | 90.0 | 90.0 | 120.0 |
| oqmd-589491 | static | -7.35 | -7.35 | 2.4526 | 2.4526 | 35.1268 | 90.0 | 90.0 | 120.0 |
| oqmd-589491 | dynamic | -7.35 | -7.35 | 2.4526 | 2.4526 | 33.6778 | 90.0 | 90.0 | 120.0 |
| mp-569567 | box | -7.3492 | -7.3492 | 2.5032 | 2.5032 | 43.6638 | 90.0 | 90.0 | 120.0 |
| oqmd-589491 | box | -7.349 | -7.349 | 2.4528 | 2.4528 | 34.9639 | 90.0 | 90.0 | 120.0 |
| oqmd-599491 | box | -7.3463 | -7.3463 | 2.5018 | 2.5018 | 12.4935 | 90.0 | 90.0 | 120.0 |
| oqmd-599489 | dynamic | -7.3444 | -7.3444 | 2.5135 | 2.5135 | 4.1264 | 90.0 | 90.0 | 120.0 |
| mp-569517 | box | -7.3426 | -7.3426 | 2.5001 | 2.5001 | 31.2918 | 90.0 | 90.0 | 120.0 |
| oqmd-599493 | box | -7.3418 | -7.3418 | 2.4998 | 2.4998 | 31.3055 | 90.0 | 90.0 | 120.0 |
| mp-611426 | box | -7.3375 | -7.3375 | 2.498 | 2.498 | 8.3647 | 90.0 | 90.0 | 120.0 |
| mp-1018088 | static | -7.3341 | -7.3341 | 4.0031 | 4.0031 | 4.0031 | 90.0 | 90.0 | 90.0 |
| mp-568363 | dynamic | -7.3335 | -7.3335 | 2.4513 | 4.2458 | 8.4495 | 90.0 | 90.0 | 90.0 |
| mp-937760 | static | -7.3335 | -7.3335 | 2.4513 | 4.2458 | 7.1733 | 90.0 | 90.0 | 90.0 |
| mp-937760 | dynamic | -7.3335 | -7.3335 | 2.4513 | 4.2458 | 7.1734 | 90.0 | 90.0 | 90.0 |
| mp-568363 | static | -7.3335 | -7.3335 | 2.4513 | 4.2458 | 8.1499 | 90.0 | 90.0 | 90.0 |
| mp-568806 | dynamic | -7.3335 | -7.3335 | 2.4513 | 2.4513 | 3.6743 | 90.0 | 90.0 | 120.0 |
| mp-990448 | dynamic | -7.3335 | -7.3335 | 2.4513 | 2.4513 | 8.5238 | 90.0 | 90.0 | 120.0 |
| mp-1040425 | dynamic | -7.3335 | -7.3335 | 2.4513 | 2.4513 | 19.9983 | 90.0 | 90.0 | 120.0 |
| oqmd-1215937 | dynamic | -7.3335 | -7.3335 | 2.4513 | 2.4513 | 7.3725 | 90.0 | 90.0 | 120.0 |
| mp-997182 | dynamic | -7.3335 | -7.3335 | 2.4513 | 2.4513 | 12.0458 | 90.0 | 90.0 | 120.0 |
| mp-48 | dynamic | -7.3335 | -7.3335 | 2.4513 | 2.4513 | 7.8031 | 90.0 | 90.0 | 120.0 |
| mp-632329 | static | -7.3335 | -7.3335 | 4.2458 | 2.4513 | 3.7376 | 90.0 | 94.2 | 90.0 |
| mp-632329 | dynamic | -7.3335 | -7.3335 | 4.2458 | 2.4513 | 3.9347 | 90.0 | 93.8 | 90.0 |
| mp-568806 | static | -7.3335 | -7.3335 | 2.4513 | 2.4513 | 3.6539 | 90.0 | 90.0 | 120.0 |
| mp-47 | box | -7.3197 | -7.3197 | 2.4908 | 2.4908 | 4.2157 | 90.0 | 90.0 | 120.0 |
| oqmd-599489 | box | -7.3192 | -7.3192 | 2.4906 | 2.4906 | 4.2167 | 90.0 | 90.0 | 120.0 |
| oqmd-637443 | static | -7.2495 | -7.2495 | 5.1722 | 5.1722 | 5.1722 | 90.0 | 90.0 | 90.0 |
| mp-1096869 | dynamic | -7.2471 | -7.2471 | 25.4572 | 14.7005 | 7.4493 | 90.0 | 90.0 | 90.0 |
| mp-1078845 | dynamic | -7.2222 | -7.2222 | 4.2586 | 8.966 | 2.463 | 90.0 | 90.0 | 90.0 |
| mp-1008395 | static | -7.2053 | -7.2053 | 4.4606 | 4.4606 | 2.4239 | 90.0 | 90.0 | 90.0 |
| mp-1008374 | box | -7.1418 | -7.1418 | 2.6678 | 7.8119 | 2.5224 | 90.0 | 90.0 | 90.0 |
| oqmd-637443 | box | -7.0941 | -7.0941 | 5.2116 | 5.2116 | 5.2116 | 90.0 | 90.0 | 90.0 |
| mp-1188817 | box | -7.087 | -7.087 | 5.2126 | 5.2126 | 5.2126 | 90.0 | 90.0 | 90.0 |
| mp-1078845 | box | -7.0853 | -7.0853 | 4.3158 | 8.9323 | 2.4829 | 90.0 | 90.0 | 90.0 |
| oqmd-610557 | box | -7.0564 | -7.0564 | 4.7365 | 5.6117 | 4.3375 | 90.0 | 90.0 | 90.0 |
| oqmd-610556 | box | -7.0533 | -7.0533 | 4.7355 | 5.6117 | 4.3397 | 90.0 | 90.0 | 90.0 |
| mp-568410 | box | -7.0497 | -7.0497 | 4.7356 | 5.6133 | 4.341 | 90.0 | 90.0 | 90.0 |
| oqmd-637353 | box | -7.0125 | -7.0125 | 4.4996 | 4.4996 | 2.4535 | 90.0 | 90.0 | 90.0 |
| mp-1008395 | box | -7.0095 | -7.0095 | 4.5004 | 4.5004 | 2.4538 | 90.0 | 90.0 | 90.0 |
| mp-683919 | static | -6.9215 | -6.9215 | 8.8938 | 17.5395 | 17.8306 | 90.0 | 90.0 | 90.0 |
| oqmd-689315 | static | -6.9215 | -6.9215 | 8.8938 | 17.539 | 17.8311 | 90.0 | 90.0 | 90.0 |
| oqmd-684315 | dynamic | -6.8862 | -6.8862 | 8.6624 | 13.8597 | 9.0025 | 90.0 | 90.0 | 90.0 |
| mp-680372 | dynamic | -6.8688 | -6.8688 | 9.1328 | 9.1328 | 24.7083 | 90.0 | 90.0 | 120.0 |
| oqmd-614417 | static | -6.8688 | -6.8688 | 9.1329 | 9.1329 | 24.7123 | 90.0 | 90.0 | 120.0 |
| mp-680372 | static | -6.8687 | -6.8687 | 9.1369 | 9.1369 | 24.8428 | 90.0 | 90.0 | 120.0 |
| mp-683919 | box | -6.8684 | -6.8684 | 10.1638 | 17.5242 | 18.0334 | 90.0 | 90.0 | 90.0 |
| oqmd-614417 | dynamic | -6.8677 | -6.8677 | 9.133 | 9.133 | 24.6313 | 90.0 | 90.0 | 120.0 |
| mp-630227 | static | -6.8529 | -6.8529 | 9.0541 | 9.1263 | 14.823 | 90.0 | 90.0 | 90.0 |
| mp-1147718 | dynamic | -6.851 | -6.851 | 10.2055 | 13.1181 | 9.0708 | 90.0 | 90.0 | 90.0 |
| mp-1147718 | static | -6.851 | -6.851 | 10.2054 | 13.1185 | 9.0708 | 90.0 | 90.0 | 90.0 |
| oqmd-684627 | static | -6.85 | -6.85 | 9.0944 | 9.0944 | 14.5031 | 90.0 | 90.0 | 90.0 |
| oqmd-689315 | box | -6.8468 | -6.8468 | 10.0958 | 17.5905 | 18.0366 | 90.0 | 90.0 | 90.0 |
| oqmd-603085 | static | -6.8366 | -6.8366 | 13.6551 | 13.6551 | 13.6551 | 90.0 | 90.0 | 90.0 |
| mp-1205283 | static | -6.8344 | -6.8344 | 9.368 | 13.2485 | 9.0415 | 90.0 | 90.0 | 90.0 |
| mp-568028 | static | -6.8304 | -6.8304 | 8.2367 | 14.0319 | 9.2603 | 90.0 | 90.0 | 90.0 |
| oqmd-614417 | box | -6.829 | -6.829 | 9.2421 | 9.2421 | 24.2629 | 90.0 | 90.0 | 120.0 |
| mp-1080826 | box | -6.8285 | -6.8285 | 9.4175 | 2.5749 | 4.2133 | 90.0 | 98.2 | 90.0 |
| oqmd-637352 | box | -6.8269 | -6.8269 | 9.4157 | 2.5753 | 4.2139 | 90.0 | 98.2 | 90.0 |
| oqmd-595714 | box | -6.8265 | -6.8265 | 9.0922 | 9.2116 | 14.6616 | 90.0 | 90.0 | 90.0 |
| mp-680372 | box | -6.8246 | -6.8246 | 9.2554 | 9.2554 | 25.1346 | 90.0 | 90.0 | 120.0 |
| mp-667273 | static | -6.8226 | -6.8226 | 14.2348 | 14.2348 | 14.2348 | 90.0 | 90.0 | 90.0 |
| mp-1196583 | dynamic | -6.8226 | -6.8226 | 13.9442 | 13.9442 | 13.9442 | 90.0 | 90.0 | 90.0 |
| mp-1196583 | static | -6.8226 | -6.8226 | 13.9444 | 13.9444 | 13.9444 | 90.0 | 90.0 | 90.0 |
| mp-630227 | box | -6.8126 | -6.8126 | 9.0952 | 9.202 | 15.6426 | 90.0 | 90.0 | 90.0 |
| oqmd-603085 | box | -6.8083 | -6.8083 | 13.9525 | 13.9525 | 13.9525 | 90.0 | 90.0 | 90.0 |
| mp-1190171 | box | -6.805 | -6.805 | 9.3042 | 2.58 | 4.2181 | 90.0 | 90.0 | 90.0 |
| oqmd-637130 | box | -6.8039 | -6.8039 | 9.3024 | 2.5804 | 4.2184 | 90.0 | 90.0 | 90.0 |
| mp-667273 | box | -6.8027 | -6.8027 | 14.4166 | 14.4166 | 14.4166 | 90.0 | 90.0 | 90.0 |
| mp-1147718 | box | -6.8022 | -6.8022 | 10.2261 | 14.672 | 9.231 | 90.0 | 90.0 | 90.0 |
| oqmd-677227 | box | -6.7948 | -6.7948 | 14.1406 | 14.1406 | 14.1406 | 90.0 | 90.0 | 90.0 |
| mp-1196583 | box | -6.7937 | -6.7937 | 14.3558 | 14.3558 | 14.3558 | 90.0 | 90.0 | 90.0 |
| oqmd-684627 | box | -6.793 | -6.793 | 9.176 | 9.176 | 15.276 | 90.0 | 90.0 | 90.0 |
| mp-1244913 | dynamic | -6.7732 | -6.7732 | 9.5423 | 9.574 | 11.1689 | 97.0 | 104.9 | 100.0 |
| mp-1245190 | dynamic | -6.7275 | -6.7275 | 9.4752 | 9.7288 | 9.7473 | 96.6 | 91.7 | 91.9 |
| mp-1244964 | dynamic | -6.718 | -6.718 | 8.7026 | 10.4268 | 10.7546 | 95.1 | 90.3 | 97.5 |
| mp-624889 | box | -6.678 | -6.678 | 4.7327 | 5.1652 | 5.668 | 90.0 | 90.0 | 90.0 |
| mp-579909 | static | -6.6303 | -6.6303 | 4.7389 | 5.1741 | 6.8187 | 90.0 | 90.0 | 90.0 |
| mp-568028 | box | -6.5807 | -6.5807 | 8.6235 | 14.2731 | 9.6082 | 90.0 | 90.0 | 90.0 |
| mp-1192619 | dynamic | -6.5706 | -6.5706 | 7.8231 | 7.8231 | 7.8231 | 90.0 | 90.0 | 90.0 |
| mp-579909 | box | -6.5588 | -6.5588 | 4.7327 | 5.26 | 6.9689 | 90.0 | 90.0 | 90.0 |
| oqmd-610552 | box | -6.5574 | -6.5574 | 4.734 | 5.256 | 6.5505 | 90.0 | 90.0 | 90.0 |
| mp-1244964 | static | -6.5242 | -6.5242 | 9.5118 | 9.706 | 10.8942 | 86.7 | 87.7 | 88.8 |
| mp-1245190 | static | -6.4958 | -6.4958 | 9.4922 | 10.206 | 10.2066 | 88.6 | 85.8 | 88.6 |
| oqmd-684315 | static | -6.4507 | -6.4507 | 9.2899 | 15.74 | 8.9502 | 90.0 | 90.0 | 90.0 |
| mp-1244913 | static | -6.3249 | -6.3249 | 9.6456 | 10.288 | 10.4155 | 81.3 | 84.5 | 88.5 |
| mp-1182684 | dynamic | -6.1699 | -6.1699 | 9.4011 | 11.0799 | 18.3885 | 90.0 | 90.0 | 90.0 |
| mp-24 | box | -5.9897 | -5.9897 | 4.689 | 4.689 | 4.689 | 90.0 | 90.0 | 90.0 |
| mp-1205283 | box | -5.7105 | -5.7105 | 11.3543 | 13.4589 | 9.3143 | 90.0 | 90.0 | 90.0 |
| mp-1196857 | static | -5.6788 | -5.6788 | 6.4868 | 18.4315 | 6.0954 | 90.0 | 90.0 | 90.0 |
| mp-1182684 | static | -5.5586 | -5.5586 | 11.6236 | 11.9224 | 21.6001 | 90.0 | 90.0 | 90.0 |
| oqmd-585286 | box | -5.4434 | -5.4434 | 5.3564 | 5.3564 | 5.3564 | 90.0 | 90.0 | 90.0 |
| mp-570002 | box | -5.4423 | -5.4423 | 5.3568 | 5.3568 | 5.3568 | 90.0 | 90.0 | 90.0 |
| mp-1196857 | box | -5.4223 | -5.4223 | 6.9421 | 19.2519 | 6.71 | 90.0 | 90.0 | 90.0 |
| mp-1197903 | static | -5.4143 | -5.4143 | 7.4625 | 15.6973 | 20.2271 | 103.5 | 91.4 | 103.2 |
| oqmd-684315 | box | -5.3874 | -5.3874 | 10.5107 | 15.7193 | 9.5975 | 90.0 | 90.0 | 90.0 |
| mp-1095633 | dynamic | -4.7619 | -4.7619 | 8.1297 | 8.1297 | 13.2856 | 90.0 | 90.0 | 90.0 |
| mp-1095633 | static | -4.7619 | -4.7619 | 7.7206 | 7.7206 | 12.4368 | 90.0 | 90.0 | 90.0 |
| mp-1245190 | box | -4.6134 | -4.6134 | 10.8943 | 11.9892 | 12.6305 | 84.9 | 89.8 | 88.3 |
| A7--alpha-As | box | -4.3092 | -4.3092 | 2.8301 | 2.8301 | 7.2453 | 90.0 | 90.0 | 120.0 |
| mp-1244964 | box | -4.1778 | -4.1778 | 11.8558 | 12.6145 | 13.0791 | 91.1 | 99.5 | 94.8 |
| A3'--alpha-La--double-hcp | box | -3.9973 | -3.9973 | 2.8086 | 2.8086 | 4.9645 | 90.0 | 90.0 | 120.0 |
| A5--beta-Sn | box | -3.953 | -3.953 | 3.8633 | 3.8633 | 2.1405 | 90.0 | 90.0 | 90.0 |
| Ah--alpha-Po--sc | static | -3.8984 | -3.8984 | 2.0684 | 2.0684 | 2.0684 | 90.0 | 90.0 | 90.0 |
| mp-1244913 | box | -3.861 | -3.861 | 11.9751 | 13.5091 | 15.3827 | 79.1 | 84.6 | 86.4 |
| mp-1095534 | box | -3.7946 | -3.7946 | 13.0965 | 13.0965 | 2.6067 | 90.0 | 90.0 | 90.0 |
| A6--In--bct | static | -3.6933 | -3.6933 | 2.0015 | 2.0015 | 6.2095 | 90.0 | 90.0 | 90.0 |
| mp-1205417 | box | -3.5761 | -3.5761 | 17.3176 | 17.3176 | 10.1475 | 90.0 | 90.0 | 90.0 |
| oqmd-1214868 | box | -3.4998 | -3.4998 | 9.4118 | 9.4118 | 9.4118 | 90.0 | 90.0 | 90.0 |
| mp-1192619 | box | -3.433 | -3.433 | 13.0744 | 13.0744 | 13.0744 | 90.0 | 90.0 | 90.0 |
| mp-1097832 | static | -3.4035 | -3.4035 | 2.9722 | 2.9722 | 9.8799 | 90.0 | 90.0 | 90.0 |
| A2--W--bcc | box | -2.9173 | -2.9173 | 2.6077 | 2.6077 | 2.6077 | 90.0 | 90.0 | 90.0 |
| A3--Mg--hcp | box | -2.8568 | -2.8568 | 2.2337 | 2.2337 | 5.7752 | 90.0 | 90.0 | 120.0 |
| A3--Mg--hcp | box | -2.529 | -2.529 | 2.3834 | 2.3834 | 3.9133 | 90.0 | 90.0 | 120.0 |
| A3'--alpha-La--double-hcp | box | -2.5271 | -2.5271 | 2.3863 | 2.3863 | 7.8152 | 90.0 | 90.0 | 120.0 |
| A1--Cu--fcc | static | -2.5252 | -2.5252 | 3.3791 | 3.3791 | 3.3791 | 90.0 | 90.0 | 90.0 |
| A15--beta-W | static | -2.4762 | -2.4762 | 4.3042 | 4.3042 | 4.3042 | 90.0 | 90.0 | 90.0 |
| A15--beta-W | static | -1.162 | -1.162 | 5.8367 | 5.8367 | 5.8367 | 90.0 | 90.0 | 90.0 |
Download raw data (including filtered results)
Reference structure matches:
| prototype | method | Ecoh (eV/atom) | Epot (eV/atom) | a0 (Å) | b0 (Å) | c0 (Å) | α (degrees) | β (degrees) | γ (degrees) |
|---|---|---|---|---|---|---|---|---|---|
| C1--CaF2--fluorite | dynamic | -5.8416 | -5.8416 | 4.6892 | 4.6892 | 4.6892 | 90.0 | 90.0 | 90.0 |
| oqmd-1232084 | box | -5.2847 | -5.2847 | 4.7357 | 4.7357 | 2.807 | 90.0 | 90.0 | 90.0 |
| C1--CaF2--fluorite | static | -0.0 | -0.0 | 8.3138 | 8.3138 | 8.3138 | 90.0 | 90.0 | 90.0 |
Download raw data (including filtered results)
Reference structure matches:
| prototype | method | Ecoh (eV/atom) | Epot (eV/atom) | a0 (Å) | b0 (Å) | c0 (Å) | α (degrees) | β (degrees) | γ (degrees) |
|---|---|---|---|---|---|---|---|---|---|
| oqmd-426162 | static | -5.5415 | -5.5415 | 4.9732 | 4.9732 | 12.8059 | 90.0 | 90.0 | 120.0 |
| oqmd-426162 | dynamic | -5.5415 | -5.5415 | 4.9732 | 4.9732 | 12.8061 | 90.0 | 90.0 | 120.0 |
| oqmd-426162 | box | -5.5033 | -5.5033 | 4.9628 | 4.9628 | 12.8249 | 90.0 | 90.0 | 120.0 |
Download raw data (including filtered results)
Reference structure matches:
| prototype | method | Ecoh (eV/atom) | Epot (eV/atom) | a0 (Å) | b0 (Å) | c0 (Å) | α (degrees) | β (degrees) | γ (degrees) |
|---|---|---|---|---|---|---|---|---|---|
| mp-2794 | dynamic | -5.2041 | -5.2041 | 11.1024 | 4.8032 | 4.9747 | 90.0 | 99.6 | 90.0 |
| oqmd-7999 | dynamic | -5.1951 | -5.1951 | 11.005 | 4.7079 | 5.0639 | 90.0 | 99.3 | 90.0 |
| mp-645339 | box | -5.1405 | -5.1405 | 5.1744 | 4.5998 | 11.6063 | 90.0 | 106.5 | 90.0 |
| mp-2794 | box | -5.136 | -5.136 | 11.3173 | 4.6323 | 5.0668 | 90.0 | 99.2 | 90.0 |
Download raw data (including filtered results)
Reference structure matches:
D0_3--BiF3 = oqmd-310918
L1_2--AuCu3 = oqmd-344120
| prototype | method | Ecoh (eV/atom) | Epot (eV/atom) | a0 (Å) | b0 (Å) | c0 (Å) | α (degrees) | β (degrees) | γ (degrees) |
|---|---|---|---|---|---|---|---|---|---|
| D0_3--BiF3 | static | -3.9056 | -3.9056 | 5.0946 | 5.0946 | 5.0946 | 90.0 | 90.0 | 90.0 |
| A15--Cr3Si | box | -3.8277 | -3.8277 | 4.1173 | 4.1173 | 4.1173 | 90.0 | 90.0 | 90.0 |
| L1_2--AuCu3 | static | -3.8166 | -3.8166 | 3.2252 | 3.2252 | 3.2252 | 90.0 | 90.0 | 90.0 |
| oqmd-319634 | box | -2.3476 | -2.3476 | 5.2206 | 5.2206 | 5.9911 | 90.0 | 90.0 | 120.0 |
| A15--Cr3Si | box | -0.7463 | -0.7463 | 6.4016 | 6.4016 | 6.4016 | 90.0 | 90.0 | 90.0 |
| D0_3--BiF3 | static | -0.0 | -0.0 | 8.3138 | 8.3138 | 8.3138 | 90.0 | 90.0 | 90.0 |
| A15--Cr3Si | box | 0.6564 | 0.6564 | 6.2876 | 6.2876 | 6.2876 | 90.0 | 90.0 | 90.0 |
Download raw data (including filtered results)
Reference structure matches:
| prototype | method | Ecoh (eV/atom) | Epot (eV/atom) | a0 (Å) | b0 (Å) | c0 (Å) | α (degrees) | β (degrees) | γ (degrees) |
|---|---|---|---|---|---|---|---|---|---|
| mp-21717 | dynamic | -5.318 | -5.318 | 4.8634 | 6.724 | 11.5724 | 90.0 | 90.0 | 90.0 |
| mp-21717 | static | -5.3177 | -5.3177 | 4.8604 | 6.7161 | 11.5444 | 90.0 | 90.0 | 90.0 |
| oqmd-42164 | box | -5.2527 | -5.2527 | 4.6668 | 6.8062 | 11.4703 | 90.0 | 90.0 | 90.0 |
| mp-21717 | box | -5.2499 | -5.2499 | 4.6609 | 6.8123 | 11.4668 | 90.0 | 90.0 | 90.0 |
| oqmd-13852 | static | -5.2091 | -5.2091 | 6.7227 | 6.7227 | 4.7887 | 90.0 | 90.0 | 120.0 |
| mp-18257 | box | -5.1809 | -5.1809 | 6.7825 | 6.7825 | 4.6079 | 90.0 | 90.0 | 120.0 |
| oqmd-13852 | box | -5.1805 | -5.1805 | 6.781 | 6.781 | 4.6073 | 90.0 | 90.0 | 120.0 |
Download raw data (including filtered results)
Reference structure matches:
| prototype | method | Ecoh (eV/atom) | Epot (eV/atom) | a0 (Å) | b0 (Å) | c0 (Å) | α (degrees) | β (degrees) | γ (degrees) |
|---|---|---|---|---|---|---|---|---|---|
| oqmd-21378 | dynamic | -4.989 | -4.989 | 10.4569 | 10.4569 | 10.4569 | 90.0 | 90.0 | 90.0 |
| mp-1192884 | box | -4.9862 | -4.9862 | 10.4477 | 10.4477 | 10.4477 | 90.0 | 90.0 | 90.0 |
| oqmd-21378 | box | -4.985 | -4.985 | 10.4468 | 10.4468 | 10.4468 | 90.0 | 90.0 | 90.0 |
Download raw data (including filtered results)
Reference structure matches:
B1--NaCl--rock-salt = oqmd-1105078, oqmd-1234885
B2--CsCl = oqmd-305893
| prototype | method | Ecoh (eV/atom) | Epot (eV/atom) | a0 (Å) | b0 (Å) | c0 (Å) | α (degrees) | β (degrees) | γ (degrees) |
|---|---|---|---|---|---|---|---|---|---|
| B3--ZnS--cubic-zinc-blende | dynamic | -6.3793 | -6.3793 | 4.3407 | 4.3407 | 4.3407 | 90.0 | 90.0 | 90.0 |
| B4--ZnS--wurtzite | dynamic | -6.1548 | -6.1548 | 3.0487 | 3.0487 | 5.3142 | 90.0 | 90.0 | 120.0 |
| oqmd-1228598 | dynamic | -5.7848 | -5.7848 | 2.946 | 2.946 | 2.348 | 90.0 | 90.0 | 120.0 |
| B1--NaCl--rock-salt | static | -5.403 | -5.403 | 4.1511 | 4.1511 | 4.1511 | 90.0 | 90.0 | 90.0 |
| B2--CsCl | dynamic | -5.1047 | -5.1047 | 2.5003 | 2.5003 | 2.5003 | 90.0 | 90.0 | 90.0 |
| B4--ZnS--wurtzite | dynamic | -3.4649 | -3.4649 | 7.1201 | 7.1201 | 10.2616 | 90.0 | 90.0 | 120.0 |
| B2--CsCl | box | -0.285 | -0.285 | 4.1143 | 4.1143 | 4.1143 | 90.0 | 90.0 | 90.0 |
| B3--ZnS--cubic-zinc-blende | static | -0.0 | -0.0 | 8.3138 | 8.3138 | 8.3138 | 90.0 | 90.0 | 90.0 |
| B4--ZnS--wurtzite | static | -0.0 | -0.0 | 5.8819 | 5.8819 | 9.6051 | 90.0 | 90.0 | 120.0 |
Download raw data (including filtered results)
Reference structure matches:
| prototype | method | Ecoh (eV/atom) | Epot (eV/atom) | a0 (Å) | b0 (Å) | c0 (Å) | α (degrees) | β (degrees) | γ (degrees) |
|---|---|---|---|---|---|---|---|---|---|
| C1--CaF2--fluorite | dynamic | -5.6322 | -5.6322 | 4.7099 | 4.7099 | 4.7099 | 90.0 | 90.0 | 90.0 |
| mp-1871 | dynamic | -5.4694 | -5.4694 | 4.2812 | 4.4467 | 3.0297 | 90.0 | 90.0 | 90.0 |
| mp-1871 | box | -5.4214 | -5.4214 | 4.3116 | 4.5764 | 2.9382 | 90.0 | 90.0 | 90.0 |
| mp-1102779 | static | -5.2199 | -5.2199 | 5.667 | 2.758 | 6.8872 | 90.0 | 90.0 | 90.0 |
| mp-1102779 | box | -5.1584 | -5.1584 | 5.8804 | 2.6859 | 6.8314 | 90.0 | 90.0 | 90.0 |
| C1--CaF2--fluorite | box | -0.1922 | -0.1922 | 8.2263 | 8.2263 | 8.2263 | 90.0 | 90.0 | 90.0 |
Download raw data (including filtered results)
Reference structure matches:
D0_3--BiF3 = oqmd-309092
L1_2--AuCu3 = oqmd-345946
| prototype | method | Ecoh (eV/atom) | Epot (eV/atom) | a0 (Å) | b0 (Å) | c0 (Å) | α (degrees) | β (degrees) | γ (degrees) |
|---|---|---|---|---|---|---|---|---|---|
| oqmd-7808 | dynamic | -5.0866 | -5.0866 | 4.6937 | 4.6937 | 4.2977 | 90.0 | 90.0 | 120.0 |
| mp-13154 | static | -5.0866 | -5.0866 | 4.6922 | 4.6922 | 4.2969 | 90.0 | 90.0 | 120.0 |
| oqmd-7808 | box | -5.0865 | -5.0865 | 4.6965 | 4.6965 | 4.2992 | 90.0 | 90.0 | 120.0 |
| mp-510623 | dynamic | -5.0663 | -5.0663 | 5.2786 | 6.4369 | 4.5779 | 90.0 | 90.0 | 90.0 |
| oqmd-3494 | static | -5.0573 | -5.0573 | 5.1607 | 6.5285 | 4.6464 | 90.0 | 90.0 | 90.0 |
| oqmd-41734 | box | -4.964 | -4.964 | 4.8915 | 6.9924 | 4.7264 | 90.0 | 90.0 | 90.0 |
| mp-613523 | box | -4.9549 | -4.9549 | 4.9134 | 6.9938 | 4.7099 | 90.0 | 90.0 | 90.0 |
| mp-1205444 | static | -4.9112 | -4.9112 | 7.8712 | 2.9488 | 14.0584 | 90.0 | 103.2 | 90.0 |
| mp-1182630 | box | -4.8249 | -4.8249 | 5.3962 | 10.7414 | 3.0448 | 90.0 | 90.0 | 90.0 |
| A15--Cr3Si | static | -4.3406 | -4.3406 | 4.2136 | 4.2136 | 4.2136 | 90.0 | 90.0 | 90.0 |
| oqmd-321460 | static | -4.2386 | -4.2386 | 4.9282 | 4.9282 | 3.5931 | 90.0 | 90.0 | 120.0 |
| oqmd-321460 | box | -4.2144 | -4.2144 | 4.8189 | 4.8189 | 3.7059 | 90.0 | 90.0 | 120.0 |
| L1_2--AuCu3 | static | -4.11 | -4.11 | 3.3432 | 3.3432 | 3.3432 | 90.0 | 90.0 | 90.0 |
| D0_3--BiF3 | static | -4.0934 | -4.0934 | 5.3066 | 5.3066 | 5.3066 | 90.0 | 90.0 | 90.0 |
| mp-510623 | box | -3.869 | -3.869 | 3.2616 | 6.7962 | 9.0379 | 90.0 | 90.0 | 90.0 |
| mp-1188724 | static | -1.7324 | -1.7324 | 14.3249 | 20.5229 | 13.2014 | 90.0 | 90.0 | 90.0 |
| mp-1188724 | dynamic | -1.7324 | -1.7324 | 14.2716 | 20.5229 | 11.9664 | 90.0 | 90.0 | 90.0 |
| A15--Cr3Si | box | -0.7963 | -0.7963 | 6.3975 | 6.3975 | 6.3975 | 90.0 | 90.0 | 90.0 |
Download raw data (including filtered results)
Reference structure matches:
| prototype | method | Ecoh (eV/atom) | Epot (eV/atom) | a0 (Å) | b0 (Å) | c0 (Å) | α (degrees) | β (degrees) | γ (degrees) |
|---|---|---|---|---|---|---|---|---|---|
| mp-1078579 | dynamic | -4.7895 | -4.7895 | 5.7967 | 2.8112 | 6.4666 | 90.0 | 100.8 | 90.0 |
| mp-1078579 | static | -4.7865 | -4.7865 | 5.8732 | 2.9168 | 6.1424 | 90.0 | 100.2 | 90.0 |
| mp-1070333 | dynamic | -4.6352 | -4.6352 | 6.3803 | 6.3803 | 2.5355 | 90.0 | 90.0 | 90.0 |
| mp-1070333 | box | -4.6085 | -4.6085 | 6.3162 | 6.3162 | 2.5425 | 90.0 | 90.0 | 90.0 |
| mp-1246 | box | -4.3856 | -4.3856 | 3.948 | 3.948 | 3.948 | 90.0 | 90.0 | 90.0 |
| oqmd-646134 | box | -4.3854 | -4.3854 | 3.9464 | 3.9464 | 3.9464 | 90.0 | 90.0 | 90.0 |
Download raw data (including filtered results)
Reference structure matches:
A1--Cu--fcc = mp-150, oqmd-7505, oqmd-1214525
A15--beta-W = oqmd-1214970
A2--W--bcc = mp-13, oqmd-8568, oqmd-22514, oqmd-1215148
A3'--alpha-La--double-hcp = oqmd-1215416
A3--Mg--hcp = mp-136, oqmd-30158, oqmd-51781, oqmd-1215326, oqmd-1215391
A4--C--dc = oqmd-1215505
A5--beta-Sn = oqmd-1215594
A6--In--bct = oqmd-1215683
Ah--alpha-Po--sc = mp-568345
| prototype | method | Ecoh (eV/atom) | Epot (eV/atom) | a0 (Å) | b0 (Å) | c0 (Å) | α (degrees) | β (degrees) | γ (degrees) |
|---|---|---|---|---|---|---|---|---|---|
| A2--W--bcc | dynamic | -4.29 | -4.29 | 2.8637 | 2.8637 | 2.8637 | 90.0 | 90.0 | 90.0 |
| A15--beta-W | dynamic | -4.263 | -4.263 | 4.5738 | 4.5738 | 4.5738 | 90.0 | 90.0 | 90.0 |
| oqmd-1215237 | dynamic | -4.2539 | -4.2539 | 2.511 | 4.5072 | 4.1219 | 90.0 | 90.0 | 90.0 |
| oqmd-1214792 | dynamic | -4.2517 | -4.2517 | 8.8493 | 8.8493 | 8.8493 | 90.0 | 90.0 | 90.0 |
| oqmd-1214792 | box | -4.2496 | -4.2496 | 8.8501 | 8.8501 | 8.8501 | 90.0 | 90.0 | 90.0 |
| A3--Mg--hcp | dynamic | -4.2465 | -4.2465 | 2.5354 | 2.5354 | 4.0939 | 90.0 | 90.0 | 120.0 |
| oqmd-1216039 | dynamic | -4.2393 | -4.2393 | 2.5307 | 2.5307 | 18.4622 | 90.0 | 90.0 | 120.0 |
| A3'--alpha-La--double-hcp | dynamic | -4.2358 | -4.2358 | 2.5285 | 2.5285 | 8.2139 | 90.0 | 90.0 | 120.0 |
| A6--In--bct | dynamic | -4.2351 | -4.2351 | 2.5008 | 2.5008 | 3.7372 | 90.0 | 90.0 | 90.0 |
| oqmd-1215237 | box | -4.2344 | -4.2344 | 2.5007 | 4.5136 | 4.1852 | 90.0 | 90.0 | 90.0 |
| oqmd-1214881 | dynamic | -4.2271 | -4.2271 | 6.2153 | 6.2153 | 6.2153 | 90.0 | 90.0 | 90.0 |
| oqmd-1214881 | box | -4.226 | -4.226 | 6.2144 | 6.2144 | 6.2144 | 90.0 | 90.0 | 90.0 |
| A1--Cu--fcc | dynamic | -4.2255 | -4.2255 | 3.5673 | 3.5673 | 3.5673 | 90.0 | 90.0 | 90.0 |
| A7--alpha-As | static | -4.2231 | -4.2231 | 2.5367 | 2.5367 | 12.4425 | 90.0 | 90.0 | 120.0 |
| A1--Cu--fcc | static | -4.2211 | -4.2211 | 3.6121 | 3.6121 | 3.6121 | 90.0 | 90.0 | 90.0 |
| mp-1194030 | dynamic | -4.181 | -4.181 | 8.5897 | 8.5897 | 4.6446 | 90.0 | 90.0 | 90.0 |
| oqmd-21053 | box | -4.169 | -4.169 | 8.5861 | 8.5861 | 4.6639 | 90.0 | 90.0 | 90.0 |
| mp-1194030 | box | -4.1628 | -4.1628 | 8.5775 | 8.5775 | 4.676 | 90.0 | 90.0 | 90.0 |
| mp-1245108 | dynamic | -4.1534 | -4.1534 | 10.3915 | 10.6922 | 10.9375 | 91.8 | 92.0 | 92.7 |
| mp-1245108 | static | -4.151 | -4.151 | 10.3964 | 10.677 | 10.9232 | 91.9 | 91.8 | 92.1 |
| mp-1245108 | box | -4.1072 | -4.1072 | 10.5615 | 10.6159 | 10.908 | 91.8 | 90.7 | 91.6 |
| oqmd-1215059 | box | -3.9678 | -3.9678 | 2.6101 | 4.2012 | 8.9537 | 90.0 | 90.0 | 90.0 |
| mp-1096950 | box | -3.7167 | -3.7167 | 2.4692 | 2.4692 | 2.4236 | 90.0 | 90.0 | 120.0 |
| A5--beta-Sn | box | -3.6934 | -3.6934 | 4.5691 | 4.5691 | 2.4598 | 90.0 | 90.0 | 90.0 |
| Ah--alpha-Po--sc | static | -3.3022 | -3.3022 | 2.3948 | 2.3948 | 2.3948 | 90.0 | 90.0 | 90.0 |
| oqmd-21731 | box | -3.3022 | -3.3022 | 2.3948 | 2.3948 | 7.1847 | 90.0 | 90.0 | 90.0 |
| oqmd-1215950 | box | -3.2352 | -3.2352 | 3.9698 | 4.4277 | 3.9814 | 90.0 | 119.7 | 90.0 |
| A4--C--dc | static | -2.4708 | -2.4708 | 5.1957 | 5.1957 | 5.1957 | 90.0 | 90.0 | 90.0 |
| A4--C--dc | static | -2.4585 | -2.4585 | 5.0406 | 5.0406 | 5.0406 | 90.0 | 90.0 | 90.0 |
| A15--beta-W | box | -1.0035 | -1.0035 | 6.4009 | 6.4009 | 6.4009 | 90.0 | 90.0 | 90.0 |
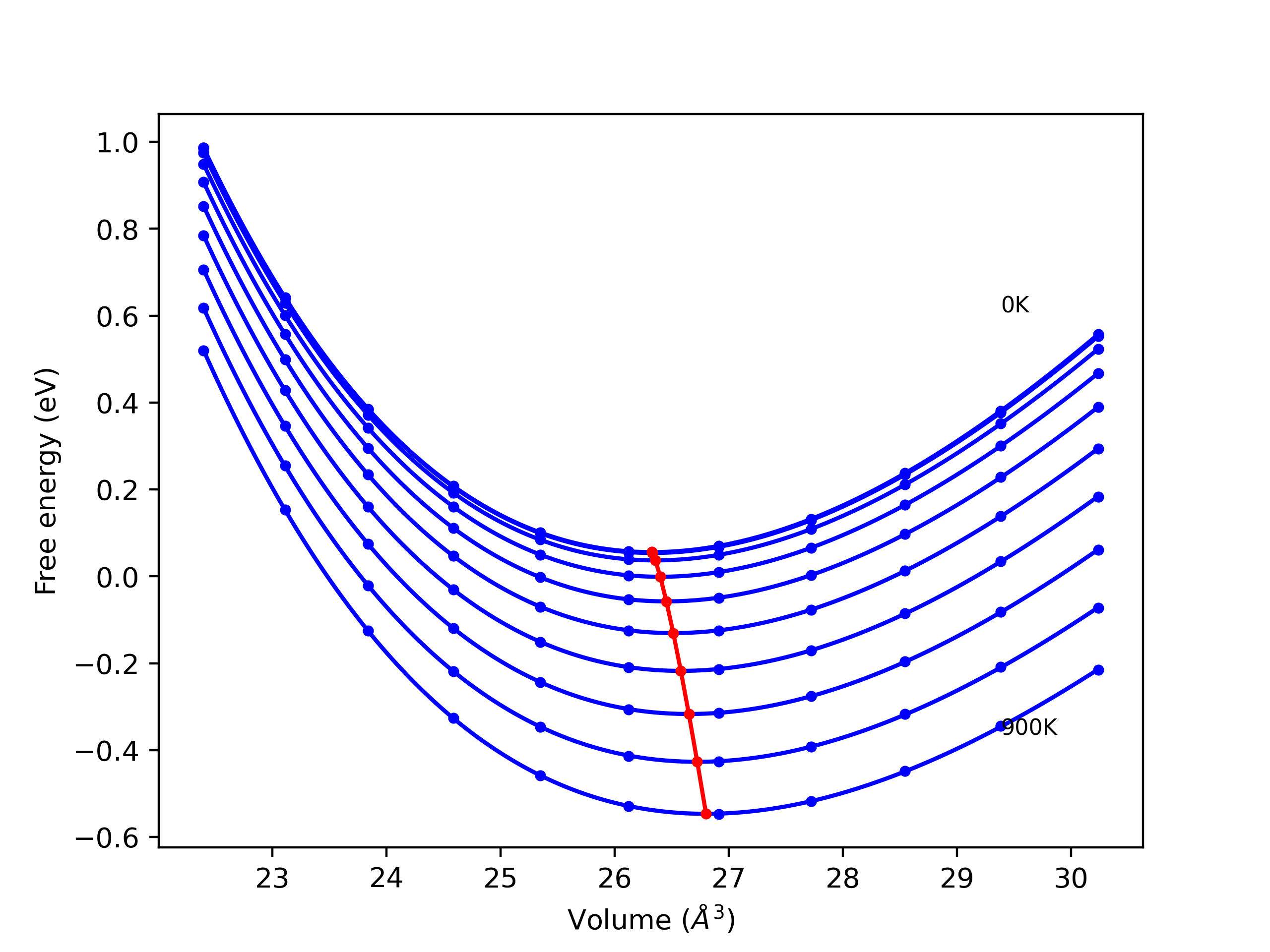
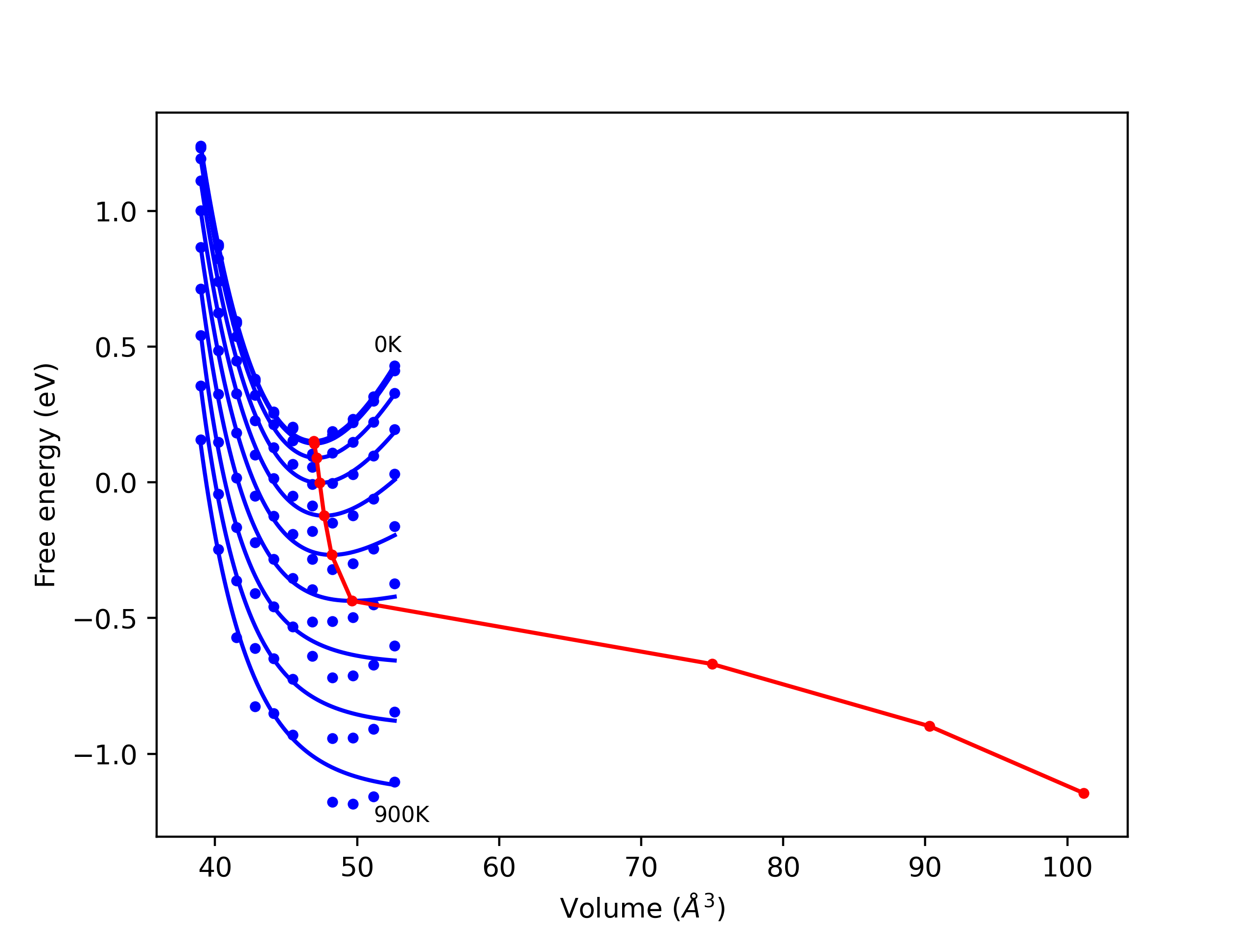
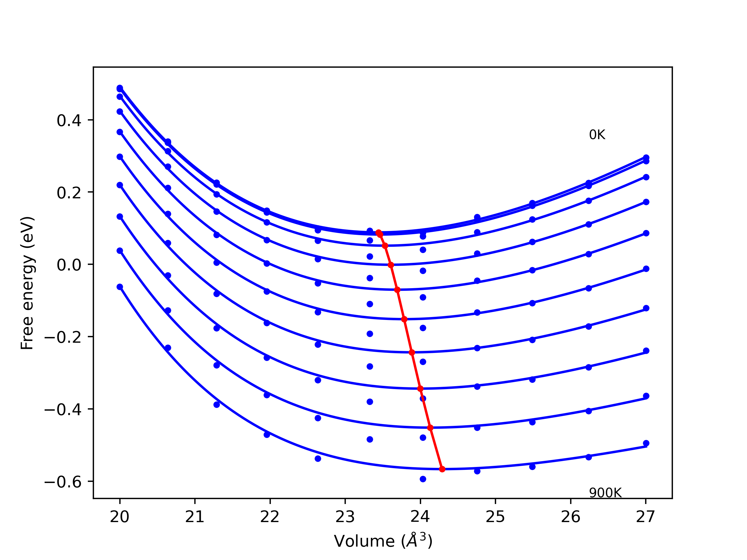
Static elastic constants are displayed for the unique structures identified in Crystal Structure Predictions above. The values displayed here are obtained by measuring the change in virial stresses due to applying small strains to the relaxed crystals. The initial structure and the strained states are all relaxed using force minimization.
The calculation method used is available as the iprPy elastic_constants_static calculation method.
Notes and Disclaimers:
Version Information:
| 215.083 | 274.485 | 274.485 | -0.000 | -0.000 | -0.000 |
| 274.485 | 215.083 | 274.485 | -0.000 | -0.000 | -0.000 |
| 274.485 | 274.485 | 215.083 | -0.000 | -0.000 | -0.000 |
| -0.000 | -0.000 | -0.000 | -79.797 | 0.000 | 0.000 |
| -0.000 | -0.000 | -0.000 | 0.000 | -79.797 | 0.000 |
| -0.000 | -0.000 | -0.000 | 0.000 | 0.000 | -79.797 |
| 215.083 | 274.485 | 274.485 | 0.000 | 0.000 | -0.000 |
| 274.485 | 215.083 | 274.485 | 0.000 | 0.000 | 0.000 |
| 274.485 | 274.485 | 215.083 | 0.000 | 0.000 | 0.000 |
| 0.000 | 0.000 | 0.000 | -79.797 | -0.000 | -0.000 |
| 0.000 | 0.000 | 0.000 | -0.000 | -79.797 | -0.000 |
| 0.000 | 0.000 | 0.000 | -0.000 | -0.000 | -79.797 |
| 215.083 | 274.485 | 274.485 | -0.000 | 0.000 | 0.000 |
| 274.485 | 215.083 | 274.485 | 0.000 | -0.000 | -0.000 |
| 274.485 | 274.485 | 215.083 | -0.000 | -0.000 | -0.000 |
| 0.000 | 0.000 | 0.000 | -79.797 | 0.000 | 0.000 |
| 0.000 | 0.000 | 0.000 | 0.000 | -79.797 | 0.000 |
| 0.000 | 0.000 | 0.000 | 0.000 | 0.000 | -79.797 |
| 215.083 | 274.485 | 274.485 | 0.000 | -0.000 | -0.000 |
| 274.485 | 215.083 | 274.485 | -0.000 | 0.000 | 0.000 |
| 274.485 | 274.485 | 215.083 | 0.000 | 0.000 | 0.000 |
| -0.000 | -0.000 | -0.000 | -79.797 | -0.000 | -0.000 |
| -0.000 | -0.000 | -0.000 | -0.000 | -79.797 | -0.000 |
| -0.000 | -0.000 | -0.000 | -0.000 | -0.000 | -79.797 |
| 215.084 | 274.486 | 274.486 | -0.000 | -0.000 | -0.000 |
| 274.486 | 215.084 | 274.486 | -0.000 | -0.000 | -0.000 |
| 274.486 | 274.486 | 215.084 | -0.000 | -0.000 | -0.000 |
| 0.000 | 0.000 | 0.000 | -79.797 | 0.000 | 0.000 |
| 0.000 | 0.000 | 0.000 | 0.000 | -79.797 | 0.000 |
| 0.000 | 0.000 | 0.000 | 0.000 | 0.000 | -79.797 |
| 215.082 | 274.484 | 274.484 | 0.000 | -0.000 | -0.000 |
| 274.484 | 215.082 | 274.484 | 0.000 | 0.000 | 0.000 |
| 274.484 | 274.484 | 215.082 | 0.000 | 0.000 | 0.000 |
| -0.000 | -0.000 | -0.000 | -79.797 | -0.000 | -0.000 |
| -0.000 | -0.000 | -0.000 | -0.000 | -79.797 | -0.000 |
| -0.000 | -0.000 | -0.000 | -0.000 | -0.000 | -79.797 |
| 59.278 | 312.236 | 312.236 | -0.000 | 0.000 | 0.000 |
| 312.236 | 59.278 | 312.236 | -0.000 | 0.000 | -0.000 |
| 312.236 | 312.236 | 59.278 | -0.000 | -0.000 | 0.000 |
| -0.000 | -0.000 | -0.000 | -340.730 | 0.000 | 0.000 |
| -0.000 | 0.000 | -0.000 | -0.000 | -340.730 | 0.000 |
| -0.000 | -0.000 | -0.000 | 0.000 | -0.000 | -340.730 |
| 57.179 | 313.285 | 313.285 | 0.000 | -0.000 | -0.000 |
| 313.285 | 57.179 | 313.285 | 0.000 | -0.000 | -0.000 |
| 313.285 | 313.286 | 57.179 | 0.000 | -0.000 | -0.000 |
| -0.000 | 0.000 | 0.000 | -340.730 | -0.000 | 0.000 |
| 0.000 | -0.000 | 0.000 | 0.000 | -340.730 | -0.000 |
| 0.000 | 0.000 | 0.000 | -0.000 | -0.000 | -340.730 |
| 59.278 | 312.236 | 312.236 | 0.000 | -0.000 | -0.000 |
| 312.236 | 59.278 | 312.236 | -0.000 | 0.000 | 0.000 |
| 312.236 | 312.236 | 59.278 | -0.000 | -0.000 | 0.000 |
| -112870982.052 | -215781382.921 | -132973277.182 | -43100189.992 | -54731263.398 | -1477932.355 |
| -131404910.127 | -100837500.862 | -196059035.734 | -2501458.380 | -33057408.083 | -53269669.028 |
| -226740161.537 | -152727972.643 | -136483970.446 | -69533494.809 | 3537414.179 | -37651008.291 |
| 59.278 | 312.236 | 312.236 | 0.000 | 0.000 | -0.000 |
| 312.236 | 59.278 | 312.236 | 0.000 | -0.000 | -0.000 |
| 312.236 | 312.236 | 59.278 | 0.000 | -0.000 | -0.000 |
| 133461987.067 | 187182333.361 | 170126686.430 | 10827482.500 | -90412564.042 | -8474196.353 |
| 165742882.462 | 136027349.621 | 197952558.038 | -7440236.434 | 3468470.539 | -77504681.137 |
| 168662116.534 | 169476113.163 | 127169981.669 | -73776606.963 | -3701189.659 | 1890039.387 |
| 59.279 | 312.237 | 312.237 | -0.000 | 0.000 | 0.000 |
| 312.237 | 59.279 | 312.237 | -0.000 | 0.000 | -0.000 |
| 312.237 | 312.237 | 59.279 | -0.000 | 0.000 | -0.000 |
| -12889944.317 | -17719003.939 | -17394790.685 | 2099172.892 | -8028054.972 | 1691730.550 |
| -13970221.286 | -11163308.148 | -17994385.267 | -146265.297 | -1692238.516 | -5465406.134 |
| -18514397.311 | -16991905.292 | -12183386.588 | -8003737.191 | -278308.043 | -1125489.560 |
| 59.277 | 312.235 | 312.235 | 0.000 | -0.000 | 0.000 |
| 312.235 | 59.277 | 312.235 | 0.000 | 0.000 | -0.000 |
| 312.235 | 312.235 | 59.277 | 0.000 | -0.000 | -0.000 |
| 12014294.538 | 20132132.443 | 12292626.081 | 736947.578 | -6696122.742 | -726867.170 |
| 18417302.458 | 16244491.889 | 20617590.056 | -97494.358 | -1480373.304 | -5290760.309 |
| 19843005.340 | 12615368.171 | 11729288.523 | -6101383.608 | -551224.076 | 394047.760 |
| 4443.618 | 4732.977 | 4732.977 | -0.000 | 0.000 | -0.000 |
| 4732.977 | 4443.618 | 4732.977 | 0.000 | -0.000 | 0.000 |
| 4732.977 | 4732.977 | 4443.618 | -0.000 | -0.000 | -0.000 |
| 97826317.110 | 91336934.403 | 82879828.553 | 218017.557 | -244315.765 | -569335.851 |
| 88373744.880 | 107340929.768 | 87028336.334 | -1191343.889 | 1298920.914 | -560163.482 |
| 79245528.387 | 90067756.725 | 106918646.398 | 2571768.198 | 4164564.111 | 1949026.557 |
| 4443.621 | 4732.974 | 4732.974 | 0.000 | -0.000 | -0.000 |
| 4732.974 | 4443.621 | 4732.974 | -0.000 | -0.000 | 0.000 |
| 4732.974 | 4732.974 | 4443.621 | 0.000 | 0.000 | -0.000 |
| -94354069.546 | -75094502.381 | -85867512.043 | -1065831.177 | 1732239.812 | -2758923.942 |
| -86498979.062 | -99805541.518 | -86978376.512 | 691585.336 | 4379192.495 | -1943896.386 |
| -83730648.738 | -91613460.294 | -104108253.183 | -6103578.743 | -2415419.157 | 234518.216 |
| 10106397.192 | 12051888.556 | 11618945.380 | 87306.881 | -260348.560 | 316186.062 |
| 12555149.517 | 11452099.080 | 13009640.974 | 89536.261 | 285144.595 | 116871.660 |
| 11844966.581 | 11458604.198 | 10763822.749 | -312844.119 | 50561.923 | 666976.546 |
| 8735528.917 | 7355837.722 | 6948708.989 | 265319.254 | -96409.430 | 225205.830 |
| 8042825.809 | 9100504.921 | 7708655.896 | 127500.211 | 59345.098 | 65284.277 |
| 7012506.717 | 6627010.238 | 9059090.539 | -40413.791 | 455806.842 | 273424.367 |
| -14665069.731 | -12043322.378 | -12942167.332 | -143082.505 | 259827.068 | 7060.628 |
| -13369191.682 | -15134476.106 | -13090536.762 | -307660.317 | -367979.244 | 380392.914 |
| -13847661.012 | -14002571.051 | -15001444.163 | 236335.677 | 83710.978 | -409405.648 |
| -9562308.902 | -7553963.869 | -7852408.030 | 182155.803 | -101031.390 | 470938.242 |
| -7129227.621 | -10203580.951 | -7956313.726 | 266590.755 | 155939.881 | -131222.396 |
| -6832633.588 | -7536464.335 | -8384538.134 | -132908.785 | 2496.030 | 249071.100 |
| 1125480.809 | 1140861.253 | 1159038.688 | 66977.135 | -36243.167 | 9917.142 |
| 1327611.793 | 1194068.855 | 1319388.170 | 32043.311 | 45085.130 | -375.379 |
| 1038835.689 | 1041649.664 | 985095.580 | -6266.177 | -17546.779 | 81946.732 |
| 1072823.347 | 809741.936 | 992586.164 | 27103.502 | -10663.194 | -13349.262 |
| 903949.700 | 1063731.395 | 948579.663 | 37041.408 | 35776.031 | 10529.403 |
| 862373.098 | 967140.238 | 1190533.331 | -4467.014 | -8109.171 | 56343.476 |
| -1463286.637 | -1183200.923 | -1164113.828 | -90768.713 | 39588.630 | 17432.901 |
| -1146142.753 | -1439722.666 | -1123772.403 | 13761.378 | -62273.528 | 10282.439 |
| -1221016.549 | -1246598.549 | -1454793.709 | 3021.659 | 13678.803 | -83658.166 |
| -1104261.930 | -783531.771 | -957842.267 | 2287.442 | 400.477 | 1620.452 |
| -849602.457 | -1074275.326 | -986566.980 | 16446.918 | -21989.349 | -114.269 |
| -736918.400 | -868399.535 | -1031683.465 | 18970.714 | -11255.824 | 12144.403 |
| 1369.884 | -242.672 | -242.672 | -0.000 | 0.000 | 0.000 |
| -242.672 | 1369.884 | -242.672 | -0.000 | -0.000 | -0.000 |
| -242.672 | -242.672 | 1369.884 | 0.000 | 0.000 | -0.000 |
| -0.000 | 0.000 | -0.000 | -244.297 | -0.000 | -0.000 |
| 0.000 | -0.000 | -0.000 | -0.000 | -244.297 | -0.000 |
| 0.000 | -0.000 | -0.000 | -0.000 | -0.000 | -244.297 |
| 1369.884 | -242.672 | -242.672 | 0.000 | -0.000 | 0.000 |
| -242.672 | 1369.884 | -242.672 | -0.000 | 0.000 | 0.000 |
| -242.672 | -242.672 | 1369.884 | 0.000 | -0.000 | -0.000 |
| 0.000 | -0.000 | 0.000 | -244.297 | 0.000 | 0.000 |
| -0.000 | 0.000 | 0.000 | 0.000 | -244.297 | 0.000 |
| -0.000 | 0.000 | 0.000 | 0.000 | -0.000 | -244.297 |
| 1369.885 | -242.672 | -242.672 | -0.000 | -0.000 | 0.000 |
| -242.672 | 1369.885 | -242.672 | 0.000 | 0.000 | -0.000 |
| -242.672 | -242.672 | 1369.885 | -0.000 | -0.000 | -0.000 |
| -0.000 | 0.000 | 0.000 | -244.297 | -0.000 | -0.000 |
| 0.000 | -0.000 | 0.000 | -0.000 | -244.297 | -0.000 |
| 0.000 | 0.000 | -0.000 | -0.000 | -0.000 | -244.297 |
| 1369.883 | -242.672 | -242.672 | 0.000 | 0.000 | 0.000 |
| -242.672 | 1369.883 | -242.672 | -0.000 | 0.000 | 0.000 |
| -242.672 | -242.672 | 1369.883 | 0.000 | 0.000 | -0.000 |
| 0.000 | -0.000 | -0.000 | -244.297 | 0.000 | 0.000 |
| -0.000 | 0.000 | -0.000 | -0.000 | -244.297 | 0.000 |
| -0.000 | -0.000 | 0.000 | 0.000 | 0.000 | -244.297 |
| 1369.892 | -242.671 | -242.671 | -0.000 | -0.000 | -0.000 |
| -242.671 | 1369.892 | -242.671 | -0.000 | -0.000 | -0.000 |
| -242.671 | -242.671 | 1369.892 | -0.000 | 0.000 | 0.000 |
| -0.002 | 0.001 | 0.000 | -244.297 | -0.000 | -0.000 |
| 0.001 | -0.002 | 0.000 | -0.000 | -244.297 | 0.000 |
| 0.001 | 0.000 | -0.002 | 0.000 | 0.000 | -244.297 |
| 1369.877 | -242.673 | -242.673 | -0.000 | 0.000 | 0.000 |
| -242.673 | 1369.877 | -242.673 | 0.000 | 0.000 | 0.000 |
| -242.673 | -242.673 | 1369.877 | 0.000 | 0.000 | 0.000 |
| 0.002 | -0.001 | -0.000 | -244.297 | 0.000 | 0.000 |
| -0.001 | 0.002 | -0.000 | 0.000 | -244.297 | 0.000 |
| -0.001 | -0.000 | 0.002 | 0.000 | 0.000 | -244.297 |
| 164.885 | 297.324 | 307.378 | 0.000 | -0.000 | 0.000 |
| 297.324 | 164.885 | 307.378 | -0.000 | -0.000 | 0.000 |
| 307.378 | 307.378 | 139.237 | -0.000 | -0.000 | 0.000 |
| 0.000 | -0.000 | 0.000 | -55.161 | -0.000 | 0.000 |
| 0.000 | -0.000 | -0.000 | -0.000 | -55.161 | 0.000 |
| 0.000 | -0.000 | 0.000 | 0.000 | -0.000 | -66.219 |
| 164.885 | 297.324 | 307.378 | -0.000 | 0.000 | -0.000 |
| 297.324 | 164.885 | 307.378 | 0.000 | 0.000 | -0.000 |
| 307.378 | 307.378 | 139.237 | -0.000 | -0.000 | -0.000 |
| -0.000 | 0.000 | 0.000 | -55.161 | 0.000 | -0.000 |
| -0.000 | 0.000 | 0.000 | -0.000 | -55.161 | 0.000 |
| -0.000 | 0.000 | -0.000 | -0.000 | 0.000 | -66.219 |
| 145.478 | 316.731 | 307.379 | 0.000 | -0.000 | 0.000 |
| 316.731 | 145.478 | 307.379 | -0.000 | -0.000 | 0.000 |
| 307.379 | 307.379 | 139.237 | 0.000 | -0.000 | 0.000 |
| 0.000 | 0.000 | -0.000 | -55.161 | -0.000 | 0.000 |
| 0.000 | 0.000 | -0.000 | -0.000 | -55.161 | -0.000 |
| 0.000 | -0.000 | 0.000 | 0.000 | -0.000 | -66.219 |
| 164.885 | 297.324 | 307.378 | -0.000 | 0.000 | -0.000 |
| 297.324 | 164.885 | 307.378 | -0.000 | 0.000 | -0.000 |
| 307.378 | 307.378 | 139.237 | 0.000 | -0.000 | -0.000 |
| -0.000 | -0.000 | 0.000 | -55.161 | 0.000 | -0.000 |
| -0.000 | -0.000 | 0.000 | 0.000 | -55.161 | 0.000 |
| -0.000 | 0.000 | -0.000 | -0.000 | 0.000 | -66.219 |
| -19990018.546 | -14256584.829 | -13104823.621 | 202341.386 | -219048.050 | -367456.470 |
| -18222879.466 | -19120892.001 | -15014309.898 | 2231.378 | -161428.046 | 167750.300 |
| 307.379 | 307.379 | 139.239 | 0.000 | 0.000 | 0.000 |
| 0.000 | 0.000 | -0.000 | -55.161 | -0.000 | 0.000 |
| 0.000 | 0.000 | -0.000 | -0.000 | -55.161 | -0.000 |
| -19478015.246 | -17776200.245 | -15861571.541 | -62450.010 | 419574.931 | -251533.363 |
| 17917186.142 | 19107568.492 | 15614801.326 | 116132.672 | 274724.985 | -34753.667 |
| 297.323 | 164.884 | 307.377 | -0.000 | 0.000 | -0.000 |
| 307.377 | 307.377 | 139.236 | -0.000 | -0.000 | -0.000 |
| -0.000 | -0.000 | 0.000 | -55.161 | 0.000 | -0.000 |
| -0.000 | -0.000 | 0.000 | 0.000 | -55.161 | -0.000 |
| 19210534.049 | 17646678.269 | 15290392.058 | 143737.963 | 257643.950 | -992975.808 |
| 581.389 | 380.434 | -0.638 | -0.000 | 0.000 | -0.000 |
| 429.073 | 532.750 | -0.638 | -0.000 | 0.000 | 0.000 |
| -0.637 | -0.637 | 1064.200 | -0.000 | 0.000 | 0.000 |
| 0.000 | 0.000 | 0.000 | -34.025 | 0.000 | -0.000 |
| 0.000 | 0.000 | 0.000 | -0.000 | -34.025 | 0.000 |
| 0.000 | 0.000 | -0.000 | -0.000 | 0.000 | 51.838 |
| 532.750 | 429.073 | -0.637 | 0.000 | -0.000 | -0.000 |
| 380.434 | 581.389 | -0.638 | 0.000 | -0.000 | 0.000 |
| -0.637 | -0.637 | 1064.200 | 0.000 | -0.000 | -0.000 |
| 0.000 | -0.000 | -0.000 | -34.025 | -0.000 | 0.000 |
| -0.000 | -0.000 | -0.000 | 0.000 | -34.025 | 0.000 |
| -0.000 | -0.000 | 0.000 | 0.000 | -0.000 | 51.838 |
| 532.751 | 429.072 | -0.638 | -0.000 | 0.000 | -0.000 |
| 429.073 | 532.750 | -0.638 | -0.000 | 0.000 | 0.000 |
| -0.637 | -0.637 | 1064.201 | -0.000 | 0.000 | 0.000 |
| 0.000 | 0.000 | -0.000 | -34.025 | 0.000 | 0.000 |
| 0.000 | 0.000 | -0.000 | -0.000 | -34.025 | -0.000 |
| 0.000 | 0.000 | -0.000 | -0.000 | 0.000 | 51.838 |
| 532.749 | 429.073 | -0.637 | 0.000 | 0.000 | -0.000 |
| 429.073 | 532.749 | -0.637 | 0.000 | -0.000 | -0.000 |
| -0.637 | -0.637 | 1064.199 | 0.000 | -0.000 | -0.000 |
| -0.000 | -0.000 | 0.000 | -34.025 | -0.000 | -0.000 |
| -0.000 | -0.000 | 0.000 | 0.000 | -34.025 | -0.000 |
| -0.000 | -0.000 | 0.000 | 0.000 | -0.000 | 51.838 |
| 532.761 | 429.069 | -0.638 | -0.000 | 0.000 | 0.000 |
| 429.074 | 532.756 | -0.638 | -0.000 | 0.000 | -0.000 |
| -0.639 | -0.639 | 1064.209 | -0.000 | 0.000 | -0.000 |
| 0.000 | 0.000 | -0.000 | -34.025 | -0.000 | 0.000 |
| 0.000 | 0.000 | -0.000 | -0.000 | -34.025 | 0.000 |
| 0.000 | 0.001 | -0.000 | -0.000 | 0.000 | 100.478 |
| 581.386 | 380.433 | -0.638 | 0.000 | -0.000 | -0.000 |
| 429.072 | 532.743 | -0.637 | 0.000 | -0.000 | -0.000 |
| -0.636 | -0.636 | 1064.191 | 0.000 | -0.000 | 0.000 |
| -0.000 | -0.000 | 0.000 | -34.025 | 0.000 | -0.000 |
| -0.000 | -0.000 | 0.000 | 0.000 | -34.025 | -0.000 |
| -0.000 | -0.001 | 0.000 | 0.000 | 0.000 | 100.478 |
| 241.231 | 364.970 | -110.939 | -0.000 | -0.000 | 0.000 |
| 358.617 | 247.584 | -110.939 | -0.000 | -0.000 | 0.000 |
| -110.938 | -110.938 | 107.851 | -0.000 | -0.000 | -0.000 |
| 0.000 | 0.000 | -0.000 | 134.909 | -0.000 | -0.000 |
| 0.000 | 0.000 | -0.000 | -0.000 | 134.909 | 0.000 |
| 0.000 | -0.000 | -0.000 | -0.000 | 0.000 | -61.869 |
| 241.231 | 364.970 | -110.939 | 0.000 | -0.000 | 0.000 |
| 364.970 | 241.231 | -110.939 | 0.000 | 0.000 | -0.000 |
| -110.938 | -110.938 | 107.852 | 0.000 | -0.000 | 0.000 |
| -0.000 | -0.000 | 0.000 | 134.909 | 0.000 | 0.000 |
| -0.000 | -0.000 | 0.000 | 0.000 | 134.909 | 0.000 |
| -0.000 | 0.000 | 0.000 | 0.000 | 0.000 | -61.869 |
| 241.231 | 364.970 | -110.939 | -0.000 | -0.000 | -0.000 |
| 364.970 | 241.231 | -110.939 | -0.000 | 0.000 | -0.000 |
| -110.938 | -110.938 | 107.852 | -0.000 | 0.000 | -0.000 |
| 0.000 | 0.000 | -0.000 | 134.909 | 0.000 | -0.000 |
| 0.000 | 0.000 | -0.000 | -0.000 | 134.909 | -0.000 |
| 0.000 | 0.000 | -0.000 | -0.000 | -0.000 | -55.517 |
| 241.231 | 364.970 | -110.939 | 0.000 | -0.000 | 0.000 |
| 364.970 | 241.231 | -110.939 | 0.000 | -0.000 | 0.000 |
| -110.938 | -110.938 | 107.852 | 0.000 | 0.000 | 0.000 |
| -0.000 | -0.000 | 0.000 | 134.909 | -0.000 | -0.000 |
| -0.000 | -0.000 | 0.000 | 0.000 | 134.909 | -0.000 |
| -0.000 | -0.000 | 0.000 | 0.000 | 0.000 | -55.517 |
| 241.232 | 364.971 | -110.939 | -0.000 | -0.000 | 0.000 |
| 364.971 | 241.232 | -110.939 | -0.000 | 0.000 | -0.000 |
| -110.938 | -110.938 | 107.852 | -0.000 | -0.000 | -0.000 |
| 0.001 | 0.001 | -0.001 | 134.909 | -0.000 | -0.000 |
| 0.001 | 0.001 | -0.001 | -0.000 | 134.909 | 0.000 |
| 0.000 | 0.000 | -0.000 | -0.000 | -0.000 | -61.869 |
| 247.582 | 358.616 | -110.939 | 0.000 | -0.000 | 0.000 |
| 358.616 | 247.582 | -110.939 | 0.000 | -0.000 | 0.000 |
| -110.938 | -110.938 | 107.851 | 0.000 | -0.000 | 0.000 |
| -0.001 | -0.001 | 0.001 | 134.909 | 0.000 | -0.000 |
| -0.001 | -0.001 | 0.001 | -0.000 | 134.909 | -0.000 |
| -0.000 | -0.000 | 0.000 | 0.000 | 0.000 | -61.869 |
| 122.511 | 345.611 | 306.856 | 0.000 | 0.000 | 0.000 |
| -1883117288.365 | -1969081382.372 | -1426189248.050 | 1767932.037 | 85347937.705 | -27606455.768 |
| 306.856 | 306.856 | 130.407 | -0.000 | 0.000 | 0.000 |
| 0.000 | 0.000 | -0.000 | -63.776 | 0.000 | 0.000 |
| 0.000 | -0.000 | -0.000 | 0.000 | -63.776 | -0.000 |
| -0.000 | -0.000 | -0.000 | 0.000 | 0.000 | -69.306 |
| 164.755 | 303.367 | 306.856 | -0.000 | 0.000 | -0.000 |
| 303.367 | 164.755 | 306.856 | -0.000 | 0.000 | 0.000 |
| 306.856 | 306.856 | 130.407 | -0.000 | 0.000 | -0.000 |
| -0.000 | 0.000 | 0.000 | -63.776 | -0.000 | -0.000 |
| -0.000 | 0.000 | 0.000 | -0.000 | -63.776 | -0.000 |
| -0.000 | -0.000 | -0.000 | -0.000 | 0.000 | -69.306 |
| -177201608.010 | -149274441.692 | -132434675.640 | 1803744.113 | -2452211.548 | -3722829.539 |
| 303.368 | 164.755 | 306.856 | 0.000 | -0.000 | -0.000 |
| 306.856 | 306.856 | 130.407 | 0.000 | -0.000 | 0.000 |
| 0.000 | 0.000 | -0.000 | -63.776 | 0.000 | 0.000 |
| 0.000 | 0.000 | -0.000 | 0.000 | -63.776 | -0.000 |
| -192726494.910 | -199785023.351 | -145109955.671 | 1139573.204 | -2917891.432 | -6653988.885 |
| 195134464.261 | 199370799.109 | 140336244.539 | -2318764.543 | -4181752.692 | 2539365.195 |
| 303.367 | 164.755 | 306.856 | -0.000 | -0.000 | 0.000 |
| 306.856 | 306.856 | 130.407 | -0.000 | 0.000 | -0.000 |
| -0.000 | -0.000 | 0.000 | -63.776 | -0.000 | -0.000 |
| -0.000 | -0.000 | 0.000 | -0.000 | -63.776 | -0.000 |
| 197013427.739 | 197154049.313 | 140847604.007 | 3197084.546 | 3255453.483 | -5508583.473 |
| -17332403.164 | -14637399.187 | -13091290.911 | -255993.687 | 5337.917 | 202065.400 |
| -18937636.805 | -20126796.977 | -13695265.202 | 87984.139 | 100548.072 | -573080.172 |
| 306.857 | 306.857 | 130.408 | 0.000 | 0.000 | 0.000 |
| 0.000 | -0.000 | -0.000 | -63.776 | 0.000 | 0.000 |
| -0.000 | 0.000 | -0.000 | 0.000 | -63.776 | 0.000 |
| -19923193.679 | -19773765.019 | -15001989.478 | 298410.468 | 305134.317 | -238468.188 |
| 20235845.967 | 20173774.830 | 14254653.926 | -103872.021 | -281244.853 | -528453.797 |
| 17310004.114 | 15538900.004 | 13331073.252 | 761047.542 | 296278.168 | -127808.343 |
| 306.855 | 306.855 | 130.406 | -0.000 | -0.000 | -0.000 |
| -0.000 | -0.000 | 0.000 | -63.776 | -0.000 | 0.000 |
| -0.000 | -0.000 | 0.000 | -0.000 | -63.776 | -0.000 |
| 18791575.762 | 19782798.378 | 14112141.388 | -189719.883 | 87075.694 | -1145159.735 |
| 1079.344 | 127.226 | 127.226 | 0.000 | 0.000 | 0.000 |
| 127.226 | 1079.344 | 127.226 | 0.000 | 0.000 | 0.000 |
| 127.226 | 127.226 | 1079.344 | 0.000 | 0.000 | 0.000 |
| 0.000 | 0.000 | 0.000 | 793.115 | 0.000 | 0.000 |
| 0.000 | 0.000 | 0.000 | 0.000 | 793.115 | 0.000 |
| 0.000 | 0.000 | 0.000 | 0.000 | 0.000 | 793.115 |
| 1079.344 | 127.226 | 127.226 | -0.000 | -0.000 | -0.000 |
| 127.226 | 1079.344 | 127.226 | -0.000 | -0.000 | -0.000 |
| 127.226 | 127.226 | 1079.344 | -0.000 | -0.000 | -0.000 |
| -0.000 | -0.000 | -0.000 | 793.115 | -0.000 | -0.000 |
| -0.000 | -0.000 | -0.000 | -0.000 | 793.115 | -0.000 |
| -0.000 | -0.000 | -0.000 | -0.000 | -0.000 | 793.115 |
| 1079.344 | 127.226 | 127.226 | 0.000 | 0.000 | 0.000 |
| 127.226 | 1079.344 | 127.226 | 0.000 | 0.000 | 0.000 |
| 127.226 | 127.226 | 1079.344 | 0.000 | 0.000 | 0.000 |
| 0.000 | 0.000 | 0.000 | 622.691 | 0.000 | 0.000 |
| 0.000 | 0.000 | 0.000 | 0.000 | 622.691 | 0.000 |
| 0.000 | 0.000 | 0.000 | 0.000 | 0.000 | 622.691 |
| 1079.344 | 127.225 | 127.225 | -0.000 | -0.000 | -0.000 |
| 127.225 | 1079.344 | 127.225 | -0.000 | -0.000 | -0.000 |
| 127.225 | 127.225 | 1079.344 | -0.000 | -0.000 | -0.000 |
| -0.000 | -0.000 | -0.000 | 622.691 | -0.000 | -0.000 |
| -0.000 | -0.000 | -0.000 | -0.000 | 622.691 | -0.000 |
| -0.000 | -0.000 | -0.000 | -0.000 | -0.000 | 622.691 |
| 1079.347 | 127.226 | 127.226 | 0.000 | 0.000 | 0.000 |
| 127.226 | 1079.347 | 127.226 | 0.000 | 0.000 | 0.000 |
| 127.226 | 127.226 | 1079.347 | 0.000 | 0.000 | 0.000 |
| 0.000 | 0.001 | 0.001 | 622.691 | 0.000 | 0.000 |
| 0.001 | 0.000 | 0.001 | 0.000 | 622.691 | 0.000 |
| 0.001 | 0.001 | 0.000 | 0.000 | 0.000 | 622.691 |
| 1079.341 | 127.225 | 127.225 | -0.000 | -0.000 | -0.000 |
| 127.225 | 1079.341 | 127.225 | -0.000 | -0.000 | -0.000 |
| 127.225 | 127.225 | 1079.341 | -0.000 | -0.000 | -0.000 |
| -0.000 | -0.001 | -0.001 | 622.691 | -0.000 | -0.000 |
| -0.001 | -0.000 | -0.001 | -0.000 | 622.691 | -0.000 |
| -0.001 | -0.001 | -0.000 | -0.000 | -0.000 | 622.691 |
| 463.489 | 342.745 | 269.870 | 0.000 | -0.000 | -0.000 |
| 342.744 | 463.489 | 269.870 | 0.000 | -0.000 | -0.000 |
| 269.868 | 269.872 | 496.193 | 0.000 | -0.000 | 0.000 |
| -0.003 | 0.003 | 0.000 | -1964.004 | -0.000 | -0.000 |
| -0.002 | 0.003 | 0.000 | 0.000 | -1964.004 | -0.000 |
| -0.002 | 0.002 | -0.000 | -0.000 | -0.000 | 114.030 |
| 463.489 | 342.744 | 269.870 | -0.000 | 0.000 | 0.000 |
| 342.745 | 463.489 | 269.870 | -0.000 | 0.000 | -0.000 |
| 269.872 | 269.868 | 496.193 | -0.000 | 0.000 | 0.000 |
| 0.003 | -0.003 | -0.000 | -1964.004 | 0.000 | -0.000 |
| 0.002 | -0.003 | -0.000 | -0.000 | -1964.004 | -0.000 |
| 0.002 | -0.002 | 0.000 | -0.000 | -0.000 | 114.030 |
| 463.490 | 342.745 | 269.870 | 0.000 | -0.000 | 0.000 |
| 342.745 | 463.490 | 269.870 | 0.000 | -0.000 | 0.000 |
| 269.870 | 269.870 | 496.194 | 0.000 | 0.000 | -0.000 |
| -0.003 | 0.006 | 0.001 | -1964.004 | -0.000 | 0.000 |
| 0.006 | -0.003 | 0.001 | 0.000 | -1964.004 | 0.000 |
| -0.000 | 0.000 | -0.000 | 0.000 | 0.000 | 114.030 |
| 463.489 | 342.744 | 269.870 | -0.000 | 0.000 | 0.000 |
| 342.744 | 463.489 | 269.870 | 0.000 | 0.000 | 0.000 |
| 269.870 | 269.870 | 496.193 | -0.000 | 0.000 | 0.000 |
| 0.003 | -0.006 | -0.001 | -1964.004 | 0.000 | 0.000 |
| -0.006 | 0.003 | -0.001 | -0.000 | -1964.004 | -0.000 |
| 0.000 | -0.000 | 0.000 | -0.000 | -0.000 | 114.030 |
| 463.493 | 342.745 | 269.871 | 0.000 | -0.000 | -0.000 |
| 342.745 | 463.493 | 269.871 | 0.000 | -0.000 | -0.000 |
| 269.871 | 269.871 | 496.197 | 0.000 | -0.000 | -0.000 |
| -0.029 | 0.058 | 0.008 | -1964.003 | -0.000 | -0.000 |
| 0.058 | -0.029 | 0.008 | 0.000 | -1964.003 | 0.000 |
| -0.000 | 0.000 | -0.000 | 0.000 | -0.000 | 114.030 |
| 463.485 | 342.743 | 269.869 | -0.000 | -0.000 | 0.000 |
| 342.743 | 463.485 | 269.869 | -0.000 | 0.000 | 0.000 |
| 269.869 | 269.869 | 496.189 | -0.000 | -0.000 | -0.000 |
| 0.029 | -0.058 | -0.008 | -1964.003 | 0.000 | -0.000 |
| -0.058 | 0.029 | -0.008 | -0.000 | -1964.003 | 0.000 |
| 0.000 | -0.000 | 0.000 | -0.000 | 0.000 | 114.030 |
| 452.276 | 304.229 | -72.915 | 0.000 | -0.000 | -0.000 |
| 304.229 | 452.276 | -72.915 | 0.000 | -0.000 | 0.000 |
| -72.915 | -72.915 | 126.682 | 0.000 | -0.000 | -0.000 |
| 0.000 | 0.000 | -0.000 | 327.873 | -0.000 | 0.000 |
| 0.000 | 0.000 | -0.000 | -0.000 | 327.873 | -0.000 |
| 0.000 | 0.000 | -0.000 | 0.000 | -0.000 | 97.018 |
| 452.276 | 304.229 | -72.915 | -0.000 | 0.000 | 0.000 |
| 304.229 | 452.276 | -72.915 | -0.000 | 0.000 | 0.000 |
| -72.915 | -72.915 | 126.682 | -0.000 | 0.000 | 0.000 |
| -0.000 | -0.000 | 0.000 | 327.873 | 0.000 | 0.000 |
| -0.000 | -0.000 | 0.000 | -0.000 | 327.873 | 0.000 |
| -0.000 | -0.000 | 0.000 | -0.000 | 0.000 | 97.018 |
| 452.277 | 304.229 | -72.915 | 0.000 | -0.000 | 0.000 |
| 304.229 | 452.277 | -72.915 | 0.000 | -0.000 | -0.000 |
| -72.915 | -72.915 | 126.682 | 0.000 | -0.000 | 0.000 |
| 0.000 | 0.000 | -0.000 | 327.873 | -0.000 | -0.000 |
| 0.000 | 0.000 | -0.000 | 0.000 | 327.873 | -0.000 |
| 0.000 | 0.000 | -0.000 | 0.000 | -0.000 | 97.018 |
| 452.276 | 304.229 | -72.915 | -0.000 | 0.000 | 0.000 |
| 304.229 | 452.276 | -72.915 | -0.000 | -0.000 | -0.000 |
| -72.915 | -72.915 | 126.682 | -0.000 | 0.000 | 0.000 |
| -0.000 | -0.000 | 0.000 | 327.873 | -0.000 | 0.000 |
| -0.000 | -0.000 | 0.000 | -0.000 | 327.873 | 0.000 |
| -0.000 | -0.000 | 0.000 | -0.000 | 0.000 | 97.018 |
| 452.280 | 304.230 | -72.915 | 0.000 | -0.000 | 0.000 |
| 304.230 | 452.280 | -72.915 | 0.000 | -0.000 | -0.000 |
| -72.915 | -72.915 | 126.682 | 0.000 | -0.000 | -0.000 |
| 0.002 | 0.002 | -0.001 | 327.873 | -0.000 | 0.000 |
| 0.002 | 0.002 | -0.001 | 0.000 | 327.873 | 0.000 |
| 0.000 | 0.000 | -0.000 | 0.000 | -0.000 | 97.018 |
| 452.272 | 304.229 | -72.915 | -0.000 | 0.000 | 0.000 |
| 304.229 | 452.272 | -72.915 | -0.000 | 0.000 | 0.000 |
| -72.915 | -72.915 | 126.681 | -0.000 | 0.000 | 0.000 |
| -0.002 | -0.002 | 0.001 | 327.873 | 0.000 | -0.000 |
| -0.002 | -0.002 | 0.001 | -0.000 | 327.873 | 0.000 |
| -0.000 | -0.000 | 0.000 | -0.000 | 0.000 | 97.018 |
| 1093.718 | 42.851 | 172.928 | 18.975 | 0.000 | 0.000 |
| -19.188 | 1166.647 | 252.327 | -14.175 | -0.000 | 0.000 |
| 172.929 | 172.929 | 1232.368 | -0.000 | 0.000 | 0.000 |
| 18.975 | -18.975 | -0.000 | 249.114 | 0.000 | 0.000 |
| 0.000 | -0.000 | -0.000 | -0.000 | 249.114 | 18.975 |
| 0.000 | 0.000 | 0.000 | -0.000 | 14.176 | 592.917 |
| 1093.718 | 42.851 | 172.928 | 18.975 | 0.000 | -0.000 |
| 47.881 | 1096.633 | 230.862 | -19.050 | -0.000 | -0.000 |
| 252.328 | 252.328 | 2390.229 | 0.000 | 0.000 | 0.000 |
| 14.175 | -14.175 | 0.000 | 249.456 | -0.000 | -0.000 |
| -0.000 | 0.000 | 0.000 | 0.000 | 249.114 | 18.975 |
| -0.000 | -0.000 | -0.000 | 0.000 | 14.175 | 592.917 |
| 1166.647 | -19.188 | 252.327 | 14.176 | 0.000 | 0.000 |
| 42.790 | 1093.782 | 172.948 | -18.970 | -0.000 | 0.000 |
| 172.937 | 172.937 | 1232.485 | -0.000 | 0.000 | 0.000 |
| 14.175 | -14.176 | -0.001 | 249.456 | 0.000 | 0.000 |
| -0.000 | -0.000 | -0.001 | -0.000 | 249.114 | 18.975 |
| -0.000 | 0.000 | 0.000 | -0.000 | 18.975 | 525.433 |
| 1166.646 | -19.188 | 252.327 | 14.175 | -0.000 | -0.000 |
| 42.851 | 1093.718 | 172.928 | -18.975 | -0.000 | -0.000 |
| 173.192 | 173.192 | 1236.201 | -0.000 | -0.000 | -0.000 |
| 14.176 | -14.175 | 0.001 | 249.456 | -0.000 | -0.000 |
| 0.000 | 0.000 | 0.001 | 0.000 | 249.114 | 18.975 |
| 0.000 | -0.000 | -0.000 | 0.000 | 18.975 | 525.433 |
| 1095.749 | 48.732 | 230.589 | 19.112 | -0.000 | 0.000 |
| 42.858 | 1093.715 | 172.930 | -18.975 | 0.000 | 0.000 |
| 172.924 | 172.924 | 1232.328 | -0.000 | 0.000 | -0.000 |
| 14.174 | -14.177 | -0.010 | 249.456 | -0.000 | 0.000 |
| -0.001 | -0.001 | -0.008 | -0.000 | 249.114 | 18.975 |
| -0.000 | 0.001 | 0.000 | -0.000 | 18.975 | 525.433 |
| 1093.705 | 42.859 | 172.923 | 18.975 | -0.000 | -0.000 |
| -19.189 | 1166.643 | 252.329 | -14.175 | -0.000 | -0.000 |
| 172.932 | 172.932 | 1232.381 | 0.000 | -0.000 | 0.000 |
| 14.177 | -14.174 | 0.010 | 249.455 | -0.000 | -0.000 |
| 0.001 | 0.001 | 0.008 | 0.000 | 249.114 | 18.975 |
| 0.000 | -0.001 | -0.000 | 0.000 | 18.975 | 525.433 |
| -46.648 | -121.651 | 1293.592 | 116.330 | -0.000 | -0.000 |
| -222.130 | 392.766 | 23.345 | -19.752 | 0.000 | -0.000 |
| -46.002 | -46.002 | 83.045 | -0.000 | 0.000 | -0.000 |
| -130.767 | -246.386 | 1413.474 | 84.918 | -0.000 | -0.000 |
| -0.000 | -0.000 | 0.000 | -0.000 | 98.534 | 19.752 |
| 0.000 | -0.000 | 0.000 | -0.000 | 19.752 | 307.448 |
| 392.766 | -222.130 | 23.345 | 19.752 | 0.000 | 0.000 |
| 176.986 | 275.474 | -1032.863 | -112.129 | -0.000 | 0.000 |
| 241.393 | 241.393 | -2071.127 | 0.000 | -0.000 | 0.000 |
| 19.752 | -19.752 | -0.000 | 98.534 | -0.000 | 0.000 |
| -0.000 | 0.000 | -0.000 | 0.000 | 98.534 | 19.752 |
| -0.000 | 0.000 | -0.000 | 0.000 | 19.752 | 307.448 |
| 392.766 | -222.130 | 23.345 | 19.752 | -0.000 | -0.000 |
| -222.130 | 392.766 | 23.345 | -19.752 | 0.000 | -0.000 |
| -46.002 | -46.002 | 83.045 | 0.000 | 0.000 | -0.000 |
| 63.036 | -80.019 | 63.648 | 80.010 | -0.000 | -0.000 |
| -0.000 | -0.000 | 0.000 | 0.000 | 98.534 | 19.752 |
| -6.583 | -6.583 | 49.340 | 0.000 | 59.889 | 195.261 |
| 392.765 | -222.130 | 23.345 | 19.752 | 0.000 | 0.000 |
| -113.328 | 287.738 | 9.198 | -58.002 | -0.000 | 0.000 |
| 71.674 | 71.674 | -798.997 | -0.000 | -0.000 | 0.000 |
| 19.752 | -19.752 | -0.000 | 98.534 | 0.000 | 0.000 |
| -0.000 | 0.000 | -0.000 | -0.000 | 98.534 | 19.752 |
| 6.583 | 6.583 | -49.340 | -0.000 | 59.889 | 195.261 |
| 271.324 | -130.823 | 136.298 | 57.810 | 0.000 | -0.000 |
| -130.816 | 271.315 | 136.301 | -57.813 | 0.000 | -0.000 |
| 50.937 | 50.937 | -643.555 | 0.000 | 0.000 | -0.000 |
| 57.346 | -58.599 | 4.699 | 84.860 | 0.000 | -0.000 |
| 0.000 | 0.000 | 0.000 | 0.000 | 98.534 | 19.752 |
| -0.623 | -0.624 | 4.681 | 0.000 | 57.831 | 201.013 |
| 280.545 | -117.534 | 51.910 | 58.536 | 0.000 | -0.000 |
| -127.051 | 275.087 | 108.031 | -57.809 | -0.000 | 0.000 |
| 54.697 | 54.697 | -671.752 | 0.000 | -0.000 | 0.000 |
| 19.752 | -19.752 | -0.000 | 98.534 | 0.000 | 0.000 |
| -0.000 | -0.000 | -0.000 | -0.000 | 98.534 | 19.752 |
| 0.623 | 0.624 | -4.681 | -0.000 | 57.831 | 201.013 |
| 455.330 | 265.111 | 265.111 | 0.000 | 0.000 | 0.000 |
| 265.111 | 455.330 | 265.111 | 0.000 | 0.000 | -0.000 |
| 265.111 | 265.111 | 455.330 | -0.000 | -0.000 | 0.000 |
| -0.000 | -0.000 | -0.000 | 86.073 | -0.000 | -0.000 |
| -0.000 | -0.000 | -0.000 | 0.000 | 86.073 | -0.000 |
| -0.000 | -0.000 | -0.000 | 0.000 | 0.000 | 86.073 |
| 455.330 | 265.111 | 265.111 | -0.000 | -0.000 | 0.000 |
| 265.111 | 455.330 | 265.111 | -0.000 | -0.000 | -0.000 |
| 265.111 | 265.111 | 455.330 | -0.000 | -0.000 | 0.000 |
| 0.000 | 0.000 | 0.000 | 86.073 | -0.000 | 0.000 |
| 0.000 | 0.000 | 0.000 | 0.000 | 86.073 | -0.000 |
| 0.000 | 0.000 | 0.000 | -0.000 | 0.000 | 86.073 |
| 455.330 | 265.111 | 265.111 | -0.000 | -0.000 | -0.000 |
| 265.111 | 455.330 | 265.111 | -0.000 | 0.000 | 0.000 |
| 265.111 | 265.111 | 455.330 | 0.000 | 0.000 | -0.000 |
| -0.000 | -0.000 | 0.000 | 86.073 | -0.000 | 0.000 |
| -0.000 | -0.000 | 0.000 | 0.000 | 86.073 | -0.000 |
| -0.000 | 0.000 | -0.000 | 0.000 | -0.000 | 86.073 |
| 455.329 | 265.111 | 265.111 | 0.000 | 0.000 | -0.000 |
| 265.111 | 455.329 | 265.111 | 0.000 | -0.000 | 0.000 |
| 265.111 | 265.111 | 455.329 | -0.000 | -0.000 | 0.000 |
| 0.000 | 0.000 | -0.000 | 86.073 | 0.000 | 0.000 |
| 0.000 | 0.000 | -0.000 | 0.000 | 86.073 | 0.000 |
| 0.000 | -0.000 | 0.000 | -0.000 | -0.000 | 86.073 |
| 455.334 | 265.112 | 265.112 | 0.000 | -0.000 | -0.000 |
| 265.112 | 455.334 | 265.112 | -0.000 | -0.000 | 0.000 |
| 265.112 | 265.112 | 455.334 | 0.000 | 0.000 | 0.000 |
| -0.000 | -0.000 | 0.000 | 86.073 | -0.000 | 0.000 |
| -0.000 | -0.000 | 0.000 | -0.000 | 86.073 | -0.000 |
| -0.000 | 0.000 | -0.000 | -0.000 | 0.000 | 86.073 |
| 455.325 | 265.110 | 265.110 | 0.000 | 0.000 | 0.000 |
| 265.110 | 455.325 | 265.110 | -0.000 | -0.000 | -0.000 |
| 265.110 | 265.110 | 455.325 | 0.000 | 0.000 | -0.000 |
| 0.000 | 0.000 | -0.000 | 86.073 | -0.000 | 0.000 |
| 0.000 | 0.000 | -0.000 | 0.000 | 86.073 | 0.000 |
| 0.000 | -0.000 | 0.000 | -0.000 | 0.000 | 86.073 |
| 464.587 | 165.143 | 18.446 | -0.000 | 0.000 | -0.000 |
| 158.345 | 997.806 | 79.988 | -0.000 | -0.000 | 0.000 |
| 44.064 | 105.483 | 1114.043 | -0.000 | 0.000 | -0.000 |
| 0.878 | 1.854 | -2.547 | 653.646 | -0.000 | -0.000 |
| 0.961 | 2.380 | -2.979 | -0.000 | 217.138 | -0.000 |
| 0.886 | 1.707 | -2.482 | -0.000 | -0.000 | 119.947 |
| 462.721 | 160.547 | 24.216 | 0.000 | 0.000 | 0.000 |
| 156.472 | 993.684 | 85.513 | 0.000 | 0.000 | -0.000 |
| 12.972 | -25.649 | 1239.780 | 0.000 | -0.000 | 0.000 |
| -0.878 | -1.854 | 2.547 | 653.646 | 0.000 | 0.000 |
| -0.961 | -2.380 | 2.979 | 0.000 | 217.138 | 0.000 |
| -0.886 | -1.707 | 2.482 | 0.000 | -0.000 | 119.947 |
| 472.105 | 186.423 | -6.295 | 0.000 | -0.000 | -0.000 |
| 157.502 | 995.950 | 82.476 | -0.000 | -0.000 | -0.000 |
| 43.135 | 70.142 | 1134.857 | -0.000 | -0.000 | -0.000 |
| 0.088 | 0.185 | -0.255 | 653.652 | -0.000 | -0.000 |
| 0.096 | 0.238 | -0.298 | -0.000 | 217.138 | 0.000 |
| -0.228 | -0.644 | 0.749 | -0.000 | 0.000 | 119.933 |
| 463.366 | 158.607 | 24.137 | 0.000 | -0.000 | 0.000 |
| 157.315 | 995.540 | 83.025 | 0.000 | -0.000 | 0.000 |
| 43.034 | 103.217 | 1117.079 | 0.000 | 0.000 | -0.000 |
| -0.088 | -0.185 | 0.255 | 653.652 | -0.000 | 0.000 |
| -0.096 | -0.238 | 0.298 | 0.000 | 217.138 | 0.000 |
| 0.228 | 0.644 | -0.749 | 0.000 | 0.000 | 119.933 |
| 463.472 | 158.833 | 23.833 | 0.000 | 0.000 | -0.000 |
| 157.415 | 995.755 | 82.737 | -0.000 | -0.000 | 0.000 |
| 43.133 | 103.431 | 1116.795 | 0.000 | 0.000 | 0.000 |
| 0.009 | 0.018 | -0.024 | 653.652 | 0.000 | -0.000 |
| 0.010 | 0.024 | -0.030 | -0.000 | 217.138 | -0.000 |
| 0.058 | 0.143 | -0.179 | 0.000 | -0.000 | 119.986 |
| 463.448 | 158.790 | 23.890 | -0.000 | -0.000 | 0.000 |
| 157.402 | 995.733 | 82.765 | -0.000 | -0.000 | -0.000 |
| 43.122 | 103.414 | 1116.815 | 0.000 | -0.000 | 0.000 |
| -0.009 | -0.018 | 0.024 | 653.652 | -0.000 | 0.000 |
| -0.010 | -0.024 | 0.030 | -0.000 | 217.138 | -0.000 |
| -0.058 | -0.143 | 0.179 | -0.000 | -0.000 | 119.986 |
| 427.381 | 180.883 | 11.987 | 0.000 | 0.000 | -0.000 |
| 180.883 | 1146.968 | -57.926 | 0.000 | 0.000 | -0.000 |
| 11.987 | -57.926 | 1344.759 | 0.000 | 0.000 | -0.000 |
| -0.000 | -0.000 | 0.000 | 680.466 | 0.000 | -0.000 |
| -2.404 | -19.776 | 14.260 | 0.000 | 195.907 | -0.000 |
| -0.000 | -0.000 | 0.000 | 0.000 | 0.000 | 282.026 |
| 427.381 | 180.883 | 11.987 | -0.000 | -0.000 | 0.000 |
| 154.162 | 979.507 | 75.243 | 0.000 | 0.000 | 0.000 |
| 46.211 | 64.707 | 1218.647 | -0.000 | 0.000 | 0.000 |
| 0.000 | 0.000 | -0.000 | 680.466 | -0.000 | 0.000 |
| 2.404 | 19.776 | -14.260 | -0.000 | 195.907 | -0.000 |
| 0.000 | 0.000 | -0.000 | -0.000 | -0.000 | 282.026 |
| 418.531 | 149.780 | 44.304 | 0.000 | 0.000 | -0.000 |
| 151.517 | 957.752 | 90.932 | 0.000 | -0.000 | 0.000 |
| 43.048 | 50.573 | 1231.658 | 0.000 | -0.000 | -0.000 |
| -0.223 | -1.061 | 0.949 | 654.666 | -0.000 | -0.000 |
| -0.240 | -1.978 | 1.426 | 0.000 | 195.907 | -0.000 |
| -0.000 | 0.000 | 0.000 | 0.000 | -0.000 | 282.026 |
| 427.381 | 180.883 | 11.987 | -0.000 | -0.000 | -0.000 |
| 147.711 | 1012.203 | 72.007 | 0.000 | 0.000 | 0.000 |
| 11.987 | -57.926 | 1344.758 | -0.000 | -0.000 | 0.000 |
| 0.223 | 1.061 | -0.949 | 654.666 | 0.000 | 0.000 |
| 0.240 | 1.978 | -1.426 | -0.000 | 195.907 | 0.000 |
| 0.000 | -0.000 | -0.000 | -0.000 | 0.000 | 282.026 |
| 418.768 | 151.618 | 42.957 | 0.000 | -0.000 | -0.000 |
| 151.729 | 959.513 | 89.669 | 0.000 | -0.000 | -0.000 |
| 42.850 | 89.290 | 1213.312 | 0.000 | -0.000 | 0.000 |
| -0.024 | -0.214 | 0.153 | 648.385 | -0.000 | -0.000 |
| 0.000 | 0.000 | -0.000 | 0.000 | 195.907 | -0.000 |
| 16804807.842 | 4104277.230 | -5794896.202 | -0.000 | -0.000 | 297984.076 |
| 418.793 | 151.955 | 42.737 | -0.000 | 0.000 | 0.000 |
| 151.787 | 959.949 | 89.339 | 0.000 | 0.000 | -0.000 |
| 42.907 | 89.718 | 1212.984 | 0.000 | 0.000 | -0.000 |
| 0.024 | 0.214 | -0.153 | 648.385 | 0.000 | 0.000 |
| -0.000 | -0.000 | 0.000 | -0.000 | 195.907 | 0.000 |
| -16804807.842 | -4104277.230 | 5794896.202 | 0.000 | -0.000 | 297984.076 |
| 475.319 | 718.941 | -168.459 | -0.000 | -0.000 | 0.000 |
| 718.941 | 475.319 | -168.459 | -0.000 | -0.000 | 0.000 |
| -161.975 | -161.975 | 1437.384 | -0.000 | -0.000 | 0.000 |
| 0.005 | 0.005 | -0.008 | 523.649 | -0.000 | 0.000 |
| 0.005 | 0.005 | -0.008 | -0.000 | 523.649 | 0.000 |
| 0.003 | 0.003 | -0.004 | -0.000 | 0.000 | 165.967 |
| 475.315 | 718.936 | -168.452 | 0.000 | 0.000 | -0.000 |
| 718.936 | 475.315 | -168.452 | 0.000 | 0.000 | 0.000 |
| -161.980 | -161.980 | 1437.391 | 0.000 | 0.000 | -0.000 |
| -0.005 | -0.005 | 0.008 | 523.649 | 0.000 | -0.000 |
| -0.005 | -0.005 | 0.008 | 0.000 | 523.649 | -0.000 |
| -0.003 | -0.003 | 0.004 | -0.000 | 0.000 | 165.967 |
| 475.315 | 718.944 | -168.458 | -0.000 | -0.000 | 0.000 |
| 718.944 | 475.315 | -168.458 | -0.000 | -0.000 | 0.000 |
| -181.675 | -181.675 | 1467.985 | 0.000 | 0.000 | 0.000 |
| 0.001 | 0.001 | -0.001 | 523.649 | -0.000 | 0.000 |
| 0.001 | 0.001 | -0.001 | -0.000 | 523.649 | 0.000 |
| 0.000 | 0.000 | -0.000 | -0.000 | -0.000 | 165.967 |
| 475.318 | 718.933 | -168.453 | 0.000 | 0.000 | -0.000 |
| 718.933 | 475.318 | -168.453 | 0.000 | 0.000 | -0.000 |
| -161.978 | -161.978 | 1437.387 | 0.000 | -0.000 | -0.000 |
| -0.001 | -0.001 | 0.001 | 523.649 | 0.000 | -0.000 |
| -0.001 | -0.001 | 0.001 | 0.000 | 523.649 | -0.000 |
| -0.000 | -0.000 | 0.000 | 0.000 | 0.000 | 165.967 |
| 475.301 | 718.990 | -168.476 | -0.000 | -0.000 | -0.000 |
| 718.990 | 475.301 | -168.476 | -0.000 | -0.000 | -0.000 |
| -161.979 | -161.979 | 1437.395 | -0.000 | 0.000 | 0.000 |
| 0.000 | 0.001 | 0.000 | 523.649 | -0.000 | 0.000 |
| 0.001 | 0.000 | 0.000 | -0.000 | 523.649 | 0.000 |
| -0.000 | -0.000 | 0.000 | -0.000 | -0.000 | 165.967 |
| 475.332 | 718.887 | -168.435 | 0.000 | 0.000 | -0.000 |
| 718.887 | 475.332 | -168.435 | 0.000 | 0.000 | -0.000 |
| -161.976 | -161.976 | 1437.380 | -0.000 | -0.000 | -0.000 |
| -0.000 | -0.001 | -0.000 | 523.649 | 0.000 | -0.000 |
| -0.001 | -0.000 | -0.000 | 0.000 | 523.649 | -0.000 |
| 0.000 | 0.000 | -0.000 | 0.000 | 0.000 | 165.967 |
| 1254.462 | 150.407 | -123.881 | 0.000 | 0.000 | 0.000 |
| 173.012 | 774.086 | 67.775 | 0.000 | -0.000 | -0.000 |
| -54.823 | -81.424 | 1434.796 | 0.000 | 0.000 | -0.000 |
| -0.000 | 0.000 | -0.000 | 511.381 | 0.000 | 0.000 |
| 64.450 | -115.215 | -0.470 | 0.000 | 586.075 | 0.000 |
| -29.152 | -29.719 | 46.933 | 0.000 | 0.000 | 237.530 |
| 1446.784 | 126.675 | -288.479 | -0.000 | 0.000 | 0.000 |
| 126.675 | 1013.090 | -30.626 | -0.000 | -0.000 | 0.000 |
| -155.850 | 1.106 | 1472.734 | -0.000 | 0.000 | 0.000 |
| 0.000 | -0.000 | 0.000 | 511.381 | 0.000 | 0.000 |
| -64.450 | 115.215 | 0.470 | 0.000 | 586.075 | 0.000 |
| 29.152 | 29.719 | -46.933 | -0.000 | 0.000 | 237.530 |
| 1043.345 | 376.615 | -80.856 | 0.000 | 0.000 | -0.000 |
| 402.316 | 601.643 | -56.934 | 0.000 | 0.000 | 0.000 |
| -157.096 | -25.311 | 1491.645 | 0.000 | 0.000 | 0.000 |
| 0.000 | 0.000 | 0.000 | 511.381 | -0.000 | -0.000 |
| 0.000 | 0.000 | 0.000 | 0.000 | 648.510 | -0.000 |
| -2.807 | -2.861 | 4.519 | 0.000 | -0.000 | 240.887 |
| 1036.882 | 371.992 | -71.624 | -0.000 | 0.000 | 0.000 |
| 383.100 | 614.667 | -56.100 | 0.000 | 0.000 | 0.000 |
| -101.027 | -35.469 | 1455.017 | -0.000 | -0.000 | 0.000 |
| -0.000 | -0.000 | -0.000 | 511.381 | 0.000 | 0.000 |
| -0.000 | -0.000 | -0.000 | 0.000 | 648.510 | 0.000 |
| 2.807 | 2.861 | -4.519 | -0.000 | 0.000 | 240.887 |
| 1041.936 | 364.249 | -72.153 | -0.000 | 0.000 | -0.000 |
| 403.572 | 603.755 | -65.499 | 0.000 | -0.000 | -0.000 |
| -80.916 | -57.201 | 1452.956 | -0.000 | 0.000 | 0.000 |
| 0.603 | -1.177 | 0.029 | 472.074 | 0.000 | -0.000 |
| -0.487 | -0.499 | 0.787 | 0.000 | 586.953 | -0.000 |
| -0.609 | -2.868 | 1.734 | 0.000 | -0.000 | 151.300 |
| 1036.921 | 388.171 | -81.043 | -0.000 | 0.000 | -0.000 |
| 393.341 | 616.466 | -57.107 | 0.000 | 0.000 | 0.000 |
| -80.424 | -59.237 | 1453.053 | -0.000 | 0.000 | 0.000 |
| -0.603 | 1.177 | -0.029 | 472.074 | -0.000 | -0.000 |
| 0.487 | 0.499 | -0.787 | 0.000 | 586.953 | 0.000 |
| 0.609 | 2.868 | -1.734 | 0.000 | -0.000 | 151.300 |
| 2639.366 | 290.403 | -1344.001 | -0.000 | 0.000 | 0.000 |
| 1455.570 | 895.890 | -1146.492 | -0.000 | 0.000 | -0.000 |
| 1696.790 | -145.206 | 79.151 | -0.000 | 0.000 | -0.000 |
| 1262.841 | -34.831 | -1080.958 | 519.935 | 0.000 | -0.000 |
| 1992.219 | -263.674 | -1382.674 | -0.000 | 502.540 | -0.000 |
| 1264.222 | -34.869 | -1082.140 | -0.000 | 0.000 | 246.164 |
| -140.743 | 215.035 | 930.952 | 0.000 | -0.000 | 0.000 |
| 91.817 | 1024.373 | -36.112 | 0.000 | -0.000 | -0.000 |
| -1441.059 | -3.211 | 2501.421 | 0.000 | -0.000 | 0.000 |
| -1262.841 | 34.831 | 1080.958 | 519.935 | -0.000 | 0.000 |
| -1992.219 | 263.674 | 1382.674 | 0.000 | 502.540 | 0.000 |
| -1264.222 | 34.869 | 1082.140 | 0.000 | -0.000 | 246.164 |
| 1018.074 | 334.684 | -159.762 | -0.000 | 0.000 | -0.000 |
| 546.106 | 695.609 | -214.122 | -0.000 | 0.000 | -0.000 |
| -336.698 | -27.552 | 1553.576 | -0.000 | 0.000 | 0.000 |
| 130.838 | -3.609 | -111.994 | 519.759 | 0.000 | -0.000 |
| 176.530 | -7.662 | -127.623 | -0.000 | 531.200 | -0.000 |
| 0.000 | 0.000 | 0.000 | -0.000 | 0.000 | 310.154 |
| 682.177 | 389.819 | 70.509 | 0.000 | -0.000 | 0.000 |
| 192.920 | 708.662 | 42.280 | 0.000 | -0.000 | 0.000 |
| -225.805 | -48.401 | 1466.044 | 0.000 | -0.000 | 0.000 |
| -130.838 | 3.609 | 111.994 | 519.759 | -0.000 | 0.000 |
| -176.530 | 7.662 | 127.623 | 0.000 | 531.200 | 0.000 |
| -0.000 | -0.000 | -0.000 | 0.000 | -0.000 | 310.154 |
| 885.042 | 362.927 | -73.739 | -0.000 | 0.000 | -0.000 |
| 400.335 | 711.157 | -109.203 | -0.000 | 0.000 | -0.000 |
| -48.009 | -81.580 | 1346.640 | -0.000 | -0.000 | -0.000 |
| 19.608 | -1.397 | -13.594 | 496.959 | 0.000 | -0.000 |
| 14.062 | -1.524 | -10.281 | -0.000 | 531.371 | -0.000 |
| 17.655 | -0.738 | -12.767 | -0.000 | 0.000 | 157.456 |
| 847.872 | 379.960 | -54.905 | 0.000 | -0.000 | 0.000 |
| 356.626 | 702.496 | -76.513 | 0.000 | -0.000 | 0.000 |
| -92.804 | -68.478 | 1373.003 | 0.000 | -0.000 | 0.000 |
| -19.608 | 1.397 | 13.594 | 496.959 | -0.000 | -0.000 |
| -14.062 | 1.524 | 10.281 | 0.000 | 531.371 | 0.000 |
| -17.655 | 0.738 | 12.767 | 0.000 | -0.000 | 157.456 |
| 730.268 | -93.931 | 178.693 | -0.000 | -96.945 | -0.000 |
| 224.457 | 983.928 | 7.949 | 0.000 | -114.107 | 0.000 |
| 185.933 | -151.044 | 1203.871 | 0.000 | -105.235 | -0.000 |
| 396.167 | -177.329 | 106.836 | 679.925 | -182.780 | -102.785 |
| 135.218 | -112.137 | -40.313 | -0.000 | 63.358 | -0.000 |
| 148.182 | -100.342 | 49.645 | -126.323 | -95.503 | 227.959 |
| 184.425 | 50.912 | 178.216 | 0.000 | 49.901 | 0.000 |
| -243.994 | 1074.332 | 65.342 | 0.000 | 72.053 | 0.000 |
| 45.671 | 18.767 | 1069.124 | 0.000 | 1.568 | 0.000 |
| -396.167 | 177.329 | -106.836 | 679.925 | 182.779 | -102.785 |
| -163.841 | 89.326 | -139.648 | 0.000 | 253.331 | 0.000 |
| -148.182 | 100.342 | -49.645 | -126.323 | 95.503 | 227.959 |
| 514.771 | 124.500 | -35.999 | -0.000 | -163.876 | -0.000 |
| 283.055 | 798.978 | 338.662 | -0.000 | 106.420 | -0.000 |
| 208.754 | -56.473 | 1082.492 | -0.000 | -95.823 | -0.000 |
| 25.491 | -2.704 | -3.936 | 626.159 | -6.343 | -119.713 |
| 5.518 | -30.168 | -78.967 | 0.000 | 131.439 | -0.000 |
| 33.458 | -2.642 | -5.943 | -138.912 | -7.697 | 201.136 |
| 503.789 | 19.367 | 125.330 | 0.000 | -34.396 | 0.000 |
| 174.739 | 903.828 | 207.982 | -0.000 | 159.679 | 0.000 |
| 172.285 | -62.028 | 1105.747 | -0.000 | -78.950 | 0.000 |
| -25.491 | 2.704 | 3.936 | 626.159 | 6.343 | -119.713 |
| -91.341 | 19.967 | -122.463 | -0.000 | 44.695 | 0.000 |
| -33.458 | 2.642 | 5.943 | -138.912 | 7.697 | 201.136 |
| 451.832 | 176.019 | -103.166 | 0.000 | -165.829 | -0.000 |
| 246.729 | 832.448 | 302.133 | 0.000 | 156.566 | -0.000 |
| -26.458 | 256.512 | 645.634 | -0.000 | -325.480 | -0.000 |
| 1.508 | -1.021 | 0.506 | 634.408 | -0.972 | -117.138 |
| -118.846 | 149.327 | -302.783 | -0.000 | -90.254 | 0.000 |
| 3.719 | -1.646 | 1.113 | -126.900 | -1.796 | 202.256 |
| 438.871 | 187.510 | -117.867 | 0.000 | -166.754 | 0.000 |
| 237.728 | 841.973 | 292.332 | -0.000 | 145.305 | 0.000 |
| -38.031 | 266.905 | 629.476 | 0.000 | -309.127 | 0.000 |
| -1.508 | 1.021 | -0.506 | 634.408 | 0.972 | -117.138 |
| -103.317 | 130.608 | -271.250 | 0.000 | -81.981 | 0.000 |
| -3.719 | 1.646 | -1.113 | -126.900 | 1.796 | 202.256 |
| -45.839 | -12.847 | -20.547 | -0.000 | -0.000 | 0.000 |
| -12.847 | -45.839 | -20.547 | 0.000 | -0.000 | 0.000 |
| -2.495 | -2.495 | 104.340 | -0.000 | -0.000 | -0.000 |
| -0.000 | 0.000 | 0.000 | 52.289 | -0.000 | 0.000 |
| -0.000 | 0.000 | 0.000 | 0.000 | 52.289 | -0.000 |
| -0.000 | 0.000 | 0.000 | -0.000 | -0.000 | 27.098 |
| -43.823 | 5.118 | -19.385 | 0.000 | 0.000 | 0.000 |
| 5.120 | -43.823 | -19.385 | -0.000 | 0.000 | 0.000 |
| -1.498 | -1.498 | 97.589 | 0.000 | 0.000 | -0.000 |
| 0.000 | -0.000 | -0.000 | 52.289 | 0.000 | 0.000 |
| -0.000 | -0.000 | -0.000 | 0.000 | 52.289 | 0.000 |
| -0.000 | -0.000 | -0.000 | 0.000 | 0.000 | 27.098 |
| -44.506 | -11.424 | -20.299 | 0.000 | -0.000 | 0.000 |
| -11.424 | -44.506 | -20.299 | -0.000 | -0.000 | 0.000 |
| -2.495 | -2.495 | 104.340 | -0.000 | -0.000 | -0.000 |
| 0.000 | 0.000 | 0.000 | 52.289 | -0.000 | 0.000 |
| 0.000 | 0.000 | 0.000 | 0.000 | 52.289 | -0.000 |
| 0.000 | -0.000 | 0.000 | -0.000 | -0.000 | 27.098 |
| 2.323 | -17.917 | -2.942 | -0.000 | 0.000 | -0.000 |
| -17.917 | 2.323 | -2.942 | 0.000 | 0.000 | -0.000 |
| -2.495 | -2.495 | 104.340 | 0.000 | 0.000 | 0.000 |
| -0.000 | -0.000 | -0.000 | 52.289 | 0.000 | 0.000 |
| -0.000 | -0.000 | -0.000 | -0.000 | 52.289 | 0.000 |
| -0.000 | 0.000 | -0.000 | 0.000 | 0.000 | 27.098 |
| -45.424 | 4.468 | -19.746 | -0.000 | -0.000 | 0.000 |
| 4.468 | -45.424 | -19.746 | -0.000 | -0.000 | -0.000 |
| -1.859 | -1.859 | 97.438 | -0.000 | -0.000 | -0.000 |
| -0.003 | -0.003 | -0.008 | -5.525 | -0.000 | 0.000 |
| -0.003 | -0.003 | -0.008 | -0.000 | -5.525 | 0.000 |
| 0.000 | -0.000 | 0.000 | -0.000 | -0.000 | 27.098 |
| -45.486 | 4.473 | -19.738 | 0.000 | 0.000 | 0.000 |
| 4.473 | -45.486 | -19.738 | 0.000 | 0.000 | 0.000 |
| -32.140 | -32.140 | 89.617 | 0.000 | 0.000 | -0.000 |
| 0.003 | 0.003 | 0.008 | -5.525 | 0.000 | 0.000 |
| 0.003 | 0.003 | 0.008 | -0.000 | -5.525 | -0.000 |
| -0.000 | 0.000 | -0.000 | 0.000 | 0.000 | 27.098 |
| 506.202 | -18.240 | 0.487 | -0.000 | 2.330 | -0.000 |
| -18.240 | 506.778 | 0.306 | -0.000 | -0.301 | -0.000 |
| -13.169 | 9.265 | 0.005 | -0.003 | -1.497 | -0.172 |
| 1.053 | 0.580 | 0.073 | 0.350 | -0.387 | 3.150 |
| -3.616 | 0.507 | 0.018 | 0.003 | -0.500 | 0.255 |
| -3.841 | 0.919 | 0.039 | 0.830 | -0.767 | 231.733 |
| 443.557 | 39.833 | 0.382 | -0.031 | 1.789 | -2.036 |
| 41.104 | 442.758 | 0.237 | -0.031 | 0.317 | -2.093 |
| 18.329 | -17.987 | -0.095 | -0.005 | 1.933 | -0.325 |
| 0.000 | -0.000 | 0.000 | 0.521 | 0.000 | 1.453 |
| 6.357 | -1.341 | -0.030 | -0.004 | 1.107 | -0.278 |
| -0.796 | -0.439 | -0.055 | 0.642 | 0.293 | 199.272 |
| 448.400 | 25.075 | 0.477 | 0.002 | -0.398 | 0.133 |
| 20.391 | 466.031 | 0.301 | 0.002 | -0.114 | 0.134 |
| -2.178 | 2.845 | 0.011 | 0.004 | -0.262 | 0.284 |
| -1.957 | 2.354 | 0.011 | 0.026 | -0.332 | 0.432 |
| 1.305 | 0.184 | -0.003 | 0.004 | 0.344 | 0.278 |
| -1.575 | 1.570 | 0.010 | -0.049 | -0.193 | 211.771 |
| 465.402 | 20.271 | 0.450 | -0.002 | 1.802 | -0.134 |
| 20.350 | 465.908 | 0.294 | -0.002 | -0.076 | -0.134 |
| 0.314 | 0.231 | 0.000 | -0.004 | 0.028 | -0.271 |
| -0.103 | -0.057 | -0.007 | 0.310 | 0.038 | 0.175 |
| 0.804 | -0.329 | -0.008 | -0.004 | 0.159 | -0.245 |
| 0.913 | -0.632 | -0.003 | 0.068 | 0.102 | 214.385 |
| 447.311 | 25.817 | 0.463 | 0.000 | -0.153 | 0.013 |
| 19.471 | 440.724 | 0.098 | 0.000 | -0.089 | 0.006 |
| 0.486 | 0.305 | 0.010 | 0.000 | -0.005 | -0.000 |
| -0.067 | 0.012 | 0.000 | 0.176 | -0.011 | 0.874 |
| 0.147 | 0.055 | -0.002 | 0.000 | 0.083 | 0.024 |
| -0.102 | 0.101 | 0.000 | 0.065 | -0.010 | 214.190 |
| 414.550 | 11.405 | 0.092 | 0.000 | 0.045 | -0.001 |
| 16.911 | 436.303 | 0.054 | -0.000 | 0.084 | -0.005 |
| 0.486 | 0.305 | 0.010 | -0.000 | -0.005 | 0.000 |
| 0.066 | -0.030 | -0.001 | 0.104 | 0.009 | 0.042 |
| 1.235 | 0.101 | -0.011 | -0.000 | 0.395 | -0.027 |
| 0.152 | -0.177 | -0.001 | -0.044 | 0.022 | 211.643 |
| -1009.704 | 161.829 | 2325.474 | 0.000 | 0.000 | 0.000 |
| -963.559 | -59.054 | 2355.690 | 0.000 | 0.000 | 0.000 |
| -1628.107 | 283.988 | 2836.648 | -0.000 | -0.000 | -0.000 |
| 0.000 | 0.000 | 0.000 | 269.607 | 0.000 | -0.000 |
| -1096.356 | 44.124 | 2184.124 | 0.000 | -110.580 | 0.000 |
| 24.011 | -377.692 | 1029.454 | -0.000 | -0.000 | 168.949 |
| 411.173 | 406.527 | -1002.074 | 0.000 | 0.000 | 0.000 |
| 10.361 | 699.918 | -1001.377 | 0.000 | 0.000 | 0.000 |
| 23.852 | 34.890 | 573.270 | 0.000 | 0.000 | 0.000 |
| -0.000 | -0.000 | -0.000 | 269.607 | 0.000 | 0.000 |
| 1096.356 | -44.124 | -2184.124 | -0.000 | -110.581 | -0.000 |
| -24.011 | 377.692 | -1029.454 | 0.000 | 0.000 | 168.949 |
| 450.098 | 73.318 | 129.107 | 0.000 | 0.000 | 0.000 |
| 53.729 | 274.433 | 149.952 | -0.000 | -0.000 | -0.000 |
| 23.852 | 34.890 | 573.270 | 0.000 | 0.000 | -0.000 |
| -9.294 | -8.923 | 32.520 | 139.822 | 0.000 | 0.000 |
| -2.519 | -31.948 | 90.861 | 0.000 | 148.521 | -0.000 |
| -158.605 | 30.087 | 258.712 | -0.000 | -0.000 | 6.099 |
| 658.082 | 20.718 | 23.852 | 0.000 | 0.000 | -0.000 |
| 143.492 | -53.558 | -241.358 | -0.000 | -0.000 | 0.000 |
| 70.988 | 104.238 | 217.505 | 0.000 | 0.000 | 0.000 |
| 9.294 | 8.923 | -32.520 | 139.822 | 0.000 | -0.000 |
| 2.519 | 31.948 | -90.861 | 0.000 | 148.521 | 0.000 |
| 158.605 | -30.087 | -258.712 | 0.000 | 0.000 | 6.099 |
| 356.740 | 63.739 | 86.901 | 0.000 | 0.000 | 0.000 |
| -34.996 | 100.553 | 29.031 | 0.000 | 0.000 | 0.000 |
| 73.889 | 78.360 | 238.099 | 0.000 | 0.000 | 0.000 |
| -4.249 | -1.170 | 12.473 | 107.905 | 0.000 | 0.000 |
| -10.236 | 1.848 | 17.144 | -0.000 | 81.067 | 0.000 |
| -9.351 | 1.425 | 16.170 | -0.000 | -0.000 | 80.378 |
| 348.549 | 34.390 | 51.512 | 0.000 | 0.000 | -0.000 |
| 37.042 | 147.119 | 45.851 | 0.000 | 0.000 | -0.000 |
| 42.881 | 28.973 | 174.882 | 0.000 | 0.000 | -0.000 |
| 4.249 | 1.170 | -12.473 | 107.905 | -0.000 | -0.000 |
| 10.236 | -1.848 | -17.144 | 0.000 | 81.067 | -0.000 |
| 9.351 | -1.425 | -16.170 | 0.000 | 0.000 | 80.378 |
| 561.401 | 285.281 | -54.490 | -0.000 | 0.000 | 0.000 |
| 958.921 | 404.524 | -723.850 | -0.000 | 0.000 | 0.000 |
| 1117.553 | 180.389 | -679.349 | 0.000 | 0.000 | -0.000 |
| 143.756 | 200.126 | -124.273 | 148.417 | 0.000 | 0.000 |
| 1060.049 | 139.369 | -1077.497 | 0.000 | 171.196 | 0.000 |
| 1398.058 | 756.450 | -1468.571 | 0.000 | 0.000 | 12.099 |
| 270.518 | -115.070 | 197.096 | 0.000 | -0.000 | -0.000 |
| -982.579 | 229.530 | 1119.065 | 0.000 | -0.000 | -0.000 |
| 24.642 | 3.430 | 502.292 | -0.000 | 0.000 | -0.000 |
| -143.756 | -200.126 | 124.273 | 148.417 | -0.000 | -0.000 |
| -1060.049 | -139.369 | 1077.497 | -0.000 | 171.196 | -0.000 |
| -1398.058 | -756.450 | 1468.571 | -0.000 | -0.000 | 12.099 |
| 432.234 | 103.771 | 58.121 | 0.000 | 0.000 | 0.000 |
| 183.981 | 382.618 | -66.491 | -0.000 | 0.000 | 0.000 |
| 163.007 | 53.817 | 293.191 | 0.000 | 0.000 | 0.000 |
| 83.587 | 21.629 | -73.258 | 70.447 | 0.000 | 0.000 |
| 14.872 | 20.154 | -12.922 | -0.000 | 158.491 | 0.000 |
| 106.009 | 13.937 | -107.754 | -0.000 | 0.000 | 171.488 |
| 161.515 | 43.154 | 125.694 | 0.000 | 0.000 | -0.000 |
| -28.681 | 354.554 | 149.747 | -0.000 | -0.000 | 0.000 |
| 59.303 | -1.006 | 353.791 | 0.000 | -0.000 | -0.000 |
| -83.587 | -21.629 | 73.258 | 70.447 | 0.000 | -0.000 |
| -14.872 | -20.154 | 12.922 | 0.000 | 158.491 | -0.000 |
| -106.009 | -13.937 | 107.754 | 0.000 | -0.000 | 171.488 |
| 381.176 | 96.193 | 67.911 | -0.000 | 0.000 | 0.000 |
| 103.475 | 248.845 | 26.138 | 0.000 | 0.000 | 0.000 |
| 72.669 | 3.384 | 174.866 | 0.000 | 0.000 | 0.000 |
| 12.568 | 0.463 | -7.997 | 67.113 | 0.000 | 0.000 |
| 10.379 | 2.543 | -12.415 | -0.000 | 53.684 | 0.000 |
| 8.473 | 1.977 | -7.529 | -0.000 | 0.000 | 103.569 |
| 393.800 | 90.821 | 74.820 | -0.000 | -0.000 | -0.000 |
| 68.901 | 134.689 | 3.035 | 0.000 | -0.000 | -0.000 |
| 76.778 | 22.776 | 291.346 | 0.000 | -0.000 | -0.000 |
| -12.568 | -0.463 | 7.997 | 67.113 | 0.000 | -0.000 |
| -10.379 | -2.543 | 12.415 | -0.000 | 53.684 | -0.000 |
| -8.473 | -1.977 | 7.529 | -0.000 | -0.000 | 103.569 |
| 564.241 | -0.000 | 0.000 | 0.000 | 0.000 | 0.000 |
| -0.001 | 14289.741 | 0.000 | 0.000 | 0.000 | -0.000 |
| 0.000 | 0.000 | 0.000 | 0.000 | 0.000 | 0.000 |
| 0.000 | -0.000 | 0.000 | 0.000 | 0.000 | 0.000 |
| 0.000 | 0.000 | 0.000 | 0.000 | 0.000 | 0.000 |
| 0.000 | -0.000 | 0.000 | 0.000 | 0.000 | -0.000 |
| 564.240 | -0.000 | -0.000 | -0.000 | -0.000 | -0.000 |
| -0.000 | 0.000 | -0.000 | -0.000 | -0.000 | -0.000 |
| 0.000 | 0.000 | -0.000 | -0.000 | -0.000 | -0.000 |
| -0.000 | -0.000 | -0.000 | -0.000 | -0.000 | -0.000 |
| -0.000 | -0.000 | -0.000 | -0.000 | -0.000 | -0.000 |
| -0.000 | 0.000 | -0.000 | -0.000 | -0.000 | -0.000 |
| 564.241 | -0.000 | 0.000 | 0.000 | 0.000 | 0.000 |
| -0.005 | 14289.026 | 0.000 | 0.000 | 0.000 | 0.000 |
| 0.000 | 0.000 | 0.000 | 0.000 | 0.000 | 0.000 |
| 0.000 | 0.000 | 0.000 | 0.000 | 0.000 | 0.000 |
| 0.000 | 0.000 | 0.000 | 0.000 | 0.000 | 0.000 |
| 0.000 | -0.000 | 0.000 | 0.000 | 0.000 | -0.000 |
| 564.240 | -0.000 | -0.000 | -0.000 | -0.000 | -0.000 |
| -0.000 | 0.000 | -0.000 | -0.000 | -0.000 | -0.000 |
| -0.000 | 0.000 | -0.000 | -0.000 | -0.000 | 0.000 |
| -0.000 | 0.000 | -0.000 | -0.000 | -0.000 | -0.000 |
| 0.000 | -0.000 | -0.000 | -0.000 | -0.000 | -0.000 |
| -0.000 | 0.000 | -0.000 | -0.000 | -0.000 | -0.000 |
| 564.242 | -0.000 | 0.000 | 0.000 | 0.000 | 0.000 |
| -0.050 | 14287.047 | 0.000 | 0.000 | 0.000 | -0.000 |
| 173.313 | 0.000 | 11411.048 | -0.000 | -1406.422 | 0.000 |
| 0.000 | -0.000 | 0.000 | 0.000 | 0.000 | 0.000 |
| 0.000 | 0.000 | 0.000 | 0.000 | 0.000 | 0.000 |
| 0.000 | -0.000 | 0.000 | 0.000 | 0.000 | 0.000 |
| 564.239 | -0.000 | -0.000 | -0.000 | -0.000 | -0.000 |
| -0.000 | 0.000 | -0.000 | -0.000 | -0.000 | -0.000 |
| -0.000 | 0.000 | -0.000 | -0.000 | -0.000 | 0.000 |
| -0.000 | -0.000 | -0.000 | -0.000 | -0.000 | -0.000 |
| 0.000 | -0.000 | -0.000 | -0.000 | -0.000 | -0.000 |
| -0.000 | 0.000 | -0.000 | -0.000 | -0.000 | -0.000 |
| 782.474 | 102.192 | 102.192 | -0.000 | 0.000 | 0.000 |
| 102.192 | 782.474 | 102.192 | -0.000 | -0.000 | -0.000 |
| 102.192 | 102.192 | 782.474 | -0.000 | 0.000 | 0.000 |
| 0.000 | -0.000 | 0.000 | 412.968 | 0.000 | -0.000 |
| 0.000 | -0.000 | 0.000 | -0.000 | 412.968 | -0.000 |
| 0.000 | 0.000 | 0.000 | -0.000 | 0.000 | 412.968 |
| 813.694 | 85.479 | 85.479 | -0.000 | -0.000 | -0.000 |
| 85.479 | 813.694 | 85.479 | -0.000 | -0.000 | -0.000 |
| 85.479 | 85.479 | 813.694 | -0.000 | -0.000 | -0.000 |
| 0.000 | -0.000 | -0.000 | 412.968 | -0.000 | 0.000 |
| -0.000 | 0.000 | -0.000 | 0.000 | 412.968 | 0.000 |
| -0.000 | -0.000 | -0.000 | 0.000 | -0.000 | 412.968 |
| 888.115 | 49.184 | 49.184 | -0.000 | -0.000 | 0.000 |
| 49.184 | 888.115 | 49.184 | -0.000 | 0.000 | -0.000 |
| 49.184 | 49.184 | 888.115 | -0.000 | 0.000 | -0.000 |
| 0.282 | 0.282 | 0.283 | 350.435 | -0.000 | -0.000 |
| 0.282 | 0.282 | 0.283 | 0.000 | 350.435 | -0.000 |
| 0.282 | 0.282 | 0.282 | -0.000 | -0.000 | 350.435 |
| 888.114 | 49.184 | 49.184 | 0.000 | -0.000 | 0.000 |
| 49.184 | 888.114 | 49.184 | -0.000 | -0.000 | 0.000 |
| 49.184 | 49.184 | 888.114 | 0.000 | -0.000 | 0.000 |
| -0.282 | -0.282 | -0.283 | 350.435 | 0.000 | -0.000 |
| -0.282 | -0.282 | -0.283 | -0.000 | 350.435 | -0.000 |
| -0.282 | -0.282 | -0.282 | 0.000 | 0.000 | 350.435 |
| 767.057 | 108.555 | 108.555 | -0.000 | 0.000 | 0.000 |
| 108.555 | 767.057 | 108.555 | -0.000 | -0.000 | 0.000 |
| 108.555 | 108.555 | 767.057 | -0.000 | 0.000 | 0.000 |
| 0.009 | 0.009 | 0.010 | 344.022 | -0.000 | 0.000 |
| 0.009 | 0.009 | 0.010 | 0.000 | 344.022 | 0.000 |
| 0.009 | 0.010 | 0.009 | -0.000 | 0.000 | 344.022 |
| 781.514 | 101.443 | 101.443 | -0.000 | -0.000 | -0.000 |
| 101.443 | 781.514 | 101.443 | -0.000 | 0.000 | -0.000 |
| 101.443 | 101.443 | 781.514 | -0.000 | 0.000 | 0.000 |
| -0.009 | -0.009 | -0.010 | 344.022 | 0.000 | -0.000 |
| -0.009 | -0.009 | -0.010 | -0.000 | 344.022 | -0.000 |
| -0.009 | -0.010 | -0.009 | 0.000 | -0.000 | 344.022 |
| 741.073 | 75.963 | 75.963 | -0.000 | 0.000 | -0.000 |
| 75.963 | 741.073 | 75.963 | 0.000 | -0.000 | -0.000 |
| 75.963 | 75.963 | 741.073 | -0.000 | -0.000 | 0.000 |
| -2.007 | -2.007 | -2.007 | 369.192 | 0.000 | -0.000 |
| -2.007 | -2.007 | -2.007 | -0.000 | 369.192 | 0.000 |
| -2.007 | -2.007 | -2.007 | -0.000 | 0.000 | 369.192 |
| 744.684 | 77.407 | 77.407 | -0.000 | 0.000 | 0.000 |
| 77.407 | 744.684 | 77.407 | -0.000 | 0.000 | 0.000 |
| 77.407 | 77.407 | 744.684 | -0.000 | 0.000 | 0.000 |
| 2.007 | 2.007 | 2.007 | 369.192 | 0.000 | -0.000 |
| 2.007 | 2.007 | 2.007 | -0.000 | 369.192 | -0.000 |
| 2.007 | 2.007 | 2.007 | 0.000 | -0.000 | 369.192 |
| 826.717 | 35.634 | 35.634 | -0.000 | 0.000 | -0.000 |
| 35.634 | 826.717 | 35.634 | -0.000 | -0.000 | 0.000 |
| 35.634 | 35.634 | 826.717 | -0.000 | 0.000 | 0.000 |
| -0.227 | -0.227 | -0.227 | 366.061 | -0.000 | -0.000 |
| -0.227 | -0.227 | -0.227 | -0.000 | 366.061 | -0.000 |
| -0.227 | -0.227 | -0.227 | 0.000 | 0.000 | 366.061 |
| 743.446 | 76.580 | 76.580 | -0.000 | -0.000 | 0.000 |
| 76.580 | 743.446 | 76.580 | -0.000 | 0.000 | -0.000 |
| 76.580 | 76.580 | 743.446 | 0.000 | -0.000 | -0.000 |
| 0.227 | 0.227 | 0.227 | 366.061 | 0.000 | 0.000 |
| 0.227 | 0.227 | 0.227 | 0.000 | 366.061 | 0.000 |
| 0.227 | 0.227 | 0.227 | 0.000 | -0.000 | 366.061 |
| 698.669 | 97.974 | 97.974 | 0.000 | 0.000 | 0.000 |
| 97.974 | 698.669 | 97.974 | 0.000 | 0.000 | 0.000 |
| 97.974 | 97.974 | 698.669 | 0.000 | 0.000 | -0.000 |
| -0.038 | -0.037 | -0.037 | 333.949 | -0.000 | -0.000 |
| -0.037 | -0.038 | -0.037 | -0.000 | 333.949 | -0.000 |
| -0.037 | -0.037 | -0.038 | -0.000 | -0.000 | 333.949 |
| 698.618 | 98.406 | 98.406 | -0.000 | -0.000 | 0.000 |
| 98.406 | 698.618 | 98.406 | 0.000 | 0.000 | 0.000 |
| 89.969 | 89.969 | 715.151 | 0.000 | 0.000 | 0.000 |
| 0.038 | 0.037 | 0.037 | 333.949 | -0.000 | -0.000 |
| 0.037 | 0.038 | 0.037 | 0.000 | 333.949 | 0.000 |
| 0.037 | 0.037 | 0.038 | 0.000 | 0.000 | 333.949 |
| 800.315 | 10.604 | 43.064 | -0.000 | 0.000 | 0.000 |
| 122.031 | 1103.349 | -142.996 | -0.000 | 0.000 | -0.000 |
| -210.160 | -119.235 | 1419.723 | -0.000 | 0.000 | -0.000 |
| 3.251 | 1.352 | -1.232 | 602.813 | 0.000 | 0.000 |
| -0.544 | 0.316 | 0.308 | -0.000 | 534.525 | -0.000 |
| -1.004 | 0.905 | 1.157 | -0.000 | 0.000 | 301.179 |
| 752.871 | 30.515 | 28.429 | 0.000 | -0.000 | -0.000 |
| 91.639 | 1016.086 | -52.741 | 0.000 | -0.001 | -0.000 |
| 63.555 | -141.606 | 1204.375 | 0.000 | -0.000 | -0.000 |
| -3.251 | -1.352 | 1.232 | 602.813 | 0.000 | 0.000 |
| 0.544 | -0.316 | -0.308 | 0.000 | 534.524 | 0.000 |
| 1.004 | -0.905 | -1.157 | 0.000 | -0.000 | 301.179 |
| 844.834 | 18.296 | 6.643 | -0.000 | 0.000 | 0.000 |
| 63.320 | 1064.279 | -62.205 | -0.000 | 0.000 | -0.000 |
| 62.072 | -141.170 | 1205.403 | -0.000 | 0.000 | -0.000 |
| 0.463 | 0.198 | -0.198 | 602.549 | 0.000 | 0.000 |
| -0.000 | 0.000 | 0.000 | -0.000 | 1138.362 | -0.000 |
| 0.178 | 0.137 | -0.013 | -0.000 | 0.000 | 300.975 |
| 754.070 | 31.287 | 29.283 | 0.000 | 0.000 | 0.000 |
| 94.580 | 1018.222 | -53.822 | 0.000 | -0.000 | 0.000 |
| 74.841 | -71.460 | 1138.578 | 0.000 | -0.000 | -0.000 |
| -0.463 | -0.198 | 0.198 | 602.549 | -0.000 | -0.000 |
| 0.000 | -0.000 | -0.000 | 0.000 | 1138.362 | 0.000 |
| -0.178 | -0.137 | 0.013 | 0.000 | -0.000 | 300.975 |
| 754.448 | 31.555 | 29.151 | -0.000 | 0.000 | -0.000 |
| 94.901 | 1018.508 | -53.911 | -0.000 | -0.000 | -0.000 |
| 75.257 | -71.132 | 1138.444 | -0.000 | 0.000 | -0.000 |
| 0.046 | 0.020 | -0.019 | 602.549 | 0.000 | -0.000 |
| 0.030 | 0.018 | -0.009 | -0.000 | 460.689 | -0.000 |
| 0.018 | 0.014 | -0.001 | -0.000 | 0.000 | 300.976 |
| 754.401 | 31.503 | 29.158 | 0.000 | -0.000 | -0.000 |
| 94.824 | 1018.444 | -53.877 | 0.000 | 0.000 | 0.000 |
| 75.189 | -71.195 | 1138.472 | 0.000 | -0.000 | 0.000 |
| -0.046 | -0.020 | 0.019 | 602.549 | -0.000 | 0.000 |
| -0.030 | -0.018 | 0.009 | 0.000 | 460.689 | -0.000 |
| -0.018 | -0.014 | 0.001 | 0.000 | -0.000 | 300.976 |
| 5.111 | 3.988 | 3.988 | -0.002 | -0.002 | -0.008 |
| 3.986 | 5.112 | 3.988 | -0.002 | -0.002 | -0.008 |
| 3.986 | 3.988 | 5.113 | -0.002 | -0.002 | -0.008 |
| 0.401 | 0.402 | 0.403 | 1.063 | -0.002 | -0.007 |
| 0.401 | 0.402 | 0.403 | -0.002 | 1.063 | -0.007 |
| 0.401 | 0.402 | 0.403 | -0.002 | -0.002 | 1.057 |
| 4.332 | 3.183 | 3.183 | 0.002 | 0.002 | 0.008 |
| 3.184 | 4.331 | 3.183 | 0.002 | 0.002 | 0.008 |
| 3.185 | 3.183 | 4.331 | 0.002 | 0.002 | 0.008 |
| -0.401 | -0.402 | -0.403 | 1.066 | 0.002 | 0.007 |
| -0.401 | -0.402 | -0.403 | 0.002 | 1.067 | 0.007 |
| -0.401 | -0.402 | -0.403 | 0.002 | 0.002 | 1.072 |
| 4.759 | 3.625 | 3.625 | -0.000 | -0.000 | -0.001 |
| 3.625 | 4.759 | 3.625 | -0.000 | -0.000 | -0.001 |
| 3.625 | 3.625 | 4.759 | -0.000 | -0.000 | -0.001 |
| 0.042 | 0.042 | 0.042 | 2.033 | -0.000 | -0.001 |
| 0.042 | 0.042 | 0.043 | -0.000 | 2.033 | -0.001 |
| 0.042 | 0.043 | 0.043 | -0.000 | -0.000 | 2.032 |
| 1.008 | -0.767 | -0.767 | 0.000 | 0.000 | 0.001 |
| -0.767 | 1.008 | -0.767 | 0.000 | 0.000 | 0.001 |
| -0.767 | -0.767 | 1.008 | 0.000 | 0.000 | 0.001 |
| -0.042 | -0.042 | -0.043 | 2.033 | 0.000 | 0.001 |
| -0.042 | -0.043 | -0.042 | 0.000 | 2.033 | 0.001 |
| -0.042 | -0.042 | -0.042 | 0.000 | 0.000 | 2.034 |
| 1.038 | -0.730 | -0.730 | -0.000 | -0.000 | -0.000 |
| -0.729 | 1.041 | -0.729 | -0.000 | -0.000 | -0.000 |
| -0.729 | -0.729 | 1.041 | -0.000 | -0.000 | -0.000 |
| 0.004 | 0.004 | 0.004 | -0.001 | -0.000 | -0.000 |
| 0.004 | 0.004 | 0.004 | 0.000 | 2.033 | -0.000 |
| 0.004 | 0.004 | 0.004 | -0.000 | -0.000 | 2.033 |
| 1.055 | -0.726 | -0.726 | 0.000 | 0.000 | 0.000 |
| -0.726 | 1.055 | -0.726 | 0.000 | 0.000 | 0.000 |
| -0.726 | -0.726 | 1.055 | 0.000 | 0.000 | 0.000 |
| -0.004 | -0.004 | -0.004 | 2.033 | 0.000 | 0.000 |
| -0.004 | -0.004 | -0.004 | 0.000 | 2.033 | -0.000 |
| -0.004 | -0.004 | -0.004 | -0.000 | -0.000 | 2.033 |
| 71.862 | 152.444 | -73.038 | 0.000 | -142.281 | -0.000 |
| 243.737 | 400.819 | -136.028 | -0.000 | -5.593 | 0.000 |
| 275.647 | 187.836 | 134.235 | -0.000 | -26.735 | -0.000 |
| 141.966 | 76.265 | -184.727 | 57.225 | -136.015 | -3.630 |
| -783.994 | 405.382 | -679.614 | -0.000 | 210.191 | 0.000 |
| 140.836 | 75.836 | -183.275 | -2.732 | -135.758 | 71.773 |
| 472.884 | 41.084 | 69.760 | 0.000 | -18.620 | 0.000 |
| 46.596 | 170.522 | -76.591 | 0.000 | 53.442 | 0.000 |
| -17.404 | -21.207 | 326.923 | -0.000 | 123.963 | 0.000 |
| -141.966 | -76.265 | 184.727 | 57.225 | 136.015 | -3.630 |
| -25.073 | -127.628 | -112.754 | 0.000 | 116.163 | -0.000 |
| -140.836 | -75.836 | 183.275 | -2.732 | 135.758 | 71.773 |
| 276.564 | 54.624 | 122.912 | -0.000 | -28.034 | 0.000 |
| 91.633 | 237.991 | 22.776 | -0.000 | -4.310 | 0.000 |
| 112.170 | 100.219 | 159.189 | -0.000 | -36.016 | 0.000 |
| 20.675 | 18.305 | -19.670 | 83.673 | 0.029 | -3.367 |
| 7.177 | 14.123 | -37.618 | 0.000 | 33.658 | 0.000 |
| -0.000 | -0.000 | 0.000 | -5.055 | 0.000 | 146.642 |
| 154.380 | 44.882 | 100.979 | 0.000 | -7.752 | 0.000 |
| 63.350 | 186.195 | 51.446 | 0.000 | 5.227 | 0.000 |
| 116.446 | 33.988 | 198.802 | 0.000 | -3.123 | -0.000 |
| -20.675 | -18.305 | 19.670 | 83.673 | -0.029 | -3.367 |
| -29.374 | -1.955 | -66.369 | 0.000 | 99.331 | 0.000 |
| 0.000 | 0.000 | -0.000 | -5.055 | -0.000 | 146.642 |
| 123.739 | 52.986 | 101.263 | -0.000 | -14.017 | -0.000 |
| 34.725 | 152.907 | 72.923 | 0.000 | -8.632 | 0.000 |
| 77.247 | 78.789 | 173.770 | -0.000 | -20.342 | 0.000 |
| 1.284 | 1.329 | -1.553 | 35.055 | -0.914 | -1.843 |
| -20.825 | -7.719 | -22.451 | -0.000 | 18.138 | -0.000 |
| -1.400 | 1.478 | -2.441 | -2.414 | 0.356 | 35.847 |
| 129.805 | 44.593 | 107.177 | 0.000 | -14.157 | 0.000 |
| 42.432 | 154.778 | 85.908 | 0.000 | -10.145 | -0.000 |
| 119.237 | 38.554 | 238.306 | 0.000 | -22.715 | 0.000 |
| -1.284 | -1.329 | 1.553 | 35.055 | 0.914 | -1.843 |
| -20.692 | -10.429 | -33.221 | 0.000 | 20.623 | 0.000 |
| 1.400 | -1.478 | 2.441 | -2.414 | -0.356 | 35.847 |
| 11261.983 | 12294.170 | 12294.165 | -0.000 | -0.000 | 0.000 |
| 12294.165 | 11261.983 | 12294.169 | -0.000 | -0.000 | 0.000 |
| 12294.170 | 12294.165 | 11261.983 | -0.000 | -0.000 | 0.000 |
| 6699.246 | 6699.245 | 6699.245 | -288.318 | -0.000 | 0.000 |
| 6748.129 | 6748.129 | 6748.128 | -0.000 | -278.850 | 0.000 |
| 6748.129 | 6748.129 | 6748.129 | -0.000 | -0.000 | -278.850 |
| -7139.388 | -6547.407 | -6547.410 | 0.000 | 0.000 | -0.000 |
| -6547.410 | -7139.388 | -6547.407 | 0.000 | 0.000 | -0.000 |
| -6547.407 | -6547.410 | -7139.388 | 0.000 | 0.000 | -0.000 |
| -6699.246 | -6699.245 | -6699.245 | -288.318 | 0.000 | -0.000 |
| -6699.245 | -6699.246 | -6699.245 | 0.000 | -288.318 | -0.000 |
| -6748.129 | -6748.129 | -6748.129 | 0.000 | 0.000 | -278.850 |
| 118.737 | 567.834 | 567.839 | -0.000 | 0.000 | -0.000 |
| 567.839 | 118.737 | 567.834 | -0.000 | -0.000 | 0.000 |
| 567.834 | 567.839 | 118.737 | -0.000 | -0.000 | -0.000 |
| 209.419 | 209.419 | 209.419 | -160.443 | -0.000 | -0.000 |
| 654.829 | 654.830 | 654.829 | -0.000 | -272.686 | 0.000 |
| 23.578 | 23.578 | 23.578 | -0.000 | -0.000 | 156.940 |
| -1314.846 | -815.862 | -815.860 | -0.000 | -0.000 | 0.000 |
| -97.901 | -342.675 | -97.903 | -0.000 | 0.000 | -0.000 |
| -815.862 | -815.860 | -1314.846 | -0.000 | -0.000 | 0.000 |
| -209.419 | -209.419 | -209.419 | -160.443 | 0.000 | 0.000 |
| -209.748 | -209.747 | -209.748 | 0.000 | -160.696 | 0.000 |
| -165.480 | -165.480 | -165.480 | -0.000 | -0.000 | -94.860 |
| -47.950 | 169.306 | 169.307 | -0.000 | 0.000 | 0.000 |
| 169.307 | -47.950 | 169.306 | 0.000 | -0.000 | 0.000 |
| 169.306 | 169.307 | -47.950 | 0.000 | 0.000 | 0.000 |
| 14.532 | 14.533 | 14.533 | 25.251 | -0.000 | 0.000 |
| -11.546 | -11.547 | -11.546 | -0.000 | 0.946 | 0.000 |
| 14.533 | 14.533 | 14.532 | -0.000 | -0.000 | 25.251 |
| -0.151 | -2.532 | -2.532 | 0.000 | 0.000 | -0.000 |
| -29.203 | 6.334 | -29.202 | 0.000 | 0.000 | -0.000 |
| -26.244 | -26.243 | 5.235 | 0.000 | 0.000 | -0.000 |
| -14.532 | -14.533 | -14.533 | 25.251 | 0.000 | -0.000 |
| 11.546 | 11.547 | 11.546 | 0.000 | 0.946 | -0.000 |
| -14.533 | -14.533 | -14.532 | 0.000 | 0.000 | 25.251 |
| -1689.997 | -1740.996 | -1740.996 | 0.000 | -0.000 | -0.000 |
| -1740.996 | -1689.997 | -1740.996 | 0.000 | 0.000 | 0.000 |
| -1740.996 | -1740.996 | -1689.997 | -0.000 | -0.000 | -0.000 |
| -1775.215 | -1775.215 | -1775.215 | 58.983 | -0.000 | -0.000 |
| -1775.215 | -1775.215 | -1775.215 | 0.000 | 58.983 | -0.000 |
| -1775.215 | -1775.215 | -1775.215 | 0.000 | -0.000 | 58.983 |
| 538.726 | 248.310 | 248.310 | -0.000 | -0.000 | -0.000 |
| 248.310 | 538.726 | 248.310 | -0.000 | 0.000 | -0.000 |
| 248.310 | 248.310 | 538.726 | -0.000 | 0.000 | -0.000 |
| 1775.215 | 1775.215 | 1775.215 | 58.983 | 0.000 | 0.000 |
| 1775.215 | 1775.215 | 1775.215 | 0.000 | 58.983 | -0.000 |
| 1775.215 | 1775.215 | 1775.215 | -0.000 | 0.000 | 58.983 |
| 499.865 | 34.153 | 34.153 | -0.000 | -0.000 | -0.000 |
| 34.153 | 499.865 | 34.153 | -0.000 | -0.000 | -0.000 |
| 34.153 | 34.153 | 499.865 | -0.000 | -0.000 | -0.000 |
| -16.971 | -16.971 | -16.971 | 156.489 | -0.000 | 0.000 |
| -16.971 | -16.971 | -16.971 | -0.000 | 156.489 | 0.000 |
| -16.971 | -16.971 | -16.971 | 0.000 | -0.000 | 156.489 |
| 385.945 | 94.865 | 94.865 | -0.000 | 0.000 | -0.000 |
| 94.865 | 385.945 | 94.865 | -0.000 | 0.000 | -0.000 |
| 94.865 | 94.865 | 385.945 | -0.000 | 0.000 | -0.000 |
| 16.971 | 16.971 | 16.971 | 156.489 | 0.000 | -0.000 |
| 16.971 | 16.971 | 16.971 | -0.000 | 156.489 | -0.000 |
| 16.971 | 16.971 | 16.971 | 0.000 | 0.000 | 156.489 |
| 150.724 | 35.495 | 35.495 | -0.000 | -0.000 | 0.000 |
| 35.495 | 150.724 | 35.495 | -0.000 | -0.000 | -0.000 |
| 35.495 | 35.495 | 150.724 | 0.000 | -0.000 | 0.000 |
| -3.070 | -3.070 | -3.070 | 140.793 | -0.000 | 0.000 |
| -3.070 | -3.070 | -3.070 | 0.000 | 140.793 | 0.000 |
| -3.070 | -3.070 | -3.070 | -0.000 | -0.000 | 140.793 |
| 212.079 | 80.200 | 80.200 | -0.000 | -0.000 | -0.000 |
| 80.200 | 212.079 | 80.200 | 0.000 | 0.000 | -0.000 |
| 80.200 | 80.200 | 212.079 | 0.000 | 0.000 | -0.000 |
| 3.070 | 3.070 | 3.070 | 140.793 | 0.000 | 0.000 |
| 3.070 | 3.070 | 3.070 | -0.000 | 140.793 | 0.000 |
| 3.070 | 3.070 | 3.070 | 0.000 | 0.000 | 140.793 |
| -123247324.841 | 8014096.278 | -126662108.724 | 63344.032 | -1438891.094 | -1069699.979 |
| -123559447.682 | 8013603.013 | -126905897.607 | 96943.504 | -1511654.310 | -1052305.489 |
| -123815084.066 | 6542013.012 | -127597240.723 | 253013.754 | -1045187.532 | -1298240.807 |
| -123823142.151 | 7353549.395 | -127572753.554 | 179054.913 | -1386277.956 | -1312508.970 |
| -124011446.784 | 7345047.874 | -127758873.495 | 174479.914 | -1518716.903 | -1318097.176 |
| -123570861.049 | 7339430.456 | -127527916.738 | 215741.747 | -1335010.120 | -1278997.409 |
| 123752091.709 | -7419779.568 | 127568292.994 | -199882.655 | 1418688.435 | 1260697.575 |
| 123602018.708 | -7417094.914 | 127473179.503 | -190944.221 | 1337203.278 | 1273351.044 |
| 123538898.476 | -8043771.188 | 126868290.408 | -108592.306 | 1489810.466 | 1051542.496 |
| 123653112.027 | -7440537.809 | 127477030.854 | -218784.011 | 1333257.291 | 1265157.155 |
| 123541553.799 | -7462772.298 | 127453937.665 | -215698.859 | 1297898.295 | 1263892.175 |
| 123635050.177 | -7914169.598 | 126926326.360 | -57817.539 | 1542979.977 | 1115099.462 |
| -12334008.468 | 788191.206 | -12668122.156 | 2328.806 | -145720.323 | -112458.276 |
| -12412798.455 | 790647.847 | -12750106.289 | 13602.651 | -177864.426 | -105249.430 |
| -12393024.835 | 739906.732 | -12778083.160 | 19651.558 | -150643.501 | -128739.402 |
| -12338724.742 | 738904.031 | -12731269.141 | 20272.742 | -123607.704 | -131495.746 |
| -12371050.422 | 743697.199 | -12753794.795 | 20551.183 | -136364.778 | -127774.601 |
| -12403117.796 | 744870.298 | -12783522.528 | 21754.095 | -157477.230 | -125164.686 |
| 12345774.863 | -744189.852 | 12740379.421 | -21178.860 | 129370.399 | 127789.125 |
| 12339876.662 | -741031.630 | 12736883.825 | -22509.829 | 123898.605 | 129407.713 |
| 12346378.325 | -745319.195 | 12741140.682 | -22044.253 | 128874.048 | 126773.691 |
| 12396887.993 | -744232.587 | 12781411.358 | -21799.243 | 157589.597 | 124138.691 |
| 12382389.783 | -749907.254 | 12771258.593 | -20798.268 | 154262.320 | 124622.203 |
| 12344649.681 | -788510.049 | 12679593.080 | -3977.893 | 150590.118 | 112850.736 |
| -1235311.505 | 73952.883 | -1274655.419 | 2340.393 | -13630.304 | -12521.378 |
| -1236714.263 | 74449.376 | -1274982.794 | 2195.600 | -13391.200 | -12729.692 |
| -1236555.432 | 72801.413 | -1275419.946 | 1852.203 | -13548.446 | -13122.633 |
| -1234100.524 | 78806.538 | -1267691.617 | 365.290 | -14990.638 | -11271.279 |
| -1236110.281 | 72889.970 | -1274905.501 | 1667.287 | -13706.655 | -13152.484 |
| -1234804.758 | 74423.913 | -1273999.449 | 2015.073 | -12994.337 | -12743.402 |
| 1234448.922 | -73541.604 | 1273928.101 | -2049.768 | 12791.439 | 12894.969 |
| 1235656.005 | -80110.045 | 1269246.794 | -964.522 | 15206.065 | 10592.557 |
| 1231203.400 | -80708.715 | 1266593.001 | -626.272 | 14648.701 | 11339.202 |
| 1234929.454 | -80123.557 | 1268231.740 | -954.895 | 14929.215 | 10623.291 |
| 1233487.478 | -80046.288 | 1267377.635 | -765.551 | 14681.086 | 10584.795 |
| 1232686.844 | -80037.178 | 1266775.406 | -626.817 | 14394.740 | 10691.480 |
| 642.496 | 382.413 | 347.490 | -0.000 | 0.000 | -0.000 |
| 1152.711 | 3516.836 | -732.267 | 0.000 | -0.000 | 0.000 |
| 426.025 | 383.097 | 700.977 | 0.000 | 0.000 | -0.000 |
| 310.261 | 328.969 | 234.105 | 165.101 | 0.000 | -0.000 |
| 2235.598 | 5028.375 | -2076.751 | 0.000 | 105.040 | 0.000 |
| 310.273 | 328.981 | 234.114 | 0.000 | 0.000 | 179.359 |
| 21.121 | -275.590 | -120.577 | -0.000 | -0.000 | 0.000 |
| 41.928 | 631.567 | 14.245 | 0.000 | 0.000 | 0.000 |
| -195.073 | -275.283 | 234.000 | 0.000 | -0.000 | 0.000 |
| -310.261 | -328.969 | -234.105 | 165.101 | -0.000 | 0.000 |
| -2235.598 | -5028.375 | 2076.751 | 0.000 | 105.040 | -0.000 |
| -310.273 | -328.981 | -234.114 | -0.000 | -0.000 | 179.359 |
| 501.948 | 41.929 | 61.854 | -0.000 | 0.000 | 0.000 |
| 201.189 | 812.053 | -40.224 | 0.000 | -0.000 | -0.000 |
| 146.961 | 86.884 | 487.198 | 0.000 | 0.000 | -0.000 |
| 107.370 | 291.853 | -72.106 | 193.371 | 0.000 | 0.000 |
| 30.390 | 32.222 | 22.930 | 0.000 | 154.050 | -0.000 |
| 158.380 | 342.058 | -75.281 | -0.000 | 0.000 | 149.674 |
| 303.840 | 21.474 | 90.212 | -0.000 | -0.000 | 0.000 |
| 21.394 | 493.578 | 30.217 | 0.000 | 0.000 | 0.000 |
| 81.493 | 19.051 | 453.540 | 0.000 | -0.000 | 0.000 |
| -107.370 | -291.853 | 72.106 | 193.371 | -0.000 | -0.000 |
| -30.390 | -32.222 | -22.930 | -0.000 | 154.050 | 0.000 |
| -296.114 | -550.495 | 236.672 | -0.000 | -0.000 | 139.598 |
| 399.907 | 51.432 | 95.257 | 0.000 | 0.000 | -0.000 |
| 62.940 | 506.878 | 29.180 | -0.000 | 0.000 | 0.000 |
| 160.608 | 81.081 | 378.992 | -0.000 | -0.000 | 0.000 |
| 13.295 | 30.985 | -7.082 | 158.706 | 0.000 | -0.000 |
| 12.732 | 28.627 | -6.274 | -0.000 | 134.269 | 0.000 |
| 8.512 | 21.298 | -4.133 | 0.000 | 0.000 | 179.476 |
| 334.995 | 37.406 | 99.707 | -0.000 | -0.000 | 0.000 |
| 30.808 | 425.993 | 47.510 | -0.000 | -0.000 | 0.000 |
| 96.546 | 8.229 | 436.916 | -0.000 | -0.000 | 0.000 |
| -1.917 | -2.033 | -1.447 | 206.354 | -0.000 | 0.000 |
| -12.732 | -28.627 | 6.274 | -0.000 | 134.269 | -0.000 |
| -8.512 | -21.298 | 4.133 | 0.000 | 0.000 | 179.476 |
| 270.916 | 112.861 | 83.644 | -0.000 | -0.000 | 0.000 |
| 10.434 | 350.535 | 115.622 | 0.000 | -0.000 | 0.000 |
| -11.335 | 320.415 | 194.937 | -0.000 | -0.000 | 0.000 |
| 0.000 | -0.000 | 0.000 | 226.022 | -0.000 | -0.000 |
| -54.148 | 573.494 | 111.977 | -0.000 | 14.959 | 0.000 |
| 0.000 | -0.000 | 0.000 | 0.000 | -0.000 | 197.536 |
| -25.949 | -581.608 | -153.184 | -0.000 | -0.000 | -0.000 |
| 111.334 | 274.519 | -4.317 | 0.000 | 0.000 | -0.000 |
| 102.578 | -163.907 | -58.591 | -0.000 | 0.000 | -0.000 |
| -0.000 | 0.000 | -0.000 | 226.022 | -0.000 | 0.000 |
| 125.021 | -757.472 | 4.250 | 0.000 | 36.524 | -0.000 |
| -0.000 | 0.000 | -0.000 | 0.000 | -0.000 | 197.536 |
| 86.164 | 72.303 | 47.866 | -0.000 | 0.000 | 0.000 |
| -35.590 | 87.229 | -10.303 | 0.000 | -0.000 | 0.000 |
| -37.721 | 23.122 | 117.338 | -0.000 | -0.000 | 0.000 |
| -13.086 | 71.597 | -0.932 | 21.012 | -0.000 | 0.000 |
| -0.000 | 0.000 | 0.000 | 0.000 | 225.484 | -0.000 |
| -4.590 | 3.391 | 5.516 | 0.000 | 0.000 | 128.952 |
| 430.541 | 23.960 | 15.548 | 0.000 | 0.000 | 0.000 |
| -42.445 | -34.405 | -36.418 | -0.000 | 0.000 | -0.000 |
| 13.243 | -23.502 | 138.245 | 0.000 | 0.000 | -0.000 |
| -0.000 | 0.000 | -0.000 | 226.022 | -0.000 | 0.000 |
| 0.000 | -0.000 | -0.000 | -0.000 | 225.484 | 0.000 |
| 14.129 | -68.464 | 3.183 | 0.000 | -0.000 | 3.712 |
| 4.474 | -4.527 | -7.381 | -0.000 | -0.000 | 0.000 |
| -13.273 | 23.444 | -11.738 | -0.000 | -0.000 | 0.000 |
| -5.491 | 0.072 | 120.444 | -0.000 | 0.000 | 0.000 |
| -2.815 | 6.753 | -1.258 | 14.390 | 0.000 | 0.000 |
| -1.931 | 7.001 | -0.679 | -0.000 | 18.861 | 0.000 |
| -0.943 | 6.376 | 0.187 | -0.000 | -0.000 | 9.951 |
| 13.686 | -33.724 | -16.388 | 0.000 | -0.000 | -0.000 |
| -9.186 | 9.569 | -10.232 | 0.000 | 0.000 | -0.000 |
| -1.645 | -13.305 | 122.401 | 0.000 | -0.000 | -0.000 |
| 3.015 | -6.556 | 1.343 | 14.477 | -0.000 | -0.000 |
| 2.121 | -7.045 | 0.987 | 0.000 | 17.795 | -0.000 |
| 1.927 | -6.656 | 0.775 | 0.000 | -0.000 | 5.291 |
| -0.540 | 0.474 | -30.035 | -0.426 | 0.022 | -0.475 |
| 0.544 | 0.629 | -32.710 | -0.470 | 0.069 | -0.518 |
| -1.784 | -1.713 | 24.062 | -0.223 | -0.352 | -0.282 |
| 0.033 | 0.075 | -16.993 | -1.656 | -0.011 | -0.389 |
| 0.265 | 0.291 | -26.602 | -0.388 | -0.617 | -0.451 |
| 0.050 | 0.119 | -5.218 | -0.325 | -0.142 | -0.824 |
| 0.652 | -0.146 | 4.571 | 0.114 | 0.276 | 0.281 |
| -0.453 | -0.222 | 31.283 | 0.445 | -0.093 | 0.533 |
| -1.277 | -1.338 | 17.247 | 0.155 | 0.171 | 0.259 |
| -0.447 | -0.470 | 30.593 | -0.001 | -0.081 | 0.506 |
| 0.035 | 0.006 | 14.593 | 0.332 | -1.648 | 0.364 |
| -0.006 | -0.053 | 8.937 | 0.306 | 0.117 | -0.312 |
| 0.041 | 0.012 | -2.194 | -0.032 | -0.004 | -0.043 |
| 0.032 | 0.007 | -2.410 | -0.044 | 0.017 | -0.044 |
| -0.520 | -0.516 | 22.231 | -0.036 | -0.047 | -0.033 |
| 0.041 | 0.042 | -3.208 | -0.040 | 0.010 | -0.053 |
| 0.026 | 0.031 | -0.949 | -0.059 | -0.018 | -0.034 |
| 0.026 | 0.032 | -2.313 | -0.033 | -0.001 | 0.039 |
| -0.110 | 0.029 | 1.757 | 0.038 | -0.002 | 0.041 |
| -0.062 | -0.142 | 1.538 | 0.051 | -0.004 | 0.030 |
| 0.263 | 0.249 | 5.195 | 0.039 | -0.052 | 0.043 |
| -0.039 | -0.040 | 2.939 | -0.006 | 0.001 | 0.047 |
| -0.034 | -0.036 | 2.886 | 0.041 | 0.025 | 0.047 |
| -0.029 | -0.030 | 2.106 | 0.029 | 0.001 | -0.794 |
| 0.004 | 0.002 | -0.182 | -0.004 | -0.001 | -0.003 |
| 0.002 | -0.002 | -0.206 | -0.003 | -0.000 | -0.003 |
| 0.022 | 0.022 | 1.232 | -0.008 | -0.000 | -0.008 |
| 0.001 | 0.001 | -0.194 | -0.002 | -0.000 | -0.004 |
| 0.002 | 0.002 | -0.128 | -0.003 | -0.006 | -0.004 |
| -0.000 | 0.000 | -0.123 | -0.002 | -0.002 | -0.009 |
| -0.002 | -0.003 | 0.188 | 0.001 | 0.002 | 0.004 |
| -0.006 | 0.006 | 0.283 | 0.004 | -0.001 | 0.004 |
| -0.015 | -0.016 | 0.100 | 0.005 | -0.000 | 0.005 |
| -0.004 | -0.004 | 0.326 | 0.005 | -0.001 | 0.005 |
| -0.004 | -0.004 | 0.240 | 0.004 | -0.004 | 0.005 |
| 0.005 | 0.005 | 0.040 | 0.002 | 0.002 | 0.019 |
| 238209.884 | -257465.462 | 239312.419 | 665585.267 | 899889.116 | 174857.818 |
| 252079.484 | -226690.073 | 236538.634 | 679832.367 | 906648.060 | 160260.044 |
| -102943.360 | -892881.060 | -194569.644 | 452906.202 | 467807.464 | 256099.452 |
| -645.325 | -519563.619 | -118341.353 | 272444.960 | 239257.339 | 127987.379 |
| -44229.056 | -326523.488 | 233353.329 | 450657.629 | 813420.849 | 149011.741 |
| -238821.888 | 13884.394 | 48122.566 | 35739.665 | 90365.078 | -74370.146 |
| 892.845 | 70.983 | 139.329 | 0.607 | -48.000 | 46.265 |
| 137761.368 | -17574.979 | -55578.163 | -42957.173 | -80978.734 | 39596.526 |
| 167.159 | 86.020 | 331.019 | 15.529 | 43.416 | 18.670 |
| 8.842 | 30.342 | 17.123 | 136.604 | 11.660 | -33.725 |
| 74732.048 | 641674.424 | 125690.245 | -345327.200 | -381793.672 | -140032.508 |
| 240578.452 | -15341.340 | -53657.286 | -32599.478 | -95621.818 | 72117.526 |
| -6987.356 | -91456.839 | -23298.988 | 54625.088 | 51571.840 | 29423.821 |
| -13402.155 | -38821.514 | 19565.445 | 26471.848 | 72320.152 | 12802.234 |
| 32050.957 | -19244.668 | 28201.712 | 70771.020 | 94071.800 | 16963.351 |
| -9491.449 | -29170.084 | 8221.573 | 21515.555 | 47956.914 | 6978.067 |
| 14142.498 | -25178.077 | 25967.702 | 59485.956 | 91834.438 | 20300.509 |
| 47.107 | 22.693 | 6.490 | -36.206 | -30.192 | 146.208 |
| 892.408 | 70.979 | 139.045 | 0.538 | -48.497 | 46.149 |
| -23007.113 | 24587.106 | -19862.431 | -66696.293 | -85546.645 | -16855.418 |
| -49140.176 | 14384.336 | -32949.890 | -81873.013 | -100138.147 | -17135.777 |
| 12229.642 | -5946.951 | -10580.045 | -4132.599 | -9258.964 | -881.526 |
| 6952.985 | 70252.168 | 11482.185 | -35562.606 | -39622.422 | -15913.753 |
| -16662.507 | 24064.838 | -22667.165 | -64595.937 | -93449.930 | -13296.528 |
| 1227.603 | -4487.214 | 1288.296 | 5984.788 | 8441.054 | 2316.833 |
| -1438.704 | -6729.059 | -633.246 | 3713.173 | 5580.040 | 1611.688 |
| 3389.385 | -1976.924 | 2659.790 | 7331.577 | 9459.646 | 1586.295 |
| 725.899 | -3538.414 | 1795.132 | 5621.976 | 7918.949 | 2227.571 |
| 3228.530 | -2082.954 | 2531.075 | 7200.372 | 9286.746 | 1640.357 |
| 4041.293 | -1865.566 | 2490.106 | 7468.276 | 9021.417 | 1718.494 |
| 884.094 | 70.597 | 136.281 | 0.188 | -51.814 | 44.699 |
| -2956.699 | 2328.395 | -2395.467 | -6872.180 | -8790.062 | -1791.506 |
| 1832.941 | -206.219 | -911.159 | -343.303 | -1398.275 | 530.657 |
| 38.100 | 3129.881 | -781.643 | -2576.596 | -5415.231 | -1186.961 |
| 13.000 | -29.355 | 53.339 | 12.327 | 189.159 | 6.229 |
| 2076.245 | -161.704 | -826.576 | -135.134 | -1276.912 | 597.273 |
| 614.766 | 19.649 | 24.298 | 9.019 | -24.368 | 4.695 |
| 18.865 | 669.682 | 2.981 | -30.644 | 2.057 | 2.891 |
| -833.664 | -180.866 | 37.434 | 7.422 | 312.805 | 81.306 |
| -653.417 | -25.115 | 213.602 | 20.280 | 28.994 | 59.607 |
| -16.885 | 3.739 | 0.383 | 18.113 | 344.460 | 1.796 |
| -432.565 | 116.964 | 2.913 | 39.617 | 306.511 | 336.792 |
| 1050.806 | -231.058 | -238.962 | 228.077 | -161.514 | -46.351 |
| 18.865 | 669.682 | 2.981 | -30.644 | 2.057 | 2.891 |
| 24.312 | 2.835 | 724.185 | -1.572 | 0.383 | 2.030 |
| 525.155 | -270.793 | -283.226 | 491.833 | -143.913 | -54.788 |
| 511.962 | -294.313 | -277.550 | 230.356 | 112.021 | -54.815 |
| 676.075 | 61.271 | -221.997 | 201.972 | -19.032 | 92.915 |
| 614.766 | 19.649 | 24.298 | 9.019 | -24.368 | 4.695 |
| 18.865 | 669.682 | 2.981 | -30.644 | 2.057 | 2.891 |
| 31.793 | 60.642 | 481.528 | 19.890 | 30.315 | -4.005 |
| -49.835 | 44.303 | 6.747 | 228.447 | 45.165 | 14.354 |
| -76.718 | 5.699 | 1.880 | -2.637 | 221.571 | 2.764 |
| -46.840 | 27.925 | 28.837 | -28.152 | -15.582 | 225.147 |
| 423.425 | 57.400 | 88.429 | -16.392 | -45.601 | -11.775 |
| 97.117 | 525.942 | 31.098 | 8.184 | -23.934 | -4.529 |
| 98.488 | 31.905 | 581.587 | 31.616 | 1.969 | -2.711 |
| 9.390 | 0.439 | -1.572 | 334.910 | 18.113 | -7.909 |
| 35.853 | -10.381 | 9.280 | 3.964 | 156.509 | -15.662 |
| 7.052 | 1.810 | 1.995 | -9.590 | -30.174 | 273.008 |
| 315.839 | 68.669 | 55.987 | 8.493 | 0.503 | 5.802 |
| 59.388 | 425.878 | 57.638 | 6.896 | -2.544 | 18.038 |
| 50.798 | 51.199 | 448.480 | 18.340 | 6.910 | -21.017 |
| -4.161 | 19.897 | 12.780 | 201.240 | 12.504 | -7.847 |
| -10.895 | -6.879 | -1.612 | 6.528 | 244.716 | 0.417 |
| -1.523 | 17.244 | -11.605 | -9.171 | -21.601 | 168.319 |
| 365.784 | 65.963 | 65.925 | 0.938 | -15.353 | 1.514 |
| 72.868 | 396.985 | 56.667 | -1.244 | -15.083 | 20.718 |
| 68.911 | 57.510 | 505.429 | 11.371 | 3.515 | -13.370 |
| -1.805 | 16.020 | 11.184 | 229.428 | 5.509 | -6.831 |
| 2.027 | -7.140 | 6.893 | 11.718 | 187.595 | -2.866 |
| 9.583 | 21.583 | -22.634 | -7.157 | -21.692 | 146.845 |
| -183.678 | -107.579 | -116.108 | 85.489 | -23.602 | 70.126 |
| 39.463 | 21.086 | 51.241 | -8.773 | 3.433 | 30.485 |
| -184.001 | 4.405 | 20.305 | 17.256 | -5.318 | 235.560 |
| 45.065 | -49.218 | -3.435 | 26.388 | 2.910 | 23.201 |
| -34.225 | -108.052 | -81.269 | 50.599 | -27.426 | 33.521 |
| 43.126 | -49.144 | 27.255 | 5.175 | 1.544 | 72.128 |
| 93.578 | 61.689 | -21.004 | 10.334 | 17.185 | -15.247 |
| 158.936 | 113.065 | -6.261 | -7.979 | -34.913 | -223.928 |
| 155.387 | 59.535 | 64.653 | -42.262 | -10.898 | -251.277 |
| 112.584 | 93.160 | 148.488 | -89.093 | 51.146 | -168.199 |
| 27.923 | 119.453 | 22.254 | -48.353 | -11.683 | -255.553 |
| 59.848 | 129.488 | 47.950 | -24.316 | 3.126 | -73.508 |
| 103.357 | -2.701 | 11.681 | 10.991 | 16.909 | 13.134 |
| 2.121 | 33.685 | 13.302 | -3.669 | 1.416 | 6.729 |
| 2.954 | 2.865 | 21.881 | 1.876 | -5.848 | 14.393 |
| 2.940 | -20.255 | -3.357 | 5.933 | 3.350 | 6.128 |
| 5.718 | -6.831 | 3.013 | 1.700 | 20.936 | 4.991 |
| 12.112 | -0.811 | -7.322 | 11.596 | 2.909 | 24.526 |
| 68.068 | 14.239 | 11.571 | 6.514 | 9.877 | 12.914 |
| 8.120 | 28.527 | 17.216 | -7.453 | -0.447 | -3.113 |
| 7.648 | 23.011 | 50.276 | -9.695 | 4.817 | -10.605 |
| 5.157 | 0.420 | -4.383 | 12.530 | -5.550 | 12.153 |
| 24.785 | 5.555 | -9.510 | 9.779 | 12.397 | -5.040 |
| 4.149 | 12.161 | -10.336 | 6.235 | -4.649 | 48.264 |
| 73.734 | 3.118 | 5.877 | 7.968 | 14.823 | 13.899 |
| 5.989 | 42.266 | 14.351 | -5.814 | 0.175 | 6.318 |
| 3.331 | 8.464 | 40.744 | -4.394 | 0.692 | 1.778 |
| 4.806 | -10.936 | -4.584 | 17.227 | 1.397 | 5.276 |
| 9.247 | -1.380 | 0.210 | -1.183 | 33.255 | 0.197 |
| 13.187 | 6.443 | 2.056 | 4.425 | 1.957 | 25.130 |
| 74.631 | 5.908 | 6.129 | 8.397 | 14.528 | 11.906 |
| 0.944 | 36.373 | 9.811 | -6.114 | 0.820 | 7.695 |
| 4.521 | 11.394 | 43.403 | -5.558 | 0.453 | 0.677 |
| 4.496 | -7.204 | -4.584 | 17.215 | 1.259 | 3.019 |
| 9.914 | 1.487 | 1.104 | 1.499 | 29.209 | -2.076 |
| 14.051 | 10.183 | 1.913 | 3.727 | -0.008 | 20.490 |
| 487.414 | 110.078 | 39.910 | 42.452 | 59.508 | -50.842 |
| 41.339 | 629.439 | 21.910 | -34.465 | 9.156 | -15.643 |
| 13.138 | 91.584 | 583.409 | 21.917 | 65.790 | -62.569 |
| -56.828 | 79.684 | 138.943 | 432.831 | -41.937 | 138.743 |
| -31.680 | 70.805 | -9.007 | 43.671 | 330.832 | -63.407 |
| -65.745 | 84.848 | 121.596 | 292.475 | -55.752 | 239.593 |
| 578.362 | -14.060 | 73.973 | -32.021 | -70.302 | 68.060 |
| 95.628 | 529.109 | 52.698 | -64.214 | -62.008 | 52.589 |
| 147.148 | -68.789 | 252.425 | -334.633 | 66.423 | -151.376 |
| 61.874 | -78.078 | -104.460 | -56.673 | 37.361 | -62.866 |
| 65.399 | -54.484 | 21.740 | -33.756 | 209.748 | 55.129 |
| 53.677 | -71.717 | -116.566 | -223.017 | 23.204 | 55.461 |
| 392.289 | 82.987 | 101.445 | 31.703 | -5.594 | 23.595 |
| 67.178 | 415.275 | 81.002 | 31.986 | -10.215 | 23.110 |
| 51.895 | 50.808 | 582.567 | -5.132 | 19.842 | -19.757 |
| 1.268 | -1.431 | -11.825 | 274.977 | 8.073 | 6.270 |
| 10.978 | 7.276 | 41.969 | 42.467 | 157.347 | 21.978 |
| 2.347 | 2.058 | -10.747 | 16.423 | -8.809 | 244.670 |
| 378.550 | 60.781 | 68.941 | -23.269 | 3.527 | -7.460 |
| 60.016 | 566.877 | 44.028 | -33.482 | -12.936 | 8.036 |
| 83.147 | 54.048 | 529.083 | -16.962 | 7.726 | -6.734 |
| 17.346 | -21.101 | -4.771 | 245.239 | -12.595 | 28.467 |
| 28.774 | -6.866 | 9.290 | -5.567 | 259.083 | 9.355 |
| 14.039 | -0.638 | -32.352 | -18.963 | -3.299 | 140.884 |
| 360.468 | 75.366 | 91.904 | 10.872 | 2.901 | 2.305 |
| 57.944 | 556.643 | 48.633 | -26.721 | -9.021 | 5.534 |
| 102.796 | 44.969 | 367.342 | 6.277 | 3.672 | -4.344 |
| 6.655 | -7.196 | -8.437 | 253.507 | 1.913 | 15.065 |
| 15.821 | 3.537 | 10.663 | 8.825 | 175.696 | 1.146 |
| 1.901 | 9.533 | -6.166 | 16.343 | -7.422 | 150.112 |
| 347.598 | 72.799 | 93.462 | 4.476 | 1.336 | 2.549 |
| 75.859 | 425.207 | 43.216 | -11.618 | 5.102 | 6.007 |
| 101.644 | 47.178 | 384.018 | -4.316 | 10.096 | -8.774 |
| 8.591 | -9.544 | -7.562 | 249.630 | -0.556 | 17.773 |
| 18.500 | 2.500 | 5.839 | -0.378 | 229.281 | -2.462 |
| 5.984 | 2.508 | -5.684 | 10.795 | -11.169 | 167.093 |
| 198.532 | 55.647 | 43.214 | 72.378 | -9.089 | 35.396 |
| 599.989 | -216.624 | 158.828 | 69.621 | -125.934 | 10.856 |
| 672.026 | 182.449 | 482.184 | 100.525 | -180.465 | -65.154 |
| -0.127 | 61.808 | 48.434 | -8.983 | 0.402 | -17.798 |
| 233.555 | 55.867 | 42.533 | 38.403 | -62.437 | 5.954 |
| -78.305 | 34.251 | 87.505 | 102.394 | 24.952 | 21.438 |
| -345.724 | -222.355 | -270.976 | -39.609 | 29.590 | -36.817 |
| -14.305 | 42.025 | -43.376 | -19.659 | -10.175 | -42.396 |
| -165.715 | -135.271 | -305.058 | -61.535 | 18.513 | -39.958 |
| -421.907 | -145.447 | -230.110 | -61.811 | 117.131 | 12.332 |
| -244.962 | -31.663 | -201.761 | -106.639 | 25.159 | -61.465 |
| 68.007 | -75.563 | -13.080 | -8.632 | -48.970 | 102.567 |
| 25.242 | 20.896 | 3.371 | -12.782 | 9.510 | 6.054 |
| 21.173 | 219.910 | 36.701 | -21.849 | 0.842 | -9.827 |
| -1.537 | 21.051 | 80.828 | -11.164 | 10.624 | 8.019 |
| -9.612 | -19.440 | -8.309 | 60.282 | -2.371 | 9.237 |
| 20.068 | 24.928 | 18.021 | 12.000 | 19.118 | -11.203 |
| -1.181 | -10.610 | -4.247 | 2.835 | -16.967 | 59.486 |
| -11.804 | -3.916 | -36.971 | 6.297 | 17.612 | -11.795 |
| -11.766 | -9.002 | 0.411 | -1.409 | 11.856 | 1.812 |
| -5.300 | -0.211 | 77.048 | -15.335 | 11.591 | 7.672 |
| -16.831 | -21.375 | -16.389 | 40.831 | -3.089 | 7.933 |
| 8.502 | -2.338 | 7.340 | -0.988 | 59.784 | -6.449 |
| -8.604 | -2.685 | 5.057 | 11.709 | -13.871 | 24.445 |
| 8.885 | -2.274 | -9.502 | -7.194 | 13.128 | -3.330 |
| -3.387 | 38.583 | 17.103 | -8.212 | 5.844 | -2.102 |
| -10.305 | 19.670 | 80.046 | -10.447 | 8.516 | 2.495 |
| -3.040 | -4.921 | -10.819 | 37.950 | 1.943 | 7.741 |
| 14.249 | 7.891 | 10.561 | 3.427 | 30.276 | -5.918 |
| -5.818 | -2.060 | 3.457 | 6.493 | -8.997 | 34.053 |
| 20.078 | -3.381 | -11.178 | 0.314 | 12.952 | -2.966 |
| -4.395 | 40.058 | 14.952 | -7.371 | 5.755 | -3.014 |
| -7.624 | 21.091 | 81.813 | -10.985 | 8.559 | 2.269 |
| -3.345 | -7.720 | -12.777 | 37.138 | 2.084 | 8.839 |
| 12.846 | 6.218 | 8.410 | 1.893 | 29.710 | -6.816 |
| -2.943 | -5.944 | -0.173 | 10.461 | -11.290 | 31.519 |
| 1090.229 | -29.175 | -29.175 | 0.000 | 0.000 | 0.000 |
| -29.175 | 1090.229 | -29.175 | 0.000 | -0.000 | 0.000 |
| -29.175 | -29.175 | 1090.229 | -0.000 | -0.000 | 0.000 |
| -2645582019.675 | -2143531273.855 | 3872621396.056 | -2976005372.331 | 0.077 | 0.436 |
| 3872621455.539 | -2645582019.856 | -2143531333.206 | 1.956 | -2976005312.152 | 0.347 |
| -2143531273.546 | 3872621395.933 | -2645582020.135 | -0.219 | -1.146 | -2976005372.497 |
| -4136071077.530 | -3206201384.438 | 10585932802.812 | -0.002 | -0.004 | 0.119 |
| 10585932803.762 | -4136071077.494 | -3206201385.297 | 0.486 | -0.004 | -0.001 |
| -3206201385.874 | 10585932803.860 | -4136071076.869 | -0.001 | 0.211 | 0.000 |
| 2612326315.560 | 2167526912.983 | -3901272056.788 | -2959960238.739 | 0.016 | 0.242 |
| -3872621455.664 | 2645582019.873 | 2143531333.198 | -1.796 | -2976005312.128 | 0.340 |
| 2143531273.857 | -3872621396.033 | 2645582019.669 | -0.296 | 1.605 | -2976005372.371 |
| -1058592666.779 | 413607279.312 | 320620124.226 | 0.007 | 0.001 | 0.000 |
| 320620123.210 | -1058592665.769 | 413607279.558 | -0.000 | 0.019 | 0.000 |
| 413607279.345 | 320620124.246 | -1058592666.831 | 0.000 | 0.000 | -0.010 |
| -261232523.527 | -216752533.393 | 390126998.148 | -295995793.356 | 0.012 | 0.037 |
| 387261990.063 | -264558092.649 | -214353031.769 | 0.166 | -297600241.718 | 0.028 |
| -214352972.267 | 387261930.580 | -264558092.621 | -0.021 | -0.122 | -297600301.852 |
| -413606818.304 | -320620192.768 | 1058593273.095 | 0.000 | 0.000 | 0.030 |
| 1058593273.014 | -413606818.319 | -320620192.628 | 0.089 | 0.000 | -0.000 |
| -320620192.808 | 1058593273.187 | -413606818.387 | -0.000 | -0.035 | -0.000 |
| 261232523.526 | 216752533.371 | -390126998.169 | -295995793.315 | 0.015 | -0.081 |
| -387261990.092 | 264558092.610 | 214353031.798 | -0.128 | -297600241.689 | 0.028 |
| 219150339.819 | -393026046.362 | 257906762.251 | -0.005 | -0.047 | -294407285.180 |
| -105858712.707 | 41360853.368 | 32062004.134 | -0.000 | 0.000 | 0.000 |
| 32062004.135 | -105858712.708 | 41360853.368 | 0.000 | -0.000 | 0.000 |
| 41360853.368 | 32062004.135 | -105858712.708 | 0.000 | 0.000 | 0.000 |
| -26179666.405 | -21629880.532 | 38967129.104 | -29627919.573 | -0.003 | -0.017 |
| 38726043.539 | -26455699.911 | -21435201.642 | 0.017 | -29759734.660 | 0.002 |
| -21435142.126 | 38725984.025 | -26455699.905 | -0.000 | 0.001 | -29759794.817 |
| -41360392.607 | -32062073.572 | 105859320.255 | -0.000 | 0.000 | 0.003 |
| 105859320.257 | -41360392.606 | -32062073.574 | -0.004 | -0.000 | -0.000 |
| -32062073.573 | 105859320.257 | -41360392.607 | -0.000 | -0.005 | -0.000 |
| 26455699.909 | 21435142.123 | -38725984.020 | -29759794.820 | -0.004 | 0.021 |
| -38726043.542 | 26455699.909 | 21435201.644 | -0.017 | -29759734.659 | 0.003 |
| 21435142.128 | -38725984.026 | 26455699.903 | 0.000 | -0.013 | -29759794.817 |
| 1635.007 | 312.105 | -597.938 | 0.000 | 0.000 | -0.000 |
| 312.105 | 1635.007 | -597.938 | 0.000 | 0.000 | -0.000 |
| 39.394 | 39.394 | 1096.531 | 0.000 | 0.000 | -0.000 |
| -0.025 | -0.025 | 0.053 | 370.629 | 0.000 | -0.000 |
| 0.000 | 0.000 | 0.000 | -0.000 | 468.007 | 0.000 |
| -0.064 | -0.064 | 0.135 | 0.000 | 0.000 | 623.555 |
| 1344.951 | 30.071 | 3.888 | -0.000 | -0.000 | 0.000 |
| 30.071 | 1344.951 | 3.888 | 0.000 | -0.000 | 0.000 |
| 39.380 | 39.380 | 1096.560 | -0.000 | -0.000 | 0.000 |
| 0.025 | 0.025 | -0.053 | 370.629 | -0.000 | 0.000 |
| -0.000 | -0.000 | -0.000 | -0.000 | 468.007 | 0.000 |
| 0.064 | 0.064 | -0.135 | -0.000 | -0.000 | 623.555 |
| 1344.921 | 30.041 | 3.953 | -0.000 | 0.000 | -0.000 |
| 29.951 | 1344.828 | 4.144 | 0.000 | 0.000 | -0.000 |
| 39.522 | 39.522 | 1096.262 | -0.000 | 0.000 | -0.000 |
| 0.000 | 0.000 | -0.000 | 468.007 | 0.000 | -0.000 |
| -0.003 | -0.003 | 0.006 | -0.000 | 370.629 | -0.000 |
| 0.000 | 0.000 | -0.000 | -0.000 | 0.000 | 661.451 |
| 1344.916 | 30.038 | 3.959 | -0.000 | -0.000 | 0.000 |
| 67.461 | 1314.570 | -3.486 | -0.000 | 0.000 | 0.000 |
| 39.252 | 39.252 | 1096.828 | -0.000 | -0.000 | 0.000 |
| -0.000 | -0.000 | 0.000 | 468.007 | -0.000 | 0.000 |
| 0.003 | 0.003 | -0.006 | 0.000 | 370.629 | 0.000 |
| -0.000 | -0.000 | 0.000 | 0.000 | -0.000 | 661.451 |
| 1314.954 | 67.827 | -4.268 | 0.000 | 0.000 | -0.000 |
| 30.373 | 1345.266 | 3.245 | 0.000 | -0.000 | -0.000 |
| 40.743 | 40.743 | 1093.698 | -0.000 | 0.000 | -0.000 |
| -0.006 | -0.004 | 0.012 | 370.629 | 0.000 | -0.000 |
| -0.004 | -0.006 | 0.012 | 0.000 | 370.629 | -0.000 |
| 0.001 | 0.003 | -0.002 | 0.000 | 0.000 | 623.555 |
| 1314.252 | 67.151 | -2.830 | -0.000 | -0.000 | 0.000 |
| 67.158 | 1314.246 | -2.832 | -0.000 | -0.000 | 0.000 |
| 39.389 | 39.389 | 1096.535 | 0.000 | -0.000 | 0.000 |
| 0.006 | 0.004 | -0.012 | 370.629 | -0.000 | 0.000 |
| 0.004 | 0.006 | -0.012 | -0.000 | 370.629 | -0.000 |
| -0.001 | -0.003 | 0.002 | -0.000 | -0.000 | 623.555 |
| 492.357 | 55.042 | 69.207 | 0.000 | -0.000 | 0.000 |
| 389.072 | -286.247 | 517.332 | 0.000 | -0.000 | -0.000 |
| 430.942 | -830.090 | 979.720 | 0.000 | 0.000 | -0.000 |
| -0.000 | -0.000 | 0.000 | 289.431 | 0.000 | -0.000 |
| 287.955 | -2023.804 | 20.353 | -0.000 | 76.887 | -0.000 |
| 322.526 | -869.470 | 474.565 | -0.000 | 0.000 | 200.373 |
| 99.517 | 934.960 | -367.773 | -0.000 | -0.000 | 0.000 |
| -255.743 | 1450.482 | -430.947 | -0.000 | -0.000 | 0.000 |
| -98.999 | 946.190 | 257.380 | 0.000 | 0.000 | -0.000 |
| 0.000 | 0.000 | -0.000 | 289.431 | -0.000 | -0.000 |
| -287.955 | 2023.804 | -20.353 | -0.000 | 76.887 | 0.000 |
| -322.526 | 869.470 | -474.565 | -0.000 | -0.000 | 200.373 |
| 448.044 | -23.235 | 159.721 | 0.000 | 0.000 | -0.000 |
| 98.063 | 503.906 | 87.346 | 0.000 | -0.000 | -0.000 |
| 142.274 | -41.647 | 542.775 | 0.000 | 0.000 | -0.000 |
| 25.245 | -94.864 | 18.667 | 198.667 | 0.000 | 0.000 |
| 45.465 | -344.361 | -113.166 | 0.000 | 60.765 | 0.000 |
| 24.493 | -92.089 | 18.076 | 0.000 | -0.000 | 131.508 |
| 192.416 | 275.216 | 155.044 | -0.000 | 0.000 | -0.000 |
| 44.131 | 569.939 | 39.756 | -0.000 | -0.000 | 0.000 |
| 71.680 | 122.571 | 469.957 | -0.000 | -0.000 | 0.000 |
| -25.245 | 94.864 | -18.667 | 198.667 | -0.000 | -0.000 |
| -45.465 | 344.361 | 113.166 | -0.000 | 60.765 | -0.000 |
| -24.493 | 92.089 | -18.076 | -0.000 | 0.000 | 131.508 |
| 288.572 | 57.363 | 111.887 | 0.000 | 0.000 | 0.000 |
| 55.042 | 676.725 | 5.955 | 0.000 | -0.000 | -0.000 |
| 125.432 | 15.258 | 432.097 | 0.000 | -0.000 | -0.000 |
| 2.419 | -6.520 | 3.559 | 240.314 | -0.000 | -0.000 |
| 2.506 | -8.929 | 2.189 | 0.000 | 156.822 | 0.000 |
| 3.165 | -15.406 | -0.388 | 0.000 | 0.000 | 127.016 |
| 337.737 | 83.992 | 125.066 | -0.000 | -0.000 | -0.000 |
| 69.844 | 479.809 | 30.410 | -0.000 | -0.000 | 0.000 |
| 114.585 | 30.464 | 419.300 | -0.000 | -0.000 | -0.000 |
| -2.419 | 6.520 | -3.559 | 240.314 | -0.000 | 0.000 |
| -2.506 | 8.929 | -2.189 | -0.000 | 156.822 | -0.000 |
| -3.165 | 15.406 | 0.388 | -0.000 | -0.000 | 127.016 |
| -1787853.612 | -6776213.189 | -133867.636 | -395297.487 | 855935.398 | 88736.553 |
| -1458937.881 | -6397648.479 | 460928.635 | -423061.985 | 970259.210 | 219085.355 |
| -1600150.240 | -5933789.600 | 620083.469 | -375827.073 | 978533.129 | 358590.997 |
| -1829815.244 | -5560774.616 | -580746.361 | -391128.828 | 745258.723 | 37011.056 |
| -1638484.841 | -6157011.613 | 500124.588 | -503197.606 | 942765.693 | 296920.796 |
| -1818127.859 | -6068037.290 | -219638.756 | -540928.801 | 916005.905 | -51384.823 |
| 1588612.321 | 6240650.141 | -475230.373 | 426823.220 | -925993.184 | -246478.758 |
| 1439678.535 | 6377145.840 | -470061.442 | 433179.562 | -946904.125 | -252739.047 |
| 1630497.293 | 6146402.951 | -443723.908 | 408277.158 | -952599.199 | -368122.501 |
| 1664332.286 | 6154479.962 | -449180.690 | 498104.046 | -942794.910 | -281840.829 |
| 1639656.326 | 5722128.687 | 111405.224 | 240401.586 | -700335.647 | -5287.339 |
| 1707101.306 | 6083298.988 | -93237.733 | 506720.894 | -949082.484 | -344216.349 |
| -162073.129 | -619512.296 | 25339.340 | -42236.038 | 91328.063 | 27732.295 |
| -158811.183 | -626904.708 | 39907.176 | -33099.793 | 93927.393 | 30565.653 |
| -162021.567 | -602038.688 | 22140.137 | -40504.166 | 95982.121 | 47354.086 |
| -144949.472 | -646281.564 | 53442.943 | -42064.924 | 95269.978 | 27335.928 |
| -154681.088 | -641184.700 | 65872.222 | -49182.901 | 98644.271 | 26341.765 |
| -153349.417 | -635621.927 | 53162.170 | -47368.781 | 97296.977 | 28420.394 |
| 142885.139 | 584671.517 | -43242.866 | 45974.962 | -103048.991 | -55559.458 |
| 197632.246 | 666922.373 | 6349.867 | 56819.128 | -87379.722 | -13179.085 |
| 193434.883 | 583511.177 | 61457.436 | 50796.169 | -89895.566 | 1395.855 |
| 184416.008 | 650566.051 | -34450.200 | 42524.373 | -114094.066 | -26222.242 |
| 157436.301 | 624135.262 | -45709.147 | 39850.842 | -92071.980 | -23217.056 |
| 177785.371 | 643518.444 | -24958.548 | 30560.571 | -112900.965 | -34237.912 |
| -15962.203 | -60376.434 | -3612.536 | -5440.290 | 6754.684 | 187.713 |
| -16190.806 | -61719.740 | 3991.873 | -3417.104 | 9084.156 | 2987.888 |
| -15600.110 | -59692.013 | 44.050 | -4212.353 | 7526.375 | 1303.981 |
| -19079.740 | -58542.225 | -3487.865 | -4300.222 | 8763.852 | 195.825 |
| -16307.256 | -61559.400 | 4883.406 | -4647.496 | 9522.309 | 2471.346 |
| -13582.563 | -60516.484 | 8965.996 | -4049.713 | 9089.765 | 2421.206 |
| 17196.677 | 65489.177 | -4305.942 | 365.209 | -9995.019 | -4538.734 |
| 13686.893 | 64029.338 | -4450.540 | 4194.966 | -9825.232 | -2192.915 |
| 16091.884 | 61335.610 | -1800.116 | 4540.938 | -9838.350 | -2588.391 |
| 15732.794 | 62818.104 | -1289.680 | 3476.606 | -9322.384 | -3397.514 |
| 14984.532 | 64032.109 | -3480.818 | 4712.273 | -9742.947 | -2915.531 |
| 18959.003 | 64440.019 | -2932.994 | 4113.012 | -11719.024 | -3697.077 |
| 884.564 | 27.110 | 0.000 | 0.000 | 0.000 | 0.000 |
| 27.110 | 884.564 | 0.000 | 0.000 | 0.000 | 0.000 |
| -0.000 | 0.000 | 0.000 | 0.000 | 0.000 | -0.000 |
| -0.000 | 0.000 | 0.000 | 0.000 | 0.000 | -0.000 |
| -0.000 | 0.000 | 0.000 | 0.000 | 0.000 | -0.000 |
| 0.000 | -0.000 | 0.000 | 0.000 | 0.000 | 495.624 |
| 951.461 | -39.787 | -0.000 | -0.000 | -0.000 | 0.000 |
| 27.110 | 884.564 | -0.000 | -0.000 | -0.000 | -0.000 |
| 0.000 | -0.000 | -0.000 | -0.000 | -0.000 | 0.000 |
| 0.000 | -0.000 | -0.000 | -0.000 | -0.000 | 0.000 |
| 0.000 | -0.000 | -0.000 | -0.000 | -0.000 | -0.000 |
| -0.000 | 0.000 | -0.000 | -0.000 | -0.000 | 495.624 |
| 884.470 | 27.205 | 0.000 | 0.000 | 0.000 | 0.000 |
| 27.111 | 884.564 | 0.000 | 0.000 | 0.000 | 0.000 |
| -0.000 | 0.000 | 0.000 | 0.000 | 0.000 | -0.000 |
| -0.000 | 0.000 | 0.000 | 0.000 | 0.000 | -0.000 |
| -0.000 | 0.000 | 0.000 | 0.000 | 0.000 | -0.000 |
| -0.000 | 0.000 | 0.000 | 0.000 | 0.000 | 428.727 |
| 884.563 | 27.111 | -0.000 | -0.000 | -0.000 | -0.000 |
| 27.109 | 884.565 | -0.000 | -0.000 | -0.000 | -0.000 |
| 0.000 | -0.000 | -0.000 | -0.000 | -0.000 | 0.000 |
| 0.000 | -0.000 | -0.000 | -0.000 | -0.000 | 0.000 |
| 0.000 | -0.000 | -0.000 | -0.000 | -0.000 | 0.000 |
| 0.000 | -0.000 | -0.000 | -0.000 | -0.000 | 428.727 |
| 884.576 | 27.102 | 0.000 | 0.000 | 0.000 | 0.000 |
| 27.119 | 884.559 | 0.000 | 0.000 | 0.000 | 0.000 |
| -0.000 | 0.000 | 0.000 | 0.000 | 0.000 | -0.000 |
| -0.000 | 0.000 | 0.000 | 0.000 | 0.000 | -0.000 |
| -0.000 | 0.000 | 0.000 | 0.000 | 0.000 | 0.000 |
| -0.000 | 0.001 | 0.000 | 0.000 | 0.000 | 428.727 |
| 884.553 | 27.119 | -0.000 | -0.000 | -0.000 | 0.000 |
| 27.101 | 884.570 | -0.000 | -0.000 | -0.000 | -0.000 |
| 0.000 | -0.000 | -0.000 | -0.000 | -0.000 | 0.000 |
| 0.000 | -0.000 | -0.000 | -0.000 | -0.000 | 0.000 |
| 0.000 | -0.000 | -0.000 | -0.000 | -0.000 | 0.000 |
| 0.000 | -0.001 | -0.000 | -0.000 | -0.000 | 428.727 |
| 871.369 | 26.706 | 0.000 | 0.000 | 0.000 | 0.000 |
| 26.706 | 871.369 | 0.000 | 0.000 | 0.000 | -0.000 |
| -0.000 | 0.000 | 0.000 | 0.000 | 0.000 | 0.000 |
| -0.000 | 0.000 | 0.000 | 0.000 | 0.000 | -0.000 |
| -0.000 | 0.000 | 0.000 | 0.000 | 0.000 | -0.000 |
| 0.000 | -0.000 | 0.000 | 0.000 | 0.000 | 488.231 |
| 937.268 | -39.193 | -0.000 | -0.000 | -0.000 | -0.000 |
| 26.706 | 871.369 | -0.000 | -0.000 | -0.000 | -0.000 |
| 0.000 | -0.000 | -0.000 | -0.000 | -0.000 | -0.000 |
| 0.000 | -0.000 | -0.000 | -0.000 | -0.000 | 0.000 |
| 0.000 | -0.000 | -0.000 | -0.000 | -0.000 | -0.000 |
| -0.000 | 0.000 | -0.000 | -0.000 | -0.000 | 488.231 |
| 871.276 | 26.799 | 0.000 | 0.000 | 0.000 | 0.000 |
| 26.707 | 871.368 | 0.000 | 0.000 | 0.000 | 0.000 |
| -0.000 | 0.000 | 0.000 | 0.000 | 0.000 | 0.000 |
| -0.000 | 0.000 | 0.000 | 0.000 | 0.000 | -0.000 |
| -0.000 | 0.000 | 0.000 | 0.000 | 0.000 | -0.000 |
| -0.000 | 0.000 | 0.000 | 0.000 | 0.000 | 422.331 |
| 871.368 | 26.707 | -0.000 | -0.000 | -0.000 | -0.000 |
| 26.705 | 871.369 | -0.000 | -0.000 | -0.000 | -0.000 |
| 0.000 | -0.000 | -0.000 | -0.000 | -0.000 | -0.000 |
| 0.000 | -0.000 | -0.000 | -0.000 | -0.000 | 0.000 |
| 0.000 | -0.000 | -0.000 | -0.000 | -0.000 | -0.000 |
| 0.000 | -0.000 | -0.000 | -0.000 | -0.000 | 422.331 |
| 871.380 | 26.698 | 0.000 | 0.000 | 0.000 | 0.000 |
| 26.715 | 871.363 | 0.000 | 0.000 | 0.000 | -0.000 |
| -0.000 | 0.000 | 0.000 | 0.000 | 0.000 | 0.000 |
| -0.000 | 0.000 | 0.000 | 0.000 | 0.000 | 0.000 |
| -0.000 | 0.000 | 0.000 | 0.000 | 0.000 | 0.000 |
| -0.000 | 0.001 | 0.000 | 0.000 | 0.000 | 422.331 |
| 871.357 | 26.714 | -0.000 | -0.000 | -0.000 | 0.000 |
| 26.697 | 871.374 | -0.000 | -0.000 | -0.000 | -0.000 |
| 0.000 | -0.000 | -0.000 | -0.000 | -0.000 | -0.000 |
| 0.000 | -0.000 | -0.000 | -0.000 | -0.000 | 0.000 |
| 0.000 | -0.000 | -0.000 | -0.000 | -0.000 | -0.000 |
| 0.000 | -0.001 | -0.000 | -0.000 | -0.000 | 422.331 |
| 986.010 | -304.442 | -46.051 | 0.005 | 0.012 | -0.000 |
| -310.264 | 110.722 | 198.422 | 0.002 | 0.005 | 0.000 |
| -18.057 | 232.420 | 1054.688 | 0.005 | 0.012 | -0.000 |
| -0.396 | -0.913 | -0.385 | -43.662 | 0.008 | -0.000 |
| -3.728 | -4.408 | 1.375 | 0.003 | 50.033 | -0.000 |
| -0.851 | -0.695 | 0.341 | -0.002 | -0.005 | -224.148 |
| 989.036 | -300.321 | -46.486 | -0.005 | -0.012 | 0.000 |
| -306.747 | 114.944 | 198.197 | -0.001 | -0.002 | -0.000 |
| -15.030 | 236.543 | 1054.252 | -0.005 | -0.012 | 0.000 |
| 0.396 | 0.913 | 0.385 | -43.669 | -0.008 | 0.000 |
| 3.728 | 4.408 | -1.375 | -0.003 | 50.018 | 0.000 |
| 0.851 | 0.695 | -0.341 | 0.002 | 0.005 | -224.148 |
| 987.372 | -302.595 | -46.242 | 0.001 | 0.001 | -0.000 |
| -309.296 | 112.580 | 198.013 | 0.001 | 0.001 | -0.000 |
| -16.660 | 234.309 | 1054.486 | 0.001 | 0.001 | -0.000 |
| -0.182 | -0.215 | 0.049 | -43.804 | 0.001 | 0.000 |
| -0.368 | -0.443 | 0.138 | 0.000 | 49.984 | -0.000 |
| -0.087 | -0.071 | 0.036 | -0.000 | -0.001 | -224.145 |
| 987.664 | -302.191 | -46.282 | -0.001 | -0.001 | 0.000 |
| -309.022 | 112.952 | 197.978 | -0.001 | -0.001 | 0.000 |
| -16.359 | 234.721 | 1054.444 | -0.001 | -0.001 | 0.000 |
| 0.182 | 0.215 | -0.049 | -43.804 | -0.001 | -0.000 |
| 0.368 | 0.443 | -0.138 | -0.000 | 49.983 | 0.000 |
| 0.087 | 0.071 | -0.036 | 0.000 | 0.001 | -224.145 |
| 987.554 | -302.375 | -46.276 | 0.000 | 0.000 | -0.000 |
| -309.031 | 112.949 | 197.959 | 0.000 | 0.000 | 0.000 |
| -16.516 | 234.497 | 1054.464 | 0.000 | 0.000 | -0.000 |
| -0.015 | -0.020 | 0.003 | -43.804 | 0.000 | 0.000 |
| 0.011 | -0.067 | 0.013 | 0.000 | 49.983 | -0.000 |
| -0.007 | -0.010 | 0.003 | -0.000 | -0.000 | -224.145 |
| 987.481 | -302.414 | -46.247 | -0.000 | -0.000 | 0.000 |
| -309.289 | 112.583 | 198.032 | -0.000 | -0.000 | -0.000 |
| -16.502 | 234.535 | 1054.467 | -0.000 | -0.000 | 0.000 |
| 0.015 | 0.020 | -0.003 | -43.804 | -0.000 | -0.000 |
| -0.011 | 0.067 | -0.013 | -0.000 | 49.983 | 0.000 |
| 0.007 | 0.010 | -0.003 | 0.000 | 0.000 | -224.145 |
| 927.090 | 28.414 | 0.000 | 0.000 | 0.000 | 0.000 |
| 28.414 | 927.090 | 0.000 | 0.000 | 0.000 | 0.000 |
| 0.000 | -0.000 | 0.000 | 0.000 | 0.000 | 0.000 |
| 0.000 | -0.000 | 0.000 | 0.000 | 0.000 | 0.000 |
| 0.000 | -0.000 | 0.000 | 0.000 | 0.000 | 0.000 |
| -0.000 | 0.000 | 0.000 | 0.000 | 0.000 | 519.451 |
| 997.203 | -41.700 | -0.000 | -0.000 | -0.000 | 0.000 |
| 28.414 | 927.090 | -0.000 | -0.000 | -0.000 | -0.000 |
| -0.000 | 0.000 | -0.000 | -0.000 | -0.000 | -0.000 |
| -0.000 | 0.000 | -0.000 | -0.000 | -0.000 | -0.000 |
| -0.000 | 0.000 | -0.000 | -0.000 | -0.000 | -0.000 |
| 0.000 | -0.000 | -0.000 | -0.000 | -0.000 | 519.451 |
| 927.091 | 28.413 | 0.000 | 0.000 | 0.000 | 0.000 |
| 28.315 | 927.190 | 0.000 | 0.000 | 0.000 | 0.000 |
| 0.000 | -0.000 | 0.000 | 0.000 | 0.000 | 0.000 |
| 0.000 | -0.000 | 0.000 | 0.000 | 0.000 | 0.000 |
| 0.000 | -0.000 | 0.000 | 0.000 | 0.000 | 0.000 |
| -0.000 | 0.000 | 0.000 | 0.000 | 0.000 | 449.338 |
| 927.089 | 28.415 | -0.000 | -0.000 | -0.000 | -0.000 |
| 28.438 | 927.065 | -0.000 | -0.000 | -0.000 | -0.000 |
| -0.000 | 0.000 | -0.000 | -0.000 | -0.000 | -0.000 |
| -0.000 | 0.000 | -0.000 | -0.000 | -0.000 | -0.000 |
| -0.000 | 0.000 | -0.000 | -0.000 | -0.000 | -0.000 |
| 0.000 | -0.000 | -0.000 | -0.000 | -0.000 | 449.338 |
| 927.102 | 28.405 | 0.000 | 0.000 | 0.000 | 0.000 |
| 28.423 | 927.084 | 0.000 | 0.000 | 0.000 | 0.000 |
| 0.000 | -0.000 | 0.000 | 0.000 | 0.000 | 0.000 |
| 0.000 | -0.000 | 0.000 | 0.000 | 0.000 | 0.000 |
| 0.000 | -0.000 | 0.000 | 0.000 | 0.000 | 0.000 |
| -0.000 | 0.001 | 0.000 | 0.000 | 0.000 | 449.338 |
| 927.078 | 28.422 | -0.000 | -0.000 | -0.000 | -0.000 |
| 28.404 | 927.096 | -0.000 | -0.000 | -0.000 | -0.000 |
| -0.000 | 0.000 | -0.000 | -0.000 | -0.000 | -0.000 |
| -0.000 | 0.000 | -0.000 | -0.000 | -0.000 | -0.000 |
| -0.000 | 0.000 | -0.000 | -0.000 | -0.000 | -0.000 |
| 0.000 | -0.001 | -0.000 | -0.000 | -0.000 | 449.338 |
| 644.374 | -26.945 | 0.000 | 0.000 | -0.000 | 0.000 |
| 95.341 | 522.088 | 0.000 | 0.000 | -0.000 | 0.000 |
| 0.000 | 0.000 | 0.000 | 0.000 | 0.000 | -0.000 |
| 0.000 | -0.000 | 0.000 | 0.000 | -0.000 | 0.000 |
| -0.000 | -0.000 | -0.000 | -0.000 | -0.000 | 0.000 |
| -0.000 | -0.000 | 0.000 | -0.000 | -0.000 | 213.374 |
| 644.374 | -26.945 | -0.000 | 0.000 | 0.000 | 0.000 |
| 95.341 | 522.088 | -0.000 | 0.000 | 0.000 | -0.000 |
| 0.000 | -0.000 | -0.000 | 0.000 | 0.000 | -0.000 |
| 0.000 | -0.000 | -0.000 | -0.000 | 0.000 | -0.000 |
| 0.000 | -0.000 | -0.000 | 0.000 | 0.000 | 0.000 |
| 0.000 | 0.000 | -0.000 | 0.000 | -0.000 | 213.374 |
| 598.158 | 19.271 | 0.000 | -0.000 | -0.000 | 0.000 |
| 19.208 | 598.221 | 0.000 | 0.000 | -0.000 | 0.000 |
| 0.000 | 0.000 | 0.000 | -0.000 | 0.000 | -0.000 |
| 0.000 | -0.000 | 0.000 | 0.000 | -0.000 | 0.000 |
| -0.000 | -0.000 | 0.000 | -0.000 | 0.000 | 0.000 |
| -0.000 | 0.000 | 0.000 | -0.000 | 0.000 | 335.660 |
| 598.158 | 19.271 | -0.000 | -0.000 | 0.000 | -0.000 |
| 19.271 | 598.157 | -0.000 | 0.000 | 0.000 | -0.000 |
| 0.000 | 0.000 | -0.000 | 0.000 | 0.000 | 0.000 |
| 0.000 | -0.000 | -0.000 | 0.000 | 0.000 | -0.000 |
| 0.000 | 0.000 | -0.000 | -0.000 | 0.000 | 0.000 |
| 0.000 | -0.000 | -0.000 | 0.000 | 0.000 | 335.660 |
| 598.903 | 18.528 | 0.000 | -0.000 | -0.000 | 0.000 |
| 18.212 | 599.219 | 0.000 | -0.000 | -0.000 | 0.000 |
| 0.000 | 0.000 | 0.000 | 0.000 | -0.000 | -0.000 |
| 0.000 | -0.000 | 0.000 | 0.000 | -0.000 | 0.000 |
| -0.000 | -0.000 | 0.000 | 0.000 | 0.000 | 0.000 |
| -0.000 | 0.001 | 0.000 | -0.000 | -0.000 | 290.345 |
| 599.699 | 17.728 | -0.000 | 0.000 | 0.000 | -0.000 |
| 18.369 | 599.057 | -0.000 | 0.000 | -0.000 | -0.000 |
| 0.000 | 0.000 | -0.000 | 0.000 | 0.000 | -0.000 |
| 0.000 | -0.000 | -0.000 | 0.000 | 0.000 | -0.000 |
| 0.000 | 0.000 | -0.000 | 0.000 | 0.000 | 0.000 |
| 0.000 | -0.001 | -0.000 | 0.000 | -0.000 | 290.345 |
| 800.360 | -33.468 | -0.000 | 0.000 | 0.000 | 0.000 |
| 32.683 | 734.208 | 0.000 | 0.000 | -0.000 | 0.000 |
| 0.000 | 0.000 | -0.000 | 0.000 | -0.000 | -0.000 |
| 0.000 | -0.000 | -0.000 | 0.000 | 0.000 | 0.000 |
| -0.000 | -0.000 | 0.000 | 0.000 | 0.000 | 0.000 |
| -0.000 | 0.000 | 0.000 | 0.000 | -0.000 | 350.762 |
| 800.360 | -33.468 | 0.000 | 0.000 | 0.000 | -0.000 |
| 22.805 | 744.087 | -0.000 | -0.000 | 0.000 | -0.000 |
| 0.000 | 0.000 | -0.000 | -0.000 | -0.000 | -0.000 |
| -0.000 | 0.000 | 0.000 | -0.000 | -0.000 | -0.000 |
| 0.000 | 0.000 | 0.000 | -0.000 | 0.000 | 0.000 |
| 0.000 | -0.000 | -0.000 | -0.000 | -0.000 | 350.762 |
| 743.967 | 22.925 | 0.000 | -0.000 | -0.000 | 0.000 |
| 22.785 | 744.107 | 0.000 | 0.000 | -0.000 | -0.000 |
| 0.000 | 0.000 | -0.000 | 0.000 | -0.000 | -0.000 |
| 0.000 | -0.000 | -0.000 | 0.000 | 0.000 | 0.000 |
| -0.000 | -0.000 | -0.000 | 0.000 | 0.000 | 0.000 |
| -0.000 | 0.000 | -0.000 | -0.000 | 0.000 | 416.914 |
| 744.066 | 22.826 | -0.000 | -0.000 | -0.000 | -0.000 |
| 22.985 | 743.906 | -0.000 | 0.000 | 0.000 | -0.000 |
| 0.000 | 0.000 | 0.000 | -0.000 | -0.000 | -0.000 |
| 0.000 | -0.000 | 0.000 | 0.000 | -0.000 | -0.000 |
| 0.000 | 0.000 | 0.000 | -0.000 | 0.000 | 0.000 |
| 0.000 | -0.000 | 0.000 | 0.000 | 0.000 | 416.914 |
| 744.095 | 22.799 | 0.000 | 0.000 | -0.000 | 0.000 |
| 22.010 | 744.885 | 0.000 | -0.000 | 0.000 | 0.000 |
| 0.000 | 0.000 | 0.000 | 0.000 | -0.000 | -0.000 |
| 0.000 | -0.000 | -0.000 | 0.000 | 0.000 | -0.000 |
| -0.000 | -0.000 | 0.000 | 0.000 | 0.000 | 0.000 |
| 0.000 | 0.000 | 0.000 | 0.000 | -0.000 | 360.641 |
| 744.131 | 22.758 | -0.000 | 0.000 | 0.000 | -0.000 |
| 22.798 | 744.090 | -0.000 | -0.000 | -0.000 | -0.000 |
| 0.000 | 0.000 | -0.000 | -0.000 | 0.000 | -0.000 |
| 0.000 | -0.000 | 0.000 | 0.000 | 0.000 | -0.000 |
| 0.000 | 0.000 | 0.000 | 0.000 | 0.000 | 0.000 |
| -0.000 | -0.000 | -0.000 | -0.000 | 0.000 | 360.641 |
| 7145.385 | 5950.415 | -12312.258 | 12.797 | -0.000 | 0.000 |
| 4577.319 | 5725.008 | -9507.119 | -9.124 | -0.000 | -0.000 |
| -352.284 | -352.284 | 1986.066 | 0.000 | -0.000 | 0.000 |
| 14612.122 | 14571.905 | -30659.098 | 457.132 | -0.000 | -0.000 |
| -0.000 | 0.000 | -0.000 | -0.000 | 507.477 | 27.641 |
| -0.000 | 0.000 | -0.000 | -0.000 | 27.641 | 666.907 |
| -5274.291 | -6432.273 | 13827.204 | 10.065 | 0.000 | 0.000 |
| -6530.347 | -5366.028 | 14029.537 | -10.314 | 0.000 | 0.000 |
| -14640.487 | -14640.487 | 32006.284 | 0.000 | -0.000 | -0.000 |
| -4459.537 | -4477.761 | 9500.452 | 382.934 | -0.000 | 0.000 |
| 0.000 | -0.000 | -0.000 | 0.000 | 507.477 | 27.641 |
| 0.000 | -0.000 | -0.000 | 0.000 | 27.641 | 666.907 |
| 1829.710 | 635.706 | -1161.159 | 12.704 | -0.000 | -0.000 |
| 752.559 | 1910.749 | -1380.542 | -10.085 | -0.000 | -0.000 |
| 1382.950 | 1382.950 | -1660.268 | -0.000 | -0.000 | 0.000 |
| 1480.579 | 1440.375 | -3068.590 | 457.088 | -0.000 | -0.000 |
| 1460.477 | 1460.477 | -3068.590 | 0.000 | 457.088 | 20.102 |
| 1452.764 | 1452.764 | -3052.384 | 0.000 | 20.143 | 633.059 |
| 657.477 | -538.693 | 1300.415 | 12.917 | 0.000 | 0.000 |
| -538.783 | 657.395 | 1300.595 | -12.918 | -0.000 | 0.000 |
| -626.244 | -626.244 | 2571.227 | 0.000 | 0.000 | 0.000 |
| -1438.437 | -1478.661 | 3064.539 | 457.155 | 0.000 | 0.000 |
| -1460.477 | -1460.477 | 3068.590 | -0.000 | 457.088 | 20.102 |
| -1452.764 | -1452.764 | 3052.384 | -0.000 | 20.143 | 633.059 |
| 1320.698 | 168.723 | -137.987 | 10.054 | -0.000 | -0.000 |
| 168.720 | 1320.699 | -137.985 | -10.055 | -0.000 | -0.000 |
| 84.719 | 84.719 | 1066.149 | 0.000 | -0.000 | -0.000 |
| 57.113 | 36.976 | -99.906 | 389.382 | -0.000 | -0.000 |
| 157.723 | 157.723 | -331.389 | 0.000 | 453.059 | 19.500 |
| 65.781 | 65.781 | -139.290 | 0.000 | 10.906 | 588.862 |
| 1202.685 | 53.115 | 109.174 | 8.989 | 0.000 | 0.000 |
| 53.776 | 1203.533 | 107.588 | -9.009 | 0.000 | 0.000 |
| -25.368 | -25.368 | 1299.379 | 0.000 | -0.000 | 0.000 |
| -137.540 | -176.607 | 330.025 | 453.284 | 0.000 | 0.000 |
| -157.723 | -157.723 | 331.389 | -0.000 | 453.059 | 19.500 |
| -65.781 | -65.781 | 139.290 | -0.000 | 10.906 | 588.862 |
| 4938.124 | 3753.734 | -6882.787 | 12.221 | 0.000 | 0.000 |
| 150.775 | 1496.249 | -307.280 | -20.123 | 0.000 | 0.000 |
| 2999.561 | 2999.561 | -4274.707 | -0.000 | 0.000 | 0.000 |
| -3233.097 | -3260.304 | 7309.206 | 463.514 | 0.000 | -0.000 |
| 0.000 | 0.000 | -0.000 | -0.000 | 523.674 | 20.123 |
| 0.000 | 0.000 | -0.000 | -0.000 | 20.123 | 672.737 |
| -11427.512 | -12560.695 | 25916.113 | 7.791 | -0.000 | 0.000 |
| -2812.498 | -1755.876 | 5456.753 | -5.532 | -0.000 | 0.000 |
| -12551.223 | -12551.223 | 26921.338 | 0.000 | 0.000 | -0.000 |
| -12613.500 | -12629.018 | 25810.023 | 406.439 | 0.000 | -0.000 |
| -0.000 | -0.000 | 0.000 | 0.000 | 523.674 | 20.123 |
| -0.000 | -0.000 | 0.000 | -0.000 | 20.123 | 672.737 |
| 889.249 | -358.983 | 910.164 | 14.235 | 0.000 | -0.000 |
| 426.813 | 1483.549 | -508.147 | -5.568 | 0.000 | -0.000 |
| 1434.801 | 1434.801 | -1684.548 | -0.000 | 0.000 | 0.000 |
| 20.123 | -20.123 | -0.000 | 523.674 | 0.000 | -0.000 |
| 293.821 | 293.820 | -540.880 | 0.000 | 371.651 | 5.539 |
| 0.000 | 0.000 | 0.000 | -0.000 | 20.123 | 672.737 |
| 1471.205 | 244.234 | -432.574 | 12.948 | -0.000 | -0.000 |
| 244.234 | 1471.206 | -432.574 | -12.948 | -0.000 | 0.000 |
| -238.561 | -238.561 | 1687.299 | 0.000 | 0.000 | 0.000 |
| -335.398 | -355.272 | 645.539 | 412.217 | -0.000 | -0.000 |
| -293.821 | -293.820 | 540.880 | -0.000 | 371.651 | 5.539 |
| -0.000 | -0.000 | -0.000 | -0.000 | 20.123 | 672.737 |
| 1290.261 | 205.998 | -142.198 | 4.892 | 0.000 | -0.000 |
| 138.325 | 1300.512 | -80.964 | -11.786 | 0.000 | -0.000 |
| -286.256 | -286.256 | 1862.760 | -0.000 | 0.000 | 0.000 |
| 25.368 | 11.896 | -32.124 | 383.591 | 0.000 | -0.000 |
| 0.001 | 0.001 | -0.000 | 0.000 | 523.674 | 20.123 |
| 120.772 | 120.773 | -246.902 | 0.000 | 8.189 | 570.070 |
| 1215.016 | 42.234 | 94.768 | 10.121 | -0.000 | 0.000 |
| -65.671 | 1167.369 | 260.746 | -13.316 | -0.000 | -0.000 |
| -22.523 | -22.523 | 1301.190 | 0.000 | -0.000 | 0.000 |
| -110.941 | -127.555 | 243.764 | 411.647 | -0.000 | 0.000 |
| -0.001 | -0.001 | 0.000 | -0.000 | 523.674 | 20.123 |
| -120.772 | -120.773 | 246.902 | -0.000 | 8.189 | 570.070 |
| 4673.166 | 3447.682 | -7160.500 | 16.625 | 0.000 | -0.000 |
| 3450.918 | 4676.343 | -7167.257 | -16.620 | -0.000 | -0.000 |
| 3238.148 | 3238.148 | -5462.635 | -0.000 | 0.000 | -0.000 |
| 3368.461 | 3335.053 | -7056.597 | 493.086 | -0.000 | -0.000 |
| 719.346 | 719.346 | -1652.671 | 0.000 | 413.052 | 8.629 |
| 1520.227 | 1520.227 | -3238.422 | -0.000 | 7.761 | 548.632 |
| -2007.429 | -3235.188 | 6907.061 | 16.805 | 0.000 | 0.000 |
| -616.279 | 503.448 | 1642.503 | -8.564 | 0.000 | 0.000 |
| -294.380 | -294.380 | 1963.288 | -0.000 | 0.000 | 0.000 |
| -3335.053 | -3368.461 | 7056.597 | 493.086 | 0.000 | 0.000 |
| -719.346 | -719.346 | 1652.671 | -0.000 | 413.052 | 8.629 |
| -1520.337 | -1520.337 | 3238.631 | -0.000 | 7.762 | 548.640 |
| 1444.433 | 159.404 | -294.381 | 21.341 | -0.000 | -0.000 |
| 431.917 | 1643.287 | -797.809 | -15.507 | -0.000 | -0.000 |
| -294.380 | -294.380 | 1963.289 | -0.000 | -0.000 | -0.000 |
| 156.326 | 140.624 | -316.204 | 401.963 | 0.000 | -0.000 |
| 338.712 | 338.712 | -713.105 | 0.000 | 492.608 | 16.655 |
| 0.000 | 0.000 | 0.000 | 0.000 | 21.341 | 642.514 |
| 995.238 | -238.454 | 592.244 | 17.275 | 0.000 | 0.000 |
| -238.631 | 995.038 | 592.640 | -17.273 | -0.000 | 0.000 |
| -294.380 | -294.380 | 1963.286 | 0.000 | 0.000 | 0.000 |
| -322.057 | -355.367 | 713.105 | 492.608 | 0.000 | 0.000 |
| -338.712 | -338.712 | 713.105 | -0.000 | 492.608 | 16.655 |
| -0.000 | -0.000 | -0.000 | -0.000 | 21.341 | 642.514 |
| 1272.206 | 57.391 | -12.587 | 15.779 | -0.000 | -0.000 |
| 104.452 | 1243.812 | -34.931 | -10.070 | 0.000 | -0.000 |
| -17.461 | -17.461 | 1394.750 | 0.000 | -0.000 | -0.000 |
| 69.974 | 42.911 | -118.830 | 462.091 | 0.000 | -0.000 |
| 0.001 | 0.001 | -0.000 | 0.000 | 538.399 | 21.341 |
| 5.156 | 5.157 | -12.360 | 0.000 | 7.857 | 555.233 |
| 1276.982 | 38.502 | 4.583 | 17.655 | 0.000 | 0.000 |
| 43.165 | 1283.443 | -6.950 | -17.797 | 0.000 | 0.000 |
| -65.456 | -65.456 | 1491.130 | -0.000 | -0.000 | 0.000 |
| -13.091 | -29.575 | 44.494 | 403.664 | 0.000 | 0.000 |
| -0.001 | -0.001 | 0.000 | -0.000 | 538.399 | 21.341 |
| -5.156 | -5.157 | 12.360 | -0.000 | 7.857 | 555.233 |
| 133.866 | 76.684 | 76.684 | -0.000 | -0.000 | 0.000 |
| 76.684 | 133.866 | 76.684 | -0.000 | -0.000 | 0.000 |
| 76.684 | 76.684 | 133.866 | -0.000 | 0.000 | -0.000 |
| -0.000 | 0.000 | 0.000 | 127.972 | 0.000 | -0.000 |
| 0.000 | 0.000 | 0.000 | -0.000 | 127.972 | -0.000 |
| 0.000 | 0.000 | 0.000 | -0.000 | 0.000 | 127.972 |
| 131.457 | 80.333 | 80.333 | -0.000 | 0.000 | 0.000 |
| 80.333 | 131.457 | 80.333 | 0.000 | -0.000 | -0.000 |
| 80.333 | 80.333 | 131.457 | -0.000 | -0.000 | 0.000 |
| 0.000 | -0.000 | -0.000 | 127.972 | 0.000 | 0.000 |
| -0.000 | -0.000 | -0.000 | -0.000 | 127.972 | -0.000 |
| 0.000 | -0.000 | -0.000 | 0.000 | 0.000 | 127.972 |
| 131.457 | 80.333 | 80.333 | -0.000 | 0.000 | -0.000 |
| 80.333 | 131.457 | 80.333 | -0.000 | 0.000 | -0.000 |
| 80.333 | 80.333 | 131.457 | 0.000 | -0.000 | -0.000 |
| -0.000 | -0.000 | 0.000 | 127.972 | -0.000 | -0.000 |
| -0.000 | -0.000 | 0.000 | 0.000 | 127.972 | 0.000 |
| -0.000 | 0.000 | -0.000 | 0.000 | -0.000 | 127.972 |
| 131.457 | 80.333 | 80.333 | -0.000 | 0.000 | -0.000 |
| 80.333 | 131.457 | 80.333 | 0.000 | 0.000 | 0.000 |
| 80.333 | 80.333 | 131.457 | -0.000 | -0.000 | 0.000 |
| 0.000 | 0.000 | -0.000 | 127.972 | -0.000 | -0.000 |
| 0.000 | 0.000 | -0.000 | 0.000 | 127.972 | -0.000 |
| 0.000 | -0.000 | 0.000 | 0.000 | 0.000 | 127.972 |
| 131.456 | 80.335 | 80.335 | -0.000 | 0.000 | 0.000 |
| 80.335 | 131.456 | 80.335 | -0.000 | -0.000 | -0.000 |
| 80.335 | 80.335 | 131.456 | -0.000 | 0.000 | 0.000 |
| -0.000 | -0.000 | 0.000 | 127.972 | -0.000 | 0.000 |
| -0.000 | -0.000 | 0.000 | -0.000 | 127.972 | -0.000 |
| -0.000 | 0.000 | -0.000 | -0.000 | 0.000 | 127.972 |
| 131.456 | 80.333 | 80.333 | -0.000 | -0.000 | -0.000 |
| 80.333 | 131.456 | 80.333 | 0.000 | 0.000 | 0.000 |
| 80.333 | 80.333 | 131.456 | -0.000 | -0.000 | -0.000 |
| 0.000 | 0.000 | -0.000 | 127.972 | -0.000 | 0.000 |
| 0.000 | 0.000 | -0.000 | 0.000 | 127.972 | -0.000 |
| 0.000 | -0.000 | 0.000 | -0.000 | 0.000 | 127.972 |
| 727.808 | -71.454 | -344.449 | -0.000 | 0.000 | 0.000 |
| -63.495 | 410.571 | 21.136 | -0.000 | 0.000 | -0.000 |
| -9.400 | -18.798 | -339.831 | -0.000 | 0.000 | -0.000 |
| 0.000 | 0.000 | -0.000 | 111.537 | 0.000 | -0.000 |
| 3.814 | -11.115 | -171.401 | -0.000 | 113.153 | -0.000 |
| 0.000 | 0.000 | -0.000 | -0.000 | -0.000 | 302.756 |
| 747.784 | -73.231 | 3.918 | -0.000 | 0.000 | 0.000 |
| -45.590 | 396.721 | 337.056 | 0.000 | 0.000 | -0.000 |
| 14.168 | 2.614 | 340.396 | 0.000 | -0.000 | -0.000 |
| -0.000 | -0.000 | 0.000 | 111.537 | -0.000 | 0.000 |
| -3.814 | 11.115 | 171.401 | 0.000 | 113.153 | -0.000 |
| -0.000 | -0.000 | 0.000 | -0.000 | -0.000 | 302.756 |
| 740.561 | -66.564 | 10.964 | -0.000 | 0.000 | 0.000 |
| -63.495 | 410.571 | 21.136 | 0.000 | 0.000 | -0.000 |
| 6.049 | 13.532 | 448.093 | -0.000 | 0.000 | 0.000 |
| -0.419 | -0.856 | -19.323 | 58.500 | -0.000 | 0.000 |
| 0.285 | -0.830 | -12.797 | -0.000 | 149.235 | -0.000 |
| 0.000 | 0.000 | 0.000 | -0.000 | 0.000 | 302.756 |
| 741.772 | -66.945 | 26.055 | 0.000 | 0.000 | -0.000 |
| -49.658 | 387.148 | 33.983 | 0.000 | 0.000 | 0.000 |
| 4.874 | -9.719 | 34.504 | 0.000 | 0.000 | -0.000 |
| 0.419 | 0.856 | 19.323 | 58.500 | 0.000 | -0.000 |
| -0.285 | 0.830 | 12.797 | 0.000 | 149.235 | -0.000 |
| -0.000 | -0.000 | -0.000 | -0.000 | 0.000 | 302.756 |
| 747.786 | -73.230 | 3.918 | -0.000 | -0.000 | -0.000 |
| -51.775 | 393.372 | -9.871 | -0.000 | -0.000 | 0.000 |
| 3.741 | -11.229 | -2.938 | -0.000 | -0.000 | 0.000 |
| -0.459 | -0.274 | -9.530 | 11.727 | 0.000 | -0.000 |
| -0.364 | -0.109 | -5.125 | 0.000 | 0.247 | 0.000 |
| -0.036 | -0.152 | -3.276 | -0.000 | -0.000 | 222.911 |
| 747.781 | -73.231 | 3.918 | 0.000 | -0.000 | -0.000 |
| -50.713 | 386.146 | 3.366 | 0.000 | -0.000 | 0.000 |
| 3.943 | -10.944 | 4.018 | 0.000 | 0.000 | -0.000 |
| 0.459 | 0.274 | 9.530 | 11.727 | 0.000 | -0.000 |
| 0.364 | 0.109 | 5.125 | -0.000 | 0.247 | -0.000 |
| 0.036 | 0.152 | 3.276 | 0.000 | 0.000 | 222.911 |
| 736.774 | -74.536 | 1257.462 | 0.000 | 0.000 | -0.000 |
| -110.811 | 528.236 | 12.797 | 0.000 | 0.000 | 0.000 |
| 55.947 | 69.658 | 2682.761 | 0.000 | 0.000 | -0.000 |
| 56.426 | 68.227 | 2685.135 | 54.549 | -0.000 | -0.000 |
| -66.236 | 36.382 | 1271.095 | 0.000 | 172.120 | 0.000 |
| -66.153 | 36.336 | 1269.500 | 0.000 | -0.000 | 230.448 |
| 744.627 | -174.531 | -2682.363 | 0.000 | -0.000 | 0.000 |
| -164.647 | 446.955 | -2680.805 | -0.000 | -0.000 | 0.000 |
| 87.643 | -30.514 | -1017.785 | -0.000 | -0.000 | 0.000 |
| -56.426 | -68.227 | -2685.135 | 54.549 | 0.000 | 0.000 |
| 66.236 | -36.382 | -1271.095 | -0.000 | 172.120 | 0.000 |
| 0.000 | -0.000 | -0.000 | -0.000 | -0.000 | 310.556 |
| 806.924 | -102.161 | 267.672 | 0.000 | 0.000 | -0.000 |
| -104.082 | 527.891 | 267.986 | 0.000 | -0.000 | 0.000 |
| 5.933 | 5.370 | 268.993 | 0.000 | 0.000 | -0.000 |
| 3.851 | 5.610 | 210.081 | 42.266 | 0.000 | -0.000 |
| 10.159 | 6.196 | 237.953 | 0.000 | 57.073 | -0.000 |
| 3.418 | 4.472 | 167.804 | 0.000 | 0.000 | 202.830 |
| 795.829 | -116.431 | -268.367 | -0.000 | -0.000 | 0.000 |
| -103.181 | 521.373 | -122.926 | -0.000 | -0.000 | 0.000 |
| -5.684 | -6.476 | -268.252 | -0.000 | 0.000 | -0.000 |
| -3.851 | -5.610 | -210.081 | 42.266 | -0.000 | 0.000 |
| -10.159 | -6.196 | -237.953 | -0.000 | 57.073 | 0.000 |
| -3.418 | -4.472 | -167.804 | -0.000 | -0.000 | 202.830 |
| 802.054 | -109.131 | 26.824 | -0.000 | -0.000 | -0.000 |
| -110.812 | 528.240 | 12.797 | 0.000 | 0.000 | -0.000 |
| 0.561 | 0.649 | 26.889 | -0.000 | -0.000 | -0.000 |
| 1.221 | 0.756 | 38.628 | 1.130 | -0.000 | -0.000 |
| 0.899 | 0.789 | 33.501 | 0.000 | 0.495 | -0.000 |
| 0.565 | 0.669 | 26.829 | 0.000 | 0.000 | 229.565 |
| 800.887 | -110.002 | -25.812 | -0.000 | -0.000 | 0.000 |
| -110.347 | 520.767 | -26.817 | 0.000 | -0.000 | -0.000 |
| -0.569 | -0.648 | -26.839 | -0.000 | 0.000 | -0.000 |
| -1.221 | -0.756 | -38.628 | 1.130 | 0.000 | 0.000 |
| -0.899 | -0.789 | -33.501 | -0.000 | 0.495 | 0.000 |
| -0.565 | -0.669 | -26.829 | -0.000 | 0.000 | 229.565 |
| 716.504 | -29.962 | -0.000 | -0.000 | 0.000 | 0.000 |
| -29.962 | 716.504 | -0.000 | 0.000 | -0.000 | 0.000 |
| 0.000 | 0.000 | -0.000 | 0.000 | 0.000 | 0.000 |
| 0.000 | -0.000 | -0.000 | -0.000 | 0.000 | 0.000 |
| -0.000 | -0.000 | 0.000 | -0.000 | 0.000 | 0.000 |
| -0.000 | 0.000 | 0.000 | -0.000 | -0.000 | 373.233 |
| 716.504 | -29.962 | -0.000 | -0.000 | -0.000 | 0.000 |
| 20.416 | 666.127 | -0.000 | -0.000 | 0.000 | 0.000 |
| 0.000 | 0.000 | -0.000 | -0.000 | -0.000 | 0.000 |
| -0.000 | 0.000 | 0.000 | -0.000 | -0.000 | 0.000 |
| 0.000 | 0.000 | 0.000 | 0.000 | -0.000 | 0.000 |
| 0.000 | -0.000 | -0.000 | 0.000 | -0.000 | 373.233 |
| 666.123 | 20.420 | 0.000 | 0.000 | 0.000 | -0.000 |
| 20.398 | 666.145 | 0.000 | 0.000 | 0.000 | -0.000 |
| 0.000 | 0.000 | -0.000 | -0.000 | -0.000 | 0.000 |
| 0.000 | -0.000 | 0.000 | 0.000 | 0.000 | -0.000 |
| -0.000 | -0.000 | 0.000 | 0.000 | 0.000 | -0.000 |
| -0.000 | 0.000 | 0.000 | -0.000 | -0.000 | 373.233 |
| 666.126 | 20.416 | -0.000 | 0.000 | -0.000 | 0.000 |
| 20.415 | 666.127 | -0.000 | 0.000 | -0.000 | 0.000 |
| 0.000 | 0.000 | -0.000 | -0.000 | -0.000 | 0.000 |
| 0.000 | -0.000 | 0.000 | -0.000 | -0.000 | 0.000 |
| 0.000 | 0.000 | -0.000 | 0.000 | -0.000 | -0.000 |
| 0.000 | -0.000 | 0.000 | 0.000 | -0.000 | 373.233 |
| 665.416 | 21.129 | 0.000 | 0.000 | 0.000 | -0.000 |
| 20.416 | 666.129 | 0.000 | 0.000 | 0.000 | -0.000 |
| 0.000 | 0.000 | -0.000 | 0.000 | 0.000 | 0.000 |
| 0.000 | -0.000 | -0.000 | -0.000 | 0.000 | -0.000 |
| -0.000 | -0.000 | 0.000 | 0.000 | 0.000 | -0.000 |
| -0.000 | 0.001 | 0.000 | 0.000 | -0.000 | 322.856 |
| 666.124 | 20.415 | -0.000 | -0.000 | -0.000 | 0.000 |
| 20.425 | 666.115 | -0.000 | -0.000 | -0.000 | 0.000 |
| 0.000 | 0.000 | -0.000 | 0.000 | -0.000 | 0.000 |
| -0.000 | 0.000 | -0.000 | 0.000 | 0.000 | 0.000 |
| 0.000 | 0.000 | 0.000 | -0.000 | 0.000 | -0.000 |
| 0.000 | -0.001 | -0.000 | -0.000 | -0.000 | 322.856 |
| 1549.944 | 225.971 | -435.165 | 0.000 | 0.000 | 0.000 |
| 225.971 | 1549.944 | -435.165 | 0.000 | 0.000 | 0.000 |
| 149.260 | 149.260 | 922.569 | 0.000 | 0.000 | -0.000 |
| 0.000 | 0.000 | 0.000 | 495.412 | 0.000 | -0.000 |
| 0.000 | 0.000 | 0.000 | 0.000 | 495.412 | -0.000 |
| 0.000 | 0.000 | 0.000 | 0.000 | 0.000 | 661.987 |
| 1187.851 | -99.840 | 286.729 | -0.000 | -0.000 | -0.000 |
| 225.971 | 1549.944 | -435.165 | -0.000 | -0.000 | 0.000 |
| -110.259 | -110.259 | 1464.835 | -0.000 | -0.000 | 0.000 |
| -0.000 | -0.000 | -0.000 | 495.412 | -0.000 | 0.000 |
| -0.000 | -0.000 | -0.000 | -0.000 | 495.412 | 0.000 |
| -0.000 | -0.000 | -0.000 | 0.000 | -0.000 | 661.987 |
| 1549.945 | 225.971 | -435.165 | 0.000 | 0.000 | 0.000 |
| 45.897 | 1331.066 | -16.160 | 0.000 | 0.000 | -0.000 |
| 26.825 | 26.825 | 1179.279 | 0.000 | 0.000 | -0.000 |
| 0.000 | 0.000 | -0.000 | 495.412 | 0.000 | -0.000 |
| 0.000 | 0.000 | -0.000 | 0.000 | 495.412 | 0.000 |
| 44.890 | 44.890 | -94.125 | 0.000 | 0.000 | 605.092 |
| 1306.506 | 20.396 | 36.306 | -0.000 | -0.000 | 0.000 |
| 20.396 | 1306.506 | 36.306 | -0.000 | -0.000 | 0.000 |
| -0.027 | -0.027 | 1235.576 | -0.000 | -0.000 | 0.000 |
| -0.000 | -0.000 | 0.000 | 495.412 | 0.000 | 0.000 |
| -0.000 | -0.000 | 0.000 | -0.000 | 495.412 | -0.000 |
| -44.890 | -44.890 | 94.125 | -0.000 | -0.000 | 605.092 |
| 1320.300 | 34.623 | 6.942 | 0.000 | 0.000 | 0.000 |
| 85.585 | 1281.693 | -5.258 | 0.000 | 0.000 | -0.000 |
| 26.014 | 26.014 | 1179.585 | 0.000 | -0.000 | -0.000 |
| 4.401 | 4.402 | -9.228 | 389.739 | 0.000 | -0.000 |
| 4.402 | 4.401 | -9.228 | 0.000 | 389.739 | -0.000 |
| 5.166 | 5.167 | -10.832 | 0.000 | 0.000 | 596.529 |
| 1317.697 | 31.963 | 12.447 | -0.000 | -0.000 | 0.000 |
| 84.444 | 1280.788 | -3.142 | -0.000 | -0.000 | 0.000 |
| 22.761 | 22.761 | 1186.386 | -0.000 | -0.000 | 0.000 |
| -4.401 | -4.402 | 9.228 | 389.739 | -0.000 | 0.000 |
| -4.402 | -4.401 | 9.228 | -0.000 | 389.739 | -0.000 |
| -5.166 | -5.167 | 10.832 | -0.000 | -0.000 | 596.529 |
| 1508.629 | 170.986 | -340.324 | -0.000 | 0.000 | -0.000 |
| 119.111 | 1396.170 | -158.531 | 0.000 | 0.000 | 0.000 |
| 402.956 | 402.956 | 420.896 | 0.000 | 0.000 | -0.000 |
| 156.334 | 156.334 | -316.897 | 464.966 | 0.000 | -0.000 |
| 156.334 | 156.334 | -316.897 | -0.000 | 464.966 | -0.000 |
| -0.000 | -0.000 | -0.000 | 0.000 | -0.000 | 668.821 |
| 1000.155 | -249.565 | 623.379 | -0.000 | -0.000 | -0.000 |
| -249.565 | 1000.155 | 623.380 | -0.000 | -0.000 | -0.000 |
| -85.764 | -85.764 | 1429.767 | 0.000 | -0.000 | -0.000 |
| -156.334 | -156.334 | 316.897 | 464.966 | -0.000 | 0.000 |
| -156.334 | -156.334 | 316.897 | -0.000 | 464.966 | 0.000 |
| -0.000 | 0.000 | 0.000 | 0.000 | -0.000 | 668.821 |
| 1353.756 | 58.856 | -58.959 | -0.000 | 0.000 | 0.000 |
| 128.034 | 1295.191 | -70.392 | -0.000 | 0.000 | 0.000 |
| 14.274 | 14.274 | 1226.958 | 0.000 | 0.000 | -0.000 |
| 25.372 | 25.373 | -52.308 | 413.910 | -0.000 | 0.000 |
| 47.038 | 47.038 | -97.534 | -0.000 | 426.140 | 0.000 |
| -0.000 | 0.000 | -0.000 | 0.000 | 0.000 | 668.821 |
| 1249.648 | 29.516 | 78.196 | 0.000 | -0.000 | 0.000 |
| 170.986 | 1508.628 | -340.324 | -0.000 | -0.000 | -0.000 |
| -44.746 | -44.746 | 1349.785 | 0.000 | -0.000 | 0.000 |
| -25.372 | -25.373 | 52.308 | 413.910 | -0.000 | -0.000 |
| -47.038 | -47.038 | 97.534 | 0.000 | 426.140 | 0.000 |
| 0.000 | -0.000 | 0.000 | -0.000 | -0.000 | 668.821 |
| 1324.878 | 35.585 | -4.688 | -0.000 | 0.000 | 0.000 |
| 95.566 | 1262.633 | -3.171 | 0.000 | 0.000 | -0.000 |
| 27.228 | 27.228 | 1201.290 | -0.000 | 0.000 | -0.000 |
| 11.252 | 11.253 | -23.724 | 416.154 | 0.000 | 0.000 |
| 11.253 | 11.252 | -23.724 | 0.000 | 416.154 | -0.000 |
| 3.104 | 3.105 | -6.291 | -0.000 | 0.000 | 589.817 |
| 1258.167 | 91.399 | 5.715 | -0.000 | 0.000 | -0.000 |
| 33.873 | 1323.220 | -1.300 | 0.000 | -0.000 | 0.000 |
| 20.481 | 20.481 | 1215.227 | 0.000 | -0.000 | -0.000 |
| -11.252 | -11.253 | 23.724 | 416.154 | -0.000 | 0.000 |
| -11.253 | -11.252 | 23.724 | -0.000 | 416.154 | -0.000 |
| -3.104 | -3.105 | 6.291 | 0.000 | 0.000 | 589.817 |
| 1452.444 | 180.675 | -327.251 | 0.000 | -0.000 | 0.000 |
| 180.675 | 1452.444 | -327.251 | 0.000 | 0.000 | -0.000 |
| 297.426 | 297.426 | 738.534 | -0.000 | 0.000 | 0.000 |
| 0.000 | 0.000 | -0.000 | 531.528 | -0.000 | 0.000 |
| 0.000 | 0.000 | -0.000 | 0.000 | 531.528 | -0.000 |
| 382.660 | 382.660 | -796.023 | 0.000 | -0.000 | 616.064 |
| 1452.444 | 180.675 | -327.250 | -0.000 | -0.000 | 0.000 |
| -293.001 | 856.439 | 779.360 | -0.000 | -0.000 | -0.000 |
| -327.251 | -327.251 | 2034.836 | -0.000 | 0.000 | 0.000 |
| -0.000 | -0.000 | 0.000 | 531.528 | 0.000 | -0.000 |
| -0.000 | -0.000 | 0.000 | -0.000 | 531.528 | 0.000 |
| -382.660 | -382.660 | 796.023 | -0.000 | 0.000 | 616.064 |
| 1452.445 | 180.675 | -327.251 | 0.000 | 0.000 | 0.000 |
| 180.675 | 1452.444 | -327.251 | 0.000 | -0.000 | 0.000 |
| -31.553 | -31.553 | 1423.006 | 0.000 | 0.000 | -0.000 |
| 39.063 | 39.063 | -81.072 | 393.382 | -0.000 | 0.000 |
| 39.063 | 39.063 | -81.072 | 0.000 | 393.382 | 0.000 |
| 68.207 | 68.208 | -141.887 | 0.000 | 0.000 | 600.555 |
| 1258.133 | 29.257 | 30.576 | -0.000 | -0.000 | 0.000 |
| 93.711 | 1184.418 | 38.099 | -0.000 | 0.000 | 0.000 |
| -98.065 | -98.065 | 1561.544 | -0.000 | 0.000 | -0.000 |
| -39.063 | -39.063 | 81.072 | 393.382 | 0.000 | -0.000 |
| -39.063 | -39.063 | 81.072 | -0.000 | 393.382 | -0.000 |
| -68.207 | -68.208 | 141.887 | -0.000 | -0.000 | 600.555 |
| 1225.793 | 134.104 | -47.015 | 0.000 | 0.000 | 0.000 |
| 64.246 | 1288.851 | -37.936 | -0.000 | -0.000 | 0.000 |
| -61.571 | -61.571 | 1485.521 | -0.000 | -0.000 | -0.000 |
| 0.001 | 0.001 | -0.000 | 531.528 | 0.000 | 0.000 |
| 2.810 | 2.809 | -5.933 | 0.000 | 386.547 | 0.000 |
| 2.898 | 2.897 | -6.105 | 0.000 | 0.000 | 544.240 |
| 1452.438 | 180.675 | -327.250 | -0.000 | 0.000 | -0.000 |
| 180.674 | 1452.439 | -327.250 | -0.000 | 0.000 | 0.000 |
| -68.895 | -68.895 | 1500.755 | -0.000 | -0.000 | 0.000 |
| -0.001 | -0.001 | 0.000 | 531.528 | -0.000 | -0.000 |
| -2.810 | -2.809 | 5.933 | -0.000 | 386.547 | -0.000 |
| -2.898 | -2.897 | 6.105 | -0.000 | -0.000 | 544.240 |
| 1484.929 | 136.111 | -281.953 | 0.000 | -0.000 | 0.000 |
| 46.098 | 1318.217 | -8.909 | -0.000 | 0.000 | 0.000 |
| 134.074 | 134.074 | 990.546 | -0.000 | 0.000 | 0.000 |
| -0.000 | 0.000 | 0.000 | 530.056 | 0.000 | -0.000 |
| -0.000 | 0.000 | 0.000 | -0.000 | 530.056 | -0.000 |
| 105.880 | 105.880 | -214.942 | -0.000 | -0.000 | 584.107 |
| 1484.928 | 136.111 | -281.953 | -0.000 | -0.000 | -0.000 |
| 136.111 | 1484.928 | -281.953 | 0.000 | -0.000 | -0.000 |
| -263.183 | -263.184 | 1821.240 | 0.000 | -0.000 | 0.000 |
| 0.000 | -0.000 | -0.000 | 530.056 | -0.000 | -0.000 |
| 0.000 | -0.000 | -0.000 | 0.000 | 530.056 | -0.000 |
| -105.880 | -105.880 | 214.942 | 0.000 | 0.000 | 584.107 |
| 1484.929 | 136.111 | -281.953 | 0.000 | 0.000 | -0.000 |
| 39.154 | 1333.076 | -20.529 | -0.000 | 0.000 | 0.000 |
| -263.184 | -263.184 | 1821.241 | 0.000 | 0.000 | 0.000 |
| 10.989 | 10.990 | -22.294 | 444.866 | -0.000 | -0.000 |
| 2.885 | 2.885 | -5.460 | -0.000 | 435.500 | -0.000 |
| -0.000 | 0.000 | -0.000 | -0.000 | -0.000 | 674.409 |
| 1312.289 | 23.046 | 17.664 | -0.000 | -0.000 | -0.000 |
| 23.046 | 1312.289 | 17.664 | 0.000 | 0.000 | 0.000 |
| -29.670 | -29.670 | 1330.759 | -0.000 | 0.000 | 0.000 |
| -10.989 | -10.990 | 22.294 | 444.866 | 0.000 | 0.000 |
| -2.885 | -2.885 | 5.460 | -0.000 | 435.500 | -0.000 |
| 0.000 | -0.000 | 0.000 | 0.000 | -0.000 | 674.409 |
| 1255.865 | 95.643 | 0.232 | -0.000 | -0.000 | 0.000 |
| 69.177 | 1260.072 | 23.216 | -0.000 | 0.000 | -0.000 |
| 28.937 | 28.937 | 1209.921 | -0.000 | -0.000 | -0.000 |
| 0.001 | 0.000 | 0.000 | 530.056 | 0.000 | -0.000 |
| 3.783 | 3.783 | -7.933 | 0.000 | 434.733 | -0.000 |
| 2.717 | 2.716 | -5.668 | -0.000 | -0.000 | 581.170 |
| 1264.747 | 70.713 | 16.560 | 0.000 | -0.000 | 0.000 |
| 31.330 | 1323.155 | -2.191 | 0.000 | -0.000 | -0.000 |
| 28.362 | 28.362 | 1210.987 | -0.000 | 0.000 | 0.000 |
| -0.001 | -0.000 | -0.000 | 530.056 | -0.000 | -0.000 |
| -3.783 | -3.783 | 7.933 | 0.000 | 434.733 | 0.000 |
| -2.717 | -2.716 | 5.668 | 0.000 | 0.000 | 581.170 |
| 980.589 | -153.321 | 38.371 | 0.000 | 0.000 | -0.000 |
| -150.766 | 674.526 | 27.590 | 0.000 | 0.000 | 0.000 |
| 2.317 | 2.112 | 570.251 | 0.000 | 0.000 | 0.000 |
| -5.311 | -3.923 | 47.643 | 120.132 | 0.000 | 0.000 |
| -0.000 | 0.000 | 0.000 | 0.000 | 338.885 | -0.000 |
| 0.000 | -0.000 | 0.000 | 0.000 | -0.000 | 351.164 |
| 984.948 | -149.413 | -8.066 | -0.000 | 0.000 | -0.000 |
| -149.282 | 682.936 | -8.140 | -0.000 | -0.000 | -0.000 |
| 25.852 | 11.088 | 267.753 | -0.000 | -0.000 | -0.000 |
| 5.311 | 3.923 | -47.643 | 120.132 | -0.000 | -0.000 |
| 0.000 | -0.000 | -0.000 | -0.000 | 338.885 | -0.000 |
| -0.000 | 0.000 | -0.000 | 0.000 | -0.000 | 351.164 |
| 984.949 | -149.413 | -8.066 | 0.000 | 0.000 | -0.000 |
| -151.204 | 679.590 | 3.592 | 0.000 | 0.000 | 0.000 |
| 2.447 | -6.914 | -53.495 | 0.000 | 0.000 | 0.000 |
| -0.073 | -0.242 | 6.888 | 13.927 | 0.000 | -0.000 |
| -0.000 | 0.000 | 0.000 | 0.000 | 338.885 | -0.000 |
| -0.488 | -0.361 | 4.382 | 0.000 | 0.000 | 274.000 |
| 984.948 | -149.413 | -8.066 | -0.000 | 0.000 | 0.000 |
| -149.183 | 678.502 | -15.444 | -0.000 | -0.000 | -0.000 |
| 2.317 | 2.112 | 570.251 | 0.000 | 0.000 | -0.000 |
| 0.073 | 0.242 | -6.888 | 13.927 | -0.000 | 0.000 |
| 0.000 | -0.000 | -0.000 | -0.000 | 338.885 | -0.000 |
| 0.488 | 0.361 | -4.382 | -0.000 | 0.000 | 274.000 |
| 984.952 | -149.412 | -8.066 | 0.000 | -0.000 | -0.000 |
| -149.497 | 678.132 | -14.837 | 0.000 | 0.000 | -0.000 |
| 2.064 | -5.144 | -58.795 | -0.000 | -0.000 | -0.000 |
| -0.079 | -0.059 | 0.712 | 109.736 | 0.000 | 0.000 |
| -0.316 | -0.167 | 2.492 | 0.000 | 34.168 | -0.000 |
| -0.048 | -0.036 | 0.438 | 0.000 | -0.000 | 273.948 |
| 982.236 | -150.197 | 5.050 | -0.000 | 0.000 | 0.000 |
| -149.327 | 678.218 | -11.765 | -0.000 | -0.000 | -0.000 |
| 2.114 | -5.067 | -60.064 | 0.000 | 0.000 | 0.000 |
| 0.079 | 0.059 | -0.712 | 109.736 | 0.000 | -0.000 |
| 0.316 | 0.167 | -2.492 | -0.000 | 34.168 | -0.000 |
| 0.048 | 0.036 | -0.438 | -0.000 | -0.000 | 273.948 |
| 573.117 | -921.251 | -1210.574 | 0.000 | 0.000 | -0.000 |
| 92.280 | -517.676 | -1183.639 | -0.000 | -0.000 | -0.000 |
| 485.481 | 44.317 | -655.062 | -0.000 | -0.000 | 0.000 |
| 449.007 | -40.065 | -990.463 | 124.452 | -0.000 | 0.000 |
| 0.000 | 0.000 | -0.000 | 0.000 | 245.940 | 0.000 |
| 161.197 | -881.781 | -1194.675 | -0.000 | -0.000 | 221.562 |
| -88.525 | 142.156 | 1020.196 | -0.000 | 0.000 | -0.000 |
| -211.177 | 1232.758 | 1215.284 | 0.000 | -0.000 | 0.000 |
| -4.102 | 30.181 | 479.691 | 0.000 | 0.000 | 0.000 |
| -449.007 | 40.065 | 990.463 | 124.452 | -0.000 | -0.000 |
| -0.000 | -0.000 | 0.000 | 0.000 | 245.940 | -0.000 |
| -161.197 | 881.781 | 1194.675 | 0.000 | 0.000 | 221.563 |
| 367.170 | -46.976 | -123.642 | -0.000 | 0.000 | -0.000 |
| 14.807 | 504.097 | 29.966 | -0.000 | -0.000 | 0.000 |
| 45.086 | -41.578 | 161.337 | -0.000 | -0.000 | -0.000 |
| 25.806 | -71.710 | -124.069 | 124.324 | -0.000 | -0.000 |
| 40.710 | -3.633 | -89.801 | -0.000 | 138.335 | 0.000 |
| 0.000 | 0.000 | 0.000 | -0.000 | -0.000 | 263.024 |
| 348.990 | 92.416 | 116.484 | 0.000 | 0.000 | -0.000 |
| 84.432 | 279.491 | 216.198 | 0.000 | -0.000 | -0.000 |
| -4.102 | 30.181 | 479.691 | 0.000 | 0.000 | -0.000 |
| -25.806 | 71.710 | 124.069 | 124.324 | 0.000 | 0.000 |
| -40.710 | 3.633 | 89.801 | 0.000 | 138.335 | -0.000 |
| -0.000 | -0.000 | -0.000 | -0.000 | 0.000 | 263.024 |
| 206.617 | 4.318 | -37.308 | -0.000 | -0.000 | -0.000 |
| 8.905 | 171.231 | 22.755 | -0.000 | -0.000 | -0.000 |
| -0.516 | 43.732 | 149.526 | -0.000 | 0.000 | 0.000 |
| -2.409 | -5.987 | -14.568 | 85.624 | 0.000 | 0.000 |
| -8.509 | -7.579 | -19.153 | -0.000 | 99.538 | -0.000 |
| -0.531 | -6.282 | -14.740 | -0.000 | -0.000 | 123.488 |
| 277.099 | 50.315 | 21.684 | -0.000 | 0.000 | -0.000 |
| 20.222 | 192.151 | 48.791 | 0.000 | 0.000 | -0.000 |
| 23.974 | 68.319 | 379.248 | -0.000 | 0.000 | -0.000 |
| 2.409 | 5.987 | 14.568 | 85.624 | 0.000 | -0.000 |
| 8.509 | 7.579 | 19.153 | 0.000 | 99.538 | 0.000 |
| 0.531 | 6.282 | 14.740 | 0.000 | 0.000 | 123.488 |
| -20598.927 | -20455.078 | -20455.078 | 0.000 | -0.000 | 0.000 |
| -20455.078 | -20598.927 | -20455.078 | -0.000 | -0.000 | 0.000 |
| -20455.078 | -20455.078 | -20598.927 | -0.000 | -0.000 | 0.000 |
| -25359.159 | -25359.159 | -25359.159 | 23.706 | -0.000 | -0.000 |
| -11943.601 | -11943.601 | -11943.601 | -0.000 | 155.807 | -0.000 |
| -25359.159 | -25359.159 | -25359.159 | -0.000 | -0.000 | 23.706 |
| 5183.816 | 5087.078 | 5087.078 | 0.000 | 0.000 | -0.000 |
| 5087.078 | 5183.816 | 5087.078 | 0.000 | 0.000 | -0.000 |
| 5087.078 | 5087.078 | 5183.816 | 0.000 | -0.000 | -0.000 |
| 25359.159 | 25359.159 | 25359.159 | 23.706 | 0.000 | 0.000 |
| 11943.601 | 11943.601 | 11943.601 | -0.000 | 155.807 | 0.000 |
| 25359.159 | 25359.159 | 25359.159 | 0.000 | 0.000 | 23.706 |
| 459.443 | 15.476 | 15.476 | -0.000 | -0.000 | -0.000 |
| 15.476 | 459.443 | 15.476 | -0.000 | -0.000 | -0.000 |
| 15.476 | 15.476 | 459.443 | 0.000 | -0.000 | -0.000 |
| -2036.891 | -2036.891 | -2036.891 | -39.963 | -0.000 | 0.000 |
| -2036.891 | -2036.891 | -2036.891 | 0.000 | -39.963 | 0.000 |
| -2036.891 | -2036.891 | -2036.891 | 0.000 | -0.000 | -39.963 |
| 1413.485 | 1107.249 | 1107.249 | -0.000 | 0.000 | 0.000 |
| 1107.249 | 1413.485 | 1107.249 | 0.000 | 0.000 | 0.000 |
| 1107.249 | 1107.249 | 1413.485 | -0.000 | 0.000 | 0.000 |
| 2036.891 | 2036.891 | 2036.891 | -39.963 | 0.000 | -0.000 |
| 2036.891 | 2036.891 | 2036.891 | 0.000 | -39.963 | -0.000 |
| 2036.891 | 2036.891 | 2036.891 | -0.000 | 0.000 | -39.963 |
| -227.557 | -280.231 | -280.231 | -0.000 | -0.000 | 0.000 |
| -280.242 | -227.558 | -280.241 | -0.000 | -0.000 | 0.000 |
| -280.241 | -280.242 | -227.558 | -0.000 | -0.000 | 0.000 |
| -31.685 | -31.685 | -31.685 | 114.194 | -0.000 | 0.000 |
| -31.685 | -31.685 | -31.685 | -0.000 | 114.194 | 0.000 |
| -31.685 | -31.685 | -31.685 | -0.000 | -0.000 | 114.194 |
| 328.030 | 125.466 | 125.466 | -0.000 | 0.000 | -0.000 |
| 125.466 | 328.030 | 125.466 | 0.000 | -0.000 | -0.000 |
| 125.466 | 125.466 | 328.030 | 0.000 | 0.000 | 0.000 |
| 31.685 | 31.685 | 31.685 | 114.194 | 0.000 | -0.000 |
| 31.685 | 31.685 | 31.685 | 0.000 | 114.194 | -0.000 |
| 31.685 | 31.685 | 31.685 | 0.000 | 0.000 | 114.194 |
| 599.456 | 33.304 | 19.442 | 1.958 | 0.000 | 0.000 |
| -14938.397 | -14872.206 | 31464.630 | -19.016 | 0.000 | 0.001 |
| -18137.299 | -18137.301 | 32213.185 | 0.001 | -0.000 | -0.000 |
| -18101.090 | -18102.962 | 27417.304 | 52.736 | -0.000 | -0.000 |
| -0.000 | -0.000 | -0.000 | -0.000 | 265.323 | 1.958 |
| -18086.620 | -18086.622 | 27396.055 | 0.001 | 0.968 | 20.565 |
| 4673.194 | 4360.308 | -5842.374 | 5.043 | 0.000 | 0.000 |
| 18173.481 | 18444.100 | -32148.567 | 11.002 | 0.000 | 0.000 |
| 18129.739 | 18129.741 | -32005.763 | -0.001 | 0.000 | 0.000 |
| 11291.520 | 11336.041 | -15438.155 | 202.267 | -0.000 | -0.000 |
| 0.000 | 0.000 | 0.000 | 0.000 | 265.323 | 1.958 |
| 18086.620 | 18086.622 | -27396.055 | -0.001 | 0.968 | 20.565 |
| -1535.054 | -1621.839 | 2724.959 | -1.439 | -0.000 | -0.000 |
| -310.514 | 1.011 | 653.391 | -5.060 | -0.000 | -0.000 |
| -1111.360 | -1111.360 | 1874.567 | -0.000 | 0.000 | 0.000 |
| -419.491 | -429.579 | 590.330 | 163.645 | -0.000 | -0.000 |
| -1127.656 | -1127.656 | 1538.824 | -0.000 | 201.858 | -22.086 |
| -1818.285 | -1818.285 | 3216.798 | 0.000 | -10.918 | 134.352 |
| 2023.913 | 2001.769 | -2708.902 | 1.830 | 0.000 | 0.000 |
| 537.303 | 851.653 | -527.256 | -5.026 | 0.000 | 0.000 |
| 487.979 | 487.979 | -216.039 | -0.000 | 0.000 | 0.000 |
| 1105.571 | 1149.742 | -1538.824 | 201.858 | -0.000 | -0.000 |
| 1127.656 | 1127.656 | -1538.824 | 0.000 | 201.858 | -22.086 |
| 1818.285 | 1818.285 | -3216.798 | -0.000 | -10.918 | 134.352 |
| 125.366 | -112.341 | 307.988 | -9.295 | 0.000 | 0.000 |
| -57.626 | 345.174 | 181.811 | 11.841 | 0.000 | 0.000 |
| 17.504 | 17.504 | 445.559 | 0.000 | -0.000 | -0.000 |
| -109.220 | -81.741 | 130.717 | 181.721 | 0.000 | 0.000 |
| -40.603 | -40.603 | 56.460 | 0.000 | 168.076 | 4.909 |
| -39.121 | -39.121 | 54.399 | -0.000 | 4.802 | 166.362 |
| 486.005 | 143.725 | 2.930 | 4.685 | 0.000 | 0.000 |
| 123.529 | 543.309 | -71.169 | 10.593 | -0.000 | -0.000 |
| 151.769 | 151.769 | 161.178 | 0.000 | -0.000 | -0.000 |
| 81.740 | 109.219 | -130.716 | 181.719 | -0.000 | -0.000 |
| 40.603 | 40.603 | -56.460 | -0.000 | 168.076 | 4.909 |
| 39.121 | 39.121 | -54.399 | 0.000 | 4.802 | 166.362 |
| 561.490 | 17.866 | 16.923 | 1.114 | 0.000 | -0.000 |
| 17.866 | 561.490 | 16.923 | -1.114 | 0.000 | 0.000 |
| 13.250 | 13.250 | 491.577 | -0.000 | -0.000 | -0.000 |
| 1.114 | -1.114 | 0.000 | 249.670 | -0.000 | 0.000 |
| 0.000 | -0.000 | 0.000 | 0.000 | 249.670 | 1.114 |
| 0.000 | -0.000 | 0.000 | 0.000 | 1.114 | 271.812 |
| 561.490 | 17.866 | 16.923 | 1.114 | -0.000 | -0.000 |
| 17.866 | 561.490 | 16.923 | -1.114 | 0.000 | -0.000 |
| 13.250 | 13.250 | 491.577 | -0.000 | 0.000 | -0.000 |
| 1.114 | -1.114 | -0.000 | 249.670 | 0.000 | -0.000 |
| 0.000 | 0.000 | -0.000 | -0.000 | 249.670 | 1.114 |
| -0.000 | 0.000 | -0.000 | -0.000 | 1.114 | 271.812 |
| 561.490 | 17.866 | 16.923 | 1.114 | 0.000 | 0.000 |
| 505.895 | 778.713 | -957.185 | 13.552 | -0.012 | -0.018 |
| 13.250 | 13.250 | 491.577 | 0.000 | -0.000 | 0.000 |
| 1.114 | -1.114 | 0.000 | 249.670 | -0.000 | -0.000 |
| 0.000 | 0.000 | 0.000 | -0.000 | 249.670 | 1.114 |
| 0.000 | 0.000 | 0.000 | 0.000 | 1.114 | 271.812 |
| 340.009 | -2.711 | 228.679 | 7.250 | 0.026 | 0.038 |
| -223.264 | 54.726 | 663.999 | 5.850 | 0.008 | 0.011 |
| -226.999 | -228.825 | 846.959 | 0.619 | 0.007 | 0.011 |
| -76.760 | -93.125 | 179.299 | 169.180 | 0.026 | 0.038 |
| -0.000 | -0.000 | -0.000 | 0.000 | 249.670 | 1.114 |
| -0.000 | -0.000 | -0.000 | -0.000 | 1.114 | 271.812 |
| 324.016 | 92.315 | -52.155 | -12.906 | -0.002 | -0.003 |
| 79.798 | 457.611 | 26.132 | -4.451 | -0.002 | -0.003 |
| 86.379 | 86.540 | 178.747 | -0.054 | -0.001 | -0.001 |
| 30.822 | 52.699 | -87.014 | 112.625 | -0.002 | -0.002 |
| 27.302 | 27.435 | -57.507 | -0.045 | 124.676 | -5.377 |
| 46.403 | 46.618 | -96.052 | -0.073 | -7.178 | 95.465 |
| 304.767 | 29.973 | 125.747 | -6.186 | 0.001 | 0.001 |
| 17.865 | 561.488 | 16.923 | -1.113 | -0.000 | -0.000 |
| 32.861 | 32.268 | 407.961 | 0.201 | 0.002 | 0.004 |
| -32.710 | -22.055 | 57.537 | 124.762 | 0.001 | 0.001 |
| -27.302 | -27.435 | 57.508 | 0.045 | 124.678 | -5.376 |
| -28.758 | -28.912 | 60.592 | 0.052 | -5.593 | 143.598 |
| 1129.563 | -1756.545 | 1277.106 | -0.000 | -0.000 | 0.000 |
| 861.148 | -1458.820 | 1263.685 | -0.000 | -0.000 | 0.000 |
| 1454.162 | -639.555 | 854.405 | -0.000 | 0.000 | 0.000 |
| 1417.748 | -695.301 | 516.418 | 114.901 | 0.000 | -0.000 |
| 4214.565 | -2683.620 | 5980.847 | -0.000 | -96.247 | -0.000 |
| 1417.656 | -695.182 | 516.337 | -0.000 | 0.000 | 72.699 |
| -1224.311 | 756.722 | -466.373 | 0.000 | -0.000 | -0.000 |
| -1341.523 | 909.346 | -468.660 | 0.000 | 0.000 | -0.000 |
| -746.851 | 1864.352 | -779.858 | 0.000 | -0.000 | -0.000 |
| -1417.748 | 695.301 | -516.418 | 114.901 | -0.000 | -0.000 |
| -4214.565 | 2683.620 | -5980.847 | 0.000 | -96.247 | -0.000 |
| -1417.656 | 695.182 | -516.337 | 0.000 | -0.000 | 72.699 |
| 403.492 | -119.680 | 178.764 | -0.000 | -0.000 | 0.000 |
| 390.438 | -427.109 | 407.111 | 0.000 | -0.000 | 0.000 |
| 142.676 | -134.848 | 557.300 | -0.000 | -0.000 | 0.000 |
| 142.095 | -71.126 | 52.696 | 114.535 | -0.000 | 0.000 |
| 141.942 | -71.754 | 53.098 | -0.000 | 118.024 | 0.000 |
| 80.598 | -181.879 | 122.090 | -0.000 | -0.000 | 135.978 |
| 242.760 | 245.038 | -66.607 | 0.000 | -0.000 | -0.000 |
| 34.920 | 448.263 | 12.683 | -0.000 | -0.000 | 0.000 |
| -23.498 | 226.549 | 322.810 | 0.000 | -0.000 | -0.000 |
| -142.095 | 71.126 | -52.696 | 114.535 | -0.000 | -0.000 |
| -141.942 | 71.754 | -53.098 | 0.000 | 118.024 | -0.000 |
| -80.598 | 181.879 | -122.090 | 0.000 | 0.000 | 135.978 |
| 47.772 | -13.341 | 40.833 | -0.000 | -0.000 | 0.000 |
| 8.050 | 20.116 | 26.436 | -0.000 | 0.000 | 0.000 |
| 60.266 | 16.987 | 178.954 | -0.000 | -0.000 | 0.000 |
| 7.215 | -16.282 | 10.930 | 161.608 | -0.000 | 0.000 |
| 14.657 | -11.190 | 7.946 | -0.000 | 112.318 | -0.000 |
| 10.444 | -9.140 | 15.384 | -0.000 | 0.000 | 45.412 |
| 143.396 | 88.974 | 43.836 | 0.000 | 0.000 | -0.000 |
| 62.225 | 207.445 | 39.460 | 0.000 | 0.000 | -0.000 |
| 12.971 | 51.189 | 118.283 | 0.000 | -0.000 | -0.000 |
| -7.215 | 16.282 | -10.930 | 161.608 | 0.000 | -0.000 |
| -14.657 | 11.190 | -7.946 | 0.000 | 112.318 | 0.000 |
| -10.444 | 9.140 | -15.384 | -0.000 | -0.000 | 45.412 |
| 889.918 | 27.274 | 0.000 | 0.000 | 0.000 | 0.000 |
| 27.275 | 889.918 | 0.000 | 0.000 | 0.000 | 0.000 |
| 0.000 | -0.000 | 0.000 | 0.000 | 0.000 | 0.000 |
| -0.000 | 0.000 | 0.000 | 0.000 | 0.000 | -0.000 |
| 0.000 | -0.000 | 0.000 | 0.000 | 0.000 | -0.000 |
| 0.000 | -0.000 | 0.000 | 0.000 | 0.000 | 431.322 |
| 889.918 | 27.275 | -0.000 | -0.000 | -0.000 | 0.000 |
| 27.274 | 889.918 | -0.000 | -0.000 | -0.000 | -0.000 |
| -0.000 | 0.000 | -0.000 | -0.000 | -0.000 | -0.000 |
| 0.000 | -0.000 | -0.000 | -0.000 | -0.000 | -0.000 |
| -0.000 | 0.000 | -0.000 | -0.000 | -0.000 | -0.000 |
| -0.000 | 0.000 | -0.000 | -0.000 | -0.000 | 431.322 |
| 889.919 | 27.274 | 0.000 | 0.000 | 0.000 | -0.000 |
| 27.275 | 889.917 | 0.000 | 0.000 | 0.000 | 0.000 |
| 0.000 | -0.000 | 0.000 | 0.000 | 0.000 | 0.000 |
| -0.000 | 0.000 | 0.000 | 0.000 | 0.000 | 0.000 |
| 0.000 | -0.000 | 0.000 | 0.000 | 0.000 | 0.000 |
| -0.000 | 0.000 | 0.000 | 0.000 | 0.000 | 431.322 |
| 889.917 | 27.275 | -0.000 | -0.000 | -0.000 | 0.000 |
| 27.274 | 889.919 | -0.000 | -0.000 | -0.000 | -0.000 |
| -0.000 | 0.000 | -0.000 | -0.000 | -0.000 | -0.000 |
| 0.000 | -0.000 | -0.000 | -0.000 | -0.000 | -0.000 |
| -0.000 | 0.000 | -0.000 | -0.000 | -0.000 | -0.000 |
| 0.000 | -0.000 | -0.000 | -0.000 | -0.000 | 431.322 |
| 889.930 | 27.266 | 0.000 | 0.000 | 0.000 | -0.000 |
| 27.283 | 889.912 | 0.000 | 0.000 | 0.000 | 0.000 |
| 0.000 | -0.000 | 0.000 | 0.000 | 0.000 | 0.000 |
| -0.000 | 0.000 | 0.000 | 0.000 | 0.000 | 0.000 |
| 0.000 | -0.000 | 0.000 | 0.000 | 0.000 | 0.000 |
| -0.000 | 0.001 | 0.000 | 0.000 | 0.000 | 431.322 |
| 889.906 | 27.283 | -0.000 | -0.000 | -0.000 | 0.000 |
| 27.265 | 889.924 | -0.000 | -0.000 | -0.000 | -0.000 |
| -0.000 | 0.000 | -0.000 | -0.000 | -0.000 | -0.000 |
| 0.000 | -0.000 | -0.000 | -0.000 | -0.000 | -0.000 |
| -0.000 | 0.000 | -0.000 | -0.000 | -0.000 | 0.000 |
| 0.000 | -0.001 | -0.000 | -0.000 | -0.000 | 431.322 |
| 1015.708 | 29.092 | 55.858 | -0.000 | -0.000 | 0.000 |
| 29.092 | 1033.259 | 31.838 | -0.000 | -0.000 | 0.000 |
| 36.126 | 51.774 | 1250.557 | -0.000 | -0.000 | -0.000 |
| 0.000 | -0.000 | -0.000 | 35.277 | -0.000 | 0.000 |
| -0.000 | 0.000 | -0.000 | -0.000 | 8.703 | 0.000 |
| -0.000 | 0.000 | 0.000 | 0.000 | -0.000 | 497.991 |
| 1015.708 | 29.092 | 55.858 | 0.000 | 0.000 | -0.000 |
| 29.092 | 1033.259 | 31.838 | -0.000 | 0.000 | -0.000 |
| 36.126 | 51.774 | 1250.561 | 0.000 | 0.000 | 0.000 |
| -0.000 | 0.000 | 0.000 | 35.277 | -0.000 | -0.000 |
| -0.000 | -0.000 | 0.000 | 0.000 | 8.703 | -0.000 |
| 0.000 | -0.000 | -0.000 | -0.000 | -0.000 | 497.991 |
| 1015.709 | 29.091 | 55.858 | 0.000 | 0.000 | 0.000 |
| 29.092 | 1033.259 | 31.837 | 0.000 | 0.000 | 0.000 |
| 55.857 | 31.837 | 1244.438 | -0.000 | 0.000 | 0.000 |
| -0.000 | 0.000 | -0.000 | 35.277 | -0.000 | 0.000 |
| -0.000 | 0.000 | -0.000 | 0.000 | 8.703 | 0.000 |
| -0.000 | 0.000 | -0.000 | 0.000 | -0.000 | 497.991 |
| 1079.492 | -35.355 | 36.126 | 0.000 | -0.000 | 0.000 |
| 29.091 | 1033.260 | 31.838 | -0.000 | 0.000 | 0.000 |
| 55.858 | 31.838 | 1244.472 | -0.000 | 0.000 | -0.000 |
| 0.000 | -0.000 | 0.000 | 35.277 | -0.000 | -0.000 |
| 0.000 | -0.000 | 0.000 | -0.000 | 8.703 | -0.000 |
| 0.000 | -0.000 | 0.000 | -0.000 | -0.000 | 497.991 |
| 1015.712 | 29.092 | 55.858 | 0.000 | -0.000 | 0.000 |
| 29.099 | 1033.256 | 31.835 | 0.000 | 0.000 | 0.000 |
| 55.783 | 31.904 | 1244.306 | -0.000 | 0.000 | 0.000 |
| -0.000 | -0.000 | -0.007 | 54.179 | 0.000 | -0.000 |
| -0.000 | -0.000 | -0.001 | -0.000 | 8.703 | 0.000 |
| -0.000 | 0.001 | -0.000 | -0.000 | 0.000 | 497.991 |
| 1016.440 | 28.348 | 55.630 | -0.000 | -0.000 | -0.000 |
| 29.084 | 1033.263 | 31.840 | 0.000 | 0.000 | -0.000 |
| 55.862 | 31.843 | 1244.627 | 0.000 | -0.000 | -0.000 |
| 0.000 | 0.000 | 0.007 | 54.179 | 0.000 | 0.000 |
| 0.000 | 0.000 | 0.001 | 0.000 | 8.703 | -0.000 |
| 0.000 | -0.001 | 0.000 | 0.000 | 0.000 | 497.991 |
| -5.937 | 2.404 | 2.404 | 0.000 | -0.000 | 0.000 |
| 2.404 | -5.937 | 2.404 | -0.000 | 0.000 | 0.000 |
| 2.404 | 2.404 | -5.937 | -0.000 | -0.000 | -0.000 |
| 0.000 | -0.000 | -0.000 | 14.742 | -0.000 | 0.000 |
| 0.000 | 0.000 | 0.000 | 0.000 | 14.742 | 0.000 |
| -0.000 | -0.000 | -0.000 | 0.000 | 0.000 | 14.742 |
| 47.386 | 45.734 | 45.734 | 0.000 | 0.000 | 0.000 |
| 45.734 | 47.386 | 45.734 | -0.000 | 0.000 | 0.000 |
| 45.734 | 45.734 | 47.386 | 0.000 | -0.000 | -0.000 |
| 0.000 | -0.000 | -0.000 | 14.742 | -0.000 | 0.000 |
| 0.000 | 0.000 | 0.000 | -0.000 | 14.742 | 0.000 |
| -0.000 | -0.000 | -0.000 | 0.000 | 0.000 | 14.742 |
| -5.717 | 2.674 | 2.674 | 0.000 | -0.000 | 0.000 |
| 2.674 | -5.717 | 2.674 | -0.000 | -0.000 | 0.000 |
| 2.674 | 2.674 | -5.717 | 0.000 | -0.000 | -0.000 |
| -0.025 | -0.025 | -0.025 | -1.177 | -0.000 | 0.000 |
| -0.025 | -0.025 | -0.025 | -0.000 | -1.177 | 0.000 |
| -0.025 | -0.025 | -0.025 | 0.000 | 0.000 | -1.177 |
| -2.174 | -0.198 | -0.198 | -0.000 | 0.000 | 0.000 |
| -0.198 | -2.174 | -0.198 | -0.000 | 0.000 | 0.000 |
| -0.198 | -0.198 | -2.174 | 0.000 | -0.000 | 0.000 |
| 0.025 | 0.025 | 0.025 | -1.177 | 0.000 | -0.000 |
| 0.025 | 0.025 | 0.025 | 0.000 | -1.177 | -0.000 |
| 0.025 | 0.025 | 0.025 | -0.000 | 0.000 | -1.177 |
| -0.003 | -0.004 | -0.004 | 0.000 | -0.000 | -0.000 |
| -0.001 | -0.003 | -0.000 | 0.000 | 0.000 | 0.000 |
| -0.004 | -0.004 | -0.003 | 0.000 | 0.000 | -0.000 |
| -218939.366 | -252806.187 | -266094.021 | 246164.006 | -5157.417 | 4642.146 |
| -190807.796 | -138449.159 | -194154.415 | -943.839 | 184694.545 | -395.199 |
| -169518.686 | -170824.266 | -146885.964 | 345.074 | 1156.102 | 162941.973 |
| 141877.730 | -211.172 | 60.928 | 285.632 | 138.843 | -56.395 |
| -141.979 | 30805.079 | -339.686 | 45.714 | 35.064 | 87.966 |
| 5.176 | 157.247 | 50939.695 | -63.348 | -257.511 | 251.923 |
| 168459.508 | 181972.624 | 189174.246 | 176842.924 | -3007.111 | -2137.937 |
| 194842.676 | 176212.606 | 203008.159 | 32.997 | 190591.137 | 605.557 |
| 199286.796 | 208413.998 | 157907.446 | 4065.355 | 4556.077 | 195609.109 |
| 133.930 | 81.850 | 81.850 | 0.000 | -0.000 | -0.000 |
| 81.850 | 133.931 | 81.850 | 0.000 | -0.000 | -0.000 |
| 81.850 | 81.850 | 133.930 | -0.000 | -0.000 | -0.000 |
| 0.000 | 0.000 | 0.000 | 174.610 | -0.000 | -0.000 |
| 0.000 | 0.000 | 0.000 | 0.000 | 174.610 | -0.000 |
| 0.000 | 0.000 | 0.000 | 0.000 | -0.000 | 174.610 |
| 158.300 | 70.254 | 70.254 | 0.000 | 0.000 | 0.000 |
| 70.254 | 158.300 | 70.254 | 0.000 | 0.000 | 0.000 |
| 70.254 | 70.254 | 158.300 | -0.000 | 0.000 | 0.000 |
| -0.000 | -0.000 | -0.000 | 174.610 | 0.000 | 0.000 |
| -0.000 | -0.000 | -0.000 | 0.000 | 174.610 | 0.000 |
| -0.000 | -0.000 | -0.000 | -0.000 | 0.000 | 174.610 |
| 158.300 | 70.254 | 70.254 | 0.000 | -0.000 | -0.000 |
| 70.254 | 158.300 | 70.254 | 0.000 | -0.000 | -0.000 |
| 70.254 | 70.254 | 158.300 | -0.000 | -0.000 | -0.000 |
| 0.000 | 0.000 | 0.000 | 174.610 | -0.000 | -0.000 |
| 0.000 | 0.000 | 0.000 | 0.000 | 174.610 | -0.000 |
| 0.000 | 0.000 | 0.000 | 0.000 | -0.000 | 174.610 |
| 135.458 | 76.619 | 76.619 | -0.000 | 0.000 | 0.000 |
| 76.619 | 135.458 | 76.619 | -0.000 | 0.000 | 0.000 |
| 76.619 | 76.619 | 135.458 | -0.000 | 0.000 | 0.000 |
| -0.000 | -0.000 | -0.000 | 174.610 | 0.000 | 0.000 |
| -0.000 | -0.000 | -0.000 | -0.000 | 174.610 | 0.000 |
| -0.000 | -0.000 | -0.000 | -0.000 | 0.000 | 174.610 |
| 132.776 | 80.694 | 80.694 | 0.000 | -0.000 | -0.000 |
| 80.694 | 132.776 | 80.694 | 0.000 | -0.000 | -0.000 |
| 80.694 | 80.694 | 132.776 | -0.000 | -0.000 | -0.000 |
| 0.012 | 0.012 | 0.012 | 128.126 | -0.000 | -0.000 |
| 0.012 | 0.012 | 0.012 | -0.000 | 128.126 | -0.000 |
| 0.012 | 0.012 | 0.012 | -0.000 | -0.000 | 128.126 |
| 132.749 | 80.670 | 80.670 | -0.000 | 0.000 | 0.000 |
| 80.670 | 132.749 | 80.670 | 0.000 | 0.000 | 0.000 |
| 80.670 | 80.670 | 132.749 | 0.000 | 0.000 | 0.000 |
| -0.012 | -0.012 | -0.012 | 128.126 | 0.000 | 0.000 |
| -0.012 | -0.012 | -0.012 | 0.000 | 128.126 | 0.000 |
| -0.012 | -0.012 | -0.012 | -0.000 | 0.000 | 128.126 |
| 592.684 | 38.271 | -47.729 | 2.434 | -0.957 | 14.553 |
| 62.243 | 626.867 | -702.658 | -2.092 | -0.932 | 14.168 |
| 2.391 | 2.391 | 107.692 | -0.000 | 0.000 | -0.000 |
| -1.657 | 1.657 | 0.000 | 1.648 | -0.000 | 0.000 |
| 0.000 | -0.000 | 0.000 | -0.000 | 1.648 | -1.657 |
| -0.000 | 0.000 | 0.000 | 0.000 | -1.657 | 339.393 |
| 652.119 | -26.668 | 2.433 | -1.657 | 0.000 | 0.000 |
| -26.668 | 652.119 | 2.433 | 1.657 | 0.000 | -0.000 |
| 2.391 | 2.391 | 107.693 | 0.000 | 0.000 | -0.000 |
| -1.657 | 1.657 | -0.000 | 1.648 | 0.000 | -0.000 |
| -0.000 | 0.000 | -0.000 | 0.000 | 1.648 | -1.657 |
| -1.012 | -4.567 | 50.277 | -0.117 | 3.268 | 264.517 |
| 602.549 | 23.295 | -1.561 | 1.617 | -0.079 | 1.195 |
| 22.857 | 608.460 | -71.381 | -1.402 | -0.074 | 1.126 |
| 2.391 | 2.391 | 107.690 | -0.000 | 0.000 | -0.000 |
| -1.657 | 1.657 | -0.000 | 1.648 | -0.000 | 0.000 |
| -0.000 | -0.000 | -0.000 | -0.000 | 1.648 | -1.657 |
| -0.000 | 0.000 | -0.000 | 0.000 | -1.657 | 339.393 |
| 652.118 | -26.668 | 2.433 | -1.657 | 0.000 | 0.000 |
| -26.668 | 652.118 | 2.433 | 1.657 | 0.000 | -0.000 |
| 2.391 | 2.391 | 107.695 | -0.000 | 0.000 | -0.000 |
| -1.657 | 1.657 | 0.000 | 1.648 | 0.000 | -0.000 |
| 0.000 | 0.000 | 0.000 | 0.000 | 1.648 | -1.657 |
| 0.000 | -0.000 | 0.000 | -0.000 | -1.657 | 339.393 |
| 607.925 | 17.510 | 2.190 | 1.249 | -0.007 | 0.106 |
| 17.495 | 607.940 | 2.190 | -1.248 | -0.007 | 0.106 |
| -0.337 | -0.291 | -14.614 | 0.002 | -0.012 | 0.187 |
| 1.855 | -1.806 | -0.444 | 1.418 | -0.008 | 0.128 |
| -0.000 | -0.000 | -0.000 | -0.000 | 1.648 | -1.657 |
| 0.306 | 0.333 | -6.939 | 0.001 | 1.234 | 295.364 |
| 607.825 | 17.524 | 2.927 | 1.253 | 0.007 | -0.107 |
| 17.539 | 607.810 | 2.927 | -1.254 | 0.007 | -0.107 |
| 0.292 | 0.265 | 15.404 | -0.001 | 0.007 | -0.113 |
| 1.235 | -1.876 | 6.973 | 1.430 | 0.008 | -0.117 |
| 0.000 | 0.000 | 0.000 | 0.000 | 1.648 | -1.657 |
| -0.306 | -0.333 | 6.939 | -0.001 | 1.248 | 295.152 |
| 2068.991 | 697.777 | 56895.811 | -13.585 | 0.000 | 0.001 |
| 852.011 | 1831.162 | 58470.475 | 4.516 | 0.000 | 0.000 |
| 971.154 | 971.906 | 56501.893 | 0.012 | 0.000 | 0.109 |
| -1.062 | 1.062 | 0.000 | 2.854 | -0.000 | 0.000 |
| 0.000 | 0.000 | 0.000 | -0.000 | 2.854 | -1.062 |
| 936.720 | 936.440 | 58416.532 | -0.005 | -4.993 | 490.045 |
| 125.704 | -1280.879 | -56901.758 | -14.175 | -0.000 | -0.001 |
| -67.132 | -1077.625 | -57017.555 | -39.988 | 0.000 | 0.003 |
| -971.774 | -972.536 | -56495.439 | -0.012 | -0.000 | -0.110 |
| -1.062 | 1.062 | -0.000 | 2.854 | 0.000 | -0.000 |
| -0.000 | -0.000 | -0.000 | 0.000 | 2.854 | -1.062 |
| 426.039 | 426.070 | -10315.586 | 0.000 | 28.885 | -459.123 |
| 907.791 | 90.420 | 5642.163 | -4.219 | 0.000 | -0.000 |
| 145.642 | 854.201 | 5418.162 | -1.583 | 0.000 | -0.000 |
| 97.017 | 97.122 | 5655.626 | 0.002 | 0.000 | 0.015 |
| 49.597 | 149.594 | 5786.522 | 6.383 | 0.000 | 0.001 |
| 97.308 | 97.320 | 5926.069 | 0.000 | 2.132 | 7.488 |
| -29.046 | -29.049 | 703.358 | -0.000 | 19.356 | -174.103 |
| 839.994 | -33.342 | 4.885 | -1.062 | -0.000 | 0.000 |
| -33.342 | 839.994 | 4.885 | 1.062 | 0.000 | -0.000 |
| -97.575 | -97.702 | -5648.205 | -0.002 | -0.000 | -0.018 |
| -134.957 | -64.000 | -5767.260 | 5.445 | -0.000 | -0.000 |
| -97.308 | -97.320 | -5926.069 | -0.000 | 2.132 | 7.488 |
| 29.046 | 29.049 | -703.358 | 0.000 | 19.356 | -174.103 |
| 767.509 | 38.414 | 13.328 | 1.349 | 0.000 | -0.000 |
| 31.887 | 793.550 | 567.168 | -0.784 | -0.000 | -0.000 |
| 9.456 | 9.463 | 568.384 | 0.000 | 0.000 | 0.001 |
| 10.564 | 8.147 | 581.550 | 2.676 | 0.000 | -0.000 |
| -3.873 | -3.873 | 93.780 | -0.000 | 1.084 | 26.162 |
| -0.000 | 0.001 | -0.000 | 0.000 | -1.062 | 436.668 |
| 839.991 | -33.342 | 4.885 | -1.062 | 0.000 | 0.000 |
| 15.316 | 770.735 | -555.355 | -0.847 | -0.000 | 0.000 |
| -9.999 | -10.019 | -561.289 | -0.000 | -0.000 | -0.003 |
| -2.904 | -16.472 | -564.724 | 2.701 | -0.000 | 0.000 |
| 3.873 | 3.873 | -93.780 | 0.000 | 1.084 | 26.163 |
| 0.000 | -0.001 | 0.000 | -0.000 | -1.062 | 436.668 |
| 722.804 | 53.810 | 10.398 | 1.892 | 0.014 | -0.482 |
| -32.210 | 811.483 | 4.719 | 1.026 | 0.000 | -0.000 |
| 2.966 | -4.854 | 272.695 | -0.132 | 0.009 | -0.305 |
| -1.026 | 1.026 | -0.000 | 2.757 | 0.000 | -0.000 |
| 0.000 | 0.000 | -0.000 | 0.000 | 2.757 | -1.026 |
| -0.000 | 0.000 | -0.000 | 0.000 | -1.026 | 421.847 |
| 811.483 | -32.210 | 4.719 | -1.026 | 0.000 | -0.000 |
| 56.165 | 725.639 | -0.591 | -1.884 | -0.014 | 0.481 |
| 4.719 | 4.719 | 272.649 | -0.000 | -0.000 | 0.000 |
| -1.026 | 1.026 | 0.000 | 2.757 | -0.000 | 0.000 |
| 0.000 | -0.000 | 0.000 | -0.000 | 2.757 | -1.026 |
| 0.000 | -0.000 | 0.000 | -0.000 | -1.026 | 421.847 |
| 811.483 | -32.210 | 4.719 | -1.026 | 0.000 | -0.000 |
| 25.434 | 753.642 | 5.165 | -0.904 | 0.001 | -0.030 |
| 4.719 | 4.719 | 272.643 | 0.000 | 0.000 | -0.000 |
| -1.026 | 1.026 | -0.000 | 2.757 | 0.000 | -0.000 |
| -0.000 | -0.000 | -0.000 | -0.000 | 2.757 | -1.026 |
| -0.000 | 0.000 | -0.000 | 0.000 | -1.026 | 421.847 |
| 811.483 | -32.210 | 4.719 | -1.026 | -0.000 | 0.000 |
| -32.210 | 811.483 | 4.719 | 1.026 | -0.000 | 0.000 |
| 4.280 | 6.021 | 265.283 | 0.029 | -0.002 | 0.068 |
| -1.026 | 1.026 | 0.000 | 2.757 | -0.000 | 0.000 |
| 0.000 | 0.000 | 0.000 | 0.000 | 2.757 | -1.026 |
| 0.000 | -0.000 | 0.000 | -0.000 | -1.026 | 421.847 |
| 757.549 | 21.676 | 4.853 | 0.776 | 0.000 | -0.003 |
| 21.761 | 757.465 | 4.853 | -0.779 | 0.000 | -0.003 |
| -0.046 | 0.295 | 8.977 | 0.006 | -0.000 | 0.013 |
| -1.026 | 1.026 | -0.000 | 2.757 | 0.000 | -0.000 |
| -0.000 | -0.000 | -0.000 | -0.000 | 2.757 | -1.026 |
| -0.000 | 0.001 | -0.000 | 0.000 | -1.026 | 421.847 |
| 811.480 | -32.210 | 4.719 | -1.026 | -0.000 | -0.000 |
| -32.211 | 811.481 | 4.719 | 1.026 | -0.000 | 0.000 |
| 0.978 | 0.630 | 19.958 | -0.006 | 0.000 | -0.014 |
| -1.026 | 1.026 | 0.000 | 2.757 | -0.000 | 0.000 |
| 0.000 | 0.000 | 0.000 | 0.000 | 2.757 | -1.026 |
| 0.000 | -0.001 | 0.000 | -0.000 | -1.026 | 421.847 |
| 812.758 | -32.328 | 4.726 | -1.027 | 0.000 | -0.000 |
| -32.328 | 812.758 | 4.726 | 1.027 | 0.000 | -0.000 |
| -12.932 | -13.564 | 363.065 | -0.013 | -0.075 | 4.536 |
| -1.027 | 1.027 | -0.000 | 2.761 | 0.000 | -0.000 |
| 0.000 | 0.000 | -0.000 | 0.000 | 2.761 | -1.027 |
| -0.000 | 0.000 | -0.000 | 0.000 | -1.027 | 422.543 |
| 812.758 | -32.328 | 4.726 | -1.027 | -0.000 | -0.000 |
| -32.328 | 812.758 | 4.726 | 1.027 | -0.000 | -0.000 |
| 22.954 | 23.594 | 170.585 | 0.013 | 0.076 | -4.586 |
| -1.027 | 1.027 | 0.000 | 2.761 | -0.000 | 0.000 |
| -0.000 | -0.000 | 0.000 | -0.000 | 2.761 | -1.027 |
| 0.000 | -0.000 | 0.000 | -0.000 | -1.027 | 422.543 |
| 770.343 | -1.439 | 33.708 | 0.195 | -0.002 | 0.148 |
| -1.402 | 770.307 | 33.708 | -0.196 | -0.002 | 0.148 |
| 4.699 | 4.699 | 273.032 | 0.000 | 0.000 | -0.000 |
| -1.027 | 1.027 | -0.000 | 2.761 | 0.000 | -0.000 |
| -0.000 | -0.000 | -0.000 | -0.000 | 2.761 | -1.027 |
| -0.000 | 0.000 | -0.000 | 0.000 | -1.027 | 422.543 |
| 812.758 | -32.328 | 4.726 | -1.027 | 0.000 | 0.000 |
| -32.328 | 812.758 | 4.726 | 1.027 | 0.000 | -0.000 |
| 4.699 | 4.699 | 273.042 | -0.000 | 0.000 | -0.000 |
| -1.027 | 1.027 | 0.000 | 2.761 | 0.000 | 0.000 |
| 0.000 | 0.000 | 0.000 | 0.000 | 2.761 | -1.027 |
| 0.000 | -0.000 | 0.000 | -0.000 | -1.027 | 422.543 |
| 757.896 | 22.325 | 5.295 | 0.803 | -0.000 | 0.022 |
| 22.341 | 757.880 | 5.295 | -0.803 | -0.000 | 0.022 |
| -2.014 | -2.014 | -25.126 | -0.000 | -0.000 | 0.002 |
| -1.027 | 1.027 | -0.000 | 2.761 | 0.000 | -0.000 |
| -0.000 | -0.000 | -0.000 | -0.000 | 2.761 | -1.027 |
| -0.086 | -0.089 | 0.463 | -0.000 | 0.797 | 367.970 |
| 812.755 | -32.328 | 4.726 | -1.027 | 0.000 | 0.000 |
| 22.594 | 758.582 | 2.893 | -0.793 | 0.000 | -0.022 |
| 4.699 | 4.699 | 273.088 | 0.000 | 0.000 | -0.000 |
| -1.027 | 1.027 | 0.000 | 2.761 | 0.000 | 0.000 |
| 0.000 | 0.000 | 0.000 | 0.000 | 2.761 | -1.027 |
| 0.086 | 0.089 | -0.463 | 0.000 | 0.798 | 367.927 |
| 689.500 | 29.429 | -0.781 | -0.000 | -0.000 | -0.003 |
| 36.811 | 682.145 | -0.579 | -0.000 | -0.000 | -0.003 |
| -12.290 | -12.721 | -465.063 | -0.000 | -0.000 | -0.000 |
| 6.652 | -7.429 | -6.442 | 2.075 | -0.001 | -0.004 |
| 6.652 | -7.429 | -6.441 | -0.000 | 2.074 | -0.004 |
| -0.187 | -6.080 | -54.755 | -0.000 | -0.000 | 352.990 |
| 683.230 | 36.825 | 8.519 | 0.000 | 0.000 | 0.003 |
| 31.370 | 716.867 | 477.254 | 0.000 | 0.000 | 0.003 |
| 3.796 | 3.796 | 211.536 | -0.000 | -0.000 | 0.000 |
| -6.652 | 7.429 | 6.442 | 2.075 | 0.001 | 0.004 |
| -6.652 | 7.429 | 6.442 | 0.000 | 2.075 | 0.004 |
| 0.187 | 6.080 | 54.756 | 0.000 | 0.000 | 352.996 |
| 699.667 | 19.807 | 3.589 | -0.000 | -0.000 | -0.000 |
| 20.607 | 698.866 | 3.589 | -0.000 | -0.000 | -0.000 |
| 9.150 | 0.654 | 173.590 | -0.000 | -0.000 | -0.003 |
| -0.070 | -1.490 | -15.064 | 2.064 | -0.000 | -0.000 |
| -0.070 | -1.489 | -15.064 | -0.000 | 2.064 | -0.000 |
| 0.381 | -0.426 | -0.369 | -0.000 | -0.000 | 339.591 |
| 698.994 | 20.568 | 4.327 | 0.000 | 0.000 | 0.000 |
| 19.766 | 699.796 | 4.327 | 0.000 | 0.000 | 0.000 |
| 2.073 | 7.549 | 192.091 | 0.000 | 0.000 | 0.002 |
| 0.070 | 1.490 | 15.064 | 2.064 | 0.000 | 0.000 |
| 0.070 | 1.490 | 15.064 | 0.000 | 2.064 | 0.000 |
| -0.381 | 0.426 | 0.369 | 0.000 | 0.000 | 339.590 |
| 699.570 | 19.946 | 3.921 | -0.000 | -0.000 | -0.000 |
| 20.038 | 699.478 | 3.921 | -0.000 | -0.000 | -0.000 |
| -0.249 | -0.125 | -4.900 | 0.000 | 0.000 | 0.000 |
| 0.006 | -0.074 | -0.596 | 2.182 | -0.000 | -0.000 |
| 0.006 | -0.074 | -0.596 | -0.000 | 2.182 | -0.000 |
| 0.002 | -0.078 | -0.668 | -0.000 | -0.000 | 339.786 |
| 699.318 | 19.837 | 5.524 | 0.000 | 0.000 | 0.000 |
| 19.744 | 699.410 | 5.524 | 0.000 | 0.000 | 0.000 |
| 0.043 | 0.200 | 4.984 | 0.000 | 0.000 | 0.000 |
| -0.006 | 0.074 | 0.596 | 2.182 | 0.000 | 0.000 |
| -0.006 | 0.074 | 0.596 | 0.000 | 2.182 | 0.000 |
| -0.002 | 0.078 | 0.668 | 0.000 | 0.000 | 339.786 |
| 432.431 | 1257.784 | -1358.866 | -0.000 | -0.000 | -0.002 |
| 29.472 | 524.426 | 40.360 | 0.000 | 0.000 | 0.000 |
| 13.357 | 37.881 | 500.212 | -0.000 | 0.000 | 0.000 |
| -27.923 | 1180.718 | -1402.525 | 178.741 | -0.000 | -0.002 |
| 247.386 | 860.852 | -1970.398 | -0.000 | 140.361 | -0.001 |
| 0.000 | 0.000 | 0.000 | 0.000 | 0.000 | 273.107 |
| 487.632 | -1104.568 | 1447.767 | 0.000 | 0.000 | 0.002 |
| 29.472 | 524.426 | 40.360 | -0.000 | -0.000 | -0.000 |
| -203.734 | -783.203 | 2274.414 | 0.000 | 0.000 | 0.001 |
| 27.923 | -1180.718 | 1402.525 | 178.741 | -0.000 | 0.002 |
| -247.386 | -860.852 | 1970.398 | 0.000 | 140.361 | 0.001 |
| -0.000 | -0.000 | -0.000 | -0.000 | 0.000 | 273.107 |
| 576.139 | 29.143 | 15.506 | 0.000 | 0.000 | 0.000 |
| 104.547 | 403.257 | -116.279 | -0.000 | -0.000 | -0.000 |
| 35.157 | 191.484 | 265.863 | -0.000 | -0.000 | -0.000 |
| 0.000 | 0.000 | 0.000 | 244.819 | 0.000 | -0.000 |
| -2.795 | 118.205 | -140.411 | -0.000 | 186.581 | -0.000 |
| 0.000 | 0.000 | -0.000 | 0.000 | 0.000 | 273.107 |
| 457.792 | -41.033 | 187.917 | 0.000 | 0.000 | 0.000 |
| 78.984 | 302.895 | 204.293 | 0.000 | 0.000 | 0.000 |
| 13.357 | 37.881 | 500.211 | -0.000 | -0.000 | -0.000 |
| -0.000 | -0.000 | -0.000 | 244.819 | -0.000 | -0.000 |
| 2.795 | -118.205 | 140.411 | 0.000 | 186.581 | 0.000 |
| -0.000 | -0.000 | 0.000 | -0.000 | 0.000 | 273.107 |
| 229.913 | 56.258 | -24.073 | -0.000 | -0.000 | 0.000 |
| 23.442 | 182.440 | 33.167 | 0.000 | 0.000 | 0.000 |
| -46.700 | 38.714 | 82.612 | 0.000 | -0.000 | -0.000 |
| 3.522 | 7.067 | -21.455 | 99.356 | -0.000 | -0.000 |
| 2.890 | 8.471 | -21.002 | 0.000 | 131.063 | -0.000 |
| -10.936 | 14.599 | -29.227 | -0.000 | -0.000 | 112.826 |
| 241.125 | 21.920 | 4.019 | 0.000 | 0.000 | 0.000 |
| 45.955 | 182.443 | 70.633 | 0.000 | 0.000 | 0.000 |
| 21.573 | 52.173 | 176.049 | 0.000 | 0.000 | 0.000 |
| -3.522 | -7.067 | 21.455 | 99.356 | 0.000 | 0.000 |
| -2.890 | -8.471 | 21.002 | 0.000 | 131.063 | 0.000 |
| 10.936 | -14.599 | 29.227 | 0.000 | 0.000 | 112.826 |
| 1316.350 | 68.829 | -6.565 | 0.000 | -0.000 | -0.000 |
| 31.375 | 1346.668 | 0.942 | -0.000 | -0.000 | -0.000 |
| -554.963 | -554.963 | 2346.342 | -0.000 | 0.000 | -0.000 |
| 0.000 | 0.000 | -0.000 | 467.822 | -0.000 | -0.000 |
| 0.000 | 0.000 | -0.000 | 0.000 | 467.822 | -0.000 |
| 1.617 | 1.617 | -3.403 | 0.000 | -0.000 | 623.760 |
| 1343.469 | 28.175 | 7.675 | -0.000 | 0.000 | -0.000 |
| 312.009 | 1635.336 | -598.043 | 0.000 | 0.000 | -0.000 |
| 38.294 | 38.294 | 1097.965 | 0.000 | 0.000 | -0.000 |
| -0.000 | -0.000 | -0.000 | 467.822 | 0.000 | 0.000 |
| -0.000 | -0.000 | 0.000 | -0.000 | 467.822 | -0.000 |
| -1.617 | -1.617 | 3.403 | -0.000 | 0.000 | 623.760 |
| 1345.260 | 29.965 | 3.907 | 0.000 | -0.000 | 0.000 |
| 29.965 | 1345.260 | 3.907 | 0.000 | -0.000 | 0.000 |
| 40.222 | 40.222 | 1093.908 | 0.000 | -0.000 | 0.000 |
| 0.000 | 0.000 | -0.000 | 467.822 | -0.000 | -0.000 |
| 0.000 | 0.000 | -0.000 | 0.000 | 467.822 | -0.000 |
| 0.000 | 0.000 | -0.000 | 0.000 | -0.000 | 661.664 |
| 1344.876 | 29.585 | 4.710 | 0.000 | 0.000 | -0.000 |
| 29.585 | 1344.877 | 4.710 | 0.000 | 0.000 | -0.000 |
| 39.882 | 39.882 | 1094.623 | 0.000 | 0.000 | -0.000 |
| -0.000 | -0.000 | 0.000 | 467.822 | 0.000 | -0.000 |
| -0.000 | -0.000 | 0.000 | -0.000 | 467.822 | 0.000 |
| -0.000 | -0.000 | 0.000 | -0.000 | 0.000 | 661.664 |
| 1315.096 | 67.557 | -3.902 | -0.000 | -0.000 | -0.000 |
| 67.559 | 1315.094 | -3.902 | -0.000 | -0.000 | -0.000 |
| 41.300 | 41.300 | 1091.647 | 0.000 | -0.000 | -0.000 |
| 0.001 | 0.001 | -0.002 | 467.822 | -0.000 | 0.000 |
| 0.057 | 0.055 | -0.117 | 0.000 | 370.757 | 0.000 |
| 0.016 | 0.018 | -0.035 | -0.000 | -0.000 | 623.760 |
| 1314.357 | 66.851 | -2.395 | -0.000 | 0.000 | 0.000 |
| 66.851 | 1314.357 | -2.395 | 0.000 | 0.000 | 0.000 |
| 39.911 | 39.911 | 1094.557 | 0.000 | 0.000 | -0.000 |
| -0.001 | -0.001 | 0.002 | 467.822 | 0.000 | -0.000 |
| -0.057 | -0.055 | 0.117 | 0.000 | 370.757 | 0.000 |
| -0.016 | -0.018 | 0.035 | 0.000 | 0.000 | 623.760 |
| 1287.529 | 95.968 | -83.287 | 0.000 | -0.000 | 0.000 |
| 339.505 | 1537.716 | -590.994 | 0.000 | 0.000 | 0.000 |
| -590.994 | -590.994 | 2591.841 | 0.000 | -0.000 | 0.000 |
| 0.065 | 0.065 | -0.134 | 313.578 | -0.000 | -0.000 |
| 0.000 | 0.000 | -0.000 | -0.000 | 492.936 | 0.000 |
| 0.000 | 0.000 | -0.000 | 0.000 | -0.000 | 599.106 |
| 1287.492 | 95.932 | -83.213 | 0.000 | 0.000 | 0.000 |
| 339.505 | 1537.716 | -590.994 | -0.000 | 0.000 | -0.000 |
| -590.993 | -590.993 | 2591.841 | -0.000 | 0.000 | -0.000 |
| -0.065 | -0.065 | 0.134 | 313.578 | 0.000 | 0.000 |
| -0.000 | -0.000 | 0.000 | -0.000 | 492.936 | 0.000 |
| -0.000 | -0.000 | 0.000 | -0.000 | 0.000 | 599.106 |
| 1287.535 | 95.973 | -83.299 | 0.000 | -0.000 | 0.000 |
| 95.974 | 1287.535 | -83.299 | 0.000 | -0.000 | -0.000 |
| -96.263 | -96.263 | 1574.360 | 0.000 | 0.000 | -0.000 |
| 0.000 | 0.000 | -0.000 | 492.936 | -0.000 | 0.000 |
| 0.000 | 0.000 | -0.000 | 0.000 | 492.936 | 0.000 |
| 0.027 | 0.027 | -0.056 | 0.000 | -0.000 | 544.217 |
| 1287.486 | 95.926 | -83.200 | -0.000 | -0.000 | -0.000 |
| 97.499 | 1289.101 | -86.478 | -0.000 | 0.000 | -0.000 |
| -89.689 | -89.689 | 1560.838 | -0.000 | 0.000 | -0.000 |
| -0.000 | -0.000 | 0.000 | 492.936 | 0.000 | -0.000 |
| -0.000 | -0.000 | 0.000 | -0.000 | 492.936 | 0.000 |
| -0.027 | -0.027 | 0.056 | -0.000 | 0.000 | 544.217 |
| 1287.743 | 96.169 | -83.709 | 0.000 | -0.000 | 0.000 |
| 150.598 | 1239.039 | -89.595 | 0.000 | -0.000 | -0.000 |
| -89.596 | -89.596 | 1560.654 | 0.000 | -0.000 | 0.000 |
| 0.001 | 0.001 | -0.002 | 492.936 | -0.000 | 0.000 |
| -0.003 | -0.005 | 0.008 | 0.000 | 313.578 | 0.000 |
| 0.005 | 0.007 | -0.010 | 0.000 | -0.000 | 544.217 |
| 1287.278 | 95.730 | -82.790 | 0.000 | -0.000 | 0.000 |
| 150.332 | 1238.751 | -89.037 | -0.000 | 0.000 | 0.000 |
| -89.592 | -89.592 | 1560.635 | 0.000 | 0.000 | -0.000 |
| -0.001 | -0.001 | 0.002 | 492.936 | 0.000 | -0.000 |
| 0.003 | 0.005 | -0.008 | -0.000 | 313.578 | 0.000 |
| -0.005 | -0.007 | 0.010 | -0.000 | 0.000 | 544.217 |
| 1479.111 | 241.477 | -424.021 | 0.000 | 0.000 | -0.000 |
| 241.477 | 1479.111 | -424.021 | -0.000 | 0.000 | -0.000 |
| -424.021 | -424.021 | 2242.778 | -0.000 | -0.000 | -0.000 |
| 0.000 | 0.000 | -0.000 | 512.604 | 0.000 | -0.000 |
| 0.000 | 0.000 | 0.000 | -0.000 | 512.604 | 0.000 |
| 0.238 | 0.238 | -0.505 | -0.000 | -0.000 | 551.597 |
| 1274.976 | 73.789 | -41.035 | 0.000 | 0.000 | 0.000 |
| 73.789 | 1274.976 | -41.035 | -0.000 | -0.000 | 0.000 |
| -66.774 | -66.774 | 1506.829 | -0.000 | -0.000 | 0.000 |
| 0.000 | -0.000 | -0.000 | 512.604 | -0.000 | 0.000 |
| -0.000 | -0.000 | -0.000 | 0.000 | 512.604 | 0.000 |
| -0.238 | -0.238 | 0.505 | 0.000 | -0.000 | 551.597 |
| 1479.111 | 241.477 | -424.021 | -0.000 | -0.000 | -0.000 |
| 241.477 | 1479.111 | -424.021 | -0.000 | 0.000 | -0.000 |
| -424.022 | -424.022 | 2242.780 | -0.000 | 0.000 | -0.000 |
| 0.000 | 0.000 | -0.000 | 512.604 | 0.000 | 0.000 |
| -0.098 | -0.098 | 0.201 | 0.000 | 351.944 | -0.000 |
| -0.612 | -0.612 | 1.263 | -0.000 | 0.000 | 541.487 |
| 1234.945 | 127.746 | -55.840 | 0.000 | -0.000 | 0.000 |
| 241.477 | 1479.110 | -424.021 | 0.000 | -0.000 | 0.000 |
| -66.217 | -66.217 | 1505.678 | 0.000 | -0.000 | 0.000 |
| -0.000 | -0.000 | 0.000 | 512.604 | -0.000 | 0.000 |
| 0.098 | 0.098 | -0.201 | 0.000 | 351.944 | 0.000 |
| 0.612 | 0.612 | -1.263 | -0.000 | -0.000 | 541.487 |
| 1235.092 | 127.842 | -56.084 | -0.000 | 0.000 | -0.000 |
| 127.666 | 1234.883 | -55.689 | -0.000 | -0.000 | -0.000 |
| -59.755 | -59.755 | 1492.996 | -0.000 | -0.000 | -0.000 |
| 0.000 | 0.002 | -0.001 | 351.944 | 0.000 | -0.000 |
| 0.002 | 0.000 | -0.001 | -0.000 | 351.944 | -0.000 |
| 0.004 | 0.005 | -0.008 | 0.000 | 0.000 | 551.594 |
| 1223.157 | 134.616 | -50.501 | 0.000 | -0.000 | 0.000 |
| 73.836 | 1275.014 | -41.132 | 0.000 | -0.000 | 0.000 |
| -60.559 | -60.559 | 1494.641 | 0.000 | 0.000 | 0.000 |
| -0.000 | -0.002 | 0.001 | 351.944 | -0.000 | 0.000 |
| -0.002 | -0.000 | 0.001 | 0.000 | 351.944 | 0.000 |
| -0.004 | -0.005 | 0.008 | 0.000 | -0.000 | 551.594 |
| 1507.624 | 171.233 | -340.072 | -0.000 | -0.000 | -0.000 |
| 313.740 | 1559.359 | -539.467 | -0.000 | -0.000 | -0.000 |
| 292.290 | 292.290 | 651.632 | -0.000 | -0.000 | -0.000 |
| 309.582 | 309.582 | -647.003 | 470.799 | -0.000 | -0.000 |
| 0.000 | 0.000 | -0.000 | -0.000 | 516.729 | -0.000 |
| 0.000 | 0.000 | -0.000 | -0.000 | -0.000 | 668.196 |
| 1507.624 | 171.233 | -340.072 | 0.000 | 0.000 | -0.000 |
| -212.328 | 1018.033 | 570.955 | 0.000 | 0.000 | 0.000 |
| -317.498 | -317.498 | 1925.811 | 0.000 | 0.000 | 0.000 |
| -309.582 | -309.582 | 647.003 | 470.799 | 0.000 | -0.000 |
| -0.000 | -0.000 | 0.000 | 0.000 | 516.729 | 0.000 |
| -0.000 | -0.000 | 0.000 | 0.000 | 0.000 | 668.196 |
| 1349.838 | 60.173 | -57.295 | -0.000 | 0.000 | -0.000 |
| 60.151 | 1349.807 | -57.239 | -0.000 | -0.000 | 0.000 |
| 49.252 | 49.252 | 1157.651 | -0.000 | -0.000 | -0.000 |
| 56.862 | 56.862 | -118.838 | 432.366 | -0.000 | -0.000 |
| 0.000 | 0.000 | -0.000 | -0.000 | 516.729 | -0.000 |
| 0.000 | 0.000 | -0.000 | -0.000 | -0.000 | 668.196 |
| 1301.343 | 13.445 | 42.277 | 0.000 | 0.000 | 0.000 |
| 33.100 | 1248.110 | 75.888 | 0.000 | 0.000 | -0.000 |
| -43.975 | -43.975 | 1350.659 | 0.000 | 0.000 | 0.000 |
| -56.862 | -56.862 | 118.838 | 432.366 | 0.000 | 0.000 |
| -0.000 | -0.000 | 0.000 | 0.000 | 516.729 | -0.000 |
| 0.000 | -0.000 | 0.000 | 0.000 | 0.000 | 668.196 |
| 1272.266 | 65.696 | 16.824 | -0.000 | -0.000 | -0.000 |
| 96.992 | 1262.859 | -5.717 | -0.000 | -0.000 | 0.000 |
| -15.968 | -15.968 | 1292.041 | -0.000 | 0.000 | -0.000 |
| 0.001 | 0.001 | -0.000 | 516.729 | -0.000 | -0.000 |
| 0.001 | 0.001 | -0.000 | -0.000 | 516.729 | -0.000 |
| -8.295 | -8.295 | 17.523 | -0.000 | -0.000 | 584.136 |
| 1258.303 | 92.751 | 3.470 | 0.000 | 0.000 | 0.000 |
| 64.659 | 1274.913 | 15.017 | -0.000 | 0.000 | 0.000 |
| 26.033 | 26.033 | 1205.865 | 0.000 | 0.000 | 0.000 |
| -0.001 | -0.001 | 0.000 | 516.729 | 0.000 | 0.000 |
| -0.001 | -0.001 | 0.000 | 0.000 | 516.729 | -0.000 |
| 8.295 | 8.295 | -17.523 | 0.000 | 0.000 | 584.136 |
| 1482.943 | 136.575 | -281.425 | 0.000 | 0.000 | -0.000 |
| 624.721 | 1723.789 | -992.110 | 0.000 | 0.000 | -0.000 |
| -263.475 | -263.475 | 1825.526 | 0.000 | 0.000 | -0.000 |
| 518.941 | 518.941 | -1038.594 | 438.473 | 0.000 | -0.000 |
| 0.000 | 0.000 | -0.000 | 0.000 | 530.859 | 0.000 |
| 552.690 | 552.690 | -1103.206 | 0.000 | 0.000 | 549.722 |
| 1482.943 | 136.575 | -281.425 | -0.000 | -0.000 | 0.000 |
| 136.575 | 1482.943 | -281.425 | -0.000 | -0.000 | 0.000 |
| -263.475 | -263.475 | 1825.526 | -0.000 | -0.000 | 0.000 |
| -518.941 | -518.941 | 1038.594 | 438.473 | -0.000 | 0.000 |
| -0.000 | -0.000 | 0.000 | -0.000 | 530.859 | 0.000 |
| -552.690 | -552.690 | 1103.206 | -0.000 | -0.000 | 549.722 |
| 1257.608 | 138.020 | -43.685 | 0.000 | 0.000 | -0.000 |
| 1.482 | 1202.937 | 156.373 | 0.000 | 0.000 | -0.000 |
| 64.331 | 64.331 | 1138.957 | 0.000 | 0.000 | -0.000 |
| 0.000 | 0.000 | -0.000 | 530.859 | 0.000 | -0.000 |
| 0.000 | 0.000 | -0.000 | 0.000 | 530.859 | 0.000 |
| -0.000 | 0.000 | -0.000 | 0.000 | 0.000 | 673.184 |
| 1201.488 | -69.177 | 228.178 | -0.000 | -0.000 | 0.000 |
| 136.575 | 1482.943 | -281.425 | -0.000 | -0.000 | 0.000 |
| 21.855 | 21.855 | 1226.324 | -0.000 | -0.000 | 0.000 |
| -0.000 | -0.000 | 0.000 | 530.859 | -0.000 | 0.000 |
| -0.000 | -0.000 | 0.000 | -0.000 | 530.859 | -0.000 |
| -0.000 | -0.000 | 0.000 | -0.000 | -0.000 | 673.184 |
| 1324.480 | 36.030 | -9.710 | 0.000 | 0.000 | -0.000 |
| 136.576 | 1482.948 | -281.425 | 0.000 | 0.000 | -0.000 |
| 31.351 | 31.351 | 1209.724 | 0.000 | 0.000 | -0.000 |
| 3.461 | 3.462 | -6.742 | 432.347 | 0.000 | -0.000 |
| 15.048 | 15.047 | -31.268 | 0.000 | 443.290 | -0.000 |
| -0.000 | 0.002 | -0.000 | 0.000 | 0.000 | 673.184 |
| 1482.937 | 136.575 | -281.425 | -0.000 | -0.000 | 0.000 |
| 91.137 | 1247.020 | 12.228 | -0.000 | -0.000 | 0.000 |
| 22.309 | 22.309 | 1227.797 | -0.000 | -0.000 | 0.000 |
| -3.461 | -3.462 | 6.742 | 432.347 | -0.000 | 0.000 |
| -15.048 | -15.047 | 31.268 | -0.000 | 443.290 | 0.000 |
| 0.000 | -0.002 | 0.000 | -0.000 | -0.000 | 673.184 |
| 1438.411 | 143.464 | -269.737 | 0.000 | -0.000 | -0.000 |
| 403.924 | 1538.631 | -556.916 | -0.000 | -0.000 | 0.000 |
| 414.170 | 414.170 | 582.129 | 0.000 | -0.000 | 0.000 |
| 429.982 | 429.982 | -808.098 | 410.128 | -0.000 | 0.000 |
| 0.000 | 0.000 | 0.000 | -0.000 | 543.553 | 0.000 |
| 0.000 | 0.000 | -0.000 | 0.000 | -0.000 | 647.474 |
| 477.413 | -656.349 | 1463.407 | 0.000 | 0.000 | 0.000 |
| 143.464 | 1438.411 | -269.737 | 0.000 | 0.000 | 0.000 |
| -447.483 | -447.483 | 2201.797 | -0.000 | 0.000 | -0.000 |
| -429.982 | -429.982 | 808.098 | 410.128 | 0.000 | -0.000 |
| -0.000 | -0.000 | 0.000 | 0.000 | 543.554 | 0.000 |
| -0.000 | -0.000 | 0.000 | 0.000 | 0.000 | 647.474 |
| 1438.412 | 143.464 | -269.737 | -0.000 | -0.000 | -0.000 |
| 48.329 | 1272.224 | 4.024 | -0.000 | -0.000 | -0.000 |
| 10.287 | 10.287 | 1333.972 | -0.000 | -0.000 | -0.000 |
| 0.000 | 0.000 | 0.000 | 543.553 | 0.000 | -0.000 |
| 0.000 | 0.000 | 0.000 | -0.000 | 543.553 | -0.000 |
| -0.000 | 0.000 | -0.000 | -0.000 | -0.000 | 647.474 |
| 1188.874 | -22.830 | 155.418 | 0.000 | 0.000 | 0.000 |
| -23.033 | 1188.569 | 155.937 | 0.000 | 0.000 | 0.000 |
| -62.333 | -62.333 | 1478.279 | 0.000 | 0.000 | 0.000 |
| -0.000 | -0.000 | -0.000 | 543.553 | 0.000 | 0.000 |
| -0.000 | -0.000 | -0.000 | 0.000 | 543.553 | -0.000 |
| 0.000 | -0.000 | 0.000 | -0.000 | 0.000 | 647.474 |
| 1292.255 | 52.763 | -24.739 | 0.000 | -0.000 | -0.000 |
| 127.690 | 1222.597 | -32.189 | 0.000 | -0.000 | 0.000 |
| -16.074 | -16.074 | 1391.052 | -0.000 | 0.000 | 0.000 |
| 6.382 | 6.383 | -12.922 | 416.939 | -0.000 | 0.000 |
| 0.000 | 0.001 | 0.000 | -0.000 | 543.553 | -0.000 |
| 5.925 | 5.926 | -11.282 | 0.000 | -0.000 | 557.551 |
| 1229.652 | 92.449 | -5.382 | 0.000 | 0.000 | -0.000 |
| 89.140 | 1224.310 | 3.543 | 0.000 | -0.000 | -0.000 |
| -59.993 | -59.993 | 1475.862 | 0.000 | 0.000 | 0.000 |
| -6.382 | -6.383 | 12.922 | 416.939 | 0.000 | -0.000 |
| -0.000 | -0.001 | -0.000 | -0.000 | 543.553 | 0.000 |
| -5.925 | -5.926 | 11.282 | 0.000 | -0.000 | 557.551 |
| 1526.451 | 192.440 | -378.489 | 27.631 | 0.000 | 0.000 |
| -5605.247 | -4343.576 | 11882.421 | -19.630 | 0.000 | 0.000 |
| -4091.779 | -4091.779 | 9903.415 | -0.000 | 0.000 | 0.000 |
| -5704.218 | -5742.945 | 12029.008 | 452.129 | 0.000 | 0.000 |
| -0.000 | 0.000 | -0.001 | 0.000 | 507.369 | 27.631 |
| -5722.273 | -5722.273 | 12026.260 | 0.000 | 19.366 | 629.642 |
| 5352.439 | 4223.824 | -8694.180 | 7.092 | -0.000 | -0.000 |
| 4145.980 | 5304.935 | -8557.519 | -10.165 | 0.000 | -0.000 |
| 5592.697 | 5592.696 | -10509.058 | -0.000 | -0.000 | -0.000 |
| 5741.800 | 5703.070 | -12026.598 | 452.140 | -0.000 | -0.000 |
| 0.000 | -0.000 | 0.001 | -0.000 | 507.369 | 27.631 |
| 5722.273 | 5722.273 | -12026.260 | -0.000 | 19.366 | 629.642 |
| 807.710 | -467.519 | 1070.403 | 21.129 | 0.000 | 0.000 |
| -463.663 | 811.909 | 1061.938 | -21.167 | 0.000 | 0.000 |
| -229.555 | -229.555 | 1727.008 | -0.000 | -0.000 | 0.000 |
| -438.740 | -457.986 | 943.098 | 386.140 | 0.000 | 0.000 |
| -448.936 | -448.936 | 944.302 | 0.000 | 386.086 | 9.615 |
| -577.298 | -577.298 | 1213.284 | -0.000 | 19.292 | 629.311 |
| 1526.450 | 192.440 | -378.489 | 27.631 | -0.000 | -0.000 |
| 192.440 | 1526.450 | -378.489 | -27.631 | -0.000 | -0.000 |
| -352.235 | -352.235 | 1985.484 | -0.000 | -0.000 | -0.000 |
| 598.179 | 559.641 | -1216.672 | 451.496 | -0.000 | -0.000 |
| 448.936 | 448.936 | -944.302 | -0.000 | 386.086 | 9.615 |
| 577.298 | 577.298 | -1213.284 | 0.000 | 19.292 | 629.311 |
| 1285.120 | -3.665 | 81.274 | 22.628 | 0.000 | 0.000 |
| 22.636 | 1237.413 | 103.490 | -14.855 | 0.000 | 0.000 |
| -12.968 | -12.968 | 1272.801 | 0.000 | 0.000 | 0.000 |
| -27.972 | -52.560 | 84.691 | 404.149 | 0.000 | 0.000 |
| -34.831 | -34.832 | 73.768 | 0.000 | 400.223 | 11.677 |
| -36.264 | -36.263 | 76.749 | 0.000 | 11.257 | 584.546 |
| 1354.262 | 65.524 | -64.099 | 22.624 | -0.000 | -0.000 |
| 112.256 | 1304.185 | -61.049 | -12.441 | -0.000 | -0.000 |
| 64.869 | 64.869 | 1108.657 | -0.000 | -0.000 | -0.000 |
| 99.600 | 68.637 | -176.789 | 426.185 | -0.000 | -0.000 |
| 34.831 | 34.832 | -73.768 | -0.000 | 400.223 | 11.677 |
| 36.264 | 36.263 | -76.749 | -0.000 | 11.257 | 584.546 |
| 1463.141 | 204.800 | -365.749 | 29.681 | -0.000 | -0.000 |
| 68.030 | 1284.188 | -39.836 | -23.515 | -0.000 | -0.000 |
| -63.063 | -63.063 | 1492.997 | 0.000 | -0.000 | -0.000 |
| 29.681 | -29.681 | -0.000 | 524.064 | -0.000 | -0.000 |
| 0.000 | 0.000 | -0.000 | 0.000 | 524.064 | 29.681 |
| -0.000 | 0.000 | 0.000 | 0.000 | 29.681 | 629.170 |
| 1463.141 | 204.800 | -365.748 | 29.681 | 0.000 | -0.000 |
| 204.800 | 1463.141 | -365.748 | -29.681 | -0.000 | -0.000 |
| -48.204 | -48.204 | 1464.436 | -0.000 | 0.000 | 0.000 |
| 29.681 | -29.681 | -0.000 | 524.064 | 0.000 | 0.000 |
| -0.000 | -0.000 | 0.000 | -0.000 | 524.064 | 29.681 |
| 0.000 | -0.000 | -0.000 | -0.000 | 29.681 | 629.170 |
| 1281.819 | 66.138 | -35.612 | 23.445 | -0.000 | 0.000 |
| 104.910 | 1235.461 | -29.784 | -11.383 | -0.000 | -0.000 |
| -48.530 | -48.530 | 1465.408 | 0.000 | -0.000 | -0.000 |
| 9.950 | -9.710 | -0.186 | 378.095 | -0.000 | 0.000 |
| 0.000 | 0.000 | -0.000 | 0.000 | 524.064 | 29.681 |
| 0.000 | 0.000 | -0.000 | 0.000 | 29.681 | 629.170 |
| 1463.140 | 204.800 | -365.748 | 29.681 | 0.000 | 0.000 |
| 204.800 | 1463.140 | -365.748 | -29.681 | 0.000 | 0.000 |
| -365.748 | -365.748 | 2117.461 | -0.000 | 0.000 | 0.000 |
| 29.681 | -29.681 | 0.000 | 524.064 | 0.000 | -0.000 |
| -0.000 | -0.000 | 0.000 | -0.000 | 524.064 | 29.681 |
| -0.000 | -0.000 | 0.000 | -0.000 | 29.681 | 629.170 |
| 1281.553 | 65.922 | -35.127 | 23.437 | -0.000 | 0.000 |
| 65.995 | 1281.646 | -35.298 | -23.440 | -0.000 | -0.000 |
| -46.627 | -46.627 | 1461.463 | 0.000 | -0.000 | -0.000 |
| 9.837 | -9.817 | -0.013 | 378.081 | -0.000 | 0.000 |
| 0.011 | 0.009 | -0.013 | 0.000 | 378.081 | 9.828 |
| 0.000 | 0.002 | -0.000 | 0.000 | 29.681 | 629.170 |
| 1282.701 | 66.809 | -37.242 | 23.477 | 0.000 | 0.000 |
| 65.806 | 1281.392 | -34.856 | -23.432 | 0.000 | 0.000 |
| -46.956 | -46.956 | 1462.122 | -0.000 | 0.000 | -0.000 |
| 9.819 | -9.839 | 0.013 | 378.080 | 0.000 | -0.000 |
| -0.011 | -0.009 | 0.013 | -0.000 | 378.081 | 9.828 |
| -0.000 | -0.002 | 0.000 | -0.000 | 29.681 | 629.170 |
| -67.630 | 12.351 | 12.352 | -0.000 | -0.000 | -0.000 |
| 12.352 | -67.630 | 12.352 | -0.000 | 0.000 | -0.000 |
| 12.352 | 12.352 | -67.630 | -0.000 | -0.000 | -0.000 |
| -17.073 | -17.073 | -17.073 | -5.901 | -0.000 | -0.000 |
| -17.073 | -17.073 | -17.073 | -0.000 | -5.901 | -0.000 |
| -17.073 | -17.073 | -17.073 | -0.000 | -0.000 | -5.901 |
| -43.018 | -133.649 | -133.649 | -0.000 | 0.000 | -0.000 |
| -133.649 | -43.018 | -133.649 | -0.000 | 0.000 | -0.000 |
| -133.649 | -133.649 | -43.018 | -0.000 | 0.000 | -0.000 |
| 17.073 | 17.073 | 17.073 | -5.901 | -0.000 | 0.000 |
| 17.073 | 17.073 | 17.073 | 0.000 | -5.901 | 0.000 |
| 17.073 | 17.073 | 17.073 | 0.000 | -0.000 | -5.901 |
| 266.291 | 48.182 | 48.182 | 0.000 | -0.000 | -0.000 |
| 48.182 | 266.291 | 48.182 | 0.000 | -0.000 | 0.000 |
| 48.182 | 48.182 | 266.291 | 0.000 | 0.000 | 0.000 |
| 26.795 | 26.795 | 26.795 | 6.342 | -0.000 | 0.000 |
| 26.795 | 26.795 | 26.795 | 0.000 | 6.342 | 0.000 |
| 26.795 | 26.795 | 26.795 | 0.000 | -0.000 | 6.342 |
| 250.218 | 32.454 | 32.454 | -0.000 | -0.000 | -0.000 |
| 32.454 | 250.218 | 32.454 | -0.000 | -0.000 | -0.000 |
| 32.454 | 32.454 | 250.218 | -0.000 | -0.000 | 0.000 |
| -26.795 | -26.795 | -26.795 | 6.342 | 0.000 | -0.000 |
| -26.795 | -26.795 | -26.795 | -0.000 | 6.342 | -0.000 |
| -26.795 | -26.795 | -26.795 | -0.000 | 0.000 | 6.342 |
| 340.691 | 59.388 | 59.387 | 0.000 | -0.000 | 0.000 |
| 59.387 | 340.691 | 59.388 | 0.000 | -0.000 | 0.000 |
| 59.388 | 59.387 | 340.691 | 0.000 | -0.000 | 0.000 |
| 2.501 | 2.501 | 2.501 | 25.160 | -0.000 | 0.000 |
| 0.808 | 0.808 | 0.808 | 0.000 | 98.719 | 0.000 |
| 2.501 | 2.501 | 2.501 | -0.000 | -0.000 | 25.160 |
| 114.203 | 42.278 | 42.277 | -0.000 | 0.000 | -0.000 |
| 42.277 | 114.203 | 42.278 | -0.000 | 0.000 | -0.000 |
| 42.278 | 42.277 | 114.203 | -0.000 | 0.000 | -0.000 |
| -2.501 | -2.501 | -2.501 | 25.160 | 0.000 | -0.000 |
| -0.808 | -0.808 | -0.808 | -0.000 | 98.719 | -0.000 |
| -2.501 | -2.501 | -2.501 | -0.000 | 0.000 | 25.160 |
| 1004.386 | 25.516 | 16.909 | 0.000 | 0.000 | -0.000 |
| 25.516 | 1004.385 | 16.909 | 0.000 | -0.000 | -0.000 |
| 17.014 | 17.014 | 1058.267 | 0.000 | 0.000 | -0.000 |
| 0.000 | -0.000 | -0.000 | 9.192 | 0.000 | -0.000 |
| 0.000 | -0.000 | -0.000 | 0.000 | 9.192 | -0.000 |
| 0.000 | -0.000 | 0.000 | 0.000 | 0.000 | 489.435 |
| 1067.367 | -37.465 | 16.909 | -0.000 | 0.000 | -0.000 |
| 25.516 | 1004.385 | 16.909 | -0.000 | 0.000 | 0.000 |
| 17.014 | 17.014 | 1058.271 | -0.000 | -0.000 | 0.000 |
| -0.000 | 0.000 | 0.000 | 9.192 | 0.000 | 0.000 |
| -0.000 | 0.000 | 0.000 | -0.000 | 9.192 | 0.000 |
| -0.000 | 0.000 | -0.000 | -0.000 | -0.000 | 489.435 |
| 1004.386 | 25.515 | 16.909 | 0.000 | 0.000 | -0.000 |
| 25.517 | 1004.385 | 16.909 | 0.000 | 0.000 | -0.000 |
| 17.014 | 17.014 | 1058.250 | 0.000 | 0.000 | -0.000 |
| -0.000 | -0.000 | -0.000 | 9.192 | -0.000 | -0.000 |
| -0.000 | -0.000 | -0.000 | -0.000 | 9.192 | -0.000 |
| -0.000 | 0.000 | 0.000 | 0.000 | -0.000 | 489.435 |
| 1004.384 | 25.516 | 16.909 | -0.000 | -0.000 | 0.000 |
| 25.515 | 1004.386 | 16.909 | -0.000 | 0.000 | 0.000 |
| 17.014 | 17.014 | 1058.287 | -0.000 | -0.000 | 0.000 |
| 0.000 | 0.000 | 0.000 | 9.192 | -0.000 | 0.000 |
| 0.000 | 0.000 | 0.000 | -0.000 | 9.192 | 0.000 |
| 0.000 | -0.000 | -0.000 | -0.000 | -0.000 | 489.435 |
| 1004.396 | 25.509 | 16.909 | 0.000 | 0.000 | -0.000 |
| 25.523 | 1004.382 | 16.909 | 0.000 | -0.000 | -0.000 |
| 17.013 | 17.013 | 1058.084 | 0.000 | -0.000 | -0.000 |
| -0.000 | -0.000 | -0.000 | 9.192 | -0.000 | -0.000 |
| -0.000 | -0.000 | -0.000 | 0.000 | 9.192 | -0.000 |
| -0.000 | 0.001 | 0.000 | 0.000 | 0.000 | 489.435 |
| 1004.375 | 25.522 | 16.909 | 0.000 | -0.000 | 0.000 |
| 25.508 | 1004.389 | 16.909 | -0.000 | -0.000 | 0.000 |
| 17.015 | 17.015 | 1058.453 | -0.000 | -0.000 | 0.000 |
| 0.000 | 0.000 | 0.000 | 9.192 | -0.000 | 0.000 |
| 0.000 | 0.000 | 0.000 | -0.000 | 9.192 | 0.000 |
| 0.000 | -0.001 | -0.000 | -0.000 | -0.000 | 489.435 |
| 761.876 | -46.145 | -307.152 | 0.000 | 0.000 | -0.000 |
| -61.242 | 424.924 | -239.592 | 0.000 | 0.000 | -0.000 |
| 30.630 | -10.692 | 4.665 | 0.000 | 0.000 | -0.000 |
| -27.031 | 18.616 | -331.631 | 57.105 | 0.000 | -0.000 |
| -5.745 | 5.500 | -154.474 | 0.000 | 118.631 | -0.000 |
| -5.563 | 5.326 | -149.581 | 0.000 | 0.000 | 198.529 |
| 789.454 | -72.660 | 207.443 | -0.000 | -0.000 | 0.000 |
| -34.073 | 403.578 | 322.311 | -0.000 | 0.000 | -0.000 |
| 25.629 | -21.459 | 322.311 | -0.000 | -0.000 | -0.000 |
| 27.031 | -18.616 | 331.631 | 57.105 | -0.000 | 0.000 |
| 5.745 | -5.500 | 154.474 | -0.000 | 118.631 | 0.000 |
| 5.563 | -5.326 | 149.581 | -0.000 | -0.000 | 198.529 |
| 796.705 | -79.725 | 4.510 | -0.000 | -0.000 | -0.000 |
| -59.165 | 418.335 | -24.190 | 0.000 | 0.000 | -0.000 |
| 28.345 | -7.976 | 226.195 | 0.000 | 0.000 | -0.000 |
| 0.000 | -0.000 | 0.000 | 118.608 | -0.000 | -0.000 |
| -3.049 | 2.028 | -50.808 | 0.000 | 2.378 | -0.000 |
| -2.483 | 1.775 | -22.472 | -0.000 | 0.000 | 236.700 |
| 791.475 | -74.668 | 24.779 | -0.000 | -0.000 | 0.000 |
| -55.776 | 421.406 | 4.264 | -0.000 | -0.000 | 0.000 |
| 6.534 | -13.097 | 33.505 | -0.000 | -0.000 | 0.000 |
| -0.000 | 0.000 | -0.000 | 118.608 | 0.000 | -0.000 |
| 3.049 | -2.028 | 50.808 | -0.000 | 2.378 | 0.000 |
| 2.483 | -1.775 | 22.472 | 0.000 | -0.000 | 236.700 |
| 787.014 | -67.149 | -3.223 | -0.000 | -0.000 | -0.000 |
| -57.762 | 417.595 | -3.219 | 0.000 | -0.000 | 0.000 |
| 3.644 | -10.999 | -2.795 | 0.000 | 0.000 | -0.000 |
| -0.338 | 0.104 | -4.813 | 0.020 | -0.000 | 0.000 |
| -0.281 | 0.147 | -3.890 | -0.000 | 0.007 | -0.000 |
| -0.185 | 0.129 | -3.185 | 0.000 | 0.000 | 236.989 |
| 796.703 | -79.726 | 4.510 | -0.000 | -0.000 | 0.000 |
| -57.310 | 417.317 | 3.122 | -0.000 | 0.000 | 0.000 |
| 2.426 | -7.737 | 3.140 | -0.000 | 0.000 | -0.000 |
| 0.338 | -0.104 | 4.813 | 0.020 | -0.000 | 0.000 |
| 0.281 | -0.147 | 3.890 | 0.000 | 0.007 | 0.000 |
| 0.185 | -0.129 | 3.185 | -0.000 | -0.000 | 236.989 |
| 908.210 | -384.707 | -21.637 | 0.000 | 0.000 | -0.000 |
| 2.968 | 509.829 | 85.508 | -0.000 | -0.000 | -0.000 |
| -84.743 | 143.170 | 1090.298 | 0.000 | -0.000 | 0.000 |
| -0.000 | 0.000 | 0.000 | 78.834 | -0.000 | -0.000 |
| -6.224 | -5.973 | 5.468 | -0.000 | 498.614 | 0.000 |
| 0.000 | 0.000 | 0.000 | 0.000 | 0.000 | -49.582 |
| 1185.392 | -24.320 | -101.825 | 0.000 | 0.000 | -0.000 |
| 2.968 | 509.829 | 85.508 | 0.000 | -0.000 | 0.000 |
| -70.886 | 154.329 | 1077.394 | 0.000 | 0.000 | -0.000 |
| 0.000 | -0.000 | -0.000 | 78.834 | -0.000 | 0.000 |
| 6.224 | 5.973 | -5.468 | 0.000 | 498.614 | -0.000 |
| 0.000 | -0.000 | -0.000 | 0.000 | -0.000 | -49.582 |
| 1002.736 | -243.568 | -66.100 | -0.000 | -0.000 | 0.000 |
| -322.989 | 107.481 | 200.428 | 0.000 | 0.000 | -0.000 |
| -147.324 | 121.040 | 1158.198 | 0.000 | 0.000 | -0.000 |
| 0.000 | -0.000 | -0.000 | 78.834 | 0.000 | -0.000 |
| -0.616 | -0.591 | 0.541 | -0.000 | 499.652 | 0.000 |
| 0.000 | -0.000 | -0.000 | 0.000 | 0.000 | -49.582 |
| 971.524 | -301.836 | -45.513 | 0.000 | 0.000 | 0.000 |
| -110.108 | 425.930 | 171.542 | 0.000 | 0.000 | -0.000 |
| -77.919 | 148.911 | 1084.026 | 0.000 | 0.000 | -0.000 |
| -0.000 | 0.000 | 0.000 | 78.834 | -0.000 | 0.000 |
| 0.616 | 0.591 | -0.541 | 0.000 | 499.652 | -0.000 |
| -0.000 | 0.000 | 0.000 | -0.000 | -0.000 | -49.582 |
| 965.325 | -309.988 | -43.151 | 0.000 | -0.000 | -0.000 |
| -317.812 | 114.256 | 198.483 | -0.000 | -0.000 | 0.000 |
| -16.405 | 233.028 | 1065.137 | 0.000 | 0.000 | -0.000 |
| -0.552 | -0.746 | 0.223 | -50.350 | -0.000 | 0.000 |
| -0.396 | -0.674 | 0.187 | 0.000 | -131.065 | -0.000 |
| -0.220 | -0.272 | 0.135 | -0.000 | -0.000 | -231.885 |
| 966.372 | -308.570 | -43.565 | -0.000 | 0.000 | 0.000 |
| -314.820 | 115.953 | 198.762 | 0.000 | 0.000 | -0.000 |
| -78.569 | 148.400 | 1084.632 | 0.000 | 0.000 | -0.000 |
| 0.552 | 0.746 | -0.223 | -50.350 | 0.000 | -0.000 |
| 0.396 | 0.674 | -0.187 | -0.000 | -131.065 | 0.000 |
| 0.220 | 0.272 | -0.135 | 0.000 | 0.000 | -231.885 |
| 1174.964 | -29.693 | -92.980 | -0.000 | 0.000 | 0.000 |
| -322.387 | 112.084 | 199.167 | 0.000 | -0.000 | -0.000 |
| -147.145 | 121.903 | 1161.119 | -0.000 | -0.000 | 0.000 |
| 0.000 | 0.000 | 0.000 | 77.849 | -0.000 | 0.000 |
| -3.656 | -6.004 | 1.949 | -0.000 | -255.598 | -0.000 |
| 0.000 | 0.000 | 0.000 | 0.000 | 0.000 | -51.624 |
| 1174.466 | -29.523 | -93.286 | 0.000 | -0.000 | -0.000 |
| 4.078 | 508.514 | 86.737 | 0.000 | -0.000 | -0.000 |
| -147.145 | 121.903 | 1161.119 | -0.000 | -0.000 | -0.000 |
| -0.000 | -0.000 | -0.000 | 77.849 | -0.000 | -0.000 |
| 3.656 | 6.004 | -1.949 | 0.000 | -255.598 | 0.000 |
| -0.000 | -0.000 | -0.000 | 0.000 | -0.000 | -51.624 |
| 1174.767 | -29.605 | -93.141 | -0.000 | 0.000 | 0.000 |
| -321.490 | 114.074 | 198.171 | 0.000 | -0.000 | -0.000 |
| -78.843 | 148.725 | 1088.309 | -0.000 | 0.000 | 0.000 |
| 0.000 | -0.000 | -0.000 | 77.849 | 0.000 | 0.000 |
| -0.350 | -0.607 | 0.195 | -0.000 | -255.694 | -0.000 |
| 0.000 | -0.000 | -0.000 | -0.000 | 0.000 | -51.624 |
| 1174.715 | -29.588 | -93.171 | 0.000 | -0.000 | -0.000 |
| -110.865 | 424.035 | 173.449 | 0.000 | -0.000 | -0.000 |
| -15.311 | 233.454 | 1068.755 | -0.000 | 0.000 | 0.000 |
| -0.000 | 0.000 | 0.000 | 77.849 | -0.000 | -0.000 |
| 0.350 | 0.607 | -0.195 | 0.000 | -255.694 | 0.000 |
| -0.000 | 0.000 | 0.000 | 0.000 | 0.000 | -51.624 |
| 955.654 | -312.955 | -42.227 | -0.000 | 0.000 | -0.000 |
| -321.410 | 114.259 | 198.081 | -0.000 | 0.000 | 0.000 |
| -15.422 | 233.212 | 1068.885 | -0.000 | 0.000 | -0.000 |
| -0.000 | -0.004 | 0.005 | 8.908 | 0.000 | 0.000 |
| 0.202 | 0.053 | -0.024 | -0.000 | -255.695 | 0.000 |
| 0.009 | -0.008 | 0.003 | 0.000 | -0.000 | -234.940 |
| 954.658 | -314.041 | -42.058 | 0.000 | -0.000 | 0.000 |
| -319.026 | 114.676 | 198.876 | 0.000 | -0.000 | -0.000 |
| -78.824 | 148.752 | 1088.249 | 0.000 | -0.000 | -0.000 |
| 0.000 | 0.004 | -0.005 | 8.908 | -0.000 | -0.000 |
| -0.202 | -0.053 | 0.024 | 0.000 | -255.695 | -0.000 |
| -0.009 | 0.008 | -0.003 | -0.000 | 0.000 | -234.940 |
| -3349.608 | -3607.941 | -5581.772 | -1.063 | -0.005 | -0.007 |
| 21.002 | 565.937 | 36.427 | -3.580 | 0.000 | -0.000 |
| -4.185 | -4.179 | -1784.444 | -0.003 | 0.002 | 0.002 |
| 3.580 | -3.580 | 0.000 | 253.761 | 0.000 | -0.000 |
| -92.822 | -92.816 | -2061.432 | -0.003 | 115.086 | 6.080 |
| -0.000 | -0.000 | 0.000 | 0.000 | 3.580 | 272.467 |
| 565.937 | 21.002 | 36.427 | 3.580 | -0.000 | 0.000 |
| 3466.843 | 3790.458 | 5702.474 | 3.268 | 0.006 | 0.008 |
| 31.471 | 31.471 | 479.143 | 0.000 | -0.000 | 0.000 |
| 98.946 | 86.783 | 2062.434 | 115.019 | -0.002 | -0.002 |
| 92.822 | 92.816 | 2061.432 | 0.003 | 115.083 | 6.075 |
| -0.000 | 0.000 | -0.000 | -0.000 | 3.580 | 272.467 |
| -367.517 | -119.543 | -102.200 | 2.892 | 0.001 | 0.001 |
| 21.002 | 565.937 | 36.427 | -3.580 | 0.000 | -0.000 |
| 78.973 | 78.974 | 74.198 | -0.000 | 0.000 | 0.000 |
| -248.449 | -182.626 | -756.647 | 90.402 | 0.001 | 0.001 |
| 0.000 | 0.000 | 0.000 | -0.000 | 253.761 | 3.580 |
| 0.000 | 0.000 | 0.000 | 0.000 | 3.580 | 272.467 |
| 565.937 | 21.002 | 36.427 | 3.580 | -0.000 | 0.000 |
| 21.002 | 565.936 | 36.427 | -3.580 | -0.000 | 0.000 |
| 31.471 | 31.471 | 479.143 | -0.000 | -0.000 | 0.000 |
| 406.222 | 376.505 | 204.225 | -163.902 | -0.001 | -0.001 |
| -0.000 | -0.000 | -0.000 | 0.000 | 253.761 | 3.580 |
| -0.000 | -0.000 | -0.000 | -0.000 | 3.580 | 272.467 |
| 233.000 | 30.413 | 58.421 | -9.760 | 0.000 | 0.000 |
| 40.618 | 322.972 | 57.243 | 7.709 | -0.000 | -0.000 |
| 79.123 | 79.123 | 290.464 | -0.000 | 0.000 | 0.000 |
| 3.580 | -3.580 | 0.000 | 253.762 | 0.000 | -0.000 |
| 0.000 | 0.000 | 0.000 | -0.000 | 253.761 | 3.580 |
| 0.000 | 0.000 | 0.000 | 0.000 | 3.580 | 272.467 |
| 565.935 | 21.002 | 36.427 | 3.580 | 0.000 | 0.000 |
| 86.479 | 425.563 | 85.867 | -5.168 | -0.000 | -0.000 |
| 99.115 | 99.115 | 118.927 | 0.000 | -0.000 | -0.000 |
| 5.998 | -4.688 | 14.551 | 155.872 | -0.000 | -0.000 |
| -0.000 | -0.000 | -0.000 | 0.000 | 253.761 | 3.580 |
| -0.000 | -0.000 | -0.000 | -0.000 | 3.580 | 272.467 |
| 847.440 | 18.231 | 5.190 | 0.000 | 0.000 | -0.000 |
| 101.912 | 1022.804 | -54.675 | 0.000 | 0.001 | -0.000 |
| 74.949 | -69.360 | 1139.655 | 0.000 | 0.005 | -0.000 |
| -2.685 | 1.107 | 2.734 | 603.477 | 0.000 | -0.000 |
| -0.238 | -0.085 | 0.325 | 0.000 | 534.722 | -0.000 |
| 0.674 | 0.268 | -0.253 | 0.000 | 0.000 | 301.175 |
| 1197.189 | -24.491 | -256.419 | -0.000 | -0.000 | 0.000 |
| 100.608 | 1019.444 | -54.118 | -0.000 | 0.001 | 0.000 |
| 83.969 | -111.193 | 1164.329 | -0.000 | 0.000 | 0.000 |
| 2.685 | -1.107 | -2.734 | 603.477 | -0.000 | 0.000 |
| 0.238 | 0.085 | -0.325 | -0.000 | 534.722 | 0.000 |
| -0.674 | -0.268 | 0.253 | -0.000 | 0.000 | 301.175 |
| 800.867 | 10.108 | 43.297 | 0.000 | -0.000 | -0.000 |
| 95.029 | 1020.544 | -53.878 | 0.000 | 0.000 | -0.000 |
| 83.419 | -111.075 | 1164.937 | 0.000 | 0.000 | 0.000 |
| 0.111 | 0.132 | -0.019 | 603.185 | -0.000 | -0.000 |
| -0.000 | 0.000 | 0.000 | -0.000 | 1138.957 | 0.000 |
| 0.062 | 0.091 | 0.002 | 0.000 | 0.000 | 300.941 |
| 848.943 | 18.174 | 3.902 | -0.000 | -0.000 | -0.000 |
| 94.965 | 1020.215 | -53.959 | -0.000 | -0.000 | 0.000 |
| 83.495 | -111.094 | 1164.844 | -0.000 | -0.000 | 0.000 |
| -0.111 | -0.132 | 0.019 | 603.185 | 0.000 | 0.000 |
| 0.000 | -0.000 | -0.000 | -0.000 | 1138.957 | 0.000 |
| -0.062 | -0.091 | -0.002 | 0.000 | -0.000 | 300.941 |
| 754.977 | 31.853 | 29.150 | 0.000 | -0.000 | -0.000 |
| 95.013 | 1020.404 | -53.927 | 0.000 | -0.000 | -0.000 |
| 75.351 | -70.864 | 1138.799 | 0.000 | 0.000 | -0.000 |
| 0.011 | 0.014 | -0.001 | 603.185 | 0.000 | -0.000 |
| 0.006 | 0.010 | 0.003 | -0.000 | 460.658 | -0.000 |
| 0.007 | 0.009 | 0.000 | 0.000 | -0.000 | 300.941 |
| 754.978 | 31.818 | 29.135 | -0.000 | 0.000 | 0.000 |
| 94.982 | 1020.356 | -53.911 | -0.000 | 0.000 | 0.000 |
| 63.660 | -141.398 | 1204.991 | -0.000 | -0.000 | 0.000 |
| -0.011 | -0.014 | 0.001 | 603.185 | -0.000 | 0.000 |
| -0.006 | -0.010 | -0.003 | -0.000 | 460.658 | 0.000 |
| -0.007 | -0.009 | -0.000 | 0.000 | 0.000 | 300.941 |
| 913.367 | 306.402 | -188.161 | -0.000 | 0.000 | 0.000 |
| 306.402 | 913.367 | -188.161 | -0.000 | 0.000 | 0.000 |
| 106.975 | 106.975 | 1019.655 | -0.000 | -0.000 | -0.000 |
| -0.000 | 0.000 | 0.000 | 523.802 | -0.000 | 0.000 |
| 0.000 | 0.000 | 0.000 | -0.000 | 523.802 | 0.000 |
| 0.000 | 0.000 | 0.000 | -0.000 | -0.000 | 278.843 |
| 913.367 | 306.402 | -188.161 | 0.000 | -0.000 | -0.000 |
| 306.402 | 913.367 | -188.161 | 0.000 | -0.000 | -0.000 |
| -430.939 | -430.939 | 1855.290 | 0.000 | 0.000 | 0.000 |
| 0.000 | -0.000 | -0.000 | 523.802 | -0.000 | -0.000 |
| -0.000 | -0.000 | -0.000 | 0.000 | 523.802 | -0.000 |
| -0.000 | -0.000 | -0.000 | 0.000 | 0.000 | 278.843 |
| 502.400 | 745.810 | -210.251 | -0.000 | -0.000 | -0.000 |
| 745.810 | 502.400 | -210.251 | -0.000 | -0.000 | -0.000 |
| -135.087 | -135.087 | 1395.691 | -0.000 | -0.000 | -0.000 |
| 0.000 | 0.000 | 0.000 | 523.802 | -0.000 | 0.000 |
| 0.000 | 0.000 | 0.000 | -0.000 | 523.802 | 0.000 |
| 28.631 | 28.631 | -44.478 | -0.000 | -0.000 | 169.960 |
| 808.999 | 308.524 | -108.744 | 0.000 | 0.000 | 0.000 |
| 308.524 | 808.999 | -108.744 | 0.000 | -0.000 | 0.000 |
| -188.878 | -188.878 | 1479.253 | 0.000 | -0.000 | 0.000 |
| -0.000 | -0.000 | -0.000 | 523.802 | -0.000 | -0.000 |
| -0.000 | -0.000 | -0.000 | 0.000 | 523.802 | -0.000 |
| -28.631 | -28.631 | 44.478 | 0.000 | 0.000 | 169.960 |
| 478.180 | 721.655 | -172.671 | -0.000 | 0.000 | -0.000 |
| 721.655 | 478.180 | -172.671 | -0.000 | 0.000 | -0.000 |
| -159.294 | -159.294 | 1433.301 | 0.000 | -0.000 | -0.000 |
| 0.000 | 0.001 | 0.000 | 523.802 | 0.000 | 0.000 |
| 0.001 | 0.000 | 0.000 | -0.000 | 523.802 | 0.000 |
| 2.689 | 2.689 | -4.178 | -0.000 | 0.000 | 165.971 |
| 472.827 | 716.180 | -164.273 | 0.000 | 0.000 | 0.000 |
| 716.180 | 472.827 | -164.273 | 0.000 | 0.000 | 0.000 |
| -164.670 | -164.670 | 1441.643 | 0.000 | -0.000 | 0.000 |
| -0.000 | -0.001 | -0.000 | 523.802 | 0.000 | -0.000 |
| -0.001 | -0.000 | -0.000 | 0.000 | 523.802 | -0.000 |
| -2.689 | -2.689 | 4.178 | 0.000 | 0.000 | 165.971 |
| 755.039 | 46.280 | 46.280 | 0.000 | 0.000 | 0.000 |
| 46.280 | 755.039 | 46.280 | 0.000 | 0.000 | -0.000 |
| 46.280 | 46.280 | 755.039 | -0.000 | -0.000 | 0.000 |
| -16.571 | -16.571 | -16.571 | 384.841 | 0.000 | -0.000 |
| -16.571 | -16.571 | -16.571 | -0.000 | 384.841 | 0.000 |
| -16.571 | -16.571 | -16.571 | -0.000 | 0.000 | 384.841 |
| 755.144 | 127.094 | 127.094 | -0.000 | -0.000 | -0.000 |
| 127.094 | 755.144 | 127.094 | 0.000 | -0.000 | 0.000 |
| 127.094 | 127.094 | 755.144 | 0.000 | 0.000 | 0.000 |
| 16.571 | 16.571 | 16.571 | 384.841 | -0.000 | -0.000 |
| 16.571 | 16.571 | 16.571 | -0.000 | 384.841 | -0.000 |
| 16.571 | 16.571 | 16.571 | -0.000 | 0.000 | 384.841 |
| 715.179 | 84.130 | 84.130 | 0.000 | 0.000 | 0.000 |
| 84.130 | 715.179 | 84.130 | 0.000 | 0.000 | -0.000 |
| 84.130 | 84.130 | 715.179 | -0.000 | 0.000 | 0.000 |
| -1.760 | -1.760 | -1.760 | 384.312 | -0.000 | 0.000 |
| -1.760 | -1.760 | -1.760 | 0.000 | 384.312 | 0.000 |
| -1.760 | -1.760 | -1.760 | 0.000 | -0.000 | 384.312 |
| 702.826 | 102.193 | 102.193 | -0.000 | -0.000 | -0.000 |
| 102.193 | 702.826 | 102.193 | -0.000 | -0.000 | 0.000 |
| 102.193 | 102.193 | 702.826 | -0.000 | 0.000 | 0.000 |
| 1.760 | 1.760 | 1.760 | 384.312 | -0.000 | -0.000 |
| 1.760 | 1.760 | 1.760 | 0.000 | 384.312 | 0.000 |
| 1.760 | 1.760 | 1.760 | -0.000 | 0.000 | 384.312 |
| 698.812 | 97.546 | 97.546 | -0.000 | 0.000 | 0.000 |
| 97.546 | 698.812 | 97.546 | 0.000 | 0.000 | 0.000 |
| 97.546 | 97.546 | 698.812 | -0.000 | 0.000 | 0.000 |
| -0.639 | -0.639 | -0.639 | 331.232 | 0.000 | 0.000 |
| -0.639 | -0.639 | -0.639 | 0.000 | 331.232 | 0.000 |
| -0.639 | -0.639 | -0.639 | 0.000 | -0.000 | 331.232 |
| 744.780 | 76.440 | 76.440 | 0.000 | 0.000 | -0.000 |
| 76.440 | 744.780 | 76.440 | 0.000 | -0.000 | -0.000 |
| 76.440 | 76.440 | 744.780 | 0.000 | 0.000 | -0.000 |
| 0.639 | 0.639 | 0.639 | 331.232 | -0.000 | -0.000 |
| 0.639 | 0.639 | 0.639 | 0.000 | 331.232 | -0.000 |
| 0.639 | 0.639 | 0.639 | -0.000 | -0.000 | 331.232 |
| 553.711 | 119.121 | 119.121 | 0.000 | -0.000 | 0.000 |
| 119.121 | 553.711 | 119.121 | 0.000 | -0.000 | -0.000 |
| 119.121 | 119.121 | 553.711 | -0.000 | -0.000 | -0.000 |
| -0.000 | 0.000 | 0.000 | 334.939 | -0.000 | 0.000 |
| 0.000 | 0.000 | 0.000 | -0.000 | 334.939 | 0.000 |
| 0.000 | 0.000 | -0.000 | 0.000 | -0.000 | 334.939 |
| 544.959 | 123.497 | 123.497 | -0.000 | 0.000 | -0.000 |
| 123.497 | 544.959 | 123.497 | -0.000 | 0.000 | -0.000 |
| 123.497 | 123.497 | 544.959 | 0.000 | 0.000 | -0.000 |
| 0.000 | -0.000 | -0.000 | 334.939 | 0.000 | 0.000 |
| -0.000 | -0.000 | -0.000 | -0.000 | 334.939 | -0.000 |
| -0.000 | -0.000 | 0.000 | -0.000 | 0.000 | 334.939 |
| 544.959 | 123.497 | 123.497 | -0.000 | -0.000 | 0.000 |
| 123.497 | 544.959 | 123.497 | -0.000 | -0.000 | 0.000 |
| 123.497 | 123.497 | 544.959 | 0.000 | -0.000 | 0.000 |
| 0.000 | -0.000 | 0.000 | 334.939 | -0.000 | -0.000 |
| -0.000 | 0.000 | 0.000 | 0.000 | 334.939 | 0.000 |
| -0.000 | 0.000 | 0.000 | 0.000 | -0.000 | 334.939 |
| 544.959 | 123.497 | 123.497 | -0.000 | 0.000 | -0.000 |
| 123.497 | 544.959 | 123.497 | -0.000 | 0.000 | -0.000 |
| 123.497 | 123.497 | 544.959 | -0.000 | 0.000 | -0.000 |
| -0.000 | 0.000 | -0.000 | 334.939 | 0.000 | 0.000 |
| 0.000 | -0.000 | -0.000 | 0.000 | 334.939 | 0.000 |
| 0.000 | -0.000 | -0.000 | 0.000 | 0.000 | 334.939 |
| 544.960 | 123.497 | 123.497 | 0.000 | -0.000 | 0.000 |
| 123.497 | 544.960 | 123.497 | 0.000 | -0.000 | 0.000 |
| 123.497 | 123.497 | 544.960 | -0.000 | -0.000 | -0.000 |
| 0.000 | -0.000 | 0.000 | 337.947 | -0.000 | -0.000 |
| -0.000 | 0.000 | 0.000 | 0.000 | 337.947 | 0.000 |
| -0.000 | 0.000 | 0.000 | 0.000 | -0.000 | 337.947 |
| 544.958 | 123.496 | 123.496 | -0.000 | 0.000 | -0.000 |
| 123.496 | 544.958 | 123.496 | 0.000 | 0.000 | -0.000 |
| 123.496 | 123.496 | 544.958 | 0.000 | 0.000 | -0.000 |
| -0.000 | 0.000 | -0.000 | 337.947 | 0.000 | 0.000 |
| 0.000 | -0.000 | -0.000 | -0.000 | 337.947 | -0.000 |
| 0.000 | -0.000 | -0.000 | -0.000 | 0.000 | 337.947 |
| 166.517 | -100.680 | -100.680 | 0.000 | -0.000 | 0.000 |
| -100.680 | 166.517 | -100.680 | 0.000 | -0.000 | 0.000 |
| -100.680 | -100.680 | 166.517 | 0.000 | -0.000 | 0.000 |
| -33.393 | -33.393 | -33.393 | 146.254 | -0.000 | 0.000 |
| -33.393 | -33.393 | -33.393 | 0.000 | 146.253 | 0.000 |
| -33.393 | -33.393 | -33.393 | 0.000 | -0.000 | 146.254 |
| 372.509 | 88.546 | 88.546 | -0.000 | 0.000 | -0.000 |
| 88.545 | 372.509 | 88.546 | -0.000 | 0.000 | -0.000 |
| 88.545 | 88.546 | 372.509 | -0.000 | 0.000 | -0.000 |
| 33.393 | 33.393 | 33.393 | 146.254 | 0.000 | -0.000 |
| 33.393 | 33.393 | 33.393 | -0.000 | 146.254 | -0.000 |
| 33.393 | 33.393 | 33.393 | -0.000 | 0.000 | 146.253 |
| 289.477 | 24.858 | 24.858 | 0.000 | -0.000 | 0.000 |
| 24.858 | 289.477 | 24.858 | 0.000 | -0.000 | 0.000 |
| 24.858 | 24.858 | 289.477 | 0.000 | -0.000 | 0.000 |
| -14.061 | -14.061 | -14.061 | 140.882 | -0.000 | 0.000 |
| -14.061 | -14.061 | -14.061 | 0.000 | 140.882 | 0.000 |
| -14.061 | -14.061 | -14.061 | 0.000 | -0.000 | 140.882 |
| 468.539 | 13.753 | 13.753 | -0.000 | -0.000 | -0.000 |
| 13.753 | 468.539 | 13.753 | 0.000 | -0.000 | -0.000 |
| 13.753 | 13.753 | 468.539 | 0.000 | -0.000 | -0.000 |
| 14.061 | 14.061 | 14.061 | 140.882 | 0.000 | -0.000 |
| 14.061 | 14.061 | 14.061 | -0.000 | 140.882 | -0.000 |
| 14.061 | 14.061 | 14.061 | -0.000 | 0.000 | 140.882 |
| 62.002 | 3.443 | 3.443 | 0.000 | -0.000 | 0.000 |
| 3.443 | 62.002 | 3.443 | 0.000 | -0.000 | 0.000 |
| 3.443 | 3.443 | 62.002 | 0.000 | -0.000 | 0.000 |
| 0.000 | 0.000 | 0.000 | 232.269 | 0.000 | 0.000 |
| 0.000 | 0.000 | 0.000 | -0.000 | 232.269 | 0.000 |
| 0.000 | 0.000 | 0.000 | 0.000 | -0.000 | 232.269 |
| 44.948 | -40.786 | -40.786 | -0.000 | 0.000 | -0.000 |
| -40.786 | 44.948 | -40.786 | -0.000 | 0.000 | -0.000 |
| -40.786 | -40.786 | 44.948 | -0.000 | 0.000 | -0.000 |
| -0.000 | -0.000 | -0.000 | 232.269 | -0.000 | -0.000 |
| -0.000 | -0.000 | -0.000 | 0.000 | 232.269 | -0.000 |
| -0.000 | -0.000 | -0.000 | 0.000 | 0.000 | 232.269 |
| -588.626 | 2432.356 | 4186.032 | 0.000 | -0.001 | -0.002 |
| 446.996 | 2159.559 | 1368.769 | -0.000 | -0.002 | -0.001 |
| -2205.586 | 5229.020 | 4072.115 | -0.000 | -0.001 | -0.001 |
| 367.002 | 1828.545 | 1329.129 | 99.367 | -0.002 | -0.001 |
| -767.423 | 2332.046 | 4078.945 | 0.000 | 107.826 | -0.002 |
| 362.473 | 1835.333 | 1321.500 | -0.000 | -0.002 | 76.579 |
| 2613.571 | -5159.690 | -3685.067 | 0.000 | 0.001 | 0.001 |
| 2373.454 | -5054.550 | -3514.366 | -0.000 | 0.001 | 0.001 |
| 679.406 | -3790.435 | -2841.174 | 0.000 | 0.001 | 0.001 |
| 581.076 | -3799.305 | -3108.829 | 90.660 | 0.001 | 0.001 |
| 767.423 | -2332.046 | -4078.945 | -0.000 | 107.827 | 0.002 |
| -362.473 | -1835.333 | -1321.500 | 0.000 | 0.002 | 76.581 |
| 103.355 | 324.589 | 512.395 | 0.000 | -0.000 | -0.000 |
| 120.434 | 522.608 | 181.041 | -0.000 | -0.000 | -0.000 |
| 39.135 | 390.328 | 577.210 | -0.000 | -0.000 | -0.000 |
| 220.834 | -196.629 | 169.490 | 126.785 | -0.000 | -0.000 |
| 220.726 | -197.031 | 170.193 | 0.000 | 148.538 | -0.000 |
| -77.496 | 230.898 | 407.180 | 0.000 | -0.000 | 70.151 |
| 264.228 | -306.086 | -206.552 | 0.000 | 0.000 | 0.000 |
| -110.984 | 604.314 | -145.599 | -0.000 | 0.000 | 0.000 |
| 183.120 | -213.449 | -141.908 | -0.000 | 0.000 | 0.000 |
| 77.165 | -231.545 | -406.541 | 74.546 | 0.000 | 0.000 |
| -220.726 | 197.031 | -170.193 | -0.000 | 148.538 | 0.000 |
| 77.496 | -230.898 | -407.180 | -0.000 | 0.000 | 70.152 |
| 220.808 | 117.316 | 110.109 | -0.000 | -0.000 | -0.000 |
| 37.150 | 386.931 | 48.054 | -0.000 | -0.000 | 0.000 |
| 89.596 | 42.575 | 365.478 | -0.000 | -0.000 | -0.000 |
| -4.431 | 32.331 | 25.370 | 122.184 | -0.000 | -0.000 |
| -21.994 | 51.921 | 36.041 | 0.000 | 138.689 | -0.000 |
| -5.281 | 33.713 | 28.667 | -0.000 | -0.000 | 113.267 |
| 276.789 | 12.372 | 48.753 | -0.000 | 0.000 | 0.000 |
| 67.245 | 299.070 | -29.445 | -0.000 | 0.000 | 0.000 |
| 95.667 | -25.197 | 297.289 | -0.000 | -0.000 | 0.000 |
| 4.431 | -32.331 | -25.370 | 122.184 | 0.000 | 0.000 |
| 5.345 | -14.788 | -35.380 | -0.000 | 138.220 | 0.000 |
| 5.281 | -33.713 | -28.667 | 0.000 | 0.000 | 113.267 |
| 493.364 | 184.583 | 56.088 | -0.000 | -0.000 | 0.000 |
| 187.361 | 823.714 | 84.467 | 0.000 | -0.000 | 0.000 |
| 315.766 | 217.286 | 39.560 | 0.000 | -0.000 | -0.000 |
| -946.833 | -1433.730 | -2855.034 | -148.028 | -0.000 | 0.001 |
| -32.776 | -1225.754 | 176.550 | 0.000 | 152.775 | 0.001 |
| -32.685 | -1222.345 | 176.059 | 0.000 | -0.000 | 131.211 |
| 493.364 | 184.584 | 56.088 | 0.000 | -0.000 | -0.000 |
| 187.361 | 823.714 | 84.467 | -0.000 | 0.000 | -0.000 |
| 52.917 | 78.519 | 405.951 | 0.000 | 0.000 | -0.000 |
| 946.833 | 1433.730 | 2855.034 | -148.028 | 0.000 | -0.001 |
| 32.776 | 1225.754 | -176.550 | -0.000 | 152.775 | -0.001 |
| 32.685 | 1222.345 | -176.059 | -0.000 | 0.000 | 131.210 |
| 217.938 | 17.251 | 110.555 | 0.000 | -0.000 | 0.000 |
| 71.912 | 344.754 | 51.829 | 0.000 | -0.000 | 0.000 |
| 22.911 | -18.443 | -309.145 | 0.000 | -0.000 | 0.000 |
| -52.345 | -131.018 | -172.339 | -20.713 | -0.000 | 0.000 |
| 0.000 | -0.000 | 0.000 | 0.000 | 225.982 | 0.000 |
| -27.613 | -138.398 | -398.672 | 0.000 | -0.000 | 51.769 |
| 196.784 | 116.147 | 145.840 | 0.000 | 0.000 | 0.000 |
| 58.853 | 494.339 | 13.395 | -0.000 | 0.000 | -0.000 |
| 52.917 | 78.519 | 405.951 | -0.000 | 0.000 | -0.000 |
| -11.133 | 25.549 | 0.584 | 77.568 | 0.000 | -0.000 |
| -0.000 | 0.000 | -0.000 | 0.000 | 225.982 | -0.000 |
| -7.756 | 67.967 | -6.335 | -0.000 | 0.000 | 128.329 |
| 123.034 | 44.523 | -5.733 | 0.000 | -0.000 | 0.000 |
| 59.014 | 248.784 | 14.565 | 0.000 | -0.000 | 0.000 |
| 12.825 | 8.685 | -36.544 | -0.000 | -0.000 | 0.000 |
| -0.977 | -10.751 | -16.016 | 71.092 | -0.000 | 0.000 |
| 0.575 | -6.170 | 0.621 | 0.000 | 112.475 | 0.000 |
| 0.337 | -8.743 | 1.051 | 0.000 | -0.000 | 133.886 |
| 84.208 | 67.387 | 35.775 | 0.000 | 0.000 | 0.000 |
| 72.833 | 279.952 | 67.906 | -0.000 | 0.000 | -0.000 |
| 10.644 | 47.120 | 73.256 | -0.000 | 0.000 | -0.000 |
| 0.977 | 10.751 | 16.016 | 71.092 | 0.000 | -0.000 |
| -0.575 | 6.170 | -0.621 | -0.000 | 112.475 | -0.000 |
| 2.057 | 10.515 | 8.681 | -0.000 | 0.000 | 97.695 |
| 2082.381 | 1795.486 | -1308.149 | 0.000 | 0.000 | -0.000 |
| 1795.486 | 2082.381 | -1308.149 | -0.000 | -0.000 | -0.000 |
| 3609.047 | 3609.047 | -1266.728 | -0.000 | -0.000 | -0.001 |
| 3102.106 | 3102.106 | -1203.098 | 50.096 | -0.000 | 0.001 |
| 1005.958 | 1005.958 | -1075.763 | -0.000 | 107.790 | 0.001 |
| 0.000 | 0.000 | 0.000 | 0.000 | -0.000 | 260.297 |
| 531.335 | 5.167 | 29.054 | 0.000 | 0.000 | -0.000 |
| 5.167 | 531.335 | 29.054 | -0.000 | 0.000 | -0.000 |
| -1726.091 | -1726.091 | 1591.679 | 0.000 | 0.000 | 0.000 |
| -3102.106 | -3102.106 | 1203.098 | 50.096 | 0.000 | -0.001 |
| -1005.958 | -1005.958 | 1075.763 | 0.000 | 107.790 | -0.001 |
| 0.000 | -0.000 | -0.000 | -0.000 | 0.000 | 260.297 |
| 476.004 | 207.849 | -76.088 | -0.000 | -0.000 | -0.000 |
| 207.849 | 476.004 | -76.088 | -0.000 | 0.000 | -0.000 |
| 175.847 | 175.847 | 182.688 | -0.000 | -0.000 | 0.000 |
| 0.000 | 0.000 | 0.000 | 244.251 | 0.000 | 0.000 |
| 0.000 | 0.000 | 0.000 | 0.000 | 244.251 | 0.000 |
| 297.421 | 297.421 | 84.738 | -0.000 | -0.000 | 68.384 |
| 119.753 | -147.609 | 203.508 | 0.000 | 0.000 | 0.000 |
| -147.609 | 119.753 | 203.508 | 0.000 | 0.000 | 0.000 |
| -351.568 | -351.568 | -65.960 | 0.000 | 0.000 | 0.000 |
| -0.000 | -0.000 | -0.000 | 244.251 | -0.000 | -0.000 |
| -0.000 | -0.000 | -0.000 | -0.000 | 244.251 | -0.000 |
| -297.421 | -297.421 | -84.738 | 0.000 | 0.000 | 68.384 |
| 181.165 | 16.238 | -7.055 | -0.000 | -0.000 | -0.000 |
| 51.233 | 239.828 | 45.287 | 0.000 | -0.000 | 0.000 |
| 89.356 | 89.356 | 176.698 | -0.000 | -0.000 | -0.000 |
| 15.709 | 15.709 | -12.978 | 115.498 | -0.000 | 0.000 |
| 15.709 | 15.709 | -12.978 | -0.000 | 115.498 | 0.000 |
| 17.403 | 17.403 | -14.468 | -0.000 | -0.000 | 131.559 |
| 256.512 | 28.789 | 86.854 | 0.000 | 0.000 | 0.000 |
| 28.789 | 256.512 | 86.854 | 0.000 | 0.000 | 0.000 |
| -53.005 | -53.005 | -20.393 | 0.000 | 0.000 | 0.000 |
| -15.709 | -15.709 | 12.978 | 115.498 | 0.000 | -0.000 |
| -15.709 | -15.709 | 12.978 | 0.000 | 115.498 | -0.000 |
| -20.453 | -20.453 | 10.623 | 0.000 | 0.000 | 110.515 |
| 24400.922 | -3999.049 | -9261.327 | -0.000 | 0.000 | 0.000 |
| 27393.202 | -8752.248 | 3119.640 | -0.000 | 0.000 | -0.000 |
| 1718.259 | -2855.624 | 1660.985 | 0.000 | 0.000 | 0.000 |
| 27689.434 | -9122.113 | 3202.319 | 172.905 | 0.000 | 0.000 |
| 1664.443 | -2902.173 | 1213.910 | 0.000 | 165.256 | 0.000 |
| 27693.814 | -9120.748 | 3200.945 | -0.000 | -0.000 | 240.752 |
| -1333.428 | 2966.880 | -1163.640 | -0.000 | -0.000 | -0.000 |
| -1604.653 | 3256.706 | -1165.027 | -0.000 | 0.000 | -0.000 |
| -1610.770 | 2948.646 | -766.544 | -0.000 | -0.000 | -0.000 |
| -27689.266 | 9122.440 | -3201.418 | 172.909 | -0.000 | -0.000 |
| -1664.443 | 2902.173 | -1213.910 | -0.000 | 165.256 | 0.000 |
| -27693.814 | 9120.748 | -3200.945 | -0.000 | 0.000 | 240.752 |
| 1501.484 | -381.230 | -1054.961 | 0.000 | -0.000 | 0.000 |
| 226.213 | 64.876 | 170.069 | 0.000 | 0.000 | 0.000 |
| 220.868 | -243.229 | 567.079 | 0.000 | -0.000 | 0.000 |
| 166.392 | -290.127 | 121.353 | 159.355 | -0.000 | 0.000 |
| 0.000 | 0.000 | 0.000 | 0.000 | 232.625 | 0.000 |
| 166.480 | -290.279 | 121.417 | 0.000 | 0.000 | 141.428 |
| 163.676 | 355.282 | -70.882 | -0.000 | 0.000 | -0.000 |
| -3219.146 | 816.624 | 87.069 | -0.000 | -0.000 | 0.000 |
| -2931.893 | 847.700 | -46.310 | -0.000 | -0.000 | -0.000 |
| -166.392 | 290.127 | -121.353 | 159.355 | -0.000 | -0.000 |
| -0.000 | -0.000 | -0.000 | -0.000 | 232.625 | 0.000 |
| -166.480 | 290.279 | -121.417 | -0.000 | 0.000 | 141.428 |
| 278.792 | 44.151 | 34.361 | 0.000 | -0.000 | 0.000 |
| 31.103 | -121.379 | -102.253 | -0.000 | -0.000 | 0.000 |
| 108.833 | -28.150 | 4.759 | 0.000 | -0.000 | 0.000 |
| 283.027 | -85.208 | 51.794 | 17.878 | -0.000 | 0.000 |
| 212.733 | -50.997 | -43.356 | -0.000 | -47.543 | -0.000 |
| 53.518 | -16.772 | -17.412 | 0.000 | -0.000 | -18.823 |
| -262.420 | 139.343 | 12.586 | -0.000 | 0.000 | 0.000 |
| -367.679 | -11.223 | -55.329 | -0.000 | -0.000 | 0.000 |
| -237.782 | -11.328 | -8.302 | -0.000 | -0.000 | 0.000 |
| -283.027 | 85.208 | -51.794 | 17.878 | -0.000 | 0.000 |
| -212.733 | 50.997 | 43.356 | -0.000 | -47.543 | -0.000 |
| -53.518 | 16.772 | 17.412 | -0.000 | 0.000 | -18.823 |
| 671.259 | 357.236 | 357.236 | -0.000 | 0.000 | 0.000 |
| 357.236 | 671.259 | 357.236 | -0.000 | -0.000 | 0.000 |
| 357.236 | 357.236 | 671.259 | -0.000 | 0.000 | -0.000 |
| 0.000 | 0.000 | 0.000 | 110.340 | 0.000 | 0.000 |
| 0.000 | 0.000 | 0.000 | 0.000 | 110.341 | 0.000 |
| 0.000 | 0.000 | 0.000 | 0.000 | 0.000 | 110.340 |
| 671.259 | 357.236 | 357.236 | 0.000 | 0.000 | -0.000 |
| 357.236 | 671.259 | 357.236 | 0.000 | -0.000 | -0.000 |
| 357.236 | 357.236 | 671.259 | -0.000 | -0.000 | -0.000 |
| -0.000 | -0.000 | -0.000 | 110.340 | -0.000 | -0.000 |
| -0.000 | -0.000 | -0.000 | -0.000 | 110.340 | -0.000 |
| -0.000 | -0.000 | -0.000 | -0.000 | -0.000 | 110.340 |
| 671.259 | 357.236 | 357.236 | -0.000 | -0.000 | -0.000 |
| 357.236 | 671.259 | 357.236 | -0.000 | 0.000 | 0.000 |
| 357.236 | 357.236 | 671.259 | -0.000 | 0.000 | -0.000 |
| 0.000 | 0.000 | 0.000 | 162.529 | 0.000 | 0.000 |
| 0.000 | 0.000 | 0.000 | 0.000 | 162.529 | 0.000 |
| 0.000 | 0.000 | 0.000 | 0.000 | 0.000 | 162.529 |
| 671.258 | 357.236 | 357.236 | 0.000 | -0.000 | 0.000 |
| 357.236 | 671.258 | 357.236 | 0.000 | -0.000 | -0.000 |
| 357.236 | 357.236 | 671.258 | -0.000 | -0.000 | -0.000 |
| -0.000 | -0.000 | -0.000 | 162.529 | -0.000 | -0.000 |
| -0.000 | -0.000 | -0.000 | -0.000 | 162.529 | -0.000 |
| -0.000 | -0.000 | -0.000 | -0.000 | -0.000 | 162.529 |
| 671.261 | 357.237 | 357.237 | -0.000 | 0.000 | 0.000 |
| 357.237 | 671.261 | 357.237 | -0.000 | -0.000 | 0.000 |
| 357.237 | 357.237 | 671.261 | 0.000 | 0.000 | -0.000 |
| 0.000 | -0.000 | 0.000 | 110.340 | 0.000 | -0.000 |
| -0.000 | 0.000 | 0.000 | 0.000 | 110.340 | 0.000 |
| -0.000 | 0.000 | 0.000 | 0.000 | 0.000 | 110.340 |
| 671.257 | 357.235 | 357.235 | 0.000 | 0.000 | -0.000 |
| 357.235 | 671.257 | 357.235 | 0.000 | 0.000 | -0.000 |
| 357.235 | 357.235 | 671.257 | -0.000 | -0.000 | -0.000 |
| -0.000 | 0.000 | -0.000 | 110.340 | -0.000 | -0.000 |
| 0.000 | -0.000 | -0.000 | -0.000 | 110.340 | -0.000 |
| 0.000 | -0.000 | -0.000 | -0.000 | -0.000 | 110.340 |
| 1.568 | 0.535 | -0.423 | 0.062 | 0.207 | 0.876 |
| 0.468 | 0.208 | 0.747 | 0.305 | -0.002 | -0.208 |
| 24.273 | -4.905 | 24.247 | 17.956 | -27.912 | -9.769 |
| -1.719 | 0.274 | 0.353 | 0.310 | 0.030 | 0.035 |
| 0.753 | 18.766 | 1.152 | -0.001 | 0.903 | -0.075 |
| 2.492 | -6.840 | -9.636 | -5.479 | -6.136 | -3.851 |
| -0.000 | -0.000 | -0.000 | -0.000 | -0.000 | -0.000 |
| -0.000 | -0.000 | -0.000 | -0.000 | -0.000 | -0.000 |
| -0.000 | -0.000 | -0.000 | -0.000 | -0.000 | -0.000 |
| 1.210 | 1.136 | 1.130 | -1.131 | 0.181 | 0.026 |
| -0.161 | -0.403 | -0.060 | 0.080 | 0.018 | -0.133 |
| 0.004 | -0.416 | 0.585 | 2.282 | -0.471 | -0.043 |
| 0.455 | 1.606 | 1.638 | -2.307 | 0.499 | 0.102 |
| -82.431 | -15.527 | -98.860 | 69.184 | 224.686 | 51.481 |
| -10.940 | -16.375 | 18.520 | -0.808 | -4.467 | 19.226 |
| -2.452 | 0.408 | 0.408 | 0.402 | 0.082 | 0.084 |
| 0.005 | 0.008 | 0.016 | -0.011 | -0.009 | 0.003 |
| 0.529 | 0.508 | -0.511 | -0.414 | -0.425 | 0.518 |
| -0.000 | -0.000 | -0.000 | -0.000 | -0.000 | -0.000 |
| -0.000 | -0.000 | -0.000 | -0.000 | -0.000 | -0.000 |
| -0.000 | -0.000 | -0.000 | -0.000 | -0.000 | -0.000 |
| 2.643 | 0.358 | 0.359 | -0.359 | 0.168 | -0.169 |
| -0.019 | 0.001 | 0.007 | -0.003 | -0.001 | 0.010 |
| -0.000 | -0.000 | 0.005 | -0.001 | 0.001 | 0.000 |
| 0.000 | -0.000 | 0.000 | -0.000 | -0.000 | 0.000 |
| 0.000 | 0.000 | 0.000 | 0.000 | -0.000 | 0.000 |
| -0.848 | 0.312 | 0.802 | -0.661 | 0.205 | 0.713 |
| 0.002 | 0.002 | 0.001 | -0.001 | 0.001 | -0.001 |
| 0.014 | 0.534 | 0.246 | -0.055 | -0.218 | 0.082 |
| -0.000 | -0.000 | -0.000 | -0.000 | 0.000 | 0.000 |
| -0.000 | -0.000 | -0.000 | -0.000 | -0.000 | -0.000 |
| -0.000 | -0.000 | -0.000 | -0.000 | -0.000 | -0.000 |
| -0.000 | -0.000 | -0.000 | -0.000 | -0.000 | -0.000 |
| 0.073 | -0.003 | -0.003 | 0.003 | 0.010 | -0.007 |
| -0.000 | -0.000 | -0.000 | -0.000 | 0.000 | 0.000 |
| 0.000 | 0.000 | -0.000 | -0.000 | -0.000 | -0.000 |
| 309.076 | 272.147 | 281.291 | 0.000 | 0.000 | 0.000 |
| 272.147 | 309.076 | 281.291 | 0.000 | 0.000 | 0.000 |
| 269.260 | 269.261 | 294.405 | 0.000 | 0.000 | 0.000 |
| 0.107 | 0.107 | 0.923 | 96.164 | -0.000 | 0.000 |
| 0.107 | 0.107 | 0.923 | -0.000 | 96.164 | 0.000 |
| 0.037 | 0.037 | 0.321 | -0.000 | 0.000 | 178.780 |
| 308.944 | 272.016 | 280.154 | -0.000 | -0.000 | -0.000 |
| 272.016 | 308.944 | 280.154 | -0.000 | -0.000 | -0.000 |
| 269.126 | 269.126 | 293.239 | -0.000 | 0.000 | -0.000 |
| -0.107 | -0.107 | -0.923 | 96.164 | -0.000 | -0.000 |
| -0.107 | -0.107 | -0.923 | -0.000 | 96.164 | -0.000 |
| -0.037 | -0.037 | -0.321 | 0.000 | -0.000 | 178.780 |
| 309.017 | 272.088 | 280.780 | 0.000 | -0.000 | 0.000 |
| 272.088 | 309.017 | 280.780 | 0.000 | 0.000 | 0.000 |
| 286.710 | 286.710 | 445.233 | 0.000 | -0.000 | 0.000 |
| 0.000 | -0.000 | 0.000 | 132.735 | -0.000 | 0.000 |
| -0.000 | 0.000 | 0.000 | -0.000 | 132.735 | 0.000 |
| 0.004 | 0.004 | 0.032 | 0.000 | -0.000 | 178.780 |
| 311.136 | 274.108 | 298.670 | 0.000 | 0.000 | -0.000 |
| 274.108 | 311.136 | 298.670 | 0.000 | 0.000 | -0.000 |
| 286.709 | 286.709 | 445.233 | -0.000 | -0.000 | -0.000 |
| -0.000 | 0.000 | -0.000 | 132.735 | -0.000 | -0.000 |
| 0.000 | -0.000 | -0.000 | 0.000 | 132.735 | -0.000 |
| -0.004 | -0.004 | -0.032 | 0.000 | 0.000 | 178.780 |
| 311.136 | 274.109 | 298.671 | -0.000 | -0.000 | 0.000 |
| 274.109 | 311.136 | 298.671 | 0.000 | -0.000 | 0.000 |
| 269.195 | 269.195 | 293.828 | -0.000 | -0.000 | 0.000 |
| 0.001 | 0.001 | 0.009 | 96.162 | 0.000 | 0.000 |
| 0.001 | 0.001 | 0.009 | 0.000 | 96.162 | 0.000 |
| 0.000 | 0.001 | 0.000 | -0.000 | -0.000 | 178.870 |
| 311.135 | 274.107 | 298.670 | 0.000 | -0.000 | -0.000 |
| 274.107 | 311.135 | 298.670 | 0.000 | -0.000 | -0.000 |
| 269.191 | 269.191 | 293.816 | 0.000 | 0.000 | -0.000 |
| -0.001 | -0.001 | -0.009 | 96.162 | -0.000 | -0.000 |
| -0.001 | -0.001 | -0.009 | 0.000 | 96.162 | -0.000 |
| -0.000 | -0.001 | -0.000 | 0.000 | 0.000 | 178.870 |
| 600.289 | 230.149 | 258.799 | 6.025 | -0.000 | 0.000 |
| 310.205 | 515.871 | 243.852 | -23.004 | -0.000 | 0.000 |
| 237.847 | 237.848 | 692.293 | 0.000 | -0.000 | 0.000 |
| 6.025 | -6.025 | -0.001 | 159.962 | -0.000 | 0.000 |
| -2.412 | -2.412 | -336.011 | 0.000 | 147.805 | 12.360 |
| -2.828 | -2.828 | -393.901 | 0.000 | 13.451 | 152.609 |
| 600.289 | 230.149 | 258.801 | 6.025 | 0.000 | -0.000 |
| 230.149 | 600.289 | 258.801 | -6.025 | 0.000 | -0.000 |
| 235.487 | 235.487 | 1253.729 | -0.000 | 0.000 | -0.000 |
| 6.025 | -6.025 | 0.001 | 159.962 | 0.000 | -0.000 |
| 2.412 | 2.412 | 336.011 | -0.000 | 147.805 | 12.360 |
| 2.828 | 2.828 | 393.901 | -0.000 | 13.452 | 152.609 |
| 600.289 | 230.149 | 258.800 | 6.025 | -0.000 | 0.000 |
| 300.027 | 530.063 | 270.118 | -20.320 | -0.000 | 0.000 |
| 240.439 | 240.439 | 657.154 | 0.000 | -0.000 | 0.000 |
| 6.025 | -6.025 | -0.000 | 159.962 | -0.000 | 0.000 |
| -0.777 | -0.777 | -108.256 | 0.000 | 120.795 | 26.436 |
| -0.562 | -0.562 | -78.351 | 0.000 | 20.797 | 120.501 |
| 535.356 | 294.316 | 167.970 | 20.793 | 0.000 | -0.000 |
| 230.149 | 600.289 | 258.800 | -6.025 | 0.000 | -0.000 |
| 240.822 | 240.822 | 612.135 | -0.000 | 0.000 | -0.000 |
| 25.051 | -25.227 | -64.395 | 113.669 | 0.000 | -0.000 |
| 0.777 | 0.777 | 108.256 | -0.000 | 120.795 | 26.436 |
| 0.562 | 0.562 | 78.351 | -0.000 | 20.797 | 120.501 |
| 538.934 | 289.631 | 93.136 | 19.848 | -0.000 | 0.000 |
| 332.870 | 496.995 | 243.993 | 0.787 | -0.000 | 0.000 |
| 233.955 | 233.955 | 166.737 | 0.000 | -0.000 | 0.000 |
| 6.025 | -6.025 | -0.003 | 159.961 | -0.000 | 0.000 |
| -0.083 | -0.083 | -11.539 | 0.000 | 118.131 | 27.824 |
| -0.000 | 0.000 | 0.000 | 0.000 | 6.025 | 185.070 |
| 530.252 | 300.458 | 292.859 | 20.016 | 0.000 | -0.000 |
| 333.183 | 496.842 | 241.616 | 0.784 | 0.000 | -0.000 |
| 240.656 | 240.656 | 634.766 | -0.000 | 0.000 | -0.000 |
| 6.025 | -6.025 | 0.003 | 159.962 | 0.000 | -0.000 |
| 0.083 | 0.083 | 11.539 | -0.000 | 118.131 | 27.824 |
| 0.000 | -0.000 | -0.000 | -0.000 | 6.025 | 185.070 |
| 491.012 | 150.502 | -23435.934 | 8.569 | 0.000 | 0.000 |
| 152.031 | 493.064 | -22954.551 | -8.509 | -0.000 | 0.000 |
| 323.432 | 323.432 | -28441.253 | 0.000 | 0.000 | 0.000 |
| -86.465 | -104.091 | -25622.511 | 152.288 | 0.000 | 0.000 |
| 0.000 | -0.000 | -0.000 | 0.000 | 158.445 | 5.626 |
| 31.844 | 31.844 | -39055.089 | 0.000 | 30.617 | 62.563 |
| 592.012 | 225.782 | 257.040 | 5.626 | -0.000 | -0.000 |
| 256.754 | 396.813 | 29335.784 | -25.975 | -0.000 | -0.000 |
| 160.242 | 160.242 | 29714.258 | -0.000 | -0.000 | -0.000 |
| -59.491 | -102.181 | 29270.007 | 104.692 | -0.000 | 0.000 |
| -0.000 | 0.000 | 0.000 | -0.000 | 158.445 | 5.626 |
| -31.869 | -31.869 | 39057.735 | -0.000 | 30.622 | 62.542 |
| 522.472 | 311.053 | -2722.845 | 7.167 | 0.000 | 0.000 |
| 229.590 | 570.785 | -2075.359 | -8.491 | 0.000 | 0.000 |
| 249.854 | 249.854 | -2304.815 | 0.000 | -0.000 | 0.000 |
| 5.626 | -5.626 | -0.000 | 158.445 | -0.000 | 0.000 |
| 8.436 | 8.436 | -2820.730 | 0.000 | 105.467 | 19.313 |
| -0.000 | 0.000 | 0.000 | 0.000 | 5.626 | 183.115 |
| 587.380 | 249.451 | 2827.923 | 8.865 | -0.000 | -0.000 |
| 225.782 | 592.012 | 257.040 | -5.626 | -0.000 | -0.000 |
| 233.558 | 233.558 | 3519.616 | -0.000 | -0.000 | -0.000 |
| 18.393 | 0.741 | 2572.831 | 152.262 | -0.000 | -0.000 |
| -8.436 | -8.436 | 2820.730 | -0.000 | 105.467 | 19.313 |
| 0.000 | -0.000 | -0.000 | -0.000 | 5.626 | 183.115 |
| 515.270 | 302.109 | -63.655 | 21.560 | -0.000 | 0.000 |
| 299.593 | 518.372 | 9.213 | -20.899 | 0.000 | 0.000 |
| 242.542 | 242.542 | 316.692 | 0.000 | 0.000 | 0.000 |
| 27.716 | -26.494 | -265.563 | 110.168 | 0.000 | -0.000 |
| 1.016 | 1.017 | -319.424 | -0.000 | 102.803 | 3.570 |
| 1.197 | 1.198 | -335.268 | -0.000 | 3.318 | 93.507 |
| 567.340 | 253.425 | 677.566 | 11.612 | -0.000 | -0.000 |
| 253.402 | 567.361 | 677.221 | -11.607 | -0.000 | -0.000 |
| 240.910 | 240.910 | 904.393 | -0.000 | 0.000 | -0.000 |
| 10.996 | -8.524 | 332.360 | 150.458 | -0.000 | 0.000 |
| -1.016 | -1.017 | 319.424 | 0.000 | 102.803 | 3.570 |
| -1.197 | -1.198 | 335.268 | 0.000 | 3.318 | 93.507 |
| 797.654 | 516.316 | 676.582 | 0.000 | 414.364 | 0.000 |
| 272.479 | 503.170 | 346.662 | -0.038 | 84.931 | -0.000 |
| 392.822 | 412.202 | 1002.629 | -0.034 | 32.862 | -0.000 |
| -15.598 | -65.318 | -104.779 | 237.915 | -9.852 | 100.058 |
| 43.469 | 12.705 | -81.758 | -0.041 | 165.498 | -0.000 |
| -11.793 | -44.188 | -96.136 | 71.021 | -9.910 | -78.600 |
| 462.918 | 349.391 | 515.622 | 0.077 | 104.476 | 0.001 |
| 205.728 | 782.518 | 318.225 | 0.053 | -2.008 | 0.000 |
| 464.478 | 613.842 | 722.155 | 0.034 | 93.924 | 0.000 |
| 12.727 | 42.179 | 103.589 | 320.304 | 10.153 | 151.959 |
| 80.639 | 125.503 | 153.444 | 0.026 | 187.442 | 0.000 |
| 15.107 | 73.023 | 109.346 | 78.351 | 8.877 | 75.691 |
| 535.872 | 262.630 | 346.776 | -0.004 | 80.976 | -0.000 |
| 265.202 | 526.712 | 558.061 | -0.007 | 64.909 | -0.000 |
| 403.524 | 447.376 | 1090.472 | -0.003 | 41.376 | -0.000 |
| -0.372 | -0.637 | 5.452 | 226.808 | -0.645 | 82.793 |
| 66.403 | 60.598 | 59.026 | -0.003 | 172.744 | -0.000 |
| -1.955 | -4.227 | -14.182 | 76.562 | -1.609 | -79.532 |
| 451.533 | 276.616 | 490.837 | 0.003 | 92.472 | 0.000 |
| 269.387 | 538.533 | 576.923 | 0.000 | 66.690 | 0.000 |
| 405.346 | 454.034 | 1103.752 | 0.003 | 42.879 | 0.000 |
| 0.372 | 0.637 | -5.452 | 226.814 | 0.645 | 82.794 |
| 69.453 | 71.404 | 76.217 | 0.004 | 174.093 | 0.000 |
| 1.956 | 4.230 | 14.182 | 76.571 | 1.609 | -79.532 |
| 443.082 | 283.823 | 464.150 | -0.000 | 93.461 | -0.000 |
| 263.377 | 527.580 | 571.002 | -0.000 | 63.335 | -0.000 |
| 454.502 | 581.379 | 576.690 | -0.000 | 67.063 | -0.000 |
| -0.053 | 0.241 | -1.146 | 226.641 | 0.029 | 72.661 |
| 68.183 | 64.789 | 65.706 | -0.001 | 173.105 | -0.000 |
| -0.153 | -0.611 | -1.009 | 70.765 | -0.126 | -79.829 |
| 443.230 | 284.583 | 467.522 | 0.000 | 93.099 | 0.000 |
| 262.591 | 528.655 | 572.153 | 0.000 | 63.776 | 0.000 |
| 454.822 | 582.110 | 578.512 | 0.000 | 67.167 | 0.000 |
| 0.053 | -0.241 | 1.146 | 226.642 | -0.029 | 72.661 |
| 68.572 | 66.399 | 68.766 | 0.000 | 173.427 | 0.000 |
| 0.235 | 0.738 | 1.183 | 70.839 | 0.237 | -79.787 |
| 79.462 | -5211.007 | 2007.558 | 1592.371 | -814.837 | -2211.151 |
| 66.234 | -5274.101 | 1764.059 | 1129.598 | -3804.537 | -896.398 |
| 435.925 | -4048.505 | 1321.500 | 673.254 | -4985.341 | -460.647 |
| -858.847 | -5597.031 | 1584.397 | 1836.193 | -731.755 | -2262.928 |
| -546.466 | -5860.013 | 1384.877 | 1236.846 | -3825.557 | -938.181 |
| -388.773 | -5780.938 | 1411.663 | 1145.394 | -3867.535 | -720.918 |
| 1164.497 | 4879.361 | -741.992 | -1705.695 | 4167.407 | 558.572 |
| -237.247 | 3629.050 | -2638.316 | -946.022 | 3882.241 | 53.983 |
| 711.906 | 7403.799 | -3044.641 | -2417.683 | 2410.301 | 2560.639 |
| 385.463 | 5800.764 | -1433.663 | -1086.758 | 3838.454 | 858.439 |
| -687.402 | 3105.797 | -2843.170 | -993.752 | 3779.180 | 98.465 |
| 490.748 | 7182.697 | -3397.570 | -2398.980 | 2322.582 | 2678.054 |
| 326.329 | 178.211 | 427.154 | -0.140 | -357.899 | 51.724 |
| 399.159 | 199.855 | 388.615 | 62.832 | -521.580 | -3.203 |
| 194.917 | -13.915 | 469.354 | 11.544 | -528.935 | 27.866 |
| -161.826 | -440.003 | 101.372 | 229.070 | -569.904 | -65.684 |
| -20.525 | -385.592 | 51.844 | 148.652 | -486.727 | -74.111 |
| -16.715 | -375.030 | 193.841 | 110.747 | -523.073 | 116.371 |
| 558.812 | 919.191 | 65.647 | -219.234 | 484.694 | 108.877 |
| 467.320 | 1283.004 | 179.623 | -193.164 | 10.781 | 292.176 |
| 163.328 | 675.156 | 23.088 | -102.443 | 423.751 | 65.988 |
| 7.852 | 385.230 | -198.313 | -48.497 | 482.505 | 14.039 |
| 16.472 | 436.886 | -287.039 | -98.786 | 501.896 | -4.265 |
| 117.634 | 640.771 | -108.920 | -199.074 | 313.766 | 275.562 |
| 439.725 | 481.614 | 212.624 | -57.771 | -136.810 | 34.237 |
| 493.850 | 554.042 | 384.740 | -29.240 | -60.124 | 15.078 |
| 262.289 | 311.510 | 509.045 | -16.669 | -3.446 | 24.797 |
| -73.613 | -76.341 | -47.048 | 121.889 | 0.740 | -37.979 |
| -91.443 | -8.976 | -32.723 | 49.337 | -96.530 | -49.504 |
| 37.669 | 16.865 | 52.491 | -10.939 | -92.114 | 164.288 |
| 477.076 | 538.456 | 210.549 | -83.561 | -9.322 | 38.560 |
| 543.549 | 617.736 | 392.087 | -67.459 | 42.100 | 36.767 |
| 241.097 | 442.567 | 449.004 | -71.771 | 20.174 | 58.047 |
| -70.294 | 40.572 | -60.281 | 100.361 | 61.996 | -15.044 |
| -46.643 | 59.372 | -10.648 | 17.491 | 49.780 | -34.885 |
| 65.186 | 56.816 | 62.412 | -38.643 | 16.604 | 166.279 |
| 393.220 | 363.023 | 363.023 | 0.000 | 0.000 | 0.000 |
| 363.023 | 393.220 | 363.023 | 0.000 | 0.000 | 0.000 |
| 363.023 | 363.023 | 393.220 | 0.000 | -0.000 | 0.000 |
| 0.000 | 0.000 | 0.000 | -301.888 | 0.000 | -0.000 |
| 0.000 | 0.000 | -0.000 | 0.000 | -301.888 | 0.000 |
| -0.000 | -0.000 | 0.000 | 0.000 | 0.000 | -301.888 |
| 331.133 | 394.066 | 394.066 | -0.000 | -0.000 | -0.000 |
| 394.066 | 331.133 | 394.066 | -0.000 | -0.000 | -0.000 |
| 394.066 | 394.066 | 331.133 | -0.000 | -0.000 | -0.000 |
| 0.000 | -0.000 | 0.000 | -301.888 | -0.000 | -0.000 |
| -0.000 | -0.000 | 0.000 | -0.000 | -301.888 | -0.000 |
| -0.000 | -0.000 | -0.000 | -0.000 | -0.000 | -301.888 |
| 331.133 | 394.066 | 394.066 | 0.000 | 0.000 | 0.000 |
| 394.066 | 331.133 | 394.066 | 0.000 | 0.000 | 0.000 |
| 394.066 | 394.066 | 331.133 | 0.000 | -0.000 | 0.000 |
| 0.000 | -0.000 | -0.000 | -301.888 | 0.000 | -0.000 |
| -0.000 | 0.000 | -0.000 | 0.000 | -301.888 | -0.000 |
| -0.000 | -0.000 | 0.000 | 0.000 | 0.000 | -301.888 |
| 393.220 | 363.023 | 363.023 | -0.000 | 0.000 | -0.000 |
| 363.023 | 393.220 | 363.023 | -0.000 | -0.000 | -0.000 |
| 363.023 | 363.023 | 393.220 | -0.000 | -0.000 | -0.000 |
| -0.000 | 0.000 | 0.000 | -301.888 | -0.000 | -0.000 |
| 0.000 | -0.000 | 0.000 | -0.000 | -301.888 | -0.000 |
| 0.000 | 0.000 | -0.000 | -0.000 | -0.000 | -301.888 |
| 331.135 | 394.068 | 394.068 | 0.000 | -0.000 | 0.000 |
| 394.068 | 331.135 | 394.068 | 0.000 | 0.000 | 0.000 |
| 394.068 | 394.068 | 331.135 | 0.000 | -0.000 | 0.000 |
| 13112910.128 | 13993703.675 | 13777100.913 | -532891.366 | 111740.985 | 359091.604 |
| 13647008.651 | 14061293.548 | 14272225.960 | 35435.119 | -461315.201 | -173862.100 |
| 14303347.864 | 13309162.716 | 13509896.924 | 230816.821 | -19484.677 | -417919.002 |
| 331.131 | 394.065 | 394.065 | -0.000 | 0.000 | -0.000 |
| 394.065 | 331.131 | 394.065 | -0.000 | -0.000 | -0.000 |
| 394.065 | 394.065 | 331.131 | -0.000 | -0.000 | -0.000 |
| -13937828.559 | -14000866.120 | -12939646.478 | -545952.238 | 320811.078 | -439628.208 |
| -13782448.016 | -12991749.267 | -14036145.439 | -232644.694 | 756942.030 | 545122.472 |
| -13510279.716 | -13578604.005 | -13127624.324 | 25291.950 | 170253.703 | -188677.283 |
| 12613337.733 | 29537771.417 | 28088874.649 | -422182.339 | -109006.025 | -333263.853 |
| 32162338.778 | 17061466.067 | 31833406.370 | 371925.942 | -844228.690 | 739581.960 |
| 31371941.004 | 31305538.723 | 18343615.992 | -491113.220 | 645361.538 | -934194.455 |
| 10431984.944 | 18145246.388 | 17683009.617 | -812015.465 | -442579.932 | 432073.989 |
| 19249484.416 | 12814686.918 | 19555820.891 | 1214334.586 | -1309551.281 | -148434.015 |
| 20847723.548 | 19206241.677 | 12614238.786 | -338962.943 | 258940.135 | 260418.543 |
| -17366580.906 | -10554137.358 | -12745147.885 | 352243.385 | 48541.310 | 817102.797 |
| -16194148.774 | -25126260.244 | -15004011.366 | 1112501.605 | -359833.710 | -818857.668 |
| -10530608.413 | -12334207.466 | -17445453.079 | -394090.325 | 428826.482 | -248003.554 |
| -8049137.609 | -21197655.575 | -19554137.186 | -607623.890 | -109963.128 | -50058.170 |
| -19790929.222 | -12847933.184 | -21340843.976 | 522048.352 | -33206.709 | 494799.238 |
| -18361807.584 | -15644384.426 | -6018672.002 | -270807.797 | 163611.216 | 122476.603 |
| -1378794.006 | 1940432.278 | 1908292.375 | -14284.223 | -10318.797 | -108996.017 |
| 1897293.722 | -613653.269 | 2334333.163 | 30681.606 | -123553.164 | -26499.175 |
| 2544326.039 | 2106903.932 | -1043885.237 | -6875.335 | 76860.601 | -43727.930 |
| -509493.148 | 2789795.013 | 2231626.758 | -224098.958 | 44756.112 | -79911.745 |
| 2560584.231 | -573849.220 | 2721992.669 | -23148.089 | -245209.632 | 80147.191 |
| 2518666.640 | 2106586.299 | -152683.953 | -99786.566 | 46286.738 | -98193.600 |
| -1718544.438 | -1008421.919 | -916150.125 | -58546.153 | 56868.885 | 80084.170 |
| -1049073.648 | -1674695.458 | -946402.064 | 29876.118 | 100474.389 | 89453.671 |
| -1155500.965 | -1158172.135 | -1641965.233 | -61937.019 | -129116.340 | 14235.026 |
| 283618.542 | -1989119.670 | -2303838.399 | -113207.042 | 39646.482 | 18437.770 |
| -2287674.276 | -119315.673 | -2062654.464 | -90652.403 | -191671.956 | -18379.605 |
| -2032692.118 | -2279144.287 | 198378.173 | 15079.970 | -26559.209 | -142486.668 |
| 57804.235 | 311734.918 | 333629.355 | -1045.754 | -5164.622 | -10058.919 |
| 336897.114 | 20679.303 | 304697.766 | 13769.990 | -10722.040 | -2298.299 |
| 303571.915 | 319448.386 | 70612.797 | -232.834 | -461.757 | 11525.599 |
| -1365.915 | 177776.979 | 169092.462 | -2371.117 | -6243.224 | 475.828 |
| 170098.077 | -66380.698 | 193339.809 | 8237.687 | 3418.952 | 2498.123 |
| 169619.507 | 155937.643 | -48779.374 | -5753.349 | 9779.516 | 1001.542 |
| -183461.864 | -84487.286 | -90875.570 | 4507.847 | -3288.401 | 1918.265 |
| -67170.155 | -247114.608 | -93111.706 | 10915.465 | 7600.654 | -2038.732 |
| -81874.032 | -74053.333 | -202067.154 | -3531.791 | 782.587 | -5492.395 |
| 50658.659 | -184453.173 | -167355.900 | -7153.471 | -3879.189 | -2575.917 |
| -159626.985 | 45718.935 | -211155.493 | -8414.195 | -11497.610 | 4985.792 |
| -198410.463 | -163682.004 | 42488.274 | 6407.238 | -5691.677 | -10437.100 |
| 4145036.083 | 9076361.312 | 5231668.279 | 298756.906 | 511843.725 | 219490.401 |
| 2819021.698 | 3483384.480 | 5461067.065 | 362026.036 | -33456.750 | -259198.448 |
| 8482579.885 | 5692447.092 | 5174556.950 | 190041.160 | -186219.812 | -278964.608 |
| 2792127.150 | 1933819.339 | 1712396.698 | -63248.400 | 14501.040 | 104576.036 |
| 1871091.350 | 2535778.410 | 2183661.830 | -95805.034 | 14565.105 | -195888.744 |
| 1839800.494 | 1493366.115 | 3020628.631 | 39946.483 | -436098.894 | -28468.998 |
| 110969602.395 | -12298257.215 | -11768809.316 | 71186.111 | -212182.984 | -277104.447 |
| -10643247.598 | 108283597.696 | -11590987.970 | 180270.027 | 759496.240 | 122905.078 |
| -12404723.453 | -10248574.885 | 110952169.989 | 247.677 | 1083093.444 | 565012.539 |
| -2761630.409 | -1238742.877 | -1459018.658 | 117277.490 | 247986.391 | 426038.482 |
| -1599988.284 | -2548163.562 | -1504421.355 | 261346.002 | 267107.908 | 158076.785 |
| -2711159.117 | -2837918.937 | -3557175.101 | 287218.332 | 539316.810 | -103427.743 |
| 592556.528 | 868404.107 | 564533.260 | 2255.188 | -39675.258 | 50143.101 |
| 570242.412 | 449468.834 | 708447.480 | -75529.755 | 26192.698 | -10920.571 |
| 893114.414 | 429657.731 | 175617.346 | 3002.052 | 20153.309 | -21408.983 |
| 267583.365 | 246289.189 | 243815.785 | -3643.699 | 3513.919 | 7739.973 |
| 274648.783 | 340742.611 | 341146.204 | 9423.353 | -7182.076 | -33009.765 |
| 202212.372 | 240195.478 | 248778.657 | 19714.711 | -5566.714 | 10125.517 |
| 10490052.239 | -1210302.938 | -1264930.527 | -64557.692 | -18109.270 | -32149.090 |
| -1138418.108 | 9849247.186 | -1152553.702 | -6999.579 | -54286.044 | -23933.726 |
| -1233022.604 | -1181968.927 | 10038777.179 | -31125.945 | -7456.361 | -73701.040 |
| -198648.054 | -146997.320 | -268773.019 | -8051.397 | 17525.627 | -10112.295 |
| -215149.798 | -227929.501 | -173676.862 | -2210.265 | -15987.920 | 17909.286 |
| -145280.632 | -163435.588 | -151888.459 | -2571.253 | 48.665 | -9761.495 |
| -81533.081 | 58255.635 | 48459.307 | -2335.083 | -2076.717 | 7655.253 |
| 51559.172 | 31007.895 | 90069.966 | 484.158 | 279.348 | 2375.110 |
| 100300.189 | 92823.370 | 53957.384 | -54.028 | 2010.396 | -1665.980 |
| 20549.073 | 20717.551 | 19446.501 | -1020.122 | 642.478 | 145.437 |
| 27574.298 | 37674.053 | 28204.100 | -3586.767 | -1565.026 | -1798.887 |
| 24054.181 | 30477.753 | 32167.031 | 252.527 | -125.575 | 1309.147 |
| 1803594.218 | -203890.226 | -204934.867 | 5694.536 | -1676.495 | -85.701 |
| -177074.774 | 1383021.363 | -185241.510 | 264.982 | 11848.825 | -1473.695 |
| -169442.718 | -156383.349 | 1415726.238 | -2086.048 | 285.208 | 5461.249 |
| -20905.047 | -17052.363 | -23881.961 | 740.004 | 833.612 | 2434.634 |
| -23323.704 | -21996.456 | -22001.884 | -831.106 | -310.265 | 2207.350 |
| -21176.086 | -22593.281 | -22477.027 | -812.478 | -1205.321 | -902.439 |
| 585.778 | 263.055 | 263.055 | 0.000 | -0.000 | 0.000 |
| 263.055 | 585.778 | 263.055 | -0.000 | 0.000 | 0.000 |
| 263.055 | 263.055 | 585.778 | -0.000 | 0.000 | 0.000 |
| -0.000 | 0.000 | 0.000 | -59.245 | -0.000 | 0.000 |
| 0.000 | -0.000 | 0.000 | -0.000 | -59.245 | -0.000 |
| 0.000 | 0.000 | -0.000 | -0.000 | -0.000 | -59.245 |
| 585.778 | 263.055 | 263.055 | 0.000 | 0.000 | 0.000 |
| 263.055 | 585.778 | 263.055 | 0.000 | 0.000 | 0.000 |
| 263.055 | 263.055 | 585.778 | 0.000 | 0.000 | 0.000 |
| 0.000 | -0.000 | -0.000 | -59.245 | -0.000 | -0.000 |
| -0.000 | 0.000 | -0.000 | 0.000 | -59.245 | -0.000 |
| -0.000 | -0.000 | 0.000 | -0.000 | 0.000 | -59.245 |
| 585.778 | 263.055 | 263.055 | -0.000 | -0.000 | 0.000 |
| 263.055 | 585.778 | 263.055 | -0.000 | -0.000 | 0.000 |
| 263.055 | 263.055 | 585.778 | -0.000 | -0.000 | 0.000 |
| -0.000 | 0.000 | 0.000 | -13.667 | -0.000 | -0.000 |
| 0.000 | -0.000 | 0.000 | 0.000 | -13.667 | 0.000 |
| 0.000 | 0.000 | -0.000 | -0.000 | -0.000 | -13.667 |
| 585.778 | 263.055 | 263.055 | -0.000 | -0.000 | -0.000 |
| 263.055 | 585.778 | 263.055 | -0.000 | 0.000 | -0.000 |
| 263.055 | 263.055 | 585.778 | 0.000 | -0.000 | -0.000 |
| 0.000 | -0.000 | -0.000 | -13.667 | -0.000 | -0.000 |
| -0.000 | 0.000 | -0.000 | 0.000 | -13.667 | -0.000 |
| -0.000 | -0.000 | 0.000 | 0.000 | 0.000 | -13.667 |
| 585.778 | 263.057 | 263.057 | -0.000 | -0.000 | -0.000 |
| 263.057 | 585.778 | 263.057 | 0.000 | -0.000 | 0.000 |
| 263.057 | 263.057 | 585.778 | -0.000 | -0.000 | -0.000 |
| -0.001 | 0.001 | 0.001 | -13.667 | -0.000 | 0.000 |
| 0.001 | -0.001 | 0.001 | -0.000 | -13.667 | -0.000 |
| 0.001 | 0.001 | -0.001 | -0.000 | -0.000 | -13.667 |
| 585.779 | 263.052 | 263.052 | 0.000 | 0.000 | -0.000 |
| 263.052 | 585.779 | 263.052 | -0.000 | 0.000 | -0.000 |
| 263.052 | 263.052 | 585.779 | -0.000 | -0.000 | -0.000 |
| 0.001 | -0.001 | -0.001 | -13.667 | -0.000 | -0.000 |
| -0.001 | 0.001 | -0.001 | 0.000 | -13.667 | -0.000 |
| -0.001 | -0.001 | 0.001 | 0.000 | 0.000 | -13.667 |
| 980083.625 | 895154.520 | 794869.552 | 123712.567 | -65841.357 | -92182.845 |
| 1218680.922 | 1249286.634 | 1046372.916 | -150088.289 | -47681.176 | -144381.464 |
| 764171.869 | 606169.178 | 789373.014 | -25935.636 | 51959.436 | 427825.407 |
| 459346.755 | 85677.516 | 132756.113 | 114576.742 | 1221.402 | 28763.933 |
| 188556.268 | 649677.556 | 289560.715 | -9213.127 | 239849.798 | -1628.258 |
| 23168.038 | 28472.594 | 80492.802 | 988.774 | -598.652 | 22358.730 |
| -0.000 | -0.000 | -0.000 | -0.000 | -0.000 | -0.000 |
| -0.000 | -0.000 | -0.000 | -0.000 | -0.000 | -0.000 |
| -0.000 | -0.000 | -0.000 | -0.000 | -0.000 | -0.000 |
| -624096.412 | -221809.491 | -180032.877 | 231790.752 | 813.133 | 8222.480 |
| -297602.051 | -849708.978 | -280054.293 | -893.067 | 315191.186 | 331.445 |
| -309558.540 | -214122.090 | -812520.699 | 16479.215 | -1406.078 | 242997.971 |
| 185721.602 | 128180.415 | 107051.238 | 9241.010 | -311.407 | 9491.930 |
| 96069.520 | 71646.204 | 72376.763 | 4256.750 | 8558.163 | 3776.779 |
| 112321.888 | 118162.854 | 128537.686 | 34873.739 | 24827.040 | -1483.611 |
| 3678.717 | 2935.381 | 2107.917 | 177.353 | 2830.872 | 271.330 |
| -407.922 | -5886.537 | -5019.147 | -5848.754 | -366.764 | -1124.375 |
| 1727.728 | 2002.432 | -605.061 | -3041.174 | -70.362 | -1119.274 |
| -0.000 | -0.000 | -0.000 | -0.000 | -0.000 | -0.000 |
| -0.000 | -0.000 | -0.000 | -0.000 | -0.000 | -0.000 |
| -0.000 | -0.000 | -0.000 | -0.000 | -0.000 | -0.000 |
| -36231.679 | -9401.608 | -10527.088 | 13070.075 | -59.253 | -337.465 |
| -10110.437 | -35817.787 | -9150.876 | -79.184 | 15190.456 | -532.975 |
| -2100.890 | -1773.575 | -5165.946 | -69.131 | 151.656 | 1784.504 |
| 1845.599 | 6148.957 | 9167.731 | 1155.922 | 901.426 | 1762.022 |
| 9330.812 | 8129.890 | 13982.262 | 883.856 | 1284.355 | 732.815 |
| 4549.611 | 6483.230 | 4571.110 | -462.936 | -1637.054 | -997.834 |
| 596.324 | 196.729 | 104.466 | 352.142 | -14.193 | -15.629 |
| 1.424 | 3.743 | 8.355 | -0.781 | -11.560 | 0.052 |
| 20.872 | 38.551 | 120.179 | 6.268 | -11.921 | 20.226 |
| -0.000 | -0.000 | -0.000 | -0.000 | -0.000 | -0.000 |
| -0.000 | -0.000 | -0.000 | -0.000 | -0.000 | -0.000 |
| -0.000 | -0.000 | -0.000 | -0.000 | -0.000 | -0.000 |
| -827.902 | -258.425 | -249.274 | 29.143 | 22.292 | -51.122 |
| -15.181 | -145.674 | -39.538 | -8.031 | 47.909 | 2.591 |
| -826.188 | -625.530 | -1506.992 | 1.445 | 115.202 | 551.710 |
| 395.046 | 358.706 | 358.706 | 0.000 | 0.000 | -0.000 |
| 358.706 | 395.046 | 358.706 | -0.000 | -0.000 | -0.000 |
| 358.706 | 358.706 | 395.046 | -0.000 | 0.000 | -0.000 |
| -0.000 | 0.000 | 0.000 | 19.351 | -0.000 | -0.000 |
| 0.000 | 0.000 | 0.000 | -0.000 | 19.351 | -0.000 |
| 0.000 | 0.000 | 0.000 | -0.000 | 0.000 | 19.351 |
| 395.046 | 358.706 | 358.706 | 0.000 | 0.000 | 0.000 |
| 358.706 | 395.046 | 358.706 | -0.000 | 0.000 | -0.000 |
| 358.706 | 358.706 | 395.046 | 0.000 | 0.000 | 0.000 |
| -0.000 | 0.000 | -0.000 | 19.351 | 0.000 | 0.000 |
| -0.000 | -0.000 | -0.000 | 0.000 | 19.351 | 0.000 |
| -0.000 | 0.000 | -0.000 | 0.000 | 0.000 | 19.351 |
| 395.046 | 358.706 | 358.706 | -0.000 | -0.000 | -0.000 |
| 358.706 | 395.046 | 358.706 | -0.000 | -0.000 | -0.000 |
| 358.706 | 358.706 | 395.046 | -0.000 | 0.000 | -0.000 |
| 0.000 | 0.000 | 0.000 | 19.351 | 0.000 | 0.000 |
| 0.000 | 0.000 | 0.000 | 0.000 | 19.351 | -0.000 |
| 0.000 | 0.000 | 0.000 | -0.000 | 0.000 | 19.351 |
| 395.046 | 358.706 | 358.706 | 0.000 | -0.000 | 0.000 |
| 358.706 | 395.046 | 358.706 | 0.000 | 0.000 | -0.000 |
| 358.706 | 358.706 | 395.046 | 0.000 | -0.000 | 0.000 |
| -0.000 | -0.000 | -0.000 | 19.351 | 0.000 | 0.000 |
| -0.000 | -0.000 | -0.000 | 0.000 | 19.351 | 0.000 |
| -0.000 | -0.000 | -0.000 | 0.000 | 0.000 | 19.351 |
| 395.047 | 358.707 | 358.707 | -0.000 | -0.000 | 0.000 |
| 358.707 | 395.047 | 358.707 | -0.000 | -0.000 | 0.000 |
| 358.707 | 358.707 | 395.047 | -0.000 | -0.000 | -0.000 |
| 0.000 | 0.000 | 0.000 | 19.351 | -0.000 | 0.000 |
| 0.000 | 0.000 | 0.000 | 0.000 | 19.351 | 0.000 |
| 0.000 | 0.000 | 0.000 | -0.000 | -0.000 | 19.351 |
| 395.044 | 358.705 | 358.705 | -0.000 | 0.000 | 0.000 |
| 358.705 | 395.044 | 358.705 | 0.000 | 0.000 | -0.000 |
| 358.705 | 358.705 | 395.044 | 0.000 | 0.000 | 0.000 |
| -0.000 | -0.000 | -0.000 | 19.351 | 0.000 | 0.000 |
| -0.000 | -0.000 | -0.000 | 0.000 | 19.351 | 0.000 |
| -0.000 | -0.000 | -0.000 | -0.000 | 0.000 | 19.351 |
| 13.015 | 103.612 | -9.206 | -0.000 | -0.000 | -0.000 |
| 103.612 | 13.015 | -9.206 | 0.000 | -0.000 | -0.000 |
| -39.410 | -39.411 | 12.096 | 0.000 | -0.000 | -0.000 |
| 0.000 | 0.000 | 0.000 | -68.466 | 0.000 | -0.000 |
| 0.000 | -0.000 | -0.000 | 0.000 | -68.466 | -0.000 |
| 2236135071.549 | 2287394854.439 | -600349462.980 | 3152570.533 | 5054040.150 | 27911905.969 |
| 13.015 | 103.612 | -9.206 | 0.000 | 0.000 | 0.000 |
| -50.551 | -146.381 | -6.564 | -0.000 | 0.000 | 0.000 |
| -39.411 | -39.411 | 12.096 | -0.000 | 0.000 | 0.000 |
| -0.000 | -0.000 | -0.000 | -68.466 | -0.000 | 0.000 |
| -0.000 | 0.000 | 0.000 | -0.000 | -68.466 | 0.000 |
| -2230713153.470 | -2298140260.195 | 601369901.140 | 1057697.579 | 1332413.127 | 30947039.286 |
| -141.676 | -45.840 | -6.643 | -0.000 | -0.000 | -0.000 |
| -45.840 | -141.676 | -6.643 | -0.000 | -0.000 | -0.000 |
| -39.411 | -39.411 | 12.096 | -0.000 | 0.000 | -0.000 |
| 496209421.402 | 349115594.081 | -43113073.455 | -7636779.237 | 1500.012 | 86.667 |
| 0.000 | 0.000 | -0.000 | 0.000 | -68.466 | -0.000 |
| 226154182.435 | 227737959.837 | -62411425.760 | -158092.753 | 399721.791 | 5336773.086 |
| -142.528 | -46.693 | -6.629 | 0.000 | 0.000 | 0.000 |
| -46.693 | -142.528 | -6.629 | -0.000 | 0.000 | 0.000 |
| -39.411 | -39.411 | 12.096 | 0.000 | 0.000 | 0.000 |
| -496409583.251 | -348846046.309 | 43044505.122 | -7442276.332 | 1194.061 | -82.503 |
| -0.000 | -0.000 | 0.000 | -0.000 | -68.466 | 0.000 |
| -225321225.144 | -226276332.024 | 61732229.595 | 71642.242 | -283604.594 | 5298611.745 |
| 21387096.788 | 23047402.910 | -7840134.640 | -62976.064 | -1254.517 | -45891.720 |
| 21311788.458 | 23299839.142 | -7628433.809 | -24752.599 | -33663.925 | 21701.164 |
| -39.411 | -39.411 | 12.096 | -0.000 | 0.000 | -0.000 |
| 18629624.849 | 21699242.873 | -8070740.068 | -221814.636 | 31491.651 | 33483.694 |
| 22303859.174 | 22543950.652 | -8963363.546 | -126365.831 | 1122952.956 | 19551.625 |
| 22492959.162 | 22725430.736 | -6047086.620 | 2899.389 | -27152.605 | 549949.484 |
| -21415860.655 | -23278071.445 | 7570637.448 | 59299.488 | 65999.619 | -43102.913 |
| -21467854.238 | -23016095.870 | 7912804.824 | 52716.656 | 32597.521 | -26942.014 |
| -39.411 | -39.411 | 12.096 | -0.000 | 0.000 | 0.000 |
| -49504587.933 | -35051098.555 | 4343943.644 | -853536.910 | 78.529 | -5.186 |
| -22210778.786 | -22452725.397 | 8955582.664 | -152332.192 | 1212842.525 | 9624.569 |
| -22436299.928 | -22710269.148 | 5956495.333 | 3056.779 | -22629.634 | 544867.495 |
| 1101.184 | 431.690 | 470.026 | 0.000 | 0.000 | -0.000 |
| -9859.787 | -9455.969 | -8572.455 | 0.000 | 0.000 | -0.000 |
| -9884.862 | -9884.861 | -8467.946 | 0.000 | -0.000 | 0.000 |
| -6775.680 | -6775.680 | -6006.426 | 33.660 | -0.000 | -0.000 |
| -3829.056 | -3829.056 | -1512.942 | 0.000 | 344.644 | -0.000 |
| -3771.775 | -3771.774 | -2797.928 | 0.000 | -0.000 | 33.581 |
| 7198.981 | 7058.088 | 6287.148 | -0.000 | -0.000 | -0.000 |
| 10611.205 | 11002.590 | 9312.354 | -0.000 | 0.000 | -0.000 |
| 10604.832 | 10604.832 | 9432.719 | -0.000 | 0.000 | 0.000 |
| 6775.680 | 6775.680 | 6006.426 | 33.660 | 0.000 | 0.000 |
| 3829.056 | 3829.056 | 1512.942 | -0.000 | 344.644 | 0.000 |
| 3771.775 | 3771.774 | 2797.928 | -0.000 | -0.000 | 33.581 |
| -251.577 | -689.202 | -553.017 | 0.000 | 0.000 | -0.000 |
| -689.203 | -251.578 | -553.018 | 0.000 | -0.000 | -0.000 |
| -354.857 | -354.857 | 39.574 | 0.000 | 0.000 | -0.000 |
| -1006.414 | -1006.413 | -879.384 | 97.751 | 0.000 | -0.000 |
| -372.414 | -372.414 | -283.126 | 0.000 | 72.574 | 0.000 |
| -428.389 | -428.388 | -261.922 | 0.000 | 0.000 | 164.307 |
| 1066.100 | 926.532 | 854.475 | -0.000 | 0.000 | 0.000 |
| 431.692 | 1101.191 | 470.030 | -0.000 | 0.000 | 0.000 |
| 983.161 | 983.161 | 877.305 | -0.000 | -0.000 | 0.000 |
| 1006.414 | 1006.413 | 879.384 | 97.751 | -0.000 | 0.000 |
| 493.467 | 493.468 | 289.052 | -0.000 | 95.969 | -0.000 |
| 428.389 | 428.388 | 261.922 | -0.000 | 0.000 | 164.307 |
| 611.088 | 142.134 | 179.286 | 0.000 | 0.000 | -0.000 |
| 160.382 | 480.112 | 182.214 | 0.000 | 0.000 | 0.000 |
| 167.366 | 167.366 | 333.812 | 0.000 | -0.000 | 0.000 |
| -37.172 | -37.177 | -27.473 | 90.275 | 0.000 | -0.000 |
| -52.005 | -51.996 | -46.151 | 0.000 | 102.439 | 0.000 |
| -103.260 | -103.256 | -90.226 | 0.000 | -0.000 | 197.670 |
| 567.691 | 241.589 | 248.497 | -0.000 | -0.000 | 0.000 |
| 233.293 | 567.508 | 264.430 | -0.000 | 0.000 | 0.000 |
| 254.351 | 254.351 | 320.272 | -0.000 | 0.000 | -0.000 |
| 37.172 | 37.177 | 27.473 | 90.275 | -0.000 | -0.000 |
| 52.005 | 51.996 | 46.151 | -0.000 | 102.439 | 0.000 |
| 103.260 | 103.256 | 90.226 | -0.000 | -0.000 | 197.670 |
| 2273.994 | 6038.134 | 9912.560 | -0.000 | -0.000 | 0.000 |
| 4116.959 | 6988.029 | 10561.928 | -0.000 | -0.000 | -0.000 |
| 766.924 | 1085.690 | 2562.750 | 0.000 | -0.000 | 0.000 |
| 4205.700 | 5777.223 | 8159.953 | -226.909 | -0.000 | 0.000 |
| 4829.025 | 5344.689 | 9027.834 | 0.000 | 303.597 | -0.000 |
| 1845.900 | 5444.750 | 6570.300 | 0.000 | -0.000 | 77.546 |
| -1153.305 | -4044.219 | -9346.168 | 0.000 | 0.000 | -0.000 |
| -3899.857 | -5511.953 | -7611.208 | 0.000 | 0.000 | -0.000 |
| -1266.562 | -4973.163 | -5602.062 | -0.000 | 0.000 | 0.000 |
| -4205.700 | -5777.223 | -8159.953 | -226.909 | 0.000 | -0.000 |
| -4829.025 | -5344.690 | -9027.834 | -0.000 | 303.597 | 0.000 |
| -1845.900 | -5444.750 | -6570.300 | -0.000 | 0.000 | 77.546 |
| 1022.344 | 613.771 | 1196.438 | 0.000 | -0.000 | -0.000 |
| 423.073 | 1414.311 | 1114.055 | -0.000 | -0.000 | 0.000 |
| 517.180 | 718.163 | 1361.011 | -0.000 | -0.000 | 0.000 |
| 215.029 | 620.543 | 922.963 | 384.603 | -0.000 | 0.000 |
| 195.490 | 564.899 | 830.543 | -0.000 | 230.071 | 0.000 |
| -0.003 | -0.006 | -0.001 | -0.000 | -0.000 | 775.395 |
| 101.781 | -93.734 | -174.214 | 0.000 | 0.000 | -0.000 |
| 156.915 | 629.074 | 165.836 | 0.000 | 0.000 | -0.000 |
| 392.834 | -78.376 | 306.842 | -0.000 | 0.000 | 0.000 |
| -215.029 | -620.543 | -922.963 | 384.603 | 0.000 | -0.000 |
| -195.490 | -564.899 | -830.543 | 0.000 | 230.071 | -0.000 |
| 0.003 | 0.006 | 0.001 | 0.000 | 0.000 | 775.395 |
| 714.526 | 420.076 | 464.331 | -0.000 | -0.000 | -0.000 |
| 408.129 | 845.652 | 345.942 | 0.000 | -0.000 | 0.000 |
| 328.833 | 388.071 | 700.552 | 0.000 | -0.000 | 0.000 |
| 25.286 | 63.175 | 97.658 | 301.859 | -0.000 | 0.000 |
| 27.744 | 60.934 | 82.214 | -0.000 | 208.133 | -0.000 |
| 18.963 | 55.150 | 77.053 | -0.000 | -0.000 | 207.861 |
| 455.967 | 270.322 | 159.031 | 0.000 | 0.000 | -0.000 |
| 302.925 | 638.765 | 281.281 | -0.000 | 0.000 | -0.000 |
| 272.090 | 361.269 | 569.234 | 0.000 | 0.000 | -0.000 |
| -25.286 | -63.175 | -97.658 | 301.859 | 0.000 | -0.000 |
| -27.744 | -60.934 | -82.214 | -0.000 | 208.133 | -0.000 |
| -18.963 | -55.150 | -77.053 | -0.000 | 0.000 | 207.861 |
| 1571.680 | 2749.578 | 3779.281 | 0.000 | 0.001 | -0.000 |
| 388.643 | 3189.337 | 2424.345 | 0.000 | 0.002 | -0.001 |
| 1420.165 | 4606.458 | 2180.436 | 0.000 | 0.001 | -0.001 |
| 1536.189 | 4201.309 | 2190.300 | 9.945 | 0.001 | -0.000 |
| 339.093 | 2514.888 | 2122.068 | 0.000 | 176.335 | -0.001 |
| 1239.442 | 2646.201 | 3446.873 | -0.000 | 0.001 | 531.580 |
| -983.679 | -3521.145 | -1687.871 | -0.000 | -0.001 | 0.000 |
| -1051.946 | -1791.493 | -1325.958 | -0.000 | -0.001 | 0.000 |
| -99.776 | -1798.395 | -2116.895 | -0.000 | -0.000 | 0.001 |
| -1536.189 | -4201.309 | -2190.300 | 9.945 | -0.001 | 0.000 |
| -339.093 | -2514.889 | -2122.068 | -0.000 | 176.335 | 0.001 |
| -1239.442 | -2646.201 | -3446.873 | -0.000 | -0.001 | 531.580 |
| 561.866 | 703.939 | 487.039 | 0.000 | 0.000 | -0.000 |
| 413.044 | 1421.626 | 636.851 | 0.000 | 0.000 | -0.000 |
| 399.098 | 759.745 | 832.526 | 0.000 | 0.000 | -0.000 |
| -0.002 | -0.005 | -0.005 | 786.239 | 0.000 | 0.000 |
| 52.475 | 250.620 | 185.372 | 0.000 | 161.328 | -0.000 |
| -0.004 | -0.010 | -0.002 | 0.000 | 0.000 | 1029.302 |
| 319.443 | -85.659 | 78.524 | -0.000 | 0.000 | 0.000 |
| 262.574 | 970.878 | -5.667 | 0.000 | -0.000 | 0.000 |
| 149.930 | -4.683 | 798.105 | -0.000 | -0.000 | 0.000 |
| 0.002 | 0.005 | 0.005 | 786.239 | -0.000 | -0.000 |
| -52.475 | -250.620 | -185.372 | -0.000 | 161.327 | 0.000 |
| 0.004 | 0.010 | 0.002 | -0.000 | -0.000 | 1029.302 |
| 508.777 | 474.213 | 310.577 | 0.000 | 0.000 | -0.000 |
| 278.735 | 1087.595 | 424.763 | 0.000 | 0.000 | -0.000 |
| 322.957 | 427.848 | 614.727 | 0.000 | 0.000 | -0.000 |
| 11.648 | 26.956 | 29.415 | 273.445 | 0.000 | -0.000 |
| 16.271 | 39.562 | 23.313 | -0.000 | 162.183 | -0.000 |
| -16.933 | -29.126 | -26.520 | 0.000 | -0.000 | 148.357 |
| 470.240 | 330.568 | 353.540 | -0.000 | -0.000 | 0.000 |
| 266.938 | 1058.297 | 343.111 | -0.000 | -0.000 | 0.000 |
| 305.045 | 363.037 | 583.359 | -0.000 | -0.000 | 0.000 |
| -11.648 | -26.956 | -29.415 | 273.445 | -0.000 | 0.000 |
| -16.271 | -39.562 | -23.313 | -0.000 | 162.183 | 0.000 |
| 16.933 | 29.126 | 26.520 | 0.000 | 0.000 | 148.357 |
| 2067.256 | 1836.046 | -2983.730 | -0.000 | -0.000 | 0.000 |
| 1822.834 | 2053.078 | -3003.168 | -0.000 | -0.000 | 0.000 |
| -7073.782 | -7073.782 | -10477.187 | -0.000 | 0.000 | 0.000 |
| 1192.882 | 1192.882 | 549.527 | 229.402 | -0.000 | 0.000 |
| 3936.112 | 3936.112 | 974.010 | -0.000 | 89.825 | 0.000 |
| 1200.314 | 1200.314 | 546.449 | -0.000 | -0.000 | 271.001 |
| -1311.569 | -1555.316 | 3280.676 | 0.000 | 0.000 | -0.000 |
| -1555.316 | -1311.569 | 3280.676 | 0.000 | 0.000 | -0.000 |
| 7203.397 | 7203.397 | 11061.158 | -0.000 | 0.000 | -0.000 |
| -1192.882 | -1192.882 | -549.526 | 229.402 | 0.000 | -0.000 |
| -4143.629 | -4143.628 | -916.200 | 0.000 | -282.121 | -0.000 |
| -1200.314 | -1200.314 | -546.449 | 0.000 | 0.000 | 271.001 |
| 927.063 | 621.895 | 326.417 | -0.000 | -0.000 | 0.000 |
| 231.127 | 756.493 | 251.665 | -0.000 | -0.000 | 0.000 |
| 384.642 | 384.642 | -47.063 | 0.000 | 0.000 | 0.000 |
| 351.466 | 351.468 | 161.075 | -11.608 | -0.000 | -0.000 |
| 161.368 | 161.367 | -321.049 | -0.000 | 111.471 | 0.000 |
| -699.213 | -699.212 | -1054.023 | -0.000 | -0.000 | 54.909 |
| 389.627 | -141.601 | 352.142 | -0.000 | 0.000 | -0.000 |
| 97.259 | 533.950 | 255.166 | 0.000 | 0.000 | -0.000 |
| 459.443 | 459.443 | 641.648 | 0.000 | 0.000 | -0.000 |
| -351.466 | -351.468 | -161.075 | -11.608 | 0.000 | -0.000 |
| -161.368 | -161.367 | 321.049 | 0.000 | 111.471 | -0.000 |
| 699.213 | 699.212 | 1054.023 | 0.000 | 0.000 | 54.909 |
| 579.906 | 216.624 | 235.917 | -0.000 | -0.000 | 0.000 |
| 248.011 | 568.847 | 234.183 | -0.000 | -0.000 | 0.000 |
| 259.686 | 259.686 | 327.835 | -0.000 | -0.000 | 0.000 |
| 42.744 | 42.735 | 20.815 | 97.578 | -0.000 | 0.000 |
| 40.302 | 40.306 | 11.771 | -0.000 | 90.169 | 0.000 |
| 57.643 | 57.627 | 13.242 | -0.000 | -0.000 | 160.091 |
| 618.312 | 326.224 | 374.608 | 0.000 | 0.000 | -0.000 |
| 144.224 | 530.249 | 249.705 | 0.000 | 0.000 | -0.000 |
| 171.142 | 171.142 | 302.480 | 0.000 | 0.000 | -0.000 |
| -42.744 | -42.735 | -20.815 | 97.578 | 0.000 | -0.000 |
| -40.302 | -40.306 | -11.771 | 0.000 | 90.169 | -0.000 |
| -57.643 | -57.627 | -13.242 | -0.000 | 0.000 | 160.091 |
| -10378.239 | -11354.648 | 3029.320 | -0.000 | -0.000 | -0.002 |
| 866.298 | 2403.260 | 1089.742 | 0.000 | -0.000 | 0.000 |
| -11256.753 | -9761.688 | 4591.663 | 0.000 | 0.000 | -0.000 |
| -11231.608 | -11441.205 | 2401.575 | 494.456 | -0.000 | -0.002 |
| -7802.207 | -8879.476 | 7181.058 | -0.000 | 388.785 | -0.010 |
| -0.000 | -0.001 | -0.000 | 0.000 | -0.000 | 774.160 |
| 12468.325 | 12232.294 | -568.746 | -0.000 | 0.000 | -0.000 |
| 11976.107 | 12792.219 | -1955.251 | 0.000 | 0.000 | 0.002 |
| 16210.146 | 6617.362 | -2531.829 | 0.000 | 0.000 | 0.002 |
| 11231.608 | 11441.205 | -2401.575 | 494.456 | 0.000 | 0.002 |
| 7802.207 | 8879.476 | -7181.057 | 0.000 | 388.785 | 0.010 |
| 0.000 | 0.001 | 0.000 | -0.000 | 0.000 | 774.160 |
| -494.406 | -848.441 | 285.748 | -0.000 | -0.000 | -0.000 |
| -510.246 | -15.606 | 825.751 | -0.000 | -0.000 | -0.001 |
| -634.540 | -785.113 | 750.351 | 0.000 | -0.000 | 0.000 |
| -1346.346 | -1213.335 | 175.352 | 383.113 | -0.000 | -0.000 |
| -1182.211 | -1129.490 | 128.772 | 0.000 | 151.787 | 0.000 |
| -929.461 | -1044.926 | 520.820 | -0.000 | -0.000 | -218.471 |
| 1805.151 | 819.815 | -512.951 | 0.000 | 0.000 | 0.000 |
| 1327.692 | 1536.937 | 33.754 | 0.000 | -0.000 | 0.000 |
| 1636.688 | 780.392 | 154.935 | 0.000 | 0.000 | 0.000 |
| 1346.346 | 1213.335 | -175.352 | 383.113 | -0.000 | 0.000 |
| 1543.591 | 699.043 | -222.103 | 0.000 | 114.194 | 0.000 |
| 929.461 | 1044.926 | -520.820 | 0.000 | 0.000 | -218.471 |
| 484.650 | 228.942 | 351.069 | -0.000 | -0.000 | -0.000 |
| 218.851 | 603.736 | 410.296 | -0.000 | -0.000 | -0.000 |
| 253.860 | 280.768 | 692.599 | -0.000 | -0.000 | -0.000 |
| -152.571 | -147.565 | 26.351 | 307.824 | -0.000 | -0.000 |
| -103.478 | -74.721 | 36.933 | 0.000 | 196.058 | -0.000 |
| -160.850 | -114.798 | 24.361 | -0.000 | -0.000 | 175.770 |
| 721.418 | 515.147 | 497.128 | 0.000 | 0.000 | 0.000 |
| 433.436 | 758.936 | 307.979 | 0.000 | 0.000 | 0.000 |
| 422.530 | 409.543 | 485.552 | -0.000 | 0.000 | 0.000 |
| 152.571 | 147.565 | -26.351 | 307.824 | 0.000 | 0.000 |
| 94.009 | 90.443 | -34.317 | 0.000 | 197.431 | 0.000 |
| 160.850 | 114.798 | -24.361 | 0.000 | 0.000 | 175.770 |
| 648.712 | 1494.829 | 1095.138 | -0.000 | 0.000 | 0.000 |
| 478.429 | 2088.271 | 1548.371 | -0.000 | 0.000 | 0.001 |
| 605.913 | 1915.986 | 1073.518 | 0.000 | -0.000 | -0.000 |
| -267.338 | 242.481 | 17.601 | -156.787 | 0.004 | 0.005 |
| -260.891 | 236.634 | 17.176 | -0.000 | -371.086 | 0.005 |
| -206.995 | 187.750 | 13.628 | -0.000 | 0.003 | -712.469 |
| 792.734 | 353.667 | -138.851 | -0.000 | 0.001 | 0.000 |
| 345.377 | 1526.454 | 90.855 | 0.000 | 0.004 | -0.008 |
| -327.204 | -1216.074 | -759.316 | 0.000 | -0.004 | -0.005 |
| 267.338 | -242.481 | -17.601 | -156.786 | -0.004 | -0.005 |
| 260.889 | -236.633 | -17.176 | 0.000 | -371.090 | -0.005 |
| 206.994 | -187.749 | -13.628 | 0.000 | -0.003 | -712.471 |
| 495.188 | 511.751 | 341.894 | -0.000 | 0.000 | 0.000 |
| 450.205 | 1387.956 | 797.135 | -0.000 | 0.000 | 0.000 |
| 337.396 | 393.859 | 630.776 | -0.000 | 0.000 | 0.000 |
| 8.979 | -58.179 | 145.477 | 227.938 | 0.000 | 0.000 |
| 8.654 | 2.154 | 123.476 | -0.000 | 153.577 | 0.000 |
| -8.024 | 7.283 | 0.529 | -0.000 | 0.000 | 353.830 |
| 583.194 | 329.691 | 319.205 | 0.000 | -0.000 | -0.000 |
| 383.542 | 1886.072 | 351.071 | 0.000 | -0.000 | -0.000 |
| 337.819 | 372.295 | 561.698 | 0.000 | -0.000 | -0.000 |
| -8.979 | 58.179 | -145.477 | 227.938 | -0.000 | -0.000 |
| -8.654 | -2.154 | -123.476 | 0.000 | 153.577 | -0.000 |
| 8.024 | -7.283 | -0.529 | 0.000 | -0.000 | 353.830 |
| 486.684 | 354.609 | 351.597 | -0.000 | -0.000 | 0.000 |
| 254.377 | 1008.683 | 369.318 | -0.000 | 0.000 | 0.000 |
| 361.338 | 480.024 | 655.087 | -0.000 | 0.000 | 0.000 |
| -0.510 | 6.653 | 5.980 | 306.853 | 0.000 | 0.000 |
| -1.708 | -2.271 | 1.895 | -0.000 | 164.118 | 0.000 |
| 0.786 | 0.862 | 12.844 | -0.000 | 0.000 | 199.954 |
| 596.670 | 372.681 | 338.448 | 0.000 | -0.000 | -0.000 |
| 287.125 | 1044.221 | 450.045 | 0.000 | -0.000 | -0.000 |
| 297.604 | 347.316 | 583.129 | 0.000 | -0.000 | -0.000 |
| 0.510 | -6.653 | -5.980 | 306.853 | -0.000 | -0.000 |
| 1.708 | 2.271 | -1.895 | 0.000 | 164.118 | -0.000 |
| -0.786 | -0.862 | -12.844 | 0.000 | -0.000 | 199.954 |
| 435.952 | 206.909 | 206.909 | 0.000 | -0.000 | 0.000 |
| 206.909 | 435.952 | 206.909 | 0.000 | -0.000 | 0.000 |
| 206.909 | 206.909 | 435.952 | 0.000 | -0.000 | 0.000 |
| 0.000 | 0.000 | 0.000 | 134.380 | -0.000 | 0.000 |
| 0.000 | 0.000 | 0.000 | 0.000 | 134.380 | 0.000 |
| 0.000 | 0.000 | 0.000 | 0.000 | -0.000 | 134.380 |
| 382.601 | 173.976 | 173.976 | -0.000 | -0.000 | -0.000 |
| 173.976 | 382.601 | 173.976 | -0.000 | 0.000 | -0.000 |
| 173.976 | 173.976 | 382.601 | -0.000 | 0.000 | -0.000 |
| -0.000 | -0.000 | -0.000 | 134.380 | 0.000 | -0.000 |
| -0.000 | -0.000 | -0.000 | 0.000 | 134.380 | -0.000 |
| -0.000 | -0.000 | -0.000 | -0.000 | 0.000 | 134.380 |
| 408.906 | 197.918 | 197.918 | -0.000 | -0.000 | -0.000 |
| 197.918 | 408.906 | 197.918 | 0.000 | -0.000 | 0.000 |
| 197.918 | 197.918 | 408.907 | -0.000 | -0.000 | 0.000 |
| 0.000 | 0.000 | 0.000 | 134.380 | -0.000 | 0.000 |
| 0.000 | 0.000 | 0.000 | 0.000 | 134.380 | 0.000 |
| 0.000 | 0.000 | 0.000 | 0.000 | -0.000 | 134.380 |
| 405.422 | 193.509 | 193.509 | -0.000 | 0.000 | -0.000 |
| 193.509 | 405.422 | 193.509 | -0.000 | 0.000 | -0.000 |
| 193.509 | 193.509 | 405.422 | -0.000 | -0.000 | -0.000 |
| -0.000 | -0.000 | -0.000 | 134.380 | 0.000 | -0.000 |
| -0.000 | -0.000 | -0.000 | 0.000 | 134.380 | -0.000 |
| -0.000 | -0.000 | -0.000 | -0.000 | 0.000 | 134.380 |
| 407.308 | 195.881 | 195.881 | 0.000 | -0.000 | -0.000 |
| 195.881 | 407.308 | 195.881 | 0.000 | 0.000 | -0.000 |
| 195.881 | 195.881 | 407.308 | 0.000 | 0.000 | 0.000 |
| 0.000 | 0.000 | 0.000 | 134.380 | 0.000 | 0.000 |
| 0.000 | 0.000 | 0.000 | 0.000 | 134.380 | 0.000 |
| 0.000 | 0.000 | 0.000 | 0.000 | -0.000 | 134.380 |
| 400.422 | 194.280 | 194.280 | -0.000 | 0.000 | -0.000 |
| 194.280 | 400.422 | 194.280 | -0.000 | 0.000 | -0.000 |
| 194.280 | 194.280 | 400.422 | -0.000 | 0.000 | 0.000 |
| -0.000 | -0.000 | -0.000 | 134.380 | 0.000 | -0.000 |
| -0.000 | -0.000 | -0.000 | -0.000 | 134.380 | -0.000 |
| -0.000 | -0.000 | -0.000 | -0.000 | 0.000 | 134.380 |
| 407.713 | 199.752 | 199.752 | -0.000 | -0.000 | -0.000 |
| 199.752 | 407.713 | 199.752 | -0.000 | -0.000 | 0.000 |
| 199.752 | 199.752 | 407.713 | -0.000 | 0.000 | -0.000 |
| 0.000 | 0.000 | -0.000 | 134.539 | -0.000 | -0.000 |
| 0.000 | 0.000 | 0.000 | -0.000 | 134.539 | -0.000 |
| 0.000 | 0.000 | 0.000 | -0.000 | -0.000 | 134.539 |
| 437.018 | 207.237 | 207.237 | 0.000 | -0.000 | 0.000 |
| 207.237 | 437.018 | 207.237 | 0.000 | -0.000 | -0.000 |
| 207.237 | 207.237 | 437.018 | 0.000 | -0.000 | 0.000 |
| -0.000 | -0.000 | 0.000 | 134.539 | -0.000 | 0.000 |
| -0.000 | -0.000 | -0.000 | 0.000 | 134.539 | 0.000 |
| -0.000 | -0.000 | -0.000 | 0.000 | -0.000 | 134.539 |
| 437.019 | 207.237 | 207.237 | -0.000 | -0.000 | -0.000 |
| 207.237 | 437.019 | 207.237 | -0.000 | -0.000 | -0.000 |
| 207.237 | 207.237 | 437.019 | -0.000 | -0.000 | -0.000 |
| 0.413 | 0.413 | 0.413 | 118.996 | -0.000 | -0.000 |
| 0.413 | 0.413 | 0.413 | -0.000 | 118.996 | -0.000 |
| 0.413 | 0.413 | 0.413 | -0.000 | -0.000 | 118.996 |
| 398.050 | 201.178 | 201.178 | 0.000 | 0.000 | 0.000 |
| 201.178 | 398.050 | 201.178 | 0.000 | 0.000 | 0.000 |
| 201.178 | 201.178 | 398.050 | 0.000 | -0.000 | -0.000 |
| -0.413 | -0.413 | -0.413 | 118.996 | 0.000 | 0.000 |
| -0.413 | -0.413 | -0.413 | 0.000 | 118.996 | 0.000 |
| -0.413 | -0.413 | -0.413 | 0.000 | 0.000 | 118.996 |
| 398.514 | 201.565 | 201.565 | -0.000 | 0.000 | 0.000 |
| 201.565 | 398.514 | 201.565 | -0.000 | -0.000 | -0.000 |
| 201.565 | 201.565 | 398.514 | -0.000 | 0.000 | -0.000 |
| 0.041 | 0.042 | 0.042 | 118.961 | -0.000 | 0.000 |
| 0.042 | 0.041 | 0.042 | -0.000 | 118.961 | -0.000 |
| 0.042 | 0.042 | 0.041 | -0.000 | -0.000 | 118.961 |
| 437.014 | 207.237 | 207.237 | 0.000 | -0.000 | 0.000 |
| 207.237 | 437.014 | 207.237 | 0.000 | 0.000 | 0.000 |
| 207.237 | 207.237 | 437.014 | 0.000 | -0.000 | 0.000 |
| -0.041 | -0.042 | -0.042 | 118.961 | 0.000 | 0.000 |
| -0.042 | -0.041 | -0.042 | 0.000 | 118.961 | 0.000 |
| -0.042 | -0.042 | -0.041 | 0.000 | 0.000 | 118.961 |
| 422.469 | 203.489 | 203.489 | 0.000 | 0.000 | -0.000 |
| 203.489 | 422.469 | 203.489 | 0.000 | 0.000 | -0.000 |
| 203.489 | 203.489 | 422.469 | -0.000 | 0.000 | -0.000 |
| -0.000 | -0.000 | 0.000 | 132.699 | 0.000 | 0.000 |
| -0.000 | 0.000 | 0.000 | -0.000 | 132.699 | 0.000 |
| -0.000 | -0.000 | 0.000 | -0.000 | 0.000 | 132.699 |
| 422.469 | 203.489 | 203.489 | 0.000 | -0.000 | -0.000 |
| 203.489 | 422.469 | 203.489 | 0.000 | -0.000 | 0.000 |
| 203.489 | 203.489 | 422.469 | -0.000 | -0.000 | -0.000 |
| 0.000 | -0.000 | -0.000 | 132.699 | -0.000 | 0.000 |
| 0.000 | -0.000 | -0.000 | 0.000 | 132.699 | -0.000 |
| 0.000 | 0.000 | -0.000 | 0.000 | -0.000 | 132.699 |
| 393.048 | 189.968 | 189.968 | -0.000 | 0.000 | 0.000 |
| 189.968 | 393.048 | 189.968 | -0.000 | 0.000 | 0.000 |
| 189.968 | 189.968 | 393.048 | 0.000 | 0.000 | 0.000 |
| -1.762 | -1.762 | -1.762 | 117.523 | 0.000 | 0.000 |
| -1.762 | -1.762 | -1.762 | -0.000 | 117.523 | -0.000 |
| -1.762 | -1.762 | -1.762 | 0.000 | 0.000 | 117.523 |
| 422.468 | 203.489 | 203.489 | 0.000 | -0.000 | -0.000 |
| 203.489 | 422.468 | 203.489 | 0.000 | -0.000 | -0.000 |
| 203.489 | 203.489 | 422.468 | -0.000 | -0.000 | -0.000 |
| 1.762 | 1.762 | 1.762 | 117.523 | -0.000 | 0.000 |
| 1.762 | 1.762 | 1.762 | 0.000 | 117.523 | 0.000 |
| 1.762 | 1.762 | 1.762 | -0.000 | -0.000 | 117.523 |
| 394.152 | 191.495 | 191.495 | 0.000 | 0.000 | 0.000 |
| 191.495 | 394.152 | 191.495 | -0.000 | 0.000 | -0.000 |
| 191.495 | 191.495 | 394.152 | -0.000 | 0.000 | 0.000 |
| -0.180 | -0.180 | -0.180 | 118.624 | 0.000 | -0.000 |
| -0.180 | -0.180 | -0.180 | -0.000 | 118.624 | 0.000 |
| -0.180 | -0.180 | -0.180 | -0.000 | 0.000 | 118.624 |
| 394.363 | 191.832 | 191.832 | 0.000 | -0.000 | -0.000 |
| 191.832 | 394.363 | 191.832 | 0.000 | -0.000 | -0.000 |
| 191.832 | 191.832 | 394.363 | 0.000 | -0.000 | -0.000 |
| 0.180 | 0.180 | 0.180 | 118.624 | 0.000 | 0.000 |
| 0.180 | 0.180 | 0.180 | 0.000 | 118.624 | 0.000 |
| 0.180 | 0.180 | 0.180 | 0.000 | -0.000 | 118.624 |
| 4028.998 | 3725.493 | 3725.493 | -0.000 | -0.000 | 0.000 |
| 3725.493 | 4028.998 | 3725.493 | -0.000 | -0.000 | -0.000 |
| 3725.493 | 3725.493 | 4028.998 | -0.000 | -0.000 | -0.000 |
| -0.002 | -0.002 | -0.002 | 3724.962 | -0.000 | -0.000 |
| -0.002 | -0.002 | -0.002 | 0.000 | 3724.962 | 0.000 |
| -0.002 | -0.002 | -0.002 | 0.000 | -0.000 | 3724.962 |
| 4029.003 | 3725.498 | 3725.498 | 0.000 | -0.000 | -0.000 |
| 3725.498 | 4029.003 | 3725.498 | -0.000 | 0.000 | -0.000 |
| 3725.498 | 3725.498 | 4029.003 | -0.000 | 0.000 | -0.000 |
| 0.002 | 0.002 | 0.002 | 3724.962 | 0.000 | -0.000 |
| 0.002 | 0.002 | 0.002 | 0.000 | 3724.962 | 0.000 |
| 0.002 | 0.002 | 0.002 | -0.000 | 0.000 | 3724.962 |
| 4028.978 | 3725.474 | 3725.474 | 0.000 | -0.000 | -0.000 |
| 3725.474 | 4028.978 | 3725.474 | -0.000 | -0.000 | 0.000 |
| 3725.474 | 3725.474 | 4028.978 | -0.000 | -0.000 | -0.000 |
| -0.020 | -0.020 | -0.020 | 3724.962 | -0.000 | 0.000 |
| -0.020 | -0.020 | -0.020 | -0.000 | 3724.962 | -0.000 |
| -0.020 | -0.020 | -0.020 | 0.000 | 0.000 | 3724.962 |
| 4029.022 | 3725.517 | 3725.517 | 0.000 | 0.000 | 0.000 |
| 3725.517 | 4029.022 | 3725.517 | 0.000 | 0.000 | -0.000 |
| 3725.517 | 3725.517 | 4029.022 | 0.000 | 0.000 | -0.000 |
| 0.020 | 0.020 | 0.020 | 3724.962 | 0.000 | -0.000 |
| 0.020 | 0.020 | 0.020 | 0.000 | 3724.962 | -0.000 |
| 0.020 | 0.020 | 0.020 | -0.000 | 0.000 | 3724.962 |
| 4028.781 | 3725.279 | 3725.279 | -0.000 | -0.000 | -0.000 |
| 3725.279 | 4028.781 | 3725.279 | -0.000 | -0.000 | 0.000 |
| 3725.279 | 3725.279 | 4028.781 | -0.000 | -0.000 | -0.000 |
| -0.196 | -0.203 | -0.196 | 3724.962 | -0.000 | -0.000 |
| -0.203 | -0.196 | -0.196 | -0.000 | 3724.962 | 0.000 |
| -0.203 | -0.196 | -0.196 | 0.000 | 0.000 | 3724.962 |
| 4029.220 | 3725.713 | 3725.713 | -0.000 | -0.000 | 0.000 |
| 3725.713 | 4029.220 | 3725.713 | -0.000 | 0.000 | 0.000 |
| 3725.713 | 3725.713 | 4029.220 | 0.000 | 0.000 | -0.000 |
| 0.196 | 0.203 | 0.196 | 3724.962 | 0.000 | -0.000 |
| 0.203 | 0.196 | 0.196 | 0.000 | 3724.962 | 0.000 |
| 0.203 | 0.196 | 0.196 | -0.000 | -0.000 | 3724.962 |
| 825.239 | 300.436 | 300.436 | -0.000 | -0.000 | 0.000 |
| 300.436 | 825.239 | 300.436 | -0.000 | -0.000 | 0.000 |
| 300.436 | 300.436 | 825.239 | -0.000 | -0.000 | 0.000 |
| -0.000 | -0.000 | -0.000 | 77.910 | -0.000 | -0.000 |
| -0.000 | -0.000 | -0.000 | -0.000 | 77.910 | 0.000 |
| -0.000 | -0.000 | -0.000 | -0.000 | -0.000 | 77.910 |
| 825.239 | 300.436 | 300.436 | 0.000 | 0.000 | -0.000 |
| 300.436 | 825.239 | 300.436 | 0.000 | -0.000 | 0.000 |
| 300.436 | 300.436 | 825.239 | 0.000 | -0.000 | -0.000 |
| 0.000 | 0.000 | -0.000 | 77.910 | -0.000 | 0.000 |
| 0.000 | 0.000 | -0.000 | 0.000 | 77.910 | 0.000 |
| 0.000 | 0.000 | -0.000 | 0.000 | 0.000 | 77.910 |
| 825.239 | 300.436 | 300.436 | -0.000 | -0.000 | -0.000 |
| 300.436 | 825.239 | 300.436 | -0.000 | -0.000 | 0.000 |
| 300.436 | 300.436 | 825.239 | -0.000 | -0.000 | -0.000 |
| 0.000 | 0.000 | 0.000 | 77.910 | -0.000 | 0.000 |
| 0.000 | 0.000 | 0.000 | -0.000 | 77.910 | 0.000 |
| 0.000 | 0.000 | 0.000 | -0.000 | -0.000 | 77.910 |
| 825.238 | 300.436 | 300.436 | 0.000 | 0.000 | -0.000 |
| 300.436 | 825.238 | 300.436 | 0.000 | 0.000 | -0.000 |
| 300.436 | 300.436 | 825.238 | 0.000 | 0.000 | 0.000 |
| -0.000 | -0.000 | -0.000 | 77.910 | 0.000 | 0.000 |
| -0.000 | -0.000 | -0.000 | 0.000 | 77.910 | -0.000 |
| -0.000 | -0.000 | -0.000 | 0.000 | 0.000 | 77.910 |
| 825.241 | 300.437 | 300.437 | -0.000 | -0.000 | 0.000 |
| 300.437 | 825.241 | 300.437 | -0.000 | -0.000 | 0.000 |
| 300.437 | 300.437 | 825.241 | -0.000 | -0.000 | -0.000 |
| 0.000 | 0.000 | 0.000 | 77.910 | -0.000 | -0.000 |
| 0.000 | 0.000 | 0.000 | -0.000 | 77.910 | -0.000 |
| 0.000 | 0.000 | 0.000 | -0.000 | -0.000 | 77.910 |
| 825.236 | 300.435 | 300.435 | 0.000 | 0.000 | -0.000 |
| 300.435 | 825.236 | 300.435 | 0.000 | 0.000 | -0.000 |
| 300.435 | 300.435 | 825.236 | 0.000 | 0.000 | -0.000 |
| -0.000 | -0.000 | -0.000 | 77.910 | 0.000 | 0.000 |
| -0.000 | -0.000 | -0.000 | 0.000 | 77.910 | 0.000 |
| -0.000 | -0.000 | -0.000 | 0.000 | 0.000 | 77.910 |
| -151165.559 | -1876980.019 | -3710555.315 | 12449.906 | 344853.752 | -1973456.902 |
| -4224682.906 | -1614198.615 | -2900247.269 | 593916.577 | 1100665.471 | -1284430.120 |
| -227817.002 | 361836.933 | -3696341.508 | -223389.786 | -997172.505 | -129935.855 |
| -3276904.176 | -1058372.796 | -1709590.533 | 600882.175 | 94665.435 | 6849.907 |
| -260808.014 | -2909308.172 | -3015249.904 | 785327.018 | 428419.902 | -26084.530 |
| 995133.877 | -558756.487 | -2329783.756 | -1185795.337 | -142169.547 | 1087417.756 |
| 1757319.490 | 2134127.602 | 810604.314 | -1462715.674 | -188409.881 | -1465975.401 |
| -50846.932 | 4760080.360 | 3887395.733 | -331804.899 | 1925143.164 | -2362270.115 |
| 786394.819 | 3635348.433 | 3094231.989 | -892827.444 | -1285540.930 | 2368247.477 |
| 312473.887 | 606923.502 | 753419.388 | -782474.246 | -599085.835 | 596035.848 |
| 1186498.043 | 1287760.295 | 1098634.389 | 489030.064 | -225682.405 | -127411.703 |
| -1730823.346 | -1537518.836 | 272682.775 | -103262.300 | 47088.773 | -216928.750 |
| -327398.991 | -336696.831 | -271228.753 | 78807.033 | -92690.072 | 100530.129 |
| -237189.196 | -190104.546 | -300698.202 | -7826.701 | -65929.866 | 86571.526 |
| 29587.814 | -334724.746 | 47906.583 | 101631.144 | 22175.760 | 65898.506 |
| 7355.039 | 36362.286 | -204409.124 | 110329.382 | 185438.293 | -137673.051 |
| -10989.737 | -46298.409 | -261359.702 | -17342.996 | 38957.976 | -42184.751 |
| -190810.089 | -149970.470 | -200334.157 | 14672.371 | -43415.377 | -118029.116 |
| 331231.923 | 174671.235 | 134479.181 | -140409.882 | 95604.341 | 83534.943 |
| 163776.867 | 203156.381 | -55972.934 | -8140.747 | -271405.230 | -21824.931 |
| 22467.639 | 26366.964 | 332444.047 | 72479.149 | -105960.599 | -53127.934 |
| -48432.862 | 118628.570 | 240974.818 | -72850.014 | -16474.113 | -48836.983 |
| 23221.478 | 104958.069 | 53529.843 | -11766.653 | -85484.779 | 40910.859 |
| 4569.734 | 140931.090 | -119768.695 | 85857.000 | 73744.957 | -62517.719 |
| 791.300 | 880.874 | 880.874 | 0.000 | 0.000 | -0.000 |
| 880.874 | 791.300 | 880.874 | 0.000 | 0.000 | -0.000 |
| 880.874 | 880.874 | 791.300 | -0.000 | -0.000 | -0.000 |
| -14142.368 | 8402.521 | -15726.573 | 501.589 | -6381.231 | -3334.123 |
| 2.372 | 2.255 | 2.294 | -0.000 | -38934.031 | -0.000 |
| 2.372 | 2.294 | 2.255 | 0.000 | -0.000 | -38934.031 |
| 27648.878 | 37586.276 | 19279.002 | -28347.118 | -15641.871 | -3827.392 |
| 16708.774 | 17391.551 | 18876.560 | -10268.326 | -21650.428 | 2668.851 |
| 44691.850 | 39770.660 | 54188.261 | -7218.543 | -119.125 | -4562.742 |
| -2.255 | -2.372 | -2.294 | -38934.031 | -0.000 | 0.000 |
| -2.372 | -2.255 | -2.294 | -0.000 | -38934.031 | 0.000 |
| -2.372 | -2.294 | -2.255 | 0.000 | -0.000 | -38934.031 |
| 42955.596 | 9891.683 | 9891.684 | 0.001 | 0.001 | 0.001 |
| 9891.683 | 42955.596 | 9891.684 | 0.001 | 0.001 | 0.001 |
| 9891.683 | 9891.683 | 42955.597 | 0.001 | 0.001 | 0.001 |
| -0.002 | -0.004 | -0.004 | 6484.620 | 0.001 | 0.000 |
| -0.004 | -0.002 | -0.004 | 0.001 | 6484.620 | 0.000 |
| -0.007 | -0.007 | -0.002 | 0.000 | 0.000 | 9958.344 |
| 42955.696 | 9891.698 | 9891.698 | -0.001 | -0.001 | -0.001 |
| 9891.698 | 42955.696 | 9891.698 | -0.001 | -0.001 | -0.001 |
| 9891.698 | 9891.698 | 42955.696 | -0.001 | -0.001 | -0.001 |
| 0.002 | 0.004 | 0.004 | 6484.619 | -0.001 | -0.000 |
| 0.004 | 0.002 | 0.004 | -0.001 | 6484.619 | -0.000 |
| 0.004 | 0.004 | 0.002 | -0.001 | -0.000 | 6484.619 |
| 42955.150 | 9891.617 | 9891.617 | 0.000 | 0.000 | 0.000 |
| 9891.617 | 42955.150 | 9891.617 | 0.000 | 0.000 | 0.000 |
| 9891.617 | 9891.617 | 42955.150 | 0.000 | 0.000 | 0.000 |
| -0.021 | -0.039 | -0.040 | 6484.635 | 0.000 | 0.000 |
| -0.039 | -0.021 | -0.040 | 0.000 | 6484.635 | 0.000 |
| -0.039 | -0.040 | -0.021 | 0.000 | 0.000 | 6484.635 |
| 42956.143 | 9891.765 | 9891.765 | -0.000 | -0.000 | -0.000 |
| 9891.765 | 42956.143 | 9891.765 | -0.000 | -0.000 | -0.000 |
| 9891.765 | 9891.765 | 42956.142 | -0.000 | -0.000 | -0.000 |
| 0.021 | 0.039 | 0.040 | 6484.635 | -0.000 | -0.000 |
| 0.039 | 0.021 | 0.040 | -0.000 | 6484.635 | -0.000 |
| 0.039 | 0.040 | 0.021 | -0.000 | -0.000 | 6484.635 |
| 42950.685 | 9890.951 | 9890.951 | 0.000 | 0.000 | 0.000 |
| 9890.951 | 42950.685 | 9890.951 | 0.000 | 0.000 | 0.000 |
| 9890.951 | 9890.951 | 42950.685 | 0.000 | 0.000 | 0.000 |
| -0.221 | -0.385 | -0.389 | 6330.545 | 0.000 | 0.000 |
| -0.385 | -0.221 | -0.389 | 0.000 | 6330.545 | 0.000 |
| -0.385 | -0.389 | -0.221 | 0.000 | 0.000 | 6330.545 |
| 42960.608 | 9892.431 | 9892.431 | -0.000 | -0.000 | -0.000 |
| 9892.431 | 42960.608 | 9892.431 | -0.000 | -0.000 | -0.000 |
| 9892.431 | 9892.431 | 42960.608 | -0.000 | -0.000 | -0.000 |
| 0.221 | 0.385 | 0.389 | 6330.545 | -0.000 | -0.000 |
| 0.385 | 0.221 | 0.389 | -0.000 | 6330.545 | -0.000 |
| 0.385 | 0.389 | 0.221 | -0.000 | -0.000 | 6330.545 |
| -0.042 | -0.047 | -0.035 | 0.006 | 0.005 | -0.006 |
| -0.103 | -0.089 | -0.100 | -0.003 | 0.002 | -0.004 |
| 0.026 | 0.022 | 0.026 | 0.017 | 0.008 | 0.000 |
| -0.013 | 0.067 | 0.067 | 0.067 | -0.003 | -0.003 |
| -0.121 | 0.066 | -0.121 | 0.000 | -0.121 | 0.000 |
| -0.073 | -0.073 | 0.052 | -0.003 | -0.003 | -0.073 |
| -0.000 | -0.000 | -0.000 | -0.000 | -0.000 | -0.000 |
| -0.000 | -0.000 | -0.000 | -0.000 | -0.000 | -0.000 |
| -0.000 | -0.000 | -0.000 | -0.000 | -0.000 | -0.000 |
| 0.003 | -0.056 | -0.056 | 0.056 | -0.010 | 0.010 |
| 0.172 | -0.052 | 0.172 | -0.007 | -0.172 | 0.007 |
| 0.157 | 0.157 | 0.030 | 0.019 | -0.019 | -0.157 |
| -0.001 | 0.001 | 0.001 | -0.001 | -0.001 | 0.001 |
| 0.000 | -0.000 | -0.000 | 0.001 | 0.002 | -0.000 |
| 0.000 | -0.000 | -0.000 | 0.000 | 0.001 | -0.000 |
| 0.000 | -0.000 | -0.000 | -0.000 | -0.000 | -0.000 |
| -0.005 | -0.003 | -0.005 | -0.000 | -0.005 | -0.000 |
| 0.000 | 0.000 | 0.001 | 0.001 | 0.001 | 0.000 |
| -0.000 | -0.000 | -0.000 | -0.000 | -0.000 | -0.000 |
| -0.000 | -0.000 | -0.000 | -0.000 | -0.000 | -0.000 |
| -0.000 | -0.000 | -0.000 | -0.000 | -0.000 | -0.000 |
| -0.000 | 0.002 | 0.002 | -0.002 | -0.003 | 0.003 |
| -0.001 | -0.001 | -0.001 | 0.002 | 0.001 | -0.002 |
| 0.004 | 0.004 | -0.007 | 0.000 | -0.000 | -0.004 |
| 0.000 | 0.000 | 0.000 | -0.000 | -0.000 | 0.000 |
| -0.000 | -0.000 | -0.000 | 0.000 | 0.000 | 0.000 |
| 0.000 | 0.000 | 0.000 | 0.000 | -0.000 | -0.000 |
| -0.000 | 0.001 | 0.001 | 0.001 | -0.000 | -0.000 |
| -0.000 | 0.000 | -0.000 | -0.000 | -0.000 | -0.000 |
| -0.000 | -0.000 | 0.000 | -0.000 | -0.000 | -0.000 |
| -0.000 | -0.000 | -0.000 | -0.000 | -0.000 | -0.000 |
| -0.000 | -0.000 | -0.000 | -0.000 | -0.000 | -0.000 |
| -0.000 | -0.000 | -0.000 | -0.000 | -0.000 | -0.000 |
| -0.000 | 0.000 | 0.000 | -0.000 | -0.000 | 0.000 |
| -0.000 | -0.000 | -0.000 | 0.000 | 0.000 | -0.000 |
| 0.001 | 0.001 | 0.000 | -0.000 | 0.000 | -0.001 |
| 743.504 | 197.785 | 197.785 | 0.000 | 0.000 | 0.000 |
| 197.785 | 743.504 | 197.785 | 0.000 | 0.000 | 0.000 |
| 197.785 | 197.785 | 743.504 | -0.000 | 0.000 | 0.000 |
| 0.000 | 0.000 | -0.000 | 138.828 | 0.000 | 0.000 |
| 0.000 | -0.000 | -0.000 | 0.000 | 138.828 | 0.000 |
| 0.000 | -0.000 | -0.000 | -0.000 | 0.000 | 138.828 |
| 743.504 | 197.785 | 197.785 | -0.000 | -0.000 | -0.000 |
| 197.785 | 743.504 | 197.785 | -0.000 | -0.000 | -0.000 |
| 197.785 | 197.785 | 743.504 | -0.000 | -0.000 | -0.000 |
| -0.000 | 0.000 | 0.000 | 138.828 | 0.000 | -0.000 |
| -0.000 | -0.000 | 0.000 | -0.000 | 138.828 | -0.000 |
| -0.000 | 0.000 | 0.000 | -0.000 | -0.000 | 138.828 |
| 743.505 | 197.785 | 197.785 | -0.000 | 0.000 | 0.000 |
| 197.785 | 743.505 | 197.785 | -0.000 | 0.000 | -0.000 |
| 197.785 | 197.785 | 743.505 | 0.000 | 0.000 | 0.000 |
| 0.000 | 0.000 | 0.000 | 138.828 | 0.000 | 0.000 |
| 0.000 | 0.000 | 0.000 | 0.000 | 138.828 | 0.000 |
| 0.000 | 0.000 | 0.000 | 0.000 | 0.000 | 138.828 |
| 743.504 | 197.785 | 197.785 | -0.000 | -0.000 | -0.000 |
| 197.785 | 743.504 | 197.785 | -0.000 | 0.000 | -0.000 |
| 197.785 | 197.785 | 743.504 | -0.000 | -0.000 | -0.000 |
| -0.000 | -0.000 | -0.000 | 138.828 | -0.000 | 0.000 |
| -0.000 | -0.000 | -0.000 | -0.000 | 138.828 | -0.000 |
| -0.000 | -0.000 | -0.000 | -0.000 | -0.000 | 138.828 |
| 743.507 | 197.786 | 197.786 | 0.000 | 0.000 | -0.000 |
| 197.786 | 743.507 | 197.786 | 0.000 | 0.000 | 0.000 |
| 197.786 | 197.786 | 743.507 | 0.000 | 0.000 | 0.000 |
| 0.000 | 0.000 | 0.000 | 138.828 | -0.000 | 0.000 |
| 0.000 | 0.000 | 0.000 | -0.000 | 138.828 | 0.000 |
| 0.000 | 0.000 | 0.000 | 0.000 | 0.000 | 138.828 |
| 743.502 | 197.784 | 197.784 | -0.000 | -0.000 | -0.000 |
| 197.784 | 743.502 | 197.784 | -0.000 | -0.000 | -0.000 |
| 197.784 | 197.784 | 743.502 | 0.000 | 0.000 | 0.000 |
| -0.000 | -0.000 | -0.000 | 138.828 | -0.000 | -0.000 |
| -0.000 | -0.000 | -0.000 | -0.000 | 138.828 | -0.000 |
| -0.000 | -0.000 | -0.000 | -0.000 | -0.000 | 138.828 |
| 330.158 | 383.083 | 383.083 | -0.000 | 0.000 | 0.000 |
| 383.083 | 330.158 | 383.083 | 0.000 | -0.000 | 0.000 |
| 383.083 | 383.083 | 330.158 | -0.000 | -0.000 | -0.000 |
| -86196.885 | 2464.690 | 3009.016 | -1136.002 | -2735.899 | 5176.533 |
| 601.927 | -107811.900 | 3020.247 | 747.801 | 2840.672 | -4484.463 |
| 1622.824 | 2971.342 | -160340.520 | -772.631 | 2770.313 | 108.122 |
| 22050.171 | 29580.448 | 26813.343 | -11789.905 | 7264.125 | -1279.852 |
| -19010.032 | 49266.012 | 126720.575 | 34497.641 | -67104.997 | -22044.290 |
| 23796.585 | 24980.481 | 9589.433 | 5774.835 | 9405.431 | -4769.672 |
| 369497.401 | 16116.917 | 10243.350 | 10467.418 | -9727.065 | -28164.889 |
| 3310.380 | 427738.359 | 6544.499 | -11964.433 | 30322.492 | -17239.007 |
| -10355.090 | 3976.234 | -58341.041 | -5348.245 | -4313.052 | 1380.081 |
| -378.446 | 1625.265 | 2348.463 | 49.044 | -3359.116 | 266.143 |
| -2036.674 | -3762.949 | -829.812 | 934.819 | 3377.670 | -4477.546 |
| -14239.485 | 2415.830 | -1629.816 | -1840.224 | 5669.793 | 2816.884 |
| 2506.418 | -379.975 | 304.459 | -34.630 | -1.627 | -10.710 |
| -316.412 | 1251.052 | 297.084 | 122.005 | 6.323 | 6.413 |
| 26.691 | -15.568 | -130.065 | -25.212 | -8.479 | -9.292 |
| -1813.626 | 5463.217 | 4248.811 | -1123.945 | -6608.972 | 713.166 |
| 7564.850 | 2035.897 | 13164.570 | -850.002 | 1540.199 | -3505.535 |
| 812.581 | 681.902 | 57.820 | -231.101 | 651.202 | -347.834 |
| 2610.303 | 158.067 | 280.908 | 251.444 | -720.987 | -145.694 |
| -885.900 | 1401.296 | -704.230 | -153.157 | -72.934 | 190.756 |
| -87.282 | -325.199 | -2375.811 | -204.948 | -547.971 | -99.531 |
| 330.117 | 383.044 | 383.044 | 0.000 | 0.000 | 0.000 |
| 383.044 | 330.117 | 383.044 | 0.000 | 0.000 | 0.000 |
| 383.044 | 383.044 | 330.117 | -0.000 | -0.000 | 0.000 |
| 521.417 | 2.199 | -1.560 | -0.182 | 18.659 | -25.033 |
| 3.138 | 522.599 | -2.288 | -21.529 | -0.233 | 28.597 |
| 2.330 | -1.640 | 1036.250 | -19.039 | 24.815 | -0.245 |
| 66.840 | 633.870 | 2932.370 | 1161.176 | 900.892 | 415.220 |
| 317.620 | -604.150 | 171.774 | 275.027 | 299.405 | 54.815 |
| 847.387 | 548.484 | 586.677 | -131.903 | -42.530 | -448.560 |
| 642.876 | -117.533 | -3.536 | -6.168 | -43.341 | -148.526 |
| -17.521 | -68.611 | -28.807 | -170.730 | -112.564 | -86.025 |
| 9.109 | -38.076 | 1320.456 | -1.721 | -23.122 | 7.735 |
| 62.639 | 78.799 | 468.830 | 0.000 | 0.000 | 0.000 |
| -167.751 | 480.604 | 185.208 | -0.000 | 0.000 | 0.000 |
| -442.008 | -43.577 | 53.944 | 0.000 | 0.000 | 0.000 |
| -0.000 | -0.000 | -0.000 | 433.342 | -0.000 | 0.000 |
| -725.962 | -288.833 | -663.022 | -0.000 | 192.327 | 0.000 |
| -0.001 | -0.000 | -0.000 | -0.000 | -0.000 | 619.235 |
| 1283.494 | 787.461 | 635.926 | -0.000 | -0.001 | -0.000 |
| 699.723 | 986.585 | 532.208 | 0.000 | 0.000 | -0.000 |
| 1355.124 | 838.483 | 1934.106 | -0.000 | -0.001 | -0.000 |
| 0.000 | 0.000 | 0.000 | 433.342 | 0.000 | -0.000 |
| 725.962 | 288.833 | 663.022 | 0.000 | 192.326 | -0.000 |
| 0.000 | 0.000 | 0.000 | 0.000 | 0.000 | 619.235 |
| 566.710 | 364.100 | 648.773 | -0.000 | 0.000 | 0.000 |
| 336.235 | 764.631 | 373.518 | 0.000 | 0.000 | 0.000 |
| 54.245 | 210.014 | 475.389 | 0.000 | 0.000 | 0.000 |
| -163.446 | -92.312 | -61.338 | 253.141 | 0.000 | 0.000 |
| -66.443 | -27.513 | -56.000 | 0.000 | 188.177 | 0.000 |
| -179.886 | -101.598 | -67.506 | 0.000 | 0.000 | 200.564 |
| 583.091 | 410.168 | 219.799 | -0.000 | -0.000 | -0.000 |
| 439.108 | 821.607 | 410.611 | -0.000 | -0.000 | -0.000 |
| 307.865 | 325.904 | 657.185 | -0.000 | 0.001 | -0.000 |
| 163.446 | 92.312 | 61.338 | 253.141 | -0.000 | -0.000 |
| 66.443 | 27.513 | 56.000 | -0.000 | 188.177 | -0.000 |
| 179.886 | 101.598 | 67.506 | -0.000 | -0.000 | 200.564 |
| 482.321 | 368.608 | 148.468 | -0.000 | 0.000 | 0.000 |
| 348.058 | 685.795 | 263.190 | 0.000 | 0.000 | 0.000 |
| 152.929 | 260.199 | 583.217 | 0.000 | 0.000 | 0.000 |
| -6.890 | -3.249 | 3.463 | 147.944 | 0.000 | 0.000 |
| -6.241 | -2.687 | -5.148 | 0.000 | 190.591 | 0.000 |
| -7.304 | -2.787 | -6.589 | 0.000 | -0.000 | 130.546 |
| 542.824 | 378.280 | 221.532 | -0.000 | -0.000 | -0.000 |
| 348.252 | 686.021 | 272.148 | -0.000 | -0.000 | -0.000 |
| 151.148 | 277.236 | 533.804 | -0.000 | -0.000 | -0.000 |
| 6.890 | 3.249 | -3.463 | 147.944 | -0.000 | -0.000 |
| 6.241 | 2.687 | 5.148 | -0.000 | 190.591 | -0.000 |
| 7.304 | 2.787 | 6.589 | -0.000 | 0.000 | 130.546 |
| 583.062 | 258.617 | 9.052 | 0.000 | -0.000 | -0.000 |
| 228.839 | 268.665 | 52.851 | -0.000 | -0.000 | -0.000 |
| -41.941 | 31.536 | -224.102 | 0.000 | 0.000 | -0.000 |
| -32.017 | -7.813 | -1.399 | -287.394 | -0.000 | -0.000 |
| -32.005 | -7.802 | -1.422 | 0.000 | -199.559 | -0.000 |
| -30.364 | -7.458 | -1.200 | 0.000 | -0.000 | 399.187 |
| 647.418 | 276.163 | 6.914 | -0.000 | 0.000 | 0.000 |
| 293.130 | 286.276 | 50.494 | -0.000 | -0.000 | 0.000 |
| 22.161 | 47.250 | -221.491 | 0.000 | -0.000 | 0.000 |
| 32.017 | 7.813 | 1.399 | -287.394 | 0.000 | 0.000 |
| 32.005 | 7.802 | 1.422 | 0.000 | -199.559 | 0.000 |
| 30.364 | 7.458 | 1.200 | -0.000 | -0.000 | 399.187 |
| 614.241 | 266.267 | 10.305 | 0.000 | 0.000 | -0.000 |
| 258.107 | 275.843 | 54.037 | 0.000 | -0.000 | -0.000 |
| -13.059 | 38.618 | -222.917 | 0.000 | -0.000 | -0.000 |
| -3.201 | -0.780 | -0.135 | -287.394 | -0.000 | -0.000 |
| -3.200 | -0.779 | -0.138 | -0.000 | -199.559 | -0.000 |
| -3.040 | -0.746 | -0.120 | 0.000 | 0.000 | 399.205 |
| 617.641 | 267.081 | 10.494 | -0.000 | -0.000 | 0.000 |
| 263.588 | 277.180 | 54.276 | -0.000 | -0.000 | 0.000 |
| -6.719 | 40.169 | -222.676 | -0.000 | -0.000 | 0.000 |
| 3.201 | 0.780 | 0.135 | -287.394 | 0.000 | 0.000 |
| 3.200 | 0.779 | 0.138 | 0.000 | -199.559 | 0.000 |
| 3.040 | 0.746 | 0.120 | -0.000 | -0.000 | 399.205 |
| 614.203 | 266.250 | 10.328 | -0.000 | 0.000 | -0.000 |
| 260.528 | 276.434 | 54.147 | -0.000 | -0.000 | -0.000 |
| -9.855 | 39.420 | -222.706 | -0.000 | 0.000 | -0.000 |
| -0.312 | -0.066 | 0.036 | -287.394 | 0.000 | -0.000 |
| -0.311 | -0.066 | 0.027 | 0.000 | -199.559 | -0.000 |
| -0.318 | -0.076 | -0.011 | -0.000 | -0.000 | 399.191 |
| 614.719 | 266.350 | 10.413 | 0.000 | -0.000 | 0.000 |
| 261.140 | 276.561 | 54.221 | 0.000 | -0.000 | 0.000 |
| -9.853 | 39.389 | -222.898 | 0.000 | 0.000 | 0.000 |
| 0.312 | 0.066 | -0.036 | -287.394 | 0.000 | 0.000 |
| 0.311 | 0.066 | -0.027 | -0.000 | -199.559 | 0.000 |
| 0.318 | 0.076 | 0.011 | 0.000 | -0.000 | 399.191 |
| 461.122 | 171.247 | 171.247 | -0.000 | 0.000 | -0.000 |
| 171.247 | 461.122 | 171.247 | -0.000 | 0.000 | 0.000 |
| 171.247 | 171.247 | 461.122 | 0.000 | 0.000 | -0.000 |
| 0.000 | 0.000 | 0.000 | 77.374 | 0.000 | -0.000 |
| 0.000 | 0.000 | 0.000 | -0.000 | 77.374 | -0.000 |
| 0.000 | 0.000 | 0.000 | 0.000 | 0.000 | 77.374 |
| 466.658 | 168.479 | 168.479 | -0.000 | -0.000 | 0.000 |
| 168.479 | 466.658 | 168.479 | -0.000 | 0.000 | 0.000 |
| 168.479 | 168.479 | 466.658 | 0.000 | -0.000 | 0.000 |
| -0.000 | -0.000 | -0.000 | 77.374 | -0.000 | 0.000 |
| -0.000 | -0.000 | 0.000 | -0.000 | 77.374 | 0.000 |
| -0.000 | 0.000 | 0.000 | -0.000 | -0.000 | 77.374 |
| 461.122 | 171.247 | 171.247 | -0.000 | 0.000 | -0.000 |
| 171.247 | 461.122 | 171.247 | -0.000 | 0.000 | -0.000 |
| 171.247 | 171.247 | 461.122 | -0.000 | -0.000 | -0.000 |
| 0.000 | 0.000 | 0.000 | -71.387 | 0.000 | -0.000 |
| 0.000 | 0.000 | 0.000 | 0.000 | -71.387 | -0.000 |
| 0.000 | 0.000 | 0.000 | 0.000 | 0.000 | -71.387 |
| 461.122 | 171.247 | 171.247 | 0.000 | -0.000 | 0.000 |
| 171.247 | 461.122 | 171.247 | 0.000 | -0.000 | 0.000 |
| 171.247 | 171.247 | 461.122 | 0.000 | -0.000 | 0.000 |
| -0.000 | -0.000 | -0.000 | -71.387 | -0.000 | -0.000 |
| -0.000 | -0.000 | -0.000 | -0.000 | -71.387 | 0.000 |
| -0.000 | -0.000 | -0.000 | -0.000 | -0.000 | -71.387 |
| 461.124 | 171.248 | 171.248 | -0.000 | 0.000 | -0.000 |
| 171.248 | 461.124 | 171.248 | -0.000 | 0.000 | -0.000 |
| 171.248 | 171.248 | 461.124 | -0.000 | 0.000 | -0.000 |
| 0.001 | 0.001 | 0.000 | -71.387 | 0.000 | -0.000 |
| 0.001 | 0.001 | 0.000 | 0.000 | -71.387 | -0.000 |
| 0.001 | 0.000 | 0.001 | -0.000 | 0.000 | -71.387 |
| 461.119 | 171.247 | 171.247 | 0.000 | -0.000 | 0.000 |
| 171.247 | 461.119 | 171.247 | 0.000 | -0.000 | 0.000 |
| 171.247 | 171.247 | 461.119 | 0.000 | -0.000 | 0.000 |
| -0.001 | -0.001 | -0.000 | -71.387 | -0.000 | 0.000 |
| -0.001 | -0.001 | -0.000 | 0.000 | -71.387 | 0.000 |
| -0.001 | -0.000 | -0.001 | 0.000 | -0.000 | -71.387 |
| -1598797.414 | -1752899.843 | -4833142.799 | -131726.748 | 291123.850 | -960759.677 |
| -3064245.233 | -2125138.017 | -5373899.928 | -474806.322 | 181198.228 | -1680893.581 |
| -2223598.390 | -1660215.813 | -4868237.212 | -111784.921 | 671130.087 | -942332.196 |
| -1231478.219 | -271136.607 | -4427865.884 | -105601.795 | 1179934.935 | -1057218.554 |
| -2805132.598 | -1069112.691 | -6234198.184 | 69240.001 | 633045.423 | -1420289.181 |
| -3105796.561 | -1313630.602 | -5369897.258 | -16514.258 | 427366.929 | -1512948.735 |
| 4063662.955 | 2116028.431 | 5680495.718 | 243830.240 | -524736.536 | 1509911.235 |
| 2555853.901 | 1527999.701 | 4686083.470 | 196116.536 | -459684.062 | 1717522.788 |
| 2870546.429 | 2353374.866 | 4817578.720 | 650362.286 | -735456.518 | 1299205.329 |
| 3024445.601 | 809952.991 | 5110374.305 | 30490.159 | -326422.278 | 1313614.330 |
| 3075599.796 | 2005453.742 | 5596212.840 | 115890.255 | -335534.088 | 1225434.889 |
| 1373126.144 | 1832254.050 | 5104736.745 | 376827.520 | 222750.697 | 1231854.066 |
| -266891.784 | -175945.752 | -571946.037 | -21508.192 | 60073.442 | -139419.973 |
| -326809.275 | -124086.483 | -521032.591 | 4888.118 | 50203.754 | -145562.048 |
| -305184.560 | -151138.764 | -566928.729 | -32038.304 | 57286.452 | -167181.812 |
| -315095.325 | -165849.933 | -474986.117 | -26091.537 | 59464.690 | -164697.643 |
| -311272.289 | -117384.722 | -475633.219 | -56387.139 | 35765.538 | -143812.927 |
| -301723.209 | -256265.756 | -492843.043 | -27023.596 | 63206.269 | -155059.374 |
| 260297.002 | 228221.988 | 599732.372 | 8378.601 | -48051.792 | 114018.324 |
| 259082.398 | 67326.286 | 446213.894 | 42982.960 | -4773.926 | 175080.140 |
| 151441.387 | 127076.884 | 455420.885 | 56803.810 | -55577.479 | 143407.055 |
| 300657.431 | 168096.385 | 581823.998 | 24538.469 | -89744.925 | 146096.030 |
| 302754.667 | 150263.667 | 576551.860 | 27462.318 | -32178.218 | 127396.688 |
| 304555.804 | 135487.855 | 501147.027 | -24081.219 | -73601.070 | 200881.908 |
| -23097.421 | -11608.246 | -44521.966 | -2334.513 | 7654.388 | -16494.309 |
| -27930.923 | -15687.437 | -55006.533 | -4677.723 | 5678.622 | -17945.995 |
| -29650.509 | -14347.904 | -51790.936 | -7748.392 | 3991.654 | -16047.645 |
| -31731.225 | -18746.948 | -59500.635 | -3553.284 | 4249.019 | -15269.317 |
| -28521.722 | -15310.187 | -53073.336 | 744.919 | -2339.699 | -14260.376 |
| -32581.830 | -15606.515 | -60863.723 | -5935.837 | 4366.952 | -14157.566 |
| 33492.138 | 18470.922 | 41124.119 | 571.248 | -5890.883 | 16082.270 |
| 32016.974 | 10908.690 | 54752.346 | 587.113 | -4147.266 | 14097.179 |
| 34923.888 | 25945.072 | 59582.076 | 5355.508 | -2368.806 | 13578.845 |
| 27017.364 | 2568.529 | 49827.805 | 1527.376 | -6462.761 | 15997.862 |
| 9675.039 | 14558.476 | 43091.173 | 5032.458 | -39.058 | 12485.182 |
| 25187.201 | 12197.369 | 57226.160 | 5466.741 | -2679.637 | 17378.704 |
| 196.806 | 285.100 | 285.100 | 0.000 | -0.000 | 0.000 |
| 285.100 | 196.806 | 285.100 | -0.000 | -0.000 | 0.000 |
| 285.100 | 285.100 | 196.806 | 0.000 | -0.000 | 0.000 |
| 0.000 | 0.000 | 0.000 | 121.670 | -0.000 | 0.000 |
| 0.000 | 0.000 | 0.000 | -0.000 | 121.670 | 0.000 |
| 0.000 | 0.000 | 0.000 | 0.000 | -0.000 | 121.670 |
| 196.806 | 285.100 | 285.100 | 0.000 | 0.000 | -0.000 |
| 285.100 | 196.806 | 285.100 | -0.000 | 0.000 | -0.000 |
| 285.100 | 285.100 | 196.806 | 0.000 | 0.000 | -0.000 |
| -0.000 | -0.000 | -0.000 | 121.670 | 0.000 | -0.000 |
| -0.000 | -0.000 | -0.000 | -0.000 | 121.670 | -0.000 |
| -0.000 | -0.000 | -0.000 | -0.000 | 0.000 | 121.670 |
| 196.806 | 285.100 | 285.100 | -0.000 | -0.000 | 0.000 |
| 285.100 | 196.806 | 285.100 | 0.000 | -0.000 | 0.000 |
| 285.100 | 285.100 | 196.806 | -0.000 | -0.000 | 0.000 |
| 0.000 | 0.000 | 0.000 | 121.670 | -0.000 | 0.000 |
| 0.000 | 0.000 | 0.000 | -0.000 | 121.670 | 0.000 |
| 0.000 | 0.000 | 0.000 | 0.000 | -0.000 | 121.670 |
| 196.806 | 285.100 | 285.100 | -0.000 | 0.000 | 0.000 |
| 285.100 | 196.806 | 285.100 | -0.000 | 0.000 | -0.000 |
| 285.100 | 285.100 | 196.806 | 0.000 | 0.000 | -0.000 |
| -0.000 | -0.000 | -0.000 | 121.670 | 0.000 | -0.000 |
| -0.000 | -0.000 | -0.000 | -0.000 | 121.670 | -0.000 |
| -0.000 | -0.000 | -0.000 | 0.000 | 0.000 | 121.670 |
| 196.807 | 285.101 | 285.101 | -0.000 | -0.000 | 0.000 |
| 285.101 | 196.807 | 285.101 | 0.000 | -0.000 | 0.000 |
| 285.101 | 285.101 | 196.807 | -0.000 | -0.000 | 0.000 |
| 0.000 | 0.000 | 0.000 | 121.670 | -0.000 | 0.000 |
| 0.000 | 0.000 | 0.000 | 0.000 | 121.670 | 0.000 |
| 0.000 | 0.000 | 0.000 | -0.000 | -0.000 | 121.670 |
| 196.805 | 285.099 | 285.099 | -0.000 | 0.000 | -0.000 |
| 285.099 | 196.805 | 285.099 | 0.000 | 0.000 | -0.000 |
| 285.099 | 285.099 | 196.805 | 0.000 | 0.000 | 0.000 |
| -0.000 | -0.000 | -0.000 | 121.670 | 0.000 | -0.000 |
| -0.000 | -0.000 | -0.000 | 0.000 | 121.670 | -0.000 |
| -0.000 | -0.000 | -0.000 | 0.000 | 0.000 | 121.670 |
| 295.665 | 248.701 | 248.701 | 0.000 | 0.000 | 0.000 |
| 248.701 | 295.665 | 248.701 | 0.000 | 0.000 | 0.000 |
| 248.701 | 248.701 | 295.665 | 0.000 | -0.000 | 0.000 |
| 0.000 | -0.000 | 0.000 | 83.912 | 0.000 | 0.000 |
| 0.000 | -0.000 | 0.000 | 0.000 | 83.912 | 0.000 |
| 0.000 | 0.000 | -0.000 | 0.000 | 0.000 | 83.912 |
| 295.665 | 248.700 | 248.700 | -0.000 | -0.000 | 0.000 |
| 248.700 | 295.665 | 248.700 | -0.000 | -0.000 | 0.000 |
| 248.700 | 248.700 | 295.665 | 0.000 | 0.000 | -0.000 |
| -0.000 | 0.000 | -0.000 | 83.912 | -0.000 | -0.000 |
| -0.000 | -0.000 | -0.000 | -0.000 | 83.912 | -0.000 |
| -0.000 | -0.000 | 0.000 | -0.000 | -0.000 | 83.912 |
| 295.665 | 248.701 | 248.701 | -0.000 | -0.000 | 0.000 |
| 248.701 | 295.665 | 248.701 | -0.000 | -0.000 | -0.000 |
| 248.701 | 248.701 | 295.665 | -0.000 | -0.000 | 0.000 |
| -0.000 | 0.000 | 0.000 | 83.912 | -0.000 | 0.000 |
| 0.000 | -0.000 | 0.000 | 0.000 | 83.912 | 0.000 |
| 0.000 | 0.000 | -0.000 | 0.000 | -0.000 | 83.912 |
| 295.665 | 248.700 | 248.700 | -0.000 | -0.000 | 0.000 |
| 248.700 | 295.665 | 248.700 | -0.000 | 0.000 | -0.000 |
| 248.700 | 248.700 | 295.665 | -0.000 | 0.000 | 0.000 |
| 0.000 | -0.000 | -0.000 | 83.912 | -0.000 | 0.000 |
| -0.000 | 0.000 | -0.000 | -0.000 | 83.912 | -0.000 |
| -0.000 | -0.000 | 0.000 | -0.000 | -0.000 | 83.912 |
| 295.666 | 248.701 | 248.701 | 0.000 | -0.000 | -0.000 |
| 248.701 | 295.666 | 248.701 | 0.000 | -0.000 | 0.000 |
| 248.701 | 248.701 | 295.666 | -0.000 | -0.000 | -0.000 |
| -0.000 | 0.000 | 0.000 | 83.912 | 0.000 | -0.000 |
| 0.000 | -0.000 | 0.000 | 0.000 | 83.912 | -0.000 |
| 0.000 | 0.000 | -0.000 | 0.000 | 0.000 | 83.912 |
| 295.664 | 248.700 | 248.700 | 0.000 | 0.000 | -0.000 |
| 248.700 | 295.664 | 248.700 | 0.000 | 0.000 | 0.000 |
| 248.700 | 248.700 | 295.664 | -0.000 | 0.000 | -0.000 |
| 0.000 | -0.000 | -0.000 | 83.912 | -0.000 | -0.000 |
| -0.000 | 0.000 | -0.000 | -0.000 | 83.912 | -0.000 |
| -0.000 | -0.000 | 0.000 | -0.000 | -0.000 | 83.912 |
| -14739444.606 | 32070925.680 | -12386259.311 | -255596.069 | 4284273.949 | -664094.633 |
| -13468789.128 | 28823389.675 | -10581793.086 | 590419.292 | 4106296.920 | -773967.486 |
| -14329814.668 | 31441216.449 | -10781580.864 | 148264.301 | 4145383.920 | -732638.283 |
| -12175080.685 | 25480572.568 | -11581417.499 | 513129.787 | 3746309.311 | -659333.018 |
| -14092233.025 | 30069051.688 | -10918609.212 | 213508.746 | 4244598.642 | -736304.409 |
| -16203165.745 | 37696675.916 | -12320840.317 | -110123.896 | 4576801.090 | -487881.387 |
| 13485025.912 | -28706636.992 | 10749772.647 | -589375.812 | -4153903.161 | 777499.712 |
| 11975513.623 | -25333869.304 | 11404805.439 | -584423.429 | -3568556.280 | 590746.504 |
| 13469755.096 | -28834962.305 | 10588579.256 | -586563.527 | -4102094.567 | 772216.634 |
| 14305759.550 | -31411953.335 | 10766265.103 | -181377.017 | -4089684.549 | 727382.017 |
| 14396160.476 | -34138366.932 | 10743506.865 | -617079.812 | -4402667.872 | 583624.869 |
| 14632816.084 | -31649286.621 | 12691840.399 | -88794.629 | -4592314.890 | 612659.281 |
| -1331159.447 | 2864197.174 | -1123490.761 | 47308.411 | 403029.438 | -74392.800 |
| -1495559.922 | 3297230.344 | -1273645.837 | -8430.282 | 455801.009 | -62920.737 |
| -1344216.572 | 2879065.637 | -1075182.312 | 56269.191 | 409972.733 | -76619.767 |
| -1487924.860 | 3565877.378 | -1068364.280 | 78076.765 | 432169.986 | -62623.311 |
| -1367553.955 | 3004395.428 | -1059242.579 | 56339.701 | 405398.175 | -77315.879 |
| -1347220.104 | 2875206.117 | -1069900.976 | 56101.338 | 417900.369 | -77814.299 |
| 1552255.382 | -3643415.038 | 1098744.760 | 22879.867 | -446768.799 | 63497.658 |
| 1532285.298 | -3665334.730 | 1041449.835 | -54029.633 | -435766.145 | 55509.944 |
| 1363331.532 | -3000726.305 | 1081634.509 | -53055.567 | -400711.034 | 75610.604 |
| 1333943.910 | -2859379.105 | 1127922.803 | -50349.989 | -402688.453 | 73730.953 |
| 1407265.664 | -3011763.919 | 1095210.917 | -12654.053 | -419827.447 | 73879.241 |
| 1340174.402 | -2878832.913 | 1084588.842 | -52973.051 | -402468.622 | 75799.140 |
| -133445.675 | 287091.735 | -109965.821 | 5782.844 | 40730.969 | -7408.280 |
| -143127.887 | 314326.595 | -107129.848 | 1871.000 | 41387.485 | -7278.268 |
| -133855.919 | 287411.730 | -108679.913 | 5861.708 | 41119.779 | -7612.129 |
| -119601.551 | 253315.307 | -114136.945 | 5967.054 | 35232.538 | -5766.238 |
| -134242.067 | 287311.244 | -108575.150 | 5625.838 | 41123.305 | -7639.612 |
| -135547.236 | 299120.290 | -110195.575 | 5848.869 | 39974.265 | -7368.003 |
| 141067.965 | -307721.353 | 107370.868 | -6118.178 | -41070.251 | 7772.641 |
| 133798.778 | -286477.961 | 111098.136 | -5688.068 | -40469.554 | 7454.268 |
| 134753.851 | -287433.838 | 108029.554 | -5753.654 | -41206.983 | 7688.352 |
| 121791.320 | -253575.946 | 116175.743 | -5483.192 | -38059.161 | 6733.305 |
| 141540.203 | -303131.598 | 114155.770 | -1308.982 | -43285.762 | 7274.958 |
| 144073.518 | -340596.180 | 108665.371 | -6233.116 | -43817.318 | 6010.229 |
| 0.000 | 0.000 | 0.000 | -0.000 | 0.000 | 0.000 |
| 0.000 | 0.000 | 0.000 | -0.000 | 0.000 | 0.000 |
| -0.000 | 0.000 | -0.000 | 0.000 | -0.000 | 0.000 |
| -0.000 | -0.000 | -0.000 | 0.000 | 0.000 | -0.000 |
| 0.000 | 0.000 | 0.000 | -0.000 | -0.000 | 0.000 |
| -0.000 | 0.000 | -0.000 | 0.000 | -0.000 | 0.000 |
| 0.000 | -0.000 | 0.000 | 0.000 | -0.000 | -0.000 |
| -0.000 | -0.000 | -0.000 | -0.000 | -0.000 | -0.000 |
| 0.000 | -0.000 | 0.000 | 0.000 | 0.000 | -0.000 |
| 0.000 | 0.000 | 0.000 | 0.000 | -0.000 | -0.000 |
| -0.000 | -0.000 | -0.000 | 0.000 | 0.000 | -0.000 |
| 0.000 | -0.000 | 0.000 | -0.000 | 0.000 | -0.000 |
| -0.000 | 0.000 | -0.000 | 0.000 | 0.000 | 0.000 |
| 0.000 | 0.000 | 0.000 | -0.000 | 0.000 | 0.000 |
| -0.000 | 0.000 | -0.000 | -0.000 | -0.000 | 0.000 |
| -0.000 | -0.000 | -0.000 | 0.000 | -0.000 | 0.000 |
| -0.000 | 0.000 | -0.000 | -0.000 | -0.000 | 0.000 |
| -0.000 | 0.000 | -0.000 | 0.000 | -0.000 | 0.000 |
| 0.000 | -0.000 | 0.000 | -0.000 | 0.000 | -0.000 |
| -0.000 | -0.000 | -0.000 | -0.000 | -0.000 | -0.000 |
| 0.000 | -0.000 | 0.000 | -0.000 | 0.000 | -0.000 |
| 0.000 | 0.000 | 0.000 | 0.000 | 0.000 | 0.000 |
| 0.000 | -0.000 | 0.000 | 0.000 | 0.000 | -0.000 |
| 0.000 | -0.000 | 0.000 | -0.000 | 0.000 | -0.000 |
| -0.000 | 0.000 | -0.000 | 0.000 | 0.000 | 0.000 |
| 0.000 | 0.000 | 0.000 | 0.000 | 0.000 | 0.000 |
| 0.000 | 0.000 | 0.000 | -0.000 | -0.000 | 0.000 |
| -0.000 | -0.000 | -0.000 | 0.000 | 0.000 | -0.000 |
| -0.000 | 0.000 | -0.000 | -0.000 | -0.000 | 0.000 |
| -0.000 | 0.000 | -0.000 | -0.000 | 0.000 | 0.000 |
| 0.000 | -0.000 | 0.000 | -0.000 | -0.000 | -0.000 |
| -0.000 | -0.000 | -0.000 | 0.000 | -0.000 | -0.000 |
| -0.000 | -0.000 | -0.000 | 0.000 | -0.000 | -0.000 |
| 0.000 | 0.000 | 0.000 | 0.000 | -0.000 | -0.000 |
| 0.000 | -0.000 | 0.000 | 0.000 | -0.000 | -0.000 |
| 0.000 | -0.000 | 0.000 | -0.000 | 0.000 | -0.000 |
| -0.000 | 0.000 | -0.000 | 0.000 | 0.000 | 0.000 |
| -0.000 | 0.000 | -0.000 | 0.000 | 0.000 | 0.000 |
| -0.000 | 0.000 | -0.000 | -0.000 | -0.000 | 0.000 |
| -0.000 | 0.000 | -0.000 | -0.000 | 0.000 | -0.000 |
| -0.000 | 0.000 | -0.000 | -0.000 | 0.000 | 0.000 |
| -0.000 | 0.000 | -0.000 | 0.000 | 0.000 | 0.000 |
| 0.000 | -0.000 | 0.000 | 0.000 | 0.000 | -0.000 |
| 0.000 | -0.000 | 0.000 | -0.000 | -0.000 | -0.000 |
| 0.000 | -0.000 | 0.000 | 0.000 | -0.000 | -0.000 |
| 0.000 | -0.000 | 0.000 | -0.000 | -0.000 | -0.000 |
| 0.000 | -0.000 | 0.000 | 0.000 | -0.000 | -0.000 |
| 0.000 | -0.000 | 0.000 | -0.000 | -0.000 | -0.000 |
| -0.000 | 0.000 | -0.000 | -0.000 | 0.000 | 0.000 |
| -0.000 | 0.000 | -0.000 | 0.000 | 0.000 | 0.000 |
| -0.000 | 0.000 | -0.000 | 0.000 | -0.000 | 0.000 |
| -0.000 | -0.000 | -0.000 | 0.000 | -0.000 | 0.000 |
| -0.000 | 0.000 | -0.000 | -0.000 | 0.000 | 0.000 |
| -0.000 | 0.000 | -0.000 | -0.000 | 0.000 | 0.000 |
| 0.000 | -0.000 | 0.000 | 0.000 | -0.000 | -0.000 |
| 0.000 | -0.000 | 0.000 | -0.000 | -0.000 | -0.000 |
| 0.000 | -0.000 | 0.000 | 0.000 | -0.000 | -0.000 |
| 0.000 | 0.000 | 0.000 | 0.000 | 0.000 | 0.000 |
| 0.000 | -0.000 | 0.000 | -0.000 | -0.000 | -0.000 |
| 0.000 | -0.000 | 0.000 | 0.000 | -0.000 | -0.000 |
| -0.000 | 0.000 | -0.000 | -0.000 | 0.000 | 0.000 |
| -0.000 | 0.000 | -0.000 | 0.000 | 0.000 | 0.000 |
| -0.000 | 0.000 | -0.000 | -0.000 | 0.000 | 0.000 |
| -0.000 | 0.000 | -0.000 | -0.000 | -0.000 | 0.000 |
| -0.000 | 0.000 | -0.000 | -0.000 | -0.000 | 0.000 |
| -0.000 | 0.000 | -0.000 | -0.000 | 0.000 | 0.000 |
| 0.000 | -0.000 | 0.000 | -0.000 | -0.000 | -0.000 |
| 0.000 | -0.000 | 0.000 | -0.000 | -0.000 | -0.000 |
| 0.000 | -0.000 | 0.000 | 0.000 | -0.000 | -0.000 |
| 0.000 | -0.000 | 0.000 | -0.000 | 0.000 | 0.000 |
| 0.000 | -0.000 | 0.000 | -0.000 | -0.000 | -0.000 |
| 0.000 | -0.000 | 0.000 | 0.000 | -0.000 | -0.000 |
| -1782.892 | -2370.700 | -3096.321 | 0.044 | -0.007 | 63.941 |
| -2793.044 | -2448.799 | -2314.926 | 0.045 | -0.007 | -208.495 |
| -2874.036 | -2871.535 | -2166.202 | 0.042 | -0.007 | 0.238 |
| -1649.123 | -1648.803 | -2424.368 | 164.598 | -0.003 | 0.031 |
| -1643.075 | -1640.098 | -2424.322 | 0.019 | 169.406 | 0.284 |
| -3668.576 | -3839.157 | -518.990 | -0.037 | 0.005 | 328.482 |
| 1220.923 | 431.153 | 447.657 | -0.000 | -0.000 | 197.549 |
| 2042.507 | 2217.081 | 1938.925 | 0.053 | -0.008 | -121.395 |
| 3342.865 | 3340.055 | 2435.229 | -0.048 | 0.007 | -0.268 |
| 1649.124 | 1648.804 | 2424.374 | 164.556 | 0.003 | -0.031 |
| 3138.175 | 3135.513 | 2389.788 | -0.047 | 45.093 | -0.254 |
| 1772.173 | 1493.221 | 2415.149 | -1.232 | 0.186 | 327.743 |
| 521.448 | 91.672 | -57.715 | 0.004 | -0.001 | 206.557 |
| -91.350 | 345.985 | 200.358 | 0.002 | -0.000 | -158.072 |
| 104.335 | 104.492 | 317.962 | 0.014 | -0.002 | 0.015 |
| -371.937 | -371.921 | -181.537 | 200.249 | -0.002 | 0.002 |
| -226.624 | -226.433 | -172.578 | 0.003 | 144.333 | 0.018 |
| -25.771 | -302.914 | -241.766 | 0.263 | -0.040 | 324.180 |
| 827.900 | 574.855 | 546.196 | -0.000 | 0.000 | 90.929 |
| 431.156 | 1220.940 | 447.659 | -0.000 | -0.000 | -197.554 |
| 644.754 | 644.806 | 776.495 | -0.001 | 0.000 | 0.005 |
| 226.624 | 226.431 | 172.577 | 144.331 | 0.001 | -0.018 |
| 371.995 | 371.971 | 181.541 | 0.000 | 200.268 | -0.002 |
| 513.315 | 167.278 | 112.962 | -0.004 | 0.001 | 290.088 |
| 587.638 | 218.386 | 232.732 | 0.000 | -0.000 | 135.069 |
| 218.375 | 587.650 | 232.732 | 0.000 | -0.000 | -135.067 |
| 226.854 | 226.889 | 540.807 | 0.000 | -0.000 | 0.003 |
| -16.426 | -16.415 | -24.259 | 169.263 | -0.000 | 0.002 |
| -16.371 | -16.356 | -24.219 | 0.000 | 169.163 | 0.001 |
| 118.827 | -161.340 | -29.757 | 0.001 | -0.000 | 324.078 |
| 692.158 | 240.165 | 333.353 | -0.000 | 0.000 | 153.541 |
| 227.152 | 592.642 | 294.881 | 0.000 | -0.000 | -140.720 |
| 284.191 | 284.166 | 584.352 | 0.001 | -0.000 | -0.002 |
| 31.446 | 31.352 | 10.208 | 179.781 | 0.002 | -0.011 |
| 16.371 | 16.356 | 24.219 | -0.000 | 169.163 | -0.001 |
| 161.351 | -118.838 | 29.757 | -0.001 | 0.000 | 324.076 |
| 551.792 | 347.034 | 1864.073 | 0.000 | -0.002 | -0.000 |
| 347.034 | 551.793 | 1864.073 | 0.000 | -0.002 | -0.000 |
| 2067.547 | 2067.547 | 15436.416 | -0.000 | -0.000 | 0.000 |
| -0.000 | -0.000 | -0.002 | 2013.001 | -0.000 | 0.000 |
| -0.001 | -0.000 | -0.002 | -0.000 | 2013.001 | 0.000 |
| -0.000 | -0.000 | -0.000 | -0.000 | -0.000 | 212.138 |
| 551.790 | 347.035 | 1864.068 | -0.000 | 0.002 | 0.000 |
| 270.871 | 695.148 | 2067.550 | 0.000 | 0.000 | -0.000 |
| 2067.552 | 2067.552 | 15436.453 | 0.000 | 0.000 | -0.000 |
| 0.000 | 0.000 | 0.002 | 2013.001 | 0.000 | 0.000 |
| 0.000 | 0.000 | 0.002 | 0.000 | 2013.001 | -0.000 |
| 0.000 | 0.000 | 0.000 | -0.000 | 0.000 | 212.138 |
| 695.147 | 270.871 | 2067.545 | -0.000 | -0.000 | -0.000 |
| 347.029 | 551.801 | 1864.082 | 0.000 | -0.000 | -0.000 |
| 774.580 | 774.580 | 7605.423 | 0.000 | -0.001 | -0.000 |
| -0.003 | -0.001 | -0.014 | 1380.598 | -0.000 | -0.000 |
| -0.001 | -0.003 | -0.014 | 0.000 | 1380.598 | -0.000 |
| -0.000 | -0.000 | -0.001 | -0.000 | -0.000 | 212.138 |
| 551.786 | 347.038 | 1864.066 | -0.000 | 0.000 | 0.000 |
| 347.041 | 551.781 | 1864.059 | -0.000 | 0.000 | 0.000 |
| 2067.575 | 2067.575 | 15436.619 | 0.000 | 0.000 | -0.000 |
| 0.003 | 0.001 | 0.014 | 1380.598 | 0.000 | 0.000 |
| 0.001 | 0.003 | 0.014 | -0.000 | 1380.598 | 0.000 |
| 0.000 | 0.000 | 0.001 | 0.000 | 0.000 | 212.138 |
| 337.116 | 207.037 | 790.008 | 0.000 | -0.000 | -0.000 |
| 350.210 | 545.803 | 1855.544 | 0.000 | -0.000 | -0.000 |
| 776.404 | 776.404 | 7616.335 | 0.000 | -0.000 | -0.000 |
| -0.116 | 0.114 | -0.021 | 969.165 | -0.000 | 0.000 |
| 0.114 | -0.116 | -0.021 | 0.000 | 969.165 | 0.000 |
| -0.001 | 0.000 | -0.003 | 0.000 | -0.000 | 124.881 |
| 355.092 | 232.915 | 922.826 | 0.000 | -0.000 | 0.000 |
| 270.874 | 695.156 | 2067.594 | 0.000 | 0.000 | -0.000 |
| 774.413 | 774.413 | 7604.574 | -0.000 | 0.000 | 0.000 |
| 0.116 | -0.114 | 0.021 | 969.165 | 0.000 | -0.000 |
| 0.002 | 0.001 | 0.023 | -0.000 | 969.200 | 0.000 |
| 0.001 | -0.000 | 0.003 | -0.000 | 0.000 | 124.881 |
| 573.046 | 368.024 | 2037.547 | 0.005 | 0.014 | -0.002 |
| 368.017 | 573.047 | 2037.528 | 0.005 | 0.014 | -0.002 |
| 760.985 | 761.049 | 7790.039 | 0.020 | 0.062 | -0.007 |
| -0.000 | -0.001 | -0.002 | 2195.417 | 0.000 | -0.000 |
| -0.000 | -0.000 | -0.002 | -0.000 | 2195.417 | -0.000 |
| -0.000 | -0.000 | -0.000 | -0.000 | 0.000 | 220.091 |
| 573.875 | 368.052 | 2040.144 | -0.005 | -0.014 | 0.002 |
| 287.557 | 727.739 | 2262.546 | 0.000 | -0.000 | 0.000 |
| 2268.026 | 2268.026 | 16926.337 | 0.000 | -0.000 | 0.000 |
| 0.487 | 0.476 | 2.920 | 1107.538 | -0.008 | 0.001 |
| 0.001 | 0.000 | 0.002 | 0.000 | 2195.417 | 0.000 |
| 0.000 | 0.000 | 0.000 | -0.000 | -0.000 | 220.091 |
| 727.738 | 287.557 | 2262.541 | -0.000 | 0.000 | -0.000 |
| 287.556 | 727.738 | 2262.541 | -0.000 | 0.000 | 0.000 |
| 762.055 | 762.064 | 7796.348 | 0.003 | 0.010 | -0.001 |
| -0.002 | -0.005 | -0.024 | 2195.417 | 0.000 | -0.000 |
| -0.051 | -0.046 | -0.295 | 0.000 | 1107.081 | -0.000 |
| -0.000 | -0.000 | -0.001 | -0.000 | 0.000 | 220.091 |
| 727.740 | 287.557 | 2262.550 | 0.000 | -0.000 | 0.000 |
| 287.557 | 727.740 | 2262.550 | 0.000 | -0.000 | -0.000 |
| 762.008 | 762.002 | 7796.047 | -0.002 | -0.006 | 0.001 |
| 0.002 | 0.005 | 0.024 | 2195.417 | -0.000 | -0.000 |
| 0.051 | 0.046 | 0.295 | -0.000 | 1107.079 | 0.000 |
| 0.000 | 0.000 | 0.001 | 0.000 | -0.000 | 220.091 |
| 318.410 | 197.078 | 747.487 | -0.000 | -0.000 | -0.000 |
| 233.640 | 352.373 | 961.269 | 0.000 | -0.000 | -0.000 |
| 763.315 | 763.316 | 7803.824 | 0.000 | 0.001 | -0.000 |
| -0.105 | 0.083 | -0.081 | 1023.114 | 0.000 | 0.000 |
| 0.132 | -0.154 | -0.081 | 0.000 | 1023.125 | 0.000 |
| -0.005 | -0.008 | -0.040 | 0.000 | 0.000 | 81.086 |
| 312.607 | 207.494 | 761.483 | -0.000 | -0.000 | 0.000 |
| 198.206 | 320.172 | 756.261 | -0.001 | -0.004 | 0.000 |
| 760.746 | 760.746 | 7788.549 | -0.000 | -0.001 | 0.000 |
| 0.105 | -0.083 | 0.081 | 1023.114 | -0.000 | -0.000 |
| 0.008 | 0.014 | 0.083 | -0.000 | 1023.146 | 0.000 |
| 0.005 | 0.008 | 0.040 | -0.000 | -0.000 | 81.086 |
| 3486288.951 | -2490018.751 | -83273.352 | 844916.103 | -425966.190 | 1246666.715 |
| 1509762.837 | -3097220.222 | 117388.307 | 363525.047 | -914830.068 | 675627.401 |
| 1311480.964 | -2817121.556 | 441671.722 | -278120.647 | -1032051.128 | 410259.384 |
| 1155580.354 | -3361028.414 | -73695.545 | 163350.350 | -796109.558 | 526840.640 |
| 785094.118 | -1098934.023 | 122088.445 | -535857.897 | -755662.992 | 624338.502 |
| 1571687.744 | -3280286.522 | 56681.035 | 169639.481 | -615094.657 | 699164.975 |
| -2618727.335 | 3664178.110 | -56430.028 | -240842.617 | 382214.371 | -1045222.589 |
| -514653.843 | -249550.765 | -184612.313 | 278691.450 | 293290.229 | -356867.838 |
| -689552.570 | -516254.820 | -367270.413 | 142005.082 | 543740.136 | -244406.853 |
| -1798945.214 | 2649402.576 | 91239.460 | 455998.132 | 1046089.129 | -619004.416 |
| -3047264.978 | 3410356.801 | -647299.290 | -709744.495 | 496557.614 | -975092.735 |
| -1943733.791 | 3619839.163 | -84890.669 | -185660.730 | 650925.353 | -791359.139 |
| 181153.474 | -319736.541 | -2389.783 | 20589.299 | -74797.166 | 73488.016 |
| 142418.162 | -273356.545 | 92598.921 | 2685.182 | -107848.864 | 82496.516 |
| 52939.315 | -117820.328 | 7011.723 | -13696.921 | -86818.487 | 45154.723 |
| -22.337 | -41.678 | -92.373 | 1250.549 | 11.012 | 1.151 |
| 138190.305 | -171076.989 | 63479.204 | -32447.750 | -106598.244 | 72076.214 |
| 47501.091 | -6440.979 | 13705.054 | -45627.377 | -54187.914 | 52465.630 |
| -112192.634 | 276859.309 | -219.095 | -17276.403 | 93975.920 | -50728.828 |
| -90856.679 | 80871.187 | -52016.215 | 41573.844 | 75487.336 | -62665.743 |
| -179975.852 | 369120.677 | -22651.759 | -20073.104 | 63533.197 | -69751.113 |
| -56751.545 | -65706.806 | -58937.008 | 10822.362 | 55142.116 | -44272.589 |
| -192073.872 | 377743.633 | -11938.406 | -40555.422 | 74736.238 | -85733.442 |
| -157107.705 | 329279.184 | -15864.996 | -24109.696 | 68480.530 | -76591.019 |
| 14284.846 | -31563.155 | 12184.946 | 2878.695 | -9449.391 | 7837.012 |
| 30660.358 | -27426.342 | -1568.462 | 5209.675 | -4760.913 | 9763.761 |
| 28925.563 | -31858.798 | 812.306 | 4142.735 | -3705.714 | 9870.422 |
| 19481.151 | -37061.434 | 2404.617 | 2070.642 | -5661.675 | 7372.791 |
| 14227.300 | -15882.350 | 9132.807 | -3902.471 | -11570.928 | 6973.051 |
| 38.489 | 15.828 | 7.299 | 1.551 | -22.839 | 1128.602 |
| -12841.966 | 27577.755 | 176.880 | 1347.373 | 8971.744 | -3620.401 |
| -29709.490 | 28785.532 | 2095.980 | -5704.963 | 4453.296 | -9819.570 |
| -13462.594 | 16948.999 | -7387.987 | 4791.182 | 10029.628 | -7168.127 |
| -22.768 | -45.790 | -85.765 | 1246.611 | 10.230 | 0.661 |
| -6309.142 | -5570.857 | -3785.276 | 3275.748 | 4142.728 | -2688.339 |
| -4896.987 | -421.092 | 616.228 | 2188.451 | 4297.678 | -5252.637 |
| 909.143 | 685.244 | 515.882 | 0.000 | 0.000 | -0.000 |
| 413.182 | 1845.061 | 1421.015 | 0.000 | 0.001 | -0.001 |
| 374.969 | 1066.791 | 924.979 | -0.000 | 0.000 | -0.000 |
| -4.636 | -3.485 | -3.294 | 162.992 | 0.000 | -0.000 |
| -0.000 | -0.000 | -0.000 | -0.000 | 557.665 | 0.000 |
| -5.034 | -4.045 | -3.701 | 0.000 | 0.000 | 135.546 |
| 2145.089 | 319.799 | 639.818 | 0.000 | -0.000 | -0.000 |
| 439.473 | 1845.466 | 1438.521 | -0.000 | -0.001 | 0.001 |
| 376.463 | 569.599 | 736.625 | -0.000 | -0.000 | 0.000 |
| 4.636 | 3.485 | 3.294 | 162.992 | -0.000 | 0.000 |
| 0.000 | 0.000 | 0.000 | 0.000 | 557.665 | -0.000 |
| 5.034 | 4.045 | 3.701 | 0.000 | -0.000 | 135.546 |
| 1042.963 | 355.918 | 252.204 | 0.000 | 0.000 | -0.000 |
| 841.127 | 1382.047 | 624.174 | 0.000 | 0.000 | -0.000 |
| 367.324 | 569.271 | 710.940 | 0.000 | 0.000 | -0.000 |
| -0.625 | -0.254 | -0.335 | 285.029 | 0.000 | -0.000 |
| -0.297 | -0.122 | -0.159 | -0.000 | 231.683 | -0.000 |
| -0.504 | -0.404 | -0.369 | -0.000 | 0.000 | 135.548 |
| 1045.207 | 356.224 | 253.171 | -0.000 | -0.000 | 0.000 |
| 619.236 | 1462.238 | 468.912 | -0.000 | -0.000 | 0.000 |
| 378.612 | 1067.934 | 931.309 | 0.000 | -0.000 | 0.000 |
| 0.625 | 0.254 | 0.335 | 285.029 | -0.000 | 0.000 |
| 0.297 | 0.122 | 0.159 | -0.000 | 231.683 | 0.000 |
| 0.504 | 0.404 | 0.369 | -0.000 | -0.000 | 135.548 |
| 898.585 | 629.092 | 546.516 | 0.000 | 0.000 | -0.000 |
| 647.109 | 1258.810 | 543.581 | -0.000 | 0.000 | 0.000 |
| 553.108 | 542.905 | 593.540 | -0.000 | 0.000 | -0.000 |
| -0.046 | -0.023 | -0.026 | 163.004 | 0.000 | -0.000 |
| 0.176 | -0.347 | 3.993 | 0.000 | 174.661 | 0.000 |
| 0.044 | -0.036 | -0.104 | 0.000 | 0.000 | 126.266 |
| 897.029 | 635.531 | 560.992 | -0.000 | -0.000 | 0.000 |
| 633.623 | 1259.164 | 532.096 | -0.000 | -0.000 | -0.000 |
| 557.902 | 538.362 | 596.918 | -0.000 | -0.000 | 0.000 |
| 0.046 | 0.023 | 0.026 | 163.004 | -0.000 | 0.000 |
| 0.022 | 0.022 | -0.010 | 0.000 | 231.685 | 0.000 |
| 0.929 | 0.236 | -1.510 | -0.000 | 0.000 | 117.716 |
| 202.571 | 314.665 | 254.870 | -0.000 | 0.000 | 0.000 |
| 206.240 | 289.195 | 265.802 | -0.000 | 0.000 | -0.000 |
| 263.626 | 263.626 | 375.706 | 0.000 | 0.000 | -0.000 |
| 0.000 | -0.000 | -0.000 | 75.084 | 0.000 | -0.000 |
| -0.710 | -0.710 | 0.712 | -0.000 | -190.594 | -0.000 |
| -0.428 | -0.429 | 0.430 | -0.000 | 0.000 | -20.534 |
| 289.249 | 206.357 | 265.716 | 0.000 | -0.000 | -0.000 |
| 314.798 | 202.701 | 254.738 | 0.000 | -0.000 | 0.000 |
| 263.748 | 263.748 | 375.584 | 0.000 | -0.000 | 0.000 |
| 0.000 | 0.000 | -0.000 | 75.084 | -0.000 | -0.000 |
| 0.710 | 0.710 | -0.712 | 0.000 | -190.594 | -0.000 |
| 0.429 | 0.429 | -0.430 | 0.000 | -0.000 | -20.534 |
| 120.919 | 391.181 | 257.446 | -0.000 | 0.000 | 0.000 |
| 227.025 | 338.981 | 230.414 | -0.000 | 0.000 | 0.000 |
| 237.186 | 237.186 | 402.223 | -0.000 | 0.000 | -0.000 |
| -0.071 | -0.071 | 0.072 | -190.611 | 0.000 | 0.000 |
| -0.071 | -0.071 | 0.072 | -0.000 | -190.611 | 0.000 |
| -0.043 | -0.043 | 0.043 | -0.000 | 0.000 | -20.540 |
| 338.981 | 227.025 | 230.413 | 0.000 | -0.000 | -0.000 |
| 227.025 | 338.981 | 230.413 | 0.000 | -0.000 | -0.000 |
| 237.186 | 237.186 | 402.223 | 0.000 | -0.000 | 0.000 |
| 0.071 | 0.071 | -0.072 | -190.611 | -0.000 | 0.000 |
| 0.071 | 0.071 | -0.072 | 0.000 | -190.611 | -0.000 |
| 0.043 | 0.043 | -0.043 | 0.000 | -0.000 | -20.540 |
| 338.983 | 227.026 | 230.414 | -0.000 | 0.000 | -0.000 |
| 206.302 | 289.232 | 265.754 | -0.000 | 0.000 | 0.000 |
| 263.686 | 263.686 | 375.648 | -0.000 | -0.000 | -0.000 |
| -0.007 | -0.007 | 0.010 | -190.612 | 0.000 | -0.000 |
| -0.007 | -0.007 | 0.010 | -0.000 | -190.612 | 0.000 |
| -0.004 | -0.004 | 0.004 | -0.000 | 0.000 | -20.540 |
| -377.299 | 866.912 | 268.585 | 0.000 | -0.000 | 0.000 |
| 880.206 | -367.610 | 257.076 | 0.000 | -0.000 | 0.000 |
| 263.687 | 263.687 | 375.642 | 0.000 | -0.000 | -0.000 |
| 0.007 | 0.007 | -0.010 | -190.612 | -0.000 | 0.000 |
| 0.007 | 0.007 | -0.010 | 0.000 | -190.612 | -0.000 |
| 0.004 | 0.004 | -0.004 | 0.000 | -0.000 | -20.540 |
| -8005.107 | -4632.000 | -9969.333 | -0.000 | -0.000 | -0.000 |
| -7537.949 | -5770.364 | -14470.664 | 0.000 | -0.000 | -0.000 |
| 1374.563 | 1450.028 | 4781.902 | -0.000 | 0.000 | -0.000 |
| -6725.437 | -7327.017 | -15449.252 | 498.962 | -0.000 | -0.001 |
| -908.900 | -13902.359 | -6471.246 | 0.000 | 625.592 | 0.000 |
| -1814.798 | -13423.543 | -5944.653 | 0.000 | -0.000 | -232.970 |
| 2901.232 | 14271.500 | 6762.031 | 0.000 | 0.000 | 0.001 |
| 2830.468 | 15517.749 | 6908.265 | -0.000 | 0.000 | -0.000 |
| -1156.820 | 16294.815 | 8487.580 | -0.000 | -0.000 | 0.000 |
| 6725.437 | 7327.017 | 15449.252 | 498.962 | 0.000 | 0.001 |
| 908.900 | 13902.359 | 6471.246 | -0.000 | 625.592 | -0.000 |
| 1815.522 | 13423.389 | 5944.355 | 0.000 | 0.000 | -233.291 |
| 1024.870 | -528.935 | 8.333 | 0.000 | 0.000 | 0.000 |
| 682.580 | -0.826 | 412.669 | -0.000 | -0.000 | -0.000 |
| 470.036 | -421.712 | 658.758 | 0.000 | 0.000 | -0.000 |
| 59.868 | -1368.798 | -697.080 | 261.467 | 0.000 | -0.000 |
| -61.488 | -1440.636 | -649.994 | -0.000 | 386.386 | -0.000 |
| -193.535 | -1431.839 | -742.788 | -0.000 | -0.000 | 141.878 |
| 1041.784 | 2167.831 | 698.819 | -0.000 | -0.000 | 0.000 |
| 1168.376 | 2488.026 | 1782.879 | 0.000 | -0.000 | 0.000 |
| 668.039 | 1594.088 | 1797.952 | 0.000 | 0.000 | 0.000 |
| -59.866 | 1368.800 | 697.080 | 261.468 | -0.000 | 0.000 |
| 61.488 | 1440.636 | 649.994 | -0.000 | 386.386 | 0.000 |
| 193.535 | 1431.839 | 742.788 | 0.000 | 0.000 | 141.878 |
| 1069.600 | 702.245 | 539.971 | -0.000 | -0.000 | -0.000 |
| 854.647 | 1223.392 | 969.949 | -0.000 | 0.000 | -0.000 |
| 584.436 | 885.769 | 1204.195 | -0.000 | 0.000 | -0.000 |
| -22.818 | -127.888 | -64.116 | 247.626 | -0.000 | -0.000 |
| -2.301 | -174.760 | -71.343 | -0.000 | 404.868 | -0.000 |
| -29.064 | -130.835 | -63.266 | -0.000 | -0.000 | 181.009 |
| 1100.173 | 1000.997 | 693.477 | 0.000 | -0.000 | 0.000 |
| 875.548 | 1480.397 | 1098.115 | -0.000 | 0.000 | 0.000 |
| 585.962 | 1157.176 | 1282.219 | -0.000 | 0.000 | 0.000 |
| 22.818 | 127.888 | 64.116 | 247.626 | 0.000 | 0.000 |
| 2.301 | 174.760 | 71.343 | -0.000 | 404.868 | 0.000 |
| 29.064 | 130.835 | 63.266 | -0.000 | 0.000 | 181.009 |
| 414.785 | 226.092 | 234.322 | 0.215 | -1.592 | 0.132 |
| 221.072 | 370.950 | 205.766 | 0.122 | 0.075 | 0.069 |
| 233.282 | 209.183 | 278.425 | 0.086 | -1.185 | 0.079 |
| 0.290 | 0.086 | 0.121 | 56.139 | -0.059 | -0.130 |
| -1.313 | 0.329 | -1.019 | 0.104 | 86.706 | 0.114 |
| 0.273 | 0.134 | 0.182 | -0.163 | 0.091 | 77.375 |
| 415.318 | 225.681 | 234.062 | 0.194 | -1.446 | 0.044 |
| 220.988 | 370.942 | 205.668 | 0.058 | 0.264 | 0.106 |
| 233.239 | 209.181 | 278.320 | 0.020 | -0.997 | 0.116 |
| 0.262 | 0.110 | 0.057 | 56.072 | 0.172 | -0.096 |
| -1.389 | 0.325 | -1.113 | 0.044 | 86.882 | 0.147 |
| 0.215 | 0.132 | 0.097 | -0.228 | 0.289 | 77.412 |
| 412.919 | 226.163 | 233.496 | 0.101 | -1.338 | 0.206 |
| 222.819 | 369.663 | 206.952 | 0.136 | -0.002 | 0.063 |
| 234.041 | 210.814 | 276.817 | 0.052 | -1.003 | 0.099 |
| 0.165 | 0.113 | 0.066 | 55.391 | 0.091 | -0.194 |
| -1.372 | 0.012 | -1.022 | 0.105 | 85.986 | 0.162 |
| 0.178 | 0.062 | 0.110 | -0.179 | 0.145 | 76.463 |
| 413.004 | 226.132 | 233.507 | 0.099 | -1.328 | 0.184 |
| 222.872 | 369.674 | 207.000 | 0.123 | 0.009 | 0.057 |
| 234.075 | 210.806 | 276.804 | 0.046 | -1.000 | 0.090 |
| 0.167 | 0.106 | 0.052 | 55.387 | 0.106 | -0.194 |
| -1.339 | 0.019 | -1.039 | 0.105 | 85.986 | 0.160 |
| 0.197 | 0.054 | 0.095 | -0.197 | 0.161 | 76.449 |
| 412.919 | 226.111 | 233.500 | 0.102 | -1.353 | 0.195 |
| 222.775 | 369.632 | 206.988 | 0.145 | -0.024 | 0.077 |
| 234.002 | 210.822 | 276.784 | 0.036 | -1.011 | 0.093 |
| 0.094 | 0.141 | 0.035 | 55.361 | 0.112 | -0.187 |
| -1.340 | -0.019 | -1.010 | 0.114 | 85.963 | 0.170 |
| 0.175 | 0.071 | 0.087 | -0.191 | 0.167 | 76.435 |
| 412.938 | 226.113 | 233.501 | 0.101 | -1.353 | 0.195 |
| 222.782 | 369.629 | 206.987 | 0.143 | -0.024 | 0.075 |
| 234.008 | 210.821 | 276.781 | 0.035 | -1.011 | 0.092 |
| 0.101 | 0.143 | 0.034 | 55.359 | 0.113 | -0.188 |
| -1.332 | -0.019 | -1.012 | 0.113 | 85.963 | 0.168 |
| 0.187 | 0.073 | 0.087 | -0.192 | 0.168 | 76.433 |
| 431.174 | 306.478 | 1399.234 | -0.527 | 0.022 | 0.068 |
| 354.419 | 533.505 | 1854.602 | -0.667 | 0.027 | 0.071 |
| 768.090 | 767.801 | 7703.800 | -0.958 | 0.040 | 0.118 |
| -0.185 | -0.295 | -1.455 | 1587.091 | 0.018 | 0.045 |
| -0.394 | -0.546 | -2.849 | -0.577 | 1330.420 | 0.062 |
| -0.000 | -0.000 | -0.000 | -0.000 | 0.000 | 216.344 |
| 536.220 | 354.800 | 1863.986 | 0.661 | -0.027 | -0.071 |
| 315.424 | 644.725 | 2073.467 | 0.300 | -0.012 | -0.031 |
| 772.202 | 772.491 | 7730.479 | 0.958 | -0.040 | -0.118 |
| 0.000 | 0.001 | 0.002 | 2108.729 | -0.000 | -0.000 |
| 0.394 | 0.546 | 2.849 | 0.577 | 1330.409 | -0.062 |
| 0.000 | 0.000 | 0.000 | -0.000 | -0.000 | 216.344 |
| 712.315 | 279.628 | 2169.812 | -0.000 | 0.000 | 0.000 |
| 202.241 | 332.117 | 783.189 | -0.067 | 0.003 | 0.005 |
| 769.968 | 769.918 | 7715.896 | -0.179 | 0.007 | 0.020 |
| -0.108 | -0.124 | -0.704 | 1069.526 | 0.002 | 0.005 |
| -0.228 | -0.240 | -1.420 | -0.041 | 997.814 | 0.003 |
| -0.000 | -0.000 | -0.001 | 0.000 | 0.000 | 216.344 |
| 712.317 | 279.628 | 2169.821 | -0.000 | -0.000 | 0.000 |
| 202.633 | 332.484 | 785.491 | 0.067 | -0.003 | -0.005 |
| 770.379 | 770.454 | 7718.791 | 0.285 | -0.012 | -0.031 |
| 0.026 | 0.039 | 0.198 | 1450.925 | -0.002 | -0.006 |
| 0.228 | 0.240 | 1.420 | 0.041 | 997.811 | -0.003 |
| 0.000 | 0.000 | 0.001 | 0.000 | -0.000 | 216.344 |
| 324.727 | 204.298 | 767.025 | -0.006 | 0.000 | 0.000 |
| 204.311 | 324.722 | 767.047 | -0.007 | 0.000 | 0.000 |
| 771.180 | 771.173 | 7723.235 | -0.028 | 0.001 | 0.003 |
| -0.076 | 0.027 | -0.162 | 997.784 | 0.000 | 0.000 |
| -0.022 | -0.027 | -0.164 | -0.004 | 997.798 | 0.000 |
| -0.035 | -0.034 | -0.207 | -0.004 | 0.000 | 60.222 |
| 323.765 | 203.579 | 761.943 | -0.009 | 0.000 | -0.000 |
| 201.312 | 331.830 | 779.511 | 0.007 | -0.000 | -0.000 |
| 768.974 | 768.979 | 7710.202 | 0.018 | -0.001 | -0.002 |
| 0.077 | -0.028 | 0.162 | 997.831 | -0.000 | -0.000 |
| 0.022 | 0.027 | 0.164 | 0.004 | 997.797 | -0.000 |
| 0.025 | 0.023 | 0.146 | 0.004 | -0.000 | 60.262 |
| 249.487 | 206.976 | 156.526 | 0.000 | -0.000 | 7.087 |
| 219.324 | 384.876 | 186.643 | -0.000 | -0.000 | 10.408 |
| 158.786 | 158.786 | 474.188 | 0.000 | 0.000 | -0.000 |
| -0.586 | -0.586 | 0.080 | 64.636 | -0.000 | -0.000 |
| -0.586 | -0.586 | 0.080 | 0.000 | 64.636 | -0.000 |
| 1.448 | -1.728 | 0.019 | 0.000 | -0.000 | 121.079 |
| 249.440 | 206.802 | 156.003 | -0.000 | 0.000 | 7.074 |
| 206.802 | 249.440 | 156.003 | -0.000 | 0.000 | -7.074 |
| 188.933 | 188.933 | 486.492 | -0.000 | 0.000 | 0.000 |
| 0.586 | 0.586 | -0.080 | 64.636 | 0.000 | 0.000 |
| 0.586 | 0.586 | -0.080 | -0.000 | 64.636 | 0.000 |
| 1.728 | -1.448 | -0.019 | 0.000 | -0.000 | 121.079 |
| 280.422 | 157.659 | 153.131 | -0.000 | 0.000 | -0.320 |
| 157.659 | 280.422 | 153.131 | 0.000 | -0.000 | 0.320 |
| 158.626 | 158.626 | 473.317 | 0.000 | -0.000 | -0.000 |
| -0.059 | -0.059 | 0.008 | 64.590 | 0.000 | -0.000 |
| -0.059 | -0.059 | 0.008 | -0.000 | 64.590 | 0.000 |
| 7.113 | -7.068 | 0.034 | 0.000 | 0.000 | 120.432 |
| 384.875 | 219.324 | 186.643 | -0.000 | 0.000 | -10.408 |
| 219.324 | 384.875 | 186.643 | 0.000 | 0.000 | 10.408 |
| 158.617 | 158.617 | 473.269 | 0.000 | 0.000 | 0.000 |
| 0.059 | 0.059 | -0.008 | 64.590 | 0.000 | 0.000 |
| 0.059 | 0.059 | -0.008 | -0.000 | 64.590 | -0.000 |
| 7.068 | -7.113 | -0.034 | 0.000 | 0.000 | 120.432 |
| 249.454 | 206.985 | 156.334 | -0.000 | -0.000 | 7.091 |
| 206.985 | 249.454 | 156.334 | 0.000 | -0.000 | -7.091 |
| 158.622 | 158.622 | 473.297 | -0.000 | -0.000 | -0.000 |
| -0.006 | -0.006 | 0.001 | 64.589 | -0.000 | -0.000 |
| -0.006 | -0.006 | 0.001 | -0.000 | 64.589 | 0.000 |
| 7.094 | -7.088 | 0.004 | -0.000 | -0.000 | 120.432 |
| 249.456 | 206.987 | 156.330 | -0.000 | 0.000 | 7.091 |
| 206.987 | 249.456 | 156.330 | 0.000 | 0.000 | -7.091 |
| 158.621 | 158.621 | 473.289 | 0.000 | 0.000 | 0.000 |
| 0.006 | 0.006 | -0.001 | 64.589 | 0.000 | 0.000 |
| 0.006 | 0.006 | -0.001 | -0.000 | 64.589 | -0.000 |
| 1.571 | -1.568 | -0.000 | -0.000 | 0.000 | 121.093 |
| 85.080 | 132.837 | 132.837 | 0.000 | 0.000 | -0.000 |
| 132.837 | 85.080 | 132.837 | 0.000 | -0.000 | -0.000 |
| 132.837 | 132.837 | 85.080 | 0.000 | 0.000 | -0.000 |
| 0.050 | 0.050 | 0.050 | 18.425 | 0.000 | -0.000 |
| 0.050 | 0.050 | 0.050 | 0.000 | 18.425 | 0.000 |
| 0.050 | 0.050 | 0.050 | 0.000 | 0.000 | 18.425 |
| 139.137 | 111.189 | 111.189 | -0.000 | 0.000 | 0.000 |
| 111.189 | 139.137 | 111.189 | -0.000 | -0.000 | -0.000 |
| 111.189 | 111.189 | 139.137 | -0.000 | 0.000 | 0.000 |
| -0.050 | -0.050 | -0.050 | 18.425 | 0.000 | -0.000 |
| -0.050 | -0.050 | -0.050 | -0.000 | 18.425 | -0.000 |
| -0.050 | -0.050 | -0.050 | -0.000 | 0.000 | 18.425 |
| 139.239 | 111.292 | 111.292 | -0.000 | -0.000 | -0.000 |
| 111.292 | 139.239 | 111.292 | 0.000 | -0.000 | 0.000 |
| 111.292 | 111.292 | 139.239 | 0.000 | -0.000 | -0.000 |
| 0.005 | 0.005 | 0.005 | 18.425 | 0.000 | -0.000 |
| 0.005 | 0.005 | 0.005 | 0.000 | 18.425 | -0.000 |
| 0.000 | 0.000 | 0.000 | 0.000 | 0.000 | 98.614 |
| 33295045.802 | 28792846.917 | 29801225.133 | -387333.751 | -1769123.849 | 538996.372 |
| 29008704.109 | 38114136.166 | 29269643.356 | 13900.945 | -655576.683 | -106506.973 |
| 23191949.332 | 21796005.685 | 31560512.546 | -288762.085 | -1441876.817 | -995319.032 |
| -0.005 | -0.005 | -0.005 | 18.425 | 0.000 | -0.000 |
| -0.005 | -0.005 | -0.005 | -0.000 | 18.425 | -0.000 |
| -0.005 | -0.005 | -0.005 | 0.000 | 0.000 | 18.425 |
| -2699981.507 | -2963819.335 | -3514726.561 | -41289.972 | -58987.747 | 7375.626 |
| -3422924.488 | -2802670.635 | -2946849.118 | 165809.989 | -62904.793 | -88378.817 |
| -2542925.158 | -2780765.761 | -2568420.092 | 160001.501 | -91103.641 | 184728.296 |
| 0.003 | 0.003 | 0.003 | 18.411 | 0.000 | -0.000 |
| 0.003 | 0.003 | 0.003 | 0.000 | 18.411 | -0.000 |
| 0.003 | 0.003 | 0.003 | 0.000 | -0.000 | 18.411 |
| -12514374.710 | -933175.469 | -933175.469 | -0.002 | -0.002 | 0.000 |
| -933175.480 | -12514374.729 | -933175.480 | -0.002 | -0.001 | 0.000 |
| 2680707.775 | 2972966.073 | 4290606.480 | -172651.166 | 125346.886 | -149041.862 |
| -0.003 | -0.003 | -0.003 | 18.411 | 0.000 | 0.000 |
| -0.003 | -0.003 | -0.003 | -0.000 | 18.411 | 0.000 |
| -0.003 | -0.003 | -0.003 | -0.000 | -0.000 | 18.411 |
| 140.254 | 112.580 | 112.580 | 0.000 | -0.000 | 0.000 |
| 112.580 | 140.254 | 112.580 | 0.000 | -0.000 | 0.000 |
| 112.580 | 112.580 | 140.254 | 0.000 | 0.000 | 0.000 |
| 0.063 | 0.063 | 0.063 | 18.577 | -0.000 | 0.000 |
| 0.063 | 0.063 | 0.063 | 0.000 | 18.577 | 0.000 |
| 0.063 | 0.063 | 0.063 | 0.000 | -0.000 | 18.577 |
| 85.357 | 134.086 | 134.086 | 0.000 | 0.001 | 0.001 |
| 134.086 | 85.357 | 134.086 | 0.001 | 0.000 | 0.001 |
| 134.086 | 134.086 | 85.357 | 0.001 | 0.001 | 0.000 |
| -0.063 | -0.063 | -0.063 | 18.577 | 0.000 | -0.000 |
| -0.063 | -0.063 | -0.063 | 0.000 | 18.577 | -0.000 |
| -0.063 | -0.063 | -0.063 | -0.000 | 0.000 | 18.577 |
| 140.149 | 112.474 | 112.474 | 0.000 | 0.000 | 0.000 |
| 112.474 | 140.149 | 112.474 | 0.000 | 0.000 | 0.000 |
| 112.474 | 112.474 | 140.149 | 0.000 | -0.000 | 0.000 |
| 0.006 | 0.006 | 0.006 | 18.577 | -0.000 | 0.000 |
| 0.006 | 0.006 | 0.006 | 0.000 | 18.577 | 0.000 |
| 0.006 | 0.006 | 0.006 | -0.000 | -0.000 | 18.577 |
| 47415869.421 | 24222451.915 | 25288164.589 | -1732130.689 | 842877.463 | 1301653.130 |
| 26786286.253 | 47490387.767 | 26823369.329 | -1636912.429 | -2120193.659 | -212866.126 |
| 20553349.962 | 18932456.269 | 43719292.154 | 2387720.537 | 622094.544 | 1254038.912 |
| -0.006 | -0.006 | -0.006 | 18.577 | 0.000 | 0.000 |
| -0.006 | -0.006 | -0.006 | -0.000 | 18.577 | -0.000 |
| -0.006 | -0.006 | -0.006 | 0.000 | 0.000 | 18.577 |
| -2123675.230 | -2431497.781 | -2792448.312 | -84362.092 | 72755.372 | -115042.500 |
| -2346715.816 | -1803138.705 | -2611207.073 | -108072.150 | -186459.100 | -91026.475 |
| -2882017.292 | -2377145.750 | -1856027.425 | 101626.585 | -138732.930 | -15776.057 |
| 0.003 | 0.003 | 0.003 | 18.551 | 0.000 | 0.000 |
| 0.003 | 0.003 | 0.003 | -0.000 | 18.551 | 0.000 |
| 0.003 | 0.003 | 0.003 | 0.000 | -0.000 | 18.551 |
| 5061401.591 | 2561218.710 | 2472900.602 | 98354.654 | -31536.076 | -117847.742 |
| 2515354.363 | 5032528.418 | 2241569.699 | -179171.767 | -114920.410 | -25769.375 |
| 2705172.989 | 1939003.918 | 5673917.680 | 113523.230 | 69216.305 | 94382.403 |
| -0.003 | -0.003 | -0.003 | 18.551 | -0.000 | -0.000 |
| -0.003 | -0.003 | -0.003 | -0.000 | 18.551 | -0.000 |
| -0.003 | -0.003 | -0.003 | -0.000 | 0.000 | 18.551 |
| 714.688 | 296.874 | 296.874 | -0.000 | -0.000 | 0.000 |
| 296.874 | 714.688 | 296.874 | -0.000 | -0.000 | 0.000 |
| 296.874 | 296.874 | 714.688 | -0.000 | -0.000 | -0.000 |
| 0.000 | 0.000 | 0.000 | 101.528 | -0.000 | 0.000 |
| 0.000 | 0.000 | 0.000 | -0.000 | 101.528 | 0.000 |
| 0.000 | 0.000 | 0.000 | -0.000 | -0.000 | 101.528 |
| 714.687 | 296.874 | 296.874 | 0.000 | 0.000 | -0.000 |
| 296.874 | 714.687 | 296.874 | 0.000 | 0.000 | -0.000 |
| 296.874 | 296.874 | 714.687 | 0.000 | 0.000 | -0.000 |
| -0.000 | -0.000 | -0.000 | 101.528 | 0.000 | -0.000 |
| -0.000 | -0.000 | -0.000 | 0.000 | 101.528 | -0.000 |
| -0.000 | -0.000 | -0.000 | 0.000 | 0.000 | 101.528 |
| 714.692 | 296.874 | 296.874 | -0.000 | -0.000 | 0.000 |
| 296.874 | 714.692 | 296.874 | -0.000 | -0.000 | 0.000 |
| 296.874 | 296.874 | 714.692 | -0.000 | -0.000 | 0.000 |
| -0.000 | 0.000 | 0.000 | 101.528 | -0.000 | 0.000 |
| 0.000 | -0.000 | 0.000 | -0.000 | 101.528 | 0.000 |
| 0.000 | 0.000 | -0.000 | -0.000 | -0.000 | 101.528 |
| 714.683 | 296.875 | 296.875 | 0.000 | 0.000 | -0.000 |
| 296.875 | 714.683 | 296.875 | 0.000 | 0.000 | -0.000 |
| 296.875 | 296.875 | 714.683 | 0.000 | 0.000 | -0.000 |
| 0.000 | -0.000 | -0.000 | 101.528 | 0.000 | -0.000 |
| -0.000 | 0.000 | -0.000 | 0.000 | 101.528 | -0.000 |
| -0.000 | -0.000 | 0.000 | 0.000 | 0.000 | 101.528 |
| 714.736 | 296.873 | 296.873 | -0.000 | -0.000 | 0.000 |
| 296.873 | 714.736 | 296.873 | -0.000 | -0.000 | 0.000 |
| 296.873 | 296.873 | 714.736 | -0.000 | -0.000 | 0.000 |
| -0.000 | 0.000 | 0.000 | 101.528 | -0.000 | 0.000 |
| 0.000 | -0.000 | 0.000 | -0.000 | 101.528 | 0.000 |
| 0.000 | 0.000 | -0.000 | -0.000 | -0.000 | 101.528 |
| 714.639 | 296.876 | 296.876 | 0.000 | 0.000 | -0.000 |
| 296.876 | 714.639 | 296.876 | 0.000 | 0.000 | -0.000 |
| 296.876 | 296.876 | 714.639 | 0.000 | 0.000 | 0.000 |
| 0.000 | -0.000 | -0.000 | 101.528 | 0.000 | -0.000 |
| -0.000 | 0.000 | -0.000 | 0.000 | 101.528 | -0.000 |
| -0.000 | -0.000 | 0.000 | 0.000 | 0.000 | 101.528 |
| 232.106 | 140.656 | 140.656 | 0.000 | 0.000 | 0.000 |
| 140.656 | 232.106 | 140.656 | 0.000 | 0.000 | 0.000 |
| 140.656 | 140.656 | 232.106 | 0.000 | 0.000 | 0.000 |
| 0.000 | 0.000 | 0.000 | 80.770 | 0.000 | 0.000 |
| 0.000 | 0.000 | 0.000 | 0.000 | 80.770 | -0.000 |
| 0.000 | 0.000 | 0.000 | 0.000 | -0.000 | 80.770 |
| 232.106 | 140.656 | 140.656 | -0.000 | 0.000 | 0.000 |
| 140.656 | 232.106 | 140.656 | 0.000 | -0.000 | -0.000 |
| 140.656 | 140.656 | 232.106 | -0.000 | -0.000 | -0.000 |
| 0.000 | -0.000 | -0.000 | 80.770 | -0.000 | -0.000 |
| -0.000 | -0.000 | -0.000 | -0.000 | 80.770 | 0.000 |
| -0.000 | -0.000 | -0.000 | -0.000 | 0.000 | 80.770 |
| 232.106 | 140.656 | 140.656 | 0.000 | 0.000 | 0.000 |
| 140.656 | 232.106 | 140.656 | 0.000 | 0.000 | 0.000 |
| 140.656 | 140.656 | 232.106 | 0.000 | 0.000 | 0.000 |
| -0.000 | 0.000 | 0.000 | 80.770 | 0.000 | 0.000 |
| 0.000 | -0.000 | 0.000 | 0.000 | 80.770 | -0.000 |
| 0.000 | 0.000 | -0.000 | 0.000 | -0.000 | 80.770 |
| 232.106 | 140.656 | 140.656 | -0.000 | 0.000 | 0.000 |
| 140.656 | 232.106 | 140.656 | 0.000 | -0.000 | -0.000 |
| 140.656 | 140.656 | 232.106 | -0.000 | -0.000 | -0.000 |
| 0.000 | -0.000 | -0.000 | 80.770 | -0.000 | -0.000 |
| -0.000 | 0.000 | -0.000 | -0.000 | 80.770 | 0.000 |
| -0.000 | -0.000 | 0.000 | -0.000 | 0.000 | 80.770 |
| 232.106 | 140.656 | 140.656 | 0.000 | 0.000 | 0.000 |
| 140.656 | 232.106 | 140.656 | 0.000 | 0.000 | 0.000 |
| 140.656 | 140.656 | 232.106 | 0.000 | 0.000 | 0.000 |
| -0.000 | 0.000 | 0.000 | 80.770 | 0.000 | 0.000 |
| 0.000 | -0.000 | 0.000 | 0.000 | 80.770 | -0.000 |
| 0.000 | 0.000 | -0.000 | 0.000 | -0.000 | 80.770 |
| 232.105 | 140.655 | 140.655 | -0.000 | -0.000 | -0.000 |
| 140.655 | 232.105 | 140.655 | -0.000 | -0.000 | -0.000 |
| 140.655 | 140.655 | 232.105 | -0.000 | -0.000 | -0.000 |
| 0.000 | -0.000 | -0.000 | 80.770 | -0.000 | -0.000 |
| -0.000 | 0.000 | -0.000 | -0.000 | 80.770 | 0.000 |
| -0.000 | -0.000 | 0.000 | -0.000 | 0.000 | 80.770 |
| 315.234 | 94.528 | 94.528 | -0.000 | -0.000 | 0.000 |
| 94.528 | 315.234 | 94.528 | -0.000 | -0.000 | 0.000 |
| 94.528 | 94.528 | 315.234 | -0.000 | -0.000 | 0.000 |
| 0.000 | 0.000 | 0.000 | 61.231 | -0.000 | -0.000 |
| 0.000 | 0.000 | 0.000 | -0.000 | 61.231 | -0.000 |
| 0.000 | 0.000 | 0.000 | -0.000 | -0.000 | 61.231 |
| 315.234 | 94.528 | 94.528 | -0.000 | 0.000 | -0.000 |
| 94.528 | 315.234 | 94.528 | -0.000 | 0.000 | 0.000 |
| 94.528 | 94.528 | 315.234 | 0.000 | 0.000 | -0.000 |
| -0.000 | -0.000 | -0.000 | 61.231 | 0.000 | -0.000 |
| -0.000 | -0.000 | -0.000 | 0.000 | 61.231 | 0.000 |
| -0.000 | -0.000 | -0.000 | 0.000 | 0.000 | 61.231 |
| 315.234 | 94.528 | 94.528 | 0.000 | -0.000 | 0.000 |
| 94.528 | 315.234 | 94.528 | 0.000 | -0.000 | 0.000 |
| 94.528 | 94.528 | 315.234 | 0.000 | -0.000 | 0.000 |
| 0.000 | 0.000 | 0.000 | 61.231 | -0.000 | -0.000 |
| 0.000 | 0.000 | 0.000 | -0.000 | 61.231 | -0.000 |
| 0.000 | 0.000 | 0.000 | -0.000 | -0.000 | 61.231 |
| 315.234 | 94.528 | 94.528 | -0.000 | 0.000 | -0.000 |
| 94.528 | 315.234 | 94.528 | -0.000 | 0.000 | 0.000 |
| 94.528 | 94.528 | 315.234 | 0.000 | 0.000 | -0.000 |
| -0.000 | -0.000 | -0.000 | 61.231 | 0.000 | -0.000 |
| -0.000 | -0.000 | -0.000 | 0.000 | 61.231 | -0.000 |
| -0.000 | -0.000 | -0.000 | 0.000 | 0.000 | 61.231 |
| 316.564 | 93.864 | 93.864 | -0.000 | -0.000 | 0.000 |
| 93.864 | 316.564 | 93.864 | -0.000 | 0.000 | -0.000 |
| 93.864 | 93.864 | 316.564 | -0.000 | 0.000 | -0.000 |
| 0.000 | 0.000 | 0.000 | 61.231 | -0.000 | -0.000 |
| 0.000 | 0.000 | 0.000 | -0.000 | 61.231 | -0.000 |
| 0.000 | 0.000 | 0.000 | -0.000 | -0.000 | 61.231 |
| 315.232 | 94.527 | 94.527 | 0.000 | 0.000 | -0.000 |
| 94.527 | 315.232 | 94.527 | -0.000 | 0.000 | 0.000 |
| 94.527 | 94.527 | 315.232 | -0.000 | 0.000 | -0.000 |
| -0.000 | -0.000 | -0.000 | 61.231 | 0.000 | -0.000 |
| -0.000 | -0.000 | -0.000 | 0.000 | 61.231 | -0.000 |
| -0.000 | -0.000 | -0.000 | 0.000 | 0.000 | 61.231 |
| -12667620.371 | -6749029.110 | -13972987.630 | -2394425.527 | -2957973.921 | -3255375.246 |
| -10018453.072 | -5652871.065 | -15072993.433 | -2204891.228 | -1916487.229 | -3314021.963 |
| -10870101.735 | -5726197.950 | -14662399.601 | -2157186.545 | -2590032.592 | -3330312.178 |
| -12012192.919 | -6099030.309 | -13971365.091 | -2088105.693 | -3324317.856 | -3213984.959 |
| -12056097.603 | -7081134.528 | -14395269.519 | -2280889.973 | -2780569.761 | -3179908.797 |
| -11914385.010 | -5969302.000 | -13918766.941 | -2087977.231 | -2814513.574 | -2836420.677 |
| 11774739.761 | 5779898.255 | 14781574.262 | 1934202.197 | 2350299.372 | 3588858.220 |
| 12490805.878 | 6626065.373 | 14072474.930 | 2169759.400 | 3092557.419 | 3392975.179 |
| 12464939.370 | 5820845.964 | 13937242.118 | 2325937.956 | 2838506.928 | 3214963.779 |
| 11732284.897 | 5926356.258 | 13919514.125 | 2170905.655 | 3240839.805 | 3187352.620 |
| 11407260.958 | 5299625.055 | 14719032.007 | 1907647.704 | 2711260.582 | 3431439.007 |
| 12153032.670 | 5796510.643 | 13800807.589 | 2114630.226 | 3197890.823 | 3229804.984 |
| -1109490.223 | -692042.014 | -1361803.784 | -198767.213 | -275039.780 | -315214.289 |
| -1159784.097 | -497540.296 | -1448425.464 | -216219.454 | -251630.849 | -362690.817 |
| -1096940.676 | -637815.988 | -1427163.576 | -194178.874 | -292258.859 | -282739.615 |
| -1251461.114 | -615579.137 | -1413709.539 | -243399.868 | -334171.840 | -331558.352 |
| -1198134.013 | -605067.636 | -1373840.818 | -248880.827 | -238067.682 | -312485.163 |
| -1162834.107 | -509579.892 | -1446271.207 | -205849.940 | -258763.731 | -353950.330 |
| 1019384.940 | 591505.036 | 1565457.877 | 188026.877 | 216756.691 | 332298.961 |
| 1343014.784 | 623737.362 | 1445168.402 | 187301.109 | 223673.617 | 328509.072 |
| 1155249.238 | 563580.253 | 1401812.114 | 176216.857 | 306024.437 | 308225.276 |
| 1317517.848 | 620197.631 | 1415957.447 | 238525.652 | 278672.654 | 330077.100 |
| 1199324.423 | 586849.583 | 1386369.863 | 200332.969 | 316624.515 | 314885.539 |
| 1116195.290 | 581341.833 | 1459815.700 | 188895.880 | 301202.748 | 270691.025 |
| -110078.487 | -62889.211 | -139048.535 | -25100.049 | -23366.622 | -31659.050 |
| -102437.454 | -55627.624 | -150678.419 | -19561.065 | -20583.975 | -32527.236 |
| -114828.863 | -48958.030 | -143679.744 | -19785.855 | -25033.224 | -34267.578 |
| -117582.826 | -53667.833 | -146054.253 | -22776.368 | -25054.688 | -36789.051 |
| -105741.568 | -54171.569 | -148284.867 | -20095.577 | -18666.135 | -35615.759 |
| -125326.005 | -55078.295 | -141083.141 | -24049.195 | -28277.881 | -34023.429 |
| 112178.232 | 64504.258 | 144760.478 | 19029.104 | 27252.505 | 33012.424 |
| 116877.006 | 54947.697 | 143333.384 | 18379.753 | 19845.965 | 29612.292 |
| 122748.684 | 71537.369 | 146195.618 | 20667.226 | 27689.752 | 32418.566 |
| 124379.198 | 57361.237 | 143028.262 | 14775.319 | 24032.898 | 28248.509 |
| 107714.199 | 51601.042 | 146190.185 | 17426.648 | 25865.185 | 33561.045 |
| 124533.973 | 64100.431 | 140364.465 | 21559.818 | 31194.395 | 33239.523 |
| 242.979 | 137.991 | 137.991 | -0.000 | -0.000 | -0.000 |
| 137.991 | 242.979 | 137.991 | 0.000 | 0.000 | 0.000 |
| 137.991 | 137.991 | 242.979 | 0.000 | 0.000 | -0.000 |
| 0.000 | 0.000 | 0.000 | 121.918 | -0.000 | 0.000 |
| 0.000 | 0.000 | 0.000 | 0.000 | 121.918 | 0.000 |
| 0.000 | 0.000 | -0.000 | 0.000 | 0.000 | 121.918 |
| 242.979 | 137.991 | 137.991 | 0.000 | 0.000 | -0.000 |
| 137.991 | 242.979 | 137.991 | -0.000 | -0.000 | -0.000 |
| 137.991 | 137.991 | 242.979 | 0.000 | -0.000 | 0.000 |
| -0.000 | -0.000 | -0.000 | 121.918 | 0.000 | -0.000 |
| -0.000 | -0.000 | -0.000 | -0.000 | 121.918 | -0.000 |
| -0.000 | -0.000 | 0.000 | -0.000 | -0.000 | 121.918 |
| 242.980 | 137.991 | 137.991 | 0.000 | 0.000 | 0.000 |
| 137.991 | 242.980 | 137.991 | 0.000 | 0.000 | 0.000 |
| 137.991 | 137.991 | 242.980 | 0.000 | 0.000 | -0.000 |
| 0.000 | 0.000 | 0.000 | 121.918 | 0.000 | -0.000 |
| 0.000 | 0.000 | 0.000 | 0.000 | 121.918 | -0.000 |
| 0.000 | 0.000 | 0.000 | 0.000 | 0.000 | 121.918 |
| 242.979 | 137.991 | 137.991 | -0.000 | -0.000 | -0.000 |
| 137.991 | 242.979 | 137.991 | -0.000 | -0.000 | -0.000 |
| 137.991 | 137.991 | 242.979 | -0.000 | 0.000 | 0.000 |
| -0.000 | -0.000 | -0.000 | 121.918 | 0.000 | -0.000 |
| -0.000 | -0.000 | -0.000 | -0.000 | 121.918 | 0.000 |
| -0.000 | -0.000 | -0.000 | -0.000 | 0.000 | 121.918 |
| 242.980 | 137.991 | 137.991 | 0.000 | 0.000 | -0.000 |
| 137.991 | 242.980 | 137.991 | 0.000 | 0.000 | 0.000 |
| 137.991 | 137.991 | 242.980 | -0.000 | -0.000 | -0.000 |
| 0.000 | 0.000 | 0.000 | 121.918 | 0.000 | 0.000 |
| 0.000 | 0.000 | 0.000 | 0.000 | 121.918 | 0.000 |
| 0.000 | 0.000 | 0.000 | 0.000 | 0.000 | 121.918 |
| 242.979 | 137.991 | 137.991 | 0.000 | -0.000 | -0.000 |
| 137.991 | 242.979 | 137.991 | -0.000 | -0.000 | 0.000 |
| 137.991 | 137.991 | 242.979 | -0.000 | 0.000 | 0.000 |
| -0.000 | -0.000 | -0.000 | 121.918 | -0.000 | -0.000 |
| -0.000 | -0.000 | -0.000 | 0.000 | 121.918 | -0.000 |
| -0.000 | -0.000 | -0.000 | -0.000 | -0.000 | 121.918 |
| 539.835 | 300.829 | 327.871 | 0.000 | -0.000 | -0.000 |
| 300.828 | 539.835 | 327.871 | 0.000 | -0.000 | -0.000 |
| 327.871 | 327.871 | 527.054 | 0.000 | 0.000 | -0.000 |
| 0.000 | 0.000 | 0.000 | 139.944 | 0.000 | -0.000 |
| 0.000 | 0.000 | 0.000 | 0.000 | 139.944 | -0.000 |
| 0.000 | 0.000 | 0.000 | 0.000 | 0.000 | 119.503 |
| 539.835 | 300.828 | 327.871 | -0.000 | 0.000 | 0.000 |
| 305.964 | 534.699 | 327.871 | 0.000 | -0.000 | 0.000 |
| 327.871 | 327.871 | 527.053 | -0.000 | -0.000 | 0.000 |
| -0.000 | -0.000 | -0.000 | 139.944 | -0.000 | 0.000 |
| -0.000 | -0.000 | -0.000 | -0.000 | 139.944 | 0.000 |
| -0.000 | -0.000 | -0.000 | -0.000 | -0.000 | 119.503 |
| 539.836 | 300.829 | 327.872 | 0.000 | -0.000 | -0.000 |
| 300.829 | 539.836 | 327.872 | 0.000 | -0.000 | -0.000 |
| 327.871 | 327.871 | 527.054 | 0.000 | 0.000 | -0.000 |
| 0.000 | 0.001 | 0.001 | 139.944 | 0.000 | -0.000 |
| 0.001 | 0.000 | 0.001 | 0.000 | 139.944 | -0.000 |
| 0.000 | 0.000 | 0.000 | 0.000 | -0.000 | 119.503 |
| 534.698 | 305.964 | 327.870 | -0.000 | -0.000 | 0.000 |
| 305.964 | 534.697 | 327.870 | -0.000 | 0.000 | 0.000 |
| 327.870 | 327.870 | 527.053 | 0.000 | 0.000 | 0.000 |
| -0.000 | -0.001 | -0.001 | 139.944 | -0.000 | 0.000 |
| -0.001 | -0.000 | -0.001 | -0.000 | 139.944 | 0.000 |
| -0.000 | -0.000 | -0.000 | -0.000 | -0.000 | 119.503 |
| 534.709 | 305.969 | 327.878 | 0.000 | 0.000 | -0.000 |
| 300.830 | 539.852 | 327.879 | 0.000 | 0.000 | -0.000 |
| 327.876 | 327.876 | 527.059 | 0.000 | -0.000 | -0.000 |
| 0.003 | 0.009 | 0.006 | 139.944 | -0.000 | -0.000 |
| 0.008 | 0.004 | 0.006 | 0.000 | 139.944 | -0.000 |
| 0.005 | 0.002 | 0.003 | 0.000 | 0.000 | 119.503 |
| 534.688 | 305.960 | 327.864 | -0.000 | 0.000 | 0.000 |
| 305.961 | 534.687 | 327.864 | -0.000 | 0.000 | 0.000 |
| 327.865 | 327.865 | 527.048 | -0.000 | 0.000 | 0.000 |
| -0.004 | -0.008 | -0.006 | 139.944 | 0.000 | 0.000 |
| -0.008 | -0.004 | -0.006 | 0.000 | 139.944 | 0.000 |
| -0.005 | -0.002 | -0.003 | -0.000 | 0.000 | 119.503 |
| 457.067 | 261.829 | 278.489 | -0.000 | -0.000 | -0.000 |
| 261.829 | 457.067 | 278.489 | 0.000 | 0.000 | -0.000 |
| 278.489 | 278.489 | 474.660 | 0.000 | -0.000 | -0.000 |
| 0.000 | 0.000 | 0.000 | 99.409 | 0.000 | -0.000 |
| 0.000 | 0.000 | 0.000 | -0.000 | 99.409 | -0.000 |
| 0.000 | 0.000 | 0.000 | 0.000 | -0.000 | 97.619 |
| 457.067 | 261.829 | 278.489 | -0.000 | -0.000 | 0.000 |
| 261.829 | 457.067 | 278.489 | -0.000 | -0.000 | 0.000 |
| 278.489 | 278.489 | 474.660 | -0.000 | 0.000 | 0.000 |
| -0.000 | -0.000 | -0.000 | 99.409 | -0.000 | 0.000 |
| -0.000 | -0.000 | -0.000 | -0.000 | 99.409 | 0.000 |
| -0.000 | -0.000 | -0.000 | -0.000 | -0.000 | 97.619 |
| 457.069 | 261.829 | 278.490 | 0.000 | 0.000 | -0.000 |
| 261.829 | 457.069 | 278.490 | -0.000 | -0.000 | -0.000 |
| 278.489 | 278.489 | 474.661 | -0.000 | 0.000 | -0.000 |
| 0.000 | 0.001 | 0.001 | 99.409 | -0.000 | -0.000 |
| 0.001 | 0.000 | 0.001 | -0.000 | 99.409 | -0.000 |
| 0.001 | 0.000 | 0.000 | -0.000 | 0.000 | 97.619 |
| 457.065 | 261.828 | 278.488 | -0.000 | -0.000 | 0.000 |
| 261.791 | 457.102 | 278.488 | 0.000 | 0.000 | 0.000 |
| 278.488 | 278.488 | 474.659 | 0.000 | -0.000 | 0.000 |
| -0.000 | -0.001 | -0.001 | 99.409 | -0.000 | 0.000 |
| -0.001 | -0.000 | -0.001 | -0.000 | 99.409 | 0.000 |
| -0.001 | -0.000 | -0.000 | -0.000 | -0.000 | 97.619 |
| 457.084 | 261.834 | 278.499 | -0.000 | 0.000 | -0.000 |
| 261.794 | 457.125 | 278.499 | -0.000 | -0.000 | -0.000 |
| 278.495 | 278.495 | 474.667 | -0.000 | -0.000 | -0.000 |
| 0.004 | 0.011 | 0.007 | 99.409 | -0.000 | 0.000 |
| 0.011 | 0.004 | 0.007 | 0.000 | 99.409 | -0.000 |
| 0.006 | 0.002 | 0.004 | -0.000 | 0.000 | 97.619 |
| 457.050 | 261.824 | 278.478 | 0.000 | -0.000 | 0.000 |
| 261.790 | 457.084 | 278.478 | 0.000 | 0.000 | 0.000 |
| 278.482 | 278.482 | 474.653 | -0.000 | 0.000 | 0.000 |
| -0.004 | -0.011 | -0.007 | 99.409 | 0.000 | 0.000 |
| -0.011 | -0.004 | -0.007 | -0.000 | 99.409 | 0.000 |
| -0.006 | -0.002 | -0.004 | -0.000 | -0.000 | 97.619 |
| 573.119 | 521.194 | 521.194 | 0.000 | 0.000 | 0.000 |
| 521.194 | 573.119 | 521.194 | 0.000 | 0.000 | 0.000 |
| 521.194 | 521.194 | 573.119 | 0.000 | 0.000 | 0.000 |
| -0.000 | 0.000 | 0.000 | -105.297 | 0.000 | 0.000 |
| 0.000 | -0.000 | 0.000 | 0.000 | -105.297 | 0.000 |
| 0.000 | 0.000 | -0.000 | 0.000 | 0.000 | -105.297 |
| 573.118 | 521.194 | 521.194 | -0.000 | -0.000 | -0.000 |
| 521.194 | 573.118 | 521.194 | -0.000 | -0.000 | -0.000 |
| 521.194 | 521.194 | 573.118 | -0.000 | -0.000 | -0.000 |
| 0.000 | -0.000 | -0.000 | -105.297 | -0.000 | -0.000 |
| -0.000 | 0.000 | -0.000 | -0.000 | -105.297 | -0.000 |
| -0.000 | -0.000 | 0.000 | -0.000 | -0.000 | -105.297 |
| 573.120 | 521.195 | 521.195 | 0.000 | 0.000 | 0.000 |
| 521.195 | 573.120 | 521.195 | 0.000 | 0.000 | 0.000 |
| 521.195 | 521.195 | 573.120 | 0.000 | 0.000 | 0.000 |
| -0.000 | 0.001 | 0.001 | -105.297 | 0.000 | 0.000 |
| 0.001 | -0.000 | 0.001 | 0.000 | -105.297 | 0.000 |
| 0.001 | 0.001 | -0.000 | 0.000 | 0.000 | -105.297 |
| 573.117 | 521.194 | 521.194 | -0.000 | -0.000 | -0.000 |
| 521.194 | 573.117 | 521.194 | -0.000 | -0.000 | -0.000 |
| 521.194 | 521.194 | 573.117 | -0.000 | -0.000 | -0.000 |
| 0.000 | -0.001 | -0.001 | -105.297 | -0.000 | -0.000 |
| -0.001 | 0.000 | -0.001 | -0.000 | -105.297 | -0.000 |
| -0.001 | -0.001 | 0.000 | -0.000 | -0.000 | -105.297 |
| 573.130 | 521.199 | 521.199 | 0.000 | 0.000 | 0.000 |
| 521.199 | 573.130 | 521.199 | 0.000 | 0.000 | 0.000 |
| 521.199 | 521.199 | 573.130 | 0.000 | 0.000 | 0.000 |
| -0.001 | 0.013 | 0.013 | -105.297 | 0.000 | 0.000 |
| 0.013 | -0.001 | 0.013 | 0.000 | -105.297 | 0.000 |
| 0.013 | 0.013 | -0.001 | 0.000 | 0.000 | -105.297 |
| 573.107 | 521.190 | 521.190 | -0.000 | -0.000 | -0.000 |
| 521.190 | 573.107 | 521.190 | -0.000 | -0.000 | -0.000 |
| 521.190 | 521.190 | 573.107 | -0.000 | -0.000 | -0.000 |
| 0.001 | -0.013 | -0.013 | -105.297 | -0.000 | -0.000 |
| -0.013 | 0.001 | -0.013 | -0.000 | -105.297 | -0.000 |
| -0.013 | -0.013 | 0.001 | -0.000 | -0.000 | -105.297 |
| 95.044 | 98.473 | 98.473 | 0.000 | 0.000 | 0.000 |
| 98.473 | 95.044 | 98.473 | 0.000 | 0.000 | 0.000 |
| 98.473 | 98.473 | 95.044 | 0.000 | 0.000 | 0.000 |
| -0.000 | -0.000 | -0.000 | -4.507 | 0.000 | 0.000 |
| -0.000 | -0.000 | -0.000 | 0.000 | -4.507 | 0.000 |
| -0.000 | -0.000 | -0.000 | 0.000 | 0.000 | -4.507 |
| 95.044 | 98.473 | 98.473 | 0.000 | -0.000 | -0.000 |
| 98.473 | 95.044 | 98.473 | -0.000 | 0.000 | -0.000 |
| 98.473 | 98.473 | 95.044 | -0.000 | -0.000 | 0.000 |
| 0.000 | 0.000 | 0.000 | -4.507 | -0.000 | -0.000 |
| 0.000 | 0.000 | 0.000 | -0.000 | -4.507 | -0.000 |
| 0.000 | 0.000 | 0.000 | -0.000 | -0.000 | -4.507 |
| 95.044 | 98.473 | 98.473 | 0.000 | 0.000 | 0.000 |
| 98.473 | 95.044 | 98.473 | 0.000 | 0.000 | 0.000 |
| 98.473 | 98.473 | 95.044 | 0.000 | 0.000 | 0.000 |
| -0.000 | -0.000 | -0.000 | -4.507 | 0.000 | 0.000 |
| -0.000 | -0.000 | -0.000 | 0.000 | -4.507 | 0.000 |
| -0.000 | -0.000 | -0.000 | 0.000 | 0.000 | -4.507 |
| 95.044 | 98.473 | 98.473 | 0.000 | -0.000 | -0.000 |
| 98.473 | 95.044 | 98.473 | -0.000 | 0.000 | -0.000 |
| 98.473 | 98.473 | 95.044 | -0.000 | -0.000 | 0.000 |
| 0.000 | 0.000 | 0.000 | -4.507 | -0.000 | -0.000 |
| 0.000 | 0.000 | 0.000 | -0.000 | -4.507 | -0.000 |
| 0.000 | 0.000 | 0.000 | -0.000 | -0.000 | -4.507 |
| 95.044 | 98.473 | 98.473 | 0.000 | 0.000 | 0.000 |
| 98.473 | 95.044 | 98.473 | 0.000 | 0.000 | 0.000 |
| 98.473 | 98.473 | 95.044 | 0.000 | 0.000 | 0.000 |
| -0.000 | -0.000 | -0.000 | -4.507 | 0.000 | 0.000 |
| -0.000 | -0.000 | -0.000 | 0.000 | -4.507 | 0.000 |
| -0.000 | -0.000 | -0.000 | 0.000 | 0.000 | -4.507 |
| 95.044 | 98.473 | 98.473 | 0.000 | -0.000 | -0.000 |
| 98.473 | 95.044 | 98.473 | -0.000 | 0.000 | -0.000 |
| 98.473 | 98.473 | 95.044 | -0.000 | -0.000 | 0.000 |
| 0.000 | 0.000 | 0.000 | -4.507 | -0.000 | -0.000 |
| 0.000 | 0.000 | 0.000 | -0.000 | -4.507 | -0.000 |
| 0.000 | 0.000 | 0.000 | -0.000 | -0.000 | -4.507 |
| 137.748 | 195.937 | 63.745 | -0.000 | -0.000 | -0.000 |
| 195.937 | 137.748 | 63.745 | -0.000 | 0.000 | -0.000 |
| 63.745 | 63.745 | 262.664 | 0.000 | -0.000 | -0.000 |
| -0.000 | 0.000 | 0.000 | -28.729 | 0.000 | -0.000 |
| 0.000 | 0.000 | -0.000 | -0.000 | -28.729 | -0.000 |
| -0.000 | 0.000 | 0.000 | 0.000 | -0.000 | -110.891 |
| 137.748 | 195.937 | 63.745 | 0.000 | -0.000 | 0.000 |
| 195.937 | 137.748 | 63.745 | 0.000 | 0.000 | 0.000 |
| 63.745 | 63.745 | 262.663 | -0.000 | 0.000 | 0.000 |
| 0.000 | -0.000 | 0.000 | -28.729 | -0.000 | 0.000 |
| -0.000 | -0.000 | -0.000 | 0.000 | -28.729 | 0.000 |
| 0.000 | -0.000 | -0.000 | 0.000 | 0.000 | -110.891 |
| 137.748 | 195.937 | 63.745 | -0.000 | -0.000 | -0.000 |
| 195.937 | 137.748 | 63.745 | -0.000 | -0.000 | -0.000 |
| 63.745 | 63.745 | 262.664 | 0.000 | -0.000 | -0.000 |
| -0.000 | 0.000 | -0.000 | -28.729 | -0.000 | -0.000 |
| 0.000 | -0.000 | -0.000 | -0.000 | -28.729 | -0.000 |
| 0.000 | -0.000 | -0.000 | 0.000 | 0.000 | -110.891 |
| 137.748 | 195.937 | 63.745 | 0.000 | 0.000 | 0.000 |
| 195.937 | 137.748 | 63.745 | -0.000 | -0.000 | 0.000 |
| 63.745 | 63.745 | 262.663 | 0.000 | 0.000 | 0.000 |
| 0.000 | -0.000 | 0.000 | -28.729 | 0.000 | 0.000 |
| -0.000 | 0.000 | 0.000 | -0.000 | -28.729 | 0.000 |
| -0.000 | 0.000 | 0.000 | -0.000 | -0.000 | -110.891 |
| 137.748 | 195.938 | 63.745 | 0.000 | -0.000 | -0.000 |
| 195.938 | 137.748 | 63.745 | 0.000 | -0.000 | -0.000 |
| 63.745 | 63.745 | 262.665 | -0.000 | -0.000 | -0.000 |
| -0.000 | 0.000 | -0.000 | -28.729 | -0.000 | -0.000 |
| 0.000 | -0.000 | -0.000 | 0.000 | -28.729 | -0.000 |
| -0.000 | -0.000 | -0.000 | -0.000 | 0.000 | -110.891 |
| 137.747 | 195.937 | 63.745 | 0.000 | -0.000 | 0.000 |
| 195.937 | 137.747 | 63.745 | 0.000 | -0.000 | 0.000 |
| 63.745 | 63.745 | 262.662 | -0.000 | -0.000 | 0.000 |
| 0.000 | -0.000 | 0.000 | -28.729 | 0.000 | 0.000 |
| -0.000 | 0.000 | 0.000 | 0.000 | -28.729 | 0.000 |
| 0.000 | 0.000 | 0.000 | 0.000 | 0.000 | -110.891 |
| 582.927 | 371.046 | 159.108 | 0.000 | 0.000 | 0.000 |
| 371.046 | 582.927 | 159.108 | 0.000 | 0.000 | -0.000 |
| 159.108 | 159.108 | 232.870 | 0.000 | 0.000 | 0.000 |
| -0.000 | -0.000 | 0.000 | 75.036 | -0.000 | -0.000 |
| -0.000 | -0.000 | 0.000 | -0.000 | 75.036 | 0.000 |
| -0.000 | -0.000 | -0.000 | 0.000 | 0.000 | 238.046 |
| 582.927 | 371.046 | 159.108 | -0.000 | -0.000 | -0.000 |
| 371.046 | 582.927 | 159.108 | -0.000 | -0.000 | 0.000 |
| 159.108 | 159.108 | 232.870 | -0.000 | -0.000 | -0.000 |
| -0.000 | 0.000 | -0.000 | 75.036 | -0.000 | 0.000 |
| 0.000 | 0.000 | -0.000 | -0.000 | 75.036 | -0.000 |
| 0.000 | 0.000 | 0.000 | -0.000 | 0.000 | 238.046 |
| 582.926 | 371.045 | 159.108 | 0.000 | -0.000 | -0.000 |
| 371.045 | 582.926 | 159.108 | -0.000 | 0.000 | 0.000 |
| 159.108 | 159.108 | 232.870 | 0.000 | 0.000 | -0.000 |
| 0.000 | -0.000 | 0.000 | 75.036 | 0.000 | -0.000 |
| -0.000 | 0.000 | 0.000 | 0.000 | 75.036 | -0.000 |
| -0.001 | -0.001 | -0.000 | 0.000 | 0.000 | 238.046 |
| 582.928 | 371.047 | 159.108 | -0.000 | -0.000 | -0.000 |
| 371.047 | 582.928 | 159.108 | -0.000 | -0.000 | -0.000 |
| 159.108 | 159.108 | 232.870 | -0.000 | -0.000 | 0.000 |
| -0.000 | 0.000 | -0.000 | 75.036 | -0.000 | 0.000 |
| 0.000 | -0.000 | -0.000 | -0.000 | 75.036 | -0.000 |
| 0.001 | 0.001 | 0.000 | -0.000 | -0.000 | 238.046 |
| 582.917 | 371.035 | 159.108 | 0.000 | 0.000 | 0.000 |
| 371.035 | 582.917 | 159.108 | 0.000 | 0.000 | 0.000 |
| 159.109 | 159.109 | 232.870 | -0.000 | 0.000 | -0.000 |
| 0.000 | -0.000 | 0.000 | 75.036 | -0.000 | 0.000 |
| -0.000 | 0.000 | 0.000 | 0.000 | 75.036 | 0.000 |
| -0.009 | -0.009 | -0.001 | 0.000 | 0.000 | 238.046 |
| 582.936 | 371.057 | 159.109 | -0.000 | -0.000 | 0.000 |
| 371.057 | 582.936 | 159.109 | -0.000 | -0.000 | -0.000 |
| 159.108 | 159.108 | 232.869 | -0.000 | -0.000 | 0.000 |
| -0.000 | 0.000 | -0.000 | 75.036 | -0.000 | 0.000 |
| 0.000 | -0.000 | -0.000 | 0.000 | 75.036 | -0.000 |
| 0.009 | 0.009 | 0.001 | -0.000 | 0.000 | 238.046 |
| 264.164 | 31.126 | 31.126 | -0.000 | -0.000 | -0.000 |
| 31.126 | 264.164 | 31.126 | -0.000 | -0.000 | -0.000 |
| 31.126 | 31.126 | 264.164 | -0.000 | -0.000 | -0.000 |
| 0.000 | -0.000 | -0.000 | -71.555 | -0.000 | -0.000 |
| 0.000 | 0.000 | -0.000 | -0.000 | -71.555 | -0.000 |
| 0.000 | -0.000 | -0.000 | 0.000 | -0.000 | -71.555 |
| 264.164 | 31.126 | 31.126 | 0.000 | 0.000 | 0.000 |
| 31.126 | 264.164 | 31.126 | 0.000 | 0.000 | 0.000 |
| 31.126 | 31.126 | 264.164 | 0.000 | 0.000 | 0.000 |
| -0.000 | -0.000 | 0.000 | -71.555 | 0.000 | 0.000 |
| -0.000 | -0.000 | 0.000 | 0.000 | -71.555 | 0.000 |
| -0.000 | 0.000 | 0.000 | -0.000 | 0.000 | -71.555 |
| 264.164 | 31.126 | 31.126 | -0.000 | -0.000 | -0.000 |
| 31.126 | 264.164 | 31.126 | -0.000 | -0.000 | -0.000 |
| 31.126 | 31.126 | 264.164 | -0.000 | -0.000 | -0.000 |
| 0.000 | 0.000 | -0.000 | -71.555 | -0.000 | -0.000 |
| 0.000 | 0.000 | -0.000 | -0.000 | -71.555 | -0.000 |
| 0.000 | -0.000 | 0.000 | -0.000 | -0.000 | -71.555 |
| 264.164 | 31.126 | 31.126 | 0.000 | 0.000 | 0.000 |
| 31.126 | 264.164 | 31.126 | 0.000 | 0.000 | 0.000 |
| 31.126 | 31.126 | 264.164 | 0.000 | 0.000 | 0.000 |
| -0.000 | -0.000 | 0.000 | -71.555 | 0.000 | 0.000 |
| -0.000 | -0.000 | 0.000 | 0.000 | -71.555 | 0.000 |
| -0.000 | 0.000 | -0.000 | 0.000 | 0.000 | -71.555 |
| 264.166 | 31.126 | 31.126 | -0.000 | 0.000 | -0.000 |
| 31.126 | 264.166 | 31.126 | -0.000 | -0.000 | -0.000 |
| 31.126 | 31.126 | 264.166 | -0.000 | -0.000 | -0.000 |
| 0.000 | 0.000 | -0.000 | -71.555 | -0.000 | -0.000 |
| 0.000 | 0.000 | -0.000 | -0.000 | -71.555 | -0.000 |
| 0.000 | -0.000 | 0.000 | -0.000 | -0.000 | -71.555 |
| 264.163 | 31.126 | 31.126 | 0.000 | 0.000 | 0.000 |
| 31.126 | 264.163 | 31.126 | 0.000 | 0.000 | 0.000 |
| 31.126 | 31.126 | 264.163 | 0.000 | 0.000 | 0.000 |
| -0.000 | -0.000 | 0.000 | -71.555 | 0.000 | 0.000 |
| -0.000 | -0.000 | 0.000 | 0.000 | -71.555 | 0.000 |
| -0.000 | 0.000 | -0.000 | 0.000 | 0.000 | -71.555 |
| 284.961 | 117.048 | 35.847 | -0.000 | -0.000 | -0.000 |
| 117.048 | 284.961 | 35.847 | -0.000 | 0.000 | 0.000 |
| 35.847 | 35.847 | 263.196 | -0.000 | 0.000 | 0.000 |
| -0.000 | 0.000 | 0.000 | -85.682 | -0.000 | -0.000 |
| 0.000 | 0.000 | 0.000 | 0.000 | -85.682 | 0.000 |
| -0.000 | 0.000 | 0.000 | -0.000 | -0.000 | 83.956 |
| 284.961 | 117.048 | 35.847 | 0.000 | 0.000 | 0.000 |
| 117.048 | 284.961 | 35.847 | 0.000 | 0.000 | -0.000 |
| 35.847 | 35.847 | 263.196 | 0.000 | -0.000 | -0.000 |
| 0.000 | -0.000 | -0.000 | -85.682 | -0.000 | 0.000 |
| -0.000 | -0.000 | -0.000 | -0.000 | -85.682 | -0.000 |
| 0.000 | -0.000 | -0.000 | 0.000 | 0.000 | 83.956 |
| 284.961 | 117.048 | 35.847 | -0.000 | -0.000 | 0.000 |
| 117.048 | 284.961 | 35.847 | 0.000 | 0.000 | -0.000 |
| 35.847 | 35.847 | 263.196 | 0.000 | -0.000 | 0.000 |
| -0.000 | 0.000 | -0.000 | -85.682 | -0.000 | -0.000 |
| 0.000 | -0.000 | -0.000 | -0.000 | -85.682 | 0.000 |
| -0.000 | 0.000 | 0.000 | -0.000 | -0.000 | 83.956 |
| 284.961 | 117.048 | 35.847 | 0.000 | 0.000 | -0.000 |
| 117.048 | 284.961 | 35.847 | 0.000 | 0.000 | -0.000 |
| 35.847 | 35.847 | 263.196 | 0.000 | -0.000 | -0.000 |
| 0.000 | -0.000 | 0.000 | -85.682 | -0.000 | 0.000 |
| -0.000 | 0.000 | 0.000 | 0.000 | -85.682 | -0.000 |
| 0.000 | -0.000 | -0.000 | 0.000 | 0.000 | 83.956 |
| 284.963 | 117.049 | 35.847 | -0.000 | -0.000 | 0.000 |
| 117.049 | 284.962 | 35.847 | 0.000 | 0.000 | -0.000 |
| 35.847 | 35.847 | 263.198 | -0.000 | 0.000 | 0.000 |
| -0.000 | 0.000 | -0.000 | -85.682 | -0.000 | -0.000 |
| 0.000 | -0.000 | -0.000 | -0.000 | -85.682 | 0.000 |
| -0.000 | 0.000 | 0.000 | -0.000 | -0.000 | 83.956 |
| 284.960 | 117.048 | 35.847 | 0.000 | 0.000 | -0.000 |
| 117.048 | 284.960 | 35.847 | -0.000 | -0.000 | 0.000 |
| 35.847 | 35.847 | 263.195 | -0.000 | -0.000 | -0.000 |
| 0.000 | -0.000 | 0.000 | -85.682 | 0.000 | 0.000 |
| -0.000 | 0.000 | 0.000 | 0.000 | -85.682 | -0.000 |
| 0.000 | -0.000 | -0.000 | 0.000 | 0.000 | 83.956 |
| -147.802 | -306.627 | -95.778 | 0.000 | 0.000 | 0.000 |
| -306.627 | -147.802 | -95.778 | 0.000 | 0.000 | 0.000 |
| 98.291 | 98.291 | 277.809 | 0.000 | 0.000 | 0.000 |
| 0.000 | 0.000 | 0.000 | 63.002 | 0.000 | -0.000 |
| -0.000 | 0.000 | 0.000 | -0.000 | 63.002 | -0.000 |
| -0.000 | -0.000 | -0.000 | 0.000 | 0.000 | 132.923 |
| 433.623 | 292.219 | 538.036 | -0.000 | -0.000 | -0.000 |
| 292.219 | 433.623 | 538.036 | -0.000 | -0.000 | 0.000 |
| 485.504 | 485.504 | 462.491 | 0.000 | -0.000 | -0.000 |
| 0.000 | -0.000 | -0.000 | 63.002 | -0.000 | 0.000 |
| 0.000 | -0.000 | -0.000 | 0.000 | 63.002 | 0.000 |
| 0.000 | 0.000 | 0.000 | -0.000 | -0.000 | 132.923 |
| 245.473 | 80.906 | 81.399 | 0.000 | 0.000 | 0.000 |
| 80.906 | 245.473 | 81.399 | 0.000 | 0.000 | 0.000 |
| -4.827 | -4.827 | 221.210 | -0.000 | 0.000 | 0.000 |
| 0.000 | 0.000 | 0.000 | 63.002 | 0.000 | -0.000 |
| 0.000 | 0.000 | 0.000 | -0.000 | 63.002 | -0.000 |
| -27.173 | -27.173 | -13.479 | 0.000 | 0.000 | 40.668 |
| 369.867 | 225.755 | 132.248 | -0.000 | -0.000 | 0.000 |
| 225.755 | 369.867 | 132.248 | -0.000 | -0.000 | -0.000 |
| 181.438 | 181.438 | 319.311 | -0.000 | -0.000 | 0.000 |
| -0.000 | -0.000 | -0.000 | 63.002 | -0.000 | -0.000 |
| -0.000 | -0.000 | -0.000 | 0.000 | 63.002 | 0.000 |
| 27.173 | 27.173 | 13.479 | -0.000 | -0.000 | 40.668 |
| 303.578 | 133.966 | 94.492 | 0.000 | 0.000 | 0.000 |
| 133.966 | 303.578 | 94.492 | 0.000 | 0.000 | 0.000 |
| 92.193 | 92.193 | 268.988 | -0.000 | 0.000 | -0.000 |
| -4.372 | -4.372 | -2.168 | 60.235 | 0.000 | -0.000 |
| -4.372 | -4.372 | -2.168 | -0.000 | 60.235 | -0.000 |
| -2.016 | -2.016 | -2.626 | 0.000 | 0.000 | 81.656 |
| 294.893 | 145.700 | 95.720 | -0.000 | -0.000 | -0.000 |
| 145.700 | 294.893 | 95.720 | -0.000 | -0.000 | -0.000 |
| 98.314 | 98.314 | 273.936 | 0.000 | 0.000 | 0.000 |
| 4.372 | 4.372 | 2.168 | 60.235 | -0.000 | -0.000 |
| 4.372 | 4.372 | 2.168 | -0.000 | 60.235 | 0.000 |
| 2.016 | 2.016 | 2.626 | -0.000 | -0.000 | 81.656 |
| 63.713 | -670.193 | -49.823 | -80.531 | -21.812 | 439.364 |
| 65.918 | -321.662 | 79.718 | -167.646 | 5.070 | 287.557 |
| 60.007 | -455.220 | 199.755 | -166.829 | 7.095 | 279.137 |
| 0.417 | -3.561 | 1.020 | 84.246 | -1.541 | 4.174 |
| -54.933 | -583.151 | -46.878 | -170.903 | 58.716 | 281.198 |
| -185.367 | -798.497 | -175.399 | -78.189 | -25.419 | 500.632 |
| 429.546 | 926.272 | 294.562 | 81.026 | 29.385 | -439.654 |
| 136.166 | 321.700 | 134.524 | 0.015 | 2.136 | 2.593 |
| 405.719 | 970.721 | 574.908 | 12.574 | 215.900 | -55.742 |
| 288.737 | 843.020 | 310.582 | 75.763 | 217.696 | -53.746 |
| 2.992 | 2.202 | -3.053 | -1.541 | 74.388 | 1.292 |
| 284.951 | 854.427 | 304.894 | 7.619 | 222.089 | 17.115 |
| 230.440 | 65.936 | 112.995 | -16.431 | 4.796 | 29.712 |
| 98.822 | 177.063 | 91.383 | -2.527 | -22.741 | 8.651 |
| 88.744 | 36.970 | 238.801 | 3.446 | -24.648 | 2.918 |
| -28.294 | -90.861 | -26.619 | 66.598 | -22.664 | 4.855 |
| -25.676 | -85.163 | -33.356 | -1.369 | 41.597 | 5.684 |
| -7.198 | -52.154 | -7.819 | -11.885 | 2.027 | 90.264 |
| 291.162 | 136.312 | 122.052 | 0.563 | 4.948 | -2.446 |
| 131.723 | 320.755 | 132.597 | 19.602 | -2.052 | -20.789 |
| 141.670 | 202.335 | 261.886 | 11.189 | 2.578 | -47.056 |
| 29.128 | 78.368 | 34.371 | 68.754 | 20.852 | -5.623 |
| 32.145 | 84.893 | 28.168 | 0.348 | 84.450 | -5.097 |
| 25.567 | 90.297 | 28.950 | 0.235 | 25.378 | 64.859 |
| 238.545 | 119.853 | 120.448 | -2.972 | 8.078 | 10.764 |
| 123.787 | 251.957 | 121.690 | -0.499 | -3.183 | 6.888 |
| 119.118 | 118.834 | 247.582 | 3.961 | -0.713 | 1.838 |
| -1.827 | -12.675 | 1.297 | 68.731 | -2.650 | 0.339 |
| 2.992 | 2.202 | -3.053 | -1.541 | 74.388 | 1.292 |
| -6.609 | -3.425 | -4.998 | 0.189 | 1.556 | 73.773 |
| 259.709 | 131.694 | 118.599 | 0.943 | 5.827 | -1.235 |
| 128.744 | 258.899 | 126.981 | -1.296 | -1.863 | 0.154 |
| 122.272 | 129.307 | 251.726 | 4.529 | -0.991 | -6.340 |
| 3.211 | 2.421 | 6.384 | 70.452 | 1.109 | -0.159 |
| 5.838 | 2.151 | 0.862 | 1.520 | 48.856 | -9.057 |
| -1.107 | 12.028 | 0.656 | -0.271 | 5.318 | 70.638 |
| 248.115 | 532.782 | 388.646 | -205.359 | 78.441 | 38.558 |
| 133.099 | 349.004 | 129.733 | -3.671 | 0.683 | -13.262 |
| 377.952 | 655.049 | 704.108 | -264.473 | 24.401 | -178.558 |
| 99.938 | 385.620 | 259.259 | -605.246 | 588.160 | 257.619 |
| 273.274 | 530.701 | 430.954 | -264.611 | 89.582 | -177.808 |
| -13.285 | -13.331 | -0.444 | 2.853 | 2.249 | 87.251 |
| 282.885 | 135.008 | 113.720 | -1.199 | 3.666 | -12.337 |
| 86.792 | -174.324 | -173.645 | 205.278 | -81.623 | -40.806 |
| -100.220 | -669.254 | 84.035 | 325.513 | -365.306 | 82.439 |
| -1.286 | -6.307 | 1.156 | 82.684 | 1.477 | 3.983 |
| 5.123 | 1.812 | -4.265 | 1.477 | 69.123 | 0.031 |
| -225.183 | -799.818 | -147.938 | 326.762 | -365.436 | 139.174 |
| 268.203 | 173.164 | 152.708 | -25.820 | 3.816 | -22.669 |
| 144.062 | 343.020 | 146.814 | -43.773 | 30.222 | -14.161 |
| 111.946 | 130.070 | 292.604 | 1.156 | -4.265 | -0.946 |
| 4.114 | 34.279 | 33.891 | 37.029 | 11.135 | 5.357 |
| 5.123 | 1.812 | -4.265 | 1.477 | 69.123 | 0.031 |
| -13.285 | -13.331 | -0.444 | 2.853 | 2.249 | 87.251 |
| 239.237 | 31.717 | 113.019 | 115.009 | -102.153 | -37.774 |
| 99.149 | 191.454 | 108.854 | 25.032 | -39.908 | 3.280 |
| 105.301 | 87.400 | 201.838 | 64.243 | -54.805 | -25.713 |
| -20.045 | -83.463 | -11.144 | 84.808 | -31.245 | 11.122 |
| 5.123 | 1.813 | -4.265 | 1.477 | 69.123 | 0.031 |
| -33.178 | -53.563 | -44.067 | 27.421 | 0.077 | 87.643 |
| 241.055 | 128.832 | 113.482 | -1.652 | 1.760 | -10.064 |
| 118.233 | 263.763 | 123.212 | -9.275 | -0.195 | -1.468 |
| 110.963 | 125.116 | 254.566 | 1.059 | -3.116 | -0.546 |
| -1.287 | -6.307 | 1.156 | 82.684 | 1.476 | 3.983 |
| 2.215 | 0.360 | -2.810 | 1.879 | 55.128 | -0.295 |
| -6.931 | 3.465 | 4.574 | -2.177 | 2.109 | 65.508 |
| 238.000 | 118.532 | 106.722 | 2.873 | 0.406 | -8.203 |
| 116.364 | 262.322 | 116.518 | -1.471 | -6.279 | -0.982 |
| 109.704 | 118.194 | 241.234 | 7.832 | -5.200 | -1.313 |
| 0.976 | -10.179 | 2.213 | 61.602 | 2.085 | 1.719 |
| -1.363 | -9.740 | -9.711 | 6.230 | 59.130 | 3.559 |
| -8.298 | -6.589 | 0.097 | 3.116 | -0.860 | 59.584 |
| 495.243 | 180.458 | 237.777 | 0.000 | -0.000 | 0.000 |
| 180.566 | 264.619 | 158.056 | 0.000 | -0.000 | 0.000 |
| 237.764 | 157.934 | 356.834 | 0.000 | 0.000 | 0.000 |
| -0.005 | -0.003 | -0.005 | 93.165 | -0.000 | -0.000 |
| -0.013 | -0.009 | -0.014 | 0.000 | 179.794 | -0.000 |
| -0.009 | -0.006 | -0.009 | 0.000 | 0.000 | 97.680 |
| 495.269 | 180.477 | 237.805 | -0.000 | -0.000 | -0.000 |
| 180.593 | 264.638 | 158.084 | -0.000 | -0.000 | -0.000 |
| 237.790 | 157.953 | 356.862 | -0.000 | -0.000 | -0.000 |
| 0.005 | 0.003 | 0.005 | 93.165 | -0.000 | -0.000 |
| 0.013 | 0.009 | 0.014 | -0.000 | 179.794 | -0.000 |
| 0.009 | 0.006 | 0.009 | -0.000 | -0.000 | 97.680 |
| 495.254 | 180.467 | 237.790 | 0.000 | -0.000 | 0.000 |
| 180.578 | 264.628 | 158.069 | 0.000 | -0.000 | 0.000 |
| 237.775 | 157.943 | 356.846 | 0.000 | 0.000 | 0.000 |
| -0.000 | -0.000 | -0.000 | 93.165 | -0.000 | 0.000 |
| -0.002 | -0.001 | -0.002 | 0.000 | 179.794 | 0.000 |
| -0.001 | -0.001 | -0.001 | 0.000 | 0.000 | 97.680 |
| 495.257 | 180.469 | 237.793 | -0.000 | -0.000 | -0.000 |
| 180.581 | 264.629 | 158.072 | -0.000 | -0.000 | 0.000 |
| 237.778 | 157.945 | 356.849 | -0.000 | -0.000 | -0.000 |
| 0.000 | 0.000 | 0.000 | 93.165 | -0.000 | 0.000 |
| 0.002 | 0.001 | 0.002 | -0.000 | 179.794 | -0.000 |
| 0.001 | 0.001 | 0.001 | -0.000 | -0.000 | 97.680 |
| 495.255 | 180.468 | 237.791 | 0.000 | 0.000 | 0.000 |
| 180.580 | 264.630 | 158.071 | 0.000 | 0.000 | 0.000 |
| 237.778 | 157.945 | 356.850 | 0.000 | 0.000 | 0.000 |
| -0.000 | -0.000 | 0.000 | 93.165 | 0.000 | 0.000 |
| -0.003 | -0.001 | -0.002 | 0.000 | 179.794 | 0.000 |
| -0.000 | 0.000 | 0.000 | 0.000 | -0.000 | 97.680 |
| 495.257 | 180.467 | 237.792 | -0.000 | 0.000 | -0.000 |
| 180.579 | 264.627 | 158.070 | -0.000 | 0.000 | 0.000 |
| 237.776 | 157.943 | 356.846 | -0.000 | -0.000 | -0.000 |
| 0.000 | 0.000 | -0.000 | 93.165 | -0.000 | -0.000 |
| 0.003 | 0.001 | 0.002 | -0.000 | 179.794 | 0.000 |
| 0.000 | -0.000 | -0.000 | -0.000 | -0.000 | 97.680 |
| 498.425 | 180.556 | 238.886 | -0.000 | 0.000 | -0.000 |
| 180.556 | 263.512 | 157.449 | -0.000 | 0.000 | 0.000 |
| 238.886 | 157.449 | 355.868 | -0.000 | 0.000 | -0.000 |
| -0.000 | -0.000 | -0.000 | 93.196 | 0.000 | -0.000 |
| -0.000 | -0.000 | -0.000 | -0.000 | 184.560 | 0.000 |
| -0.000 | -0.000 | -0.000 | -0.000 | 0.000 | 97.622 |
| 498.426 | 180.556 | 238.886 | 0.000 | -0.000 | -0.000 |
| 180.556 | 263.512 | 157.449 | 0.000 | -0.000 | -0.000 |
| 238.886 | 157.449 | 355.869 | 0.000 | -0.000 | -0.000 |
| 0.000 | 0.000 | 0.000 | 93.196 | -0.000 | 0.000 |
| 0.000 | 0.000 | 0.000 | 0.000 | 184.560 | -0.000 |
| 0.000 | 0.000 | 0.000 | 0.000 | -0.000 | 97.622 |
| 498.426 | 180.556 | 238.886 | -0.000 | 0.000 | 0.000 |
| 180.556 | 263.512 | 157.449 | -0.000 | 0.000 | -0.000 |
| 238.886 | 157.449 | 355.869 | -0.000 | 0.000 | 0.000 |
| -0.000 | -0.000 | 0.000 | 93.196 | 0.000 | -0.000 |
| -0.000 | -0.000 | -0.000 | -0.000 | 184.560 | -0.000 |
| -0.000 | 0.000 | 0.000 | -0.000 | 0.000 | 97.622 |
| 498.426 | 180.556 | 238.886 | 0.000 | -0.000 | -0.000 |
| 180.556 | 263.512 | 157.449 | 0.000 | -0.000 | 0.000 |
| 238.886 | 157.449 | 355.868 | -0.000 | -0.000 | 0.000 |
| 0.000 | 0.000 | -0.000 | 93.196 | -0.000 | -0.000 |
| 0.000 | 0.000 | 0.000 | 0.000 | 184.560 | -0.000 |
| 0.000 | -0.000 | -0.000 | 0.000 | -0.000 | 97.622 |
| 498.425 | 180.557 | 238.886 | -0.000 | 0.000 | 0.000 |
| 180.557 | 263.513 | 157.450 | -0.000 | 0.000 | 0.000 |
| 238.887 | 157.451 | 355.871 | -0.000 | 0.000 | 0.000 |
| -0.000 | -0.000 | 0.000 | 93.196 | 0.000 | -0.000 |
| -0.003 | -0.001 | -0.002 | -0.000 | 184.560 | 0.000 |
| -0.000 | 0.000 | 0.000 | -0.000 | 0.000 | 97.622 |
| 498.426 | 180.556 | 238.886 | 0.000 | 0.000 | -0.000 |
| 180.555 | 263.511 | 157.448 | 0.000 | -0.000 | -0.000 |
| 238.885 | 157.448 | 355.866 | 0.000 | -0.000 | -0.000 |
| 0.000 | 0.000 | -0.000 | 93.196 | -0.000 | -0.000 |
| 0.003 | 0.001 | 0.002 | 0.000 | 184.560 | 0.000 |
| 0.000 | -0.000 | -0.000 | 0.000 | -0.000 | 97.622 |
| 275.438 | 123.808 | 123.808 | 0.000 | 0.000 | 0.000 |
| 123.808 | 275.438 | 123.808 | 0.000 | 0.000 | 0.000 |
| 123.808 | 123.808 | 275.438 | -0.000 | 0.000 | 0.000 |
| -0.000 | -0.000 | 0.000 | 71.617 | 0.000 | 0.000 |
| -0.000 | 0.000 | -0.000 | -0.000 | 71.617 | 0.000 |
| -0.000 | -0.000 | -0.000 | 0.000 | 0.000 | 71.617 |
| 291.477 | 118.410 | 118.410 | -0.000 | -0.000 | -0.000 |
| 118.410 | 291.477 | 118.410 | -0.000 | 0.000 | -0.000 |
| 118.410 | 118.410 | 291.477 | -0.000 | -0.000 | -0.000 |
| 0.000 | 0.000 | -0.000 | 71.617 | -0.000 | -0.000 |
| 0.000 | -0.000 | 0.000 | -0.000 | 71.617 | -0.000 |
| 0.000 | 0.000 | -0.000 | -0.000 | 0.000 | 71.617 |
| 291.477 | 118.409 | 118.409 | 0.000 | 0.000 | 0.000 |
| 118.409 | 291.477 | 118.409 | 0.000 | 0.000 | 0.000 |
| 118.409 | 118.409 | 291.477 | -0.000 | 0.000 | 0.000 |
| -0.015 | -0.015 | -0.015 | 62.143 | 0.000 | 0.000 |
| -0.015 | -0.015 | -0.015 | 0.000 | 62.143 | 0.000 |
| -0.015 | -0.015 | -0.015 | -0.000 | 0.000 | 62.143 |
| 291.477 | 118.410 | 118.410 | -0.000 | -0.000 | -0.000 |
| 118.410 | 291.477 | 118.410 | 0.000 | -0.000 | -0.000 |
| 118.410 | 118.410 | 291.477 | -0.000 | -0.000 | -0.000 |
| 0.015 | 0.015 | 0.015 | 62.143 | -0.000 | -0.000 |
| 0.015 | 0.015 | 0.015 | -0.000 | 62.143 | -0.000 |
| 0.015 | 0.015 | 0.015 | 0.000 | 0.000 | 62.143 |
| 291.477 | 118.409 | 118.409 | 0.000 | 0.000 | 0.000 |
| 118.409 | 291.477 | 118.409 | -0.000 | 0.000 | 0.000 |
| 118.409 | 118.409 | 291.477 | 0.000 | -0.000 | 0.000 |
| -0.001 | -0.002 | -0.002 | 62.140 | 0.000 | 0.000 |
| -0.002 | -0.001 | -0.002 | 0.000 | 62.140 | 0.000 |
| -0.002 | -0.002 | -0.001 | -0.000 | 0.000 | 62.140 |
| 274.037 | 124.545 | 124.545 | -0.000 | -0.000 | -0.000 |
| 124.545 | 274.037 | 124.545 | -0.000 | 0.000 | -0.000 |
| 124.545 | 124.545 | 274.037 | -0.000 | -0.000 | -0.000 |
| 0.001 | 0.002 | 0.002 | 62.140 | 0.000 | -0.000 |
| 0.002 | 0.001 | 0.002 | -0.000 | 62.140 | -0.000 |
| 0.002 | 0.002 | 0.001 | -0.000 | -0.000 | 62.140 |
| 291.405 | 118.379 | 118.379 | -0.000 | -0.000 | -0.000 |
| 118.379 | 291.405 | 118.379 | -0.000 | -0.000 | -0.000 |
| 118.379 | 118.379 | 291.405 | -0.000 | -0.000 | -0.000 |
| 0.000 | -0.000 | -0.000 | 71.692 | 0.000 | -0.000 |
| -0.000 | 0.000 | -0.000 | -0.000 | 71.692 | -0.000 |
| -0.000 | -0.000 | -0.000 | -0.000 | 0.000 | 71.692 |
| 276.798 | 125.498 | 125.498 | 0.000 | -0.000 | 0.000 |
| 125.498 | 276.798 | 125.498 | 0.000 | 0.000 | 0.000 |
| 125.498 | 125.498 | 276.798 | 0.000 | 0.000 | 0.000 |
| -0.000 | 0.000 | 0.000 | 71.692 | -0.000 | 0.000 |
| 0.000 | -0.000 | 0.000 | 0.000 | 71.692 | 0.000 |
| 0.000 | 0.000 | 0.000 | 0.000 | 0.000 | 71.692 |
| 291.405 | 118.379 | 118.379 | 0.000 | 0.000 | -0.000 |
| 118.379 | 291.405 | 118.379 | 0.000 | 0.000 | -0.000 |
| 118.379 | 118.379 | 291.405 | 0.000 | 0.000 | -0.000 |
| 0.000 | -0.000 | -0.000 | 71.692 | 0.000 | -0.000 |
| -0.000 | 0.000 | -0.000 | -0.000 | 71.692 | -0.000 |
| -0.000 | -0.000 | 0.000 | -0.000 | -0.000 | 71.692 |
| 274.438 | 124.456 | 124.456 | -0.000 | -0.000 | 0.000 |
| 124.456 | 274.438 | 124.456 | -0.000 | 0.000 | 0.000 |
| 124.456 | 124.456 | 274.438 | 0.000 | 0.000 | 0.000 |
| -0.000 | 0.000 | 0.000 | 71.692 | 0.000 | 0.000 |
| 0.000 | -0.000 | 0.000 | 0.000 | 71.692 | 0.000 |
| 0.000 | 0.000 | -0.000 | 0.000 | 0.000 | 71.692 |
| 291.406 | 118.379 | 118.379 | 0.000 | -0.000 | -0.000 |
| 118.379 | 291.406 | 118.379 | -0.000 | 0.000 | -0.000 |
| 118.379 | 118.379 | 291.406 | 0.000 | 0.000 | -0.000 |
| -0.048 | -0.048 | -0.048 | 60.516 | 0.000 | -0.000 |
| -0.048 | -0.048 | -0.048 | 0.000 | 60.516 | -0.000 |
| -0.048 | -0.048 | -0.048 | -0.000 | -0.000 | 60.516 |
| 273.922 | 124.436 | 124.436 | -0.000 | -0.000 | 0.000 |
| 124.436 | 273.922 | 124.436 | 0.000 | -0.000 | 0.000 |
| 124.436 | 124.436 | 273.922 | 0.000 | -0.000 | 0.000 |
| 0.048 | 0.048 | 0.048 | 60.516 | 0.000 | 0.000 |
| 0.048 | 0.048 | 0.048 | 0.000 | 60.516 | 0.000 |
| 0.048 | 0.048 | 0.048 | -0.000 | -0.000 | 60.516 |
| 230.944 | 133.801 | 133.801 | -0.000 | 0.000 | 0.000 |
| 133.801 | 230.944 | 133.801 | -0.000 | 0.000 | 0.000 |
| 133.801 | 133.801 | 230.944 | -0.000 | 0.000 | 0.000 |
| 0.106 | 0.106 | 0.106 | 58.247 | 0.000 | 0.000 |
| 0.106 | 0.106 | 0.106 | -0.000 | 58.247 | 0.000 |
| 0.106 | 0.106 | 0.106 | -0.000 | 0.000 | 58.247 |
| 231.079 | 134.066 | 134.066 | 0.000 | -0.000 | -0.000 |
| 134.066 | 231.079 | 134.066 | 0.000 | -0.000 | -0.000 |
| 134.066 | 134.066 | 231.079 | 0.000 | -0.000 | -0.000 |
| -0.106 | -0.106 | -0.106 | 58.247 | -0.000 | -0.000 |
| -0.106 | -0.106 | -0.106 | 0.000 | 58.247 | -0.000 |
| -0.106 | -0.106 | -0.106 | 0.000 | -0.000 | 58.247 |
| 231.242 | 133.872 | 133.872 | -0.000 | 0.000 | 0.000 |
| 132.744 | 236.963 | 132.744 | 0.000 | 0.000 | 0.000 |
| 133.872 | 133.872 | 231.242 | -0.000 | 0.000 | 0.000 |
| -0.006 | -0.006 | -0.006 | 59.343 | 0.000 | 0.000 |
| -0.006 | -0.006 | -0.006 | -0.000 | 59.343 | 0.000 |
| -0.006 | -0.006 | -0.006 | -0.000 | 0.000 | 59.343 |
| 229.816 | 133.410 | 133.410 | 0.000 | -0.000 | -0.000 |
| 133.410 | 229.816 | 133.410 | 0.000 | -0.000 | -0.000 |
| 133.410 | 133.410 | 229.816 | 0.000 | -0.000 | -0.000 |
| 0.006 | 0.006 | 0.006 | 59.343 | -0.000 | -0.000 |
| 0.006 | 0.006 | 0.006 | 0.000 | 59.343 | -0.000 |
| -0.011 | -0.011 | -0.011 | 0.000 | -0.000 | 58.214 |
| 236.964 | 132.744 | 132.744 | -0.000 | 0.000 | 0.000 |
| 132.744 | 236.964 | 132.744 | 0.000 | -0.000 | 0.000 |
| 132.744 | 132.744 | 236.964 | 0.000 | 0.000 | 0.000 |
| -0.001 | -0.001 | -0.001 | 61.938 | 0.000 | 0.000 |
| -0.001 | -0.001 | -0.001 | -0.000 | 61.938 | 0.000 |
| -0.001 | -0.001 | -0.001 | -0.000 | 0.000 | 61.938 |
| 229.845 | 133.404 | 133.404 | 0.000 | -0.000 | -0.000 |
| 133.404 | 229.845 | 133.404 | 0.000 | -0.000 | -0.000 |
| 133.404 | 133.404 | 229.845 | 0.000 | -0.000 | -0.000 |
| 0.001 | 0.001 | 0.001 | 61.938 | -0.000 | -0.000 |
| 0.001 | 0.001 | 0.001 | 0.000 | 61.938 | -0.000 |
| 0.001 | 0.001 | 0.001 | 0.000 | -0.000 | 61.938 |
| 225.786 | 127.958 | 127.958 | 0.000 | -0.000 | -0.000 |
| 127.958 | 225.786 | 127.958 | 0.000 | -0.000 | -0.000 |
| 127.958 | 127.958 | 225.786 | 0.000 | -0.000 | -0.000 |
| 0.000 | 0.000 | 0.000 | 73.455 | 0.000 | 0.000 |
| -0.000 | 0.000 | 0.000 | 0.000 | 73.455 | 0.000 |
| -0.000 | 0.000 | -0.000 | 0.000 | -0.000 | 73.455 |
| 234.157 | 138.530 | 138.530 | -0.000 | 0.000 | 0.000 |
| 138.530 | 234.157 | 138.530 | -0.000 | 0.000 | 0.000 |
| 138.530 | 138.530 | 234.157 | -0.000 | 0.000 | 0.000 |
| 0.000 | -0.000 | -0.000 | 73.455 | -0.000 | -0.000 |
| 0.000 | 0.000 | -0.000 | -0.000 | 73.455 | 0.000 |
| 0.000 | -0.000 | -0.000 | 0.000 | 0.000 | 73.455 |
| 230.285 | 133.238 | 133.238 | 0.000 | -0.000 | -0.000 |
| 133.238 | 230.285 | 133.238 | 0.000 | -0.000 | -0.000 |
| 133.238 | 133.238 | 230.285 | 0.000 | -0.000 | -0.000 |
| 0.000 | 0.000 | 0.000 | 73.455 | 0.000 | 0.000 |
| 0.000 | 0.000 | 0.000 | 0.000 | 73.455 | 0.000 |
| 0.000 | 0.000 | 0.000 | 0.000 | -0.000 | 73.455 |
| 231.317 | 133.943 | 133.943 | -0.000 | 0.000 | 0.000 |
| 133.943 | 231.317 | 133.943 | -0.000 | 0.000 | 0.000 |
| 133.943 | 133.943 | 231.317 | -0.000 | 0.000 | 0.000 |
| -0.000 | -0.000 | -0.000 | 73.455 | 0.000 | 0.000 |
| -0.000 | -0.000 | -0.000 | -0.000 | 73.455 | -0.000 |
| -0.000 | -0.000 | -0.000 | -0.000 | -0.000 | 73.455 |
| 230.783 | 133.560 | 133.560 | 0.000 | -0.000 | -0.000 |
| 133.560 | 230.783 | 133.560 | 0.000 | -0.000 | -0.000 |
| 133.560 | 133.560 | 230.783 | 0.000 | -0.000 | -0.000 |
| -0.043 | -0.043 | -0.043 | 57.935 | -0.000 | -0.000 |
| -0.063 | -0.063 | -0.063 | 0.000 | 59.254 | -0.000 |
| -0.063 | -0.063 | -0.063 | 0.000 | -0.000 | 59.254 |
| 229.123 | 134.058 | 134.058 | -0.000 | 0.000 | 0.000 |
| 134.058 | 229.123 | 134.058 | -0.000 | 0.000 | 0.000 |
| 134.058 | 134.058 | 229.123 | -0.000 | 0.000 | 0.000 |
| 0.063 | 0.063 | 0.063 | 59.254 | 0.000 | 0.000 |
| 0.043 | 0.043 | 0.043 | -0.000 | 57.935 | 0.000 |
| 0.063 | 0.063 | 0.063 | -0.000 | 0.000 | 59.254 |
| 605.061 | 146.866 | 364.870 | -0.000 | 0.000 | -0.000 |
| 135.384 | 290.684 | 50.372 | -0.000 | 0.000 | -0.000 |
| 365.406 | 62.423 | 477.695 | 0.000 | 0.000 | -0.000 |
| -0.007 | 0.000 | -0.007 | -143.613 | 0.000 | -0.000 |
| -0.000 | 0.000 | -0.000 | -0.000 | 545.546 | -0.000 |
| -0.000 | 0.000 | -0.000 | -0.000 | 0.000 | 97.037 |
| 605.058 | 146.866 | 364.867 | 0.000 | 0.000 | 0.000 |
| 142.714 | 290.528 | 57.736 | -0.000 | -0.000 | 0.000 |
| 365.403 | 62.423 | 477.692 | -0.000 | 0.000 | 0.000 |
| 0.007 | -0.000 | 0.007 | -143.613 | -0.000 | 0.000 |
| 0.000 | -0.000 | 0.000 | -0.000 | 545.546 | 0.000 |
| 0.000 | -0.000 | 0.000 | 0.000 | -0.000 | 97.037 |
| 605.078 | 146.866 | 364.887 | -0.000 | 0.000 | -0.000 |
| 142.714 | 290.528 | 57.735 | 0.000 | 0.000 | -0.000 |
| 365.017 | 62.432 | 477.304 | -0.000 | 0.000 | -0.000 |
| 3344375.223 | -32097812.703 | -21385324.974 | 1329904.753 | 0.001 | -0.000 |
| -0.002 | -0.000 | -0.001 | -0.000 | 545.546 | -0.000 |
| -0.000 | 0.000 | -0.000 | -0.000 | 0.000 | 97.037 |
| 605.041 | 146.867 | 364.850 | 0.000 | -0.000 | 0.000 |
| 135.384 | 290.684 | 50.372 | -0.000 | 0.000 | 0.000 |
| 365.385 | 62.424 | 477.674 | -0.000 | -0.000 | 0.000 |
| -3344375.223 | 32097812.703 | 21385324.974 | 1329904.753 | -0.001 | -0.000 |
| 0.002 | 0.000 | 0.001 | 0.000 | 545.546 | 0.000 |
| 0.000 | -0.000 | 0.000 | 0.000 | -0.000 | 97.037 |
| 605.058 | 146.867 | 364.869 | -0.000 | -0.000 | -0.000 |
| 142.715 | 290.529 | 57.736 | -0.000 | 0.000 | -0.000 |
| 365.406 | 62.424 | 477.696 | 0.000 | 0.000 | -0.000 |
| 334465.366 | -3209806.319 | -2138542.268 | 132991.335 | 0.000 | -0.000 |
| 0.012 | -0.000 | 0.013 | -0.000 | 244.355 | -0.000 |
| 0.000 | 0.000 | 0.000 | 0.000 | 0.000 | 97.037 |
| 605.060 | 146.866 | 364.868 | 0.000 | -0.000 | 0.000 |
| 135.384 | 290.683 | 50.372 | 0.000 | -0.000 | 0.000 |
| 365.215 | 62.427 | 477.502 | 0.000 | -0.000 | 0.000 |
| -334465.366 | 3209806.319 | 2138542.268 | 132991.335 | -0.000 | -0.000 |
| -0.012 | 0.000 | -0.013 | 0.000 | 244.355 | 0.000 |
| -0.000 | -0.000 | -0.000 | 0.000 | -0.000 | 97.037 |
| 513.973 | 177.486 | 232.880 | -0.000 | -0.000 | -0.000 |
| 177.663 | 259.431 | 145.535 | -0.000 | 0.000 | -0.000 |
| 235.613 | 148.091 | 336.287 | -0.000 | -0.000 | 0.000 |
| 0.000 | 0.000 | 0.000 | 88.357 | 0.000 | 0.000 |
| -0.000 | -0.000 | -0.000 | -0.000 | 212.966 | 0.000 |
| 0.000 | 0.000 | 0.000 | -0.000 | 0.000 | 93.835 |
| 513.972 | 177.486 | 232.880 | 0.000 | -0.000 | -0.000 |
| 177.663 | 259.431 | 145.535 | 0.000 | -0.000 | 0.000 |
| 235.613 | 148.091 | 336.287 | 0.000 | 0.000 | -0.000 |
| -0.000 | -0.000 | -0.000 | 88.357 | -0.000 | 0.000 |
| 0.000 | 0.000 | 0.000 | 0.000 | 212.966 | 0.000 |
| -0.000 | -0.000 | -0.000 | 0.000 | -0.000 | 93.835 |
| 513.973 | 177.486 | 232.880 | -0.000 | 0.000 | -0.000 |
| 177.663 | 259.431 | 145.535 | -0.000 | -0.000 | -0.000 |
| 235.614 | 148.091 | 336.288 | -0.000 | -0.000 | -0.000 |
| -0.000 | -0.000 | 0.000 | 88.357 | 0.000 | 0.000 |
| -0.000 | -0.000 | -0.000 | -0.000 | 212.966 | -0.000 |
| 0.000 | 0.000 | 0.000 | -0.000 | 0.000 | 93.835 |
| 513.972 | 177.485 | 232.880 | 0.000 | 0.000 | -0.000 |
| 177.663 | 259.431 | 145.535 | 0.000 | -0.000 | 0.000 |
| 235.613 | 148.090 | 336.287 | 0.000 | -0.000 | 0.000 |
| 0.000 | 0.000 | -0.000 | 88.357 | -0.000 | -0.000 |
| 0.000 | 0.000 | 0.000 | 0.000 | 212.966 | -0.000 |
| -0.000 | -0.000 | -0.000 | 0.000 | 0.000 | 93.835 |
| 513.974 | 177.487 | 232.882 | -0.000 | 0.000 | 0.000 |
| 177.664 | 259.433 | 145.536 | -0.000 | -0.000 | 0.000 |
| 235.616 | 148.092 | 336.291 | -0.000 | -0.000 | 0.000 |
| -0.000 | -0.000 | 0.000 | 88.357 | 0.000 | 0.000 |
| -0.003 | -0.001 | -0.001 | -0.000 | 212.966 | 0.000 |
| 0.000 | 0.000 | 0.000 | -0.000 | -0.000 | 93.835 |
| 513.971 | 177.484 | 232.878 | 0.000 | -0.000 | -0.000 |
| 177.662 | 259.430 | 145.534 | 0.000 | -0.000 | 0.000 |
| 235.611 | 148.089 | 336.284 | 0.000 | -0.000 | 0.000 |
| 0.000 | 0.000 | -0.000 | 88.357 | 0.000 | -0.000 |
| 0.003 | 0.001 | 0.001 | 0.000 | 212.966 | 0.000 |
| -0.000 | -0.000 | -0.000 | 0.000 | -0.000 | 93.835 |
| 145.042 | 5.366 | 133.431 | 0.038 | -33.210 | -0.043 |
| 16.708 | 95.815 | 37.882 | 0.040 | 3.046 | -0.046 |
| 98.151 | 17.325 | 198.725 | 0.125 | 7.096 | -0.144 |
| 0.522 | 1.022 | 0.155 | 27.383 | 0.341 | 13.104 |
| -52.237 | 1.756 | 8.149 | 0.222 | -8.874 | -0.255 |
| 0.987 | 1.210 | 0.612 | 22.073 | -0.340 | 27.771 |
| 141.923 | 1.242 | 132.233 | -0.038 | -33.207 | 0.043 |
| 13.636 | 91.305 | 36.214 | -0.040 | 3.221 | 0.046 |
| 96.625 | 13.587 | 194.839 | -0.125 | 4.303 | 0.144 |
| -0.522 | -1.022 | -0.155 | 27.342 | -0.341 | 13.151 |
| -54.949 | -2.870 | 3.805 | -0.217 | -11.278 | 0.249 |
| -0.987 | -1.210 | -0.612 | 22.032 | 0.340 | 27.818 |
| 149.821 | 1.179 | 109.218 | -0.003 | -52.857 | 0.004 |
| 15.281 | 93.610 | 34.859 | 0.027 | -0.195 | -0.031 |
| 97.435 | 15.630 | 196.917 | 0.028 | 5.836 | -0.032 |
| 0.050 | 0.100 | 0.014 | 27.374 | 0.036 | 13.124 |
| -57.504 | -5.491 | 5.754 | 0.026 | -10.273 | -0.030 |
| 0.047 | 0.097 | 0.012 | 18.275 | 0.037 | 27.498 |
| 149.486 | 1.432 | 109.070 | -0.024 | -53.246 | 0.028 |
| 15.170 | 93.263 | 34.486 | -0.027 | -0.493 | 0.031 |
| 97.417 | 15.389 | 196.632 | -0.028 | 5.529 | 0.032 |
| -0.050 | -0.100 | -0.014 | 27.370 | -0.036 | 13.129 |
| -57.300 | -5.492 | 5.606 | -0.026 | -10.773 | 0.030 |
| -0.047 | -0.097 | -0.012 | 18.271 | -0.037 | 27.503 |
| 149.622 | 1.706 | 109.229 | -0.000 | -53.164 | 0.000 |
| 15.277 | 93.522 | 34.679 | 0.001 | -0.412 | -0.001 |
| 97.469 | 15.493 | 196.593 | -0.002 | 5.598 | 0.003 |
| -0.021 | -0.017 | -0.018 | 27.372 | 0.018 | 13.126 |
| -57.428 | -5.477 | 5.831 | 0.003 | -10.419 | -0.003 |
| -0.046 | -0.044 | -0.037 | 18.274 | 0.033 | 27.500 |
| 149.408 | 1.554 | 109.295 | -0.003 | -53.072 | 0.003 |
| 15.271 | 93.438 | 34.581 | -0.003 | -0.378 | 0.003 |
| 97.323 | 15.464 | 196.896 | 0.003 | 5.798 | -0.003 |
| 0.021 | 0.017 | 0.018 | 27.372 | -0.018 | 13.127 |
| -57.368 | -5.503 | 5.556 | -0.003 | -10.639 | 0.003 |
| 0.046 | 0.044 | 0.037 | 18.273 | -0.033 | 27.501 |
| 514.356 | 288.781 | 312.630 | -9.436 | -0.000 | -0.000 |
| 289.278 | 512.677 | 311.994 | 9.050 | -0.000 | 0.000 |
| 312.283 | 312.283 | 510.321 | -0.000 | -0.000 | 0.000 |
| -9.436 | 9.436 | 0.000 | 127.458 | -0.000 | 0.000 |
| -0.000 | -0.000 | -0.000 | -0.000 | 127.207 | -8.730 |
| -0.000 | -0.000 | -0.000 | -0.000 | -8.730 | 110.798 |
| 512.044 | 290.448 | 312.283 | -8.730 | 0.000 | -0.000 |
| 289.278 | 512.676 | 311.994 | 9.050 | 0.000 | -0.000 |
| 312.283 | 312.283 | 510.321 | 0.000 | -0.000 | -0.000 |
| -9.436 | 9.436 | -0.000 | 127.458 | 0.000 | -0.000 |
| 0.000 | 0.000 | 0.000 | 0.000 | 127.207 | -8.730 |
| 0.000 | 0.000 | 0.000 | 0.000 | -8.730 | 110.798 |
| 512.678 | 289.279 | 311.995 | -9.050 | -0.000 | -0.000 |
| 288.781 | 514.357 | 312.631 | 9.437 | -0.000 | 0.000 |
| 312.631 | 312.631 | 510.695 | 0.000 | -0.000 | -0.000 |
| -8.729 | 8.730 | 0.001 | 127.208 | -0.000 | 0.000 |
| 0.001 | 0.000 | 0.001 | -0.000 | 127.458 | -9.436 |
| 0.000 | 0.000 | 0.000 | -0.000 | -8.730 | 110.798 |
| 514.354 | 288.781 | 312.629 | -9.436 | 0.000 | 0.000 |
| 290.448 | 512.043 | 312.282 | 8.729 | 0.000 | -0.000 |
| 312.283 | 312.283 | 510.321 | -0.000 | 0.000 | -0.000 |
| -8.730 | 8.729 | -0.001 | 127.207 | 0.000 | -0.000 |
| -0.001 | -0.000 | -0.001 | 0.000 | 127.458 | -9.436 |
| -0.000 | -0.000 | -0.000 | 0.000 | -8.730 | 110.798 |
| 514.371 | 288.786 | 312.639 | -9.439 | -0.000 | 0.000 |
| 289.281 | 512.692 | 312.002 | 9.053 | -0.000 | 0.000 |
| 312.289 | 312.289 | 510.327 | -0.000 | -0.000 | 0.000 |
| -8.726 | 8.739 | 0.007 | 127.209 | -0.000 | 0.000 |
| 0.009 | 0.004 | 0.007 | -0.001 | 127.207 | -8.730 |
| 0.003 | 0.002 | 0.002 | -0.001 | -8.730 | 110.798 |
| 514.341 | 288.777 | 312.621 | -9.434 | -0.000 | -0.000 |
| 289.276 | 512.661 | 311.985 | 9.046 | 0.000 | -0.000 |
| 312.277 | 312.277 | 510.315 | 0.000 | 0.000 | -0.000 |
| -9.439 | 9.426 | -0.007 | 127.457 | 0.000 | -0.000 |
| -0.009 | -0.004 | -0.007 | 0.001 | 127.207 | -8.730 |
| -0.003 | -0.002 | -0.002 | 0.001 | -8.730 | 110.798 |
| 353.081 | 176.756 | 97.704 | -0.000 | -0.000 | 0.000 |
| 176.756 | 353.081 | 97.704 | -0.000 | -0.000 | 0.000 |
| -174.853 | -174.853 | 678.839 | -0.000 | -0.000 | 0.000 |
| 0.000 | -0.000 | 0.000 | 62.774 | -0.000 | -0.000 |
| 0.000 | -0.000 | 0.000 | -0.000 | 62.774 | 0.000 |
| -1044.465 | -1044.465 | 391.846 | -0.000 | -0.000 | 69.199 |
| 624.047 | 472.961 | -233.290 | 0.000 | 0.000 | 0.000 |
| 472.961 | 624.047 | -233.290 | 0.000 | 0.000 | -0.000 |
| 1140.877 | 1140.877 | -113.821 | 0.000 | 0.000 | 0.000 |
| -0.000 | 0.000 | -0.000 | 62.774 | 0.000 | -0.000 |
| -0.000 | -0.000 | -0.000 | 0.000 | 62.774 | -0.000 |
| 1044.465 | 1044.465 | -391.846 | 0.000 | 0.000 | 69.199 |
| 256.808 | 105.847 | 125.645 | -0.000 | -0.000 | -0.000 |
| 105.847 | 256.808 | 125.645 | -0.000 | -0.000 | 0.000 |
| 98.577 | 98.577 | 282.349 | -0.000 | -0.000 | 0.000 |
| 0.000 | 0.000 | 0.000 | 62.774 | -0.000 | -0.000 |
| 0.000 | 0.000 | 0.000 | -0.000 | 62.774 | 0.000 |
| -2.559 | -2.559 | 44.709 | -0.000 | -0.000 | 85.459 |
| 353.081 | 176.756 | 97.704 | 0.000 | 0.000 | -0.000 |
| 176.756 | 353.081 | 97.704 | 0.000 | 0.000 | 0.000 |
| 126.899 | 126.899 | 242.883 | 0.000 | 0.000 | -0.000 |
| -0.000 | -0.000 | -0.000 | 62.774 | 0.000 | -0.000 |
| -0.000 | -0.000 | -0.000 | 0.000 | 62.774 | -0.000 |
| 2.559 | 2.559 | -44.709 | 0.000 | 0.000 | 85.459 |
| 290.788 | 135.258 | 98.528 | -0.000 | -0.000 | -0.000 |
| 135.258 | 290.788 | 98.528 | -0.000 | -0.000 | -0.000 |
| 89.825 | 89.825 | 278.969 | -0.000 | -0.000 | -0.000 |
| 0.000 | 0.000 | 0.000 | 62.774 | -0.000 | 0.000 |
| 0.000 | 0.000 | 0.000 | 0.000 | 62.774 | 0.000 |
| -0.546 | -0.546 | 4.590 | -0.000 | -0.000 | 83.542 |
| 301.754 | 143.475 | 89.229 | 0.000 | -0.000 | 0.000 |
| 143.475 | 301.754 | 89.229 | 0.000 | 0.000 | 0.000 |
| 96.805 | 96.805 | 272.063 | -0.000 | -0.000 | -0.000 |
| -0.000 | -0.000 | -0.000 | 62.774 | 0.000 | -0.000 |
| -0.000 | -0.000 | -0.000 | 0.000 | 62.774 | -0.000 |
| 0.546 | 0.546 | -4.590 | 0.000 | 0.000 | 83.542 |
| -3591.693 | -3761.470 | -191.540 | -0.000 | 0.000 | -0.000 |
| -3761.470 | -3591.693 | -191.540 | -0.000 | 0.000 | -0.000 |
| -3818.529 | -3818.529 | -4.623 | -0.000 | 0.000 | 0.000 |
| -1785.943 | -1785.943 | 153.420 | 58.367 | 0.000 | 0.000 |
| -1785.943 | -1785.943 | 153.420 | 0.000 | 58.367 | -0.000 |
| -2490.356 | -2490.356 | -396.842 | 0.000 | 0.000 | 77.408 |
| 2774.994 | 2621.605 | 492.761 | 0.000 | -0.000 | -0.000 |
| 2621.605 | 2774.994 | 492.761 | 0.000 | -0.000 | 0.000 |
| 1880.657 | 1880.657 | 130.209 | 0.000 | 0.000 | 0.000 |
| 1785.943 | 1785.943 | -153.420 | 58.367 | 0.000 | 0.000 |
| 1785.943 | 1785.943 | -153.420 | -0.000 | 58.367 | 0.000 |
| 2490.356 | 2490.356 | 396.842 | -0.000 | -0.000 | 77.408 |
| 107.497 | -41.335 | 109.842 | -0.000 | 0.000 | -0.000 |
| -41.335 | 107.497 | 109.842 | -0.000 | 0.000 | -0.000 |
| -292.636 | -292.636 | 258.141 | -0.000 | -0.000 | -0.000 |
| -251.100 | -251.100 | -39.838 | 59.213 | 0.000 | -0.000 |
| -251.100 | -251.100 | -39.838 | -0.000 | 59.213 | -0.000 |
| -138.168 | -138.168 | 33.174 | 0.000 | 0.000 | 83.375 |
| 463.998 | 315.620 | 78.820 | 0.000 | -0.000 | -0.000 |
| 315.620 | 463.998 | 78.820 | 0.000 | -0.000 | 0.000 |
| 490.256 | 490.256 | 316.476 | 0.000 | 0.000 | -0.000 |
| 251.100 | 251.100 | 39.838 | 59.213 | -0.000 | 0.000 |
| 251.100 | 251.100 | 39.838 | -0.000 | 59.213 | 0.000 |
| 138.168 | 138.168 | -33.174 | -0.000 | -0.000 | 83.375 |
| 271.576 | 111.085 | 93.207 | -0.000 | -0.000 | 0.000 |
| 111.085 | 271.576 | 93.207 | -0.000 | -0.000 | 0.000 |
| 58.911 | 58.911 | 284.300 | -0.000 | 0.000 | 0.000 |
| -17.951 | -17.951 | 1.528 | 58.415 | 0.000 | -0.000 |
| -17.951 | -17.951 | 1.528 | 0.000 | 58.415 | -0.000 |
| -21.112 | -21.112 | 1.129 | -0.000 | -0.000 | 82.994 |
| 302.295 | 154.076 | 90.531 | 0.000 | -0.000 | 0.000 |
| 154.076 | 302.295 | 90.531 | 0.000 | -0.000 | 0.000 |
| 107.032 | 107.032 | 280.442 | 0.000 | -0.000 | 0.000 |
| 17.951 | 17.951 | -1.528 | 58.415 | -0.000 | 0.000 |
| 17.951 | 17.951 | -1.528 | 0.000 | 58.415 | 0.000 |
| 21.112 | 21.112 | -1.129 | 0.000 | -0.000 | 82.994 |
| 264.161 | 31.126 | 31.118 | -0.000 | 0.000 | -0.000 |
| 31.126 | 264.161 | 31.118 | 0.000 | 0.000 | -0.000 |
| 31.124 | 31.124 | 264.099 | 0.000 | -0.000 | -0.000 |
| 0.000 | -0.000 | 0.000 | -71.546 | 0.000 | -0.000 |
| 0.000 | -0.000 | 0.000 | -0.000 | -71.546 | -0.000 |
| -0.000 | -0.000 | 0.000 | -0.000 | 0.000 | -71.555 |
| 264.161 | 31.126 | 31.118 | -0.000 | -0.000 | 0.000 |
| 31.126 | 264.161 | 31.118 | 0.000 | 0.000 | 0.000 |
| 31.124 | 31.124 | 264.099 | -0.000 | 0.000 | 0.000 |
| -0.000 | 0.000 | -0.000 | -71.546 | 0.000 | 0.000 |
| 0.000 | 0.000 | 0.000 | 0.000 | -71.546 | 0.000 |
| -0.000 | 0.000 | -0.000 | 0.000 | -0.000 | -71.555 |
| 264.161 | 31.126 | 31.118 | -0.000 | 0.000 | -0.000 |
| 31.126 | 264.161 | 31.118 | -0.000 | -0.000 | -0.000 |
| 31.124 | 31.124 | 264.100 | -0.000 | 0.000 | -0.000 |
| 0.000 | 0.000 | -0.000 | -71.546 | -0.000 | -0.000 |
| 0.000 | 0.000 | -0.000 | 0.000 | -71.546 | -0.000 |
| 0.000 | -0.000 | 0.000 | 0.000 | 0.000 | -71.555 |
| 264.161 | 31.126 | 31.118 | -0.000 | -0.000 | 0.000 |
| 31.126 | 264.161 | 31.118 | 0.000 | -0.000 | 0.000 |
| 31.124 | 31.124 | 264.099 | -0.000 | 0.000 | 0.000 |
| -0.000 | -0.000 | 0.000 | -71.546 | -0.000 | 0.000 |
| -0.000 | -0.000 | 0.000 | 0.000 | -71.546 | 0.000 |
| -0.000 | 0.000 | -0.000 | -0.000 | -0.000 | -71.555 |
| 264.162 | 31.126 | 31.118 | -0.000 | 0.000 | -0.000 |
| 31.126 | 264.162 | 31.118 | -0.000 | 0.000 | -0.000 |
| 31.124 | 31.124 | 264.101 | -0.000 | 0.000 | -0.000 |
| 0.000 | 0.000 | -0.000 | -71.546 | -0.000 | -0.000 |
| 0.000 | 0.000 | -0.000 | -0.000 | -71.546 | -0.000 |
| 0.000 | -0.000 | 0.000 | -0.000 | 0.000 | -71.555 |
| 264.159 | 31.126 | 31.118 | 0.000 | 0.000 | 0.000 |
| 31.126 | 264.159 | 31.118 | 0.000 | -0.000 | 0.000 |
| 31.124 | 31.124 | 264.098 | 0.000 | -0.000 | 0.000 |
| -0.000 | -0.000 | 0.000 | -71.546 | -0.000 | 0.000 |
| -0.000 | -0.000 | 0.000 | 0.000 | -71.546 | 0.000 |
| -0.000 | 0.000 | -0.000 | 0.000 | -0.000 | -71.555 |
Phonon band structures and crystal properties estimated from quasi-harmonic approximation (QHA) calculations are displayed for select crystals. The calculations were performed using phonopy and LAMMPS. For the phonon calculations, 3x3 supercells of the potential-specific relaxed crystals were used. The QHA calculations were based on 11 strain states ranging from -0.05 to 0.05.
The calculation method used is available as the iprPy phonon calculation method.
Notes and Disclaimers:
Version Information:


































































































































Static free surface formation energies are displayed for select crystals. The values displayed here are obtained by taking a perfect periodic bulk crystal, slicing along a crystallographic plane, and using force minimization to statically relax the surfaces. The free surface formation energy is computed by comparing the energy of the defect system to the bulk system and dividing by the total surface area created by the cut.
The calculation method used is available as the iprPy surface_energy_static calculation method.
Notes and Disclaimers:
Version Information:
| Surface | γfs (mJ/m2) |
|---|---|
| (111) 2 | 2069.22 |
| (331) 2 | 2673.97 |
| (110) | 3843.80 |
| (321) | 3915.92 |
| (332) | 4172.62 |
| (211) | 4242.51 |
| (221) | 4630.27 |
| (320) | 4719.00 |
| (311) 2 | 4774.93 |
| (322) | 4788.63 |
| (210) | 5255.62 |
| (311) 1 | 5351.34 |
| (310) | 5629.16 |
| (331) 1 | 5873.10 |
| (111) 1 | 6330.76 |
| (100) | 7123.56 |
| Surface | γfs (mJ/m2) |
|---|---|
| (0001) 1 | 127.40 |
| (1011) 1 | 4286.00 |
| (2112) 1 | 4718.28 |
| (2131) 1 | 4782.37 |
| (1121) 1 | 4820.78 |
| (2241) 1 | 4847.88 |
| (1120) | 4856.76 |
| (2021) 1 | 5132.03 |
| (2132) 1 | 5163.84 |
| (2241) 2 | 5184.91 |
| (2130) | 5245.88 |
| (2112) 2 | 5375.34 |
| (1012) 1 | 5433.99 |
| (1121) 2 | 5491.13 |
| (2021) 2 | 5538.48 |
| (2132) 2 | 5586.76 |
| (1010) | 5871.86 |
| (2131) 2 | 6064.23 |
| (0001) 2 | 6391.55 |
| (1012) 2 | 6739.86 |
| (1011) 2 | 8655.67 |
| Surface | γfs (mJ/m2) |
|---|---|
| (332) | 1454.61 |
| (322) | 1690.64 |
| (311) | 1817.31 |
| (211) | 1944.95 |
| (221) | 2032.76 |
| (111) | 2056.15 |
| (310) | 2076.53 |
| (321) | 2093.52 |
| (100) | 2277.67 |
| (331) | 2318.13 |
| (320) | 2329.63 |
| (110) | 2350.63 |
| (210) | 2354.85 |
| Surface | γfs (mJ/m2) |
|---|---|
| (211) 2 | 2273.42 |
| (210) | 2292.56 |
| (100) | 2319.86 |
| (321) 2 | 2334.10 |
| (332) 2 | 2341.60 |
| (111) | 2347.49 |
| (311) | 2358.87 |
| (221) | 2365.00 |
| (322) | 2370.97 |
| (321) 1 | 2378.24 |
| (320) | 2383.89 |
| (331) | 2392.54 |
| (310) | 2394.96 |
| (332) 1 | 2404.70 |
| (211) 1 | 2425.50 |
| (110) | 2437.19 |
| Surface | γfs (mJ/m2) |
|---|---|
| (110) | 2349.74 |
| (211) | 2462.68 |
| (320) | 2472.91 |
| (321) | 2486.20 |
| (100) | 2507.77 |
| (210) | 2508.98 |
| (331) | 2510.03 |
| (310) | 2511.93 |
| (311) | 2530.44 |
| (221) | 2544.85 |
| (322) | 2544.88 |
| (332) | 2557.27 |
| (111) | 2568.53 |
| Surface | γfs (mJ/m2) |
|---|---|
| (0001) | 2080.36 |
| (2021) 1 | 2082.20 |
| (1012) 2 | 2121.24 |
| (1011) 1 | 2189.83 |
| (2021) 2 | 2204.78 |
| (2131) 1 | 2311.32 |
| (1120) | 2324.23 |
| (2241) | 2325.60 |
| (2132) 2 | 2335.95 |
| (1121) | 2343.54 |
| (1012) 1 | 2347.18 |
| (2130) | 2356.93 |
| (1010) | 2369.34 |
| (2132) 1 | 2370.89 |
| (2112) | 2389.08 |
| (2131) 2 | 2401.28 |
| (1011) 2 | 2498.80 |
| Surface | γfs (mJ/m2) |
|---|---|
| (0001) | 2105.51 |
| (1010) 1 | 2153.85 |
| (2021) 1 | 2154.29 |
| (1011) 2 | 2156.16 |
| (2112) | 2253.50 |
| (1012) 1 | 2283.96 |
| (1012) 2 | 2288.01 |
| (2132) 2 | 2292.10 |
| (2130) 1 | 2299.11 |
| (1120) | 2326.08 |
| (2132) 1 | 2335.17 |
| (2131) 2 | 2375.37 |
| (2241) | 2385.83 |
| (2131) 1 | 2393.55 |
| (1121) | 2406.61 |
| (2021) 2 | 2461.76 |
| (2130) 2 | 2497.89 |
| (1011) 1 | 2651.20 |
| (1010) 2 | 2741.47 |
| Surface | γfs (mJ/m2) |
|---|---|
| (101) | 2078.42 |
| (201) | 2286.37 |
| (110) | 2333.43 |
| (100) | 2335.78 |
| (112) | 2359.78 |
| (211) | 2360.70 |
| (001) | 2400.32 |
| (111) | 2441.56 |
Static point defect formation energies, Ef, and elastic dipole tensors, pij, are displayed for select crystals. Relaxed defect configurations are obtained by taking a 12x12x12 supercell of a perfect periodic bulk crystal, inserting the point defect, and using force minimization to statically relax the atomic positions while keeping the system dimensions constant. Ef is computed by comparing the energy of the defect system to the same number of atoms in a perfect bulk crystal. pij is estimated as the difference in the system's global pressure with and without the defect multiplied by the system's volume.
Simple structural comparisons of the unrelaxed and relaxed defect configurations are used to help determine if the defect structure has relaxed to a different configuration. Relaxed structures that are identified as no longer consistent with the ideal defect definition are excluded from the table below. The only exception to this is if the lowest energy interstitial configuration does not coincide with a known ideal defect, its energies and pressure tensor are included under the listing "relaxed interstitial". The full list of calculation results including the transformed structures and the structural comparison values is included in the csv file available from the "Download raw data" link.
The calculation method used is available as the iprPy point_defect_static calculation method.
Notes and Disclaimers:
| Point Defect | Ef (eV) | p11 (eV) | p22 (eV) | p33 (eV) | p12 (eV) | p13 (eV) | p23 (eV) |
|---|---|---|---|---|---|---|---|
| vacancy | 3.349 | 4.650 | 4.650 | 4.650 | 0.000 | 0.000 | 0.000 |
| 1nn divacancy | 4.856 | 4.778 | 4.778 | 4.778 | -5.493 | -5.493 | -5.493 |
| 100 dumbbell | 9.383 | 17.142 | 17.142 | 74.887 | 0.000 | 0.000 | 0.000 |
| Point Defect | Ef (eV) | p11 (eV) | p22 (eV) | p33 (eV) | p12 (eV) | p13 (eV) | p23 (eV) |
|---|---|---|---|---|---|---|---|
| relaxed interstitial | -3.288 | 1462.267 | 1454.639 | 1664.592 | -0.020 | 0.068 | 0.131 |
| vacancy | 1.754 | 4.844 | 4.844 | 4.844 | -0.000 | -0.000 | -0.000 |
| tetrahedral interstitial | 2.824 | 327.484 | 327.484 | 327.484 | -0.000 | -0.000 | -0.000 |
| 1nn divacancy | 3.218 | 56.918 | 34.258 | 34.258 | -0.000 | -0.000 | -0.945 |
| 2nn divacancy | 3.469 | 7.700 | 7.700 | 11.445 | -0.000 | -0.000 | -0.000 |
| Point Defect | Ef (eV) | p11 (eV) | p22 (eV) | p33 (eV) | p12 (eV) | p13 (eV) | p23 (eV) |
|---|---|---|---|---|---|---|---|
| vacancy | 1.751 | -5.190 | -5.190 | -5.190 | 0.000 | -0.000 | 0.000 |
| 2nn divacancy | 3.481 | -10.137 | -10.137 | -12.505 | -0.000 | 0.000 | -0.000 |
| 1nn divacancy | 3.631 | -8.708 | -8.708 | -8.708 | 0.386 | 0.386 | 0.386 |
| 110 dumbbell | 4.212 | 22.336 | 21.225 | 21.225 | 0.000 | 0.000 | 7.425 |
| 111 dumbbell | 4.324 | 20.991 | 20.991 | 20.991 | 8.041 | 8.041 | 8.041 |
| crowdion interstitial | 4.331 | 20.858 | 20.858 | 20.858 | 8.115 | 8.115 | 8.115 |
| 100 dumbbell | 5.509 | 18.864 | 18.864 | 32.636 | 0.000 | 0.000 | 0.000 |
| Point Defect | Ef (eV) | p11 (eV) | p22 (eV) | p33 (eV) | p12 (eV) | p13 (eV) | p23 (eV) |
|---|---|---|---|---|---|---|---|
| relaxed interstitial | -2.392 | 1077.955 | 1076.970 | 1057.994 | -4.328 | -6.480 | -2.446 |
| vacancy | -0.278 | 397.721 | 397.721 | 401.454 | -0.000 | 0.000 | -0.000 |
| 0001 dumbbell | 1.285 | 509.913 | 509.913 | 505.623 | -0.000 | -0.000 | 0.000 |
Plots of the atomic structure of dislocation cores are shown here. The dislocations were constructed using dislocation monopole configurations in which a straight dislocation is created in the center of the system using anisotropic elasticity and the elastic constants computed above. A cylindrical region centered around the dislocation is allowed to relax while the remaining atoms are held fixed. The relaxation consists of 1 million NVT steps at 10 K followed by an energy/force minimization. The final plots show the atomic configuration near the center of the monopole system, and display differential displacement arrows and Nye tensor color maps that are both taken with respect to the Burgers vector direction.
These plots show a wide range of final structures, some corresponding to expected dislocation structures and others not. While the characterizations are dislocation-type dependent, some general classification guidelines are listed here.
The calculation method used is available as the iprPy dislocation_monopole calculation method.
Links are provided above the images allowing for users to download the final defect configuration and a corresponding defect-free configuration if they wish to further analyze the structures or use them for subsequent simulations.
Notes and Disclaimers:
Version Information:
Plots of lattice and elastic constants are shown as a function of temperature. The 0K points were taken from the Crystal Structure Predictions and the Elastic Constants Predictions sections above for the unique crystal structures relaxed with the "dynamic" method. Starting from the 0 K relaxed crystal unit cells, supercell systems are created by replicating all three dimensions by the same multiplier to achieve at least 4000 atoms. The systems are then relaxed at 50 K and zero pressure using 1 million NPT steps. Lattice constants are estimated by averaging the measured box dimensions. Temperatures are iteratively increased by 50 K, with each subsequent relaxation calculation starting from the final atomic configuration at the previous temperature and relaxing for another 1 million steps.
The elastic constants are calculated using the deformation–fluctuation hybrid method. Starting from the final atomic configurations of the dynamic relaxations, the system is allowed to evolve at constant volume with a Langevin thermostat. The Born matrix is computed during this run by evaluating how the atomic forces would vary due to applied linear strain fields. The elastic constants can then be estimated using the averaged Born matrix values and the averaged stresses on the system.
The calculation methods used are available as the iprPy relax_dynamic and elastic_constants_dynamic calculation methods.
Clicking on the image of a plot will open an interactive version of it in a new tab. The underlying data for the plots can be downloaded by clicking on the links above each plot.
Notes and Disclaimers:
Version Information:
Plots of radial distribution functions at different temperatures and the temperature-dependent diffusion and viscosity are shown here for elemental liquids. Melt phases are constructed by starting with a 10x10x10 fcc super cell and relaxing with 50,000 NPT steps at zero pressure and a high melting temperature (3000 K for most potentials and elements). Following the melt, liquid structures are relaxed by running NPT for 10,000 steps over which the temperature is dropped by 50 K, then 50,000 NPT at the target temperature to estimate the equilibrium volume, followed by 20,000 NVT steps at the averaged equilibrium volume and target temperature. Structures from the NVT run are sampled to compute the radial distribution function of the liquid at the corresponding temperature.
The final relaxed configurations at each temperature explored are used as the initial configurations for the diffusion and viscosity calculations. For diffusion, the system is integrated for 100 runs of 2,000 NVT steps during which both the mean squared displacement (MSD) and the velocity auto correlation function (VACF) are computed. From these simulations, three estimates of diffusion are computed: one from the MSD of the full 200,000 step run, one in which the MSD is reset for each short run and then averaged, and one from the VACF computed for each short run and averaged. For viscosity, the Green-Kubo method is used which is evaluated during a 1 million step NVT run.
The calculation methods used are available as the iprPy relax_liquid_redo, diffusion_liquid, and viscosity_green_kubo calculation methods.
Clicking on the image of a plot will open an interactive version of it in a new tab. The underlying data for the plots can be downloaded by clicking on the links above each plot.
Notes and Disclaimers:
Version Information:
Plots of internal energy, Gibbs free energy, entropy, heat capacity and volume are shown here as a function of temperature for various crystal structures and liquid phases. The included crystal structures correspond to those in the Solid Structures vs. Temperature section, and the liquid phases to those in the Liquid Properties section. Internal energy and volume are taken from the associated structure relaxations mentioned in those previous sections. Constant pressure heat capacity is estimated using 3-point numerical derivatives of enthalpy versus temperature. Note that since all simulations done here are at 0 pressure, internal energy and enthalpy are equivalent.
The Gibbs energies of the phases are estimated using thermodynamic integration between the interatomic potential in question and a simpler model with known Gibbs free energy values. For solids, the reference model is an Einstein solid, while for liquids it is the Uhlenbeck-Ford potential. Besides a short run at the start of the solid calculations to estimate Einstein model spring constants, the two calculations proceed similarly. Starting with the final relaxation configurations, the systems are stabilized for 25,000 steps. Then, over the next 50,000 steps the potential is swapped out for the reference potential. The system is then stabilized for another 25,000 steps with the reference model before a reverse swap of 50,000 steps is performed. The simulation ends with one final 25,000 step stabilization period. From the simulation, the irreversible work of transformation is estimated and used to compute the absolute Gibbs free energy of the target phase and potential relative to the reference potential. Entropy is estimated as the difference in enthalpy and Gibbs free energy and divided by temperature.
The calculation methods used are available as the iprPy relax_dynamic, relax_liquid_redo, free_energy, and free_energy_liquid calculation methods.
Clicking on the image of a plot will open an interactive version of it in a new tab. The underlying data for the plots can be downloaded by clicking on the links above each plot.
Notes and Disclaimers:
Version Information:






