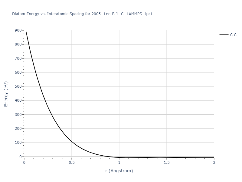
Plots of the potential energy vs interatomic spacing, r, are shown below for all diatom sets associated with the interatomic potential. This calculation provides insights into the functional form of the potential's two-body interactions. A system consisting of only two atoms is created, and the potential energy is evaluated for the atoms separated by 0.02 Å <= r <= 6.0> Å in intervals of 0.02 Å. Two plots are shown: one for the "standard" interaction distance range, and one for small values of r. The small r plot is useful for determining whether the potential is suitable for radiation studies.
The calculation method used is available as the iprPy diatom_scan calculation method.
Clicking on the image of a plot will open an interactive version of it in a new tab. The underlying data for the plots can be downloaded by clicking on the links above each plot.
Notes and Disclaimers:
Version Information:
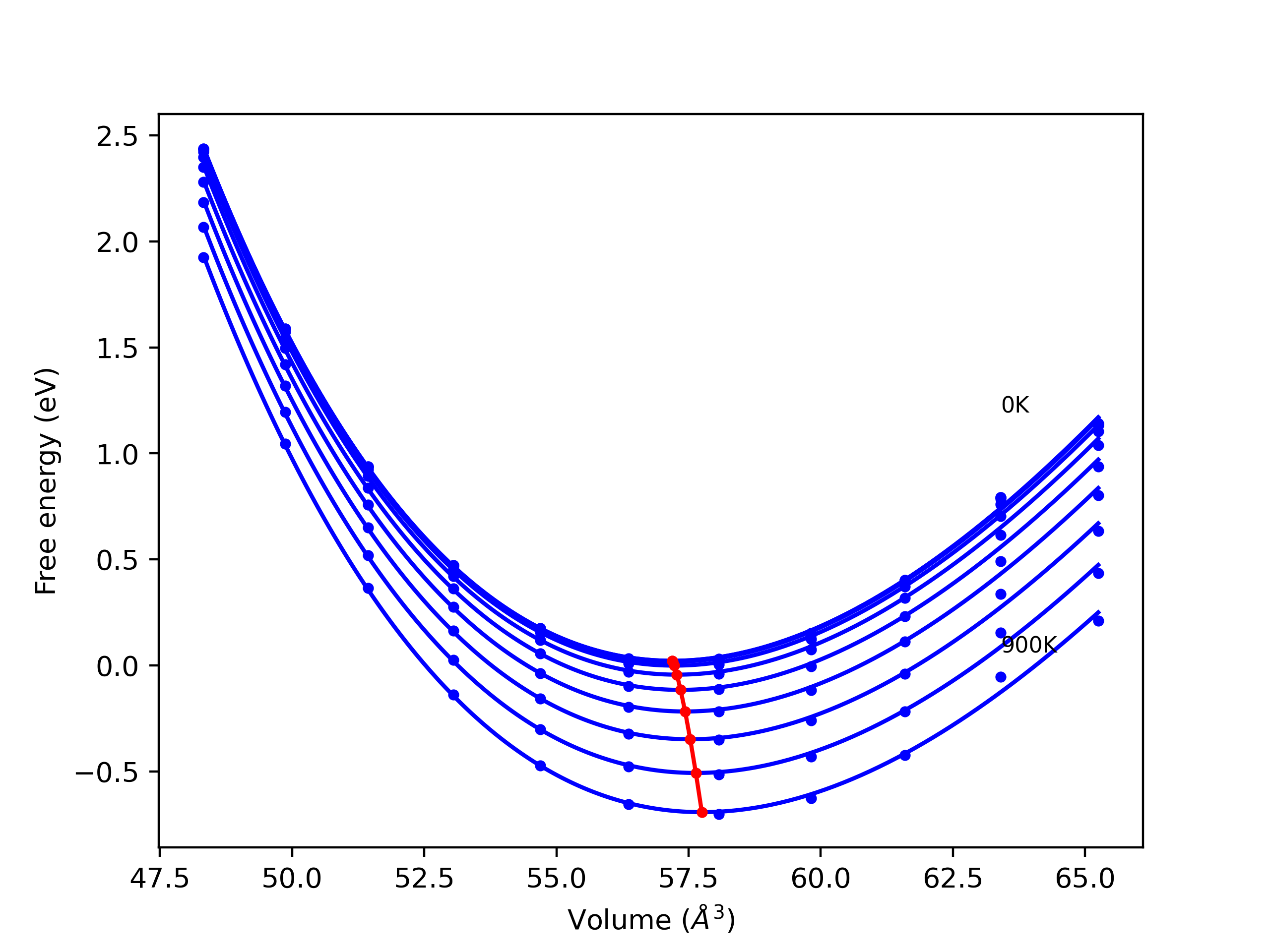
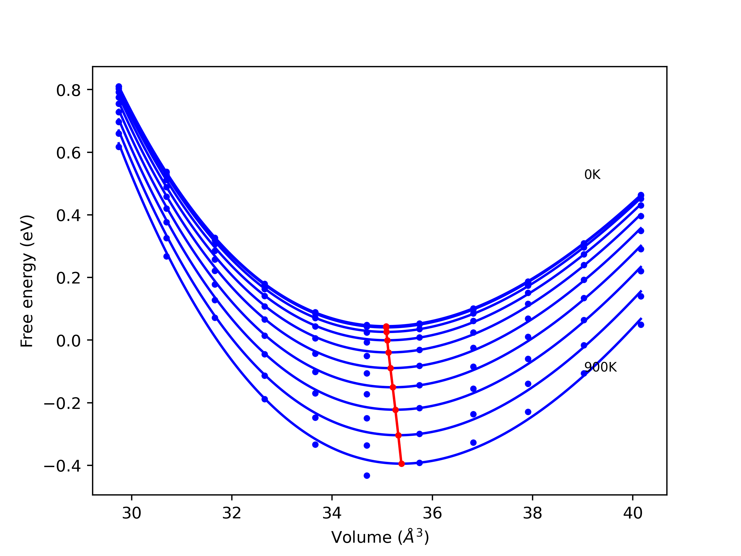
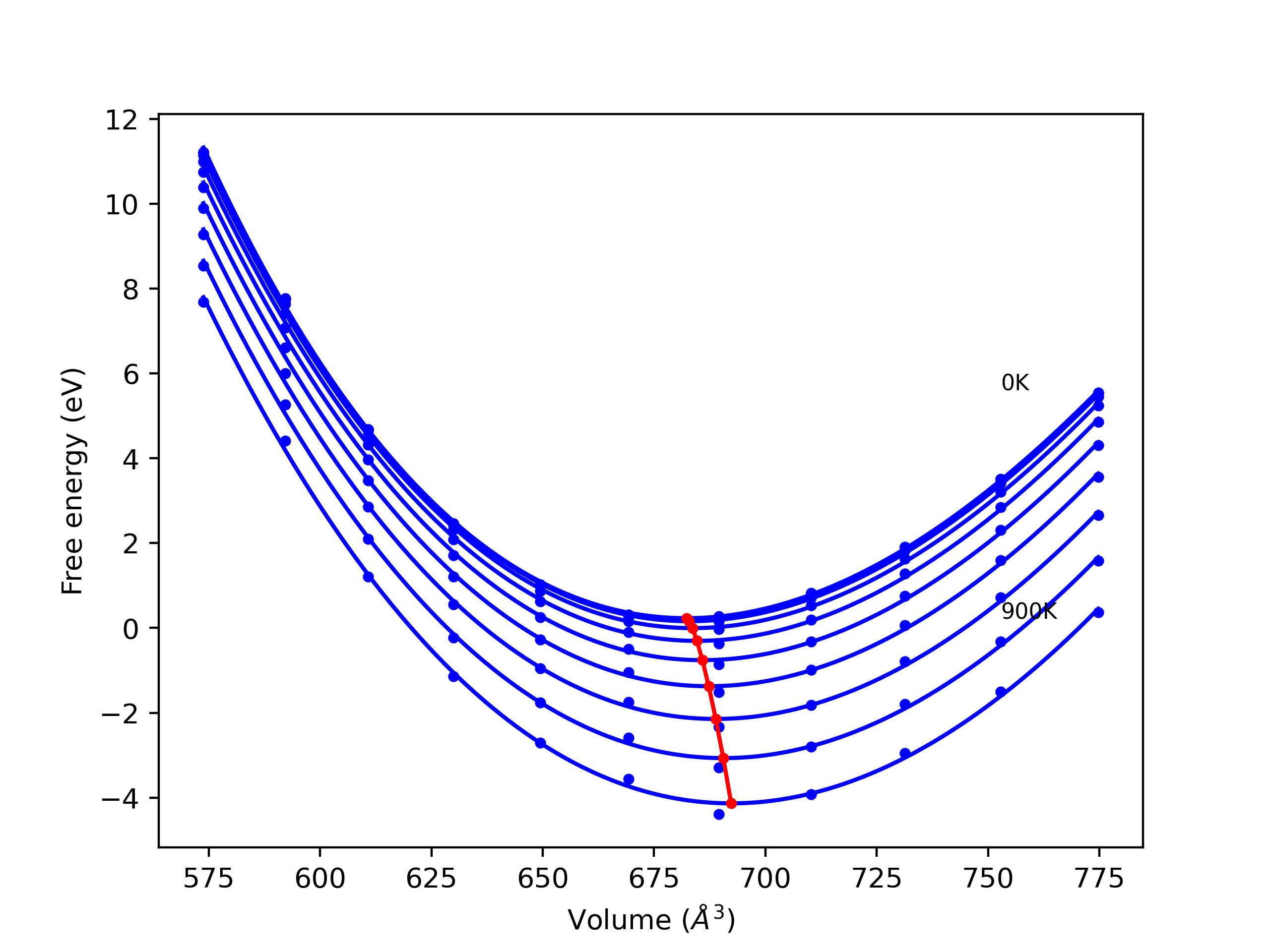
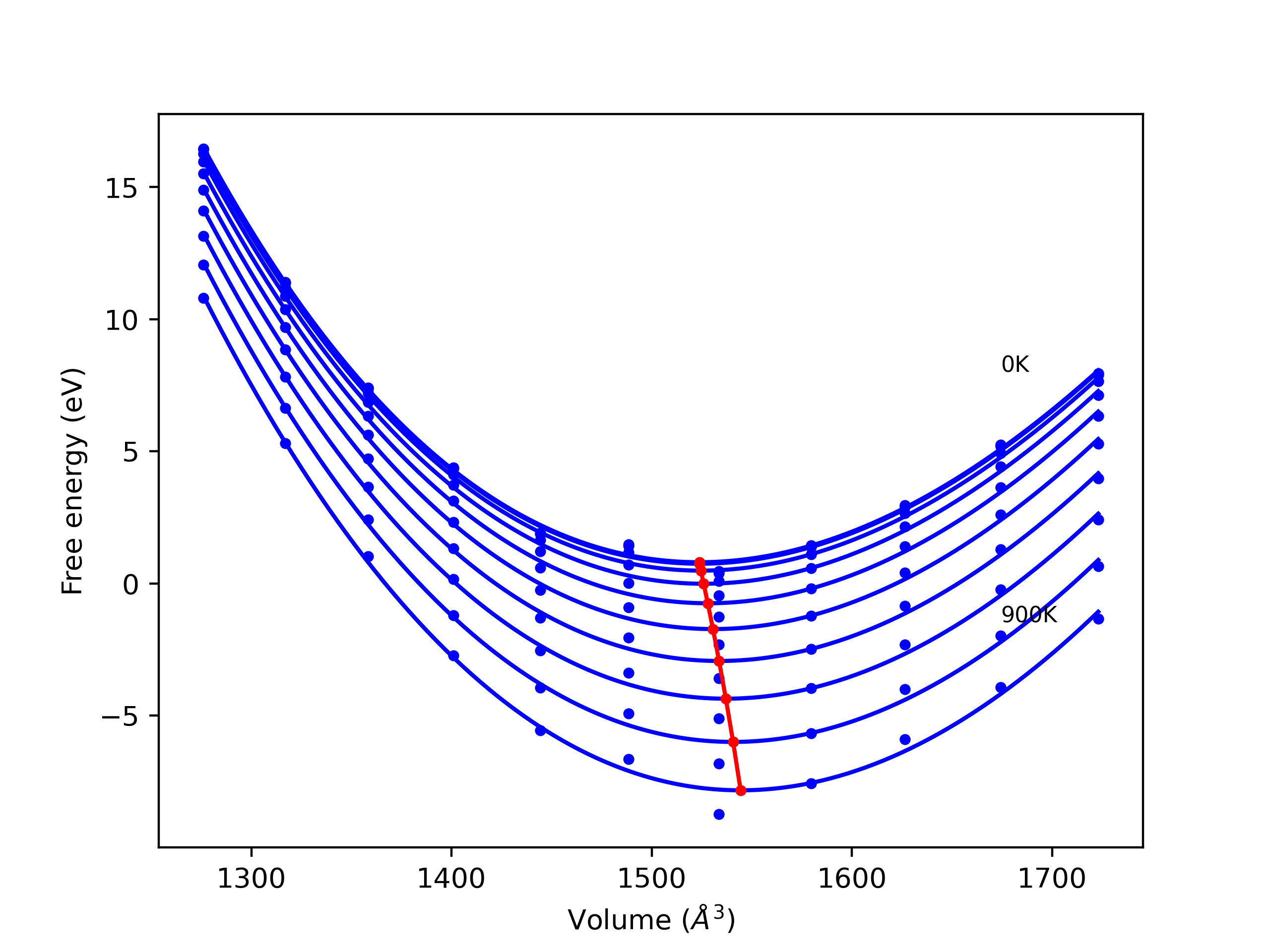
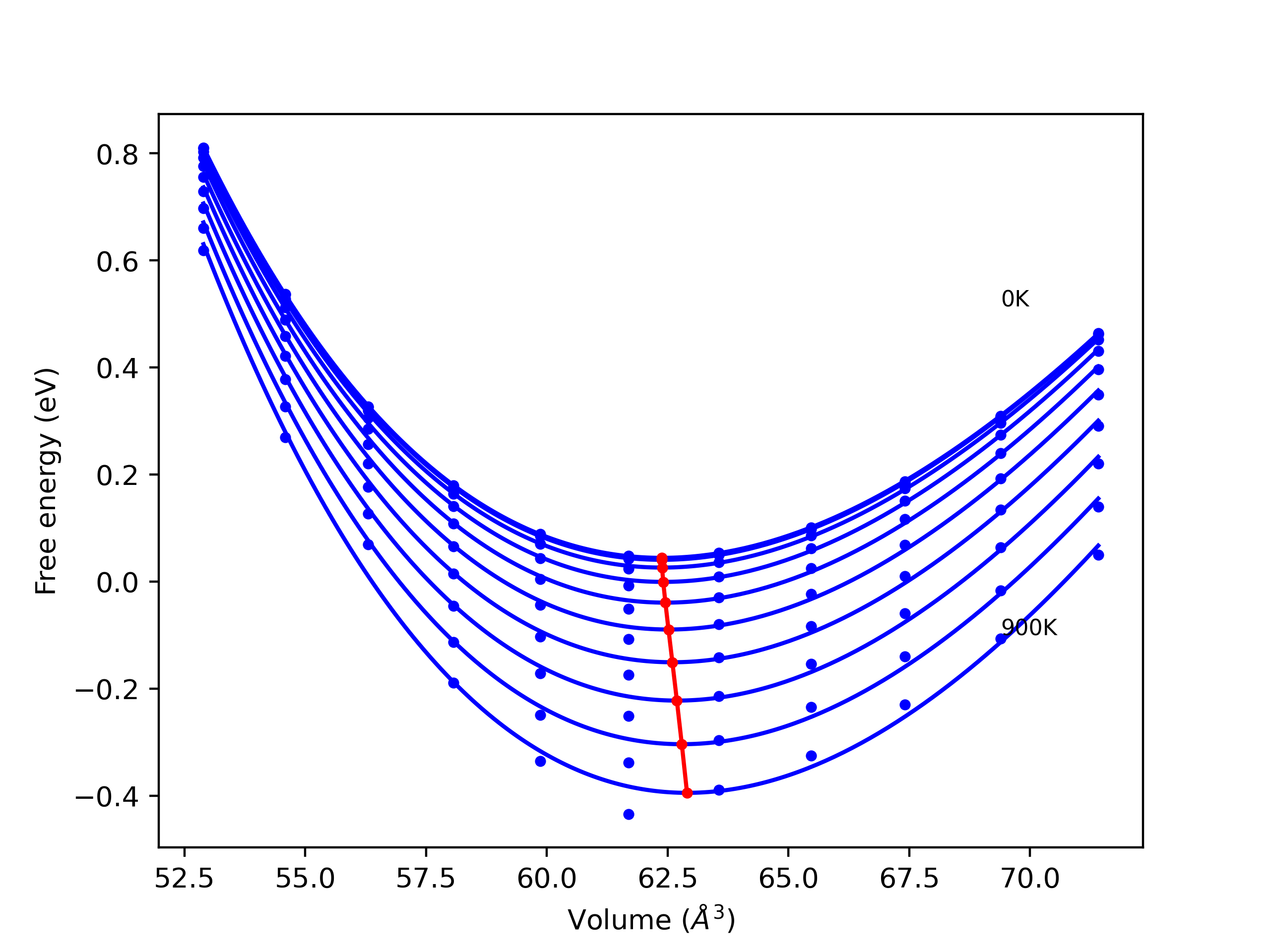
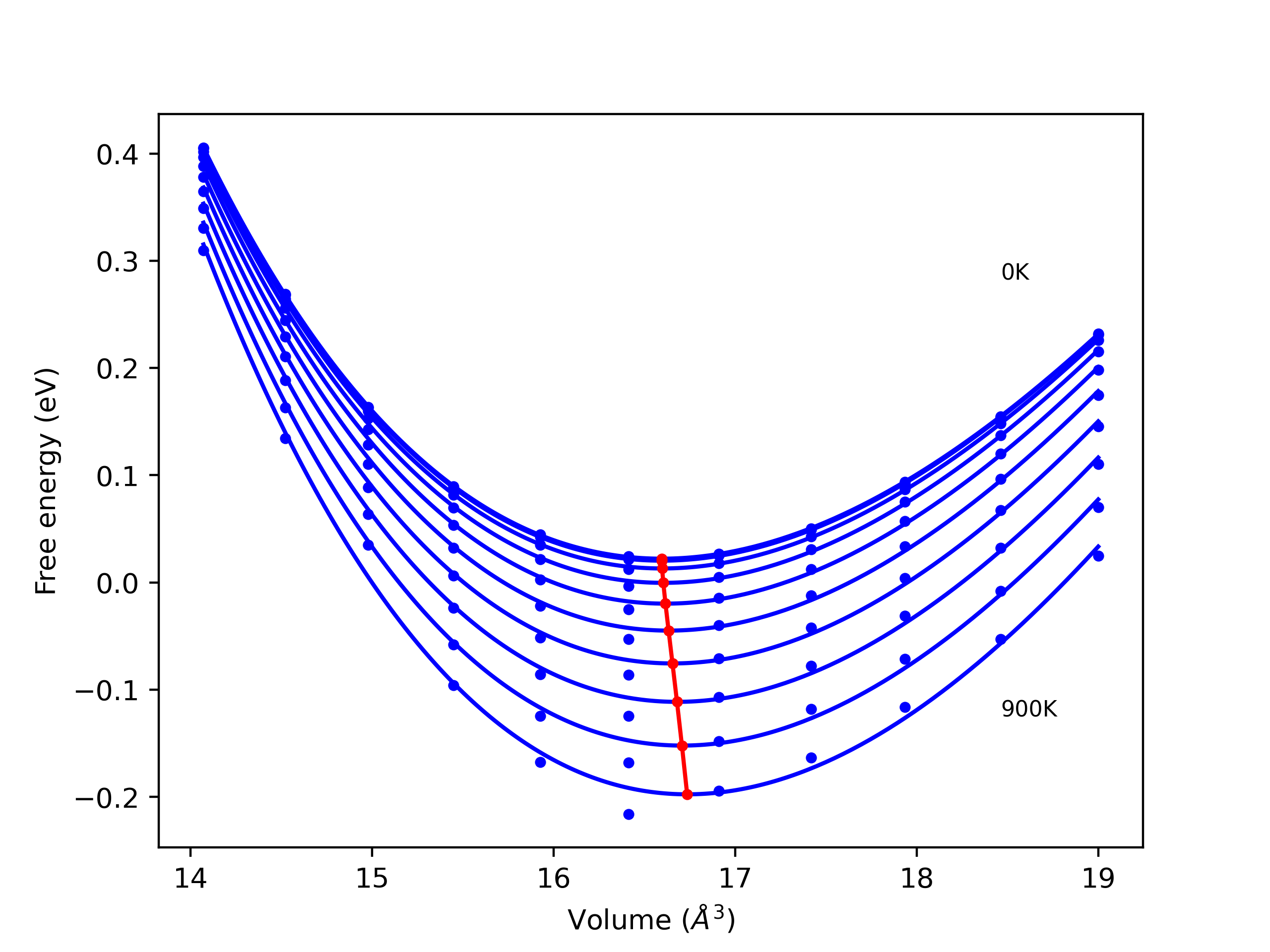
Plots of potential energy vs interatomic spacing, r, are shown below for a number of crystal structures. The structures are generated based on the ideal atomic positions and b/a and c/a lattice parameter ratios for a given crystal prototype. The size of the system is then uniformly scaled, and the energy calculated without relaxing the system. To obtain these plots, values of r are evaluated every 0.02 Å up to 6 Å.
The calculation method used is available as the iprPy E_vs_r_scan calculation method.
Clicking on the image of a plot will open an interactive version of it in a new tab. The underlying data for the plots can be downloaded by clicking on the links above each plot.
Notes and Disclaimers:
Version Information:
Computed lattice constants and cohesive/potential energies are displayed for a variety of crystal structures. The values displayed here are obtained using the following process.
The calculation methods used are implemented into iprPy as the following calculation styles
Notes and Disclaimers:
Version Information:
Download raw data (including filtered results)
Reference structure matches:
A1--Cu--fcc = oqmd-1214512
A15--beta-W = oqmd-1214957
A2--W--bcc = oqmd-1215135
A3'--alpha-La--double-hcp = oqmd-1215403
A3--Mg--hcp = oqmd-1215313
A4--C--dc = mp-66, oqmd-675640
A5--beta-Sn = oqmd-1215581
A6--In--bct = mp-1181996, oqmd-1215670
A7--alpha-As = oqmd-594528
Ah--alpha-Po--sc = mp-998866, oqmd-636457, oqmd-1214601
| prototype | method | Ecoh (eV/atom) | Epot (eV/atom) | a0 (Å) | b0 (Å) | c0 (Å) | α (degrees) | β (degrees) | γ (degrees) |
|---|---|---|---|---|---|---|---|---|---|
| A4--C--dc | dynamic | -7.37 | -7.37 | 3.5565 | 3.5565 | 3.5565 | 90.0 | 90.0 | 90.0 |
| mp-616440 | dynamic | -7.3595 | -7.3595 | 2.5146 | 2.5146 | 16.4546 | 90.0 | 90.0 | 120.0 |
| mp-569567 | dynamic | -7.3582 | -7.3582 | 2.5146 | 2.5146 | 43.2048 | 90.0 | 90.0 | 120.0 |
| oqmd-599494 | static | -7.358 | -7.358 | 2.5132 | 2.5132 | 43.2512 | 90.0 | 90.0 | 120.0 |
| mp-611448 | dynamic | -7.3563 | -7.3563 | 2.5145 | 2.5145 | 12.3486 | 90.0 | 90.0 | 120.0 |
| mp-569517 | dynamic | -7.3543 | -7.3543 | 2.5143 | 2.5143 | 30.8852 | 90.0 | 90.0 | 120.0 |
| oqmd-599492 | box | -7.3517 | -7.3517 | 2.5044 | 2.5044 | 16.6112 | 90.0 | 90.0 | 120.0 |
| mp-616440 | box | -7.3514 | -7.3514 | 2.5042 | 2.5042 | 16.6142 | 90.0 | 90.0 | 120.0 |
| mp-611426 | dynamic | -7.3513 | -7.3513 | 2.5141 | 2.5141 | 8.2416 | 90.0 | 90.0 | 120.0 |
| mp-569567 | box | -7.3492 | -7.3492 | 2.5032 | 2.5032 | 43.6638 | 90.0 | 90.0 | 120.0 |
| mp-611448 | box | -7.3463 | -7.3463 | 2.5018 | 2.5018 | 12.4936 | 90.0 | 90.0 | 120.0 |
| oqmd-599489 | dynamic | -7.3444 | -7.3444 | 2.5135 | 2.5135 | 4.1264 | 90.0 | 90.0 | 120.0 |
| mp-569517 | box | -7.3426 | -7.3426 | 2.5001 | 2.5001 | 31.2918 | 90.0 | 90.0 | 120.0 |
| oqmd-599493 | box | -7.3418 | -7.3418 | 2.4998 | 2.4998 | 31.3055 | 90.0 | 90.0 | 120.0 |
| mp-611426 | box | -7.3375 | -7.3375 | 2.498 | 2.498 | 8.3647 | 90.0 | 90.0 | 120.0 |
| mp-569416 | dynamic | -7.3335 | -7.3335 | 2.4513 | 2.4513 | 54.9432 | 90.0 | 90.0 | 120.0 |
| mp-606949 | dynamic | -7.3335 | -7.3335 | 2.4513 | 2.4513 | 29.4962 | 90.0 | 90.0 | 120.0 |
| mp-569416 | static | -7.3335 | -7.3335 | 2.4513 | 2.4513 | 54.6899 | 90.0 | 90.0 | 120.0 |
| oqmd-589493 | static | -7.3335 | -7.3335 | 2.4513 | 2.4513 | 28.9534 | 90.0 | 90.0 | 120.0 |
| oqmd-589493 | dynamic | -7.3335 | -7.3335 | 2.4513 | 2.4513 | 28.956 | 90.0 | 90.0 | 120.0 |
| mp-937760 | static | -7.3335 | -7.3335 | 2.4513 | 4.2458 | 7.1733 | 90.0 | 90.0 | 90.0 |
| oqmd-1214690 | dynamic | -7.3335 | -7.3335 | 2.4513 | 4.2458 | 6.6767 | 90.0 | 90.0 | 90.0 |
| oqmd-590101 | static | -7.3335 | -7.3335 | 2.4513 | 2.4513 | 6.7958 | 90.0 | 90.0 | 120.0 |
| oqmd-590101 | dynamic | -7.3335 | -7.3335 | 2.4513 | 2.4513 | 6.7965 | 90.0 | 90.0 | 120.0 |
| mp-990424 | dynamic | -7.3335 | -7.3335 | 2.4513 | 2.4513 | 24.1342 | 90.0 | 90.0 | 120.0 |
| mp-937760 | dynamic | -7.3335 | -7.3335 | 2.4513 | 4.2458 | 7.1734 | 90.0 | 90.0 | 90.0 |
| mp-606949 | static | -7.3335 | -7.3335 | 2.4513 | 2.4513 | 29.4914 | 90.0 | 90.0 | 120.0 |
| mp-990424 | static | -7.3335 | -7.3335 | 2.4513 | 2.4513 | 24.1329 | 90.0 | 90.0 | 120.0 |
| mp-568363 | static | -7.3335 | -7.3335 | 2.4513 | 4.2458 | 8.1499 | 90.0 | 90.0 | 90.0 |
| mp-632329 | static | -7.3335 | -7.3335 | 4.2458 | 2.4513 | 3.7376 | 90.0 | 94.2 | 90.0 |
| oqmd-637444 | dynamic | -7.3335 | -7.3335 | 4.003 | 4.003 | 4.003 | 90.0 | 90.0 | 90.0 |
| mp-169 | dynamic | -7.3335 | -7.3335 | 4.2458 | 2.4513 | 3.7636 | 90.0 | 111.4 | 90.0 |
| mp-169 | static | -7.3335 | -7.3335 | 4.2458 | 2.4513 | 3.7634 | 90.0 | 111.5 | 90.0 |
| mp-568363 | dynamic | -7.3335 | -7.3335 | 2.4513 | 4.2458 | 8.4495 | 90.0 | 90.0 | 90.0 |
| mp-569304 | dynamic | -7.3335 | -7.3335 | 2.4513 | 2.4513 | 33.1909 | 90.0 | 90.0 | 120.0 |
| A7--alpha-As | dynamic | -7.3335 | -7.3335 | 2.4513 | 2.4513 | 10.2131 | 90.0 | 90.0 | 120.0 |
| mp-568286 | static | -7.3335 | -7.3335 | 2.4513 | 4.2458 | 7.0358 | 90.0 | 90.0 | 90.0 |
| mp-568286 | dynamic | -7.3335 | -7.3335 | 2.4513 | 4.2458 | 7.0363 | 90.0 | 90.0 | 90.0 |
| mp-568806 | dynamic | -7.3335 | -7.3335 | 2.4513 | 2.4513 | 3.6743 | 90.0 | 90.0 | 120.0 |
| oqmd-683820 | dynamic | -7.3335 | -7.3335 | 2.4513 | 4.2458 | 6.8163 | 90.0 | 90.0 | 90.0 |
| oqmd-589492 | dynamic | -7.3335 | -7.3335 | 2.4513 | 2.4513 | 53.495 | 90.0 | 90.0 | 120.0 |
| mp-1040425 | dynamic | -7.3335 | -7.3335 | 2.4513 | 2.4513 | 19.9983 | 90.0 | 90.0 | 120.0 |
| mp-632329 | dynamic | -7.3335 | -7.3335 | 4.2458 | 2.4513 | 3.9347 | 90.0 | 93.8 | 90.0 |
| mp-48 | dynamic | -7.3335 | -7.3335 | 2.4513 | 2.4513 | 7.8031 | 90.0 | 90.0 | 120.0 |
| oqmd-589491 | static | -7.3335 | -7.3335 | 2.4513 | 2.4513 | 33.2408 | 90.0 | 90.0 | 120.0 |
| mp-997182 | dynamic | -7.3335 | -7.3335 | 2.4513 | 2.4513 | 12.0458 | 90.0 | 90.0 | 120.0 |
| oqmd-1215937 | dynamic | -7.3335 | -7.3335 | 2.4513 | 2.4513 | 7.3725 | 90.0 | 90.0 | 120.0 |
| A7--alpha-As | dynamic | -7.3335 | -7.3335 | 2.4513 | 2.4513 | 8.7928 | 90.0 | 90.0 | 120.0 |
| oqmd-589491 | dynamic | -7.3335 | -7.3335 | 2.4513 | 2.4513 | 33.3583 | 90.0 | 90.0 | 120.0 |
| oqmd-589492 | static | -7.3335 | -7.3335 | 2.4513 | 2.4513 | 53.452 | 90.0 | 90.0 | 120.0 |
| oqmd-683819 | static | -7.3335 | -7.3335 | 2.4513 | 4.2458 | 6.4292 | 90.0 | 90.0 | 90.0 |
| mp-990448 | dynamic | -7.3335 | -7.3335 | 2.4513 | 2.4513 | 8.5238 | 90.0 | 90.0 | 120.0 |
| oqmd-683820 | static | -7.3335 | -7.3335 | 2.4513 | 4.2458 | 6.7722 | 90.0 | 90.0 | 90.0 |
| oqmd-683819 | dynamic | -7.3335 | -7.3335 | 2.4513 | 4.2458 | 6.6661 | 90.0 | 90.0 | 90.0 |
| mp-568806 | static | -7.3335 | -7.3335 | 2.4513 | 2.4513 | 3.6529 | 90.0 | 90.0 | 120.0 |
| oqmd-637352 | static | -7.3334 | -7.3334 | 10.7478 | 2.4513 | 4.2458 | 90.0 | 97.6 | 90.0 |
| mp-1190171 | static | -7.3334 | -7.3334 | 10.6705 | 2.4513 | 4.2458 | 90.0 | 90.0 | 90.0 |
| mp-1080826 | static | -7.3334 | -7.3334 | 10.7518 | 2.4513 | 4.2458 | 90.0 | 97.6 | 90.0 |
| mp-47 | box | -7.3197 | -7.3197 | 2.4908 | 2.4908 | 4.2157 | 90.0 | 90.0 | 120.0 |
| oqmd-599489 | box | -7.3192 | -7.3192 | 2.4906 | 2.4906 | 4.2167 | 90.0 | 90.0 | 120.0 |
| oqmd-637443 | static | -7.2495 | -7.2495 | 5.1722 | 5.1722 | 5.1722 | 90.0 | 90.0 | 90.0 |
| mp-1096869 | dynamic | -7.2471 | -7.2471 | 25.4572 | 14.7005 | 7.4493 | 90.0 | 90.0 | 90.0 |
| mp-1078845 | dynamic | -7.2222 | -7.2222 | 4.2587 | 8.9656 | 2.463 | 90.0 | 90.0 | 90.0 |
| oqmd-637443 | box | -7.0941 | -7.0941 | 5.2116 | 5.2116 | 5.2116 | 90.0 | 90.0 | 90.0 |
| mp-1188817 | box | -7.087 | -7.087 | 5.2126 | 5.2126 | 5.2126 | 90.0 | 90.0 | 90.0 |
| mp-1078845 | box | -7.0862 | -7.0862 | 4.3192 | 8.9362 | 2.4854 | 90.0 | 90.0 | 90.0 |
| oqmd-610557 | box | -7.0568 | -7.0568 | 4.7389 | 5.6005 | 4.3395 | 90.0 | 90.0 | 90.0 |
| oqmd-610556 | box | -7.0537 | -7.0537 | 4.7377 | 5.6019 | 4.3414 | 90.0 | 90.0 | 90.0 |
| mp-568410 | box | -7.05 | -7.05 | 4.7375 | 5.6043 | 4.3427 | 90.0 | 90.0 | 90.0 |
| oqmd-637353 | box | -7.0125 | -7.0125 | 4.4996 | 4.4996 | 2.4535 | 90.0 | 90.0 | 90.0 |
| mp-1008395 | box | -7.0095 | -7.0095 | 4.5004 | 4.5004 | 2.4538 | 90.0 | 90.0 | 90.0 |
| mp-568028 | dynamic | -7.002 | -7.002 | 8.0591 | 13.9401 | 9.0209 | 90.0 | 90.0 | 90.0 |
| oqmd-684315 | dynamic | -6.8723 | -6.8723 | 8.8849 | 13.6738 | 9.0619 | 90.0 | 90.0 | 90.0 |
| mp-683919 | dynamic | -6.8669 | -6.8669 | 10.1105 | 17.3277 | 17.9539 | 90.0 | 90.0 | 90.0 |
| oqmd-689315 | dynamic | -6.8669 | -6.8669 | 9.8654 | 17.3078 | 17.9539 | 90.0 | 90.0 | 90.0 |
| oqmd-689315 | static | -6.8669 | -6.8669 | 10.109 | 17.2731 | 17.9537 | 90.0 | 90.0 | 90.0 |
| mp-683919 | static | -6.8669 | -6.8669 | 10.1342 | 17.2932 | 17.9539 | 90.0 | 90.0 | 90.0 |
| mp-680372 | dynamic | -6.847 | -6.847 | 9.1315 | 9.1315 | 25.1034 | 90.0 | 90.0 | 120.0 |
| mp-680372 | static | -6.847 | -6.847 | 9.1315 | 9.1315 | 25.5665 | 90.0 | 90.0 | 120.0 |
| oqmd-614417 | static | -6.847 | -6.847 | 9.1315 | 9.1315 | 24.3814 | 90.0 | 90.0 | 120.0 |
| oqmd-614417 | dynamic | -6.847 | -6.847 | 9.1316 | 9.1316 | 23.9199 | 90.0 | 90.0 | 120.0 |
| mp-683919 | box | -6.8389 | -6.8389 | 10.1682 | 17.5126 | 18.022 | 90.0 | 90.0 | 90.0 |
| mp-1205283 | static | -6.8385 | -6.8385 | 9.3494 | 13.3292 | 8.9736 | 90.0 | 90.0 | 90.0 |
| mp-630227 | dynamic | -6.8287 | -6.8287 | 9.0224 | 9.1019 | 15.4789 | 90.0 | 90.0 | 90.0 |
| oqmd-595714 | dynamic | -6.8287 | -6.8287 | 9.0224 | 9.1019 | 14.4601 | 90.0 | 90.0 | 90.0 |
| mp-630227 | static | -6.8287 | -6.8287 | 9.0224 | 9.1019 | 15.6998 | 90.0 | 90.0 | 90.0 |
| oqmd-595714 | static | -6.8287 | -6.8287 | 9.0224 | 9.1019 | 14.6522 | 90.0 | 90.0 | 90.0 |
| oqmd-684627 | dynamic | -6.8285 | -6.8285 | 9.0627 | 9.0627 | 15.0181 | 90.0 | 90.0 | 90.0 |
| oqmd-684627 | static | -6.8285 | -6.8285 | 9.0627 | 9.0627 | 15.2942 | 90.0 | 90.0 | 90.0 |
| mp-1080826 | box | -6.8285 | -6.8285 | 9.4175 | 2.5749 | 4.2133 | 90.0 | 98.2 | 90.0 |
| oqmd-637352 | box | -6.8269 | -6.8269 | 9.4157 | 2.5753 | 4.2139 | 90.0 | 98.2 | 90.0 |
| mp-568028 | static | -6.826 | -6.826 | 8.3053 | 13.8353 | 9.2695 | 90.0 | 90.0 | 90.0 |
| oqmd-689315 | box | -6.8171 | -6.8171 | 10.097 | 17.5824 | 18.0224 | 90.0 | 90.0 | 90.0 |
| oqmd-614417 | box | -6.8075 | -6.8075 | 9.2414 | 9.2414 | 24.2132 | 90.0 | 90.0 | 120.0 |
| mp-680372 | box | -6.8064 | -6.8064 | 9.253 | 9.253 | 25.3712 | 90.0 | 90.0 | 120.0 |
| mp-1147718 | dynamic | -6.8056 | -6.8056 | 10.2147 | 14.6733 | 9.0824 | 90.0 | 90.0 | 90.0 |
| mp-1147718 | static | -6.8056 | -6.8056 | 10.2505 | 14.7257 | 9.0824 | 90.0 | 90.0 | 90.0 |
| mp-1190171 | box | -6.805 | -6.805 | 9.3042 | 2.58 | 4.2181 | 90.0 | 90.0 | 90.0 |
| oqmd-637130 | box | -6.8039 | -6.8039 | 9.3024 | 2.5804 | 4.2184 | 90.0 | 90.0 | 90.0 |
| mp-630227 | box | -6.8027 | -6.8027 | 9.0693 | 9.1884 | 15.724 | 90.0 | 90.0 | 90.0 |
| oqmd-595714 | box | -6.8017 | -6.8017 | 9.0767 | 9.1967 | 14.6557 | 90.0 | 90.0 | 90.0 |
| mp-667273 | dynamic | -6.783 | -6.783 | 14.2246 | 14.2246 | 14.2246 | 90.0 | 90.0 | 90.0 |
| oqmd-677227 | dynamic | -6.783 | -6.783 | 13.9159 | 13.9159 | 13.9159 | 90.0 | 90.0 | 90.0 |
| mp-1196583 | dynamic | -6.783 | -6.783 | 14.3002 | 14.3002 | 14.3002 | 90.0 | 90.0 | 90.0 |
| oqmd-677227 | static | -6.783 | -6.783 | 14.1194 | 14.1194 | 14.1194 | 90.0 | 90.0 | 90.0 |
| oqmd-603085 | static | -6.783 | -6.783 | 13.9269 | 13.9269 | 13.9269 | 90.0 | 90.0 | 90.0 |
| mp-1196583 | static | -6.783 | -6.783 | 14.3416 | 14.3416 | 14.3416 | 90.0 | 90.0 | 90.0 |
| mp-667273 | static | -6.783 | -6.783 | 14.4031 | 14.4031 | 14.4031 | 90.0 | 90.0 | 90.0 |
| mp-1147718 | box | -6.7804 | -6.7804 | 10.2656 | 14.7422 | 9.2097 | 90.0 | 90.0 | 90.0 |
| mp-1245190 | dynamic | -6.7776 | -6.7776 | 9.6495 | 9.7992 | 10.3086 | 93.7 | 94.4 | 91.4 |
| oqmd-684627 | box | -6.7735 | -6.7735 | 9.1625 | 9.1625 | 15.3117 | 90.0 | 90.0 | 90.0 |
| mp-667273 | box | -6.7672 | -6.7672 | 14.4167 | 14.4167 | 14.4167 | 90.0 | 90.0 | 90.0 |
| mp-1196583 | box | -6.7654 | -6.7654 | 14.3564 | 14.3564 | 14.3564 | 90.0 | 90.0 | 90.0 |
| oqmd-603085 | box | -6.7647 | -6.7647 | 13.9416 | 13.9416 | 13.9416 | 90.0 | 90.0 | 90.0 |
| oqmd-677227 | box | -6.7627 | -6.7627 | 14.1357 | 14.1357 | 14.1357 | 90.0 | 90.0 | 90.0 |
| mp-1244964 | dynamic | -6.7602 | -6.7602 | 9.3318 | 10.0336 | 10.7494 | 78.6 | 85.1 | 87.6 |
| mp-624889 | dynamic | -6.6303 | -6.6303 | 4.7389 | 5.1741 | 5.4651 | 90.0 | 90.0 | 90.0 |
| oqmd-610552 | static | -6.6303 | -6.6303 | 4.7389 | 5.1741 | 6.4022 | 90.0 | 90.0 | 90.0 |
| mp-579909 | static | -6.6303 | -6.6303 | 4.7389 | 5.1741 | 6.8187 | 90.0 | 90.0 | 90.0 |
| mp-624889 | static | -6.6303 | -6.6303 | 4.7389 | 5.1741 | 5.6147 | 90.0 | 90.0 | 90.0 |
| mp-624889 | box | -6.6008 | -6.6008 | 4.7313 | 5.166 | 5.6943 | 90.0 | 90.0 | 90.0 |
| mp-568028 | box | -6.5629 | -6.5629 | 8.599 | 14.2725 | 9.6064 | 90.0 | 90.0 | 90.0 |
| mp-579909 | box | -6.5588 | -6.5588 | 4.7327 | 5.26 | 6.9689 | 90.0 | 90.0 | 90.0 |
| oqmd-610552 | box | -6.5574 | -6.5574 | 4.734 | 5.256 | 6.5505 | 90.0 | 90.0 | 90.0 |
| mp-1244964 | static | -6.462 | -6.462 | 9.5133 | 9.7887 | 11.0032 | 87.8 | 87.2 | 89.7 |
| mp-1245190 | static | -6.4261 | -6.4261 | 9.6276 | 10.2536 | 10.3757 | 87.8 | 89.3 | 85.6 |
| oqmd-684315 | static | -6.4105 | -6.4105 | 9.7252 | 15.9393 | 9.0411 | 90.0 | 90.0 | 90.0 |
| mp-570002 | static | -6.2284 | -6.2284 | 5.0331 | 5.0331 | 5.0331 | 90.0 | 90.0 | 90.0 |
| mp-1244913 | static | -6.2158 | -6.2158 | 9.6411 | 10.2791 | 10.6727 | 82.9 | 83.2 | 87.1 |
| mp-24 | box | -5.9897 | -5.9897 | 4.6889 | 4.6889 | 4.6889 | 90.0 | 90.0 | 90.0 |
| mp-1205283 | box | -5.6875 | -5.6875 | 11.3598 | 13.425 | 9.2944 | 90.0 | 90.0 | 90.0 |
| mp-1196857 | dynamic | -5.6466 | -5.6466 | 9.4203 | 18.0389 | 5.9227 | 90.0 | 90.0 | 90.0 |
| mp-1182684 | static | -5.6138 | -5.6138 | 11.7508 | 11.9266 | 19.4259 | 90.0 | 90.0 | 90.0 |
| oqmd-585286 | box | -5.4434 | -5.4434 | 5.3564 | 5.3564 | 5.3564 | 90.0 | 90.0 | 90.0 |
| mp-570002 | box | -5.4423 | -5.4423 | 5.3568 | 5.3568 | 5.3568 | 90.0 | 90.0 | 90.0 |
| oqmd-684315 | box | -5.3776 | -5.3776 | 10.6762 | 15.6243 | 9.6687 | 90.0 | 90.0 | 90.0 |
| mp-1197903 | static | -5.2396 | -5.2396 | 8.1132 | 15.7168 | 20.1133 | 103.4 | 90.0 | 101.7 |
| mp-1197903 | dynamic | -5.1945 | -5.1945 | 8.7214 | 10.3536 | 30.2514 | 93.9 | 94.7 | 106.0 |
| mp-1182684 | dynamic | -5.067 | -5.067 | 10.0152 | 13.745 | 18.942 | 90.0 | 90.0 | 90.0 |
| mp-1095633 | dynamic | -4.7621 | -4.7621 | 8.2194 | 8.2194 | 14.135 | 90.0 | 90.0 | 90.0 |
| mp-1095633 | static | -4.7621 | -4.7621 | 7.5941 | 7.5941 | 10.699 | 90.0 | 90.0 | 90.0 |
| mp-1192619 | dynamic | -4.6821 | -4.6821 | 11.3803 | 11.3803 | 11.3803 | 90.0 | 90.0 | 90.0 |
| mp-1245190 | box | -4.5943 | -4.5943 | 10.8977 | 11.9971 | 12.6533 | 84.8 | 89.7 | 88.2 |
| A7--alpha-As | box | -4.3092 | -4.3092 | 2.8301 | 2.8301 | 7.2453 | 90.0 | 90.0 | 120.0 |
| mp-1244964 | box | -4.165 | -4.165 | 11.9042 | 12.9273 | 13.0952 | 89.3 | 79.9 | 84.9 |
| A3'--alpha-La--double-hcp | box | -3.9973 | -3.9973 | 2.8086 | 2.8086 | 4.9645 | 90.0 | 90.0 | 120.0 |
| A5--beta-Sn | static | -3.953 | -3.953 | 3.8633 | 3.8633 | 2.1405 | 90.0 | 90.0 | 90.0 |
| Ah--alpha-Po--sc | static | -3.8984 | -3.8984 | 2.0684 | 2.0684 | 2.0684 | 90.0 | 90.0 | 90.0 |
| mp-1244913 | box | -3.8521 | -3.8521 | 12.1778 | 13.5301 | 15.4563 | 78.8 | 85.8 | 86.9 |
| oqmd-1215848 | static | -3.698 | -3.698 | 3.4043 | 3.4043 | 1.997 | 90.0 | 90.0 | 120.0 |
| mp-1205417 | box | -3.5761 | -3.5761 | 17.3176 | 17.3176 | 10.1475 | 90.0 | 90.0 | 90.0 |
| oqmd-1214868 | box | -3.4998 | -3.4998 | 9.4118 | 9.4118 | 9.4118 | 90.0 | 90.0 | 90.0 |
| mp-1192619 | box | -3.433 | -3.433 | 13.0744 | 13.0744 | 13.0744 | 90.0 | 90.0 | 90.0 |
| mp-1056957 | static | -3.4035 | -3.4035 | 2.9722 | 2.9722 | 6.5533 | 90.0 | 90.0 | 90.0 |
| A6--In--bct | static | -3.4035 | -3.4035 | 2.1017 | 2.1017 | 6.3803 | 90.0 | 90.0 | 90.0 |
| A2--W--bcc | box | -2.9718 | -2.9718 | 2.7443 | 2.7443 | 2.7443 | 90.0 | 90.0 | 90.0 |
| A2--W--bcc | box | -2.9173 | -2.9173 | 2.6077 | 2.6077 | 2.6077 | 90.0 | 90.0 | 90.0 |
| A15--beta-W | static | -2.8686 | -2.8686 | 4.4886 | 4.4886 | 4.4886 | 90.0 | 90.0 | 90.0 |
| A3--Mg--hcp | box | -2.7949 | -2.7949 | 2.2388 | 2.2388 | 4.7749 | 90.0 | 90.0 | 120.0 |
| A3--Mg--hcp | box | -2.529 | -2.529 | 2.3834 | 2.3834 | 3.9133 | 90.0 | 90.0 | 120.0 |
| A3'--alpha-La--double-hcp | box | -2.5271 | -2.5271 | 2.3863 | 2.3863 | 7.8152 | 90.0 | 90.0 | 120.0 |
| A1--Cu--fcc | static | -2.5252 | -2.5252 | 3.3791 | 3.3791 | 3.3791 | 90.0 | 90.0 | 90.0 |
| A15--beta-W | static | -2.4762 | -2.4762 | 4.3042 | 4.3042 | 4.3042 | 90.0 | 90.0 | 90.0 |
Static elastic constants are displayed for the unique structures identified in Crystal Structure Predictions above. The values displayed here are obtained by measuring the change in virial stresses due to applying small strains to the relaxed crystals. The initial structure and the strained states are all relaxed using force minimization.
The calculation method used is available as the iprPy elastic_constants_static calculation method.
Notes and Disclaimers:
Version Information:
| 215.085 | 274.486 | 274.486 | -0.000 | -0.000 | -0.000 |
| 274.486 | 215.085 | 274.486 | -0.000 | -0.000 | -0.000 |
| 274.486 | 274.486 | 215.085 | -0.000 | -0.000 | -0.000 |
| -0.000 | -0.000 | -0.000 | -79.796 | -0.000 | -0.000 |
| -0.000 | -0.000 | -0.000 | -0.000 | -79.796 | -0.000 |
| -0.000 | -0.000 | -0.000 | -0.000 | -0.000 | -79.796 |
| 215.085 | 274.486 | 274.486 | 0.000 | 0.000 | 0.000 |
| 274.486 | 215.085 | 274.486 | 0.000 | 0.000 | 0.000 |
| 274.486 | 274.486 | 215.085 | 0.000 | 0.000 | 0.000 |
| 0.000 | 0.000 | 0.000 | -79.796 | 0.000 | 0.000 |
| 0.000 | 0.000 | 0.000 | 0.000 | -79.796 | 0.000 |
| 0.000 | 0.000 | 0.000 | 0.000 | 0.000 | -79.796 |
| 215.085 | 274.486 | 274.486 | -0.000 | -0.000 | -0.000 |
| 274.486 | 215.085 | 274.486 | -0.000 | -0.000 | -0.000 |
| 274.486 | 274.486 | 215.085 | -0.000 | -0.000 | -0.000 |
| 0.000 | 0.000 | 0.000 | -79.796 | -0.000 | -0.000 |
| 0.000 | 0.000 | 0.000 | 0.000 | -79.796 | -0.000 |
| 0.000 | 0.000 | 0.000 | 0.000 | -0.000 | -79.796 |
| 215.085 | 274.486 | 274.486 | 0.000 | 0.000 | 0.000 |
| 274.486 | 215.085 | 274.486 | 0.000 | 0.000 | 0.000 |
| 274.486 | 274.486 | 215.085 | 0.000 | 0.000 | 0.000 |
| -0.000 | -0.000 | -0.000 | -79.796 | 0.000 | -0.000 |
| -0.000 | -0.000 | -0.000 | -0.000 | -79.796 | 0.000 |
| -0.000 | -0.000 | -0.000 | 0.000 | 0.000 | -79.796 |
| 215.086 | 274.487 | 274.487 | -0.000 | -0.000 | -0.000 |
| 274.487 | 215.086 | 274.487 | -0.000 | -0.000 | -0.000 |
| 274.487 | 274.487 | 215.086 | -0.000 | -0.000 | -0.000 |
| 0.000 | 0.000 | 0.000 | -79.796 | -0.000 | -0.000 |
| 0.000 | 0.000 | 0.000 | -0.000 | -79.796 | -0.000 |
| 0.000 | 0.000 | 0.000 | -0.000 | -0.000 | -79.796 |
| 215.084 | 274.486 | 274.486 | 0.000 | 0.000 | 0.000 |
| 274.486 | 215.084 | 274.486 | 0.000 | 0.000 | 0.000 |
| 274.486 | 274.486 | 215.084 | 0.000 | 0.000 | 0.000 |
| -0.000 | -0.000 | -0.000 | -79.796 | 0.000 | 0.000 |
| -0.000 | -0.000 | -0.000 | 0.000 | -79.796 | 0.000 |
| -0.000 | -0.000 | -0.000 | 0.000 | 0.000 | -79.796 |
| 57.180 | 313.286 | 313.286 | 0.000 | 0.000 | -0.000 |
| 313.286 | 57.180 | 313.286 | 0.000 | -0.000 | 0.000 |
| 313.286 | 313.286 | 57.180 | 0.000 | 0.000 | 0.000 |
| -0.000 | -0.000 | -0.000 | -340.730 | 0.000 | 0.000 |
| -0.000 | -0.000 | -0.000 | 0.000 | -340.730 | -0.000 |
| -0.000 | -0.000 | -0.000 | 0.000 | 0.000 | -340.730 |
| 57.180 | 313.286 | 313.286 | -0.000 | -0.000 | -0.000 |
| 313.286 | 57.180 | 313.286 | -0.000 | -0.000 | -0.000 |
| 313.286 | 313.286 | 57.180 | -0.000 | -0.000 | 0.000 |
| 0.000 | 0.000 | 0.000 | -340.730 | -0.000 | 0.000 |
| 0.000 | 0.000 | 0.000 | -0.000 | -340.730 | 0.000 |
| 0.000 | 0.000 | 0.000 | 0.000 | -0.000 | -340.730 |
| 59.279 | 312.236 | 312.236 | 0.000 | 0.000 | -0.000 |
| 312.236 | 59.279 | 312.236 | 0.000 | 0.000 | -0.000 |
| 312.236 | 312.236 | 59.279 | 0.000 | 0.000 | -0.000 |
| -267690523.759 | -262443263.022 | -265057407.819 | -18200958.422 | 2017314.231 | -1681188.376 |
| -272378909.199 | -271812451.311 | -275896459.305 | -5792402.835 | -18362456.049 | 3919545.977 |
| -266481843.788 | -273406518.710 | -277831184.876 | -1211318.926 | -5742836.350 | -22870059.448 |
| 59.279 | 312.236 | 312.236 | -0.000 | -0.000 | 0.000 |
| 312.236 | 59.279 | 312.236 | -0.000 | 0.000 | 0.000 |
| 312.236 | 312.236 | 59.279 | -0.000 | -0.000 | 0.000 |
| 277065484.515 | 278621264.596 | 279470196.217 | -16012375.435 | -6120698.899 | -2346055.105 |
| 281868850.777 | 278865892.494 | 273407200.545 | -5894577.797 | -24360608.543 | -11190843.995 |
| 268486751.648 | 266332695.332 | 273472186.888 | -5133786.391 | -1618195.328 | -2001606.297 |
| 57.181 | 313.287 | 313.287 | 0.000 | -0.000 | 0.000 |
| 313.287 | 57.181 | 313.287 | 0.000 | 0.000 | -0.000 |
| 313.287 | 313.287 | 57.181 | 0.000 | 0.000 | -0.000 |
| -27889442.535 | -26916190.566 | -27224562.119 | -1725111.402 | -263688.349 | -191152.151 |
| -26637479.836 | -27795849.221 | -27535980.217 | -736818.050 | -2029969.278 | 586497.522 |
| -26639463.391 | -26384916.178 | -26432547.488 | -776319.707 | -711276.354 | -1712214.918 |
| 59.278 | 312.235 | 312.235 | -0.000 | -0.000 | 0.000 |
| 312.235 | 59.278 | 312.235 | -0.000 | -0.000 | 0.000 |
| 312.235 | 312.235 | 59.278 | 0.000 | 0.000 | 0.000 |
| 27556254.242 | 26394835.086 | 26782736.903 | -535601.034 | -385013.116 | -326222.366 |
| 27709522.816 | 27247252.984 | 27396311.095 | -277357.304 | -1693115.923 | -612983.226 |
| 26246167.943 | 25699009.095 | 26200756.060 | -1260516.021 | -881575.829 | -1017648.487 |
| 15013.346 | 16727.548 | 16727.548 | -0.000 | -0.000 | -0.000 |
| 16727.548 | 15013.346 | 16727.548 | -0.000 | -0.000 | -0.000 |
| 16727.548 | 16727.548 | 15013.346 | -0.000 | -0.000 | 0.000 |
| -0.006 | -0.002 | -0.002 | 8020.477 | -0.000 | -0.000 |
| -0.002 | -0.006 | -0.002 | -0.000 | 8020.477 | 0.000 |
| -0.002 | -0.002 | -0.006 | -0.000 | -0.000 | 8020.477 |
| 15735.250 | 16366.617 | 16366.617 | 0.000 | 0.000 | 0.000 |
| 16366.617 | 15735.250 | 16366.617 | 0.000 | 0.000 | 0.000 |
| 16366.617 | 16366.617 | 15735.250 | 0.000 | 0.000 | 0.000 |
| 0.006 | 0.002 | 0.002 | 8020.477 | 0.000 | -0.000 |
| 0.002 | 0.006 | 0.002 | 0.000 | 8020.477 | -0.000 |
| 0.002 | 0.002 | 0.006 | 0.000 | 0.000 | 8020.477 |
| 15407.781 | 16530.234 | 16530.234 | 0.000 | -0.000 | 0.000 |
| 16530.234 | 15407.781 | 16530.234 | -0.000 | -0.000 | 0.000 |
| 16530.234 | 16530.234 | 15407.781 | 0.000 | -0.000 | 0.000 |
| -0.047 | -0.030 | -0.028 | 8020.476 | -0.000 | -0.000 |
| -0.030 | -0.047 | -0.028 | -0.000 | 8020.476 | -0.000 |
| -0.030 | -0.028 | -0.047 | -0.000 | -0.000 | 8020.476 |
| 15736.958 | 16365.858 | 16365.858 | 0.000 | -0.000 | 0.000 |
| 16365.858 | 15736.958 | 16365.858 | -0.000 | 0.000 | 0.000 |
| 16365.858 | 16365.858 | 15736.958 | -0.000 | 0.000 | 0.000 |
| 0.047 | 0.030 | 0.028 | 8020.476 | 0.000 | -0.000 |
| 0.030 | 0.047 | 0.028 | 0.000 | 8020.476 | -0.000 |
| 0.030 | 0.028 | 0.047 | 0.000 | 0.000 | 8020.476 |
| 15736.202 | 16365.066 | 16365.066 | -0.000 | 0.000 | -0.000 |
| 16365.066 | 15736.202 | 16365.066 | 0.000 | -0.000 | 0.000 |
| 16365.066 | 16365.066 | 15736.202 | -0.000 | -0.000 | -0.000 |
| -0.335 | -0.367 | -0.350 | 8020.477 | -0.000 | 0.000 |
| -0.367 | -0.335 | -0.350 | 0.000 | 8020.477 | 0.000 |
| -0.367 | -0.350 | -0.335 | -0.000 | -0.000 | 8020.477 |
| 15738.039 | 16366.276 | 16366.276 | 0.000 | 0.000 | 0.000 |
| 16366.276 | 15738.039 | 16366.276 | 0.000 | 0.000 | -0.000 |
| 16366.276 | 16366.276 | 15738.039 | 0.000 | 0.000 | 0.000 |
| 0.335 | 0.367 | 0.350 | 8020.477 | 0.000 | 0.000 |
| 0.367 | 0.335 | 0.350 | -0.000 | 8020.477 | 0.000 |
| 0.367 | 0.350 | 0.335 | -0.000 | 0.000 | 8020.477 |
| 1369.885 | -242.672 | -242.672 | 0.000 | 0.000 | 0.000 |
| -242.672 | 1369.885 | -242.672 | 0.000 | 0.000 | 0.000 |
| -242.672 | -242.672 | 1369.885 | 0.000 | 0.000 | 0.000 |
| -0.000 | 0.000 | -0.000 | -244.297 | 0.000 | 0.000 |
| 0.000 | -0.000 | -0.000 | 0.000 | -244.297 | 0.000 |
| 0.000 | 0.000 | -0.000 | 0.000 | 0.000 | -244.297 |
| 1369.885 | -242.672 | -242.672 | -0.000 | -0.000 | -0.000 |
| -242.672 | 1369.885 | -242.672 | -0.000 | -0.000 | -0.000 |
| -242.672 | -242.672 | 1369.885 | -0.000 | -0.000 | -0.000 |
| 0.000 | -0.000 | 0.000 | -244.297 | -0.000 | -0.000 |
| -0.000 | 0.000 | 0.000 | -0.000 | -244.297 | -0.000 |
| -0.000 | 0.000 | 0.000 | -0.000 | -0.000 | -244.297 |
| 1369.886 | -242.672 | -242.672 | 0.000 | 0.000 | 0.000 |
| -242.672 | 1369.886 | -242.672 | 0.000 | 0.000 | -0.000 |
| -242.672 | -242.672 | 1369.886 | -0.000 | 0.000 | 0.000 |
| -0.000 | 0.000 | 0.000 | -244.297 | 0.000 | 0.000 |
| 0.000 | -0.000 | 0.000 | 0.000 | -244.297 | 0.000 |
| 0.000 | 0.000 | -0.000 | 0.000 | 0.000 | -244.297 |
| 1369.885 | -242.672 | -242.672 | -0.000 | -0.000 | -0.000 |
| -242.672 | 1369.885 | -242.672 | -0.000 | -0.000 | -0.000 |
| -242.672 | -242.672 | 1369.885 | 0.000 | -0.000 | -0.000 |
| 0.000 | -0.000 | -0.000 | -244.297 | -0.000 | -0.000 |
| -0.000 | 0.000 | -0.000 | -0.000 | -244.297 | -0.000 |
| -0.000 | -0.000 | 0.000 | -0.000 | -0.000 | -244.297 |
| 1369.893 | -242.671 | -242.671 | 0.000 | 0.000 | 0.000 |
| -242.671 | 1369.893 | -242.671 | 0.000 | 0.000 | 0.000 |
| -242.671 | -242.671 | 1369.893 | 0.000 | 0.000 | 0.000 |
| -0.002 | 0.001 | 0.000 | -244.297 | 0.000 | 0.000 |
| 0.001 | -0.002 | 0.000 | 0.000 | -244.297 | 0.000 |
| 0.001 | 0.000 | -0.002 | 0.000 | 0.000 | -244.297 |
| 1369.878 | -242.673 | -242.673 | -0.000 | -0.000 | -0.000 |
| -242.673 | 1369.878 | -242.673 | -0.000 | -0.000 | -0.000 |
| -242.673 | -242.673 | 1369.878 | 0.000 | -0.000 | -0.000 |
| 0.002 | -0.001 | -0.000 | -244.297 | -0.000 | -0.000 |
| -0.001 | 0.002 | -0.000 | -0.000 | -244.297 | -0.000 |
| -0.001 | -0.000 | 0.002 | -0.000 | -0.000 | -244.297 |
| 16459.512 | -356.936 | -356.936 | 0.000 | 0.000 | -0.000 |
| -356.936 | 16459.512 | -356.936 | 0.000 | -0.000 | 0.000 |
| -356.936 | -356.936 | 16459.512 | 0.000 | -0.000 | -0.000 |
| 0.000 | 0.000 | 0.000 | -178.845 | 0.000 | -0.000 |
| 0.000 | 0.000 | 0.000 | 0.000 | -178.845 | -0.000 |
| 0.000 | 0.000 | 0.000 | 0.000 | 0.000 | -178.845 |
| 16459.545 | -356.935 | -356.935 | -0.000 | -0.000 | 0.000 |
| -356.935 | 16459.545 | -356.935 | -0.000 | 0.000 | -0.000 |
| -356.935 | -356.935 | 16459.545 | -0.000 | -0.000 | 0.000 |
| -0.000 | -0.000 | -0.000 | -178.845 | -0.000 | -0.000 |
| -0.000 | -0.000 | -0.000 | -0.000 | -178.845 | 0.000 |
| -0.000 | -0.000 | -0.000 | -0.000 | -0.000 | -178.845 |
| 16459.365 | -356.938 | -356.938 | 0.000 | 0.000 | -0.000 |
| -356.938 | 16459.365 | -356.938 | 0.000 | 0.000 | 0.000 |
| -356.938 | -356.938 | 16459.365 | 0.000 | 0.000 | -0.000 |
| -0.000 | 0.000 | -0.001 | -178.845 | 0.000 | 0.000 |
| 0.000 | -0.000 | -0.001 | 0.000 | -178.845 | -0.000 |
| 0.000 | -0.001 | -0.000 | 0.000 | -0.000 | -178.845 |
| 16459.692 | -356.933 | -356.933 | -0.000 | -0.000 | 0.000 |
| -356.933 | 16459.692 | -356.933 | -0.000 | -0.000 | 0.000 |
| -356.933 | -356.933 | 16459.692 | -0.000 | -0.000 | 0.000 |
| 0.000 | -0.000 | 0.001 | -178.845 | 0.000 | -0.000 |
| -0.000 | 0.000 | 0.001 | -0.000 | -178.845 | 0.000 |
| -0.000 | 0.001 | 0.000 | -0.000 | -0.000 | -178.845 |
| 16457.892 | -356.965 | -356.965 | 0.000 | 0.000 | 0.000 |
| -356.965 | 16457.892 | -356.965 | 0.000 | 0.000 | 0.000 |
| -356.965 | -356.965 | 16457.892 | 0.000 | -0.000 | 0.000 |
| -0.001 | 0.001 | -0.008 | -178.845 | -0.000 | 0.000 |
| 0.001 | -0.001 | -0.008 | 0.000 | -178.845 | -0.000 |
| 0.001 | -0.008 | -0.001 | 0.000 | 0.000 | -178.845 |
| 16461.165 | -356.906 | -356.906 | -0.000 | -0.000 | 0.000 |
| -356.906 | 16461.165 | -356.906 | -0.000 | -0.000 | -0.000 |
| -356.906 | -356.906 | 16461.165 | -0.000 | 0.000 | 0.000 |
| 0.001 | -0.001 | 0.008 | -178.845 | -0.000 | 0.000 |
| -0.001 | 0.001 | 0.008 | -0.000 | -178.845 | 0.000 |
| -0.001 | 0.008 | 0.001 | -0.000 | -0.000 | -178.845 |
| 164.888 | 297.325 | 307.379 | 0.000 | -0.000 | -0.000 |
| 297.325 | 164.888 | 307.379 | 0.000 | -0.000 | 0.000 |
| 307.379 | 307.379 | 139.238 | -0.000 | -0.000 | -0.000 |
| -0.000 | 0.000 | -0.000 | -55.160 | -0.000 | -0.000 |
| -0.000 | 0.000 | -0.000 | -0.000 | -55.160 | -0.000 |
| 0.000 | 0.000 | 0.000 | 0.000 | -0.000 | -66.219 |
| 145.480 | 316.732 | 307.378 | 0.000 | 0.000 | 0.000 |
| 297.325 | 164.888 | 307.378 | 0.000 | 0.000 | -0.000 |
| 307.379 | 307.378 | 139.238 | 0.000 | 0.000 | 0.000 |
| 0.000 | -0.000 | 0.000 | -55.160 | 0.000 | 0.000 |
| 0.000 | -0.000 | 0.000 | 0.000 | -55.160 | 0.000 |
| -0.000 | -0.000 | -0.000 | -0.000 | 0.000 | -66.219 |
| 145.481 | 316.732 | 307.379 | -0.000 | -0.000 | -0.000 |
| 316.732 | 145.481 | 307.379 | -0.000 | -0.000 | -0.000 |
| 307.379 | 307.379 | 139.238 | -0.000 | -0.000 | -0.000 |
| 0.000 | 0.000 | -0.000 | -55.160 | -0.000 | -0.000 |
| 0.000 | 0.000 | -0.000 | -0.000 | -55.160 | -0.000 |
| 0.000 | -0.000 | 0.000 | -0.000 | -0.000 | -66.219 |
| 164.887 | 297.324 | 307.378 | -0.000 | 0.000 | 0.000 |
| 297.325 | 164.887 | 307.378 | 0.000 | 0.000 | -0.000 |
| 307.378 | 307.378 | 139.237 | 0.000 | 0.000 | 0.000 |
| -0.000 | -0.000 | 0.000 | -55.160 | 0.000 | 0.000 |
| -0.000 | -0.000 | 0.000 | 0.000 | -55.160 | 0.000 |
| -0.000 | 0.000 | -0.000 | 0.000 | 0.000 | -66.219 |
| 164.889 | 297.326 | 307.379 | 0.000 | -0.000 | -0.000 |
| -28712527.191 | -30873112.535 | -34345851.592 | -212682.113 | 338694.881 | -279999.410 |
| 307.379 | 307.379 | 139.239 | -0.000 | -0.000 | -0.000 |
| 0.000 | 0.000 | -0.000 | -55.160 | -0.000 | -0.000 |
| 0.000 | 0.000 | -0.000 | -0.000 | -55.160 | 0.000 |
| -32913656.762 | -31032507.036 | -34137869.738 | 482055.818 | -325394.095 | 93331.592 |
| 28372955.075 | 31320726.349 | 33962653.015 | 333988.411 | -454250.501 | 228057.955 |
| 297.324 | 164.886 | 307.378 | 0.000 | 0.000 | 0.000 |
| 307.378 | 307.378 | 139.236 | 0.000 | 0.000 | 0.000 |
| -0.000 | -0.000 | 0.000 | -55.160 | 0.000 | 0.000 |
| -0.000 | -0.000 | 0.000 | 0.000 | -55.160 | 0.000 |
| -0.000 | 0.000 | -0.000 | 0.000 | 0.000 | -66.219 |
| 581.389 | 380.433 | -0.638 | -0.000 | -0.000 | 0.000 |
| 429.074 | 532.749 | -0.638 | 0.000 | -0.000 | 0.000 |
| -0.638 | -0.638 | 1064.200 | 0.000 | -0.000 | -0.000 |
| 0.000 | -0.000 | 0.000 | -34.025 | -0.000 | 0.000 |
| 0.000 | -0.000 | -0.000 | 0.000 | -34.025 | 0.000 |
| 0.000 | 0.000 | 0.000 | -0.000 | -0.000 | 51.838 |
| 581.389 | 380.433 | -0.638 | 0.000 | 0.000 | 0.000 |
| 429.073 | 532.749 | -0.638 | 0.000 | 0.000 | -0.000 |
| -0.638 | -0.638 | 1064.199 | 0.000 | 0.000 | -0.000 |
| -0.000 | 0.000 | -0.000 | -34.025 | 0.000 | -0.000 |
| -0.000 | 0.000 | -0.000 | 0.000 | -34.025 | 0.000 |
| -0.000 | -0.000 | -0.000 | 0.000 | 0.000 | 51.838 |
| 532.750 | 429.073 | -0.638 | -0.000 | -0.000 | -0.000 |
| 380.433 | 581.389 | -0.638 | -0.000 | 0.000 | 0.000 |
| -0.638 | -0.638 | 1064.201 | -0.000 | -0.000 | 0.000 |
| 0.000 | 0.000 | -0.000 | -34.025 | -0.000 | 0.000 |
| 0.000 | 0.000 | 0.000 | -0.000 | -34.025 | 0.000 |
| 0.000 | 0.000 | -0.000 | -0.000 | -0.000 | 51.838 |
| 532.747 | 429.074 | -0.638 | 0.000 | 0.000 | -0.000 |
| 429.073 | 532.748 | -0.638 | 0.000 | 0.000 | -0.000 |
| -0.637 | -0.637 | 1064.199 | 0.000 | 0.000 | 0.000 |
| -0.000 | -0.000 | 0.000 | -34.025 | 0.000 | -0.000 |
| -0.000 | -0.000 | 0.000 | 0.000 | -34.025 | 0.000 |
| -0.000 | -0.000 | 0.000 | -0.000 | 0.000 | 51.838 |
| 532.760 | 429.070 | -0.639 | -0.000 | -0.000 | 0.000 |
| 429.075 | 532.755 | -0.639 | -0.000 | -0.000 | 0.000 |
| -0.639 | -0.639 | 1064.209 | -0.000 | -0.000 | 0.000 |
| 0.000 | 0.001 | -0.000 | -34.025 | -0.000 | 0.000 |
| 0.001 | 0.000 | -0.000 | -0.000 | -34.025 | 0.000 |
| 0.000 | 0.001 | -0.000 | -0.000 | -0.000 | 100.478 |
| 532.737 | 429.077 | -0.637 | 0.000 | 0.000 | -0.000 |
| 429.072 | 532.742 | -0.637 | 0.000 | 0.000 | -0.000 |
| -0.636 | -0.636 | 1064.190 | 0.000 | 0.000 | -0.000 |
| -0.000 | -0.001 | 0.000 | -34.025 | 0.000 | -0.000 |
| -0.001 | -0.000 | 0.000 | 0.000 | -34.025 | -0.000 |
| -0.000 | -0.001 | 0.000 | 0.000 | 0.000 | 100.478 |
| 534.391 | 674.719 | 3707.255 | 0.000 | -0.000 | 0.000 |
| 610.292 | 598.817 | 3707.255 | -0.000 | 0.000 | -0.000 |
| 3706.909 | 3706.909 | 38669.249 | 0.000 | 0.000 | 0.000 |
| -0.000 | -0.000 | -0.003 | 1615.527 | 0.000 | -0.000 |
| -0.000 | -0.000 | -0.003 | 0.000 | 1615.527 | -0.000 |
| 0.000 | -0.000 | -0.000 | -0.000 | 0.000 | -70.164 |
| 598.817 | 610.293 | 3707.256 | -0.000 | -0.000 | -0.000 |
| 674.719 | 534.391 | 3707.256 | -0.000 | 0.000 | -0.000 |
| 3706.919 | 3706.919 | 38669.335 | -0.000 | -0.000 | -0.000 |
| 0.000 | 0.000 | 0.003 | 1615.527 | -0.000 | -0.000 |
| 0.000 | 0.000 | 0.003 | 0.000 | 1615.527 | -0.000 |
| -0.000 | 0.000 | 0.000 | -0.000 | -0.000 | -70.164 |
| 534.388 | 674.721 | 3707.250 | 0.000 | -0.000 | 0.000 |
| 610.292 | 598.816 | 3707.248 | -0.000 | 0.000 | 0.000 |
| 3706.864 | 3706.864 | 38668.858 | 0.000 | 0.000 | 0.000 |
| -0.002 | -0.005 | -0.032 | 1615.527 | 0.000 | 0.000 |
| -0.005 | -0.002 | -0.032 | 0.000 | 1615.527 | 0.000 |
| 0.000 | -0.000 | -0.001 | -0.000 | 0.000 | -70.164 |
| 534.393 | 674.717 | 3707.261 | -0.000 | 0.000 | -0.000 |
| 610.293 | 598.818 | 3707.263 | -0.000 | -0.000 | -0.000 |
| 3706.964 | 3706.964 | 38669.726 | 0.000 | -0.000 | -0.000 |
| 0.002 | 0.005 | 0.032 | 1615.527 | 0.000 | 0.000 |
| 0.005 | 0.002 | 0.032 | -0.000 | 1615.527 | 0.000 |
| -0.000 | 0.000 | 0.001 | -0.000 | 0.000 | -70.164 |
| 598.808 | 610.290 | 3707.184 | 0.000 | 0.000 | -0.000 |
| 610.291 | 598.807 | 3707.184 | -0.000 | 0.000 | 0.000 |
| 3706.417 | 3706.417 | 38664.956 | -0.000 | 0.000 | 0.000 |
| -0.024 | -0.050 | -0.325 | 1615.527 | 0.000 | -0.000 |
| -0.038 | -0.036 | -0.325 | 0.000 | 1615.527 | 0.000 |
| -0.003 | -0.001 | -0.020 | 0.000 | 0.000 | -5.738 |
| 534.417 | 674.703 | 3707.313 | -0.000 | 0.000 | -0.000 |
| 674.743 | 534.376 | 3707.313 | 0.000 | 0.000 | -0.000 |
| 3707.411 | 3707.411 | 38673.628 | -0.000 | -0.000 | -0.000 |
| 0.024 | 0.050 | 0.325 | 1615.527 | -0.000 | -0.000 |
| 0.038 | 0.036 | 0.325 | 0.000 | 1615.527 | -0.000 |
| 0.003 | 0.001 | 0.020 | 0.000 | 0.000 | -5.738 |
| 122.510 | 345.612 | 306.855 | -0.000 | -0.000 | 0.000 |
| 345.612 | 122.510 | 306.855 | -0.000 | -0.000 | 0.000 |
| 306.855 | 306.855 | 130.403 | -0.000 | 0.000 | 0.000 |
| 0.000 | -0.000 | -0.000 | -63.777 | -0.000 | 0.000 |
| 0.000 | -0.000 | -0.000 | 0.000 | -63.777 | 0.000 |
| 0.000 | -0.000 | -0.000 | -0.000 | -0.000 | -69.306 |
| 164.755 | 303.367 | 306.855 | 0.000 | 0.000 | -0.000 |
| 303.367 | 164.755 | 306.855 | 0.000 | -0.000 | -0.000 |
| 306.855 | 306.855 | 130.403 | 0.000 | -0.000 | -0.000 |
| -0.000 | 0.000 | 0.000 | -63.777 | -0.000 | -0.000 |
| -0.000 | 0.000 | 0.000 | -0.000 | -63.777 | -0.000 |
| -0.000 | 0.000 | 0.000 | 0.000 | -0.000 | -69.306 |
| -368191970.497 | -307062237.697 | -350605574.369 | -4526579.458 | -6245403.269 | 3807776.572 |
| -311007648.926 | -323887434.398 | -346360700.012 | 410837.672 | -2771357.569 | -8019287.740 |
| 306.855 | 306.855 | 130.403 | -0.000 | -0.000 | 0.000 |
| 0.000 | 0.000 | -0.000 | -63.777 | 0.000 | 0.000 |
| -0.000 | 0.000 | -0.000 | 0.000 | -63.777 | 0.000 |
| 0.000 | -0.000 | 0.000 | -0.000 | -0.000 | -69.306 |
| 295809669.507 | 320781928.761 | 345449426.155 | -3206186.136 | -8773163.244 | -1278277.190 |
| 303.367 | 164.754 | 306.855 | 0.000 | -0.000 | -0.000 |
| 306.855 | 306.855 | 130.403 | -0.000 | 0.000 | -0.000 |
| -0.000 | -0.000 | 0.000 | -63.777 | -0.000 | -0.000 |
| 0.000 | -0.000 | 0.000 | -0.000 | -63.777 | -0.000 |
| -0.000 | 0.000 | -0.000 | 0.000 | -0.000 | -69.306 |
| -36278003.593 | -30476939.821 | -35034749.436 | 459438.490 | 515838.326 | -662153.781 |
| -29795226.978 | -31985361.823 | -34697591.014 | 95929.772 | 30258.080 | -444658.814 |
| 306.856 | 306.856 | 130.404 | -0.000 | 0.000 | 0.000 |
| 0.000 | -0.000 | -0.000 | -63.777 | -0.000 | 0.000 |
| -0.000 | 0.000 | -0.000 | 0.000 | -63.777 | 0.000 |
| -32746926.241 | -31573849.095 | -35907352.838 | -49584.934 | 1031662.675 | -387481.876 |
| 30694041.938 | 33202936.817 | 36260523.309 | -544092.124 | -55516.837 | 108425.642 |
| 35209565.966 | 29122018.196 | 34132792.420 | -1007599.342 | -138007.359 | 485501.938 |
| 306.854 | 306.854 | 130.402 | 0.000 | 0.000 | -0.000 |
| -0.000 | -0.000 | 0.000 | -63.777 | -0.000 | -0.000 |
| 0.000 | -0.000 | 0.000 | 0.000 | -63.777 | -0.000 |
| 33204388.769 | 31076828.292 | 34302736.207 | -391508.709 | 121449.926 | 8917.146 |
| 1079.345 | 127.227 | 127.227 | 0.000 | 0.000 | 0.000 |
| 127.227 | 1079.345 | 127.227 | 0.000 | 0.000 | 0.000 |
| 127.227 | 127.227 | 1079.345 | 0.000 | 0.000 | 0.000 |
| 0.000 | 0.000 | 0.000 | 622.694 | 0.000 | 0.000 |
| 0.000 | 0.000 | 0.000 | 0.000 | 622.694 | 0.000 |
| 0.000 | 0.000 | 0.000 | 0.000 | 0.000 | 622.694 |
| 1079.345 | 127.227 | 127.227 | -0.000 | -0.000 | -0.000 |
| 127.227 | 1079.345 | 127.227 | -0.000 | -0.000 | -0.000 |
| 127.227 | 127.227 | 1079.345 | -0.000 | -0.000 | -0.000 |
| -0.000 | -0.000 | -0.000 | 622.694 | -0.000 | -0.000 |
| -0.000 | -0.000 | -0.000 | -0.000 | 622.694 | -0.000 |
| -0.000 | -0.000 | -0.000 | -0.000 | -0.000 | 622.694 |
| 1079.345 | 127.227 | 127.227 | 0.000 | 0.000 | 0.000 |
| 127.227 | 1079.345 | 127.227 | 0.000 | 0.000 | 0.000 |
| 127.227 | 127.227 | 1079.345 | 0.000 | 0.000 | 0.000 |
| 0.000 | 0.000 | 0.000 | 622.694 | 0.000 | 0.000 |
| 0.000 | 0.000 | 0.000 | 0.000 | 622.694 | 0.000 |
| 0.000 | 0.000 | 0.000 | 0.000 | 0.000 | 622.694 |
| 1079.345 | 127.226 | 127.226 | -0.000 | -0.000 | -0.000 |
| 127.226 | 1079.345 | 127.226 | -0.000 | -0.000 | -0.000 |
| 127.226 | 127.226 | 1079.345 | -0.000 | -0.000 | -0.000 |
| -0.000 | -0.000 | -0.000 | 622.694 | -0.000 | -0.000 |
| -0.000 | -0.000 | -0.000 | -0.000 | 622.694 | -0.000 |
| -0.000 | -0.000 | -0.000 | -0.000 | -0.000 | 622.694 |
| 1079.348 | 127.227 | 127.227 | 0.000 | 0.000 | 0.000 |
| 127.227 | 1079.348 | 127.227 | 0.000 | 0.000 | 0.000 |
| 127.227 | 127.227 | 1079.348 | 0.000 | 0.000 | 0.000 |
| 0.000 | 0.001 | 0.001 | 622.694 | 0.000 | 0.000 |
| 0.001 | 0.000 | 0.001 | 0.000 | 622.694 | 0.000 |
| 0.001 | 0.001 | 0.000 | 0.000 | 0.000 | 622.694 |
| 1079.342 | 127.226 | 127.226 | -0.000 | -0.000 | -0.000 |
| 127.226 | 1079.342 | 127.226 | -0.000 | -0.000 | -0.000 |
| 127.226 | 127.226 | 1079.342 | -0.000 | -0.000 | -0.000 |
| -0.000 | -0.001 | -0.001 | 622.694 | -0.000 | -0.000 |
| -0.001 | -0.000 | -0.001 | -0.000 | 622.694 | -0.000 |
| -0.001 | -0.001 | -0.000 | -0.000 | -0.000 | 622.694 |
| 463.490 | 342.744 | 269.870 | 0.000 | 0.000 | -0.000 |
| 342.744 | 463.490 | 269.870 | 0.000 | -0.000 | -0.000 |
| 269.870 | 269.870 | 496.194 | -0.000 | 0.000 | 0.000 |
| -0.001 | 0.002 | 0.000 | -1963.975 | 0.000 | 0.000 |
| -0.001 | 0.001 | 0.000 | 0.000 | -1963.975 | 0.000 |
| -0.000 | 0.000 | -0.000 | 0.000 | 0.000 | 114.030 |
| 463.490 | 342.744 | 269.870 | 0.000 | 0.000 | 0.000 |
| 342.744 | 463.490 | 269.870 | 0.000 | -0.000 | 0.000 |
| 269.870 | 269.870 | 496.194 | -0.000 | -0.000 | 0.000 |
| 0.001 | -0.002 | -0.000 | -1963.975 | -0.000 | -0.000 |
| 0.001 | -0.001 | -0.000 | -0.000 | -1963.975 | -0.000 |
| 0.000 | -0.000 | 0.000 | -0.000 | -0.000 | 114.030 |
| 463.491 | 342.744 | 269.870 | -0.000 | 0.000 | -0.000 |
| 342.744 | 463.491 | 269.870 | -0.000 | 0.000 | -0.000 |
| 269.870 | 269.870 | 496.194 | -0.000 | 0.000 | -0.000 |
| -0.003 | 0.006 | 0.001 | -1963.975 | 0.000 | -0.000 |
| 0.006 | -0.003 | 0.001 | -0.000 | -1963.975 | 0.000 |
| -0.000 | 0.000 | -0.000 | -0.000 | 0.000 | 114.030 |
| 463.490 | 342.744 | 269.870 | 0.000 | -0.000 | 0.000 |
| 342.744 | 463.490 | 269.870 | 0.000 | -0.000 | 0.000 |
| 269.870 | 269.870 | 496.193 | -0.000 | -0.000 | 0.000 |
| 0.003 | -0.006 | -0.001 | -1963.975 | -0.000 | 0.000 |
| -0.006 | 0.003 | -0.001 | -0.000 | -1963.975 | -0.000 |
| 0.000 | -0.000 | 0.000 | 0.000 | -0.000 | 114.030 |
| 463.494 | 342.745 | 269.871 | 0.000 | 0.000 | -0.000 |
| 342.745 | 463.494 | 269.871 | 0.000 | 0.000 | -0.000 |
| 269.871 | 269.871 | 496.198 | -0.000 | 0.000 | -0.000 |
| -0.029 | 0.058 | 0.008 | -1963.975 | 0.000 | -0.000 |
| 0.058 | -0.029 | 0.008 | -0.000 | -1963.975 | -0.000 |
| -0.000 | 0.000 | -0.000 | 0.000 | 0.000 | 114.030 |
| 463.487 | 342.743 | 269.869 | 0.000 | -0.000 | 0.000 |
| 342.743 | 463.487 | 269.869 | -0.000 | -0.000 | 0.000 |
| 269.869 | 269.869 | 496.190 | 0.000 | -0.000 | 0.000 |
| 0.029 | -0.058 | -0.008 | -1963.975 | -0.000 | 0.000 |
| -0.058 | 0.029 | -0.008 | -0.000 | -1963.975 | 0.000 |
| 0.000 | -0.000 | 0.000 | 0.000 | -0.000 | 114.030 |
| 178.177 | 146.092 | 0.000 | 0.000 | 0.000 | 0.000 |
| 146.092 | 178.177 | 0.000 | 0.000 | 0.000 | -0.000 |
| 0.000 | 0.000 | 0.000 | 0.000 | 0.000 | 0.000 |
| 0.000 | 0.000 | 0.000 | 0.000 | 0.000 | 0.000 |
| 0.000 | 0.000 | 0.000 | 0.000 | 0.000 | -0.000 |
| 0.000 | 0.000 | 0.000 | 0.000 | 0.000 | 52.028 |
| 178.177 | 146.092 | -0.000 | -0.000 | -0.000 | -0.000 |
| 146.092 | 178.177 | -0.000 | -0.000 | -0.000 | 0.000 |
| -0.000 | -0.000 | -0.000 | -0.000 | -0.000 | -0.000 |
| -0.000 | -0.000 | -0.000 | -0.000 | -0.000 | 0.000 |
| -0.000 | -0.000 | -0.000 | -0.000 | -0.000 | 0.000 |
| -0.000 | -0.000 | -0.000 | -0.000 | -0.000 | 52.028 |
| 178.178 | 146.092 | 0.000 | 0.000 | 0.000 | -0.000 |
| 146.092 | 178.178 | 0.000 | 0.000 | 0.000 | 0.000 |
| 0.000 | 0.000 | 0.000 | 0.000 | 0.000 | 0.000 |
| 0.000 | 0.000 | 0.000 | 0.000 | 0.000 | -0.000 |
| 0.000 | 0.000 | 0.000 | 0.000 | 0.000 | -0.000 |
| 0.000 | 0.000 | 0.000 | 0.000 | 0.000 | 52.028 |
| 178.177 | 146.092 | -0.000 | -0.000 | -0.000 | 0.000 |
| 146.092 | 178.177 | -0.000 | -0.000 | -0.000 | 0.000 |
| -0.000 | -0.000 | -0.000 | -0.000 | -0.000 | -0.000 |
| -0.000 | -0.000 | -0.000 | -0.000 | -0.000 | -0.000 |
| -0.000 | -0.000 | -0.000 | -0.000 | -0.000 | 0.000 |
| -0.000 | -0.000 | -0.000 | -0.000 | -0.000 | 52.028 |
| 178.179 | 146.092 | 0.000 | 0.000 | 0.000 | -0.000 |
| 146.092 | 178.179 | 0.000 | 0.000 | 0.000 | 0.000 |
| 0.000 | 0.000 | 0.000 | 0.000 | 0.000 | 0.000 |
| 0.000 | 0.000 | 0.000 | 0.000 | 0.000 | 0.000 |
| 0.000 | 0.000 | 0.000 | 0.000 | 0.000 | 0.000 |
| 0.000 | 0.000 | 0.000 | 0.000 | 0.000 | 52.028 |
| 178.175 | 146.092 | -0.000 | -0.000 | -0.000 | 0.000 |
| 146.092 | 178.175 | -0.000 | -0.000 | -0.000 | -0.000 |
| -0.000 | -0.000 | -0.000 | -0.000 | -0.000 | -0.000 |
| -0.000 | -0.000 | -0.000 | -0.000 | -0.000 | -0.000 |
| -0.000 | -0.000 | -0.000 | -0.000 | -0.000 | 0.000 |
| -0.000 | -0.000 | -0.000 | -0.000 | -0.000 | 52.028 |
| 174.349 | 142.953 | 0.000 | 0.000 | 0.000 | 0.000 |
| 142.953 | 174.349 | 0.000 | 0.000 | 0.000 | -0.000 |
| 0.000 | 0.000 | 0.000 | 0.000 | 0.000 | 0.000 |
| 0.000 | 0.000 | 0.000 | 0.000 | 0.000 | -0.000 |
| 0.000 | 0.000 | 0.000 | 0.000 | 0.000 | 0.000 |
| 0.000 | 0.000 | 0.000 | 0.000 | 0.000 | 50.910 |
| 174.349 | 142.953 | -0.000 | -0.000 | -0.000 | -0.000 |
| 142.953 | 174.349 | -0.000 | -0.000 | -0.000 | 0.000 |
| -0.000 | -0.000 | -0.000 | -0.000 | -0.000 | -0.000 |
| -0.000 | -0.000 | -0.000 | -0.000 | -0.000 | 0.000 |
| -0.000 | -0.000 | -0.000 | -0.000 | -0.000 | -0.000 |
| -0.000 | -0.000 | -0.000 | -0.000 | -0.000 | 50.910 |
| 174.349 | 142.953 | 0.000 | 0.000 | 0.000 | -0.000 |
| 142.953 | 174.349 | 0.000 | 0.000 | 0.000 | 0.000 |
| 0.000 | 0.000 | 0.000 | 0.000 | 0.000 | 0.000 |
| 0.000 | 0.000 | 0.000 | 0.000 | 0.000 | 0.000 |
| 0.000 | 0.000 | 0.000 | 0.000 | 0.000 | -0.000 |
| 0.000 | 0.000 | 0.000 | 0.000 | 0.000 | 50.910 |
| 174.348 | 142.952 | -0.000 | -0.000 | -0.000 | 0.000 |
| 142.952 | 174.348 | -0.000 | -0.000 | -0.000 | 0.000 |
| -0.000 | -0.000 | -0.000 | -0.000 | -0.000 | -0.000 |
| -0.000 | -0.000 | -0.000 | -0.000 | -0.000 | -0.000 |
| -0.000 | -0.000 | -0.000 | -0.000 | -0.000 | -0.000 |
| -0.000 | -0.000 | -0.000 | -0.000 | -0.000 | 50.910 |
| 174.351 | 142.953 | 0.000 | 0.000 | 0.000 | -0.000 |
| 142.953 | 174.351 | 0.000 | 0.000 | 0.000 | 0.000 |
| 0.000 | 0.000 | 0.000 | 0.000 | 0.000 | 0.000 |
| 0.000 | 0.000 | 0.000 | 0.000 | 0.000 | -0.000 |
| 0.000 | 0.000 | 0.000 | 0.000 | 0.000 | 0.000 |
| 0.000 | 0.000 | 0.000 | 0.000 | 0.000 | 50.910 |
| 174.347 | 142.952 | -0.000 | -0.000 | -0.000 | 0.000 |
| 142.952 | 174.347 | -0.000 | -0.000 | -0.000 | -0.000 |
| -0.000 | -0.000 | -0.000 | -0.000 | -0.000 | -0.000 |
| -0.000 | -0.000 | -0.000 | -0.000 | -0.000 | 0.000 |
| -0.000 | -0.000 | -0.000 | -0.000 | -0.000 | 0.000 |
| -0.000 | -0.000 | -0.000 | -0.000 | -0.000 | 50.910 |
| 1121.871 | -46.920 | -0.000 | -0.000 | -0.000 | -0.000 |
| 31.966 | 1042.985 | -0.000 | -0.000 | -0.000 | 0.000 |
| -0.000 | -0.000 | -0.000 | 0.000 | -0.000 | -0.000 |
| 0.000 | -0.000 | -0.000 | 0.000 | -0.000 | 0.000 |
| 0.000 | 0.000 | -0.000 | 0.000 | -0.000 | -0.000 |
| -0.000 | 0.000 | -0.000 | 0.000 | -0.000 | 584.396 |
| 1121.871 | -46.920 | -0.000 | -0.000 | 0.000 | 0.000 |
| -46.920 | 1121.871 | -0.000 | 0.000 | 0.000 | 0.000 |
| -0.000 | -0.000 | 0.000 | -0.000 | 0.000 | -0.000 |
| -0.000 | 0.000 | 0.000 | -0.000 | 0.000 | 0.000 |
| -0.000 | -0.000 | 0.000 | 0.000 | 0.000 | 0.000 |
| 0.000 | -0.000 | 0.000 | -0.000 | -0.000 | 584.396 |
| 1042.986 | 31.965 | 0.000 | -0.000 | -0.000 | 0.000 |
| -46.920 | 1121.871 | -0.000 | 0.000 | -0.000 | -0.000 |
| -0.000 | -0.000 | -0.000 | -0.000 | 0.000 | -0.000 |
| -0.000 | 0.000 | -0.000 | 0.000 | -0.000 | -0.000 |
| 0.000 | 0.000 | -0.000 | 0.000 | -0.000 | 0.000 |
| -0.000 | 0.000 | -0.000 | 0.000 | -0.000 | 584.396 |
| 1042.983 | 31.967 | 0.000 | 0.000 | 0.000 | -0.000 |
| 31.965 | 1042.985 | 0.000 | 0.000 | 0.000 | -0.000 |
| -0.000 | -0.000 | 0.000 | -0.000 | 0.000 | -0.000 |
| -0.000 | 0.000 | 0.000 | -0.000 | 0.000 | 0.000 |
| -0.000 | -0.000 | 0.000 | -0.000 | 0.000 | 0.000 |
| 0.000 | -0.000 | 0.000 | -0.000 | -0.000 | 584.396 |
| 1042.998 | 31.956 | -0.000 | -0.000 | -0.000 | 0.000 |
| 31.977 | 1042.978 | -0.000 | -0.000 | -0.000 | 0.000 |
| -0.000 | -0.000 | -0.000 | 0.000 | 0.000 | -0.000 |
| -0.000 | -0.000 | 0.000 | 0.000 | -0.000 | -0.000 |
| 0.000 | 0.000 | -0.000 | 0.000 | -0.000 | -0.000 |
| -0.000 | 0.001 | 0.000 | 0.000 | 0.000 | 505.509 |
| 1042.971 | 31.976 | -0.000 | 0.000 | 0.000 | -0.000 |
| 33.079 | 1041.868 | 0.000 | -0.000 | 0.000 | -0.000 |
| -0.000 | -0.000 | -0.000 | -0.000 | 0.000 | -0.000 |
| 0.000 | -0.000 | 0.000 | 0.000 | 0.000 | 0.000 |
| -0.000 | -0.000 | 0.000 | -0.000 | 0.000 | 0.000 |
| 0.000 | -0.001 | -0.000 | -0.000 | 0.000 | 505.509 |
| 384.431 | -197.434 | 580.986 | 55.907 | 0.000 | -0.000 |
| -203.650 | 372.738 | -797.772 | -54.641 | 0.000 | -0.000 |
| 168.603 | 168.603 | -124.712 | -0.000 | 0.000 | 0.000 |
| 47.293 | -62.064 | -1137.221 | -113.898 | 0.000 | 0.000 |
| -7.386 | -7.385 | -1137.221 | -0.000 | -113.897 | 54.679 |
| -7.290 | -7.289 | -1122.422 | -0.000 | 15.170 | 202.745 |
| 384.431 | -197.435 | 580.981 | 55.907 | -0.000 | 0.000 |
| -188.026 | 388.119 | 1589.349 | -54.585 | -0.000 | 0.000 |
| 258.935 | 258.935 | 13784.490 | 0.000 | -0.000 | 0.000 |
| 55.907 | -55.907 | -0.002 | -113.330 | -0.000 | 0.000 |
| 7.386 | 7.385 | 1137.221 | 0.000 | -113.898 | 54.679 |
| 7.290 | 7.289 | 1122.422 | 0.000 | 15.169 | 202.745 |
| 292.900 | -111.445 | 154.327 | 14.905 | 0.000 | -0.000 |
| -111.240 | 293.844 | 242.739 | -15.075 | 0.000 | 0.000 |
| 175.165 | 175.165 | 885.609 | -0.000 | 0.000 | 0.000 |
| 51.519 | -54.815 | -253.812 | -114.596 | 0.000 | 0.000 |
| -1.648 | -1.648 | -253.813 | -0.000 | -114.596 | 53.167 |
| 0.000 | 0.000 | 0.000 | -0.000 | 55.907 | 290.933 |
| 355.798 | -178.799 | -188.653 | 44.989 | -0.000 | 0.000 |
| -178.818 | 355.827 | -187.869 | -45.000 | -0.000 | -0.000 |
| 174.702 | 174.702 | 814.500 | 0.000 | -0.000 | 0.000 |
| 55.907 | -55.907 | 0.001 | -113.330 | -0.000 | 0.000 |
| 1.648 | 1.648 | 253.813 | 0.000 | -114.596 | 53.167 |
| 0.000 | -0.000 | -0.000 | 0.000 | 55.907 | 290.933 |
| 294.940 | -110.615 | 375.079 | 15.184 | 0.000 | 0.000 |
| -110.615 | 294.940 | 375.074 | -15.183 | 0.000 | -0.000 |
| 175.997 | 175.997 | 1012.659 | -0.000 | 0.000 | -0.000 |
| 15.160 | -15.358 | -15.285 | -132.106 | 0.000 | 0.000 |
| -1.975 | -1.975 | -304.204 | -0.001 | -128.521 | 23.022 |
| 0.000 | 0.001 | 0.000 | -0.000 | 55.907 | 290.933 |
| 304.805 | -116.293 | 697.925 | 18.775 | -0.000 | 0.000 |
| -197.435 | 384.428 | 580.982 | -55.907 | -0.000 | -0.000 |
| 175.974 | 175.974 | 1011.529 | 0.000 | -0.000 | 0.000 |
| 24.997 | -21.046 | 304.208 | -128.522 | -0.000 | -0.000 |
| 1.975 | 1.975 | 304.204 | 0.001 | -128.521 | 23.022 |
| -0.000 | -0.001 | -0.000 | 0.000 | 55.907 | 290.933 |
| 455.330 | 265.111 | 265.111 | 0.000 | -0.000 | -0.000 |
| 265.111 | 455.330 | 265.111 | 0.000 | 0.000 | 0.000 |
| 265.111 | 265.111 | 455.330 | -0.000 | -0.000 | 0.000 |
| 0.000 | 0.000 | 0.000 | 86.073 | -0.000 | -0.000 |
| 0.000 | 0.000 | 0.000 | 0.000 | 86.073 | 0.000 |
| 0.000 | 0.000 | 0.000 | 0.000 | 0.000 | 86.073 |
| 455.330 | 265.111 | 265.111 | -0.000 | -0.000 | -0.000 |
| 265.111 | 455.330 | 265.111 | -0.000 | -0.000 | 0.000 |
| 265.111 | 265.111 | 455.330 | 0.000 | 0.000 | -0.000 |
| -0.000 | -0.000 | -0.000 | 86.073 | -0.000 | -0.000 |
| -0.000 | -0.000 | -0.000 | 0.000 | 86.073 | -0.000 |
| -0.000 | -0.000 | -0.000 | -0.000 | -0.000 | 86.073 |
| 455.330 | 265.111 | 265.111 | 0.000 | 0.000 | 0.000 |
| 265.111 | 455.330 | 265.111 | -0.000 | 0.000 | -0.000 |
| 265.111 | 265.111 | 455.330 | 0.000 | 0.000 | 0.000 |
| -0.000 | -0.000 | 0.000 | 86.073 | 0.000 | -0.000 |
| -0.000 | -0.000 | 0.000 | -0.000 | 86.073 | 0.000 |
| -0.000 | 0.000 | -0.000 | 0.000 | 0.000 | 86.073 |
| 455.329 | 265.111 | 265.111 | 0.000 | -0.000 | 0.000 |
| 265.111 | 455.329 | 265.111 | 0.000 | -0.000 | -0.000 |
| 265.111 | 265.111 | 455.329 | 0.000 | 0.000 | 0.000 |
| 0.000 | 0.000 | -0.000 | 86.073 | 0.000 | -0.000 |
| 0.000 | 0.000 | -0.000 | 0.000 | 86.073 | -0.000 |
| 0.000 | -0.000 | 0.000 | -0.000 | -0.000 | 86.073 |
| 455.334 | 265.112 | 265.112 | 0.000 | -0.000 | 0.000 |
| 265.112 | 455.334 | 265.112 | 0.000 | 0.000 | 0.000 |
| 265.112 | 265.112 | 455.334 | -0.000 | -0.000 | 0.000 |
| -0.000 | -0.000 | 0.000 | 86.073 | 0.000 | 0.000 |
| -0.000 | -0.000 | 0.000 | 0.000 | 86.073 | 0.000 |
| -0.000 | 0.000 | -0.000 | 0.000 | 0.000 | 86.073 |
| 455.326 | 265.110 | 265.110 | 0.000 | -0.000 | -0.000 |
| 265.110 | 455.326 | 265.110 | 0.000 | -0.000 | 0.000 |
| 265.110 | 265.110 | 455.326 | 0.000 | -0.000 | -0.000 |
| 0.000 | 0.000 | -0.000 | 86.073 | -0.000 | -0.000 |
| 0.000 | 0.000 | -0.000 | -0.000 | 86.073 | -0.000 |
| 0.000 | -0.000 | 0.000 | 0.000 | 0.000 | 86.073 |
| 473.590 | 720.445 | -168.241 | -0.000 | 0.000 | -0.000 |
| 720.445 | 473.590 | -168.241 | -0.000 | 0.000 | -0.000 |
| -161.761 | -161.761 | 1436.949 | 0.000 | 0.000 | -0.000 |
| 0.005 | 0.005 | -0.007 | 523.699 | 0.000 | -0.000 |
| 0.005 | 0.005 | -0.007 | 0.000 | 523.699 | -0.000 |
| 0.000 | 0.000 | 0.000 | 0.000 | 0.000 | 278.848 |
| 473.586 | 720.440 | -168.234 | -0.000 | -0.000 | 0.000 |
| 720.440 | 473.586 | -168.234 | -0.000 | -0.000 | 0.000 |
| -181.401 | -181.401 | 1467.445 | -0.000 | -0.000 | 0.000 |
| -0.005 | -0.005 | 0.007 | 523.698 | -0.000 | 0.000 |
| -0.005 | -0.005 | 0.007 | -0.000 | 523.698 | 0.000 |
| 0.000 | -0.000 | -0.000 | 0.000 | -0.000 | 278.848 |
| 473.587 | 720.448 | -168.240 | -0.000 | 0.000 | -0.000 |
| 720.448 | 473.587 | -168.240 | 0.000 | 0.000 | -0.000 |
| -161.762 | -161.762 | 1436.952 | 0.000 | 0.000 | -0.000 |
| 0.000 | 0.000 | 0.000 | 523.812 | 0.000 | -0.000 |
| 0.000 | 0.000 | 0.000 | 0.000 | 523.812 | -0.000 |
| 0.000 | 0.000 | -0.000 | -0.000 | 0.000 | 165.973 |
| 473.590 | 720.437 | -168.235 | 0.000 | -0.000 | 0.000 |
| 720.437 | 473.590 | -168.235 | 0.000 | -0.000 | 0.000 |
| -181.401 | -181.401 | 1467.445 | -0.000 | -0.000 | 0.000 |
| -0.000 | -0.000 | -0.000 | 523.812 | -0.000 | 0.000 |
| -0.000 | -0.000 | -0.000 | 0.000 | 523.812 | 0.000 |
| -0.000 | -0.000 | 0.000 | 0.000 | -0.000 | 165.973 |
| 473.571 | 720.496 | -168.260 | 0.000 | 0.000 | -0.000 |
| 720.496 | 473.571 | -168.260 | 0.000 | 0.000 | -0.000 |
| -161.763 | -161.763 | 1436.957 | -0.000 | 0.000 | -0.000 |
| 0.000 | 0.001 | 0.000 | 523.812 | 0.000 | -0.000 |
| 0.001 | 0.000 | 0.000 | 0.000 | 523.812 | -0.000 |
| -0.000 | -0.000 | 0.000 | -0.000 | 0.000 | 165.973 |
| 473.605 | 720.388 | -168.216 | 0.000 | -0.000 | -0.000 |
| 720.388 | 473.605 | -168.216 | 0.000 | -0.000 | 0.000 |
| -161.761 | -161.761 | 1436.944 | -0.000 | -0.000 | 0.000 |
| -0.000 | -0.001 | -0.000 | 523.812 | -0.000 | 0.000 |
| -0.001 | -0.000 | -0.000 | -0.000 | 523.812 | 0.000 |
| 0.000 | 0.000 | -0.000 | 0.000 | 0.000 | 165.973 |
| 542.180 | 124.765 | 124.765 | 0.000 | -0.000 | -0.000 |
| 124.765 | 542.180 | 124.765 | 0.000 | 0.000 | -0.000 |
| 124.765 | 124.765 | 542.180 | -0.000 | -0.000 | -0.000 |
| -0.000 | -0.000 | -0.000 | 349.473 | 0.000 | -0.000 |
| 0.000 | -0.000 | 0.000 | -0.000 | 349.473 | 0.000 |
| -0.000 | 0.000 | -0.000 | 0.000 | -0.000 | 349.473 |
| 542.180 | 124.765 | 124.765 | 0.000 | 0.000 | 0.000 |
| 124.765 | 542.180 | 124.765 | -0.000 | 0.000 | 0.000 |
| 124.765 | 124.765 | 542.180 | -0.000 | -0.000 | 0.000 |
| 0.000 | 0.000 | 0.000 | 349.473 | 0.000 | 0.000 |
| -0.000 | 0.000 | -0.000 | 0.000 | 349.473 | 0.000 |
| 0.000 | 0.000 | 0.000 | 0.000 | -0.000 | 349.473 |
| 550.845 | 120.433 | 120.433 | -0.000 | -0.000 | 0.000 |
| 120.433 | 550.845 | 120.433 | 0.000 | -0.000 | -0.000 |
| 120.433 | 120.433 | 550.845 | -0.000 | 0.000 | -0.000 |
| 0.000 | -0.000 | 0.000 | 349.473 | 0.000 | -0.000 |
| -0.000 | 0.000 | 0.000 | -0.000 | 349.473 | 0.000 |
| -0.000 | 0.000 | 0.000 | 0.000 | 0.000 | 349.473 |
| 542.180 | 124.765 | 124.765 | -0.000 | 0.000 | -0.000 |
| 124.765 | 542.180 | 124.765 | -0.000 | 0.000 | 0.000 |
| 124.765 | 124.765 | 542.180 | 0.000 | -0.000 | -0.000 |
| -0.000 | 0.000 | -0.000 | 349.473 | 0.000 | 0.000 |
| 0.000 | -0.000 | -0.000 | 0.000 | 349.473 | 0.000 |
| 0.000 | -0.000 | -0.000 | 0.000 | 0.000 | 349.473 |
| 542.182 | 124.766 | 124.766 | -0.000 | -0.000 | -0.000 |
| 124.766 | 542.182 | 124.766 | 0.000 | -0.000 | -0.000 |
| 124.766 | 124.766 | 542.182 | 0.000 | -0.000 | -0.000 |
| 0.000 | -0.000 | 0.000 | 349.473 | 0.000 | 0.000 |
| -0.000 | 0.000 | 0.000 | -0.000 | 349.473 | -0.000 |
| -0.000 | 0.000 | 0.000 | -0.000 | 0.000 | 349.473 |
| 542.179 | 124.765 | 124.765 | 0.000 | 0.000 | 0.000 |
| 124.765 | 542.179 | 124.765 | 0.000 | 0.000 | 0.000 |
| 124.765 | 124.765 | 542.179 | 0.000 | -0.000 | 0.000 |
| -0.000 | 0.000 | -0.000 | 349.473 | 0.000 | 0.000 |
| 0.000 | -0.000 | -0.000 | 0.000 | 349.473 | 0.000 |
| 0.000 | -0.000 | -0.000 | 0.000 | 0.000 | 349.473 |
| 1379.088 | 100.591 | -331.489 | -0.000 | 0.000 | 0.000 |
| 343.611 | 177.946 | 192.248 | 0.000 | 0.000 | -0.000 |
| -330.967 | -29.067 | 1537.579 | -0.000 | 0.000 | 0.000 |
| 137.251 | -585.713 | 141.893 | 502.077 | 0.000 | -0.000 |
| 115.093 | -566.281 | 131.085 | 0.000 | 528.463 | -0.000 |
| 0.000 | -0.000 | 0.000 | 0.000 | 0.000 | 308.712 |
| 624.555 | 801.464 | -51.465 | -0.000 | -0.000 | 0.000 |
| 302.751 | 1234.791 | -252.800 | -0.000 | 0.000 | 0.000 |
| 12.398 | 239.403 | 1111.128 | 0.000 | -0.000 | 0.000 |
| -137.251 | 585.713 | -141.893 | 502.077 | -0.000 | 0.000 |
| -115.093 | 566.281 | -131.085 | -0.000 | 528.463 | 0.000 |
| -0.000 | -0.000 | -0.000 | -0.000 | -0.000 | 308.712 |
| 1029.294 | 191.365 | -89.463 | -0.000 | 0.000 | -0.000 |
| 354.889 | 652.978 | -46.133 | 0.000 | 0.000 | 0.000 |
| -59.053 | -117.554 | 1357.446 | 0.000 | 0.000 | 0.000 |
| 21.787 | -62.573 | 8.206 | 500.192 | 0.000 | -0.000 |
| 11.492 | -56.408 | 12.999 | 0.000 | 529.318 | -0.000 |
| -0.849 | -16.341 | 8.524 | 0.000 | 0.000 | 234.566 |
| 1379.087 | 100.591 | -331.489 | 0.000 | -0.000 | -0.000 |
| 352.425 | 757.569 | -95.144 | -0.000 | -0.000 | 0.000 |
| -330.967 | -29.067 | 1537.578 | 0.000 | -0.000 | -0.000 |
| -21.787 | 62.573 | -8.206 | 500.192 | -0.000 | 0.000 |
| -11.492 | 56.408 | -12.999 | -0.000 | 529.318 | -0.000 |
| 0.849 | 16.341 | -8.524 | 0.000 | -0.000 | 234.566 |
| 856.725 | 371.302 | -66.429 | 0.000 | 0.000 | -0.000 |
| 382.489 | 694.729 | -93.219 | 0.000 | 0.000 | -0.000 |
| -73.946 | -74.632 | 1349.830 | 0.000 | 0.000 | -0.000 |
| 5.848 | -6.871 | -2.470 | 495.812 | 0.000 | -0.000 |
| -0.147 | -2.859 | 1.491 | 0.000 | 530.059 | 0.000 |
| 1.060 | -5.305 | 1.464 | 0.000 | 0.000 | 217.930 |
| 854.310 | 381.983 | -68.873 | -0.000 | -0.000 | 0.000 |
| 378.880 | 705.957 | -95.321 | 0.000 | -0.000 | 0.000 |
| -75.478 | -66.064 | 1347.228 | -0.000 | -0.000 | 0.000 |
| 0.311 | 5.970 | -3.116 | 502.705 | -0.000 | 0.000 |
| 0.147 | 2.859 | -1.491 | -0.000 | 530.059 | 0.000 |
| -1.060 | 5.305 | -1.464 | -0.000 | -0.000 | 217.930 |
| 923.879 | 437.004 | -391.342 | 0.000 | 205.825 | 0.000 |
| 778.779 | 1384.711 | -504.394 | -0.000 | 101.713 | 0.000 |
| 849.257 | 163.141 | 714.911 | 0.000 | -160.414 | 0.000 |
| 0.000 | 0.000 | 0.000 | 735.917 | 0.000 | -85.564 |
| 659.775 | 344.634 | -624.428 | 0.000 | 193.374 | 0.000 |
| 664.906 | 344.266 | -511.510 | -140.689 | 113.102 | 199.752 |
| 615.647 | 0.850 | 128.238 | 0.000 | 8.575 | -0.000 |
| -249.539 | 638.840 | 489.442 | 0.000 | -238.294 | -0.000 |
| 185.932 | -151.045 | 1203.869 | 0.000 | -105.235 | -0.000 |
| -0.000 | -0.000 | -0.000 | 735.917 | -0.000 | -85.564 |
| -350.843 | -449.918 | 434.408 | -0.000 | -70.544 | -0.000 |
| -664.906 | -344.266 | 511.510 | -140.689 | -113.102 | 199.752 |
| 593.214 | 83.882 | 19.737 | -0.000 | -136.176 | 0.000 |
| 336.319 | 823.174 | 323.357 | 0.000 | 131.117 | 0.000 |
| 185.932 | -151.045 | 1203.869 | 0.000 | -105.235 | 0.000 |
| 30.882 | 39.503 | -47.475 | 625.545 | 19.659 | -119.895 |
| 21.624 | 59.974 | -192.801 | 0.000 | -12.562 | 0.000 |
| 36.891 | 47.189 | -56.712 | -136.298 | 23.484 | 219.233 |
| 456.178 | 48.693 | 86.137 | -0.000 | -55.842 | -0.000 |
| 32.511 | 1015.513 | 49.959 | 0.000 | -21.470 | -0.000 |
| -124.035 | 275.140 | 611.546 | 0.000 | -295.528 | -0.000 |
| -30.882 | -39.503 | 47.475 | 625.545 | -19.659 | -119.895 |
| -128.415 | 23.481 | -126.204 | 0.000 | 36.414 | -0.000 |
| -36.891 | -47.189 | 56.712 | -136.298 | -23.484 | 219.233 |
| 451.637 | 185.399 | -116.551 | 0.000 | -158.969 | 0.000 |
| 253.251 | 835.365 | 301.279 | 0.000 | 143.496 | 0.000 |
| -23.132 | 259.877 | 642.883 | 0.000 | -327.385 | 0.000 |
| 2.844 | 3.639 | -4.371 | 634.264 | 1.810 | -117.183 |
| -115.938 | 153.303 | -306.904 | 0.000 | -91.257 | 0.000 |
| 6.845 | 1.033 | -2.733 | -127.883 | -0.374 | 202.739 |
| 435.743 | 187.111 | -116.684 | 0.000 | -166.407 | 0.000 |
| 234.793 | 838.016 | 296.427 | 0.000 | 146.250 | -0.000 |
| -40.979 | 262.981 | 633.578 | -0.000 | -307.931 | -0.000 |
| -2.844 | -3.639 | 4.371 | 634.264 | -1.810 | -117.183 |
| -134.351 | 155.922 | -311.705 | 0.000 | -88.377 | -0.000 |
| -6.845 | -1.033 | 2.733 | -127.883 | 0.374 | 202.739 |
| 458.301 | 30.177 | 0.644 | -0.024 | 2.000 | -1.728 |
| 23.820 | 466.104 | 0.453 | -0.031 | 2.597 | -2.066 |
| -8.788 | 26.957 | 0.111 | 0.115 | 2.546 | 7.238 |
| -0.000 | 0.000 | -0.000 | 0.521 | -0.000 | 1.453 |
| -2.019 | 12.294 | 0.094 | 0.075 | 2.378 | 4.142 |
| 12.904 | -6.484 | 0.108 | 0.522 | 0.757 | 190.327 |
| 506.114 | -18.235 | 0.487 | 0.000 | 2.329 | 0.000 |
| 6.579 | 443.133 | 0.151 | 0.023 | -3.524 | 1.525 |
| 0.486 | 0.305 | 0.010 | 0.000 | -0.005 | 0.000 |
| -24.955 | 12.540 | -0.209 | 0.336 | -1.463 | 10.222 |
| -18.262 | -1.214 | -0.110 | 0.154 | -3.963 | 9.779 |
| -6.818 | -8.050 | -0.067 | -0.712 | -3.316 | 201.543 |
| 453.117 | 22.316 | 0.468 | -0.005 | 0.143 | -0.323 |
| 20.548 | 458.797 | 0.296 | -0.004 | -0.162 | -0.294 |
| 0.486 | 0.305 | 0.010 | -0.000 | -0.005 | -0.000 |
| -0.000 | 0.000 | 0.000 | 0.521 | -0.000 | 1.453 |
| 2.329 | -0.301 | -0.005 | 0.000 | 0.582 | 0.000 |
| 0.000 | 0.000 | 0.000 | 1.453 | 0.000 | 262.280 |
| 464.466 | 20.813 | 0.447 | 0.005 | 1.736 | 0.322 |
| 19.705 | 466.165 | 0.291 | 0.005 | -0.140 | 0.322 |
| 2.191 | -2.426 | -0.003 | -0.006 | 0.027 | -0.378 |
| 0.147 | -1.190 | -0.009 | -0.068 | -0.234 | 0.665 |
| -1.327 | 1.345 | -0.031 | 0.013 | 0.190 | 0.892 |
| -0.744 | -0.486 | -0.010 | -0.052 | -0.251 | 215.597 |
| 447.294 | 25.859 | 0.462 | -0.001 | -0.123 | -0.031 |
| 25.267 | 450.417 | 0.297 | -0.001 | -0.042 | -0.031 |
| 0.486 | 0.305 | 0.010 | -0.000 | -0.005 | 0.000 |
| 0.136 | -0.068 | 0.001 | 0.336 | 0.008 | 0.501 |
| 2.329 | -0.301 | -0.005 | 0.000 | 0.582 | 0.000 |
| -0.015 | 0.147 | 0.001 | 0.005 | 0.011 | 212.532 |
| 445.900 | 25.949 | 0.456 | 0.000 | -0.241 | 0.030 |
| 19.463 | 459.224 | 0.281 | 0.000 | -0.349 | 0.030 |
| 0.434 | 0.193 | 0.005 | -0.000 | -0.027 | -0.016 |
| -0.036 | -0.064 | -0.001 | 0.008 | -0.015 | -0.030 |
| -0.068 | -0.052 | -0.001 | 0.001 | -0.018 | 0.048 |
| -0.015 | -0.090 | -0.001 | 0.065 | -0.015 | 214.154 |
| 135.332 | 69.578 | 0.000 | 0.000 | 0.000 | -0.000 |
| 69.578 | 135.332 | 0.000 | 0.000 | 0.000 | -0.000 |
| 0.000 | 0.000 | 0.000 | 0.000 | 0.000 | 0.000 |
| 0.000 | 0.000 | 0.000 | 0.000 | 0.000 | -0.000 |
| 0.000 | 0.000 | 0.000 | 0.000 | 0.000 | -0.000 |
| 0.000 | 0.000 | 0.000 | 0.000 | 0.000 | 10.138 |
| 135.332 | 69.578 | -0.000 | -0.000 | -0.000 | 0.000 |
| 69.578 | 135.332 | -0.000 | -0.000 | -0.000 | -0.000 |
| -0.000 | -0.000 | -0.000 | -0.000 | -0.000 | -0.000 |
| -0.000 | -0.000 | -0.000 | -0.000 | -0.000 | -0.000 |
| -0.000 | -0.000 | -0.000 | -0.000 | -0.000 | 0.000 |
| -0.000 | -0.000 | -0.000 | -0.000 | -0.000 | 10.138 |
| 135.332 | 69.578 | 0.000 | 0.000 | 0.000 | -0.000 |
| 69.578 | 135.332 | 0.000 | 0.000 | 0.000 | 0.000 |
| 0.000 | 0.000 | 0.000 | 0.000 | 0.000 | 0.000 |
| 0.000 | 0.000 | 0.000 | 0.000 | 0.000 | 0.000 |
| 0.000 | 0.000 | 0.000 | 0.000 | 0.000 | -0.000 |
| 0.000 | 0.000 | 0.000 | 0.000 | 0.000 | 10.138 |
| 135.332 | 69.578 | -0.000 | -0.000 | -0.000 | -0.000 |
| 69.578 | 135.332 | -0.000 | -0.000 | -0.000 | 0.000 |
| -0.000 | -0.000 | -0.000 | -0.000 | -0.000 | -0.000 |
| -0.000 | -0.000 | -0.000 | -0.000 | -0.000 | -0.000 |
| -0.000 | -0.000 | -0.000 | -0.000 | -0.000 | 0.000 |
| -0.000 | -0.000 | -0.000 | -0.000 | -0.000 | 10.138 |
| 135.333 | 69.578 | 0.000 | 0.000 | 0.000 | -0.000 |
| 69.578 | 135.333 | 0.000 | 0.000 | 0.000 | 0.000 |
| 0.000 | 0.000 | 0.000 | 0.000 | 0.000 | 0.000 |
| 0.000 | 0.000 | 0.000 | 0.000 | 0.000 | 0.000 |
| 0.000 | 0.000 | 0.000 | 0.000 | 0.000 | -0.000 |
| 0.000 | 0.000 | 0.000 | 0.000 | 0.000 | 10.138 |
| 135.331 | 69.578 | -0.000 | -0.000 | -0.000 | -0.000 |
| 69.578 | 135.331 | -0.000 | -0.000 | -0.000 | 0.000 |
| -0.000 | -0.000 | -0.000 | -0.000 | -0.000 | -0.000 |
| -0.000 | -0.000 | -0.000 | -0.000 | -0.000 | -0.000 |
| -0.000 | -0.000 | -0.000 | -0.000 | -0.000 | 0.000 |
| -0.000 | -0.000 | -0.000 | -0.000 | -0.000 | 10.138 |
| -2398.318 | -639.700 | -2590.602 | 0.000 | -0.000 | 0.000 |
| -2434.043 | -642.109 | -2609.674 | 0.000 | -0.000 | 0.000 |
| -4233.673 | -2177.247 | -3840.855 | 0.000 | -0.000 | 0.000 |
| 0.000 | -0.000 | 0.000 | 240.494 | 0.000 | 0.000 |
| -0.000 | 0.000 | 0.000 | -0.000 | 239.696 | 0.000 |
| -2962.048 | -1711.132 | -4039.016 | 0.000 | -0.000 | 17.906 |
| 1272.061 | 30.473 | 142.752 | -0.000 | 0.000 | -0.000 |
| 981.748 | 313.896 | 138.726 | -0.000 | 0.000 | -0.000 |
| 4300.644 | 2303.866 | 4146.138 | -0.000 | 0.000 | -0.000 |
| -0.000 | 0.000 | -0.000 | 240.494 | -0.000 | -0.000 |
| 0.000 | -0.000 | -0.000 | 0.000 | 239.696 | -0.000 |
| 2962.048 | 1711.132 | 4039.016 | -0.000 | 0.000 | 17.906 |
| -173.181 | 6.016 | -212.572 | 0.000 | -0.000 | 0.000 |
| -427.033 | -281.487 | -408.463 | 0.000 | -0.000 | 0.000 |
| -38.828 | 77.634 | 341.532 | 0.000 | -0.000 | 0.000 |
| -404.523 | -221.293 | -399.821 | 23.671 | -0.000 | 0.000 |
| -91.988 | 2.702 | -7.537 | 0.000 | 160.374 | 0.000 |
| -92.986 | 2.731 | -7.619 | 0.000 | -0.000 | 137.758 |
| 455.073 | 27.190 | 21.237 | 0.000 | 0.000 | 0.000 |
| 277.449 | 218.292 | 278.757 | -0.000 | 0.000 | -0.000 |
| 21.238 | 19.202 | 511.659 | 0.000 | 0.000 | -0.000 |
| 404.523 | 221.293 | 399.821 | 23.671 | 0.000 | -0.000 |
| 91.988 | -2.702 | 7.537 | -0.000 | 160.374 | -0.000 |
| 92.986 | -2.731 | 7.619 | -0.000 | 0.000 | 137.758 |
| -35.451 | -70.946 | -49.485 | 0.000 | -0.000 | 0.000 |
| -23.883 | 13.959 | -21.516 | -0.000 | 0.000 | 0.000 |
| 12.076 | 26.049 | 161.508 | 0.000 | -0.000 | 0.000 |
| -35.984 | -21.609 | -37.082 | 62.140 | -0.000 | 0.000 |
| -18.618 | -5.836 | -21.239 | 0.000 | 91.816 | 0.000 |
| -31.734 | -17.987 | -32.634 | 0.000 | -0.000 | 36.472 |
| 194.428 | 75.945 | 82.864 | 0.000 | 0.000 | -0.000 |
| 58.710 | 105.225 | 61.885 | 0.000 | -0.000 | -0.000 |
| 55.026 | 37.687 | 205.507 | -0.000 | 0.000 | -0.000 |
| 35.984 | 21.609 | 37.082 | 62.140 | 0.000 | -0.000 |
| 18.618 | 5.836 | 21.239 | -0.000 | 91.816 | -0.000 |
| 31.734 | 17.987 | 32.634 | -0.000 | 0.000 | 36.472 |
| -338.648 | -921.849 | 1748.813 | -0.000 | -0.000 | 0.000 |
| 26.873 | 444.321 | 14.823 | 0.000 | -0.000 | 0.000 |
| -517.927 | -910.929 | 1958.861 | -0.000 | -0.000 | -0.000 |
| -602.465 | -991.118 | 1654.528 | 115.486 | -0.000 | -0.000 |
| -1876.621 | -169.310 | 2413.694 | 0.000 | 127.226 | -0.000 |
| -2992.781 | -84.983 | 4576.480 | -0.000 | -0.000 | 6.330 |
| 868.220 | 1059.116 | -1560.084 | 0.000 | -0.000 | 0.000 |
| 684.540 | 1269.895 | -1591.448 | 0.000 | 0.000 | -0.000 |
| 686.397 | 1070.507 | -1348.498 | 0.000 | 0.000 | 0.000 |
| 602.465 | 991.118 | -1654.528 | 115.486 | 0.000 | 0.000 |
| 1876.621 | 169.310 | -2413.694 | 0.000 | 127.226 | 0.000 |
| 2992.781 | 84.983 | -4576.480 | 0.000 | 0.000 | 6.330 |
| -510.281 | 64.204 | 498.243 | -0.000 | -0.000 | -0.000 |
| -121.755 | 203.504 | 286.384 | -0.000 | -0.000 | -0.000 |
| -288.880 | 17.479 | 584.075 | -0.000 | -0.000 | -0.000 |
| -361.267 | 4.191 | 611.466 | -50.156 | -0.000 | -0.000 |
| -58.520 | -96.272 | 160.711 | -0.000 | 119.296 | -0.000 |
| -187.814 | -18.332 | 242.868 | 0.000 | -0.000 | 87.575 |
| 338.623 | 53.160 | -443.480 | 0.000 | 0.000 | 0.000 |
| 253.958 | 241.759 | -212.521 | 0.000 | 0.000 | 0.000 |
| 344.081 | -166.438 | -572.222 | 0.000 | 0.000 | 0.000 |
| 361.267 | -4.191 | -611.466 | -50.156 | 0.000 | 0.000 |
| 58.520 | 96.272 | -160.711 | 0.000 | 119.296 | 0.000 |
| 187.814 | 18.332 | -242.868 | 0.000 | 0.000 | 87.575 |
| 13.309 | 19.304 | 60.041 | -0.000 | -0.000 | -0.000 |
| 0.756 | 61.369 | 59.339 | -0.000 | -0.000 | -0.000 |
| 30.665 | 50.352 | 258.505 | -0.000 | -0.000 | -0.000 |
| -22.244 | -2.938 | 36.805 | 67.719 | 0.000 | -0.000 |
| -33.443 | 21.704 | 47.744 | -0.000 | 17.164 | -0.000 |
| -23.037 | 0.357 | 37.931 | -0.000 | -0.000 | 20.846 |
| 37.823 | -46.671 | -55.539 | 0.000 | 0.000 | 0.000 |
| -24.190 | -26.229 | -71.627 | 0.000 | 0.000 | 0.000 |
| 27.350 | -7.665 | 97.289 | 0.000 | 0.000 | 0.000 |
| 22.244 | 2.938 | -36.805 | 67.719 | 0.000 | 0.000 |
| 33.443 | -21.704 | -47.744 | 0.000 | 17.164 | 0.000 |
| 23.037 | -0.357 | -37.931 | 0.000 | 0.000 | 20.846 |
| 639.044 | 0.000 | 0.000 | 0.000 | 0.000 | 0.000 |
| 0.000 | 0.000 | 0.000 | 0.000 | 0.000 | 0.000 |
| -0.000 | 0.000 | 0.000 | 0.000 | 0.000 | 0.000 |
| 0.000 | 0.000 | 0.000 | 0.000 | 0.000 | 0.000 |
| -0.000 | 0.000 | 0.000 | 0.000 | 0.000 | 0.000 |
| -0.000 | 0.000 | 0.000 | 0.000 | 0.000 | 0.000 |
| 639.044 | -0.000 | -0.000 | -0.000 | -0.000 | -0.000 |
| -0.000 | -0.000 | -0.000 | -0.000 | -0.000 | -0.000 |
| -0.000 | -0.000 | -0.000 | -0.000 | -0.000 | -0.000 |
| -0.000 | -0.000 | -0.000 | -0.000 | -0.000 | -0.000 |
| -0.000 | -0.000 | -0.000 | -0.000 | -0.000 | -0.000 |
| -0.000 | -0.000 | -0.000 | -0.000 | -0.000 | -0.000 |
| 639.044 | 0.000 | 0.000 | 0.000 | 0.000 | 0.000 |
| 0.000 | 0.000 | 0.000 | 0.000 | 0.000 | 0.000 |
| 0.000 | 0.000 | 0.000 | 0.000 | 0.000 | 0.000 |
| 0.000 | 0.000 | 0.000 | 0.000 | 0.000 | 0.000 |
| 0.000 | 0.000 | 0.000 | 0.000 | 0.000 | 0.000 |
| 0.000 | 0.000 | 0.000 | 0.000 | 0.000 | 0.000 |
| 639.044 | -0.000 | -0.000 | -0.000 | -0.000 | -0.000 |
| -0.000 | -0.000 | -0.000 | -0.000 | -0.000 | -0.000 |
| 0.000 | -0.000 | -0.000 | -0.000 | -0.000 | -0.000 |
| -0.000 | -0.000 | -0.000 | -0.000 | -0.000 | -0.000 |
| 0.000 | -0.000 | -0.000 | -0.000 | -0.000 | -0.000 |
| -0.000 | -0.000 | -0.000 | -0.000 | -0.000 | -0.000 |
| 639.045 | 0.000 | 0.000 | 0.000 | 0.000 | 0.000 |
| 0.000 | 0.000 | 0.000 | 0.000 | 0.000 | 0.000 |
| 0.000 | 0.000 | 0.000 | 0.000 | 0.000 | 0.000 |
| 0.000 | 0.000 | 0.000 | 0.000 | 0.000 | 0.000 |
| 0.000 | 0.000 | 0.000 | 0.000 | 0.000 | 0.000 |
| 0.000 | 0.000 | 0.000 | 0.000 | 0.000 | 0.000 |
| 639.043 | -0.000 | -0.000 | -0.000 | -0.000 | -0.000 |
| -0.000 | -0.000 | -0.000 | -0.000 | -0.000 | -0.000 |
| -0.000 | -0.000 | -0.000 | -0.000 | -0.000 | -0.000 |
| -0.000 | -0.000 | -0.000 | -0.000 | -0.000 | -0.000 |
| -0.000 | -0.000 | -0.000 | -0.000 | -0.000 | -0.000 |
| -0.000 | -0.000 | -0.000 | -0.000 | -0.000 | -0.000 |
| 1412.610 | 159.412 | 71.460 | -0.000 | 215.108 | -0.000 |
| -6264.330 | -1698.403 | -1082.592 | 0.000 | -1598.599 | 0.000 |
| -6254.325 | -1782.989 | -885.320 | 0.000 | -1598.905 | 0.000 |
| -7362.099 | -989.979 | -388.370 | 127.812 | -1351.856 | 6.013 |
| -6026.335 | -1545.152 | -964.873 | 0.000 | -1509.675 | 0.001 |
| -6572.526 | -1314.738 | -1543.289 | -3.108 | -1412.121 | 59.801 |
| 6575.384 | 1871.662 | 1160.119 | -0.000 | 1615.042 | -0.000 |
| 6563.393 | 398.703 | 2077.779 | -0.000 | 853.876 | -0.000 |
| 6389.171 | 1901.562 | 1392.521 | -0.000 | 1610.676 | -0.000 |
| 7362.099 | 989.979 | 388.370 | 127.812 | 1351.856 | 6.012 |
| 7331.382 | 1432.637 | 962.653 | -0.000 | 1868.768 | -0.000 |
| 6572.526 | 1314.738 | 1543.289 | -3.108 | 1412.121 | 59.801 |
| -433.275 | -107.255 | -152.711 | 0.000 | -124.150 | 0.000 |
| 159.027 | 194.884 | 78.554 | -0.000 | 28.011 | -0.000 |
| -693.117 | -106.020 | 95.828 | 0.000 | -180.724 | 0.000 |
| -685.888 | -174.427 | -108.441 | 67.073 | -178.763 | -3.299 |
| -234.459 | -96.124 | -59.111 | 0.000 | -7.303 | -0.000 |
| -486.412 | -65.408 | -25.660 | 15.863 | -89.317 | 139.935 |
| 294.333 | 171.168 | 132.990 | -0.000 | 82.838 | -0.000 |
| 159.027 | 194.884 | 78.554 | 0.000 | 28.011 | 0.000 |
| 70.959 | 78.554 | 339.904 | 0.000 | 36.420 | 0.000 |
| 685.888 | 174.427 | 108.441 | 67.073 | 178.763 | -3.299 |
| 212.544 | 28.011 | 36.419 | 0.000 | 186.250 | 0.000 |
| 85.238 | 78.158 | 92.082 | 19.194 | 64.281 | 161.193 |
| 161.532 | 17.060 | -2.474 | 0.000 | -5.787 | 0.000 |
| -17.836 | 86.988 | 41.718 | 0.000 | -21.502 | 0.000 |
| 120.134 | 64.355 | 126.031 | 0.000 | 33.029 | 0.000 |
| -8.568 | -11.590 | -8.207 | 97.036 | -5.694 | 14.292 |
| -120.602 | -27.009 | -18.414 | 0.000 | 42.542 | 0.000 |
| -57.434 | -16.480 | -10.802 | 4.622 | -14.686 | 101.283 |
| 143.258 | 25.782 | 35.473 | -0.000 | 0.844 | -0.000 |
| 99.287 | 48.776 | 78.603 | -0.000 | 8.866 | -0.000 |
| 177.779 | 66.808 | 208.197 | -0.000 | 8.838 | -0.000 |
| 8.568 | 11.590 | 8.207 | 97.036 | 5.694 | 14.292 |
| 110.650 | -3.947 | 25.468 | 0.000 | 53.417 | 0.000 |
| 57.433 | 16.480 | 10.802 | 4.622 | 14.686 | 101.283 |
| 714.193 | 87.566 | 87.566 | 0.000 | -0.000 | 0.000 |
| 87.566 | 714.193 | 87.566 | -0.000 | -0.000 | -0.000 |
| 87.566 | 87.566 | 714.193 | 0.000 | -0.000 | 0.000 |
| -0.000 | 0.000 | 0.000 | 393.215 | -0.000 | 0.000 |
| -0.000 | 0.000 | 0.000 | 0.000 | 393.215 | 0.000 |
| -0.000 | 0.000 | 0.000 | 0.000 | -0.000 | 393.215 |
| 744.713 | 77.439 | 77.439 | 0.000 | 0.000 | -0.000 |
| 77.440 | 744.713 | 77.439 | -0.000 | -0.000 | -0.000 |
| 77.439 | 77.439 | 744.714 | 0.000 | 0.000 | -0.000 |
| 0.000 | -0.000 | -0.000 | 393.215 | 0.000 | -0.000 |
| 0.000 | -0.000 | -0.000 | -0.000 | 393.215 | -0.000 |
| 0.000 | -0.000 | -0.000 | 0.000 | 0.000 | 393.215 |
| 698.578 | 97.721 | 97.721 | -0.000 | -0.000 | 0.000 |
| 97.721 | 698.578 | 97.721 | 0.000 | -0.000 | 0.000 |
| 97.721 | 97.721 | 698.578 | 0.000 | -0.000 | 0.000 |
| -0.387 | -0.387 | -0.387 | 334.106 | -0.000 | 0.000 |
| -0.387 | -0.387 | -0.387 | -0.000 | 334.106 | 0.000 |
| -0.387 | -0.387 | -0.387 | 0.000 | -0.000 | 334.106 |
| 743.442 | 76.582 | 76.582 | -0.000 | 0.000 | -0.000 |
| 76.582 | 743.442 | 76.582 | -0.000 | 0.000 | -0.000 |
| 76.582 | 76.582 | 743.442 | -0.000 | 0.000 | -0.000 |
| 0.387 | 0.387 | 0.387 | 334.106 | 0.000 | -0.000 |
| 0.387 | 0.387 | 0.387 | -0.000 | 334.106 | -0.000 |
| 0.387 | 0.387 | 0.387 | -0.000 | 0.000 | 334.106 |
| 715.124 | 89.924 | 89.924 | 0.000 | -0.000 | 0.000 |
| 89.924 | 715.124 | 89.924 | 0.000 | -0.000 | 0.000 |
| 89.924 | 89.924 | 715.124 | 0.000 | -0.000 | 0.000 |
| -0.018 | -0.018 | -0.018 | 330.831 | -0.000 | 0.000 |
| -0.018 | -0.018 | -0.018 | -0.000 | 330.831 | 0.000 |
| -0.018 | -0.018 | -0.018 | 0.000 | -0.000 | 330.831 |
| 715.147 | 89.966 | 89.966 | -0.000 | 0.000 | -0.000 |
| 89.966 | 715.147 | 89.966 | 0.000 | 0.000 | -0.000 |
| 98.403 | 98.403 | 698.616 | 0.000 | 0.000 | -0.000 |
| 0.018 | 0.018 | 0.018 | 330.831 | 0.000 | -0.000 |
| 0.018 | 0.018 | 0.018 | 0.000 | 330.831 | -0.000 |
| 0.018 | 0.018 | 0.018 | 0.000 | 0.000 | 330.831 |
| 849.998 | 17.510 | 3.028 | -0.000 | 0.000 | 0.000 |
| 107.278 | 1020.420 | -56.916 | -0.000 | -0.000 | 0.000 |
| 82.138 | -70.578 | 1136.162 | -0.000 | -0.000 | -0.000 |
| 5.687 | -0.434 | -0.849 | 602.780 | 0.000 | 0.000 |
| 4.482 | -0.440 | -1.123 | -0.000 | 461.032 | 0.000 |
| 4.899 | -0.768 | -2.124 | -0.000 | 0.000 | 301.179 |
| 747.225 | 32.232 | 31.177 | 0.000 | -0.000 | -0.000 |
| 94.901 | 1017.976 | -51.828 | -0.000 | -0.000 | -0.000 |
| 60.783 | -72.882 | 1142.794 | 0.000 | 0.000 | 0.000 |
| -5.687 | 0.434 | 0.849 | 602.780 | -0.000 | -0.000 |
| -4.482 | 0.440 | 1.124 | 0.000 | 461.032 | -0.000 |
| -4.899 | 0.768 | 2.124 | -0.000 | -0.000 | 301.179 |
| 755.109 | 31.605 | 28.953 | -0.000 | 0.000 | 0.000 |
| 95.444 | 1018.602 | -54.029 | -0.000 | 0.001 | 0.000 |
| 75.704 | -71.223 | 1138.410 | -0.000 | 0.000 | 0.000 |
| 0.725 | 0.086 | -0.304 | 602.558 | 0.000 | 0.000 |
| 0.444 | -0.010 | -0.065 | -0.000 | 460.691 | 0.000 |
| 0.567 | -0.021 | -0.154 | -0.000 | -0.000 | 300.976 |
| 753.900 | 31.465 | 29.231 | 0.000 | -0.000 | 0.000 |
| 94.074 | 1018.430 | -53.563 | 0.000 | -0.000 | 0.000 |
| 74.679 | -71.258 | 1138.476 | 0.000 | -0.000 | -0.000 |
| -0.725 | -0.086 | 0.304 | 602.558 | -0.000 | -0.000 |
| -0.444 | 0.010 | 0.065 | -0.000 | 460.691 | -0.000 |
| -0.567 | 0.021 | 0.154 | 0.000 | 0.000 | 300.976 |
| 754.483 | 31.536 | 29.149 | -0.000 | -0.000 | 0.000 |
| 94.950 | 1018.524 | -53.936 | 0.000 | 0.000 | 0.000 |
| 75.300 | -71.144 | 1138.422 | -0.000 | -0.000 | -0.000 |
| 0.073 | 0.009 | -0.030 | 602.558 | -0.000 | 0.000 |
| 0.062 | 0.001 | -0.016 | -0.000 | 460.691 | 0.000 |
| 0.057 | -0.002 | -0.015 | -0.000 | -0.000 | 300.977 |
| 754.367 | 31.516 | 29.175 | 0.000 | -0.000 | -0.000 |
| 94.789 | 1018.489 | -53.867 | 0.000 | 0.000 | -0.000 |
| 75.163 | -71.176 | 1138.469 | -0.000 | -0.000 | 0.000 |
| -0.073 | -0.009 | 0.030 | 602.558 | 0.000 | -0.000 |
| -0.062 | -0.001 | 0.016 | 0.000 | 460.691 | -0.000 |
| -0.057 | 0.002 | 0.015 | -0.000 | -0.000 | 300.977 |
| 52.735 | 41.668 | 41.669 | -0.000 | 0.000 | 0.000 |
| 41.668 | 52.731 | 41.668 | 0.001 | -0.000 | 0.000 |
| 1.494 | 1.481 | 2.704 | 0.028 | 0.027 | 0.005 |
| -0.135 | -0.148 | -0.139 | 0.129 | 0.028 | 0.006 |
| -0.135 | -0.148 | -0.139 | 0.028 | 0.129 | 0.006 |
| -0.135 | -0.148 | -0.139 | 0.028 | 0.028 | 0.111 |
| 2.880 | 1.698 | 1.688 | -0.028 | -0.027 | -0.006 |
| -6.722 | -5.019 | -6.651 | -0.025 | -0.025 | -0.005 |
| 41.669 | 41.668 | 52.735 | 0.001 | 0.000 | 0.000 |
| -0.000 | 0.001 | 0.001 | 43.038 | 0.000 | -0.000 |
| 0.000 | -0.000 | 0.000 | 0.000 | 43.038 | -0.000 |
| 0.135 | 0.148 | 0.139 | -0.028 | -0.028 | 0.101 |
| -7.002 | -6.308 | -6.264 | 0.004 | -0.062 | 0.000 |
| -0.587 | 1.235 | -0.590 | 0.003 | 0.003 | 0.001 |
| 2.794 | 2.757 | 4.285 | 0.003 | -0.051 | 0.000 |
| -0.013 | -0.014 | -0.013 | 2.038 | 0.003 | 0.001 |
| -0.012 | -0.013 | -0.014 | 0.003 | -0.562 | 0.001 |
| -0.013 | -0.014 | -0.013 | 0.003 | 0.003 | 1.759 |
| 0.987 | -0.782 | -0.779 | -0.003 | -0.003 | -0.001 |
| -0.783 | 0.988 | -0.780 | -0.003 | -0.003 | -0.001 |
| 3.080 | 3.082 | 4.650 | -0.003 | -0.003 | -0.001 |
| 0.013 | 0.014 | 0.013 | 2.073 | -0.003 | -0.001 |
| -0.026 | 0.001 | -0.025 | -0.003 | 0.993 | -0.000 |
| 0.012 | 0.013 | 0.014 | -0.003 | -0.003 | 1.017 |
| 4.612 | 2.847 | 2.887 | 0.001 | -0.050 | -0.001 |
| 5.803 | 8.021 | 5.803 | 0.000 | -0.019 | 0.000 |
| -0.522 | -0.526 | -0.510 | 0.000 | -0.004 | -0.000 |
| -0.001 | -0.001 | -0.001 | 1.637 | 0.000 | 0.000 |
| 0.054 | 0.007 | 0.054 | 0.002 | 2.659 | -0.002 |
| -0.001 | -0.001 | -0.001 | 0.000 | 0.000 | 2.587 |
| 1.057 | -0.716 | -0.715 | -0.000 | -0.000 | -0.000 |
| -0.716 | 1.057 | -0.715 | -0.000 | -0.000 | -0.000 |
| -0.717 | -0.717 | 1.056 | -0.000 | -0.000 | -0.000 |
| 0.001 | 0.001 | 0.002 | 0.002 | -0.000 | -0.000 |
| 0.114 | 0.040 | 0.114 | 0.000 | 3.652 | 0.000 |
| 0.001 | 0.001 | 0.001 | -0.000 | -0.000 | 2.738 |
| 454.950 | 17.776 | 17.776 | 0.000 | -0.000 | 0.000 |
| 17.776 | 454.950 | 17.776 | -0.000 | 0.000 | 0.000 |
| 17.776 | 17.776 | 454.950 | 0.000 | 0.000 | 0.000 |
| 108.313 | 108.313 | 108.313 | 92.397 | -0.000 | 0.000 |
| 108.313 | 108.313 | 108.313 | 0.000 | 92.397 | 0.000 |
| 108.313 | 108.313 | 108.313 | 0.000 | -0.000 | 92.397 |
| 454.950 | 17.776 | 17.776 | -0.000 | -0.000 | -0.000 |
| -28.990 | 153.894 | -28.990 | -0.000 | 0.000 | 0.000 |
| 17.776 | 17.776 | 454.950 | 0.000 | -0.000 | -0.000 |
| -108.313 | -108.313 | -108.313 | 92.397 | 0.000 | -0.000 |
| -108.313 | -108.313 | -108.313 | -0.000 | 92.397 | -0.000 |
| -108.313 | -108.313 | -108.313 | -0.000 | 0.000 | 92.397 |
| 318.263 | 73.113 | 73.113 | 0.000 | -0.000 | 0.000 |
| 73.113 | 318.263 | 73.113 | 0.000 | -0.000 | -0.000 |
| 73.113 | 73.113 | 318.263 | -0.000 | -0.000 | 0.000 |
| 8.439 | 8.439 | 8.439 | 120.265 | -0.000 | 0.000 |
| 8.439 | 8.439 | 8.439 | 0.000 | 120.265 | 0.000 |
| 8.439 | 8.439 | 8.439 | 0.000 | -0.000 | 120.265 |
| 10.955 | -25.136 | -25.136 | 0.000 | 0.000 | 0.000 |
| -25.136 | 10.955 | -25.136 | 0.000 | 0.000 | 0.000 |
| -25.136 | -25.136 | 10.955 | 0.000 | 0.000 | 0.000 |
| -8.439 | -8.439 | -8.439 | 120.265 | 0.000 | -0.000 |
| -8.439 | -8.439 | -8.439 | -0.000 | 120.265 | -0.000 |
| -8.439 | -8.439 | -8.439 | -0.000 | 0.000 | 120.265 |
| 141.004 | 58.067 | 58.067 | -0.000 | -0.000 | -0.000 |
| -30.966 | 23.591 | -30.966 | 0.000 | -0.000 | -0.000 |
| 58.067 | 58.067 | 141.004 | -0.000 | -0.000 | -0.000 |
| 5.606 | 5.606 | 5.606 | 33.699 | -0.000 | -0.000 |
| 4.129 | 4.130 | 4.129 | -0.000 | 43.051 | -0.000 |
| 5.606 | 5.606 | 5.606 | -0.000 | 0.000 | 33.699 |
| 12.201 | -43.990 | -43.990 | 0.000 | 0.000 | -0.000 |
| -43.990 | 12.201 | -43.990 | 0.000 | 0.000 | 0.000 |
| -43.990 | -43.990 | 12.201 | 0.000 | 0.000 | 0.000 |
| -5.606 | -5.606 | -5.606 | 33.699 | -0.000 | -0.000 |
| -4.129 | -4.130 | -4.129 | 0.000 | 43.051 | 0.000 |
| -5.606 | -5.606 | -5.606 | 0.000 | -0.000 | 33.699 |
| 298.607 | 20.207 | 20.207 | 0.000 | -0.000 | 0.000 |
| 20.207 | 298.607 | 20.207 | 0.000 | -0.000 | 0.000 |
| 20.207 | 20.207 | 298.607 | 0.000 | -0.000 | 0.000 |
| -0.000 | 0.000 | 0.000 | 209.827 | -0.000 | 0.000 |
| 0.000 | 0.000 | 0.000 | 0.000 | 209.827 | -0.000 |
| -0.000 | 0.000 | 0.000 | 0.000 | -0.000 | 209.827 |
| 293.310 | 115.950 | 115.950 | -0.000 | 0.000 | -0.000 |
| 115.950 | 293.310 | 115.950 | -0.000 | 0.000 | -0.000 |
| 115.950 | 115.950 | 293.310 | -0.000 | 0.000 | -0.000 |
| 0.000 | 0.000 | -0.000 | 209.827 | -0.000 | -0.000 |
| -0.000 | -0.000 | -0.000 | -0.000 | 209.827 | 0.000 |
| 0.000 | -0.000 | -0.000 | 0.000 | 0.000 | 209.827 |
| 436.717 | 17.064 | 17.064 | 0.000 | -0.000 | 0.000 |
| 17.064 | 436.717 | 17.064 | 0.000 | -0.000 | 0.000 |
| 17.064 | 17.064 | 436.717 | -0.000 | -0.000 | 0.000 |
| -3.152 | -3.152 | -3.152 | 139.147 | -0.000 | 0.000 |
| -3.152 | -3.152 | -3.152 | 0.000 | 139.147 | 0.000 |
| -3.152 | -3.152 | -3.152 | 0.000 | -0.000 | 139.147 |
| 332.656 | 55.077 | 55.077 | -0.000 | 0.000 | -0.000 |
| 55.077 | 332.656 | 55.077 | -0.000 | 0.000 | -0.000 |
| 55.077 | 55.077 | 332.656 | -0.000 | 0.000 | -0.000 |
| 3.152 | 3.152 | 3.152 | 139.147 | 0.000 | -0.000 |
| 3.152 | 3.152 | 3.152 | -0.000 | 139.147 | -0.000 |
| 3.152 | 3.152 | 3.152 | -0.000 | 0.000 | 139.147 |
| 107.981 | 32.831 | 32.831 | 0.000 | -0.000 | 0.000 |
| 32.831 | 107.981 | 32.831 | 0.000 | -0.000 | 0.000 |
| 32.831 | 32.831 | 107.981 | 0.000 | -0.000 | 0.000 |
| -0.186 | -0.186 | -0.186 | 58.257 | -0.000 | 0.000 |
| -0.186 | -0.186 | -0.186 | 0.000 | 58.257 | 0.000 |
| -0.186 | -0.186 | -0.186 | 0.000 | -0.000 | 58.257 |
| 149.944 | 54.931 | 54.931 | -0.000 | 0.000 | -0.000 |
| 54.931 | 149.944 | 54.931 | -0.000 | 0.000 | -0.000 |
| 54.931 | 54.931 | 149.944 | -0.000 | 0.000 | -0.000 |
| 0.186 | 0.186 | 0.186 | 58.257 | 0.000 | -0.000 |
| 0.186 | 0.186 | 0.186 | -0.000 | 58.257 | -0.000 |
| 0.186 | 0.186 | 0.186 | -0.000 | 0.000 | 58.257 |
| 415.540 | 218.008 | 218.008 | -0.000 | -0.000 | -0.000 |
| 218.008 | 415.540 | 218.008 | -0.000 | 0.000 | -0.000 |
| 218.008 | 218.008 | 415.540 | -0.000 | 0.000 | -0.000 |
| 338.454 | 338.454 | 338.454 | 37.121 | 0.000 | -0.000 |
| 338.454 | 338.454 | 338.454 | -0.000 | 37.121 | -0.000 |
| 338.454 | 338.454 | 338.454 | -0.000 | 0.000 | 37.121 |
| 259.689 | -6.342 | -6.342 | 0.000 | -0.000 | 0.000 |
| -6.342 | 259.689 | -6.342 | 0.000 | 0.000 | 0.000 |
| -6.342 | -6.342 | 259.689 | 0.000 | 0.000 | 0.000 |
| -338.454 | -338.454 | -338.454 | 37.121 | 0.000 | 0.000 |
| -338.454 | -338.454 | -338.454 | 0.000 | 37.121 | 0.000 |
| -338.454 | -338.454 | -338.454 | 0.000 | -0.000 | 37.121 |
| 435.364 | 17.011 | 17.011 | -0.000 | 0.000 | -0.000 |
| 17.011 | 435.364 | 17.011 | -0.000 | -0.000 | -0.000 |
| 17.011 | 17.011 | 435.364 | -0.000 | -0.000 | -0.000 |
| 6.011 | 6.011 | 6.011 | 133.775 | 0.000 | -0.000 |
| 6.011 | 6.011 | 6.011 | -0.000 | 133.775 | -0.000 |
| 6.011 | 6.011 | 6.011 | -0.000 | -0.000 | 133.775 |
| 310.616 | 49.258 | 49.258 | 0.000 | -0.000 | 0.000 |
| 49.258 | 310.616 | 49.258 | 0.000 | -0.000 | 0.000 |
| 49.258 | 49.258 | 310.616 | 0.000 | 0.000 | 0.000 |
| -6.011 | -6.011 | -6.011 | 133.775 | -0.000 | 0.000 |
| -6.011 | -6.011 | -6.011 | 0.000 | 133.775 | 0.000 |
| -6.011 | -6.011 | -6.011 | 0.000 | 0.000 | 133.775 |
| 11.644 | -19.311 | -19.311 | -0.000 | 0.000 | -0.000 |
| -19.311 | 11.644 | -19.311 | -0.000 | 0.000 | -0.000 |
| -19.311 | -19.311 | 11.644 | -0.000 | -0.000 | -0.000 |
| 3.137 | 3.137 | 3.137 | 45.483 | -0.000 | -0.000 |
| 3.137 | 3.137 | 3.137 | -0.000 | 45.483 | 0.000 |
| 3.137 | 3.137 | 3.137 | -0.000 | 0.000 | 45.483 |
| 12.753 | -40.763 | -40.763 | -0.000 | 0.000 | 0.000 |
| -40.763 | 12.753 | -40.763 | 0.000 | -0.000 | 0.000 |
| -40.763 | -40.763 | 12.753 | -0.000 | 0.000 | 0.000 |
| -3.137 | -3.137 | -3.137 | 45.483 | 0.000 | 0.000 |
| -3.137 | -3.137 | -3.137 | 0.000 | 45.483 | 0.000 |
| -3.137 | -3.137 | -3.137 | 0.000 | 0.000 | 45.483 |
| -85.722 | -52.739 | 312.518 | -0.000 | 0.000 | -0.000 |
| -703.360 | 299.830 | 58.495 | -0.000 | -0.000 | -0.000 |
| -755.771 | 55.768 | 44.566 | 0.000 | 0.000 | -0.000 |
| -0.000 | 0.000 | -0.000 | 96.897 | -0.000 | -0.000 |
| -703.621 | 246.483 | -114.588 | -0.000 | 19.358 | -0.000 |
| -412.684 | 1579.094 | 170.875 | -0.002 | -0.000 | -91.272 |
| 173.330 | 149.289 | -220.191 | 0.000 | -0.000 | 0.000 |
| 43.469 | 258.863 | -0.102 | -0.000 | 0.000 | -0.000 |
| 49.555 | -0.102 | 205.055 | -0.000 | 0.000 | -0.000 |
| 0.000 | -0.000 | 0.000 | 96.897 | -0.000 | 0.000 |
| 703.621 | -246.483 | 114.588 | 0.000 | 19.358 | 0.000 |
| 634.986 | -973.458 | -94.629 | 0.000 | -0.000 | -142.503 |
| 125.223 | 43.469 | 49.555 | 0.000 | -0.000 | 0.000 |
| 45.103 | 188.417 | 64.155 | -0.000 | 0.000 | -0.000 |
| -52.790 | 0.773 | 18.685 | 0.000 | -0.000 | 0.000 |
| -10.552 | -8.826 | 23.191 | 50.678 | 0.000 | -0.000 |
| -68.646 | 14.548 | 7.487 | 0.000 | -31.854 | 0.000 |
| -56.993 | 26.873 | -3.764 | 0.000 | -0.000 | 4.533 |
| 87.836 | 60.143 | 11.817 | 0.000 | -0.000 | 0.000 |
| 43.469 | 258.863 | -0.102 | -0.000 | 0.000 | -0.000 |
| 40.409 | 47.738 | 70.122 | 0.000 | -0.000 | 0.000 |
| 10.552 | 8.826 | -23.191 | 50.678 | -0.000 | 0.000 |
| 68.646 | -14.548 | -7.487 | 0.000 | -31.854 | 0.000 |
| 56.993 | -26.873 | 3.764 | -0.000 | 0.000 | 4.533 |
| -3.324 | -3.250 | 4.140 | -0.000 | -0.000 | -0.000 |
| -9.681 | 23.416 | -14.443 | -0.000 | 0.000 | -0.000 |
| -6.235 | -2.231 | 3.517 | -0.000 | 0.000 | -0.000 |
| -4.651 | 1.009 | 0.811 | 3.099 | 0.000 | -0.000 |
| -4.780 | 1.304 | 0.883 | -0.000 | 0.611 | -0.000 |
| -5.950 | 2.541 | 0.426 | -0.000 | -0.000 | -0.106 |
| 4.764 | -3.932 | -8.370 | 0.000 | 0.000 | 0.000 |
| 0.805 | 5.776 | 6.988 | -0.000 | -0.000 | -0.000 |
| -0.598 | -5.782 | 3.739 | 0.000 | -0.000 | 0.000 |
| 4.651 | -1.009 | -0.811 | 3.099 | -0.000 | 0.000 |
| 4.780 | -1.304 | -0.883 | 0.000 | 0.611 | 0.000 |
| 5.950 | -2.541 | -0.426 | 0.000 | 0.000 | -0.106 |
| -1396.464 | 1866.063 | 768.914 | 0.000 | -0.000 | 0.000 |
| -127.368 | 267.374 | 634.137 | 0.000 | -0.000 | 0.000 |
| -96.786 | -1120.395 | 3531.815 | 0.000 | -0.000 | 0.001 |
| -1955.341 | 1735.118 | 789.606 | 84.750 | 0.000 | 0.000 |
| -3898.754 | 3483.100 | -4203.981 | 0.000 | 74.775 | 0.002 |
| -164.926 | -1158.862 | 3016.341 | 0.000 | 0.000 | 313.797 |
| 946.318 | 1264.768 | -2947.606 | -0.000 | 0.000 | -0.001 |
| 271.523 | 1796.018 | -2978.343 | -0.000 | -0.000 | -0.001 |
| 366.755 | 246.355 | -227.905 | -0.000 | -0.000 | -0.000 |
| 1955.341 | -1735.118 | -789.606 | 84.750 | 0.000 | -0.000 |
| 3898.754 | -3483.100 | 4203.981 | -0.000 | 74.775 | -0.002 |
| 164.926 | 1158.862 | -3016.341 | -0.000 | 0.000 | 313.795 |
| 473.079 | 121.069 | 158.462 | 0.000 | -0.000 | 0.000 |
| 74.426 | 715.857 | 29.683 | -0.000 | 0.000 | 0.000 |
| 67.972 | 47.541 | 351.202 | 0.000 | 0.000 | 0.000 |
| -145.531 | 293.791 | -223.798 | 47.363 | -0.000 | 0.000 |
| -193.732 | 172.886 | 76.380 | 0.000 | 98.145 | 0.000 |
| -192.428 | 170.841 | 76.951 | 0.000 | -0.000 | 238.180 |
| 854.684 | -363.602 | 361.764 | 0.000 | -0.000 | 0.000 |
| 289.722 | 237.934 | -54.281 | 0.000 | 0.000 | -0.000 |
| 122.027 | 79.112 | 274.317 | -0.000 | 0.000 | -0.000 |
| 145.531 | -293.791 | 223.798 | 47.363 | 0.000 | -0.000 |
| 193.732 | -172.886 | -76.380 | -0.000 | 98.145 | -0.000 |
| 192.428 | -170.841 | -76.951 | -0.000 | 0.000 | 238.180 |
| 551.677 | 72.690 | -17.716 | 0.000 | -0.000 | 0.000 |
| 63.895 | 425.916 | -35.611 | 0.000 | -0.000 | 0.000 |
| -38.210 | -43.066 | 156.653 | 0.000 | -0.000 | 0.000 |
| -14.523 | 10.022 | 11.766 | 110.330 | -0.000 | 0.000 |
| -1.887 | -13.260 | 34.515 | 0.000 | 243.279 | 0.000 |
| -25.865 | 27.729 | -41.266 | 0.000 | 0.000 | 218.890 |
| 583.511 | 8.760 | 48.716 | -0.000 | 0.000 | -0.000 |
| 96.497 | 383.016 | 0.003 | -0.000 | 0.000 | -0.000 |
| 57.169 | -16.967 | 345.786 | -0.000 | 0.000 | -0.000 |
| 14.523 | -10.022 | -11.766 | 110.330 | 0.000 | -0.000 |
| 1.887 | 13.260 | -34.515 | -0.000 | 243.279 | -0.000 |
| 25.865 | -27.729 | 41.266 | -0.000 | 0.000 | 218.890 |
| 541.234 | 122.537 | 129.745 | -0.001 | 0.003 | 0.012 |
| 82.349 | 292.891 | 89.560 | 1.061 | 6.785 | -16.989 |
| 42.399 | 65.406 | 138.611 | 4.214 | 4.315 | -18.734 |
| 7.839 | 8.971 | 5.948 | 158.918 | 1.489 | -2.124 |
| 7.841 | 8.973 | 5.945 | 2.977 | 170.748 | -2.100 |
| 9.221 | 10.640 | 5.328 | 6.498 | 4.611 | 141.892 |
| 279.846 | 61.298 | 91.768 | -6.523 | -4.586 | -2.290 |
| 70.393 | -68.151 | 27.411 | -0.773 | -2.114 | -0.126 |
| 66.336 | 56.336 | 323.693 | -2.950 | -1.452 | 2.102 |
| -10.592 | -8.092 | 2.320 | 99.617 | -2.062 | 7.728 |
| -10.908 | -11.012 | -5.397 | -2.748 | 128.052 | 4.642 |
| -9.272 | -10.646 | -5.217 | -6.435 | -4.637 | 138.761 |
| 137.284 | 51.676 | 74.786 | 0.224 | 0.291 | 0.139 |
| 6.053 | 85.077 | 32.054 | 0.150 | 0.367 | -0.160 |
| 75.923 | 67.679 | 325.064 | 0.291 | 0.097 | -0.223 |
| 1.087 | 0.932 | 0.589 | 89.854 | 0.461 | -0.128 |
| 1.088 | 1.152 | 0.578 | 0.310 | 126.368 | -0.327 |
| 1.282 | 1.113 | 0.742 | 0.267 | 0.299 | 59.422 |
| 65.398 | 71.906 | 21.307 | 0.114 | -0.859 | 1.458 |
| 48.798 | 81.156 | 70.349 | -0.461 | -0.487 | 1.809 |
| 72.969 | 61.289 | 201.828 | -0.439 | -0.538 | 0.113 |
| -2.814 | -2.241 | 2.333 | 83.507 | -0.539 | 1.461 |
| -0.879 | -0.948 | -0.702 | -0.316 | 163.122 | 0.218 |
| -1.083 | -0.951 | -0.604 | -0.441 | -0.476 | 59.743 |
| 84.667 | 43.126 | 52.746 | 0.001 | 0.091 | -0.140 |
| 43.557 | 94.779 | 44.958 | 0.018 | 0.032 | -0.026 |
| 50.370 | 49.810 | 185.470 | 0.017 | 0.035 | -0.033 |
| 0.079 | 0.083 | 0.023 | 94.088 | 0.055 | -0.014 |
| 0.257 | 0.262 | -0.268 | 0.043 | 84.321 | -0.176 |
| 0.144 | 0.148 | -0.141 | 0.064 | 0.040 | 50.280 |
| 85.929 | 41.346 | 44.294 | -0.032 | -0.025 | 0.008 |
| 49.977 | 93.721 | 44.788 | -0.014 | -0.045 | -0.010 |
| 50.257 | 49.730 | 185.424 | -0.021 | -0.035 | 0.004 |
| -0.284 | -0.249 | 0.183 | 88.986 | -0.048 | 0.193 |
| -0.102 | -0.107 | 0.004 | -0.010 | 82.561 | 0.067 |
| -0.154 | -0.146 | -0.000 | -0.000 | -0.037 | 51.578 |
| -46956.610 | -46955.404 | -54895.667 | 41.042 | 25.289 | -24.753 |
| -47695.715 | -47693.966 | -55778.024 | 40.912 | 24.742 | -23.662 |
| -46540.591 | -46539.592 | -54434.713 | 42.639 | 23.406 | -23.678 |
| -33302.164 | -33315.880 | -38975.625 | 33.680 | 77.383 | -5.707 |
| -47739.225 | -47737.432 | -55829.423 | 40.818 | 24.878 | -23.728 |
| -47409.250 | -47408.599 | -55444.328 | 39.695 | 26.003 | -23.922 |
| 47731.546 | 47729.761 | 55820.423 | -40.868 | -24.869 | 23.764 |
| 47737.986 | 47736.191 | 55828.016 | -40.857 | -24.892 | 23.731 |
| 44925.775 | 44924.833 | 52486.474 | -42.483 | -23.807 | 22.077 |
| 47742.250 | 47740.427 | 55832.876 | -40.830 | -24.876 | 23.740 |
| 47477.570 | 47475.893 | 55527.596 | -39.780 | -24.935 | 23.853 |
| 47725.654 | 47723.892 | 55813.786 | -40.828 | -24.819 | 23.744 |
| -4773.759 | -4773.580 | -5582.740 | 4.082 | 2.489 | -2.372 |
| -4724.967 | -4724.739 | -5526.092 | 4.071 | 2.503 | -2.352 |
| -4774.090 | -4773.911 | -5583.133 | 4.085 | 2.489 | -2.374 |
| -4504.836 | -4504.850 | -5271.603 | 3.046 | 2.215 | -2.685 |
| -4592.218 | -4592.164 | -5382.435 | 3.840 | 2.130 | -1.489 |
| -4751.562 | -4751.371 | -5556.703 | 4.087 | 2.494 | -2.372 |
| 4735.745 | 4735.566 | 5538.459 | -4.043 | -2.580 | 2.567 |
| 4730.488 | 4730.347 | 5532.143 | -4.088 | -2.604 | 2.384 |
| 4693.547 | 4693.425 | 5491.605 | -3.865 | -2.208 | 2.176 |
| 4511.801 | 4511.718 | 5280.156 | -3.581 | -2.671 | 2.010 |
| 4655.688 | 4655.587 | 5446.208 | -4.379 | -2.216 | 2.277 |
| 4734.289 | 4734.133 | 5534.836 | -4.053 | -2.506 | 2.395 |
| -473.564 | -473.548 | -553.844 | 0.406 | 0.247 | -0.237 |
| -475.151 | -475.138 | -555.679 | 0.406 | 0.249 | -0.237 |
| -475.419 | -475.405 | -555.984 | 0.408 | 0.249 | -0.236 |
| -476.773 | -476.755 | -557.562 | 0.408 | 0.248 | -0.238 |
| -474.533 | -474.517 | -554.927 | 0.402 | 0.255 | -0.244 |
| -477.321 | -477.303 | -558.211 | 0.408 | 0.249 | -0.237 |
| 477.410 | 477.392 | 558.314 | -0.408 | -0.249 | 0.237 |
| 470.900 | 470.863 | 550.733 | -0.402 | -0.243 | 0.239 |
| 475.767 | 475.750 | 556.386 | -0.408 | -0.248 | 0.236 |
| 477.348 | 477.330 | 558.242 | -0.409 | -0.249 | 0.237 |
| 470.878 | 470.864 | 551.029 | -0.389 | -0.249 | 0.232 |
| 473.186 | 473.171 | 553.360 | -0.408 | -0.242 | 0.266 |
| -46414296.135 | -33207283.590 | 14460232.400 | 16872478.101 | -2507330.667 | -21602734.815 |
| 347244.857 | 3015845.514 | 6549903.454 | 7024958.243 | 856782.474 | 1919384.209 |
| 1438094.217 | 2216117.001 | 5275897.896 | 6308132.708 | 725315.547 | 2282681.387 |
| 13.693 | 9.601 | 19.274 | 127.977 | -68.072 | -29.208 |
| 76.398 | -27.548 | -21.296 | -67.853 | 250.656 | 18.066 |
| -44202770.887 | -32364737.417 | 15460313.370 | 18037312.471 | -2780656.820 | -22203058.327 |
| 1903.245 | 496.251 | 280.492 | 10.804 | 75.766 | 297.871 |
| 495.823 | 566.722 | 118.084 | -19.711 | -6.946 | 283.160 |
| 286.341 | 125.778 | 272.249 | 18.135 | -19.329 | -37.086 |
| 44556462.279 | 23189728.596 | -14885225.028 | -13859602.046 | -57856.138 | 10033837.281 |
| -1713282.566 | -265376.919 | -345246.379 | -185804.944 | -37107.430 | 353752.813 |
| 279.590 | 277.319 | -41.480 | -18.920 | -24.587 | 394.032 |
| -4516420.734 | -3262748.302 | 1516548.852 | 1731197.778 | -269427.683 | -2214752.466 |
| -3957749.763 | -2591746.583 | 1248050.095 | 1262492.175 | 34084.083 | -632558.192 |
| -40497.428 | -3106.629 | -6097.553 | -2502.919 | -6434.066 | 6126.868 |
| 155710.461 | 58149.796 | 42001.380 | 11536.497 | 19374.923 | -5534.720 |
| 76.603 | -27.490 | -21.226 | -67.835 | 250.646 | 18.059 |
| -4389013.528 | -3209173.668 | 1589272.046 | 1838713.598 | -257883.841 | -2258704.605 |
| 4498325.721 | 3261312.980 | -1531806.190 | -1835934.480 | 278422.183 | 2331348.813 |
| 4765339.914 | 3309120.290 | -1411154.268 | -1588421.920 | 178182.009 | 1904217.046 |
| 4343293.806 | 2267726.349 | -1544543.546 | -1496835.162 | -16215.201 | 934481.340 |
| -62183.262 | -99482.618 | -65365.306 | -71858.881 | -39548.605 | -54052.408 |
| 4677977.442 | 3321970.297 | -1436860.293 | -1634863.750 | 220477.559 | 2029021.581 |
| 277.562 | 276.147 | -41.657 | -18.864 | -24.639 | 393.018 |
| -496753.666 | -320104.715 | 137921.535 | 150067.553 | -11410.507 | -167965.239 |
| 12403.217 | 8965.582 | 21289.320 | 28220.662 | 4037.158 | 12856.635 |
| -1248.442 | 1454.830 | 4532.237 | 5931.970 | -495.773 | 1035.968 |
| 13.883 | 9.672 | 19.319 | 127.983 | -68.082 | -29.172 |
| 77.553 | -27.124 | -20.987 | -67.757 | 250.507 | 18.206 |
| -495319.555 | -332295.303 | 136113.067 | 152898.171 | -16138.245 | -184072.322 |
| 1719.361 | 445.867 | 253.474 | 8.029 | 70.928 | 269.504 |
| 479028.970 | 335613.150 | -136677.078 | -161431.233 | 20106.141 | 202892.766 |
| 281.309 | 124.069 | 270.740 | 17.798 | -18.973 | -37.448 |
| 448762.716 | 325747.658 | -151688.057 | -174224.238 | 27252.997 | 219151.649 |
| -18020.301 | -16668.733 | -26776.537 | -27991.171 | -1930.615 | -16190.812 |
| 263.548 | 265.085 | -40.955 | -18.016 | -23.448 | 381.019 |
| 20064672.382 | 57300233.538 | 65742315.632 | -6898332.891 | 15731426.333 | -6639742.698 |
| 19665858.355 | 57384830.542 | 68788008.394 | -7623209.871 | 17312879.397 | -8269745.647 |
| 19734052.118 | 58358508.327 | 62825992.849 | -6521710.358 | 15020691.745 | -5583924.442 |
| 19197538.592 | 44169945.854 | 49372943.451 | -4160861.698 | 12820505.853 | 760594.875 |
| 20653695.680 | 56994946.632 | 68837310.767 | -7878456.589 | 17655051.658 | -9026836.571 |
| 19927982.056 | 57760847.593 | 66582890.418 | -7731124.311 | 17376364.696 | -7492196.580 |
| -19561256.156 | -57018807.321 | -65333480.684 | 7659014.125 | -16975575.707 | 7469001.772 |
| -19369229.590 | -52763060.454 | -57014494.289 | 4111484.382 | -13322736.377 | 3687121.543 |
| -20720675.421 | -57690025.531 | -61533811.073 | 6059011.095 | -14075682.353 | 4960901.851 |
| -19979424.288 | -56534926.781 | -61811086.335 | 5549278.089 | -13201338.119 | 5879217.125 |
| -19227106.889 | -50750239.510 | -55386292.909 | 4411761.407 | -13408937.330 | 2094972.909 |
| -19453818.092 | -54364485.508 | -57997182.250 | 5038798.558 | -13966128.983 | 3677914.427 |
| 1994445.303 | 5302632.722 | 5551634.499 | -492724.895 | 1380193.233 | -337154.993 |
| 1952477.470 | 4523451.566 | 4871239.446 | -556612.503 | 1350915.035 | 94650.459 |
| 1923488.184 | 5530419.240 | 6770444.094 | -725085.886 | 1773824.427 | -821880.831 |
| 1900942.743 | 5486851.828 | 6004732.836 | -472330.532 | 1316106.044 | -541220.000 |
| 1987866.801 | 5438623.439 | 5671123.720 | -455239.639 | 1336609.772 | -439397.585 |
| 2073784.046 | 5687438.924 | 5862836.798 | -580132.403 | 1394519.677 | -533105.896 |
| -1901460.054 | -5623545.761 | -6747885.865 | 759290.604 | -1779964.145 | 801961.080 |
| -1971710.687 | -5752794.015 | -6442358.261 | 658107.792 | -1519493.313 | 490380.154 |
| -2055765.831 | -5741446.893 | -6516815.305 | 782281.724 | -1566753.261 | 651459.648 |
| -1975007.352 | -5847243.317 | -6653337.006 | 780558.656 | -1708098.440 | 736654.459 |
| -1928149.617 | -5615605.690 | -6233443.747 | 601135.779 | -1469126.903 | 455897.779 |
| -1999842.560 | -5835253.938 | -6437952.345 | 716385.768 | -1566919.971 | 636840.846 |
| 197537.596 | 574185.732 | 668739.088 | -76592.489 | 173729.265 | -80119.538 |
| 198079.385 | 574083.259 | 655879.679 | -65756.746 | 157736.851 | -69318.071 |
| 193265.893 | 562353.086 | 604084.883 | -55973.737 | 142410.533 | -47208.274 |
| 195795.744 | 570167.191 | 627202.303 | -67868.796 | 152816.426 | -39499.926 |
| 195300.014 | 577912.598 | 674330.770 | -81200.289 | 176400.661 | -72555.853 |
| 204320.881 | 565235.314 | 656178.460 | -73025.158 | 158001.228 | -67712.292 |
| -197698.910 | -473313.300 | -524595.314 | 42227.872 | -126429.236 | 4437.201 |
| -187759.396 | -568970.853 | -669015.543 | 74746.809 | -175947.895 | 70235.083 |
| -195410.426 | -562192.524 | -673070.570 | 74295.240 | -174452.242 | 84742.964 |
| -208729.065 | -583320.881 | -651074.650 | 68340.339 | -150003.180 | 63601.560 |
| -211636.749 | -573470.121 | -686797.521 | 78454.997 | -174820.209 | 93654.626 |
| -192357.857 | -557579.497 | -642380.479 | 62950.312 | -155103.327 | 55272.570 |
| 852421.725 | -503177.462 | 888962.969 | 824558.844 | 21667.671 | -199236.980 |
| 3046736.942 | -1200219.007 | 2681377.544 | 2144584.942 | -284363.027 | -361844.096 |
| 2862074.453 | -1102624.312 | 2557646.806 | 1995423.464 | -246116.478 | -348651.525 |
| -106.041 | -267.286 | -165.605 | 337.468 | 164.477 | -121.881 |
| 2984494.356 | -1202766.999 | 2630273.628 | 2111826.741 | -270152.566 | -363231.347 |
| 415350.201 | -214720.224 | 373288.826 | 325682.429 | -14744.116 | -79148.162 |
| -2806765.988 | 1085515.084 | -2520328.403 | -1943335.524 | 266384.405 | 322254.547 |
| 168.104 | 750.045 | 268.181 | -297.633 | -149.307 | 131.225 |
| -1565486.395 | 814420.775 | -1544175.076 | -1231920.476 | 164574.504 | 228303.882 |
| -2793671.731 | 1048610.721 | -2528066.474 | -1888060.128 | 294708.750 | 281616.821 |
| -27376.268 | -12650.166 | -31607.780 | 10723.041 | 21302.372 | -16239.944 |
| -2797406.995 | 1138265.592 | -2501797.292 | -1973690.388 | 244189.887 | 338233.522 |
| 210921.294 | -77977.307 | 200301.938 | 137377.665 | -22867.523 | -20792.196 |
| 256096.022 | -115402.831 | 228400.481 | 194533.907 | -15238.723 | -38793.288 |
| 303752.265 | -121088.603 | 267002.264 | 212894.691 | -28546.312 | -36022.426 |
| -105.633 | -266.250 | -164.912 | 336.691 | 163.961 | -121.383 |
| 26485.358 | -24234.079 | 17562.407 | 34649.773 | 7630.759 | -13754.291 |
| 268668.708 | -100837.553 | 240931.908 | 184084.367 | -22999.994 | -33179.361 |
| -674.496 | 772.218 | -496.989 | -954.108 | 100.166 | 46.544 |
| 167.684 | 748.402 | 267.428 | -296.652 | -148.798 | 130.698 |
| -176862.929 | 75453.679 | -166367.923 | -124003.631 | 15805.028 | 23911.347 |
| -174723.377 | 70806.002 | -177042.094 | -128735.337 | 17660.649 | 19838.306 |
| -38520.165 | 30105.687 | -32482.480 | -38276.469 | -1365.486 | 11718.754 |
| -138140.865 | 77545.820 | -131192.641 | -113072.509 | 7844.520 | 27038.546 |
| 31917.873 | -12753.052 | 27596.342 | 22436.496 | -2986.742 | -3833.784 |
| 487.064 | 1211.770 | 517.128 | -279.791 | -57.206 | 138.958 |
| 30824.819 | -12126.592 | 27176.653 | 21762.328 | -2858.827 | -3668.892 |
| -100.276 | -254.519 | -156.089 | 327.331 | 157.238 | -115.114 |
| 30408.242 | -12183.982 | 26683.929 | 21439.340 | -2748.449 | -3681.099 |
| 32138.522 | -12961.521 | 27764.090 | 22680.016 | -3109.462 | -3878.159 |
| 451.798 | 147.682 | 149.316 | -95.132 | -100.430 | 57.577 |
| 161.951 | 729.506 | 257.575 | -284.663 | -141.864 | 123.852 |
| 149.945 | 234.952 | 505.989 | -152.809 | -129.661 | 141.749 |
| -26342.042 | 10807.547 | -23954.639 | -18773.142 | 2214.788 | 3340.730 |
| -32115.208 | 12990.069 | -27752.304 | -22680.726 | 3140.106 | 3899.491 |
| -28789.949 | 11567.555 | -25598.572 | -20271.553 | 2573.964 | 3479.606 |
| 1090.250 | -29.172 | -29.172 | -0.000 | -0.000 | -0.000 |
| 3506405930.282 | -11072681353.223 | 3767280855.385 | 0.003 | -0.193 | -0.007 |
| 3767280856.477 | 3506405930.632 | -11072681354.293 | 0.000 | -0.000 | -0.023 |
| -2673015163.104 | -2596403977.203 | 3730547124.033 | -3004311403.797 | -575477.022 | 51204.290 |
| 3731141939.204 | -2671688818.772 | -2597094583.278 | 29248.792 | -3003724399.733 | -163282.203 |
| -2593731551.661 | 3727616600.684 | -2677026046.193 | 714683.169 | -108672.217 | -3005383769.945 |
| 1090.250 | -29.172 | -29.172 | -0.000 | 0.000 | 0.000 |
| 11072681780.070 | -3767280527.698 | -3506405895.763 | -0.047 | -0.001 | -0.001 |
| -29.172 | -29.172 | 1090.250 | 0.000 | 0.000 | 0.000 |
| 2672123318.996 | 2596920280.629 | -3731018162.248 | -3003940632.821 | -230906.821 | 67677.464 |
| -3731200751.367 | 2671451021.832 | 2597164463.258 | 50629.359 | -3003523105.183 | -129083.032 |
| 2593731552.131 | -3727616600.945 | 2677026045.121 | 714682.473 | 108672.110 | -3005383769.195 |
| -1107267677.817 | 376728143.493 | 350640638.892 | 0.033 | 0.000 | -0.000 |
| 350640638.765 | -1107267677.685 | 376728143.528 | 0.000 | 0.018 | 0.002 |
| 376728143.580 | 350640638.734 | -1107267677.621 | -0.001 | 0.000 | 0.033 |
| -266690887.824 | -259912181.133 | 373225557.560 | -300071413.334 | 0.010 | -0.013 |
| 373176200.341 | -267000044.860 | -259789877.988 | 2234.071 | -300284872.581 | 2309.171 |
| -257973925.866 | 371083222.305 | -269223371.819 | 0.006 | 0.007 | -301158284.371 |
| -376727816.090 | -350640601.876 | 1107268102.096 | -0.002 | 0.000 | 0.033 |
| 1107268102.190 | -376727816.105 | -350640601.941 | 0.042 | -0.000 | 0.000 |
| -350640601.896 | 1107268102.106 | -376727816.020 | -0.000 | -0.068 | -0.001 |
| 266690887.770 | 259912181.171 | -373225557.576 | -300071413.307 | -0.011 | -0.025 |
| -373885317.987 | 265954414.501 | 260536253.891 | 0.004 | -299740737.363 | 0.006 |
| 257973925.878 | -371083222.325 | 269223371.838 | -0.000 | -0.022 | -301158284.408 |
| -110726310.050 | 37672872.182 | 35064109.696 | -0.001 | -0.000 | 0.000 |
| 35064109.714 | -110726310.067 | 37672872.180 | -0.000 | -0.000 | -0.000 |
| 37672872.186 | 35064109.694 | -110726310.050 | -0.000 | 0.000 | -0.002 |
| -26720519.981 | -25968279.222 | 37309597.075 | -30038694.101 | -3513.704 | 638.881 |
| 37308530.482 | -26722640.251 | -25968038.317 | 961.593 | -30039648.513 | -1365.768 |
| -25969957.957 | 37309964.067 | -26717000.889 | -371.080 | -797.199 | -30036306.692 |
| -37672544.963 | -35064072.700 | 110726734.478 | 0.000 | -0.000 | 0.005 |
| 110726734.516 | -37672544.978 | -35064072.717 | -0.007 | -0.000 | -0.000 |
| -35064072.713 | 110726734.502 | -37672544.968 | -0.000 | -0.002 | -0.000 |
| 26714681.907 | 25971746.545 | -37312155.010 | -30035917.045 | 2549.214 | 626.969 |
| -37309116.368 | 26721519.398 | 25968677.892 | -950.507 | -30039227.914 | -1560.839 |
| 25971686.243 | -37312469.583 | 26715144.155 | -3303.673 | 362.621 | -30036414.670 |
| 832.058 | -482.871 | 1070.492 | 0.000 | 0.000 | -0.000 |
| -481.236 | 833.709 | 1067.059 | -0.000 | 0.000 | -0.000 |
| -475.976 | -475.976 | 2159.499 | 0.000 | -0.000 | -0.000 |
| -522.999 | -522.999 | 1092.630 | 441.557 | 0.000 | -0.000 |
| -522.999 | -522.999 | 1092.630 | -0.000 | 441.557 | 0.000 |
| 0.000 | 0.000 | 0.000 | 0.000 | 0.000 | 661.448 |
| 1634.947 | 312.051 | -598.551 | 0.000 | -0.000 | 0.000 |
| 312.051 | 1634.947 | -598.551 | -0.000 | -0.000 | 0.000 |
| 549.095 | 549.095 | 17.961 | -0.000 | -0.000 | 0.000 |
| 522.999 | 522.999 | -1092.630 | 441.557 | -0.000 | 0.000 |
| 522.999 | 522.999 | -1092.630 | 0.000 | 441.557 | 0.000 |
| -0.000 | -0.000 | -0.000 | -0.000 | 0.000 | 661.448 |
| 1292.512 | -22.359 | 108.468 | -0.000 | 0.000 | -0.000 |
| -24.491 | 1290.328 | 112.977 | 0.000 | 0.000 | -0.000 |
| -555.617 | -555.617 | 2325.885 | 0.000 | 0.000 | -0.000 |
| 0.000 | 0.000 | -0.000 | 468.035 | 0.000 | -0.000 |
| 0.000 | 0.000 | -0.000 | 0.000 | 468.035 | -0.000 |
| 0.000 | 0.000 | -0.000 | -0.000 | 0.000 | 661.448 |
| 1364.848 | 117.686 | -113.382 | 0.000 | -0.000 | 0.000 |
| 117.686 | 1364.848 | -113.382 | 0.000 | 0.000 | 0.000 |
| 98.419 | 98.419 | 959.496 | 0.000 | -0.000 | 0.000 |
| -0.000 | -0.000 | 0.000 | 468.035 | -0.000 | 0.000 |
| -0.000 | -0.000 | 0.000 | -0.000 | 468.035 | 0.000 |
| -0.000 | -0.000 | 0.000 | -0.000 | 0.000 | 661.448 |
| 1308.499 | 61.328 | 4.357 | 0.000 | 0.000 | -0.000 |
| 61.329 | 1308.497 | 4.357 | 0.000 | 0.000 | -0.000 |
| 32.796 | 32.796 | 1096.602 | -0.000 | 0.000 | 0.000 |
| -5.125 | -5.123 | 10.706 | 370.611 | 0.000 | -0.000 |
| 0.001 | 0.001 | -0.002 | 0.000 | 468.035 | 0.000 |
| -5.118 | -5.116 | 10.692 | 0.000 | 0.000 | 623.585 |
| 1304.039 | 12.207 | 60.314 | 0.000 | -0.000 | 0.000 |
| 71.584 | 1318.734 | -17.060 | 0.000 | -0.000 | 0.000 |
| 40.327 | 40.327 | 1080.851 | 0.000 | -0.000 | 0.000 |
| 5.173 | 5.171 | -10.806 | 370.618 | -0.000 | 0.000 |
| -0.001 | -0.001 | 0.002 | -0.000 | 468.035 | 0.000 |
| 5.118 | 5.116 | -10.692 | 0.000 | 0.000 | 623.585 |
| 1208.020 | 358.904 | 779.241 | -0.000 | 0.000 | 0.000 |
| -4.008 | -164.401 | 128.327 | -0.000 | 0.000 | -0.000 |
| -60.795 | -789.336 | 509.511 | -0.000 | -0.000 | -0.000 |
| -152.613 | -823.919 | 125.175 | 343.723 | 0.000 | -0.000 |
| 653.308 | -684.163 | 1214.885 | -0.000 | 84.179 | 0.000 |
| 831.900 | 420.796 | 724.266 | -0.000 | -0.000 | 105.903 |
| -408.967 | -428.665 | -660.237 | 0.000 | 0.000 | -0.000 |
| 300.569 | 984.084 | 143.423 | 0.000 | 0.000 | 0.000 |
| 155.373 | 143.424 | 710.393 | 0.000 | 0.000 | -0.000 |
| 152.613 | 823.919 | -125.175 | 343.723 | 0.000 | 0.000 |
| 0.000 | 0.000 | -0.000 | 0.000 | 313.951 | -0.000 |
| -831.900 | -420.796 | -724.266 | 0.000 | 0.000 | 105.902 |
| 718.551 | 300.568 | 155.373 | -0.000 | -0.000 | 0.000 |
| 193.834 | 518.144 | 87.866 | -0.000 | -0.000 | 0.000 |
| 85.575 | -18.318 | 550.093 | -0.000 | 0.000 | 0.000 |
| 66.374 | 26.819 | 82.959 | 237.860 | 0.000 | 0.000 |
| 67.820 | 34.305 | 59.045 | 0.000 | 211.788 | 0.000 |
| 49.302 | 11.640 | 67.138 | -0.000 | -0.000 | 127.782 |
| 209.792 | 245.565 | 3.838 | 0.000 | -0.000 | -0.000 |
| -18.139 | 500.283 | -69.907 | -0.000 | 0.000 | -0.000 |
| 83.661 | 22.184 | 373.475 | 0.000 | 0.000 | -0.000 |
| -66.374 | -26.819 | -82.959 | 237.860 | -0.000 | -0.000 |
| -67.820 | -34.305 | -59.045 | 0.000 | 211.788 | -0.000 |
| -49.302 | -11.640 | -67.138 | 0.000 | 0.000 | 127.782 |
| 459.317 | 149.564 | 141.828 | -0.000 | 0.000 | 0.000 |
| 168.315 | 514.663 | 23.696 | -0.000 | 0.000 | 0.000 |
| 129.932 | 29.936 | 476.568 | -0.000 | 0.000 | 0.000 |
| 3.538 | -1.553 | 4.235 | 281.026 | -0.000 | 0.000 |
| 3.182 | -2.652 | 4.244 | -0.000 | 198.764 | 0.000 |
| 5.436 | -2.394 | 8.157 | -0.000 | -0.000 | 173.272 |
| 363.237 | 197.325 | 134.433 | -0.000 | 0.000 | -0.000 |
| 150.382 | 533.482 | 16.844 | 0.000 | 0.000 | -0.000 |
| 121.147 | 33.412 | 469.600 | 0.000 | 0.000 | -0.000 |
| -3.538 | 1.553 | -4.235 | 281.026 | 0.000 | -0.000 |
| -3.182 | 2.652 | -4.244 | -0.000 | 198.764 | -0.000 |
| -5.436 | 2.394 | -8.157 | 0.000 | 0.000 | 173.272 |
| 696.671 | -703.896 | -18.422 | 0.005 | -0.166 | -0.000 |
| 417.001 | -143.842 | 131.793 | -0.012 | -0.179 | -0.000 |
| 392.271 | -359.630 | 359.010 | -0.016 | -0.130 | -0.000 |
| 549.063 | -717.749 | -15.786 | 30.194 | -0.366 | 0.000 |
| 94.812 | -339.286 | 245.217 | 0.028 | 198.808 | -0.000 |
| 0.000 | -0.000 | 0.000 | 0.000 | 0.000 | 284.716 |
| -104.147 | 627.175 | -14.048 | -0.042 | 0.370 | 0.000 |
| -725.395 | 678.976 | 40.748 | -0.050 | 0.602 | 0.000 |
| -185.846 | 463.607 | 207.226 | 0.010 | 0.195 | 0.000 |
| -549.080 | 717.770 | 15.790 | 30.190 | 0.366 | -0.000 |
| -668.600 | 446.160 | 4.873 | 0.033 | 65.524 | 0.000 |
| -94.647 | 338.695 | -244.790 | -0.028 | 0.550 | 208.240 |
| 250.739 | -36.737 | -2.286 | 0.002 | -0.051 | -0.000 |
| 105.475 | 29.793 | 12.757 | 0.000 | -0.018 | -0.000 |
| 105.966 | 0.447 | 189.891 | 0.005 | -0.054 | -0.000 |
| 30.627 | -40.648 | 5.418 | 118.570 | -0.011 | -0.000 |
| 50.594 | -64.977 | 0.006 | 0.002 | 59.794 | -0.000 |
| 38.265 | -56.694 | 8.561 | 0.004 | -0.040 | 126.200 |
| 224.064 | 160.233 | 37.069 | -0.007 | 0.073 | 0.000 |
| 104.463 | 384.128 | 38.644 | -0.004 | 0.086 | 0.000 |
| -26.734 | 74.209 | 68.297 | -0.001 | 0.015 | 0.000 |
| -63.055 | 52.011 | 5.387 | 39.910 | 0.043 | 0.000 |
| -64.198 | 67.990 | 0.187 | 0.001 | 51.891 | 0.000 |
| -76.956 | 41.961 | -0.181 | -0.007 | 0.056 | -31.278 |
| 186.309 | -34.017 | -41.572 | 0.001 | -0.009 | -0.000 |
| -11.754 | 18.933 | -11.374 | 0.000 | -0.004 | -0.000 |
| -28.266 | 1.341 | -143.378 | -0.000 | -0.003 | -0.000 |
| 7.163 | -5.154 | 0.546 | 33.775 | -0.003 | -0.000 |
| 6.824 | -4.652 | -0.479 | 0.000 | 46.143 | -0.000 |
| 8.559 | -3.165 | -0.167 | 0.000 | -0.004 | -58.102 |
| 168.531 | -26.062 | -44.689 | -0.000 | 0.003 | 0.000 |
| -26.696 | 25.398 | -17.921 | -0.001 | 0.007 | 0.000 |
| -55.657 | -23.169 | -128.812 | 0.002 | -0.002 | -0.000 |
| -7.778 | 3.637 | -0.216 | 32.211 | 0.003 | 0.000 |
| -6.059 | 5.748 | -0.646 | -0.000 | 47.592 | 0.000 |
| -8.185 | 3.120 | 0.759 | -0.001 | 0.003 | -58.904 |
| 884.864 | 26.788 | 0.000 | 0.000 | 0.000 | -0.000 |
| -39.792 | 951.444 | 0.000 | 0.000 | 0.000 | -0.000 |
| 0.000 | -0.000 | 0.000 | 0.000 | 0.000 | 0.000 |
| 0.000 | -0.000 | 0.000 | 0.000 | 0.000 | -0.000 |
| 0.000 | 0.000 | 0.000 | 0.000 | 0.000 | -0.000 |
| 0.322 | -0.322 | 0.000 | 0.000 | 0.000 | 428.716 |
| 951.444 | -39.792 | -0.000 | -0.000 | -0.000 | 0.000 |
| -39.792 | 951.444 | -0.000 | -0.000 | -0.000 | -0.000 |
| 0.000 | -0.000 | -0.000 | -0.000 | -0.000 | 0.000 |
| -0.000 | 0.000 | -0.000 | -0.000 | -0.000 | 0.000 |
| -0.000 | -0.000 | -0.000 | -0.000 | -0.000 | -0.000 |
| -0.322 | 0.322 | -0.000 | -0.000 | -0.000 | 428.716 |
| 884.575 | 27.077 | 0.000 | 0.000 | 0.000 | -0.000 |
| 27.143 | 884.509 | 0.000 | 0.000 | 0.000 | -0.000 |
| 0.000 | -0.000 | 0.000 | 0.000 | 0.000 | 0.000 |
| 0.000 | -0.000 | 0.000 | 0.000 | 0.000 | -0.000 |
| -0.000 | -0.000 | 0.000 | 0.000 | 0.000 | 0.000 |
| 0.032 | -0.032 | 0.000 | 0.000 | 0.000 | 428.716 |
| 884.604 | 27.048 | -0.000 | -0.000 | -0.000 | 0.000 |
| 27.077 | 884.574 | -0.000 | -0.000 | -0.000 | 0.000 |
| 0.000 | -0.000 | -0.000 | -0.000 | -0.000 | 0.000 |
| -0.000 | 0.000 | -0.000 | -0.000 | -0.000 | -0.000 |
| -0.000 | 0.000 | -0.000 | -0.000 | -0.000 | 0.000 |
| -0.032 | 0.032 | -0.000 | -0.000 | -0.000 | 428.716 |
| 884.556 | 27.099 | 0.000 | 0.000 | 0.000 | -0.000 |
| 27.122 | 884.533 | 0.000 | 0.000 | 0.000 | -0.000 |
| 0.000 | -0.000 | 0.000 | 0.000 | 0.000 | 0.000 |
| 0.000 | -0.000 | 0.000 | 0.000 | 0.000 | -0.000 |
| -0.000 | 0.000 | 0.000 | 0.000 | 0.000 | 0.000 |
| 0.003 | -0.002 | 0.000 | 0.000 | 0.000 | 428.716 |
| 884.527 | 27.121 | -0.000 | -0.000 | -0.000 | 0.000 |
| 27.098 | 884.550 | -0.000 | -0.000 | -0.000 | 0.000 |
| 0.000 | -0.000 | -0.000 | -0.000 | -0.000 | 0.000 |
| -0.000 | 0.000 | -0.000 | -0.000 | -0.000 | -0.000 |
| -0.000 | 0.000 | -0.000 | -0.000 | -0.000 | -0.000 |
| -0.003 | 0.002 | -0.000 | -0.000 | -0.000 | 428.716 |
| 871.347 | 26.706 | 0.000 | 0.000 | 0.000 | -0.000 |
| 26.706 | 871.347 | 0.000 | 0.000 | 0.000 | 0.000 |
| -0.000 | 0.000 | 0.000 | 0.000 | 0.000 | -0.000 |
| -0.000 | 0.000 | 0.000 | 0.000 | 0.000 | 0.000 |
| -0.000 | 0.000 | 0.000 | 0.000 | 0.000 | -0.000 |
| 0.000 | -0.000 | 0.000 | 0.000 | 0.000 | 488.225 |
| 871.347 | 26.706 | -0.000 | -0.000 | -0.000 | -0.000 |
| 26.706 | 871.347 | -0.000 | -0.000 | -0.000 | -0.000 |
| 0.000 | -0.000 | -0.000 | -0.000 | -0.000 | 0.000 |
| 0.000 | -0.000 | -0.000 | -0.000 | -0.000 | -0.000 |
| 0.000 | -0.000 | -0.000 | -0.000 | -0.000 | 0.000 |
| -0.000 | 0.000 | -0.000 | -0.000 | -0.000 | 488.225 |
| 871.324 | 26.729 | 0.000 | 0.000 | 0.000 | 0.000 |
| 26.706 | 871.346 | 0.000 | 0.000 | 0.000 | 0.000 |
| -0.000 | 0.000 | 0.000 | 0.000 | 0.000 | -0.000 |
| -0.000 | 0.000 | 0.000 | 0.000 | 0.000 | 0.000 |
| -0.000 | 0.000 | 0.000 | 0.000 | 0.000 | 0.000 |
| -0.000 | 0.000 | 0.000 | 0.000 | 0.000 | 422.321 |
| 871.346 | 26.706 | -0.000 | -0.000 | -0.000 | 0.000 |
| 26.705 | 871.347 | -0.000 | -0.000 | -0.000 | -0.000 |
| 0.000 | -0.000 | -0.000 | -0.000 | -0.000 | 0.000 |
| 0.000 | -0.000 | -0.000 | -0.000 | -0.000 | -0.000 |
| 0.000 | -0.000 | -0.000 | -0.000 | -0.000 | 0.000 |
| 0.000 | -0.000 | -0.000 | -0.000 | -0.000 | 422.321 |
| 871.358 | 26.698 | 0.000 | 0.000 | 0.000 | -0.000 |
| 26.714 | 871.341 | 0.000 | 0.000 | 0.000 | -0.000 |
| -0.000 | 0.000 | 0.000 | 0.000 | 0.000 | -0.000 |
| -0.000 | 0.000 | 0.000 | 0.000 | 0.000 | 0.000 |
| -0.000 | 0.000 | 0.000 | 0.000 | 0.000 | 0.000 |
| -0.000 | 0.001 | 0.000 | 0.000 | 0.000 | 422.321 |
| 871.335 | 26.714 | -0.000 | -0.000 | -0.000 | 0.000 |
| 26.697 | 871.352 | -0.000 | -0.000 | -0.000 | -0.000 |
| 0.000 | -0.000 | -0.000 | -0.000 | -0.000 | 0.000 |
| 0.000 | -0.000 | -0.000 | -0.000 | -0.000 | -0.000 |
| 0.000 | -0.000 | -0.000 | -0.000 | -0.000 | -0.000 |
| 0.000 | -0.001 | -0.000 | -0.000 | -0.000 | 422.321 |
| -24162382.480 | -6876241.414 | 2415322.963 | 252833.690 | 1594174.843 | -41857.630 |
| -40929936.743 | -9278754.034 | 4046988.163 | 285384.035 | 2355228.279 | -278979.621 |
| -23385698.384 | -6471422.109 | 2373077.952 | 308147.209 | 1516096.428 | -469079.770 |
| -57797217.519 | -11176427.147 | 5137023.538 | 148692.890 | 2599440.479 | -46816.367 |
| -58814427.339 | -11658374.566 | 5238800.972 | 332274.300 | 2800089.228 | -102149.112 |
| -28784283.332 | -7908801.878 | 2885700.039 | 149751.134 | 1857986.759 | -283508.599 |
| -1662041.792 | -10006265.190 | -1199751.970 | -286397.697 | 272453.541 | 511208.923 |
| 35371439.176 | 8276664.177 | -3620492.252 | -77989.044 | -2079714.192 | 271281.649 |
| 68.027 | 727.817 | 1332.636 | -19.417 | -12.776 | -15.804 |
| 50903138.515 | 10804234.157 | -4864977.544 | -144327.405 | -2413057.850 | 127457.121 |
| 36518994.029 | 7400673.570 | -3810603.835 | -53505.455 | -2088298.451 | -31416.109 |
| 23173863.479 | 5014451.221 | -2487933.455 | -313514.157 | -1611767.291 | -28018.203 |
| -2319645.228 | -671385.476 | 232941.278 | 25849.517 | 165551.465 | -17890.261 |
| -2737053.659 | -665314.486 | 281004.564 | 17564.193 | 177074.776 | 90.926 |
| -2565534.698 | -606621.577 | 268779.673 | 22492.080 | 169670.149 | 4643.912 |
| -2867728.995 | -802313.458 | 286924.625 | -677.963 | 182040.646 | -35800.663 |
| -18.146 | -78.283 | -7.657 | 7.904 | 720.996 | 6.070 |
| -2982885.883 | -856627.952 | 296221.681 | 36529.599 | 180986.399 | 5948.886 |
| 2471016.254 | 618376.763 | -255158.383 | 7969.793 | -170150.098 | -177.704 |
| 4962494.055 | 1089002.922 | -478296.971 | -23637.185 | -259158.588 | -5948.561 |
| 68.022 | 727.579 | 1332.559 | -19.425 | -12.782 | -15.814 |
| 13.167 | 56.128 | 5.339 | 388.402 | 2.006 | 6.893 |
| 6125591.870 | 1295885.733 | -539663.358 | -13134.592 | -266203.136 | 14940.996 |
| 2296279.142 | 577810.649 | -238970.557 | 7869.136 | -163476.535 | -45185.774 |
| -622770.166 | -126951.202 | 59574.133 | 1479.703 | 25727.803 | -3709.994 |
| -511192.968 | -110229.504 | 51844.782 | 779.704 | 24744.626 | -3112.061 |
| -253070.697 | -63770.138 | 27076.788 | 1746.128 | 16564.251 | 995.549 |
| -598440.415 | -122515.313 | 59144.923 | 3522.289 | 27016.478 | -148.063 |
| -595714.766 | -128731.561 | 58781.847 | 1852.951 | 26605.110 | -1492.572 |
| -548220.305 | -110162.496 | 55307.763 | 1202.729 | 25122.472 | -1211.121 |
| 531614.347 | 120096.396 | -54006.085 | -1329.231 | -25957.964 | 998.554 |
| 4775.236 | 9924.014 | 639.568 | -680.342 | -228.507 | 139.301 |
| 240650.038 | 66070.151 | -23135.283 | -2110.760 | -16214.378 | 2928.381 |
| 359692.911 | 91264.795 | -35748.445 | -356.424 | -21101.253 | -1221.191 |
| 588938.841 | 127289.730 | -59488.086 | -2817.654 | -24695.514 | 7705.276 |
| 299951.189 | 75677.054 | -30533.313 | -1845.423 | -18798.825 | 1111.279 |
| 644.363 | -26.949 | -0.000 | -0.000 | 0.000 | -0.000 |
| 18.360 | 599.053 | -0.000 | 0.000 | 0.000 | -0.000 |
| 0.000 | -0.000 | -0.000 | 0.000 | 0.000 | -0.000 |
| 0.000 | -0.000 | -0.000 | 0.000 | 0.000 | -0.000 |
| 0.000 | -0.000 | -0.000 | 0.000 | 0.000 | -0.000 |
| 0.000 | -0.000 | -0.000 | 0.000 | 0.000 | 290.346 |
| 644.363 | -26.949 | -0.000 | -0.000 | -0.000 | 0.000 |
| 18.360 | 599.053 | -0.000 | -0.000 | -0.000 | 0.000 |
| -0.000 | 0.000 | -0.000 | -0.000 | -0.000 | 0.000 |
| -0.000 | 0.000 | 0.000 | -0.000 | -0.000 | 0.000 |
| -0.000 | 0.000 | 0.000 | -0.000 | -0.000 | 0.000 |
| -0.000 | 0.000 | 0.000 | -0.000 | -0.000 | 290.347 |
| 599.054 | 18.360 | 0.000 | -0.000 | 0.000 | -0.000 |
| 18.361 | 599.053 | -0.000 | -0.000 | 0.000 | -0.000 |
| 0.000 | -0.000 | -0.000 | 0.000 | 0.000 | -0.000 |
| 0.000 | -0.000 | -0.000 | 0.000 | 0.000 | -0.000 |
| 0.000 | -0.000 | -0.000 | 0.000 | 0.000 | -0.000 |
| -0.000 | 0.000 | -0.000 | 0.000 | -0.000 | 335.656 |
| 599.052 | 18.361 | -0.000 | 0.000 | -0.000 | 0.000 |
| 18.424 | 598.989 | -0.000 | -0.000 | -0.000 | 0.000 |
| -0.000 | 0.000 | 0.000 | -0.000 | -0.000 | 0.000 |
| -0.000 | 0.000 | 0.000 | -0.000 | -0.000 | 0.000 |
| -0.000 | 0.000 | -0.000 | -0.000 | -0.000 | 0.000 |
| 0.000 | -0.000 | -0.000 | -0.000 | -0.000 | 335.656 |
| 599.061 | 18.355 | -0.000 | -0.000 | 0.000 | -0.000 |
| 18.366 | 599.049 | 0.000 | -0.000 | 0.000 | -0.000 |
| 0.000 | -0.000 | -0.000 | 0.000 | 0.000 | -0.000 |
| 0.000 | -0.000 | -0.000 | 0.000 | 0.000 | -0.000 |
| 0.000 | -0.000 | -0.000 | 0.000 | 0.000 | -0.000 |
| -0.000 | 0.001 | -0.000 | 0.000 | 0.000 | 290.346 |
| 599.045 | 18.366 | 0.000 | 0.000 | -0.000 | 0.000 |
| 18.360 | 599.051 | 0.000 | -0.000 | -0.000 | 0.000 |
| -0.000 | 0.000 | 0.000 | -0.000 | -0.000 | 0.000 |
| -0.000 | 0.000 | 0.000 | -0.000 | -0.000 | 0.000 |
| -0.000 | 0.000 | 0.000 | -0.000 | -0.000 | 0.000 |
| 0.000 | -0.001 | 0.000 | -0.000 | -0.000 | 290.346 |
| 800.345 | -33.473 | -0.000 | -0.000 | 0.000 | -0.000 |
| 22.805 | 744.068 | -0.000 | -0.000 | 0.000 | -0.000 |
| 0.000 | -0.000 | -0.000 | 0.000 | 0.000 | 0.000 |
| 0.000 | -0.000 | -0.000 | 0.000 | 0.000 | 0.000 |
| 0.000 | -0.000 | -0.000 | 0.000 | 0.000 | 0.000 |
| -0.000 | 0.000 | -0.000 | 0.000 | -0.000 | 416.909 |
| 744.068 | 22.805 | 0.000 | 0.000 | -0.000 | 0.000 |
| -33.473 | 800.345 | 0.000 | 0.000 | -0.000 | -0.000 |
| -0.000 | 0.000 | 0.000 | -0.000 | -0.000 | -0.000 |
| -0.000 | 0.000 | 0.000 | -0.000 | -0.000 | -0.000 |
| -0.000 | 0.000 | 0.000 | -0.000 | -0.000 | -0.000 |
| 0.000 | -0.000 | 0.000 | -0.000 | -0.000 | 416.909 |
| 744.069 | 22.804 | -0.000 | -0.000 | 0.000 | -0.000 |
| 22.725 | 744.147 | -0.000 | 0.000 | 0.000 | -0.000 |
| 0.000 | -0.000 | -0.000 | 0.000 | -0.000 | 0.000 |
| 0.000 | -0.000 | -0.000 | 0.000 | 0.000 | 0.000 |
| 0.000 | -0.000 | -0.000 | 0.000 | 0.000 | 0.000 |
| -0.000 | 0.000 | -0.000 | 0.000 | -0.000 | 416.909 |
| 800.345 | -33.473 | 0.000 | -0.000 | -0.000 | 0.000 |
| -33.473 | 800.345 | 0.000 | 0.000 | -0.000 | -0.000 |
| -0.000 | -0.000 | 0.000 | 0.000 | 0.000 | -0.000 |
| -0.000 | 0.000 | 0.000 | -0.000 | -0.000 | -0.000 |
| -0.000 | 0.000 | 0.000 | -0.000 | -0.000 | -0.000 |
| 0.000 | -0.000 | 0.000 | -0.000 | -0.000 | 416.909 |
| 744.077 | 22.798 | -0.000 | -0.000 | 0.000 | -0.000 |
| 22.757 | 744.118 | -0.000 | 0.000 | 0.000 | -0.000 |
| -0.000 | -0.000 | -0.000 | 0.000 | 0.000 | 0.000 |
| -0.000 | 0.000 | -0.000 | 0.000 | 0.000 | 0.000 |
| 0.000 | -0.000 | -0.000 | 0.000 | 0.000 | 0.000 |
| -0.000 | 0.001 | -0.000 | 0.000 | 0.000 | 360.631 |
| 744.058 | 22.812 | 0.000 | 0.000 | -0.000 | 0.000 |
| 23.598 | 743.271 | 0.000 | -0.000 | -0.000 | 0.000 |
| -0.000 | -0.000 | 0.000 | -0.000 | -0.000 | -0.000 |
| -0.000 | 0.000 | 0.000 | -0.000 | -0.000 | -0.000 |
| -0.000 | 0.000 | 0.000 | -0.000 | -0.000 | -0.000 |
| 0.000 | -0.001 | 0.000 | -0.000 | -0.000 | 360.631 |
| 5827.913 | 4679.819 | -9720.911 | 9.152 | -0.000 | -0.000 |
| 4672.192 | 5820.267 | -9704.879 | -9.151 | -0.000 | -0.000 |
| 14705.165 | 14705.165 | -29649.871 | -0.000 | -0.000 | 0.000 |
| 14712.878 | 14672.566 | -30869.087 | 457.451 | -0.000 | -0.000 |
| 14748.321 | 14748.321 | -30985.901 | -0.000 | 457.261 | 20.128 |
| 6037.272 | 6037.272 | -12664.035 | -0.000 | 12.893 | 597.943 |
| -3309.105 | -4457.172 | 9695.591 | 9.139 | 0.000 | 0.000 |
| -6542.560 | -5384.576 | 14056.960 | -10.066 | -0.000 | 0.000 |
| -4544.195 | -4544.195 | 10902.861 | 0.000 | 0.000 | 0.000 |
| -14672.566 | -14712.878 | 30869.088 | 457.451 | 0.000 | 0.000 |
| -14748.321 | -14748.321 | 30985.901 | 0.000 | 457.262 | 20.128 |
| -6037.272 | -6037.272 | 12664.035 | 0.000 | 12.893 | 597.943 |
| 1720.953 | 573.099 | -993.586 | 9.177 | -0.000 | -0.000 |
| 1550.401 | 2809.510 | -3152.574 | -19.366 | -0.000 | -0.000 |
| 658.836 | 658.836 | -135.889 | -0.000 | -0.000 | -0.000 |
| 605.906 | 580.018 | -1243.786 | 408.588 | -0.000 | -0.000 |
| 1476.097 | 1476.097 | -3101.247 | 0.000 | 457.218 | 20.121 |
| 592.901 | 592.901 | -1243.657 | 0.000 | 12.943 | 598.167 |
| 643.984 | -552.982 | 1329.357 | 13.001 | 0.000 | 0.000 |
| -350.195 | 797.616 | 968.243 | -9.067 | -0.000 | 0.000 |
| -443.032 | -443.032 | 2187.437 | 0.000 | 0.000 | 0.000 |
| -1455.976 | -1496.218 | 3101.247 | 457.218 | -0.000 | 0.000 |
| -1476.097 | -1476.097 | 3101.247 | -0.000 | 457.218 | 20.121 |
| -592.901 | -592.901 | 1243.657 | -0.000 | 12.943 | 598.167 |
| 1346.237 | 151.338 | -146.097 | 12.814 | -0.000 | -0.000 |
| 168.951 | 1320.865 | -138.410 | -10.048 | -0.000 | -0.000 |
| 94.418 | 94.418 | 1046.049 | -0.000 | 0.000 | -0.000 |
| 79.684 | 58.593 | -146.227 | 397.916 | 0.000 | -0.000 |
| 48.004 | 48.003 | -101.900 | 0.000 | 389.476 | 10.083 |
| 47.627 | 47.627 | -101.107 | 0.000 | 9.833 | 577.599 |
| 1204.084 | -3.491 | 165.601 | 14.108 | -0.000 | 0.000 |
| 52.658 | 1202.737 | 109.574 | -9.039 | 0.000 | 0.000 |
| -37.726 | -37.726 | 1325.802 | 0.000 | -0.000 | 0.000 |
| -37.921 | -58.089 | 101.904 | 389.480 | 0.000 | 0.000 |
| -48.004 | -48.003 | 101.900 | -0.000 | 389.476 | 10.083 |
| -47.627 | -47.627 | 101.107 | -0.000 | 9.833 | 577.599 |
| 1496.259 | 150.780 | -307.278 | 20.119 | -0.000 | 0.000 |
| 150.780 | 1496.259 | -307.279 | -20.119 | -0.000 | 0.000 |
| 753.434 | 753.434 | -371.939 | 0.000 | -0.000 | 0.000 |
| 724.409 | 698.732 | -1546.786 | 455.146 | -0.000 | 0.000 |
| 795.569 | 795.569 | -1731.134 | -0.000 | 424.070 | 9.957 |
| 0.000 | 0.000 | 0.001 | -0.000 | 20.119 | 672.739 |
| 566.082 | -655.512 | 1567.930 | 12.843 | 0.000 | -0.000 |
| -655.512 | 566.082 | 1567.930 | -12.843 | 0.000 | -0.000 |
| -666.809 | -666.809 | 2715.538 | -0.000 | 0.000 | -0.000 |
| -698.065 | -723.744 | 1545.375 | 455.156 | 0.000 | -0.000 |
| -795.569 | -795.569 | 1731.134 | 0.000 | 424.071 | 9.957 |
| -0.000 | -0.000 | -0.001 | 0.000 | 20.119 | 672.739 |
| 1496.259 | 150.780 | -307.279 | 20.119 | -0.000 | 0.000 |
| 150.780 | 1496.259 | -307.279 | -20.119 | -0.000 | 0.000 |
| 106.595 | 106.595 | 1033.693 | 0.000 | -0.000 | 0.000 |
| 81.851 | 56.329 | -150.368 | 454.402 | -0.000 | 0.000 |
| 0.000 | 0.000 | -0.000 | 0.000 | 523.676 | 20.119 |
| 0.000 | 0.000 | 0.000 | -0.000 | 20.119 | 672.739 |
| 1209.292 | -11.024 | 168.620 | 12.764 | 0.000 | -0.000 |
| 150.780 | 1496.258 | -307.279 | -20.119 | 0.000 | -0.000 |
| -94.428 | -94.428 | 1465.617 | -0.000 | 0.000 | -0.000 |
| 20.119 | -20.119 | 0.000 | 523.676 | 0.000 | -0.000 |
| -0.000 | -0.000 | 0.000 | -0.000 | 523.676 | 20.119 |
| -0.000 | -0.000 | 0.000 | 0.000 | 20.119 | 672.739 |
| 1319.958 | 36.197 | -1.972 | 16.379 | -0.000 | 0.000 |
| 36.198 | 1319.958 | -1.973 | -16.379 | -0.000 | 0.000 |
| 37.259 | 37.259 | 1184.111 | -0.000 | -0.000 | 0.000 |
| 53.017 | 25.646 | -83.357 | 464.352 | -0.000 | 0.000 |
| 1.565 | 1.564 | -3.875 | 0.000 | 437.696 | 11.014 |
| 39.091 | 39.093 | -82.847 | 0.000 | 13.726 | 619.979 |
| 1256.925 | 57.666 | 41.528 | 11.538 | 0.000 | -0.000 |
| 63.169 | 1264.662 | 27.602 | -11.673 | 0.000 | -0.000 |
| 16.905 | 16.905 | 1227.882 | -0.000 | 0.000 | -0.000 |
| -25.645 | -53.018 | 83.357 | 464.352 | 0.000 | -0.000 |
| -1.565 | -1.564 | 3.875 | -0.000 | 437.696 | 11.014 |
| -39.091 | -39.093 | 82.847 | -0.000 | 13.726 | 619.979 |
| 1444.427 | 159.402 | -294.382 | 21.343 | -0.000 | 0.000 |
| 159.402 | 1444.427 | -294.382 | -21.343 | -0.000 | -0.000 |
| 1227.168 | 1227.168 | -1395.383 | -0.000 | -0.000 | -0.000 |
| -2497.213 | -2515.241 | 5007.405 | 416.579 | 0.000 | 0.000 |
| -2493.618 | -2493.618 | 4981.091 | 0.000 | 416.667 | 9.023 |
| 987.180 | 987.180 | -2261.714 | -0.000 | 12.403 | 586.054 |
| 136.967 | -1036.953 | 2510.819 | 12.547 | 0.000 | 0.000 |
| 159.402 | 1444.427 | -294.382 | -21.343 | 0.000 | -0.000 |
| -705.492 | -705.492 | 3041.456 | 0.000 | 0.000 | 0.000 |
| 2504.905 | 2486.866 | -4985.780 | 416.631 | 0.000 | 0.000 |
| 2493.618 | 2493.618 | -4981.091 | 0.000 | 416.667 | 9.023 |
| -987.180 | -987.180 | 2261.714 | 0.000 | 12.404 | 586.054 |
| 1172.233 | 13.754 | 112.488 | 11.324 | -0.000 | 0.000 |
| -157.595 | 959.311 | 517.055 | -8.587 | -0.000 | 0.000 |
| 172.131 | 172.131 | 983.925 | -0.000 | -0.000 | 0.000 |
| -242.005 | -260.006 | 501.516 | 416.446 | -0.000 | -0.000 |
| 0.000 | 0.000 | -0.000 | 0.000 | 538.398 | 21.343 |
| -0.000 | 0.000 | -0.000 | 0.000 | 21.343 | 642.512 |
| 1077.778 | -113.221 | 384.593 | 13.899 | 0.000 | 0.000 |
| 203.119 | 1303.155 | -189.031 | -8.410 | 0.000 | -0.000 |
| 245.578 | 245.578 | 871.418 | -0.000 | 0.000 | 0.000 |
| 258.780 | 240.744 | -498.940 | 416.617 | 0.000 | -0.000 |
| -0.000 | -0.000 | 0.000 | -0.000 | 538.398 | 21.343 |
| 0.000 | -0.000 | 0.000 | -0.000 | 21.343 | 642.512 |
| 1444.433 | 159.401 | -294.382 | 21.343 | -0.000 | -0.000 |
| 30.351 | 1248.783 | 39.797 | -16.071 | -0.000 | -0.000 |
| -33.212 | -33.212 | 1427.238 | -0.000 | -0.000 | 0.000 |
| -18.747 | -36.013 | 54.865 | 412.769 | -0.000 | 0.000 |
| 11.805 | 11.804 | -27.044 | 0.000 | 433.883 | 10.652 |
| 11.594 | 11.596 | -26.563 | 0.000 | 10.845 | 576.209 |
| 1444.420 | 159.402 | -294.382 | 21.343 | 0.000 | -0.000 |
| 52.173 | 1286.437 | -19.362 | -17.325 | 0.000 | 0.000 |
| -12.121 | -12.121 | 1386.383 | 0.000 | 0.000 | 0.000 |
| 36.073 | 18.803 | -54.988 | 412.772 | 0.000 | -0.000 |
| -11.805 | -11.804 | 27.044 | -0.000 | 433.883 | 10.652 |
| -11.594 | -11.596 | 26.563 | -0.000 | 10.845 | 576.209 |
| 403.385 | 197.699 | 197.699 | -0.000 | -0.000 | -0.000 |
| 197.699 | 403.385 | 197.699 | -0.000 | -0.000 | 0.000 |
| 197.699 | 197.699 | 403.385 | -0.000 | -0.000 | -0.000 |
| 0.000 | 0.000 | 0.000 | 265.233 | 0.000 | -0.000 |
| 0.000 | 0.000 | 0.000 | 0.000 | 265.233 | -0.000 |
| 0.000 | 0.000 | 0.000 | -0.000 | -0.000 | 265.233 |
| 403.385 | 197.699 | 197.699 | 0.000 | 0.000 | 0.000 |
| 197.699 | 403.385 | 197.699 | 0.000 | 0.000 | 0.000 |
| 197.699 | 197.699 | 403.385 | -0.000 | 0.000 | 0.000 |
| -0.000 | -0.000 | -0.000 | 265.233 | 0.000 | 0.000 |
| -0.000 | -0.000 | -0.000 | 0.000 | 265.233 | 0.000 |
| -0.000 | -0.000 | -0.000 | 0.000 | 0.000 | 265.233 |
| 403.385 | 197.699 | 197.699 | -0.000 | -0.000 | -0.000 |
| 197.699 | 403.385 | 197.699 | -0.000 | -0.000 | -0.000 |
| 197.699 | 197.699 | 403.385 | -0.000 | -0.000 | -0.000 |
| 0.000 | -0.000 | 0.000 | 265.233 | 0.000 | -0.000 |
| -0.000 | 0.000 | 0.000 | -0.000 | 265.233 | -0.000 |
| -0.000 | 0.000 | 0.000 | -0.000 | -0.000 | 265.233 |
| 403.385 | 197.699 | 197.699 | 0.000 | -0.000 | 0.000 |
| 197.699 | 403.385 | 197.699 | -0.000 | 0.000 | 0.000 |
| 197.699 | 197.699 | 403.385 | 0.000 | 0.000 | 0.000 |
| -0.000 | 0.000 | -0.000 | 265.233 | 0.000 | 0.000 |
| 0.000 | -0.000 | -0.000 | 0.000 | 265.233 | 0.000 |
| 0.000 | -0.000 | -0.000 | 0.000 | -0.000 | 265.233 |
| 395.373 | 189.757 | 189.757 | -0.000 | -0.000 | -0.000 |
| 189.757 | 395.373 | 189.757 | -0.000 | -0.000 | -0.000 |
| 189.757 | 189.757 | 395.373 | -0.000 | -0.000 | -0.000 |
| 1.142 | 1.142 | 1.142 | 142.452 | -0.000 | -0.000 |
| 1.142 | 1.142 | 1.142 | -0.000 | 142.452 | -0.000 |
| 1.142 | 1.142 | 1.142 | -0.000 | -0.000 | 142.452 |
| 403.383 | 197.698 | 197.698 | 0.000 | 0.000 | 0.000 |
| 197.698 | 403.383 | 197.698 | 0.000 | 0.000 | 0.000 |
| 197.698 | 197.698 | 403.383 | 0.000 | 0.000 | 0.000 |
| -1.142 | -1.142 | -1.142 | 142.452 | -0.000 | 0.000 |
| -1.142 | -1.142 | -1.142 | -0.000 | 142.452 | -0.000 |
| -1.142 | -1.142 | -1.142 | 0.000 | -0.000 | 142.452 |
| 157.239 | 69.740 | 69.740 | 0.000 | 0.000 | -0.000 |
| 69.740 | 157.239 | 69.740 | -0.000 | 0.000 | 0.000 |
| 69.740 | 69.740 | 157.239 | 0.000 | 0.000 | -0.000 |
| 0.000 | 0.000 | 0.000 | 174.197 | -0.000 | 0.000 |
| 0.000 | 0.000 | 0.000 | 0.000 | 174.197 | -0.000 |
| 0.000 | 0.000 | 0.000 | 0.000 | -0.000 | 174.197 |
| 135.992 | 73.910 | 73.910 | -0.000 | -0.000 | 0.000 |
| 73.910 | 135.992 | 73.910 | 0.000 | -0.000 | -0.000 |
| 73.910 | 73.910 | 135.992 | -0.000 | -0.000 | 0.000 |
| -0.000 | -0.000 | -0.000 | 174.197 | 0.000 | -0.000 |
| -0.000 | -0.000 | -0.000 | 0.000 | 174.197 | 0.000 |
| -0.000 | -0.000 | -0.000 | 0.000 | 0.000 | 174.197 |
| 157.239 | 69.740 | 69.740 | 0.000 | 0.000 | 0.000 |
| 69.740 | 157.239 | 69.740 | 0.000 | 0.000 | -0.000 |
| 69.740 | 69.740 | 157.239 | -0.000 | 0.000 | -0.000 |
| 0.000 | 0.000 | 0.000 | 174.197 | 0.000 | 0.000 |
| 0.000 | 0.000 | 0.000 | 0.000 | 174.197 | 0.000 |
| 0.000 | 0.000 | 0.000 | 0.000 | 0.000 | 174.197 |
| 157.239 | 69.740 | 69.740 | 0.000 | -0.000 | -0.000 |
| 69.740 | 157.239 | 69.740 | -0.000 | -0.000 | -0.000 |
| 69.740 | 69.740 | 157.239 | 0.000 | 0.000 | 0.000 |
| -0.000 | -0.000 | -0.000 | 174.197 | -0.000 | -0.000 |
| -0.000 | -0.000 | -0.000 | 0.000 | 174.197 | 0.000 |
| -0.000 | -0.000 | -0.000 | 0.000 | -0.000 | 174.197 |
| 157.240 | 69.740 | 69.740 | -0.000 | 0.000 | -0.000 |
| 69.740 | 157.240 | 69.740 | 0.000 | 0.000 | -0.000 |
| 69.740 | 69.740 | 157.240 | 0.000 | 0.000 | 0.000 |
| 0.024 | 0.024 | 0.025 | 128.487 | -0.000 | -0.000 |
| 0.024 | 0.024 | 0.025 | -0.000 | 128.487 | 0.000 |
| 0.024 | 0.025 | 0.024 | 0.000 | 0.000 | 128.487 |
| 131.446 | 80.324 | 80.324 | -0.000 | -0.000 | 0.000 |
| 80.324 | 131.446 | 80.324 | -0.000 | -0.000 | -0.000 |
| 80.324 | 80.324 | 131.446 | -0.000 | -0.000 | 0.000 |
| -0.024 | -0.024 | -0.025 | 128.487 | -0.000 | 0.000 |
| -0.024 | -0.024 | -0.025 | -0.000 | 128.487 | 0.000 |
| -0.024 | -0.025 | -0.024 | -0.000 | -0.000 | 128.487 |
| 741.058 | -66.291 | 19.305 | 0.000 | -0.000 | 0.000 |
| -63.495 | 410.568 | 21.136 | -0.000 | 0.000 | -0.000 |
| 6.049 | 13.532 | 448.087 | 0.000 | 0.000 | -0.000 |
| -2.844 | 5.930 | 0.495 | 12.662 | 0.000 | -0.000 |
| -0.000 | 0.000 | 0.000 | 0.000 | 255.544 | -0.000 |
| -0.326 | 0.706 | 0.065 | 0.000 | 0.000 | 222.912 |
| 742.273 | -68.068 | 17.490 | -0.000 | 0.000 | 0.000 |
| -49.943 | 384.242 | 0.182 | 0.000 | 0.000 | 0.000 |
| 6.049 | 13.532 | 448.087 | 0.000 | -0.000 | 0.000 |
| 2.844 | -5.930 | -0.495 | 12.662 | 0.000 | -0.000 |
| 0.000 | -0.000 | -0.000 | 0.000 | 255.544 | 0.000 |
| 0.326 | -0.706 | -0.065 | 0.000 | 0.000 | 222.912 |
| 747.784 | -73.231 | 3.918 | 0.000 | 0.000 | -0.000 |
| -50.872 | 386.208 | 0.426 | 0.000 | -0.000 | 0.000 |
| 26.405 | -7.667 | 232.009 | 0.000 | -0.000 | -0.000 |
| -0.028 | 0.061 | 0.006 | 70.038 | -0.000 | -0.000 |
| -0.000 | 0.000 | 0.000 | 0.000 | 255.544 | -0.000 |
| 0.000 | 0.000 | 0.000 | 0.000 | -0.000 | 302.756 |
| 747.783 | -73.231 | 3.918 | -0.000 | -0.000 | 0.000 |
| -63.495 | 410.568 | 21.136 | -0.000 | -0.000 | 0.000 |
| 3.977 | -11.342 | 0.383 | 0.000 | 0.000 | -0.000 |
| 0.028 | -0.061 | -0.006 | 70.038 | 0.000 | 0.000 |
| 0.000 | -0.000 | -0.000 | -0.000 | 255.544 | 0.000 |
| -0.000 | -0.000 | -0.000 | 0.000 | 0.000 | 302.756 |
| 738.316 | -60.028 | 5.219 | 0.000 | -0.000 | 0.000 |
| -51.731 | 393.364 | -8.396 | 0.000 | -0.000 | 0.000 |
| 3.833 | -11.068 | 0.455 | -0.000 | -0.000 | 0.000 |
| -0.003 | 0.006 | 0.000 | 70.038 | -0.000 | -0.000 |
| -0.008 | 0.019 | -0.004 | 0.000 | -0.000 | 0.000 |
| -0.005 | 0.011 | 0.001 | -0.000 | -0.000 | 222.914 |
| 738.329 | -60.065 | 5.212 | -0.000 | 0.000 | -0.000 |
| -50.809 | 386.017 | 0.200 | -0.000 | 0.000 | 0.000 |
| 2.153 | -7.632 | -0.078 | -0.000 | -0.000 | 0.000 |
| 0.003 | -0.006 | -0.000 | 70.038 | 0.000 | 0.000 |
| 0.008 | -0.019 | 0.004 | -0.000 | -0.000 | -0.000 |
| 0.005 | -0.011 | -0.001 | 0.000 | -0.000 | 222.914 |
| 807.317 | -126.494 | -17.547 | 0.000 | 0.000 | -0.000 |
| -104.144 | 504.685 | -21.758 | -0.000 | 0.000 | -0.000 |
| 9.542 | 12.796 | 474.089 | -0.000 | 0.000 | 0.000 |
| 5.851 | -7.936 | -32.744 | 67.894 | -0.000 | -0.000 |
| 6.799 | -9.223 | -38.052 | 0.000 | 160.737 | -0.000 |
| 6.353 | -8.617 | -35.552 | 0.000 | 0.000 | 227.344 |
| 795.900 | -102.538 | 51.214 | 0.000 | 0.000 | 0.000 |
| -115.398 | 532.768 | 36.719 | 0.000 | -0.000 | 0.000 |
| 9.542 | 12.796 | 474.089 | 0.000 | -0.000 | 0.000 |
| -5.851 | 7.936 | 32.744 | 67.894 | -0.000 | 0.000 |
| -6.799 | 9.223 | 38.052 | -0.000 | 160.737 | 0.000 |
| -6.353 | 8.617 | 35.552 | -0.000 | -0.000 | 227.344 |
| 802.592 | -110.760 | 15.086 | -0.000 | 0.000 | -0.000 |
| -109.226 | 519.736 | -2.250 | -0.000 | -0.000 | -0.000 |
| 1.112 | -4.164 | -0.635 | 0.000 | -0.000 | -0.000 |
| 0.541 | -0.733 | -3.026 | 71.569 | 0.000 | -0.000 |
| 0.618 | -2.010 | -2.286 | -0.000 | 0.102 | -0.000 |
| 0.618 | -0.838 | -3.458 | -0.000 | 0.000 | 229.621 |
| 801.069 | -107.641 | 7.066 | 0.000 | 0.000 | -0.000 |
| -110.294 | 523.093 | 4.606 | 0.000 | -0.000 | 0.000 |
| -0.369 | 0.613 | 2.105 | -0.000 | 0.000 | 0.000 |
| -0.541 | 0.733 | 3.026 | 71.569 | 0.000 | -0.000 |
| -0.618 | 2.010 | 2.286 | 0.000 | 0.102 | 0.000 |
| -0.618 | 0.838 | 3.458 | 0.000 | -0.000 | 229.621 |
| 802.285 | -110.296 | 16.883 | 0.000 | -0.000 | -0.000 |
| -108.859 | 521.778 | -2.064 | -0.000 | 0.000 | -0.000 |
| 0.057 | -0.167 | -0.211 | -0.000 | -0.000 | 0.000 |
| 0.054 | -0.073 | -0.302 | 71.620 | -0.000 | -0.000 |
| 0.056 | -0.167 | -0.220 | -0.000 | 0.000 | -0.000 |
| 0.033 | -0.114 | -0.132 | -0.000 | 0.000 | 229.552 |
| 802.194 | -110.191 | 17.349 | 0.000 | -0.000 | 0.000 |
| -109.730 | 521.585 | 2.509 | 0.000 | 0.000 | 0.000 |
| 0.290 | -1.548 | 0.731 | 0.000 | 0.000 | 0.000 |
| -0.054 | 0.073 | 0.302 | 71.620 | 0.000 | -0.000 |
| -0.056 | 0.167 | 0.220 | 0.000 | 0.000 | 0.000 |
| -0.033 | 0.114 | 0.132 | 0.000 | 0.000 | 229.552 |
| 716.491 | -29.966 | -0.000 | -0.000 | -0.000 | 0.000 |
| 20.416 | 666.109 | 0.000 | -0.000 | 0.000 | -0.000 |
| 0.000 | -0.000 | 0.000 | -0.000 | 0.000 | -0.000 |
| 0.000 | -0.000 | 0.000 | -0.000 | 0.000 | -0.000 |
| 0.000 | -0.000 | 0.000 | -0.000 | -0.000 | -0.000 |
| 0.000 | -0.000 | 0.000 | -0.000 | 0.000 | 322.847 |
| 716.491 | -29.966 | 0.000 | -0.000 | 0.000 | -0.000 |
| 20.415 | 666.110 | -0.000 | 0.000 | 0.000 | 0.000 |
| -0.000 | 0.000 | -0.000 | 0.000 | -0.000 | 0.000 |
| -0.000 | 0.000 | -0.000 | 0.000 | -0.000 | 0.000 |
| -0.000 | 0.000 | -0.000 | 0.000 | -0.000 | 0.000 |
| -0.000 | 0.000 | -0.000 | 0.000 | -0.000 | 322.847 |
| 666.111 | 20.415 | 0.000 | -0.000 | 0.000 | -0.000 |
| 20.416 | 666.109 | 0.000 | -0.000 | 0.000 | -0.000 |
| 0.000 | -0.000 | 0.000 | -0.000 | 0.000 | -0.000 |
| 0.000 | -0.000 | 0.000 | -0.000 | 0.000 | -0.000 |
| 0.000 | -0.000 | 0.000 | -0.000 | 0.000 | -0.000 |
| -0.000 | 0.000 | 0.000 | -0.000 | -0.000 | 373.229 |
| 666.109 | 20.416 | -0.000 | 0.000 | 0.000 | 0.000 |
| 20.486 | 666.039 | -0.000 | -0.000 | -0.000 | 0.000 |
| -0.000 | 0.000 | -0.000 | 0.000 | -0.000 | 0.000 |
| -0.000 | 0.000 | -0.000 | 0.000 | -0.000 | 0.000 |
| -0.000 | 0.000 | -0.000 | 0.000 | -0.000 | 0.000 |
| 0.000 | -0.000 | 0.000 | 0.000 | -0.000 | 373.229 |
| 666.119 | 20.409 | 0.000 | -0.000 | 0.000 | -0.000 |
| 20.422 | 666.106 | 0.000 | -0.000 | 0.000 | -0.000 |
| 0.000 | -0.000 | 0.000 | -0.000 | -0.000 | -0.000 |
| 0.000 | -0.000 | 0.000 | -0.000 | 0.000 | -0.000 |
| 0.000 | -0.000 | 0.000 | -0.000 | 0.000 | -0.000 |
| -0.000 | 0.001 | -0.000 | 0.000 | -0.000 | 373.229 |
| 666.101 | 20.421 | -0.000 | 0.000 | -0.000 | 0.000 |
| 20.415 | 666.108 | -0.000 | 0.000 | 0.000 | 0.000 |
| -0.000 | 0.000 | -0.000 | 0.000 | -0.000 | 0.000 |
| -0.000 | 0.000 | -0.000 | 0.000 | -0.000 | 0.000 |
| -0.000 | 0.000 | -0.000 | 0.000 | -0.000 | 0.000 |
| 0.000 | -0.001 | 0.000 | -0.000 | -0.000 | 373.229 |
| 3286.590 | 2073.347 | -4277.213 | -0.000 | -0.000 | 0.000 |
| 225.974 | 1549.953 | -435.163 | -0.000 | -0.000 | -0.000 |
| 3045.403 | 3045.403 | -5211.838 | -0.000 | -0.000 | 0.000 |
| 3027.390 | 3027.390 | -6417.093 | 419.637 | -0.000 | 0.000 |
| 1995.829 | 1995.829 | -4270.741 | -0.000 | 395.205 | 0.000 |
| 0.000 | 0.000 | 0.000 | -0.000 | -0.000 | 661.990 |
| 1549.953 | 225.974 | -435.163 | 0.000 | 0.000 | -0.000 |
| -2980.737 | -1731.584 | 6433.294 | -0.000 | 0.000 | -0.000 |
| -1972.036 | -1972.036 | 5454.994 | 0.000 | 0.000 | 0.000 |
| -3027.390 | -3027.390 | 6417.093 | 419.637 | 0.000 | -0.000 |
| -1995.829 | -1995.829 | 4270.741 | 0.000 | 395.205 | 0.000 |
| 0.000 | -0.000 | -0.000 | 0.000 | 0.000 | 661.990 |
| 1475.984 | 290.229 | -432.213 | 0.000 | -0.000 | 0.000 |
| 125.037 | 1368.475 | -144.504 | -0.000 | -0.000 | -0.000 |
| 218.072 | 218.072 | 768.338 | -0.000 | -0.000 | -0.000 |
| 0.000 | 0.000 | -0.000 | 495.413 | -0.000 | 0.000 |
| 310.567 | 310.567 | -658.303 | -0.000 | 417.678 | -0.000 |
| 308.626 | 308.627 | -654.189 | -0.000 | 0.000 | 621.188 |
| 1050.474 | -222.627 | 564.181 | 0.000 | 0.000 | 0.000 |
| -122.576 | 1089.735 | 422.747 | 0.000 | 0.000 | -0.000 |
| -71.981 | -71.981 | 1389.874 | 0.000 | 0.000 | -0.000 |
| -0.000 | -0.000 | 0.000 | 495.413 | 0.000 | 0.000 |
| -310.567 | -310.567 | 658.303 | 0.000 | 417.678 | 0.000 |
| -308.626 | -308.627 | 654.189 | 0.000 | 0.000 | 621.188 |
| 1299.699 | 107.576 | -48.162 | -0.000 | -0.000 | 0.000 |
| 110.061 | 1296.466 | -47.505 | -0.000 | -0.000 | 0.000 |
| 44.679 | 44.679 | 1139.596 | -0.000 | -0.000 | 0.000 |
| 19.536 | 19.537 | -41.864 | 389.875 | -0.000 | -0.000 |
| 0.001 | 0.001 | -0.001 | -0.000 | 495.413 | -0.000 |
| 19.360 | 19.362 | -41.578 | 0.000 | -0.000 | 597.459 |
| 1299.668 | 14.720 | 49.793 | 0.000 | 0.000 | -0.000 |
| 60.885 | 1262.365 | 41.795 | -0.000 | 0.000 | 0.000 |
| 4.133 | 4.133 | 1226.320 | 0.000 | 0.000 | 0.000 |
| -40.750 | -40.751 | 86.377 | 393.408 | 0.000 | 0.000 |
| -0.001 | -0.001 | 0.001 | 0.000 | 495.413 | -0.000 |
| -19.360 | -19.362 | 41.578 | 0.000 | 0.000 | 597.459 |
| 1508.626 | 170.986 | -340.324 | 0.000 | 0.000 | 0.000 |
| 170.986 | 1508.626 | -340.324 | 0.000 | 0.000 | -0.000 |
| 2490.564 | 2490.564 | -3986.311 | 0.000 | 0.000 | 0.000 |
| 2518.011 | 2518.011 | -5300.290 | 490.619 | 0.000 | 0.000 |
| 2519.056 | 2519.056 | -5302.488 | 0.000 | 490.608 | 0.000 |
| -0.000 | 0.000 | 0.000 | 0.000 | 0.000 | 668.820 |
| -1168.290 | -2465.983 | 5252.124 | 0.000 | -0.000 | 0.000 |
| -2465.983 | -1168.290 | 5252.124 | -0.000 | 0.000 | -0.000 |
| -2548.615 | -2548.615 | 6620.909 | -0.000 | -0.000 | 0.000 |
| -2518.011 | -2518.011 | 5300.290 | 490.619 | -0.000 | -0.000 |
| -2519.056 | -2519.056 | 5302.488 | -0.000 | 490.608 | 0.000 |
| -0.000 | -0.000 | -0.000 | -0.000 | -0.000 | 668.820 |
| 1508.627 | 170.986 | -340.324 | 0.000 | 0.000 | 0.000 |
| 324.533 | 1618.298 | -617.668 | 0.000 | 0.000 | -0.000 |
| 300.746 | 300.746 | 626.889 | 0.000 | 0.000 | 0.000 |
| 261.041 | 261.041 | -549.478 | 489.676 | 0.000 | -0.000 |
| 260.986 | 260.986 | -549.363 | 0.000 | 489.682 | 0.000 |
| -0.000 | 0.000 | -0.000 | 0.000 | 0.000 | 668.820 |
| 1005.072 | -221.953 | 600.036 | -0.000 | 0.000 | 0.000 |
| -204.644 | 1091.894 | 493.324 | -0.000 | -0.000 | 0.000 |
| -251.033 | -251.033 | 1784.972 | -0.000 | -0.000 | 0.000 |
| -261.041 | -261.041 | 549.478 | 489.676 | -0.000 | 0.000 |
| -260.986 | -260.986 | 549.363 | -0.000 | 489.682 | 0.000 |
| 0.000 | -0.000 | 0.000 | -0.000 | -0.000 | 668.820 |
| 1287.080 | 119.771 | -54.334 | 0.000 | -0.000 | -0.000 |
| 58.922 | 1345.345 | -50.889 | 0.000 | 0.000 | 0.000 |
| 53.045 | 53.045 | 1146.742 | 0.000 | 0.000 | -0.000 |
| 0.001 | 0.001 | -0.000 | 516.318 | 0.000 | -0.000 |
| 0.001 | 0.001 | -0.000 | 0.000 | 516.318 | 0.000 |
| -0.000 | 0.002 | -0.000 | 0.000 | 0.000 | 668.820 |
| 1227.765 | 61.307 | 69.305 | -0.000 | -0.000 | 0.000 |
| 39.620 | 1254.232 | 63.802 | -0.000 | -0.000 | 0.000 |
| -42.153 | -42.153 | 1344.975 | -0.000 | -0.000 | 0.000 |
| -0.001 | -0.001 | 0.000 | 516.318 | -0.000 | 0.000 |
| -0.001 | -0.001 | 0.000 | -0.000 | 516.318 | 0.000 |
| 0.000 | -0.002 | 0.000 | -0.000 | -0.000 | 668.820 |
| 1452.427 | 180.669 | -327.254 | -0.000 | 0.000 | 0.000 |
| 65.691 | 1291.888 | -42.253 | -0.000 | 0.000 | 0.000 |
| -327.254 | -327.254 | 2034.813 | 0.000 | 0.000 | 0.000 |
| 0.000 | 0.000 | -0.000 | 531.525 | 0.000 | 0.000 |
| 0.000 | 0.000 | -0.000 | 0.000 | 531.525 | 0.000 |
| 6.620 | 6.620 | -12.677 | -0.000 | 0.000 | 555.183 |
| 1280.106 | 56.140 | -20.791 | -0.000 | -0.000 | -0.000 |
| 180.669 | 1452.427 | -327.254 | 0.000 | -0.000 | -0.000 |
| -41.477 | -41.477 | 1447.683 | -0.000 | -0.000 | -0.000 |
| -0.000 | -0.000 | 0.000 | 531.525 | -0.000 | -0.000 |
| -0.000 | -0.000 | 0.000 | -0.000 | 531.525 | -0.000 |
| -6.620 | -6.620 | 12.677 | 0.000 | -0.000 | 555.183 |
| 1286.424 | 61.288 | -32.312 | -0.000 | 0.000 | 0.000 |
| 96.617 | 1233.019 | -16.668 | 0.000 | 0.000 | 0.000 |
| -64.699 | -64.699 | 1492.030 | -0.000 | 0.000 | 0.000 |
| 0.000 | 0.000 | -0.000 | 531.525 | 0.000 | 0.000 |
| 0.000 | 0.000 | -0.000 | 0.000 | 531.525 | -0.000 |
| 0.680 | 0.681 | -1.303 | -0.000 | 0.000 | 552.961 |
| 1452.427 | 180.669 | -327.254 | -0.000 | -0.000 | -0.000 |
| 95.303 | 1232.779 | -15.153 | 0.000 | -0.000 | -0.000 |
| -37.283 | -37.283 | 1439.422 | -0.000 | -0.000 | -0.000 |
| -0.000 | -0.000 | 0.000 | 531.525 | -0.000 | -0.000 |
| -0.000 | -0.000 | 0.000 | -0.000 | 531.525 | -0.000 |
| -0.680 | -0.681 | 1.303 | 0.000 | -0.000 | 552.961 |
| 1231.351 | 94.888 | -13.194 | 0.000 | 0.000 | 0.000 |
| 61.253 | 1286.446 | -32.319 | -0.000 | 0.000 | 0.000 |
| -36.734 | -36.734 | 1438.531 | -0.000 | 0.000 | 0.000 |
| 0.001 | 0.001 | -0.000 | 531.525 | 0.000 | 0.000 |
| 0.266 | 0.265 | -0.564 | 0.000 | 386.639 | -0.000 |
| 0.069 | 0.071 | -0.132 | -0.000 | 0.000 | 552.938 |
| 1217.524 | 129.288 | -33.577 | 0.000 | -0.000 | -0.000 |
| 95.748 | 1232.682 | -15.478 | 0.000 | -0.000 | -0.000 |
| -65.587 | -65.587 | 1493.831 | 0.000 | -0.000 | -0.000 |
| -0.001 | -0.001 | 0.000 | 531.525 | -0.000 | -0.000 |
| -0.001 | -0.001 | 0.000 | 0.000 | 531.525 | 0.000 |
| -0.069 | -0.071 | 0.132 | 0.000 | -0.000 | 552.938 |
| 1484.932 | 136.112 | -281.953 | -0.000 | 0.000 | 0.000 |
| 136.112 | 1484.932 | -281.953 | -0.000 | 0.000 | -0.000 |
| 164.490 | 164.490 | 932.112 | -0.000 | 0.000 | -0.000 |
| 0.000 | 0.000 | -0.000 | 530.057 | -0.000 | 0.000 |
| 0.000 | 0.000 | -0.000 | -0.000 | 530.057 | -0.000 |
| 0.000 | 0.000 | -0.000 | -0.000 | -0.000 | 674.410 |
| 1484.932 | 136.112 | -281.952 | -0.000 | 0.000 | -0.000 |
| -131.597 | 1121.978 | 375.826 | 0.000 | -0.000 | 0.000 |
| -263.183 | -263.183 | 1821.235 | -0.000 | 0.000 | 0.000 |
| -0.000 | -0.000 | 0.000 | 530.057 | -0.000 | -0.000 |
| -0.000 | -0.000 | 0.000 | 0.000 | 530.057 | -0.000 |
| -0.000 | -0.000 | 0.000 | 0.000 | 0.000 | 674.410 |
| 1333.757 | 40.227 | -22.373 | 0.000 | 0.000 | 0.000 |
| 82.403 | 1268.068 | 1.503 | 0.000 | -0.000 | -0.000 |
| 40.847 | 40.847 | 1185.478 | -0.000 | -0.000 | -0.000 |
| 0.000 | 0.000 | 0.000 | 530.057 | 0.000 | -0.000 |
| 0.000 | 0.000 | -0.000 | 0.000 | 530.057 | -0.000 |
| 0.000 | 0.000 | -0.000 | 0.000 | -0.000 | 674.410 |
| 1311.888 | 22.130 | 19.072 | -0.000 | -0.000 | -0.000 |
| 55.424 | 1249.858 | 47.691 | -0.000 | -0.000 | -0.000 |
| -30.342 | -30.342 | 1332.170 | 0.000 | 0.000 | -0.000 |
| -0.000 | -0.000 | -0.000 | 530.057 | 0.000 | -0.000 |
| -0.000 | -0.000 | -0.000 | 0.000 | 530.057 | -0.000 |
| -0.000 | -0.000 | 0.000 | -0.000 | 0.000 | 674.410 |
| 1254.251 | 94.708 | 2.916 | -0.000 | 0.000 | 0.000 |
| 68.549 | 1259.100 | 24.902 | 0.000 | -0.000 | -0.000 |
| 29.795 | 29.795 | 1208.222 | 0.000 | -0.000 | 0.000 |
| 0.001 | 0.000 | 0.000 | 530.057 | -0.000 | 0.000 |
| 0.000 | 0.001 | 0.000 | 0.000 | 530.057 | 0.000 |
| -0.000 | 0.002 | -0.000 | -0.000 | -0.000 | 674.410 |
| 1327.564 | 34.124 | -9.742 | 0.000 | -0.000 | 0.000 |
| 92.807 | 1252.616 | 6.472 | -0.000 | 0.000 | -0.000 |
| 28.359 | 28.359 | 1211.107 | 0.000 | -0.000 | 0.000 |
| -0.001 | -0.000 | -0.000 | 530.057 | 0.000 | 0.000 |
| -0.000 | -0.001 | -0.000 | -0.000 | 530.057 | -0.000 |
| 0.000 | -0.002 | 0.000 | 0.000 | 0.000 | 674.410 |
| 969.341 | -133.136 | 20.556 | 0.000 | 0.000 | -0.000 |
| -131.963 | 631.994 | 2.717 | 0.000 | 0.000 | -0.000 |
| 1.776 | -1.349 | 0.628 | 0.000 | 0.000 | -0.000 |
| 0.095 | -0.001 | -0.498 | 98.901 | 0.000 | -0.000 |
| 0.070 | -0.001 | -0.366 | 0.000 | 178.080 | -0.000 |
| 0.000 | -0.000 | 0.000 | 0.000 | 0.000 | 373.030 |
| 969.295 | -133.138 | 20.811 | -0.000 | -0.000 | 0.000 |
| -133.179 | 639.745 | 15.083 | 0.000 | 0.000 | -0.000 |
| 27.211 | 7.986 | 302.823 | -0.000 | -0.000 | 0.000 |
| -0.095 | 0.001 | 0.498 | 98.901 | -0.000 | 0.000 |
| -0.070 | 0.001 | 0.366 | -0.000 | 178.080 | 0.000 |
| -0.000 | 0.000 | -0.000 | -0.000 | 0.000 | 373.030 |
| 971.587 | -133.737 | 11.596 | 0.000 | 0.000 | -0.000 |
| -131.988 | 631.983 | 2.759 | 0.000 | 0.000 | -0.000 |
| 27.224 | 8.005 | 303.220 | 0.000 | 0.000 | -0.000 |
| 0.010 | -0.000 | -0.050 | 98.897 | 0.000 | -0.000 |
| 0.003 | 0.001 | 0.004 | 0.000 | 0.000 | -0.000 |
| 0.005 | -0.000 | -0.024 | 0.000 | 0.000 | 270.468 |
| 969.315 | -133.137 | 20.696 | -0.000 | 0.000 | 0.000 |
| -131.201 | 632.397 | -1.388 | -0.000 | -0.000 | 0.000 |
| 1.326 | 0.769 | -0.010 | -0.000 | 0.000 | -0.000 |
| -0.010 | 0.000 | 0.050 | 98.897 | -0.000 | 0.000 |
| -0.003 | -0.001 | -0.004 | -0.000 | -0.000 | 0.000 |
| -0.005 | 0.000 | 0.024 | -0.000 | -0.000 | 270.468 |
| 971.590 | -133.736 | 11.596 | 0.000 | -0.000 | 0.000 |
| -133.181 | 639.749 | 15.083 | 0.000 | 0.000 | 0.000 |
| 1.330 | 0.771 | 0.017 | 0.000 | 0.000 | -0.000 |
| 0.001 | -0.000 | -0.005 | 98.897 | 0.000 | -0.000 |
| 0.000 | 0.000 | 0.000 | 0.000 | -0.000 | -0.000 |
| 0.001 | 0.000 | -0.003 | 0.000 | -0.000 | 270.468 |
| 969.315 | -133.138 | 20.685 | -0.000 | -0.000 | 0.000 |
| -131.989 | 631.976 | 2.764 | -0.000 | -0.000 | 0.000 |
| 1.338 | 0.768 | -0.090 | -0.000 | 0.000 | -0.000 |
| -0.001 | 0.000 | 0.005 | 98.897 | -0.000 | 0.000 |
| -0.000 | -0.000 | -0.000 | -0.000 | -0.000 | 0.000 |
| -0.001 | -0.000 | 0.003 | -0.000 | -0.000 | 270.468 |
| 972.868 | -134.066 | 11.544 | -0.000 | 0.000 | -0.000 |
| -134.066 | 639.052 | 15.480 | -0.000 | 0.000 | -0.000 |
| 0.027 | -2.180 | -7.307 | 0.000 | -0.000 | -0.000 |
| -0.258 | 0.003 | -4.703 | 99.130 | -0.000 | -0.000 |
| -0.000 | 0.000 | 0.000 | 0.000 | 332.994 | -0.000 |
| -0.234 | -0.009 | -4.539 | 0.000 | 0.000 | 270.528 |
| 970.727 | -133.405 | 21.593 | -0.000 | 0.000 | -0.000 |
| -131.590 | 631.383 | 2.521 | -0.000 | 0.000 | 0.000 |
| 0.403 | 0.051 | 7.842 | 0.000 | -0.000 | -0.000 |
| 0.258 | -0.003 | 4.703 | 99.130 | 0.000 | 0.000 |
| 0.000 | -0.000 | -0.000 | -0.000 | 332.994 | 0.000 |
| 0.234 | 0.009 | 4.539 | -0.000 | -0.000 | 270.528 |
| 969.579 | -132.826 | -0.784 | 0.000 | 0.000 | 0.000 |
| -132.861 | 630.802 | -0.784 | 0.000 | 0.000 | 0.000 |
| 0.401 | -2.166 | -0.173 | 0.000 | -0.000 | -0.000 |
| -0.026 | 0.000 | -0.470 | 99.160 | -0.000 | -0.000 |
| -0.058 | -0.004 | -1.159 | 0.000 | 11.049 | -0.000 |
| 0.000 | 0.000 | 0.000 | 0.000 | -0.000 | 375.707 |
| 969.659 | -132.816 | 0.784 | -0.000 | -0.000 | -0.000 |
| -131.796 | 631.361 | -1.429 | -0.000 | 0.000 | 0.000 |
| 26.010 | 7.052 | 304.614 | -0.000 | 0.000 | 0.000 |
| 0.026 | -0.000 | 0.470 | 99.160 | -0.000 | 0.000 |
| 0.058 | 0.004 | 1.159 | -0.000 | 11.049 | -0.000 |
| -0.000 | -0.000 | -0.000 | 0.000 | 0.000 | 375.707 |
| 969.652 | -132.337 | 2.294 | 0.000 | 0.000 | -0.000 |
| -132.692 | 630.826 | 2.690 | 0.000 | -0.000 | -0.000 |
| -0.014 | 0.002 | 0.011 | -0.000 | 0.000 | 0.000 |
| -0.007 | -0.002 | -0.137 | 3.033 | -0.000 | -0.000 |
| -0.005 | -0.001 | -0.097 | 0.000 | 0.000 | 0.000 |
| -0.001 | 0.000 | -0.023 | 0.000 | -0.000 | 271.673 |
| 969.654 | -132.340 | 2.452 | -0.000 | -0.000 | 0.000 |
| -134.064 | 639.048 | 15.481 | 0.000 | -0.000 | 0.000 |
| 0.014 | -0.003 | -0.011 | 0.000 | -0.000 | -0.000 |
| 0.007 | 0.002 | 0.137 | 3.033 | 0.000 | 0.000 |
| 0.005 | 0.001 | 0.097 | -0.000 | 0.000 | -0.000 |
| 0.001 | -0.000 | 0.023 | -0.000 | 0.000 | 271.673 |
| 1031.247 | -142.111 | 12.236 | 0.000 | 0.000 | 0.000 |
| -142.111 | 677.400 | 16.409 | 0.000 | -0.000 | 0.000 |
| 12.236 | 16.409 | 607.975 | -0.000 | -0.000 | 0.000 |
| -4.511 | 0.364 | 50.704 | 117.718 | 0.000 | -0.000 |
| -4.296 | 0.346 | 48.292 | -0.000 | 197.898 | -0.000 |
| 0.000 | -0.000 | -0.000 | 0.000 | -0.000 | 398.252 |
| 1027.840 | -139.024 | -42.997 | 0.000 | -0.000 | 0.000 |
| -140.197 | 668.376 | -38.299 | 0.000 | 0.000 | 0.000 |
| -0.080 | 0.353 | -49.295 | -0.000 | -0.000 | -0.000 |
| 4.511 | -0.364 | -50.704 | 117.718 | -0.000 | 0.000 |
| 4.296 | -0.346 | -48.292 | 0.000 | 197.898 | 0.000 |
| -0.000 | 0.000 | 0.000 | -0.000 | -0.000 | 398.252 |
| 1027.848 | -140.378 | 7.236 | -0.000 | 0.000 | -0.000 |
| -140.702 | 668.643 | 6.639 | -0.000 | 0.000 | -0.000 |
| 27.376 | 7.438 | 323.962 | -0.000 | 0.000 | 0.000 |
| 0.847 | -0.291 | 1.996 | 58.173 | 0.000 | -0.000 |
| -1.657 | 0.266 | 17.315 | -0.000 | 3.172 | -0.000 |
| 0.000 | 0.000 | 0.000 | 0.000 | 0.000 | 398.252 |
| 1027.831 | -140.183 | -2.209 | 0.000 | -0.000 | 0.000 |
| -142.111 | 677.399 | 16.409 | -0.000 | -0.000 | -0.000 |
| -0.009 | 0.030 | -5.108 | -0.000 | -0.000 | -0.000 |
| -0.847 | 0.291 | -1.996 | 58.173 | -0.000 | 0.000 |
| 1.657 | -0.266 | -17.315 | 0.000 | 3.172 | 0.000 |
| -0.000 | -0.000 | -0.000 | -0.000 | -0.000 | 398.252 |
| 1028.794 | -141.378 | 22.106 | 0.000 | -0.000 | -0.000 |
| -140.657 | 668.678 | 3.285 | -0.000 | 0.000 | -0.000 |
| 0.470 | -2.308 | 1.037 | -0.000 | 0.000 | -0.000 |
| -0.471 | 0.100 | 3.900 | 3.340 | 0.000 | 0.000 |
| -0.329 | 0.061 | 2.736 | -0.000 | 0.061 | 0.000 |
| -0.006 | -0.004 | 0.364 | -0.000 | 0.000 | 286.794 |
| 1028.802 | -141.377 | 21.786 | -0.000 | 0.000 | 0.000 |
| -140.641 | 668.673 | 2.529 | 0.000 | -0.000 | 0.000 |
| -0.002 | 0.003 | -0.511 | 0.000 | -0.000 | -0.000 |
| -0.008 | -0.001 | -0.646 | -0.000 | -0.000 | 0.000 |
| 0.329 | -0.061 | -2.736 | 0.000 | 0.061 | 0.000 |
| 0.006 | 0.004 | -0.364 | 0.000 | -0.000 | 286.794 |
| 435.022 | -332.668 | -363.849 | 0.000 | 0.000 | 0.000 |
| -1064.643 | 823.236 | -1418.627 | 0.000 | -0.000 | -0.000 |
| 191.572 | -330.792 | -160.746 | 0.000 | 0.000 | 0.000 |
| 0.000 | 0.000 | 0.000 | 244.424 | 0.000 | 0.000 |
| -1134.597 | 511.603 | -1497.570 | 0.000 | 133.705 | -0.000 |
| -1134.454 | 511.418 | -1497.562 | 0.000 | -0.000 | 171.177 |
| 542.738 | 23.742 | 26.939 | -0.000 | -0.000 | -0.000 |
| 3358.217 | -1544.307 | 4834.796 | 0.000 | -0.000 | -0.000 |
| -20.032 | 529.157 | 720.102 | -0.000 | -0.000 | -0.000 |
| -0.000 | -0.000 | 0.000 | 244.424 | 0.000 | -0.000 |
| 1134.597 | -511.603 | 1497.570 | -0.000 | 133.705 | 0.000 |
| 1134.454 | -511.418 | 1497.562 | -0.000 | 0.000 | 171.177 |
| 542.738 | 23.742 | 26.939 | 0.000 | 0.000 | 0.000 |
| 23.741 | 531.850 | 41.079 | 0.000 | 0.000 | 0.000 |
| -259.982 | 188.295 | -545.720 | -0.000 | 0.000 | 0.000 |
| 0.000 | 0.000 | 0.000 | 244.424 | 0.000 | 0.000 |
| 9.708 | -39.877 | -40.485 | 0.000 | 138.761 | 0.000 |
| -103.494 | 41.510 | -144.346 | -0.000 | 0.000 | 161.064 |
| 376.331 | 119.847 | 103.227 | -0.000 | -0.000 | -0.000 |
| 104.071 | 352.953 | 159.486 | -0.000 | -0.000 | -0.000 |
| 289.057 | -57.331 | 416.698 | 0.000 | -0.000 | -0.000 |
| -0.000 | -0.000 | -0.000 | 244.424 | -0.000 | -0.000 |
| -9.708 | 39.877 | 40.485 | -0.000 | 138.761 | -0.000 |
| 103.494 | -41.510 | 144.346 | -0.000 | -0.000 | 161.064 |
| 172.964 | 41.654 | 1.796 | 0.000 | -0.000 | -0.000 |
| 58.367 | 271.937 | 65.566 | 0.000 | 0.000 | -0.000 |
| -62.881 | -13.553 | -71.266 | 0.000 | 0.000 | 0.000 |
| -9.183 | 2.821 | -14.101 | 99.386 | 0.000 | 0.000 |
| 0.648 | -2.663 | -2.704 | 0.000 | 176.055 | 0.000 |
| -9.237 | 2.809 | -14.227 | 0.000 | 0.000 | 139.802 |
| 542.737 | 23.741 | 26.939 | -0.000 | -0.000 | -0.000 |
| 51.765 | 199.473 | 85.646 | -0.000 | -0.000 | 0.000 |
| 77.397 | 60.079 | 166.965 | -0.000 | -0.000 | -0.000 |
| 9.183 | -2.821 | 14.101 | 99.386 | -0.000 | 0.000 |
| -0.648 | 2.663 | 2.704 | -0.000 | 176.055 | -0.000 |
| 9.237 | -2.809 | 14.227 | -0.000 | -0.000 | 139.802 |
| -225.281 | 1173.868 | -1715.750 | -0.000 | 0.000 | -0.000 |
| -568.747 | 1503.035 | -1698.064 | -0.000 | -0.000 | -0.000 |
| 24.423 | 37.214 | 449.285 | -0.000 | 0.000 | 0.000 |
| 0.000 | 0.000 | 0.000 | 231.456 | 0.000 | 0.000 |
| 0.000 | 0.000 | -0.000 | -0.000 | 240.030 | 0.000 |
| -2894.564 | -342.545 | -1513.140 | -0.000 | 0.000 | 151.482 |
| 7532.341 | 3328.436 | 1110.232 | 0.000 | 0.000 | 0.000 |
| 2933.727 | 636.417 | 1594.877 | 0.000 | -0.000 | 0.000 |
| 681.767 | -1039.551 | 2122.007 | 0.000 | 0.000 | 0.000 |
| -0.000 | -0.000 | -0.000 | 231.456 | 0.000 | 0.000 |
| -0.000 | -0.000 | 0.000 | 0.000 | 240.030 | 0.000 |
| 2894.564 | 342.545 | 1513.140 | 0.000 | 0.000 | 151.482 |
| -725.054 | -287.634 | -297.159 | -0.000 | -0.000 | -0.000 |
| 16.635 | 501.519 | 39.391 | -0.000 | 0.000 | 0.000 |
| -9.950 | 177.811 | 184.954 | -0.000 | -0.000 | -0.000 |
| -290.764 | -34.962 | -151.326 | 112.119 | -0.000 | -0.000 |
| -290.411 | -34.370 | -151.809 | -0.000 | 119.972 | -0.000 |
| -730.636 | -324.052 | -106.070 | 0.000 | -0.000 | 86.222 |
| 862.223 | 345.429 | 173.090 | 0.000 | 0.000 | -0.000 |
| 119.907 | 290.269 | 239.846 | 0.000 | 0.000 | 0.000 |
| 348.526 | 107.617 | 399.556 | -0.000 | 0.000 | 0.000 |
| 290.764 | 34.962 | 151.326 | 112.119 | 0.000 | 0.000 |
| 290.411 | 34.370 | 151.809 | 0.000 | 119.972 | 0.000 |
| 730.636 | 324.052 | 106.070 | -0.000 | 0.000 | 86.222 |
| 74.972 | -43.292 | -76.769 | 0.000 | 0.000 | -0.000 |
| -91.021 | 75.687 | -55.574 | -0.000 | -0.000 | 0.000 |
| -93.521 | -23.489 | -12.480 | -0.000 | -0.000 | -0.000 |
| -83.174 | -38.420 | -37.703 | 45.965 | -0.000 | -0.000 |
| -104.208 | -60.389 | -45.385 | -0.000 | 46.465 | -0.000 |
| -54.282 | -19.205 | -13.825 | -0.000 | -0.000 | 112.463 |
| 238.095 | 62.587 | 66.411 | -0.000 | -0.000 | 0.000 |
| 90.830 | 289.866 | 94.942 | 0.000 | 0.000 | 0.000 |
| 24.423 | 37.214 | 449.284 | 0.000 | 0.000 | 0.000 |
| 83.174 | 38.420 | 37.703 | 45.965 | 0.000 | 0.000 |
| 104.208 | 60.389 | 45.385 | -0.000 | 46.465 | 0.000 |
| 54.282 | 19.205 | 13.825 | -0.000 | -0.000 | 112.463 |
| 1125.873 | 34.507 | 0.000 | 0.000 | 0.000 | -0.000 |
| 34.506 | 1125.873 | 0.000 | 0.000 | 0.000 | -0.000 |
| -0.000 | 0.000 | 0.000 | 0.000 | 0.000 | -0.000 |
| -0.000 | 0.000 | 0.000 | 0.000 | 0.000 | 0.000 |
| -0.000 | 0.000 | 0.000 | 0.000 | 0.000 | -0.000 |
| -0.000 | 0.000 | 0.000 | 0.000 | 0.000 | 545.683 |
| 1126.358 | 34.521 | 0.000 | -0.000 | 0.000 | -0.000 |
| 34.521 | 1126.358 | 0.000 | 0.000 | 0.000 | -0.000 |
| 0.000 | -0.000 | 0.000 | -0.000 | 0.000 | 0.000 |
| 0.000 | -0.000 | 0.000 | -0.000 | 0.000 | -0.000 |
| 0.000 | -0.000 | 0.000 | -0.000 | -0.000 | -0.000 |
| 0.000 | -0.000 | 0.000 | -0.000 | -0.000 | 545.918 |
| 1125.873 | 34.506 | -0.000 | -0.000 | -0.000 | 0.000 |
| 34.507 | 1125.873 | -0.000 | -0.000 | -0.000 | 0.000 |
| 0.000 | -0.000 | -0.000 | -0.000 | -0.000 | -0.000 |
| 0.000 | -0.000 | -0.000 | -0.000 | -0.000 | 0.000 |
| 0.000 | -0.000 | -0.000 | -0.000 | -0.000 | 0.000 |
| 0.000 | -0.000 | -0.000 | -0.000 | -0.000 | 545.683 |
| 1126.358 | 34.521 | -0.000 | -0.000 | -0.000 | 0.000 |
| 34.521 | 1126.358 | -0.000 | -0.000 | -0.000 | 0.000 |
| -0.000 | 0.000 | -0.000 | -0.000 | -0.000 | 0.000 |
| -0.000 | 0.000 | -0.000 | 0.000 | 0.000 | 0.000 |
| -0.000 | 0.000 | -0.000 | 0.000 | -0.000 | -0.000 |
| -0.000 | 0.000 | -0.000 | -0.000 | 0.000 | 545.918 |
| 1125.872 | 34.508 | 0.000 | 0.000 | 0.000 | -0.000 |
| 34.505 | 1125.874 | 0.000 | 0.000 | 0.000 | 0.000 |
| -0.000 | 0.000 | 0.000 | 0.000 | 0.000 | -0.000 |
| -0.000 | 0.000 | 0.000 | 0.000 | 0.000 | -0.000 |
| -0.000 | 0.000 | 0.000 | 0.000 | 0.000 | -0.000 |
| 0.000 | 0.000 | 0.000 | 0.000 | 0.000 | 545.683 |
| 1126.357 | 34.522 | 0.000 | -0.000 | 0.000 | -0.000 |
| 34.520 | 1126.360 | 0.000 | -0.000 | 0.000 | 0.000 |
| 0.000 | -0.000 | 0.000 | -0.000 | -0.000 | -0.000 |
| 0.000 | -0.000 | 0.000 | -0.000 | -0.000 | -0.000 |
| 0.000 | -0.000 | 0.000 | -0.000 | -0.000 | -0.000 |
| 0.000 | 0.000 | 0.000 | 0.000 | -0.000 | 545.918 |
| 1125.873 | 34.505 | -0.000 | -0.000 | -0.000 | 0.000 |
| 34.508 | 1125.871 | -0.000 | -0.000 | -0.000 | -0.000 |
| 0.000 | -0.000 | -0.000 | -0.000 | -0.000 | 0.000 |
| 0.000 | -0.000 | -0.000 | -0.000 | -0.000 | -0.000 |
| 0.000 | -0.000 | -0.000 | -0.000 | -0.000 | -0.000 |
| -0.000 | -0.000 | -0.000 | -0.000 | -0.000 | 545.683 |
| 1126.359 | 34.520 | -0.000 | 0.000 | -0.000 | 0.000 |
| 34.522 | 1126.357 | -0.000 | 0.000 | -0.000 | 0.000 |
| -0.000 | 0.000 | -0.000 | 0.000 | 0.000 | -0.000 |
| -0.000 | 0.000 | -0.000 | -0.000 | -0.000 | 0.000 |
| -0.000 | 0.000 | -0.000 | -0.000 | -0.000 | -0.000 |
| -0.000 | -0.000 | -0.000 | 0.000 | 0.000 | 545.918 |
| 1125.866 | 34.518 | 0.000 | 0.000 | 0.000 | -0.000 |
| 34.496 | 1125.887 | 0.000 | 0.000 | 0.000 | -0.000 |
| -0.000 | 0.000 | 0.000 | 0.000 | 0.000 | -0.000 |
| -0.000 | 0.000 | 0.000 | 0.000 | 0.000 | 0.000 |
| -0.000 | 0.000 | 0.000 | 0.000 | 0.000 | -0.000 |
| 0.000 | 0.000 | 0.000 | 0.000 | 0.000 | 545.683 |
| 1126.351 | 34.533 | 0.000 | 0.000 | 0.000 | 0.000 |
| 34.511 | 1126.373 | 0.000 | 0.000 | 0.000 | -0.000 |
| 0.000 | -0.000 | 0.000 | -0.000 | -0.000 | -0.000 |
| 0.000 | -0.000 | 0.000 | -0.000 | 0.000 | -0.000 |
| 0.000 | -0.000 | 0.000 | -0.000 | 0.000 | 0.000 |
| 0.000 | 0.000 | 0.000 | 0.000 | -0.000 | 545.918 |
| 1125.880 | 34.495 | -0.000 | -0.000 | -0.000 | 0.000 |
| 34.517 | 1125.858 | -0.000 | -0.000 | -0.000 | 0.000 |
| 0.000 | -0.000 | -0.000 | -0.000 | -0.000 | 0.000 |
| 0.000 | -0.000 | -0.000 | -0.000 | -0.000 | 0.000 |
| 0.000 | -0.000 | -0.000 | -0.000 | -0.000 | 0.000 |
| -0.000 | -0.000 | -0.000 | -0.000 | -0.000 | 545.683 |
| 1126.365 | 34.510 | -0.000 | 0.000 | -0.000 | -0.000 |
| 34.532 | 1126.343 | -0.000 | 0.000 | -0.000 | 0.000 |
| -0.000 | 0.000 | -0.000 | 0.000 | -0.000 | -0.000 |
| -0.000 | 0.000 | -0.000 | 0.000 | 0.000 | 0.000 |
| -0.000 | 0.000 | -0.000 | 0.000 | -0.000 | -0.000 |
| -0.000 | -0.000 | -0.000 | -0.000 | 0.000 | 545.918 |
| 421.290 | 317.414 | 317.414 | -0.000 | -0.000 | -0.000 |
| 317.414 | 421.290 | 317.414 | -0.000 | -0.000 | -0.000 |
| 317.414 | 317.414 | 421.291 | -0.000 | 0.000 | -0.000 |
| 78.809 | 78.809 | 78.809 | 73.709 | -0.000 | -0.000 |
| 78.809 | 78.809 | 78.809 | -0.000 | 73.709 | -0.000 |
| 78.809 | 78.809 | 78.809 | -0.000 | -0.000 | 73.709 |
| 481.205 | 18.802 | 18.802 | 0.000 | 0.000 | 0.000 |
| 18.802 | 481.205 | 18.802 | 0.000 | -0.000 | 0.000 |
| 18.802 | 18.802 | 481.205 | 0.000 | -0.000 | 0.000 |
| -78.809 | -78.809 | -78.809 | 73.709 | 0.000 | 0.000 |
| -78.809 | -78.809 | -78.809 | 0.000 | 73.709 | 0.000 |
| -78.809 | -78.809 | -78.809 | 0.000 | 0.000 | 73.709 |
| 356.312 | 65.061 | 65.061 | -0.000 | -0.000 | -0.000 |
| 65.061 | 356.312 | 65.061 | -0.000 | -0.000 | -0.000 |
| 65.061 | 65.061 | 356.312 | -0.000 | -0.000 | -0.000 |
| 4.098 | 4.098 | 4.098 | 149.299 | -0.000 | -0.000 |
| 4.098 | 4.098 | 4.098 | -0.000 | 149.299 | -0.000 |
| 4.098 | 4.098 | 4.098 | -0.000 | -0.000 | 149.299 |
| 87.529 | 31.376 | 31.376 | 0.000 | 0.000 | 0.000 |
| 31.376 | 87.529 | 31.376 | 0.000 | 0.000 | 0.000 |
| 31.376 | 31.376 | 87.529 | 0.000 | 0.000 | 0.000 |
| -4.098 | -4.098 | -4.098 | 149.299 | 0.000 | 0.000 |
| -4.098 | -4.098 | -4.098 | 0.000 | 149.299 | 0.000 |
| -4.098 | -4.098 | -4.098 | 0.000 | 0.000 | 149.299 |
| 144.063 | 60.293 | 60.293 | -0.000 | -0.000 | -0.000 |
| 60.293 | 144.063 | 60.293 | -0.000 | -0.000 | -0.000 |
| 60.293 | 60.293 | 144.063 | -0.000 | -0.000 | -0.000 |
| 2.060 | 2.060 | 2.060 | 67.010 | -0.000 | -0.000 |
| 2.060 | 2.060 | 2.060 | -0.000 | 67.010 | -0.000 |
| 2.060 | 2.060 | 2.060 | -0.000 | -0.000 | 67.010 |
| 34.849 | -18.927 | -18.928 | 0.000 | 0.000 | -0.000 |
| -18.928 | 34.849 | -18.927 | 0.000 | 0.000 | 0.000 |
| -18.927 | -18.928 | 34.849 | 0.000 | 0.000 | 0.000 |
| -2.060 | -2.060 | -2.060 | 67.010 | -0.000 | 0.000 |
| -2.060 | -2.060 | -2.060 | 0.000 | 67.010 | 0.000 |
| -2.060 | -2.060 | -2.060 | 0.000 | 0.000 | 67.010 |
| 178.348 | 125.298 | 125.297 | 0.000 | 0.000 | 0.000 |
| 125.297 | 178.348 | 125.297 | 0.000 | 0.000 | 0.000 |
| 125.297 | 125.298 | 178.348 | 0.000 | 0.000 | 0.000 |
| 11.402 | 11.403 | 11.402 | 26.463 | 0.000 | 0.000 |
| 11.402 | 11.403 | 11.402 | 0.000 | 26.463 | 0.000 |
| 11.402 | 11.403 | 11.402 | 0.000 | 0.000 | 26.463 |
| 241.474 | 31.137 | 31.138 | -0.000 | -0.000 | -0.000 |
| 31.138 | 241.474 | 31.138 | -0.000 | -0.000 | -0.000 |
| 31.138 | 31.137 | 241.474 | -0.000 | -0.000 | -0.000 |
| -11.402 | -11.403 | -11.402 | 26.463 | -0.000 | -0.000 |
| -11.402 | -11.403 | -11.402 | -0.000 | 26.463 | -0.000 |
| -11.402 | -11.403 | -11.402 | -0.000 | -0.000 | 26.463 |
| 190.556 | 107.623 | 107.623 | 0.000 | 0.000 | 0.000 |
| 107.623 | 190.556 | 107.623 | 0.000 | 0.000 | 0.000 |
| 107.623 | 107.623 | 190.556 | 0.000 | 0.000 | 0.000 |
| 2.124 | 2.124 | 2.124 | 106.639 | 0.000 | 0.000 |
| 2.124 | 2.124 | 2.124 | 0.000 | 106.640 | 0.000 |
| 2.124 | 2.124 | 2.124 | 0.000 | 0.000 | 106.639 |
| 261.535 | 47.632 | 47.632 | -0.000 | -0.000 | -0.000 |
| 47.632 | 261.535 | 47.632 | -0.000 | -0.000 | -0.000 |
| 47.632 | 47.632 | 261.535 | -0.000 | -0.000 | -0.000 |
| -2.124 | -2.124 | -2.124 | 106.639 | -0.000 | -0.000 |
| -2.124 | -2.124 | -2.124 | -0.000 | 106.640 | -0.000 |
| -2.124 | -2.124 | -2.124 | -0.000 | -0.000 | 106.639 |
| 49.025 | 3.286 | 3.286 | 0.000 | 0.000 | 0.000 |
| 3.286 | 49.025 | 3.286 | 0.000 | 0.000 | 0.000 |
| 3.286 | 3.286 | 49.025 | 0.000 | 0.000 | 0.000 |
| 0.284 | 0.284 | 0.284 | 84.421 | 0.000 | 0.000 |
| 0.284 | 0.284 | 0.284 | 0.000 | 84.421 | 0.000 |
| 0.284 | 0.284 | 0.284 | 0.000 | 0.000 | 84.421 |
| 70.792 | 14.131 | 14.131 | -0.000 | 0.000 | -0.000 |
| 14.131 | 70.792 | 14.131 | -0.000 | -0.000 | -0.000 |
| 14.131 | 14.131 | 70.792 | -0.000 | -0.000 | -0.000 |
| -0.284 | -0.284 | -0.284 | 84.421 | -0.000 | -0.000 |
| -0.284 | -0.284 | -0.284 | -0.000 | 84.421 | -0.000 |
| -0.284 | -0.284 | -0.284 | -0.000 | -0.000 | 84.421 |
| 460.623 | 17.998 | 17.998 | 0.000 | 0.000 | 0.000 |
| 17.998 | 460.623 | 17.998 | 0.000 | 0.000 | 0.000 |
| 17.998 | 17.998 | 460.623 | -0.000 | 0.000 | 0.000 |
| -2026.132 | -2026.132 | -2026.132 | 50.388 | -0.000 | -0.000 |
| -2026.132 | -2026.132 | -2026.132 | -0.000 | 50.388 | -0.000 |
| -2026.132 | -2026.132 | -2026.132 | -0.000 | -0.000 | 50.388 |
| 4568.226 | 4299.892 | 4299.892 | -0.000 | -0.000 | -0.000 |
| 4299.892 | 4568.226 | 4299.892 | -0.000 | -0.000 | -0.000 |
| 4299.892 | 4299.892 | 4568.226 | -0.000 | -0.000 | -0.000 |
| 2026.132 | 2026.132 | 2026.132 | 50.388 | 0.000 | 0.000 |
| 2026.132 | 2026.132 | 2026.132 | 0.000 | 50.388 | 0.000 |
| 2026.132 | 2026.132 | 2026.132 | 0.000 | 0.000 | 50.388 |
| 243.816 | 13.743 | 13.743 | -0.000 | -0.000 | -0.000 |
| 13.743 | 243.816 | 13.743 | -0.000 | -0.000 | -0.000 |
| 13.743 | 13.743 | 243.816 | -0.000 | -0.000 | -0.000 |
| 0.000 | 0.000 | 0.000 | 221.312 | 0.000 | 0.000 |
| -0.000 | 0.000 | 0.000 | 0.000 | 221.312 | 0.000 |
| 0.000 | 0.000 | 0.000 | 0.000 | 0.000 | 221.312 |
| 378.121 | 233.122 | 233.122 | 0.000 | 0.000 | 0.000 |
| 17.998 | 460.623 | 17.998 | -0.000 | -0.000 | -0.000 |
| 233.122 | 233.122 | 378.120 | 0.000 | 0.000 | 0.000 |
| -0.000 | -0.000 | -0.000 | 221.312 | -0.000 | -0.000 |
| 0.000 | -0.000 | -0.000 | -0.000 | 221.312 | -0.000 |
| -0.000 | -0.000 | -0.000 | -0.000 | -0.000 | 221.312 |
| 31.301 | -19.125 | -19.125 | -0.000 | -0.000 | -0.000 |
| -44.427 | -1.557 | -44.427 | -0.000 | -0.000 | -0.000 |
| -44.427 | -44.427 | -1.557 | -0.000 | -0.000 | -0.000 |
| -65.528 | -65.528 | -65.529 | 12.854 | 0.000 | -0.000 |
| -4.140 | -4.139 | -4.139 | -0.000 | 143.290 | -0.000 |
| -65.528 | -65.529 | -65.528 | -0.000 | -0.000 | 12.854 |
| 183.992 | 78.092 | 78.092 | 0.000 | 0.000 | 0.000 |
| 78.092 | 183.992 | 78.092 | 0.000 | 0.000 | 0.000 |
| 78.092 | 78.092 | 183.992 | 0.000 | 0.000 | 0.000 |
| 65.528 | 65.528 | 65.529 | 12.854 | 0.000 | 0.000 |
| 4.140 | 4.139 | 4.139 | 0.000 | 143.290 | 0.000 |
| 65.528 | 65.529 | 65.528 | 0.000 | -0.000 | 12.854 |
| 3062.169 | 2825.010 | -1705.069 | 7.342 | -0.000 | -0.000 |
| 8073.264 | 8201.246 | 10860.906 | 11.904 | -0.000 | -0.000 |
| 2507.281 | 2507.284 | 8039.039 | -0.001 | 0.000 | 0.000 |
| 5926.823 | 5939.807 | 13916.717 | 12.652 | 0.000 | 0.000 |
| 8056.320 | 8056.317 | 10873.150 | 0.001 | 48.295 | -11.903 |
| 5706.662 | 5706.658 | 11287.416 | 0.002 | -11.178 | -101.480 |
| -2361.144 | -2599.107 | 1865.062 | 7.329 | 0.000 | 0.000 |
| -5943.387 | -5830.378 | -13871.769 | 6.468 | -0.000 | -0.000 |
| -2379.114 | -2379.117 | -7990.333 | 0.001 | -0.000 | -0.000 |
| -2464.949 | -2420.156 | -8011.609 | 172.299 | -0.000 | -0.000 |
| -8056.320 | -8056.317 | -10873.150 | -0.001 | 48.295 | -11.902 |
| -2712.052 | -2712.050 | 1785.213 | -0.001 | 7.336 | 118.774 |
| 618.551 | 383.173 | -97.054 | 7.368 | -0.000 | -0.000 |
| 720.305 | 515.518 | 1213.863 | 10.403 | -0.000 | -0.000 |
| 810.222 | 810.222 | 1022.876 | 0.000 | -0.000 | -0.000 |
| 587.926 | 600.568 | 1385.980 | 11.540 | 0.000 | 0.000 |
| 562.766 | 562.766 | 1133.204 | 0.000 | -59.445 | -11.660 |
| 250.356 | 250.357 | 757.561 | -0.000 | -21.093 | 266.823 |
| -505.966 | -589.874 | -1334.486 | -6.090 | -0.000 | -0.000 |
| -158.579 | 84.660 | 256.591 | -7.252 | 0.000 | 0.000 |
| -203.646 | -203.646 | 462.699 | -0.000 | 0.000 | 0.000 |
| -262.884 | -277.523 | 177.862 | 124.668 | 0.000 | 0.000 |
| -562.766 | -562.766 | -1133.204 | -0.000 | -59.445 | -11.660 |
| -250.356 | -250.357 | -757.561 | 0.000 | -21.093 | 266.823 |
| 364.116 | 67.177 | 106.879 | -5.637 | 0.000 | 0.000 |
| 84.177 | 235.716 | 140.527 | -0.717 | 0.000 | 0.000 |
| 124.403 | 124.403 | 64.923 | 0.000 | -0.000 | -0.000 |
| 28.147 | 15.255 | -14.284 | 148.382 | -0.000 | -0.000 |
| 80.162 | 80.161 | 104.971 | -0.000 | 44.937 | -9.530 |
| 76.060 | 76.060 | 100.146 | -0.000 | -8.516 | 70.232 |
| 383.635 | 62.951 | 81.563 | 6.099 | 0.000 | 0.000 |
| 8.198 | 104.897 | -17.438 | 15.131 | 0.000 | 0.000 |
| 40.314 | 40.314 | -88.399 | -0.000 | 0.000 | 0.000 |
| -56.080 | -28.359 | -99.619 | 29.033 | 0.000 | 0.000 |
| -80.162 | -80.161 | -104.971 | 0.000 | 44.937 | -9.530 |
| -76.060 | -76.060 | -100.146 | 0.000 | -8.516 | 70.232 |
| 2065.813 | 164.444 | -175.343 | 0.000 | 0.000 | -0.000 |
| 1914.342 | 344.177 | -170.894 | 0.000 | -0.000 | -0.000 |
| 10.466 | 10.294 | 573.472 | 0.000 | 0.000 | 0.000 |
| 0.000 | 0.000 | 0.000 | 237.503 | -0.000 | 0.000 |
| 1837.819 | 85.657 | -209.291 | 0.000 | 135.257 | -0.000 |
| -0.000 | 0.000 | -0.000 | 0.000 | -0.000 | 210.094 |
| 448.141 | 38.100 | 10.467 | -0.000 | -0.000 | -0.000 |
| -1067.060 | 1174.124 | -207.256 | 0.000 | 0.000 | -0.000 |
| -1065.641 | 915.906 | 150.578 | 0.000 | 0.000 | -0.000 |
| -0.000 | 0.000 | 0.000 | 237.503 | 0.000 | -0.000 |
| -1837.819 | -85.657 | 209.291 | -0.000 | 135.257 | 0.000 |
| 0.000 | -0.000 | 0.000 | -0.000 | 0.000 | 210.094 |
| 414.655 | -9.141 | 92.576 | -0.000 | -0.000 | 0.000 |
| 671.515 | 1.017 | -73.964 | -0.000 | -0.000 | 0.000 |
| 10.466 | 10.294 | 573.473 | 0.000 | -0.000 | 0.000 |
| 184.630 | 7.579 | -20.566 | 130.186 | 0.000 | -0.000 |
| 184.459 | 7.352 | -20.448 | 0.000 | 134.384 | -0.000 |
| 112.491 | -84.224 | 27.268 | -0.000 | -0.000 | 120.027 |
| -602.616 | 103.871 | 160.565 | 0.000 | 0.000 | -0.000 |
| -42.739 | 400.528 | 43.878 | 0.000 | 0.000 | -0.000 |
| 10.466 | 10.294 | 573.472 | -0.000 | 0.000 | 0.000 |
| -184.630 | -7.579 | 20.566 | 130.186 | 0.000 | 0.000 |
| -184.459 | -7.352 | 20.448 | -0.000 | 134.384 | 0.000 |
| -112.491 | 84.224 | -27.268 | 0.000 | 0.000 | 120.027 |
| 161.158 | 54.587 | 52.199 | -0.000 | -0.000 | 0.000 |
| 11.736 | 5.561 | -16.717 | -0.000 | 0.000 | -0.000 |
| 75.558 | -3.954 | 148.045 | -0.000 | -0.000 | 0.000 |
| 8.172 | -6.119 | 1.981 | 161.105 | -0.000 | 0.000 |
| 77.886 | -11.683 | -9.086 | -0.000 | 38.747 | 0.000 |
| 38.605 | -5.665 | -5.127 | -0.000 | -0.000 | 49.000 |
| -32.935 | 48.821 | 37.497 | 0.000 | 0.000 | -0.000 |
| -2.566 | 107.498 | 35.740 | 0.000 | 0.000 | -0.000 |
| 10.466 | 10.294 | 573.470 | -0.000 | 0.000 | -0.000 |
| -8.172 | 6.119 | -1.981 | 161.105 | 0.000 | -0.000 |
| -77.886 | 11.683 | 9.086 | 0.000 | 38.747 | -0.000 |
| -38.605 | 5.665 | 5.127 | 0.000 | 0.000 | 49.000 |
| 1046.098 | 209.660 | -768.378 | 0.000 | 0.000 | -0.000 |
| 37.176 | 450.392 | 9.208 | 0.000 | 0.000 | 0.000 |
| 10.145 | 9.694 | 554.048 | 0.000 | 0.000 | 0.000 |
| -602.509 | -385.558 | 986.467 | 136.946 | 0.000 | 0.000 |
| 744.438 | 135.120 | -820.922 | -0.000 | 138.585 | -0.000 |
| 744.505 | 135.132 | -820.997 | -0.000 | 0.000 | 117.001 |
| 433.665 | 37.176 | 9.659 | -0.000 | -0.000 | -0.000 |
| -669.302 | 178.263 | 882.864 | 0.000 | -0.000 | 0.000 |
| -692.621 | -70.694 | 1243.848 | 0.000 | -0.000 | 0.000 |
| 602.509 | 385.558 | -986.467 | 136.946 | -0.000 | -0.000 |
| -744.438 | -135.120 | 820.922 | -0.000 | 138.585 | 0.000 |
| -744.505 | -135.132 | 820.997 | 0.000 | -0.000 | 117.001 |
| -155.887 | -29.503 | 276.892 | 0.000 | 0.000 | -0.000 |
| 149.224 | 323.443 | -17.532 | -0.000 | 0.000 | -0.000 |
| 120.272 | 70.292 | 359.280 | 0.000 | 0.000 | -0.000 |
| 0.000 | 0.000 | 0.000 | 230.588 | 0.000 | 0.000 |
| -237.957 | -207.309 | 455.232 | 0.000 | -16.271 | -0.000 |
| 73.643 | 13.367 | -81.209 | -0.000 | 0.000 | 117.938 |
| 433.664 | 37.176 | 9.659 | -0.000 | -0.000 | -0.000 |
| 117.381 | 299.622 | -56.506 | -0.000 | -0.000 | -0.000 |
| 108.898 | 59.424 | 261.301 | -0.000 | -0.000 | -0.000 |
| -0.000 | -0.000 | -0.000 | 230.588 | 0.000 | -0.000 |
| 237.957 | 207.309 | -455.232 | -0.000 | -16.271 | -0.000 |
| -73.643 | -13.367 | 81.209 | -0.000 | -0.000 | 117.938 |
| 82.912 | 51.497 | 68.398 | 0.000 | 0.000 | -0.000 |
| 51.784 | 115.013 | 64.102 | 0.000 | 0.000 | -0.000 |
| 49.008 | 46.118 | 331.557 | 0.000 | 0.000 | -0.000 |
| 5.352 | 0.971 | -5.901 | 158.119 | 0.000 | -0.000 |
| -11.342 | -8.888 | 21.253 | 0.000 | 55.379 | -0.000 |
| -5.164 | -4.659 | 10.542 | 0.000 | 0.000 | 48.734 |
| 111.822 | 66.113 | 38.978 | -0.000 | -0.000 | 0.000 |
| 68.475 | 151.745 | 34.981 | 0.000 | -0.000 | 0.000 |
| -7.886 | 5.456 | 71.349 | -0.000 | 0.000 | 0.000 |
| -5.352 | -0.971 | 5.901 | 158.119 | -0.000 | 0.000 |
| 11.342 | 8.888 | -21.253 | 0.000 | 55.379 | -0.000 |
| 5.164 | 4.659 | -10.542 | 0.000 | -0.000 | 48.734 |
| 889.896 | 27.274 | 0.000 | 0.000 | 0.000 | 0.000 |
| 27.274 | 889.895 | 0.000 | 0.000 | 0.000 | 0.000 |
| 0.000 | -0.000 | 0.000 | 0.000 | 0.000 | 0.000 |
| 0.000 | -0.000 | 0.000 | 0.000 | 0.000 | 0.000 |
| 0.000 | -0.000 | 0.000 | 0.000 | 0.000 | 0.000 |
| 0.000 | -0.000 | 0.000 | 0.000 | 0.000 | 498.618 |
| 889.895 | 27.274 | -0.000 | -0.000 | -0.000 | -0.000 |
| 27.274 | 889.895 | -0.000 | -0.000 | -0.000 | -0.000 |
| -0.000 | 0.000 | -0.000 | -0.000 | -0.000 | -0.000 |
| -0.000 | 0.000 | -0.000 | -0.000 | -0.000 | 0.000 |
| -0.000 | 0.000 | -0.000 | -0.000 | -0.000 | -0.000 |
| -0.000 | 0.000 | -0.000 | -0.000 | -0.000 | 498.618 |
| 889.872 | 27.298 | 0.000 | 0.000 | 0.000 | 0.000 |
| 27.275 | 889.895 | 0.000 | 0.000 | 0.000 | -0.000 |
| 0.000 | -0.000 | 0.000 | 0.000 | 0.000 | 0.000 |
| 0.000 | -0.000 | 0.000 | 0.000 | 0.000 | 0.000 |
| 0.000 | -0.000 | 0.000 | 0.000 | 0.000 | 0.000 |
| -0.000 | 0.000 | 0.000 | 0.000 | 0.000 | 431.311 |
| 889.894 | 27.275 | -0.000 | -0.000 | -0.000 | -0.000 |
| 27.273 | 889.896 | -0.000 | -0.000 | -0.000 | -0.000 |
| -0.000 | 0.000 | -0.000 | -0.000 | -0.000 | -0.000 |
| -0.000 | 0.000 | -0.000 | -0.000 | -0.000 | 0.000 |
| -0.000 | 0.000 | -0.000 | -0.000 | -0.000 | -0.000 |
| 0.000 | -0.000 | -0.000 | -0.000 | -0.000 | 431.311 |
| 889.907 | 27.266 | 0.000 | 0.000 | 0.000 | 0.000 |
| 27.283 | 889.890 | 0.000 | 0.000 | 0.000 | 0.000 |
| 0.000 | -0.000 | 0.000 | 0.000 | 0.000 | 0.000 |
| 0.000 | -0.000 | 0.000 | 0.000 | 0.000 | -0.000 |
| 0.000 | -0.000 | 0.000 | 0.000 | 0.000 | 0.000 |
| -0.000 | 0.001 | 0.000 | 0.000 | 0.000 | 431.311 |
| 889.884 | 27.282 | -0.000 | -0.000 | -0.000 | -0.000 |
| 27.265 | 889.901 | -0.000 | -0.000 | -0.000 | -0.000 |
| -0.000 | 0.000 | -0.000 | -0.000 | -0.000 | -0.000 |
| -0.000 | 0.000 | -0.000 | -0.000 | -0.000 | -0.000 |
| -0.000 | 0.000 | -0.000 | -0.000 | -0.000 | -0.000 |
| 0.000 | -0.001 | -0.000 | -0.000 | -0.000 | 431.311 |
| 1063.605 | 32.598 | 0.000 | 0.000 | 0.000 | 0.000 |
| 32.598 | 1063.605 | 0.000 | 0.000 | 0.000 | 0.000 |
| 0.000 | -0.000 | 0.000 | 0.000 | 0.000 | 0.000 |
| 0.000 | -0.000 | 0.000 | 0.000 | 0.000 | 0.000 |
| 0.000 | -0.000 | 0.000 | 0.000 | 0.000 | 0.000 |
| 0.000 | -0.000 | 0.000 | 0.000 | 0.000 | 595.949 |
| 1063.605 | 32.598 | -0.000 | -0.000 | -0.000 | -0.000 |
| 32.598 | 1063.605 | -0.000 | -0.000 | -0.000 | 0.000 |
| -0.000 | 0.000 | -0.000 | -0.000 | -0.000 | -0.000 |
| -0.000 | 0.000 | -0.000 | -0.000 | -0.000 | -0.000 |
| -0.000 | 0.000 | -0.000 | -0.000 | -0.000 | -0.000 |
| -0.000 | 0.000 | -0.000 | -0.000 | -0.000 | 595.949 |
| 1063.577 | 32.626 | 0.000 | 0.000 | 0.000 | 0.000 |
| 32.599 | 1063.604 | 0.000 | 0.000 | 0.000 | -0.000 |
| 0.000 | -0.000 | 0.000 | 0.000 | 0.000 | 0.000 |
| 0.000 | -0.000 | 0.000 | 0.000 | 0.000 | 0.000 |
| 0.000 | -0.000 | 0.000 | 0.000 | 0.000 | 0.000 |
| -0.000 | 0.000 | 0.000 | 0.000 | 0.000 | 515.503 |
| 1063.603 | 32.599 | -0.000 | -0.000 | -0.000 | -0.000 |
| 32.597 | 1063.605 | -0.000 | -0.000 | -0.000 | -0.000 |
| -0.000 | 0.000 | -0.000 | -0.000 | -0.000 | -0.000 |
| -0.000 | 0.000 | -0.000 | -0.000 | -0.000 | -0.000 |
| -0.000 | 0.000 | -0.000 | -0.000 | -0.000 | -0.000 |
| 0.000 | -0.000 | -0.000 | -0.000 | -0.000 | 515.503 |
| 1063.619 | 32.588 | 0.000 | 0.000 | 0.000 | -0.000 |
| 32.609 | 1063.598 | 0.000 | 0.000 | 0.000 | -0.000 |
| 0.000 | -0.000 | 0.000 | 0.000 | 0.000 | 0.000 |
| 0.000 | -0.000 | 0.000 | 0.000 | 0.000 | 0.000 |
| 0.000 | -0.000 | 0.000 | 0.000 | 0.000 | 0.000 |
| -0.000 | 0.001 | 0.000 | 0.000 | 0.000 | 515.503 |
| 1063.591 | 32.608 | -0.000 | -0.000 | -0.000 | -0.000 |
| 32.587 | 1063.611 | -0.000 | -0.000 | -0.000 | -0.000 |
| -0.000 | 0.000 | -0.000 | -0.000 | -0.000 | -0.000 |
| -0.000 | 0.000 | -0.000 | -0.000 | -0.000 | 0.000 |
| -0.000 | 0.000 | -0.000 | -0.000 | -0.000 | -0.000 |
| 0.000 | -0.001 | -0.000 | -0.000 | -0.000 | 515.503 |
| 47.386 | 45.734 | 45.734 | -0.000 | -0.000 | 0.000 |
| 45.734 | 47.386 | 45.734 | -0.000 | -0.000 | -0.000 |
| 45.734 | 45.734 | 47.386 | -0.000 | 0.000 | 0.000 |
| 58.997 | 58.997 | 58.997 | 6.672 | 0.000 | 0.000 |
| 58.997 | 58.997 | 58.997 | -0.000 | 6.672 | 0.000 |
| 58.997 | 58.997 | 58.997 | 0.000 | 0.000 | 6.672 |
| -55.917 | -54.048 | -54.048 | 0.000 | 0.000 | -0.000 |
| -54.048 | -55.917 | -54.048 | 0.000 | -0.000 | -0.000 |
| -54.048 | -54.048 | -55.917 | 0.000 | -0.000 | 0.000 |
| -58.997 | -58.997 | -58.997 | 6.672 | -0.000 | 0.000 |
| -58.997 | -58.997 | -58.997 | 0.000 | 6.672 | -0.000 |
| -58.997 | -58.997 | -58.997 | 0.000 | 0.000 | 6.672 |
| 2.707 | 4.748 | 4.748 | -0.000 | -0.000 | 0.000 |
| 4.748 | 2.707 | 4.748 | -0.000 | -0.000 | 0.000 |
| 4.748 | 4.748 | 2.707 | -0.000 | 0.000 | 0.000 |
| 9.970 | 9.970 | 9.970 | 1.104 | -0.000 | 0.000 |
| 9.970 | 9.970 | 9.970 | -0.000 | 1.104 | 0.000 |
| 9.970 | 9.970 | 9.970 | 0.000 | 0.000 | 1.104 |
| -5.231 | -5.256 | -5.259 | -0.000 | 0.002 | 0.002 |
| -5.190 | -5.098 | -5.190 | 0.001 | -0.000 | -0.001 |
| -5.247 | -5.248 | -5.144 | 0.011 | 0.004 | 0.000 |
| -9.970 | -9.970 | -9.970 | 1.104 | -0.000 | -0.000 |
| -9.970 | -9.970 | -9.970 | 0.000 | 1.104 | -0.000 |
| -9.970 | -9.970 | -9.970 | 0.000 | -0.000 | 1.104 |
| 0.523 | 0.525 | 0.525 | -0.000 | -0.000 | -0.000 |
| 0.518 | 0.525 | 0.517 | -0.000 | 0.000 | 0.000 |
| 0.524 | 0.524 | 0.523 | -0.000 | -0.000 | -0.000 |
| 0.527 | 0.535 | 0.530 | -0.005 | 0.000 | 0.000 |
| 0.524 | 0.523 | 0.522 | 0.000 | 0.000 | -0.000 |
| 0.525 | 0.524 | 0.527 | 0.000 | 0.000 | 0.004 |
| -2.696 | -0.725 | -0.725 | 0.000 | -0.000 | -0.000 |
| -0.725 | -2.696 | -0.725 | 0.000 | -0.000 | -0.000 |
| -0.725 | -0.725 | -2.696 | 0.000 | -0.000 | -0.000 |
| -0.522 | -0.523 | -0.523 | -0.000 | -0.000 | -0.000 |
| -0.527 | -0.526 | -0.530 | 0.000 | -0.003 | -0.000 |
| -0.512 | -0.525 | -0.527 | 0.000 | 0.000 | 0.002 |
| 0.000 | 0.000 | 0.000 | -0.000 | 0.000 | 0.000 |
| 0.000 | 0.000 | 0.000 | -0.000 | 0.000 | 0.000 |
| 0.000 | 0.000 | 723.117 | -0.000 | -0.000 | 0.000 |
| 0.000 | 0.000 | 0.000 | -0.000 | -0.000 | 0.000 |
| 0.000 | 0.000 | 0.000 | 0.000 | -0.000 | 0.000 |
| 0.000 | 0.000 | 0.000 | -0.000 | -0.000 | 0.000 |
| -0.000 | -0.000 | -0.000 | 0.000 | 0.000 | -0.000 |
| -0.000 | -0.000 | -0.000 | 0.000 | -0.000 | -0.000 |
| -0.000 | -0.000 | 723.117 | 0.000 | 0.000 | -0.000 |
| -0.000 | -0.000 | -0.000 | -0.000 | 0.000 | -0.000 |
| -0.000 | -0.000 | -0.000 | -0.000 | -0.000 | -0.000 |
| -0.000 | -0.000 | -0.000 | 0.000 | -0.000 | -0.000 |
| 0.000 | 0.000 | 0.000 | -0.000 | 0.000 | 0.000 |
| 0.000 | 0.000 | 0.000 | -0.000 | 0.000 | 0.000 |
| 0.000 | 0.000 | 723.117 | 0.000 | -0.000 | 0.000 |
| 0.000 | -0.000 | -0.000 | 0.000 | -0.000 | 0.000 |
| -0.000 | 0.000 | -0.000 | -0.000 | 0.000 | 0.000 |
| 0.000 | 0.000 | 0.000 | -0.000 | -0.000 | 0.000 |
| -0.000 | -0.000 | -0.000 | 0.000 | -0.000 | -0.000 |
| -0.000 | -0.000 | -0.000 | -0.000 | -0.000 | -0.000 |
| -0.000 | -0.000 | 723.117 | -0.000 | -0.000 | -0.000 |
| -0.000 | 0.000 | 0.000 | 0.000 | 0.000 | 0.000 |
| 0.000 | -0.000 | 0.000 | 0.000 | 0.000 | -0.000 |
| -0.000 | -0.000 | -0.000 | 0.000 | 0.000 | -0.000 |
| 0.000 | 0.000 | 0.000 | -0.000 | 0.000 | 0.000 |
| 0.000 | 0.000 | 0.000 | -0.000 | 0.000 | 0.000 |
| 0.000 | 0.000 | 723.118 | -0.000 | 0.000 | 0.000 |
| 0.000 | -0.000 | -0.000 | 0.000 | 0.000 | -0.000 |
| -0.000 | 0.000 | -0.000 | -0.000 | 0.000 | 0.000 |
| 0.000 | 0.000 | 0.000 | -0.000 | 0.000 | 0.000 |
| -0.000 | -0.000 | -0.000 | 0.000 | 0.000 | -0.000 |
| -0.000 | -0.000 | -0.000 | -0.000 | -0.000 | -0.000 |
| -0.000 | -0.000 | 723.116 | -0.000 | -0.000 | -0.000 |
| -0.000 | 0.000 | 0.000 | 0.000 | -0.000 | 0.000 |
| 0.000 | -0.000 | 0.000 | 0.000 | 0.000 | -0.000 |
| -0.000 | -0.000 | -0.000 | 0.000 | 0.000 | -0.000 |
| 133.685 | 80.910 | 80.910 | -0.000 | 0.000 | -0.000 |
| 80.910 | 133.685 | 80.910 | -0.000 | 0.000 | -0.000 |
| 80.910 | 80.910 | 133.685 | -0.000 | 0.000 | -0.000 |
| 2.659 | 2.659 | 2.659 | 131.470 | 0.000 | -0.000 |
| 2.659 | 2.659 | 2.659 | -0.000 | 131.470 | -0.000 |
| 2.659 | 2.659 | 2.659 | -0.000 | 0.000 | 131.470 |
| 158.299 | 70.257 | 70.257 | 0.000 | -0.000 | 0.000 |
| 70.257 | 158.299 | 70.257 | 0.000 | -0.000 | 0.000 |
| 70.257 | 70.257 | 158.299 | 0.000 | -0.000 | 0.000 |
| -2.659 | -2.659 | -2.659 | 131.470 | -0.000 | 0.000 |
| -2.659 | -2.659 | -2.659 | 0.000 | 131.470 | 0.000 |
| -2.659 | -2.659 | -2.659 | 0.000 | -0.000 | 131.470 |
| 132.872 | 80.798 | 80.798 | -0.000 | 0.000 | -0.000 |
| 80.798 | 132.872 | 80.798 | -0.000 | 0.000 | -0.000 |
| 80.798 | 80.798 | 132.872 | -0.000 | 0.000 | -0.000 |
| 0.000 | 0.000 | 0.000 | 174.614 | 0.000 | -0.000 |
| 0.000 | 0.000 | 0.000 | -0.000 | 174.614 | -0.000 |
| 0.000 | 0.000 | 0.000 | -0.000 | 0.000 | 174.614 |
| 158.299 | 70.257 | 70.257 | 0.000 | -0.000 | 0.000 |
| 70.257 | 158.299 | 70.257 | 0.000 | -0.000 | 0.000 |
| 70.257 | 70.257 | 158.299 | 0.000 | -0.000 | 0.000 |
| -0.000 | -0.000 | -0.000 | 174.614 | -0.000 | 0.000 |
| -0.000 | -0.000 | -0.000 | 0.000 | 174.614 | 0.000 |
| -0.000 | -0.000 | -0.000 | 0.000 | -0.000 | 174.614 |
| 132.774 | 80.699 | 80.699 | -0.000 | 0.000 | -0.000 |
| 80.699 | 132.774 | 80.699 | -0.000 | 0.000 | -0.000 |
| 80.699 | 80.699 | 132.774 | -0.000 | 0.000 | -0.000 |
| 0.028 | 0.028 | 0.029 | 128.645 | 0.000 | -0.000 |
| 0.028 | 0.028 | 0.029 | -0.000 | 128.645 | -0.000 |
| 0.028 | 0.029 | 0.028 | -0.000 | 0.000 | 128.645 |
| 135.211 | 76.970 | 76.970 | 0.000 | -0.000 | 0.000 |
| 76.970 | 135.211 | 76.970 | 0.000 | -0.000 | 0.000 |
| 76.970 | 76.970 | 135.211 | 0.000 | -0.000 | 0.000 |
| -0.028 | -0.028 | -0.029 | 128.645 | -0.000 | 0.000 |
| -0.028 | -0.028 | -0.029 | 0.000 | 128.645 | 0.000 |
| -0.028 | -0.029 | -0.028 | 0.000 | -0.000 | 128.645 |
| 797.132 | 24.431 | 0.000 | 0.000 | -0.000 | -0.000 |
| -35.860 | 857.424 | 0.000 | -0.000 | 0.000 | -0.000 |
| 0.000 | -0.000 | 0.000 | -0.000 | -0.000 | -0.000 |
| 0.000 | -0.000 | 0.000 | -0.000 | -0.000 | -0.000 |
| 0.000 | -0.000 | 0.000 | -0.000 | -0.000 | -0.000 |
| 0.000 | -0.000 | 0.000 | -0.000 | -0.000 | 386.351 |
| 797.132 | 24.431 | -0.000 | -0.000 | 0.000 | 0.000 |
| -35.860 | 857.424 | -0.000 | -0.000 | 0.000 | 0.000 |
| -0.000 | 0.000 | -0.000 | 0.000 | 0.000 | 0.000 |
| -0.000 | 0.000 | -0.000 | -0.000 | 0.000 | 0.000 |
| -0.000 | 0.000 | -0.000 | 0.000 | 0.000 | 0.000 |
| -0.000 | 0.000 | -0.000 | 0.000 | 0.000 | 386.351 |
| 857.424 | -35.860 | 0.000 | 0.000 | -0.000 | -0.000 |
| 24.432 | 797.132 | 0.000 | 0.000 | -0.000 | -0.000 |
| 0.000 | -0.000 | 0.000 | -0.000 | -0.000 | -0.000 |
| 0.000 | -0.000 | 0.000 | 0.000 | -0.000 | -0.000 |
| 0.000 | -0.000 | 0.000 | -0.000 | -0.000 | -0.000 |
| -0.000 | 0.000 | 0.000 | -0.000 | -0.000 | 386.351 |
| 797.131 | 24.432 | -0.000 | -0.000 | 0.000 | 0.000 |
| 24.430 | 797.133 | -0.000 | -0.000 | 0.000 | 0.000 |
| -0.000 | 0.000 | -0.000 | 0.000 | 0.000 | 0.000 |
| -0.000 | 0.000 | -0.000 | 0.000 | 0.000 | 0.000 |
| -0.000 | 0.000 | -0.000 | 0.000 | 0.000 | 0.000 |
| 0.000 | -0.000 | -0.000 | 0.000 | 0.000 | 386.351 |
| 796.925 | 24.641 | 0.000 | -0.000 | -0.000 | -0.000 |
| 24.432 | 797.135 | 0.000 | -0.000 | -0.000 | -0.000 |
| 0.000 | -0.000 | 0.000 | -0.000 | -0.000 | -0.000 |
| 0.000 | -0.000 | 0.000 | 0.000 | -0.000 | -0.000 |
| 0.000 | -0.000 | 0.000 | -0.000 | -0.000 | -0.000 |
| -0.000 | 0.001 | 0.000 | -0.000 | 0.000 | 446.642 |
| 797.129 | 24.431 | -0.000 | 0.000 | 0.000 | 0.000 |
| 24.423 | 797.137 | -0.000 | -0.000 | 0.000 | 0.000 |
| -0.000 | 0.000 | -0.000 | 0.000 | 0.000 | 0.000 |
| -0.000 | 0.000 | -0.000 | -0.000 | 0.000 | 0.000 |
| -0.000 | 0.000 | -0.000 | 0.000 | 0.000 | 0.000 |
| 0.000 | -0.001 | -0.000 | 0.000 | 0.000 | 446.642 |
| 796.491 | 24.411 | 0.000 | 0.000 | 0.000 | -0.000 |
| -35.831 | 856.734 | 0.000 | 0.000 | 0.000 | 0.000 |
| -0.000 | 0.000 | 0.000 | 0.000 | 0.000 | 0.000 |
| -0.000 | 0.000 | 0.000 | 0.000 | 0.000 | -0.000 |
| -0.000 | 0.000 | 0.000 | 0.000 | 0.000 | -0.000 |
| 0.000 | -0.000 | 0.000 | 0.000 | 0.000 | 386.040 |
| 796.491 | 24.411 | -0.000 | -0.000 | -0.000 | -0.000 |
| -35.831 | 856.734 | -0.000 | -0.000 | -0.000 | -0.000 |
| 0.000 | -0.000 | -0.000 | -0.000 | -0.000 | -0.000 |
| 0.000 | -0.000 | -0.000 | -0.000 | -0.000 | 0.000 |
| 0.000 | -0.000 | -0.000 | -0.000 | -0.000 | 0.000 |
| -0.000 | 0.000 | -0.000 | -0.000 | -0.000 | 386.040 |
| 856.735 | -35.831 | 0.000 | 0.000 | 0.000 | 0.000 |
| 24.412 | 796.491 | 0.000 | 0.000 | 0.000 | 0.000 |
| -0.000 | 0.000 | 0.000 | 0.000 | 0.000 | 0.000 |
| -0.000 | 0.000 | 0.000 | 0.000 | 0.000 | -0.000 |
| -0.000 | 0.000 | 0.000 | 0.000 | 0.000 | -0.000 |
| -0.000 | 0.000 | 0.000 | 0.000 | 0.000 | 386.040 |
| 796.490 | 24.412 | -0.000 | -0.000 | -0.000 | -0.000 |
| 24.411 | 796.492 | -0.000 | -0.000 | -0.000 | -0.000 |
| 0.000 | -0.000 | -0.000 | -0.000 | -0.000 | -0.000 |
| 0.000 | -0.000 | -0.000 | -0.000 | -0.000 | 0.000 |
| 0.000 | -0.000 | -0.000 | -0.000 | -0.000 | 0.000 |
| 0.000 | -0.000 | -0.000 | -0.000 | -0.000 | 386.040 |
| 796.285 | 24.621 | 0.000 | 0.000 | 0.000 | 0.000 |
| 24.412 | 796.494 | 0.000 | 0.000 | 0.000 | -0.000 |
| -0.000 | 0.000 | 0.000 | 0.000 | 0.000 | 0.000 |
| -0.000 | 0.000 | 0.000 | 0.000 | 0.000 | -0.000 |
| -0.000 | 0.000 | 0.000 | 0.000 | 0.000 | -0.000 |
| -0.000 | 0.001 | 0.000 | 0.000 | 0.000 | 446.283 |
| 796.488 | 24.411 | -0.000 | -0.000 | -0.000 | -0.000 |
| 24.403 | 796.496 | -0.000 | -0.000 | -0.000 | -0.000 |
| 0.000 | -0.000 | -0.000 | -0.000 | -0.000 | -0.000 |
| 0.000 | -0.000 | -0.000 | -0.000 | -0.000 | 0.000 |
| 0.000 | -0.000 | -0.000 | -0.000 | -0.000 | 0.000 |
| 0.000 | -0.001 | -0.000 | -0.000 | -0.000 | 446.283 |
| 735.709 | 22.652 | 0.000 | 0.000 | 0.000 | 0.000 |
| 22.452 | 735.909 | 0.000 | 0.000 | 0.000 | 0.000 |
| 0.000 | 0.000 | 0.000 | 0.000 | -0.000 | 0.000 |
| -0.000 | 0.000 | -0.000 | 0.000 | 0.000 | 0.000 |
| 0.000 | 0.000 | 0.000 | 0.000 | 0.000 | 0.000 |
| 0.000 | 0.000 | 0.000 | 0.000 | 0.000 | 356.628 |
| 791.461 | -33.101 | -0.000 | 0.000 | 0.000 | -0.000 |
| 22.550 | 735.810 | -0.000 | -0.000 | -0.000 | -0.000 |
| -0.000 | -0.000 | 0.000 | 0.000 | -0.000 | -0.000 |
| -0.000 | -0.000 | 0.000 | 0.000 | 0.000 | -0.000 |
| -0.000 | -0.000 | 0.000 | 0.000 | 0.000 | 0.000 |
| -0.000 | -0.000 | -0.000 | -0.000 | -0.000 | 356.628 |
| 725.715 | 32.645 | 0.000 | 0.000 | 0.000 | 0.000 |
| 32.569 | 725.792 | 0.000 | 0.000 | -0.000 | 0.000 |
| 0.000 | 0.000 | -0.000 | -0.000 | -0.000 | 0.000 |
| 0.000 | 0.000 | -0.000 | 0.000 | -0.000 | 0.000 |
| 0.000 | 0.000 | -0.000 | -0.000 | 0.000 | -0.000 |
| -0.000 | 0.000 | 0.000 | 0.000 | -0.000 | 346.534 |
| 735.808 | 22.551 | -0.000 | -0.000 | -0.000 | -0.000 |
| 22.550 | 735.810 | -0.000 | -0.000 | -0.000 | -0.000 |
| 0.000 | 0.000 | -0.000 | 0.000 | 0.000 | -0.000 |
| -0.000 | 0.000 | 0.000 | 0.000 | 0.000 | -0.000 |
| -0.000 | -0.000 | 0.000 | 0.000 | 0.000 | -0.000 |
| 0.000 | -0.000 | -0.000 | -0.000 | -0.000 | 346.534 |
| 735.515 | 22.848 | 0.000 | 0.000 | -0.000 | 0.000 |
| 21.869 | 736.494 | 0.000 | -0.000 | -0.000 | 0.000 |
| 0.000 | 0.000 | 0.000 | -0.000 | -0.000 | 0.000 |
| 0.000 | 0.000 | -0.000 | 0.000 | -0.000 | 0.000 |
| 0.000 | 0.000 | -0.000 | -0.000 | 0.000 | -0.000 |
| 0.000 | 0.000 | 0.000 | 0.000 | 0.000 | 356.628 |
| 791.458 | -33.101 | 0.000 | 0.000 | 0.000 | 0.000 |
| 22.701 | 735.656 | -0.000 | -0.000 | -0.000 | -0.000 |
| 0.000 | 0.000 | 0.000 | 0.000 | -0.000 | -0.000 |
| -0.000 | 0.000 | 0.000 | 0.000 | 0.000 | -0.000 |
| -0.000 | -0.000 | -0.000 | 0.000 | 0.000 | 0.000 |
| -0.000 | -0.000 | -0.000 | -0.000 | -0.000 | 356.628 |
| 735.742 | 22.549 | 0.000 | 0.000 | 0.000 | -0.000 |
| -33.098 | 791.390 | 0.000 | 0.000 | 0.000 | -0.000 |
| 0.000 | -0.000 | 0.000 | 0.000 | 0.000 | 0.000 |
| 0.000 | -0.000 | 0.000 | 0.000 | 0.000 | 0.000 |
| 0.000 | -0.000 | 0.000 | 0.000 | 0.000 | 0.000 |
| 0.000 | -0.000 | 0.000 | 0.000 | 0.000 | 356.596 |
| 735.742 | 22.550 | -0.000 | -0.000 | -0.000 | -0.000 |
| 22.549 | 735.742 | -0.000 | -0.000 | -0.000 | 0.000 |
| -0.000 | 0.000 | -0.000 | -0.000 | -0.000 | -0.000 |
| -0.000 | 0.000 | -0.000 | -0.000 | -0.000 | -0.000 |
| -0.000 | 0.000 | -0.000 | -0.000 | -0.000 | -0.000 |
| -0.000 | 0.000 | -0.000 | -0.000 | -0.000 | 356.596 |
| 735.737 | 22.554 | 0.000 | 0.000 | 0.000 | -0.000 |
| 22.471 | 735.820 | 0.000 | 0.000 | 0.000 | 0.000 |
| 0.000 | -0.000 | 0.000 | 0.000 | 0.000 | 0.000 |
| 0.000 | -0.000 | 0.000 | 0.000 | 0.000 | 0.000 |
| 0.000 | -0.000 | 0.000 | 0.000 | 0.000 | 0.000 |
| -0.000 | 0.000 | 0.000 | 0.000 | 0.000 | 356.596 |
| 735.741 | 22.549 | -0.000 | -0.000 | -0.000 | -0.000 |
| 22.549 | 735.742 | -0.000 | -0.000 | -0.000 | -0.000 |
| -0.000 | 0.000 | -0.000 | -0.000 | -0.000 | -0.000 |
| -0.000 | 0.000 | -0.000 | -0.000 | -0.000 | -0.000 |
| -0.000 | 0.000 | -0.000 | -0.000 | -0.000 | -0.000 |
| 0.000 | -0.000 | -0.000 | -0.000 | -0.000 | 356.596 |
| 735.744 | 22.550 | 0.000 | 0.000 | 0.000 | -0.000 |
| 22.549 | 735.745 | 0.000 | 0.000 | 0.000 | -0.000 |
| 0.000 | -0.000 | 0.000 | 0.000 | 0.000 | 0.000 |
| 0.000 | -0.000 | 0.000 | 0.000 | 0.000 | 0.000 |
| 0.000 | -0.000 | 0.000 | 0.000 | 0.000 | 0.000 |
| -0.000 | 0.001 | 0.000 | 0.000 | 0.000 | 356.596 |
| 735.739 | 22.549 | -0.000 | -0.000 | -0.000 | -0.000 |
| 22.550 | 735.739 | -0.000 | -0.000 | -0.000 | -0.000 |
| 0.000 | 0.000 | -0.000 | -0.000 | -0.000 | -0.000 |
| -0.000 | 0.000 | -0.000 | -0.000 | -0.000 | -0.000 |
| -0.000 | 0.000 | -0.000 | -0.000 | -0.000 | -0.000 |
| 0.000 | -0.001 | -0.000 | -0.000 | -0.000 | 356.596 |
| 1123.891 | -47.005 | 0.000 | 0.000 | 0.000 | 0.000 |
| 32.024 | 1044.862 | 0.000 | 0.000 | 0.000 | 0.000 |
| -0.000 | -0.000 | 0.000 | 0.000 | 0.000 | -0.000 |
| -0.000 | 0.000 | 0.000 | 0.000 | 0.000 | -0.000 |
| 0.000 | 0.000 | 0.000 | 0.000 | 0.000 | 0.000 |
| -0.000 | 0.000 | 0.000 | 0.000 | 0.000 | 585.448 |
| 1123.997 | -47.009 | 0.000 | 0.000 | 0.000 | 0.000 |
| 32.027 | 1044.961 | 0.000 | 0.000 | 0.000 | 0.000 |
| -0.000 | -0.000 | 0.000 | 0.000 | 0.000 | -0.000 |
| 0.000 | -0.000 | 0.000 | 0.000 | 0.000 | -0.000 |
| 0.000 | 0.000 | 0.000 | 0.000 | 0.000 | -0.000 |
| -0.000 | 0.000 | 0.000 | 0.000 | 0.000 | 585.503 |
| 1123.891 | -47.005 | -0.000 | -0.000 | -0.000 | -0.000 |
| -47.005 | 1123.891 | -0.000 | -0.000 | -0.000 | 0.000 |
| -0.000 | -0.000 | -0.000 | -0.000 | -0.000 | -0.000 |
| -0.000 | 0.000 | -0.000 | -0.000 | -0.000 | 0.000 |
| -0.000 | -0.000 | -0.000 | -0.000 | -0.000 | 0.000 |
| 0.000 | -0.000 | -0.000 | -0.000 | -0.000 | 585.448 |
| 1123.997 | -47.009 | -0.000 | -0.000 | -0.000 | -0.000 |
| -47.009 | 1123.997 | -0.000 | -0.000 | -0.000 | 0.000 |
| -0.000 | -0.000 | -0.000 | -0.000 | -0.000 | -0.000 |
| -0.000 | 0.000 | -0.000 | -0.000 | -0.000 | 0.000 |
| -0.000 | -0.000 | -0.000 | -0.000 | -0.000 | -0.000 |
| 0.000 | -0.000 | -0.000 | -0.000 | -0.000 | 585.503 |
| 1044.864 | 32.023 | 0.000 | 0.000 | 0.000 | 0.000 |
| -47.005 | 1123.891 | 0.000 | 0.000 | 0.000 | 0.000 |
| -0.000 | -0.000 | 0.000 | 0.000 | 0.000 | -0.000 |
| 0.000 | 0.000 | 0.000 | 0.000 | 0.000 | -0.000 |
| 0.000 | 0.000 | 0.000 | 0.000 | 0.000 | 0.000 |
| -0.000 | 0.000 | 0.000 | 0.000 | 0.000 | 585.448 |
| 1044.963 | 32.026 | 0.000 | 0.000 | 0.000 | 0.000 |
| -47.009 | 1123.998 | 0.000 | 0.000 | 0.000 | 0.000 |
| -0.000 | -0.000 | 0.000 | 0.000 | 0.000 | -0.000 |
| 0.000 | -0.000 | 0.000 | 0.000 | 0.000 | -0.000 |
| 0.000 | 0.000 | 0.000 | 0.000 | 0.000 | 0.000 |
| -0.000 | 0.000 | 0.000 | 0.000 | 0.000 | 585.503 |
| 1044.861 | 32.025 | -0.000 | -0.000 | -0.000 | -0.000 |
| 32.025 | 1044.860 | -0.000 | -0.000 | -0.000 | -0.000 |
| -0.000 | -0.000 | -0.000 | -0.000 | -0.000 | -0.000 |
| -0.000 | 0.000 | -0.000 | -0.000 | -0.000 | 0.000 |
| -0.000 | -0.000 | -0.000 | -0.000 | -0.000 | -0.000 |
| 0.000 | -0.000 | -0.000 | -0.000 | -0.000 | 585.448 |
| 1044.960 | 32.028 | -0.000 | -0.000 | -0.000 | -0.000 |
| 32.028 | 1044.960 | -0.000 | -0.000 | -0.000 | -0.000 |
| -0.000 | -0.000 | -0.000 | -0.000 | -0.000 | -0.000 |
| -0.000 | 0.000 | -0.000 | -0.000 | -0.000 | 0.000 |
| -0.000 | -0.000 | -0.000 | -0.000 | -0.000 | -0.000 |
| 0.000 | -0.000 | -0.000 | -0.000 | -0.000 | 585.503 |
| 1044.876 | 32.014 | 0.000 | 0.000 | 0.000 | 0.000 |
| 32.034 | 1044.856 | 0.000 | 0.000 | 0.000 | 0.000 |
| -0.000 | -0.000 | 0.000 | 0.000 | 0.000 | -0.000 |
| 0.000 | -0.000 | 0.000 | 0.000 | 0.000 | -0.000 |
| 0.000 | 0.000 | 0.000 | 0.000 | 0.000 | -0.000 |
| -0.000 | 0.001 | 0.000 | 0.000 | 0.000 | 506.419 |
| 1044.975 | 32.017 | 0.000 | 0.000 | 0.000 | 0.000 |
| 32.037 | 1044.955 | 0.000 | 0.000 | 0.000 | 0.000 |
| -0.000 | -0.000 | 0.000 | 0.000 | 0.000 | -0.000 |
| -0.000 | 0.000 | 0.000 | 0.000 | 0.000 | -0.000 |
| 0.000 | 0.000 | 0.000 | 0.000 | 0.000 | -0.000 |
| -0.000 | 0.001 | 0.000 | 0.000 | 0.000 | 506.467 |
| 1044.849 | 32.033 | -0.000 | -0.000 | -0.000 | -0.000 |
| 33.138 | 1043.744 | -0.000 | -0.000 | -0.000 | -0.000 |
| -0.000 | -0.000 | -0.000 | -0.000 | -0.000 | -0.000 |
| 0.000 | 0.000 | -0.000 | -0.000 | -0.000 | 0.000 |
| -0.000 | -0.000 | -0.000 | -0.000 | -0.000 | 0.000 |
| 0.000 | -0.001 | -0.000 | -0.000 | -0.000 | 506.419 |
| 1044.948 | 32.036 | -0.000 | -0.000 | -0.000 | -0.000 |
| 33.141 | 1043.843 | -0.000 | -0.000 | -0.000 | -0.000 |
| -0.000 | -0.000 | -0.000 | -0.000 | -0.000 | -0.000 |
| -0.000 | 0.000 | -0.000 | -0.000 | -0.000 | 0.000 |
| 0.000 | -0.000 | -0.000 | -0.000 | -0.000 | 0.000 |
| 0.000 | -0.001 | -0.000 | -0.000 | -0.000 | 506.467 |
| 321.077 | 416.948 | 23.218 | 0.000 | 0.000 | -0.000 |
| 24.968 | 559.278 | 43.197 | 0.000 | 0.000 | -0.000 |
| 122.649 | 444.769 | 146.550 | 0.000 | -0.000 | 0.000 |
| -0.000 | 0.000 | -0.000 | 257.030 | 0.000 | -0.000 |
| 83.887 | 93.911 | -88.221 | -0.000 | 167.355 | 0.000 |
| 0.000 | -0.000 | -0.000 | -0.000 | 0.000 | 290.504 |
| 353.484 | 1.648 | 144.155 | -0.000 | -0.000 | -0.000 |
| 5.247 | 257.505 | 206.204 | 0.000 | -0.000 | -0.000 |
| 28.328 | 43.197 | 497.725 | -0.000 | 0.000 | -0.000 |
| 0.000 | -0.000 | 0.000 | 257.030 | -0.000 | -0.000 |
| -83.887 | -93.911 | 88.221 | 0.000 | 167.355 | -0.000 |
| -0.000 | 0.000 | 0.000 | -0.000 | -0.000 | 290.504 |
| 285.346 | 107.191 | 73.249 | 0.000 | 0.000 | -0.000 |
| 78.585 | 448.663 | 73.605 | 0.000 | 0.000 | 0.000 |
| 52.342 | 104.933 | 70.833 | 0.000 | 0.000 | 0.000 |
| 6.519 | 43.412 | -4.140 | 83.029 | -0.000 | 0.000 |
| 4.133 | 30.521 | -5.583 | -0.000 | 120.275 | -0.000 |
| 8.678 | 47.143 | -3.575 | 0.000 | -0.000 | 126.441 |
| 429.975 | 71.169 | 71.964 | 0.000 | -0.000 | -0.000 |
| 71.440 | 228.264 | 93.470 | 0.000 | 0.000 | -0.000 |
| 28.328 | 43.197 | 497.725 | -0.000 | -0.000 | -0.000 |
| -6.519 | -43.412 | 4.140 | 83.029 | -0.000 | -0.000 |
| -4.133 | -30.521 | 5.583 | 0.000 | 120.275 | 0.000 |
| -8.678 | -47.143 | 3.575 | -0.000 | -0.000 | 126.441 |
| 207.530 | 43.842 | 42.092 | 0.000 | -0.000 | 0.000 |
| 74.108 | 279.126 | 86.556 | -0.000 | 0.000 | 0.000 |
| -30.649 | 0.376 | 14.740 | -0.000 | 0.000 | 0.000 |
| 0.687 | 0.768 | -0.722 | 178.435 | -0.000 | 0.000 |
| 0.666 | 0.746 | -0.701 | -0.000 | 187.214 | 0.000 |
| 0.606 | 0.679 | -0.637 | 0.000 | -0.000 | 213.162 |
| 258.971 | 70.934 | 82.329 | -0.000 | -0.000 | -0.000 |
| 74.052 | 268.641 | 88.137 | 0.000 | 0.000 | 0.000 |
| -20.979 | -14.276 | 26.493 | -0.000 | 0.000 | -0.000 |
| -0.687 | -0.768 | 0.722 | 178.435 | -0.000 | -0.000 |
| -0.666 | -0.746 | 0.701 | -0.000 | 187.214 | -0.000 |
| -0.606 | -0.679 | 0.637 | 0.000 | -0.000 | 213.162 |
| -1694.286 | -1394.843 | 2851.651 | 0.000 | 0.000 | -0.000 |
| 20.388 | 534.096 | 41.018 | -0.000 | 0.000 | -0.000 |
| -2068.948 | -1389.620 | 3169.615 | -0.000 | 0.000 | -0.000 |
| -2123.835 | -1463.837 | 2793.087 | 176.718 | 0.000 | -0.000 |
| -4437.328 | -2149.976 | 3611.838 | -0.000 | 122.172 | 0.000 |
| -0.000 | 0.000 | -0.000 | 0.000 | -0.000 | 280.313 |
| 2543.137 | 1525.192 | -2720.490 | 0.000 | -0.000 | 0.000 |
| 20.388 | 534.096 | 41.018 | 0.000 | 0.000 | 0.000 |
| 4489.170 | 2223.193 | -3348.035 | -0.000 | -0.000 | -0.000 |
| 2123.835 | 1463.837 | -2793.087 | 176.718 | -0.000 | 0.000 |
| 4437.328 | 2149.976 | -3611.838 | 0.000 | 122.172 | -0.000 |
| 0.000 | -0.000 | 0.000 | -0.000 | -0.000 | 280.313 |
| -146.616 | -153.269 | 435.917 | -0.000 | 0.000 | 0.000 |
| -774.415 | -603.057 | 177.626 | -0.000 | 0.000 | 0.000 |
| -398.466 | -143.042 | 615.112 | 0.000 | -0.000 | 0.000 |
| -212.223 | -146.273 | 279.098 | 176.770 | 0.000 | -0.000 |
| -212.036 | -146.144 | 278.851 | -0.000 | 181.861 | -0.000 |
| -212.073 | -146.170 | 278.900 | -0.000 | 0.000 | 201.638 |
| 755.230 | 281.715 | -291.934 | -0.000 | -0.000 | -0.000 |
| 547.559 | 571.541 | -205.890 | -0.000 | -0.000 | -0.000 |
| 761.828 | 729.767 | -99.980 | 0.000 | -0.000 | -0.000 |
| 212.223 | 146.273 | -279.098 | 176.770 | -0.000 | -0.000 |
| 212.036 | 146.144 | -278.851 | 0.000 | 181.861 | 0.000 |
| 212.073 | 146.170 | -278.900 | 0.000 | -0.000 | 201.638 |
| 104.280 | -45.351 | -0.841 | -0.000 | 0.000 | 0.000 |
| 20.388 | 534.097 | 41.018 | 0.000 | 0.000 | -0.000 |
| 16.636 | 60.410 | 170.365 | 0.000 | 0.000 | 0.000 |
| -51.549 | -31.273 | 30.034 | 82.241 | 0.000 | 0.000 |
| -72.390 | -68.729 | 14.959 | 0.000 | 59.520 | 0.000 |
| 0.000 | 0.000 | 0.000 | -0.000 | 0.000 | 280.313 |
| 242.559 | 79.343 | 16.220 | 0.000 | 0.000 | -0.000 |
| 91.426 | 258.287 | 24.475 | 0.000 | 0.000 | -0.000 |
| 122.927 | 103.810 | 179.051 | -0.000 | -0.000 | 0.000 |
| 51.549 | 31.273 | -30.034 | 82.241 | -0.000 | -0.000 |
| 72.390 | 68.729 | -14.959 | 0.000 | 59.520 | 0.000 |
| -0.000 | -0.000 | -0.000 | 0.000 | -0.000 | 280.313 |
| 1343.984 | 28.712 | 1.454 | 0.000 | -0.000 | -0.000 |
| 66.112 | 1313.690 | -5.969 | 0.000 | -0.000 | -0.000 |
| -555.609 | -555.609 | 2324.610 | 0.000 | -0.000 | -0.000 |
| 0.000 | 0.000 | -0.000 | 467.851 | -0.000 | -0.000 |
| -0.122 | -0.122 | 0.254 | 0.000 | 370.739 | 0.000 |
| 0.000 | 0.000 | 0.000 | 0.000 | -0.000 | 661.661 |
| 1344.041 | 28.770 | 1.333 | -0.000 | 0.000 | 0.000 |
| 66.170 | 1313.748 | -6.090 | -0.000 | 0.000 | 0.000 |
| 37.061 | 37.061 | 1086.450 | -0.000 | 0.000 | 0.000 |
| -0.000 | -0.000 | -0.000 | 467.851 | 0.000 | 0.000 |
| 0.122 | 0.122 | -0.254 | -0.000 | 370.739 | 0.000 |
| -0.000 | -0.000 | -0.000 | -0.000 | 0.000 | 661.661 |
| 1341.932 | 26.717 | 5.681 | 0.000 | -0.000 | -0.000 |
| 63.770 | 1311.289 | -1.014 | 0.000 | -0.000 | -0.000 |
| 37.175 | 37.175 | 1086.212 | 0.000 | -0.000 | -0.000 |
| -0.013 | -0.013 | 0.026 | 370.739 | -0.000 | -0.000 |
| 0.000 | 0.000 | -0.000 | 0.000 | 467.851 | -0.000 |
| 0.000 | 0.000 | -0.000 | 0.000 | -0.000 | 661.661 |
| 1313.686 | 66.110 | -5.963 | -0.000 | 0.000 | 0.000 |
| 28.862 | 1344.136 | 1.138 | -0.000 | 0.000 | 0.000 |
| 46.019 | 46.019 | 1067.735 | -0.000 | -0.000 | 0.000 |
| 0.013 | 0.013 | -0.026 | 370.739 | 0.000 | 0.000 |
| -0.000 | -0.000 | 0.000 | -0.000 | 467.851 | 0.000 |
| -0.000 | -0.000 | 0.000 | -0.000 | 0.000 | 661.661 |
| 1313.725 | 66.140 | -6.028 | 0.000 | -0.000 | -0.000 |
| 66.477 | 1314.077 | -6.748 | 0.000 | -0.000 | -0.000 |
| 38.405 | 38.405 | 1083.650 | 0.000 | 0.000 | -0.000 |
| 0.001 | 0.001 | -0.002 | 467.851 | -0.000 | -0.000 |
| 0.001 | 0.001 | -0.002 | 0.000 | 467.851 | -0.000 |
| -0.002 | 0.000 | 0.003 | 0.000 | -0.000 | 623.789 |
| 1313.357 | 65.794 | -5.296 | -0.000 | 0.000 | 0.000 |
| 65.798 | 1313.355 | -5.297 | -0.000 | 0.000 | 0.000 |
| 35.682 | 35.682 | 1089.321 | 0.000 | 0.000 | 0.000 |
| -0.001 | -0.001 | 0.002 | 467.851 | 0.000 | 0.000 |
| -0.001 | -0.001 | 0.002 | -0.000 | 467.851 | 0.000 |
| 0.002 | -0.000 | -0.003 | -0.000 | 0.000 | 623.789 |
| 1287.522 | 95.959 | -83.282 | 0.000 | -0.000 | -0.000 |
| 95.959 | 1287.522 | -83.282 | 0.000 | -0.000 | -0.000 |
| -89.612 | -89.612 | 1560.761 | 0.000 | -0.000 | 0.000 |
| -0.000 | -0.000 | 0.000 | 313.581 | -0.000 | -0.000 |
| -0.000 | -0.000 | 0.000 | 0.000 | 313.581 | -0.000 |
| -0.000 | 0.000 | -0.000 | 0.000 | -0.000 | 599.106 |
| 1537.719 | 339.506 | -590.993 | -0.000 | 0.000 | 0.000 |
| 339.506 | 1537.719 | -590.993 | -0.000 | 0.000 | 0.000 |
| -590.993 | -590.993 | 2591.889 | -0.000 | 0.000 | 0.000 |
| 0.000 | 0.000 | -0.000 | 313.581 | 0.000 | 0.000 |
| 0.000 | 0.000 | -0.000 | -0.000 | 313.581 | 0.000 |
| 0.000 | -0.000 | 0.000 | -0.000 | 0.000 | 599.106 |
| 1537.720 | 339.506 | -590.993 | 0.000 | -0.000 | -0.000 |
| 339.506 | 1537.720 | -590.993 | 0.000 | -0.000 | -0.000 |
| -89.528 | -89.528 | 1560.588 | 0.000 | -0.000 | -0.000 |
| -0.001 | -0.000 | 0.001 | 313.581 | -0.000 | -0.000 |
| -0.000 | -0.001 | 0.001 | 0.000 | 313.581 | -0.000 |
| 0.000 | 0.000 | -0.000 | 0.000 | -0.000 | 599.106 |
| 1287.497 | 95.935 | -83.231 | -0.000 | 0.000 | 0.000 |
| 95.935 | 1287.497 | -83.231 | 0.000 | 0.000 | 0.000 |
| -89.714 | -89.714 | 1560.971 | -0.000 | 0.000 | 0.000 |
| 0.001 | 0.000 | -0.001 | 313.581 | 0.000 | 0.000 |
| 0.000 | 0.001 | -0.001 | -0.000 | 313.581 | 0.000 |
| -0.000 | -0.000 | 0.000 | -0.000 | 0.000 | 599.106 |
| 1239.320 | 150.860 | -90.164 | -0.000 | -0.000 | -0.000 |
| 150.860 | 1239.320 | -90.164 | 0.000 | -0.000 | -0.000 |
| -89.623 | -89.623 | 1560.790 | -0.000 | -0.000 | -0.000 |
| -0.005 | -0.003 | 0.010 | 313.581 | -0.000 | -0.000 |
| -0.003 | -0.005 | 0.010 | 0.000 | 313.581 | 0.000 |
| 0.003 | 0.004 | -0.005 | 0.000 | -0.000 | 544.222 |
| 1238.765 | 150.334 | -89.064 | -0.000 | 0.000 | 0.000 |
| 150.335 | 1238.764 | -89.064 | -0.000 | 0.000 | 0.000 |
| -90.554 | -90.554 | 1562.693 | -0.000 | 0.000 | 0.000 |
| 0.005 | 0.003 | -0.010 | 313.581 | 0.000 | 0.000 |
| 0.003 | 0.005 | -0.010 | -0.000 | 313.581 | 0.000 |
| -0.003 | -0.004 | 0.005 | -0.000 | 0.000 | 544.222 |
| 1479.092 | 241.471 | -424.025 | -0.000 | -0.000 | 0.000 |
| -14.852 | 1093.968 | 236.285 | -0.000 | -0.000 | 0.000 |
| -424.025 | -424.025 | 2242.764 | 0.000 | -0.000 | -0.000 |
| -0.000 | 0.000 | -0.000 | 512.600 | 0.000 | 0.000 |
| 0.000 | -0.000 | -0.000 | -0.000 | 512.600 | 0.000 |
| -0.000 | -0.000 | -0.000 | 0.000 | -0.000 | 618.811 |
| 1479.092 | 241.471 | -424.025 | -0.000 | -0.000 | 0.000 |
| 207.251 | 1362.932 | -269.454 | -0.000 | -0.000 | -0.000 |
| -424.025 | -424.025 | 2242.763 | 0.000 | -0.000 | -0.000 |
| -0.000 | 0.000 | 0.000 | 512.600 | -0.000 | 0.000 |
| -0.000 | 0.000 | 0.000 | -0.000 | 512.600 | 0.000 |
| 0.000 | 0.000 | 0.000 | 0.000 | -0.000 | 618.811 |
| 1262.077 | 60.523 | -14.103 | 0.000 | 0.000 | 0.000 |
| 60.523 | 1262.076 | -14.103 | 0.000 | 0.000 | -0.000 |
| -74.253 | -74.253 | 1522.850 | 0.000 | 0.000 | -0.000 |
| 0.000 | 0.000 | -0.000 | 512.600 | 0.000 | 0.000 |
| 0.000 | 0.000 | -0.000 | 0.000 | 512.600 | -0.000 |
| 0.000 | 0.000 | -0.000 | -0.000 | 0.000 | 618.811 |
| 1288.016 | 87.279 | -68.410 | 0.000 | -0.000 | 0.000 |
| 86.890 | 1287.535 | -67.514 | 0.000 | -0.000 | 0.000 |
| -52.849 | -52.849 | 1478.108 | -0.000 | -0.000 | -0.000 |
| -0.000 | -0.000 | 0.000 | 512.600 | -0.000 | 0.000 |
| -0.000 | -0.000 | 0.000 | -0.000 | 512.600 | -0.000 |
| -0.000 | -0.000 | 0.000 | 0.000 | 0.000 | 618.811 |
| 1273.317 | 72.171 | -37.686 | 0.000 | 0.000 | -0.000 |
| 139.930 | 1228.270 | -61.236 | 0.000 | -0.000 | 0.000 |
| -61.161 | -61.161 | 1495.878 | -0.000 | 0.000 | 0.000 |
| -1.413 | -1.411 | 2.910 | 351.924 | 0.000 | 0.000 |
| 0.001 | 0.001 | -0.001 | -0.000 | 512.600 | -0.000 |
| 0.000 | 0.002 | -0.000 | -0.000 | -0.000 | 618.811 |
| 1276.502 | 75.344 | -44.249 | -0.000 | -0.000 | 0.000 |
| 129.034 | 1236.228 | -58.527 | 0.000 | -0.000 | 0.000 |
| -59.137 | -59.137 | 1491.693 | 0.000 | -0.000 | 0.000 |
| 1.413 | 1.411 | -2.910 | 351.924 | 0.000 | -0.000 |
| -0.001 | -0.001 | 0.001 | 0.000 | 512.600 | 0.000 |
| -0.000 | -0.002 | 0.000 | 0.000 | 0.000 | 618.811 |
| 1507.628 | 171.234 | -340.072 | 0.000 | -0.000 | -0.000 |
| 171.234 | 1507.628 | -340.072 | 0.000 | 0.000 | -0.000 |
| 361.398 | 361.398 | 501.810 | 0.000 | 0.000 | -0.000 |
| -0.000 | -0.000 | 0.000 | 516.730 | 0.000 | -0.000 |
| -0.000 | -0.000 | 0.000 | 0.000 | 516.730 | -0.000 |
| -0.000 | -0.000 | -0.000 | 0.000 | 0.000 | 668.197 |
| 1507.628 | 171.234 | -340.072 | -0.000 | -0.000 | 0.000 |
| 171.234 | 1507.628 | -340.072 | -0.000 | -0.000 | 0.000 |
| -317.497 | -317.497 | 1925.816 | -0.000 | -0.000 | 0.000 |
| -0.000 | -0.000 | -0.000 | 516.730 | -0.000 | 0.000 |
| 0.000 | 0.000 | -0.000 | -0.000 | 516.730 | -0.000 |
| 0.000 | -0.000 | -0.000 | -0.000 | -0.000 | 668.197 |
| 1357.976 | 68.891 | -74.970 | 0.000 | -0.000 | -0.000 |
| 171.234 | 1507.629 | -340.072 | 0.000 | -0.000 | -0.000 |
| 17.112 | 17.112 | 1222.750 | 0.000 | 0.000 | -0.000 |
| 74.839 | 74.839 | -156.625 | 442.067 | 0.000 | -0.000 |
| 0.000 | 0.000 | -0.000 | -0.000 | 516.730 | -0.000 |
| -0.000 | 0.000 | -0.000 | 0.000 | 0.000 | 668.197 |
| 1507.627 | 171.234 | -340.072 | -0.000 | -0.000 | 0.000 |
| 21.549 | 1238.059 | 98.489 | 0.000 | -0.000 | 0.000 |
| -52.026 | -52.026 | 1367.562 | -0.000 | -0.000 | 0.000 |
| -74.839 | -74.839 | 156.625 | 442.067 | -0.000 | 0.000 |
| -0.000 | -0.000 | 0.000 | -0.000 | 516.730 | -0.000 |
| 0.000 | -0.000 | 0.000 | -0.000 | -0.000 | 668.197 |
| 1272.857 | 66.639 | 15.228 | 0.000 | 0.000 | 0.000 |
| 98.113 | 1263.970 | -8.045 | 0.000 | 0.000 | -0.000 |
| -14.964 | -14.964 | 1289.941 | 0.000 | 0.000 | -0.000 |
| 0.001 | 0.001 | -0.000 | 516.730 | -0.000 | -0.000 |
| 0.001 | 0.001 | -0.000 | 0.000 | 516.730 | -0.000 |
| -6.700 | -6.699 | 14.208 | 0.000 | -0.000 | 585.173 |
| 1322.665 | 33.940 | -1.443 | -0.000 | -0.000 | 0.000 |
| 90.693 | 1255.667 | 8.403 | 0.000 | -0.000 | 0.000 |
| -22.818 | -22.818 | 1306.387 | 0.000 | -0.000 | 0.000 |
| -0.001 | -0.001 | 0.000 | 516.730 | 0.000 | 0.000 |
| -0.001 | -0.001 | 0.000 | -0.000 | 516.730 | 0.000 |
| 6.700 | 6.699 | -14.208 | -0.000 | -0.000 | 585.173 |
| 568.718 | -687.334 | 1565.908 | 0.000 | 0.000 | 0.000 |
| 136.574 | 1482.940 | -281.425 | -0.000 | 0.000 | -0.000 |
| 295.096 | 295.096 | 704.865 | 0.000 | 0.000 | -0.000 |
| 188.942 | 188.942 | -347.294 | 410.449 | 0.000 | -0.000 |
| 189.007 | 189.006 | -347.427 | -0.000 | 410.445 | -0.000 |
| -759.013 | -759.013 | 1620.262 | 0.000 | 0.000 | 621.178 |
| 1003.581 | -113.858 | 433.840 | -0.000 | -0.000 | 0.000 |
| -113.726 | 1003.749 | 433.532 | 0.000 | -0.000 | 0.000 |
| 700.565 | 700.565 | -218.023 | 0.000 | -0.000 | 0.000 |
| -188.942 | -188.942 | 347.294 | 410.449 | -0.000 | -0.000 |
| -189.007 | -189.006 | 347.427 | -0.000 | 410.445 | -0.000 |
| 759.013 | 759.013 | -1620.262 | -0.000 | -0.000 | 621.178 |
| 1283.053 | -7.084 | 80.366 | 0.000 | 0.000 | -0.000 |
| -7.084 | 1283.052 | 80.368 | 0.000 | 0.000 | -0.000 |
| 41.507 | 41.507 | 1192.242 | 0.000 | 0.000 | -0.000 |
| -82.449 | -82.449 | 176.004 | 472.161 | 0.000 | -0.000 |
| 15.349 | 15.348 | -27.674 | 0.000 | 420.197 | -0.000 |
| 15.649 | 15.649 | -28.261 | 0.000 | 0.000 | 564.721 |
| 1252.157 | 103.609 | -10.018 | -0.000 | -0.000 | 0.000 |
| -3.219 | 1215.518 | 142.114 | -0.000 | -0.000 | -0.000 |
| 8.081 | 8.081 | 1254.632 | -0.000 | -0.000 | 0.000 |
| 82.449 | 82.449 | -176.004 | 472.161 | -0.000 | -0.000 |
| -15.349 | -15.348 | 27.674 | 0.000 | 420.197 | 0.000 |
| -15.649 | -15.649 | 28.261 | -0.000 | -0.000 | 564.721 |
| 1253.299 | 95.924 | 1.526 | 0.000 | 0.000 | -0.000 |
| 93.145 | 1251.401 | 6.293 | 0.000 | 0.000 | -0.000 |
| 24.808 | 24.808 | 1223.359 | 0.000 | 0.000 | -0.000 |
| 4.618 | 4.619 | -9.345 | 441.102 | 0.000 | -0.000 |
| -11.985 | -11.986 | 25.587 | 0.000 | 445.541 | 0.000 |
| 4.826 | 4.826 | -9.772 | -0.000 | 0.000 | 583.846 |
| 1259.003 | 69.910 | 21.651 | 0.000 | -0.000 | 0.000 |
| 33.948 | 1321.736 | -4.927 | 0.000 | -0.000 | 0.000 |
| 27.645 | 27.645 | 1216.670 | -0.000 | -0.000 | -0.000 |
| -4.618 | -4.619 | 9.345 | 441.102 | -0.000 | -0.000 |
| 11.985 | 11.986 | -25.587 | -0.000 | 445.541 | 0.000 |
| -4.826 | -4.826 | 9.772 | -0.000 | -0.000 | 583.846 |
| 1438.416 | 143.465 | -269.737 | -0.000 | -0.000 | -0.000 |
| 143.465 | 1438.416 | -269.737 | -0.000 | 0.000 | -0.000 |
| 1296.061 | 1296.061 | -1210.738 | -0.000 | -0.000 | -0.000 |
| 0.000 | 0.000 | -0.000 | 543.553 | -0.000 | -0.000 |
| 709.552 | 709.552 | -1359.803 | -0.000 | 405.797 | 0.000 |
| -0.000 | 0.000 | -0.000 | -0.000 | -0.000 | 647.476 |
| 798.900 | -290.921 | 716.596 | 0.000 | 0.000 | 0.000 |
| 143.465 | 1438.416 | -269.737 | 0.000 | 0.000 | 0.000 |
| -966.045 | -966.045 | 3234.499 | -0.000 | -0.000 | 0.000 |
| -0.000 | -0.000 | 0.000 | 543.553 | 0.000 | 0.000 |
| -709.552 | -709.552 | 1359.803 | 0.000 | 405.797 | 0.000 |
| -0.000 | -0.000 | 0.000 | 0.000 | 0.000 | 647.476 |
| 1438.416 | 143.465 | -269.737 | -0.000 | -0.000 | -0.000 |
| 37.985 | 1246.622 | 43.064 | -0.000 | -0.000 | -0.000 |
| 62.356 | 62.356 | 1240.298 | 0.000 | -0.000 | -0.000 |
| 50.560 | 50.560 | -93.855 | 413.343 | -0.000 | -0.000 |
| 0.000 | 0.000 | 0.000 | -0.000 | 543.553 | 0.000 |
| -0.000 | 0.000 | -0.000 | -0.000 | -0.000 | 647.476 |
| 1140.536 | -58.780 | 240.626 | 0.000 | 0.000 | 0.000 |
| -58.780 | 1140.536 | 240.626 | -0.000 | -0.000 | 0.000 |
| -57.299 | -57.299 | 1466.816 | -0.000 | 0.000 | -0.000 |
| -50.560 | -50.560 | 93.855 | 413.343 | -0.000 | 0.000 |
| -0.000 | -0.000 | -0.000 | -0.000 | 543.553 | 0.000 |
| 0.000 | -0.000 | 0.000 | -0.000 | 0.000 | 647.476 |
| 1293.502 | 53.778 | -27.005 | 0.000 | -0.000 | -0.000 |
| 102.445 | 1230.831 | -15.314 | -0.000 | -0.000 | 0.000 |
| -14.325 | -14.325 | 1387.665 | 0.000 | -0.000 | -0.000 |
| 7.714 | 7.716 | -14.800 | 424.465 | -0.000 | -0.000 |
| 0.000 | 0.001 | 0.000 | 0.000 | 543.553 | -0.000 |
| -0.000 | 0.002 | -0.000 | -0.000 | -0.000 | 647.476 |
| 1218.988 | 124.417 | -27.018 | 0.000 | 0.000 | 0.000 |
| 118.088 | 1214.327 | -15.404 | 0.000 | 0.000 | 0.000 |
| -45.898 | -45.898 | 1446.647 | 0.000 | -0.000 | 0.000 |
| -7.714 | -7.716 | 14.800 | 424.465 | 0.000 | 0.000 |
| -0.000 | -0.001 | -0.000 | -0.000 | 543.553 | 0.000 |
| 0.000 | -0.002 | 0.000 | -0.000 | 0.000 | 647.476 |
| 1526.450 | 192.439 | -378.489 | 27.631 | -0.000 | 0.000 |
| 192.439 | 1526.450 | -378.489 | -27.631 | 0.000 | 0.000 |
| 4138.920 | 4138.920 | -7382.994 | -0.000 | -0.000 | 0.000 |
| 4005.996 | 3992.212 | -8334.496 | 367.744 | 0.000 | 0.000 |
| 3547.169 | 3547.168 | -7395.256 | 0.000 | 367.406 | 6.811 |
| 0.000 | 0.000 | 0.001 | 0.000 | 27.631 | 667.005 |
| -2298.313 | -3423.969 | 7381.647 | 6.805 | 0.000 | -0.000 |
| -3938.777 | -2798.789 | 8437.453 | -7.007 | 0.000 | -0.000 |
| -3832.240 | -3832.240 | 9229.251 | 0.000 | 0.000 | -0.000 |
| -3992.953 | -4006.744 | 8336.074 | 367.763 | -0.000 | -0.000 |
| -3547.168 | -3547.168 | 7395.257 | -0.000 | 367.406 | 6.811 |
| 0.000 | -0.000 | -0.001 | -0.000 | 27.631 | 667.005 |
| 1526.450 | 192.439 | -378.489 | 27.631 | -0.000 | 0.000 |
| 192.439 | 1526.450 | -378.489 | -27.631 | -0.000 | 0.000 |
| 591.459 | 591.459 | 3.391 | 0.000 | -0.000 | 0.000 |
| 359.034 | 345.069 | -733.985 | 368.564 | -0.000 | 0.000 |
| 398.307 | 398.306 | -830.135 | 0.000 | 368.813 | 7.051 |
| 0.000 | 0.000 | 0.000 | 0.000 | 27.631 | 667.005 |
| 1526.449 | 192.439 | -378.490 | 27.631 | -0.000 | -0.000 |
| 192.439 | 1526.449 | -378.490 | -27.631 | -0.000 | -0.000 |
| -441.797 | -441.797 | 2167.990 | 0.000 | 0.000 | -0.000 |
| 27.631 | -27.631 | 0.000 | 507.368 | 0.000 | -0.000 |
| -398.307 | -398.306 | 830.135 | -0.000 | 368.813 | 7.051 |
| -0.000 | -0.000 | -0.000 | -0.000 | 27.631 | 667.005 |
| 1297.139 | 111.322 | -52.111 | 11.797 | -0.000 | 0.000 |
| 192.440 | 1526.455 | -378.489 | -27.631 | -0.000 | 0.000 |
| 37.758 | 37.758 | 1165.790 | 0.000 | 0.000 | 0.000 |
| 47.363 | 24.956 | -75.444 | 396.810 | 0.000 | 0.000 |
| 36.095 | 36.094 | -75.308 | 0.000 | 396.846 | 11.209 |
| -0.000 | 0.002 | -0.000 | 0.000 | 27.631 | 667.005 |
| 1214.650 | 55.289 | 93.006 | 9.864 | 0.000 | -0.000 |
| 192.439 | 1526.444 | -378.490 | -27.631 | -0.000 | -0.000 |
| -4.204 | -4.204 | 1254.048 | -0.000 | 0.000 | -0.000 |
| 27.630 | -27.632 | 0.001 | 507.369 | -0.000 | -0.000 |
| -36.095 | -36.094 | 75.308 | -0.000 | 396.846 | 11.209 |
| 0.000 | -0.002 | 0.000 | -0.000 | 27.631 | 667.005 |
| 1463.139 | 204.800 | -365.749 | 29.679 | 0.000 | -0.000 |
| 204.800 | 1463.139 | -365.749 | -29.679 | -0.000 | -0.000 |
| -324.118 | -324.118 | 2039.278 | -0.000 | -0.000 | 0.000 |
| -291.285 | -339.568 | 654.985 | 483.354 | 0.000 | -0.000 |
| 0.000 | 0.000 | -0.000 | -0.000 | 524.063 | 29.679 |
| 0.000 | 0.000 | -0.000 | -0.000 | 29.679 | 629.170 |
| 1628.309 | 410.482 | -752.794 | 23.756 | -0.000 | -0.000 |
| 410.482 | 1628.309 | -752.795 | -23.756 | -0.000 | 0.000 |
| 223.347 | 223.347 | 897.862 | -0.000 | -0.000 | -0.000 |
| 29.679 | -29.679 | 0.000 | 524.063 | 0.000 | -0.000 |
| -0.000 | -0.000 | 0.000 | -0.000 | 524.063 | 29.679 |
| -0.000 | -0.000 | 0.000 | -0.000 | 29.679 | 629.170 |
| 1258.045 | 40.047 | 16.249 | 23.781 | -0.000 | -0.000 |
| 40.082 | 1258.089 | 16.168 | -23.782 | -0.000 | 0.000 |
| -91.691 | -91.691 | 1552.343 | -0.000 | 0.000 | -0.000 |
| -60.086 | -92.634 | 158.563 | 425.513 | 0.000 | 0.000 |
| 0.000 | 0.000 | -0.000 | 0.000 | 524.063 | 29.679 |
| 0.000 | 0.000 | -0.000 | 0.000 | 29.679 | 629.170 |
| 1463.138 | 204.800 | -365.748 | 29.679 | 0.000 | 0.000 |
| 89.743 | 1300.505 | -79.792 | -22.723 | 0.000 | 0.000 |
| -38.286 | -38.286 | 1441.298 | -0.000 | 0.000 | -0.000 |
| 29.679 | -29.679 | 0.000 | 524.063 | 0.000 | 0.000 |
| -0.000 | -0.000 | 0.000 | -0.000 | 524.063 | 29.679 |
| -0.000 | -0.000 | 0.000 | -0.000 | 29.679 | 629.170 |
| 1463.145 | 204.799 | -365.748 | 29.679 | -0.000 | 0.000 |
| 133.823 | 1221.031 | -43.884 | -6.898 | -0.000 | -0.000 |
| -365.752 | -365.752 | 2117.490 | 0.000 | -0.000 | 0.000 |
| 29.680 | -29.678 | -0.000 | 524.063 | -0.000 | 0.000 |
| 0.001 | 0.001 | -0.000 | 0.000 | 524.063 | 29.679 |
| 0.000 | 0.002 | -0.000 | 0.000 | 29.679 | 629.170 |
| 1283.566 | 68.317 | -39.741 | 23.380 | 0.000 | -0.000 |
| 138.329 | 1225.411 | -53.168 | -6.876 | 0.000 | -0.000 |
| -63.093 | -63.093 | 1492.853 | 0.000 | -0.000 | 0.000 |
| 21.186 | 1.309 | -23.357 | 378.928 | 0.000 | 0.000 |
| -0.001 | -0.001 | 0.000 | -0.000 | 524.063 | 29.679 |
| -0.000 | -0.002 | 0.000 | -0.000 | 29.679 | 629.170 |
| 1158.473 | 956.256 | 956.256 | -0.000 | -0.000 | -0.000 |
| 956.256 | 1158.473 | 956.256 | -0.000 | -0.000 | -0.000 |
| 956.256 | 956.256 | 1158.473 | -0.000 | -0.000 | -0.000 |
| 0.000 | -0.000 | 0.000 | 228.409 | 0.000 | 0.000 |
| -0.000 | 0.000 | 0.000 | -0.000 | 228.409 | 0.000 |
| -0.000 | 0.000 | 0.000 | -0.000 | -0.000 | 228.409 |
| 475.393 | 18.575 | 18.575 | 0.000 | -0.000 | -0.000 |
| 18.575 | 475.393 | 18.575 | -0.000 | 0.000 | 0.000 |
| 18.575 | 18.575 | 475.393 | 0.000 | 0.000 | -0.000 |
| -0.000 | 0.000 | -0.000 | 228.409 | -0.000 | -0.000 |
| 0.000 | -0.000 | -0.000 | 0.000 | 228.409 | -0.000 |
| 0.000 | -0.000 | -0.000 | 0.000 | 0.000 | 228.409 |
| 475.393 | 18.575 | 18.575 | -0.000 | -0.000 | -0.000 |
| 18.575 | 475.393 | 18.575 | -0.000 | -0.000 | 0.000 |
| 18.575 | 18.575 | 475.393 | -0.000 | -0.000 | 0.000 |
| 92.273 | 92.273 | 92.273 | 99.841 | -0.000 | -0.000 |
| 92.273 | 92.273 | 92.273 | -0.000 | 99.841 | -0.000 |
| 92.273 | 92.273 | 92.273 | -0.000 | -0.000 | 99.841 |
| 475.393 | 18.575 | 18.575 | 0.000 | -0.000 | 0.000 |
| 18.575 | 475.393 | 18.575 | 0.000 | 0.000 | -0.000 |
| 18.575 | 18.575 | 475.393 | 0.000 | -0.000 | -0.000 |
| -92.273 | -92.273 | -92.273 | 99.841 | 0.000 | 0.000 |
| -92.273 | -92.273 | -92.273 | 0.000 | 99.841 | 0.000 |
| -92.273 | -92.273 | -92.273 | 0.000 | 0.000 | 99.841 |
| 107.483 | 48.676 | 48.677 | 0.000 | -0.000 | -0.000 |
| 48.677 | 107.483 | 48.676 | 0.000 | 0.000 | -0.000 |
| 48.676 | 48.677 | 107.483 | 0.000 | -0.000 | -0.000 |
| 2.684 | 2.684 | 2.684 | 145.970 | -0.000 | -0.000 |
| 2.684 | 2.684 | 2.684 | -0.000 | 145.970 | -0.000 |
| 2.684 | 2.684 | 2.684 | -0.000 | -0.000 | 145.970 |
| 45.883 | -1.318 | -1.318 | -0.000 | 0.000 | 0.000 |
| -1.318 | 45.883 | -1.318 | 0.000 | -0.000 | 0.000 |
| -1.318 | -1.318 | 45.883 | -0.000 | 0.000 | 0.000 |
| -2.684 | -2.684 | -2.684 | 145.970 | 0.000 | 0.000 |
| -2.684 | -2.684 | -2.684 | 0.000 | 145.970 | 0.000 |
| -2.684 | -2.684 | -2.684 | 0.000 | 0.000 | 145.970 |
| 784.560 | -72.992 | 37.773 | -0.000 | 0.000 | -0.000 |
| -62.596 | 409.112 | -34.482 | -0.000 | -0.000 | -0.000 |
| 0.890 | -23.358 | -28.798 | -0.000 | 0.000 | -0.000 |
| -8.743 | 2.218 | 25.844 | 78.624 | -0.000 | -0.000 |
| 0.000 | 0.000 | 0.000 | -0.000 | 272.289 | 0.000 |
| 0.000 | 0.000 | 0.000 | -0.000 | -0.000 | 321.778 |
| 796.702 | -79.726 | 4.509 | 0.000 | -0.000 | -0.000 |
| -57.946 | 432.899 | -11.839 | 0.000 | -0.000 | 0.000 |
| 30.237 | -3.347 | 288.218 | 0.000 | -0.000 | 0.000 |
| 8.743 | -2.218 | -25.844 | 78.624 | 0.000 | 0.000 |
| -0.000 | -0.000 | -0.000 | -0.000 | 272.289 | 0.000 |
| -0.000 | -0.000 | -0.000 | -0.000 | 0.000 | 321.778 |
| 790.306 | -74.094 | 20.531 | -0.000 | 0.000 | -0.000 |
| -57.904 | 416.596 | -1.390 | -0.000 | 0.000 | -0.000 |
| 3.617 | -12.429 | -2.479 | -0.000 | 0.000 | -0.000 |
| 1.244 | -4.497 | -20.427 | 13.759 | -0.000 | -0.000 |
| -0.300 | -1.945 | -7.025 | -0.000 | 0.447 | -0.000 |
| -0.448 | -0.336 | -0.191 | 0.000 | 0.000 | 236.933 |
| 790.678 | -73.224 | 18.738 | 0.000 | -0.000 | 0.000 |
| -57.074 | 418.267 | 2.435 | 0.000 | -0.000 | 0.000 |
| 4.194 | -9.935 | 3.692 | 0.000 | -0.000 | 0.000 |
| -1.244 | 4.497 | 20.427 | 13.759 | 0.000 | 0.000 |
| 0.300 | 1.945 | 7.025 | 0.000 | 0.447 | 0.000 |
| 0.448 | 0.336 | 0.191 | 0.000 | -0.000 | 236.933 |
| 787.266 | -66.807 | 5.262 | 0.000 | 0.000 | -0.000 |
| -57.538 | 417.366 | 0.337 | -0.000 | 0.000 | -0.000 |
| 2.114 | -7.661 | -0.264 | -0.000 | -0.000 | -0.000 |
| -0.097 | 0.024 | 0.286 | 74.372 | 0.000 | -0.000 |
| -0.475 | 0.130 | 1.176 | -0.000 | 0.124 | 0.000 |
| -0.112 | 0.029 | 0.332 | -0.000 | 0.000 | 237.026 |
| 790.638 | -73.809 | 19.277 | 0.000 | -0.000 | 0.000 |
| -57.476 | 417.530 | 0.348 | -0.000 | 0.000 | 0.000 |
| 3.932 | -11.054 | 0.978 | 0.000 | -0.000 | 0.000 |
| 0.097 | -0.024 | -0.286 | 74.372 | 0.000 | 0.000 |
| 0.475 | -0.130 | -1.176 | 0.000 | 0.124 | 0.000 |
| 0.112 | -0.029 | -0.332 | 0.000 | -0.000 | 237.026 |
| 850.377 | -116.260 | 1.691 | 0.000 | 0.000 | -0.000 |
| -117.574 | 560.441 | 13.576 | 0.000 | -0.000 | -0.000 |
| 0.422 | -2.135 | 0.645 | 0.000 | 0.000 | -0.000 |
| -0.007 | -0.063 | 0.091 | 75.988 | 0.000 | 0.000 |
| -0.078 | -0.194 | 0.672 | 0.000 | 0.009 | -0.000 |
| -0.008 | -0.072 | 0.104 | 0.000 | -0.000 | 243.657 |
| 850.373 | -115.867 | 2.462 | -0.000 | 0.000 | -0.000 |
| -117.574 | 560.441 | 13.576 | -0.000 | 0.000 | 0.000 |
| 0.351 | -1.662 | 0.428 | -0.000 | -0.000 | 0.000 |
| 0.007 | 0.063 | -0.091 | 75.988 | 0.000 | -0.000 |
| 0.078 | 0.194 | -0.672 | -0.000 | 0.009 | -0.000 |
| 0.008 | 0.072 | -0.104 | -0.000 | 0.000 | 243.657 |
| 851.169 | -116.972 | 18.158 | 0.000 | -0.000 | 0.000 |
| -117.574 | 560.441 | 13.576 | 0.000 | -0.000 | -0.000 |
| 0.390 | -1.923 | 0.536 | 0.000 | 0.000 | -0.000 |
| -0.001 | -0.006 | 0.009 | 75.989 | 0.000 | 0.000 |
| -0.000 | 0.000 | 0.000 | -0.000 | 292.032 | -0.000 |
| -0.001 | -0.007 | 0.010 | 0.000 | 0.000 | 243.657 |
| 851.167 | -116.963 | 18.156 | -0.000 | 0.000 | -0.000 |
| -117.574 | 560.440 | 13.576 | 0.000 | 0.000 | 0.000 |
| 0.383 | -1.875 | 0.532 | -0.000 | -0.000 | 0.000 |
| 0.001 | 0.006 | -0.009 | 75.989 | 0.000 | -0.000 |
| 0.000 | -0.000 | -0.000 | -0.000 | 292.032 | -0.000 |
| 0.001 | 0.007 | -0.010 | -0.000 | 0.000 | 243.657 |
| 851.170 | -116.967 | 18.157 | 0.000 | -0.000 | 0.000 |
| -117.576 | 560.445 | 13.576 | 0.000 | -0.000 | -0.000 |
| 0.387 | -1.904 | 0.443 | 0.000 | 0.000 | -0.000 |
| 0.000 | -0.000 | 0.000 | 123.318 | -0.000 | 0.000 |
| -0.000 | 0.000 | 0.001 | 0.000 | 292.032 | 0.000 |
| 0.000 | -0.001 | 0.001 | 0.000 | -0.000 | 243.657 |
| 851.165 | -116.968 | 18.157 | -0.000 | 0.000 | -0.000 |
| -116.363 | 553.220 | 2.405 | -0.000 | 0.000 | -0.000 |
| 0.386 | -1.894 | 0.624 | -0.000 | -0.000 | 0.000 |
| -0.000 | 0.000 | -0.000 | 123.318 | 0.000 | -0.000 |
| 0.000 | -0.000 | -0.001 | 0.000 | 292.032 | 0.000 |
| -0.000 | 0.001 | -0.001 | -0.000 | -0.000 | 243.657 |
| -48413673.213 | -7991314.290 | 1662451.726 | 43092.057 | -3143417.932 | -484005.922 |
| -61385020.486 | -10880028.145 | 2135959.604 | -334580.966 | -3676090.998 | -866879.622 |
| -47568912.503 | -8758072.964 | 1564924.788 | -96748.896 | -2885783.843 | -248109.584 |
| -46614630.447 | -8528007.401 | 1556868.197 | -59971.198 | -2875179.836 | -128029.420 |
| -46168433.118 | -10793302.084 | 1300727.268 | 118929.436 | -2832461.452 | -808783.273 |
| -86145230.720 | -15854700.083 | 2560197.891 | -360722.520 | -4907832.277 | -873715.874 |
| 49854600.382 | 10281324.197 | -1505596.643 | 82937.728 | 2936846.463 | 766640.878 |
| 46847231.259 | 11518051.606 | -1234098.884 | 366983.705 | 2964040.880 | 473191.326 |
| -5.257 | 407.303 | 1312.246 | 1.406 | -8.024 | 15.530 |
| 45849302.562 | 9696342.812 | -1432976.585 | -52471.776 | 2783042.138 | 463669.854 |
| -5.259 | -22.465 | -1.416 | 4.774 | 727.038 | 3.789 |
| 13.451 | 64.706 | 5.777 | -28.874 | 1.872 | 970.799 |
| -4699760.931 | -957503.928 | 143098.422 | -5225.348 | -298327.790 | -51433.916 |
| -6137212.643 | -931270.573 | 227541.621 | 1102.487 | -380087.568 | -105382.788 |
| -4619281.882 | -944469.762 | 145306.317 | -7552.119 | -284767.446 | -73303.152 |
| 0.596 | 2.897 | 0.024 | 413.753 | 5.662 | -30.732 |
| -10085585.105 | -1840645.928 | 314458.193 | -9376.720 | -546407.956 | -99014.663 |
| -10536238.069 | -1999667.320 | 264428.749 | -12319.594 | -558705.457 | -86745.541 |
| 1523.977 | 1110.712 | -39.203 | 3.369 | -19.643 | 35.425 |
| 11546363.908 | 2100911.929 | -335801.552 | 18621.733 | 583145.511 | 72250.816 |
| 4890600.926 | 1119043.996 | -133885.908 | 5206.442 | 291357.024 | 123543.435 |
| 9480238.765 | 1756319.084 | -269160.379 | 9960.397 | 529887.045 | 65805.629 |
| -5.277 | -22.545 | -1.423 | 4.798 | 727.023 | 3.829 |
| 14272615.953 | 2317095.897 | -625217.082 | 10020.463 | 600623.882 | 127653.713 |
| -163029.104 | -45462.423 | 4795.108 | 2026.776 | -9468.731 | -8168.581 |
| -116134.415 | -40451.544 | 3174.802 | -2666.579 | -7233.239 | -4059.408 |
| -1271950.027 | -220309.958 | 40671.959 | -1077.307 | -61717.148 | -8590.696 |
| -484843.242 | -110955.359 | 13633.297 | -1311.562 | -30248.226 | -6019.624 |
| -466850.198 | -100895.845 | 13832.649 | -1045.483 | -28104.180 | -3679.323 |
| -192683.243 | -52333.243 | 5658.560 | -2135.747 | -10274.638 | 35.861 |
| 1522.516 | 1105.173 | -39.510 | 2.838 | -19.426 | 36.280 |
| 1089.645 | 4680.557 | 374.135 | 14.718 | -85.280 | 171.481 |
| 1379620.161 | 231743.476 | -44154.326 | 754.077 | 61669.160 | 9037.336 |
| 464938.045 | 92063.300 | -14660.881 | 629.126 | 28699.532 | 9059.171 |
| 614219.238 | 120836.875 | -19728.984 | 539.720 | 37259.623 | 8697.319 |
| 12.978 | 62.653 | 5.609 | -29.070 | 1.703 | 970.746 |
| -256089.990 | -905627.384 | 93645.252 | 79877.007 | -240812.106 | 302744.126 |
| -257231.116 | -904058.829 | 93553.244 | 79894.519 | -240831.265 | 302719.918 |
| -257406.264 | -905894.323 | 94891.780 | 79874.387 | -240809.351 | 302789.609 |
| -257372.768 | -905780.908 | 93719.826 | 79752.550 | -240793.666 | 302788.575 |
| -14.197 | -70.306 | -5.226 | -23.379 | 732.137 | 7.120 |
| -257452.257 | -906063.344 | 93705.948 | 79871.549 | -240808.058 | 302815.437 |
| 1652.060 | 1600.653 | -9.660 | -1.803 | 7.468 | -150.030 |
| 22985.855 | -377925.347 | -57042.158 | -112603.357 | 311732.811 | -338226.934 |
| 41.411 | 644.156 | 1334.717 | -0.660 | 3.488 | -64.484 |
| 30.364 | 151.109 | 11.118 | 411.789 | -21.351 | -23.220 |
| 257371.677 | 905771.855 | -93720.759 | -79859.313 | 241379.357 | -302785.525 |
| -59.838 | -252.808 | -22.537 | -0.197 | -2.692 | 959.271 |
| -24456.108 | -90437.328 | 9296.164 | 7991.391 | -24085.406 | 30238.885 |
| -25597.412 | -88871.951 | 9203.961 | 8007.934 | -24104.090 | 30213.912 |
| -25772.365 | -90704.193 | 10542.696 | 7988.772 | -24082.652 | 30284.373 |
| -25738.865 | -90590.745 | 9370.748 | 7866.931 | -24066.966 | 30283.333 |
| -14.202 | -70.328 | -5.227 | -23.378 | 732.133 | 7.123 |
| -25818.351 | -90873.169 | 9356.872 | 7985.933 | -24081.359 | 30310.212 |
| 3617.527 | -37608.650 | -5739.891 | -11256.197 | 31173.919 | -33920.421 |
| 2444.568 | -35974.490 | -5828.814 | -11243.400 | 31177.912 | -34205.045 |
| 2279.431 | -37935.301 | -4493.496 | -11258.849 | 31174.341 | -33835.720 |
| 30.370 | 151.141 | 11.120 | 411.760 | -21.349 | -23.224 |
| 25737.774 | 90581.695 | -9371.681 | -7973.698 | 24652.657 | -30280.286 |
| -59.840 | -252.819 | -22.537 | -0.197 | -2.692 | 959.272 |
| -1292.891 | -8919.625 | 861.162 | 802.652 | -2412.641 | 2988.097 |
| -2439.542 | -7389.907 | 765.677 | 818.189 | -2430.676 | 2961.963 |
| -2608.995 | -9185.491 | 2107.740 | 800.127 | -2409.941 | 3033.816 |
| -2575.479 | -9071.746 | 935.842 | 678.290 | -2394.270 | 3032.757 |
| -236.047 | 3758.275 | 565.309 | 1119.213 | -2542.448 | 3385.160 |
| -300.063 | 3564.937 | 551.266 | 1120.117 | -3117.702 | 3454.392 |
| 1518.565 | -3650.086 | -643.040 | -1122.170 | 3118.034 | -3485.305 |
| 351.074 | -1966.103 | -729.329 | -1107.192 | 3122.436 | -3774.923 |
| 180.113 | -3977.966 | 603.346 | -1124.871 | 3118.445 | -3400.365 |
| 237.289 | -3752.591 | -564.319 | -1255.474 | 3110.327 | -3380.508 |
| 2574.376 | 9062.629 | -936.780 | -785.134 | 2979.982 | -3029.742 |
| -59.061 | -248.589 | -22.255 | -0.557 | -2.674 | 958.664 |
| 125.899 | -69.058 | 1869.009 | 5.737 | -0.000 | -0.001 |
| -69.068 | 125.909 | 1869.010 | -5.740 | -0.000 | -0.001 |
| 479.278 | 479.273 | 3298.558 | 0.001 | 0.000 | 0.001 |
| 1069.055 | 1089.400 | 1461.982 | 49.866 | -0.000 | -0.001 |
| 0.000 | -0.000 | -0.000 | -0.000 | 270.723 | 3.182 |
| -548.585 | -548.594 | 3665.877 | 0.001 | -18.464 | 266.960 |
| 561.145 | 365.733 | -1662.501 | 5.737 | 0.000 | 0.001 |
| 365.690 | 561.142 | -1662.238 | -5.734 | 0.000 | 0.001 |
| 610.590 | 610.599 | -3461.484 | -0.002 | -0.000 | -0.001 |
| 223.215 | 211.730 | -1765.741 | 117.498 | 0.000 | 0.001 |
| -0.000 | 0.000 | 0.000 | 0.000 | 270.723 | 3.182 |
| -1078.912 | -1078.923 | -1462.836 | 0.002 | -10.178 | 49.138 |
| 330.825 | 123.576 | 271.115 | 5.657 | -0.000 | -0.000 |
| 123.575 | 330.826 | 271.115 | -5.657 | -0.000 | -0.000 |
| 33.528 | 33.528 | 505.642 | -0.000 | 0.000 | -0.000 |
| -15.599 | -26.964 | 172.793 | 120.777 | -0.000 | -0.000 |
| 103.215 | 103.216 | 154.073 | -0.000 | 56.694 | -10.882 |
| -51.603 | -51.603 | 350.097 | 0.000 | -15.302 | 237.454 |
| 605.912 | 26.867 | 33.532 | 3.182 | -0.000 | 0.000 |
| 26.867 | 605.912 | 33.532 | -3.182 | -0.000 | 0.000 |
| 92.451 | 92.452 | -153.818 | -0.000 | -0.000 | -0.000 |
| 3.182 | -3.182 | -0.000 | 270.723 | -0.000 | -0.000 |
| -103.215 | -103.216 | -154.073 | 0.000 | 56.694 | -10.882 |
| 51.603 | 51.603 | -350.097 | -0.000 | -15.302 | 237.454 |
| 368.686 | 58.080 | 121.161 | -7.512 | -0.000 | -0.000 |
| 58.177 | 368.530 | 121.208 | 7.506 | -0.000 | -0.000 |
| 95.239 | 95.239 | 197.219 | -0.000 | -0.000 | -0.000 |
| 3.182 | -3.182 | 0.000 | 270.723 | 0.000 | -0.000 |
| -1.260 | -1.260 | 10.231 | 0.000 | 181.944 | 4.663 |
| -1.070 | -1.070 | 8.690 | -0.000 | 4.440 | 195.069 |
| 467.926 | 92.529 | 60.622 | 4.538 | 0.000 | 0.000 |
| 44.553 | 279.131 | 62.390 | 10.151 | 0.000 | 0.000 |
| 76.535 | 76.535 | 61.742 | 0.000 | 0.000 | 0.000 |
| 5.923 | -3.403 | -10.232 | 181.936 | 0.000 | 0.000 |
| 1.260 | 1.260 | -10.231 | -0.000 | 181.944 | 4.663 |
| 1.070 | 1.070 | -8.690 | 0.000 | 4.440 | 195.069 |
| 569.612 | 14.471 | 33.902 | 2.987 | 0.000 | -0.000 |
| -531.481 | -142.678 | 1417.834 | -5.346 | -0.000 | -0.000 |
| 30.305 | 30.305 | 472.586 | 0.000 | -0.000 | 0.000 |
| 2.987 | -2.987 | 0.000 | 253.947 | -0.000 | 0.000 |
| -686.623 | -686.623 | 2075.770 | 0.000 | 117.636 | -3.727 |
| -0.000 | 0.000 | 0.000 | 0.000 | 2.987 | 277.570 |
| 1061.878 | 675.024 | -1310.248 | 5.374 | 0.000 | -0.000 |
| 14.471 | 569.612 | 33.902 | -2.987 | 0.000 | 0.000 |
| 657.177 | 657.176 | -979.204 | -0.000 | 0.000 | 0.000 |
| 608.373 | 597.652 | -1364.369 | 186.453 | 0.000 | 0.000 |
| 686.623 | 686.623 | -2075.770 | -0.000 | 117.636 | -3.727 |
| 0.000 | 0.000 | -0.000 | -0.000 | 2.987 | 277.570 |
| 569.612 | 14.471 | 33.902 | 2.987 | 0.000 | -0.000 |
| 8.203 | 402.115 | 192.185 | -5.274 | -0.000 | 0.000 |
| -10.170 | -10.169 | 522.209 | 0.000 | -0.000 | 0.000 |
| -72.001 | -64.598 | 206.532 | 118.298 | -0.000 | -0.000 |
| -60.631 | -60.631 | 137.184 | 0.000 | 186.083 | 5.373 |
| -59.295 | -59.295 | 134.161 | 0.000 | 5.321 | 195.300 |
| 387.537 | 122.952 | -139.993 | -5.678 | -0.000 | 0.000 |
| 14.471 | 569.612 | 33.902 | -2.987 | 0.000 | 0.000 |
| 30.305 | 30.305 | 472.585 | 0.000 | -0.000 | 0.000 |
| 66.005 | 55.258 | -137.184 | 186.083 | 0.000 | -0.000 |
| 60.631 | 60.631 | -137.184 | -0.000 | 186.083 | 5.373 |
| 59.295 | 59.295 | -134.161 | -0.000 | 5.321 | 195.300 |
| 321.900 | 44.647 | 111.753 | -4.208 | -0.000 | 0.000 |
| 62.514 | 449.353 | 75.625 | -5.374 | -0.000 | -0.000 |
| 30.306 | 30.306 | 472.587 | -0.000 | -0.000 | -0.000 |
| 1.919 | 1.097 | 14.162 | 70.846 | -0.000 | -0.000 |
| -6.346 | -6.346 | 14.359 | -0.000 | 182.915 | 5.485 |
| -5.415 | -5.415 | 12.252 | -0.000 | 5.118 | 202.441 |
| 454.218 | 78.685 | 49.137 | 5.535 | 0.000 | 0.000 |
| 61.156 | 304.425 | 71.861 | 5.856 | 0.000 | 0.000 |
| 72.697 | 72.697 | 90.938 | -0.000 | 0.000 | -0.000 |
| 3.006 | 10.140 | -19.942 | 122.656 | 0.000 | -0.000 |
| 6.346 | 6.346 | -14.359 | 0.000 | 182.915 | 5.485 |
| 5.415 | 5.415 | -12.252 | 0.000 | 5.118 | 202.441 |
| 800.824 | 10.013 | 43.713 | -0.000 | 0.000 | -0.000 |
| 101.985 | 1022.813 | -54.709 | 0.000 | -0.000 | -0.000 |
| 75.067 | -69.380 | 1139.585 | 0.000 | -0.002 | 0.000 |
| -2.815 | 1.068 | 2.856 | 603.509 | 0.000 | -0.000 |
| 0.053 | 0.791 | 0.454 | 0.000 | 460.697 | -0.000 |
| 1.045 | 0.215 | -0.528 | 0.000 | 0.000 | 301.176 |
| 1197.188 | -24.490 | -256.417 | -0.000 | -0.000 | 0.000 |
| 100.527 | 1019.484 | -54.077 | -0.000 | -0.000 | 0.000 |
| -210.219 | -119.347 | 1420.575 | -0.000 | -0.000 | 0.000 |
| 2.815 | -1.068 | -2.856 | 603.509 | 0.000 | -0.000 |
| -0.052 | -0.791 | -0.454 | 0.000 | 460.697 | 0.000 |
| -1.045 | -0.215 | 0.528 | -0.000 | 0.000 | 301.176 |
| 800.055 | 10.202 | 43.916 | -0.000 | -0.000 | -0.000 |
| 95.036 | 1020.567 | -53.880 | -0.000 | 0.000 | -0.000 |
| 63.301 | -141.378 | 1205.292 | -0.000 | 0.000 | -0.000 |
| 0.122 | 0.129 | -0.024 | 603.193 | 0.000 | -0.000 |
| 0.322 | 0.086 | -0.196 | 0.000 | 460.663 | -0.000 |
| 0.053 | 0.091 | 0.011 | 0.000 | -0.000 | 300.942 |
| 851.070 | 17.915 | 2.314 | -0.000 | -0.000 | 0.000 |
| 122.787 | 1105.175 | -143.745 | -0.000 | -0.000 | 0.000 |
| 75.352 | -71.053 | 1138.643 | -0.000 | 0.000 | 0.000 |
| -0.122 | -0.129 | 0.024 | 603.193 | -0.000 | 0.000 |
| -0.322 | -0.086 | 0.196 | -0.000 | 460.663 | 0.000 |
| -0.053 | -0.091 | -0.011 | -0.000 | 0.000 | 300.942 |
| 754.978 | 31.849 | 29.158 | 0.000 | 0.000 | -0.000 |
| 95.010 | 1020.428 | -53.924 | 0.000 | -0.000 | -0.000 |
| 75.359 | -70.856 | 1138.780 | 0.000 | 0.000 | -0.000 |
| 0.012 | 0.013 | -0.001 | 603.193 | 0.000 | 0.000 |
| 0.006 | 0.010 | 0.003 | 0.000 | 460.659 | -0.000 |
| 0.006 | 0.009 | 0.001 | -0.000 | 0.000 | 300.942 |
| 754.978 | 31.814 | 29.144 | 0.000 | -0.000 | 0.000 |
| 94.977 | 1020.381 | -53.908 | 0.000 | 0.000 | 0.000 |
| 75.339 | -70.907 | 1138.791 | -0.000 | -0.000 | 0.000 |
| -0.012 | -0.013 | 0.001 | 603.193 | -0.000 | 0.000 |
| -0.006 | -0.010 | -0.003 | -0.000 | 460.659 | 0.000 |
| -0.006 | -0.009 | -0.001 | -0.000 | -0.000 | 300.942 |
| 438.218 | 191.005 | -124.251 | 0.000 | -160.341 | 0.000 |
| 240.450 | 840.909 | 293.666 | -0.000 | 142.136 | 0.000 |
| -35.303 | 267.238 | 626.176 | -0.000 | -314.894 | -0.000 |
| -0.591 | 0.067 | 0.085 | 634.237 | -0.737 | -117.221 |
| -129.081 | 159.683 | -317.125 | -0.000 | -96.248 | 0.000 |
| -1.843 | 1.036 | -1.022 | -126.783 | -2.403 | 201.954 |
| 446.369 | 181.918 | -112.803 | 0.000 | -150.826 | -0.000 |
| 248.729 | 832.171 | 305.142 | -0.000 | 153.529 | -0.000 |
| -27.396 | 258.284 | 637.855 | -0.000 | -305.623 | -0.000 |
| 0.591 | -0.067 | -0.085 | 634.237 | 0.737 | -117.221 |
| -120.911 | 150.770 | -305.458 | 0.000 | -86.619 | -0.000 |
| 1.843 | -1.036 | 1.022 | -126.783 | 2.403 | 201.954 |
| 441.997 | 186.460 | -119.636 | -0.000 | -158.049 | 0.000 |
| 242.997 | 836.885 | 299.354 | 0.000 | 145.063 | 0.000 |
| -31.868 | 263.087 | 631.410 | -0.000 | -311.806 | 0.000 |
| -0.168 | 0.078 | -0.063 | 634.189 | -0.208 | -117.117 |
| -125.407 | 155.671 | -311.906 | 0.000 | -91.920 | -0.000 |
| -0.186 | 0.106 | -0.106 | -126.864 | -0.243 | 201.941 |
| 442.814 | 185.570 | -118.471 | 0.000 | -157.085 | -0.000 |
| 243.813 | 836.022 | 300.493 | -0.000 | 146.048 | -0.000 |
| -31.052 | 262.210 | 632.561 | -0.000 | -310.835 | -0.000 |
| 0.168 | -0.078 | 0.063 | 634.189 | 0.208 | -117.117 |
| -124.589 | 154.778 | -310.739 | 0.000 | -90.960 | -0.000 |
| 0.186 | -0.106 | 0.106 | -126.864 | 0.243 | 201.941 |
| 442.370 | 186.054 | -119.104 | 0.000 | -157.619 | -0.000 |
| 243.359 | 836.513 | 299.856 | -0.000 | 145.502 | 0.000 |
| -31.496 | 262.685 | 631.946 | -0.000 | -311.362 | 0.000 |
| -0.019 | 0.013 | -0.012 | 634.189 | -0.026 | -117.259 |
| -125.037 | 155.265 | -311.375 | 0.000 | -91.482 | 0.000 |
| -0.019 | 0.012 | -0.012 | -126.931 | -0.025 | 201.941 |
| 442.441 | 185.975 | -119.002 | -0.000 | -157.517 | -0.000 |
| 243.446 | 836.394 | 299.993 | 0.000 | 145.603 | -0.000 |
| -31.425 | 262.611 | 632.025 | 0.000 | -311.284 | -0.000 |
| 0.019 | -0.013 | 0.012 | 634.189 | 0.026 | -117.259 |
| -124.959 | 155.183 | -311.271 | 0.000 | -91.399 | 0.000 |
| 0.019 | -0.012 | 0.012 | -126.931 | 0.025 | 201.941 |
| 473.771 | 720.423 | -168.253 | 0.000 | -0.000 | 0.000 |
| 720.423 | 473.771 | -168.253 | -0.000 | -0.000 | 0.000 |
| -161.765 | -161.765 | 1437.033 | 0.000 | -0.000 | -0.000 |
| 0.004 | 0.004 | -0.006 | 523.738 | -0.000 | 0.000 |
| 0.004 | 0.004 | -0.006 | 0.000 | 523.738 | 0.000 |
| 0.002 | 0.002 | -0.003 | 0.000 | -0.000 | 165.972 |
| 473.767 | 720.419 | -168.247 | -0.000 | 0.000 | -0.000 |
| 720.419 | 473.767 | -168.247 | -0.000 | 0.000 | -0.000 |
| -161.768 | -161.768 | 1437.038 | 0.000 | 0.000 | 0.000 |
| -0.004 | -0.004 | 0.006 | 523.738 | 0.000 | -0.000 |
| -0.004 | -0.004 | 0.006 | -0.000 | 523.738 | -0.000 |
| -0.002 | -0.002 | 0.003 | -0.000 | 0.000 | 165.972 |
| 473.767 | 720.427 | -168.252 | 0.000 | -0.000 | 0.000 |
| 720.427 | 473.767 | -168.252 | 0.000 | -0.000 | 0.000 |
| -161.767 | -161.767 | 1437.036 | -0.000 | -0.000 | 0.000 |
| 0.000 | 0.000 | -0.001 | 523.738 | -0.000 | -0.000 |
| 0.001 | 0.000 | -0.001 | 0.000 | 523.738 | 0.000 |
| 0.000 | 0.000 | -0.000 | 0.000 | -0.000 | 165.972 |
| 912.947 | 306.530 | -187.884 | -0.000 | -0.000 | 0.000 |
| 306.530 | 912.947 | -187.884 | -0.000 | 0.000 | 0.000 |
| -161.767 | -161.767 | 1437.035 | -0.000 | 0.000 | -0.000 |
| -0.000 | -0.000 | 0.001 | 523.738 | 0.000 | -0.000 |
| -0.000 | -0.000 | 0.001 | 0.000 | 523.738 | -0.000 |
| -0.000 | -0.000 | 0.000 | -0.000 | 0.000 | 165.972 |
| 473.752 | 720.475 | -168.272 | 0.000 | -0.000 | 0.000 |
| 720.475 | 473.752 | -168.272 | -0.000 | -0.000 | -0.000 |
| -161.768 | -161.768 | 1437.043 | 0.000 | -0.000 | 0.000 |
| 0.000 | 0.001 | 0.000 | 523.738 | -0.000 | 0.000 |
| 0.001 | 0.000 | 0.000 | 0.000 | 523.738 | 0.000 |
| -0.000 | -0.000 | 0.000 | -0.000 | -0.000 | 165.972 |
| 473.786 | 720.367 | -168.228 | 0.000 | 0.000 | -0.000 |
| 720.367 | 473.786 | -168.228 | -0.000 | 0.000 | -0.000 |
| -161.765 | -161.765 | 1437.028 | -0.000 | 0.000 | -0.000 |
| -0.000 | -0.001 | -0.000 | 523.738 | 0.000 | -0.000 |
| -0.001 | -0.000 | -0.000 | 0.000 | 523.738 | -0.000 |
| 0.000 | 0.000 | -0.000 | -0.000 | 0.000 | 165.972 |
| 832.145 | 99.504 | 99.504 | -0.000 | -0.000 | 0.000 |
| 99.504 | 832.145 | 99.504 | -0.000 | -0.000 | 0.000 |
| 99.504 | 99.504 | 832.145 | -0.000 | -0.000 | 0.000 |
| 15.346 | 15.346 | 15.346 | 401.223 | -0.000 | -0.000 |
| 15.346 | 15.346 | 15.346 | -0.000 | 401.223 | 0.000 |
| 15.346 | 15.346 | 15.346 | -0.000 | 0.000 | 401.223 |
| 800.198 | 69.339 | 69.339 | 0.000 | 0.000 | -0.000 |
| 69.339 | 800.198 | 69.339 | 0.000 | 0.000 | -0.000 |
| 69.339 | 69.339 | 800.198 | 0.000 | 0.000 | -0.000 |
| -15.346 | -15.346 | -15.346 | 401.223 | 0.000 | 0.000 |
| -15.346 | -15.346 | -15.346 | 0.000 | 401.223 | -0.000 |
| -15.346 | -15.346 | -15.346 | 0.000 | -0.000 | 401.223 |
| 809.644 | 90.390 | 90.390 | -0.000 | -0.000 | -0.000 |
| 90.390 | 809.644 | 90.390 | -0.000 | 0.000 | 0.000 |
| 90.390 | 90.390 | 809.644 | -0.000 | 0.000 | -0.000 |
| 3.425 | 3.425 | 3.425 | 350.476 | -0.000 | -0.000 |
| 3.425 | 3.425 | 3.425 | 0.000 | 350.476 | -0.000 |
| 3.425 | 3.425 | 3.425 | -0.000 | -0.000 | 350.476 |
| 804.646 | 87.677 | 87.677 | 0.000 | 0.000 | 0.000 |
| 87.677 | 804.646 | 87.677 | 0.000 | -0.000 | -0.000 |
| 87.677 | 87.677 | 804.646 | 0.000 | -0.000 | -0.000 |
| -3.425 | -3.425 | -3.425 | 350.476 | 0.000 | 0.000 |
| -3.425 | -3.425 | -3.425 | 0.000 | 350.476 | 0.000 |
| -3.425 | -3.425 | -3.425 | 0.000 | 0.000 | 350.476 |
| 767.247 | 109.015 | 109.015 | -0.000 | 0.000 | 0.000 |
| 101.749 | 781.752 | 101.749 | -0.000 | -0.000 | -0.000 |
| 109.015 | 109.015 | 767.247 | -0.000 | -0.000 | -0.000 |
| 0.424 | 0.424 | 0.424 | 344.192 | -0.000 | 0.000 |
| 0.424 | 0.424 | 0.424 | -0.000 | 344.192 | -0.000 |
| 0.424 | 0.424 | 0.424 | -0.000 | -0.000 | 344.192 |
| 766.894 | 108.150 | 108.150 | -0.000 | -0.000 | -0.000 |
| 108.150 | 766.894 | 108.150 | 0.000 | 0.000 | 0.000 |
| 108.150 | 108.150 | 766.894 | 0.000 | 0.000 | -0.000 |
| -0.424 | -0.424 | -0.424 | 344.192 | 0.000 | -0.000 |
| -0.424 | -0.424 | -0.424 | 0.000 | 344.192 | 0.000 |
| -0.424 | -0.424 | -0.424 | -0.000 | 0.000 | 344.192 |
| 679.574 | 51.360 | 51.360 | -0.000 | 0.000 | 0.000 |
| 51.360 | 679.574 | 51.360 | 0.000 | 0.000 | 0.000 |
| 51.360 | 51.360 | 679.574 | -0.000 | -0.000 | 0.000 |
| -37.794 | -37.794 | -37.794 | 371.266 | 0.000 | 0.000 |
| -37.794 | -37.794 | -37.794 | -0.000 | 371.266 | 0.000 |
| -37.794 | -37.794 | -37.794 | 0.000 | 0.000 | 371.266 |
| 764.749 | 122.217 | 122.217 | 0.000 | 0.000 | -0.000 |
| 122.217 | 764.749 | 122.217 | 0.000 | -0.000 | -0.000 |
| 122.217 | 122.217 | 764.749 | 0.000 | -0.000 | -0.000 |
| 37.794 | 37.794 | 37.794 | 371.266 | -0.000 | -0.000 |
| 37.794 | 37.794 | 37.794 | 0.000 | 371.266 | -0.000 |
| 37.794 | 37.794 | 37.794 | 0.000 | 0.000 | 371.266 |
| 715.178 | 84.105 | 84.105 | -0.000 | 0.000 | 0.000 |
| 84.105 | 715.178 | 84.105 | -0.000 | -0.000 | 0.000 |
| 84.105 | 84.105 | 715.178 | 0.000 | 0.000 | 0.000 |
| -5.539 | -5.539 | -5.539 | 359.996 | -0.000 | 0.000 |
| -5.539 | -5.539 | -5.539 | -0.000 | 359.996 | 0.000 |
| -5.539 | -5.539 | -5.539 | -0.000 | -0.000 | 359.996 |
| 766.266 | 68.360 | 68.360 | -0.000 | -0.000 | 0.000 |
| 68.360 | 766.266 | 68.360 | -0.000 | -0.000 | -0.000 |
| 68.360 | 68.360 | 766.266 | -0.000 | 0.000 | -0.000 |
| 5.539 | 5.539 | 5.539 | 359.996 | -0.000 | -0.000 |
| 5.539 | 5.539 | 5.539 | -0.000 | 359.996 | -0.000 |
| 5.539 | 5.539 | 5.539 | 0.000 | -0.000 | 359.996 |
| 715.406 | 89.494 | 89.494 | 0.000 | 0.000 | -0.000 |
| 89.494 | 715.406 | 89.494 | 0.000 | 0.000 | 0.000 |
| 89.494 | 89.494 | 715.406 | -0.000 | 0.000 | 0.000 |
| -0.642 | -0.642 | -0.641 | 331.232 | -0.000 | 0.000 |
| -0.642 | -0.642 | -0.641 | 0.000 | 331.232 | 0.000 |
| -0.642 | -0.641 | -0.642 | -0.000 | 0.000 | 331.232 |
| 715.994 | 90.466 | 90.466 | -0.000 | -0.000 | -0.000 |
| 90.466 | 715.994 | 90.466 | -0.000 | 0.000 | -0.000 |
| 90.466 | 90.466 | 715.994 | 0.000 | -0.000 | -0.000 |
| 0.642 | 0.642 | 0.641 | 331.232 | -0.000 | -0.000 |
| 0.642 | 0.642 | 0.641 | 0.000 | 331.232 | -0.000 |
| 0.642 | 0.641 | 0.642 | -0.000 | -0.000 | 331.232 |
| -375.627 | -600.186 | -600.186 | 0.000 | 0.000 | 0.000 |
| -600.186 | -375.627 | -600.186 | 0.000 | -0.000 | -0.000 |
| -600.186 | -600.186 | -375.627 | -0.000 | -0.000 | 0.000 |
| -673.491 | -673.491 | -673.491 | 112.793 | -0.000 | 0.000 |
| -673.491 | -673.491 | -673.491 | 0.000 | 112.793 | 0.000 |
| -673.491 | -673.491 | -673.491 | 0.000 | 0.000 | 112.793 |
| 478.034 | 18.678 | 18.678 | -0.000 | -0.000 | 0.000 |
| 18.678 | 478.034 | 18.678 | -0.000 | -0.000 | 0.000 |
| 18.678 | 18.678 | 478.034 | -0.000 | -0.000 | 0.000 |
| 673.491 | 673.491 | 673.491 | 112.793 | 0.000 | -0.000 |
| 673.491 | 673.491 | 673.491 | -0.000 | 112.793 | -0.000 |
| 673.491 | 673.491 | 673.491 | -0.000 | -0.000 | 112.793 |
| 29.765 | -153.229 | -153.229 | 0.000 | 0.000 | 0.000 |
| -153.229 | 29.765 | -153.229 | 0.000 | 0.000 | 0.000 |
| -153.229 | -153.229 | 29.765 | 0.000 | 0.000 | 0.000 |
| -189.423 | -189.423 | -189.423 | 97.628 | 0.000 | 0.000 |
| -189.423 | -189.423 | -189.423 | 0.000 | 97.628 | 0.000 |
| -189.423 | -189.423 | -189.423 | 0.000 | 0.000 | 97.628 |
| 581.306 | 515.337 | 515.337 | -0.000 | -0.000 | -0.000 |
| 515.337 | 581.306 | 515.337 | -0.000 | -0.000 | -0.000 |
| 515.337 | 515.337 | 581.306 | -0.000 | -0.000 | -0.000 |
| 189.423 | 189.423 | 189.423 | 97.628 | -0.000 | -0.000 |
| 189.423 | 189.423 | 189.423 | -0.000 | 97.628 | -0.000 |
| 189.423 | 189.423 | 189.423 | -0.000 | -0.000 | 97.628 |
| -30.507 | -94.735 | -94.735 | 0.000 | 0.000 | -0.000 |
| -94.735 | -30.507 | -94.735 | 0.000 | -0.000 | -0.000 |
| -94.791 | -94.791 | -30.554 | -0.000 | -0.000 | 0.000 |
| 0.000 | 0.000 | 0.000 | 229.678 | 0.000 | -0.000 |
| 0.000 | 0.000 | 0.000 | -0.000 | 229.678 | 0.000 |
| 0.000 | 0.000 | 0.000 | 0.000 | 0.000 | 229.678 |
| 103.745 | 42.261 | 42.261 | -0.000 | -0.000 | -0.000 |
| 42.261 | 103.745 | 42.261 | -0.000 | -0.000 | 0.000 |
| 42.261 | 42.261 | 103.745 | 0.000 | -0.000 | -0.000 |
| -0.000 | -0.000 | -0.000 | 229.678 | -0.000 | 0.000 |
| -0.000 | -0.000 | -0.000 | -0.000 | 229.678 | 0.000 |
| -0.000 | -0.000 | -0.000 | -0.000 | -0.000 | 229.678 |
| 306.642 | 30.475 | 30.476 | 0.000 | -0.000 | 0.000 |
| 30.476 | 306.642 | 30.476 | 0.000 | -0.000 | 0.000 |
| 30.476 | 30.475 | 306.642 | 0.000 | -0.000 | 0.000 |
| -27.498 | -27.498 | -27.498 | 138.188 | -0.000 | 0.000 |
| -27.498 | -27.498 | -27.498 | 0.000 | 138.187 | 0.000 |
| -27.498 | -27.498 | -27.498 | 0.000 | -0.000 | 138.187 |
| 361.831 | 85.455 | 85.455 | -0.000 | 0.000 | -0.000 |
| 85.455 | 361.832 | 85.455 | -0.000 | 0.000 | -0.000 |
| 85.455 | 85.455 | 361.831 | -0.000 | 0.000 | -0.000 |
| 27.498 | 27.498 | 27.498 | 138.187 | 0.000 | -0.000 |
| 27.498 | 27.498 | 27.498 | -0.000 | 138.188 | -0.000 |
| 27.498 | 27.498 | 27.498 | -0.000 | 0.000 | 138.187 |
| 155.517 | 39.519 | 39.519 | 0.000 | -0.000 | 0.000 |
| 39.519 | 155.517 | 39.519 | 0.000 | -0.000 | 0.000 |
| 39.519 | 39.519 | 155.517 | 0.000 | -0.000 | 0.000 |
| -38.376 | -38.376 | -38.376 | 5.731 | -0.000 | 0.000 |
| -38.376 | -38.376 | -38.376 | 0.000 | 5.731 | 0.000 |
| -38.376 | -38.376 | -38.376 | 0.000 | -0.000 | 5.731 |
| 195.450 | 71.868 | 71.868 | -0.000 | 0.000 | -0.000 |
| 71.868 | 195.450 | 71.868 | -0.000 | 0.000 | -0.000 |
| 71.868 | 71.868 | 195.450 | -0.000 | 0.000 | -0.000 |
| 38.376 | 38.376 | 38.376 | 5.731 | 0.000 | -0.000 |
| 38.376 | 38.376 | 38.376 | -0.000 | 5.731 | 0.000 |
| 38.376 | 38.376 | 38.376 | -0.000 | 0.000 | 5.731 |
| 8.408 | -46.238 | -46.238 | 0.000 | -0.000 | 0.000 |
| -46.238 | 8.408 | -46.238 | 0.000 | -0.000 | 0.000 |
| -46.238 | -46.238 | 8.408 | 0.000 | -0.000 | 0.000 |
| -0.259 | -0.259 | -0.259 | 142.871 | -0.000 | 0.000 |
| -0.259 | -0.259 | -0.259 | 0.000 | 142.871 | 0.000 |
| -0.259 | -0.259 | -0.259 | 0.000 | -0.000 | 142.871 |
| 50.249 | 11.693 | 11.693 | -0.000 | 0.000 | -0.000 |
| 11.693 | 50.249 | 11.693 | -0.000 | 0.000 | -0.000 |
| 11.693 | 11.693 | 50.249 | -0.000 | 0.000 | -0.000 |
| 0.259 | 0.259 | 0.259 | 142.871 | 0.000 | -0.000 |
| 0.259 | 0.259 | 0.259 | -0.000 | 142.871 | -0.000 |
| 0.259 | 0.259 | 0.259 | -0.000 | 0.000 | 142.871 |
| 1306.432 | 1098.133 | 1098.133 | -0.000 | -0.000 | 0.000 |
| 1098.133 | 1306.432 | 1098.133 | -0.000 | -0.000 | 0.000 |
| 1098.133 | 1098.133 | 1306.432 | 0.000 | -0.000 | 0.000 |
| 1055.795 | 1055.795 | 1055.795 | 104.059 | -0.000 | 0.000 |
| 1055.795 | 1055.795 | 1055.795 | -0.000 | 104.059 | 0.000 |
| 1055.795 | 1055.795 | 1055.795 | 0.000 | -0.000 | 104.059 |
| -805.978 | -1013.893 | -1013.893 | 0.000 | 0.000 | -0.000 |
| -1013.893 | -805.978 | -1013.893 | 0.000 | 0.000 | -0.000 |
| -1013.893 | -1013.893 | -805.978 | -0.000 | 0.000 | -0.000 |
| -1055.795 | -1055.795 | -1055.795 | 104.059 | 0.000 | -0.000 |
| -1055.795 | -1055.795 | -1055.795 | 0.000 | 104.059 | -0.000 |
| -1055.795 | -1055.795 | -1055.795 | -0.000 | 0.000 | 104.059 |
| 330.643 | 209.317 | 209.317 | 0.000 | -0.000 | 0.000 |
| 209.317 | 330.643 | 209.317 | 0.000 | -0.000 | 0.000 |
| 209.317 | 209.317 | 330.643 | -0.000 | -0.000 | 0.000 |
| 40.793 | 40.793 | 40.793 | 110.746 | -0.000 | 0.000 |
| 40.793 | 40.793 | 40.793 | -0.000 | 110.746 | 0.000 |
| 40.793 | 40.793 | 40.793 | -0.000 | -0.000 | 110.746 |
| 249.480 | 30.325 | 30.325 | 0.000 | 0.000 | -0.000 |
| 30.325 | 249.480 | 30.325 | -0.000 | 0.000 | -0.000 |
| 30.325 | 30.325 | 249.480 | -0.000 | 0.000 | -0.000 |
| -40.793 | -40.793 | -40.793 | 110.746 | 0.000 | -0.000 |
| -40.793 | -40.793 | -40.793 | 0.000 | 110.746 | -0.000 |
| -40.793 | -40.793 | -40.793 | 0.000 | 0.000 | 110.746 |
| 42.828 | -2.198 | -2.198 | -0.000 | -0.000 | 0.000 |
| -2.198 | 42.828 | -2.198 | -0.000 | -0.000 | 0.000 |
| -2.198 | -2.198 | 42.828 | -0.000 | -0.000 | 0.000 |
| 18.455 | 18.455 | 18.455 | 50.832 | -0.000 | 0.000 |
| 44.176 | 44.175 | 44.176 | 0.000 | 7.620 | -0.000 |
| 18.455 | 18.455 | 18.455 | -0.000 | -0.000 | 50.832 |
| -16.273 | -69.854 | -69.855 | 0.000 | 0.000 | -0.000 |
| -69.855 | -16.273 | -69.854 | 0.000 | 0.000 | -0.000 |
| -69.854 | -69.855 | -16.273 | 0.000 | 0.000 | -0.000 |
| -18.455 | -18.455 | -18.455 | 50.832 | 0.000 | -0.000 |
| -44.176 | -44.175 | -44.176 | 0.000 | 7.620 | -0.000 |
| -18.455 | -18.455 | -18.455 | 0.000 | 0.000 | 50.832 |
| 1065.305 | 32.650 | 0.000 | 0.000 | 0.000 | 0.000 |
| 32.650 | 1065.305 | 0.000 | 0.000 | 0.000 | 0.000 |
| 0.000 | -0.000 | 0.000 | 0.000 | 0.000 | -0.000 |
| 0.000 | -0.000 | 0.000 | 0.000 | 0.000 | -0.000 |
| 0.000 | -0.000 | 0.000 | 0.000 | 0.000 | -0.000 |
| -0.000 | 0.000 | 0.000 | 0.000 | 0.000 | 596.902 |
| 1065.305 | 32.650 | -0.000 | -0.000 | -0.000 | -0.000 |
| 32.650 | 1065.305 | -0.000 | -0.000 | -0.000 | -0.000 |
| -0.000 | 0.000 | -0.000 | -0.000 | -0.000 | 0.000 |
| -0.000 | 0.000 | -0.000 | -0.000 | -0.000 | 0.000 |
| -0.000 | 0.000 | -0.000 | -0.000 | -0.000 | 0.000 |
| 0.000 | -0.000 | -0.000 | -0.000 | -0.000 | 596.902 |
| 1065.277 | 32.678 | 0.000 | 0.000 | 0.000 | -0.000 |
| 32.651 | 1065.304 | 0.000 | 0.000 | 0.000 | 0.000 |
| 0.000 | -0.000 | 0.000 | 0.000 | 0.000 | -0.000 |
| 0.000 | -0.000 | 0.000 | 0.000 | 0.000 | -0.000 |
| 0.000 | -0.000 | 0.000 | 0.000 | 0.000 | -0.000 |
| -0.000 | 0.000 | 0.000 | 0.000 | 0.000 | 516.327 |
| 1065.304 | 32.651 | -0.000 | -0.000 | -0.000 | -0.000 |
| 32.678 | 1065.277 | -0.000 | -0.000 | -0.000 | 0.000 |
| -0.000 | 0.000 | -0.000 | -0.000 | -0.000 | 0.000 |
| -0.000 | 0.000 | -0.000 | -0.000 | -0.000 | 0.000 |
| -0.000 | 0.000 | -0.000 | -0.000 | -0.000 | 0.000 |
| 0.000 | -0.000 | -0.000 | -0.000 | -0.000 | 516.327 |
| 1065.319 | 32.640 | 0.000 | 0.000 | 0.000 | -0.000 |
| 32.661 | 1065.299 | 0.000 | 0.000 | 0.000 | -0.000 |
| 0.000 | -0.000 | 0.000 | 0.000 | 0.000 | -0.000 |
| 0.000 | -0.000 | 0.000 | 0.000 | 0.000 | -0.000 |
| 0.000 | -0.000 | 0.000 | 0.000 | 0.000 | -0.000 |
| -0.000 | 0.001 | 0.000 | 0.000 | 0.000 | 516.327 |
| 1065.291 | 32.660 | -0.000 | -0.000 | -0.000 | -0.000 |
| 32.639 | 1065.312 | -0.000 | -0.000 | -0.000 | 0.000 |
| -0.000 | 0.000 | -0.000 | -0.000 | -0.000 | 0.000 |
| -0.000 | 0.000 | -0.000 | -0.000 | -0.000 | 0.000 |
| -0.000 | 0.000 | -0.000 | -0.000 | -0.000 | 0.000 |
| 0.000 | -0.001 | -0.000 | -0.000 | -0.000 | 516.327 |
| 1041.831 | 31.931 | 0.000 | 0.000 | 0.000 | 0.000 |
| 31.931 | 1041.830 | 0.000 | 0.000 | 0.000 | -0.000 |
| 0.000 | -0.000 | 0.000 | 0.000 | 0.000 | -0.000 |
| 0.000 | -0.000 | 0.000 | 0.000 | 0.000 | -0.000 |
| 0.000 | -0.000 | 0.000 | 0.000 | 0.000 | -0.000 |
| 0.000 | -0.000 | 0.000 | 0.000 | 0.000 | 504.950 |
| 1041.830 | 31.931 | -0.000 | -0.000 | -0.000 | -0.000 |
| 31.931 | 1041.831 | -0.000 | -0.000 | -0.000 | 0.000 |
| -0.000 | 0.000 | -0.000 | -0.000 | -0.000 | 0.000 |
| -0.000 | 0.000 | -0.000 | -0.000 | -0.000 | 0.000 |
| -0.000 | 0.000 | -0.000 | -0.000 | -0.000 | 0.000 |
| -0.000 | 0.000 | -0.000 | -0.000 | -0.000 | 504.950 |
| 1041.832 | 31.930 | 0.000 | 0.000 | 0.000 | 0.000 |
| 31.932 | 1041.830 | 0.000 | 0.000 | 0.000 | -0.000 |
| 0.000 | -0.000 | 0.000 | 0.000 | 0.000 | -0.000 |
| 0.000 | -0.000 | 0.000 | 0.000 | 0.000 | -0.000 |
| 0.000 | -0.000 | 0.000 | 0.000 | 0.000 | -0.000 |
| -0.000 | 0.000 | 0.000 | 0.000 | 0.000 | 583.749 |
| 1041.829 | 31.932 | -0.000 | -0.000 | -0.000 | 0.000 |
| 32.042 | 1041.719 | -0.000 | -0.000 | -0.000 | 0.000 |
| -0.000 | 0.000 | -0.000 | -0.000 | -0.000 | 0.000 |
| -0.000 | 0.000 | -0.000 | -0.000 | -0.000 | 0.000 |
| -0.000 | 0.000 | -0.000 | -0.000 | -0.000 | 0.000 |
| 0.000 | -0.000 | -0.000 | -0.000 | -0.000 | 583.749 |
| 1041.844 | 31.921 | 0.000 | 0.000 | 0.000 | -0.000 |
| 31.941 | 1041.824 | 0.000 | 0.000 | 0.000 | 0.000 |
| 0.000 | -0.000 | 0.000 | 0.000 | 0.000 | -0.000 |
| 0.000 | -0.000 | 0.000 | 0.000 | 0.000 | -0.000 |
| 0.000 | -0.000 | 0.000 | 0.000 | 0.000 | -0.000 |
| -0.000 | 0.001 | 0.000 | 0.000 | 0.000 | 504.950 |
| 1041.817 | 31.940 | -0.000 | -0.000 | -0.000 | 0.000 |
| 31.920 | 1041.837 | -0.000 | -0.000 | -0.000 | 0.000 |
| -0.000 | 0.000 | -0.000 | -0.000 | -0.000 | 0.000 |
| -0.000 | 0.000 | -0.000 | -0.000 | -0.000 | 0.000 |
| -0.000 | 0.000 | -0.000 | -0.000 | -0.000 | 0.000 |
| 0.000 | -0.001 | -0.000 | -0.000 | -0.000 | 504.950 |
| 1048.611 | 32.138 | 0.000 | 0.000 | 0.000 | 0.000 |
| 32.139 | 1048.611 | 0.000 | 0.000 | 0.000 | -0.000 |
| -0.000 | 0.000 | 0.000 | 0.000 | 0.000 | 0.000 |
| -0.000 | 0.000 | 0.000 | 0.000 | 0.000 | 0.000 |
| -0.000 | 0.000 | 0.000 | 0.000 | 0.000 | 0.000 |
| -0.000 | 0.000 | 0.000 | 0.000 | 0.000 | 508.236 |
| 1048.611 | 32.139 | -0.000 | -0.000 | -0.000 | 0.000 |
| 32.138 | 1048.611 | -0.000 | -0.000 | -0.000 | -0.000 |
| 0.000 | -0.000 | -0.000 | -0.000 | -0.000 | -0.000 |
| 0.000 | -0.000 | -0.000 | -0.000 | -0.000 | 0.000 |
| 0.000 | -0.000 | -0.000 | -0.000 | -0.000 | -0.000 |
| 0.000 | -0.000 | -0.000 | -0.000 | -0.000 | 508.236 |
| 1048.613 | 32.138 | 0.000 | 0.000 | 0.000 | 0.000 |
| 32.140 | 1048.611 | 0.000 | 0.000 | 0.000 | -0.000 |
| -0.000 | 0.000 | 0.000 | 0.000 | 0.000 | 0.000 |
| -0.000 | 0.000 | 0.000 | 0.000 | 0.000 | 0.000 |
| -0.000 | 0.000 | 0.000 | 0.000 | 0.000 | 0.000 |
| -0.000 | 0.000 | 0.000 | 0.000 | 0.000 | 508.236 |
| 1048.610 | 32.139 | -0.000 | -0.000 | -0.000 | -0.000 |
| 32.250 | 1048.499 | -0.000 | -0.000 | -0.000 | 0.000 |
| 0.000 | -0.000 | -0.000 | -0.000 | -0.000 | -0.000 |
| 0.000 | -0.000 | -0.000 | -0.000 | -0.000 | -0.000 |
| 0.000 | -0.000 | -0.000 | -0.000 | -0.000 | -0.000 |
| 0.000 | -0.000 | -0.000 | -0.000 | -0.000 | 587.548 |
| 1048.625 | 32.129 | 0.000 | 0.000 | 0.000 | 0.000 |
| 32.149 | 1048.605 | 0.000 | 0.000 | 0.000 | -0.000 |
| -0.000 | 0.000 | 0.000 | 0.000 | 0.000 | 0.000 |
| -0.000 | 0.000 | 0.000 | 0.000 | 0.000 | 0.000 |
| -0.000 | 0.000 | 0.000 | 0.000 | 0.000 | 0.000 |
| -0.000 | 0.001 | 0.000 | 0.000 | 0.000 | 508.236 |
| 1048.597 | 32.148 | -0.000 | -0.000 | -0.000 | -0.000 |
| 32.128 | 1048.618 | -0.000 | -0.000 | -0.000 | -0.000 |
| 0.000 | -0.000 | -0.000 | -0.000 | -0.000 | -0.000 |
| 0.000 | -0.000 | -0.000 | -0.000 | -0.000 | -0.000 |
| 0.000 | -0.000 | -0.000 | -0.000 | -0.000 | -0.000 |
| 0.000 | -0.001 | -0.000 | -0.000 | -0.000 | 508.236 |
| 604.283 | 26.095 | 32.420 | 0.000 | -0.000 | 0.000 |
| 26.096 | 655.142 | 21.853 | 0.000 | -0.000 | 0.000 |
| -75.541 | 153.170 | 589.545 | -0.000 | -0.001 | -0.000 |
| -69.549 | 90.243 | 34.933 | 170.920 | 0.006 | 0.000 |
| -69.487 | 90.162 | 34.902 | 0.001 | 171.501 | 0.000 |
| -32.337 | 168.139 | 217.885 | 0.001 | 0.003 | 131.516 |
| 239.316 | -106.817 | -203.862 | -0.001 | -0.003 | -0.000 |
| 26.096 | 655.142 | 21.853 | -0.000 | 0.000 | -0.000 |
| 275.277 | -112.368 | 228.538 | 0.001 | 0.003 | -0.000 |
| 205.994 | -210.075 | -235.994 | 98.182 | -0.005 | -0.000 |
| 69.486 | -90.160 | -34.901 | -0.001 | 171.490 | -0.000 |
| 180.718 | -122.200 | -193.011 | 0.000 | 0.002 | 183.035 |
| 604.283 | 26.095 | 32.420 | -0.000 | -0.000 | 0.000 |
| 68.114 | 535.665 | 63.779 | 0.000 | 0.000 | 0.000 |
| 93.408 | 57.547 | 394.878 | 0.000 | 0.000 | 0.000 |
| 0.000 | 0.000 | 0.000 | 289.089 | -0.000 | -0.000 |
| 0.000 | 0.000 | 0.000 | -0.000 | 270.605 | 0.000 |
| -0.000 | 0.000 | -0.000 | 0.000 | 0.000 | 292.190 |
| 454.146 | 73.761 | 84.839 | -0.000 | -0.000 | -0.000 |
| 79.017 | 519.443 | 60.316 | -0.000 | -0.000 | -0.000 |
| 126.660 | 27.936 | 365.530 | -0.000 | -0.000 | -0.000 |
| -0.000 | -0.000 | -0.000 | 289.089 | 0.000 | -0.000 |
| -0.000 | 0.000 | -0.000 | 0.000 | 270.605 | -0.000 |
| 0.000 | -0.000 | 0.000 | -0.000 | 0.000 | 292.190 |
| 206.752 | 77.940 | 56.582 | 0.000 | 0.000 | 0.000 |
| 73.666 | 333.920 | 18.158 | 0.000 | 0.000 | 0.000 |
| 54.858 | 22.221 | 293.226 | 0.000 | 0.000 | 0.000 |
| -0.684 | 1.511 | 2.112 | 106.778 | 0.000 | 0.000 |
| -1.670 | 1.331 | 1.600 | 0.000 | 154.551 | 0.000 |
| -1.603 | 1.539 | 1.746 | 0.000 | 0.000 | 163.348 |
| 227.783 | 50.290 | 56.489 | -0.000 | -0.000 | 0.000 |
| 71.165 | 330.255 | 17.104 | -0.000 | -0.000 | -0.000 |
| 47.304 | 20.091 | 287.467 | -0.000 | -0.000 | -0.000 |
| 0.975 | -1.523 | -2.003 | 111.837 | -0.000 | -0.000 |
| 1.670 | -1.331 | -1.600 | -0.000 | 154.551 | -0.000 |
| 0.395 | -1.816 | -2.254 | -0.000 | -0.000 | 140.342 |
| 673.136 | 1751.799 | 2051.978 | 0.000 | -0.000 | -0.000 |
| 8951.730 | 1910.096 | 6773.401 | -0.000 | 0.000 | 0.000 |
| 9180.582 | 2387.724 | 8127.113 | 0.000 | 0.000 | -0.000 |
| 445.421 | 1719.591 | 2007.421 | 114.055 | 0.000 | -0.000 |
| 7584.077 | -127.123 | 5268.720 | 0.000 | 103.553 | 0.000 |
| 8868.680 | 1892.577 | 7013.542 | 0.000 | 0.000 | 86.652 |
| -217.836 | -1687.670 | -1963.196 | 0.000 | -0.000 | 0.000 |
| -734.819 | -1966.192 | -2068.786 | -0.000 | -0.000 | 0.000 |
| -386.886 | -1632.177 | -1658.096 | 0.000 | -0.000 | 0.000 |
| -445.421 | -1719.591 | -2007.421 | 114.055 | -0.000 | 0.000 |
| -7584.077 | 127.123 | -5268.721 | -0.000 | 103.553 | 0.000 |
| -8868.680 | -1892.577 | -7013.542 | -0.000 | -0.000 | 86.652 |
| 878.804 | 44.536 | 572.659 | -0.000 | 0.000 | -0.000 |
| 552.615 | -235.539 | 320.546 | -0.000 | 0.000 | -0.000 |
| 164.452 | 288.117 | 473.765 | 0.000 | 0.000 | 0.000 |
| 871.778 | 191.728 | 715.323 | -24.551 | 0.000 | 0.000 |
| 676.862 | -137.475 | 305.415 | 0.000 | -160.213 | -0.000 |
| 79.579 | 218.266 | 215.881 | -0.000 | 0.000 | 78.698 |
| 310.640 | 62.409 | 74.986 | -0.000 | -0.000 | 0.000 |
| -18.157 | 5.169 | -129.420 | 0.000 | -0.000 | -0.000 |
| 11.921 | -95.418 | 161.479 | 0.000 | -0.000 | 0.000 |
| -871.778 | -191.728 | -715.323 | -24.551 | -0.000 | -0.000 |
| -676.859 | 137.472 | -305.414 | 0.000 | -160.212 | -0.000 |
| -79.579 | -218.266 | -215.881 | -0.000 | -0.000 | 78.698 |
| 69.523 | -23.552 | 45.501 | -0.000 | 0.000 | 0.000 |
| 20.448 | 25.432 | 28.835 | 0.000 | 0.000 | -0.000 |
| 79.733 | 52.184 | 201.207 | -0.000 | 0.000 | -0.000 |
| 33.213 | 4.886 | 23.204 | 22.106 | 0.000 | 0.000 |
| 25.977 | 0.293 | 18.752 | -0.000 | 8.474 | -0.000 |
| 73.864 | 7.846 | 70.873 | -0.000 | -0.000 | -13.853 |
| -43.583 | -23.299 | -23.485 | 0.000 | -0.000 | 0.000 |
| -66.295 | 1.085 | -48.362 | -0.000 | -0.000 | 0.000 |
| -20.156 | -0.003 | 94.858 | 0.000 | -0.000 | 0.000 |
| -33.213 | -4.886 | -23.204 | 22.106 | 0.000 | 0.000 |
| -25.977 | -0.293 | -18.752 | 0.000 | 8.474 | 0.000 |
| -73.863 | -7.847 | -70.872 | 0.000 | -0.000 | -13.853 |
| 417.269 | 195.410 | 438.528 | -0.000 | -0.000 | -0.000 |
| 195.410 | 417.269 | 438.528 | -0.000 | -0.000 | -0.000 |
| 237.760 | 237.760 | 152.060 | -0.000 | -0.000 | -0.000 |
| -0.000 | -0.000 | -0.000 | 250.899 | 0.000 | -0.000 |
| -0.000 | -0.000 | -0.000 | 0.000 | 250.899 | -0.000 |
| -0.000 | 0.000 | -0.000 | 0.000 | -0.000 | 279.205 |
| 242.012 | -89.141 | 286.425 | 0.000 | 0.000 | 0.000 |
| -89.140 | 242.012 | 286.425 | 0.000 | 0.000 | 0.000 |
| -98.679 | -98.679 | 576.398 | 0.000 | 0.000 | 0.000 |
| -0.000 | 0.000 | 0.000 | 250.899 | -0.000 | 0.000 |
| 0.000 | -0.000 | 0.000 | -0.000 | 250.899 | 0.000 |
| 0.000 | -0.000 | 0.000 | -0.000 | 0.000 | 279.205 |
| 544.078 | 23.336 | 34.575 | 0.000 | 0.000 | 0.000 |
| 23.336 | 544.078 | 34.575 | 0.000 | -0.000 | -0.000 |
| 84.585 | 84.585 | 352.673 | -0.000 | -0.000 | -0.000 |
| 0.000 | 0.000 | 0.000 | 250.899 | -0.000 | -0.000 |
| 0.000 | 0.000 | 0.000 | 0.000 | 250.899 | -0.000 |
| 14.427 | 14.427 | 38.893 | -0.000 | -0.000 | 135.312 |
| 299.757 | 55.024 | 54.630 | 0.000 | 0.000 | 0.000 |
| 55.024 | 299.757 | 54.630 | 0.000 | 0.000 | 0.000 |
| 34.575 | 34.575 | 479.492 | -0.000 | 0.000 | -0.000 |
| -0.000 | -0.000 | -0.000 | 250.899 | -0.000 | -0.000 |
| -0.000 | -0.000 | -0.000 | -0.000 | 250.899 | -0.000 |
| -14.427 | -14.427 | -38.893 | 0.000 | 0.000 | 135.312 |
| 212.172 | 48.003 | 56.267 | -0.000 | -0.000 | -0.000 |
| 48.003 | 212.172 | 56.267 | -0.000 | -0.000 | -0.000 |
| 11.892 | 11.892 | 47.500 | -0.000 | -0.000 | -0.000 |
| 1.368 | 1.368 | 1.761 | 109.389 | -0.000 | -0.000 |
| 1.368 | 1.368 | 1.761 | -0.000 | 109.389 | -0.000 |
| 1.377 | 1.377 | 1.988 | -0.000 | -0.000 | 141.937 |
| 179.392 | 15.796 | -11.591 | 0.000 | 0.000 | 0.000 |
| 15.796 | 179.392 | -11.591 | 0.000 | 0.000 | 0.000 |
| 79.515 | 79.515 | 162.960 | 0.000 | 0.000 | 0.000 |
| -1.368 | -1.368 | -1.761 | 109.389 | 0.000 | 0.000 |
| -1.368 | -1.368 | -1.761 | 0.000 | 109.389 | 0.000 |
| -1.377 | -1.377 | -1.988 | 0.000 | 0.000 | 141.937 |
| 258.911 | -77.044 | 394.446 | -0.000 | -0.000 | -0.000 |
| -77.044 | 258.911 | 394.446 | -0.000 | -0.000 | -0.000 |
| -169.840 | -169.840 | 873.684 | -0.000 | 0.000 | -0.000 |
| -0.000 | 0.000 | 0.000 | 237.740 | 0.000 | -0.000 |
| -0.000 | 0.000 | -0.000 | -0.000 | 237.740 | -0.000 |
| -242.712 | -242.712 | 608.136 | -0.000 | 0.000 | 164.972 |
| 513.199 | 16.592 | 33.424 | 0.000 | 0.000 | 0.000 |
| 16.592 | 513.199 | 33.424 | 0.000 | 0.000 | 0.000 |
| 317.160 | 317.160 | -355.500 | -0.000 | -0.000 | 0.000 |
| 0.000 | -0.000 | 0.000 | 237.740 | 0.000 | 0.000 |
| 0.000 | -0.000 | 0.000 | 0.000 | 237.740 | 0.000 |
| 242.712 | 242.712 | -608.136 | 0.000 | -0.000 | 164.972 |
| 377.322 | 51.880 | 101.735 | -0.000 | 0.000 | -0.000 |
| 51.880 | 377.322 | 101.735 | -0.000 | 0.000 | 0.000 |
| 40.587 | 40.587 | 300.409 | -0.000 | -0.000 | -0.000 |
| 0.000 | 0.000 | 0.000 | 237.740 | 0.000 | 0.000 |
| 0.000 | 0.000 | 0.000 | -0.000 | 237.740 | -0.000 |
| -13.779 | -13.779 | 32.274 | 0.000 | 0.000 | 194.334 |
| 411.513 | 79.314 | 31.516 | -0.000 | -0.000 | 0.000 |
| 79.314 | 411.513 | 31.516 | 0.000 | -0.000 | 0.000 |
| 102.433 | 102.433 | 135.250 | 0.000 | 0.000 | 0.000 |
| -0.000 | -0.000 | -0.000 | 237.740 | 0.000 | 0.000 |
| -0.000 | -0.000 | -0.000 | 0.000 | 237.740 | -0.000 |
| 13.779 | 13.779 | -32.274 | -0.000 | -0.000 | 194.334 |
| 159.937 | 14.269 | 9.287 | -0.000 | 0.000 | 0.000 |
| 14.269 | 159.937 | 9.287 | -0.000 | 0.000 | -0.000 |
| 52.268 | 52.268 | 108.459 | 0.000 | 0.000 | -0.000 |
| -4.165 | -4.165 | 9.550 | 55.608 | 0.000 | -0.000 |
| -4.165 | -4.165 | 9.550 | -0.000 | 55.608 | -0.000 |
| -1.358 | -1.358 | 3.181 | -0.000 | 0.000 | 195.348 |
| 185.345 | 37.589 | 35.416 | 0.000 | -0.000 | 0.000 |
| 37.589 | 185.345 | 35.416 | 0.000 | 0.000 | -0.000 |
| -17.756 | -17.756 | 2.770 | 0.000 | 0.000 | 0.000 |
| 4.165 | 4.165 | -9.550 | 55.608 | -0.000 | 0.000 |
| 4.165 | 4.165 | -9.550 | -0.000 | 55.608 | 0.000 |
| 1.358 | 1.358 | -3.181 | -0.000 | 0.000 | 195.348 |
| 2261.187 | -2245.429 | 564.103 | 0.000 | 0.000 | 0.000 |
| 1979.642 | -1938.943 | 559.959 | -0.000 | 0.000 | 0.000 |
| -5077.222 | 4654.013 | 1213.555 | -0.000 | 0.000 | 0.000 |
| -5154.688 | 4556.861 | 1086.882 | 24.758 | 0.000 | 0.000 |
| -6424.739 | 5659.369 | 1604.267 | -0.000 | 30.189 | -0.000 |
| -9812.169 | 9481.726 | 1684.478 | -0.000 | 0.000 | -38.801 |
| -1582.048 | 2358.218 | -440.928 | -0.000 | -0.000 | -0.000 |
| 6446.817 | -5650.310 | -1603.251 | 0.000 | 0.000 | 0.000 |
| 2181.885 | -1020.646 | -928.669 | -0.000 | 0.000 | -0.000 |
| 5154.688 | -4556.861 | -1086.882 | 24.758 | -0.000 | -0.000 |
| 6424.739 | -5659.369 | -1604.267 | 0.000 | 30.189 | 0.000 |
| 9812.169 | -9481.726 | -1684.478 | -0.000 | -0.000 | -38.801 |
| 454.878 | 38.672 | 10.624 | 0.000 | -0.000 | 0.000 |
| 251.126 | 135.047 | 106.370 | -0.000 | 0.000 | 0.000 |
| -172.793 | 127.249 | 503.761 | 0.000 | -0.000 | 0.000 |
| 191.544 | -229.366 | 50.038 | 149.344 | 0.000 | 0.000 |
| -211.901 | 102.135 | 130.267 | 0.000 | 118.845 | -0.000 |
| -511.036 | 450.577 | 108.760 | 0.000 | 0.000 | -20.411 |
| 153.484 | 286.195 | 8.278 | -0.000 | -0.000 | -0.000 |
| 302.314 | 116.744 | -104.998 | -0.000 | 0.000 | 0.000 |
| 924.337 | -928.767 | -144.705 | 0.000 | -0.000 | -0.000 |
| -191.544 | 229.366 | -50.038 | 149.344 | -0.000 | -0.000 |
| 211.901 | -102.135 | -130.267 | -0.000 | 118.845 | 0.000 |
| 511.036 | -450.577 | -108.760 | -0.000 | -0.000 | -20.411 |
| -57.767 | 48.159 | -10.255 | 0.000 | 0.000 | 0.000 |
| 34.276 | 177.088 | 68.308 | -0.000 | 0.000 | 0.000 |
| -96.182 | 60.456 | 100.027 | -0.000 | -0.000 | -0.000 |
| -14.439 | 3.747 | 12.810 | 107.874 | -0.000 | 0.000 |
| -12.647 | 2.326 | 12.389 | 0.000 | 114.500 | 0.000 |
| -35.656 | 28.525 | 10.466 | 0.000 | 0.000 | 36.361 |
| 58.450 | -106.929 | -27.342 | -0.000 | -0.000 | -0.000 |
| 107.194 | 65.715 | 30.027 | -0.000 | -0.000 | -0.000 |
| 62.411 | 46.509 | 328.074 | -0.000 | 0.000 | -0.000 |
| 14.439 | -3.747 | -12.810 | 107.874 | 0.000 | -0.000 |
| 12.647 | -2.326 | -12.389 | -0.000 | 114.500 | -0.000 |
| 35.656 | -28.525 | -10.466 | -0.000 | -0.000 | 36.361 |
| 1915.233 | -1288.107 | -992.920 | -0.000 | -0.000 | -0.000 |
| 37.290 | 451.749 | 9.232 | 0.000 | 0.000 | 0.000 |
| -16803.813 | 1453.001 | -20165.420 | -0.000 | 0.000 | -0.000 |
| -16673.905 | 1712.073 | -20332.322 | 122.964 | 0.000 | -0.000 |
| 1583.140 | -1346.594 | -1038.457 | -0.000 | 158.781 | -0.000 |
| 0.000 | 0.000 | -0.000 | 0.000 | 0.000 | 203.928 |
| 8969.470 | 408.220 | 16792.169 | -0.000 | -0.000 | -0.000 |
| 16867.468 | -1854.738 | 17206.694 | 0.000 | 0.000 | -0.000 |
| 10.176 | 9.722 | 555.708 | 0.000 | -0.000 | -0.000 |
| 16673.905 | -1712.073 | 20332.322 | 122.964 | -0.000 | -0.000 |
| -1583.140 | 1346.594 | 1038.457 | 0.000 | 158.781 | -0.000 |
| 0.000 | -0.000 | 0.000 | -0.000 | -0.000 | 203.928 |
| 485.258 | -75.206 | -56.559 | -0.000 | -0.000 | 0.000 |
| -864.993 | -806.568 | -1712.877 | -0.000 | -0.000 | -0.000 |
| -1317.944 | -32.416 | -2105.182 | -0.000 | -0.000 | -0.000 |
| -1408.685 | 628.411 | -1241.045 | -17.964 | 0.000 | 0.000 |
| 157.913 | -134.319 | -103.583 | -0.000 | 158.975 | 0.000 |
| -1552.390 | 440.931 | -1646.505 | -0.000 | -0.000 | 91.445 |
| 176.989 | 193.482 | 148.740 | 0.000 | 0.000 | -0.000 |
| -96.971 | 477.190 | 162.397 | 0.000 | 0.000 | 0.000 |
| -104.951 | 185.854 | 547.354 | 0.000 | 0.000 | 0.000 |
| 736.812 | -470.655 | 988.297 | -2.773 | 0.000 | -0.000 |
| -157.913 | 134.319 | 103.583 | 0.000 | 158.975 | -0.000 |
| 1552.390 | -440.931 | 1646.505 | 0.000 | 0.000 | 91.445 |
| -48.594 | 24.788 | -38.152 | -0.000 | -0.000 | 0.000 |
| 51.656 | 92.856 | 11.961 | -0.000 | -0.000 | -0.000 |
| -53.067 | -5.743 | 17.080 | -0.000 | -0.000 | 0.000 |
| -107.801 | 28.902 | -132.867 | -1.452 | -0.000 | -0.000 |
| -122.195 | 11.206 | -162.515 | -0.000 | -44.554 | -0.000 |
| -18.795 | -14.111 | -55.381 | -0.000 | -0.000 | -1.293 |
| 69.226 | 61.245 | 77.961 | 0.000 | 0.000 | -0.000 |
| -36.532 | -60.492 | 83.943 | 0.000 | 0.000 | 0.000 |
| 45.046 | 43.797 | 204.001 | 0.000 | 0.000 | 0.000 |
| 107.801 | -28.902 | 132.867 | -1.452 | -0.000 | 0.000 |
| 122.195 | -11.206 | 162.515 | 0.000 | -44.554 | 0.000 |
| 18.795 | 14.111 | 55.381 | 0.000 | 0.000 | -1.293 |
Phonon band structures and crystal properties estimated from quasi-harmonic approximation (QHA) calculations are displayed for select crystals. The calculations were performed using phonopy and LAMMPS. For the phonon calculations, 3x3 supercells of the potential-specific relaxed crystals were used. The QHA calculations were based on 11 strain states ranging from -0.05 to 0.05.
The calculation method used is available as the iprPy phonon calculation method.
Notes and Disclaimers:
Version Information:

































































Static free surface formation energies are displayed for select crystals. The values displayed here are obtained by taking a perfect periodic bulk crystal, slicing along a crystallographic plane, and using force minimization to statically relax the surfaces. The free surface formation energy is computed by comparing the energy of the defect system to the bulk system and dividing by the total surface area created by the cut.
The calculation method used is available as the iprPy surface_energy_static calculation method.
Notes and Disclaimers:
Version Information:
| Surface | γfs (mJ/m2) |
|---|---|
| (111) 2 | 2069.22 |
| (331) 2 | 2673.97 |
| (110) | 3843.80 |
| (321) | 3915.92 |
| (332) | 4091.00 |
| (211) | 4242.51 |
| (320) | 4683.37 |
| (311) 2 | 4847.97 |
| (210) | 5231.11 |
| (221) | 5303.38 |
| (311) 1 | 5351.34 |
| (322) | 5369.50 |
| (310) | 5546.77 |
| (331) 1 | 7057.61 |
| (100) | 7123.56 |
Static point defect formation energies, Ef, and elastic dipole tensors, pij, are displayed for select crystals. Relaxed defect configurations are obtained by taking a 12x12x12 supercell of a perfect periodic bulk crystal, inserting the point defect, and using force minimization to statically relax the atomic positions while keeping the system dimensions constant. Ef is computed by comparing the energy of the defect system to the same number of atoms in a perfect bulk crystal. pij is estimated as the difference in the system's global pressure with and without the defect multiplied by the system's volume.
Simple structural comparisons of the unrelaxed and relaxed defect configurations are used to help determine if the defect structure has relaxed to a different configuration. Relaxed structures that are identified as no longer consistent with the ideal defect definition are excluded from the table below. The only exception to this is if the lowest energy interstitial configuration does not coincide with a known ideal defect, its energies and pressure tensor are included under the listing "relaxed interstitial". The full list of calculation results including the transformed structures and the structural comparison values is included in the csv file available from the "Download raw data" link.
The calculation method used is available as the iprPy point_defect_static calculation method.
Notes and Disclaimers:
| Point Defect | Ef (eV) | p11 (eV) | p22 (eV) | p33 (eV) | p12 (eV) | p13 (eV) | p23 (eV) |
|---|---|---|---|---|---|---|---|
| vacancy | 3.315 | -2.342 | -2.342 | -2.342 | -0.000 | -0.000 | -0.000 |
| 1nn divacancy | 4.885 | -3.208 | -3.208 | -3.208 | -2.393 | -2.393 | -2.393 |
| 100 dumbbell | 9.383 | 17.141 | 17.141 | 74.886 | -0.000 | 0.000 | 0.000 |
Plots of the atomic structure of dislocation cores are shown here. The dislocations were constructed using dislocation monopole configurations in which a straight dislocation is created in the center of the system using anisotropic elasticity and the elastic constants computed above. A cylindrical region centered around the dislocation is allowed to relax while the remaining atoms are held fixed. The relaxation consists of 1 million NVT steps at 10 K followed by an energy/force minimization. The final plots show the atomic configuration near the center of the monopole system, and display differential displacement arrows and Nye tensor color maps that are both taken with respect to the Burgers vector direction.
These plots show a wide range of final structures, some corresponding to expected dislocation structures and others not. While the characterizations are dislocation-type dependent, some general classification guidelines are listed here.
The calculation method used is available as the iprPy dislocation_monopole calculation method.
Links are provided above the images allowing for users to download the final defect configuration and a corresponding defect-free configuration if they wish to further analyze the structures or use them for subsequent simulations.
Notes and Disclaimers:
Version Information:
Plots of lattice and elastic constants are shown as a function of temperature. The 0K points were taken from the Crystal Structure Predictions and the Elastic Constants Predictions sections above for the unique crystal structures relaxed with the "dynamic" method. Starting from the 0 K relaxed crystal unit cells, supercell systems are created by replicating all three dimensions by the same multiplier to achieve at least 4000 atoms. The systems are then relaxed at 50 K and zero pressure using 1 million NPT steps. Lattice constants are estimated by averaging the measured box dimensions. Temperatures are iteratively increased by 50 K, with each subsequent relaxation calculation starting from the final atomic configuration at the previous temperature and relaxing for another 1 million steps.
The elastic constants are calculated using the deformation–fluctuation hybrid method. Starting from the final atomic configurations of the dynamic relaxations, the system is allowed to evolve at constant volume with a Langevin thermostat. The Born matrix is computed during this run by evaluating how the atomic forces would vary due to applied linear strain fields. The elastic constants can then be estimated using the averaged Born matrix values and the averaged stresses on the system.
The calculation methods used are available as the iprPy relax_dynamic and elastic_constants_dynamic calculation methods.
Clicking on the image of a plot will open an interactive version of it in a new tab. The underlying data for the plots can be downloaded by clicking on the links above each plot.
Notes and Disclaimers:
Version Information:
Plots of internal energy, Gibbs free energy, entropy, heat capacity and volume are shown here as a function of temperature for various crystal structures and liquid phases. The included crystal structures correspond to those in the Solid Structures vs. Temperature section, and the liquid phases to those in the Liquid Properties section. Internal energy and volume are taken from the associated structure relaxations mentioned in those previous sections. Constant pressure heat capacity is estimated using 3-point numerical derivatives of enthalpy versus temperature. Note that since all simulations done here are at 0 pressure, internal energy and enthalpy are equivalent.
The Gibbs energies of the phases are estimated using thermodynamic integration between the interatomic potential in question and a simpler model with known Gibbs free energy values. For solids, the reference model is an Einstein solid, while for liquids it is the Uhlenbeck-Ford potential. Besides a short run at the start of the solid calculations to estimate Einstein model spring constants, the two calculations proceed similarly. Starting with the final relaxation configurations, the systems are stabilized for 25,000 steps. Then, over the next 50,000 steps the potential is swapped out for the reference potential. The system is then stabilized for another 25,000 steps with the reference model before a reverse swap of 50,000 steps is performed. The simulation ends with one final 25,000 step stabilization period. From the simulation, the irreversible work of transformation is estimated and used to compute the absolute Gibbs free energy of the target phase and potential relative to the reference potential. Entropy is estimated as the difference in enthalpy and Gibbs free energy and divided by temperature.
The calculation methods used are available as the iprPy relax_dynamic, relax_liquid_redo, free_energy, and free_energy_liquid calculation methods.
Clicking on the image of a plot will open an interactive version of it in a new tab. The underlying data for the plots can be downloaded by clicking on the links above each plot.
Notes and Disclaimers:
Version Information:





