Plots of the potential energy vs interatomic spacing, r, are shown below for all diatom sets associated with the interatomic potential. This calculation provides insights into the functional form of the potential's two-body interactions. A system consisting of only two atoms is created, and the potential energy is evaluated for the atoms separated by 0.02 Å <= r <= 6.0> Å in intervals of 0.02 Å. Two plots are shown: one for the "standard" interaction distance range, and one for small values of r. The small r plot is useful for determining whether the potential is suitable for radiation studies.
The calculation method used is available as the iprPy diatom_scan calculation method.
Clicking on the image of a plot will open an interactive version of it in a new tab. The underlying data for the plots can be downloaded by clicking on the links above each plot.
Notes and Disclaimers:
Version Information:
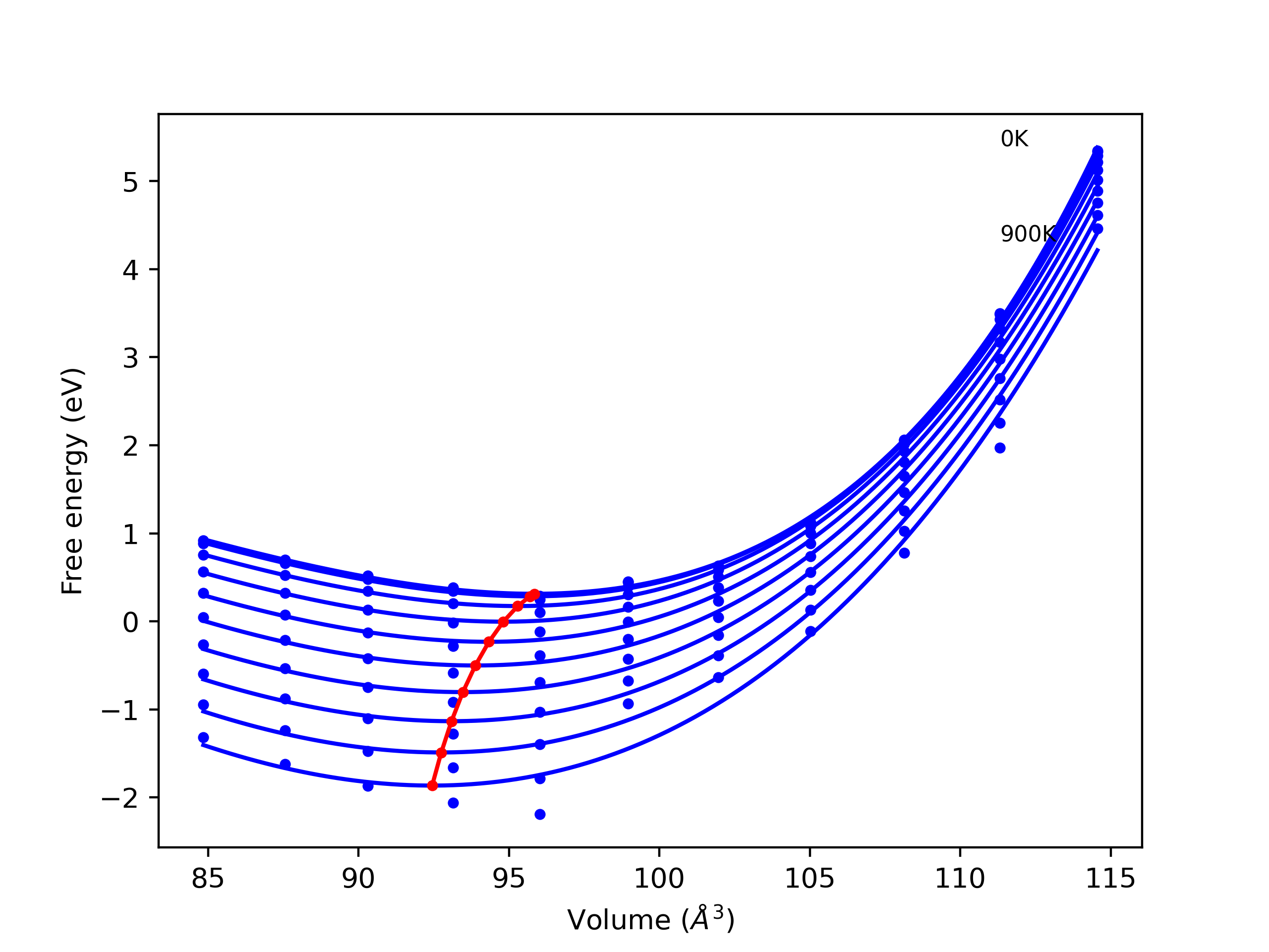
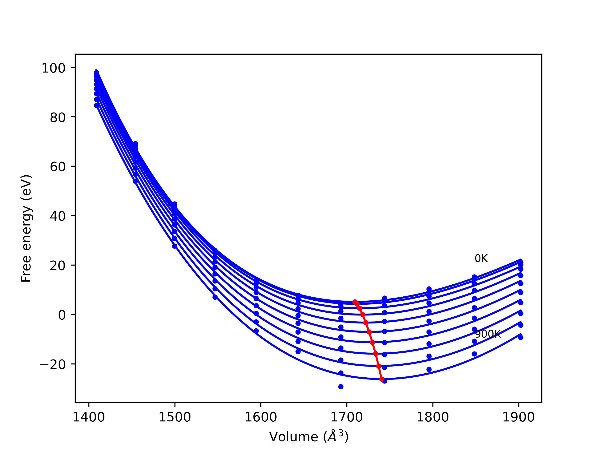
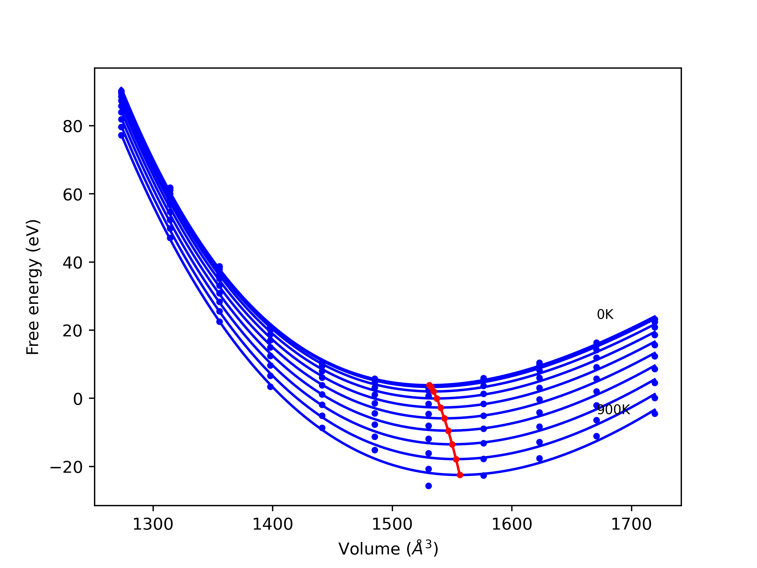
Plots of potential energy vs interatomic spacing, r, are shown below for a number of crystal structures. The structures are generated based on the ideal atomic positions and b/a and c/a lattice parameter ratios for a given crystal prototype. The size of the system is then uniformly scaled, and the energy calculated without relaxing the system. To obtain these plots, values of r are evaluated every 0.02 Å up to 6 Å.
The calculation method used is available as the iprPy E_vs_r_scan calculation method.
Clicking on the image of a plot will open an interactive version of it in a new tab. The underlying data for the plots can be downloaded by clicking on the links above each plot.
Notes and Disclaimers:
Version Information:
Computed lattice constants and cohesive/potential energies are displayed for a variety of crystal structures. The values displayed here are obtained using the following process.
The calculation methods used are implemented into iprPy as the following calculation styles
Notes and Disclaimers:
Version Information:
Download raw data (including filtered results)
Reference structure matches:
A1--Cu--fcc = oqmd-1214526
A15--beta-W = oqmd-1214971, oqmd-1280429
A2--W--bcc = oqmd-1215149
A3'--alpha-La--double-hcp = oqmd-1215417
A3--Mg--hcp = oqmd-1215327
A4--C--dc = oqmd-1215506
A5--beta-Sn = oqmd-1215595
A6--In--bct = mp-140, oqmd-675527, oqmd-676193, oqmd-1215684
| prototype | method | Ecoh (eV/atom) | Epot (eV/atom) | a0 (Å) | b0 (Å) | c0 (Å) | α (degrees) | β (degrees) | γ (degrees) |
|---|---|---|---|---|---|---|---|---|---|
| A2--W--bcc | dynamic | -2.8414 | -2.8414 | 3.144 | 3.144 | 3.144 | 90.0 | 90.0 | 90.0 |
| mp-142 | dynamic | -2.8328 | -2.8328 | 4.4113 | 7.4037 | 4.7028 | 90.0 | 90.0 | 90.0 |
| mp-142 | box | -2.8243 | -2.8243 | 4.3621 | 7.561 | 4.6221 | 90.0 | 90.0 | 90.0 |
| oqmd-676227 | box | -2.8224 | -2.8224 | 4.3635 | 7.5972 | 4.6077 | 90.0 | 90.0 | 90.0 |
| oqmd-1214704 | box | -2.8218 | -2.8218 | 4.3621 | 7.6026 | 4.605 | 90.0 | 90.0 | 90.0 |
| mp-1067880 | dynamic | -2.8212 | -2.8212 | 7.1575 | 4.929 | 4.5511 | 90.0 | 90.0 | 90.0 |
| oqmd-8115 | dynamic | -2.7894 | -2.7894 | 2.7242 | 7.5214 | 3.4049 | 90.0 | 90.0 | 90.0 |
| oqmd-686543 | box | -2.7841 | -2.7841 | 7.7296 | 4.6343 | 4.4268 | 90.0 | 90.0 | 90.0 |
| mp-1067880 | box | -2.7829 | -2.7829 | 7.7365 | 4.6266 | 4.4175 | 90.0 | 90.0 | 90.0 |
| oqmd-8115 | box | -2.7689 | -2.7689 | 2.7033 | 7.4515 | 3.3123 | 90.0 | 90.0 | 90.0 |
| oqmd-2814 | dynamic | -2.7526 | -2.7526 | 5.8276 | 5.8276 | 5.8276 | 90.0 | 90.0 | 90.0 |
| mp-569007 | static | -2.748 | -2.748 | 8.884 | 8.884 | 15.6178 | 90.0 | 90.0 | 120.0 |
| oqmd-2215 | box | -2.7242 | -2.7242 | 8.7616 | 8.7616 | 15.7109 | 90.0 | 90.0 | 120.0 |
| mp-569007 | box | -2.7171 | -2.7171 | 8.7758 | 8.7758 | 15.656 | 90.0 | 90.0 | 120.0 |
| A5--beta-Sn | dynamic | -2.7118 | -2.7118 | 4.9895 | 4.9895 | 2.6276 | 90.0 | 90.0 | 90.0 |
| oqmd-2295 | dynamic | -2.7088 | -2.7088 | 10.565 | 13.7688 | 4.7153 | 90.0 | 90.0 | 90.0 |
| mp-567540 | static | -2.7056 | -2.7056 | 9.8409 | 14.0219 | 4.7767 | 90.0 | 90.0 | 90.0 |
| Ah--alpha-Po--sc | dynamic | -2.695 | -2.695 | 2.5992 | 2.5992 | 2.5992 | 90.0 | 90.0 | 90.0 |
| oqmd-1215862 | box | -2.694 | -2.694 | 3.6755 | 3.6755 | 4.5041 | 90.0 | 90.0 | 120.0 |
| A6--In--bct | static | -2.6773 | -2.6773 | 2.7489 | 2.7489 | 4.1236 | 90.0 | 90.0 | 90.0 |
| A1--Cu--fcc | box | -2.6716 | -2.6716 | 3.9711 | 3.9711 | 3.9711 | 90.0 | 90.0 | 90.0 |
| A3'--alpha-La--double-hcp | box | -2.6627 | -2.6627 | 2.7962 | 2.7962 | 9.2502 | 90.0 | 90.0 | 120.0 |
| mp-567540 | box | -2.6594 | -2.6594 | 9.8931 | 13.2145 | 4.8374 | 90.0 | 90.0 | 90.0 |
| A3--Mg--hcp | box | -2.6553 | -2.6553 | 2.7882 | 2.7882 | 4.6507 | 90.0 | 90.0 | 120.0 |
| A15--beta-W | static | -2.5402 | -2.5402 | 4.8943 | 4.8943 | 4.8943 | 90.0 | 90.0 | 90.0 |
| A7--alpha-As | box | -2.5331 | -2.5331 | 3.9346 | 3.9346 | 7.1907 | 90.0 | 90.0 | 120.0 |
| A4--C--dc | dynamic | -2.4854 | -2.4854 | 5.5369 | 5.5369 | 5.5369 | 90.0 | 90.0 | 90.0 |
| oqmd-1215951 | box | -2.2268 | -2.2268 | 4.2264 | 4.2264 | 5.1002 | 90.0 | 90.0 | 120.0 |
Download raw data (including filtered results)
Reference structure matches:
| prototype | method | Ecoh (eV/atom) | Epot (eV/atom) | a0 (Å) | b0 (Å) | c0 (Å) | α (degrees) | β (degrees) | γ (degrees) |
|---|---|---|---|---|---|---|---|---|---|
| C1--CaF2--fluorite | dynamic | -3.0641 | -3.0641 | 5.3937 | 5.3937 | 5.3937 | 90.0 | 90.0 | 90.0 |
| oqmd-1239212 | static | -2.9442 | -2.9442 | 9.0363 | 9.0363 | 9.0363 | 90.0 | 90.0 | 90.0 |
Download raw data (including filtered results)
Reference structure matches:
| prototype | method | Ecoh (eV/atom) | Epot (eV/atom) | a0 (Å) | b0 (Å) | c0 (Å) | α (degrees) | β (degrees) | γ (degrees) |
|---|---|---|---|---|---|---|---|---|---|
| oqmd-427097 | dynamic | -3.766 | -3.766 | 5.1344 | 5.1344 | 14.0237 | 90.0 | 90.0 | 120.0 |
| oqmd-427097 | box | -3.6591 | -3.6591 | 5.3512 | 5.3512 | 13.2003 | 90.0 | 90.0 | 120.0 |
Download raw data (including filtered results)
Reference structure matches:
D0_3--BiF3 = oqmd-312564
L1_2--AuCu3 = oqmd-348421
| prototype | method | Ecoh (eV/atom) | Epot (eV/atom) | a0 (Å) | b0 (Å) | c0 (Å) | α (degrees) | β (degrees) | γ (degrees) |
|---|---|---|---|---|---|---|---|---|---|
| oqmd-323935 | static | -3.3932 | -3.3932 | 7.0633 | 7.0633 | 2.7189 | 90.0 | 90.0 | 120.0 |
| oqmd-323935 | box | -3.3538 | -3.3538 | 7.0912 | 7.0912 | 2.693 | 90.0 | 90.0 | 120.0 |
| D0_3--BiF3 | static | -2.289 | -2.289 | 6.1546 | 6.1546 | 6.1546 | 90.0 | 90.0 | 90.0 |
| L1_2--AuCu3 | static | -1.8104 | -1.8104 | 3.9899 | 3.9899 | 3.9899 | 90.0 | 90.0 | 90.0 |
| A15--Cr3Si | static | -1.7783 | -1.7783 | 4.7856 | 4.7856 | 4.7856 | 90.0 | 90.0 | 90.0 |
| L1_2--AuCu3 | box | 0.0 | 0.0 | 4.3841 | 4.3841 | 4.3841 | 90.0 | 90.0 | 90.0 |
Download raw data (including filtered results)
Reference structure matches:
B1--NaCl--rock-salt = mp-2853, oqmd-1105884, oqmd-1236343
B2--CsCl = oqmd-306699
B3--ZnS--cubic-zinc-blende = mp-830, oqmd-1222562, oqmd-1236341
L1_0--AuCu = oqmd-338241
| prototype | method | Ecoh (eV/atom) | Epot (eV/atom) | a0 (Å) | b0 (Å) | c0 (Å) | α (degrees) | β (degrees) | γ (degrees) |
|---|---|---|---|---|---|---|---|---|---|
| B4--ZnS--wurtzite | dynamic | -4.528 | -4.528 | 3.1809 | 3.1809 | 5.1944 | 90.0 | 90.0 | 120.0 |
| B3--ZnS--cubic-zinc-blende | dynamic | -4.528 | -4.528 | 4.4985 | 4.4985 | 4.4985 | 90.0 | 90.0 | 90.0 |
| B4--ZnS--wurtzite | box | -4.528 | -4.528 | 3.1803 | 3.1803 | 5.1963 | 90.0 | 90.0 | 120.0 |
| oqmd-97045 | box | -4.5279 | -4.5279 | 3.1841 | 3.1841 | 5.1839 | 90.0 | 90.0 | 120.0 |
| mp-804 | box | -4.5277 | -4.5277 | 3.1862 | 3.1862 | 5.1772 | 90.0 | 90.0 | 120.0 |
| oqmd-6450 | box | -4.5276 | -4.5276 | 3.1865 | 3.1865 | 5.176 | 90.0 | 90.0 | 120.0 |
| mp-1181864 | dynamic | -4.0233 | -4.0233 | 3.2161 | 3.2161 | 14.9631 | 90.0 | 90.0 | 120.0 |
| mp-1181864 | static | -4.0233 | -4.0233 | 3.2161 | 3.2161 | 11.16 | 90.0 | 90.0 | 120.0 |
| oqmd-1108167 | box | -3.9109 | -3.9109 | 5.505 | 3.1003 | 5.3943 | 90.0 | 90.0 | 90.0 |
| mp-1245181 | dynamic | -3.8594 | -3.8594 | 10.7405 | 11.4408 | 12.0154 | 88.3 | 88.9 | 88.3 |
| mp-1244916 | dynamic | -3.8574 | -3.8574 | 11.2449 | 11.521 | 11.6544 | 92.4 | 90.4 | 92.5 |
| mp-1245233 | dynamic | -3.8533 | -3.8533 | 11.0597 | 11.5655 | 12.1172 | 93.1 | 93.9 | 100.6 |
| mp-1244916 | static | -3.8494 | -3.8494 | 11.4325 | 11.5549 | 11.562 | 91.6 | 91.4 | 94.3 |
| mp-1245188 | dynamic | -3.8458 | -3.8458 | 10.7026 | 11.7048 | 12.2769 | 93.9 | 90.0 | 98.3 |
| mp-1245233 | static | -3.837 | -3.837 | 11.2075 | 11.6409 | 12.1401 | 92.9 | 94.1 | 100.5 |
| mp-1245132 | dynamic | -3.8342 | -3.8342 | 11.3384 | 11.4396 | 11.6659 | 85.2 | 85.6 | 89.7 |
| mp-1245295 | dynamic | -3.8192 | -3.8192 | 11.0351 | 11.13 | 12.38 | 91.2 | 90.8 | 90.1 |
| mp-1244934 | dynamic | -3.8166 | -3.8166 | 11.2195 | 11.5052 | 12.6586 | 96.3 | 94.7 | 92.4 |
| mp-1245258 | dynamic | -3.8152 | -3.8152 | 11.2789 | 11.5633 | 11.6565 | 91.2 | 91.1 | 92.6 |
| mp-1245326 | dynamic | -3.8117 | -3.8117 | 11.5324 | 11.549 | 11.7702 | 93.2 | 90.6 | 95.5 |
| mp-1245188 | static | -3.8061 | -3.8061 | 10.9608 | 11.8073 | 12.2118 | 94.6 | 92.4 | 97.9 |
| mp-1245181 | static | -3.7926 | -3.7926 | 10.8904 | 11.4706 | 12.083 | 87.4 | 89.2 | 89.4 |
| mp-1244866 | static | -3.7856 | -3.7856 | 11.0804 | 11.3763 | 12.3946 | 91.5 | 92.8 | 92.5 |
| mp-1245288 | static | -3.7809 | -3.7809 | 10.839 | 11.8363 | 12.0958 | 86.3 | 88.7 | 89.3 |
| mp-1244995 | dynamic | -3.7772 | -3.7772 | 11.2521 | 11.692 | 11.797 | 91.1 | 90.8 | 96.1 |
| mp-1245069 | dynamic | -3.7681 | -3.7681 | 10.9595 | 12.1101 | 12.2805 | 88.7 | 81.5 | 89.4 |
| mp-1245132 | static | -3.7614 | -3.7614 | 11.4981 | 11.5172 | 11.6296 | 89.5 | 87.0 | 86.3 |
| mp-1245046 | static | -3.7547 | -3.7547 | 11.2737 | 11.4814 | 11.965 | 90.7 | 91.3 | 91.8 |
| mp-1245326 | static | -3.7512 | -3.7512 | 11.3213 | 11.7072 | 11.8128 | 86.4 | 89.8 | 84.3 |
| mp-1245033 | dynamic | -3.7456 | -3.7456 | 11.0127 | 11.8012 | 11.984 | 89.6 | 89.1 | 88.6 |
| mp-1244995 | static | -3.7418 | -3.7418 | 11.275 | 11.7557 | 11.8211 | 90.3 | 96.1 | 93.3 |
| mp-1245013 | dynamic | -3.7383 | -3.7383 | 11.0541 | 11.8389 | 11.9993 | 94.7 | 91.6 | 93.0 |
| mp-1245258 | static | -3.7383 | -3.7383 | 11.4541 | 11.5492 | 11.7541 | 90.1 | 90.1 | 90.5 |
| mp-1245148 | static | -3.736 | -3.736 | 11.1067 | 11.557 | 12.2582 | 89.4 | 87.9 | 84.7 |
| mp-1244998 | static | -3.7336 | -3.7336 | 11.1512 | 11.5222 | 11.7863 | 93.9 | 91.3 | 94.1 |
| mp-1245130 | static | -3.7332 | -3.7332 | 11.7187 | 11.7594 | 11.8966 | 89.3 | 85.6 | 88.4 |
| mp-1244927 | dynamic | -3.7314 | -3.7314 | 10.754 | 11.7816 | 12.0451 | 90.5 | 93.9 | 91.3 |
| mp-1245002 | dynamic | -3.731 | -3.731 | 11.4875 | 11.5782 | 11.964 | 83.7 | 88.8 | 84.3 |
| B1--NaCl--rock-salt | dynamic | -3.73 | -3.73 | 4.3042 | 4.3042 | 4.3042 | 90.0 | 90.0 | 90.0 |
| mp-1244975 | static | -3.7288 | -3.7288 | 11.391 | 11.6495 | 12.0928 | 87.0 | 84.4 | 87.6 |
| oqmd-1234952 | box | -3.7282 | -3.7282 | 3.0662 | 3.0662 | 7.2631 | 90.0 | 90.0 | 120.0 |
| mp-1245244 | static | -3.7253 | -3.7253 | 11.5104 | 11.519 | 12.1986 | 93.5 | 92.4 | 95.4 |
| mp-1245033 | static | -3.7212 | -3.7212 | 11.0209 | 11.8083 | 12.1026 | 90.1 | 91.5 | 91.7 |
| mp-1245172 | static | -3.7175 | -3.7175 | 10.7426 | 11.1735 | 12.8383 | 92.2 | 91.6 | 91.1 |
| mp-1244886 | dynamic | -3.7158 | -3.7158 | 11.3191 | 11.5898 | 11.9208 | 90.9 | 93.0 | 93.1 |
| mp-1244934 | static | -3.7139 | -3.7139 | 11.2155 | 11.5011 | 12.4601 | 94.1 | 95.1 | 91.3 |
| mp-1245075 | dynamic | -3.7138 | -3.7138 | 10.9576 | 11.5075 | 12.5693 | 91.2 | 90.9 | 94.8 |
| mp-1245069 | static | -3.7137 | -3.7137 | 11.0699 | 12.3019 | 12.4285 | 90.0 | 83.3 | 89.4 |
| mp-1244884 | static | -3.7136 | -3.7136 | 11.3003 | 11.3267 | 12.1772 | 90.0 | 88.8 | 88.9 |
| mp-1245030 | dynamic | -3.7136 | -3.7136 | 11.2699 | 11.6827 | 11.754 | 92.2 | 93.7 | 93.6 |
| mp-1245295 | static | -3.7094 | -3.7094 | 11.1863 | 11.2153 | 12.3788 | 93.7 | 91.3 | 91.9 |
| mp-1245286 | static | -3.707 | -3.707 | 11.1081 | 11.3665 | 12.1961 | 85.9 | 84.9 | 87.5 |
| mp-1245302 | static | -3.7007 | -3.7007 | 11.4401 | 11.9203 | 12.0719 | 95.9 | 92.4 | 91.9 |
| mp-1244903 | dynamic | -3.6904 | -3.6904 | 11.7046 | 12.7548 | 12.7885 | 86.4 | 88.4 | 82.3 |
| mp-1245013 | static | -3.6891 | -3.6891 | 11.1858 | 11.9804 | 12.0197 | 93.4 | 90.5 | 92.8 |
| mp-1244903 | static | -3.6784 | -3.6784 | 11.9142 | 12.7756 | 13.0005 | 86.5 | 88.3 | 84.1 |
| mp-1245165 | static | -3.6778 | -3.6778 | 11.2694 | 11.5321 | 12.0884 | 92.0 | 95.2 | 91.4 |
| mp-1244896 | static | -3.6627 | -3.6627 | 11.8424 | 12.5509 | 13.9971 | 91.3 | 91.4 | 90.9 |
| mp-1245002 | static | -3.6625 | -3.6625 | 11.4652 | 11.7811 | 12.1319 | 89.0 | 85.6 | 84.9 |
| mp-1245150 | static | -3.661 | -3.661 | 11.498 | 11.8821 | 12.2422 | 97.0 | 90.0 | 94.2 |
| mp-1245095 | dynamic | -3.66 | -3.66 | 10.5035 | 11.985 | 13.9441 | 88.6 | 78.3 | 88.2 |
| mp-1244927 | static | -3.6507 | -3.6507 | 10.8358 | 12.0011 | 12.0218 | 89.9 | 89.0 | 88.7 |
| mp-1244886 | static | -3.617 | -3.617 | 11.5002 | 11.7736 | 11.8667 | 88.3 | 87.8 | 85.5 |
| mp-1244916 | box | -3.6153 | -3.6153 | 11.5198 | 11.7602 | 11.8959 | 93.4 | 91.4 | 92.4 |
| mp-1007824 | dynamic | -3.6149 | -3.6149 | 3.337 | 3.337 | 8.4746 | 90.0 | 90.0 | 120.0 |
| mp-1245233 | box | -3.6146 | -3.6146 | 11.1884 | 11.8537 | 12.0551 | 91.3 | 93.7 | 99.5 |
| mp-1245075 | static | -3.6082 | -3.6082 | 11.1436 | 11.8971 | 12.0296 | 87.2 | 89.0 | 86.5 |
| mp-1245106 | static | -3.5953 | -3.5953 | 11.94 | 12.2278 | 14.8133 | 89.5 | 88.5 | 85.4 |
| oqmd-1229533 | dynamic | -3.5887 | -3.5887 | 2.9384 | 2.9384 | 2.8695 | 90.0 | 90.0 | 120.0 |
| mp-1245138 | static | -3.5873 | -3.5873 | 11.6639 | 11.6671 | 12.0056 | 95.6 | 92.6 | 91.7 |
| mp-1245095 | static | -3.5827 | -3.5827 | 10.4812 | 12.0642 | 14.0702 | 87.9 | 78.6 | 89.4 |
| mp-1245030 | static | -3.5487 | -3.5487 | 11.4123 | 11.6911 | 11.7107 | 91.3 | 93.6 | 93.0 |
| mp-1244984 | static | -3.5302 | -3.5302 | 12.6224 | 12.9987 | 13.3003 | 77.4 | 79.6 | 83.7 |
| mp-1244903 | box | -3.5132 | -3.5132 | 11.455 | 12.9366 | 13.8702 | 93.3 | 91.6 | 94.4 |
| mp-1244896 | box | -3.4927 | -3.4927 | 11.9362 | 12.7311 | 13.7685 | 88.9 | 89.9 | 89.3 |
| mp-1245046 | box | -3.4626 | -3.4626 | 11.5111 | 11.6495 | 11.8267 | 88.5 | 86.3 | 89.3 |
| mp-1245106 | box | -3.4593 | -3.4593 | 12.3533 | 12.5012 | 14.4615 | 92.1 | 90.6 | 94.6 |
| mp-1244998 | box | -3.3937 | -3.3937 | 11.4023 | 11.6794 | 11.8012 | 91.6 | 93.0 | 90.4 |
| mp-1245188 | box | -3.3831 | -3.3831 | 11.2601 | 11.8522 | 12.3501 | 93.9 | 91.7 | 96.1 |
| mp-1245130 | box | -3.3792 | -3.3792 | 11.8304 | 11.9824 | 12.1476 | 90.5 | 93.5 | 90.2 |
| mp-1245181 | box | -3.3724 | -3.3724 | 11.2908 | 11.5941 | 12.0428 | 91.9 | 90.4 | 90.2 |
| mp-1244934 | box | -3.3501 | -3.3501 | 11.6683 | 11.7915 | 12.2376 | 95.2 | 93.0 | 91.7 |
| mp-1245150 | box | -3.3496 | -3.3496 | 11.7133 | 11.7157 | 12.041 | 92.6 | 90.6 | 96.5 |
| mp-1244866 | box | -3.3391 | -3.3391 | 11.1086 | 11.7927 | 12.5611 | 90.1 | 92.6 | 93.3 |
| mp-1245069 | box | -3.3367 | -3.3367 | 11.2206 | 12.5151 | 12.7562 | 90.3 | 94.4 | 90.8 |
| mp-1245326 | box | -3.3343 | -3.3343 | 11.2815 | 11.7236 | 11.9824 | 87.5 | 89.0 | 86.2 |
| mp-1245302 | box | -3.3238 | -3.3238 | 11.5835 | 11.8818 | 12.242 | 93.4 | 90.2 | 90.6 |
| mp-1244995 | box | -3.3044 | -3.3044 | 11.7088 | 11.9488 | 12.1012 | 89.2 | 87.9 | 83.8 |
| mp-1245033 | box | -3.2869 | -3.2869 | 11.6464 | 11.7894 | 12.0895 | 92.0 | 91.6 | 91.6 |
| mp-1245286 | box | -3.2857 | -3.2857 | 11.2693 | 11.7763 | 12.3371 | 87.3 | 84.0 | 86.5 |
| mp-1244884 | box | -3.2845 | -3.2845 | 11.4338 | 11.5644 | 12.6593 | 88.7 | 89.6 | 89.4 |
| mp-1245244 | box | -3.2694 | -3.2694 | 11.6225 | 11.7539 | 12.2726 | 94.7 | 91.2 | 96.1 |
| mp-1245132 | box | -3.2481 | -3.2481 | 11.4963 | 11.8127 | 12.1088 | 87.2 | 88.9 | 88.5 |
| mp-1245258 | box | -3.2453 | -3.2453 | 11.5189 | 11.6673 | 12.0163 | 87.9 | 89.5 | 88.4 |
| mp-1245288 | box | -3.2412 | -3.2412 | 11.0275 | 12.1985 | 12.3833 | 87.2 | 89.7 | 89.0 |
| mp-1244984 | box | -3.2342 | -3.2342 | 12.5273 | 13.1204 | 13.5251 | 80.2 | 80.1 | 86.5 |
| mp-1244886 | box | -3.2261 | -3.2261 | 11.5571 | 11.9523 | 12.2905 | 87.7 | 84.3 | 84.5 |
| mp-1245002 | box | -3.2169 | -3.2169 | 11.4995 | 11.9971 | 12.0051 | 89.9 | 86.6 | 85.2 |
| mp-1245013 | box | -3.2149 | -3.2149 | 11.5006 | 11.9973 | 12.1095 | 91.5 | 90.9 | 93.2 |
| mp-1245148 | box | -3.1905 | -3.1905 | 11.4101 | 11.6783 | 12.4366 | 88.7 | 89.4 | 84.4 |
| mp-1245138 | box | -3.1739 | -3.1739 | 11.8254 | 11.8366 | 12.2034 | 87.2 | 85.9 | 88.2 |
| mp-1245095 | box | -3.1665 | -3.1665 | 10.7727 | 12.2193 | 14.1584 | 88.0 | 77.5 | 89.6 |
| mp-1245295 | box | -3.162 | -3.162 | 11.3572 | 11.4472 | 12.5937 | 93.6 | 90.5 | 91.9 |
| mp-1244975 | box | -3.1598 | -3.1598 | 11.3509 | 12.0371 | 12.5344 | 84.6 | 83.6 | 87.1 |
| mp-1245172 | box | -3.1204 | -3.1204 | 11.0327 | 11.3841 | 12.9554 | 93.2 | 92.9 | 92.0 |
| mp-1244927 | box | -3.1135 | -3.1135 | 11.1995 | 12.0644 | 12.0771 | 89.4 | 88.8 | 86.5 |
| mp-1245165 | box | -3.0714 | -3.0714 | 11.4256 | 12.1109 | 12.178 | 92.2 | 94.6 | 90.1 |
| mp-1245075 | box | -2.9623 | -2.9623 | 11.3744 | 11.8606 | 12.2062 | 92.5 | 90.8 | 91.1 |
| mp-1245030 | box | -2.9388 | -2.9388 | 11.4716 | 11.7218 | 12.0121 | 89.6 | 86.3 | 89.8 |
| B2--CsCl | static | -2.6291 | -2.6291 | 2.9083 | 2.9083 | 2.9083 | 90.0 | 90.0 | 90.0 |
| oqmd-101873 | static | -1.5576 | -1.5576 | 3.8272 | 3.8272 | 24.9577 | 90.0 | 90.0 | 120.0 |
Download raw data (including filtered results)
Reference structure matches:
| prototype | method | Ecoh (eV/atom) | Epot (eV/atom) | a0 (Å) | b0 (Å) | c0 (Å) | α (degrees) | β (degrees) | γ (degrees) |
|---|---|---|---|---|---|---|---|---|---|
| C1--CaF2--fluorite | dynamic | -3.5556 | -3.5556 | 4.9151 | 4.9151 | 4.9151 | 90.0 | 90.0 | 90.0 |
| oqmd-1239211 | static | -2.9442 | -2.9442 | 9.0363 | 9.0363 | 9.0363 | 90.0 | 90.0 | 90.0 |
Download raw data (including filtered results)
Reference structure matches:
D0_3--BiF3 = oqmd-313393
L1_2--AuCu3 = oqmd-347592
| prototype | method | Ecoh (eV/atom) | Epot (eV/atom) | a0 (Å) | b0 (Å) | c0 (Å) | α (degrees) | β (degrees) | γ (degrees) |
|---|---|---|---|---|---|---|---|---|---|
| oqmd-302851 | dynamic | -2.3805 | -2.3805 | 3.3939 | 3.3939 | 6.7796 | 90.0 | 90.0 | 90.0 |
| oqmd-323106 | dynamic | -2.2609 | -2.2609 | 4.7983 | 4.7983 | 3.917 | 90.0 | 90.0 | 120.0 |
| L1_2--AuCu3 | dynamic | -2.2127 | -2.2127 | 3.393 | 3.393 | 3.393 | 90.0 | 90.0 | 90.0 |
| D0_3--BiF3 | static | -2.1264 | -2.1264 | 5.5377 | 5.5377 | 5.5377 | 90.0 | 90.0 | 90.0 |
| A15--Cr3Si | box | -1.8183 | -1.8183 | 4.7642 | 4.7642 | 4.7642 | 90.0 | 90.0 | 90.0 |
Download raw data (including filtered results)
Reference structure matches:
A1--Cu--fcc = oqmd-1214545
A15--beta-W = oqmd-1214990
A2--W--bcc = oqmd-1215168
A3'--alpha-La--double-hcp = oqmd-1215436
A3--Mg--hcp = mp-12103, mp-1061298, oqmd-30774, oqmd-1215346
A4--C--dc = oqmd-1215525
A5--beta-Sn = oqmd-1215614
A6--In--bct = oqmd-1215703
A7--alpha-As = oqmd-1215792
Ah--alpha-Po--sc = oqmd-1214634
| prototype | method | Ecoh (eV/atom) | Epot (eV/atom) | a0 (Å) | b0 (Å) | c0 (Å) | α (degrees) | β (degrees) | γ (degrees) |
|---|---|---|---|---|---|---|---|---|---|
| mp-568584 | static | -4.955 | -4.955 | 9.8957 | 9.8957 | 13.2588 | 90.0 | 90.0 | 120.0 |
| oqmd-3234 | dynamic | -4.955 | -4.955 | 4.3388 | 4.3388 | 4.3388 | 90.0 | 90.0 | 90.0 |
| oqmd-1214723 | dynamic | -4.955 | -4.955 | 4.3751 | 4.9786 | 4.4769 | 90.0 | 90.0 | 90.0 |
| oqmd-3113 | static | -4.955 | -4.955 | 4.9672 | 4.9672 | 4.9672 | 90.0 | 90.0 | 90.0 |
| oqmd-3113 | dynamic | -4.955 | -4.955 | 4.8474 | 4.8474 | 4.8474 | 90.0 | 90.0 | 90.0 |
| mp-672233 | dynamic | -4.955 | -4.955 | 4.3884 | 4.3884 | 7.0283 | 90.0 | 90.0 | 120.0 |
| oqmd-4723 | static | -4.955 | -4.955 | 3.5625 | 3.5625 | 5.9709 | 90.0 | 90.0 | 120.0 |
| mp-25 | static | -4.955 | -4.955 | 5.5826 | 5.5826 | 5.5826 | 90.0 | 90.0 | 90.0 |
| oqmd-3234 | static | -4.955 | -4.955 | 4.9376 | 4.9376 | 4.9376 | 90.0 | 90.0 | 90.0 |
| oqmd-1214723 | static | -4.955 | -4.955 | 4.3749 | 5.4233 | 4.5243 | 90.0 | 90.0 | 90.0 |
| mp-154 | static | -4.955 | -4.955 | 5.8386 | 5.8386 | 5.8386 | 90.0 | 90.0 | 90.0 |
| oqmd-7386 | static | -4.955 | -4.955 | 8.0956 | 8.0956 | 11.1694 | 90.0 | 90.0 | 120.0 |
| oqmd-4722 | dynamic | -4.955 | -4.955 | 3.382 | 3.382 | 4.6828 | 90.0 | 90.0 | 90.0 |
| mp-570747 | static | -4.955 | -4.955 | 4.0997 | 4.0997 | 5.3459 | 90.0 | 90.0 | 90.0 |
| oqmd-4723 | dynamic | -4.955 | -4.955 | 3.5627 | 3.5627 | 5.4897 | 90.0 | 90.0 | 120.0 |
| oqmd-4722 | static | -4.955 | -4.955 | 3.5504 | 3.5504 | 4.6827 | 90.0 | 90.0 | 90.0 |
| mp-672233 | static | -4.955 | -4.955 | 4.1672 | 4.1672 | 7.0315 | 90.0 | 90.0 | 120.0 |
| A7--alpha-As | static | -3.3977 | -3.3977 | 2.3937 | 2.3937 | 13.4148 | 90.0 | 90.0 | 120.0 |
| A7--alpha-As | dynamic | -3.3977 | -3.3977 | 2.3937 | 2.3937 | 8.5804 | 90.0 | 90.0 | 120.0 |
| A7--alpha-As | static | -3.3977 | -3.3977 | 2.3937 | 2.3937 | 8.5234 | 90.0 | 90.0 | 120.0 |
| oqmd-1215881 | dynamic | -3.387 | -3.387 | 3.2455 | 3.2455 | 3.044 | 90.0 | 90.0 | 120.0 |
| oqmd-16412 | static | -3.3806 | -3.3806 | 2.3806 | 5.7607 | 4.7069 | 90.0 | 90.0 | 90.0 |
| oqmd-16412 | dynamic | -3.3806 | -3.3806 | 2.3806 | 5.7607 | 3.2811 | 90.0 | 90.0 | 90.0 |
| mp-1176403 | static | -3.3806 | -3.3806 | 2.3806 | 6.2886 | 4.9149 | 90.0 | 90.0 | 90.0 |
| mp-754514 | static | -3.3806 | -3.3806 | 2.3806 | 7.773 | 5.0515 | 90.0 | 90.0 | 90.0 |
| oqmd-1215079 | static | -3.3806 | -3.3806 | 5.8043 | 2.3806 | 6.733 | 90.0 | 121.0 | 90.0 |
| oqmd-1214901 | dynamic | -2.4909 | -2.4909 | 5.9176 | 5.9176 | 5.9176 | 90.0 | 90.0 | 90.0 |
| A6--In--bct | dynamic | -2.4892 | -2.4892 | 1.6968 | 1.6968 | 5.1616 | 90.0 | 90.0 | 90.0 |
| A6--In--bct | static | -2.4892 | -2.4892 | 1.6968 | 1.6968 | 4.1572 | 90.0 | 90.0 | 90.0 |
| mp-999498 | box | -2.2815 | -2.2815 | 4.4006 | 4.4006 | 4.4006 | 90.0 | 90.0 | 90.0 |
| Ah--alpha-Po--sc | dynamic | -2.2313 | -2.2313 | 1.8379 | 1.8379 | 1.8379 | 90.0 | 90.0 | 90.0 |
| A4--C--dc | static | -2.0233 | -2.0233 | 4.0447 | 4.0447 | 4.0447 | 90.0 | 90.0 | 90.0 |
| A3'--alpha-La--double-hcp | dynamic | -1.888 | -1.888 | 2.6765 | 2.6765 | 4.7009 | 90.0 | 90.0 | 120.0 |
| A5--beta-Sn | dynamic | -1.7852 | -1.7852 | 3.7809 | 3.7809 | 1.9421 | 90.0 | 90.0 | 90.0 |
| A5--beta-Sn | box | -1.7685 | -1.7685 | 3.6727 | 3.6727 | 2.0531 | 90.0 | 90.0 | 90.0 |
| A3--Mg--hcp | dynamic | -1.6941 | -1.6941 | 2.6941 | 2.6941 | 2.3768 | 90.0 | 90.0 | 120.0 |
| oqmd-4724 | box | -1.6851 | -1.6851 | 3.1301 | 3.1301 | 3.1301 | 90.0 | 90.0 | 90.0 |
| A3--Mg--hcp | static | -1.6312 | -1.6312 | 2.3991 | 2.3991 | 2.6876 | 90.0 | 90.0 | 120.0 |
| A3--Mg--hcp | box | -1.6291 | -1.6291 | 2.4507 | 2.4507 | 2.6142 | 90.0 | 90.0 | 120.0 |
| A5--beta-Sn | box | -1.4898 | -1.4898 | 2.1704 | 2.1704 | 6.5325 | 90.0 | 90.0 | 90.0 |
| oqmd-1214901 | box | -1.4876 | -1.4876 | 6.4873 | 6.4873 | 6.4873 | 90.0 | 90.0 | 90.0 |
| A3--Mg--hcp | static | -1.4126 | -1.4126 | 1.9663 | 1.9663 | 4.2316 | 90.0 | 90.0 | 120.0 |
| A15--beta-W | static | -1.3404 | -1.3404 | 3.8798 | 3.8798 | 3.8798 | 90.0 | 90.0 | 90.0 |
| A2--W--bcc | static | -1.3329 | -1.3329 | 2.4127 | 2.4127 | 2.4127 | 90.0 | 90.0 | 90.0 |
| A3--Mg--hcp | box | -1.2278 | -1.2278 | 2.1583 | 2.1583 | 3.5519 | 90.0 | 90.0 | 120.0 |
| A3'--alpha-La--double-hcp | box | -1.2266 | -1.2266 | 2.161 | 2.161 | 7.0867 | 90.0 | 90.0 | 120.0 |
| A1--Cu--fcc | box | -1.2254 | -1.2254 | 3.0604 | 3.0604 | 3.0604 | 90.0 | 90.0 | 90.0 |
| A3--Mg--hcp | dynamic | 0.0 | 0.0 | 3.7606 | 3.7606 | 6.0863 | 90.0 | 90.0 | 120.0 |
| mp-672234 | dynamic | 0.0 | 0.0 | 5.6054 | 5.6054 | 5.6054 | 90.0 | 90.0 | 90.0 |
Static elastic constants are displayed for the unique structures identified in Crystal Structure Predictions above. The values displayed here are obtained by measuring the change in virial stresses due to applying small strains to the relaxed crystals. The initial structure and the strained states are all relaxed using force minimization.
The calculation method used is available as the iprPy elastic_constants_static calculation method.
Notes and Disclaimers:
Version Information:
| 1516.053 | 1643.350 | 1643.350 | -0.000 | -0.000 | -0.000 |
| 1643.350 | 1516.053 | 1643.350 | 0.000 | -0.000 | 0.000 |
| 1643.350 | 1643.350 | 1516.053 | -0.000 | -0.000 | 0.000 |
| -0.000 | -0.000 | 0.000 | 73.021 | -0.000 | 0.000 |
| -0.000 | -0.000 | 0.000 | 0.000 | 73.020 | -0.000 |
| -0.000 | -0.000 | 0.000 | 0.000 | -0.000 | 73.020 |
| 1516.053 | 1643.350 | 1643.350 | -0.000 | -0.000 | -0.000 |
| 1643.350 | 1516.053 | 1643.350 | 0.000 | 0.000 | -0.000 |
| 1643.350 | 1643.350 | 1516.053 | 0.000 | -0.000 | -0.000 |
| 0.000 | 0.000 | 0.000 | 73.020 | 0.000 | -0.000 |
| 0.000 | 0.000 | 0.000 | -0.000 | 73.020 | 0.000 |
| 0.000 | -0.000 | -0.000 | -0.000 | -0.000 | 73.021 |
| 1516.051 | 1643.349 | 1643.349 | -0.000 | -0.000 | 0.000 |
| 1643.349 | 1516.052 | 1643.349 | -0.000 | -0.000 | 0.000 |
| 1643.349 | 1643.349 | 1516.051 | -0.000 | -0.000 | 0.000 |
| -0.000 | -0.000 | -0.000 | 73.020 | -0.000 | 0.000 |
| -0.000 | -0.000 | -0.000 | -0.000 | 73.020 | -0.000 |
| -0.000 | -0.000 | -0.000 | -0.000 | -0.000 | 73.020 |
| 1516.055 | 1643.351 | 1643.351 | 0.000 | 0.000 | -0.000 |
| 1643.351 | 1516.055 | 1643.351 | -0.000 | 0.000 | -0.000 |
| 1643.351 | 1643.351 | 1516.055 | -0.000 | 0.000 | -0.000 |
| 0.000 | 0.000 | 0.000 | 73.020 | 0.000 | -0.000 |
| 0.000 | 0.000 | 0.000 | -0.000 | 73.020 | 0.000 |
| 0.000 | 0.000 | 0.000 | 0.000 | 0.000 | 73.020 |
| 1516.036 | 1643.340 | 1643.340 | 0.000 | 0.000 | -0.000 |
| 1643.340 | 1516.036 | 1643.340 | -0.000 | -0.000 | -0.000 |
| 1643.340 | 1643.340 | 1516.036 | 0.000 | 0.000 | 0.000 |
| -0.004 | -0.002 | -0.002 | 73.020 | -0.000 | 0.000 |
| -0.002 | -0.004 | -0.002 | -0.000 | 73.020 | -0.000 |
| -0.002 | -0.002 | -0.004 | -0.000 | 0.000 | 73.020 |
| 1516.070 | 1643.360 | 1643.360 | -0.000 | -0.000 | 0.000 |
| 1643.360 | 1516.070 | 1643.360 | 0.000 | 0.000 | 0.000 |
| 1643.360 | 1643.360 | 1516.070 | -0.000 | -0.000 | -0.000 |
| 0.004 | 0.002 | 0.002 | 73.020 | 0.000 | 0.000 |
| 0.002 | 0.004 | 0.002 | -0.000 | 73.020 | 0.000 |
| 0.002 | 0.002 | 0.004 | -0.000 | 0.000 | 73.020 |
| 376.812 | 305.491 | 305.491 | 0.000 | -0.000 | -0.000 |
| 305.492 | 376.812 | 305.491 | -0.000 | 0.000 | -0.000 |
| 305.492 | 305.491 | 376.812 | -0.000 | -0.000 | -0.000 |
| 0.002 | 0.003 | 0.003 | -4193.636 | 0.001 | -0.001 |
| 0.003 | 0.002 | 0.003 | 0.001 | -4193.636 | -0.001 |
| -0.037 | 0.054 | 0.124 | 0.002 | 0.001 | -17854.203 |
| 376.812 | 305.491 | 305.492 | 0.000 | -0.000 | 0.000 |
| 305.491 | 376.812 | 305.492 | 0.000 | 0.000 | 0.000 |
| 305.491 | 305.491 | 376.812 | 0.000 | 0.000 | 0.000 |
| -1233288498.203 | -1224348831.307 | -1229409474.710 | -13455753.487 | -4527845.516 | 5207871.937 |
| -0.003 | -0.002 | -0.003 | -0.001 | -4193.637 | 0.001 |
| -0.003 | -0.004 | -0.002 | -0.001 | -0.001 | -4193.636 |
| 376.813 | 305.491 | 305.491 | -0.000 | -0.000 | 0.000 |
| 305.491 | 376.813 | 305.491 | -0.000 | 0.000 | -0.000 |
| 305.491 | 305.491 | 376.813 | -0.000 | -0.000 | -0.000 |
| 123131260.326 | 121584854.619 | 122812359.132 | -1091724.315 | -50452.248 | 394601.415 |
| 122211625.197 | 123237839.233 | 124768128.095 | -507304.705 | -571235.390 | 274178.038 |
| 121741225.069 | 125491536.056 | 123463220.201 | 54752.530 | -446079.117 | -1328091.935 |
| 376.811 | 305.491 | 305.491 | 0.000 | 0.000 | 0.000 |
| 305.491 | 376.811 | 305.491 | 0.000 | 0.000 | 0.000 |
| 305.491 | 305.491 | 376.811 | 0.000 | 0.000 | 0.000 |
| -122891109.288 | -122655875.514 | -122139369.200 | -838139.753 | -193845.628 | 133463.294 |
| -123494959.221 | -123338095.955 | -122660375.627 | 349752.367 | -874015.208 | -736803.733 |
| -124413974.690 | -124669022.663 | -123289901.003 | 365561.890 | -212884.147 | -721320.165 |
| 376.824 | 305.491 | 305.491 | 0.000 | -0.000 | -0.000 |
| 305.491 | 376.824 | 305.491 | -0.000 | 0.000 | -0.000 |
| 305.491 | 305.491 | 376.824 | 0.000 | 0.000 | -0.000 |
| 12371891.984 | 12295009.912 | 12283090.339 | -126232.162 | -35163.804 | -39182.969 |
| 12238319.166 | 12274872.369 | 12306510.643 | -69989.312 | -107798.038 | -46572.768 |
| 12308175.497 | 12417737.376 | 12285647.791 | -33130.034 | 44670.009 | -98699.558 |
| 376.800 | 305.491 | 305.491 | 0.000 | 0.000 | 0.000 |
| 305.491 | 376.800 | 305.491 | -0.000 | -0.000 | 0.000 |
| 305.491 | 305.491 | 376.800 | -0.000 | -0.000 | 0.000 |
| -12320527.698 | -12253699.804 | -12195159.384 | -126363.057 | -20399.770 | -1238.452 |
| -12171669.168 | -12360174.637 | -12366066.052 | -2747.891 | -73235.391 | 13202.940 |
| -12298440.185 | -12170042.766 | -12217793.734 | -6296.019 | -49489.169 | -54745.539 |
| 546.814 | 513.719 | 513.719 | -0.000 | -0.000 | 0.000 |
| 513.719 | 546.814 | 513.719 | -0.000 | -0.000 | 0.000 |
| 513.719 | 513.719 | 546.814 | -0.000 | 0.000 | 0.000 |
| -0.000 | -0.000 | -0.000 | 521.261 | -0.000 | 0.000 |
| -0.000 | -0.000 | -0.000 | -0.000 | 521.261 | 0.000 |
| -0.000 | -0.000 | -0.000 | -0.000 | -0.000 | 521.261 |
| 546.814 | 513.719 | 513.719 | 0.000 | 0.000 | -0.000 |
| 513.719 | 546.814 | 513.719 | 0.000 | 0.000 | -0.000 |
| 513.719 | 513.719 | 546.814 | 0.000 | -0.000 | -0.000 |
| 0.000 | 0.000 | 0.000 | 521.261 | 0.000 | -0.000 |
| 0.000 | 0.000 | 0.000 | 0.000 | 521.261 | -0.000 |
| 0.000 | 0.000 | 0.000 | 0.000 | 0.000 | 521.261 |
| 546.814 | 513.719 | 513.719 | -0.000 | -0.000 | 0.000 |
| 513.719 | 546.814 | 513.719 | -0.000 | -0.000 | 0.000 |
| 513.719 | 513.719 | 546.814 | 0.000 | 0.000 | 0.000 |
| -0.000 | -0.000 | -0.000 | 521.261 | -0.000 | 0.000 |
| -0.000 | -0.000 | -0.000 | -0.000 | 521.261 | 0.000 |
| -0.000 | -0.000 | -0.000 | -0.000 | -0.000 | 521.261 |
| 546.815 | 513.719 | 513.719 | 0.000 | 0.000 | -0.000 |
| 513.719 | 546.815 | 513.719 | 0.000 | 0.000 | -0.000 |
| 513.719 | 513.719 | 546.815 | 0.000 | -0.000 | -0.000 |
| 0.000 | 0.000 | 0.000 | 521.261 | 0.000 | -0.000 |
| 0.000 | 0.000 | 0.000 | 0.000 | 521.261 | -0.000 |
| 0.000 | 0.000 | 0.000 | 0.000 | 0.000 | 521.261 |
| 546.812 | 513.718 | 513.718 | -0.000 | -0.000 | 0.000 |
| 513.718 | 546.812 | 513.718 | -0.000 | -0.000 | 0.000 |
| 513.718 | 513.718 | 546.812 | -0.000 | 0.000 | 0.000 |
| -0.000 | -0.001 | -0.000 | 521.261 | -0.000 | 0.000 |
| -0.001 | -0.000 | -0.000 | -0.000 | 521.261 | 0.000 |
| -0.001 | -0.000 | -0.000 | -0.000 | -0.000 | 521.261 |
| 546.817 | 513.721 | 513.721 | 0.000 | 0.000 | -0.000 |
| 513.721 | 546.817 | 513.721 | 0.000 | -0.000 | -0.000 |
| 513.721 | 513.721 | 546.817 | 0.000 | 0.000 | -0.000 |
| 0.000 | 0.001 | 0.000 | 521.261 | 0.000 | -0.000 |
| 0.001 | 0.000 | 0.000 | 0.000 | 521.261 | -0.000 |
| 0.001 | 0.000 | 0.000 | 0.000 | 0.000 | 521.261 |
| 1552.274 | 1483.807 | 1568.573 | 0.001 | -0.000 | -0.001 |
| 1483.807 | 1552.273 | 1568.573 | 0.001 | 0.000 | 0.001 |
| 1568.573 | 1568.574 | 1955.860 | 0.000 | -0.000 | -0.000 |
| -0.000 | 0.000 | 0.000 | -52.429 | -0.000 | -0.000 |
| 0.000 | 0.000 | -0.000 | 0.000 | -52.429 | -0.001 |
| -0.000 | 0.000 | -0.000 | 0.001 | 0.000 | 34.232 |
| 1552.274 | 1483.808 | 1568.573 | -0.001 | -0.000 | -0.000 |
| 1483.809 | 1552.274 | 1568.574 | -0.001 | 0.000 | 0.001 |
| 1568.573 | 1568.573 | 1955.860 | -0.000 | 0.000 | 0.001 |
| 0.000 | -0.000 | -0.000 | -52.429 | 0.000 | -0.000 |
| -0.000 | -0.000 | -0.000 | -0.001 | -52.429 | -0.000 |
| 0.001 | 0.000 | 0.000 | -0.001 | 0.000 | 34.232 |
| 1552.272 | 1483.807 | 1568.572 | 0.000 | 0.000 | -0.000 |
| 1483.807 | 1552.272 | 1568.572 | 0.000 | -0.000 | -0.000 |
| 1568.573 | 1568.572 | 1955.858 | 0.000 | -0.000 | -0.000 |
| -0.000 | -0.000 | -0.000 | -52.429 | -0.000 | -0.000 |
| -0.000 | -0.000 | -0.000 | 0.000 | -52.429 | -0.000 |
| -0.000 | -0.000 | -0.000 | 0.000 | 0.000 | 34.233 |
| -59480089.828 | -20859068.271 | 15298980.764 | -12530.877 | 2196481.861 | -3468027.453 |
| 1483.809 | 1552.276 | 1568.574 | -0.000 | -0.000 | 0.000 |
| 1568.574 | 1568.574 | 1955.862 | -0.000 | -0.000 | 0.000 |
| 0.000 | 0.000 | 0.000 | -52.429 | -0.000 | 0.000 |
| 0.000 | 0.000 | 0.000 | -0.000 | -52.429 | 0.000 |
| 0.000 | 0.000 | 0.000 | -0.000 | -0.000 | 34.233 |
| 838567.618 | 5699311.777 | 257289.144 | 10367.527 | 18299.309 | -100535.970 |
| 5905695.255 | 2055209.087 | -1169844.569 | -28137.049 | -230496.619 | -189061.445 |
| 1568.566 | 1568.566 | 1955.840 | 0.000 | -0.000 | -0.000 |
| -0.002 | -0.002 | -0.001 | -52.429 | -0.000 | -0.000 |
| -0.002 | -0.002 | -0.001 | 0.000 | -52.429 | 0.000 |
| 2561629.226 | 5049362.432 | -842172.525 | 84671.881 | -67054.057 | -1313482.324 |
| -5576788.223 | -1794725.813 | 1005357.158 | -735.251 | -79925.422 | 92380.937 |
| -1084149.365 | -5683248.942 | -223571.778 | -29060.259 | 8470.642 | 83409.770 |
| 1568.580 | 1568.580 | 1955.880 | -0.000 | -0.000 | 0.000 |
| 0.002 | 0.002 | 0.001 | -52.429 | -0.000 | 0.000 |
| 0.002 | 0.002 | 0.001 | -0.000 | -52.429 | 0.000 |
| -1613857.561 | -4143452.748 | 122195.959 | 588797.895 | 234683.386 | -1388877.883 |
| 1462.865 | 1392.016 | 1550.328 | -0.000 | -0.000 | -0.000 |
| 80561477.643 | 271390667.460 | -236087314.799 | -1880425.969 | -506870.073 | 26322068.003 |
| 1550.328 | 1550.328 | 2120.768 | 0.000 | -0.000 | -0.000 |
| -0.000 | -0.000 | 0.001 | -75.445 | -0.000 | 0.000 |
| -0.000 | -0.000 | -0.000 | 0.000 | -75.445 | -0.000 |
| -0.000 | -0.000 | -0.000 | 0.000 | 0.000 | 35.424 |
| -131631386.025 | -304547406.408 | 341540930.351 | -44471605.095 | 3364096.275 | -16730063.727 |
| -525954995.160 | -226321944.751 | 93152102.457 | -308884.266 | 73612445.805 | 39469337.280 |
| 1550.328 | 1550.329 | 2120.768 | -0.000 | 0.000 | 0.000 |
| 0.000 | 0.000 | -0.001 | -75.445 | 0.000 | -0.000 |
| 0.000 | 0.000 | 0.000 | -0.000 | -75.444 | 0.000 |
| -0.000 | 0.000 | 0.000 | -0.000 | -0.000 | 35.424 |
| 51223922.059 | 21846049.236 | 6365920.693 | -1517205.311 | 79266.365 | -309110.402 |
| 11573113.611 | 27729137.905 | -30574189.155 | 1988883.131 | 2479550.580 | 1497335.720 |
| 1550.328 | 1550.328 | 2120.766 | 0.000 | -0.000 | 0.000 |
| -0.000 | -0.000 | -0.000 | -75.447 | -0.000 | -0.000 |
| -0.000 | -0.000 | -0.000 | 0.000 | -75.447 | -0.000 |
| -0.000 | -0.000 | -0.000 | 0.000 | 0.000 | 35.424 |
| 1462.867 | 1392.018 | 1550.329 | -0.000 | 0.000 | 0.000 |
| 1392.018 | 1462.867 | 1550.329 | 0.000 | 0.000 | -0.000 |
| 1550.329 | 1550.329 | 2120.769 | -0.000 | 0.000 | -0.000 |
| 0.000 | 0.000 | 0.000 | -75.447 | 0.000 | 0.000 |
| 0.000 | 0.000 | 0.000 | -0.000 | -75.446 | 0.000 |
| 0.000 | 0.000 | 0.000 | -0.000 | 0.000 | 35.424 |
| 5793058.115 | 2886911.337 | -1650159.568 | 90389.051 | -32750.117 | 568496.937 |
| 63775.458 | 2251546.256 | -2947055.742 | 298856.377 | 67463.376 | -107134.046 |
| 1550.323 | 1550.323 | 2120.751 | 0.000 | 0.000 | 0.000 |
| -0.002 | -0.001 | -0.001 | -75.447 | -0.000 | -0.000 |
| -0.001 | -0.002 | -0.001 | 0.000 | -75.447 | 0.000 |
| 2341931.570 | 4635188.933 | -497376.608 | 426293.334 | 288417.288 | 1370430.256 |
| -496189.431 | -2468865.472 | 3264060.030 | 409688.561 | -76586.047 | -143606.739 |
| -5317330.635 | -2187740.210 | 574789.756 | -24500.742 | -63175.391 | 79304.542 |
| 1550.334 | 1550.334 | 2120.784 | -0.000 | 0.000 | 0.000 |
| 0.002 | 0.001 | 0.001 | -75.447 | 0.000 | 0.000 |
| 0.001 | 0.002 | 0.001 | -0.000 | -75.447 | 0.000 |
| -2574751.196 | -4994340.106 | 1223558.949 | 26337.168 | -17545.290 | 1279187.668 |
| 47.811 | 18.037 | 18.037 | -0.000 | 0.000 | -0.000 |
| 18.037 | 47.810 | 18.037 | 0.000 | 0.000 | -0.000 |
| 18.037 | 18.037 | 47.811 | -0.000 | 0.000 | -0.000 |
| 0.000 | -0.000 | 0.000 | 19.481 | -0.000 | -0.000 |
| 0.000 | -0.000 | 0.000 | 0.000 | 19.481 | 0.000 |
| 0.000 | -0.000 | 0.000 | 0.000 | 0.000 | 19.481 |
| 47.811 | 18.037 | 18.037 | -0.000 | -0.000 | 0.000 |
| 18.037 | 47.811 | 18.037 | 0.000 | -0.000 | 0.000 |
| 18.037 | 18.038 | 47.810 | 0.000 | -0.000 | 0.000 |
| -0.000 | 0.000 | -0.000 | 19.481 | -0.000 | -0.000 |
| -0.000 | 0.000 | -0.000 | 0.000 | 19.481 | 0.000 |
| -0.000 | 0.000 | -0.000 | -0.000 | -0.000 | 19.481 |
| 47.811 | 18.037 | 18.037 | 0.000 | 0.000 | 0.000 |
| 18.037 | 47.811 | 18.037 | -0.000 | 0.000 | -0.000 |
| 18.037 | 18.037 | 47.811 | -0.000 | 0.000 | 0.000 |
| 0.000 | -0.000 | 0.000 | 19.481 | 0.000 | -0.000 |
| -0.000 | -0.000 | 0.000 | 0.000 | 19.481 | -0.000 |
| -0.000 | -0.000 | 0.000 | 0.000 | 0.000 | 32.974 |
| 47.811 | 18.037 | 18.037 | 0.000 | -0.000 | 0.000 |
| 18.037 | 47.811 | 18.037 | -0.000 | -0.000 | 0.000 |
| 18.037 | 18.037 | 47.811 | -0.000 | -0.000 | 0.000 |
| -0.000 | 0.000 | -0.000 | 32.974 | -0.000 | 0.000 |
| 0.000 | 0.000 | -0.000 | -0.000 | 32.974 | 0.000 |
| -0.000 | 0.000 | -0.000 | -0.000 | -0.000 | 19.481 |
| 47.811 | 18.037 | 18.037 | -0.000 | 0.000 | -0.000 |
| 18.037 | 47.811 | 18.037 | 0.000 | 0.000 | -0.000 |
| 18.037 | 18.037 | 47.811 | 0.000 | 0.000 | -0.000 |
| -0.000 | -0.000 | 0.000 | 19.481 | 0.000 | 0.000 |
| -0.000 | -0.000 | 0.000 | -0.000 | 19.481 | 0.000 |
| -0.000 | 0.000 | -0.000 | 0.000 | 0.000 | 19.481 |
| 47.810 | 18.037 | 18.037 | 0.000 | -0.000 | 0.000 |
| 18.037 | 47.810 | 18.037 | 0.000 | -0.000 | 0.000 |
| 18.037 | 18.037 | 47.810 | -0.000 | -0.000 | 0.000 |
| 0.000 | 0.000 | -0.000 | 19.481 | 0.000 | 0.000 |
| 0.000 | 0.000 | -0.000 | -0.000 | 19.481 | 0.000 |
| 0.000 | -0.000 | 0.000 | 0.000 | -0.000 | 19.481 |
| 96.254 | 31.272 | 4.040 | 0.000 | -0.000 | -0.000 |
| 31.272 | 96.254 | 4.040 | 0.000 | -0.000 | 0.000 |
| 4.040 | 4.040 | 146.165 | 0.000 | 0.000 | -0.000 |
| -0.000 | -0.000 | -0.000 | 14.265 | 0.000 | -0.000 |
| -0.000 | -0.000 | 0.000 | 0.000 | 14.264 | -0.000 |
| -0.000 | 0.000 | 0.000 | 0.000 | 0.000 | 14.323 |
| 96.254 | 31.272 | 4.040 | -0.000 | 0.000 | 0.000 |
| 31.272 | 96.254 | 4.040 | -0.000 | 0.000 | 0.000 |
| 4.040 | 4.040 | 146.165 | -0.000 | 0.000 | -0.000 |
| 0.000 | -0.000 | -0.000 | 14.264 | -0.000 | -0.000 |
| 0.000 | 0.000 | 0.000 | -0.000 | 14.264 | 0.000 |
| -0.000 | -0.000 | -0.000 | -0.000 | 0.000 | 14.323 |
| 96.254 | 31.272 | 4.040 | 0.000 | 0.000 | -0.000 |
| 31.272 | 96.254 | 4.040 | 0.000 | -0.000 | -0.000 |
| 4.040 | 4.040 | 146.165 | 0.000 | -0.000 | -0.000 |
| -0.000 | 0.000 | 0.000 | 14.264 | 0.000 | 0.000 |
| 0.000 | -0.000 | -0.000 | 0.000 | 14.264 | -0.000 |
| -0.000 | -0.000 | -0.000 | 0.000 | 0.000 | 14.323 |
| 96.254 | 31.272 | 4.040 | -0.000 | -0.000 | 0.000 |
| 31.272 | 96.254 | 4.040 | -0.000 | 0.000 | 0.000 |
| 4.040 | 4.040 | 146.165 | -0.000 | -0.000 | -0.000 |
| 0.000 | -0.000 | -0.000 | 14.264 | -0.000 | 0.000 |
| 0.000 | 0.000 | 0.000 | -0.000 | 14.264 | 0.000 |
| 0.000 | 0.000 | -0.000 | -0.000 | 0.000 | 14.323 |
| 96.254 | 31.272 | 4.040 | 0.000 | -0.000 | -0.000 |
| 31.272 | 96.254 | 4.040 | 0.000 | 0.000 | -0.000 |
| 4.040 | 4.040 | 146.165 | 0.000 | 0.000 | 0.000 |
| 0.000 | -0.000 | -0.000 | 14.264 | -0.000 | -0.000 |
| -0.000 | -0.000 | -0.000 | -0.000 | 14.264 | 0.000 |
| -0.000 | -0.000 | -0.000 | 0.000 | -0.000 | 14.323 |
| 96.254 | 31.272 | 4.040 | -0.000 | 0.000 | 0.000 |
| 31.272 | 96.254 | 4.040 | -0.000 | 0.000 | -0.000 |
| 4.040 | 4.040 | 146.164 | -0.000 | -0.000 | 0.000 |
| -0.000 | 0.000 | 0.000 | 14.264 | 0.000 | -0.000 |
| 0.000 | 0.000 | 0.000 | 0.000 | 14.264 | 0.000 |
| 0.000 | 0.000 | 0.000 | -0.000 | 0.000 | 14.323 |
| 1421.967 | 912.551 | 1425.003 | 0.000 | 0.000 | 0.000 |
| 912.551 | 1421.967 | 1425.003 | 0.000 | 0.000 | 0.000 |
| 1425.003 | 1425.003 | 2056.190 | 0.000 | 0.000 | 0.000 |
| 0.000 | -0.000 | 0.000 | 13.930 | 0.000 | 0.000 |
| 0.000 | -0.000 | 0.000 | 0.000 | 13.930 | 0.000 |
| 0.000 | -0.000 | 0.000 | 0.000 | 0.000 | -119.702 |
| 1421.967 | 912.551 | 1425.003 | -0.000 | -0.000 | -0.000 |
| 912.551 | 1421.967 | 1425.003 | -0.000 | -0.000 | -0.000 |
| 1425.003 | 1425.003 | 2056.189 | 0.000 | 0.001 | 0.000 |
| -0.000 | 0.000 | -0.000 | 13.930 | -0.000 | -0.000 |
| -0.000 | 0.000 | -0.000 | -0.000 | 13.930 | -0.000 |
| -0.000 | 0.000 | -0.000 | 0.000 | -0.000 | -119.702 |
| 1421.965 | 912.550 | 1425.002 | -0.000 | 0.000 | 0.000 |
| 912.550 | 1421.965 | 1425.002 | -0.000 | -0.000 | 0.000 |
| 1425.003 | 1425.003 | 2056.189 | 0.000 | 0.000 | 0.000 |
| -0.000 | -0.000 | -0.000 | 13.930 | -0.000 | 0.000 |
| -0.000 | -0.000 | -0.000 | -0.000 | 13.930 | 0.000 |
| -0.000 | -0.000 | 0.000 | 0.000 | 0.000 | -119.702 |
| 1421.969 | 912.552 | 1425.005 | 0.000 | -0.000 | -0.000 |
| 912.552 | 1421.970 | 1425.005 | 0.000 | 0.000 | -0.000 |
| 1425.004 | 1425.004 | 2056.191 | -0.000 | -0.000 | -0.000 |
| 0.000 | 0.000 | 0.000 | 13.930 | -0.000 | -0.000 |
| 0.000 | 0.000 | 0.000 | 0.000 | 13.930 | -0.000 |
| 0.000 | 0.000 | 0.000 | -0.000 | -0.000 | -119.702 |
| 1421.942 | 912.542 | 1424.987 | 0.000 | 0.000 | 0.000 |
| 912.542 | 1421.942 | 1424.987 | 0.000 | 0.000 | 0.000 |
| 1424.999 | 1424.999 | 2056.177 | 0.000 | 0.000 | 0.000 |
| -0.001 | -0.002 | -0.001 | 13.930 | 0.000 | 0.000 |
| -0.002 | -0.001 | -0.001 | -0.000 | 13.930 | 0.000 |
| -0.000 | -0.001 | -0.000 | -0.000 | -0.000 | -119.702 |
| 1421.992 | 912.560 | 1425.020 | -0.000 | -0.000 | -0.000 |
| 912.560 | 1421.992 | 1425.020 | -0.000 | -0.000 | -0.000 |
| 1425.008 | 1425.008 | 2056.202 | -0.000 | 0.000 | -0.000 |
| 0.001 | 0.002 | 0.001 | 13.930 | -0.000 | -0.000 |
| 0.002 | 0.001 | 0.001 | -0.000 | 13.930 | -0.000 |
| 0.000 | 0.001 | 0.000 | -0.000 | -0.000 | -119.702 |
| 112.516 | 22.134 | 44.343 | -37.486 | 0.000 | -0.000 |
| 22.135 | 112.516 | 44.344 | 37.485 | -0.000 | -0.000 |
| 41.165 | 41.164 | 34.362 | 0.000 | -0.000 | -0.000 |
| -37.486 | 37.486 | -0.000 | 50.554 | -0.000 | -0.000 |
| -0.000 | -0.000 | -0.000 | 0.001 | 50.554 | -37.486 |
| 0.000 | 0.000 | 0.000 | -0.000 | -37.486 | 45.191 |
| 112.516 | 22.134 | 44.344 | -37.486 | -0.000 | 0.000 |
| 22.134 | 112.516 | 44.344 | 37.486 | 0.000 | 0.000 |
| 41.164 | 41.164 | 34.362 | 0.000 | 0.000 | 0.000 |
| -37.487 | 37.486 | -0.000 | 50.554 | -0.000 | 0.000 |
| 0.000 | -0.000 | 0.000 | -0.001 | 50.554 | -37.486 |
| -0.000 | 0.000 | -0.000 | 0.000 | -37.486 | 45.191 |
| 112.516 | 22.134 | 44.344 | -37.486 | 0.000 | -0.000 |
| 22.134 | 112.516 | 44.343 | 37.486 | -0.000 | -0.000 |
| 41.164 | 41.164 | 34.362 | 0.000 | 0.000 | -0.000 |
| -37.486 | 37.486 | -0.000 | 50.554 | 0.000 | 0.000 |
| 0.000 | -0.000 | 0.000 | -0.000 | 50.554 | -37.486 |
| 0.000 | -0.000 | 0.000 | -0.000 | -37.486 | 45.191 |
| 112.516 | 22.134 | 44.343 | -37.486 | -0.000 | 0.000 |
| 22.134 | 112.516 | 44.343 | 37.486 | 0.000 | 0.000 |
| 41.164 | 41.164 | 34.362 | 0.000 | -0.000 | 0.000 |
| -37.486 | 37.486 | -0.000 | 50.554 | 0.000 | 0.000 |
| -0.000 | 0.000 | -0.000 | 0.000 | 50.554 | -37.486 |
| 0.000 | 0.000 | -0.000 | 0.000 | -37.486 | 45.191 |
| 112.516 | 22.134 | 44.344 | -37.486 | -0.000 | -0.000 |
| 22.134 | 112.516 | 44.344 | 37.486 | -0.000 | 0.000 |
| 41.164 | 41.164 | 34.362 | -0.000 | -0.000 | -0.000 |
| -37.486 | 37.486 | 0.000 | 50.554 | -0.000 | 0.000 |
| 0.000 | 0.000 | 0.000 | -0.000 | 50.554 | -37.486 |
| 0.000 | 0.000 | 0.000 | -0.000 | -37.486 | 45.191 |
| 112.516 | 22.134 | 44.343 | -37.486 | 0.000 | -0.000 |
| 22.134 | 112.516 | 44.343 | 37.486 | 0.000 | -0.000 |
| 41.164 | 41.164 | 34.362 | 0.000 | 0.000 | 0.000 |
| -37.486 | 37.486 | -0.000 | 50.554 | 0.000 | 0.000 |
| -0.000 | -0.000 | -0.000 | 0.000 | 50.554 | -37.486 |
| -0.000 | -0.000 | -0.000 | 0.000 | -37.486 | 45.191 |
| 145.189 | -8.007 | -8.007 | 0.000 | 0.000 | -0.000 |
| -8.006 | 145.189 | -8.007 | 0.000 | 0.000 | 0.000 |
| -8.007 | -8.007 | 145.189 | 0.000 | 0.000 | -0.000 |
| 0.000 | 0.000 | -0.000 | 9.133 | 0.000 | -0.000 |
| 0.000 | 0.000 | -0.000 | 0.000 | 9.133 | -0.000 |
| 0.000 | 0.000 | -0.000 | 0.000 | -0.000 | 9.133 |
| 145.189 | -8.007 | -8.007 | -0.000 | -0.000 | 0.000 |
| -8.007 | 145.189 | -8.007 | -0.000 | -0.000 | 0.000 |
| -8.007 | -8.007 | 145.189 | -0.000 | -0.000 | -0.000 |
| -0.000 | -0.000 | 0.000 | 9.133 | -0.000 | 0.000 |
| -0.000 | -0.000 | 0.000 | -0.000 | 9.133 | 0.000 |
| -0.000 | -0.000 | 0.000 | -0.000 | -0.000 | 9.133 |
| 145.189 | -8.007 | -8.007 | -0.000 | -0.000 | -0.000 |
| -8.007 | 145.189 | -8.007 | 0.000 | 0.000 | -0.000 |
| -8.007 | -8.007 | 145.189 | -0.000 | -0.000 | -0.000 |
| 0.000 | 0.000 | -0.000 | 9.133 | 0.000 | -0.000 |
| 0.000 | 0.000 | -0.000 | 0.000 | 9.133 | -0.000 |
| 0.000 | -0.000 | -0.000 | 0.000 | -0.000 | 9.133 |
| 145.189 | -8.007 | -8.007 | -0.000 | -0.000 | 0.000 |
| -8.007 | 145.189 | -8.007 | -0.000 | -0.000 | -0.000 |
| -8.007 | -8.007 | 145.189 | -0.000 | -0.000 | 0.000 |
| -0.000 | -0.000 | 0.000 | 9.133 | -0.000 | 0.000 |
| -0.000 | -0.000 | 0.000 | 0.000 | 9.133 | 0.000 |
| -0.000 | 0.000 | 0.000 | -0.000 | 0.000 | 9.133 |
| 145.190 | -8.007 | -8.007 | 0.000 | 0.000 | 0.000 |
| -8.007 | 145.190 | -8.007 | 0.000 | 0.000 | 0.000 |
| -8.007 | -8.007 | 145.190 | 0.000 | 0.000 | -0.000 |
| 0.000 | 0.000 | -0.000 | 9.133 | 0.000 | -0.000 |
| 0.000 | 0.000 | -0.000 | 0.000 | 9.133 | -0.000 |
| 0.000 | -0.000 | 0.000 | -0.000 | 0.000 | 9.133 |
| 145.188 | -8.007 | -8.007 | -0.000 | -0.000 | 0.000 |
| -8.007 | 145.188 | -8.007 | -0.000 | -0.000 | 0.000 |
| -8.007 | -8.007 | 145.188 | 0.000 | 0.000 | 0.000 |
| -0.000 | -0.000 | 0.000 | 9.133 | -0.000 | 0.000 |
| -0.000 | -0.000 | 0.000 | -0.000 | 9.133 | 0.000 |
| -0.000 | 0.000 | -0.000 | 0.000 | 0.000 | 9.133 |
| 918.392 | 160.246 | 182.296 | -0.000 | -0.000 | -0.000 |
| 208.083 | 706.842 | 555.576 | -0.000 | -0.000 | -0.000 |
| 185.892 | 555.576 | 486.320 | -0.000 | -0.000 | -0.000 |
| 0.000 | -0.000 | -0.000 | 571.595 | -0.000 | -0.000 |
| 0.000 | -0.000 | 0.000 | -0.000 | 159.764 | -0.000 |
| 0.000 | -0.000 | -0.000 | 0.000 | 0.000 | 15.611 |
| 870.344 | 208.083 | 185.892 | 0.000 | 0.000 | 0.000 |
| 160.246 | 754.467 | 559.156 | 0.000 | 0.000 | 0.000 |
| 182.296 | 559.156 | 486.590 | 0.000 | 0.000 | 0.000 |
| -0.000 | 0.000 | 0.000 | 571.595 | 0.000 | 0.000 |
| -0.000 | 0.000 | -0.000 | -0.000 | 159.764 | 0.000 |
| -0.000 | 0.000 | 0.000 | -0.000 | -0.000 | 15.611 |
| 918.392 | 160.246 | 182.296 | -0.000 | -0.000 | -0.000 |
| 208.083 | 706.842 | 555.576 | -0.000 | -0.000 | -0.000 |
| 185.892 | 555.576 | 486.320 | -0.000 | -0.000 | -0.000 |
| -0.000 | -0.000 | -0.000 | 571.595 | -0.000 | -0.000 |
| -0.000 | 0.000 | 0.000 | 0.000 | 159.764 | -0.000 |
| -0.000 | -0.000 | -0.000 | 0.000 | 0.000 | 15.611 |
| 870.344 | 208.083 | 185.892 | 0.000 | 0.000 | 0.000 |
| 160.247 | 754.468 | 559.156 | 0.000 | 0.000 | 0.000 |
| 185.892 | 555.576 | 486.321 | 0.000 | 0.000 | 0.000 |
| 0.000 | 0.000 | 0.000 | 571.595 | 0.000 | 0.000 |
| 0.000 | -0.000 | -0.000 | 0.000 | 159.764 | 0.000 |
| 0.000 | 0.000 | 0.000 | -0.000 | 0.000 | 15.611 |
| 870.343 | 208.078 | 185.889 | -0.000 | -0.000 | 0.000 |
| 208.083 | 706.837 | 555.574 | -0.000 | -0.000 | -0.000 |
| 185.891 | 555.575 | 486.318 | -0.000 | 0.000 | 0.000 |
| -0.001 | -0.002 | -0.001 | 571.595 | -0.000 | -0.000 |
| -0.001 | 0.000 | 0.000 | -0.000 | 159.764 | -0.000 |
| -0.001 | -0.000 | -0.000 | -0.000 | -0.000 | 15.611 |
| 870.345 | 208.087 | 185.894 | 0.000 | 0.000 | 0.000 |
| 208.082 | 706.848 | 555.578 | 0.000 | 0.000 | 0.000 |
| 185.893 | 555.578 | 486.323 | 0.000 | 0.000 | 0.000 |
| 0.001 | 0.002 | 0.001 | 571.595 | 0.000 | 0.000 |
| 0.001 | -0.000 | -0.000 | 0.000 | 159.764 | 0.000 |
| 0.001 | 0.000 | 0.000 | 0.000 | 0.000 | 15.611 |
| 53.316 | 28.905 | 17.144 | -0.000 | -0.000 | 0.000 |
| 29.082 | 76.548 | 22.023 | -0.000 | -0.000 | 0.000 |
| 19.619 | 20.070 | 100.814 | -0.000 | -0.000 | 0.000 |
| 0.000 | 0.000 | -0.000 | 37.270 | 0.000 | 0.000 |
| 0.000 | 0.000 | -0.000 | -0.000 | 15.767 | 0.000 |
| -0.000 | 0.000 | -0.000 | 0.000 | -0.000 | 17.816 |
| 53.316 | 28.904 | 17.144 | 0.000 | 0.000 | 0.000 |
| 29.082 | 76.547 | 22.023 | 0.000 | 0.000 | -0.000 |
| 19.619 | 20.070 | 100.814 | 0.000 | -0.000 | -0.000 |
| -0.000 | -0.000 | -0.000 | 37.270 | 0.000 | -0.000 |
| -0.000 | -0.000 | -0.000 | 0.000 | 15.767 | -0.000 |
| -0.000 | -0.000 | 0.000 | 0.000 | 0.000 | 17.816 |
| 52.160 | 30.033 | 19.366 | -0.000 | -0.000 | 0.000 |
| 29.082 | 76.547 | 22.023 | -0.000 | 0.000 | 0.000 |
| 19.366 | 20.070 | 99.155 | -0.000 | 0.000 | 0.000 |
| -0.000 | 0.000 | 0.000 | 37.270 | -0.000 | -0.000 |
| -0.000 | 0.000 | -0.000 | -0.000 | 15.767 | 0.000 |
| -0.000 | 0.000 | 0.000 | 0.000 | 0.000 | 16.810 |
| 53.316 | 28.904 | 17.144 | 0.000 | -0.000 | 0.000 |
| 13.166 | 89.606 | 31.159 | 0.000 | 0.000 | -0.000 |
| 19.619 | 20.070 | 100.814 | 0.000 | -0.000 | -0.000 |
| 0.000 | -0.000 | -0.000 | 37.270 | 0.000 | -0.000 |
| -0.000 | -0.000 | 0.000 | 0.000 | 15.767 | -0.000 |
| 0.000 | -0.000 | -0.000 | 0.000 | -0.000 | 16.810 |
| 52.160 | 30.033 | 19.366 | -0.000 | 0.000 | -0.000 |
| 30.032 | 75.606 | 20.070 | 0.000 | -0.000 | 0.000 |
| 19.366 | 20.070 | 99.155 | -0.000 | 0.000 | -0.000 |
| 0.000 | -0.000 | 0.000 | 37.270 | 0.000 | 0.000 |
| 0.000 | -0.000 | -0.000 | -0.000 | 15.767 | 0.000 |
| -0.000 | 0.000 | -0.000 | -0.000 | -0.000 | 16.810 |
| 52.160 | 30.032 | 19.366 | 0.000 | 0.000 | -0.000 |
| 30.032 | 75.605 | 20.070 | 0.000 | 0.000 | -0.000 |
| 6.260 | 31.159 | 109.596 | -0.000 | -0.000 | 0.000 |
| -0.000 | 0.000 | -0.000 | 37.270 | 0.000 | -0.000 |
| -0.000 | 0.000 | 0.000 | 0.000 | 15.767 | -0.000 |
| 0.000 | -0.000 | 0.000 | 0.000 | -0.000 | 16.810 |
| 57.385 | 40.448 | 29.562 | -0.000 | -0.000 | 0.000 |
| 29.659 | 71.615 | 23.704 | -0.000 | -0.000 | 0.000 |
| 20.656 | 19.296 | 100.874 | 0.000 | -0.000 | 0.000 |
| 0.000 | 0.000 | -0.000 | 36.076 | -0.000 | -0.000 |
| -1.581 | 2.126 | 2.194 | -0.000 | 9.358 | -0.000 |
| -0.977 | 1.315 | 1.357 | -0.000 | -0.000 | 8.860 |
| 62.547 | 33.583 | 21.230 | 0.000 | 0.000 | -0.000 |
| 35.473 | 63.898 | 14.085 | 0.000 | 0.000 | -0.000 |
| 23.748 | 14.996 | 98.734 | 0.000 | 0.000 | -0.000 |
| 0.770 | -1.035 | -1.068 | 33.142 | 0.000 | 0.000 |
| 1.581 | -2.126 | -2.194 | 0.000 | 9.359 | 0.000 |
| 0.977 | -1.315 | -1.357 | 0.000 | 0.000 | 8.860 |
| 60.784 | 35.972 | 23.411 | -0.000 | -0.000 | 0.000 |
| 18.388 | 87.073 | 34.814 | -0.000 | -0.000 | 0.000 |
| 9.163 | 34.836 | 115.581 | 0.000 | -0.000 | 0.000 |
| 0.000 | 0.000 | -0.000 | 36.076 | -0.000 | 0.000 |
| 0.000 | 0.000 | -0.000 | -0.000 | 17.675 | 0.000 |
| -0.351 | 0.467 | 0.560 | -0.000 | -0.000 | 8.871 |
| 70.447 | 22.746 | 13.498 | 0.000 | 0.000 | -0.000 |
| 33.827 | 66.100 | 16.553 | 0.000 | 0.000 | -0.000 |
| 22.668 | 16.605 | 97.858 | -0.000 | 0.000 | 0.000 |
| -0.000 | -0.000 | 0.000 | 36.076 | 0.000 | 0.000 |
| -0.000 | -0.000 | 0.000 | 0.000 | 17.675 | -0.000 |
| 0.351 | -0.467 | -0.560 | 0.000 | 0.000 | 8.871 |
| 59.196 | 38.027 | 26.848 | -0.000 | -0.000 | 0.000 |
| 33.626 | 66.369 | 16.855 | -0.000 | -0.000 | 0.000 |
| 22.467 | 16.875 | 98.160 | -0.000 | -0.000 | 0.000 |
| -0.007 | 0.010 | 0.010 | 33.250 | -0.000 | 0.000 |
| -0.016 | 0.021 | 0.022 | 0.000 | 9.442 | 0.000 |
| -0.038 | 0.050 | 0.060 | 0.000 | -0.000 | 8.858 |
| 59.232 | 37.977 | 26.793 | 0.000 | 0.000 | -0.000 |
| 33.662 | 66.320 | 16.800 | 0.000 | 0.000 | -0.000 |
| 22.503 | 16.826 | 98.105 | 0.000 | 0.000 | -0.000 |
| 0.007 | -0.010 | -0.010 | 33.250 | 0.000 | -0.000 |
| 0.016 | -0.021 | -0.022 | 0.000 | 9.442 | -0.000 |
| 0.038 | -0.050 | -0.060 | 0.000 | 0.000 | 8.858 |
| 109.806 | 9.548 | 33.074 | -0.000 | -0.000 | 0.000 |
| 17.783 | 70.691 | 28.796 | -0.000 | -0.000 | 0.000 |
| 21.182 | 29.540 | 71.652 | 0.000 | -0.000 | -0.000 |
| -2.582 | 1.784 | -2.634 | 19.384 | -0.000 | -0.000 |
| -1.912 | 1.321 | -1.951 | -0.000 | 37.221 | 0.000 |
| -3.466 | 2.395 | -3.536 | -0.000 | -0.000 | 24.509 |
| 101.895 | 15.395 | 25.368 | 0.000 | 0.000 | 0.000 |
| 22.058 | 67.857 | 33.273 | 0.000 | 0.000 | -0.000 |
| 33.133 | 21.314 | 83.875 | 0.000 | 0.000 | -0.000 |
| 2.582 | -1.784 | 2.634 | 19.384 | 0.000 | -0.000 |
| 1.912 | -1.321 | 1.951 | 0.000 | 37.221 | -0.000 |
| 3.466 | -2.395 | 3.536 | 0.000 | 0.000 | 24.509 |
| 109.806 | 9.548 | 33.074 | 0.000 | -0.000 | 0.000 |
| 19.667 | 69.467 | 30.793 | -0.000 | -0.000 | 0.000 |
| 33.133 | 21.314 | 83.875 | -0.000 | -0.000 | -0.000 |
| -0.259 | 0.179 | -0.265 | 19.316 | -0.000 | 0.000 |
| -0.179 | 0.124 | -0.183 | 0.000 | 37.298 | 0.000 |
| -0.383 | 0.265 | -0.391 | -0.000 | -0.000 | 24.055 |
| 99.490 | 17.549 | 23.386 | 0.000 | 0.000 | -0.000 |
| 11.617 | 75.804 | 23.323 | 0.000 | 0.000 | 0.000 |
| 23.743 | 27.770 | 74.266 | 0.000 | 0.000 | -0.000 |
| 0.259 | -0.179 | 0.265 | 19.316 | 0.000 | -0.000 |
| 0.179 | -0.124 | 0.183 | -0.000 | 37.298 | -0.000 |
| 0.383 | -0.265 | 0.391 | 0.000 | 0.000 | 24.055 |
| 99.225 | 17.739 | 23.123 | -0.000 | -0.000 | 0.000 |
| 19.766 | 68.848 | 30.367 | -0.000 | -0.000 | 0.000 |
| 23.487 | 27.947 | 74.004 | -0.000 | -0.000 | 0.000 |
| -0.023 | 0.016 | -0.022 | 19.285 | -0.000 | -0.000 |
| -0.018 | 0.012 | -0.018 | -0.000 | 37.299 | 0.000 |
| -0.038 | 0.027 | -0.039 | 0.000 | -0.000 | 24.049 |
| 99.273 | 17.704 | 23.170 | -0.000 | 0.000 | 0.000 |
| 19.814 | 68.813 | 30.414 | 0.000 | 0.000 | -0.000 |
| 23.533 | 27.915 | 74.052 | 0.000 | 0.000 | -0.000 |
| 0.023 | -0.016 | 0.022 | 19.285 | 0.000 | 0.000 |
| 0.018 | -0.012 | 0.018 | 0.000 | 37.299 | -0.000 |
| 0.038 | -0.027 | 0.039 | 0.000 | 0.000 | 24.049 |
| 98.105 | 17.349 | 21.855 | 0.000 | 0.000 | -0.000 |
| 17.825 | 68.445 | 29.644 | 0.000 | 0.000 | 0.000 |
| 22.086 | 28.988 | 74.336 | 0.000 | 0.000 | -0.000 |
| -0.000 | 0.000 | 0.000 | 19.626 | -0.000 | -0.000 |
| 0.000 | -0.000 | 0.000 | -0.000 | 38.416 | -0.000 |
| 0.000 | 0.000 | 0.000 | 0.000 | 0.000 | 24.101 |
| 98.105 | 17.349 | 21.855 | -0.000 | -0.000 | 0.000 |
| 17.825 | 68.445 | 29.644 | -0.000 | -0.000 | 0.000 |
| 22.086 | 28.988 | 74.336 | 0.000 | -0.000 | 0.000 |
| -0.000 | -0.000 | -0.000 | 19.626 | 0.000 | -0.000 |
| 0.000 | -0.000 | -0.000 | -0.000 | 38.416 | -0.000 |
| -0.000 | -0.000 | -0.000 | 0.000 | -0.000 | 24.101 |
| 97.924 | 17.796 | 21.985 | -0.000 | -0.000 | -0.000 |
| 17.796 | 68.046 | 29.156 | 0.000 | 0.000 | 0.000 |
| 22.086 | 28.988 | 74.336 | 0.000 | 0.000 | 0.000 |
| -0.000 | -0.000 | 0.000 | 19.605 | 0.000 | -0.000 |
| 0.000 | -0.000 | 0.000 | 0.000 | 38.416 | -0.000 |
| -0.000 | 0.000 | -0.000 | -0.000 | 0.000 | 24.101 |
| 107.180 | 9.440 | 31.022 | -0.000 | -0.000 | 0.000 |
| 17.825 | 68.445 | 29.644 | -0.000 | -0.000 | 0.000 |
| 22.086 | 28.988 | 74.336 | -0.000 | -0.000 | -0.000 |
| -0.000 | -0.000 | -0.000 | 19.605 | -0.000 | 0.000 |
| -0.000 | 0.000 | -0.000 | -0.000 | 38.416 | -0.000 |
| 0.000 | -0.000 | 0.000 | -0.000 | -0.000 | 24.101 |
| 97.925 | 17.796 | 21.985 | 0.000 | -0.000 | -0.000 |
| 17.796 | 68.046 | 29.156 | 0.000 | -0.000 | -0.000 |
| 21.985 | 29.156 | 74.322 | 0.000 | 0.000 | 0.000 |
| 0.000 | -0.000 | 0.000 | 19.605 | 0.000 | -0.000 |
| 0.000 | 0.000 | 0.000 | 0.000 | 38.416 | -0.000 |
| -0.000 | 0.000 | -0.000 | -0.000 | 0.000 | 24.101 |
| 97.924 | 17.796 | 21.985 | -0.000 | 0.000 | 0.000 |
| 17.795 | 68.046 | 29.156 | 0.000 | 0.000 | 0.000 |
| 22.086 | 28.988 | 74.335 | 0.000 | -0.000 | -0.000 |
| -0.000 | 0.000 | -0.000 | 19.605 | -0.000 | 0.000 |
| -0.000 | -0.000 | -0.000 | -0.000 | 38.416 | -0.000 |
| 0.000 | -0.000 | 0.000 | -0.000 | -0.000 | 24.101 |
| 99.666 | 16.989 | 23.061 | 0.000 | 0.000 | 0.000 |
| 19.942 | 69.360 | 31.065 | 0.000 | 0.000 | 0.000 |
| 33.189 | 21.331 | 83.910 | 0.000 | 0.000 | 0.000 |
| -0.002 | 0.001 | -0.002 | 19.308 | 0.000 | 0.000 |
| -0.001 | 0.001 | -0.001 | -0.000 | 37.293 | 0.000 |
| -0.003 | 0.002 | -0.003 | -0.000 | 0.000 | 24.049 |
| 99.669 | 16.987 | 23.064 | -0.000 | -0.000 | 0.000 |
| 19.945 | 69.359 | 31.067 | -0.000 | -0.000 | -0.000 |
| 23.549 | 27.943 | 74.052 | -0.000 | -0.000 | -0.000 |
| 0.002 | -0.001 | 0.002 | 19.308 | 0.000 | -0.000 |
| 0.001 | -0.001 | 0.001 | -0.000 | 37.293 | -0.000 |
| 0.003 | -0.002 | 0.003 | 0.000 | -0.000 | 24.049 |
| 99.668 | 16.988 | 23.063 | 0.000 | 0.000 | 0.000 |
| 19.943 | 69.360 | 31.066 | 0.000 | -0.000 | 0.000 |
| 33.189 | 21.331 | 83.910 | 0.000 | -0.000 | 0.000 |
| -0.000 | -0.000 | 0.000 | 34.912 | 0.000 | 0.000 |
| -0.000 | 0.000 | -0.000 | 0.000 | 37.293 | 0.000 |
| -0.000 | -0.000 | -0.000 | -0.000 | 0.000 | 28.837 |
| 99.302 | 17.750 | 23.177 | -0.000 | -0.000 | -0.000 |
| 19.851 | 68.864 | 30.438 | -0.000 | -0.000 | -0.000 |
| 23.548 | 27.944 | 74.050 | -0.000 | -0.000 | -0.000 |
| 0.000 | -0.000 | -0.000 | 34.912 | 0.000 | -0.000 |
| 0.000 | -0.000 | 0.000 | -0.000 | 37.293 | -0.000 |
| 0.000 | 0.000 | 0.000 | 0.000 | 0.000 | 28.837 |
| 99.302 | 17.750 | 23.177 | 0.000 | 0.000 | 0.000 |
| 19.851 | 68.864 | 30.438 | -0.000 | -0.000 | 0.000 |
| 23.239 | 28.400 | 73.968 | 0.000 | -0.000 | 0.000 |
| -0.000 | -0.000 | -0.000 | 19.277 | 0.000 | 0.000 |
| 0.000 | 0.000 | -0.000 | -0.000 | 37.293 | 0.000 |
| -0.000 | 0.000 | -0.000 | 0.000 | 0.000 | 24.049 |
| 99.302 | 17.750 | 23.176 | 0.000 | -0.000 | -0.000 |
| 19.943 | 69.359 | 31.066 | -0.000 | 0.000 | -0.000 |
| 23.548 | 27.944 | 74.050 | -0.000 | 0.000 | -0.000 |
| 0.000 | 0.000 | 0.000 | 19.277 | -0.000 | -0.000 |
| -0.000 | -0.000 | 0.000 | -0.000 | 37.293 | -0.000 |
| 0.000 | -0.000 | 0.000 | -0.000 | -0.000 | 24.049 |
| 77.637 | 14.456 | 36.923 | 31.774 | -0.000 | -0.000 |
| 14.456 | 77.637 | 36.922 | -31.774 | 0.000 | 0.000 |
| 36.933 | 36.933 | 55.259 | -0.000 | -0.000 | -0.000 |
| 31.774 | -31.774 | 0.000 | 54.097 | 0.001 | 0.000 |
| -0.000 | 0.000 | -0.000 | 0.000 | 54.096 | 31.774 |
| -0.000 | -0.000 | -0.000 | -0.000 | 31.774 | 31.591 |
| 77.637 | 14.456 | 36.923 | 31.774 | -0.000 | 0.000 |
| 14.456 | 77.637 | 36.923 | -31.774 | -0.000 | -0.000 |
| 36.933 | 36.933 | 55.259 | -0.000 | -0.000 | -0.000 |
| 31.774 | -31.774 | -0.000 | 54.097 | 0.000 | 0.000 |
| 0.000 | -0.000 | 0.000 | -0.000 | 54.096 | 31.774 |
| 0.000 | 0.000 | 0.000 | 0.000 | 31.774 | 31.591 |
| 77.637 | 14.456 | 36.922 | 31.774 | -0.000 | -0.000 |
| 14.456 | 77.637 | 36.922 | -31.774 | -0.000 | -0.000 |
| 36.933 | 36.933 | 55.259 | 0.000 | 0.000 | -0.000 |
| 31.774 | -31.774 | -0.000 | 54.097 | -0.000 | 0.000 |
| 0.000 | 0.000 | -0.000 | 0.000 | 54.097 | 31.774 |
| -0.000 | -0.000 | -0.000 | 0.000 | 31.774 | 31.591 |
| 77.637 | 14.456 | 36.922 | 31.774 | 0.000 | 0.000 |
| 14.456 | 77.637 | 36.922 | -31.774 | -0.000 | -0.000 |
| 36.933 | 36.933 | 55.259 | -0.000 | 0.000 | -0.000 |
| 31.774 | -31.774 | -0.000 | 54.097 | -0.000 | -0.000 |
| -0.000 | -0.000 | 0.000 | -0.000 | 54.097 | 31.774 |
| 0.000 | 0.000 | 0.000 | -0.000 | 31.774 | 31.591 |
| 77.637 | 14.456 | 36.923 | 31.774 | -0.000 | 0.000 |
| 14.456 | 77.637 | 36.923 | -31.774 | -0.000 | 0.000 |
| 36.933 | 36.933 | 55.259 | -0.000 | 0.000 | 0.000 |
| 31.774 | -31.774 | 0.000 | 54.096 | 0.000 | 0.000 |
| 0.000 | 0.000 | 0.000 | 0.000 | 54.097 | 31.774 |
| 0.000 | -0.000 | 0.000 | 0.000 | 31.774 | 31.591 |
| 77.637 | 14.456 | 36.922 | 31.774 | 0.000 | -0.000 |
| 14.456 | 77.637 | 36.922 | -31.774 | 0.000 | 0.000 |
| 36.933 | 36.933 | 55.259 | 0.000 | -0.000 | -0.000 |
| 31.774 | -31.774 | -0.000 | 54.097 | 0.000 | 0.000 |
| -0.000 | -0.000 | -0.000 | -0.000 | 54.097 | 31.774 |
| 0.000 | -0.000 | -0.000 | -0.000 | 31.774 | 31.591 |
| 64.091 | 37.040 | -3.062 | -0.000 | -0.000 | -0.000 |
| 37.040 | 64.091 | -3.062 | -0.000 | -0.000 | -0.000 |
| -3.062 | -3.062 | 66.303 | -0.000 | -0.000 | 0.000 |
| 0.000 | -0.000 | 0.000 | 3.689 | 0.000 | 0.000 |
| 0.000 | -0.000 | -0.000 | 0.000 | 3.688 | 0.000 |
| -0.000 | 0.000 | 0.000 | -0.000 | -0.000 | 13.526 |
| 78.663 | 22.469 | -3.062 | -0.000 | 0.000 | -0.000 |
| 22.469 | 78.663 | -3.062 | 0.000 | -0.000 | -0.000 |
| -3.062 | -3.062 | 66.303 | -0.000 | -0.000 | -0.000 |
| -0.000 | -0.000 | -0.000 | 3.689 | 0.000 | -0.000 |
| -0.000 | 0.000 | 0.000 | 0.000 | 3.688 | -0.000 |
| 0.000 | -0.000 | -0.000 | 0.000 | 0.000 | 13.526 |
| 78.663 | 22.469 | -3.062 | -0.000 | -0.000 | 0.000 |
| 37.889 | 63.242 | -3.062 | -0.000 | 0.000 | -0.000 |
| -3.062 | -3.062 | 66.303 | 0.000 | -0.000 | 0.000 |
| 0.000 | -0.000 | 0.000 | 3.689 | -0.000 | -0.000 |
| 0.000 | -0.000 | 0.000 | 0.000 | 3.689 | 0.000 |
| 0.000 | 0.000 | 0.000 | 0.000 | -0.000 | 28.097 |
| 64.091 | 37.040 | -3.062 | 0.000 | 0.000 | -0.000 |
| 22.469 | 78.663 | -3.062 | 0.000 | 0.000 | 0.000 |
| -3.062 | -3.062 | 66.303 | 0.000 | 0.000 | -0.000 |
| -0.000 | 0.000 | 0.000 | 3.689 | 0.000 | 0.000 |
| -0.000 | -0.000 | -0.000 | -0.000 | 3.689 | -0.000 |
| 0.000 | -0.000 | 0.000 | 0.000 | 0.000 | 28.097 |
| 64.092 | 37.040 | -3.062 | -0.000 | -0.000 | 0.000 |
| 37.890 | 63.242 | -3.062 | -0.000 | 0.000 | 0.000 |
| -3.062 | -3.062 | 66.303 | -0.000 | -0.000 | 0.000 |
| 0.000 | -0.000 | -0.000 | 3.689 | 0.000 | -0.000 |
| -0.000 | 0.000 | -0.000 | 0.000 | 3.689 | -0.000 |
| 0.000 | 0.000 | -0.000 | 0.000 | -0.000 | 28.097 |
| 63.242 | 37.889 | -3.062 | 0.000 | -0.000 | 0.000 |
| 37.889 | 63.242 | -3.062 | 0.000 | -0.000 | -0.000 |
| -3.062 | -3.062 | 66.302 | -0.000 | -0.000 | -0.000 |
| -0.000 | 0.000 | 0.000 | 3.689 | 0.000 | 0.000 |
| 0.000 | -0.000 | 0.000 | -0.000 | 3.689 | -0.000 |
| -0.000 | -0.000 | 0.000 | -0.000 | 0.000 | 28.097 |
| 567.270 | 483.029 | -513.552 | 16.162 | 0.000 | -0.000 |
| 483.029 | 567.270 | -513.552 | -16.161 | -0.000 | -0.000 |
| 166.209 | 166.209 | 369.523 | 0.000 | 0.000 | -0.000 |
| 29.207 | -29.207 | 0.000 | 101.884 | 0.000 | -0.000 |
| 408.720 | 408.720 | -479.750 | 0.000 | 36.413 | 14.786 |
| 360.037 | 360.037 | -684.368 | 0.000 | 16.148 | 42.077 |
| 442.115 | 316.752 | 409.562 | 28.697 | -0.000 | 0.000 |
| 119.601 | 282.395 | 165.053 | -29.207 | -0.000 | 0.000 |
| 166.209 | 166.209 | 369.523 | -0.000 | -0.000 | 0.000 |
| -344.195 | -376.476 | 684.702 | 48.370 | -0.000 | 0.000 |
| -408.720 | -408.720 | 479.750 | 0.000 | 36.413 | 14.786 |
| -360.037 | -360.037 | 684.368 | 0.000 | 16.148 | 42.078 |
| 282.395 | 119.601 | 165.053 | 29.207 | 0.000 | -0.000 |
| 157.726 | 244.225 | 103.585 | -16.588 | -0.000 | -0.000 |
| 144.137 | 144.137 | 269.866 | 0.000 | 0.000 | -0.000 |
| 9.109 | -48.319 | -23.670 | 61.095 | 0.000 | -0.000 |
| -19.604 | -19.604 | -23.669 | 0.000 | 61.098 | 28.714 |
| -20.184 | -20.184 | -24.369 | 0.000 | 28.700 | 62.793 |
| 254.486 | 137.048 | 193.972 | 28.588 | 0.000 | 0.000 |
| 119.601 | 282.395 | 165.053 | -29.207 | 0.000 | 0.000 |
| 184.191 | 184.191 | 327.820 | 0.000 | 0.000 | 0.000 |
| 48.319 | -9.109 | 23.670 | 61.095 | 0.000 | 0.000 |
| 19.604 | 19.604 | 23.669 | -0.000 | 61.098 | 28.714 |
| 20.184 | 20.184 | 24.369 | -0.000 | 28.700 | 62.793 |
| 224.212 | 124.515 | 163.415 | 19.203 | -0.000 | -0.000 |
| 112.526 | 241.959 | 162.288 | -28.752 | 0.000 | -0.000 |
| 180.046 | 180.046 | 285.502 | 0.000 | -0.000 | -0.000 |
| -44680.687 | -672855.669 | -767559.542 | -1266794.557 | 0.000 | 0.000 |
| -1.653 | -1.653 | -1.996 | 0.000 | 67.492 | 28.791 |
| -2.823 | -2.823 | -3.408 | 0.000 | 28.497 | 55.379 |
| 222.132 | 113.945 | 167.682 | 28.462 | 0.000 | 0.000 |
| 113.946 | 222.135 | 167.682 | -28.462 | -0.000 | 0.000 |
| 167.521 | 167.521 | 305.297 | -0.000 | 0.000 | 0.000 |
| 293392.457 | 174080.532 | 371332.983 | -611816.562 | 2644.655 | -2986.682 |
| 1.653 | 1.653 | 1.996 | -0.000 | 67.492 | 28.791 |
| 2.823 | 2.823 | 3.408 | -0.000 | 28.497 | 55.379 |
| 652.099 | 334.267 | 334.267 | -0.000 | -0.000 | -0.000 |
| 334.267 | 652.099 | 334.267 | -0.000 | 0.000 | -0.000 |
| 334.267 | 334.267 | 652.099 | -0.000 | -0.000 | -0.000 |
| -0.000 | 0.000 | 0.000 | 209.330 | 0.000 | -0.000 |
| -0.000 | 0.000 | -0.000 | 0.000 | 209.331 | -0.000 |
| 0.000 | 0.000 | -0.000 | 0.000 | 0.000 | 209.330 |
| 567.747 | 376.443 | 376.443 | -0.000 | -0.000 | 0.000 |
| 376.443 | 567.746 | 376.443 | -0.000 | -0.000 | 0.000 |
| 376.443 | 376.443 | 567.746 | -0.000 | -0.000 | 0.000 |
| 0.000 | -0.000 | -0.000 | 209.330 | -0.000 | 0.000 |
| 0.000 | -0.000 | 0.000 | 0.000 | 209.330 | 0.000 |
| 0.000 | -0.000 | -0.000 | 0.000 | 0.000 | 209.330 |
| 567.746 | 376.443 | 376.443 | 0.000 | 0.000 | -0.000 |
| 376.443 | 567.746 | 376.443 | 0.000 | 0.000 | -0.000 |
| 376.443 | 376.443 | 567.746 | 0.000 | 0.000 | -0.000 |
| -0.000 | -0.000 | -0.000 | 82.276 | 0.000 | 0.000 |
| -0.000 | -0.000 | -0.000 | 0.000 | 82.276 | -0.000 |
| -0.000 | -0.000 | -0.000 | 0.000 | 0.000 | 82.276 |
| 567.747 | 376.443 | 376.443 | 0.000 | -0.000 | 0.000 |
| 376.443 | 567.747 | 376.443 | 0.000 | -0.000 | 0.000 |
| 376.443 | 376.443 | 567.747 | -0.000 | 0.000 | 0.000 |
| 0.000 | 0.000 | 0.000 | 82.276 | -0.000 | 0.000 |
| 0.000 | 0.000 | 0.000 | -0.000 | 82.276 | 0.000 |
| 0.000 | 0.000 | 0.000 | 0.000 | -0.000 | 82.276 |
| 567.745 | 376.440 | 376.440 | -0.000 | 0.000 | -0.000 |
| 376.440 | 567.745 | 376.440 | 0.000 | 0.000 | -0.000 |
| 376.440 | 376.440 | 567.745 | 0.000 | -0.000 | -0.000 |
| -0.001 | -0.001 | -0.001 | 82.276 | 0.000 | -0.000 |
| -0.001 | -0.001 | -0.001 | 0.000 | 82.276 | 0.000 |
| -0.001 | -0.001 | -0.001 | 0.000 | 0.000 | 82.276 |
| 567.748 | 376.446 | 376.446 | 0.000 | -0.000 | -0.000 |
| 376.446 | 567.748 | 376.446 | -0.000 | -0.000 | 0.000 |
| 376.446 | 376.446 | 567.748 | 0.000 | -0.000 | 0.000 |
| 0.001 | 0.001 | 0.001 | 82.276 | -0.000 | 0.000 |
| 0.001 | 0.001 | 0.001 | -0.000 | 82.276 | 0.000 |
| 0.001 | 0.001 | 0.001 | -0.000 | 0.000 | 82.276 |
| 98.058 | 18.071 | 21.434 | -0.000 | -0.000 | -0.000 |
| 11.598 | 75.838 | 23.313 | -0.000 | -0.000 | -0.000 |
| 21.924 | 29.065 | 72.437 | 0.000 | 0.000 | 0.000 |
| -1.762 | 1.225 | -1.794 | 19.356 | -0.000 | -0.000 |
| -1.263 | 0.878 | -1.286 | 0.000 | 37.284 | -0.000 |
| -2.478 | 1.722 | -2.523 | -0.000 | -0.000 | 24.298 |
| 101.190 | 15.899 | 24.630 | 0.000 | -0.000 | -0.000 |
| 21.349 | 68.338 | 32.550 | 0.000 | 0.000 | -0.000 |
| 25.099 | 26.857 | 75.670 | -0.000 | 0.000 | 0.000 |
| 1.762 | -1.225 | 1.795 | 19.356 | -0.000 | 0.000 |
| 1.263 | -0.878 | 1.286 | -0.000 | 37.284 | 0.000 |
| 2.478 | -1.722 | 2.523 | 0.000 | -0.000 | 24.298 |
| 109.809 | 9.555 | 33.067 | -0.000 | -0.000 | -0.000 |
| 19.719 | 69.442 | 30.862 | 0.000 | -0.000 | -0.000 |
| 23.047 | 28.526 | 73.812 | -0.000 | -0.000 | 0.000 |
| 0.000 | 0.000 | 0.000 | 34.914 | -0.000 | 0.000 |
| 0.000 | -0.000 | 0.000 | -0.000 | 38.442 | -0.000 |
| -0.261 | 0.181 | -0.266 | -0.000 | -0.000 | 24.057 |
| 109.809 | 9.555 | 33.066 | -0.000 | -0.000 | 0.000 |
| 19.941 | 68.731 | 30.553 | 0.000 | 0.000 | 0.000 |
| 23.375 | 28.288 | 74.138 | -0.000 | 0.000 | 0.000 |
| -0.000 | -0.000 | -0.000 | 34.914 | 0.000 | 0.000 |
| -0.000 | -0.000 | -0.000 | -0.000 | 38.442 | 0.000 |
| 0.261 | -0.181 | 0.266 | 0.000 | 0.000 | 24.057 |
| 99.612 | 16.993 | 23.019 | -0.000 | -0.000 | -0.000 |
| 19.761 | 68.862 | 30.374 | -0.000 | -0.000 | 0.000 |
| 23.194 | 28.419 | 73.959 | 0.000 | -0.000 | 0.000 |
| -0.018 | 0.012 | -0.018 | 19.324 | 0.000 | -0.000 |
| -0.012 | 0.008 | -0.012 | 0.000 | 37.326 | -0.000 |
| 0.000 | 0.000 | -0.000 | -0.000 | -0.000 | 28.813 |
| 99.643 | 16.971 | 23.051 | 0.000 | -0.000 | 0.000 |
| 19.793 | 68.838 | 30.406 | -0.000 | -0.000 | -0.000 |
| 23.227 | 28.395 | 73.991 | 0.000 | 0.000 | 0.000 |
| 0.018 | -0.012 | 0.018 | 19.324 | 0.000 | 0.000 |
| 0.012 | -0.008 | 0.012 | -0.000 | 37.326 | 0.000 |
| -0.000 | -0.000 | 0.000 | -0.000 | 0.000 | 28.813 |
| 59.500 | 35.339 | 22.429 | -0.000 | -0.000 | 0.000 |
| 17.796 | 86.668 | 34.039 | -0.000 | -0.000 | 0.000 |
| 21.116 | 17.651 | 98.254 | -0.000 | 0.000 | 0.000 |
| -0.158 | 0.207 | 0.218 | 33.474 | 0.000 | 0.000 |
| -0.330 | 0.432 | 0.455 | -0.000 | 10.057 | 0.000 |
| -0.203 | 0.266 | 0.280 | -0.000 | -0.000 | 9.646 |
| 60.219 | 34.391 | 21.558 | -0.000 | 0.000 | -0.000 |
| 33.225 | 66.292 | 16.424 | 0.000 | 0.000 | -0.000 |
| 21.889 | 16.645 | 97.100 | 0.000 | -0.000 | -0.000 |
| 0.158 | -0.207 | -0.218 | 33.474 | -0.000 | -0.000 |
| 0.330 | -0.432 | -0.455 | 0.000 | 10.057 | -0.000 |
| 0.203 | -0.266 | -0.280 | 0.000 | -0.000 | 9.646 |
| 69.602 | 21.908 | 12.491 | -0.000 | 0.000 | 0.000 |
| 32.799 | 66.845 | 17.058 | 0.000 | -0.000 | 0.000 |
| 8.526 | 34.186 | 114.275 | -0.000 | 0.000 | 0.000 |
| 0.000 | -0.000 | -0.000 | 36.160 | -0.000 | 0.000 |
| -0.033 | 0.043 | 0.045 | 0.000 | 10.061 | 0.000 |
| -0.081 | 0.104 | 0.128 | -0.000 | -0.000 | 9.484 |
| 58.252 | 36.900 | 25.411 | 0.000 | -0.000 | -0.000 |
| 32.877 | 66.745 | 16.943 | 0.000 | 0.000 | -0.000 |
| 21.541 | 17.097 | 97.619 | 0.000 | 0.000 | -0.000 |
| -0.000 | 0.000 | 0.000 | 36.160 | -0.000 | -0.000 |
| 0.033 | -0.043 | -0.045 | -0.000 | 10.062 | -0.000 |
| 0.081 | -0.104 | -0.128 | 0.000 | -0.000 | 9.484 |
| 58.209 | 36.956 | 25.474 | -0.000 | 0.000 | 0.000 |
| 32.834 | 66.800 | 17.007 | -0.000 | 0.000 | 0.000 |
| 20.819 | 17.919 | 100.830 | -0.000 | 0.000 | 0.000 |
| -0.002 | 0.002 | 0.002 | 33.479 | 0.000 | 0.000 |
| -0.003 | 0.004 | 0.005 | -0.000 | 10.062 | 0.000 |
| -0.008 | 0.010 | 0.013 | -0.000 | 0.000 | 9.483 |
| 59.868 | 34.854 | 21.983 | 0.000 | 0.000 | -0.000 |
| 32.842 | 66.790 | 16.995 | 0.000 | 0.000 | -0.000 |
| 21.507 | 17.143 | 97.671 | 0.000 | -0.000 | -0.000 |
| 0.002 | -0.002 | -0.002 | 33.479 | -0.000 | -0.000 |
| 0.003 | -0.004 | -0.005 | 0.000 | 10.062 | -0.000 |
| 0.008 | -0.010 | -0.013 | 0.000 | -0.000 | 9.483 |
| 145.166 | 22.182 | 31.495 | -0.000 | -0.000 | 0.000 |
| 21.503 | 112.134 | 64.314 | -0.000 | -0.000 | 0.000 |
| 30.993 | 64.492 | 71.274 | -0.000 | -0.000 | 0.000 |
| 0.000 | -0.000 | 0.000 | 77.261 | -0.000 | -0.000 |
| 0.000 | -0.000 | 0.000 | -0.000 | 26.064 | 0.000 |
| 0.001 | -0.000 | 0.000 | -0.000 | -0.000 | 10.002 |
| 145.166 | 22.183 | 31.495 | 0.000 | 0.000 | -0.000 |
| 21.502 | 112.134 | 64.314 | 0.000 | 0.000 | -0.000 |
| 32.748 | 64.435 | 71.682 | 0.000 | 0.000 | 0.000 |
| -0.000 | 0.000 | -0.000 | 77.261 | -0.000 | -0.000 |
| -0.000 | 0.000 | -0.000 | 0.000 | 26.064 | 0.000 |
| -0.001 | 0.000 | -0.000 | 0.000 | 0.000 | 10.002 |
| 145.166 | 22.182 | 31.495 | -0.000 | -0.000 | 0.000 |
| 21.502 | 112.134 | 64.314 | -0.000 | -0.000 | -0.000 |
| 30.993 | 64.492 | 71.274 | -0.000 | -0.000 | 0.000 |
| 0.000 | -0.000 | 0.000 | 77.261 | -0.000 | 0.000 |
| 0.000 | -0.000 | 0.000 | -0.000 | 26.064 | 0.000 |
| 0.000 | -0.000 | 0.000 | -0.000 | -0.000 | 10.002 |
| 145.166 | 22.182 | 31.495 | 0.000 | 0.000 | -0.000 |
| 21.502 | 112.134 | 64.314 | 0.000 | 0.000 | -0.000 |
| 30.993 | 64.492 | 71.274 | 0.000 | 0.000 | -0.000 |
| -0.000 | 0.000 | -0.000 | 77.261 | 0.000 | -0.000 |
| -0.000 | 0.000 | -0.000 | 0.000 | 26.064 | -0.000 |
| -0.000 | 0.000 | -0.000 | 0.000 | 0.000 | 10.002 |
| 145.167 | 22.182 | 31.495 | -0.000 | -0.000 | 0.000 |
| 21.502 | 112.134 | 64.314 | -0.000 | -0.000 | 0.000 |
| 30.993 | 64.492 | 71.274 | -0.000 | -0.000 | 0.000 |
| 0.000 | 0.000 | 0.000 | 77.261 | -0.000 | 0.000 |
| -0.000 | 0.000 | 0.000 | -0.000 | 26.064 | 0.000 |
| -0.000 | -0.000 | -0.000 | -0.000 | -0.000 | 10.002 |
| 145.166 | 22.182 | 31.495 | 0.000 | 0.000 | -0.000 |
| 21.502 | 112.134 | 64.313 | 0.000 | -0.000 | -0.000 |
| 30.993 | 64.492 | 71.274 | 0.000 | 0.000 | -0.000 |
| -0.000 | -0.000 | -0.000 | 77.261 | 0.000 | -0.000 |
| 0.000 | -0.000 | -0.000 | 0.000 | 26.064 | -0.000 |
| 0.000 | 0.000 | 0.000 | 0.000 | 0.000 | 10.002 |
| 305.184 | 49.034 | 49.034 | -0.000 | 0.000 | 0.000 |
| 49.034 | 305.184 | 49.034 | -0.000 | -0.000 | 0.000 |
| 49.034 | 49.034 | 305.184 | 0.000 | -0.000 | 0.000 |
| 0.000 | -0.000 | 0.000 | 41.901 | -0.000 | 0.000 |
| -0.000 | -0.000 | 0.000 | 0.000 | 41.901 | -0.000 |
| 0.000 | -0.000 | 0.000 | 0.000 | -0.000 | 41.901 |
| 305.184 | 49.034 | 49.035 | -0.000 | -0.000 | -0.000 |
| 49.034 | 305.184 | 49.035 | 0.000 | -0.000 | -0.000 |
| 49.034 | 49.034 | 305.184 | 0.000 | 0.000 | -0.000 |
| -0.000 | 0.000 | -0.000 | 41.901 | -0.000 | -0.000 |
| 0.000 | 0.000 | -0.000 | 0.000 | 41.901 | 0.000 |
| -0.000 | 0.000 | -0.000 | -0.000 | -0.000 | 41.901 |
| 305.184 | 49.034 | 49.035 | 0.000 | -0.000 | 0.000 |
| 49.035 | 305.184 | 49.035 | -0.000 | 0.000 | 0.000 |
| 49.035 | 49.034 | 305.184 | -0.000 | -0.000 | 0.000 |
| 0.000 | -0.000 | -0.000 | 41.901 | -0.000 | -0.000 |
| -0.000 | -0.000 | -0.000 | 0.000 | 41.901 | 0.000 |
| 0.000 | -0.000 | 0.000 | 0.000 | 0.000 | 41.901 |
| 305.184 | 49.034 | 49.034 | -0.000 | -0.000 | -0.000 |
| 49.035 | 305.184 | 49.034 | 0.000 | 0.000 | -0.000 |
| 49.035 | 49.034 | 305.184 | -0.000 | -0.000 | -0.000 |
| 0.000 | -0.000 | 0.000 | 41.901 | -0.000 | -0.000 |
| -0.000 | 0.000 | 0.000 | 0.000 | 41.901 | -0.000 |
| -0.000 | -0.000 | -0.000 | 0.000 | -0.000 | 41.901 |
| 305.185 | 49.035 | 49.035 | 0.000 | -0.000 | 0.000 |
| 49.035 | 305.185 | 49.035 | -0.000 | 0.000 | 0.000 |
| 49.035 | 49.035 | 305.185 | -0.000 | 0.000 | 0.000 |
| 0.000 | 0.000 | 0.000 | 41.901 | -0.000 | 0.000 |
| 0.000 | 0.000 | 0.000 | -0.000 | 41.901 | 0.000 |
| 0.000 | 0.000 | 0.000 | 0.000 | -0.000 | 41.901 |
| 305.183 | 49.034 | 49.034 | 0.000 | 0.000 | -0.000 |
| 49.034 | 305.183 | 49.034 | 0.000 | 0.000 | -0.000 |
| 49.034 | 49.034 | 305.183 | -0.000 | -0.000 | -0.000 |
| -0.000 | -0.000 | -0.000 | 41.901 | 0.000 | -0.000 |
| -0.000 | -0.000 | -0.000 | 0.000 | 41.901 | -0.000 |
| -0.000 | -0.000 | -0.000 | -0.000 | -0.000 | 41.901 |
| 60.041 | 45.797 | 45.797 | 0.000 | 0.000 | 0.000 |
| 45.797 | 60.041 | 45.797 | 0.000 | 0.000 | 0.000 |
| 45.797 | 45.797 | 60.041 | 0.000 | 0.000 | 0.000 |
| 0.000 | -0.000 | -0.000 | 16.726 | 0.000 | -0.000 |
| -0.000 | -0.000 | -0.000 | -0.000 | 16.726 | -0.000 |
| -0.000 | -0.000 | -0.000 | 0.000 | 0.000 | 16.726 |
| 60.041 | 45.797 | 45.797 | -0.000 | -0.000 | -0.000 |
| 45.797 | 60.041 | 45.797 | -0.000 | -0.000 | -0.000 |
| 45.797 | 45.797 | 60.041 | -0.000 | -0.000 | -0.000 |
| -0.000 | 0.000 | 0.000 | 16.726 | -0.000 | 0.000 |
| 0.000 | 0.000 | -0.000 | 0.000 | 16.726 | -0.000 |
| 0.000 | -0.000 | 0.000 | -0.000 | -0.000 | 16.726 |
| 60.041 | 45.797 | 45.797 | -0.000 | 0.000 | -0.000 |
| 45.797 | 60.041 | 45.797 | 0.000 | 0.000 | 0.000 |
| 45.797 | 45.797 | 60.041 | 0.000 | 0.000 | 0.000 |
| 0.000 | -0.000 | -0.000 | 16.726 | 0.000 | -0.000 |
| -0.000 | -0.000 | -0.000 | -0.000 | 16.726 | -0.000 |
| -0.000 | -0.000 | -0.000 | 0.000 | 0.000 | 16.726 |
| 60.041 | 45.797 | 45.797 | -0.000 | -0.000 | 0.000 |
| 45.797 | 60.041 | 45.797 | -0.000 | -0.000 | 0.000 |
| 45.797 | 45.797 | 60.041 | 0.000 | -0.000 | -0.000 |
| 0.000 | 0.000 | 0.000 | 16.726 | -0.000 | 0.000 |
| 0.000 | 0.000 | 0.000 | 0.000 | 16.726 | 0.000 |
| 0.000 | -0.000 | 0.000 | 0.000 | -0.000 | 16.726 |
| 60.041 | 45.797 | 45.797 | -0.000 | 0.000 | 0.000 |
| 45.797 | 60.041 | 45.797 | 0.000 | 0.000 | 0.000 |
| 45.797 | 45.797 | 60.041 | -0.000 | 0.000 | 0.000 |
| -0.000 | -0.000 | -0.000 | 16.726 | 0.000 | -0.000 |
| -0.000 | -0.000 | -0.000 | 0.000 | 16.726 | -0.000 |
| -0.000 | -0.000 | -0.000 | 0.000 | 0.000 | 16.726 |
| 60.041 | 45.797 | 45.797 | -0.000 | -0.000 | -0.000 |
| 45.797 | 60.041 | 45.797 | 0.000 | -0.000 | -0.000 |
| 45.797 | 45.797 | 60.041 | -0.000 | -0.000 | -0.000 |
| 0.000 | 0.000 | 0.000 | 16.726 | -0.000 | 0.000 |
| 0.000 | 0.000 | 0.000 | -0.000 | 16.726 | -0.000 |
| 0.000 | 0.000 | 0.000 | -0.000 | -0.000 | 16.726 |
| 311.172 | 122.208 | 146.074 | -8.729 | 0.001 | -0.000 |
| 76.159 | 363.005 | 132.075 | 11.211 | -0.001 | -0.000 |
| 137.887 | 137.887 | 177.717 | -0.000 | -0.000 | -0.000 |
| 3.914 | 28.476 | 13.817 | 67.948 | -0.000 | 0.000 |
| -0.000 | -0.000 | -0.002 | -0.000 | 151.457 | -11.211 |
| 0.000 | -0.000 | -0.001 | -0.002 | -11.211 | 143.423 |
| 242.910 | 91.943 | 98.049 | 0.710 | -0.001 | 0.000 |
| 123.861 | 289.148 | 141.728 | 8.130 | -0.000 | -0.000 |
| 131.553 | 131.553 | 160.237 | 0.001 | 0.000 | 0.000 |
| -15.233 | -7.740 | -9.365 | 75.625 | -0.000 | 0.001 |
| 0.000 | 0.000 | -0.000 | 0.000 | 151.458 | -11.211 |
| 0.000 | 0.000 | -0.002 | 0.002 | -11.211 | 143.423 |
| 284.175 | 123.160 | 138.030 | -9.502 | 0.000 | -0.000 |
| 123.160 | 284.175 | 138.030 | 9.501 | -0.000 | -0.000 |
| 134.860 | 134.860 | 173.108 | 0.000 | -0.000 | -0.000 |
| -3.257 | 5.379 | 0.865 | 81.434 | 0.000 | 0.000 |
| 1.061 | 1.061 | 0.865 | 0.000 | 81.434 | -4.318 |
| -0.000 | 0.000 | -0.000 | 0.000 | -11.211 | 143.423 |
| 363.005 | 76.159 | 132.075 | -11.211 | -0.000 | 0.000 |
| 76.159 | 363.005 | 132.075 | 11.211 | -0.000 | 0.000 |
| 134.259 | 134.259 | 171.368 | 0.000 | 0.000 | -0.000 |
| -12.737 | 9.789 | -1.253 | 73.587 | -0.000 | 0.000 |
| -1.061 | -1.061 | -0.865 | 0.000 | 81.434 | -4.318 |
| -0.000 | -0.000 | -0.000 | -0.000 | -11.211 | 143.423 |
| 271.625 | 109.427 | 126.854 | 2.916 | 0.000 | 0.000 |
| 121.104 | 303.870 | 143.684 | 8.572 | 0.000 | -0.000 |
| 123.717 | 123.717 | 247.924 | 0.000 | 0.000 | -0.000 |
| -4.218 | 4.430 | 0.086 | 81.495 | -0.000 | -0.000 |
| 0.106 | 0.106 | 0.086 | -0.000 | 81.495 | -4.324 |
| 0.038 | 0.038 | 0.031 | -0.000 | -8.724 | 94.381 |
| 272.903 | 116.782 | 122.752 | -1.177 | -0.000 | 0.000 |
| 122.040 | 281.212 | 136.528 | 9.527 | -0.000 | -0.000 |
| 134.527 | 134.527 | 172.188 | -0.000 | 0.000 | 0.000 |
| -0.082 | -0.357 | -0.186 | 70.150 | 0.000 | 0.000 |
| -0.106 | -0.106 | -0.086 | 0.000 | 81.495 | -4.324 |
| -0.038 | -0.038 | -0.031 | 0.000 | -8.724 | 94.381 |
| 727.801 | 595.173 | 595.174 | 0.000 | 0.000 | 0.000 |
| 595.174 | 727.801 | 595.174 | 0.000 | 0.000 | 0.000 |
| 595.174 | 595.174 | 727.801 | 0.000 | 0.000 | 0.000 |
| 0.000 | -0.000 | 0.000 | -24.915 | 0.000 | 0.000 |
| -0.000 | -0.000 | 0.000 | 0.000 | -24.915 | 0.000 |
| 0.000 | -0.000 | 0.000 | 0.000 | 0.000 | -24.915 |
| 727.801 | 595.174 | 595.173 | -0.000 | -0.000 | -0.000 |
| 595.174 | 727.801 | 595.173 | -0.000 | -0.000 | -0.000 |
| 595.174 | 595.174 | 727.800 | -0.000 | 0.000 | -0.000 |
| -0.000 | -0.000 | -0.000 | -24.915 | 0.000 | -0.000 |
| 0.000 | -0.000 | -0.000 | -0.000 | -24.915 | -0.000 |
| 0.000 | 0.000 | -0.000 | -0.000 | -0.000 | -24.915 |
| 727.801 | 595.174 | 595.174 | 0.000 | 0.000 | 0.000 |
| 595.174 | 727.801 | 595.174 | 0.000 | 0.000 | -0.000 |
| 595.174 | 595.174 | 727.801 | 0.000 | 0.000 | 0.000 |
| 0.000 | 0.000 | 0.000 | -24.915 | 0.000 | 0.000 |
| 0.000 | 0.000 | 0.000 | 0.000 | -24.915 | 0.000 |
| 0.000 | 0.000 | 0.000 | 0.000 | 0.000 | -24.915 |
| 727.800 | 595.173 | 595.173 | -0.000 | -0.000 | -0.000 |
| 595.173 | 727.800 | 595.173 | -0.000 | -0.000 | 0.000 |
| 595.173 | 595.173 | 727.800 | -0.000 | -0.000 | 0.000 |
| -0.000 | -0.000 | -0.000 | -24.915 | -0.000 | -0.000 |
| -0.000 | -0.000 | -0.000 | -0.000 | -24.915 | 0.000 |
| -0.000 | -0.000 | -0.000 | -0.000 | -0.000 | -24.915 |
| 727.807 | 595.180 | 595.180 | 0.000 | 0.000 | 0.000 |
| 595.180 | 727.807 | 595.180 | -0.000 | -0.000 | -0.000 |
| 595.180 | 595.180 | 727.807 | -0.000 | 0.000 | -0.000 |
| 0.000 | 0.001 | 0.001 | -24.915 | -0.000 | -0.000 |
| 0.001 | 0.000 | 0.001 | 0.000 | -24.915 | 0.000 |
| 0.001 | 0.001 | 0.000 | 0.000 | 0.000 | -24.915 |
| 727.795 | 595.167 | 595.167 | -0.000 | -0.000 | 0.000 |
| 595.167 | 727.795 | 595.167 | 0.000 | 0.000 | -0.000 |
| 595.167 | 595.167 | 727.795 | -0.000 | -0.000 | -0.000 |
| -0.000 | -0.001 | -0.001 | -24.915 | 0.000 | -0.000 |
| -0.001 | -0.000 | -0.001 | -0.000 | -24.915 | 0.000 |
| -0.001 | -0.001 | -0.000 | -0.000 | -0.000 | -24.915 |
| 1461.841 | 68.678 | 68.679 | 0.000 | 0.000 | 0.000 |
| 68.678 | 1461.841 | 68.679 | 0.000 | 0.000 | -0.000 |
| 68.678 | 68.678 | 1461.841 | -0.000 | -0.000 | 0.000 |
| 0.000 | -0.000 | 0.000 | 21.472 | 0.000 | 0.000 |
| 0.000 | 0.000 | 0.000 | -0.000 | 21.472 | 0.000 |
| 0.000 | 0.000 | -0.000 | -0.000 | -0.000 | 21.472 |
| 1461.841 | 68.679 | 68.678 | -0.000 | -0.000 | -0.000 |
| 68.679 | 1461.841 | 68.678 | -0.000 | -0.000 | 0.000 |
| 68.679 | 68.679 | 1461.841 | 0.000 | 0.000 | -0.000 |
| -0.000 | 0.000 | -0.000 | 21.472 | 0.000 | -0.000 |
| 0.000 | -0.000 | -0.000 | 0.000 | 21.472 | -0.000 |
| 0.000 | -0.000 | 0.000 | -0.000 | -0.000 | -95.591 |
| 1461.840 | 68.679 | 68.679 | 0.000 | 0.000 | 0.000 |
| 68.679 | 1461.840 | 68.679 | 0.000 | 0.000 | 0.000 |
| 68.679 | 68.679 | 1461.840 | -0.000 | -0.000 | 0.000 |
| 0.000 | 0.000 | -0.000 | -95.591 | 0.000 | 0.000 |
| 0.000 | 0.000 | -0.000 | 0.000 | -95.591 | 0.000 |
| 0.000 | -0.000 | 0.000 | 0.000 | 0.000 | -95.591 |
| 1461.841 | 68.678 | 68.678 | -0.000 | -0.000 | -0.000 |
| 68.678 | 1461.841 | 68.678 | -0.000 | -0.000 | -0.000 |
| 68.678 | 68.678 | 1461.841 | -0.000 | -0.000 | -0.000 |
| -0.000 | -0.000 | 0.000 | -95.591 | -0.000 | -0.000 |
| -0.000 | -0.000 | 0.000 | -0.000 | -95.591 | -0.000 |
| -0.000 | 0.000 | -0.000 | -0.000 | -0.000 | -95.591 |
| 1461.836 | 68.680 | 68.680 | 0.000 | 0.000 | -0.000 |
| 68.680 | 1461.836 | 68.680 | 0.000 | 0.000 | 0.000 |
| 68.680 | 68.680 | 1461.836 | 0.000 | 0.000 | 0.000 |
| 0.000 | 0.000 | -0.001 | -95.591 | 0.000 | -0.000 |
| 0.000 | 0.000 | -0.001 | 0.000 | -95.591 | 0.000 |
| 0.000 | -0.001 | 0.000 | 0.000 | 0.000 | -95.591 |
| 1461.846 | 68.677 | 68.677 | -0.000 | -0.000 | -0.000 |
| 68.677 | 1461.846 | 68.677 | -0.000 | -0.000 | -0.000 |
| 68.677 | 68.677 | 1461.846 | -0.000 | -0.000 | -0.000 |
| -0.000 | -0.000 | 0.001 | -95.591 | -0.000 | -0.000 |
| -0.000 | -0.000 | 0.001 | -0.000 | -95.591 | -0.000 |
| -0.000 | 0.001 | -0.000 | -0.000 | -0.000 | -95.591 |
| 917.662 | 1215.557 | 1215.557 | 0.000 | 0.000 | -0.000 |
| 1215.557 | 917.662 | 1215.557 | 0.000 | 0.000 | -0.000 |
| 1215.557 | 1215.557 | 917.662 | 0.000 | 0.000 | -0.000 |
| -0.000 | 0.000 | 0.000 | -92.846 | 0.000 | -0.000 |
| -0.000 | 0.000 | 0.000 | 0.000 | -92.846 | -0.000 |
| -0.000 | 0.000 | -0.000 | 0.000 | 0.000 | -92.846 |
| 917.662 | 1215.557 | 1215.557 | -0.000 | -0.000 | 0.000 |
| 1215.557 | 917.662 | 1215.557 | -0.000 | -0.000 | 0.000 |
| 1215.557 | 1215.557 | 917.662 | -0.000 | -0.000 | 0.000 |
| 0.000 | -0.000 | -0.000 | -92.846 | -0.000 | 0.000 |
| -0.000 | -0.000 | -0.000 | -0.000 | -92.846 | 0.000 |
| -0.000 | -0.000 | -0.000 | -0.000 | -0.000 | -92.846 |
| 917.661 | 1215.557 | 1215.557 | 0.000 | 0.000 | -0.000 |
| 1215.557 | 917.661 | 1215.557 | 0.000 | 0.000 | -0.000 |
| 1215.557 | 1215.557 | 917.661 | 0.000 | 0.000 | -0.000 |
| -0.000 | -0.000 | -0.000 | -92.846 | 0.000 | -0.000 |
| -0.000 | -0.000 | -0.000 | 0.000 | -92.846 | -0.000 |
| -0.000 | -0.000 | -0.000 | 0.000 | 0.000 | -92.846 |
| 917.663 | 1215.558 | 1215.558 | 0.000 | 0.000 | 0.000 |
| 1215.558 | 917.663 | 1215.558 | -0.000 | -0.000 | 0.000 |
| 1215.558 | 1215.558 | 917.663 | -0.000 | -0.000 | 0.000 |
| 0.000 | 0.000 | 0.000 | -92.846 | -0.000 | 0.000 |
| 0.000 | 0.000 | 0.000 | -0.000 | -92.846 | 0.000 |
| 0.000 | 0.000 | 0.000 | -0.000 | -0.000 | -92.846 |
| 917.654 | 1215.552 | 1215.552 | 0.000 | 0.000 | -0.000 |
| 1215.552 | 917.654 | 1215.552 | 0.000 | 0.000 | -0.000 |
| 1215.552 | 1215.552 | 917.654 | 0.000 | 0.000 | -0.000 |
| -0.002 | -0.001 | -0.001 | -92.846 | 0.000 | -0.000 |
| -0.001 | -0.002 | -0.001 | 0.000 | -92.846 | -0.000 |
| -0.001 | -0.001 | -0.002 | 0.000 | 0.000 | -92.846 |
| 917.670 | 1215.562 | 1215.562 | -0.000 | -0.000 | 0.000 |
| 1215.562 | 917.670 | 1215.562 | -0.000 | -0.000 | 0.000 |
| 1215.562 | 1215.562 | 917.670 | 0.000 | -0.000 | 0.000 |
| 0.002 | 0.001 | 0.001 | -92.846 | -0.000 | 0.000 |
| 0.001 | 0.002 | 0.001 | -0.000 | -92.846 | 0.000 |
| 0.001 | 0.001 | 0.002 | 0.000 | -0.000 | -92.846 |
| -305.706 | -152.853 | -152.853 | -0.000 | 0.000 | -0.000 |
| -152.853 | -305.706 | -152.853 | 0.000 | -0.000 | -0.000 |
| -152.853 | -152.853 | -305.706 | -0.000 | -0.000 | -0.000 |
| 0.000 | -76.427 | -76.427 | -76.427 | 0.000 | 0.000 |
| -76.427 | 0.000 | -76.427 | -0.000 | -76.427 | 0.000 |
| -76.427 | -76.427 | 0.000 | 0.000 | 0.000 | -76.427 |
| -0.000 | -0.000 | -0.000 | -0.000 | -0.000 | -0.000 |
| -0.000 | -0.000 | -0.000 | -0.000 | -0.000 | -0.000 |
| -0.000 | -0.000 | -0.000 | -0.000 | -0.000 | -0.000 |
| -0.000 | 76.427 | 76.427 | -76.427 | -0.000 | 0.000 |
| 76.427 | -0.000 | 76.427 | -0.000 | -76.427 | -0.000 |
| 76.427 | 76.427 | -0.000 | -0.000 | -0.000 | -76.427 |
| -431.975 | -215.987 | -215.987 | -0.000 | 0.000 | 0.000 |
| -215.987 | -431.975 | -215.987 | -0.000 | -0.000 | -0.000 |
| -215.987 | -215.987 | -431.975 | 0.000 | -0.000 | -0.000 |
| 0.000 | -107.994 | -107.994 | -107.994 | -0.000 | -0.000 |
| -107.994 | 0.000 | -107.994 | 0.000 | -107.994 | 0.000 |
| -107.994 | -107.994 | 0.000 | 0.000 | 0.000 | -107.994 |
| -0.000 | -0.000 | -0.000 | -0.000 | -0.000 | -0.000 |
| -0.000 | -0.000 | -0.000 | -0.000 | -0.000 | -0.000 |
| -0.000 | -0.000 | -0.000 | -0.000 | -0.000 | -0.000 |
| -0.000 | 107.994 | 107.994 | -107.994 | 0.000 | -0.000 |
| 107.994 | -0.000 | 107.994 | -0.000 | -107.994 | -0.000 |
| 107.994 | 107.994 | -0.000 | -0.000 | -0.000 | -107.994 |
| -444.603 | -222.302 | -222.302 | 0.000 | -0.000 | -0.000 |
| -222.302 | -444.603 | -222.302 | -0.000 | 0.000 | 0.000 |
| -222.302 | -222.302 | -444.603 | -0.000 | -0.000 | 0.000 |
| 0.000 | -111.151 | -111.151 | -111.151 | 0.000 | 0.000 |
| -111.151 | 0.000 | -111.151 | 0.000 | -111.151 | 0.000 |
| -111.151 | -111.151 | 0.000 | 0.000 | 0.000 | -111.151 |
| -0.000 | -0.000 | -0.000 | -0.000 | -0.000 | -0.000 |
| -0.000 | -0.000 | -0.000 | -0.000 | -0.000 | -0.000 |
| -0.000 | -0.000 | -0.000 | -0.000 | -0.000 | -0.000 |
| -0.000 | 111.151 | 111.151 | -111.151 | 0.000 | 0.000 |
| 111.151 | -0.000 | 111.151 | -0.000 | -111.151 | -0.000 |
| 111.151 | 111.151 | -0.000 | -0.000 | -0.000 | -111.151 |
| 758.770 | 644.283 | 324.821 | -0.000 | -0.000 | -0.000 |
| 564.693 | 838.943 | 324.070 | 0.000 | 0.001 | -0.001 |
| 316.306 | 316.305 | 435.349 | 0.000 | 0.001 | -0.002 |
| 0.001 | -0.001 | 0.000 | 246.155 | 0.000 | -0.001 |
| 0.001 | -0.001 | 0.000 | -0.000 | 246.155 | -0.003 |
| 0.004 | 0.000 | 0.000 | 0.000 | 0.001 | 311.441 |
| 1014.754 | 391.872 | 320.238 | -0.000 | -0.001 | -0.000 |
| 391.868 | 1014.756 | 320.238 | -0.000 | -0.001 | -0.000 |
| 319.819 | 319.823 | 426.337 | 0.000 | -0.000 | 0.002 |
| -0.001 | 0.001 | -0.000 | 246.155 | -0.000 | 0.001 |
| -0.001 | 0.001 | -0.000 | 0.000 | 246.155 | 0.002 |
| -0.001 | 0.001 | -0.000 | -0.000 | -0.001 | 311.445 |
| 838.938 | 564.683 | 324.090 | 0.000 | 0.000 | 0.000 |
| 564.678 | 838.944 | 324.090 | 0.000 | 0.000 | 0.000 |
| 319.828 | 319.828 | 426.316 | 0.000 | 0.000 | -0.000 |
| 0.000 | -0.000 | 0.000 | 246.155 | 0.000 | -0.000 |
| 0.005 | 0.005 | -0.012 | -0.000 | 194.127 | 0.000 |
| 0.000 | -0.000 | 0.000 | 0.000 | 0.000 | 311.443 |
| 838.943 | 564.676 | 324.094 | -0.000 | -0.000 | 0.000 |
| 564.681 | 838.937 | 324.094 | -0.000 | -0.000 | 0.000 |
| 319.827 | 319.827 | 426.320 | 0.000 | -0.000 | 0.000 |
| -0.000 | 0.000 | -0.000 | 246.155 | -0.000 | 0.000 |
| -0.005 | -0.005 | 0.012 | 0.000 | 194.127 | -0.000 |
| -0.000 | 0.000 | -0.000 | -0.000 | -0.000 | 311.443 |
| 758.765 | 644.266 | 324.846 | -0.000 | -0.000 | -0.000 |
| 644.269 | 758.762 | 324.847 | -0.000 | -0.000 | 0.000 |
| 319.828 | 319.828 | 426.317 | -0.000 | 0.000 | -0.000 |
| 0.003 | -0.001 | -0.001 | 194.127 | 0.000 | 0.000 |
| 0.000 | -0.000 | 0.000 | -0.000 | 246.155 | -0.000 |
| 0.000 | -0.002 | -0.000 | -0.000 | 0.000 | 33.986 |
| 758.761 | 644.271 | 324.847 | 0.000 | 0.000 | -0.000 |
| 564.680 | 838.940 | 324.092 | -0.000 | -0.000 | 0.000 |
| 319.827 | 319.827 | 426.317 | 0.000 | -0.000 | 0.000 |
| -0.003 | 0.001 | 0.001 | 194.127 | 0.000 | 0.000 |
| -0.000 | 0.000 | -0.000 | 0.000 | 246.155 | 0.000 |
| -0.000 | 0.002 | 0.000 | 0.000 | 0.000 | 33.986 |
| 716.997 | 0.000 | 0.000 | 0.001 | 0.000 | -0.000 |
| -0.000 | 716.997 | 0.001 | 0.000 | 0.000 | -0.000 |
| -0.000 | 0.000 | 716.998 | 0.000 | 0.000 | 0.000 |
| -0.000 | 0.000 | 0.000 | 61.618 | 0.000 | 0.000 |
| 0.000 | 0.000 | 0.000 | 0.000 | 61.618 | 0.000 |
| -0.000 | 0.000 | 0.000 | 0.000 | 0.000 | 61.619 |
| 716.997 | -0.000 | -0.000 | -0.000 | -0.000 | 0.000 |
| 0.000 | 716.997 | -0.000 | -0.000 | -0.000 | -0.000 |
| 0.000 | -0.000 | 716.997 | -0.000 | -0.000 | -0.000 |
| 0.000 | 0.000 | -0.000 | 61.618 | -0.000 | -0.000 |
| 0.000 | -0.000 | -0.000 | -0.000 | 61.617 | -0.000 |
| -0.000 | -0.000 | -0.000 | -0.000 | -0.000 | 61.619 |
| 716.998 | 0.000 | 0.000 | 0.000 | 0.000 | -0.000 |
| -0.000 | 716.998 | 0.000 | 0.000 | 0.000 | 0.000 |
| -0.000 | 0.000 | 716.998 | 0.000 | 0.000 | 0.000 |
| -0.000 | -0.000 | -0.000 | 61.618 | 0.000 | 0.000 |
| -0.000 | 0.000 | 0.000 | 0.000 | 61.618 | 0.000 |
| -0.000 | 0.000 | 0.000 | 0.000 | 0.000 | 61.618 |
| 716.997 | -0.000 | -0.000 | -0.000 | -0.000 | 0.000 |
| 0.000 | 716.997 | -0.000 | -0.000 | -0.000 | -0.000 |
| 0.000 | -0.000 | 716.997 | -0.000 | -0.000 | -0.000 |
| 0.000 | -0.000 | -0.000 | 61.618 | -0.000 | -0.000 |
| -0.000 | -0.000 | -0.000 | -0.000 | 61.618 | -0.000 |
| 0.000 | -0.000 | -0.000 | -0.000 | -0.000 | 61.618 |
| 717.002 | 0.000 | 0.000 | 0.000 | 0.000 | 0.000 |
| -0.000 | 717.002 | 0.000 | 0.000 | 0.000 | 0.000 |
| -0.000 | 0.000 | 717.002 | 0.000 | -0.000 | 0.000 |
| -0.000 | 0.000 | -0.000 | 61.618 | 0.000 | 0.000 |
| 0.000 | 0.000 | -0.000 | 0.000 | 61.618 | 0.000 |
| 0.000 | -0.000 | 0.000 | 0.000 | 0.000 | 61.618 |
| 716.993 | -0.000 | -0.000 | -0.000 | -0.000 | -0.000 |
| 0.000 | 716.993 | -0.000 | -0.000 | -0.000 | -0.000 |
| 0.000 | -0.000 | 716.993 | -0.000 | -0.000 | -0.000 |
| 0.000 | -0.000 | 0.000 | 61.618 | -0.000 | -0.000 |
| -0.000 | -0.000 | 0.000 | -0.000 | 61.618 | 0.000 |
| -0.000 | 0.000 | -0.000 | -0.000 | -0.000 | 61.618 |
| 1103.540 | 239.490 | 239.490 | 0.000 | 0.000 | 0.000 |
| 239.490 | 1103.540 | 239.490 | 0.000 | 0.000 | 0.000 |
| 239.490 | 239.490 | 1103.540 | -0.000 | 0.000 | 0.000 |
| 0.000 | 0.000 | -0.000 | 28.180 | 0.000 | 0.000 |
| 0.000 | 0.000 | -0.000 | -0.000 | 28.180 | 0.000 |
| 0.000 | 0.000 | -0.000 | 0.000 | 0.000 | 28.180 |
| 1103.540 | 239.490 | 239.490 | 0.000 | -0.000 | -0.000 |
| 239.490 | 1103.540 | 239.490 | 0.000 | -0.000 | -0.000 |
| 239.490 | 239.490 | 1103.540 | -0.000 | -0.000 | -0.000 |
| -0.000 | -0.000 | 0.000 | 28.180 | -0.000 | -0.000 |
| -0.000 | -0.000 | 0.000 | -0.000 | 28.179 | -0.000 |
| -0.000 | -0.000 | 0.000 | 0.000 | -0.000 | 28.180 |
| 1103.540 | 239.490 | 239.490 | -0.000 | 0.000 | 0.000 |
| 239.490 | 1103.540 | 239.490 | -0.000 | 0.000 | 0.000 |
| 239.490 | 239.490 | 1103.540 | 0.000 | 0.000 | 0.000 |
| 0.000 | 0.000 | -0.000 | 28.180 | 0.000 | 0.000 |
| 0.000 | 0.000 | -0.000 | -0.000 | 28.180 | 0.000 |
| 0.000 | -0.000 | -0.000 | 0.000 | 0.000 | 28.180 |
| 1103.540 | 239.490 | 239.490 | -0.000 | -0.000 | -0.000 |
| 239.490 | 1103.540 | 239.490 | -0.000 | -0.000 | -0.000 |
| 239.490 | 239.490 | 1103.540 | 0.000 | -0.000 | -0.000 |
| -0.000 | -0.000 | 0.000 | 28.180 | -0.000 | -0.000 |
| -0.000 | -0.000 | 0.000 | -0.000 | 28.180 | -0.000 |
| -0.000 | 0.000 | 0.000 | -0.000 | -0.000 | 28.180 |
| 1103.541 | 239.492 | 239.492 | 0.000 | 0.000 | 0.000 |
| 239.492 | 1103.541 | 239.492 | -0.000 | 0.000 | 0.000 |
| 239.492 | 239.492 | 1103.541 | -0.000 | 0.000 | 0.000 |
| 0.000 | 0.000 | -0.000 | 28.180 | 0.000 | 0.000 |
| 0.000 | 0.000 | -0.000 | 0.000 | 28.180 | 0.000 |
| 0.000 | -0.000 | 0.000 | 0.000 | 0.000 | 28.180 |
| 1103.538 | 239.488 | 239.488 | 0.000 | -0.000 | -0.000 |
| 239.488 | 1103.538 | 239.488 | -0.000 | -0.000 | -0.000 |
| 239.488 | 239.488 | 1103.538 | -0.000 | -0.000 | -0.000 |
| -0.000 | -0.000 | 0.000 | 28.180 | -0.000 | -0.000 |
| -0.000 | -0.000 | 0.000 | -0.000 | 28.180 | -0.000 |
| -0.000 | 0.000 | -0.000 | -0.000 | -0.000 | 28.180 |
| 286.917 | 168.840 | 168.840 | 0.000 | -0.000 | -0.000 |
| 168.840 | 286.917 | 168.840 | -0.000 | -0.000 | -0.000 |
| 168.840 | 168.841 | 286.917 | -0.000 | -0.000 | -0.000 |
| 0.000 | -0.000 | -0.000 | 128.445 | -0.000 | -0.000 |
| 0.000 | -0.000 | -0.000 | -0.000 | 128.446 | -0.000 |
| 0.000 | 0.000 | -0.000 | 0.000 | -0.000 | 128.446 |
| 286.917 | 168.840 | 168.841 | -0.000 | 0.000 | 0.000 |
| 168.840 | 286.917 | 168.841 | 0.000 | 0.000 | 0.000 |
| 168.840 | 168.841 | 286.917 | -0.000 | -0.000 | 0.000 |
| -0.000 | 0.000 | 0.000 | 128.445 | 0.000 | 0.000 |
| -0.000 | -0.000 | 0.000 | -0.000 | 128.446 | -0.000 |
| -0.000 | 0.000 | 0.000 | 0.000 | -0.000 | 128.446 |
| 286.917 | 168.841 | 168.841 | 0.000 | -0.000 | -0.000 |
| 168.841 | 286.917 | 168.841 | 0.000 | -0.000 | -0.000 |
| 168.841 | 168.841 | 286.917 | 0.000 | -0.000 | -0.000 |
| 0.000 | -0.000 | 0.000 | 243.876 | -0.000 | -0.000 |
| 0.000 | 0.000 | 0.000 | 0.000 | 243.876 | -0.000 |
| 0.000 | 0.000 | 0.000 | 0.000 | -0.000 | 243.876 |
| 286.917 | 168.840 | 168.840 | -0.000 | 0.000 | 0.000 |
| 168.840 | 286.917 | 168.840 | -0.000 | 0.000 | 0.000 |
| 168.840 | 168.840 | 286.917 | 0.000 | 0.000 | 0.000 |
| -0.000 | 0.000 | -0.000 | 243.876 | 0.000 | 0.000 |
| -0.000 | -0.000 | -0.000 | -0.000 | 243.876 | 0.000 |
| -0.000 | -0.000 | -0.000 | -0.000 | 0.000 | 243.876 |
| 286.917 | 168.841 | 168.841 | -0.000 | -0.000 | -0.000 |
| 168.841 | 286.917 | 168.841 | 0.000 | 0.000 | -0.000 |
| 168.841 | 168.841 | 286.917 | 0.000 | -0.000 | 0.000 |
| 0.000 | -0.000 | 0.000 | 128.445 | -0.000 | -0.000 |
| -0.000 | 0.000 | 0.000 | -0.000 | 128.445 | -0.000 |
| -0.000 | 0.000 | 0.000 | -0.000 | -0.000 | 128.445 |
| 286.916 | 168.840 | 168.840 | -0.000 | 0.000 | 0.000 |
| 168.840 | 286.916 | 168.840 | 0.000 | -0.000 | 0.000 |
| 168.840 | 168.840 | 286.916 | 0.000 | 0.000 | 0.000 |
| -0.000 | 0.000 | -0.000 | 128.445 | 0.000 | 0.000 |
| 0.000 | -0.000 | -0.000 | 0.000 | 128.445 | 0.000 |
| 0.000 | -0.000 | -0.000 | 0.000 | 0.000 | 128.445 |
| 7294.183 | 265.730 | 1149.223 | -2806.873 | 6881.225 | -2435.647 |
| 7942.858 | 1549.292 | 3245.725 | -386.979 | 4159.929 | -1115.738 |
| 4363.160 | 322.552 | -2515.027 | -2599.161 | 2298.911 | -3635.879 |
| 5701.752 | -229.947 | -3465.158 | -4188.861 | 7540.106 | -1376.352 |
| 58.001 | -108.933 | -62.519 | -102.796 | 584.030 | 138.221 |
| 10970.767 | 569.399 | 1604.551 | -787.751 | 5488.901 | -1049.610 |
| -5856.255 | -344.184 | -2426.918 | 307.599 | -3811.712 | 923.391 |
| -3687.281 | 342.847 | 2603.195 | 2241.489 | -2222.231 | 3361.800 |
| -5118.211 | 1727.521 | 818.712 | 3448.352 | -5698.111 | 2287.339 |
| -4782.056 | -356.623 | 872.317 | 1887.397 | -2684.951 | 2607.213 |
| -4944.904 | 2057.437 | -634.038 | 4484.779 | -5985.787 | 1487.373 |
| -3067.316 | 3200.517 | 1180.534 | 6308.274 | -9128.276 | 1920.116 |
| 1784.788 | 567.015 | 614.230 | 144.316 | 31.565 | -227.410 |
| 600.388 | -51.263 | 443.551 | 71.649 | 352.327 | -157.602 |
| 721.434 | 405.849 | 960.191 | 194.789 | -140.123 | -251.794 |
| 947.470 | 88.696 | 176.317 | 55.961 | 455.274 | -285.384 |
| 1008.211 | -252.693 | 21.907 | -444.641 | 931.190 | -291.927 |
| 555.986 | -98.505 | -317.168 | -266.414 | 483.622 | 30.190 |
| -58.994 | 159.864 | 334.978 | 177.889 | -395.218 | 422.514 |
| -517.795 | 440.674 | 187.087 | 127.674 | -335.329 | 289.431 |
| -897.277 | -58.174 | -51.045 | 44.872 | -352.082 | 131.419 |
| -722.090 | -80.427 | -269.628 | 284.701 | -395.474 | 69.761 |
| -853.616 | -124.127 | -373.666 | 19.096 | -119.517 | 125.848 |
| -743.013 | 55.549 | 156.402 | 660.183 | -1057.503 | 507.023 |
| 474.586 | 208.749 | 77.375 | -40.724 | -46.904 | -69.363 |
| 157.997 | 161.329 | 94.483 | -49.951 | 77.100 | -17.858 |
| 150.151 | 106.607 | 165.370 | -37.474 | 81.321 | -22.090 |
| 76.177 | -3.287 | 27.519 | 21.665 | 55.763 | -17.193 |
| -25.691 | -30.126 | -92.517 | -50.862 | 94.865 | -46.976 |
| 141.835 | 1.164 | 0.556 | -34.295 | 59.162 | 129.387 |
| 74.795 | 98.247 | 105.722 | 14.612 | -46.538 | 44.908 |
| 16.874 | 162.648 | 128.684 | 43.049 | -90.611 | 34.848 |
| 85.585 | 125.879 | 276.054 | 24.193 | -39.732 | 17.091 |
| -80.829 | 14.843 | 14.968 | 151.573 | -65.064 | -22.555 |
| -98.792 | -36.434 | -51.811 | -9.035 | 152.989 | 77.347 |
| 1.186 | 10.883 | 19.043 | 16.801 | -37.317 | 96.051 |
| -1064006.939 | -1282176.413 | -639333.630 | 364359.674 | 1583125.805 | -734270.103 |
| -2157412.636 | -3232839.347 | -1322329.314 | 2415590.576 | 2503873.013 | -2289993.867 |
| -592202.163 | -1056899.564 | -1040686.852 | 559438.920 | 471324.927 | -223838.737 |
| -2162609.870 | -3282972.605 | -1356774.461 | 2454657.592 | 2500931.702 | -2284574.087 |
| -2496179.564 | -4593976.924 | -2425667.458 | 3207252.744 | 2458351.381 | -2028660.098 |
| -699558.251 | -1328015.383 | -1262869.834 | 693342.570 | 442136.677 | -222991.030 |
| 2128890.742 | 3054524.793 | 1235014.615 | -2339751.777 | -2469258.291 | 2230913.621 |
| 616781.554 | 1124798.153 | 1092853.763 | -592183.338 | -464084.148 | 223297.308 |
| 1620341.963 | 1240459.833 | -217071.355 | -493876.203 | -1941822.440 | 1083175.828 |
| 2146830.643 | 3205352.840 | 1312518.738 | -2415695.804 | -2479204.195 | 2276539.817 |
| 703935.485 | 1348036.000 | 1267828.070 | -697586.917 | -436775.102 | 225613.769 |
| 955510.080 | 175268.973 | -1041995.879 | -911151.875 | -2307243.908 | 2188283.936 |
| -73008.507 | -136967.188 | -130407.093 | 70625.849 | 44103.662 | -23588.826 |
| -63115.367 | -115399.925 | -112021.340 | 60711.438 | 46103.029 | -22453.157 |
| -176491.441 | -191423.691 | -53386.671 | 171255.996 | 241857.161 | -216640.184 |
| -66378.318 | -120442.479 | -116826.706 | 62445.095 | 45836.403 | -23493.744 |
| -64390.784 | -119000.866 | -114598.139 | 62273.760 | 45623.630 | -22466.616 |
| -65666.384 | -122067.104 | -117326.579 | 63941.676 | 45397.215 | -22364.272 |
| 69454.052 | 126828.216 | 122357.865 | -65374.348 | -45001.776 | 23769.149 |
| 79051.101 | 186569.090 | 149917.856 | -72710.682 | -69584.961 | 37229.638 |
| 65893.524 | 122731.539 | 118301.712 | -64499.029 | -45389.599 | 22156.510 |
| 73767.721 | 137882.444 | 131212.669 | -70776.292 | -43805.035 | 23858.751 |
| 70452.941 | 135450.435 | 128150.193 | -70981.208 | -44252.060 | 21933.921 |
| 66656.082 | 120554.214 | 117005.331 | -62284.062 | -45634.833 | 23713.370 |
| -6861.080 | -12827.628 | -12321.427 | 6652.477 | 4491.094 | -2348.849 |
| -6714.773 | -12694.669 | -12129.513 | 6691.370 | 4480.554 | -2219.138 |
| -22385.754 | -35300.102 | -15272.408 | 25912.022 | 25467.438 | -22794.637 |
| -7552.908 | -14851.966 | -20240.822 | 8685.279 | 7769.463 | -1898.893 |
| -7842.462 | -15640.210 | -14456.451 | 8144.139 | 4235.708 | -2177.505 |
| -7137.661 | -13200.920 | -12637.620 | 6790.596 | 4435.612 | -2343.289 |
| 7181.788 | 13597.219 | 12896.226 | -7096.184 | -4418.181 | 2205.039 |
| 7260.725 | 14055.491 | 13129.298 | -7238.785 | -4338.569 | 2233.792 |
| 6893.027 | 12712.551 | 12289.087 | -6570.261 | -4524.491 | 2315.459 |
| 7429.827 | 14510.365 | 13511.986 | -7474.231 | -4272.455 | 2240.150 |
| 6248.862 | 11446.168 | 11107.644 | -6022.171 | -4596.151 | 2234.889 |
| 7242.622 | 13608.603 | 12964.926 | -7023.441 | -4410.289 | 2365.988 |
| -8431542.563 | -12158265.159 | 1217478.724 | 9799946.844 | 19273.667 | 32967373.044 |
| -4071957.608 | -13245761.495 | 1923632.141 | 11814972.150 | -897246.092 | 26896411.012 |
| -15529837.765 | -14598564.144 | -3888471.055 | 9395847.979 | 511137.658 | 35510459.815 |
| -13787462.880 | -13968386.309 | -2345644.189 | 9510623.812 | 282338.196 | 34821514.433 |
| -6196674.498 | -11750251.935 | 2902328.539 | 10240689.923 | 277431.663 | 32289040.381 |
| -15448261.733 | -14610579.139 | -3800371.407 | 9404142.152 | 489496.763 | 35481131.684 |
| 1811338.880 | 10634956.330 | -5222147.219 | -10954670.967 | -147473.096 | -29788830.665 |
| 14545969.718 | 14295287.774 | 3035850.529 | -9487623.879 | -370937.220 | -35201758.110 |
| 10731102.182 | 13328364.143 | 467672.391 | -9409706.813 | -200447.997 | -33667571.216 |
| 2146816.904 | 10615572.290 | -4801520.620 | -10860930.906 | -193643.653 | -30237324.146 |
| -2444167.100 | -885897.422 | -1784224.759 | 502569.294 | 308873.607 | -1719017.931 |
| 2641020.744 | 12169634.582 | -4190099.282 | -11153013.800 | 487998.867 | -27625172.877 |
| -1531920.644 | -1456952.524 | -367750.844 | 940937.369 | 47693.400 | 3543586.640 |
| -531283.277 | -1121035.382 | 309949.947 | 1037910.820 | 34932.979 | 3211087.915 |
| -309524.316 | -1232089.446 | 345894.326 | 1124557.267 | -59267.552 | 2720612.690 |
| -1536513.377 | -1458537.413 | -372034.943 | 940880.546 | 48050.637 | 3545261.057 |
| 218245.265 | 163323.108 | 259858.147 | 605.096 | -81902.721 | 155682.185 |
| -395192.887 | -1300988.051 | 215913.962 | 1156441.384 | -79807.628 | 2688108.400 |
| 1433978.677 | 1420970.447 | 280770.819 | -945822.184 | -34371.946 | -3499893.708 |
| 1551755.800 | 1462987.777 | 385461.184 | -939712.044 | -50124.212 | -3549754.793 |
| 833770.824 | 1873334.473 | 111437.886 | -1492688.315 | 131297.653 | -3123253.184 |
| -294434.921 | -184603.916 | -362152.066 | -14704.517 | 97442.659 | -186109.423 |
| 1515014.244 | 1452336.776 | 352235.630 | -942126.882 | -46020.749 | -3538543.704 |
| 1548365.461 | 1462160.059 | 382615.872 | -939939.991 | -49688.027 | -3548803.275 |
| -20977.375 | -106607.645 | 52294.346 | 108038.252 | 4402.166 | 304679.173 |
| -140582.030 | -140181.405 | -26320.612 | 94489.942 | 3593.862 | 349667.151 |
| -28523.085 | -107351.326 | 47737.512 | 107705.862 | 3995.094 | 308361.122 |
| -155127.179 | -146264.039 | -38525.050 | 93987.606 | 5041.679 | 354978.630 |
| 24784.420 | 17271.268 | 30095.825 | 731.544 | -8496.010 | 16855.765 |
| -112492.244 | -129460.262 | -4639.385 | 96699.020 | 1294.149 | 339189.677 |
| 142948.859 | 141676.345 | 27621.734 | -94721.344 | -3285.341 | -350378.821 |
| 30331.396 | 122772.480 | -36071.189 | -111866.157 | 5678.869 | -272643.278 |
| 28321.286 | 121932.481 | -38109.811 | -113801.832 | 6733.841 | -273814.047 |
| 154708.896 | 146140.216 | 38070.020 | -93960.436 | -5020.364 | -354800.133 |
| 151465.364 | 145262.600 | 35155.405 | -94240.891 | -4501.785 | -353778.389 |
| 152696.463 | 145514.376 | 36192.875 | -94180.222 | -4568.256 | -354180.398 |
| -338124.343 | -129627.398 | -6191.742 | -152168.091 | 226144.137 | -37734.323 |
| -41483.426 | -14154.306 | 15613.690 | -33561.512 | 37901.190 | -2279.487 |
| -424903.740 | -287697.267 | -29962.650 | -233074.007 | 240292.361 | -176249.657 |
| -31.028 | 73.951 | -133.097 | 329.265 | -59.845 | 46.611 |
| -499799.520 | -384009.374 | -77160.738 | -281979.544 | 245388.652 | -245730.400 |
| -1685.484 | -233.909 | 253.217 | -779.662 | 879.854 | 157.867 |
| 949.488 | 227.734 | 81.842 | 266.286 | -296.482 | -71.784 |
| 755.519 | 450.768 | 83.635 | 272.848 | -290.555 | -51.512 |
| 787.181 | 259.883 | 280.246 | 235.083 | -270.741 | -67.646 |
| 427825.681 | 154769.805 | 4839.976 | 189738.859 | -287715.651 | 40708.265 |
| 1841.105 | 255.113 | -268.994 | 850.776 | -897.587 | -107.331 |
| 55965.134 | 8659.063 | -7179.850 | 25383.623 | -30515.410 | -2478.141 |
| -39762.530 | -18924.762 | -446.851 | -19475.084 | 25695.504 | -8645.756 |
| -37252.220 | -14766.810 | -154.740 | -17371.484 | 24503.268 | -5356.408 |
| -38603.456 | -21026.757 | -788.398 | -19792.747 | 23936.590 | -11181.370 |
| -10009.946 | -2119.632 | 791.594 | -4446.855 | 6209.156 | -14.740 |
| -31785.043 | -11428.305 | -18.763 | -14361.973 | 21028.863 | -3201.252 |
| -44787.492 | -32579.071 | -4017.001 | -25098.170 | 24296.285 | -20394.479 |
| 1658.755 | 332.558 | -97.308 | 693.557 | -808.548 | -76.481 |
| 37180.990 | 19190.267 | 378.209 | 18780.487 | -23771.990 | 9775.207 |
| 3357.163 | 593.856 | -280.556 | 1488.822 | -1866.814 | -112.681 |
| 35660.233 | 16986.817 | 407.255 | 17444.433 | -22921.697 | 7674.115 |
| 47360.629 | 35756.172 | 6290.645 | 26701.918 | -24032.009 | 22588.526 |
| 10352.958 | 2222.564 | -796.126 | 4613.496 | -6409.899 | 62.028 |
| -3682.496 | -1944.430 | -224.619 | -1739.304 | 2276.484 | -756.085 |
| -4746.297 | -3527.630 | -598.196 | -2698.316 | 2426.713 | -2282.267 |
| -4586.714 | -3371.788 | -453.462 | -2591.874 | 2408.838 | -2126.568 |
| -590.757 | -116.624 | 51.784 | -235.632 | 347.465 | 12.122 |
| -883.147 | -181.104 | 72.562 | -390.446 | 555.330 | 9.427 |
| -4401.055 | -3118.792 | -375.925 | -2426.859 | 2430.822 | -1910.291 |
| 3962.770 | 2235.785 | 162.594 | 1989.064 | -2373.106 | 1182.318 |
| 3668.161 | 1835.510 | 97.690 | 1766.671 | -2319.187 | 795.778 |
| 4026.795 | 2429.558 | 258.077 | 2081.446 | -2398.145 | 1333.922 |
| 3374.219 | 1286.607 | 77.786 | 1504.752 | -2192.629 | 317.604 |
| 4405.892 | 3191.081 | 421.329 | 2474.042 | -2330.583 | 2009.805 |
| 4101.117 | 2645.944 | 231.617 | 2213.505 | -2388.276 | 1588.631 |
| 629493.142 | -351739.693 | -537794.206 | 515202.507 | 93173.897 | -421749.798 |
| 1229105.698 | -1577696.553 | 177607.209 | 1303196.012 | 2022539.841 | 888908.367 |
| 1162852.909 | -2386549.396 | 323039.264 | 1555124.047 | 2447894.620 | 421432.172 |
| -76.044 | -199.795 | -144.171 | 236.448 | -15.486 | -4.338 |
| -59.666 | -22.695 | 4.721 | -7.857 | 130.301 | -46.993 |
| 671324.052 | -1397634.335 | 23196.389 | 1034973.725 | 1634960.750 | 874178.858 |
| 656.021 | 272.605 | 141.602 | -73.819 | -51.211 | 3.300 |
| 251.943 | 584.170 | 216.328 | -178.300 | -2.263 | -4.027 |
| 168.852 | 271.330 | 629.504 | -170.448 | 1.220 | -10.338 |
| -763727.885 | 3050886.025 | -318590.284 | -2756839.872 | -3110698.119 | -368747.574 |
| -1271312.006 | 2117365.158 | -331605.578 | -1568733.737 | -2374960.055 | -516101.405 |
| 20.802 | 30.694 | -16.743 | -17.060 | -49.264 | 209.219 |
| 148136.428 | -154754.544 | 40184.851 | 108738.022 | 205405.018 | 68321.350 |
| 122877.975 | -258261.414 | 47649.075 | 147017.144 | 270011.588 | 27814.693 |
| 129827.665 | -197441.552 | 42540.306 | 123183.971 | 231422.118 | 38425.355 |
| -76.009 | -199.490 | -143.556 | 236.043 | -15.413 | -4.428 |
| -59.634 | -22.739 | 4.698 | -7.826 | 130.244 | -46.916 |
| 112094.075 | -145290.394 | 19486.862 | 120920.517 | 197936.043 | 80203.008 |
| 655.534 | 272.572 | 141.461 | -73.778 | -51.155 | 3.298 |
| 251.724 | 583.449 | 215.638 | -177.724 | -2.360 | -3.858 |
| 168.900 | 271.186 | 628.293 | -170.033 | 1.124 | -10.244 |
| -110634.756 | 138554.376 | -30228.669 | -137588.821 | -191319.273 | -87701.103 |
| 46705.614 | 44732.500 | -105685.283 | 25064.508 | -133307.482 | -143371.661 |
| 20.822 | 30.872 | -16.724 | -17.144 | -49.148 | 208.985 |
| 9914.599 | -15313.024 | 706.714 | 13223.053 | 18016.945 | 7944.515 |
| 3849.029 | -13680.849 | -1721.033 | 11218.693 | 17059.595 | 7887.341 |
| 17273.189 | -23554.991 | 3664.790 | 18377.943 | 28595.838 | 3441.910 |
| -76.434 | -197.500 | -136.959 | 232.269 | -14.403 | -5.773 |
| -59.555 | -23.421 | 4.441 | -7.407 | 129.777 | -46.312 |
| 6481.279 | -13766.534 | -635.115 | 11344.123 | 18386.864 | 8877.865 |
| 607.508 | 266.826 | 139.577 | -72.101 | -54.649 | 19.464 |
| 250.951 | 578.399 | 208.076 | -172.731 | -3.800 | -1.334 |
| 170.062 | 270.584 | 615.100 | -165.950 | -0.115 | -8.893 |
| -5700.319 | 30642.337 | -2797.516 | -28546.360 | -31642.893 | -2538.429 |
| -10543.527 | 20241.962 | -3248.683 | -14765.280 | -22236.628 | -6298.840 |
| 21.229 | 32.854 | -16.518 | -18.088 | -48.055 | 206.769 |
| 133467.236 | -181592.776 | -100769.369 | -17112.615 | -113581.376 | 522446.515 |
| 13199.835 | 6574.907 | 1128.756 | -1681.205 | -1740.140 | 4271.457 |
| 91121.405 | -107417.553 | 76436.827 | -49494.284 | -55855.758 | 370477.808 |
| -10.467 | -11.779 | -18.004 | 118.294 | 27.216 | -22.358 |
| 5.759 | -20.372 | 2.139 | 27.275 | 109.194 | -11.703 |
| 102862.487 | -139053.591 | 35751.603 | -53071.338 | -79942.038 | 439362.642 |
| -130449.619 | 171238.954 | 59615.854 | 33175.927 | 107816.532 | -511291.352 |
| 150.831 | 334.894 | 121.996 | -5.556 | -18.757 | 68.753 |
| -148091.076 | 35713.191 | -165429.022 | 41257.177 | -22428.613 | -158152.379 |
| -35888.139 | -2443.249 | -97731.974 | 14819.072 | -19287.807 | -72190.706 |
| -134461.226 | 171177.943 | 67261.574 | 31363.176 | 110520.448 | -516938.951 |
| -16705.535 | -5844.333 | -701.969 | 1296.064 | 1391.745 | -2208.264 |
| 12544.850 | -18021.622 | -7069.114 | -2933.166 | -10881.209 | 51463.083 |
| 13302.776 | -17311.533 | -6964.362 | -3007.898 | -11041.284 | 51681.376 |
| 766.800 | 119.512 | 63.383 | -97.972 | -189.922 | 103.354 |
| -10.300 | -11.513 | -17.917 | 118.315 | 27.093 | -22.384 |
| 491.449 | 863.137 | 416.776 | -501.797 | -403.711 | 1274.118 |
| 13730.071 | -18284.534 | -10879.938 | -1699.633 | -11732.478 | 52995.240 |
| -11332.632 | 15422.625 | -3895.949 | 5931.062 | 7917.181 | -44642.773 |
| -7646.385 | 3656.717 | -13156.765 | 2804.962 | -122.697 | -20242.463 |
| 112.035 | 123.352 | 323.406 | -18.104 | 2.284 | 26.940 |
| -4800.802 | -482.938 | -7916.301 | 1153.744 | -1394.213 | -6952.971 |
| -5803.893 | -788.318 | -6379.581 | 697.310 | -1104.856 | -5995.857 |
| -12657.709 | 17256.879 | 5710.438 | 3278.075 | 10636.947 | -51135.170 |
| 1402.708 | -1815.865 | -1114.819 | -167.747 | -1153.270 | 5164.696 |
| 18.340 | -117.981 | 85.468 | -62.954 | -28.952 | 162.172 |
| 129.574 | 38.808 | 90.175 | -23.273 | -20.308 | 44.217 |
| 1155.244 | -1719.370 | -402.985 | -363.821 | -1001.046 | 4985.588 |
| 345.023 | -32.916 | 432.047 | -66.452 | 74.538 | 491.170 |
| 629.760 | -1076.865 | 1072.904 | -434.473 | -294.816 | 2974.030 |
| -1325.517 | 1696.444 | 612.161 | 333.595 | 1092.869 | -5136.016 |
| -1173.078 | 1687.886 | 278.327 | 420.035 | 990.405 | -4924.293 |
| -585.203 | -71.998 | -702.030 | 90.323 | -128.246 | -677.532 |
| -637.654 | 448.151 | -1633.101 | 308.101 | -109.026 | -1893.719 |
| -1296.430 | 1752.142 | 682.229 | 302.160 | 1096.181 | -5133.444 |
| -514.129 | -126.659 | -726.205 | 104.470 | -115.942 | -735.319 |
| -15582.905 | 62897.888 | -122164.003 | -16933.848 | 61758.506 | 26687.025 |
| -23647.880 | 83315.971 | -107471.126 | -10099.906 | 53907.639 | 27274.633 |
| -10091.531 | 82803.614 | -101996.259 | -6417.603 | 49584.092 | 26572.122 |
| -3087.859 | 39634.476 | -93723.070 | -1173.551 | 124.590 | 599.083 |
| -13434.397 | 59816.229 | -109649.346 | 2261.504 | 46859.087 | 18880.364 |
| -28037.449 | 76182.406 | -105713.581 | -5399.804 | 50376.699 | 18214.044 |
| -6345.690 | -67567.644 | 108390.276 | 7519.665 | -25124.282 | -19551.122 |
| 72857.260 | -91986.323 | 87687.445 | -4332.905 | -16872.516 | 2668.558 |
| 24266.440 | -63021.910 | 106815.074 | -6170.404 | -36736.315 | -8199.775 |
| 11190.719 | -75508.095 | 105201.763 | 4635.536 | -40831.931 | -20229.329 |
| 34615.553 | -46823.130 | 119808.941 | -3313.081 | -40064.463 | -6357.004 |
| 28352.693 | -78331.190 | 98163.806 | 887.791 | -47895.196 | -13661.872 |
| -237.275 | 5725.193 | -10423.255 | -682.242 | 3252.535 | 1502.764 |
| -101.080 | 3349.316 | -486.093 | 798.858 | 916.237 | 1041.797 |
| -725.907 | 9046.357 | -10465.868 | -1726.347 | 5808.322 | 3486.306 |
| -1838.845 | 6513.415 | -11301.636 | 395.395 | 3630.721 | 1639.515 |
| -838.594 | 8260.174 | -10197.102 | -706.707 | 5391.763 | 2683.941 |
| -1531.298 | 7591.912 | -10665.768 | 151.688 | 3904.101 | 1435.453 |
| 1596.777 | -7594.903 | 9805.760 | 415.730 | -4833.274 | -2325.089 |
| 2243.596 | -7664.542 | 10508.530 | 291.253 | -5067.985 | -2213.944 |
| 937.207 | -2970.701 | 1179.731 | 101.160 | -1412.663 | -134.627 |
| 2280.474 | -9063.871 | 11005.616 | 427.532 | -5347.896 | -2909.423 |
| 695.052 | -7337.971 | 11294.613 | 777.521 | -4964.113 | -2392.221 |
| 405.570 | -5468.138 | 11335.861 | 242.696 | -3836.837 | -1478.084 |
| -60.368 | 705.092 | -1006.044 | -93.626 | 437.634 | 235.275 |
| -738.456 | 488.765 | -1098.425 | -85.332 | 277.106 | -13.923 |
| -109.536 | 808.081 | -920.326 | -92.440 | 479.325 | 215.060 |
| -141.378 | 513.688 | -1030.370 | 70.016 | 231.773 | 45.491 |
| -150.351 | 801.982 | -1041.241 | -66.346 | 554.006 | 270.368 |
| -172.708 | 806.617 | -1119.894 | -118.332 | 496.405 | 107.441 |
| 346.576 | -438.963 | 1187.099 | 5.829 | -305.462 | -64.769 |
| 211.613 | -735.083 | 1128.912 | 115.847 | -517.743 | -255.098 |
| 309.786 | -704.616 | 1213.910 | 124.339 | -548.540 | -245.935 |
| 181.034 | 20.135 | 1800.117 | 505.381 | 82.083 | 59.587 |
| 119.012 | -592.058 | 1123.414 | 12.960 | -265.207 | -119.309 |
| -520.519 | -776.890 | 1310.068 | 19.397 | -305.683 | -387.065 |
| 2601.064 | 6333.131 | 9615.218 | -7787.647 | 4752.884 | -3851.044 |
| 2265.675 | 6805.034 | 9603.264 | -7732.402 | 4772.374 | -3843.226 |
| 2220.266 | 6275.151 | 9866.959 | -7794.955 | 4742.820 | -3865.532 |
| 17.640 | 55.701 | -3.211 | 215.491 | -1.079 | 59.270 |
| 2035.895 | 6128.326 | 9427.735 | -7803.095 | 4927.876 | -3855.159 |
| 15.421 | 28.297 | 0.684 | 62.912 | 29.198 | 261.961 |
| 593.328 | 257.374 | 207.528 | 26.931 | 30.675 | 28.641 |
| 258.158 | 736.829 | 200.878 | 80.003 | 53.744 | 36.299 |
| 212.885 | 208.191 | 476.018 | 5.277 | 28.059 | 6.498 |
| -1993.807 | -6015.559 | -9394.294 | 8006.419 | -4716.941 | 3923.826 |
| 25.704 | 54.818 | 25.012 | 5.718 | 209.192 | 21.681 |
| -1997.951 | -6048.129 | -9397.589 | 7859.380 | -4690.943 | 4127.347 |
| 788.979 | 860.753 | 1146.563 | -757.500 | 501.253 | -362.284 |
| 453.755 | 1333.125 | 1134.987 | -702.381 | 520.984 | -354.460 |
| 408.430 | 803.413 | 1399.239 | -765.392 | 491.641 | -377.020 |
| 17.602 | 55.683 | -3.104 | 215.248 | -1.061 | 59.095 |
| 223.827 | 656.084 | 959.250 | -773.060 | 676.375 | -366.427 |
| 15.364 | 28.163 | 0.528 | 62.986 | 29.101 | 261.959 |
| 593.234 | 257.287 | 207.481 | 26.890 | 30.637 | 28.594 |
| 257.936 | 736.371 | 200.588 | 79.984 | 53.533 | 36.196 |
| 212.624 | 207.645 | 475.281 | 5.654 | 27.694 | 6.630 |
| -181.646 | -543.260 | -926.027 | 976.881 | -465.442 | 435.469 |
| 25.614 | 54.628 | 24.826 | 5.779 | 209.047 | 21.664 |
| -185.745 | -575.634 | -928.930 | 829.406 | -439.261 | 638.772 |
| 608.633 | 314.410 | 300.371 | -54.386 | 76.541 | -13.140 |
| 274.825 | 790.799 | 291.681 | 0.143 | 98.215 | -4.948 |
| 230.273 | 262.790 | 561.457 | -67.509 | 70.978 | -30.100 |
| 36.004 | 68.398 | 46.962 | 109.714 | 27.014 | 9.871 |
| 43.625 | 111.061 | 114.736 | -71.075 | 252.925 | -17.596 |
| 15.032 | 27.537 | 0.080 | 62.815 | 28.693 | 261.505 |
| 592.373 | 256.600 | 207.235 | 26.335 | 30.379 | 28.062 |
| 172.799 | 543.754 | 108.639 | 112.118 | 2.988 | 54.456 |
| 142.592 | 137.831 | 343.113 | 52.238 | -9.886 | 28.777 |
| -0.539 | 2.364 | -83.513 | 279.581 | -41.979 | 90.171 |
| -7.876 | 4.440 | -36.007 | 57.940 | 139.567 | 37.392 |
| -4.247 | -28.274 | -82.916 | 128.186 | -14.159 | 291.536 |
| 1405.084 | 357.413 | 329.284 | -34.473 | 125.246 | 11.304 |
| -6081.288 | 429.013 | -4529.905 | 5596.654 | -2526.423 | 1303.722 |
| -7871.399 | -115.024 | -2762.227 | 6521.207 | -1317.811 | -693.886 |
| -10661.957 | 2635.845 | -4493.132 | 11481.771 | 4143.357 | -7939.376 |
| -5433.682 | 1161.664 | -2610.842 | 4572.495 | 424.936 | -2366.548 |
| -14009.715 | -3988.841 | -7898.362 | 10896.626 | -4289.486 | -1965.371 |
| 11754.330 | -1313.243 | 5991.758 | -8431.677 | -995.593 | 6259.300 |
| 11.804 | 1788.150 | 1098.308 | -616.159 | 305.977 | -656.856 |
| 2414.417 | 744.484 | 1955.848 | -815.350 | 1462.548 | -208.355 |
| 1941.265 | 5815.734 | 476.925 | -487.902 | 172.941 | -2554.003 |
| 4994.247 | -1072.391 | 4615.579 | -2502.535 | 1480.661 | 1160.902 |
| 12872.205 | -5328.666 | 8618.726 | -10132.831 | 798.086 | -6747.729 |
| -789.116 | -242.014 | -127.001 | 77.467 | -115.821 | 200.111 |
| -901.106 | 421.862 | -469.330 | 888.795 | -68.499 | -91.477 |
| -589.551 | -264.087 | 20.140 | 171.831 | 18.414 | -25.761 |
| -256.855 | -67.505 | -133.949 | 139.106 | -94.667 | 99.028 |
| -88.612 | -176.137 | -196.848 | 72.379 | -62.457 | 78.252 |
| -782.753 | -79.844 | -389.156 | 387.999 | -46.794 | 147.919 |
| 1349.225 | 169.864 | 809.977 | -833.721 | 416.251 | -220.066 |
| 695.745 | 411.079 | 704.811 | -506.232 | 255.971 | -95.834 |
| 750.629 | 164.701 | 317.559 | -258.478 | -117.114 | -145.982 |
| 930.210 | -3.793 | 554.555 | -583.951 | -35.977 | 207.681 |
| 977.483 | 187.053 | 657.164 | -614.150 | 111.417 | -78.861 |
| 1056.749 | -103.581 | 694.471 | -1017.485 | -136.960 | 369.287 |
| 142.226 | 114.529 | 90.686 | 35.253 | -10.577 | 29.948 |
| -80.831 | 19.031 | -21.884 | 74.575 | 12.401 | 24.639 |
| -27.221 | 82.141 | 100.502 | 121.992 | 43.809 | -84.776 |
| -60.576 | -3.395 | -39.164 | 100.373 | -21.127 | 11.480 |
| -6.461 | -13.314 | -2.259 | 5.917 | 25.003 | 6.147 |
| -95.184 | -11.238 | -35.608 | 84.817 | 37.141 | 10.017 |
| 263.521 | 85.184 | 139.552 | -77.788 | -5.616 | 53.595 |
| 106.541 | -4.132 | 88.903 | -82.757 | -16.243 | 7.420 |
| 186.603 | 173.637 | 307.870 | -4.732 | 45.899 | -10.522 |
| -9.854 | 16.018 | -18.554 | 88.852 | 0.238 | 0.003 |
| 67.919 | 110.960 | 73.952 | -22.764 | 6.538 | 66.466 |
| 130.409 | 7.880 | 54.715 | -53.972 | 50.997 | -8.971 |
| -117029.085 | -46898.886 | 558628.175 | -282698.781 | -480413.030 | 182365.207 |
| -117096.857 | -46836.816 | 558621.175 | -282697.360 | -480407.291 | 182373.534 |
| -117098.917 | -46908.150 | 558672.367 | -282700.232 | -480410.308 | 182369.358 |
| -117147.341 | -46949.926 | 558575.738 | -282669.607 | -480402.829 | 182370.073 |
| -117153.123 | -46952.845 | 558573.093 | -282696.035 | -480372.891 | 182366.662 |
| -117144.415 | -46944.289 | 558582.221 | -282695.149 | -480405.056 | 182393.803 |
| 117262.770 | 47001.324 | -558530.283 | 282695.468 | 480394.961 | -182369.920 |
| 117194.954 | 47063.386 | -558537.256 | 282696.860 | 480400.725 | -182361.570 |
| 117192.478 | 46991.979 | -558485.808 | 282693.709 | 480397.961 | -182365.523 |
| 117144.486 | 46950.278 | -558582.702 | 282724.622 | 480405.177 | -182365.040 |
| 117138.682 | 46947.356 | -558585.335 | 282698.181 | 480435.128 | -182368.440 |
| 117147.412 | 46955.915 | -558576.219 | 282699.081 | 480402.951 | -182341.309 |
| -11597.976 | -4643.831 | 55907.009 | -28271.520 | -48049.300 | 18234.522 |
| -11665.539 | -4581.725 | 55899.879 | -28269.959 | -48043.686 | 18242.735 |
| -11667.575 | -4653.055 | 55951.057 | -28272.816 | -48046.719 | 18238.547 |
| -11715.982 | -4694.828 | 55854.417 | -28242.179 | -48039.249 | 18239.252 |
| -11721.755 | -4697.745 | 55851.766 | -28268.600 | -48009.318 | 18235.836 |
| -11713.075 | -4689.194 | 55860.912 | -28267.734 | -48041.465 | 18262.993 |
| 11831.582 | 4746.255 | -55809.068 | 28268.154 | 48031.280 | -18239.192 |
| 11763.548 | 4808.280 | -55815.907 | 28269.400 | 48037.173 | -18230.725 |
| 11760.455 | 4736.767 | -55764.080 | 28265.837 | 48034.785 | -18234.346 |
| 11713.173 | 4695.188 | -55861.410 | 28297.225 | 48041.569 | -18234.244 |
| 11707.414 | 4692.274 | -55864.069 | 28270.814 | 48071.493 | -18237.668 |
| 11716.120 | 4700.829 | -55854.940 | 28271.698 | 48039.330 | -18210.525 |
| -1055.111 | -418.370 | 5635.044 | -2828.958 | -4812.785 | 1821.585 |
| -1122.490 | -356.231 | 5627.800 | -2827.275 | -4807.276 | 1829.699 |
| -1124.940 | -427.635 | 5679.234 | -2830.408 | -4810.065 | 1825.733 |
| -1172.746 | -469.301 | 5582.224 | -2799.370 | -4802.953 | 1826.117 |
| -1178.762 | -472.260 | 5579.723 | -2825.953 | -4772.877 | 1822.831 |
| -1170.105 | -463.714 | 5588.882 | -2825.102 | -4805.009 | 1850.000 |
| 1288.880 | 520.821 | -5537.204 | 2825.701 | 4794.668 | -1826.343 |
| 1220.315 | 582.755 | -5543.714 | 2826.593 | 4800.875 | -1817.590 |
| 1214.776 | 510.820 | -5490.383 | 2821.394 | 4799.973 | -1819.898 |
| 1170.155 | 469.699 | -5589.350 | 2854.561 | 4805.141 | -1821.225 |
| 1164.513 | 466.805 | -5592.082 | 2828.228 | 4834.996 | -1824.712 |
| 1173.165 | 475.351 | -5582.919 | 2829.076 | 4802.865 | -1797.539 |
| 19826.444 | 29648.465 | 8317.712 | -24179.481 | -44127.559 | -34751.561 |
| 36441.480 | 30539.518 | -6076.902 | -51069.435 | -73400.879 | -24960.976 |
| 26950.557 | 27809.515 | 9942.518 | -28254.651 | -59691.442 | -30428.740 |
| 19424.281 | 25098.172 | 14424.301 | -31845.157 | -52061.384 | -34351.025 |
| 40341.896 | 32433.648 | 14961.867 | -47634.064 | -83883.375 | -50125.433 |
| 7631.707 | 26381.965 | 13302.782 | -4353.427 | -14872.746 | -27160.767 |
| -26221.302 | -24546.600 | -35665.790 | 17454.327 | 50865.554 | 45993.792 |
| -20885.315 | -30381.618 | -9953.413 | 21720.395 | 29127.902 | 16951.821 |
| -19891.026 | -21941.870 | 2812.521 | 25913.805 | 50630.889 | 32072.532 |
| -23610.925 | -24463.047 | 8709.782 | 47158.025 | 42129.623 | 30004.925 |
| -24615.158 | -29572.098 | -10496.204 | 30675.393 | 56721.336 | 32344.151 |
| -31781.041 | -28579.269 | 16063.657 | 39019.123 | 55328.440 | 43036.038 |
| 2893.824 | 2437.198 | 155.178 | -3203.680 | -5745.869 | -3200.552 |
| 1700.696 | 2765.103 | 1233.616 | -2182.678 | -4373.028 | -3222.896 |
| 2829.357 | 3182.672 | 1148.071 | -3396.365 | -5897.407 | -3325.303 |
| 1770.160 | 3353.281 | 1375.412 | -2439.015 | -4979.702 | -3525.635 |
| 2800.792 | 2784.700 | 651.498 | -3564.058 | -6091.419 | -3738.823 |
| 2868.775 | 2961.137 | 578.383 | -3493.191 | -6027.980 | -3079.565 |
| -3177.605 | -2846.560 | -763.503 | 4020.507 | 6629.614 | 3572.359 |
| -977.717 | -2261.603 | -954.812 | 1327.723 | 3497.998 | 1550.258 |
| -4024.857 | -1608.012 | 152.177 | 1565.569 | 3109.282 | 2361.382 |
| -3485.023 | -1810.822 | -5370.920 | -2159.300 | 9847.581 | 4962.190 |
| -1546.014 | -2678.883 | -1458.670 | 1784.386 | 3322.583 | 3716.505 |
| -376.729 | -4448.392 | -3947.997 | 381.898 | 2371.479 | 3358.674 |
| 41.821 | 11.506 | -211.486 | -286.242 | -406.520 | -396.585 |
| 38.171 | 508.281 | 76.106 | -1.192 | -127.585 | -185.675 |
| 301.762 | 277.617 | 94.115 | -327.634 | -547.941 | -365.937 |
| 219.546 | 356.205 | 20.185 | -244.034 | -343.198 | -306.759 |
| 247.177 | 108.353 | 685.032 | 446.652 | -940.657 | -38.466 |
| 265.154 | 325.136 | 25.590 | -405.440 | -585.258 | -298.190 |
| -136.497 | -246.808 | 165.199 | 153.944 | 255.319 | -12.133 |
| -166.614 | -146.968 | -96.673 | 248.881 | 512.881 | 315.029 |
| -219.945 | -247.070 | -58.114 | 313.871 | 608.960 | 390.752 |
| -136.998 | -236.618 | -88.240 | 144.971 | 428.177 | 508.532 |
| -232.955 | -296.128 | -171.876 | 169.086 | 520.831 | 331.124 |
| -319.180 | -299.277 | -0.059 | 448.788 | 621.936 | 410.069 |
| 133985.547 | 121967.618 | 116845.402 | 60122.516 | -152199.810 | 91635.352 |
| 133930.175 | 122010.205 | 116842.591 | 60115.064 | -152206.216 | 91635.481 |
| 133929.994 | 121965.731 | 116876.775 | 60114.775 | -152198.043 | 91634.449 |
| 133898.661 | 121926.711 | 116804.167 | 60145.315 | -152208.755 | 91635.920 |
| 133906.118 | 121938.097 | 116820.566 | 60120.459 | -152190.177 | 91634.377 |
| 133899.083 | 121936.178 | 116811.475 | 60121.326 | -152207.049 | 91659.653 |
| -133750.125 | -121869.199 | -116700.377 | -60094.633 | 152271.648 | -91592.340 |
| -133860.099 | -121856.148 | -116773.310 | -60122.031 | 152215.116 | -91629.801 |
| -133860.280 | -121900.622 | -116739.127 | -60122.321 | 152223.290 | -91630.833 |
| -133891.613 | -121939.642 | -116811.735 | -60091.780 | 152212.577 | -91629.362 |
| -133829.554 | -121898.719 | -116725.213 | -60096.690 | 152281.281 | -91593.315 |
| -133836.589 | -121900.638 | -116734.304 | -60095.822 | 152264.409 | -91568.039 |
| 13480.128 | 12227.857 | 11718.523 | 6015.870 | -15210.040 | 9166.114 |
| 13424.552 | 12270.346 | 11715.436 | 6008.371 | -15216.616 | 9166.104 |
| 13418.911 | 12222.919 | 11742.607 | 6006.087 | -15213.456 | 9161.313 |
| 13393.038 | 12186.852 | 11677.012 | 6038.623 | -15219.156 | 9166.544 |
| 13400.495 | 12198.239 | 11693.410 | 6013.766 | -15200.578 | 9165.000 |
| 13387.898 | 12193.364 | 11677.277 | 6012.642 | -15222.531 | 9186.482 |
| -13287.842 | -12153.021 | -11629.404 | -6003.722 | 15242.155 | -9152.864 |
| -13354.476 | -12116.289 | -11646.154 | -6015.338 | 15225.517 | -9160.424 |
| -13360.063 | -12163.855 | -11619.345 | -6017.487 | 15228.662 | -9165.203 |
| -13391.396 | -12202.875 | -11691.952 | -5986.947 | 15217.949 | -9163.732 |
| -13372.778 | -12185.515 | -11661.311 | -6007.782 | 15246.737 | -9157.628 |
| -13379.813 | -12187.434 | -11670.402 | -6006.914 | 15229.865 | -9132.352 |
| 1430.618 | 1254.416 | 1207.565 | 605.403 | -1510.210 | 919.886 |
| 1374.589 | 1296.654 | 1203.893 | 597.700 | -1517.222 | 919.553 |
| 5681.678 | 10911.998 | 7180.088 | 4481.819 | -4205.671 | 5619.898 |
| 1342.524 | 1212.883 | 1164.346 | 627.962 | -1520.157 | 919.635 |
| 1349.540 | 1224.033 | 1180.198 | 602.937 | -1501.986 | 917.791 |
| 1343.033 | 1222.398 | 1171.779 | 603.994 | -1518.374 | 943.428 |
| -1245.732 | -1183.334 | -1126.899 | -596.280 | 1535.548 | -911.697 |
| -1302.206 | -1141.411 | -1131.297 | -604.036 | 1528.117 | -912.317 |
| -4145.521 | -4472.769 | -3764.630 | -1934.148 | 4352.002 | -2976.047 |
| -1333.764 | -1224.920 | -1169.778 | -573.804 | 1525.535 | -911.908 |
| -1326.865 | -1213.812 | -1154.042 | -598.887 | 1543.609 | -913.837 |
| -1334.392 | -1215.978 | -1163.705 | -598.223 | 1526.292 | -888.897 |
| -25828829.862 | 27188846.565 | -25338988.530 | 12151789.318 | 5342396.666 | 1308391.105 |
| -25709478.336 | 27583407.169 | -25290662.327 | 11882018.222 | 5460898.392 | 1060468.640 |
| -25763817.874 | 27353045.066 | -25317100.399 | 11998984.092 | 5382797.009 | 1194044.121 |
| -25564980.786 | 27819275.178 | -25203253.647 | 11650271.973 | 5506223.163 | 860656.122 |
| -25981007.067 | 27109741.613 | -25358294.299 | 12218200.026 | 5159377.637 | 1367415.527 |
| -25513279.269 | 28103635.799 | -25180474.198 | 11474953.191 | 5591083.984 | 690105.621 |
| 474.829 | 216.111 | 215.347 | -7.693 | 5.143 | -21.339 |
| 221.832 | 1022.928 | 301.708 | 125.959 | 8.115 | 110.040 |
| 218.946 | 329.966 | 494.213 | 4.566 | 33.964 | -5.852 |
| -9.269 | 125.012 | -17.207 | 303.024 | -10.038 | 4.886 |
| 29.593 | -2.031 | 28.312 | -11.840 | 218.490 | -7.418 |
| -12.678 | 109.939 | -14.543 | 11.192 | -24.923 | 225.463 |
| -2532973.017 | 2812253.906 | -2493497.972 | 1149683.411 | 564124.042 | 58984.517 |
| -2579163.693 | 2721852.287 | -2537325.469 | 1212627.389 | 530304.595 | 131105.815 |
| -2577878.308 | 2725302.092 | -2531516.925 | 1211210.929 | 539173.832 | 126832.450 |
| -2571943.885 | 2743159.602 | -2531321.831 | 1197376.396 | 538291.347 | 115579.447 |
| -2564817.489 | 2762851.687 | -2523238.926 | 1182435.266 | 548712.481 | 100235.442 |
| -2565412.437 | 2759593.824 | -2528314.908 | 1181363.723 | 542443.016 | 101783.858 |
| 474.828 | 216.161 | 215.354 | -7.664 | 5.148 | -21.327 |
| 2576203.746 | -2731024.034 | 2529660.129 | -1206005.143 | -540460.281 | -122831.888 |
| 218.872 | 329.951 | 494.082 | 4.645 | 33.918 | -5.825 |
| -9.252 | 124.934 | -17.166 | 302.924 | -10.037 | 4.862 |
| 29.584 | -1.986 | 28.313 | -11.813 | 218.483 | -7.404 |
| -12.664 | 109.919 | -14.530 | 11.189 | -24.906 | 225.444 |
| -258500.675 | 272408.480 | -254144.279 | 121056.469 | 53140.220 | 12782.882 |
| -256253.166 | 277235.519 | -252366.977 | 117455.982 | 54776.044 | 9745.024 |
| -257326.218 | 273981.760 | -252727.074 | 119856.000 | 54057.885 | 11678.671 |
| -254301.644 | 285883.699 | -253469.292 | 110111.347 | 55508.892 | 2334.239 |
| -259122.948 | 271227.818 | -252578.754 | 121658.765 | 52604.142 | 13343.765 |
| -257134.303 | 274355.895 | -253245.914 | 120473.581 | 54056.134 | 11686.022 |
| 474.804 | 216.665 | 215.423 | -7.372 | 5.191 | -21.206 |
| 220.696 | 1009.201 | 298.432 | 121.850 | 7.088 | 107.162 |
| 218.077 | 328.510 | 492.435 | 4.750 | 33.302 | -5.828 |
| -9.106 | 123.523 | -16.909 | 301.587 | -10.094 | 4.486 |
| 29.489 | -1.530 | 28.314 | -11.540 | 218.407 | -7.264 |
| -12.535 | 109.313 | -14.491 | 10.942 | -24.784 | 225.173 |
| -37689.949 | 17696.382 | -169096.493 | 403996.497 | -190694.685 | -51209.021 |
| -43616.819 | 6402.225 | -155289.005 | 369870.818 | -175046.812 | -48832.742 |
| -42605.844 | -15958.402 | -142857.043 | 334889.805 | -158766.461 | -44000.172 |
| -39442.178 | 12571.880 | -148627.593 | 330008.879 | -158825.076 | -50284.332 |
| -61994.825 | 54022.453 | -211165.927 | 525163.604 | -258327.667 | -55923.658 |
| -54457.487 | 23944.063 | -188545.503 | 450448.512 | -217802.772 | -52269.426 |
| 41733.910 | 25661.194 | 135655.867 | -281759.465 | 138414.432 | 39980.280 |
| 20170.852 | 94312.482 | 49587.995 | -165677.356 | 77130.487 | 18116.110 |
| 25491.613 | 28070.117 | 93646.157 | -197345.238 | 94123.810 | 38386.549 |
| 47354.018 | -42974.924 | 171610.186 | -397966.295 | 187073.071 | 49884.002 |
| 43806.058 | 381.593 | 156845.466 | -353768.718 | 166924.430 | 48505.487 |
| 27082.039 | 12008.133 | 100772.648 | -221760.301 | 105496.871 | 42281.306 |
| -5448.851 | -269.299 | -17993.392 | 45054.941 | -21449.100 | -4592.694 |
| -3927.547 | -1609.860 | -13435.226 | 32528.371 | -15106.010 | -4257.976 |
| -4455.567 | 2492.933 | -17861.447 | 42045.868 | -20008.131 | -5337.610 |
| -1739.986 | -5400.970 | -6665.117 | 13679.732 | -6730.152 | -2920.798 |
| -2823.310 | -12455.361 | -9341.625 | 19597.740 | -8948.651 | -1387.519 |
| -4840.659 | 4332.058 | -17977.519 | 40755.474 | -19646.842 | -5788.074 |
| 6115.164 | -4473.401 | 21112.772 | -50178.747 | 23987.064 | 5594.857 |
| 4631.111 | -1084.236 | 17126.356 | -40506.722 | 19267.179 | 4986.002 |
| 4204.082 | 3334.846 | 13765.383 | -33970.826 | 15764.011 | 3917.700 |
| 3491.573 | 2277.192 | 12653.786 | -27690.395 | 13017.154 | 4197.228 |
| 5093.409 | -1884.774 | 17785.114 | -42990.602 | 20473.742 | 5129.549 |
| 3803.154 | 1947.805 | 13629.880 | -32017.810 | 15249.092 | 4355.529 |
| -253.671 | -711.809 | -651.550 | 1776.045 | -905.612 | -215.507 |
| -445.914 | 41.832 | -1716.472 | 3983.857 | -1891.257 | -471.821 |
| -268.578 | -607.958 | -1587.396 | 2051.744 | -996.779 | -288.010 |
| -250.620 | -468.087 | -903.344 | 1904.288 | -915.043 | -336.478 |
| -469.981 | -523.000 | -1532.931 | 3547.597 | -1676.450 | -345.543 |
| -520.200 | 167.411 | -1821.024 | 4236.701 | -2009.997 | -525.195 |
| 339.145 | 849.549 | 905.209 | -2538.228 | 1154.266 | 247.244 |
| 583.709 | -98.414 | 1979.922 | -4670.228 | 2276.315 | 488.561 |
| 163.844 | 685.047 | 571.655 | -1136.364 | 586.435 | 244.119 |
| 243.832 | -87.663 | 1484.817 | -3749.423 | 1744.466 | 467.965 |
| 598.238 | -586.087 | 2154.226 | -5376.637 | 2640.967 | 569.915 |
| 592.710 | -422.484 | 2033.773 | -4932.477 | 2374.686 | 577.190 |
| -24522.995 | -5030.450 | 6331.808 | -1740.593 | 9818.102 | -11581.364 |
| -26104.080 | -4374.551 | 11959.865 | -9870.538 | 11215.479 | -12232.358 |
| -9621.651 | 18060.860 | 1363.325 | 512.108 | -2319.547 | 14718.789 |
| -10836.469 | 4039.754 | -11382.780 | 14148.429 | -22336.837 | 1883.294 |
| -10458.477 | 10535.860 | 16835.728 | 3072.233 | 232.780 | -27104.002 |
| -5151.292 | 2101.145 | 1736.792 | 281.382 | 1472.800 | -2480.072 |
| 5604.655 | -2527.934 | -1603.498 | -374.376 | -1364.021 | 1864.866 |
| 49853.111 | 13127.336 | -8143.777 | 19534.018 | -20721.018 | 6058.556 |
| 29478.000 | -1359.323 | -13928.466 | 10308.864 | -12440.612 | 8615.911 |
| 4762.706 | -3662.993 | -2401.781 | -169.228 | -1325.523 | 1075.260 |
| 9614.459 | -20314.885 | -5186.505 | -1577.029 | 1029.949 | -14399.437 |
| 17867.535 | -5702.221 | -6086.213 | 2826.070 | -3967.466 | 13565.920 |
| -2754.392 | -814.663 | -557.906 | 410.429 | 183.109 | -1892.753 |
| -2386.422 | 2002.093 | 48.679 | 454.687 | 700.273 | -1257.997 |
| -2738.967 | 28.455 | 788.289 | -969.333 | 1191.226 | -1487.522 |
| -564.075 | 778.432 | 381.025 | 177.923 | 154.140 | 164.861 |
| -441.193 | 541.223 | 363.153 | 82.529 | 345.854 | 50.020 |
| -2550.629 | 415.375 | 1209.358 | -501.008 | 781.780 | -1723.546 |
| 2785.248 | -564.922 | -1399.270 | 933.522 | -644.007 | 382.141 |
| 3886.389 | 60.628 | -2215.936 | 1799.770 | -981.316 | 1451.229 |
| 3911.312 | 222.995 | 2282.296 | -217.050 | -297.646 | 725.909 |
| 445.888 | -522.444 | -393.655 | 248.522 | -90.936 | -11.061 |
| 1086.533 | -1902.337 | 542.811 | -240.502 | 824.740 | -1779.512 |
| 2284.841 | -607.325 | -1104.828 | 629.338 | -569.277 | 754.995 |
| 11.352 | 23.400 | 68.003 | -99.134 | 103.818 | -267.808 |
| -114.423 | 315.838 | 218.330 | -57.384 | 70.711 | -103.118 |
| -184.505 | 113.319 | 201.909 | -52.174 | 90.901 | -158.805 |
| -178.026 | -71.428 | 52.714 | 113.330 | 64.414 | 41.802 |
| -298.740 | 101.138 | 112.064 | -40.425 | 75.336 | -201.076 |
| -319.351 | 29.546 | 136.211 | -117.750 | 87.847 | 13.877 |
| 205.906 | -115.758 | -100.306 | -21.240 | -38.259 | 228.040 |
| 558.938 | -322.651 | 348.709 | -13.948 | 225.734 | -168.785 |
| 490.792 | 146.530 | 91.340 | 146.553 | -136.050 | 69.472 |
| 118.397 | -98.078 | -38.239 | 26.760 | 16.567 | 109.981 |
| 106.829 | -83.421 | -102.536 | 31.917 | -8.124 | 87.192 |
| 254.623 | -14.482 | -125.856 | 109.462 | -99.876 | 129.997 |
| -167.003 | 816.465 | -2755.286 | 954.147 | 714.876 | 20.577 |
| -655.862 | 921.026 | -3129.661 | 1252.697 | 897.740 | -23.468 |
| -887.082 | -251.055 | -4093.567 | 2265.210 | 1409.220 | -370.525 |
| -3.527 | -97.492 | -206.507 | 517.971 | 137.021 | -76.310 |
| -100.723 | -181.493 | -371.401 | 226.546 | 467.340 | -15.681 |
| -819.671 | 606.893 | -2942.810 | 960.660 | 759.953 | 261.815 |
| 1068.994 | 527.807 | 507.770 | -62.922 | -126.090 | -249.600 |
| 462.636 | 925.632 | 545.373 | -101.255 | -103.922 | -58.443 |
| 477.768 | 708.545 | 1528.619 | -393.600 | -349.167 | 186.906 |
| 957.436 | -93.864 | 3795.811 | -1272.373 | -974.345 | 150.170 |
| 886.201 | -281.065 | 3450.491 | -1238.184 | -716.934 | 101.485 |
| -226.399 | -72.677 | 98.775 | -59.697 | 21.372 | 443.917 |
| 474.588 | 796.469 | 886.282 | -498.434 | -411.747 | 316.607 |
| 96.402 | 509.902 | -260.227 | 255.804 | 164.397 | -20.814 |
| 240.362 | 18.437 | 397.557 | 401.091 | 97.389 | -88.021 |
| -2.316 | -94.586 | -198.639 | 512.567 | 133.564 | -74.846 |
| -99.055 | -178.162 | -362.817 | 221.714 | 462.795 | -14.376 |
| 46.481 | 699.631 | 768.309 | -504.388 | -386.769 | 433.230 |
| 1066.861 | 525.706 | 503.835 | -61.496 | -124.724 | -249.182 |
| 460.120 | 921.799 | 537.690 | -98.007 | -101.351 | -59.044 |
| 401.012 | 262.085 | 1011.237 | -354.334 | -127.304 | 55.215 |
| 159.609 | 156.482 | 675.866 | -90.003 | -139.947 | 76.550 |
| 129.823 | -153.606 | 110.582 | -47.390 | 206.532 | -65.151 |
| -225.974 | -72.255 | 98.924 | -59.940 | 21.217 | 443.599 |
| 1024.222 | 405.845 | 308.685 | 75.349 | -47.600 | -295.194 |
| 4007.934 | 26280.232 | -13523.842 | 20085.346 | 21090.615 | 12841.250 |
| 3288.633 | 8909.406 | -14408.128 | 9847.761 | 5310.893 | 4084.439 |
| 4473.867 | 25170.326 | -13211.488 | 19452.280 | 19804.682 | 12477.720 |
| 17.322 | 85.116 | 88.340 | -7.946 | 166.413 | 56.442 |
| -242.248 | -120.310 | 19.322 | -4.069 | 52.693 | 423.996 |
| 453.025 | 72.201 | 103.027 | 45.673 | 24.657 | -15.638 |
| 190.999 | 471.812 | 99.359 | 127.259 | 73.527 | -16.102 |
| 1146.984 | -230.272 | 8029.807 | -2862.956 | -477.520 | -947.840 |
| -4449.672 | -25232.432 | 13242.000 | -19432.219 | -19909.979 | -12544.658 |
| -4081.592 | -25997.779 | 13483.681 | -19960.790 | -20832.525 | -12771.738 |
| -3741.481 | -25473.983 | 14433.465 | -19814.868 | -21063.301 | -12519.517 |
| 3818.127 | 645.348 | -705.426 | -295.130 | -765.392 | 690.743 |
| 3362.840 | 795.772 | -654.220 | -255.593 | -729.066 | 617.023 |
| 802.485 | 349.512 | 642.364 | -52.187 | -100.547 | 97.122 |
| 313.663 | 81.194 | -87.855 | 308.219 | -67.521 | 32.527 |
| 2450.264 | 350.462 | -584.310 | -193.958 | -421.134 | 484.267 |
| 2440.237 | 333.561 | -588.173 | -194.077 | -527.993 | 591.382 |
| -3631.497 | -413.363 | 1147.357 | 362.689 | 932.867 | -774.748 |
| -898.953 | 286.716 | 450.717 | 78.874 | 243.992 | -225.634 |
| -8914.786 | -1097.220 | 2674.117 | 1263.902 | 2114.305 | -1994.090 |
| -1361.725 | -192.864 | 334.381 | 229.277 | 302.514 | -263.539 |
| -277.775 | -81.433 | 77.546 | 4.051 | 316.846 | -2.624 |
| -1888.263 | -292.337 | 475.507 | 131.050 | 455.032 | -222.521 |
| 604.364 | 227.286 | 191.840 | 8.995 | 4.353 | 28.855 |
| 320.175 | 483.606 | 164.654 | 4.652 | -29.397 | -1.902 |
| 1005.158 | 229.886 | 67.515 | -120.090 | -199.228 | 201.307 |
| 124.435 | 22.551 | -30.323 | 147.015 | -31.848 | 14.006 |
| 809.719 | 110.000 | -201.917 | -107.049 | -106.041 | 184.541 |
| 123.852 | -3.057 | -17.354 | -13.527 | 5.012 | 181.633 |
| -30.220 | 98.117 | 249.271 | 36.612 | 110.616 | -62.349 |
| -175.400 | 288.426 | 224.098 | 41.486 | 77.211 | -72.079 |
| -530.045 | 28.997 | 496.608 | 78.339 | 161.647 | -130.190 |
| -104.756 | -13.144 | 23.023 | 155.414 | 19.954 | -27.906 |
| -228.814 | -34.257 | 76.286 | 12.899 | 187.211 | -29.358 |
| -603.021 | -88.337 | 167.217 | 65.234 | 158.166 | -39.053 |
| 362.061 | 118.816 | 49.827 | -33.789 | -32.695 | 48.350 |
| 532.336 | 385.899 | 16.324 | -146.020 | -111.700 | 70.462 |
| 354.163 | 8.038 | -458.866 | 124.380 | -64.261 | 184.407 |
| 31.545 | 12.954 | -1.934 | 98.812 | -11.272 | 0.239 |
| 83.629 | 13.628 | -11.052 | -11.905 | 65.227 | 26.766 |
| 53.365 | 2.286 | 2.337 | -6.882 | 8.125 | 103.579 |
| 219.324 | 121.672 | 149.889 | 8.234 | 36.114 | -3.763 |
| -182.292 | 99.109 | 149.163 | 78.504 | 63.130 | -65.682 |
| -289.904 | 43.719 | 366.010 | 159.475 | 93.957 | -126.643 |
| -398.753 | -37.415 | 133.281 | 179.339 | 99.964 | -137.569 |
| -30.937 | -3.584 | 22.429 | 0.101 | 113.103 | 4.691 |
| -68.451 | -15.463 | 28.151 | 6.699 | 33.458 | 65.199 |
| -1367146.899 | -2534568.502 | -1628436.455 | 87193.974 | -227418.889 | 1933559.147 |
| -1367636.745 | -2533798.534 | -1628119.176 | 87604.271 | -227264.332 | 1933265.796 |
| -1367272.813 | -2534520.251 | -1628335.047 | 87232.625 | -227402.649 | 1933531.887 |
| -1367326.399 | -2534564.400 | -1628452.727 | 87261.403 | -227398.395 | 1933526.259 |
| -1367687.609 | -2533897.097 | -1628164.973 | 87604.835 | -227226.591 | 1933265.114 |
| -1367516.888 | -2534204.050 | -1628293.497 | 87433.013 | -227324.018 | 1933409.384 |
| 1367567.416 | 2534369.137 | 1628392.873 | -87365.158 | 227356.124 | -1933427.827 |
| 1367535.624 | 2534350.951 | 1628368.784 | -87392.297 | 227331.217 | -1933417.804 |
| 1367538.679 | 2534300.893 | 1628446.320 | -87390.103 | 227330.955 | -1933420.231 |
| 1367679.329 | 2533894.860 | 1628163.879 | -87572.928 | 227263.526 | -1933267.746 |
| 1367501.056 | 2534204.348 | 1628303.630 | -87416.482 | 227362.676 | -1933398.953 |
| 1367478.396 | 2534226.566 | 1628317.632 | -87416.700 | 227338.898 | -1933369.320 |
| -136557.803 | -253489.740 | -162824.810 | 8676.589 | -22763.923 | 193382.444 |
| -136705.249 | -253324.707 | -162786.438 | 8744.575 | -22735.166 | 193340.186 |
| -136636.606 | -253494.975 | -162763.274 | 8678.426 | -22759.882 | 193388.104 |
| -136759.948 | -253408.663 | -162822.995 | 8780.509 | -22728.930 | 193328.734 |
| -136790.567 | -253363.963 | -162806.649 | 8778.317 | -22683.323 | 193314.352 |
| -136814.897 | -253329.334 | -162790.786 | 8794.139 | -22700.856 | 193328.076 |
| 136941.474 | 253374.749 | 162839.328 | -8803.916 | 22700.929 | -193293.299 |
| 136782.507 | 253541.533 | 162883.375 | -8727.223 | 22736.606 | -193346.823 |
| 136778.128 | 253501.668 | 162964.699 | -8720.025 | 22739.228 | -193351.849 |
| 136744.343 | 253421.419 | 162831.781 | -8711.219 | 22735.962 | -193343.198 |
| 136772.237 | 253375.683 | 162808.576 | -8767.444 | 22757.312 | -193317.522 |
| 136560.495 | 253758.489 | 162971.296 | -8559.712 | 22811.179 | -193441.008 |
| -13554.319 | -25285.907 | -16229.656 | 875.068 | -2275.125 | 19332.801 |
| -13626.549 | -25256.250 | -16244.892 | 869.842 | -2275.798 | 19340.485 |
| -13621.056 | -25305.104 | -16166.502 | 872.227 | -2277.565 | 19337.517 |
| -13652.488 | -25387.267 | -16300.435 | 879.151 | -2282.122 | 19347.585 |
| -13671.757 | -25361.573 | -16293.384 | 866.588 | -2240.556 | 19342.661 |
| -13642.933 | -25390.683 | -16304.141 | 840.188 | -2282.482 | 19386.024 |
| 13774.303 | 25430.765 | 16350.214 | -854.428 | 2279.889 | -19347.813 |
| 13703.379 | 25469.446 | 16338.985 | -855.928 | 2278.215 | -19344.035 |
| 13719.456 | 25397.993 | 16407.581 | -866.894 | 2272.435 | -19336.573 |
| 13663.925 | 25360.457 | 16292.735 | -834.560 | 2277.244 | -19345.281 |
| 13637.513 | 25396.562 | 16304.202 | -840.713 | 2321.820 | -19355.069 |
| 13674.643 | 25348.176 | 16284.916 | -877.108 | 2276.971 | -19303.924 |
| -3003.453 | -4924.329 | -7754.181 | -4449.266 | 810.504 | 815.172 |
| -3757.587 | -4437.173 | -3475.307 | -1752.878 | 190.997 | 1238.252 |
| -104.891 | -3069.240 | -5258.041 | -2687.390 | -1100.125 | -790.788 |
| -2142.269 | -4669.711 | -2949.723 | -1275.097 | -655.664 | 425.108 |
| -3290.643 | -5287.796 | -3969.633 | -2204.744 | -597.202 | 846.028 |
| -573.716 | -2619.820 | -5477.928 | -2762.152 | -885.530 | -367.730 |
| 4411.427 | 7230.917 | 8264.529 | 4319.907 | -1284.137 | -1001.021 |
| 1514.978 | 5813.525 | 2402.828 | 618.043 | -1116.005 | -330.936 |
| 3065.238 | 4010.738 | 5677.550 | 974.845 | -904.244 | -1620.190 |
| 4296.319 | 5213.196 | 4524.489 | 2238.773 | -354.974 | -1433.009 |
| 1051.615 | 3434.400 | 4093.736 | 2052.894 | 1062.921 | 207.771 |
| 1380.921 | 4335.070 | 2466.295 | 1161.503 | 854.096 | 46.714 |
| 108.372 | -936.775 | -122.345 | -209.745 | 287.485 | 391.107 |
| 129.328 | 45.987 | -469.795 | -291.509 | -73.335 | 47.305 |
| 243.294 | 73.921 | 374.909 | -114.357 | -42.931 | -87.178 |
| 17.782 | -323.000 | -503.724 | -101.820 | -145.164 | -124.366 |
| -400.481 | -750.577 | -735.201 | -420.406 | 188.444 | 57.427 |
| -158.436 | -477.413 | -355.660 | -186.262 | -105.602 | 153.984 |
| 669.498 | 506.016 | 632.456 | 182.858 | -12.355 | -76.651 |
| 299.704 | 658.785 | 565.528 | 61.245 | 64.023 | -45.898 |
| 414.885 | 697.944 | 744.899 | 209.563 | 59.395 | -126.438 |
| 468.217 | 648.859 | 565.823 | 109.186 | -106.824 | -177.511 |
| 296.444 | 532.452 | 396.785 | 221.014 | 215.732 | -48.468 |
| 392.387 | 517.035 | 550.785 | 277.049 | -25.573 | 50.623 |
| 105.409 | 10.919 | 26.318 | -6.644 | 3.772 | 13.118 |
| 85.313 | 214.593 | 60.693 | -27.093 | 2.230 | -5.970 |
| 136.121 | 135.027 | 329.459 | -22.375 | 32.416 | -7.654 |
| 39.244 | -82.316 | -17.438 | 197.879 | -10.734 | 24.587 |
| 33.867 | -10.009 | -16.051 | -27.184 | 163.957 | -37.109 |
| -26.341 | -50.939 | -65.941 | -20.639 | -7.287 | 58.839 |
| 316.948 | 187.111 | 207.046 | 39.810 | -14.458 | -5.926 |
| 169.783 | 343.879 | 138.086 | -4.498 | -7.502 | -18.014 |
| 146.517 | 153.135 | 297.234 | 19.241 | 10.219 | -23.262 |
| 55.947 | 41.915 | 30.229 | 123.536 | -23.119 | -41.040 |
| 26.290 | 41.108 | 42.079 | 5.844 | 18.557 | -7.728 |
| 61.826 | 78.506 | 43.269 | 21.867 | -13.384 | -3.336 |
| 319597.322 | 1014486.626 | 2397094.250 | -752534.299 | 461689.417 | -74509.361 |
| 229634.018 | 677743.768 | 1554196.046 | -472773.977 | 277465.996 | -60436.598 |
| 102102.304 | -14057.461 | 15392.259 | -53939.563 | 5463.416 | 33124.904 |
| -38.759 | 66.148 | -1.839 | 438.546 | -34.825 | 38.969 |
| 173073.447 | 505932.605 | 1144520.460 | -374544.672 | 190105.787 | -56294.924 |
| -4094.417 | 274447.363 | 612571.314 | -134812.507 | 55692.601 | -86511.980 |
| 872.019 | 351.943 | 253.681 | -18.166 | 74.052 | -53.875 |
| 332.285 | 1514.571 | 445.041 | 74.918 | 39.938 | -3.997 |
| -100822.020 | -1260428.338 | -2337777.115 | 546793.251 | -242111.405 | 214844.897 |
| -330104.403 | -992547.598 | -2330252.020 | 706848.231 | -432310.925 | 75585.154 |
| 81.540 | 41.243 | 182.343 | -32.396 | 255.774 | -44.265 |
| -33.753 | 5.589 | -31.766 | 49.943 | -42.470 | 334.321 |
| 42543.826 | 115182.728 | 299640.784 | -98319.772 | 63507.674 | -2859.616 |
| 16598.159 | 83171.901 | 179392.539 | -51120.383 | 23791.680 | -12357.733 |
| 20186.333 | -1230.750 | 3570.937 | -10167.068 | 818.214 | 6480.308 |
| -37.923 | 65.887 | -1.908 | 437.993 | -34.789 | 39.221 |
| 20560.604 | -434.609 | 2811.952 | -10255.731 | 549.751 | 8128.941 |
| 10563.652 | 36938.069 | 64403.835 | -16788.626 | 6062.184 | -3317.517 |
| 868.605 | 351.273 | 253.257 | -17.204 | 73.435 | -53.925 |
| 330.066 | 1513.793 | 444.684 | 75.767 | 39.727 | -4.488 |
| 235.143 | 449.126 | 1367.772 | 11.218 | 180.608 | -41.286 |
| -11672.709 | 1953.694 | -1462.255 | 6119.517 | -553.907 | -3931.510 |
| 81.142 | 41.278 | 182.215 | -32.208 | 255.677 | -44.350 |
| -34.019 | 5.928 | -31.754 | 49.992 | -42.378 | 333.785 |
| 7430.879 | 17412.406 | 36536.222 | -12113.507 | 7294.146 | 1319.695 |
| 350.479 | 1499.710 | 441.385 | 62.430 | 39.603 | 3.905 |
| 261.820 | 441.882 | 1367.414 | -3.253 | 181.647 | -32.339 |
| -29.820 | 62.357 | -3.961 | 429.603 | -34.292 | 40.866 |
| -601.681 | 4489.990 | 8392.727 | -1768.342 | 1018.071 | -1288.226 |
| 2946.698 | 8252.100 | 19421.845 | -6025.205 | 3665.318 | -568.345 |
| -8948.994 | -20442.203 | -41390.052 | 13651.502 | -9083.869 | -2574.097 |
| -1131.999 | -2234.839 | -5080.337 | 1704.103 | -634.784 | 0.583 |
| -7360.011 | -13679.300 | -31984.672 | 10330.361 | -6556.612 | -1099.218 |
| -47.706 | 67.568 | -3.009 | 440.125 | -34.941 | 35.055 |
| 76.539 | 41.304 | 179.955 | -30.137 | 254.083 | -45.051 |
| -36.609 | 9.896 | -31.558 | 50.306 | -41.233 | 327.501 |
| -2234.995 | -6616.052 | -4186.240 | -2604.992 | 572.070 | -1614.690 |
| -1984.532 | -4582.315 | -2230.421 | -136.866 | 1058.907 | -2518.698 |
| -722.088 | -2861.137 | -1439.543 | -1260.578 | 164.565 | -805.578 |
| -3957.247 | -3503.320 | -2440.207 | 2200.846 | 2615.686 | -785.742 |
| 286.470 | -3474.107 | 713.863 | 5093.051 | -4654.245 | -9324.440 |
| -799.226 | 308.926 | -1724.844 | 767.586 | 1707.120 | -750.914 |
| 1863.568 | 4011.304 | 2363.425 | 792.138 | -561.040 | 1445.877 |
| 2176.804 | 2826.089 | 2003.314 | -1561.149 | -820.951 | 1741.969 |
| 398.195 | 425.793 | 1046.260 | 6.060 | -99.951 | 0.991 |
| 1444.045 | 3474.839 | 1741.864 | 487.993 | -683.447 | 1549.774 |
| -3077.509 | -1415.439 | -830.708 | -3902.831 | 1508.826 | 7760.747 |
| -53.110 | 92.075 | -4.309 | -68.679 | 65.831 | 494.702 |
| 471.049 | -110.185 | 142.076 | 28.567 | -39.894 | -19.268 |
| 26.283 | -218.192 | -222.031 | 19.472 | -51.502 | -174.540 |
| 183.676 | -52.324 | 441.765 | -174.898 | -35.171 | -46.402 |
| -106.170 | 76.071 | -40.330 | 71.466 | 187.104 | -29.345 |
| -119.483 | -553.293 | -335.857 | -187.543 | 92.948 | -284.661 |
| -30.362 | -540.890 | -304.279 | -98.148 | -72.332 | -246.119 |
| 325.810 | 32.003 | 130.555 | -59.303 | 53.143 | 328.940 |
| 187.336 | 376.962 | 253.189 | 82.330 | -123.539 | 49.393 |
| 125.037 | 43.012 | 110.831 | -141.687 | 36.181 | 135.687 |
| 45.392 | 48.888 | 6.060 | 415.515 | 1.457 | -68.757 |
| -36.526 | 53.692 | 97.430 | -177.181 | -16.906 | 278.605 |
| -53.110 | 92.075 | -4.309 | -68.679 | 65.831 | 494.702 |
| 304.129 | 92.688 | 126.511 | -3.810 | -6.688 | 1.992 |
| 124.918 | 265.523 | 128.473 | 11.445 | -9.776 | -21.184 |
| 36.310 | 47.500 | 52.405 | -0.425 | 21.903 | -10.936 |
| -32.648 | -37.677 | -32.718 | 8.365 | 1.085 | -21.634 |
| -41.165 | -51.878 | -50.444 | -12.113 | 197.645 | -10.685 |
| -44.380 | -111.461 | 4.283 | 11.635 | -11.409 | 32.248 |
| 195.594 | 85.906 | 97.490 | -2.923 | 2.835 | 10.024 |
| 183.329 | 328.205 | 119.249 | 5.942 | -34.745 | -22.996 |
| 134.842 | 110.578 | 307.191 | -38.332 | -23.564 | 49.051 |
| 13.611 | 24.549 | 45.072 | -11.440 | -2.021 | 2.518 |
| 15.246 | 28.398 | 40.351 | -2.435 | 58.537 | 37.367 |
| 15.381 | 48.775 | 28.865 | 5.910 | -8.988 | 97.028 |
| -66885.665 | -67542.618 | -80619.402 | 142102.739 | 764.962 | 43937.942 |
| -92938.188 | -165468.669 | -118651.059 | 226358.503 | -18893.095 | 62999.500 |
| -296546.896 | -570886.355 | -98185.865 | 421453.193 | -24094.609 | -626.806 |
| -169231.135 | -328275.812 | -105070.270 | 259800.262 | 2276.927 | 9446.508 |
| -119.047 | -92.916 | -176.763 | -71.972 | 263.432 | 70.721 |
| -230948.366 | -284439.737 | -103468.133 | 350950.465 | 25665.497 | 20167.409 |
| 127480.260 | 274686.262 | 81311.944 | -207189.528 | 3376.141 | -14777.903 |
| 221919.373 | 474052.896 | 90192.279 | -352325.651 | 18807.987 | -9937.679 |
| 263.062 | 289.420 | 707.682 | 95.793 | -176.829 | -73.021 |
| 67.646 | 112.352 | 96.112 | 282.608 | -72.311 | -94.989 |
| 244351.874 | 495426.887 | 91939.864 | -378675.474 | 18534.837 | -8613.791 |
| 272858.681 | 543940.994 | 97069.253 | -402671.387 | 21402.014 | -4606.739 |
| -21904.136 | -47323.232 | -8985.545 | 35004.990 | -1897.727 | 987.917 |
| -15715.443 | -23445.321 | -9801.921 | 24493.533 | 2023.597 | 2356.833 |
| -26180.835 | -54523.731 | -10693.703 | 40594.575 | -1348.011 | 620.635 |
| -29912.078 | -57406.406 | -9813.790 | 42359.374 | -2505.321 | -207.026 |
| -119.049 | -92.878 | -176.710 | -71.966 | 263.409 | 70.717 |
| -19038.778 | -43846.096 | -11491.779 | 26571.596 | -74.542 | -583.937 |
| 25329.898 | 52371.674 | 10226.789 | -38840.640 | 1724.037 | -800.800 |
| 1921.489 | 1703.163 | 2910.328 | -3003.539 | -377.040 | -1756.217 |
| 263.138 | 289.322 | 707.564 | 95.802 | -176.859 | -73.069 |
| 67.688 | 112.237 | 96.130 | 282.558 | -72.346 | -94.977 |
| 14091.241 | 23822.443 | 8643.097 | -21888.433 | -738.999 | -1740.031 |
| 19184.853 | 41403.596 | 8852.320 | -30771.598 | 1384.881 | -1110.075 |
| -2318.639 | -5134.842 | -959.603 | 3786.873 | -180.782 | 75.459 |
| -2050.567 | -4459.518 | -866.140 | 3350.835 | -178.715 | 95.327 |
| -2595.106 | -5228.353 | -858.629 | 3957.833 | -204.193 | 55.610 |
| -848.573 | -1636.422 | -1018.315 | 1969.480 | -140.172 | 506.444 |
| -2669.483 | -5632.799 | -1476.436 | 4126.960 | 23.924 | 58.452 |
| -2028.069 | -4014.651 | -1160.723 | 3000.818 | 13.600 | 39.580 |
| 577.678 | 277.518 | 257.097 | 58.956 | -110.682 | -75.584 |
| 370.653 | -704.494 | 865.981 | -1700.111 | -99.482 | -734.021 |
| 261.081 | 286.091 | 699.166 | 94.145 | -173.416 | -72.102 |
| 2720.419 | 5426.566 | 972.784 | -3982.782 | 217.554 | -45.528 |
| -117.939 | -92.831 | -175.550 | -71.480 | 262.304 | 70.093 |
| 2789.616 | 5553.906 | 1013.950 | -4099.910 | 206.723 | -14.046 |
| -5117.677 | -8467.760 | 7197.098 | -6144.610 | 12024.877 | 6347.330 |
| -11316.825 | -8327.040 | 8004.331 | -5391.754 | 7043.220 | 9654.704 |
| -11012.500 | -4647.547 | 5019.067 | -5155.620 | 9322.398 | 10000.354 |
| -11649.856 | -4341.892 | 1273.825 | -3845.390 | 8602.332 | 10144.056 |
| -8669.377 | -6762.989 | 5005.295 | -5886.020 | 10143.778 | 11123.932 |
| -12203.805 | -3259.049 | -183.594 | -3920.327 | 7569.222 | 7847.037 |
| 18639.837 | 14513.929 | -10227.422 | 6865.742 | -7375.589 | -10590.712 |
| 10831.579 | 2418.370 | -5425.122 | 5366.542 | -7595.339 | -10981.871 |
| 9976.994 | 6190.605 | -6934.767 | 4070.398 | -8254.659 | -6663.837 |
| 7960.793 | 16814.477 | -11639.395 | 6664.570 | -13096.497 | -3434.203 |
| 8268.362 | 6061.068 | -7304.268 | 4347.477 | -7701.963 | -4559.917 |
| 13795.482 | 4872.314 | -851.116 | 3245.657 | -5614.779 | -7236.789 |
| -950.919 | 114.818 | 620.689 | -620.118 | 893.599 | 1196.299 |
| -1503.602 | -1037.656 | 288.287 | -573.421 | 427.134 | 147.211 |
| -1452.149 | -1250.554 | 709.002 | -467.923 | 363.405 | 288.386 |
| -1337.595 | -513.455 | 453.546 | -179.742 | 780.235 | 746.566 |
| -1224.997 | -1361.321 | 605.587 | -415.578 | 725.912 | 446.945 |
| -1282.193 | -1384.122 | 268.977 | -590.874 | 944.025 | 684.382 |
| 1647.634 | 1644.234 | -789.108 | 552.105 | -742.359 | -1194.858 |
| 1192.570 | 1137.443 | -524.206 | 519.168 | -894.158 | -414.520 |
| 621.078 | 1452.213 | -818.426 | 383.632 | -1388.502 | -508.789 |
| 1023.106 | 622.535 | -452.261 | 581.022 | -897.511 | -903.407 |
| 605.552 | 328.011 | -666.664 | 567.132 | -755.104 | -846.864 |
| 1145.739 | 1289.214 | -466.205 | 562.989 | -954.124 | -401.510 |
| -64.345 | -101.869 | 157.435 | -35.838 | 74.918 | 68.174 |
| -26.015 | 114.031 | 177.166 | -1.645 | 44.502 | 25.487 |
| 13.435 | -17.711 | 317.218 | -62.420 | 74.536 | 29.657 |
| -96.244 | 4.996 | 96.148 | -37.367 | 72.207 | 110.897 |
| -137.748 | -100.323 | 39.295 | -60.108 | 106.029 | 59.123 |
| -117.808 | -26.062 | 27.225 | -50.373 | 83.706 | 170.039 |
| 247.183 | 166.799 | 23.963 | 50.921 | -67.188 | -83.848 |
| 235.054 | 310.847 | 101.032 | 67.299 | -100.799 | -126.481 |
| 211.949 | 197.507 | 235.159 | 81.032 | -133.356 | -78.307 |
| 104.812 | 111.306 | -32.443 | 82.191 | -79.765 | -58.513 |
| 108.914 | 61.060 | -69.834 | 22.492 | 46.091 | -24.805 |
| 115.050 | 97.375 | -30.129 | 23.831 | -71.115 | 23.702 |
| -251.075 | 472.323 | -1770.296 | 525.389 | -730.762 | -669.520 |
| -1178.356 | -836.801 | -1467.325 | 324.119 | -759.292 | -383.515 |
| 901.658 | 927.273 | -619.453 | 703.767 | -697.554 | -708.498 |
| -7651.526 | -3214.259 | -6435.763 | 324.064 | -2362.144 | -988.538 |
| -3327.843 | -959.711 | -3186.356 | 558.085 | -1512.146 | -786.068 |
| -2755.534 | -966.300 | -2490.533 | 299.384 | -1172.532 | -496.788 |
| 4240.215 | 1424.098 | 4056.678 | -570.043 | 1853.600 | 1253.724 |
| 9819.995 | 4347.165 | 7763.752 | -370.978 | 2958.667 | 1459.308 |
| 6659.128 | 2630.937 | 5722.379 | -697.779 | 2627.253 | 1285.229 |
| 7327.322 | 3254.629 | 6510.111 | -83.254 | 2186.431 | 395.204 |
| 2518.642 | 896.688 | 3156.353 | -519.881 | 1584.278 | 692.159 |
| -715.992 | -729.421 | 1182.388 | -705.290 | 668.391 | 907.306 |
| -496.220 | -194.072 | -484.106 | 35.617 | -226.089 | -90.242 |
| -1189.349 | -416.947 | -872.150 | 18.046 | -350.024 | -153.275 |
| -113.068 | -3.106 | -363.423 | 47.405 | -83.087 | 72.121 |
| 66.693 | 55.551 | -126.908 | 222.164 | -70.021 | -65.451 |
| -1052.387 | -449.552 | -800.158 | 16.072 | -275.915 | -134.701 |
| -715.173 | -278.994 | -588.400 | 32.891 | -243.007 | -81.536 |
| 214.128 | 147.345 | 331.368 | -70.966 | 128.805 | 104.408 |
| 830.850 | 478.019 | 705.770 | -34.876 | 246.921 | 137.887 |
| 1055.699 | 489.375 | 910.494 | -25.970 | 294.226 | 148.360 |
| 509.540 | 203.656 | 467.623 | -50.266 | 208.644 | 119.504 |
| -44.042 | -72.890 | 99.791 | -73.580 | 270.132 | 63.367 |
| 634.838 | 262.549 | 542.104 | -42.331 | 233.312 | 75.476 |
| 196.488 | 70.417 | 66.425 | -9.606 | 8.450 | -3.898 |
| -22.610 | 125.751 | -2.968 | 8.489 | -31.036 | -9.080 |
| 10.969 | 47.549 | 79.966 | 2.503 | -18.042 | -3.532 |
| -58.873 | -17.501 | -52.238 | 28.484 | -22.714 | -18.134 |
| -68.299 | -35.965 | -51.934 | 7.261 | -22.937 | -14.832 |
| -33.894 | -8.815 | -51.226 | 5.155 | -20.096 | 28.126 |
| 206.036 | 92.081 | 109.215 | -7.510 | 22.134 | 11.843 |
| 108.281 | 174.632 | 95.284 | 1.166 | 12.267 | 14.227 |
| 131.931 | 96.340 | 187.528 | -5.282 | 21.703 | 17.355 |
| 35.102 | 15.967 | 35.955 | 14.783 | 19.134 | 9.758 |
| 66.216 | 11.460 | 59.652 | -4.597 | 43.946 | 4.037 |
| 83.358 | 43.239 | 71.195 | -6.290 | 24.006 | 46.410 |
| 599.412 | 954.786 | 177.676 | 685.880 | 296.450 | 470.669 |
| 273.354 | 785.619 | -123.344 | 47.100 | 113.718 | -50.400 |
| 171.012 | 1832.586 | -842.016 | -714.507 | 253.432 | 21.912 |
| 191.727 | 483.145 | -71.049 | 163.027 | 208.845 | 150.484 |
| -173.317 | -118.218 | -40.770 | -29.580 | 60.374 | -167.585 |
| 122.966 | 681.173 | 213.131 | 334.738 | 239.737 | 222.274 |
| 66.124 | -829.372 | 146.259 | 64.973 | -54.630 | -157.441 |
| 425.752 | -283.523 | 403.099 | 36.218 | -79.518 | 142.018 |
| 216.458 | 327.387 | 562.568 | -28.202 | -6.981 | 42.400 |
| 35.372 | -1213.173 | 769.407 | 512.059 | -12.599 | 98.393 |
| 296.855 | -683.050 | 163.173 | -36.595 | 61.464 | 49.366 |
| 125.988 | 143.606 | 42.174 | -29.922 | -17.993 | 342.955 |
| 221.844 | 699.420 | -62.094 | -203.629 | 95.082 | 37.198 |
| -3.546 | 419.413 | -65.016 | -67.147 | 45.617 | 41.443 |
| 60.544 | 26.226 | 361.442 | 57.785 | 29.482 | -50.788 |
| -11.366 | 131.379 | -67.960 | 9.543 | 12.222 | -23.277 |
| -13.491 | 437.589 | -56.935 | -101.235 | 43.716 | 66.233 |
| -140.575 | 234.851 | -102.462 | -99.233 | 18.110 | -80.839 |
| 215.141 | 76.382 | 103.749 | -11.959 | -44.089 | 95.368 |
| 26.274 | -341.904 | 166.742 | 41.782 | -18.247 | -54.779 |
| 23.607 | -281.359 | 176.659 | 63.958 | -37.423 | -5.670 |
| -4.989 | -85.405 | -58.526 | -111.990 | 0.492 | -33.884 |
| -14.518 | -34.285 | 37.870 | 78.267 | -25.584 | 61.498 |
| 28.349 | 5.489 | -4.575 | 43.717 | 31.415 | 136.905 |
| 80.590 | 95.181 | 15.327 | -13.536 | 4.636 | 12.757 |
| 30.180 | 133.366 | 0.311 | -12.637 | 5.754 | 4.611 |
| 33.595 | 119.947 | 76.804 | -34.279 | 4.730 | 12.198 |
| -4.781 | 78.967 | -31.469 | 16.336 | 2.943 | 7.372 |
| -9.853 | 88.192 | -22.591 | -13.998 | 29.348 | 5.549 |
| 1.211 | 102.807 | -9.430 | -22.011 | 1.557 | 31.966 |
| 87.334 | -55.893 | 45.533 | 15.074 | -6.210 | 3.974 |
| 41.499 | -20.827 | 64.145 | 27.146 | -3.618 | -0.816 |
| 12.867 | -64.709 | 100.596 | 6.372 | -5.357 | -6.663 |
| -9.795 | -93.537 | 6.031 | 38.227 | -4.195 | -3.580 |
| 3.321 | -73.802 | 16.154 | 20.768 | 22.393 | -7.675 |
| 25.398 | 36.739 | 16.768 | 7.027 | 9.213 | 86.547 |
| -5589291.842 | 3778437.284 | -7255925.313 | -405734.993 | -19653228.799 | -2491856.266 |
| -5605244.453 | 3763537.810 | -7354688.826 | -481132.664 | -19643522.219 | -2472917.977 |
| -5640412.389 | 3722712.239 | -7335539.573 | -438386.373 | -19586620.283 | -2470451.187 |
| -5790389.741 | 3699258.276 | -7475307.002 | -469951.902 | -19616673.959 | -2448052.471 |
| -5576905.492 | 3782557.819 | -7268944.722 | -411251.403 | -19660149.254 | -2491407.476 |
| -5530023.162 | 3783024.749 | -7213187.051 | -403653.862 | -19657973.870 | -2500201.543 |
| 5336391.761 | -3835490.384 | 7098743.777 | 443039.926 | 19682433.889 | 2547322.378 |
| 5763851.586 | -3694073.243 | 7429613.632 | 447371.435 | 19593327.858 | 2453427.770 |
| 5646480.911 | -3734872.851 | 7370379.435 | 464291.719 | 19614017.548 | 2466853.031 |
| 5581938.732 | -3772654.226 | 7233721.805 | 390009.897 | 19642254.876 | 2494359.369 |
| 5619376.445 | -3742613.737 | 7342946.688 | 461764.367 | 19614951.493 | 2471627.011 |
| 5589111.291 | -3775433.735 | 7256000.861 | 398099.302 | 19635877.484 | 2490902.444 |
| -553200.538 | 378924.998 | -723770.702 | -41440.191 | -1966918.592 | -249776.333 |
| -550978.390 | 379199.421 | -721378.773 | -40972.943 | -1966487.955 | -250079.779 |
| -547720.866 | 379584.381 | -718980.995 | -41088.795 | -1966310.950 | -250719.888 |
| -565522.371 | 372916.449 | -736664.696 | -45714.860 | -1960742.070 | -246615.706 |
| -560404.033 | 374300.115 | -731388.881 | -44750.575 | -1960477.755 | -247692.151 |
| -540456.342 | 381260.200 | -713921.148 | -42069.051 | -1966762.736 | -252476.251 |
| 581716.858 | -367446.615 | 746435.775 | 44021.215 | 1958132.382 | 244885.048 |
| 559418.839 | -377859.028 | 729126.392 | 43538.698 | 1964400.416 | 248421.477 |
| 587371.275 | -366013.284 | 750825.146 | 44303.726 | 1958173.951 | 244492.887 |
| 576722.046 | -370594.167 | 746030.981 | 47291.763 | 1961979.383 | 245078.157 |
| 556929.219 | -377417.588 | 724731.801 | 39494.330 | 1964237.676 | 249420.483 |
| 594154.422 | -362846.233 | 752712.920 | 41725.777 | 1954981.188 | 244472.081 |
| -57162.418 | 37059.832 | -73951.316 | -4425.006 | -195891.550 | -24591.787 |
| -55978.097 | 37596.878 | -73192.652 | -4544.794 | -196133.581 | -24766.489 |
| -56368.422 | 37476.600 | -73675.765 | -4759.634 | -196284.067 | -24661.413 |
| -56198.564 | 37427.083 | -73459.140 | -4592.772 | -196148.978 | -24716.823 |
| -58345.656 | 36815.017 | -74963.447 | -4601.068 | -196015.329 | -24449.440 |
| -55554.660 | 37803.113 | -72422.302 | -4038.581 | -196546.865 | -24928.059 |
| 58265.601 | -36649.466 | 74567.499 | 4297.666 | 195701.512 | 24493.099 |
| 53917.911 | -38161.307 | 71435.062 | 4426.814 | 196899.907 | 25291.583 |
| 55504.113 | -37768.857 | 72490.485 | 4024.831 | 196536.431 | 24967.434 |
| 55895.384 | -37748.247 | 72594.506 | 4058.744 | 196300.021 | 24895.758 |
| 58834.989 | -36551.483 | 75056.862 | 4375.271 | 195777.731 | 24449.298 |
| 58868.937 | -36559.570 | 75152.808 | 4406.451 | 195797.891 | 24475.070 |
| -649147.767 | 82984.063 | -502342.993 | 48385.839 | -287027.622 | 176549.328 |
| -312872.945 | 156012.958 | -312619.979 | 7303.566 | -177790.296 | 172146.896 |
| -1632351.487 | -378848.648 | -1187062.211 | 272165.192 | -333767.861 | 20137.683 |
| -1627501.452 | -351272.905 | -1194631.074 | 268893.890 | -324279.118 | 26727.650 |
| -287308.293 | 147141.144 | -244595.616 | -44449.356 | -108859.487 | 102394.145 |
| -1186576.386 | -149389.104 | -850764.457 | 148059.250 | -367192.137 | 115606.396 |
| 1583913.867 | 218750.953 | 1094433.435 | -152280.427 | 313054.983 | -47065.315 |
| 1594872.103 | 216712.677 | 1103960.427 | -173809.133 | 311987.009 | -42859.501 |
| 1589847.046 | 195376.968 | 1142301.737 | -204083.381 | 355821.004 | -93435.477 |
| 1620497.257 | 377920.389 | 1137428.256 | -231856.404 | 269650.183 | 37016.565 |
| 1642569.451 | 462411.967 | 1212984.171 | -298951.464 | 303319.319 | 21517.060 |
| 1617103.726 | 315248.204 | 1174066.935 | -257969.305 | 346600.682 | -48353.297 |
| -160420.338 | -27562.409 | -112954.232 | 18591.249 | -29355.995 | 2065.122 |
| -160515.700 | -28552.968 | -113430.620 | 19278.533 | -29084.620 | 1641.595 |
| -160069.114 | -23975.584 | -115618.446 | 21298.745 | -33114.362 | 6458.442 |
| -164264.183 | -37653.479 | -121761.087 | 26803.468 | -30260.772 | 1192.756 |
| -87375.708 | 8270.465 | -62619.162 | 3565.715 | -34879.354 | 19460.083 |
| -165059.553 | -46363.123 | -122873.607 | 30303.781 | -29438.313 | -2323.557 |
| 160487.278 | 28219.863 | 113365.168 | -19375.230 | 29145.088 | -1733.464 |
| 130168.818 | 12279.071 | 93944.057 | -12846.479 | 35820.201 | -12409.680 |
| 160247.513 | 24709.362 | 113393.835 | -20651.579 | 29999.311 | -2943.461 |
| 135173.547 | 9134.725 | 92115.401 | -8615.511 | 33201.907 | -9692.947 |
| 160892.095 | 32380.449 | 112502.007 | -21094.934 | 29846.502 | -34.058 |
| 161821.483 | 34773.433 | 117137.132 | -25415.543 | 32939.626 | -2552.632 |
| -15873.274 | -2370.265 | -11456.359 | 2100.521 | -3344.894 | 656.883 |
| -16010.025 | -2516.739 | -11561.526 | 2266.913 | -3245.269 | 511.178 |
| -15951.198 | -2642.329 | -11164.185 | 1832.186 | -2961.613 | 249.089 |
| -8117.263 | 668.384 | -5959.090 | 527.478 | -3225.498 | 1777.944 |
| -15857.624 | -1482.357 | -11313.243 | 1886.734 | -3617.737 | 1114.744 |
| -15691.110 | -2757.638 | -11370.900 | 2028.797 | -3339.920 | 614.413 |
| 16128.261 | 2523.868 | 11440.289 | -2027.518 | 3430.151 | -636.234 |
| 4802.742 | -1122.239 | 2834.584 | 221.700 | 2092.594 | -980.848 |
| 16104.308 | 3291.735 | 11451.650 | -2031.109 | 2861.941 | -1.875 |
| 15905.011 | 2640.493 | 10824.598 | -1885.792 | 2806.506 | 61.158 |
| 16100.695 | 2354.823 | 11655.740 | -2177.740 | 3306.697 | -647.005 |
| 16206.310 | 3507.269 | 11679.773 | -2460.830 | 3188.743 | -148.192 |
| -3643.652 | -4177.386 | -9092.638 | 12043.999 | -2201.423 | 15609.434 |
| 43471.577 | 5370.894 | -40405.992 | -15328.400 | -161.449 | 14035.736 |
| 11607.501 | -5210.401 | -3116.796 | 2415.316 | 3658.555 | 8.521 |
| 6309.452 | 1184.213 | -8686.343 | -1681.882 | 1114.366 | 4254.588 |
| 8307.457 | -10332.519 | -10928.155 | -2349.575 | 2873.731 | 468.583 |
| 21829.195 | -6315.988 | -15636.187 | -2924.951 | 35.929 | 3819.452 |
| -18225.042 | -1184.026 | 12627.065 | 4040.160 | 638.864 | -2317.382 |
| 3403.411 | 6515.779 | 15607.821 | 3355.479 | 618.574 | -4912.054 |
| -18837.660 | 6625.569 | 20103.600 | 5043.783 | -3512.248 | -2315.702 |
| -23167.637 | 1005.604 | 27922.841 | 8982.969 | 484.464 | -4337.197 |
| -13846.504 | 6169.930 | 19814.338 | 3732.779 | -3099.267 | -2663.135 |
| -18644.408 | 5871.876 | 18793.880 | 4626.694 | -845.481 | -3567.951 |
| 643.459 | -933.153 | -696.228 | 512.996 | 437.384 | 25.881 |
| 2104.733 | -131.312 | -1787.694 | -533.878 | 213.850 | 412.703 |
| 1761.039 | -552.821 | 2.076 | -488.917 | 314.520 | -144.086 |
| 1865.646 | -499.292 | -2019.911 | -320.649 | 174.114 | 370.814 |
| 1804.368 | -551.810 | -2095.611 | -602.174 | 119.835 | 432.045 |
| 1278.920 | -930.216 | -2402.051 | -825.738 | 131.925 | -46.117 |
| -1892.072 | -355.998 | 2076.987 | 651.337 | -126.835 | -830.340 |
| -2313.574 | 8.411 | 3071.038 | 583.715 | -280.157 | -971.790 |
| -1950.429 | 628.755 | 1719.693 | 449.966 | -274.825 | 365.112 |
| -411.938 | 589.249 | 1382.167 | 170.857 | -268.527 | -121.970 |
| -671.689 | 377.156 | 92.733 | -281.776 | -574.872 | -555.987 |
| -1282.354 | -573.461 | 183.088 | -944.544 | -735.926 | -242.480 |
| -221.033 | -59.059 | -42.848 | -23.472 | -49.186 | 16.582 |
| 237.427 | 57.518 | -176.897 | -11.683 | 12.364 | 17.880 |
| 132.513 | 89.315 | 54.199 | -57.101 | -15.391 | 18.589 |
| 118.621 | 36.741 | -166.255 | 40.837 | 6.021 | 75.835 |
| 62.426 | 58.544 | -140.701 | -63.612 | -23.914 | 48.405 |
| 171.650 | -16.527 | -162.447 | -53.490 | 7.684 | 90.320 |
| -97.196 | 98.817 | 212.153 | 42.071 | -6.329 | -63.907 |
| -89.739 | 144.157 | 176.642 | -33.942 | -48.267 | -7.791 |
| -409.580 | -89.247 | -172.234 | -95.721 | -103.974 | -88.146 |
| -63.550 | 80.952 | -41.666 | -90.012 | -52.158 | -2.451 |
| -129.282 | 22.376 | 123.731 | 20.889 | 34.585 | -39.219 |
| -228.027 | -97.674 | 308.932 | 99.651 | 3.084 | -131.675 |
| 89064.033 | 317040.727 | -280184.060 | -182224.006 | 42989.721 | -57912.432 |
| 50974.171 | 237344.550 | -203754.050 | -95726.064 | 28202.590 | -75506.279 |
| 95733.676 | 344113.164 | -296665.574 | -199223.359 | 45233.081 | -57419.356 |
| 81914.055 | 290034.704 | -261466.338 | -165241.150 | 40377.166 | -56936.441 |
| 66505.057 | 212348.747 | -199742.079 | -113339.832 | 38169.144 | -53557.950 |
| 80878.515 | 279492.123 | -256963.087 | -156971.803 | 40234.718 | -59327.228 |
| -56884.416 | -187716.125 | 181446.059 | 93920.070 | -41303.211 | 56720.348 |
| -91354.625 | -327531.540 | 286159.793 | 189876.939 | -43870.212 | 57057.986 |
| -98430.556 | -354491.541 | 302152.571 | 205841.609 | -46083.912 | 57388.504 |
| -55373.942 | -165059.919 | 152367.098 | 85206.899 | -32230.046 | 40583.966 |
| -88070.283 | -269796.190 | 234363.583 | 146283.079 | -45739.352 | 47896.979 |
| -87790.150 | -317665.146 | 278521.061 | 180518.068 | -42967.259 | 56676.476 |
| 8929.454 | 31010.309 | -27310.665 | -17767.131 | 4253.209 | -5557.013 |
| 5986.557 | 21369.975 | -21426.345 | -10402.376 | 5144.086 | -7333.661 |
| 1014.549 | 1526.706 | -187.116 | -126.421 | 171.765 | -343.866 |
| 9709.334 | 35103.365 | -30215.814 | -20380.667 | 4545.015 | -5780.748 |
| 8597.426 | 30453.265 | -28306.786 | -16937.367 | 4578.010 | -6745.512 |
| 9636.206 | 34669.684 | -29744.952 | -20138.922 | 4546.379 | -5711.160 |
| -8189.331 | -29249.719 | 26120.753 | 16776.115 | -4133.904 | 5508.799 |
| -6183.427 | -24117.605 | 24581.797 | 12291.970 | -4897.967 | 8083.059 |
| -9103.540 | -32801.395 | 28740.393 | 18969.313 | -4405.605 | 5690.505 |
| -8703.786 | -30670.013 | 27513.765 | 17472.205 | -4206.459 | 5883.524 |
| -5566.060 | -19908.292 | 18956.514 | 10935.278 | -2934.657 | 5192.446 |
| -6338.993 | -24433.184 | 23144.436 | 14151.428 | -3132.991 | 5822.135 |
| 513.837 | 1681.570 | -1586.663 | -911.291 | 237.365 | -502.311 |
| 944.151 | 3328.147 | -2800.450 | -1874.566 | 429.056 | -582.464 |
| 876.604 | 3011.146 | -2560.313 | -1703.864 | 416.437 | -561.609 |
| 332.359 | 390.408 | -53.775 | 44.444 | 87.540 | 10.226 |
| 719.620 | 2506.145 | -2294.017 | -1414.470 | 388.729 | -534.251 |
| 763.040 | 2756.645 | -2612.093 | -1533.060 | 415.243 | -622.791 |
| -746.643 | -3002.563 | 2749.723 | 1742.868 | -415.104 | 565.468 |
| -935.848 | -3426.632 | 3040.429 | 2042.716 | -466.874 | 561.329 |
| -585.811 | -1313.379 | 985.356 | 464.440 | -296.820 | 250.857 |
| -100.530 | -77.861 | -1.867 | 81.317 | -94.850 | -34.525 |
| -699.850 | -2573.428 | 2379.628 | 1463.134 | -332.054 | 546.209 |
| -996.247 | -3551.463 | 3014.036 | 2061.262 | -457.737 | 596.797 |
| -891278.112 | -2853081.100 | -5354900.231 | 395127.053 | -457180.875 | 1648293.977 |
| -891332.489 | -2853049.894 | -5354902.689 | 395124.718 | -457183.114 | 1648294.444 |
| -891336.200 | -2853087.158 | -5354868.455 | 395123.886 | -457183.569 | 1648296.045 |
| -891353.629 | -2853106.276 | -5354923.073 | 395140.496 | -457181.288 | 1648294.740 |
| -891351.504 | -2853108.851 | -5354924.496 | 395124.531 | -457164.194 | 1648294.490 |
| -891356.980 | -2853106.859 | -5354920.457 | 395124.795 | -457181.421 | 1648309.875 |
| 891433.604 | 2853132.499 | 5354943.302 | -395122.974 | 457180.618 | -1648295.223 |
| 891379.236 | 2853163.719 | 5354940.881 | -395125.311 | 457178.381 | -1648294.764 |
| 891375.525 | 2853126.453 | 5354975.112 | -395126.143 | 457177.925 | -1648293.162 |
| 891358.097 | 2853107.338 | 5354920.500 | -395109.534 | 457180.206 | -1648294.468 |
| 891360.229 | 2853104.774 | 5354919.108 | -395125.500 | 457197.301 | -1648294.724 |
| 891354.743 | 2853106.751 | 5354923.106 | -395125.234 | 457180.073 | -1648279.331 |
| -89042.600 | -285284.122 | -535456.909 | 39515.423 | -45731.758 | 164826.905 |
| -89112.212 | -285253.768 | -535473.081 | 39512.205 | -45720.441 | 164829.300 |
| -89115.895 | -285290.989 | -535438.732 | 39511.366 | -45720.894 | 164830.879 |
| -89133.352 | -285310.149 | -535493.465 | 39527.983 | -45718.616 | 164829.596 |
| -89131.231 | -285312.731 | -535494.904 | 39512.019 | -45701.522 | 164829.349 |
| -89136.709 | -285310.742 | -535490.872 | 39512.283 | -45718.749 | 164844.736 |
| 89213.303 | 285336.335 | 535513.594 | -39510.455 | 45717.944 | -164830.060 |
| 89158.961 | 285367.595 | 535511.279 | -39512.799 | 45715.708 | -164829.621 |
| 89155.249 | 285330.329 | 535545.509 | -39513.631 | 45715.253 | -164828.020 |
| 89137.821 | 285311.212 | 535490.892 | -39497.020 | 45717.534 | -164829.324 |
| 89129.344 | 285307.510 | 535479.962 | -39513.554 | 45743.221 | -164827.754 |
| 89134.466 | 285310.623 | 535493.495 | -39512.721 | 45717.400 | -164814.187 |
| -8834.315 | -28505.338 | -53526.452 | 3953.387 | -4573.303 | 16482.157 |
| -8890.188 | -28474.161 | -53530.136 | 3950.954 | -4574.174 | 16482.789 |
| -8892.384 | -28511.348 | -53494.555 | 3950.212 | -4575.983 | 16484.201 |
| -8911.325 | -28530.537 | -53550.504 | 3966.731 | -4572.348 | 16483.082 |
| -8909.180 | -28533.082 | -53551.847 | 3950.762 | -4555.252 | 16482.817 |
| -8914.669 | -28531.110 | -53547.861 | 3951.029 | -4572.481 | 16498.211 |
| 8991.260 | 28556.699 | 53570.571 | -3949.200 | 4571.674 | -16483.534 |
| 8936.929 | 28587.975 | 53568.298 | -3951.546 | 4569.440 | -16483.103 |
| 8933.207 | 28550.692 | 53602.485 | -3952.376 | 4568.983 | -16481.493 |
| 8915.794 | 28531.599 | 53547.932 | -3935.769 | 4571.265 | -16482.810 |
| 8916.403 | 28528.959 | 53545.189 | -3951.826 | 4589.721 | -16482.877 |
| 8912.441 | 28531.015 | 53550.546 | -3951.470 | 4571.133 | -16467.675 |
| 3476487.131 | 2299110.984 | -1220161.634 | -3083293.707 | 1695688.962 | 662309.706 |
| 3353138.840 | 1830054.975 | -1013856.672 | -2422910.616 | 1352559.524 | 674347.167 |
| 3467618.735 | 1312274.936 | -1100179.895 | -1370344.267 | 1317237.646 | 482085.110 |
| 3431344.969 | 1368889.212 | -1188475.318 | -1406346.762 | 1329460.951 | 500310.419 |
| 3615870.875 | 1860560.606 | -964353.473 | -2089390.892 | 1349308.015 | 575672.933 |
| 3544209.841 | 1451167.011 | -1125948.038 | -1369009.846 | 1296245.757 | 470333.252 |
| -3595491.038 | -1603909.248 | 1082455.591 | 1719727.017 | -1362936.437 | -561566.846 |
| -3517427.305 | -1432973.693 | 806673.098 | 936826.392 | -1193855.804 | -479358.258 |
| -3427215.450 | -1441161.590 | 1155034.765 | 1496683.100 | -1314761.606 | -491228.719 |
| -3696428.993 | -1548869.811 | 1103425.202 | 1393310.263 | -1312878.909 | -478028.566 |
| -3518482.577 | -1556748.762 | 1079837.606 | 1566649.316 | -1312824.970 | -508937.172 |
| -3885383.192 | -1656703.725 | 969893.069 | 1912190.491 | -1483229.715 | -654961.896 |
| 304470.604 | 211339.941 | -132909.565 | -304739.968 | 159982.088 | 78828.542 |
| 373532.998 | 152701.300 | -110578.015 | -146178.740 | 134930.767 | 52115.287 |
| 362735.668 | 150706.788 | -105824.813 | -150397.943 | 134905.823 | 53200.558 |
| 340541.066 | 145163.647 | -103425.971 | -182175.783 | 137125.995 | 58880.732 |
| 361092.515 | 192087.158 | -101204.106 | -227860.608 | 135277.446 | 63706.598 |
| 352429.340 | 135782.505 | -112629.908 | -125791.466 | 125599.137 | 46120.444 |
| -360743.217 | -152783.909 | 109602.012 | 142013.319 | -133393.355 | -46627.198 |
| -360026.119 | -170859.450 | 102485.413 | 193535.499 | -134596.619 | -57403.238 |
| -347516.357 | -177045.131 | 98352.386 | 197339.060 | -128582.238 | -55155.038 |
| -314613.242 | -177071.705 | 99900.087 | 236894.120 | -126492.858 | -59440.761 |
| -371795.600 | -181092.572 | 101185.701 | 188451.993 | -138660.008 | -55426.101 |
| -360810.252 | -174041.813 | 100594.470 | 187430.828 | -135440.263 | -53600.961 |
| 14392.250 | 21783.423 | -27259.470 | -38610.102 | 32529.638 | 20117.004 |
| 35946.311 | 24211.551 | -9621.603 | -26896.541 | 13720.624 | 6882.218 |
| 35205.008 | 14523.385 | -11227.512 | -14972.139 | 13309.063 | 4873.580 |
| 33108.280 | 16593.218 | -9856.782 | -23715.908 | 13448.932 | 7137.949 |
| 25185.164 | 21054.850 | -14010.482 | -32687.544 | 15887.406 | 8310.642 |
| 34272.302 | 13888.147 | -10912.760 | -14863.287 | 13306.158 | 4862.020 |
| -34446.309 | -16142.700 | 9878.214 | 19179.688 | -13262.267 | -5624.386 |
| -35716.073 | -14783.592 | 10846.352 | 14740.556 | -13339.716 | -5103.470 |
| -35305.120 | -13865.452 | 11223.526 | 13472.556 | -12896.552 | -4804.184 |
| -35542.456 | -14521.117 | 11269.629 | 13371.266 | -12801.559 | -4576.203 |
| -36421.906 | -21511.455 | 9944.497 | 24071.782 | -13298.822 | -6337.230 |
| -38121.006 | -17781.772 | 10579.235 | 15296.278 | -13469.491 | -5219.555 |
| 18969.991 | 22333.880 | 56023.586 | 28787.014 | 15100.363 | 16538.486 |
| 21287.568 | 31168.550 | 55737.356 | 29428.823 | 6417.988 | 34316.542 |
| 19510.048 | 30625.034 | 50908.823 | 26207.151 | 7575.873 | 35875.061 |
| 20155.555 | 27771.995 | 57868.950 | 25359.013 | 15881.416 | 23393.404 |
| 15254.276 | 27032.565 | 33622.737 | 8305.467 | -11156.934 | 51776.955 |
| -1292.320 | 14967.611 | 13013.971 | 23.247 | -2929.147 | 31566.004 |
| -23925.145 | -28100.563 | -66127.863 | -20017.328 | -17714.534 | -18980.445 |
| -19493.308 | -26483.060 | -54655.771 | -25115.521 | -14066.355 | -18773.868 |
| -8909.411 | -36848.484 | -60451.694 | -25621.792 | -16045.224 | -22419.821 |
| -495.656 | -17227.876 | -14701.629 | 917.894 | 3122.579 | -25970.243 |
| 4153.043 | 260.679 | -5436.307 | -4109.480 | 5213.209 | -46795.153 |
| -17903.760 | -25994.885 | -64409.196 | -18064.208 | -16309.195 | -17839.622 |
| 2208.326 | -176.230 | 2153.185 | 937.041 | -1924.954 | 6597.130 |
| 1953.578 | 2873.596 | 5613.943 | 2451.964 | 1462.607 | 1645.759 |
| 1122.835 | 2234.661 | 3276.397 | 1299.007 | -475.851 | 4790.362 |
| 56.392 | 1537.561 | 1158.757 | 207.476 | -318.348 | 2059.715 |
| 1089.784 | 1683.293 | 3038.308 | 1738.000 | -443.727 | 4185.912 |
| -516.890 | 357.887 | 2860.411 | 2896.951 | -286.516 | 3667.913 |
| -2229.387 | -3053.733 | -6868.052 | -2215.402 | -2093.915 | -1870.714 |
| -2429.550 | -2474.614 | -6488.128 | -2772.636 | -1428.771 | -1712.504 |
| 19.416 | -1380.942 | -506.223 | 1.770 | 397.105 | -1896.439 |
| -1416.801 | -3207.314 | -2972.364 | -879.114 | 402.629 | -2524.634 |
| -2191.074 | -1007.864 | -3005.934 | -2243.405 | -42.974 | -2908.052 |
| -2025.195 | -3131.435 | -6746.771 | -2370.840 | -2241.629 | -1491.978 |
| 361.775 | 398.708 | 537.487 | 185.597 | 52.076 | 335.468 |
| 303.766 | 434.807 | 706.720 | 286.012 | 191.412 | 210.220 |
| 271.085 | 450.387 | 764.663 | 214.791 | 134.823 | 252.534 |
| -135.596 | -260.519 | 76.697 | 82.028 | 134.348 | 58.744 |
| 205.401 | 278.583 | 497.677 | 248.631 | 147.336 | 270.964 |
| 108.453 | 416.662 | 220.511 | 77.275 | -122.102 | 569.474 |
| -136.784 | -285.195 | -484.035 | -274.534 | -77.523 | -290.026 |
| -89.741 | 109.944 | -365.906 | -363.886 | -54.505 | -350.561 |
| 44.755 | -115.895 | -115.105 | -224.072 | 69.900 | -366.428 |
| -44.190 | -48.003 | -134.931 | -154.860 | 182.980 | -643.743 |
| -269.389 | -598.415 | -698.540 | -539.498 | 0.448 | -1108.790 |
| -178.239 | -158.929 | -392.619 | -253.387 | -19.185 | -286.702 |
| -201604.065 | -2172338.432 | 1438841.616 | -2995039.228 | 1649746.508 | 253556.158 |
| -10743750.025 | 13039099.156 | -5511207.573 | -1065093.850 | 1957374.086 | 10581696.999 |
| -722077.000 | -2311252.303 | 1157863.485 | -3018053.076 | 1339392.954 | 239742.824 |
| -681461.346 | -2310383.132 | 1150788.789 | -3014342.389 | 1356544.053 | 265508.722 |
| -272281.391 | -2252383.020 | 1315265.796 | -3134216.855 | 1586550.237 | 153299.932 |
| -1794871.411 | -3146170.260 | 1444360.989 | -3289038.392 | 1870310.766 | 99329.564 |
| 634846.442 | 2360826.287 | -1117015.550 | 3131738.216 | -1373556.302 | -170946.885 |
| 451298.231 | 2256507.210 | -1321274.990 | 3036969.552 | -1530311.661 | -227301.575 |
| 518994.477 | 2239984.654 | -1331156.312 | 3010528.916 | -1503842.929 | -220204.245 |
| 403991.183 | 2295910.529 | -1238826.519 | 3156106.146 | -1519516.944 | -137392.165 |
| 496435.307 | 2248895.797 | -1263389.141 | 3084016.730 | -1509133.249 | -192860.787 |
| 340479.119 | 2189836.534 | -1381773.127 | 2957301.313 | -1573047.141 | -289696.443 |
| -46039.681 | -231022.244 | 116022.335 | -312209.271 | 145295.469 | 19704.905 |
| -1226370.400 | 1211969.564 | -706764.098 | -85091.716 | 116976.577 | 1093554.452 |
| -70042.006 | -231642.310 | 115152.801 | -303452.636 | 136148.106 | 24668.094 |
| -22444.788 | -226551.858 | 131495.308 | -313909.584 | 161179.550 | 17109.083 |
| -57743.755 | -234559.126 | 108505.312 | -316186.284 | 138938.141 | 16582.809 |
| -39123.639 | -224394.484 | 131548.154 | -301157.245 | 152933.675 | 25877.670 |
| 32405.669 | 224753.552 | -135271.494 | 312729.206 | -160942.055 | -13408.036 |
| 39486.909 | 222067.188 | -131503.959 | 301071.886 | -153261.698 | -25420.504 |
| 30822.418 | 217711.236 | -139957.017 | 300293.992 | -161125.263 | -24019.870 |
| 302385.170 | 561245.771 | 8577.856 | 378098.610 | -90904.572 | 98113.742 |
| -81738.835 | -2232184.447 | -1419569.128 | 62394.585 | -1239763.016 | -819251.389 |
| 1324132.865 | -1135965.765 | 820347.904 | 68358.418 | -49254.861 | -1112257.749 |
| -5165.852 | -22595.030 | 12801.518 | -30721.854 | 14926.555 | 1906.925 |
| -6336.188 | -22745.072 | 11903.478 | -30067.576 | 13832.324 | 2617.832 |
| -2179.333 | -22662.441 | 13168.695 | -31926.937 | 16170.046 | 1162.814 |
| -3248.660 | -22640.876 | 13095.624 | -30777.583 | 15720.901 | 1948.147 |
| -3209.120 | -22794.017 | 12614.504 | -31952.584 | 15814.652 | 1125.626 |
| -4439.688 | -22021.792 | 13463.980 | -29270.672 | 15352.491 | 3088.802 |
| 3779.495 | 23294.950 | -12648.597 | 31643.255 | -15643.439 | -1520.911 |
| 3258.882 | 22144.306 | -13853.765 | 30605.646 | -16215.824 | -1968.296 |
| 3783.263 | 22789.601 | -12668.755 | 30843.553 | -15255.973 | -1955.940 |
| 3774.188 | 23072.063 | -12070.071 | 31089.096 | -14922.741 | -2114.693 |
| 5574.887 | 22646.998 | -12227.549 | 30410.856 | -14476.800 | -2354.836 |
| 3472.727 | 21840.934 | -14443.898 | 29108.679 | -15995.925 | -2863.628 |
| -743436.016 | -767063.314 | -62262.631 | 124597.888 | -49078.508 | 862129.872 |
| -743490.351 | -766988.233 | -62243.748 | 124585.007 | -49074.118 | 862124.989 |
| -743500.283 | -767055.063 | -62213.183 | 124590.025 | -49074.940 | 862128.026 |
| -743533.504 | -767117.194 | -62301.699 | 124627.158 | -49073.811 | 862129.296 |
| -743540.421 | -767108.066 | -62296.783 | 124596.081 | -49047.107 | 862132.498 |
| -743534.523 | -767113.216 | -62298.162 | 124594.949 | -49073.625 | 862161.037 |
| 743638.667 | 767155.533 | 62332.801 | -124590.180 | 49073.224 | -862127.785 |
| 743584.332 | 767230.614 | 62351.684 | -124603.060 | 49077.614 | -862132.668 |
| 743574.400 | 767163.785 | 62382.249 | -124598.043 | 49076.791 | -862129.631 |
| 743541.180 | 767101.654 | 62293.733 | -124560.910 | 49077.920 | -862128.361 |
| 743534.262 | 767110.781 | 62298.649 | -124591.987 | 49104.625 | -862125.159 |
| 743540.160 | 767105.631 | 62297.270 | -124593.119 | 49078.106 | -862096.620 |
| -74252.409 | -76664.833 | -6194.687 | 12463.257 | -4910.229 | 86213.927 |
| -74306.744 | -76589.752 | -6175.804 | 12450.377 | -4905.839 | 86209.043 |
| -74316.676 | -76656.581 | -6145.239 | 12455.395 | -4906.661 | 86212.081 |
| -74349.896 | -76718.712 | -6233.754 | 12492.527 | -4905.532 | 86213.350 |
| -74356.813 | -76709.585 | -6228.838 | 12461.451 | -4878.827 | 86216.553 |
| -74350.916 | -76714.735 | -6230.218 | 12460.318 | -4905.346 | 86245.091 |
| 74455.060 | 76757.052 | 6264.857 | -12455.549 | 4904.945 | -86211.839 |
| 74400.725 | 76832.133 | 6283.739 | -12468.430 | 4909.334 | -86216.723 |
| 74390.792 | 76765.303 | 6314.305 | -12463.412 | 4908.512 | -86213.685 |
| 74357.572 | 76703.172 | 6225.789 | -12426.279 | 4909.641 | -86212.416 |
| 74350.655 | 76712.300 | 6230.705 | -12457.356 | 4936.346 | -86209.213 |
| 74356.553 | 76707.150 | 6229.325 | -12458.489 | 4909.827 | -86180.675 |
| -59151.257 | 129481.526 | 40608.991 | 80837.938 | 52581.309 | -10873.597 |
| -7388.384 | -7549.905 | -569.010 | 1236.914 | -489.011 | 8617.450 |
| -7398.316 | -7616.734 | -538.444 | 1241.932 | -489.833 | 8620.487 |
| -7431.536 | -7678.865 | -626.960 | 1279.064 | -488.704 | 8621.756 |
| -7438.453 | -7669.737 | -622.044 | 1247.988 | -462.000 | 8624.958 |
| -7432.556 | -7674.887 | -623.423 | 1246.855 | -488.518 | 8653.498 |
| 61790.724 | -126215.330 | -36484.256 | -80846.754 | -52992.003 | 10471.443 |
| 45883.384 | -89166.246 | 4959.852 | -71563.840 | -34935.429 | 25149.906 |
| 7472.433 | 7725.456 | 707.510 | -1249.949 | 491.684 | -8622.091 |
| 7439.212 | 7663.325 | 618.994 | -1212.816 | 492.813 | -8620.822 |
| 7432.295 | 7672.452 | 623.911 | -1243.893 | 519.518 | -8617.619 |
| 7438.192 | 7667.302 | 622.531 | -1245.026 | 492.999 | -8589.080 |
| 39577.027 | -22441.090 | -17786.291 | -2919.107 | 53107.449 | -30359.887 |
| 39550.316 | -22528.115 | -17848.904 | -2820.083 | 53106.962 | -30290.538 |
| 39481.649 | -22318.419 | -17677.655 | -3013.608 | 53115.690 | -30426.937 |
| 39507.544 | -22624.994 | -17889.316 | -2788.205 | 53099.814 | -30285.370 |
| 39509.994 | -22560.668 | -17851.290 | -2849.533 | 53126.250 | -30313.720 |
| 39493.859 | -22541.029 | -17847.815 | -2866.032 | 53103.588 | -30304.618 |
| -39363.093 | 22470.293 | 17827.431 | 2943.489 | -53097.389 | 30380.449 |
| -39444.736 | 22586.972 | 17859.802 | 2892.623 | -53096.395 | 30348.338 |
| -39447.606 | 22530.196 | 17897.497 | 2897.168 | -53095.983 | 30345.923 |
| -39496.437 | 22520.652 | 17830.959 | 2902.782 | -53104.744 | 30338.476 |
| -39469.437 | 22487.528 | 17823.073 | 2913.089 | -53079.787 | 30359.101 |
| -39481.776 | 22493.973 | 17815.413 | 2907.708 | -53104.976 | 30374.360 |
| 4054.643 | -2232.118 | -1756.543 | -281.222 | 5317.335 | -3026.025 |
| 3985.656 | -2157.879 | -1742.331 | -301.224 | 5319.226 | -3037.294 |
| 3985.090 | -2219.731 | -1708.803 | -292.396 | 5318.907 | -3037.678 |
| 3944.142 | -2266.313 | -1794.857 | -259.002 | 5308.313 | -3026.032 |
| 3959.078 | -2247.303 | -1776.648 | -287.417 | 5335.012 | -3031.954 |
| 3959.741 | -2303.940 | -1808.939 | -248.852 | 5309.644 | -2984.236 |
| -3859.294 | 2341.966 | 1838.619 | 246.433 | -5303.153 | 3006.260 |
| -3920.247 | 2383.473 | 1836.265 | 250.807 | -5302.373 | 3011.461 |
| -3938.945 | 2367.823 | 1887.051 | 228.504 | -5303.037 | 2987.700 |
| -3955.228 | 2244.215 | 1775.367 | 313.035 | -5312.163 | 3038.388 |
| -3951.696 | 2313.261 | 1811.800 | 250.265 | -5285.910 | 3007.208 |
| -3950.258 | 2254.158 | 1778.607 | 290.569 | -5311.174 | 3056.119 |
| 547.928 | -361.636 | -210.197 | 92.039 | 526.611 | -210.596 |
| 549.779 | -793.138 | -934.716 | -187.903 | 765.391 | -541.405 |
| -677.679 | -958.418 | -1079.808 | 182.809 | 145.278 | -79.615 |
| 397.423 | -261.943 | -197.073 | 16.320 | 528.386 | -284.185 |
| 595.118 | -448.236 | -419.734 | 40.322 | 661.551 | -334.028 |
| 401.460 | -249.704 | -193.439 | -7.684 | 528.991 | -267.613 |
| -295.800 | 267.729 | 212.574 | 19.345 | -522.405 | 299.936 |
| -365.639 | 346.244 | 228.641 | -3.739 | -520.335 | 286.349 |
| -410.798 | 439.093 | 329.180 | -107.448 | -511.842 | 202.258 |
| -549.358 | 267.727 | 381.852 | 169.000 | -673.183 | 483.193 |
| -390.683 | 247.711 | 188.930 | 17.277 | -505.160 | 296.374 |
| -272.477 | 855.941 | 1092.412 | 163.748 | -663.142 | 557.278 |
| 8218.616 | 4193.486 | -7794.892 | 6753.105 | 11200.871 | 7299.484 |
| -131.754 | -2836.049 | -13889.976 | 13518.007 | 14099.975 | 6639.111 |
| 6769.691 | 492.554 | 1892.331 | 11663.746 | 6532.143 | 4432.328 |
| 4113.023 | 686.957 | -2421.439 | 10500.303 | 4542.395 | 4566.325 |
| 10195.119 | 2913.610 | -12701.245 | 6878.824 | 14897.798 | 1700.784 |
| 6055.005 | -816.821 | -18404.383 | 10933.898 | 13905.663 | 7202.176 |
| -16279.085 | -6413.619 | 25730.508 | -11425.721 | -18354.473 | -10378.202 |
| -3998.969 | 1226.792 | 15532.338 | -10671.263 | -12222.658 | -1965.165 |
| -5380.258 | -4428.228 | -1295.498 | -5724.310 | -4263.135 | -4175.263 |
| 3490.308 | 6993.248 | 25940.426 | -17884.928 | -11403.325 | 3307.015 |
| -13923.069 | -4949.172 | 21986.698 | -7694.720 | -16793.147 | -14864.820 |
| -2845.704 | 1144.921 | 15622.766 | -11615.277 | -11525.403 | -2764.006 |
| 1008.579 | -64.545 | 733.238 | 1024.478 | 300.431 | -364.314 |
| 395.446 | 158.833 | 77.407 | 772.466 | 583.155 | -159.498 |
| -1933.705 | -1263.325 | -2186.496 | 1428.876 | 1270.106 | 827.249 |
| -95.715 | -115.307 | -3539.775 | 1654.727 | 1470.779 | 640.770 |
| 1503.963 | 846.362 | -2304.518 | -395.533 | 2055.471 | 1847.921 |
| -2377.153 | -1157.012 | -1710.207 | 432.200 | 3069.764 | 765.416 |
| -1904.498 | -559.760 | 1534.079 | -1232.486 | -1466.828 | -893.207 |
| 154.040 | 261.759 | -319.465 | -313.197 | -605.969 | -165.181 |
| -1294.295 | -967.719 | 441.595 | -223.527 | -1076.404 | 40.417 |
| -925.741 | -421.810 | 1430.173 | -319.761 | -1376.977 | -1194.080 |
| -56.365 | 161.110 | 1720.887 | -580.937 | -2161.528 | -330.194 |
| -871.770 | -349.807 | 2438.781 | -909.913 | -2165.813 | -973.980 |
| 229.338 | 132.243 | 14.346 | 36.960 | 107.587 | 74.987 |
| 119.618 | 71.089 | -194.373 | 209.796 | 162.931 | -41.326 |
| 174.022 | 127.231 | 275.075 | 42.485 | 37.795 | -20.240 |
| -19.921 | -14.677 | 74.211 | 185.875 | 18.195 | -57.119 |
| -20.022 | -118.717 | -114.283 | 106.058 | -4.805 | 93.923 |
| -34.500 | -82.720 | -115.322 | 123.045 | 65.282 | 139.824 |
| 317.742 | 183.935 | 252.322 | -125.262 | -69.387 | 10.458 |
| 103.058 | 375.938 | 95.293 | -54.009 | -44.748 | -4.493 |
| 18.438 | 82.742 | 374.665 | 17.026 | -119.714 | -100.551 |
| -124.032 | -66.441 | 232.978 | 8.081 | -157.986 | -115.164 |
| -76.876 | 57.324 | 218.477 | -178.594 | -13.457 | -15.185 |
| -118.300 | -30.159 | 259.809 | -54.192 | -174.219 | -91.988 |
| 303357.427 | 543978.130 | 34701.093 | 666797.421 | 946975.191 | 308366.629 |
| 303321.084 | 544034.444 | 34708.713 | 666793.424 | 946981.367 | 308360.995 |
| 303314.163 | 543978.100 | 34753.098 | 666794.516 | 946975.437 | 308367.912 |
| 303279.697 | 543931.502 | 34663.819 | 666830.837 | 946978.495 | 308369.884 |
| 303279.304 | 543941.301 | 34667.953 | 666801.693 | 947000.832 | 308367.391 |
| 303284.217 | 543930.167 | 34669.549 | 666802.355 | 946975.591 | 308398.299 |
| -303203.635 | -543893.740 | -34634.930 | -666800.101 | -946975.899 | -308366.921 |
| -303239.977 | -543837.427 | -34627.311 | -666804.096 | -946969.722 | -308372.555 |
| -303246.898 | -543893.771 | -34582.926 | -666803.005 | -946975.653 | -308365.637 |
| -303281.364 | -543940.368 | -34672.205 | -666766.683 | -946972.595 | -308363.665 |
| -303281.757 | -543930.569 | -34668.071 | -666795.828 | -946950.256 | -308366.158 |
| -303276.844 | -543941.703 | -34666.475 | -666795.165 | -946975.499 | -308335.250 |
| 30404.950 | 54435.790 | 3499.883 | 66678.539 | 94697.204 | 30836.533 |
| 30368.607 | 54492.103 | 3507.502 | 66674.542 | 94703.378 | 30830.898 |
| 30361.686 | 54435.759 | 3551.887 | 66675.634 | 94697.449 | 30837.816 |
| 30327.220 | 54389.160 | 3462.608 | 66711.953 | 94700.505 | 30839.787 |
| 30326.826 | 54398.959 | 3466.743 | 66682.809 | 94722.842 | 30837.294 |
| 30331.740 | 54387.826 | 3468.338 | 66683.471 | 94697.601 | 30868.202 |
| -30164.984 | -54268.747 | -3381.362 | -66749.855 | -94683.896 | -30876.216 |
| -30287.500 | -54295.086 | -3426.100 | -66685.214 | -94691.734 | -30842.458 |
| -30208.247 | -54268.778 | -3329.358 | -66752.758 | -94683.650 | -30874.932 |
| -30328.887 | -54398.027 | -3470.995 | -66647.800 | -94694.605 | -30833.568 |
| -30329.280 | -54388.228 | -3466.860 | -66676.944 | -94672.267 | -30836.061 |
| -30324.366 | -54399.361 | -3465.265 | -66676.282 | -94697.509 | -30805.153 |
| 3135.549 | 5506.262 | 395.499 | 6646.147 | 9473.543 | 3071.829 |
| 3081.930 | 5546.008 | 392.537 | 6655.924 | 9476.946 | 3074.029 |
| 3092.283 | 5506.228 | 447.503 | 6643.236 | 9473.781 | 3073.109 |
| 3040.530 | 5443.091 | 347.654 | 6693.318 | 9474.099 | 3082.903 |
| 3048.738 | 5461.146 | 357.020 | 6657.320 | 9497.841 | 3076.478 |
| 3036.526 | 5433.594 | 348.223 | 6671.570 | 9469.780 | 3115.193 |
| -2973.226 | -5413.681 | -324.160 | -6655.583 | -9472.819 | -3076.009 |
| -3018.143 | -5365.578 | -321.749 | -6652.762 | -9468.027 | -3077.737 |
| -3016.487 | -5413.708 | -272.156 | -6658.480 | -9472.566 | -3074.722 |
| -3025.034 | -5435.503 | -345.626 | -6642.793 | -9465.377 | -3084.513 |
| -3025.426 | -5425.702 | -341.491 | -6671.934 | -9443.036 | -3087.005 |
| -3037.676 | -5453.290 | -350.311 | -6657.644 | -9471.100 | -3048.268 |
| 1972.103 | 3673.805 | 1937.969 | 3547.128 | 2075.785 | 69.465 |
| 874.018 | 1355.773 | 776.358 | 1422.172 | 2187.374 | 670.513 |
| 665.827 | 3891.188 | 2009.967 | 13062.551 | -2464.873 | -779.419 |
| 816.111 | 1247.364 | 681.191 | 1461.445 | 2166.614 | 630.818 |
| 382.081 | 237.211 | 163.682 | 762.314 | 1917.534 | 908.419 |
| 225.279 | 636.206 | 159.842 | 282.406 | 146.924 | -239.271 |
| -106.614 | -69.443 | -33.742 | -754.630 | -1905.328 | -987.290 |
| -1345.799 | -2223.293 | -1305.479 | -2331.175 | -2341.910 | -355.990 |
| -468.265 | -118.409 | 43.725 | -715.138 | -1956.349 | -920.345 |
| -386.264 | -223.361 | -165.625 | -725.137 | -1948.617 | -966.647 |
| -2723.779 | -5082.383 | -2464.428 | -8378.810 | 514.604 | 786.792 |
| -666.435 | -1361.149 | -719.520 | -1549.166 | -2122.941 | -696.942 |
| 157.936 | 221.294 | 144.401 | 115.525 | 41.464 | -51.332 |
| 283.672 | 465.669 | 206.893 | 443.067 | 141.044 | -8.533 |
| 134.214 | 134.692 | 245.167 | 86.019 | 182.485 | 82.993 |
| 79.301 | 149.369 | 78.686 | 181.134 | 185.889 | 36.029 |
| 16.077 | 277.166 | 1026.710 | 1448.985 | -626.380 | -227.636 |
| 101.829 | 176.511 | 92.152 | 160.042 | 184.911 | 57.000 |
| 241.578 | 93.257 | 98.407 | -74.687 | -198.913 | -109.254 |
| -13.346 | -33.146 | -28.406 | -91.851 | -37.841 | 53.436 |
| -12.328 | -121.412 | 8.716 | -118.407 | -43.587 | 45.738 |
| -251.480 | -490.732 | -240.784 | -568.862 | -8.518 | 89.653 |
| -54.082 | -16.146 | -25.367 | -108.091 | -175.552 | -138.696 |
| -51.758 | -11.471 | -28.896 | -86.984 | -223.620 | -43.219 |
| 140.576 | 75.892 | 64.137 | 13.146 | 24.704 | 7.484 |
| -62.358 | 50.776 | 133.527 | 273.212 | -151.123 | 31.803 |
| 58.939 | 72.645 | 102.932 | 29.685 | 18.525 | -3.291 |
| 1.095 | 43.812 | 18.076 | 70.400 | 10.493 | -22.586 |
| 24.082 | 18.113 | 10.043 | 11.372 | 47.096 | 5.476 |
| 11.695 | 18.803 | 3.968 | 16.567 | 40.881 | 50.114 |
| 57.964 | -10.739 | 10.565 | -77.007 | 34.897 | 21.951 |
| 18.780 | 37.570 | 11.799 | -44.694 | -14.085 | 7.635 |
| 40.281 | 28.099 | 87.584 | -18.709 | -19.777 | -6.798 |
| -9.424 | -33.383 | -19.495 | -103.943 | 15.377 | 3.783 |
| -13.584 | -35.993 | -16.242 | -24.890 | 38.788 | 20.575 |
| -36.533 | -18.959 | -25.694 | -13.252 | -39.134 | 75.830 |
| -448397.002 | 1171077.823 | -966344.937 | 1703106.078 | -643507.675 | 1099785.442 |
| -448433.262 | 1171114.149 | -966345.414 | 1703103.658 | -643510.668 | 1099783.801 |
| -448430.170 | 1171080.746 | -966299.481 | 1703104.342 | -643512.633 | 1099786.001 |
| -447952.359 | 1170666.817 | -966772.118 | 1702532.639 | -643902.540 | 1100098.759 |
| -448456.813 | 1171050.479 | -966374.826 | 1703110.076 | -643489.361 | 1099779.504 |
| -448455.696 | 1171053.463 | -966367.488 | 1703106.714 | -643511.013 | 1099795.732 |
| 448522.934 | -1171023.177 | 966401.142 | -1703106.775 | 643513.610 | -1099776.213 |
| 447978.805 | -1170606.467 | 966797.524 | -1702514.768 | 643906.174 | -1100095.683 |
| 447981.898 | -1170639.852 | 966843.456 | -1702514.057 | 643904.194 | -1100093.468 |
| 448459.708 | -1171053.791 | 966370.819 | -1703085.775 | 643514.295 | -1099780.718 |
| 448463.118 | -1171050.630 | 966371.256 | -1703102.939 | 643532.006 | -1099782.246 |
| 448464.234 | -1171047.673 | 966378.595 | -1703106.341 | 643510.374 | -1099766.041 |
| -44680.303 | 117055.294 | -96689.489 | 170189.902 | -64428.034 | 110046.897 |
| -44820.178 | 117169.222 | -96609.096 | 170309.083 | -64350.445 | 109980.522 |
| -44868.921 | 117174.753 | -96522.579 | 170370.376 | -64312.039 | 109950.306 |
| -44744.379 | 117025.488 | -96719.166 | 170212.171 | -64426.797 | 110042.006 |
| -44792.058 | 117066.924 | -96678.775 | 170254.751 | -64369.289 | 110008.485 |
| -44789.794 | 117068.965 | -96672.345 | 170249.966 | -64391.796 | 110025.383 |
| 44908.961 | -117077.765 | 96665.407 | -170311.047 | 64354.060 | -109973.500 |
| 44718.863 | -116926.150 | 96785.191 | -170133.431 | 64470.879 | -110071.416 |
| 44721.956 | -116959.531 | 96831.122 | -170132.713 | 64468.895 | -110069.197 |
| 44794.305 | -117069.641 | 96675.351 | -170229.779 | 64394.748 | -110010.096 |
| 44797.215 | -117066.147 | 96676.113 | -170246.214 | 64412.800 | -110011.910 |
| 44850.266 | -117102.158 | 96642.858 | -170310.460 | 64350.747 | -109963.240 |
| -4385.467 | 11710.586 | -9663.905 | 16988.209 | -6460.218 | 11024.955 |
| -4483.431 | 11793.207 | -9616.170 | 17058.147 | -6415.210 | 10984.766 |
| -4496.322 | 11771.802 | -9557.750 | 17077.592 | -6404.758 | 10977.000 |
| -4525.570 | 11737.801 | -9634.169 | 17099.566 | -6399.826 | 10972.536 |
| -4497.129 | 11722.191 | -9653.276 | 17053.056 | -6401.599 | 10986.656 |
| -4469.955 | 11705.609 | -9666.288 | 17019.086 | -6443.495 | 11019.135 |
| 4588.866 | -11714.233 | 9659.576 | -17079.977 | 6406.013 | -10967.468 |
| 4536.254 | -11665.617 | 9671.881 | -17063.182 | 6415.704 | -10979.283 |
| 4519.080 | -11683.830 | 9733.644 | -17038.745 | 6429.511 | -10989.756 |
| 4478.635 | -11709.417 | 9665.980 | -17003.626 | 6443.136 | -11001.203 |
| 4482.560 | -11706.647 | 9666.003 | -17021.357 | 6460.443 | -11002.394 |
| 4515.001 | -11727.204 | 9648.881 | -17061.568 | 6414.479 | -10966.657 |
| 238248.087 | 55888.701 | 754542.269 | 585213.439 | -128836.714 | -343941.840 |
| 212016.246 | 362.314 | 720213.370 | 634354.159 | -132614.644 | -329726.675 |
| 198590.126 | 25552.497 | 700251.686 | 637297.790 | -136838.982 | -280452.690 |
| 196355.928 | 17694.647 | 700494.464 | 640324.023 | -136460.097 | -284138.683 |
| 241602.024 | 46675.294 | 765233.573 | 598697.148 | -132711.995 | -342499.413 |
| -230.218 | -125.762 | 146.170 | 220.532 | -118.634 | 283.689 |
| -260391.100 | -51781.351 | -767434.445 | -597135.001 | 137853.328 | 349820.340 |
| -238779.294 | -43974.928 | -751952.379 | -603316.238 | 133825.499 | 335424.397 |
| -218235.913 | -31930.920 | -721931.110 | -623085.698 | 135611.164 | 308937.853 |
| -45447.720 | 47587.722 | -322306.129 | -576309.996 | 44099.793 | 16023.701 |
| -185269.399 | -34281.810 | -663229.527 | -690388.394 | 130801.725 | 274327.450 |
| -264053.151 | -60781.936 | -767887.409 | -590435.034 | 137630.423 | 356173.757 |
| 21717.859 | 3203.268 | 71999.466 | 62536.310 | -13627.145 | -30410.248 |
| 19018.868 | 1727.170 | 69320.715 | 64568.528 | -13755.491 | -27313.152 |
| 19482.581 | -1496.103 | 69721.212 | 65240.578 | -13378.870 | -31181.520 |
| 19918.380 | 1780.514 | 70608.199 | 63619.021 | -13805.232 | -30305.405 |
| 20111.353 | 2505.513 | 70392.219 | 63604.971 | -13680.199 | -28471.418 |
| 20581.377 | -352.770 | 71197.364 | 65771.882 | -13820.916 | -33366.926 |
| -21048.158 | 2564.428 | -70588.337 | -65107.725 | 12310.584 | 36817.472 |
| -23872.304 | -2940.033 | -72793.123 | -59787.436 | 14338.887 | 33951.313 |
| -18760.210 | -1199.596 | -68567.928 | -64678.429 | 13503.193 | 27634.454 |
| -22472.664 | -3660.712 | -72887.278 | -61879.094 | 13675.473 | 31407.946 |
| -9808.846 | -7580.275 | -52788.813 | -59082.762 | 10027.386 | 10126.622 |
| -23370.844 | -3774.724 | -74425.223 | -61626.339 | 13659.606 | 32661.482 |
| 583.217 | 1247.300 | 6504.671 | 7252.623 | -2570.934 | 1684.304 |
| 1657.007 | 182.201 | 6652.900 | 6694.934 | -1413.792 | -2273.345 |
| 2369.905 | 539.201 | 7640.948 | 6047.218 | -1337.546 | -3215.991 |
| 2259.080 | 360.473 | 7304.430 | 6207.785 | -1360.103 | -3175.607 |
| 1952.292 | 157.671 | 6964.458 | 6414.240 | -1318.941 | -2846.296 |
| 2326.602 | 394.538 | 7387.444 | 6128.189 | -1359.897 | -3223.681 |
| -2007.870 | 93.485 | -7147.816 | -6678.082 | 1415.422 | 2466.160 |
| -1870.096 | -101.481 | -6881.882 | -6415.124 | 1373.537 | 2734.591 |
| -2706.441 | -313.131 | -6608.884 | -7362.206 | 2387.454 | -1504.795 |
| -1887.608 | -100.121 | -6893.954 | -6440.636 | 1351.585 | 2798.525 |
| -2425.158 | -492.810 | -7614.588 | -5990.430 | 1431.579 | 3325.536 |
| -512.276 | 339.136 | -5582.918 | -7086.456 | 2114.720 | -1432.371 |
| 699.714 | 316.316 | 294.145 | -86.572 | -60.349 | -26.274 |
| 173.827 | 639.240 | 351.967 | -38.628 | -4.708 | 55.445 |
| 176.295 | 374.452 | 852.417 | -51.554 | -17.763 | 55.499 |
| -56.767 | -16.802 | -18.960 | 312.465 | 22.965 | -11.135 |
| -86.125 | -8.902 | -22.097 | 22.410 | 257.812 | -54.794 |
| -139.155 | 84.690 | 59.876 | -43.620 | -40.441 | 285.589 |
| 786.453 | 256.100 | 258.435 | -53.641 | -65.329 | -57.856 |
| 259.058 | 579.662 | 316.794 | -5.785 | -9.461 | 24.333 |
| 261.417 | 314.666 | 817.723 | -18.795 | -22.724 | 24.615 |
| 28.296 | -77.161 | -54.624 | 344.789 | 18.020 | -42.255 |
| -0.994 | -69.495 | -57.858 | 55.305 | 252.624 | -85.660 |
| -54.721 | 24.165 | 24.195 | -10.608 | -45.493 | 255.089 |
| 776.623 | 261.995 | 261.934 | -56.925 | -64.746 | -54.366 |
| 250.291 | 584.957 | 319.812 | -8.939 | -9.049 | 27.490 |
| 252.745 | 320.155 | 820.335 | -21.877 | -22.129 | 27.574 |
| -56.761 | -16.790 | -18.944 | 312.415 | 22.958 | -11.137 |
| -86.102 | -8.914 | -22.080 | 22.396 | 257.763 | -54.762 |
| -62.780 | 30.267 | 27.625 | -13.945 | -44.820 | 257.685 |
| 785.941 | 255.997 | 258.375 | -53.614 | -65.290 | -57.714 |
| 259.019 | 579.559 | 316.714 | -5.771 | -9.472 | 24.339 |
| 261.391 | 314.577 | 817.573 | -18.768 | -22.709 | 24.591 |
| -48.132 | -22.752 | -22.371 | 315.165 | 22.387 | -14.295 |
| -77.437 | -15.064 | -25.606 | 25.647 | 257.031 | -57.734 |
| -54.674 | 24.170 | 24.178 | -10.612 | -45.473 | 255.035 |
| 2315.032 | -5243.494 | 1533.503 | 1592.106 | -5161.949 | -2812.086 |
| 6139.786 | -4356.579 | 5196.120 | 2034.731 | -9052.465 | -2491.132 |
| 6172.733 | -4426.225 | 5298.042 | 2063.453 | -9201.567 | -2514.060 |
| 80.664 | -102.266 | -44.749 | 158.374 | -36.198 | -59.310 |
| 49.805 | -73.405 | -24.417 | 18.182 | 93.330 | -55.483 |
| 443.109 | -6156.688 | -2358.460 | 1228.731 | -2757.472 | -3107.702 |
| 513.323 | -24.713 | 84.299 | 46.455 | -49.824 | -2.155 |
| 41.857 | 397.370 | 173.468 | -45.745 | 22.675 | 53.107 |
| 441.585 | -61.010 | 363.184 | 116.351 | -12.999 | -112.876 |
| -55.851 | -17.705 | -19.605 | 312.359 | 22.812 | -11.552 |
| -4607.415 | 4182.134 | -5056.496 | -2251.493 | 9965.897 | 2389.857 |
| -123.604 | 97.290 | 45.025 | -51.122 | 17.199 | 177.133 |
| 2092.724 | 263.415 | 1070.033 | 3763.794 | 346.060 | -2312.005 |
| 89.391 | 1046.384 | -395.990 | 2045.443 | 512.584 | -1052.848 |
| 469.820 | 444.252 | 1530.220 | -41.515 | 150.383 | 118.600 |
| 61.514 | -45.734 | -41.515 | 421.605 | 114.809 | 84.217 |
| 5309.579 | 4045.361 | 4216.822 | 1959.279 | -276.254 | -1274.659 |
| 2007.077 | 4625.269 | 1644.024 | 1564.851 | -206.550 | -258.263 |
| 2635.007 | 2678.548 | 3705.166 | -6960.334 | 562.132 | 2615.790 |
| -2952.104 | -2685.108 | -3312.503 | -561.125 | 1411.986 | 1274.777 |
| -267.846 | 320.931 | 161.748 | -1794.070 | 818.341 | 2827.275 |
| 1387.482 | 1005.299 | 49.032 | -1127.315 | 2693.867 | 3342.529 |
| -228.769 | -4034.273 | -407.147 | -1725.375 | -654.056 | 2768.486 |
| -1978.815 | -5956.576 | -2305.472 | -5180.792 | -2354.590 | 302.224 |
| 406.942 | 333.124 | 245.017 | 269.998 | 157.557 | -209.738 |
| 147.549 | 285.483 | 86.213 | 337.466 | 30.648 | -152.444 |
| 284.566 | 296.365 | 390.239 | 222.053 | -123.574 | -185.090 |
| -4.687 | 138.179 | -36.905 | 346.093 | 109.709 | -328.149 |
| 134.318 | 266.646 | 0.533 | -57.202 | -140.166 | -290.862 |
| -196.330 | -168.677 | -140.795 | 77.310 | -256.748 | -370.718 |
| -218.588 | -624.966 | 105.038 | -188.914 | 98.259 | 318.068 |
| 130.490 | 93.614 | 80.512 | -98.891 | -22.672 | 96.541 |
| 31.366 | 152.836 | -61.176 | -73.890 | -56.215 | -8.478 |
| -33.402 | -152.476 | 29.472 | -462.401 | -135.494 | 124.509 |
| -149.931 | -71.553 | 330.985 | -346.626 | -123.322 | 189.331 |
| 12.515 | -130.223 | -228.906 | 48.877 | 13.161 | 229.883 |
| 298.753 | 108.833 | 113.898 | 27.620 | -29.903 | -47.214 |
| 156.694 | 316.389 | 155.147 | 51.253 | 10.761 | -4.818 |
| 176.608 | 175.230 | 392.020 | 31.070 | 13.040 | -3.319 |
| 21.833 | 105.950 | 28.619 | 124.493 | 7.320 | -9.719 |
| 15.631 | 17.963 | 17.715 | 20.146 | 27.485 | -30.724 |
| -9.307 | -65.971 | 27.997 | 45.319 | -21.887 | 248.416 |
| 484.618 | 180.749 | 167.677 | 19.619 | 51.324 | 34.948 |
| 124.978 | 208.520 | 153.439 | 14.737 | -3.853 | 54.667 |
| 157.221 | 104.527 | 318.789 | -4.677 | 13.636 | 34.460 |
| 0.813 | 100.083 | 28.624 | 85.306 | -11.099 | 11.816 |
| 22.781 | -2.833 | -19.670 | -18.936 | 30.052 | 27.261 |
| 14.469 | -0.837 | -6.050 | -25.024 | -0.693 | 93.725 |
| -5151130.276 | -2723920.252 | -3653260.627 | -318627.132 | -1309173.596 | 1424609.886 |
| -3211628.932 | -2380846.108 | -2937392.080 | -234117.763 | -952479.907 | 1185201.052 |
| -3703171.875 | -2509701.921 | -3111722.775 | -251460.821 | -1041376.968 | 1274144.743 |
| -4794163.454 | -2619976.209 | -3489031.718 | -344107.152 | -1235012.772 | 1403597.324 |
| -5438890.925 | -2693212.122 | -3699578.275 | -380173.367 | -1347341.218 | 1470666.487 |
| -1770607.566 | -2093284.558 | -2439889.673 | -194024.500 | -668637.229 | 981428.510 |
| 2523426.983 | 2244715.395 | 2698709.366 | 223257.239 | 816801.140 | -1094292.901 |
| 3422854.664 | 2300235.441 | 2798939.695 | 189654.101 | 974070.342 | -1195388.700 |
| 2633584.083 | 2317849.221 | 2737887.643 | 204801.190 | 835260.293 | -1106973.059 |
| 3638195.413 | 2472401.462 | 3081568.488 | 257486.900 | 1029166.376 | -1255628.004 |
| 300434.436 | 2008742.424 | 2163155.559 | 94628.173 | 389048.872 | -745422.708 |
| 3615703.922 | 2393467.621 | 3068357.454 | 269953.248 | 1025015.324 | -1246579.610 |
| -61447.370 | -213639.773 | -220474.808 | -10444.583 | -45547.230 | 85740.074 |
| -103754.181 | -206531.956 | -224527.728 | -13872.930 | -53044.060 | 88849.131 |
| -520676.742 | -268497.687 | -363411.061 | -36075.437 | -130666.661 | 144641.333 |
| -183547.755 | -210191.490 | -246255.332 | -19893.629 | -68119.439 | 99378.874 |
| -477832.971 | -264730.807 | -348369.683 | -32745.549 | -123502.790 | 139721.437 |
| 3423.622 | -194920.930 | -133766.323 | 7183.152 | -36025.389 | 11585.432 |
| 284466.045 | 239021.808 | 281867.838 | 20150.039 | 88029.962 | -115891.474 |
| 453619.170 | 263443.394 | 340183.061 | 30356.944 | 119182.438 | -137298.237 |
| 90643.686 | 204428.677 | 230893.079 | 16379.147 | 51580.505 | -89708.527 |
| 316894.626 | 234047.521 | 291357.003 | 25421.565 | 94119.431 | -118284.028 |
| 522291.161 | 270399.997 | 364163.608 | 35716.554 | 131113.713 | -145076.374 |
| 271714.257 | 228499.434 | 275843.945 | 21670.265 | 86124.808 | -113830.033 |
| -47494.169 | -26342.271 | -34694.013 | -3266.066 | -12305.896 | 13952.892 |
| -31773.246 | -23751.216 | -29228.721 | -2395.197 | -9452.546 | 11958.496 |
| 513.973 | -11326.939 | -10676.993 | -827.947 | -2053.393 | 3876.833 |
| -53651.084 | -27081.453 | -36831.815 | -3665.059 | -13336.167 | 14642.908 |
| -33020.429 | -26874.721 | -30878.795 | -1881.171 | -9777.397 | 11284.212 |
| -15638.700 | -21137.561 | -23714.223 | -1633.712 | -6316.946 | 9618.243 |
| 39827.769 | 24786.262 | 31993.547 | 2760.823 | 10955.232 | -12789.934 |
| 33164.772 | 24367.573 | 29748.525 | 2359.293 | 9692.024 | -12157.067 |
| 54912.286 | 27221.008 | 37338.754 | 3801.772 | 13528.110 | -14749.591 |
| 1697.505 | 18340.659 | 20274.988 | 2382.306 | 4330.081 | -6819.313 |
| 19531.566 | 22990.217 | 25641.422 | 1511.715 | 7148.797 | -10569.435 |
| -447.591 | 11370.571 | 10810.686 | 840.572 | 2044.700 | -3831.746 |
| 15243.209 | 4991.176 | 8394.375 | -8562.002 | -6664.517 | 9038.197 |
| 6604.035 | 6791.071 | 2474.336 | -9328.493 | -5880.875 | 6199.668 |
| 541.465 | 582.529 | 1577.049 | 173.547 | -95.095 | -29.330 |
| 12421.891 | 3795.640 | 6587.762 | -7846.518 | -5492.210 | 5619.317 |
| 13027.451 | 6707.581 | 8719.615 | -4129.139 | -7053.458 | 3742.328 |
| 16561.467 | 4541.198 | 8419.815 | -8482.081 | -7728.403 | 10218.628 |
| -14250.697 | -7227.043 | -5404.872 | 9952.290 | 5769.542 | -11302.191 |
| -13120.131 | -5953.550 | -9303.036 | 8326.499 | 8199.504 | -9509.325 |
| -11503.583 | -2121.959 | -7765.219 | 9613.494 | 7150.974 | -13287.428 |
| -17465.821 | -8875.510 | -8062.357 | 9085.276 | 7248.420 | -8256.957 |
| -16279.244 | -3491.467 | -8176.924 | 8373.610 | 7256.433 | -9911.691 |
| -11928.555 | -2222.644 | -6856.750 | 9004.129 | 6903.312 | -10540.023 |
| 1601.395 | 554.303 | 818.534 | -786.158 | -741.063 | 1082.802 |
| 1344.701 | 419.326 | 1002.491 | -862.623 | -762.882 | 1334.657 |
| 1724.000 | 584.703 | 697.450 | -653.380 | -553.467 | 1071.466 |
| 740.128 | 552.093 | 77.912 | -923.670 | -288.410 | -344.140 |
| 585.225 | 278.186 | 249.461 | -460.827 | 52.777 | 497.633 |
| 1480.277 | 1157.088 | 1272.238 | -1076.390 | -731.546 | 1376.521 |
| -830.032 | -170.515 | -492.142 | 601.301 | 399.692 | -799.815 |
| 351.575 | 777.538 | 400.263 | 232.203 | 77.496 | 325.376 |
| -607.357 | -206.211 | -165.501 | 868.073 | 274.597 | -758.577 |
| -1998.752 | -370.480 | -1288.430 | 914.833 | 685.025 | -1319.186 |
| -1708.798 | -865.495 | -997.205 | 880.304 | 787.855 | -1051.080 |
| -1368.052 | -988.501 | -826.126 | 1014.136 | 832.380 | -166.657 |
| 274.052 | 159.249 | 185.750 | -85.860 | -57.328 | 56.996 |
| 170.041 | 230.967 | 140.451 | -71.188 | -63.235 | 51.554 |
| 225.211 | 169.778 | 273.610 | -81.981 | -48.859 | 61.822 |
| 56.786 | 59.077 | 19.995 | 83.470 | -16.881 | 26.389 |
| 89.352 | 44.467 | 39.271 | -81.228 | -18.727 | 52.297 |
| 97.950 | -34.508 | 8.337 | -45.402 | -21.683 | 122.787 |
| 99.510 | 17.957 | 73.385 | 91.140 | 64.751 | -46.299 |
| 57.058 | 204.466 | 133.333 | 107.281 | -1.654 | 16.189 |
| -28.852 | 61.088 | 123.568 | 91.670 | 53.650 | -70.226 |
| -64.760 | -43.797 | 2.269 | 121.236 | 38.397 | 60.246 |
| -148.410 | -73.574 | -80.406 | 64.864 | 77.056 | -123.478 |
| -27.893 | -59.465 | 11.559 | 59.119 | -2.191 | 320.739 |
| 4820863.528 | 1601722.053 | 2814000.291 | -753157.001 | 1908867.058 | 83879.939 |
| 4287366.641 | 1394819.402 | 2502704.622 | -673829.528 | 1674023.782 | 104763.025 |
| 2860417.289 | 909175.920 | 1668090.093 | -443226.100 | 1141415.632 | 29368.045 |
| -48.619 | -108.475 | -168.993 | 549.569 | -36.091 | 48.673 |
| 2869502.299 | 915081.024 | 1672158.455 | -444286.670 | 1150974.269 | 21588.644 |
| -158.487 | -134.244 | -32.373 | 44.776 | -33.476 | 378.983 |
| 810.535 | 387.861 | 367.279 | -48.064 | 24.454 | -157.942 |
| 385.195 | 1281.074 | 553.332 | -88.972 | 45.866 | -135.332 |
| 365.735 | 559.303 | 1330.032 | -168.083 | 75.369 | -35.691 |
| -2867447.586 | -916232.939 | -1670188.571 | 443720.206 | -1154004.409 | -16315.884 |
| 22.800 | 46.808 | 73.994 | -34.339 | 354.830 | -45.015 |
| -2876343.930 | -917125.940 | -1676312.876 | 445477.140 | -1152931.789 | -22647.311 |
| 308154.702 | 98538.010 | 179792.559 | -47895.772 | 122690.566 | 3610.347 |
| 396157.695 | 129586.592 | 231390.133 | -61870.271 | 157535.242 | 5572.786 |
| 396181.441 | 129121.667 | 231626.113 | -61970.459 | 156651.605 | 6756.647 |
| 283944.303 | 90249.422 | 165537.889 | -43924.819 | 113472.970 | 2679.549 |
| 304873.023 | 97450.516 | 177831.368 | -47373.171 | 121689.020 | 3262.322 |
| -158.472 | -134.207 | -32.355 | 44.751 | -33.500 | 378.977 |
| 810.462 | 387.767 | 367.202 | -48.019 | 24.467 | -157.904 |
| 385.113 | 1280.733 | 553.162 | -88.972 | 45.935 | -135.285 |
| 365.706 | 559.157 | 1329.531 | -168.037 | 75.489 | -35.795 |
| -635964.985 | -215207.626 | -387595.386 | 97543.379 | -242281.552 | -20665.653 |
| 22.796 | 46.779 | 73.960 | -34.302 | 354.825 | -45.021 |
| -299307.863 | -95425.122 | -174607.367 | 46487.363 | -119239.128 | -3385.135 |
| 8615.722 | 2110.136 | 4569.529 | -1218.778 | 3455.050 | -91.252 |
| 51463.179 | 17206.740 | 30026.204 | -8051.038 | 20264.965 | 1086.188 |
| 48229.798 | 15944.907 | 28289.351 | -7566.949 | 18756.968 | 1265.869 |
| -48.317 | -108.250 | -167.976 | 546.207 | -36.053 | 48.474 |
| 30207.253 | 9606.226 | 17509.462 | -4699.081 | 12333.085 | 54.972 |
| -158.149 | -133.919 | -32.688 | 44.852 | -33.647 | 378.543 |
| 809.556 | 387.080 | 366.860 | -48.008 | 24.622 | -157.380 |
| 383.180 | 1274.168 | 550.084 | -89.022 | 46.322 | -133.548 |
| 364.720 | 556.087 | 1320.699 | -167.267 | 76.711 | -36.680 |
| -51047.963 | -16565.428 | -29590.984 | 8078.987 | -20367.977 | -930.849 |
| 22.885 | 46.988 | 74.241 | -34.378 | 354.671 | -45.097 |
| -158.073 | -133.411 | -31.740 | 44.301 | -32.978 | 378.403 |
| 1766.655 | -3471.353 | -7409.492 | 728.302 | 1655.787 | -235.030 |
| 47626.410 | -168706.249 | -300131.781 | 41266.655 | 52255.589 | -20607.388 |
| 8664.215 | -15312.928 | -21481.856 | 5058.198 | 1341.950 | 290.361 |
| 47691.036 | -170165.236 | -301035.784 | 41491.181 | 52342.661 | -21332.844 |
| -23266.083 | -116774.308 | -166106.081 | 52804.897 | 51294.612 | -8846.156 |
| 52962.250 | -188388.648 | -331665.309 | 45171.434 | 56653.373 | -23989.061 |
| -4894.845 | 16629.266 | 33691.306 | -5110.631 | -8025.029 | 1425.399 |
| -8300.581 | 12143.735 | 25455.844 | -1299.184 | -3818.747 | 1246.188 |
| -48681.613 | 170393.795 | 302802.792 | -41828.922 | -52741.528 | 21110.598 |
| -39107.068 | 138171.102 | 247219.296 | -34947.203 | -44205.152 | 16730.301 |
| -53666.983 | 187635.543 | 330163.652 | -45284.925 | -56225.024 | 23614.295 |
| 106.824 | 32.184 | 1.807 | 23.393 | 22.175 | 245.954 |
| 5186.194 | -16160.630 | -27684.791 | 3842.030 | 4282.045 | -1912.484 |
| 3080.847 | -8987.115 | -16890.818 | 2351.150 | 3309.853 | -930.918 |
| 2588.027 | -8017.281 | -14654.220 | 2097.136 | 2843.751 | -851.129 |
| 447.315 | 6.687 | -403.703 | -377.295 | -25.102 | -28.721 |
| 2795.944 | -9025.608 | -16467.612 | 2333.104 | 3145.096 | -977.781 |
| 4589.883 | -15676.969 | -27791.686 | 3853.808 | 4858.682 | -1862.609 |
| -1650.563 | 1038.034 | 2975.822 | 343.690 | -172.695 | 151.368 |
| -2543.831 | 8519.520 | 15452.749 | -2194.996 | -3024.342 | 887.698 |
| -4356.231 | 15022.377 | 26371.273 | -3778.313 | -4640.486 | 1659.523 |
| -355.643 | 157.878 | 1196.657 | 247.773 | -304.249 | 136.528 |
| -4811.437 | 16520.563 | 28857.030 | -3991.540 | -4789.545 | 2026.035 |
| -4802.764 | 16848.567 | 29778.040 | -4107.161 | -5158.150 | 2107.139 |
| 420.475 | -1086.858 | -2001.731 | 292.534 | 374.284 | -120.595 |
| 184.547 | 152.297 | -13.215 | -47.093 | -23.878 | 4.306 |
| 228.190 | -123.855 | 62.923 | 22.583 | -131.634 | 13.642 |
| 224.700 | 13.875 | -91.164 | -56.585 | -67.802 | -5.633 |
| 188.649 | -57.235 | -140.844 | -57.350 | -16.591 | 0.020 |
| 98.725 | -98.265 | -243.173 | 5.550 | 40.792 | 23.680 |
| -70.887 | 648.494 | 425.494 | -89.002 | 28.117 | -17.271 |
| 159.148 | 268.001 | 193.611 | -79.563 | -72.691 | 13.612 |
| -127.909 | 266.153 | 3.510 | 1.809 | 190.635 | -24.013 |
| -475.157 | 1691.456 | 2987.024 | -377.963 | -517.177 | 206.530 |
| 32.844 | 134.673 | -110.900 | -79.513 | 80.852 | -18.318 |
| -220.331 | 790.493 | 1448.585 | -208.040 | -275.160 | 121.134 |
| -58151428.740 | -38172330.235 | -22503949.889 | 24841261.815 | 4832774.702 | -5205341.273 |
| -59195239.138 | -43025526.885 | -25261204.643 | 24074834.995 | 3658795.989 | -5430645.213 |
| -58201456.543 | -38291302.964 | -22540092.737 | 24731586.789 | 4815188.305 | -5292822.843 |
| -58057076.545 | -38225088.456 | -22311221.149 | 24717926.976 | 5022498.454 | -5280114.047 |
| -58977287.101 | -42619467.409 | -25204408.163 | 24089471.761 | 3508693.503 | -5456657.732 |
| -59025154.431 | -39544130.522 | -23532192.260 | 24690204.824 | 4648654.712 | -5439172.603 |
| 59161605.349 | 43287877.851 | 25288697.310 | -23998404.783 | -3617462.283 | 5467424.611 |
| 59171382.314 | 43188230.951 | 25270531.038 | -24028038.772 | -3636132.039 | 5455037.964 |
| 59220106.423 | 39135876.111 | 23739323.679 | -24804215.208 | -4081827.826 | 5493368.604 |
| 59197354.583 | 42982084.507 | 25254700.491 | -24089735.528 | -3665198.704 | 5436856.442 |
| 58180515.951 | 38326654.408 | 22531303.589 | -24760621.015 | -4847322.660 | 5259404.504 |
| 58155534.721 | 38422127.135 | 22733953.235 | -24816978.929 | -4789612.028 | 5310045.260 |
| -5811941.880 | -3845792.339 | -2269955.887 | 2473421.439 | 463940.605 | -529808.438 |
| -5838186.735 | -3872231.985 | -2293524.449 | 2469558.701 | 464063.699 | -533080.748 |
| -5921230.826 | -4267380.882 | -2520659.282 | 2416593.135 | 369722.060 | -541570.073 |
| -5800879.160 | -3802987.445 | -2241932.920 | 2482775.827 | 482366.164 | -520897.692 |
| -5927246.428 | -3938296.534 | -2405200.793 | 2481088.203 | 401772.995 | -545991.527 |
| -5792017.057 | -3836661.681 | -2227136.981 | 2470055.489 | 499613.484 | -545784.082 |
| 5916629.809 | 4304035.586 | 2525847.051 | -2405175.050 | -363438.817 | 543985.225 |
| 5923348.715 | 4114557.088 | 2501407.953 | -2439372.222 | -391197.492 | 527615.887 |
| 5870867.045 | 3926267.613 | 2334935.807 | -2476879.205 | -444379.606 | 522362.665 |
| 5921387.017 | 4327824.873 | 2529262.662 | -2402925.206 | -364605.789 | 544957.274 |
| 5897041.730 | 4099711.934 | 2457391.971 | -2442113.024 | -406139.781 | 519436.161 |
| 5787181.416 | 3829470.232 | 2216314.885 | -2467677.839 | -507668.434 | 541366.468 |
| -591649.406 | -432219.293 | -252785.547 | 240201.484 | 36318.297 | -54632.101 |
| -591996.015 | -428092.820 | -252435.575 | 241190.044 | 36765.796 | -54125.311 |
| -590403.538 | -395646.583 | -239384.192 | 246775.661 | 40032.243 | -51013.224 |
| -596079.071 | -418947.568 | -250690.258 | 244347.234 | 39804.595 | -52561.307 |
| -588096.961 | -394024.751 | -237424.363 | 248899.092 | 42526.683 | -50016.302 |
| -591990.982 | -428730.326 | -252564.133 | 240989.682 | 36637.750 | -54147.845 |
| 592133.195 | 430112.436 | 252789.890 | -240823.086 | -36566.416 | 54240.018 |
| 588770.829 | 426858.380 | 251636.176 | -240983.913 | -34866.946 | 55223.737 |
| 576374.472 | 378377.557 | 220614.785 | -246694.966 | -49237.743 | 51487.505 |
| 592078.243 | 435541.895 | 253109.288 | -239610.575 | -36238.807 | 54784.652 |
| 593398.431 | 406069.568 | 248598.373 | -245722.982 | -38168.750 | 53542.337 |
| 577919.314 | 381525.350 | 221484.754 | -247411.562 | -50597.015 | 53991.347 |
| 2077.100 | 1813.033 | 1029.747 | -533.940 | -1009.228 | 1013.640 |
| 1141.630 | 267.174 | 1302.655 | -835.729 | 887.508 | -121.003 |
| 2542.533 | 2034.482 | 1616.192 | -697.773 | -710.067 | 765.415 |
| 2204.258 | 1945.892 | 1001.003 | -576.346 | -1288.872 | 986.281 |
| -6508.104 | -5917.365 | -3206.266 | 1180.984 | 3030.717 | -2280.451 |
| 2385.728 | 2098.787 | 1270.623 | -539.328 | -989.609 | 914.752 |
| -12516.666 | 179.726 | -15529.196 | 11239.672 | -12999.855 | 2686.635 |
| -8702.979 | 3502.313 | -1530.779 | 14491.733 | -6442.083 | 4536.662 |
| 1017.994 | 1020.990 | 745.792 | -94.020 | -450.855 | 357.347 |
| -2398.260 | -2350.003 | -1228.105 | 266.283 | 1042.532 | -823.110 |
| -1269.932 | -330.371 | -1396.573 | 717.404 | -2703.944 | 110.117 |
| 5125.124 | 5701.309 | 2898.061 | -1115.783 | -2839.722 | 2672.230 |
| 52.128 | -171.417 | -69.055 | 84.424 | -95.142 | -15.076 |
| -2837.050 | -2488.717 | -2162.892 | -1425.069 | -697.041 | 1200.477 |
| 695.434 | 2.696 | 1159.773 | -641.385 | 795.770 | -188.242 |
| 1113.588 | 107.167 | 1133.631 | -1111.552 | 947.056 | -240.888 |
| -323.814 | -734.348 | 690.502 | 368.820 | 756.227 | -440.961 |
| 581.714 | -35.006 | 1017.750 | -624.514 | 791.203 | -337.310 |
| -598.200 | -326.969 | -518.605 | 839.286 | -378.291 | -65.698 |
| 46.817 | -499.025 | -439.396 | 271.664 | -758.289 | -20.021 |
| -596.214 | -17.168 | -76.237 | 480.109 | -204.601 | -107.038 |
| -1053.662 | -202.888 | -1181.930 | 696.161 | -748.978 | 120.386 |
| -106.589 | -23.721 | -12.893 | 60.194 | 278.883 | 33.670 |
| -392.756 | -381.663 | -149.706 | 27.737 | 110.257 | -371.388 |
| 235.110 | 30.943 | 208.245 | -168.677 | 173.306 | -47.686 |
| 253.740 | 393.939 | 274.168 | 15.436 | -58.417 | 83.329 |
| 103.130 | 45.047 | 94.016 | -33.602 | 79.858 | -5.287 |
| 84.001 | -199.828 | -51.452 | -112.175 | -22.472 | -98.811 |
| -31.481 | 2.398 | 29.284 | 32.849 | 191.794 | 22.124 |
| 85.525 | 72.408 | 71.490 | -112.866 | 5.362 | -3.290 |
| -37.851 | 18.467 | -111.174 | 173.666 | -158.533 | 57.207 |
| 3.668 | 160.034 | 54.584 | 65.366 | 33.165 | 12.244 |
| 50.322 | 137.951 | 113.047 | 105.895 | -1.643 | 32.649 |
| -96.616 | -18.178 | -89.092 | 116.440 | -67.504 | 18.631 |
| -71.700 | 88.257 | -31.854 | 71.053 | -89.764 | 96.428 |
| -26.128 | -59.192 | -66.541 | 47.057 | -4.029 | 39.643 |
| 734885.833 | 289987.762 | -481979.787 | 611485.730 | -1562198.731 | 636903.580 |
| 614533.313 | 160132.088 | -288181.661 | 353111.069 | -934629.149 | 330805.238 |
| 723042.846 | 283045.799 | -470913.674 | 569157.428 | -1496094.130 | 610020.507 |
| 724804.652 | 277787.085 | -489776.283 | 584310.320 | -1526382.760 | 622047.734 |
| 207110.178 | 14486.293 | -68214.384 | 83021.878 | -45994.383 | 30706.806 |
| 434132.168 | 46331.855 | -209599.352 | 228752.306 | -543222.771 | 167183.620 |
| -633461.887 | -194757.429 | 480729.467 | -469997.429 | 1324376.270 | -566016.896 |
| -686972.642 | -242754.451 | 269150.831 | -321360.561 | 969347.808 | -358600.746 |
| -320067.750 | 82606.478 | 229354.677 | -138079.474 | 330533.374 | -203838.142 |
| -635604.569 | -233259.906 | 272483.278 | -337465.380 | 1015667.493 | -470366.554 |
| -374910.904 | 43596.993 | 245521.483 | -168947.738 | 441460.960 | -219913.713 |
| -471464.933 | 189280.106 | 328374.792 | -123367.994 | 210388.635 | -311825.754 |
| 37454.893 | -5161.186 | -24022.202 | 15062.908 | -35314.576 | 20593.034 |
| 6070.743 | 375.204 | -961.636 | 849.333 | -2182.678 | 2723.406 |
| 79145.755 | 33778.039 | -40156.334 | 54377.057 | -141877.634 | 53123.963 |
| 68090.990 | 26244.322 | -49648.952 | 61838.496 | -156276.555 | 62931.194 |
| 51708.647 | 6054.013 | -25581.083 | 24149.923 | -69684.786 | 29923.985 |
| 5280.640 | -2755.659 | -3757.190 | 1794.046 | -3371.449 | 3247.404 |
| -70795.049 | -28551.328 | 42257.688 | -51378.370 | 139728.760 | -55169.406 |
| -73538.446 | -30261.375 | 45810.400 | -60269.726 | 154260.722 | -61956.360 |
| -66206.214 | -17533.594 | 28061.495 | -31752.565 | 93181.489 | -39120.497 |
| -65335.702 | -24556.104 | 37255.608 | -42613.294 | 120407.158 | -46641.102 |
| -65750.139 | -17398.170 | 27865.394 | -32152.316 | 95418.878 | -38791.155 |
| -63197.380 | -17783.042 | 30725.546 | -33675.558 | 99225.540 | -40442.887 |
| 2158.922 | -621.203 | -2821.653 | 1150.982 | -1814.451 | 773.081 |
| 7503.260 | 3034.522 | -4832.938 | 6299.040 | -15902.285 | 6526.253 |
| 7197.116 | 2878.896 | -4232.760 | 5134.362 | -13926.949 | 5554.121 |
| 2383.144 | -1003.048 | -1221.402 | 589.894 | -1593.445 | 1320.305 |
| 6322.365 | 1605.597 | -2793.857 | 3178.744 | -9144.679 | 3577.479 |
| 593.923 | -300.789 | -412.316 | 197.806 | -370.986 | 385.369 |
| -7442.862 | -1432.853 | 1771.857 | -2862.713 | 7759.562 | -4071.206 |
| -7034.918 | -2718.746 | 4411.897 | -5213.293 | 14076.428 | -5596.448 |
| -731.954 | -109.099 | 68.073 | -7.557 | 267.193 | -364.831 |
| -2757.667 | 1512.258 | 2968.950 | -712.200 | 1805.609 | -1951.816 |
| -4337.521 | 1133.245 | 3014.075 | -1417.475 | 2208.915 | -1750.432 |
| -3383.895 | 1870.452 | 3236.748 | -687.624 | 1397.444 | -3184.241 |
| -2184.577 | -640.292 | -489.011 | -1389.379 | -2277.305 | -664.873 |
| -2706.963 | 210.181 | -707.054 | -250.232 | -1596.908 | -564.231 |
| -4104.080 | -1391.915 | 2964.335 | -2579.483 | -3547.020 | -857.155 |
| -1382.769 | -604.818 | 3682.795 | -1751.618 | -2744.275 | -1251.217 |
| -2822.244 | -511.127 | -1064.127 | -281.008 | -1491.956 | -659.613 |
| -2832.982 | -507.892 | -997.038 | -282.005 | -1693.932 | -515.232 |
| 3503.003 | -118.768 | 1102.928 | 1927.641 | 680.872 | 831.124 |
| 3318.059 | 1408.578 | 1387.056 | 430.353 | 1715.554 | 733.105 |
| 2715.778 | -1019.803 | -2866.222 | 2349.284 | 3594.561 | 334.836 |
| 2845.912 | 652.513 | 1124.395 | 547.011 | 1635.434 | 673.646 |
| 52.383 | -59.856 | -32.294 | -73.859 | 519.374 | 178.576 |
| 3700.602 | 60.299 | 1308.952 | 2074.724 | 236.645 | 287.236 |
| -240.389 | -28.705 | -34.420 | -77.632 | -230.948 | -147.962 |
| -222.935 | 193.598 | 67.811 | 101.902 | -135.145 | 20.153 |
| 7.652 | 12.609 | 528.400 | -27.185 | -34.926 | -98.233 |
| 180.053 | -121.107 | 338.060 | 520.824 | -73.860 | -56.742 |
| -243.413 | 141.644 | -17.387 | -166.846 | -61.896 | -133.103 |
| -297.838 | -312.705 | -130.253 | -111.906 | -87.661 | 135.183 |
| 762.553 | 46.152 | 35.825 | 111.016 | 125.567 | 201.007 |
| 184.606 | -196.273 | 184.446 | 204.137 | 120.448 | -117.932 |
| 122.189 | 47.063 | -312.861 | 100.881 | 363.522 | 173.777 |
| 232.323 | 121.080 | 222.463 | 264.618 | 187.257 | 103.657 |
| 284.681 | 111.293 | 14.693 | 73.865 | 201.478 | 1.879 |
| 348.020 | 268.904 | -172.028 | 137.955 | 346.553 | 162.613 |
| 113.178 | 79.452 | 78.436 | -9.012 | -33.056 | -15.338 |
| 122.416 | 134.626 | 95.668 | 15.292 | 14.389 | -11.520 |
| 80.160 | 102.725 | 215.312 | -33.994 | -7.455 | 5.763 |
| -0.879 | -17.645 | 38.710 | 48.870 | -6.590 | -1.888 |
| -36.677 | 9.221 | -40.419 | -35.962 | 90.102 | 26.271 |
| -11.035 | -10.978 | -9.971 | -20.519 | 7.731 | 86.235 |
| 194.772 | 126.253 | 89.092 | 30.035 | 17.328 | 4.639 |
| 125.092 | 240.550 | 92.385 | 20.639 | 28.680 | 22.567 |
| 88.388 | 74.314 | 96.329 | -2.071 | 23.526 | 6.476 |
| 18.397 | -13.328 | 6.185 | 73.371 | 19.360 | 6.122 |
| 24.347 | 18.995 | -23.806 | 34.259 | 171.954 | 19.569 |
| 40.535 | 31.029 | 19.969 | 13.746 | 18.161 | 63.835 |
| -1320217.274 | 23788381.367 | 3824924.148 | 6197844.854 | 12385782.749 | -6596648.478 |
| -1204740.448 | 23892812.949 | 3750265.641 | 6282685.519 | 12227402.906 | -6503838.700 |
| -1298022.570 | 23304171.775 | 3810839.387 | 6184535.318 | 12133021.572 | -6434761.645 |
| -855600.187 | 23790794.145 | 4023550.426 | 6095455.629 | 12576822.253 | -6605674.753 |
| -1277927.174 | 23586212.040 | 3723950.883 | 6239370.338 | 12187387.470 | -6475666.453 |
| -1345402.770 | 23825592.584 | 3659007.459 | 6255027.641 | 12209091.070 | -6527888.197 |
| 1223447.417 | -23452371.854 | -3726025.035 | -6192360.999 | -12139285.425 | 6463336.919 |
| 1035465.177 | -23390523.730 | -3801532.327 | -6090478.386 | -12189953.873 | 6513228.226 |
| 1314919.770 | -23873411.871 | -3795333.982 | -6315596.769 | -12406375.946 | 6698141.042 |
| 1170345.026 | -23788449.550 | -3858377.658 | -6252406.999 | -12290369.344 | 6566995.996 |
| 914067.446 | -23907132.405 | -3849939.735 | -6191066.391 | -12117475.419 | 6570715.978 |
| 1234952.830 | -23611414.896 | -3747035.328 | -6143793.009 | -12034899.403 | 6455957.298 |
| -88845.783 | 2384252.490 | 414847.262 | 621272.497 | 1255838.255 | -666305.230 |
| -110172.140 | 2386409.824 | 369659.145 | 620354.284 | 1213274.040 | -651584.171 |
| -113321.481 | 2392643.032 | 378927.318 | 624071.457 | 1217080.839 | -650199.843 |
| -118184.917 | 2376957.919 | 385404.859 | 620975.769 | 1219669.783 | -649320.432 |
| -105749.987 | 2384053.033 | 372453.763 | 622102.883 | 1228797.794 | -656077.153 |
| -133763.528 | 2374037.665 | 360172.314 | 619697.671 | 1209847.746 | -648655.418 |
| 77436.300 | -2400742.290 | -402110.949 | -625303.145 | -1237892.121 | 656313.412 |
| 133805.167 | -2384081.875 | -363854.895 | -621134.942 | -1213203.584 | 651348.204 |
| 112453.685 | -2370287.793 | -374236.309 | -612738.797 | -1214968.851 | 650739.819 |
| 107138.839 | -2360401.583 | -370406.173 | -618530.757 | -1217679.169 | 651243.707 |
| 126299.282 | -2368816.536 | -370258.675 | -621262.199 | -1220482.030 | 656367.144 |
| 104485.001 | -2408892.021 | -377802.722 | -632309.672 | -1238936.940 | 671430.760 |
| -11347.381 | 238788.364 | 39578.758 | 62085.767 | 121365.040 | -64761.532 |
| -11936.511 | 234587.776 | 36903.299 | 61292.504 | 120557.045 | -64206.134 |
| -11136.767 | 236777.626 | 38065.963 | 61460.467 | 122806.755 | -65230.894 |
| -13514.892 | 237480.256 | 36539.131 | 61834.584 | 120252.342 | -64436.112 |
| -9902.969 | 240659.001 | 39533.425 | 63859.142 | 125381.825 | -67465.287 |
| -11775.567 | 238499.843 | 38049.101 | 61381.381 | 121646.609 | -64148.352 |
| 10134.597 | -237913.716 | -37816.742 | -61775.866 | -122177.614 | 64819.990 |
| 10357.002 | -238965.933 | -36405.736 | -62380.974 | -123866.147 | 65745.561 |
| 11559.190 | -236769.046 | -37340.063 | -62354.491 | -121576.679 | 64344.423 |
| 14635.858 | -239201.648 | -38726.341 | -62992.848 | -121928.608 | 65623.908 |
| 11514.643 | -240986.355 | -36956.070 | -62716.033 | -121130.258 | 65442.000 |
| 9219.831 | -241472.192 | -38355.745 | -62548.942 | -124050.360 | 67322.542 |
| -4754.726 | -11844.512 | -5290.894 | 1104.283 | -3015.045 | 299.630 |
| -4491.330 | 1307.834 | -1803.903 | 568.281 | -948.197 | -63.315 |
| -3941.905 | -9450.600 | -456.319 | 3281.007 | -5546.397 | 3196.331 |
| -5352.243 | -12861.225 | -5055.894 | 597.895 | -3094.711 | -388.832 |
| 225.613 | 80.683 | 4.874 | -4.374 | 417.451 | 51.946 |
| -6652.247 | -10846.224 | -5048.094 | 1241.673 | -3761.364 | 312.795 |
| 4876.600 | 15095.943 | 5708.190 | -1353.693 | 3198.803 | -645.654 |
| 4179.867 | 9303.166 | 4729.392 | -2347.833 | 1687.614 | -959.445 |
| -1026.185 | -351.369 | 1892.308 | 334.363 | 511.413 | -509.292 |
| 4695.904 | 1373.097 | 2389.042 | 1620.806 | -4331.888 | 759.131 |
| 5389.306 | 13261.735 | 5621.041 | -728.440 | 2824.602 | -1533.532 |
| -704.317 | 7759.750 | 3100.685 | 497.309 | 2698.119 | 1206.342 |
| -28.264 | -158.958 | -127.053 | -22.369 | -126.619 | 88.740 |
| -559.940 | 334.997 | -328.333 | 24.823 | 367.268 | -126.266 |
| -439.734 | -968.088 | -414.012 | 28.773 | -274.568 | 43.267 |
| -192.924 | 47.364 | -72.524 | 123.372 | -138.478 | -188.188 |
| -375.717 | -661.657 | -271.671 | -19.528 | -86.536 | -59.103 |
| -73.516 | -546.147 | -142.942 | 48.067 | -338.134 | -256.566 |
| 644.528 | 238.995 | 330.140 | 90.161 | -37.785 | 83.582 |
| 447.609 | 77.085 | 344.837 | 114.016 | -320.491 | -87.719 |
| 613.985 | -44.143 | 289.706 | 11.280 | 159.213 | 180.504 |
| 980.070 | 1867.682 | 792.296 | -273.523 | 538.866 | -618.672 |
| 596.152 | 938.014 | 646.588 | -120.246 | 123.368 | -267.514 |
| 583.234 | -51.673 | 323.852 | 158.822 | 140.579 | 349.625 |
| 16.183 | -69.132 | -8.595 | 7.474 | -13.757 | 37.011 |
| 146.414 | 136.654 | 57.891 | -8.461 | 51.101 | 9.573 |
| 59.918 | 79.456 | 187.216 | -2.923 | 7.250 | -39.425 |
| -17.925 | 4.722 | 5.110 | 32.047 | 22.413 | -33.461 |
| -9.474 | -0.841 | -16.832 | -9.104 | 73.410 | -2.160 |
| -87.419 | -10.639 | -48.698 | 0.110 | 15.961 | -31.323 |
| 351.975 | 154.638 | 186.601 | 34.681 | -31.227 | -2.637 |
| 201.382 | 344.196 | 183.580 | 25.178 | -10.309 | 36.682 |
| 160.589 | 181.967 | 239.167 | 2.189 | -0.643 | -3.527 |
| 21.098 | -6.206 | 37.177 | 21.658 | -12.691 | 5.167 |
| 103.288 | 169.215 | 81.863 | -4.058 | 53.673 | -11.417 |
| 38.090 | 70.235 | 37.720 | -9.189 | -0.663 | 57.744 |
| -1069569.960 | 792453.712 | -1243651.234 | 3171018.518 | -593216.276 | 2115392.461 |
| -1748394.255 | 547951.101 | -763787.000 | 3897539.402 | -1158478.346 | 2233401.137 |
| -2071785.838 | 430202.368 | -853538.357 | 3876205.322 | -1274139.434 | 2441164.047 |
| -964187.371 | 1299087.793 | -1224659.131 | 3028209.389 | -346119.091 | 2382533.593 |
| -115.930 | -101.531 | -70.683 | 42.942 | 330.322 | -35.736 |
| 105.167 | 119.534 | 18.275 | -40.664 | 15.808 | 343.399 |
| 943.619 | 436.105 | 338.039 | -13.053 | -132.598 | 183.561 |
| 385.041 | 1073.633 | 267.514 | 18.847 | -52.409 | 215.865 |
| 351.231 | 306.852 | 731.906 | -19.934 | -74.784 | 60.465 |
| 40.625 | 87.491 | 0.186 | 252.617 | 12.449 | -22.209 |
| 2445939.901 | -57790.186 | 1056373.661 | -3849504.597 | 1512661.247 | -2674397.136 |
| 2703548.163 | 268522.841 | 1335106.300 | -3867254.208 | 1597855.594 | -2556569.324 |
| -266289.062 | -13754.352 | -132194.196 | 383530.536 | -151971.633 | 262716.020 |
| 125416.073 | 39828.771 | -66247.592 | 51126.204 | 52915.704 | 50848.249 |
| -192186.035 | 108731.165 | -96810.099 | 383158.154 | -89373.067 | 250861.710 |
| -199360.166 | 54799.154 | -87937.085 | 386560.999 | -118682.000 | 242663.638 |
| -115.871 | -101.745 | -70.522 | 43.073 | 330.016 | -36.142 |
| 105.109 | 119.413 | 18.285 | -40.606 | 15.778 | 343.226 |
| 942.638 | 436.344 | 337.559 | -13.585 | -132.315 | 184.245 |
| 384.944 | 1072.982 | 267.393 | 18.336 | -52.428 | 216.252 |
| 188489.561 | -37620.106 | 79665.180 | -389513.209 | 126563.067 | -229978.463 |
| 40.608 | 87.474 | 0.169 | 252.531 | 12.447 | -22.119 |
| 231531.679 | -37887.441 | 90101.519 | -390997.304 | 129228.198 | -252383.395 |
| 197718.847 | -74209.485 | 91701.957 | -385820.616 | 107571.631 | -245394.031 |
| -10532.643 | 10725.040 | -12800.322 | 31002.381 | -4087.668 | 22408.208 |
| 11956.341 | 6913.108 | -5729.041 | 2889.258 | 7796.704 | 14884.108 |
| -16852.406 | 10295.884 | -9010.804 | 38370.683 | -8881.741 | 23363.305 |
| -21738.569 | 5026.776 | -9699.541 | 38682.932 | -12176.797 | 25162.729 |
| -115.363 | -104.242 | -68.816 | 44.602 | 326.819 | -40.738 |
| 104.428 | 117.986 | 18.405 | -39.906 | 15.464 | 341.186 |
| 16730.186 | -5553.398 | 7573.692 | -38856.275 | 11322.339 | -21822.724 |
| 383.655 | 1065.478 | 266.072 | 13.030 | -52.586 | 219.918 |
| 349.724 | 307.714 | 730.217 | -21.125 | -73.627 | 62.596 |
| 40.540 | 87.535 | -0.027 | 251.489 | 12.424 | -20.868 |
| -14055.509 | -11585.549 | 7485.464 | -4335.303 | -10291.762 | -24116.190 |
| -12967.976 | -3797.128 | 4299.519 | -2987.438 | -6788.865 | -15338.307 |
| 41231.465 | 67827.803 | 24223.507 | 96863.935 | -33414.565 | 41497.602 |
| 14571.428 | -7021.560 | -68791.625 | 157329.627 | -44666.682 | 52217.472 |
| 39927.904 | 11264.278 | -9101.400 | 96313.966 | -28216.399 | 22768.225 |
| 36777.992 | 21622.735 | -29029.179 | 129770.274 | -50188.366 | 40478.583 |
| 42061.979 | 47532.573 | 1204.660 | 113436.773 | -29919.064 | 40458.980 |
| 47861.906 | 63328.348 | 14639.751 | 115159.515 | -34315.914 | 40276.892 |
| -39244.281 | -12364.816 | 11814.801 | -99777.751 | 29591.147 | -26666.881 |
| -29135.948 | -45069.773 | 3639.272 | -105225.793 | 43054.162 | -41357.668 |
| -41321.884 | -18525.851 | 27737.698 | -102254.408 | 40977.748 | -23338.270 |
| -51428.712 | -71166.682 | -12658.227 | -125665.389 | 46286.532 | -45023.827 |
| -43067.929 | -41303.246 | 11216.333 | -117709.868 | 39515.061 | -41139.641 |
| -54818.520 | -80370.780 | -22338.644 | -126686.281 | 36901.107 | -45807.114 |
| 5254.190 | 9610.362 | 7173.352 | 8455.316 | -3265.236 | 8469.689 |
| 2922.979 | -820.065 | -2268.217 | 9312.646 | -3452.513 | 1835.406 |
| 3822.046 | 921.323 | -2489.957 | 10348.838 | -3048.149 | 2410.109 |
| 3979.503 | 4978.625 | 704.221 | 10427.934 | -3353.674 | 3691.163 |
| 4305.436 | 4623.969 | 214.478 | 11048.175 | -3659.336 | 3594.524 |
| 4995.906 | 7210.624 | 1550.815 | 11610.189 | -3902.946 | 3033.446 |
| -2277.068 | -1669.266 | 4411.958 | -13137.962 | 4756.878 | -5754.495 |
| -3206.711 | -2014.440 | 2008.137 | -9343.737 | 2817.721 | -3585.548 |
| -2179.515 | -2013.183 | -180.869 | -1696.694 | -861.936 | -1361.999 |
| -4897.967 | 5180.405 | 3434.470 | -9126.574 | -542.338 | -206.381 |
| -4989.522 | -5112.281 | -279.195 | -11984.242 | 3907.716 | -4306.817 |
| -3182.351 | 968.200 | 2327.290 | -10150.026 | 3836.335 | -1800.756 |
| 673.965 | 494.565 | 78.605 | 1134.172 | -427.202 | 343.126 |
| 411.087 | 662.389 | 22.107 | 699.300 | -106.643 | 100.484 |
| 577.423 | 722.720 | 242.177 | 1163.822 | -368.927 | 441.938 |
| 240.333 | 212.791 | 41.776 | 217.322 | 89.699 | 141.644 |
| 369.776 | 330.029 | -296.659 | 1168.084 | -485.702 | 498.163 |
| 411.367 | 390.181 | -50.411 | 997.411 | -295.362 | 317.997 |
| 7.096 | -98.447 | 67.130 | -182.387 | -77.186 | -152.097 |
| -115.296 | -6.724 | 71.571 | -185.372 | -72.212 | -130.274 |
| -128.239 | -106.941 | 162.292 | -168.393 | -78.469 | -132.951 |
| -217.072 | -65.871 | 165.339 | -581.435 | 199.864 | -159.328 |
| -221.963 | -28.091 | 152.329 | -548.663 | 138.028 | -164.994 |
| -172.310 | 187.223 | 169.886 | 22.924 | -351.761 | -180.028 |
| -128521.782 | 33878.593 | -230058.474 | -144905.871 | 115257.689 | -62756.926 |
| -8762367.011 | 7259404.511 | -4803168.475 | 2925469.104 | 1297780.159 | -6688620.531 |
| -9212499.438 | 7077706.608 | -4801001.693 | 3219176.667 | 1165861.833 | -7040109.213 |
| -182362.885 | 116783.165 | -285327.087 | -227310.653 | 167467.670 | -121004.684 |
| -41.504 | -103.025 | -120.264 | 14.661 | 258.167 | 5.347 |
| -141.728 | -187.642 | -169.687 | 20.981 | -17.323 | 282.897 |
| 737.565 | 319.058 | 374.711 | -76.231 | -10.394 | -96.564 |
| 384.841 | 1047.747 | 552.934 | -127.577 | -70.544 | -160.789 |
| 353.170 | 398.623 | 1154.480 | -65.011 | -56.987 | -66.419 |
| 38.141 | 90.107 | 142.138 | 244.109 | -26.959 | -82.940 |
| 197658.858 | -93494.422 | 317278.416 | 144353.519 | -140209.811 | 107269.006 |
| 9150052.797 | -7097024.668 | 4844409.296 | -3198623.179 | -1233707.074 | 7008700.659 |
| -13707.067 | 3082.964 | -23153.605 | -12702.328 | 9758.448 | -5290.043 |
| -902791.759 | 714570.168 | -480645.381 | 308842.279 | 121566.455 | -688102.394 |
| 7040.921 | 4180.193 | 6124.801 | -11537.341 | 8159.084 | -4688.932 |
| -899490.246 | 718428.584 | -481182.127 | 310120.371 | 122993.443 | -687505.013 |
| -41.508 | -103.005 | -120.223 | 14.677 | 258.110 | 5.362 |
| -141.649 | -187.513 | -169.611 | 21.013 | -17.297 | 282.774 |
| 737.480 | 318.974 | 374.649 | -76.220 | -10.397 | -96.522 |
| 384.614 | 1046.702 | 552.417 | -127.661 | -70.404 | -160.576 |
| 353.084 | 398.397 | 1153.771 | -65.053 | -56.829 | -66.408 |
| 38.143 | 90.078 | 142.112 | 243.999 | -26.935 | -82.902 |
| 11207.865 | -5912.273 | 20009.985 | 15202.127 | -11018.600 | 7495.952 |
| 951355.672 | -691087.177 | 487924.764 | -343134.763 | -114127.329 | 727587.517 |
| 1093.835 | 446.309 | 497.148 | -1025.103 | 787.093 | -453.597 |
| 630.997 | 838.839 | 301.464 | -880.314 | 733.870 | -419.657 |
| -95014.772 | 69180.511 | -48279.596 | 33924.910 | 11158.836 | -72625.557 |
| -87791.702 | 72645.101 | -47780.932 | 29179.755 | 12709.113 | -67072.846 |
| -41.230 | -102.474 | -119.287 | 14.538 | 257.627 | 5.325 |
| -13183.254 | 47284.015 | -23984.503 | -29644.612 | 18073.117 | -19570.452 |
| 87156.862 | -72629.203 | 48133.043 | -28799.288 | -12944.969 | 66091.384 |
| 71237.128 | -71181.630 | 49733.805 | -17333.679 | -17643.764 | 52771.128 |
| 81752.675 | -73047.942 | 47711.500 | -24333.354 | -14084.130 | 61270.080 |
| 87435.372 | -72578.765 | 47691.743 | -28772.656 | -12778.043 | 66509.562 |
| -679.780 | -431.177 | -508.557 | 1107.466 | -647.258 | 474.807 |
| -658.185 | -389.626 | -444.936 | 1039.438 | -791.998 | 604.803 |
| 2624652.796 | 3860673.934 | 1350423.838 | 340095.530 | -1023441.117 | 2982583.985 |
| 2525111.602 | 3786288.174 | 1356366.287 | 433853.316 | -991848.972 | 2712491.040 |
| 1986012.824 | 2717324.395 | 877428.271 | 361786.824 | -505229.430 | 2080534.797 |
| 2624940.557 | 3860360.951 | 1350189.917 | 339530.341 | -1024407.418 | 2983763.747 |
| -42.151 | -48.258 | -104.564 | -35.559 | 199.394 | 11.408 |
| -33.527 | -8.344 | -40.025 | -44.684 | 23.960 | 224.025 |
| 620.608 | 229.102 | 194.866 | 14.005 | -37.821 | -22.642 |
| 230.435 | 919.388 | 230.065 | 40.973 | -49.539 | -8.113 |
| 195.881 | 225.844 | 467.816 | 52.170 | -104.452 | -33.084 |
| 15.438 | 25.867 | 52.397 | 227.691 | -35.605 | -43.528 |
| -2589253.096 | -3833412.150 | -1365976.111 | -404752.660 | 1044637.570 | -2806958.814 |
| -2010046.370 | -2728796.425 | -857003.304 | -336346.438 | 494974.210 | -2125610.707 |
| 262593.932 | 386143.337 | 135104.125 | 34035.167 | -102383.903 | 298204.037 |
| 254353.110 | 378543.182 | 134620.968 | 42049.698 | -99501.088 | 272827.914 |
| 249333.386 | 371515.233 | 130891.992 | 41705.076 | -94675.698 | 267892.827 |
| 242164.109 | 361205.324 | 126282.559 | 43054.256 | -82053.156 | 255739.002 |
| -42.100 | -48.177 | -104.442 | -35.458 | 199.299 | 11.349 |
| -33.490 | -8.296 | -39.935 | -44.593 | 23.900 | 223.947 |
| 620.551 | 229.070 | 194.818 | 13.970 | -37.792 | -22.621 |
| 230.352 | 918.479 | 229.852 | 40.871 | -49.413 | -8.035 |
| 195.753 | 225.625 | 467.481 | 51.937 | -104.263 | -32.945 |
| 15.353 | 25.794 | 52.186 | 227.448 | -35.462 | -43.398 |
| -222741.365 | -303120.938 | -93733.217 | -38948.062 | 56258.745 | -226498.298 |
| -224280.682 | -326577.825 | -108547.063 | -44960.728 | 56628.309 | -241045.890 |
| 26370.994 | 38651.625 | 13542.310 | 3380.934 | -10222.332 | 29868.453 |
| 65.053 | 494.827 | 219.737 | 266.283 | -116.023 | -37.346 |
| 21547.308 | 28348.351 | 9625.014 | 3402.159 | -5127.738 | 22234.922 |
| 130.729 | 392.292 | 263.041 | 139.640 | -138.249 | -37.329 |
| -7.484 | 32.427 | -39.415 | 12.315 | 112.189 | 13.544 |
| -16.962 | 33.077 | -19.748 | -5.345 | 7.225 | 168.334 |
| 619.980 | 228.740 | 194.327 | 13.611 | -37.492 | -22.407 |
| 122.445 | 292.532 | 113.823 | -9.908 | 6.208 | -18.437 |
| -5587.849 | -10033.838 | -2603.913 | -1879.964 | 1924.889 | -7332.803 |
| -13500.105 | -19093.169 | -6058.690 | -2492.332 | 3248.447 | -14865.893 |
| -71.486 | -332.412 | -142.417 | -234.552 | 36.801 | 72.779 |
| -276.895 | -675.845 | -651.288 | -631.443 | 428.100 | 284.613 |
| 984.407 | -17721.439 | -1477.150 | 11897.084 | -10748.116 | 8275.135 |
| 4580.938 | -11299.056 | 652.543 | 7322.371 | -17647.267 | 2411.961 |
| -3429.041 | -37793.933 | 2148.367 | 6655.261 | -4840.598 | 11445.502 |
| 5208.382 | -26659.045 | -2190.303 | 15215.384 | -23016.530 | 4934.860 |
| 2132.525 | -22135.981 | -2918.985 | 11985.532 | -15328.953 | 8143.270 |
| 4948.308 | -22122.974 | 643.447 | 19694.680 | -17740.142 | 6292.969 |
| -7267.679 | 48960.449 | 4207.168 | -3559.183 | 34145.043 | -14333.401 |
| -4641.712 | 20477.527 | -2069.181 | -16286.783 | 17246.486 | -6548.396 |
| -12025.645 | 21842.217 | 6849.942 | -9651.410 | 33807.743 | -2163.466 |
| -4412.733 | 22944.844 | 323.693 | -10975.132 | 17498.558 | -5849.305 |
| 1161.372 | 28724.292 | -2232.509 | -9711.762 | 9491.428 | -9819.200 |
| -1183.018 | 14915.461 | -2605.929 | -20976.496 | 12819.658 | -7379.204 |
| -773.547 | 4032.221 | -759.068 | 670.230 | -687.995 | -1123.490 |
| 527.698 | -2094.117 | 282.027 | 1429.064 | -2024.276 | 441.518 |
| 703.153 | -3071.553 | 649.026 | 1516.117 | -1931.059 | 1179.131 |
| -606.153 | -3651.388 | 536.266 | 1414.101 | -530.802 | 973.940 |
| 211.960 | -1846.640 | -2485.710 | 127.500 | -2815.053 | 975.272 |
| 121.158 | -3541.653 | 211.545 | 1423.957 | -1790.612 | 459.304 |
| -306.179 | 1375.170 | -16.893 | -1776.413 | 1622.478 | -319.818 |
| 634.541 | 4718.028 | 773.073 | -587.015 | 877.993 | -1544.399 |
| -466.154 | 1936.517 | 26.749 | -1182.272 | 2012.325 | -393.465 |
| -77.618 | 1962.889 | -1152.217 | -1795.033 | 1192.309 | -385.429 |
| -559.398 | 3611.990 | 81.157 | -1267.425 | 2888.603 | -1035.177 |
| -568.563 | 1874.794 | 282.760 | -1834.849 | 1887.743 | -343.412 |
| 27.091 | -68.595 | 8.140 | 145.216 | -121.797 | 20.853 |
| 26.281 | -30.669 | 140.843 | 64.827 | -19.184 | 47.731 |
| 55.847 | -128.995 | -2.999 | 97.559 | -106.735 | 30.180 |
| -3.296 | -132.305 | 70.275 | 153.700 | -43.639 | 33.800 |
| 84.167 | -144.555 | -34.713 | 144.116 | -236.907 | 22.436 |
| -54.367 | -193.411 | 199.635 | 94.981 | -18.034 | 172.288 |
| 74.720 | 43.001 | -16.554 | -170.175 | 89.387 | -13.604 |
| -175.835 | -732.601 | 51.753 | -237.320 | 277.038 | 60.537 |
| 99.596 | 283.020 | 120.304 | -53.730 | 46.120 | -41.666 |
| 29.994 | 397.371 | -36.116 | -6.360 | 98.879 | -110.492 |
| -64.588 | 667.244 | -184.227 | -110.863 | 461.669 | -189.487 |
| 44.829 | 47.666 | -14.216 | -75.930 | 44.578 | -90.845 |
| -220372.345 | -251052.850 | 157606.653 | -147886.707 | -177770.087 | -186982.087 |
| -222789.831 | -246306.567 | 165319.318 | -143386.749 | -179935.326 | -181753.880 |
| -230417.874 | -252062.792 | 161770.774 | -150880.407 | -186167.390 | -184779.560 |
| -213229.486 | -228244.506 | 174478.407 | -142924.816 | -177939.430 | -174849.743 |
| -218037.417 | -253743.964 | 153105.833 | -154541.137 | -179884.988 | -181957.258 |
| -229561.359 | -240593.133 | 155730.987 | -146949.299 | -184779.983 | -166472.175 |
| 216303.857 | 241095.047 | -168551.409 | 148693.269 | 178070.384 | 185027.529 |
| 221063.689 | 229566.932 | -168754.617 | 152909.388 | 184610.677 | 172927.277 |
| 244362.069 | 244982.488 | -141825.075 | 139901.928 | 195118.536 | 156542.369 |
| 219209.229 | 245776.240 | -167328.828 | 143480.395 | 178298.849 | 190398.846 |
| 228199.255 | 235765.543 | -165870.414 | 142842.770 | 185084.038 | 166916.462 |
| 220285.545 | 241941.657 | -164591.964 | 149291.345 | 180678.051 | 181880.028 |
| -24045.764 | -23732.552 | 16235.417 | -13707.888 | -18906.837 | -15390.709 |
| -26142.757 | -23794.973 | 16060.024 | -13526.198 | -19067.338 | -13859.025 |
| -22570.106 | -23798.230 | 16794.745 | -13687.459 | -18448.052 | -16538.114 |
| -21871.753 | -24315.527 | 16357.735 | -14879.507 | -18006.442 | -18478.768 |
| -24016.748 | -24462.308 | 15991.806 | -13232.472 | -18842.910 | -15600.115 |
| -22347.920 | -23992.973 | 16532.859 | -14617.243 | -18221.372 | -17621.717 |
| 21489.060 | 23133.981 | -16985.200 | 14127.201 | 17405.689 | 17352.835 |
| 27139.057 | 31630.163 | -13338.285 | 16387.881 | 20336.242 | 21537.493 |
| 21707.512 | 24137.365 | -16564.062 | 14361.956 | 17694.429 | 18127.466 |
| 27496.284 | 26263.925 | -15454.599 | 14194.413 | 18602.521 | 15169.051 |
| 23665.866 | 23911.059 | -16093.402 | 13663.466 | 18704.684 | 15840.920 |
| 20984.852 | 22968.730 | -16721.654 | 15297.763 | 18185.078 | 17808.984 |
| -1512.358 | -1680.512 | 2113.456 | -1434.013 | -1491.538 | -1561.886 |
| -2081.535 | -2298.089 | 1833.822 | -1468.502 | -1752.542 | -1837.712 |
| -2148.313 | -2362.936 | 1742.371 | -1501.753 | -1780.299 | -1845.482 |
| -2180.346 | -2458.208 | 1674.458 | -1445.819 | -1778.791 | -1870.407 |
| -2190.563 | -2421.088 | 1661.042 | -1498.066 | -1775.107 | -1842.196 |
| -2126.129 | -2242.156 | 1853.125 | -1291.153 | -1627.872 | -1776.697 |
| 2304.002 | 2553.641 | -1587.420 | 1424.134 | 1782.478 | 1848.076 |
| 2266.842 | 2732.843 | -1540.924 | 1356.011 | 1749.477 | 1934.574 |
| 2319.396 | 2532.702 | -1425.368 | 1484.836 | 1816.638 | 1797.684 |
| 2600.158 | 2260.198 | -1858.786 | 1198.860 | 1893.721 | 1228.341 |
| 2319.613 | 2365.280 | -1640.145 | 1410.777 | 1888.344 | 1632.395 |
| 2339.105 | 2463.520 | -1503.512 | 1194.884 | 1899.746 | 1620.415 |
| -2739430.077 | -2614900.060 | 3262810.448 | -739998.974 | -1162035.026 | -2382014.675 |
| -2814697.715 | -2687552.347 | 4032426.737 | -821491.700 | -945082.006 | -2611403.630 |
| -3079769.204 | -2847077.683 | 5228103.865 | -977500.534 | -552543.647 | -2917453.061 |
| -6459377.975 | -3656685.369 | 17755908.598 | -2183038.295 | -1772740.327 | -6840057.676 |
| 30.283 | 47.881 | 94.275 | 10.348 | 290.425 | 81.438 |
| -126.455 | 72.442 | 49.678 | 42.762 | 72.549 | 388.210 |
| 1695.447 | 405.473 | 190.881 | 96.123 | 11.996 | -146.084 |
| 394.803 | 850.348 | 287.318 | 128.373 | 47.035 | 78.808 |
| 296.998 | 307.633 | 903.651 | 80.333 | 85.336 | 15.347 |
| 75.101 | 136.920 | 78.256 | 311.632 | 12.311 | 52.971 |
| 2037422.398 | 3732882.634 | -774462.313 | 1567791.233 | 713124.267 | 1330080.696 |
| 3088644.491 | 2850659.150 | -5187713.105 | 975198.398 | 560164.609 | 2914900.935 |
| -681131.734 | -567980.435 | 1388022.462 | -297492.896 | -201173.562 | -581766.109 |
| -670644.138 | -399915.897 | 1955304.914 | -249225.274 | -97203.635 | -715718.961 |
| -619314.674 | -268138.716 | 1909016.256 | -175912.746 | -150086.645 | -723224.361 |
| -304754.126 | -289202.111 | 516512.397 | -99410.345 | -55064.129 | -292017.798 |
| 30.237 | 47.834 | 94.227 | 10.323 | 290.378 | 81.420 |
| -126.382 | 72.133 | 49.671 | 42.582 | 72.430 | 387.824 |
| 1690.812 | 404.429 | 190.419 | 95.931 | 11.988 | -145.343 |
| 394.852 | 850.008 | 287.138 | 128.271 | 46.942 | 78.608 |
| 297.285 | 307.686 | 903.549 | 80.354 | 85.299 | 15.234 |
| 75.168 | 136.920 | 78.232 | 311.622 | 12.298 | 52.936 |
| 325274.243 | 208738.725 | -592149.051 | 48473.539 | 101421.653 | 350352.564 |
| 25806.237 | 30203.876 | -2890.500 | 20969.975 | 11870.245 | 7015.473 |
| -5490.389 | -6684.362 | 1013.804 | -4875.942 | -3282.652 | -2870.755 |
| -7631.370 | -8083.862 | 1135.858 | -5778.277 | -3885.917 | -2834.010 |
| 293.834 | 306.985 | 904.437 | 80.073 | 85.680 | 16.558 |
| -28005.902 | -26790.705 | 38818.258 | -8060.844 | -9861.680 | -25660.587 |
| 29.837 | 47.368 | 93.717 | 10.072 | 289.897 | 81.215 |
| -126.473 | 68.764 | 49.820 | 40.645 | 71.288 | 384.130 |
| 1177.600 | 363.704 | 43.538 | 80.866 | -32.509 | -185.863 |
| 395.127 | 846.411 | 285.314 | 127.188 | 45.989 | 76.611 |
| 300.110 | 308.148 | 902.275 | 80.535 | 84.868 | 14.093 |
| 75.849 | 136.905 | 77.975 | 311.503 | 12.166 | 52.564 |
| 9548.655 | 16777.555 | -2360.535 | 6954.112 | 3878.956 | 5620.588 |
| 60576.207 | 31633.558 | -182929.047 | 19234.052 | 16261.812 | 70170.515 |
| -3906.196 | -9363.012 | -29382.327 | 38512.725 | -11753.739 | 10010.180 |
| -5764.833 | -14186.471 | -23586.752 | 63969.590 | -5296.953 | 19078.376 |
| -15903.777 | -8029.569 | -30988.671 | 36962.971 | -11459.166 | 6727.591 |
| -3020.864 | -6509.701 | -28459.150 | 42508.292 | -16213.223 | 11634.296 |
| 1825.460 | -8532.703 | -15395.601 | 27584.593 | -5301.066 | 14059.132 |
| 2545.131 | -3193.352 | -24878.749 | 36131.248 | -17866.724 | 8538.332 |
| 2316.541 | 2121.781 | 27881.037 | -34557.806 | 16214.479 | -11983.176 |
| 5935.123 | 8878.360 | 25550.562 | -36221.184 | 10233.167 | -12637.692 |
| 9840.849 | 10212.172 | 25853.181 | -40240.356 | 13710.621 | -11430.370 |
| 2728.993 | 2825.645 | 27403.740 | -32581.763 | 16437.159 | -14990.022 |
| 36515.896 | 34484.235 | 89199.868 | -104809.647 | 25741.723 | -35487.084 |
| 9890.374 | 9898.895 | 32804.629 | -41165.423 | 14703.909 | -11194.615 |
| -387.208 | -401.731 | -3255.766 | 4686.411 | -1798.484 | 834.803 |
| -1921.871 | -2210.271 | -1846.949 | 4152.834 | 849.683 | 1717.164 |
| -88.895 | -422.367 | -2364.805 | 3596.072 | -1395.291 | 1135.413 |
| -1323.672 | -2869.848 | -1459.533 | 5466.141 | 288.280 | 2157.356 |
| -564.068 | -428.047 | -2763.041 | 3007.642 | -1642.502 | 1165.926 |
| 828.439 | -3518.391 | -4046.646 | 7281.321 | 1768.056 | 1469.495 |
| -3049.022 | 3752.533 | 3401.825 | -8465.505 | -2446.058 | -2453.833 |
| 984.601 | 1296.239 | 2787.347 | -3978.080 | 924.162 | -1147.038 |
| 1443.072 | 839.466 | 4249.511 | -3555.376 | 2167.220 | -538.453 |
| 1131.122 | 978.237 | 2965.133 | -4694.569 | 993.334 | -701.029 |
| 1006.009 | 2053.674 | 3118.898 | -4971.545 | -11.799 | -773.890 |
| -428.936 | 2150.384 | 5042.649 | -4737.214 | 570.314 | -629.108 |
| 171.078 | 13.540 | -181.832 | 473.440 | -0.201 | 142.663 |
| -82.298 | 40.968 | -281.414 | 360.908 | -39.643 | 103.059 |
| -30.393 | -32.138 | -71.957 | 391.395 | -84.627 | 136.804 |
| -60.301 | -86.666 | -312.456 | 337.835 | -144.577 | 97.143 |
| -162.205 | -188.071 | -372.366 | 504.335 | -92.116 | 102.479 |
| -138.311 | -118.537 | -240.440 | 373.749 | -78.910 | 164.928 |
| 609.471 | 527.046 | 370.508 | -355.208 | -128.774 | -74.539 |
| 179.904 | 225.724 | 359.965 | -401.987 | 138.804 | -90.676 |
| 189.298 | 125.878 | 463.783 | -311.240 | 137.346 | -154.987 |
| 324.460 | 111.435 | 419.539 | -120.791 | 40.565 | 57.140 |
| 41.210 | 309.736 | 149.049 | -340.809 | -151.365 | -149.292 |
| 305.031 | 34.675 | 354.402 | -372.142 | 121.770 | -65.830 |
| 471.755 | 107.229 | 45.615 | -0.001 | 0.000 | 0.000 |
| 157.417 | 344.611 | 122.570 | -0.000 | 0.000 | 0.000 |
| 122.569 | 122.569 | 379.461 | 0.001 | 0.000 | 0.000 |
| -0.000 | 0.000 | 0.000 | 120.651 | 0.000 | 0.001 |
| 0.000 | 0.000 | 0.000 | 0.000 | 82.174 | 0.000 |
| -0.000 | 0.000 | 0.000 | 0.000 | 0.000 | 93.597 |
| 471.754 | 107.229 | 45.615 | 0.001 | -0.000 | -0.001 |
| 107.228 | 471.754 | 45.615 | -0.000 | -0.000 | -0.001 |
| 122.569 | 122.569 | 379.459 | 0.001 | -0.000 | -0.000 |
| 0.000 | 0.000 | -0.000 | 120.651 | -0.000 | -0.000 |
| -0.000 | -0.000 | -0.000 | 0.000 | 82.174 | -0.000 |
| -0.000 | 0.000 | -0.000 | -0.000 | -0.000 | 93.596 |
| 344.805 | 152.788 | 127.005 | -0.000 | 0.000 | -0.000 |
| 152.789 | 344.804 | 127.006 | 0.000 | 0.000 | 0.000 |
| 122.570 | 122.570 | 379.459 | 0.000 | -0.000 | 0.000 |
| -0.000 | -0.000 | 0.000 | 120.651 | 0.000 | 0.000 |
| -0.000 | 0.000 | 0.000 | -0.000 | 82.174 | 0.000 |
| 0.000 | 0.000 | 0.000 | 0.000 | 0.000 | 182.264 |
| 344.805 | 152.788 | 127.005 | -0.000 | -0.000 | -0.000 |
| 107.228 | 471.755 | 45.615 | 0.000 | -0.000 | -0.000 |
| 122.568 | 122.568 | 379.461 | 0.000 | 0.000 | -0.000 |
| 0.000 | -0.000 | -0.000 | 120.651 | -0.000 | -0.000 |
| 0.000 | -0.000 | -0.000 | 0.000 | 82.174 | -0.000 |
| -0.000 | -0.000 | -0.000 | -0.000 | 0.000 | 182.263 |
| 344.611 | 157.418 | 122.570 | 0.000 | -0.000 | 0.000 |
| 157.421 | 344.604 | 122.575 | -0.000 | -0.000 | 0.000 |
| 122.576 | 122.576 | 379.447 | 0.000 | -0.000 | 0.000 |
| 0.000 | -0.000 | -0.000 | 82.174 | 0.000 | 0.000 |
| -0.000 | 0.000 | -0.000 | 0.000 | 82.174 | 0.000 |
| -0.000 | 0.000 | 0.000 | -0.000 | 0.000 | 93.597 |
| 471.753 | 107.227 | 45.615 | -0.000 | -0.000 | -0.000 |
| 152.785 | 344.812 | 126.999 | 0.000 | -0.000 | -0.000 |
| 122.562 | 122.562 | 379.472 | -0.000 | -0.000 | -0.000 |
| -0.000 | 0.000 | 0.000 | 82.174 | 0.000 | -0.000 |
| 0.000 | -0.000 | 0.000 | -0.000 | 82.174 | -0.000 |
| 0.000 | -0.000 | -0.000 | -0.000 | -0.000 | 93.597 |
| 471.408 | 106.559 | 45.658 | 0.000 | 0.000 | 0.000 |
| 106.557 | 471.407 | 45.658 | 0.000 | 0.000 | 0.000 |
| 44.434 | 44.435 | 537.673 | 0.000 | 0.000 | 0.001 |
| 0.002 | -0.000 | 0.001 | 119.044 | 0.000 | 0.001 |
| -0.002 | 0.000 | 0.001 | 0.000 | 81.226 | 0.000 |
| -0.001 | 0.001 | 0.000 | -0.000 | 0.000 | 94.190 |
| 471.410 | 106.558 | 45.657 | 0.000 | -0.000 | -0.000 |
| 151.843 | 345.178 | 128.280 | -0.000 | -0.000 | -0.000 |
| 122.409 | 122.415 | 378.492 | -0.000 | -0.000 | -0.000 |
| -0.002 | 0.000 | -0.001 | 119.044 | -0.000 | -0.000 |
| 0.003 | -0.001 | -0.001 | 0.000 | 81.226 | -0.000 |
| -0.002 | -0.001 | -0.000 | -0.000 | -0.000 | 94.189 |
| 345.178 | 151.839 | 128.280 | -0.000 | 0.000 | -0.000 |
| 151.832 | 345.197 | 128.268 | -0.000 | 0.000 | -0.000 |
| 122.415 | 122.415 | 378.491 | 0.000 | 0.000 | 0.000 |
| -0.000 | 0.000 | 0.000 | 119.044 | 0.000 | 0.000 |
| -0.000 | 0.000 | 0.000 | -0.000 | 81.226 | 0.000 |
| -0.000 | 0.000 | 0.000 | 0.000 | 0.000 | 94.190 |
| 471.409 | 106.558 | 45.657 | -0.000 | -0.000 | -0.000 |
| 151.839 | 345.179 | 128.279 | -0.000 | -0.000 | -0.000 |
| 122.413 | 122.414 | 378.494 | -0.000 | -0.000 | -0.000 |
| 0.000 | 0.000 | -0.000 | 119.044 | -0.000 | -0.000 |
| 0.000 | -0.000 | -0.000 | 0.000 | 81.226 | -0.000 |
| 0.000 | -0.000 | -0.000 | -0.000 | -0.000 | 94.190 |
| 345.178 | 151.840 | 128.281 | -0.000 | 0.000 | 0.000 |
| 156.594 | 344.974 | 123.637 | 0.000 | 0.000 | 0.000 |
| 122.422 | 122.422 | 378.479 | -0.000 | 0.000 | 0.000 |
| 0.000 | -0.000 | -0.000 | 81.226 | 0.000 | 0.000 |
| -0.000 | 0.000 | -0.000 | 0.000 | 81.226 | 0.000 |
| -0.000 | 0.000 | 0.000 | 0.000 | 0.000 | 94.190 |
| 345.178 | 151.838 | 128.279 | -0.000 | -0.000 | -0.000 |
| 156.590 | 344.980 | 123.631 | 0.000 | -0.000 | -0.000 |
| 122.407 | 122.407 | 378.506 | 0.000 | -0.000 | -0.000 |
| -0.000 | 0.000 | 0.000 | 81.226 | -0.000 | -0.000 |
| 0.000 | -0.000 | 0.000 | -0.000 | 81.226 | -0.000 |
| 0.000 | -0.000 | -0.000 | -0.000 | -0.000 | 94.190 |
| 731.487 | 112.294 | 127.059 | -0.000 | -0.016 | 0.000 |
| 117.897 | 318.220 | 140.290 | -0.000 | -0.014 | -0.000 |
| -61979937.799 | -9297630.533 | -10347042.366 | -4369.136 | -40187.781 | -3570.702 |
| -59543166.622 | -9288084.926 | -10286677.032 | -3771.398 | -58039.394 | -3668.044 |
| 0.006 | 0.015 | -0.013 | 0.000 | 58.750 | -0.000 |
| 0.000 | -0.000 | 0.000 | -0.000 | 0.000 | 90.043 |
| 731.476 | 112.282 | 127.073 | 0.000 | 0.016 | -0.000 |
| 117.884 | 318.214 | 140.301 | 0.000 | 0.014 | 0.000 |
| 61980190.658 | 9297925.066 | 10347714.132 | 4369.181 | 40187.715 | 3570.707 |
| 59543166.822 | 9288084.983 | 10286676.979 | 3961.302 | 58039.384 | 3668.074 |
| -0.006 | -0.015 | 0.013 | 0.000 | 58.742 | -0.000 |
| 58000880.579 | 9023008.066 | 9977059.157 | -1253.618 | 57114.128 | 4187.820 |
| -6300805.435 | -930373.609 | -1034867.938 | -445.740 | -2587.984 | -185.484 |
| -6301822.821 | -930170.713 | -1034843.587 | -445.745 | -2588.002 | -185.484 |
| -6295164.903 | -932521.766 | -1036411.314 | -463.167 | -3071.181 | -369.857 |
| -6146039.477 | -928878.180 | -1034383.796 | -374.483 | -4670.068 | -378.615 |
| 0.001 | 0.002 | -0.001 | -0.000 | 59.007 | 0.000 |
| 0.000 | 0.000 | -0.000 | 0.000 | -0.000 | 90.043 |
| 6303076.632 | 930603.036 | 1035109.312 | 445.749 | 2588.021 | 185.486 |
| 6302059.220 | 930805.928 | 1035133.674 | 445.749 | 2588.002 | 185.484 |
| 6295417.702 | 932816.319 | 1037083.041 | 463.171 | 3071.175 | 369.856 |
| 6146039.480 | 928878.182 | 1034383.792 | 564.065 | 4670.068 | 378.628 |
| -0.001 | -0.001 | 0.001 | 0.000 | 59.006 | -0.000 |
| -0.000 | -0.000 | -0.000 | -0.000 | 0.000 | 90.043 |
| -628393.424 | -93152.188 | -103554.030 | -46.316 | -307.099 | -36.986 |
| -629410.927 | -92949.299 | -103529.672 | -46.317 | -307.118 | -36.986 |
| -629402.724 | -93119.628 | -103338.856 | -46.318 | -307.119 | -36.986 |
| -629093.978 | -93645.139 | -103912.636 | 50.800 | -370.159 | -39.835 |
| -614603.936 | -92887.819 | -103438.381 | -46.927 | -408.067 | -37.862 |
| 0.000 | 0.000 | 0.000 | -0.000 | 0.000 | 90.043 |
| 630664.843 | 93381.620 | 103795.405 | 46.317 | 307.135 | 36.986 |
| 629647.333 | 93584.509 | 103819.763 | 46.317 | 307.117 | 36.985 |
| 629655.532 | 93414.180 | 104010.578 | 46.316 | 307.116 | 36.985 |
| 629093.977 | 93645.139 | 103912.635 | 138.788 | 370.159 | 39.844 |
| -0.000 | 0.001 | -0.000 | 0.000 | 59.000 | -0.000 |
| 580008.800 | 90230.078 | 99770.590 | -12.529 | 571.141 | 129.596 |
| 409.807 | 103.973 | 126.206 | -192.747 | -0.001 | -0.000 |
| 103.973 | 409.807 | 126.206 | 192.747 | -0.001 | -0.000 |
| 126.206 | 126.206 | -31.628 | 0.000 | -0.001 | 0.000 |
| -192.747 | 192.747 | 0.000 | 158.610 | -0.001 | -0.000 |
| 0.000 | -0.000 | 0.000 | -0.000 | 158.610 | -192.746 |
| -0.000 | 0.000 | 0.000 | -0.000 | -192.747 | 152.917 |
| 409.807 | 103.973 | 126.205 | -192.746 | 0.000 | 0.000 |
| 103.974 | 409.806 | 126.206 | 192.747 | 0.001 | 0.000 |
| 126.206 | 126.205 | -31.628 | -0.000 | 0.001 | -0.000 |
| -192.747 | 192.746 | -0.000 | 158.610 | 0.000 | -0.000 |
| -0.000 | 0.000 | -0.000 | -0.000 | 158.611 | -192.746 |
| -0.000 | -0.000 | -0.000 | 0.000 | -192.747 | 152.917 |
| 409.807 | 103.973 | 126.206 | -192.747 | -0.000 | -0.000 |
| 103.973 | 409.807 | 126.206 | 192.747 | -0.000 | 0.000 |
| 126.206 | 126.206 | -31.626 | 0.000 | -0.000 | -0.000 |
| -192.747 | 192.747 | 0.000 | 158.610 | -0.000 | 0.000 |
| 0.000 | 0.000 | 0.000 | 0.000 | 158.610 | -192.747 |
| 0.000 | 0.000 | 0.000 | -0.000 | -192.747 | 152.917 |
| 409.807 | 103.973 | 126.206 | -192.747 | 0.000 | 0.000 |
| 103.973 | 409.806 | 126.206 | 192.747 | 0.000 | -0.000 |
| 126.205 | 126.205 | -31.630 | 0.000 | 0.000 | 0.000 |
| -192.747 | 192.746 | -0.000 | 158.610 | 0.000 | 0.000 |
| -0.000 | -0.000 | -0.000 | -0.000 | 158.610 | -192.747 |
| -0.000 | -0.000 | -0.000 | 0.000 | -192.747 | 152.917 |
| 409.809 | 103.974 | 126.208 | -192.747 | -0.000 | -0.000 |
| 103.974 | 409.809 | 126.208 | 192.747 | -0.000 | 0.000 |
| 126.211 | 126.211 | -31.611 | -0.000 | -0.000 | -0.000 |
| -192.746 | 192.748 | 0.004 | 158.610 | -0.000 | 0.000 |
| 0.002 | 0.001 | 0.004 | 0.000 | 158.610 | -192.747 |
| 0.000 | 0.000 | 0.000 | -0.000 | -192.747 | 152.917 |
| 409.805 | 103.973 | 126.203 | -192.746 | 0.000 | 0.000 |
| 103.973 | 409.805 | 126.203 | 192.746 | 0.000 | -0.000 |
| 126.200 | 126.200 | -31.645 | 0.000 | 0.000 | -0.000 |
| -192.748 | 192.745 | -0.004 | 158.611 | 0.000 | -0.000 |
| -0.002 | -0.001 | -0.004 | -0.000 | 158.610 | -192.747 |
| -0.000 | -0.000 | -0.000 | 0.000 | -192.747 | 152.917 |
| 345.275 | 151.789 | 128.474 | 0.000 | -0.000 | 0.000 |
| 151.793 | 345.275 | 128.474 | -0.000 | 0.000 | 0.000 |
| 122.451 | 122.451 | 378.439 | -0.000 | 0.000 | 0.000 |
| -0.000 | -0.000 | -0.000 | 81.121 | 0.001 | -0.000 |
| 0.000 | -0.000 | -0.000 | 0.000 | 118.881 | 0.001 |
| -0.000 | -0.000 | -0.001 | 0.000 | 0.000 | 182.472 |
| 471.470 | 106.519 | 45.688 | 0.000 | -0.001 | -0.002 |
| 106.527 | 471.477 | 45.688 | 0.000 | 0.000 | -0.001 |
| 44.331 | 44.332 | 538.261 | 0.000 | -0.000 | -0.000 |
| 0.000 | 0.000 | 0.000 | 81.121 | -0.001 | -0.000 |
| 0.000 | 0.000 | 0.001 | -0.000 | 118.880 | 0.000 |
| 0.000 | 0.000 | 0.001 | -0.000 | -0.001 | 182.472 |
| 345.275 | 151.793 | 128.473 | -0.000 | -0.000 | 0.000 |
| 151.793 | 345.274 | 128.474 | 0.000 | 0.000 | 0.000 |
| 122.451 | 122.451 | 378.438 | -0.000 | 0.000 | -0.000 |
| 0.000 | -0.000 | -0.000 | 118.880 | 0.000 | 0.000 |
| 0.000 | -0.000 | -0.000 | -0.000 | 118.880 | 0.000 |
| 0.000 | 0.000 | -0.000 | -0.000 | 0.000 | 182.471 |
| 345.274 | 151.793 | 128.474 | -0.000 | 0.000 | 0.000 |
| 151.800 | 345.255 | 128.486 | 0.000 | -0.000 | -0.000 |
| 44.331 | 44.331 | 538.261 | 0.000 | 0.000 | 0.000 |
| -0.000 | 0.000 | 0.000 | 118.880 | -0.000 | -0.000 |
| -0.000 | 0.000 | 0.000 | 0.000 | 118.880 | -0.000 |
| -0.000 | -0.000 | 0.000 | 0.000 | -0.000 | 182.471 |
| 345.278 | 151.792 | 128.472 | -0.000 | 0.000 | 0.000 |
| 151.796 | 345.267 | 128.479 | -0.000 | -0.000 | -0.000 |
| 122.458 | 122.458 | 378.426 | -0.000 | 0.000 | -0.000 |
| 0.000 | 0.000 | -0.000 | 118.880 | 0.000 | 0.000 |
| 0.000 | 0.000 | -0.000 | -0.000 | 118.880 | -0.000 |
| 0.000 | 0.000 | 0.000 | 0.000 | -0.000 | 182.471 |
| 345.275 | 151.792 | 128.473 | 0.000 | -0.000 | -0.000 |
| 151.808 | 345.230 | 128.502 | 0.000 | -0.000 | -0.000 |
| 122.443 | 122.443 | 378.453 | 0.000 | -0.000 | -0.000 |
| -0.000 | -0.000 | 0.000 | 118.880 | -0.000 | -0.000 |
| -0.000 | -0.000 | 0.000 | 0.000 | 118.880 | -0.000 |
| -0.000 | -0.000 | -0.000 | -0.000 | -0.000 | 182.471 |
| 471.535 | 106.798 | 45.642 | 0.000 | -0.000 | -0.000 |
| 106.799 | 471.537 | 45.642 | 0.000 | -0.000 | -0.001 |
| 44.862 | 44.862 | 536.112 | 0.000 | -0.000 | 0.000 |
| -0.000 | 0.002 | 0.000 | 119.627 | -0.000 | 0.001 |
| 0.000 | -0.000 | 0.001 | -0.000 | 119.627 | -0.000 |
| -0.000 | -0.000 | 0.001 | 0.000 | 0.000 | 182.367 |
| 471.534 | 106.799 | 45.642 | 0.000 | -0.000 | -0.001 |
| 152.181 | 345.042 | 127.816 | -0.000 | 0.000 | -0.000 |
| 122.469 | 122.469 | 378.855 | -0.000 | 0.000 | -0.001 |
| -0.000 | -0.001 | -0.000 | 119.627 | 0.000 | -0.000 |
| -0.000 | 0.000 | -0.001 | -0.000 | 119.628 | -0.000 |
| -0.000 | 0.000 | -0.001 | 0.000 | -0.000 | 182.368 |
| 344.843 | 156.891 | 123.249 | 0.000 | 0.000 | -0.000 |
| 152.174 | 345.064 | 127.805 | 0.000 | -0.000 | 0.000 |
| 122.470 | 122.470 | 378.854 | -0.000 | -0.000 | 0.000 |
| -0.000 | -0.000 | 0.000 | 81.571 | 0.000 | 0.000 |
| 0.000 | -0.000 | 0.000 | 0.000 | 81.571 | -0.000 |
| -0.000 | 0.000 | 0.000 | -0.000 | -0.000 | 182.368 |
| 344.842 | 156.891 | 123.250 | 0.000 | 0.000 | 0.000 |
| 152.181 | 345.045 | 127.817 | 0.000 | 0.000 | 0.000 |
| 122.469 | 122.469 | 378.856 | 0.000 | -0.000 | -0.000 |
| 0.000 | 0.000 | -0.000 | 81.571 | -0.000 | -0.000 |
| 0.000 | 0.000 | -0.000 | -0.000 | 81.571 | 0.000 |
| -0.000 | -0.000 | -0.000 | -0.000 | -0.000 | 182.367 |
| 344.855 | 156.888 | 123.242 | -0.000 | -0.000 | 0.000 |
| 152.113 | 345.237 | 127.693 | 0.000 | 0.000 | 0.000 |
| 122.477 | 122.477 | 378.842 | -0.000 | -0.000 | 0.000 |
| 0.000 | -0.000 | -0.000 | 81.571 | -0.000 | -0.000 |
| 0.000 | 0.000 | -0.000 | -0.000 | 119.627 | 0.000 |
| 0.000 | -0.000 | 0.000 | -0.000 | -0.000 | 182.367 |
| 344.843 | 156.890 | 123.248 | 0.000 | 0.000 | 0.000 |
| 152.177 | 345.052 | 127.812 | 0.000 | 0.000 | -0.000 |
| 122.643 | 122.643 | 378.502 | -0.000 | 0.000 | -0.000 |
| -0.000 | 0.000 | 0.000 | 81.571 | -0.000 | -0.000 |
| -0.000 | -0.000 | 0.000 | 0.000 | 119.627 | -0.000 |
| -0.000 | 0.000 | -0.000 | -0.000 | 0.000 | 182.367 |
| 304.388 | 184.473 | 184.473 | -0.000 | -0.000 | 0.000 |
| 184.473 | 304.388 | 184.473 | -0.000 | -0.000 | 0.000 |
| 184.473 | 184.473 | 304.388 | -0.000 | 0.000 | -0.000 |
| -0.000 | -0.000 | -0.000 | 75.691 | 0.000 | 0.000 |
| -0.000 | 0.000 | -0.000 | -0.000 | 75.691 | 0.000 |
| -0.000 | 0.000 | 0.000 | -0.000 | 0.000 | 75.691 |
| 304.389 | 184.473 | 184.473 | 0.000 | 0.000 | -0.000 |
| 184.474 | 304.388 | 184.473 | 0.000 | -0.000 | -0.000 |
| 184.473 | 184.473 | 304.388 | 0.000 | -0.000 | -0.000 |
| 0.000 | -0.000 | 0.000 | 75.691 | -0.000 | -0.000 |
| 0.000 | -0.000 | 0.000 | 0.000 | 75.691 | -0.000 |
| 0.000 | -0.000 | -0.000 | 0.000 | 0.000 | 75.691 |
| 304.388 | 184.473 | 184.473 | -0.000 | 0.000 | 0.000 |
| 184.473 | 304.388 | 184.473 | -0.000 | -0.000 | 0.000 |
| 184.473 | 184.473 | 304.388 | -0.000 | 0.000 | 0.000 |
| -0.000 | 0.000 | -0.000 | 75.691 | 0.000 | 0.000 |
| -0.000 | 0.000 | -0.000 | -0.000 | 75.691 | 0.000 |
| -0.000 | 0.000 | -0.000 | -0.000 | -0.000 | 75.691 |
| 304.388 | 184.473 | 184.473 | 0.000 | 0.000 | -0.000 |
| 184.473 | 304.388 | 184.473 | 0.000 | 0.000 | -0.000 |
| 184.473 | 184.473 | 304.388 | 0.000 | 0.000 | -0.000 |
| 0.000 | 0.000 | 0.000 | 75.691 | -0.000 | -0.000 |
| 0.000 | -0.000 | 0.000 | 0.000 | 75.691 | -0.000 |
| 0.000 | -0.000 | 0.000 | 0.000 | 0.000 | 75.691 |
| 304.389 | 184.474 | 184.474 | -0.000 | 0.000 | 0.000 |
| 184.474 | 304.389 | 184.474 | -0.000 | 0.000 | 0.000 |
| 184.474 | 184.474 | 304.389 | -0.000 | 0.000 | 0.000 |
| -0.000 | -0.000 | -0.000 | 75.691 | 0.000 | 0.000 |
| -0.000 | -0.000 | -0.000 | -0.000 | 75.691 | -0.000 |
| -0.000 | -0.000 | -0.000 | -0.000 | 0.000 | 75.691 |
| 304.388 | 184.473 | 184.473 | 0.000 | 0.000 | -0.000 |
| 184.473 | 304.388 | 184.473 | 0.000 | 0.000 | 0.000 |
| 184.473 | 184.473 | 304.388 | 0.000 | 0.000 | -0.000 |
| 0.000 | 0.000 | 0.000 | 75.691 | -0.000 | 0.000 |
| 0.000 | 0.000 | 0.000 | 0.000 | 75.691 | -0.000 |
| 0.000 | 0.000 | 0.000 | 0.000 | 0.000 | 75.691 |
| 60.041 | 45.797 | 45.797 | -0.000 | 0.000 | -0.000 |
| 45.797 | 60.041 | 45.797 | 0.000 | -0.000 | 0.000 |
| 45.797 | 45.797 | 60.041 | -0.000 | -0.000 | -0.000 |
| 0.000 | -0.000 | -0.000 | 16.726 | 0.000 | -0.000 |
| 0.000 | -0.000 | 0.000 | 0.000 | 16.726 | -0.000 |
| 0.000 | -0.001 | -0.000 | 0.000 | 0.000 | 16.726 |
| 60.041 | 45.797 | 45.797 | 0.000 | -0.000 | 0.000 |
| 45.796 | 60.041 | 45.797 | -0.000 | -0.000 | -0.000 |
| 45.796 | 45.797 | 60.041 | 0.000 | 0.000 | -0.000 |
| -0.000 | 0.000 | -0.000 | 16.726 | 0.000 | -0.000 |
| 0.000 | 0.001 | 0.000 | -0.000 | 16.726 | -0.000 |
| -0.000 | 0.000 | 0.000 | 0.000 | 0.000 | 16.726 |
| 60.041 | 45.797 | 45.797 | -0.000 | 0.000 | 0.000 |
| 45.797 | 60.041 | 45.797 | 0.000 | 0.000 | 0.000 |
| 45.797 | 45.797 | 60.041 | -0.000 | -0.000 | 0.000 |
| 0.000 | -0.000 | 0.000 | 54.859 | 0.000 | -0.000 |
| -0.000 | -0.000 | 0.000 | 0.000 | 54.859 | -0.000 |
| 0.000 | 0.000 | -0.000 | -0.000 | -0.000 | 54.859 |
| 60.041 | 45.797 | 45.797 | -0.000 | 0.000 | -0.000 |
| 45.797 | 60.041 | 45.797 | 0.000 | -0.000 | 0.000 |
| 45.797 | 45.797 | 60.041 | 0.000 | 0.000 | -0.000 |
| -0.000 | 0.000 | -0.000 | 54.859 | -0.000 | 0.000 |
| -0.000 | 0.000 | -0.000 | 0.000 | 54.859 | -0.000 |
| -0.000 | 0.000 | 0.000 | 0.000 | 0.000 | 54.859 |
| 60.041 | 45.797 | 45.797 | -0.000 | -0.000 | -0.000 |
| 45.797 | 60.041 | 45.797 | -0.000 | -0.000 | -0.000 |
| 45.797 | 45.797 | 60.041 | -0.000 | -0.000 | -0.000 |
| -0.000 | -0.000 | -0.000 | 16.726 | -0.000 | -0.000 |
| -0.000 | -0.000 | -0.000 | 0.000 | 16.726 | -0.000 |
| -0.000 | -0.000 | -0.000 | -0.000 | 0.000 | 16.726 |
| 60.041 | 45.797 | 45.797 | -0.000 | 0.000 | 0.000 |
| 45.797 | 60.041 | 45.797 | -0.000 | -0.000 | -0.000 |
| 45.797 | 45.797 | 60.041 | 0.000 | 0.000 | -0.000 |
| 0.000 | 0.000 | 0.000 | 16.726 | -0.000 | 0.000 |
| 0.000 | 0.000 | 0.000 | -0.000 | 16.726 | -0.000 |
| 0.000 | 0.000 | 0.000 | 0.000 | -0.000 | 16.726 |
| 3504.101 | 181.692 | 181.692 | -0.000 | -0.000 | -0.000 |
| 181.692 | 3504.102 | 181.692 | -0.000 | -0.000 | -0.000 |
| 181.692 | 181.692 | 3504.102 | -0.000 | -0.000 | -0.000 |
| -0.000 | -0.000 | -0.000 | -2.931 | -0.000 | -0.000 |
| -0.000 | -0.000 | -0.000 | -0.000 | -2.931 | -0.000 |
| -0.000 | -0.000 | -0.000 | -0.000 | -0.000 | -2.931 |
| 3504.102 | 181.692 | 181.692 | 0.000 | 0.000 | 0.000 |
| 181.692 | 3504.102 | 181.692 | -0.000 | 0.000 | 0.000 |
| 181.692 | 181.692 | 3504.102 | -0.000 | 0.000 | 0.000 |
| 0.000 | 0.000 | 0.000 | -2.931 | 0.000 | 0.000 |
| 0.000 | 0.000 | 0.000 | 0.000 | -2.931 | 0.000 |
| 0.000 | 0.000 | 0.000 | 0.000 | 0.000 | -2.931 |
| 3504.099 | 181.692 | 181.692 | -0.000 | -0.000 | -0.000 |
| 181.692 | 3504.099 | 181.692 | -0.000 | -0.000 | -0.000 |
| 181.692 | 181.692 | 3504.099 | 0.000 | -0.000 | -0.000 |
| -0.000 | 0.000 | -0.000 | -2.931 | -0.000 | -0.000 |
| -0.000 | -0.000 | -0.000 | 0.000 | -2.931 | -0.000 |
| 0.000 | -0.000 | -0.000 | -0.000 | -0.000 | -2.931 |
| 3504.105 | 181.691 | 181.691 | 0.000 | 0.000 | 0.000 |
| 181.691 | 3504.105 | 181.691 | 0.000 | 0.000 | 0.000 |
| 181.691 | 181.691 | 3504.105 | 0.000 | 0.000 | 0.000 |
| 0.000 | 0.000 | 0.000 | -2.931 | 0.000 | 0.000 |
| 0.000 | 0.000 | 0.000 | -0.000 | -2.931 | 0.000 |
| -0.000 | 0.000 | 0.000 | 0.000 | 0.000 | -2.931 |
| 3504.072 | 181.698 | 181.698 | -0.000 | -0.000 | -0.000 |
| 181.698 | 3504.072 | 181.698 | 0.000 | -0.000 | -0.000 |
| 181.698 | 181.698 | 3504.072 | 0.000 | -0.000 | -0.000 |
| -11701228.731 | -11601866.956 | -11943460.429 | -25001.820 | -52113.852 | -148915.384 |
| -10761468.431 | -10109790.383 | -10267797.833 | -73790.058 | -73957.867 | 144021.240 |
| -10711519.604 | -11366539.172 | -10694944.618 | 74356.686 | 46158.619 | -39289.579 |
| 3504.131 | 181.685 | 181.685 | 0.000 | 0.000 | 0.000 |
| 181.685 | 3504.131 | 181.685 | 0.000 | 0.000 | 0.000 |
| 181.685 | 181.685 | 3504.131 | 0.000 | 0.000 | 0.000 |
| 9997470.161 | 10472300.933 | 9918333.044 | -133307.136 | -145985.914 | 139287.100 |
| 11520973.800 | 11177753.224 | 11171675.850 | -130454.121 | -155361.141 | 55134.006 |
| 11385062.814 | 11470002.040 | 11832115.629 | -183667.643 | -46517.931 | 75593.670 |
| 6680.665 | 7024.930 | 7024.930 | 0.000 | 0.000 | -0.000 |
| 7024.930 | 6680.666 | 7024.930 | 0.000 | 0.000 | 0.000 |
| 7024.930 | 7024.930 | 6680.665 | 0.000 | 0.000 | -0.000 |
| -0.000 | 0.000 | 0.000 | 6801.171 | -0.000 | -0.000 |
| 0.000 | 0.000 | 0.000 | -0.000 | 6801.172 | -0.000 |
| -0.000 | 0.000 | 0.000 | -0.000 | -0.000 | 6801.172 |
| 6680.665 | 7024.929 | 7024.929 | -0.000 | -0.000 | 0.000 |
| 7024.929 | 6680.665 | 7024.929 | -0.000 | -0.000 | -0.000 |
| 7024.929 | 7024.929 | 6680.665 | -0.000 | -0.000 | 0.000 |
| 0.000 | 0.000 | -0.000 | 6801.172 | -0.000 | 0.000 |
| 0.000 | -0.000 | -0.000 | 0.000 | 6801.172 | 0.000 |
| 0.000 | -0.000 | -0.000 | -0.000 | 0.000 | 6801.172 |
| 6680.667 | 7024.933 | 7024.933 | 0.000 | 0.000 | 0.000 |
| 7024.933 | 6680.667 | 7024.933 | 0.000 | 0.000 | 0.000 |
| 7024.933 | 7024.933 | 6680.667 | 0.000 | 0.000 | -0.000 |
| -0.001 | -0.001 | -0.001 | 235.755 | 0.000 | 0.000 |
| -0.001 | -0.001 | -0.001 | 0.000 | 235.755 | 0.000 |
| -0.001 | -0.001 | -0.001 | 0.000 | 0.000 | 235.755 |
| 6680.663 | 7024.927 | 7024.927 | -0.000 | -0.000 | 0.000 |
| 7024.927 | 6680.663 | 7024.927 | -0.000 | -0.000 | 0.000 |
| 7024.927 | 7024.927 | 6680.663 | -0.000 | -0.000 | -0.000 |
| 0.001 | 0.001 | 0.001 | 235.755 | -0.000 | -0.000 |
| 0.001 | 0.001 | 0.001 | -0.000 | 235.755 | -0.000 |
| 0.001 | 0.001 | 0.001 | -0.000 | -0.000 | 235.755 |
| 6680.683 | 7024.959 | 7024.959 | 0.000 | 0.000 | 0.000 |
| 7024.959 | 6680.683 | 7024.959 | 0.000 | 0.000 | -0.000 |
| 7024.959 | 7024.959 | 6680.683 | 0.000 | 0.000 | 0.000 |
| -0.006 | -0.006 | -0.006 | 235.618 | 0.000 | -0.000 |
| -0.006 | -0.006 | -0.006 | 0.000 | 235.618 | 0.000 |
| -0.006 | -0.006 | -0.006 | 0.000 | 0.000 | 235.618 |
| 6680.647 | 7024.900 | 7024.900 | -0.000 | -0.000 | 0.000 |
| 7024.900 | 6680.647 | 7024.900 | -0.000 | -0.000 | -0.000 |
| 7024.900 | 7024.900 | 6680.647 | -0.000 | -0.000 | -0.000 |
| 0.006 | 0.006 | 0.006 | 235.618 | -0.000 | -0.000 |
| 0.006 | 0.006 | 0.006 | -0.000 | 235.618 | -0.000 |
| 0.006 | 0.006 | 0.006 | -0.000 | -0.000 | 235.618 |
| 21325.255 | 10693.892 | 10693.892 | 0.000 | 0.000 | -0.000 |
| 10693.892 | 21325.255 | 10693.892 | 0.000 | 0.000 | 0.000 |
| 10693.892 | 10693.892 | 21325.255 | 0.000 | 0.000 | -0.000 |
| 0.000 | 0.000 | 0.000 | 10620.063 | 0.000 | -0.000 |
| -0.000 | 0.000 | 0.000 | 0.000 | 10620.064 | 0.000 |
| -0.000 | 0.000 | 0.000 | 0.000 | 0.000 | 10620.063 |
| 21325.254 | 10693.891 | 10693.891 | 0.000 | -0.000 | -0.000 |
| 10693.891 | 21325.254 | 10693.891 | -0.000 | 0.000 | 0.000 |
| 10693.891 | 10693.891 | 21325.254 | -0.000 | -0.000 | 0.000 |
| -0.000 | -0.000 | -0.000 | 10620.063 | -0.000 | -0.000 |
| 0.000 | -0.000 | -0.000 | -0.000 | 10620.063 | 0.000 |
| 0.000 | -0.000 | -0.000 | -0.000 | -0.000 | 10620.063 |
| 21325.256 | 10693.896 | 10693.896 | 0.000 | 0.000 | -0.000 |
| 10693.896 | 21325.256 | 10693.896 | 0.000 | -0.000 | -0.000 |
| 10693.896 | 10693.896 | 21325.256 | 0.000 | 0.000 | -0.000 |
| 0.001 | -0.002 | 0.000 | 10620.063 | 0.000 | 0.000 |
| -0.002 | 0.001 | 0.000 | 0.000 | 10620.063 | -0.000 |
| -0.002 | 0.000 | 0.001 | 0.000 | 0.000 | 10620.063 |
| 21325.252 | 10693.886 | 10693.886 | -0.000 | -0.000 | 0.000 |
| 10693.886 | 21325.252 | 10693.886 | -0.000 | -0.000 | 0.000 |
| 10693.886 | 10693.886 | 21325.252 | 0.000 | -0.000 | 0.000 |
| -0.001 | 0.002 | -0.000 | 10620.063 | -0.000 | -0.000 |
| 0.002 | -0.001 | -0.000 | -0.000 | 10620.063 | 0.000 |
| 0.002 | -0.000 | -0.001 | -0.000 | -0.000 | 10620.063 |
| 21325.275 | 10693.940 | 10693.940 | 0.000 | 0.000 | -0.000 |
| 10693.940 | 21325.275 | 10693.940 | 0.000 | 0.000 | -0.000 |
| 10693.940 | 10693.940 | 21325.275 | 0.000 | 0.000 | -0.000 |
| 0.012 | -0.015 | 0.001 | 10620.063 | -0.000 | -0.000 |
| -0.015 | 0.012 | 0.001 | 0.000 | 10620.063 | -0.000 |
| -0.015 | 0.001 | 0.012 | 0.000 | 0.000 | 10620.063 |
| 21325.233 | 10693.843 | 10693.843 | -0.000 | -0.000 | 0.000 |
| 10693.843 | 21325.233 | 10693.843 | -0.000 | -0.000 | -0.000 |
| 10693.843 | 10693.843 | 21325.233 | -0.000 | -0.000 | -0.000 |
| -0.012 | 0.015 | -0.001 | 10620.063 | 0.000 | 0.000 |
| 0.015 | -0.012 | -0.001 | -0.000 | 10620.063 | 0.000 |
| 0.015 | -0.001 | -0.012 | -0.000 | -0.000 | 10620.063 |
| 621.369 | 806.121 | 806.121 | -0.000 | -0.000 | 0.000 |
| 806.121 | 621.369 | 806.121 | 0.000 | -0.000 | 0.000 |
| 806.121 | 806.121 | 621.369 | 0.000 | -0.000 | 0.000 |
| -0.000 | 0.000 | 0.000 | -87.580 | -0.000 | 0.000 |
| 0.000 | 0.000 | 0.000 | -0.000 | -87.580 | -0.000 |
| 0.000 | 0.000 | 0.000 | 0.000 | -0.000 | -87.580 |
| 621.369 | 806.121 | 806.121 | 0.000 | 0.000 | -0.000 |
| 806.121 | 621.369 | 806.121 | 0.000 | 0.000 | -0.000 |
| 806.121 | 806.121 | 621.369 | 0.000 | 0.000 | -0.000 |
| -0.000 | -0.000 | -0.000 | -87.580 | 0.000 | 0.000 |
| 0.000 | -0.000 | -0.000 | -0.000 | -87.580 | 0.000 |
| -0.000 | -0.000 | -0.000 | -0.000 | 0.000 | -87.580 |
| 621.370 | 806.121 | 806.121 | 0.000 | -0.000 | -0.000 |
| 806.121 | 621.370 | 806.121 | 0.000 | -0.000 | -0.000 |
| 806.121 | 806.121 | 621.370 | 0.000 | -0.000 | -0.000 |
| 0.000 | 0.000 | 0.000 | -87.580 | -0.000 | -0.000 |
| 0.000 | 0.000 | 0.000 | 0.000 | -87.580 | -0.000 |
| 0.000 | 0.000 | 0.000 | 0.000 | -0.000 | -87.580 |
| 621.369 | 806.121 | 806.121 | -0.000 | 0.000 | 0.000 |
| 806.121 | 621.369 | 806.121 | -0.000 | 0.000 | 0.000 |
| 806.121 | 806.121 | 621.369 | -0.000 | 0.000 | 0.000 |
| -0.000 | -0.000 | -0.000 | -87.580 | 0.000 | -0.000 |
| -0.000 | -0.000 | -0.000 | -0.000 | -87.580 | 0.000 |
| -0.000 | -0.000 | -0.000 | -0.000 | 0.000 | -87.580 |
| 621.372 | 806.121 | 806.121 | 0.000 | -0.000 | 0.000 |
| 806.121 | 621.372 | 806.121 | 0.000 | -0.000 | 0.000 |
| 806.121 | 806.121 | 621.372 | 0.000 | -0.000 | 0.000 |
| 0.000 | 0.001 | 0.001 | -87.580 | -0.000 | 0.000 |
| 0.001 | 0.000 | 0.001 | -0.000 | -87.580 | 0.000 |
| 0.001 | 0.001 | 0.000 | 0.000 | -0.000 | -87.580 |
| 621.366 | 806.121 | 806.121 | -0.000 | 0.000 | -0.000 |
| 806.121 | 621.366 | 806.121 | -0.000 | 0.000 | 0.000 |
| 806.121 | 806.121 | 621.366 | 0.000 | 0.000 | -0.000 |
| -0.000 | -0.001 | -0.001 | -87.580 | 0.000 | -0.000 |
| -0.001 | -0.000 | -0.001 | -0.000 | -87.580 | -0.000 |
| -0.001 | -0.001 | -0.000 | -0.000 | 0.000 | -87.580 |
| 332.926 | 802.678 | 802.678 | -0.000 | 0.000 | 0.000 |
| 802.678 | 332.926 | 802.678 | -0.000 | 0.000 | -0.000 |
| 802.678 | 802.678 | 332.926 | -0.000 | -0.000 | 0.000 |
| -0.000 | 0.000 | 0.000 | -195.255 | -0.000 | 0.000 |
| -0.000 | -0.000 | 0.000 | 0.000 | -195.255 | -0.000 |
| -0.000 | -0.000 | 0.000 | -0.000 | -0.000 | -195.255 |
| 332.925 | 802.678 | 802.678 | 0.000 | 0.000 | -0.000 |
| 802.678 | 332.925 | 802.678 | 0.000 | -0.000 | -0.000 |
| 802.678 | 802.678 | 332.925 | 0.000 | -0.000 | -0.000 |
| 0.000 | 0.000 | -0.000 | -195.255 | -0.000 | -0.000 |
| -0.000 | 0.000 | 0.000 | -0.000 | -195.255 | -0.000 |
| 0.000 | 0.000 | -0.000 | -0.000 | -0.000 | -195.255 |
| 332.927 | 802.677 | 802.677 | -0.000 | 0.000 | 0.000 |
| 802.677 | 332.927 | 802.677 | -0.000 | 0.000 | 0.000 |
| 802.677 | 802.677 | 332.927 | -0.000 | -0.000 | 0.000 |
| -0.000 | 0.000 | 0.000 | -195.255 | -0.000 | 0.000 |
| 0.000 | -0.000 | 0.000 | -0.000 | -195.255 | 0.000 |
| 0.000 | 0.000 | -0.000 | 0.000 | 0.000 | -195.255 |
| 332.924 | 802.678 | 802.678 | 0.000 | 0.000 | -0.000 |
| 802.678 | 332.924 | 802.678 | 0.000 | -0.000 | -0.000 |
| 802.678 | 802.678 | 332.924 | 0.000 | -0.000 | 0.000 |
| 0.000 | -0.000 | -0.000 | -195.255 | -0.000 | -0.000 |
| -0.000 | 0.000 | -0.000 | -0.000 | -195.255 | -0.000 |
| -0.000 | -0.000 | 0.000 | 0.000 | -0.000 | -195.255 |
| 332.943 | 802.674 | 802.674 | -0.000 | 0.000 | 0.000 |
| 802.674 | 332.943 | 802.674 | -0.000 | 0.000 | 0.000 |
| 802.674 | 802.674 | 332.943 | -0.000 | 0.000 | 0.000 |
| -0.001 | 0.001 | 0.001 | -195.255 | 0.000 | -0.000 |
| 0.001 | -0.001 | 0.001 | -0.000 | -195.255 | 0.000 |
| 0.001 | 0.001 | -0.001 | -0.000 | 0.000 | -195.255 |
| 332.908 | 802.682 | 802.682 | 0.000 | -0.000 | -0.000 |
| 802.682 | 332.908 | 802.682 | -0.000 | -0.000 | 0.000 |
| 802.682 | 802.682 | 332.908 | 0.000 | -0.000 | -0.000 |
| 0.001 | -0.001 | -0.001 | -195.255 | -0.000 | -0.000 |
| -0.001 | 0.001 | -0.001 | 0.000 | -195.255 | 0.000 |
| -0.001 | -0.001 | 0.001 | 0.000 | -0.000 | -195.255 |
| 270.559 | 332.504 | 332.504 | 0.000 | -0.000 | -0.000 |
| 332.504 | 270.559 | 332.504 | 0.000 | -0.000 | -0.000 |
| 332.504 | 332.504 | 270.559 | -0.000 | -0.000 | -0.000 |
| 0.000 | 0.000 | -0.000 | -128.205 | -0.000 | -0.000 |
| 0.000 | 0.000 | -0.000 | -0.000 | -128.205 | -0.000 |
| 0.000 | 0.000 | -0.000 | -0.000 | 0.000 | -128.205 |
| 270.559 | 332.504 | 332.504 | -0.000 | 0.000 | 0.000 |
| 332.504 | 270.559 | 332.504 | 0.000 | 0.000 | 0.000 |
| 332.504 | 332.504 | 270.559 | 0.000 | 0.000 | 0.000 |
| -0.000 | -0.000 | 0.000 | -128.205 | 0.000 | 0.000 |
| -0.000 | -0.000 | 0.000 | -0.000 | -128.205 | 0.000 |
| -0.000 | -0.000 | -0.000 | 0.000 | 0.000 | -128.205 |
| 270.559 | 332.504 | 332.504 | -0.000 | -0.000 | -0.000 |
| 332.504 | 270.559 | 332.504 | -0.000 | 0.000 | -0.000 |
| 332.504 | 332.504 | 270.559 | 0.000 | -0.000 | -0.000 |
| 0.000 | 0.000 | 0.000 | -128.205 | 0.000 | 0.000 |
| 0.000 | 0.000 | 0.000 | -0.000 | -128.205 | -0.000 |
| 0.000 | 0.000 | 0.000 | 0.000 | 0.000 | -128.205 |
| 270.559 | 332.504 | 332.504 | -0.000 | 0.000 | 0.000 |
| 332.504 | 270.559 | 332.504 | -0.000 | 0.000 | -0.000 |
| 332.504 | 332.504 | 270.559 | -0.000 | 0.000 | 0.000 |
| -0.000 | -0.000 | -0.000 | -128.205 | -0.000 | 0.000 |
| -0.000 | -0.000 | -0.000 | 0.000 | -128.205 | 0.000 |
| -0.000 | -0.000 | -0.000 | -0.000 | 0.000 | -128.205 |
| 270.558 | 332.503 | 332.503 | -0.000 | 0.000 | -0.000 |
| 332.503 | 270.558 | 332.503 | -0.000 | -0.000 | -0.000 |
| 332.503 | 332.503 | 270.558 | 0.000 | 0.000 | 0.000 |
| 0.001 | 0.000 | 0.000 | -128.205 | -0.000 | 0.000 |
| 0.000 | 0.001 | 0.000 | -0.000 | -128.205 | -0.000 |
| 0.000 | 0.000 | 0.001 | 0.000 | -0.000 | -128.205 |
| 270.561 | 332.505 | 332.505 | -0.000 | -0.000 | 0.000 |
| 332.505 | 270.561 | 332.505 | -0.000 | 0.000 | 0.000 |
| 332.505 | 332.505 | 270.561 | -0.000 | -0.000 | 0.000 |
| -0.001 | -0.000 | -0.000 | -128.205 | 0.000 | 0.000 |
| -0.000 | -0.001 | -0.000 | 0.000 | -128.205 | 0.000 |
| -0.000 | -0.000 | -0.001 | 0.000 | 0.000 | -128.205 |
| 634.057 | 808.996 | 801.473 | 0.000 | -0.000 | -0.000 |
| 808.996 | 634.057 | 801.473 | 0.000 | -0.000 | -0.000 |
| 801.473 | 801.473 | 604.235 | -0.000 | -0.000 | 0.000 |
| -0.000 | 0.000 | -0.000 | -88.700 | -0.000 | -0.000 |
| -0.000 | 0.000 | -0.000 | -0.000 | -88.700 | -0.000 |
| 0.000 | 0.000 | -0.000 | -0.000 | -0.000 | -87.443 |
| 634.057 | 808.996 | 801.473 | -0.000 | 0.000 | 0.000 |
| 808.970 | 634.084 | 801.474 | 0.000 | 0.000 | 0.000 |
| 801.473 | 801.473 | 604.236 | 0.000 | 0.000 | 0.000 |
| 0.000 | -0.000 | 0.000 | -88.700 | 0.000 | 0.000 |
| 0.000 | -0.000 | 0.000 | 0.000 | -88.700 | 0.000 |
| 0.000 | -0.000 | 0.000 | 0.000 | 0.000 | -87.443 |
| 634.084 | 808.969 | 801.473 | -0.000 | -0.000 | -0.000 |
| 808.969 | 634.084 | 801.473 | -0.000 | -0.000 | -0.000 |
| 801.473 | 801.473 | 604.236 | -0.000 | -0.000 | -0.000 |
| 0.000 | 0.000 | 0.000 | -88.700 | -0.000 | -0.000 |
| 0.000 | 0.000 | 0.000 | -0.000 | -88.700 | -0.000 |
| 0.000 | 0.000 | 0.000 | -0.000 | -0.000 | -87.443 |
| 634.084 | 808.969 | 801.473 | -0.000 | 0.000 | 0.000 |
| 808.969 | 634.084 | 801.473 | 0.000 | 0.000 | 0.000 |
| 801.473 | 801.473 | 604.236 | 0.000 | 0.000 | 0.000 |
| -0.000 | -0.000 | -0.000 | -88.700 | 0.000 | -0.000 |
| -0.000 | -0.000 | -0.000 | 0.000 | -88.700 | -0.000 |
| -0.000 | -0.000 | -0.000 | 0.000 | 0.000 | -87.443 |
| 634.087 | 808.969 | 801.473 | -0.000 | -0.000 | -0.000 |
| 808.970 | 634.087 | 801.473 | -0.000 | -0.000 | -0.000 |
| 801.474 | 801.474 | 604.239 | 0.000 | -0.000 | -0.000 |
| 0.000 | 0.001 | 0.001 | -88.700 | -0.000 | -0.000 |
| 0.001 | 0.000 | 0.001 | -0.000 | -88.700 | -0.000 |
| 33598887.916 | 35350808.953 | 35057462.682 | -63214.394 | -166415.326 | -2157552.532 |
| 634.081 | 808.969 | 801.473 | 0.000 | 0.000 | 0.000 |
| -35910685.508 | -40596392.457 | -40787712.801 | -95581.474 | -106627.517 | 209750.855 |
| 801.473 | 801.473 | 604.233 | -0.000 | 0.000 | 0.000 |
| -0.000 | -0.001 | -0.001 | -88.700 | 0.000 | 0.000 |
| -0.001 | -0.000 | -0.001 | 0.000 | -88.700 | 0.000 |
| -0.001 | -0.001 | -0.000 | 0.000 | 0.000 | -87.443 |
| 317.637 | 32.554 | 55.823 | 0.000 | 0.000 | 0.000 |
| 32.554 | 317.637 | 55.823 | 0.000 | -0.000 | -0.000 |
| 55.823 | 55.823 | 1826.171 | 0.000 | 0.000 | -0.000 |
| -0.000 | -0.000 | -0.000 | 117.541 | -0.000 | -0.000 |
| -0.000 | -0.000 | -0.000 | 0.000 | 117.541 | -0.000 |
| -0.000 | -0.000 | -0.000 | 0.000 | -0.000 | 142.541 |
| 319.110 | 31.082 | 55.822 | -0.000 | -0.000 | 0.000 |
| 31.082 | 319.110 | 55.822 | -0.000 | 0.000 | 0.000 |
| 55.823 | 55.823 | 1826.171 | -0.000 | -0.000 | 0.000 |
| 0.000 | 0.000 | 0.000 | 117.541 | -0.000 | 0.000 |
| 0.000 | 0.000 | 0.000 | -0.000 | 117.541 | 0.000 |
| 0.000 | 0.000 | 0.000 | -0.000 | -0.000 | 142.542 |
| 319.110 | 31.082 | 55.823 | 0.000 | -0.000 | -0.000 |
| 32.554 | 317.637 | 55.823 | -0.000 | -0.000 | 0.000 |
| 55.823 | 55.823 | 1826.170 | -0.000 | 0.000 | 0.000 |
| -0.000 | 0.000 | -0.000 | 117.541 | -0.000 | -0.000 |
| 0.000 | -0.000 | -0.000 | 0.000 | 117.541 | -0.000 |
| -0.000 | -0.000 | 0.000 | 0.000 | 0.000 | 142.541 |
| 319.110 | 31.082 | 55.822 | -0.000 | 0.000 | -0.000 |
| 31.082 | 319.110 | 55.822 | -0.000 | 0.000 | 0.000 |
| 55.822 | 55.822 | 1826.171 | -0.000 | -0.000 | 0.000 |
| 0.000 | -0.000 | 0.000 | 117.541 | -0.000 | 0.000 |
| -0.000 | 0.000 | 0.000 | -0.000 | 117.541 | 0.000 |
| 0.000 | 0.000 | -0.000 | 0.000 | -0.000 | 142.541 |
| 319.109 | 31.083 | 55.824 | 0.000 | -0.000 | -0.000 |
| 32.555 | 317.638 | 55.824 | 0.000 | 0.000 | -0.000 |
| 55.824 | 55.824 | 1826.165 | -0.000 | -0.000 | -0.000 |
| -0.000 | 0.000 | -0.000 | 117.541 | 0.000 | 0.000 |
| 0.000 | -0.000 | -0.000 | 0.000 | 117.541 | -0.000 |
| -0.000 | -0.000 | 0.001 | 0.000 | -0.000 | 144.014 |
| 319.110 | 31.082 | 55.822 | -0.000 | -0.000 | -0.000 |
| 31.082 | 319.109 | 55.822 | -0.000 | 0.000 | 0.000 |
| 55.821 | 55.821 | 1826.177 | -0.000 | -0.000 | -0.000 |
| 0.000 | -0.000 | 0.000 | 117.541 | -0.000 | 0.000 |
| -0.000 | 0.000 | 0.000 | 0.000 | 117.541 | 0.000 |
| 0.000 | 0.000 | -0.001 | -0.000 | 0.000 | 144.014 |
| 373.805 | 150.087 | 0.000 | 0.000 | 0.000 | -0.000 |
| 150.087 | 373.805 | 0.000 | 0.000 | 0.000 | -0.000 |
| -0.000 | 0.000 | 0.000 | 0.000 | 0.000 | -0.000 |
| -0.000 | -0.000 | 0.000 | 0.000 | 0.000 | -0.000 |
| -0.000 | 0.000 | 0.000 | 0.000 | 0.000 | -0.000 |
| -0.000 | 0.000 | 0.000 | 0.000 | 0.000 | 111.859 |
| 373.805 | 150.087 | -0.000 | -0.000 | -0.000 | 0.000 |
| 150.087 | 373.805 | -0.000 | -0.000 | -0.000 | 0.000 |
| 0.000 | -0.000 | -0.000 | -0.000 | -0.000 | 0.000 |
| 0.000 | 0.000 | -0.000 | -0.000 | -0.000 | 0.000 |
| 0.000 | -0.000 | -0.000 | -0.000 | -0.000 | 0.000 |
| -0.000 | -0.000 | -0.000 | -0.000 | -0.000 | 111.859 |
| 373.805 | 150.087 | 0.000 | 0.000 | 0.000 | -0.000 |
| 150.088 | 373.805 | 0.000 | 0.000 | 0.000 | -0.000 |
| -0.000 | 0.000 | 0.000 | 0.000 | 0.000 | -0.000 |
| -0.000 | -0.000 | 0.000 | 0.000 | 0.000 | -0.000 |
| -0.000 | 0.000 | 0.000 | 0.000 | 0.000 | 0.000 |
| -0.000 | 0.000 | 0.000 | 0.000 | 0.000 | 111.859 |
| 373.804 | 150.087 | -0.000 | -0.000 | -0.000 | 0.000 |
| 150.087 | 373.805 | -0.000 | -0.000 | -0.000 | -0.000 |
| 0.000 | -0.000 | -0.000 | -0.000 | -0.000 | 0.000 |
| 0.000 | 0.000 | -0.000 | -0.000 | -0.000 | 0.000 |
| 0.000 | -0.000 | -0.000 | -0.000 | -0.000 | 0.000 |
| 0.000 | -0.000 | -0.000 | -0.000 | -0.000 | 111.859 |
| 373.807 | 150.088 | 0.000 | 0.000 | 0.000 | 0.000 |
| 150.088 | 373.806 | 0.000 | 0.000 | 0.000 | -0.000 |
| -0.000 | 0.000 | 0.000 | 0.000 | 0.000 | -0.000 |
| -0.000 | -0.000 | 0.000 | 0.000 | 0.000 | -0.000 |
| -0.000 | 0.000 | 0.000 | 0.000 | 0.000 | -0.000 |
| -0.000 | 0.001 | 0.000 | 0.000 | 0.000 | 111.859 |
| 373.803 | 150.087 | -0.000 | -0.000 | -0.000 | -0.000 |
| 150.087 | 373.803 | -0.000 | -0.000 | -0.000 | 0.000 |
| 0.000 | -0.000 | -0.000 | -0.000 | -0.000 | 0.000 |
| 0.000 | 0.000 | -0.000 | -0.000 | -0.000 | 0.000 |
| 0.000 | -0.000 | -0.000 | -0.000 | -0.000 | 0.000 |
| 0.000 | -0.001 | -0.000 | -0.000 | -0.000 | 111.859 |
| 640.620 | 812.485 | 799.764 | -0.000 | 0.000 | 0.000 |
| 812.485 | 640.620 | 799.764 | -0.000 | -0.000 | 0.000 |
| 799.764 | 799.764 | 581.921 | -0.000 | 0.000 | 0.000 |
| 0.000 | 0.000 | -0.000 | -86.533 | 0.000 | 0.000 |
| -0.000 | -0.000 | 0.000 | 0.000 | -86.532 | -0.000 |
| -0.000 | 0.000 | -0.000 | 0.000 | -0.000 | -85.932 |
| 640.620 | 812.485 | 799.764 | 0.000 | -0.000 | -0.000 |
| 812.485 | 640.620 | 799.764 | -0.000 | 0.000 | -0.000 |
| 799.764 | 799.764 | 581.921 | 0.000 | 0.000 | 0.000 |
| 0.000 | -0.000 | -0.000 | -86.533 | 0.000 | 0.000 |
| 0.000 | 0.000 | 0.000 | 0.000 | -86.532 | -0.000 |
| 0.000 | 0.000 | 0.000 | -0.000 | 0.000 | -85.933 |
| 640.620 | 812.485 | 799.764 | 0.000 | 0.000 | 0.000 |
| 812.485 | 640.620 | 799.764 | 0.000 | 0.000 | -0.000 |
| 799.764 | 799.764 | 581.921 | 0.000 | -0.000 | 0.000 |
| 0.000 | 0.000 | 0.000 | -86.533 | -0.000 | 0.000 |
| 0.000 | 0.000 | 0.000 | -0.000 | -86.533 | 0.000 |
| 0.000 | 0.000 | 0.000 | 0.000 | 0.000 | -85.933 |
| 640.619 | 812.485 | 799.764 | 0.000 | 0.000 | -0.000 |
| 812.488 | 640.616 | 799.764 | -0.000 | 0.000 | 0.000 |
| 799.764 | 799.764 | 581.921 | 0.000 | 0.000 | -0.000 |
| -0.000 | -0.000 | -0.000 | -86.533 | 0.000 | -0.000 |
| -0.000 | -0.000 | -0.000 | 0.000 | -86.533 | -0.000 |
| -0.000 | -0.000 | -0.000 | 0.000 | 0.000 | -85.933 |
| 40931266.741 | 37052119.544 | 28958820.458 | -694589.739 | 74143.628 | -137674.045 |
| 812.485 | 640.622 | 799.764 | -0.000 | -0.000 | 0.000 |
| 799.764 | 799.764 | 581.924 | -0.000 | -0.000 | 0.000 |
| 0.000 | 0.001 | 0.001 | -86.533 | -0.000 | 0.000 |
| 0.001 | 0.000 | 0.001 | -0.000 | -86.533 | -0.000 |
| 0.001 | 0.001 | 0.000 | -0.000 | -0.000 | -85.933 |
| 640.617 | 812.485 | 799.764 | 0.000 | 0.000 | 0.000 |
| 812.485 | 640.617 | 799.764 | -0.000 | 0.000 | -0.000 |
| 799.763 | 799.763 | 581.918 | -0.000 | 0.000 | -0.000 |
| -0.000 | -0.001 | -0.001 | -86.533 | 0.000 | -0.000 |
| -0.001 | -0.000 | -0.001 | 0.000 | -86.533 | -0.000 |
| -0.001 | -0.001 | -0.000 | 0.000 | 0.000 | -85.933 |
| 29.338 | 155.301 | 155.301 | -0.000 | 0.000 | 0.000 |
| 155.301 | 29.338 | 155.301 | -0.000 | 0.000 | 0.000 |
| 155.301 | 155.301 | 29.338 | 0.000 | 0.000 | -0.000 |
| 0.000 | -0.000 | -0.000 | 79.996 | 0.000 | -0.000 |
| -0.000 | 0.000 | 0.000 | 0.000 | 79.996 | -0.000 |
| -0.000 | -0.000 | -0.000 | 0.000 | 0.000 | 79.996 |
| 29.338 | 155.301 | 155.301 | -0.000 | -0.000 | 0.000 |
| 155.301 | 29.338 | 155.301 | 0.000 | -0.000 | 0.000 |
| 155.301 | 155.301 | 29.338 | -0.000 | -0.000 | -0.000 |
| 0.000 | 0.000 | -0.000 | 79.996 | 0.000 | -0.000 |
| 0.000 | 0.000 | 0.000 | 0.000 | 79.996 | 0.000 |
| 0.000 | -0.000 | 0.000 | 0.000 | 0.000 | 79.996 |
| 29.338 | 155.301 | 155.301 | -0.000 | 0.000 | -0.000 |
| 155.301 | 29.338 | 155.301 | -0.000 | -0.000 | -0.000 |
| 155.301 | 155.301 | 29.338 | -0.000 | 0.000 | 0.000 |
| -0.000 | -0.000 | -0.000 | -274.024 | 0.000 | 0.000 |
| -0.000 | -0.000 | -0.000 | 0.000 | -274.024 | 0.000 |
| -0.000 | -0.000 | -0.000 | 0.000 | 0.000 | -274.024 |
| 29.338 | 155.301 | 155.301 | 0.000 | 0.000 | 0.000 |
| 155.301 | 29.338 | 155.301 | 0.000 | -0.000 | 0.000 |
| 155.301 | 155.301 | 29.338 | -0.000 | -0.000 | 0.000 |
| 0.000 | 0.000 | 0.000 | -274.024 | -0.000 | -0.000 |
| 0.000 | 0.000 | 0.000 | -0.000 | -274.024 | -0.000 |
| 0.000 | 0.000 | 0.000 | -0.000 | -0.000 | -274.024 |
| 29.338 | 155.301 | 155.301 | -0.000 | 0.000 | -0.000 |
| 155.301 | 29.338 | 155.301 | -0.000 | -0.000 | -0.000 |
| 155.301 | 155.301 | 29.338 | -0.000 | 0.000 | -0.000 |
| -0.000 | -0.000 | -0.001 | -274.024 | 0.000 | 0.000 |
| -0.000 | -0.000 | -0.001 | 0.000 | -274.024 | 0.000 |
| -0.000 | -0.001 | -0.000 | 0.000 | 0.000 | -274.024 |
| 29.338 | 155.300 | 155.300 | 0.000 | -0.000 | 0.000 |
| 155.300 | 29.338 | 155.300 | 0.000 | -0.000 | -0.000 |
| 155.300 | 155.300 | 29.338 | -0.000 | -0.000 | 0.000 |
| 0.000 | 0.000 | 0.001 | -274.024 | -0.000 | 0.000 |
| 0.000 | 0.000 | 0.001 | -0.000 | -274.024 | 0.000 |
| 0.000 | 0.001 | 0.000 | -0.000 | -0.000 | -274.024 |
| -291.973 | 262.163 | 313.951 | -0.000 | 0.000 | 0.000 |
| 262.163 | -291.973 | 313.951 | 0.000 | 0.000 | 0.000 |
| 313.952 | 313.949 | 296.655 | -0.000 | -0.000 | 0.000 |
| 0.000 | -0.000 | 0.000 | 127.820 | 0.000 | 0.000 |
| 0.000 | -0.000 | 0.000 | -0.000 | 127.820 | 0.000 |
| 0.001 | -0.001 | 0.000 | -0.000 | 0.000 | 98.740 |
| -291.973 | 262.163 | 313.950 | 0.000 | -0.000 | -0.000 |
| 262.163 | -291.973 | 313.951 | 0.000 | 0.000 | -0.000 |
| 313.949 | 313.952 | 296.655 | 0.000 | 0.000 | -0.000 |
| -0.000 | 0.000 | -0.000 | 127.820 | -0.000 | -0.000 |
| -0.000 | 0.000 | -0.000 | -0.000 | 127.820 | -0.000 |
| -0.001 | 0.001 | -0.000 | -0.000 | -0.000 | 98.740 |
| -291.972 | 262.163 | 313.950 | -0.000 | -0.000 | 0.000 |
| 262.163 | -291.972 | 313.950 | 0.000 | -0.000 | 0.000 |
| 313.951 | 313.951 | 296.655 | -0.000 | -0.000 | 0.000 |
| 0.000 | -0.000 | 0.000 | 127.820 | -0.000 | 0.000 |
| 0.000 | -0.000 | 0.000 | -0.000 | 127.820 | 0.000 |
| 0.000 | 0.000 | -0.000 | 0.000 | 0.000 | 98.740 |
| -291.973 | 262.163 | 313.951 | 0.000 | 0.000 | -0.000 |
| 262.163 | -291.973 | 313.951 | 0.000 | 0.000 | -0.000 |
| 313.950 | 313.951 | 296.655 | -0.000 | 0.000 | -0.000 |
| -0.000 | 0.000 | -0.000 | 127.820 | 0.000 | -0.000 |
| -0.000 | 0.000 | -0.000 | 0.000 | 127.820 | -0.000 |
| -0.000 | -0.000 | -0.000 | -0.000 | 0.000 | 98.740 |
| -291.969 | 262.164 | 313.950 | -0.000 | -0.000 | 0.000 |
| 262.164 | -291.969 | 313.950 | 0.000 | -0.000 | 0.000 |
| 313.952 | 313.952 | 296.656 | -0.000 | 0.000 | 0.000 |
| 0.000 | 0.000 | 0.000 | 127.820 | -0.000 | 0.000 |
| 0.000 | 0.000 | 0.000 | 0.000 | 127.820 | 0.000 |
| -0.000 | 0.001 | -0.000 | -0.000 | -0.000 | 98.740 |
| -291.976 | 262.162 | 313.951 | 0.000 | 0.000 | -0.000 |
| 262.162 | -291.976 | 313.951 | -0.000 | 0.000 | -0.000 |
| 313.949 | 313.950 | 296.654 | 0.000 | 0.000 | -0.000 |
| -0.000 | -0.000 | -0.000 | 127.820 | 0.000 | -0.000 |
| -0.000 | -0.000 | -0.000 | 0.000 | 127.820 | -0.000 |
| 0.000 | -0.001 | 0.000 | -0.000 | -0.000 | 98.740 |
| 882.318 | 435.480 | 804.137 | -0.000 | -0.000 | -0.000 |
| 435.480 | 882.318 | 804.137 | -0.000 | -0.000 | -0.000 |
| 804.137 | 804.137 | 233.453 | 0.000 | -0.000 | -0.000 |
| -0.000 | -0.000 | -0.000 | 254.455 | -0.000 | -0.000 |
| 0.000 | -0.000 | -0.000 | 0.000 | 254.455 | -0.000 |
| -0.000 | -0.000 | 0.000 | 0.000 | -0.000 | 315.538 |
| 882.318 | 435.480 | 804.137 | 0.000 | -0.000 | 0.000 |
| 435.480 | 882.318 | 804.137 | -0.000 | 0.000 | 0.000 |
| 804.137 | 804.137 | 233.453 | -0.000 | 0.000 | 0.000 |
| 0.000 | 0.000 | -0.000 | 254.455 | 0.000 | 0.000 |
| 0.000 | 0.000 | 0.000 | -0.000 | 254.455 | 0.000 |
| 0.000 | 0.000 | 0.000 | 0.000 | 0.000 | 315.538 |
| 882.318 | 435.480 | 804.137 | -0.000 | -0.000 | -0.000 |
| 435.480 | 882.318 | 804.137 | -0.000 | 0.000 | -0.000 |
| 804.137 | 804.137 | 233.453 | 0.000 | -0.000 | -0.000 |
| -0.000 | 0.000 | -0.000 | 254.455 | -0.000 | -0.000 |
| 0.000 | -0.000 | -0.000 | 0.000 | 254.455 | -0.000 |
| -0.000 | 0.000 | -0.000 | -0.000 | -0.000 | 315.538 |
| 882.318 | 435.480 | 804.137 | 0.000 | 0.000 | 0.000 |
| 435.480 | 882.318 | 804.137 | -0.000 | 0.000 | 0.000 |
| 804.137 | 804.137 | 233.452 | -0.000 | 0.000 | 0.000 |
| 0.000 | -0.000 | 0.000 | 254.455 | 0.000 | -0.000 |
| -0.000 | 0.000 | 0.000 | -0.000 | 254.455 | 0.000 |
| 0.000 | -0.000 | 0.000 | -0.000 | 0.000 | 315.538 |
| 882.321 | 435.481 | 804.139 | 0.000 | -0.000 | -0.000 |
| 435.481 | 882.321 | 804.139 | 0.000 | -0.000 | -0.000 |
| 804.137 | 804.137 | 233.456 | 0.000 | -0.000 | -0.000 |
| -0.001 | 0.001 | -0.000 | 254.455 | -0.000 | 0.000 |
| 0.001 | -0.001 | -0.000 | 0.000 | 254.455 | -0.000 |
| -0.000 | 0.000 | -0.000 | -0.000 | -0.000 | 315.538 |
| 882.315 | 435.478 | 804.135 | 0.000 | 0.000 | 0.000 |
| 435.478 | 882.315 | 804.135 | -0.000 | 0.000 | 0.000 |
| 804.137 | 804.137 | 233.449 | -0.000 | 0.000 | 0.000 |
| 0.001 | -0.001 | 0.000 | 254.455 | 0.000 | 0.000 |
| -0.001 | 0.001 | 0.000 | -0.000 | 254.455 | 0.000 |
| 0.000 | -0.000 | 0.000 | 0.000 | 0.000 | 315.538 |
| 826.066 | 556.991 | 668.460 | 0.000 | 0.000 | -0.000 |
| 556.992 | 826.066 | 668.460 | 0.000 | 0.000 | -0.000 |
| 668.460 | 668.460 | 1101.570 | 0.000 | -0.000 | -0.000 |
| 0.000 | -0.000 | -0.000 | 155.087 | -0.000 | -0.000 |
| -0.000 | -0.000 | -0.000 | 0.000 | 155.087 | -0.000 |
| 0.000 | -0.000 | 0.000 | 0.000 | 0.000 | 305.758 |
| 826.066 | 556.992 | 668.460 | -0.000 | 0.000 | 0.000 |
| 556.991 | 826.066 | 668.460 | -0.000 | 0.000 | 0.000 |
| 668.460 | 668.460 | 1101.570 | -0.000 | -0.000 | 0.000 |
| -0.000 | 0.000 | 0.000 | 155.086 | 0.000 | 0.000 |
| 0.000 | 0.000 | 0.000 | -0.000 | 155.087 | 0.000 |
| -0.000 | 0.000 | -0.000 | -0.000 | -0.000 | 305.759 |
| 826.066 | 556.992 | 668.460 | 0.000 | 0.000 | -0.000 |
| 556.992 | 826.066 | 668.460 | 0.000 | -0.000 | -0.000 |
| 668.460 | 668.460 | 1101.571 | 0.000 | 0.000 | -0.000 |
| -0.000 | 0.000 | -0.000 | 155.087 | 0.000 | -0.000 |
| 0.000 | -0.000 | -0.000 | 0.000 | 155.087 | -0.000 |
| -0.000 | 0.000 | -0.000 | 0.000 | 0.000 | 305.758 |
| 826.066 | 556.991 | 668.460 | -0.000 | 0.000 | 0.000 |
| 556.991 | 826.066 | 668.460 | -0.000 | -0.000 | 0.000 |
| 668.460 | 668.460 | 1101.570 | -0.000 | 0.000 | 0.000 |
| 0.000 | -0.000 | 0.000 | 155.087 | -0.000 | 0.000 |
| -0.000 | 0.000 | 0.000 | -0.000 | 155.087 | 0.000 |
| 0.000 | -0.000 | 0.000 | -0.000 | 0.000 | 305.758 |
| 826.068 | 556.993 | 668.461 | 0.000 | 0.000 | -0.000 |
| 556.993 | 826.068 | 668.461 | 0.000 | -0.000 | -0.000 |
| 668.462 | 668.462 | 1101.573 | 0.000 | 0.000 | -0.000 |
| -0.001 | 0.001 | -0.001 | 155.087 | 0.000 | 0.000 |
| 0.001 | -0.001 | -0.001 | 0.000 | 155.087 | -0.000 |
| -0.000 | 0.000 | -0.000 | 0.000 | -0.000 | 305.758 |
| 826.064 | 556.990 | 668.459 | -0.000 | 0.000 | -0.000 |
| 556.990 | 826.064 | 668.459 | -0.000 | -0.000 | 0.000 |
| 668.458 | 668.458 | 1101.568 | -0.000 | 0.000 | 0.000 |
| 0.001 | -0.001 | 0.001 | 155.087 | -0.000 | -0.000 |
| -0.001 | 0.001 | 0.001 | -0.000 | 155.087 | 0.000 |
| 0.000 | -0.000 | 0.000 | -0.000 | -0.000 | 305.758 |
| 4790.864 | 4150.848 | 0.000 | 0.000 | 0.000 | 0.000 |
| 4150.849 | 4790.864 | 0.000 | 0.000 | 0.000 | 0.000 |
| -0.000 | -0.000 | 0.000 | 0.000 | 0.000 | 0.000 |
| -0.000 | -0.000 | 0.000 | 0.000 | 0.000 | 0.000 |
| -0.000 | -0.000 | 0.000 | 0.000 | 0.000 | 0.000 |
| -0.000 | -0.000 | 0.000 | 0.000 | 0.000 | 5031.261 |
| 4790.864 | 4150.848 | -0.000 | -0.000 | -0.000 | -0.000 |
| 4150.848 | 4790.864 | -0.000 | -0.000 | -0.000 | -0.000 |
| 0.000 | 0.000 | -0.000 | -0.000 | -0.000 | -0.000 |
| 0.000 | 0.000 | -0.000 | -0.000 | -0.000 | -0.000 |
| 0.000 | 0.000 | -0.000 | -0.000 | -0.000 | -0.000 |
| 0.000 | 0.000 | -0.000 | -0.000 | -0.000 | 5031.261 |
| 4790.865 | 4150.850 | 0.000 | 0.000 | 0.000 | 0.000 |
| 4150.850 | 4790.865 | 0.000 | 0.000 | 0.000 | 0.000 |
| -0.000 | -0.000 | 0.000 | 0.000 | 0.000 | 0.000 |
| -0.000 | -0.000 | 0.000 | 0.000 | 0.000 | 0.000 |
| -0.000 | -0.000 | 0.000 | 0.000 | 0.000 | 0.000 |
| -0.000 | 0.000 | 0.000 | 0.000 | 0.000 | 5031.261 |
| 4790.863 | 4150.847 | -0.000 | -0.000 | -0.000 | -0.000 |
| 4150.847 | 4790.863 | -0.000 | -0.000 | -0.000 | -0.000 |
| 0.000 | 0.000 | -0.000 | -0.000 | -0.000 | -0.000 |
| 0.000 | 0.000 | -0.000 | -0.000 | -0.000 | -0.000 |
| 0.000 | 0.000 | -0.000 | -0.000 | -0.000 | -0.000 |
| 0.000 | -0.000 | -0.000 | -0.000 | -0.000 | 5031.261 |
| 4790.876 | 4150.866 | 0.000 | 0.000 | 0.000 | 0.000 |
| 4150.866 | 4790.876 | 0.000 | 0.000 | 0.000 | 0.000 |
| -0.000 | -0.000 | 0.000 | 0.000 | 0.000 | 0.000 |
| -0.000 | -0.000 | 0.000 | 0.000 | 0.000 | 0.000 |
| -0.000 | -0.000 | 0.000 | 0.000 | 0.000 | 0.000 |
| -0.005 | 0.005 | 0.000 | 0.000 | 0.000 | 5031.261 |
| 4790.851 | 4150.831 | -0.000 | -0.000 | -0.000 | -0.000 |
| 4150.831 | 4790.851 | -0.000 | -0.000 | -0.000 | -0.000 |
| 0.000 | 0.000 | -0.000 | -0.000 | -0.000 | -0.000 |
| 0.000 | 0.000 | -0.000 | -0.000 | -0.000 | -0.000 |
| 0.000 | 0.000 | -0.000 | -0.000 | -0.000 | -0.000 |
| 0.005 | -0.005 | -0.000 | -0.000 | -0.000 | 5031.261 |
| 5948.409 | 5153.756 | 0.000 | 0.000 | 0.000 | -0.000 |
| 5153.756 | 5948.409 | 0.000 | 0.000 | 0.000 | 0.000 |
| -0.000 | -0.000 | 0.000 | 0.000 | 0.000 | 0.000 |
| 0.000 | -0.000 | 0.000 | 0.000 | 0.000 | 0.000 |
| -0.000 | 0.000 | 0.000 | 0.000 | 0.000 | -0.000 |
| -0.000 | 0.000 | 0.000 | 0.000 | 0.000 | 6246.890 |
| 5948.409 | 5153.756 | -0.000 | -0.000 | -0.000 | -0.000 |
| 5153.756 | 5948.409 | -0.000 | -0.000 | -0.000 | -0.000 |
| 0.000 | 0.000 | -0.000 | -0.000 | -0.000 | -0.000 |
| -0.000 | -0.000 | -0.000 | -0.000 | -0.000 | 0.000 |
| -0.000 | -0.000 | -0.000 | -0.000 | -0.000 | 0.000 |
| 0.000 | -0.000 | -0.000 | -0.000 | -0.000 | 6246.890 |
| 5948.410 | 5153.758 | 0.000 | 0.000 | 0.000 | -0.000 |
| 5153.758 | 5948.410 | 0.000 | 0.000 | 0.000 | -0.000 |
| -0.000 | -0.000 | 0.000 | 0.000 | 0.000 | 0.000 |
| 0.000 | -0.000 | 0.000 | 0.000 | 0.000 | -0.000 |
| -0.000 | 0.000 | 0.000 | 0.000 | 0.000 | -0.000 |
| -0.001 | 0.001 | 0.000 | 0.000 | 0.000 | 6246.890 |
| 5948.407 | 5153.754 | -0.000 | -0.000 | -0.000 | 0.000 |
| 5153.754 | 5948.407 | -0.000 | -0.000 | -0.000 | 0.000 |
| 0.000 | 0.000 | -0.000 | -0.000 | -0.000 | -0.000 |
| 0.000 | -0.000 | -0.000 | -0.000 | -0.000 | -0.000 |
| -0.000 | -0.000 | -0.000 | -0.000 | -0.000 | 0.000 |
| 0.001 | -0.001 | -0.000 | -0.000 | -0.000 | 6246.890 |
| 5948.424 | 5153.778 | 0.000 | 0.000 | 0.000 | -0.000 |
| 5153.778 | 5948.424 | 0.000 | 0.000 | 0.000 | -0.000 |
| -0.000 | -0.000 | 0.000 | 0.000 | 0.000 | 0.000 |
| -0.000 | -0.000 | 0.000 | 0.000 | 0.000 | -0.000 |
| -0.000 | 0.000 | 0.000 | 0.000 | 0.000 | -0.000 |
| -0.006 | 0.006 | 0.000 | 0.000 | 0.000 | 6246.890 |
| 5948.393 | 5153.734 | -0.000 | -0.000 | -0.000 | -0.000 |
| 5153.734 | 5948.393 | -0.000 | -0.000 | -0.000 | 0.000 |
| 0.000 | 0.000 | -0.000 | -0.000 | -0.000 | -0.000 |
| 0.000 | -0.000 | -0.000 | -0.000 | -0.000 | -0.000 |
| 0.000 | -0.000 | -0.000 | -0.000 | -0.000 | 0.000 |
| 0.006 | -0.006 | -0.000 | -0.000 | -0.000 | 6246.890 |
| 9395.268 | 2943.985 | 84.275 | 68.126 | 0.000 | -0.000 |
| 2914.801 | 9534.689 | -138.279 | -171.033 | -0.000 | -0.000 |
| -0.008 | -0.008 | 0.034 | -0.000 | -0.000 | -0.000 |
| -0.022 | -0.022 | 0.089 | -0.000 | -0.000 | 0.000 |
| 0.000 | -0.000 | -0.000 | -0.000 | 208.778 | 171.033 |
| -0.000 | -0.000 | -0.000 | 0.000 | 171.033 | 3309.944 |
| 9395.263 | 2944.018 | 84.220 | 68.102 | -0.000 | -0.000 |
| 2944.018 | 9395.263 | 84.220 | -68.102 | 0.000 | -0.000 |
| 0.008 | 0.008 | -0.034 | 0.000 | 0.000 | 0.000 |
| 0.022 | 0.022 | -0.089 | 0.000 | 0.000 | 0.000 |
| 0.000 | -0.000 | 0.000 | -0.000 | 208.778 | 171.032 |
| 0.000 | -0.000 | 0.000 | -0.000 | 171.032 | 3309.944 |
| 9534.690 | 2914.802 | -138.279 | 171.032 | 0.000 | -0.000 |
| 3020.668 | 9360.330 | 0.001 | 0.002 | -0.000 | 0.000 |
| -0.001 | -0.001 | 0.003 | -0.000 | -0.000 | 0.000 |
| -0.002 | -0.002 | 0.009 | -0.000 | -0.000 | -0.000 |
| 0.000 | 0.000 | -0.000 | -0.000 | 208.778 | 171.033 |
| -0.003 | -0.002 | 0.009 | 0.000 | -0.000 | 3169.833 |
| 9395.247 | 2944.006 | 84.272 | 68.100 | -0.000 | -0.000 |
| 2944.002 | 9395.265 | 84.244 | -68.113 | 0.000 | 0.000 |
| -0.046 | -0.046 | 0.185 | 0.000 | 0.000 | 0.000 |
| -0.007 | 0.011 | -0.009 | -0.011 | 0.000 | 0.000 |
| -0.000 | -0.000 | -0.000 | 0.000 | 208.778 | 171.033 |
| 0.003 | 0.002 | -0.009 | -0.000 | -0.000 | 3169.833 |
| 9360.556 | 3020.627 | -0.345 | 0.160 | -0.000 | -0.000 |
| 2944.011 | 9395.270 | 84.250 | -68.112 | -0.000 | 0.000 |
| -0.000 | -0.000 | 0.000 | -0.000 | -0.000 | -0.000 |
| -0.003 | 0.002 | 0.001 | -0.003 | -0.000 | 0.000 |
| -0.000 | -0.000 | 0.001 | 0.000 | -0.000 | -0.000 |
| -0.005 | -0.000 | 0.000 | 0.000 | -0.000 | 3169.833 |
| 9360.327 | 3020.658 | -0.006 | 0.003 | -0.000 | -0.000 |
| 3020.657 | 9360.327 | -0.004 | -0.001 | -0.000 | -0.000 |
| 0.019 | 0.019 | -0.078 | -0.000 | -0.000 | 0.000 |
| 0.003 | -0.002 | -0.001 | 0.003 | 0.000 | 0.000 |
| 0.000 | 0.000 | -0.001 | -0.000 | -0.000 | -0.000 |
| 0.005 | 0.000 | -0.000 | -0.000 | -0.000 | 3169.833 |
| 550.013 | 0.000 | 0.000 | -0.000 | -0.000 | -0.000 |
| 0.000 | 550.013 | 0.000 | -0.000 | -0.000 | -0.000 |
| 0.000 | 0.000 | 550.013 | -0.000 | -0.000 | -0.000 |
| 0.000 | 0.000 | 0.000 | 455.645 | -0.000 | -0.000 |
| 0.000 | 0.000 | 0.000 | -0.000 | 455.645 | -0.000 |
| 0.000 | 0.000 | 0.000 | -0.000 | -0.000 | 455.645 |
| 550.013 | -0.000 | -0.000 | 0.000 | 0.000 | 0.000 |
| -0.000 | 550.013 | -0.000 | 0.000 | 0.000 | 0.000 |
| -0.000 | -0.000 | 550.013 | 0.000 | 0.000 | 0.000 |
| -0.000 | -0.000 | -0.000 | 455.646 | 0.000 | 0.000 |
| -0.000 | -0.000 | -0.000 | 0.000 | 455.646 | 0.000 |
| -0.000 | -0.000 | -0.000 | 0.000 | 0.000 | 455.646 |
| 550.013 | 0.000 | 0.000 | -0.000 | -0.000 | -0.000 |
| 0.000 | 550.013 | 0.000 | -0.000 | -0.000 | -0.000 |
| 0.000 | 0.000 | 550.013 | -0.000 | -0.000 | -0.000 |
| 0.000 | 0.000 | 0.000 | 455.645 | -0.000 | -0.000 |
| 0.000 | 0.000 | 0.000 | 0.000 | 455.645 | -0.000 |
| 0.000 | 0.000 | 0.000 | -0.000 | -0.000 | 455.645 |
| 550.013 | -0.000 | -0.000 | 0.000 | 0.000 | 0.000 |
| -0.000 | 550.013 | -0.000 | 0.000 | 0.000 | 0.000 |
| -0.000 | -0.000 | 550.013 | 0.000 | 0.000 | 0.000 |
| -0.000 | -0.000 | -0.000 | 455.645 | 0.000 | 0.000 |
| -0.000 | -0.000 | -0.000 | 0.000 | 455.645 | 0.000 |
| -0.000 | -0.000 | -0.000 | 0.000 | 0.000 | 455.645 |
| 550.016 | 0.000 | 0.000 | -0.000 | -0.000 | -0.000 |
| 0.000 | 550.016 | 0.000 | -0.000 | -0.000 | -0.000 |
| 0.000 | 0.000 | 550.016 | -0.000 | -0.000 | -0.000 |
| 0.000 | 0.000 | 0.001 | 455.645 | -0.000 | -0.000 |
| 0.000 | 0.000 | 0.001 | -0.000 | 455.645 | -0.000 |
| 0.000 | 0.001 | 0.000 | -0.000 | -0.000 | 455.645 |
| 550.010 | -0.000 | -0.000 | 0.000 | 0.000 | 0.000 |
| -0.000 | 550.010 | -0.000 | 0.000 | 0.000 | 0.000 |
| -0.000 | -0.000 | 550.010 | 0.000 | 0.000 | 0.000 |
| -0.000 | -0.000 | -0.001 | 455.645 | 0.000 | 0.000 |
| -0.000 | -0.000 | -0.001 | -0.000 | 455.645 | 0.000 |
| -0.000 | -0.001 | -0.000 | 0.000 | 0.000 | 455.645 |
| 34.823 | 107.441 | 211.886 | -0.000 | 0.000 | 0.000 |
| 110.179 | 21.851 | 165.371 | 0.000 | -0.000 | -0.000 |
| 213.439 | 164.186 | 177.092 | 0.000 | 0.000 | 0.000 |
| -0.024 | 0.022 | 0.004 | 115.938 | 0.000 | 0.000 |
| -0.032 | 0.030 | 0.005 | 0.000 | 138.126 | 0.000 |
| -0.026 | 0.025 | 0.004 | -0.000 | -0.000 | -35.323 |
| 34.887 | 107.381 | 211.875 | -0.000 | 0.000 | 0.000 |
| 110.243 | 21.790 | 165.360 | -0.000 | -0.000 | 0.000 |
| 213.504 | 164.126 | 177.082 | -0.000 | -0.000 | -0.000 |
| 0.024 | -0.022 | -0.004 | 115.938 | 0.000 | -0.000 |
| 0.032 | -0.030 | -0.005 | -0.000 | 138.126 | 0.000 |
| 0.026 | -0.025 | -0.004 | -0.000 | 0.000 | -35.323 |
| 34.852 | 107.414 | 211.881 | -0.000 | 0.000 | 0.000 |
| 110.208 | 21.823 | 165.366 | 0.000 | 0.000 | 0.000 |
| 213.468 | 164.159 | 177.087 | -0.000 | 0.000 | -0.000 |
| -0.002 | 0.002 | 0.000 | 115.938 | -0.000 | -0.000 |
| -0.003 | 0.003 | 0.001 | 0.000 | 138.126 | 0.000 |
| -0.003 | 0.002 | 0.000 | -0.000 | 0.000 | -35.323 |
| 34.858 | 107.408 | 211.880 | -0.000 | -0.000 | -0.000 |
| 110.214 | 21.818 | 165.365 | -0.000 | -0.000 | -0.000 |
| 213.474 | 164.153 | 177.087 | -0.000 | 0.000 | 0.000 |
| 0.002 | -0.002 | -0.000 | 115.938 | 0.000 | -0.000 |
| 0.003 | -0.003 | -0.001 | -0.000 | 138.126 | -0.000 |
| 0.003 | -0.002 | -0.000 | 0.000 | -0.000 | -35.323 |
| 34.856 | 107.411 | 211.880 | 0.000 | 0.000 | -0.000 |
| 110.212 | 21.820 | 165.365 | -0.000 | 0.000 | -0.000 |
| 213.472 | 164.158 | 177.086 | 0.000 | -0.000 | 0.000 |
| 0.000 | 0.000 | 0.000 | 115.938 | 0.000 | 0.000 |
| -0.000 | 0.001 | 0.000 | -0.000 | 138.126 | 0.000 |
| -0.000 | 0.000 | -0.000 | -0.000 | 0.000 | -35.323 |
| 34.854 | 107.412 | 211.880 | -0.000 | -0.000 | 0.000 |
| 110.210 | 21.821 | 165.366 | -0.000 | 0.000 | 0.000 |
| 213.470 | 164.155 | 177.088 | -0.000 | -0.000 | -0.000 |
| -0.000 | -0.000 | -0.000 | 115.938 | 0.000 | -0.000 |
| 0.000 | -0.001 | -0.000 | 0.000 | 138.126 | -0.000 |
| 0.000 | -0.000 | 0.000 | 0.000 | -0.000 | -35.323 |
| 296.098 | -25.405 | -25.405 | -0.000 | 0.000 | 0.000 |
| -25.405 | 296.098 | -25.405 | 0.000 | 0.000 | 0.000 |
| -25.405 | -25.405 | 296.097 | 0.000 | 0.000 | 0.000 |
| 0.032 | 0.032 | 0.032 | 10.281 | 0.000 | 0.000 |
| 0.032 | 0.032 | 0.032 | -0.000 | 10.281 | 0.000 |
| 0.032 | 0.032 | 0.032 | -0.000 | 0.000 | 10.281 |
| 541.694 | 158.023 | 158.023 | -0.000 | -0.000 | -0.000 |
| 158.023 | 541.694 | 158.023 | -0.000 | -0.000 | -0.000 |
| 158.023 | 158.023 | 541.694 | -0.000 | -0.000 | -0.000 |
| -0.032 | -0.032 | -0.032 | 10.281 | -0.000 | -0.000 |
| -0.032 | -0.032 | -0.032 | -0.000 | 10.281 | -0.000 |
| -0.032 | -0.032 | -0.032 | 0.000 | 0.000 | 10.281 |
| 0.013 | 0.014 | 0.014 | 0.000 | 0.000 | 0.000 |
| 0.014 | 0.013 | 0.014 | 0.000 | 0.000 | 0.000 |
| 0.014 | 0.014 | 0.013 | 0.000 | 0.000 | 0.000 |
| 0.000 | -0.003 | -0.001 | -0.001 | 0.002 | -0.002 |
| 0.005 | -0.000 | -0.002 | -0.003 | 0.000 | -0.004 |
| -0.002 | 0.006 | 0.005 | -0.005 | 0.005 | 0.005 |
| -0.013 | -0.014 | -0.014 | -0.000 | -0.000 | -0.000 |
| -0.014 | -0.013 | -0.014 | -0.000 | -0.000 | -0.000 |
| -0.014 | -0.014 | -0.013 | -0.000 | -0.000 | 0.000 |
| 0.002 | -0.002 | -0.001 | -0.002 | 0.003 | -0.004 |
| -0.002 | 0.004 | -0.001 | -0.000 | 0.006 | 0.001 |
| -0.001 | -0.003 | -0.006 | 0.002 | 0.002 | 0.002 |
| 0.120 | 0.122 | 0.122 | 0.000 | 0.000 | 0.000 |
| 0.122 | 0.120 | 0.122 | 0.000 | 0.000 | 0.000 |
| 0.122 | 0.122 | 0.120 | 0.000 | 0.000 | 0.000 |
| -0.006 | -0.006 | -0.006 | -9.719 | -0.000 | 0.000 |
| -0.006 | -0.006 | -0.006 | 0.000 | -9.719 | 0.000 |
| -0.006 | -0.006 | -0.006 | -0.000 | 0.000 | -9.719 |
| -0.123 | -0.127 | -0.127 | -0.000 | -0.000 | -0.000 |
| -0.127 | -0.123 | -0.127 | -0.000 | -0.000 | -0.000 |
| -0.127 | -0.127 | -0.123 | -0.000 | -0.000 | -0.000 |
| 0.006 | 0.006 | 0.006 | -9.719 | -0.000 | -0.000 |
| 0.006 | 0.006 | 0.006 | -0.000 | -9.719 | -0.000 |
| 0.006 | 0.006 | 0.006 | 0.000 | -0.000 | -9.719 |
| 0.000 | -0.000 | -0.000 | 0.000 | 0.000 | 0.000 |
| 0.000 | -0.000 | -0.000 | 0.000 | 0.000 | 0.000 |
| 0.000 | -0.000 | -0.000 | 0.000 | 0.000 | 0.000 |
| 0.000 | -0.000 | -0.000 | -0.000 | -0.000 | 0.000 |
| 0.000 | -0.000 | -0.000 | -0.000 | -0.000 | 0.000 |
| 0.000 | 0.000 | 0.000 | -0.000 | 0.000 | 0.000 |
| -0.000 | 0.000 | 0.000 | -0.000 | -0.000 | -0.000 |
| -0.000 | 0.000 | 0.000 | -0.000 | -0.000 | -0.000 |
| -0.000 | 0.000 | 0.000 | -0.000 | -0.000 | -0.000 |
| -0.000 | 0.000 | 0.000 | -0.000 | -0.000 | -0.000 |
| -0.000 | -0.000 | -0.000 | -0.000 | -0.000 | -0.000 |
| -0.000 | 0.000 | -0.000 | -0.000 | -0.000 | -0.000 |
| -0.001 | -0.001 | -0.001 | -0.000 | -0.000 | 0.000 |
| -0.001 | -0.001 | -0.001 | -0.000 | -0.000 | 0.000 |
| -0.001 | -0.001 | -0.001 | 0.000 | -0.000 | 0.000 |
| 0.000 | -0.000 | -0.000 | -0.000 | 0.000 | 0.000 |
| 0.000 | -0.000 | -0.000 | 0.000 | -0.000 | 0.000 |
| 0.000 | -0.000 | -0.000 | 0.000 | -0.000 | 0.000 |
| 0.001 | 0.001 | 0.001 | -0.000 | 0.000 | -0.000 |
| 0.001 | 0.001 | 0.001 | 0.000 | 0.000 | -0.000 |
| 0.001 | 0.001 | 0.001 | -0.000 | 0.000 | -0.000 |
| -0.000 | 0.000 | -0.000 | 0.000 | -0.000 | -0.000 |
| -0.000 | 0.000 | 0.000 | -0.000 | -0.000 | -0.000 |
| -0.000 | 0.000 | 0.000 | -0.000 | -0.000 | -0.000 |
| -0.007 | -0.007 | -0.007 | 0.000 | -0.000 | 0.000 |
| -0.007 | -0.007 | -0.007 | 0.000 | 0.000 | 0.000 |
| -0.007 | -0.007 | -0.007 | 0.000 | -0.000 | 0.000 |
| -0.000 | -0.000 | -0.000 | 0.000 | 0.000 | 0.000 |
| -0.000 | -0.000 | -0.000 | 0.000 | 0.000 | 0.000 |
| -0.000 | -0.000 | -0.000 | 0.000 | 0.000 | 0.000 |
| 0.007 | 0.007 | 0.007 | 0.000 | -0.000 | -0.000 |
| 0.007 | 0.007 | 0.007 | 0.000 | -0.000 | -0.000 |
| 0.007 | 0.007 | 0.007 | 0.000 | 0.000 | 0.000 |
| 0.000 | 0.000 | 0.000 | 0.000 | -0.000 | -0.000 |
| 0.000 | 0.000 | 0.000 | 0.000 | 0.000 | -0.000 |
| 0.000 | 0.000 | 0.000 | -0.000 | 0.000 | -0.000 |
| 0.000 | -0.000 | -0.000 | 0.000 | 0.000 | 0.000 |
| -0.000 | -0.000 | -0.000 | -0.000 | -0.000 | -0.000 |
| -0.000 | -0.000 | -0.000 | -0.000 | -0.000 | -0.000 |
| 0.000 | -0.000 | -0.000 | 0.000 | 0.000 | 0.000 |
| -0.000 | -0.000 | -0.000 | -0.000 | 0.000 | -0.000 |
| -0.000 | -0.000 | 0.000 | 0.000 | 0.000 | -0.000 |
| -0.000 | 0.000 | 0.000 | 0.000 | -0.000 | 0.000 |
| -0.000 | 0.000 | 0.000 | -0.000 | -0.000 | 0.000 |
| -0.000 | 0.000 | -0.000 | -0.000 | -0.000 | -0.000 |
| 0.000 | 0.000 | -0.000 | -0.000 | -0.000 | 0.000 |
| -0.000 | 0.000 | 0.000 | 0.000 | 0.000 | 0.000 |
| 0.000 | 0.000 | -0.000 | 0.000 | -0.000 | 0.000 |
| -0.001 | -0.001 | -0.001 | 0.000 | -0.000 | 0.000 |
| -0.001 | -0.001 | -0.001 | 0.000 | -0.000 | 0.000 |
| -0.001 | -0.001 | -0.001 | 0.000 | -0.000 | 0.000 |
| -0.000 | -0.000 | -0.000 | -0.000 | 0.000 | 0.000 |
| -0.000 | -0.000 | -0.000 | -0.000 | -0.000 | 0.000 |
| 0.000 | -0.000 | -0.000 | -0.000 | 0.000 | -0.000 |
| 0.001 | 0.001 | 0.001 | -0.000 | 0.000 | -0.000 |
| 0.001 | 0.001 | 0.001 | -0.000 | 0.000 | 0.000 |
| 0.001 | 0.001 | 0.001 | 0.000 | 0.000 | 0.000 |
| 0.000 | 0.000 | 0.000 | -0.000 | -0.000 | 0.000 |
| -0.000 | 0.000 | -0.000 | 0.000 | -0.000 | -0.000 |
| -0.000 | 0.000 | 0.000 | -0.000 | 0.000 | 0.000 |
| -0.007 | -0.007 | -0.007 | 0.000 | 0.000 | -0.000 |
| -0.007 | -0.007 | -0.007 | 0.000 | -0.000 | -0.000 |
| -0.007 | -0.007 | -0.007 | 0.000 | -0.000 | -0.000 |
| -0.000 | -0.000 | -0.000 | -0.000 | 0.000 | 0.000 |
| -0.000 | -0.000 | -0.000 | 0.000 | -0.000 | -0.000 |
| -0.000 | -0.000 | -0.000 | 0.000 | -0.000 | 0.000 |
| 0.007 | 0.007 | 0.007 | -0.000 | 0.000 | 0.000 |
| 0.007 | 0.007 | 0.007 | -0.000 | 0.000 | -0.000 |
| 0.007 | 0.007 | 0.007 | -0.000 | 0.000 | 0.000 |
| 0.000 | 0.000 | 0.000 | -0.000 | 0.000 | 0.000 |
| 0.000 | 0.000 | 0.000 | 0.000 | -0.000 | 0.000 |
| 0.000 | 0.000 | 0.000 | -0.000 | 0.000 | 0.000 |
| -20.551 | -20.559 | -26.113 | -0.007 | -0.000 | -0.000 |
| 14.805 | 44.414 | 38.041 | 23.732 | -0.000 | 0.000 |
| -20.549 | -20.549 | -26.066 | 0.000 | 0.000 | 0.000 |
| -23.732 | 23.732 | -0.000 | 38.042 | 0.000 | -0.000 |
| -0.000 | -0.000 | -0.000 | 0.000 | 38.042 | -23.732 |
| -0.000 | -0.000 | -0.000 | -0.000 | -23.732 | 14.805 |
| 44.414 | 14.805 | 38.042 | -23.732 | -0.000 | -0.000 |
| 14.805 | 44.414 | 38.042 | 23.731 | 0.000 | -0.000 |
| 38.042 | 38.042 | 155.369 | -0.000 | 0.000 | 0.000 |
| -23.732 | 23.732 | 0.000 | 38.042 | 0.000 | 0.000 |
| 0.000 | 0.000 | -0.000 | 0.000 | 38.042 | -23.732 |
| 0.000 | 0.000 | 0.000 | -0.000 | -23.732 | 14.805 |
| -2.051 | -2.055 | -2.608 | -0.003 | 0.000 | -0.000 |
| 14.805 | 44.414 | 38.042 | 23.732 | 0.000 | -0.000 |
| -2.021 | -2.021 | -2.471 | 0.000 | -0.000 | -0.000 |
| -23.732 | 23.732 | -0.000 | 38.042 | 0.000 | -0.000 |
| -0.000 | 0.000 | -0.000 | -0.000 | 38.042 | -23.732 |
| -0.000 | 0.000 | 0.000 | 0.000 | -23.732 | 14.805 |
| 1.973 | 2.032 | 2.543 | 0.047 | 0.000 | 0.000 |
| 2.049 | 2.031 | 2.591 | -0.015 | -0.000 | -0.000 |
| 2.024 | 2.024 | 2.473 | -0.000 | 0.000 | 0.000 |
| 2.078 | 2.039 | 2.615 | -0.031 | 0.000 | 0.000 |
| 0.000 | -0.000 | 0.000 | -0.000 | 38.042 | -23.732 |
| 0.000 | -0.000 | -0.000 | -0.000 | -23.732 | 14.805 |
| -0.150 | -0.187 | -0.214 | -0.029 | -0.000 | 0.000 |
| 14.805 | 44.414 | 38.042 | 23.732 | -0.000 | -0.000 |
| -0.223 | -0.223 | -0.331 | 0.000 | -0.000 | 0.000 |
| -23.732 | 23.732 | -0.000 | 38.042 | -0.000 | 0.000 |
| -0.206 | -0.206 | -0.261 | 0.000 | 0.003 | -0.002 |
| -0.000 | -0.000 | 0.000 | -0.000 | -23.732 | 14.805 |
| -0.020 | 0.131 | 0.068 | 0.121 | -0.000 | 0.000 |
| 0.210 | 0.219 | 0.273 | 0.007 | -0.000 | 0.000 |
| 0.206 | 0.206 | 0.261 | -0.000 | 0.000 | -0.000 |
| 0.203 | 0.209 | 0.261 | 0.005 | 0.000 | -0.000 |
| 0.206 | 0.206 | 0.261 | -0.000 | 0.003 | -0.002 |
| 0.000 | 0.000 | -0.000 | 0.000 | -23.732 | 14.805 |
| -0.000 | -0.000 | 0.000 | 0.000 | 0.000 | 0.000 |
| -0.000 | -0.000 | 0.000 | 0.000 | 0.000 | -0.000 |
| 0.000 | 0.000 | 0.000 | 0.000 | 0.000 | 0.000 |
| 0.000 | 0.000 | 0.000 | 0.000 | 0.000 | 0.000 |
| 0.000 | 0.000 | 0.000 | 0.000 | 0.000 | 0.000 |
| -0.000 | -0.000 | 0.000 | 0.000 | 0.000 | -0.000 |
| 0.000 | 0.000 | -0.000 | -0.000 | -0.000 | -0.000 |
| 0.000 | 0.000 | -0.000 | -0.000 | -0.000 | -0.000 |
| -0.000 | -0.000 | -0.000 | -0.000 | -0.000 | -0.000 |
| -0.000 | -0.000 | -0.000 | -0.000 | -0.000 | -0.000 |
| 0.000 | -0.000 | -0.000 | -0.000 | -0.000 | -0.000 |
| -0.000 | 0.000 | -0.000 | -0.000 | -0.000 | -0.000 |
| -0.003 | -0.003 | 0.000 | 0.000 | 0.000 | -0.000 |
| -0.003 | -0.003 | 0.000 | 0.000 | 0.000 | -0.000 |
| 0.000 | 0.000 | 0.000 | 0.000 | 0.000 | 0.000 |
| 0.000 | 0.000 | 0.000 | 0.000 | 0.000 | 0.000 |
| 0.000 | -0.000 | 0.000 | 0.000 | 0.000 | 0.000 |
| -0.000 | -0.000 | 0.000 | 0.000 | 0.000 | 0.000 |
| 0.003 | 0.003 | -0.000 | -0.000 | -0.000 | -0.000 |
| 0.003 | 0.003 | -0.000 | -0.000 | -0.000 | 0.000 |
| -0.000 | -0.000 | -0.000 | -0.000 | -0.000 | -0.000 |
| -0.000 | 0.000 | -0.000 | -0.000 | -0.000 | -0.000 |
| 0.000 | -0.000 | -0.000 | -0.000 | -0.000 | -0.000 |
| 0.000 | 0.000 | -0.000 | -0.000 | -0.000 | -0.000 |
| -0.029 | -0.029 | 0.000 | 0.000 | 0.000 | 0.000 |
| -0.029 | -0.029 | 0.000 | 0.000 | 0.000 | -0.000 |
| 0.000 | 0.000 | 0.000 | 0.000 | 0.000 | 0.000 |
| 0.000 | 0.000 | 0.000 | 0.000 | 0.000 | 0.000 |
| -0.000 | 0.000 | 0.000 | 0.000 | 0.000 | 0.000 |
| -0.000 | -0.000 | 0.000 | 0.000 | 0.000 | 0.000 |
| 0.028 | 0.028 | -0.000 | -0.000 | -0.000 | -0.000 |
| 0.028 | 0.028 | -0.000 | -0.000 | -0.000 | -0.000 |
| -0.000 | -0.000 | -0.000 | -0.000 | -0.000 | -0.000 |
| -0.000 | -0.000 | -0.000 | -0.000 | -0.000 | -0.000 |
| -0.000 | -0.000 | -0.000 | -0.000 | -0.000 | -0.000 |
| 0.000 | 0.000 | -0.000 | -0.000 | -0.000 | 0.000 |
| -0.000 | -0.000 | 0.000 | 0.000 | 0.000 | -0.000 |
| -0.000 | -0.000 | 0.000 | 0.000 | 0.000 | -0.000 |
| -0.000 | -0.000 | 0.000 | 0.000 | 0.000 | -0.000 |
| -0.000 | -0.000 | 0.000 | 0.000 | 0.000 | -0.000 |
| -0.000 | -0.000 | 0.000 | 0.000 | 0.000 | -0.000 |
| -0.000 | -0.000 | 0.000 | 0.000 | 0.000 | -0.000 |
| 0.000 | 0.000 | -0.000 | -0.000 | -0.000 | 0.000 |
| 0.000 | 0.000 | -0.000 | -0.000 | -0.000 | 0.000 |
| 0.000 | 0.000 | -0.000 | -0.000 | -0.000 | 0.000 |
| 0.000 | 0.000 | -0.000 | -0.000 | -0.000 | 0.000 |
| 0.000 | 0.000 | -0.000 | -0.000 | -0.000 | 0.000 |
| 0.000 | 0.000 | -0.000 | -0.000 | -0.000 | 0.000 |
| -0.003 | -0.003 | 0.000 | 0.000 | 0.000 | -0.000 |
| -0.003 | -0.003 | 0.000 | 0.000 | 0.000 | -0.000 |
| -0.000 | -0.000 | 0.000 | 0.000 | 0.000 | -0.000 |
| -0.000 | -0.000 | 0.000 | 0.000 | 0.000 | -0.000 |
| -0.000 | -0.000 | 0.000 | 0.000 | 0.000 | -0.000 |
| -0.000 | -0.000 | 0.000 | 0.000 | 0.000 | -0.000 |
| 0.003 | 0.003 | -0.000 | -0.000 | -0.000 | 0.000 |
| 0.003 | 0.003 | -0.000 | -0.000 | -0.000 | 0.000 |
| 0.000 | 0.000 | -0.000 | -0.000 | -0.000 | 0.000 |
| 0.000 | 0.000 | -0.000 | -0.000 | -0.000 | 0.000 |
| 0.000 | 0.000 | -0.000 | -0.000 | -0.000 | 0.000 |
| 0.000 | 0.000 | -0.000 | -0.000 | -0.000 | 0.000 |
| -0.026 | -0.026 | 0.000 | 0.000 | 0.000 | -0.000 |
| -0.026 | -0.026 | 0.000 | 0.000 | 0.000 | -0.000 |
| -0.000 | -0.000 | 0.000 | 0.000 | 0.000 | -0.000 |
| -0.000 | -0.000 | 0.000 | 0.000 | 0.000 | -0.000 |
| -0.000 | -0.000 | 0.000 | 0.000 | 0.000 | -0.000 |
| -0.000 | -0.000 | 0.000 | 0.000 | 0.000 | 0.000 |
| 0.026 | 0.026 | -0.000 | -0.000 | -0.000 | 0.000 |
| 0.026 | 0.026 | -0.000 | -0.000 | -0.000 | 0.000 |
| 0.000 | 0.000 | -0.000 | -0.000 | -0.000 | 0.000 |
| 0.000 | 0.000 | -0.000 | -0.000 | -0.000 | 0.000 |
| 0.000 | 0.000 | -0.000 | -0.000 | -0.000 | 0.000 |
| 0.000 | 0.000 | -0.000 | -0.000 | -0.000 | 0.000 |
| 0.000 | 0.000 | 0.000 | -0.000 | 0.000 | 0.000 |
| 0.000 | 0.000 | 0.000 | -0.000 | 0.000 | 0.000 |
| 0.000 | 0.000 | -0.002 | -0.000 | 0.000 | 0.000 |
| 0.000 | -0.000 | 0.000 | -0.000 | 0.000 | 0.000 |
| -0.000 | 0.000 | 0.000 | -0.000 | 0.000 | 0.000 |
| 0.000 | 0.000 | 0.000 | -0.000 | 0.000 | 0.000 |
| -0.000 | -0.000 | -0.000 | 0.000 | -0.000 | -0.000 |
| -0.000 | -0.000 | -0.000 | 0.000 | -0.000 | -0.000 |
| -0.000 | -0.000 | 0.002 | 0.000 | -0.000 | -0.000 |
| -0.000 | 0.000 | -0.000 | 0.000 | -0.000 | -0.000 |
| 0.000 | -0.000 | -0.000 | 0.000 | -0.000 | -0.000 |
| -0.000 | -0.000 | -0.000 | 0.000 | -0.000 | -0.000 |
| 0.000 | 0.000 | 0.000 | -0.000 | 0.000 | 0.000 |
| 0.000 | 0.000 | 0.000 | -0.000 | 0.000 | 0.000 |
| 0.000 | 0.000 | -0.019 | -0.000 | 0.000 | 0.000 |
| 0.000 | 0.000 | 0.000 | -0.000 | 0.000 | 0.000 |
| -0.000 | 0.000 | 0.000 | -0.000 | 0.000 | 0.000 |
| 0.000 | 0.000 | 0.000 | -0.000 | 0.000 | 0.000 |
| -0.000 | -0.000 | -0.000 | 0.000 | -0.000 | -0.000 |
| -0.000 | -0.000 | -0.000 | 0.000 | -0.000 | -0.000 |
| -0.000 | -0.000 | 0.019 | 0.000 | -0.000 | -0.000 |
| -0.000 | 0.000 | -0.000 | 0.000 | -0.000 | 0.000 |
| 0.000 | -0.000 | -0.000 | 0.000 | -0.000 | -0.000 |
| -0.000 | -0.000 | -0.000 | 0.000 | -0.000 | -0.000 |
| 0.000 | 0.000 | 0.000 | -0.000 | 0.000 | 0.000 |
| 0.000 | 0.000 | 0.000 | -0.000 | 0.000 | 0.000 |
| 0.000 | 0.000 | 0.000 | -0.000 | 0.000 | 0.000 |
| 0.000 | -0.000 | -0.000 | -0.000 | 0.000 | -0.000 |
| -0.000 | 0.000 | -0.000 | -0.000 | 0.000 | 0.000 |
| 0.000 | 0.000 | 0.000 | -0.000 | 0.000 | 0.000 |
| -0.000 | -0.000 | -0.000 | 0.000 | -0.000 | -0.000 |
| -0.000 | -0.000 | -0.000 | 0.000 | -0.000 | -0.000 |
| -0.000 | -0.000 | 0.194 | 0.000 | -0.000 | -0.000 |
| -0.000 | 0.000 | 0.000 | 0.000 | -0.000 | -0.000 |
| 0.000 | -0.000 | 0.000 | 0.000 | -0.000 | -0.000 |
| -0.000 | -0.000 | -0.000 | 0.000 | -0.000 | -0.000 |
| 0.000 | 0.000 | -0.000 | -0.000 | -0.000 | 0.000 |
| 0.000 | 0.000 | -0.000 | 0.000 | 0.000 | 0.000 |
| -0.000 | 0.000 | -0.004 | 0.000 | -0.000 | 0.000 |
| 0.000 | 0.000 | -0.000 | -0.000 | -0.000 | 0.000 |
| -0.000 | 0.000 | -0.000 | -0.000 | -0.000 | 0.000 |
| 0.000 | 0.000 | -0.000 | -0.000 | -0.000 | 0.000 |
| -0.000 | -0.000 | 0.000 | 0.000 | 0.000 | -0.000 |
| -0.000 | -0.000 | 0.000 | 0.000 | -0.000 | -0.000 |
| 0.000 | -0.000 | 0.002 | -0.000 | 0.000 | -0.000 |
| -0.000 | 0.000 | 0.000 | -0.000 | 0.000 | 0.000 |
| 0.000 | -0.000 | 0.000 | 0.000 | -0.000 | -0.000 |
| -0.000 | -0.000 | 0.000 | 0.000 | 0.000 | -0.000 |
| 0.000 | 0.000 | -0.000 | -0.000 | 0.000 | 0.000 |
| 0.000 | 0.000 | -0.000 | 0.000 | 0.000 | 0.000 |
| -0.000 | 0.000 | -0.021 | -0.000 | 0.000 | 0.000 |
| 0.000 | -0.000 | -0.000 | -0.000 | 0.000 | 0.000 |
| -0.000 | 0.000 | -0.000 | 0.000 | -0.000 | 0.000 |
| 0.000 | 0.000 | -0.000 | -0.000 | 0.000 | 0.000 |
| -0.000 | -0.000 | 0.000 | 0.000 | -0.000 | -0.000 |
| -0.000 | -0.000 | 0.000 | -0.000 | -0.000 | -0.000 |
| 0.000 | -0.000 | 0.021 | 0.000 | -0.000 | -0.000 |
| -0.000 | 0.000 | 0.000 | -0.000 | -0.000 | -0.000 |
| -0.000 | -0.000 | 0.000 | -0.000 | -0.000 | -0.000 |
| -0.000 | -0.000 | 0.000 | 0.000 | 0.000 | -0.000 |
| 0.000 | 0.000 | -0.000 | -0.000 | 0.000 | 0.000 |
| 0.000 | 0.000 | -0.000 | -0.000 | 0.000 | 0.000 |
| -0.000 | 0.000 | -0.000 | 0.000 | -0.000 | 0.000 |
| -0.000 | -0.000 | -0.000 | -0.000 | -0.000 | -0.000 |
| -0.000 | 0.000 | -0.000 | -0.000 | -0.000 | 0.000 |
| 0.000 | 0.000 | -0.000 | -0.000 | -0.000 | 0.000 |
| -0.000 | -0.000 | 0.000 | 0.000 | 0.000 | -0.000 |
| -0.000 | -0.000 | 0.000 | 0.000 | -0.000 | -0.000 |
| 0.000 | -0.000 | 0.208 | 0.000 | 0.000 | -0.000 |
| 0.000 | -0.000 | 0.000 | 0.000 | 0.000 | -0.000 |
| 0.000 | -0.000 | 0.000 | 0.000 | 0.000 | -0.000 |
| -0.000 | -0.000 | 0.000 | 0.000 | 0.000 | -0.000 |
| -91.773 | -55.950 | -55.950 | -0.000 | 0.000 | -0.000 |
| -55.950 | -91.773 | -55.950 | -0.000 | 0.000 | 0.000 |
| -55.950 | -55.950 | -91.773 | -0.000 | 0.000 | -0.000 |
| -219927946.671 | -109328301.002 | -171535244.173 | 84173677.276 | 23865238.584 | 41010593.827 |
| -156654295.836 | -220774439.023 | -102375158.527 | 25841755.553 | 64350734.480 | 12411714.788 |
| -61504094.770 | -85823393.781 | -194518227.402 | -175659.633 | 9362811.973 | 26837360.003 |
| -89.422 | -53.600 | -53.600 | 0.000 | -0.000 | -0.000 |
| -53.600 | -89.422 | -53.600 | 0.000 | -0.000 | 0.000 |
| -53.600 | -53.600 | -89.422 | 0.000 | -0.000 | -0.000 |
| 165310482.830 | -14262904.916 | -3798688.269 | -23207933.924 | 2607069.849 | -9301982.748 |
| 55241091.687 | 230840856.579 | 69631125.002 | -20007132.142 | 9149903.903 | -8653866.918 |
| 65938296.066 | 135520695.245 | 207855739.049 | 20419318.016 | 15630868.822 | 46905381.878 |
| -90.717 | -54.892 | -54.892 | -0.000 | 0.000 | -0.000 |
| -54.892 | -90.717 | -54.892 | -0.000 | 0.000 | 0.000 |
| -54.892 | -54.892 | -90.717 | -0.000 | 0.000 | 0.000 |
| -15957537.571 | -4969267.430 | -8736814.671 | 3509521.965 | 911009.780 | -2973442.673 |
| -4983618.119 | -20363315.449 | -5532233.527 | 2296552.729 | 796842.326 | 1464724.261 |
| -9999869.887 | -17986481.443 | -19825198.024 | -801056.631 | -27232.313 | 9864675.203 |
| -90.478 | -54.658 | -54.658 | 0.000 | -0.000 | 0.000 |
| -54.658 | -90.478 | -54.658 | 0.000 | -0.000 | 0.000 |
| -54.658 | -54.658 | -90.478 | 0.000 | -0.000 | 0.000 |
| 17316002.755 | 8931702.668 | 14537788.273 | 7994163.027 | 3139033.659 | 4785395.675 |
| 18671671.384 | 29082085.705 | 14577326.242 | 1082181.630 | 7771739.782 | 2518203.880 |
| 15258007.920 | 19745968.039 | 28134158.307 | 1195678.753 | 2768940.247 | 8593059.804 |
| -90.628 | -54.785 | -54.785 | -0.000 | 0.000 | -0.000 |
| -54.785 | -90.628 | -54.785 | -0.000 | 0.000 | 0.000 |
| -54.785 | -54.785 | -90.628 | -0.000 | 0.000 | 0.000 |
| -3135148.416 | -1728566.515 | -2600344.459 | 1272739.041 | 116749.366 | 7649.972 |
| -1268528.922 | -2317184.357 | -839210.559 | -7462.095 | 396427.198 | -134465.792 |
| -396317.078 | -688102.313 | -1938669.052 | -66034.178 | -215681.277 | 47261.337 |
| -90.567 | -54.765 | -54.765 | 0.000 | -0.000 | -0.000 |
| -54.765 | -90.567 | -54.765 | 0.000 | -0.000 | -0.000 |
| -54.765 | -54.765 | -90.567 | 0.000 | -0.000 | -0.000 |
| 2249899.145 | 1033622.593 | 1516901.507 | 592280.602 | 795.242 | 1300.582 |
| 1988526.469 | 2106003.859 | 1067437.059 | -38865.571 | 972263.320 | -6860.475 |
| -12996.050 | -214739.227 | 1653683.737 | 89642.830 | -140774.857 | -466782.343 |
| 0.000 | -0.000 | -0.000 | -0.000 | -0.000 | 0.000 |
| 0.000 | -0.001 | -0.000 | -0.000 | 0.000 | 0.000 |
| 0.000 | -0.000 | -0.000 | -0.000 | 0.000 | 0.000 |
| 0.000 | 0.000 | -0.000 | 0.000 | 0.000 | 0.000 |
| -0.000 | -0.000 | -0.000 | -0.000 | -0.000 | 0.000 |
| 0.000 | -0.000 | -0.000 | -0.000 | -0.000 | 0.000 |
| -0.000 | 0.000 | 0.000 | 0.000 | -0.000 | -0.000 |
| -0.000 | 0.002 | 0.000 | -0.000 | -0.000 | -0.000 |
| -0.000 | 0.000 | 0.000 | -0.000 | -0.000 | -0.000 |
| -0.000 | -0.000 | 0.000 | 0.000 | 0.000 | 0.000 |
| 0.000 | 0.000 | 0.000 | 0.000 | -0.000 | -0.000 |
| -0.000 | 0.000 | 0.000 | 0.000 | 0.000 | -0.000 |
| 0.000 | -0.000 | -0.000 | -0.000 | 0.000 | 0.000 |
| 0.000 | -0.023 | -0.004 | -0.000 | 0.000 | 0.000 |
| 0.000 | -0.001 | -0.000 | -0.000 | 0.000 | 0.000 |
| 0.000 | 0.000 | 0.000 | -0.000 | 0.000 | 0.000 |
| -0.000 | -0.000 | -0.000 | -0.000 | 0.000 | -0.000 |
| 0.000 | -0.000 | -0.000 | -0.000 | 0.000 | -0.000 |
| -0.000 | 0.000 | 0.000 | 0.000 | 0.000 | -0.000 |
| -0.000 | 0.023 | 0.004 | 0.000 | -0.000 | -0.000 |
| -0.000 | 0.001 | 0.000 | 0.000 | -0.000 | -0.000 |
| -0.000 | 0.000 | 0.000 | -0.000 | -0.000 | -0.000 |
| -0.000 | 0.000 | 0.000 | 0.000 | -0.000 | -0.000 |
| 0.000 | 0.000 | 0.000 | 0.000 | 0.000 | -0.000 |
| 0.000 | -0.000 | -0.000 | -0.000 | 0.000 | 0.000 |
| 0.000 | 0.000 | -0.000 | -0.000 | -0.000 | 0.000 |
| 0.000 | -0.008 | -0.001 | -0.000 | -0.000 | 0.000 |
| 0.000 | -0.000 | -0.000 | 0.000 | 0.000 | 0.000 |
| -0.000 | -0.000 | -0.000 | -0.000 | -0.000 | -0.000 |
| -0.000 | 0.000 | 0.000 | -0.000 | 0.000 | 0.000 |
| -0.000 | 0.000 | 0.000 | 0.000 | -0.000 | -0.000 |
| -0.000 | 0.000 | 0.000 | 0.000 | -0.000 | -0.000 |
| -0.000 | 0.008 | 0.001 | 0.000 | -0.000 | -0.000 |
| -0.000 | 0.000 | 0.000 | 0.000 | -0.000 | -0.000 |
| -0.000 | 0.000 | 0.000 | 0.000 | 0.000 | -0.000 |
| 0.000 | -0.000 | -0.000 | 0.000 | 0.000 | -0.000 |
| 1.126 | 0.878 | 0.878 | -0.000 | 0.000 | -0.000 |
| 0.878 | 1.127 | 0.878 | 0.000 | 0.000 | -0.000 |
| 0.878 | 0.878 | 1.127 | -0.000 | -0.000 | -0.000 |
| 2.448 | 2.448 | 2.448 | -1.333 | -0.000 | -0.000 |
| 2.448 | 2.448 | 2.448 | -0.000 | -1.333 | -0.000 |
| 2.448 | 2.448 | 2.448 | -0.000 | -0.000 | -1.333 |
| -3.648 | -4.022 | -4.022 | 0.000 | 0.000 | 0.000 |
| -4.022 | -3.648 | -4.022 | -0.000 | 0.000 | 0.000 |
| -4.022 | -4.022 | -3.648 | 0.000 | 0.000 | 0.000 |
| 0.000 | -0.000 | 0.000 | 147.908 | 0.000 | -0.000 |
| -2.448 | -2.448 | -2.448 | 0.000 | -1.333 | 0.000 |
| -2.448 | -2.448 | -2.448 | 0.000 | 0.000 | -1.333 |
| 0.316 | 0.209 | 0.196 | -0.000 | 0.009 | 0.006 |
| 2.082 | 2.902 | 2.062 | 0.009 | -0.000 | -0.007 |
| 0.183 | 0.212 | 0.309 | 0.008 | -0.003 | -0.000 |
| 0.211 | 0.211 | 0.211 | 22.130 | 0.000 | -0.000 |
| 0.211 | 0.211 | 0.211 | 0.000 | 22.130 | -0.000 |
| 0.211 | 0.211 | 0.211 | -0.000 | -0.000 | 22.130 |
| 2.254 | -2.557 | -2.557 | 0.000 | 0.000 | 0.000 |
| -2.557 | 2.254 | -2.557 | 0.000 | 0.000 | 0.000 |
| -2.557 | -2.557 | 2.254 | 0.000 | -0.000 | 0.000 |
| -0.211 | -0.211 | -0.211 | 22.130 | 0.000 | 0.000 |
| -0.211 | -0.211 | -0.211 | 0.000 | 22.130 | 0.000 |
| -0.211 | -0.211 | -0.211 | 0.000 | 0.000 | 22.130 |
| -0.002 | 0.061 | 0.061 | -0.000 | -0.000 | -0.000 |
| 4.658 | -0.243 | 4.657 | -0.000 | -0.000 | 0.000 |
| 0.029 | 0.026 | 0.030 | -0.000 | -0.000 | -0.000 |
| -0.370 | 1.669 | 1.669 | -1.345 | 0.000 | -0.000 |
| -5.165 | 0.639 | -5.163 | -0.000 | 4.613 | 0.000 |
| -0.550 | -0.524 | -0.693 | 0.000 | -0.000 | 0.968 |
| 2.517 | -2.299 | -2.299 | 0.000 | -0.000 | 0.000 |
| -2.299 | 2.517 | -2.299 | 0.000 | -0.000 | 0.000 |
| -2.299 | -2.299 | 2.517 | 0.000 | 0.000 | 0.000 |
| 0.245 | -0.295 | -0.282 | -1.319 | 0.000 | 0.000 |
| 4.739 | -0.713 | 4.737 | 0.000 | 4.263 | -0.000 |
| 1.165 | 1.177 | -0.001 | 0.000 | 0.000 | 0.013 |
| -0.000 | 0.000 | -0.000 | 0.000 | 0.000 | 0.000 |
| -0.000 | -0.000 | -0.000 | 0.000 | 0.000 | 0.000 |
| -0.000 | -0.000 | -0.000 | 0.000 | 0.000 | -0.000 |
| -0.000 | 0.000 | 0.000 | 0.000 | 0.000 | 0.000 |
| -0.000 | -0.000 | -0.000 | 0.000 | 0.000 | -0.000 |
| -0.000 | 0.000 | 0.000 | 0.000 | 0.000 | 0.000 |
| 0.000 | 0.000 | 0.000 | -0.000 | -0.000 | -0.001 |
| 0.000 | 0.000 | 0.000 | -0.000 | -0.000 | -0.001 |
| 0.000 | 0.000 | 0.000 | -0.000 | -0.000 | -0.000 |
| 0.000 | 0.000 | -0.000 | -0.000 | -0.000 | -0.001 |
| -0.000 | 0.000 | 0.000 | -0.000 | -0.000 | -0.000 |
| 0.000 | 0.000 | -0.000 | -0.000 | -0.000 | -0.000 |
| -0.002 | -0.002 | -0.002 | 0.000 | 0.000 | 0.000 |
| -0.002 | -0.002 | -0.002 | -0.000 | 0.000 | 0.000 |
| -0.002 | -0.002 | -0.002 | -0.000 | 0.000 | 0.000 |
| -0.000 | 0.000 | -0.000 | 0.000 | 0.000 | -0.000 |
| -0.000 | -0.000 | -0.000 | 0.000 | 0.000 | 0.000 |
| -0.000 | -0.000 | -0.000 | 0.000 | 0.000 | 0.000 |
| 0.002 | 0.002 | 0.002 | -0.000 | 0.000 | -0.000 |
| 0.002 | 0.002 | 0.002 | 0.000 | 0.000 | 0.000 |
| 0.002 | 0.002 | 0.002 | 0.000 | 0.000 | 0.000 |
| 0.000 | -0.000 | 0.000 | -0.000 | -0.000 | -0.000 |
| 0.000 | 0.000 | 0.000 | -0.000 | -0.000 | -0.000 |
| 0.000 | 0.000 | -0.000 | -0.000 | -0.000 | -0.000 |
| -0.017 | -0.017 | -0.017 | 0.000 | -0.000 | -0.000 |
| -0.017 | -0.017 | -0.017 | 0.000 | 0.000 | 0.000 |
| -0.017 | -0.017 | -0.017 | 0.000 | 0.000 | 0.000 |
| -0.000 | -0.000 | -0.000 | 0.000 | -0.000 | -0.000 |
| -0.000 | -0.000 | -0.000 | 0.000 | 0.000 | -0.000 |
| -0.000 | -0.000 | -0.000 | 0.000 | 0.000 | 0.000 |
| 0.017 | 0.017 | 0.017 | -0.000 | 0.000 | 0.000 |
| 0.017 | 0.017 | 0.017 | 0.000 | -0.000 | 0.000 |
| 0.017 | 0.017 | 0.017 | 0.000 | 0.000 | -0.000 |
| 0.000 | 0.000 | 0.000 | 0.000 | -0.000 | 0.000 |
| 0.000 | 0.000 | 0.000 | -0.000 | 0.000 | -0.000 |
| 0.000 | 0.000 | 0.000 | -0.000 | 0.000 | 0.000 |
| 0.011 | 0.011 | 0.000 | 0.000 | 0.000 | -0.000 |
| 0.011 | 0.011 | 0.000 | 0.000 | 0.000 | -0.000 |
| 0.011 | 0.011 | 0.000 | 0.000 | 0.000 | -0.000 |
| 0.011 | 0.011 | 0.000 | 0.000 | 0.000 | -0.000 |
| 0.011 | 0.011 | 0.000 | 0.000 | 0.000 | -0.000 |
| 0.011 | 0.011 | 0.000 | 0.000 | 0.000 | -0.000 |
| -0.011 | -0.011 | -0.000 | -0.000 | -0.000 | 0.000 |
| -0.011 | -0.011 | -0.000 | -0.000 | -0.000 | 0.000 |
| -0.011 | -0.011 | -0.000 | -0.000 | -0.000 | 0.000 |
| -0.011 | -0.011 | -0.000 | -0.000 | -0.000 | 0.000 |
| -0.011 | -0.011 | -0.000 | -0.000 | -0.000 | 0.000 |
| -0.011 | -0.011 | -0.000 | -0.000 | -0.000 | 0.000 |
| -0.003 | -0.003 | 0.000 | 0.000 | 0.000 | -0.000 |
| -0.003 | -0.003 | 0.000 | 0.000 | 0.000 | -0.000 |
| 0.001 | 0.001 | 0.000 | 0.000 | 0.000 | -0.000 |
| 0.001 | 0.001 | 0.000 | 0.000 | 0.000 | -0.000 |
| 0.001 | 0.001 | 0.000 | 0.000 | 0.000 | -0.000 |
| 0.001 | 0.001 | 0.000 | 0.000 | 0.000 | -0.000 |
| 0.003 | 0.003 | -0.000 | -0.000 | -0.000 | 0.000 |
| 0.003 | 0.003 | -0.000 | -0.000 | -0.000 | 0.000 |
| -0.001 | -0.001 | -0.000 | -0.000 | -0.000 | 0.000 |
| -0.001 | -0.001 | -0.000 | -0.000 | -0.000 | 0.000 |
| -0.001 | -0.001 | -0.000 | -0.000 | -0.000 | 0.000 |
| -0.001 | -0.001 | -0.000 | -0.000 | -0.000 | 0.000 |
| -0.043 | -0.043 | 0.000 | 0.000 | 0.000 | -0.000 |
| -0.043 | -0.043 | 0.000 | 0.000 | 0.000 | -0.000 |
| 0.000 | 0.000 | 0.000 | 0.000 | 0.000 | -0.000 |
| 0.000 | 0.000 | 0.000 | 0.000 | 0.000 | -0.000 |
| 0.000 | 0.000 | 0.000 | 0.000 | 0.000 | -0.000 |
| -0.000 | -0.000 | 0.000 | 0.000 | 0.000 | 0.000 |
| 0.043 | 0.043 | -0.000 | -0.000 | -0.000 | 0.000 |
| 0.043 | 0.043 | -0.000 | -0.000 | -0.000 | 0.000 |
| -0.000 | -0.000 | -0.000 | -0.000 | -0.000 | 0.000 |
| -0.000 | -0.000 | -0.000 | -0.000 | -0.000 | 0.000 |
| -0.000 | -0.000 | -0.000 | -0.000 | -0.000 | 0.000 |
| 0.000 | 0.000 | -0.000 | -0.000 | -0.000 | 0.000 |
| -0.000 | -0.000 | 0.000 | 0.000 | 0.000 | -0.000 |
| -0.000 | -0.000 | 0.000 | 0.000 | 0.000 | -0.000 |
| 0.000 | -0.000 | 0.000 | 0.000 | 0.000 | -0.000 |
| 0.000 | -0.000 | 0.000 | 0.000 | 0.000 | -0.000 |
| 0.000 | -0.000 | 0.000 | 0.000 | 0.000 | -0.000 |
| 0.000 | -0.000 | 0.000 | 0.000 | 0.000 | -0.000 |
| 0.000 | 0.000 | -0.000 | -0.000 | -0.000 | 0.000 |
| 0.000 | 0.000 | -0.000 | -0.000 | -0.000 | 0.000 |
| -0.000 | 0.000 | -0.000 | -0.000 | -0.000 | 0.000 |
| -0.000 | 0.000 | -0.000 | -0.000 | -0.000 | 0.000 |
| -0.000 | 0.000 | -0.000 | -0.000 | -0.000 | 0.000 |
| -0.000 | 0.000 | -0.000 | -0.000 | -0.000 | 0.000 |
| -0.004 | -0.004 | 0.000 | 0.000 | 0.000 | -0.000 |
| -0.004 | -0.004 | 0.000 | 0.000 | 0.000 | -0.000 |
| 0.000 | -0.000 | 0.000 | 0.000 | 0.000 | -0.000 |
| 0.000 | -0.000 | 0.000 | 0.000 | 0.000 | -0.000 |
| 0.000 | -0.000 | 0.000 | 0.000 | 0.000 | -0.000 |
| -0.000 | -0.000 | 0.000 | 0.000 | 0.000 | -0.000 |
| 0.004 | 0.004 | -0.000 | -0.000 | -0.000 | 0.000 |
| 0.004 | 0.004 | -0.000 | -0.000 | -0.000 | 0.000 |
| -0.000 | 0.000 | -0.000 | -0.000 | -0.000 | 0.000 |
| -0.000 | 0.000 | -0.000 | -0.000 | -0.000 | 0.000 |
| -0.000 | 0.000 | -0.000 | -0.000 | -0.000 | 0.000 |
| 0.000 | 0.000 | -0.000 | -0.000 | -0.000 | 0.000 |
| -0.039 | -0.039 | 0.000 | 0.000 | 0.000 | -0.000 |
| -0.039 | -0.039 | 0.000 | 0.000 | 0.000 | -0.000 |
| 0.000 | -0.000 | 0.000 | 0.000 | 0.000 | -0.000 |
| 0.000 | -0.000 | 0.000 | 0.000 | 0.000 | -0.000 |
| 0.000 | -0.000 | 0.000 | 0.000 | 0.000 | -0.000 |
| -0.000 | -0.000 | 0.000 | 0.000 | 0.000 | 0.000 |
| 0.039 | 0.039 | -0.000 | -0.000 | -0.000 | 0.000 |
| 0.039 | 0.039 | -0.000 | -0.000 | -0.000 | 0.000 |
| -0.000 | 0.000 | -0.000 | -0.000 | -0.000 | 0.000 |
| -0.000 | 0.000 | -0.000 | -0.000 | -0.000 | 0.000 |
| -0.000 | 0.000 | -0.000 | -0.000 | -0.000 | 0.000 |
| 0.000 | 0.000 | -0.000 | -0.000 | -0.000 | 0.000 |
| 0.000 | 0.000 | 0.000 | -0.000 | -0.000 | 0.000 |
| 0.000 | 0.000 | 0.000 | 0.000 | -0.000 | 0.000 |
| 0.000 | 0.000 | -0.003 | -0.000 | -0.000 | 0.000 |
| 0.000 | -0.000 | 0.000 | 0.000 | -0.000 | -0.000 |
| -0.000 | 0.000 | 0.000 | -0.000 | 0.000 | 0.000 |
| 0.000 | 0.000 | 0.000 | -0.000 | -0.000 | 0.000 |
| -0.000 | -0.000 | -0.000 | 0.000 | 0.000 | -0.000 |
| -0.000 | -0.000 | -0.000 | -0.000 | 0.000 | -0.000 |
| -0.000 | -0.000 | 0.003 | 0.000 | 0.000 | -0.000 |
| -0.000 | 0.000 | -0.000 | 0.000 | 0.000 | -0.000 |
| 0.000 | -0.000 | -0.000 | 0.000 | 0.000 | -0.000 |
| -0.000 | -0.000 | -0.000 | 0.000 | 0.000 | -0.000 |
| 0.000 | 0.000 | 0.000 | -0.000 | -0.000 | 0.000 |
| 0.000 | 0.000 | 0.000 | 0.000 | -0.000 | 0.000 |
| 0.000 | 0.000 | -0.028 | 0.000 | 0.000 | 0.000 |
| 0.000 | -0.000 | 0.000 | 0.000 | -0.000 | -0.000 |
| -0.000 | 0.000 | 0.000 | 0.000 | 0.000 | 0.000 |
| 0.000 | 0.000 | 0.000 | -0.000 | -0.000 | 0.000 |
| -0.000 | -0.000 | -0.000 | 0.000 | 0.000 | -0.000 |
| -0.000 | -0.000 | -0.000 | 0.000 | 0.000 | -0.000 |
| -0.000 | -0.000 | 0.028 | 0.000 | -0.000 | -0.000 |
| -0.000 | 0.000 | -0.000 | 0.000 | 0.000 | 0.000 |
| 0.000 | -0.000 | -0.000 | -0.000 | 0.000 | -0.000 |
| -0.000 | -0.000 | -0.000 | 0.000 | 0.000 | -0.000 |
| 0.000 | 0.000 | 0.000 | -0.000 | -0.000 | 0.000 |
| 0.000 | 0.000 | 0.000 | -0.000 | -0.000 | 0.000 |
| 0.000 | 0.000 | 0.000 | -0.000 | -0.000 | 0.000 |
| 0.000 | -0.000 | -0.000 | 0.000 | -0.000 | -0.000 |
| -0.000 | 0.000 | -0.000 | 0.000 | 0.000 | 0.000 |
| 0.000 | 0.000 | 0.000 | -0.000 | -0.000 | 0.000 |
| -0.000 | -0.000 | -0.000 | 0.000 | 0.000 | -0.000 |
| -0.000 | -0.000 | -0.000 | -0.000 | 0.000 | -0.000 |
| -0.000 | -0.000 | 0.279 | 0.000 | 0.000 | -0.000 |
| -0.000 | 0.000 | 0.000 | 0.000 | 0.000 | 0.000 |
| 0.000 | -0.000 | 0.000 | -0.000 | 0.000 | -0.000 |
| -0.000 | -0.000 | -0.000 | 0.000 | 0.000 | -0.000 |
| 0.000 | 0.000 | -0.000 | 0.000 | 0.000 | 0.000 |
| -0.000 | 0.000 | -0.000 | 0.000 | 0.000 | 0.000 |
| -0.000 | 0.000 | -0.001 | 0.000 | 0.000 | 0.000 |
| 0.000 | 0.000 | -0.000 | 0.000 | -0.000 | 0.000 |
| 0.000 | 0.000 | -0.000 | 0.000 | -0.000 | 0.000 |
| 0.000 | 0.000 | -0.000 | 0.000 | -0.000 | 0.000 |
| -0.000 | -0.000 | 0.000 | -0.000 | -0.000 | -0.000 |
| -0.000 | -0.000 | 0.000 | -0.000 | -0.000 | -0.000 |
| 0.000 | -0.000 | 0.004 | -0.000 | 0.000 | -0.000 |
| -0.000 | 0.000 | 0.000 | -0.001 | 0.000 | 0.000 |
| -0.000 | -0.000 | 0.000 | -0.000 | 0.000 | -0.000 |
| 0.000 | -0.000 | 0.000 | -0.000 | 0.000 | -0.000 |
| 0.000 | 0.000 | -0.000 | 0.000 | 0.000 | 0.000 |
| -0.000 | 0.000 | -0.000 | 0.000 | 0.000 | 0.000 |
| -0.000 | 0.000 | -0.030 | 0.000 | 0.000 | 0.000 |
| 0.000 | 0.000 | 0.000 | 0.000 | 0.000 | -0.000 |
| -0.000 | 0.000 | 0.000 | -0.000 | 0.000 | 0.000 |
| -0.000 | 0.000 | -0.000 | 0.000 | -0.000 | 0.000 |
| 0.000 | -0.000 | 0.000 | -0.000 | 0.000 | -0.000 |
| -0.000 | -0.000 | 0.000 | -0.000 | -0.000 | -0.000 |
| 0.000 | -0.000 | 0.030 | -0.000 | 0.000 | -0.000 |
| -0.000 | -0.000 | -0.000 | -0.000 | -0.000 | -0.000 |
| -0.000 | -0.000 | -0.000 | 0.000 | -0.000 | -0.000 |
| 0.000 | -0.000 | 0.000 | -0.000 | 0.000 | -0.000 |
| -0.000 | 0.000 | -0.000 | 0.000 | 0.000 | 0.000 |
| -0.000 | 0.000 | -0.000 | 0.000 | 0.000 | 0.000 |
| 0.000 | 0.000 | 0.000 | 0.000 | 0.000 | 0.000 |
| -0.000 | 0.000 | -0.000 | 0.000 | -0.000 | 0.000 |
| 0.000 | 0.000 | -0.000 | 0.000 | 0.000 | 0.000 |
| 0.000 | 0.000 | -0.000 | 0.000 | -0.000 | 0.000 |
| 0.000 | -0.000 | 0.000 | -0.000 | 0.000 | -0.000 |
| -0.000 | -0.000 | 0.000 | -0.000 | -0.000 | -0.000 |
| -0.000 | -0.000 | 0.303 | -0.000 | -0.000 | -0.000 |
| 0.000 | 0.000 | 0.000 | -0.000 | 0.000 | -0.000 |
| -0.000 | -0.000 | 0.000 | -0.000 | 0.000 | -0.000 |
| 0.000 | -0.000 | 0.000 | -0.000 | 0.000 | -0.000 |
| -22.721 | 194.284 | 194.285 | -0.000 | -0.000 | -0.000 |
| 194.284 | -22.721 | 194.284 | -0.000 | -0.000 | -0.000 |
| 194.284 | 194.285 | -22.721 | -0.000 | -0.000 | -0.000 |
| -0.000 | -0.000 | 0.000 | 28.101 | -0.000 | -0.000 |
| -0.000 | -0.000 | 0.000 | -0.000 | 28.101 | -0.000 |
| -0.000 | -0.000 | 0.000 | 0.000 | -0.000 | 28.101 |
| -22.721 | 194.284 | 194.284 | 0.000 | 0.000 | 0.000 |
| 194.284 | -22.721 | 194.284 | 0.000 | 0.000 | 0.000 |
| 194.284 | 194.285 | -22.721 | 0.000 | 0.000 | 0.000 |
| 0.000 | 0.000 | -0.000 | 28.101 | 0.000 | 0.000 |
| 0.000 | 0.000 | -0.000 | 0.000 | 28.101 | 0.000 |
| 0.000 | 0.000 | -0.000 | -0.000 | 0.000 | 28.101 |
| -22.721 | 194.285 | 194.285 | -0.000 | -0.000 | -0.000 |
| 194.285 | -22.721 | 194.285 | -0.000 | -0.000 | -0.000 |
| 194.285 | 194.285 | -22.721 | -0.000 | -0.000 | -0.000 |
| 0.000 | -0.000 | 0.000 | 28.101 | -0.000 | -0.000 |
| -0.000 | 0.000 | 0.000 | -0.000 | 28.101 | -0.000 |
| -0.000 | 0.000 | 0.000 | -0.000 | -0.000 | 28.101 |
| -22.720 | 194.284 | 194.284 | 0.000 | 0.000 | 0.000 |
| 194.284 | -22.720 | 194.284 | 0.000 | 0.000 | 0.000 |
| 194.284 | 194.284 | -22.720 | 0.000 | 0.000 | 0.000 |
| -0.000 | 0.000 | -0.000 | 28.101 | 0.000 | 0.000 |
| 0.000 | -0.000 | -0.000 | 0.000 | 28.101 | 0.000 |
| 0.000 | 0.000 | -0.000 | -0.000 | 0.000 | 28.101 |
| -22.724 | 194.286 | 194.286 | -0.000 | -0.000 | -0.000 |
| 194.286 | -22.724 | 194.286 | -0.000 | -0.000 | -0.000 |
| 194.286 | 194.286 | -22.724 | -0.000 | -0.000 | -0.000 |
| 0.000 | -0.000 | 0.000 | 28.101 | -0.000 | -0.000 |
| -0.000 | 0.000 | 0.000 | -0.000 | 28.101 | -0.000 |
| -0.000 | 0.000 | 0.000 | -0.000 | -0.000 | 28.101 |
| -22.718 | 194.283 | 194.283 | -0.000 | 0.000 | 0.000 |
| 194.283 | -22.718 | 194.283 | 0.000 | 0.000 | 0.000 |
| 194.283 | 194.283 | -22.718 | 0.000 | 0.000 | 0.000 |
| -0.000 | 0.000 | -0.000 | 28.101 | 0.000 | 0.000 |
| 0.000 | -0.000 | -0.000 | 0.000 | 28.101 | 0.000 |
| 0.000 | -0.000 | -0.000 | -0.000 | 0.000 | 28.101 |
Phonon band structures and crystal properties estimated from quasi-harmonic approximation (QHA) calculations are displayed for select crystals. The calculations were performed using phonopy and LAMMPS. For the phonon calculations, 3x3 supercells of the potential-specific relaxed crystals were used. The QHA calculations were based on 11 strain states ranging from -0.05 to 0.05.
The calculation method used is available as the iprPy phonon calculation method.
Notes and Disclaimers:
Version Information:






































































Static free surface formation energies are displayed for select crystals. The values displayed here are obtained by taking a perfect periodic bulk crystal, slicing along a crystallographic plane, and using force minimization to statically relax the surfaces. The free surface formation energy is computed by comparing the energy of the defect system to the bulk system and dividing by the total surface area created by the cut.
The calculation method used is available as the iprPy surface_energy_static calculation method.
Notes and Disclaimers:
Version Information:
| Surface | γfs (mJ/m2) |
|---|---|
| (110) | 753.75 |
| (321) | 836.61 |
| (211) | 856.86 |
| (331) | 867.73 |
| (221) | 906.26 |
| (322) | 927.07 |
| (332) | 933.79 |
| (320) | 936.76 |
| (111) | 962.05 |
| (311) | 1025.74 |
| (210) | 1054.58 |
| (310) | 1177.84 |
| (100) | 1380.72 |
| Surface | γfs (mJ/m2) |
|---|---|
| (100) | 679.81 |
| (112) | 794.87 |
| (201) | 899.34 |
| (101) 1 | 905.93 |
| (110) | 1035.58 |
| (211) 2 | 1052.74 |
| (111) | 1089.52 |
| (001) | 1127.28 |
| (211) 1 | 1133.33 |
| (101) 2 | 1932.61 |
| Surface | γfs (mJ/m2) |
|---|---|
| (100) | 600.82 |
| (310) | 779.60 |
| (210) | 836.97 |
| (320) | 879.29 |
| (110) | 918.45 |
| (311) | 963.38 |
| (321) | 1035.28 |
| (331) | 1044.22 |
| (211) | 1065.77 |
| (221) | 1089.87 |
| (322) | 1128.45 |
| (332) | 1131.62 |
| (111) | 1179.41 |
| Surface | γfs (mJ/m2) |
|---|---|
| (211) 2 | -43616.29 |
| (111) | -36202.35 |
| (201) | -36190.50 |
| (100) | -11278.64 |
| (001) | -9315.86 |
| (101) 1 | -9071.62 |
| (112) | -8655.73 |
| (101) 2 | -4932.10 |
| (211) 1 | -4465.56 |
| (110) | -347.02 |
| Surface | γfs (mJ/m2) |
|---|---|
| (332) | -1803.44 |
| (221) | -1789.15 |
| (322) | -1773.87 |
| (111) | -1742.67 |
| (211) | -1728.02 |
| (321) | -1694.08 |
| (331) | -1640.42 |
| (311) | -1538.20 |
| (320) | -1242.58 |
| (210) | -1224.55 |
| (110) | -1215.07 |
| (310) | -1135.86 |
| (100) | -825.44 |
Stacking fault energy plots and maps are displayed for select crystals. The values are computed by
The calculation method used is available as the iprPy stacking_fault_map_2D calculation method.
Notes and Disclaimers:
Version Information:
| E_usf a/2 [-1 1 -1] | 259.21 |
| τ_ideal a/2 [-1 1 -1] | 7.66 |




| E_usf a/2 [-1 -1 1] | 423.08 |
| τ_ideal a/2 [-1 -1 1] | 16.62 |




| E_usf a/2 [-1 -1 1] | 403.65 |
| τ_ideal a/2 [-1 -1 1] | 13.44 |




Static point defect formation energies, Ef, and elastic dipole tensors, pij, are displayed for select crystals. Relaxed defect configurations are obtained by taking a 12x12x12 supercell of a perfect periodic bulk crystal, inserting the point defect, and using force minimization to statically relax the atomic positions while keeping the system dimensions constant. Ef is computed by comparing the energy of the defect system to the same number of atoms in a perfect bulk crystal. pij is estimated as the difference in the system's global pressure with and without the defect multiplied by the system's volume.
Simple structural comparisons of the unrelaxed and relaxed defect configurations are used to help determine if the defect structure has relaxed to a different configuration. Relaxed structures that are identified as no longer consistent with the ideal defect definition are excluded from the table below. The only exception to this is if the lowest energy interstitial configuration does not coincide with a known ideal defect, its energies and pressure tensor are included under the listing "relaxed interstitial". The full list of calculation results including the transformed structures and the structural comparison values is included in the csv file available from the "Download raw data" link.
The calculation method used is available as the iprPy point_defect_static calculation method.
Notes and Disclaimers:
| Point Defect | Ef (eV) | p11 (eV) | p22 (eV) | p33 (eV) | p12 (eV) | p13 (eV) | p23 (eV) |
|---|---|---|---|---|---|---|---|
| vacancy | 0.918 | -3.018 | -3.018 | -3.018 | 0.000 | 0.000 | -0.000 |
| 1nn divacancy | 1.610 | -9.383 | -9.383 | -9.383 | -0.853 | -0.853 | -0.853 |
| 2nn divacancy | 2.188 | -6.929 | -6.929 | -6.579 | -0.000 | 0.000 | -0.000 |
| crowdion interstitial | 2.861 | 10.252 | 10.252 | 10.252 | 0.764 | 0.764 | 0.764 |
| 111 dumbbell | 2.900 | 11.407 | 11.407 | 11.407 | 3.213 | 3.213 | 3.213 |
| octahedral interstitial | 2.984 | 12.751 | 10.614 | 10.614 | 0.000 | 0.000 | 0.000 |
Plots of the atomic structure of dislocation cores are shown here. The dislocations were constructed using dislocation monopole configurations in which a straight dislocation is created in the center of the system using anisotropic elasticity and the elastic constants computed above. A cylindrical region centered around the dislocation is allowed to relax while the remaining atoms are held fixed. The relaxation consists of 1 million NVT steps at 10 K followed by an energy/force minimization. The final plots show the atomic configuration near the center of the monopole system, and display differential displacement arrows and Nye tensor color maps that are both taken with respect to the Burgers vector direction.
These plots show a wide range of final structures, some corresponding to expected dislocation structures and others not. While the characterizations are dislocation-type dependent, some general classification guidelines are listed here.
The calculation method used is available as the iprPy dislocation_monopole calculation method.
Links are provided above the images allowing for users to download the final defect configuration and a corresponding defect-free configuration if they wish to further analyze the structures or use them for subsequent simulations.
Notes and Disclaimers:
Version Information:
Plots of lattice and elastic constants are shown as a function of temperature. The 0K points were taken from the Crystal Structure Predictions and the Elastic Constants Predictions sections above for the unique crystal structures relaxed with the "dynamic" method. Starting from the 0 K relaxed crystal unit cells, supercell systems are created by replicating all three dimensions by the same multiplier to achieve at least 4000 atoms. The systems are then relaxed at 50 K and zero pressure using 1 million NPT steps. Lattice constants are estimated by averaging the measured box dimensions. Temperatures are iteratively increased by 50 K, with each subsequent relaxation calculation starting from the final atomic configuration at the previous temperature and relaxing for another 1 million steps.
The elastic constants are calculated using the deformation–fluctuation hybrid method. Starting from the final atomic configurations of the dynamic relaxations, the system is allowed to evolve at constant volume with a Langevin thermostat. The Born matrix is computed during this run by evaluating how the atomic forces would vary due to applied linear strain fields. The elastic constants can then be estimated using the averaged Born matrix values and the averaged stresses on the system.
The calculation methods used are available as the iprPy relax_dynamic and elastic_constants_dynamic calculation methods.
Clicking on the image of a plot will open an interactive version of it in a new tab. The underlying data for the plots can be downloaded by clicking on the links above each plot.
Notes and Disclaimers:
Version Information:
Plots of internal energy, Gibbs free energy, entropy, heat capacity and volume are shown here as a function of temperature for various crystal structures and liquid phases. The included crystal structures correspond to those in the Solid Structures vs. Temperature section, and the liquid phases to those in the Liquid Properties section. Internal energy and volume are taken from the associated structure relaxations mentioned in those previous sections. Constant pressure heat capacity is estimated using 3-point numerical derivatives of enthalpy versus temperature. Note that since all simulations done here are at 0 pressure, internal energy and enthalpy are equivalent.
The Gibbs energies of the phases are estimated using thermodynamic integration between the interatomic potential in question and a simpler model with known Gibbs free energy values. For solids, the reference model is an Einstein solid, while for liquids it is the Uhlenbeck-Ford potential. Besides a short run at the start of the solid calculations to estimate Einstein model spring constants, the two calculations proceed similarly. Starting with the final relaxation configurations, the systems are stabilized for 25,000 steps. Then, over the next 50,000 steps the potential is swapped out for the reference potential. The system is then stabilized for another 25,000 steps with the reference model before a reverse swap of 50,000 steps is performed. The simulation ends with one final 25,000 step stabilization period. From the simulation, the irreversible work of transformation is estimated and used to compute the absolute Gibbs free energy of the target phase and potential relative to the reference potential. Entropy is estimated as the difference in enthalpy and Gibbs free energy and divided by temperature.
The calculation methods used are available as the iprPy relax_dynamic, relax_liquid_redo, free_energy, and free_energy_liquid calculation methods.
Clicking on the image of a plot will open an interactive version of it in a new tab. The underlying data for the plots can be downloaded by clicking on the links above each plot.
Notes and Disclaimers:
Version Information:





