Plots of the potential energy vs interatomic spacing, r, are shown below for all diatom sets associated with the interatomic potential. This calculation provides insights into the functional form of the potential's two-body interactions. A system consisting of only two atoms is created, and the potential energy is evaluated for the atoms separated by 0.02 Å <= r <= 6.0> Å in intervals of 0.02 Å. Two plots are shown: one for the "standard" interaction distance range, and one for small values of r. The small r plot is useful for determining whether the potential is suitable for radiation studies.
The calculation method used is available as the iprPy diatom_scan calculation method.
Clicking on the image of a plot will open an interactive version of it in a new tab. The underlying data for the plots can be downloaded by clicking on the links above each plot.
Notes and Disclaimers:
Version Information:
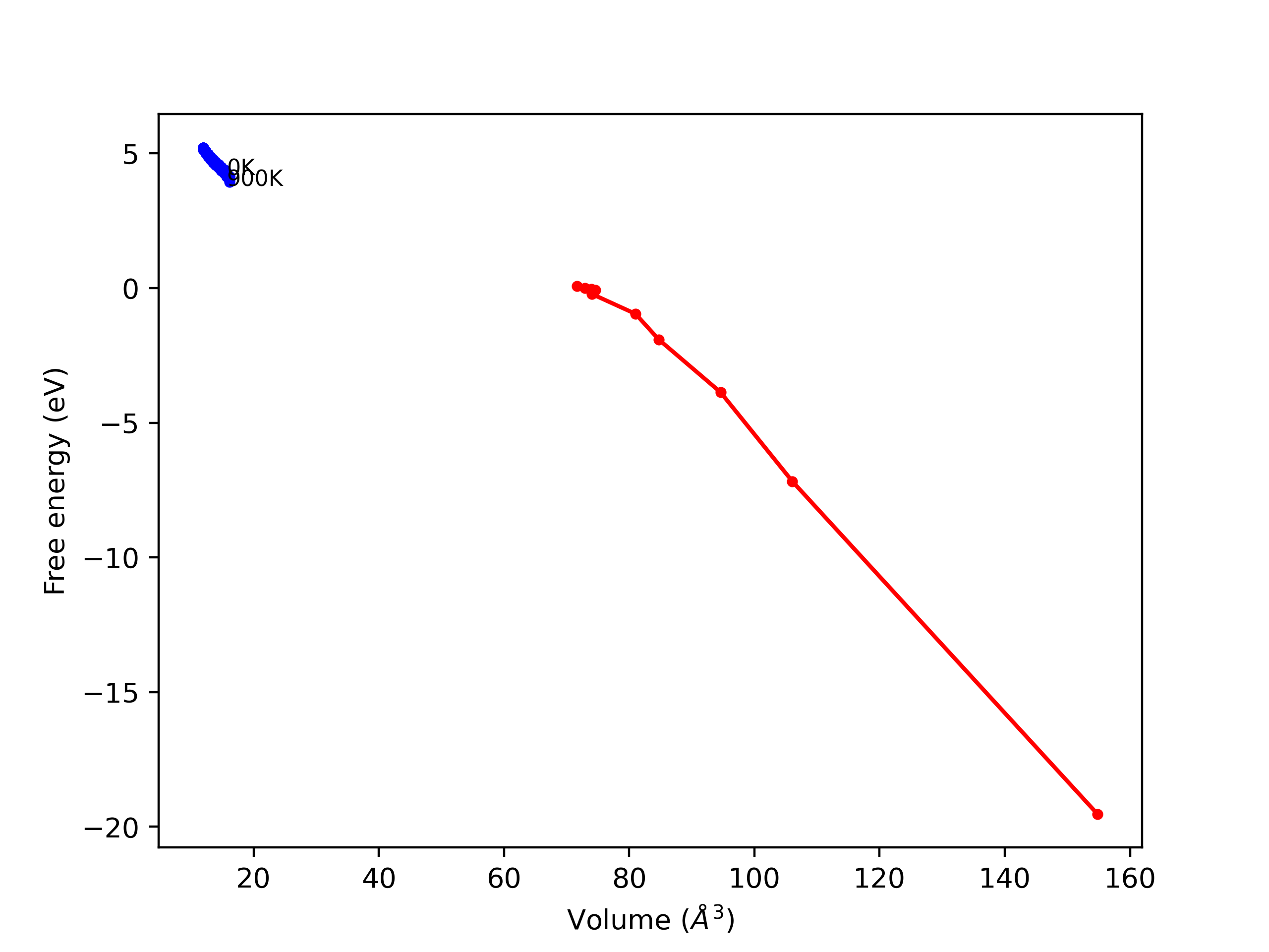
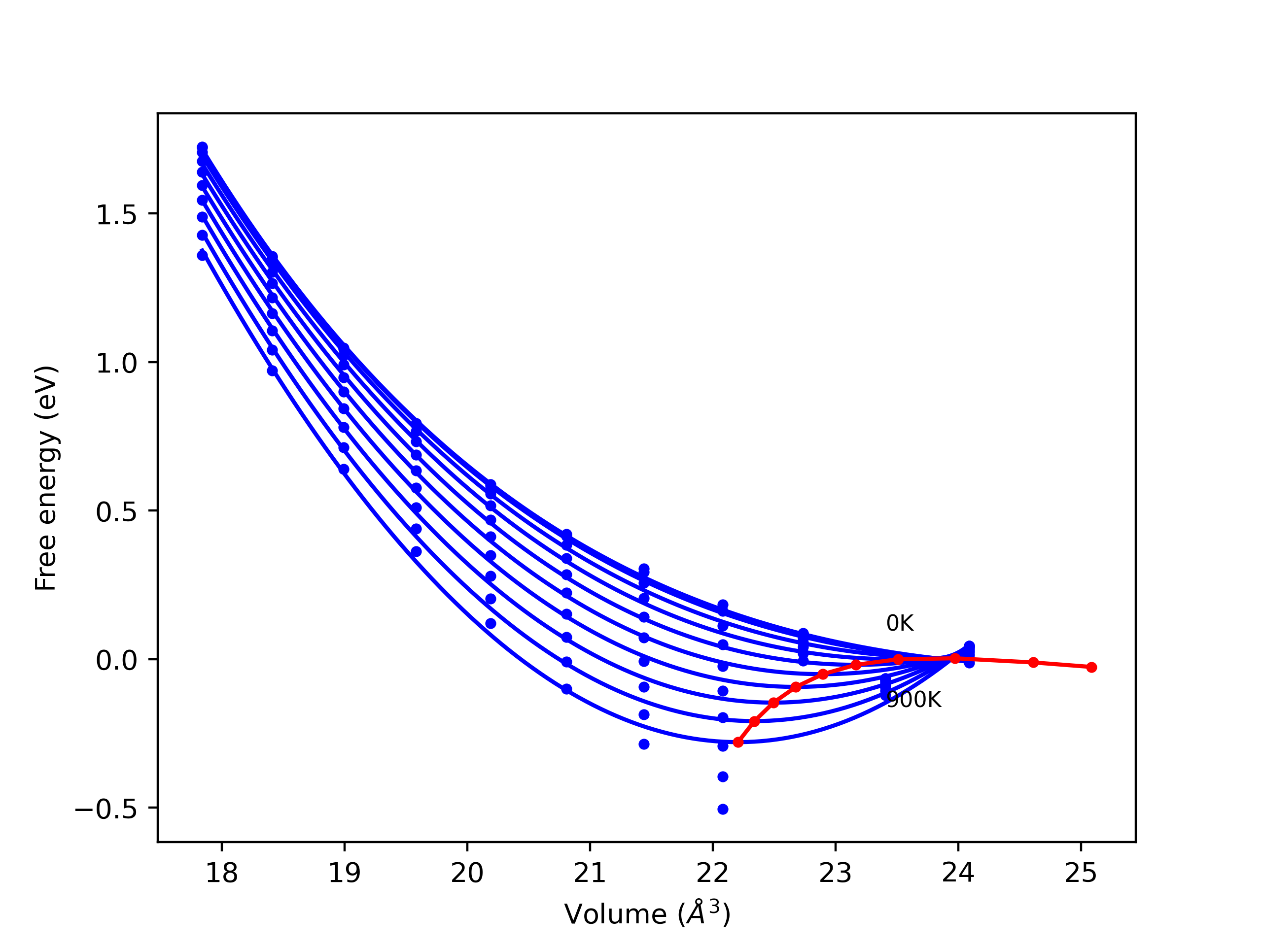
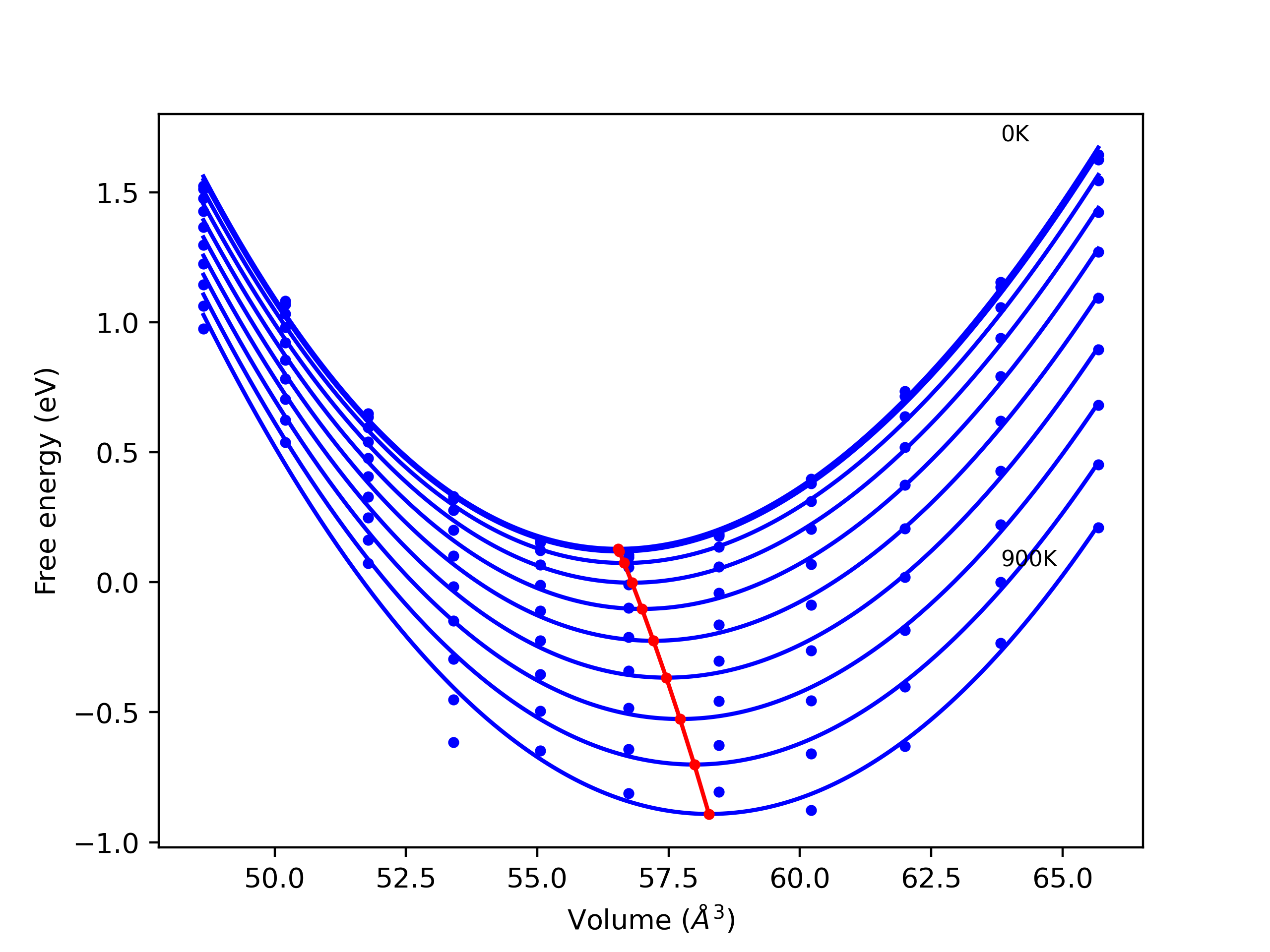
Plots of potential energy vs interatomic spacing, r, are shown below for a number of crystal structures. The structures are generated based on the ideal atomic positions and b/a and c/a lattice parameter ratios for a given crystal prototype. The size of the system is then uniformly scaled, and the energy calculated without relaxing the system. To obtain these plots, values of r are evaluated every 0.02 Å up to 6 Å.
The calculation method used is available as the iprPy E_vs_r_scan calculation method.
Clicking on the image of a plot will open an interactive version of it in a new tab. The underlying data for the plots can be downloaded by clicking on the links above each plot.
Notes and Disclaimers:
Version Information:
Computed lattice constants and cohesive/potential energies are displayed for a variety of crystal structures. The values displayed here are obtained using the following process.
The calculation methods used are implemented into iprPy as the following calculation styles
Notes and Disclaimers:
Version Information:
Download raw data (including filtered results)
Reference structure matches:
A1--Cu--fcc = mp-634659, oqmd-5497, oqmd-5499, oqmd-1214529
A15--beta-W = oqmd-1214974
A2--W--bcc = mp-632250, oqmd-5517, oqmd-1215152
A3'--alpha-La--double-hcp = oqmd-1215420
A3--Mg--hcp = mp-23907, mp-570752, oqmd-40867, oqmd-676625, oqmd-1215330
A4--C--dc = oqmd-1215509
A5--beta-Sn = oqmd-1215598
A6--In--bct = oqmd-1215687
A7--alpha-As = oqmd-1215776
| prototype | method | Ecoh (eV/atom) | Epot (eV/atom) | a0 (Å) | b0 (Å) | c0 (Å) | α (degrees) | β (degrees) | γ (degrees) |
|---|---|---|---|---|---|---|---|---|---|
| A1--Cu--fcc | static | -0.0 | -0.0 | 4.2435 | 4.2435 | 4.2435 | 90.0 | 90.0 | 90.0 |
| A3'--alpha-La--double-hcp | static | -0.0 | -0.0 | 3.0006 | 3.0006 | 9.8 | 90.0 | 90.0 | 120.0 |
| A3--Mg--hcp | static | -0.0 | -0.0 | 3.0006 | 3.0006 | 4.9 | 90.0 | 90.0 | 120.0 |
| A2--W--bcc | static | -0.0 | -0.0 | 3.4648 | 3.4648 | 3.4648 | 90.0 | 90.0 | 90.0 |
| mp-754417 | dynamic | -0.0 | -0.0 | 3.0006 | 3.0006 | 3.0006 | 90.0 | 90.0 | 120.0 |
| oqmd-11544 | static | -0.0 | -0.0 | 3.0006 | 3.0006 | 15.9196 | 90.0 | 90.0 | 120.0 |
| A5--beta-Sn | static | -0.0 | -0.0 | 5.8107 | 5.8107 | 3.0006 | 90.0 | 90.0 | 90.0 |
| A3--Mg--hcp | static | -0.0 | -0.0 | 3.4185 | 3.4185 | 4.5203 | 90.0 | 90.0 | 120.0 |
| Ah--alpha-Po--sc | static | -0.0 | -0.0 | 3.0006 | 3.0006 | 3.0006 | 90.0 | 90.0 | 90.0 |
| oqmd-1214618 | static | -0.0 | -0.0 | 4.2172 | 4.2172 | 5.261 | 90.0 | 90.0 | 120.0 |
| oqmd-57242 | static | -0.0 | -0.0 | 3.0006 | 5.0675 | 3.0006 | 90.0 | 99.3 | 90.0 |
| A3'--alpha-La--double-hcp | static | -0.0 | -0.0 | 4.0917 | 4.0917 | 7.4004 | 90.0 | 90.0 | 120.0 |
| oqmd-1214707 | static | -0.0 | -0.0 | 3.1476 | 5.1096 | 16.843 | 90.0 | 90.0 | 90.0 |
| A4--C--dc | static | -0.0 | -0.0 | 6.9296 | 6.9296 | 6.9296 | 90.0 | 90.0 | 90.0 |
| oqmd-57239 | static | -0.0 | -0.0 | 3.8811 | 4.5773 | 4.988 | 90.0 | 90.0 | 90.0 |
| A5--beta-Sn | static | -0.0 | -0.0 | 5.7865 | 5.7865 | 3.182 | 90.0 | 90.0 | 90.0 |
| oqmd-57243 | static | -0.0 | -0.0 | 3.9279 | 4.5372 | 4.9636 | 90.0 | 90.0 | 90.0 |
| oqmd-57246 | static | -0.0 | -0.0 | 3.7784 | 4.6625 | 4.9535 | 90.0 | 90.0 | 90.0 |
| A6--In--bct | static | -0.0 | -0.0 | 3.0006 | 3.0006 | 4.2783 | 90.0 | 90.0 | 90.0 |
| A6--In--bct | static | -0.0 | -0.0 | 3.0006 | 3.0006 | 4.5 | 90.0 | 90.0 | 90.0 |
| oqmd-82346 | static | -0.0 | -0.0 | 3.656 | 4.7591 | 4.9418 | 90.0 | 90.0 | 90.0 |
| oqmd-40937 | static | -0.0 | -0.0 | 3.1678 | 5.0971 | 5.1205 | 90.0 | 90.0 | 90.0 |
| oqmd-1215954 | static | -0.0 | -0.0 | 5.1972 | 5.1972 | 6.0012 | 90.0 | 90.0 | 120.0 |
| A7--alpha-As | static | -0.0 | -0.0 | 4.483 | 4.483 | 12.4485 | 90.0 | 90.0 | 120.0 |
| oqmd-82345 | static | -0.0 | -0.0 | 3.8898 | 4.9353 | 4.597 | 90.0 | 90.0 | 90.0 |
| A15--beta-W | static | -0.0 | -0.0 | 6.0012 | 6.0012 | 6.0012 | 90.0 | 90.0 | 90.0 |
| mp-1066989 | static | -0.0 | -0.0 | 3.2973 | 22.1082 | 6.3141 | 90.0 | 90.0 | 90.0 |
| mp-24504 | static | -0.0 | -0.0 | 3.8402 | 3.8402 | 20.3792 | 90.0 | 90.0 | 120.0 |
| oqmd-5539 | static | -0.0 | -0.0 | 3.2506 | 3.2506 | 11.1719 | 90.0 | 90.0 | 90.0 |
| mp-632172 | static | -0.0 | -0.0 | 4.4568 | 4.4568 | 12.5716 | 90.0 | 90.0 | 90.0 |
| oqmd-675624 | static | -0.0 | -0.0 | 3.4818 | 3.4818 | 10.7138 | 90.0 | 90.0 | 90.0 |
| mp-850274 | static | -0.0 | -0.0 | 4.3181 | 4.3181 | 14.9714 | 90.0 | 90.0 | 90.0 |
| mp-632291 | static | -0.0 | -0.0 | 3.3834 | 3.3834 | 16.6185 | 90.0 | 90.0 | 90.0 |
| oqmd-1214796 | static | -0.0 | -0.0 | 26.7945 | 26.7945 | 26.7945 | 90.0 | 90.0 | 90.0 |
| mp-1181265 | static | -0.0 | -0.0 | 6.8306 | 11.3241 | 19.8829 | 90.0 | 90.5 | 90.2 |
| mp-1188177 | static | -0.0 | -0.0 | 23.4196 | 11.1942 | 26.7102 | 90.0 | 90.0 | 90.0 |
| oqmd-1214885 | static | -0.0 | -0.0 | 24.2025 | 24.2025 | 29.6969 | 90.0 | 90.0 | 120.0 |
| A3--Mg--hcp | dynamic | 0.0 | 0.0 | 3.105 | 3.105 | 5.0705 | 90.0 | 90.0 | 120.0 |
| mp-632172 | dynamic | 0.0 | 0.0 | 4.457 | 4.457 | 9.1607 | 90.0 | 90.0 | 90.0 |
| mp-24504 | dynamic | 0.0 | 0.0 | 4.0107 | 4.0107 | 16.1713 | 90.0 | 90.0 | 120.0 |
| mp-632291 | dynamic | 0.0 | 0.0 | 3.4988 | 3.4988 | 12.5692 | 90.0 | 90.0 | 90.0 |
| A1--Cu--fcc | dynamic | 0.0 | 0.0 | 5.4286 | 5.4286 | 5.4286 | 90.0 | 90.0 | 90.0 |
| mp-1066989 | dynamic | 0.0 | 0.0 | 3.3828 | 17.6726 | 7.2683 | 90.0 | 90.0 | 90.0 |
| A2--W--bcc | dynamic | 0.0 | 0.0 | 4.1907 | 4.1907 | 4.1907 | 90.0 | 90.0 | 90.0 |
| A1--Cu--fcc | dynamic | 0.0 | 0.0 | 4.8862 | 4.8862 | 4.8862 | 90.0 | 90.0 | 90.0 |
| A3--Mg--hcp | dynamic | 0.0 | 0.0 | 5.1702 | 5.1702 | 3.8495 | 90.0 | 90.0 | 120.0 |
| Ah--alpha-Po--sc | dynamic | 0.0 | 0.0 | 3.8837 | 3.8837 | 3.8837 | 90.0 | 90.0 | 90.0 |
| mp-1188177 | dynamic | 0.0 | 0.0 | 13.527 | 10.225 | 14.3254 | 90.0 | 90.0 | 90.0 |
| A3--Mg--hcp | dynamic | 0.0 | 0.0 | 3.9004 | 3.9004 | 6.3557 | 90.0 | 90.0 | 120.0 |
| A5--beta-Sn | dynamic | 0.0 | 0.0 | 6.8004 | 6.8004 | 3.2606 | 90.0 | 90.0 | 90.0 |
| mp-850274 | dynamic | 0.0 | 0.0 | 4.3182 | 4.3182 | 10.1804 | 90.0 | 90.0 | 90.0 |
| A15--beta-W | dynamic | 0.0 | 0.0 | 6.5613 | 6.5613 | 6.5613 | 90.0 | 90.0 | 90.0 |
| A6--In--bct | dynamic | 0.0 | 0.0 | 3.4418 | 3.4418 | 4.3669 | 90.0 | 90.0 | 90.0 |
| A2--W--bcc | dynamic | 0.0 | 0.0 | 5.21 | 5.21 | 5.21 | 90.0 | 90.0 | 90.0 |
| A4--C--dc | dynamic | 0.0 | 0.0 | 7.6204 | 7.6204 | 7.6204 | 90.0 | 90.0 | 90.0 |
| A3'--alpha-La--double-hcp | dynamic | 0.0 | 0.0 | 3.0851 | 3.0851 | 10.0759 | 90.0 | 90.0 | 120.0 |
| A7--alpha-As | dynamic | 0.0 | 0.0 | 5.0422 | 5.0422 | 13.4971 | 90.0 | 90.0 | 120.0 |
| A6--In--bct | dynamic | 0.0 | 0.0 | 3.7596 | 3.7596 | 4.5 | 90.0 | 90.0 | 90.0 |
| Ah--alpha-Po--sc | box | 0.0 | 0.0 | 3.0014 | 3.0014 | 3.0014 | 90.0 | 90.0 | 90.0 |
| A2--W--bcc | box | 0.0 | 0.0 | 3.4657 | 3.4657 | 3.4657 | 90.0 | 90.0 | 90.0 |
Download raw data (including filtered results)
Reference structure matches:
| prototype | method | Ecoh (eV/atom) | Epot (eV/atom) | a0 (Å) | b0 (Å) | c0 (Å) | α (degrees) | β (degrees) | γ (degrees) |
|---|---|---|---|---|---|---|---|---|---|
| C1--CaF2--fluorite | dynamic | -0.4616 | -0.4616 | 3.9405 | 3.9405 | 3.9405 | 90.0 | 90.0 | 90.0 |
Download raw data (including filtered results)
Reference structure matches:
| prototype | method | Ecoh (eV/atom) | Epot (eV/atom) | a0 (Å) | b0 (Å) | c0 (Å) | α (degrees) | β (degrees) | γ (degrees) |
|---|---|---|---|---|---|---|---|---|---|
| L2_1--AlCu2Mn--heusler | static | -11.6039 | -11.6039 | 4.3211 | 4.3211 | 4.3211 | 90.0 | 90.0 | 90.0 |
Download raw data (including filtered results)
Reference structure matches:
| prototype | method | Ecoh (eV/atom) | Epot (eV/atom) | a0 (Å) | b0 (Å) | c0 (Å) | α (degrees) | β (degrees) | γ (degrees) |
|---|---|---|---|---|---|---|---|---|---|
| mp-1095432 | dynamic | -17.7753 | -17.7753 | 5.3836 | 2.5924 | 4.5756 | 90.0 | 90.0 | 90.0 |
| mp-1095432 | box | -16.9241 | -16.9241 | 4.8801 | 2.9724 | 5.0215 | 90.0 | 90.0 | 90.0 |
| C1--CaF2--fluorite | static | -16.589 | -16.589 | 4.2427 | 4.2427 | 4.2427 | 90.0 | 90.0 | 90.0 |
| oqmd-1239725 | static | -10.7764 | -10.7764 | 8.729 | 8.729 | 8.729 | 90.0 | 90.0 | 90.0 |
Download raw data (including filtered results)
Reference structure matches:
| prototype | method | Ecoh (eV/atom) | Epot (eV/atom) | a0 (Å) | b0 (Å) | c0 (Å) | α (degrees) | β (degrees) | γ (degrees) |
|---|---|---|---|---|---|---|---|---|---|
| oqmd-427306 | dynamic | -14.3536 | -14.3536 | 4.9402 | 4.9402 | 13.1416 | 90.0 | 90.0 | 120.0 |
Download raw data (including filtered results)
Reference structure matches:
| prototype | method | Ecoh (eV/atom) | Epot (eV/atom) | a0 (Å) | b0 (Å) | c0 (Å) | α (degrees) | β (degrees) | γ (degrees) |
|---|---|---|---|---|---|---|---|---|---|
| A15--Cr3Si | dynamic | -0.341 | -0.341 | 3.1147 | 3.1147 | 3.1147 | 90.0 | 90.0 | 90.0 |
| L1_2--AuCu3 | dynamic | -0.338 | -0.338 | 2.4518 | 2.4518 | 2.4518 | 90.0 | 90.0 | 90.0 |
| D0_3--BiF3 | dynamic | -0.3327 | -0.3327 | 3.8212 | 3.8212 | 3.8212 | 90.0 | 90.0 | 90.0 |
| A15--Cr3Si | static | -0.0 | -0.0 | 6.0012 | 6.0012 | 6.0012 | 90.0 | 90.0 | 90.0 |
| L1_2--AuCu3 | static | -0.0 | -0.0 | 4.2435 | 4.2435 | 4.2435 | 90.0 | 90.0 | 90.0 |
| D0_3--BiF3 | static | -0.0 | -0.0 | 6.9296 | 6.9296 | 6.9296 | 90.0 | 90.0 | 90.0 |
| A15--Cr3Si | dynamic | 0.0 | 0.0 | 6.5613 | 6.5613 | 6.5613 | 90.0 | 90.0 | 90.0 |
| L1_2--AuCu3 | dynamic | 0.0 | 0.0 | 4.7869 | 4.7869 | 4.7869 | 90.0 | 90.0 | 90.0 |
| D0_3--BiF3 | dynamic | 0.0 | 0.0 | 7.3646 | 7.3646 | 7.3646 | 90.0 | 90.0 | 90.0 |
Download raw data (including filtered results)
Reference structure matches:
L1_2--AuCu3 = oqmd-349162
| prototype | method | Ecoh (eV/atom) | Epot (eV/atom) | a0 (Å) | b0 (Å) | c0 (Å) | α (degrees) | β (degrees) | γ (degrees) |
|---|---|---|---|---|---|---|---|---|---|
| oqmd-324676 | static | -18.6758 | -18.6758 | 3.9734 | 3.9734 | 2.5083 | 90.0 | 90.0 | 120.0 |
| oqmd-310100 | static | -18.5361 | -18.5361 | 2.5699 | 2.5699 | 9.1041 | 90.0 | 90.0 | 120.0 |
| A15--Cr3Si | static | -18.033 | -18.033 | 3.2947 | 3.2947 | 3.2947 | 90.0 | 90.0 | 90.0 |
| mp-1078686 | dynamic | -18.0321 | -18.0321 | 2.8892 | 2.6264 | 4.657 | 90.0 | 100.4 | 90.0 |
| oqmd-299558 | static | -17.9305 | -17.9305 | 2.6367 | 2.6367 | 5.1224 | 90.0 | 90.0 | 90.0 |
| D0_3--BiF3 | static | -17.8955 | -17.8955 | 4.2307 | 4.2307 | 4.2307 | 90.0 | 90.0 | 90.0 |
| L1_2--AuCu3 | static | -17.8718 | -17.8718 | 2.6214 | 2.6214 | 2.6214 | 90.0 | 90.0 | 90.0 |
| mp-1078686 | box | -17.1275 | -17.1275 | 3.6943 | 2.6321 | 4.1337 | 90.0 | 93.3 | 90.0 |
Download raw data (including filtered results)
Reference structure matches:
| prototype | method | Ecoh (eV/atom) | Epot (eV/atom) | a0 (Å) | b0 (Å) | c0 (Å) | α (degrees) | β (degrees) | γ (degrees) |
|---|---|---|---|---|---|---|---|---|---|
| mp-1078595 | static | -17.3859 | -17.3859 | 2.6644 | 2.6644 | 5.1941 | 90.0 | 90.0 | 90.0 |
| mp-1078595 | box | -15.4127 | -15.4127 | 2.6409 | 2.6409 | 7.688 | 90.0 | 90.0 | 90.0 |
Download raw data (including filtered results)
Reference structure matches:
| prototype | method | Ecoh (eV/atom) | Epot (eV/atom) | a0 (Å) | b0 (Å) | c0 (Å) | α (degrees) | β (degrees) | γ (degrees) |
|---|---|---|---|---|---|---|---|---|---|
| mp-1095646 | box | -15.9071 | -15.9071 | 7.5219 | 2.369 | 3.1943 | 90.0 | 90.0 | 90.0 |
Download raw data (including filtered results)
Reference structure matches:
| prototype | method | Ecoh (eV/atom) | Epot (eV/atom) | a0 (Å) | b0 (Å) | c0 (Å) | α (degrees) | β (degrees) | γ (degrees) |
|---|---|---|---|---|---|---|---|---|---|
| L1_0--AuCu | dynamic | -0.9079 | -0.9079 | 1.6281 | 1.6281 | 2.436 | 90.0 | 90.0 | 90.0 |
| B2--CsCl | static | -0.7452 | -0.7452 | 1.9212 | 1.9212 | 1.9212 | 90.0 | 90.0 | 90.0 |
| B1--NaCl--rock-salt | dynamic | -0.5934 | -0.5934 | 3.4043 | 3.4043 | 3.4043 | 90.0 | 90.0 | 90.0 |
| B4--ZnS--wurtzite | box | -0.4301 | -0.4301 | 2.743 | 2.743 | 4.4762 | 90.0 | 90.0 | 120.0 |
| B3--ZnS--cubic-zinc-blende | dynamic | -0.43 | -0.43 | 3.8795 | 3.8795 | 3.8795 | 90.0 | 90.0 | 90.0 |
Download raw data (including filtered results)
Reference structure matches:
| prototype | method | Ecoh (eV/atom) | Epot (eV/atom) | a0 (Å) | b0 (Å) | c0 (Å) | α (degrees) | β (degrees) | γ (degrees) |
|---|---|---|---|---|---|---|---|---|---|
| C1--CaF2--fluorite | static | -0.5711 | -0.5711 | 3.5437 | 3.5437 | 3.5437 | 90.0 | 90.0 | 90.0 |
Download raw data (including filtered results)
Reference structure matches:
| prototype | method | Ecoh (eV/atom) | Epot (eV/atom) | a0 (Å) | b0 (Å) | c0 (Å) | α (degrees) | β (degrees) | γ (degrees) |
|---|---|---|---|---|---|---|---|---|---|
| L2_1--AlCu2Mn--heusler | dynamic | -5.4304 | -5.4304 | 4.366 | 4.366 | 4.366 | 90.0 | 90.0 | 90.0 |
Download raw data (including filtered results)
Reference structure matches:
| prototype | method | Ecoh (eV/atom) | Epot (eV/atom) | a0 (Å) | b0 (Å) | c0 (Å) | α (degrees) | β (degrees) | γ (degrees) |
|---|---|---|---|---|---|---|---|---|---|
| L1_2--AuCu3 | dynamic | -1.1494 | -1.1494 | 2.3004 | 2.3004 | 2.3004 | 90.0 | 90.0 | 90.0 |
| D0_3--BiF3 | static | -1.0478 | -1.0478 | 3.6461 | 3.6461 | 3.6461 | 90.0 | 90.0 | 90.0 |
| A15--Cr3Si | static | -0.7896 | -0.7896 | 2.8995 | 2.8995 | 2.8995 | 90.0 | 90.0 | 90.0 |
| A15--Cr3Si | static | -0.0 | -0.0 | 6.0012 | 6.0012 | 6.0012 | 90.0 | 90.0 | 90.0 |
| A15--Cr3Si | dynamic | 0.0 | 0.0 | 6.5468 | 6.5468 | 6.5468 | 90.0 | 90.0 | 90.0 |
Download raw data (including filtered results)
Reference structure matches:
| prototype | method | Ecoh (eV/atom) | Epot (eV/atom) | a0 (Å) | b0 (Å) | c0 (Å) | α (degrees) | β (degrees) | γ (degrees) |
|---|---|---|---|---|---|---|---|---|---|
| L2_1--AlCu2Mn--heusler | static | -8.0924 | -8.0924 | 5.3514 | 5.3514 | 5.3514 | 90.0 | 90.0 | 90.0 |
Download raw data (including filtered results)
Reference structure matches:
B1--NaCl--rock-salt = oqmd-1104666
B2--CsCl = oqmd-305481, oqmd-337023
B3--ZnS--cubic-zinc-blende = oqmd-1222771
| prototype | method | Ecoh (eV/atom) | Epot (eV/atom) | a0 (Å) | b0 (Å) | c0 (Å) | α (degrees) | β (degrees) | γ (degrees) |
|---|---|---|---|---|---|---|---|---|---|
| B1--NaCl--rock-salt | dynamic | -15.6505 | -15.6505 | 3.7813 | 3.7813 | 3.7813 | 90.0 | 90.0 | 90.0 |
| mp-1007761 | static | -15.5426 | -15.5426 | 2.9997 | 2.9997 | 4.337 | 90.0 | 90.0 | 120.0 |
| B2--CsCl | static | -14.9038 | -14.9038 | 2.6063 | 2.6063 | 2.6063 | 90.0 | 90.0 | 90.0 |
| B3--ZnS--cubic-zinc-blende | static | -14.5809 | -14.5809 | 4.2119 | 4.2119 | 4.2119 | 90.0 | 90.0 | 90.0 |
| B4--ZnS--wurtzite | box | -14.5646 | -14.5646 | 2.9797 | 2.9797 | 4.8353 | 90.0 | 90.0 | 120.0 |
Download raw data (including filtered results)
Reference structure matches:
| prototype | method | Ecoh (eV/atom) | Epot (eV/atom) | a0 (Å) | b0 (Å) | c0 (Å) | α (degrees) | β (degrees) | γ (degrees) |
|---|---|---|---|---|---|---|---|---|---|
| C1--CaF2--fluorite | static | -12.2557 | -12.2557 | 5.2372 | 5.2372 | 5.2372 | 90.0 | 90.0 | 90.0 |
| oqmd-1239724 | static | -10.1867 | -10.1867 | 8.5769 | 8.5769 | 8.5769 | 90.0 | 90.0 | 90.0 |
Download raw data (including filtered results)
Reference structure matches:
D0_3--BiF3 = oqmd-314134
L1_2--AuCu3 = oqmd-345128
| prototype | method | Ecoh (eV/atom) | Epot (eV/atom) | a0 (Å) | b0 (Å) | c0 (Å) | α (degrees) | β (degrees) | γ (degrees) |
|---|---|---|---|---|---|---|---|---|---|
| D0_3--BiF3 | dynamic | -11.6765 | -11.6765 | 6.0997 | 6.0997 | 6.0997 | 90.0 | 90.0 | 90.0 |
| oqmd-303592 | static | -11.6259 | -11.6259 | 3.7517 | 3.7517 | 7.4358 | 90.0 | 90.0 | 90.0 |
| L1_2--AuCu3 | static | -11.5853 | -11.5853 | 3.7421 | 3.7421 | 3.7421 | 90.0 | 90.0 | 90.0 |
| oqmd-320642 | static | -11.5477 | -11.5477 | 5.2891 | 5.2891 | 4.3568 | 90.0 | 90.0 | 120.0 |
| A15--Cr3Si | dynamic | -11.5089 | -11.5089 | 4.719 | 4.719 | 4.719 | 90.0 | 90.0 | 90.0 |
Download raw data (including filtered results)
Reference structure matches:
A1--Cu--fcc = mp-614456, oqmd-4177, oqmd-1214530
A15--beta-W = oqmd-1214975
A2--W--bcc = mp-23158, oqmd-8084, oqmd-1215153
A3'--alpha-La--double-hcp = oqmd-1215421
A3--Mg--hcp = mp-23156, oqmd-8085, oqmd-8394, oqmd-1215331
A4--C--dc = oqmd-1215510
A5--beta-Sn = oqmd-1215599
A6--In--bct = oqmd-1215688
A7--alpha-As = oqmd-1215777
| prototype | method | Ecoh (eV/atom) | Epot (eV/atom) | a0 (Å) | b0 (Å) | c0 (Å) | α (degrees) | β (degrees) | γ (degrees) |
|---|---|---|---|---|---|---|---|---|---|
| A1--Cu--fcc | dynamic | -1.0702 | -1.0702 | 2.2769 | 2.2769 | 2.2769 | 90.0 | 90.0 | 90.0 |
| A3'--alpha-La--double-hcp | dynamic | -1.0698 | -1.0698 | 1.61 | 1.61 | 5.2586 | 90.0 | 90.0 | 120.0 |
| A3--Mg--hcp | dynamic | -1.0694 | -1.0694 | 1.61 | 1.61 | 2.6294 | 90.0 | 90.0 | 120.0 |
| A2--W--bcc | static | -0.7863 | -0.7863 | 1.8114 | 1.8114 | 1.8114 | 90.0 | 90.0 | 90.0 |
| A15--beta-W | static | -0.705 | -0.705 | 2.8633 | 2.8633 | 2.8633 | 90.0 | 90.0 | 90.0 |
| Ah--alpha-Po--sc | dynamic | -0.4823 | -0.4823 | 1.6172 | 1.6172 | 1.6172 | 90.0 | 90.0 | 90.0 |
| A5--beta-Sn | box | -0.4607 | -0.4607 | 3.1176 | 3.1176 | 1.6044 | 90.0 | 90.0 | 90.0 |
| A4--C--dc | dynamic | -0.3603 | -0.3603 | 3.7206 | 3.7206 | 3.7206 | 90.0 | 90.0 | 90.0 |
| A7--alpha-As | dynamic | -0.2767 | -0.2767 | 2.7843 | 2.7843 | 9.905 | 90.0 | 90.0 | 120.0 |
| A1--Cu--fcc | static | -0.0 | -0.0 | 4.2435 | 4.2435 | 4.2435 | 90.0 | 90.0 | 90.0 |
| A3'--alpha-La--double-hcp | static | -0.0 | -0.0 | 3.0006 | 3.0006 | 9.8 | 90.0 | 90.0 | 120.0 |
| A3--Mg--hcp | static | -0.0 | -0.0 | 3.0006 | 3.0006 | 4.9 | 90.0 | 90.0 | 120.0 |
| A2--W--bcc | static | -0.0 | -0.0 | 3.4648 | 3.4648 | 3.4648 | 90.0 | 90.0 | 90.0 |
| A3'--alpha-La--double-hcp | box | -0.0 | -0.0 | 3.0011 | 3.0011 | 9.7994 | 90.0 | 90.0 | 120.0 |
| A5--beta-Sn | static | -0.0 | -0.0 | 5.8107 | 5.8107 | 3.0006 | 90.0 | 90.0 | 90.0 |
| Ah--alpha-Po--sc | static | -0.0 | -0.0 | 3.0006 | 3.0006 | 3.0006 | 90.0 | 90.0 | 90.0 |
| A4--C--dc | static | -0.0 | -0.0 | 6.9296 | 6.9296 | 6.9296 | 90.0 | 90.0 | 90.0 |
| A5--beta-Sn | static | -0.0 | -0.0 | 5.7865 | 5.7865 | 3.182 | 90.0 | 90.0 | 90.0 |
| A6--In--bct | static | -0.0 | -0.0 | 3.0006 | 3.0006 | 4.2743 | 90.0 | 90.0 | 90.0 |
| A6--In--bct | static | -0.0 | -0.0 | 3.0006 | 3.0006 | 4.5 | 90.0 | 90.0 | 90.0 |
| oqmd-1215955 | static | -0.0 | -0.0 | 5.1972 | 5.1972 | 6.0012 | 90.0 | 90.0 | 120.0 |
| A7--alpha-As | static | -0.0 | -0.0 | 4.483 | 4.483 | 12.4485 | 90.0 | 90.0 | 120.0 |
| oqmd-1214708 | static | -0.0 | -0.0 | 4.978 | 9.2965 | 4.956 | 90.0 | 90.0 | 90.0 |
| A15--beta-W | static | -0.0 | -0.0 | 6.0012 | 6.0012 | 6.0012 | 90.0 | 90.0 | 90.0 |
| oqmd-1214886 | dynamic | -0.0 | -0.0 | 7.6132 | 7.6132 | 7.6132 | 90.0 | 90.0 | 90.0 |
| oqmd-1214886 | static | -0.0 | -0.0 | 7.9968 | 7.9968 | 7.9968 | 90.0 | 90.0 | 90.0 |
| A3--Mg--hcp | box | -0.0 | -0.0 | 3.0006 | 3.0006 | 4.902 | 90.0 | 90.0 | 120.0 |
| A6--In--bct | dynamic | 0.0 | 0.0 | 3.735 | 3.735 | 4.5 | 90.0 | 90.0 | 90.0 |
| A3--Mg--hcp | dynamic | 0.0 | 0.0 | 3.5952 | 3.5952 | 5.8873 | 90.0 | 90.0 | 120.0 |
| oqmd-1215866 | dynamic | 0.0 | 0.0 | 5.0622 | 5.0622 | 5.1044 | 90.0 | 90.0 | 120.0 |
| A4--C--dc | dynamic | 0.0 | 0.0 | 7.5975 | 7.5975 | 7.5975 | 90.0 | 90.0 | 90.0 |
| A3--Mg--hcp | dynamic | 0.0 | 0.0 | 3.08 | 3.08 | 5.0295 | 90.0 | 90.0 | 120.0 |
| mp-754382 | dynamic | 0.0 | 0.0 | 3.7937 | 3.7937 | 3.2678 | 90.0 | 90.0 | 120.0 |
| A6--In--bct | dynamic | 0.0 | 0.0 | 3.7635 | 3.7635 | 4.4837 | 90.0 | 90.0 | 90.0 |
| A2--W--bcc | dynamic | 0.0 | 0.0 | 3.9891 | 3.9891 | 3.9891 | 90.0 | 90.0 | 90.0 |
| A3'--alpha-La--double-hcp | dynamic | 0.0 | 0.0 | 3.0691 | 3.0691 | 10.0238 | 90.0 | 90.0 | 120.0 |
| oqmd-8392 | dynamic | 0.0 | 0.0 | 3.7776 | 3.7776 | 4.3192 | 90.0 | 90.0 | 120.0 |
| A1--Cu--fcc | dynamic | 0.0 | 0.0 | 4.7657 | 4.7657 | 4.7657 | 90.0 | 90.0 | 90.0 |
| A1--Cu--fcc | dynamic | 0.0 | 0.0 | 4.763 | 4.763 | 4.763 | 90.0 | 90.0 | 90.0 |
| A2--W--bcc | dynamic | 0.0 | 0.0 | 4.1656 | 4.1656 | 4.1656 | 90.0 | 90.0 | 90.0 |
| oqmd-1215242 | dynamic | 0.0 | 0.0 | 3.8315 | 5.6902 | 5.8202 | 90.0 | 90.0 | 90.0 |
| A3--Mg--hcp | dynamic | 0.0 | 0.0 | 3.5955 | 3.5955 | 5.9334 | 90.0 | 90.0 | 120.0 |
| A15--beta-W | dynamic | 0.0 | 0.0 | 6.5468 | 6.5468 | 6.5468 | 90.0 | 90.0 | 90.0 |
| A3--Mg--hcp | dynamic | 0.0 | 0.0 | 3.3025 | 3.3025 | 5.411 | 90.0 | 90.0 | 120.0 |
| A7--alpha-As | dynamic | 0.0 | 0.0 | 5.0246 | 5.0246 | 13.4647 | 90.0 | 90.0 | 120.0 |
| A1--Cu--fcc | dynamic | 0.0 | 0.0 | 4.8661 | 4.8661 | 4.8661 | 90.0 | 90.0 | 90.0 |
| Ah--alpha-Po--sc | dynamic | 0.0 | 0.0 | 3.8558 | 3.8558 | 3.8558 | 90.0 | 90.0 | 90.0 |
| A5--beta-Sn | dynamic | 0.0 | 0.0 | 6.6528 | 6.6528 | 3.2895 | 90.0 | 90.0 | 90.0 |
| A4--C--dc | dynamic | 0.0 | 0.0 | 7.9884 | 7.9884 | 7.9884 | 90.0 | 90.0 | 90.0 |
| A5--beta-Sn | dynamic | 0.0 | 0.0 | 6.7666 | 6.7666 | 3.2582 | 90.0 | 90.0 | 90.0 |
| A2--W--bcc | dynamic | 0.0 | 0.0 | 4.1139 | 4.1139 | 4.1139 | 90.0 | 90.0 | 90.0 |
| A3--Mg--hcp | dynamic | 0.0 | 0.0 | 3.6077 | 3.6077 | 5.8979 | 90.0 | 90.0 | 120.0 |
| A1--Cu--fcc | dynamic | 0.0 | 0.0 | 4.6586 | 4.6586 | 4.6586 | 90.0 | 90.0 | 90.0 |
| oqmd-1216044 | dynamic | 0.0 | 0.0 | 3.5604 | 3.5604 | 27.7807 | 90.0 | 90.0 | 120.0 |
| A2--W--bcc | dynamic | 0.0 | 0.0 | 4.1316 | 4.1316 | 4.1316 | 90.0 | 90.0 | 90.0 |
| A3'--alpha-La--double-hcp | dynamic | 0.0 | 0.0 | 3.1909 | 3.1909 | 10.4891 | 90.0 | 90.0 | 120.0 |
| A15--beta-W | box | 0.0 | 0.0 | 6.005 | 6.005 | 6.005 | 90.0 | 90.0 | 90.0 |
| Ah--alpha-Po--sc | box | 0.0 | 0.0 | 3.0014 | 3.0014 | 3.0014 | 90.0 | 90.0 | 90.0 |
| A2--W--bcc | box | 0.0 | 0.0 | 3.4657 | 3.4657 | 3.4657 | 90.0 | 90.0 | 90.0 |
Download raw data (including filtered results)
Reference structure matches:
| prototype | method | Ecoh (eV/atom) | Epot (eV/atom) | a0 (Å) | b0 (Å) | c0 (Å) | α (degrees) | β (degrees) | γ (degrees) |
|---|---|---|---|---|---|---|---|---|---|
| C1--CaF2--fluorite | static | -0.0 | -0.0 | 8.0825 | 8.0825 | 8.0825 | 90.0 | 90.0 | 90.0 |
| C1--CaF2--fluorite | dynamic | 0.0 | 0.0 | 8.6966 | 8.6966 | 8.6966 | 90.0 | 90.0 | 90.0 |
| C1--CaF2--fluorite | box | 0.0229 | 0.0229 | 6.0657 | 6.0657 | 6.0657 | 90.0 | 90.0 | 90.0 |
Download raw data (including filtered results)
Reference structure matches:
| prototype | method | Ecoh (eV/atom) | Epot (eV/atom) | a0 (Å) | b0 (Å) | c0 (Å) | α (degrees) | β (degrees) | γ (degrees) |
|---|---|---|---|---|---|---|---|---|---|
| L1_2--AuCu3 | box | -0.2166 | -0.2166 | 4.1366 | 4.1366 | 4.1366 | 90.0 | 90.0 | 90.0 |
| D0_3--BiF3 | static | -0.0 | -0.0 | 8.0825 | 8.0825 | 8.0825 | 90.0 | 90.0 | 90.0 |
| D0_3--BiF3 | dynamic | 0.0 | 0.0 | 8.5792 | 8.5792 | 8.5792 | 90.0 | 90.0 | 90.0 |
| A15--Cr3Si | box | 0.0272 | 0.0272 | 5.2218 | 5.2218 | 5.2218 | 90.0 | 90.0 | 90.0 |
| D0_3--BiF3 | static | 0.0552 | 0.0552 | 6.2286 | 6.2286 | 6.2286 | 90.0 | 90.0 | 90.0 |
Download raw data (including filtered results)
Reference structure matches:
| prototype | method | Ecoh (eV/atom) | Epot (eV/atom) | a0 (Å) | b0 (Å) | c0 (Å) | α (degrees) | β (degrees) | γ (degrees) |
|---|---|---|---|---|---|---|---|---|---|
| B2--CsCl | dynamic | -2.2572 | -2.2572 | 3.103 | 3.103 | 3.103 | 90.0 | 90.0 | 90.0 |
| L1_0--AuCu | box | -2.2518 | -2.2518 | 2.9897 | 2.9897 | 3.3392 | 90.0 | 90.0 | 90.0 |
| B1--NaCl--rock-salt | static | -1.9468 | -1.9468 | 4.4765 | 4.4765 | 4.4765 | 90.0 | 90.0 | 90.0 |
| B3--ZnS--cubic-zinc-blende | dynamic | -1.6245 | -1.6245 | 4.3769 | 4.3769 | 4.3769 | 90.0 | 90.0 | 90.0 |
| B4--ZnS--wurtzite | box | -1.6085 | -1.6085 | 3.0885 | 3.0885 | 5.0958 | 90.0 | 90.0 | 120.0 |
| B3--ZnS--cubic-zinc-blende | static | -0.0 | -0.0 | 8.0825 | 8.0825 | 8.0825 | 90.0 | 90.0 | 90.0 |
| B4--ZnS--wurtzite | static | -0.0 | -0.0 | 5.7185 | 5.7185 | 9.3378 | 90.0 | 90.0 | 120.0 |
| B3--ZnS--cubic-zinc-blende | dynamic | 0.0 | 0.0 | 8.8085 | 8.8085 | 8.8085 | 90.0 | 90.0 | 90.0 |
| B4--ZnS--wurtzite | dynamic | 0.0 | 0.0 | 5.7185 | 5.7185 | 12.5238 | 90.0 | 90.0 | 120.0 |
Download raw data (including filtered results)
Reference structure matches:
| prototype | method | Ecoh (eV/atom) | Epot (eV/atom) | a0 (Å) | b0 (Å) | c0 (Å) | α (degrees) | β (degrees) | γ (degrees) |
|---|---|---|---|---|---|---|---|---|---|
| C1--CaF2--fluorite | static | -3.5303 | -3.5303 | 5.9826 | 5.9826 | 5.9826 | 90.0 | 90.0 | 90.0 |
Download raw data (including filtered results)
Reference structure matches:
| prototype | method | Ecoh (eV/atom) | Epot (eV/atom) | a0 (Å) | b0 (Å) | c0 (Å) | α (degrees) | β (degrees) | γ (degrees) |
|---|---|---|---|---|---|---|---|---|---|
| D0_3--BiF3 | dynamic | -5.3675 | -5.3675 | 6.3262 | 6.3262 | 6.3262 | 90.0 | 90.0 | 90.0 |
| L1_2--AuCu3 | dynamic | -5.1656 | -5.1656 | 4.1224 | 4.1224 | 4.1224 | 90.0 | 90.0 | 90.0 |
| A15--Cr3Si | dynamic | -5.087 | -5.087 | 5.0324 | 5.0324 | 5.0324 | 90.0 | 90.0 | 90.0 |
Download raw data (including filtered results)
Reference structure matches:
A1--Cu--fcc = mp-8641, oqmd-676155, oqmd-1214584
A15--beta-W = mp-11334, oqmd-9254, oqmd-1215029
A2--W--bcc = mp-91, oqmd-676232, oqmd-1215207
A3'--alpha-La--double-hcp = oqmd-1215475
A3--Mg--hcp = oqmd-1215385
A4--C--dc = oqmd-1215564
A5--beta-Sn = oqmd-1215653
A6--In--bct = oqmd-1215742
A7--alpha-As = oqmd-1215831
| prototype | method | Ecoh (eV/atom) | Epot (eV/atom) | a0 (Å) | b0 (Å) | c0 (Å) | α (degrees) | β (degrees) | γ (degrees) |
|---|---|---|---|---|---|---|---|---|---|
| A2--W--bcc | dynamic | -8.9 | -8.9 | 3.14 | 3.14 | 3.14 | 90.0 | 90.0 | 90.0 |
| oqmd-1214851 | dynamic | -8.6459 | -8.6459 | 9.7107 | 9.7107 | 9.7107 | 90.0 | 90.0 | 90.0 |
| oqmd-1214851 | box | -8.6349 | -8.6349 | 9.724 | 9.724 | 9.724 | 90.0 | 90.0 | 90.0 |
| oqmd-1214940 | static | -8.588 | -8.588 | 6.7998 | 6.7998 | 6.7998 | 90.0 | 90.0 | 90.0 |
| oqmd-1214940 | box | -8.5842 | -8.5842 | 6.8229 | 6.8229 | 6.8229 | 90.0 | 90.0 | 90.0 |
| A15--beta-W | dynamic | -8.5642 | -8.5642 | 4.9596 | 4.9596 | 4.9596 | 90.0 | 90.0 | 90.0 |
| A6--In--bct | static | -8.5538 | -8.5538 | 2.6493 | 2.6493 | 4.2962 | 90.0 | 90.0 | 90.0 |
| A1--Cu--fcc | dynamic | -8.5272 | -8.5272 | 3.7926 | 3.7926 | 3.7926 | 90.0 | 90.0 | 90.0 |
| A3'--alpha-La--double-hcp | static | -8.5261 | -8.5261 | 2.6841 | 2.6841 | 9.1246 | 90.0 | 90.0 | 120.0 |
| A6--In--bct | box | -8.5227 | -8.5227 | 2.6624 | 2.6624 | 3.9619 | 90.0 | 90.0 | 90.0 |
| A1--Cu--fcc | box | -8.4298 | -8.4298 | 4.0293 | 4.0293 | 4.0293 | 90.0 | 90.0 | 90.0 |
| A5--beta-Sn | static | -7.5987 | -7.5987 | 5.1165 | 5.1165 | 2.6672 | 90.0 | 90.0 | 90.0 |
| mp-1178801 | box | -7.3599 | -7.3599 | 9.5712 | 2.6362 | 14.1288 | 90.0 | 105.5 | 90.0 |
| Ah--alpha-Po--sc | static | -6.9656 | -6.9656 | 2.6314 | 2.6314 | 2.6314 | 90.0 | 90.0 | 90.0 |
| A7--alpha-As | box | -6.2022 | -6.2022 | 3.8249 | 3.8249 | 10.9063 | 90.0 | 90.0 | 120.0 |
| A4--C--dc | dynamic | -5.8524 | -5.8524 | 6.1594 | 6.1594 | 6.1594 | 90.0 | 90.0 | 90.0 |
Static elastic constants are displayed for the unique structures identified in Crystal Structure Predictions above. The values displayed here are obtained by measuring the change in virial stresses due to applying small strains to the relaxed crystals. The initial structure and the strained states are all relaxed using force minimization.
The calculation method used is available as the iprPy elastic_constants_static calculation method.
Notes and Disclaimers:
Version Information:
| 0.001 | 0.000 | 0.000 | -0.000 | -0.000 | -0.000 |
| 0.000 | 0.001 | 0.000 | -0.000 | -0.000 | 0.000 |
| 0.000 | 0.000 | 0.001 | -0.000 | 0.000 | 0.000 |
| -0.000 | -0.000 | -0.000 | 0.000 | 0.000 | -0.000 |
| -0.000 | -0.000 | -0.000 | 0.000 | 0.000 | 0.000 |
| -0.000 | -0.000 | -0.000 | 0.000 | 0.000 | 0.000 |
| 0.001 | 0.000 | 0.000 | 0.000 | -0.000 | -0.000 |
| 0.000 | 0.001 | 0.000 | -0.000 | 0.000 | -0.000 |
| 0.000 | 0.000 | 0.001 | 0.000 | -0.000 | -0.000 |
| 0.000 | 0.000 | 0.000 | 0.000 | -0.000 | -0.000 |
| 0.000 | 0.000 | 0.000 | 0.000 | 0.000 | 0.000 |
| 0.000 | 0.000 | 0.000 | 0.000 | 0.000 | 0.000 |
| 0.001 | 0.000 | 0.000 | -0.000 | 0.000 | 0.000 |
| 0.000 | 0.001 | 0.000 | 0.000 | 0.000 | -0.000 |
| 0.000 | 0.000 | 0.001 | -0.000 | -0.000 | 0.000 |
| -0.000 | -0.000 | -0.000 | 0.000 | -0.000 | -0.000 |
| -0.000 | -0.000 | -0.000 | -0.000 | 0.000 | -0.000 |
| -0.000 | -0.000 | -0.000 | 0.000 | -0.000 | 0.000 |
| 0.001 | 0.000 | 0.000 | 0.000 | -0.000 | -0.000 |
| 0.000 | 0.001 | 0.000 | -0.000 | -0.000 | -0.000 |
| 0.000 | 0.000 | 0.001 | -0.000 | -0.000 | -0.000 |
| 0.000 | 0.000 | 0.000 | 0.000 | -0.000 | 0.000 |
| 0.000 | 0.000 | 0.000 | -0.000 | 0.000 | 0.000 |
| 0.000 | 0.000 | 0.000 | -0.000 | 0.000 | 0.000 |
| 0.001 | 0.000 | 0.000 | -0.000 | -0.000 | -0.000 |
| 0.000 | 0.001 | 0.000 | -0.000 | 0.000 | -0.000 |
| 0.000 | 0.000 | 0.001 | 0.000 | -0.000 | 0.000 |
| -0.000 | -0.000 | -0.000 | 0.000 | 0.000 | -0.000 |
| -0.000 | -0.000 | -0.000 | 0.000 | 0.000 | -0.000 |
| -0.000 | -0.000 | -0.000 | -0.000 | -0.000 | 0.000 |
| 0.001 | 0.000 | 0.000 | -0.000 | -0.000 | -0.000 |
| 0.000 | 0.001 | 0.000 | -0.000 | -0.000 | -0.000 |
| 0.000 | 0.000 | 0.001 | -0.000 | 0.000 | 0.000 |
| 0.000 | 0.000 | 0.000 | 0.000 | 0.000 | -0.000 |
| 0.000 | 0.000 | 0.000 | 0.000 | 0.000 | 0.000 |
| 0.000 | 0.000 | 0.000 | 0.000 | 0.000 | 0.000 |
| 0.000 | 0.000 | 0.000 | -0.000 | -0.000 | 0.000 |
| 0.000 | 0.000 | 0.000 | 0.000 | 0.000 | -0.000 |
| 0.000 | 0.000 | 0.000 | -0.000 | 0.000 | -0.000 |
| 0.000 | -0.000 | 0.000 | -0.000 | 0.000 | 0.000 |
| -0.000 | 0.000 | 0.000 | 0.000 | -0.000 | 0.000 |
| -0.000 | 0.000 | 0.000 | 0.000 | -0.000 | -0.000 |
| 0.000 | 0.000 | 0.000 | -0.000 | 0.000 | -0.000 |
| 0.000 | 0.000 | 0.000 | -0.000 | 0.000 | -0.000 |
| 0.000 | 0.000 | 0.000 | -0.000 | -0.000 | -0.000 |
| -0.000 | 0.000 | -0.000 | -0.000 | -0.000 | -0.000 |
| 0.000 | -0.000 | -0.000 | -0.000 | -0.000 | -0.000 |
| 0.000 | -0.000 | -0.000 | -0.000 | 0.000 | -0.000 |
| 0.000 | 0.000 | 0.000 | -0.000 | -0.000 | 0.000 |
| 0.000 | 0.000 | 0.000 | 0.000 | 0.000 | -0.000 |
| 0.000 | 0.000 | 0.000 | -0.000 | 0.000 | -0.000 |
| 0.000 | -0.000 | -0.000 | -0.000 | -0.000 | 0.000 |
| -0.000 | 0.000 | -0.000 | 0.000 | -0.000 | 0.000 |
| -0.000 | -0.000 | 0.000 | 0.000 | -0.000 | -0.000 |
| 0.000 | 0.000 | 0.000 | -0.000 | 0.000 | -0.000 |
| 0.000 | 0.000 | 0.000 | -0.000 | 0.000 | -0.000 |
| 0.000 | 0.000 | 0.000 | 0.000 | 0.000 | -0.000 |
| -0.000 | 0.000 | 0.000 | -0.000 | 0.000 | -0.000 |
| 0.000 | -0.000 | 0.000 | -0.000 | -0.000 | -0.000 |
| 0.000 | 0.000 | -0.000 | -0.000 | 0.000 | -0.000 |
| 0.000 | 0.000 | 0.000 | -0.000 | -0.000 | 0.000 |
| 0.000 | 0.000 | 0.000 | 0.000 | 0.000 | -0.000 |
| 0.000 | 0.000 | 0.000 | 0.000 | 0.000 | -0.000 |
| 0.000 | -0.000 | -0.000 | -0.000 | 0.000 | 0.000 |
| 0.000 | 0.000 | -0.000 | 0.000 | -0.000 | 0.000 |
| -0.000 | -0.000 | 0.000 | 0.000 | -0.000 | -0.000 |
| 0.000 | 0.000 | 0.000 | -0.000 | -0.000 | -0.000 |
| 0.000 | 0.000 | 0.000 | -0.000 | 0.000 | -0.000 |
| 0.000 | 0.000 | 0.000 | 0.000 | -0.000 | -0.000 |
| -0.000 | 0.000 | 0.000 | -0.000 | -0.000 | -0.000 |
| 0.000 | -0.000 | 0.000 | -0.000 | -0.000 | -0.000 |
| 0.000 | 0.000 | -0.000 | -0.000 | 0.000 | -0.000 |
| 0.000 | 0.000 | 0.000 | 0.000 | 0.000 | -0.000 |
| 0.000 | 0.000 | 0.000 | 0.000 | 0.000 | -0.000 |
| 0.000 | 0.000 | 0.000 | 0.000 | 0.000 | -0.000 |
| -0.000 | -0.000 | -0.000 | 0.000 | 0.000 | -0.000 |
| -0.000 | -0.000 | -0.000 | 0.000 | 0.000 | -0.000 |
| -0.000 | -0.000 | -0.000 | 0.000 | 0.000 | 0.000 |
| 0.000 | 0.000 | 0.000 | -0.000 | -0.000 | 0.000 |
| 0.000 | 0.000 | 0.000 | -0.000 | -0.000 | 0.000 |
| 0.000 | 0.000 | 0.000 | -0.000 | -0.000 | -0.000 |
| 0.000 | 0.000 | 0.000 | 0.000 | 0.000 | 0.000 |
| 0.000 | 0.000 | 0.000 | 0.000 | 0.000 | 0.000 |
| 0.000 | 0.000 | 0.000 | 0.000 | 0.000 | 0.000 |
| 0.000 | 0.000 | 0.000 | -0.000 | -0.000 | -0.000 |
| 0.000 | 0.000 | 0.000 | -0.000 | -0.000 | -0.000 |
| 0.000 | 0.000 | 0.000 | -0.000 | -0.000 | -0.000 |
| -0.000 | -0.000 | -0.000 | 0.000 | -0.000 | -0.000 |
| -0.000 | -0.000 | -0.000 | -0.000 | 0.000 | -0.000 |
| -0.000 | -0.000 | -0.000 | -0.000 | 0.000 | 0.000 |
| 0.000 | 0.000 | 0.000 | -0.000 | -0.000 | -0.000 |
| 0.000 | 0.000 | 0.000 | -0.000 | -0.000 | -0.000 |
| 0.000 | 0.000 | 0.000 | -0.000 | -0.000 | 0.000 |
| 0.000 | 0.000 | 0.000 | 0.000 | -0.000 | 0.000 |
| 0.000 | 0.000 | 0.000 | -0.000 | 0.000 | 0.000 |
| 0.000 | 0.000 | 0.000 | -0.000 | -0.000 | 0.000 |
| 0.000 | 0.000 | 0.000 | 0.000 | 0.000 | -0.000 |
| 0.000 | 0.000 | 0.000 | 0.000 | 0.000 | -0.000 |
| 0.000 | 0.000 | 0.000 | 0.000 | 0.000 | 0.000 |
| -0.000 | -0.000 | -0.000 | 0.000 | 0.000 | -0.000 |
| -0.000 | -0.000 | -0.000 | 0.000 | 0.000 | -0.000 |
| -0.000 | -0.000 | -0.000 | 0.000 | -0.000 | 0.000 |
| 0.000 | 0.000 | 0.000 | -0.000 | 0.000 | 0.000 |
| 0.000 | 0.000 | 0.000 | 0.000 | -0.000 | 0.000 |
| 0.000 | 0.000 | 0.000 | 0.000 | 0.000 | 0.000 |
| 0.000 | 0.000 | 0.000 | 0.000 | 0.000 | 0.000 |
| 0.000 | 0.000 | 0.000 | 0.000 | 0.000 | 0.000 |
| 0.000 | 0.000 | 0.000 | 0.000 | -0.000 | 0.000 |
| -0.000 | -0.000 | -0.000 | -0.000 | -0.000 | -0.000 |
| -0.000 | -0.000 | -0.000 | -0.000 | -0.000 | -0.000 |
| -0.000 | -0.000 | -0.000 | 0.000 | 0.000 | -0.000 |
| -0.000 | -0.000 | -0.000 | -0.000 | 0.000 | 0.000 |
| -0.000 | -0.000 | -0.000 | 0.000 | -0.000 | 0.000 |
| -0.000 | -0.000 | -0.000 | -0.000 | -0.000 | -0.000 |
| -0.000 | -0.000 | -0.000 | -0.000 | -0.000 | -0.000 |
| -0.000 | -0.000 | -0.000 | -0.000 | -0.000 | -0.000 |
| -0.000 | -0.000 | -0.000 | 0.000 | 0.000 | 0.000 |
| 0.000 | 0.000 | 0.000 | -0.000 | 0.000 | -0.000 |
| 0.000 | 0.000 | 0.000 | 0.000 | -0.000 | -0.000 |
| 0.000 | 0.000 | 0.000 | -0.000 | -0.000 | -0.000 |
| -0.000 | -0.000 | -0.000 | -0.000 | 0.000 | 0.000 |
| -0.000 | -0.000 | -0.000 | 0.000 | -0.000 | 0.000 |
| -0.000 | -0.000 | -0.000 | 0.000 | 0.000 | -0.000 |
| -0.000 | -0.000 | -0.000 | -0.000 | 0.000 | 0.000 |
| -0.000 | -0.000 | -0.000 | 0.000 | -0.000 | 0.000 |
| -0.000 | -0.000 | -0.000 | -0.000 | -0.000 | -0.000 |
| -0.000 | -0.000 | -0.000 | -0.000 | -0.000 | -0.000 |
| -0.000 | -0.000 | -0.000 | -0.000 | -0.000 | -0.000 |
| -0.000 | -0.000 | -0.000 | 0.000 | 0.000 | -0.000 |
| 0.000 | 0.000 | 0.000 | -0.000 | 0.000 | -0.000 |
| 0.000 | 0.000 | 0.000 | 0.000 | -0.000 | -0.000 |
| 0.000 | 0.000 | 0.000 | -0.000 | -0.000 | -0.000 |
| -0.000 | -0.000 | -0.000 | 0.000 | -0.000 | 0.000 |
| -0.000 | -0.000 | -0.000 | -0.000 | 0.000 | 0.000 |
| -0.000 | -0.000 | -0.000 | -0.000 | -0.000 | 0.000 |
| -0.000 | -0.000 | -0.000 | -0.000 | -0.000 | 0.000 |
| -0.000 | -0.000 | -0.000 | -0.000 | -0.000 | 0.000 |
| -0.000 | -0.000 | -0.000 | -0.000 | -0.000 | -0.000 |
| -0.000 | -0.000 | -0.000 | -0.000 | -0.000 | -0.000 |
| -0.000 | -0.000 | -0.000 | -0.000 | -0.000 | -0.000 |
| -0.000 | -0.000 | -0.000 | -0.000 | -0.000 | -0.000 |
| 0.000 | 0.000 | 0.000 | -0.000 | -0.000 | 0.000 |
| 0.000 | 0.000 | 0.000 | -0.000 | -0.000 | 0.000 |
| 0.000 | 0.000 | 0.000 | 0.000 | 0.000 | -0.000 |
| 0.001 | 0.000 | 0.000 | 0.000 | 0.000 | 0.000 |
| 0.000 | 0.001 | 0.000 | -0.000 | 0.000 | 0.000 |
| 0.000 | 0.000 | 0.001 | -0.000 | 0.000 | 0.000 |
| -0.000 | -0.000 | -0.000 | 0.000 | 0.000 | 0.000 |
| -0.000 | -0.000 | -0.000 | -0.000 | 0.000 | 0.000 |
| -0.000 | -0.000 | -0.000 | -0.000 | 0.000 | 0.000 |
| 0.001 | 0.000 | 0.000 | 0.000 | -0.000 | -0.000 |
| 0.000 | 0.001 | 0.000 | 0.000 | -0.000 | -0.000 |
| 0.000 | 0.000 | 0.001 | 0.000 | -0.000 | -0.000 |
| 0.000 | 0.000 | 0.000 | 0.000 | 0.000 | -0.000 |
| 0.000 | 0.000 | 0.000 | 0.000 | 0.000 | 0.000 |
| 0.000 | 0.000 | 0.000 | 0.000 | -0.000 | 0.000 |
| 0.001 | 0.000 | 0.000 | 0.000 | 0.000 | 0.000 |
| 0.000 | 0.001 | 0.000 | -0.000 | 0.000 | 0.000 |
| 0.000 | 0.000 | 0.001 | 0.000 | 0.000 | 0.000 |
| -0.000 | -0.000 | -0.000 | 0.000 | 0.000 | 0.000 |
| -0.000 | -0.000 | -0.000 | 0.000 | 0.000 | 0.000 |
| -0.000 | -0.000 | -0.000 | 0.000 | 0.000 | 0.000 |
| 0.001 | 0.000 | 0.000 | -0.000 | -0.000 | -0.000 |
| 0.000 | 0.001 | 0.000 | -0.000 | -0.000 | -0.000 |
| 0.000 | 0.000 | 0.001 | -0.000 | 0.000 | -0.000 |
| 0.000 | 0.000 | 0.000 | 0.000 | 0.000 | -0.000 |
| 0.000 | 0.000 | 0.000 | -0.000 | 0.000 | 0.000 |
| 0.000 | 0.000 | 0.000 | -0.000 | -0.000 | 0.000 |
| 0.001 | 0.000 | 0.000 | -0.000 | -0.000 | 0.000 |
| 0.000 | 0.001 | 0.000 | -0.000 | 0.000 | 0.000 |
| 0.000 | 0.000 | 0.001 | -0.000 | 0.000 | 0.000 |
| -0.000 | -0.000 | -0.000 | 0.000 | 0.000 | 0.000 |
| -0.000 | -0.000 | -0.000 | 0.000 | 0.000 | 0.000 |
| -0.000 | -0.000 | -0.000 | -0.000 | -0.000 | 0.000 |
| 0.001 | 0.000 | 0.000 | 0.000 | -0.000 | -0.000 |
| 0.000 | 0.001 | 0.000 | 0.000 | -0.000 | -0.000 |
| 0.000 | 0.000 | 0.001 | -0.000 | -0.000 | -0.000 |
| 0.000 | 0.000 | 0.000 | 0.000 | 0.000 | -0.000 |
| 0.000 | 0.000 | 0.000 | 0.000 | 0.000 | -0.000 |
| 0.000 | 0.000 | 0.000 | 0.000 | -0.000 | 0.000 |
| 0.001 | 0.000 | 0.000 | -0.000 | -0.000 | -0.000 |
| 0.000 | 0.001 | 0.000 | -0.000 | -0.000 | -0.000 |
| 0.000 | 0.000 | 0.001 | 0.000 | 0.000 | 0.000 |
| -0.000 | -0.000 | -0.000 | 0.000 | 0.000 | 0.000 |
| -0.000 | -0.000 | -0.000 | 0.000 | 0.000 | -0.000 |
| -0.000 | -0.000 | -0.000 | 0.000 | -0.000 | 0.000 |
| 0.001 | 0.000 | 0.000 | -0.000 | 0.000 | 0.000 |
| 0.000 | 0.001 | 0.000 | 0.000 | 0.000 | 0.000 |
| 0.000 | 0.000 | 0.001 | -0.000 | 0.000 | 0.000 |
| 0.000 | 0.000 | 0.000 | 0.000 | 0.000 | -0.000 |
| 0.000 | 0.000 | 0.000 | -0.000 | 0.000 | -0.000 |
| 0.000 | 0.000 | 0.000 | -0.000 | -0.000 | 0.000 |
| 0.001 | 0.000 | 0.000 | 0.000 | 0.000 | -0.000 |
| 0.000 | 0.001 | 0.000 | 0.000 | -0.000 | -0.000 |
| 0.000 | 0.000 | 0.001 | 0.000 | 0.000 | 0.000 |
| -0.000 | -0.000 | -0.000 | 0.000 | 0.000 | -0.000 |
| -0.000 | -0.000 | -0.000 | -0.000 | 0.000 | -0.000 |
| -0.000 | -0.000 | -0.000 | 0.000 | -0.000 | 0.000 |
| 0.001 | 0.000 | 0.000 | -0.000 | 0.000 | -0.000 |
| 0.000 | 0.001 | 0.000 | -0.000 | -0.000 | -0.000 |
| 0.000 | 0.000 | 0.001 | 0.000 | 0.000 | -0.000 |
| 0.000 | 0.000 | 0.000 | 0.000 | 0.000 | -0.000 |
| 0.000 | 0.000 | 0.000 | 0.000 | 0.000 | -0.000 |
| 0.000 | 0.000 | 0.000 | 0.000 | -0.000 | 0.000 |
| 0.001 | 0.000 | 0.000 | -0.000 | -0.000 | -0.000 |
| 0.000 | 0.001 | 0.000 | -0.000 | 0.000 | -0.000 |
| 0.000 | 0.000 | 0.001 | -0.000 | -0.000 | 0.000 |
| -0.000 | -0.000 | -0.000 | 0.000 | 0.000 | 0.000 |
| -0.000 | -0.000 | -0.000 | 0.000 | 0.000 | -0.000 |
| -0.000 | -0.000 | -0.000 | -0.000 | -0.000 | 0.000 |
| 0.001 | 0.000 | 0.000 | 0.000 | 0.000 | -0.000 |
| 0.000 | 0.001 | 0.000 | 0.000 | 0.000 | 0.000 |
| 0.000 | 0.000 | 0.001 | -0.000 | -0.000 | 0.000 |
| 0.000 | 0.000 | 0.000 | 0.000 | -0.000 | -0.000 |
| 0.000 | 0.000 | 0.000 | -0.000 | 0.000 | -0.000 |
| 0.000 | 0.000 | 0.000 | 0.000 | -0.000 | 0.000 |
| 0.000 | 0.000 | 0.000 | 0.000 | 0.000 | 0.000 |
| 0.000 | 0.000 | 0.000 | 0.000 | 0.000 | 0.000 |
| 0.000 | 0.000 | 0.000 | 0.000 | 0.000 | 0.000 |
| -0.000 | -0.000 | -0.000 | 0.000 | 0.000 | 0.000 |
| -0.000 | -0.000 | -0.000 | 0.000 | 0.000 | 0.000 |
| -0.000 | -0.000 | -0.000 | 0.000 | 0.000 | 0.000 |
| 0.000 | 0.000 | 0.000 | -0.000 | -0.000 | -0.000 |
| 0.000 | 0.000 | 0.000 | -0.000 | -0.000 | -0.000 |
| 0.000 | 0.000 | 0.000 | -0.000 | -0.000 | -0.000 |
| 0.000 | 0.000 | 0.000 | 0.000 | -0.000 | -0.000 |
| 0.000 | 0.000 | 0.000 | -0.000 | 0.000 | -0.000 |
| 0.000 | 0.000 | 0.000 | -0.000 | -0.000 | 0.000 |
| 0.000 | 0.000 | 0.000 | 0.000 | 0.000 | 0.000 |
| 0.000 | 0.000 | 0.000 | 0.000 | 0.000 | 0.000 |
| 0.000 | 0.000 | 0.000 | 0.000 | 0.000 | 0.000 |
| -0.000 | -0.000 | -0.000 | 0.000 | 0.000 | 0.000 |
| -0.000 | -0.000 | -0.000 | 0.000 | 0.000 | 0.000 |
| -0.000 | -0.000 | -0.000 | 0.000 | 0.000 | 0.000 |
| 0.000 | 0.000 | 0.000 | 0.000 | -0.000 | -0.000 |
| 0.000 | 0.000 | 0.000 | -0.000 | 0.000 | -0.000 |
| 0.000 | 0.000 | 0.000 | -0.000 | -0.000 | 0.000 |
| 0.000 | 0.000 | 0.000 | 0.000 | 0.000 | -0.000 |
| 0.000 | 0.000 | 0.000 | 0.000 | 0.000 | -0.000 |
| 0.000 | 0.000 | 0.000 | 0.000 | -0.000 | 0.000 |
| 0.000 | 0.000 | 0.000 | 0.000 | 0.000 | 0.000 |
| 0.000 | 0.000 | 0.000 | 0.000 | 0.000 | 0.000 |
| 0.000 | 0.000 | 0.000 | 0.000 | 0.000 | 0.000 |
| -0.000 | -0.000 | -0.000 | 0.000 | 0.000 | 0.000 |
| -0.000 | -0.000 | -0.000 | 0.000 | 0.000 | 0.000 |
| -0.000 | -0.000 | -0.000 | 0.000 | 0.000 | 0.000 |
| 0.000 | 0.000 | 0.000 | -0.000 | -0.000 | -0.000 |
| 0.000 | 0.000 | 0.000 | -0.000 | -0.000 | -0.000 |
| 0.000 | 0.000 | 0.000 | -0.000 | -0.000 | -0.000 |
| 0.000 | 0.000 | 0.000 | 0.000 | 0.000 | -0.000 |
| 0.000 | 0.000 | 0.000 | 0.000 | 0.000 | -0.000 |
| 0.000 | 0.000 | 0.000 | 0.000 | -0.000 | 0.000 |
| 0.000 | -0.000 | 0.000 | 0.000 | 0.000 | -0.000 |
| -0.000 | 0.000 | 0.000 | -0.000 | 0.000 | 0.000 |
| 0.000 | 0.000 | 0.000 | 0.000 | 0.000 | 0.000 |
| -0.000 | -0.000 | -0.000 | 0.000 | 0.000 | -0.000 |
| -0.000 | -0.000 | -0.000 | 0.000 | 0.000 | -0.000 |
| -0.000 | -0.000 | -0.000 | 0.000 | -0.000 | -0.000 |
| 0.000 | 0.000 | 0.000 | -0.000 | -0.000 | 0.000 |
| 0.000 | 0.000 | 0.000 | -0.000 | -0.000 | -0.000 |
| 0.000 | 0.000 | 0.000 | -0.000 | -0.000 | -0.000 |
| 0.000 | 0.000 | 0.000 | 0.000 | -0.000 | -0.000 |
| 0.000 | 0.000 | 0.000 | -0.000 | 0.000 | 0.000 |
| 0.000 | 0.000 | 0.000 | -0.000 | 0.000 | -0.000 |
| 0.000 | 0.000 | 0.000 | 0.000 | -0.000 | -0.000 |
| 0.000 | 0.000 | 0.000 | 0.000 | 0.000 | -0.000 |
| 0.000 | 0.000 | 0.000 | 0.000 | 0.000 | 0.000 |
| -0.000 | -0.000 | -0.000 | 0.000 | 0.000 | 0.000 |
| -0.000 | -0.000 | -0.000 | 0.000 | 0.000 | 0.000 |
| -0.000 | -0.000 | -0.000 | 0.000 | -0.000 | -0.000 |
| 0.000 | 0.000 | 0.000 | -0.000 | -0.000 | -0.000 |
| 0.000 | 0.000 | 0.000 | -0.000 | -0.000 | -0.000 |
| 0.000 | 0.000 | 0.000 | -0.000 | -0.000 | -0.000 |
| 0.000 | 0.000 | 0.000 | 0.000 | -0.000 | 0.000 |
| 0.000 | 0.000 | 0.000 | -0.000 | 0.000 | 0.000 |
| 0.000 | 0.000 | 0.000 | -0.000 | -0.000 | -0.000 |
| 0.000 | 0.000 | 0.000 | 0.000 | 0.000 | 0.000 |
| 0.000 | 0.000 | 0.000 | 0.000 | 0.000 | -0.000 |
| 0.000 | 0.000 | 0.000 | 0.000 | 0.000 | -0.000 |
| -0.000 | -0.000 | -0.000 | 0.000 | 0.000 | -0.000 |
| -0.000 | -0.000 | -0.000 | 0.000 | 0.000 | -0.000 |
| -0.000 | -0.000 | -0.000 | 0.000 | 0.000 | -0.000 |
| 0.000 | 0.000 | 0.000 | -0.000 | -0.000 | -0.000 |
| 0.000 | 0.000 | 0.000 | -0.000 | -0.000 | -0.000 |
| 0.000 | 0.000 | 0.000 | -0.000 | -0.000 | -0.000 |
| 0.000 | 0.000 | 0.000 | 0.000 | -0.000 | -0.000 |
| 0.000 | 0.000 | 0.000 | -0.000 | 0.000 | -0.000 |
| 0.000 | 0.000 | 0.000 | -0.000 | 0.000 | -0.000 |
| 0.001 | 0.000 | 0.000 | 0.000 | 0.000 | 0.000 |
| 0.000 | 0.001 | 0.000 | 0.000 | 0.000 | -0.000 |
| 0.000 | 0.000 | 0.000 | 0.000 | 0.000 | -0.000 |
| 0.000 | 0.000 | 0.000 | 0.000 | 0.000 | 0.000 |
| 0.000 | 0.000 | 0.000 | 0.000 | 0.000 | 0.000 |
| -0.000 | -0.000 | 0.000 | 0.000 | 0.000 | -0.000 |
| 0.001 | 0.000 | -0.000 | -0.000 | -0.000 | -0.000 |
| 0.000 | 0.001 | -0.000 | -0.000 | -0.000 | 0.000 |
| 0.000 | 0.000 | -0.000 | -0.000 | -0.000 | -0.000 |
| -0.000 | 0.000 | -0.000 | -0.000 | -0.000 | 0.000 |
| 0.000 | -0.000 | -0.000 | -0.000 | -0.000 | -0.000 |
| 0.000 | 0.000 | -0.000 | -0.000 | -0.000 | -0.000 |
| 0.001 | 0.000 | 0.000 | 0.000 | 0.000 | -0.000 |
| 0.000 | 0.001 | 0.000 | 0.000 | 0.000 | -0.000 |
| 0.000 | 0.000 | 0.000 | 0.000 | 0.000 | -0.000 |
| 0.000 | 0.000 | 0.000 | 0.000 | 0.000 | 0.000 |
| 0.000 | 0.000 | 0.000 | 0.000 | 0.000 | 0.000 |
| -0.000 | -0.000 | 0.000 | 0.000 | 0.000 | -0.000 |
| 0.001 | 0.000 | -0.000 | -0.000 | -0.000 | -0.000 |
| 0.000 | 0.001 | -0.000 | -0.000 | -0.000 | -0.000 |
| 0.000 | 0.000 | -0.000 | -0.000 | -0.000 | -0.000 |
| -0.000 | 0.000 | -0.000 | -0.000 | -0.000 | -0.000 |
| 0.000 | -0.000 | -0.000 | -0.000 | -0.000 | 0.000 |
| 0.000 | 0.000 | -0.000 | -0.000 | -0.000 | -0.000 |
| 0.001 | 0.000 | 0.000 | 0.000 | 0.000 | -0.000 |
| 0.000 | 0.001 | 0.000 | 0.000 | 0.000 | 0.000 |
| 0.000 | 0.000 | 0.000 | 0.000 | 0.000 | -0.000 |
| 0.000 | -0.000 | 0.000 | 0.000 | 0.000 | 0.000 |
| -0.000 | 0.000 | 0.000 | 0.000 | 0.000 | 0.000 |
| -0.000 | -0.000 | 0.000 | 0.000 | 0.000 | -0.000 |
| 0.001 | 0.000 | -0.000 | -0.000 | -0.000 | -0.000 |
| 0.000 | 0.001 | -0.000 | -0.000 | -0.000 | 0.000 |
| 0.000 | 0.000 | -0.000 | -0.000 | -0.000 | -0.000 |
| -0.000 | 0.000 | -0.000 | -0.000 | -0.000 | -0.000 |
| 0.000 | -0.000 | -0.000 | -0.000 | -0.000 | -0.000 |
| 0.000 | 0.000 | -0.000 | -0.000 | -0.000 | -0.000 |
| 0.000 | 0.000 | 0.000 | -0.000 | -0.000 | 0.000 |
| 0.000 | 0.000 | 0.000 | 0.000 | -0.000 | 0.000 |
| 0.000 | 0.000 | 0.000 | 0.000 | 0.000 | -0.000 |
| -0.000 | 0.000 | -0.000 | 0.000 | -0.000 | 0.000 |
| -0.000 | -0.000 | -0.000 | 0.000 | 0.000 | -0.000 |
| -0.000 | -0.000 | -0.000 | 0.000 | -0.000 | 0.000 |
| 0.000 | 0.000 | 0.000 | -0.000 | 0.000 | -0.000 |
| 0.000 | 0.000 | 0.000 | 0.000 | 0.000 | -0.000 |
| 0.000 | 0.000 | 0.000 | -0.000 | 0.000 | -0.000 |
| -0.000 | 0.000 | 0.000 | 0.000 | -0.000 | 0.000 |
| 0.000 | 0.000 | 0.000 | -0.000 | 0.000 | -0.000 |
| 0.000 | 0.000 | 0.000 | -0.000 | -0.000 | 0.000 |
| 0.000 | 0.000 | 0.000 | -0.000 | -0.000 | 0.000 |
| 0.000 | 0.000 | 0.000 | 0.000 | -0.000 | 0.000 |
| 0.000 | 0.000 | 0.000 | 0.000 | -0.000 | 0.000 |
| -0.000 | 0.000 | -0.000 | 0.000 | -0.000 | 0.000 |
| -0.000 | -0.000 | -0.000 | 0.000 | 0.000 | -0.000 |
| -0.000 | -0.000 | -0.000 | 0.000 | -0.000 | 0.000 |
| 0.000 | 0.000 | 0.000 | -0.000 | -0.000 | 0.000 |
| 0.000 | 0.000 | 0.000 | 0.000 | -0.000 | 0.000 |
| 0.000 | 0.000 | 0.000 | -0.000 | 0.000 | -0.000 |
| -0.000 | 0.000 | 0.000 | 0.000 | -0.000 | 0.000 |
| 0.000 | 0.000 | 0.000 | -0.000 | 0.000 | -0.000 |
| 0.000 | 0.000 | 0.000 | -0.000 | -0.000 | 0.000 |
| 0.000 | 0.000 | 0.000 | -0.000 | -0.000 | 0.000 |
| 0.000 | 0.000 | 0.000 | 0.000 | 0.000 | -0.000 |
| 0.000 | 0.000 | 0.000 | 0.000 | -0.000 | 0.000 |
| -0.000 | 0.000 | -0.000 | 0.000 | -0.000 | 0.000 |
| -0.000 | -0.000 | -0.000 | 0.000 | 0.000 | -0.000 |
| -0.000 | -0.000 | -0.000 | 0.000 | -0.000 | 0.000 |
| 0.000 | 0.000 | 0.000 | -0.000 | 0.000 | -0.000 |
| 0.000 | 0.000 | 0.000 | 0.000 | -0.000 | 0.000 |
| 0.000 | 0.000 | 0.000 | -0.000 | -0.000 | 0.000 |
| -0.000 | 0.000 | 0.000 | 0.000 | 0.000 | -0.000 |
| 0.000 | 0.000 | 0.000 | -0.000 | 0.000 | -0.000 |
| 0.000 | 0.000 | 0.000 | -0.000 | -0.000 | 0.000 |
| 0.000 | 0.000 | 0.000 | -0.000 | 0.000 | 0.000 |
| 0.000 | 0.000 | 0.000 | 0.000 | -0.000 | 0.000 |
| 0.000 | 0.000 | 0.000 | 0.000 | 0.000 | 0.000 |
| 0.000 | -0.000 | -0.000 | -0.000 | 0.000 | -0.000 |
| -0.000 | 0.000 | -0.000 | 0.000 | -0.000 | 0.000 |
| -0.000 | -0.000 | 0.000 | -0.000 | 0.000 | -0.000 |
| 0.000 | 0.000 | 0.000 | 0.000 | 0.000 | -0.000 |
| 0.000 | 0.000 | 0.000 | -0.000 | 0.000 | -0.000 |
| 0.000 | 0.000 | 0.000 | -0.000 | -0.000 | -0.000 |
| -0.000 | 0.000 | 0.000 | -0.000 | -0.000 | -0.000 |
| 0.000 | -0.000 | 0.000 | -0.000 | -0.000 | -0.000 |
| 0.000 | 0.000 | -0.000 | 0.000 | 0.000 | -0.000 |
| 0.000 | 0.000 | 0.000 | -0.000 | 0.000 | 0.000 |
| 0.000 | 0.000 | 0.000 | 0.000 | -0.000 | -0.000 |
| 0.000 | 0.000 | 0.000 | -0.000 | -0.000 | 0.000 |
| 0.000 | -0.000 | -0.000 | -0.000 | -0.000 | 0.000 |
| -0.000 | 0.000 | -0.000 | -0.000 | -0.000 | 0.000 |
| -0.000 | -0.000 | 0.000 | -0.000 | 0.000 | -0.000 |
| 0.000 | 0.000 | 0.000 | 0.000 | 0.000 | -0.000 |
| 0.000 | 0.000 | 0.000 | -0.000 | 0.000 | -0.000 |
| 0.000 | 0.000 | 0.000 | -0.000 | -0.000 | -0.000 |
| -0.000 | 0.000 | 0.000 | -0.000 | 0.000 | 0.000 |
| 0.000 | -0.000 | 0.000 | 0.000 | -0.000 | 0.000 |
| 0.000 | 0.000 | -0.000 | 0.000 | 0.000 | -0.000 |
| 0.000 | 0.000 | 0.000 | -0.000 | 0.000 | 0.000 |
| 0.000 | 0.000 | 0.000 | 0.000 | -0.000 | 0.000 |
| 0.000 | 0.000 | 0.000 | 0.000 | 0.000 | 0.000 |
| 0.000 | -0.000 | -0.000 | -0.000 | -0.000 | -0.000 |
| -0.000 | 0.000 | -0.000 | -0.000 | -0.000 | 0.000 |
| -0.000 | -0.000 | 0.000 | -0.000 | 0.000 | -0.000 |
| 0.000 | 0.000 | 0.000 | 0.000 | -0.000 | -0.000 |
| 0.000 | 0.000 | 0.000 | -0.000 | 0.000 | -0.000 |
| 0.000 | 0.000 | 0.000 | -0.000 | -0.000 | -0.000 |
| -0.000 | 0.000 | 0.000 | -0.000 | 0.000 | -0.000 |
| 0.000 | -0.000 | 0.000 | 0.000 | -0.000 | -0.000 |
| 0.000 | 0.000 | -0.000 | 0.000 | -0.000 | -0.000 |
| -0.001 | -0.000 | -0.000 | 0.000 | -0.000 | -0.000 |
| -0.000 | -0.001 | -0.000 | -0.000 | 0.000 | 0.000 |
| -0.000 | -0.000 | -0.001 | -0.000 | 0.000 | 0.000 |
| 0.000 | 0.000 | 0.000 | 0.000 | 0.000 | -0.000 |
| 0.000 | 0.000 | 0.000 | 0.000 | 0.000 | -0.000 |
| 0.000 | 0.000 | 0.000 | 0.000 | -0.000 | 0.000 |
| -0.001 | -0.000 | -0.000 | 0.000 | 0.000 | 0.000 |
| -0.000 | -0.001 | -0.000 | -0.000 | 0.000 | -0.000 |
| -0.000 | -0.000 | -0.001 | 0.000 | -0.000 | 0.000 |
| -0.000 | 0.000 | -0.000 | 0.000 | -0.000 | 0.000 |
| 0.000 | -0.000 | -0.000 | -0.000 | 0.000 | 0.000 |
| 0.000 | -0.000 | -0.000 | -0.000 | 0.000 | 0.000 |
| -0.001 | -0.000 | -0.000 | 0.000 | -0.000 | -0.000 |
| -0.000 | -0.001 | -0.000 | -0.000 | 0.000 | -0.000 |
| -0.000 | -0.000 | -0.001 | -0.000 | 0.000 | 0.000 |
| 0.000 | -0.000 | 0.000 | 0.000 | -0.000 | -0.000 |
| -0.000 | 0.000 | 0.000 | -0.000 | 0.000 | -0.000 |
| -0.000 | 0.000 | 0.000 | 0.000 | -0.000 | 0.000 |
| -0.001 | -0.000 | -0.000 | 0.000 | 0.000 | 0.000 |
| -0.000 | -0.001 | -0.000 | 0.000 | 0.000 | 0.000 |
| -0.000 | -0.000 | -0.001 | 0.000 | 0.000 | 0.000 |
| -0.000 | -0.000 | -0.000 | 0.000 | 0.000 | 0.000 |
| -0.000 | -0.000 | -0.000 | 0.000 | 0.000 | 0.000 |
| -0.000 | -0.000 | -0.000 | -0.000 | 0.000 | 0.000 |
| -0.001 | -0.000 | -0.000 | 0.000 | 0.000 | 0.000 |
| -0.000 | -0.001 | -0.000 | 0.000 | 0.000 | -0.000 |
| -0.000 | -0.000 | -0.001 | -0.000 | -0.000 | 0.000 |
| 0.000 | -0.000 | 0.000 | 0.000 | -0.000 | -0.000 |
| -0.000 | 0.000 | 0.000 | -0.000 | 0.000 | -0.000 |
| -0.000 | 0.000 | 0.000 | 0.000 | -0.000 | 0.000 |
| -0.001 | -0.000 | -0.000 | 0.000 | 0.000 | 0.000 |
| -0.000 | -0.001 | -0.000 | 0.000 | 0.000 | -0.000 |
| -0.000 | -0.000 | -0.001 | -0.000 | -0.000 | 0.000 |
| -0.000 | -0.000 | -0.000 | 0.000 | 0.000 | 0.000 |
| -0.000 | -0.000 | -0.000 | 0.000 | 0.000 | 0.000 |
| -0.000 | -0.000 | -0.000 | -0.000 | 0.000 | 0.000 |
| 0.000 | 0.000 | 0.000 | -0.000 | 0.000 | 0.000 |
| 0.000 | 0.000 | 0.000 | -0.000 | -0.000 | 0.000 |
| 0.000 | 0.000 | 0.000 | -0.000 | -0.000 | 0.000 |
| 0.000 | 0.000 | -0.000 | -0.000 | 0.000 | 0.000 |
| 0.000 | 0.000 | -0.000 | 0.000 | -0.000 | 0.000 |
| 0.000 | 0.000 | 0.000 | 0.000 | 0.000 | 0.000 |
| -0.000 | -0.000 | 0.000 | -0.000 | -0.000 | -0.000 |
| -0.000 | -0.000 | 0.000 | -0.000 | -0.000 | -0.000 |
| -0.000 | -0.000 | 0.000 | -0.000 | -0.000 | -0.000 |
| -0.000 | -0.000 | 0.000 | -0.000 | -0.000 | 0.000 |
| -0.000 | -0.000 | 0.000 | -0.000 | -0.000 | -0.000 |
| -0.000 | -0.000 | -0.000 | -0.000 | -0.000 | -0.000 |
| 0.000 | 0.000 | 0.000 | -0.000 | 0.000 | 0.000 |
| 0.000 | 0.000 | 0.000 | 0.000 | -0.000 | 0.000 |
| 0.000 | 0.000 | 0.000 | 0.000 | 0.000 | 0.000 |
| 0.000 | 0.000 | -0.000 | -0.000 | 0.000 | -0.000 |
| 0.000 | 0.000 | -0.000 | 0.000 | -0.000 | 0.000 |
| 0.000 | 0.000 | 0.000 | 0.000 | 0.000 | 0.000 |
| -0.000 | -0.000 | 0.000 | -0.000 | -0.000 | -0.000 |
| -0.000 | -0.000 | 0.000 | 0.000 | -0.000 | -0.000 |
| -0.000 | -0.000 | 0.000 | -0.000 | -0.000 | -0.000 |
| -0.000 | -0.000 | 0.000 | -0.000 | -0.000 | -0.000 |
| -0.000 | -0.000 | 0.000 | -0.000 | -0.000 | -0.000 |
| -0.000 | -0.000 | -0.000 | -0.000 | -0.000 | -0.000 |
| 0.000 | 0.000 | 0.000 | -0.000 | 0.000 | 0.000 |
| 0.000 | 0.000 | 0.000 | 0.000 | -0.000 | 0.000 |
| 0.000 | 0.000 | 0.000 | 0.000 | 0.000 | 0.000 |
| 0.000 | 0.000 | -0.000 | -0.000 | 0.000 | -0.000 |
| 0.000 | 0.000 | -0.000 | 0.000 | -0.000 | 0.000 |
| 0.000 | 0.000 | 0.000 | 0.000 | 0.000 | 0.000 |
| -0.000 | -0.000 | 0.000 | -0.000 | -0.000 | -0.000 |
| -0.000 | -0.000 | 0.000 | -0.000 | -0.000 | -0.000 |
| -0.000 | -0.000 | 0.000 | 0.000 | 0.000 | -0.000 |
| -0.000 | -0.000 | 0.000 | -0.000 | -0.000 | -0.000 |
| -0.000 | -0.000 | 0.000 | -0.000 | -0.000 | -0.000 |
| -0.000 | -0.000 | -0.000 | -0.000 | -0.000 | -0.000 |
| 119.453 | 99.620 | 99.620 | -0.000 | -0.000 | -0.000 |
| 99.620 | 119.453 | 99.620 | -0.000 | -0.000 | -0.000 |
| 99.620 | 99.620 | 119.453 | 0.000 | -0.000 | -0.000 |
| -0.000 | -0.000 | 0.000 | 9.809 | -0.000 | -0.000 |
| -0.000 | -0.000 | 0.000 | -0.000 | 9.809 | -0.000 |
| -0.000 | -0.000 | 0.000 | -0.000 | -0.000 | 9.809 |
| 119.453 | 99.620 | 99.620 | 0.000 | 0.000 | 0.000 |
| 99.620 | 119.453 | 99.620 | 0.000 | 0.000 | 0.000 |
| 99.620 | 99.620 | 119.453 | 0.000 | 0.000 | 0.000 |
| 0.000 | 0.000 | -0.000 | 9.809 | 0.000 | 0.000 |
| 0.000 | 0.000 | -0.000 | 0.000 | 9.809 | 0.000 |
| 0.000 | 0.000 | -0.000 | 0.000 | 0.000 | 9.809 |
| 119.453 | 99.620 | 99.620 | -0.000 | -0.000 | -0.000 |
| 99.620 | 119.453 | 99.620 | -0.000 | -0.000 | -0.000 |
| 99.620 | 99.620 | 119.453 | -0.000 | -0.000 | -0.000 |
| -0.000 | -0.000 | -0.000 | 9.809 | -0.000 | 0.000 |
| -0.000 | -0.000 | -0.000 | -0.000 | 9.809 | -0.000 |
| -0.000 | -0.000 | -0.000 | -0.000 | -0.000 | 9.809 |
| 119.453 | 99.620 | 99.620 | 0.000 | 0.000 | 0.000 |
| 99.620 | 119.453 | 99.620 | 0.000 | 0.000 | 0.000 |
| 99.620 | 99.620 | 119.453 | -0.000 | -0.000 | 0.000 |
| 0.000 | 0.000 | 0.000 | 9.809 | 0.000 | 0.000 |
| 0.000 | 0.000 | 0.000 | 0.000 | 9.809 | 0.000 |
| 0.000 | 0.000 | 0.000 | 0.000 | 0.000 | 9.809 |
| 119.453 | 99.620 | 99.620 | -0.000 | -0.000 | -0.000 |
| 99.620 | 119.453 | 99.620 | -0.000 | -0.000 | -0.000 |
| 99.620 | 99.620 | 119.453 | -0.000 | -0.000 | -0.000 |
| -0.000 | -0.000 | -0.000 | 9.809 | 0.000 | -0.000 |
| -0.000 | -0.000 | -0.000 | -0.000 | 9.809 | -0.000 |
| -0.000 | -0.000 | -0.000 | -0.000 | -0.000 | 9.809 |
| 119.453 | 99.620 | 99.620 | 0.000 | 0.000 | 0.000 |
| 99.620 | 119.453 | 99.620 | 0.000 | 0.000 | 0.000 |
| 99.620 | 99.620 | 119.453 | 0.000 | 0.000 | 0.000 |
| 0.000 | 0.000 | 0.000 | 9.809 | 0.000 | 0.000 |
| 0.000 | 0.000 | 0.000 | 0.000 | 9.809 | 0.000 |
| 0.000 | 0.000 | 0.000 | 0.000 | 0.000 | 9.809 |
| 699.128 | 682.519 | 682.519 | -0.000 | -0.000 | -0.000 |
| 682.519 | 699.128 | 682.519 | -0.000 | -0.000 | 0.000 |
| 682.519 | 682.519 | 699.128 | -0.000 | -0.000 | 0.000 |
| 0.000 | 0.000 | 0.000 | 604.526 | 0.000 | 0.000 |
| 0.000 | 0.000 | 0.000 | 0.000 | 604.526 | 0.000 |
| 0.000 | 0.000 | 0.000 | 0.000 | 0.000 | 604.526 |
| 699.128 | 682.519 | 682.519 | 0.000 | 0.000 | -0.000 |
| 682.519 | 699.128 | 682.519 | -0.000 | 0.000 | -0.000 |
| 682.519 | 682.519 | 699.128 | -0.000 | -0.000 | -0.000 |
| -0.000 | -0.000 | -0.000 | 604.526 | -0.000 | -0.000 |
| -0.000 | -0.000 | -0.000 | -0.000 | 604.526 | 0.000 |
| -0.000 | -0.000 | -0.000 | -0.000 | -0.000 | 604.526 |
| 699.127 | 682.520 | 682.520 | -0.000 | 0.000 | 0.000 |
| 682.520 | 699.127 | 682.520 | -0.000 | 0.000 | 0.000 |
| 682.520 | 682.520 | 699.127 | 0.000 | -0.000 | 0.000 |
| -0.000 | -0.000 | -0.000 | -150.576 | 0.000 | 0.000 |
| -0.000 | -0.000 | -0.000 | -0.000 | -150.576 | 0.000 |
| -0.000 | -0.000 | -0.000 | -0.000 | -0.000 | -150.576 |
| 699.128 | 682.519 | 682.519 | 0.000 | -0.000 | 0.000 |
| 682.519 | 699.128 | 682.519 | 0.000 | 0.000 | -0.000 |
| 682.519 | 682.519 | 699.128 | -0.000 | -0.000 | -0.000 |
| 0.000 | 0.000 | 0.000 | -150.576 | -0.000 | 0.000 |
| 0.000 | 0.000 | 0.000 | -0.000 | -150.576 | -0.000 |
| 0.000 | 0.000 | 0.000 | 0.000 | -0.000 | -150.576 |
| 699.125 | 682.521 | 682.521 | -0.000 | 0.000 | -0.000 |
| 682.521 | 699.125 | 682.521 | -0.000 | 0.000 | 0.000 |
| 682.521 | 682.521 | 699.125 | -0.000 | -0.000 | 0.000 |
| -0.001 | -0.001 | -0.001 | -150.576 | 0.000 | 0.000 |
| -0.001 | -0.001 | -0.001 | -0.000 | -150.576 | 0.000 |
| -0.001 | -0.001 | -0.001 | -0.000 | 0.000 | -150.576 |
| 699.130 | 682.517 | 682.517 | 0.000 | 0.000 | 0.000 |
| 682.517 | 699.130 | 682.517 | 0.000 | 0.000 | 0.000 |
| 682.517 | 682.517 | 699.130 | 0.000 | 0.000 | -0.000 |
| 0.001 | 0.001 | 0.001 | -150.576 | -0.000 | -0.000 |
| 0.001 | 0.001 | 0.001 | -0.000 | -150.576 | -0.000 |
| 0.001 | 0.001 | 0.001 | 0.000 | -0.000 | -150.576 |
| 612.340 | 841.883 | 841.883 | -0.000 | -0.000 | 0.000 |
| 841.883 | 612.340 | 841.883 | -0.000 | -0.000 | -0.000 |
| 841.883 | 841.883 | 612.340 | -0.000 | -0.000 | 0.000 |
| 0.000 | -0.000 | 0.000 | 755.216 | -0.000 | 0.000 |
| -0.000 | 0.000 | 0.000 | 0.000 | 755.216 | 0.000 |
| 0.000 | 0.000 | 0.000 | 0.000 | -0.000 | 755.216 |
| 612.340 | 841.883 | 841.883 | 0.000 | 0.000 | -0.000 |
| 841.883 | 612.340 | 841.883 | 0.000 | 0.000 | -0.000 |
| 841.883 | 841.883 | 612.340 | 0.000 | -0.000 | -0.000 |
| -0.000 | 0.000 | -0.000 | 755.216 | 0.000 | 0.000 |
| 0.000 | -0.000 | -0.000 | 0.000 | 755.216 | -0.000 |
| 0.000 | -0.000 | -0.000 | 0.000 | 0.000 | 755.216 |
| 612.340 | 841.883 | 841.883 | -0.000 | -0.000 | 0.000 |
| 841.883 | 612.340 | 841.883 | -0.000 | -0.000 | 0.000 |
| 841.883 | 841.883 | 612.340 | -0.000 | -0.000 | 0.000 |
| 0.000 | -0.000 | 0.000 | 755.216 | -0.000 | 0.000 |
| -0.000 | 0.000 | 0.000 | 0.000 | 755.216 | -0.000 |
| -0.000 | 0.000 | 0.000 | -0.000 | -0.000 | 755.216 |
| 612.340 | 841.883 | 841.883 | -0.000 | 0.000 | -0.000 |
| 841.883 | 612.340 | 841.883 | -0.000 | -0.000 | -0.000 |
| 841.883 | 841.883 | 612.340 | -0.000 | 0.000 | -0.000 |
| -0.000 | 0.000 | -0.000 | 755.216 | 0.000 | 0.000 |
| 0.000 | -0.000 | -0.000 | 0.000 | 755.216 | -0.000 |
| 0.000 | -0.000 | -0.000 | -0.000 | 0.000 | 755.216 |
| 612.339 | 841.885 | 841.885 | -0.000 | -0.000 | 0.000 |
| 841.885 | 612.339 | 841.885 | -0.000 | 0.000 | 0.000 |
| 841.885 | 841.885 | 612.339 | -0.000 | 0.000 | 0.000 |
| 0.002 | -0.001 | 0.001 | 755.216 | -0.000 | 0.000 |
| -0.001 | 0.002 | 0.001 | 0.000 | 755.216 | -0.000 |
| -0.001 | 0.001 | 0.002 | -0.000 | -0.000 | 755.216 |
| 612.341 | 841.881 | 841.881 | 0.000 | 0.000 | 0.000 |
| 841.881 | 612.341 | 841.881 | 0.000 | 0.000 | -0.000 |
| 841.881 | 841.881 | 612.341 | 0.000 | 0.000 | 0.000 |
| -0.002 | 0.001 | -0.001 | 755.216 | 0.000 | -0.000 |
| 0.001 | -0.002 | -0.001 | -0.000 | 755.216 | -0.000 |
| 0.001 | -0.001 | -0.002 | 0.000 | 0.000 | 755.216 |
| -1327.056 | -2310.201 | -1895.461 | 0.000 | 0.000 | -0.000 |
| 569.208 | 451.459 | 176.588 | -0.000 | 0.000 | -0.000 |
| 421.825 | 164.532 | 1031.922 | -0.000 | 0.000 | 0.000 |
| -2318.345 | -2848.323 | -2372.713 | 110.025 | 0.000 | 0.000 |
| -618.125 | -2627.234 | -4148.421 | -0.000 | 237.120 | 0.000 |
| -2319.097 | -2849.247 | -2373.482 | -0.000 | 0.000 | 444.955 |
| 1232.288 | 3200.648 | 4718.634 | 0.000 | -0.000 | -0.000 |
| 1154.140 | 2943.152 | 4364.357 | 0.000 | -0.000 | 0.000 |
| 421.824 | 164.532 | 1031.922 | 0.000 | -0.000 | -0.000 |
| 2318.345 | 2848.323 | 2372.713 | 110.025 | -0.000 | -0.000 |
| 618.125 | 2627.234 | 4148.421 | 0.000 | 237.120 | -0.000 |
| 2319.097 | 2849.247 | 2373.483 | 0.000 | -0.000 | 444.955 |
| 434.684 | 427.945 | -158.589 | -0.000 | 0.000 | 0.000 |
| 281.198 | 79.407 | -62.729 | 0.000 | 0.000 | 0.000 |
| 410.407 | -92.697 | 224.633 | -0.000 | 0.000 | 0.000 |
| 0.000 | 0.000 | 0.000 | 144.141 | 0.000 | 0.000 |
| 158.808 | -270.737 | -530.368 | -0.000 | 177.299 | -0.000 |
| -243.109 | -298.684 | -248.810 | -0.000 | 0.000 | 440.631 |
| 1228.784 | 551.613 | 416.285 | 0.000 | -0.000 | -0.000 |
| 757.707 | 656.450 | 450.536 | -0.000 | -0.000 | 0.000 |
| 533.365 | 448.516 | 992.311 | 0.000 | -0.000 | 0.000 |
| -0.000 | -0.000 | -0.000 | 144.141 | -0.000 | 0.000 |
| -158.808 | 270.737 | 530.368 | 0.000 | 177.299 | -0.000 |
| 243.109 | 298.684 | 248.810 | 0.000 | -0.000 | 440.631 |
| 512.588 | 597.032 | 453.875 | -0.000 | 0.000 | 0.000 |
| 479.602 | 325.118 | 134.387 | 0.000 | 0.000 | 0.000 |
| 412.879 | 183.653 | 536.049 | -0.000 | 0.000 | 0.000 |
| 6.955 | -33.958 | -47.589 | -1.263 | 0.000 | 0.000 |
| 3.143 | -30.188 | -40.786 | -0.000 | 198.067 | 0.000 |
| 133.115 | -39.107 | -147.719 | -0.000 | 0.000 | -625.001 |
| 540.905 | 641.219 | 539.722 | 0.000 | -0.000 | 0.000 |
| 514.903 | 367.888 | 172.339 | 0.000 | -0.000 | -0.000 |
| 476.116 | 163.737 | 662.681 | 0.000 | -0.000 | -0.000 |
| -6.955 | 33.958 | 47.589 | -1.263 | -0.000 | -0.000 |
| -3.143 | 30.188 | 40.786 | 0.000 | 198.067 | -0.000 |
| -133.115 | 39.107 | 147.719 | 0.000 | -0.000 | -625.001 |
| 5677.528 | -1523.794 | 1939.718 | 0.000 | -0.000 | 0.000 |
| 4925.685 | -213.109 | 1988.744 | 0.000 | -0.000 | 0.000 |
| 734.166 | 834.018 | 2985.745 | 0.000 | 0.000 | -0.000 |
| 0.000 | 0.000 | 0.000 | 685.080 | 0.000 | -0.000 |
| 4235.455 | -2180.056 | 1165.136 | 0.000 | 497.383 | 0.000 |
| 4236.615 | -2179.229 | 1165.745 | 0.000 | -0.000 | 439.882 |
| 3446.250 | 2797.493 | 1794.086 | 0.000 | 0.000 | -0.000 |
| -3542.347 | 4143.110 | -341.495 | -0.000 | 0.000 | -0.000 |
| -3524.493 | 2996.075 | 1397.596 | -0.000 | 0.000 | -0.000 |
| -0.000 | -0.000 | -0.000 | 685.080 | -0.000 | -0.000 |
| -4235.455 | 2180.056 | -1165.136 | -0.000 | 497.383 | -0.000 |
| -4236.615 | 2179.229 | -1165.745 | -0.000 | 0.000 | 439.882 |
| 1709.828 | 462.620 | 647.517 | 0.000 | -0.000 | 0.000 |
| 677.642 | 2102.063 | 834.018 | 0.000 | 0.000 | 0.000 |
| 588.297 | 604.111 | 2746.204 | 0.000 | -0.000 | 0.000 |
| 0.000 | 0.001 | 0.001 | 685.080 | 0.000 | -0.000 |
| 0.000 | 0.000 | 0.000 | 0.000 | 613.595 | 0.000 |
| -160.211 | -212.609 | -104.217 | 0.000 | -0.000 | 500.068 |
| 1003.528 | 869.441 | 669.707 | 0.000 | 0.000 | -0.000 |
| 817.142 | 2259.179 | 914.201 | -0.000 | 0.000 | -0.000 |
| 291.158 | 1033.167 | 2403.990 | -0.000 | 0.000 | -0.000 |
| -0.000 | -0.001 | -0.001 | 685.080 | -0.000 | -0.000 |
| -0.000 | -0.000 | -0.000 | -0.000 | 613.595 | -0.000 |
| 160.211 | 212.609 | 104.217 | -0.000 | 0.000 | 500.068 |
| 1604.119 | 580.690 | 837.766 | 0.000 | -0.000 | 0.000 |
| 635.404 | 2017.085 | 795.661 | 0.000 | -0.000 | 0.000 |
| 724.741 | 771.769 | 2781.582 | 0.000 | -0.000 | 0.000 |
| 36.627 | -20.390 | 9.775 | 659.241 | -0.000 | 0.000 |
| -13.456 | -17.855 | -8.748 | 0.000 | 515.715 | 0.000 |
| 46.106 | -17.870 | 13.879 | -0.000 | -0.000 | 448.111 |
| 1485.034 | 670.646 | 783.576 | -0.000 | 0.000 | -0.000 |
| 677.636 | 2102.106 | 834.009 | -0.000 | -0.000 | 0.000 |
| 677.784 | 981.357 | 2372.319 | -0.000 | 0.000 | 0.000 |
| -36.627 | 20.390 | -9.775 | 659.241 | 0.000 | -0.000 |
| 13.456 | 17.855 | 8.748 | -0.000 | 515.716 | -0.000 |
| -46.106 | 17.870 | -13.879 | -0.000 | 0.000 | 448.111 |
| 36.877 | 40.495 | 40.495 | 0.000 | 0.000 | 0.000 |
| 40.495 | 36.877 | 40.495 | 0.000 | 0.000 | 0.000 |
| 40.495 | 40.495 | 36.877 | 0.000 | 0.000 | 0.000 |
| -0.000 | -0.000 | -0.000 | -3.874 | 0.000 | 0.000 |
| -0.000 | -0.000 | -0.000 | 0.000 | -3.874 | 0.000 |
| -0.000 | -0.000 | -0.000 | 0.000 | 0.000 | -3.874 |
| 36.877 | 40.495 | 40.495 | 0.000 | -0.000 | -0.000 |
| 40.495 | 36.877 | 40.495 | -0.000 | 0.000 | -0.000 |
| 40.495 | 40.495 | 36.877 | -0.000 | -0.000 | 0.000 |
| 0.000 | 0.000 | 0.000 | -3.874 | -0.000 | -0.000 |
| 0.000 | 0.000 | 0.000 | -0.000 | -3.874 | -0.000 |
| 0.000 | 0.000 | 0.000 | -0.000 | -0.000 | -3.874 |
| 36.877 | 40.495 | 40.495 | 0.000 | 0.000 | 0.000 |
| 40.495 | 36.877 | 40.495 | 0.000 | 0.000 | 0.000 |
| 40.495 | 40.495 | 36.877 | 0.000 | 0.000 | 0.000 |
| 0.000 | 0.000 | 0.000 | 26.234 | 0.000 | 0.000 |
| 0.000 | 0.000 | 0.000 | 0.000 | 26.234 | 0.000 |
| 0.000 | 0.000 | 0.000 | 0.000 | 0.000 | 26.234 |
| 36.877 | 40.495 | 40.495 | 0.000 | -0.000 | -0.000 |
| 40.495 | 36.877 | 40.495 | -0.000 | 0.000 | -0.000 |
| 40.495 | 40.495 | 36.877 | -0.000 | -0.000 | 0.000 |
| -0.000 | -0.000 | -0.000 | 26.234 | -0.000 | -0.000 |
| -0.000 | -0.000 | -0.000 | -0.000 | 26.234 | -0.000 |
| -0.000 | -0.000 | -0.000 | -0.000 | -0.000 | 26.234 |
| 36.878 | 40.495 | 40.495 | 0.000 | 0.000 | 0.000 |
| 40.495 | 36.878 | 40.495 | 0.000 | 0.000 | 0.000 |
| 40.495 | 40.495 | 36.878 | 0.000 | 0.000 | 0.000 |
| 0.000 | 0.000 | 0.000 | 26.234 | -0.000 | 0.000 |
| 0.000 | 0.000 | 0.000 | -0.000 | 26.234 | 0.000 |
| 0.000 | 0.000 | 0.000 | -0.000 | 0.000 | 26.234 |
| 36.877 | 40.494 | 40.494 | -0.000 | -0.000 | -0.000 |
| 40.494 | 36.877 | 40.494 | -0.000 | -0.000 | -0.000 |
| 40.494 | 40.494 | 36.877 | -0.000 | -0.000 | -0.000 |
| -0.000 | -0.000 | -0.000 | 26.234 | -0.000 | -0.000 |
| -0.000 | -0.000 | -0.000 | -0.000 | 26.234 | -0.000 |
| -0.000 | -0.000 | -0.000 | -0.000 | -0.000 | 26.234 |
| 1120.796 | 420.658 | 344.248 | 34.293 | -0.000 | 0.000 |
| 19658.517 | 20306.476 | 31697.209 | -42.478 | 0.000 | 0.000 |
| 19727.543 | 19727.543 | 32461.359 | 0.000 | 0.000 | 0.000 |
| 6768.467 | 6652.092 | 30570.592 | 255.166 | 0.000 | 0.000 |
| 0.000 | 0.000 | 0.000 | 0.000 | 268.353 | 34.293 |
| 19424.496 | 19424.496 | 31365.673 | 0.000 | 36.364 | 339.706 |
| -18705.480 | -19382.726 | -31693.212 | 36.867 | -0.000 | -0.000 |
| 420.658 | 1120.795 | 344.248 | -34.293 | -0.000 | -0.000 |
| 344.248 | 344.248 | 1176.457 | -0.000 | -0.000 | -0.000 |
| 34.293 | -34.293 | -0.000 | 268.353 | 0.000 | -0.000 |
| -0.000 | -0.000 | -0.000 | -0.000 | 268.353 | 34.293 |
| -19424.496 | -19424.496 | -31365.673 | -0.000 | 36.364 | 339.706 |
| 2796.934 | 2120.258 | 3498.539 | 37.018 | -0.000 | 0.000 |
| 946.474 | 1546.845 | 3284.781 | -57.374 | -0.000 | 0.000 |
| 1002.346 | 1002.346 | 4153.572 | 0.000 | 0.000 | 0.000 |
| 729.170 | 612.799 | 3056.862 | 255.167 | 0.000 | 0.000 |
| 0.000 | 0.000 | 0.001 | 0.000 | 268.353 | 34.293 |
| 1955.905 | 1955.905 | 3154.169 | 0.000 | 53.205 | 304.105 |
| 221.325 | -375.704 | -2720.519 | 58.147 | 0.000 | -0.000 |
| -374.280 | 222.934 | -2715.038 | -58.104 | -0.000 | -0.000 |
| -1656.984 | -1656.984 | -2107.183 | -0.000 | -0.000 | -0.000 |
| 34.292 | -34.293 | -0.001 | 268.353 | 0.000 | -0.000 |
| -0.000 | -0.000 | -0.001 | -0.000 | 268.353 | 34.293 |
| -1955.905 | -1955.905 | -3154.169 | -0.000 | 53.205 | 304.105 |
| 1010.945 | 368.217 | 611.189 | 46.231 | 0.000 | 0.000 |
| 368.613 | 978.535 | 600.039 | -55.169 | -0.000 | 0.000 |
| 494.419 | 494.419 | 1409.316 | 0.000 | -0.000 | 0.000 |
| 123.000 | 7.829 | 298.016 | 255.496 | 0.000 | 0.000 |
| 0.002 | 0.001 | 0.007 | 0.001 | 268.353 | 34.293 |
| 203.989 | 203.989 | 315.194 | 0.001 | 50.152 | 310.233 |
| 783.420 | 200.586 | -17.577 | 61.428 | 0.000 | 0.000 |
| 201.555 | 784.913 | -15.979 | -61.306 | -0.000 | -0.000 |
| 265.525 | 265.525 | 797.107 | -0.000 | 0.000 | -0.000 |
| -7.829 | -123.001 | -298.017 | 255.500 | 0.000 | -0.000 |
| -0.002 | -0.001 | -0.007 | -0.001 | 268.353 | 34.293 |
| -203.989 | -203.989 | -315.194 | -0.001 | 50.152 | 310.233 |
| 529.694 | 69.772 | 69.772 | 0.000 | -0.000 | -0.000 |
| 69.772 | 529.694 | 69.772 | 0.000 | -0.000 | -0.000 |
| 69.772 | 69.772 | 529.694 | -0.000 | -0.000 | -0.000 |
| -0.000 | -0.000 | 0.000 | 11.180 | 0.000 | -0.000 |
| -0.000 | 0.000 | -0.000 | 0.000 | 11.180 | -0.000 |
| -0.000 | 0.000 | -0.000 | -0.000 | 0.000 | 11.180 |
| 529.694 | 69.772 | 69.772 | -0.000 | 0.000 | 0.000 |
| 69.772 | 529.694 | 69.772 | -0.000 | 0.000 | 0.000 |
| 69.772 | 69.772 | 529.694 | 0.000 | 0.000 | 0.000 |
| 0.000 | 0.000 | -0.000 | 11.180 | 0.000 | 0.000 |
| 0.000 | -0.000 | 0.000 | -0.000 | 11.180 | 0.000 |
| 0.000 | -0.000 | 0.000 | -0.000 | -0.000 | 11.180 |
| 529.694 | 69.772 | 69.772 | 0.000 | 0.000 | -0.000 |
| 69.772 | 529.694 | 69.772 | 0.000 | 0.000 | -0.000 |
| 69.772 | 69.772 | 529.694 | 0.000 | 0.000 | -0.000 |
| -0.000 | -0.000 | -0.000 | 11.180 | 0.000 | -0.000 |
| -0.000 | 0.000 | -0.000 | -0.000 | 11.180 | -0.000 |
| -0.000 | -0.000 | -0.000 | -0.000 | -0.000 | 11.180 |
| 529.693 | 69.772 | 69.772 | -0.000 | 0.000 | 0.000 |
| 69.772 | 529.693 | 69.772 | -0.000 | 0.000 | 0.000 |
| 69.772 | 69.772 | 529.693 | 0.000 | -0.000 | 0.000 |
| 0.000 | 0.000 | 0.000 | 11.180 | 0.000 | 0.000 |
| 0.000 | -0.000 | 0.000 | -0.000 | 11.180 | 0.000 |
| 0.000 | 0.000 | 0.000 | 0.000 | -0.000 | 11.180 |
| 529.700 | 69.772 | 69.772 | 0.000 | -0.000 | -0.000 |
| 69.772 | 529.700 | 69.772 | 0.000 | -0.000 | -0.000 |
| 69.772 | 69.772 | 529.700 | -0.000 | 0.000 | -0.000 |
| 0.000 | -0.000 | -0.000 | 11.180 | 0.000 | -0.000 |
| -0.000 | 0.000 | -0.000 | 0.000 | 11.180 | -0.000 |
| -0.000 | -0.000 | 0.000 | -0.000 | -0.000 | 11.180 |
| 529.688 | 69.772 | 69.772 | -0.000 | -0.000 | 0.000 |
| 69.772 | 529.688 | 69.772 | -0.000 | 0.000 | 0.000 |
| 69.772 | 69.772 | 529.688 | 0.000 | -0.000 | 0.000 |
| -0.000 | 0.000 | 0.000 | 11.180 | -0.000 | 0.000 |
| 0.000 | -0.000 | 0.000 | 0.000 | 11.180 | 0.000 |
| 0.000 | 0.000 | -0.000 | -0.000 | -0.000 | 11.180 |
| 0.000 | 0.000 | 0.000 | -0.000 | -0.000 | 0.000 |
| 0.000 | 0.000 | 0.000 | 0.000 | 0.000 | -0.000 |
| 0.000 | 0.000 | 0.000 | -0.000 | 0.000 | -0.000 |
| 0.000 | -0.000 | 0.000 | -0.000 | 0.000 | 0.000 |
| -0.000 | 0.000 | 0.000 | 0.000 | -0.000 | 0.000 |
| -0.000 | 0.000 | 0.000 | 0.000 | -0.000 | -0.000 |
| 0.000 | 0.000 | 0.000 | -0.000 | 0.000 | -0.000 |
| 0.000 | 0.000 | 0.000 | -0.000 | 0.000 | -0.000 |
| 0.000 | 0.000 | 0.000 | -0.000 | -0.000 | -0.000 |
| -0.000 | 0.000 | -0.000 | -0.000 | -0.000 | -0.000 |
| 0.000 | -0.000 | -0.000 | -0.000 | -0.000 | -0.000 |
| 0.000 | -0.000 | -0.000 | -0.000 | 0.000 | -0.000 |
| 0.000 | 0.000 | 0.000 | -0.000 | -0.000 | 0.000 |
| 0.000 | 0.000 | 0.000 | 0.000 | 0.000 | -0.000 |
| 0.000 | 0.000 | 0.000 | -0.000 | 0.000 | -0.000 |
| 0.000 | -0.000 | -0.000 | -0.000 | -0.000 | 0.000 |
| -0.000 | 0.000 | -0.000 | 0.000 | -0.000 | 0.000 |
| -0.000 | -0.000 | 0.000 | 0.000 | -0.000 | -0.000 |
| 0.000 | 0.000 | 0.000 | -0.000 | 0.000 | -0.000 |
| 0.000 | 0.000 | 0.000 | -0.000 | 0.000 | -0.000 |
| 0.000 | 0.000 | 0.000 | 0.000 | 0.000 | -0.000 |
| -0.000 | 0.000 | 0.000 | -0.000 | 0.000 | -0.000 |
| 0.000 | -0.000 | 0.000 | -0.000 | -0.000 | -0.000 |
| 0.000 | 0.000 | -0.000 | -0.000 | 0.000 | -0.000 |
| 0.000 | 0.000 | 0.000 | -0.000 | -0.000 | 0.000 |
| 0.000 | 0.000 | 0.000 | 0.000 | 0.000 | -0.000 |
| 0.000 | 0.000 | 0.000 | 0.000 | 0.000 | -0.000 |
| 0.000 | -0.000 | -0.000 | -0.000 | 0.000 | 0.000 |
| 0.000 | 0.000 | -0.000 | 0.000 | -0.000 | 0.000 |
| -0.000 | -0.000 | 0.000 | 0.000 | -0.000 | -0.000 |
| 0.000 | 0.000 | 0.000 | -0.000 | -0.000 | -0.000 |
| 0.000 | 0.000 | 0.000 | -0.000 | 0.000 | -0.000 |
| 0.000 | 0.000 | 0.000 | 0.000 | -0.000 | -0.000 |
| -0.000 | 0.000 | 0.000 | -0.000 | -0.000 | -0.000 |
| 0.000 | -0.000 | 0.000 | -0.000 | -0.000 | -0.000 |
| 0.000 | 0.000 | -0.000 | -0.000 | 0.000 | -0.000 |
| 159.657 | 147.635 | 147.635 | 0.000 | 0.000 | 0.000 |
| 147.635 | 159.657 | 147.635 | 0.000 | 0.000 | 0.000 |
| 147.635 | 147.635 | 159.657 | 0.000 | -0.000 | 0.000 |
| 0.000 | 0.000 | 0.000 | 39.187 | -0.000 | 0.000 |
| 0.000 | 0.000 | 0.000 | -0.000 | 39.187 | 0.000 |
| 0.000 | 0.000 | 0.000 | 0.000 | -0.000 | 39.187 |
| 159.656 | 147.635 | 147.635 | -0.000 | -0.000 | -0.000 |
| 147.635 | 159.656 | 147.635 | -0.000 | -0.000 | -0.000 |
| 147.635 | 147.635 | 159.657 | 0.000 | -0.000 | -0.000 |
| -0.000 | -0.000 | -0.000 | 39.187 | 0.000 | -0.000 |
| -0.000 | -0.000 | -0.000 | 0.000 | 39.187 | -0.000 |
| -0.000 | -0.000 | -0.000 | 0.000 | 0.000 | 39.187 |
| 159.657 | 147.635 | 147.635 | 0.000 | 0.000 | 0.000 |
| 147.635 | 159.657 | 147.635 | 0.000 | 0.000 | 0.000 |
| 147.635 | 147.635 | 159.657 | 0.000 | 0.000 | 0.000 |
| -0.000 | -0.000 | -0.000 | 39.187 | -0.000 | 0.000 |
| -0.000 | -0.000 | -0.000 | -0.000 | 39.187 | 0.000 |
| -0.000 | -0.000 | -0.000 | 0.000 | -0.000 | 39.187 |
| 159.656 | 147.635 | 147.635 | -0.000 | -0.000 | -0.000 |
| 147.635 | 159.656 | 147.635 | -0.000 | -0.000 | -0.000 |
| 147.635 | 147.635 | 159.656 | -0.000 | -0.000 | -0.000 |
| 0.000 | 0.000 | 0.000 | 39.187 | 0.000 | -0.000 |
| 0.000 | 0.000 | 0.000 | 0.000 | 39.187 | -0.000 |
| 0.000 | 0.000 | 0.000 | 0.000 | 0.000 | 39.187 |
| 159.658 | 147.635 | 147.635 | 0.000 | 0.000 | 0.000 |
| 147.635 | 159.658 | 147.635 | 0.000 | 0.000 | 0.000 |
| 147.635 | 147.635 | 159.658 | -0.000 | 0.000 | 0.000 |
| -0.000 | -0.000 | -0.000 | 39.187 | 0.000 | 0.000 |
| -0.000 | -0.000 | -0.000 | -0.000 | 39.187 | 0.000 |
| -0.000 | -0.000 | -0.000 | -0.000 | -0.000 | 39.187 |
| 159.655 | 147.635 | 147.635 | -0.000 | -0.000 | -0.000 |
| 147.635 | 159.655 | 147.635 | -0.000 | 0.000 | -0.000 |
| 147.635 | 147.635 | 159.655 | 0.000 | 0.000 | -0.000 |
| 0.000 | 0.000 | 0.000 | 39.187 | 0.000 | -0.000 |
| 0.000 | 0.000 | 0.000 | 0.000 | 39.187 | -0.000 |
| 0.000 | 0.000 | 0.000 | 0.000 | 0.000 | 39.187 |
| 0.000 | 0.000 | 0.000 | -0.000 | 0.000 | -0.000 |
| 0.000 | 0.000 | 0.000 | 0.000 | -0.000 | -0.000 |
| 0.000 | 0.000 | 0.000 | 0.000 | 0.000 | -0.000 |
| -0.000 | -0.000 | -0.000 | 0.000 | -0.000 | 0.000 |
| -0.000 | -0.000 | -0.000 | -0.000 | 0.000 | 0.000 |
| -0.000 | -0.000 | -0.000 | 0.000 | 0.000 | 0.000 |
| 0.000 | 0.000 | 0.000 | -0.000 | -0.000 | 0.000 |
| 0.000 | 0.000 | 0.000 | -0.000 | -0.000 | 0.000 |
| 0.000 | 0.000 | 0.000 | -0.000 | -0.000 | -0.000 |
| 0.000 | 0.000 | 0.000 | 0.000 | 0.000 | -0.000 |
| 0.000 | 0.000 | 0.000 | 0.000 | 0.000 | -0.000 |
| 0.000 | 0.000 | 0.000 | -0.000 | -0.000 | 0.000 |
| 0.000 | 0.000 | 0.000 | 0.000 | -0.000 | -0.000 |
| 0.000 | 0.000 | 0.000 | -0.000 | 0.000 | -0.000 |
| 0.000 | 0.000 | 0.000 | 0.000 | 0.000 | -0.000 |
| -0.000 | -0.000 | -0.000 | 0.000 | -0.000 | -0.000 |
| -0.000 | -0.000 | -0.000 | -0.000 | 0.000 | -0.000 |
| -0.000 | -0.000 | -0.000 | -0.000 | -0.000 | 0.000 |
| 0.000 | 0.000 | 0.000 | 0.000 | -0.000 | -0.000 |
| 0.000 | 0.000 | 0.000 | -0.000 | 0.000 | -0.000 |
| 0.000 | 0.000 | 0.000 | -0.000 | -0.000 | 0.000 |
| 0.000 | 0.000 | 0.000 | 0.000 | 0.000 | 0.000 |
| 0.000 | 0.000 | 0.000 | 0.000 | 0.000 | 0.000 |
| 0.000 | 0.000 | 0.000 | -0.000 | -0.000 | 0.000 |
| 0.000 | 0.000 | 0.000 | 0.000 | 0.000 | 0.000 |
| 0.000 | 0.000 | 0.000 | 0.000 | 0.000 | 0.000 |
| 0.000 | 0.000 | 0.000 | 0.000 | 0.000 | -0.000 |
| -0.000 | -0.000 | -0.000 | 0.000 | 0.000 | 0.000 |
| -0.000 | -0.000 | -0.000 | 0.000 | 0.000 | 0.000 |
| -0.000 | -0.000 | -0.000 | 0.000 | -0.000 | 0.000 |
| 0.000 | 0.000 | 0.000 | -0.000 | -0.000 | 0.000 |
| 0.000 | 0.000 | 0.000 | -0.000 | -0.000 | 0.000 |
| 0.000 | 0.000 | 0.000 | -0.000 | -0.000 | 0.000 |
| 0.000 | 0.000 | 0.000 | 0.000 | -0.000 | 0.000 |
| 0.000 | 0.000 | 0.000 | -0.000 | 0.000 | 0.000 |
| 0.000 | 0.000 | 0.000 | -0.000 | -0.000 | 0.000 |
| 253.435 | 104.319 | 104.319 | 0.000 | 0.000 | 0.000 |
| 104.319 | 253.435 | 104.319 | 0.000 | 0.000 | 0.000 |
| 104.319 | 104.319 | 253.435 | -0.000 | 0.000 | -0.000 |
| -0.000 | 0.000 | 0.000 | 104.319 | 0.000 | -0.000 |
| 0.000 | -0.000 | 0.000 | 0.000 | 104.319 | 0.000 |
| 0.000 | -0.000 | 0.000 | 0.000 | 0.000 | 104.319 |
| 253.435 | 104.319 | 104.319 | -0.000 | -0.000 | 0.000 |
| 104.319 | 253.435 | 104.319 | -0.000 | -0.000 | -0.000 |
| 104.319 | 104.319 | 253.435 | -0.000 | -0.000 | -0.000 |
| -0.000 | 0.000 | -0.000 | 104.319 | -0.000 | -0.000 |
| 0.000 | -0.000 | -0.000 | -0.000 | 104.319 | -0.000 |
| 0.000 | -0.000 | -0.000 | -0.000 | -0.000 | 104.319 |
| 253.435 | 104.319 | 104.319 | -0.000 | 0.000 | 0.000 |
| 104.319 | 253.435 | 104.319 | -0.000 | 0.000 | 0.000 |
| 104.319 | 104.319 | 253.435 | -0.000 | 0.000 | 0.000 |
| -0.000 | 0.000 | 0.000 | 104.319 | 0.000 | 0.000 |
| 0.000 | -0.000 | 0.000 | 0.000 | 104.319 | 0.000 |
| 0.000 | 0.000 | -0.000 | 0.000 | 0.000 | 104.319 |
| 253.435 | 104.319 | 104.319 | -0.000 | -0.000 | 0.000 |
| 104.319 | 253.435 | 104.319 | -0.000 | -0.000 | -0.000 |
| 104.319 | 104.319 | 253.435 | -0.000 | -0.000 | -0.000 |
| 0.000 | -0.000 | -0.000 | 104.319 | -0.000 | 0.000 |
| -0.000 | 0.000 | -0.000 | -0.000 | 104.319 | -0.000 |
| -0.000 | -0.000 | 0.000 | -0.000 | -0.000 | 104.319 |
| 253.435 | 104.319 | 104.319 | 0.000 | 0.000 | 0.000 |
| 104.319 | 253.435 | 104.319 | 0.000 | 0.000 | 0.000 |
| 104.319 | 104.319 | 253.435 | 0.000 | 0.000 | 0.000 |
| -0.000 | 0.000 | 0.000 | 104.319 | 0.000 | 0.000 |
| 0.000 | -0.000 | 0.000 | 0.000 | 104.319 | 0.000 |
| 0.000 | 0.000 | -0.000 | 0.000 | 0.000 | 104.319 |
| 253.434 | 104.319 | 104.319 | -0.000 | -0.000 | -0.000 |
| 104.319 | 253.434 | 104.319 | -0.000 | -0.000 | -0.000 |
| 104.319 | 104.319 | 253.434 | -0.000 | -0.000 | -0.000 |
| 0.000 | -0.000 | -0.000 | 104.319 | -0.000 | 0.000 |
| -0.000 | 0.000 | -0.000 | -0.000 | 104.319 | -0.000 |
| -0.000 | -0.000 | 0.000 | 0.000 | -0.000 | 104.319 |
| 0.000 | 0.000 | 0.000 | -0.000 | -0.000 | -0.000 |
| 0.000 | 0.000 | 0.000 | -0.000 | 0.000 | -0.000 |
| 0.000 | 0.000 | 0.000 | -0.000 | -0.000 | -0.000 |
| 0.000 | -0.000 | -0.000 | 0.000 | -0.000 | 0.000 |
| -0.000 | 0.000 | -0.000 | -0.000 | 0.000 | 0.000 |
| -0.000 | -0.000 | 0.000 | -0.000 | 0.000 | 0.000 |
| 0.000 | 0.000 | 0.000 | 0.000 | -0.000 | -0.000 |
| 0.000 | 0.000 | 0.000 | -0.000 | -0.000 | -0.000 |
| 0.000 | 0.000 | 0.000 | -0.000 | -0.000 | -0.000 |
| 0.000 | 0.000 | 0.000 | 0.000 | 0.000 | 0.000 |
| 0.000 | 0.000 | 0.000 | 0.000 | 0.000 | 0.000 |
| 0.000 | 0.000 | 0.000 | 0.000 | 0.000 | 0.000 |
| 0.000 | 0.000 | 0.000 | 0.000 | 0.000 | 0.000 |
| 0.000 | 0.000 | 0.000 | 0.000 | 0.000 | 0.000 |
| 0.000 | 0.000 | 0.000 | 0.000 | 0.000 | -0.000 |
| -0.000 | -0.000 | -0.000 | 0.000 | 0.000 | -0.000 |
| -0.000 | -0.000 | -0.000 | 0.000 | 0.000 | 0.000 |
| -0.000 | -0.000 | -0.000 | 0.000 | 0.000 | 0.000 |
| 0.000 | 0.000 | 0.000 | 0.000 | -0.000 | -0.000 |
| 0.000 | 0.000 | 0.000 | -0.000 | -0.000 | -0.000 |
| 0.000 | 0.000 | 0.000 | -0.000 | -0.000 | 0.000 |
| 0.000 | 0.000 | 0.000 | 0.000 | -0.000 | 0.000 |
| 0.000 | 0.000 | 0.000 | -0.000 | 0.000 | 0.000 |
| 0.000 | 0.000 | 0.000 | -0.000 | 0.000 | 0.000 |
| 0.000 | 0.000 | 0.000 | 0.000 | 0.000 | 0.000 |
| 0.000 | 0.000 | 0.000 | 0.000 | 0.000 | 0.000 |
| 0.000 | 0.000 | 0.000 | 0.000 | 0.000 | -0.000 |
| -0.000 | -0.000 | -0.000 | 0.000 | -0.000 | -0.000 |
| -0.000 | -0.000 | -0.000 | -0.000 | 0.000 | -0.000 |
| -0.000 | -0.000 | -0.000 | -0.000 | -0.000 | 0.000 |
| 0.000 | 0.000 | 0.000 | -0.000 | -0.000 | -0.000 |
| 0.000 | 0.000 | 0.000 | -0.000 | -0.000 | -0.000 |
| 0.000 | 0.000 | 0.000 | -0.000 | -0.000 | 0.000 |
| 0.000 | 0.000 | 0.000 | 0.000 | 0.000 | 0.000 |
| 0.000 | 0.000 | 0.000 | 0.000 | 0.000 | -0.000 |
| 0.000 | 0.000 | 0.000 | 0.000 | -0.000 | 0.000 |
| 2434.085 | 700.676 | 700.676 | 0.000 | 0.000 | -0.000 |
| 700.676 | 2434.085 | 700.676 | 0.000 | 0.000 | -0.000 |
| 700.676 | 700.676 | 2434.085 | 0.000 | 0.000 | -0.000 |
| -0.000 | -0.000 | -0.000 | 569.198 | 0.000 | 0.000 |
| 0.000 | -0.000 | -0.000 | 0.000 | 569.198 | -0.000 |
| 0.000 | -0.000 | -0.000 | 0.000 | 0.000 | 569.198 |
| 2434.085 | 700.676 | 700.676 | -0.000 | 0.000 | 0.000 |
| 700.676 | 2434.085 | 700.676 | 0.000 | 0.000 | 0.000 |
| 700.676 | 700.676 | 2434.085 | -0.000 | -0.000 | -0.000 |
| 0.000 | 0.000 | 0.000 | 569.198 | -0.000 | 0.000 |
| 0.000 | 0.000 | 0.000 | -0.000 | 569.198 | -0.000 |
| 0.000 | 0.000 | 0.000 | -0.000 | -0.000 | 569.198 |
| 2434.087 | 700.677 | 700.677 | 0.000 | 0.000 | -0.000 |
| 700.677 | 2434.086 | 700.677 | 0.000 | 0.000 | -0.000 |
| 700.677 | 700.677 | 2434.086 | 0.000 | 0.000 | 0.000 |
| -0.000 | -0.000 | -0.000 | -127.910 | 0.000 | 0.000 |
| -0.000 | -0.000 | -0.000 | 0.000 | -127.910 | -0.000 |
| -0.000 | -0.000 | -0.000 | 0.000 | 0.000 | -127.910 |
| 2434.084 | 700.676 | 700.676 | -0.000 | -0.000 | 0.000 |
| 700.676 | 2434.084 | 700.676 | -0.000 | -0.000 | -0.000 |
| 700.676 | 700.676 | 2434.084 | -0.000 | -0.000 | -0.000 |
| 0.000 | 0.000 | 0.000 | -127.910 | -0.000 | 0.000 |
| 0.000 | 0.000 | 0.000 | -0.000 | -127.910 | 0.000 |
| 0.000 | 0.000 | 0.000 | -0.000 | 0.000 | -127.910 |
| 1027.612 | 1403.917 | 1403.917 | -0.000 | 0.000 | -0.000 |
| 1403.917 | 1027.612 | 1403.917 | 0.000 | -0.000 | -0.000 |
| 1403.917 | 1403.917 | 1027.612 | 0.000 | -0.000 | -0.000 |
| -0.001 | -0.001 | -0.002 | -127.910 | -0.000 | -0.000 |
| -0.001 | -0.001 | -0.002 | 0.000 | -127.910 | -0.000 |
| -0.001 | -0.002 | -0.001 | 0.000 | -0.000 | -127.910 |
| 1027.617 | 1403.906 | 1403.906 | -0.000 | -0.000 | 0.000 |
| 1403.906 | 1027.617 | 1403.906 | -0.000 | -0.000 | -0.000 |
| 1403.906 | 1403.906 | 1027.617 | -0.000 | 0.000 | 0.000 |
| 0.001 | 0.001 | 0.002 | -127.910 | -0.000 | 0.000 |
| 0.001 | 0.001 | 0.002 | 0.000 | -127.910 | 0.000 |
| 0.001 | 0.002 | 0.001 | -0.000 | -0.000 | -127.910 |
| 951.149 | 841.462 | 841.462 | -0.000 | 0.000 | -0.000 |
| 841.462 | 951.149 | 841.462 | -0.000 | -0.000 | 0.000 |
| 841.462 | 841.462 | 951.148 | -0.000 | -0.000 | 0.000 |
| 0.000 | -0.000 | -0.000 | 712.872 | -0.000 | -0.000 |
| 0.000 | 0.000 | -0.000 | -0.000 | 712.872 | 0.000 |
| 0.000 | -0.000 | 0.000 | -0.000 | -0.000 | 712.872 |
| 951.149 | 841.462 | 841.462 | 0.000 | 0.000 | 0.000 |
| 841.462 | 951.149 | 841.462 | 0.000 | 0.000 | 0.000 |
| 841.462 | 841.462 | 951.149 | 0.000 | 0.000 | -0.000 |
| -0.000 | 0.000 | 0.000 | 712.872 | 0.000 | -0.000 |
| -0.000 | 0.000 | 0.000 | 0.000 | 712.872 | -0.000 |
| -0.000 | 0.000 | 0.000 | 0.000 | 0.000 | 712.872 |
| 951.149 | 841.462 | 841.462 | -0.000 | -0.000 | 0.000 |
| 841.462 | 951.149 | 841.462 | -0.000 | -0.000 | 0.000 |
| 841.462 | 841.462 | 951.149 | -0.000 | -0.000 | 0.000 |
| 0.000 | -0.000 | 0.000 | 712.872 | -0.000 | 0.000 |
| -0.000 | 0.000 | 0.000 | -0.000 | 712.872 | 0.000 |
| -0.000 | 0.000 | 0.000 | -0.000 | -0.000 | 712.872 |
| 951.149 | 841.462 | 841.462 | 0.000 | 0.000 | -0.000 |
| 841.462 | 951.149 | 841.462 | 0.000 | 0.000 | -0.000 |
| 841.462 | 841.462 | 951.149 | 0.000 | 0.000 | 0.000 |
| -0.000 | 0.000 | -0.000 | 712.872 | 0.000 | -0.000 |
| 0.000 | -0.000 | -0.000 | 0.000 | 712.872 | -0.000 |
| 0.000 | -0.000 | -0.000 | 0.000 | 0.000 | 712.872 |
| 951.148 | 841.464 | 841.464 | -0.000 | 0.000 | 0.000 |
| 841.464 | 951.148 | 841.464 | -0.000 | -0.000 | 0.000 |
| 841.464 | 841.464 | 951.148 | -0.000 | 0.000 | 0.000 |
| 0.002 | -0.001 | 0.001 | 712.872 | -0.000 | 0.000 |
| -0.001 | 0.002 | 0.001 | -0.000 | 712.872 | -0.000 |
| -0.001 | 0.001 | 0.002 | -0.000 | -0.000 | 712.872 |
| 951.149 | 841.460 | 841.460 | 0.000 | 0.000 | 0.000 |
| 841.460 | 951.149 | 841.460 | 0.000 | 0.000 | 0.000 |
| 841.460 | 841.460 | 951.149 | 0.000 | 0.000 | -0.000 |
| -0.002 | 0.001 | -0.001 | 712.872 | 0.000 | 0.000 |
| 0.001 | -0.002 | -0.001 | 0.000 | 712.872 | 0.000 |
| 0.001 | -0.001 | -0.002 | 0.000 | 0.000 | 712.872 |
| 3255.794 | 791.267 | 791.267 | 0.000 | 0.000 | -0.000 |
| 791.267 | 3255.794 | 791.267 | 0.000 | -0.000 | 0.000 |
| 791.267 | 791.267 | 3255.794 | 0.000 | -0.000 | 0.000 |
| -0.000 | -0.000 | 0.000 | 670.001 | -0.000 | -0.000 |
| 0.000 | -0.000 | 0.000 | 0.000 | 670.001 | -0.000 |
| 0.000 | -0.000 | -0.000 | 0.000 | -0.000 | 670.001 |
| 3255.795 | 791.267 | 791.267 | -0.000 | 0.000 | -0.000 |
| 791.267 | 3255.795 | 791.267 | -0.000 | 0.000 | 0.000 |
| 791.267 | 791.267 | 3255.795 | -0.000 | -0.000 | -0.000 |
| 0.000 | 0.000 | 0.000 | 670.001 | 0.000 | -0.000 |
| -0.000 | 0.000 | -0.000 | 0.000 | 670.001 | 0.000 |
| -0.000 | 0.000 | -0.000 | -0.000 | 0.000 | 670.001 |
| 3255.791 | 791.268 | 791.268 | 0.000 | 0.000 | -0.000 |
| 791.268 | 3255.791 | 791.268 | 0.000 | -0.000 | -0.000 |
| 791.268 | 791.268 | 3255.791 | -0.000 | -0.000 | -0.000 |
| 0.000 | 0.000 | 0.000 | 670.001 | -0.000 | 0.000 |
| 0.000 | 0.000 | 0.000 | 0.000 | 670.001 | 0.000 |
| 0.000 | 0.000 | 0.000 | 0.000 | -0.000 | 670.001 |
| 3255.798 | 791.267 | 791.267 | -0.000 | 0.000 | -0.000 |
| 791.267 | 3255.798 | 791.267 | -0.000 | 0.000 | -0.000 |
| 791.267 | 791.267 | 3255.798 | -0.000 | 0.000 | 0.000 |
| -0.000 | -0.000 | -0.000 | 670.001 | 0.000 | -0.000 |
| -0.000 | -0.000 | -0.000 | -0.000 | 670.001 | 0.000 |
| -0.000 | -0.000 | -0.000 | -0.000 | 0.000 | 670.001 |
| 3255.757 | 791.273 | 791.273 | 0.000 | 0.000 | -0.000 |
| 791.273 | 3255.757 | 791.273 | 0.000 | 0.000 | -0.000 |
| 791.273 | 791.273 | 3255.757 | 0.000 | -0.000 | -0.000 |
| 0.000 | 0.003 | 0.003 | 670.001 | -0.000 | 0.000 |
| 0.003 | 0.000 | 0.003 | 0.000 | 670.001 | 0.000 |
| 0.003 | 0.003 | 0.000 | 0.000 | -0.000 | 670.001 |
| 3255.831 | 791.262 | 791.262 | -0.000 | -0.000 | 0.000 |
| 791.262 | 3255.831 | 791.262 | -0.000 | -0.000 | 0.000 |
| 791.262 | 791.262 | 3255.831 | -0.000 | -0.000 | 0.000 |
| -0.000 | -0.003 | -0.003 | 670.001 | 0.000 | -0.000 |
| -0.003 | -0.000 | -0.003 | -0.000 | 670.001 | -0.000 |
| -0.003 | -0.003 | -0.000 | -0.000 | 0.000 | 670.001 |
| 832.419 | 867.165 | 606.582 | -29.002 | 130.291 | -306.492 |
| 117.339 | 3178.751 | 676.377 | -28.583 | -63.151 | -262.276 |
| 451.380 | 537.283 | 988.914 | 1.499 | 145.276 | -15.807 |
| 85.196 | 706.305 | -67.087 | 685.110 | -106.432 | -260.615 |
| 45.410 | 639.198 | 103.245 | -38.228 | 77.460 | -296.155 |
| 51.354 | 740.419 | -68.501 | -9.316 | -82.944 | -202.575 |
| 1130.932 | -364.916 | 525.503 | 41.781 | 292.692 | 324.194 |
| 402.713 | 1968.771 | 572.530 | 48.696 | 128.615 | 369.212 |
| 688.822 | 11.556 | 1058.369 | 33.863 | 151.855 | 316.207 |
| -134.307 | -250.976 | 148.446 | 707.431 | 140.994 | 65.223 |
| 347.633 | -579.207 | -9.719 | 43.328 | 264.451 | 324.972 |
| 126.517 | -540.901 | -59.809 | 51.432 | 117.993 | 352.910 |
| 930.505 | 334.532 | 590.335 | -4.494 | 206.827 | -41.092 |
| 235.166 | 2637.578 | 635.653 | 3.777 | 25.949 | 35.173 |
| 558.061 | 682.789 | 1101.725 | -3.384 | 45.854 | -22.147 |
| 1.497 | 74.318 | -5.928 | 711.068 | -2.528 | -19.797 |
| 182.572 | 92.701 | 50.039 | -0.236 | 158.725 | -15.982 |
| -15.678 | 129.587 | -5.906 | 12.454 | 7.997 | 8.831 |
| 937.809 | 206.562 | 595.509 | 1.300 | 233.800 | 2.657 |
| 265.913 | 2514.550 | 624.955 | 11.904 | 44.248 | 97.757 |
| 543.830 | 560.820 | 1107.528 | -0.942 | 48.989 | 20.472 |
| 12.715 | -51.008 | -6.880 | 716.600 | 14.254 | 39.446 |
| 194.659 | 4.640 | 59.566 | 2.853 | 173.007 | 22.480 |
| 4.157 | 3.330 | -11.289 | 18.379 | 25.710 | 71.458 |
| 948.391 | 269.022 | 586.992 | -0.748 | 216.055 | -7.241 |
| 255.343 | 2614.366 | 621.593 | 4.975 | 24.365 | 61.199 |
| 543.360 | 617.257 | 1110.363 | -3.280 | 47.457 | -7.997 |
| -1.771 | 13.837 | -2.399 | 712.684 | 2.294 | 5.651 |
| 194.286 | 36.144 | 46.930 | 2.938 | 168.889 | 13.442 |
| -4.643 | 57.337 | -9.115 | 15.294 | 13.017 | 47.089 |
| 952.046 | 258.392 | 583.312 | 0.473 | 215.630 | -1.647 |
| 246.840 | 2572.682 | 632.119 | 7.627 | 36.707 | 66.890 |
| 550.047 | 615.564 | 1106.205 | -2.210 | 46.051 | -3.214 |
| 0.772 | 2.238 | -3.098 | 713.352 | 4.106 | 11.703 |
| 174.601 | 19.314 | 51.075 | 3.372 | 183.979 | 12.572 |
| -9.460 | 57.798 | -6.416 | 14.811 | 17.347 | 44.238 |
| 3100.305 | 625.136 | 815.469 | -0.000 | -0.000 | 0.000 |
| 625.136 | 3100.305 | 815.469 | -0.000 | -0.000 | 0.000 |
| 815.470 | 815.470 | 1423.160 | -0.000 | -0.000 | 0.000 |
| 0.000 | -0.000 | -0.000 | -583.895 | 0.000 | 0.000 |
| 0.000 | -0.000 | 0.000 | -0.000 | -583.895 | 0.000 |
| 0.000 | 0.000 | -0.000 | -0.000 | -0.000 | 487.596 |
| 3100.304 | 625.136 | 815.469 | 0.000 | 0.000 | -0.000 |
| 625.136 | 3100.304 | 815.469 | 0.000 | 0.000 | -0.000 |
| 815.469 | 815.470 | 1423.160 | -0.000 | 0.000 | -0.000 |
| -0.000 | 0.000 | 0.000 | -583.895 | 0.000 | -0.000 |
| -0.000 | 0.000 | -0.000 | 0.000 | -583.895 | -0.000 |
| -0.000 | 0.000 | 0.000 | -0.000 | 0.000 | 487.595 |
| 3100.310 | 625.137 | 815.470 | -0.000 | 0.000 | 0.000 |
| 625.137 | 3100.310 | 815.470 | -0.000 | -0.000 | 0.000 |
| 815.470 | 815.470 | 1423.160 | -0.000 | 0.000 | 0.000 |
| 0.000 | 0.000 | 0.000 | 691.374 | -0.000 | 0.000 |
| 0.000 | 0.000 | 0.000 | -0.000 | 691.374 | 0.000 |
| 0.000 | 0.000 | 0.000 | -0.000 | 0.000 | 487.596 |
| 2494.759 | 1230.676 | 815.469 | 0.000 | 0.000 | -0.000 |
| 1230.676 | 2494.759 | 815.469 | 0.000 | 0.000 | -0.000 |
| 815.469 | 815.469 | 1423.160 | -0.000 | -0.000 | -0.000 |
| -0.000 | -0.000 | -0.000 | 691.374 | 0.000 | -0.000 |
| -0.000 | -0.000 | -0.000 | 0.000 | 691.374 | -0.000 |
| -0.000 | -0.000 | -0.000 | -0.000 | 0.000 | 487.596 |
| 2494.820 | 1230.683 | 815.473 | -0.000 | -0.000 | 0.000 |
| 1230.683 | 2494.820 | 815.473 | -0.000 | -0.000 | 0.000 |
| 815.475 | 815.475 | 1423.161 | -0.000 | -0.000 | 0.000 |
| 0.000 | 0.004 | 0.004 | 691.374 | -0.000 | 0.000 |
| 0.004 | 0.000 | 0.004 | -0.000 | 691.374 | 0.000 |
| 0.004 | 0.004 | 0.000 | -0.000 | -0.000 | 487.596 |
| 2494.710 | 1230.669 | 815.465 | 0.000 | 0.000 | -0.000 |
| 1230.669 | 2494.710 | 815.465 | 0.000 | 0.000 | -0.000 |
| 815.464 | 815.464 | 1423.159 | 0.000 | -0.000 | -0.000 |
| -0.000 | -0.004 | -0.004 | 691.374 | 0.000 | -0.000 |
| -0.004 | -0.000 | -0.004 | 0.000 | 691.374 | -0.000 |
| -0.004 | -0.004 | -0.000 | 0.000 | 0.000 | 487.596 |
| 40204.071 | 37953.587 | 18916.646 | 0.406 | 0.593 | -0.002 |
| 37955.285 | 40205.800 | 18911.925 | 0.392 | 0.573 | -0.002 |
| 16360.822 | 16360.823 | -14783.081 | 0.405 | 0.593 | -0.002 |
| 38210.197 | 38210.199 | 18921.747 | 86.994 | 0.497 | -0.002 |
| 38208.479 | 38208.481 | 18924.983 | 0.340 | 86.885 | -0.002 |
| 16071.151 | 16071.153 | -15451.358 | 0.407 | 0.596 | 140.432 |
| -13866.281 | -16115.742 | 15896.511 | -0.409 | -0.599 | 0.002 |
| -16115.740 | -13866.282 | 15896.511 | -0.409 | -0.599 | 0.002 |
| -15788.266 | -15788.268 | 16112.129 | -0.410 | -0.600 | 0.002 |
| -16071.242 | -16071.244 | 15451.428 | 321.524 | -0.596 | 0.002 |
| -16071.241 | -16071.243 | 15451.427 | -0.407 | 321.335 | 0.002 |
| -38206.922 | -38206.923 | -18851.483 | -0.365 | -0.533 | 140.435 |
| 2753.039 | 500.092 | -89.608 | 0.019 | 0.027 | -0.000 |
| 500.092 | 2753.039 | -89.608 | 0.019 | 0.027 | -0.000 |
| 3827.974 | 3827.975 | 1882.546 | 0.036 | 0.053 | -0.000 |
| 3823.385 | 3823.386 | 1898.696 | 42.431 | 0.056 | -0.000 |
| 3834.266 | 3834.266 | 1918.994 | 0.029 | 142.661 | -0.000 |
| 1607.115 | 1607.115 | -1545.136 | 0.041 | 0.060 | 140.433 |
| -1815.369 | -4065.849 | -1891.112 | -0.042 | -0.061 | 0.000 |
| -4065.756 | -1815.282 | -1891.054 | -0.041 | -0.059 | 0.000 |
| -3813.163 | -3813.163 | -1886.399 | -0.036 | -0.053 | 0.000 |
| -3823.386 | -3823.386 | -1898.697 | 42.356 | -0.056 | 0.000 |
| -3823.386 | -3823.386 | -1898.697 | -0.038 | 42.339 | 0.000 |
| -3820.412 | -3820.412 | -1884.307 | -0.036 | -0.053 | 140.433 |
| 2441.969 | 191.199 | 330.748 | 0.003 | 0.004 | -0.000 |
| 191.199 | 2441.969 | 330.748 | 0.003 | 0.004 | -0.000 |
| 591.041 | 591.041 | 463.401 | 0.002 | 0.004 | -0.000 |
| 441.085 | 441.085 | 198.748 | 152.459 | 0.004 | -0.000 |
| 441.086 | 441.086 | 198.749 | 0.003 | 152.461 | -0.000 |
| 160.714 | 160.713 | -154.514 | 0.004 | 0.006 | 140.433 |
| 1629.161 | -622.155 | -131.107 | -0.002 | -0.004 | 0.000 |
| -622.155 | 1629.161 | -131.107 | -0.002 | -0.004 | 0.000 |
| -372.903 | -372.903 | -189.828 | -0.003 | -0.004 | 0.000 |
| -441.082 | -441.083 | -198.745 | 152.452 | -0.004 | 0.000 |
| -441.082 | -441.082 | -198.745 | -0.003 | 152.450 | 0.000 |
| -160.714 | -160.713 | 154.514 | -0.004 | -0.006 | 140.433 |
| 12892011499.898 | 5601271398.529 | 6616775785.449 | 25551547.739 | 370122238.293 | 33612346.369 |
| 12551779176.593 | 5448557465.174 | 6486023570.712 | 46333799.433 | 367734052.250 | 1712245.167 |
| 13042180209.372 | 5604153167.129 | 6731883927.854 | -35588457.862 | 362911930.748 | -8360897.357 |
| 12941232710.720 | 5521652406.312 | 6561625312.741 | -33511417.249 | 343123231.219 | 56266377.776 |
| 12704855667.170 | 5453643776.387 | 6468517248.634 | -28936508.067 | 316588593.639 | 39722804.584 |
| 12946753283.793 | 5488912529.431 | 6610988563.925 | 26494231.653 | 354881562.267 | 261104.179 |
| -12708842426.418 | -5402140388.523 | -6499475265.563 | -16169366.637 | -359064191.419 | 7816822.426 |
| -12763275019.970 | -5385421955.202 | -6458176304.173 | 26030717.897 | -366959272.479 | -16546449.206 |
| -12789789431.869 | -5424305445.279 | -6509353438.452 | 44337742.311 | -341606769.107 | -34324045.410 |
| -12934725319.100 | -5554298862.493 | -6601013594.999 | 19966010.798 | -322913622.167 | 47068211.677 |
| -12744909626.440 | -5471068078.105 | -6641075266.285 | -33038778.003 | -411045593.689 | 37412875.123 |
| -12783497648.051 | -5463733844.455 | -6572241832.893 | -9695870.961 | -374497384.560 | -36292552.432 |
| 1289666896.725 | 554316489.030 | 656180209.446 | -3233271.490 | 34956243.943 | 6211144.918 |
| 1269978881.197 | 534964949.108 | 643910308.828 | -1137489.299 | 32358287.490 | 1258114.184 |
| 1277470068.988 | 556527309.697 | 649031564.035 | 230947.489 | 30234112.569 | 1555980.286 |
| 1270386330.215 | 555976220.552 | 642975874.622 | -4524325.009 | 33711772.948 | 4848736.993 |
| 1277196185.273 | 553743748.975 | 656248791.735 | 2073916.818 | 32779206.650 | 1442048.697 |
| 1295947723.852 | 539064866.953 | 657680959.178 | -5030204.441 | 28320025.677 | 3746180.504 |
| -1255201594.829 | -544974096.342 | -645734594.912 | -6785661.547 | -33452184.874 | -256863.815 |
| -1288270120.448 | -551323733.223 | -655522734.646 | -2767339.002 | -34335885.163 | -1462083.681 |
| -1303622073.378 | -563718724.775 | -667662113.967 | -5243776.482 | -30943509.344 | -3804061.875 |
| -1276829210.288 | -543004668.290 | -639931072.996 | -2588319.294 | -32111365.686 | 3449049.841 |
| -1313798458.263 | -565912867.095 | -666737071.308 | 3775456.473 | -37174061.835 | 6320024.589 |
| -1278791285.607 | -545989548.218 | -655374006.695 | 4083201.031 | -34225594.762 | -5020158.466 |
| 130570749.262 | 55989601.601 | 65817792.658 | 973629.879 | 3509560.756 | 25781.523 |
| 127781278.397 | 55234734.107 | 64845517.282 | 797935.407 | 3357523.772 | 36206.289 |
| 129803942.254 | 56696140.182 | 65712743.474 | -77179.752 | 3922537.357 | 433207.557 |
| 129742463.090 | 54974116.178 | 66508675.617 | 694083.433 | 3509238.782 | 56213.212 |
| 128780706.130 | 56629632.199 | 65504508.741 | 582829.892 | 3446501.074 | -73968.316 |
| 130122502.200 | 56126887.736 | 66199742.249 | -356164.282 | 3124285.224 | 203682.831 |
| -130549037.982 | -56055388.546 | -66181999.828 | -324581.595 | -3219068.903 | -56238.221 |
| -129848235.062 | -56726786.415 | -66822316.445 | -291631.212 | -3702847.588 | -281843.598 |
| -127369063.999 | -55034656.665 | -65467481.341 | 656054.253 | -3261279.216 | 33935.319 |
| -126437216.667 | -55133523.811 | -64580318.075 | -979393.452 | -3290675.241 | -825650.246 |
| -130945017.413 | -55861500.420 | -67028224.097 | -149856.655 | -3637190.784 | -185884.943 |
| -130712321.988 | -56859386.184 | -67979620.247 | -527134.095 | -3189647.836 | -125415.316 |
| 357.479 | 13.996 | 13.996 | -0.000 | 0.000 | -0.000 |
| 13.996 | 357.479 | 13.996 | -0.000 | -0.000 | -0.000 |
| 13.996 | 13.996 | 357.479 | -0.000 | -0.000 | 0.000 |
| -0.000 | -0.000 | -0.000 | 13.996 | -0.000 | -0.000 |
| -0.000 | 0.000 | -0.000 | -0.000 | 13.996 | 0.000 |
| -0.000 | -0.000 | -0.000 | -0.000 | 0.000 | 13.996 |
| 357.478 | 13.996 | 13.996 | 0.000 | -0.000 | 0.000 |
| 13.996 | 357.478 | 13.996 | 0.000 | 0.000 | 0.000 |
| 13.996 | 13.996 | 357.478 | 0.000 | 0.000 | 0.000 |
| 0.000 | 0.000 | 0.000 | 13.996 | 0.000 | -0.000 |
| -0.000 | -0.000 | 0.000 | 0.000 | 13.996 | -0.000 |
| -0.000 | 0.000 | 0.000 | 0.000 | -0.000 | 13.996 |
| 357.479 | 13.996 | 13.996 | -0.000 | 0.000 | -0.000 |
| 13.996 | 357.479 | 13.996 | -0.000 | -0.000 | -0.000 |
| 13.996 | 13.996 | 357.479 | -0.000 | 0.000 | -0.000 |
| -0.000 | -0.000 | -0.000 | 13.996 | -0.000 | 0.000 |
| -0.000 | -0.000 | -0.000 | -0.000 | 13.996 | 0.000 |
| -0.000 | -0.000 | -0.000 | -0.000 | -0.000 | 13.996 |
| 357.478 | 13.996 | 13.996 | 0.000 | -0.000 | -0.000 |
| 13.996 | 357.478 | 13.996 | 0.000 | 0.000 | -0.000 |
| 13.996 | 13.996 | 357.478 | 0.000 | -0.000 | 0.000 |
| 0.000 | 0.000 | 0.000 | 13.996 | 0.000 | -0.000 |
| 0.000 | 0.000 | 0.000 | 0.000 | 13.996 | 0.000 |
| 0.000 | 0.000 | 0.000 | 0.000 | 0.000 | 13.996 |
| 357.480 | 13.996 | 13.996 | 0.000 | 0.000 | -0.000 |
| 13.996 | 357.480 | 13.996 | 0.000 | 0.000 | -0.000 |
| 13.996 | 13.996 | 357.480 | -0.000 | -0.000 | 0.000 |
| -0.000 | -0.000 | -0.000 | 13.996 | -0.000 | 0.000 |
| -0.000 | -0.000 | -0.000 | 0.000 | 13.996 | -0.000 |
| -0.000 | -0.000 | -0.000 | -0.000 | -0.000 | 13.996 |
| 357.477 | 13.996 | 13.996 | 0.000 | -0.000 | 0.000 |
| 13.996 | 357.477 | 13.996 | 0.000 | 0.000 | 0.000 |
| 13.996 | 13.996 | 357.477 | 0.000 | -0.000 | 0.000 |
| 0.000 | 0.000 | 0.000 | 13.996 | -0.000 | -0.000 |
| 0.000 | 0.000 | 0.000 | -0.000 | 13.996 | -0.000 |
| 0.000 | 0.000 | 0.000 | 0.000 | 0.000 | 13.996 |
| -35.432 | 246.879 | 246.879 | 0.000 | 0.000 | 0.000 |
| 246.879 | -35.432 | 246.879 | -0.000 | 0.000 | 0.000 |
| 246.879 | 246.879 | -35.432 | -0.000 | 0.000 | 0.000 |
| 0.000 | -0.000 | 0.000 | 246.879 | 0.000 | 0.000 |
| -0.000 | 0.000 | 0.000 | -0.000 | 246.879 | 0.000 |
| -0.000 | 0.000 | 0.000 | 0.000 | -0.000 | 246.879 |
| -35.432 | 246.879 | 246.879 | -0.000 | -0.000 | -0.000 |
| 246.879 | -35.432 | 246.879 | 0.000 | -0.000 | -0.000 |
| 246.879 | 246.879 | -35.432 | 0.000 | 0.000 | -0.000 |
| -0.000 | 0.000 | -0.000 | 246.879 | -0.000 | -0.000 |
| 0.000 | -0.000 | -0.000 | -0.000 | 246.879 | -0.000 |
| 0.000 | -0.000 | -0.000 | -0.000 | 0.000 | 246.879 |
| -35.432 | 246.879 | 246.879 | 0.000 | 0.000 | 0.000 |
| 246.879 | -35.432 | 246.879 | 0.000 | 0.000 | 0.000 |
| 246.879 | 246.879 | -35.432 | -0.000 | 0.000 | 0.000 |
| 0.000 | -0.000 | 0.000 | 246.879 | 0.000 | 0.000 |
| -0.000 | 0.000 | 0.000 | 0.000 | 246.879 | 0.000 |
| -0.000 | 0.000 | 0.000 | 0.000 | -0.000 | 246.879 |
| -35.432 | 246.879 | 246.879 | -0.000 | 0.000 | 0.000 |
| 246.879 | -35.432 | 246.879 | -0.000 | -0.000 | -0.000 |
| 246.879 | 246.879 | -35.432 | -0.000 | -0.000 | -0.000 |
| -0.000 | 0.000 | -0.000 | 246.879 | 0.000 | -0.000 |
| 0.000 | -0.000 | -0.000 | -0.000 | 246.879 | -0.000 |
| 0.000 | -0.000 | -0.000 | -0.000 | 0.000 | 246.879 |
| -35.433 | 246.879 | 246.879 | 0.000 | -0.000 | 0.000 |
| 246.879 | -35.433 | 246.879 | -0.000 | 0.000 | 0.000 |
| 246.879 | 246.879 | -35.433 | 0.000 | 0.000 | 0.000 |
| 0.000 | -0.000 | 0.000 | 246.879 | 0.000 | 0.000 |
| -0.000 | 0.000 | 0.000 | 0.000 | 246.879 | 0.000 |
| -0.000 | 0.000 | 0.000 | 0.000 | -0.000 | 246.879 |
| -35.431 | 246.878 | 246.878 | -0.000 | -0.000 | -0.000 |
| 246.878 | -35.431 | 246.878 | 0.000 | -0.000 | -0.000 |
| 246.878 | 246.878 | -35.431 | -0.000 | -0.000 | -0.000 |
| -0.000 | 0.000 | -0.000 | 246.879 | -0.000 | -0.000 |
| 0.000 | -0.000 | -0.000 | -0.000 | 246.879 | -0.000 |
| 0.000 | -0.000 | -0.000 | -0.000 | 0.000 | 246.879 |
| 64.953 | 59.369 | 59.369 | 0.000 | 0.000 | 0.000 |
| 59.369 | 64.953 | 59.369 | 0.000 | 0.000 | 0.000 |
| 59.369 | 59.369 | 64.953 | 0.000 | 0.000 | 0.000 |
| -0.000 | -0.000 | -0.000 | 6.566 | 0.000 | 0.000 |
| -0.000 | -0.000 | -0.000 | 0.000 | 6.566 | 0.000 |
| -0.000 | -0.000 | -0.000 | 0.000 | 0.000 | 6.566 |
| 64.953 | 59.369 | 59.369 | -0.000 | -0.000 | -0.000 |
| 59.369 | 64.953 | 59.369 | -0.000 | -0.000 | -0.000 |
| 59.369 | 59.369 | 64.953 | -0.000 | -0.000 | -0.000 |
| 0.000 | 0.000 | 0.000 | 6.566 | -0.000 | -0.000 |
| 0.000 | 0.000 | 0.000 | -0.000 | 6.566 | -0.000 |
| 0.000 | 0.000 | 0.000 | -0.000 | -0.000 | 6.566 |
| 64.953 | 59.369 | 59.369 | 0.000 | 0.000 | 0.000 |
| 59.369 | 64.953 | 59.369 | 0.000 | 0.000 | 0.000 |
| 59.369 | 59.369 | 64.953 | 0.000 | 0.000 | 0.000 |
| -0.000 | -0.000 | -0.000 | 6.566 | 0.000 | 0.000 |
| -0.000 | -0.000 | -0.000 | 0.000 | 6.566 | 0.000 |
| -0.000 | -0.000 | -0.000 | 0.000 | 0.000 | 6.566 |
| 64.953 | 59.369 | 59.369 | -0.000 | -0.000 | -0.000 |
| 59.369 | 64.953 | 59.369 | -0.000 | -0.000 | -0.000 |
| 59.369 | 59.369 | 64.953 | -0.000 | -0.000 | -0.000 |
| 0.000 | 0.000 | 0.000 | 6.566 | -0.000 | -0.000 |
| 0.000 | 0.000 | 0.000 | -0.000 | 6.566 | -0.000 |
| 0.000 | 0.000 | 0.000 | -0.000 | -0.000 | 6.566 |
| 64.954 | 59.369 | 59.369 | 0.000 | 0.000 | 0.000 |
| 59.369 | 64.954 | 59.369 | 0.000 | 0.000 | 0.000 |
| 59.369 | 59.369 | 64.954 | 0.000 | 0.000 | 0.000 |
| -0.000 | -0.000 | -0.000 | 6.566 | 0.000 | 0.000 |
| -0.000 | -0.000 | -0.000 | 0.000 | 6.566 | 0.000 |
| -0.000 | -0.000 | -0.000 | 0.000 | 0.000 | 6.566 |
| 64.953 | 59.368 | 59.368 | -0.000 | -0.000 | -0.000 |
| 59.368 | 64.953 | 59.368 | -0.000 | -0.000 | -0.000 |
| 59.368 | 59.368 | 64.953 | -0.000 | -0.000 | -0.000 |
| 0.000 | 0.000 | 0.000 | 6.566 | -0.000 | -0.000 |
| 0.000 | 0.000 | 0.000 | -0.000 | 6.566 | -0.000 |
| 0.000 | 0.000 | 0.000 | -0.000 | -0.000 | 6.566 |
| 911.289 | 141.987 | 269.725 | 0.000 | -0.000 | 0.000 |
| 141.987 | 911.289 | 269.725 | 0.000 | -0.000 | 0.000 |
| 269.725 | 269.725 | 675.850 | 0.000 | -0.000 | 0.000 |
| -0.000 | -0.000 | 0.000 | 269.725 | 0.000 | 0.000 |
| -0.000 | -0.000 | 0.000 | 0.000 | 269.725 | 0.000 |
| -0.000 | -0.000 | 0.000 | 0.000 | -0.000 | 141.987 |
| 911.289 | 141.987 | 269.725 | -0.000 | -0.000 | -0.000 |
| 141.987 | 911.289 | 269.725 | 0.000 | -0.000 | -0.000 |
| 269.725 | 269.725 | 675.850 | -0.000 | -0.000 | -0.000 |
| 0.000 | 0.000 | -0.000 | 269.725 | -0.000 | -0.000 |
| 0.000 | 0.000 | -0.000 | -0.000 | 269.725 | -0.000 |
| 0.000 | 0.000 | -0.000 | -0.000 | 0.000 | 141.987 |
| 911.290 | 141.987 | 269.725 | 0.000 | -0.000 | 0.000 |
| 141.987 | 911.290 | 269.725 | -0.000 | 0.000 | 0.000 |
| 269.725 | 269.725 | 675.850 | 0.000 | 0.000 | 0.000 |
| 0.000 | -0.000 | 0.000 | 269.725 | 0.000 | -0.000 |
| -0.000 | 0.000 | 0.000 | 0.000 | 269.725 | 0.000 |
| -0.000 | -0.000 | 0.000 | 0.000 | -0.000 | 141.987 |
| 911.289 | 141.987 | 269.725 | -0.000 | 0.000 | -0.000 |
| 141.987 | 911.289 | 269.725 | 0.000 | 0.000 | -0.000 |
| 269.725 | 269.725 | 675.850 | -0.000 | -0.000 | -0.000 |
| -0.000 | 0.000 | -0.000 | 269.725 | -0.000 | -0.000 |
| 0.000 | -0.000 | -0.000 | 0.000 | 269.725 | -0.000 |
| 0.000 | 0.000 | -0.000 | -0.000 | 0.000 | 141.987 |
| 911.295 | 141.987 | 269.725 | 0.000 | -0.000 | -0.000 |
| 141.987 | 911.295 | 269.725 | -0.000 | 0.000 | 0.000 |
| 269.726 | 269.726 | 675.851 | 0.000 | 0.000 | 0.000 |
| 0.000 | -0.000 | 0.000 | 269.725 | 0.000 | 0.000 |
| -0.000 | 0.000 | 0.000 | 0.000 | 269.725 | 0.000 |
| -0.000 | -0.000 | 0.000 | 0.000 | 0.000 | 141.987 |
| 911.284 | 141.986 | 269.724 | 0.000 | 0.000 | -0.000 |
| 141.986 | 911.284 | 269.724 | 0.000 | 0.000 | -0.000 |
| 269.724 | 269.724 | 675.849 | -0.000 | -0.000 | -0.000 |
| -0.000 | 0.000 | -0.000 | 269.725 | -0.000 | -0.000 |
| 0.000 | -0.000 | -0.000 | -0.000 | 269.725 | -0.000 |
| 0.000 | 0.000 | -0.000 | -0.000 | -0.000 | 141.987 |
| -74.078 | 220.775 | 220.775 | -0.000 | -0.000 | -0.000 |
| 220.775 | -74.078 | 220.775 | -0.000 | 0.000 | 0.000 |
| 220.775 | 220.775 | -74.078 | 0.000 | -0.000 | 0.000 |
| 0.024 | 0.001 | 0.001 | -3320.597 | -0.000 | 0.000 |
| 0.001 | 0.024 | 0.001 | -0.000 | -3320.597 | 0.000 |
| 0.001 | 0.001 | 0.024 | 0.000 | -0.000 | -3320.597 |
| -74.078 | 220.775 | 220.775 | -0.000 | -0.000 | -0.000 |
| 220.775 | -74.078 | 220.775 | -0.000 | 0.000 | -0.000 |
| 220.775 | 220.775 | -74.079 | 0.000 | 0.000 | -0.000 |
| -0.024 | -0.001 | -0.001 | -3320.597 | 0.000 | -0.000 |
| -0.001 | -0.024 | -0.001 | 0.000 | -3320.597 | -0.000 |
| -0.001 | -0.001 | -0.024 | -0.000 | 0.000 | -3320.597 |
| -74.078 | 220.775 | 220.775 | 0.000 | -0.000 | 0.000 |
| 220.775 | -74.078 | 220.775 | 0.000 | 0.000 | 0.000 |
| 220.775 | 220.775 | -74.078 | 0.000 | -0.000 | 0.000 |
| 0.000 | -0.000 | 0.000 | 220.775 | 0.000 | 0.000 |
| -0.000 | 0.000 | 0.000 | 0.000 | 220.775 | 0.000 |
| -0.000 | 0.000 | 0.000 | -0.000 | -0.000 | 220.775 |
| -74.079 | 220.775 | 220.775 | 0.000 | 0.000 | -0.000 |
| 220.775 | -74.079 | 220.775 | -0.000 | 0.000 | -0.000 |
| 220.775 | 220.775 | -74.079 | 0.000 | 0.000 | -0.000 |
| -0.000 | 0.000 | -0.000 | 220.775 | 0.000 | 0.000 |
| 0.000 | -0.000 | -0.000 | -0.000 | 220.775 | -0.000 |
| 0.000 | -0.000 | -0.000 | 0.000 | 0.000 | 220.775 |
| -74.071 | 220.775 | 220.775 | -0.000 | -0.000 | 0.000 |
| 220.775 | -74.071 | 220.775 | -0.000 | 0.000 | 0.000 |
| 220.775 | 220.775 | -74.071 | 0.000 | 0.000 | 0.000 |
| -10765425.898 | -13047959.746 | -12549770.726 | 527998.580 | -9924.799 | 347638.319 |
| -12732044.618 | -11368818.919 | -12856130.298 | -178425.600 | 167057.248 | 8072.989 |
| -13139487.443 | -12999061.672 | -11373391.818 | -12971.306 | -33479.208 | -30723.966 |
| -74.086 | 220.775 | 220.775 | 0.000 | -0.000 | -0.000 |
| 220.775 | -74.086 | 220.775 | -0.000 | 0.000 | -0.000 |
| 220.775 | 220.775 | -74.086 | -0.000 | 0.000 | -0.000 |
| 11417011.132 | 13294132.442 | 13569829.846 | 230190.214 | 141645.469 | -46496.152 |
| 13118643.058 | 11557148.797 | 13343009.960 | 264101.259 | -271997.463 | -48350.495 |
| 13361469.471 | 13045177.440 | 12133324.972 | -46436.963 | 15468.114 | -386132.623 |
| 855.220 | 354.797 | 354.797 | 0.000 | 0.000 | -0.000 |
| 354.797 | 855.220 | 354.797 | 0.000 | -0.000 | -0.000 |
| 354.797 | 354.797 | 855.220 | 0.000 | -0.000 | -0.000 |
| 0.000 | -0.000 | -0.000 | 245.155 | 0.000 | -0.000 |
| -0.000 | -0.000 | -0.000 | 0.000 | 245.155 | -0.000 |
| -0.000 | -0.000 | -0.000 | 0.000 | 0.000 | 245.155 |
| 855.220 | 354.797 | 354.797 | -0.000 | -0.000 | 0.000 |
| 354.797 | 855.220 | 354.797 | -0.000 | -0.000 | 0.000 |
| 354.797 | 354.797 | 855.220 | -0.000 | 0.000 | 0.000 |
| -0.000 | 0.000 | 0.000 | 245.155 | -0.000 | 0.000 |
| 0.000 | 0.000 | 0.000 | -0.000 | 245.155 | 0.000 |
| 0.000 | 0.000 | 0.000 | -0.000 | -0.000 | 245.155 |
| 855.220 | 354.797 | 354.797 | 0.000 | -0.000 | -0.000 |
| 354.797 | 855.220 | 354.797 | 0.000 | 0.000 | -0.000 |
| 354.797 | 354.797 | 855.220 | 0.000 | -0.000 | -0.000 |
| 0.000 | -0.000 | -0.000 | 40.398 | 0.000 | -0.000 |
| -0.000 | 0.000 | -0.000 | 0.000 | 40.398 | -0.000 |
| -0.000 | -0.000 | 0.000 | 0.000 | 0.000 | 40.398 |
| 855.220 | 354.797 | 354.797 | -0.000 | 0.000 | 0.000 |
| 354.797 | 855.220 | 354.797 | -0.000 | -0.000 | 0.000 |
| 354.797 | 354.797 | 855.220 | -0.000 | 0.000 | 0.000 |
| -0.000 | 0.000 | 0.000 | 40.398 | -0.000 | 0.000 |
| 0.000 | -0.000 | 0.000 | -0.000 | 40.398 | 0.000 |
| 0.000 | 0.000 | -0.000 | -0.000 | -0.000 | 40.398 |
| 855.220 | 354.797 | 354.797 | 0.000 | 0.000 | -0.000 |
| 354.797 | 855.220 | 354.797 | 0.000 | -0.000 | -0.000 |
| 354.797 | 354.797 | 855.220 | -0.000 | -0.000 | -0.000 |
| 0.000 | -0.000 | -0.000 | 40.398 | 0.000 | -0.000 |
| -0.000 | 0.000 | -0.000 | 0.000 | 40.398 | -0.000 |
| -0.000 | -0.000 | 0.000 | 0.000 | 0.000 | 40.398 |
| 855.220 | 354.797 | 354.797 | -0.000 | 0.000 | 0.000 |
| 354.797 | 855.220 | 354.797 | -0.000 | 0.000 | 0.000 |
| 354.797 | 354.797 | 855.220 | -0.000 | -0.000 | 0.000 |
| -0.000 | 0.000 | 0.000 | 40.398 | -0.000 | 0.000 |
| 0.000 | -0.000 | 0.000 | -0.000 | 40.398 | 0.000 |
| 0.000 | 0.000 | -0.000 | -0.000 | 0.000 | 40.398 |
| 1053.732 | -18.977 | -18.977 | -0.000 | 0.000 | 0.000 |
| -18.977 | 1053.732 | -18.977 | -0.000 | 0.000 | 0.000 |
| -18.977 | -18.977 | 1053.732 | -0.000 | 0.000 | 0.000 |
| 3283559318.998 | 2870230353.169 | 2877749445.329 | -1233630765.124 | 51080756.716 | 40757616.677 |
| 2800241222.108 | 3293954721.053 | 2865206339.434 | -2867704.621 | -1428186202.132 | 70814303.334 |
| 2825300321.165 | 2422319493.953 | 3057975296.972 | 140764959.074 | 88396864.348 | -1131231667.286 |
| 1053.732 | -18.978 | -18.978 | 0.000 | -0.000 | -0.000 |
| -18.978 | 1053.732 | -18.978 | 0.000 | -0.000 | -0.000 |
| -18.978 | -18.978 | 1053.732 | 0.000 | -0.000 | -0.000 |
| -3014651951.795 | -3243374889.869 | -3333220700.104 | -1100332691.779 | -108531169.492 | 90393690.218 |
| -3047100742.694 | -3213056064.718 | -3288722135.634 | -123308577.917 | -1214261226.936 | 150838362.665 |
| -2588411705.992 | -2950765318.043 | -2001016854.382 | -184136516.996 | 50341627.856 | -1226456916.261 |
| 1053.733 | -18.977 | -18.977 | -0.000 | 0.000 | 0.000 |
| -18.977 | 1053.733 | -18.977 | -0.000 | 0.000 | 0.000 |
| -18.977 | -18.977 | 1053.733 | -0.000 | 0.000 | 0.000 |
| 333807346.009 | 293760632.591 | 289042467.574 | -137257310.687 | 7743870.603 | 14681637.460 |
| 274504647.907 | 323539395.341 | 281535218.266 | 15980633.918 | -124323236.368 | 21356217.696 |
| 249255593.893 | 267320959.992 | 318483555.810 | 436670.954 | 27179584.028 | -126013988.130 |
| 1053.732 | -18.978 | -18.978 | 0.000 | -0.000 | -0.000 |
| -18.978 | 1053.732 | -18.978 | 0.000 | -0.000 | -0.000 |
| -18.978 | -18.978 | 1053.732 | -0.000 | -0.000 | -0.000 |
| -310076301.235 | -319429148.473 | -323911891.793 | -120200021.835 | 295598.036 | 1244961.528 |
| -300441780.618 | -325047669.621 | -320473028.363 | -12405661.016 | -119320658.661 | -4587353.386 |
| -297684218.149 | -288900258.165 | -297359344.497 | 1023249.405 | -113373.658 | -117055204.325 |
| 1053.741 | -18.976 | -18.976 | -0.000 | 0.000 | 0.000 |
| -18.976 | 1053.741 | -18.976 | -0.000 | 0.000 | 0.000 |
| -18.976 | -18.976 | 1053.741 | -0.000 | 0.000 | 0.000 |
| 31708242.978 | 25348261.867 | 25356798.160 | -13230654.417 | 1220796.203 | 2009101.400 |
| 29430508.693 | 32107900.472 | 29018778.373 | 518530.588 | -12159424.776 | -83743.756 |
| 25524801.333 | 23131201.541 | 29349953.861 | 2462397.814 | 601547.406 | -11701231.372 |
| 1053.724 | -18.979 | -18.979 | 0.000 | -0.000 | -0.000 |
| -18.979 | 1053.724 | -18.979 | 0.000 | -0.000 | -0.000 |
| -18.979 | -18.979 | 1053.724 | 0.000 | -0.000 | -0.000 |
| -30145678.649 | -29389315.017 | -31079491.617 | -11447121.997 | -782956.051 | -189836.466 |
| -31043600.693 | -30430277.260 | -30267980.983 | -1674860.317 | -12427913.803 | 814017.090 |
| -30524718.745 | -31207521.594 | -29193561.322 | 1217694.792 | -1111011.506 | -11838322.212 |
| 0.000 | 0.000 | 0.000 | 0.000 | -0.000 | -0.000 |
| 0.000 | 0.000 | 0.000 | -0.000 | 0.000 | -0.000 |
| 0.000 | 0.000 | 0.000 | -0.000 | -0.000 | 0.000 |
| 0.000 | -0.000 | -0.000 | -0.000 | -0.000 | 0.000 |
| -0.000 | 0.000 | -0.000 | 0.000 | -0.000 | -0.000 |
| -0.000 | -0.000 | 0.000 | 0.000 | -0.000 | -0.000 |
| 0.000 | 0.000 | 0.000 | 0.000 | 0.000 | 0.000 |
| 0.000 | 0.000 | 0.000 | 0.000 | 0.000 | 0.000 |
| 0.000 | 0.000 | 0.000 | -0.000 | 0.000 | 0.000 |
| -0.000 | -0.000 | 0.000 | -0.000 | 0.000 | 0.000 |
| 0.000 | -0.000 | 0.000 | -0.000 | -0.000 | 0.000 |
| -0.000 | 0.000 | -0.000 | -0.000 | -0.000 | -0.000 |
| 0.000 | 0.000 | 0.000 | 0.000 | -0.000 | -0.000 |
| 0.000 | 0.000 | 0.000 | -0.000 | 0.000 | 0.000 |
| 0.000 | 0.000 | 0.000 | -0.000 | -0.000 | 0.000 |
| 0.000 | 0.000 | -0.000 | -0.000 | 0.000 | 0.000 |
| 0.000 | 0.000 | -0.000 | 0.000 | -0.000 | -0.000 |
| 0.000 | -0.000 | 0.000 | 0.000 | -0.000 | -0.000 |
| 0.000 | 0.000 | 0.000 | 0.000 | 0.000 | 0.000 |
| 0.000 | 0.000 | 0.000 | 0.000 | 0.000 | -0.000 |
| 0.000 | 0.000 | 0.000 | -0.000 | -0.000 | 0.000 |
| -0.000 | 0.000 | 0.000 | -0.000 | -0.000 | 0.000 |
| 0.000 | -0.000 | 0.000 | -0.000 | -0.000 | 0.000 |
| 0.000 | 0.000 | -0.000 | -0.000 | 0.000 | -0.000 |
| 0.000 | 0.000 | 0.000 | 0.000 | -0.000 | -0.000 |
| 0.000 | 0.000 | 0.000 | -0.000 | 0.000 | 0.000 |
| 0.000 | 0.000 | 0.000 | 0.000 | 0.000 | 0.000 |
| 0.000 | 0.000 | -0.000 | -0.000 | -0.000 | -0.000 |
| 0.000 | 0.000 | -0.000 | 0.000 | -0.000 | -0.000 |
| 0.000 | -0.000 | 0.000 | 0.000 | -0.000 | -0.000 |
| 0.000 | 0.000 | 0.000 | 0.000 | 0.000 | 0.000 |
| 0.000 | 0.000 | 0.000 | 0.000 | 0.000 | 0.000 |
| 0.000 | 0.000 | 0.000 | 0.000 | 0.000 | 0.000 |
| -0.000 | 0.000 | 0.000 | -0.000 | 0.000 | 0.000 |
| 0.000 | -0.000 | 0.000 | -0.000 | -0.000 | 0.000 |
| 0.000 | 0.000 | -0.000 | -0.000 | 0.000 | -0.000 |
| 326.971 | 696.112 | 696.113 | -0.000 | 0.000 | -0.000 |
| 696.112 | 326.971 | 696.113 | 0.000 | -0.000 | -0.000 |
| 696.112 | 696.112 | 326.971 | 0.000 | 0.000 | -0.000 |
| -0.000 | -0.000 | 0.000 | 217.683 | -0.000 | -0.000 |
| -0.000 | -0.000 | 0.000 | 0.000 | 217.683 | -0.000 |
| -0.000 | -0.000 | 0.000 | -0.000 | -0.000 | 217.683 |
| 326.971 | 696.112 | 696.112 | -0.000 | -0.000 | -0.000 |
| 696.112 | 326.971 | 696.112 | -0.000 | 0.000 | -0.000 |
| 696.112 | 696.112 | 326.970 | 0.000 | 0.000 | 0.000 |
| 0.000 | 0.000 | -0.000 | 217.683 | 0.000 | 0.000 |
| 0.000 | 0.000 | -0.000 | -0.000 | 217.683 | 0.000 |
| 0.000 | 0.000 | -0.000 | -0.000 | 0.000 | 217.683 |
| 326.971 | 696.113 | 696.113 | 0.000 | 0.000 | -0.000 |
| 696.113 | 326.971 | 696.113 | 0.000 | 0.000 | -0.000 |
| 696.113 | 696.113 | 326.971 | 0.000 | 0.000 | -0.000 |
| -0.000 | 0.000 | 0.000 | 217.683 | -0.000 | 0.000 |
| 0.000 | -0.000 | 0.000 | -0.000 | 217.683 | 0.000 |
| 0.000 | 0.000 | -0.000 | -0.000 | 0.000 | 217.683 |
| 326.971 | 696.112 | 696.112 | -0.000 | -0.000 | -0.000 |
| 696.112 | 326.971 | 696.112 | -0.000 | 0.000 | -0.000 |
| 696.112 | 696.112 | 326.971 | 0.000 | -0.000 | 0.000 |
| 0.000 | -0.000 | -0.000 | 217.683 | 0.000 | 0.000 |
| -0.000 | 0.000 | -0.000 | -0.000 | 217.683 | -0.000 |
| -0.000 | -0.000 | 0.000 | 0.000 | 0.000 | 217.683 |
| 326.971 | 696.114 | 696.114 | 0.000 | -0.000 | -0.000 |
| 696.114 | 326.971 | 696.114 | -0.000 | -0.000 | -0.000 |
| 696.114 | 696.114 | 326.971 | 0.000 | -0.000 | -0.000 |
| -0.003 | 0.001 | 0.001 | 217.683 | -0.000 | 0.000 |
| 0.001 | -0.003 | 0.001 | 0.000 | 217.683 | 0.000 |
| 0.001 | 0.001 | -0.003 | 0.000 | 0.000 | 217.683 |
| 326.970 | 696.111 | 696.111 | 0.000 | -0.000 | 0.000 |
| 696.111 | 326.970 | 696.111 | -0.000 | 0.000 | -0.000 |
| 696.111 | 696.111 | 326.970 | -0.000 | -0.000 | 0.000 |
| 0.003 | -0.001 | -0.001 | 217.683 | 0.000 | -0.000 |
| -0.001 | 0.003 | -0.001 | 0.000 | 217.683 | 0.000 |
| -0.001 | -0.001 | 0.003 | -0.000 | 0.000 | 217.683 |
| 1216.973 | 583.580 | 583.580 | -0.000 | 0.000 | 0.000 |
| 583.580 | 1216.973 | 583.580 | 0.000 | 0.000 | -0.000 |
| 583.580 | 583.580 | 1216.973 | -0.000 | -0.000 | 0.000 |
| -0.000 | 0.000 | 0.000 | 583.580 | -0.000 | 0.000 |
| 0.000 | -0.000 | 0.000 | -0.000 | 583.580 | 0.000 |
| 0.000 | 0.000 | -0.000 | -0.000 | 0.000 | 583.580 |
| 1216.973 | 583.580 | 583.580 | 0.000 | -0.000 | -0.000 |
| 583.580 | 1216.973 | 583.580 | -0.000 | 0.000 | -0.000 |
| 583.580 | 583.580 | 1216.973 | 0.000 | -0.000 | -0.000 |
| 0.000 | -0.000 | -0.000 | 583.580 | -0.000 | 0.000 |
| -0.000 | 0.000 | -0.000 | 0.000 | 583.580 | -0.000 |
| -0.000 | -0.000 | 0.000 | 0.000 | -0.000 | 583.580 |
| 1216.973 | 583.580 | 583.580 | -0.000 | 0.000 | 0.000 |
| 583.580 | 1216.973 | 583.580 | 0.000 | -0.000 | -0.000 |
| 583.580 | 583.580 | 1216.973 | -0.000 | 0.000 | -0.000 |
| -0.000 | 0.000 | 0.000 | 583.580 | 0.000 | 0.000 |
| 0.000 | -0.000 | 0.000 | -0.000 | 583.580 | 0.000 |
| 0.000 | 0.000 | -0.000 | -0.000 | 0.000 | 583.580 |
| 1216.973 | 583.579 | 583.579 | 0.000 | -0.000 | -0.000 |
| 583.579 | 1216.973 | 583.579 | -0.000 | -0.000 | 0.000 |
| 583.579 | 583.579 | 1216.973 | -0.000 | -0.000 | -0.000 |
| 0.000 | -0.000 | -0.000 | 583.580 | -0.000 | -0.000 |
| -0.000 | 0.000 | -0.000 | -0.000 | 583.580 | -0.000 |
| -0.000 | -0.000 | 0.000 | 0.000 | -0.000 | 583.580 |
| 1216.975 | 583.582 | 583.582 | -0.000 | 0.000 | -0.000 |
| 583.582 | 1216.975 | 583.582 | -0.000 | 0.000 | -0.000 |
| 583.582 | 583.582 | 1216.975 | -0.000 | -0.000 | -0.000 |
| -0.000 | 0.001 | 0.002 | 583.580 | 0.000 | 0.000 |
| 0.001 | -0.000 | 0.002 | -0.000 | 583.580 | 0.000 |
| 0.001 | 0.002 | -0.000 | -0.000 | 0.000 | 583.580 |
| 1216.970 | 583.577 | 583.577 | 0.000 | -0.000 | 0.000 |
| 583.577 | 1216.970 | 583.577 | -0.000 | -0.000 | -0.000 |
| 583.577 | 583.577 | 1216.970 | -0.000 | -0.000 | 0.000 |
| 0.000 | -0.001 | -0.002 | 583.580 | 0.000 | 0.000 |
| -0.001 | 0.000 | -0.002 | 0.000 | 583.580 | -0.000 |
| -0.001 | -0.002 | 0.000 | 0.000 | -0.000 | 583.580 |
| 660.034 | 77.729 | 77.729 | -0.000 | -0.000 | -0.000 |
| 77.729 | 660.034 | 77.729 | 0.000 | -0.000 | 0.000 |
| 77.729 | 77.729 | 660.034 | 0.000 | 0.000 | -0.000 |
| -0.000 | 0.000 | 0.000 | -63.818 | -0.000 | 0.000 |
| 0.000 | 0.000 | 0.000 | -0.000 | -63.818 | 0.000 |
| 0.000 | -0.000 | 0.000 | 0.000 | -0.000 | -63.818 |
| 660.033 | 77.729 | 77.729 | 0.000 | -0.000 | -0.000 |
| 77.729 | 660.033 | 77.729 | -0.000 | 0.000 | -0.000 |
| 77.729 | 77.729 | 660.033 | -0.000 | -0.000 | -0.000 |
| 0.000 | -0.000 | 0.000 | -63.818 | 0.000 | -0.000 |
| -0.000 | 0.000 | 0.000 | -0.000 | -63.818 | -0.000 |
| -0.000 | 0.000 | -0.000 | 0.000 | 0.000 | -63.818 |
| 660.038 | 77.729 | 77.729 | 0.000 | 0.000 | 0.000 |
| 77.729 | 660.038 | 77.729 | -0.000 | -0.000 | 0.000 |
| 77.729 | 77.729 | 660.038 | -0.000 | -0.000 | 0.000 |
| 0.000 | 0.000 | -0.000 | -62.860 | 0.000 | 0.000 |
| 0.000 | 0.000 | -0.000 | 0.000 | -62.860 | 0.000 |
| 0.000 | -0.000 | 0.000 | 0.000 | -0.000 | -62.860 |
| 660.029 | 77.729 | 77.729 | -0.000 | 0.000 | -0.000 |
| 77.729 | 660.029 | 77.729 | -0.000 | -0.000 | -0.000 |
| 77.729 | 77.729 | 660.029 | 0.000 | 0.000 | 0.000 |
| -0.000 | -0.000 | 0.000 | -62.860 | -0.000 | -0.000 |
| -0.000 | -0.000 | 0.000 | -0.000 | -62.860 | -0.000 |
| -0.000 | 0.000 | -0.000 | -0.000 | 0.000 | -62.860 |
| 660.077 | 77.730 | 77.730 | 0.000 | -0.000 | -0.000 |
| 77.730 | 660.077 | 77.730 | -0.000 | 0.000 | -0.000 |
| 77.730 | 77.730 | 660.077 | -0.000 | 0.000 | 0.000 |
| 0.000 | 0.000 | -0.000 | -63.818 | -0.000 | 0.000 |
| 0.000 | 0.000 | -0.000 | 0.000 | -63.818 | 0.000 |
| 0.000 | -0.000 | 0.000 | 0.000 | -0.000 | -63.818 |
| 659.990 | 77.729 | 77.729 | -0.000 | 0.000 | -0.000 |
| 77.729 | 659.990 | 77.729 | 0.000 | 0.000 | -0.000 |
| 77.729 | 77.729 | 659.990 | 0.000 | 0.000 | -0.000 |
| -0.000 | -0.000 | 0.000 | -63.818 | 0.000 | 0.000 |
| -0.000 | -0.000 | 0.000 | -0.000 | -63.818 | -0.000 |
| -0.000 | 0.000 | -0.000 | -0.000 | 0.000 | -63.818 |
| 2328.861 | 571.430 | 571.430 | 0.000 | 0.000 | -0.000 |
| 571.430 | 2328.861 | 571.430 | 0.000 | 0.000 | 0.000 |
| 571.430 | 571.430 | 2328.861 | 0.000 | 0.000 | -0.000 |
| 0.000 | 0.000 | 0.000 | 525.111 | 0.000 | 0.000 |
| 0.000 | -0.000 | 0.000 | 0.000 | 525.111 | -0.000 |
| 0.000 | 0.000 | 0.000 | 0.000 | 0.000 | 525.111 |
| 2328.860 | 571.430 | 571.430 | -0.000 | -0.000 | 0.000 |
| 571.430 | 2328.860 | 571.430 | -0.000 | -0.000 | -0.000 |
| 571.430 | 571.430 | 2328.860 | -0.000 | -0.000 | 0.000 |
| -0.000 | -0.000 | -0.000 | 525.111 | -0.000 | 0.000 |
| -0.000 | 0.000 | -0.000 | -0.000 | 525.111 | 0.000 |
| -0.000 | -0.000 | -0.000 | -0.000 | -0.000 | 525.111 |
| 2328.866 | 571.432 | 571.432 | 0.000 | 0.000 | 0.000 |
| 571.432 | 2328.866 | 571.432 | 0.000 | 0.000 | -0.000 |
| 571.432 | 571.432 | 2328.866 | 0.000 | 0.000 | -0.000 |
| 0.000 | 0.001 | 0.002 | 525.111 | 0.000 | -0.000 |
| 0.001 | 0.000 | 0.002 | 0.000 | 525.111 | -0.000 |
| 0.001 | 0.002 | 0.000 | 0.000 | 0.000 | 525.111 |
| 2328.855 | 571.428 | 571.428 | -0.000 | -0.000 | -0.000 |
| 571.428 | 2328.855 | 571.428 | -0.000 | -0.000 | 0.000 |
| 571.428 | 571.428 | 2328.855 | -0.000 | -0.000 | 0.000 |
| -0.000 | -0.001 | -0.002 | 525.111 | -0.000 | 0.000 |
| -0.001 | -0.000 | -0.002 | -0.000 | 525.111 | 0.000 |
| -0.001 | -0.002 | -0.000 | -0.000 | -0.000 | 525.111 |
| 2328.911 | 571.446 | 571.446 | 0.000 | 0.000 | -0.000 |
| 571.446 | 2328.911 | 571.446 | 0.000 | 0.000 | -0.000 |
| 571.446 | 571.446 | 2328.911 | 0.000 | 0.000 | -0.000 |
| 0.000 | 0.015 | 0.015 | 525.111 | 0.000 | -0.000 |
| 0.015 | 0.000 | 0.015 | 0.000 | 525.111 | -0.000 |
| 0.015 | 0.015 | 0.000 | 0.000 | 0.000 | 525.111 |
| 2328.810 | 571.414 | 571.414 | -0.000 | -0.000 | 0.000 |
| 571.414 | 2328.810 | 571.414 | -0.000 | -0.000 | 0.000 |
| 571.414 | 571.414 | 2328.810 | -0.000 | -0.000 | 0.000 |
| -0.000 | -0.015 | -0.015 | 525.111 | -0.000 | 0.000 |
| -0.015 | -0.000 | -0.015 | -0.000 | 525.111 | 0.000 |
| -0.015 | -0.015 | -0.000 | -0.000 | -0.000 | 525.111 |
| 1406.193 | 126.123 | 126.123 | -0.000 | -0.000 | -0.000 |
| 126.123 | 1406.193 | 126.123 | -0.000 | -0.000 | 0.000 |
| 126.123 | 126.123 | 1406.193 | 0.000 | -0.000 | -0.000 |
| -0.000 | 0.000 | -0.000 | -69.434 | 0.000 | 0.000 |
| 0.000 | 0.000 | -0.000 | -0.000 | -69.434 | -0.000 |
| 0.000 | -0.000 | -0.000 | -0.000 | -0.000 | -69.434 |
| 1406.194 | 126.123 | 126.123 | 0.000 | 0.000 | -0.000 |
| 126.123 | 1406.194 | 126.123 | 0.000 | 0.000 | -0.000 |
| 126.123 | 126.123 | 1406.194 | 0.000 | 0.000 | 0.000 |
| 0.000 | -0.000 | 0.000 | -69.434 | -0.000 | 0.000 |
| -0.000 | 0.000 | 0.000 | 0.000 | -69.434 | -0.000 |
| -0.000 | 0.000 | -0.000 | 0.000 | 0.000 | -69.434 |
| 1406.189 | 126.123 | 126.123 | -0.000 | -0.000 | 0.000 |
| 126.123 | 1406.189 | 126.123 | -0.000 | -0.000 | 0.000 |
| 126.123 | 126.123 | 1406.189 | -0.000 | -0.000 | -0.000 |
| 0.000 | 0.000 | -0.000 | -69.434 | -0.000 | -0.000 |
| 0.000 | 0.000 | -0.000 | 0.000 | -69.434 | -0.000 |
| 0.000 | -0.000 | 0.000 | -0.000 | -0.000 | -69.434 |
| 1406.198 | 126.123 | 126.123 | -0.000 | 0.000 | 0.000 |
| 126.123 | 1406.198 | 126.123 | 0.000 | 0.000 | 0.000 |
| 126.123 | 126.123 | 1406.198 | 0.000 | -0.000 | -0.000 |
| -0.000 | -0.000 | 0.000 | -69.434 | 0.000 | -0.000 |
| -0.000 | -0.000 | 0.000 | -0.000 | -69.434 | 0.000 |
| -0.000 | 0.000 | -0.000 | 0.000 | 0.000 | -69.434 |
| 1406.148 | 126.123 | 126.123 | -0.000 | -0.000 | -0.000 |
| 126.123 | 1406.148 | 126.123 | -0.000 | -0.000 | -0.000 |
| 126.123 | 126.123 | 1406.148 | -0.000 | -0.000 | 0.000 |
| 0.000 | 0.000 | -0.000 | -69.434 | -0.000 | -0.000 |
| 0.000 | 0.000 | -0.000 | 0.000 | -69.434 | -0.000 |
| 0.000 | -0.000 | 0.000 | 0.000 | -0.000 | -69.434 |
| 1406.239 | 126.123 | 126.123 | 0.000 | 0.000 | 0.000 |
| 126.123 | 1406.239 | 126.123 | 0.000 | 0.000 | 0.000 |
| 126.123 | 126.123 | 1406.239 | 0.000 | 0.000 | -0.000 |
| -0.000 | -0.000 | 0.000 | -69.434 | 0.000 | -0.000 |
| -0.000 | -0.000 | 0.000 | -0.000 | -69.434 | 0.000 |
| -0.000 | 0.000 | -0.000 | 0.000 | 0.000 | -69.434 |
| 423.682 | 505.334 | 505.334 | -0.000 | -0.000 | -0.000 |
| 505.334 | 423.682 | 505.334 | -0.000 | -0.000 | -0.000 |
| 505.334 | 505.334 | 423.682 | 0.000 | -0.000 | -0.000 |
| 0.000 | 0.000 | -0.000 | -189.325 | -0.000 | 0.000 |
| 0.000 | 0.000 | -0.000 | -0.000 | -189.325 | -0.000 |
| 0.000 | -0.000 | -0.000 | 0.000 | -0.000 | -189.325 |
| 423.682 | 505.334 | 505.334 | 0.000 | 0.000 | 0.000 |
| 505.334 | 423.682 | 505.334 | 0.000 | 0.000 | -0.000 |
| 505.334 | 505.334 | 423.682 | -0.000 | -0.000 | 0.000 |
| 0.000 | 0.000 | 0.000 | -189.325 | 0.000 | 0.000 |
| -0.000 | 0.000 | 0.000 | 0.000 | -189.325 | 0.000 |
| -0.000 | 0.000 | 0.000 | -0.000 | 0.000 | -189.325 |
| 423.682 | 505.334 | 505.334 | -0.000 | -0.000 | -0.000 |
| 505.334 | 423.682 | 505.334 | -0.000 | -0.000 | -0.000 |
| 505.334 | 505.334 | 423.682 | 0.000 | -0.000 | -0.000 |
| 0.000 | -0.000 | 0.000 | 435.313 | 0.000 | 0.000 |
| -0.000 | 0.000 | 0.000 | 0.000 | 435.313 | 0.000 |
| -0.000 | 0.000 | 0.000 | 0.000 | -0.000 | 435.313 |
| 423.682 | 505.334 | 505.334 | -0.000 | 0.000 | 0.000 |
| 505.334 | 423.682 | 505.334 | 0.000 | 0.000 | 0.000 |
| 505.334 | 505.334 | 423.682 | 0.000 | 0.000 | 0.000 |
| -0.000 | 0.000 | -0.000 | 435.313 | 0.000 | 0.000 |
| 0.000 | -0.000 | -0.000 | -0.000 | 435.313 | 0.000 |
| 0.000 | -0.000 | -0.000 | -0.000 | 0.000 | 435.313 |
| 423.681 | 505.335 | 505.335 | -0.000 | -0.000 | -0.000 |
| 505.335 | 423.681 | 505.335 | -0.000 | -0.000 | -0.000 |
| 505.335 | 505.335 | 423.681 | -0.000 | -0.000 | -0.000 |
| -0.001 | -0.001 | -0.001 | -189.325 | -0.000 | -0.000 |
| -0.001 | -0.001 | -0.001 | 0.000 | -189.325 | -0.000 |
| -0.001 | -0.001 | -0.001 | 0.000 | 0.000 | -189.325 |
| 423.684 | 505.334 | 505.334 | 0.000 | 0.000 | 0.000 |
| 505.334 | 423.684 | 505.334 | 0.000 | 0.000 | 0.000 |
| 505.334 | 505.334 | 423.684 | 0.000 | 0.000 | 0.000 |
| 0.001 | 0.001 | 0.001 | -189.325 | 0.000 | 0.000 |
| 0.001 | 0.001 | 0.001 | 0.000 | -189.325 | -0.000 |
| 0.001 | 0.001 | 0.001 | 0.000 | 0.000 | -189.325 |
| 225.087 | 221.787 | 271.231 | -0.000 | -0.000 | 0.000 |
| 144.727 | 302.148 | 271.231 | -0.000 | -0.000 | 0.000 |
| 271.231 | 271.231 | 443.731 | -0.000 | -0.000 | 0.000 |
| -0.000 | -0.000 | 0.000 | 193.578 | -0.000 | 0.000 |
| -0.000 | -0.000 | 0.000 | -0.000 | 193.578 | -0.000 |
| -0.000 | -0.000 | 0.000 | 0.000 | 0.000 | 1.650 |
| 302.148 | 144.727 | 271.231 | -0.000 | 0.000 | -0.000 |
| 221.787 | 225.087 | 271.231 | -0.000 | 0.000 | -0.000 |
| 271.231 | 271.231 | 443.731 | 0.000 | -0.000 | -0.000 |
| 0.000 | 0.000 | -0.000 | 193.578 | 0.000 | -0.000 |
| 0.000 | 0.000 | 0.000 | 0.000 | 193.578 | 0.000 |
| 0.000 | 0.000 | -0.000 | 0.000 | 0.000 | 1.650 |
| 225.086 | 221.787 | 271.231 | -0.000 | -0.000 | -0.000 |
| 221.787 | 225.086 | 271.231 | -0.000 | -0.000 | 0.000 |
| 271.231 | 271.231 | 443.731 | -0.000 | -0.000 | 0.000 |
| -0.000 | -0.000 | -0.000 | 193.578 | 0.000 | -0.000 |
| -0.000 | -0.000 | -0.000 | -0.000 | 193.578 | 0.000 |
| -0.000 | -0.000 | -0.000 | -0.000 | -0.000 | 1.650 |
| 302.148 | 144.727 | 271.232 | -0.000 | -0.000 | -0.000 |
| 144.727 | 302.148 | 271.232 | 0.000 | 0.000 | -0.000 |
| 271.232 | 271.232 | 443.732 | 0.000 | 0.000 | 0.000 |
| 0.000 | 0.000 | 0.000 | 193.578 | 0.000 | -0.000 |
| 0.000 | 0.000 | 0.000 | -0.000 | 193.578 | -0.000 |
| 0.000 | 0.000 | 0.000 | 0.000 | 0.000 | 1.650 |
| 225.079 | 221.785 | 271.229 | -0.000 | -0.000 | 0.000 |
| 221.789 | 225.075 | 271.229 | -0.000 | 0.000 | 0.000 |
| 271.230 | 271.230 | 443.728 | -0.000 | -0.000 | 0.000 |
| -0.000 | -0.002 | -0.001 | 193.578 | 0.000 | 0.000 |
| -0.002 | -0.000 | -0.001 | -0.000 | 193.578 | 0.000 |
| -0.003 | -0.002 | -0.001 | -0.000 | -0.000 | 1.650 |
| 225.095 | 221.790 | 271.233 | 0.000 | -0.000 | -0.000 |
| 221.793 | 225.091 | 271.233 | 0.000 | 0.000 | 0.000 |
| 271.232 | 271.232 | 443.734 | 0.000 | -0.000 | 0.000 |
| 0.000 | 0.002 | 0.001 | 193.578 | -0.000 | -0.000 |
| 0.002 | 0.000 | 0.001 | 0.000 | 193.578 | -0.000 |
| 0.003 | 0.002 | 0.001 | 0.000 | 0.000 | 1.650 |
| 1803.315 | 37.741 | 37.741 | -0.000 | -0.000 | -0.000 |
| 37.741 | 1803.315 | 37.741 | -0.000 | -0.000 | 0.000 |
| 37.741 | 37.741 | 1803.315 | -0.000 | 0.000 | 0.000 |
| 0.000 | -0.000 | 0.000 | -91.027 | -0.000 | 0.000 |
| 0.000 | -0.000 | 0.000 | -0.000 | -91.027 | 0.000 |
| 0.000 | -0.000 | 0.000 | -0.000 | -0.000 | -91.027 |
| 1803.315 | 37.741 | 37.740 | 0.000 | 0.000 | -0.000 |
| 37.740 | 1803.316 | 37.740 | 0.000 | 0.000 | 0.000 |
| 37.740 | 37.741 | 1803.315 | 0.000 | 0.000 | -0.000 |
| -0.000 | 0.000 | -0.000 | -91.027 | 0.000 | -0.000 |
| -0.000 | 0.000 | -0.000 | 0.000 | -91.027 | 0.000 |
| -0.000 | 0.000 | -0.000 | 0.000 | 0.000 | -91.027 |
| 1803.310 | 37.741 | 37.741 | -0.000 | -0.000 | 0.000 |
| 37.741 | 1803.311 | 37.741 | -0.000 | 0.000 | -0.000 |
| 37.741 | 37.741 | 1803.311 | -0.000 | -0.000 | 0.000 |
| 0.000 | 0.000 | -0.000 | -91.027 | -0.000 | -0.000 |
| 0.000 | 0.000 | -0.000 | -0.000 | -91.027 | 0.000 |
| 0.000 | -0.000 | 0.000 | -0.000 | -0.000 | -91.027 |
| 1803.320 | 37.741 | 37.740 | 0.000 | 0.000 | 0.000 |
| 37.741 | 1803.320 | 37.740 | 0.000 | 0.000 | -0.000 |
| 37.741 | 37.741 | 1803.320 | 0.000 | -0.000 | 0.000 |
| -0.000 | -0.000 | 0.000 | -91.027 | 0.000 | -0.000 |
| -0.000 | -0.000 | 0.000 | 0.000 | -91.027 | 0.000 |
| -0.000 | 0.000 | -0.000 | 0.000 | 0.000 | -91.027 |
| 1803.270 | 37.741 | 37.741 | -0.000 | -0.000 | 0.000 |
| 37.741 | 1803.270 | 37.741 | -0.000 | -0.000 | 0.000 |
| 37.741 | 37.741 | 1803.270 | -0.000 | 0.000 | 0.000 |
| 0.000 | 0.000 | -0.001 | -91.027 | -0.000 | -0.000 |
| 0.000 | 0.000 | -0.001 | -0.000 | -91.027 | 0.000 |
| 0.000 | -0.001 | 0.000 | -0.000 | -0.000 | -91.027 |
| 1803.360 | 37.740 | 37.740 | 0.000 | 0.000 | -0.000 |
| 37.740 | 1803.360 | 37.740 | 0.000 | 0.000 | 0.000 |
| 37.740 | 37.740 | 1803.360 | 0.000 | -0.000 | -0.000 |
| -0.000 | -0.000 | 0.001 | -91.027 | 0.000 | -0.000 |
| -0.000 | -0.000 | 0.001 | 0.000 | -91.027 | 0.000 |
| -0.000 | 0.001 | -0.000 | 0.000 | 0.000 | -91.027 |
| 126.147 | 115.893 | 115.893 | 0.000 | 0.000 | -0.000 |
| 115.893 | 126.147 | 115.893 | -0.000 | 0.000 | -0.000 |
| 115.893 | 115.893 | 126.147 | 0.000 | 0.000 | -0.000 |
| 0.000 | 0.000 | -0.000 | 100.921 | -0.000 | -0.000 |
| 0.000 | 0.000 | -0.000 | -0.000 | 100.921 | -0.000 |
| 0.000 | 0.000 | 0.000 | -0.000 | 0.000 | 100.921 |
| 126.147 | 115.893 | 115.893 | -0.000 | -0.000 | 0.000 |
| 115.893 | 126.147 | 115.893 | 0.000 | -0.000 | -0.000 |
| 115.893 | 115.893 | 126.147 | -0.000 | -0.000 | 0.000 |
| -0.000 | -0.000 | 0.000 | 100.921 | -0.000 | -0.000 |
| -0.000 | -0.000 | 0.000 | -0.000 | 100.921 | 0.000 |
| -0.000 | -0.000 | 0.000 | -0.000 | -0.000 | 100.921 |
| 126.147 | 115.893 | 115.893 | 0.000 | 0.000 | -0.000 |
| 115.893 | 126.147 | 115.893 | 0.000 | 0.000 | -0.000 |
| 115.893 | 115.893 | 126.147 | -0.000 | 0.000 | 0.000 |
| -0.000 | -0.000 | -0.000 | 1.332 | 0.000 | 0.000 |
| -0.000 | -0.000 | -0.000 | 0.000 | 1.332 | 0.000 |
| -0.000 | -0.000 | -0.000 | 0.000 | 0.000 | 1.332 |
| 126.147 | 115.893 | 115.893 | -0.000 | 0.000 | 0.000 |
| 115.893 | 126.147 | 115.893 | -0.000 | -0.000 | 0.000 |
| 115.893 | 115.893 | 126.147 | -0.000 | -0.000 | 0.000 |
| 0.000 | 0.000 | 0.000 | 1.332 | 0.000 | -0.000 |
| 0.000 | 0.000 | 0.000 | -0.000 | 1.332 | -0.000 |
| 0.000 | 0.000 | 0.000 | -0.000 | -0.000 | 1.332 |
| 126.147 | 115.893 | 115.893 | 0.000 | 0.000 | -0.000 |
| 115.893 | 126.147 | 115.893 | 0.000 | 0.000 | -0.000 |
| 115.893 | 115.893 | 126.147 | 0.000 | 0.000 | -0.000 |
| 0.000 | -0.000 | 0.000 | 100.921 | 0.000 | 0.000 |
| -0.000 | 0.000 | 0.000 | 0.000 | 100.921 | 0.000 |
| -0.000 | 0.000 | 0.000 | 0.000 | 0.000 | 100.921 |
| 126.148 | 115.893 | 115.893 | 0.000 | -0.000 | 0.000 |
| 115.893 | 126.148 | 115.893 | -0.000 | 0.000 | 0.000 |
| 115.893 | 115.893 | 126.148 | -0.000 | -0.000 | 0.000 |
| -0.000 | 0.000 | -0.000 | 100.921 | -0.000 | 0.000 |
| 0.000 | -0.000 | -0.000 | 0.000 | 100.921 | -0.000 |
| 0.000 | -0.000 | -0.000 | -0.000 | -0.000 | 100.921 |
| 737.348 | 257.211 | 257.211 | -0.000 | 0.000 | -0.000 |
| 257.211 | 737.348 | 257.211 | -0.000 | 0.000 | -0.000 |
| 257.211 | 257.211 | 737.348 | -0.000 | -0.000 | 0.000 |
| 0.000 | -0.000 | 0.000 | 123.528 | -0.000 | -0.000 |
| 0.000 | -0.000 | 0.000 | -0.000 | 123.528 | -0.000 |
| 0.000 | 0.000 | 0.000 | 0.000 | 0.000 | 123.528 |
| 737.348 | 257.211 | 257.211 | 0.000 | 0.000 | -0.000 |
| 257.211 | 737.348 | 257.211 | 0.000 | -0.000 | 0.000 |
| 257.211 | 257.211 | 737.348 | 0.000 | -0.000 | -0.000 |
| -0.000 | -0.000 | -0.000 | 123.528 | 0.000 | -0.000 |
| -0.000 | -0.000 | -0.000 | 0.000 | 123.528 | -0.000 |
| -0.000 | 0.000 | -0.000 | 0.000 | -0.000 | 123.528 |
| 737.349 | 257.211 | 257.211 | 0.000 | -0.000 | -0.000 |
| 257.211 | 737.349 | 257.211 | -0.000 | 0.000 | -0.000 |
| 257.211 | 257.211 | 737.349 | -0.000 | 0.000 | -0.000 |
| 0.000 | -0.000 | -0.000 | 123.528 | -0.000 | 0.000 |
| -0.000 | 0.000 | -0.000 | -0.000 | 123.528 | -0.000 |
| -0.000 | -0.000 | 0.000 | -0.000 | 0.000 | 123.528 |
| 735.873 | 257.948 | 257.948 | 0.000 | -0.000 | 0.000 |
| 257.948 | 735.873 | 257.948 | 0.000 | -0.000 | 0.000 |
| 257.948 | 257.948 | 735.873 | 0.000 | 0.000 | -0.000 |
| -0.000 | 0.000 | 0.000 | 123.528 | -0.000 | 0.000 |
| 0.000 | -0.000 | 0.000 | 0.000 | 123.528 | 0.000 |
| 0.000 | 0.000 | -0.000 | 0.000 | 0.000 | 123.528 |
| 737.353 | 257.211 | 257.211 | -0.000 | -0.000 | 0.000 |
| 257.211 | 737.353 | 257.211 | -0.000 | -0.000 | 0.000 |
| 257.211 | 257.211 | 737.353 | -0.000 | 0.000 | 0.000 |
| 0.000 | -0.000 | -0.000 | 123.528 | -0.000 | -0.000 |
| -0.000 | 0.000 | -0.000 | -0.000 | 123.528 | -0.000 |
| -0.000 | -0.000 | 0.000 | -0.000 | 0.000 | 123.528 |
| 735.869 | 257.947 | 257.947 | 0.000 | -0.000 | 0.000 |
| 257.947 | 735.869 | 257.947 | 0.000 | -0.000 | 0.000 |
| 257.947 | 257.947 | 735.869 | 0.000 | -0.000 | 0.000 |
| -0.000 | 0.000 | 0.000 | 123.528 | 0.000 | -0.000 |
| 0.000 | -0.000 | 0.000 | 0.000 | 123.528 | 0.000 |
| 0.000 | 0.000 | -0.000 | 0.000 | 0.000 | 123.528 |
| 781.423 | 703.064 | 703.064 | 0.000 | -0.000 | 0.000 |
| 703.064 | 781.423 | 703.064 | 0.000 | -0.000 | 0.000 |
| 703.064 | 703.064 | 781.423 | 0.000 | 0.000 | 0.000 |
| -0.000 | -0.000 | -0.000 | 121.983 | -0.000 | 0.000 |
| 0.000 | -0.000 | -0.000 | -0.000 | 121.983 | 0.000 |
| 0.000 | 0.000 | -0.000 | -0.000 | -0.000 | 121.983 |
| 781.423 | 703.064 | 703.064 | 0.000 | -0.000 | -0.000 |
| 703.064 | 781.423 | 703.064 | -0.000 | -0.000 | -0.000 |
| 703.064 | 703.064 | 781.423 | -0.000 | 0.000 | -0.000 |
| 0.000 | 0.000 | 0.000 | 121.983 | 0.000 | -0.000 |
| -0.000 | 0.000 | 0.000 | 0.000 | 121.983 | -0.000 |
| -0.000 | -0.000 | 0.000 | 0.000 | 0.000 | 121.983 |
| 781.423 | 703.064 | 703.064 | -0.000 | -0.000 | 0.000 |
| 703.064 | 781.423 | 703.064 | -0.000 | -0.000 | 0.000 |
| 703.064 | 703.064 | 781.423 | -0.000 | -0.000 | -0.000 |
| -0.000 | -0.000 | -0.000 | 121.983 | -0.000 | 0.000 |
| -0.000 | -0.000 | -0.000 | -0.000 | 121.983 | 0.000 |
| -0.000 | -0.000 | -0.000 | -0.000 | -0.000 | 121.983 |
| 781.423 | 703.064 | 703.064 | 0.000 | -0.000 | -0.000 |
| 703.064 | 781.423 | 703.064 | 0.000 | -0.000 | -0.000 |
| 703.064 | 703.064 | 781.423 | 0.000 | 0.000 | -0.000 |
| 0.000 | 0.000 | 0.000 | 121.983 | 0.000 | -0.000 |
| 0.000 | 0.000 | 0.000 | 0.000 | 121.983 | -0.000 |
| 0.000 | 0.000 | 0.000 | 0.000 | 0.000 | 121.983 |
| 781.421 | 703.068 | 703.068 | -0.000 | -0.000 | 0.000 |
| 703.068 | 781.421 | 703.068 | -0.000 | -0.000 | 0.000 |
| 703.068 | 703.068 | 781.421 | -0.000 | -0.000 | 0.000 |
| -0.003 | -0.002 | -0.002 | 121.983 | -0.000 | 0.000 |
| -0.002 | -0.003 | -0.002 | -0.000 | 121.983 | 0.000 |
| -0.002 | -0.002 | -0.003 | -0.000 | -0.000 | 121.983 |
| 781.425 | 703.060 | 703.060 | 0.000 | -0.000 | -0.000 |
| 703.060 | 781.425 | 703.060 | 0.000 | 0.000 | -0.000 |
| 703.060 | 703.060 | 781.425 | 0.000 | 0.000 | -0.000 |
| 0.003 | 0.002 | 0.002 | 121.983 | 0.000 | -0.000 |
| 0.002 | 0.003 | 0.002 | 0.000 | 121.983 | -0.000 |
| 0.002 | 0.002 | 0.003 | 0.000 | 0.000 | 121.983 |
| 1208.999 | 799.251 | 799.251 | 0.000 | -0.000 | -0.000 |
| 799.251 | 1208.999 | 799.251 | -0.000 | 0.000 | 0.000 |
| 799.251 | 799.251 | 1208.999 | 0.000 | 0.000 | -0.000 |
| 0.000 | 0.000 | 0.000 | 661.819 | -0.000 | 0.000 |
| 0.000 | 0.000 | 0.000 | 0.000 | 661.819 | -0.000 |
| 0.000 | 0.000 | 0.000 | 0.000 | -0.000 | 661.819 |
| 1208.999 | 799.250 | 799.250 | -0.000 | 0.000 | 0.000 |
| 799.250 | 1208.999 | 799.250 | 0.000 | -0.000 | -0.000 |
| 799.250 | 799.250 | 1208.999 | 0.000 | -0.000 | -0.000 |
| -0.000 | -0.000 | -0.000 | 661.819 | -0.000 | -0.000 |
| -0.000 | -0.000 | -0.000 | 0.000 | 661.819 | 0.000 |
| -0.000 | -0.000 | -0.000 | -0.000 | 0.000 | 661.819 |
| 1209.000 | 799.251 | 799.251 | 0.000 | -0.000 | -0.000 |
| 799.251 | 1209.000 | 799.251 | -0.000 | 0.000 | 0.000 |
| 799.251 | 799.251 | 1209.000 | 0.000 | 0.000 | -0.000 |
| -0.000 | 0.001 | 0.001 | 661.819 | 0.000 | 0.000 |
| 0.001 | -0.000 | 0.001 | 0.000 | 661.819 | -0.000 |
| 0.001 | 0.001 | -0.000 | 0.000 | -0.000 | 661.819 |
| 1208.998 | 799.250 | 799.250 | -0.000 | 0.000 | 0.000 |
| 799.250 | 1208.998 | 799.250 | -0.000 | -0.000 | 0.000 |
| 799.250 | 799.250 | 1208.998 | -0.000 | -0.000 | -0.000 |
| 0.000 | -0.001 | -0.001 | 661.819 | -0.000 | -0.000 |
| -0.001 | 0.000 | -0.001 | -0.000 | 661.819 | 0.000 |
| -0.001 | -0.001 | 0.000 | -0.000 | 0.000 | 661.819 |
| 1209.013 | 799.259 | 799.259 | 0.000 | -0.000 | 0.000 |
| 799.259 | 1209.013 | 799.259 | -0.000 | 0.000 | -0.000 |
| 799.259 | 799.259 | 1209.013 | 0.000 | 0.000 | -0.000 |
| -0.000 | 0.006 | 0.007 | 661.819 | 0.000 | 0.000 |
| 0.006 | -0.000 | 0.007 | 0.000 | 661.819 | 0.000 |
| 0.006 | 0.007 | -0.000 | 0.000 | 0.000 | 661.819 |
| 1208.985 | 799.242 | 799.242 | -0.000 | 0.000 | 0.000 |
| 799.242 | 1208.985 | 799.242 | -0.000 | -0.000 | 0.000 |
| 799.242 | 799.242 | 1208.985 | -0.000 | -0.000 | -0.000 |
| 0.000 | -0.006 | -0.007 | 661.819 | -0.000 | -0.000 |
| -0.006 | 0.000 | -0.007 | -0.000 | 661.819 | -0.000 |
| -0.006 | -0.007 | 0.000 | 0.000 | 0.000 | 661.819 |
| 829.995 | 1088.965 | 860.526 | 0.000 | 0.000 | 0.000 |
| 1088.965 | 829.995 | 860.526 | 0.000 | 0.000 | 0.000 |
| 860.526 | 860.526 | 1371.771 | -0.000 | 0.000 | 0.000 |
| -0.000 | 0.000 | 0.000 | 718.263 | 0.000 | 0.000 |
| 0.000 | -0.000 | 0.000 | 0.000 | 718.263 | 0.000 |
| 0.000 | 0.000 | -0.000 | 0.000 | 0.000 | 593.607 |
| 1187.037 | 731.923 | 860.526 | 0.000 | -0.000 | -0.000 |
| 731.923 | 1187.037 | 860.526 | 0.000 | 0.000 | -0.000 |
| 860.526 | 860.526 | 1371.771 | -0.000 | -0.000 | -0.000 |
| 0.000 | -0.000 | -0.000 | 718.263 | -0.000 | -0.000 |
| -0.000 | 0.000 | -0.000 | 0.000 | 718.263 | -0.000 |
| -0.000 | -0.000 | 0.000 | -0.000 | -0.000 | 593.607 |
| 1187.038 | 731.924 | 860.527 | -0.000 | -0.000 | 0.000 |
| 731.924 | 1187.038 | 860.527 | 0.000 | 0.000 | 0.000 |
| 860.527 | 860.527 | 1371.773 | 0.000 | 0.000 | 0.000 |
| 0.000 | 0.000 | 0.000 | 566.883 | -0.000 | 0.000 |
| 0.000 | 0.000 | 0.000 | -0.000 | 566.883 | 0.000 |
| 0.001 | 0.001 | -0.000 | 0.000 | 0.000 | 593.607 |
| 829.995 | 1088.964 | 860.525 | 0.000 | -0.000 | -0.000 |
| 1088.964 | 829.995 | 860.525 | 0.000 | -0.000 | -0.000 |
| 860.525 | 860.525 | 1371.770 | 0.000 | 0.000 | -0.000 |
| -0.000 | -0.000 | -0.000 | 566.883 | 0.000 | -0.000 |
| -0.000 | -0.000 | -0.000 | 0.000 | 566.883 | -0.000 |
| -0.001 | -0.001 | 0.000 | -0.000 | -0.000 | 593.607 |
| 830.002 | 1088.977 | 860.529 | -0.000 | 0.000 | 0.000 |
| 1088.977 | 830.002 | 860.529 | 0.000 | 0.000 | 0.000 |
| 860.534 | 860.534 | 1371.785 | 0.000 | -0.000 | 0.000 |
| 0.003 | 0.003 | 0.004 | 566.883 | 0.000 | 0.000 |
| 0.003 | 0.003 | 0.004 | -0.000 | 566.883 | 0.000 |
| 0.006 | 0.008 | -0.000 | 0.000 | 0.000 | 593.607 |
| 829.988 | 1088.953 | 860.522 | -0.000 | -0.000 | -0.000 |
| 1088.953 | 829.988 | 860.522 | -0.000 | -0.000 | -0.000 |
| 860.517 | 860.517 | 1371.757 | -0.000 | -0.000 | -0.000 |
| -0.003 | -0.003 | -0.004 | 566.883 | -0.000 | -0.000 |
| -0.003 | -0.003 | -0.004 | -0.000 | 566.883 | -0.000 |
| -0.006 | -0.008 | 0.000 | -0.000 | -0.000 | 593.607 |
| 1550.417 | 616.152 | 389.504 | 0.000 | 0.000 | 0.000 |
| 616.152 | 1550.417 | 389.504 | -0.000 | 0.000 | 0.000 |
| 369.506 | 369.506 | 1179.328 | -0.000 | -0.000 | 0.000 |
| 0.000 | 0.000 | 0.000 | 191.218 | -0.000 | 0.000 |
| 0.000 | 0.000 | 0.000 | 0.000 | 191.218 | 0.000 |
| -0.003 | -0.003 | 0.004 | -0.000 | 0.000 | 378.402 |
| 1550.416 | 616.153 | 389.504 | 0.000 | -0.000 | -0.000 |
| 616.153 | 1550.416 | 389.504 | 0.000 | -0.000 | 0.000 |
| 369.506 | 369.506 | 1179.326 | -0.000 | 0.000 | -0.000 |
| -0.000 | -0.000 | -0.000 | 191.218 | -0.000 | 0.000 |
| -0.000 | -0.000 | -0.000 | -0.000 | 191.218 | -0.000 |
| 0.003 | 0.003 | -0.004 | 0.000 | -0.000 | 378.402 |
| 1550.403 | 616.149 | 389.518 | -0.000 | 0.000 | 0.000 |
| 632.429 | 1623.009 | 327.934 | -0.000 | -0.000 | 0.000 |
| 369.507 | 369.507 | 1179.329 | -0.000 | 0.000 | -0.000 |
| -0.000 | -0.000 | 0.000 | -147.200 | -0.000 | 0.000 |
| -0.000 | -0.000 | 0.000 | 0.000 | -147.200 | 0.000 |
| 0.000 | 0.001 | 0.000 | 0.000 | -0.000 | 495.289 |
| 1437.597 | 762.982 | 365.937 | -0.000 | -0.000 | -0.000 |
| 763.005 | 1437.580 | 365.933 | 0.000 | 0.000 | -0.000 |
| 369.505 | 369.505 | 1179.325 | 0.000 | 0.000 | -0.000 |
| 0.000 | 0.000 | -0.000 | -147.200 | -0.000 | -0.000 |
| 0.000 | 0.000 | -0.000 | 0.000 | -147.200 | -0.000 |
| -0.000 | -0.001 | -0.000 | -0.000 | 0.000 | 495.289 |
| 1437.549 | 763.115 | 365.910 | -0.000 | 0.000 | 0.000 |
| 762.668 | 1437.448 | 366.290 | 0.000 | 0.000 | 0.000 |
| 369.387 | 369.387 | 1179.526 | -0.000 | 0.000 | 0.000 |
| 0.004 | 0.001 | -0.003 | -147.200 | 0.000 | 0.000 |
| 0.001 | 0.004 | -0.003 | -0.000 | -147.200 | 0.000 |
| 0.005 | 0.013 | -0.003 | -0.000 | 0.000 | 312.155 |
| 1622.977 | 632.424 | 327.931 | -0.000 | 0.000 | -0.000 |
| 616.141 | 1550.386 | 389.504 | 0.000 | -0.000 | 0.000 |
| 369.496 | 369.496 | 1179.306 | -0.000 | 0.000 | -0.000 |
| -0.004 | -0.001 | 0.003 | -147.200 | -0.000 | -0.000 |
| -0.001 | -0.004 | 0.003 | 0.000 | -147.200 | -0.000 |
| -0.005 | -0.013 | 0.003 | 0.000 | -0.000 | 312.155 |
| 2013.372 | 984.023 | 984.023 | 0.000 | -0.000 | -0.000 |
| 984.023 | 2013.372 | 984.023 | -0.000 | -0.000 | 0.000 |
| 984.023 | 984.023 | 2013.372 | 0.000 | 0.000 | -0.000 |
| -0.000 | 0.000 | 0.000 | 984.023 | -0.000 | 0.000 |
| 0.000 | -0.000 | 0.000 | 0.000 | 984.023 | 0.000 |
| 0.000 | 0.000 | -0.000 | 0.000 | 0.000 | 984.023 |
| 2013.372 | 984.023 | 984.023 | -0.000 | -0.000 | -0.000 |
| 984.023 | 2013.372 | 984.023 | 0.000 | 0.000 | -0.000 |
| 984.023 | 984.023 | 2013.372 | 0.000 | -0.000 | -0.000 |
| 0.000 | -0.000 | -0.000 | 984.023 | 0.000 | -0.000 |
| -0.000 | 0.000 | -0.000 | -0.000 | 984.023 | -0.000 |
| -0.000 | -0.000 | 0.000 | -0.000 | -0.000 | 984.023 |
| 2013.372 | 984.024 | 984.024 | -0.000 | -0.000 | 0.000 |
| 984.024 | 2013.372 | 984.024 | -0.000 | -0.000 | 0.000 |
| 984.024 | 984.024 | 2013.372 | -0.000 | 0.000 | 0.000 |
| -0.000 | 0.000 | 0.000 | 984.023 | -0.000 | -0.000 |
| 0.000 | -0.000 | 0.000 | -0.000 | 984.023 | -0.000 |
| 0.000 | 0.000 | -0.000 | 0.000 | -0.000 | 984.023 |
| 2013.371 | 984.023 | 984.023 | 0.000 | -0.000 | -0.000 |
| 984.023 | 2013.371 | 984.023 | -0.000 | 0.000 | -0.000 |
| 984.023 | 984.023 | 2013.371 | -0.000 | -0.000 | -0.000 |
| 0.000 | -0.000 | -0.000 | 984.023 | 0.000 | -0.000 |
| -0.000 | 0.000 | -0.000 | -0.000 | 984.023 | 0.000 |
| -0.000 | -0.000 | 0.000 | -0.000 | 0.000 | 984.023 |
| 2013.376 | 984.027 | 984.027 | -0.000 | 0.000 | 0.000 |
| 984.027 | 2013.376 | 984.027 | 0.000 | 0.000 | 0.000 |
| 984.027 | 984.027 | 2013.376 | 0.000 | 0.000 | 0.000 |
| -0.000 | 0.001 | 0.003 | 984.023 | 0.000 | 0.000 |
| 0.001 | -0.000 | 0.003 | 0.000 | 984.023 | -0.000 |
| 0.001 | 0.003 | -0.000 | 0.000 | -0.000 | 984.023 |
| 2013.367 | 984.019 | 984.019 | -0.000 | 0.000 | 0.000 |
| 984.019 | 2013.367 | 984.019 | 0.000 | -0.000 | -0.000 |
| 984.019 | 984.019 | 2013.367 | 0.000 | -0.000 | -0.000 |
| 0.000 | -0.001 | -0.003 | 984.023 | 0.000 | 0.000 |
| -0.001 | 0.000 | -0.003 | 0.000 | 984.023 | 0.000 |
| -0.001 | -0.003 | 0.000 | 0.000 | 0.000 | 984.023 |
| 0.000 | 0.000 | 0.000 | -0.000 | 0.000 | 0.000 |
| 0.000 | 0.000 | 0.000 | 0.000 | -0.000 | 0.000 |
| 0.000 | 0.000 | 0.000 | 0.000 | 0.000 | 0.000 |
| -0.000 | -0.000 | -0.000 | 0.000 | 0.000 | -0.000 |
| -0.000 | -0.000 | -0.000 | 0.000 | 0.000 | 0.000 |
| -0.000 | -0.000 | -0.000 | 0.000 | 0.000 | 0.000 |
| 0.000 | 0.000 | 0.000 | 0.000 | 0.000 | -0.000 |
| 0.000 | 0.000 | 0.000 | 0.000 | 0.000 | -0.000 |
| 0.000 | 0.000 | 0.000 | -0.000 | -0.000 | -0.000 |
| 0.000 | 0.000 | 0.000 | 0.000 | -0.000 | -0.000 |
| 0.000 | 0.000 | 0.000 | 0.000 | 0.000 | 0.000 |
| 0.000 | 0.000 | 0.000 | -0.000 | 0.000 | 0.000 |
| 0.000 | 0.000 | 0.000 | -0.000 | 0.000 | 0.000 |
| 0.000 | 0.000 | 0.000 | 0.000 | -0.000 | 0.000 |
| 0.000 | 0.000 | 0.000 | 0.000 | -0.000 | 0.000 |
| -0.000 | -0.000 | -0.000 | 0.000 | -0.000 | 0.000 |
| -0.000 | -0.000 | -0.000 | -0.000 | 0.000 | 0.000 |
| -0.000 | -0.000 | -0.000 | 0.000 | 0.000 | 0.000 |
| 0.000 | 0.000 | 0.000 | -0.000 | 0.000 | 0.000 |
| 0.000 | 0.000 | 0.000 | 0.000 | -0.000 | 0.000 |
| 0.000 | 0.000 | 0.000 | 0.000 | -0.000 | -0.000 |
| 0.000 | 0.000 | 0.000 | 0.000 | 0.000 | -0.000 |
| 0.000 | 0.000 | 0.000 | 0.000 | 0.000 | 0.000 |
| 0.000 | 0.000 | 0.000 | -0.000 | 0.000 | 0.000 |
| 0.000 | 0.000 | 0.000 | 0.000 | 0.000 | -0.000 |
| 0.000 | 0.000 | 0.000 | 0.000 | -0.000 | 0.000 |
| 0.000 | 0.000 | 0.000 | 0.000 | 0.000 | 0.000 |
| -0.000 | -0.000 | -0.000 | 0.000 | -0.000 | 0.000 |
| -0.000 | -0.000 | -0.000 | -0.000 | 0.000 | 0.000 |
| -0.000 | -0.000 | -0.000 | -0.000 | 0.000 | 0.000 |
| 0.000 | 0.000 | 0.000 | -0.000 | 0.000 | 0.000 |
| 0.000 | 0.000 | 0.000 | 0.000 | 0.000 | 0.000 |
| 0.000 | 0.000 | 0.000 | -0.000 | -0.000 | 0.000 |
| 0.000 | 0.000 | 0.000 | 0.000 | -0.000 | 0.000 |
| 0.000 | 0.000 | 0.000 | -0.000 | 0.000 | 0.000 |
| 0.000 | 0.000 | 0.000 | 0.000 | 0.000 | 0.000 |
| 2245.702 | 327.257 | 327.257 | 0.000 | 0.000 | -0.000 |
| 327.257 | 2245.702 | 327.257 | 0.000 | 0.000 | -0.000 |
| 327.257 | 327.257 | 2245.702 | 0.000 | 0.000 | -0.000 |
| 0.000 | 0.000 | 0.000 | -630.242 | 0.000 | -0.000 |
| 0.000 | 0.000 | 0.000 | 0.000 | -630.242 | -0.000 |
| 0.000 | 0.000 | 0.000 | 0.000 | 0.000 | -630.242 |
| 2245.702 | 327.257 | 327.257 | -0.000 | -0.000 | 0.000 |
| 327.257 | 2245.702 | 327.256 | -0.000 | -0.000 | 0.000 |
| 327.257 | 327.257 | 2245.702 | -0.000 | 0.000 | 0.000 |
| -0.000 | -0.000 | -0.000 | -630.242 | -0.000 | 0.000 |
| -0.000 | -0.000 | -0.000 | -0.000 | -630.242 | 0.000 |
| -0.000 | -0.000 | 0.000 | -0.000 | -0.000 | -630.242 |
| 2245.704 | 327.257 | 327.257 | 0.000 | 0.000 | -0.000 |
| 327.257 | 2245.704 | 327.257 | 0.000 | 0.000 | -0.000 |
| 327.257 | 327.257 | 2245.704 | 0.000 | 0.000 | -0.000 |
| 0.001 | 0.002 | 0.002 | -630.242 | 0.000 | -0.000 |
| 0.002 | 0.001 | 0.002 | 0.000 | -630.242 | -0.000 |
| 0.002 | 0.002 | 0.001 | 0.000 | 0.000 | -630.242 |
| 2245.701 | 327.256 | 327.256 | -0.000 | -0.000 | 0.000 |
| 327.256 | 2245.701 | 327.256 | -0.000 | -0.000 | 0.000 |
| 327.256 | 327.256 | 2245.701 | -0.000 | -0.000 | 0.000 |
| -0.001 | -0.002 | -0.002 | -630.242 | -0.000 | 0.000 |
| -0.002 | -0.001 | -0.002 | -0.000 | -630.242 | 0.000 |
| -0.002 | -0.002 | -0.001 | -0.000 | -0.000 | -630.242 |
| 2245.715 | 327.259 | 327.259 | 0.000 | 0.000 | -0.000 |
| 327.259 | 2245.715 | 327.259 | 0.000 | 0.000 | -0.000 |
| 327.259 | 327.259 | 2245.715 | 0.000 | -0.000 | -0.000 |
| 0.009 | 0.017 | 0.016 | -630.242 | 0.000 | -0.000 |
| 0.017 | 0.009 | 0.016 | 0.000 | -630.242 | -0.000 |
| 0.017 | 0.016 | 0.009 | 0.000 | 0.000 | -630.242 |
| 2245.689 | 327.254 | 327.254 | -0.000 | -0.000 | 0.000 |
| 327.254 | 2245.689 | 327.254 | -0.000 | -0.000 | 0.000 |
| 327.254 | 327.254 | 2245.689 | -0.000 | -0.000 | 0.000 |
| -0.009 | -0.017 | -0.016 | -630.242 | -0.000 | 0.000 |
| -0.017 | -0.009 | -0.016 | -0.000 | -630.242 | 0.000 |
| -0.017 | -0.016 | -0.009 | -0.000 | -0.000 | -630.242 |
| 0.000 | 0.000 | 0.000 | 0.000 | -0.000 | -0.000 |
| 0.000 | 0.000 | 0.000 | -0.000 | 0.000 | -0.000 |
| 0.000 | 0.000 | 0.000 | -0.000 | -0.000 | 0.000 |
| 0.000 | -0.000 | -0.000 | -0.000 | -0.000 | -0.000 |
| -0.000 | 0.000 | -0.000 | -0.000 | -0.000 | -0.000 |
| -0.000 | -0.000 | 0.000 | 0.000 | -0.000 | -0.000 |
| 0.000 | 0.000 | 0.000 | 0.000 | 0.000 | 0.000 |
| 0.000 | 0.000 | 0.000 | 0.000 | 0.000 | 0.000 |
| 0.000 | 0.000 | 0.000 | -0.000 | 0.000 | 0.000 |
| -0.000 | -0.000 | 0.000 | -0.000 | 0.000 | 0.000 |
| 0.000 | -0.000 | 0.000 | 0.000 | -0.000 | 0.000 |
| -0.000 | 0.000 | -0.000 | -0.000 | -0.000 | -0.000 |
| 0.000 | 0.000 | 0.000 | 0.000 | -0.000 | -0.000 |
| 0.000 | 0.000 | 0.000 | -0.000 | 0.000 | 0.000 |
| 0.000 | 0.000 | 0.000 | -0.000 | -0.000 | 0.000 |
| 0.000 | 0.000 | -0.000 | -0.000 | -0.000 | -0.000 |
| 0.000 | 0.000 | -0.000 | 0.000 | -0.000 | -0.000 |
| 0.000 | -0.000 | 0.000 | 0.000 | -0.000 | -0.000 |
| 0.000 | 0.000 | 0.000 | 0.000 | 0.000 | 0.000 |
| 0.000 | 0.000 | 0.000 | 0.000 | 0.000 | -0.000 |
| 0.000 | 0.000 | 0.000 | -0.000 | -0.000 | 0.000 |
| -0.000 | 0.000 | 0.000 | -0.000 | 0.000 | 0.000 |
| 0.000 | -0.000 | 0.000 | -0.000 | -0.000 | 0.000 |
| 0.000 | 0.000 | -0.000 | -0.000 | 0.000 | -0.000 |
| 0.000 | 0.000 | 0.000 | 0.000 | -0.000 | -0.000 |
| 0.000 | 0.000 | 0.000 | -0.000 | 0.000 | -0.000 |
| 0.000 | 0.000 | 0.000 | -0.000 | 0.000 | 0.000 |
| 0.000 | 0.000 | -0.000 | -0.000 | -0.000 | -0.000 |
| 0.000 | 0.000 | -0.000 | -0.000 | -0.000 | -0.000 |
| 0.000 | -0.000 | 0.000 | 0.000 | -0.000 | -0.000 |
| 0.000 | 0.000 | 0.000 | 0.000 | 0.000 | 0.000 |
| 0.000 | 0.000 | 0.000 | 0.000 | 0.000 | 0.000 |
| 0.000 | 0.000 | 0.000 | 0.000 | -0.000 | 0.000 |
| -0.000 | 0.000 | 0.000 | -0.000 | 0.000 | -0.000 |
| 0.000 | -0.000 | 0.000 | 0.000 | -0.000 | 0.000 |
| 0.000 | 0.000 | -0.000 | -0.000 | -0.000 | -0.000 |
| -0.000 | -0.000 | -0.000 | 0.000 | 0.000 | -0.000 |
| 0.000 | -0.000 | -0.000 | -0.000 | 0.000 | 0.000 |
| 0.000 | -0.000 | -0.000 | 0.000 | -0.000 | -0.000 |
| 0.000 | 0.000 | 0.000 | 0.000 | 0.000 | -0.000 |
| 0.000 | 0.000 | 0.000 | -0.000 | 0.000 | -0.000 |
| 0.000 | 0.000 | 0.000 | 0.000 | 0.000 | 0.000 |
| -0.000 | -0.000 | -0.000 | -0.000 | -0.000 | 0.000 |
| -0.000 | -0.000 | -0.000 | 0.000 | -0.000 | -0.000 |
| -0.000 | -0.000 | -0.000 | 0.000 | -0.000 | 0.000 |
| -0.000 | -0.000 | -0.000 | 0.000 | -0.000 | 0.000 |
| 0.000 | -0.000 | -0.000 | 0.000 | 0.000 | 0.000 |
| 0.000 | -0.000 | -0.000 | -0.000 | -0.000 | 0.000 |
| -0.000 | -0.000 | -0.000 | 0.000 | 0.000 | -0.000 |
| 0.000 | -0.000 | -0.000 | -0.000 | 0.000 | -0.000 |
| 0.000 | -0.000 | -0.000 | 0.000 | -0.000 | -0.000 |
| 0.000 | 0.000 | 0.000 | 0.000 | 0.000 | -0.000 |
| -0.000 | 0.000 | 0.000 | -0.000 | 0.000 | -0.000 |
| -0.000 | 0.000 | 0.000 | 0.000 | 0.000 | 0.000 |
| -0.000 | -0.000 | -0.000 | -0.000 | -0.000 | 0.000 |
| -0.000 | -0.000 | -0.000 | 0.000 | -0.000 | 0.000 |
| -0.000 | -0.000 | -0.000 | 0.000 | 0.000 | 0.000 |
| -0.000 | -0.000 | -0.000 | 0.000 | -0.000 | 0.000 |
| -0.000 | -0.000 | -0.000 | 0.000 | 0.000 | 0.000 |
| -0.000 | -0.000 | -0.000 | -0.000 | -0.000 | 0.000 |
| -0.000 | -0.000 | -0.000 | 0.000 | 0.000 | -0.000 |
| 0.000 | -0.000 | -0.000 | -0.000 | 0.000 | -0.000 |
| 0.000 | -0.000 | -0.000 | 0.000 | -0.000 | -0.000 |
| 0.000 | 0.000 | 0.000 | 0.000 | 0.000 | -0.000 |
| 0.000 | 0.000 | 0.000 | -0.000 | 0.000 | -0.000 |
| 0.000 | 0.000 | 0.000 | 0.000 | 0.000 | 0.000 |
| -0.000 | -0.000 | -0.000 | -0.000 | -0.000 | 0.000 |
| -0.000 | -0.000 | -0.000 | 0.000 | -0.000 | -0.000 |
| -0.000 | -0.000 | -0.000 | -0.000 | 0.000 | 0.000 |
| -0.000 | -0.000 | -0.000 | 0.000 | -0.000 | 0.000 |
| 0.000 | -0.000 | -0.000 | 0.000 | 0.000 | 0.000 |
| 0.000 | -0.000 | -0.000 | -0.000 | -0.000 | 0.000 |
| 68.588 | 1100.120 | 1100.120 | -0.000 | -0.000 | 0.000 |
| 1100.120 | 68.588 | 1100.120 | -0.000 | -0.000 | 0.000 |
| 1100.120 | 1100.120 | 68.588 | -0.000 | 0.000 | 0.000 |
| 0.000 | -0.000 | 0.000 | 1100.120 | -0.000 | 0.000 |
| -0.000 | 0.000 | 0.000 | -0.000 | 1100.120 | 0.000 |
| -0.000 | 0.000 | 0.000 | -0.000 | -0.000 | 1100.120 |
| 68.588 | 1100.120 | 1100.120 | 0.000 | 0.000 | 0.000 |
| 1100.120 | 68.588 | 1100.120 | 0.000 | 0.000 | 0.000 |
| 1100.120 | 1100.120 | 68.588 | 0.000 | 0.000 | -0.000 |
| -0.000 | 0.000 | -0.000 | 1100.120 | 0.000 | 0.000 |
| 0.000 | 0.000 | 0.000 | 0.000 | 1100.120 | -0.000 |
| 0.000 | -0.000 | -0.000 | 0.000 | 0.000 | 1100.120 |
| 68.588 | 1100.120 | 1100.120 | -0.000 | -0.000 | -0.000 |
| 1100.120 | 68.588 | 1100.120 | -0.000 | -0.000 | -0.000 |
| 1100.120 | 1100.120 | 68.588 | -0.000 | -0.000 | 0.000 |
| 0.000 | -0.000 | 0.000 | 1100.120 | -0.000 | -0.000 |
| -0.000 | 0.000 | 0.000 | -0.000 | 1100.120 | 0.000 |
| -0.000 | 0.000 | 0.000 | -0.000 | -0.000 | 1100.120 |
| 68.589 | 1100.120 | 1100.120 | 0.000 | 0.000 | -0.000 |
| 1100.120 | 68.589 | 1100.120 | -0.000 | 0.000 | 0.000 |
| 1100.120 | 1100.120 | 68.589 | 0.000 | 0.000 | -0.000 |
| -0.000 | 0.000 | -0.000 | 1100.120 | 0.000 | -0.000 |
| 0.000 | -0.000 | -0.000 | 0.000 | 1100.120 | -0.000 |
| 0.000 | -0.000 | -0.000 | 0.000 | -0.000 | 1100.120 |
| 68.586 | 1100.123 | 1100.123 | -0.000 | -0.000 | 0.000 |
| 1100.123 | 68.586 | 1100.123 | -0.000 | 0.000 | 0.000 |
| 1100.123 | 1100.123 | 68.586 | -0.000 | -0.000 | 0.000 |
| 0.002 | -0.001 | 0.002 | 1100.120 | -0.000 | 0.000 |
| -0.001 | 0.002 | 0.002 | -0.000 | 1100.120 | 0.000 |
| -0.001 | 0.002 | 0.002 | -0.000 | -0.000 | 1100.120 |
| 68.591 | 1100.117 | 1100.117 | 0.000 | 0.000 | 0.000 |
| 1100.117 | 68.591 | 1100.117 | 0.000 | 0.000 | 0.000 |
| 1100.117 | 1100.117 | 68.591 | 0.000 | 0.000 | -0.000 |
| -0.002 | 0.001 | -0.002 | 1100.120 | 0.000 | -0.000 |
| 0.001 | -0.002 | -0.002 | 0.000 | 1100.120 | 0.000 |
| 0.001 | -0.002 | -0.002 | 0.000 | 0.000 | 1100.120 |
| 0.000 | 0.000 | 0.000 | -0.000 | -0.000 | -0.000 |
| 0.000 | 0.000 | 0.000 | -0.000 | -0.000 | -0.000 |
| 0.000 | 0.000 | 0.000 | -0.000 | -0.000 | -0.000 |
| -0.000 | -0.000 | -0.000 | 0.000 | -0.000 | -0.000 |
| -0.000 | -0.000 | -0.000 | -0.000 | 0.000 | -0.000 |
| -0.000 | -0.000 | -0.000 | -0.000 | -0.000 | 0.000 |
| 0.000 | 0.000 | 0.000 | 0.000 | 0.000 | 0.000 |
| 0.000 | 0.000 | 0.000 | 0.000 | 0.000 | 0.000 |
| 0.000 | 0.000 | 0.000 | 0.000 | 0.000 | 0.000 |
| 0.000 | 0.000 | 0.000 | 0.000 | 0.000 | -0.000 |
| 0.000 | 0.000 | 0.000 | 0.000 | 0.000 | -0.000 |
| 0.000 | 0.000 | 0.000 | 0.000 | 0.000 | 0.000 |
| 0.000 | 0.000 | 0.000 | -0.000 | -0.000 | -0.000 |
| 0.000 | 0.000 | 0.000 | -0.000 | -0.000 | -0.000 |
| 0.000 | 0.000 | 0.000 | -0.000 | -0.000 | -0.000 |
| -0.000 | -0.000 | -0.000 | 0.000 | -0.000 | -0.000 |
| -0.000 | -0.000 | -0.000 | -0.000 | 0.000 | -0.000 |
| -0.000 | -0.000 | -0.000 | -0.000 | -0.000 | 0.000 |
| 0.000 | 0.000 | 0.000 | 0.000 | 0.000 | 0.000 |
| 0.000 | 0.000 | 0.000 | 0.000 | 0.000 | 0.000 |
| 0.000 | 0.000 | 0.000 | 0.000 | 0.000 | 0.000 |
| 0.000 | 0.000 | 0.000 | 0.000 | 0.000 | 0.000 |
| 0.000 | 0.000 | 0.000 | 0.000 | 0.000 | 0.000 |
| 0.000 | 0.000 | 0.000 | 0.000 | 0.000 | 0.000 |
| 0.000 | 0.000 | 0.000 | -0.000 | -0.000 | -0.000 |
| 0.000 | 0.000 | 0.000 | -0.000 | -0.000 | -0.000 |
| 0.000 | 0.000 | 0.000 | -0.000 | -0.000 | -0.000 |
| -0.000 | -0.000 | -0.000 | 0.000 | -0.000 | 0.000 |
| -0.000 | -0.000 | -0.000 | -0.000 | 0.000 | 0.000 |
| -0.000 | -0.000 | -0.000 | -0.000 | -0.000 | 0.000 |
| 0.000 | 0.000 | 0.000 | 0.000 | -0.000 | -0.000 |
| 0.000 | 0.000 | 0.000 | -0.000 | 0.000 | -0.000 |
| 0.000 | 0.000 | 0.000 | -0.000 | -0.000 | 0.000 |
| 0.000 | 0.000 | 0.000 | 0.000 | 0.000 | -0.000 |
| 0.000 | 0.000 | 0.000 | 0.000 | 0.000 | -0.000 |
| 0.000 | 0.000 | 0.000 | 0.000 | -0.000 | 0.000 |
| -0.000 | -0.000 | -0.000 | -0.000 | -0.000 | -0.000 |
| -0.000 | -0.000 | -0.000 | -0.000 | -0.000 | -0.000 |
| -0.000 | -0.000 | -0.000 | -0.000 | -0.000 | -0.000 |
| -0.000 | -0.000 | -0.000 | -0.000 | -0.000 | -0.000 |
| -0.000 | -0.000 | -0.000 | -0.000 | -0.000 | -0.000 |
| -0.000 | -0.000 | -0.000 | -0.000 | -0.000 | -0.000 |
| -0.000 | -0.000 | -0.000 | 0.000 | 0.000 | 0.000 |
| -0.000 | -0.000 | -0.000 | 0.000 | 0.000 | 0.000 |
| -0.000 | -0.000 | -0.000 | 0.000 | 0.000 | 0.000 |
| 0.000 | 0.000 | 0.000 | -0.000 | 0.000 | 0.000 |
| 0.000 | 0.000 | 0.000 | 0.000 | -0.000 | 0.000 |
| 0.000 | 0.000 | 0.000 | 0.000 | 0.000 | -0.000 |
| -0.000 | -0.000 | -0.000 | -0.000 | -0.000 | -0.000 |
| -0.000 | -0.000 | -0.000 | -0.000 | -0.000 | -0.000 |
| -0.000 | -0.000 | -0.000 | -0.000 | -0.000 | 0.000 |
| -0.000 | -0.000 | -0.000 | -0.000 | -0.000 | -0.000 |
| -0.000 | -0.000 | -0.000 | -0.000 | -0.000 | -0.000 |
| -0.000 | -0.000 | -0.000 | -0.000 | -0.000 | -0.000 |
| -0.000 | -0.000 | -0.000 | 0.000 | 0.000 | 0.000 |
| -0.000 | -0.000 | -0.000 | 0.000 | 0.000 | 0.000 |
| -0.000 | -0.000 | -0.000 | 0.000 | 0.000 | -0.000 |
| 0.000 | 0.000 | 0.000 | -0.000 | 0.000 | 0.000 |
| 0.000 | 0.000 | 0.000 | 0.000 | -0.000 | 0.000 |
| 0.000 | 0.000 | 0.000 | 0.000 | 0.000 | -0.000 |
| 2410.015 | 900.814 | 669.645 | -0.000 | 0.000 | -0.000 |
| 827.707 | 2483.121 | 669.645 | -0.000 | 0.000 | -0.000 |
| 669.645 | 669.645 | 2632.079 | 0.000 | 0.000 | -0.000 |
| -0.000 | 0.000 | 0.000 | 669.645 | 0.000 | -0.000 |
| -0.000 | 0.000 | 0.000 | -0.000 | 669.645 | -0.000 |
| -0.000 | 0.000 | -0.000 | -0.000 | 0.000 | 754.601 |
| 2483.121 | 827.707 | 669.645 | -0.000 | -0.000 | 0.000 |
| 827.707 | 2483.121 | 669.645 | 0.000 | -0.000 | 0.000 |
| 669.645 | 669.645 | 2632.079 | -0.000 | -0.000 | 0.000 |
| -0.000 | 0.000 | -0.000 | 669.645 | -0.000 | 0.000 |
| 0.000 | -0.000 | -0.000 | 0.000 | 669.645 | 0.000 |
| 0.000 | -0.000 | 0.000 | 0.000 | -0.000 | 754.601 |
| 2410.016 | 900.814 | 669.645 | -0.000 | 0.000 | -0.000 |
| 827.708 | 2483.122 | 669.645 | -0.000 | 0.000 | -0.000 |
| 669.645 | 669.645 | 2632.080 | -0.000 | 0.000 | -0.000 |
| 0.000 | -0.000 | 0.000 | 669.645 | 0.000 | -0.000 |
| -0.000 | 0.000 | 0.000 | -0.000 | 669.645 | -0.000 |
| -0.000 | 0.000 | -0.000 | -0.000 | 0.000 | 754.601 |
| 2410.014 | 900.814 | 669.645 | 0.000 | -0.000 | 0.000 |
| 900.813 | 2410.014 | 669.645 | 0.000 | 0.000 | 0.000 |
| 669.645 | 669.645 | 2632.078 | 0.000 | 0.000 | 0.000 |
| -0.000 | 0.000 | -0.000 | 669.645 | -0.000 | 0.000 |
| 0.000 | -0.000 | -0.000 | 0.000 | 669.645 | 0.000 |
| 0.000 | -0.000 | 0.000 | 0.000 | -0.000 | 754.601 |
| 2410.027 | 900.815 | 669.646 | -0.000 | 0.000 | -0.000 |
| 900.819 | 2410.023 | 669.646 | -0.000 | 0.000 | -0.000 |
| 669.649 | 669.649 | 2632.088 | -0.000 | 0.000 | -0.000 |
| 0.000 | -0.000 | 0.002 | 669.645 | 0.000 | -0.000 |
| -0.001 | 0.000 | 0.002 | -0.000 | 669.645 | -0.000 |
| -0.001 | 0.003 | -0.000 | -0.000 | 0.000 | 754.601 |
| 2410.003 | 900.812 | 669.644 | 0.000 | -0.000 | 0.000 |
| 900.808 | 2410.006 | 669.644 | 0.000 | -0.000 | 0.000 |
| 669.641 | 669.641 | 2632.070 | 0.000 | -0.000 | 0.000 |
| -0.000 | 0.000 | -0.002 | 669.645 | -0.000 | 0.000 |
| 0.001 | -0.000 | -0.002 | 0.000 | 669.645 | 0.000 |
| 0.001 | -0.003 | 0.000 | 0.000 | -0.000 | 754.601 |
| 0.001 | 0.000 | 0.000 | -0.000 | -0.000 | -0.000 |
| 0.000 | 0.001 | 0.000 | -0.000 | -0.000 | 0.000 |
| 0.000 | 0.000 | 0.001 | -0.000 | 0.000 | 0.000 |
| -0.000 | -0.000 | -0.000 | 0.000 | -0.000 | -0.000 |
| -0.000 | -0.000 | -0.000 | 0.000 | 0.000 | 0.000 |
| -0.000 | -0.000 | -0.000 | 0.000 | -0.000 | 0.000 |
| 0.001 | 0.000 | 0.000 | -0.000 | -0.000 | -0.000 |
| 0.000 | 0.001 | 0.000 | -0.000 | 0.000 | -0.000 |
| 0.000 | 0.000 | 0.001 | -0.000 | 0.000 | 0.000 |
| 0.000 | 0.000 | 0.000 | 0.000 | -0.000 | -0.000 |
| 0.000 | 0.000 | 0.000 | -0.000 | 0.000 | 0.000 |
| 0.000 | 0.000 | 0.000 | -0.000 | -0.000 | 0.000 |
| 0.001 | 0.000 | 0.000 | 0.000 | -0.000 | 0.000 |
| 0.000 | 0.001 | 0.000 | -0.000 | -0.000 | -0.000 |
| 0.000 | 0.000 | 0.001 | -0.000 | -0.000 | -0.000 |
| -0.000 | -0.000 | -0.000 | 0.000 | 0.000 | 0.000 |
| -0.000 | -0.000 | -0.000 | 0.000 | 0.000 | 0.000 |
| -0.000 | -0.000 | -0.000 | -0.000 | -0.000 | 0.000 |
| 0.001 | 0.000 | 0.000 | -0.000 | 0.000 | 0.000 |
| 0.000 | 0.001 | 0.000 | 0.000 | -0.000 | -0.000 |
| 0.000 | 0.000 | 0.001 | 0.000 | 0.000 | 0.000 |
| 0.000 | 0.000 | 0.000 | 0.000 | 0.000 | -0.000 |
| 0.000 | 0.000 | 0.000 | -0.000 | 0.000 | 0.000 |
| 0.000 | 0.000 | 0.000 | 0.000 | -0.000 | 0.000 |
| 0.001 | 0.000 | 0.000 | -0.000 | 0.000 | -0.000 |
| 0.000 | 0.001 | 0.000 | 0.000 | 0.000 | -0.000 |
| 0.000 | 0.000 | 0.001 | 0.000 | -0.000 | 0.000 |
| -0.000 | -0.000 | -0.000 | 0.000 | 0.000 | -0.000 |
| -0.000 | -0.000 | -0.000 | -0.000 | 0.000 | 0.000 |
| -0.000 | -0.000 | -0.000 | -0.000 | -0.000 | 0.000 |
| 0.001 | 0.000 | 0.000 | -0.000 | -0.000 | 0.000 |
| 0.000 | 0.001 | 0.000 | 0.000 | 0.000 | 0.000 |
| 0.000 | 0.000 | 0.001 | 0.000 | -0.000 | 0.000 |
| 0.000 | 0.000 | 0.000 | 0.000 | 0.000 | -0.000 |
| 0.000 | 0.000 | 0.000 | 0.000 | 0.000 | -0.000 |
| 0.000 | 0.000 | 0.000 | 0.000 | -0.000 | 0.000 |
| -0.001 | -0.000 | 0.000 | 0.000 | 0.000 | -0.000 |
| -0.000 | -0.001 | 0.000 | -0.000 | 0.000 | 0.000 |
| 0.000 | 0.000 | 0.001 | 0.000 | -0.000 | -0.000 |
| -0.000 | -0.000 | -0.000 | 0.000 | 0.000 | -0.000 |
| -0.000 | -0.000 | -0.000 | 0.000 | 0.000 | 0.000 |
| -0.000 | -0.000 | -0.000 | 0.000 | 0.000 | -0.000 |
| -0.001 | -0.000 | 0.000 | -0.000 | -0.000 | -0.000 |
| -0.000 | -0.001 | 0.000 | 0.000 | 0.000 | 0.000 |
| 0.000 | 0.000 | 0.001 | 0.000 | -0.000 | 0.000 |
| 0.000 | 0.000 | 0.000 | 0.000 | -0.000 | 0.000 |
| 0.000 | 0.000 | 0.000 | 0.000 | 0.000 | 0.000 |
| 0.000 | 0.000 | 0.000 | -0.000 | 0.000 | -0.000 |
| -0.001 | -0.000 | 0.000 | -0.000 | -0.000 | 0.000 |
| -0.000 | -0.001 | 0.000 | 0.000 | 0.000 | 0.000 |
| 0.000 | 0.000 | 0.001 | 0.000 | 0.000 | 0.000 |
| -0.000 | -0.000 | -0.000 | 0.000 | -0.000 | 0.000 |
| -0.000 | -0.000 | -0.000 | 0.000 | 0.000 | -0.000 |
| -0.000 | -0.000 | -0.000 | 0.000 | 0.000 | -0.000 |
| -0.001 | -0.000 | 0.000 | -0.000 | 0.000 | 0.000 |
| -0.000 | -0.001 | 0.000 | -0.000 | -0.000 | 0.000 |
| 0.000 | 0.000 | 0.001 | 0.000 | 0.000 | 0.000 |
| 0.000 | 0.000 | 0.000 | 0.000 | 0.000 | 0.000 |
| 0.000 | 0.000 | 0.000 | -0.000 | 0.000 | -0.000 |
| 0.000 | 0.000 | 0.000 | -0.000 | 0.000 | -0.000 |
| -0.000 | -0.000 | 0.000 | -0.000 | 0.000 | 0.000 |
| -0.000 | -0.001 | 0.000 | 0.000 | 0.000 | -0.000 |
| 0.000 | 0.000 | 0.001 | -0.000 | 0.000 | -0.000 |
| -0.000 | -0.000 | -0.000 | 0.000 | 0.000 | 0.000 |
| -0.000 | -0.000 | -0.000 | 0.000 | 0.000 | -0.000 |
| -0.000 | -0.000 | -0.000 | 0.000 | -0.000 | -0.000 |
| -0.001 | -0.000 | 0.000 | 0.000 | -0.000 | 0.000 |
| -0.000 | -0.001 | 0.000 | -0.000 | -0.000 | 0.000 |
| 0.000 | 0.000 | 0.001 | 0.000 | 0.000 | 0.000 |
| 0.000 | 0.000 | 0.000 | 0.000 | 0.000 | 0.000 |
| 0.000 | 0.000 | 0.000 | -0.000 | 0.000 | -0.000 |
| 0.000 | 0.000 | 0.000 | -0.000 | -0.000 | -0.000 |
| 2483.521 | 827.840 | 668.166 | -0.000 | 0.000 | 0.000 |
| 901.112 | 2410.250 | 668.166 | 0.000 | 0.000 | 0.000 |
| 668.166 | 668.166 | 2624.994 | -0.000 | 0.000 | 0.000 |
| 0.000 | -0.000 | 0.000 | 668.166 | 0.000 | -0.000 |
| 0.000 | -0.000 | 0.000 | 0.000 | 668.166 | 0.000 |
| 0.000 | -0.000 | -0.000 | 0.000 | 0.000 | 754.569 |
| 2410.250 | 901.112 | 668.166 | 0.000 | -0.000 | -0.000 |
| 827.840 | 2483.521 | 668.166 | 0.000 | -0.000 | -0.000 |
| 668.166 | 668.166 | 2624.994 | -0.000 | -0.000 | -0.000 |
| -0.000 | 0.000 | -0.000 | 668.166 | -0.000 | -0.000 |
| -0.000 | 0.000 | -0.000 | 0.000 | 668.166 | -0.000 |
| -0.000 | 0.000 | 0.000 | -0.000 | -0.000 | 754.569 |
| 2410.251 | 901.112 | 668.166 | -0.000 | 0.000 | -0.000 |
| 827.841 | 2483.522 | 668.167 | -0.000 | 0.000 | 0.000 |
| 668.167 | 668.167 | 2624.995 | -0.000 | 0.000 | 0.000 |
| 0.000 | -0.000 | 0.000 | 668.166 | 0.000 | 0.000 |
| -0.000 | 0.000 | 0.000 | 0.000 | 668.166 | 0.000 |
| -0.000 | 0.000 | -0.000 | 0.000 | 0.000 | 754.569 |
| 2410.249 | 901.112 | 668.166 | -0.000 | -0.000 | -0.000 |
| 901.111 | 2410.249 | 668.166 | -0.000 | -0.000 | 0.000 |
| 668.166 | 668.166 | 2624.993 | -0.000 | -0.000 | -0.000 |
| -0.000 | 0.000 | -0.000 | 668.166 | -0.000 | 0.000 |
| 0.000 | -0.000 | -0.000 | -0.000 | 668.166 | -0.000 |
| 0.000 | -0.000 | 0.000 | 0.000 | -0.000 | 754.569 |
| 2410.258 | 901.117 | 668.167 | -0.000 | 0.000 | -0.000 |
| 901.118 | 2410.258 | 668.167 | 0.000 | 0.000 | 0.000 |
| 668.170 | 668.170 | 2625.003 | -0.000 | 0.000 | -0.000 |
| 0.000 | -0.001 | 0.002 | 668.166 | 0.000 | 0.000 |
| -0.001 | 0.000 | 0.002 | 0.000 | 668.166 | 0.000 |
| -0.001 | 0.003 | -0.000 | 0.000 | 0.000 | 754.569 |
| 2410.237 | 901.111 | 668.165 | -0.000 | -0.000 | -0.000 |
| 901.106 | 2410.242 | 668.165 | -0.000 | -0.000 | -0.000 |
| 668.163 | 668.163 | 2624.985 | 0.000 | -0.000 | -0.000 |
| -0.000 | 0.001 | -0.002 | 668.166 | -0.000 | -0.000 |
| 0.001 | -0.000 | -0.002 | -0.000 | 668.166 | -0.000 |
| 0.001 | -0.003 | 0.000 | -0.000 | -0.000 | 754.569 |
| 0.001 | 0.000 | 0.000 | 0.000 | -0.000 | 0.000 |
| 0.000 | 0.001 | 0.000 | 0.000 | -0.000 | 0.000 |
| 0.000 | 0.000 | 0.001 | 0.000 | -0.000 | 0.000 |
| -0.000 | -0.000 | -0.000 | 0.000 | 0.000 | 0.000 |
| -0.000 | -0.000 | -0.000 | 0.000 | 0.000 | -0.000 |
| -0.000 | -0.000 | -0.000 | 0.000 | -0.000 | 0.000 |
| 0.001 | 0.000 | 0.000 | 0.000 | 0.000 | -0.000 |
| 0.000 | 0.001 | 0.000 | -0.000 | 0.000 | 0.000 |
| 0.000 | 0.000 | 0.001 | -0.000 | -0.000 | 0.000 |
| 0.000 | 0.000 | 0.000 | 0.000 | 0.000 | -0.000 |
| 0.000 | 0.000 | 0.000 | -0.000 | 0.000 | -0.000 |
| 0.000 | 0.000 | 0.000 | -0.000 | -0.000 | 0.000 |
| 0.001 | 0.000 | 0.000 | 0.000 | 0.000 | -0.000 |
| 0.000 | 0.001 | 0.000 | 0.000 | -0.000 | 0.000 |
| 0.000 | 0.000 | 0.001 | 0.000 | -0.000 | 0.000 |
| -0.000 | -0.000 | -0.000 | 0.000 | 0.000 | 0.000 |
| -0.000 | -0.000 | -0.000 | 0.000 | 0.000 | -0.000 |
| -0.000 | -0.000 | -0.000 | -0.000 | 0.000 | 0.000 |
| 0.001 | 0.000 | 0.000 | -0.000 | -0.000 | -0.000 |
| 0.000 | 0.001 | 0.000 | -0.000 | 0.000 | -0.000 |
| 0.000 | 0.000 | 0.001 | 0.000 | 0.000 | -0.000 |
| 0.000 | 0.000 | 0.000 | 0.000 | 0.000 | 0.000 |
| 0.000 | 0.000 | 0.000 | -0.000 | 0.000 | -0.000 |
| 0.000 | 0.000 | 0.000 | 0.000 | 0.000 | 0.000 |
| 0.001 | 0.000 | 0.000 | 0.000 | 0.000 | 0.000 |
| 0.000 | 0.001 | 0.000 | 0.000 | 0.000 | 0.000 |
| 0.000 | 0.000 | 0.001 | 0.000 | -0.000 | -0.000 |
| -0.000 | -0.000 | -0.000 | 0.000 | -0.000 | 0.000 |
| -0.000 | -0.000 | -0.000 | -0.000 | 0.000 | -0.000 |
| -0.000 | -0.000 | -0.000 | 0.000 | 0.000 | 0.000 |
| 0.001 | 0.000 | 0.000 | 0.000 | 0.000 | 0.000 |
| 0.000 | 0.001 | 0.000 | 0.000 | 0.000 | -0.000 |
| 0.000 | 0.000 | 0.001 | -0.000 | -0.000 | -0.000 |
| 0.000 | 0.000 | 0.000 | 0.000 | 0.000 | -0.000 |
| 0.000 | 0.000 | 0.000 | 0.000 | 0.000 | 0.000 |
| 0.000 | 0.000 | 0.000 | -0.000 | 0.000 | 0.000 |
| 208.587 | 202.047 | 202.047 | -0.000 | -0.000 | -0.000 |
| 202.047 | 208.587 | 202.047 | -0.000 | -0.000 | -0.000 |
| 202.047 | 202.047 | 208.587 | -0.000 | -0.000 | -0.000 |
| 0.000 | 0.000 | 0.000 | 8.240 | -0.000 | -0.000 |
| 0.000 | 0.000 | 0.000 | -0.000 | 8.240 | -0.000 |
| 0.000 | 0.000 | 0.000 | -0.000 | -0.000 | 8.240 |
| 208.587 | 202.047 | 202.047 | 0.000 | 0.000 | 0.000 |
| 202.047 | 208.587 | 202.047 | 0.000 | 0.000 | 0.000 |
| 202.047 | 202.047 | 208.587 | 0.000 | 0.000 | 0.000 |
| -0.000 | -0.000 | -0.000 | 8.240 | 0.000 | 0.000 |
| -0.000 | -0.000 | -0.000 | 0.000 | 8.240 | 0.000 |
| -0.000 | -0.000 | -0.000 | 0.000 | 0.000 | 8.240 |
| 208.587 | 202.047 | 202.047 | -0.000 | -0.000 | -0.000 |
| 202.047 | 208.587 | 202.047 | -0.000 | -0.000 | -0.000 |
| 202.047 | 202.047 | 208.587 | -0.000 | -0.000 | -0.000 |
| -0.000 | -0.000 | -0.000 | 8.240 | -0.000 | -0.000 |
| -0.000 | -0.000 | -0.000 | -0.000 | 8.240 | -0.000 |
| -0.000 | -0.000 | -0.000 | -0.000 | -0.000 | 8.240 |
| 208.587 | 202.047 | 202.047 | 0.000 | 0.000 | 0.000 |
| 202.047 | 208.587 | 202.047 | 0.000 | 0.000 | 0.000 |
| 202.047 | 202.047 | 208.587 | 0.000 | 0.000 | 0.000 |
| 0.000 | 0.000 | 0.000 | 8.240 | 0.000 | 0.000 |
| 0.000 | 0.000 | 0.000 | 0.000 | 8.240 | 0.000 |
| 0.000 | 0.000 | 0.000 | 0.000 | 0.000 | 8.240 |
| 208.587 | 202.048 | 202.048 | -0.000 | -0.000 | -0.000 |
| 202.048 | 208.587 | 202.048 | -0.000 | -0.000 | -0.000 |
| 202.048 | 202.048 | 208.587 | -0.000 | -0.000 | -0.000 |
| -0.000 | -0.000 | -0.000 | 8.240 | -0.000 | -0.000 |
| -0.000 | -0.000 | -0.000 | -0.000 | 8.240 | -0.000 |
| -0.000 | -0.000 | -0.000 | -0.000 | -0.000 | 8.240 |
| 208.586 | 202.046 | 202.046 | 0.000 | 0.000 | 0.000 |
| 202.046 | 208.586 | 202.046 | 0.000 | 0.000 | 0.000 |
| 202.046 | 202.046 | 208.586 | 0.000 | 0.000 | 0.000 |
| 0.000 | 0.000 | 0.000 | 8.240 | 0.000 | 0.000 |
| 0.000 | 0.000 | 0.000 | 0.000 | 8.240 | 0.000 |
| 0.000 | 0.000 | 0.000 | 0.000 | 0.000 | 8.240 |
| 0.000 | 0.000 | 0.000 | 0.000 | 0.000 | 0.000 |
| 0.000 | 0.000 | 0.000 | 0.000 | 0.000 | 0.000 |
| 0.000 | 0.000 | 0.000 | 0.000 | 0.000 | 0.000 |
| -0.000 | -0.000 | -0.000 | 0.000 | 0.000 | 0.000 |
| -0.000 | -0.000 | -0.000 | 0.000 | 0.000 | 0.000 |
| -0.000 | -0.000 | -0.000 | 0.000 | 0.000 | 0.000 |
| 0.000 | 0.000 | 0.000 | -0.000 | -0.000 | -0.000 |
| 0.000 | 0.000 | 0.000 | -0.000 | -0.000 | -0.000 |
| 0.000 | 0.000 | 0.000 | -0.000 | -0.000 | -0.000 |
| 0.000 | 0.000 | 0.000 | 0.000 | -0.000 | -0.000 |
| 0.000 | 0.000 | 0.000 | -0.000 | 0.000 | -0.000 |
| 0.000 | 0.000 | 0.000 | -0.000 | -0.000 | 0.000 |
| 0.000 | 0.000 | 0.000 | -0.000 | 0.000 | 0.000 |
| 0.000 | 0.000 | 0.000 | 0.000 | -0.000 | 0.000 |
| 0.000 | 0.000 | 0.000 | 0.000 | 0.000 | -0.000 |
| -0.000 | -0.000 | -0.000 | 0.000 | 0.000 | 0.000 |
| -0.000 | -0.000 | -0.000 | 0.000 | 0.000 | 0.000 |
| -0.000 | -0.000 | -0.000 | 0.000 | 0.000 | 0.000 |
| 0.000 | 0.000 | 0.000 | 0.000 | -0.000 | -0.000 |
| 0.000 | 0.000 | 0.000 | -0.000 | 0.000 | -0.000 |
| 0.000 | 0.000 | 0.000 | -0.000 | -0.000 | 0.000 |
| 0.000 | 0.000 | 0.000 | 0.000 | -0.000 | -0.000 |
| 0.000 | 0.000 | 0.000 | -0.000 | 0.000 | -0.000 |
| 0.000 | 0.000 | 0.000 | -0.000 | -0.000 | 0.000 |
| 0.000 | 0.000 | 0.000 | -0.000 | 0.000 | 0.000 |
| 0.000 | 0.000 | 0.000 | 0.000 | -0.000 | 0.000 |
| 0.000 | 0.000 | 0.000 | 0.000 | 0.000 | -0.000 |
| -0.000 | -0.000 | -0.000 | 0.000 | 0.000 | 0.000 |
| -0.000 | -0.000 | -0.000 | 0.000 | 0.000 | 0.000 |
| -0.000 | -0.000 | -0.000 | 0.000 | 0.000 | 0.000 |
| 0.000 | 0.000 | 0.000 | -0.000 | -0.000 | -0.000 |
| 0.000 | 0.000 | 0.000 | -0.000 | -0.000 | -0.000 |
| 0.000 | 0.000 | 0.000 | -0.000 | -0.000 | -0.000 |
| 0.000 | 0.000 | 0.000 | 0.000 | -0.000 | -0.000 |
| 0.000 | 0.000 | 0.000 | -0.000 | 0.000 | -0.000 |
| 0.000 | 0.000 | 0.000 | -0.000 | -0.000 | 0.000 |
| -7779.368 | 8949.520 | -6.148 | -0.000 | -0.000 | 0.000 |
| 8949.520 | -7779.368 | -6.148 | -0.000 | -0.000 | 0.000 |
| -6.147 | -6.147 | 1427.835 | -0.000 | 0.000 | -0.000 |
| -0.000 | 0.000 | -0.000 | -202.682 | -0.000 | 0.000 |
| -0.000 | 0.000 | -0.000 | -0.000 | -202.682 | 0.000 |
| -0.000 | 0.000 | 0.000 | -0.000 | -0.000 | 25.265 |
| 1144.891 | 25.265 | -6.147 | -0.000 | -0.000 | -0.000 |
| 25.265 | 1144.891 | -6.147 | -0.000 | -0.000 | 0.000 |
| -6.147 | -6.147 | 1427.835 | 0.000 | 0.000 | -0.000 |
| 0.000 | -0.000 | 0.000 | -202.682 | 0.000 | 0.000 |
| 0.000 | -0.000 | 0.000 | 0.000 | -202.682 | -0.000 |
| 0.000 | -0.000 | -0.000 | 0.000 | 0.000 | 25.265 |
| -147747090.678 | -112365669.685 | -150335301.574 | -1915094.071 | -2527125.885 | -706191.533 |
| -137627767.424 | -155057447.951 | -148228770.263 | 2808621.506 | -7221349.620 | -1932180.491 |
| -6.147 | -6.147 | 1427.836 | -0.000 | -0.000 | -0.000 |
| -0.000 | -0.000 | -0.000 | -202.682 | -0.000 | 0.000 |
| -0.000 | -0.000 | -0.000 | -0.000 | -202.682 | -0.000 |
| -0.000 | -0.000 | 0.000 | -0.000 | -0.000 | 25.265 |
| 120383431.027 | 133929573.500 | 145502274.609 | -3857654.633 | 3429538.011 | 1364482.549 |
| 126187754.584 | 107721271.202 | 144432011.094 | 1851579.551 | -4883047.292 | -599028.486 |
| -6.147 | -6.147 | 1427.834 | 0.000 | 0.000 | -0.000 |
| 0.000 | 0.000 | 0.000 | -202.682 | 0.000 | 0.000 |
| 0.000 | 0.000 | 0.000 | 0.000 | -202.682 | -0.000 |
| 0.000 | 0.000 | -0.000 | 0.000 | 0.000 | 25.265 |
| -12888266.985 | -10336717.240 | -14282089.884 | -97164.407 | 227171.355 | 155429.430 |
| -12579023.975 | -12726531.401 | -13501421.938 | 530253.587 | 6997.457 | -494522.724 |
| -6.147 | -6.147 | 1427.843 | -0.000 | -0.000 | -0.000 |
| -0.000 | -0.001 | -0.001 | -202.682 | -0.000 | -0.000 |
| -0.001 | -0.000 | -0.001 | -0.000 | -202.682 | 0.000 |
| -0.004 | 0.004 | 0.000 | -0.000 | 0.000 | 25.265 |
| 11301226.728 | 13286258.089 | 13332380.988 | -441503.362 | -244481.980 | 161991.620 |
| 14527744.509 | 11642589.782 | 13968244.814 | -279641.074 | -118952.066 | 366003.572 |
| -6.146 | -6.146 | 1427.826 | 0.000 | 0.000 | -0.000 |
| 0.000 | 0.001 | 0.001 | -202.682 | 0.000 | 0.000 |
| 0.001 | 0.000 | 0.001 | 0.000 | -202.682 | -0.000 |
| 0.004 | -0.004 | -0.000 | 0.000 | 0.000 | 25.265 |
| 0.000 | 0.000 | 0.000 | -0.000 | -0.000 | 0.000 |
| -0.000 | 0.000 | 0.000 | -0.000 | 0.000 | 0.000 |
| 0.000 | 0.000 | 0.000 | 0.000 | 0.000 | -0.000 |
| -0.000 | -0.000 | -0.000 | 0.000 | 0.000 | -0.000 |
| -0.000 | 0.000 | -0.000 | -0.000 | 0.000 | 0.000 |
| -0.000 | 0.000 | -0.000 | -0.000 | -0.000 | -0.000 |
| 0.000 | -0.000 | 0.000 | 0.000 | -0.000 | 0.000 |
| 0.000 | 0.000 | 0.000 | 0.000 | -0.000 | 0.000 |
| 0.000 | 0.000 | 0.000 | -0.000 | -0.000 | -0.000 |
| 0.000 | 0.000 | 0.000 | 0.000 | -0.000 | -0.000 |
| 0.000 | -0.000 | 0.000 | 0.000 | 0.000 | 0.000 |
| 0.000 | -0.000 | 0.000 | 0.000 | 0.000 | -0.000 |
| 0.000 | 0.000 | 0.000 | -0.000 | 0.000 | -0.000 |
| 0.000 | 0.000 | 0.000 | 0.000 | 0.000 | -0.000 |
| 0.000 | 0.000 | 0.000 | -0.000 | 0.000 | -0.000 |
| -0.000 | -0.000 | -0.000 | 0.000 | 0.000 | -0.000 |
| -0.000 | -0.000 | -0.000 | -0.000 | 0.000 | 0.000 |
| -0.000 | -0.000 | -0.000 | 0.000 | 0.000 | -0.000 |
| 0.000 | 0.000 | 0.000 | 0.000 | 0.000 | 0.000 |
| 0.000 | 0.000 | 0.000 | -0.000 | -0.000 | -0.000 |
| 0.000 | 0.000 | 0.000 | 0.000 | -0.000 | -0.000 |
| 0.000 | 0.000 | 0.000 | 0.000 | -0.000 | -0.000 |
| 0.000 | 0.000 | 0.000 | 0.000 | 0.000 | 0.000 |
| 0.000 | 0.000 | 0.000 | -0.000 | 0.000 | -0.000 |
| 0.000 | 0.000 | 0.000 | 0.000 | 0.000 | -0.000 |
| 0.000 | 0.000 | 0.000 | -0.000 | -0.000 | 0.000 |
| 0.000 | 0.000 | 0.000 | -0.000 | -0.000 | -0.000 |
| -0.000 | -0.000 | -0.000 | 0.000 | 0.000 | 0.000 |
| -0.000 | -0.000 | -0.000 | 0.000 | 0.000 | -0.000 |
| -0.000 | -0.000 | -0.000 | -0.000 | -0.000 | -0.000 |
| 0.000 | 0.000 | 0.000 | 0.000 | 0.000 | -0.000 |
| 0.000 | 0.000 | 0.000 | 0.000 | -0.000 | 0.000 |
| 0.000 | 0.000 | 0.000 | 0.000 | 0.000 | -0.000 |
| 0.000 | 0.000 | 0.000 | 0.000 | -0.000 | -0.000 |
| 0.000 | 0.000 | 0.000 | -0.000 | 0.000 | -0.000 |
| 0.000 | 0.000 | 0.000 | 0.000 | 0.000 | -0.000 |
| 0.000 | 0.000 | 0.000 | -0.000 | 0.000 | 0.000 |
| 0.000 | 0.000 | 0.000 | -0.000 | -0.000 | -0.000 |
| 0.000 | 0.000 | 0.000 | 0.000 | 0.000 | -0.000 |
| 0.000 | -0.000 | -0.000 | 0.000 | -0.000 | -0.000 |
| -0.000 | 0.000 | -0.000 | -0.000 | 0.000 | 0.000 |
| 0.000 | 0.000 | 0.000 | -0.000 | -0.000 | -0.000 |
| 0.000 | 0.000 | 0.000 | 0.000 | -0.000 | 0.000 |
| 0.000 | 0.000 | 0.000 | -0.000 | 0.000 | -0.000 |
| 0.000 | 0.000 | 0.000 | -0.000 | -0.000 | -0.000 |
| -0.000 | 0.000 | 0.000 | 0.000 | 0.000 | 0.000 |
| 0.000 | -0.000 | 0.000 | 0.000 | 0.000 | -0.000 |
| -0.000 | -0.000 | -0.000 | -0.000 | 0.000 | -0.000 |
| 0.000 | 0.000 | 0.000 | 0.000 | -0.000 | -0.000 |
| 0.000 | 0.000 | 0.000 | -0.000 | 0.000 | -0.000 |
| 0.000 | 0.000 | 0.000 | -0.000 | 0.000 | 0.000 |
| -0.000 | -0.000 | -0.000 | 0.000 | 0.000 | 0.000 |
| -0.000 | -0.000 | -0.000 | 0.000 | 0.000 | -0.000 |
| -0.000 | -0.000 | -0.000 | -0.000 | 0.000 | -0.000 |
| 0.000 | 0.000 | 0.000 | 0.000 | 0.000 | -0.000 |
| 0.000 | 0.000 | 0.000 | -0.000 | -0.000 | 0.000 |
| 0.000 | 0.000 | 0.000 | 0.000 | -0.000 | -0.000 |
| 0.000 | 0.000 | 0.000 | 0.000 | -0.000 | -0.000 |
| 0.000 | 0.000 | 0.000 | -0.000 | 0.000 | -0.000 |
| -0.000 | 0.000 | 0.000 | 0.000 | 0.000 | -0.000 |
| 0.000 | 0.000 | 0.000 | -0.000 | 0.000 | -0.000 |
| 0.000 | 0.000 | 0.000 | -0.000 | 0.000 | 0.000 |
| 0.000 | 0.000 | 0.000 | -0.000 | 0.000 | 0.000 |
| -0.000 | -0.000 | -0.000 | 0.000 | 0.000 | -0.000 |
| -0.000 | -0.000 | -0.000 | 0.000 | 0.000 | -0.000 |
| 0.000 | -0.000 | -0.000 | -0.000 | 0.000 | -0.000 |
| 0.000 | 0.000 | 0.000 | -0.000 | -0.000 | 0.000 |
| 0.000 | 0.000 | 0.000 | 0.000 | -0.000 | 0.000 |
| 0.000 | 0.000 | 0.000 | 0.000 | 0.000 | -0.000 |
| 0.000 | 0.000 | 0.000 | 0.000 | -0.000 | -0.000 |
| 0.000 | 0.000 | 0.000 | -0.000 | 0.000 | -0.000 |
| 0.000 | 0.000 | 0.000 | 0.000 | 0.000 | -0.000 |
| 0.000 | 0.000 | 0.000 | 0.000 | 0.000 | 0.000 |
| 0.000 | 0.000 | 0.000 | 0.000 | 0.000 | -0.000 |
| 0.000 | 0.000 | 0.000 | 0.000 | 0.000 | 0.000 |
| 0.000 | -0.000 | 0.000 | 0.000 | 0.000 | 0.000 |
| -0.000 | 0.000 | 0.000 | 0.000 | 0.000 | -0.000 |
| -0.000 | -0.000 | 0.000 | 0.000 | 0.000 | -0.000 |
| 0.000 | -0.000 | -0.000 | -0.000 | -0.000 | -0.000 |
| -0.000 | 0.000 | -0.000 | -0.000 | -0.000 | -0.000 |
| -0.000 | -0.000 | -0.000 | -0.000 | -0.000 | -0.000 |
| -0.000 | 0.000 | -0.000 | -0.000 | -0.000 | -0.000 |
| 0.000 | -0.000 | -0.000 | -0.000 | -0.000 | 0.000 |
| 0.000 | 0.000 | -0.000 | -0.000 | -0.000 | -0.000 |
| 0.000 | 0.000 | 0.000 | 0.000 | 0.000 | -0.000 |
| 0.000 | 0.000 | 0.000 | 0.000 | 0.000 | -0.000 |
| 0.000 | 0.000 | 0.000 | 0.000 | 0.000 | 0.000 |
| 0.000 | 0.000 | 0.000 | 0.000 | 0.000 | 0.000 |
| 0.000 | 0.000 | 0.000 | 0.000 | 0.000 | -0.000 |
| -0.000 | -0.000 | 0.000 | 0.000 | 0.000 | -0.000 |
| 0.000 | 0.000 | -0.000 | -0.000 | -0.000 | -0.000 |
| 0.000 | 0.000 | -0.000 | -0.000 | -0.000 | -0.000 |
| 0.000 | 0.000 | -0.000 | -0.000 | -0.000 | -0.000 |
| -0.000 | 0.000 | -0.000 | -0.000 | -0.000 | -0.000 |
| 0.000 | -0.000 | -0.000 | -0.000 | -0.000 | -0.000 |
| 0.000 | 0.000 | -0.000 | -0.000 | -0.000 | -0.000 |
| 0.000 | 0.000 | 0.000 | 0.000 | 0.000 | -0.000 |
| 0.000 | 0.000 | 0.000 | 0.000 | 0.000 | -0.000 |
| 0.000 | 0.000 | 0.000 | 0.000 | 0.000 | 0.000 |
| 0.000 | -0.000 | 0.000 | 0.000 | 0.000 | 0.000 |
| -0.000 | 0.000 | 0.000 | 0.000 | 0.000 | -0.000 |
| -0.000 | -0.000 | 0.000 | 0.000 | 0.000 | -0.000 |
| 0.000 | 0.000 | -0.000 | -0.000 | -0.000 | 0.000 |
| 0.000 | 0.000 | -0.000 | -0.000 | -0.000 | 0.000 |
| 0.000 | 0.000 | -0.000 | -0.000 | -0.000 | -0.000 |
| -0.000 | 0.000 | -0.000 | -0.000 | -0.000 | 0.000 |
| 0.000 | -0.000 | -0.000 | -0.000 | -0.000 | 0.000 |
| 0.000 | 0.000 | -0.000 | -0.000 | -0.000 | -0.000 |
| 0.000 | 0.000 | 0.000 | 0.000 | 0.000 | -0.000 |
| 0.000 | 0.000 | 0.000 | 0.000 | 0.000 | -0.000 |
| 0.000 | 0.000 | 0.000 | 0.000 | 0.000 | -0.000 |
| -0.000 | 0.000 | 0.000 | 0.000 | 0.000 | -0.000 |
| 0.000 | -0.000 | 0.000 | 0.000 | 0.000 | 0.000 |
| 0.000 | -0.000 | 0.000 | 0.000 | 0.000 | -0.000 |
| 0.000 | 0.000 | -0.000 | -0.000 | -0.000 | 0.000 |
| 0.000 | 0.000 | -0.000 | -0.000 | -0.000 | 0.000 |
| 0.000 | 0.000 | -0.000 | -0.000 | -0.000 | 0.000 |
| 0.000 | -0.000 | -0.000 | -0.000 | -0.000 | -0.000 |
| -0.000 | 0.000 | -0.000 | -0.000 | -0.000 | 0.000 |
| -0.000 | 0.000 | -0.000 | -0.000 | -0.000 | -0.000 |
| 0.000 | 0.000 | 0.000 | 0.000 | 0.000 | 0.000 |
| 0.000 | 0.000 | 0.000 | 0.000 | 0.000 | 0.000 |
| 0.000 | 0.000 | 0.000 | 0.000 | 0.000 | -0.000 |
| -0.000 | 0.000 | 0.000 | 0.000 | 0.000 | -0.000 |
| 0.000 | -0.000 | 0.000 | 0.000 | 0.000 | -0.000 |
| 0.000 | -0.000 | 0.000 | 0.000 | 0.000 | -0.000 |
| 0.000 | 0.000 | -0.000 | -0.000 | -0.000 | 0.000 |
| 0.000 | 0.000 | -0.000 | -0.000 | -0.000 | 0.000 |
| 0.000 | 0.000 | -0.000 | -0.000 | -0.000 | 0.000 |
| 0.000 | -0.000 | -0.000 | -0.000 | -0.000 | -0.000 |
| -0.000 | 0.000 | -0.000 | -0.000 | -0.000 | 0.000 |
| -0.000 | 0.000 | -0.000 | -0.000 | -0.000 | -0.000 |
| 0.000 | 0.000 | 0.000 | 0.000 | 0.000 | -0.000 |
| 0.000 | 0.000 | 0.000 | 0.000 | 0.000 | 0.000 |
| 0.000 | 0.000 | 0.000 | 0.000 | 0.000 | -0.000 |
| -0.000 | 0.000 | 0.000 | 0.000 | 0.000 | 0.000 |
| 0.000 | -0.000 | 0.000 | 0.000 | 0.000 | -0.000 |
| 0.000 | -0.000 | 0.000 | 0.000 | 0.000 | -0.000 |
| 0.000 | 0.000 | -0.000 | -0.000 | -0.000 | -0.000 |
| 0.000 | 0.000 | -0.000 | -0.000 | -0.000 | 0.000 |
| 0.000 | 0.000 | -0.000 | -0.000 | -0.000 | 0.000 |
| 0.000 | -0.000 | -0.000 | -0.000 | -0.000 | 0.000 |
| -0.000 | 0.000 | -0.000 | -0.000 | -0.000 | 0.000 |
| -0.000 | 0.000 | -0.000 | -0.000 | -0.000 | -0.000 |
| 0.000 | 0.000 | 0.000 | -0.000 | -0.000 | 0.000 |
| 0.000 | 0.000 | 0.000 | 0.000 | -0.000 | 0.000 |
| 0.000 | 0.000 | 0.000 | -0.000 | -0.000 | 0.000 |
| -0.000 | 0.000 | -0.000 | 0.000 | 0.000 | -0.000 |
| -0.000 | -0.000 | -0.000 | 0.000 | 0.000 | -0.000 |
| -0.000 | -0.000 | -0.000 | 0.000 | -0.000 | 0.000 |
| 0.000 | 0.000 | 0.000 | -0.000 | -0.000 | 0.000 |
| 0.000 | 0.000 | 0.000 | 0.000 | -0.000 | 0.000 |
| 0.000 | 0.000 | 0.000 | -0.000 | 0.000 | -0.000 |
| -0.000 | 0.000 | 0.000 | 0.000 | -0.000 | 0.000 |
| 0.000 | 0.000 | 0.000 | -0.000 | 0.000 | -0.000 |
| 0.000 | 0.000 | 0.000 | -0.000 | -0.000 | 0.000 |
| 0.000 | 0.000 | 0.000 | -0.000 | 0.000 | -0.000 |
| 0.000 | 0.000 | 0.000 | 0.000 | 0.000 | -0.000 |
| 0.000 | 0.000 | 0.000 | 0.000 | -0.000 | 0.000 |
| -0.000 | 0.000 | -0.000 | 0.000 | 0.000 | -0.000 |
| -0.000 | -0.000 | -0.000 | 0.000 | 0.000 | -0.000 |
| -0.000 | -0.000 | -0.000 | 0.000 | -0.000 | 0.000 |
| 0.000 | 0.000 | 0.000 | -0.000 | -0.000 | 0.000 |
| 0.000 | 0.000 | 0.000 | 0.000 | 0.000 | -0.000 |
| 0.000 | 0.000 | 0.000 | -0.000 | 0.000 | -0.000 |
| -0.000 | 0.000 | 0.000 | 0.000 | 0.000 | -0.000 |
| 0.000 | 0.000 | 0.000 | -0.000 | 0.000 | -0.000 |
| 0.000 | 0.000 | 0.000 | -0.000 | -0.000 | 0.000 |
| 0.000 | 0.000 | 0.000 | -0.000 | -0.000 | 0.000 |
| 0.000 | 0.000 | 0.000 | 0.000 | -0.000 | 0.000 |
| 0.000 | 0.000 | 0.000 | 0.000 | 0.000 | -0.000 |
| -0.000 | 0.000 | -0.000 | 0.000 | -0.000 | 0.000 |
| -0.000 | -0.000 | -0.000 | 0.000 | 0.000 | -0.000 |
| -0.000 | -0.000 | -0.000 | 0.000 | -0.000 | 0.000 |
| 0.000 | 0.000 | 0.000 | -0.000 | 0.000 | -0.000 |
| 0.000 | 0.000 | 0.000 | 0.000 | 0.000 | -0.000 |
| 0.000 | 0.000 | 0.000 | -0.000 | 0.000 | -0.000 |
| -0.000 | 0.000 | 0.000 | 0.000 | -0.000 | 0.000 |
| 0.000 | 0.000 | 0.000 | -0.000 | 0.000 | -0.000 |
| 0.000 | 0.000 | 0.000 | -0.000 | -0.000 | 0.000 |
| 1317.899 | 20.916 | 20.916 | -0.000 | 0.000 | -0.000 |
| 20.916 | 1317.899 | 20.916 | -0.000 | 0.000 | -0.000 |
| 20.916 | 20.916 | 1317.899 | 0.000 | 0.000 | -0.000 |
| -0.000 | 0.000 | -0.000 | 20.916 | 0.000 | 0.000 |
| 0.000 | -0.000 | -0.000 | 0.000 | 20.916 | -0.000 |
| 0.000 | -0.000 | -0.000 | 0.000 | -0.000 | 20.916 |
| 1317.899 | 20.916 | 20.916 | 0.000 | -0.000 | 0.000 |
| 20.916 | 1317.899 | 20.916 | 0.000 | -0.000 | -0.000 |
| 20.916 | 20.916 | 1317.899 | 0.000 | 0.000 | -0.000 |
| 0.000 | -0.000 | 0.000 | 20.916 | -0.000 | -0.000 |
| -0.000 | 0.000 | 0.000 | -0.000 | 20.916 | 0.000 |
| -0.000 | 0.000 | 0.000 | -0.000 | 0.000 | 20.916 |
| 1317.900 | 20.916 | 20.916 | 0.000 | -0.000 | -0.000 |
| 20.916 | 1317.900 | 20.916 | -0.000 | 0.000 | -0.000 |
| 20.916 | 20.916 | 1317.900 | 0.000 | 0.000 | -0.000 |
| -0.000 | -0.000 | -0.000 | 20.916 | 0.000 | 0.000 |
| -0.000 | -0.000 | -0.000 | 0.000 | 20.916 | 0.000 |
| -0.000 | -0.000 | -0.000 | -0.000 | -0.000 | 20.916 |
| 1317.898 | 20.916 | 20.916 | 0.000 | -0.000 | 0.000 |
| 20.916 | 1317.898 | 20.916 | 0.000 | 0.000 | -0.000 |
| 20.916 | 20.916 | 1317.898 | -0.000 | -0.000 | -0.000 |
| 0.000 | 0.000 | 0.000 | 20.916 | -0.000 | 0.000 |
| 0.000 | 0.000 | 0.000 | -0.000 | 20.916 | 0.000 |
| 0.000 | 0.000 | 0.000 | 0.000 | 0.000 | 20.916 |
| 1317.907 | 20.916 | 20.916 | -0.000 | 0.000 | 0.000 |
| 20.916 | 1317.907 | 20.916 | -0.000 | 0.000 | 0.000 |
| 20.916 | 20.916 | 1317.907 | -0.000 | 0.000 | -0.000 |
| 0.000 | -0.000 | -0.001 | 20.916 | 0.000 | 0.000 |
| -0.000 | 0.000 | -0.001 | -0.000 | 20.916 | 0.000 |
| -0.000 | -0.001 | 0.000 | -0.000 | -0.000 | 20.916 |
| 1317.891 | 20.916 | 20.916 | 0.000 | -0.000 | 0.000 |
| 20.916 | 1317.891 | 20.916 | 0.000 | -0.000 | -0.000 |
| 20.916 | 20.916 | 1317.891 | 0.000 | -0.000 | 0.000 |
| -0.000 | 0.000 | 0.001 | 20.916 | -0.000 | -0.000 |
| 0.000 | -0.000 | 0.001 | 0.000 | 20.916 | 0.000 |
| 0.000 | 0.001 | -0.000 | 0.000 | -0.000 | 20.916 |
| 0.000 | -0.000 | -0.000 | -0.000 | 0.000 | 0.000 |
| -0.000 | 0.000 | -0.000 | 0.000 | -0.000 | -0.000 |
| -0.000 | -0.000 | 0.000 | 0.000 | 0.000 | -0.000 |
| -0.000 | -0.000 | -0.000 | -0.000 | -0.000 | 0.000 |
| -0.000 | -0.000 | -0.000 | -0.000 | -0.000 | 0.000 |
| -0.000 | -0.000 | -0.000 | -0.000 | -0.000 | -0.000 |
| 0.000 | 0.000 | 0.000 | 0.000 | -0.000 | -0.000 |
| 0.000 | 0.000 | 0.000 | -0.000 | 0.000 | -0.000 |
| 0.000 | 0.000 | 0.000 | -0.000 | -0.000 | 0.000 |
| 0.000 | -0.000 | 0.000 | -0.000 | 0.000 | 0.000 |
| -0.000 | 0.000 | 0.000 | 0.000 | -0.000 | 0.000 |
| -0.000 | 0.000 | 0.000 | 0.000 | -0.000 | -0.000 |
| 0.000 | 0.000 | 0.000 | -0.000 | 0.000 | 0.000 |
| 0.000 | 0.000 | 0.000 | 0.000 | -0.000 | 0.000 |
| 0.000 | 0.000 | 0.000 | 0.000 | 0.000 | -0.000 |
| -0.000 | 0.000 | -0.000 | -0.000 | -0.000 | -0.000 |
| 0.000 | -0.000 | -0.000 | -0.000 | -0.000 | -0.000 |
| 0.000 | -0.000 | -0.000 | -0.000 | -0.000 | -0.000 |
| 0.000 | 0.000 | 0.000 | 0.000 | -0.000 | -0.000 |
| 0.000 | 0.000 | 0.000 | -0.000 | 0.000 | 0.000 |
| 0.000 | 0.000 | 0.000 | 0.000 | 0.000 | 0.000 |
| 0.000 | 0.000 | 0.000 | -0.000 | 0.000 | -0.000 |
| 0.000 | 0.000 | 0.000 | 0.000 | -0.000 | -0.000 |
| 0.000 | 0.000 | 0.000 | 0.000 | -0.000 | -0.000 |
| 0.000 | 0.000 | 0.000 | -0.000 | -0.000 | -0.000 |
| 0.000 | 0.000 | 0.000 | -0.000 | -0.000 | 0.000 |
| 0.000 | 0.000 | 0.000 | 0.000 | 0.000 | -0.000 |
| -0.000 | -0.000 | -0.000 | -0.000 | -0.000 | -0.000 |
| -0.000 | -0.000 | -0.000 | -0.000 | -0.000 | -0.000 |
| -0.000 | -0.000 | -0.000 | -0.000 | -0.000 | -0.000 |
| 0.000 | 0.000 | 0.000 | 0.000 | 0.000 | 0.000 |
| 0.000 | 0.000 | 0.000 | 0.000 | 0.000 | 0.000 |
| 0.000 | 0.000 | 0.000 | 0.000 | 0.000 | 0.000 |
| 0.000 | -0.000 | 0.000 | -0.000 | 0.000 | 0.000 |
| -0.000 | 0.000 | 0.000 | 0.000 | -0.000 | 0.000 |
| -0.000 | 0.000 | 0.000 | 0.000 | 0.000 | -0.000 |
| -0.000 | -0.000 | -0.000 | -0.000 | 0.000 | 0.000 |
| -0.000 | -0.000 | -0.000 | -0.000 | -0.000 | -0.000 |
| -0.000 | -0.000 | -0.000 | -0.000 | -0.000 | 0.000 |
| -0.000 | 0.000 | 0.000 | 0.000 | -0.000 | 0.000 |
| 0.000 | -0.000 | 0.000 | -0.000 | 0.000 | 0.000 |
| 0.000 | 0.000 | -0.000 | -0.000 | 0.000 | 0.000 |
| -0.000 | -0.000 | -0.000 | 0.000 | 0.000 | -0.000 |
| -0.000 | -0.000 | -0.000 | 0.000 | 0.000 | -0.000 |
| -0.000 | -0.000 | -0.000 | -0.000 | -0.000 | -0.000 |
| 0.000 | 0.000 | -0.000 | 0.000 | 0.000 | -0.000 |
| 0.000 | 0.000 | -0.000 | 0.000 | 0.000 | -0.000 |
| 0.000 | -0.000 | 0.000 | 0.000 | 0.000 | 0.000 |
| -0.000 | -0.000 | -0.000 | -0.000 | 0.000 | -0.000 |
| -0.000 | -0.000 | -0.000 | 0.000 | -0.000 | 0.000 |
| -0.000 | -0.000 | -0.000 | -0.000 | -0.000 | 0.000 |
| -0.000 | -0.000 | 0.000 | -0.000 | -0.000 | 0.000 |
| -0.000 | -0.000 | 0.000 | -0.000 | -0.000 | 0.000 |
| -0.000 | 0.000 | -0.000 | -0.000 | 0.000 | -0.000 |
| -0.000 | -0.000 | -0.000 | 0.000 | -0.000 | -0.000 |
| -0.000 | -0.000 | -0.000 | -0.000 | 0.000 | -0.000 |
| -0.000 | -0.000 | -0.000 | -0.000 | -0.000 | -0.000 |
| 0.000 | -0.000 | -0.000 | -0.000 | 0.000 | -0.000 |
| -0.000 | 0.000 | -0.000 | 0.000 | -0.000 | -0.000 |
| -0.000 | -0.000 | 0.000 | 0.000 | 0.000 | -0.000 |
| -0.000 | -0.000 | -0.000 | -0.000 | -0.000 | 0.000 |
| -0.000 | -0.000 | -0.000 | -0.000 | -0.000 | -0.000 |
| -0.000 | -0.000 | -0.000 | -0.000 | -0.000 | 0.000 |
| -0.000 | -0.000 | 0.000 | -0.000 | 0.000 | 0.000 |
| -0.000 | -0.000 | 0.000 | 0.000 | -0.000 | 0.000 |
| -0.000 | 0.000 | -0.000 | -0.000 | -0.000 | -0.000 |
| -0.000 | -0.000 | -0.000 | 0.000 | -0.000 | -0.000 |
| -0.000 | -0.000 | -0.000 | 0.000 | 0.000 | 0.000 |
| -0.000 | -0.000 | -0.000 | 0.000 | 0.000 | -0.000 |
| 0.000 | 0.000 | -0.000 | -0.000 | -0.000 | -0.000 |
| 0.000 | 0.000 | -0.000 | -0.000 | -0.000 | -0.000 |
| 0.000 | -0.000 | 0.000 | 0.000 | 0.000 | -0.000 |
| 0.000 | 0.000 | 0.000 | -0.000 | -0.000 | 0.000 |
| 0.000 | 0.000 | 0.000 | -0.000 | -0.000 | 0.000 |
| 0.000 | 0.000 | 0.000 | -0.000 | -0.000 | 0.000 |
| 0.000 | 0.000 | 0.000 | 0.000 | -0.000 | 0.000 |
| 0.000 | 0.000 | 0.000 | -0.000 | 0.000 | -0.000 |
| 0.000 | 0.000 | 0.000 | -0.000 | -0.000 | 0.000 |
| 0.000 | 0.000 | 0.000 | 0.000 | 0.000 | 0.000 |
| 0.000 | 0.000 | 0.000 | 0.000 | 0.000 | 0.000 |
| 0.000 | 0.000 | 0.000 | 0.000 | 0.000 | -0.000 |
| -0.000 | -0.000 | -0.000 | 0.000 | 0.000 | 0.000 |
| -0.000 | -0.000 | -0.000 | 0.000 | 0.000 | 0.000 |
| -0.000 | -0.000 | -0.000 | 0.000 | 0.000 | 0.000 |
| 0.000 | 0.000 | 0.000 | 0.000 | -0.000 | 0.000 |
| 0.000 | 0.000 | 0.000 | -0.000 | 0.000 | -0.000 |
| 0.000 | 0.000 | 0.000 | -0.000 | -0.000 | 0.000 |
| -0.000 | -0.000 | -0.000 | 0.000 | -0.000 | -0.000 |
| -0.000 | -0.000 | -0.000 | -0.000 | 0.000 | -0.000 |
| -0.000 | -0.000 | -0.000 | -0.000 | -0.000 | 0.000 |
| 0.000 | 0.000 | 0.000 | 0.000 | 0.000 | -0.000 |
| 0.000 | 0.000 | 0.000 | 0.000 | 0.000 | 0.000 |
| 0.000 | 0.000 | 0.000 | 0.000 | 0.000 | -0.000 |
| 0.000 | 0.000 | 0.000 | 0.000 | 0.000 | 0.000 |
| 0.000 | 0.000 | 0.000 | 0.000 | 0.000 | 0.000 |
| 0.000 | 0.000 | 0.000 | 0.000 | 0.000 | 0.000 |
| 0.000 | 0.000 | 0.000 | 0.000 | -0.000 | -0.000 |
| 0.000 | 0.000 | 0.000 | -0.000 | 0.000 | -0.000 |
| 0.000 | 0.000 | 0.000 | -0.000 | -0.000 | 0.000 |
| -0.000 | -0.000 | -0.000 | 0.000 | -0.000 | -0.000 |
| -0.000 | -0.000 | -0.000 | -0.000 | 0.000 | 0.000 |
| -0.000 | -0.000 | -0.000 | -0.000 | -0.000 | 0.000 |
| 0.000 | 0.000 | 0.000 | 0.000 | 0.000 | -0.000 |
| 0.000 | 0.000 | 0.000 | 0.000 | 0.000 | -0.000 |
| 0.000 | 0.000 | 0.000 | 0.000 | 0.000 | -0.000 |
| 0.000 | 0.000 | 0.000 | 0.000 | 0.000 | 0.000 |
| 0.000 | 0.000 | 0.000 | 0.000 | 0.000 | 0.000 |
| 0.000 | 0.000 | 0.000 | 0.000 | 0.000 | 0.000 |
| 6.822 | 52.285 | 52.285 | -0.000 | -0.000 | 0.000 |
| 52.285 | 6.822 | 52.285 | -0.000 | 0.000 | 0.000 |
| 52.285 | 52.285 | 6.822 | 0.000 | -0.000 | 0.000 |
| 0.000 | 0.000 | 0.000 | -70.442 | -0.000 | 0.000 |
| 0.000 | 0.000 | 0.000 | -0.000 | -70.442 | 0.000 |
| 0.000 | 0.000 | 0.000 | 0.000 | 0.000 | -70.442 |
| 6.822 | 52.285 | 52.285 | 0.000 | 0.000 | -0.000 |
| 52.285 | 6.822 | 52.285 | 0.000 | 0.000 | -0.000 |
| 52.285 | 52.285 | 6.822 | -0.000 | 0.000 | -0.000 |
| -0.000 | -0.000 | -0.000 | -70.442 | 0.000 | -0.000 |
| -0.000 | -0.000 | -0.000 | -0.000 | -70.442 | -0.000 |
| -0.000 | -0.000 | -0.000 | 0.000 | 0.000 | -70.442 |
| 6.822 | 52.285 | 52.285 | -0.000 | -0.000 | 0.000 |
| 52.285 | 6.822 | 52.285 | -0.000 | -0.000 | 0.000 |
| 52.285 | 52.285 | 6.822 | 0.000 | 0.000 | 0.000 |
| 0.000 | 0.000 | 0.000 | -70.442 | 0.000 | 0.000 |
| 0.000 | 0.000 | 0.000 | -0.000 | -70.442 | 0.000 |
| 0.000 | -0.000 | 0.000 | -0.000 | 0.000 | -70.442 |
| 6.822 | 52.285 | 52.285 | 0.000 | 0.000 | -0.000 |
| 52.285 | 6.822 | 52.285 | 0.000 | 0.000 | -0.000 |
| 52.285 | 52.285 | 6.822 | -0.000 | -0.000 | -0.000 |
| -0.000 | -0.000 | 0.000 | -70.442 | 0.000 | -0.000 |
| -0.000 | -0.000 | -0.000 | 0.000 | -70.442 | -0.000 |
| -0.000 | 0.000 | -0.000 | 0.000 | -0.000 | -70.442 |
| 6.822 | 52.285 | 52.285 | -0.000 | -0.000 | 0.000 |
| 52.285 | 6.822 | 52.285 | -0.000 | -0.000 | 0.000 |
| 52.285 | 52.285 | 6.822 | -0.000 | -0.000 | 0.000 |
| 0.000 | 0.000 | -0.000 | -70.442 | -0.000 | 0.000 |
| 0.000 | 0.000 | -0.000 | -0.000 | -70.442 | 0.000 |
| 0.000 | -0.000 | 0.000 | -0.000 | 0.000 | -70.442 |
| 6.822 | 52.285 | 52.285 | 0.000 | 0.000 | -0.000 |
| 52.285 | 6.822 | 52.285 | 0.000 | 0.000 | -0.000 |
| 52.285 | 52.285 | 6.822 | 0.000 | 0.000 | -0.000 |
| -0.000 | -0.000 | 0.000 | -70.442 | -0.000 | -0.000 |
| -0.000 | -0.000 | 0.000 | 0.000 | -70.442 | -0.000 |
| -0.000 | 0.000 | -0.000 | 0.000 | -0.000 | -70.442 |
| 0.006 | 0.006 | 0.006 | 0.000 | 0.000 | 0.000 |
| 0.006 | 0.006 | 0.006 | 0.000 | 0.000 | 0.000 |
| 0.006 | 0.006 | 0.006 | 0.000 | 0.000 | 0.000 |
| 0.000 | 0.000 | 0.000 | 0.006 | -0.000 | -0.000 |
| 0.000 | 0.000 | 0.000 | -0.000 | 0.006 | -0.000 |
| 0.000 | 0.000 | 0.000 | 0.000 | -0.000 | 0.006 |
| 0.006 | 0.006 | 0.006 | 0.000 | -0.000 | -0.000 |
| 0.006 | 0.006 | 0.006 | -0.000 | 0.000 | -0.000 |
| 0.006 | 0.006 | 0.006 | -0.000 | 0.000 | 0.000 |
| -0.000 | -0.000 | -0.000 | 0.006 | 0.000 | 0.000 |
| -0.000 | -0.000 | -0.000 | 0.000 | 0.006 | 0.000 |
| -0.000 | -0.000 | -0.000 | 0.000 | -0.000 | 0.006 |
| 0.006 | 0.006 | 0.006 | 0.000 | -0.000 | 0.000 |
| 0.006 | 0.006 | 0.006 | -0.000 | 0.000 | 0.000 |
| 0.006 | 0.006 | 0.006 | -0.000 | -0.000 | 0.000 |
| 0.000 | 0.000 | 0.000 | 0.006 | 0.000 | -0.000 |
| 0.000 | 0.000 | 0.000 | 0.000 | 0.006 | -0.000 |
| 0.000 | 0.000 | 0.000 | -0.000 | -0.000 | 0.006 |
| 0.006 | 0.006 | 0.006 | -0.000 | -0.000 | -0.000 |
| 0.006 | 0.006 | 0.006 | -0.000 | -0.000 | -0.000 |
| 0.006 | 0.006 | 0.006 | -0.000 | -0.000 | -0.000 |
| -0.000 | -0.000 | -0.000 | 0.006 | 0.000 | 0.000 |
| -0.000 | -0.000 | -0.000 | 0.000 | 0.006 | 0.000 |
| -0.000 | -0.000 | -0.000 | -0.000 | -0.000 | 0.006 |
| 0.006 | 0.006 | 0.006 | -0.000 | -0.000 | -0.000 |
| 0.006 | 0.006 | 0.006 | -0.000 | -0.000 | -0.000 |
| 0.006 | 0.006 | 0.006 | -0.000 | -0.000 | -0.000 |
| 0.000 | 0.000 | 0.000 | 0.006 | -0.000 | 0.000 |
| 0.000 | 0.000 | 0.000 | -0.000 | 0.006 | 0.000 |
| 0.000 | 0.000 | 0.000 | -0.000 | -0.000 | 0.006 |
| 0.006 | 0.006 | 0.006 | 0.000 | -0.000 | -0.000 |
| 0.006 | 0.006 | 0.006 | -0.000 | 0.000 | -0.000 |
| 0.006 | 0.006 | 0.006 | -0.000 | -0.000 | 0.000 |
| -0.000 | -0.000 | -0.000 | 0.006 | 0.000 | 0.000 |
| -0.000 | -0.000 | -0.000 | 0.000 | 0.006 | 0.000 |
| -0.000 | -0.000 | -0.000 | -0.000 | -0.000 | 0.006 |
| 157.783 | 134.944 | 134.944 | 0.000 | -0.000 | 0.000 |
| 134.944 | 157.783 | 134.944 | 0.000 | -0.000 | 0.000 |
| 134.944 | 134.944 | 157.783 | 0.000 | -0.000 | 0.000 |
| 0.000 | 0.000 | 0.000 | -71.883 | -0.000 | 0.000 |
| 0.000 | 0.000 | 0.000 | 0.000 | -71.883 | 0.000 |
| 0.000 | 0.000 | 0.000 | 0.000 | -0.000 | -71.883 |
| 157.783 | 134.944 | 134.944 | -0.000 | 0.000 | -0.000 |
| 134.944 | 157.783 | 134.944 | -0.000 | 0.000 | -0.000 |
| 134.944 | 134.944 | 157.783 | -0.000 | 0.000 | -0.000 |
| -0.000 | -0.000 | -0.000 | -71.883 | 0.000 | -0.000 |
| -0.000 | -0.000 | -0.000 | -0.000 | -71.883 | -0.000 |
| -0.000 | -0.000 | -0.000 | -0.000 | 0.000 | -71.883 |
| 157.783 | 134.944 | 134.944 | 0.000 | -0.000 | 0.000 |
| 134.944 | 157.783 | 134.944 | 0.000 | -0.000 | 0.000 |
| 134.944 | 134.944 | 157.783 | 0.000 | -0.000 | 0.000 |
| 0.000 | 0.000 | 0.000 | -71.883 | -0.000 | 0.000 |
| 0.000 | 0.000 | 0.000 | 0.000 | -71.883 | 0.000 |
| 0.000 | 0.000 | 0.000 | 0.000 | -0.000 | -71.883 |
| 157.783 | 134.944 | 134.944 | -0.000 | 0.000 | -0.000 |
| 134.944 | 157.783 | 134.944 | -0.000 | 0.000 | -0.000 |
| 134.944 | 134.944 | 157.783 | -0.000 | 0.000 | -0.000 |
| -0.000 | -0.000 | -0.000 | -71.883 | 0.000 | -0.000 |
| -0.000 | -0.000 | -0.000 | -0.000 | -71.883 | -0.000 |
| -0.000 | -0.000 | -0.000 | -0.000 | 0.000 | -71.883 |
| 151.888 | 137.889 | 137.889 | 0.000 | -0.000 | 0.000 |
| 137.889 | 151.888 | 137.889 | 0.000 | -0.000 | 0.000 |
| 137.889 | 137.889 | 151.888 | 0.000 | -0.000 | 0.000 |
| 0.000 | 0.001 | 0.000 | -71.883 | -0.000 | 0.000 |
| 0.001 | 0.000 | 0.000 | 0.000 | -71.883 | 0.000 |
| 0.001 | 0.000 | 0.000 | 0.000 | -0.000 | -71.883 |
| 151.892 | 137.892 | 137.892 | -0.000 | 0.000 | -0.000 |
| 137.892 | 151.892 | 137.892 | -0.000 | 0.000 | -0.000 |
| 137.892 | 137.892 | 151.892 | -0.000 | 0.000 | -0.000 |
| -0.000 | -0.001 | -0.000 | -71.883 | 0.000 | -0.000 |
| -0.001 | -0.000 | -0.000 | -0.000 | -71.883 | -0.000 |
| -0.001 | -0.000 | -0.000 | -0.000 | 0.000 | -71.883 |
| 35.888 | 52.231 | 52.231 | -0.000 | -0.000 | -0.000 |
| 52.231 | 35.888 | 52.231 | -0.000 | -0.000 | -0.000 |
| 52.231 | 52.231 | 35.888 | -0.000 | -0.000 | -0.000 |
| 0.000 | 0.000 | 0.000 | -67.792 | -0.000 | 0.000 |
| 0.000 | 0.000 | 0.000 | -0.000 | -67.792 | -0.000 |
| 0.000 | 0.000 | 0.000 | -0.000 | -0.000 | -67.792 |
| 35.888 | 52.231 | 52.231 | 0.000 | -0.000 | 0.000 |
| 52.231 | 35.888 | 52.231 | 0.000 | 0.000 | 0.000 |
| 52.231 | 52.231 | 35.888 | 0.000 | 0.000 | 0.000 |
| -0.000 | -0.000 | -0.000 | -67.792 | 0.000 | -0.000 |
| -0.000 | -0.000 | -0.000 | 0.000 | -67.792 | -0.000 |
| -0.000 | -0.000 | -0.000 | 0.000 | 0.000 | -67.792 |
| 35.888 | 52.231 | 52.231 | -0.000 | -0.000 | 0.000 |
| 52.231 | 35.888 | 52.231 | -0.000 | -0.000 | 0.000 |
| 52.231 | 52.231 | 35.888 | -0.000 | -0.000 | 0.000 |
| 0.000 | 0.000 | -0.000 | -67.792 | -0.000 | -0.000 |
| 0.000 | 0.000 | -0.000 | -0.000 | -67.792 | -0.000 |
| 0.000 | 0.000 | 0.000 | -0.000 | -0.000 | -67.792 |
| 35.888 | 52.231 | 52.231 | 0.000 | 0.000 | 0.000 |
| 52.231 | 35.888 | 52.231 | 0.000 | 0.000 | 0.000 |
| 52.231 | 52.231 | 35.888 | 0.000 | 0.000 | 0.000 |
| -0.000 | -0.000 | 0.000 | -67.792 | 0.000 | 0.000 |
| -0.000 | -0.000 | 0.000 | 0.000 | -67.792 | 0.000 |
| -0.000 | -0.000 | -0.000 | 0.000 | 0.000 | -67.792 |
| 35.888 | 52.231 | 52.231 | -0.000 | -0.000 | 0.000 |
| 52.231 | 35.888 | 52.231 | -0.000 | -0.000 | -0.000 |
| 52.231 | 52.231 | 35.888 | -0.000 | -0.000 | 0.000 |
| 0.000 | 0.000 | -0.000 | -67.792 | -0.000 | -0.000 |
| 0.000 | 0.000 | -0.000 | -0.000 | -67.792 | -0.000 |
| 0.000 | -0.000 | 0.000 | -0.000 | -0.000 | -67.792 |
| 35.888 | 52.231 | 52.231 | 0.000 | -0.000 | 0.000 |
| 52.231 | 35.888 | 52.231 | 0.000 | 0.000 | 0.000 |
| 52.231 | 52.231 | 35.888 | 0.000 | 0.000 | 0.000 |
| -0.000 | -0.000 | 0.000 | -67.792 | 0.000 | -0.000 |
| -0.000 | -0.000 | 0.000 | 0.000 | -67.792 | 0.000 |
| -0.000 | 0.000 | -0.000 | 0.000 | 0.000 | -67.792 |
| 0.006 | 0.006 | 0.006 | 0.000 | 0.000 | 0.000 |
| 0.006 | 0.006 | 0.006 | 0.000 | 0.000 | 0.000 |
| 0.006 | 0.006 | 0.006 | 0.000 | 0.000 | 0.000 |
| 0.000 | 0.000 | 0.000 | 0.006 | 0.000 | 0.000 |
| 0.000 | 0.000 | 0.000 | 0.000 | 0.006 | 0.000 |
| 0.000 | 0.000 | 0.000 | 0.000 | 0.000 | 0.006 |
| 0.006 | 0.006 | 0.006 | -0.000 | -0.000 | -0.000 |
| 0.006 | 0.006 | 0.006 | -0.000 | -0.000 | -0.000 |
| 0.006 | 0.006 | 0.006 | -0.000 | -0.000 | -0.000 |
| -0.000 | -0.000 | -0.000 | 0.006 | -0.000 | -0.000 |
| -0.000 | -0.000 | -0.000 | -0.000 | 0.006 | -0.000 |
| -0.000 | -0.000 | -0.000 | -0.000 | -0.000 | 0.006 |
| 0.006 | 0.006 | 0.006 | 0.000 | 0.000 | 0.000 |
| 0.006 | 0.006 | 0.006 | 0.000 | 0.000 | 0.000 |
| 0.006 | 0.006 | 0.006 | 0.000 | 0.000 | 0.000 |
| 0.000 | 0.000 | 0.000 | 0.006 | 0.000 | 0.000 |
| 0.000 | 0.000 | 0.000 | 0.000 | 0.006 | 0.000 |
| 0.000 | 0.000 | 0.000 | 0.000 | -0.000 | 0.006 |
| 0.006 | 0.006 | 0.006 | -0.000 | -0.000 | -0.000 |
| 0.006 | 0.006 | 0.006 | -0.000 | -0.000 | -0.000 |
| 0.006 | 0.006 | 0.006 | -0.000 | -0.000 | -0.000 |
| -0.000 | -0.000 | -0.000 | 0.006 | -0.000 | -0.000 |
| -0.000 | -0.000 | -0.000 | -0.000 | 0.006 | -0.000 |
| -0.000 | -0.000 | -0.000 | -0.000 | -0.000 | 0.006 |
| 0.006 | 0.006 | 0.006 | 0.000 | 0.000 | 0.000 |
| 0.006 | 0.006 | 0.006 | 0.000 | 0.000 | 0.000 |
| 0.006 | 0.006 | 0.006 | 0.000 | 0.000 | 0.000 |
| 0.000 | 0.000 | 0.000 | 0.006 | 0.000 | 0.000 |
| 0.000 | 0.000 | 0.000 | 0.000 | 0.006 | 0.000 |
| 0.000 | 0.000 | 0.000 | 0.000 | -0.000 | 0.006 |
| 0.006 | 0.006 | 0.006 | -0.000 | -0.000 | -0.000 |
| 0.006 | 0.006 | 0.006 | -0.000 | -0.000 | -0.000 |
| 0.006 | 0.006 | 0.006 | -0.000 | -0.000 | -0.000 |
| -0.000 | -0.000 | -0.000 | 0.006 | -0.000 | -0.000 |
| -0.000 | -0.000 | -0.000 | -0.000 | 0.006 | -0.000 |
| -0.000 | -0.000 | -0.000 | -0.000 | -0.000 | 0.006 |
| -23.068 | 52.960 | 52.960 | 0.000 | -0.000 | 0.000 |
| 52.960 | -23.068 | 52.960 | 0.000 | -0.000 | 0.000 |
| 52.960 | 52.960 | -23.068 | -0.000 | -0.000 | 0.000 |
| -0.000 | 0.000 | -0.000 | 23.068 | -0.000 | 0.000 |
| -0.000 | 0.000 | -0.000 | -0.000 | 23.068 | 0.000 |
| -0.000 | 0.000 | -0.000 | 0.000 | -0.000 | 23.068 |
| -23.068 | 52.960 | 52.960 | 0.000 | 0.000 | -0.000 |
| 52.960 | -23.068 | 52.960 | -0.000 | 0.000 | -0.000 |
| 52.960 | 52.960 | -23.068 | 0.000 | 0.000 | -0.000 |
| 0.000 | -0.000 | -0.000 | 23.068 | 0.000 | -0.000 |
| 0.000 | -0.000 | -0.000 | -0.000 | 23.068 | -0.000 |
| -0.000 | -0.000 | 0.000 | 0.000 | 0.000 | 23.068 |
| -23.068 | 52.960 | 52.960 | -0.000 | -0.000 | 0.000 |
| 52.960 | -23.068 | 52.960 | 0.000 | -0.000 | 0.000 |
| 52.960 | 52.960 | -23.068 | -0.000 | -0.000 | 0.000 |
| -0.000 | -0.000 | 0.000 | 23.068 | 0.000 | 0.000 |
| -0.000 | -0.000 | 0.000 | 0.000 | 23.068 | 0.000 |
| -0.000 | 0.000 | -0.000 | -0.000 | -0.000 | 23.068 |
| -23.068 | 52.960 | 52.960 | 0.000 | 0.000 | -0.000 |
| 52.960 | -23.068 | 52.960 | 0.000 | 0.000 | -0.000 |
| 52.960 | 52.960 | -23.068 | -0.000 | 0.000 | -0.000 |
| 0.000 | 0.000 | -0.000 | 23.068 | -0.000 | -0.000 |
| 0.000 | 0.000 | -0.000 | 0.000 | 23.068 | -0.000 |
| 0.000 | -0.000 | 0.000 | -0.000 | 0.000 | 23.068 |
| -23.068 | 52.960 | 52.960 | -0.000 | -0.000 | 0.000 |
| 52.960 | -23.068 | 52.960 | 0.000 | -0.000 | 0.000 |
| 52.960 | 52.960 | -23.068 | -0.000 | -0.000 | 0.000 |
| -0.000 | -0.000 | 0.000 | 23.068 | 0.000 | -0.000 |
| -0.000 | -0.000 | 0.000 | 0.000 | 23.068 | 0.000 |
| -0.000 | 0.000 | -0.000 | 0.000 | 0.000 | 23.068 |
| -23.067 | 52.960 | 52.960 | 0.000 | -0.000 | -0.000 |
| 52.960 | -23.067 | 52.960 | 0.000 | 0.000 | -0.000 |
| 52.960 | 52.960 | -23.067 | -0.000 | -0.000 | -0.000 |
| 0.000 | 0.000 | -0.000 | 23.068 | -0.000 | -0.000 |
| 0.000 | 0.000 | -0.000 | -0.000 | 23.068 | -0.000 |
| 0.000 | -0.000 | 0.000 | -0.000 | -0.000 | 23.068 |
| 347.829 | 77.014 | 77.014 | -0.000 | -0.000 | 0.000 |
| 77.014 | 347.830 | 77.014 | -0.000 | 0.000 | 0.000 |
| 77.014 | 77.014 | 347.829 | -0.000 | -0.000 | 0.000 |
| -0.000 | 0.000 | 0.000 | 28.911 | 0.000 | 0.000 |
| -0.000 | 0.000 | 0.000 | -0.000 | 28.911 | 0.000 |
| -0.000 | 0.000 | 0.000 | -0.000 | 0.000 | 28.911 |
| 347.830 | 77.014 | 77.014 | 0.000 | -0.000 | -0.000 |
| 77.014 | 347.829 | 77.014 | 0.000 | -0.000 | -0.000 |
| 77.014 | 77.014 | 347.830 | 0.000 | 0.000 | -0.000 |
| 0.000 | 0.000 | -0.000 | 28.911 | -0.000 | -0.000 |
| 0.000 | -0.000 | -0.000 | -0.000 | 28.911 | -0.000 |
| 0.000 | -0.000 | -0.000 | 0.000 | -0.000 | 28.911 |
| 347.830 | 77.014 | 77.014 | -0.000 | 0.000 | 0.000 |
| 77.014 | 347.830 | 77.014 | 0.000 | 0.000 | 0.000 |
| 77.014 | 77.014 | 347.830 | -0.000 | -0.000 | 0.000 |
| -0.000 | 0.000 | 0.000 | 28.911 | -0.000 | 0.000 |
| 0.000 | 0.000 | 0.000 | -0.000 | 28.911 | 0.000 |
| 0.000 | 0.000 | 0.000 | -0.000 | 0.000 | 28.911 |
| 347.829 | 77.014 | 77.014 | 0.000 | 0.000 | -0.000 |
| 77.014 | 347.829 | 77.014 | 0.000 | 0.000 | -0.000 |
| 77.014 | 77.014 | 347.829 | 0.000 | 0.000 | -0.000 |
| 0.000 | -0.000 | -0.000 | 28.911 | -0.000 | -0.000 |
| -0.000 | -0.000 | -0.000 | 0.000 | 28.911 | -0.000 |
| -0.000 | -0.000 | -0.000 | 0.000 | -0.000 | 28.911 |
| 347.830 | 77.014 | 77.014 | -0.000 | 0.000 | 0.000 |
| 77.014 | 347.830 | 77.014 | -0.000 | 0.000 | 0.000 |
| 77.014 | 77.014 | 347.830 | -0.000 | 0.000 | 0.000 |
| -0.000 | 0.000 | 0.000 | 28.911 | 0.000 | 0.000 |
| 0.000 | -0.000 | 0.000 | -0.000 | 28.911 | 0.000 |
| 0.000 | 0.000 | -0.000 | -0.000 | 0.000 | 28.911 |
| 347.829 | 77.014 | 77.014 | 0.000 | -0.000 | -0.000 |
| 77.014 | 347.829 | 77.014 | 0.000 | -0.000 | -0.000 |
| 77.014 | 77.014 | 347.829 | 0.000 | 0.000 | -0.000 |
| 0.000 | -0.000 | -0.000 | 28.911 | -0.000 | -0.000 |
| -0.000 | 0.000 | -0.000 | 0.000 | 28.911 | -0.000 |
| -0.000 | -0.000 | 0.000 | 0.000 | -0.000 | 28.911 |
| 173.708 | 133.957 | 133.957 | -0.000 | -0.000 | -0.000 |
| 133.957 | 173.708 | 133.957 | -0.000 | -0.000 | -0.000 |
| 133.957 | 133.957 | 173.708 | -0.000 | -0.000 | -0.000 |
| -0.000 | -0.000 | -0.000 | 97.206 | -0.000 | -0.000 |
| -0.000 | -0.000 | -0.000 | -0.000 | 97.206 | -0.000 |
| -0.000 | -0.000 | -0.000 | -0.000 | -0.000 | 97.206 |
| 173.708 | 133.957 | 133.957 | 0.000 | 0.000 | 0.000 |
| 133.957 | 173.708 | 133.957 | 0.000 | 0.000 | 0.000 |
| 133.957 | 133.957 | 173.708 | 0.000 | 0.000 | 0.000 |
| 0.000 | 0.000 | 0.000 | 97.206 | 0.000 | 0.000 |
| 0.000 | 0.000 | 0.000 | 0.000 | 97.206 | 0.000 |
| 0.000 | 0.000 | 0.000 | 0.000 | 0.000 | 97.207 |
| 173.708 | 133.957 | 133.957 | -0.000 | -0.000 | -0.000 |
| 133.957 | 173.708 | 133.957 | 0.000 | -0.000 | -0.000 |
| 133.957 | 133.957 | 173.708 | -0.000 | -0.000 | -0.000 |
| -0.000 | -0.000 | -0.000 | 97.206 | -0.000 | -0.000 |
| -0.000 | -0.000 | -0.000 | 0.000 | 97.206 | -0.000 |
| -0.000 | -0.000 | -0.000 | -0.000 | -0.000 | 97.206 |
| 173.708 | 133.957 | 133.957 | -0.000 | 0.000 | 0.000 |
| 133.957 | 173.708 | 133.957 | 0.000 | 0.000 | 0.000 |
| 133.957 | 133.957 | 173.708 | 0.000 | 0.000 | 0.000 |
| 0.000 | 0.000 | 0.000 | 97.206 | 0.000 | 0.000 |
| 0.000 | 0.000 | 0.000 | 0.000 | 97.206 | 0.000 |
| 0.000 | 0.000 | 0.000 | 0.000 | 0.000 | 97.206 |
| 173.709 | 133.957 | 133.957 | -0.000 | -0.000 | -0.000 |
| 133.957 | 173.709 | 133.957 | -0.000 | -0.000 | -0.000 |
| 133.957 | 133.957 | 173.709 | -0.000 | 0.000 | -0.000 |
| -0.000 | -0.000 | -0.000 | 97.206 | -0.000 | -0.000 |
| -0.000 | -0.000 | -0.000 | -0.000 | 97.206 | -0.000 |
| -0.000 | -0.000 | -0.000 | -0.000 | -0.000 | 97.206 |
| 173.707 | 133.957 | 133.957 | -0.000 | 0.000 | 0.000 |
| 133.957 | 173.707 | 133.957 | -0.000 | 0.000 | 0.000 |
| 133.957 | 133.957 | 173.707 | 0.000 | 0.000 | 0.000 |
| 0.000 | 0.000 | 0.000 | 97.206 | 0.000 | 0.000 |
| 0.000 | 0.000 | 0.000 | 0.000 | 97.206 | 0.000 |
| 0.000 | 0.000 | 0.000 | 0.000 | 0.000 | 97.206 |
| 455.101 | 268.333 | 268.333 | -0.000 | -0.000 | -0.000 |
| 268.333 | 455.101 | 268.333 | -0.000 | -0.000 | -0.000 |
| 268.333 | 268.333 | 455.101 | -0.000 | 0.000 | -0.000 |
| 0.000 | -0.000 | 0.000 | 79.403 | -0.000 | -0.000 |
| -0.000 | -0.000 | 0.000 | -0.000 | 79.403 | -0.000 |
| 0.000 | -0.000 | 0.000 | -0.000 | -0.000 | 79.403 |
| 455.101 | 268.333 | 268.333 | 0.000 | 0.000 | 0.000 |
| 268.333 | 455.101 | 268.333 | 0.000 | 0.000 | 0.000 |
| 268.333 | 268.333 | 455.101 | -0.000 | -0.000 | 0.000 |
| 0.000 | 0.000 | -0.000 | 79.403 | 0.000 | 0.000 |
| 0.000 | 0.000 | -0.000 | -0.000 | 79.403 | 0.000 |
| 0.000 | 0.000 | -0.000 | 0.000 | 0.000 | 79.403 |
| 455.101 | 268.333 | 268.333 | -0.000 | -0.000 | -0.000 |
| 268.333 | 455.101 | 268.333 | -0.000 | -0.000 | -0.000 |
| 268.333 | 268.333 | 455.101 | 0.000 | -0.000 | -0.000 |
| -0.000 | -0.000 | -0.000 | 79.403 | -0.000 | -0.000 |
| -0.000 | -0.000 | -0.000 | -0.000 | 79.403 | -0.000 |
| -0.000 | -0.000 | -0.000 | -0.000 | -0.000 | 79.403 |
| 455.101 | 268.333 | 268.333 | 0.000 | 0.000 | 0.000 |
| 268.333 | 455.101 | 268.333 | 0.000 | 0.000 | 0.000 |
| 268.333 | 268.333 | 455.101 | -0.000 | -0.000 | 0.000 |
| 0.000 | 0.000 | 0.000 | 79.403 | 0.000 | 0.000 |
| 0.000 | 0.000 | 0.000 | 0.000 | 79.403 | 0.000 |
| 0.000 | 0.000 | 0.000 | 0.000 | 0.000 | 79.403 |
| 455.100 | 268.333 | 268.333 | -0.000 | -0.000 | -0.000 |
| 268.333 | 455.100 | 268.333 | -0.000 | -0.000 | -0.000 |
| 268.333 | 268.333 | 455.100 | 0.000 | 0.000 | -0.000 |
| -0.000 | -0.001 | -0.000 | 79.403 | -0.000 | -0.000 |
| -0.001 | -0.000 | -0.000 | -0.000 | 79.403 | 0.000 |
| -0.001 | -0.000 | -0.000 | -0.000 | -0.000 | 79.403 |
| 455.102 | 268.333 | 268.333 | 0.000 | 0.000 | 0.000 |
| 268.333 | 455.102 | 268.333 | 0.000 | 0.000 | 0.000 |
| 268.333 | 268.333 | 455.102 | -0.000 | -0.000 | 0.000 |
| 0.000 | 0.001 | 0.000 | 79.403 | 0.000 | -0.000 |
| 0.001 | 0.000 | 0.000 | 0.000 | 79.403 | 0.000 |
| 0.001 | 0.000 | 0.000 | 0.000 | 0.000 | 79.403 |
| 0.003 | 0.003 | 0.003 | 0.000 | -0.000 | 0.000 |
| 0.003 | 0.003 | 0.003 | -0.000 | 0.000 | 0.000 |
| 0.003 | 0.003 | 0.003 | -0.000 | -0.000 | 0.000 |
| 0.000 | 0.000 | 0.000 | 0.003 | -0.000 | 0.000 |
| 0.000 | 0.000 | 0.000 | -0.000 | 0.003 | 0.000 |
| 0.000 | 0.000 | 0.000 | -0.000 | -0.000 | 0.003 |
| 0.003 | 0.003 | 0.003 | -0.000 | 0.000 | 0.000 |
| 0.003 | 0.003 | 0.003 | 0.000 | -0.000 | 0.000 |
| 0.003 | 0.003 | 0.003 | 0.000 | 0.000 | -0.000 |
| -0.000 | -0.000 | -0.000 | 0.003 | -0.000 | 0.000 |
| -0.000 | -0.000 | -0.000 | -0.000 | 0.003 | 0.000 |
| -0.000 | -0.000 | -0.000 | -0.000 | 0.000 | 0.003 |
| 0.003 | 0.003 | 0.003 | 0.000 | -0.000 | 0.000 |
| 0.003 | 0.003 | 0.003 | -0.000 | 0.000 | 0.000 |
| 0.003 | 0.003 | 0.003 | 0.000 | 0.000 | 0.000 |
| 0.000 | 0.000 | 0.000 | 0.003 | -0.000 | -0.000 |
| 0.000 | 0.000 | 0.000 | -0.000 | 0.003 | -0.000 |
| 0.000 | 0.000 | 0.000 | -0.000 | -0.000 | 0.003 |
| 0.003 | 0.003 | 0.003 | -0.000 | 0.000 | 0.000 |
| 0.003 | 0.003 | 0.003 | 0.000 | -0.000 | 0.000 |
| 0.003 | 0.003 | 0.003 | 0.000 | 0.000 | -0.000 |
| -0.000 | -0.000 | -0.000 | 0.003 | -0.000 | -0.000 |
| -0.000 | -0.000 | -0.000 | -0.000 | 0.003 | -0.000 |
| -0.000 | -0.000 | -0.000 | -0.000 | 0.000 | 0.003 |
| 0.003 | 0.003 | 0.003 | -0.000 | 0.000 | 0.000 |
| 0.003 | 0.003 | 0.003 | 0.000 | -0.000 | 0.000 |
| 0.003 | 0.003 | 0.003 | 0.000 | 0.000 | -0.000 |
| 0.000 | 0.000 | 0.000 | 0.003 | 0.000 | 0.000 |
| 0.000 | 0.000 | 0.000 | 0.000 | 0.003 | 0.000 |
| 0.000 | 0.000 | 0.000 | 0.000 | 0.000 | 0.003 |
| 0.003 | 0.003 | 0.003 | 0.000 | 0.000 | 0.000 |
| 0.003 | 0.003 | 0.003 | 0.000 | 0.000 | 0.000 |
| 0.003 | 0.003 | 0.003 | 0.000 | 0.000 | 0.000 |
| -0.000 | -0.000 | -0.000 | 0.003 | 0.000 | 0.000 |
| -0.000 | -0.000 | -0.000 | 0.000 | 0.003 | 0.000 |
| -0.000 | -0.000 | -0.000 | 0.000 | 0.000 | 0.003 |
| 83.407 | 135.570 | 134.268 | 0.000 | 0.000 | 0.000 |
| 135.570 | 83.407 | 134.268 | 0.000 | 0.000 | 0.000 |
| 134.268 | 134.268 | 94.198 | 0.000 | 0.000 | 0.000 |
| -0.000 | -0.000 | 0.000 | 103.148 | 0.000 | 0.000 |
| -0.000 | 0.000 | -0.000 | 0.000 | 103.148 | 0.000 |
| -0.000 | 0.000 | 0.000 | 0.000 | 0.000 | 87.912 |
| 83.407 | 135.570 | 134.268 | -0.000 | -0.000 | -0.000 |
| 135.570 | 83.407 | 134.268 | -0.000 | -0.000 | -0.000 |
| 134.268 | 134.268 | 94.198 | 0.000 | -0.000 | -0.000 |
| 0.000 | 0.000 | 0.000 | 103.148 | 0.000 | -0.000 |
| 0.000 | -0.000 | 0.000 | -0.000 | 103.148 | -0.000 |
| 0.000 | -0.000 | -0.000 | -0.000 | -0.000 | 87.912 |
| 83.407 | 135.570 | 134.268 | 0.000 | 0.000 | 0.000 |
| 135.570 | 83.407 | 134.268 | 0.000 | 0.000 | 0.000 |
| 134.268 | 134.268 | 94.198 | -0.000 | -0.000 | 0.000 |
| -0.000 | -0.000 | -0.000 | 103.148 | 0.000 | 0.000 |
| -0.000 | -0.000 | -0.000 | -0.000 | 103.148 | 0.000 |
| -0.000 | -0.000 | -0.000 | 0.000 | 0.000 | 87.912 |
| 83.407 | 135.570 | 134.268 | -0.000 | -0.000 | -0.000 |
| 135.570 | 83.407 | 134.268 | -0.000 | -0.000 | -0.000 |
| 134.268 | 134.268 | 94.198 | 0.000 | 0.000 | -0.000 |
| 0.000 | 0.000 | 0.000 | 103.148 | -0.000 | -0.000 |
| 0.000 | 0.000 | 0.000 | 0.000 | 103.148 | -0.000 |
| 0.000 | 0.000 | 0.000 | -0.000 | -0.000 | 87.912 |
| 83.406 | 135.570 | 134.268 | 0.000 | 0.000 | 0.000 |
| 135.570 | 83.406 | 134.268 | 0.000 | 0.000 | 0.000 |
| 134.268 | 134.268 | 94.199 | -0.000 | -0.000 | 0.000 |
| -0.000 | -0.000 | -0.000 | 103.148 | 0.000 | 0.000 |
| -0.000 | -0.000 | -0.000 | 0.000 | 103.148 | 0.000 |
| -0.000 | -0.000 | -0.000 | 0.000 | 0.000 | 87.912 |
| 83.408 | 135.570 | 134.268 | 0.000 | 0.000 | -0.000 |
| 135.570 | 83.408 | 134.268 | 0.000 | -0.000 | -0.000 |
| 134.267 | 134.267 | 94.197 | 0.000 | 0.000 | -0.000 |
| 0.000 | 0.000 | 0.000 | 103.148 | -0.000 | -0.000 |
| 0.000 | 0.000 | 0.000 | -0.000 | 103.148 | -0.000 |
| 0.000 | 0.000 | 0.000 | -0.000 | -0.000 | 87.912 |
| 84.708 | 107.623 | 107.623 | 0.000 | 0.000 | 0.000 |
| 107.623 | 84.708 | 107.623 | 0.000 | 0.000 | 0.000 |
| 107.623 | 107.623 | 84.708 | 0.000 | 0.000 | 0.000 |
| -0.000 | -0.000 | -0.000 | 39.257 | 0.000 | 0.000 |
| -0.000 | -0.000 | 0.000 | 0.000 | 39.257 | 0.000 |
| -0.000 | 0.000 | -0.000 | 0.000 | 0.000 | 39.257 |
| 84.708 | 107.623 | 107.623 | -0.000 | -0.000 | -0.000 |
| 107.623 | 84.708 | 107.623 | -0.000 | -0.000 | 0.000 |
| 107.623 | 107.623 | 84.708 | -0.000 | 0.000 | -0.000 |
| 0.000 | 0.000 | 0.000 | 39.257 | -0.000 | -0.000 |
| 0.000 | 0.000 | 0.000 | -0.000 | 39.257 | -0.000 |
| 0.000 | 0.000 | 0.000 | -0.000 | -0.000 | 39.257 |
| 84.708 | 107.623 | 107.623 | 0.000 | 0.000 | 0.000 |
| 107.623 | 84.708 | 107.623 | 0.000 | 0.000 | 0.000 |
| 107.623 | 107.623 | 84.708 | 0.000 | -0.000 | 0.000 |
| -0.000 | -0.000 | -0.000 | 39.257 | 0.000 | 0.000 |
| -0.000 | -0.000 | -0.000 | 0.000 | 39.257 | 0.000 |
| -0.000 | -0.000 | -0.000 | 0.000 | 0.000 | 39.257 |
| 84.708 | 107.623 | 107.623 | -0.000 | -0.000 | 0.000 |
| 107.623 | 84.708 | 107.623 | -0.000 | -0.000 | 0.000 |
| 107.623 | 107.623 | 84.708 | -0.000 | -0.000 | -0.000 |
| 0.000 | 0.000 | 0.000 | 39.257 | -0.000 | -0.000 |
| 0.000 | 0.000 | 0.000 | -0.000 | 39.257 | -0.000 |
| 0.000 | 0.000 | 0.000 | -0.000 | -0.000 | 39.257 |
| 84.707 | 107.623 | 107.623 | 0.000 | 0.000 | 0.000 |
| 107.623 | 84.707 | 107.623 | 0.000 | 0.000 | 0.000 |
| 107.623 | 107.623 | 84.707 | 0.000 | 0.000 | -0.000 |
| -0.001 | -0.000 | -0.000 | 39.257 | 0.000 | -0.000 |
| -0.000 | -0.001 | -0.000 | 0.000 | 39.257 | 0.000 |
| -0.000 | -0.000 | -0.001 | 0.000 | -0.000 | 39.257 |
| 84.709 | 107.623 | 107.623 | -0.000 | -0.000 | -0.000 |
| 107.623 | 84.709 | 107.623 | -0.000 | -0.000 | -0.000 |
| 107.623 | 107.623 | 84.709 | -0.000 | -0.000 | -0.000 |
| 0.001 | 0.000 | 0.000 | 39.257 | -0.000 | 0.000 |
| 0.000 | 0.001 | 0.000 | -0.000 | 39.257 | -0.000 |
| 0.000 | 0.000 | 0.001 | -0.000 | -0.000 | 39.257 |
| 181.383 | 96.625 | 96.625 | -0.000 | -0.000 | -0.000 |
| 96.625 | 181.383 | 96.625 | -0.000 | -0.000 | -0.000 |
| 96.625 | 96.625 | 181.383 | -0.000 | -0.000 | -0.000 |
| 0.000 | -0.000 | -0.000 | 57.469 | -0.000 | -0.000 |
| 0.000 | -0.000 | -0.000 | -0.000 | 57.469 | -0.000 |
| 0.000 | -0.000 | -0.000 | -0.000 | -0.000 | 57.469 |
| 181.436 | 96.599 | 96.599 | 0.000 | 0.000 | 0.000 |
| 96.599 | 181.436 | 96.599 | 0.000 | 0.000 | 0.000 |
| 96.599 | 96.599 | 181.436 | 0.000 | 0.000 | 0.000 |
| -0.000 | 0.000 | 0.000 | 57.469 | 0.000 | -0.000 |
| -0.000 | 0.000 | 0.000 | 0.000 | 57.469 | 0.000 |
| -0.000 | 0.000 | 0.000 | 0.000 | 0.000 | 57.469 |
| 181.436 | 96.599 | 96.599 | -0.000 | -0.000 | -0.000 |
| 96.599 | 181.436 | 96.599 | -0.000 | -0.000 | 0.000 |
| 96.599 | 96.599 | 181.436 | -0.000 | 0.000 | 0.000 |
| 0.000 | 0.000 | 0.000 | 57.469 | -0.000 | 0.000 |
| 0.000 | 0.000 | 0.000 | -0.000 | 57.469 | -0.000 |
| 0.000 | 0.000 | 0.000 | -0.000 | -0.000 | 57.469 |
| 181.436 | 96.599 | 96.599 | 0.000 | 0.000 | 0.000 |
| 96.599 | 181.436 | 96.599 | 0.000 | 0.000 | 0.000 |
| 96.599 | 96.599 | 181.436 | 0.000 | -0.000 | 0.000 |
| -0.000 | -0.000 | -0.000 | 57.469 | 0.000 | 0.000 |
| -0.000 | -0.000 | -0.000 | 0.000 | 57.469 | 0.000 |
| -0.000 | -0.000 | -0.000 | 0.000 | 0.000 | 57.469 |
| 181.382 | 96.626 | 96.626 | -0.000 | -0.000 | -0.000 |
| 96.626 | 181.382 | 96.626 | -0.000 | -0.000 | -0.000 |
| 96.626 | 96.626 | 181.382 | -0.000 | -0.000 | -0.000 |
| 0.000 | 0.001 | 0.001 | 57.469 | -0.000 | -0.000 |
| 0.001 | 0.000 | 0.001 | -0.000 | 57.469 | -0.000 |
| 0.001 | 0.001 | 0.000 | -0.000 | -0.000 | 57.469 |
| 181.383 | 96.625 | 96.625 | 0.000 | 0.000 | 0.000 |
| 96.625 | 181.383 | 96.625 | 0.000 | 0.000 | -0.000 |
| 96.625 | 96.625 | 181.383 | 0.000 | 0.000 | 0.000 |
| -0.000 | -0.001 | -0.001 | 57.469 | 0.000 | 0.000 |
| -0.001 | -0.000 | -0.001 | 0.000 | 57.469 | 0.000 |
| -0.001 | -0.001 | -0.000 | 0.000 | 0.000 | 57.469 |
| 326.762 | 141.260 | 141.260 | -0.000 | -0.000 | 0.000 |
| 141.260 | 326.762 | 141.260 | -0.000 | -0.000 | -0.000 |
| 141.260 | 141.260 | 326.762 | -0.000 | -0.000 | 0.000 |
| -0.000 | -0.000 | -0.000 | 93.334 | 0.000 | -0.000 |
| -0.000 | -0.000 | -0.000 | -0.000 | 93.334 | -0.000 |
| -0.000 | -0.000 | -0.000 | 0.000 | -0.000 | 93.334 |
| 326.762 | 141.260 | 141.260 | 0.000 | 0.000 | -0.000 |
| 141.260 | 326.762 | 141.260 | 0.000 | 0.000 | 0.000 |
| 141.260 | 141.260 | 326.762 | 0.000 | 0.000 | 0.000 |
| 0.000 | 0.000 | 0.000 | 93.334 | 0.000 | 0.000 |
| 0.000 | 0.000 | 0.000 | 0.000 | 93.334 | 0.000 |
| 0.000 | 0.000 | 0.000 | 0.000 | 0.000 | 93.334 |
| 326.762 | 141.260 | 141.260 | 0.000 | -0.000 | -0.000 |
| 141.260 | 326.762 | 141.260 | -0.000 | -0.000 | -0.000 |
| 141.260 | 141.260 | 326.762 | 0.000 | -0.000 | 0.000 |
| -0.000 | -0.000 | -0.000 | 91.861 | -0.000 | -0.000 |
| -0.000 | -0.000 | -0.000 | -0.000 | 91.861 | -0.000 |
| -0.000 | -0.000 | -0.000 | -0.000 | -0.000 | 91.861 |
| 326.762 | 141.260 | 141.260 | 0.000 | 0.000 | 0.000 |
| 141.260 | 326.762 | 141.260 | 0.000 | 0.000 | 0.000 |
| 141.260 | 141.260 | 326.762 | -0.000 | -0.000 | 0.000 |
| 0.000 | 0.000 | 0.000 | 91.861 | 0.000 | 0.000 |
| 0.000 | 0.000 | 0.000 | 0.000 | 91.861 | 0.000 |
| 0.000 | 0.000 | 0.000 | 0.000 | 0.000 | 91.861 |
| 326.762 | 141.260 | 141.260 | -0.000 | -0.000 | -0.000 |
| 141.260 | 326.762 | 141.260 | -0.000 | -0.000 | -0.000 |
| 141.260 | 141.260 | 326.762 | -0.000 | -0.000 | -0.000 |
| -0.000 | -0.000 | -0.000 | 91.861 | -0.000 | 0.000 |
| -0.000 | -0.000 | -0.000 | -0.000 | 91.861 | -0.000 |
| -0.000 | -0.000 | -0.000 | -0.000 | -0.000 | 91.861 |
| 326.762 | 141.260 | 141.260 | 0.000 | 0.000 | 0.000 |
| 141.260 | 326.762 | 141.260 | 0.000 | 0.000 | -0.000 |
| 141.260 | 141.260 | 326.762 | 0.000 | -0.000 | 0.000 |
| 0.000 | 0.000 | 0.000 | 91.861 | 0.000 | 0.000 |
| 0.000 | 0.000 | 0.000 | 0.000 | 91.861 | -0.000 |
| 0.000 | 0.000 | 0.000 | 0.000 | 0.000 | 91.861 |
| 118.459 | 78.872 | 78.872 | 0.000 | 0.000 | 0.000 |
| 78.872 | 118.459 | 78.872 | 0.000 | 0.000 | -0.000 |
| 78.872 | 78.872 | 118.459 | -0.000 | 0.000 | -0.000 |
| -0.000 | -0.000 | 0.000 | 37.287 | 0.000 | -0.000 |
| -0.000 | -0.000 | 0.000 | 0.000 | 37.287 | 0.000 |
| -0.000 | -0.000 | -0.000 | 0.000 | 0.000 | 37.287 |
| 118.459 | 78.872 | 78.872 | -0.000 | -0.000 | 0.000 |
| 78.872 | 118.459 | 78.872 | -0.000 | -0.000 | 0.000 |
| 78.872 | 78.872 | 118.459 | -0.000 | 0.000 | 0.000 |
| 0.000 | 0.000 | -0.000 | 37.287 | 0.000 | -0.000 |
| 0.000 | 0.000 | -0.000 | -0.000 | 37.287 | -0.000 |
| 0.000 | 0.000 | 0.000 | -0.000 | -0.000 | 37.287 |
| 118.458 | 78.872 | 78.872 | 0.000 | 0.000 | 0.000 |
| 78.872 | 118.458 | 78.872 | 0.000 | 0.000 | 0.000 |
| 78.872 | 78.872 | 118.458 | 0.000 | -0.000 | 0.000 |
| -0.000 | -0.000 | -0.000 | 37.287 | -0.000 | 0.000 |
| -0.000 | -0.000 | -0.000 | 0.000 | 37.287 | 0.000 |
| -0.000 | -0.000 | -0.000 | 0.000 | 0.000 | 37.287 |
| 118.459 | 78.872 | 78.872 | -0.000 | -0.000 | 0.000 |
| 78.872 | 118.459 | 78.872 | -0.000 | -0.000 | 0.000 |
| 78.872 | 78.872 | 118.459 | 0.000 | 0.000 | 0.000 |
| 0.000 | 0.000 | 0.000 | 37.287 | 0.000 | 0.000 |
| 0.000 | 0.000 | 0.000 | -0.000 | 37.287 | -0.000 |
| 0.000 | 0.000 | 0.000 | -0.000 | -0.000 | 37.287 |
| 118.456 | 78.872 | 78.872 | 0.000 | -0.000 | -0.000 |
| 78.872 | 118.456 | 78.872 | 0.000 | 0.000 | -0.000 |
| 78.872 | 78.872 | 118.456 | 0.000 | -0.000 | 0.000 |
| -0.000 | -0.000 | -0.000 | 37.287 | -0.000 | -0.000 |
| -0.000 | -0.000 | -0.000 | 0.000 | 37.287 | -0.000 |
| -0.000 | -0.000 | -0.000 | 0.000 | 0.000 | 37.287 |
| 118.461 | 78.872 | 78.872 | -0.000 | -0.000 | -0.000 |
| 78.872 | 118.461 | 78.872 | -0.000 | -0.000 | 0.000 |
| 78.872 | 78.872 | 118.461 | -0.000 | 0.000 | 0.000 |
| 0.000 | 0.000 | 0.000 | 37.287 | 0.000 | -0.000 |
| 0.000 | 0.000 | 0.000 | 0.000 | 37.287 | 0.000 |
| 0.000 | 0.000 | 0.000 | -0.000 | -0.000 | 37.287 |
| 626.372 | 494.750 | 494.750 | -0.000 | -0.000 | 0.000 |
| 494.750 | 626.372 | 494.750 | 0.000 | -0.000 | 0.000 |
| 494.750 | 494.750 | 626.372 | -0.000 | -0.000 | -0.000 |
| 0.000 | 0.000 | 0.000 | 477.760 | -0.000 | 0.000 |
| 0.000 | -0.000 | 0.000 | -0.000 | 477.760 | 0.000 |
| 0.000 | 0.000 | -0.000 | -0.000 | -0.000 | 477.760 |
| 626.371 | 494.749 | 494.749 | 0.000 | 0.000 | -0.000 |
| 494.749 | 626.371 | 494.749 | 0.000 | 0.000 | -0.000 |
| 494.749 | 494.749 | 626.371 | 0.000 | 0.000 | -0.000 |
| -0.000 | -0.000 | -0.000 | 477.760 | 0.000 | -0.000 |
| -0.000 | 0.000 | -0.000 | 0.000 | 477.760 | -0.000 |
| -0.000 | -0.000 | 0.000 | 0.000 | 0.000 | 477.760 |
| 626.374 | 494.751 | 494.751 | -0.000 | -0.000 | 0.000 |
| 494.751 | 626.374 | 494.751 | -0.000 | 0.000 | 0.000 |
| 494.751 | 494.751 | 626.374 | -0.000 | -0.000 | 0.000 |
| -0.000 | 0.001 | 0.002 | 477.760 | 0.000 | 0.000 |
| 0.001 | -0.000 | 0.002 | -0.000 | 477.760 | 0.000 |
| 0.001 | 0.002 | -0.000 | -0.000 | -0.000 | 477.760 |
| 626.368 | 494.748 | 494.748 | 0.000 | -0.000 | -0.000 |
| 494.748 | 626.368 | 494.748 | -0.000 | 0.000 | -0.000 |
| 494.748 | 494.748 | 626.368 | 0.000 | 0.000 | -0.000 |
| 0.000 | -0.001 | -0.002 | 477.760 | 0.000 | -0.000 |
| -0.001 | 0.000 | -0.002 | 0.000 | 477.760 | -0.000 |
| -0.001 | -0.002 | 0.000 | 0.000 | 0.000 | 477.760 |
| 626.402 | 494.765 | 494.765 | 0.000 | 0.000 | 0.000 |
| 494.765 | 626.402 | 494.765 | 0.000 | -0.000 | 0.000 |
| 494.765 | 494.765 | 626.402 | -0.000 | 0.000 | 0.000 |
| -0.000 | 0.014 | 0.015 | 477.760 | -0.000 | 0.000 |
| 0.014 | -0.000 | 0.015 | -0.000 | 477.760 | 0.000 |
| 0.014 | 0.015 | -0.000 | -0.000 | -0.000 | 477.760 |
| 626.341 | 494.734 | 494.734 | 0.000 | 0.000 | -0.000 |
| 494.734 | 626.341 | 494.734 | 0.000 | 0.000 | -0.000 |
| 494.734 | 494.734 | 626.341 | 0.000 | 0.000 | -0.000 |
| 0.000 | -0.014 | -0.015 | 477.760 | 0.000 | -0.000 |
| -0.014 | 0.000 | -0.015 | 0.000 | 477.760 | -0.000 |
| -0.014 | -0.015 | 0.000 | 0.000 | 0.000 | 477.760 |
| -133.820 | 10.730 | 10.730 | 0.000 | 0.000 | -0.000 |
| 10.730 | -133.820 | 10.730 | -0.000 | 0.000 | -0.000 |
| 10.730 | 10.730 | -133.820 | 0.000 | 0.000 | -0.000 |
| -0.000 | -0.000 | -0.000 | -37.921 | 0.000 | -0.000 |
| -0.000 | -0.000 | -0.000 | 0.000 | -37.921 | -0.000 |
| -0.000 | -0.000 | -0.000 | -0.000 | 0.000 | -37.921 |
| -133.820 | 10.730 | 10.730 | -0.000 | -0.000 | 0.000 |
| 10.730 | -133.820 | 10.730 | 0.000 | -0.000 | 0.000 |
| 10.730 | 10.730 | -133.820 | -0.000 | -0.000 | -0.000 |
| 0.000 | 0.000 | 0.000 | -37.921 | -0.000 | 0.000 |
| 0.000 | 0.000 | 0.000 | -0.000 | -37.921 | 0.000 |
| 0.000 | 0.000 | 0.000 | -0.000 | -0.000 | -37.921 |
| -133.821 | 10.730 | 10.730 | 0.000 | -0.000 | -0.000 |
| 10.730 | -133.821 | 10.730 | -0.000 | 0.000 | 0.000 |
| 10.730 | 10.730 | -133.821 | 0.000 | 0.000 | -0.000 |
| -0.000 | -0.000 | -0.000 | -37.921 | 0.000 | 0.000 |
| -0.000 | -0.000 | -0.000 | 0.000 | -37.921 | -0.000 |
| -0.000 | -0.000 | -0.000 | -0.000 | 0.000 | -37.921 |
| -133.820 | 10.730 | 10.730 | -0.000 | -0.000 | 0.000 |
| 10.730 | -133.820 | 10.730 | -0.000 | -0.000 | 0.000 |
| 10.730 | 10.730 | -133.820 | 0.000 | 0.000 | 0.000 |
| 0.000 | 0.000 | 0.000 | -37.921 | -0.000 | 0.000 |
| 0.000 | 0.000 | 0.000 | -0.000 | -37.921 | 0.000 |
| 0.000 | 0.000 | 0.000 | -0.000 | -0.000 | -37.921 |
| -133.827 | 10.728 | 10.728 | 0.000 | 0.000 | -0.000 |
| 10.728 | -133.827 | 10.728 | 0.000 | 0.000 | -0.000 |
| 10.728 | 10.728 | -133.827 | 0.000 | 0.000 | -0.000 |
| -0.001 | -0.002 | -0.002 | -37.921 | 0.000 | -0.000 |
| -0.002 | -0.001 | -0.002 | 0.000 | -37.921 | -0.000 |
| -0.002 | -0.002 | -0.001 | -0.000 | 0.000 | -37.921 |
| -133.813 | 10.732 | 10.732 | -0.000 | -0.000 | 0.000 |
| 10.732 | -133.813 | 10.732 | -0.000 | -0.000 | 0.000 |
| 10.732 | 10.732 | -133.813 | -0.000 | -0.000 | 0.000 |
| 0.001 | 0.002 | 0.002 | -37.921 | -0.000 | 0.000 |
| 0.002 | 0.001 | 0.002 | -0.000 | -37.921 | 0.000 |
| 0.002 | 0.002 | 0.001 | -0.000 | -0.000 | -37.921 |
| -7.707 | 59.052 | 59.052 | -0.000 | -0.000 | 0.000 |
| 59.052 | -7.707 | 59.052 | 0.000 | 0.000 | 0.000 |
| 59.052 | 59.052 | -7.707 | 0.000 | 0.000 | -0.000 |
| -0.000 | -0.000 | -0.000 | 9.633 | 0.000 | 0.000 |
| -0.000 | -0.000 | -0.000 | 0.000 | 9.633 | -0.000 |
| -0.000 | -0.000 | -0.000 | -0.000 | -0.000 | 9.633 |
| -7.707 | 59.052 | 59.052 | 0.000 | -0.000 | -0.000 |
| 59.052 | -7.707 | 59.052 | -0.000 | 0.000 | 0.000 |
| 59.052 | 59.052 | -7.707 | -0.000 | 0.000 | 0.000 |
| 0.000 | 0.000 | 0.000 | 9.633 | -0.000 | 0.000 |
| 0.000 | 0.000 | 0.000 | 0.000 | 9.633 | 0.000 |
| 0.000 | 0.000 | 0.000 | -0.000 | -0.000 | 9.633 |
| -7.707 | 59.052 | 59.052 | 0.000 | -0.000 | -0.000 |
| 59.052 | -7.707 | 59.052 | 0.000 | -0.000 | 0.000 |
| 59.052 | 59.052 | -7.707 | 0.000 | 0.000 | 0.000 |
| -0.000 | -0.000 | -0.000 | 9.633 | 0.000 | -0.000 |
| -0.000 | -0.000 | -0.000 | 0.000 | 9.633 | -0.000 |
| -0.000 | -0.000 | -0.000 | -0.000 | 0.000 | 9.633 |
| -7.706 | 59.052 | 59.052 | -0.000 | -0.000 | -0.000 |
| 59.052 | -7.706 | 59.052 | -0.000 | -0.000 | -0.000 |
| 59.052 | 59.052 | -7.706 | -0.000 | -0.000 | 0.000 |
| 0.000 | 0.000 | 0.000 | 9.633 | -0.000 | -0.000 |
| 0.000 | 0.000 | 0.000 | -0.000 | 9.633 | 0.000 |
| 0.000 | 0.000 | 0.000 | -0.000 | -0.000 | 9.633 |
| -7.713 | 59.051 | 59.051 | -0.000 | 0.000 | 0.000 |
| 59.051 | -7.713 | 59.051 | 0.000 | 0.000 | -0.000 |
| 59.051 | 59.051 | -7.713 | 0.000 | 0.000 | -0.000 |
| -0.001 | -0.001 | -0.001 | 9.633 | 0.000 | -0.000 |
| -0.001 | -0.001 | -0.001 | 0.000 | 9.633 | -0.000 |
| -0.001 | -0.001 | -0.001 | 0.000 | -0.000 | 9.633 |
| -7.700 | 59.053 | 59.053 | -0.000 | 0.000 | 0.000 |
| 59.053 | -7.700 | 59.053 | -0.000 | -0.000 | -0.000 |
| 59.053 | 59.053 | -7.700 | -0.000 | -0.000 | 0.000 |
| 0.001 | 0.001 | 0.001 | 9.633 | -0.000 | 0.000 |
| 0.001 | 0.001 | 0.001 | -0.000 | 9.633 | -0.000 |
| 0.001 | 0.001 | 0.001 | -0.000 | -0.000 | 9.633 |
| 233.646 | 138.878 | 138.878 | 0.000 | 0.000 | 0.000 |
| 138.878 | 233.646 | 138.878 | 0.000 | 0.000 | 0.000 |
| 138.878 | 138.878 | 233.646 | 0.000 | 0.000 | 0.000 |
| 0.000 | 0.000 | 0.000 | 96.389 | -0.000 | -0.000 |
| 0.000 | 0.000 | 0.000 | 0.000 | 96.389 | 0.000 |
| 0.000 | 0.000 | -0.000 | 0.000 | -0.000 | 96.389 |
| 234.937 | 138.232 | 138.232 | -0.000 | -0.000 | 0.000 |
| 138.232 | 234.937 | 138.232 | -0.000 | -0.000 | 0.000 |
| 138.232 | 138.232 | 234.937 | 0.000 | -0.000 | -0.000 |
| -0.000 | -0.000 | 0.000 | 96.389 | 0.000 | -0.000 |
| -0.000 | -0.000 | 0.000 | -0.000 | 96.389 | 0.000 |
| -0.000 | -0.000 | 0.000 | -0.000 | 0.000 | 96.389 |
| 234.937 | 138.232 | 138.232 | 0.000 | 0.000 | -0.000 |
| 138.232 | 234.937 | 138.232 | 0.000 | 0.000 | 0.000 |
| 138.232 | 138.232 | 234.937 | 0.000 | 0.000 | 0.000 |
| -0.000 | -0.000 | -0.000 | 100.309 | 0.000 | 0.000 |
| -0.000 | -0.000 | -0.000 | 0.000 | 100.309 | 0.000 |
| -0.000 | -0.000 | -0.000 | 0.000 | 0.000 | 100.309 |
| 233.646 | 138.878 | 138.878 | -0.000 | -0.000 | -0.000 |
| 138.878 | 233.646 | 138.878 | -0.000 | -0.000 | -0.000 |
| 138.878 | 138.878 | 233.646 | -0.000 | 0.000 | -0.000 |
| 0.000 | 0.000 | 0.000 | 100.309 | -0.000 | 0.000 |
| 0.000 | 0.000 | 0.000 | -0.000 | 100.309 | -0.000 |
| 0.000 | 0.000 | 0.000 | -0.000 | -0.000 | 100.309 |
| 234.935 | 138.232 | 138.232 | 0.000 | 0.000 | 0.000 |
| 138.232 | 234.935 | 138.232 | 0.000 | 0.000 | 0.000 |
| 138.232 | 138.232 | 234.935 | 0.000 | -0.000 | -0.000 |
| -0.000 | -0.000 | -0.000 | 100.309 | 0.000 | 0.000 |
| -0.000 | -0.000 | -0.000 | 0.000 | 100.309 | 0.000 |
| -0.000 | -0.000 | -0.000 | 0.000 | 0.000 | 100.309 |
| 234.940 | 138.232 | 138.232 | -0.000 | -0.000 | 0.000 |
| 138.232 | 234.940 | 138.232 | -0.000 | -0.000 | -0.000 |
| 138.232 | 138.232 | 234.940 | -0.000 | -0.000 | -0.000 |
| 0.000 | 0.000 | 0.000 | 100.309 | -0.000 | 0.000 |
| 0.000 | 0.000 | 0.000 | 0.000 | 100.309 | 0.000 |
| 0.000 | 0.000 | 0.000 | -0.000 | -0.000 | 100.309 |
| 522.996 | 202.990 | 202.990 | -0.000 | -0.000 | 0.000 |
| 202.990 | 522.996 | 202.990 | -0.000 | -0.000 | -0.000 |
| 202.990 | 202.990 | 522.996 | 0.000 | 0.000 | 0.000 |
| 0.000 | 0.000 | 0.000 | 160.009 | -0.000 | 0.000 |
| 0.000 | 0.000 | 0.000 | -0.000 | 160.009 | 0.000 |
| 0.000 | 0.000 | 0.000 | -0.000 | -0.000 | 160.009 |
| 522.996 | 202.990 | 202.990 | 0.000 | 0.000 | -0.000 |
| 202.990 | 522.996 | 202.990 | 0.000 | 0.000 | -0.000 |
| 202.990 | 202.990 | 522.996 | -0.000 | -0.000 | -0.000 |
| -0.000 | -0.000 | -0.000 | 160.009 | 0.000 | -0.000 |
| -0.000 | -0.000 | -0.000 | 0.000 | 160.009 | -0.000 |
| -0.000 | -0.000 | -0.000 | 0.000 | 0.000 | 160.009 |
| 522.996 | 202.990 | 202.990 | -0.000 | -0.000 | 0.000 |
| 202.990 | 522.996 | 202.990 | 0.000 | -0.000 | 0.000 |
| 202.990 | 202.990 | 522.996 | -0.000 | -0.000 | 0.000 |
| 0.000 | 0.000 | 0.000 | 160.009 | -0.000 | 0.000 |
| 0.000 | 0.000 | 0.000 | 0.000 | 160.009 | 0.000 |
| 0.000 | 0.000 | 0.000 | -0.000 | -0.000 | 160.009 |
| 522.996 | 202.990 | 202.990 | 0.000 | 0.000 | -0.000 |
| 202.990 | 522.996 | 202.990 | 0.000 | 0.000 | -0.000 |
| 202.990 | 202.990 | 522.996 | 0.000 | -0.000 | -0.000 |
| -0.000 | -0.000 | -0.000 | 160.009 | -0.000 | -0.000 |
| -0.000 | -0.000 | -0.000 | 0.000 | 160.009 | -0.000 |
| -0.000 | -0.000 | -0.000 | 0.000 | 0.000 | 160.009 |
| 522.996 | 202.991 | 202.991 | 0.000 | -0.000 | 0.000 |
| 202.991 | 522.996 | 202.991 | -0.000 | -0.000 | -0.000 |
| 202.991 | 202.991 | 522.996 | 0.000 | 0.000 | 0.000 |
| 0.001 | 0.000 | 0.000 | 160.009 | 0.000 | -0.000 |
| 0.000 | 0.001 | 0.000 | -0.000 | 160.009 | 0.000 |
| 0.000 | 0.000 | 0.001 | -0.000 | -0.000 | 160.009 |
| 522.996 | 202.989 | 202.989 | 0.000 | 0.000 | -0.000 |
| 202.989 | 522.996 | 202.989 | 0.000 | 0.000 | -0.000 |
| 202.989 | 202.989 | 522.996 | 0.000 | 0.000 | -0.000 |
| -0.001 | -0.000 | -0.000 | 160.009 | 0.000 | -0.000 |
| -0.000 | -0.001 | -0.000 | 0.000 | 160.009 | -0.000 |
| -0.000 | -0.000 | -0.001 | 0.000 | 0.000 | 160.009 |
| 192764737.275 | 2174992814.548 | 2462218673.553 | 2.585 | -0.346 | -8.870 |
| 287.873 | 801.929 | 13.245 | -0.000 | -0.000 | 0.000 |
| 13.245 | 13.245 | 237.474 | 0.000 | 0.000 | -0.000 |
| 0.000 | 0.000 | -0.000 | -15.706 | 0.000 | -0.000 |
| -0.000 | 0.000 | -0.000 | -0.000 | -15.706 | -0.000 |
| -0.000 | 0.000 | -0.000 | 0.000 | -0.000 | -186.194 |
| 801.928 | 287.873 | 13.245 | 0.000 | 0.000 | 0.000 |
| 731.094 | 358.707 | 13.245 | -0.000 | 0.000 | -0.000 |
| 13.245 | 13.245 | 237.474 | -0.000 | 0.000 | -0.000 |
| 0.000 | -0.000 | 0.000 | -15.706 | 0.000 | 0.000 |
| 0.000 | 0.000 | 0.000 | 0.000 | -15.706 | 0.000 |
| 0.000 | -0.000 | 0.000 | -0.000 | 0.000 | -186.194 |
| 801.934 | 287.874 | 13.245 | 0.000 | -0.000 | 0.000 |
| 311208806.982 | -55812325.833 | 301696431.926 | 0.000 | -0.000 | -0.000 |
| 13.245 | 13.245 | 237.474 | 0.000 | 0.000 | -0.000 |
| -0.000 | -0.000 | -0.000 | -15.706 | 0.000 | -0.000 |
| -0.000 | -0.000 | -0.000 | 0.000 | -15.706 | -0.000 |
| 35941940.623 | 219452835.742 | 301695839.631 | 0.000 | -0.000 | -158924777.256 |
| -274.389 | 1364.190 | 13.249 | -0.000 | 0.000 | -0.000 |
| 287.872 | 801.924 | 13.245 | 0.000 | 0.000 | 0.000 |
| 13.245 | 13.245 | 237.473 | 0.000 | 0.000 | 0.000 |
| 0.000 | 0.000 | 0.000 | -15.706 | 0.000 | -0.000 |
| 0.000 | 0.000 | 0.000 | -0.000 | -15.706 | 0.000 |
| -35941940.623 | -219452835.742 | -301695839.631 | 0.000 | 0.000 | -158924777.256 |
| -6887671.971 | 9115579.601 | 3015351.505 | 0.000 | -0.000 | -0.001 |
| 31121265.890 | -5580066.274 | 30169873.112 | -0.000 | -0.000 | -0.000 |
| 13.244 | 13.244 | 237.474 | -0.000 | -0.000 | -0.000 |
| 0.000 | -0.001 | -0.001 | -15.706 | -0.000 | 0.000 |
| -0.001 | 0.000 | -0.001 | -0.000 | -15.706 | 0.000 |
| 3594249.988 | 21945244.806 | 30169280.818 | -0.000 | -0.000 | -15892107.899 |
| -31119549.386 | 5581753.432 | -30168584.314 | 0.000 | 0.000 | 0.000 |
| 6888752.368 | -9114610.690 | -3015365.650 | -0.000 | 0.000 | 0.001 |
| 13.245 | 13.245 | 237.473 | -0.000 | 0.000 | 0.000 |
| -0.000 | 0.001 | 0.001 | -15.706 | 0.000 | 0.000 |
| 0.001 | -0.000 | 0.001 | -0.000 | -15.706 | 0.000 |
| -3594249.988 | -21945244.806 | -30169280.818 | -0.000 | 0.000 | -15892107.899 |
| 207.165 | 178.146 | 178.146 | -0.000 | -0.000 | -0.000 |
| 178.146 | 207.165 | 178.146 | -0.000 | -0.000 | -0.000 |
| 178.146 | 178.146 | 207.165 | -0.000 | -0.000 | -0.000 |
| 0.000 | 0.000 | 0.000 | 140.610 | 0.000 | -0.000 |
| 0.000 | 0.000 | 0.000 | 0.000 | 140.610 | -0.000 |
| 0.000 | 0.000 | 0.000 | 0.000 | -0.000 | 140.610 |
| 207.165 | 178.146 | 178.146 | 0.000 | 0.000 | 0.000 |
| 178.146 | 207.165 | 178.146 | 0.000 | 0.000 | 0.000 |
| 178.146 | 178.146 | 207.165 | 0.000 | 0.000 | 0.000 |
| -0.000 | -0.000 | -0.000 | 140.610 | 0.000 | 0.000 |
| -0.000 | -0.000 | -0.000 | 0.000 | 140.610 | 0.000 |
| -0.000 | -0.000 | -0.000 | 0.000 | 0.000 | 140.610 |
| 207.165 | 178.147 | 178.147 | 0.000 | -0.000 | -0.000 |
| 178.147 | 207.165 | 178.147 | -0.000 | 0.000 | -0.000 |
| 178.147 | 178.147 | 207.165 | -0.000 | -0.000 | 0.000 |
| -0.000 | -0.000 | -0.000 | 26.816 | -0.000 | -0.000 |
| -0.000 | -0.000 | -0.000 | -0.000 | 26.816 | -0.000 |
| -0.000 | -0.000 | -0.000 | -0.000 | -0.000 | 26.816 |
| 207.165 | 178.146 | 178.146 | 0.000 | 0.000 | 0.000 |
| 178.146 | 207.165 | 178.146 | 0.000 | 0.000 | 0.000 |
| 178.146 | 178.146 | 207.165 | 0.000 | 0.000 | 0.000 |
| 0.000 | 0.000 | 0.000 | 26.816 | 0.000 | 0.000 |
| 0.000 | 0.000 | 0.000 | 0.000 | 26.816 | 0.000 |
| 0.000 | 0.000 | 0.000 | 0.000 | 0.000 | 26.816 |
| 207.166 | 178.149 | 178.149 | -0.000 | -0.000 | -0.000 |
| 178.149 | 207.166 | 178.149 | -0.000 | -0.000 | -0.000 |
| 178.149 | 178.149 | 207.166 | -0.000 | -0.000 | -0.000 |
| -0.000 | -0.000 | -0.000 | 26.816 | -0.000 | -0.000 |
| -0.000 | -0.000 | -0.000 | -0.000 | 26.816 | -0.000 |
| -0.000 | -0.000 | -0.000 | -0.000 | -0.000 | 26.816 |
| 207.163 | 178.144 | 178.144 | 0.000 | 0.000 | 0.000 |
| 178.144 | 207.163 | 178.144 | 0.000 | 0.000 | 0.000 |
| 178.144 | 178.144 | 207.163 | 0.000 | 0.000 | 0.000 |
| 0.000 | 0.000 | 0.000 | 26.816 | 0.000 | 0.000 |
| 0.000 | 0.000 | 0.000 | 0.000 | 26.816 | 0.000 |
| 0.000 | 0.000 | 0.000 | 0.000 | 0.000 | 26.816 |
| 1575.293 | -141.044 | 217.891 | -0.000 | -0.000 | 0.000 |
| -141.044 | 1575.293 | 217.891 | -0.000 | -0.000 | -0.000 |
| 217.891 | 217.891 | 1574.505 | 0.000 | 0.000 | 0.000 |
| 0.000 | -0.000 | -0.000 | 56.156 | 0.000 | -0.000 |
| 0.000 | -0.000 | -0.000 | 0.000 | 56.156 | -0.000 |
| 0.000 | -0.000 | -0.000 | 0.000 | 0.000 | -195.318 |
| 1575.293 | -141.044 | 217.891 | 0.000 | 0.000 | 0.000 |
| -141.044 | 1575.293 | 217.891 | 0.000 | 0.000 | -0.000 |
| 217.891 | 217.891 | 1574.504 | -0.000 | -0.000 | -0.000 |
| -0.000 | -0.000 | 0.000 | 56.156 | -0.000 | -0.000 |
| -0.000 | 0.000 | 0.000 | -0.000 | 56.156 | 0.000 |
| -0.000 | 0.000 | 0.000 | -0.000 | 0.000 | -195.318 |
| 1575.297 | -141.045 | 217.892 | -0.000 | -0.000 | 0.000 |
| -141.045 | 1575.297 | 217.892 | -0.000 | -0.000 | -0.000 |
| 217.891 | 217.891 | 1574.509 | 0.000 | 0.000 | 0.000 |
| -0.000 | -0.000 | -0.000 | 56.156 | 0.000 | -0.000 |
| -0.000 | -0.000 | -0.000 | -0.000 | 56.156 | -0.000 |
| -0.000 | -0.000 | -0.000 | -0.000 | 0.000 | -195.318 |
| 1575.289 | -141.044 | 217.891 | 0.000 | 0.000 | -0.000 |
| -141.044 | 1575.289 | 217.891 | 0.000 | 0.000 | 0.000 |
| 217.891 | 217.891 | 1574.500 | -0.000 | 0.000 | 0.000 |
| 0.000 | 0.000 | 0.000 | 56.156 | -0.000 | -0.000 |
| 0.000 | 0.000 | 0.000 | -0.000 | 56.156 | -0.000 |
| 0.000 | 0.000 | 0.000 | -0.000 | -0.000 | -195.318 |
| 995.172 | 439.093 | 217.893 | 0.000 | 0.000 | -0.000 |
| 439.093 | 995.172 | 217.893 | 0.000 | 0.000 | 0.000 |
| 217.891 | 217.891 | 1574.550 | 0.000 | -0.000 | 0.000 |
| -0.000 | -0.000 | -0.001 | 56.156 | 0.000 | -0.000 |
| -0.000 | -0.000 | -0.001 | 0.000 | 56.156 | -0.000 |
| -0.000 | -0.002 | -0.000 | -0.000 | -0.000 | -195.318 |
| 995.158 | 439.074 | 217.890 | -0.000 | -0.000 | 0.000 |
| 439.074 | 995.158 | 217.890 | -0.000 | -0.000 | 0.000 |
| 217.891 | 217.891 | 1574.460 | -0.000 | 0.000 | -0.000 |
| 0.000 | 0.000 | 0.001 | 56.156 | -0.000 | -0.000 |
| 0.000 | 0.000 | 0.001 | 0.000 | 56.156 | 0.000 |
| 0.000 | 0.002 | 0.000 | 0.000 | 0.000 | -195.318 |
| 2061.856 | -39.671 | 191.802 | -0.000 | -0.000 | 0.000 |
| -39.671 | 2061.856 | 191.802 | -0.000 | -0.000 | 0.000 |
| 191.801 | 191.801 | 461.336 | 0.000 | -0.000 | 0.000 |
| 0.000 | 0.000 | -0.000 | 153.788 | 0.000 | -0.000 |
| 0.000 | 0.000 | -0.000 | 0.000 | 153.788 | 0.000 |
| 0.000 | -0.000 | 0.000 | -0.000 | -0.000 | -82.420 |
| 2061.855 | -39.671 | 191.801 | 0.000 | 0.000 | -0.000 |
| -39.671 | 2061.855 | 191.801 | 0.000 | 0.000 | -0.000 |
| 191.802 | 191.802 | 461.336 | -0.000 | 0.000 | -0.000 |
| -0.000 | 0.000 | 0.000 | 153.788 | -0.000 | -0.000 |
| -0.000 | -0.000 | 0.000 | 0.000 | 153.788 | -0.000 |
| 0.000 | 0.000 | 0.000 | 0.000 | -0.000 | -82.420 |
| 2061.861 | -39.671 | 191.802 | -0.000 | -0.000 | 0.000 |
| -39.671 | 2061.861 | 191.802 | -0.000 | 0.000 | 0.000 |
| 191.801 | 191.801 | 461.336 | 0.000 | 0.000 | 0.000 |
| 0.000 | 0.000 | -0.000 | 153.788 | -0.000 | 0.000 |
| 0.000 | 0.000 | -0.000 | 0.000 | 153.788 | 0.000 |
| 0.000 | -0.000 | 0.000 | -0.000 | -0.000 | -82.420 |
| 2061.850 | -39.671 | 191.801 | 0.000 | 0.000 | 0.000 |
| -39.671 | 2061.850 | 191.801 | 0.000 | 0.000 | 0.000 |
| 191.802 | 191.802 | 461.337 | 0.000 | 0.000 | -0.000 |
| -0.000 | -0.000 | 0.000 | 153.788 | 0.000 | 0.000 |
| -0.000 | -0.000 | 0.000 | -0.000 | 153.788 | -0.000 |
| -0.000 | 0.000 | -0.000 | 0.000 | 0.000 | -82.420 |
| 2061.913 | -39.670 | 191.802 | -0.000 | 0.000 | 0.000 |
| -39.670 | 2061.913 | 191.802 | -0.000 | -0.000 | 0.000 |
| 191.801 | 191.801 | 461.329 | 0.000 | 0.000 | 0.000 |
| 0.000 | 0.000 | -0.001 | 153.788 | -0.000 | 0.000 |
| 0.000 | 0.000 | -0.001 | 0.000 | 153.788 | 0.000 |
| 0.001 | -0.000 | 0.000 | -0.000 | 0.000 | -82.420 |
| 2061.798 | -39.671 | 191.801 | 0.000 | 0.000 | -0.000 |
| -39.671 | 2061.798 | 191.801 | -0.000 | 0.000 | -0.000 |
| 191.802 | 191.802 | 461.343 | 0.000 | -0.000 | 0.000 |
| -0.000 | -0.000 | 0.001 | 153.788 | 0.000 | -0.000 |
| -0.000 | -0.000 | 0.001 | -0.000 | 153.788 | -0.000 |
| -0.001 | 0.000 | -0.000 | -0.000 | 0.000 | -82.420 |
| 1656.457 | -78.675 | 102.570 | -0.000 | -0.000 | -0.000 |
| -78.675 | 1656.457 | 102.570 | -0.000 | -0.000 | -0.000 |
| 102.570 | 102.570 | -127.986 | 0.000 | 0.000 | -0.000 |
| -0.000 | 0.000 | 0.000 | 76.841 | -0.000 | -0.000 |
| 0.000 | 0.000 | 0.000 | -0.000 | 76.841 | -0.000 |
| 0.000 | -0.000 | -0.000 | -0.000 | -0.000 | -105.236 |
| 1656.456 | -78.675 | 102.570 | 0.000 | -0.000 | 0.000 |
| -78.675 | 1656.456 | 102.570 | -0.000 | 0.000 | 0.000 |
| 102.570 | 102.570 | -127.986 | 0.000 | 0.000 | 0.000 |
| 0.000 | -0.000 | -0.000 | 76.841 | 0.000 | 0.000 |
| -0.000 | -0.000 | -0.000 | 0.000 | 76.841 | 0.000 |
| -0.000 | 0.000 | 0.000 | 0.000 | -0.000 | -105.236 |
| 1656.463 | -78.675 | 102.570 | 0.000 | 0.000 | -0.000 |
| -78.675 | 1656.463 | 102.570 | -0.000 | -0.000 | -0.000 |
| 102.570 | 102.570 | -127.986 | 0.000 | -0.000 | 0.000 |
| -0.000 | 0.000 | 0.000 | 76.841 | -0.000 | -0.000 |
| 0.000 | -0.000 | 0.000 | -0.000 | 76.841 | -0.000 |
| 0.000 | -0.000 | -0.000 | -0.000 | 0.000 | -105.236 |
| 1656.451 | -78.675 | 102.570 | 0.000 | -0.000 | 0.000 |
| -78.675 | 1656.451 | 102.570 | -0.000 | 0.000 | 0.000 |
| 102.570 | 102.570 | -127.987 | -0.000 | 0.000 | 0.000 |
| 0.000 | -0.000 | -0.000 | 76.841 | 0.000 | -0.000 |
| -0.000 | 0.000 | -0.000 | 0.000 | 76.841 | 0.000 |
| -0.000 | 0.000 | 0.000 | 0.000 | 0.000 | -105.236 |
| 1656.515 | -78.675 | 102.571 | -0.000 | 0.000 | -0.000 |
| -78.675 | 1656.515 | 102.571 | 0.000 | -0.000 | -0.000 |
| 102.571 | 102.571 | -127.986 | -0.000 | -0.000 | -0.000 |
| -0.000 | 0.000 | 0.001 | 76.841 | -0.000 | -0.000 |
| 0.000 | -0.000 | 0.001 | -0.000 | 76.841 | -0.000 |
| 0.000 | -0.001 | -0.000 | 0.000 | 0.000 | -105.236 |
| 1656.398 | -78.675 | 102.570 | -0.000 | -0.000 | 0.000 |
| -78.675 | 1656.398 | 102.570 | -0.000 | -0.000 | 0.000 |
| 102.570 | 102.570 | -127.987 | 0.000 | 0.000 | 0.000 |
| 0.000 | -0.000 | -0.001 | 76.841 | 0.000 | 0.000 |
| -0.000 | 0.000 | -0.001 | 0.000 | 76.841 | 0.000 |
| -0.000 | 0.001 | 0.000 | -0.000 | -0.000 | -105.236 |
| -166.520 | -57.640 | 96.973 | -43.401 | -0.000 | -0.000 |
| -57.640 | -166.520 | 96.973 | 43.401 | 0.000 | -0.000 |
| 85.592 | 85.592 | 225.345 | 0.000 | 0.000 | -0.000 |
| -43.399 | 43.404 | -0.003 | 73.541 | 0.000 | -0.000 |
| 0.002 | 0.003 | -0.003 | 0.000 | 73.541 | -43.401 |
| 0.000 | 0.000 | 0.000 | -0.000 | -43.401 | -54.440 |
| -166.520 | -57.640 | 96.973 | -43.401 | -0.000 | 0.000 |
| -57.640 | -166.520 | 96.973 | 43.401 | -0.000 | 0.000 |
| 85.589 | 85.590 | 225.349 | -0.000 | -0.000 | 0.000 |
| -43.404 | 43.399 | 0.003 | 73.541 | -0.000 | 0.000 |
| -0.003 | -0.003 | 0.003 | 0.000 | 73.541 | -43.401 |
| -0.000 | 0.000 | -0.000 | 0.000 | -43.401 | -54.440 |
| -166.520 | -57.640 | 96.973 | -43.401 | -0.000 | -0.000 |
| -57.640 | -166.520 | 96.973 | 43.401 | 0.000 | -0.000 |
| 85.590 | 85.590 | 225.349 | -0.000 | 0.000 | -0.000 |
| -43.401 | 43.401 | -0.000 | 73.541 | -0.000 | -0.000 |
| 0.000 | 0.000 | -0.000 | 0.000 | 73.541 | -43.401 |
| 0.000 | 0.000 | 0.000 | 0.000 | -43.401 | -54.440 |
| -166.520 | -57.640 | 96.973 | -43.401 | 0.000 | 0.000 |
| -57.640 | -166.520 | 96.972 | 43.401 | 0.000 | 0.000 |
| 85.589 | 85.590 | 225.348 | 0.000 | -0.000 | 0.000 |
| -43.401 | 43.401 | 0.000 | 73.541 | -0.000 | 0.000 |
| -0.000 | -0.000 | 0.000 | -0.000 | 73.541 | -43.401 |
| -0.000 | -0.000 | -0.000 | -0.000 | -43.401 | -54.440 |
| -166.519 | -57.640 | 96.973 | -43.401 | -0.000 | -0.000 |
| -57.640 | -166.518 | 96.973 | 43.401 | 0.000 | -0.000 |
| 85.590 | 85.590 | 225.353 | -0.000 | 0.000 | -0.000 |
| -43.401 | 43.401 | -0.000 | 73.541 | -0.000 | -0.000 |
| -0.000 | 0.000 | -0.000 | 0.000 | 73.541 | -43.401 |
| 0.000 | 0.000 | 0.000 | 0.000 | -43.401 | -54.440 |
| -166.521 | -57.640 | 96.972 | -43.402 | 0.000 | 0.000 |
| -57.640 | -166.522 | 96.972 | 43.402 | -0.000 | 0.000 |
| 85.589 | 85.589 | 225.344 | -0.000 | -0.000 | 0.000 |
| -43.401 | 43.401 | 0.000 | 73.541 | 0.000 | 0.000 |
| 0.000 | -0.000 | 0.000 | -0.000 | 73.541 | -43.401 |
| -0.000 | -0.000 | -0.000 | -0.000 | -43.401 | -54.440 |
| 2107.394 | -49.839 | -49.839 | 0.000 | -0.000 | -0.000 |
| -49.839 | 2107.394 | -49.839 | 0.000 | -0.000 | -0.000 |
| -49.839 | -49.839 | 2107.394 | -0.000 | -0.000 | -0.000 |
| -0.000 | 0.000 | -0.000 | -107.494 | 0.000 | -0.000 |
| -0.000 | 0.000 | -0.000 | 0.000 | -107.494 | -0.000 |
| -0.000 | 0.000 | -0.000 | 0.000 | 0.000 | -107.494 |
| 2107.393 | -49.839 | -49.839 | 0.000 | 0.000 | 0.000 |
| -49.839 | 2107.393 | -49.839 | 0.000 | 0.000 | 0.000 |
| -49.839 | -49.839 | 2107.393 | -0.000 | 0.000 | -0.000 |
| 0.000 | -0.000 | 0.000 | -107.494 | 0.000 | 0.000 |
| 0.000 | -0.000 | 0.000 | 0.000 | -107.494 | 0.000 |
| 0.000 | -0.000 | 0.000 | -0.000 | 0.000 | -107.494 |
| 2107.400 | -49.839 | -49.839 | -0.000 | 0.000 | -0.000 |
| -49.839 | 2107.400 | -49.839 | -0.000 | -0.000 | -0.000 |
| -49.839 | -49.839 | 2107.400 | 0.000 | -0.000 | 0.000 |
| 0.000 | 0.000 | -0.000 | -107.494 | -0.000 | -0.000 |
| 0.000 | 0.000 | -0.000 | -0.000 | -107.494 | -0.000 |
| 0.000 | -0.000 | 0.000 | 0.000 | 0.000 | -107.494 |
| 2107.388 | -49.839 | -49.839 | -0.000 | 0.000 | -0.000 |
| -49.839 | 2107.388 | -49.839 | -0.000 | 0.000 | -0.000 |
| -49.839 | -49.839 | 2107.388 | -0.000 | -0.000 | 0.000 |
| -0.000 | -0.000 | 0.000 | -107.494 | 0.000 | 0.000 |
| -0.000 | -0.000 | 0.000 | 0.000 | -107.494 | 0.000 |
| -0.000 | 0.000 | -0.000 | -0.000 | 0.000 | -107.494 |
| 2107.453 | -49.839 | -49.839 | 0.000 | -0.000 | -0.000 |
| -49.839 | 2107.453 | -49.839 | 0.000 | 0.000 | -0.000 |
| -49.839 | -49.839 | 2107.453 | -0.000 | -0.000 | -0.000 |
| 0.000 | 0.000 | -0.001 | -107.494 | -0.000 | -0.000 |
| 0.000 | 0.000 | -0.001 | -0.000 | -107.494 | -0.000 |
| 0.000 | -0.001 | 0.000 | 0.000 | -0.000 | -107.494 |
| 2107.335 | -49.840 | -49.840 | -0.000 | 0.000 | 0.000 |
| -49.840 | 2107.335 | -49.840 | 0.000 | -0.000 | 0.000 |
| -49.840 | -49.840 | 2107.335 | 0.000 | 0.000 | 0.000 |
| -0.000 | -0.000 | 0.001 | -107.494 | 0.000 | 0.000 |
| -0.000 | -0.000 | 0.001 | 0.000 | -107.494 | 0.000 |
| -0.000 | 0.001 | -0.000 | -0.000 | 0.000 | -107.494 |
| 3148.029 | 2677.223 | 2677.223 | 0.000 | 0.000 | 0.000 |
| 2677.222 | 3148.030 | 2677.223 | 0.000 | 0.000 | 0.000 |
| 2677.222 | 2677.223 | 3148.030 | 0.000 | 0.000 | 0.000 |
| 2397.276 | 2397.276 | 2397.276 | 140.020 | 0.000 | 0.000 |
| 2397.276 | 2397.276 | 2397.276 | 0.000 | 140.020 | 0.000 |
| 2397.276 | 2397.276 | 2397.276 | 0.000 | 0.000 | 140.020 |
| -1675.696 | -2148.662 | -2148.662 | -0.000 | -0.000 | -0.000 |
| -2148.662 | -1675.696 | -2148.662 | -0.000 | -0.000 | -0.000 |
| -2148.662 | -2148.662 | -1675.696 | -0.000 | -0.000 | -0.000 |
| -2397.276 | -2397.276 | -2397.276 | 140.020 | -0.000 | -0.000 |
| -2397.276 | -2397.276 | -2397.276 | -0.000 | 140.020 | -0.000 |
| -2397.276 | -2397.276 | -2397.276 | -0.000 | -0.000 | 140.020 |
| 892.297 | 247.279 | 247.279 | 0.000 | 0.000 | 0.000 |
| 247.279 | 892.297 | 247.279 | 0.000 | -0.000 | -0.000 |
| 247.279 | 247.279 | 892.297 | -0.000 | 0.000 | -0.000 |
| 0.000 | -0.000 | -0.000 | 203.764 | -0.000 | -0.000 |
| -0.000 | 0.000 | -0.000 | 0.000 | 203.764 | -0.000 |
| -0.000 | -0.000 | 0.000 | 0.000 | -0.000 | 203.764 |
| 289.900 | -53.576 | -53.576 | -0.000 | -0.000 | -0.000 |
| -53.576 | 289.900 | -53.576 | -0.000 | -0.000 | -0.000 |
| -53.576 | -53.576 | 289.900 | -0.000 | -0.000 | -0.000 |
| -0.000 | 0.000 | 0.000 | 203.764 | -0.000 | 0.000 |
| 0.000 | -0.000 | 0.000 | 0.000 | 203.764 | -0.000 |
| 0.000 | 0.000 | -0.000 | -0.000 | -0.000 | 203.764 |
| 630.248 | 293.764 | 293.764 | 0.000 | 0.000 | 0.000 |
| 293.764 | 630.248 | 293.764 | 0.000 | 0.000 | 0.000 |
| 293.764 | 293.764 | 630.248 | 0.000 | 0.000 | 0.000 |
| 26.796 | 26.796 | 26.796 | 132.513 | 0.000 | 0.000 |
| 26.796 | 26.796 | 26.796 | 0.000 | 132.513 | 0.000 |
| 26.796 | 26.796 | 26.796 | 0.000 | 0.000 | 132.513 |
| 523.538 | 230.268 | 230.268 | -0.000 | -0.000 | -0.000 |
| 230.268 | 523.538 | 230.268 | -0.000 | -0.000 | -0.000 |
| 230.268 | 230.268 | 523.538 | -0.000 | -0.000 | -0.000 |
| -26.796 | -26.796 | -26.796 | 132.513 | -0.000 | -0.000 |
| -26.796 | -26.796 | -26.796 | -0.000 | 132.513 | -0.000 |
| -26.796 | -26.796 | -26.796 | -0.000 | -0.000 | 132.513 |
| 879.092 | 245.869 | 245.869 | -0.000 | -0.000 | -0.000 |
| 245.869 | 879.092 | 245.869 | -0.000 | -0.000 | -0.000 |
| 245.869 | 245.869 | 879.092 | -0.000 | -0.000 | -0.000 |
| -11014.296 | -11014.291 | -11014.291 | 426.130 | 0.003 | 0.003 |
| -11014.296 | -11014.291 | -11014.291 | 0.002 | 426.132 | 0.003 |
| -11014.296 | -11014.291 | -11014.291 | 0.002 | 0.003 | 426.132 |
| 4913.348 | 4532.613 | 4532.613 | 0.000 | 0.000 | 0.000 |
| 4532.612 | 4913.348 | 4532.613 | 0.000 | 0.000 | 0.000 |
| 4532.612 | 4532.613 | 4913.348 | 0.000 | 0.000 | 0.000 |
| 11014.295 | 11014.291 | 11014.291 | 426.127 | -0.003 | -0.003 |
| 11014.295 | 11014.291 | 11014.291 | -0.002 | 426.125 | -0.003 |
| 11014.295 | 11014.291 | 11014.290 | -0.002 | -0.003 | 426.125 |
| -1482.560 | -790.791 | -790.791 | -0.000 | -0.000 | -0.000 |
| -790.790 | -1482.560 | -790.791 | -0.000 | -0.000 | -0.000 |
| -790.790 | -790.791 | -1482.560 | -0.000 | -0.000 | -0.000 |
| 0.000 | -0.000 | -0.000 | 204.738 | -0.000 | -0.000 |
| -0.000 | 0.000 | -0.000 | -0.000 | 204.738 | -0.000 |
| -0.000 | -0.000 | 0.000 | -0.000 | -0.000 | 204.738 |
| 2093.716 | 1879.723 | 1879.723 | 0.000 | 0.000 | 0.000 |
| 1879.723 | 2093.716 | 1879.723 | 0.000 | 0.000 | 0.000 |
| 1879.723 | 1879.723 | 2093.716 | 0.000 | 0.000 | 0.000 |
| -0.000 | 0.000 | 0.000 | 204.738 | 0.000 | 0.000 |
| 0.000 | -0.000 | 0.000 | 0.000 | 204.738 | 0.000 |
| 0.000 | 0.000 | -0.000 | 0.000 | 0.000 | 204.738 |
| 352.757 | 86.877 | 86.877 | -0.000 | -0.000 | -0.000 |
| 86.877 | 352.757 | 86.877 | -0.000 | -0.000 | -0.000 |
| 86.877 | 86.877 | 352.757 | -0.000 | -0.000 | -0.000 |
| -126.602 | -126.598 | -126.599 | 59.881 | -0.000 | -0.000 |
| -126.598 | -126.602 | -126.599 | -0.000 | 59.881 | -0.000 |
| -126.598 | -126.599 | -126.602 | -0.000 | -0.000 | 59.881 |
| 537.304 | 305.062 | 305.062 | 0.000 | 0.000 | 0.000 |
| 305.062 | 537.304 | 305.062 | 0.000 | 0.000 | 0.000 |
| 305.062 | 305.062 | 537.304 | 0.000 | 0.000 | 0.000 |
| 126.602 | 126.598 | 126.599 | 59.881 | 0.000 | 0.000 |
| 126.598 | 126.602 | 126.599 | 0.000 | 59.881 | 0.000 |
| 126.598 | 126.599 | 126.602 | 0.000 | 0.000 | 59.881 |
| 227.122 | 158.136 | 158.136 | 0.000 | 0.000 | 0.000 |
| 158.136 | 227.122 | 158.136 | 0.000 | 0.000 | 0.000 |
| 158.136 | 158.136 | 227.122 | 0.000 | 0.000 | 0.000 |
| 6.411 | 6.411 | 6.411 | 98.103 | 0.000 | 0.000 |
| 6.411 | 6.411 | 6.411 | 0.000 | 98.103 | 0.000 |
| 6.411 | 6.411 | 6.411 | 0.000 | 0.000 | 98.103 |
| 292.141 | 194.099 | 194.099 | -0.000 | 0.000 | 0.000 |
| 194.099 | 292.141 | 194.099 | 0.000 | -0.000 | -0.000 |
| 194.099 | 194.099 | 292.141 | 0.000 | 0.000 | -0.000 |
| -6.411 | -6.411 | -6.411 | 98.103 | -0.000 | -0.000 |
| -6.411 | -6.411 | -6.411 | -0.000 | 98.103 | -0.000 |
| -6.411 | -6.411 | -6.411 | -0.000 | -0.000 | 98.103 |
| 292.140 | 194.099 | 194.099 | 0.000 | -0.000 | -0.000 |
| 194.099 | 292.140 | 194.099 | 0.000 | -0.000 | -0.000 |
| 194.099 | 194.099 | 292.140 | -0.000 | -0.000 | -0.000 |
| 0.634 | 0.634 | 0.634 | 98.728 | 0.000 | 0.000 |
| 0.634 | 0.634 | 0.634 | 0.000 | 98.728 | 0.000 |
| 0.634 | 0.634 | 0.634 | 0.000 | 0.000 | 98.728 |
| 211.045 | 143.601 | 143.601 | -0.000 | -0.000 | -0.000 |
| 143.601 | 211.045 | 143.601 | -0.000 | -0.000 | -0.000 |
| 143.601 | 143.601 | 211.045 | -0.000 | -0.000 | -0.000 |
| -0.634 | -0.634 | -0.634 | 98.728 | -0.000 | -0.000 |
| -0.634 | -0.634 | -0.634 | -0.000 | 98.728 | -0.000 |
| -0.634 | -0.634 | -0.634 | -0.000 | -0.000 | 98.728 |
| 198.524 | 128.891 | 128.891 | 0.000 | 0.000 | 0.000 |
| 128.891 | 198.524 | 128.891 | 0.000 | 0.000 | 0.000 |
| 128.891 | 128.891 | 198.524 | 0.000 | 0.000 | 0.000 |
| 0.064 | 0.064 | 0.064 | 98.735 | 0.000 | 0.000 |
| 0.064 | 0.064 | 0.064 | 0.000 | 98.735 | 0.000 |
| 0.064 | 0.064 | 0.064 | 0.000 | 0.000 | 98.735 |
| 198.315 | 128.670 | 128.670 | -0.000 | -0.000 | -0.000 |
| 128.670 | 198.315 | 128.670 | -0.000 | -0.000 | -0.000 |
| 128.670 | 128.670 | 198.315 | -0.000 | -0.000 | -0.000 |
| -0.064 | -0.064 | -0.064 | 98.735 | -0.000 | -0.000 |
| -0.064 | -0.064 | -0.064 | -0.000 | 98.735 | -0.000 |
| -0.064 | -0.064 | -0.064 | -0.000 | -0.000 | 98.735 |
| 229.985 | 153.508 | 153.507 | -0.010 | -0.010 | -0.011 |
| 153.508 | 229.985 | 153.507 | -0.010 | -0.010 | -0.011 |
| 153.509 | 153.509 | 229.986 | -0.010 | -0.010 | -0.011 |
| 0.046 | 0.046 | 0.045 | 85.253 | -0.006 | -0.006 |
| 0.046 | 0.046 | 0.045 | -0.006 | 85.253 | -0.006 |
| 0.046 | 0.046 | 0.045 | -0.006 | -0.006 | 85.252 |
| 301.959 | 191.508 | 191.508 | 0.000 | 0.000 | 0.000 |
| 191.508 | 301.959 | 191.508 | -0.000 | 0.000 | -0.000 |
| 191.508 | 191.508 | 301.959 | -0.000 | 0.000 | 0.000 |
| -0.046 | -0.046 | -0.045 | 85.268 | 0.006 | 0.006 |
| -0.046 | -0.046 | -0.045 | 0.006 | 85.268 | 0.006 |
| -0.046 | -0.046 | -0.045 | 0.006 | 0.006 | 85.268 |
| 301.959 | 191.508 | 191.508 | 0.000 | 0.000 | -0.000 |
| 191.508 | 301.959 | 191.508 | 0.000 | 0.000 | -0.000 |
| 191.508 | 191.508 | 301.959 | 0.000 | -0.000 | 0.000 |
| -0.000 | -0.000 | -0.000 | 150.833 | 0.000 | -0.000 |
| -0.000 | -0.000 | -0.000 | 0.000 | 150.833 | -0.000 |
| -0.000 | -0.000 | -0.000 | 0.000 | -0.000 | 150.833 |
| 229.858 | 153.402 | 153.402 | 0.001 | 0.001 | 0.001 |
| 153.402 | 229.858 | 153.402 | 0.001 | 0.001 | 0.001 |
| 153.402 | 153.402 | 229.858 | 0.001 | 0.001 | 0.001 |
| 0.000 | 0.000 | 0.000 | 150.833 | 0.000 | 0.000 |
| 0.000 | 0.000 | 0.000 | -0.000 | 150.833 | 0.000 |
| 0.000 | 0.000 | 0.000 | -0.000 | -0.000 | 150.833 |
| 301.959 | 191.508 | 191.508 | 0.000 | 0.000 | -0.000 |
| 191.508 | 301.959 | 191.508 | 0.000 | -0.000 | -0.000 |
| 191.508 | 191.508 | 301.959 | 0.000 | -0.000 | -0.000 |
| -0.000 | -0.000 | -0.000 | 150.833 | -0.000 | -0.000 |
| -0.000 | -0.000 | -0.000 | -0.000 | 150.833 | -0.000 |
| -0.000 | -0.000 | -0.000 | 0.000 | -0.000 | 150.833 |
| 204.554 | 135.710 | 135.710 | -0.004 | -0.004 | -0.004 |
| 126.559 | 209.429 | 126.559 | 0.000 | 0.000 | 0.000 |
| 126.559 | 126.559 | 209.429 | 0.000 | 0.000 | 0.000 |
| 0.000 | 0.000 | 0.000 | 150.833 | 0.000 | 0.000 |
| 0.000 | 0.000 | 0.000 | -0.000 | 150.833 | 0.000 |
| 0.000 | 0.000 | 0.000 | -0.000 | 0.000 | 150.833 |
Phonon band structures and crystal properties estimated from quasi-harmonic approximation (QHA) calculations are displayed for select crystals. The calculations were performed using phonopy and LAMMPS. For the phonon calculations, 3x3 supercells of the potential-specific relaxed crystals were used. The QHA calculations were based on 11 strain states ranging from -0.05 to 0.05.
The calculation method used is available as the iprPy phonon calculation method.
Notes and Disclaimers:
Version Information:












































































































































Static free surface formation energies are displayed for select crystals. The values displayed here are obtained by taking a perfect periodic bulk crystal, slicing along a crystallographic plane, and using force minimization to statically relax the surfaces. The free surface formation energy is computed by comparing the energy of the defect system to the bulk system and dividing by the total surface area created by the cut.
The calculation method used is available as the iprPy surface_energy_static calculation method.
Notes and Disclaimers:
Version Information:
| Surface | γfs (mJ/m2) |
|---|---|
| (322) | 0.00 |
| (320) | 0.00 |
| (210) | 0.00 |
| (211) | 0.00 |
| (111) | 0.00 |
| (311) | 0.00 |
| (110) | 0.00 |
| (332) | 0.00 |
| (310) | 0.00 |
| (331) | 0.00 |
| (100) | 0.00 |
| (221) | 0.00 |
| (321) | 0.00 |
| Surface | γfs (mJ/m2) |
|---|---|
| (110) | 0.00 |
| (321) 2 | 0.00 |
| (211) 2 | 0.00 |
| (332) 2 | 0.00 |
| (322) | 0.00 |
| (321) 1 | 0.00 |
| (310) | 0.00 |
| (100) | 0.00 |
| (210) | 0.00 |
| (221) | 0.00 |
| (311) | 0.00 |
| (111) | 0.00 |
| (211) 1 | 0.00 |
| (331) | 0.00 |
| (320) | 0.00 |
| (332) 1 | 0.00 |
| Surface | γfs (mJ/m2) |
|---|---|
| (320) | 0.00 |
| (311) | 0.00 |
| (221) | 0.00 |
| (210) | 0.00 |
| (332) | 0.00 |
| (310) | 0.00 |
| (211) | 0.00 |
| (110) | 0.00 |
| (322) | 0.00 |
| (111) | 0.00 |
| (100) | 0.00 |
| (321) | 0.00 |
| (331) | 0.00 |
| Surface | γfs (mJ/m2) |
|---|---|
| (1011) 1 | 0.00 |
| (2112) | 0.00 |
| (1012) 2 | 0.00 |
| (2241) | 0.00 |
| (0001) | 0.00 |
| (1120) | 0.00 |
| (1012) 1 | 0.00 |
| (2131) 2 | 0.00 |
| (1011) 2 | 0.00 |
| (2131) 1 | 0.00 |
| (1010) | 0.00 |
| (2132) 1 | 0.00 |
| (2132) 2 | 0.00 |
| (2130) | 0.00 |
| (2021) 1 | 0.00 |
| (1121) | 0.00 |
| Surface | γfs (mJ/m2) |
|---|---|
| (1121) | 0.00 |
| (1120) | 0.00 |
| (2021) 1 | 0.00 |
| (2131) 2 | 0.00 |
| (2021) 2 | 0.00 |
| (1011) 1 | 0.00 |
| (1010) 1 | 0.00 |
| (2132) 1 | 0.00 |
| (2112) | 0.00 |
| (2130) 2 | 0.00 |
| (0001) | 0.00 |
| (1012) 2 | 0.00 |
| (1010) 2 | 0.00 |
| (1011) 2 | 0.00 |
| (1012) 1 | 0.00 |
| (2241) | 0.00 |
| (2132) 2 | 0.00 |
| (2131) 1 | 0.00 |
| (2130) 1 | 0.00 |
| Surface | γfs (mJ/m2) |
|---|---|
| (111) 2 | 0.00 |
| (210) | 0.00 |
| (311) 1 | 0.00 |
| (221) | 0.00 |
| (332) | 0.00 |
| (211) | 0.00 |
| (331) 1 | 0.00 |
| (100) | 0.00 |
| (331) 2 | 0.00 |
| (321) | 0.00 |
| (111) 1 | 0.00 |
| (322) | 0.00 |
| (110) | 0.00 |
| (310) | 0.00 |
| (320) | 0.00 |
| (311) 2 | 0.00 |
| Surface | γfs (mJ/m2) |
|---|---|
| (001) | 0.00 |
| (101) 1 | 0.00 |
| (211) 1 | 0.00 |
| (100) | 0.00 |
| (201) | 0.00 |
| (110) | 0.00 |
| (101) 2 | 0.00 |
| (112) | 0.00 |
| (111) | 0.00 |
| Surface | γfs (mJ/m2) |
|---|---|
| (112) | 0.00 |
| (001) | 0.00 |
| (110) | 0.00 |
| (101) | 0.00 |
| (201) | 0.00 |
| (100) | 0.00 |
| (211) | 0.00 |
| Surface | γfs (mJ/m2) |
|---|---|
| (1011) 1 | 0.00 |
| (2112) 1 | 0.00 |
| (0001) 2 | 0.00 |
| (1121) 1 | 0.00 |
| (2131) 2 | 0.00 |
| (1010) | 0.00 |
| (2131) 1 | 0.00 |
| (0001) 1 | 0.00 |
| (1121) 2 | 0.00 |
| (2241) 2 | 0.00 |
| (2130) | 0.00 |
| (1011) 2 | 0.00 |
| (1012) 2 | 0.00 |
| (1120) | 0.00 |
| (2021) 2 | 0.00 |
| (2021) 1 | 0.00 |
| (2112) 2 | 0.00 |
| (2132) 1 | 0.00 |
| (1012) 1 | 0.00 |
| (2241) 1 | 0.00 |
| (2132) 2 | 0.00 |
| Surface | γfs (mJ/m2) |
|---|---|
| (210) | 0.00 |
| (110) | 0.00 |
| (322) | 0.00 |
| (111) | 0.00 |
| (211) | 0.00 |
| (320) | 0.00 |
| (332) | 0.00 |
| (221) | 0.00 |
| (311) | 0.00 |
| (310) | 0.00 |
| (321) | 0.00 |
| (331) | 0.00 |
| (100) | 0.00 |
| Surface | γfs (mJ/m2) |
|---|---|
| (111) | 1838.10 |
| (332) | 2052.60 |
| (322) | 2077.86 |
| (221) | 2148.10 |
| (100) | 2196.86 |
| (211) | 2197.89 |
| (331) | 2226.67 |
| (311) | 2286.71 |
| (110) | 2306.54 |
| (321) | 2310.98 |
| (320) | 2419.69 |
| (310) | 2422.01 |
| (210) | 2442.87 |
| Surface | γfs (mJ/m2) |
|---|---|
| (320) | 0.00 |
| (211) | 0.00 |
| (210) | 0.00 |
| (310) | 0.00 |
| (332) | 0.00 |
| (110) | 0.00 |
| (311) | 0.00 |
| (221) | 0.00 |
| (321) | 0.00 |
| (111) | 0.00 |
| (100) | 0.00 |
| (331) | 0.00 |
| Surface | γfs (mJ/m2) |
|---|---|
| (210) | 0.00 |
| (311) | 0.00 |
| (332) 2 | 0.00 |
| (320) | 0.00 |
| (332) 1 | 0.00 |
| (310) | 0.00 |
| (321) 1 | 0.00 |
| (111) | 0.00 |
| (322) | 0.00 |
| (211) 2 | 0.00 |
| (221) | 0.00 |
| (331) | 0.00 |
| (211) 1 | 0.00 |
| (100) | 0.00 |
| (321) 2 | 0.00 |
| (110) | 0.00 |
| Surface | γfs (mJ/m2) |
|---|---|
| (331) | 0.00 |
| (321) | 0.00 |
| (221) | 0.00 |
| (211) | 0.00 |
| (111) | 0.00 |
| (110) | 0.00 |
| (322) | 0.00 |
| (332) | 0.00 |
| (310) | 0.00 |
| (100) | 0.00 |
| (320) | 0.00 |
| (311) | 0.00 |
| (210) | 0.00 |
| Surface | γfs (mJ/m2) |
|---|---|
| (2021) 1 | 0.00 |
| (2021) 2 | 0.00 |
| (1010) | 0.00 |
| (2132) 2 | 0.00 |
| (2241) | 0.00 |
| (2112) | 0.00 |
| (1011) 2 | 0.00 |
| (2131) 2 | 0.00 |
| (2132) 1 | 0.00 |
| (2130) | 0.00 |
| (1120) | 0.00 |
| (1121) | 0.00 |
| (1012) 2 | 0.00 |
| (0001) | 0.00 |
| (2131) 1 | 0.00 |
| (1012) 1 | 0.00 |
| (1011) 1 | 0.00 |
| Surface | γfs (mJ/m2) |
|---|---|
| (2112) | 0.00 |
| (1121) | 0.00 |
| (1010) 2 | 0.00 |
| (1010) 1 | 0.00 |
| (2021) 2 | 0.00 |
| (2130) 2 | 0.00 |
| (1120) | 0.00 |
| (2130) 1 | 0.00 |
| (1012) 2 | 0.00 |
| (1011) 2 | 0.00 |
| (2131) 1 | 0.00 |
| (2241) | 0.00 |
| (1012) 1 | 0.00 |
| (2131) 2 | 0.00 |
| (0001) | 0.00 |
| (2021) 1 | 0.00 |
| (2132) 2 | 0.00 |
| (2132) 1 | 0.00 |
| (1011) 1 | 0.00 |
| Surface | γfs (mJ/m2) |
|---|---|
| (111) 2 | 233.99 |
| (331) 2 | 278.71 |
| (110) | 286.71 |
| (321) | 326.19 |
| (211) | 333.86 |
| (320) | 338.72 |
| (332) | 349.29 |
| (210) | 364.83 |
| (311) 2 | 369.20 |
| (311) 1 | 371.26 |
| (310) | 388.06 |
| (322) | 399.39 |
| (221) | 411.15 |
| (100) | 413.07 |
| (331) 1 | 473.21 |
| (111) 1 | 728.58 |
| Surface | γfs (mJ/m2) |
|---|---|
| (111) 2 | 0.00 |
| (310) | 0.00 |
| (321) | 0.00 |
| (331) 2 | 0.00 |
| (100) | 0.00 |
| (311) 2 | 0.00 |
| (111) 1 | 0.00 |
| (110) | 0.00 |
| (331) 1 | 0.00 |
| (210) | 0.00 |
| (322) | 0.00 |
| (332) | 0.00 |
| (311) 1 | 0.00 |
| (320) | 0.00 |
| (221) | 0.00 |
| (211) | 0.00 |
| Surface | γfs (mJ/m2) |
|---|---|
| (211) 2 | 0.00 |
| (100) | 0.00 |
| (201) | 0.00 |
| (111) | 0.00 |
| (211) 1 | 0.00 |
| (101) 1 | 0.00 |
| (001) | 0.00 |
| (112) | 0.00 |
| (110) | 0.00 |
| (101) 2 | 0.00 |
| Surface | γfs (mJ/m2) |
|---|---|
| (101) | 0.00 |
| (201) | 0.00 |
| (112) | 0.00 |
| (110) | 0.00 |
| (211) | 0.00 |
| (001) | 0.00 |
| (100) | 0.00 |
| (111) | 0.00 |
| Surface | γfs (mJ/m2) |
|---|---|
| (1012) 1 | 0.00 |
| (1121) 2 | 0.00 |
| (2112) 1 | 0.00 |
| (2112) 2 | 0.00 |
| (1012) 2 | 0.00 |
| (1011) 2 | 0.00 |
| (2130) | 0.00 |
| (2131) 2 | 0.00 |
| (0001) 1 | 0.00 |
| (2241) 1 | 0.00 |
| (1120) | 0.00 |
| (1121) 1 | 0.00 |
| (1011) 1 | 0.00 |
| (2241) 2 | 0.00 |
| (2132) 1 | 0.00 |
| (2021) 1 | 0.00 |
| (1010) | 0.00 |
| (2132) 2 | 0.00 |
| (2131) 1 | 0.00 |
| (0001) 2 | 0.00 |
| (2021) 2 | 0.00 |
| Surface | γfs (mJ/m2) |
|---|---|
| (100) | 419.25 |
| (310) | 551.89 |
| (210) | 593.72 |
| (320) | 621.04 |
| (110) | 644.87 |
| (311) | 693.55 |
| (321) | 745.92 |
| (331) | 753.14 |
| (211) | 769.44 |
| (221) | 791.84 |
| (322) | 813.95 |
| (332) | 820.11 |
| (111) | 849.85 |
| Surface | γfs (mJ/m2) |
|---|---|
| (322) | 0.00 |
| (321) | 0.00 |
| (310) | 0.00 |
| (221) | 0.00 |
| (211) | 0.00 |
| (110) | 0.00 |
| (331) | 0.00 |
| (100) | 0.00 |
| (311) | 0.00 |
| (210) | 0.00 |
| (320) | 0.00 |
| (111) | 0.00 |
| Surface | γfs (mJ/m2) |
|---|---|
| (221) | -15191.20 |
| (332) | -14457.40 |
| (310) | -8671.06 |
| (331) | -8337.23 |
| (311) | -7150.97 |
| (111) | 1849.61 |
| (322) | 2127.72 |
| (100) | 2189.67 |
| (211) | 2274.84 |
| (321) | 2430.69 |
| (110) | 2435.70 |
| (320) | 2574.17 |
| (210) | 2610.56 |
| Surface | γfs (mJ/m2) |
|---|---|
| (211) 2 | 1732.46 |
| (332) 2 | 1832.85 |
| (111) | 1884.76 |
| (311) | 1898.91 |
| (221) | 1913.16 |
| (321) 2 | 1913.34 |
| (210) | 1919.62 |
| (321) 1 | 1922.87 |
| (322) | 1930.09 |
| (332) 1 | 1965.53 |
| (331) | 1984.31 |
| (310) | 2001.10 |
| (320) | 2080.62 |
| (211) 1 | 2085.50 |
| (100) | 2131.05 |
| (110) | 2169.44 |
| Surface | γfs (mJ/m2) |
|---|---|
| (110) | 2306.27 |
| (320) | 2571.06 |
| (321) | 2664.06 |
| (331) | 2675.10 |
| (210) | 2686.44 |
| (100) | 2721.07 |
| (211) | 2752.90 |
| (310) | 2773.57 |
| (221) | 2803.19 |
| (311) | 2859.75 |
| (322) | 2880.11 |
| (332) | 2895.69 |
| (111) | 2962.94 |
| Surface | γfs (mJ/m2) |
|---|---|
| (322) | -128749.13 |
| (311) 2 | -102450.76 |
| (221) | -96397.97 |
| (211) | -75683.40 |
| (210) | -75047.83 |
| (111) 1 | -55772.51 |
| (311) 1 | -26286.80 |
| (111) 2 | 454.09 |
| (110) | 573.72 |
| (310) | 893.76 |
| (100) | 994.26 |
Stacking fault energy plots and maps are displayed for select crystals. The values are computed by
The calculation method used is available as the iprPy stacking_fault_map_2D calculation method.
Notes and Disclaimers:
Version Information:
| E_usf a/2 [0 -1 1] | 2553.04 |
| τ_ideal a/2 [0 -1 1] | 108.90 |




| E_isf | 10.37 |
| E_usf a/2 [0 -1 1] | 1504.98 |
| τ_ideal a/2 [0 -1 1] | 56.66 |




| E_usf a/2 [0 -1 1] | 2064.98 |
| τ_ideal a/2 [0 -1 1] | 27.99 |




| E_usf a/2 [-1 1 -1] | 1502.64 |
| τ_ideal a/2 [-1 1 -1] | 17.16 |




| E_usf a/2 [-1 -1 1] | 1700.04 |
| τ_ideal a/2 [-1 -1 1] | 24.68 |




| E_usf a/2 [-1 -1 1] | 1694.59 |
| τ_ideal a/2 [-1 -1 1] | 25.34 |




Static point defect formation energies, Ef, and elastic dipole tensors, pij, are displayed for select crystals. Relaxed defect configurations are obtained by taking a 12x12x12 supercell of a perfect periodic bulk crystal, inserting the point defect, and using force minimization to statically relax the atomic positions while keeping the system dimensions constant. Ef is computed by comparing the energy of the defect system to the same number of atoms in a perfect bulk crystal. pij is estimated as the difference in the system's global pressure with and without the defect multiplied by the system's volume.
Simple structural comparisons of the unrelaxed and relaxed defect configurations are used to help determine if the defect structure has relaxed to a different configuration. Relaxed structures that are identified as no longer consistent with the ideal defect definition are excluded from the table below. The only exception to this is if the lowest energy interstitial configuration does not coincide with a known ideal defect, its energies and pressure tensor are included under the listing "relaxed interstitial". The full list of calculation results including the transformed structures and the structural comparison values is included in the csv file available from the "Download raw data" link.
The calculation method used is available as the iprPy point_defect_static calculation method.
Notes and Disclaimers:
| Point Defect | Ef (eV) | p11 (eV) | p22 (eV) | p33 (eV) | p12 (eV) | p13 (eV) | p23 (eV) |
|---|---|---|---|---|---|---|---|
| 2nn divacancy | 0.000 | -0.000 | -0.000 | -0.000 | -0.000 | -0.000 | -0.000 |
| vacancy | 0.000 | -0.000 | -0.000 | -0.000 | -0.000 | -0.000 | -0.000 |
| 1nn divacancy | 0.000 | -0.000 | -0.000 | -0.000 | -0.000 | -0.000 | -0.000 |
| octahedral interstitial | 0.000 | 0.000 | 0.000 | 0.000 | 0.000 | -0.000 | -0.000 |
| 100 dumbbell | 0.000 | 0.000 | 0.000 | 0.000 | 0.000 | -0.000 | -0.000 |
| Point Defect | Ef (eV) | p11 (eV) | p22 (eV) | p33 (eV) | p12 (eV) | p13 (eV) | p23 (eV) |
|---|---|---|---|---|---|---|---|
| 1nn divacancy | 0.000 | -0.000 | -0.000 | -0.000 | -0.000 | -0.000 | -0.000 |
| 2nn divacancy | 0.000 | -0.000 | -0.000 | -0.000 | -0.000 | -0.000 | -0.000 |
| vacancy | 0.000 | -0.000 | -0.000 | -0.000 | -0.000 | -0.000 | -0.000 |
| tetrahedral interstitial | 0.000 | 0.000 | 0.000 | 0.000 | -0.000 | -0.000 | -0.000 |
| octahedral interstitial | 0.000 | 0.000 | 0.000 | 0.000 | 0.000 | 0.000 | -0.000 |
| 100 dumbbell | 0.000 | -0.000 | -0.000 | 0.000 | -0.000 | -0.000 | -0.000 |
| 110 dumbbell | 0.000 | 0.000 | 0.000 | 0.000 | 0.000 | 0.000 | 0.000 |
| crowdion interstitial | 0.000 | 0.000 | 0.000 | 0.000 | 0.000 | 0.000 | 0.000 |
| 111 dumbbell | 0.000 | 0.000 | 0.000 | 0.000 | 0.000 | 0.000 | 0.000 |
| Point Defect | Ef (eV) | p11 (eV) | p22 (eV) | p33 (eV) | p12 (eV) | p13 (eV) | p23 (eV) |
|---|---|---|---|---|---|---|---|
| vacancy | 0.000 | -0.000 | -0.000 | -0.000 | -0.000 | -0.000 | -0.000 |
| Point Defect | Ef (eV) | p11 (eV) | p22 (eV) | p33 (eV) | p12 (eV) | p13 (eV) | p23 (eV) |
|---|---|---|---|---|---|---|---|
| vacancy | 0.000 | -0.000 | -0.000 | -0.000 | -0.000 | -0.000 | -0.000 |
| tetragonal interstitial | 0.000 | -0.000 | -0.000 | -0.000 | -0.000 | -0.000 | -0.000 |
| hexagonal interstitial | 0.000 | -0.000 | -0.000 | -0.000 | -0.000 | -0.000 | -0.000 |
| 1nn divacancy | 0.000 | -0.000 | -0.000 | -0.000 | -0.000 | -0.000 | -0.000 |
| 110 dumbbell | 0.000 | 0.000 | 0.000 | 0.000 | 0.000 | 0.000 | 0.000 |
| bond centered interstitial | 0.000 | 0.000 | 0.000 | 0.000 | 0.000 | 0.000 | 0.000 |
| 100 dumbbell | 0.000 | 0.000 | 0.000 | 0.000 | 0.000 | 0.000 | 0.000 |
| Point Defect | Ef (eV) | p11 (eV) | p22 (eV) | p33 (eV) | p12 (eV) | p13 (eV) | p23 (eV) |
|---|---|---|---|---|---|---|---|
| vacancy | 1.070 | 0.095 | 0.095 | 0.095 | 0.000 | -0.000 | 0.000 |
| 1nn divacancy | 1.954 | 0.320 | 0.134 | 0.134 | 0.000 | -0.000 | -0.012 |
| 2nn divacancy | 2.152 | 0.195 | 0.195 | 0.293 | 0.000 | 0.000 | 0.000 |
| 100 dumbbell | 8.705 | 41.292 | 41.292 | 39.154 | 0.000 | -0.000 | -0.000 |
| octahedral interstitial | 9.664 | 50.919 | 50.919 | 50.919 | 0.000 | 0.000 | 0.000 |
| crowdion interstitial | 9.686 | 40.222 | 40.222 | 52.552 | 27.363 | 0.000 | 0.000 |
| 111 dumbbell | 10.332 | 40.674 | 40.674 | 40.674 | 7.452 | 7.452 | 7.452 |
| Point Defect | Ef (eV) | p11 (eV) | p22 (eV) | p33 (eV) | p12 (eV) | p13 (eV) | p23 (eV) |
|---|---|---|---|---|---|---|---|
| crowdion interstitial | -0.370 | 0.000 | 0.000 | 0.000 | -0.000 | 0.000 | 0.000 |
| 110 dumbbell | -0.370 | 0.000 | 0.000 | 0.000 | 0.000 | -0.000 | -0.000 |
| vacancy | 0.000 | -0.000 | -0.000 | -0.000 | -0.000 | -0.000 | -0.000 |
| 1nn divacancy | 0.000 | -0.000 | -0.000 | -0.000 | -0.000 | -0.000 | -0.000 |
| 2nn divacancy | 0.000 | -0.000 | -0.000 | -0.000 | -0.000 | -0.000 | -0.000 |
| octahedral interstitial | 0.000 | 0.000 | 0.000 | 0.000 | -0.000 | -0.000 | -0.000 |
| 100 dumbbell | 0.000 | 0.000 | 0.000 | 0.000 | 0.000 | -0.000 | -0.000 |
| Point Defect | Ef (eV) | p11 (eV) | p22 (eV) | p33 (eV) | p12 (eV) | p13 (eV) | p23 (eV) |
|---|---|---|---|---|---|---|---|
| 111 dumbbell | -0.370 | -0.000 | -0.000 | -0.000 | -0.000 | -0.000 | -0.000 |
| crowdion interstitial | -0.370 | -0.000 | -0.000 | -0.000 | -0.000 | -0.000 | -0.000 |
| 2nn divacancy | 0.000 | -0.000 | -0.000 | -0.000 | -0.000 | -0.000 | -0.000 |
| 1nn divacancy | 0.000 | -0.000 | -0.000 | -0.000 | -0.000 | -0.000 | -0.000 |
| vacancy | 0.000 | -0.000 | -0.000 | -0.000 | -0.000 | -0.000 | -0.000 |
| tetrahedral interstitial | 0.000 | 0.000 | 0.000 | 0.000 | -0.000 | -0.000 | 0.000 |
| octahedral interstitial | 0.000 | 0.000 | 0.000 | 0.000 | 0.000 | 0.000 | 0.000 |
| 100 dumbbell | 0.000 | 0.000 | 0.000 | 0.000 | -0.000 | 0.000 | 0.000 |
| 110 dumbbell | 0.000 | 0.000 | 0.000 | 0.000 | -0.000 | -0.000 | 0.000 |
| Point Defect | Ef (eV) | p11 (eV) | p22 (eV) | p33 (eV) | p12 (eV) | p13 (eV) | p23 (eV) |
|---|---|---|---|---|---|---|---|
| relaxed interstitial | -0.554 | 0.000 | 0.000 | 0.000 | 0.000 | 0.000 | -0.000 |
| 0001 dumbbell | -0.185 | 0.000 | 0.000 | 0.000 | 0.000 | -0.000 | 0.000 |
| vacancy | 0.000 | -0.000 | -0.000 | -0.000 | -0.000 | -0.000 | -0.000 |
| Point Defect | Ef (eV) | p11 (eV) | p22 (eV) | p33 (eV) | p12 (eV) | p13 (eV) | p23 (eV) |
|---|---|---|---|---|---|---|---|
| 100 dumbbell | 0.324 | 7.472 | 7.472 | 7.761 | -0.000 | -0.000 | -0.000 |
| vacancy | 0.349 | 2.982 | 2.982 | 2.982 | -0.000 | -0.000 | -0.000 |
| bond centered interstitial | 0.395 | 4.547 | 4.547 | 4.547 | 0.474 | 0.474 | 0.474 |
| 1nn divacancy | 0.523 | 4.252 | 4.252 | 4.252 | -0.008 | -0.008 | -0.008 |
| Point Defect | Ef (eV) | p11 (eV) | p22 (eV) | p33 (eV) | p12 (eV) | p13 (eV) | p23 (eV) |
|---|---|---|---|---|---|---|---|
| bond centered interstitial | -0.370 | -0.000 | -0.000 | -0.000 | -0.000 | -0.000 | -0.000 |
| 100 dumbbell | -0.185 | -0.000 | -0.000 | -0.000 | -0.000 | 0.000 | 0.000 |
| hexagonal interstitial | 0.000 | -0.000 | -0.000 | -0.000 | -0.000 | -0.000 | -0.000 |
| 1nn divacancy | 0.000 | -0.000 | -0.000 | -0.000 | -0.000 | -0.000 | -0.000 |
| tetragonal interstitial | 0.000 | -0.000 | -0.000 | -0.000 | -0.000 | -0.000 | -0.000 |
| vacancy | 0.000 | -0.000 | -0.000 | -0.000 | -0.000 | -0.000 | -0.000 |
| 110 dumbbell | 0.000 | 0.000 | 0.000 | 0.000 | 0.000 | 0.000 | 0.000 |
| Point Defect | Ef (eV) | p11 (eV) | p22 (eV) | p33 (eV) | p12 (eV) | p13 (eV) | p23 (eV) |
|---|---|---|---|---|---|---|---|
| vacancy | 3.021 | -0.239 | -0.239 | -0.239 | 0.000 | 0.000 | 0.000 |
| 1nn divacancy | 5.460 | 1.446 | 5.136 | 5.136 | 0.000 | 0.000 | -2.363 |
| 2nn divacancy | 6.081 | -0.938 | -0.938 | -1.816 | 0.000 | 0.000 | 0.000 |
| 111 dumbbell | 12.189 | 626.404 | 626.404 | 626.404 | 41.435 | 41.435 | 41.435 |
| crowdion interstitial | 12.387 | 612.914 | 612.914 | 659.272 | 36.846 | 0.000 | 0.000 |
| 110 dumbbell | 12.391 | 659.681 | 611.527 | 611.527 | -0.000 | 0.000 | 38.258 |
| octahedral interstitial | 12.447 | 469.389 | 469.389 | 469.389 | 0.000 | 0.000 | 0.000 |
| 100 dumbbell | 13.001 | 587.047 | 587.047 | 516.683 | -0.000 | 0.000 | 0.000 |
| Point Defect | Ef (eV) | p11 (eV) | p22 (eV) | p33 (eV) | p12 (eV) | p13 (eV) | p23 (eV) |
|---|---|---|---|---|---|---|---|
| vacancy | 3.485 | -1.293 | -1.293 | -1.293 | -0.000 | 0.000 | 0.000 |
| 1nn divacancy | 6.480 | -2.633 | -2.633 | -2.633 | 0.267 | 0.267 | 0.267 |
| 2nn divacancy | 6.588 | -2.833 | -2.833 | -5.958 | -0.000 | 0.000 | -0.000 |
| 111 dumbbell | 10.401 | 36.023 | 36.023 | 36.023 | 16.020 | 16.020 | 16.020 |
| crowdion interstitial | 10.420 | 34.731 | 34.731 | 34.731 | 14.258 | 14.258 | 14.258 |
| 110 dumbbell | 10.860 | 50.231 | 51.172 | 51.172 | 0.000 | 0.000 | 13.467 |
| Point Defect | Ef (eV) | p11 (eV) | p22 (eV) | p33 (eV) | p12 (eV) | p13 (eV) | p23 (eV) |
|---|---|---|---|---|---|---|---|
| relaxed interstitial | -28403.008 | -7439.695 | -6605.128 | -7331.800 | -94.069 | -135.507 | -273.256 |
| vacancy | -14.877 | -31.403 | -31.403 | -31.403 | 0.000 | 0.000 | -0.000 |
| tetragonal interstitial | -5.921 | 3.332 | 3.332 | 3.332 | 0.000 | 0.000 | 0.000 |
Plots of the atomic structure of dislocation cores are shown here. The dislocations were constructed using dislocation monopole configurations in which a straight dislocation is created in the center of the system using anisotropic elasticity and the elastic constants computed above. A cylindrical region centered around the dislocation is allowed to relax while the remaining atoms are held fixed. The relaxation consists of 1 million NVT steps at 10 K followed by an energy/force minimization. The final plots show the atomic configuration near the center of the monopole system, and display differential displacement arrows and Nye tensor color maps that are both taken with respect to the Burgers vector direction.
These plots show a wide range of final structures, some corresponding to expected dislocation structures and others not. While the characterizations are dislocation-type dependent, some general classification guidelines are listed here.
The calculation method used is available as the iprPy dislocation_monopole calculation method.
Links are provided above the images allowing for users to download the final defect configuration and a corresponding defect-free configuration if they wish to further analyze the structures or use them for subsequent simulations.
Notes and Disclaimers:
Version Information:
Plots of lattice and elastic constants are shown as a function of temperature. The 0K points were taken from the Crystal Structure Predictions and the Elastic Constants Predictions sections above for the unique crystal structures relaxed with the "dynamic" method. Starting from the 0 K relaxed crystal unit cells, supercell systems are created by replicating all three dimensions by the same multiplier to achieve at least 4000 atoms. The systems are then relaxed at 50 K and zero pressure using 1 million NPT steps. Lattice constants are estimated by averaging the measured box dimensions. Temperatures are iteratively increased by 50 K, with each subsequent relaxation calculation starting from the final atomic configuration at the previous temperature and relaxing for another 1 million steps.
The elastic constants are calculated using the deformation–fluctuation hybrid method. Starting from the final atomic configurations of the dynamic relaxations, the system is allowed to evolve at constant volume with a Langevin thermostat. The Born matrix is computed during this run by evaluating how the atomic forces would vary due to applied linear strain fields. The elastic constants can then be estimated using the averaged Born matrix values and the averaged stresses on the system.
The calculation methods used are available as the iprPy relax_dynamic and elastic_constants_dynamic calculation methods.
Clicking on the image of a plot will open an interactive version of it in a new tab. The underlying data for the plots can be downloaded by clicking on the links above each plot.
Notes and Disclaimers:
Version Information:
Plots of radial distribution functions at different temperatures and the temperature-dependent diffusion and viscosity are shown here for elemental liquids. Melt phases are constructed by starting with a 10x10x10 fcc super cell and relaxing with 50,000 NPT steps at zero pressure and a high melting temperature (3000 K for most potentials and elements). Following the melt, liquid structures are relaxed by running NPT for 10,000 steps over which the temperature is dropped by 50 K, then 50,000 NPT at the target temperature to estimate the equilibrium volume, followed by 20,000 NVT steps at the averaged equilibrium volume and target temperature. Structures from the NVT run are sampled to compute the radial distribution function of the liquid at the corresponding temperature.
The final relaxed configurations at each temperature explored are used as the initial configurations for the diffusion and viscosity calculations. For diffusion, the system is integrated for 100 runs of 2,000 NVT steps during which both the mean squared displacement (MSD) and the velocity auto correlation function (VACF) are computed. From these simulations, three estimates of diffusion are computed: one from the MSD of the full 200,000 step run, one in which the MSD is reset for each short run and then averaged, and one from the VACF computed for each short run and averaged. For viscosity, the Green-Kubo method is used which is evaluated during a 1 million step NVT run.
The calculation methods used are available as the iprPy relax_liquid_redo, diffusion_liquid, and viscosity_green_kubo calculation methods.
Clicking on the image of a plot will open an interactive version of it in a new tab. The underlying data for the plots can be downloaded by clicking on the links above each plot.
Notes and Disclaimers:
Version Information:
Estimated melting temperatures are tabulated below. The melting temperature is computed here using a two-phase solid-liquid atomic configuration. The two-phase configuration is created by starting with a crystalline system in which the c box vector is roughly twice the length of the other two box vectors. Based on some input temperature Tinit, an NPH plus a Berensen thermostat simulation is performed for 10,000 steps in which half the system is subjected to a temperature of 1.25*Tinit and the other half to a temperature of 0.5*Tinit. This is then followed by 10,000 steps during which the temperature of the two regions are both scaled to Tinit. The system is then ran for 200,000 NPH steps to equilibrate the system. For the second half of the final NPH run, the average temperature of the system is calculated and the polyhedral template matching algorithm is used to estimate the number of solid and liquid atoms for a number of configuration snapshots. If the averaged fraction of solid atoms is found to be between 0.25-0.75, then the averaged temperature provides an estimate of the melting temperature.
This calculation is iteratively performed where the Tinit value is adjusted up or down if the fraction of solid atoms is outside the range 0.25-0.75. Iterations are repeated until 10 calculations are performed that produce solid fractions in the target range, or 30 total calculations are performed.
The calculation method used is available as the iprPy melting_temperature calculation method.
Notes and Disclaimers:
Version Information:
| prototype | Tmelt | stderr |
|---|---|---|
| A2--W--bcc | 4354.52 | 3.15 |
Plots of internal energy, Gibbs free energy, entropy, heat capacity and volume are shown here as a function of temperature for various crystal structures and liquid phases. The included crystal structures correspond to those in the Solid Structures vs. Temperature section, and the liquid phases to those in the Liquid Properties section. Internal energy and volume are taken from the associated structure relaxations mentioned in those previous sections. Constant pressure heat capacity is estimated using 3-point numerical derivatives of enthalpy versus temperature. Note that since all simulations done here are at 0 pressure, internal energy and enthalpy are equivalent.
The Gibbs energies of the phases are estimated using thermodynamic integration between the interatomic potential in question and a simpler model with known Gibbs free energy values. For solids, the reference model is an Einstein solid, while for liquids it is the Uhlenbeck-Ford potential. Besides a short run at the start of the solid calculations to estimate Einstein model spring constants, the two calculations proceed similarly. Starting with the final relaxation configurations, the systems are stabilized for 25,000 steps. Then, over the next 50,000 steps the potential is swapped out for the reference potential. The system is then stabilized for another 25,000 steps with the reference model before a reverse swap of 50,000 steps is performed. The simulation ends with one final 25,000 step stabilization period. From the simulation, the irreversible work of transformation is estimated and used to compute the absolute Gibbs free energy of the target phase and potential relative to the reference potential. Entropy is estimated as the difference in enthalpy and Gibbs free energy and divided by temperature.
The calculation methods used are available as the iprPy relax_dynamic, relax_liquid_redo, free_energy, and free_energy_liquid calculation methods.
Clicking on the image of a plot will open an interactive version of it in a new tab. The underlying data for the plots can be downloaded by clicking on the links above each plot.
Notes and Disclaimers:
Version Information:






