Plots of the potential energy vs interatomic spacing, r, are shown below for all diatom sets associated with the interatomic potential. This calculation provides insights into the functional form of the potential's two-body interactions. A system consisting of only two atoms is created, and the potential energy is evaluated for the atoms separated by 0.02 Å <= r <= 6.0> Å in intervals of 0.02 Å. Two plots are shown: one for the "standard" interaction distance range, and one for small values of r. The small r plot is useful for determining whether the potential is suitable for radiation studies.
The calculation method used is available as the iprPy diatom_scan calculation method.
Clicking on the image of a plot will open an interactive version of it in a new tab. The underlying data for the plots can be downloaded by clicking on the links above each plot.
Notes and Disclaimers:
Version Information:
Plots of potential energy vs interatomic spacing, r, are shown below for a number of crystal structures. The structures are generated based on the ideal atomic positions and b/a and c/a lattice parameter ratios for a given crystal prototype. The size of the system is then uniformly scaled, and the energy calculated without relaxing the system. To obtain these plots, values of r are evaluated every 0.02 Å up to 6 Å.
The calculation method used is available as the iprPy E_vs_r_scan calculation method.
Clicking on the image of a plot will open an interactive version of it in a new tab. The underlying data for the plots can be downloaded by clicking on the links above each plot.
Notes and Disclaimers:
Version Information:
Computed lattice constants and cohesive/potential energies are displayed for a variety of crystal structures. The values displayed here are obtained using the following process.
The calculation methods used are implemented into iprPy as the following calculation styles
Notes and Disclaimers:
Version Information:
Download raw data (including filtered results)
Reference structure matches:
A1--Cu--fcc = oqmd-1214512
A15--beta-W = oqmd-1214957
A2--W--bcc = oqmd-1215135
A3'--alpha-La--double-hcp = oqmd-1215403
A3--Mg--hcp = oqmd-1215313
A4--C--dc = mp-66, oqmd-675640
A5--beta-Sn = oqmd-1215581
A6--In--bct = mp-1181996, oqmd-1215670
A7--alpha-As = oqmd-594528
Ah--alpha-Po--sc = mp-998866, oqmd-636457, oqmd-1214601
| prototype | method | Ecoh (eV/atom) | Epot (eV/atom) | a0 (Å) | b0 (Å) | c0 (Å) | α (degrees) | β (degrees) | γ (degrees) |
|---|---|---|---|---|---|---|---|---|---|
| oqmd-599493 | dynamic | -7.473 | -7.473 | 2.5147 | 2.5147 | 30.7984 | 90.0 | 90.0 | 120.0 |
| mp-611426 | dynamic | -7.473 | -7.473 | 2.5147 | 2.5147 | 8.2129 | 90.0 | 90.0 | 120.0 |
| oqmd-599489 | dynamic | -7.473 | -7.473 | 2.5147 | 2.5147 | 4.1065 | 90.0 | 90.0 | 120.0 |
| oqmd-599492 | dynamic | -7.473 | -7.473 | 2.5147 | 2.5147 | 16.4258 | 90.0 | 90.0 | 120.0 |
| A4--C--dc | dynamic | -7.473 | -7.473 | 3.5563 | 3.5563 | 3.5563 | 90.0 | 90.0 | 90.0 |
| mp-611448 | dynamic | -7.473 | -7.473 | 2.5147 | 2.5147 | 12.3194 | 90.0 | 90.0 | 120.0 |
| oqmd-599494 | dynamic | -7.473 | -7.473 | 2.5147 | 2.5147 | 43.1178 | 90.0 | 90.0 | 120.0 |
| oqmd-599489 | box | -7.4729 | -7.4729 | 2.5139 | 2.5139 | 4.1091 | 90.0 | 90.0 | 120.0 |
| mp-47 | box | -7.4729 | -7.4729 | 2.5137 | 2.5137 | 4.1096 | 90.0 | 90.0 | 120.0 |
| oqmd-599492 | box | -7.4723 | -7.4723 | 2.5143 | 2.5143 | 16.4317 | 90.0 | 90.0 | 120.0 |
| mp-616440 | box | -7.4722 | -7.4722 | 2.5145 | 2.5145 | 16.4301 | 90.0 | 90.0 | 120.0 |
| oqmd-599491 | box | -7.4721 | -7.4721 | 2.5144 | 2.5144 | 12.3237 | 90.0 | 90.0 | 120.0 |
| mp-569567 | box | -7.472 | -7.472 | 2.5146 | 2.5146 | 43.1281 | 90.0 | 90.0 | 120.0 |
| mp-611448 | box | -7.472 | -7.472 | 2.5145 | 2.5145 | 12.3231 | 90.0 | 90.0 | 120.0 |
| oqmd-599493 | box | -7.4719 | -7.4719 | 2.5145 | 2.5145 | 30.8067 | 90.0 | 90.0 | 120.0 |
| mp-569517 | box | -7.4719 | -7.4719 | 2.5144 | 2.5144 | 30.8097 | 90.0 | 90.0 | 120.0 |
| mp-611426 | box | -7.4718 | -7.4718 | 2.5143 | 2.5143 | 8.2171 | 90.0 | 90.0 | 120.0 |
| oqmd-599494 | static | -7.4716 | -7.4716 | 2.5143 | 2.5143 | 43.3603 | 90.0 | 90.0 | 120.0 |
| oqmd-599490 | box | -7.4716 | -7.4716 | 2.5145 | 2.5145 | 8.2157 | 90.0 | 90.0 | 120.0 |
| mp-1078845 | dynamic | -7.2185 | -7.2185 | 4.1663 | 8.8029 | 2.5508 | 90.0 | 90.0 | 90.0 |
| mp-1078845 | box | -7.214 | -7.214 | 4.1944 | 8.7768 | 2.5468 | 90.0 | 90.0 | 90.0 |
| mp-1190171 | dynamic | -7.0985 | -7.0985 | 9.0721 | 2.534 | 4.1726 | 90.0 | 90.0 | 90.0 |
| oqmd-637352 | dynamic | -7.0933 | -7.0933 | 9.1599 | 2.5344 | 4.1679 | 90.0 | 96.8 | 90.0 |
| oqmd-637130 | box | -7.0902 | -7.0902 | 9.0617 | 2.5262 | 4.1942 | 90.0 | 90.0 | 90.0 |
| mp-1190171 | box | -7.09 | -7.09 | 9.0632 | 2.5261 | 4.1945 | 90.0 | 90.0 | 90.0 |
| oqmd-637352 | box | -7.0834 | -7.0834 | 9.1436 | 2.5292 | 4.1877 | 90.0 | 96.4 | 90.0 |
| mp-1080826 | box | -7.0829 | -7.0829 | 9.1435 | 2.5293 | 4.1884 | 90.0 | 96.4 | 90.0 |
| mp-1008395 | dynamic | -7.017 | -7.017 | 4.3476 | 4.3476 | 2.5776 | 90.0 | 90.0 | 90.0 |
| oqmd-637353 | box | -7.0156 | -7.0156 | 4.3561 | 4.3561 | 2.5713 | 90.0 | 90.0 | 90.0 |
| mp-1008395 | box | -7.0153 | -7.0153 | 4.3569 | 4.3569 | 2.5707 | 90.0 | 90.0 | 90.0 |
| mp-24 | dynamic | -6.9524 | -6.9524 | 4.3975 | 4.3975 | 4.3975 | 90.0 | 90.0 | 90.0 |
| mp-24 | box | -6.9263 | -6.9263 | 4.4243 | 4.4243 | 4.4243 | 90.0 | 90.0 | 90.0 |
| mp-1188817 | static | -6.338 | -6.338 | 5.3646 | 5.3646 | 5.3646 | 90.0 | 90.0 | 90.0 |
| mp-1188817 | box | -6.3119 | -6.3119 | 5.3671 | 5.3671 | 5.3671 | 90.0 | 90.0 | 90.0 |
| oqmd-637443 | box | -6.3092 | -6.3092 | 5.3684 | 5.3684 | 5.3684 | 90.0 | 90.0 | 90.0 |
| oqmd-677227 | dynamic | -6.2423 | -6.2423 | 12.1448 | 12.1448 | 12.1448 | 90.0 | 90.0 | 90.0 |
| mp-1008374 | box | -6.2212 | -6.2212 | 2.4515 | 8.4304 | 2.5954 | 90.0 | 90.0 | 90.0 |
| oqmd-595714 | dynamic | -6.1985 | -6.1985 | 8.1631 | 8.8571 | 13.3966 | 90.0 | 90.0 | 90.0 |
| oqmd-689315 | dynamic | -6.162 | -6.162 | 8.7976 | 15.758 | 16.3977 | 90.0 | 90.0 | 90.0 |
| oqmd-610557 | box | -6.0521 | -6.0521 | 5.0644 | 5.2128 | 4.653 | 90.0 | 90.0 | 90.0 |
| oqmd-610556 | box | -6.0513 | -6.0513 | 5.0617 | 5.2241 | 4.6524 | 90.0 | 90.0 | 90.0 |
| mp-568410 | box | -6.0487 | -6.0487 | 5.0583 | 5.2312 | 4.6545 | 90.0 | 90.0 | 90.0 |
| mp-1205283 | dynamic | -5.969 | -5.969 | 8.7012 | 13.21 | 8.7258 | 90.0 | 90.0 | 90.0 |
| oqmd-684627 | dynamic | -5.9495 | -5.9495 | 8.4668 | 8.4668 | 14.297 | 90.0 | 90.0 | 90.0 |
| oqmd-603085 | dynamic | -5.9145 | -5.9145 | 13.0258 | 13.0258 | 13.0258 | 90.0 | 90.0 | 90.0 |
| oqmd-684315 | dynamic | -5.9011 | -5.9011 | 9.3223 | 13.2132 | 8.2849 | 90.0 | 90.0 | 90.0 |
| mp-570002 | dynamic | -5.8508 | -5.8508 | 5.0707 | 5.0707 | 5.0707 | 90.0 | 90.0 | 90.0 |
| mp-570002 | box | -5.8154 | -5.8154 | 5.0545 | 5.0545 | 5.0545 | 90.0 | 90.0 | 90.0 |
| oqmd-585286 | box | -5.8151 | -5.8151 | 5.0545 | 5.0545 | 5.0545 | 90.0 | 90.0 | 90.0 |
| mp-568028 | dynamic | -5.7792 | -5.7792 | 8.1642 | 13.8041 | 9.4394 | 90.0 | 90.0 | 90.0 |
| mp-568028 | static | -5.7538 | -5.7538 | 8.2819 | 14.1217 | 9.5203 | 90.0 | 90.0 | 90.0 |
| mp-1245190 | dynamic | -5.7408 | -5.7408 | 8.9788 | 9.2137 | 10.2232 | 89.9 | 88.2 | 85.9 |
| mp-680372 | dynamic | -5.6994 | -5.6994 | 9.1689 | 9.1689 | 25.8784 | 90.0 | 90.0 | 120.0 |
| mp-680372 | static | -5.6989 | -5.6989 | 9.1894 | 9.1894 | 28.0288 | 90.0 | 90.0 | 120.0 |
| oqmd-614417 | static | -5.6979 | -5.6979 | 9.2216 | 9.2216 | 26.7499 | 90.0 | 90.0 | 120.0 |
| mp-1244964 | dynamic | -5.6851 | -5.6851 | 9.0624 | 9.1031 | 10.6108 | 87.6 | 86.8 | 87.8 |
| mp-990424 | dynamic | -5.6055 | -5.6055 | 2.5205 | 2.5205 | 24.1951 | 90.0 | 90.0 | 120.0 |
| oqmd-589492 | static | -5.6055 | -5.6055 | 2.5205 | 2.5205 | 1308.0851 | 90.0 | 90.0 | 120.0 |
| mp-569416 | static | -5.6055 | -5.6055 | 2.5205 | 2.5205 | 1688.5499 | 90.0 | 90.0 | 120.0 |
| mp-990424 | static | -5.6055 | -5.6055 | 2.5205 | 2.5205 | 412.3118 | 90.0 | 90.0 | 120.0 |
| mp-606949 | static | -5.6055 | -5.6055 | 2.5205 | 2.5205 | 883.4346 | 90.0 | 90.0 | 120.0 |
| mp-569304 | dynamic | -5.6055 | -5.6055 | 2.5205 | 2.5205 | 33.275 | 90.0 | 90.0 | 120.0 |
| mp-169 | static | -5.6055 | -5.6055 | 4.3656 | 2.5205 | 42.0878 | 90.0 | 91.8 | 90.0 |
| A7--alpha-As | dynamic | -5.6055 | -5.6055 | 2.5205 | 2.5205 | 10.2079 | 90.0 | 90.0 | 120.0 |
| oqmd-589491 | static | -5.6055 | -5.6055 | 2.5205 | 2.5205 | 401.5177 | 90.0 | 90.0 | 120.0 |
| mp-569304 | static | -5.6055 | -5.6055 | 2.5205 | 2.5205 | 703.5585 | 90.0 | 90.0 | 120.0 |
| oqmd-589491 | dynamic | -5.6055 | -5.6055 | 2.5205 | 2.5205 | 33.3411 | 90.0 | 90.0 | 120.0 |
| oqmd-589492 | dynamic | -5.6055 | -5.6055 | 2.5205 | 2.5205 | 53.4806 | 90.0 | 90.0 | 120.0 |
| mp-632329 | static | -5.6055 | -5.6055 | 4.3656 | 2.5205 | 44.8731 | 90.0 | 90.3 | 90.0 |
| mp-606949 | dynamic | -5.6055 | -5.6055 | 2.5205 | 2.5205 | 29.5537 | 90.0 | 90.0 | 120.0 |
| mp-569416 | dynamic | -5.6055 | -5.6055 | 2.5205 | 2.5205 | 54.8494 | 90.0 | 90.0 | 120.0 |
| mp-169 | dynamic | -5.6055 | -5.6055 | 4.3656 | 2.5205 | 3.7917 | 90.0 | 111.9 | 90.0 |
| mp-632329 | dynamic | -5.6055 | -5.6055 | 4.3656 | 2.5205 | 3.7977 | 90.0 | 94.0 | 90.0 |
| A7--alpha-As | dynamic | -5.6055 | -5.6055 | 2.5205 | 2.5205 | 6.6051 | 90.0 | 90.0 | 120.0 |
| mp-630227 | dynamic | -5.6011 | -5.6011 | 9.1458 | 9.1622 | 15.9455 | 90.0 | 90.0 | 90.0 |
| oqmd-684627 | static | -5.6011 | -5.6011 | 9.154 | 9.154 | 16.5162 | 90.0 | 90.0 | 90.0 |
| oqmd-595714 | static | -5.6011 | -5.6011 | 9.1524 | 9.1707 | 15.8284 | 90.0 | 90.0 | 90.0 |
| mp-630227 | static | -5.601 | -5.601 | 9.1609 | 9.1823 | 16.9583 | 90.0 | 90.0 | 90.0 |
| mp-1244913 | dynamic | -5.6007 | -5.6007 | 9.1494 | 9.8435 | 10.2851 | 91.4 | 101.0 | 97.5 |
| oqmd-614417 | box | -5.5635 | -5.5635 | 9.6983 | 9.6983 | 26.3233 | 90.0 | 90.0 | 120.0 |
| mp-680372 | box | -5.5558 | -5.5558 | 9.7116 | 9.7116 | 27.6 | 90.0 | 90.0 | 120.0 |
| mp-683919 | dynamic | -5.5543 | -5.5543 | 10.3603 | 17.5639 | 18.0351 | 90.0 | 90.0 | 90.0 |
| oqmd-689315 | static | -5.5044 | -5.5044 | 10.9466 | 18.3061 | 18.6127 | 90.0 | 90.0 | 90.0 |
| oqmd-595714 | box | -5.5032 | -5.5032 | 9.7312 | 9.7415 | 15.6422 | 90.0 | 90.0 | 90.0 |
| mp-1147718 | dynamic | -5.5029 | -5.5029 | 10.485 | 15.0654 | 9.1542 | 90.0 | 90.0 | 90.0 |
| mp-1147718 | static | -5.5029 | -5.5029 | 11.0483 | 15.9022 | 9.1543 | 90.0 | 90.0 | 90.0 |
| mp-630227 | box | -5.501 | -5.501 | 9.7218 | 9.7235 | 16.8102 | 90.0 | 90.0 | 90.0 |
| mp-683919 | static | -5.5 | -5.5 | 10.9997 | 18.3109 | 18.6532 | 90.0 | 90.0 | 90.0 |
| oqmd-684627 | box | -5.4716 | -5.4716 | 9.7324 | 9.7324 | 16.4632 | 90.0 | 90.0 | 90.0 |
| Ah--alpha-Po--sc | dynamic | -5.4709 | -5.4709 | 1.7469 | 1.7469 | 1.7469 | 90.0 | 90.0 | 90.0 |
| mp-1096869 | static | -5.4692 | -5.4692 | 25.8878 | 14.9282 | 77.7983 | 90.0 | 90.5 | 90.0 |
| A5--beta-Sn | dynamic | -5.4646 | -5.4646 | 3.3379 | 3.3379 | 1.7904 | 90.0 | 90.0 | 90.0 |
| A3'--alpha-La--double-hcp | dynamic | -5.4527 | -5.4527 | 2.4505 | 2.4505 | 4.1867 | 90.0 | 90.0 | 120.0 |
| mp-1147718 | box | -5.4344 | -5.4344 | 11.0092 | 15.8366 | 9.8399 | 90.0 | 90.0 | 90.0 |
| mp-683919 | box | -5.4276 | -5.4276 | 11.0043 | 18.7238 | 19.3221 | 90.0 | 90.0 | 90.0 |
| mp-1205283 | static | -5.4094 | -5.4094 | 9.107 | 13.7578 | 9.2411 | 90.0 | 90.0 | 90.0 |
| oqmd-689315 | box | -5.4049 | -5.4049 | 10.9368 | 18.7223 | 19.387 | 90.0 | 90.0 | 90.0 |
| mp-667273 | dynamic | -5.4046 | -5.4046 | 14.6923 | 14.6923 | 14.6923 | 90.0 | 90.0 | 90.0 |
| mp-1196583 | dynamic | -5.4046 | -5.4046 | 14.6948 | 14.6948 | 14.6948 | 90.0 | 90.0 | 90.0 |
| oqmd-603085 | static | -5.4046 | -5.4046 | 15.0078 | 15.0078 | 15.0078 | 90.0 | 90.0 | 90.0 |
| mp-1196583 | static | -5.4046 | -5.4046 | 15.4547 | 15.4547 | 15.4547 | 90.0 | 90.0 | 90.0 |
| oqmd-677227 | static | -5.4046 | -5.4046 | 15.2153 | 15.2153 | 15.2153 | 90.0 | 90.0 | 90.0 |
| mp-667273 | static | -5.4046 | -5.4046 | 15.521 | 15.521 | 15.521 | 90.0 | 90.0 | 90.0 |
| mp-624889 | box | -5.3885 | -5.3885 | 5.0896 | 5.4104 | 6.1271 | 90.0 | 90.0 | 90.0 |
| oqmd-603085 | box | -5.3845 | -5.3845 | 15.0082 | 15.0082 | 15.0082 | 90.0 | 90.0 | 90.0 |
| mp-1196583 | box | -5.3843 | -5.3843 | 15.4554 | 15.4554 | 15.4554 | 90.0 | 90.0 | 90.0 |
| mp-667273 | box | -5.382 | -5.382 | 15.5229 | 15.5229 | 15.5229 | 90.0 | 90.0 | 90.0 |
| oqmd-677227 | box | -5.3706 | -5.3706 | 15.2265 | 15.2265 | 15.2265 | 90.0 | 90.0 | 90.0 |
| mp-568028 | box | -5.3453 | -5.3453 | 8.9006 | 14.9779 | 10.3015 | 90.0 | 90.0 | 90.0 |
| mp-937760 | dynamic | -5.3137 | -5.3137 | 2.6939 | 4.6659 | 7.1733 | 90.0 | 90.0 | 90.0 |
| mp-997182 | dynamic | -5.3137 | -5.3137 | 2.6939 | 2.6939 | 12.0458 | 90.0 | 90.0 | 120.0 |
| mp-48 | dynamic | -5.3137 | -5.3137 | 2.6939 | 2.6939 | 7.8031 | 90.0 | 90.0 | 120.0 |
| mp-568363 | dynamic | -5.3137 | -5.3137 | 2.6939 | 4.6659 | 8.1499 | 90.0 | 90.0 | 90.0 |
| oqmd-1215937 | dynamic | -5.3137 | -5.3137 | 2.6939 | 2.6939 | 7.3725 | 90.0 | 90.0 | 120.0 |
| mp-1040425 | dynamic | -5.3137 | -5.3137 | 2.6939 | 2.6939 | 19.9983 | 90.0 | 90.0 | 120.0 |
| oqmd-637444 | box | -5.3137 | -5.3137 | 4.3991 | 4.3991 | 4.3991 | 90.0 | 90.0 | 90.0 |
| oqmd-610552 | box | -5.2831 | -5.2831 | 4.9686 | 5.913 | 6.8093 | 90.0 | 90.0 | 90.0 |
| mp-579909 | box | -5.2791 | -5.2791 | 4.9573 | 5.9286 | 7.2596 | 90.0 | 90.0 | 90.0 |
| oqmd-684315 | static | -5.2211 | -5.2211 | 10.4351 | 15.771 | 8.8136 | 90.0 | 90.0 | 90.0 |
| A7--alpha-As | box | -5.1793 | -5.1793 | 2.4592 | 2.4592 | 6.2354 | 90.0 | 90.0 | 120.0 |
| oqmd-1215224 | box | -5.1176 | -5.1176 | 1.7026 | 2.6256 | 3.7353 | 90.0 | 102.0 | 90.0 |
| mp-1245190 | static | -5.0351 | -5.0351 | 10.2238 | 10.3091 | 10.4569 | 85.8 | 89.9 | 89.2 |
| mp-1205283 | box | -4.9675 | -4.9675 | 10.9276 | 14.1813 | 9.6686 | 90.0 | 90.0 | 90.0 |
| mp-1244964 | static | -4.967 | -4.967 | 10.0257 | 10.1818 | 10.9194 | 88.7 | 83.8 | 89.2 |
| mp-1244913 | static | -4.8077 | -4.8077 | 10.1578 | 10.5443 | 10.6206 | 92.2 | 95.9 | 93.5 |
| oqmd-684315 | box | -4.7018 | -4.7018 | 11.5033 | 16.2321 | 9.4633 | 90.0 | 90.0 | 90.0 |
| A2--W--bcc | dynamic | -4.4721 | -4.4721 | 2.1251 | 2.1251 | 2.1251 | 90.0 | 90.0 | 90.0 |
| mp-1245190 | box | -4.4081 | -4.4081 | 11.3231 | 11.5263 | 11.6358 | 88.3 | 89.8 | 87.5 |
| mp-1197903 | dynamic | -4.395 | -4.395 | 7.7542 | 9.6425 | 23.0795 | 98.4 | 97.1 | 104.1 |
| mp-1182684 | dynamic | -4.2957 | -4.2957 | 9.4818 | 11.0886 | 14.1905 | 90.0 | 90.0 | 90.0 |
| oqmd-1216026 | dynamic | -4.2525 | -4.2525 | 2.4079 | 2.4079 | 9.167 | 90.0 | 93.3 | 90.0 |
| oqmd-1216026 | static | -4.2525 | -4.2525 | 2.4079 | 2.4079 | 9.1654 | 90.0 | 93.2 | 90.0 |
| A6--In--bct | dynamic | -4.2525 | -4.2525 | 1.7026 | 1.7026 | 6.3803 | 90.0 | 90.0 | 90.0 |
| A6--In--bct | static | -4.2525 | -4.2525 | 1.7026 | 1.7026 | 3.4413 | 90.0 | 90.0 | 90.0 |
| mp-1097832 | dynamic | -4.2525 | -4.2525 | 2.4079 | 2.4079 | 9.8799 | 90.0 | 90.0 | 90.0 |
| A6--In--bct | dynamic | -4.2525 | -4.2525 | 1.7026 | 1.7026 | 6.5525 | 90.0 | 90.0 | 90.0 |
| mp-1056957 | dynamic | -4.2525 | -4.2525 | 2.4079 | 2.4079 | 6.5533 | 90.0 | 90.0 | 90.0 |
| mp-1196857 | dynamic | -4.2513 | -4.2513 | 9.2066 | 19.3984 | 6.021 | 90.0 | 90.0 | 90.0 |
| mp-1196857 | static | -4.2513 | -4.2513 | 12.4688 | 19.3371 | 5.5113 | 90.0 | 90.0 | 90.0 |
| mp-1244964 | box | -4.1909 | -4.1909 | 11.2437 | 11.6714 | 12.2848 | 89.9 | 84.3 | 86.2 |
| oqmd-1214779 | dynamic | -4.1324 | -4.1324 | 8.6371 | 8.6371 | 8.6371 | 90.0 | 90.0 | 90.0 |
| mp-1197903 | static | -4.0469 | -4.0469 | 7.8502 | 11.1528 | 22.5616 | 94.5 | 99.0 | 106.4 |
| mp-1182684 | static | -4.0074 | -4.0074 | 11.6936 | 13.0395 | 20.3314 | 90.0 | 90.0 | 90.0 |
| A15--beta-W | dynamic | -3.896 | -3.896 | 3.3831 | 3.3831 | 3.3831 | 90.0 | 90.0 | 90.0 |
| mp-1244913 | box | -3.8578 | -3.8578 | 11.9136 | 12.0449 | 12.4675 | 91.7 | 96.4 | 92.8 |
| mp-1095534 | box | -3.6852 | -3.6852 | 11.3293 | 11.3293 | 2.4295 | 90.0 | 90.0 | 90.0 |
| A1--Cu--fcc | static | -3.5213 | -3.5213 | 2.7171 | 2.7171 | 2.7171 | 90.0 | 90.0 | 90.0 |
| A3'--alpha-La--double-hcp | box | -3.5209 | -3.5209 | 1.9207 | 1.9207 | 6.2788 | 90.0 | 90.0 | 120.0 |
| A3--Mg--hcp | box | -3.5206 | -3.5206 | 1.9202 | 1.9202 | 3.1411 | 90.0 | 90.0 | 120.0 |
| mp-1182684 | box | -3.3236 | -3.3236 | 12.4441 | 14.9084 | 17.1076 | 90.0 | 90.0 | 90.0 |
| oqmd-1214868 | static | -3.2705 | -3.2705 | 7.4084 | 7.4084 | 7.4084 | 90.0 | 90.0 | 90.0 |
| oqmd-1214868 | dynamic | -3.2705 | -3.2705 | 6.7981 | 6.7981 | 6.7981 | 90.0 | 90.0 | 90.0 |
| oqmd-1214868 | box | -3.2678 | -3.2678 | 7.4748 | 7.4748 | 7.4748 | 90.0 | 90.0 | 90.0 |
| A3--Mg--hcp | static | -3.2041 | -3.2041 | 1.8474 | 1.8474 | 4.3092 | 90.0 | 90.0 | 120.0 |
| mp-1205417 | box | -2.996 | -2.996 | 14.1527 | 14.1527 | 8.2388 | 90.0 | 90.0 | 90.0 |
| mp-1192619 | box | -2.8839 | -2.8839 | 10.7435 | 10.7435 | 10.7435 | 90.0 | 90.0 | 90.0 |
| A1--Cu--fcc | dynamic | 0.0 | 0.0 | 3.0645 | 3.0645 | 3.0645 | 90.0 | 90.0 | 90.0 |
Download raw data (including filtered results)
Reference structure matches:
| prototype | method | Ecoh (eV/atom) | Epot (eV/atom) | a0 (Å) | b0 (Å) | c0 (Å) | α (degrees) | β (degrees) | γ (degrees) |
|---|---|---|---|---|---|---|---|---|---|
| mp-1102811 | dynamic | -6.4136 | -6.4136 | 4.5376 | 4.5376 | 4.5376 | 90.0 | 90.0 | 90.0 |
| C1--CaF2--fluorite | dynamic | -6.0939 | -6.0939 | 4.5453 | 4.5453 | 4.5453 | 90.0 | 90.0 | 90.0 |
| mp-1102811 | box | -5.9839 | -5.9839 | 4.6754 | 4.6754 | 4.6754 | 90.0 | 90.0 | 90.0 |
| mp-1019097 | box | -5.1701 | -5.1701 | 3.0747 | 3.0747 | 7.4515 | 90.0 | 90.0 | 90.0 |
Download raw data (including filtered results)
Reference structure matches:
| prototype | method | Ecoh (eV/atom) | Epot (eV/atom) | a0 (Å) | b0 (Å) | c0 (Å) | α (degrees) | β (degrees) | γ (degrees) |
|---|---|---|---|---|---|---|---|---|---|
| A15--Cr3Si | box | -4.9609 | -4.9609 | 3.869 | 3.869 | 3.869 | 90.0 | 90.0 | 90.0 |
| D0_3--BiF3 | static | -4.7049 | -4.7049 | 4.7537 | 4.7537 | 4.7537 | 90.0 | 90.0 | 90.0 |
| L1_2--AuCu3 | static | -4.0817 | -4.0817 | 3.0301 | 3.0301 | 3.0301 | 90.0 | 90.0 | 90.0 |
| mp-972848 | dynamic | -3.2983 | -3.2983 | 2.6145 | 2.6145 | 14.1591 | 90.0 | 90.0 | 90.0 |
Download raw data (including filtered results)
Reference structure matches:
| prototype | method | Ecoh (eV/atom) | Epot (eV/atom) | a0 (Å) | b0 (Å) | c0 (Å) | α (degrees) | β (degrees) | γ (degrees) |
|---|---|---|---|---|---|---|---|---|---|
| mp-1219306 | dynamic | -4.6755 | -4.6755 | 8.3887 | 8.3887 | 7.989 | 90.0 | 90.0 | 120.0 |
Download raw data (including filtered results)
Reference structure matches:
| prototype | method | Ecoh (eV/atom) | Epot (eV/atom) | a0 (Å) | b0 (Å) | c0 (Å) | α (degrees) | β (degrees) | γ (degrees) |
|---|---|---|---|---|---|---|---|---|---|
| mp-1179504 | dynamic | -4.967 | -4.967 | 5.1694 | 11.6592 | 11.6874 | 71.7 | 85.9 | 87.7 |
| mp-1202928 | dynamic | -4.9419 | -4.9419 | 4.8338 | 11.6531 | 12.4696 | 65.1 | 88.3 | 79.6 |
| mp-1202928 | static | -4.9307 | -4.9307 | 4.9222 | 11.5433 | 12.3573 | 65.9 | 88.7 | 79.8 |
| mp-1179504 | static | -4.9272 | -4.9272 | 5.3176 | 11.4724 | 11.5951 | 72.0 | 85.5 | 86.6 |
| mp-1179504 | box | -4.4556 | -4.4556 | 5.5404 | 11.6871 | 12.3135 | 69.5 | 87.5 | 86.3 |
Download raw data (including filtered results)
Reference structure matches:
B1--NaCl--rock-salt = mp-1002206
B3--ZnS--cubic-zinc-blende = mp-8062
| prototype | method | Ecoh (eV/atom) | Epot (eV/atom) | a0 (Å) | b0 (Å) | c0 (Å) | α (degrees) | β (degrees) | γ (degrees) |
|---|---|---|---|---|---|---|---|---|---|
| mp-571286 | dynamic | -6.4338 | -6.4338 | 3.0261 | 3.0261 | 88.9497 | 90.0 | 90.0 | 120.0 |
| mp-624397 | dynamic | -6.4338 | -6.4338 | 3.0261 | 3.0261 | 81.5372 | 90.0 | 90.0 | 120.0 |
| mp-570690 | dynamic | -6.4338 | -6.4338 | 3.0261 | 3.0261 | 66.7123 | 90.0 | 90.0 | 120.0 |
| mp-570804 | dynamic | -6.4338 | -6.4338 | 3.0261 | 3.0261 | 96.3621 | 90.0 | 90.0 | 120.0 |
| mp-1197730 | dynamic | -6.4338 | -6.4338 | 3.0261 | 3.0261 | 126.012 | 90.0 | 90.0 | 120.0 |
| mp-568735 | dynamic | -6.4338 | -6.4338 | 3.0261 | 3.0261 | 44.4748 | 90.0 | 90.0 | 120.0 |
| mp-11713 | dynamic | -6.4338 | -6.4338 | 3.0261 | 3.0261 | 37.0624 | 90.0 | 90.0 | 120.0 |
| mp-568656 | dynamic | -6.4338 | -6.4338 | 3.0261 | 3.0261 | 24.7082 | 90.0 | 90.0 | 120.0 |
| mp-570641 | dynamic | -6.4338 | -6.4338 | 3.0261 | 3.0261 | 59.2998 | 90.0 | 90.0 | 120.0 |
| mp-568696 | dynamic | -6.4338 | -6.4338 | 3.0261 | 3.0261 | 34.5915 | 90.0 | 90.0 | 120.0 |
| mp-7631 | dynamic | -6.4338 | -6.4338 | 3.0261 | 3.0261 | 14.8249 | 90.0 | 90.0 | 120.0 |
| mp-11714 | dynamic | -6.4338 | -6.4338 | 3.0261 | 3.0261 | 9.8833 | 90.0 | 90.0 | 120.0 |
| mp-568619 | dynamic | -6.4338 | -6.4338 | 3.0261 | 3.0261 | 12.3541 | 90.0 | 90.0 | 120.0 |
| mp-567505 | dynamic | -6.4338 | -6.4338 | 3.0261 | 3.0261 | 19.7666 | 90.0 | 90.0 | 120.0 |
| mp-582034 | dynamic | -6.4338 | -6.4338 | 3.0261 | 3.0261 | 51.8873 | 90.0 | 90.0 | 120.0 |
| B4--ZnS--wurtzite | dynamic | -6.4338 | -6.4338 | 3.0261 | 3.0261 | 4.9416 | 90.0 | 90.0 | 120.0 |
| mp-567551 | dynamic | -6.4338 | -6.4338 | 3.0261 | 3.0261 | 39.5332 | 90.0 | 90.0 | 120.0 |
| B3--ZnS--cubic-zinc-blende | dynamic | -6.4338 | -6.4338 | 4.2796 | 4.2796 | 4.2796 | 90.0 | 90.0 | 90.0 |
| mp-1204356 | dynamic | -6.4338 | -6.4338 | 3.0261 | 3.0261 | 140.837 | 90.0 | 90.0 | 120.0 |
| mp-570791 | dynamic | -6.4338 | -6.4338 | 3.0261 | 3.0261 | 46.9457 | 90.0 | 90.0 | 120.0 |
| mp-1200848 | dynamic | -6.4338 | -6.4338 | 3.0261 | 3.0261 | 185.3118 | 90.0 | 90.0 | 120.0 |
| mp-1200168 | dynamic | -6.4338 | -6.4338 | 3.0261 | 3.0261 | 214.9617 | 90.0 | 90.0 | 120.0 |
| mp-1199063 | dynamic | -6.4338 | -6.4338 | 3.0261 | 3.0261 | 207.5492 | 90.0 | 90.0 | 120.0 |
| B4--ZnS--wurtzite | box | -6.4338 | -6.4338 | 3.0257 | 3.0257 | 4.9431 | 90.0 | 90.0 | 120.0 |
| mp-568619 | box | -6.4338 | -6.4338 | 3.0271 | 3.0271 | 12.3466 | 90.0 | 90.0 | 120.0 |
| mp-567505 | box | -6.4338 | -6.4338 | 3.0267 | 3.0267 | 19.7596 | 90.0 | 90.0 | 120.0 |
| mp-582034 | box | -6.4338 | -6.4338 | 3.0267 | 3.0267 | 51.8666 | 90.0 | 90.0 | 120.0 |
| mp-9947 | box | -6.4338 | -6.4338 | 3.0268 | 3.0268 | 51.8654 | 90.0 | 90.0 | 120.0 |
| mp-568696 | box | -6.4338 | -6.4338 | 3.0268 | 3.0268 | 34.5771 | 90.0 | 90.0 | 120.0 |
| mp-1204356 | box | -6.4337 | -6.4337 | 3.0268 | 3.0268 | 140.7738 | 90.0 | 90.0 | 120.0 |
| mp-7631 | box | -6.4337 | -6.4337 | 3.0269 | 3.0269 | 14.8178 | 90.0 | 90.0 | 120.0 |
| mp-571286 | box | -6.4337 | -6.4337 | 3.0268 | 3.0268 | 88.9082 | 90.0 | 90.0 | 120.0 |
| mp-1200692 | box | -6.4337 | -6.4337 | 3.0269 | 3.0269 | 125.9491 | 90.0 | 90.0 | 120.0 |
| mp-570985 | box | -6.4337 | -6.4337 | 3.0269 | 3.0269 | 66.6778 | 90.0 | 90.0 | 120.0 |
| mp-567551 | box | -6.4337 | -6.4337 | 3.0269 | 3.0269 | 39.5131 | 90.0 | 90.0 | 120.0 |
| mp-7140 | box | -6.4337 | -6.4337 | 3.0279 | 3.0279 | 4.9359 | 90.0 | 90.0 | 120.0 |
| mp-568656 | box | -6.4337 | -6.4337 | 3.027 | 3.027 | 24.6944 | 90.0 | 90.0 | 120.0 |
| mp-11713 | box | -6.4337 | -6.4337 | 3.027 | 3.027 | 37.0408 | 90.0 | 90.0 | 120.0 |
| mp-571298 | box | -6.4337 | -6.4337 | 3.027 | 3.027 | 96.3084 | 90.0 | 90.0 | 120.0 |
| mp-570791 | box | -6.4337 | -6.4337 | 3.027 | 3.027 | 46.9183 | 90.0 | 90.0 | 120.0 |
| mp-568735 | box | -6.4337 | -6.4337 | 3.0271 | 3.0271 | 44.4472 | 90.0 | 90.0 | 120.0 |
| mp-11714 | box | -6.4337 | -6.4337 | 3.0272 | 3.0272 | 9.8765 | 90.0 | 90.0 | 120.0 |
| mp-1197730 | box | -6.4337 | -6.4337 | 3.0271 | 3.0271 | 125.9301 | 90.0 | 90.0 | 120.0 |
| mp-570804 | box | -6.4336 | -6.4336 | 3.0279 | 3.0279 | 96.2496 | 90.0 | 90.0 | 120.0 |
| mp-570641 | box | -6.4336 | -6.4336 | 3.0281 | 3.0281 | 59.2222 | 90.0 | 90.0 | 120.0 |
| mp-1200168 | box | -6.4336 | -6.4336 | 3.0284 | 3.0284 | 214.6449 | 90.0 | 90.0 | 120.0 |
| mp-624397 | box | -6.4336 | -6.4336 | 3.0285 | 3.0285 | 81.4107 | 90.0 | 90.0 | 120.0 |
| mp-570690 | box | -6.4335 | -6.4335 | 3.0286 | 3.0286 | 66.603 | 90.0 | 90.0 | 120.0 |
| mp-1199063 | box | -6.4334 | -6.4334 | 3.0285 | 3.0285 | 207.2346 | 90.0 | 90.0 | 120.0 |
| mp-1200848 | box | -6.4333 | -6.4333 | 3.0285 | 3.0285 | 185.0257 | 90.0 | 90.0 | 120.0 |
| B1--NaCl--rock-salt | dynamic | -5.2496 | -5.2496 | 4.231 | 4.231 | 4.231 | 90.0 | 90.0 | 90.0 |
| B2--CsCl | static | -4.051 | -4.051 | 2.6226 | 2.6226 | 2.6226 | 90.0 | 90.0 | 90.0 |
Download raw data (including filtered results)
Reference structure matches:
| prototype | method | Ecoh (eV/atom) | Epot (eV/atom) | a0 (Å) | b0 (Å) | c0 (Å) | α (degrees) | β (degrees) | γ (degrees) |
|---|---|---|---|---|---|---|---|---|---|
| C1--CaF2--fluorite | dynamic | -4.2875 | -4.2875 | 5.191 | 5.191 | 5.191 | 90.0 | 90.0 | 90.0 |
Download raw data (including filtered results)
Reference structure matches:
| prototype | method | Ecoh (eV/atom) | Epot (eV/atom) | a0 (Å) | b0 (Å) | c0 (Å) | α (degrees) | β (degrees) | γ (degrees) |
|---|---|---|---|---|---|---|---|---|---|
| D0_3--BiF3 | dynamic | -3.14 | -3.14 | 5.9825 | 5.9825 | 5.9825 | 90.0 | 90.0 | 90.0 |
| L1_2--AuCu3 | dynamic | -2.9518 | -2.9518 | 3.8143 | 3.8143 | 3.8143 | 90.0 | 90.0 | 90.0 |
| D0_3--BiF3 | static | -2.8256 | -2.8256 | 5.6072 | 5.6072 | 5.6072 | 90.0 | 90.0 | 90.0 |
| D0_3--BiF3 | box | -2.8216 | -2.8216 | 5.6733 | 5.6733 | 5.6733 | 90.0 | 90.0 | 90.0 |
| A15--Cr3Si | static | -2.3467 | -2.3467 | 4.5646 | 4.5646 | 4.5646 | 90.0 | 90.0 | 90.0 |
Download raw data (including filtered results)
Reference structure matches:
A1--Cu--fcc = mp-27, oqmd-9287, oqmd-1214570
A15--beta-W = oqmd-1215015, oqmd-1236371, oqmd-1280410
A2--W--bcc = mp-1014212, oqmd-1215193
A3'--alpha-La--double-hcp = oqmd-1215461
A3--Mg--hcp = mp-10649, oqmd-9288, oqmd-1215371
A4--C--dc = mp-149, oqmd-5714, oqmd-12378, oqmd-1215550
A5--beta-Sn = mp-92, oqmd-18979, oqmd-1215639
A6--In--bct = mp-1056579, oqmd-691768, oqmd-1215728
A7--alpha-As = oqmd-1215817
Ah--alpha-Po--sc = oqmd-1215906
| prototype | method | Ecoh (eV/atom) | Epot (eV/atom) | a0 (Å) | b0 (Å) | c0 (Å) | α (degrees) | β (degrees) | γ (degrees) |
|---|---|---|---|---|---|---|---|---|---|
| A4--C--dc | dynamic | -4.6296 | -4.6296 | 5.432 | 5.432 | 5.432 | 90.0 | 90.0 | 90.0 |
| mp-165 | dynamic | -4.6296 | -4.6296 | 3.841 | 3.841 | 6.2723 | 90.0 | 90.0 | 120.0 |
| oqmd-5764 | box | -4.6295 | -4.6295 | 3.838 | 3.838 | 6.2821 | 90.0 | 90.0 | 120.0 |
| oqmd-22507 | box | -4.6295 | -4.6295 | 3.8436 | 6.6409 | 6.2794 | 90.0 | 90.0 | 90.0 |
| mp-165 | box | -4.6295 | -4.6295 | 3.8378 | 3.8378 | 6.283 | 90.0 | 90.0 | 120.0 |
| oqmd-717362 | dynamic | -4.5907 | -4.5907 | 14.6214 | 14.6214 | 14.6214 | 90.0 | 90.0 | 90.0 |
| oqmd-717362 | box | -4.5906 | -4.5906 | 14.6222 | 14.6222 | 14.6222 | 90.0 | 90.0 | 90.0 |
| mp-1203790 | dynamic | -4.5877 | -4.5877 | 10.3317 | 10.3317 | 16.9075 | 90.0 | 90.0 | 120.0 |
| mp-1203790 | box | -4.5876 | -4.5876 | 10.3312 | 10.3312 | 16.9098 | 90.0 | 90.0 | 120.0 |
| oqmd-717360 | dynamic | -4.5721 | -4.5721 | 10.1514 | 10.1514 | 10.1514 | 90.0 | 90.0 | 90.0 |
| oqmd-717360 | box | -4.572 | -4.572 | 10.15 | 10.15 | 10.15 | 90.0 | 90.0 | 90.0 |
| mp-971662 | box | -4.572 | -4.572 | 10.1494 | 10.1494 | 10.1494 | 90.0 | 90.0 | 90.0 |
| mp-1196961 | dynamic | -4.5574 | -4.5574 | 10.1199 | 10.1199 | 10.3374 | 90.0 | 90.0 | 120.0 |
| mp-1196961 | box | -4.5573 | -4.5573 | 10.1258 | 10.1258 | 10.3289 | 90.0 | 90.0 | 120.0 |
| mp-1204627 | dynamic | -4.5338 | -4.5338 | 16.7187 | 12.7666 | 9.9443 | 90.0 | 90.0 | 90.0 |
| mp-1204627 | box | -4.5326 | -4.5326 | 16.7281 | 12.7774 | 9.9439 | 90.0 | 90.0 | 90.0 |
| mp-999200 | dynamic | -4.4996 | -4.4996 | 6.6201 | 6.6201 | 3.8861 | 90.0 | 90.0 | 90.0 |
| mp-1079297 | dynamic | -4.4982 | -4.4982 | 13.8171 | 3.8852 | 6.3242 | 90.0 | 96.8 | 90.0 |
| mp-999200 | box | -4.4956 | -4.4956 | 6.6669 | 6.6669 | 3.8451 | 90.0 | 90.0 | 90.0 |
| mp-1079297 | box | -4.4952 | -4.4952 | 13.8244 | 3.8634 | 6.3558 | 90.0 | 96.5 | 90.0 |
| oqmd-22407 | box | -4.495 | -4.495 | 6.6703 | 6.6703 | 3.8422 | 90.0 | 90.0 | 90.0 |
| oqmd-22408 | box | -4.4949 | -4.4949 | 13.8295 | 3.8641 | 6.3551 | 90.0 | 96.5 | 90.0 |
| mp-1199894 | dynamic | -4.4888 | -4.4888 | 25.3844 | 15.0784 | 9.8838 | 90.0 | 93.9 | 90.0 |
| mp-1200830 | dynamic | -4.4874 | -4.4874 | 12.4268 | 12.4268 | 12.4268 | 90.0 | 90.0 | 90.0 |
| mp-1201492 | dynamic | -4.4872 | -4.4872 | 17.5455 | 17.5455 | 17.5455 | 90.0 | 90.0 | 90.0 |
| mp-1199894 | box | -4.4857 | -4.4857 | 25.3913 | 15.1321 | 9.8656 | 90.0 | 94.2 | 90.0 |
| mp-1201492 | box | -4.4853 | -4.4853 | 17.5588 | 17.5588 | 17.5588 | 90.0 | 90.0 | 90.0 |
| mp-1200830 | box | -4.4849 | -4.4849 | 12.4339 | 12.4339 | 12.4339 | 90.0 | 90.0 | 90.0 |
| mp-971661 | dynamic | -4.4651 | -4.4651 | 10.0825 | 10.0825 | 10.0825 | 90.0 | 90.0 | 90.0 |
| mp-971661 | box | -4.4636 | -4.4636 | 10.0854 | 10.0854 | 10.0854 | 90.0 | 90.0 | 90.0 |
| mp-1202745 | dynamic | -4.4579 | -4.4579 | 9.9437 | 9.9437 | 16.1015 | 90.0 | 90.0 | 120.0 |
| mp-1202745 | box | -4.4566 | -4.4566 | 9.9519 | 9.9519 | 16.0916 | 90.0 | 90.0 | 120.0 |
| mp-1095269 | dynamic | -4.4326 | -4.4326 | 3.9004 | 10.649 | 12.7025 | 90.0 | 90.0 | 90.0 |
| mp-1095269 | box | -4.4285 | -4.4285 | 3.8654 | 10.7684 | 12.6701 | 90.0 | 90.0 | 90.0 |
| mp-1204046 | dynamic | -4.4217 | -4.4217 | 10.0381 | 10.0381 | 24.4881 | 90.0 | 90.0 | 90.0 |
| mp-1204046 | box | -4.4118 | -4.4118 | 10.0954 | 10.0954 | 24.3237 | 90.0 | 90.0 | 90.0 |
| mp-168 | dynamic | -4.3843 | -4.3843 | 6.6444 | 6.6444 | 6.6444 | 90.0 | 90.0 | 90.0 |
| oqmd-3484 | box | -4.3836 | -4.3836 | 6.6379 | 6.6379 | 6.6379 | 90.0 | 90.0 | 90.0 |
| mp-168 | box | -4.3834 | -4.3834 | 6.637 | 6.637 | 6.637 | 90.0 | 90.0 | 90.0 |
| oqmd-1214748 | dynamic | -4.3131 | -4.3131 | 4.6891 | 7.5363 | 3.8694 | 90.0 | 90.0 | 90.0 |
| Ah--alpha-Po--sc | dynamic | -4.311 | -4.311 | 2.5444 | 2.5444 | 2.5444 | 90.0 | 90.0 | 90.0 |
| A7--alpha-As | box | -4.3109 | -4.3109 | 3.5983 | 3.5983 | 8.8139 | 90.0 | 90.0 | 120.0 |
| mp-1120747 | dynamic | -4.3059 | -4.3059 | 5.7332 | 5.7332 | 3.5093 | 90.0 | 90.0 | 120.0 |
| A5--beta-Sn | dynamic | -4.3017 | -4.3017 | 4.9036 | 4.9036 | 2.5678 | 90.0 | 90.0 | 90.0 |
| oqmd-1214748 | box | -4.296 | -4.296 | 4.6999 | 7.3483 | 3.9134 | 90.0 | 90.0 | 90.0 |
| oqmd-7479 | box | -4.2934 | -4.2934 | 4.8451 | 4.9562 | 2.5664 | 90.0 | 90.0 | 90.0 |
| mp-1072544 | dynamic | -4.2824 | -4.2824 | 6.7417 | 6.7417 | 6.7417 | 90.0 | 90.0 | 90.0 |
| oqmd-18985 | dynamic | -4.2668 | -4.2668 | 9.5871 | 9.5871 | 5.4851 | 90.0 | 90.0 | 120.0 |
| mp-571520 | box | -4.2592 | -4.2592 | 9.5345 | 9.5345 | 5.5988 | 90.0 | 90.0 | 120.0 |
| oqmd-18985 | box | -4.2591 | -4.2591 | 9.522 | 9.522 | 5.579 | 90.0 | 90.0 | 120.0 |
| oqmd-717361 | dynamic | -4.2454 | -4.2454 | 7.6244 | 7.6244 | 7.6244 | 90.0 | 90.0 | 90.0 |
| oqmd-10215 | dynamic | -4.2193 | -4.2193 | 14.6657 | 14.6657 | 14.6657 | 90.0 | 90.0 | 90.0 |
| mp-16220 | static | -4.2192 | -4.2192 | 14.6659 | 14.6659 | 14.6659 | 90.0 | 90.0 | 90.0 |
| mp-1245041 | dynamic | -4.2132 | -4.2132 | 12.8945 | 13.0091 | 13.0564 | 71.4 | 73.2 | 75.3 |
| mp-1244933 | dynamic | -4.2059 | -4.2059 | 12.3167 | 12.6112 | 12.6782 | 78.7 | 73.3 | 76.8 |
| mp-1244933 | static | -4.2024 | -4.2024 | 12.3357 | 12.5995 | 12.6611 | 78.8 | 73.2 | 76.8 |
| mp-1245041 | static | -4.2005 | -4.2005 | 12.7578 | 13.0373 | 13.0728 | 71.9 | 75.7 | 73.4 |
| A2--W--bcc | dynamic | -4.1969 | -4.1969 | 3.0844 | 3.0844 | 3.0844 | 90.0 | 90.0 | 90.0 |
| mp-1244971 | dynamic | -4.1968 | -4.1968 | 11.6393 | 12.8678 | 13.5302 | 98.0 | 97.3 | 99.6 |
| mp-109 | dynamic | -4.1962 | -4.1962 | 4.8779 | 5.2466 | 9.7589 | 90.0 | 90.0 | 90.0 |
| oqmd-1214837 | dynamic | -4.1875 | -4.1875 | 10.2099 | 10.2099 | 10.2099 | 90.0 | 90.0 | 90.0 |
| mp-1245242 | dynamic | -4.1875 | -4.1875 | 12.5522 | 12.7234 | 12.7604 | 79.9 | 80.4 | 82.4 |
| oqmd-1214837 | static | -4.1857 | -4.1857 | 10.1977 | 10.1977 | 10.1977 | 90.0 | 90.0 | 90.0 |
| oqmd-1214837 | box | -4.1799 | -4.1799 | 10.1882 | 10.1882 | 10.1882 | 90.0 | 90.0 | 90.0 |
| mp-1245242 | static | -4.1778 | -4.1778 | 12.5896 | 12.6711 | 12.8013 | 79.0 | 80.3 | 82.9 |
| mp-1244990 | dynamic | -4.1642 | -4.1642 | 12.2558 | 12.2938 | 12.7888 | 102.2 | 103.1 | 98.2 |
| oqmd-51152 | dynamic | -4.1589 | -4.1589 | 2.6971 | 2.6971 | 2.6147 | 90.0 | 90.0 | 120.0 |
| mp-1244990 | static | -4.1555 | -4.1555 | 12.2451 | 12.3048 | 12.7925 | 101.8 | 103.0 | 98.2 |
| oqmd-717361 | box | -4.149 | -4.149 | 7.6261 | 7.6261 | 7.6261 | 90.0 | 90.0 | 90.0 |
| mp-1120447 | dynamic | -4.1381 | -4.1381 | 5.0794 | 5.5649 | 6.8122 | 71.2 | 70.4 | 83.8 |
| mp-1244933 | box | -4.1307 | -4.1307 | 12.3631 | 12.6134 | 12.618 | 78.9 | 77.4 | 72.9 |
| mp-1245041 | box | -4.1248 | -4.1248 | 12.7608 | 12.8588 | 12.9759 | 72.0 | 73.6 | 75.7 |
| mp-1244971 | box | -4.1233 | -4.1233 | 11.7345 | 12.7267 | 13.4634 | 97.7 | 97.3 | 99.1 |
| oqmd-10215 | box | -4.1131 | -4.1131 | 14.4439 | 14.4439 | 14.4439 | 90.0 | 90.0 | 90.0 |
| mp-1245242 | box | -4.1091 | -4.1091 | 12.5049 | 12.6559 | 12.7277 | 79.2 | 80.5 | 82.9 |
| mp-16220 | box | -4.0906 | -4.0906 | 14.4152 | 14.4152 | 14.4152 | 90.0 | 90.0 | 90.0 |
| mp-1268191 | box | -4.0786 | -4.0786 | 7.0334 | 7.0334 | 2.5593 | 90.0 | 90.0 | 120.0 |
| mp-1244990 | box | -4.0455 | -4.0455 | 12.2358 | 12.2912 | 12.7606 | 102.4 | 102.8 | 99.2 |
| oqmd-691764 | dynamic | -4.0413 | -4.0413 | 2.7248 | 2.7248 | 7.0422 | 90.0 | 90.0 | 120.0 |
| oqmd-78173 | box | -4.0404 | -4.0404 | 5.0697 | 5.4127 | 9.3151 | 90.0 | 90.0 | 90.0 |
| mp-109 | box | -4.0086 | -4.0086 | 5.0875 | 5.51 | 8.8964 | 90.0 | 90.0 | 90.0 |
| mp-1120747 | box | -4.007 | -4.007 | 5.3688 | 5.3688 | 4.4147 | 90.0 | 90.0 | 120.0 |
| A7--alpha-As | box | -3.9895 | -3.9895 | 3.8231 | 3.8231 | 7.5289 | 90.0 | 90.0 | 120.0 |
| mp-1079649 | dynamic | -3.9722 | -3.9722 | 9.8557 | 5.0648 | 5.0648 | 90.0 | 90.0 | 90.0 |
| oqmd-15748 | static | -3.9721 | -3.9721 | 9.8535 | 5.0649 | 5.0649 | 90.0 | 90.0 | 90.0 |
| mp-644693 | dynamic | -3.9423 | -3.9423 | 4.1488 | 5.6726 | 8.8468 | 80.2 | 84.4 | 69.0 |
| mp-676011 | static | -3.9145 | -3.9145 | 5.0423 | 5.5219 | 7.3794 | 70.4 | 81.7 | 76.4 |
| oqmd-1215995 | dynamic | -3.9114 | -3.9114 | 3.9908 | 3.9908 | 7.4613 | 90.0 | 90.0 | 120.0 |
| mp-676011 | dynamic | -3.8692 | -3.8692 | 4.8735 | 5.3984 | 7.5195 | 69.7 | 76.7 | 70.9 |
| A1--Cu--fcc | dynamic | -3.8677 | -3.8677 | 3.8975 | 3.8975 | 3.8975 | 90.0 | 90.0 | 90.0 |
| A3'--alpha-La--double-hcp | dynamic | -3.8677 | -3.8677 | 2.7559 | 2.7559 | 9.0009 | 90.0 | 90.0 | 120.0 |
| mp-1094057 | dynamic | -3.8677 | -3.8677 | 2.7559 | 2.7559 | 20.2519 | 90.0 | 90.0 | 120.0 |
| A3--Mg--hcp | dynamic | -3.8677 | -3.8677 | 2.7559 | 2.7559 | 4.5004 | 90.0 | 90.0 | 120.0 |
| A6--In--bct | box | -3.8676 | -3.8676 | 2.7686 | 2.7686 | 3.8622 | 90.0 | 90.0 | 90.0 |
| oqmd-1216087 | box | -3.8674 | -3.8674 | 2.756 | 2.756 | 20.2508 | 90.0 | 90.0 | 120.0 |
| oqmd-78174 | box | -3.859 | -3.859 | 8.7431 | 5.2278 | 5.2803 | 90.0 | 90.0 | 90.0 |
| oqmd-15748 | box | -3.8519 | -3.8519 | 8.6627 | 5.2414 | 5.2867 | 90.0 | 90.0 | 90.0 |
| mp-1079649 | box | -3.8466 | -3.8466 | 8.7821 | 5.2062 | 5.2861 | 90.0 | 90.0 | 90.0 |
| A15--beta-W | dynamic | -3.8365 | -3.8365 | 4.8716 | 4.8716 | 4.8716 | 90.0 | 90.0 | 90.0 |
| mp-644693 | box | -3.8002 | -3.8002 | 4.128 | 5.6295 | 8.9565 | 74.0 | 90.0 | 68.9 |
| mp-1094057 | box | -3.7119 | -3.7119 | 2.8971 | 2.8971 | 18.3001 | 90.0 | 90.0 | 120.0 |
| oqmd-1214926 | box | -3.5315 | -3.5315 | 6.6976 | 6.6976 | 6.6976 | 90.0 | 90.0 | 90.0 |
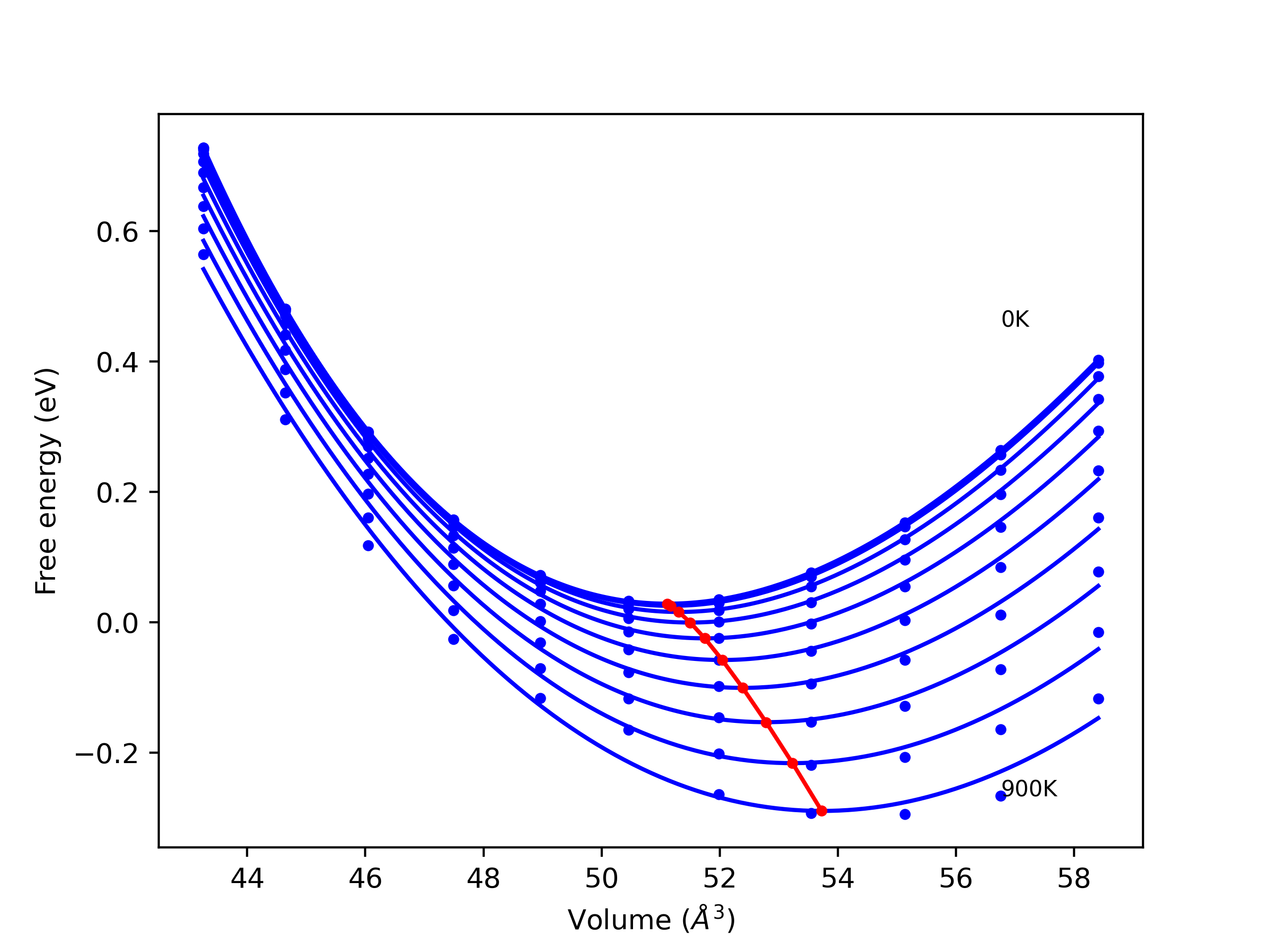
Static elastic constants are displayed for the unique structures identified in Crystal Structure Predictions above. The values displayed here are obtained by measuring the change in virial stresses due to applying small strains to the relaxed crystals. The initial structure and the strained states are all relaxed using force minimization.
The calculation method used is available as the iprPy elastic_constants_static calculation method.
Notes and Disclaimers:
Version Information:
| 7314.679 | 4378.771 | 4378.771 | -0.000 | 0.000 | -0.000 |
| 4378.771 | 7314.679 | 4378.771 | -0.000 | -0.000 | 0.000 |
| 4378.771 | 4378.771 | 7314.679 | -0.000 | -0.000 | -0.000 |
| -0.000 | 0.000 | -0.000 | 887.670 | -0.000 | -0.000 |
| 0.000 | 0.000 | -0.000 | -0.000 | 887.670 | 0.000 |
| -0.000 | 0.000 | -0.000 | -0.000 | -0.000 | 887.670 |
| 7314.678 | 4378.771 | 4378.771 | 0.000 | 0.000 | -0.000 |
| 4378.771 | 7314.678 | 4378.771 | 0.000 | 0.000 | 0.000 |
| 4378.771 | 4378.771 | 7314.678 | 0.000 | 0.000 | 0.000 |
| -0.000 | 0.000 | 0.000 | 887.670 | 0.000 | -0.000 |
| -0.000 | -0.000 | 0.000 | 0.000 | 887.670 | -0.000 |
| 0.000 | 0.000 | 0.000 | 0.000 | 0.000 | 887.670 |
| 7539.122 | 4266.552 | 4266.552 | -0.000 | -0.000 | 0.000 |
| 4266.552 | 7539.122 | 4266.552 | -0.000 | 0.000 | -0.000 |
| 4266.552 | 4266.552 | 7539.122 | -0.000 | -0.000 | -0.000 |
| 0.000 | -0.000 | -0.000 | 1313.356 | -0.000 | -0.000 |
| -0.000 | 0.000 | -0.000 | -0.000 | 1313.356 | 0.000 |
| -0.000 | -0.000 | 0.000 | -0.000 | -0.000 | 1313.356 |
| 7314.674 | 4378.771 | 4378.771 | -0.000 | -0.000 | -0.000 |
| 4378.771 | 7314.674 | 4378.771 | -0.000 | 0.000 | -0.000 |
| 4378.771 | 4378.771 | 7314.674 | 0.000 | 0.000 | -0.000 |
| -0.000 | 0.000 | 0.000 | 1313.356 | 0.000 | -0.000 |
| 0.000 | -0.000 | 0.000 | 0.000 | 1313.356 | -0.000 |
| 0.000 | 0.000 | -0.000 | 0.000 | 0.000 | 1313.356 |
| 7312.935 | 4379.672 | 4379.672 | -0.000 | -0.000 | 0.000 |
| 4379.672 | 7312.935 | 4379.672 | 0.000 | 0.000 | 0.000 |
| 4379.672 | 4379.672 | 7312.935 | -0.000 | -0.000 | 0.000 |
| 0.002 | 0.005 | 0.005 | 887.670 | -0.000 | 0.000 |
| 0.005 | 0.002 | 0.005 | -0.000 | 887.670 | 0.000 |
| 0.005 | 0.005 | 0.002 | 0.000 | -0.000 | 887.670 |
| 7314.631 | 4378.766 | 4378.766 | -0.000 | 0.000 | -0.000 |
| 4378.766 | 7314.631 | 4378.766 | 0.000 | 0.000 | 0.000 |
| 4378.766 | 4378.766 | 7314.631 | 0.000 | 0.000 | -0.000 |
| -0.002 | -0.005 | -0.005 | 887.670 | 0.000 | 0.000 |
| -0.005 | -0.002 | -0.005 | 0.000 | 887.670 | -0.000 |
| -0.005 | -0.005 | -0.002 | 0.000 | 0.000 | 887.670 |
| 2141.862 | 1637.165 | 1637.165 | -0.000 | -0.000 | 0.000 |
| 1637.165 | 2141.862 | 1637.165 | -0.000 | -0.000 | 0.000 |
| 1637.165 | 1637.165 | 2141.862 | -0.000 | -0.000 | 0.000 |
| 0.000 | -0.000 | 0.000 | 658.147 | -0.000 | -0.000 |
| -0.000 | 0.000 | 0.000 | -0.000 | 658.148 | 0.000 |
| 0.000 | 0.000 | -0.000 | -0.000 | -0.000 | 658.148 |
| 2141.862 | 1637.165 | 1637.165 | 0.000 | 0.000 | 0.000 |
| 1637.165 | 2141.862 | 1637.165 | 0.000 | 0.000 | 0.000 |
| 1637.165 | 1637.165 | 2141.862 | 0.000 | 0.000 | 0.000 |
| -0.000 | 0.000 | 0.000 | 658.148 | 0.000 | -0.000 |
| -0.000 | -0.000 | 0.000 | 0.000 | 658.148 | -0.000 |
| -0.000 | -0.000 | 0.000 | 0.000 | -0.000 | 658.148 |
| 2141.861 | 1637.164 | 1637.164 | -0.000 | -0.000 | 0.000 |
| 1637.165 | 2141.861 | 1637.164 | -0.000 | -0.000 | 0.000 |
| 1637.164 | 1637.164 | 2141.861 | -0.000 | -0.000 | 0.000 |
| -0.000 | -0.000 | -0.000 | 658.148 | -0.000 | 0.000 |
| -0.000 | -0.000 | -0.000 | -0.000 | 658.148 | 0.000 |
| -0.000 | -0.000 | -0.000 | -0.000 | -0.000 | 658.148 |
| 2141.863 | 1637.166 | 1637.166 | 0.000 | 0.000 | -0.000 |
| 1637.166 | 2141.863 | 1637.166 | 0.000 | 0.000 | 0.000 |
| 1637.166 | 1637.166 | 2141.863 | 0.000 | 0.000 | -0.000 |
| 0.000 | 0.000 | 0.000 | 658.148 | 0.000 | -0.000 |
| 0.000 | 0.000 | 0.000 | 0.000 | 658.148 | -0.000 |
| 0.000 | 0.000 | 0.000 | 0.000 | 0.000 | 658.148 |
| 2141.853 | 1637.158 | 1637.158 | -0.000 | -0.000 | 0.000 |
| 1637.158 | 2141.853 | 1637.158 | -0.000 | -0.000 | 0.000 |
| 1637.158 | 1637.158 | 2141.853 | -0.000 | -0.000 | 0.000 |
| -0.000 | -0.002 | -0.001 | 658.148 | -0.000 | 0.000 |
| -0.002 | -0.000 | -0.001 | -0.000 | 658.148 | 0.000 |
| -0.002 | -0.001 | -0.000 | -0.000 | -0.000 | 658.148 |
| 2141.871 | 1637.172 | 1637.172 | 0.000 | 0.000 | -0.000 |
| 1637.172 | 2141.871 | 1637.172 | 0.000 | 0.000 | -0.000 |
| 1637.172 | 1637.172 | 2141.871 | 0.000 | 0.000 | -0.000 |
| 0.000 | 0.002 | 0.001 | 658.148 | 0.000 | 0.000 |
| 0.002 | 0.000 | 0.001 | 0.000 | 658.148 | -0.000 |
| 0.002 | 0.001 | 0.000 | 0.000 | 0.000 | 658.148 |
| 5698806944.770 | 1652095837.624 | 4507414298.555 | -1924022.301 | 1750308.382 | -648087015.349 |
| 3148490088.678 | 2121233143.970 | 6009466055.306 | -8755489.446 | 127265403.193 | -76582263.523 |
| 5022.701 | 5022.701 | 5292.623 | -0.001 | -0.001 | -0.000 |
| -0.000 | 0.000 | -0.001 | -635.286 | -0.002 | 0.000 |
| -0.000 | -0.000 | -0.001 | -0.000 | -635.285 | 0.000 |
| -0.000 | 0.000 | -0.002 | -0.000 | 0.000 | -259.135 |
| -3489904818.221 | -2062107407.690 | -5804277476.083 | 33122729.081 | 503412.882 | 6027452.635 |
| -5642978688.997 | -1533387044.867 | -4472299952.084 | 2865962.642 | -2668565.195 | 559200718.648 |
| 5022.701 | 5022.701 | 5292.627 | 0.000 | 0.001 | 0.000 |
| 0.000 | -0.000 | 0.001 | -635.287 | 0.000 | -0.000 |
| 0.000 | 0.000 | 0.002 | 0.000 | -635.286 | -0.000 |
| 0.000 | -0.000 | 0.002 | 0.000 | -0.000 | -259.135 |
| 547264275.292 | 120288784.387 | 449551113.757 | -266142.939 | 153999.589 | -65017839.516 |
| 346944896.498 | 197057785.584 | 579205110.820 | -959957.379 | -688769.701 | -8144935.770 |
| 5022.701 | 5022.701 | 5292.624 | -0.000 | -0.000 | 0.000 |
| 0.000 | -0.000 | 0.000 | -635.286 | 0.000 | -0.000 |
| -0.000 | 0.000 | 0.000 | -0.000 | -635.286 | 0.000 |
| 341506117.267 | 630850610.084 | 414339939.086 | 325783.145 | 111036.208 | -187175008.846 |
| -355795702.026 | -193960162.951 | -603550051.069 | 965246.977 | 5048152.361 | 7918245.565 |
| -551375329.791 | -92622855.672 | -475130160.943 | -256169.280 | 356491.293 | 62838666.804 |
| 5022.701 | 5022.701 | 5292.626 | 0.000 | -0.000 | -0.000 |
| -0.000 | 0.000 | -0.000 | -635.286 | -0.000 | 0.000 |
| 0.000 | -0.000 | -0.000 | 0.000 | -635.286 | -0.000 |
| -291124684.771 | -567043748.343 | -347596767.394 | 981889.997 | 502834.920 | 69765329.298 |
| 57098540.663 | 7720101.281 | 45569280.811 | 18089.729 | -16742.558 | -6427593.626 |
| 35925115.708 | 18434076.448 | 57634824.950 | -185235.683 | -32804.448 | -1299982.441 |
| 5022.702 | 5022.702 | 5292.617 | -0.000 | 0.000 | 0.000 |
| 0.000 | -0.000 | 0.005 | -635.286 | 0.000 | -0.000 |
| -0.000 | 0.000 | 0.005 | -0.000 | -635.286 | 0.000 |
| 32468917.605 | 56994611.925 | 55601620.378 | -12909.280 | 23982.815 | -12856464.623 |
| -33849369.451 | -16769424.888 | -56980780.178 | 307303.199 | 191342.052 | 912581.214 |
| -56819869.455 | -3897177.451 | -45394179.454 | -41779.396 | -11791.826 | 4777610.901 |
| 5022.700 | 5022.700 | 5292.633 | -0.000 | 0.000 | -0.000 |
| -0.000 | 0.000 | -0.005 | -635.286 | -0.000 | -0.000 |
| 0.000 | -0.000 | -0.005 | -0.000 | -635.286 | -0.000 |
| -29879757.415 | -62100070.533 | -37708409.050 | -29243.489 | -25298.562 | 381161.898 |
| 2533.868 | 2347.164 | 0.000 | 0.000 | 0.000 | 0.000 |
| 2347.164 | 2533.868 | 0.000 | 0.000 | 0.000 | 0.001 |
| -0.000 | -0.000 | 0.000 | 0.000 | 0.000 | 0.000 |
| -0.000 | -0.000 | 0.000 | 0.000 | 0.000 | 0.000 |
| -0.000 | -0.000 | 0.000 | 0.000 | 0.000 | 0.000 |
| -0.000 | 0.000 | 0.000 | 0.000 | 0.000 | 93.352 |
| 2533.868 | 2347.165 | -0.000 | -0.000 | -0.000 | -0.000 |
| 2347.165 | 2533.869 | -0.000 | -0.000 | -0.000 | -0.001 |
| 0.000 | 0.000 | -0.000 | -0.000 | -0.000 | -0.000 |
| 0.000 | 0.000 | -0.000 | -0.000 | -0.000 | -0.000 |
| 0.000 | 0.000 | -0.000 | -0.000 | -0.000 | -0.000 |
| 0.000 | 0.000 | -0.000 | -0.000 | -0.000 | 93.351 |
| 2533.868 | 2347.162 | 0.000 | 0.000 | 0.000 | 0.000 |
| 2347.163 | 2533.867 | 0.000 | 0.000 | 0.000 | 0.000 |
| -0.000 | -0.000 | 0.000 | 0.000 | 0.000 | 0.000 |
| -0.000 | -0.000 | 0.000 | 0.000 | 0.000 | 0.000 |
| -0.000 | -0.000 | 0.000 | 0.000 | 0.000 | 0.000 |
| -0.000 | 0.001 | 0.000 | 0.000 | 0.000 | 93.352 |
| 2533.869 | 2347.167 | -0.000 | -0.000 | -0.000 | -0.000 |
| 2347.166 | 2533.870 | -0.000 | -0.000 | -0.000 | -0.000 |
| 0.000 | 0.000 | -0.000 | -0.000 | -0.000 | -0.000 |
| 0.000 | 0.000 | -0.000 | -0.000 | -0.000 | -0.000 |
| 0.000 | 0.000 | -0.000 | -0.000 | -0.000 | -0.000 |
| 0.000 | -0.001 | -0.000 | -0.000 | -0.000 | 93.352 |
| 2533.861 | 2347.143 | 0.000 | 0.000 | 0.000 | 0.000 |
| 2347.152 | 2533.852 | 0.000 | 0.000 | 0.000 | 0.000 |
| -0.000 | -0.000 | 0.000 | 0.000 | 0.000 | 0.000 |
| -0.000 | -0.000 | 0.000 | 0.000 | 0.000 | 0.000 |
| -0.000 | -0.000 | 0.000 | 0.000 | 0.000 | 0.000 |
| -0.004 | 0.006 | 0.000 | 0.000 | 0.000 | 93.352 |
| 2533.875 | 2347.186 | -0.000 | -0.000 | -0.000 | -0.000 |
| 2347.177 | 2533.885 | -0.000 | -0.000 | -0.000 | -0.000 |
| 0.000 | 0.000 | -0.000 | -0.000 | -0.000 | -0.000 |
| 0.000 | 0.000 | -0.000 | -0.000 | -0.000 | 0.000 |
| 0.000 | 0.000 | -0.000 | -0.000 | -0.000 | -0.000 |
| 0.004 | -0.006 | -0.000 | -0.000 | -0.000 | 93.352 |
| 4848.803 | 5479.766 | 5015.077 | -0.001 | -0.000 | -0.000 |
| 5479.766 | 4848.803 | 5015.077 | -0.001 | -0.000 | -0.000 |
| 5015.075 | 5015.075 | 5304.967 | -0.001 | -0.000 | 0.001 |
| -0.000 | -0.000 | 0.001 | -738.983 | -0.000 | 0.001 |
| -0.000 | -0.001 | 0.001 | -0.001 | -738.982 | -0.001 |
| 2245973260.130 | 1106545477.722 | 2375080140.189 | 648529.310 | -586982.782 | 1249877460.871 |
| -8144351600.003 | -2192917417.406 | -4291091105.914 | -7696792.446 | -14837359.027 | -55107514.017 |
| 5479.766 | 4848.802 | 5015.074 | 0.001 | 0.000 | 0.000 |
| 5015.076 | 5015.076 | 5304.965 | 0.001 | 0.000 | -0.000 |
| 0.000 | 0.000 | -0.001 | -738.981 | 0.000 | -0.001 |
| 0.000 | 0.000 | -0.001 | 0.001 | -738.982 | -0.000 |
| -3081151755.349 | -2298872519.071 | -2490646045.587 | -175356.607 | -1772031.887 | 1084243890.632 |
| 326486177.461 | 69675260.573 | 363677317.838 | -170757.800 | -601310.010 | -6435182.999 |
| 692333809.067 | 180137465.711 | 349565164.744 | 2522026.693 | -4525153.171 | -7988225.757 |
| 5015.076 | 5015.076 | 5304.965 | -0.000 | -0.000 | 0.000 |
| 0.000 | -0.000 | 0.001 | -738.982 | -0.000 | 0.000 |
| -0.000 | 0.000 | 0.001 | -0.000 | -738.982 | -0.000 |
| 298619663.517 | 149624527.527 | 262832912.090 | -87344.781 | 129051.491 | 114793162.702 |
| -734773294.114 | -249713782.175 | -382669747.220 | 1473257.534 | -2093398.972 | -809783.329 |
| -337279907.235 | -41688543.627 | -387898676.703 | 170447.327 | -820009.220 | 20955373.501 |
| 5015.076 | 5015.076 | 5304.967 | 0.000 | 0.000 | -0.000 |
| -0.000 | 0.000 | -0.001 | -738.982 | 0.000 | 0.000 |
| 0.000 | 0.000 | -0.001 | 0.000 | -738.982 | -0.000 |
| -292199372.608 | -96146857.022 | -200074933.409 | 209992.557 | 84308.376 | 119106607.705 |
| 32587355.151 | 9196027.501 | 37637749.771 | 26501.705 | -8689.343 | -1324509.371 |
| 72663123.037 | 15874423.725 | 35268183.761 | -241163.326 | 207531.661 | -1290317.329 |
| 5015.077 | 5015.077 | 5304.958 | -0.000 | -0.000 | -0.000 |
| 0.000 | 0.000 | 0.004 | -738.982 | -0.000 | 0.000 |
| 0.000 | 0.000 | 0.004 | -0.000 | -738.982 | 0.000 |
| 21578646.418 | 15754651.602 | 29222800.442 | 29236.298 | 15889.827 | 13607932.169 |
| -71404674.193 | -19419945.543 | -34896643.829 | 11287.415 | 307729.367 | 827252.397 |
| -34831472.989 | -4759474.582 | -40831657.888 | -17024.466 | 25248.750 | 3098528.512 |
| 5015.075 | 5015.075 | 5304.974 | 0.000 | 0.000 | -0.000 |
| -0.000 | -0.000 | -0.004 | -738.982 | 0.000 | -0.000 |
| -0.000 | -0.000 | -0.004 | 0.000 | -738.982 | 0.000 |
| -23844089.756 | -10218196.255 | -19136717.415 | -4329.199 | 6177.634 | 12498245.398 |
| 1007.742 | 168.833 | 168.834 | 0.001 | 0.001 | 0.001 |
| 168.831 | 1007.743 | 168.834 | 0.001 | 0.001 | 0.001 |
| 168.831 | 168.833 | 1007.742 | 0.001 | 0.001 | 0.001 |
| 0.000 | 0.002 | -0.001 | 462.450 | -0.000 | 0.001 |
| 0.001 | 0.001 | -0.001 | -0.000 | 462.450 | 0.001 |
| 0.001 | 0.001 | -0.001 | 0.000 | -0.000 | 462.451 |
| 1007.741 | 168.830 | 168.828 | -0.001 | -0.001 | -0.001 |
| 168.831 | 1007.741 | 168.828 | -0.001 | -0.001 | -0.001 |
| 168.831 | 168.830 | 1007.741 | -0.000 | -0.001 | -0.001 |
| -0.000 | -0.001 | 0.001 | 462.450 | 0.000 | -0.001 |
| -0.000 | -0.001 | 0.001 | 0.000 | 462.450 | -0.001 |
| -0.000 | -0.001 | 0.000 | -0.000 | -0.000 | 462.449 |
| 1007.742 | 168.831 | 168.831 | 0.000 | 0.000 | 0.000 |
| 168.831 | 1007.742 | 168.831 | 0.000 | 0.000 | 0.000 |
| 168.831 | 168.831 | 1007.742 | 0.000 | 0.000 | 0.000 |
| 0.000 | 0.000 | -0.000 | 462.450 | -0.000 | 0.000 |
| 0.000 | -0.000 | -0.000 | -0.000 | 462.450 | 0.000 |
| 0.000 | 0.000 | -0.000 | 0.000 | 0.000 | 462.450 |
| 1007.741 | 168.831 | 168.831 | -0.000 | -0.000 | -0.000 |
| 168.831 | 1007.741 | 168.831 | -0.000 | -0.000 | -0.000 |
| 168.831 | 168.831 | 1007.741 | 0.000 | 0.000 | -0.000 |
| -0.000 | -0.000 | 0.000 | 462.450 | 0.000 | -0.000 |
| 0.000 | -0.000 | 0.000 | 0.000 | 462.450 | -0.000 |
| -0.000 | -0.000 | 0.000 | -0.000 | 0.000 | 462.450 |
| 1007.743 | 168.832 | 168.832 | 0.000 | 0.000 | 0.000 |
| 168.832 | 1007.743 | 168.832 | 0.000 | 0.000 | 0.000 |
| 168.832 | 168.832 | 1007.743 | 0.000 | 0.000 | 0.000 |
| 0.000 | -0.000 | 0.000 | 462.450 | -0.000 | 0.000 |
| -0.000 | 0.000 | 0.000 | -0.000 | 462.450 | 0.000 |
| -0.000 | 0.000 | 0.000 | 0.000 | 0.000 | 462.450 |
| 1007.740 | 168.830 | 168.830 | -0.000 | -0.000 | -0.000 |
| 168.830 | 1007.740 | 168.830 | -0.000 | -0.000 | -0.000 |
| 168.830 | 168.830 | 1007.740 | -0.000 | -0.000 | -0.000 |
| -0.000 | 0.000 | -0.000 | 462.450 | 0.000 | -0.000 |
| 0.000 | -0.000 | -0.000 | 0.000 | 462.450 | -0.000 |
| 0.000 | -0.000 | -0.000 | -0.000 | -0.000 | 462.450 |
| 1111.908 | 145.320 | 137.615 | -0.000 | 0.000 | -0.000 |
| 145.320 | 1111.908 | 137.615 | -0.000 | -0.000 | -0.000 |
| 137.615 | 137.615 | 1213.008 | -0.000 | -0.000 | -0.000 |
| -0.000 | -0.000 | 0.000 | 254.055 | -0.000 | -0.000 |
| -0.000 | -0.000 | 0.000 | -0.000 | 254.055 | -0.000 |
| 0.000 | -0.000 | 0.000 | -0.000 | -0.000 | 287.145 |
| 1111.908 | 145.319 | 137.615 | 0.000 | -0.000 | 0.000 |
| 145.320 | 1111.907 | 137.615 | 0.001 | -0.000 | 0.000 |
| 137.615 | 137.615 | 1213.007 | 0.000 | -0.000 | 0.000 |
| -0.000 | 0.000 | -0.000 | 254.056 | 0.000 | 0.000 |
| 0.000 | 0.000 | -0.000 | 0.000 | 254.056 | 0.000 |
| -0.000 | 0.000 | -0.000 | 0.000 | 0.000 | 287.146 |
| 1111.908 | 145.320 | 137.615 | -0.000 | -0.000 | -0.000 |
| 145.320 | 1111.908 | 137.615 | -0.000 | 0.000 | -0.000 |
| 137.615 | 137.615 | 1213.008 | -0.000 | 0.000 | -0.000 |
| 0.000 | -0.000 | 0.000 | 254.056 | -0.000 | 0.000 |
| -0.000 | -0.000 | 0.000 | -0.000 | 254.056 | -0.000 |
| -0.000 | -0.000 | 0.000 | -0.000 | -0.000 | 287.145 |
| 1111.907 | 145.320 | 137.615 | 0.000 | -0.000 | 0.000 |
| 145.320 | 1111.907 | 137.615 | 0.000 | 0.000 | -0.000 |
| 137.615 | 137.615 | 1213.007 | 0.000 | 0.000 | 0.000 |
| -0.000 | -0.000 | -0.000 | 254.056 | 0.000 | 0.000 |
| 0.000 | 0.000 | -0.000 | 0.000 | 254.056 | 0.000 |
| 0.000 | 0.000 | -0.000 | 0.000 | -0.000 | 287.145 |
| 1111.911 | 145.321 | 137.616 | -0.000 | 0.000 | -0.000 |
| 145.321 | 1111.911 | 137.616 | -0.000 | -0.000 | -0.000 |
| 137.615 | 137.615 | 1213.014 | -0.000 | -0.000 | -0.000 |
| 0.000 | -0.000 | -0.000 | 254.056 | 0.000 | -0.000 |
| -0.000 | 0.000 | -0.000 | -0.000 | 254.056 | -0.000 |
| -0.000 | -0.000 | -0.000 | -0.000 | -0.000 | 287.145 |
| 1111.904 | 145.319 | 137.614 | 0.000 | 0.000 | 0.000 |
| 145.319 | 1111.904 | 137.614 | 0.000 | 0.000 | 0.000 |
| 137.615 | 137.615 | 1213.001 | 0.000 | -0.000 | 0.000 |
| -0.000 | 0.000 | 0.000 | 254.056 | 0.000 | 0.000 |
| 0.000 | -0.000 | 0.000 | 0.000 | 254.056 | 0.000 |
| 0.000 | 0.000 | 0.000 | 0.000 | -0.000 | 287.145 |
| 1582.406 | -0.001 | 0.000 | 0.000 | 0.000 | 0.000 |
| -0.001 | 1582.406 | 0.000 | 0.000 | 0.000 | 0.000 |
| -0.001 | -0.001 | 0.000 | 0.000 | 0.000 | 0.000 |
| -0.001 | -0.001 | 0.000 | 0.000 | 0.000 | 0.000 |
| -0.001 | -0.001 | 0.000 | 0.000 | 0.000 | 0.000 |
| -0.001 | -0.001 | 0.000 | 0.000 | 0.000 | 379.101 |
| 1582.407 | 0.001 | -0.000 | -0.000 | -0.000 | -0.000 |
| 0.001 | 1582.407 | -0.000 | -0.000 | -0.000 | -0.000 |
| 0.001 | 0.001 | -0.000 | -0.000 | -0.000 | -0.000 |
| 0.001 | 0.001 | -0.000 | -0.000 | -0.000 | -0.000 |
| 0.001 | 0.001 | -0.000 | -0.000 | -0.000 | -0.000 |
| 0.001 | 0.001 | -0.000 | -0.000 | -0.000 | 379.101 |
| 1582.407 | -0.000 | 0.000 | 0.000 | 0.000 | 0.000 |
| -0.000 | 1582.407 | 0.000 | 0.000 | 0.000 | 0.000 |
| -0.000 | -0.000 | 0.000 | 0.000 | 0.000 | 0.000 |
| -0.000 | -0.000 | 0.000 | 0.000 | 0.000 | 0.000 |
| -0.000 | -0.000 | 0.000 | 0.000 | 0.000 | 0.000 |
| -0.000 | -0.000 | 0.000 | 0.000 | 0.000 | 379.101 |
| 1582.405 | 0.000 | -0.000 | -0.000 | -0.000 | -0.000 |
| 0.000 | 1582.405 | -0.000 | -0.000 | -0.000 | -0.000 |
| 0.000 | 0.000 | -0.000 | -0.000 | -0.000 | -0.000 |
| 0.000 | 0.000 | -0.000 | -0.000 | -0.000 | -0.000 |
| 0.000 | 0.000 | -0.000 | -0.000 | -0.000 | -0.000 |
| 0.000 | 0.000 | -0.000 | -0.000 | -0.000 | 379.101 |
| 1582.414 | -0.000 | 0.000 | 0.000 | 0.000 | 0.000 |
| -0.000 | 1582.414 | 0.000 | 0.000 | 0.000 | 0.000 |
| -0.000 | -0.000 | 0.000 | 0.000 | 0.000 | 0.000 |
| -0.000 | -0.000 | 0.000 | 0.000 | 0.000 | 0.000 |
| -0.000 | -0.000 | 0.000 | 0.000 | 0.000 | 0.000 |
| -0.000 | -0.000 | 0.000 | 0.000 | 0.000 | 379.101 |
| 1582.398 | 0.000 | -0.000 | -0.000 | -0.000 | -0.000 |
| 0.000 | 1582.398 | -0.000 | -0.000 | -0.000 | -0.000 |
| 0.000 | 0.000 | -0.000 | -0.000 | -0.000 | -0.000 |
| 0.000 | 0.000 | -0.000 | -0.000 | -0.000 | -0.000 |
| 0.000 | 0.000 | -0.000 | -0.000 | -0.000 | -0.000 |
| 0.000 | 0.000 | -0.000 | -0.000 | -0.000 | 379.101 |
| 872.221 | 0.000 | 0.000 | 0.000 | 0.000 | 0.000 |
| 0.000 | 872.221 | 0.000 | 0.000 | 0.000 | 0.000 |
| 0.000 | 0.000 | 0.000 | 0.000 | 0.000 | -0.000 |
| 0.000 | -0.000 | 0.000 | 0.000 | 0.000 | -0.000 |
| -0.000 | 0.000 | 0.000 | 0.000 | 0.000 | 0.000 |
| -0.000 | -0.000 | 0.000 | 0.000 | 0.000 | 208.960 |
| 872.220 | -0.000 | -0.000 | -0.000 | -0.000 | 0.000 |
| -0.000 | 872.220 | -0.000 | -0.000 | -0.000 | 0.000 |
| -0.000 | -0.000 | -0.000 | -0.000 | -0.000 | 0.000 |
| -0.000 | -0.000 | -0.000 | -0.000 | -0.000 | 0.000 |
| -0.000 | -0.000 | -0.000 | -0.000 | -0.000 | 0.000 |
| -0.000 | -0.000 | -0.000 | -0.000 | -0.000 | 208.960 |
| 872.221 | 0.000 | 0.000 | 0.000 | 0.000 | -0.000 |
| 0.000 | 872.221 | 0.000 | 0.000 | 0.000 | -0.000 |
| 0.000 | 0.000 | 0.000 | 0.000 | 0.000 | -0.000 |
| 0.000 | -0.000 | 0.000 | 0.000 | 0.000 | -0.000 |
| -0.000 | 0.000 | 0.000 | 0.000 | 0.000 | -0.000 |
| -0.000 | -0.000 | 0.000 | 0.000 | 0.000 | 208.960 |
| 872.220 | -0.000 | -0.000 | -0.000 | -0.000 | 0.000 |
| -0.000 | 872.220 | -0.000 | -0.000 | -0.000 | 0.000 |
| -0.000 | -0.000 | -0.000 | -0.000 | -0.000 | 0.000 |
| -0.000 | 0.000 | -0.000 | -0.000 | -0.000 | 0.000 |
| 0.000 | -0.000 | -0.000 | -0.000 | -0.000 | 0.000 |
| 0.000 | 0.000 | -0.000 | -0.000 | -0.000 | 208.960 |
| 872.225 | 0.000 | 0.000 | 0.000 | 0.000 | -0.000 |
| 0.000 | 872.225 | 0.000 | 0.000 | 0.000 | -0.000 |
| 0.000 | 0.000 | 0.000 | 0.000 | 0.000 | -0.000 |
| 0.000 | -0.000 | 0.000 | 0.000 | 0.000 | -0.000 |
| -0.000 | 0.000 | 0.000 | 0.000 | 0.000 | -0.000 |
| -0.000 | -0.000 | 0.000 | 0.000 | 0.000 | 208.960 |
| 872.216 | -0.000 | -0.000 | -0.000 | -0.000 | 0.000 |
| -0.000 | 872.216 | -0.000 | -0.000 | -0.000 | 0.000 |
| -0.000 | -0.000 | -0.000 | -0.000 | -0.000 | 0.000 |
| -0.000 | -0.000 | -0.000 | -0.000 | -0.000 | 0.000 |
| -0.000 | -0.000 | -0.000 | -0.000 | -0.000 | 0.000 |
| 0.000 | 0.000 | -0.000 | -0.000 | -0.000 | 208.960 |
| 853.478 | -0.000 | 0.000 | 0.000 | 0.000 | -0.000 |
| -0.000 | 853.478 | 0.000 | 0.000 | 0.000 | -0.000 |
| -0.000 | -0.000 | 0.000 | 0.000 | 0.000 | -0.000 |
| -0.000 | -0.000 | 0.000 | 0.000 | 0.000 | -0.000 |
| -0.000 | -0.000 | 0.000 | 0.000 | 0.000 | -0.000 |
| -0.000 | -0.000 | 0.000 | 0.000 | 0.000 | 204.470 |
| 853.478 | 0.000 | -0.000 | -0.000 | -0.000 | 0.000 |
| 0.000 | 853.478 | -0.000 | -0.000 | -0.000 | 0.000 |
| 0.000 | 0.000 | -0.000 | -0.000 | -0.000 | 0.000 |
| 0.000 | 0.000 | -0.000 | -0.000 | -0.000 | 0.000 |
| 0.000 | 0.000 | -0.000 | -0.000 | -0.000 | 0.000 |
| 0.000 | 0.000 | -0.000 | -0.000 | -0.000 | 204.470 |
| 853.478 | -0.000 | 0.000 | 0.000 | 0.000 | 0.000 |
| -0.000 | 853.478 | 0.000 | 0.000 | 0.000 | -0.000 |
| -0.000 | -0.000 | 0.000 | 0.000 | 0.000 | -0.000 |
| -0.000 | -0.000 | 0.000 | 0.000 | 0.000 | -0.000 |
| -0.000 | -0.000 | 0.000 | 0.000 | 0.000 | -0.000 |
| -0.000 | -0.000 | 0.000 | 0.000 | 0.000 | 204.470 |
| 853.477 | 0.000 | -0.000 | -0.000 | -0.000 | 0.000 |
| 0.000 | 853.477 | -0.000 | -0.000 | -0.000 | -0.000 |
| 0.000 | 0.000 | -0.000 | -0.000 | -0.000 | 0.000 |
| 0.000 | 0.000 | -0.000 | -0.000 | -0.000 | 0.000 |
| 0.000 | 0.000 | -0.000 | -0.000 | -0.000 | 0.000 |
| 0.000 | 0.000 | -0.000 | -0.000 | -0.000 | 204.470 |
| 853.482 | -0.000 | 0.000 | 0.000 | 0.000 | -0.000 |
| -0.000 | 853.482 | 0.000 | 0.000 | 0.000 | 0.000 |
| -0.000 | -0.000 | 0.000 | 0.000 | 0.000 | -0.000 |
| -0.000 | -0.000 | 0.000 | 0.000 | 0.000 | -0.000 |
| -0.000 | -0.000 | 0.000 | 0.000 | 0.000 | -0.000 |
| -0.000 | -0.000 | 0.000 | 0.000 | 0.000 | 204.470 |
| 853.474 | 0.000 | -0.000 | -0.000 | -0.000 | 0.000 |
| 0.000 | 853.474 | -0.000 | -0.000 | -0.000 | -0.000 |
| 0.000 | 0.000 | -0.000 | -0.000 | -0.000 | 0.000 |
| 0.000 | 0.000 | -0.000 | -0.000 | -0.000 | 0.000 |
| 0.000 | 0.000 | -0.000 | -0.000 | -0.000 | 0.000 |
| 0.000 | 0.000 | -0.000 | -0.000 | -0.000 | 204.470 |
| 883.595 | 126.184 | 204.027 | -170.404 | 0.000 | 0.001 |
| 126.184 | 883.595 | 204.027 | 170.406 | 0.000 | 0.000 |
| 223.249 | 223.249 | 778.791 | 0.001 | 0.001 | 0.000 |
| -170.405 | 170.405 | 0.000 | 512.109 | 0.001 | 0.001 |
| 0.000 | 0.000 | -0.000 | 0.000 | 512.110 | -170.404 |
| 0.000 | 0.000 | -0.000 | 0.000 | -170.405 | 378.706 |
| 883.610 | 126.198 | 204.056 | -170.405 | -0.000 | -0.000 |
| 126.199 | 883.610 | 204.056 | 170.405 | -0.001 | -0.001 |
| 223.264 | 223.264 | 778.820 | -0.000 | -0.000 | -0.001 |
| -170.390 | 170.420 | 0.028 | 512.108 | -0.000 | -0.000 |
| -0.000 | -0.000 | 0.000 | -0.000 | 512.109 | -170.405 |
| -0.000 | -0.000 | 0.000 | -0.000 | -170.405 | 378.706 |
| 883.609 | 126.197 | 204.053 | -170.405 | 0.000 | 0.000 |
| 126.197 | 883.609 | 204.053 | 170.405 | 0.000 | 0.000 |
| 223.264 | 223.264 | 778.820 | -0.000 | 0.000 | 0.000 |
| -170.407 | 170.404 | -0.003 | 512.109 | 0.000 | 0.000 |
| 0.000 | 0.000 | 0.000 | -0.000 | 512.109 | -170.405 |
| -0.001 | -0.001 | -0.003 | 0.000 | -170.405 | 378.706 |
| 883.611 | 126.200 | 204.059 | -170.405 | -0.000 | -0.000 |
| 126.200 | 883.611 | 204.059 | 170.405 | -0.000 | -0.000 |
| 223.264 | 223.264 | 778.820 | -0.000 | -0.000 | -0.000 |
| -170.405 | 170.405 | -0.000 | 512.109 | -0.000 | -0.000 |
| -0.000 | -0.000 | -0.000 | 0.000 | 512.109 | -170.405 |
| 0.001 | 0.001 | 0.003 | -0.000 | -170.405 | 378.706 |
| 883.612 | 126.199 | 204.057 | -170.406 | 0.000 | 0.000 |
| 126.199 | 883.612 | 204.057 | 170.406 | 0.000 | 0.000 |
| 223.265 | 223.265 | 778.821 | 0.000 | 0.000 | 0.000 |
| -170.405 | 170.405 | 0.001 | 512.109 | 0.000 | 0.000 |
| 0.000 | 0.000 | 0.001 | -0.001 | 512.109 | -170.405 |
| -0.000 | 0.000 | 0.000 | -0.000 | -170.405 | 378.706 |
| 883.608 | 126.198 | 204.055 | -170.404 | -0.000 | -0.000 |
| 126.198 | 883.608 | 204.055 | 170.404 | -0.000 | -0.000 |
| 223.263 | 223.263 | 778.819 | -0.000 | -0.000 | -0.000 |
| -170.405 | 170.405 | -0.001 | 512.108 | -0.000 | -0.000 |
| -0.000 | -0.000 | -0.001 | 0.001 | 512.109 | -170.405 |
| 0.000 | -0.000 | -0.000 | 0.000 | -170.405 | 378.706 |
| 575.656 | 55.192 | 23.060 | 27.107 | 0.000 | -0.000 |
| 55.192 | 575.655 | 23.060 | -27.107 | 0.000 | 0.001 |
| 68.998 | 68.998 | 56.540 | 0.000 | 0.000 | 0.000 |
| -58.719 | 58.720 | -0.002 | 124.146 | 0.000 | -0.000 |
| 0.000 | 0.000 | -0.002 | 0.000 | 124.146 | -58.719 |
| -0.000 | 0.000 | -0.002 | 0.000 | -58.719 | 300.828 |
| 575.671 | 55.201 | 23.075 | 27.102 | -0.000 | 0.000 |
| 70.651 | 672.310 | 69.000 | 58.720 | -0.000 | 0.001 |
| 0.007 | 0.005 | 0.008 | -0.000 | -0.000 | -0.001 |
| 0.003 | 0.003 | 0.005 | -0.000 | -0.000 | -0.000 |
| -0.000 | -0.000 | 0.002 | -0.000 | 124.146 | -58.720 |
| 0.000 | -0.000 | 0.002 | -0.000 | -58.720 | 300.827 |
| 575.662 | 55.197 | 23.066 | 27.105 | 0.000 | 0.000 |
| 55.197 | 575.662 | 23.066 | -27.106 | 0.000 | 0.000 |
| -0.005 | -0.005 | -0.004 | 0.000 | 0.000 | 0.000 |
| -0.000 | -0.001 | -0.000 | -0.001 | 0.000 | 0.000 |
| 0.000 | 0.000 | -0.000 | 0.000 | 124.146 | -58.720 |
| 0.000 | 0.000 | -0.000 | -0.000 | -58.720 | 300.827 |
| 575.664 | 55.198 | 23.068 | 27.104 | -0.000 | -0.000 |
| 55.198 | 575.665 | 23.068 | -27.104 | -0.000 | -0.000 |
| 68.998 | 68.998 | 56.542 | -0.000 | -0.000 | -0.000 |
| 0.000 | 0.001 | 0.000 | 0.001 | -0.000 | -0.000 |
| -0.000 | -0.000 | 0.000 | -0.000 | 124.146 | -58.720 |
| -0.000 | -0.000 | 0.000 | 0.000 | -58.720 | 300.827 |
| 560.331 | 14.227 | -0.003 | 0.004 | 0.000 | -0.000 |
| 14.227 | 560.328 | -0.004 | -0.007 | 0.000 | 0.000 |
| 68.998 | 68.998 | 56.542 | 0.000 | 0.000 | 0.000 |
| -0.002 | 0.002 | -0.000 | 0.004 | 0.000 | -0.000 |
| -0.000 | -0.000 | -0.000 | 0.000 | -0.000 | 0.000 |
| -0.000 | 0.000 | -0.000 | 0.000 | 0.000 | 273.053 |
| 560.330 | 14.207 | -0.010 | -0.019 | -0.000 | -0.000 |
| 14.230 | 560.342 | 0.004 | 0.007 | -0.000 | -0.000 |
| 0.002 | 0.002 | 0.002 | -0.000 | -0.000 | -0.000 |
| -0.003 | 0.003 | 0.000 | 0.006 | -0.000 | 0.000 |
| 0.000 | 0.000 | 0.000 | -0.000 | -0.000 | 0.000 |
| 0.000 | -0.000 | 0.000 | -0.000 | 0.000 | 273.053 |
| 1336.757 | -0.000 | -0.000 | 0.000 | 0.000 | 0.000 |
| 0.000 | 1336.756 | -0.000 | 0.000 | -0.000 | 0.000 |
| 0.000 | -0.000 | 1336.756 | 0.000 | -0.000 | -0.000 |
| 0.000 | -0.000 | -0.000 | 274.014 | 0.000 | -0.000 |
| 0.000 | -0.000 | -0.000 | 0.000 | 274.014 | 0.000 |
| 0.000 | 0.000 | -0.000 | 0.000 | 0.000 | 274.014 |
| 1336.756 | 0.000 | 0.000 | -0.000 | -0.000 | -0.000 |
| -0.000 | 1336.756 | -0.000 | -0.000 | -0.000 | 0.000 |
| -0.000 | -0.000 | 1336.756 | 0.000 | 0.000 | 0.000 |
| -0.000 | 0.000 | 0.000 | 274.014 | -0.000 | -0.000 |
| -0.000 | 0.000 | 0.000 | -0.000 | 274.014 | 0.000 |
| -0.000 | -0.000 | 0.000 | -0.000 | -0.000 | 274.014 |
| 1336.757 | -0.000 | -0.000 | 0.000 | 0.000 | -0.000 |
| 0.000 | 1336.757 | -0.000 | 0.000 | -0.000 | -0.000 |
| 0.000 | -0.000 | 1336.757 | -0.000 | -0.000 | -0.000 |
| 0.000 | 0.000 | -0.000 | 274.014 | 0.000 | 0.000 |
| 0.000 | -0.000 | -0.000 | 0.000 | 274.014 | 0.000 |
| 0.000 | -0.000 | -0.000 | 0.000 | 0.000 | 274.014 |
| 1336.756 | 0.000 | 0.000 | -0.000 | -0.000 | 0.000 |
| -0.000 | 1336.756 | 0.000 | -0.000 | -0.000 | -0.000 |
| -0.000 | 0.000 | 1336.756 | -0.000 | -0.000 | 0.000 |
| -0.000 | 0.000 | 0.000 | 274.014 | -0.000 | -0.000 |
| -0.000 | 0.000 | 0.000 | -0.000 | 274.014 | -0.000 |
| -0.000 | 0.000 | 0.000 | -0.000 | -0.000 | 274.014 |
| 1336.763 | -0.000 | -0.000 | 0.000 | 0.000 | 0.000 |
| 0.000 | 1336.763 | -0.000 | 0.000 | 0.000 | -0.000 |
| 0.000 | -0.000 | 1336.763 | 0.000 | -0.000 | -0.000 |
| 0.000 | 0.000 | -0.000 | 274.014 | 0.000 | 0.000 |
| 0.000 | -0.000 | -0.000 | 0.000 | 274.014 | -0.000 |
| 0.000 | -0.000 | -0.000 | 0.000 | 0.000 | 274.014 |
| 1336.750 | 0.000 | 0.000 | -0.000 | -0.000 | -0.000 |
| -0.000 | 1336.750 | -0.000 | -0.000 | -0.000 | -0.000 |
| -0.000 | -0.000 | 1336.750 | -0.000 | -0.000 | -0.000 |
| -0.000 | -0.000 | 0.000 | 274.014 | -0.000 | -0.000 |
| -0.000 | 0.000 | 0.000 | -0.000 | 274.014 | 0.000 |
| -0.000 | 0.000 | 0.000 | -0.000 | -0.000 | 274.014 |
| 438.527 | 48.654 | 55.739 | 0.000 | 0.000 | 0.000 |
| 70.871 | 852.494 | 211.680 | 0.000 | 0.000 | 0.000 |
| 62.601 | 198.405 | 885.268 | 0.001 | 0.000 | 0.000 |
| -0.223 | -0.012 | -0.005 | 286.057 | 0.000 | 0.000 |
| -0.095 | 0.007 | -0.038 | 0.000 | 169.921 | 0.000 |
| -196039492.376 | -2912681152.350 | -1497297530.118 | 0.070 | 0.020 | -103617034.537 |
| 438.757 | 48.661 | 55.762 | -0.000 | -0.000 | -0.000 |
| 70.984 | 852.500 | 211.684 | -0.001 | -0.000 | -0.000 |
| 23.492 | 173.525 | 946.885 | -0.000 | -0.000 | -0.000 |
| 0.223 | 0.012 | 0.005 | 286.056 | -0.000 | -0.000 |
| 0.095 | -0.007 | 0.038 | -0.000 | 169.920 | -0.000 |
| 221517945.833 | 2901470490.861 | 1501372950.892 | 0.253 | 0.053 | -35676411.114 |
| 438.630 | 48.657 | 55.750 | 0.000 | 0.000 | 0.000 |
| 87.404 | 862.629 | 186.688 | -0.000 | -0.000 | 0.000 |
| 63.757 | 198.497 | 885.220 | 0.000 | 0.000 | 0.000 |
| -0.000 | -0.000 | 0.000 | 396.934 | 0.000 | 0.000 |
| -0.010 | 0.001 | -0.004 | 0.000 | 169.920 | 0.000 |
| -0.006 | 0.000 | -0.002 | 0.000 | 0.000 | 141.439 |
| 443.932 | 46.635 | 62.241 | -0.000 | -0.000 | -0.000 |
| 87.404 | 862.628 | 186.688 | 0.000 | 0.000 | -0.000 |
| 63.780 | 198.498 | 885.222 | -0.000 | -0.000 | -0.000 |
| 0.000 | -0.000 | -0.000 | 396.934 | -0.000 | -0.000 |
| 0.010 | -0.001 | 0.004 | 0.000 | 169.920 | -0.000 |
| 0.006 | -0.000 | 0.002 | -0.000 | -0.000 | 141.439 |
| 438.640 | 48.657 | 55.753 | 0.000 | 0.000 | 0.000 |
| 69.838 | 852.438 | 211.662 | 0.000 | 0.000 | 0.000 |
| 63.767 | 198.498 | 885.225 | 0.000 | 0.000 | 0.000 |
| -0.002 | -0.000 | 0.000 | 286.055 | 0.000 | 0.000 |
| -0.001 | 0.000 | -0.001 | -0.000 | 169.920 | 0.000 |
| -4734340.123 | -30591914.809 | -16122732.852 | 0.000 | -0.000 | -141357.048 |
| 438.644 | 48.658 | 55.748 | -0.000 | -0.000 | -0.000 |
| 69.840 | 852.434 | 211.659 | -0.000 | -0.000 | -0.000 |
| 63.770 | 198.497 | 885.218 | -0.000 | -0.000 | -0.000 |
| 0.002 | 0.000 | -0.000 | 286.055 | -0.000 | -0.000 |
| 0.001 | -0.000 | 0.001 | -0.000 | 169.920 | -0.000 |
| 4319704.337 | 32791205.133 | 16496144.468 | 0.000 | -0.000 | 1200060.173 |
| 757.564 | 316.025 | 77.025 | -0.000 | 0.000 | -0.000 |
| 316.025 | 757.565 | 77.025 | 0.001 | -0.000 | 0.000 |
| 107.718 | 107.718 | 1079.874 | -0.000 | -0.000 | 0.000 |
| 58.632 | 58.631 | -79.837 | 343.004 | 0.000 | 0.000 |
| 58.631 | 58.632 | -79.837 | -0.000 | 343.004 | 0.000 |
| 0.000 | 0.001 | 0.001 | 0.000 | 0.000 | 276.130 |
| 642.588 | 201.049 | 233.584 | -0.000 | -0.000 | -0.000 |
| 201.049 | 642.588 | 233.584 | 0.000 | 0.000 | 0.000 |
| 94.411 | 94.410 | 1097.994 | -0.000 | -0.000 | -0.000 |
| -58.631 | -58.631 | 79.837 | 343.004 | 0.000 | -0.000 |
| -58.631 | -58.632 | 79.837 | 0.000 | 343.004 | -0.000 |
| -0.000 | -0.000 | -0.001 | -0.000 | -0.000 | 276.130 |
| 712.340 | 227.484 | 168.098 | -0.000 | -0.000 | 0.000 |
| 227.484 | 712.340 | 168.098 | 0.000 | -0.000 | -0.000 |
| 157.647 | 157.647 | 1011.886 | -0.000 | -0.000 | -0.000 |
| 5.749 | 5.749 | -7.828 | 340.759 | -0.000 | 0.000 |
| 5.749 | 5.749 | -7.828 | 0.000 | 340.759 | 0.000 |
| 8.777 | 8.777 | -11.952 | 0.000 | 0.000 | 252.150 |
| 712.573 | 199.676 | 186.872 | -0.000 | -0.000 | -0.000 |
| 252.787 | 694.330 | 163.132 | 0.000 | -0.000 | -0.000 |
| 107.718 | 107.718 | 1079.874 | -0.000 | -0.000 | -0.000 |
| -5.749 | -5.749 | 7.828 | 340.759 | 0.000 | 0.000 |
| -5.749 | -5.749 | 7.828 | 0.000 | 340.759 | 0.000 |
| -8.777 | -8.777 | 11.952 | -0.000 | -0.000 | 252.150 |
| 700.612 | 259.183 | 154.503 | -0.000 | -0.000 | 0.000 |
| 259.183 | 700.612 | 154.503 | 0.000 | -0.000 | 0.000 |
| 152.474 | 152.474 | 1018.934 | -0.000 | -0.000 | -0.000 |
| 0.638 | 0.638 | -0.868 | 340.761 | 0.000 | 0.000 |
| 0.638 | 0.638 | -0.868 | -0.000 | 340.761 | 0.000 |
| 0.908 | 0.909 | -1.237 | 0.000 | 0.000 | 251.311 |
| 699.528 | 257.942 | 156.081 | 0.000 | 0.000 | 0.000 |
| 257.942 | 699.528 | 156.081 | -0.000 | 0.000 | -0.000 |
| 151.314 | 151.314 | 1020.506 | 0.000 | 0.000 | -0.000 |
| -0.638 | -0.638 | 0.868 | 340.761 | 0.000 | -0.000 |
| -0.638 | -0.638 | 0.868 | 0.000 | 340.761 | 0.000 |
| -0.908 | -0.909 | 1.237 | 0.000 | -0.000 | 251.311 |
| 105.553 | 25.406 | 0.000 | 0.000 | 0.000 | -0.000 |
| 32.734 | 98.225 | 0.000 | 0.000 | 0.000 | 0.000 |
| 0.000 | -0.000 | 0.000 | 0.000 | 0.000 | -0.000 |
| 0.000 | 0.000 | 0.000 | 0.000 | 0.000 | 0.000 |
| -0.000 | 0.000 | 0.000 | 0.000 | 0.000 | -0.000 |
| -0.000 | 0.000 | 0.000 | 0.000 | 0.000 | 40.074 |
| 98.225 | 32.734 | -0.000 | -0.000 | -0.000 | 0.000 |
| 25.406 | 105.553 | -0.000 | -0.000 | -0.000 | 0.000 |
| -0.000 | 0.000 | -0.000 | -0.000 | -0.000 | 0.000 |
| -0.000 | -0.000 | -0.000 | -0.000 | -0.000 | -0.000 |
| 0.000 | -0.000 | -0.000 | -0.000 | -0.000 | 0.000 |
| -0.000 | 0.000 | -0.000 | -0.000 | -0.000 | 40.074 |
| 105.553 | 25.406 | 0.000 | 0.000 | 0.000 | -0.000 |
| 25.406 | 105.553 | 0.000 | 0.000 | 0.000 | 0.000 |
| 0.000 | -0.000 | 0.000 | 0.000 | 0.000 | -0.000 |
| 0.000 | 0.000 | 0.000 | 0.000 | 0.000 | -0.000 |
| 0.000 | 0.000 | 0.000 | 0.000 | 0.000 | -0.000 |
| -0.000 | 0.000 | 0.000 | 0.000 | 0.000 | 32.746 |
| 98.225 | 32.734 | -0.000 | -0.000 | -0.000 | -0.000 |
| 32.734 | 98.225 | -0.000 | -0.000 | -0.000 | -0.000 |
| -0.000 | 0.000 | -0.000 | -0.000 | -0.000 | 0.000 |
| -0.000 | -0.000 | -0.000 | -0.000 | -0.000 | 0.000 |
| -0.000 | 0.000 | -0.000 | -0.000 | -0.000 | 0.000 |
| 0.000 | -0.000 | -0.000 | -0.000 | -0.000 | 32.746 |
| 98.226 | 32.733 | 0.000 | 0.000 | 0.000 | 0.000 |
| 32.734 | 98.225 | 0.000 | 0.000 | 0.000 | 0.000 |
| 0.000 | -0.000 | 0.000 | 0.000 | 0.000 | -0.000 |
| -0.000 | 0.000 | 0.000 | 0.000 | 0.000 | -0.000 |
| -0.000 | 0.000 | 0.000 | 0.000 | 0.000 | -0.000 |
| 0.000 | 0.000 | 0.000 | 0.000 | 0.000 | 40.074 |
| 98.225 | 32.734 | -0.000 | -0.000 | -0.000 | 0.000 |
| 32.752 | 98.206 | -0.000 | -0.000 | -0.000 | 0.000 |
| -0.000 | 0.000 | -0.000 | -0.000 | -0.000 | 0.000 |
| -0.000 | -0.000 | -0.000 | -0.000 | -0.000 | 0.000 |
| 0.000 | -0.000 | -0.000 | -0.000 | -0.000 | 0.000 |
| -0.000 | -0.000 | -0.000 | -0.000 | -0.000 | 40.074 |
| 629.363 | 221.619 | 0.000 | 0.000 | 0.000 | 0.000 |
| 221.619 | 629.363 | 0.000 | 0.000 | 0.000 | 0.000 |
| 0.000 | -0.000 | 0.000 | 0.000 | 0.000 | -0.000 |
| 0.000 | -0.000 | 0.000 | 0.000 | 0.000 | -0.000 |
| 0.000 | -0.000 | 0.000 | 0.000 | 0.000 | 0.000 |
| 0.000 | 0.000 | 0.000 | 0.000 | 0.000 | 425.491 |
| 629.363 | 221.619 | -0.000 | -0.000 | -0.000 | -0.000 |
| 221.619 | 629.363 | -0.000 | -0.000 | -0.000 | -0.000 |
| -0.000 | 0.000 | -0.000 | -0.000 | -0.000 | 0.000 |
| -0.000 | 0.000 | -0.000 | -0.000 | -0.000 | 0.000 |
| -0.000 | 0.000 | -0.000 | -0.000 | -0.000 | -0.000 |
| -0.000 | 0.000 | -0.000 | -0.000 | -0.000 | 425.491 |
| 629.364 | 221.619 | 0.000 | 0.000 | 0.000 | 0.000 |
| 221.619 | 629.364 | 0.000 | 0.000 | 0.000 | 0.000 |
| 0.000 | -0.000 | 0.000 | 0.000 | 0.000 | -0.000 |
| 0.000 | -0.000 | 0.000 | 0.000 | 0.000 | -0.000 |
| 0.000 | -0.000 | 0.000 | 0.000 | 0.000 | 0.000 |
| 0.000 | 0.000 | 0.000 | 0.000 | 0.000 | 425.491 |
| 629.363 | 221.619 | -0.000 | -0.000 | -0.000 | -0.000 |
| 221.619 | 629.363 | -0.000 | -0.000 | -0.000 | -0.000 |
| -0.000 | 0.000 | -0.000 | -0.000 | -0.000 | 0.000 |
| -0.000 | 0.000 | -0.000 | -0.000 | -0.000 | 0.000 |
| -0.000 | 0.000 | -0.000 | -0.000 | -0.000 | -0.000 |
| -0.000 | -0.000 | -0.000 | -0.000 | -0.000 | 425.491 |
| 629.365 | 221.620 | 0.000 | 0.000 | 0.000 | 0.000 |
| 221.620 | 629.365 | 0.000 | 0.000 | 0.000 | 0.000 |
| 0.000 | -0.000 | 0.000 | 0.000 | 0.000 | -0.000 |
| 0.000 | -0.000 | 0.000 | 0.000 | 0.000 | -0.000 |
| 0.000 | -0.000 | 0.000 | 0.000 | 0.000 | 0.000 |
| 0.000 | 0.001 | 0.000 | 0.000 | 0.000 | 425.491 |
| 629.362 | 221.618 | -0.000 | -0.000 | -0.000 | -0.000 |
| 221.618 | 629.362 | -0.000 | -0.000 | -0.000 | -0.000 |
| -0.000 | 0.000 | -0.000 | -0.000 | -0.000 | 0.000 |
| -0.000 | 0.000 | -0.000 | -0.000 | -0.000 | 0.000 |
| -0.000 | 0.000 | -0.000 | -0.000 | -0.000 | -0.000 |
| -0.000 | -0.001 | -0.000 | -0.000 | -0.000 | 425.491 |
| 1030.807 | 78.330 | 87.927 | 0.001 | 0.000 | 0.000 |
| 71.755 | 1036.451 | 140.180 | -0.000 | 0.000 | 0.000 |
| 81.539 | 140.368 | 1103.120 | -0.002 | -0.000 | 0.000 |
| -0.000 | -0.000 | 0.000 | 432.762 | 0.000 | 0.000 |
| 33.240 | 759.088 | -383.594 | -0.001 | 386.589 | 0.000 |
| -37.764 | 901.831 | -540.879 | -0.001 | 0.000 | 317.373 |
| 876.473 | -735.348 | 698.857 | 0.002 | -0.000 | -0.000 |
| 201.119 | 14.780 | 714.873 | 0.003 | -0.000 | -0.000 |
| 81.540 | 140.369 | 1103.119 | -0.001 | -0.000 | -0.000 |
| 0.000 | 0.000 | -0.000 | 432.767 | -0.000 | -0.000 |
| -33.240 | -759.088 | 383.594 | -0.001 | 386.589 | -0.000 |
| 37.764 | -901.831 | 540.879 | 0.001 | 0.000 | 317.373 |
| 1030.807 | 78.330 | 87.926 | 0.000 | 0.000 | 0.000 |
| 204.296 | 957.498 | 130.722 | -0.000 | 0.000 | 0.000 |
| 132.965 | 255.851 | 976.617 | 0.000 | 0.000 | 0.000 |
| -0.000 | -0.000 | 0.000 | 432.765 | 0.000 | 0.000 |
| -3.506 | 83.732 | -50.219 | -0.000 | 376.364 | 0.000 |
| -0.000 | -0.000 | 0.000 | -0.000 | 0.000 | 348.580 |
| 850.401 | 82.689 | 202.894 | 0.000 | 0.000 | -0.000 |
| 162.292 | 820.835 | 233.666 | 0.000 | -0.000 | -0.000 |
| 112.731 | 103.803 | 1075.893 | 0.000 | -0.000 | -0.000 |
| 0.000 | 0.000 | -0.000 | 432.765 | 0.000 | -0.000 |
| 3.506 | -83.732 | 50.219 | 0.000 | 376.364 | -0.000 |
| 0.000 | 0.000 | -0.000 | 0.000 | -0.000 | 348.580 |
| 844.323 | 189.403 | 125.129 | -0.000 | 0.000 | 0.000 |
| 179.628 | 902.987 | 177.045 | 0.000 | 0.000 | 0.000 |
| 130.618 | 183.281 | 1025.624 | -0.000 | 0.000 | 0.000 |
| 5.187 | 5.024 | -4.733 | 375.644 | 0.000 | 0.000 |
| -0.283 | 6.751 | -4.049 | -0.000 | 382.197 | 0.000 |
| -0.348 | 8.301 | -4.979 | -0.000 | 0.000 | 319.854 |
| 841.679 | 182.227 | 129.411 | 0.000 | -0.000 | -0.000 |
| 176.804 | 888.981 | 184.706 | 0.000 | -0.000 | -0.000 |
| 119.348 | 179.469 | 1032.849 | 0.000 | 0.000 | -0.000 |
| -5.187 | -5.024 | 4.733 | 375.644 | -0.000 | -0.000 |
| 0.283 | -6.751 | 4.049 | 0.000 | 382.197 | -0.000 |
| 0.348 | -8.301 | 4.979 | 0.000 | -0.000 | 319.854 |
| -1799.899 | 902.706 | 4007.015 | 0.000 | -186.822 | -0.000 |
| -2455.020 | 1699.858 | 3980.029 | 0.000 | -240.307 | -0.000 |
| -2407.536 | 923.526 | 4708.574 | -0.000 | -215.039 | -0.000 |
| -0.000 | -0.000 | 0.000 | 453.834 | 0.001 | -42.808 |
| -3055.303 | 1973.786 | 1216.283 | 0.000 | -2163.186 | -0.000 |
| -2593.321 | 768.025 | 3829.736 | -7.017 | -227.595 | 320.405 |
| 3385.177 | -632.479 | -3652.092 | -0.000 | 267.312 | 0.000 |
| 3215.683 | -1061.863 | -1047.902 | -0.000 | 2446.360 | 0.000 |
| 2777.825 | -611.884 | -2950.330 | -0.000 | 239.314 | 0.000 |
| 0.001 | 0.000 | -0.000 | 453.834 | -0.001 | -42.807 |
| 1823.313 | -1104.143 | -3220.849 | -0.000 | 924.047 | 0.000 |
| 2593.321 | -768.025 | -3829.736 | -7.017 | 227.595 | 320.405 |
| 594.800 | 247.813 | 512.366 | 0.000 | -22.297 | -0.000 |
| -40.807 | 1040.568 | 470.829 | -0.000 | -78.277 | -0.000 |
| -73.076 | 232.827 | 1261.060 | 0.000 | -10.743 | -0.000 |
| -181.435 | 108.594 | 324.396 | 375.763 | -61.895 | 0.920 |
| -168.984 | 94.673 | 340.853 | -0.000 | 237.024 | -0.000 |
| -259.557 | 77.117 | 382.530 | -6.978 | -23.286 | 320.380 |
| 954.941 | 30.339 | -134.262 | -0.000 | 102.204 | 0.000 |
| 290.998 | 829.561 | -160.317 | 0.000 | 44.128 | 0.000 |
| 378.309 | 42.168 | 554.273 | -0.000 | 82.706 | 0.000 |
| 181.435 | -108.594 | -324.396 | 375.763 | 61.895 | 0.921 |
| 268.005 | -90.112 | -369.244 | -0.000 | 319.524 | 0.000 |
| 259.557 | -77.117 | -382.530 | -6.978 | 23.286 | 320.380 |
| 759.614 | 150.055 | 223.404 | 0.000 | 35.675 | -0.000 |
| 108.817 | 945.823 | 182.306 | -0.000 | -23.128 | -0.000 |
| 166.767 | 163.575 | 913.913 | 0.000 | 10.544 | -0.000 |
| -27.904 | 11.386 | 31.442 | 379.603 | -8.825 | -1.532 |
| -5.852 | -3.211 | 49.231 | 0.000 | 292.900 | -0.000 |
| -30.057 | 19.331 | 11.758 | 1.882 | -23.940 | 318.859 |
| 797.399 | 132.799 | 151.236 | -0.000 | 43.093 | 0.000 |
| 163.437 | 920.698 | 113.120 | -0.000 | -9.915 | 0.000 |
| 222.815 | 143.930 | 862.941 | -0.000 | 34.525 | 0.000 |
| 27.904 | -11.386 | -31.442 | 379.603 | 8.825 | -1.532 |
| 29.765 | -23.643 | -16.245 | -0.000 | 303.502 | 0.000 |
| 30.057 | -19.331 | -11.758 | 1.882 | 23.940 | 318.859 |
| -2215538238.438 | -2228084252.926 | -1606134928.960 | 60152304.705 | 91312160.414 | -2855088.021 |
| -2211305995.586 | -2219831790.432 | -1627588051.452 | 35574566.291 | 86037243.980 | -2811318.132 |
| -2211953205.411 | -2220661341.475 | -1616101280.236 | 41163261.734 | 102758385.289 | -1875970.799 |
| -2211270300.000 | -2196832741.947 | -1449670586.793 | -677483616.052 | 24204734.017 | -5666677.238 |
| -3.397 | -3.392 | -1.561 | -0.000 | 131.883 | -0.046 |
| -2226791145.307 | -2234928921.885 | -2116138402.500 | 9034458.647 | -2647755.087 | -55327334.546 |
| 289.189 | 51.991 | 1.860 | 0.000 | 0.000 | 0.034 |
| 2210381112.354 | 2221909077.746 | 1606722044.849 | -53474200.317 | -85956296.837 | 1871151.262 |
| 43.798 | 43.795 | 2541.353 | 0.000 | 0.000 | -0.001 |
| 3.397 | 3.392 | 1.561 | 131.884 | 0.000 | 0.046 |
| 2181065130.009 | 2225104409.412 | 1458392803.252 | -14165909.360 | -886259231.055 | 6572882.542 |
| -0.369 | -0.382 | -2.167 | 0.000 | 0.000 | 11.810 |
| -221462137.350 | -222964160.726 | -161259517.214 | 4898862.795 | 6328365.880 | 266210.090 |
| -222173804.067 | -223074865.378 | -157157903.239 | 2354526.080 | 7867960.019 | -691958.404 |
| -221217349.544 | -222083054.323 | -161138992.985 | 3751087.457 | 10725013.606 | -176959.053 |
| -0.227 | -0.225 | 0.082 | 132.989 | -0.000 | -0.010 |
| -218916444.030 | -222279288.854 | -149007968.562 | 36240.214 | -71897359.845 | -741673.591 |
| -223824575.499 | -222571674.936 | -226944030.965 | -1257189.523 | 1941398.950 | -4158779.121 |
| 222162461.091 | 223138314.405 | 157017945.756 | -2969969.284 | -8280864.752 | 567248.340 |
| 221457314.594 | 222971946.387 | 160571103.453 | -5046483.712 | -6204215.924 | -161307.727 |
| 221471474.873 | 222218932.462 | 161914309.495 | -3296001.657 | -10812888.085 | 184980.776 |
| 221959675.500 | 220231700.948 | 147342976.487 | -70111953.935 | -6754834.575 | 77576.168 |
| 0.227 | 0.225 | -0.082 | 0.000 | 132.989 | 0.010 |
| 223716015.259 | 223715056.319 | 227593264.698 | -1152742.986 | 3699650.446 | -3858696.746 |
| -22169090.383 | -22298007.262 | -15657606.087 | 106130.190 | 172664.559 | -44196.180 |
| -22328407.801 | -22298224.972 | -14998947.965 | 582352.651 | 599089.459 | -57780.655 |
| -22118871.759 | -22209182.911 | -16067334.448 | 517893.817 | 1139380.722 | -18927.585 |
| -0.021 | -0.021 | 0.008 | 133.074 | 0.000 | -0.001 |
| -0.021 | -0.021 | 0.008 | -0.000 | 133.074 | -0.001 |
| -22018406.186 | -22017732.922 | -18078440.177 | -441838.549 | -437945.914 | -497775.455 |
| 22328221.208 | 22299970.397 | 15000785.889 | -596496.584 | -606002.278 | 57021.701 |
| 22166345.890 | 22302892.129 | 15741043.071 | -132117.465 | -171572.859 | 31101.462 |
| 22118862.458 | 22209174.573 | 16072672.251 | -517893.371 | -1139377.117 | 18927.914 |
| 0.021 | 0.021 | -0.008 | 133.074 | 0.000 | 0.001 |
| 0.021 | 0.021 | -0.008 | 0.000 | 133.074 | 0.001 |
| 21820805.981 | 21792632.996 | 17530241.146 | -310951.319 | -4702.914 | -666146.323 |
| 407.628 | 143.539 | 0.000 | 0.000 | 0.000 | 0.000 |
| 143.539 | 407.628 | 0.000 | 0.000 | 0.000 | 0.000 |
| -0.000 | -0.000 | 0.000 | 0.000 | 0.000 | -0.000 |
| 0.000 | -0.000 | 0.000 | 0.000 | 0.000 | -0.000 |
| 0.000 | -0.000 | 0.000 | 0.000 | 0.000 | 0.000 |
| 0.000 | -0.000 | 0.000 | 0.000 | 0.000 | 275.584 |
| 407.628 | 143.539 | -0.000 | -0.000 | -0.000 | -0.000 |
| 143.539 | 407.628 | -0.000 | -0.000 | -0.000 | -0.000 |
| 0.000 | 0.000 | -0.000 | -0.000 | -0.000 | 0.000 |
| -0.000 | 0.000 | -0.000 | -0.000 | -0.000 | 0.000 |
| 0.000 | 0.000 | -0.000 | -0.000 | -0.000 | -0.000 |
| 0.000 | 0.000 | -0.000 | -0.000 | -0.000 | 275.584 |
| 407.628 | 143.539 | 0.000 | 0.000 | 0.000 | 0.000 |
| 143.539 | 407.628 | 0.000 | 0.000 | 0.000 | 0.000 |
| -0.000 | -0.000 | 0.000 | 0.000 | 0.000 | -0.000 |
| 0.000 | -0.000 | 0.000 | 0.000 | 0.000 | -0.000 |
| 0.000 | -0.000 | 0.000 | 0.000 | 0.000 | -0.000 |
| 0.000 | 0.000 | 0.000 | 0.000 | 0.000 | 275.584 |
| 407.628 | 143.539 | -0.000 | -0.000 | -0.000 | -0.000 |
| 143.539 | 407.628 | -0.000 | -0.000 | -0.000 | -0.000 |
| 0.000 | 0.000 | -0.000 | -0.000 | -0.000 | 0.000 |
| -0.000 | 0.000 | -0.000 | -0.000 | -0.000 | 0.000 |
| -0.000 | 0.000 | -0.000 | -0.000 | -0.000 | 0.000 |
| -0.000 | -0.000 | -0.000 | -0.000 | -0.000 | 275.584 |
| 407.629 | 143.540 | 0.000 | 0.000 | 0.000 | 0.000 |
| 143.540 | 407.629 | 0.000 | 0.000 | 0.000 | 0.000 |
| -0.000 | -0.000 | 0.000 | 0.000 | 0.000 | -0.000 |
| 0.000 | -0.000 | 0.000 | 0.000 | 0.000 | -0.000 |
| 0.000 | -0.000 | 0.000 | 0.000 | 0.000 | 0.000 |
| 0.000 | 0.001 | 0.000 | 0.000 | 0.000 | 275.584 |
| 407.627 | 143.539 | -0.000 | -0.000 | -0.000 | -0.000 |
| 143.539 | 407.627 | -0.000 | -0.000 | -0.000 | -0.000 |
| 0.000 | 0.000 | -0.000 | -0.000 | -0.000 | 0.000 |
| -0.000 | 0.000 | -0.000 | -0.000 | -0.000 | 0.000 |
| -0.000 | 0.000 | -0.000 | -0.000 | -0.000 | -0.000 |
| -0.000 | -0.001 | -0.000 | -0.000 | -0.000 | 275.584 |
| 207.701 | 69.707 | 87.532 | -0.001 | -0.000 | -0.000 |
| 69.843 | 351.470 | 64.187 | -0.000 | -0.001 | 0.000 |
| 87.030 | 79.447 | 244.097 | -0.001 | 0.000 | 0.000 |
| -0.000 | 0.000 | 0.000 | 143.053 | -0.001 | 0.000 |
| 0.008 | 0.004 | -0.029 | -0.001 | 99.101 | 0.000 |
| -0.000 | -0.000 | -0.000 | -0.000 | -0.000 | 142.646 |
| 129.464 | 22.079 | 30.410 | 0.000 | 0.001 | -0.000 |
| 69.843 | 351.470 | 64.187 | 0.000 | 0.001 | -0.000 |
| 87.010 | 79.439 | 244.153 | 0.000 | 0.000 | -0.000 |
| 0.000 | 0.000 | -0.000 | 143.054 | 0.000 | -0.000 |
| -0.008 | -0.004 | 0.029 | 0.000 | 99.102 | -0.000 |
| 0.000 | -0.000 | -0.000 | 0.001 | 0.000 | 142.646 |
| 88.875 | -8.006 | 14.701 | -0.000 | -0.000 | 0.000 |
| 69.843 | 351.470 | 64.187 | -0.000 | -0.000 | 0.000 |
| 36.743 | 32.240 | 174.973 | -0.000 | -0.000 | -0.000 |
| -0.000 | -0.000 | -0.000 | 143.053 | -0.000 | 0.000 |
| 0.001 | 0.000 | -0.003 | -0.000 | 99.102 | 0.000 |
| 0.001 | 0.000 | -0.003 | -0.000 | 0.000 | 86.058 |
| 88.870 | -8.006 | 14.713 | 0.000 | 0.000 | -0.000 |
| 20.967 | 111.080 | 24.581 | 0.000 | 0.000 | -0.000 |
| 36.746 | 32.248 | 174.901 | 0.000 | 0.000 | 0.000 |
| 0.000 | 0.000 | -0.000 | 143.053 | -0.000 | -0.000 |
| -0.001 | -0.000 | 0.003 | -0.000 | 99.102 | -0.000 |
| -0.001 | -0.000 | 0.003 | 0.000 | 0.000 | 86.058 |
| 59.617 | -6.939 | 9.234 | -0.000 | 0.000 | 0.000 |
| 20.964 | 111.052 | 24.576 | -0.000 | 0.000 | 0.000 |
| 16.296 | 11.273 | 130.423 | 0.000 | -0.000 | 0.000 |
| 0.000 | -0.000 | -0.000 | 95.371 | -0.000 | 0.000 |
| 0.000 | 0.000 | 0.000 | -0.000 | 146.414 | 0.000 |
| 0.000 | 0.000 | 0.000 | -0.000 | -0.000 | 142.646 |
| 59.795 | -6.775 | 9.454 | 0.000 | 0.000 | -0.000 |
| -8.009 | 30.908 | 3.325 | 0.000 | 0.000 | -0.000 |
| 36.774 | 32.321 | 174.308 | 0.000 | 0.000 | -0.000 |
| -0.000 | 0.000 | 0.000 | 95.371 | -0.000 | -0.000 |
| -0.000 | -0.000 | -0.000 | 0.000 | 146.414 | -0.000 |
| -0.000 | -0.000 | -0.000 | 0.000 | 0.000 | 142.646 |
| -10.804 | -243.235 | 99.158 | -0.000 | -0.000 | -0.000 |
| -68.097 | -271.733 | -117.634 | 0.000 | -0.000 | 0.000 |
| -139.414 | -239.750 | 254.735 | -0.000 | 0.000 | 0.000 |
| -186.767 | -297.786 | 54.667 | 74.899 | -0.000 | 0.000 |
| -186.576 | -297.482 | 54.612 | 0.000 | 60.441 | 0.000 |
| -86.528 | -394.263 | -144.115 | 0.000 | -0.000 | 46.731 |
| 270.000 | 52.676 | 45.543 | -0.000 | 0.000 | -0.000 |
| 52.676 | 258.983 | 52.253 | -0.000 | 0.000 | -0.000 |
| 234.937 | 356.806 | 149.127 | -0.000 | 0.000 | -0.000 |
| 186.767 | 297.786 | -54.667 | 74.899 | -0.000 | -0.000 |
| 186.576 | 297.482 | -54.612 | 0.000 | 60.441 | -0.000 |
| 186.745 | 297.751 | -54.661 | 0.001 | 0.000 | 45.424 |
| 158.721 | 21.681 | 50.550 | 0.000 | -0.000 | 0.000 |
| 31.037 | 132.835 | 64.241 | -0.000 | -0.000 | 0.000 |
| -1.795 | -38.433 | 100.616 | -0.000 | 0.000 | 0.000 |
| -17.174 | -27.383 | 5.027 | 78.465 | 0.000 | 0.000 |
| -16.375 | -26.108 | 4.793 | -0.000 | 67.743 | 0.000 |
| -10.617 | -40.351 | -12.378 | -0.000 | -0.000 | 43.101 |
| 173.299 | 85.257 | 38.691 | 0.000 | -0.000 | -0.000 |
| 52.676 | 258.983 | 52.253 | 0.000 | 0.000 | -0.000 |
| 26.305 | 70.236 | 153.409 | 0.000 | -0.000 | -0.000 |
| 10.458 | 41.700 | 13.484 | 76.138 | 0.000 | -0.000 |
| 16.375 | 26.108 | -4.793 | -0.000 | 67.743 | -0.000 |
| -0.000 | 0.000 | 0.000 | 0.000 | -0.000 | 105.072 |
| 33.130 | -5.527 | -13.511 | -0.000 | 0.000 | 0.000 |
| -5.711 | 7.189 | -7.940 | -0.000 | -0.000 | 0.000 |
| 3.082 | 6.468 | 108.930 | 0.000 | -0.000 | 0.000 |
| 2.309 | -4.354 | 2.044 | 28.461 | 0.000 | 0.000 |
| -1.310 | -2.089 | 0.384 | -0.000 | 78.210 | 0.000 |
| 1.672 | -3.655 | 2.605 | 0.000 | -0.000 | 15.060 |
| 10.407 | -1.874 | -1.101 | -0.000 | -0.000 | -0.000 |
| -13.207 | 10.999 | -12.298 | 0.000 | 0.000 | -0.000 |
| 1.043 | 14.390 | 105.528 | 0.000 | 0.000 | -0.000 |
| -1.517 | 4.181 | -2.200 | 38.578 | 0.000 | 0.000 |
| -1.701 | 4.369 | -2.921 | -0.000 | 41.893 | -0.000 |
| -1.672 | 3.655 | -2.605 | 0.000 | 0.000 | 15.060 |
| 470.484 | 0.000 | 0.000 | 0.000 | 0.000 | 0.000 |
| -0.000 | 0.000 | 0.000 | 0.000 | 0.000 | 0.000 |
| -0.000 | 0.000 | 0.000 | 0.000 | 0.000 | 0.000 |
| -0.000 | 0.000 | 0.000 | 0.000 | 0.000 | 0.000 |
| -0.000 | 0.000 | 0.000 | 0.000 | 0.000 | 0.000 |
| -0.000 | 0.000 | 0.000 | 0.000 | 0.000 | 0.000 |
| 470.484 | -0.000 | -0.000 | -0.000 | -0.000 | -0.000 |
| 0.000 | -0.000 | -0.000 | -0.000 | -0.000 | -0.000 |
| 0.000 | -0.000 | -0.000 | -0.000 | -0.000 | -0.000 |
| 0.000 | -0.000 | -0.000 | -0.000 | -0.000 | -0.000 |
| 0.000 | -0.000 | -0.000 | -0.000 | -0.000 | -0.000 |
| 0.000 | -0.000 | -0.000 | -0.000 | -0.000 | -0.000 |
| 470.484 | 0.000 | 0.000 | 0.000 | 0.000 | 0.000 |
| -0.000 | 0.000 | 0.000 | 0.000 | 0.000 | 0.000 |
| 0.000 | 0.000 | 0.000 | 0.000 | 0.000 | 0.000 |
| -0.000 | 0.000 | 0.000 | 0.000 | 0.000 | 0.000 |
| 0.000 | 0.000 | 0.000 | 0.000 | 0.000 | 0.000 |
| -0.000 | 0.000 | 0.000 | 0.000 | 0.000 | 0.000 |
| 470.484 | -0.000 | -0.000 | -0.000 | -0.000 | -0.000 |
| 0.000 | -0.000 | -0.000 | -0.000 | -0.000 | -0.000 |
| -0.000 | -0.000 | -0.000 | -0.000 | -0.000 | -0.000 |
| 0.000 | -0.000 | -0.000 | -0.000 | -0.000 | -0.000 |
| -0.000 | -0.000 | -0.000 | -0.000 | -0.000 | -0.000 |
| 0.000 | -0.000 | -0.000 | -0.000 | -0.000 | -0.000 |
| 470.486 | 0.000 | 0.000 | 0.000 | 0.000 | 0.000 |
| -0.000 | 0.000 | 0.000 | 0.000 | 0.000 | 0.000 |
| 0.000 | 0.000 | 0.000 | 0.000 | 0.000 | 0.000 |
| -0.000 | 0.000 | 0.000 | 0.000 | 0.000 | 0.000 |
| -0.000 | 0.000 | 0.000 | 0.000 | 0.000 | 0.000 |
| -0.000 | 0.000 | 0.000 | 0.000 | 0.000 | 0.000 |
| 470.482 | -0.000 | -0.000 | -0.000 | -0.000 | -0.000 |
| 0.000 | -0.000 | -0.000 | -0.000 | -0.000 | -0.000 |
| 0.000 | -0.000 | -0.000 | -0.000 | -0.000 | -0.000 |
| 0.000 | -0.000 | -0.000 | -0.000 | -0.000 | -0.000 |
| 0.000 | -0.000 | -0.000 | -0.000 | -0.000 | -0.000 |
| 0.000 | -0.000 | -0.000 | -0.000 | -0.000 | -0.000 |
| 470.484 | 0.000 | 0.000 | 0.000 | 0.000 | 0.000 |
| -0.000 | 0.000 | 0.000 | 0.000 | 0.000 | 0.000 |
| -0.000 | 0.000 | 0.000 | 0.000 | 0.000 | 0.000 |
| 0.000 | 0.000 | 0.000 | 0.000 | 0.000 | 0.000 |
| -0.000 | 0.000 | 0.000 | 0.000 | 0.000 | 0.000 |
| -0.000 | 0.000 | 0.000 | 0.000 | 0.000 | 0.000 |
| 470.484 | -0.000 | -0.000 | -0.000 | -0.000 | -0.000 |
| -0.000 | -0.000 | -0.000 | -0.000 | -0.000 | -0.000 |
| -0.000 | -0.000 | -0.000 | -0.000 | -0.000 | -0.000 |
| -0.000 | -0.000 | -0.000 | -0.000 | -0.000 | -0.000 |
| 0.000 | -0.000 | -0.000 | -0.000 | -0.000 | -0.000 |
| 0.000 | -0.000 | -0.000 | -0.000 | -0.000 | -0.000 |
| 470.484 | 0.000 | 0.000 | 0.000 | 0.000 | 0.000 |
| -0.000 | 0.000 | 0.000 | 0.000 | 0.000 | 0.000 |
| -0.000 | 0.000 | 0.000 | 0.000 | 0.000 | 0.000 |
| 0.000 | 0.000 | 0.000 | 0.000 | 0.000 | 0.000 |
| -0.000 | 0.000 | 0.000 | 0.000 | 0.000 | 0.000 |
| -0.000 | 0.000 | 0.000 | 0.000 | 0.000 | 0.000 |
| 470.484 | -0.000 | -0.000 | -0.000 | -0.000 | -0.000 |
| 0.000 | -0.000 | -0.000 | -0.000 | -0.000 | -0.000 |
| 0.000 | -0.000 | -0.000 | -0.000 | -0.000 | -0.000 |
| -0.000 | -0.000 | -0.000 | -0.000 | -0.000 | -0.000 |
| 0.000 | -0.000 | -0.000 | -0.000 | -0.000 | -0.000 |
| 0.000 | -0.000 | -0.000 | -0.000 | -0.000 | -0.000 |
| 470.486 | 0.000 | 0.000 | 0.000 | 0.000 | 0.000 |
| -0.000 | 0.000 | 0.000 | 0.000 | 0.000 | 0.000 |
| -0.000 | 0.000 | 0.000 | 0.000 | 0.000 | 0.000 |
| 0.000 | 0.000 | 0.000 | 0.000 | 0.000 | 0.000 |
| -0.000 | 0.000 | 0.000 | 0.000 | 0.000 | 0.000 |
| -0.000 | 0.000 | 0.000 | 0.000 | 0.000 | 0.000 |
| 470.482 | -0.000 | -0.000 | -0.000 | -0.000 | -0.000 |
| -0.000 | -0.000 | -0.000 | -0.000 | -0.000 | -0.000 |
| 0.000 | -0.000 | -0.000 | -0.000 | -0.000 | -0.000 |
| -0.000 | -0.000 | -0.000 | -0.000 | -0.000 | -0.000 |
| 0.000 | -0.000 | -0.000 | -0.000 | -0.000 | -0.000 |
| 0.000 | -0.000 | -0.000 | -0.000 | -0.000 | -0.000 |
| 23.054 | 15.056 | 20.797 | 0.000 | 0.033 | 0.000 |
| 23.296 | 121.282 | 47.544 | 0.000 | -0.848 | -0.000 |
| 25.524 | 47.544 | 133.028 | 0.000 | 0.713 | -0.000 |
| -0.000 | -0.000 | -0.000 | 16.552 | -0.000 | -0.064 |
| 1.751 | -0.848 | 0.713 | -0.000 | 46.003 | -0.000 |
| 0.000 | -0.000 | -0.000 | 0.014 | 0.000 | 42.529 |
| 23.054 | 15.056 | 20.797 | -0.000 | 0.033 | 0.000 |
| 23.296 | 121.282 | 47.544 | -0.000 | -0.848 | 0.000 |
| -5.762 | -6.027 | 47.114 | -0.000 | 1.277 | -0.000 |
| 0.000 | 0.000 | 0.000 | 16.552 | 0.000 | -0.064 |
| 0.168 | -0.794 | 0.364 | -0.000 | 15.410 | -0.000 |
| -0.000 | 0.000 | 0.000 | 0.014 | -0.000 | 42.529 |
| 12.087 | -4.002 | 0.272 | 0.000 | 0.089 | 0.000 |
| 13.568 | 40.157 | 1.491 | 0.000 | -0.778 | -0.000 |
| 20.491 | 6.022 | 63.297 | 0.000 | 0.305 | 0.000 |
| 0.000 | -0.000 | 0.000 | 75.236 | -0.000 | 0.014 |
| 1.751 | -0.848 | 0.713 | 0.000 | 46.003 | -0.000 |
| 0.000 | 0.000 | 0.000 | 0.014 | -0.000 | 42.529 |
| 12.036 | -4.007 | 0.269 | -0.000 | 0.088 | 0.000 |
| 13.566 | 40.135 | 1.478 | -0.000 | -0.778 | 0.000 |
| 20.491 | 6.019 | 63.293 | -0.000 | 0.305 | -0.000 |
| -0.000 | -0.000 | -0.000 | 75.236 | 0.000 | 0.014 |
| -0.155 | -0.449 | 1.792 | -0.000 | 4.659 | 0.000 |
| -0.000 | -0.000 | -0.000 | 0.014 | 0.000 | 42.529 |
| 3.742 | 0.140 | 6.297 | 0.000 | -0.453 | 0.000 |
| 0.506 | 3.723 | 1.862 | 0.000 | 0.111 | -0.000 |
| 0.410 | -1.048 | 4.360 | 0.000 | 0.291 | 0.000 |
| -0.000 | 0.000 | 0.000 | 16.552 | -0.000 | -0.064 |
| -0.496 | -0.044 | 1.137 | 0.000 | 3.204 | -0.000 |
| -0.000 | 0.000 | 0.000 | -0.307 | 0.000 | 3.295 |
| 6.497 | -2.033 | 4.069 | 0.000 | -0.005 | -0.000 |
| -3.056 | 10.097 | -3.481 | -0.000 | -0.521 | -0.000 |
| 0.406 | -1.050 | 4.361 | -0.000 | 0.292 | 0.000 |
| 0.000 | -0.000 | -0.000 | 16.552 | 0.000 | -0.064 |
| -0.154 | -0.449 | 1.792 | -0.000 | 4.665 | -0.000 |
| 0.000 | -0.000 | -0.000 | -0.307 | -0.000 | 3.295 |
| -15.522 | 43.902 | -12.985 | 0.000 | 106.573 | 0.000 |
| -30.061 | 37.781 | -39.835 | 0.000 | 92.213 | -0.000 |
| -17.977 | 43.839 | 35.631 | 0.000 | 106.195 | 0.000 |
| -19.182 | 50.433 | -14.082 | 17.132 | 106.831 | -0.021 |
| -0.097 | -0.046 | 0.059 | 0.000 | 24.469 | -0.000 |
| -19.150 | 50.461 | -14.033 | -0.021 | 106.795 | 4.028 |
| 22.703 | -57.159 | 14.953 | -0.000 | -106.960 | 0.000 |
| 9.841 | 67.703 | 14.468 | 0.000 | -0.046 | 0.000 |
| -4.432 | -145.308 | -14.699 | -0.000 | -95.383 | 0.000 |
| -26.957 | -123.904 | -112.965 | -2.780 | -93.748 | -0.079 |
| 35.054 | -10.089 | 45.238 | -0.000 | -91.507 | -0.000 |
| 19.150 | -50.461 | 14.033 | -0.021 | -106.795 | 4.028 |
| 3.092 | 6.108 | 4.826 | 0.000 | 8.828 | -0.000 |
| 1.308 | 28.139 | 0.831 | 0.000 | 9.370 | 0.000 |
| 7.957 | 13.408 | 40.033 | 0.000 | 9.433 | -0.000 |
| -2.215 | 4.863 | -1.857 | 15.494 | 11.132 | -0.028 |
| -3.331 | 0.977 | -4.549 | 0.000 | 10.758 | 0.000 |
| -2.026 | 4.960 | -1.575 | -0.024 | 10.824 | 3.635 |
| 2.391 | -15.290 | -4.846 | -0.000 | -9.452 | 0.000 |
| 8.319 | 23.582 | 9.774 | -0.000 | -9.894 | -0.000 |
| 2.295 | -12.960 | 48.786 | -0.000 | -11.418 | 0.000 |
| 2.215 | -4.863 | 1.857 | 15.494 | -11.132 | -0.028 |
| 3.330 | -0.944 | 4.096 | -0.000 | -6.715 | -0.000 |
| 2.026 | -4.960 | 1.575 | -0.024 | -10.824 | 3.635 |
| 2.512 | -1.894 | 0.452 | 0.000 | 0.967 | -0.000 |
| -0.335 | 0.935 | 0.496 | 0.000 | 0.916 | -0.000 |
| 0.087 | 2.103 | 4.439 | 0.000 | 1.035 | -0.000 |
| 0.490 | 1.415 | 2.860 | -0.274 | 1.145 | -0.015 |
| -0.300 | 0.462 | -0.443 | 0.000 | 5.032 | 0.000 |
| -0.243 | 0.505 | -0.210 | -0.030 | 1.184 | 1.795 |
| 1.471 | -0.587 | 3.577 | -0.000 | -0.958 | 0.000 |
| 1.387 | 0.316 | 0.264 | -0.000 | -0.930 | 0.000 |
| -0.262 | 0.682 | -1.930 | -0.000 | -1.208 | -0.000 |
| -0.490 | -1.415 | -2.860 | -0.274 | -1.145 | -0.015 |
| 0.000 | -1.163 | -0.415 | -0.000 | 1.531 | 0.000 |
| 0.361 | -0.755 | -0.825 | 0.049 | -0.921 | -0.107 |
| -401.480 | -172.486 | -227.614 | 120.380 | -35.593 | -50.425 |
| -380.296 | -183.514 | -202.660 | 138.890 | -60.177 | -29.289 |
| -402.562 | -167.061 | -201.788 | 122.930 | -34.169 | -47.365 |
| -273.474 | 2.429 | -107.487 | 106.190 | -133.001 | -61.022 |
| -373.446 | -184.579 | -194.161 | 138.143 | -46.938 | -27.836 |
| -277.050 | 2.057 | -115.992 | 106.781 | -132.362 | -56.852 |
| 298.420 | 3.787 | 131.422 | -106.010 | 128.632 | 55.317 |
| 15.525 | 61.012 | 21.130 | 2.061 | 0.170 | 0.670 |
| 406.731 | 40.225 | 142.974 | -125.181 | -23.448 | 37.997 |
| 413.020 | 175.156 | 239.558 | -119.271 | 36.893 | 49.101 |
| 274.377 | -3.059 | 119.515 | -110.104 | 143.979 | 60.671 |
| -1.072 | 0.571 | -0.521 | -0.601 | -2.950 | 28.131 |
| -21.287 | -24.942 | -20.341 | 16.449 | -7.965 | -7.918 |
| -22.859 | 3.783 | -8.653 | 10.157 | -12.985 | -7.887 |
| -37.751 | -22.914 | 24.878 | 20.510 | -4.708 | -3.219 |
| -35.699 | -17.550 | -13.166 | 21.890 | -7.984 | -3.868 |
| -39.838 | -18.695 | -21.850 | 12.003 | 3.299 | -3.683 |
| -38.791 | -17.996 | -19.880 | 13.566 | -6.689 | 4.205 |
| 51.367 | 17.700 | 30.541 | -11.835 | 4.484 | 2.675 |
| 29.924 | 19.629 | 12.781 | -14.341 | 7.609 | 3.211 |
| 41.426 | 6.365 | 62.916 | -1.187 | 14.206 | 6.601 |
| 36.687 | 6.710 | 8.372 | -14.918 | 0.072 | 6.057 |
| 25.590 | 0.531 | 13.729 | -11.693 | 23.708 | 7.332 |
| 39.441 | 19.773 | 24.109 | -11.897 | 3.275 | 6.161 |
| 5.280 | -4.711 | 2.339 | 2.238 | 0.530 | -2.728 |
| -2.438 | 0.384 | -0.056 | 0.972 | -0.209 | 0.649 |
| -5.745 | 0.016 | -0.469 | 2.053 | -0.174 | 0.167 |
| -3.508 | -1.601 | 1.463 | 2.379 | -0.416 | -0.273 |
| -3.194 | -0.645 | -0.759 | 1.079 | 2.842 | -0.194 |
| -5.059 | -2.008 | -1.861 | 0.549 | -0.700 | 5.258 |
| 11.548 | -1.888 | 5.952 | -0.384 | 1.390 | -1.671 |
| 0.876 | 9.384 | -0.058 | -1.425 | 1.699 | 0.116 |
| 1.696 | 0.406 | 4.704 | -1.417 | 0.679 | 1.179 |
| 5.998 | 1.826 | 9.142 | 4.213 | -0.351 | -0.506 |
| 4.789 | 1.939 | 3.127 | -1.295 | 3.665 | 0.618 |
| 3.808 | 2.608 | 2.394 | -0.949 | 0.253 | 1.777 |
| 494.449 | 170.414 | 170.414 | -0.000 | -0.000 | -0.000 |
| 170.414 | 494.449 | 170.414 | 0.000 | -0.000 | 0.000 |
| 170.414 | 170.414 | 494.449 | -0.000 | -0.000 | -0.000 |
| 0.000 | -0.000 | 0.000 | 238.648 | -0.000 | -0.000 |
| -0.000 | 0.000 | 0.000 | -0.000 | 238.648 | 0.000 |
| -0.000 | 0.000 | 0.000 | 0.000 | -0.000 | 238.648 |
| 494.454 | 170.414 | 170.414 | -0.000 | 0.000 | 0.000 |
| 170.414 | 494.453 | 170.414 | 0.000 | 0.000 | -0.000 |
| 170.414 | 170.414 | 494.454 | -0.000 | 0.000 | 0.000 |
| 0.000 | -0.000 | 0.000 | 238.648 | 0.000 | 0.000 |
| 0.000 | -0.000 | 0.000 | -0.000 | 238.648 | 0.000 |
| 0.000 | -0.000 | -0.000 | 0.000 | 0.000 | 238.648 |
| 498.674 | 169.541 | 169.541 | 0.000 | 0.000 | 0.000 |
| 169.541 | 498.674 | 169.541 | -0.000 | -0.000 | 0.000 |
| 169.541 | 169.541 | 498.674 | -0.000 | -0.000 | -0.000 |
| 0.000 | -0.000 | 0.000 | 238.648 | -0.000 | -0.000 |
| -0.000 | 0.000 | 0.000 | -0.000 | 238.648 | 0.000 |
| -0.000 | 0.000 | 0.000 | -0.000 | -0.000 | 238.648 |
| 494.449 | 170.415 | 170.415 | 0.000 | 0.000 | -0.000 |
| 170.415 | 494.449 | 170.415 | 0.000 | 0.000 | 0.000 |
| 170.415 | 170.415 | 494.449 | -0.000 | 0.000 | 0.000 |
| -0.000 | -0.000 | -0.000 | 238.648 | 0.000 | -0.000 |
| 0.000 | -0.000 | -0.000 | 0.000 | 238.648 | -0.000 |
| 0.000 | -0.000 | -0.000 | -0.000 | 0.000 | 238.648 |
| 493.654 | 171.042 | 171.042 | -0.000 | -0.000 | -0.000 |
| 171.042 | 493.654 | 171.042 | -0.000 | 0.000 | 0.000 |
| 171.042 | 171.042 | 493.654 | -0.000 | -0.000 | -0.000 |
| 0.000 | -0.000 | 0.000 | 238.648 | 0.000 | -0.000 |
| -0.000 | 0.000 | 0.000 | 0.000 | 238.648 | 0.000 |
| -0.000 | 0.000 | 0.000 | -0.000 | -0.000 | 238.648 |
| 493.527 | 170.594 | 170.594 | 0.000 | 0.000 | -0.000 |
| 170.594 | 493.527 | 170.594 | -0.000 | 0.000 | 0.000 |
| 170.594 | 170.594 | 493.527 | 0.000 | 0.000 | -0.000 |
| -0.000 | 0.000 | -0.000 | 238.648 | 0.000 | 0.000 |
| 0.000 | -0.000 | -0.000 | 0.000 | 238.648 | -0.000 |
| 0.000 | -0.000 | -0.000 | -0.000 | -0.000 | 238.648 |
| 954.653 | 67.560 | 140.361 | -0.000 | 0.000 | -0.000 |
| 65.718 | 1030.526 | 145.795 | -0.000 | 0.000 | 0.000 |
| 144.754 | 152.030 | 948.196 | 0.000 | -0.000 | 0.000 |
| -420.675 | 56.941 | 454.438 | 328.452 | 0.000 | 0.001 |
| -421.854 | 57.100 | 455.712 | 0.000 | 261.572 | -0.000 |
| -621.929 | 103.072 | 510.554 | -0.000 | 0.000 | 316.710 |
| 1198.645 | 102.846 | -253.343 | -0.000 | 0.000 | 0.000 |
| 600.078 | 820.856 | -305.763 | -0.000 | -0.000 | 0.000 |
| 607.190 | 116.989 | 422.786 | -0.000 | -0.000 | 0.000 |
| 420.675 | -56.941 | -454.438 | 328.452 | -0.000 | 0.001 |
| 421.854 | -57.100 | -455.712 | 0.000 | 261.572 | 0.000 |
| 621.929 | -103.072 | -510.554 | -0.000 | -0.000 | 316.710 |
| 711.388 | 149.501 | 251.115 | 0.000 | -0.000 | -0.000 |
| 97.559 | 943.023 | 187.534 | -0.000 | -0.000 | -0.000 |
| 144.755 | 152.030 | 948.196 | 0.000 | 0.000 | -0.000 |
| -0.000 | 0.000 | 0.000 | 464.032 | 0.000 | 0.000 |
| -55.468 | 14.057 | 46.356 | -0.000 | 306.557 | -0.000 |
| -55.662 | 13.986 | 46.768 | -0.000 | 0.000 | 314.323 |
| 825.303 | 116.687 | 156.623 | -0.000 | -0.000 | 0.000 |
| 164.619 | 920.230 | 127.644 | 0.000 | -0.000 | -0.000 |
| 265.086 | 142.002 | 825.406 | -0.000 | -0.000 | 0.000 |
| 0.000 | -0.000 | -0.000 | 464.032 | -0.000 | 0.000 |
| 55.468 | -14.057 | -46.356 | 0.000 | 306.557 | 0.000 |
| 55.662 | -13.986 | -46.768 | 0.000 | -0.000 | 314.323 |
| 757.479 | 134.496 | 209.959 | 0.000 | 0.000 | -0.000 |
| 125.444 | 937.876 | 156.013 | -0.000 | 0.000 | -0.000 |
| 180.802 | 166.554 | 891.047 | -0.000 | 0.000 | -0.000 |
| -3.980 | 0.833 | 3.691 | 378.886 | -0.000 | -0.000 |
| -5.863 | 1.267 | 4.925 | 0.000 | 307.230 | 0.000 |
| -2.943 | 0.398 | 3.180 | -0.000 | 0.000 | 320.496 |
| 771.363 | 137.006 | 198.246 | 0.000 | 0.000 | 0.000 |
| 140.446 | 935.198 | 147.559 | 0.000 | -0.000 | 0.000 |
| 187.904 | 166.226 | 882.774 | 0.000 | -0.000 | 0.000 |
| 3.980 | -0.833 | -3.691 | 378.886 | -0.000 | 0.000 |
| 5.863 | -1.267 | -4.925 | 0.000 | 307.230 | 0.000 |
| 2.943 | -0.398 | -3.180 | -0.000 | -0.000 | 320.496 |
| -614.162 | -150.545 | 1078.232 | 750.839 | -308.707 | -285.871 |
| -614.436 | -138.501 | 1066.755 | 752.050 | -309.529 | -285.341 |
| -614.300 | -287.677 | 1215.624 | 738.139 | -298.301 | -292.949 |
| -614.126 | -152.258 | 1079.871 | 750.668 | -308.589 | -285.947 |
| -614.120 | -152.561 | 1080.161 | 750.638 | -308.568 | -285.961 |
| -614.086 | -154.321 | 1081.850 | 750.463 | -308.447 | -286.040 |
| 614.110 | 153.069 | -1080.648 | -750.587 | 308.533 | 285.984 |
| 614.246 | 152.767 | -1080.626 | -750.660 | 308.512 | 286.012 |
| 614.274 | 150.328 | -1078.246 | -750.897 | 308.687 | 285.896 |
| 614.184 | 149.558 | -1077.289 | -750.938 | 308.775 | 285.827 |
| 614.188 | 149.367 | -1077.107 | -750.957 | 308.788 | 285.819 |
| 614.223 | 147.553 | -1075.366 | -751.138 | 308.913 | 285.737 |
| -61.404 | -28.077 | 120.818 | 73.869 | -29.891 | -29.251 |
| -61.474 | -16.532 | 109.419 | 74.966 | -30.740 | -28.681 |
| -61.468 | -16.660 | 109.535 | 74.952 | -30.733 | -28.686 |
| -61.406 | -28.427 | 121.172 | 73.838 | -29.864 | -29.270 |
| -61.424 | -30.011 | 122.793 | 73.696 | -29.738 | -29.357 |
| -61.450 | -13.657 | 106.496 | 75.225 | -30.965 | -28.526 |
| 61.413 | 29.143 | -121.904 | -73.773 | 29.807 | 29.309 |
| 61.398 | 27.644 | -120.373 | -73.908 | 29.925 | 29.227 |
| 61.428 | 29.819 | -122.610 | -73.715 | 29.751 | 29.348 |
| 61.421 | 29.308 | -122.084 | -73.761 | 29.792 | 29.320 |
| 61.397 | 16.007 | -108.736 | -74.989 | 30.805 | 28.630 |
| 61.417 | 15.084 | -107.855 | -75.082 | 30.868 | 28.589 |
| -6.138 | -1.659 | 10.929 | 7.493 | -3.076 | -2.866 |
| -6.149 | -1.456 | 10.749 | 7.515 | -3.088 | -2.859 |
| -6.153 | -2.589 | 11.888 | 7.411 | -3.002 | -2.918 |
| -6.145 | -1.379 | 10.663 | 7.521 | -3.096 | -2.853 |
| -6.150 | -1.593 | 10.886 | 7.503 | -3.078 | -2.866 |
| -6.147 | -1.288 | 10.575 | 7.530 | -3.102 | -2.849 |
| 6.148 | 2.592 | -11.881 | -7.409 | 3.003 | 2.916 |
| 6.149 | 1.058 | -10.350 | -7.552 | 3.119 | 2.838 |
| 6.143 | 2.527 | -11.806 | -7.414 | 3.010 | 2.911 |
| 6.139 | 1.656 | -10.927 | -7.493 | 3.077 | 2.866 |
| 6.141 | 1.532 | -10.808 | -7.506 | 3.085 | 2.860 |
| 6.145 | 1.689 | -10.973 | -7.492 | 3.072 | 2.869 |
| 229.395 | 85.650 | 85.651 | 0.000 | -0.002 | -0.000 |
| 85.650 | 229.395 | 85.651 | -0.001 | -0.002 | 0.000 |
| 85.650 | 85.650 | 229.395 | 0.000 | -0.002 | 0.000 |
| 0.001 | 0.001 | 0.001 | 80.605 | -0.000 | 0.000 |
| 0.000 | 0.001 | 0.001 | -0.002 | 80.605 | -0.000 |
| 0.001 | 0.001 | 0.001 | -0.000 | -0.002 | 80.606 |
| 64.163 | 29.407 | 29.407 | 0.000 | 0.000 | 0.000 |
| 29.408 | 64.163 | 29.407 | 0.000 | 0.000 | 0.000 |
| 29.407 | 29.407 | 64.163 | 0.000 | 0.002 | 0.000 |
| -0.001 | -0.001 | -0.001 | 80.606 | 0.001 | -0.000 |
| -0.001 | -0.001 | -0.001 | -0.001 | 80.607 | -0.000 |
| -0.001 | -0.000 | -0.001 | 0.000 | 0.001 | 80.606 |
| 308.023 | 73.240 | 73.240 | -0.000 | -0.000 | -0.000 |
| 73.240 | 308.024 | 73.240 | -0.000 | -0.000 | -0.000 |
| 73.240 | 73.240 | 308.024 | -0.000 | -0.000 | -0.000 |
| 0.000 | 0.000 | 0.000 | 80.606 | -0.000 | -0.000 |
| -0.000 | 0.000 | 0.000 | 0.000 | 80.606 | -0.000 |
| 0.000 | 0.000 | 0.000 | -0.000 | -0.000 | 80.606 |
| 229.390 | 85.650 | 85.650 | 0.000 | 0.000 | -0.000 |
| 85.650 | 229.390 | 85.650 | 0.000 | 0.000 | 0.000 |
| 85.650 | 85.650 | 229.390 | 0.000 | 0.000 | -0.000 |
| -0.000 | -0.000 | -0.000 | 80.606 | 0.000 | -0.000 |
| -0.000 | -0.000 | -0.000 | 0.000 | 80.606 | 0.000 |
| -0.000 | -0.000 | -0.000 | 0.000 | 0.000 | 80.606 |
| 40.226 | -8.166 | -8.166 | -0.000 | -0.000 | -0.000 |
| -8.166 | 40.226 | -8.166 | -0.000 | -0.000 | -0.000 |
| -8.166 | -8.166 | 40.226 | 0.000 | -0.000 | -0.000 |
| 0.000 | -0.000 | 0.000 | 80.606 | -0.000 | 0.000 |
| -0.000 | 0.000 | 0.000 | 0.000 | 80.606 | -0.000 |
| -0.000 | 0.000 | 0.000 | -0.000 | -0.000 | 80.606 |
| 64.154 | 29.413 | 29.413 | 0.000 | 0.000 | -0.000 |
| 29.413 | 64.154 | 29.413 | 0.000 | -0.000 | -0.000 |
| 29.413 | 29.413 | 64.154 | 0.000 | 0.000 | 0.000 |
| -0.000 | 0.000 | -0.000 | 80.606 | 0.000 | 0.000 |
| 0.000 | -0.000 | -0.000 | 0.000 | 80.606 | 0.000 |
| 0.000 | -0.000 | -0.000 | 0.000 | 0.000 | 80.606 |
| 465.014 | 441.413 | 441.413 | 0.000 | -0.000 | -0.000 |
| 441.413 | 465.014 | 441.414 | 0.000 | -0.001 | -0.000 |
| 441.414 | 441.413 | 465.014 | -0.000 | -0.000 | -0.000 |
| 272.794 | 272.794 | 272.794 | 44.712 | -0.000 | -0.000 |
| 272.794 | 272.794 | 272.794 | -0.000 | 44.711 | -0.000 |
| 272.794 | 272.794 | 272.794 | -0.000 | 0.000 | 44.712 |
| -55.559 | -159.676 | -159.676 | 0.000 | 0.001 | 0.000 |
| -159.676 | -55.559 | -159.676 | 0.000 | 0.000 | 0.000 |
| -159.676 | -159.676 | -55.559 | 0.000 | 0.001 | 0.000 |
| -272.794 | -272.794 | -272.794 | 44.712 | 0.000 | 0.000 |
| -272.794 | -272.794 | -272.794 | 0.000 | 44.712 | 0.000 |
| -544.986 | -544.986 | -544.986 | 0.000 | 0.000 | 51.358 |
| 36.957 | 20.272 | 20.272 | 0.000 | -0.000 | -0.000 |
| 20.272 | 36.957 | 20.272 | -0.000 | 0.000 | -0.000 |
| 51.786 | 51.786 | -2.862 | -0.000 | -0.000 | -0.000 |
| 46.155 | 46.155 | 46.155 | 8.896 | -0.000 | -0.000 |
| 23.888 | 23.888 | 23.888 | -0.000 | -27.811 | -0.000 |
| 46.155 | 46.155 | 46.155 | -0.000 | 0.000 | 8.896 |
| -54.594 | -70.947 | -70.947 | 0.000 | 0.000 | 0.000 |
| -70.947 | -54.594 | -70.947 | -0.000 | 0.000 | 0.000 |
| -70.947 | -70.947 | -54.594 | 0.000 | 0.000 | 0.000 |
| -46.155 | -46.155 | -46.155 | 8.896 | 0.000 | 0.000 |
| -23.888 | -23.888 | -23.888 | -0.000 | -27.811 | 0.000 |
| -46.155 | -46.155 | -46.155 | -0.000 | -0.000 | 8.896 |
| 180.427 | 70.653 | 70.653 | 0.000 | -0.000 | -0.000 |
| 70.653 | 180.427 | 70.653 | -0.000 | -0.000 | 0.000 |
| 70.653 | 70.653 | 180.427 | -0.000 | -0.000 | -0.000 |
| 1.899 | 1.899 | 1.899 | 59.069 | -0.000 | -0.000 |
| 1.899 | 1.899 | 1.899 | 0.000 | 59.069 | 0.000 |
| 1.899 | 1.899 | 1.899 | -0.000 | -0.000 | 59.069 |
| 99.326 | 38.449 | 38.449 | -0.000 | -0.000 | 0.000 |
| 38.449 | 99.326 | 38.449 | 0.000 | -0.000 | 0.000 |
| 38.449 | 38.449 | 99.326 | 0.000 | 0.000 | 0.000 |
| -1.899 | -1.899 | -1.899 | 59.069 | -0.000 | 0.000 |
| -1.899 | -1.899 | -1.899 | 0.000 | 59.069 | -0.000 |
| -1.899 | -1.899 | -1.899 | 0.000 | 0.000 | 59.069 |
| -5711.507 | -5736.090 | -5736.090 | 0.000 | 0.002 | 0.000 |
| -5736.090 | -5711.507 | -5736.090 | 0.000 | 0.001 | -0.000 |
| -5736.090 | -5736.090 | -5711.507 | -0.000 | 0.001 | -0.000 |
| -2176.859 | -2176.859 | -2176.859 | 38.826 | 0.001 | 0.000 |
| -2176.859 | -2176.860 | -2176.859 | -0.001 | 38.827 | -0.000 |
| -2176.859 | -2176.860 | -2176.859 | -0.000 | 0.002 | 38.826 |
| 2931.398 | 2889.631 | 2889.631 | -0.000 | -0.004 | 0.000 |
| 2889.631 | 2931.399 | 2889.632 | -0.000 | -0.000 | 0.000 |
| 2889.632 | 2889.631 | 2931.399 | -0.000 | -0.002 | 0.000 |
| 2176.859 | 2176.859 | 2176.859 | 38.826 | -0.002 | 0.000 |
| 2176.859 | 2176.859 | 2176.860 | -0.001 | 38.827 | 0.000 |
| 2176.859 | 2176.859 | 2176.859 | -0.000 | -0.002 | 38.826 |
| 244.305 | 58.090 | 58.090 | 0.000 | 0.000 | -0.000 |
| 58.090 | 244.305 | 58.090 | -0.000 | 0.000 | -0.000 |
| 58.090 | 58.090 | 244.305 | 0.000 | 0.000 | -0.000 |
| -286.357 | -286.357 | -286.357 | 20.867 | 0.000 | 0.000 |
| -286.357 | -286.357 | -286.357 | -0.000 | 20.867 | -0.000 |
| -286.357 | -286.357 | -286.357 | 0.000 | 0.000 | 20.866 |
| 358.236 | 311.009 | 311.009 | 0.000 | -0.000 | 0.000 |
| 311.009 | 358.236 | 311.009 | -0.000 | -0.000 | 0.000 |
| 311.009 | 311.009 | 358.236 | -0.000 | -0.000 | 0.000 |
| 286.357 | 286.357 | 286.357 | 20.866 | -0.000 | 0.000 |
| 286.357 | 286.357 | 286.357 | -0.000 | 20.866 | 0.000 |
| 286.357 | 286.357 | 286.357 | -0.000 | -0.000 | 20.866 |
| -17.567 | -54.166 | -54.166 | 0.000 | 0.000 | -0.000 |
| 12.260 | 51.959 | 12.260 | 0.000 | 0.000 | -0.000 |
| 12.260 | 12.260 | 51.959 | 0.000 | 0.000 | -0.000 |
| -44.580 | -44.580 | -44.580 | 20.689 | 0.000 | -0.000 |
| -21.210 | -21.210 | -21.210 | 0.000 | 34.094 | -0.000 |
| -44.580 | -44.580 | -44.580 | 0.000 | 0.000 | 20.689 |
| 106.780 | 59.773 | 59.773 | 0.000 | -0.000 | 0.000 |
| 69.172 | 130.385 | 69.172 | 0.000 | -0.000 | 0.000 |
| 59.773 | 59.773 | 106.780 | 0.000 | -0.000 | 0.000 |
| 44.580 | 44.580 | 44.580 | 20.689 | -0.000 | 0.000 |
| 21.210 | 21.210 | 21.210 | 0.000 | 34.094 | 0.000 |
| 44.580 | 44.580 | 44.580 | -0.000 | -0.000 | 20.689 |
| 76.419 | 42.604 | 29.154 | 0.000 | -0.000 | -0.000 |
| 12.818 | 141.873 | 27.300 | 0.000 | -0.000 | -0.000 |
| 29.155 | 19.058 | 142.549 | 0.000 | -0.001 | 0.000 |
| 0.000 | 0.000 | 0.000 | 58.522 | -0.000 | 0.000 |
| 0.001 | -0.000 | 0.001 | 0.001 | 16.149 | -0.000 |
| 0.000 | -0.000 | 0.001 | 0.000 | -0.000 | 17.845 |
| 13.229 | 16.616 | 34.375 | -0.000 | 0.000 | -0.000 |
| -14.876 | 100.024 | -17.604 | -0.000 | 0.001 | 0.000 |
| 29.154 | 19.058 | 142.549 | -0.001 | -0.000 | -0.000 |
| -0.001 | 0.000 | -0.000 | 58.521 | -0.000 | 0.000 |
| -0.000 | 0.000 | -0.001 | 0.000 | 16.149 | -0.000 |
| -0.001 | 0.000 | -0.001 | -0.000 | 0.000 | 17.845 |
| 2.667 | -6.222 | 9.308 | 0.000 | 0.000 | -0.000 |
| 42.604 | 257.575 | 19.058 | 0.000 | -0.000 | 0.000 |
| 29.154 | 19.058 | 142.549 | 0.000 | 0.000 | -0.000 |
| 0.000 | -0.000 | 0.000 | 34.288 | -0.000 | 0.000 |
| -0.000 | -0.000 | 0.000 | -0.000 | 39.030 | -0.000 |
| 0.000 | 0.000 | 0.000 | 0.000 | -0.000 | 66.860 |
| 2.660 | -6.225 | 9.309 | -0.000 | 0.000 | -0.000 |
| -14.874 | 100.027 | -17.603 | -0.000 | 0.000 | -0.000 |
| 7.849 | -11.352 | 12.072 | -0.000 | -0.000 | -0.000 |
| -0.000 | 0.000 | -0.000 | 34.288 | 0.000 | -0.000 |
| -0.000 | 0.000 | -0.000 | -0.000 | 39.031 | 0.000 |
| -0.000 | -0.000 | -0.000 | -0.000 | -0.000 | 66.860 |
| 0.474 | -3.767 | 1.423 | 0.000 | -0.000 | 0.000 |
| 0.907 | 4.242 | 3.370 | 0.000 | -0.000 | -0.000 |
| 1.131 | -3.236 | 1.062 | 0.000 | 0.000 | 0.000 |
| -0.000 | -0.000 | -0.000 | 34.289 | -0.000 | 0.000 |
| -0.000 | 0.000 | 0.000 | 0.000 | 39.031 | -0.000 |
| 0.000 | -0.000 | 0.000 | 0.000 | -0.000 | 0.521 |
| 1.488 | -3.546 | 0.901 | -0.000 | 0.000 | -0.000 |
| 0.914 | 4.337 | 3.384 | -0.000 | -0.000 | -0.000 |
| -5.109 | -11.157 | 6.165 | -0.000 | 0.000 | 0.000 |
| 0.000 | 0.000 | 0.000 | 34.289 | 0.000 | -0.000 |
| 0.000 | -0.000 | -0.000 | -0.000 | 39.031 | -0.000 |
| -0.000 | 0.000 | -0.000 | -0.000 | 0.000 | 0.521 |
| 575.108 | 82.167 | 71.690 | 0.000 | 0.000 | 0.000 |
| 123.626 | 386.854 | 124.069 | 0.000 | -0.000 | -0.000 |
| 71.690 | 115.613 | 572.927 | 0.000 | -0.000 | -0.000 |
| -0.001 | 0.002 | 0.000 | 147.808 | 0.000 | 0.000 |
| -0.000 | -0.000 | -0.000 | 0.000 | 205.869 | 0.000 |
| 0.000 | 0.000 | -0.000 | 0.000 | -0.000 | 208.429 |
| 575.108 | 82.166 | 71.690 | -0.000 | 0.000 | -0.000 |
| 123.626 | 386.857 | 124.067 | -0.000 | 0.000 | 0.000 |
| 71.691 | 115.614 | 572.927 | -0.000 | -0.000 | -0.000 |
| 0.001 | -0.002 | -0.000 | 147.808 | 0.000 | -0.000 |
| 0.000 | 0.000 | 0.000 | -0.001 | 205.870 | 0.000 |
| -0.000 | 0.000 | 0.000 | -0.000 | 0.000 | 208.430 |
| 353.406 | 127.897 | 106.179 | 0.000 | -0.000 | -0.000 |
| 55.933 | 318.932 | 97.176 | 0.000 | -0.000 | -0.000 |
| 95.147 | 99.832 | 352.695 | 0.000 | -0.000 | -0.000 |
| -0.000 | 0.000 | 0.000 | 147.808 | -0.000 | -0.000 |
| -0.000 | 0.000 | 0.000 | 0.000 | 162.421 | -0.000 |
| -0.000 | 0.000 | 0.000 | 0.000 | -0.000 | 134.295 |
| 575.107 | 82.167 | 71.690 | -0.000 | 0.000 | -0.000 |
| 55.934 | 318.930 | 97.175 | -0.000 | 0.000 | 0.000 |
| 71.690 | 115.614 | 572.927 | -0.000 | 0.000 | -0.000 |
| 0.000 | -0.000 | -0.000 | 147.808 | 0.000 | 0.000 |
| 0.000 | -0.000 | -0.000 | -0.000 | 162.421 | 0.000 |
| -0.000 | -0.000 | -0.000 | -0.000 | 0.000 | 134.295 |
| 252.858 | 34.795 | 75.336 | 0.000 | -0.000 | 0.000 |
| 123.629 | 386.848 | 124.069 | 0.000 | -0.000 | -0.000 |
| 107.132 | 125.197 | 395.644 | 0.000 | 0.000 | -0.000 |
| 0.000 | -0.000 | 0.000 | 147.808 | -0.000 | -0.000 |
| -0.000 | 0.000 | -0.000 | 0.000 | 162.421 | -0.000 |
| 0.000 | 0.000 | 0.000 | -0.000 | -0.000 | 208.429 |
| 252.789 | 34.800 | 75.341 | -0.000 | 0.000 | -0.000 |
| 24.711 | 298.273 | 89.541 | -0.000 | 0.000 | 0.000 |
| 107.121 | 125.193 | 395.693 | -0.000 | 0.000 | -0.000 |
| -0.000 | 0.000 | -0.000 | 147.808 | 0.000 | 0.000 |
| 0.000 | -0.000 | 0.000 | -0.000 | 162.421 | -0.000 |
| 0.000 | -0.000 | -0.000 | -0.000 | 0.000 | 158.558 |
| 228.483 | 63.428 | 61.063 | 0.000 | -0.000 | 0.000 |
| 1636.952 | -246.635 | -396.612 | 0.077 | -0.824 | -0.904 |
| -263.096 | -344.203 | -98.384 | -0.028 | -0.303 | -0.478 |
| 1601.415 | -325.193 | -425.491 | -25.764 | -1.263 | -0.443 |
| 1628.100 | -238.981 | -248.800 | -0.260 | -17.662 | -0.238 |
| 1625.920 | -237.137 | -244.368 | -0.262 | 0.139 | -88.120 |
| 481.003 | 466.195 | 403.977 | 0.030 | 0.326 | 0.514 |
| -1418.494 | 604.153 | 585.825 | -0.041 | 0.808 | 0.661 |
| -1512.185 | 351.207 | 397.715 | 0.070 | 1.688 | -0.573 |
| -1687.468 | 321.574 | 273.546 | -201.028 | -0.045 | 0.388 |
| -1687.258 | 345.658 | 300.839 | 0.008 | -35.595 | 0.406 |
| -1625.918 | 237.174 | 244.417 | 0.262 | -0.140 | -87.633 |
| 183.771 | -51.777 | -48.370 | 0.000 | -0.096 | -0.040 |
| 157.653 | 127.813 | -35.560 | -0.002 | -0.124 | -0.037 |
| 146.042 | 6.454 | -29.114 | 0.009 | -0.111 | -0.133 |
| 157.967 | -38.485 | -58.956 | 59.357 | -0.063 | 0.020 |
| 156.132 | -41.485 | -56.216 | -0.004 | 49.190 | 0.034 |
| 145.991 | -38.536 | -45.587 | 0.004 | -0.171 | 12.278 |
| -163.606 | -13.047 | 43.961 | 0.012 | 0.170 | -0.127 |
| -154.025 | 202.223 | 74.890 | 0.004 | 0.073 | 0.033 |
| -151.821 | 70.625 | 180.675 | 0.004 | 0.165 | 0.037 |
| -156.073 | 32.753 | 49.289 | 51.692 | 0.077 | 0.033 |
| -141.243 | 30.553 | 42.066 | 0.007 | 4.355 | 0.024 |
| -164.379 | 34.454 | 37.343 | -0.008 | 0.045 | -6.877 |
| 52.450 | -4.797 | -0.178 | -0.001 | -0.011 | -0.006 |
| 11.073 | 147.877 | 16.948 | -0.002 | -0.011 | -0.013 |
| 17.673 | 21.507 | 104.759 | 0.005 | -0.010 | 0.019 |
| 14.919 | -3.662 | -5.963 | 55.015 | -0.009 | -0.003 |
| 11.508 | -3.496 | -3.788 | 0.001 | 33.813 | -0.010 |
| 14.791 | -3.420 | -6.391 | 0.003 | -0.010 | 26.731 |
| 24.042 | 3.589 | 11.175 | 0.004 | 0.012 | 0.014 |
| -21.241 | 153.560 | 26.258 | 0.000 | 0.012 | 0.004 |
| -3.196 | 28.318 | 117.447 | 0.000 | 0.011 | 0.004 |
| -14.330 | 4.173 | 5.516 | 54.533 | 0.010 | -0.007 |
| -13.418 | 3.745 | 4.790 | 0.001 | 34.809 | 0.013 |
| -10.342 | 0.627 | 0.684 | 0.000 | 0.022 | 23.521 |
| -3797.918 | -6075.813 | -4685.215 | -2597.536 | -2528.984 | -1878.624 |
| -3815.515 | -6058.176 | -4685.201 | -2597.537 | -2529.011 | -1878.961 |
| -3815.067 | -6075.350 | -4668.943 | -2597.544 | -2528.978 | -1878.793 |
| -3807.786 | -6068.086 | -4677.795 | -2589.863 | -2529.016 | -1878.791 |
| -3807.761 | -6068.083 | -4677.771 | -2597.541 | -2521.384 | -1878.793 |
| -3807.611 | -6068.247 | -4677.779 | -2597.526 | -2529.012 | -1869.851 |
| 3817.635 | 6060.338 | 4670.337 | 2597.520 | 2529.049 | 1878.955 |
| 3800.038 | 6077.975 | 4670.351 | 2597.520 | 2529.021 | 1878.618 |
| 3800.486 | 6060.801 | 4686.609 | 2597.512 | 2529.057 | 1878.787 |
| 3807.767 | 6068.065 | 4677.757 | 2605.193 | 2529.017 | 1878.788 |
| 3807.792 | 6068.068 | 4677.781 | 2597.515 | 2536.649 | 1878.786 |
| 3807.942 | 6067.904 | 4677.773 | 2597.531 | 2529.020 | 1887.729 |
| -370.920 | -614.546 | -475.218 | -259.764 | -252.877 | -187.714 |
| -388.517 | -596.909 | -475.203 | -259.761 | -252.897 | -188.051 |
| -388.072 | -614.088 | -458.949 | -259.778 | -252.896 | -187.884 |
| -380.788 | -606.820 | -467.798 | -252.086 | -252.909 | -187.881 |
| -380.765 | -606.818 | -467.774 | -259.769 | -245.279 | -187.883 |
| -380.613 | -606.980 | -467.781 | -259.751 | -252.902 | -178.940 |
| 390.637 | 599.071 | 460.339 | 259.746 | 252.938 | 188.045 |
| 373.039 | 616.707 | 460.353 | 259.744 | 252.908 | 187.707 |
| 378.049 | 604.181 | 477.490 | 237.912 | 223.728 | 193.336 |
| 380.769 | 606.798 | 467.760 | 267.419 | 252.909 | 187.878 |
| 380.794 | 606.802 | 467.784 | 259.743 | 260.546 | 187.876 |
| 380.943 | 606.636 | 467.775 | 259.756 | 252.908 | 196.818 |
| -28.220 | -68.420 | -54.218 | -25.986 | -25.267 | -18.623 |
| -46.273 | -51.247 | -54.291 | -23.804 | -22.369 | -19.506 |
| -45.826 | -68.423 | -38.034 | -23.816 | -22.348 | -19.337 |
| -38.542 | -61.156 | -46.884 | -16.115 | -22.360 | -19.335 |
| -38.518 | -61.151 | -46.860 | -23.803 | -14.726 | -19.337 |
| -37.913 | -60.854 | -46.782 | -25.975 | -25.293 | -9.849 |
| 48.392 | 53.407 | 39.426 | 23.782 | 22.395 | 19.499 |
| 30.795 | 71.044 | 39.440 | 23.783 | 22.371 | 19.162 |
| 30.786 | 53.404 | 55.609 | 25.955 | 25.314 | 18.784 |
| 38.069 | 60.672 | 46.760 | 33.626 | 25.298 | 18.786 |
| 38.550 | 61.141 | 46.872 | 23.782 | 30.015 | 19.331 |
| 38.243 | 60.508 | 46.774 | 25.976 | 25.288 | 27.727 |
| 838.939 | 137.896 | 149.509 | 38.120 | -122.049 | -104.498 |
| 987.588 | -99.387 | 199.769 | -275.044 | -380.848 | 252.050 |
| 128.238 | -688.874 | 505.158 | -434.285 | -196.453 | 443.123 |
| 884.897 | -479.990 | 93.474 | -132.731 | -377.879 | 248.059 |
| 1613.083 | -170.148 | 592.747 | 127.992 | -589.106 | -73.174 |
| 827.998 | -996.803 | -524.104 | -804.459 | -560.410 | -134.240 |
| 570.673 | 828.741 | 105.572 | 478.057 | 7.860 | -584.464 |
| -713.696 | 862.234 | 25.246 | 277.484 | 352.150 | -258.007 |
| 149.307 | 150.568 | 598.594 | 49.449 | -3.711 | -3.246 |
| -465.882 | 1048.591 | -309.192 | 670.129 | 119.693 | -581.740 |
| -107.766 | -0.700 | -3.711 | 1.664 | 268.764 | 41.224 |
| -99.004 | 4.887 | -3.142 | 5.215 | 33.857 | 245.445 |
| 426.639 | 30.964 | 97.128 | -42.663 | -48.733 | 16.832 |
| 136.818 | 580.082 | 149.212 | 81.735 | -0.746 | 4.724 |
| 149.307 | 150.568 | 598.594 | 49.449 | -3.712 | -3.246 |
| 110.243 | -48.553 | 14.244 | 114.971 | -44.244 | 24.640 |
| -107.766 | -0.700 | -3.711 | 1.664 | 268.764 | 41.224 |
| 68.580 | -60.899 | -7.152 | -37.750 | -35.647 | 161.928 |
| 838.938 | 137.896 | 149.508 | 38.120 | -122.049 | -104.498 |
| 36.248 | 433.765 | 108.401 | 35.725 | 30.847 | -23.319 |
| 16.197 | 161.807 | 420.385 | 38.804 | 48.008 | -24.593 |
| -72.685 | 101.563 | 34.368 | 169.613 | 71.867 | 15.307 |
| -101.645 | 57.149 | 7.536 | 38.269 | 189.504 | -10.587 |
| -114.834 | 64.916 | -3.695 | 43.290 | 50.506 | 125.745 |
| 252.176 | 55.700 | 59.245 | 16.121 | 14.450 | 15.095 |
| 62.001 | 181.446 | 56.645 | 4.369 | 9.392 | 20.922 |
| 149.308 | 150.568 | 598.596 | 49.449 | -3.712 | -3.246 |
| -5.354 | 8.482 | -10.923 | 188.912 | 0.742 | 8.379 |
| 23.416 | 3.903 | 23.574 | 10.504 | 139.660 | 4.361 |
| 4.734 | -4.564 | -4.787 | -1.188 | -4.195 | 132.002 |
| 280.460 | 84.924 | 79.947 | 11.520 | 4.630 | 2.732 |
| 45.218 | 203.387 | 52.591 | 7.622 | 9.823 | 14.666 |
| 61.635 | 116.771 | 394.814 | 13.465 | 30.921 | 10.294 |
| -12.354 | 15.904 | -7.230 | 194.688 | 5.203 | 10.714 |
| 4.129 | 4.754 | 17.168 | 8.664 | 127.692 | -2.936 |
| 3.912 | 20.888 | 3.454 | 14.478 | 2.782 | 90.303 |
| 19.842 | 6.466 | -21.071 | -0.781 | -6.957 | -14.836 |
| -32.102 | 61.962 | -33.224 | -6.891 | 1.188 | -16.451 |
| -59.451 | 31.968 | 24.176 | -19.117 | 10.452 | -42.292 |
| -31.595 | 63.233 | -16.720 | 13.169 | -1.952 | -53.076 |
| -18.346 | 33.568 | 11.315 | -7.984 | 23.167 | -21.266 |
| -1.301 | 18.669 | 38.279 | -4.612 | 0.095 | 15.721 |
| 61.456 | -36.610 | -4.739 | 3.529 | -4.950 | 23.164 |
| 23.477 | 42.760 | -22.228 | 3.218 | 12.371 | 4.615 |
| -2.623 | -33.244 | -42.305 | -3.073 | 6.079 | 5.535 |
| 12.997 | -43.187 | -11.071 | 31.563 | 3.840 | 16.173 |
| -18.470 | -16.600 | -30.448 | 6.349 | 40.340 | -15.463 |
| 31.285 | -62.392 | 10.219 | 13.368 | -7.188 | 74.290 |
| 62.603 | -0.866 | -2.459 | 0.614 | 2.073 | 1.036 |
| -0.830 | 53.654 | -6.816 | 2.735 | 2.751 | 2.882 |
| -5.584 | -3.218 | 40.755 | -4.552 | 1.998 | -5.309 |
| -0.218 | 3.809 | 1.752 | 42.760 | -0.291 | -5.374 |
| -5.470 | 4.747 | 0.136 | -0.348 | 27.039 | -5.509 |
| -3.583 | 2.313 | 3.315 | -1.488 | -1.919 | 28.005 |
| 65.215 | -10.642 | -2.041 | 0.483 | 4.021 | 1.337 |
| -3.571 | 33.011 | -13.440 | 1.022 | 0.718 | 6.710 |
| 5.745 | -5.263 | 60.538 | 4.485 | 6.709 | 3.788 |
| -6.479 | -2.479 | -2.571 | 32.969 | 2.517 | -1.043 |
| -3.162 | -6.229 | -1.180 | 2.673 | 29.423 | 1.453 |
| -2.479 | -3.438 | 0.829 | -1.245 | -1.080 | 30.674 |
| 48.849 | -5.205 | -2.651 | 0.207 | 4.069 | -0.249 |
| -5.599 | 43.543 | -10.269 | -0.737 | 1.790 | 2.317 |
| -0.112 | -8.437 | 41.866 | -2.289 | 0.886 | -0.601 |
| -0.765 | -3.954 | -2.600 | 24.661 | 0.729 | -0.958 |
| -2.683 | 0.588 | 1.185 | 0.222 | 27.767 | -1.538 |
| -1.047 | 2.585 | -0.034 | 1.378 | 0.020 | 24.605 |
| 48.976 | -6.950 | -3.139 | 0.725 | 2.840 | 1.002 |
| -4.753 | 38.081 | -10.444 | 0.728 | 1.697 | 2.529 |
| -0.038 | -9.042 | 42.096 | -1.950 | 0.937 | 0.122 |
| -0.984 | -4.191 | -2.434 | 25.172 | 0.351 | -1.150 |
| -2.069 | -0.485 | 1.381 | 0.416 | 28.442 | -0.692 |
| 0.246 | 2.289 | 0.053 | 0.802 | -0.035 | 25.086 |
| 502.710 | 129.229 | 117.472 | 29.440 | -26.287 | -37.790 |
| 125.400 | 527.658 | 133.090 | 8.746 | -25.671 | -38.307 |
| 378.049 | 340.248 | 135.001 | -216.977 | 97.163 | -539.676 |
| -526.690 | -830.122 | -955.746 | -947.606 | 764.713 | 418.944 |
| 228.139 | 237.185 | -1105.359 | -201.979 | 639.918 | -27.657 |
| -30.760 | -37.848 | -21.064 | -20.710 | 4.803 | 234.652 |
| -366.200 | -214.288 | 1150.737 | 393.823 | -568.908 | 51.788 |
| 139.409 | 504.510 | 578.921 | 546.560 | -358.363 | 193.978 |
| 116.817 | 135.755 | 520.142 | 28.849 | -15.321 | -22.480 |
| 28.664 | 31.318 | 28.849 | 244.261 | -23.295 | -22.861 |
| -276.758 | -268.447 | 200.640 | 192.517 | 9.448 | 541.932 |
| -523.055 | -205.595 | 1175.690 | 395.414 | -576.321 | 155.972 |
| 328.447 | 111.542 | 63.083 | -39.742 | 34.989 | -46.356 |
| 111.243 | 281.967 | -90.107 | -33.023 | 51.781 | -13.895 |
| 15.827 | -9.075 | 349.917 | -111.826 | 89.733 | 89.565 |
| -73.212 | -107.862 | -94.096 | 80.458 | 78.194 | 85.213 |
| -22.662 | -27.823 | -15.321 | -23.294 | 218.456 | 24.988 |
| -7.941 | -7.722 | -47.255 | -53.574 | 15.632 | 90.385 |
| 319.781 | -9.211 | 22.229 | -78.754 | 70.673 | 103.548 |
| 20.002 | 323.327 | 31.139 | -96.321 | 61.061 | 102.677 |
| 17.147 | -4.994 | 328.126 | 7.612 | -53.465 | 2.974 |
| -32.145 | -30.205 | 98.194 | 81.111 | -62.629 | -2.635 |
| -22.662 | -27.823 | -15.321 | -23.294 | 218.456 | 24.988 |
| -21.761 | 1.517 | 36.658 | 36.506 | -41.219 | 142.608 |
| 187.293 | 42.328 | 35.734 | -8.468 | 4.325 | 1.641 |
| 47.694 | 252.616 | 20.613 | -9.810 | -3.218 | 0.532 |
| 49.341 | 36.784 | 239.641 | 2.652 | -5.429 | -2.575 |
| -7.126 | -12.358 | -23.459 | 87.202 | 4.403 | 3.791 |
| 3.640 | -5.918 | -5.803 | -7.755 | 109.318 | -9.226 |
| -7.296 | -12.063 | -18.320 | -17.085 | -6.007 | 105.534 |
| 192.743 | 39.006 | 53.323 | 2.525 | -9.169 | 0.959 |
| 43.645 | 238.233 | 40.499 | -0.645 | -13.038 | 9.001 |
| 32.733 | 29.301 | 264.746 | 1.484 | -11.092 | 3.416 |
| -1.638 | -0.617 | -0.064 | 127.976 | -7.638 | 0.227 |
| 10.041 | 12.532 | 17.499 | 12.696 | 177.368 | -11.845 |
| -1.415 | -2.152 | 11.035 | -9.764 | -11.401 | 85.956 |
| -56.087 | -49.182 | -89.595 | -76.246 | 68.122 | 2.114 |
| -31.390 | 10.578 | -5.600 | -33.865 | 18.578 | 17.144 |
| -46.030 | 0.444 | 44.947 | -36.055 | 22.577 | 9.129 |
| -42.260 | -43.830 | -5.906 | 1.251 | 29.083 | 25.185 |
| -46.359 | -47.944 | -14.123 | -18.082 | 41.380 | 25.597 |
| -18.321 | 13.743 | 15.969 | -21.906 | 7.012 | 62.117 |
| 137.934 | 27.594 | 48.564 | 31.236 | -18.476 | -18.711 |
| 69.322 | 118.014 | 33.411 | 25.312 | -14.152 | -35.293 |
| 65.522 | 17.196 | 106.492 | 19.181 | -22.501 | -20.798 |
| 16.620 | 2.313 | -1.194 | 33.401 | -19.133 | -8.852 |
| 15.415 | 3.995 | -1.163 | 7.799 | 67.779 | -10.050 |
| 22.289 | -3.363 | -11.008 | 22.560 | -13.352 | 34.063 |
| 65.053 | -6.670 | -8.465 | 0.516 | -3.409 | -1.510 |
| 5.368 | 89.772 | 15.004 | -11.168 | 2.432 | 2.879 |
| -12.420 | -5.289 | 56.222 | -7.560 | 3.556 | -0.388 |
| -1.496 | 0.059 | 4.841 | 51.752 | 0.949 | 4.439 |
| -5.304 | -4.152 | 3.039 | -3.344 | 35.566 | -1.236 |
| -9.921 | -9.366 | 1.459 | -5.201 | -0.149 | 26.016 |
| 63.610 | -2.170 | -8.726 | 5.780 | -7.273 | -6.039 |
| 10.243 | 90.971 | 15.076 | -7.973 | 0.254 | -0.437 |
| -1.091 | -2.468 | 64.500 | -3.115 | 0.555 | -3.814 |
| 7.297 | -5.662 | -2.765 | 29.114 | -10.350 | 0.061 |
| 5.300 | 3.354 | 10.880 | -3.607 | 43.660 | -5.381 |
| 3.449 | -1.531 | -1.797 | 4.721 | -7.410 | 30.798 |
| 64.180 | -3.063 | -6.693 | 0.528 | -3.496 | -4.509 |
| -4.569 | 48.619 | -2.668 | -5.365 | 0.278 | -4.144 |
| -7.006 | -2.720 | 54.793 | -5.206 | 4.880 | -1.715 |
| -1.434 | -10.862 | -5.606 | 30.886 | -2.109 | 1.845 |
| -1.422 | -0.341 | 5.288 | -3.093 | 28.929 | -5.316 |
| -1.276 | -4.325 | -2.344 | 1.362 | -4.277 | 32.240 |
| 63.244 | -3.066 | -6.440 | 1.236 | -3.359 | -5.043 |
| -2.881 | 50.524 | -3.705 | -4.849 | -0.608 | -3.853 |
| -5.653 | -1.719 | 55.942 | -4.791 | 4.236 | -2.076 |
| -0.443 | -8.610 | -4.595 | 30.286 | -2.019 | 1.305 |
| -0.725 | 0.295 | 4.248 | -1.238 | 28.463 | -4.970 |
| 0.777 | -1.874 | -2.295 | 3.191 | -4.667 | 35.300 |
| -151.189 | 177.624 | -478.363 | 7.706 | -103.950 | -85.416 |
| -333.586 | 362.609 | -471.005 | -8.482 | -89.293 | -80.624 |
| -333.840 | 183.233 | -300.110 | 6.013 | -105.674 | -86.844 |
| -313.288 | 189.846 | -450.129 | 75.556 | -103.011 | -87.620 |
| -185.466 | -513.763 | -766.754 | -215.646 | -50.295 | -65.594 |
| -56.839 | -19.593 | -457.502 | 303.084 | 89.252 | 229.158 |
| 516.788 | 615.564 | 854.049 | 218.692 | 157.614 | 63.565 |
| 93.192 | -1467.015 | -380.049 | -174.917 | 1395.741 | 872.946 |
| -137.666 | -675.013 | 553.046 | -518.856 | 30.802 | 475.769 |
| 67.545 | 10.075 | 441.413 | -243.082 | -95.231 | -173.810 |
| 313.931 | -186.344 | 451.652 | -8.226 | 167.659 | 78.639 |
| 70.033 | 10.173 | 455.121 | -315.814 | -92.524 | -103.321 |
| 151.053 | 5.263 | -56.171 | 3.333 | -13.052 | -12.152 |
| 77.145 | 301.613 | 22.165 | -29.877 | -11.389 | -6.182 |
| 65.499 | 82.771 | 174.515 | 21.046 | -2.952 | 14.910 |
| 2.567 | 60.033 | -62.497 | 115.900 | -0.847 | -37.118 |
| -20.298 | -46.481 | -82.726 | -20.181 | 98.387 | -5.695 |
| 9.684 | 54.884 | -44.230 | 54.855 | -1.143 | 23.624 |
| 344.700 | 148.840 | 170.497 | 23.795 | 13.292 | 4.321 |
| 76.673 | 209.506 | 119.841 | -38.269 | -3.868 | -21.416 |
| 71.080 | 75.746 | 243.370 | -41.760 | -22.421 | -19.207 |
| 34.904 | -27.381 | 47.620 | 67.331 | 7.463 | 2.611 |
| 8.804 | 5.223 | 29.072 | -33.720 | 42.258 | -16.102 |
| -8.968 | -130.025 | -2.294 | -54.215 | 36.570 | 73.561 |
| 165.279 | 31.792 | 23.996 | -0.428 | -6.307 | -3.716 |
| 15.548 | 205.209 | 16.315 | -4.211 | 4.192 | -4.070 |
| 13.714 | 25.032 | 200.886 | -3.693 | -0.389 | -1.846 |
| -0.334 | -0.060 | -13.925 | 73.449 | -1.292 | -1.594 |
| -2.157 | 6.766 | -1.421 | 1.735 | 59.566 | -0.403 |
| 0.234 | 7.554 | -4.451 | -1.534 | -5.176 | 59.388 |
| 192.719 | 16.325 | 20.807 | 1.039 | 3.438 | 0.025 |
| 28.091 | 149.032 | 42.414 | -11.820 | 6.960 | 7.747 |
| 22.072 | 24.520 | 172.973 | -16.983 | 1.085 | 1.822 |
| 1.310 | -6.085 | -3.802 | 70.786 | -0.584 | 2.195 |
| 2.105 | -3.111 | -1.697 | -4.963 | 61.567 | 2.168 |
| 3.029 | -8.711 | 0.060 | -4.386 | -2.453 | 75.873 |
| 180.182 | 55.720 | 45.828 | 17.435 | -0.341 | -49.682 |
| -37.660 | -13.959 | -20.742 | 47.242 | -20.369 | -3.612 |
| 29.170 | 68.704 | 128.069 | -16.261 | 18.988 | -60.416 |
| -71.264 | -59.397 | -11.529 | 37.930 | 4.682 | -36.001 |
| -1.227 | 3.643 | 4.667 | -10.849 | 95.831 | 1.233 |
| -81.475 | -60.809 | -12.523 | 8.935 | 3.496 | -4.590 |
| 208.404 | 38.047 | 40.532 | -1.252 | 3.325 | -17.101 |
| -23.012 | 22.669 | -43.924 | 4.505 | 19.901 | 42.121 |
| 77.027 | 66.312 | 65.049 | -12.931 | -5.025 | 32.635 |
| 21.283 | 135.939 | 14.667 | 4.402 | -123.266 | -103.249 |
| 47.424 | 56.031 | 40.928 | -43.913 | 46.689 | 13.056 |
| 2.040 | -20.303 | -6.070 | 20.113 | 9.812 | 79.966 |
| 85.883 | -8.191 | -13.153 | -0.865 | -0.868 | -11.885 |
| -11.079 | 10.397 | -6.757 | -0.059 | 12.564 | 8.515 |
| -11.803 | -7.558 | 27.487 | 1.129 | -0.973 | 4.095 |
| 3.369 | 10.256 | 13.967 | 39.017 | -2.411 | -6.371 |
| -5.532 | 0.987 | -0.393 | -3.342 | 40.876 | -2.048 |
| -19.588 | -14.167 | 7.363 | 1.741 | 15.512 | 28.945 |
| 77.400 | 4.745 | -0.048 | 0.193 | -2.145 | -4.339 |
| -0.368 | 55.134 | 0.718 | 1.801 | 4.795 | -1.838 |
| 6.921 | 5.455 | 57.431 | 5.641 | -2.190 | 7.226 |
| 3.555 | 18.842 | -3.353 | 21.902 | -16.206 | -13.424 |
| -4.976 | 4.594 | 0.452 | -0.700 | 34.021 | 5.475 |
| -2.256 | 1.272 | 3.054 | 2.139 | 0.973 | 30.469 |
| 64.767 | 1.338 | 0.058 | -1.433 | -4.367 | -6.920 |
| -4.404 | 36.013 | -2.270 | -1.189 | 4.008 | -1.717 |
| -1.598 | -0.092 | 46.517 | 1.723 | -2.930 | 3.142 |
| 0.391 | 3.820 | 4.861 | 29.777 | -0.635 | -1.485 |
| -9.042 | -0.415 | -2.574 | -1.273 | 35.583 | 0.832 |
| -7.304 | -2.470 | 1.829 | 1.103 | 1.089 | 28.896 |
| 66.271 | 1.900 | 0.203 | -1.374 | -3.960 | -6.707 |
| -0.842 | 40.277 | -0.270 | -1.579 | 1.394 | -2.716 |
| 2.555 | 3.819 | 50.117 | 3.391 | -2.563 | 1.686 |
| -2.272 | 3.159 | 0.982 | 27.435 | -4.453 | -3.430 |
| -9.351 | -0.037 | -3.665 | -3.117 | 32.432 | -0.285 |
| -6.369 | -1.902 | 1.334 | 1.002 | 0.873 | 28.937 |
| 988.820 | 140.842 | 140.841 | 0.000 | -0.001 | 0.000 |
| 140.842 | 988.819 | 140.841 | -0.000 | 0.000 | -0.000 |
| 140.842 | 140.841 | 988.820 | -0.001 | -0.000 | 0.000 |
| -0.000 | -0.000 | -0.000 | 460.977 | -0.000 | 0.000 |
| -0.000 | 0.000 | -0.000 | -0.000 | 460.977 | 0.000 |
| -0.000 | -0.000 | -0.000 | -0.000 | -0.001 | 460.977 |
| 951.304 | 113.926 | 113.927 | 0.001 | 0.000 | 0.000 |
| 113.928 | 951.305 | 113.927 | 0.000 | 0.000 | -0.000 |
| 113.928 | 113.926 | 951.304 | -0.000 | -0.000 | 0.000 |
| 0.000 | -0.000 | 0.000 | 460.978 | -0.000 | 0.000 |
| 0.000 | -0.000 | 0.000 | 0.001 | 460.977 | 0.000 |
| 0.000 | 0.000 | 0.000 | 0.000 | 0.000 | 460.977 |
| 988.820 | 140.842 | 140.842 | -0.000 | -0.000 | -0.000 |
| 140.842 | 988.820 | 140.842 | -0.000 | -0.000 | 0.000 |
| 140.842 | 140.842 | 988.820 | -0.000 | -0.000 | 0.000 |
| 0.000 | 0.000 | 0.000 | 460.977 | -0.000 | 0.000 |
| -0.000 | -0.000 | 0.000 | -0.000 | 460.977 | -0.000 |
| 0.000 | 0.000 | 0.000 | -0.000 | 0.000 | 460.977 |
| 988.820 | 140.842 | 140.842 | 0.000 | 0.000 | -0.000 |
| 140.842 | 988.820 | 140.842 | 0.000 | -0.000 | 0.000 |
| 140.842 | 140.842 | 988.820 | 0.000 | -0.000 | -0.000 |
| 0.000 | 0.000 | -0.000 | 460.977 | 0.000 | -0.000 |
| 0.000 | 0.000 | -0.000 | 0.000 | 460.977 | 0.000 |
| -0.000 | -0.000 | -0.000 | 0.000 | -0.000 | 460.977 |
| 951.081 | 113.700 | 113.700 | -0.000 | -0.000 | -0.000 |
| 113.700 | 951.081 | 113.700 | -0.000 | -0.000 | 0.000 |
| 113.700 | 113.700 | 951.081 | -0.000 | -0.000 | 0.000 |
| -0.002 | -0.002 | -0.002 | 321.577 | -0.000 | 0.000 |
| -0.002 | -0.002 | -0.002 | -0.000 | 322.226 | -0.000 |
| -0.002 | -0.002 | -0.002 | -0.000 | 0.000 | 321.577 |
| 988.817 | 140.841 | 140.841 | 0.000 | 0.000 | 0.000 |
| 140.841 | 988.817 | 140.841 | 0.000 | 0.000 | 0.000 |
| 140.841 | 140.841 | 988.817 | 0.000 | -0.000 | 0.000 |
| 0.002 | 0.002 | 0.002 | 321.577 | -0.000 | -0.000 |
| 0.002 | 0.002 | 0.002 | 0.000 | 322.226 | -0.000 |
| 0.002 | 0.002 | 0.002 | 0.000 | 0.000 | 321.577 |
| 1134.320 | 127.628 | 84.556 | -0.001 | 0.000 | -0.000 |
| 127.629 | 1134.320 | 84.556 | -0.000 | 0.000 | -0.000 |
| 85.513 | 85.512 | 1172.129 | 0.001 | -0.000 | -0.000 |
| 0.000 | -0.000 | 0.000 | 462.042 | -0.000 | 0.000 |
| 0.000 | -0.000 | 0.000 | -0.000 | 462.043 | 0.000 |
| -0.000 | -0.000 | -0.000 | -0.000 | -0.000 | 503.346 |
| 1027.842 | 127.885 | 190.032 | -0.000 | -0.001 | -0.001 |
| 127.885 | 1027.842 | 190.033 | -0.000 | 0.000 | -0.000 |
| 85.512 | 85.512 | 1172.127 | -0.001 | 0.000 | 0.000 |
| -0.000 | 0.000 | 0.000 | 462.042 | 0.001 | -0.000 |
| -0.000 | 0.000 | -0.001 | 0.000 | 462.043 | -0.000 |
| 0.000 | 0.000 | -0.000 | 0.000 | 0.000 | 503.345 |
| 1056.002 | 156.042 | 134.112 | -0.000 | 0.000 | -0.000 |
| 156.043 | 1055.999 | 134.114 | 0.000 | 0.000 | 0.000 |
| 142.714 | 142.714 | 1058.525 | -0.000 | -0.000 | -0.000 |
| 2.556 | 2.556 | -5.076 | 434.370 | -0.000 | -0.000 |
| 0.000 | 0.000 | -0.000 | -0.000 | 462.042 | 0.000 |
| 0.000 | -0.000 | -0.000 | -0.000 | 0.000 | 503.346 |
| 1052.441 | 141.267 | 152.319 | -0.000 | 0.000 | -0.000 |
| 141.270 | 1052.420 | 152.336 | 0.000 | -0.000 | 0.000 |
| 137.594 | 137.594 | 1068.693 | -0.000 | 0.000 | -0.000 |
| -2.556 | -2.556 | 5.076 | 434.370 | -0.000 | -0.000 |
| -0.000 | -0.000 | 0.000 | 0.000 | 462.042 | -0.000 |
| -0.000 | 0.000 | 0.000 | 0.000 | 0.000 | 503.346 |
| 1053.696 | 153.740 | 138.691 | 0.000 | 0.000 | -0.000 |
| 153.739 | 1053.699 | 138.689 | 0.000 | 0.000 | 0.000 |
| 140.414 | 140.414 | 1063.096 | 0.000 | 0.000 | -0.000 |
| 0.256 | 0.255 | -0.507 | 434.371 | 0.000 | -0.000 |
| 0.255 | 0.256 | -0.507 | -0.000 | 434.370 | -0.000 |
| 0.256 | 0.256 | -0.508 | 0.000 | 0.000 | 449.979 |
| 1054.211 | 144.052 | 147.791 | -0.000 | 0.000 | -0.000 |
| 153.228 | 1053.168 | 139.715 | -0.000 | -0.000 | 0.000 |
| 139.894 | 139.894 | 1064.122 | 0.000 | 0.000 | 0.000 |
| -0.256 | -0.255 | 0.507 | 434.371 | 0.000 | -0.000 |
| -0.255 | -0.256 | 0.507 | 0.000 | 434.370 | 0.000 |
| -0.256 | -0.256 | 0.508 | -0.000 | -0.000 | 449.978 |
| 541.040 | 130.223 | 0.000 | 0.000 | 0.000 | 0.000 |
| 130.223 | 541.040 | 0.000 | 0.000 | 0.000 | 0.000 |
| 0.000 | 0.000 | 0.000 | 0.000 | 0.000 | -0.000 |
| 0.000 | 0.000 | 0.000 | 0.000 | 0.000 | 0.000 |
| 0.000 | 0.000 | 0.000 | 0.000 | 0.000 | 0.000 |
| 0.000 | -0.000 | 0.000 | 0.000 | 0.000 | 205.409 |
| 503.478 | 167.784 | -0.000 | -0.000 | -0.000 | -0.000 |
| 130.223 | 541.040 | -0.000 | -0.000 | -0.000 | -0.000 |
| 0.000 | 0.000 | -0.000 | -0.000 | -0.000 | -0.000 |
| -0.000 | 0.000 | -0.000 | -0.000 | -0.000 | -0.000 |
| -0.000 | 0.000 | -0.000 | -0.000 | -0.000 | -0.000 |
| -0.000 | 0.000 | -0.000 | -0.000 | -0.000 | 205.408 |
| 503.469 | 167.794 | 0.000 | 0.000 | 0.000 | -0.000 |
| 167.785 | 503.478 | 0.000 | 0.000 | 0.000 | 0.000 |
| 0.000 | 0.000 | 0.000 | 0.000 | 0.000 | -0.000 |
| 0.000 | -0.000 | 0.000 | 0.000 | 0.000 | 0.000 |
| 0.000 | -0.000 | 0.000 | 0.000 | 0.000 | 0.000 |
| -0.000 | 0.000 | 0.000 | 0.000 | 0.000 | 167.847 |
| 503.478 | 167.784 | -0.000 | -0.000 | -0.000 | -0.000 |
| 130.223 | 541.040 | -0.000 | -0.000 | -0.000 | -0.000 |
| 0.000 | 0.000 | -0.000 | -0.000 | -0.000 | -0.000 |
| -0.000 | 0.000 | -0.000 | -0.000 | -0.000 | -0.000 |
| -0.000 | 0.000 | -0.000 | -0.000 | -0.000 | -0.000 |
| 0.000 | -0.000 | -0.000 | -0.000 | -0.000 | 167.847 |
| 503.481 | 167.783 | 0.000 | 0.000 | 0.000 | 0.000 |
| 167.787 | 503.478 | 0.000 | 0.000 | 0.000 | 0.000 |
| 0.000 | 0.000 | 0.000 | 0.000 | 0.000 | -0.000 |
| 0.000 | -0.000 | 0.000 | 0.000 | 0.000 | 0.000 |
| -0.000 | 0.000 | 0.000 | 0.000 | 0.000 | 0.000 |
| -0.000 | 0.000 | 0.000 | 0.000 | 0.000 | 167.847 |
| 503.475 | 167.785 | -0.000 | -0.000 | -0.000 | -0.000 |
| 167.782 | 503.479 | -0.000 | -0.000 | -0.000 | -0.000 |
| 0.000 | 0.000 | -0.000 | -0.000 | -0.000 | -0.000 |
| -0.000 | 0.000 | -0.000 | -0.000 | -0.000 | -0.000 |
| -0.000 | 0.000 | -0.000 | -0.000 | -0.000 | -0.000 |
| 0.000 | -0.000 | -0.000 | -0.000 | -0.000 | 167.847 |
| 387.975 | 105.282 | 127.938 | -0.000 | 0.000 | -0.000 |
| 103.201 | 550.193 | 76.661 | -0.000 | -0.000 | 0.000 |
| 83.480 | 76.661 | 578.332 | -0.000 | -0.000 | 0.000 |
| 0.004 | -0.003 | 0.000 | 158.322 | 0.000 | 0.000 |
| -0.000 | -0.000 | -0.000 | -0.000 | 197.557 | -0.000 |
| 0.003 | -0.003 | 0.000 | -0.000 | -0.000 | 144.692 |
| 288.657 | 69.850 | 86.277 | 0.000 | -0.000 | -0.000 |
| 104.967 | 435.190 | 115.542 | 0.000 | 0.000 | -0.000 |
| 83.480 | 76.661 | 578.332 | 0.000 | 0.000 | -0.000 |
| -0.004 | 0.003 | -0.000 | 158.323 | 0.000 | 0.000 |
| 0.000 | 0.000 | 0.000 | -0.000 | 197.557 | 0.000 |
| -0.003 | 0.003 | -0.000 | 0.000 | -0.000 | 144.692 |
| 549.712 | 103.201 | 83.480 | -0.000 | -0.000 | -0.000 |
| 103.201 | 550.193 | 76.661 | -0.000 | 0.000 | 0.000 |
| 120.198 | 114.499 | 401.777 | -0.000 | -0.000 | 0.000 |
| -0.000 | -0.000 | 0.000 | 209.149 | 0.000 | 0.000 |
| -0.000 | 0.000 | 0.000 | -0.000 | 197.557 | -0.000 |
| -0.000 | 0.000 | 0.000 | -0.000 | 0.000 | 227.708 |
| 387.976 | 105.286 | 127.937 | 0.000 | -0.000 | -0.000 |
| 45.996 | 331.133 | 49.998 | 0.000 | 0.000 | -0.000 |
| 83.480 | 76.661 | 578.332 | 0.000 | -0.000 | -0.000 |
| 0.000 | 0.000 | -0.000 | 209.149 | 0.000 | 0.000 |
| 0.000 | -0.000 | -0.000 | 0.000 | 197.557 | 0.000 |
| 0.000 | -0.000 | -0.000 | 0.000 | 0.000 | 227.708 |
| 259.152 | 53.756 | 73.114 | -0.000 | 0.000 | -0.000 |
| 45.995 | 331.139 | 49.995 | -0.000 | 0.000 | -0.000 |
| 99.365 | 76.894 | 338.846 | -0.000 | -0.000 | 0.000 |
| 0.000 | -0.000 | -0.000 | 136.506 | 0.000 | 0.000 |
| -0.000 | 0.000 | 0.000 | -0.000 | 155.771 | 0.000 |
| 0.000 | 0.000 | 0.000 | -0.000 | -0.000 | 227.708 |
| 259.063 | 53.736 | 73.099 | 0.000 | 0.000 | -0.000 |
| 45.967 | 331.057 | 49.970 | 0.000 | -0.000 | -0.000 |
| 54.285 | 34.239 | 248.660 | -0.000 | 0.000 | -0.000 |
| -0.000 | 0.000 | 0.000 | 136.506 | 0.000 | -0.000 |
| 0.000 | -0.000 | -0.000 | 0.000 | 155.771 | -0.000 |
| -0.000 | -0.000 | -0.000 | 0.000 | 0.000 | 227.708 |
| 60.795 | -206.916 | 299.101 | -0.000 | 0.002 | -0.002 |
| 34.078 | 33.818 | -259.686 | -0.000 | 0.001 | -0.001 |
| 56.614 | 35.996 | 351.160 | 0.000 | -0.000 | 0.000 |
| 20.715 | -170.105 | -276.057 | 102.829 | 0.001 | -0.001 |
| -116.527 | -243.675 | 246.101 | -0.000 | 99.476 | -0.002 |
| 20.703 | -170.106 | -276.004 | -0.000 | 0.001 | 53.992 |
| 108.510 | 188.065 | 304.666 | 0.000 | -0.001 | 0.001 |
| -8.964 | 372.721 | 292.485 | -0.000 | -0.001 | 0.001 |
| 17.897 | 178.503 | 515.814 | 0.000 | -0.001 | 0.001 |
| -20.715 | 170.105 | 276.057 | 102.829 | -0.001 | 0.001 |
| 116.527 | 243.675 | -246.101 | 0.000 | 99.472 | 0.001 |
| -20.704 | 170.105 | 276.009 | 0.000 | -0.001 | 53.994 |
| 125.882 | -0.724 | -5.695 | -0.000 | 0.000 | -0.000 |
| 36.136 | 348.085 | 31.900 | -0.000 | 0.000 | -0.000 |
| 2.155 | -113.783 | 152.879 | -0.000 | 0.000 | -0.000 |
| 2.249 | -16.972 | -28.344 | 102.503 | 0.000 | -0.000 |
| 2.291 | -17.025 | -28.584 | -0.000 | 82.114 | -0.000 |
| -11.786 | -24.647 | 24.892 | 0.000 | 0.000 | 76.787 |
| 185.558 | 62.049 | 27.512 | 0.000 | -0.000 | 0.000 |
| 48.049 | 284.021 | 15.194 | 0.000 | -0.000 | 0.000 |
| 68.369 | 66.562 | 273.504 | -0.000 | -0.000 | 0.000 |
| -2.248 | 16.975 | 28.341 | 102.500 | -0.000 | 0.000 |
| -2.291 | 17.025 | 28.584 | 0.000 | 82.114 | 0.000 |
| -2.144 | 16.979 | 27.887 | -0.000 | -0.000 | 53.846 |
| 81.048 | -19.579 | -14.426 | 0.000 | 0.000 | -0.000 |
| 18.304 | 193.454 | 1.221 | -0.000 | 0.000 | -0.000 |
| -5.050 | -26.409 | 186.165 | -0.000 | 0.000 | -0.000 |
| 0.406 | -1.675 | -3.605 | 98.823 | 0.000 | -0.000 |
| -0.999 | -2.136 | -4.117 | -0.000 | 54.653 | -0.000 |
| -0.659 | -1.317 | -1.607 | -0.000 | 0.000 | 34.719 |
| 92.479 | -5.518 | -0.115 | -0.000 | -0.000 | 0.000 |
| 37.015 | 248.283 | 39.702 | 0.000 | -0.000 | 0.000 |
| 1.639 | -13.522 | 201.148 | -0.000 | -0.000 | 0.000 |
| -0.406 | 1.675 | 3.605 | 98.823 | -0.000 | 0.000 |
| 0.999 | 2.136 | 4.117 | 0.000 | 54.653 | 0.000 |
| 0.819 | 2.706 | 3.226 | 0.000 | -0.000 | 38.498 |
| 525.860 | 126.569 | 0.000 | 0.000 | 0.000 | 0.000 |
| 163.077 | 489.352 | 0.000 | 0.000 | 0.000 | 0.000 |
| -0.000 | 0.000 | 0.000 | 0.000 | 0.000 | -0.000 |
| -0.000 | 0.000 | 0.000 | 0.000 | 0.000 | -0.000 |
| -0.000 | 0.000 | 0.000 | 0.000 | 0.000 | 0.000 |
| 0.000 | 0.000 | 0.000 | 0.000 | 0.000 | 199.645 |
| 489.352 | 163.077 | -0.000 | -0.000 | -0.000 | 0.000 |
| 163.077 | 489.352 | -0.000 | -0.000 | -0.000 | -0.000 |
| 0.000 | -0.000 | -0.000 | -0.000 | -0.000 | 0.000 |
| 0.000 | -0.000 | -0.000 | -0.000 | -0.000 | 0.000 |
| 0.000 | -0.000 | -0.000 | -0.000 | -0.000 | 0.000 |
| -0.000 | -0.000 | -0.000 | -0.000 | -0.000 | 199.645 |
| 525.860 | 126.569 | 0.000 | 0.000 | 0.000 | 0.000 |
| 163.077 | 489.352 | 0.000 | 0.000 | 0.000 | 0.000 |
| -0.000 | 0.000 | 0.000 | 0.000 | 0.000 | -0.000 |
| -0.000 | 0.000 | 0.000 | 0.000 | 0.000 | -0.000 |
| -0.000 | 0.000 | 0.000 | 0.000 | 0.000 | -0.000 |
| -0.000 | 0.000 | 0.000 | 0.000 | 0.000 | 163.138 |
| 489.352 | 163.077 | -0.000 | -0.000 | -0.000 | 0.000 |
| 163.077 | 489.352 | -0.000 | -0.000 | -0.000 | -0.000 |
| 0.000 | -0.000 | -0.000 | -0.000 | -0.000 | 0.000 |
| 0.000 | -0.000 | -0.000 | -0.000 | -0.000 | 0.000 |
| 0.000 | -0.000 | -0.000 | -0.000 | -0.000 | 0.000 |
| 0.000 | -0.000 | -0.000 | -0.000 | -0.000 | 163.138 |
| 489.355 | 163.076 | 0.000 | 0.000 | 0.000 | 0.000 |
| 163.079 | 489.352 | 0.000 | 0.000 | 0.000 | 0.000 |
| -0.000 | 0.000 | 0.000 | 0.000 | 0.000 | -0.000 |
| -0.000 | 0.000 | 0.000 | 0.000 | 0.000 | -0.000 |
| -0.000 | 0.000 | 0.000 | 0.000 | 0.000 | -0.000 |
| -0.000 | 0.000 | 0.000 | 0.000 | 0.000 | 163.138 |
| 489.349 | 163.078 | -0.000 | -0.000 | -0.000 | -0.000 |
| 163.074 | 489.352 | -0.000 | -0.000 | -0.000 | 0.000 |
| 0.000 | -0.000 | -0.000 | -0.000 | -0.000 | 0.000 |
| 0.000 | -0.000 | -0.000 | -0.000 | -0.000 | 0.000 |
| 0.000 | -0.000 | -0.000 | -0.000 | -0.000 | 0.000 |
| 0.000 | -0.000 | -0.000 | -0.000 | -0.000 | 163.138 |
| 489.352 | 163.077 | 0.000 | 0.000 | 0.000 | -0.000 |
| 126.569 | 525.859 | 0.000 | 0.000 | 0.000 | 0.000 |
| -0.000 | -0.000 | 0.000 | 0.000 | 0.000 | 0.000 |
| -0.000 | -0.000 | 0.000 | 0.000 | 0.000 | 0.000 |
| -0.000 | -0.000 | 0.000 | 0.000 | 0.000 | -0.000 |
| 0.000 | -0.000 | 0.000 | 0.000 | 0.000 | 199.645 |
| 489.352 | 163.077 | -0.000 | -0.000 | -0.000 | -0.000 |
| 163.077 | 489.352 | -0.000 | -0.000 | -0.000 | 0.000 |
| 0.000 | 0.000 | -0.000 | -0.000 | -0.000 | -0.000 |
| 0.000 | 0.000 | -0.000 | -0.000 | -0.000 | -0.000 |
| 0.000 | 0.000 | -0.000 | -0.000 | -0.000 | 0.000 |
| -0.000 | 0.000 | -0.000 | -0.000 | -0.000 | 199.646 |
| 489.352 | 163.077 | 0.000 | 0.000 | 0.000 | -0.000 |
| 126.569 | 525.860 | 0.000 | 0.000 | 0.000 | 0.000 |
| -0.000 | -0.000 | 0.000 | 0.000 | 0.000 | 0.000 |
| -0.000 | -0.000 | 0.000 | 0.000 | 0.000 | 0.000 |
| -0.000 | -0.000 | 0.000 | 0.000 | 0.000 | -0.000 |
| 0.000 | -0.000 | 0.000 | 0.000 | 0.000 | 163.138 |
| 489.352 | 163.077 | -0.000 | -0.000 | -0.000 | 0.000 |
| 163.077 | 489.352 | -0.000 | -0.000 | -0.000 | 0.000 |
| 0.000 | 0.000 | -0.000 | -0.000 | -0.000 | -0.000 |
| 0.000 | 0.000 | -0.000 | -0.000 | -0.000 | -0.000 |
| 0.000 | 0.000 | -0.000 | -0.000 | -0.000 | 0.000 |
| -0.000 | 0.000 | -0.000 | -0.000 | -0.000 | 163.138 |
| 489.352 | 163.079 | 0.000 | 0.000 | 0.000 | -0.000 |
| 163.076 | 489.355 | 0.000 | 0.000 | 0.000 | -0.000 |
| -0.000 | -0.000 | 0.000 | 0.000 | 0.000 | 0.000 |
| -0.000 | -0.000 | 0.000 | 0.000 | 0.000 | 0.000 |
| -0.000 | -0.000 | 0.000 | 0.000 | 0.000 | 0.000 |
| 0.000 | -0.000 | 0.000 | 0.000 | 0.000 | 163.138 |
| 489.352 | 163.074 | -0.000 | -0.000 | -0.000 | 0.000 |
| 163.078 | 489.349 | -0.000 | -0.000 | -0.000 | 0.000 |
| 0.000 | 0.000 | -0.000 | -0.000 | -0.000 | -0.000 |
| 0.000 | 0.000 | -0.000 | -0.000 | -0.000 | -0.000 |
| 0.000 | 0.000 | -0.000 | -0.000 | -0.000 | -0.000 |
| -0.000 | 0.000 | -0.000 | -0.000 | -0.000 | 163.138 |
| 518.015 | 124.681 | 0.000 | 0.000 | 0.000 | -0.000 |
| 160.644 | 482.052 | 0.000 | 0.000 | 0.000 | -0.000 |
| -0.000 | -0.000 | 0.000 | 0.000 | 0.000 | -0.000 |
| -0.000 | -0.000 | 0.000 | 0.000 | 0.000 | -0.000 |
| 0.000 | -0.000 | 0.000 | 0.000 | 0.000 | -0.000 |
| -0.000 | -0.000 | 0.000 | 0.000 | 0.000 | 196.667 |
| 482.052 | 160.644 | -0.000 | -0.000 | -0.000 | 0.000 |
| 160.644 | 482.052 | -0.000 | -0.000 | -0.000 | 0.000 |
| 0.000 | 0.000 | -0.000 | -0.000 | -0.000 | 0.000 |
| 0.000 | 0.000 | -0.000 | -0.000 | -0.000 | -0.000 |
| -0.000 | 0.000 | -0.000 | -0.000 | -0.000 | 0.000 |
| 0.000 | 0.000 | -0.000 | -0.000 | -0.000 | 196.667 |
| 518.015 | 124.681 | 0.000 | 0.000 | 0.000 | -0.000 |
| 160.644 | 482.052 | 0.000 | 0.000 | 0.000 | 0.000 |
| -0.000 | -0.000 | 0.000 | 0.000 | 0.000 | -0.000 |
| -0.000 | -0.000 | 0.000 | 0.000 | 0.000 | -0.000 |
| 0.000 | -0.000 | 0.000 | 0.000 | 0.000 | -0.000 |
| -0.000 | 0.000 | 0.000 | 0.000 | 0.000 | 160.704 |
| 482.052 | 160.644 | -0.000 | -0.000 | -0.000 | -0.000 |
| 160.644 | 482.052 | -0.000 | -0.000 | -0.000 | 0.000 |
| 0.000 | 0.000 | -0.000 | -0.000 | -0.000 | 0.000 |
| 0.000 | 0.000 | -0.000 | -0.000 | -0.000 | 0.000 |
| 0.000 | 0.000 | -0.000 | -0.000 | -0.000 | 0.000 |
| 0.000 | -0.000 | -0.000 | -0.000 | -0.000 | 160.704 |
| 482.055 | 160.643 | 0.000 | 0.000 | 0.000 | -0.000 |
| 160.646 | 482.052 | 0.000 | 0.000 | 0.000 | -0.000 |
| -0.000 | -0.000 | 0.000 | 0.000 | 0.000 | -0.000 |
| -0.000 | -0.000 | 0.000 | 0.000 | 0.000 | -0.000 |
| 0.000 | -0.000 | 0.000 | 0.000 | 0.000 | -0.000 |
| -0.000 | 0.000 | 0.000 | 0.000 | 0.000 | 160.704 |
| 482.049 | 160.645 | -0.000 | -0.000 | -0.000 | -0.000 |
| 160.642 | 482.052 | -0.000 | -0.000 | -0.000 | -0.000 |
| 0.000 | 0.000 | -0.000 | -0.000 | -0.000 | 0.000 |
| 0.000 | 0.000 | -0.000 | -0.000 | -0.000 | -0.000 |
| -0.000 | 0.000 | -0.000 | -0.000 | -0.000 | 0.000 |
| 0.000 | -0.000 | -0.000 | -0.000 | -0.000 | 160.704 |
| 482.052 | 160.644 | 0.000 | 0.000 | 0.000 | 0.000 |
| 124.681 | 518.015 | 0.000 | 0.000 | 0.000 | 0.000 |
| -0.000 | -0.000 | 0.000 | 0.000 | 0.000 | -0.000 |
| -0.000 | -0.000 | 0.000 | 0.000 | 0.000 | -0.000 |
| -0.000 | -0.000 | 0.000 | 0.000 | 0.000 | -0.000 |
| -0.000 | -0.000 | 0.000 | 0.000 | 0.000 | 196.668 |
| 482.052 | 160.644 | -0.000 | -0.000 | -0.000 | 0.000 |
| 160.644 | 482.052 | -0.000 | -0.000 | -0.000 | 0.000 |
| 0.000 | 0.000 | -0.000 | -0.000 | -0.000 | 0.000 |
| 0.000 | 0.000 | -0.000 | -0.000 | -0.000 | 0.000 |
| 0.000 | 0.000 | -0.000 | -0.000 | -0.000 | 0.000 |
| 0.000 | 0.000 | -0.000 | -0.000 | -0.000 | 196.667 |
| 482.052 | 160.644 | 0.000 | 0.000 | 0.000 | 0.000 |
| 124.681 | 518.015 | 0.000 | 0.000 | 0.000 | 0.000 |
| -0.000 | -0.000 | 0.000 | 0.000 | 0.000 | -0.000 |
| -0.000 | -0.000 | 0.000 | 0.000 | 0.000 | -0.000 |
| -0.000 | -0.000 | 0.000 | 0.000 | 0.000 | 0.000 |
| 0.000 | 0.000 | 0.000 | 0.000 | 0.000 | 160.704 |
| 482.052 | 160.644 | -0.000 | -0.000 | -0.000 | 0.000 |
| 160.644 | 482.052 | -0.000 | -0.000 | -0.000 | -0.000 |
| 0.000 | 0.000 | -0.000 | -0.000 | -0.000 | 0.000 |
| 0.000 | 0.000 | -0.000 | -0.000 | -0.000 | 0.000 |
| 0.000 | 0.000 | -0.000 | -0.000 | -0.000 | -0.000 |
| -0.000 | 0.000 | -0.000 | -0.000 | -0.000 | 160.704 |
| 482.052 | 160.646 | 0.000 | 0.000 | 0.000 | -0.000 |
| 160.643 | 482.055 | 0.000 | 0.000 | 0.000 | -0.000 |
| -0.000 | -0.000 | 0.000 | 0.000 | 0.000 | -0.000 |
| -0.000 | -0.000 | 0.000 | 0.000 | 0.000 | -0.000 |
| -0.000 | -0.000 | 0.000 | 0.000 | 0.000 | 0.000 |
| 0.000 | -0.000 | 0.000 | 0.000 | 0.000 | 160.704 |
| 482.052 | 160.642 | -0.000 | -0.000 | -0.000 | -0.000 |
| 160.645 | 482.049 | -0.000 | -0.000 | -0.000 | 0.000 |
| 0.000 | 0.000 | -0.000 | -0.000 | -0.000 | 0.000 |
| 0.000 | 0.000 | -0.000 | -0.000 | -0.000 | 0.000 |
| 0.000 | 0.000 | -0.000 | -0.000 | -0.000 | -0.000 |
| -0.000 | 0.000 | -0.000 | -0.000 | -0.000 | 160.704 |
| 755.550 | -395.234 | 382.768 | 0.000 | -0.000 | 0.000 |
| 195.249 | -353.427 | 371.704 | 0.000 | -0.000 | -0.000 |
| 145.214 | 41.016 | 740.920 | 0.000 | -0.000 | 0.000 |
| 0.000 | 0.000 | 0.000 | 143.729 | -0.000 | 0.000 |
| 0.000 | 0.000 | 0.000 | 0.000 | 289.593 | 0.000 |
| 0.000 | 0.000 | 0.000 | 0.000 | -0.000 | 188.870 |
| 564.769 | 691.600 | -74.844 | -0.000 | 0.000 | -0.000 |
| 54.429 | 709.420 | -121.488 | -0.000 | 0.000 | -0.000 |
| 145.214 | 41.015 | 740.920 | -0.000 | 0.000 | 0.000 |
| -0.000 | -0.000 | -0.000 | 143.728 | 0.000 | -0.000 |
| -0.000 | -0.000 | -0.000 | -0.000 | 289.593 | 0.000 |
| -0.000 | -0.000 | -0.000 | -0.000 | 0.000 | 188.870 |
| 671.411 | 89.040 | 183.022 | 0.000 | -0.000 | -0.000 |
| 151.615 | 127.076 | 124.916 | 0.000 | -0.000 | -0.000 |
| 180.496 | 64.809 | 683.800 | 0.000 | -0.000 | 0.000 |
| 0.000 | 0.000 | -0.000 | 143.729 | -0.000 | 0.000 |
| 2.421 | -27.985 | 14.462 | 0.000 | 241.453 | -0.000 |
| 0.000 | 0.000 | 0.000 | 0.000 | -0.000 | 188.870 |
| 654.310 | 157.387 | 158.687 | -0.000 | 0.000 | 0.000 |
| 135.579 | 229.429 | 79.988 | -0.000 | 0.000 | -0.000 |
| 190.047 | 123.661 | 641.343 | -0.000 | 0.000 | 0.000 |
| -0.000 | -0.000 | 0.000 | 143.729 | 0.000 | 0.000 |
| -2.421 | 27.985 | -14.462 | -0.000 | 241.453 | 0.000 |
| -0.000 | -0.000 | -0.000 | -0.000 | 0.000 | 188.870 |
| 665.983 | 135.502 | 158.628 | 0.000 | -0.000 | -0.000 |
| 143.659 | 174.007 | 104.342 | 0.000 | -0.000 | -0.000 |
| 173.689 | 110.370 | 664.250 | 0.000 | -0.000 | 0.000 |
| 3.370 | -16.014 | 8.108 | -26.981 | -0.000 | -0.000 |
| 3.122 | -16.020 | 6.288 | 0.000 | 243.849 | -0.000 |
| 0.749 | -5.151 | 2.259 | 0.000 | -0.000 | 172.657 |
| 664.501 | 145.199 | 154.370 | -0.000 | 0.000 | 0.000 |
| 142.343 | 184.189 | 99.613 | -0.000 | 0.000 | 0.000 |
| 172.194 | 120.164 | 659.944 | -0.000 | 0.000 | 0.000 |
| -3.370 | 16.014 | -8.108 | -26.981 | 0.000 | 0.000 |
| -3.122 | 16.020 | -6.288 | -0.000 | 243.849 | 0.000 |
| -0.749 | 5.151 | -2.259 | -0.000 | 0.000 | 172.657 |
| 551.141 | 132.654 | 0.000 | 0.000 | 0.000 | 0.000 |
| 170.917 | 512.878 | 0.000 | 0.000 | 0.000 | 0.000 |
| -0.000 | -0.000 | 0.000 | 0.000 | 0.000 | -0.000 |
| -0.000 | -0.000 | 0.000 | 0.000 | 0.000 | -0.000 |
| -0.000 | -0.000 | 0.000 | 0.000 | 0.000 | -0.000 |
| 0.000 | -0.000 | 0.000 | 0.000 | 0.000 | 209.244 |
| 512.878 | 170.917 | -0.000 | -0.000 | -0.000 | 0.000 |
| 132.654 | 551.141 | -0.000 | -0.000 | -0.000 | 0.000 |
| 0.000 | 0.000 | -0.000 | -0.000 | -0.000 | 0.000 |
| 0.000 | 0.000 | -0.000 | -0.000 | -0.000 | 0.000 |
| 0.000 | 0.000 | -0.000 | -0.000 | -0.000 | 0.000 |
| 0.000 | 0.000 | -0.000 | -0.000 | -0.000 | 209.243 |
| 551.141 | 132.654 | 0.000 | 0.000 | 0.000 | -0.000 |
| 132.654 | 551.141 | 0.000 | 0.000 | 0.000 | -0.000 |
| -0.000 | -0.000 | 0.000 | 0.000 | 0.000 | -0.000 |
| -0.000 | -0.000 | 0.000 | 0.000 | 0.000 | -0.000 |
| -0.000 | -0.000 | 0.000 | 0.000 | 0.000 | -0.000 |
| -0.000 | 0.000 | 0.000 | 0.000 | 0.000 | 170.981 |
| 512.878 | 170.917 | -0.000 | -0.000 | -0.000 | 0.000 |
| 170.917 | 512.878 | -0.000 | -0.000 | -0.000 | -0.000 |
| 0.000 | 0.000 | -0.000 | -0.000 | -0.000 | 0.000 |
| 0.000 | 0.000 | -0.000 | -0.000 | -0.000 | 0.000 |
| 0.000 | 0.000 | -0.000 | -0.000 | -0.000 | 0.000 |
| 0.000 | -0.000 | -0.000 | -0.000 | -0.000 | 170.981 |
| 512.881 | 170.916 | 0.000 | 0.000 | 0.000 | -0.000 |
| 170.919 | 512.878 | 0.000 | 0.000 | 0.000 | 0.000 |
| -0.000 | -0.000 | 0.000 | 0.000 | 0.000 | -0.000 |
| -0.000 | -0.000 | 0.000 | 0.000 | 0.000 | -0.000 |
| -0.000 | -0.000 | 0.000 | 0.000 | 0.000 | -0.000 |
| 0.000 | 0.000 | 0.000 | 0.000 | 0.000 | 209.243 |
| 512.875 | 170.918 | -0.000 | -0.000 | -0.000 | -0.000 |
| 170.914 | 512.878 | -0.000 | -0.000 | -0.000 | 0.000 |
| 0.000 | 0.000 | -0.000 | -0.000 | -0.000 | 0.000 |
| 0.000 | 0.000 | -0.000 | -0.000 | -0.000 | 0.000 |
| 0.000 | 0.000 | -0.000 | -0.000 | -0.000 | 0.000 |
| -0.000 | -0.000 | -0.000 | -0.000 | -0.000 | 209.243 |
| 1133.070 | 126.903 | 84.829 | 11.842 | 0.000 | 0.001 |
| -540.230 | 349.019 | 1533.878 | -8.508 | 0.000 | 0.001 |
| -1692.795 | -1692.795 | 4724.599 | 0.000 | 0.000 | 0.001 |
| -683.141 | -700.363 | 1381.466 | 449.944 | 0.000 | 0.001 |
| -684.724 | -684.724 | 1367.432 | 0.000 | 450.061 | 8.645 |
| 0.001 | -0.000 | 0.002 | -0.000 | 11.842 | 503.085 |
| 2893.300 | 1976.596 | -3519.906 | 3.200 | -0.000 | -0.000 |
| 832.552 | 1724.743 | -1210.579 | -8.762 | 0.000 | -0.001 |
| 834.584 | 834.584 | -322.845 | -0.000 | -0.000 | -0.001 |
| 1582.285 | 1573.415 | -3151.151 | 435.180 | 0.000 | -0.002 |
| 684.724 | 684.724 | -1367.432 | -0.000 | 450.061 | 8.643 |
| 0.000 | -0.000 | -0.002 | -0.000 | 11.842 | 503.081 |
| 879.694 | -38.244 | 502.750 | 3.392 | -0.000 | 0.000 |
| -38.233 | 879.713 | 502.720 | -3.392 | 0.000 | 0.000 |
| 85.021 | 85.021 | 1174.082 | 0.000 | 0.000 | 0.000 |
| -179.434 | -185.915 | 364.824 | 430.958 | 0.000 | 0.000 |
| -384.004 | -384.004 | 766.919 | 0.000 | 397.523 | -6.218 |
| -382.329 | -382.329 | 763.573 | -0.000 | -6.139 | 388.206 |
| 1118.406 | 214.425 | 12.080 | 9.811 | 0.000 | -0.000 |
| 316.682 | 1200.314 | -171.824 | -4.609 | -0.000 | -0.000 |
| 220.867 | 220.866 | 902.781 | -0.000 | 0.000 | -0.000 |
| 78.618 | 61.478 | -139.890 | 449.798 | -0.000 | -0.000 |
| 384.004 | 384.004 | -766.919 | -0.000 | 397.523 | -6.218 |
| 382.329 | 382.329 | -763.573 | -0.000 | -6.139 | 388.206 |
| 1133.073 | 126.905 | 84.828 | 11.842 | 0.000 | 0.000 |
| 129.560 | 1037.302 | 177.810 | -3.605 | 0.000 | 0.000 |
| 85.021 | 85.021 | 1174.086 | 0.000 | 0.000 | 0.000 |
| -12.213 | -20.526 | 32.692 | 434.195 | -0.000 | 0.000 |
| -0.000 | 0.000 | 0.000 | 0.000 | 461.365 | 11.842 |
| -19.785 | -19.784 | 39.512 | -0.000 | 2.529 | 451.404 |
| 1076.448 | 176.446 | 91.892 | 9.343 | -0.000 | -0.000 |
| 170.266 | 1067.501 | 106.999 | -3.932 | -0.000 | -0.000 |
| 166.637 | 166.637 | 1011.075 | -0.000 | -0.000 | -0.000 |
| 18.876 | 7.605 | -26.443 | 439.427 | -0.000 | -0.000 |
| 0.000 | -0.000 | -0.000 | -0.000 | 461.365 | 11.842 |
| 19.785 | 19.784 | -39.512 | 0.000 | 2.529 | 451.404 |
| 1133.396 | 126.945 | 85.064 | 8.462 | -0.000 | -0.002 |
| 126.946 | 1133.395 | 85.064 | -8.462 | -0.000 | -0.003 |
| 140.103 | 140.104 | 1065.196 | 0.000 | 0.000 | -0.004 |
| 8.462 | -8.462 | -0.001 | 461.340 | -0.000 | -0.004 |
| -0.001 | 0.000 | -0.001 | -0.000 | 461.340 | 8.461 |
| -0.001 | -0.000 | -0.000 | -0.000 | 8.462 | 503.224 |
| 1051.781 | 151.616 | 142.005 | 2.696 | 0.000 | 0.004 |
| 126.946 | 1133.396 | 85.064 | -8.462 | 0.000 | 0.003 |
| 140.233 | 140.232 | 1064.939 | -0.000 | 0.000 | 0.002 |
| 2.960 | -2.830 | -0.128 | 433.787 | 0.000 | 0.003 |
| 0.001 | -0.000 | 0.001 | 0.000 | 461.340 | 8.463 |
| 0.002 | -0.001 | -0.001 | 0.000 | 8.462 | 503.225 |
| 1133.395 | 126.946 | 85.062 | 8.462 | 0.000 | -0.001 |
| 151.540 | 1051.712 | 142.153 | -2.696 | 0.000 | -0.001 |
| 140.162 | 140.162 | 1065.080 | 0.000 | -0.000 | -0.000 |
| 8.462 | -8.462 | 0.000 | 461.340 | -0.000 | -0.000 |
| -0.007 | -0.006 | 0.013 | 0.000 | 433.787 | 2.895 |
| 0.000 | 0.000 | 0.000 | 0.000 | 8.462 | 503.224 |
| 1133.395 | 126.946 | 85.062 | 8.462 | 0.000 | 0.000 |
| 151.553 | 1051.725 | 142.125 | -2.696 | 0.000 | 0.000 |
| 140.174 | 140.174 | 1065.055 | -0.000 | 0.000 | 0.000 |
| 8.462 | -8.462 | -0.000 | 461.340 | 0.000 | 0.001 |
| 0.007 | 0.006 | -0.013 | -0.000 | 433.787 | 2.896 |
| 0.000 | -0.000 | -0.000 | -0.000 | 8.462 | 503.225 |
| 1133.399 | 126.947 | 85.062 | 8.462 | -0.000 | -0.000 |
| 151.548 | 1051.716 | 142.143 | -2.696 | -0.000 | -0.000 |
| 140.168 | 140.168 | 1065.072 | 0.000 | -0.000 | -0.000 |
| 2.895 | -2.896 | 0.002 | 433.787 | 0.000 | -0.000 |
| -0.000 | 0.000 | 0.000 | 0.000 | 461.340 | 8.462 |
| -0.001 | -0.000 | 0.002 | 0.000 | 2.583 | 449.045 |
| 1051.449 | 154.191 | 139.759 | 2.937 | -0.000 | 0.000 |
| 126.946 | 1133.391 | 85.061 | -8.462 | 0.000 | 0.000 |
| 140.428 | 140.428 | 1064.544 | 0.000 | -0.000 | 0.000 |
| 8.462 | -8.462 | -0.000 | 461.340 | 0.000 | 0.000 |
| 0.000 | -0.000 | -0.000 | -0.000 | 461.340 | 8.462 |
| 0.001 | 0.000 | -0.002 | -0.000 | 2.583 | 449.045 |
| 1084.291 | 24.209 | 236.146 | 13.791 | -0.000 | -0.000 |
| 511.660 | 1212.154 | -380.790 | 8.140 | 0.000 | -0.000 |
| 356.949 | 356.949 | 630.187 | 0.000 | -0.000 | 0.000 |
| -84.200 | -111.336 | 196.074 | 486.338 | -0.000 | -0.000 |
| 0.000 | 0.000 | -0.001 | -0.001 | 460.954 | 8.442 |
| 191.304 | 191.305 | -383.604 | 0.002 | -1.618 | 424.534 |
| 586.801 | -115.928 | 875.499 | -8.018 | -0.001 | 0.000 |
| -115.853 | 586.970 | 875.228 | 8.015 | 0.000 | -0.000 |
| -65.270 | -65.270 | 1476.897 | 0.001 | -0.001 | 0.000 |
| 8.439 | -8.442 | -0.004 | 460.955 | 0.000 | -0.000 |
| 0.000 | -0.000 | 0.001 | 0.001 | 460.955 | 8.442 |
| -191.305 | -191.305 | 383.604 | -0.002 | -1.619 | 424.534 |
| 1132.580 | 126.530 | 85.142 | 8.442 | 0.000 | -0.000 |
| 126.530 | 1132.580 | 85.143 | -8.442 | -0.000 | -0.000 |
| 104.966 | 104.966 | 1135.506 | -0.000 | 0.000 | -0.000 |
| 8.442 | -8.442 | -0.000 | 460.955 | -0.000 | -0.000 |
| 0.000 | 0.000 | -0.001 | -0.000 | 460.955 | 8.442 |
| 0.000 | 0.000 | -0.000 | -0.000 | 8.442 | 503.025 |
| 1132.579 | 126.529 | 85.140 | 8.442 | -0.000 | 0.000 |
| 134.381 | 1027.872 | 182.267 | -1.399 | -0.000 | 0.000 |
| 81.544 | 81.544 | 1182.469 | 0.000 | -0.000 | 0.000 |
| 15.886 | -6.105 | -9.802 | 473.600 | 0.000 | 0.000 |
| 0.000 | -0.000 | 0.001 | 0.000 | 460.954 | 8.442 |
| -0.000 | -0.000 | 0.000 | 0.000 | 8.442 | 503.025 |
| 1044.775 | 154.386 | 145.254 | 2.165 | -0.000 | -0.000 |
| 152.381 | 1051.065 | 140.958 | -2.624 | -0.000 | 0.000 |
| 144.605 | 144.605 | 1056.012 | -0.000 | -0.000 | -0.000 |
| 2.870 | -0.260 | -2.617 | 426.903 | -0.000 | -0.000 |
| 1.305 | 1.305 | -2.616 | 0.000 | 426.909 | 1.566 |
| 1.258 | 1.259 | -2.524 | -0.000 | 1.809 | 441.914 |
| 1132.576 | 126.529 | 85.142 | 8.442 | 0.000 | 0.000 |
| 151.908 | 1042.723 | 149.789 | -2.188 | -0.000 | 0.000 |
| 142.618 | 142.618 | 1059.988 | -0.000 | -0.000 | -0.000 |
| 1.933 | -3.981 | 2.054 | 433.799 | -0.000 | 0.000 |
| -1.305 | -1.305 | 2.616 | -0.000 | 426.909 | 1.566 |
| -1.258 | -1.259 | 2.524 | 0.000 | 1.809 | 441.914 |
| 338.114 | 212.840 | 212.840 | -0.000 | -0.000 | 0.000 |
| 212.840 | 338.115 | 212.840 | -0.000 | -0.000 | 0.000 |
| 212.840 | 212.840 | 338.114 | -0.000 | -0.000 | 0.000 |
| -0.001 | 0.000 | -0.000 | 132.256 | -0.000 | 0.000 |
| -0.001 | 0.000 | -0.000 | -0.000 | 132.256 | 0.000 |
| -0.000 | 0.000 | -0.000 | -0.000 | -0.000 | 132.256 |
| 332.475 | 227.569 | 227.569 | -0.000 | 0.000 | -0.000 |
| 227.569 | 332.475 | 227.569 | 0.000 | 0.000 | 0.000 |
| 227.569 | 227.569 | 332.476 | 0.000 | 0.000 | -0.000 |
| 0.001 | -0.000 | 0.000 | 132.256 | 0.000 | -0.000 |
| 0.000 | -0.000 | 0.000 | 0.000 | 132.256 | -0.000 |
| 0.000 | -0.000 | 0.000 | 0.000 | 0.000 | 132.256 |
| 338.111 | 212.841 | 212.841 | 0.000 | -0.000 | 0.000 |
| 212.841 | 338.111 | 212.841 | 0.000 | -0.000 | -0.000 |
| 212.841 | 212.841 | 338.111 | -0.000 | -0.000 | 0.000 |
| -0.000 | -0.000 | 0.000 | 131.851 | -0.000 | 0.000 |
| -0.000 | 0.000 | -0.000 | 0.000 | 131.851 | 0.000 |
| -0.000 | 0.000 | -0.000 | -0.000 | -0.000 | 131.851 |
| 332.479 | 227.567 | 227.568 | 0.000 | 0.000 | 0.000 |
| 227.567 | 332.479 | 227.568 | -0.000 | 0.000 | -0.000 |
| 227.567 | 227.567 | 332.479 | -0.000 | 0.000 | -0.000 |
| 0.000 | 0.000 | 0.000 | 131.851 | 0.000 | -0.000 |
| 0.000 | -0.000 | -0.000 | 0.000 | 131.851 | -0.000 |
| 0.000 | -0.000 | 0.000 | 0.000 | 0.000 | 131.851 |
| 332.435 | 227.586 | 227.586 | -0.000 | -0.000 | 0.000 |
| 227.586 | 332.435 | 227.586 | -0.000 | -0.000 | -0.000 |
| 227.586 | 227.586 | 332.435 | 0.000 | -0.000 | 0.000 |
| 0.000 | -0.000 | 0.000 | 132.256 | -0.000 | -0.000 |
| -0.000 | 0.000 | 0.000 | -0.000 | 132.256 | 0.000 |
| -0.000 | 0.000 | 0.000 | 0.000 | -0.000 | 132.256 |
| 332.514 | 227.553 | 227.553 | 0.000 | 0.000 | 0.000 |
| 227.553 | 332.514 | 227.553 | 0.000 | 0.000 | 0.000 |
| 212.824 | 212.824 | 338.154 | 0.000 | 0.000 | 0.000 |
| -0.000 | 0.000 | -0.000 | 132.256 | 0.000 | -0.000 |
| 0.000 | -0.000 | -0.000 | -0.000 | 132.256 | 0.000 |
| 0.000 | -0.000 | -0.000 | 0.000 | 0.000 | 132.256 |
| -53.329 | 136.571 | -3629.124 | -0.000 | -0.000 | 0.000 |
| -1599.240 | -947.519 | -4842.350 | -0.000 | -0.000 | 0.000 |
| 69.252 | 13.343 | 266.396 | -0.000 | -0.000 | 0.000 |
| -1750.794 | -568.055 | -4778.003 | -1.370 | -0.000 | 0.000 |
| -1636.633 | -1049.570 | -4843.278 | -0.000 | 37.267 | 0.000 |
| -1750.550 | -567.958 | -4777.640 | -0.000 | -0.000 | 104.361 |
| 355.327 | 37.781 | 72.635 | 0.000 | -0.000 | 0.000 |
| 1672.898 | 1150.237 | 4842.389 | 0.000 | 0.000 | -0.000 |
| 1742.763 | 603.467 | 4799.456 | 0.000 | -0.000 | 0.000 |
| 1750.794 | 568.055 | 4778.003 | -1.370 | 0.000 | -0.000 |
| 1636.633 | 1049.570 | 4843.278 | 0.000 | 37.267 | 0.000 |
| 1750.550 | 567.958 | 4777.640 | 0.000 | 0.000 | 104.361 |
| 130.260 | 61.323 | -366.329 | -0.000 | -0.000 | -0.000 |
| -119.462 | -22.572 | -461.435 | -0.000 | -0.000 | 0.000 |
| -180.180 | -22.936 | -451.971 | -0.000 | -0.000 | 0.000 |
| -163.456 | -106.204 | -483.451 | 0.025 | -0.000 | 0.000 |
| -174.551 | -55.575 | -494.860 | -0.000 | 51.620 | 0.000 |
| -174.009 | -56.494 | -474.260 | -0.000 | -0.000 | 104.545 |
| 447.078 | 129.279 | 484.429 | -0.000 | -0.000 | 0.000 |
| 200.427 | 206.243 | 484.239 | 0.000 | 0.000 | 0.000 |
| 169.218 | 93.670 | 456.611 | 0.000 | 0.000 | 0.000 |
| 162.801 | 102.510 | 485.457 | 1.891 | 0.000 | 0.000 |
| 174.551 | 55.575 | 494.860 | 0.000 | 51.620 | -0.000 |
| 174.009 | 56.494 | 474.260 | 0.000 | 0.000 | 104.545 |
| 267.147 | 13.917 | -48.428 | 0.000 | -0.000 | 0.000 |
| 20.458 | 90.860 | -48.425 | -0.000 | 0.000 | 0.000 |
| -19.745 | -26.307 | -48.394 | -0.000 | 0.000 | -0.000 |
| -16.954 | -10.883 | -49.903 | 0.049 | -0.000 | 0.000 |
| -13.383 | -9.498 | -47.373 | -0.000 | -5.233 | 0.000 |
| -16.361 | -10.488 | -48.423 | -0.000 | -0.000 | 107.603 |
| 299.885 | 34.880 | 48.420 | 0.000 | -0.000 | -0.000 |
| 55.899 | 119.048 | 72.286 | 0.000 | 0.000 | -0.000 |
| 12.980 | -5.315 | 48.403 | -0.000 | 0.000 | 0.000 |
| 16.954 | 10.883 | 49.903 | 0.049 | -0.000 | 0.000 |
| 13.383 | 9.498 | 47.373 | 0.000 | -5.233 | 0.000 |
| 16.361 | 10.488 | 48.423 | 0.000 | 0.000 | 107.603 |
| 1133.288 | 127.080 | 84.680 | 0.000 | 0.001 | -0.000 |
| 127.079 | 1133.293 | 84.680 | 0.000 | 0.000 | 0.001 |
| 85.133 | 85.137 | 1173.178 | 0.000 | 0.000 | -0.000 |
| -0.001 | -0.001 | -0.002 | 461.553 | 0.000 | -0.000 |
| 0.001 | 0.001 | -0.001 | 0.001 | 461.553 | 0.001 |
| 22.954 | 22.955 | -45.755 | 0.000 | 0.000 | 449.456 |
| 1133.292 | 127.081 | 84.673 | -0.000 | -0.001 | -0.001 |
| 127.082 | 1133.293 | 84.674 | -0.001 | -0.000 | 0.000 |
| 117.245 | 117.245 | 1109.176 | -0.000 | -0.000 | 0.000 |
| 0.001 | 0.001 | 0.002 | 461.552 | 0.000 | 0.000 |
| -0.002 | -0.001 | -0.000 | -0.000 | 461.552 | -0.001 |
| -22.953 | -22.955 | 45.756 | -0.000 | -0.000 | 449.456 |
| 1054.252 | 152.071 | 138.549 | 0.000 | -0.000 | -0.000 |
| 156.671 | 1054.166 | 134.051 | 0.000 | 0.000 | -0.000 |
| 142.235 | 142.236 | 1059.362 | 0.000 | 0.000 | 0.000 |
| 2.271 | 2.271 | -4.527 | 433.957 | -0.000 | 0.000 |
| 2.273 | 2.273 | -4.532 | 0.000 | 433.974 | 0.000 |
| -0.000 | -0.000 | 0.000 | 0.000 | 0.000 | 503.106 |
| 1049.549 | 152.063 | 143.244 | -0.000 | -0.000 | -0.000 |
| 127.080 | 1133.293 | 84.679 | -0.000 | 0.000 | -0.000 |
| 137.708 | 137.708 | 1068.385 | -0.000 | -0.000 | 0.000 |
| -2.271 | -2.271 | 4.527 | 433.957 | 0.000 | -0.000 |
| -2.273 | -2.273 | 4.532 | -0.000 | 433.974 | -0.000 |
| -0.000 | 0.000 | -0.000 | -0.000 | 0.000 | 503.107 |
| 1052.427 | 149.781 | 142.654 | 0.000 | 0.000 | 0.000 |
| 149.778 | 1052.436 | 142.647 | 0.000 | -0.000 | -0.000 |
| 140.187 | 140.187 | 1063.448 | 0.000 | 0.000 | -0.000 |
| 0.228 | 0.227 | -0.453 | 433.973 | -0.000 | -0.000 |
| -0.000 | 0.000 | 0.000 | 0.000 | 461.552 | -0.000 |
| 0.000 | 0.000 | 0.000 | 0.000 | 0.000 | 503.106 |
| 1133.290 | 127.080 | 84.679 | -0.000 | -0.000 | 0.000 |
| 153.970 | 1050.988 | 139.906 | -0.000 | -0.000 | 0.000 |
| 139.725 | 139.725 | 1064.362 | -0.000 | -0.000 | 0.000 |
| -0.228 | -0.227 | 0.453 | 433.973 | -0.000 | 0.000 |
| 0.000 | -0.000 | -0.000 | -0.000 | 461.552 | 0.000 |
| -0.000 | -0.000 | -0.000 | -0.000 | -0.000 | 503.106 |
| 1133.220 | 126.972 | 84.835 | 0.000 | 0.000 | -0.000 |
| 126.971 | 1133.220 | 84.832 | -0.001 | 0.000 | -0.000 |
| -1767.924 | -1767.924 | 4873.737 | -0.001 | 0.001 | 0.000 |
| -1906.777 | -1906.777 | 3807.054 | 433.662 | -0.000 | -0.000 |
| -1907.593 | -1907.593 | 3808.677 | -0.000 | 433.651 | -0.000 |
| 0.000 | 0.000 | 0.001 | 0.000 | 0.001 | 503.124 |
| 2961.635 | 2057.540 | -3667.742 | 0.001 | 0.000 | -0.000 |
| 2049.823 | 2933.978 | -3632.427 | 0.000 | 0.000 | 0.000 |
| 2049.807 | 2049.808 | -2748.706 | -0.000 | -0.000 | 0.000 |
| 1906.777 | 1906.777 | -3807.053 | 433.662 | -0.000 | 0.000 |
| 1907.593 | 1907.593 | -3808.677 | 0.001 | 433.650 | 0.000 |
| 0.000 | 0.000 | -0.001 | -0.000 | -0.000 | 503.125 |
| 863.764 | -40.352 | 520.870 | 0.000 | 0.000 | -0.000 |
| -40.352 | 863.764 | 520.870 | 0.000 | 0.000 | -0.000 |
| -51.187 | -51.187 | 1446.118 | -0.000 | 0.000 | -0.000 |
| -190.672 | -190.672 | 380.694 | 433.663 | 0.000 | 0.000 |
| -190.954 | -190.953 | 381.256 | -0.000 | 433.622 | -0.000 |
| 0.000 | 0.000 | 0.000 | -0.000 | 0.000 | 503.124 |
| 1133.220 | 126.971 | 84.835 | -0.000 | -0.000 | 0.000 |
| 126.971 | 1133.220 | 84.835 | 0.000 | 0.000 | 0.000 |
| 330.923 | 330.923 | 683.201 | 0.000 | 0.000 | 0.000 |
| 190.672 | 190.672 | -380.693 | 433.663 | 0.000 | -0.000 |
| 190.954 | 190.953 | -381.256 | 0.000 | 433.622 | -0.000 |
| -0.000 | -0.000 | -0.000 | 0.000 | -0.000 | 503.124 |
| 1032.144 | 135.841 | 176.888 | -0.000 | 0.000 | -0.000 |
| 126.972 | 1133.224 | 84.835 | -0.000 | 0.000 | -0.000 |
| 121.076 | 121.076 | 1102.184 | 0.000 | 0.000 | -0.000 |
| -18.975 | -18.976 | 37.886 | 433.797 | 0.000 | -0.000 |
| -18.935 | -18.934 | 37.805 | 0.000 | 433.888 | -0.000 |
| -19.954 | -19.953 | 39.839 | -0.000 | -0.000 | 449.687 |
| 1133.217 | 126.970 | 84.834 | 0.000 | 0.000 | 0.000 |
| 171.826 | 1070.088 | 103.076 | 0.000 | -0.000 | 0.000 |
| 85.068 | 85.068 | 1174.068 | 0.000 | 0.000 | 0.000 |
| 18.975 | 18.976 | -37.886 | 433.797 | -0.000 | 0.000 |
| 18.935 | 18.934 | -37.805 | -0.000 | 433.888 | 0.000 |
| 19.954 | 19.953 | -39.839 | 0.000 | -0.000 | 449.687 |
| 1133.151 | 126.870 | 84.980 | -0.000 | -0.000 | -0.000 |
| 126.870 | 1133.151 | 84.978 | 0.000 | -0.000 | 0.000 |
| 379.873 | 379.873 | 585.275 | -0.000 | -0.000 | -0.000 |
| 369.674 | 369.675 | -739.213 | 421.873 | -0.000 | 0.000 |
| 369.675 | 369.674 | -739.216 | 0.001 | 421.873 | 0.000 |
| 369.109 | 369.109 | -738.083 | -0.000 | 0.000 | 429.167 |
| 671.682 | -193.082 | 866.260 | -0.000 | -0.000 | -0.000 |
| -193.082 | 671.681 | 866.263 | -0.000 | 0.001 | -0.000 |
| 85.005 | 85.004 | 1174.902 | -0.000 | 0.000 | -0.000 |
| -369.674 | -369.674 | 739.212 | 421.873 | -0.000 | -0.000 |
| -369.674 | -369.674 | 739.215 | -0.001 | 421.873 | -0.000 |
| -369.109 | -369.109 | 738.085 | 0.000 | -0.000 | 429.167 |
| 1078.368 | 178.830 | 87.803 | 0.000 | 0.000 | 0.000 |
| 178.831 | 1078.368 | 87.803 | 0.000 | -0.000 | -0.000 |
| 165.143 | 165.143 | 1014.659 | -0.000 | 0.000 | -0.000 |
| 24.776 | 24.776 | -49.544 | 434.879 | 0.000 | -0.000 |
| 24.775 | 24.775 | -49.542 | -0.000 | 434.880 | 0.000 |
| 30.975 | 30.975 | -61.938 | -0.000 | 0.000 | 441.063 |
| 1017.429 | 125.105 | 202.446 | 0.000 | 0.000 | 0.000 |
| 135.323 | 1023.492 | 186.168 | -0.000 | -0.000 | -0.000 |
| 124.708 | 124.708 | 1095.513 | -0.000 | -0.000 | 0.000 |
| -31.835 | -31.835 | 63.659 | 427.346 | -0.000 | -0.000 |
| -24.775 | -24.775 | 49.542 | 0.000 | 434.879 | -0.000 |
| -30.975 | -30.975 | 61.939 | 0.000 | -0.000 | 441.063 |
| 1053.631 | 157.400 | 133.965 | 0.000 | 0.000 | 0.000 |
| 154.614 | 1053.757 | 136.625 | -0.000 | 0.000 | 0.000 |
| 85.005 | 85.005 | 1174.910 | 0.000 | -0.000 | 0.000 |
| 2.596 | 2.595 | -5.189 | 433.619 | 0.000 | -0.000 |
| 2.581 | 2.581 | -5.161 | 0.000 | 433.777 | 0.000 |
| 2.713 | 2.714 | -5.426 | 0.000 | 0.000 | 448.759 |
| 1133.148 | 126.870 | 84.980 | 0.000 | -0.000 | -0.000 |
| 149.186 | 1048.710 | 147.090 | -0.000 | -0.000 | -0.000 |
| 85.005 | 85.005 | 1174.900 | 0.000 | -0.000 | -0.000 |
| -2.596 | -2.595 | 5.189 | 433.619 | -0.000 | 0.000 |
| -2.581 | -2.581 | 5.161 | -0.000 | 433.777 | 0.000 |
| -2.713 | -2.714 | 5.426 | -0.000 | -0.000 | 448.759 |
| 474.718 | 44.608 | 100.044 | -0.000 | -0.000 | 0.000 |
| 43.810 | 266.343 | 32.100 | 0.000 | -0.000 | 0.000 |
| 90.865 | 23.719 | 348.595 | -0.000 | -0.000 | 0.000 |
| 64.699 | -220.191 | -409.989 | 9.543 | -0.000 | -0.000 |
| 184.998 | -104.409 | -142.305 | -0.000 | 103.396 | 0.000 |
| 0.000 | 0.000 | -0.000 | -0.000 | -0.000 | 141.933 |
| 273.544 | 269.962 | 274.140 | 0.000 | 0.000 | -0.000 |
| 43.810 | 266.342 | 32.100 | 0.000 | 0.000 | 0.000 |
| -89.507 | 148.990 | 406.827 | 0.000 | 0.000 | -0.000 |
| -64.699 | 220.190 | 409.989 | 9.543 | 0.000 | -0.000 |
| -184.998 | 104.409 | 142.305 | 0.000 | 103.396 | -0.000 |
| -0.000 | -0.000 | 0.000 | 0.000 | 0.000 | 141.933 |
| 422.392 | 52.363 | 83.253 | 0.000 | -0.000 | 0.000 |
| 94.266 | 127.201 | 43.666 | -0.000 | -0.000 | 0.000 |
| 126.709 | 43.192 | 184.840 | 0.000 | -0.000 | 0.000 |
| 26.948 | -15.209 | -20.729 | 34.418 | -0.000 | 0.000 |
| -13.625 | -52.550 | -45.097 | -0.000 | 21.551 | 0.000 |
| 23.496 | -13.261 | -18.074 | 0.000 | -0.000 | 131.548 |
| 379.905 | 61.560 | 40.702 | 0.000 | 0.000 | -0.000 |
| 39.611 | 157.228 | 86.081 | -0.000 | 0.000 | -0.000 |
| -15.761 | 13.710 | 40.702 | 0.000 | 0.000 | -0.000 |
| -26.948 | 15.209 | 20.729 | 34.418 | 0.000 | -0.000 |
| 13.625 | 52.550 | 45.097 | 0.000 | 21.551 | -0.000 |
| -23.496 | 13.261 | 18.074 | -0.000 | 0.000 | 131.548 |
| 387.150 | 37.256 | -4.073 | -0.000 | -0.000 | 0.000 |
| 39.328 | 117.408 | -4.070 | -0.000 | -0.000 | -0.000 |
| -8.523 | -10.566 | -4.048 | -0.000 | -0.000 | -0.000 |
| 1.036 | -2.312 | -4.830 | 7.673 | -0.000 | 0.000 |
| 1.291 | -3.099 | -8.761 | 0.000 | 3.445 | 0.000 |
| 0.658 | -2.209 | -4.070 | -0.000 | 0.000 | 116.150 |
| 385.822 | 41.667 | 4.066 | 0.000 | 0.000 | -0.000 |
| 38.007 | 121.824 | 4.067 | 0.000 | 0.000 | 0.000 |
| -9.837 | -6.177 | 4.062 | 0.000 | 0.000 | -0.000 |
| -0.624 | 2.493 | 4.054 | 6.893 | 0.000 | -0.000 |
| -1.291 | 3.099 | 8.761 | 0.000 | 3.445 | -0.000 |
| -0.658 | 2.209 | 4.070 | 0.000 | 0.000 | 116.150 |
| -153.544 | -755.006 | 1030.638 | -0.000 | 0.000 | -0.000 |
| 37.822 | 336.261 | 49.074 | -0.000 | 0.000 | -0.000 |
| -358.914 | -2093.424 | 293.946 | -0.000 | 0.000 | -0.000 |
| -408.924 | -804.737 | 973.042 | 76.351 | -0.000 | -0.000 |
| -408.908 | -804.705 | 973.004 | -0.000 | 59.303 | -0.000 |
| -395.452 | -2127.505 | 175.192 | -0.000 | 0.000 | 96.209 |
| 664.315 | 854.663 | -915.678 | 0.000 | 0.000 | 0.000 |
| 406.016 | 2296.113 | -140.639 | 0.000 | 0.000 | 0.000 |
| 432.031 | 2162.416 | -56.152 | 0.000 | -0.000 | -0.000 |
| 408.924 | 804.736 | -973.042 | 76.351 | -0.000 | -0.000 |
| 408.908 | 804.705 | -973.004 | 0.000 | 59.303 | 0.000 |
| 395.453 | 2127.505 | -175.192 | 0.000 | 0.000 | 96.209 |
| 153.937 | -193.445 | 66.947 | -0.000 | -0.000 | -0.000 |
| -81.710 | -146.293 | -0.236 | -0.000 | 0.000 | -0.000 |
| 8.830 | -17.182 | 272.742 | -0.000 | -0.000 | -0.000 |
| -78.359 | -259.992 | -45.937 | 45.762 | -0.000 | -0.000 |
| -40.818 | -80.328 | 97.128 | -0.000 | 59.406 | -0.000 |
| 145.332 | -316.789 | -31.720 | -0.000 | 0.000 | 31.759 |
| 222.584 | 229.731 | 32.655 | 0.000 | 0.000 | -0.000 |
| -132.399 | 517.423 | -35.889 | -0.000 | 0.000 | 0.000 |
| 75.820 | 251.163 | 100.542 | -0.000 | -0.000 | 0.000 |
| 78.359 | 259.992 | 45.937 | 45.762 | 0.000 | 0.000 |
| 40.818 | 80.328 | -97.128 | -0.000 | 59.406 | -0.000 |
| -145.332 | 316.789 | 31.720 | 0.000 | -0.000 | 31.759 |
| 181.682 | -12.043 | 43.771 | -0.000 | -0.000 | -0.000 |
| -6.053 | 114.597 | 29.038 | -0.000 | -0.000 | -0.000 |
| 21.581 | -0.185 | 76.704 | -0.000 | 0.000 | -0.000 |
| -3.494 | -24.908 | -1.921 | 52.589 | -0.000 | -0.000 |
| -3.816 | -22.036 | 0.836 | -0.000 | 48.385 | -0.000 |
| -4.459 | -27.313 | 0.088 | -0.000 | -0.000 | 88.877 |
| 112.641 | 23.355 | -3.536 | 0.000 | 0.000 | 0.000 |
| -3.488 | 132.939 | -10.793 | 0.000 | -0.000 | 0.000 |
| 6.373 | 40.711 | 18.302 | 0.000 | -0.000 | 0.000 |
| 3.494 | 24.908 | 1.921 | 52.589 | -0.000 | 0.000 |
| 3.816 | 22.036 | -0.836 | 0.000 | 48.385 | 0.000 |
| 4.459 | 27.313 | -0.088 | 0.000 | 0.000 | 88.877 |
| 604.781 | 15.358 | 0.000 | 0.000 | -0.000 | 0.000 |
| 15.357 | 604.782 | 0.000 | 0.000 | -0.000 | 0.000 |
| 0.000 | 0.001 | 0.000 | 0.000 | -0.001 | -0.000 |
| 0.000 | 0.000 | 0.000 | 0.000 | -0.000 | 0.000 |
| -0.000 | 0.000 | 0.000 | 0.000 | -0.000 | 0.000 |
| -0.000 | 0.000 | 0.000 | 0.000 | -0.000 | 294.712 |
| 604.781 | 15.357 | -0.000 | -0.000 | 0.000 | -0.000 |
| 15.357 | 604.781 | -0.000 | -0.000 | 0.000 | -0.000 |
| -0.000 | -0.001 | -0.000 | -0.000 | 0.000 | 0.000 |
| -0.000 | -0.000 | -0.000 | -0.000 | 0.000 | -0.000 |
| 0.000 | -0.000 | -0.000 | -0.000 | 0.000 | 0.000 |
| 0.000 | -0.000 | -0.000 | -0.000 | 0.000 | 294.712 |
| 604.781 | 15.357 | -0.000 | 0.000 | -0.001 | 0.000 |
| 59.575 | 621.325 | 24.897 | 0.000 | 29.255 | 0.000 |
| 0.000 | 0.000 | 0.000 | 0.000 | -0.000 | -0.000 |
| -0.000 | 0.000 | 0.000 | 0.000 | -0.000 | 0.000 |
| -0.000 | 0.000 | 0.000 | 0.000 | -0.001 | 0.000 |
| 0.000 | 0.000 | 0.000 | 0.000 | -0.000 | 294.712 |
| 604.782 | 15.357 | 0.000 | -0.000 | 0.001 | -0.000 |
| 15.357 | 604.782 | 0.000 | -0.000 | -0.000 | -0.000 |
| -0.000 | -0.000 | -0.000 | -0.000 | 0.000 | -0.000 |
| 0.000 | -0.000 | -0.000 | -0.000 | 0.000 | -0.000 |
| 0.000 | -0.000 | -0.000 | -0.000 | 0.001 | 0.000 |
| 0.000 | -0.000 | -0.000 | -0.000 | 0.000 | 294.712 |
| 604.772 | 15.356 | -0.005 | 0.000 | -0.010 | -0.000 |
| 15.356 | 604.777 | -0.003 | 0.000 | 0.004 | 0.000 |
| 0.002 | 0.002 | 0.002 | 0.000 | -0.000 | -0.000 |
| -0.000 | -0.000 | -0.000 | -0.000 | 0.000 | 0.000 |
| -0.003 | 0.003 | -0.000 | 0.000 | -0.007 | -0.000 |
| 0.000 | 0.000 | 0.000 | 0.000 | 0.000 | 294.712 |
| 604.790 | 15.358 | 0.005 | -0.000 | 0.010 | -0.000 |
| 15.358 | 604.785 | 0.003 | -0.000 | -0.004 | -0.000 |
| -0.002 | -0.002 | -0.002 | -0.000 | 0.000 | -0.000 |
| 0.000 | 0.000 | 0.000 | -0.000 | -0.000 | 0.000 |
| 0.003 | -0.003 | 0.000 | -0.000 | 0.007 | -0.000 |
| -0.000 | -0.000 | -0.000 | 0.000 | -0.000 | 294.712 |
| 482.657 | 91.967 | 91.966 | 0.000 | 0.000 | 0.001 |
| 91.967 | 482.656 | 91.967 | 0.000 | 0.000 | 0.000 |
| 91.966 | 91.969 | 482.657 | 0.000 | 0.000 | 0.001 |
| -0.000 | 0.001 | 0.000 | 102.576 | -0.000 | 0.001 |
| -0.001 | 0.002 | -0.000 | 0.000 | 102.576 | 0.001 |
| -0.000 | 0.001 | -0.000 | 0.000 | -0.000 | 102.575 |
| 482.658 | 91.965 | 91.967 | -0.000 | -0.000 | -0.001 |
| 91.967 | 482.655 | 91.967 | 0.000 | -0.000 | -0.000 |
| 91.967 | 91.967 | 482.657 | -0.000 | -0.000 | -0.002 |
| 0.000 | -0.001 | 0.000 | 102.576 | -0.000 | -0.001 |
| 0.000 | -0.002 | 0.000 | 0.000 | 102.576 | -0.001 |
| 0.000 | -0.001 | 0.000 | -0.000 | -0.000 | 102.573 |
| 395.420 | 117.333 | 117.333 | 0.000 | 0.000 | 0.000 |
| 117.333 | 395.421 | 117.333 | 0.000 | 0.000 | 0.000 |
| 117.333 | 117.333 | 395.420 | 0.000 | 0.000 | 0.000 |
| -0.000 | 0.000 | 0.000 | 133.805 | 0.000 | 0.000 |
| -0.000 | -0.000 | -0.000 | 0.000 | 133.805 | 0.000 |
| -0.000 | 0.000 | 0.000 | 0.000 | 0.000 | 133.805 |
| 351.333 | 108.940 | 108.940 | -0.000 | -0.000 | -0.000 |
| 108.940 | 351.333 | 108.940 | -0.000 | -0.000 | -0.000 |
| 108.940 | 108.939 | 351.333 | -0.000 | -0.000 | -0.000 |
| 0.000 | -0.000 | 0.000 | 133.805 | -0.000 | -0.000 |
| 0.000 | 0.000 | -0.000 | -0.000 | 133.805 | -0.000 |
| 0.000 | -0.000 | -0.000 | -0.000 | -0.000 | 133.805 |
| 351.372 | 108.929 | 108.929 | 0.000 | -0.000 | 0.000 |
| 108.929 | 351.372 | 108.929 | 0.000 | -0.000 | 0.000 |
| 108.929 | 108.929 | 351.372 | -0.000 | -0.000 | 0.000 |
| 0.000 | 0.000 | 0.000 | 183.934 | -0.000 | 0.000 |
| 0.000 | 0.000 | 0.000 | 0.000 | 183.934 | 0.000 |
| 0.000 | 0.000 | 0.000 | 0.000 | 0.000 | 183.934 |
| 295.016 | 80.263 | 80.263 | -0.000 | -0.000 | -0.000 |
| 80.263 | 295.016 | 80.263 | -0.000 | -0.000 | -0.000 |
| 80.263 | 80.263 | 295.016 | -0.000 | -0.000 | -0.000 |
| -0.000 | -0.000 | -0.000 | 183.934 | -0.000 | -0.000 |
| -0.000 | -0.000 | -0.000 | -0.000 | 183.934 | -0.000 |
| -0.000 | -0.000 | -0.000 | -0.000 | -0.000 | 183.934 |
| 193.209 | 69.690 | 69.690 | -0.000 | 0.000 | 0.000 |
| 69.691 | 193.210 | 69.690 | 0.000 | 0.000 | -0.000 |
| 69.689 | 69.690 | 193.210 | -0.000 | 0.000 | -0.000 |
| -0.000 | -0.000 | 0.000 | 98.493 | 0.000 | -0.000 |
| -0.000 | 0.000 | 0.000 | 0.000 | 98.493 | 0.000 |
| 0.000 | -0.000 | -0.000 | 0.000 | 0.000 | 98.493 |
| 258.436 | 61.449 | 61.449 | -0.000 | -0.000 | -0.000 |
| 61.449 | 258.435 | 61.449 | -0.000 | -0.000 | -0.000 |
| 61.450 | 61.449 | 258.435 | -0.000 | -0.000 | 0.000 |
| 0.000 | 0.000 | -0.000 | 98.493 | -0.000 | -0.000 |
| -0.000 | 0.000 | -0.000 | -0.000 | 98.493 | -0.000 |
| -0.000 | 0.000 | 0.000 | -0.000 | -0.000 | 98.493 |
| 192.430 | 71.653 | 71.653 | -0.000 | 0.000 | -0.000 |
| 71.653 | 192.430 | 71.653 | -0.000 | 0.000 | 0.000 |
| 71.653 | 71.653 | 192.430 | 0.000 | 0.000 | 0.000 |
| 0.000 | 0.000 | 0.000 | 98.493 | 0.000 | 0.000 |
| -0.000 | -0.000 | 0.000 | 0.000 | 98.493 | 0.000 |
| 0.000 | 0.000 | -0.000 | 0.000 | 0.000 | 98.493 |
| 82.038 | 44.683 | 44.683 | 0.000 | -0.000 | -0.000 |
| 44.683 | 82.038 | 44.683 | 0.000 | -0.000 | -0.000 |
| 44.683 | 44.683 | 82.038 | 0.000 | -0.000 | 0.000 |
| -0.000 | -0.000 | -0.000 | 98.493 | -0.000 | 0.000 |
| -0.000 | 0.000 | -0.000 | -0.000 | 98.493 | -0.000 |
| -0.000 | -0.000 | -0.000 | -0.000 | -0.000 | 98.493 |
| 258.436 | 61.449 | 61.450 | 0.000 | 0.000 | 0.000 |
| 61.450 | 258.436 | 61.449 | 0.000 | 0.000 | 0.000 |
| 61.449 | 61.450 | 258.436 | 0.000 | 0.000 | 0.000 |
| 0.000 | -0.000 | 0.000 | 98.493 | 0.000 | 0.000 |
| -0.015 | -0.015 | -0.015 | -0.000 | 67.630 | 0.000 |
| -0.000 | 0.000 | 0.000 | 0.000 | 0.000 | 98.493 |
| 192.462 | 71.882 | 71.882 | 0.000 | -0.000 | -0.000 |
| 71.882 | 192.462 | 71.882 | -0.000 | -0.000 | -0.000 |
| 71.882 | 71.882 | 192.462 | 0.000 | -0.000 | -0.000 |
| -0.000 | 0.000 | -0.000 | 98.493 | -0.000 | -0.000 |
| 0.015 | 0.015 | 0.015 | -0.000 | 67.630 | -0.000 |
| 0.000 | -0.000 | -0.000 | 0.000 | -0.000 | 98.493 |
| 258.310 | 61.420 | 61.420 | 0.000 | 0.000 | 0.000 |
| 42.309 | 182.187 | 42.355 | -0.002 | 0.001 | -0.002 |
| 42.308 | 42.340 | 182.202 | -0.002 | 0.001 | -0.002 |
| -459.147 | -459.165 | -459.174 | -24.545 | -0.000 | 0.001 |
| -392.355 | -392.329 | -392.317 | -0.002 | 39.045 | -0.002 |
| -75.452 | -75.437 | -75.430 | -0.001 | 0.000 | 58.044 |
| 228.845 | 466.698 | 466.573 | 0.018 | -0.008 | 0.019 |
| 95.943 | 235.987 | 95.897 | 0.002 | -0.001 | 0.002 |
| 130.521 | 130.506 | 246.880 | 0.001 | -0.000 | 0.001 |
| 75.451 | 75.436 | 75.429 | 58.047 | -0.000 | 0.001 |
| 26.820 | 26.789 | 26.774 | 0.002 | 69.993 | 0.002 |
| 432.262 | 432.246 | 432.239 | 0.001 | -0.001 | 127.796 |
| -35.491 | -93.526 | -93.525 | -0.000 | 0.000 | -0.000 |
| 61.420 | 258.310 | 61.420 | 0.000 | 0.000 | 0.000 |
| 66.834 | 66.837 | 203.015 | -0.000 | 0.000 | -0.000 |
| -0.000 | -0.000 | 0.000 | 98.445 | 0.000 | 0.000 |
| -2.707 | -2.703 | -2.702 | -0.000 | 69.733 | -0.000 |
| -2.707 | -2.703 | -2.702 | -0.000 | 0.000 | 69.733 |
| 168.753 | 61.947 | 61.946 | 0.000 | -0.000 | 0.000 |
| 72.205 | 210.295 | 72.201 | 0.000 | -0.000 | 0.000 |
| 55.428 | 55.424 | 81.592 | 0.000 | -0.000 | 0.000 |
| 8.013 | 8.011 | 8.010 | 55.978 | -0.000 | 0.000 |
| 36.531 | 36.527 | 36.526 | 0.000 | -11.881 | 0.000 |
| 8.013 | 8.011 | 8.011 | 0.000 | -0.000 | 55.978 |
| 33.324 | -4.774 | -4.774 | -0.000 | 0.000 | -0.000 |
| -24.415 | 19.407 | -24.415 | -0.000 | 0.000 | -0.000 |
| -4.774 | -4.774 | 33.324 | -0.000 | 0.000 | -0.000 |
| -1.162 | -1.162 | -1.161 | 37.431 | 0.000 | -0.000 |
| -1.586 | -1.586 | -1.586 | -0.000 | 28.505 | -0.000 |
| -1.162 | -1.162 | -1.161 | -0.000 | 0.000 | 37.431 |
| 24.662 | -18.878 | -18.877 | 0.000 | -0.000 | 0.000 |
| -18.876 | 24.687 | -18.876 | 0.000 | -0.000 | 0.000 |
| -18.858 | -18.858 | 24.702 | 0.000 | -0.000 | 0.000 |
| 1.586 | 1.586 | 1.586 | 28.505 | -0.000 | 0.000 |
| 1.586 | 1.586 | 1.586 | 0.000 | 28.505 | 0.000 |
| 1.162 | 1.162 | 1.161 | 0.000 | -0.000 | 37.431 |
| 6330.019 | 5939.568 | -1973.543 | 16.567 | 0.000 | -0.000 |
| 14425.521 | 14493.882 | 25637.889 | -14.987 | 0.000 | -0.000 |
| 6118.194 | 6118.193 | -1888.106 | -0.000 | -0.000 | -0.000 |
| 6128.482 | 6094.038 | -1972.208 | 91.434 | 0.000 | -0.000 |
| 0.000 | 0.000 | -0.000 | -0.000 | 116.278 | -0.764 |
| 1476.657 | 1476.655 | 3143.998 | -0.000 | -15.105 | 72.877 |
| -1290.443 | -1435.774 | -3052.123 | -15.147 | -0.000 | 0.000 |
| -16525.628 | -16161.506 | -26822.941 | -10.046 | -0.000 | -0.000 |
| -10451.121 | -10451.120 | -20668.672 | 0.000 | -0.000 | 0.000 |
| -10258.606 | -10252.544 | -20140.676 | -70.876 | -0.000 | 0.000 |
| -0.000 | -0.000 | 0.000 | -0.000 | 116.278 | -0.764 |
| -1476.657 | -1476.655 | -3143.998 | 0.000 | -15.106 | 72.878 |
| 338.801 | 190.561 | 409.020 | -14.859 | 0.000 | -0.000 |
| 190.561 | 338.801 | 409.020 | 14.859 | 0.000 | -0.000 |
| 546.450 | 546.450 | -15.795 | -0.000 | 0.000 | -0.000 |
| 1019.683 | 1025.674 | 2008.303 | -70.221 | 0.000 | -0.000 |
| 1023.833 | 1023.833 | 2008.385 | -0.000 | -70.312 | -2.990 |
| 147.364 | 147.364 | 313.758 | -0.000 | -15.076 | 73.025 |
| -1228.051 | -1321.573 | -2543.405 | 16.816 | -0.000 | 0.000 |
| -869.575 | -1102.510 | -1785.210 | 18.428 | -0.000 | 0.000 |
| -569.059 | -569.059 | 238.152 | 0.000 | -0.000 | 0.000 |
| -777.566 | -749.219 | -1523.838 | -63.788 | -0.000 | 0.000 |
| -1023.833 | -1023.833 | -2008.385 | 0.000 | -70.312 | -2.990 |
| -147.364 | -147.364 | -313.758 | 0.000 | -15.076 | 73.025 |
| 241.855 | 59.331 | 111.412 | -11.465 | 0.000 | 0.000 |
| 7.995 | 171.196 | 27.498 | 4.174 | 0.000 | -0.000 |
| 31.731 | 31.731 | 67.940 | -0.000 | -0.000 | -0.000 |
| -0.367 | 27.919 | 29.331 | 78.617 | 0.000 | -0.000 |
| -0.000 | 0.000 | 0.000 | 0.000 | 116.278 | -0.764 |
| 0.000 | 0.000 | 0.000 | -0.000 | -0.764 | 145.311 |
| -39.573 | -140.540 | -183.901 | -9.362 | -0.000 | -0.000 |
| 33.820 | 197.678 | 67.007 | 13.313 | -0.000 | 0.000 |
| -18.182 | -18.182 | 51.769 | 0.000 | -0.000 | 0.000 |
| -27.924 | 0.367 | -29.335 | 78.611 | -0.000 | 0.000 |
| 0.000 | -0.000 | -0.000 | -0.000 | 116.278 | -0.764 |
| -0.000 | -0.000 | -0.000 | 0.000 | -0.764 | 145.311 |
| 301.154 | -493.993 | -151.547 | -0.000 | 0.000 | 0.000 |
| 206.753 | -390.304 | -161.819 | -0.000 | 0.000 | -0.000 |
| 197.389 | -515.546 | 12.338 | -0.000 | -0.000 | -0.000 |
| 133.898 | -567.174 | -209.604 | 63.139 | 0.000 | -0.000 |
| 306.540 | -1145.121 | -630.488 | 0.000 | 76.586 | -0.000 |
| 208.946 | -1731.558 | -1029.273 | 0.000 | -0.000 | 8.902 |
| 372.683 | 1944.224 | 1448.830 | 0.000 | -0.000 | -0.000 |
| -61.194 | 744.702 | 257.383 | 0.000 | -0.000 | 0.000 |
| -285.933 | 1167.762 | 832.778 | 0.000 | 0.000 | -0.000 |
| -133.898 | 567.174 | 209.604 | 63.139 | 0.000 | 0.000 |
| -306.540 | 1145.121 | 630.489 | 0.000 | 76.586 | 0.000 |
| -208.946 | 1731.559 | 1029.273 | 0.000 | -0.000 | 8.902 |
| 183.549 | 16.652 | 37.083 | 0.000 | -0.000 | 0.000 |
| 63.659 | 47.843 | -41.817 | 0.000 | 0.000 | -0.000 |
| 77.148 | -4.975 | 198.587 | 0.000 | -0.000 | 0.000 |
| 13.219 | -55.996 | -20.694 | 63.817 | -0.000 | -0.000 |
| 13.265 | -56.187 | -20.764 | 0.000 | 74.189 | 0.000 |
| 13.252 | -56.132 | -20.744 | -0.000 | 0.000 | 44.945 |
| 133.215 | 145.877 | 79.010 | 0.000 | -0.000 | 0.000 |
| 58.478 | 237.904 | 68.774 | 0.000 | 0.000 | 0.000 |
| 49.664 | 108.427 | 246.377 | -0.000 | 0.000 | 0.000 |
| -13.219 | 55.996 | 20.694 | 63.817 | -0.000 | 0.000 |
| -13.265 | 56.187 | 20.764 | 0.000 | 74.189 | -0.000 |
| -13.252 | 56.132 | 20.744 | -0.000 | -0.000 | 44.945 |
| 61.633 | -2.229 | -9.136 | -0.000 | -0.000 | -0.000 |
| 18.968 | 61.406 | -11.918 | -0.000 | 0.000 | -0.000 |
| 13.905 | -10.206 | 129.515 | 0.000 | 0.000 | -0.000 |
| 1.088 | -4.607 | -1.702 | 73.136 | -0.000 | 0.000 |
| 2.987 | -16.553 | -9.901 | -0.000 | 51.252 | 0.000 |
| 2.999 | -11.433 | -5.941 | 0.000 | 0.000 | 38.569 |
| 181.186 | 74.210 | 58.037 | 0.000 | 0.000 | 0.000 |
| 68.374 | 196.189 | 51.018 | 0.000 | -0.000 | -0.000 |
| 60.798 | 59.423 | 231.856 | 0.000 | -0.000 | 0.000 |
| -1.088 | 4.607 | 1.702 | 73.136 | 0.000 | -0.000 |
| -2.987 | 16.553 | 9.901 | 0.000 | 51.252 | 0.000 |
| -2.999 | 11.433 | 5.941 | 0.000 | 0.000 | 38.569 |
| 529.042 | 127.335 | 0.000 | 0.000 | 0.000 | 0.000 |
| 164.064 | 492.314 | 0.000 | 0.000 | 0.000 | 0.000 |
| 0.000 | 0.000 | 0.000 | 0.000 | 0.000 | 0.000 |
| 0.000 | 0.000 | 0.000 | 0.000 | 0.000 | -0.000 |
| 0.000 | 0.000 | 0.000 | 0.000 | 0.000 | 0.000 |
| -0.000 | -0.000 | 0.000 | 0.000 | 0.000 | 200.854 |
| 492.314 | 164.064 | -0.000 | -0.000 | -0.000 | -0.000 |
| 164.064 | 492.314 | -0.000 | -0.000 | -0.000 | -0.000 |
| -0.000 | -0.000 | -0.000 | -0.000 | -0.000 | -0.000 |
| -0.000 | 0.000 | -0.000 | -0.000 | -0.000 | 0.000 |
| -0.000 | -0.000 | -0.000 | -0.000 | -0.000 | -0.000 |
| 0.000 | 0.000 | -0.000 | -0.000 | -0.000 | 200.854 |
| 529.043 | 127.335 | 0.000 | 0.000 | 0.000 | 0.000 |
| 164.064 | 492.314 | 0.000 | 0.000 | 0.000 | 0.000 |
| 0.000 | 0.000 | 0.000 | 0.000 | 0.000 | 0.000 |
| -0.000 | 0.000 | 0.000 | 0.000 | 0.000 | -0.000 |
| 0.000 | 0.000 | 0.000 | 0.000 | 0.000 | 0.000 |
| -0.000 | 0.000 | 0.000 | 0.000 | 0.000 | 164.125 |
| 492.314 | 164.064 | -0.000 | -0.000 | -0.000 | 0.000 |
| 164.064 | 492.314 | -0.000 | -0.000 | -0.000 | -0.000 |
| -0.000 | -0.000 | -0.000 | -0.000 | -0.000 | -0.000 |
| -0.000 | 0.000 | -0.000 | -0.000 | -0.000 | 0.000 |
| 0.000 | -0.000 | -0.000 | -0.000 | -0.000 | -0.000 |
| 0.000 | -0.000 | -0.000 | -0.000 | -0.000 | 164.125 |
| 492.317 | 164.063 | 0.000 | 0.000 | 0.000 | 0.000 |
| 164.066 | 492.314 | 0.000 | 0.000 | 0.000 | 0.000 |
| 0.000 | 0.000 | 0.000 | 0.000 | 0.000 | 0.000 |
| 0.000 | 0.000 | 0.000 | 0.000 | 0.000 | -0.000 |
| 0.000 | 0.000 | 0.000 | 0.000 | 0.000 | 0.000 |
| -0.000 | 0.000 | 0.000 | 0.000 | 0.000 | 164.125 |
| 492.311 | 164.065 | -0.000 | -0.000 | -0.000 | -0.000 |
| 164.062 | 492.314 | -0.000 | -0.000 | -0.000 | -0.000 |
| -0.000 | -0.000 | -0.000 | -0.000 | -0.000 | -0.000 |
| -0.000 | 0.000 | -0.000 | -0.000 | -0.000 | 0.000 |
| -0.000 | -0.000 | -0.000 | -0.000 | -0.000 | -0.000 |
| 0.000 | -0.000 | -0.000 | -0.000 | -0.000 | 164.125 |
| 211.109 | 50.812 | 0.000 | 0.000 | 0.000 | 0.000 |
| 65.468 | 196.452 | 0.000 | 0.000 | 0.000 | -0.000 |
| 0.000 | 0.000 | 0.000 | 0.000 | 0.000 | -0.000 |
| 0.000 | -0.000 | 0.000 | 0.000 | 0.000 | -0.000 |
| 0.000 | -0.000 | 0.000 | 0.000 | 0.000 | -0.000 |
| 0.000 | -0.000 | 0.000 | 0.000 | 0.000 | 80.149 |
| 196.452 | 65.468 | -0.000 | -0.000 | -0.000 | 0.000 |
| 65.468 | 196.453 | -0.000 | -0.000 | -0.000 | 0.000 |
| -0.000 | -0.000 | -0.000 | -0.000 | -0.000 | 0.000 |
| -0.000 | 0.000 | -0.000 | -0.000 | -0.000 | -0.000 |
| -0.000 | -0.000 | -0.000 | -0.000 | -0.000 | 0.000 |
| -0.000 | -0.000 | -0.000 | -0.000 | -0.000 | 80.149 |
| 211.109 | 50.812 | 0.000 | 0.000 | 0.000 | -0.000 |
| 50.812 | 211.109 | 0.000 | 0.000 | 0.000 | -0.000 |
| 0.000 | 0.000 | 0.000 | 0.000 | 0.000 | -0.000 |
| 0.000 | -0.000 | 0.000 | 0.000 | 0.000 | -0.000 |
| 0.000 | -0.000 | 0.000 | 0.000 | 0.000 | -0.000 |
| -0.000 | 0.000 | 0.000 | 0.000 | 0.000 | 65.492 |
| 196.452 | 65.468 | -0.000 | -0.000 | -0.000 | -0.000 |
| 65.468 | 196.452 | -0.000 | -0.000 | -0.000 | -0.000 |
| -0.000 | -0.000 | -0.000 | -0.000 | -0.000 | 0.000 |
| -0.000 | 0.000 | -0.000 | -0.000 | -0.000 | 0.000 |
| -0.000 | 0.000 | -0.000 | -0.000 | -0.000 | 0.000 |
| 0.000 | -0.000 | -0.000 | -0.000 | -0.000 | 65.492 |
| 196.454 | 65.467 | 0.000 | 0.000 | 0.000 | 0.000 |
| 65.469 | 196.452 | 0.000 | 0.000 | 0.000 | 0.000 |
| 0.000 | 0.000 | 0.000 | 0.000 | 0.000 | -0.000 |
| 0.000 | -0.000 | 0.000 | 0.000 | 0.000 | 0.000 |
| 0.000 | -0.000 | 0.000 | 0.000 | 0.000 | -0.000 |
| 0.000 | 0.000 | 0.000 | 0.000 | 0.000 | 80.148 |
| 196.451 | 65.468 | -0.000 | -0.000 | -0.000 | -0.000 |
| 65.505 | 196.414 | -0.000 | -0.000 | -0.000 | -0.000 |
| -0.000 | -0.000 | -0.000 | -0.000 | -0.000 | 0.000 |
| -0.000 | 0.000 | -0.000 | -0.000 | -0.000 | -0.000 |
| -0.000 | 0.000 | -0.000 | -0.000 | -0.000 | 0.000 |
| -0.000 | -0.000 | -0.000 | -0.000 | -0.000 | 80.148 |
| 75.311 | -13.647 | -13.647 | -0.000 | 0.000 | 0.000 |
| -13.647 | 75.311 | -13.647 | -0.000 | 0.000 | 0.000 |
| -13.647 | -13.647 | 75.311 | -0.000 | 0.000 | 0.000 |
| -0.466 | -0.466 | -0.466 | 28.782 | 0.000 | 0.000 |
| -0.466 | -0.466 | -0.466 | -0.000 | 28.782 | 0.000 |
| -0.466 | -0.466 | -0.466 | -0.000 | 0.000 | 28.782 |
| 3.253 | 2.379 | 2.379 | 0.000 | -0.000 | -0.000 |
| 2.379 | 3.253 | 2.379 | 0.000 | -0.000 | -0.000 |
| 2.379 | 2.379 | 3.253 | 0.000 | -0.000 | -0.000 |
| 0.466 | 0.466 | 0.466 | 28.782 | -0.000 | -0.000 |
| 0.466 | 0.466 | 0.466 | 0.000 | 28.782 | -0.000 |
| 0.466 | 0.466 | 0.466 | 0.000 | -0.000 | 28.782 |
| 2.721 | 1.849 | 1.849 | 0.000 | 0.000 | 0.000 |
| 1.849 | 2.721 | 1.849 | -0.000 | -0.000 | 0.000 |
| 1.849 | 1.849 | 2.721 | -0.000 | -0.000 | 0.000 |
| -0.047 | -0.047 | -0.047 | 0.000 | 0.000 | 0.000 |
| -0.047 | -0.047 | -0.047 | -0.000 | 0.000 | 0.000 |
| -0.047 | -0.047 | -0.047 | -0.000 | -0.000 | 0.000 |
| 75.476 | -13.475 | -13.475 | 0.000 | -0.000 | -0.000 |
| -13.475 | 75.476 | -13.475 | 0.000 | -0.000 | -0.000 |
| -13.475 | -13.475 | 75.476 | 0.000 | -0.000 | -0.000 |
| 0.047 | 0.047 | 0.047 | 0.000 | 0.000 | -0.000 |
| 0.047 | 0.047 | 0.047 | 0.000 | 0.000 | -0.000 |
| 0.047 | 0.047 | 0.047 | 0.000 | -0.000 | 0.000 |
| 2.618 | 1.756 | 1.756 | -0.000 | -0.000 | 0.000 |
| 1.756 | 2.618 | 1.756 | -0.000 | 0.000 | 0.000 |
| 1.756 | 1.756 | 2.618 | -0.000 | 0.000 | 0.000 |
| -0.005 | -0.005 | -0.005 | 0.000 | 0.000 | 0.000 |
| -0.005 | -0.005 | -0.005 | -0.000 | 0.000 | 0.000 |
| -0.005 | -0.005 | -0.005 | -0.000 | 0.000 | 0.000 |
| 0.061 | -0.633 | -0.633 | -0.000 | -0.000 | -0.000 |
| -0.633 | 0.061 | -0.633 | 0.000 | -0.000 | -0.000 |
| -0.633 | -0.633 | 0.061 | 0.000 | -0.000 | -0.000 |
| 0.005 | 0.005 | 0.005 | 0.000 | -0.000 | -0.000 |
| 0.005 | 0.005 | 0.005 | -0.000 | 0.000 | -0.000 |
| 0.005 | 0.005 | 0.005 | -0.000 | 0.000 | 0.000 |
| 966.609 | -0.137 | -0.158 | -0.000 | 0.296 | 0.000 |
| -0.000 | 462.801 | -0.070 | -0.000 | 0.130 | -0.000 |
| -0.000 | -0.060 | -0.070 | -0.000 | 0.130 | 0.000 |
| -0.000 | -0.048 | -0.055 | -0.000 | 0.104 | -0.000 |
| -0.000 | -0.137 | -0.158 | -0.001 | 0.296 | -0.000 |
| -0.000 | -0.128 | -0.148 | -0.000 | 0.278 | 215.714 |
| 966.609 | 0.137 | 0.158 | 0.000 | -0.296 | -0.000 |
| 0.000 | 462.921 | 0.069 | 0.000 | -0.130 | 0.000 |
| 0.000 | 0.060 | 0.069 | 0.000 | -0.130 | -0.000 |
| 0.000 | 0.048 | 0.055 | -0.000 | -0.104 | -0.000 |
| 0.000 | 0.137 | 0.158 | 0.001 | -0.296 | -0.000 |
| 0.000 | 0.128 | 0.148 | 0.000 | -0.278 | 215.714 |
| 966.610 | -0.014 | -0.016 | -0.000 | 0.030 | -0.000 |
| -0.000 | 462.854 | -0.008 | -0.000 | 0.013 | -0.000 |
| -0.000 | -0.007 | -0.008 | -0.000 | 0.013 | -0.000 |
| -0.000 | -0.005 | -0.006 | -0.000 | 0.010 | -0.000 |
| -0.000 | -0.014 | -0.016 | -0.000 | 0.030 | 0.000 |
| -0.000 | -0.013 | -0.015 | -0.000 | 0.028 | 215.714 |
| 966.609 | 0.014 | 0.016 | 0.000 | -0.030 | 0.000 |
| 0.000 | 462.868 | 0.008 | 0.000 | -0.013 | -0.000 |
| 0.000 | 0.007 | 0.008 | 0.000 | -0.013 | 0.000 |
| 0.000 | 0.005 | 0.006 | 0.000 | -0.010 | -0.000 |
| 0.000 | 0.014 | 0.016 | 0.000 | -0.030 | 0.000 |
| 0.000 | 0.013 | 0.015 | 0.000 | -0.028 | 215.714 |
| 966.614 | -0.001 | -0.002 | -0.000 | 0.003 | 0.000 |
| -0.000 | 462.853 | -0.010 | -0.000 | 0.001 | -0.000 |
| -0.000 | -0.012 | -0.014 | -0.000 | 0.001 | 0.000 |
| -0.000 | -0.001 | -0.001 | -0.000 | 0.001 | 0.000 |
| -0.000 | -0.001 | -0.001 | -0.000 | 0.003 | -0.000 |
| -0.000 | -0.001 | -0.002 | -0.000 | 0.003 | 215.714 |
| 966.605 | 0.001 | 0.002 | 0.000 | -0.003 | -0.000 |
| 0.000 | 462.869 | 0.010 | 0.000 | -0.001 | 0.000 |
| 0.000 | 0.012 | 0.014 | 0.000 | -0.001 | -0.000 |
| 0.000 | 0.001 | 0.001 | 0.000 | -0.001 | 0.000 |
| 0.000 | 0.001 | 0.001 | 0.000 | -0.003 | 0.000 |
| 0.000 | 0.001 | 0.002 | 0.000 | -0.003 | 215.714 |
| 572.639 | 137.828 | 0.000 | 0.000 | 0.000 | 0.000 |
| 137.828 | 572.639 | 0.000 | 0.000 | 0.000 | -0.000 |
| 0.000 | -0.000 | 0.000 | 0.000 | 0.000 | 0.000 |
| -0.000 | 0.000 | 0.000 | 0.000 | 0.000 | -0.000 |
| 0.000 | 0.000 | 0.000 | 0.000 | 0.000 | -0.000 |
| -0.000 | 0.000 | 0.000 | 0.000 | 0.000 | 217.405 |
| 532.884 | 177.583 | -0.000 | -0.000 | -0.000 | 0.000 |
| 137.828 | 572.639 | -0.000 | -0.000 | -0.000 | -0.000 |
| 0.000 | -0.000 | -0.000 | -0.000 | -0.000 | 0.000 |
| 0.000 | 0.000 | -0.000 | -0.000 | -0.000 | 0.000 |
| -0.000 | -0.000 | -0.000 | -0.000 | -0.000 | -0.000 |
| -0.000 | 0.000 | -0.000 | -0.000 | -0.000 | 217.405 |
| 532.874 | 177.594 | 0.000 | 0.000 | 0.000 | -0.000 |
| 177.584 | 532.884 | 0.000 | 0.000 | 0.000 | -0.000 |
| 0.000 | -0.000 | 0.000 | 0.000 | 0.000 | 0.000 |
| 0.000 | 0.000 | 0.000 | 0.000 | 0.000 | -0.000 |
| 0.000 | -0.000 | 0.000 | 0.000 | 0.000 | 0.000 |
| -0.000 | 0.000 | 0.000 | 0.000 | 0.000 | 177.650 |
| 532.883 | 177.584 | -0.000 | -0.000 | -0.000 | 0.000 |
| 137.828 | 572.639 | -0.000 | -0.000 | -0.000 | -0.000 |
| 0.000 | -0.000 | -0.000 | -0.000 | -0.000 | 0.000 |
| -0.000 | -0.000 | -0.000 | -0.000 | -0.000 | 0.000 |
| -0.000 | -0.000 | -0.000 | -0.000 | -0.000 | 0.000 |
| 0.000 | -0.000 | -0.000 | -0.000 | -0.000 | 177.650 |
| 532.887 | 177.583 | 0.000 | 0.000 | 0.000 | 0.000 |
| 177.586 | 532.883 | 0.000 | 0.000 | 0.000 | -0.000 |
| 0.000 | -0.000 | 0.000 | 0.000 | 0.000 | 0.000 |
| 0.000 | 0.000 | 0.000 | 0.000 | 0.000 | -0.000 |
| -0.000 | -0.000 | 0.000 | 0.000 | 0.000 | -0.000 |
| -0.000 | 0.000 | 0.000 | 0.000 | 0.000 | 177.650 |
| 532.880 | 177.585 | -0.000 | -0.000 | -0.000 | 0.000 |
| 177.581 | 532.884 | -0.000 | -0.000 | -0.000 | 0.000 |
| 0.000 | -0.000 | -0.000 | -0.000 | -0.000 | 0.000 |
| 0.000 | -0.000 | -0.000 | -0.000 | -0.000 | -0.000 |
| -0.000 | 0.000 | -0.000 | -0.000 | -0.000 | 0.000 |
| 0.000 | -0.000 | -0.000 | -0.000 | -0.000 | 177.650 |
| 660.111 | 232.447 | 0.000 | 0.000 | 0.000 | -0.000 |
| 232.447 | 660.111 | 0.000 | 0.000 | 0.000 | -0.000 |
| -0.000 | -0.000 | 0.000 | 0.000 | 0.000 | -0.000 |
| 0.000 | -0.000 | 0.000 | 0.000 | 0.000 | -0.000 |
| -0.000 | -0.000 | 0.000 | 0.000 | 0.000 | -0.000 |
| 0.000 | 0.000 | 0.000 | 0.000 | 0.000 | 446.279 |
| 660.111 | 232.447 | -0.000 | -0.000 | -0.000 | 0.000 |
| 232.447 | 660.111 | -0.000 | -0.000 | -0.000 | 0.000 |
| 0.000 | 0.000 | -0.000 | -0.000 | -0.000 | 0.000 |
| 0.000 | 0.000 | -0.000 | -0.000 | -0.000 | 0.000 |
| 0.000 | 0.000 | -0.000 | -0.000 | -0.000 | 0.000 |
| -0.000 | 0.000 | -0.000 | -0.000 | -0.000 | 446.279 |
| 660.112 | 232.447 | 0.000 | 0.000 | 0.000 | -0.000 |
| 232.447 | 660.112 | 0.000 | 0.000 | 0.000 | -0.000 |
| -0.000 | -0.000 | 0.000 | 0.000 | 0.000 | -0.000 |
| -0.000 | -0.000 | 0.000 | 0.000 | 0.000 | -0.000 |
| 0.000 | -0.000 | 0.000 | 0.000 | 0.000 | -0.000 |
| 0.000 | 0.000 | 0.000 | 0.000 | 0.000 | 446.279 |
| 660.111 | 232.447 | -0.000 | -0.000 | -0.000 | 0.000 |
| 232.447 | 660.111 | -0.000 | -0.000 | -0.000 | 0.000 |
| -0.000 | 0.000 | -0.000 | -0.000 | -0.000 | 0.000 |
| -0.000 | 0.000 | -0.000 | -0.000 | -0.000 | 0.000 |
| 0.000 | 0.000 | -0.000 | -0.000 | -0.000 | 0.000 |
| -0.000 | -0.000 | -0.000 | -0.000 | -0.000 | 446.279 |
| 660.113 | 232.448 | 0.000 | 0.000 | 0.000 | -0.000 |
| 232.448 | 660.113 | 0.000 | 0.000 | 0.000 | 0.000 |
| -0.000 | -0.000 | 0.000 | 0.000 | 0.000 | -0.000 |
| -0.000 | -0.000 | 0.000 | 0.000 | 0.000 | -0.000 |
| 0.000 | -0.000 | 0.000 | 0.000 | 0.000 | -0.000 |
| 0.000 | 0.001 | 0.000 | 0.000 | 0.000 | 446.279 |
| 660.110 | 232.446 | -0.000 | -0.000 | -0.000 | 0.000 |
| 232.446 | 660.110 | -0.000 | -0.000 | -0.000 | 0.000 |
| 0.000 | 0.000 | -0.000 | -0.000 | -0.000 | 0.000 |
| -0.000 | 0.000 | -0.000 | -0.000 | -0.000 | 0.000 |
| -0.000 | 0.000 | -0.000 | -0.000 | -0.000 | 0.000 |
| -0.000 | -0.001 | -0.000 | -0.000 | -0.000 | 446.279 |
| 324.550 | 219.669 | 219.669 | 0.000 | -0.000 | 0.000 |
| 219.669 | 324.549 | 219.669 | 0.000 | 0.000 | 0.000 |
| 219.669 | 219.669 | 324.549 | 0.000 | 0.000 | 0.000 |
| 0.001 | -0.000 | -0.000 | 143.679 | 0.000 | 0.000 |
| 0.000 | 0.000 | -0.000 | 0.000 | 143.679 | -0.000 |
| 0.000 | -0.000 | 0.000 | -0.000 | 0.000 | 143.679 |
| 340.478 | 235.596 | 235.596 | 0.000 | -0.000 | -0.000 |
| 235.596 | 340.478 | 235.596 | -0.000 | 0.000 | -0.000 |
| 235.596 | 235.596 | 340.478 | -0.000 | -0.000 | -0.000 |
| -0.001 | -0.000 | 0.000 | 143.679 | -0.000 | -0.000 |
| -0.000 | -0.000 | 0.000 | -0.000 | 143.679 | -0.000 |
| -0.000 | 0.000 | -0.000 | -0.000 | -0.000 | 143.679 |
| 338.540 | 210.929 | 210.929 | 0.000 | -0.000 | 0.000 |
| 210.929 | 338.540 | 210.929 | 0.000 | 0.000 | 0.000 |
| 210.929 | 210.929 | 338.540 | -0.000 | 0.000 | 0.000 |
| 0.000 | -0.000 | -0.000 | 143.679 | 0.000 | 0.000 |
| 0.000 | 0.000 | -0.000 | 0.000 | 143.679 | 0.000 |
| 0.000 | -0.000 | 0.000 | 0.000 | 0.000 | 143.679 |
| 333.314 | 228.427 | 228.427 | 0.000 | -0.000 | -0.000 |
| 228.427 | 333.314 | 228.427 | 0.000 | -0.000 | -0.000 |
| 228.427 | 228.427 | 333.314 | -0.000 | -0.000 | -0.000 |
| -0.000 | 0.000 | 0.000 | 143.679 | 0.000 | -0.000 |
| -0.000 | -0.000 | 0.000 | -0.000 | 143.679 | -0.000 |
| -0.000 | 0.000 | -0.000 | -0.000 | -0.000 | 143.679 |
| 332.395 | 227.568 | 227.568 | 0.000 | -0.000 | 0.000 |
| 227.568 | 332.395 | 227.568 | 0.000 | 0.000 | 0.000 |
| 227.568 | 227.568 | 332.395 | 0.000 | 0.000 | -0.000 |
| -0.071 | -0.071 | -0.071 | 131.855 | 0.000 | -0.000 |
| -0.071 | -0.071 | -0.071 | 0.000 | 131.855 | 0.000 |
| -0.071 | -0.071 | -0.071 | -0.000 | 0.000 | 131.855 |
| 332.633 | 227.696 | 227.696 | 0.000 | 0.000 | 0.000 |
| 227.696 | 332.633 | 227.696 | -0.000 | 0.000 | -0.000 |
| 227.696 | 227.696 | 332.633 | 0.000 | 0.000 | 0.000 |
| 0.071 | 0.071 | 0.071 | 131.855 | 0.000 | -0.000 |
| 0.071 | 0.071 | 0.071 | 0.000 | 131.855 | -0.000 |
| 0.071 | 0.071 | 0.071 | -0.000 | 0.000 | 131.855 |
| 638.634 | 78.618 | 103.531 | 0.000 | 0.000 | 0.000 |
| 123.712 | 349.157 | 95.766 | 0.000 | -0.000 | 0.000 |
| 103.531 | 94.324 | 611.284 | 0.000 | -0.000 | 0.000 |
| 0.000 | 0.000 | 0.001 | 226.306 | -0.000 | 0.000 |
| 0.000 | 0.000 | 0.000 | -0.000 | 239.123 | 0.000 |
| 0.001 | -0.000 | -0.000 | 0.000 | -0.000 | 188.779 |
| 501.349 | 126.524 | 115.237 | -0.000 | 0.000 | -0.000 |
| 125.174 | 417.483 | 132.615 | -0.000 | 0.000 | -0.000 |
| 103.531 | 94.324 | 611.285 | -0.000 | 0.000 | -0.000 |
| -0.000 | -0.000 | -0.001 | 226.306 | 0.000 | -0.000 |
| -0.000 | -0.000 | -0.000 | -0.000 | 239.123 | -0.000 |
| -0.000 | 0.000 | 0.000 | -0.000 | -0.000 | 188.779 |
| 638.634 | 78.618 | 103.531 | 0.000 | -0.000 | 0.000 |
| 125.152 | 417.560 | 132.598 | 0.000 | -0.000 | 0.000 |
| 112.833 | 125.631 | 546.117 | 0.000 | -0.000 | 0.000 |
| -0.000 | 0.000 | 0.000 | 226.306 | 0.000 | 0.000 |
| -0.000 | 0.000 | 0.000 | 0.000 | 239.123 | 0.000 |
| 0.000 | 0.000 | -0.000 | 0.000 | -0.000 | 188.779 |
| 501.305 | 126.539 | 115.242 | -0.000 | 0.000 | -0.000 |
| 123.743 | 349.044 | 95.790 | -0.000 | 0.000 | -0.000 |
| 103.531 | 94.324 | 611.284 | -0.000 | 0.000 | -0.000 |
| 0.000 | -0.000 | -0.000 | 226.306 | -0.000 | -0.000 |
| -0.000 | -0.000 | -0.000 | -0.000 | 239.123 | -0.000 |
| -0.000 | -0.000 | 0.000 | -0.000 | 0.000 | 188.779 |
| 450.244 | 122.567 | 88.938 | 0.000 | -0.000 | 0.000 |
| 98.410 | 282.331 | 56.817 | 0.000 | -0.000 | 0.000 |
| 77.830 | 76.475 | 501.917 | 0.000 | -0.000 | 0.000 |
| 0.000 | -0.000 | -0.000 | 143.844 | -0.000 | 0.000 |
| -0.000 | 0.000 | -0.000 | 0.000 | 171.232 | 0.000 |
| 0.000 | 0.000 | 0.000 | 0.000 | 0.000 | 218.506 |
| 638.632 | 78.618 | 103.531 | 0.000 | 0.000 | -0.000 |
| 123.703 | 349.185 | 95.758 | -0.000 | 0.000 | 0.000 |
| 88.993 | 102.485 | 517.682 | 0.000 | 0.000 | -0.000 |
| -0.000 | 0.000 | 0.000 | 143.844 | 0.000 | -0.000 |
| 0.000 | -0.000 | 0.000 | -0.000 | 171.232 | -0.000 |
| -0.000 | -0.000 | -0.000 | -0.000 | -0.000 | 218.506 |
| 98.958 | 38.479 | -254.890 | -0.000 | 0.000 | -0.000 |
| 759.584 | -823.651 | -112.867 | -0.000 | 0.000 | 0.000 |
| -30.755 | 30.370 | -183.020 | -0.000 | 0.000 | -0.000 |
| -111.919 | -21.743 | -344.452 | 43.268 | 0.000 | -0.000 |
| -111.945 | -21.748 | -344.530 | -0.000 | 72.347 | -0.000 |
| -111.938 | -21.747 | -344.509 | -0.000 | 0.000 | 109.024 |
| 320.487 | 82.265 | 434.580 | 0.000 | -0.000 | 0.000 |
| 40.222 | 337.356 | 74.514 | 0.000 | -0.000 | 0.000 |
| -723.834 | 1031.840 | 310.624 | 0.000 | -0.000 | 0.000 |
| 111.919 | 21.743 | 344.452 | 43.268 | -0.000 | 0.000 |
| 111.945 | 21.748 | 344.530 | 0.000 | 72.347 | 0.000 |
| 111.938 | 21.747 | 344.508 | 0.000 | -0.000 | 109.024 |
| 249.662 | -69.038 | 15.649 | -0.000 | 0.000 | 0.000 |
| 49.068 | 238.915 | 18.482 | -0.000 | 0.000 | -0.000 |
| 69.057 | 50.425 | 130.265 | -0.000 | 0.000 | -0.000 |
| -10.931 | -2.124 | -33.641 | 45.181 | 0.000 | -0.000 |
| -42.098 | -275.378 | 207.997 | -0.000 | -19.814 | 0.000 |
| -11.178 | -2.172 | -34.403 | -0.000 | 0.000 | 109.058 |
| 213.064 | 63.459 | 125.127 | 0.000 | -0.000 | 0.000 |
| 68.621 | 257.311 | 90.795 | -0.000 | -0.000 | -0.000 |
| 45.972 | 68.977 | 270.740 | 0.000 | -0.000 | -0.000 |
| 10.931 | 2.124 | 33.641 | 45.181 | -0.000 | -0.000 |
| 42.098 | 275.378 | -207.997 | 0.000 | -19.814 | -0.000 |
| 11.178 | 2.172 | 34.403 | 0.000 | -0.000 | 109.058 |
| 146.523 | -13.632 | 28.831 | -0.000 | 0.000 | -0.000 |
| 62.224 | 230.475 | 49.831 | 0.000 | 0.000 | 0.000 |
| 1.880 | -3.665 | 21.279 | -0.000 | 0.000 | 0.000 |
| 4.916 | -15.484 | 2.375 | 19.853 | 0.000 | -0.000 |
| 11.577 | -24.471 | 4.432 | 0.000 | 8.463 | -0.000 |
| -1.931 | -10.789 | 6.760 | -0.000 | 0.000 | 63.697 |
| 114.682 | 14.226 | -1.854 | 0.000 | -0.000 | 0.000 |
| 40.221 | 337.355 | 74.513 | 0.000 | -0.000 | -0.000 |
| -6.151 | 10.851 | 4.301 | 0.000 | -0.000 | 0.000 |
| -4.916 | 15.484 | -2.375 | 19.853 | -0.000 | 0.000 |
| -11.577 | 24.471 | -4.432 | 0.000 | 8.463 | 0.000 |
| 1.931 | 10.789 | -6.760 | 0.000 | -0.000 | 63.697 |
| 1134.278 | 127.587 | 84.601 | 0.000 | -0.000 | -0.000 |
| 127.586 | 1134.279 | 84.602 | 0.000 | 0.000 | 0.000 |
| 85.485 | 85.485 | 1172.400 | -0.000 | 0.000 | 0.000 |
| -1.099 | -1.098 | 2.182 | 434.332 | -0.001 | 0.000 |
| 0.000 | 0.000 | -0.000 | -0.000 | 461.997 | 0.000 |
| 0.000 | 0.000 | -0.000 | -0.000 | -0.000 | 503.347 |
| 1054.514 | 154.516 | 137.095 | -0.000 | -0.000 | 0.000 |
| 145.619 | 1055.386 | 145.067 | -0.000 | 0.000 | -0.000 |
| 85.485 | 85.485 | 1172.400 | 0.000 | -0.000 | -0.000 |
| 1.099 | 1.098 | -2.182 | 434.332 | -0.000 | -0.000 |
| -0.000 | -0.000 | 0.000 | 0.000 | 461.997 | 0.000 |
| -0.000 | -0.000 | 0.000 | 0.000 | 0.000 | 503.347 |
| 1053.304 | 153.306 | 139.500 | 0.000 | -0.000 | 0.000 |
| 127.586 | 1134.279 | 84.601 | -0.000 | -0.000 | -0.000 |
| 140.055 | 140.055 | 1063.965 | 0.000 | -0.000 | -0.000 |
| 0.000 | 0.000 | -0.000 | 461.997 | 0.000 | 0.000 |
| -0.000 | 0.000 | -0.000 | -0.000 | 461.997 | 0.000 |
| 0.000 | 0.000 | 0.000 | -0.000 | -0.000 | 503.346 |
| 1054.573 | 144.410 | 147.077 | -0.000 | 0.000 | -0.000 |
| 144.407 | 1054.583 | 147.068 | -0.000 | -0.000 | -0.000 |
| 85.485 | 85.485 | 1172.399 | -0.000 | 0.000 | -0.000 |
| -0.000 | -0.000 | -0.000 | 461.997 | 0.000 | 0.000 |
| 0.000 | -0.000 | 0.000 | 0.000 | 461.997 | -0.000 |
| -0.000 | -0.000 | -0.000 | -0.000 | -0.000 | 503.346 |
| 1053.504 | 153.384 | 139.226 | 0.000 | 0.000 | 0.000 |
| 144.261 | 1054.488 | 147.313 | -0.000 | 0.000 | -0.000 |
| 140.093 | 140.093 | 1063.893 | -0.000 | -0.000 | -0.000 |
| -0.011 | -0.011 | 0.022 | 434.332 | -0.000 | 0.000 |
| -0.000 | 0.000 | 0.000 | -0.000 | 461.997 | -0.000 |
| -0.014 | -0.014 | 0.028 | -0.000 | -0.000 | 449.999 |
| 1054.477 | 144.291 | 147.286 | -0.000 | -0.000 | 0.000 |
| 144.332 | 1054.281 | 147.440 | -0.000 | 0.000 | 0.000 |
| 140.172 | 140.172 | 1063.729 | 0.000 | -0.000 | 0.000 |
| 0.011 | 0.011 | -0.022 | 434.332 | -0.000 | -0.000 |
| 0.000 | -0.000 | -0.000 | 0.000 | 461.997 | 0.000 |
| 0.014 | 0.014 | -0.028 | 0.000 | 0.000 | 449.999 |
| 1133.114 | 126.990 | 84.694 | -0.000 | -0.000 | -0.001 |
| 126.989 | 1133.116 | 84.694 | -0.000 | -0.000 | -0.001 |
| -1667.062 | -1667.062 | 4667.865 | -0.001 | -0.000 | -0.001 |
| -1807.439 | -1807.439 | 3604.842 | 433.925 | -0.000 | -0.001 |
| 0.001 | 0.000 | 0.000 | -0.000 | 461.471 | -0.001 |
| -1807.217 | -1807.216 | 3604.398 | -0.000 | -0.000 | 442.997 |
| 1133.117 | 126.989 | 84.693 | 0.000 | 0.000 | 0.001 |
| 126.990 | 1133.115 | 84.693 | -0.000 | 0.000 | 0.001 |
| 1954.462 | 1954.462 | -2555.075 | 0.000 | 0.000 | 0.001 |
| 1807.439 | 1807.439 | -3604.842 | 433.925 | 0.000 | 0.001 |
| -0.001 | -0.000 | -0.000 | -0.000 | 461.471 | 0.001 |
| 1807.216 | 1807.216 | -3604.398 | 0.000 | 0.000 | 442.998 |
| 811.749 | -72.896 | 604.500 | -0.000 | -0.000 | -0.000 |
| 126.989 | 1133.116 | 84.694 | -0.000 | -0.000 | -0.000 |
| -41.317 | -41.317 | 1425.402 | -0.000 | -0.000 | -0.000 |
| -180.701 | -180.701 | 360.398 | 433.931 | -0.000 | -0.000 |
| -180.701 | -180.701 | 360.398 | -0.000 | 433.931 | -0.000 |
| -237.413 | -237.413 | 473.509 | 0.000 | -0.000 | 439.312 |
| 1279.520 | 409.121 | -342.653 | 0.000 | 0.000 | 0.000 |
| 409.086 | 1279.502 | -342.600 | -0.000 | 0.000 | 0.000 |
| 369.628 | 369.628 | 605.793 | 0.000 | 0.000 | 0.000 |
| 180.701 | 180.701 | -360.398 | 433.931 | 0.000 | 0.000 |
| 180.701 | 180.701 | -360.398 | -0.000 | 433.931 | 0.000 |
| 237.414 | 237.413 | -473.509 | -0.000 | 0.000 | 439.312 |
| 1031.751 | 140.559 | 172.249 | -0.000 | -0.000 | -0.000 |
| 140.555 | 1031.748 | 172.256 | 0.000 | -0.000 | -0.000 |
| 125.270 | 125.270 | 1093.156 | -0.000 | -0.000 | -0.000 |
| -20.121 | -20.122 | 40.132 | 430.761 | 0.000 | -0.000 |
| -0.000 | 0.000 | 0.000 | -0.000 | 461.471 | -0.000 |
| 0.000 | 0.000 | 0.000 | 0.000 | 0.000 | 503.063 |
| 1070.581 | 173.280 | 100.889 | 0.000 | 0.000 | 0.000 |
| 173.278 | 1070.585 | 100.888 | 0.000 | 0.000 | 0.000 |
| 157.981 | 157.981 | 1027.907 | 0.000 | -0.000 | 0.000 |
| 20.121 | 20.122 | -40.132 | 430.761 | 0.000 | 0.000 |
| 0.000 | -0.000 | -0.000 | 0.000 | 461.471 | 0.000 |
| -0.000 | -0.000 | -0.000 | -0.000 | 0.000 | 503.063 |
| 1133.398 | 127.108 | 84.726 | 0.000 | -0.000 | 0.000 |
| 127.107 | 1133.399 | 84.725 | 0.000 | -0.000 | 0.001 |
| 1727.389 | 1727.388 | -2100.695 | 0.000 | -0.000 | -0.000 |
| 1588.058 | 1588.058 | -3166.095 | 429.603 | 0.000 | 0.001 |
| 1588.577 | 1588.576 | -3167.129 | 0.000 | 429.592 | 0.000 |
| 0.000 | -0.000 | -0.000 | 0.000 | -0.000 | 503.146 |
| -540.758 | -1429.737 | 3305.530 | -0.000 | -0.000 | -0.000 |
| -1142.081 | -244.462 | 2723.423 | -0.000 | 0.000 | -0.001 |
| -1449.433 | -1449.433 | 4232.901 | -0.000 | -0.000 | 0.000 |
| -1588.058 | -1588.058 | 3166.096 | 429.603 | 0.000 | 0.001 |
| -1588.576 | -1588.576 | 3167.129 | -0.000 | 429.593 | -0.001 |
| -0.001 | 0.000 | 0.000 | -0.000 | 0.000 | 503.145 |
| 1133.398 | 127.107 | 84.726 | 0.000 | -0.000 | 0.000 |
| 318.244 | 1203.502 | -175.691 | 0.000 | -0.000 | -0.000 |
| 296.876 | 296.876 | 751.303 | 0.000 | 0.000 | -0.000 |
| 158.363 | 158.363 | -315.726 | 429.692 | 0.000 | 0.000 |
| 129.748 | 129.748 | -258.678 | 0.000 | 435.487 | 0.000 |
| 0.000 | 0.000 | -0.000 | 0.000 | -0.000 | 503.145 |
| 891.026 | -0.984 | 454.019 | -0.000 | -0.000 | -0.000 |
| -0.980 | 891.032 | 454.010 | 0.000 | -0.000 | -0.000 |
| -17.523 | -17.523 | 1378.116 | -0.000 | 0.000 | -0.000 |
| -158.374 | -158.374 | 315.748 | 429.690 | 0.000 | 0.000 |
| -129.748 | -129.748 | 258.678 | -0.000 | 435.487 | 0.000 |
| -0.000 | -0.000 | 0.000 | -0.000 | -0.000 | 503.145 |
| 1063.336 | 167.241 | 114.564 | 0.000 | -0.000 | 0.000 |
| 168.369 | 1065.746 | 111.037 | 0.000 | 0.000 | 0.000 |
| 154.461 | 154.461 | 1035.237 | 0.000 | -0.000 | -0.000 |
| 13.572 | 13.571 | -27.058 | 434.283 | -0.000 | 0.000 |
| 13.560 | 13.561 | -27.036 | 0.000 | 434.305 | 0.000 |
| 13.116 | 13.116 | -26.149 | 0.000 | 0.000 | 448.695 |
| 1037.557 | 140.974 | 166.438 | 0.000 | 0.000 | -0.000 |
| 137.097 | 1037.310 | 170.548 | -0.000 | -0.000 | -0.000 |
| 127.470 | 127.470 | 1089.040 | -0.000 | -0.000 | -0.000 |
| -13.572 | -13.571 | 27.058 | 434.283 | -0.000 | -0.000 |
| -13.560 | -13.561 | 27.036 | -0.000 | 434.305 | -0.000 |
| -13.116 | -13.116 | 26.149 | -0.000 | 0.000 | 448.694 |
| 1133.394 | 126.947 | 85.063 | 0.000 | 0.000 | -0.002 |
| 154.198 | 1051.568 | 139.637 | 0.000 | 0.000 | -0.001 |
| 140.167 | 140.168 | 1065.069 | 0.000 | 0.000 | -0.000 |
| -0.001 | -0.000 | 0.002 | 433.787 | -0.000 | -0.000 |
| -0.001 | 0.000 | 0.001 | 0.000 | 461.340 | -0.000 |
| -0.001 | 0.000 | 0.001 | 0.000 | 0.000 | 503.224 |
| 1133.396 | 126.946 | 85.060 | -0.000 | -0.000 | 0.000 |
| 151.043 | 1051.861 | 142.500 | -0.000 | -0.000 | 0.001 |
| 85.063 | 85.062 | 1175.279 | -0.000 | -0.000 | -0.001 |
| 0.001 | 0.001 | -0.002 | 433.787 | -0.001 | 0.000 |
| 0.001 | -0.000 | -0.001 | -0.000 | 461.339 | 0.001 |
| 0.001 | -0.000 | -0.001 | -0.000 | -0.000 | 503.225 |
| 1051.864 | 151.041 | 142.499 | 0.000 | 0.000 | -0.000 |
| 126.946 | 1133.396 | 85.062 | 0.000 | 0.000 | -0.000 |
| 140.161 | 140.162 | 1065.081 | 0.000 | 0.000 | 0.000 |
| -0.000 | -0.000 | 0.000 | 461.340 | 0.000 | -0.000 |
| -0.000 | -0.000 | 0.000 | 0.000 | 433.787 | -0.000 |
| -0.000 | -0.000 | 0.000 | 0.000 | 0.000 | 449.165 |
| 1133.395 | 126.946 | 85.062 | -0.000 | -0.000 | -0.000 |
| 126.947 | 1133.395 | 85.062 | -0.000 | -0.000 | -0.000 |
| 140.168 | 140.168 | 1065.068 | -0.000 | -0.000 | 0.000 |
| 0.000 | 0.000 | -0.000 | 461.340 | -0.000 | 0.000 |
| 0.000 | 0.000 | -0.000 | -0.000 | 433.787 | 0.000 |
| 0.000 | 0.000 | -0.000 | -0.000 | -0.000 | 449.165 |
| 1051.603 | 154.191 | 139.614 | -0.000 | 0.000 | -0.000 |
| 151.025 | 1051.923 | 142.459 | 0.000 | 0.000 | 0.000 |
| 140.172 | 140.172 | 1065.063 | 0.000 | 0.000 | -0.000 |
| 0.000 | -0.000 | 0.000 | 433.787 | 0.000 | 0.000 |
| -0.000 | 0.000 | 0.000 | 0.000 | 461.340 | -0.000 |
| -0.001 | 0.001 | 0.000 | 0.000 | 0.000 | 448.178 |
| 1051.567 | 154.199 | 139.634 | -0.000 | -0.000 | -0.000 |
| 154.197 | 1051.570 | 139.632 | -0.000 | -0.000 | 0.000 |
| 140.167 | 140.167 | 1065.065 | -0.000 | -0.000 | 0.000 |
| -0.000 | 0.000 | -0.000 | 433.787 | -0.000 | -0.000 |
| 0.000 | -0.000 | -0.000 | -0.000 | 461.340 | 0.000 |
| 0.001 | -0.001 | -0.000 | -0.000 | -0.000 | 448.178 |
| 1133.519 | 127.156 | 84.734 | 0.000 | 0.000 | -0.001 |
| 127.159 | 1133.518 | 84.734 | 0.000 | 0.000 | -0.002 |
| 166.356 | 166.352 | 1011.653 | 0.000 | 0.000 | -0.002 |
| 8.720 | 8.718 | -17.386 | 399.348 | -0.000 | -0.002 |
| 8.719 | 8.718 | -17.386 | 0.000 | 399.348 | -0.003 |
| 0.000 | -0.002 | -0.005 | 0.000 | 0.000 | 503.177 |
| 1047.417 | 150.984 | 146.814 | -0.000 | -0.000 | 0.002 |
| 159.181 | 1003.647 | 182.270 | -0.000 | -0.000 | 0.002 |
| 134.189 | 134.190 | 1075.780 | -0.000 | -0.000 | 0.000 |
| -8.720 | -8.718 | 17.386 | 399.348 | -0.000 | 0.003 |
| -8.719 | -8.718 | 17.386 | -0.000 | 399.348 | 0.002 |
| -0.001 | 0.001 | 0.005 | -0.000 | -0.000 | 503.182 |
| 1051.480 | 152.889 | 140.858 | 0.000 | 0.000 | -0.000 |
| 127.158 | 1133.519 | 84.739 | 0.000 | 0.000 | -0.000 |
| 140.694 | 140.693 | 1062.807 | 0.000 | 0.000 | -0.000 |
| 0.394 | 0.394 | -0.786 | 433.481 | 0.000 | -0.000 |
| 0.394 | 0.394 | -0.786 | 0.000 | 433.481 | -0.000 |
| -0.000 | -0.000 | -0.001 | 0.000 | 0.000 | 503.180 |
| 1133.518 | 127.157 | 84.740 | -0.000 | -0.000 | 0.000 |
| 127.157 | 1133.518 | 84.740 | -0.000 | -0.000 | 0.000 |
| 85.193 | 85.193 | 1173.441 | -0.000 | -0.000 | 0.000 |
| -0.394 | -0.394 | 0.786 | 433.481 | -0.000 | 0.000 |
| -0.394 | -0.394 | 0.786 | -0.000 | 433.481 | 0.000 |
| 0.000 | 0.000 | 0.001 | -0.000 | -0.000 | 503.181 |
| 1051.439 | 154.646 | 139.153 | 0.000 | 0.000 | -0.000 |
| 152.357 | 1051.682 | 141.193 | 0.000 | 0.000 | -0.000 |
| 140.087 | 140.087 | 1064.022 | 0.000 | 0.000 | -0.000 |
| 0.039 | 0.039 | -0.078 | 434.012 | -0.000 | -0.000 |
| 0.038 | 0.039 | -0.077 | 0.000 | 434.007 | -0.000 |
| 0.038 | 0.038 | -0.076 | 0.000 | 0.000 | 448.573 |
| 1133.515 | 127.157 | 84.739 | -0.000 | -0.000 | 0.000 |
| 127.157 | 1133.514 | 84.739 | -0.000 | -0.000 | 0.000 |
| 140.004 | 140.004 | 1064.178 | -0.000 | -0.000 | 0.000 |
| -0.039 | -0.039 | 0.078 | 434.012 | -0.000 | 0.000 |
| -0.038 | -0.039 | 0.077 | -0.000 | 434.007 | 0.000 |
| -0.038 | -0.038 | 0.076 | -0.000 | -0.000 | 448.573 |
| 1051.363 | 154.203 | 139.836 | 0.000 | -0.000 | -0.003 |
| 151.924 | 1051.608 | 141.877 | -0.000 | -0.001 | -0.001 |
| 140.169 | 140.169 | 1065.066 | 0.000 | -0.000 | -0.004 |
| 0.001 | 0.000 | 0.000 | 461.340 | 0.000 | -0.003 |
| 0.000 | 0.000 | -0.002 | 0.000 | 461.340 | -0.001 |
| 0.001 | 0.001 | -0.001 | 0.000 | -0.000 | 503.225 |
| 1133.395 | 126.947 | 85.065 | -0.000 | 0.000 | 0.004 |
| 126.945 | 1133.397 | 85.065 | -0.000 | 0.000 | -0.000 |
| 85.061 | 85.062 | 1175.278 | -0.000 | -0.000 | 0.003 |
| -0.001 | 0.000 | 0.001 | 461.340 | 0.000 | 0.002 |
| -0.000 | -0.000 | 0.002 | -0.000 | 461.340 | 0.000 |
| -0.001 | -0.001 | 0.002 | -0.000 | 0.000 | 503.225 |
| 1051.607 | 151.922 | 141.874 | 0.000 | -0.000 | -0.000 |
| 154.201 | 1051.368 | 139.835 | 0.000 | -0.000 | -0.000 |
| 140.168 | 140.168 | 1065.067 | 0.000 | -0.000 | -0.000 |
| 0.000 | -0.000 | -0.000 | 461.340 | -0.000 | -0.000 |
| 0.000 | 0.000 | -0.000 | 0.000 | 461.340 | 0.000 |
| 0.000 | 0.000 | -0.000 | 0.000 | -0.000 | 503.224 |
| 1133.395 | 126.947 | 85.062 | -0.000 | 0.000 | 0.000 |
| 151.966 | 1051.108 | 142.329 | -0.000 | 0.000 | 0.000 |
| 140.167 | 140.168 | 1065.068 | -0.000 | -0.000 | 0.000 |
| -0.000 | 0.000 | 0.000 | 461.340 | 0.000 | 0.000 |
| -0.000 | 0.000 | 0.000 | -0.000 | 461.340 | -0.000 |
| -0.000 | -0.000 | 0.000 | -0.000 | 0.000 | 503.224 |
| 1051.633 | 151.916 | 141.859 | 0.000 | 0.000 | -0.000 |
| 151.919 | 1051.624 | 141.865 | 0.000 | -0.000 | -0.000 |
| 140.172 | 140.172 | 1065.063 | -0.000 | -0.000 | -0.000 |
| 0.000 | -0.000 | 0.000 | 461.340 | -0.000 | 0.000 |
| -0.000 | 0.000 | 0.000 | 0.000 | 461.340 | -0.000 |
| 0.000 | 0.000 | 0.000 | 0.000 | -0.000 | 503.224 |
| 1051.360 | 154.202 | 139.838 | 0.000 | 0.000 | 0.000 |
| 154.201 | 1051.363 | 139.836 | 0.000 | 0.000 | 0.000 |
| 140.182 | 140.183 | 1065.035 | -0.000 | 0.000 | 0.000 |
| -0.000 | 0.000 | -0.000 | 461.340 | 0.000 | 0.000 |
| 0.000 | -0.000 | -0.000 | -0.000 | 461.340 | 0.000 |
| -0.000 | -0.000 | -0.000 | -0.000 | 0.000 | 503.224 |
| 747.552 | -323.686 | 919.192 | 22.084 | 0.000 | 0.000 |
| 503.571 | 1361.209 | -518.544 | -4.508 | -0.000 | -0.001 |
| 857.794 | 857.795 | -368.313 | -0.000 | 0.000 | 0.001 |
| -419.684 | -463.279 | 880.982 | 496.622 | 0.000 | 0.000 |
| 1148.596 | 1148.598 | -2292.153 | 0.000 | 370.049 | -14.011 |
| -441.640 | -441.639 | 881.297 | 0.000 | 21.803 | 534.136 |
| 316.334 | -498.040 | 1523.474 | -3.164 | -0.000 | 0.000 |
| 559.843 | 1624.969 | -837.803 | -21.504 | -0.000 | 0.000 |
| 477.652 | 477.651 | 390.339 | 0.000 | -0.000 | 0.000 |
| -671.884 | -665.525 | 1334.468 | 408.330 | -0.000 | -0.001 |
| -1148.596 | -1148.598 | 2292.153 | -0.000 | 370.049 | -14.012 |
| 441.640 | 441.640 | -881.297 | -0.000 | 21.803 | 534.135 |
| 1051.029 | 236.893 | 57.074 | -3.183 | 0.000 | 0.000 |
| 322.764 | 1001.279 | 21.031 | 22.806 | 0.000 | -0.000 |
| 251.271 | 251.271 | 842.068 | 0.000 | -0.000 | 0.000 |
| 11.848 | -11.847 | 0.000 | 461.447 | -0.000 | 0.000 |
| -39.415 | -39.415 | 78.653 | 0.000 | 492.858 | 20.735 |
| 66.431 | 66.431 | -132.571 | 0.000 | -3.081 | 407.716 |
| 1133.181 | 126.983 | 84.771 | 11.848 | 0.000 | -0.000 |
| 126.983 | 1133.181 | 84.771 | -11.848 | -0.000 | -0.000 |
| 85.073 | 85.073 | 1173.730 | -0.000 | 0.000 | -0.000 |
| -98.522 | -81.656 | 179.783 | 389.764 | -0.000 | -0.000 |
| 39.415 | 39.415 | -78.653 | -0.000 | 492.858 | 20.734 |
| -66.431 | -66.431 | 132.571 | 0.000 | -3.081 | 407.716 |
| 1054.795 | 149.689 | 140.332 | 2.801 | -0.000 | 0.000 |
| 126.984 | 1133.185 | 84.771 | -11.848 | -0.000 | 0.000 |
| 139.016 | 139.016 | 1066.087 | 0.000 | -0.000 | 0.000 |
| 7.297 | -0.018 | -7.263 | 432.498 | -0.000 | 0.000 |
| 5.130 | 5.131 | -10.239 | 0.000 | 420.692 | 0.317 |
| 0.000 | 0.000 | 0.000 | 0.000 | 11.848 | 503.099 |
| 1029.518 | 151.172 | 164.066 | 1.842 | -0.000 | 0.000 |
| 156.234 | 1055.665 | 132.927 | -5.785 | -0.000 | -0.000 |
| 147.700 | 147.700 | 1048.749 | 0.000 | 0.000 | -0.000 |
| -4.812 | -5.448 | 10.237 | 420.697 | -0.000 | -0.000 |
| -5.130 | -5.131 | 10.239 | -0.000 | 420.692 | 0.317 |
| -0.000 | -0.000 | -0.000 | -0.000 | 11.848 | 503.099 |
| 1121.067 | 124.806 | 77.844 | 8.344 | 0.000 | -0.001 |
| 405.610 | 1189.944 | -257.837 | 3.122 | -0.000 | -0.001 |
| 83.138 | 83.137 | 1138.695 | -0.000 | 0.000 | 0.001 |
| 225.818 | 232.046 | -439.527 | 404.359 | 0.000 | 0.000 |
| 48.046 | 48.046 | -92.262 | -0.000 | 449.912 | 6.126 |
| 228.915 | 228.917 | -439.489 | -0.000 | -3.113 | 392.245 |
| 732.438 | -52.258 | 620.871 | -3.102 | 0.000 | -0.002 |
| 96.372 | 1029.262 | 193.284 | -6.097 | 0.000 | -0.000 |
| 57.384 | 57.385 | 1188.160 | 0.000 | 0.000 | -0.001 |
| -194.002 | -190.912 | 369.509 | 412.093 | 0.000 | -0.001 |
| -48.046 | -48.046 | 92.261 | 0.000 | 449.912 | 6.126 |
| -228.915 | -228.917 | 439.489 | 0.000 | -3.113 | 392.245 |
| 1121.067 | 124.804 | 77.844 | 8.344 | -0.000 | -0.000 |
| 124.805 | 1121.067 | 77.844 | -8.344 | -0.000 | -0.000 |
| 120.633 | 120.633 | 1066.709 | -0.000 | -0.000 | 0.000 |
| 11.197 | -0.501 | -10.270 | 448.549 | -0.000 | -0.000 |
| 22.648 | 22.648 | -43.481 | 0.000 | 404.965 | -2.991 |
| 5.454 | 5.454 | -10.474 | -0.000 | 5.795 | 463.925 |
| 1121.066 | 124.804 | 77.845 | 8.344 | 0.000 | -0.000 |
| 124.804 | 1121.066 | 77.845 | -8.344 | 0.000 | -0.000 |
| 83.136 | 83.137 | 1138.696 | 0.000 | 0.000 | -0.000 |
| -25.644 | -19.658 | 43.488 | 404.956 | -0.000 | 0.000 |
| -22.648 | -22.648 | 43.481 | 0.000 | 404.965 | -2.991 |
| -5.454 | -5.454 | 10.474 | 0.000 | 5.795 | 463.925 |
| 1042.683 | 156.164 | 122.987 | 3.294 | -0.000 | 0.000 |
| 124.805 | 1121.070 | 77.845 | -8.344 | -0.000 | 0.000 |
| 133.999 | 133.999 | 1041.054 | -0.000 | -0.000 | 0.000 |
| 2.393 | 0.578 | -2.852 | 424.185 | -0.000 | 0.000 |
| -0.000 | 0.000 | 0.000 | 0.000 | 460.850 | 8.344 |
| 0.000 | 0.000 | 0.000 | 0.000 | 8.344 | 498.131 |
| 1121.063 | 124.804 | 77.844 | 8.344 | 0.000 | -0.000 |
| 154.200 | 1040.184 | 127.263 | -3.263 | 0.000 | -0.000 |
| 131.722 | 131.722 | 1045.417 | -0.000 | 0.000 | 0.000 |
| -0.579 | -2.392 | 2.852 | 424.184 | 0.000 | -0.000 |
| 0.000 | -0.000 | -0.000 | -0.000 | 460.850 | 8.344 |
| -0.000 | -0.000 | -0.000 | -0.000 | 8.344 | 498.131 |
| 1068.050 | 1118.664 | 1118.472 | 0.019 | -0.010 | 0.035 |
| 1118.107 | 1067.973 | 1118.055 | 0.019 | -0.010 | 0.036 |
| 1137.008 | 1136.829 | 1306.215 | -0.025 | 0.014 | -0.046 |
| 1195.648 | 1195.465 | 1195.717 | 85.686 | 0.014 | -0.047 |
| -0.000 | -0.000 | -0.000 | 0.000 | 101.681 | 0.000 |
| 1295.011 | 1295.080 | 1294.987 | 0.009 | -0.005 | -64.756 |
| -1373.408 | -1564.930 | -1564.909 | -0.002 | 0.001 | -0.004 |
| -1244.548 | -1085.954 | -1244.610 | 0.022 | -0.012 | 0.042 |
| -1290.773 | -1290.835 | -1388.671 | -0.009 | 0.005 | -0.016 |
| -1477.300 | -1477.310 | -1477.296 | 97.827 | 0.001 | -0.003 |
| -1476.531 | -1476.541 | -1476.527 | -0.001 | 97.849 | -0.003 |
| -985.199 | -985.189 | -985.204 | 0.002 | -0.001 | -2.576 |
| 164.228 | 93.204 | 93.197 | 0.001 | -0.000 | 0.001 |
| 106.313 | 144.514 | 106.312 | 0.000 | -0.000 | 0.001 |
| 117.587 | 117.587 | 130.128 | 0.000 | 0.000 | -0.000 |
| 103.020 | 103.028 | 103.017 | -14.140 | -0.001 | 0.002 |
| 113.033 | 113.035 | 113.032 | 0.000 | 19.704 | 0.001 |
| 141.027 | 141.032 | 141.026 | 0.001 | -0.000 | 29.547 |
| -93.033 | -157.329 | -157.322 | -0.001 | 0.000 | -0.001 |
| -65.125 | -61.737 | -65.125 | 0.000 | -0.000 | 0.000 |
| -120.569 | -120.571 | -82.744 | -0.000 | 0.000 | -0.001 |
| -113.031 | -113.034 | -113.031 | 19.705 | 0.000 | -0.001 |
| -103.022 | -103.031 | -103.019 | -0.001 | -14.145 | -0.002 |
| -141.029 | -141.033 | -141.027 | -0.001 | 0.000 | 29.539 |
| 30.658 | -17.421 | -17.421 | 0.000 | -0.000 | 0.000 |
| -17.421 | 30.659 | -17.421 | 0.000 | -0.000 | 0.000 |
| -17.421 | -17.421 | 30.658 | 0.000 | -0.000 | 0.000 |
| 17.279 | 17.279 | 17.279 | 12.105 | -0.000 | 0.000 |
| 17.550 | 17.550 | 17.550 | 0.000 | 15.341 | 0.000 |
| 17.279 | 17.280 | 17.279 | 0.000 | -0.000 | 12.105 |
| 9.420 | -40.043 | -40.042 | -0.000 | 0.000 | -0.000 |
| -40.042 | 9.420 | -40.043 | -0.000 | 0.000 | -0.000 |
| -40.043 | -40.043 | 9.420 | -0.000 | 0.000 | -0.000 |
| -17.279 | -17.279 | -17.279 | 12.105 | 0.000 | -0.000 |
| -9.343 | -9.344 | -9.343 | -0.000 | 25.631 | -0.000 |
| -17.279 | -17.280 | -17.279 | -0.000 | 0.000 | 12.105 |
| 707.511 | -699.037 | 137.560 | 0.000 | 0.000 | 0.000 |
| 52.838 | 189.817 | 30.888 | 0.000 | -0.000 | 0.000 |
| 596.714 | -487.645 | 246.850 | 0.000 | -0.000 | 0.000 |
| 532.596 | -545.897 | 72.932 | 33.165 | -0.000 | 0.000 |
| 446.509 | -695.852 | 246.564 | 0.000 | 79.161 | 0.000 |
| 406.239 | -724.626 | 139.305 | 0.000 | -0.000 | 116.284 |
| 378.581 | 40.103 | 77.465 | -0.000 | 0.000 | -0.000 |
| 52.838 | 189.817 | 30.889 | -0.000 | 0.000 | -0.000 |
| -470.306 | 609.060 | 91.047 | -0.000 | 0.000 | -0.000 |
| -532.595 | 545.897 | -72.932 | 33.165 | -0.000 | -0.000 |
| -446.509 | 695.852 | -246.564 | -0.000 | 79.161 | -0.000 |
| -406.239 | 724.626 | -139.305 | -0.000 | 0.000 | 116.284 |
| 378.581 | 40.103 | 77.465 | 0.000 | 0.000 | 0.000 |
| 52.838 | 189.817 | 30.889 | 0.000 | -0.000 | 0.000 |
| 133.503 | -14.578 | 188.884 | 0.000 | -0.000 | 0.000 |
| 56.199 | -57.603 | 7.696 | 32.249 | -0.000 | 0.000 |
| 47.554 | -48.742 | 6.512 | 0.000 | 75.198 | 0.000 |
| 50.579 | -51.842 | 6.926 | 0.000 | -0.000 | 111.640 |
| 280.872 | 89.792 | 81.672 | -0.000 | 0.000 | -0.000 |
| -1.572 | 180.171 | -13.756 | -0.000 | 0.000 | -0.000 |
| -54.724 | 72.531 | 33.003 | -0.000 | 0.000 | -0.000 |
| -56.199 | 57.603 | -7.696 | 32.249 | -0.000 | -0.000 |
| -47.553 | 48.741 | -6.512 | -0.000 | 75.200 | -0.000 |
| -50.579 | 51.842 | -6.926 | -0.000 | 0.000 | 111.640 |
| 333.971 | 39.344 | 87.558 | 0.000 | -0.000 | 0.000 |
| 42.999 | 100.388 | 1.377 | 0.000 | -0.000 | 0.000 |
| 0.350 | -23.693 | 1.404 | 0.000 | -0.000 | 0.000 |
| 4.027 | -7.277 | 1.311 | -0.482 | -0.000 | 0.000 |
| 3.213 | -7.419 | 0.113 | 0.000 | -4.085 | -0.000 |
| 4.477 | -7.031 | 2.029 | 0.000 | -0.000 | 114.372 |
| 308.869 | 58.934 | 21.733 | -0.000 | -0.000 | -0.000 |
| 34.894 | 114.895 | -1.375 | -0.000 | 0.000 | 0.000 |
| -7.751 | -9.173 | -1.398 | -0.000 | 0.000 | -0.000 |
| -4.027 | 7.277 | -1.311 | -0.482 | -0.000 | -0.000 |
| -3.213 | 7.419 | -0.113 | -0.000 | -4.085 | -0.000 |
| -4.477 | 7.031 | -2.029 | -0.000 | 0.000 | 114.372 |
| 783.668 | 83.285 | 81.740 | -0.000 | 0.000 | -0.000 |
| 254.689 | 124.553 | 24.697 | -0.000 | -0.000 | -0.000 |
| 146.417 | 41.423 | 745.506 | 0.000 | 0.001 | -0.000 |
| 109.677 | -34.055 | -88.795 | 136.948 | 0.000 | 0.000 |
| 113.726 | -54.948 | -78.023 | 0.000 | 250.007 | -0.000 |
| 109.012 | -33.849 | -88.257 | 0.001 | -0.000 | 176.913 |
| 566.713 | 150.917 | 257.220 | -0.000 | 0.001 | 0.000 |
| 83.573 | 383.981 | 27.309 | -0.000 | 0.000 | 0.000 |
| 62.426 | 169.915 | 744.097 | -0.000 | 0.000 | 0.000 |
| -109.677 | 34.056 | 88.795 | 136.948 | -0.000 | 0.000 |
| -113.726 | 54.948 | 78.023 | -0.000 | 250.007 | -0.000 |
| -109.012 | 33.849 | 88.258 | -0.000 | -0.000 | 176.913 |
| 683.781 | 115.453 | 161.871 | 0.000 | 0.000 | -0.000 |
| 164.131 | 177.034 | 81.051 | 0.000 | 0.000 | -0.000 |
| 198.889 | 79.892 | 666.214 | 0.000 | -0.000 | -0.000 |
| 0.000 | -0.000 | 0.000 | 143.976 | -0.000 | -0.000 |
| 0.000 | -0.000 | 0.000 | -0.000 | 291.494 | -0.000 |
| 0.000 | -0.000 | -0.000 | 0.000 | -0.000 | 188.192 |
| 659.275 | 146.562 | 165.874 | -0.000 | 0.000 | 0.000 |
| 127.383 | 183.789 | 113.847 | 0.000 | 0.000 | 0.000 |
| 146.415 | 41.423 | 745.503 | 0.000 | -0.000 | 0.000 |
| -0.000 | 0.000 | -0.000 | 143.976 | -0.000 | -0.000 |
| -0.000 | -0.000 | -0.000 | -0.000 | 291.494 | 0.000 |
| -0.000 | 0.000 | 0.000 | 0.000 | -0.000 | 188.192 |
| 736.499 | 81.651 | 130.378 | -0.000 | 0.000 | -0.000 |
| 148.692 | 177.279 | 96.526 | 0.000 | -0.000 | 0.000 |
| 175.323 | 115.739 | 666.352 | -0.000 | 0.000 | -0.000 |
| -1.962 | 6.673 | -2.805 | -28.936 | 0.000 | -0.000 |
| 0.996 | -0.309 | -0.806 | -0.000 | 247.686 | 0.000 |
| 0.000 | 0.000 | 0.000 | 0.000 | -0.000 | 188.192 |
| 669.336 | 141.738 | 158.938 | -0.000 | -0.000 | 0.000 |
| 144.957 | 177.998 | 99.837 | -0.000 | 0.000 | 0.000 |
| 173.096 | 116.767 | 667.907 | 0.000 | -0.000 | 0.000 |
| 1.962 | -6.673 | 2.805 | -28.936 | -0.000 | 0.000 |
| -0.996 | 0.309 | 0.806 | -0.000 | 247.686 | 0.000 |
| -0.000 | -0.000 | -0.000 | -0.000 | -0.000 | 188.192 |
| 674.383 | 121.309 | 170.451 | 0.000 | 0.000 | -0.000 |
| 142.219 | 180.644 | 100.790 | -0.000 | -0.000 | -0.000 |
| 189.546 | 88.350 | 672.776 | -0.000 | 0.000 | -0.001 |
| -5.490 | 20.332 | -5.408 | 43.387 | -0.000 | -0.000 |
| 0.000 | 0.000 | 0.000 | -0.000 | 292.209 | -0.000 |
| 0.000 | 0.000 | 0.000 | 0.000 | 0.000 | 187.947 |
| 673.126 | 137.763 | 160.193 | 0.000 | 0.000 | 0.000 |
| 147.695 | 172.840 | 99.812 | 0.000 | 0.000 | -0.000 |
| 146.889 | 41.572 | 747.206 | -0.000 | 0.000 | 0.000 |
| 5.490 | -20.332 | 5.408 | 43.387 | 0.000 | 0.000 |
| -0.000 | -0.000 | -0.000 | -0.000 | 292.209 | 0.000 |
| -0.000 | 0.000 | -0.000 | -0.000 | -0.000 | 187.948 |
| 675.174 | 118.973 | 171.022 | -0.000 | -0.000 | -0.000 |
| 142.854 | 177.002 | 102.228 | 0.000 | -0.000 | -0.000 |
| 174.625 | 116.983 | 668.877 | -0.000 | -0.000 | -0.000 |
| 0.000 | -0.000 | -0.000 | 144.069 | -0.000 | 0.000 |
| 0.000 | -0.000 | 0.000 | -0.000 | 292.209 | -0.000 |
| -0.090 | 0.433 | -0.154 | 0.000 | -0.000 | 172.581 |
| 738.559 | 81.573 | 130.974 | 0.000 | 0.000 | 0.000 |
| 147.077 | 176.431 | 98.350 | -0.000 | -0.000 | 0.000 |
| 146.889 | 41.572 | 747.206 | -0.000 | 0.000 | 0.000 |
| -0.000 | 0.000 | 0.000 | 144.069 | 0.000 | -0.000 |
| -0.000 | 0.000 | -0.000 | -0.000 | 292.209 | 0.000 |
| -0.000 | 0.000 | -0.000 | 0.000 | 0.000 | 187.948 |
| 672.391 | 141.608 | 158.765 | 0.000 | -0.000 | -0.000 |
| 142.986 | 176.633 | 102.129 | 0.000 | -0.000 | -0.000 |
| 174.687 | 116.580 | 668.979 | -0.000 | 0.000 | -0.000 |
| 0.000 | -0.000 | -0.000 | 144.069 | -0.000 | -0.000 |
| -0.004 | 0.020 | -0.008 | -0.000 | 248.172 | 0.000 |
| -0.009 | 0.043 | -0.015 | -0.000 | 0.000 | 172.581 |
| 672.400 | 141.399 | 158.804 | 0.000 | -0.000 | 0.000 |
| 143.007 | 176.531 | 102.165 | 0.000 | -0.000 | 0.000 |
| 146.889 | 41.572 | 747.203 | 0.000 | -0.000 | 0.000 |
| -0.000 | 0.000 | 0.000 | 144.069 | 0.000 | -0.000 |
| 0.004 | -0.020 | 0.008 | -0.000 | 248.172 | 0.000 |
| 0.009 | -0.043 | 0.015 | 0.000 | 0.000 | 172.581 |
| 360.667 | 60.008 | 51.617 | -0.859 | 0.000 | -0.001 |
| 861.696 | 1111.529 | -1389.048 | 2.937 | 0.000 | -0.000 |
| 887.153 | 887.169 | -1267.016 | -0.002 | 0.000 | -0.000 |
| -0.859 | 0.859 | 0.000 | 120.522 | -0.000 | -0.001 |
| 575.534 | 575.422 | -820.335 | 0.007 | 77.552 | -16.068 |
| 575.139 | 575.026 | -819.770 | 0.007 | -16.055 | 72.353 |
| -625.047 | -877.335 | 1434.899 | -2.654 | 0.000 | 0.000 |
| 60.007 | 360.666 | 51.617 | 0.859 | 0.000 | 0.001 |
| -846.052 | -846.061 | 1551.077 | 0.001 | 0.000 | 0.000 |
| -0.859 | 0.858 | -0.000 | 120.523 | 0.000 | 0.001 |
| -867.796 | -867.709 | 1590.614 | -0.006 | 69.594 | -8.577 |
| -575.138 | -575.026 | 819.771 | -0.007 | -16.054 | 72.359 |
| 360.667 | 60.008 | 51.617 | -0.859 | -0.000 | -0.000 |
| 87.391 | 308.002 | -93.806 | 6.331 | 0.000 | -0.000 |
| 149.709 | 149.699 | -10.391 | 0.001 | -0.000 | -0.000 |
| 83.266 | 90.512 | -140.553 | 85.150 | -0.000 | -0.000 |
| 56.294 | 56.283 | -80.238 | 0.001 | 78.493 | -15.732 |
| 84.002 | 84.000 | -134.104 | 0.000 | -5.682 | 113.306 |
| 105.417 | -82.995 | 187.530 | -6.782 | 0.000 | 0.000 |
| -6.907 | 145.517 | 181.758 | 15.303 | 0.000 | 0.000 |
| 42.420 | 42.428 | 172.239 | -0.001 | 0.000 | 0.000 |
| -72.025 | -40.551 | 80.238 | 78.492 | 0.000 | 0.000 |
| -56.294 | -56.283 | 80.238 | -0.001 | 78.493 | -15.732 |
| -84.002 | -84.001 | 134.105 | -0.000 | -5.682 | 113.306 |
| 197.347 | 5.194 | 8.520 | -6.277 | -0.000 | -0.000 |
| 55.528 | 258.153 | 80.992 | 10.411 | -0.000 | -0.000 |
| 29.802 | 29.802 | 43.159 | 0.000 | -0.000 | -0.000 |
| -7.726 | 16.090 | -5.961 | 89.296 | -0.000 | -0.000 |
| 4.183 | 4.182 | -5.962 | 0.000 | 89.295 | -11.909 |
| 8.525 | 8.525 | -13.368 | 0.000 | -8.678 | 99.815 |
| 242.274 | 47.374 | 94.425 | -11.164 | 0.000 | 0.000 |
| -9.872 | 184.634 | 44.401 | 6.339 | 0.000 | 0.000 |
| 73.001 | 73.002 | 164.255 | -0.000 | 0.000 | 0.000 |
| -17.358 | -3.783 | 16.887 | 73.741 | 0.000 | 0.000 |
| -4.183 | -4.182 | 5.962 | -0.000 | 89.295 | -11.909 |
| -8.525 | -8.525 | 13.368 | -0.000 | -8.678 | 99.815 |
| 953.566 | 67.371 | 140.417 | -0.000 | -0.000 | 0.000 |
| 65.388 | 1029.930 | 145.879 | -0.000 | -0.001 | -0.000 |
| -250.519 | 174.335 | 1157.885 | -0.000 | -0.000 | 0.000 |
| -349.062 | 24.559 | 158.112 | 260.278 | -0.001 | 0.000 |
| 0.001 | -0.000 | -0.000 | -0.000 | 389.946 | 0.000 |
| -455.456 | -0.747 | 315.093 | -0.000 | -0.001 | 302.388 |
| 953.564 | 67.371 | 140.417 | 0.000 | 0.001 | 0.000 |
| 65.386 | 1029.930 | 145.879 | -0.000 | 0.001 | -0.000 |
| 144.429 | 151.877 | 947.965 | 0.000 | 0.001 | -0.000 |
| 349.062 | -24.559 | -158.112 | 260.278 | 0.001 | 0.000 |
| -0.001 | -0.000 | 0.000 | 0.000 | 389.946 | 0.000 |
| 455.456 | 0.746 | -315.092 | 0.000 | 0.001 | 302.387 |
| 953.565 | 67.371 | 140.417 | -0.000 | 0.000 | 0.000 |
| 65.387 | 1029.930 | 145.880 | -0.000 | -0.000 | 0.000 |
| 169.933 | 158.059 | 893.804 | -0.000 | -0.000 | -0.000 |
| -43.947 | -1.931 | 25.675 | 379.579 | -0.000 | 0.000 |
| -15.980 | 1.124 | 7.238 | -0.000 | 301.672 | 0.000 |
| -20.052 | 1.411 | 9.083 | -0.000 | -0.000 | 312.885 |
| 804.699 | 133.898 | 184.899 | 0.000 | 0.000 | 0.000 |
| 174.547 | 935.060 | 126.356 | 0.000 | -0.000 | 0.000 |
| 213.781 | 168.515 | 862.151 | 0.000 | 0.000 | -0.000 |
| 43.947 | 1.931 | -25.675 | 379.579 | 0.000 | 0.000 |
| 15.980 | -1.124 | -7.238 | 0.000 | 301.672 | 0.000 |
| 20.051 | -1.411 | -9.083 | 0.000 | 0.000 | 312.886 |
| 806.985 | 144.404 | 188.700 | -0.000 | -0.000 | 0.000 |
| 122.225 | 938.862 | 159.720 | -0.000 | 0.000 | 0.000 |
| 181.739 | 166.247 | 888.105 | -0.000 | -0.000 | 0.000 |
| -2.373 | 0.013 | 1.158 | 378.657 | -0.000 | -0.000 |
| -3.054 | -0.061 | 1.533 | -0.000 | 307.340 | 0.000 |
| -4.959 | -0.244 | 2.945 | -0.000 | 0.000 | 311.896 |
| 771.277 | 133.134 | 202.288 | 0.000 | -0.000 | 0.000 |
| 132.818 | 936.209 | 150.285 | 0.000 | -0.000 | -0.000 |
| 212.132 | 156.182 | 870.300 | 0.000 | 0.000 | -0.000 |
| 2.373 | -0.013 | -1.158 | 378.657 | 0.000 | -0.000 |
| 3.054 | 0.061 | -1.533 | 0.000 | 307.340 | 0.000 |
| 3.336 | 0.069 | -2.576 | 0.000 | -0.000 | 311.629 |
| 1397.524 | 427.638 | -487.054 | 0.000 | -160.679 | 0.000 |
| 806.202 | 1197.190 | -575.819 | 0.000 | -216.180 | 0.000 |
| 787.647 | 450.357 | 195.739 | 0.000 | -203.915 | 0.000 |
| 0.000 | -0.000 | 0.000 | 453.760 | 0.000 | -42.871 |
| 31.512 | -68.437 | 59.671 | 0.000 | 379.372 | 0.000 |
| 1021.236 | 55.057 | -637.150 | -5.813 | -29.451 | 316.782 |
| 150.600 | -151.374 | 916.398 | -0.000 | 268.483 | -0.000 |
| -443.631 | 623.820 | 827.349 | -0.000 | 208.639 | 0.000 |
| -455.871 | -136.898 | 1600.119 | -0.000 | 226.286 | -0.000 |
| -0.000 | 0.000 | -0.000 | 453.760 | -0.000 | -42.871 |
| -1001.700 | -64.421 | 674.524 | -0.000 | 337.090 | -0.000 |
| -1021.237 | -55.058 | 637.150 | -5.813 | 29.451 | 316.782 |
| 882.460 | 147.871 | 124.209 | 0.000 | 38.072 | -0.000 |
| 237.053 | 935.738 | 81.449 | 0.000 | -21.626 | 0.000 |
| 234.078 | 187.524 | 827.783 | 0.000 | -5.660 | -0.000 |
| 93.097 | 8.698 | -64.826 | 374.767 | -6.570 | 1.199 |
| 31.511 | -68.436 | 59.671 | 0.000 | 379.372 | -0.000 |
| 54.956 | 25.984 | -62.216 | 7.167 | -19.161 | 313.775 |
| 937.597 | 75.551 | 138.236 | -0.000 | 70.905 | 0.000 |
| 82.410 | 1025.737 | 129.126 | -0.000 | -70.146 | 0.000 |
| 136.268 | 134.756 | 970.296 | -0.000 | 59.671 | 0.000 |
| -93.097 | -8.698 | 64.826 | 374.767 | 6.570 | 1.199 |
| -92.308 | -18.167 | 84.344 | -0.000 | 303.055 | -0.000 |
| -54.956 | -25.984 | 62.216 | 7.167 | 19.161 | 313.775 |
| 784.638 | 139.550 | 187.947 | 0.000 | 42.198 | -0.000 |
| 149.080 | 931.519 | 141.620 | 0.000 | -15.379 | 0.000 |
| 203.933 | 155.022 | 870.363 | 0.000 | 15.797 | -0.000 |
| 6.816 | 1.384 | -5.605 | 378.523 | -1.029 | -1.375 |
| 21.488 | -12.793 | 11.116 | 0.000 | 297.861 | 0.000 |
| 12.957 | -0.440 | -7.088 | -2.167 | 0.274 | 313.518 |
| 764.262 | 140.012 | 198.278 | -0.000 | 41.356 | 0.000 |
| 126.250 | 931.078 | 153.914 | -0.000 | -16.055 | -0.000 |
| 186.012 | 153.205 | 882.880 | -0.000 | 17.071 | -0.000 |
| -6.816 | -1.384 | 5.605 | 378.523 | 1.029 | -1.375 |
| 2.905 | -14.050 | 24.857 | -0.000 | 298.676 | 0.000 |
| -12.957 | 0.440 | 7.088 | -2.167 | -0.274 | 313.518 |
| 715.212 | 215.367 | 178.011 | 0.000 | -0.001 | -0.000 |
| 215.367 | 715.212 | 178.011 | -0.000 | -0.001 | -0.000 |
| 154.995 | 154.995 | 1014.646 | 0.000 | -0.000 | -0.000 |
| 0.000 | 0.000 | -0.001 | 344.537 | -0.001 | 0.000 |
| 0.000 | 0.000 | -0.001 | -0.000 | 344.536 | -0.000 |
| 0.000 | 0.000 | -0.000 | 0.000 | -0.000 | 275.324 |
| 715.213 | 215.366 | 178.012 | 0.001 | 0.001 | 0.000 |
| 215.365 | 715.213 | 178.012 | 0.000 | 0.001 | 0.000 |
| 154.995 | 154.995 | 1014.646 | 0.000 | 0.001 | 0.000 |
| -0.000 | -0.000 | 0.001 | 344.537 | 0.000 | -0.000 |
| -0.000 | -0.000 | 0.001 | 0.000 | 344.537 | 0.000 |
| -0.000 | -0.000 | 0.000 | -0.000 | 0.000 | 275.324 |
| 715.210 | 215.368 | 178.012 | -0.000 | -0.000 | -0.000 |
| 215.368 | 715.210 | 178.012 | -0.000 | -0.000 | -0.000 |
| 154.995 | 154.995 | 1014.646 | -0.000 | -0.000 | -0.000 |
| 0.000 | 0.000 | -0.000 | 344.536 | -0.000 | -0.000 |
| 0.000 | 0.000 | -0.000 | -0.000 | 344.536 | -0.000 |
| 0.000 | 0.000 | -0.000 | -0.000 | -0.000 | 250.871 |
| 715.215 | 215.365 | 178.011 | 0.000 | 0.000 | 0.000 |
| 215.365 | 715.215 | 178.011 | 0.000 | 0.000 | -0.000 |
| 154.995 | 154.995 | 1014.646 | 0.000 | 0.000 | 0.000 |
| -0.000 | -0.000 | 0.000 | 344.536 | 0.000 | -0.000 |
| -0.000 | -0.000 | 0.000 | 0.000 | 344.536 | 0.000 |
| -0.000 | -0.000 | 0.000 | 0.000 | 0.000 | 250.871 |
| 702.489 | 262.587 | 155.004 | -0.000 | -0.000 | -0.000 |
| 262.587 | 702.489 | 155.004 | -0.000 | -0.000 | -0.000 |
| 154.995 | 154.995 | 1014.649 | -0.000 | -0.000 | -0.000 |
| 0.000 | 0.000 | 0.000 | 344.536 | -0.000 | 0.000 |
| 0.000 | 0.000 | 0.000 | -0.000 | 344.536 | -0.000 |
| -0.000 | 0.000 | -0.000 | -0.000 | -0.000 | 250.871 |
| 702.543 | 262.554 | 154.986 | 0.000 | 0.000 | 0.000 |
| 262.554 | 702.543 | 154.986 | 0.000 | 0.000 | 0.000 |
| 154.995 | 154.995 | 1014.643 | 0.000 | 0.000 | 0.000 |
| -0.000 | -0.000 | -0.000 | 344.536 | 0.000 | -0.000 |
| -0.000 | -0.000 | -0.000 | 0.000 | 344.536 | 0.000 |
| 0.000 | -0.000 | 0.000 | 0.000 | 0.000 | 250.871 |
| 952.551 | 71.009 | 111.115 | 0.000 | -0.001 | 0.000 |
| 71.009 | 952.551 | 111.115 | 0.000 | -0.001 | -0.000 |
| 107.727 | 107.727 | 1079.853 | -0.000 | -0.001 | 0.000 |
| 0.000 | 0.000 | -0.001 | 340.777 | -0.001 | 0.000 |
| -0.000 | -0.000 | -0.001 | -0.000 | 340.778 | -0.000 |
| -0.000 | -0.000 | -0.001 | -0.000 | -0.001 | 251.300 |
| 712.329 | 213.171 | 177.872 | 0.000 | 0.001 | -0.000 |
| 213.171 | 712.329 | 177.872 | 0.000 | 0.001 | 0.000 |
| 107.727 | 107.727 | 1079.854 | -0.000 | 0.001 | -0.000 |
| -0.000 | -0.000 | 0.001 | 340.778 | 0.001 | -0.000 |
| 0.000 | 0.000 | 0.001 | 0.001 | 340.780 | 0.000 |
| 0.000 | -0.000 | 0.001 | -0.000 | 0.001 | 251.300 |
| 700.088 | 258.561 | 155.305 | -0.000 | -0.000 | 0.000 |
| 258.561 | 700.088 | 155.305 | -0.000 | -0.000 | 0.000 |
| 151.915 | 151.915 | 1019.690 | -0.000 | -0.000 | -0.000 |
| 0.000 | 0.000 | -0.000 | 340.779 | -0.000 | -0.000 |
| 0.000 | 0.000 | -0.000 | -0.000 | 340.779 | -0.000 |
| -0.000 | -0.000 | -0.000 | 0.000 | -0.000 | 276.127 |
| 700.093 | 258.558 | 155.303 | 0.000 | 0.000 | -0.000 |
| 258.558 | 700.093 | 155.303 | 0.000 | 0.000 | -0.000 |
| 107.727 | 107.727 | 1079.853 | -0.000 | 0.000 | 0.000 |
| -0.000 | -0.000 | 0.000 | 340.779 | 0.000 | 0.000 |
| 0.000 | -0.000 | 0.000 | -0.000 | 340.779 | 0.000 |
| 0.000 | 0.000 | 0.000 | -0.000 | 0.000 | 276.127 |
| 700.065 | 258.575 | 155.312 | -0.000 | -0.000 | -0.000 |
| 258.575 | 700.065 | 155.312 | -0.000 | -0.000 | 0.000 |
| 151.916 | 151.916 | 1019.692 | -0.000 | -0.000 | 0.000 |
| 0.000 | -0.000 | 0.000 | 368.721 | -0.000 | 0.000 |
| -0.000 | 0.000 | 0.000 | 0.000 | 368.721 | 0.000 |
| -0.000 | 0.000 | -0.000 | -0.000 | -0.000 | 251.300 |
| 700.116 | 258.544 | 155.295 | 0.000 | 0.000 | -0.000 |
| 258.544 | 700.116 | 155.295 | 0.000 | 0.000 | 0.000 |
| 151.915 | 151.915 | 1019.686 | 0.000 | 0.000 | -0.000 |
| -0.000 | 0.000 | -0.000 | 368.721 | 0.000 | -0.000 |
| 0.000 | -0.000 | -0.000 | 0.000 | 368.721 | -0.000 |
| 0.000 | -0.000 | 0.000 | 0.000 | 0.000 | 251.300 |
| 494.321 | 170.493 | 170.493 | 0.000 | 0.000 | 0.000 |
| 170.493 | 494.322 | 170.493 | -0.000 | 0.000 | -0.000 |
| 169.484 | 169.484 | 498.656 | -0.000 | 0.000 | 0.000 |
| 0.219 | 0.220 | 0.219 | 215.677 | 0.000 | 0.000 |
| 0.219 | 0.220 | 0.220 | -0.000 | 215.677 | -0.000 |
| 0.219 | 0.220 | 0.220 | 0.000 | 0.000 | 215.676 |
| 493.180 | 170.582 | 170.582 | 0.000 | -0.000 | -0.000 |
| 170.582 | 493.180 | 170.582 | -0.000 | -0.000 | -0.000 |
| 107.022 | 107.022 | 628.258 | -0.000 | -0.000 | 0.000 |
| -0.219 | -0.220 | -0.220 | 215.677 | -0.000 | -0.000 |
| -0.219 | -0.220 | -0.219 | 0.000 | 215.676 | -0.000 |
| -0.219 | -0.219 | -0.220 | 0.000 | -0.000 | 215.676 |
| 498.417 | 169.317 | 169.317 | 0.000 | 0.000 | 0.000 |
| 169.317 | 498.417 | 169.317 | 0.000 | 0.000 | 0.000 |
| 169.317 | 169.317 | 498.417 | 0.000 | 0.000 | -0.000 |
| 0.022 | 0.022 | 0.022 | 215.684 | 0.000 | 0.000 |
| 0.022 | 0.022 | 0.022 | -0.000 | 215.684 | 0.000 |
| 0.022 | 0.022 | 0.022 | 0.000 | 0.000 | 215.684 |
| 498.364 | 169.280 | 169.280 | -0.000 | -0.000 | -0.000 |
| 169.280 | 498.364 | 169.280 | 0.000 | -0.000 | -0.000 |
| 169.280 | 169.280 | 498.364 | -0.000 | -0.000 | 0.000 |
| -0.022 | -0.022 | -0.022 | 215.684 | -0.000 | -0.000 |
| -0.022 | -0.022 | -0.022 | 0.000 | 215.684 | -0.000 |
| -0.022 | -0.022 | -0.022 | 0.000 | -0.000 | 215.684 |
| 493.377 | 170.800 | 170.800 | -0.000 | 0.000 | -0.000 |
| 170.800 | 493.377 | 170.800 | 0.000 | 0.000 | -0.000 |
| 170.800 | 170.800 | 493.377 | 0.000 | 0.000 | -0.000 |
| 0.003 | 0.003 | 0.003 | 214.332 | 0.000 | -0.000 |
| 0.003 | 0.003 | 0.003 | -0.000 | 214.332 | 0.000 |
| 0.003 | 0.003 | 0.003 | 0.000 | 0.000 | 214.332 |
| 493.350 | 170.805 | 170.805 | -0.000 | -0.000 | 0.000 |
| 170.805 | 493.350 | 170.805 | -0.000 | -0.000 | 0.000 |
| 170.805 | 170.805 | 493.350 | -0.000 | -0.000 | -0.000 |
| -0.003 | -0.003 | -0.003 | 214.332 | 0.000 | 0.000 |
| -0.003 | -0.003 | -0.003 | -0.000 | 214.332 | 0.000 |
| -0.003 | -0.003 | -0.003 | 0.000 | -0.000 | 214.332 |
| 226.642 | 144.470 | 144.470 | -0.000 | -0.000 | 0.000 |
| 144.470 | 226.642 | 144.469 | 0.000 | -0.000 | -0.000 |
| 144.470 | 144.470 | 226.642 | 0.000 | -0.000 | 0.000 |
| 0.000 | 0.000 | 0.000 | 98.671 | -0.000 | -0.000 |
| 0.000 | 0.000 | 0.000 | 0.000 | 98.671 | 0.000 |
| 0.000 | 0.000 | -0.000 | 0.000 | -0.000 | 98.671 |
| 277.040 | 119.270 | 119.270 | -0.000 | 0.000 | 0.000 |
| 119.270 | 277.040 | 119.270 | -0.000 | 0.000 | 0.000 |
| 119.270 | 119.270 | 277.040 | 0.000 | -0.000 | -0.000 |
| -0.000 | -0.000 | 0.000 | 98.671 | 0.000 | 0.000 |
| -0.000 | -0.000 | -0.000 | -0.000 | 98.672 | 0.000 |
| -0.000 | -0.000 | -0.000 | -0.000 | 0.000 | 98.671 |
| 226.630 | 144.475 | 144.475 | 0.000 | -0.000 | -0.000 |
| 144.475 | 226.630 | 144.475 | 0.000 | -0.000 | -0.000 |
| 144.475 | 144.475 | 226.630 | 0.000 | -0.000 | -0.000 |
| 0.000 | -0.000 | -0.000 | 98.671 | -0.000 | -0.000 |
| -0.000 | 0.000 | -0.000 | 0.000 | 98.671 | -0.000 |
| -0.000 | 0.000 | 0.000 | 0.000 | -0.000 | 98.671 |
| 226.641 | 144.470 | 144.470 | -0.000 | 0.000 | 0.000 |
| 144.470 | 226.641 | 144.470 | -0.000 | 0.000 | 0.000 |
| 144.470 | 144.470 | 226.641 | -0.000 | 0.000 | -0.000 |
| -0.000 | 0.000 | -0.000 | 98.671 | 0.000 | 0.000 |
| 0.000 | -0.000 | 0.000 | -0.000 | 98.671 | 0.000 |
| 0.000 | -0.000 | -0.000 | -0.000 | 0.000 | 98.671 |
| 226.644 | 144.469 | 144.469 | 0.000 | -0.000 | -0.000 |
| 144.469 | 226.644 | 144.469 | -0.000 | -0.000 | 0.000 |
| 144.469 | 144.469 | 226.644 | 0.000 | -0.000 | -0.000 |
| 0.000 | -0.000 | -0.000 | 98.671 | -0.000 | 0.000 |
| -0.000 | 0.000 | -0.000 | 0.000 | 98.671 | 0.000 |
| -0.000 | -0.000 | 0.000 | -0.000 | -0.000 | 98.671 |
| 226.639 | 144.470 | 144.470 | -0.000 | 0.000 | 0.000 |
| 144.470 | 226.639 | 144.470 | -0.000 | 0.000 | 0.000 |
| 144.470 | 144.470 | 226.639 | -0.000 | 0.000 | 0.000 |
| -0.000 | 0.000 | 0.000 | 98.671 | 0.000 | -0.000 |
| 0.000 | -0.000 | 0.000 | -0.000 | 98.671 | -0.000 |
| 0.000 | 0.000 | -0.000 | -0.000 | 0.000 | 98.671 |
| 471.152 | 102.628 | 102.627 | -0.000 | 0.000 | 0.000 |
| 102.626 | 471.151 | 102.628 | -0.000 | 0.000 | -0.000 |
| 102.626 | 102.628 | 471.152 | -0.000 | 0.001 | 0.000 |
| -0.000 | 0.000 | -0.000 | 286.952 | 0.000 | -0.000 |
| -0.000 | -0.000 | 0.000 | 0.000 | 286.952 | 0.000 |
| -0.000 | -0.000 | -0.000 | 0.000 | 0.000 | 286.952 |
| 614.177 | 125.932 | 125.932 | -0.000 | -0.000 | -0.000 |
| 125.932 | 614.176 | 125.932 | -0.000 | -0.000 | 0.000 |
| 125.932 | 125.932 | 614.177 | -0.000 | -0.000 | 0.000 |
| 0.001 | -0.000 | 0.000 | 286.952 | -0.000 | -0.000 |
| 0.001 | 0.000 | 0.000 | -0.000 | 286.951 | -0.000 |
| 0.000 | -0.001 | -0.000 | -0.000 | -0.000 | 286.952 |
| 513.280 | 132.325 | 132.325 | -0.000 | 0.000 | 0.000 |
| 132.325 | 513.280 | 132.325 | 0.000 | 0.000 | -0.000 |
| 132.325 | 132.325 | 513.280 | 0.000 | 0.000 | 0.000 |
| -0.001 | -0.001 | -0.001 | 176.895 | 0.000 | 0.000 |
| -0.001 | -0.001 | -0.001 | 0.000 | 176.895 | 0.000 |
| -0.001 | -0.001 | -0.001 | 0.000 | 0.000 | 176.895 |
| 446.134 | 89.898 | 89.898 | -0.000 | 0.000 | -0.000 |
| 89.898 | 446.134 | 89.898 | -0.000 | -0.000 | -0.000 |
| 89.898 | 89.898 | 446.134 | -0.000 | -0.000 | 0.000 |
| 0.001 | 0.001 | 0.001 | 176.895 | -0.000 | -0.000 |
| 0.001 | 0.001 | 0.001 | -0.000 | 176.895 | -0.000 |
| 0.001 | 0.000 | 0.001 | -0.000 | -0.000 | 176.895 |
| 513.321 | 132.324 | 132.323 | -0.000 | 0.000 | 0.000 |
| 132.323 | 513.321 | 132.324 | 0.000 | 0.000 | 0.000 |
| 132.324 | 132.323 | 513.321 | 0.000 | 0.000 | -0.000 |
| 0.000 | -0.000 | -0.000 | 161.000 | 0.000 | -0.000 |
| -0.000 | -0.000 | -0.000 | 0.000 | 158.171 | 0.000 |
| -0.000 | -0.000 | -0.000 | 0.000 | 0.000 | 158.171 |
| 446.618 | 89.911 | 89.911 | 0.000 | -0.000 | 0.000 |
| 89.911 | 446.618 | 89.911 | -0.000 | -0.000 | -0.000 |
| 89.911 | 89.911 | 446.618 | 0.000 | -0.000 | -0.000 |
| -0.000 | 0.000 | 0.000 | 161.000 | -0.000 | -0.000 |
| 0.000 | 0.000 | 0.000 | 0.000 | 158.171 | -0.000 |
| 0.000 | 0.000 | -0.000 | -0.000 | -0.000 | 161.000 |
| -20.679 | -62.659 | -62.660 | -0.000 | 0.001 | 0.000 |
| -62.663 | -20.675 | -62.663 | -0.000 | 0.002 | 0.000 |
| -62.660 | -62.660 | -20.679 | -0.000 | 0.002 | 0.000 |
| -0.000 | 0.000 | -0.000 | 97.371 | 0.002 | 0.000 |
| -0.000 | 0.000 | -0.000 | 0.000 | 97.372 | 0.000 |
| -0.000 | 0.000 | -0.000 | -0.000 | 0.001 | 97.371 |
| -89.967 | -61.920 | -61.919 | 0.000 | -0.002 | -0.000 |
| -61.920 | -89.967 | -61.920 | 0.000 | -0.002 | -0.000 |
| -61.920 | -61.920 | -89.968 | 0.000 | -0.001 | -0.000 |
| 0.000 | -0.000 | -0.000 | 97.371 | -0.002 | -0.000 |
| -0.000 | -0.000 | 0.000 | 0.000 | 97.369 | -0.000 |
| -0.000 | 0.000 | 0.000 | -0.000 | -0.001 | 97.370 |
| 255.490 | 60.749 | 60.749 | -0.000 | 0.000 | 0.000 |
| 60.749 | 255.490 | 60.749 | -0.000 | 0.000 | 0.000 |
| 60.749 | 60.749 | 255.490 | -0.000 | 0.000 | 0.000 |
| -0.000 | 0.000 | -0.000 | 97.370 | 0.000 | 0.000 |
| -0.000 | 0.000 | 0.000 | -0.000 | 97.370 | 0.000 |
| -0.000 | 0.000 | -0.000 | 0.000 | 0.000 | 97.370 |
| 255.489 | 60.749 | 60.749 | 0.000 | -0.000 | -0.000 |
| 60.749 | 255.489 | 60.749 | 0.000 | -0.000 | -0.000 |
| 60.749 | 60.749 | 255.489 | -0.000 | -0.000 | -0.000 |
| 0.000 | -0.000 | -0.000 | 97.370 | -0.000 | -0.000 |
| 0.000 | -0.000 | 0.000 | -0.000 | 97.370 | -0.000 |
| 0.000 | -0.000 | -0.000 | 0.000 | -0.000 | 97.370 |
| 42.216 | 19.908 | 19.908 | -0.000 | 0.000 | 0.000 |
| 43.118 | 73.487 | 43.118 | -0.000 | 0.000 | 0.000 |
| 43.118 | 43.118 | 73.487 | 0.000 | 0.000 | 0.000 |
| 0.561 | 0.561 | 0.561 | 17.935 | 0.000 | 0.000 |
| 0.476 | 0.476 | 0.476 | -0.000 | 64.909 | 0.000 |
| 0.561 | 0.561 | 0.561 | -0.000 | 0.000 | 17.935 |
| 26.809 | -9.941 | -9.941 | 0.000 | -0.000 | -0.000 |
| -9.941 | 26.809 | -9.941 | 0.000 | -0.000 | -0.000 |
| -9.941 | -9.941 | 26.809 | 0.000 | -0.000 | -0.000 |
| -0.561 | -0.561 | -0.561 | 17.935 | -0.000 | -0.000 |
| -0.476 | -0.476 | -0.476 | -0.000 | 64.909 | -0.000 |
| -0.561 | -0.561 | -0.561 | 0.000 | -0.000 | 17.935 |
| 326.559 | 57.768 | 110.154 | 0.000 | -0.000 | -0.000 |
| 113.473 | 487.570 | 89.193 | 0.000 | -0.000 | -0.000 |
| 91.170 | 89.192 | 548.676 | 0.000 | -0.000 | -0.000 |
| 0.000 | -0.001 | -0.000 | 198.954 | -0.000 | -0.000 |
| -0.000 | -0.001 | -0.000 | -0.000 | 225.112 | -0.000 |
| 0.001 | -0.001 | 0.001 | 0.000 | 0.000 | 149.822 |
| 374.433 | 113.936 | 120.344 | -0.000 | -0.000 | 0.000 |
| 113.473 | 487.572 | 89.193 | 0.000 | 0.000 | 0.000 |
| 91.170 | 89.194 | 548.677 | 0.000 | -0.000 | 0.000 |
| -0.000 | 0.001 | 0.000 | 198.954 | -0.000 | 0.000 |
| 0.000 | 0.001 | 0.000 | -0.000 | 225.112 | 0.000 |
| -0.001 | 0.001 | -0.001 | -0.000 | 0.000 | 149.822 |
| 522.614 | 113.473 | 91.170 | 0.000 | 0.000 | -0.000 |
| 113.915 | 355.989 | 117.918 | 0.000 | 0.000 | -0.000 |
| 112.751 | 61.066 | 289.659 | -0.000 | 0.000 | -0.000 |
| -0.000 | -0.000 | 0.000 | 198.954 | -0.000 | -0.000 |
| 0.000 | -0.000 | 0.000 | 0.000 | 170.646 | -0.000 |
| 0.000 | -0.000 | 0.000 | 0.000 | 0.000 | 149.822 |
| 374.435 | 113.934 | 120.345 | -0.000 | -0.000 | 0.000 |
| 113.473 | 487.571 | 89.193 | -0.000 | -0.000 | 0.000 |
| 64.727 | 38.551 | 253.715 | -0.000 | -0.000 | 0.000 |
| 0.000 | 0.000 | -0.000 | 198.954 | -0.000 | 0.000 |
| -0.000 | 0.000 | -0.000 | 0.000 | 170.646 | 0.000 |
| -0.000 | 0.000 | -0.000 | -0.000 | 0.000 | 149.822 |
| 274.843 | 28.933 | 52.715 | 0.000 | 0.000 | -0.000 |
| 30.766 | 223.232 | 20.605 | 0.000 | 0.000 | 0.000 |
| 112.604 | 60.926 | 290.606 | 0.000 | 0.000 | -0.000 |
| -0.000 | -0.000 | -0.000 | 105.277 | -0.000 | -0.000 |
| 0.000 | 0.000 | 0.000 | 0.000 | 225.112 | -0.000 |
| -0.000 | 0.000 | 0.000 | 0.000 | 0.000 | 133.196 |
| 326.575 | 57.766 | 110.149 | -0.000 | -0.000 | 0.000 |
| 53.261 | 191.735 | 22.214 | -0.000 | -0.000 | 0.000 |
| 61.410 | 19.364 | 240.738 | -0.000 | -0.000 | 0.000 |
| 0.000 | 0.000 | 0.000 | 105.277 | -0.000 | 0.000 |
| -0.000 | -0.000 | -0.000 | -0.000 | 225.112 | 0.000 |
| 0.000 | -0.000 | -0.000 | -0.000 | -0.000 | 133.196 |
| 429.101 | 156.308 | 129.043 | 0.650 | -0.146 | 0.211 |
| 15.005 | 64.039 | -170.287 | -0.147 | -0.039 | 0.276 |
| 34.357 | 42.353 | 272.630 | -0.000 | -0.000 | 0.000 |
| 2.257 | -37.637 | -69.870 | 61.471 | -0.136 | 0.397 |
| 3.882 | -17.829 | -172.188 | -0.169 | 64.265 | 0.273 |
| 3.880 | -17.999 | -171.907 | -0.163 | -0.037 | 44.221 |
| -381.931 | -146.673 | -80.194 | -0.392 | 0.068 | -0.616 |
| -391.011 | -271.066 | -134.605 | -0.429 | 0.071 | -0.631 |
| 34.357 | 42.353 | 272.630 | 0.000 | 0.000 | 0.000 |
| -3.880 | 17.891 | 172.050 | 54.316 | 0.036 | -0.274 |
| -209.756 | -151.933 | 211.591 | -0.096 | 21.205 | -0.384 |
| -0.000 | 0.000 | 0.000 | 0.000 | -0.000 | 113.633 |
| -1.127 | -15.798 | -9.016 | 0.024 | -0.006 | 0.030 |
| 24.503 | 23.265 | -13.482 | 0.039 | -0.011 | 0.038 |
| 19.021 | 15.748 | 106.684 | 0.009 | -0.006 | 0.031 |
| 47.357 | 12.645 | 5.888 | 2.883 | -0.009 | 0.032 |
| -0.000 | 0.000 | 0.000 | -0.000 | 101.281 | -0.000 |
| 11.312 | 0.120 | -17.196 | 0.088 | -0.014 | 12.405 |
| -17.638 | -35.154 | -10.181 | -0.080 | 0.016 | -0.030 |
| -61.331 | -16.640 | -6.717 | -0.101 | 0.012 | -0.034 |
| -23.604 | -26.214 | 60.910 | -0.075 | 0.014 | -0.027 |
| -0.208 | 3.467 | 6.435 | 63.792 | 0.012 | -0.037 |
| -40.969 | -17.748 | -14.698 | -0.065 | 15.601 | -0.024 |
| -11.308 | -0.118 | 17.192 | -0.088 | 0.014 | 12.342 |
| 1.222 | 3.051 | -5.668 | 0.005 | -0.001 | 0.003 |
| -2.964 | 6.061 | -3.051 | 0.002 | -0.001 | 0.003 |
| 12.103 | -7.436 | 75.110 | 0.007 | -0.001 | 0.003 |
| 0.704 | 2.674 | -2.334 | 4.822 | -0.001 | 0.003 |
| 3.247 | 2.175 | 0.013 | 0.005 | 11.716 | 0.004 |
| 2.338 | 0.818 | 0.322 | 0.009 | -0.002 | 12.487 |
| -2.327 | -1.233 | -3.005 | -0.004 | 0.001 | -0.003 |
| -7.013 | 1.035 | -0.903 | -0.013 | 0.002 | -0.003 |
| -3.244 | -2.759 | 71.042 | -0.005 | 0.001 | -0.003 |
| -3.255 | -2.302 | -0.420 | 8.702 | 0.001 | -0.004 |
| -3.188 | -1.314 | -1.260 | -0.006 | 31.089 | -0.003 |
| -3.089 | -0.889 | -0.327 | -0.000 | 0.000 | 9.429 |
| 398.936 | 121.253 | 120.044 | -0.000 | 0.000 | -0.001 |
| 121.253 | 398.936 | 120.044 | -0.000 | 0.000 | -0.000 |
| 95.272 | 95.271 | 520.460 | 0.000 | -0.000 | -0.000 |
| 0.000 | -0.000 | 0.000 | 202.339 | 0.000 | -0.000 |
| 0.001 | -0.000 | -0.000 | 0.000 | 202.339 | -0.000 |
| 0.000 | 0.000 | -0.000 | 0.000 | -0.000 | 191.354 |
| 398.938 | 121.254 | 120.043 | -0.000 | 0.000 | 0.000 |
| 121.253 | 398.939 | 120.043 | -0.000 | -0.000 | 0.000 |
| 81.788 | 81.789 | 320.795 | -0.000 | 0.000 | 0.000 |
| -0.000 | 0.000 | -0.000 | 202.339 | 0.000 | 0.000 |
| -0.000 | 0.000 | -0.000 | 0.000 | 202.339 | 0.000 |
| -0.000 | -0.000 | 0.000 | -0.000 | -0.000 | 191.355 |
| 398.935 | 121.254 | 120.044 | 0.000 | -0.000 | -0.000 |
| 121.254 | 398.935 | 120.044 | -0.000 | 0.000 | -0.000 |
| 121.104 | 121.104 | 429.264 | 0.000 | 0.000 | -0.000 |
| -0.000 | -0.000 | 0.000 | 113.067 | 0.000 | -0.000 |
| -0.000 | -0.000 | 0.000 | 0.000 | 127.199 | -0.000 |
| 0.000 | -0.000 | 0.000 | 0.000 | -0.000 | 191.354 |
| 398.918 | 121.260 | 120.046 | -0.000 | 0.000 | 0.000 |
| 121.260 | 398.918 | 120.046 | -0.000 | 0.000 | 0.000 |
| 81.785 | 81.785 | 320.791 | -0.000 | 0.000 | 0.000 |
| 0.000 | 0.000 | -0.000 | 113.067 | -0.000 | 0.000 |
| 0.000 | 0.000 | -0.000 | 0.000 | 113.067 | 0.000 |
| -0.000 | 0.000 | -0.000 | 0.000 | -0.000 | 191.354 |
| 253.138 | 81.482 | 29.380 | 0.000 | -0.000 | -0.000 |
| 81.482 | 253.138 | 29.380 | 0.000 | -0.000 | -0.000 |
| 57.716 | 57.716 | 285.834 | -0.000 | 0.000 | -0.000 |
| 0.000 | 0.000 | 0.000 | 202.339 | -0.000 | -0.000 |
| 0.000 | 0.000 | 0.000 | -0.000 | 202.339 | -0.000 |
| -0.000 | 0.000 | 0.000 | -0.000 | 0.000 | 191.354 |
| 398.958 | 121.246 | 120.039 | 0.000 | -0.000 | 0.000 |
| 121.246 | 398.958 | 120.039 | 0.000 | -0.000 | 0.000 |
| 45.113 | 45.113 | 275.842 | 0.000 | -0.000 | 0.000 |
| -0.000 | -0.000 | -0.000 | 202.339 | 0.000 | 0.000 |
| -0.000 | -0.000 | -0.000 | -0.000 | 202.339 | 0.000 |
| 0.000 | -0.000 | -0.000 | -0.000 | 0.000 | 191.354 |
| 28.956 | -134.655 | 406.756 | -0.000 | -0.000 | 0.000 |
| -134.655 | 28.956 | 406.756 | -0.000 | -0.000 | 0.000 |
| -106.136 | -106.136 | 474.186 | 0.000 | -0.000 | 0.000 |
| -283.706 | -283.706 | 833.674 | 73.035 | -0.000 | 0.000 |
| -283.706 | -283.706 | 833.674 | -0.000 | 73.035 | 0.000 |
| -283.708 | -283.708 | 833.681 | -0.000 | -0.000 | 111.355 |
| 538.065 | 335.878 | -770.114 | 0.000 | 0.000 | -0.000 |
| 335.878 | 538.065 | -770.114 | 0.000 | 0.000 | -0.000 |
| 1381.967 | 1381.967 | -2338.687 | 0.000 | 0.000 | -0.000 |
| 283.706 | 283.706 | -833.674 | 73.035 | 0.000 | -0.000 |
| 283.706 | 283.706 | -833.674 | 0.000 | 73.035 | -0.000 |
| 283.708 | 283.708 | -833.681 | 0.000 | 0.000 | 111.355 |
| 150.668 | -7.239 | 77.116 | -0.000 | 0.000 | 0.000 |
| -132.480 | -84.206 | 42.666 | -0.000 | -0.000 | 0.000 |
| -105.898 | -105.898 | -43.612 | -0.000 | -0.000 | 0.000 |
| -28.540 | -28.540 | 83.866 | 72.803 | -0.000 | 0.000 |
| -28.540 | -28.540 | 83.866 | -0.000 | 72.803 | 0.000 |
| 0.000 | 0.000 | -0.000 | -0.000 | -0.000 | 127.249 |
| 195.702 | 25.393 | 6.307 | 0.000 | 0.000 | -0.000 |
| 25.393 | 195.702 | 6.307 | 0.000 | 0.000 | -0.000 |
| 54.729 | 54.729 | 257.675 | 0.000 | 0.000 | -0.000 |
| 28.540 | 28.540 | -83.866 | 72.803 | 0.000 | -0.000 |
| 28.540 | 28.540 | -83.866 | 0.000 | 72.803 | -0.000 |
| -0.000 | -0.000 | -0.000 | 0.000 | 0.000 | 127.249 |
| 111.430 | 5.191 | 5.025 | -0.000 | -0.000 | 0.000 |
| 5.191 | 111.430 | 5.025 | -0.000 | -0.000 | 0.000 |
| 59.467 | 59.467 | 158.634 | -0.000 | -0.000 | 0.000 |
| -8.754 | -8.754 | 14.189 | 22.889 | -0.000 | 0.000 |
| -8.754 | -8.754 | 14.189 | -0.000 | 22.889 | 0.000 |
| -0.000 | 0.000 | 0.000 | 0.000 | -0.000 | 127.249 |
| 130.068 | 9.410 | -8.733 | 0.000 | 0.000 | -0.000 |
| 9.410 | 130.068 | -8.733 | 0.000 | 0.000 | -0.000 |
| 10.176 | 10.176 | -10.578 | 0.000 | 0.000 | -0.000 |
| 8.754 | 8.754 | -14.189 | 22.889 | 0.000 | -0.000 |
| 8.754 | 8.754 | -14.189 | 0.000 | 22.889 | -0.000 |
| 0.000 | -0.000 | -0.000 | 0.000 | 0.000 | 127.249 |
| 554.749 | 93.362 | 87.335 | 0.000 | 0.000 | 0.000 |
| 126.104 | 462.707 | 122.959 | -0.000 | 0.000 | -0.000 |
| 87.336 | 104.441 | 636.490 | 0.000 | 0.000 | 0.000 |
| 0.000 | 0.001 | -0.001 | 190.217 | 0.000 | -0.000 |
| -0.000 | 0.000 | -0.001 | -0.000 | 227.480 | -0.000 |
| -0.000 | 0.000 | -0.001 | -0.000 | 0.000 | 221.741 |
| 418.960 | 129.083 | 114.919 | 0.000 | -0.000 | 0.000 |
| 126.103 | 462.709 | 122.962 | 0.000 | -0.000 | -0.000 |
| 79.664 | 83.176 | 436.973 | 0.000 | -0.000 | -0.000 |
| -0.000 | -0.001 | 0.002 | 190.217 | -0.000 | -0.000 |
| 0.000 | -0.000 | 0.001 | 0.000 | 227.479 | 0.000 |
| 0.000 | -0.001 | 0.001 | 0.000 | -0.000 | 221.741 |
| 418.959 | 129.084 | 114.918 | -0.000 | 0.000 | -0.000 |
| 79.069 | 380.179 | 61.052 | -0.000 | 0.000 | 0.000 |
| 79.664 | 83.178 | 436.970 | 0.000 | 0.000 | -0.000 |
| 0.000 | 0.000 | -0.000 | 190.217 | 0.000 | -0.000 |
| 0.000 | 0.000 | -0.000 | -0.000 | 181.347 | 0.000 |
| -0.000 | 0.000 | -0.000 | -0.000 | 0.000 | 221.741 |
| 554.749 | 93.362 | 87.336 | 0.000 | -0.000 | 0.000 |
| 126.117 | 462.656 | 122.968 | 0.000 | -0.000 | 0.000 |
| 115.627 | 125.166 | 499.013 | -0.000 | -0.000 | 0.000 |
| -0.000 | 0.000 | 0.000 | 190.217 | -0.000 | 0.000 |
| -0.000 | -0.000 | 0.000 | 0.000 | 181.347 | -0.000 |
| 0.000 | -0.000 | 0.000 | 0.000 | -0.000 | 221.741 |
| 303.296 | 78.415 | 49.411 | 0.000 | 0.000 | -0.000 |
| 98.153 | 409.205 | 80.292 | -0.000 | 0.000 | -0.000 |
| 79.666 | 83.179 | 436.957 | -0.000 | 0.000 | 0.000 |
| 0.000 | 0.000 | 0.000 | 252.540 | 0.000 | -0.000 |
| -0.000 | 0.000 | 0.000 | -0.000 | 227.479 | -0.000 |
| -0.000 | -0.000 | -0.000 | -0.000 | 0.000 | 126.938 |
| 554.747 | 93.362 | 87.336 | -0.000 | -0.000 | 0.000 |
| 72.489 | 363.160 | 60.008 | -0.000 | -0.000 | -0.000 |
| 57.274 | 66.798 | 408.261 | 0.000 | -0.000 | -0.000 |
| -0.000 | -0.000 | -0.000 | 252.540 | -0.000 | -0.000 |
| 0.000 | -0.000 | -0.000 | 0.000 | 227.479 | -0.000 |
| 0.000 | 0.000 | 0.000 | 0.000 | -0.000 | 126.938 |
| 450.916 | -91.960 | -195.677 | -0.001 | 0.002 | -0.001 |
| 53.109 | 276.862 | 40.199 | -0.000 | -0.000 | -0.000 |
| 318.294 | -95.936 | -15.390 | -0.001 | 0.002 | -0.000 |
| 254.910 | -147.115 | -252.038 | 82.987 | 0.002 | -0.000 |
| 0.000 | -0.000 | 0.000 | 0.000 | 118.850 | 0.000 |
| 254.998 | -147.166 | -252.126 | -0.001 | 0.002 | 64.130 |
| 277.181 | 53.109 | 44.760 | -0.000 | 0.000 | -0.000 |
| -199.639 | 355.883 | 298.050 | 0.001 | -0.002 | 0.000 |
| -191.769 | 198.482 | 488.702 | 0.001 | -0.002 | 0.000 |
| -254.910 | 147.115 | 252.038 | 82.990 | -0.002 | 0.001 |
| -0.000 | 0.000 | -0.000 | -0.000 | 118.850 | 0.000 |
| -254.999 | 147.166 | 252.126 | 0.001 | -0.002 | 64.131 |
| 97.680 | 3.487 | -19.077 | -0.000 | -0.000 | -0.000 |
| 53.109 | 276.862 | 40.199 | 0.000 | -0.000 | 0.000 |
| 90.949 | 35.847 | 206.675 | -0.000 | 0.000 | -0.000 |
| 26.428 | -15.252 | -26.130 | 81.977 | 0.000 | -0.000 |
| 23.715 | -16.274 | -36.666 | -0.000 | 50.458 | -0.000 |
| 0.000 | 0.000 | 0.000 | 0.000 | -0.000 | 104.153 |
| 165.276 | 71.481 | 84.586 | 0.000 | -0.000 | 0.000 |
| 27.740 | 216.398 | 74.215 | 0.000 | -0.000 | 0.000 |
| 36.892 | 67.866 | 256.252 | 0.000 | -0.000 | 0.000 |
| -26.428 | 15.252 | 26.130 | 81.977 | -0.000 | 0.000 |
| -26.152 | 15.093 | 25.858 | 0.000 | 91.254 | 0.000 |
| -0.000 | -0.000 | -0.000 | -0.000 | 0.000 | 104.153 |
| 97.794 | 15.701 | 7.125 | -0.000 | -0.000 | -0.000 |
| 6.050 | 58.513 | -16.524 | -0.000 | -0.000 | -0.000 |
| 23.881 | 7.881 | 152.747 | -0.000 | -0.000 | -0.000 |
| 5.883 | -0.789 | -5.890 | 48.843 | 0.000 | -0.000 |
| -0.000 | 0.000 | 0.000 | 0.000 | 118.850 | 0.000 |
| 4.131 | 1.708 | -5.406 | -0.000 | -0.000 | 23.497 |
| 35.937 | 4.667 | 7.776 | 0.000 | 0.000 | 0.000 |
| -2.633 | 23.756 | 6.061 | 0.000 | 0.000 | 0.000 |
| -0.823 | -1.927 | 143.856 | 0.000 | -0.000 | 0.000 |
| -5.882 | 0.789 | 5.890 | 48.840 | -0.000 | 0.000 |
| -1.806 | 1.240 | 2.792 | 0.000 | 66.783 | 0.000 |
| -4.131 | -1.708 | 5.406 | 0.000 | 0.000 | 23.497 |
| 564.381 | 201.331 | 201.330 | -0.000 | -0.000 | -0.000 |
| 201.330 | 564.382 | 201.330 | 0.000 | -0.000 | 0.000 |
| 201.330 | 201.331 | 564.381 | 0.000 | -0.000 | 0.000 |
| 0.000 | -0.001 | -0.000 | 343.567 | -0.000 | -0.001 |
| 0.000 | -0.000 | -0.000 | -0.000 | 343.567 | -0.000 |
| 0.000 | -0.000 | -0.000 | -0.000 | -0.000 | 343.566 |
| 564.381 | 201.331 | 201.330 | -0.000 | 0.000 | 0.001 |
| 201.330 | 564.380 | 201.330 | 0.000 | 0.000 | 0.001 |
| 201.330 | 201.331 | 564.381 | 0.000 | 0.000 | 0.000 |
| -0.000 | -0.000 | 0.000 | 343.567 | 0.000 | 0.001 |
| -0.000 | 0.000 | 0.000 | 0.000 | 343.567 | -0.000 |
| -0.000 | 0.001 | -0.000 | -0.000 | 0.000 | 343.568 |
| 564.381 | 201.330 | 201.330 | -0.000 | -0.000 | -0.000 |
| 201.330 | 564.381 | 201.330 | 0.000 | -0.000 | -0.000 |
| 201.330 | 201.330 | 564.381 | -0.000 | -0.000 | -0.000 |
| 0.000 | -0.000 | -0.000 | 208.724 | -0.000 | 0.000 |
| -0.000 | -0.000 | -0.000 | -0.000 | 208.724 | -0.000 |
| -0.000 | 0.000 | 0.000 | -0.000 | -0.000 | 208.724 |
| 564.381 | 201.330 | 201.330 | 0.000 | 0.000 | 0.000 |
| 201.330 | 564.381 | 201.330 | 0.000 | 0.000 | 0.000 |
| 201.330 | 201.330 | 564.381 | 0.000 | 0.000 | 0.000 |
| -0.000 | 0.000 | 0.000 | 208.724 | 0.000 | -0.000 |
| 0.000 | 0.000 | 0.000 | 0.000 | 208.724 | 0.000 |
| 0.000 | -0.000 | 0.000 | 0.000 | 0.000 | 208.724 |
| 564.382 | 201.331 | 201.331 | -0.000 | -0.000 | -0.000 |
| 201.331 | 564.382 | 201.331 | -0.000 | -0.000 | -0.000 |
| 201.331 | 201.331 | 564.382 | 0.000 | -0.000 | 0.000 |
| 0.000 | 0.000 | 0.001 | 343.567 | -0.000 | -0.000 |
| 0.000 | 0.000 | 0.001 | -0.000 | 343.567 | 0.000 |
| 0.000 | 0.001 | 0.000 | -0.000 | -0.000 | 343.567 |
| 564.380 | 201.330 | 201.330 | 0.000 | 0.000 | -0.000 |
| 201.330 | 564.380 | 201.330 | 0.000 | 0.000 | 0.000 |
| 201.330 | 201.330 | 564.380 | 0.000 | 0.000 | 0.000 |
| -0.000 | -0.000 | -0.001 | 343.567 | 0.000 | 0.000 |
| -0.000 | -0.000 | -0.001 | 0.000 | 343.567 | -0.000 |
| -0.000 | -0.001 | -0.000 | 0.000 | 0.000 | 343.567 |
| 291.518 | 25.297 | 86.603 | 0.000 | -0.000 | -0.000 |
| 25.298 | 291.517 | 86.603 | 0.000 | -0.000 | -0.000 |
| 105.498 | 105.498 | 385.448 | 0.000 | -0.000 | -0.000 |
| -0.000 | 0.000 | -0.000 | 20.869 | 0.000 | -0.000 |
| -971668756.746 | -955795630.530 | -1603293020.528 | -6660587.548 | -75036821.026 | -486148.766 |
| -0.000 | -0.000 | -0.000 | 0.000 | -0.000 | 21.327 |
| 291.518 | 25.298 | 86.603 | -0.000 | 0.000 | 0.000 |
| 25.298 | 291.518 | 86.603 | -0.000 | 0.000 | 0.000 |
| 105.498 | 105.499 | 385.448 | -0.000 | 0.000 | 0.000 |
| 0.000 | -0.000 | 0.000 | 20.869 | 0.000 | 0.000 |
| 971840275.194 | 960775589.409 | 1611502817.999 | -7058882.517 | -69190118.030 | -19934.266 |
| 0.000 | 0.000 | 0.000 | -0.000 | 0.000 | 21.327 |
| 291.518 | 25.298 | 86.603 | 0.000 | -0.000 | -0.000 |
| 25.298 | 291.518 | 86.603 | 0.000 | -0.000 | -0.000 |
| 105.499 | 105.499 | 385.448 | 0.000 | -0.000 | -0.000 |
| -92716066.209 | -95017382.979 | -156953545.008 | -10105720.820 | 246457.477 | 46930.310 |
| -100480437.698 | -99656691.596 | -164592887.036 | 100921.409 | -4927441.060 | -1627.642 |
| -0.000 | -0.000 | -0.000 | 0.000 | -0.000 | 21.327 |
| 291.518 | 25.298 | 86.603 | -0.000 | 0.000 | 0.000 |
| 25.298 | 291.518 | 86.603 | -0.000 | 0.000 | 0.000 |
| 105.498 | 105.498 | 385.448 | -0.000 | 0.000 | 0.000 |
| 95602619.109 | 96550304.274 | 160503786.133 | -7292636.496 | -775256.943 | 40653.426 |
| 101172758.567 | 99033010.523 | 165168375.809 | -272886.231 | -6109722.038 | 25987.905 |
| 0.000 | 0.000 | 0.000 | -0.000 | 0.000 | 21.327 |
| 291.518 | 25.297 | 86.603 | 0.000 | -0.000 | -0.000 |
| 25.297 | 291.518 | 86.603 | 0.000 | -0.000 | -0.000 |
| 105.500 | 105.500 | 385.448 | 0.000 | -0.000 | -0.000 |
| -9852385.908 | -9872717.818 | -16361722.260 | -544298.274 | -5908.331 | -4360.387 |
| -9985209.943 | -9881279.818 | -16476553.987 | -38594.305 | -573460.958 | -2500.264 |
| -0.000 | -0.000 | -0.000 | 0.000 | -0.000 | 21.327 |
| 291.517 | 25.298 | 86.602 | -0.000 | 0.000 | 0.000 |
| 25.298 | 291.517 | 86.602 | -0.000 | 0.000 | 0.000 |
| 105.497 | 105.497 | 385.449 | -0.000 | 0.000 | 0.000 |
| 9541355.969 | 9663958.140 | 15988855.317 | -689934.526 | -40601.223 | -1520.756 |
| 9893751.833 | 9751120.876 | 16319736.514 | 12918.379 | -690259.895 | 1353.785 |
| 0.000 | 0.000 | 0.000 | -0.000 | 0.000 | 21.327 |
| 570.533 | 17.768 | 17.768 | -0.000 | -0.000 | -0.000 |
| 17.768 | 570.533 | 17.767 | -0.000 | -0.000 | 0.000 |
| 17.768 | 17.767 | 570.533 | -0.000 | -0.000 | 0.000 |
| 0.008 | 0.009 | 0.009 | 166.253 | -0.000 | 0.001 |
| 0.009 | 0.008 | 0.008 | -0.000 | 166.253 | 0.000 |
| 0.008 | 0.008 | 0.008 | -0.000 | -0.000 | 166.253 |
| 569.433 | 20.583 | 20.583 | 0.000 | 0.000 | -0.000 |
| 20.583 | 569.433 | 20.583 | 0.000 | 0.000 | -0.000 |
| 20.583 | 20.583 | 569.433 | 0.000 | 0.000 | 0.000 |
| -0.008 | -0.009 | -0.009 | 166.253 | 0.000 | 0.000 |
| -0.009 | -0.008 | -0.008 | 0.000 | 166.253 | 0.000 |
| -0.009 | -0.008 | -0.008 | 0.000 | 0.000 | 166.253 |
| 588.101 | 27.491 | 27.491 | -0.000 | -0.000 | 0.000 |
| 27.491 | 588.101 | 27.491 | -0.000 | -0.000 | -0.000 |
| 27.491 | 27.491 | 588.101 | -0.000 | -0.000 | -0.000 |
| 0.001 | 0.001 | 0.001 | 166.253 | -0.000 | 0.000 |
| 0.001 | 0.001 | 0.001 | -0.000 | 166.253 | -0.000 |
| 0.001 | 0.001 | 0.001 | -0.000 | -0.000 | 166.253 |
| 569.440 | 20.590 | 20.590 | 0.000 | 0.000 | -0.000 |
| 20.590 | 569.440 | 20.590 | 0.000 | 0.000 | -0.000 |
| 20.590 | 20.591 | 569.440 | 0.000 | 0.000 | 0.000 |
| -0.001 | -0.001 | -0.001 | 166.253 | 0.000 | 0.000 |
| -0.001 | -0.001 | -0.001 | 0.000 | 166.253 | -0.000 |
| -0.001 | -0.001 | -0.001 | 0.000 | 0.000 | 166.253 |
| 588.104 | 27.491 | 27.491 | -0.000 | -0.000 | 0.000 |
| 27.491 | 588.104 | 27.491 | -0.000 | -0.000 | -0.000 |
| 27.491 | 27.491 | 588.104 | -0.000 | -0.000 | 0.000 |
| 0.000 | 0.000 | 0.000 | 168.573 | -0.000 | -0.000 |
| 0.000 | 0.000 | 0.000 | -0.000 | 168.573 | -0.000 |
| 0.000 | 0.000 | 0.000 | -0.000 | -0.000 | 168.573 |
| 569.440 | 20.591 | 20.591 | 0.000 | 0.000 | 0.000 |
| 20.591 | 569.440 | 20.591 | 0.000 | 0.000 | -0.000 |
| 20.591 | 20.591 | 569.440 | 0.000 | 0.000 | -0.000 |
| -0.000 | -0.000 | -0.000 | 168.573 | 0.000 | 0.000 |
| -0.000 | -0.000 | -0.000 | 0.000 | 168.573 | -0.000 |
| -0.000 | -0.000 | -0.000 | 0.000 | 0.000 | 168.573 |
| -4496790813.913 | -612585029.116 | -594876807.528 | 6151.844 | -104397.941 | -43816.893 |
| -594754233.496 | -4493169708.632 | -615343106.293 | -29512.302 | 9340.880 | -90989.764 |
| -615343106.052 | -594754233.539 | -4493169708.127 | -90989.788 | -29512.341 | 9340.882 |
| -0.000 | 0.000 | 0.000 | 130.969 | -0.000 | 0.000 |
| 0.000 | -0.000 | 0.000 | 0.000 | 130.969 | 0.000 |
| 0.000 | 0.000 | -0.001 | 0.000 | -0.000 | 130.969 |
| -1379704544.776 | 3564734439.010 | 3594985451.533 | 61236.476 | 161478.754 | -10951.557 |
| 3589961750.807 | -1367667732.628 | 3558954180.952 | -11847.922 | 197984.106 | 284789.282 |
| 3558954181.012 | 3589961750.538 | -1367667732.683 | 284789.438 | -11848.648 | 197984.061 |
| 0.000 | -0.000 | 0.000 | 130.969 | 0.000 | -0.000 |
| -0.000 | -0.000 | 0.000 | -0.000 | 130.969 | -0.000 |
| -0.000 | -0.000 | 0.000 | -0.000 | 0.000 | 130.969 |
| -448867536.358 | -55519581.710 | -65100558.503 | 336.496 | -10059.975 | 11191.974 |
| -65413781.378 | -448845632.708 | -55149498.042 | 10553.553 | 263.684 | -9826.887 |
| -55149498.036 | -65413781.387 | -448845632.634 | -9826.871 | 10553.551 | 263.684 |
| -0.000 | -0.000 | 0.000 | 130.969 | -0.000 | 0.000 |
| -0.000 | -0.000 | 0.000 | 0.000 | 130.969 | 0.000 |
| -0.000 | 0.000 | -0.000 | 0.000 | -0.000 | 130.969 |
| -135133275.587 | 347719266.333 | 357812315.089 | -9993.194 | -2791.461 | -26136.641 |
| 357867376.242 | -134251574.227 | 347957785.474 | -3345.825 | -15453.800 | -3188.783 |
| 347957785.461 | 357867376.235 | -134251574.220 | -3188.771 | -3345.795 | -15453.801 |
| 0.000 | 0.000 | -0.000 | 130.969 | 0.000 | 0.000 |
| 0.000 | 0.000 | -0.000 | 0.000 | 130.969 | -0.000 |
| 0.000 | -0.000 | 0.000 | -0.000 | 0.000 | 130.969 |
| -44568279.615 | -4651476.749 | -7032905.931 | 76.373 | -389.558 | 9.452 |
| -7032905.931 | -44568279.609 | -4651476.747 | 9.451 | 76.373 | -389.558 |
| -4723032.495 | -6977031.302 | -44581105.266 | -222.225 | 564.226 | 76.700 |
| -0.001 | -0.001 | 0.002 | 130.969 | -0.000 | 0.000 |
| -0.001 | -0.001 | 0.002 | 0.000 | 130.969 | 0.000 |
| -0.001 | 0.002 | -0.001 | 0.000 | -0.000 | 130.969 |
| -13408385.846 | 35085825.226 | 35643707.709 | 594.535 | -7.147 | -456.793 |
| 35643707.706 | -13408385.847 | 35085825.227 | -456.795 | 594.535 | -7.147 |
| 35125565.226 | 35665512.603 | -13434848.021 | -77.687 | -1394.476 | -1051.421 |
| 0.001 | 0.001 | -0.002 | 130.969 | 0.000 | 0.000 |
| 0.001 | 0.001 | -0.002 | -0.000 | 130.969 | -0.000 |
| 0.001 | -0.002 | 0.001 | -0.000 | 0.000 | 130.969 |
| 1747.567 | 2708.420 | 2708.420 | -0.000 | -0.000 | -0.000 |
| 2708.420 | 1747.567 | 2708.420 | -0.000 | -0.000 | -0.000 |
| 2708.420 | 2708.420 | 1747.567 | -0.000 | -0.000 | -0.000 |
| -0.000 | 0.000 | -0.000 | 679.101 | -0.000 | 0.000 |
| -0.000 | 0.000 | -0.000 | -0.000 | 679.101 | -0.000 |
| -0.000 | 0.000 | 0.000 | 0.000 | -0.000 | 679.101 |
| 1747.566 | 2708.420 | 2708.420 | 0.000 | 0.000 | 0.000 |
| 2708.421 | 1747.566 | 2708.420 | 0.000 | 0.000 | 0.000 |
| 2708.421 | 2708.420 | 1747.567 | -0.000 | 0.000 | 0.000 |
| -0.000 | -0.000 | 0.000 | 679.101 | 0.000 | 0.000 |
| -0.000 | -0.000 | 0.000 | -0.000 | 679.101 | 0.000 |
| -0.000 | -0.000 | 0.000 | -0.000 | 0.000 | 679.101 |
| 1747.569 | 2708.421 | 2708.421 | -0.000 | -0.000 | 0.000 |
| 2708.421 | 1747.569 | 2708.421 | -0.000 | -0.000 | 0.000 |
| 2708.421 | 2708.421 | 1747.569 | -0.000 | -0.000 | -0.000 |
| -0.000 | -0.001 | -0.000 | 1300.743 | -0.000 | 0.000 |
| -0.001 | -0.000 | -0.000 | -0.000 | 1300.743 | -0.000 |
| -0.001 | -0.000 | -0.000 | -0.000 | -0.000 | 1300.743 |
| 1747.564 | 2708.420 | 2708.420 | 0.000 | 0.000 | 0.000 |
| 2708.420 | 1747.564 | 2708.420 | 0.000 | 0.000 | 0.000 |
| 2708.420 | 2708.420 | 1747.564 | -0.000 | -0.000 | 0.000 |
| 0.000 | 0.001 | 0.000 | 1300.743 | 0.000 | 0.000 |
| 0.001 | 0.000 | 0.000 | -0.000 | 1300.743 | 0.000 |
| 0.001 | 0.000 | 0.000 | -0.000 | 0.000 | 1300.743 |
| 1747.591 | 2708.425 | 2708.425 | -0.000 | -0.000 | -0.000 |
| 2708.425 | 1747.591 | 2708.425 | -0.000 | -0.000 | -0.000 |
| 2708.425 | 2708.425 | 1747.591 | -0.000 | -0.000 | -0.000 |
| 0.000 | -0.002 | 0.000 | 679.101 | -0.000 | -0.000 |
| -0.002 | 0.000 | 0.000 | 0.000 | 679.101 | 0.000 |
| -0.002 | 0.000 | 0.000 | -0.000 | -0.000 | 679.101 |
| 1747.542 | 2708.415 | 2708.415 | 0.000 | 0.000 | 0.000 |
| 2708.415 | 1747.542 | 2708.415 | 0.000 | 0.000 | 0.000 |
| 2708.415 | 2708.415 | 1747.542 | 0.000 | 0.000 | 0.000 |
| -0.000 | 0.002 | -0.000 | 679.101 | 0.000 | 0.000 |
| 0.002 | -0.000 | -0.000 | -0.000 | 679.101 | 0.000 |
| 0.002 | -0.000 | -0.000 | -0.000 | 0.000 | 679.101 |
| 1592.502 | 1201.504 | 0.000 | 0.000 | 0.000 | 0.000 |
| 1201.504 | 1592.502 | 0.000 | 0.000 | 0.000 | 0.000 |
| 0.000 | 0.000 | 0.000 | 0.000 | 0.000 | 0.000 |
| 0.000 | -0.000 | 0.000 | 0.000 | 0.000 | 0.000 |
| 0.000 | -0.000 | 0.000 | 0.000 | 0.000 | 0.000 |
| 0.000 | -0.000 | 0.000 | 0.000 | 0.000 | 1168.983 |
| 1592.502 | 1201.504 | -0.000 | -0.000 | -0.000 | -0.000 |
| 1201.504 | 1592.502 | -0.000 | -0.000 | -0.000 | -0.000 |
| -0.000 | -0.000 | -0.000 | -0.000 | -0.000 | -0.000 |
| -0.000 | 0.000 | -0.000 | -0.000 | -0.000 | -0.000 |
| -0.000 | -0.000 | -0.000 | -0.000 | -0.000 | -0.000 |
| -0.000 | 0.000 | -0.000 | -0.000 | -0.000 | 1168.983 |
| 1592.502 | 1201.504 | 0.000 | 0.000 | 0.000 | 0.000 |
| 1201.504 | 1592.502 | 0.000 | 0.000 | 0.000 | 0.000 |
| 0.000 | 0.000 | 0.000 | 0.000 | 0.000 | 0.000 |
| 0.000 | -0.000 | 0.000 | 0.000 | 0.000 | 0.000 |
| 0.000 | 0.000 | 0.000 | 0.000 | 0.000 | 0.000 |
| 0.000 | 0.000 | 0.000 | 0.000 | 0.000 | 1168.983 |
| 1592.501 | 1201.503 | -0.000 | -0.000 | -0.000 | -0.000 |
| 1201.503 | 1592.501 | -0.000 | -0.000 | -0.000 | -0.000 |
| -0.000 | -0.000 | -0.000 | -0.000 | -0.000 | -0.000 |
| -0.000 | 0.000 | -0.000 | -0.000 | -0.000 | -0.000 |
| -0.000 | -0.000 | -0.000 | -0.000 | -0.000 | -0.000 |
| -0.000 | -0.000 | -0.000 | -0.000 | -0.000 | 1168.983 |
| 1592.504 | 1201.506 | 0.000 | 0.000 | 0.000 | 0.000 |
| 1201.506 | 1592.504 | 0.000 | 0.000 | 0.000 | 0.000 |
| 0.000 | 0.000 | 0.000 | 0.000 | 0.000 | 0.000 |
| 0.000 | -0.000 | 0.000 | 0.000 | 0.000 | 0.000 |
| 0.000 | 0.000 | 0.000 | 0.000 | 0.000 | 0.000 |
| 0.001 | 0.003 | 0.000 | 0.000 | 0.000 | 1168.983 |
| 1592.499 | 1201.501 | -0.000 | -0.000 | -0.000 | -0.000 |
| 1201.501 | 1592.499 | -0.000 | -0.000 | -0.000 | -0.000 |
| -0.000 | -0.000 | -0.000 | -0.000 | -0.000 | -0.000 |
| -0.000 | -0.000 | -0.000 | -0.000 | -0.000 | -0.000 |
| -0.000 | -0.000 | -0.000 | -0.000 | -0.000 | -0.000 |
| -0.001 | -0.003 | -0.000 | -0.000 | -0.000 | 1168.983 |
| -1191.465 | -34.722 | -2154.221 | -197.670 | 1934.435 | 253.196 |
| 976.406 | 609.039 | -1650.779 | -361.171 | 1571.181 | 328.720 |
| 2090.388 | -200.142 | -907.744 | 188.417 | 89.399 | 474.928 |
| 1134.261 | 475.369 | -1164.488 | -639.961 | 130.189 | 744.407 |
| -982.583 | 277.863 | -2697.458 | 30.236 | 2466.879 | 253.368 |
| 531.386 | 175.263 | -1657.381 | 207.962 | 987.739 | 155.736 |
| -738.849 | -77.983 | 1812.688 | -248.567 | -1262.139 | -415.103 |
| -837.902 | -324.715 | 1669.866 | 269.277 | -1237.078 | -508.164 |
| -1087.071 | -345.936 | 1930.869 | 214.456 | -1602.978 | -382.721 |
| -880.717 | -86.675 | 1794.798 | -220.235 | -1263.103 | -408.918 |
| 1273.240 | 80.962 | 2243.422 | 175.906 | -1913.547 | -281.007 |
| 591.861 | 1653.539 | 3909.479 | -1541.773 | -1867.636 | 759.630 |
| 263.535 | 49.216 | -156.947 | 19.828 | 111.292 | 63.829 |
| 233.925 | 102.818 | -49.903 | 11.075 | 14.832 | 35.578 |
| 96.081 | 45.946 | -58.938 | 27.287 | 120.598 | -0.106 |
| 45.129 | 24.262 | -179.222 | 56.706 | 99.992 | 6.048 |
| 31.417 | 15.967 | -175.765 | 31.524 | 147.094 | 6.390 |
| 188.851 | -36.841 | -131.880 | 35.370 | 14.631 | 89.360 |
| 34.735 | -15.302 | 181.825 | 30.302 | -152.736 | -34.210 |
| -48.003 | -6.192 | 57.669 | 154.005 | 3.455 | -111.870 |
| -39.850 | 74.058 | 272.122 | -31.915 | -89.413 | -47.093 |
| 67.282 | -21.097 | 192.762 | 81.217 | -185.989 | -65.578 |
| 72.617 | 108.166 | 298.012 | -76.800 | -103.572 | 70.049 |
| -76.504 | 36.966 | 239.795 | -80.150 | -163.637 | 40.672 |
| 144.010 | 51.069 | 28.249 | -10.434 | -1.964 | 6.592 |
| 44.235 | 156.165 | 26.147 | -17.077 | 13.282 | 2.797 |
| 36.768 | 51.020 | 82.947 | -7.515 | 15.092 | 5.185 |
| 12.753 | 7.628 | -14.788 | 42.738 | 8.791 | 5.623 |
| 3.550 | 3.664 | -6.031 | -6.123 | 55.115 | 6.104 |
| -5.116 | 3.761 | -5.292 | -10.869 | -16.583 | 54.916 |
| 126.543 | 31.810 | 31.197 | 10.421 | -3.538 | -11.582 |
| 26.142 | 150.303 | 56.645 | -22.643 | -9.750 | -7.311 |
| -0.528 | 36.859 | 115.653 | -3.288 | 6.755 | -19.187 |
| -7.565 | 2.534 | 9.323 | 42.514 | -11.124 | -10.582 |
| -15.964 | 3.588 | 25.633 | -8.338 | 46.855 | -4.754 |
| 21.476 | -7.728 | 16.171 | 3.442 | -33.045 | 55.927 |
| 4224.292 | 1842.060 | 1842.060 | 0.000 | 0.000 | 0.000 |
| 1842.060 | 4224.292 | 1842.060 | 0.000 | 0.000 | 0.000 |
| 1842.060 | 1842.060 | 4224.292 | 0.000 | 0.000 | 0.000 |
| 0.000 | -0.000 | 0.000 | 1853.020 | 0.000 | 0.000 |
| -0.000 | 0.000 | 0.000 | 0.000 | 1853.020 | 0.000 |
| -0.000 | -0.000 | 0.000 | 0.000 | 0.000 | 1853.020 |
| 4224.291 | 1842.060 | 1842.060 | -0.000 | -0.000 | -0.000 |
| 1842.060 | 4224.291 | 1842.060 | -0.000 | -0.000 | -0.000 |
| 1842.060 | 1842.060 | 4224.291 | -0.000 | -0.000 | -0.000 |
| -0.000 | 0.000 | -0.000 | 1853.019 | -0.000 | 0.000 |
| 0.000 | -0.000 | -0.000 | -0.000 | 1853.020 | -0.000 |
| 0.000 | 0.000 | -0.000 | -0.000 | -0.000 | 1853.020 |
| 4224.292 | 1842.060 | 1842.060 | 0.000 | 0.000 | 0.000 |
| 1842.060 | 4224.292 | 1842.060 | 0.000 | 0.000 | 0.000 |
| 1842.060 | 1842.060 | 4224.292 | 0.000 | 0.000 | 0.000 |
| -0.000 | -0.001 | -0.001 | 1853.020 | 0.000 | 0.000 |
| -0.001 | -0.000 | -0.001 | 0.000 | 1853.020 | 0.000 |
| -0.001 | -0.001 | -0.000 | 0.000 | 0.000 | 1853.020 |
| 4224.291 | 1842.060 | 1842.060 | -0.000 | -0.000 | -0.000 |
| 1842.060 | 4224.291 | 1842.060 | -0.000 | -0.000 | -0.000 |
| 1842.060 | 1842.060 | 4224.291 | -0.000 | -0.000 | -0.000 |
| 0.000 | 0.001 | 0.001 | 1853.020 | -0.000 | -0.000 |
| 0.001 | 0.000 | 0.001 | -0.000 | 1853.020 | -0.000 |
| 0.001 | 0.001 | 0.000 | -0.000 | -0.000 | 1853.020 |
| 4224.293 | 1842.062 | 1842.062 | 0.000 | 0.000 | 0.000 |
| 1842.062 | 4224.293 | 1842.062 | 0.000 | 0.000 | 0.000 |
| 1842.062 | 1842.062 | 4224.293 | 0.000 | 0.000 | 0.000 |
| -0.001 | -0.008 | -0.005 | 1853.020 | 0.000 | 0.000 |
| -0.008 | -0.001 | -0.005 | 0.000 | 1853.020 | 0.000 |
| -0.008 | -0.005 | -0.001 | 0.000 | 0.000 | 1853.020 |
| 4224.290 | 1842.058 | 1842.058 | -0.000 | -0.000 | -0.000 |
| 1842.058 | 4224.290 | 1842.058 | -0.000 | -0.000 | -0.000 |
| 1842.058 | 1842.058 | 4224.290 | -0.000 | -0.000 | -0.000 |
| 0.001 | 0.008 | 0.005 | 1853.020 | -0.000 | -0.000 |
| 0.008 | 0.001 | 0.005 | -0.000 | 1853.020 | -0.000 |
| 0.008 | 0.005 | 0.001 | -0.000 | -0.000 | 1853.020 |
| 1643.528 | 1103.686 | 1103.686 | 0.000 | 0.000 | 0.000 |
| 1103.686 | 1643.528 | 1103.686 | -0.000 | 0.000 | 0.000 |
| 1103.686 | 1103.686 | 1643.528 | -0.000 | 0.000 | 0.000 |
| 0.000 | -0.000 | 0.000 | 183.738 | -0.000 | -0.000 |
| -0.000 | -0.000 | 0.000 | -0.000 | 183.738 | 0.000 |
| -0.000 | -0.000 | 0.000 | -0.000 | -0.000 | 183.738 |
| 1643.528 | 1103.686 | 1103.686 | 0.000 | 0.000 | -0.000 |
| 1103.686 | 1643.528 | 1103.686 | 0.000 | -0.000 | -0.000 |
| 1103.686 | 1103.686 | 1643.528 | 0.000 | 0.000 | 0.000 |
| 0.000 | 0.000 | -0.000 | 183.738 | -0.000 | 0.000 |
| 0.000 | 0.000 | -0.000 | -0.000 | 183.738 | -0.000 |
| 0.000 | 0.000 | -0.000 | 0.000 | -0.000 | 183.738 |
| 1643.528 | 1103.686 | 1103.686 | -0.000 | -0.000 | 0.000 |
| 1103.686 | 1643.528 | 1103.686 | -0.000 | 0.000 | 0.000 |
| 1103.686 | 1103.686 | 1643.528 | -0.000 | 0.000 | 0.000 |
| 0.000 | 0.000 | 0.000 | 183.738 | -0.000 | 0.000 |
| 0.000 | 0.000 | 0.000 | -0.000 | 183.738 | 0.000 |
| 0.000 | 0.000 | 0.000 | -0.000 | -0.000 | 183.738 |
| 1643.528 | 1103.686 | 1103.686 | -0.000 | 0.000 | -0.000 |
| 1103.686 | 1643.528 | 1103.686 | -0.000 | -0.000 | -0.000 |
| 1103.686 | 1103.686 | 1643.528 | 0.000 | -0.000 | -0.000 |
| -0.000 | -0.000 | -0.000 | 183.738 | 0.000 | 0.000 |
| -0.000 | -0.000 | -0.000 | 0.000 | 183.738 | -0.000 |
| -0.000 | -0.000 | -0.000 | 0.000 | 0.000 | 183.738 |
| 1643.526 | 1103.683 | 1103.683 | 0.000 | 0.000 | 0.000 |
| 1103.683 | 1643.526 | 1103.683 | 0.000 | 0.000 | 0.000 |
| 1103.683 | 1103.683 | 1643.526 | -0.000 | -0.000 | 0.000 |
| 0.001 | 0.000 | 0.001 | 183.739 | 0.000 | 0.000 |
| 0.000 | 0.001 | 0.001 | 0.000 | 183.739 | 0.000 |
| 0.000 | 0.001 | 0.001 | 0.000 | 0.000 | 183.739 |
| 1643.530 | 1103.689 | 1103.689 | 0.000 | -0.000 | -0.000 |
| 1103.689 | 1643.530 | 1103.689 | -0.000 | 0.000 | 0.000 |
| 1103.689 | 1103.689 | 1643.530 | 0.000 | 0.000 | -0.000 |
| -0.001 | -0.000 | -0.001 | 183.739 | -0.000 | -0.000 |
| -0.000 | -0.001 | -0.001 | -0.000 | 183.739 | -0.000 |
| -0.000 | -0.001 | -0.001 | -0.000 | -0.000 | 183.739 |
| 446.643 | 138.134 | 138.134 | 0.000 | 0.000 | 0.000 |
| 138.134 | 446.644 | 138.134 | 0.000 | 0.000 | 0.000 |
| 138.134 | 138.134 | 446.643 | 0.000 | 0.000 | 0.000 |
| 0.000 | 0.000 | -0.000 | 220.094 | 0.000 | 0.000 |
| -0.000 | 0.000 | -0.000 | 0.000 | 220.093 | 0.000 |
| -0.000 | -0.000 | -0.000 | 0.000 | 0.000 | 220.094 |
| 446.643 | 138.134 | 138.134 | -0.000 | -0.000 | -0.000 |
| 138.134 | 446.643 | 138.134 | -0.000 | -0.000 | -0.000 |
| 138.134 | 138.134 | 446.643 | -0.000 | -0.000 | -0.000 |
| -0.000 | 0.000 | 0.000 | 220.093 | -0.000 | -0.000 |
| -0.000 | -0.000 | 0.000 | -0.000 | 220.093 | -0.000 |
| -0.000 | -0.000 | 0.000 | -0.000 | -0.000 | 220.093 |
| 446.644 | 138.134 | 138.134 | 0.000 | 0.000 | 0.000 |
| 138.134 | 446.644 | 138.134 | 0.000 | 0.000 | 0.000 |
| 138.134 | 138.134 | 446.644 | 0.000 | 0.000 | 0.000 |
| 0.000 | -0.000 | 0.000 | 220.093 | 0.000 | 0.000 |
| -0.000 | 0.000 | 0.000 | 0.000 | 220.093 | 0.000 |
| -0.000 | 0.000 | 0.000 | 0.000 | 0.000 | 220.094 |
| 446.643 | 138.134 | 138.134 | -0.000 | -0.000 | -0.000 |
| 138.134 | 446.643 | 138.134 | -0.000 | -0.000 | -0.000 |
| 138.134 | 138.134 | 446.643 | -0.000 | -0.000 | -0.000 |
| -0.000 | 0.000 | -0.000 | 220.093 | -0.000 | -0.000 |
| 0.000 | 0.000 | -0.000 | -0.000 | 220.093 | -0.000 |
| 0.000 | -0.000 | -0.000 | -0.000 | -0.000 | 220.093 |
| 446.644 | 138.135 | 138.135 | 0.000 | 0.000 | 0.000 |
| 138.135 | 446.644 | 138.135 | 0.000 | 0.000 | 0.000 |
| 138.135 | 138.135 | 446.644 | 0.000 | 0.000 | 0.000 |
| 0.000 | -0.000 | 0.000 | 220.093 | 0.000 | 0.000 |
| -0.000 | 0.000 | 0.000 | 0.000 | 220.093 | 0.000 |
| -0.000 | 0.000 | 0.000 | 0.000 | 0.000 | 220.093 |
| 446.643 | 138.133 | 138.133 | -0.000 | -0.000 | -0.000 |
| 138.133 | 446.643 | 138.133 | -0.000 | -0.000 | -0.000 |
| 138.133 | 138.133 | 446.643 | -0.000 | -0.000 | -0.000 |
| -0.000 | 0.000 | -0.000 | 220.093 | -0.000 | -0.000 |
| 0.000 | -0.000 | -0.000 | -0.000 | 220.093 | -0.000 |
| 0.000 | -0.000 | -0.000 | -0.000 | -0.000 | 220.093 |
| 1049.087 | 670.328 | -1003.196 | 4.732 | 0.000 | 0.000 |
| 500.409 | 896.313 | -678.589 | -7.264 | 0.001 | -0.001 |
| 574.412 | 574.412 | -431.281 | -0.000 | 0.000 | -0.000 |
| 393.193 | 378.830 | -776.608 | 179.294 | 0.000 | -0.000 |
| 546.553 | 546.553 | -1099.597 | 0.000 | 170.866 | 4.799 |
| -0.000 | 0.000 | 0.000 | 0.000 | 13.023 | 246.520 |
| -42.765 | -423.334 | 1195.293 | 4.864 | -0.000 | 0.000 |
| -270.475 | 123.788 | 873.988 | -7.112 | -0.000 | 0.000 |
| -450.459 | -450.459 | 1630.633 | -0.000 | 0.000 | -0.000 |
| 13.023 | -13.022 | 0.000 | 199.958 | -0.000 | -0.000 |
| -546.553 | -546.553 | 1099.597 | -0.000 | 170.866 | 4.799 |
| 0.000 | -0.000 | 0.001 | -0.000 | 13.022 | 246.518 |
| 552.301 | 176.837 | -7.038 | 4.494 | 0.000 | -0.000 |
| 91.663 | 584.702 | 46.048 | -13.022 | 0.000 | 0.000 |
| 147.494 | 147.494 | 427.625 | -0.000 | 0.000 | -0.000 |
| 46.712 | 32.676 | -79.859 | 178.715 | 0.000 | -0.000 |
| 0.000 | 0.000 | 0.000 | 0.000 | 199.958 | 13.022 |
| 53.505 | 53.505 | -107.645 | 0.000 | 4.972 | 191.031 |
| 454.044 | 66.389 | 202.906 | 5.378 | -0.000 | 0.000 |
| 91.663 | 584.701 | 46.048 | -13.022 | -0.000 | -0.000 |
| 45.589 | 45.589 | 632.645 | -0.000 | -0.000 | -0.000 |
| -48.686 | -58.591 | 107.914 | 171.407 | -0.000 | -0.000 |
| -0.000 | -0.000 | 0.000 | -0.000 | 199.958 | 13.022 |
| -53.505 | -53.505 | 107.645 | -0.000 | 4.972 | 191.031 |
| 514.383 | 120.456 | 87.821 | 5.833 | 0.000 | -0.000 |
| 120.417 | 514.480 | 87.764 | -5.843 | 0.000 | 0.000 |
| 98.676 | 98.676 | 525.843 | 0.000 | -0.000 | 0.000 |
| 10.701 | -1.497 | -9.258 | 175.464 | 0.000 | 0.000 |
| 4.602 | 4.602 | -9.258 | 0.000 | 175.464 | 6.099 |
| 4.862 | 4.862 | -9.782 | -0.000 | 5.707 | 196.094 |
| 505.206 | 116.191 | 101.340 | 6.479 | -0.000 | -0.000 |
| 110.665 | 505.792 | 106.309 | -5.920 | -0.000 | 0.000 |
| 89.935 | 89.935 | 543.425 | 0.000 | -0.000 | -0.000 |
| 1.627 | -10.746 | 9.173 | 175.775 | -0.000 | 0.000 |
| -4.602 | -4.602 | 9.258 | -0.000 | 175.464 | 6.099 |
| -4.862 | -4.862 | 9.782 | 0.000 | 5.707 | 196.094 |
| 584.688 | 91.651 | 46.053 | 0.001 | 0.002 | 0.000 |
| 108.272 | 503.045 | 111.475 | -0.001 | 0.002 | -0.000 |
| 45.579 | 45.580 | 632.694 | 0.001 | 0.002 | 0.000 |
| -6.855 | -6.854 | 13.793 | 175.172 | 0.002 | 0.000 |
| -0.000 | 0.000 | -0.001 | 0.000 | 199.943 | -0.000 |
| 0.000 | 0.000 | -0.001 | 0.000 | 0.000 | 246.518 |
| 515.456 | 123.058 | 84.112 | -0.001 | -0.002 | -0.000 |
| 122.291 | 515.260 | 85.081 | -0.001 | -0.003 | -0.000 |
| 45.580 | 45.579 | 632.697 | -0.001 | -0.001 | -0.000 |
| 6.854 | 6.854 | -13.793 | 175.171 | -0.002 | 0.000 |
| 6.654 | 6.654 | -13.391 | -0.002 | 175.821 | -0.000 |
| -0.000 | -0.000 | 0.001 | -0.000 | -0.000 | 246.518 |
| 584.688 | 91.651 | 46.054 | 0.000 | 0.000 | -0.000 |
| 91.651 | 584.688 | 46.054 | 0.000 | 0.000 | -0.000 |
| 93.580 | 93.580 | 536.103 | 0.000 | 0.000 | 0.000 |
| -0.000 | 0.000 | -0.000 | 199.942 | 0.000 | 0.000 |
| 0.000 | 0.000 | -0.000 | 0.000 | 199.942 | -0.000 |
| 0.230 | 0.230 | -0.464 | 0.000 | 0.000 | 192.927 |
| 509.945 | 123.009 | 89.705 | -0.000 | -0.000 | -0.000 |
| 116.073 | 510.539 | 96.086 | -0.000 | -0.000 | -0.000 |
| 94.912 | 94.912 | 533.423 | -0.000 | -0.000 | 0.000 |
| 0.000 | -0.000 | -0.000 | 199.942 | -0.000 | -0.000 |
| -0.000 | -0.000 | 0.000 | -0.000 | 199.942 | 0.000 |
| -0.230 | -0.230 | 0.464 | -0.000 | -0.000 | 192.927 |
| 509.164 | 122.253 | 91.254 | 0.000 | 0.000 | 0.000 |
| 122.255 | 509.158 | 91.258 | 0.000 | 0.000 | 0.000 |
| 94.175 | 94.175 | 534.908 | 0.000 | 0.000 | 0.000 |
| -0.067 | -0.067 | 0.134 | 175.823 | 0.000 | 0.000 |
| -0.067 | -0.067 | 0.134 | 0.000 | 175.823 | 0.000 |
| 0.040 | 0.038 | -0.078 | 0.000 | 0.000 | 192.419 |
| 509.968 | 115.418 | 97.318 | -0.000 | -0.000 | -0.000 |
| 115.445 | 509.883 | 97.377 | -0.000 | -0.000 | 0.000 |
| 94.311 | 94.311 | 534.631 | 0.000 | -0.000 | 0.000 |
| 0.067 | 0.067 | -0.134 | 175.823 | -0.000 | 0.000 |
| 0.067 | 0.067 | -0.134 | -0.000 | 175.823 | -0.000 |
| -0.040 | -0.038 | 0.078 | -0.000 | -0.000 | 192.419 |
| 510.224 | 115.940 | 96.744 | 1.722 | -0.000 | -0.000 |
| 91.995 | 585.060 | 45.856 | -3.838 | -0.000 | -0.001 |
| 45.856 | 45.856 | 631.198 | 0.000 | 0.000 | -0.000 |
| 1.821 | -1.830 | 0.005 | 176.201 | -0.000 | 0.000 |
| -0.001 | -0.000 | -0.001 | 0.000 | 200.394 | 3.838 |
| -0.005 | -0.004 | 0.006 | -0.000 | 1.664 | 195.793 |
| 585.061 | 91.995 | 45.859 | 3.838 | 0.000 | 0.000 |
| 91.995 | 585.061 | 45.858 | -3.838 | -0.000 | 0.000 |
| 94.246 | 94.245 | 534.423 | -0.000 | 0.000 | 0.000 |
| 3.838 | -3.838 | -0.000 | 200.394 | -0.000 | 0.000 |
| 0.001 | 0.000 | 0.001 | -0.000 | 200.394 | 3.838 |
| 0.005 | 0.004 | -0.006 | 0.000 | 1.664 | 195.793 |
| 510.228 | 115.944 | 96.740 | 1.722 | 0.000 | -0.000 |
| 115.941 | 510.238 | 96.733 | -1.722 | -0.000 | 0.000 |
| 94.241 | 94.241 | 534.429 | 0.000 | -0.000 | -0.000 |
| 1.825 | -1.826 | 0.000 | 176.201 | 0.000 | 0.000 |
| -0.000 | -0.000 | 0.001 | -0.000 | 176.201 | 1.826 |
| -0.000 | 0.000 | -0.000 | 0.000 | 3.838 | 246.533 |
| 509.579 | 122.209 | 91.123 | 1.955 | 0.000 | 0.000 |
| 91.995 | 585.061 | 45.856 | -3.838 | -0.000 | -0.000 |
| 94.242 | 94.242 | 534.428 | 0.000 | 0.000 | -0.000 |
| 3.838 | -3.838 | -0.000 | 200.394 | -0.000 | -0.000 |
| 0.000 | 0.000 | -0.001 | 0.000 | 176.201 | 1.826 |
| 0.000 | -0.000 | 0.000 | -0.000 | 3.838 | 246.533 |
| 509.579 | 122.209 | 91.125 | 1.955 | 0.000 | -0.000 |
| 115.943 | 510.234 | 96.736 | -1.722 | 0.000 | 0.000 |
| 45.856 | 45.856 | 631.202 | 0.000 | 0.000 | 0.000 |
| 1.826 | -1.826 | 0.000 | 176.201 | -0.000 | 0.000 |
| -0.000 | 0.000 | 0.000 | 0.000 | 176.201 | 1.826 |
| -0.000 | 0.000 | 0.000 | -0.000 | 1.664 | 195.793 |
| 510.226 | 115.944 | 96.739 | 1.722 | -0.000 | 0.000 |
| 91.995 | 585.059 | 45.856 | -3.838 | -0.000 | 0.000 |
| 94.246 | 94.246 | 534.417 | 0.000 | -0.000 | 0.000 |
| 1.826 | -1.826 | -0.000 | 176.202 | 0.000 | -0.000 |
| 0.000 | -0.000 | -0.000 | -0.000 | 176.201 | 1.826 |
| 0.000 | -0.000 | -0.000 | 0.000 | 1.664 | 195.793 |
| -710.808 | -921.527 | 2369.023 | -2.220 | -0.000 | -0.000 |
| 570.626 | 469.084 | -319.749 | -4.366 | 0.000 | -0.000 |
| 45.571 | 45.571 | 632.709 | 0.000 | 0.000 | -0.001 |
| 383.735 | 371.910 | -760.385 | 224.989 | 0.001 | -0.000 |
| -735.355 | -735.354 | 1479.779 | -0.000 | 151.584 | -0.190 |
| -0.000 | -0.000 | -0.003 | -0.000 | 3.830 | 246.512 |
| 584.665 | 91.640 | 46.057 | 3.829 | 0.000 | 0.000 |
| 808.080 | 1262.582 | -1356.906 | 0.259 | -0.000 | 0.000 |
| 854.745 | 854.745 | -995.648 | 0.000 | -0.000 | 0.000 |
| 1084.116 | 1088.614 | -2186.215 | 126.812 | -0.001 | 0.000 |
| 735.355 | 735.354 | -1479.781 | 0.000 | 151.583 | -0.190 |
| 0.000 | 0.000 | 0.003 | 0.000 | 3.829 | 246.513 |
| 584.666 | 91.640 | 46.052 | 3.829 | 0.000 | -0.000 |
| 91.640 | 584.666 | 46.052 | -3.830 | 0.000 | -0.000 |
| 75.470 | 75.470 | 572.519 | -0.000 | 0.000 | -0.000 |
| 3.830 | -3.830 | 0.000 | 199.933 | 0.000 | -0.000 |
| 0.000 | -0.000 | 0.001 | -0.000 | 199.933 | 3.829 |
| 0.000 | 0.000 | 0.000 | -0.000 | 3.830 | 246.513 |
| 584.665 | 91.640 | 46.051 | 3.830 | 0.000 | 0.000 |
| 91.640 | 584.665 | 46.051 | -3.829 | 0.000 | 0.000 |
| 45.572 | 45.572 | 632.692 | 0.000 | -0.000 | 0.000 |
| 3.830 | -3.830 | 0.000 | 199.933 | -0.000 | -0.000 |
| 0.000 | 0.000 | -0.001 | 0.000 | 199.933 | 3.830 |
| -0.000 | -0.000 | -0.000 | 0.000 | 3.829 | 246.513 |
| 584.667 | 91.641 | 46.053 | 3.830 | -0.000 | -0.000 |
| 91.641 | 584.667 | 46.053 | -3.830 | 0.000 | 0.000 |
| 87.617 | 87.617 | 548.082 | 0.000 | 0.000 | -0.000 |
| -5.246 | -6.393 | 11.711 | 160.762 | -0.000 | -0.000 |
| -4.050 | -4.049 | 8.149 | -0.000 | 173.694 | 1.648 |
| 0.000 | 0.000 | 0.000 | 0.000 | 3.830 | 246.513 |
| 584.664 | 91.640 | 46.052 | 3.829 | 0.000 | 0.000 |
| 91.640 | 584.663 | 46.052 | -3.829 | -0.000 | 0.000 |
| 107.033 | 107.033 | 509.005 | -0.000 | 0.000 | 0.000 |
| 3.829 | -3.830 | -0.000 | 199.933 | -0.000 | 0.000 |
| 4.050 | 4.049 | -8.149 | 0.000 | 173.694 | 1.648 |
| -0.000 | -0.000 | -0.000 | -0.000 | 3.830 | 246.513 |
| 585.062 | 91.997 | 45.844 | -4.660 | 0.000 | 0.001 |
| 91.995 | 585.060 | 45.845 | 4.661 | 0.000 | 0.003 |
| 94.245 | 94.244 | 534.408 | 0.000 | 0.000 | -0.000 |
| -2.213 | 2.220 | -0.019 | 176.201 | -0.000 | 0.002 |
| -0.000 | -0.000 | -0.005 | -0.000 | 200.394 | -4.661 |
| 0.002 | 0.000 | -0.006 | -0.000 | -4.661 | 246.532 |
| 585.060 | 91.995 | 45.865 | -4.661 | -0.000 | -0.002 |
| 91.995 | 585.058 | 45.863 | 4.661 | -0.000 | -0.001 |
| 45.856 | 45.856 | 631.208 | -0.000 | -0.000 | -0.000 |
| -2.221 | 2.214 | 0.020 | 176.201 | 0.000 | 0.003 |
| 0.001 | -0.000 | 0.005 | 0.000 | 200.394 | -4.661 |
| -0.002 | 0.000 | 0.007 | 0.000 | -4.661 | 246.533 |
| 507.641 | 118.155 | 97.115 | -2.072 | 0.000 | 0.000 |
| 120.117 | 510.323 | 92.472 | 2.306 | -0.000 | -0.000 |
| 94.242 | 94.242 | 534.427 | 0.000 | 0.000 | -0.000 |
| -4.661 | 4.661 | -0.001 | 200.394 | 0.000 | -0.000 |
| 0.000 | -0.000 | -0.001 | -0.000 | 200.394 | -4.661 |
| 0.000 | 0.000 | -0.001 | -0.000 | -4.661 | 246.533 |
| 510.805 | 116.001 | 96.106 | -2.123 | -0.000 | 0.000 |
| 91.995 | 585.060 | 45.857 | 4.661 | -0.000 | 0.000 |
| 45.856 | 45.856 | 631.201 | -0.000 | 0.000 | 0.000 |
| -4.661 | 4.661 | 0.001 | 200.394 | -0.000 | -0.000 |
| -0.000 | 0.000 | 0.001 | 0.000 | 200.394 | -4.661 |
| -0.000 | -0.000 | 0.001 | 0.000 | -4.661 | 246.533 |
| 510.313 | 120.121 | 92.480 | -2.306 | 0.000 | -0.000 |
| 120.121 | 510.310 | 92.481 | 2.306 | 0.000 | -0.000 |
| 45.856 | 45.856 | 631.202 | 0.000 | 0.000 | 0.000 |
| -2.217 | 2.217 | -0.000 | 176.201 | 0.000 | -0.000 |
| 0.000 | 0.000 | -0.000 | -0.000 | 200.394 | -4.661 |
| 0.000 | 0.000 | -0.000 | -0.000 | -2.455 | 195.891 |
| 585.059 | 91.994 | 45.856 | -4.661 | -0.000 | -0.000 |
| 91.995 | 585.059 | 45.856 | 4.661 | -0.000 | 0.000 |
| 94.238 | 94.238 | 534.433 | -0.000 | -0.000 | -0.000 |
| -2.217 | 2.217 | 0.000 | 176.200 | -0.000 | -0.000 |
| -0.000 | -0.000 | 0.000 | 0.000 | 200.394 | -4.661 |
| -0.000 | -0.000 | 0.000 | 0.000 | -2.455 | 195.891 |
| 585.060 | 91.996 | 45.855 | 2.250 | 0.000 | 0.001 |
| 91.994 | 585.061 | 45.857 | -2.250 | 0.000 | 0.000 |
| 94.241 | 94.241 | 534.428 | 0.000 | 0.000 | -0.000 |
| 2.249 | -2.251 | -0.001 | 200.394 | 0.000 | -0.000 |
| -0.001 | 0.000 | -0.002 | 0.000 | 200.394 | 2.250 |
| -0.001 | 0.000 | -0.002 | 0.000 | 2.250 | 246.533 |
| 585.061 | 91.994 | 45.859 | 2.250 | -0.000 | -0.001 |
| 91.996 | 585.060 | 45.855 | -2.250 | -0.000 | -0.000 |
| 45.857 | 45.856 | 631.201 | -0.000 | -0.000 | -0.000 |
| 2.251 | -2.249 | 0.002 | 200.394 | -0.000 | 0.000 |
| 0.001 | -0.000 | 0.008 | 0.000 | 200.394 | 2.250 |
| 0.001 | -0.000 | 0.001 | 0.000 | 2.250 | 246.533 |
| 585.061 | 91.995 | 45.856 | 2.250 | 0.000 | 0.000 |
| 91.995 | 585.061 | 45.856 | -2.250 | 0.000 | 0.000 |
| 94.242 | 94.242 | 534.428 | 0.000 | 0.000 | 0.000 |
| 2.250 | -2.250 | -0.000 | 200.394 | 0.000 | 0.000 |
| -0.000 | 0.000 | 0.000 | -0.000 | 176.201 | 1.070 |
| -0.000 | 0.000 | -0.000 | 0.000 | 2.250 | 246.533 |
| 585.061 | 91.995 | 45.856 | 2.250 | -0.000 | -0.000 |
| 116.007 | 510.868 | 96.037 | -1.026 | -0.000 | -0.000 |
| 94.242 | 94.242 | 534.427 | -0.000 | -0.000 | 0.000 |
| 2.250 | -2.250 | -0.000 | 200.394 | -0.000 | -0.000 |
| 0.000 | -0.000 | -0.000 | 0.000 | 176.201 | 1.070 |
| 0.000 | -0.000 | 0.000 | -0.000 | 2.250 | 246.533 |
| 510.393 | 119.939 | 92.582 | 1.111 | 0.000 | 0.000 |
| 115.975 | 510.969 | 95.969 | -1.028 | 0.000 | 0.000 |
| 94.237 | 94.237 | 534.440 | 0.000 | 0.000 | 0.000 |
| 1.070 | -1.070 | 0.000 | 176.201 | 0.000 | 0.000 |
| 0.000 | 0.000 | -0.000 | 0.000 | 200.394 | 2.250 |
| -0.000 | 0.000 | 0.000 | 0.000 | 1.003 | 196.481 |
| 585.059 | 91.994 | 45.856 | 2.250 | -0.000 | -0.000 |
| 91.995 | 585.059 | 45.856 | -2.250 | -0.000 | -0.000 |
| 45.856 | 45.856 | 631.197 | -0.000 | -0.000 | -0.000 |
| 1.070 | -1.070 | -0.000 | 176.201 | -0.000 | -0.000 |
| -0.000 | -0.000 | -0.000 | -0.000 | 200.394 | 2.250 |
| 0.000 | -0.000 | -0.000 | -0.000 | 1.003 | 196.481 |
| -4785.514 | -5192.658 | 10834.457 | 0.368 | -0.000 | -0.000 |
| -2928.561 | -2533.429 | 6259.764 | -1.801 | -0.000 | -0.002 |
| -5237.792 | -5237.792 | 11333.949 | -0.002 | 0.003 | -0.001 |
| -4057.824 | -4060.410 | 8219.604 | 180.019 | -0.000 | -0.000 |
| -0.000 | 0.000 | 0.007 | -0.000 | 199.451 | 2.239 |
| -5287.979 | -5287.979 | 10709.409 | -0.000 | 0.368 | 203.698 |
| 5820.461 | 5485.335 | -10718.282 | 0.271 | 0.001 | 0.002 |
| 4810.221 | 5346.310 | -9553.714 | -0.773 | 0.000 | 0.001 |
| 1020.282 | 1020.282 | -1340.153 | 0.001 | -0.001 | 0.000 |
| 2.241 | -2.240 | -0.014 | 199.451 | 0.001 | 0.000 |
| -0.000 | 0.000 | -0.009 | 0.001 | 199.453 | 2.241 |
| 5287.980 | 5287.980 | -10709.407 | -0.000 | 0.368 | 203.700 |
| -54.807 | -393.837 | 1184.721 | 0.321 | 0.000 | -0.000 |
| -393.770 | -54.719 | 1184.542 | -0.321 | -0.000 | 0.000 |
| -152.135 | -152.135 | 1033.994 | -0.000 | 0.000 | -0.000 |
| -90.255 | -94.007 | 186.558 | 191.966 | -0.000 | 0.000 |
| -255.837 | -255.837 | 518.000 | 0.000 | 166.468 | 0.636 |
| -533.717 | -533.717 | 1080.899 | -0.000 | 0.279 | 167.839 |
| 867.375 | 436.615 | -589.900 | 1.390 | 0.000 | 0.000 |
| 655.332 | 1055.482 | -1001.991 | -0.254 | -0.000 | 0.000 |
| 635.968 | 635.968 | -561.967 | 0.000 | 0.000 | 0.000 |
| 534.292 | 533.736 | -1081.521 | 159.155 | -0.000 | 0.000 |
| 255.837 | 255.837 | -518.003 | -0.000 | 166.468 | 0.636 |
| 533.717 | 533.717 | -1080.900 | 0.000 | 0.279 | 167.839 |
| 460.044 | 98.625 | 164.671 | 0.762 | 0.000 | -0.000 |
| 79.104 | 447.125 | 197.538 | -0.682 | 0.000 | 0.000 |
| 45.298 | 45.298 | 634.288 | -0.000 | 0.000 | -0.000 |
| -16.238 | -19.070 | 35.749 | 182.531 | -0.000 | -0.000 |
| -49.837 | -49.836 | 100.931 | 0.000 | 161.845 | 0.409 |
| 0.000 | 0.000 | -0.001 | 0.000 | 2.240 | 246.498 |
| 561.754 | 115.229 | 44.876 | 2.106 | 0.000 | 0.000 |
| 182.521 | 518.488 | 20.547 | -0.283 | 0.000 | 0.000 |
| 145.079 | 145.079 | 432.200 | 0.000 | 0.000 | 0.000 |
| 16.863 | 13.549 | -30.793 | 187.478 | -0.000 | 0.000 |
| 49.837 | 49.836 | -100.931 | -0.000 | 161.845 | 0.409 |
| -0.000 | -0.000 | 0.001 | -0.000 | 2.240 | 246.498 |
| 652.948 | 330.624 | -262.203 | 0.201 | -0.001 | 0.001 |
| 330.625 | 652.948 | -262.208 | -0.202 | 0.000 | 0.001 |
| 314.309 | 314.309 | 92.769 | -0.000 | 0.003 | 0.002 |
| 3.833 | -3.833 | 0.029 | 200.110 | 0.002 | 0.002 |
| 0.000 | -0.000 | 0.030 | -0.000 | 200.111 | 3.834 |
| -0.003 | -0.000 | 0.030 | -0.000 | 3.834 | 246.525 |
| 584.824 | 91.778 | 45.987 | 3.833 | -0.001 | -0.003 |
| -57.909 | 271.007 | 511.310 | -0.343 | -0.002 | -0.001 |
| 21.936 | 21.936 | 679.775 | 0.001 | -0.001 | -0.002 |
| 3.833 | -3.833 | -0.041 | 200.111 | -0.002 | -0.001 |
| -0.000 | 0.000 | -0.028 | 0.000 | 200.110 | 3.832 |
| -0.000 | 0.000 | -0.031 | 0.000 | 3.832 | 246.523 |
| 498.788 | 139.977 | 83.971 | 0.978 | -0.000 | -0.000 |
| 126.144 | 514.798 | 81.779 | -1.155 | 0.000 | 0.000 |
| 116.903 | 116.903 | 489.145 | 0.000 | 0.000 | 0.000 |
| 3.833 | -3.833 | 0.003 | 200.110 | 0.000 | 0.000 |
| 0.000 | 0.000 | 0.003 | 0.000 | 200.110 | 3.833 |
| 0.000 | 0.000 | 0.003 | -0.000 | 3.833 | 246.524 |
| 478.755 | 107.342 | 136.841 | 1.246 | -0.000 | 0.000 |
| 107.342 | 478.755 | 136.841 | -1.246 | -0.000 | -0.000 |
| 45.681 | 45.681 | 632.138 | 0.000 | 0.000 | -0.000 |
| 3.833 | -3.833 | -0.003 | 200.110 | -0.000 | -0.000 |
| 0.000 | -0.000 | -0.003 | -0.000 | 200.110 | 3.833 |
| -0.000 | -0.000 | -0.003 | 0.000 | 3.833 | 246.524 |
| 511.403 | 116.918 | 94.449 | 1.736 | -0.000 | 0.000 |
| 116.884 | 511.502 | 94.384 | -1.739 | -0.000 | 0.000 |
| 95.407 | 95.407 | 532.304 | 0.000 | -0.000 | 0.000 |
| 2.902 | -0.687 | -2.223 | 175.598 | 0.000 | 0.000 |
| 0.000 | 0.000 | 0.000 | 0.000 | 200.110 | 3.833 |
| 0.000 | 0.000 | 0.000 | 0.000 | 3.833 | 246.524 |
| 508.714 | 115.636 | 98.432 | 1.762 | -0.000 | -0.000 |
| 114.607 | 509.228 | 98.949 | -1.739 | 0.000 | -0.000 |
| 45.680 | 45.680 | 632.139 | 0.000 | -0.000 | -0.000 |
| 3.833 | -3.833 | -0.000 | 200.110 | 0.000 | -0.000 |
| -0.000 | -0.000 | -0.000 | -0.000 | 200.110 | 3.833 |
| -0.000 | -0.000 | -0.000 | -0.000 | 3.833 | 246.524 |
| 266.239 | -132.377 | 589.049 | 1.240 | -0.000 | 0.000 |
| -132.377 | 266.239 | 589.049 | -1.240 | -0.000 | 0.000 |
| -152.902 | -152.902 | 1028.711 | 0.000 | -0.000 | 0.000 |
| 2.610 | -2.609 | -0.002 | 200.394 | 0.000 | 0.000 |
| 0.001 | 0.000 | 0.000 | 0.000 | 200.394 | 2.610 |
| 0.000 | 0.000 | -0.002 | -0.000 | 2.610 | 246.533 |
| 585.061 | 91.994 | 45.861 | 2.610 | -0.000 | -0.000 |
| 362.507 | 761.080 | -400.674 | -1.240 | -0.000 | -0.000 |
| 45.856 | 45.856 | 631.202 | -0.000 | -0.000 | 0.000 |
| 2.610 | -2.611 | 0.002 | 200.394 | -0.000 | -0.000 |
| -0.001 | -0.000 | -0.000 | -0.000 | 200.394 | 2.610 |
| -0.001 | -0.000 | 0.002 | -0.000 | 2.610 | 246.533 |
| 585.061 | 91.995 | 45.856 | 2.610 | 0.000 | 0.000 |
| 91.995 | 585.061 | 45.856 | -2.610 | 0.000 | -0.000 |
| 69.527 | 69.527 | 583.857 | -0.000 | 0.000 | 0.000 |
| 2.610 | -2.610 | -0.000 | 200.394 | 0.000 | 0.000 |
| -24.714 | -24.714 | 49.428 | -0.000 | 176.201 | 1.241 |
| -25.770 | -25.770 | 51.540 | 0.000 | 1.183 | 197.338 |
| 535.270 | 142.899 | 44.743 | 1.150 | -0.000 | -0.000 |
| 91.995 | 585.060 | 45.856 | -2.610 | -0.000 | -0.000 |
| 118.978 | 118.978 | 484.956 | -0.000 | -0.000 | -0.000 |
| 2.610 | -2.610 | 0.000 | 200.394 | -0.000 | -0.000 |
| 24.714 | 24.714 | -49.428 | 0.000 | 176.201 | 1.241 |
| 25.770 | 25.770 | -51.540 | -0.000 | 1.183 | 197.338 |
| 508.239 | 113.338 | 101.336 | 1.186 | 0.000 | 0.000 |
| 118.344 | 507.470 | 97.099 | -1.295 | 0.000 | 0.000 |
| 91.773 | 91.773 | 539.368 | -0.000 | 0.000 | 0.000 |
| -1.230 | -3.713 | 4.943 | 176.201 | -0.000 | 0.000 |
| 0.000 | 0.000 | -0.000 | 0.000 | 200.394 | 2.610 |
| -2.637 | -2.636 | 5.273 | 0.000 | 1.150 | 196.203 |
| 585.059 | 91.994 | 45.856 | 2.610 | -0.000 | -0.000 |
| 91.995 | 585.059 | 45.856 | -2.610 | -0.000 | -0.000 |
| 45.856 | 45.856 | 631.197 | 0.000 | -0.000 | 0.000 |
| 3.713 | 1.230 | -4.943 | 176.201 | -0.000 | -0.000 |
| -0.000 | -0.000 | 0.000 | -0.000 | 200.394 | 2.610 |
| 2.637 | 2.636 | -5.273 | -0.000 | 1.150 | 196.203 |
| 1897.276 | 1561.336 | -2774.222 | 1.623 | 0.001 | -0.000 |
| 1926.241 | 2242.968 | -3494.439 | -1.290 | 0.000 | -0.000 |
| 1082.446 | 1082.446 | -1467.806 | 0.000 | -0.002 | -0.000 |
| 1416.739 | 1413.501 | -2868.297 | 182.050 | 0.000 | 0.000 |
| 3005.126 | 3005.126 | -6090.603 | -0.000 | 167.403 | 0.791 |
| 5349.776 | 5349.776 | -10842.174 | 0.000 | -0.703 | 132.767 |
| -2485.940 | -2896.595 | 6185.258 | 0.796 | 0.001 | 0.000 |
| -2900.979 | -2490.526 | 6194.379 | -0.794 | -0.001 | -0.000 |
| 45.254 | 45.254 | 634.517 | 0.000 | -0.000 | 0.000 |
| -5350.542 | -5349.137 | 10842.376 | 140.963 | -0.000 | 0.000 |
| -3005.126 | -3005.126 | 6090.609 | 0.000 | 167.402 | 0.791 |
| -5349.776 | -5349.776 | 10842.173 | -0.000 | -0.702 | 132.767 |
| 622.022 | 212.220 | -114.644 | 2.012 | 0.000 | -0.000 |
| 212.190 | 622.001 | -114.603 | -2.012 | 0.000 | -0.000 |
| 239.006 | 239.006 | 241.691 | -0.000 | 0.000 | 0.000 |
| 101.857 | 97.964 | -202.499 | 187.853 | -0.000 | 0.000 |
| 300.045 | 300.045 | -608.111 | 0.000 | 167.452 | 0.794 |
| 99.685 | 99.685 | -202.054 | -0.000 | 1.948 | 202.902 |
| -101.066 | -373.803 | 1211.935 | -0.598 | -0.000 | 0.000 |
| -216.714 | 254.864 | 692.107 | -1.007 | 0.000 | 0.000 |
| -14.970 | -14.970 | 756.473 | 0.000 | 0.000 | 0.000 |
| -299.298 | -300.885 | 608.212 | 167.448 | 0.000 | 0.000 |
| -300.045 | -300.045 | 608.112 | -0.000 | 167.452 | 0.794 |
| -99.685 | -99.685 | 202.054 | 0.000 | 1.948 | 202.902 |
| 523.837 | 151.033 | 46.868 | 2.308 | 0.000 | 0.000 |
| 131.416 | 542.264 | 48.075 | -2.031 | 0.000 | 0.000 |
| 107.853 | 107.853 | 507.523 | -0.000 | 0.000 | -0.000 |
| 15.308 | 11.856 | -27.528 | 183.953 | -0.000 | 0.000 |
| 46.759 | 46.759 | -94.766 | -0.000 | 148.323 | -0.287 |
| 11.615 | 11.614 | -23.541 | 0.000 | 1.847 | 199.729 |
| 497.139 | 69.729 | 156.311 | 1.113 | 0.000 | 0.000 |
| 74.395 | 490.140 | 158.675 | -1.009 | -0.000 | 0.000 |
| 64.996 | 64.996 | 594.381 | 0.000 | -0.000 | -0.000 |
| -26.399 | -28.307 | 55.437 | 170.297 | -0.000 | 0.000 |
| -46.759 | -46.759 | 94.766 | 0.000 | 148.323 | -0.287 |
| -11.615 | -11.614 | 23.541 | -0.000 | 1.847 | 199.729 |
| 511.010 | 116.022 | 95.877 | 1.572 | -0.000 | -0.000 |
| 91.995 | 585.061 | 45.857 | -3.434 | -0.000 | -0.001 |
| 45.856 | 45.856 | 631.201 | -0.000 | -0.000 | 0.001 |
| 1.632 | -1.633 | -0.002 | 176.201 | 0.000 | 0.001 |
| -0.004 | -0.000 | 0.001 | 0.000 | 200.394 | 3.435 |
| -0.001 | 0.000 | 0.002 | 0.000 | 1.452 | 192.510 |
| 585.062 | 91.995 | 45.851 | 3.434 | 0.000 | -0.000 |
| 91.995 | 585.063 | 45.853 | -3.434 | 0.000 | -0.000 |
| 94.243 | 94.240 | 534.432 | 0.000 | -0.000 | -0.002 |
| 1.635 | -1.634 | 0.002 | 176.201 | 0.000 | 0.000 |
| 0.003 | 0.000 | -0.002 | -0.000 | 200.394 | 3.434 |
| 0.001 | -0.000 | -0.002 | -0.000 | 1.452 | 192.509 |
| 507.920 | 117.427 | 97.565 | 1.510 | -0.000 | 0.000 |
| 116.019 | 511.021 | 95.872 | -1.573 | -0.000 | -0.000 |
| 94.242 | 94.242 | 534.429 | -0.000 | -0.000 | -0.000 |
| 3.434 | -3.434 | 0.000 | 200.394 | 0.000 | 0.000 |
| -0.000 | 0.000 | -0.000 | 0.000 | 176.201 | 1.634 |
| 0.000 | 0.000 | 0.000 | 0.000 | 3.434 | 246.533 |
| 511.011 | 116.022 | 95.878 | 1.573 | -0.000 | -0.000 |
| 116.022 | 511.011 | 95.878 | -1.573 | 0.000 | -0.000 |
| 94.241 | 94.241 | 534.429 | 0.000 | 0.000 | -0.000 |
| 3.434 | -3.434 | 0.000 | 200.394 | 0.000 | -0.000 |
| 0.000 | -0.000 | 0.000 | -0.000 | 176.201 | 1.633 |
| -0.000 | -0.000 | -0.000 | -0.000 | 3.434 | 246.533 |
| 511.022 | 116.019 | 95.872 | 1.573 | -0.000 | -0.000 |
| 116.023 | 511.009 | 95.881 | -1.573 | -0.000 | -0.000 |
| 45.856 | 45.856 | 631.202 | -0.000 | -0.000 | 0.000 |
| 1.634 | -1.634 | 0.000 | 176.201 | -0.000 | 0.000 |
| 0.000 | 0.000 | 0.000 | 0.000 | 200.394 | 3.434 |
| -0.000 | 0.000 | 0.000 | 0.000 | 1.540 | 196.634 |
| 585.059 | 91.994 | 45.856 | 3.434 | 0.000 | -0.000 |
| 91.995 | 585.059 | 45.856 | -3.434 | 0.000 | -0.000 |
| 94.246 | 94.246 | 534.417 | 0.000 | 0.000 | -0.000 |
| 1.633 | -1.633 | -0.000 | 176.202 | 0.000 | -0.000 |
| -0.000 | -0.000 | -0.000 | -0.000 | 200.394 | 3.434 |
| 0.000 | -0.000 | -0.000 | -0.000 | 1.540 | 196.634 |
| -674.579 | -1091.667 | 2497.802 | 2.274 | -0.000 | 0.000 |
| -1996.271 | -1605.079 | 4339.602 | -1.419 | -0.000 | 0.001 |
| -2591.851 | -2591.851 | 5926.513 | -0.000 | 0.001 | 0.000 |
| -2699.737 | -2701.444 | 5420.984 | 165.499 | 0.000 | 0.001 |
| -2700.590 | -2700.590 | 5420.983 | -0.000 | 165.496 | 0.854 |
| -0.000 | 0.000 | 0.014 | -0.001 | 3.430 | 246.526 |
| 2627.386 | 2236.548 | -4156.651 | 1.409 | -0.000 | -0.000 |
| 2831.663 | 3188.706 | -5317.353 | -0.848 | -0.001 | -0.000 |
| 1292.509 | 1292.509 | -1870.601 | 0.000 | 0.000 | -0.001 |
| 2704.171 | 2702.470 | -5426.450 | 165.464 | -0.001 | -0.000 |
| 2700.591 | 2700.590 | -5420.980 | 0.000 | 165.497 | 0.853 |
| 0.000 | -0.000 | -0.016 | 0.000 | 3.429 | 246.525 |
| 584.841 | 91.790 | 45.974 | 3.430 | -0.000 | 0.000 |
| -142.079 | 217.020 | 649.869 | -0.886 | -0.000 | 0.000 |
| -120.319 | -120.319 | 965.325 | -0.000 | -0.000 | 0.000 |
| 3.430 | -3.430 | 0.001 | 200.126 | 0.000 | -0.000 |
| 0.000 | 0.000 | 0.001 | -0.000 | 200.126 | 3.430 |
| -211.555 | -211.555 | 424.657 | -0.000 | 1.415 | 195.524 |
| 645.230 | 223.772 | -147.099 | 2.370 | 0.000 | -0.000 |
| 223.552 | 645.109 | -146.760 | -2.372 | -0.000 | -0.000 |
| 302.880 | 302.880 | 115.829 | -0.000 | 0.000 | 0.000 |
| 3.430 | -3.430 | -0.001 | 200.126 | -0.000 | -0.000 |
| -0.000 | -0.000 | -0.001 | 0.000 | 200.126 | 3.430 |
| 211.555 | 211.555 | -424.656 | 0.000 | 1.415 | 195.524 |
| 475.389 | 96.966 | 150.634 | 1.253 | 0.000 | 0.000 |
| 105.822 | 488.751 | 128.334 | -1.707 | 0.000 | 0.000 |
| 69.500 | 69.500 | 584.303 | 0.000 | -0.000 | 0.000 |
| -24.273 | -26.307 | 50.766 | 167.698 | -0.000 | 0.000 |
| 0.000 | 0.000 | -0.000 | 0.000 | 200.126 | 3.430 |
| 0.000 | 0.000 | 0.000 | 0.000 | 3.430 | 246.526 |
| 584.839 | 91.789 | 45.974 | 3.430 | -0.000 | -0.000 |
| 91.789 | 584.839 | 45.974 | -3.430 | 0.000 | -0.000 |
| 109.783 | 109.783 | 503.438 | 0.000 | -0.000 | 0.000 |
| 17.177 | 13.228 | -30.516 | 180.565 | -0.000 | -0.000 |
| -0.000 | -0.000 | 0.000 | -0.000 | 200.126 | 3.430 |
| -0.000 | -0.000 | -0.000 | -0.000 | 3.430 | 246.526 |
| 510.952 | 118.507 | 93.343 | -0.001 | 0.000 | 0.000 |
| 118.506 | 510.951 | 93.338 | -0.000 | 0.000 | 0.000 |
| 94.295 | 94.295 | 534.493 | -0.000 | -0.001 | 0.000 |
| -0.000 | 0.000 | 0.000 | 200.172 | 0.001 | 0.000 |
| 0.053 | 0.053 | -0.107 | -0.000 | 176.011 | 0.000 |
| 0.051 | 0.051 | -0.104 | -0.001 | -0.001 | 196.714 |
| 584.876 | 91.824 | 45.949 | 0.001 | 0.000 | -0.000 |
| 115.706 | 511.201 | 95.896 | 0.001 | 0.000 | -0.000 |
| 45.718 | 45.718 | 631.941 | 0.001 | 0.000 | -0.000 |
| -0.000 | -0.000 | -0.003 | 200.172 | -0.001 | -0.000 |
| -0.053 | -0.053 | 0.107 | 0.001 | 176.012 | -0.000 |
| -0.051 | -0.051 | 0.105 | 0.001 | 0.001 | 196.713 |
| 511.263 | 115.766 | 95.777 | -0.000 | -0.000 | 0.000 |
| 91.824 | 584.877 | 45.953 | -0.000 | -0.000 | 0.000 |
| 94.243 | 94.243 | 534.596 | -0.000 | -0.000 | 0.000 |
| 0.005 | 0.005 | -0.011 | 176.016 | -0.000 | 0.000 |
| 0.005 | 0.005 | -0.011 | -0.000 | 176.016 | 0.000 |
| 0.005 | 0.006 | -0.011 | -0.000 | 0.000 | 197.067 |
| 511.252 | 115.755 | 95.799 | 0.000 | -0.000 | -0.000 |
| 115.758 | 511.242 | 95.805 | 0.000 | 0.000 | -0.000 |
| 94.234 | 94.234 | 534.613 | 0.000 | 0.000 | -0.000 |
| -0.005 | -0.005 | 0.010 | 176.016 | 0.000 | -0.000 |
| -0.005 | -0.005 | 0.011 | 0.000 | 176.016 | -0.000 |
| -0.006 | -0.006 | 0.011 | 0.000 | -0.000 | 197.067 |
| 511.259 | 115.761 | 95.787 | -0.000 | -0.000 | 0.000 |
| 115.761 | 511.259 | 95.787 | -0.000 | -0.000 | 0.000 |
| 94.244 | 94.244 | 534.597 | -0.000 | -0.000 | 0.000 |
| 0.000 | 0.000 | -0.000 | 200.172 | -0.000 | 0.000 |
| 0.000 | 0.001 | -0.001 | -0.000 | 176.016 | 0.000 |
| 0.000 | 0.000 | 0.000 | -0.000 | -0.000 | 246.526 |
| 511.256 | 115.759 | 95.788 | 0.000 | 0.000 | -0.000 |
| 115.758 | 511.259 | 95.786 | 0.000 | -0.000 | -0.000 |
| 94.244 | 94.244 | 534.591 | 0.000 | 0.000 | -0.000 |
| -0.000 | -0.000 | 0.000 | 200.172 | -0.000 | -0.000 |
| -0.000 | -0.001 | 0.001 | 0.000 | 176.016 | -0.000 |
| -0.000 | -0.000 | -0.000 | 0.000 | 0.000 | 246.526 |
| 585.061 | 91.995 | 45.853 | 0.000 | -0.000 | 0.000 |
| 91.995 | 585.060 | 45.854 | -0.000 | -0.000 | -0.001 |
| 45.856 | 45.855 | 631.199 | -0.000 | -0.000 | -0.000 |
| -0.000 | -0.001 | -0.001 | 200.394 | -0.000 | -0.001 |
| 0.006 | 0.006 | -0.015 | 0.000 | 176.201 | 0.000 |
| -0.000 | -0.001 | -0.001 | 0.000 | -0.000 | 246.532 |
| 510.711 | 115.986 | 96.216 | 0.000 | 0.000 | 0.000 |
| 115.986 | 510.712 | 96.215 | -0.000 | -0.000 | 0.000 |
| 45.856 | 45.856 | 631.200 | -0.000 | -0.000 | 0.000 |
| 0.000 | 0.001 | 0.001 | 200.394 | 0.000 | 0.000 |
| -0.006 | -0.006 | 0.014 | -0.000 | 176.201 | -0.000 |
| 0.000 | 0.001 | 0.001 | -0.000 | 0.000 | 246.533 |
| 510.717 | 115.993 | 96.202 | 0.000 | 0.000 | -0.000 |
| 115.993 | 510.717 | 96.202 | 0.000 | 0.000 | -0.000 |
| 94.242 | 94.242 | 534.427 | 0.000 | -0.000 | 0.000 |
| 0.000 | -0.000 | -0.000 | 200.394 | -0.000 | -0.000 |
| 0.000 | -0.000 | 0.000 | 0.000 | 200.394 | -0.000 |
| 0.000 | -0.000 | -0.000 | 0.000 | -0.000 | 246.533 |
| 585.060 | 91.995 | 45.856 | 0.000 | -0.000 | -0.000 |
| 91.995 | 585.060 | 45.856 | 0.000 | -0.000 | 0.000 |
| 94.251 | 94.251 | 534.410 | -0.000 | 0.000 | -0.000 |
| -0.000 | -0.000 | 0.000 | 200.394 | 0.000 | -0.000 |
| -0.000 | 0.000 | -0.000 | -0.000 | 200.394 | 0.000 |
| -0.000 | 0.000 | -0.000 | -0.000 | -0.000 | 246.533 |
| 510.204 | 120.394 | 92.315 | -0.000 | 0.000 | -0.000 |
| 120.396 | 510.198 | 92.319 | 0.000 | 0.000 | -0.000 |
| 94.245 | 94.245 | 534.424 | -0.000 | 0.000 | 0.000 |
| 0.000 | 0.000 | -0.000 | 200.394 | -0.000 | 0.000 |
| -0.000 | 0.000 | -0.000 | -0.000 | 176.201 | -0.000 |
| 0.000 | 0.000 | 0.000 | 0.000 | 0.000 | 246.533 |
| 510.716 | 115.991 | 96.202 | 0.000 | -0.000 | 0.000 |
| 115.990 | 510.718 | 96.201 | -0.000 | 0.000 | 0.000 |
| 94.337 | 94.337 | 534.234 | 0.000 | 0.000 | -0.000 |
| -0.000 | -0.000 | 0.000 | 200.394 | 0.000 | 0.000 |
| 0.000 | -0.000 | 0.000 | 0.000 | 176.201 | 0.000 |
| -0.000 | -0.000 | -0.000 | -0.000 | -0.000 | 246.533 |
| -1092.139 | -1478.483 | 3305.424 | -0.000 | -0.000 | 0.000 |
| 91.783 | 584.832 | 45.976 | -0.000 | -0.000 | 0.000 |
| -1506.149 | -1506.149 | 3747.455 | -0.000 | -0.000 | 0.000 |
| -0.000 | 0.000 | -0.000 | 200.119 | -0.000 | 0.000 |
| -1599.052 | -1599.052 | 3210.130 | -0.000 | 172.739 | 0.000 |
| -1600.112 | -1600.112 | 3212.260 | -0.000 | -0.000 | 193.042 |
| 2106.433 | 1720.521 | -3116.211 | 0.001 | 0.000 | -0.000 |
| 1459.998 | 1845.916 | -2593.211 | 0.000 | 0.000 | -0.000 |
| 1691.595 | 1691.595 | -2672.085 | 0.000 | 0.000 | -0.000 |
| 0.000 | 0.000 | -0.000 | 200.119 | 0.000 | -0.000 |
| 1599.052 | 1599.052 | -3210.130 | 0.000 | 172.739 | -0.000 |
| 1600.112 | 1600.112 | -3212.260 | 0.000 | 0.000 | 193.042 |
| 349.614 | -39.020 | 413.374 | -0.000 | -0.000 | 0.000 |
| -12.588 | 372.578 | 363.791 | -0.000 | -0.000 | 0.000 |
| -51.676 | -51.676 | 827.568 | -0.000 | -0.000 | 0.000 |
| 0.000 | 0.000 | -0.000 | 200.119 | -0.000 | 0.000 |
| 0.000 | 0.000 | 0.000 | -0.000 | 200.119 | 0.000 |
| -145.266 | -145.266 | 291.625 | -0.000 | -0.000 | 200.052 |
| 584.831 | 91.783 | 45.976 | -0.000 | 0.000 | -0.000 |
| 91.783 | 584.831 | 45.976 | 0.000 | 0.000 | -0.000 |
| 252.248 | 252.248 | 217.434 | 0.000 | 0.000 | -0.000 |
| -0.000 | -0.000 | 0.000 | 200.119 | 0.000 | -0.000 |
| -0.000 | -0.000 | -0.000 | 0.000 | 200.119 | 0.000 |
| 145.266 | 145.266 | -291.625 | 0.000 | 0.000 | 200.052 |
| 584.833 | 91.784 | 45.976 | -0.000 | -0.000 | -0.000 |
| 91.783 | 584.833 | 45.976 | -0.000 | -0.000 | 0.000 |
| 79.714 | 79.714 | 563.802 | -0.000 | -0.000 | 0.000 |
| -14.780 | -14.780 | 29.672 | 174.812 | -0.000 | 0.000 |
| 0.000 | 0.000 | 0.000 | -0.000 | 200.119 | -0.000 |
| -15.212 | -15.211 | 30.537 | -0.000 | -0.000 | 195.682 |
| 522.732 | 131.951 | 67.989 | 0.000 | 0.000 | -0.000 |
| 132.622 | 522.066 | 67.983 | 0.000 | 0.000 | -0.000 |
| 109.008 | 109.008 | 504.989 | 0.000 | 0.000 | -0.000 |
| 14.780 | 14.780 | -29.672 | 174.812 | 0.000 | -0.000 |
| 13.841 | 13.841 | -27.785 | 0.000 | 176.343 | -0.000 |
| 15.212 | 15.211 | -30.537 | 0.000 | 0.000 | 195.682 |
| 510.511 | 115.736 | 96.595 | 17.734 | -0.000 | 0.000 |
| 115.736 | 510.512 | 96.596 | -17.736 | -0.001 | -0.000 |
| 94.215 | 94.216 | 534.609 | -0.001 | -0.000 | -0.001 |
| 39.118 | -39.119 | -0.000 | 200.234 | -0.001 | 0.000 |
| -0.000 | -0.000 | -0.000 | -0.001 | 200.234 | 39.119 |
| -0.034 | -0.033 | 0.066 | -0.001 | 17.243 | 196.258 |
| 510.571 | 115.802 | 96.470 | 17.734 | 0.001 | 0.001 |
| 115.802 | 510.571 | 96.470 | -17.732 | 0.000 | -0.000 |
| 45.758 | 45.757 | 631.738 | 0.001 | 0.000 | -0.001 |
| 39.119 | -39.119 | -0.000 | 200.236 | 0.001 | 0.000 |
| 0.000 | 0.000 | 0.000 | 0.001 | 200.235 | 39.119 |
| 0.032 | 0.033 | -0.066 | 0.001 | 17.244 | 196.258 |
| 510.065 | 118.994 | 93.778 | 18.881 | -0.000 | 0.000 |
| 115.760 | 510.554 | 96.528 | -17.739 | -0.000 | -0.000 |
| 45.758 | 45.758 | 631.739 | -0.000 | -0.000 | 0.000 |
| 18.615 | -18.621 | 0.006 | 176.068 | -0.000 | -0.000 |
| -0.003 | -0.003 | 0.006 | -0.000 | 176.068 | 18.618 |
| -0.003 | -0.003 | 0.007 | -0.000 | 17.245 | 196.263 |
| 510.071 | 118.999 | 93.766 | 18.882 | 0.000 | 0.000 |
| 115.770 | 510.550 | 96.522 | -17.735 | 0.000 | -0.000 |
| 94.244 | 94.244 | 534.551 | 0.000 | 0.000 | -0.000 |
| 18.622 | -18.616 | -0.006 | 176.069 | 0.000 | 0.000 |
| 0.003 | 0.003 | -0.006 | 0.000 | 176.068 | 18.618 |
| 0.003 | 0.003 | -0.007 | 0.000 | 17.245 | 196.263 |
| 508.876 | 119.710 | 94.253 | 18.675 | -0.000 | 0.000 |
| 115.768 | 510.545 | 96.531 | -17.735 | -0.000 | -0.000 |
| 94.244 | 94.244 | 534.554 | -0.000 | -0.000 | -0.000 |
| 18.618 | -18.619 | 0.001 | 176.068 | -0.000 | -0.000 |
| -0.000 | -0.000 | 0.001 | 0.000 | 176.068 | 18.618 |
| -0.001 | -0.000 | 0.001 | -0.000 | 17.245 | 196.263 |
| 584.930 | 91.872 | 45.927 | 39.119 | 0.000 | -0.000 |
| 91.872 | 584.930 | 45.927 | -39.119 | 0.000 | 0.000 |
| 94.239 | 94.239 | 534.561 | 0.000 | 0.000 | 0.000 |
| 39.119 | -39.119 | -0.000 | 200.235 | 0.000 | 0.000 |
| 0.000 | 0.000 | -0.001 | -0.000 | 176.068 | 18.618 |
| 0.001 | 0.000 | -0.001 | 0.000 | 17.245 | 196.263 |
| 584.812 | 91.766 | 45.986 | -0.000 | -0.000 | 0.000 |
| 166.389 | 576.302 | -20.396 | -0.000 | -0.000 | 0.000 |
| 231.665 | 231.666 | 258.687 | -0.000 | 0.000 | 0.000 |
| 110.771 | 110.771 | -222.441 | 162.550 | -0.000 | -0.000 |
| 110.773 | 110.773 | -222.443 | -0.000 | 162.549 | 0.000 |
| 0.000 | 0.000 | -0.002 | -0.000 | 0.000 | 246.523 |
| 475.403 | 65.923 | 181.785 | 0.000 | 0.000 | 0.001 |
| 65.924 | 475.405 | 181.781 | -0.000 | 0.000 | -0.000 |
| 20.415 | 20.415 | 682.903 | -0.000 | -0.000 | -0.001 |
| -110.771 | -110.771 | 222.440 | 162.550 | 0.000 | -0.000 |
| -110.773 | -110.773 | 222.443 | -0.000 | 162.549 | 0.000 |
| -0.000 | -0.000 | 0.001 | 0.000 | 0.000 | 246.522 |
| 487.679 | 137.141 | 97.951 | 0.000 | 0.000 | 0.000 |
| 137.141 | 487.679 | 97.952 | 0.000 | -0.000 | 0.000 |
| 127.014 | 127.014 | 468.837 | 0.000 | -0.000 | 0.000 |
| 5.303 | 5.303 | -10.648 | 182.049 | -0.000 | 0.000 |
| 10.927 | 10.927 | -21.942 | -0.000 | 163.059 | 0.000 |
| 0.000 | 0.000 | -0.000 | -0.000 | 0.000 | 246.523 |
| 467.783 | 115.233 | 139.925 | 0.000 | 0.000 | 0.000 |
| 112.013 | 515.210 | 95.539 | -0.000 | -0.000 | 0.000 |
| 78.730 | 78.730 | 565.796 | -0.000 | 0.000 | -0.000 |
| -0.000 | -0.000 | 0.000 | 200.097 | 0.000 | -0.000 |
| -10.927 | -10.927 | 21.942 | 0.000 | 163.059 | -0.000 |
| -0.000 | -0.000 | 0.000 | 0.000 | 0.000 | 246.523 |
| 508.175 | 117.351 | 97.244 | -0.000 | -0.000 | -0.000 |
| 117.352 | 508.172 | 97.246 | 0.000 | -0.000 | 0.000 |
| 94.737 | 94.737 | 533.655 | 0.000 | 0.000 | 0.000 |
| 0.792 | 0.791 | -1.589 | 173.268 | -0.000 | -0.000 |
| 0.000 | 0.000 | -0.000 | 0.000 | 200.097 | 0.000 |
| 0.000 | 0.000 | 0.000 | -0.000 | 0.000 | 246.523 |
| 509.546 | 114.871 | 98.355 | -0.000 | -0.000 | 0.000 |
| 119.526 | 509.649 | 93.577 | -0.000 | -0.000 | -0.000 |
| 93.592 | 93.592 | 535.950 | 0.000 | -0.000 | -0.000 |
| -0.698 | -0.698 | 1.402 | 176.375 | -0.000 | -0.000 |
| -0.000 | -0.000 | -0.000 | 0.000 | 200.097 | 0.000 |
| -0.000 | -0.000 | -0.000 | 0.000 | 0.000 | 246.523 |
| 585.061 | 91.995 | 45.856 | 0.000 | -0.000 | -0.000 |
| 91.995 | 585.061 | 45.858 | 0.001 | 0.000 | 0.000 |
| 94.192 | 94.192 | 534.529 | 0.000 | 0.000 | -0.000 |
| -0.050 | -0.050 | 0.100 | 176.201 | 0.000 | 0.000 |
| -0.050 | -0.050 | 0.098 | 0.000 | 176.201 | -0.000 |
| -0.052 | -0.052 | 0.107 | 0.000 | 0.000 | 196.789 |
| 585.060 | 91.995 | 45.855 | -0.000 | -0.000 | -0.000 |
| 91.995 | 585.061 | 45.854 | -0.000 | -0.000 | -0.000 |
| 45.856 | 45.856 | 631.198 | -0.000 | -0.000 | -0.000 |
| 0.050 | 0.050 | -0.101 | 176.201 | -0.000 | -0.000 |
| 0.050 | 0.050 | -0.098 | -0.000 | 176.201 | 0.000 |
| 0.052 | 0.052 | -0.107 | -0.000 | -0.000 | 196.789 |
| 585.061 | 91.995 | 45.856 | 0.000 | 0.000 | 0.000 |
| 116.032 | 511.153 | 95.726 | -0.000 | 0.000 | 0.000 |
| 45.856 | 45.856 | 631.200 | -0.000 | 0.000 | 0.000 |
| 0.000 | -0.000 | -0.000 | 200.394 | 0.000 | 0.000 |
| 0.000 | -0.000 | -0.000 | 0.000 | 200.394 | 0.000 |
| 0.000 | 0.000 | -0.000 | 0.000 | 0.000 | 246.533 |
| 511.163 | 116.042 | 95.706 | 0.000 | -0.000 | -0.000 |
| 119.125 | 510.762 | 93.023 | -0.000 | -0.000 | -0.000 |
| 94.246 | 94.246 | 534.419 | -0.000 | -0.000 | 0.000 |
| -0.000 | 0.000 | 0.000 | 200.394 | -0.000 | -0.000 |
| -0.000 | 0.000 | 0.000 | -0.000 | 200.394 | -0.000 |
| -0.000 | -0.000 | 0.000 | -0.000 | -0.000 | 246.533 |
| 511.161 | 116.036 | 95.716 | 0.000 | 0.000 | 0.000 |
| 116.005 | 511.258 | 95.650 | -0.000 | 0.000 | 0.000 |
| 94.244 | 94.244 | 534.425 | 0.000 | 0.000 | -0.000 |
| 0.000 | 0.000 | 0.000 | 200.394 | 0.000 | 0.000 |
| -0.001 | -0.000 | 0.001 | -0.000 | 176.201 | -0.000 |
| 0.000 | 0.000 | 0.000 | 0.000 | 0.000 | 246.533 |
| 585.059 | 91.994 | 45.856 | -0.000 | -0.000 | -0.000 |
| 116.036 | 511.161 | 95.713 | -0.000 | -0.000 | 0.000 |
| 94.242 | 94.242 | 534.426 | -0.000 | -0.000 | 0.000 |
| -0.000 | -0.000 | -0.000 | 200.394 | -0.000 | -0.000 |
| 0.001 | 0.000 | -0.001 | 0.000 | 176.201 | -0.000 |
| -0.000 | -0.000 | -0.000 | -0.000 | -0.000 | 246.533 |
| 2653.780 | 2300.077 | -4246.502 | -0.000 | -0.000 | 0.000 |
| 1636.148 | 2048.792 | -2973.065 | -0.000 | -0.000 | 0.000 |
| 45.695 | 45.695 | 632.068 | 0.000 | -0.000 | 0.000 |
| 1342.441 | 1342.441 | -2694.465 | 178.127 | 0.000 | 0.000 |
| 1342.782 | 1342.782 | -2695.150 | -0.000 | 178.122 | 0.000 |
| 0.000 | 0.000 | 0.001 | 0.000 | -0.000 | 246.526 |
| -833.085 | -1223.252 | 2788.703 | 0.000 | -0.000 | -0.000 |
| 91.795 | 584.846 | 45.971 | 0.000 | -0.000 | -0.000 |
| -2071.352 | -2071.352 | 4881.266 | 0.001 | -0.000 | 0.000 |
| -2158.961 | -2158.961 | 4333.324 | 164.892 | 0.000 | 0.000 |
| -1342.782 | -1342.782 | 2695.150 | 0.000 | 178.122 | -0.000 |
| -0.000 | -0.000 | -0.001 | -0.000 | 0.000 | 246.526 |
| 674.164 | 263.551 | -216.034 | 0.000 | -0.000 | 0.000 |
| 249.963 | 643.117 | -171.240 | -0.000 | 0.000 | 0.000 |
| 301.201 | 301.201 | 119.236 | -0.000 | 0.000 | 0.000 |
| 152.658 | 152.658 | -306.405 | 175.353 | -0.000 | 0.000 |
| 214.690 | 214.690 | -430.911 | 0.000 | 165.089 | 0.000 |
| 0.000 | 0.000 | 0.000 | 0.000 | -0.000 | 246.526 |
| 286.036 | -77.972 | 516.219 | 0.000 | -0.000 | 0.000 |
| -77.942 | 286.090 | 516.136 | 0.000 | 0.000 | -0.000 |
| 45.695 | 45.695 | 632.069 | 0.000 | 0.000 | 0.000 |
| -152.658 | -152.658 | 306.405 | 175.353 | -0.000 | -0.000 |
| -214.690 | -214.690 | 430.911 | -0.000 | 165.089 | -0.000 |
| -0.000 | -0.000 | 0.000 | -0.000 | -0.000 | 246.526 |
| 519.252 | 135.653 | 67.787 | -0.000 | -0.000 | -0.000 |
| 135.652 | 519.254 | 67.786 | -0.000 | -0.000 | -0.000 |
| 108.626 | 108.626 | 505.761 | -0.000 | 0.000 | 0.000 |
| 0.000 | 0.000 | -0.000 | 200.134 | 0.000 | 0.000 |
| 17.202 | 17.203 | -34.528 | -0.000 | 172.053 | 0.000 |
| 16.865 | 16.865 | -33.850 | -0.000 | -0.000 | 192.481 |
| 492.172 | 100.809 | 129.928 | -0.000 | 0.000 | 0.000 |
| 100.809 | 492.174 | 129.926 | 0.000 | 0.000 | -0.000 |
| 78.813 | 78.813 | 565.595 | 0.000 | 0.000 | -0.000 |
| -14.353 | -14.352 | 28.808 | 176.615 | -0.000 | 0.000 |
| -17.202 | -17.203 | 34.528 | 0.000 | 172.053 | 0.000 |
| -16.865 | -16.865 | 33.850 | 0.000 | -0.000 | 192.481 |
| 510.335 | 115.926 | 96.656 | -0.000 | -0.000 | -0.001 |
| 121.609 | 509.720 | 91.585 | -0.000 | -0.000 | 0.000 |
| 94.211 | 94.210 | 534.491 | -0.000 | -0.000 | 0.000 |
| -0.031 | -0.031 | 0.064 | 176.201 | -0.000 | 0.001 |
| -0.031 | -0.031 | 0.063 | -0.000 | 176.201 | -0.000 |
| -0.000 | -0.001 | 0.003 | -0.000 | -0.000 | 246.533 |
| 509.785 | 121.670 | 91.454 | 0.000 | 0.000 | 0.000 |
| 91.994 | 585.060 | 45.853 | 0.000 | 0.000 | -0.001 |
| 45.855 | 45.856 | 631.198 | 0.000 | 0.000 | 0.000 |
| 0.030 | 0.031 | -0.063 | 176.201 | 0.000 | 0.000 |
| 0.030 | 0.031 | -0.063 | 0.000 | 176.201 | 0.000 |
| 0.000 | 0.001 | -0.003 | 0.000 | 0.000 | 246.533 |
| 585.061 | 91.995 | 45.856 | -0.000 | 0.000 | 0.000 |
| 91.995 | 585.061 | 45.856 | -0.000 | -0.000 | 0.000 |
| 94.239 | 94.239 | 534.434 | -0.000 | -0.000 | -0.000 |
| -0.003 | -0.003 | 0.006 | 176.201 | -0.000 | 0.000 |
| -0.003 | -0.003 | 0.006 | -0.000 | 176.201 | 0.000 |
| -0.002 | -0.002 | 0.005 | -0.000 | -0.000 | 195.050 |
| 585.060 | 91.995 | 45.856 | 0.000 | 0.000 | -0.000 |
| 91.995 | 585.061 | 45.856 | 0.000 | 0.000 | -0.000 |
| 94.247 | 94.247 | 534.417 | 0.000 | 0.000 | 0.000 |
| 0.003 | 0.003 | -0.006 | 176.201 | 0.000 | 0.000 |
| 0.003 | 0.003 | -0.006 | 0.000 | 176.201 | 0.000 |
| 0.002 | 0.002 | -0.005 | 0.000 | 0.000 | 195.050 |
| 506.919 | 121.881 | 94.114 | -0.000 | -0.000 | -0.000 |
| 115.958 | 510.361 | 96.594 | -0.000 | -0.000 | -0.000 |
| 94.244 | 94.244 | 534.425 | -0.000 | -0.000 | -0.000 |
| 0.000 | 0.000 | 0.000 | 200.394 | -0.000 | -0.000 |
| 0.000 | 0.000 | 0.000 | -0.000 | 200.394 | -0.000 |
| -0.001 | -0.000 | 0.001 | -0.000 | -0.000 | 195.940 |
| 510.363 | 115.957 | 96.590 | 0.000 | 0.000 | 0.000 |
| 91.995 | 585.059 | 45.856 | 0.000 | 0.000 | 0.000 |
| 94.241 | 94.241 | 534.427 | 0.000 | 0.000 | -0.000 |
| -0.000 | -0.000 | -0.000 | 200.394 | 0.000 | -0.000 |
| -0.000 | -0.000 | -0.000 | 0.000 | 200.394 | 0.000 |
| 0.001 | 0.000 | -0.001 | 0.000 | 0.000 | 195.940 |
| 694.713 | 297.470 | -271.147 | -0.000 | -0.001 | 0.000 |
| 91.731 | 584.774 | 46.006 | -0.000 | -0.000 | 0.000 |
| 275.065 | 275.066 | 171.340 | -0.000 | -0.000 | 0.000 |
| 0.000 | 0.000 | 0.002 | 200.051 | -0.000 | 0.000 |
| 520.929 | 520.929 | -1046.724 | -0.000 | 150.607 | 0.000 |
| 520.438 | 520.438 | -1045.742 | -0.000 | -0.000 | 150.532 |
| 244.730 | -158.029 | 638.568 | -0.000 | 0.000 | -0.000 |
| 91.731 | 584.774 | 46.008 | 0.000 | 0.000 | -0.000 |
| -89.755 | -89.754 | 904.400 | 0.000 | 0.001 | -0.000 |
| -0.000 | -0.000 | -0.002 | 200.051 | 0.001 | -0.000 |
| -520.929 | -520.929 | 1046.725 | 0.000 | 150.608 | -0.000 |
| -520.437 | -520.438 | 1045.743 | 0.000 | 0.000 | 150.531 |
| 496.363 | 184.841 | 41.285 | -0.000 | -0.000 | 0.000 |
| 184.842 | 496.362 | 41.285 | -0.000 | -0.000 | 0.000 |
| 120.604 | 120.604 | 481.712 | -0.000 | -0.000 | 0.000 |
| 20.176 | 20.176 | -40.541 | 180.759 | -0.000 | 0.000 |
| 20.177 | 20.177 | -40.542 | -0.000 | 180.758 | 0.000 |
| 18.586 | 18.586 | -37.347 | -0.000 | -0.000 | 196.735 |
| 438.543 | 87.577 | 197.093 | 0.000 | 0.000 | -0.000 |
| 104.226 | 487.867 | 130.813 | 0.000 | 0.000 | -0.000 |
| 45.644 | 45.644 | 632.332 | 0.000 | 0.000 | -0.000 |
| -20.177 | -20.177 | 40.543 | 180.759 | -0.000 | -0.000 |
| -20.177 | -20.177 | 40.542 | 0.000 | 180.758 | -0.000 |
| -18.586 | -18.586 | 37.347 | 0.000 | 0.000 | 196.735 |
| 511.477 | 118.699 | 92.553 | -0.000 | -0.000 | 0.000 |
| 91.732 | 584.776 | 46.005 | -0.000 | -0.000 | 0.000 |
| 45.644 | 45.644 | 632.335 | -0.000 | -0.000 | 0.000 |
| 2.553 | 2.553 | -5.131 | 175.884 | 0.000 | 0.000 |
| 2.657 | 2.658 | -5.340 | -0.000 | 174.827 | 0.000 |
| 0.000 | 0.000 | 0.000 | -0.000 | 0.000 | 246.521 |
| 506.391 | 121.914 | 94.429 | 0.000 | 0.000 | -0.000 |
| 121.912 | 506.396 | 94.426 | -0.000 | 0.000 | -0.000 |
| 92.288 | 92.288 | 538.607 | 0.000 | 0.000 | -0.000 |
| -2.658 | -2.657 | 5.340 | 174.827 | 0.000 | -0.000 |
| -2.657 | -2.658 | 5.340 | 0.000 | 174.827 | -0.000 |
| -0.000 | -0.000 | -0.000 | 0.000 | 0.000 | 246.521 |
| 585.061 | 91.994 | 45.856 | -16.313 | -0.000 | -0.001 |
| 118.673 | 510.976 | 93.264 | 7.933 | 0.000 | -0.001 |
| 94.239 | 94.239 | 534.434 | 0.000 | -0.000 | -0.001 |
| -7.761 | 7.757 | 0.006 | 176.201 | -0.000 | -0.000 |
| -0.002 | -0.002 | 0.005 | 0.000 | 176.201 | -7.760 |
| -0.000 | -0.000 | 0.000 | 0.000 | -16.313 | 246.532 |
| 510.981 | 118.678 | 93.252 | -7.933 | -0.000 | 0.001 |
| 116.058 | 511.334 | 95.519 | 7.532 | 0.000 | 0.001 |
| 45.856 | 45.855 | 631.198 | -0.000 | -0.000 | 0.001 |
| -7.757 | 7.761 | -0.006 | 176.201 | -0.000 | 0.000 |
| 0.002 | 0.002 | -0.005 | -0.000 | 176.201 | -7.759 |
| 0.000 | 0.000 | 0.000 | 0.000 | -16.313 | 246.533 |
| 585.061 | 91.995 | 45.856 | -16.313 | -0.000 | -0.000 |
| 116.055 | 511.331 | 95.525 | 7.532 | 0.000 | -0.000 |
| 94.242 | 94.242 | 534.429 | -0.000 | 0.000 | -0.000 |
| -7.759 | 7.759 | 0.001 | 176.201 | 0.000 | -0.000 |
| -0.000 | -0.000 | 0.001 | 0.000 | 176.201 | -7.759 |
| 0.000 | -0.000 | 0.000 | -0.000 | -16.313 | 246.533 |
| 511.331 | 116.056 | 95.524 | -7.532 | 0.000 | 0.000 |
| 116.056 | 511.332 | 95.524 | 7.532 | 0.000 | 0.000 |
| 94.241 | 94.241 | 534.428 | -0.000 | 0.000 | 0.000 |
| -7.759 | 7.759 | -0.001 | 176.201 | -0.000 | 0.000 |
| 0.000 | 0.000 | -0.001 | -0.000 | 176.201 | -7.759 |
| -0.000 | -0.000 | -0.000 | 0.000 | -16.313 | 246.533 |
| 510.979 | 118.676 | 93.259 | -7.933 | 0.000 | -0.000 |
| 116.057 | 511.329 | 95.527 | 7.532 | -0.000 | -0.000 |
| 94.245 | 94.245 | 534.424 | 0.000 | 0.000 | 0.000 |
| -16.312 | 16.313 | 0.000 | 200.394 | -0.000 | -0.000 |
| -0.000 | 0.000 | 0.000 | -0.000 | 176.201 | -7.759 |
| -0.000 | 0.000 | 0.000 | -0.000 | -7.412 | 196.970 |
| 510.977 | 118.675 | 93.257 | -7.933 | 0.000 | 0.000 |
| 116.054 | 511.333 | 95.522 | 7.533 | 0.000 | 0.000 |
| 94.238 | 94.238 | 534.432 | -0.000 | -0.000 | 0.000 |
| -7.759 | 7.759 | -0.000 | 176.201 | 0.000 | 0.000 |
| 0.000 | -0.000 | -0.000 | 0.000 | 176.201 | -7.759 |
| 0.000 | -0.000 | -0.000 | 0.000 | -7.412 | 196.970 |
| 609.715 | 224.938 | -114.442 | -6.526 | -0.000 | -0.000 |
| 91.379 | 584.387 | 46.216 | 16.249 | 0.000 | -0.000 |
| 207.946 | 207.946 | 305.114 | -0.000 | 0.001 | -0.000 |
| 100.539 | 113.612 | -216.559 | 172.056 | -0.001 | -0.001 |
| -0.000 | -0.000 | -0.008 | -0.000 | 199.561 | -16.250 |
| -0.000 | -0.000 | -0.008 | -0.000 | -16.250 | 246.503 |
| 426.300 | 28.925 | 269.255 | -8.258 | 0.001 | -0.000 |
| 10.764 | 395.862 | 318.384 | 6.554 | 0.001 | 0.001 |
| -5.761 | -5.761 | 737.324 | 0.000 | -0.000 | 0.000 |
| -95.685 | -79.139 | 176.773 | 176.973 | -0.000 | 0.000 |
| 0.000 | 0.000 | 0.010 | 0.000 | 199.562 | -16.250 |
| -0.000 | 0.000 | 0.007 | 0.000 | -16.249 | 246.503 |
| 519.093 | 126.045 | 77.197 | -7.505 | -0.000 | -0.000 |
| 127.593 | 514.879 | 79.893 | 6.750 | 0.000 | 0.000 |
| 103.940 | 103.940 | 515.462 | -0.000 | 0.000 | -0.000 |
| 3.850 | 17.229 | -21.314 | 172.488 | 0.000 | -0.000 |
| 0.000 | 0.000 | -0.000 | 0.000 | 199.561 | -16.250 |
| 10.503 | 10.503 | -21.239 | -0.000 | -6.723 | 193.489 |
| 584.386 | 91.379 | 46.225 | -16.250 | 0.000 | 0.000 |
| 106.404 | 495.378 | 121.038 | 6.902 | 0.000 | -0.000 |
| 45.359 | 45.359 | 633.937 | 0.000 | 0.000 | 0.000 |
| -16.250 | 16.250 | 0.000 | 199.561 | 0.000 | 0.000 |
| -0.000 | -0.000 | 0.000 | 0.000 | 199.561 | -16.250 |
| -10.503 | -10.503 | 21.239 | 0.000 | -6.723 | 193.489 |
| 511.750 | 118.510 | 92.242 | -7.911 | 0.000 | -0.000 |
| 118.511 | 511.748 | 92.243 | 7.910 | 0.000 | -0.000 |
| 95.316 | 95.316 | 532.905 | -0.000 | -0.000 | -0.000 |
| -16.250 | 16.250 | 0.000 | 199.561 | 0.000 | -0.000 |
| 0.945 | 0.945 | -1.912 | -0.000 | 175.279 | -7.675 |
| 0.000 | 0.000 | 0.000 | -0.000 | -16.250 | 246.503 |
| 584.384 | 91.379 | 46.225 | -16.250 | 0.000 | 0.000 |
| 116.680 | 509.845 | 96.015 | 7.898 | -0.000 | 0.000 |
| 45.359 | 45.359 | 633.933 | -0.000 | -0.000 | 0.000 |
| -8.620 | 6.730 | 1.912 | 175.278 | 0.000 | 0.000 |
| -0.945 | -0.945 | 1.912 | 0.000 | 175.279 | -7.675 |
| -0.000 | -0.000 | -0.000 | 0.000 | -16.250 | 246.503 |
| 48.870 | -237.737 | 922.742 | -1.126 | 0.000 | -0.002 |
| 34.052 | 454.301 | 236.014 | -5.352 | -0.000 | -0.002 |
| 45.234 | 45.234 | 634.613 | -0.000 | -0.000 | -0.002 |
| -61.498 | -72.848 | 136.231 | 189.520 | 0.000 | -0.001 |
| -67.183 | -67.183 | 136.251 | 0.000 | 189.518 | 5.673 |
| 0.000 | -0.000 | -0.001 | -0.000 | 7.216 | 246.486 |
| 652.970 | 275.961 | -210.744 | 3.866 | 0.000 | 0.002 |
| 537.805 | 815.404 | -640.978 | 1.491 | 0.000 | 0.001 |
| 166.177 | 166.177 | 389.335 | 0.000 | 0.000 | 0.001 |
| 72.861 | 61.512 | -136.257 | 189.518 | -0.000 | 0.002 |
| 67.183 | 67.183 | -136.251 | -0.000 | 189.518 | 5.676 |
| 0.000 | 0.000 | 0.000 | 0.000 | 7.216 | 246.489 |
| 442.688 | 99.673 | 181.250 | 1.154 | -0.000 | -0.000 |
| 99.674 | 442.688 | 181.250 | -1.154 | 0.000 | -0.000 |
| 107.692 | 107.692 | 507.943 | 0.000 | 0.000 | -0.000 |
| -34.520 | -33.875 | 69.355 | 151.296 | 0.000 | -0.000 |
| -0.000 | -0.000 | -0.000 | -0.000 | 199.341 | 7.216 |
| 0.000 | -0.000 | -0.000 | -0.000 | 7.216 | 246.487 |
| 479.277 | 168.173 | 74.686 | -0.136 | 0.000 | 0.000 |
| 168.173 | 479.277 | 74.686 | 0.136 | -0.000 | 0.000 |
| 140.409 | 140.409 | 441.590 | -0.000 | 0.000 | 0.000 |
| 16.485 | 7.432 | -24.253 | 182.203 | 0.000 | 0.000 |
| -0.000 | 0.000 | 0.000 | 0.000 | 199.341 | 7.216 |
| -0.000 | 0.000 | -0.000 | 0.000 | 7.216 | 246.488 |
| 507.754 | 114.052 | 100.693 | 3.331 | 0.000 | -0.000 |
| 91.225 | 584.202 | 46.319 | -7.216 | 0.000 | 0.000 |
| 93.147 | 93.147 | 537.443 | -0.000 | -0.000 | -0.000 |
| 7.216 | -7.216 | -0.000 | 199.341 | 0.000 | -0.000 |
| 0.000 | 0.000 | -0.000 | 0.000 | 199.341 | 7.216 |
| 0.000 | 0.000 | 0.000 | 0.000 | 7.216 | 246.487 |
| 511.010 | 117.426 | 93.966 | 3.298 | 0.000 | 0.000 |
| 116.879 | 510.437 | 95.101 | -3.197 | -0.000 | 0.000 |
| 96.627 | 96.627 | 530.382 | -0.000 | 0.000 | 0.000 |
| 5.147 | -1.788 | -3.406 | 175.452 | -0.000 | 0.000 |
| -0.000 | -0.000 | 0.000 | -0.000 | 199.341 | 7.216 |
| -0.000 | -0.000 | -0.000 | -0.000 | 7.216 | 246.487 |
| 509.908 | 121.185 | 91.819 | 5.171 | 0.000 | -0.001 |
| 115.971 | 510.485 | 96.455 | -4.653 | 0.000 | -0.001 |
| 94.244 | 94.244 | 534.425 | 0.000 | 0.000 | -0.000 |
| 4.903 | -4.899 | -0.003 | 176.201 | 0.000 | -0.001 |
| 0.002 | 0.002 | -0.002 | 0.000 | 176.201 | 4.900 |
| -0.000 | -0.000 | -0.002 | 0.000 | 10.303 | 246.533 |
| 509.903 | 121.181 | 91.828 | 5.171 | 0.000 | -0.001 |
| 121.181 | 509.903 | 91.828 | -5.171 | -0.000 | -0.000 |
| 45.856 | 45.855 | 631.199 | 0.000 | 0.000 | -0.000 |
| 4.898 | -4.903 | 0.002 | 176.201 | 0.000 | 0.000 |
| -0.003 | -0.002 | 0.002 | -0.000 | 176.201 | 4.901 |
| 0.000 | -0.000 | 0.002 | -0.000 | 10.303 | 246.533 |
| 585.061 | 91.995 | 45.856 | 10.303 | 0.000 | 0.000 |
| 121.184 | 509.905 | 91.822 | -5.171 | 0.000 | 0.000 |
| 94.232 | 94.232 | 534.448 | -0.000 | -0.000 | -0.000 |
| 4.901 | -4.900 | -0.001 | 176.201 | 0.000 | 0.000 |
| 0.000 | 0.000 | -0.000 | 0.000 | 176.201 | 4.900 |
| 0.000 | 0.000 | 0.000 | 0.000 | 10.303 | 246.533 |
| 510.483 | 115.968 | 96.460 | 4.653 | -0.000 | -0.000 |
| 121.183 | 509.905 | 91.823 | -5.171 | -0.000 | -0.000 |
| 94.241 | 94.241 | 534.429 | -0.000 | -0.000 | 0.000 |
| 4.900 | -4.901 | 0.000 | 176.201 | 0.000 | 0.000 |
| -0.000 | -0.000 | 0.000 | -0.000 | 176.201 | 4.901 |
| 0.000 | -0.000 | -0.000 | -0.000 | 10.303 | 246.533 |
| 510.484 | 115.969 | 96.460 | 4.653 | -0.000 | 0.000 |
| 115.970 | 510.481 | 96.462 | -4.653 | 0.000 | -0.000 |
| 94.245 | 94.245 | 534.424 | 0.000 | -0.000 | -0.000 |
| 4.901 | -4.901 | -0.000 | 176.201 | 0.000 | 0.000 |
| -0.000 | 0.000 | -0.000 | 0.000 | 176.201 | 4.901 |
| 0.000 | -0.000 | -0.000 | 0.000 | 5.936 | 195.339 |
| 510.483 | 115.968 | 96.459 | 4.653 | 0.000 | -0.000 |
| 115.967 | 510.485 | 96.457 | -4.653 | -0.000 | -0.000 |
| 94.238 | 94.238 | 534.433 | -0.000 | -0.000 | 0.000 |
| 4.900 | -4.900 | 0.000 | 176.201 | -0.000 | -0.000 |
| 0.000 | -0.000 | 0.000 | -0.000 | 176.201 | 4.901 |
| -0.000 | 0.000 | -0.000 | -0.000 | 5.936 | 195.339 |
| 597.645 | 159.779 | -35.451 | 9.729 | 0.000 | 0.000 |
| 776.164 | 1172.431 | -1233.259 | -2.618 | 0.000 | 0.001 |
| 149.049 | 149.049 | 424.496 | -0.000 | 0.000 | 0.000 |
| 1391.974 | 1403.625 | -2811.176 | 127.805 | 0.000 | 0.001 |
| 658.663 | 658.663 | -1324.683 | 0.000 | 166.268 | 2.758 |
| 0.000 | -0.000 | -0.001 | -0.000 | 10.282 | 246.520 |
| 472.334 | 40.781 | 210.253 | 9.328 | -0.000 | -0.001 |
| 40.782 | 472.334 | 210.254 | -9.327 | -0.000 | -0.000 |
| -566.922 | -566.922 | 1864.453 | 0.000 | 0.000 | -0.000 |
| 10.282 | -10.282 | -0.001 | 199.985 | 0.000 | -0.000 |
| -60.504 | -60.504 | 121.699 | 0.000 | 196.590 | 9.524 |
| 0.000 | 0.000 | 0.001 | 0.000 | 10.282 | 246.519 |
| 508.875 | 307.153 | -94.366 | -6.423 | 0.000 | 0.000 |
| 109.270 | 562.844 | 50.349 | -10.732 | 0.000 | 0.000 |
| 45.605 | 45.605 | 632.554 | -0.000 | -0.000 | 0.000 |
| 66.447 | 60.369 | -127.525 | 167.529 | 0.000 | 0.000 |
| 0.000 | 0.000 | 0.000 | 0.000 | 199.985 | 10.282 |
| 132.814 | 132.814 | -267.108 | -0.000 | -5.023 | 113.067 |
| 509.434 | 102.349 | 111.020 | 7.773 | -0.000 | -0.000 |
| 31.152 | 287.348 | 405.935 | 3.299 | 0.000 | -0.000 |
| 52.399 | 52.399 | 618.891 | -0.000 | -0.000 | -0.000 |
| -0.945 | -19.082 | 20.141 | 194.548 | -0.000 | -0.000 |
| -0.000 | -0.000 | -0.000 | -0.000 | 199.985 | 10.282 |
| -132.814 | -132.814 | 267.108 | 0.000 | -5.023 | 113.067 |
| 504.286 | 124.826 | 93.595 | 3.769 | 0.000 | 0.000 |
| 124.792 | 504.368 | 93.547 | -3.776 | -0.000 | 0.000 |
| 97.890 | 97.890 | 527.403 | -0.000 | -0.000 | 0.000 |
| 9.598 | 0.065 | -9.717 | 175.270 | 0.000 | 0.000 |
| 4.295 | 4.295 | -8.638 | 0.000 | 177.580 | 5.282 |
| 0.000 | 0.000 | 0.000 | 0.000 | 10.282 | 246.520 |
| 496.610 | 112.657 | 113.547 | 4.027 | -0.000 | -0.000 |
| 91.683 | 584.721 | 46.035 | -10.282 | 0.000 | -0.000 |
| 88.550 | 88.550 | 546.184 | -0.000 | -0.000 | -0.000 |
| 0.988 | -9.577 | 8.637 | 177.583 | -0.000 | -0.000 |
| -4.295 | -4.295 | 8.638 | -0.000 | 177.580 | 5.282 |
| -0.000 | -0.000 | -0.000 | -0.000 | 10.282 | 246.520 |
| 510.623 | 119.414 | 92.877 | 2.461 | 0.000 | 0.002 |
| 91.995 | 585.061 | 45.857 | -5.020 | -0.000 | -0.002 |
| 94.243 | 94.244 | 534.428 | -0.000 | -0.001 | 0.000 |
| 2.389 | -2.386 | -0.000 | 176.201 | 0.000 | 0.001 |
| -0.000 | -0.000 | 0.001 | 0.000 | 200.394 | 5.019 |
| 0.001 | 0.000 | 0.001 | -0.000 | 2.831 | 193.173 |
| 585.060 | 91.994 | 45.854 | 5.020 | -0.000 | 0.002 |
| 91.995 | 585.061 | 45.853 | -5.019 | -0.000 | 0.000 |
| 94.240 | 94.239 | 534.430 | 0.000 | 0.001 | 0.000 |
| 2.386 | -2.389 | 0.000 | 176.201 | -0.000 | 0.002 |
| -0.000 | 0.000 | -0.000 | 0.000 | 200.394 | 5.020 |
| -0.001 | -0.000 | -0.000 | 0.000 | 2.831 | 193.177 |
| 510.622 | 119.413 | 92.877 | 2.462 | 0.000 | -0.000 |
| 119.413 | 510.621 | 92.877 | -2.462 | 0.000 | -0.000 |
| 45.856 | 45.856 | 631.200 | -0.000 | 0.000 | -0.000 |
| 5.019 | -5.019 | 0.000 | 200.394 | -0.000 | -0.000 |
| 0.000 | 0.000 | -0.000 | -0.000 | 176.201 | 2.387 |
| 0.000 | 0.000 | 0.000 | 0.000 | 5.019 | 246.533 |
| 511.051 | 116.026 | 95.834 | 2.301 | -0.000 | 0.000 |
| 91.995 | 585.060 | 45.856 | -5.019 | -0.000 | 0.000 |
| 94.241 | 94.241 | 534.429 | -0.000 | -0.000 | 0.000 |
| 5.019 | -5.019 | -0.000 | 200.394 | 0.000 | 0.000 |
| -0.000 | -0.000 | 0.000 | 0.000 | 176.201 | 2.387 |
| -0.000 | -0.000 | -0.000 | -0.000 | 5.019 | 246.533 |
| 585.062 | 91.995 | 45.856 | 5.019 | -0.000 | -0.000 |
| 116.027 | 511.049 | 95.837 | -2.301 | 0.000 | -0.000 |
| 45.856 | 45.856 | 631.202 | -0.000 | 0.000 | -0.000 |
| 2.388 | -2.388 | 0.000 | 176.201 | 0.000 | -0.000 |
| -0.000 | 0.000 | 0.000 | -0.000 | 176.201 | 2.387 |
| -0.000 | 0.000 | 0.000 | 0.000 | 2.556 | 196.243 |
| 511.048 | 116.026 | 95.836 | 2.301 | -0.000 | 0.000 |
| 116.058 | 510.950 | 95.902 | -2.297 | -0.000 | 0.000 |
| 94.338 | 94.338 | 534.234 | 0.000 | -0.000 | 0.000 |
| 2.387 | -2.387 | -0.000 | 176.201 | -0.000 | 0.000 |
| 0.000 | -0.000 | -0.000 | -0.000 | 176.201 | 2.387 |
| 0.000 | -0.000 | -0.000 | -0.000 | 2.556 | 196.243 |
| 584.456 | 91.443 | 46.182 | 5.002 | 0.000 | 0.000 |
| 582.894 | 875.450 | -744.101 | 0.560 | 0.000 | -0.000 |
| 45.411 | 45.410 | 633.640 | -0.000 | -0.000 | 0.000 |
| 429.052 | 429.837 | -867.484 | 150.012 | -0.000 | -0.000 |
| 293.904 | 293.904 | -593.700 | 0.000 | 166.236 | 1.371 |
| -36.553 | -36.553 | 73.837 | -0.000 | 5.400 | 234.443 |
| 584.456 | 91.442 | 46.182 | 5.002 | -0.000 | -0.000 |
| 91.442 | 584.456 | 46.182 | -5.002 | 0.000 | -0.000 |
| 134.859 | 134.859 | 452.952 | -0.000 | 0.000 | -0.000 |
| -292.546 | -295.287 | 593.721 | 166.235 | -0.000 | -0.000 |
| -293.904 | -293.904 | 593.699 | 0.000 | 166.237 | 1.371 |
| 36.553 | 36.553 | -73.836 | 0.000 | 5.400 | 234.443 |
| 584.456 | 91.442 | 46.183 | 5.002 | -0.000 | -0.000 |
| 114.578 | 560.722 | 46.789 | -4.715 | 0.000 | 0.000 |
| 134.733 | 134.733 | 453.207 | -0.000 | -0.000 | 0.000 |
| 10.812 | 2.601 | -13.547 | 191.405 | -0.000 | -0.000 |
| 0.000 | 0.000 | -0.000 | 0.000 | 199.652 | 5.002 |
| 34.468 | 34.468 | -69.627 | -0.000 | 0.672 | 168.483 |
| 584.456 | 91.442 | 46.185 | 5.002 | 0.000 | 0.000 |
| 94.361 | 454.480 | 174.515 | -1.315 | -0.000 | -0.000 |
| 50.959 | 50.959 | 622.435 | -0.000 | -0.000 | 0.000 |
| -36.754 | -37.438 | 74.936 | 156.772 | -0.000 | -0.000 |
| -0.000 | -0.000 | 0.001 | -0.000 | 199.652 | 5.002 |
| -34.468 | -34.468 | 69.627 | 0.000 | 0.672 | 168.483 |
| 584.458 | 91.443 | 46.185 | 5.002 | -0.000 | 0.000 |
| 117.277 | 511.786 | 93.490 | -2.252 | -0.000 | -0.000 |
| 96.163 | 96.163 | 531.122 | -0.000 | -0.000 | 0.000 |
| 4.453 | -0.170 | -4.326 | 174.893 | -0.000 | -0.000 |
| 2.142 | 2.142 | -4.327 | 0.000 | 174.893 | 2.311 |
| 0.000 | 0.000 | 0.000 | 0.000 | 5.002 | 246.507 |
| 508.114 | 113.069 | 101.446 | 2.284 | 0.000 | 0.000 |
| 91.442 | 584.454 | 46.184 | -5.002 | 0.000 | -0.000 |
| 45.410 | 45.410 | 633.640 | -0.000 | 0.000 | -0.000 |
| 0.169 | -4.453 | 4.327 | 174.893 | -0.000 | -0.000 |
| -2.142 | -2.142 | 4.327 | -0.000 | 174.893 | 2.311 |
| -0.000 | -0.000 | -0.000 | -0.000 | 5.002 | 246.507 |
| 585.061 | 91.995 | 45.857 | -7.250 | 0.000 | -0.000 |
| 113.615 | 508.603 | 100.694 | 3.306 | 0.000 | -0.000 |
| 45.856 | 45.856 | 631.204 | -0.000 | 0.000 | -0.000 |
| -5.685 | 1.213 | 4.470 | 176.200 | -0.000 | -0.000 |
| -0.001 | 0.000 | 0.001 | -0.000 | 200.394 | -7.250 |
| -0.000 | 0.000 | 0.001 | -0.000 | -7.250 | 246.533 |
| 585.058 | 91.994 | 45.855 | -7.250 | -0.000 | 0.000 |
| 91.994 | 585.060 | 45.855 | 7.250 | -0.000 | 0.000 |
| 45.855 | 45.855 | 631.200 | 0.000 | -0.000 | 0.000 |
| -1.212 | 5.684 | -4.470 | 176.201 | 0.000 | -0.000 |
| 0.001 | -0.000 | -0.000 | 0.000 | 200.393 | -7.250 |
| 0.001 | -0.000 | -0.001 | 0.000 | -7.250 | 246.533 |
| 585.061 | 91.995 | 45.856 | -7.250 | -0.000 | -0.000 |
| 115.755 | 510.526 | 96.630 | 3.297 | 0.000 | -0.000 |
| 45.856 | 45.856 | 631.201 | 0.000 | 0.000 | -0.000 |
| -7.250 | 7.250 | 0.000 | 200.393 | 0.000 | -0.000 |
| -0.000 | 0.000 | 0.000 | -0.000 | 200.393 | -7.250 |
| 0.000 | -0.000 | 0.000 | -0.000 | -7.250 | 246.533 |
| 507.798 | 118.778 | 96.335 | -3.247 | -0.000 | 0.000 |
| 120.542 | 510.461 | 91.908 | 3.598 | -0.000 | -0.000 |
| 94.465 | 94.465 | 533.982 | 0.000 | -0.000 | 0.000 |
| -7.250 | 7.250 | -0.000 | 200.393 | -0.000 | 0.000 |
| 0.000 | -0.000 | -0.000 | 0.000 | 200.393 | -7.250 |
| 0.000 | 0.000 | -0.000 | 0.000 | -7.250 | 246.533 |
| 510.719 | 115.970 | 96.224 | -3.297 | 0.000 | -0.000 |
| 115.971 | 510.717 | 96.225 | 3.296 | 0.000 | -0.000 |
| 94.222 | 94.222 | 534.469 | -0.000 | 0.000 | -0.000 |
| -3.471 | 3.426 | 0.045 | 176.203 | 0.000 | -0.000 |
| -0.023 | -0.022 | 0.045 | -0.000 | 176.201 | -3.449 |
| 0.000 | 0.000 | 0.000 | -0.000 | -7.250 | 246.533 |
| 510.251 | 120.343 | 92.315 | -3.596 | -0.000 | 0.000 |
| 116.025 | 510.736 | 96.148 | 3.295 | -0.000 | 0.000 |
| 94.287 | 94.287 | 534.337 | 0.000 | -0.000 | 0.000 |
| -3.426 | 3.471 | -0.045 | 176.199 | -0.000 | 0.000 |
| 0.023 | 0.022 | -0.045 | 0.000 | 176.201 | -3.449 |
| -0.000 | -0.000 | -0.000 | 0.000 | -7.250 | 246.533 |
| 87.294 | -317.471 | 956.700 | -4.448 | -0.000 | -0.000 |
| -800.302 | -454.161 | 1985.507 | 1.330 | -0.000 | -0.000 |
| -811.822 | -811.822 | 2354.783 | 0.000 | -0.000 | -0.000 |
| -931.089 | -928.456 | 1867.737 | 162.369 | -0.000 | 0.000 |
| -929.847 | -929.847 | 1867.887 | 0.000 | 162.366 | -1.317 |
| -929.821 | -929.821 | 1867.834 | 0.000 | -1.317 | 172.907 |
| 1186.239 | 798.495 | -1267.954 | -2.902 | 0.000 | -0.001 |
| 91.747 | 584.792 | 45.997 | 7.238 | 0.000 | -0.000 |
| 519.029 | 519.029 | -318.635 | 0.000 | -0.000 | 0.000 |
| 429.164 | 438.086 | -871.061 | 182.385 | 0.000 | -0.000 |
| 929.847 | 929.847 | -1867.887 | -0.000 | 162.366 | -1.316 |
| 929.821 | 929.821 | -1867.834 | -0.000 | -1.317 | 172.907 |
| 474.856 | 73.069 | 175.178 | -4.311 | -0.000 | -0.000 |
| 36.304 | 386.611 | 300.739 | 1.497 | 0.000 | -0.000 |
| 32.422 | 32.422 | 658.856 | 0.000 | -0.000 | -0.000 |
| -93.918 | -91.233 | 185.967 | 162.531 | -0.000 | 0.000 |
| -92.583 | -92.583 | 185.981 | 0.000 | 162.528 | -1.342 |
| -43.695 | -43.695 | 87.774 | -0.000 | -4.440 | 202.286 |
| 566.145 | 221.869 | -65.968 | -1.255 | 0.000 | -0.000 |
| 91.747 | 584.792 | 45.997 | 7.238 | 0.000 | 0.000 |
| 132.101 | 132.101 | 458.622 | -0.000 | 0.000 | 0.000 |
| 91.233 | 93.918 | -185.967 | 162.531 | 0.000 | 0.000 |
| 92.583 | 92.583 | -185.981 | -0.000 | 162.528 | -1.342 |
| 43.695 | 43.695 | -87.774 | 0.000 | -4.440 | 202.286 |
| 505.199 | 115.811 | 101.773 | -3.735 | -0.000 | -0.000 |
| 111.037 | 496.895 | 114.909 | 2.927 | -0.000 | 0.000 |
| 93.341 | 93.341 | 536.484 | 0.000 | -0.000 | -0.000 |
| -9.945 | -4.964 | 14.975 | 169.843 | -0.000 | 0.000 |
| 0.000 | 0.000 | 0.000 | -0.000 | 200.071 | -7.238 |
| -7.235 | -7.234 | 14.532 | 0.000 | -2.631 | 189.248 |
| 518.154 | 126.047 | 78.476 | -3.867 | 0.000 | -0.000 |
| 125.820 | 507.610 | 89.294 | 2.764 | 0.000 | 0.000 |
| 45.657 | 45.657 | 632.269 | -0.000 | 0.000 | 0.000 |
| 4.964 | 9.946 | -14.975 | 169.842 | 0.000 | -0.000 |
| -0.000 | -0.000 | -0.000 | 0.000 | 200.071 | -7.238 |
| 7.235 | 7.234 | -14.532 | -0.000 | -2.631 | 189.248 |
| 510.925 | 116.013 | 95.968 | 0.001 | -0.000 | -0.000 |
| 91.995 | 585.061 | 45.844 | 0.000 | -0.000 | -0.000 |
| 94.242 | 94.241 | 534.432 | 0.001 | 0.001 | -0.000 |
| 0.000 | -0.000 | -0.004 | 176.201 | -0.001 | -0.001 |
| -0.001 | -0.000 | -0.002 | 0.000 | 200.393 | 0.000 |
| -0.000 | -0.000 | -0.010 | 0.000 | -0.000 | 196.542 |
| 585.060 | 91.994 | 45.863 | -0.000 | 0.001 | 0.000 |
| 91.995 | 585.062 | 45.862 | -0.000 | 0.001 | 0.000 |
| 94.241 | 94.241 | 534.429 | -0.000 | -0.000 | 0.000 |
| -0.000 | 0.000 | 0.005 | 176.201 | 0.001 | -0.000 |
| 0.001 | 0.000 | 0.002 | -0.000 | 200.394 | -0.000 |
| -0.000 | 0.000 | 0.010 | 0.000 | 0.000 | 196.542 |
| 510.925 | 116.013 | 95.973 | 0.000 | 0.000 | -0.000 |
| 116.013 | 510.924 | 95.973 | 0.000 | -0.000 | -0.000 |
| 45.856 | 45.856 | 631.199 | 0.000 | -0.000 | -0.000 |
| 0.000 | -0.000 | -0.001 | 200.394 | -0.000 | -0.000 |
| -0.000 | -0.000 | -0.000 | 0.000 | 176.201 | -0.000 |
| 0.000 | -0.000 | -0.001 | 0.000 | -0.000 | 246.533 |
| 510.462 | 119.769 | 92.681 | -0.000 | 0.000 | 0.000 |
| 119.769 | 510.462 | 92.681 | -0.000 | 0.000 | -0.000 |
| 94.241 | 94.241 | 534.429 | -0.000 | 0.000 | -0.000 |
| -0.000 | 0.000 | 0.001 | 200.394 | -0.000 | -0.000 |
| 0.000 | 0.000 | 0.000 | -0.000 | 176.201 | -0.000 |
| -0.000 | -0.000 | 0.001 | -0.000 | 0.000 | 246.533 |
| 510.925 | 116.014 | 95.975 | 0.000 | -0.000 | 0.000 |
| 116.014 | 510.923 | 95.976 | 0.000 | -0.000 | 0.000 |
| 94.242 | 94.242 | 534.429 | 0.000 | 0.000 | -0.000 |
| 0.000 | -0.000 | -0.000 | 176.201 | -0.000 | 0.000 |
| -0.000 | 0.000 | -0.000 | 0.000 | 176.201 | -0.000 |
| 0.000 | 0.000 | -0.000 | 0.000 | -0.000 | 246.533 |
| 510.461 | 119.769 | 92.680 | -0.000 | 0.000 | -0.000 |
| 116.011 | 510.926 | 95.972 | -0.000 | 0.000 | 0.000 |
| 94.338 | 94.338 | 534.234 | -0.000 | 0.000 | 0.000 |
| -0.000 | 0.000 | 0.000 | 176.201 | 0.000 | 0.000 |
| 0.000 | -0.000 | 0.000 | -0.000 | 176.201 | 0.000 |
| -0.000 | -0.000 | 0.000 | -0.000 | 0.000 | 246.533 |
| -1363.757 | -1772.835 | 3875.691 | -0.000 | 0.000 | -0.000 |
| -1773.303 | -1364.241 | 3876.647 | -0.000 | 0.000 | -0.000 |
| -2401.531 | -2401.531 | 5548.038 | -0.000 | 0.000 | -0.000 |
| -1886.044 | -1886.044 | 3788.465 | 162.010 | 0.000 | 0.000 |
| -2527.797 | -2527.797 | 5077.692 | -0.000 | 148.341 | -0.000 |
| -2527.605 | -2527.605 | 5077.304 | -0.000 | 0.000 | 145.289 |
| 2970.805 | 2681.210 | -4951.221 | 0.000 | -0.000 | -0.000 |
| 710.339 | 968.691 | -960.614 | 0.000 | -0.000 | 0.000 |
| 2651.972 | 2651.972 | -4603.147 | 0.000 | -0.000 | -0.000 |
| 2527.755 | 2527.755 | -5077.611 | 148.342 | -0.000 | 0.000 |
| 2527.797 | 2527.797 | -5077.693 | 0.000 | 148.341 | 0.000 |
| 2527.605 | 2527.605 | -5077.304 | 0.000 | -0.000 | 145.289 |
| 584.797 | 91.750 | 45.997 | -0.000 | 0.000 | 0.000 |
| -79.820 | 337.621 | 466.562 | -0.000 | 0.000 | -0.000 |
| 45.659 | 45.659 | 632.264 | -0.000 | 0.000 | -0.000 |
| -156.056 | -156.056 | 313.450 | 170.646 | 0.000 | 0.000 |
| 2.200 | 2.200 | -4.436 | -0.000 | 198.799 | -0.000 |
| -50.360 | -50.360 | 101.134 | -0.000 | -0.000 | 133.211 |
| 702.310 | 308.290 | -289.506 | 0.000 | -0.000 | -0.000 |
| 91.750 | 584.796 | 45.997 | 0.000 | -0.000 | 0.000 |
| 273.377 | 273.377 | 174.848 | 0.000 | -0.000 | -0.000 |
| 251.540 | 251.540 | -505.279 | 148.595 | -0.000 | 0.000 |
| -2.200 | -2.200 | 4.436 | 0.000 | 198.799 | -0.000 |
| 50.360 | 50.360 | -101.134 | 0.000 | -0.000 | 133.211 |
| 503.169 | 80.642 | 139.138 | 0.000 | 0.000 | 0.000 |
| 106.020 | 479.034 | 137.890 | -0.000 | -0.000 | -0.000 |
| 96.775 | 96.775 | 529.587 | -0.000 | -0.000 | -0.000 |
| -8.253 | -8.252 | 16.576 | 181.685 | 0.000 | 0.000 |
| -13.905 | -13.904 | 27.930 | -0.000 | 172.103 | 0.000 |
| -17.153 | -17.153 | 34.456 | -0.000 | 0.000 | 177.823 |
| 512.189 | 128.860 | 81.650 | 0.000 | -0.000 | -0.000 |
| 118.737 | 516.471 | 87.514 | -0.000 | -0.000 | -0.000 |
| 116.495 | 116.495 | 489.970 | 0.000 | -0.000 | 0.000 |
| 5.130 | 5.131 | -10.305 | 189.326 | -0.000 | 0.000 |
| 13.905 | 13.904 | -27.930 | 0.000 | 172.103 | 0.000 |
| 17.153 | 17.153 | -34.456 | 0.000 | 0.000 | 177.823 |
| -2046.798 | -2356.023 | 5150.439 | -0.121 | -0.000 | -0.000 |
| -2241.595 | -1837.104 | 4824.659 | -0.271 | 0.000 | -0.000 |
| -131.422 | -131.422 | 988.218 | -0.000 | 0.000 | -0.000 |
| 5.011 | -5.010 | -0.000 | 200.031 | -0.000 | -0.000 |
| -0.000 | 0.000 | 0.000 | -0.000 | 200.031 | 5.010 |
| 0.000 | 0.000 | -0.000 | -0.000 | 5.010 | 246.522 |
| 1006.299 | 664.508 | -953.131 | 3.870 | -0.000 | 0.000 |
| 2652.380 | 2959.879 | -4914.176 | 0.170 | -0.000 | 0.000 |
| 45.633 | 45.633 | 632.404 | 0.000 | -0.000 | 0.000 |
| 533.219 | 525.572 | -1063.929 | 189.119 | -0.000 | 0.000 |
| -0.000 | -0.000 | -0.000 | 0.000 | 200.031 | 5.010 |
| -0.000 | -0.000 | -0.000 | 0.000 | 5.010 | 246.522 |
| 291.678 | -122.984 | 556.307 | 0.679 | -0.000 | -0.000 |
| 82.191 | 498.416 | 142.358 | -4.153 | -0.000 | -0.000 |
| -123.924 | -123.924 | 973.195 | -0.000 | 0.000 | -0.000 |
| -19.499 | -28.475 | 48.206 | 195.229 | -0.000 | -0.000 |
| -233.592 | -233.592 | 469.489 | -0.000 | 156.390 | 0.265 |
| -235.581 | -235.581 | 473.488 | -0.000 | 0.225 | 201.648 |
| 699.597 | 398.524 | -377.711 | -0.349 | 0.000 | 0.000 |
| 91.718 | 584.761 | 46.016 | -5.010 | 0.000 | 0.000 |
| 120.349 | 120.349 | 482.239 | 0.000 | -0.000 | 0.000 |
| 179.488 | 176.537 | -357.775 | 167.520 | -0.000 | 0.000 |
| 233.592 | 233.592 | -469.489 | 0.000 | 156.390 | 0.265 |
| 235.581 | 235.581 | -473.488 | 0.000 | 0.225 | 201.648 |
| 490.371 | 119.520 | 112.934 | 2.571 | 0.000 | -0.000 |
| 80.920 | 501.082 | 140.961 | -1.696 | 0.000 | -0.000 |
| 87.224 | 87.224 | 548.812 | -0.000 | 0.000 | -0.000 |
| 5.010 | -5.010 | 0.000 | 200.031 | -0.000 | -0.000 |
| 0.000 | 0.000 | -0.000 | 0.000 | 200.031 | 5.010 |
| -22.388 | -22.387 | 44.996 | -0.000 | 0.455 | 198.364 |
| 502.643 | 141.607 | 78.403 | 1.325 | 0.000 | 0.000 |
| 146.493 | 520.901 | 55.145 | -3.845 | -0.000 | 0.000 |
| 45.633 | 45.633 | 632.402 | 0.000 | -0.000 | 0.000 |
| 5.010 | -5.010 | 0.000 | 200.031 | -0.000 | 0.000 |
| -0.000 | -0.000 | 0.000 | -0.000 | 200.031 | 5.010 |
| 22.388 | 22.387 | -44.996 | 0.000 | 0.455 | 198.364 |
| 510.760 | 119.122 | 93.034 | -4.556 | -0.000 | -0.000 |
| 119.122 | 510.760 | 93.032 | 4.556 | -0.000 | 0.000 |
| 94.244 | 94.244 | 534.427 | 0.000 | 0.000 | 0.000 |
| -4.432 | 4.436 | -0.001 | 176.201 | -0.000 | 0.000 |
| 0.002 | 0.002 | 0.001 | 0.000 | 176.201 | -4.434 |
| 0.000 | 0.000 | 0.000 | 0.000 | -9.322 | 246.533 |
| 511.156 | 116.035 | 95.716 | -4.285 | 0.000 | 0.000 |
| 116.035 | 511.156 | 95.717 | 4.285 | 0.000 | 0.000 |
| 94.239 | 94.239 | 534.430 | 0.000 | -0.000 | -0.000 |
| -4.436 | 4.432 | -0.002 | 176.201 | 0.000 | 0.000 |
| -0.002 | -0.002 | -0.001 | -0.000 | 176.201 | -4.434 |
| -0.000 | -0.000 | -0.000 | 0.000 | -9.321 | 246.533 |
| 585.061 | 91.995 | 45.856 | -9.322 | 0.000 | -0.000 |
| 116.038 | 511.158 | 95.716 | 4.285 | -0.000 | -0.000 |
| 94.232 | 94.232 | 534.448 | 0.000 | 0.000 | 0.000 |
| -4.434 | 4.434 | 0.000 | 176.201 | -0.000 | 0.000 |
| 0.000 | 0.000 | -0.000 | 0.000 | 176.201 | -4.434 |
| 0.000 | 0.000 | 0.000 | -0.000 | -9.322 | 246.533 |
| 510.758 | 119.120 | 93.033 | -4.556 | -0.000 | -0.000 |
| 116.037 | 511.158 | 95.716 | 4.285 | 0.000 | -0.000 |
| 94.241 | 94.241 | 534.429 | -0.000 | 0.000 | -0.000 |
| -4.434 | 4.434 | 0.000 | 176.201 | 0.000 | 0.000 |
| -0.000 | -0.000 | 0.000 | -0.000 | 176.201 | -4.434 |
| -0.000 | -0.000 | -0.000 | 0.000 | -9.321 | 246.533 |
| 510.759 | 119.121 | 93.034 | -4.556 | -0.000 | 0.000 |
| 116.039 | 511.157 | 95.718 | 4.285 | -0.000 | 0.000 |
| 94.245 | 94.245 | 534.424 | -0.000 | -0.000 | 0.000 |
| -4.434 | 4.434 | 0.000 | 176.201 | -0.000 | -0.000 |
| -0.000 | 0.000 | 0.000 | -0.000 | 176.201 | -4.434 |
| -0.000 | 0.000 | 0.000 | 0.000 | -4.206 | 196.789 |
| 510.757 | 119.120 | 93.033 | -4.556 | 0.000 | 0.000 |
| 121.137 | 507.905 | 93.868 | 4.471 | 0.000 | -0.000 |
| 94.238 | 94.238 | 534.433 | 0.000 | 0.000 | -0.000 |
| -4.434 | 4.434 | -0.000 | 176.201 | 0.000 | 0.000 |
| 0.000 | -0.000 | -0.000 | 0.000 | 176.201 | -4.434 |
| 0.000 | -0.000 | -0.000 | -0.000 | -4.206 | 196.789 |
| 470.610 | -95.473 | 348.571 | 15.025 | 0.000 | -0.001 |
| 569.627 | 803.817 | -653.410 | 4.006 | 0.000 | -0.000 |
| 380.039 | 380.039 | -39.070 | -0.000 | 0.000 | -0.000 |
| 9.309 | -9.309 | 0.003 | 200.125 | -0.000 | -0.000 |
| 0.000 | 0.000 | 0.002 | -0.000 | 200.125 | 9.308 |
| 409.467 | 409.467 | -821.949 | -0.000 | -3.844 | 118.669 |
| -9.419 | -250.307 | 985.774 | -3.661 | 0.000 | 0.000 |
| 91.788 | 584.837 | 45.972 | -9.309 | -0.000 | 0.000 |
| 186.443 | 186.442 | 349.554 | 0.000 | 0.000 | 0.001 |
| 9.309 | -9.309 | -0.003 | 200.125 | -0.000 | 0.000 |
| -0.000 | -0.000 | -0.002 | 0.000 | 200.125 | 9.310 |
| -409.467 | -409.467 | 821.949 | 0.000 | -3.844 | 118.670 |
| 452.089 | 182.062 | 88.605 | -2.162 | 0.000 | -0.000 |
| 182.062 | 452.089 | 88.605 | 2.162 | 0.000 | -0.000 |
| 84.706 | 84.706 | 553.775 | -0.000 | 0.000 | -0.000 |
| 6.794 | -14.096 | 7.329 | 205.749 | 0.000 | -0.000 |
| -3.651 | -3.651 | 7.329 | 0.000 | 205.749 | 10.445 |
| 35.048 | 35.048 | -70.354 | 0.000 | -1.949 | 137.088 |
| 539.322 | 108.411 | 74.973 | 7.489 | -0.000 | 0.000 |
| 107.947 | 409.799 | 205.438 | 0.525 | -0.000 | 0.000 |
| 124.528 | 124.528 | 473.837 | 0.000 | -0.000 | 0.000 |
| 9.309 | -9.309 | -0.000 | 200.125 | -0.000 | 0.000 |
| 3.651 | 3.651 | -7.329 | -0.000 | 205.749 | 10.445 |
| -35.048 | -35.048 | 70.354 | -0.000 | -1.949 | 137.088 |
| 510.031 | 118.162 | 94.586 | 4.105 | 0.000 | -0.000 |
| 118.129 | 510.127 | 94.524 | -4.111 | 0.000 | -0.000 |
| 96.938 | 96.938 | 529.223 | 0.000 | 0.000 | -0.000 |
| 5.626 | -2.296 | -3.342 | 173.641 | 0.000 | -0.000 |
| 1.665 | 1.665 | -3.342 | 0.000 | 173.645 | 3.961 |
| 1.983 | 1.984 | -3.982 | -0.000 | 3.007 | 194.416 |
| 584.836 | 91.787 | 45.974 | 9.309 | -0.000 | -0.000 |
| 121.454 | 508.771 | 92.543 | -4.888 | -0.000 | 0.000 |
| 92.828 | 92.828 | 537.470 | -0.000 | -0.000 | 0.000 |
| 2.297 | -5.626 | 3.342 | 173.646 | -0.000 | -0.000 |
| -1.665 | -1.665 | 3.342 | -0.000 | 173.645 | 3.961 |
| -1.983 | -1.984 | 3.982 | 0.000 | 3.007 | 194.416 |
| 510.774 | 115.998 | 96.142 | 2.700 | 0.001 | 0.000 |
| 115.998 | 510.774 | 96.141 | -2.700 | 0.000 | -0.000 |
| 94.241 | 94.242 | 534.430 | -0.000 | 0.000 | -0.001 |
| 2.821 | -2.821 | 0.002 | 176.201 | 0.000 | -0.002 |
| -0.000 | 0.001 | 0.003 | 0.000 | 176.201 | 2.821 |
| -0.000 | 0.001 | 0.001 | -0.000 | 3.143 | 195.842 |
| 585.060 | 91.994 | 45.854 | 5.932 | -0.001 | 0.002 |
| 91.995 | 585.060 | 45.854 | -5.932 | -0.000 | 0.001 |
| 94.242 | 94.240 | 534.426 | -0.000 | 0.000 | 0.001 |
| 2.822 | -2.822 | -0.002 | 176.201 | -0.000 | -0.002 |
| 0.000 | -0.001 | -0.003 | -0.000 | 176.201 | 2.822 |
| 0.000 | -0.001 | -0.000 | 0.000 | 3.143 | 195.843 |
| 585.061 | 91.995 | 45.856 | 5.932 | 0.000 | 0.000 |
| 118.352 | 507.620 | 96.939 | -2.648 | 0.000 | -0.000 |
| 45.856 | 45.856 | 631.200 | 0.000 | 0.000 | 0.000 |
| 5.932 | -5.932 | 0.000 | 200.394 | 0.000 | -0.000 |
| -0.000 | 0.000 | 0.000 | 0.000 | 176.201 | 2.821 |
| 0.000 | 0.000 | -0.000 | 0.000 | 5.932 | 246.533 |
| 510.774 | 115.997 | 96.140 | 2.699 | -0.000 | 0.000 |
| 115.997 | 510.774 | 96.140 | -2.699 | -0.000 | -0.000 |
| 94.241 | 94.241 | 534.429 | -0.000 | -0.000 | 0.000 |
| 5.932 | -5.932 | -0.000 | 200.394 | -0.000 | 0.000 |
| 0.000 | -0.000 | -0.000 | -0.000 | 176.201 | 2.822 |
| -0.000 | -0.000 | 0.000 | -0.000 | 5.932 | 246.533 |
| 510.774 | 115.998 | 96.141 | 2.699 | 0.000 | -0.000 |
| 115.999 | 510.772 | 96.142 | -2.699 | 0.000 | 0.000 |
| 94.242 | 94.242 | 534.430 | 0.000 | -0.000 | -0.000 |
| 2.822 | -2.822 | 0.000 | 176.201 | 0.000 | 0.000 |
| -0.000 | 0.000 | 0.000 | 0.000 | 176.201 | 2.822 |
| 0.000 | 0.000 | 0.000 | 0.000 | 5.932 | 246.533 |
| 510.773 | 115.997 | 96.140 | 2.699 | -0.000 | -0.000 |
| 120.217 | 510.273 | 92.419 | -2.939 | -0.000 | -0.000 |
| 94.338 | 94.338 | 534.234 | 0.000 | -0.000 | 0.000 |
| 2.821 | -2.821 | -0.000 | 176.201 | -0.000 | -0.000 |
| 0.000 | -0.000 | -0.000 | -0.000 | 176.201 | 2.822 |
| -0.000 | -0.000 | -0.000 | -0.000 | 5.932 | 246.533 |
| 813.339 | 393.375 | -491.965 | 4.184 | -0.000 | -0.000 |
| 91.268 | 584.256 | 46.309 | -5.905 | -0.000 | 0.000 |
| 399.615 | 399.615 | -83.673 | -0.000 | -0.001 | 0.000 |
| 907.821 | 906.936 | -1838.881 | 156.850 | 0.000 | 0.000 |
| 907.379 | 907.379 | -1838.880 | 0.000 | 156.849 | 0.443 |
| 0.000 | 0.000 | -0.003 | -0.000 | 5.905 | 246.494 |
| 220.535 | -194.409 | 704.328 | 3.997 | -0.001 | -0.002 |
| -194.409 | 220.535 | 704.330 | -3.997 | -0.000 | 0.001 |
| -795.182 | -795.183 | 2337.676 | -0.000 | 0.000 | -0.000 |
| 5.905 | -5.905 | 0.003 | 199.400 | 0.000 | -0.000 |
| -907.379 | -907.379 | 1838.880 | -0.000 | 156.850 | 0.442 |
| -0.000 | -0.000 | 0.003 | 0.000 | 5.905 | 246.493 |
| 547.320 | 228.377 | -55.211 | 0.178 | 0.000 | -0.000 |
| 228.377 | 547.320 | -55.210 | -0.178 | -0.000 | 0.000 |
| 188.322 | 188.322 | 344.532 | -0.000 | -0.000 | -0.000 |
| 36.400 | 28.584 | -65.848 | 183.844 | -0.000 | 0.000 |
| 88.417 | 88.417 | -179.185 | 0.000 | 157.938 | 0.582 |
| 32.542 | 32.542 | -65.948 | -0.000 | 3.905 | 206.210 |
| 396.274 | 47.288 | 281.340 | 1.166 | -0.000 | -0.000 |
| 47.287 | 396.274 | 281.340 | -1.166 | -0.000 | 0.000 |
| 40.960 | 40.960 | 643.174 | 0.000 | -0.000 | -0.000 |
| -87.835 | -88.999 | 179.184 | 157.938 | -0.000 | -0.000 |
| -88.417 | -88.417 | 179.185 | -0.000 | 157.938 | 0.582 |
| -32.542 | -32.542 | 65.948 | 0.000 | 3.905 | 206.210 |
| 515.710 | 125.121 | 81.450 | 3.075 | 0.000 | 0.000 |
| 125.122 | 515.707 | 81.452 | -3.075 | 0.000 | -0.000 |
| 99.118 | 99.118 | 525.312 | 0.000 | -0.000 | 0.000 |
| 5.905 | -5.905 | -0.000 | 199.400 | 0.000 | 0.000 |
| 0.000 | 0.000 | -0.000 | 0.000 | 199.400 | 5.905 |
| 5.723 | 5.723 | -11.599 | -0.000 | 2.460 | 194.141 |
| 503.823 | 114.251 | 104.505 | 2.864 | 0.000 | -0.000 |
| 109.917 | 502.919 | 109.813 | -2.615 | 0.000 | -0.000 |
| 88.836 | 88.836 | 546.146 | 0.000 | -0.000 | -0.000 |
| 5.905 | -5.905 | -0.000 | 199.400 | -0.000 | -0.000 |
| -0.000 | -0.000 | 0.000 | -0.000 | 199.400 | 5.905 |
| -5.723 | -5.723 | 11.599 | 0.000 | 2.460 | 194.141 |
| 584.805 | 91.759 | 45.988 | 0.000 | -0.000 | 0.000 |
| 109.354 | 505.094 | 108.365 | 0.001 | -0.000 | 0.000 |
| 45.667 | 45.666 | 632.215 | 0.000 | -0.000 | 0.001 |
| -5.955 | -5.955 | 11.959 | 175.918 | -0.000 | -0.000 |
| -5.955 | -5.955 | 11.960 | 0.001 | 175.917 | 0.000 |
| -7.034 | -7.032 | 14.124 | 0.001 | -0.000 | 194.189 |
| 584.805 | 91.759 | 45.991 | -0.001 | 0.000 | -0.001 |
| 91.759 | 584.805 | 45.991 | -0.001 | 0.000 | 0.000 |
| 100.195 | 100.194 | 522.704 | -0.001 | 0.001 | -0.002 |
| 5.955 | 5.955 | -11.960 | 175.917 | 0.000 | -0.000 |
| 5.955 | 5.955 | -11.960 | -0.001 | 175.918 | -0.000 |
| 7.033 | 7.033 | -14.124 | -0.001 | 0.000 | 194.189 |
| 510.250 | 114.978 | 97.542 | 0.000 | -0.000 | 0.000 |
| 91.759 | 584.805 | 45.990 | 0.000 | -0.000 | -0.000 |
| 93.646 | 93.646 | 535.856 | 0.000 | -0.000 | 0.000 |
| -0.595 | -0.595 | 1.195 | 175.945 | -0.000 | -0.000 |
| -0.595 | -0.595 | 1.195 | 0.000 | 175.945 | -0.000 |
| -0.628 | -0.628 | 1.260 | 0.000 | -0.000 | 196.675 |
| 511.391 | 116.238 | 95.129 | -0.000 | 0.000 | -0.000 |
| 91.759 | 584.805 | 45.990 | -0.000 | 0.000 | -0.000 |
| 94.833 | 94.833 | 533.470 | -0.000 | -0.000 | -0.000 |
| 0.595 | 0.595 | -1.194 | 175.945 | 0.000 | 0.000 |
| 0.595 | 0.595 | -1.195 | -0.000 | 175.945 | 0.000 |
| 0.628 | 0.628 | -1.260 | -0.000 | 0.000 | 196.675 |
| 584.807 | 91.760 | 45.990 | 0.000 | -0.000 | -0.000 |
| 115.546 | 510.762 | 96.459 | 0.000 | -0.000 | -0.000 |
| 94.183 | 94.183 | 534.778 | 0.000 | -0.000 | -0.000 |
| 0.000 | 0.000 | -0.000 | 200.088 | 0.000 | 0.000 |
| -0.060 | -0.059 | 0.120 | 0.000 | 175.945 | -0.000 |
| 0.000 | 0.000 | 0.000 | 0.000 | -0.000 | 246.523 |
| 510.418 | 119.475 | 92.855 | -0.000 | 0.000 | -0.000 |
| 119.474 | 510.420 | 92.853 | -0.000 | 0.000 | -0.000 |
| 94.299 | 94.299 | 534.542 | -0.000 | 0.000 | -0.000 |
| -0.000 | -0.000 | 0.000 | 200.088 | 0.000 | 0.000 |
| 0.060 | 0.059 | -0.120 | -0.000 | 175.945 | -0.000 |
| -0.000 | -0.000 | -0.000 | -0.000 | 0.000 | 246.523 |
| 1374.478 | 975.829 | -1635.391 | 4.978 | 0.000 | 0.000 |
| 975.822 | 1374.472 | -1635.380 | -4.978 | -0.000 | 0.000 |
| 45.651 | 45.652 | 632.312 | 0.000 | 0.000 | 0.000 |
| 1335.770 | 1330.556 | -2678.449 | 166.885 | 0.000 | 0.000 |
| 0.000 | -0.000 | 0.001 | 0.000 | 200.061 | 9.306 |
| 0.000 | -0.000 | 0.000 | 0.000 | 9.306 | 246.523 |
| -838.607 | -1202.157 | 2775.659 | 2.645 | -0.000 | -0.000 |
| -1201.373 | -837.744 | 2774.003 | -2.649 | -0.000 | -0.000 |
| -1234.918 | -1234.918 | 3205.093 | 0.000 | -0.000 | 0.000 |
| 9.306 | -9.306 | 0.000 | 200.062 | -0.000 | 0.000 |
| -0.000 | 0.000 | -0.001 | -0.000 | 200.062 | 9.306 |
| 0.000 | 0.000 | -0.000 | -0.000 | 9.306 | 246.523 |
| 621.184 | 263.906 | -163.508 | 2.322 | 0.000 | 0.000 |
| 263.792 | 621.159 | -163.368 | -2.327 | 0.000 | 0.000 |
| 183.195 | 183.195 | 355.971 | 0.000 | 0.000 | -0.000 |
| 9.306 | -9.306 | 0.000 | 200.062 | 0.000 | 0.000 |
| -0.000 | 0.000 | 0.000 | 0.000 | 200.062 | 9.306 |
| 131.897 | 131.898 | -264.995 | -0.000 | 2.678 | 182.097 |
| 423.828 | 28.538 | 271.184 | 4.785 | -0.000 | -0.000 |
| 91.741 | 584.787 | 46.003 | -9.306 | -0.000 | 0.000 |
| -28.639 | -28.639 | 781.565 | 0.000 | 0.000 | 0.000 |
| -129.789 | -135.091 | 266.085 | 167.103 | 0.000 | 0.000 |
| 0.000 | -0.000 | -0.000 | -0.000 | 200.062 | 9.306 |
| -131.897 | -131.898 | 264.995 | 0.000 | 2.678 | 182.097 |
| 584.789 | 91.741 | 46.003 | 9.306 | 0.000 | -0.000 |
| 127.753 | 516.964 | 77.960 | -3.965 | 0.000 | -0.000 |
| 105.379 | 105.379 | 512.311 | 0.000 | -0.000 | -0.000 |
| 14.017 | 4.976 | -19.080 | 176.362 | 0.000 | -0.000 |
| 0.000 | 0.000 | 0.000 | 0.000 | 200.062 | 9.306 |
| 10.715 | 10.715 | -21.527 | -0.000 | 3.922 | 194.186 |
| 498.818 | 105.978 | 118.058 | 4.152 | -0.000 | 0.000 |
| 105.979 | 498.813 | 118.063 | -4.151 | -0.000 | -0.000 |
| 86.616 | 86.616 | 550.005 | -0.000 | 0.000 | 0.000 |
| -6.829 | -14.648 | 21.575 | 173.338 | -0.000 | 0.000 |
| -0.000 | -0.000 | -0.000 | -0.000 | 200.062 | 9.306 |
| -10.715 | -10.715 | 21.527 | 0.000 | 3.922 | 194.186 |
| 995.314 | 522.259 | 522.259 | 0.000 | 0.000 | 0.000 |
| 522.259 | 995.314 | 522.259 | 0.000 | 0.000 | 0.000 |
| 522.259 | 522.259 | 995.315 | 0.000 | 0.000 | 0.000 |
| 0.000 | 0.000 | 0.000 | 135.487 | 0.000 | -0.000 |
| -0.000 | 0.000 | 0.000 | 0.000 | 135.487 | 0.000 |
| -0.000 | 0.000 | 0.000 | -0.000 | 0.000 | 135.486 |
| 995.315 | 522.259 | 522.259 | 0.000 | -0.000 | -0.000 |
| 522.259 | 995.314 | 522.259 | -0.000 | -0.000 | -0.000 |
| 522.259 | 522.259 | 995.314 | -0.000 | -0.000 | -0.000 |
| -0.000 | -0.000 | -0.000 | 135.487 | -0.000 | -0.000 |
| -0.000 | -0.000 | -0.000 | -0.000 | 135.486 | -0.000 |
| -0.000 | -0.000 | -0.000 | -0.000 | -0.000 | 135.486 |
| 995.315 | 522.259 | 522.259 | -0.000 | 0.000 | 0.000 |
| 522.259 | 995.315 | 522.259 | 0.000 | 0.000 | 0.000 |
| 522.259 | 522.259 | 995.315 | 0.000 | 0.000 | 0.000 |
| 0.000 | 0.000 | 0.000 | 135.487 | 0.000 | 0.000 |
| 0.000 | 0.000 | 0.000 | 0.000 | 135.487 | 0.000 |
| 0.000 | 0.000 | 0.000 | 0.000 | 0.000 | 135.486 |
| 995.314 | 522.259 | 522.259 | 0.000 | -0.000 | -0.000 |
| 522.259 | 995.314 | 522.259 | -0.000 | -0.000 | -0.000 |
| 522.259 | 522.259 | 995.314 | 0.000 | -0.000 | -0.000 |
| -0.000 | -0.000 | -0.000 | 135.486 | -0.000 | -0.000 |
| -0.000 | -0.000 | -0.000 | -0.000 | 135.486 | -0.000 |
| -0.000 | -0.000 | -0.000 | -0.000 | -0.000 | 135.486 |
| 995.315 | 522.258 | 522.258 | 0.000 | 0.000 | 0.000 |
| 522.258 | 995.315 | 522.258 | 0.000 | 0.000 | 0.000 |
| 522.258 | 522.258 | 995.315 | 0.000 | 0.000 | 0.000 |
| 0.001 | 0.000 | 0.000 | 135.487 | 0.000 | 0.000 |
| 0.000 | 0.001 | 0.000 | 0.000 | 135.487 | 0.000 |
| 0.000 | 0.000 | 0.001 | 0.000 | 0.000 | 135.487 |
| 995.314 | 522.260 | 522.260 | -0.000 | -0.000 | -0.000 |
| 522.260 | 995.314 | 522.260 | -0.000 | -0.000 | -0.000 |
| 522.260 | 522.260 | 995.314 | -0.000 | -0.000 | -0.000 |
| -0.001 | -0.000 | -0.000 | 135.486 | -0.000 | -0.000 |
| -0.000 | -0.001 | -0.000 | -0.000 | 135.486 | -0.000 |
| -0.000 | -0.000 | -0.001 | -0.000 | -0.000 | 135.487 |
| 1064.467 | 824.537 | 824.537 | 0.000 | 0.000 | -0.000 |
| 824.537 | 1064.467 | 824.537 | 0.000 | 0.000 | -0.000 |
| 824.537 | 824.537 | 1064.467 | 0.000 | -0.000 | 0.000 |
| 0.000 | 0.000 | 0.000 | -83.321 | -0.000 | -0.000 |
| 0.000 | 0.000 | 0.000 | -0.000 | -83.321 | 0.000 |
| 0.000 | 0.000 | 0.000 | 0.000 | -0.000 | -83.321 |
| 1064.467 | 824.537 | 824.537 | -0.000 | 0.000 | 0.000 |
| 824.537 | 1064.467 | 824.537 | -0.000 | -0.000 | 0.000 |
| 824.537 | 824.537 | 1064.467 | -0.000 | -0.000 | -0.000 |
| -0.000 | -0.000 | -0.000 | -83.321 | -0.000 | 0.000 |
| -0.000 | -0.000 | -0.000 | -0.000 | -83.321 | -0.000 |
| -0.000 | -0.000 | -0.000 | -0.000 | 0.000 | -83.321 |
| 1064.468 | 824.537 | 824.537 | 0.000 | 0.000 | -0.000 |
| 824.537 | 1064.468 | 824.537 | 0.000 | -0.000 | 0.000 |
| 824.537 | 824.537 | 1064.468 | 0.000 | 0.000 | 0.000 |
| 359124864.964 | 284643981.061 | 281258836.082 | -28865477.982 | -6349267.436 | 4851250.365 |
| 280668067.903 | 344086073.391 | 275221264.195 | -264654.201 | -26347786.338 | -4479529.757 |
| 282082977.623 | 286255059.158 | 346480295.726 | -4938558.320 | 7156768.415 | -25587076.959 |
| 1064.467 | 824.537 | 824.537 | -0.000 | -0.000 | 0.000 |
| 824.537 | 1064.467 | 824.537 | -0.000 | -0.000 | 0.000 |
| 824.537 | 824.537 | 1064.467 | -0.000 | -0.000 | -0.000 |
| -351342060.069 | -277626405.033 | -285293196.617 | -25024191.201 | 4246427.248 | 3661758.480 |
| -285172395.296 | -352236171.843 | -272537790.199 | 818174.495 | -17043545.867 | 1977706.854 |
| -287940815.325 | -285829235.922 | -355367793.969 | -1404625.170 | 8377455.818 | -23336805.609 |
| 1064.473 | 824.537 | 824.537 | -0.000 | -0.000 | -0.000 |
| 824.537 | 1064.473 | 824.537 | 0.000 | 0.000 | -0.000 |
| 824.537 | 824.537 | 1064.473 | 0.000 | 0.000 | -0.000 |
| 35254339.265 | 27989560.156 | 28139590.461 | -2667992.760 | -700144.339 | 100704.009 |
| 28085967.588 | 35450456.400 | 27774923.130 | 389456.177 | -2802989.951 | -623005.030 |
| 27424811.890 | 28121586.853 | 35560502.585 | -70683.531 | 50130.603 | -2231811.463 |
| 1064.462 | 824.538 | 824.538 | -0.000 | -0.000 | 0.000 |
| 824.538 | 1064.462 | 824.538 | -0.000 | -0.000 | 0.000 |
| 824.538 | 824.538 | 1064.462 | -0.000 | -0.000 | -0.000 |
| -34931928.312 | -28162774.261 | -28217800.047 | -2714092.797 | 410060.052 | 154551.993 |
| -28091765.189 | -34830598.398 | -27544335.278 | 752609.695 | -2474671.821 | 578339.243 |
| -28582284.805 | -27936762.245 | -34997442.407 | 58700.127 | 392116.416 | -2356864.563 |
| 6221088413.897 | 6257060973.807 | 6206668310.705 | 52779591.830 | 18233619.684 | 11248220.307 |
| 6189461692.571 | 6219159887.279 | 6205791014.790 | 41466400.970 | 40304745.799 | 26845250.015 |
| 6198894088.371 | 6246993719.951 | 6271724456.012 | 19905654.274 | 3531056.643 | 28559798.013 |
| 6685476019.431 | 6089085028.263 | 6097615776.721 | -183499952.044 | 10167703.883 | -32384176.360 |
| 6059095223.691 | 6668955219.621 | 6078284415.395 | -10720212.323 | -208037859.810 | -22052546.241 |
| 6109747598.189 | 6090061451.400 | 6651291158.664 | -1390476.948 | -149112.295 | -211157735.123 |
| -6187038786.202 | -6282570577.082 | -6265705687.219 | -56993316.429 | -52318939.435 | -63349288.412 |
| -6199175893.763 | -6217578847.849 | -6253650665.493 | -1909540.128 | -29101716.603 | -50676107.775 |
| -6164743770.632 | -6231096312.950 | -6222079344.891 | -66748633.227 | -42592086.103 | -1478744.463 |
| -6611099671.049 | -6060953042.264 | -6082506994.691 | -183026188.901 | 61384344.665 | 15538239.494 |
| -6071300130.405 | -6621736784.083 | -6084767605.328 | 16636822.780 | -163176907.432 | 33559534.919 |
| -6022715147.147 | -6093325485.275 | -6621177814.379 | -16040845.245 | 17641547.317 | -223436643.879 |
| 621075869.695 | 627735315.354 | 621906831.246 | 2525904.816 | 1573190.555 | 1983144.173 |
| 624601353.184 | 624780748.670 | 618268379.396 | 2541326.013 | 4694497.768 | 2777342.652 |
| 618966167.307 | 621782371.469 | 620028057.141 | 4313109.291 | 724688.243 | 2636546.068 |
| 641279110.753 | 596744719.212 | 592513744.067 | -4702619.014 | 2901061.214 | -2885749.261 |
| 594316869.293 | 643330418.287 | 599027235.224 | 150141.154 | -3244876.696 | -4642261.363 |
| 594831650.489 | 594051605.045 | 637321169.183 | -874173.334 | -1625021.490 | -4437171.926 |
| -70.530 | 445.896 | 445.896 | -0.000 | -0.000 | -0.000 |
| 445.896 | -70.530 | 445.896 | -0.000 | -0.000 | -0.000 |
| 445.896 | 445.896 | -70.530 | -0.000 | -0.000 | -0.000 |
| -646403655.701 | -592578655.938 | -597665597.475 | -10642360.328 | 3858696.286 | 1181162.031 |
| -586529355.976 | -637199467.997 | -595727395.408 | 786492.547 | -8704964.918 | -699166.434 |
| -591623195.696 | -598191780.940 | -638749812.835 | 1596444.919 | 3032410.496 | -4467963.942 |
| 62420049.975 | 62524442.616 | 62550852.582 | 218634.656 | 170460.492 | 33498.833 |
| 445.904 | -70.517 | 445.904 | 0.000 | 0.000 | 0.000 |
| 445.904 | 445.904 | -70.517 | 0.000 | 0.000 | 0.000 |
| 63984837.114 | 59356187.288 | 59463511.657 | 242283.345 | 213307.067 | 670488.211 |
| 59447043.536 | 64260745.260 | 59074732.725 | -16362.033 | 824760.556 | -176210.908 |
| 60238767.076 | 60060357.167 | 64112247.916 | -267992.359 | -318215.701 | 260262.892 |
| -70.541 | 445.890 | 445.890 | -0.000 | -0.000 | -0.000 |
| 445.890 | -70.541 | 445.890 | -0.000 | -0.000 | -0.000 |
| 445.890 | 445.890 | -70.541 | -0.000 | 0.000 | -0.000 |
| -63323250.340 | -59436958.692 | -59312328.949 | 383778.202 | -399269.701 | 41253.771 |
| -58950421.445 | -64204724.727 | -59289577.213 | -182968.310 | 307791.374 | -72981.148 |
| -59492393.813 | -59468735.402 | -64109578.549 | -547193.324 | -2905.751 | 51014.311 |
| 4810979166.427 | 4802118666.103 | 4813328799.251 | 10921260.450 | 10076926.660 | 9747319.405 |
| 4801330791.573 | 4793938580.319 | 4815532794.168 | 14988788.773 | 30448606.353 | -19139584.601 |
| 4791282852.720 | 4797962556.109 | 4825540432.228 | -16114784.841 | -4593767.419 | 1127556.950 |
| 5090398828.083 | 4494955045.414 | 4487525916.796 | -25791733.901 | 16125180.264 | -19340012.247 |
| 4443618221.105 | 5045331203.167 | 4443752249.040 | 19378677.385 | -32659049.664 | 5728134.002 |
| 4432760512.515 | 4397831398.942 | 5062324525.974 | 12933506.439 | 23477016.172 | -42053907.448 |
| -4839693904.626 | -4799694405.168 | -4800875673.724 | -17767872.262 | -15694550.127 | 12132298.766 |
| -4808860779.539 | -4822919308.029 | -4837302626.768 | -21487352.701 | -6431498.673 | -4562707.181 |
| -4806978630.864 | -4769796049.364 | -4777662433.651 | -2297543.025 | -4151806.694 | 334555.409 |
| -5086475162.449 | -4360554733.772 | -4418255797.931 | -38883364.794 | -8836365.259 | -7459250.306 |
| -4422423645.180 | -5030163493.355 | -4409897566.351 | -34971099.466 | -67394019.961 | -36638149.365 |
| -4408351063.720 | -4419725076.173 | -5025244100.311 | -17136610.715 | -9431668.694 | -38267404.864 |
| -711.909 | -67.697 | -67.697 | 0.000 | 0.000 | 0.000 |
| -67.697 | -711.909 | -67.697 | 0.000 | 0.000 | -0.000 |
| -67.697 | -67.697 | -711.909 | 0.000 | 0.000 | -0.000 |
| 506259794.551 | 442863787.621 | 437022501.196 | -2647741.963 | 2255048.093 | 1277011.795 |
| 441685434.281 | 502478245.175 | 437738301.937 | 4469186.604 | -1368156.582 | -720915.372 |
| 440653512.264 | 434817111.305 | 503087201.589 | 1989488.407 | -432204.991 | -4145319.156 |
| -711.910 | -67.699 | -67.699 | -0.000 | 0.000 | -0.000 |
| -67.699 | -711.910 | -67.699 | 0.000 | 0.000 | 0.000 |
| -67.699 | -67.699 | -711.910 | -0.000 | -0.000 | 0.000 |
| -503030768.875 | -440463801.028 | -439233717.585 | -2966027.197 | -790987.597 | 1339890.955 |
| -443666245.296 | -502640495.742 | -441226160.799 | 1470491.062 | -5235401.407 | 1844209.155 |
| -441262686.779 | -437540673.103 | -503066340.717 | 1391918.692 | 1837070.762 | -7700760.564 |
| -711.900 | -67.689 | -67.689 | -0.000 | 0.000 | -0.000 |
| -67.689 | -711.900 | -67.689 | 0.000 | 0.000 | -0.000 |
| 48040841.403 | 47496228.190 | 48126835.226 | -34220.448 | -292856.405 | -388243.919 |
| 50574988.204 | 43804559.221 | 43563677.114 | -196258.011 | -195887.181 | -88285.018 |
| 43751388.603 | 49424563.600 | 43586890.452 | -319319.713 | -184233.442 | -316410.037 |
| 43186044.581 | 44093476.388 | 49821339.279 | -83238.881 | 212255.738 | -590755.732 |
| -711.919 | -67.706 | -67.706 | -0.000 | -0.000 | 0.000 |
| -67.706 | -711.919 | -67.706 | -0.000 | 0.000 | -0.000 |
| -67.706 | -67.706 | -711.919 | -0.000 | -0.000 | 0.000 |
| -50232592.501 | -44032263.687 | -43657957.021 | -299467.159 | -209351.127 | 127051.664 |
| -43540502.005 | -49718268.143 | -43313935.202 | 73544.359 | -584986.117 | -343131.384 |
| -44053240.694 | -44056344.466 | -50041104.698 | 276639.771 | 325789.722 | -123278.806 |
| 186.233 | 84.424 | 84.424 | -0.000 | 0.000 | 0.000 |
| 84.424 | 186.233 | 84.424 | 0.000 | 0.000 | 0.000 |
| 84.424 | 84.424 | 186.233 | 0.000 | 0.000 | 0.000 |
| 0.000 | 0.000 | 0.000 | 82.598 | 0.000 | 0.000 |
| 0.000 | 0.000 | 0.000 | -0.000 | 82.598 | 0.000 |
| 0.000 | 0.000 | 0.000 | -0.000 | 0.000 | 82.598 |
| 186.232 | 84.424 | 84.424 | -0.000 | -0.000 | -0.000 |
| 84.424 | 186.232 | 84.424 | 0.000 | -0.000 | -0.000 |
| 84.424 | 84.424 | 186.232 | 0.000 | -0.000 | -0.000 |
| -0.000 | -0.000 | -0.000 | 82.598 | -0.000 | -0.000 |
| -0.000 | -0.000 | -0.000 | -0.000 | 82.598 | -0.000 |
| -0.000 | -0.000 | -0.000 | -0.000 | -0.000 | 82.598 |
| 186.233 | 84.424 | 84.424 | 0.000 | 0.000 | -0.000 |
| 84.424 | 186.233 | 84.424 | -0.000 | 0.000 | 0.000 |
| 84.424 | 84.424 | 186.233 | 0.000 | 0.000 | 0.000 |
| 0.000 | 0.000 | 0.000 | 82.598 | 0.000 | 0.000 |
| 0.000 | 0.000 | 0.000 | 0.000 | 82.598 | 0.000 |
| 0.000 | 0.000 | 0.000 | 0.000 | 0.000 | 82.598 |
| 186.232 | 84.424 | 84.424 | -0.000 | -0.000 | -0.000 |
| 84.424 | 186.232 | 84.424 | -0.000 | -0.000 | -0.000 |
| 84.424 | 84.424 | 186.232 | -0.000 | -0.000 | -0.000 |
| -0.000 | -0.000 | -0.000 | 82.598 | -0.000 | -0.000 |
| -0.000 | -0.000 | -0.000 | -0.000 | 82.598 | -0.000 |
| -0.000 | -0.000 | -0.000 | -0.000 | -0.000 | 82.598 |
| 186.233 | 84.424 | 84.424 | -0.000 | 0.000 | 0.000 |
| 84.424 | 186.233 | 84.424 | 0.000 | 0.000 | 0.000 |
| 84.424 | 84.424 | 186.233 | 0.000 | 0.000 | 0.000 |
| -0.000 | 0.000 | 0.000 | 82.598 | 0.000 | 0.000 |
| 0.000 | -0.000 | 0.000 | 0.000 | 82.598 | 0.000 |
| 0.000 | 0.000 | -0.000 | 0.000 | 0.000 | 82.598 |
| 186.232 | 84.424 | 84.424 | 0.000 | -0.000 | -0.000 |
| 84.424 | 186.232 | 84.424 | -0.000 | -0.000 | -0.000 |
| 84.424 | 84.424 | 186.232 | -0.000 | -0.000 | -0.000 |
| 0.000 | -0.000 | -0.000 | 82.598 | -0.000 | -0.000 |
| -0.000 | 0.000 | -0.000 | -0.000 | 82.598 | -0.000 |
| -0.000 | -0.000 | 0.000 | -0.000 | -0.000 | 82.598 |
| 1226.761 | 1188.629 | 1188.629 | 0.000 | -0.000 | -0.000 |
| 1188.629 | 1226.761 | 1188.629 | -0.000 | -0.000 | -0.000 |
| 1188.629 | 1188.629 | 1226.760 | 0.000 | -0.000 | -0.000 |
| 0.001 | 0.001 | 0.001 | 204.086 | 0.000 | 0.000 |
| 0.001 | 0.001 | 0.001 | -0.000 | 204.086 | -0.000 |
| 0.001 | 0.001 | 0.001 | -0.000 | -0.000 | 204.085 |
| 1226.759 | 1188.627 | 1188.627 | -0.000 | -0.000 | 0.000 |
| 1188.627 | 1226.759 | 1188.627 | -0.000 | -0.000 | -0.000 |
| 1188.627 | 1188.627 | 1226.759 | -0.000 | -0.000 | 0.000 |
| -0.001 | -0.001 | -0.001 | 204.086 | -0.000 | 0.000 |
| -0.001 | -0.001 | -0.001 | 0.000 | 204.086 | 0.000 |
| -0.001 | -0.001 | -0.001 | 0.000 | 0.000 | 204.086 |
| 1226.759 | 1188.627 | 1188.627 | -0.000 | -0.000 | -0.000 |
| 1188.627 | 1226.759 | 1188.627 | -0.000 | -0.000 | -0.000 |
| 1188.627 | 1188.627 | 1226.759 | 0.000 | 0.000 | -0.000 |
| -0.000 | 0.000 | 0.000 | 204.085 | 0.000 | -0.000 |
| 0.000 | -0.000 | 0.000 | 0.000 | 204.085 | -0.000 |
| 0.000 | 0.000 | -0.000 | -0.000 | -0.000 | 204.085 |
| 1226.761 | 1188.629 | 1188.629 | -0.000 | -0.000 | 0.000 |
| 1188.629 | 1226.761 | 1188.629 | -0.000 | -0.000 | 0.000 |
| 1188.629 | 1188.629 | 1226.761 | -0.000 | -0.000 | 0.000 |
| 0.000 | -0.000 | -0.000 | 204.085 | 0.000 | -0.000 |
| -0.000 | 0.000 | -0.000 | -0.000 | 204.085 | 0.000 |
| -0.000 | -0.000 | 0.000 | 0.000 | 0.000 | 204.085 |
| 1226.750 | 1188.620 | 1188.620 | 0.000 | -0.000 | -0.000 |
| 1188.620 | 1226.750 | 1188.620 | 0.000 | 0.000 | -0.000 |
| 1188.620 | 1188.620 | 1226.750 | -0.000 | -0.000 | -0.000 |
| -0.004 | 0.001 | 0.001 | 204.085 | -0.000 | -0.000 |
| 0.001 | -0.004 | 0.001 | 0.000 | 204.085 | -0.000 |
| 0.001 | 0.001 | -0.004 | 0.000 | 0.000 | 204.085 |
| 1226.769 | 1188.636 | 1188.636 | -0.000 | -0.000 | 0.000 |
| 1188.636 | 1226.769 | 1188.636 | -0.000 | 0.000 | 0.000 |
| 1188.636 | 1188.636 | 1226.769 | -0.000 | -0.000 | 0.000 |
| 0.004 | -0.001 | -0.001 | 204.085 | -0.000 | 0.000 |
| -0.001 | 0.004 | -0.001 | -0.000 | 204.085 | 0.000 |
| -0.001 | -0.001 | 0.004 | -0.000 | -0.000 | 204.085 |
| 2853.416 | 1106.069 | 1106.069 | 0.000 | 0.000 | -0.000 |
| 1106.069 | 2853.416 | 1106.069 | 0.000 | -0.000 | -0.000 |
| 1106.069 | 1106.069 | 2853.416 | 0.000 | 0.000 | 0.000 |
| 0.000 | 0.000 | 0.000 | 805.757 | -0.000 | 0.000 |
| 0.000 | 0.000 | 0.000 | 0.000 | 805.757 | 0.000 |
| 0.000 | 0.000 | 0.000 | -0.000 | 0.000 | 805.757 |
| 2853.415 | 1106.069 | 1106.068 | -0.000 | -0.000 | -0.000 |
| 1106.069 | 2853.415 | 1106.068 | 0.000 | -0.000 | -0.000 |
| 1106.068 | 1106.069 | 2853.415 | -0.000 | -0.000 | -0.000 |
| -0.000 | -0.000 | -0.000 | 805.757 | -0.000 | -0.000 |
| -0.000 | -0.000 | -0.000 | 0.000 | 805.757 | -0.000 |
| -0.000 | -0.000 | -0.000 | 0.000 | -0.000 | 805.757 |
| 2853.415 | 1106.069 | 1106.069 | 0.000 | 0.000 | 0.000 |
| 1106.069 | 2853.415 | 1106.069 | 0.000 | 0.000 | 0.000 |
| 1106.069 | 1106.069 | 2853.415 | 0.000 | -0.000 | 0.000 |
| -0.000 | -0.000 | -0.000 | 805.756 | 0.000 | 0.000 |
| -0.000 | -0.000 | -0.000 | -0.000 | 805.756 | 0.000 |
| -0.000 | -0.000 | -0.000 | -0.000 | 0.000 | 805.756 |
| 2853.416 | 1106.069 | 1106.069 | 0.000 | -0.000 | 0.000 |
| 1106.069 | 2853.416 | 1106.069 | -0.000 | 0.000 | 0.000 |
| 1106.069 | 1106.069 | 2853.416 | -0.000 | -0.000 | -0.000 |
| 0.000 | 0.000 | 0.000 | 805.756 | -0.000 | -0.000 |
| 0.000 | 0.000 | 0.000 | -0.000 | 805.756 | -0.000 |
| 0.000 | 0.000 | 0.000 | -0.000 | -0.000 | 805.756 |
| 2853.414 | 1106.069 | 1106.069 | 0.000 | 0.000 | 0.000 |
| 1106.069 | 2853.414 | 1106.069 | 0.000 | 0.000 | -0.000 |
| 1106.069 | 1106.069 | 2853.414 | -0.000 | 0.000 | 0.000 |
| -0.001 | -0.003 | -0.002 | 806.057 | 0.000 | 0.000 |
| -0.003 | -0.001 | -0.002 | 0.000 | 806.057 | 0.000 |
| -0.003 | -0.002 | -0.001 | -0.000 | 0.000 | 806.057 |
| 2853.417 | 1106.069 | 1106.069 | -0.000 | -0.000 | -0.000 |
| 1106.069 | 2853.417 | 1106.069 | -0.000 | -0.000 | 0.000 |
| 1106.069 | 1106.069 | 2853.417 | -0.000 | -0.000 | -0.000 |
| 0.001 | 0.003 | 0.002 | 806.057 | 0.000 | -0.000 |
| 0.003 | 0.001 | 0.002 | -0.000 | 806.057 | -0.000 |
| 0.003 | 0.002 | 0.001 | 0.000 | -0.000 | 806.057 |
| 199.061 | 134.587 | 134.587 | 0.000 | 0.000 | 0.000 |
| 134.587 | 199.061 | 134.587 | 0.000 | 0.000 | 0.000 |
| 134.587 | 134.587 | 199.061 | 0.000 | 0.000 | 0.000 |
| 0.000 | 0.000 | 0.000 | 142.336 | 0.000 | 0.000 |
| 0.000 | 0.000 | 0.000 | 0.000 | 142.336 | 0.000 |
| 0.000 | 0.000 | 0.000 | 0.000 | 0.000 | 142.336 |
| 199.060 | 134.587 | 134.587 | -0.000 | 0.000 | -0.000 |
| 134.587 | 199.060 | 134.587 | -0.000 | -0.000 | -0.000 |
| 134.587 | 134.587 | 199.060 | -0.000 | 0.000 | -0.000 |
| -0.000 | -0.000 | -0.000 | 142.336 | -0.000 | -0.000 |
| -0.000 | -0.000 | -0.000 | -0.000 | 142.336 | -0.000 |
| -0.000 | -0.000 | -0.000 | -0.000 | 0.000 | 142.336 |
| 199.061 | 134.587 | 134.587 | 0.000 | 0.000 | 0.000 |
| 134.587 | 199.061 | 134.587 | 0.000 | 0.000 | -0.000 |
| 134.587 | 134.587 | 199.061 | 0.000 | 0.000 | 0.000 |
| 0.000 | 0.000 | 0.000 | 142.336 | 0.000 | 0.000 |
| -0.000 | 0.000 | 0.000 | 0.000 | 142.336 | 0.000 |
| 0.000 | 0.000 | 0.000 | 0.000 | -0.000 | 142.336 |
| 199.061 | 134.587 | 134.587 | -0.000 | 0.000 | 0.000 |
| 134.587 | 199.061 | 134.587 | -0.000 | -0.000 | -0.000 |
| 134.587 | 134.587 | 199.061 | -0.000 | -0.000 | -0.000 |
| -0.000 | -0.000 | -0.000 | 142.336 | -0.000 | 0.000 |
| -0.000 | -0.000 | -0.000 | -0.000 | 142.336 | -0.000 |
| -0.000 | -0.000 | -0.000 | 0.000 | 0.000 | 142.336 |
| 199.061 | 134.588 | 134.588 | 0.000 | 0.000 | 0.000 |
| 134.588 | 199.061 | 134.588 | 0.000 | -0.000 | 0.000 |
| 134.588 | 134.588 | 199.061 | 0.000 | 0.000 | -0.000 |
| 0.000 | 0.000 | 0.000 | 142.336 | -0.000 | 0.000 |
| 0.000 | 0.000 | 0.000 | 0.000 | 142.336 | 0.000 |
| 0.000 | 0.000 | 0.000 | 0.000 | 0.000 | 142.336 |
| 199.060 | 134.587 | 134.587 | -0.000 | -0.000 | -0.000 |
| 134.587 | 199.060 | 134.587 | -0.000 | 0.000 | -0.000 |
| 134.587 | 134.587 | 199.060 | -0.000 | -0.000 | 0.000 |
| -0.000 | -0.000 | -0.000 | 142.336 | -0.000 | -0.000 |
| -0.000 | -0.000 | -0.000 | -0.000 | 142.336 | -0.000 |
| -0.000 | -0.000 | -0.000 | -0.000 | -0.000 | 142.336 |
| 1314.249 | 1224.498 | 1065.286 | -0.000 | -0.000 | -0.000 |
| 1130.605 | 1408.141 | 1065.286 | -0.000 | -0.000 | -0.001 |
| 1065.286 | 1065.286 | 1473.446 | -0.000 | -0.000 | -0.000 |
| -0.000 | -0.000 | -0.000 | 70.141 | -0.000 | -0.000 |
| -0.000 | -0.000 | -0.000 | -0.000 | 70.141 | -0.000 |
| 0.000 | 0.000 | -0.000 | -0.000 | -0.000 | 138.768 |
| 1408.141 | 1130.605 | 1065.287 | 0.000 | 0.000 | 0.000 |
| 1130.605 | 1408.141 | 1065.288 | 0.000 | 0.000 | 0.000 |
| 1065.286 | 1065.286 | 1473.446 | -0.000 | 0.000 | 0.000 |
| 0.000 | 0.000 | 0.000 | 70.142 | 0.000 | -0.000 |
| 0.000 | 0.000 | 0.000 | 0.000 | 70.141 | -0.000 |
| -0.000 | -0.000 | 0.000 | 0.000 | 0.000 | 138.768 |
| 1408.141 | 1130.604 | 1065.285 | -0.000 | -0.000 | 0.000 |
| 1224.498 | 1314.247 | 1065.286 | -0.000 | -0.000 | 0.000 |
| 1065.286 | 1065.286 | 1473.445 | -0.000 | -0.000 | -0.000 |
| -0.000 | -0.000 | 0.000 | 70.141 | -0.000 | -0.000 |
| -0.000 | -0.000 | 0.000 | -0.000 | 70.141 | -0.000 |
| -0.000 | 0.000 | -0.000 | -0.000 | -0.000 | 138.768 |
| 1408.142 | 1130.606 | 1065.288 | 0.000 | 0.000 | 0.000 |
| 1130.606 | 1408.142 | 1065.288 | 0.000 | 0.000 | 0.000 |
| 1065.287 | 1065.287 | 1473.448 | 0.000 | -0.000 | -0.000 |
| 0.000 | 0.000 | -0.000 | 70.141 | 0.000 | 0.000 |
| 0.000 | 0.000 | -0.000 | 0.000 | 70.141 | -0.000 |
| 0.000 | -0.000 | 0.000 | 0.000 | 0.000 | 138.768 |
| 1314.252 | 1224.477 | 1065.278 | -0.000 | 0.000 | 0.000 |
| 1224.496 | 1314.234 | 1065.278 | -0.000 | -0.000 | -0.000 |
| 1065.278 | 1065.278 | 1473.433 | -0.000 | -0.000 | -0.000 |
| 0.001 | -0.003 | 0.002 | 70.141 | -0.000 | -0.000 |
| -0.003 | 0.001 | 0.002 | -0.000 | 70.141 | 0.000 |
| -0.001 | 0.004 | -0.001 | -0.000 | -0.000 | 44.876 |
| 1314.245 | 1224.518 | 1065.295 | 0.000 | 0.000 | 0.000 |
| 1224.499 | 1314.264 | 1065.295 | 0.000 | 0.000 | -0.000 |
| 1065.295 | 1065.295 | 1473.460 | 0.000 | 0.000 | 0.000 |
| -0.001 | 0.003 | -0.002 | 70.141 | -0.000 | 0.000 |
| 0.003 | -0.001 | -0.002 | 0.000 | 70.141 | 0.000 |
| 0.001 | -0.004 | 0.001 | 0.000 | 0.000 | 44.876 |
| 1404.503 | 1134.256 | 1065.292 | 0.000 | 0.000 | -0.000 |
| 1134.256 | 1404.502 | 1065.291 | 0.000 | 0.000 | -0.001 |
| 1065.291 | 1065.291 | 1473.440 | 0.000 | 0.000 | -0.000 |
| -0.000 | -0.000 | 0.000 | 59.543 | 0.000 | -0.001 |
| -0.000 | -0.000 | -0.000 | 0.000 | 59.543 | -0.000 |
| 0.000 | 0.000 | -0.000 | 0.000 | -0.000 | 40.383 |
| 1309.763 | 1228.996 | 1065.292 | -0.000 | -0.000 | 0.000 |
| 1134.255 | 1404.503 | 1065.291 | 0.000 | 0.000 | 0.001 |
| 1065.292 | 1065.292 | 1473.440 | -0.000 | -0.000 | 0.000 |
| 0.000 | 0.000 | -0.000 | 59.543 | 0.000 | 0.000 |
| 0.000 | 0.000 | -0.000 | 0.000 | 59.543 | 0.000 |
| -0.000 | 0.000 | 0.000 | -0.000 | 0.000 | 40.384 |
| 1404.503 | 1134.254 | 1065.290 | 0.000 | -0.000 | -0.000 |
| 1228.996 | 1309.761 | 1065.291 | 0.000 | -0.000 | -0.000 |
| 1065.291 | 1065.291 | 1473.439 | 0.000 | -0.000 | -0.000 |
| -0.000 | -0.000 | 0.000 | 59.543 | -0.000 | -0.000 |
| -0.000 | -0.000 | 0.000 | 0.000 | 59.543 | -0.000 |
| -0.000 | 0.000 | 0.000 | 0.000 | 0.000 | 40.384 |
| 1309.762 | 1228.999 | 1065.292 | -0.000 | -0.000 | 0.000 |
| 1134.256 | 1404.504 | 1065.293 | 0.000 | 0.000 | 0.000 |
| 1065.292 | 1065.292 | 1473.442 | 0.000 | -0.000 | 0.000 |
| 0.000 | 0.000 | -0.000 | 59.543 | 0.000 | 0.000 |
| 0.000 | 0.000 | -0.000 | -0.000 | 59.543 | 0.000 |
| 0.000 | -0.000 | -0.000 | -0.000 | -0.000 | 40.384 |
| 1309.777 | 1228.965 | 1065.283 | 0.000 | 0.000 | -0.000 |
| 1229.004 | 1309.738 | 1065.283 | 0.000 | 0.000 | -0.000 |
| 1065.283 | 1065.283 | 1473.427 | 0.000 | 0.000 | -0.000 |
| 0.001 | -0.004 | 0.003 | 59.543 | -0.000 | -0.000 |
| -0.004 | 0.001 | 0.003 | 0.000 | 59.543 | -0.000 |
| -0.001 | 0.004 | 0.000 | 0.000 | -0.000 | 40.384 |
| 1309.749 | 1229.026 | 1065.300 | -0.000 | -0.000 | 0.000 |
| 1228.987 | 1309.788 | 1065.300 | -0.000 | 0.000 | 0.000 |
| 1065.300 | 1065.300 | 1473.453 | -0.000 | -0.000 | 0.000 |
| -0.001 | 0.004 | -0.003 | 59.543 | -0.000 | 0.000 |
| 0.004 | -0.001 | -0.003 | -0.000 | 59.543 | 0.000 |
| 0.001 | -0.004 | -0.000 | -0.000 | -0.000 | 40.384 |
| 142.537 | 75.376 | 75.376 | 0.000 | -0.000 | -0.000 |
| 75.376 | 142.537 | 75.376 | 0.000 | -0.000 | 0.000 |
| 75.376 | 75.376 | 142.537 | -0.000 | -0.000 | 0.000 |
| 0.000 | 0.000 | 0.000 | 69.025 | -0.000 | -0.000 |
| 0.000 | 0.000 | 0.000 | -0.000 | 69.025 | -0.000 |
| 0.000 | 0.000 | 0.000 | 0.000 | 0.000 | 69.025 |
| 142.537 | 75.376 | 75.376 | 0.000 | 0.000 | 0.000 |
| 75.376 | 142.537 | 75.376 | 0.000 | 0.000 | 0.000 |
| 75.376 | 75.376 | 142.537 | 0.000 | 0.000 | 0.000 |
| -0.000 | -0.000 | -0.000 | 69.025 | -0.000 | 0.000 |
| -0.000 | -0.000 | -0.000 | 0.000 | 69.025 | -0.000 |
| -0.000 | -0.000 | -0.000 | -0.000 | -0.000 | 69.025 |
| 142.537 | 75.376 | 75.376 | 0.000 | 0.000 | 0.000 |
| 75.376 | 142.537 | 75.376 | 0.000 | 0.000 | 0.000 |
| 75.376 | 75.376 | 142.537 | 0.000 | -0.000 | -0.000 |
| 0.000 | -0.000 | 0.000 | 69.025 | -0.000 | 0.000 |
| -0.000 | -0.000 | 0.000 | -0.000 | 69.025 | 0.000 |
| -0.000 | 0.000 | 0.000 | -0.000 | -0.000 | 69.025 |
| 142.537 | 75.376 | 75.376 | 0.000 | 0.000 | 0.000 |
| 75.376 | 142.537 | 75.376 | 0.000 | 0.000 | 0.000 |
| 75.376 | 75.376 | 142.537 | -0.000 | 0.000 | -0.000 |
| -0.000 | 0.000 | -0.000 | 69.025 | -0.000 | -0.000 |
| 0.000 | -0.000 | -0.000 | 0.000 | 69.025 | -0.000 |
| 0.000 | -0.000 | -0.000 | -0.000 | 0.000 | 69.025 |
| 142.537 | 75.376 | 75.376 | -0.000 | -0.000 | -0.000 |
| 75.376 | 142.537 | 75.376 | -0.000 | 0.000 | -0.000 |
| 75.376 | 75.376 | 142.537 | -0.000 | -0.000 | 0.000 |
| 0.000 | -0.000 | 0.000 | 69.025 | -0.000 | -0.000 |
| -0.000 | 0.000 | 0.000 | 0.000 | 69.025 | 0.000 |
| -0.000 | 0.000 | 0.000 | 0.000 | 0.000 | 69.025 |
| 142.537 | 75.376 | 75.376 | 0.000 | 0.000 | 0.000 |
| 75.376 | 142.537 | 75.376 | 0.000 | 0.000 | 0.000 |
| 75.376 | 75.376 | 142.537 | 0.000 | 0.000 | 0.000 |
| -0.000 | 0.000 | -0.000 | 69.025 | -0.000 | -0.000 |
| 0.000 | -0.000 | -0.000 | -0.000 | 69.025 | -0.000 |
| 0.000 | -0.000 | -0.000 | -0.000 | -0.000 | 69.025 |
| 302.641 | 61.983 | 30.409 | 0.000 | -0.000 | 0.000 |
| 61.983 | 302.641 | 30.409 | -0.000 | 0.000 | 0.000 |
| 30.409 | 30.409 | 391.428 | -0.000 | -0.000 | 0.000 |
| -0.000 | -0.000 | 0.000 | 35.616 | -0.000 | 0.000 |
| -0.000 | -0.000 | 0.000 | -0.000 | 35.617 | 0.000 |
| 0.000 | 0.000 | -0.000 | -0.000 | 0.000 | 29.029 |
| 302.641 | 61.983 | 30.409 | 0.000 | -0.000 | -0.000 |
| 61.983 | 302.641 | 30.409 | -0.000 | 0.000 | -0.000 |
| 30.409 | 30.409 | 391.428 | -0.000 | -0.000 | 0.000 |
| 0.000 | 0.000 | -0.000 | 35.617 | 0.000 | 0.000 |
| 0.000 | 0.000 | -0.000 | 0.000 | 35.616 | -0.000 |
| -0.000 | -0.000 | 0.000 | 0.000 | -0.000 | 29.029 |
| 302.641 | 61.983 | 30.409 | -0.000 | 0.000 | 0.000 |
| 61.983 | 302.641 | 30.409 | 0.000 | -0.000 | -0.000 |
| 30.409 | 30.409 | 391.429 | 0.000 | 0.000 | 0.000 |
| -0.000 | 0.000 | -0.000 | 35.617 | -0.000 | -0.000 |
| 0.000 | 0.000 | -0.000 | -0.000 | 35.617 | 0.000 |
| -0.000 | -0.000 | -0.000 | -0.000 | 0.000 | 29.029 |
| 302.641 | 61.983 | 30.409 | 0.000 | -0.000 | -0.000 |
| 61.983 | 302.641 | 30.409 | 0.000 | -0.000 | -0.000 |
| 30.409 | 30.409 | 391.428 | -0.000 | -0.000 | -0.000 |
| 0.000 | -0.000 | 0.000 | 35.617 | 0.000 | -0.000 |
| -0.000 | -0.000 | 0.000 | 0.000 | 35.617 | -0.000 |
| 0.000 | 0.000 | 0.000 | 0.000 | -0.000 | 29.029 |
| 302.642 | 61.983 | 30.409 | -0.000 | 0.000 | 0.000 |
| 61.983 | 302.642 | 30.409 | 0.000 | 0.000 | -0.000 |
| 30.409 | 30.409 | 391.431 | -0.000 | 0.000 | 0.000 |
| -0.000 | -0.000 | -0.000 | 35.617 | -0.000 | -0.000 |
| -0.000 | -0.000 | -0.000 | -0.000 | 35.617 | 0.000 |
| -0.000 | -0.000 | -0.000 | 0.000 | 0.000 | 29.029 |
| 302.641 | 61.982 | 30.409 | 0.000 | -0.000 | -0.000 |
| 61.982 | 302.641 | 30.409 | 0.000 | 0.000 | -0.000 |
| 30.409 | 30.409 | 391.426 | -0.000 | -0.000 | -0.000 |
| 0.000 | 0.000 | 0.000 | 35.617 | 0.000 | -0.000 |
| 0.000 | 0.000 | 0.000 | 0.000 | 35.617 | -0.000 |
| 0.000 | 0.000 | 0.000 | -0.000 | -0.000 | 29.029 |
| 1285.832 | 1070.202 | 1216.199 | 0.000 | 0.000 | 0.000 |
| 1070.202 | 1285.832 | 1216.199 | 0.000 | -0.000 | 0.000 |
| 1216.199 | 1216.199 | 1199.443 | 0.000 | -0.000 | 0.000 |
| 0.000 | -0.000 | -0.000 | 253.853 | -0.000 | 0.000 |
| -0.000 | 0.000 | 0.000 | 0.000 | 253.853 | 0.000 |
| -0.000 | -0.000 | 0.000 | 0.000 | 0.000 | 59.422 |
| 1285.832 | 1070.202 | 1216.199 | -0.000 | 0.000 | -0.000 |
| 1070.202 | 1285.832 | 1216.199 | -0.000 | 0.000 | -0.000 |
| 1216.198 | 1216.198 | 1199.443 | -0.000 | 0.000 | -0.000 |
| -0.000 | 0.000 | 0.000 | 253.853 | 0.000 | -0.000 |
| 0.000 | -0.000 | 0.000 | -0.000 | 253.853 | -0.000 |
| 0.000 | -0.000 | -0.000 | -0.000 | -0.000 | 59.422 |
| 1285.832 | 1070.201 | 1216.197 | 0.000 | -0.000 | 0.000 |
| 1070.201 | 1285.832 | 1216.197 | 0.000 | -0.000 | 0.000 |
| 1216.198 | 1216.198 | 1199.442 | 0.000 | -0.000 | 0.000 |
| -0.000 | -0.000 | 0.000 | 253.853 | -0.000 | 0.000 |
| -0.000 | -0.000 | 0.000 | 0.000 | 253.853 | 0.000 |
| -0.000 | -0.000 | 0.000 | 0.000 | -0.000 | 59.422 |
| 1285.833 | 1070.203 | 1216.200 | -0.000 | 0.000 | -0.000 |
| 1070.203 | 1285.833 | 1216.200 | -0.000 | 0.000 | -0.000 |
| 1216.200 | 1216.200 | 1199.444 | -0.000 | -0.000 | -0.000 |
| 0.000 | 0.000 | -0.000 | 253.853 | -0.000 | -0.000 |
| 0.000 | 0.000 | -0.000 | -0.000 | 253.853 | -0.000 |
| 0.000 | 0.000 | -0.000 | -0.000 | 0.000 | 59.422 |
| 1285.829 | 1070.193 | 1216.185 | 0.000 | -0.000 | 0.000 |
| 1070.193 | 1285.829 | 1216.185 | 0.000 | -0.000 | 0.000 |
| 1216.190 | 1216.190 | 1199.433 | 0.000 | -0.000 | 0.000 |
| -0.002 | -0.003 | 0.001 | 253.853 | -0.000 | 0.000 |
| -0.003 | -0.002 | 0.001 | 0.000 | 253.853 | 0.000 |
| -0.001 | -0.001 | 0.002 | 0.000 | -0.000 | 59.422 |
| 1285.835 | 1070.211 | 1216.212 | -0.000 | 0.000 | -0.000 |
| 1070.211 | 1285.835 | 1216.212 | -0.000 | 0.000 | -0.000 |
| 1216.207 | 1216.207 | 1199.453 | -0.000 | 0.000 | -0.000 |
| 0.002 | 0.003 | -0.001 | 253.853 | 0.000 | -0.000 |
| 0.003 | 0.002 | -0.001 | -0.000 | 253.853 | -0.000 |
| 0.001 | 0.001 | -0.002 | -0.000 | 0.000 | 59.422 |
| 223.742 | 54.980 | 109.961 | -77.756 | -0.000 | -0.000 |
| 54.979 | 223.742 | 109.961 | 77.756 | 0.000 | -0.000 |
| 109.960 | 109.960 | 168.750 | 0.000 | -0.000 | -0.000 |
| -77.756 | 77.756 | -0.000 | 139.359 | -0.000 | -0.000 |
| -0.000 | 0.000 | -0.000 | 0.000 | 139.359 | -77.756 |
| -0.000 | 0.000 | -0.000 | 0.000 | -77.756 | 84.381 |
| 223.742 | 54.980 | 109.962 | -77.756 | 0.000 | 0.000 |
| 54.980 | 223.742 | 109.962 | 77.756 | -0.000 | 0.000 |
| 109.960 | 109.960 | 168.750 | 0.000 | 0.000 | 0.000 |
| -77.756 | 77.756 | 0.000 | 139.359 | 0.000 | 0.000 |
| -0.000 | -0.000 | 0.000 | -0.000 | 139.359 | -77.756 |
| -0.000 | -0.001 | 0.000 | -0.000 | -77.756 | 84.381 |
| 223.742 | 54.980 | 109.962 | -77.756 | -0.000 | -0.000 |
| 54.980 | 223.742 | 109.962 | 77.756 | -0.000 | -0.000 |
| 109.960 | 109.960 | 168.750 | -0.000 | -0.000 | -0.000 |
| -77.756 | 77.756 | 0.000 | 139.359 | -0.000 | -0.000 |
| 0.000 | 0.000 | 0.000 | -0.000 | 139.359 | -77.756 |
| 0.000 | 0.000 | -0.000 | -0.000 | -77.756 | 84.381 |
| 223.742 | 54.979 | 109.961 | -77.756 | 0.000 | 0.000 |
| 54.979 | 223.742 | 109.961 | 77.756 | 0.000 | 0.000 |
| 109.960 | 109.960 | 168.750 | -0.000 | 0.000 | 0.000 |
| -77.756 | 77.756 | -0.000 | 139.359 | 0.000 | 0.000 |
| -0.000 | -0.000 | -0.000 | 0.000 | 139.359 | -77.756 |
| -0.000 | -0.000 | 0.000 | 0.000 | -77.756 | 84.381 |
| 223.743 | 54.980 | 109.962 | -77.756 | -0.000 | -0.000 |
| 54.980 | 223.743 | 109.962 | 77.756 | -0.000 | -0.000 |
| 109.960 | 109.960 | 168.750 | 0.000 | -0.000 | -0.000 |
| -77.756 | 77.756 | 0.000 | 139.359 | -0.000 | -0.000 |
| 0.000 | 0.000 | 0.000 | -0.000 | 139.359 | -77.756 |
| 0.000 | 0.000 | 0.000 | -0.000 | -77.756 | 84.381 |
| 223.742 | 54.979 | 109.961 | -77.755 | 0.000 | 0.000 |
| 54.979 | 223.741 | 109.961 | 77.755 | 0.000 | 0.000 |
| 109.960 | 109.960 | 168.749 | -0.000 | 0.000 | 0.000 |
| -77.756 | 77.756 | -0.000 | 139.358 | 0.000 | 0.000 |
| -0.000 | -0.000 | -0.000 | 0.000 | 139.359 | -77.756 |
| -0.000 | -0.000 | -0.000 | 0.000 | -77.756 | 84.381 |
| 272.176 | 66.717 | 121.605 | -84.557 | 0.000 | -0.000 |
| 66.717 | 272.176 | 121.606 | 84.557 | 0.000 | -0.000 |
| 112.421 | 112.421 | 113.792 | -0.000 | 0.000 | -0.000 |
| -84.557 | 84.557 | 0.000 | 126.590 | -0.000 | -0.000 |
| 0.000 | 0.000 | 0.000 | -0.000 | 126.590 | -84.557 |
| 0.000 | 0.000 | -0.000 | -0.000 | -84.557 | 102.729 |
| 272.176 | 66.717 | 121.605 | -84.557 | -0.000 | 0.000 |
| 66.717 | 272.176 | 121.605 | 84.557 | -0.000 | 0.000 |
| 112.422 | 112.422 | 113.792 | 0.000 | 0.000 | 0.000 |
| -84.557 | 84.557 | -0.000 | 126.590 | -0.000 | 0.000 |
| -0.000 | -0.000 | -0.000 | 0.000 | 126.590 | -84.557 |
| -0.000 | -0.000 | 0.000 | 0.000 | -84.557 | 102.730 |
| 272.176 | 66.717 | 121.606 | -84.557 | 0.000 | -0.000 |
| 66.717 | 272.176 | 121.605 | 84.557 | -0.000 | -0.000 |
| 112.422 | 112.422 | 113.792 | 0.000 | 0.000 | -0.000 |
| -84.557 | 84.557 | 0.000 | 126.590 | 0.000 | -0.000 |
| 0.000 | 0.000 | 0.000 | -0.000 | 126.590 | -84.557 |
| 0.000 | 0.000 | 0.000 | -0.000 | -84.557 | 102.730 |
| 272.176 | 66.717 | 121.605 | -84.557 | -0.000 | 0.000 |
| 66.717 | 272.176 | 121.605 | 84.557 | -0.000 | 0.000 |
| 112.422 | 112.422 | 113.792 | -0.000 | -0.000 | 0.000 |
| -84.557 | 84.557 | -0.000 | 126.590 | -0.000 | 0.000 |
| -0.000 | -0.000 | -0.000 | 0.000 | 126.590 | -84.557 |
| -0.000 | -0.000 | -0.000 | 0.000 | -84.557 | 102.730 |
| 272.177 | 66.717 | 121.606 | -84.557 | 0.000 | -0.000 |
| 66.717 | 272.177 | 121.606 | 84.557 | 0.000 | -0.000 |
| 112.422 | 112.422 | 113.792 | -0.000 | 0.000 | -0.000 |
| -84.557 | 84.557 | 0.000 | 126.590 | 0.000 | -0.000 |
| 0.000 | 0.000 | 0.000 | -0.000 | 126.590 | -84.557 |
| 0.000 | 0.000 | 0.000 | -0.000 | -84.557 | 102.730 |
| 272.175 | 66.716 | 121.605 | -84.557 | -0.000 | 0.000 |
| 66.717 | 272.175 | 121.605 | 84.556 | 0.000 | 0.000 |
| 112.421 | 112.421 | 113.792 | 0.000 | -0.000 | 0.000 |
| -84.557 | 84.557 | -0.000 | 126.590 | -0.000 | 0.000 |
| -0.000 | -0.000 | -0.000 | 0.000 | 126.590 | -84.557 |
| -0.000 | -0.000 | -0.000 | 0.000 | -84.557 | 102.730 |
| 388.704 | -0.000 | -0.000 | -0.000 | 0.000 | 0.000 |
| -0.000 | 388.704 | 0.000 | -0.000 | -0.000 | 0.000 |
| -0.000 | -0.000 | 388.704 | -0.000 | -0.000 | 0.000 |
| -0.000 | 0.000 | 0.000 | 29.397 | 0.000 | 0.000 |
| -0.000 | -0.000 | -0.000 | -0.000 | 29.397 | -0.000 |
| -0.000 | -0.000 | -0.000 | -0.000 | -0.000 | 29.397 |
| 388.704 | 0.000 | 0.000 | 0.000 | 0.000 | 0.000 |
| 0.000 | 388.704 | 0.000 | 0.000 | 0.000 | 0.000 |
| 0.000 | 0.000 | 388.704 | 0.000 | 0.000 | 0.000 |
| 0.000 | -0.000 | -0.000 | 29.397 | 0.000 | -0.000 |
| -0.000 | 0.000 | 0.000 | 0.000 | 29.397 | -0.000 |
| 0.000 | 0.000 | 0.000 | 0.000 | 0.000 | 29.397 |
| 388.705 | -0.000 | 0.000 | -0.000 | -0.000 | -0.000 |
| -0.000 | 388.705 | 0.000 | -0.000 | -0.000 | 0.000 |
| -0.000 | -0.000 | 388.705 | 0.000 | 0.000 | -0.000 |
| -0.000 | -0.000 | -0.000 | 29.397 | 0.000 | 0.000 |
| -0.000 | -0.000 | -0.000 | 0.000 | 29.397 | 0.000 |
| -0.000 | -0.000 | -0.000 | -0.000 | -0.000 | 29.397 |
| 388.704 | 0.000 | 0.000 | 0.000 | 0.000 | -0.000 |
| 0.000 | 388.704 | 0.000 | 0.000 | 0.000 | 0.000 |
| 0.000 | 0.000 | 388.704 | 0.000 | 0.000 | -0.000 |
| 0.000 | 0.000 | 0.000 | 29.397 | -0.000 | -0.000 |
| 0.000 | 0.000 | 0.000 | -0.000 | 29.397 | -0.000 |
| 0.000 | 0.000 | 0.000 | 0.000 | 0.000 | 29.397 |
| 388.706 | -0.000 | -0.000 | -0.000 | -0.000 | -0.000 |
| -0.000 | 388.706 | -0.000 | -0.000 | -0.000 | -0.000 |
| -0.000 | -0.000 | 388.706 | -0.000 | -0.000 | -0.000 |
| -0.000 | 0.000 | -0.000 | 29.397 | -0.000 | 0.000 |
| 0.000 | -0.000 | -0.000 | -0.000 | 29.397 | 0.000 |
| 0.000 | -0.000 | -0.000 | -0.000 | -0.000 | 29.397 |
| 388.702 | 0.000 | 0.000 | 0.000 | -0.000 | -0.000 |
| 0.000 | 388.702 | 0.000 | -0.000 | 0.000 | -0.000 |
| 0.000 | 0.000 | 388.702 | -0.000 | -0.000 | 0.000 |
| 0.000 | -0.000 | 0.000 | 29.397 | -0.000 | -0.000 |
| -0.000 | 0.000 | 0.000 | -0.000 | 29.397 | -0.000 |
| -0.000 | 0.000 | 0.000 | 0.000 | -0.000 | 29.397 |
| 96.948 | 60.819 | 60.819 | 0.000 | 0.000 | 0.000 |
| 60.819 | 96.948 | 60.819 | 0.000 | -0.000 | 0.000 |
| 60.819 | 60.819 | 96.948 | 0.000 | -0.000 | 0.000 |
| 0.000 | 0.000 | 0.000 | 22.803 | 0.000 | 0.000 |
| 0.000 | 0.000 | 0.000 | -0.000 | 22.803 | 0.000 |
| 0.000 | 0.000 | 0.000 | 0.000 | -0.000 | 22.803 |
| 96.948 | 60.819 | 60.819 | -0.000 | -0.000 | -0.000 |
| 60.819 | 96.948 | 60.819 | -0.000 | 0.000 | -0.000 |
| 60.819 | 60.819 | 96.948 | -0.000 | 0.000 | -0.000 |
| -0.000 | -0.000 | -0.000 | 22.803 | -0.000 | -0.000 |
| -0.000 | -0.000 | -0.000 | -0.000 | 22.803 | -0.000 |
| -0.000 | -0.000 | -0.000 | -0.000 | 0.000 | 22.803 |
| 96.948 | 60.819 | 60.819 | 0.000 | -0.000 | 0.000 |
| 60.819 | 96.948 | 60.819 | 0.000 | -0.000 | 0.000 |
| 60.819 | 60.819 | 96.948 | 0.000 | -0.000 | 0.000 |
| 0.000 | 0.000 | 0.000 | 62.421 | -0.000 | 0.000 |
| 0.000 | 0.000 | 0.000 | 0.000 | 62.421 | 0.000 |
| 0.000 | 0.000 | 0.000 | 0.000 | -0.000 | 62.421 |
| 96.948 | 60.819 | 60.819 | -0.000 | 0.000 | -0.000 |
| 60.819 | 96.948 | 60.819 | 0.000 | 0.000 | -0.000 |
| 60.819 | 60.819 | 96.948 | -0.000 | 0.000 | -0.000 |
| -0.000 | -0.000 | -0.000 | 62.421 | -0.000 | -0.000 |
| -0.000 | -0.000 | -0.000 | -0.000 | 62.421 | -0.000 |
| -0.000 | -0.000 | -0.000 | -0.000 | 0.000 | 62.421 |
| 96.948 | 60.819 | 60.819 | 0.000 | -0.000 | 0.000 |
| 60.819 | 96.948 | 60.819 | 0.000 | -0.000 | 0.000 |
| 60.819 | 60.819 | 96.948 | 0.000 | -0.000 | 0.000 |
| 0.000 | -0.000 | -0.000 | 22.803 | -0.000 | 0.000 |
| -0.000 | 0.000 | -0.000 | -0.000 | 22.803 | 0.000 |
| -0.000 | -0.000 | 0.000 | 0.000 | -0.000 | 22.803 |
| 96.947 | 60.819 | 60.819 | -0.000 | 0.000 | -0.000 |
| 60.819 | 96.947 | 60.819 | -0.000 | 0.000 | -0.000 |
| 60.819 | 60.819 | 96.947 | -0.000 | 0.000 | -0.000 |
| -0.000 | 0.000 | 0.000 | 22.803 | 0.000 | -0.000 |
| 0.000 | -0.000 | 0.000 | -0.000 | 22.803 | -0.000 |
| 0.000 | 0.000 | -0.000 | 0.000 | 0.000 | 22.803 |
| 180.388 | 160.942 | -65.278 | -0.000 | -77.374 | -0.000 |
| 128.996 | 241.760 | -46.562 | 0.000 | -75.935 | -0.000 |
| 43.304 | 47.196 | 189.699 | 0.000 | 25.013 | -0.000 |
| -0.000 | 0.000 | -0.000 | 86.927 | -0.000 | -24.661 |
| 42.580 | 108.960 | -121.483 | -0.000 | -49.003 | -0.000 |
| 85.220 | 80.339 | -109.271 | -6.067 | -68.805 | 31.761 |
| 199.187 | 13.676 | 45.758 | -0.000 | 16.920 | 0.000 |
| 16.027 | 215.740 | 46.134 | -0.000 | -26.725 | 0.000 |
| -15.506 | -26.682 | 263.941 | -0.000 | 94.751 | 0.000 |
| 0.000 | -0.000 | 0.000 | 86.926 | 0.000 | -24.661 |
| -82.232 | -89.383 | 119.064 | -0.000 | 113.202 | 0.000 |
| -85.220 | -80.339 | 109.271 | -6.067 | 68.805 | 31.761 |
| 149.511 | 55.761 | 52.007 | 0.000 | -0.641 | -0.000 |
| 50.435 | 166.990 | 53.614 | 0.000 | -13.358 | -0.000 |
| 64.853 | 74.302 | 142.654 | 0.000 | 5.667 | -0.000 |
| 3.307 | 9.299 | -10.864 | 51.102 | -6.906 | -4.081 |
| 6.821 | 3.328 | 0.495 | -0.000 | 32.110 | -0.000 |
| 3.265 | 9.180 | -10.725 | -4.639 | -6.818 | 30.343 |
| 136.104 | 37.740 | 79.061 | -0.000 | 14.226 | 0.000 |
| 40.489 | 152.195 | 75.378 | -0.000 | -0.303 | 0.000 |
| 59.587 | 56.255 | 162.250 | 0.000 | 19.146 | 0.000 |
| -3.307 | -9.299 | 10.864 | 51.102 | 6.906 | -4.081 |
| -3.760 | -13.536 | 20.172 | -0.000 | 45.721 | 0.000 |
| -3.265 | -9.180 | 10.725 | -4.639 | 6.818 | 30.343 |
| 139.922 | 46.588 | 62.268 | 0.000 | 6.868 | -0.000 |
| 44.701 | 161.905 | 63.308 | 0.000 | -7.849 | -0.000 |
| 63.190 | 63.765 | 151.713 | 0.000 | 10.826 | -0.000 |
| 0.319 | 0.895 | -1.046 | 52.425 | -0.665 | -4.841 |
| 3.791 | -6.092 | 11.246 | 0.000 | 39.580 | -0.000 |
| 1.181 | 0.778 | -1.160 | -5.631 | -0.703 | 31.297 |
| 138.615 | 44.892 | 63.874 | -0.000 | 9.430 | 0.000 |
| 45.411 | 159.662 | 62.801 | -0.000 | -6.248 | 0.000 |
| 61.001 | 63.781 | 155.086 | 0.000 | 13.473 | 0.000 |
| -0.319 | -0.895 | 1.046 | 52.425 | 0.665 | -4.841 |
| 3.111 | -8.037 | 13.510 | -0.000 | 41.040 | 0.000 |
| -1.181 | -0.778 | 1.160 | -5.631 | 0.703 | 31.297 |
| 1030.740 | 621.299 | 586.777 | -0.000 | 0.001 | -0.000 |
| 593.402 | 811.135 | 406.071 | -0.011 | 0.016 | -0.001 |
| 572.732 | 411.913 | 869.189 | 0.000 | 0.001 | -0.000 |
| 0.203 | 0.513 | 0.042 | 79.213 | 0.004 | -0.000 |
| 0.335 | 1.123 | 0.052 | -0.004 | 31.963 | -0.000 |
| 0.076 | 0.159 | 0.019 | -0.004 | 0.004 | 149.205 |
| 1029.995 | 619.887 | 586.645 | 0.000 | -0.001 | 0.000 |
| 592.543 | 806.588 | 405.999 | 0.011 | -0.016 | 0.001 |
| 572.271 | 410.439 | 869.107 | -0.000 | -0.001 | 0.000 |
| -0.203 | -0.513 | -0.042 | 79.218 | -0.004 | 0.000 |
| -0.335 | -1.123 | -0.052 | 0.004 | 31.956 | 0.000 |
| -0.076 | -0.159 | -0.019 | 0.004 | -0.005 | 149.206 |
| 1029.840 | 612.913 | 586.825 | -0.001 | 0.002 | -0.000 |
| 592.727 | 809.031 | 405.952 | -0.001 | 0.002 | -0.000 |
| 572.545 | 411.254 | 869.162 | -0.000 | 0.000 | -0.000 |
| 0.020 | 0.051 | 0.004 | 79.224 | 0.000 | -0.000 |
| 0.034 | 0.112 | 0.005 | -0.000 | 31.965 | -0.000 |
| 0.023 | 0.062 | 0.004 | -0.000 | 0.000 | 149.019 |
| 1029.747 | 612.456 | 586.815 | 0.001 | -0.002 | 0.000 |
| 592.639 | 808.586 | 405.945 | 0.001 | -0.002 | 0.000 |
| 572.500 | 411.106 | 869.154 | -0.000 | -0.000 | 0.000 |
| -0.020 | -0.051 | -0.004 | 79.224 | -0.000 | 0.000 |
| -0.034 | -0.112 | -0.005 | 0.000 | 31.964 | 0.000 |
| -0.023 | -0.062 | -0.004 | 0.000 | -0.000 | 149.019 |
| 1029.832 | 612.709 | 586.833 | -0.000 | 0.000 | -0.000 |
| 592.692 | 808.787 | 405.947 | -0.000 | 0.000 | -0.000 |
| 572.587 | 411.732 | 869.154 | -0.000 | 0.000 | -0.000 |
| 0.002 | 0.005 | 0.001 | 79.224 | 0.000 | -0.000 |
| 0.006 | 0.009 | 0.001 | -0.000 | 31.965 | -0.000 |
| 24189839.657 | -19330984.642 | -770573.228 | 0.000 | -0.000 | 3453574.193 |
| 1029.753 | 612.645 | 586.807 | 0.000 | -0.000 | 0.000 |
| 592.669 | 808.829 | 405.948 | 0.000 | -0.000 | 0.000 |
| 572.587 | 411.688 | 869.156 | 0.000 | -0.000 | 0.000 |
| -0.002 | -0.005 | -0.001 | 79.224 | -0.000 | 0.000 |
| -0.006 | -0.009 | -0.001 | 0.000 | 31.965 | 0.000 |
| -24189839.687 | 19330984.616 | 770573.211 | 0.000 | 0.001 | 3453574.181 |
| 424.647 | 39.368 | -1.250 | 0.000 | 0.000 | -0.000 |
| 46.167 | 843.785 | 265.392 | 0.000 | 0.000 | 0.000 |
| 2.247 | 259.793 | 351.373 | 0.000 | 0.000 | -0.000 |
| -0.004 | -0.018 | -0.002 | 125.725 | 0.000 | 0.000 |
| -0.007 | -0.034 | -0.004 | 0.000 | 30.148 | -0.000 |
| -0.008 | -0.039 | -0.005 | -0.000 | 0.000 | 23.961 |
| 421.725 | 38.705 | -5.227 | -0.000 | -0.000 | 0.000 |
| 46.173 | 843.813 | 265.394 | -0.000 | -0.000 | 0.000 |
| 8.823 | 279.299 | 357.174 | -0.000 | -0.000 | 0.000 |
| 0.004 | 0.018 | 0.002 | 125.725 | -0.000 | 0.000 |
| 0.007 | 0.034 | 0.004 | -0.000 | 30.148 | 0.000 |
| 0.008 | 0.039 | 0.005 | -0.000 | -0.000 | 23.961 |
| 430.621 | 59.352 | 3.624 | -0.000 | 0.000 | -0.000 |
| 46.160 | 843.758 | 265.386 | 0.000 | 0.000 | -0.000 |
| 8.823 | 279.299 | 357.174 | -0.000 | 0.000 | -0.000 |
| 0.000 | -0.000 | 0.000 | 126.053 | -0.000 | 0.000 |
| -0.001 | -0.003 | -0.000 | 0.000 | 30.148 | -0.000 |
| -0.001 | -0.004 | -0.000 | -0.000 | 0.000 | 23.961 |
| 430.620 | 59.352 | 3.624 | -0.000 | -0.000 | 0.000 |
| 62.361 | 906.533 | 277.110 | -0.000 | -0.000 | 0.000 |
| 8.823 | 279.299 | 357.174 | -0.000 | -0.000 | -0.000 |
| -0.000 | 0.000 | -0.000 | 126.053 | -0.000 | 0.000 |
| 0.001 | 0.003 | 0.000 | -0.000 | 30.148 | 0.000 |
| 0.001 | 0.004 | 0.000 | -0.000 | -0.000 | 23.961 |
| 424.639 | 39.340 | -1.260 | 0.000 | 0.000 | -0.000 |
| 41.706 | 839.593 | 259.877 | -0.000 | 0.000 | -0.000 |
| 2.244 | 259.794 | 351.369 | 0.000 | 0.000 | -0.000 |
| 0.000 | 0.000 | 0.000 | 125.698 | 0.000 | 0.000 |
| -0.000 | -0.000 | -0.000 | -0.000 | 30.148 | -0.000 |
| -0.000 | -0.001 | -0.000 | 0.000 | 0.000 | 23.961 |
| 421.720 | 38.689 | -5.227 | 0.000 | -0.000 | 0.000 |
| 41.696 | 839.538 | 259.871 | -0.000 | -0.000 | 0.000 |
| 2.251 | 259.815 | 351.373 | -0.000 | -0.000 | -0.000 |
| -0.000 | -0.000 | -0.000 | 125.698 | -0.000 | 0.000 |
| 0.000 | 0.000 | 0.000 | 0.000 | 30.148 | 0.000 |
| 0.000 | 0.001 | 0.000 | -0.000 | -0.000 | 23.961 |
| 204.540 | 22.873 | 38.244 | 0.000 | -0.000 | -0.000 |
| 24.757 | 204.360 | 35.031 | 0.000 | -0.000 | -0.000 |
| -27.069 | -2.794 | 226.649 | -0.000 | -0.000 | -0.000 |
| 0.000 | 0.000 | 0.000 | 56.606 | 0.000 | -0.000 |
| 0.000 | 0.000 | 0.000 | 0.000 | 71.465 | 0.000 |
| -0.000 | 0.000 | 0.000 | 0.000 | -0.000 | 59.426 |
| 204.540 | 22.873 | 38.244 | 0.000 | 0.000 | 0.000 |
| 38.830 | 172.665 | 96.841 | -0.000 | 0.000 | -0.000 |
| 38.895 | 33.798 | 172.978 | -0.000 | 0.000 | 0.000 |
| -0.000 | -0.000 | -0.000 | 56.606 | 0.000 | -0.000 |
| -0.000 | -0.000 | -0.000 | -0.000 | 71.465 | 0.000 |
| -0.000 | 0.000 | -0.000 | 0.000 | 0.000 | 59.426 |
| 142.334 | 53.256 | 45.037 | 0.000 | -0.000 | 0.000 |
| 41.801 | 156.887 | 70.435 | 0.000 | -0.000 | -0.000 |
| 46.276 | 50.810 | 126.810 | 0.000 | -0.000 | 0.000 |
| 2.659 | -3.467 | -0.662 | 26.526 | -0.000 | 0.000 |
| 2.208 | -2.879 | -0.550 | 0.000 | 33.954 | -0.000 |
| 0.057 | -5.273 | 2.010 | 0.000 | -0.000 | 37.754 |
| 144.327 | 58.663 | 45.030 | -0.000 | 0.000 | 0.000 |
| 53.689 | 159.546 | 62.520 | -0.000 | 0.000 | -0.000 |
| 38.895 | 33.799 | 172.977 | -0.000 | 0.000 | -0.000 |
| -2.659 | 3.467 | 0.662 | 26.526 | 0.000 | -0.000 |
| -2.208 | 2.879 | 0.550 | 0.000 | 33.954 | -0.000 |
| -0.057 | 5.273 | -2.010 | -0.000 | 0.000 | 37.754 |
| 145.840 | 53.724 | 47.070 | 0.000 | -0.000 | -0.000 |
| 55.341 | 159.374 | 58.508 | -0.000 | -0.000 | -0.000 |
| 48.899 | 58.227 | 121.412 | -0.000 | -0.000 | 0.000 |
| -0.336 | -0.384 | 0.482 | 27.061 | -0.000 | 0.000 |
| 0.111 | -0.386 | 0.066 | 0.000 | 37.415 | 0.000 |
| 0.194 | -0.253 | -0.048 | 0.000 | -0.000 | 36.698 |
| 146.179 | 53.869 | 47.505 | -0.000 | 0.000 | -0.000 |
| 53.541 | 160.260 | 59.997 | 0.000 | 0.000 | 0.000 |
| 49.387 | 56.772 | 121.145 | -0.000 | -0.000 | 0.000 |
| 0.336 | 0.384 | -0.482 | 27.061 | -0.000 | 0.000 |
| -0.111 | 0.386 | -0.066 | -0.000 | 37.415 | 0.000 |
| -0.194 | 0.253 | 0.048 | -0.000 | -0.000 | 36.698 |
| 125.074 | 65.439 | 52.635 | -3.603 | 6.413 | 2.134 |
| 62.485 | 111.067 | 54.862 | -7.066 | -2.774 | -0.005 |
| 43.325 | 56.055 | 129.102 | 6.279 | -22.760 | -8.875 |
| -5.537 | 2.894 | 5.887 | 28.996 | -7.649 | -1.023 |
| 23.854 | -6.017 | -22.828 | -7.647 | 55.772 | 10.892 |
| 0.205 | 1.793 | -1.082 | 2.206 | -6.921 | 20.701 |
| 125.225 | 65.939 | 52.035 | -3.353 | 6.497 | 2.777 |
| 62.556 | 111.745 | 54.115 | -7.048 | -2.734 | 0.533 |
| 43.250 | 56.784 | 128.397 | 6.042 | -22.828 | -8.226 |
| -5.152 | 3.090 | 5.662 | 29.281 | -7.489 | -0.362 |
| 24.120 | -5.606 | -23.374 | -7.537 | 55.875 | 11.404 |
| 0.457 | 2.290 | -1.724 | 2.422 | -6.857 | 21.187 |
| 124.845 | 65.217 | 52.057 | -2.888 | 6.196 | 2.540 |
| 62.657 | 110.553 | 53.726 | -7.361 | -3.478 | 0.288 |
| 42.480 | 56.372 | 127.898 | 6.859 | -22.322 | -8.031 |
| -5.183 | 1.992 | 6.900 | 28.261 | -7.413 | -1.356 |
| 24.092 | -6.556 | -22.301 | -7.380 | 55.375 | 10.837 |
| 0.491 | 2.002 | -1.077 | 1.774 | -6.985 | 20.661 |
| 124.869 | 65.280 | 52.010 | -2.876 | 6.212 | 2.590 |
| 62.676 | 110.612 | 53.676 | -7.343 | -3.464 | 0.334 |
| 42.502 | 56.433 | 127.856 | 6.875 | -22.309 | -7.987 |
| -5.161 | 2.053 | 6.851 | 28.276 | -7.399 | -1.311 |
| 24.058 | -6.357 | -22.398 | -7.497 | 55.392 | 10.703 |
| 0.510 | 2.070 | -1.129 | 1.782 | -6.970 | 20.707 |
| 124.875 | 65.108 | 52.124 | -2.856 | 6.274 | 2.617 |
| 62.672 | 110.587 | 53.758 | -7.303 | -3.439 | 0.299 |
| 42.492 | 56.452 | 127.877 | 6.893 | -22.303 | -8.024 |
| -4.646 | 1.892 | 6.761 | 28.377 | -7.432 | -1.346 |
| 24.104 | -6.445 | -22.303 | -7.482 | 55.371 | 10.799 |
| 0.450 | 1.944 | -1.055 | 1.654 | -7.008 | 20.660 |
| 124.879 | 65.112 | 52.121 | -2.855 | 6.274 | 2.621 |
| 62.674 | 110.593 | 53.754 | -7.302 | -3.438 | 0.303 |
| 42.494 | 56.458 | 127.872 | 6.895 | -22.302 | -8.020 |
| -5.225 | 2.060 | 6.890 | 28.252 | -7.482 | -1.345 |
| 24.106 | -6.439 | -22.307 | -7.481 | 55.372 | 10.804 |
| 0.452 | 1.950 | -1.059 | 1.655 | -7.007 | 20.664 |
| 428.536 | 185.931 | 455.570 | -0.000 | -0.000 | -0.000 |
| 142.952 | 305.046 | 214.163 | -0.000 | 0.000 | -0.000 |
| 226.278 | 226.278 | 888.818 | -0.000 | 0.000 | 0.000 |
| -0.000 | -0.000 | -0.001 | 59.610 | 0.000 | 0.000 |
| -0.000 | -0.001 | -0.001 | 0.000 | 59.610 | -0.000 |
| -0.000 | -0.000 | -0.001 | -0.000 | 0.000 | 81.807 |
| 428.536 | 185.932 | 455.570 | 0.000 | 0.000 | 0.000 |
| 133.040 | 306.024 | 201.210 | -0.000 | -0.000 | -0.000 |
| 469.200 | 469.200 | 1593.370 | 0.000 | 0.000 | -0.000 |
| 0.000 | 0.000 | 0.000 | 382.141 | -0.000 | 0.000 |
| 0.000 | 0.001 | 0.001 | 0.000 | 59.610 | -0.000 |
| 0.000 | 0.000 | 0.001 | -0.000 | 0.000 | 81.806 |
| 306.026 | 133.042 | 201.214 | 0.000 | -0.000 | -0.000 |
| 133.022 | 305.979 | 201.116 | 0.000 | -0.000 | -0.000 |
| 226.197 | 226.197 | 888.581 | 0.000 | 0.000 | 0.000 |
| -0.000 | -0.000 | -0.000 | 59.610 | 0.000 | -0.000 |
| -0.000 | -0.000 | -0.000 | 0.000 | 59.610 | -0.000 |
| -0.000 | 0.000 | -0.000 | -0.000 | -0.000 | 121.302 |
| 305.095 | 142.973 | 214.266 | -0.000 | 0.000 | 0.000 |
| 133.041 | 306.022 | 201.206 | 0.000 | 0.000 | -0.000 |
| 226.294 | 226.294 | 888.867 | -0.000 | -0.000 | -0.000 |
| 0.000 | 0.000 | 0.000 | 59.610 | -0.000 | 0.000 |
| 0.000 | 0.000 | 0.000 | 0.000 | 59.610 | -0.000 |
| 0.000 | -0.000 | 0.000 | -0.000 | -0.000 | 81.807 |
| 306.045 | 133.050 | 201.251 | 0.000 | -0.000 | -0.000 |
| 142.347 | 304.508 | 212.504 | 0.000 | -0.000 | -0.000 |
| 226.278 | 226.278 | 888.810 | 0.000 | 0.000 | -0.000 |
| 0.000 | -0.001 | -0.000 | 59.610 | -0.000 | 0.000 |
| -0.001 | 0.000 | -0.000 | 0.000 | 59.610 | -0.000 |
| -0.000 | 0.000 | -0.001 | -0.000 | 0.000 | 81.807 |
| 305.025 | 142.943 | 214.122 | 0.000 | 0.000 | -0.000 |
| 142.943 | 305.027 | 214.125 | -0.000 | 0.000 | -0.000 |
| 226.275 | 226.275 | 888.819 | -0.000 | -0.000 | -0.000 |
| -0.000 | 0.001 | 0.000 | 59.610 | -0.000 | -0.000 |
| 0.001 | -0.000 | 0.000 | -0.000 | 59.610 | 0.000 |
| 0.000 | -0.000 | 0.001 | 0.000 | 0.000 | 81.807 |
| 228.381 | 73.104 | 84.810 | -0.000 | -0.000 | 0.000 |
| 86.557 | 188.932 | 106.292 | 0.000 | -0.000 | -0.000 |
| 84.811 | 84.810 | 210.067 | -0.000 | -0.000 | -0.000 |
| -0.000 | -0.000 | -0.000 | 101.128 | -0.000 | -0.000 |
| 0.000 | -0.000 | 0.000 | 0.000 | 48.521 | -0.000 |
| -0.000 | -0.000 | 0.000 | 0.000 | -0.000 | 53.627 |
| 228.380 | 73.105 | 84.810 | 0.000 | 0.000 | 0.000 |
| 86.556 | 188.933 | 106.292 | 0.000 | 0.000 | 0.000 |
| 84.810 | 84.811 | 210.067 | -0.000 | -0.000 | 0.000 |
| 0.000 | 0.000 | 0.000 | 101.128 | 0.000 | 0.000 |
| -0.000 | 0.000 | -0.000 | 0.000 | 48.521 | 0.000 |
| -0.000 | 0.000 | -0.000 | 0.000 | 0.000 | 53.627 |
| 199.767 | 66.301 | 114.077 | -0.000 | -0.000 | -0.000 |
| 73.105 | 228.381 | 84.810 | -0.000 | -0.000 | -0.000 |
| 84.810 | 84.810 | 210.067 | -0.000 | -0.000 | 0.000 |
| -0.000 | -0.000 | 0.000 | 101.128 | -0.000 | -0.000 |
| 0.000 | 0.000 | -0.000 | -0.000 | 48.521 | -0.000 |
| -0.000 | -0.000 | -0.000 | -0.000 | -0.000 | 51.178 |
| 199.767 | 66.301 | 114.077 | 0.000 | 0.000 | 0.000 |
| 73.105 | 228.381 | 84.810 | 0.000 | 0.000 | 0.000 |
| 106.715 | 106.715 | 173.866 | 0.000 | 0.000 | 0.000 |
| 0.000 | 0.000 | -0.000 | 101.128 | 0.000 | 0.000 |
| -0.000 | 0.000 | 0.000 | 0.000 | 48.521 | 0.000 |
| 0.000 | 0.000 | 0.000 | 0.000 | 0.000 | 51.178 |
| 188.932 | 86.557 | 106.293 | -0.000 | -0.000 | -0.000 |
| 66.301 | 199.767 | 114.078 | -0.000 | -0.000 | -0.000 |
| 106.715 | 106.715 | 173.867 | -0.000 | -0.000 | -0.000 |
| 0.000 | -0.000 | -0.000 | 48.521 | -0.000 | -0.000 |
| 0.000 | 0.000 | 0.000 | -0.000 | 101.128 | -0.000 |
| -0.000 | -0.000 | -0.000 | -0.000 | -0.000 | 51.178 |
| 199.767 | 66.301 | 114.077 | -0.000 | 0.000 | 0.000 |
| 86.556 | 188.929 | 106.296 | -0.000 | 0.000 | 0.000 |
| 106.710 | 106.710 | 173.874 | 0.000 | 0.000 | 0.000 |
| -0.000 | 0.000 | 0.000 | 48.521 | 0.000 | 0.000 |
| -0.000 | -0.000 | -0.000 | 0.000 | 101.128 | 0.000 |
| 0.000 | 0.000 | 0.000 | 0.000 | 0.000 | 51.178 |
| -718.286 | 578.239 | 474.339 | -0.000 | -0.000 | -0.000 |
| 41.224 | 175.621 | 35.203 | -0.000 | -0.000 | -0.000 |
| -593.341 | 619.649 | 480.297 | -0.000 | -0.000 | 0.000 |
| -423.729 | 510.865 | 196.785 | 41.182 | -0.000 | -0.000 |
| -645.599 | 570.457 | 338.827 | -0.000 | 43.090 | -0.000 |
| -178.060 | 452.743 | 114.540 | -0.000 | -0.000 | 49.548 |
| 771.603 | -518.823 | -286.362 | 0.000 | 0.000 | 0.000 |
| 41.225 | 175.621 | 35.204 | 0.000 | 0.000 | 0.000 |
| 233.962 | -398.377 | 16.430 | 0.000 | 0.000 | 0.000 |
| 423.729 | -510.865 | -196.785 | 41.182 | 0.000 | 0.000 |
| 645.599 | -570.457 | -338.827 | 0.000 | 43.090 | -0.000 |
| 178.060 | -452.743 | -114.540 | 0.000 | 0.000 | 49.548 |
| 171.152 | 41.112 | 41.073 | 0.000 | -0.000 | 0.000 |
| 41.225 | 175.621 | 35.203 | -0.000 | -0.000 | -0.000 |
| 36.359 | 97.630 | 146.146 | -0.000 | -0.000 | -0.000 |
| -79.737 | 49.177 | 39.153 | 16.872 | -0.000 | -0.000 |
| -79.566 | 49.071 | 39.069 | -0.000 | 16.153 | 0.000 |
| -65.256 | 57.353 | 34.209 | -0.000 | -0.000 | 42.430 |
| 187.835 | -4.184 | 19.722 | 0.000 | 0.000 | 0.000 |
| 142.950 | 62.688 | 33.882 | 0.000 | 0.000 | -0.000 |
| 142.471 | 24.370 | 72.833 | 0.000 | 0.000 | -0.000 |
| 79.737 | -49.177 | -39.153 | 16.872 | 0.000 | -0.000 |
| 79.566 | -49.071 | -39.069 | 0.000 | 16.153 | -0.000 |
| 65.256 | -57.353 | -34.209 | 0.000 | 0.000 | 42.430 |
| 120.420 | 59.105 | 56.293 | -0.000 | -0.000 | -0.000 |
| 48.729 | 137.624 | 58.175 | -0.000 | -0.000 | -0.000 |
| 52.002 | 61.063 | 133.669 | -0.000 | -0.000 | 0.000 |
| -4.240 | 5.384 | 2.459 | 38.617 | -0.000 | 0.000 |
| -4.634 | 5.315 | 2.299 | -0.000 | 38.989 | -0.000 |
| -3.491 | 5.077 | 2.090 | -0.000 | -0.000 | 38.930 |
| 128.560 | 49.963 | 52.379 | 0.000 | 0.000 | 0.000 |
| 62.989 | 129.217 | 56.468 | -0.000 | 0.000 | 0.000 |
| 63.850 | 50.539 | 129.679 | 0.000 | -0.000 | 0.000 |
| 4.240 | -5.384 | -2.459 | 38.617 | 0.000 | 0.000 |
| 4.634 | -5.315 | -2.299 | 0.000 | 38.989 | 0.000 |
| 3.491 | -5.077 | -2.090 | 0.000 | 0.000 | 38.930 |
| 130.523 | 58.025 | 59.435 | 0.000 | 4.010 | 0.000 |
| 58.161 | 122.048 | 57.561 | 0.000 | 0.548 | 0.000 |
| 42.886 | 43.076 | 167.567 | 0.000 | 0.712 | 0.000 |
| 0.030 | -0.162 | -0.203 | 36.358 | -0.296 | 0.677 |
| 2.184 | 0.492 | 0.711 | 0.000 | 75.757 | 0.000 |
| 0.029 | -0.157 | -0.197 | 0.696 | -0.287 | 34.663 |
| 129.095 | 58.808 | 58.978 | 0.000 | 6.360 | -0.000 |
| 57.746 | 124.573 | 59.626 | -0.000 | 1.026 | -0.000 |
| 59.298 | 59.576 | 131.151 | -0.000 | 0.963 | -0.000 |
| -0.030 | 0.162 | 0.203 | 36.358 | 0.296 | 0.677 |
| 2.183 | 0.492 | 0.711 | -0.000 | 75.757 | -0.000 |
| -0.029 | 0.156 | 0.197 | 0.696 | 0.287 | 34.663 |
| 173.962 | 35.001 | 42.934 | 0.000 | 7.343 | 0.000 |
| 57.705 | 124.530 | 59.346 | 0.000 | 0.694 | 0.000 |
| 42.886 | 43.076 | 167.567 | 0.000 | 0.711 | 0.000 |
| 0.003 | -0.016 | -0.020 | 36.481 | -0.030 | 0.679 |
| 2.184 | 0.492 | 0.711 | 0.000 | 75.757 | 0.000 |
| 0.000 | 0.000 | 0.000 | 1.265 | 0.000 | 64.114 |
| 173.962 | 35.001 | 42.934 | -0.000 | 7.343 | -0.000 |
| 57.701 | 124.560 | 59.388 | -0.000 | 0.754 | -0.000 |
| 59.235 | 59.338 | 131.166 | -0.000 | 0.692 | -0.000 |
| -0.003 | 0.016 | 0.020 | 36.481 | 0.030 | 0.679 |
| 2.250 | -0.081 | 1.077 | 0.000 | 38.359 | -0.000 |
| 0.000 | -0.000 | -0.000 | 1.265 | -0.000 | 64.114 |
| 130.865 | 57.992 | 59.500 | 0.000 | 4.339 | 0.000 |
| 57.703 | 124.545 | 59.365 | 0.000 | 0.721 | 0.000 |
| 59.230 | 59.312 | 131.162 | 0.000 | 0.659 | 0.000 |
| 0.000 | -0.002 | -0.002 | 36.482 | -0.003 | 0.679 |
| 2.185 | -0.064 | 0.671 | 0.000 | 38.164 | 0.000 |
| -0.001 | -0.002 | -0.002 | 1.494 | -0.007 | 34.034 |
| 129.344 | 58.472 | 58.732 | -0.000 | 5.680 | -0.000 |
| 58.130 | 122.598 | 58.353 | -0.000 | 0.457 | -0.000 |
| 58.550 | 59.357 | 130.466 | -0.000 | 0.437 | -0.000 |
| -0.000 | 0.002 | 0.002 | 36.482 | 0.003 | 0.679 |
| 1.949 | 0.703 | 0.668 | -0.000 | 39.836 | -0.000 |
| 0.001 | 0.002 | 0.002 | 1.494 | 0.007 | 34.034 |
| 28.317 | -16.992 | -250.319 | -0.000 | 163.905 | -0.000 |
| 120.209 | 57.522 | -180.589 | -0.000 | 5.558 | -0.000 |
| 42.605 | 42.226 | 166.253 | -0.000 | 0.746 | -0.000 |
| -328.734 | 159.837 | -213.766 | 27.595 | -234.509 | 3.018 |
| -63.861 | -65.873 | -345.317 | -0.000 | -47.690 | -0.000 |
| -328.736 | 159.838 | -213.785 | 3.116 | -234.512 | 31.081 |
| 442.506 | -94.988 | 276.269 | 0.000 | 241.253 | 0.000 |
| 27.847 | 128.034 | 325.895 | 0.000 | -3.269 | 0.000 |
| 389.546 | -98.400 | 332.907 | 0.000 | 234.962 | 0.000 |
| 328.734 | -159.837 | 213.766 | 27.595 | 234.509 | 3.018 |
| -44.883 | 36.456 | 252.319 | 0.000 | 0.855 | -0.000 |
| 328.736 | -159.838 | 213.785 | 3.116 | 234.512 | 31.081 |
| 172.832 | 34.249 | 42.832 | 0.000 | 7.593 | -0.000 |
| 33.644 | 125.231 | 41.378 | -0.000 | -25.276 | -0.000 |
| 73.355 | 65.595 | 82.941 | -0.000 | 0.814 | 0.000 |
| 0.000 | -0.000 | 0.000 | 72.306 | 0.000 | 1.104 |
| 2.076 | 0.498 | 0.746 | -0.000 | 75.145 | 0.000 |
| 4.413 | -3.386 | -24.102 | 0.167 | 0.420 | 12.774 |
| 102.410 | 72.528 | 90.580 | 0.000 | 2.073 | -0.000 |
| 95.308 | 101.751 | 79.545 | 0.000 | 21.655 | 0.000 |
| 42.605 | 42.226 | 166.253 | 0.000 | 0.746 | 0.000 |
| -0.000 | -0.000 | -0.000 | 72.306 | -0.000 | 1.104 |
| 10.590 | -9.007 | 31.410 | 0.000 | 38.998 | 0.000 |
| -4.413 | 3.386 | 24.102 | 0.167 | -0.420 | 12.774 |
| 125.974 | 58.477 | 55.500 | -0.000 | 5.593 | -0.000 |
| 57.875 | 120.852 | 58.381 | 0.000 | -2.666 | -0.000 |
| 59.933 | 59.171 | 126.114 | -0.000 | 0.554 | 0.000 |
| -1.667 | -0.036 | -3.173 | 35.227 | -0.854 | 1.153 |
| 0.602 | -0.096 | -3.385 | -0.000 | 38.306 | -0.000 |
| 0.266 | -0.204 | -1.452 | 0.579 | 0.025 | 33.228 |
| 129.170 | 56.566 | 60.245 | -0.000 | 3.556 | 0.000 |
| 58.131 | 121.730 | 62.563 | -0.000 | -0.037 | 0.000 |
| 59.519 | 57.154 | 131.677 | 0.000 | 1.739 | 0.000 |
| 1.152 | -1.178 | 3.332 | 34.418 | 0.327 | 0.553 |
| 4.216 | -1.255 | 2.068 | -0.000 | 36.111 | 0.000 |
| -0.266 | 0.204 | 1.452 | 0.579 | -0.025 | 33.228 |
| 130.388 | 56.730 | 56.730 | -0.000 | 0.000 | -0.000 |
| 56.729 | 130.388 | 56.730 | -0.000 | -0.000 | -0.000 |
| 56.730 | 56.730 | 130.388 | 0.000 | -0.000 | -0.000 |
| -0.003 | -0.003 | -0.003 | 35.428 | 0.000 | -0.000 |
| -0.000 | -0.000 | -0.000 | 0.000 | 68.079 | -0.000 |
| -0.004 | -0.003 | -0.003 | 0.000 | 0.000 | 35.428 |
| 128.331 | 57.118 | 57.118 | -0.000 | 0.000 | 0.000 |
| 57.118 | 128.330 | 57.118 | -0.000 | 0.000 | -0.000 |
| 57.118 | 57.118 | 128.330 | -0.000 | -0.000 | 0.000 |
| -0.000 | 0.000 | 0.000 | 68.079 | 0.000 | 0.000 |
| 0.000 | 0.000 | 0.000 | -0.000 | 68.079 | 0.000 |
| 0.000 | 0.000 | 0.000 | -0.000 | -0.000 | 68.079 |
| 130.404 | 56.726 | 56.726 | 0.000 | 0.000 | -0.000 |
| 56.726 | 130.404 | 56.726 | 0.000 | 0.000 | -0.000 |
| 56.726 | 56.726 | 130.404 | -0.000 | 0.000 | -0.000 |
| -0.000 | -0.000 | -0.000 | 35.429 | -0.000 | -0.000 |
| -0.000 | -0.000 | -0.000 | -0.000 | 35.429 | -0.000 |
| -0.000 | -0.000 | -0.000 | -0.000 | -0.000 | 35.429 |
| 130.407 | 56.726 | 56.726 | 0.000 | -0.000 | 0.000 |
| 56.726 | 130.407 | 56.726 | -0.000 | -0.000 | 0.000 |
| 56.726 | 56.726 | 130.407 | -0.000 | 0.000 | -0.000 |
| 0.000 | 0.000 | 0.000 | 35.429 | -0.000 | 0.000 |
| 0.000 | 0.000 | 0.000 | 0.000 | 35.429 | 0.000 |
| 0.000 | 0.000 | 0.000 | -0.000 | -0.000 | 35.429 |
| 130.406 | 56.726 | 56.726 | -0.000 | 0.000 | -0.000 |
| 56.726 | 130.406 | 56.726 | -0.000 | -0.000 | -0.000 |
| 56.726 | 56.726 | 130.406 | -0.000 | -0.000 | -0.000 |
| -0.000 | -0.000 | -0.000 | 33.946 | 0.000 | -0.000 |
| -0.000 | -0.000 | -0.000 | 0.000 | 33.946 | -0.000 |
| -0.000 | -0.000 | -0.000 | 0.000 | -0.000 | 33.946 |
| 169.458 | 38.194 | 38.194 | -0.000 | 0.000 | 0.000 |
| 38.194 | 169.458 | 38.194 | -0.000 | 0.000 | 0.000 |
| 38.194 | 38.194 | 169.458 | -0.000 | 0.000 | 0.000 |
| 0.000 | 0.000 | 0.000 | 33.946 | -0.000 | 0.000 |
| 0.000 | 0.000 | 0.000 | -0.000 | 33.946 | 0.000 |
| 0.000 | 0.000 | 0.000 | 0.000 | -0.000 | 33.946 |
| 168.407 | 37.702 | 37.702 | -0.000 | 0.000 | -0.000 |
| 37.702 | 168.407 | 37.702 | 0.000 | 0.000 | -0.000 |
| 37.702 | 37.702 | 168.407 | -0.000 | 0.000 | 0.000 |
| -24.513 | -24.513 | -24.513 | 22.795 | 0.000 | -0.000 |
| -25.519 | -25.519 | -25.519 | 0.000 | 18.533 | -0.000 |
| -25.519 | -25.519 | -25.519 | 0.000 | 0.000 | 18.533 |
| 131.211 | 93.059 | 93.059 | 0.000 | -0.000 | -0.000 |
| 93.059 | 131.211 | 93.059 | -0.000 | -0.000 | -0.000 |
| 93.059 | 93.059 | 131.211 | -0.000 | -0.000 | 0.000 |
| 25.519 | 25.519 | 25.519 | 18.533 | -0.000 | -0.000 |
| 24.513 | 24.513 | 24.513 | -0.000 | 22.795 | -0.000 |
| 25.519 | 25.519 | 25.519 | 0.000 | -0.000 | 18.533 |
| 168.407 | 37.702 | 37.702 | -0.000 | 0.000 | -0.000 |
| 37.702 | 168.407 | 37.702 | 0.000 | -0.000 | 0.000 |
| 37.702 | 37.702 | 168.407 | 0.000 | -0.000 | 0.000 |
| -2.007 | -2.007 | -2.007 | 29.049 | 0.000 | -0.000 |
| -2.007 | -2.007 | -2.007 | -0.000 | 29.049 | -0.000 |
| -2.007 | -2.007 | -2.007 | 0.000 | 0.000 | 29.049 |
| 127.431 | 56.130 | 56.130 | -0.000 | -0.000 | -0.000 |
| 56.130 | 127.431 | 56.130 | -0.000 | 0.000 | 0.000 |
| 56.130 | 56.130 | 127.431 | -0.000 | -0.000 | -0.000 |
| 2.007 | 2.007 | 2.007 | 29.049 | -0.000 | 0.000 |
| 2.007 | 2.007 | 2.007 | 0.000 | 29.049 | -0.000 |
| 2.007 | 2.007 | 2.007 | 0.000 | -0.000 | 29.049 |
| 129.444 | 55.948 | 55.948 | -0.000 | -0.000 | -0.000 |
| 55.948 | 129.444 | 55.948 | 0.000 | 0.000 | 0.000 |
| 56.248 | 56.248 | 127.418 | 0.000 | 0.000 | -0.000 |
| -0.168 | -0.168 | -0.168 | 35.342 | -0.000 | -0.000 |
| -0.168 | -0.168 | -0.168 | 0.000 | 35.342 | 0.000 |
| -0.168 | -0.168 | -0.168 | 0.000 | -0.000 | 35.342 |
| 127.124 | 56.604 | 56.604 | 0.000 | 0.000 | -0.000 |
| 56.604 | 127.124 | 56.604 | -0.000 | -0.000 | 0.000 |
| 56.604 | 56.604 | 127.124 | -0.000 | -0.000 | -0.000 |
| 0.168 | 0.168 | 0.168 | 35.342 | -0.000 | -0.000 |
| 0.168 | 0.168 | 0.168 | 0.000 | 35.342 | -0.000 |
| 0.168 | 0.168 | 0.168 | -0.000 | 0.000 | 35.342 |
| 129.325 | 57.390 | 57.391 | -0.000 | 0.000 | 0.000 |
| 57.390 | 129.325 | 57.390 | -0.000 | -0.000 | 0.000 |
| 57.390 | 57.390 | 129.325 | -0.000 | 0.000 | 0.000 |
| 0.000 | 0.000 | 0.000 | 65.144 | -0.000 | 0.000 |
| -0.000 | 0.000 | 0.000 | 0.000 | 65.144 | 0.000 |
| -0.000 | 0.000 | -0.000 | -0.000 | -0.000 | 65.144 |
| 176.669 | 35.227 | 35.227 | -0.000 | -0.000 | -0.000 |
| 35.227 | 176.669 | 35.227 | 0.000 | 0.000 | -0.000 |
| 35.227 | 35.227 | 176.669 | 0.000 | -0.000 | -0.000 |
| -0.000 | -0.000 | -0.000 | 65.144 | -0.000 | -0.000 |
| -0.000 | -0.000 | 0.000 | 0.000 | 65.144 | -0.000 |
| -0.000 | -0.000 | 0.000 | 0.000 | 0.000 | 65.144 |
| 176.669 | 35.227 | 35.227 | -0.000 | 0.000 | 0.000 |
| 35.227 | 176.669 | 35.227 | -0.000 | 0.000 | 0.000 |
| 35.227 | 35.227 | 176.669 | -0.000 | 0.000 | 0.000 |
| 0.000 | 0.000 | 0.000 | 65.144 | -0.000 | 0.000 |
| 0.000 | 0.000 | 0.000 | 0.000 | 65.144 | 0.000 |
| 0.000 | 0.000 | 0.000 | 0.000 | -0.000 | 65.144 |
| 176.669 | 35.227 | 35.227 | 0.000 | -0.000 | -0.000 |
| 35.227 | 176.669 | 35.227 | -0.000 | -0.000 | 0.000 |
| 35.227 | 35.227 | 176.669 | 0.000 | -0.000 | 0.000 |
| -0.000 | -0.000 | -0.000 | 65.144 | 0.000 | -0.000 |
| 0.000 | -0.000 | -0.000 | 0.000 | 65.144 | -0.000 |
| -0.000 | -0.000 | -0.000 | 0.000 | 0.000 | 65.144 |
| 129.313 | 57.387 | 57.387 | -0.000 | -0.000 | 0.000 |
| 57.387 | 129.313 | 57.387 | -0.000 | 0.000 | 0.000 |
| 57.387 | 57.387 | 129.313 | -0.000 | 0.000 | 0.000 |
| 0.000 | 0.000 | 0.000 | 33.890 | 0.000 | 0.000 |
| 0.000 | 0.000 | 0.000 | -0.000 | 33.890 | 0.000 |
| 0.000 | 0.000 | 0.000 | 0.000 | -0.000 | 33.890 |
| 127.420 | 57.060 | 57.060 | 0.000 | -0.000 | 0.000 |
| 57.060 | 127.420 | 57.060 | 0.000 | -0.000 | -0.000 |
| 57.060 | 57.060 | 127.420 | 0.000 | 0.000 | -0.000 |
| -0.000 | -0.000 | -0.000 | 33.890 | -0.000 | -0.000 |
| -0.000 | -0.000 | -0.000 | -0.000 | 33.890 | -0.000 |
| -0.000 | -0.000 | -0.000 | 0.000 | -0.000 | 33.890 |
| 127.430 | 33.288 | 40.998 | 1.160 | 0.647 | -2.397 |
| 34.687 | 175.384 | 34.687 | 0.000 | 0.000 | -0.000 |
| 32.889 | 32.440 | 172.357 | 1.199 | 0.669 | -2.478 |
| -0.000 | -0.000 | 0.000 | 64.820 | -0.000 | -0.000 |
| -5.944 | -6.739 | 7.256 | 2.116 | 25.619 | -4.374 |
| 0.000 | -0.000 | -0.000 | 0.000 | 0.000 | 64.820 |
| 118.360 | 70.857 | 56.878 | -2.113 | -1.179 | 4.368 |
| 74.603 | 96.492 | 67.600 | -1.118 | -0.624 | 2.310 |
| 75.846 | 76.190 | 95.412 | -0.916 | -0.511 | 1.893 |
| 5.376 | 5.722 | -0.374 | 12.377 | -0.514 | 1.903 |
| 5.936 | 6.730 | -7.246 | -2.113 | 23.318 | 4.367 |
| 14.224 | 14.649 | 7.171 | -1.126 | -0.628 | 31.718 |
| 118.785 | 59.520 | 59.899 | 0.057 | 0.032 | -0.118 |
| 55.440 | 126.160 | 56.121 | 0.109 | 0.061 | -0.225 |
| 58.262 | 58.197 | 124.519 | 0.173 | 0.096 | -0.357 |
| -0.497 | -0.564 | 0.607 | 31.219 | 0.099 | -0.366 |
| -0.496 | -0.563 | 0.606 | 0.177 | 31.193 | -0.365 |
| -0.389 | -0.412 | -0.002 | 0.062 | 0.035 | 26.675 |
| 124.807 | 59.106 | 57.972 | -0.171 | -0.096 | 0.354 |
| 55.301 | 128.434 | 54.490 | -0.130 | -0.073 | 0.269 |
| 58.693 | 58.757 | 124.476 | -0.169 | -0.094 | 0.349 |
| 0.000 | -0.000 | -0.000 | 64.820 | -0.000 | 0.000 |
| 0.000 | -0.000 | -0.000 | -0.000 | 64.820 | 0.000 |
| 0.380 | 0.402 | 0.025 | -0.057 | -0.032 | 27.232 |
| 126.281 | 55.875 | 55.950 | 0.011 | 0.006 | -0.023 |
| 56.176 | 126.519 | 56.252 | 0.012 | 0.007 | -0.025 |
| 56.691 | 56.687 | 127.073 | 0.009 | 0.005 | -0.019 |
| -0.037 | -0.041 | 0.034 | 33.631 | 0.006 | -0.023 |
| -0.045 | -0.050 | 0.054 | 0.016 | 34.625 | -0.033 |
| -0.044 | -0.050 | 0.054 | 0.016 | 0.009 | 34.615 |
| 126.607 | 56.290 | 56.209 | -0.012 | -0.007 | 0.025 |
| 56.770 | 127.082 | 56.711 | -0.009 | -0.005 | 0.019 |
| 56.785 | 56.789 | 126.998 | -0.009 | -0.005 | 0.019 |
| 0.037 | 0.041 | -0.034 | 33.608 | -0.006 | 0.023 |
| 0.037 | 0.041 | -0.034 | -0.011 | 33.613 | 0.023 |
| 0.038 | 0.042 | -0.026 | -0.010 | -0.006 | 33.839 |
| 164.052 | 36.007 | 38.789 | 3.767 | 0.000 | 0.000 |
| 36.006 | 164.052 | 38.789 | -3.766 | -0.000 | 0.000 |
| 38.695 | 38.695 | 163.236 | 0.000 | -0.000 | 0.000 |
| 3.766 | -3.767 | -0.001 | 67.529 | -0.000 | 0.000 |
| -0.000 | -0.000 | 0.000 | -0.000 | 67.529 | 3.766 |
| 1.177 | 1.176 | -17.573 | -0.001 | -1.524 | 22.762 |
| 148.141 | 73.436 | 19.673 | -4.470 | 0.000 | 0.000 |
| 36.007 | 164.053 | 38.790 | -3.766 | -0.000 | 0.000 |
| 38.696 | 38.696 | 163.236 | -0.001 | -0.000 | -0.000 |
| 23.906 | 33.039 | -44.719 | 41.016 | -0.000 | -0.000 |
| -0.000 | 0.000 | -0.000 | 0.000 | 67.529 | 3.766 |
| -1.176 | -1.176 | 17.573 | 0.001 | -1.524 | 22.762 |
| 164.053 | 36.006 | 38.789 | 3.766 | 0.000 | 0.000 |
| 36.006 | 164.053 | 38.789 | -3.766 | 0.000 | 0.000 |
| 57.884 | 57.884 | 121.077 | 0.000 | 0.000 | -0.000 |
| 3.766 | -3.766 | 0.000 | 67.529 | 0.000 | -0.000 |
| 1.223 | 1.223 | -1.474 | 0.000 | 32.153 | 2.130 |
| -0.016 | -0.016 | 0.396 | -0.000 | -0.613 | 30.146 |
| 164.052 | 36.006 | 38.789 | 3.766 | -0.000 | 0.000 |
| 59.752 | 118.741 | 52.745 | 1.084 | -0.000 | -0.000 |
| 38.696 | 38.696 | 163.236 | -0.000 | -0.000 | 0.000 |
| 3.766 | -3.766 | 0.000 | 67.529 | -0.000 | -0.000 |
| -1.223 | -1.223 | 1.474 | -0.000 | 32.153 | 2.130 |
| 0.016 | 0.016 | -0.396 | 0.000 | -0.613 | 30.146 |
| 121.080 | 55.904 | 53.599 | 0.784 | -0.000 | -0.000 |
| 56.912 | 122.079 | 56.622 | -0.629 | 0.000 | 0.000 |
| 54.699 | 54.699 | 113.629 | 0.000 | 0.000 | 0.000 |
| -0.804 | 0.840 | -0.086 | 32.079 | 0.000 | -0.000 |
| 0.115 | 0.115 | -0.138 | -0.000 | 34.371 | 2.232 |
| 0.050 | 0.050 | -0.040 | -0.000 | 0.735 | 32.568 |
| 122.000 | 56.827 | 56.678 | 0.637 | -0.000 | -0.000 |
| 56.822 | 122.009 | 56.674 | -0.637 | 0.000 | 0.000 |
| 55.940 | 55.940 | 117.693 | -0.000 | -0.000 | 0.000 |
| 3.766 | -3.766 | -0.000 | 67.529 | -0.000 | 0.000 |
| -0.115 | -0.115 | 0.138 | 0.000 | 34.371 | 2.232 |
| -0.050 | -0.050 | 0.040 | 0.000 | 0.735 | 32.568 |
| -125.302 | -121.009 | 139.710 | -0.000 | -0.000 | -0.000 |
| -11.226 | 128.202 | -132.616 | 0.000 | -0.000 | -0.000 |
| -7.155 | -7.155 | 1.734 | 0.000 | 0.000 | -0.000 |
| -206.919 | -206.919 | 55.910 | -3.236 | -0.000 | -0.000 |
| 0.000 | 0.000 | 0.000 | 0.000 | 73.245 | -0.000 |
| -46.401 | -46.401 | -172.213 | 0.000 | -0.000 | 70.092 |
| 222.098 | 81.353 | 211.121 | -0.000 | -0.000 | 0.000 |
| 81.353 | 222.097 | 211.122 | -0.000 | 0.000 | 0.000 |
| 37.597 | 37.597 | 178.763 | 0.000 | 0.001 | 0.000 |
| 0.001 | -0.000 | 0.000 | 73.246 | 0.000 | 0.000 |
| -0.000 | -0.000 | 0.000 | 0.000 | 73.245 | 0.000 |
| 46.401 | 46.401 | 172.213 | -0.000 | 0.000 | 70.092 |
| 180.005 | 36.273 | 37.550 | 0.000 | -0.000 | -0.000 |
| 36.272 | 180.005 | 37.550 | 0.000 | -0.000 | -0.000 |
| 37.597 | 37.597 | 178.763 | 0.000 | 0.000 | -0.000 |
| -19.720 | -19.720 | 5.328 | 0.355 | -0.000 | -0.000 |
| -0.000 | 0.000 | -0.000 | -0.000 | 73.245 | -0.000 |
| -0.000 | 0.000 | 0.000 | 0.000 | -0.000 | 71.866 |
| 104.650 | 103.461 | 76.848 | -0.000 | 0.000 | 0.000 |
| 51.653 | 167.277 | 59.887 | -0.000 | 0.000 | 0.000 |
| 37.597 | 37.597 | 178.763 | 0.000 | 0.000 | 0.000 |
| 19.720 | 19.720 | -5.328 | 0.355 | 0.000 | 0.000 |
| 0.000 | -0.000 | 0.000 | -0.000 | 73.245 | 0.000 |
| -0.000 | -0.000 | -0.000 | -0.000 | 0.000 | 71.866 |
| 135.108 | 55.461 | 56.679 | -0.000 | -0.000 | -0.000 |
| 36.273 | 180.006 | 37.550 | 0.000 | -0.000 | -0.000 |
| 56.631 | 56.631 | 135.297 | 0.000 | -0.000 | -0.000 |
| -1.004 | -1.004 | 0.271 | 36.135 | -0.000 | -0.000 |
| 0.000 | 0.000 | 0.000 | 0.000 | 73.245 | -0.000 |
| -1.010 | -1.010 | 0.273 | 0.000 | -0.000 | 35.667 |
| 133.606 | 60.804 | 59.510 | -0.000 | 0.000 | 0.000 |
| 60.803 | 133.607 | 59.510 | -0.000 | 0.000 | 0.000 |
| 60.515 | 60.515 | 133.547 | -0.000 | 0.000 | 0.000 |
| 1.004 | 1.004 | -0.271 | 36.135 | 0.000 | 0.000 |
| -0.000 | -0.000 | -0.000 | -0.000 | 73.245 | 0.000 |
| 1.010 | 1.010 | -0.273 | -0.000 | 0.000 | 35.667 |
| 180.122 | 36.279 | 37.635 | 0.000 | -0.000 | -0.000 |
| 56.646 | 136.355 | 59.752 | -0.000 | -0.000 | -0.000 |
| 56.936 | 56.936 | 139.332 | -0.000 | 0.000 | -0.000 |
| -0.916 | -0.916 | 1.975 | 40.407 | -0.000 | -0.000 |
| 0.000 | 0.000 | -0.000 | 0.000 | 73.235 | 0.000 |
| 0.000 | 0.000 | 0.001 | -0.000 | 0.000 | 71.922 |
| 180.122 | 36.279 | 37.634 | 0.000 | 0.000 | 0.000 |
| 36.279 | 180.122 | 37.634 | 0.000 | -0.000 | 0.000 |
| 58.734 | 58.734 | 135.453 | 0.000 | 0.000 | 0.000 |
| 0.916 | 0.916 | -1.974 | 40.407 | -0.001 | 0.000 |
| -0.000 | -0.000 | 0.000 | -0.000 | 73.235 | -0.000 |
| -0.000 | -0.000 | -0.001 | 0.000 | 0.000 | 71.921 |
| 180.122 | 36.279 | 37.634 | -0.000 | 0.000 | 0.000 |
| 36.279 | 180.122 | 37.634 | 0.000 | 0.000 | 0.000 |
| 37.634 | 37.634 | 178.843 | -0.000 | -0.000 | 0.000 |
| -0.050 | -0.050 | 0.191 | 39.426 | 0.000 | -0.000 |
| 0.000 | 0.000 | 0.000 | 0.000 | 73.234 | 0.000 |
| 0.000 | 0.000 | -0.000 | -0.000 | 0.000 | 71.922 |
| 137.281 | 57.707 | 57.601 | 0.000 | -0.000 | -0.000 |
| 57.707 | 137.281 | 57.601 | 0.000 | 0.000 | 0.000 |
| 57.905 | 57.905 | 137.241 | 0.000 | 0.000 | 0.000 |
| 0.050 | 0.050 | -0.191 | 39.426 | 0.000 | 0.000 |
| -0.000 | -0.000 | -0.000 | 0.000 | 73.234 | -0.000 |
| -0.000 | -0.000 | 0.000 | 0.000 | -0.000 | 71.922 |
| 137.194 | 57.598 | 57.814 | -0.000 | -0.000 | -0.000 |
| 57.052 | 136.359 | 57.750 | -0.000 | 0.000 | 0.000 |
| 37.634 | 37.634 | 178.843 | 0.000 | 0.000 | 0.000 |
| 0.000 | 0.000 | 0.000 | 73.234 | -0.000 | -0.000 |
| -0.009 | -0.009 | 0.020 | -0.000 | 40.447 | 0.000 |
| 0.000 | 0.000 | 0.000 | -0.000 | 0.000 | 71.922 |
| 137.204 | 57.620 | 57.778 | 0.000 | 0.000 | -0.000 |
| 57.617 | 137.210 | 57.775 | 0.000 | -0.000 | 0.000 |
| 57.508 | 57.508 | 136.795 | 0.000 | -0.000 | -0.000 |
| -0.000 | -0.000 | -0.000 | 73.234 | -0.000 | 0.000 |
| 0.009 | 0.009 | -0.020 | -0.000 | 40.447 | -0.000 |
| -0.000 | -0.000 | -0.000 | 0.000 | -0.000 | 71.922 |
| 179.400 | 51.014 | 39.028 | 0.000 | 0.000 | -0.000 |
| 51.015 | 179.400 | 39.028 | 0.000 | 0.000 | 0.000 |
| 51.645 | 51.644 | 129.447 | 0.000 | 0.000 | 0.000 |
| -0.016 | -0.016 | -0.000 | 65.974 | -0.000 | 0.000 |
| -0.016 | -0.016 | -0.001 | 0.000 | 65.974 | 0.000 |
| 0.000 | -0.000 | -0.000 | 0.000 | -0.000 | 145.287 |
| 179.428 | 51.041 | 39.029 | -0.000 | -0.000 | -0.000 |
| 51.041 | 179.428 | 39.029 | -0.000 | 0.000 | -0.000 |
| 56.215 | 56.215 | 172.111 | -0.000 | 0.000 | -0.000 |
| 0.016 | 0.016 | 0.000 | 65.974 | -0.000 | 0.000 |
| 0.016 | 0.016 | 0.001 | -0.000 | 65.974 | -0.000 |
| -0.000 | 0.000 | 0.000 | -0.000 | 0.000 | 145.287 |
| 143.477 | 67.672 | 54.202 | 0.000 | -0.000 | 0.000 |
| 67.672 | 143.477 | 54.202 | 0.000 | -0.000 | 0.000 |
| 56.215 | 56.215 | 172.111 | 0.000 | 0.000 | 0.000 |
| 0.000 | -0.000 | -0.000 | 85.256 | -0.000 | -0.000 |
| -0.000 | 0.000 | -0.000 | 0.000 | 85.256 | 0.000 |
| -0.012 | -0.012 | -0.000 | 0.000 | 0.000 | 32.743 |
| 143.491 | 67.680 | 54.200 | -0.000 | -0.000 | -0.000 |
| 67.680 | 143.491 | 54.200 | -0.000 | 0.000 | -0.000 |
| 56.215 | 56.215 | 172.111 | -0.000 | -0.000 | -0.000 |
| -0.000 | -0.000 | 0.000 | 85.256 | 0.000 | -0.000 |
| 0.000 | -0.000 | -0.000 | -0.000 | 85.256 | -0.000 |
| 0.012 | 0.012 | 0.000 | -0.000 | -0.000 | 32.743 |
| 143.433 | 67.650 | 54.193 | 0.000 | 0.000 | 0.000 |
| 67.650 | 143.433 | 54.193 | 0.000 | 0.000 | 0.000 |
| 54.348 | 54.348 | 132.523 | -0.000 | 0.000 | 0.000 |
| -0.000 | -0.000 | 0.000 | 65.974 | 0.000 | 0.000 |
| -0.000 | -0.000 | 0.000 | -0.000 | 65.974 | 0.000 |
| 0.000 | 0.000 | 0.000 | 0.000 | -0.000 | 33.507 |
| 138.825 | 69.831 | 51.688 | 0.000 | -0.000 | -0.000 |
| 69.831 | 138.825 | 51.688 | 0.000 | -0.000 | 0.000 |
| 52.426 | 52.426 | 129.106 | -0.000 | 0.000 | -0.000 |
| 0.000 | 0.000 | -0.000 | 65.974 | 0.000 | 0.000 |
| 0.000 | 0.000 | -0.000 | -0.000 | 65.974 | -0.000 |
| -0.000 | -0.000 | -0.000 | 0.000 | -0.000 | 33.507 |
| -613.133 | -661.194 | 88.200 | 0.000 | -0.000 | -0.000 |
| -661.194 | -613.133 | 88.200 | -0.000 | -0.000 | -0.000 |
| 41.172 | 41.173 | 166.789 | 0.000 | -0.000 | -0.000 |
| -898.098 | -898.098 | -728.554 | 33.987 | 0.000 | -0.000 |
| -898.098 | -898.098 | -728.554 | 0.000 | 33.987 | -0.000 |
| -898.119 | -898.119 | -728.595 | -0.000 | -0.000 | 31.710 |
| 933.305 | 863.593 | 553.539 | 0.000 | 0.000 | 0.000 |
| 863.593 | 933.305 | 553.539 | 0.000 | -0.000 | 0.000 |
| 41.173 | 41.173 | 166.789 | 0.000 | -0.000 | -0.000 |
| 898.098 | 898.098 | 728.554 | 33.987 | 0.000 | 0.000 |
| 898.098 | 898.098 | 728.554 | -0.000 | 33.987 | 0.000 |
| 898.119 | 898.119 | 728.595 | 0.000 | 0.000 | 31.710 |
| 11.904 | -56.676 | -7.303 | -0.000 | -0.000 | -0.000 |
| -56.676 | 11.904 | -7.303 | 0.000 | -0.000 | -0.000 |
| -38.069 | -38.069 | 52.275 | 0.000 | -0.000 | -0.000 |
| -89.805 | -89.805 | -72.470 | 33.845 | 0.000 | -0.000 |
| -89.805 | -89.805 | -72.470 | -0.000 | 33.845 | -0.000 |
| -71.443 | -71.443 | 2.616 | 0.000 | -0.000 | 20.431 |
| 194.982 | 147.288 | 126.076 | -0.000 | 0.000 | 0.000 |
| 147.288 | 194.982 | 126.076 | -0.000 | 0.000 | 0.000 |
| 130.008 | 130.008 | 112.755 | 0.000 | 0.000 | 0.000 |
| 89.805 | 89.805 | 72.470 | 33.845 | -0.000 | 0.000 |
| 89.805 | 89.805 | 72.470 | 0.000 | 33.845 | 0.000 |
| 71.443 | 71.443 | -2.616 | -0.000 | 0.000 | 20.431 |
| 105.436 | 47.322 | 59.435 | 0.000 | 0.000 | -0.000 |
| 47.322 | 105.436 | 59.435 | 0.000 | -0.000 | -0.000 |
| 44.590 | 44.590 | 118.234 | -0.000 | -0.000 | -0.000 |
| -8.769 | -8.769 | -0.801 | 31.946 | -0.000 | -0.000 |
| -8.769 | -8.769 | -0.801 | 0.000 | 31.946 | -0.000 |
| -10.699 | -10.699 | -6.076 | 0.000 | -0.000 | 33.429 |
| 121.298 | 59.847 | 59.615 | -0.000 | 0.000 | 0.000 |
| 59.847 | 121.298 | 59.615 | -0.000 | 0.000 | 0.000 |
| 61.979 | 61.979 | 126.736 | 0.000 | 0.000 | 0.000 |
| 8.769 | 8.769 | 0.801 | 31.946 | -0.000 | 0.000 |
| 8.769 | 8.769 | 0.801 | -0.000 | 31.946 | 0.000 |
| 10.699 | 10.699 | 6.076 | -0.000 | 0.000 | 33.429 |
| 175.723 | 35.054 | 41.780 | -0.000 | -0.000 | 0.000 |
| 58.351 | 132.681 | 56.842 | -0.000 | -0.000 | -0.000 |
| 41.781 | 37.895 | 170.370 | 0.000 | 0.000 | -0.000 |
| 0.001 | -0.133 | 0.209 | 38.754 | -0.000 | -0.000 |
| 0.000 | -0.000 | 0.000 | 0.000 | 74.372 | 0.000 |
| 0.000 | 0.000 | -0.000 | -0.000 | -0.000 | 67.958 |
| 175.724 | 35.054 | 41.780 | 0.000 | 0.000 | -0.000 |
| 57.166 | 131.017 | 55.350 | 0.000 | 0.000 | 0.000 |
| 41.780 | 37.895 | 170.370 | 0.000 | 0.000 | -0.000 |
| -0.001 | 0.133 | -0.208 | 38.754 | 0.000 | -0.000 |
| -0.000 | -0.000 | 0.000 | 0.000 | 74.372 | 0.000 |
| -0.000 | -0.000 | -0.000 | 0.000 | 0.000 | 67.958 |
| 131.999 | 57.870 | 58.537 | -0.000 | 0.000 | -0.000 |
| 58.367 | 132.773 | 56.661 | -0.000 | -0.000 | -0.000 |
| 41.780 | 37.895 | 170.370 | -0.000 | -0.000 | -0.000 |
| -0.001 | -0.012 | 0.024 | 37.900 | -0.000 | 0.000 |
| 0.000 | -0.000 | 0.000 | -0.000 | 74.372 | -0.000 |
| 0.000 | -0.000 | 0.000 | -0.000 | 0.000 | 67.958 |
| 175.723 | 35.054 | 41.780 | 0.000 | 0.000 | 0.000 |
| 35.054 | 177.493 | 37.895 | 0.000 | -0.000 | 0.000 |
| 58.785 | 56.791 | 130.195 | -0.000 | -0.000 | 0.000 |
| 0.001 | 0.012 | -0.024 | 37.900 | 0.000 | -0.000 |
| -0.000 | 0.000 | -0.000 | 0.000 | 74.372 | 0.000 |
| -0.000 | 0.000 | 0.000 | 0.000 | -0.000 | 67.958 |
| 131.996 | 57.881 | 58.517 | -0.000 | -0.000 | -0.000 |
| 56.853 | 130.292 | 55.301 | -0.000 | -0.000 | -0.000 |
| 58.622 | 56.304 | 128.277 | -0.000 | -0.000 | -0.000 |
| 0.000 | -0.001 | 0.002 | 38.755 | -0.000 | -0.000 |
| 0.000 | 0.000 | 0.000 | -0.000 | 74.372 | -0.000 |
| 0.000 | 0.000 | 0.000 | -0.000 | -0.000 | 67.958 |
| 131.985 | 57.888 | 58.516 | 0.000 | 0.000 | 0.000 |
| 56.841 | 130.314 | 55.287 | 0.000 | 0.000 | 0.000 |
| 58.621 | 56.305 | 128.274 | 0.000 | 0.000 | 0.000 |
| -0.000 | 0.001 | -0.002 | 38.755 | 0.000 | 0.000 |
| -0.000 | -0.000 | -0.000 | 0.000 | 74.372 | 0.000 |
| -0.000 | -0.000 | -0.000 | 0.000 | -0.000 | 67.958 |
| 482.307 | -640.994 | 458.878 | -0.000 | 0.000 | -0.000 |
| 34.647 | 176.558 | 37.464 | 0.000 | -0.000 | -0.000 |
| 480.485 | -652.153 | 466.748 | -0.000 | 0.000 | -0.000 |
| 0.000 | 0.000 | -0.000 | 71.366 | 0.000 | 0.000 |
| 390.937 | -708.722 | 372.424 | 0.000 | 2.177 | -0.000 |
| 391.100 | -709.019 | 372.580 | 0.000 | 0.000 | 8.771 |
| -295.517 | 774.518 | -287.822 | -0.000 | 0.000 | 0.000 |
| 34.648 | 176.557 | 37.464 | -0.000 | -0.000 | 0.000 |
| -304.179 | 764.353 | -273.947 | -0.000 | -0.000 | 0.000 |
| -0.000 | -0.000 | 0.000 | 71.366 | -0.000 | 0.000 |
| -390.937 | 708.722 | -372.424 | -0.000 | 2.177 | 0.000 |
| -391.100 | 709.019 | -372.580 | -0.000 | -0.000 | 8.771 |
| 174.703 | 34.541 | 41.389 | 0.000 | 0.000 | 0.000 |
| 97.208 | 59.714 | 91.878 | 0.000 | 0.000 | -0.000 |
| 91.682 | -19.851 | 104.461 | 0.000 | -0.000 | 0.000 |
| 42.149 | -72.782 | -24.030 | 32.511 | 0.000 | -0.000 |
| 33.231 | -60.243 | 31.657 | 0.000 | 12.951 | -0.000 |
| 34.136 | -61.884 | 32.519 | 0.000 | 0.000 | 16.274 |
| 83.828 | 146.723 | 59.619 | -0.000 | -0.000 | 0.000 |
| 18.835 | 207.942 | 52.177 | -0.000 | -0.000 | 0.000 |
| 38.710 | 117.131 | 81.781 | -0.000 | -0.000 | 0.000 |
| -42.149 | 72.782 | 24.030 | 32.511 | 0.000 | -0.000 |
| -33.231 | 60.243 | -31.657 | -0.000 | 12.951 | 0.000 |
| -34.136 | 61.884 | -32.519 | -0.000 | -0.000 | 16.274 |
| 133.516 | 54.415 | 59.999 | 0.000 | 0.000 | -0.000 |
| 60.296 | 127.718 | 58.355 | 0.000 | 0.000 | 0.000 |
| 60.693 | 51.361 | 126.420 | -0.000 | 0.000 | -0.000 |
| 3.268 | -6.111 | -0.800 | 36.785 | -0.000 | 0.000 |
| 2.012 | -4.157 | 1.154 | 0.000 | 36.797 | -0.000 |
| 2.002 | -3.630 | 1.908 | 0.000 | 0.000 | 37.560 |
| 129.582 | 61.285 | 56.525 | -0.000 | 0.000 | -0.000 |
| 54.154 | 134.541 | 53.564 | -0.000 | -0.000 | 0.000 |
| 55.883 | 59.609 | 125.663 | -0.000 | 0.000 | 0.000 |
| -3.268 | 6.111 | 0.800 | 36.785 | -0.000 | 0.000 |
| -2.012 | 4.157 | -1.154 | -0.000 | 36.797 | 0.000 |
| -2.002 | 3.630 | -1.908 | -0.000 | -0.000 | 37.560 |
| 384.663 | 530.698 | 272.592 | -248.823 | 316.573 | 129.205 |
| 346.874 | 97.087 | -46.586 | -226.183 | 325.671 | 329.599 |
| 717.152 | 874.512 | 616.384 | -196.642 | 42.796 | 20.465 |
| 253.278 | 457.918 | 193.250 | -222.070 | 334.894 | 135.564 |
| 649.608 | 822.855 | 470.348 | -213.903 | 79.961 | 16.913 |
| 640.918 | 814.980 | 448.798 | -213.491 | 32.206 | 71.820 |
| -36.961 | -234.056 | 228.659 | 336.335 | -308.383 | -244.055 |
| -158.250 | -111.184 | 233.056 | 316.574 | -301.744 | -222.540 |
| -186.017 | -259.651 | 404.984 | 339.784 | -293.813 | -224.438 |
| -236.289 | -320.278 | 178.164 | 402.231 | -299.744 | -223.173 |
| -209.811 | -287.086 | 200.173 | 346.673 | -240.659 | -223.026 |
| -226.549 | -292.307 | 186.658 | 342.708 | -313.399 | -141.921 |
| 183.214 | 105.941 | 92.919 | -29.598 | 20.682 | 16.729 |
| 125.422 | 201.982 | 83.260 | -20.331 | 6.627 | 5.226 |
| 113.084 | 117.939 | 203.143 | -14.071 | 15.777 | 3.287 |
| 17.152 | -10.404 | -15.201 | -1.073 | 35.827 | 26.546 |
| 41.898 | 38.225 | -0.477 | -26.331 | 87.124 | 18.827 |
| 50.847 | 69.247 | 29.684 | -28.874 | 2.479 | 57.716 |
| 136.896 | 13.664 | 51.940 | 46.266 | -49.286 | -33.500 |
| 101.420 | 361.992 | 105.467 | -18.724 | -17.734 | -19.365 |
| 12.531 | 1.819 | 225.377 | 24.881 | -11.755 | -18.311 |
| 30.469 | -0.589 | 14.229 | 128.714 | -23.139 | -20.854 |
| -14.707 | -24.000 | 26.460 | 33.923 | 41.135 | -17.956 |
| -23.580 | -27.389 | 17.242 | 32.373 | -37.849 | 61.946 |
| 230.531 | 75.917 | 50.594 | -5.126 | -13.356 | -21.250 |
| 86.840 | 166.665 | 70.391 | -13.961 | 1.999 | -1.858 |
| 83.049 | 71.458 | 171.219 | -6.678 | 1.397 | -3.817 |
| 7.834 | 2.137 | 10.066 | 57.212 | -3.533 | -3.780 |
| -2.917 | 2.415 | 0.396 | -4.156 | 49.113 | 2.925 |
| 4.781 | 1.606 | -2.669 | -2.539 | -3.797 | 48.144 |
| 159.399 | 76.977 | 74.476 | 0.614 | -14.721 | -11.961 |
| 70.664 | 149.257 | 61.728 | -11.489 | -3.266 | -0.103 |
| 70.880 | 62.779 | 159.969 | 2.610 | -2.548 | -4.228 |
| -3.097 | -9.707 | 1.225 | 48.785 | -2.088 | -2.945 |
| -7.897 | -6.125 | -2.076 | 0.230 | 45.206 | 0.522 |
| -4.414 | -9.080 | -4.602 | -1.412 | -6.923 | 46.540 |
| 437.766 | -4.729 | 201.546 | -242.685 | 190.874 | 264.087 |
| -103.311 | -215.596 | 70.323 | -454.916 | 321.949 | 533.825 |
| 102.793 | 102.927 | 378.205 | -13.168 | -0.429 | -19.381 |
| -154.316 | -450.629 | 4.496 | -372.778 | 324.008 | 526.262 |
| 268.772 | -241.312 | 34.128 | -153.386 | 134.494 | 344.526 |
| -148.231 | -432.705 | 24.604 | -442.642 | 324.771 | 601.268 |
| 363.238 | 494.612 | 44.221 | 447.347 | -358.966 | -553.957 |
| 107.189 | 305.477 | 103.940 | 1.508 | -18.450 | -36.511 |
| -221.966 | 94.560 | 19.138 | 240.202 | -205.896 | -263.740 |
| 27.970 | 18.701 | -13.168 | 124.150 | -19.071 | -22.457 |
| -287.732 | 44.294 | -144.594 | 238.431 | -140.476 | -264.692 |
| -315.032 | 308.370 | 50.562 | 227.059 | -44.940 | -245.886 |
| 201.417 | 47.482 | 76.746 | -20.227 | 0.680 | 12.242 |
| 43.312 | 190.373 | 57.872 | -58.652 | 25.904 | 53.341 |
| 123.312 | 43.866 | 159.979 | -38.718 | 4.054 | 23.967 |
| -7.701 | -42.574 | -19.589 | -9.787 | 24.373 | 30.836 |
| 25.596 | -10.882 | 9.366 | -24.412 | 80.121 | 27.935 |
| -60.100 | -36.643 | -19.181 | -19.408 | 10.145 | 129.370 |
| 127.190 | 111.474 | 100.628 | 16.873 | -18.847 | -41.900 |
| 34.387 | 205.535 | 44.617 | 21.355 | -25.867 | -30.240 |
| 85.199 | 90.601 | 207.283 | 25.932 | -29.355 | -50.175 |
| 12.049 | 28.359 | -20.101 | 99.789 | -33.462 | -51.404 |
| -32.960 | -1.483 | -17.040 | 21.851 | 46.407 | -22.966 |
| 13.151 | 47.340 | -2.900 | 39.889 | -35.577 | 25.222 |
| 165.228 | 69.717 | 79.402 | -3.926 | -7.063 | -9.843 |
| 69.180 | 147.474 | 63.594 | -11.385 | -1.952 | 3.841 |
| 80.653 | 60.842 | 161.487 | -9.663 | 1.104 | 4.694 |
| 0.182 | -6.437 | -6.649 | 36.264 | 0.116 | 0.977 |
| -0.136 | -7.672 | -3.606 | -3.943 | 50.577 | 4.856 |
| 0.878 | -3.723 | -3.124 | -3.754 | -2.739 | 42.217 |
| 152.254 | 69.690 | 75.185 | 1.974 | -12.951 | -17.071 |
| 66.585 | 156.243 | 61.802 | -6.590 | -6.917 | -4.654 |
| 71.751 | 62.107 | 156.280 | -3.430 | -2.526 | -4.288 |
| -1.792 | 0.283 | -9.393 | 46.042 | -4.894 | -5.662 |
| -7.343 | -4.799 | -2.374 | -0.905 | 49.417 | 0.613 |
| -2.654 | 5.336 | 2.349 | 1.378 | -7.607 | 38.059 |
| 36.435 | -185.588 | -254.758 | 64.673 | -114.235 | 225.167 |
| 69.895 | 257.591 | 61.643 | -1.339 | -3.764 | 29.725 |
| -80.779 | -167.599 | -128.736 | 57.663 | -127.848 | 225.793 |
| -75.411 | -197.965 | -252.000 | 104.257 | -171.775 | 257.549 |
| 461.037 | 80.844 | 134.342 | -161.123 | -246.384 | 161.038 |
| 7.354 | 29.762 | -0.041 | -3.983 | 1.606 | 92.846 |
| 520.956 | 387.879 | 532.651 | -171.147 | -38.283 | -24.983 |
| 69.896 | 257.591 | 61.643 | -1.339 | -3.764 | 29.725 |
| -418.624 | -30.401 | -34.000 | 172.206 | 272.983 | -171.229 |
| 108.191 | 229.596 | 276.321 | 8.175 | 152.155 | -232.735 |
| 192.778 | 526.412 | -13.657 | -148.453 | 635.757 | -235.893 |
| -460.653 | -77.959 | -125.930 | 154.745 | 259.030 | -125.597 |
| 159.599 | 22.539 | 5.572 | 12.564 | 21.455 | 9.534 |
| 35.183 | 104.406 | 23.043 | 20.238 | -0.197 | 12.212 |
| 40.077 | 43.871 | 77.484 | 10.689 | 2.141 | 4.902 |
| -34.423 | -31.899 | -13.077 | 36.323 | -37.635 | 24.226 |
| -26.754 | -4.843 | -40.959 | 6.509 | 112.104 | -16.959 |
| 7.354 | 29.762 | -0.041 | -3.983 | 1.606 | 92.846 |
| 172.262 | 75.742 | 108.531 | 7.724 | -11.688 | 3.739 |
| 103.842 | 151.180 | 108.313 | -10.483 | 2.987 | -5.097 |
| 24.892 | 61.137 | 161.655 | 4.269 | 36.132 | -31.663 |
| -33.012 | -1.858 | -5.650 | 33.422 | 28.046 | -18.928 |
| 20.492 | 21.651 | 33.793 | -6.684 | 30.026 | -10.201 |
| 7.354 | 29.762 | -0.041 | -3.983 | 1.606 | 92.846 |
| 142.008 | 54.207 | 57.830 | 1.915 | 3.694 | 4.070 |
| 62.927 | 137.982 | 63.054 | 6.753 | -0.139 | 0.993 |
| 55.482 | 55.219 | 116.450 | 2.446 | -2.007 | 1.993 |
| -2.824 | -1.074 | -1.755 | 38.225 | 1.458 | 0.936 |
| -2.444 | -2.000 | -6.272 | 1.930 | 36.051 | -0.427 |
| -2.951 | 0.805 | -3.608 | 2.860 | 4.147 | 42.656 |
| 156.023 | 67.195 | 66.168 | -0.193 | 5.544 | 3.916 |
| 64.933 | 152.619 | 59.649 | 10.260 | -0.762 | 4.493 |
| 58.222 | 57.388 | 123.773 | -0.657 | -2.193 | 0.765 |
| 1.491 | 6.739 | 2.982 | 33.338 | 0.671 | 1.487 |
| -0.621 | 2.050 | -0.997 | 0.344 | 42.206 | -4.588 |
| -11.474 | 1.813 | -3.271 | 5.385 | 13.713 | 62.961 |
| 304.663 | 79.540 | 86.117 | -18.411 | -12.136 | 25.584 |
| 951.204 | -388.270 | 132.048 | -297.041 | -220.806 | -45.209 |
| 915.059 | 20.506 | 693.573 | -243.068 | -159.858 | -370.471 |
| 561.286 | 96.269 | 309.687 | -20.691 | 270.994 | -411.961 |
| 570.144 | 93.675 | 315.874 | -67.723 | 318.296 | -416.467 |
| 526.748 | -12.472 | 55.246 | -106.520 | 14.281 | -179.527 |
| -517.025 | -96.259 | -652.107 | 117.437 | 256.565 | 155.407 |
| -745.964 | 207.525 | -498.556 | 232.037 | 147.953 | 397.595 |
| -655.257 | -89.263 | -516.831 | 113.383 | 233.126 | 153.295 |
| -844.593 | 48.956 | -579.885 | 260.515 | 165.773 | 371.006 |
| -526.569 | 7.156 | -56.377 | 107.014 | 6.738 | 200.123 |
| -641.589 | -155.732 | -491.084 | 260.215 | 397.360 | 75.882 |
| 180.407 | 68.355 | 78.722 | -9.754 | 11.415 | -27.404 |
| 102.478 | 84.188 | 70.245 | 0.978 | 13.714 | -38.786 |
| 165.805 | 63.620 | 197.653 | -28.867 | -8.058 | -34.853 |
| 73.623 | 8.574 | 17.017 | -0.261 | -10.220 | -8.403 |
| 68.347 | 17.531 | 55.956 | -11.934 | 47.668 | -12.072 |
| 101.883 | 15.535 | 66.523 | -28.798 | -25.179 | 12.278 |
| 59.241 | 100.308 | 59.846 | 37.243 | -2.453 | 37.548 |
| -23.311 | 171.444 | -16.436 | 26.895 | 29.445 | 13.817 |
| 3.912 | 82.493 | 68.002 | 15.129 | 11.355 | 43.910 |
| -65.494 | -6.685 | -66.963 | 75.623 | 17.622 | 26.210 |
| -49.999 | -4.893 | -58.851 | 5.303 | 69.919 | 28.358 |
| -70.440 | 17.994 | -52.289 | 19.124 | 5.579 | 83.091 |
| 155.071 | 63.943 | 70.867 | -0.769 | 0.974 | 1.760 |
| 67.683 | 138.544 | 66.339 | 5.522 | 4.452 | -2.882 |
| 73.022 | 69.476 | 135.555 | -2.976 | -2.010 | -4.660 |
| 7.570 | 0.940 | 6.959 | 30.071 | -2.496 | -2.097 |
| 5.351 | 0.321 | 0.800 | -0.852 | 40.287 | -5.795 |
| 9.165 | 30.256 | 0.070 | -4.024 | 1.123 | 93.668 |
| 135.912 | 63.501 | 56.386 | -1.293 | 9.047 | 7.142 |
| 53.947 | 130.192 | 54.793 | 7.808 | 2.959 | 5.047 |
| 59.613 | 62.142 | 124.814 | 3.918 | -4.656 | -0.173 |
| -15.516 | 7.623 | -13.780 | 49.029 | 11.441 | 4.853 |
| -6.638 | 0.558 | -8.137 | 2.120 | 38.557 | 2.621 |
| -7.995 | -0.652 | -8.366 | 1.584 | 6.000 | 41.716 |
| 472.914 | 137.788 | 149.166 | 16.185 | 57.652 | 16.101 |
| 375.428 | 192.450 | 857.332 | -187.501 | 311.152 | -21.544 |
| 585.399 | -167.167 | 581.100 | -157.673 | 246.261 | 111.570 |
| 17.133 | 38.774 | 1.273 | 154.262 | 1.308 | -7.818 |
| 319.240 | -43.407 | 828.614 | -198.757 | 395.312 | 4.373 |
| 296.745 | -50.613 | 835.672 | -205.466 | 349.893 | 69.919 |
| -117.948 | 89.828 | -752.486 | 199.710 | -285.462 | 2.362 |
| 151.441 | 435.858 | 142.849 | 79.725 | -3.957 | -44.380 |
| -251.101 | 71.615 | -610.669 | 188.668 | -314.135 | 14.171 |
| 17.133 | 38.774 | 1.273 | 154.262 | 1.308 | -7.818 |
| 39.174 | 325.793 | -710.420 | 251.260 | -254.757 | -281.119 |
| -17.132 | 124.202 | -577.225 | -31.437 | -248.900 | 99.761 |
| 252.893 | 66.697 | 131.767 | -11.310 | 56.790 | 0.035 |
| 100.149 | 187.397 | 128.426 | 37.175 | 17.107 | -5.800 |
| 82.117 | 48.835 | 253.414 | 24.094 | 22.550 | 3.542 |
| 30.789 | 4.355 | 62.247 | 56.597 | 30.788 | -6.372 |
| 66.423 | 10.977 | 59.852 | -10.400 | 61.874 | 13.467 |
| 11.509 | -22.708 | 84.857 | -22.046 | 60.283 | 79.864 |
| 180.223 | 76.417 | -12.812 | 10.231 | -14.965 | 33.321 |
| 44.511 | 249.886 | -26.348 | 38.282 | -35.814 | -19.417 |
| 55.223 | 66.412 | 130.548 | 24.124 | -28.637 | 9.662 |
| -15.656 | 21.484 | -47.280 | 78.782 | -24.574 | -1.817 |
| -31.907 | -8.970 | -61.361 | 11.012 | 13.538 | 5.190 |
| -57.875 | -24.662 | -52.614 | 3.645 | -2.261 | 44.838 |
| 207.101 | 75.370 | 84.216 | 0.418 | 30.380 | 7.376 |
| 90.569 | 196.386 | 74.737 | 13.858 | -2.040 | -11.700 |
| 71.589 | 61.085 | 194.542 | -6.479 | 5.417 | -0.678 |
| 1.990 | -0.683 | 1.874 | 54.247 | 1.044 | -0.994 |
| -1.813 | -6.173 | 2.131 | -3.459 | 47.811 | 0.822 |
| -14.738 | -23.782 | 14.671 | -5.211 | 37.260 | 93.647 |
| 158.765 | 72.300 | 62.613 | 0.101 | 7.617 | 2.247 |
| 82.351 | 189.971 | 69.164 | 21.403 | -6.347 | -16.096 |
| 75.152 | 70.683 | 173.478 | 3.127 | 0.286 | 3.112 |
| -2.991 | 0.610 | -9.463 | 58.462 | -2.797 | -1.791 |
| -7.524 | -4.237 | -9.610 | -0.041 | 43.584 | -0.022 |
| -14.102 | -16.494 | -9.098 | -1.474 | 11.789 | 55.746 |
| 262.417 | 100.322 | 58.686 | -17.642 | -7.475 | -25.156 |
| 126.985 | -119.726 | -77.403 | 94.162 | -60.697 | 76.999 |
| 95.236 | 55.513 | -155.370 | 65.388 | 16.102 | -10.922 |
| 89.052 | -14.225 | -91.302 | 63.621 | 14.058 | -37.802 |
| 56.854 | 9.846 | -159.313 | -2.676 | 15.718 | -53.877 |
| 134.447 | 20.033 | 4.451 | 5.652 | -5.171 | 6.079 |
| 103.768 | 36.055 | 190.841 | 11.177 | 7.157 | 40.479 |
| -120.123 | -181.689 | -12.987 | 64.367 | -13.771 | 22.227 |
| -5.599 | 100.785 | 259.390 | -38.136 | 4.113 | 27.104 |
| -75.925 | 29.017 | 47.402 | 64.211 | 1.980 | 45.235 |
| -121.884 | -8.407 | -8.537 | -37.251 | -167.077 | 54.648 |
| -56.442 | -6.796 | 43.287 | -51.428 | 11.170 | -139.617 |
| 143.605 | 87.751 | 67.703 | -8.948 | -9.776 | -12.735 |
| 59.485 | 204.376 | 51.465 | -20.419 | 1.060 | -17.357 |
| 65.996 | 99.964 | 308.472 | -32.179 | 28.085 | 3.899 |
| -15.251 | -66.462 | -32.179 | 118.570 | 3.688 | 5.282 |
| 10.903 | 3.384 | -2.086 | 1.152 | 63.058 | -7.014 |
| 2.735 | -10.316 | -11.630 | 3.485 | -12.470 | 39.246 |
| 114.017 | 61.063 | 73.377 | -4.281 | -4.231 | -4.930 |
| 103.161 | 385.324 | 107.587 | -98.376 | 4.536 | -6.181 |
| 68.062 | 69.217 | 168.902 | -0.646 | 5.932 | 3.450 |
| -16.359 | -13.342 | -7.812 | 81.053 | -0.590 | 12.762 |
| -5.897 | 16.867 | 16.923 | -4.335 | 66.105 | 1.601 |
| -12.110 | -13.018 | 4.613 | 2.806 | -12.121 | 45.683 |
| 137.131 | 63.737 | 62.341 | 0.491 | -7.306 | -11.227 |
| 62.188 | 135.166 | 63.023 | -12.766 | 0.421 | -3.415 |
| 63.585 | 61.081 | 144.438 | -2.024 | 2.611 | 1.604 |
| -0.515 | -3.073 | -4.248 | 36.225 | 1.112 | -0.454 |
| 1.346 | 1.022 | 1.708 | 1.116 | 33.343 | -1.204 |
| -1.389 | -6.173 | -0.124 | -0.599 | -11.071 | 39.290 |
| 131.532 | 62.961 | 63.047 | -1.190 | -6.734 | -9.999 |
| 62.388 | 138.782 | 63.897 | -11.699 | 1.149 | -4.216 |
| 62.925 | 66.452 | 147.230 | -3.982 | 1.780 | 3.108 |
| -2.089 | -3.517 | -2.876 | 36.247 | 1.405 | -0.113 |
| -0.771 | 2.176 | 2.386 | 1.174 | 34.078 | -0.550 |
| -4.235 | -12.046 | -0.019 | 1.439 | -11.244 | 41.645 |
| 269.705 | -1185.419 | 46.721 | 468.320 | -324.684 | 256.470 |
| 569.525 | -749.310 | 220.389 | 350.839 | -350.709 | 325.108 |
| 142.892 | -1334.804 | 137.200 | 222.567 | 18.974 | 454.993 |
| 101.042 | -1407.183 | -33.021 | 295.367 | 26.915 | 452.014 |
| 162.578 | -1264.193 | -24.207 | 463.631 | -299.498 | 269.720 |
| 95.711 | -1406.186 | -19.605 | 231.639 | 14.005 | 503.440 |
| -312.420 | 963.929 | -144.018 | -335.437 | 326.238 | -356.776 |
| 535.581 | 1326.180 | -105.142 | -9.821 | 106.612 | -419.674 |
| -455.396 | 252.378 | -262.630 | 77.901 | 369.492 | -310.148 |
| -93.210 | 1384.373 | 15.081 | -171.428 | -27.314 | -454.009 |
| -173.440 | 1262.397 | 44.782 | -465.736 | 334.395 | -269.189 |
| -506.243 | 160.684 | -287.460 | 95.087 | 388.484 | -310.564 |
| 117.757 | -52.757 | 74.204 | 47.978 | -35.923 | 15.312 |
| 109.826 | -7.386 | 96.332 | 11.217 | -25.519 | -16.136 |
| 93.850 | -62.642 | 214.290 | 39.763 | -34.671 | 37.083 |
| 14.578 | -150.368 | -9.968 | 83.945 | 2.033 | 45.618 |
| 47.428 | -14.382 | 9.115 | -12.548 | -40.237 | 26.397 |
| -35.065 | -116.909 | 10.572 | 0.557 | -24.154 | 91.486 |
| 136.182 | 180.026 | 52.274 | -20.362 | -10.858 | -55.164 |
| 57.300 | 221.471 | 65.388 | -41.302 | 35.331 | -29.696 |
| 21.644 | 135.883 | 157.616 | -29.466 | 6.868 | 0.433 |
| -47.673 | 106.368 | -15.373 | 22.336 | 37.240 | -29.251 |
| -23.640 | 124.715 | 8.325 | -48.250 | 46.401 | -27.453 |
| -53.127 | 76.424 | -16.743 | -31.506 | 20.579 | 36.920 |
| 170.695 | 39.476 | 53.322 | 4.588 | -12.906 | -11.762 |
| 62.149 | 126.116 | 59.787 | -7.971 | -0.543 | -5.025 |
| 62.452 | 44.483 | 179.072 | 3.428 | 5.049 | 4.806 |
| 0.980 | -12.413 | -2.355 | 35.665 | -2.506 | -0.829 |
| -2.291 | -8.018 | 3.973 | 1.604 | 33.336 | 3.042 |
| -1.745 | -15.191 | 0.563 | -0.052 | -11.722 | 44.099 |
| 125.673 | 67.020 | 55.820 | -3.256 | -5.261 | -9.693 |
| 62.972 | 167.343 | 63.653 | -17.675 | 6.430 | -6.123 |
| 69.840 | 80.540 | 152.506 | -3.403 | 2.796 | -4.351 |
| 1.319 | 12.069 | -1.013 | 37.449 | 0.820 | -5.607 |
| -6.763 | 14.718 | 1.307 | -5.830 | 33.839 | -2.589 |
| -4.100 | 8.916 | -0.928 | -5.783 | -7.526 | 38.401 |
| 311.328 | 86.763 | 78.398 | 2.555 | -9.870 | -19.711 |
| -9.890 | 179.557 | 64.161 | -61.618 | 11.965 | 40.733 |
| 114.471 | 37.123 | 67.207 | -15.614 | 43.612 | 56.964 |
| 48.878 | 74.866 | 1.478 | 2.004 | 75.044 | 68.638 |
| -45.819 | -9.638 | 10.301 | -38.845 | 73.247 | 15.344 |
| -6.907 | 7.885 | 10.069 | -5.691 | -12.791 | 103.495 |
| 240.965 | 94.380 | 81.160 | 47.777 | -37.439 | -35.870 |
| 86.646 | 275.123 | 53.715 | -21.903 | -5.514 | 7.915 |
| 12.556 | 51.195 | 165.674 | -11.061 | -55.730 | 12.904 |
| 152.231 | 89.891 | -54.429 | 14.562 | -69.521 | -1.394 |
| 55.400 | 28.531 | -48.659 | -2.471 | -39.798 | -17.110 |
| -47.064 | -81.841 | 40.481 | 17.098 | -41.652 | -22.629 |
| 119.091 | 58.974 | 58.121 | -0.420 | 1.044 | -6.912 |
| 49.987 | 205.015 | 55.732 | -15.035 | -2.326 | 5.325 |
| 58.324 | 61.051 | 131.876 | -6.175 | 6.397 | 2.069 |
| -0.772 | -2.362 | -5.169 | 26.585 | 3.738 | -0.920 |
| -3.025 | -0.108 | -3.330 | -4.797 | 38.560 | -1.010 |
| -7.100 | 6.325 | -0.957 | -6.162 | -6.860 | 39.807 |
| 144.533 | 63.523 | 71.325 | 3.864 | -9.875 | -17.006 |
| 60.603 | 129.593 | 57.172 | -2.201 | -1.840 | -7.582 |
| 61.675 | 54.328 | 129.760 | -2.709 | -8.386 | 1.034 |
| 4.126 | -4.728 | -8.854 | 62.356 | 0.643 | -4.204 |
| -6.592 | -7.204 | -2.326 | 2.656 | 31.539 | 0.762 |
| -1.167 | -1.939 | -0.048 | 2.617 | -11.120 | 33.370 |
| 130.576 | 57.049 | 57.926 | -0.726 | -6.561 | -9.674 |
| 57.382 | 133.083 | 55.811 | -9.409 | -0.738 | -2.040 |
| 61.032 | 57.925 | 134.691 | -3.231 | -2.259 | 0.828 |
| -1.942 | -3.417 | -4.087 | 30.931 | -0.530 | -0.838 |
| -2.848 | -1.114 | -1.769 | -0.917 | 34.702 | 0.129 |
| -3.608 | -2.652 | 0.509 | -1.004 | -4.902 | 35.278 |
| 130.905 | 56.602 | 58.518 | -0.462 | -8.084 | -10.193 |
| 57.383 | 132.294 | 55.195 | -9.058 | -1.484 | -2.382 |
| 59.832 | 57.231 | 134.324 | -3.141 | -2.828 | 0.277 |
| 0.339 | -2.701 | -3.762 | 32.283 | -0.732 | -1.522 |
| -1.984 | -1.827 | -1.819 | -0.578 | 33.118 | -0.155 |
| -4.252 | -2.434 | -0.041 | -0.523 | -6.461 | 34.019 |
| 1020.312 | -292.470 | -651.251 | 48.594 | -10.472 | -676.998 |
| 917.156 | -186.407 | -642.782 | 46.532 | 13.308 | -654.916 |
| 951.067 | -250.154 | -548.276 | 44.399 | 2.842 | -656.517 |
| 520.699 | 361.952 | -920.232 | 554.814 | 247.605 | -633.737 |
| 108.563 | -106.179 | -1417.320 | 36.861 | 444.759 | -353.064 |
| 93.436 | -102.654 | -1418.770 | 35.383 | 358.782 | -276.309 |
| 297.336 | 85.009 | 77.295 | -1.197 | -3.343 | -19.449 |
| 0.706 | 216.184 | 953.701 | -240.804 | -47.932 | 210.778 |
| -492.899 | 278.503 | 944.168 | -370.590 | -360.410 | 233.975 |
| -909.138 | 306.027 | 694.571 | -7.163 | -15.508 | 659.179 |
| -582.280 | 205.598 | 816.539 | -375.881 | -338.875 | 233.635 |
| -568.155 | 206.620 | 844.902 | -371.575 | -333.490 | 245.972 |
| 128.337 | 34.167 | -18.419 | 31.054 | 10.038 | -31.881 |
| 67.370 | 197.935 | -99.434 | -8.056 | 39.013 | -33.321 |
| 133.604 | 18.460 | 83.802 | 2.892 | -8.279 | -65.549 |
| 11.757 | -12.830 | -146.265 | 66.239 | 37.319 | -36.661 |
| 74.923 | -30.456 | -68.429 | 4.035 | 32.032 | -57.241 |
| 74.166 | -27.859 | -64.611 | 5.700 | -0.699 | -27.474 |
| 98.150 | 94.278 | 166.743 | -25.796 | -10.039 | 24.474 |
| -67.707 | 144.729 | 112.935 | -4.548 | -2.537 | 58.004 |
| 25.675 | 62.931 | 352.129 | -5.148 | -33.514 | 50.363 |
| -89.773 | 37.525 | 72.415 | 34.052 | -3.694 | 69.136 |
| -102.206 | 28.273 | 65.195 | -5.936 | 29.388 | 68.999 |
| -98.531 | 27.720 | 71.973 | -1.992 | -1.006 | 77.193 |
| 187.357 | 63.725 | 50.651 | 0.658 | -3.632 | -14.399 |
| 50.027 | 191.430 | 27.543 | -9.054 | 6.176 | -1.758 |
| 73.832 | 66.152 | 132.942 | 0.241 | 0.803 | -2.869 |
| 5.646 | -3.096 | -11.520 | 34.736 | 0.418 | -1.373 |
| 0.983 | -3.292 | -11.805 | 1.008 | 38.890 | -4.053 |
| 0.342 | -0.526 | -7.559 | 1.156 | -4.653 | 33.382 |
| 150.697 | 64.603 | 65.879 | -3.700 | -12.469 | -9.145 |
| 56.761 | 148.335 | 74.745 | -9.721 | -9.862 | -1.800 |
| 55.244 | 58.084 | 148.236 | -3.131 | -1.909 | 3.071 |
| -3.317 | -0.991 | 4.797 | 28.571 | -4.423 | 0.141 |
| -6.296 | -4.968 | 7.132 | -0.470 | 36.656 | 4.793 |
| -5.903 | 3.128 | 6.770 | -2.387 | -8.078 | 40.661 |
| 629.355 | 227.629 | 2.901 | 0.001 | 0.000 | -0.000 |
| 135.448 | 381.164 | 0.998 | 0.001 | 0.000 | -0.000 |
| 1.117 | 1.117 | 329.529 | -0.000 | 0.000 | -0.000 |
| -0.000 | -0.000 | 0.001 | 23.277 | -0.001 | -0.000 |
| -0.000 | -0.000 | 0.000 | -0.000 | 23.281 | -0.000 |
| 71.489 | 71.489 | 0.414 | 0.000 | 0.000 | 143.550 |
| 629.354 | 227.629 | 2.900 | -0.000 | -0.001 | 0.000 |
| 227.629 | 629.354 | 2.900 | 0.001 | -0.001 | 0.000 |
| 1.117 | 1.117 | 329.529 | -0.000 | -0.000 | 0.000 |
| 0.000 | 0.000 | -0.001 | 23.278 | -0.002 | 0.000 |
| 0.000 | 0.000 | -0.000 | 0.000 | 23.280 | 0.000 |
| -71.489 | -71.489 | -0.415 | 0.000 | -0.001 | 143.550 |
| 333.159 | 96.017 | 0.765 | 0.000 | 0.000 | 0.000 |
| 227.629 | 629.354 | 2.901 | -0.000 | 0.000 | 0.000 |
| 5.663 | 5.663 | 329.541 | -0.000 | 0.000 | -0.000 |
| -0.000 | -0.000 | 0.000 | 23.280 | 0.000 | -0.000 |
| -0.000 | -0.000 | 0.000 | -0.000 | 23.280 | -0.000 |
| 7.833 | 7.833 | 0.045 | -0.000 | 0.000 | 138.061 |
| 350.190 | 47.073 | 1.250 | -0.000 | -0.000 | -0.000 |
| 72.251 | 318.184 | 0.620 | 0.000 | 0.000 | -0.000 |
| 1.117 | 1.117 | 329.528 | 0.000 | 0.000 | 0.000 |
| 0.000 | 0.000 | -0.000 | 23.280 | 0.000 | 0.000 |
| 0.000 | 0.000 | -0.000 | -0.000 | 23.280 | 0.000 |
| -2.782 | -2.782 | -0.018 | 0.000 | -0.000 | 118.903 |
| 323.936 | 86.049 | 0.774 | 0.000 | 0.000 | 0.000 |
| 90.722 | 327.830 | 0.733 | 0.000 | 0.000 | 0.000 |
| 1.117 | 1.117 | 329.530 | -0.000 | 0.000 | -0.000 |
| 0.000 | -0.000 | -0.000 | 23.280 | 0.000 | -0.000 |
| -0.000 | 0.000 | -0.000 | 0.000 | 23.280 | -0.000 |
| 0.784 | 0.784 | 0.004 | 0.000 | 0.000 | 137.979 |
| 326.638 | 89.545 | 0.726 | -0.000 | -0.000 | -0.000 |
| 52.087 | 354.909 | 1.278 | -0.000 | -0.000 | -0.000 |
| 1.117 | 1.117 | 329.526 | 0.000 | -0.000 | 0.000 |
| -0.000 | 0.000 | 0.000 | 23.280 | 0.000 | 0.000 |
| 0.000 | -0.000 | 0.000 | 0.000 | 23.280 | 0.000 |
| -0.577 | -0.577 | -0.003 | -0.000 | -0.000 | 118.943 |
| 48.900 | 0.825 | 0.825 | 0.000 | -0.000 | 0.000 |
| 0.825 | 48.900 | 0.825 | 0.000 | 0.000 | -0.000 |
| 0.825 | 0.825 | 48.900 | 0.000 | -0.000 | -0.000 |
| -76.446 | -76.446 | -76.446 | 41.039 | -0.000 | 0.000 |
| -76.446 | -76.446 | -76.446 | 0.000 | 41.038 | -0.000 |
| -76.446 | -76.446 | -76.446 | -0.000 | -0.000 | 41.038 |
| 201.413 | 153.374 | 153.374 | -0.000 | 0.000 | 0.000 |
| 153.374 | 201.413 | 153.374 | -0.000 | -0.000 | 0.000 |
| 153.374 | 153.374 | 201.413 | -0.000 | 0.000 | -0.000 |
| 76.446 | 76.446 | 76.446 | 41.038 | 0.000 | 0.000 |
| 76.446 | 76.446 | 76.446 | -0.000 | 41.039 | 0.000 |
| 76.446 | 76.446 | 76.446 | -0.000 | -0.000 | 41.038 |
| 117.497 | 69.397 | 69.397 | 0.000 | -0.000 | 0.000 |
| 69.397 | 117.497 | 69.397 | 0.000 | -0.000 | -0.000 |
| 69.397 | 69.397 | 117.497 | 0.000 | -0.000 | 0.000 |
| -7.041 | -7.041 | -7.041 | 31.328 | -0.000 | -0.000 |
| -8.259 | -8.259 | -8.259 | 0.000 | 36.935 | -0.000 |
| -8.259 | -8.259 | -8.259 | 0.000 | 0.000 | 36.935 |
| 138.522 | 75.076 | 75.076 | 0.000 | 0.000 | 0.000 |
| 75.076 | 138.522 | 75.076 | 0.000 | 0.000 | -0.000 |
| 75.076 | 75.076 | 138.522 | -0.000 | 0.000 | -0.000 |
| 8.259 | 8.259 | 8.259 | 36.935 | 0.000 | 0.000 |
| 8.259 | 8.259 | 8.259 | -0.000 | 36.935 | 0.000 |
| 8.259 | 8.259 | 8.259 | 0.000 | 0.000 | 36.935 |
| 124.201 | 76.254 | 76.254 | -0.000 | 0.000 | 0.000 |
| 76.254 | 124.201 | 76.254 | 0.000 | -0.000 | -0.000 |
| 76.254 | 76.254 | 124.201 | 0.000 | 0.000 | 0.000 |
| -0.675 | -0.675 | -0.675 | 32.513 | 0.000 | -0.000 |
| -0.675 | -0.675 | -0.675 | 0.000 | 32.513 | -0.000 |
| -0.675 | -0.675 | -0.675 | 0.000 | -0.000 | 32.513 |
| 123.468 | 77.435 | 77.435 | -0.000 | -0.000 | -0.000 |
| 77.435 | 123.468 | 77.435 | -0.000 | 0.000 | 0.000 |
| 77.435 | 77.435 | 123.468 | -0.000 | 0.000 | 0.000 |
| 0.675 | 0.675 | 0.675 | 32.513 | 0.000 | 0.000 |
| 0.675 | 0.675 | 0.675 | 0.000 | 32.513 | 0.000 |
| 0.675 | 0.675 | 0.675 | -0.000 | -0.000 | 32.513 |
| 166.150 | 91.851 | 91.851 | 0.000 | 0.000 | 0.000 |
| 91.851 | 166.150 | 91.851 | 0.000 | 0.000 | 0.000 |
| 91.851 | 91.851 | 166.150 | 0.000 | 0.000 | 0.000 |
| 19.768 | 19.768 | 19.768 | 46.115 | 0.000 | 0.000 |
| 19.768 | 19.768 | 19.768 | 0.000 | 46.115 | 0.000 |
| 19.768 | 19.768 | 19.768 | 0.000 | 0.000 | 46.115 |
| 127.268 | 52.969 | 52.969 | 0.000 | 0.000 | -0.000 |
| 52.969 | 127.268 | 52.969 | 0.000 | -0.000 | -0.000 |
| 52.969 | 52.969 | 127.268 | -0.000 | -0.000 | -0.000 |
| -19.768 | -19.768 | -19.768 | 46.115 | 0.000 | -0.000 |
| -19.768 | -19.768 | -19.768 | -0.000 | 46.115 | -0.000 |
| -19.768 | -19.768 | -19.768 | -0.000 | -0.000 | 46.115 |
| 148.545 | 73.456 | 73.456 | 0.000 | 0.000 | 0.000 |
| 73.456 | 148.545 | 73.456 | 0.000 | 0.000 | 0.000 |
| 73.456 | 73.456 | 148.545 | 0.000 | 0.000 | 0.000 |
| 1.834 | 1.834 | 1.834 | 45.789 | -0.000 | 0.000 |
| 1.834 | 1.834 | 1.834 | 0.000 | 45.789 | 0.000 |
| 1.834 | 1.834 | 1.834 | 0.000 | 0.000 | 45.789 |
| 144.765 | 70.466 | 70.466 | -0.000 | -0.000 | -0.000 |
| 70.466 | 144.765 | 70.466 | -0.000 | -0.000 | -0.000 |
| 70.466 | 70.466 | 144.765 | -0.000 | 0.000 | -0.000 |
| -1.834 | -1.834 | -1.834 | 45.789 | -0.000 | -0.000 |
| -1.834 | -1.834 | -1.834 | -0.000 | 45.789 | -0.000 |
| -1.834 | -1.834 | -1.834 | -0.000 | 0.000 | 45.789 |
| 146.903 | 72.605 | 72.605 | 0.000 | 0.000 | 0.000 |
| 72.605 | 146.903 | 72.605 | 0.000 | 0.000 | 0.000 |
| 72.605 | 72.605 | 146.903 | 0.000 | 0.000 | 0.000 |
| 0.194 | 0.194 | 0.194 | 45.000 | 0.000 | 0.000 |
| 0.183 | 0.183 | 0.183 | 0.000 | 45.817 | 0.000 |
| 0.194 | 0.194 | 0.194 | 0.000 | -0.000 | 45.000 |
| 146.512 | 72.216 | 72.216 | -0.000 | -0.000 | -0.000 |
| 72.216 | 146.512 | 72.216 | -0.000 | 0.000 | -0.000 |
| 72.216 | 72.216 | 146.512 | -0.000 | 0.000 | -0.000 |
| -0.194 | -0.194 | -0.194 | 45.000 | -0.000 | -0.000 |
| -0.183 | -0.183 | -0.183 | -0.000 | 45.817 | -0.000 |
| -0.194 | -0.194 | -0.194 | -0.000 | 0.000 | 45.000 |
| -491.321 | -550.488 | -1310.726 | -1.028 | -2.737 | -0.000 |
| -550.530 | -491.370 | -1310.821 | 1.028 | 2.735 | 0.000 |
| 43.546 | 43.545 | 200.004 | -0.001 | -0.000 | -0.000 |
| -630.103 | -627.905 | -1378.802 | 18.831 | -0.000 | 2.685 |
| 517.479 | 533.833 | -425.828 | -0.000 | 63.532 | 16.926 |
| -628.967 | -628.968 | -1378.722 | 2.686 | -1.098 | 29.412 |
| 766.113 | 707.639 | 1446.923 | -1.169 | -2.634 | 0.000 |
| -493.030 | -356.923 | 447.826 | -17.346 | 8.344 | -0.000 |
| 696.505 | 696.505 | 1506.641 | 0.000 | 0.000 | 0.000 |
| 627.893 | 630.091 | 1378.775 | 18.833 | 0.000 | 2.686 |
| 626.314 | 631.685 | 1378.791 | 0.000 | 18.832 | -1.099 |
| -246.431 | -246.431 | -1298.095 | 6.229 | 0.694 | 38.393 |
| 77.859 | 15.054 | -69.918 | -0.278 | -3.271 | -0.000 |
| 51.449 | 218.204 | 41.842 | -21.133 | 18.555 | -0.000 |
| 3.593 | 3.593 | -8.474 | -0.000 | -0.000 | 0.000 |
| -63.425 | -61.527 | -136.950 | 19.179 | -0.000 | 2.792 |
| 21.587 | 34.526 | 126.532 | -0.000 | 21.597 | 1.676 |
| -62.523 | -62.523 | -137.053 | 2.780 | -0.966 | 29.732 |
| 197.809 | 141.519 | 205.295 | -1.620 | -2.313 | -0.000 |
| 46.193 | 120.856 | -81.911 | -0.165 | 6.058 | 0.000 |
| 1.735 | 1.735 | 149.334 | 0.000 | 0.000 | 0.000 |
| -26.379 | -29.731 | -126.535 | 21.598 | 0.000 | 6.470 |
| 59.683 | 65.268 | 136.948 | 0.000 | 19.180 | -0.949 |
| 62.523 | 62.523 | 137.053 | 2.780 | -0.966 | 29.732 |
| 154.147 | 67.092 | 46.686 | 5.614 | -4.811 | -0.000 |
| 65.860 | 149.959 | 48.003 | -4.108 | 6.402 | 0.000 |
| 53.581 | 53.581 | 110.694 | -0.000 | -0.000 | -0.000 |
| -1.463 | -8.503 | -10.923 | 29.544 | -0.000 | 5.982 |
| -10.966 | 0.999 | -10.923 | -0.000 | 29.544 | 3.520 |
| -0.487 | -0.487 | -9.843 | 4.180 | 6.740 | 45.090 |
| 159.064 | 65.513 | 63.851 | 7.950 | -3.511 | 0.000 |
| 77.918 | 153.683 | 71.870 | -2.392 | 5.177 | -0.000 |
| 50.819 | 50.819 | 94.907 | 0.000 | 0.000 | 0.000 |
| 0.521 | -7.457 | -11.289 | 30.863 | -0.000 | 4.898 |
| -1.006 | 10.968 | 10.919 | 0.000 | 29.560 | 3.526 |
| 5.127 | 5.127 | 11.239 | 5.619 | 3.011 | 39.386 |
| 302.375 | 61.277 | 30.910 | 0.000 | -0.000 | 0.000 |
| 62.770 | 302.892 | 29.967 | 0.000 | -0.000 | 0.000 |
| 31.653 | 29.217 | 391.634 | 0.000 | -0.000 | 0.000 |
| 0.000 | 0.000 | -0.000 | 35.658 | -0.000 | 0.000 |
| 0.000 | 0.000 | -0.000 | 0.000 | 35.547 | -0.000 |
| 0.000 | 0.000 | 0.000 | 0.000 | -0.000 | 29.763 |
| 302.375 | 61.277 | 30.910 | -0.000 | 0.000 | -0.000 |
| 62.770 | 302.892 | 29.967 | -0.000 | 0.000 | 0.000 |
| 31.653 | 29.217 | 391.634 | -0.000 | 0.000 | -0.000 |
| -0.000 | -0.000 | -0.000 | 35.658 | 0.000 | -0.000 |
| -0.000 | -0.000 | 0.000 | 0.000 | 35.548 | -0.000 |
| -0.000 | -0.000 | -0.000 | -0.000 | 0.000 | 29.763 |
| 302.375 | 61.277 | 30.910 | 0.000 | -0.000 | 0.000 |
| 62.770 | 302.892 | 29.967 | 0.000 | -0.000 | 0.000 |
| 31.653 | 29.217 | 391.634 | -0.000 | -0.000 | 0.000 |
| 0.000 | 0.000 | -0.000 | 35.658 | -0.000 | -0.000 |
| 0.000 | 0.000 | -0.000 | 0.000 | 35.547 | 0.000 |
| 0.000 | 0.000 | -0.000 | 0.000 | -0.000 | 29.763 |
| 302.375 | 61.277 | 30.910 | -0.000 | 0.000 | -0.000 |
| 62.770 | 302.892 | 29.967 | -0.000 | 0.000 | -0.000 |
| 31.653 | 29.217 | 391.633 | -0.000 | 0.000 | -0.000 |
| -0.000 | -0.000 | 0.000 | 35.658 | -0.000 | -0.000 |
| -0.000 | -0.000 | 0.000 | -0.000 | 35.547 | -0.000 |
| -0.000 | -0.000 | 0.000 | -0.000 | 0.000 | 29.763 |
| 302.375 | 61.277 | 30.910 | 0.000 | -0.000 | 0.000 |
| 62.771 | 302.893 | 29.967 | -0.000 | -0.000 | 0.000 |
| 31.653 | 29.217 | 391.636 | 0.000 | -0.000 | 0.000 |
| -0.000 | -0.000 | -0.000 | 35.658 | -0.000 | 0.000 |
| -0.000 | -0.000 | -0.000 | 0.000 | 35.547 | -0.000 |
| -0.000 | -0.000 | -0.000 | 0.000 | 0.000 | 29.763 |
| 302.374 | 61.277 | 30.910 | -0.000 | 0.000 | -0.000 |
| 62.770 | 302.891 | 29.967 | -0.000 | 0.000 | -0.000 |
| 31.653 | 29.217 | 391.632 | -0.000 | 0.000 | -0.000 |
| 0.000 | 0.000 | 0.000 | 35.658 | 0.000 | -0.000 |
| 0.000 | 0.000 | 0.000 | 0.000 | 35.547 | 0.000 |
| 0.000 | 0.000 | 0.000 | 0.000 | 0.000 | 29.763 |
| 126.670 | 63.751 | 63.751 | 0.000 | 0.000 | -0.000 |
| 63.751 | 126.670 | 63.751 | 0.000 | 0.000 | 0.000 |
| 63.751 | 63.751 | 126.670 | -0.000 | -0.000 | -0.000 |
| 0.000 | 0.000 | 0.000 | 78.704 | -0.000 | 0.000 |
| 0.000 | 0.000 | -0.000 | -0.000 | 78.704 | -0.000 |
| 0.000 | 0.000 | 0.000 | -0.000 | -0.000 | 78.704 |
| 126.988 | 64.005 | 64.005 | -0.000 | -0.000 | 0.000 |
| 64.005 | 126.988 | 64.005 | -0.000 | -0.000 | 0.000 |
| 64.005 | 64.005 | 126.988 | 0.000 | -0.000 | 0.000 |
| -0.000 | -0.000 | -0.000 | 78.704 | -0.000 | 0.000 |
| -0.000 | -0.000 | -0.000 | 0.000 | 78.704 | 0.000 |
| -0.000 | -0.000 | 0.000 | -0.000 | 0.000 | 78.704 |
| 127.892 | 63.489 | 63.489 | 0.000 | 0.000 | -0.000 |
| 63.489 | 127.892 | 63.489 | 0.000 | 0.000 | -0.000 |
| 63.489 | 63.489 | 127.892 | -0.000 | -0.000 | -0.000 |
| -0.011 | -0.011 | -0.011 | 40.802 | -0.000 | -0.000 |
| -0.011 | -0.011 | -0.011 | 0.000 | 40.802 | -0.000 |
| -0.011 | -0.011 | -0.011 | -0.000 | -0.000 | 40.802 |
| 127.924 | 63.504 | 63.504 | -0.000 | -0.000 | 0.000 |
| 63.504 | 127.924 | 63.504 | 0.000 | -0.000 | 0.000 |
| 63.504 | 63.504 | 127.924 | -0.000 | -0.000 | -0.000 |
| 0.011 | 0.011 | 0.011 | 40.802 | -0.000 | 0.000 |
| 0.011 | 0.011 | 0.011 | 0.000 | 40.802 | 0.000 |
| 0.011 | 0.011 | 0.011 | 0.000 | 0.000 | 40.802 |
| 126.841 | 63.871 | 63.871 | 0.000 | 0.000 | -0.000 |
| 63.871 | 126.841 | 63.871 | 0.000 | 0.000 | -0.000 |
| 63.871 | 63.871 | 126.841 | 0.000 | 0.000 | -0.000 |
| -0.001 | -0.001 | -0.001 | 40.802 | -0.000 | -0.000 |
| -0.001 | -0.001 | -0.001 | 0.000 | 40.802 | -0.000 |
| -0.001 | -0.001 | -0.001 | -0.000 | -0.000 | 40.802 |
| 127.910 | 63.497 | 63.497 | -0.000 | -0.000 | -0.000 |
| 63.497 | 127.910 | 63.497 | -0.000 | 0.000 | 0.000 |
| 63.497 | 63.497 | 127.910 | 0.000 | 0.000 | 0.000 |
| 0.001 | 0.001 | 0.001 | 40.802 | 0.000 | 0.000 |
| 0.001 | 0.001 | 0.001 | 0.000 | 40.802 | 0.000 |
| 0.001 | 0.001 | 0.001 | 0.000 | 0.000 | 40.802 |
| 286.592 | 246.813 | 246.814 | 0.000 | 0.000 | -0.000 |
| 246.813 | 286.592 | 246.814 | -0.000 | 0.000 | -0.000 |
| 246.813 | 246.813 | 286.593 | -0.000 | 0.000 | -0.000 |
| -0.000 | -0.000 | 0.000 | 77.493 | 0.000 | -0.000 |
| -0.000 | -0.000 | 0.000 | -0.000 | 77.493 | -0.000 |
| -0.000 | -0.000 | 0.000 | -0.000 | 0.000 | 77.493 |
| -62.299 | -135.843 | -135.843 | 0.000 | -0.000 | 0.000 |
| -135.843 | -62.299 | -135.844 | 0.000 | 0.000 | 0.000 |
| -135.843 | -135.843 | -62.299 | 0.000 | -0.000 | 0.000 |
| 0.000 | 0.000 | -0.000 | 77.493 | -0.000 | 0.000 |
| 0.000 | 0.000 | -0.000 | 0.000 | 77.493 | 0.000 |
| 0.000 | 0.000 | -0.000 | 0.000 | -0.000 | 77.493 |
| 135.168 | 80.932 | 80.932 | -0.000 | 0.000 | -0.000 |
| 80.932 | 135.168 | 80.932 | -0.000 | 0.000 | -0.000 |
| 80.932 | 80.932 | 135.168 | -0.000 | 0.000 | -0.000 |
| 14.494 | 14.494 | 14.494 | 20.557 | 0.000 | -0.000 |
| 14.494 | 14.494 | 14.494 | -0.000 | 20.557 | -0.000 |
| 14.494 | 14.494 | 14.494 | -0.000 | 0.000 | 20.557 |
| 172.608 | 42.066 | 42.066 | 0.000 | 0.000 | 0.000 |
| 42.066 | 172.608 | 42.066 | -0.000 | -0.000 | 0.000 |
| 42.066 | 42.066 | 172.608 | 0.000 | -0.000 | 0.000 |
| -14.494 | -14.494 | -14.494 | 20.557 | 0.000 | 0.000 |
| -14.494 | -14.494 | -14.494 | 0.000 | 20.557 | 0.000 |
| -14.494 | -14.494 | -14.494 | 0.000 | -0.000 | 20.557 |
| 137.306 | 59.825 | 59.825 | -0.000 | 0.000 | 0.000 |
| 59.825 | 137.306 | 59.825 | -0.000 | -0.000 | -0.000 |
| 59.825 | 59.825 | 137.306 | -0.000 | 0.000 | -0.000 |
| 1.967 | 1.967 | 1.967 | 40.083 | 0.000 | 0.000 |
| 1.967 | 1.967 | 1.967 | -0.000 | 40.083 | -0.000 |
| 1.967 | 1.967 | 1.967 | -0.000 | 0.000 | 40.083 |
| 172.608 | 42.066 | 42.066 | 0.000 | -0.000 | 0.000 |
| 56.041 | 133.211 | 56.041 | 0.000 | -0.000 | -0.000 |
| 42.066 | 42.066 | 172.608 | 0.000 | -0.000 | -0.000 |
| -1.967 | -1.967 | -1.967 | 40.083 | 0.000 | 0.000 |
| -1.967 | -1.967 | -1.967 | 0.000 | 40.083 | 0.000 |
| -1.967 | -1.967 | -1.967 | 0.000 | -0.000 | 40.083 |
| 134.872 | 57.738 | 57.738 | -0.000 | -0.000 | -0.000 |
| 57.738 | 134.872 | 57.738 | -0.000 | -0.000 | -0.000 |
| 57.738 | 57.738 | 134.872 | -0.000 | -0.000 | -0.000 |
| 0.000 | -0.000 | -0.000 | 77.405 | -0.000 | -0.000 |
| 0.000 | -0.000 | 0.000 | -0.000 | 77.405 | -0.000 |
| 0.000 | -0.000 | 0.000 | -0.000 | -0.000 | 77.405 |
| 134.927 | 57.796 | 57.796 | 0.000 | -0.000 | 0.000 |
| 57.796 | 134.927 | 57.796 | 0.000 | 0.000 | 0.000 |
| 57.796 | 57.796 | 134.927 | 0.000 | 0.000 | 0.000 |
| -0.000 | 0.000 | -0.000 | 77.405 | 0.000 | 0.000 |
| -0.000 | 0.000 | -0.000 | 0.000 | 77.405 | 0.000 |
| -0.000 | 0.000 | -0.000 | 0.000 | 0.000 | 77.405 |
| 135.674 | 58.810 | 58.810 | -0.000 | -0.000 | -0.000 |
| 58.810 | 135.674 | 58.810 | -0.000 | -0.000 | -0.000 |
| 58.810 | 58.810 | 135.674 | -0.000 | 0.000 | -0.000 |
| 0.000 | -0.000 | 0.000 | 77.405 | 0.000 | -0.000 |
| 0.000 | -0.000 | 0.000 | -0.000 | 77.405 | -0.000 |
| 0.000 | 0.000 | 0.000 | -0.000 | 0.000 | 77.405 |
| 134.750 | 57.816 | 57.816 | 0.000 | 0.000 | 0.000 |
| 57.816 | 134.750 | 57.816 | 0.000 | 0.000 | 0.000 |
| 57.816 | 57.816 | 134.750 | 0.000 | 0.000 | 0.000 |
| -0.000 | 0.000 | -0.000 | 77.405 | -0.000 | 0.000 |
| -0.000 | -0.000 | -0.000 | 0.000 | 77.405 | 0.000 |
| -0.000 | -0.000 | -0.000 | 0.000 | 0.000 | 77.405 |
| 134.746 | 57.814 | 57.814 | -0.000 | -0.000 | -0.000 |
| 57.814 | 134.746 | 57.814 | -0.000 | -0.000 | -0.000 |
| 58.193 | 58.193 | 134.613 | -0.000 | -0.000 | -0.000 |
| -0.000 | -0.000 | -0.000 | 40.204 | -0.000 | -0.000 |
| 0.000 | 0.000 | 0.000 | -0.000 | 77.405 | -0.000 |
| -0.000 | -0.000 | -0.000 | -0.000 | -0.000 | 40.204 |
| 135.677 | 58.810 | 58.810 | 0.000 | -0.000 | 0.000 |
| 58.810 | 135.677 | 58.810 | 0.000 | -0.000 | 0.000 |
| 58.810 | 58.810 | 135.677 | 0.000 | 0.000 | 0.000 |
| -0.000 | -0.000 | -0.000 | 77.405 | 0.000 | 0.000 |
| -0.000 | -0.000 | -0.000 | 0.000 | 77.405 | 0.000 |
| 0.000 | 0.000 | 0.000 | 0.000 | 0.000 | 40.204 |
| 144.686 | 36.452 | 68.458 | 0.000 | 0.000 | -0.000 |
| 36.452 | 144.686 | 68.458 | 0.000 | 0.000 | 0.000 |
| 55.942 | 55.942 | 189.173 | -0.000 | -0.000 | 0.000 |
| -0.000 | -0.000 | -0.000 | 41.048 | 0.000 | 0.000 |
| -0.000 | -0.000 | -0.000 | 0.000 | 41.047 | 0.000 |
| -0.000 | -0.000 | -0.000 | 0.000 | 0.000 | 21.387 |
| 144.686 | 36.452 | 68.458 | -0.000 | -0.000 | 0.000 |
| 36.452 | 144.686 | 68.458 | -0.000 | -0.000 | 0.000 |
| 55.942 | 55.942 | 189.174 | -0.000 | -0.000 | 0.000 |
| 0.000 | 0.000 | -0.000 | 41.047 | -0.000 | -0.000 |
| 0.000 | 0.000 | 0.000 | -0.000 | 41.047 | 0.000 |
| 0.000 | 0.000 | 0.000 | -0.000 | 0.000 | 21.387 |
| 214.030 | 8.914 | 32.536 | -0.000 | -0.000 | 0.000 |
| 8.914 | 214.030 | 32.536 | -0.000 | -0.000 | 0.000 |
| 55.942 | 55.942 | 189.173 | -0.000 | -0.000 | -0.000 |
| -0.000 | -0.000 | -0.000 | 41.047 | 0.000 | -0.000 |
| -0.000 | -0.000 | -0.000 | 0.000 | 41.047 | -0.000 |
| -0.000 | -0.000 | -0.000 | 0.000 | 0.000 | 21.387 |
| 144.687 | 36.452 | 68.457 | -0.000 | 0.000 | -0.000 |
| 36.452 | 144.687 | 68.457 | -0.000 | -0.000 | 0.000 |
| 55.942 | 55.942 | 189.173 | 0.000 | 0.000 | 0.000 |
| 0.000 | 0.000 | 0.000 | 41.047 | -0.000 | -0.000 |
| 0.000 | 0.000 | 0.000 | -0.000 | 41.047 | -0.000 |
| 0.000 | 0.000 | 0.000 | 0.000 | -0.000 | 21.387 |
| 140.450 | 52.738 | 58.105 | 0.000 | 0.000 | 0.000 |
| 52.738 | 140.450 | 58.105 | 0.000 | 0.000 | 0.000 |
| 55.942 | 55.942 | 189.174 | 0.000 | -0.000 | -0.000 |
| 0.000 | -0.000 | -0.000 | 41.047 | 0.000 | -0.000 |
| -0.000 | 0.000 | -0.000 | 0.000 | 41.047 | 0.000 |
| -0.000 | -0.000 | -0.000 | 0.000 | 0.000 | 21.387 |
| 140.455 | 52.735 | 58.101 | -0.000 | -0.000 | -0.000 |
| 52.735 | 140.455 | 58.101 | -0.000 | -0.000 | -0.000 |
| 55.942 | 55.942 | 189.173 | -0.000 | 0.000 | -0.000 |
| -0.000 | 0.000 | 0.000 | 41.047 | -0.000 | 0.000 |
| 0.000 | -0.000 | 0.000 | -0.000 | 41.047 | -0.000 |
| 0.000 | 0.000 | 0.000 | -0.000 | -0.000 | 21.387 |
| 137.760 | 74.374 | 74.374 | 0.000 | -0.000 | -0.000 |
| 74.373 | 137.760 | 74.374 | 0.000 | -0.000 | -0.000 |
| 74.374 | 74.374 | 137.760 | -0.000 | -0.000 | -0.000 |
| -0.000 | 0.000 | -0.000 | 91.649 | 0.000 | -0.000 |
| -0.000 | 0.000 | 0.000 | -0.000 | 91.649 | -0.000 |
| -0.000 | 0.000 | -0.000 | -0.000 | -0.000 | 91.649 |
| 137.760 | 74.374 | 74.374 | -0.000 | 0.000 | -0.000 |
| 74.374 | 137.760 | 74.374 | -0.000 | 0.000 | 0.000 |
| 74.374 | 74.374 | 137.760 | -0.000 | 0.000 | 0.000 |
| 0.000 | -0.000 | 0.000 | 91.649 | -0.000 | 0.000 |
| 0.000 | -0.000 | -0.000 | 0.000 | 91.649 | 0.000 |
| 0.000 | -0.000 | -0.000 | -0.000 | 0.000 | 91.649 |
| 124.197 | 76.220 | 76.220 | 0.000 | -0.000 | -0.000 |
| 76.220 | 124.197 | 76.220 | 0.000 | -0.000 | 0.000 |
| 74.374 | 74.374 | 137.760 | -0.000 | 0.000 | -0.000 |
| -0.048 | -0.048 | -0.048 | 32.614 | -0.000 | 0.000 |
| -0.048 | -0.048 | -0.048 | 0.000 | 32.614 | -0.000 |
| -0.048 | -0.048 | -0.048 | -0.000 | -0.000 | 32.614 |
| 137.760 | 74.374 | 74.374 | -0.000 | 0.000 | 0.000 |
| 74.374 | 137.760 | 74.374 | -0.000 | 0.000 | -0.000 |
| 74.374 | 74.374 | 137.760 | -0.000 | 0.000 | 0.000 |
| 0.048 | 0.048 | 0.048 | 32.614 | -0.000 | 0.000 |
| 0.048 | 0.048 | 0.048 | -0.000 | 32.614 | 0.000 |
| 0.048 | 0.048 | 0.048 | -0.000 | 0.000 | 32.614 |
| 124.243 | 76.268 | 76.268 | 0.000 | -0.000 | 0.000 |
| 76.268 | 124.243 | 76.268 | 0.000 | -0.000 | -0.000 |
| 76.268 | 76.268 | 124.243 | 0.000 | 0.000 | -0.000 |
| -0.006 | -0.006 | -0.006 | 34.847 | 0.000 | -0.000 |
| -0.005 | -0.005 | -0.005 | 0.000 | 31.429 | -0.000 |
| -0.006 | -0.006 | -0.006 | 0.000 | 0.000 | 34.847 |
| 122.227 | 75.778 | 75.778 | -0.000 | -0.000 | 0.000 |
| 76.278 | 124.253 | 76.278 | 0.000 | -0.000 | -0.000 |
| 76.278 | 76.278 | 124.253 | 0.000 | 0.000 | 0.000 |
| 0.006 | 0.006 | 0.006 | 34.847 | -0.000 | -0.000 |
| 0.005 | 0.005 | 0.005 | -0.000 | 31.429 | 0.000 |
| 0.006 | 0.006 | 0.006 | 0.000 | -0.000 | 34.847 |
| 108.617 | 59.399 | 59.399 | 0.000 | 0.000 | -0.000 |
| 59.399 | 108.617 | 59.399 | 0.000 | 0.000 | -0.000 |
| 59.399 | 59.399 | 108.617 | 0.000 | -0.000 | -0.000 |
| 0.000 | 0.000 | -0.000 | 81.295 | 0.000 | -0.000 |
| 0.000 | 0.000 | -0.000 | -0.000 | 81.295 | -0.000 |
| 0.000 | 0.000 | 0.000 | 0.000 | 0.000 | 81.296 |
| 108.615 | 59.399 | 59.399 | -0.000 | -0.000 | 0.000 |
| 59.399 | 108.616 | 59.399 | 0.000 | -0.000 | 0.000 |
| 59.399 | 59.399 | 108.617 | -0.000 | -0.000 | 0.000 |
| 0.000 | -0.000 | -0.000 | 81.295 | -0.000 | 0.000 |
| -0.000 | 0.000 | -0.000 | -0.000 | 81.295 | 0.000 |
| -0.000 | -0.000 | -0.000 | 0.000 | -0.000 | 81.296 |
| 106.580 | 58.941 | 58.941 | 0.000 | 0.000 | -0.000 |
| 58.941 | 106.580 | 58.941 | 0.000 | -0.000 | -0.000 |
| 58.941 | 58.941 | 106.580 | 0.000 | 0.000 | -0.000 |
| -0.000 | -0.000 | 0.000 | 35.918 | 0.000 | -0.000 |
| -0.000 | -0.000 | 0.000 | 0.000 | 35.918 | 0.000 |
| -0.000 | -0.000 | 0.000 | 0.000 | 0.000 | 35.918 |
| 120.415 | 58.716 | 58.716 | -0.000 | -0.000 | 0.000 |
| 58.716 | 120.415 | 58.716 | -0.000 | -0.000 | 0.000 |
| 58.716 | 58.716 | 120.415 | -0.000 | -0.000 | 0.000 |
| 0.000 | 0.000 | -0.000 | 35.918 | -0.000 | 0.000 |
| 0.000 | 0.000 | -0.000 | -0.000 | 35.918 | 0.000 |
| 0.000 | 0.000 | -0.000 | -0.000 | -0.000 | 35.918 |
| 108.617 | 59.399 | 59.399 | 0.000 | 0.000 | -0.000 |
| 59.399 | 108.617 | 59.399 | 0.000 | -0.000 | -0.000 |
| 59.399 | 59.399 | 108.617 | 0.000 | 0.000 | -0.000 |
| 0.000 | -0.000 | -0.000 | 35.918 | -0.000 | -0.000 |
| -0.000 | 0.000 | -0.000 | 0.000 | 35.918 | -0.000 |
| -0.000 | -0.000 | 0.000 | 0.000 | 0.000 | 35.918 |
| 108.617 | 59.399 | 59.399 | -0.000 | 0.000 | 0.000 |
| 59.399 | 108.617 | 59.399 | -0.000 | -0.000 | 0.000 |
| 59.399 | 59.399 | 108.617 | -0.000 | -0.000 | 0.000 |
| -0.000 | 0.000 | 0.000 | 35.918 | -0.000 | 0.000 |
| 0.000 | -0.000 | 0.000 | -0.000 | 35.918 | 0.000 |
| 0.000 | 0.000 | -0.000 | -0.000 | -0.000 | 35.918 |
| 651.475 | 164.972 | 31.169 | 0.000 | 0.000 | 0.000 |
| 127.796 | 289.020 | 108.269 | 0.000 | 0.000 | 0.000 |
| 32.172 | 120.531 | 186.729 | -0.000 | 0.000 | -0.000 |
| -0.006 | -0.013 | 0.001 | 77.095 | 0.000 | 0.000 |
| -0.000 | -0.000 | -0.000 | 0.000 | 475.379 | 0.000 |
| -0.004 | -0.010 | 0.001 | 0.000 | 0.000 | 40.145 |
| 634.572 | 123.494 | 35.446 | -0.000 | 0.000 | 0.000 |
| 121.016 | 213.172 | 125.039 | 0.000 | 0.000 | 0.000 |
| 32.170 | 120.552 | 186.723 | 0.000 | -0.000 | -0.000 |
| 0.006 | 0.013 | -0.001 | 77.095 | -0.000 | -0.000 |
| 0.000 | 0.000 | 0.000 | 0.000 | 475.379 | 0.000 |
| 0.004 | 0.010 | -0.001 | -0.000 | -0.000 | 40.145 |
| 651.514 | 164.998 | 31.177 | 0.000 | 0.000 | 0.000 |
| 127.858 | 289.057 | 108.282 | -0.000 | 0.000 | 0.000 |
| 32.173 | 120.541 | 186.726 | -0.000 | 0.000 | 0.000 |
| -0.003 | -0.007 | 0.001 | 74.485 | -0.000 | -0.000 |
| -0.000 | -0.001 | 0.000 | -0.000 | 169.263 | 0.000 |
| -0.000 | -0.001 | 0.000 | 0.000 | 0.000 | 40.147 |
| 634.512 | 123.408 | 35.446 | 0.000 | 0.000 | 0.000 |
| 852.238 | 595.813 | 298.952 | 0.000 | 0.000 | 0.000 |
| 35.943 | 127.974 | 186.235 | 0.000 | 0.000 | 0.000 |
| 0.003 | 0.007 | -0.001 | 74.485 | 0.000 | 0.000 |
| 0.000 | 0.001 | -0.000 | -0.000 | 169.263 | 0.000 |
| 0.000 | 0.001 | -0.000 | 0.000 | -0.000 | 40.147 |
| 634.809 | 123.521 | 35.527 | -0.000 | -0.000 | -0.000 |
| 121.062 | 213.122 | 125.069 | -0.000 | -0.000 | -0.000 |
| 35.957 | 127.972 | 186.241 | -0.000 | -0.000 | -0.000 |
| 0.001 | -0.000 | 0.000 | 74.484 | -0.000 | -0.000 |
| 0.001 | 0.000 | 0.000 | -0.000 | 169.263 | 0.000 |
| 0.001 | 0.000 | 0.000 | 0.000 | 0.000 | 40.142 |
| 634.533 | 123.410 | 35.453 | 0.000 | -0.000 | -0.000 |
| 120.892 | 213.054 | 125.022 | 0.000 | 0.000 | 0.000 |
| 35.924 | 127.960 | 186.231 | 0.000 | 0.000 | 0.000 |
| -0.001 | 0.000 | -0.000 | 74.484 | 0.000 | 0.000 |
| -0.001 | -0.000 | -0.000 | 0.000 | 169.263 | -0.000 |
| -0.001 | -0.000 | -0.000 | 0.000 | -0.000 | 40.142 |
| 331.337 | 78.962 | 78.962 | 0.000 | 0.000 | 0.000 |
| 78.962 | 331.338 | 78.962 | 0.000 | 0.000 | 0.000 |
| 78.962 | 78.962 | 331.337 | 0.000 | 0.000 | 0.000 |
| 0.000 | 0.000 | 0.000 | 33.995 | 0.000 | 0.000 |
| -0.000 | 0.000 | 0.000 | 0.000 | 33.995 | 0.000 |
| -0.000 | -0.000 | 0.000 | 0.000 | 0.000 | 33.995 |
| 125.822 | -62.601 | -62.601 | -0.000 | -0.000 | -0.000 |
| -62.601 | 125.821 | -62.601 | -0.000 | -0.000 | -0.000 |
| -62.601 | -62.601 | 125.822 | -0.000 | -0.000 | -0.000 |
| 0.000 | -0.000 | -0.000 | 33.995 | -0.000 | -0.000 |
| 0.000 | -0.000 | -0.000 | -0.000 | 33.995 | -0.000 |
| 0.000 | -0.000 | -0.000 | 0.000 | -0.000 | 33.995 |
| 242.740 | 49.599 | 49.599 | 0.000 | 0.000 | 0.000 |
| 49.599 | 242.740 | 49.599 | 0.000 | 0.000 | 0.000 |
| 49.599 | 49.599 | 242.740 | 0.000 | 0.000 | 0.000 |
| 5.065 | 5.065 | 5.065 | 24.941 | 0.000 | 0.000 |
| 5.065 | 5.065 | 5.065 | 0.000 | 24.941 | 0.000 |
| 5.065 | 5.065 | 5.065 | 0.000 | 0.000 | 24.941 |
| 225.379 | 29.125 | 29.125 | -0.000 | -0.000 | -0.000 |
| 29.125 | 225.379 | 29.125 | -0.000 | -0.000 | -0.000 |
| 29.125 | 29.125 | 225.379 | -0.000 | -0.000 | -0.000 |
| -5.065 | -5.065 | -5.065 | 24.941 | -0.000 | -0.000 |
| -5.065 | -5.065 | -5.065 | -0.000 | 24.941 | -0.000 |
| -5.065 | -5.065 | -5.065 | -0.000 | -0.000 | 24.941 |
| 232.631 | 40.253 | 40.253 | 0.000 | 0.000 | 0.000 |
| 40.253 | 232.631 | 40.253 | 0.000 | 0.000 | 0.000 |
| 40.253 | 40.253 | 232.631 | 0.000 | 0.000 | 0.000 |
| 0.000 | 0.000 | -0.000 | 33.995 | 0.000 | 0.000 |
| 0.000 | 0.000 | -0.000 | 0.000 | 33.995 | -0.000 |
| 0.000 | -0.000 | 0.000 | 0.000 | 0.000 | 33.995 |
| 244.866 | 34.281 | 34.281 | -0.000 | -0.000 | -0.000 |
| 34.281 | 244.866 | 34.281 | -0.000 | -0.000 | -0.000 |
| 34.281 | 34.281 | 244.866 | -0.000 | -0.000 | -0.000 |
| -0.000 | -0.000 | 0.000 | 33.995 | -0.000 | 0.000 |
| -0.000 | -0.000 | 0.000 | -0.000 | 33.995 | -0.000 |
| -0.000 | 0.000 | -0.000 | -0.000 | -0.000 | 33.995 |
| -276.153 | -338.786 | -338.786 | 0.002 | 0.002 | 0.002 |
| -338.786 | -276.153 | -338.786 | 0.002 | 0.002 | 0.002 |
| -338.786 | -338.786 | -276.153 | 0.002 | 0.002 | 0.002 |
| 4.695 | 4.695 | 4.695 | 13.187 | 0.001 | 0.001 |
| 4.695 | 4.695 | 4.695 | 0.001 | 13.187 | 0.001 |
| -159.218 | -159.218 | -159.218 | 0.001 | 0.001 | 5.256 |
| 581.501 | 627.384 | 627.384 | 0.001 | 0.001 | 0.001 |
| 627.384 | 581.501 | 627.384 | 0.001 | 0.001 | 0.001 |
| 627.384 | 627.384 | 581.501 | 0.001 | 0.001 | 0.001 |
| -4.695 | -4.695 | -4.695 | 13.188 | -0.001 | -0.001 |
| -4.695 | -4.695 | -4.695 | -0.001 | 13.188 | -0.001 |
| -4.695 | -4.695 | -4.695 | -0.001 | -0.001 | 13.188 |
| 312.815 | 8.893 | 8.893 | -0.000 | -0.000 | -0.000 |
| 8.893 | 312.815 | 8.893 | -0.000 | -0.000 | -0.000 |
| 8.893 | 8.893 | 312.815 | -0.000 | -0.000 | 0.000 |
| -53.145 | -53.145 | -53.145 | 33.767 | -0.000 | -0.000 |
| -53.145 | -53.145 | -53.145 | -0.000 | 33.767 | -0.000 |
| -24.375 | -24.375 | -24.375 | 0.000 | 0.000 | 17.244 |
| 184.001 | 110.580 | 110.580 | -0.000 | -0.000 | -0.000 |
| 110.580 | 184.001 | 110.580 | -0.000 | -0.000 | -0.000 |
| 110.580 | 110.580 | 184.001 | -0.000 | -0.000 | -0.000 |
| 53.145 | 53.145 | 53.145 | 33.767 | 0.000 | 0.000 |
| 53.145 | 53.145 | 53.145 | 0.000 | 33.767 | 0.000 |
| 53.145 | 53.145 | 53.145 | 0.000 | 0.000 | 33.767 |
| 223.014 | 38.649 | 38.649 | 0.000 | 0.000 | 0.000 |
| 38.649 | 223.014 | 38.649 | 0.000 | 0.000 | 0.000 |
| 38.649 | 38.649 | 223.014 | 0.000 | 0.000 | 0.000 |
| 0.000 | 0.000 | -0.000 | 34.033 | -0.000 | -0.000 |
| 0.000 | 0.000 | -0.000 | -0.000 | 34.033 | -0.000 |
| 0.000 | -0.000 | 0.000 | -0.000 | -0.000 | 34.033 |
| 224.910 | 38.587 | 38.587 | 0.000 | 0.000 | 0.000 |
| 38.587 | 224.910 | 38.587 | 0.000 | 0.000 | 0.000 |
| 38.587 | 38.587 | 224.910 | 0.000 | 0.000 | 0.000 |
| -0.000 | -0.000 | 0.000 | 34.033 | 0.000 | 0.000 |
| -0.000 | -0.000 | 0.000 | 0.000 | 34.033 | 0.000 |
| -0.000 | 0.000 | -0.000 | -0.000 | -0.000 | 34.033 |
| 80951444.315 | 277234331.839 | 316844808.547 | 11715125.216 | -11471260.327 | 2458854.168 |
| 296242757.526 | 50691356.250 | 303966873.179 | -2389191.977 | 2268828.639 | 783151.945 |
| 286436758.197 | 295268335.672 | 56481403.338 | -385986.616 | 11582882.253 | -16731984.158 |
| 327295323.079 | 209509739.550 | 227663965.893 | -41489046.148 | 229024.419 | 2931810.655 |
| 248300913.538 | 295643724.208 | 188949131.076 | -7772.976 | -44949955.131 | 8678691.323 |
| 223552210.829 | 244352961.158 | 314686701.909 | -8147608.112 | -2384364.398 | -32873382.786 |
| -486673768.449 | 18990831.862 | 6248396.637 | -9067400.554 | -5916419.705 | 17511057.799 |
| 2305335.808 | -478001953.027 | -5886337.167 | 7437477.773 | -2230943.671 | 4825637.187 |
| 16137687.809 | 1019713.746 | -485079080.508 | -21200447.332 | -8395338.065 | -1383400.602 |
| -297723430.018 | -209461843.161 | -242190926.891 | -40405723.009 | 233888.667 | -5166469.575 |
| -221062059.988 | -317649069.105 | -229226434.895 | -2004256.119 | -44417279.022 | -14122325.653 |
| -205442684.253 | -262614588.585 | -309803895.195 | 12260353.642 | -5020774.104 | -37618346.576 |
| 6557323.688 | 28496492.626 | 30630153.793 | 807683.908 | -270433.362 | -427703.348 |
| 29841157.563 | 5272820.088 | 28775009.036 | -95806.626 | 694491.855 | -777720.922 |
| 28915147.329 | 30148026.634 | 6274143.714 | -260176.959 | -237699.794 | -676705.355 |
| 33888080.089 | 21611563.488 | 21176146.388 | -4169746.426 | -186272.203 | -585842.331 |
| 23499660.851 | 31793567.043 | 20782116.279 | -842225.911 | -4061076.301 | 64064.413 |
| 21981527.646 | 23602074.927 | 32010570.398 | -77172.591 | 58535.089 | -4109935.426 |
| -92905628.601 | 62747393.136 | 62747393.140 | -0.002 | 0.005 | 0.001 |
| 62747393.208 | -92905628.751 | 62747393.199 | -0.004 | -0.003 | 0.001 |
| 62747393.233 | 62747393.219 | -92905628.602 | 0.001 | 0.001 | 0.008 |
| -31521080.419 | -22947679.094 | -21308023.081 | -4148891.523 | 113558.648 | -600690.119 |
| -19881404.581 | -32855057.295 | -21394631.169 | -394759.749 | -5975292.867 | -686910.888 |
| -23141962.742 | -22248397.070 | -33579546.453 | 355803.594 | -853049.033 | -3671371.946 |
| 776511.260 | 2867734.885 | 2978614.572 | 14381.752 | -21085.332 | 51553.822 |
| 3017684.179 | 541636.494 | 2864247.730 | -18621.854 | -37577.564 | -84207.547 |
| 2874003.772 | 3051899.175 | 715953.511 | 52798.473 | 76125.131 | -33505.324 |
| 3555374.661 | 2131080.852 | 2162104.591 | -469043.568 | 20664.974 | 34163.996 |
| 2371185.535 | 3107882.710 | 2325553.970 | -195821.536 | -456493.472 | -30275.485 |
| 2227370.583 | 2269238.230 | 3228407.222 | -761.975 | -22749.271 | -472351.890 |
| -9289927.513 | 6275016.473 | 6275016.474 | -0.000 | -0.000 | 0.000 |
| 6275016.467 | -9289927.511 | 6275016.468 | -0.000 | 0.000 | 0.000 |
| 6275016.479 | 6275016.476 | -9289927.501 | -0.000 | 0.000 | -0.001 |
| -3180890.013 | -2330127.223 | -2207407.500 | -424928.784 | -9444.927 | -8046.603 |
| -1974960.760 | -3444879.679 | -2299701.125 | 23582.695 | -495073.338 | -56781.440 |
| -2367395.939 | -2163341.344 | -3287468.566 | 74510.605 | -101627.639 | -441830.993 |
| 238.189 | 39.548 | 0.000 | 0.000 | 0.000 | 0.000 |
| 39.548 | 238.189 | 0.000 | 0.000 | 0.000 | 0.000 |
| 0.000 | -0.000 | 0.000 | 0.000 | 0.000 | -0.000 |
| 0.000 | 0.000 | 0.000 | 0.000 | 0.000 | 0.000 |
| 0.000 | 0.000 | 0.000 | 0.000 | 0.000 | 0.000 |
| 0.000 | 0.000 | 0.000 | 0.000 | 0.000 | 74.860 |
| 238.189 | 39.547 | -0.000 | -0.000 | -0.000 | -0.000 |
| 39.547 | 238.189 | -0.000 | -0.000 | -0.000 | -0.000 |
| -0.000 | -0.000 | -0.000 | -0.000 | -0.000 | -0.000 |
| -0.000 | -0.000 | -0.000 | -0.000 | -0.000 | -0.000 |
| -0.000 | -0.000 | -0.000 | -0.000 | -0.000 | -0.000 |
| -0.000 | -0.000 | -0.000 | -0.000 | -0.000 | 74.860 |
| 238.189 | 39.547 | 0.000 | 0.000 | 0.000 | 0.000 |
| 64.008 | 213.728 | 0.000 | 0.000 | 0.000 | 0.000 |
| 0.000 | -0.000 | 0.000 | 0.000 | 0.000 | -0.000 |
| 0.000 | 0.000 | 0.000 | 0.000 | 0.000 | 0.000 |
| 0.000 | 0.000 | 0.000 | 0.000 | 0.000 | 0.000 |
| 0.000 | 0.000 | 0.000 | 0.000 | 0.000 | 99.321 |
| 213.728 | 64.008 | -0.000 | -0.000 | -0.000 | -0.000 |
| 64.008 | 213.728 | -0.000 | -0.000 | -0.000 | -0.000 |
| -0.000 | -0.000 | -0.000 | -0.000 | -0.000 | -0.000 |
| -0.000 | -0.000 | -0.000 | -0.000 | -0.000 | -0.000 |
| -0.000 | -0.000 | -0.000 | -0.000 | -0.000 | -0.000 |
| -0.000 | -0.000 | -0.000 | -0.000 | -0.000 | 99.321 |
| 213.729 | 64.008 | 0.000 | 0.000 | 0.000 | 0.000 |
| 64.009 | 213.729 | 0.000 | 0.000 | 0.000 | 0.000 |
| 0.000 | -0.000 | 0.000 | 0.000 | 0.000 | -0.000 |
| 0.000 | 0.000 | 0.000 | 0.000 | 0.000 | 0.000 |
| 0.000 | 0.000 | 0.000 | 0.000 | 0.000 | 0.000 |
| 0.000 | 0.000 | 0.000 | 0.000 | 0.000 | 99.321 |
| 213.728 | 64.008 | -0.000 | -0.000 | -0.000 | -0.000 |
| 64.007 | 213.728 | -0.000 | -0.000 | -0.000 | -0.000 |
| -0.000 | -0.000 | -0.000 | -0.000 | -0.000 | -0.000 |
| -0.000 | -0.000 | -0.000 | -0.000 | -0.000 | -0.000 |
| -0.000 | -0.000 | -0.000 | -0.000 | -0.000 | -0.000 |
| -0.000 | -0.000 | -0.000 | -0.000 | -0.000 | 99.321 |
| 1406.045 | 1131.528 | 1064.641 | 29.102 | 0.000 | 0.000 |
| 1131.528 | 1406.044 | 1064.641 | -29.102 | 0.000 | 0.000 |
| 1064.615 | 1064.615 | 1472.251 | -0.000 | 0.000 | -0.000 |
| 29.102 | -29.102 | 0.000 | 66.925 | 0.000 | -0.000 |
| 0.000 | -0.000 | 0.000 | 0.000 | 66.925 | 29.102 |
| 0.000 | -0.000 | -0.000 | 0.000 | 29.102 | 137.258 |
| 1406.044 | 1131.528 | 1064.642 | 29.102 | -0.000 | 0.000 |
| 1217.330 | 1320.241 | 1064.642 | -23.289 | 0.000 | -0.000 |
| 1064.615 | 1064.616 | 1472.251 | -0.000 | -0.000 | -0.000 |
| 29.102 | -29.102 | -0.000 | 66.925 | -0.000 | -0.000 |
| 0.000 | 0.000 | -0.000 | -0.000 | 66.925 | 29.102 |
| -0.000 | 0.000 | 0.000 | -0.000 | 29.102 | 137.258 |
| 1406.044 | 1131.526 | 1064.640 | 29.102 | 0.000 | 0.000 |
| 1131.527 | 1406.043 | 1064.640 | -29.102 | -0.000 | 0.000 |
| 1064.614 | 1064.614 | 1472.250 | -0.000 | 0.000 | -0.000 |
| 29.102 | -29.102 | 0.000 | 66.925 | 0.000 | 0.000 |
| -0.000 | -0.000 | 0.000 | 0.000 | 66.925 | 29.102 |
| -0.000 | 0.000 | -0.000 | 0.000 | 29.102 | 137.258 |
| 1406.045 | 1131.529 | 1064.642 | 29.102 | -0.000 | -0.000 |
| 1131.528 | 1406.045 | 1064.642 | -29.102 | -0.000 | -0.000 |
| 1064.616 | 1064.616 | 1472.252 | 0.000 | -0.000 | 0.000 |
| 29.102 | -29.102 | -0.000 | 66.925 | -0.000 | -0.000 |
| 0.000 | 0.000 | -0.000 | -0.000 | 66.925 | 29.102 |
| 0.000 | -0.000 | 0.000 | -0.000 | 29.102 | 137.258 |
| 1320.240 | 1217.315 | 1064.633 | 23.290 | 0.000 | 0.000 |
| 1217.325 | 1320.230 | 1064.633 | -23.287 | 0.000 | 0.000 |
| 1064.607 | 1064.607 | 1472.238 | -0.000 | -0.000 | 0.000 |
| 23.290 | -23.293 | 0.003 | 66.531 | -0.000 | 0.000 |
| -0.003 | 0.001 | 0.003 | 0.000 | 66.531 | 23.289 |
| -0.001 | 0.004 | -0.000 | -0.001 | 23.289 | 51.456 |
| 1320.249 | 1217.339 | 1064.650 | 23.289 | -0.000 | -0.000 |
| 1217.343 | 1320.246 | 1064.650 | -23.290 | -0.000 | -0.000 |
| 1064.624 | 1064.624 | 1472.264 | -0.000 | -0.000 | -0.000 |
| 29.104 | -29.101 | -0.003 | 66.926 | -0.000 | -0.000 |
| 0.003 | -0.001 | -0.003 | -0.000 | 66.531 | 23.289 |
| 0.001 | -0.004 | 0.000 | 0.001 | 23.289 | 51.456 |
| 1035.190 | 562.827 | 557.152 | 0.000 | -0.004 | -0.000 |
| 551.656 | 838.288 | 385.600 | 0.000 | -0.000 | 0.000 |
| 546.641 | 389.592 | 808.088 | 0.001 | -0.001 | 0.000 |
| 0.004 | -0.011 | -0.008 | 94.294 | -0.001 | -0.000 |
| 0.006 | -0.005 | -0.003 | 0.001 | 118.221 | 0.000 |
| 0.008 | -0.004 | -0.001 | 0.000 | -0.003 | 159.176 |
| 1035.180 | 562.846 | 557.165 | -0.000 | 0.004 | -0.000 |
| 551.641 | 838.306 | 385.610 | -0.000 | 0.000 | 0.000 |
| 546.631 | 389.610 | 808.101 | -0.001 | 0.001 | 0.000 |
| -0.004 | 0.011 | 0.008 | 94.294 | 0.001 | 0.000 |
| -0.006 | 0.005 | 0.003 | -0.001 | 118.223 | -0.000 |
| -0.008 | 0.004 | 0.001 | -0.000 | 0.003 | 159.176 |
| 1035.154 | 562.582 | 556.963 | 0.000 | -0.000 | -0.000 |
| 550.822 | 838.284 | 385.386 | 0.000 | -0.000 | 0.000 |
| 548.073 | 388.276 | 807.736 | 0.000 | -0.000 | 0.000 |
| 0.000 | -0.001 | -0.001 | 94.294 | -0.000 | -0.000 |
| 0.001 | -0.001 | -0.000 | 0.000 | 118.151 | 0.000 |
| 0.001 | -0.000 | -0.000 | 0.000 | -0.000 | 159.152 |
| 1035.154 | 562.584 | 556.965 | -0.000 | 0.000 | -0.000 |
| 550.822 | 838.286 | 385.388 | -0.000 | 0.000 | -0.000 |
| 548.073 | 388.278 | 807.737 | -0.000 | 0.000 | 0.000 |
| -0.000 | 0.001 | 0.001 | 94.294 | 0.000 | -0.000 |
| -0.001 | 0.001 | 0.000 | -0.000 | 118.152 | -0.000 |
| -0.001 | 0.000 | 0.000 | -0.000 | 0.000 | 159.152 |
| 1035.145 | 562.576 | 556.958 | 0.000 | -0.000 | 0.000 |
| 550.795 | 838.282 | 385.375 | 0.000 | -0.000 | -0.000 |
| 548.070 | 388.271 | 807.736 | 0.000 | -0.000 | 0.000 |
| -0.001 | -0.001 | -0.000 | 94.294 | -0.000 | -0.000 |
| 0.002 | -0.001 | 0.000 | 0.000 | 118.151 | 0.000 |
| -0.000 | -0.001 | -0.001 | 0.000 | -0.000 | 159.151 |
| 1035.163 | 562.584 | 556.967 | -0.000 | 0.000 | -0.000 |
| 550.800 | 838.287 | 385.385 | -0.000 | 0.000 | 0.000 |
| 548.078 | 388.280 | 807.737 | -0.000 | 0.000 | -0.000 |
| 0.001 | 0.001 | 0.000 | 94.294 | 0.000 | -0.000 |
| -0.002 | 0.001 | -0.000 | -0.000 | 118.151 | -0.000 |
| 0.000 | 0.001 | 0.001 | -0.000 | 0.000 | 159.151 |
| 219.738 | 51.979 | 42.739 | 21.330 | 18.833 | 0.000 |
| 146.156 | 232.596 | -896.452 | -4.330 | -5.503 | -0.002 |
| 209.488 | 209.489 | -311.725 | -0.000 | -0.000 | 0.000 |
| 129.867 | 143.312 | -412.808 | 5.144 | -0.000 | 1.526 |
| 138.128 | 132.476 | -920.245 | -0.000 | -2.808 | -7.685 |
| 137.571 | 137.571 | -931.437 | -2.224 | -10.045 | 15.114 |
| -20.870 | -52.314 | 482.782 | -6.708 | -1.516 | -0.000 |
| -52.312 | -20.865 | 482.773 | 6.708 | 1.516 | -0.000 |
| -63.521 | -63.521 | 926.628 | 0.001 | -0.000 | -0.002 |
| -109.053 | -128.578 | 807.258 | 45.608 | 0.000 | -6.978 |
| -111.826 | -125.784 | 807.231 | 0.000 | 45.613 | 9.765 |
| -118.772 | -118.773 | 808.041 | -6.995 | 9.797 | 53.147 |
| 175.974 | 80.199 | -20.301 | 7.495 | 5.759 | -0.000 |
| 80.200 | 175.973 | -20.301 | -7.494 | -5.758 | -0.000 |
| 87.374 | 87.374 | 56.796 | -0.000 | -0.000 | -0.000 |
| 7.402 | 19.032 | -39.946 | 7.270 | 0.000 | 0.868 |
| 18.462 | 6.185 | -87.608 | -0.000 | 31.289 | 4.748 |
| -0.000 | -0.000 | -0.000 | -18.833 | 21.331 | 83.880 |
| 107.311 | 69.720 | 108.335 | -5.444 | -0.599 | -0.000 |
| 56.851 | 148.089 | 130.311 | -6.487 | -5.260 | -0.000 |
| 44.352 | 44.352 | 200.992 | 0.000 | -0.000 | -0.000 |
| -5.865 | -18.742 | 73.422 | 37.467 | 0.000 | -5.227 |
| -7.077 | -17.530 | 73.421 | 0.000 | 37.466 | 6.438 |
| -13.249 | -13.249 | 40.043 | 0.916 | -5.881 | 17.733 |
| 155.928 | 72.850 | 57.218 | 3.912 | 6.191 | -0.000 |
| 72.843 | 155.949 | 57.213 | -3.918 | -6.195 | -0.000 |
| 54.573 | 54.573 | 102.849 | -0.000 | -0.000 | -0.000 |
| 5.827 | -3.263 | -7.211 | 32.911 | -0.000 | -4.076 |
| 7.247 | -5.581 | -2.518 | -0.000 | 30.791 | 4.219 |
| 1.229 | 1.229 | -6.965 | -4.763 | 5.403 | 43.210 |
| 155.493 | 68.926 | 65.435 | 5.551 | 4.503 | -0.000 |
| 68.926 | 155.494 | 65.435 | -5.551 | -4.503 | -0.000 |
| 64.218 | 64.218 | 130.639 | -0.000 | 0.000 | 0.000 |
| 3.386 | -5.052 | 2.518 | 30.791 | -0.000 | -6.414 |
| 4.670 | -6.262 | 9.358 | 0.000 | 30.782 | 4.342 |
| -0.867 | -0.867 | 2.620 | -5.910 | 3.525 | 40.597 |
| 218.970 | 9.512 | 30.090 | -0.000 | -0.000 | -0.000 |
| 9.512 | 218.970 | 30.090 | -0.000 | -0.000 | -0.000 |
| 56.431 | 56.430 | 192.251 | -0.000 | -0.000 | 0.000 |
| -0.000 | 0.000 | -0.000 | 42.678 | -0.000 | 0.000 |
| -0.000 | -0.000 | -0.000 | -0.000 | 42.678 | 0.000 |
| -0.000 | -0.000 | -0.000 | -0.000 | -0.000 | 20.309 |
| 218.970 | 9.512 | 30.090 | 0.000 | 0.000 | 0.000 |
| 9.512 | 218.970 | 30.090 | 0.000 | 0.000 | 0.000 |
| 30.091 | 30.091 | 234.723 | 0.000 | 0.000 | -0.000 |
| 0.000 | -0.000 | 0.000 | 42.678 | 0.000 | -0.000 |
| -0.000 | 0.000 | 0.000 | 0.000 | 42.678 | 0.000 |
| 0.000 | -0.000 | 0.000 | 0.000 | 0.000 | 20.309 |
| 145.466 | 37.414 | 66.856 | -0.000 | -0.000 | -0.000 |
| 37.414 | 145.466 | 66.856 | -0.000 | -0.000 | 0.000 |
| 56.430 | 56.430 | 192.251 | -0.000 | -0.000 | -0.000 |
| -0.000 | -0.000 | -0.000 | 42.678 | -0.000 | 0.000 |
| -0.000 | 0.000 | -0.000 | -0.000 | 42.678 | -0.000 |
| -0.000 | -0.000 | -0.000 | -0.000 | -0.000 | 20.309 |
| 145.467 | 37.414 | 66.856 | 0.000 | 0.000 | 0.000 |
| 37.414 | 145.467 | 66.856 | 0.000 | 0.000 | 0.000 |
| 56.430 | 56.430 | 192.251 | 0.000 | 0.000 | 0.000 |
| 0.000 | 0.000 | 0.000 | 42.678 | 0.000 | 0.000 |
| -0.000 | -0.000 | 0.000 | 0.000 | 42.678 | 0.000 |
| 0.000 | -0.000 | 0.000 | 0.000 | 0.000 | 20.309 |
| 140.950 | 54.860 | 56.432 | -0.000 | -0.000 | -0.000 |
| 54.860 | 140.950 | 56.432 | -0.000 | -0.000 | -0.000 |
| 56.430 | 56.430 | 192.251 | -0.000 | -0.000 | -0.000 |
| 0.000 | -0.000 | -0.000 | 42.678 | -0.000 | -0.000 |
| -0.000 | 0.000 | -0.000 | -0.000 | 42.678 | -0.000 |
| -0.000 | -0.000 | -0.000 | -0.000 | -0.000 | 20.309 |
| 140.956 | 54.858 | 56.428 | 0.000 | 0.000 | 0.000 |
| 54.858 | 140.956 | 56.428 | 0.000 | 0.000 | 0.000 |
| 56.430 | 56.430 | 192.250 | 0.000 | 0.000 | 0.000 |
| -0.000 | 0.000 | 0.000 | 42.678 | 0.000 | 0.000 |
| 0.000 | -0.000 | 0.000 | 0.000 | 42.678 | 0.000 |
| 0.000 | 0.000 | 0.000 | 0.000 | 0.000 | 20.309 |
| 140.461 | 52.762 | 58.082 | -0.000 | 0.000 | -0.000 |
| 52.762 | 140.461 | 58.082 | -0.000 | -0.000 | 0.000 |
| 30.372 | 30.372 | 233.133 | -0.000 | -0.000 | 0.000 |
| 0.000 | 0.000 | 0.000 | 41.067 | -0.000 | 0.000 |
| 0.000 | 0.000 | 0.000 | -0.000 | 41.067 | -0.000 |
| 0.000 | 0.000 | 0.000 | 0.000 | 0.000 | 21.375 |
| 140.461 | 52.762 | 58.082 | -0.000 | -0.000 | 0.000 |
| 52.762 | 140.461 | 58.082 | -0.000 | -0.000 | -0.000 |
| 55.946 | 55.946 | 189.218 | -0.000 | -0.000 | 0.000 |
| -0.000 | -0.000 | 0.000 | 41.067 | 0.000 | -0.000 |
| -0.000 | -0.000 | 0.000 | 0.000 | 41.067 | -0.000 |
| -0.000 | -0.000 | -0.000 | -0.000 | -0.000 | 21.375 |
| 140.461 | 52.762 | 58.082 | -0.000 | 0.000 | -0.000 |
| 52.762 | 140.461 | 58.082 | 0.000 | -0.000 | 0.000 |
| 55.946 | 55.946 | 189.218 | -0.000 | -0.000 | -0.000 |
| 0.000 | 0.000 | -0.000 | 41.067 | -0.000 | 0.000 |
| 0.000 | 0.000 | -0.000 | -0.000 | 41.067 | 0.000 |
| -0.000 | -0.000 | -0.000 | -0.000 | 0.000 | 21.375 |
| 144.699 | 36.464 | 68.438 | 0.000 | -0.000 | -0.000 |
| 36.464 | 144.699 | 68.438 | -0.000 | 0.000 | -0.000 |
| 55.946 | 55.946 | 189.218 | -0.000 | -0.000 | 0.000 |
| -0.000 | 0.000 | 0.000 | 41.067 | 0.000 | 0.000 |
| 0.000 | -0.000 | 0.000 | 0.000 | 41.067 | -0.000 |
| 0.000 | -0.000 | 0.000 | -0.000 | -0.000 | 21.375 |
| 140.459 | 52.763 | 58.084 | -0.000 | 0.000 | 0.000 |
| 52.763 | 140.459 | 58.084 | 0.000 | 0.000 | 0.000 |
| 55.946 | 55.946 | 189.218 | 0.000 | 0.000 | -0.000 |
| 0.000 | -0.000 | -0.000 | 41.067 | -0.000 | 0.000 |
| -0.000 | 0.000 | -0.000 | -0.000 | 41.067 | 0.000 |
| -0.000 | -0.000 | -0.000 | 0.000 | 0.000 | 21.375 |
| 140.464 | 52.761 | 58.080 | -0.000 | -0.000 | -0.000 |
| 52.761 | 140.464 | 58.080 | -0.000 | 0.000 | -0.000 |
| 55.945 | 55.945 | 189.217 | 0.000 | 0.000 | -0.000 |
| -0.000 | 0.000 | 0.000 | 41.067 | -0.000 | 0.000 |
| 0.000 | -0.000 | 0.000 | -0.000 | 41.067 | -0.000 |
| 0.000 | 0.000 | 0.000 | -0.000 | -0.000 | 21.375 |
| 200.502 | 12.932 | 47.195 | -0.000 | 17.889 | 0.000 |
| 44.354 | 163.171 | 65.265 | 0.000 | -6.798 | -0.000 |
| 44.118 | 45.937 | 191.658 | -0.000 | 25.735 | 0.000 |
| -0.000 | 0.000 | -0.000 | 51.688 | -0.000 | -5.262 |
| 9.169 | -26.374 | 25.735 | -0.000 | 72.945 | -0.000 |
| 0.000 | 0.000 | -0.000 | -24.885 | -0.000 | 51.081 |
| 139.740 | 44.345 | 65.100 | 0.000 | 7.385 | -0.000 |
| 46.256 | 162.472 | 62.340 | 0.000 | -6.651 | -0.000 |
| 64.384 | 62.765 | 152.451 | 0.000 | 10.693 | -0.000 |
| 0.000 | -0.000 | 0.000 | 51.688 | 0.000 | -5.263 |
| 2.723 | -6.973 | 12.334 | 0.000 | 39.454 | -0.000 |
| -0.000 | 0.000 | 0.000 | -24.885 | 0.000 | 51.080 |
| 144.110 | 46.323 | 66.223 | 0.000 | 6.387 | 0.000 |
| 46.255 | 162.473 | 62.340 | -0.000 | -6.652 | -0.000 |
| 44.118 | 45.937 | 191.658 | -0.000 | 25.735 | 0.000 |
| 0.000 | 0.000 | 0.000 | 85.602 | -0.000 | -24.885 |
| 2.786 | -7.638 | 11.664 | -0.000 | 39.120 | 0.000 |
| 0.000 | 0.000 | -0.000 | -24.885 | -0.000 | 51.081 |
| 144.109 | 46.323 | 66.224 | 0.000 | 6.387 | -0.000 |
| 16.085 | 216.933 | 45.937 | 0.000 | -26.374 | -0.000 |
| 44.118 | 45.937 | 191.658 | 0.000 | 25.735 | -0.000 |
| -0.000 | -0.000 | -0.000 | 85.602 | 0.000 | -24.885 |
| 9.169 | -26.374 | 25.735 | -0.000 | 72.945 | -0.000 |
| 0.000 | -0.000 | 0.000 | -24.885 | 0.000 | 51.081 |
| 140.125 | 45.257 | 64.284 | -0.000 | 8.918 | 0.000 |
| 46.256 | 162.472 | 62.340 | -0.000 | -6.651 | -0.000 |
| 63.620 | 62.500 | 152.272 | -0.000 | 11.556 | -0.000 |
| -0.000 | -0.000 | -0.000 | 51.408 | -0.000 | -5.785 |
| 2.723 | -6.973 | 12.334 | -0.000 | 39.453 | -0.000 |
| -0.000 | -0.000 | 0.000 | -5.700 | 0.000 | 32.078 |
| 140.128 | 45.255 | 64.282 | 0.000 | 8.919 | -0.000 |
| 46.255 | 162.473 | 62.339 | 0.000 | -6.652 | 0.000 |
| 62.268 | 64.341 | 153.645 | 0.000 | 12.859 | -0.000 |
| 0.000 | 0.000 | 0.000 | 51.408 | 0.000 | -5.785 |
| 3.000 | -6.711 | 11.048 | 0.000 | 39.178 | -0.000 |
| 0.000 | 0.000 | -0.000 | -5.700 | -0.000 | 32.078 |
| 239.033 | 148.385 | -69.157 | -0.000 | -97.378 | 0.000 |
| 156.949 | 249.532 | -68.165 | -0.000 | -92.483 | 0.000 |
| 122.068 | 174.939 | 5.400 | 0.000 | -82.201 | 0.000 |
| 0.000 | 0.000 | 0.000 | 87.054 | 0.000 | -24.705 |
| 9.153 | -26.476 | 24.993 | -0.000 | 73.281 | 0.000 |
| 61.499 | 112.679 | -151.145 | -1.702 | -97.467 | 27.378 |
| 78.990 | -68.681 | 221.286 | -0.000 | 107.032 | -0.000 |
| 16.048 | 215.770 | 46.252 | 0.000 | -26.784 | -0.000 |
| -50.001 | -25.632 | 282.737 | -0.000 | 96.125 | -0.000 |
| -0.000 | -0.000 | -0.000 | 87.054 | -0.000 | -24.705 |
| 9.153 | -26.477 | 24.993 | 0.000 | 73.280 | -0.000 |
| -61.499 | -112.679 | 151.144 | -1.702 | 97.467 | 27.378 |
| 150.649 | 54.754 | 51.266 | -0.000 | -1.097 | -0.000 |
| 16.048 | 215.770 | 46.252 | -0.000 | -26.784 | 0.000 |
| 43.245 | 47.398 | 189.696 | 0.000 | 24.993 | 0.000 |
| -0.000 | 0.000 | 0.000 | 87.054 | -0.000 | -24.705 |
| 13.393 | 2.290 | -1.772 | 0.000 | 30.111 | 0.000 |
| -0.000 | 0.000 | 0.000 | -25.012 | 0.000 | 50.318 |
| 126.889 | 40.089 | 74.948 | 0.000 | 16.606 | -0.000 |
| 16.048 | 215.770 | 46.252 | -0.000 | -26.784 | -0.000 |
| 43.245 | 47.398 | 189.696 | -0.000 | 24.993 | -0.000 |
| 0.000 | -0.000 | -0.000 | 87.054 | 0.000 | -24.705 |
| -6.587 | -13.982 | 22.285 | 0.000 | 47.061 | -0.000 |
| 0.000 | -0.000 | -0.000 | -25.012 | -0.000 | 50.318 |
| 144.613 | 48.064 | 63.043 | -0.000 | 5.572 | 0.000 |
| 46.534 | 161.099 | 60.623 | -0.000 | -8.753 | 0.000 |
| 64.194 | 64.121 | 151.724 | 0.000 | 9.974 | 0.000 |
| 0.524 | 0.960 | -1.288 | 52.448 | -0.831 | -4.836 |
| 4.051 | -6.041 | 10.988 | -0.000 | 39.484 | 0.000 |
| 1.467 | 1.000 | -1.479 | -5.332 | -1.195 | 31.323 |
| 142.695 | 46.182 | 66.336 | 0.000 | 7.422 | 0.000 |
| 44.843 | 159.316 | 63.188 | 0.000 | -6.713 | -0.000 |
| 61.528 | 62.068 | 154.149 | -0.000 | 12.542 | -0.000 |
| -0.524 | -0.960 | 1.288 | 52.448 | 0.831 | -4.836 |
| 2.841 | -7.578 | 12.435 | 0.000 | 40.943 | -0.000 |
| -1.467 | -1.000 | 1.479 | -5.332 | 1.195 | 31.323 |
| 172.453 | 66.004 | 55.047 | 0.000 | 0.000 | 0.000 |
| 66.952 | 170.474 | 55.336 | -0.000 | -0.000 | 0.000 |
| 18.553 | 18.926 | 255.529 | -0.000 | -0.000 | 0.000 |
| -0.338 | -1.455 | 1.774 | 45.550 | 0.000 | 0.000 |
| -0.339 | -1.459 | 1.779 | -0.000 | 45.724 | 0.000 |
| -0.000 | -0.000 | -0.000 | 0.000 | -0.000 | 90.000 |
| 172.905 | 69.184 | 51.455 | -0.000 | 0.000 | -0.000 |
| 67.721 | 173.408 | 51.671 | -0.000 | -0.000 | 0.000 |
| 51.904 | 53.525 | 188.111 | -0.000 | -0.000 | -0.000 |
| 0.000 | 0.000 | -0.000 | 62.232 | -0.000 | -0.000 |
| 0.339 | 1.459 | -1.779 | 0.000 | 45.724 | 0.000 |
| 0.000 | 0.000 | 0.000 | -0.000 | -0.000 | 90.000 |
| 172.655 | 67.431 | 53.435 | -0.000 | -0.000 | 0.000 |
| 69.193 | 171.716 | 51.876 | -0.000 | -0.000 | 0.000 |
| 18.553 | 18.926 | 255.529 | -0.000 | -0.000 | -0.000 |
| -0.034 | -0.146 | 0.177 | 45.551 | -0.000 | 0.000 |
| -0.000 | -0.000 | -0.000 | -0.000 | 62.344 | 0.000 |
| 0.000 | 0.000 | 0.000 | -0.000 | -0.000 | 90.000 |
| 227.982 | 47.039 | 18.447 | -0.000 | 0.000 | -0.000 |
| 69.252 | 172.017 | 51.520 | -0.000 | 0.000 | -0.000 |
| 51.599 | 52.210 | 189.715 | -0.000 | 0.000 | -0.000 |
| 0.034 | 0.146 | -0.177 | 45.551 | -0.000 | -0.000 |
| 0.000 | 0.000 | 0.000 | 0.000 | 62.344 | -0.000 |
| -0.000 | -0.000 | -0.000 | 0.000 | -0.000 | 90.000 |
| 172.675 | 67.575 | 53.274 | 0.000 | -0.000 | 0.000 |
| 69.221 | 171.850 | 51.717 | 0.000 | 0.000 | 0.000 |
| 51.563 | 52.051 | 189.909 | 0.000 | 0.000 | 0.000 |
| -0.003 | -0.015 | 0.018 | 45.551 | 0.000 | 0.000 |
| 0.000 | 0.000 | -0.000 | 0.000 | 62.344 | 0.000 |
| -0.004 | -0.016 | 0.019 | 0.000 | -0.000 | 51.193 |
| 172.607 | 69.490 | 51.448 | -0.000 | 0.000 | -0.000 |
| 69.225 | 171.883 | 51.679 | 0.000 | 0.000 | -0.000 |
| 51.567 | 52.077 | 189.877 | 0.000 | 0.000 | -0.000 |
| 0.003 | 0.015 | -0.018 | 45.551 | 0.000 | -0.000 |
| -0.000 | -0.000 | 0.000 | -0.000 | 62.344 | -0.000 |
| 0.004 | 0.016 | -0.019 | 0.000 | 0.000 | 51.193 |
| 166.462 | 89.845 | 89.845 | -0.000 | -0.000 | -0.000 |
| 89.845 | 166.462 | 89.845 | -0.000 | -0.000 | -0.000 |
| 89.844 | 89.845 | 166.461 | -0.000 | -0.000 | -0.000 |
| 17.769 | 17.769 | 17.769 | 46.045 | -0.000 | -0.000 |
| 17.769 | 17.769 | 17.769 | -0.000 | 46.045 | -0.000 |
| 17.769 | 17.769 | 17.769 | -0.000 | -0.000 | 46.045 |
| 129.136 | 54.797 | 54.797 | 0.000 | 0.000 | 0.000 |
| 54.797 | 129.136 | 54.797 | 0.000 | 0.000 | 0.000 |
| 54.797 | 54.797 | 129.136 | 0.000 | 0.000 | 0.000 |
| -17.769 | -17.769 | -17.769 | 46.045 | 0.000 | 0.000 |
| -17.769 | -17.769 | -17.769 | 0.000 | 46.045 | 0.000 |
| -17.769 | -17.769 | -17.769 | 0.000 | -0.000 | 46.045 |
| 148.221 | 73.032 | 73.032 | -0.000 | -0.000 | 0.000 |
| 73.032 | 148.221 | 73.032 | -0.000 | -0.000 | -0.000 |
| 73.032 | 73.032 | 148.221 | -0.000 | -0.000 | -0.000 |
| 0.000 | 0.000 | 0.000 | 94.014 | -0.000 | -0.000 |
| 0.000 | 0.000 | 0.000 | -0.000 | 94.014 | -0.000 |
| 0.000 | 0.000 | 0.000 | -0.000 | -0.000 | 94.014 |
| 192.267 | 60.196 | 60.196 | 0.000 | 0.000 | 0.000 |
| 60.196 | 192.267 | 60.196 | 0.000 | 0.000 | 0.000 |
| 60.196 | 60.196 | 192.267 | 0.000 | 0.000 | 0.000 |
| -0.000 | -0.000 | -0.000 | 94.014 | 0.000 | 0.000 |
| -0.000 | -0.000 | -0.000 | 0.000 | 94.014 | 0.000 |
| -0.000 | -0.000 | -0.000 | 0.000 | 0.000 | 94.014 |
| 146.828 | 71.186 | 71.186 | -0.000 | -0.000 | -0.000 |
| 71.186 | 146.828 | 71.186 | -0.000 | -0.000 | 0.000 |
| 71.186 | 71.186 | 146.828 | -0.000 | -0.000 | -0.000 |
| 0.164 | 0.164 | 0.164 | 45.818 | -0.000 | -0.000 |
| 0.164 | 0.164 | 0.164 | -0.000 | 45.818 | -0.000 |
| 0.164 | 0.164 | 0.164 | -0.000 | -0.000 | 45.818 |
| 146.527 | 70.778 | 70.779 | 0.000 | 0.000 | 0.000 |
| 70.779 | 146.527 | 70.778 | 0.000 | 0.000 | 0.000 |
| 70.778 | 70.779 | 146.527 | 0.000 | 0.000 | 0.000 |
| -0.164 | -0.164 | -0.164 | 45.818 | 0.000 | 0.000 |
| -0.164 | -0.164 | -0.164 | 0.000 | 45.818 | 0.000 |
| -0.164 | -0.164 | -0.164 | 0.000 | 0.000 | 45.818 |
| 324.326 | 124.268 | 0.000 | 0.000 | -0.000 | -0.000 |
| 124.268 | 324.326 | 0.000 | -0.000 | -0.000 | -0.000 |
| 0.000 | -0.000 | 344.811 | -0.000 | 0.000 | -0.000 |
| 0.000 | -0.000 | -0.000 | 26.557 | -0.000 | -0.000 |
| 0.000 | -0.000 | -0.000 | -0.000 | 26.557 | -0.000 |
| 0.000 | 0.000 | 0.000 | 0.000 | 0.000 | 100.029 |
| 324.326 | 124.268 | -0.000 | -0.000 | 0.000 | 0.000 |
| 124.267 | 324.326 | -0.000 | 0.000 | 0.000 | -0.000 |
| -0.000 | 0.000 | 344.811 | 0.000 | 0.000 | 0.000 |
| 0.000 | 0.000 | 0.000 | 26.557 | -0.000 | 0.000 |
| 0.000 | 0.000 | 0.000 | -0.000 | 26.557 | -0.000 |
| -0.000 | -0.000 | -0.000 | -0.000 | 0.000 | 100.029 |
| 324.326 | 124.268 | 0.000 | 0.000 | -0.000 | -0.000 |
| 124.268 | 324.326 | 0.000 | -0.000 | -0.000 | -0.000 |
| 0.000 | -0.000 | 344.811 | 0.000 | -0.000 | -0.000 |
| 0.000 | -0.000 | -0.000 | 26.557 | -0.000 | -0.000 |
| -0.000 | -0.000 | -0.000 | -0.000 | 26.557 | -0.000 |
| 0.000 | 0.000 | 0.000 | 0.000 | -0.000 | 100.029 |
| 324.326 | 124.268 | -0.000 | -0.000 | 0.000 | -0.000 |
| 124.268 | 324.326 | -0.000 | 0.000 | 0.000 | 0.000 |
| -0.000 | 0.000 | 344.811 | 0.000 | 0.000 | 0.000 |
| -0.000 | 0.000 | 0.000 | 26.557 | -0.000 | 0.000 |
| 0.000 | -0.000 | 0.000 | 0.000 | 26.557 | -0.000 |
| -0.000 | -0.000 | -0.000 | -0.000 | 0.000 | 100.029 |
| 324.328 | 124.268 | 0.000 | 0.000 | 0.000 | 0.000 |
| 124.268 | 324.327 | 0.000 | -0.000 | -0.000 | 0.000 |
| 0.000 | -0.000 | 344.813 | -0.000 | -0.000 | -0.000 |
| 0.000 | -0.000 | -0.000 | 26.557 | -0.000 | -0.000 |
| -0.000 | 0.000 | -0.000 | -0.000 | 26.557 | -0.000 |
| -0.000 | 0.000 | 0.000 | 0.000 | -0.000 | 100.029 |
| 324.324 | 124.267 | 0.000 | -0.000 | 0.000 | -0.000 |
| 124.267 | 324.325 | -0.000 | 0.000 | 0.000 | 0.000 |
| -0.000 | 0.000 | 344.809 | 0.000 | -0.000 | 0.000 |
| -0.000 | 0.000 | 0.000 | 26.557 | -0.000 | 0.000 |
| 0.000 | -0.000 | 0.000 | 0.000 | 26.557 | 0.000 |
| 0.000 | -0.000 | -0.000 | -0.000 | 0.000 | 100.029 |
| 172.196 | 67.587 | 53.329 | -0.000 | 0.000 | -0.000 |
| 47.188 | 227.815 | 18.491 | 0.000 | 0.000 | -0.000 |
| 18.815 | 18.815 | 255.277 | -0.000 | 0.000 | 0.000 |
| -0.000 | -0.000 | -0.000 | 62.406 | -0.000 | -0.000 |
| -0.000 | -0.000 | -0.000 | 0.000 | 62.407 | -0.000 |
| -0.003 | -0.003 | 0.006 | -0.000 | 0.000 | 51.318 |
| 227.815 | 47.188 | 18.491 | 0.000 | -0.000 | -0.000 |
| 47.188 | 227.815 | 18.491 | 0.000 | 0.000 | 0.000 |
| 18.815 | 18.815 | 255.277 | -0.000 | -0.000 | -0.000 |
| 0.000 | 0.000 | -0.000 | 62.406 | 0.000 | 0.000 |
| 0.000 | 0.000 | 0.000 | -0.000 | 62.407 | 0.000 |
| 0.003 | 0.003 | -0.006 | 0.000 | -0.000 | 51.318 |
| 227.815 | 47.188 | 18.491 | -0.000 | 0.000 | -0.000 |
| 47.188 | 227.815 | 18.491 | -0.000 | 0.000 | -0.000 |
| 51.844 | 51.844 | 189.935 | 0.000 | 0.000 | -0.000 |
| -0.000 | -0.000 | 0.001 | 45.734 | -0.000 | -0.000 |
| -0.000 | -0.000 | 0.000 | -0.000 | 45.734 | -0.000 |
| -0.000 | -0.000 | 0.001 | -0.000 | -0.000 | 51.318 |
| 227.815 | 47.188 | 18.491 | -0.000 | 0.000 | 0.000 |
| 47.188 | 227.814 | 18.491 | -0.000 | -0.000 | -0.000 |
| 51.846 | 51.846 | 189.929 | 0.000 | -0.000 | 0.000 |
| 0.000 | 0.000 | -0.000 | 45.734 | -0.000 | 0.000 |
| 0.000 | 0.000 | -0.000 | 0.000 | 45.734 | 0.000 |
| 0.000 | 0.000 | -0.001 | 0.000 | -0.000 | 51.318 |
| 172.198 | 67.591 | 53.324 | 0.000 | 0.000 | -0.000 |
| 67.591 | 172.197 | 53.325 | -0.000 | -0.000 | -0.000 |
| 51.828 | 51.828 | 189.966 | 0.000 | 0.000 | -0.000 |
| 0.000 | 0.000 | -0.000 | 62.407 | 0.000 | -0.000 |
| -0.000 | 0.000 | 0.000 | -0.000 | 45.734 | -0.000 |
| 0.000 | 0.000 | 0.000 | -0.000 | -0.000 | 90.313 |
| 172.198 | 67.590 | 53.323 | 0.000 | -0.000 | 0.000 |
| 69.487 | 172.125 | 51.519 | 0.000 | -0.000 | 0.000 |
| 51.844 | 51.844 | 189.933 | 0.000 | 0.000 | -0.000 |
| -0.000 | -0.000 | 0.000 | 62.407 | 0.000 | 0.000 |
| 0.000 | -0.000 | -0.000 | 0.000 | 45.734 | 0.000 |
| -0.000 | -0.000 | -0.000 | 0.000 | -0.000 | 90.313 |
| 1242.472 | 634.178 | 424.410 | 0.000 | 0.000 | 0.000 |
| 660.969 | 1215.680 | 424.410 | -0.000 | 0.000 | -0.000 |
| 424.410 | 424.410 | 1610.434 | 0.000 | 0.000 | -0.000 |
| 0.000 | 0.000 | 0.000 | 49.646 | 0.000 | -0.000 |
| -0.000 | 0.000 | 0.000 | 0.000 | 246.581 | -0.000 |
| 0.000 | 0.000 | 0.000 | -0.000 | 0.000 | 277.356 |
| 1242.471 | 634.178 | 424.410 | -0.000 | -0.000 | 0.000 |
| 634.177 | 1242.471 | 424.410 | -0.000 | 0.000 | 0.000 |
| 424.410 | 424.410 | 1610.433 | 0.000 | 0.000 | 0.000 |
| -0.000 | -0.000 | -0.000 | 49.646 | 0.000 | 0.000 |
| 0.000 | -0.000 | -0.000 | -0.000 | 246.580 | 0.000 |
| -0.000 | -0.000 | -0.000 | -0.000 | -0.000 | 277.356 |
| 1215.680 | 660.968 | 424.409 | 0.000 | 0.000 | -0.000 |
| 634.177 | 1242.471 | 424.409 | 0.000 | 0.000 | -0.000 |
| 424.409 | 424.409 | 1610.433 | 0.000 | 0.000 | -0.000 |
| -0.000 | -0.000 | 0.000 | 246.580 | 0.000 | -0.000 |
| -0.000 | 0.000 | -0.000 | -0.000 | 49.646 | -0.000 |
| -0.000 | 0.000 | -0.000 | 0.000 | 0.000 | 304.147 |
| 1215.680 | 660.970 | 424.410 | -0.000 | -0.000 | 0.000 |
| 660.972 | 1215.678 | 424.410 | -0.000 | -0.000 | 0.000 |
| 424.410 | 424.410 | 1610.434 | -0.000 | -0.000 | 0.000 |
| 0.000 | 0.000 | -0.000 | 246.580 | -0.000 | 0.000 |
| 0.000 | -0.000 | 0.000 | 0.000 | 49.646 | 0.000 |
| 0.000 | -0.000 | 0.000 | 0.000 | -0.000 | 304.147 |
| 1242.469 | 634.167 | 424.404 | 0.000 | 0.000 | -0.000 |
| 660.963 | 1215.674 | 424.404 | 0.000 | 0.000 | -0.000 |
| 424.405 | 424.405 | 1610.429 | 0.000 | 0.000 | -0.000 |
| 0.001 | -0.001 | -0.001 | 49.646 | -0.000 | -0.000 |
| -0.001 | 0.001 | -0.001 | -0.000 | 49.646 | -0.000 |
| -0.001 | 0.003 | -0.002 | -0.000 | 0.000 | 304.147 |
| 1215.681 | 660.980 | 424.415 | -0.000 | -0.000 | 0.000 |
| 661.000 | 1215.661 | 424.415 | 0.000 | 0.000 | 0.000 |
| 424.415 | 424.415 | 1610.438 | 0.000 | -0.000 | 0.000 |
| -0.001 | 0.001 | 0.001 | 49.646 | -0.000 | 0.000 |
| 0.001 | -0.001 | 0.001 | 0.000 | 49.646 | 0.000 |
| 0.001 | -0.003 | 0.002 | 0.000 | 0.000 | 304.147 |
| 172.563 | 42.044 | 42.044 | -0.000 | 0.000 | 0.000 |
| 42.044 | 172.563 | 42.044 | 0.000 | 0.000 | 0.000 |
| 42.044 | 42.044 | 172.563 | 0.000 | 0.000 | -0.000 |
| -0.000 | -0.000 | -0.000 | 77.479 | 0.000 | 0.000 |
| -0.000 | 0.000 | 0.000 | 0.000 | 77.479 | 0.000 |
| -0.000 | 0.000 | 0.001 | 0.000 | 0.000 | 77.479 |
| 172.563 | 42.044 | 42.044 | -0.000 | -0.000 | -0.000 |
| 42.044 | 172.563 | 42.044 | 0.000 | -0.000 | -0.000 |
| 42.044 | 42.044 | 172.563 | -0.000 | -0.000 | 0.000 |
| 0.000 | 0.000 | 0.000 | 77.479 | -0.000 | -0.000 |
| 0.000 | -0.000 | -0.000 | -0.000 | 77.479 | -0.000 |
| 0.000 | -0.000 | -0.001 | -0.000 | -0.000 | 77.479 |
| 172.563 | 42.044 | 42.044 | -0.000 | 0.000 | 0.000 |
| 42.044 | 172.563 | 42.044 | -0.000 | 0.000 | 0.000 |
| 42.044 | 42.044 | 172.563 | 0.000 | 0.000 | 0.000 |
| 0.000 | -0.000 | -0.000 | 77.479 | 0.000 | 0.000 |
| -0.000 | 0.000 | 0.000 | 0.000 | 77.479 | 0.000 |
| -0.000 | 0.000 | 0.000 | 0.000 | -0.000 | 77.479 |
| 172.563 | 42.044 | 42.044 | -0.000 | -0.000 | -0.000 |
| 42.044 | 172.563 | 42.044 | -0.000 | 0.000 | -0.000 |
| 42.044 | 42.044 | 172.563 | -0.000 | 0.000 | -0.000 |
| -0.000 | -0.000 | 0.000 | 77.479 | -0.000 | -0.000 |
| 0.000 | -0.000 | -0.000 | -0.000 | 77.479 | -0.000 |
| 0.000 | -0.000 | -0.000 | -0.000 | -0.000 | 77.479 |
| 137.324 | 59.827 | 59.827 | 0.000 | -0.000 | 0.000 |
| 59.827 | 137.324 | 59.827 | 0.000 | 0.000 | -0.000 |
| 59.827 | 59.827 | 137.324 | 0.000 | 0.000 | -0.000 |
| 2.007 | 2.007 | 2.007 | 40.208 | 0.000 | 0.000 |
| 2.007 | 2.007 | 2.007 | 0.000 | 40.208 | 0.000 |
| 2.007 | 2.007 | 2.007 | 0.000 | 0.000 | 40.208 |
| 133.334 | 58.472 | 58.472 | -0.000 | -0.000 | 0.000 |
| 58.472 | 133.334 | 58.472 | -0.000 | -0.000 | -0.000 |
| 58.472 | 58.472 | 133.334 | -0.000 | -0.000 | -0.000 |
| -2.007 | -2.007 | -2.007 | 40.208 | 0.000 | 0.000 |
| -2.007 | -2.007 | -2.007 | -0.000 | 40.208 | -0.000 |
| -2.007 | -2.007 | -2.007 | -0.000 | -0.000 | 40.208 |
| 132.856 | 54.966 | 54.966 | 0.000 | -0.000 | 0.000 |
| 54.966 | 132.856 | 54.966 | 0.000 | -0.000 | 0.000 |
| 54.966 | 54.966 | 132.856 | 0.000 | -0.000 | 0.000 |
| 0.011 | 0.011 | 0.011 | 35.662 | 0.001 | -0.001 |
| 0.011 | 0.011 | 0.011 | -0.001 | 35.663 | -0.001 |
| 0.011 | 0.011 | 0.011 | -0.001 | 0.001 | 35.661 |
| 138.170 | 54.735 | 54.735 | 0.001 | -0.001 | 0.001 |
| 54.735 | 138.170 | 54.735 | 0.001 | -0.001 | 0.001 |
| 54.735 | 54.735 | 138.170 | 0.001 | -0.001 | 0.001 |
| -0.011 | -0.011 | -0.011 | 35.663 | -0.001 | 0.001 |
| -0.011 | -0.011 | -0.011 | 0.001 | 35.661 | 0.001 |
| -0.011 | -0.011 | -0.011 | 0.001 | -0.001 | 35.663 |
| 132.793 | 54.972 | 54.972 | -0.000 | 0.000 | -0.000 |
| 54.972 | 132.793 | 54.972 | -0.000 | 0.000 | -0.000 |
| 54.972 | 54.972 | 132.793 | -0.000 | 0.000 | -0.000 |
| 0.001 | 0.001 | 0.001 | 35.662 | 0.000 | -0.000 |
| 0.001 | 0.001 | 0.001 | -0.000 | 35.662 | -0.000 |
| 0.001 | 0.001 | 0.001 | -0.000 | 0.000 | 35.662 |
| 132.792 | 54.971 | 54.971 | 0.000 | -0.000 | 0.000 |
| 54.971 | 132.792 | 54.971 | 0.000 | -0.000 | 0.000 |
| 54.971 | 54.971 | 132.792 | 0.000 | -0.000 | 0.000 |
| -0.001 | -0.001 | -0.001 | 35.448 | -0.000 | 0.000 |
| -0.001 | -0.001 | -0.001 | 0.000 | 35.662 | 0.000 |
| -0.001 | -0.001 | -0.001 | 0.000 | -0.000 | 35.662 |
| 132.791 | 55.012 | 55.012 | -0.000 | 0.000 | -0.000 |
| 55.012 | 132.791 | 55.012 | -0.000 | 0.000 | -0.000 |
| 55.012 | 55.012 | 132.791 | -0.000 | 0.000 | -0.000 |
| 0.000 | 0.000 | 0.000 | 35.448 | 0.000 | -0.000 |
| 0.000 | 0.000 | 0.000 | -0.000 | 35.448 | -0.000 |
| 0.000 | 0.000 | 0.000 | -0.000 | 0.000 | 35.448 |
| 132.793 | 55.011 | 55.011 | 0.000 | -0.000 | 0.000 |
| 55.011 | 132.793 | 55.011 | 0.000 | -0.000 | 0.000 |
| 55.011 | 55.011 | 132.793 | 0.000 | -0.000 | 0.000 |
| -0.000 | -0.000 | -0.000 | 35.448 | -0.000 | 0.000 |
| -0.000 | -0.000 | -0.000 | 0.000 | 35.448 | 0.000 |
| -0.000 | -0.000 | -0.000 | 0.000 | -0.000 | 35.448 |
| 87.358 | 21.709 | 21.709 | 0.000 | 0.000 | 0.000 |
| 21.709 | 87.358 | 21.709 | -0.000 | -0.000 | 0.000 |
| 21.709 | 21.709 | 87.357 | -0.000 | 0.000 | 0.000 |
| -60.141 | -60.141 | -60.141 | 44.982 | 0.000 | -0.000 |
| -60.141 | -60.141 | -60.141 | 0.000 | 44.982 | 0.000 |
| -60.141 | -60.141 | -60.141 | 0.000 | -0.000 | 44.981 |
| 168.612 | 102.648 | 102.648 | -0.000 | -0.000 | 0.000 |
| 102.648 | 168.613 | 102.648 | -0.000 | -0.000 | 0.000 |
| 102.648 | 102.648 | 168.613 | -0.000 | -0.000 | -0.000 |
| 60.141 | 60.141 | 60.141 | 44.982 | -0.000 | -0.000 |
| 60.141 | 60.141 | 60.141 | 0.000 | 44.982 | -0.000 |
| 60.141 | 60.141 | 60.141 | 0.000 | -0.001 | 44.981 |
| 127.471 | 56.870 | 56.870 | -0.000 | 0.000 | -0.000 |
| 56.870 | 127.471 | 56.870 | -0.000 | 0.000 | 0.000 |
| 56.870 | 56.870 | 127.471 | -0.000 | -0.000 | -0.000 |
| -3.832 | -3.832 | -3.832 | 34.759 | 0.000 | -0.000 |
| -3.832 | -3.832 | -3.832 | -0.000 | 34.759 | -0.000 |
| -3.832 | -3.832 | -3.832 | -0.000 | 0.000 | 34.759 |
| 144.034 | 63.015 | 63.015 | -0.000 | -0.000 | 0.000 |
| 63.015 | 144.034 | 63.015 | 0.000 | -0.000 | -0.000 |
| 63.015 | 63.015 | 144.034 | -0.000 | -0.000 | 0.000 |
| 3.832 | 3.832 | 3.832 | 34.759 | 0.000 | -0.000 |
| 3.832 | 3.832 | 3.832 | 0.000 | 34.759 | 0.000 |
| 3.832 | 3.832 | 3.832 | -0.000 | 0.000 | 34.759 |
| 137.494 | 56.138 | 56.138 | -0.000 | 0.000 | 0.000 |
| 56.138 | 137.494 | 56.138 | 0.000 | 0.000 | -0.000 |
| 56.138 | 56.138 | 137.494 | -0.000 | 0.000 | 0.000 |
| -0.562 | -0.562 | -0.562 | 39.535 | 0.000 | 0.000 |
| -0.562 | -0.562 | -0.562 | -0.000 | 39.535 | 0.000 |
| -0.562 | -0.562 | -0.562 | -0.000 | 0.000 | 39.535 |
| 183.444 | 35.288 | 35.288 | 0.000 | -0.000 | -0.000 |
| 35.288 | 183.444 | 35.288 | 0.000 | -0.000 | -0.000 |
| 35.288 | 35.288 | 183.444 | 0.000 | 0.000 | 0.000 |
| 0.562 | 0.562 | 0.562 | 39.535 | -0.000 | -0.000 |
| 0.562 | 0.562 | 0.562 | 0.000 | 39.535 | -0.000 |
| 0.562 | 0.562 | 0.562 | 0.000 | -0.000 | 39.535 |
| 301.349 | 59.802 | 32.516 | 0.000 | -0.000 | -0.000 |
| 65.260 | 303.721 | 29.092 | 0.000 | 0.000 | -0.000 |
| 35.199 | 26.317 | 394.172 | 0.000 | -0.000 | -0.000 |
| 0.000 | 0.000 | 0.000 | 35.644 | 0.000 | 0.000 |
| 0.000 | -0.000 | 0.000 | 0.000 | 35.222 | 0.000 |
| -0.000 | -0.000 | 0.000 | 0.000 | 0.000 | 31.589 |
| 301.349 | 59.802 | 32.516 | -0.000 | -0.000 | 0.000 |
| 65.260 | 303.721 | 29.092 | -0.000 | 0.000 | 0.000 |
| 35.199 | 26.317 | 394.172 | -0.000 | 0.000 | -0.000 |
| -0.000 | -0.000 | -0.000 | 35.644 | -0.000 | -0.000 |
| 0.000 | 0.000 | -0.000 | -0.000 | 35.222 | -0.000 |
| 0.000 | 0.000 | -0.000 | -0.000 | 0.000 | 31.589 |
| 301.349 | 59.802 | 32.516 | 0.000 | 0.000 | -0.000 |
| 65.260 | 303.721 | 29.092 | 0.000 | -0.000 | -0.000 |
| 35.199 | 26.317 | 394.172 | 0.000 | 0.000 | -0.000 |
| -0.000 | 0.000 | -0.000 | 35.644 | -0.000 | 0.000 |
| -0.000 | -0.000 | -0.000 | 0.000 | 35.222 | 0.000 |
| -0.000 | -0.000 | -0.000 | 0.000 | 0.000 | 31.589 |
| 301.349 | 59.802 | 32.516 | -0.000 | 0.000 | 0.000 |
| 65.260 | 303.721 | 29.092 | 0.000 | 0.000 | 0.000 |
| 35.199 | 26.317 | 394.172 | -0.000 | -0.000 | -0.000 |
| 0.000 | 0.000 | -0.000 | 35.644 | 0.000 | 0.000 |
| 0.000 | 0.000 | -0.000 | -0.000 | 35.222 | -0.000 |
| 0.000 | 0.000 | 0.000 | -0.000 | 0.000 | 31.589 |
| 301.349 | 59.802 | 32.516 | 0.000 | -0.000 | -0.000 |
| 65.260 | 303.722 | 29.092 | 0.000 | -0.000 | 0.000 |
| 35.199 | 26.317 | 394.174 | 0.000 | 0.000 | -0.000 |
| -0.000 | -0.000 | -0.000 | 35.644 | 0.000 | -0.000 |
| -0.000 | -0.000 | -0.000 | 0.000 | 35.222 | -0.000 |
| -0.000 | -0.000 | -0.000 | 0.000 | -0.000 | 31.589 |
| 301.348 | 59.802 | 32.516 | -0.000 | 0.000 | 0.000 |
| 65.259 | 303.720 | 29.092 | -0.000 | 0.000 | 0.000 |
| 35.199 | 26.317 | 394.170 | -0.000 | -0.000 | 0.000 |
| 0.000 | 0.000 | 0.000 | 35.644 | -0.000 | -0.000 |
| 0.000 | 0.000 | 0.000 | -0.000 | 35.222 | 0.000 |
| 0.000 | 0.000 | 0.000 | -0.000 | -0.000 | 31.589 |
| 461.932 | 5.958 | 0.537 | 0.000 | -0.000 | 0.000 |
| 21.718 | 1417.781 | 151.475 | -0.000 | -0.000 | 0.000 |
| 12.443 | 147.620 | 336.526 | -0.000 | -0.000 | 0.000 |
| 0.000 | 0.000 | 0.000 | 104.551 | -0.000 | -0.000 |
| 0.000 | 0.000 | 0.000 | 0.000 | 29.249 | 0.000 |
| 0.000 | -0.000 | 0.000 | 0.000 | -0.000 | 33.083 |
| 461.932 | 5.958 | 0.537 | -0.000 | 0.000 | 0.000 |
| 21.718 | 1417.780 | 151.475 | 0.000 | 0.000 | 0.000 |
| 12.442 | 147.621 | 336.526 | 0.000 | 0.000 | -0.000 |
| -0.000 | -0.000 | -0.000 | 104.551 | 0.000 | -0.000 |
| -0.000 | -0.000 | -0.000 | -0.000 | 29.249 | -0.000 |
| -0.000 | 0.000 | -0.000 | -0.000 | 0.000 | 33.083 |
| 461.932 | 5.958 | 0.537 | 0.000 | -0.000 | -0.000 |
| 21.718 | 1417.781 | 151.475 | -0.000 | -0.000 | 0.000 |
| 12.442 | 147.621 | 336.526 | -0.000 | -0.000 | -0.000 |
| 0.000 | -0.000 | 0.000 | 104.551 | -0.000 | 0.000 |
| 0.000 | -0.000 | -0.000 | 0.000 | 29.249 | -0.000 |
| -0.000 | -0.000 | 0.000 | 0.000 | -0.000 | 33.083 |
| 461.932 | 5.958 | 0.537 | -0.000 | 0.000 | 0.000 |
| 21.718 | 1417.780 | 151.475 | -0.000 | 0.000 | 0.000 |
| 12.442 | 147.621 | 336.526 | 0.000 | 0.000 | 0.000 |
| -0.000 | 0.000 | -0.000 | 104.551 | 0.000 | 0.000 |
| -0.000 | 0.000 | 0.000 | -0.000 | 29.249 | 0.000 |
| 0.000 | 0.000 | -0.000 | -0.000 | 0.000 | 33.083 |
| 461.934 | 5.958 | 0.537 | -0.000 | -0.000 | 0.000 |
| 21.716 | 1417.784 | 151.471 | -0.000 | -0.000 | 0.000 |
| 12.442 | 147.622 | 336.527 | -0.000 | -0.000 | 0.000 |
| 0.000 | -0.000 | 0.000 | 104.551 | -0.000 | -0.000 |
| 0.000 | -0.000 | -0.000 | -0.000 | 29.249 | 0.000 |
| 0.000 | -0.001 | -0.000 | -0.000 | -0.000 | 33.083 |
| 461.930 | 5.958 | 0.537 | 0.000 | 0.000 | -0.000 |
| 21.720 | 1417.777 | 151.479 | 0.000 | 0.000 | 0.000 |
| 12.442 | 147.621 | 336.525 | 0.000 | 0.000 | -0.000 |
| -0.000 | 0.000 | -0.000 | 104.551 | 0.000 | -0.000 |
| -0.000 | 0.000 | 0.000 | 0.000 | 29.249 | -0.000 |
| -0.000 | 0.001 | 0.000 | 0.000 | 0.000 | 33.083 |
Phonon band structures and crystal properties estimated from quasi-harmonic approximation (QHA) calculations are displayed for select crystals. The calculations were performed using phonopy and LAMMPS. For the phonon calculations, 3x3 supercells of the potential-specific relaxed crystals were used. The QHA calculations were based on 11 strain states ranging from -0.05 to 0.05.
The calculation method used is available as the iprPy phonon calculation method.
Notes and Disclaimers:
Version Information:





























































































































Static free surface formation energies are displayed for select crystals. The values displayed here are obtained by taking a perfect periodic bulk crystal, slicing along a crystallographic plane, and using force minimization to statically relax the surfaces. The free surface formation energy is computed by comparing the energy of the defect system to the bulk system and dividing by the total surface area created by the cut.
The calculation method used is available as the iprPy surface_energy_static calculation method.
Notes and Disclaimers:
Version Information:
| Surface | γfs (mJ/m2) |
|---|---|
| (322) | -276472.60 |
| (311) | -177714.20 |
| (331) | -171205.44 |
| (332) | -170608.88 |
| (221) | -118107.67 |
| (320) | -88650.31 |
| (111) | -72071.55 |
| (310) | -69292.35 |
| (210) | -57225.54 |
| (211) | -43766.58 |
| (110) | 1472.45 |
| (100) | 2340.52 |
| Surface | γfs (mJ/m2) |
|---|---|
| (211) 1 | 414.84 |
| (101) 2 | 1294.13 |
| (111) | 1718.22 |
| (101) 1 | 1795.14 |
| (112) | 1805.81 |
| (201) | 1864.86 |
| (211) 2 | 1998.32 |
| (100) | 2623.30 |
| (001) | 3210.14 |
| (110) | 3896.03 |
| Surface | γfs (mJ/m2) |
|---|---|
| (221) | 1583.48 |
| (332) | 1636.97 |
| (111) | 1668.96 |
| (100) | 1726.41 |
| (322) | 1848.93 |
| (311) | 1860.67 |
| (331) | 1861.15 |
| (310) | 1946.80 |
| (211) | 1956.96 |
| (210) | 1976.87 |
| (321) | 2068.95 |
| (320) | 2106.04 |
| (110) | 2202.43 |
| Surface | γfs (mJ/m2) |
|---|---|
| (331) | -13256.12 |
| (332) | -11696.76 |
| (322) | -11295.01 |
| (321) | -11189.86 |
| (320) | -9298.85 |
| (221) | -8232.16 |
| (211) | -7042.33 |
| (311) | -6567.56 |
| (210) | -5856.04 |
| (310) | -2867.87 |
| (111) | 995.21 |
| (110) | 1136.21 |
| (100) | 1239.59 |
| Surface | γfs (mJ/m2) |
|---|---|
| (110) | 1327.26 |
| (211) | 1383.78 |
| (321) | 1388.76 |
| (111) | 1401.48 |
| (331) | 1410.07 |
| (221) | 1422.95 |
| (332) | 1427.67 |
| (322) | 1438.15 |
| (320) | 1590.20 |
| (311) | 1651.21 |
| (210) | 1757.00 |
| (310) | 1943.99 |
| (100) | 2326.45 |
| Surface | γfs (mJ/m2) |
|---|---|
| (2132) 2 | -5257.71 |
| (2132) 1 | -4322.99 |
| (2112) | -4058.66 |
| (1012) 1 | -3948.32 |
| (1012) 2 | -3276.50 |
| (1011) 2 | -3073.54 |
| (2021) 1 | -2101.30 |
| (2130) 2 | -1953.12 |
| (2021) 2 | -1732.91 |
| (2130) 1 | -1620.51 |
| (1011) 1 | -1558.08 |
| (2241) | -1104.74 |
| (1121) | -1024.00 |
| (2131) 1 | -821.60 |
| (2131) 2 | -578.94 |
| (1010) 1 | -183.86 |
| (0001) | 995.15 |
| (1120) | 1053.59 |
| (1010) 2 | 1337.54 |
| Surface | γfs (mJ/m2) |
|---|---|
| (111) 2 | 1199.91 |
| (331) 2 | 1460.29 |
| (110) | 1521.75 |
| (321) | 1743.52 |
| (211) | 1792.48 |
| (320) | 1823.30 |
| (332) | 1883.19 |
| (311) 2 | 1976.37 |
| (210) | 1979.31 |
| (311) 1 | 2027.08 |
| (310) | 2125.81 |
| (322) | 2183.32 |
| (221) | 2253.62 |
| (100) | 2268.38 |
| (331) 1 | 2628.69 |
| (111) 1 | 4139.24 |
| Surface | γfs (mJ/m2) |
|---|---|
| (100) | 1112.93 |
| (112) | 1364.56 |
| (101) 1 | 1387.30 |
| (201) | 1433.81 |
| (001) | 1665.98 |
| (211) 1 | 1676.53 |
| (110) | 1761.26 |
| (111) | 1802.48 |
| (211) 2 | 2005.03 |
| (101) 2 | 3020.95 |
| Surface | γfs (mJ/m2) |
|---|---|
| (100) | 980.56 |
| (310) | 1268.87 |
| (210) | 1371.78 |
| (320) | 1452.35 |
| (311) | 1532.31 |
| (110) | 1534.17 |
| (331) | 1643.07 |
| (321) | 1672.86 |
| (221) | 1702.89 |
| (211) | 1725.71 |
| (332) | 1773.68 |
| (322) | 1803.81 |
| (111) | 1878.48 |
Stacking fault energy plots and maps are displayed for select crystals. The values are computed by
The calculation method used is available as the iprPy stacking_fault_map_2D calculation method.
Notes and Disclaimers:
Version Information:
| E_usf a/2 [-1 1 -1] | 2624.88 |
| τ_ideal a/2 [-1 1 -1] | 2244.64 |




| E_usf a/2 [-1 -1 1] | 11528.43 |
| τ_ideal a/2 [-1 -1 1] | 25252.53 |




| E_usf a/2 [-1 -1 1] | 10137.79 |
| τ_ideal a/2 [-1 -1 1] | 17816.34 |




| E_usf a/2 [0 -1 1] | 167.02 |
| τ_ideal a/2 [0 -1 1] | 12.29 |




| E_isf | 0.08 |
| E_usf a/2 [0 -1 1] | 3.63 |
| τ_ideal a/2 [0 -1 1] | 13.21 |




| E_usf a/2 [-1 1 -1] | 565.70 |
| τ_ideal a/2 [-1 1 -1] | 27.87 |




| E_usf a/2 [-1 -1 1] | 745.80 |
| τ_ideal a/2 [-1 -1 1] | 37.31 |




| E_usf a/2 [-1 -1 1] | 711.09 |
| τ_ideal a/2 [-1 -1 1] | 30.27 |




| E_isf | -0.08 |
| E_usf a/3 [-2 1 1 0] | 3.64 |
| τ_ideal a/3 [-2 1 1 0] | 13.20 |




| E_usf a/3 [-1 2 -1 0] | 160.05 |
| τ_ideal a/3 [-1 2 -1 0] | 13.21 |




| E_usf a/3 [-1 2 -1 0] | 138.35 |
| τ_ideal a/3 [-1 2 -1 0] | 11.27 |




| E_usf a/3 [-1 2 -1 0] | 29.07 |
| E_usf a/3 [-2 1 1 3] | 1394.53 |
| τ_ideal a/3 [-1 2 -1 0] | 10.24 |
| τ_ideal a/3 [-2 1 1 3] | 71.29 |





| E_usf a/3 [-1 2 -1 0] | 45.96 |
| E_usf a/3 [-2 1 1 3] | 192.98 |
| τ_ideal a/3 [-1 2 -1 0] | 7.27 |
| τ_ideal a/3 [-2 1 1 3] | 25.89 |





| E_usf a/3 [-2 1 1 3] | 589.47 |
| τ_ideal a/3 [-2 1 1 3] | 398.04 |




Static point defect formation energies, Ef, and elastic dipole tensors, pij, are displayed for select crystals. Relaxed defect configurations are obtained by taking a 12x12x12 supercell of a perfect periodic bulk crystal, inserting the point defect, and using force minimization to statically relax the atomic positions while keeping the system dimensions constant. Ef is computed by comparing the energy of the defect system to the same number of atoms in a perfect bulk crystal. pij is estimated as the difference in the system's global pressure with and without the defect multiplied by the system's volume.
Simple structural comparisons of the unrelaxed and relaxed defect configurations are used to help determine if the defect structure has relaxed to a different configuration. Relaxed structures that are identified as no longer consistent with the ideal defect definition are excluded from the table below. The only exception to this is if the lowest energy interstitial configuration does not coincide with a known ideal defect, its energies and pressure tensor are included under the listing "relaxed interstitial". The full list of calculation results including the transformed structures and the structural comparison values is included in the csv file available from the "Download raw data" link.
The calculation method used is available as the iprPy point_defect_static calculation method.
Notes and Disclaimers:
| Point Defect | Ef (eV) | p11 (eV) | p22 (eV) | p33 (eV) | p12 (eV) | p13 (eV) | p23 (eV) |
|---|---|---|---|---|---|---|---|
| relaxed interstitial | -3321.206 | 11113.081 | 11395.132 | 13231.055 | 18.875 | 198.902 | 20.702 |
| crowdion interstitial | -3305.553 | 10869.725 | 10869.725 | 10869.725 | -24.256 | -24.256 | -24.256 |
| Point Defect | Ef (eV) | p11 (eV) | p22 (eV) | p33 (eV) | p12 (eV) | p13 (eV) | p23 (eV) |
|---|---|---|---|---|---|---|---|
| relaxed interstitial | -1142.060 | 5065.901 | 5107.179 | 4470.639 | -183.547 | 85.149 | -47.628 |
| vacancy | -0.295 | -22.626 | -22.626 | -22.626 | 0.000 | 0.000 | 0.000 |
| 1nn divacancy | -0.090 | -40.295 | -41.358 | -41.358 | 0.000 | 0.000 | -1.966 |
| Point Defect | Ef (eV) | p11 (eV) | p22 (eV) | p33 (eV) | p12 (eV) | p13 (eV) | p23 (eV) |
|---|---|---|---|---|---|---|---|
| vacancy | 0.983 | -4.920 | -4.920 | -4.920 | -0.000 | -0.000 | 0.000 |
| 1nn divacancy | 1.867 | -8.083 | -8.083 | -8.083 | -0.746 | -0.746 | -0.746 |
| octahedral interstitial | 2.126 | 23.733 | 31.778 | 31.778 | -0.000 | 0.000 | -0.000 |
| 100 dumbbell | 2.515 | 23.509 | 23.509 | 35.245 | -0.000 | -0.000 | -0.000 |
| 2nn divacancy | 2.668 | -5.458 | -5.458 | -6.678 | -0.000 | -0.000 | -0.000 |
| 110 dumbbell | 4.487 | 46.423 | 15.494 | 15.494 | 0.000 | -0.000 | -7.742 |
| crowdion interstitial | 5.302 | 28.507 | 28.507 | 28.507 | 4.841 | 4.841 | 4.841 |
| 111 dumbbell | 5.658 | 25.963 | 25.963 | 25.963 | 7.055 | 7.055 | 7.055 |
| tetrahedral interstitial | 6.494 | 27.917 | 31.672 | 27.917 | 0.000 | 0.000 | -0.000 |
| Point Defect | Ef (eV) | p11 (eV) | p22 (eV) | p33 (eV) | p12 (eV) | p13 (eV) | p23 (eV) |
|---|---|---|---|---|---|---|---|
| relaxed interstitial | -735.442 | 4767.860 | 2271.040 | 305.123 | 54.324 | -3.875 | 23.269 |
| vacancy | -0.292 | -22.430 | -22.430 | -23.181 | 0.000 | -0.000 | -0.000 |
| Point Defect | Ef (eV) | p11 (eV) | p22 (eV) | p33 (eV) | p12 (eV) | p13 (eV) | p23 (eV) |
|---|---|---|---|---|---|---|---|
| tetragonal interstitial | 3.586 | 20.405 | 20.405 | 20.405 | -0.000 | -0.000 | -0.000 |
| vacancy | 3.704 | 5.380 | 5.380 | 5.380 | 0.000 | -0.000 | 0.000 |
| 100 dumbbell | 4.702 | 14.920 | 14.920 | 20.872 | -0.000 | 0.000 | 0.000 |
| 1nn divacancy | 5.563 | 8.171 | 8.171 | 8.171 | 0.262 | 0.262 | 0.262 |
Plots of the atomic structure of dislocation cores are shown here. The dislocations were constructed using dislocation monopole configurations in which a straight dislocation is created in the center of the system using anisotropic elasticity and the elastic constants computed above. A cylindrical region centered around the dislocation is allowed to relax while the remaining atoms are held fixed. The relaxation consists of 1 million NVT steps at 10 K followed by an energy/force minimization. The final plots show the atomic configuration near the center of the monopole system, and display differential displacement arrows and Nye tensor color maps that are both taken with respect to the Burgers vector direction.
These plots show a wide range of final structures, some corresponding to expected dislocation structures and others not. While the characterizations are dislocation-type dependent, some general classification guidelines are listed here.
The calculation method used is available as the iprPy dislocation_monopole calculation method.
Links are provided above the images allowing for users to download the final defect configuration and a corresponding defect-free configuration if they wish to further analyze the structures or use them for subsequent simulations.
Notes and Disclaimers:
Version Information:
Plots of lattice and elastic constants are shown as a function of temperature. The 0K points were taken from the Crystal Structure Predictions and the Elastic Constants Predictions sections above for the unique crystal structures relaxed with the "dynamic" method. Starting from the 0 K relaxed crystal unit cells, supercell systems are created by replicating all three dimensions by the same multiplier to achieve at least 4000 atoms. The systems are then relaxed at 50 K and zero pressure using 1 million NPT steps. Lattice constants are estimated by averaging the measured box dimensions. Temperatures are iteratively increased by 50 K, with each subsequent relaxation calculation starting from the final atomic configuration at the previous temperature and relaxing for another 1 million steps.
The elastic constants are calculated using the deformation–fluctuation hybrid method. Starting from the final atomic configurations of the dynamic relaxations, the system is allowed to evolve at constant volume with a Langevin thermostat. The Born matrix is computed during this run by evaluating how the atomic forces would vary due to applied linear strain fields. The elastic constants can then be estimated using the averaged Born matrix values and the averaged stresses on the system.
The calculation methods used are available as the iprPy relax_dynamic and elastic_constants_dynamic calculation methods.
Clicking on the image of a plot will open an interactive version of it in a new tab. The underlying data for the plots can be downloaded by clicking on the links above each plot.
Notes and Disclaimers:
Version Information:
Plots of radial distribution functions at different temperatures and the temperature-dependent diffusion and viscosity are shown here for elemental liquids. Melt phases are constructed by starting with a 10x10x10 fcc super cell and relaxing with 50,000 NPT steps at zero pressure and a high melting temperature (3000 K for most potentials and elements). Following the melt, liquid structures are relaxed by running NPT for 10,000 steps over which the temperature is dropped by 50 K, then 50,000 NPT at the target temperature to estimate the equilibrium volume, followed by 20,000 NVT steps at the averaged equilibrium volume and target temperature. Structures from the NVT run are sampled to compute the radial distribution function of the liquid at the corresponding temperature.
The final relaxed configurations at each temperature explored are used as the initial configurations for the diffusion and viscosity calculations. For diffusion, the system is integrated for 100 runs of 2,000 NVT steps during which both the mean squared displacement (MSD) and the velocity auto correlation function (VACF) are computed. From these simulations, three estimates of diffusion are computed: one from the MSD of the full 200,000 step run, one in which the MSD is reset for each short run and then averaged, and one from the VACF computed for each short run and averaged. For viscosity, the Green-Kubo method is used which is evaluated during a 1 million step NVT run.
The calculation methods used are available as the iprPy relax_liquid_redo, diffusion_liquid, and viscosity_green_kubo calculation methods.
Clicking on the image of a plot will open an interactive version of it in a new tab. The underlying data for the plots can be downloaded by clicking on the links above each plot.
Notes and Disclaimers:
Version Information:
Plots of internal energy, Gibbs free energy, entropy, heat capacity and volume are shown here as a function of temperature for various crystal structures and liquid phases. The included crystal structures correspond to those in the Solid Structures vs. Temperature section, and the liquid phases to those in the Liquid Properties section. Internal energy and volume are taken from the associated structure relaxations mentioned in those previous sections. Constant pressure heat capacity is estimated using 3-point numerical derivatives of enthalpy versus temperature. Note that since all simulations done here are at 0 pressure, internal energy and enthalpy are equivalent.
The Gibbs energies of the phases are estimated using thermodynamic integration between the interatomic potential in question and a simpler model with known Gibbs free energy values. For solids, the reference model is an Einstein solid, while for liquids it is the Uhlenbeck-Ford potential. Besides a short run at the start of the solid calculations to estimate Einstein model spring constants, the two calculations proceed similarly. Starting with the final relaxation configurations, the systems are stabilized for 25,000 steps. Then, over the next 50,000 steps the potential is swapped out for the reference potential. The system is then stabilized for another 25,000 steps with the reference model before a reverse swap of 50,000 steps is performed. The simulation ends with one final 25,000 step stabilization period. From the simulation, the irreversible work of transformation is estimated and used to compute the absolute Gibbs free energy of the target phase and potential relative to the reference potential. Entropy is estimated as the difference in enthalpy and Gibbs free energy and divided by temperature.
The calculation methods used are available as the iprPy relax_dynamic, relax_liquid_redo, free_energy, and free_energy_liquid calculation methods.
Clicking on the image of a plot will open an interactive version of it in a new tab. The underlying data for the plots can be downloaded by clicking on the links above each plot.
Notes and Disclaimers:
Version Information:






