Plots of the potential energy vs interatomic spacing, r, are shown below for all diatom sets associated with the interatomic potential. This calculation provides insights into the functional form of the potential's two-body interactions. A system consisting of only two atoms is created, and the potential energy is evaluated for the atoms separated by 0.02 Å <= r <= 6.0> Å in intervals of 0.02 Å. Two plots are shown: one for the "standard" interaction distance range, and one for small values of r. The small r plot is useful for determining whether the potential is suitable for radiation studies.
The calculation method used is available as the iprPy diatom_scan calculation method.
Clicking on the image of a plot will open an interactive version of it in a new tab. The underlying data for the plots can be downloaded by clicking on the links above each plot.
Notes and Disclaimers:
Version Information:
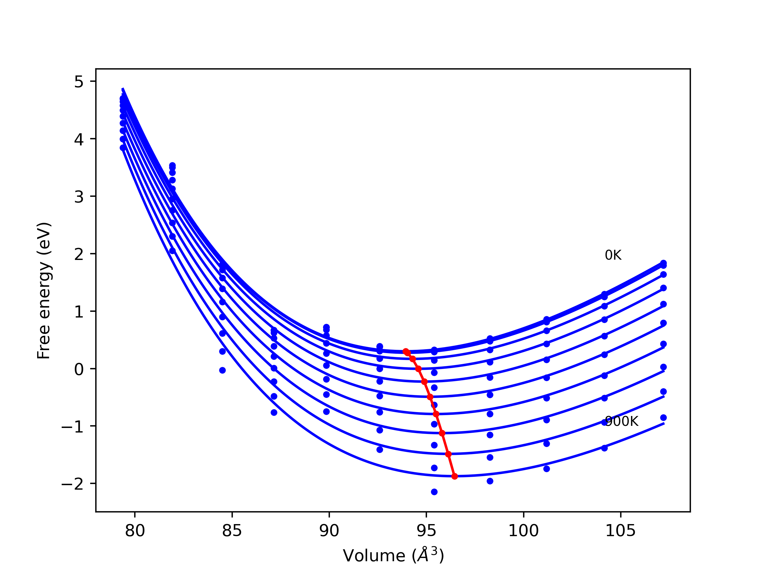
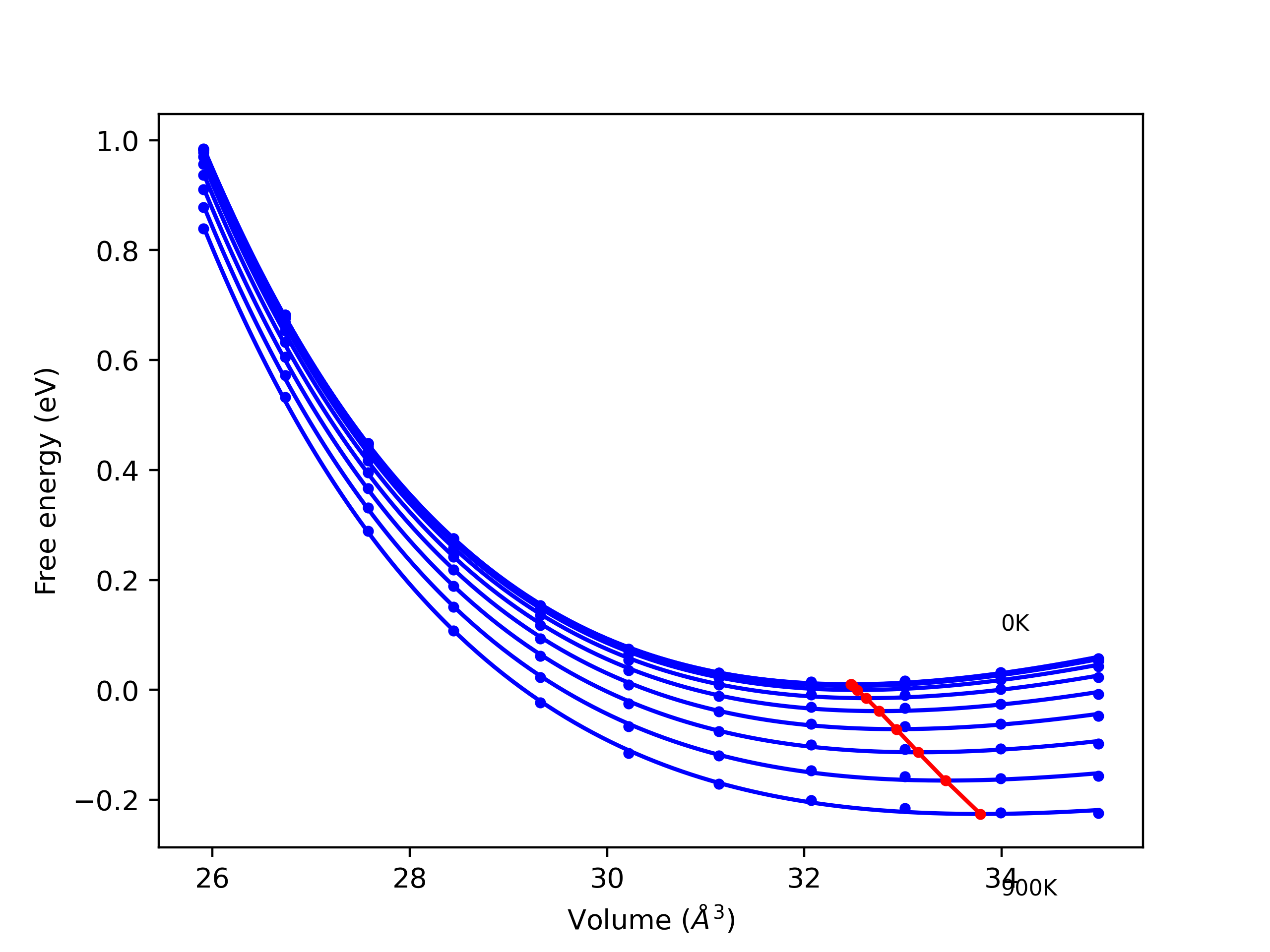
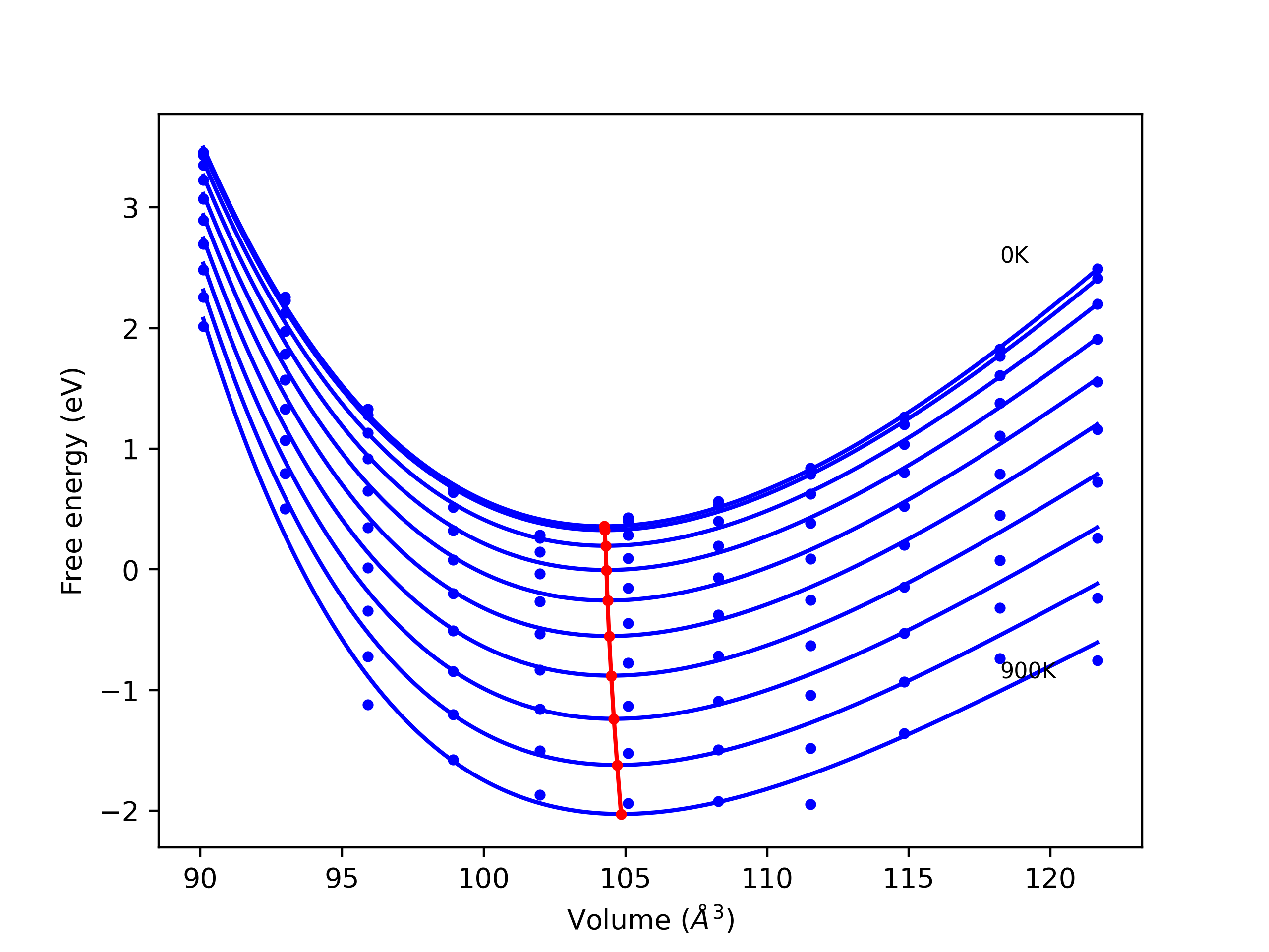
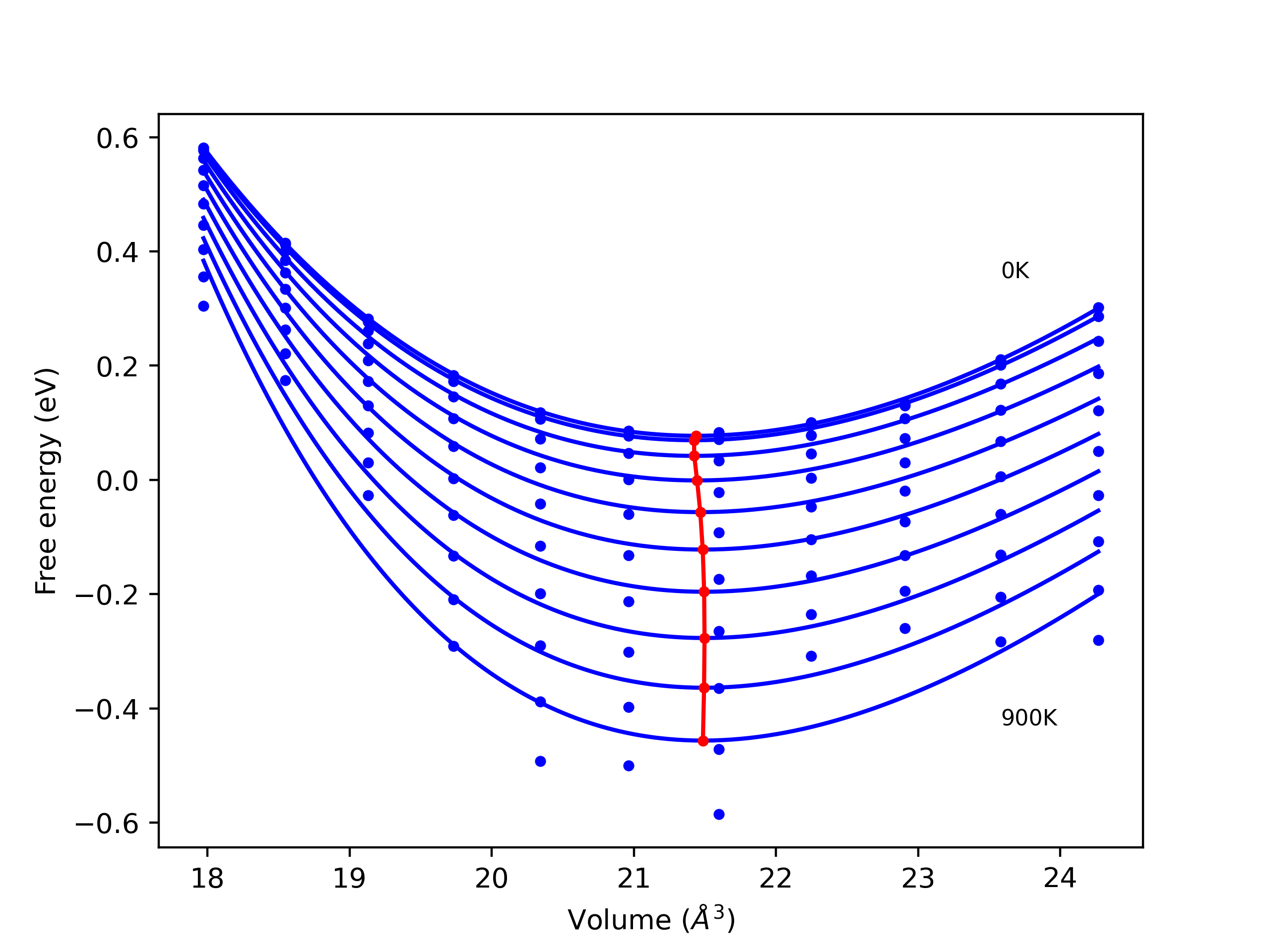
Plots of potential energy vs interatomic spacing, r, are shown below for a number of crystal structures. The structures are generated based on the ideal atomic positions and b/a and c/a lattice parameter ratios for a given crystal prototype. The size of the system is then uniformly scaled, and the energy calculated without relaxing the system. To obtain these plots, values of r are evaluated every 0.02 Å up to 6 Å.
The calculation method used is available as the iprPy E_vs_r_scan calculation method.
Clicking on the image of a plot will open an interactive version of it in a new tab. The underlying data for the plots can be downloaded by clicking on the links above each plot.
Notes and Disclaimers:
Version Information:
Computed lattice constants and cohesive/potential energies are displayed for a variety of crystal structures. The values displayed here are obtained using the following process.
The calculation methods used are implemented into iprPy as the following calculation styles
Notes and Disclaimers:
Version Information:
Download raw data (including filtered results)
Reference structure matches:
A1--Cu--fcc = mp-634659, oqmd-5497, oqmd-5499, oqmd-1214529
A15--beta-W = oqmd-1214974
A2--W--bcc = mp-632250, oqmd-5517, oqmd-1215152
A3'--alpha-La--double-hcp = oqmd-1215420
A3--Mg--hcp = mp-23907, mp-570752, oqmd-40867, oqmd-676625, oqmd-1215330
A4--C--dc = oqmd-1215509
A5--beta-Sn = oqmd-1215598
A6--In--bct = oqmd-1215687
A7--alpha-As = oqmd-1215776
| prototype | method | Ecoh (eV/atom) | Epot (eV/atom) | a0 (Å) | b0 (Å) | c0 (Å) | α (degrees) | β (degrees) | γ (degrees) |
|---|---|---|---|---|---|---|---|---|---|
| A1--Cu--fcc | static | -0.0 | -0.0 | 4.2435 | 4.2435 | 4.2435 | 90.0 | 90.0 | 90.0 |
| A3'--alpha-La--double-hcp | static | -0.0 | -0.0 | 3.0006 | 3.0006 | 9.8 | 90.0 | 90.0 | 120.0 |
| A3--Mg--hcp | static | -0.0 | -0.0 | 3.0006 | 3.0006 | 4.9 | 90.0 | 90.0 | 120.0 |
| A2--W--bcc | static | -0.0 | -0.0 | 3.4648 | 3.4648 | 3.4648 | 90.0 | 90.0 | 90.0 |
| mp-754417 | dynamic | -0.0 | -0.0 | 3.0006 | 3.0006 | 3.0006 | 90.0 | 90.0 | 120.0 |
| oqmd-11544 | static | -0.0 | -0.0 | 3.0006 | 3.0006 | 15.9196 | 90.0 | 90.0 | 120.0 |
| A5--beta-Sn | static | -0.0 | -0.0 | 5.8107 | 5.8107 | 3.0006 | 90.0 | 90.0 | 90.0 |
| A3--Mg--hcp | static | -0.0 | -0.0 | 3.4185 | 3.4185 | 4.5203 | 90.0 | 90.0 | 120.0 |
| Ah--alpha-Po--sc | static | -0.0 | -0.0 | 3.0006 | 3.0006 | 3.0006 | 90.0 | 90.0 | 90.0 |
| oqmd-1214618 | static | -0.0 | -0.0 | 4.2172 | 4.2172 | 5.261 | 90.0 | 90.0 | 120.0 |
| oqmd-57242 | static | -0.0 | -0.0 | 3.0006 | 5.0675 | 3.0006 | 90.0 | 99.3 | 90.0 |
| A3'--alpha-La--double-hcp | static | -0.0 | -0.0 | 4.0917 | 4.0917 | 7.4004 | 90.0 | 90.0 | 120.0 |
| oqmd-1214707 | static | -0.0 | -0.0 | 3.1476 | 5.1096 | 16.843 | 90.0 | 90.0 | 90.0 |
| A4--C--dc | static | -0.0 | -0.0 | 6.9296 | 6.9296 | 6.9296 | 90.0 | 90.0 | 90.0 |
| oqmd-57239 | static | -0.0 | -0.0 | 3.8811 | 4.5773 | 4.988 | 90.0 | 90.0 | 90.0 |
| A5--beta-Sn | static | -0.0 | -0.0 | 5.7865 | 5.7865 | 3.182 | 90.0 | 90.0 | 90.0 |
| oqmd-57243 | static | -0.0 | -0.0 | 3.9279 | 4.5372 | 4.9636 | 90.0 | 90.0 | 90.0 |
| oqmd-57246 | static | -0.0 | -0.0 | 3.7784 | 4.6625 | 4.9535 | 90.0 | 90.0 | 90.0 |
| A6--In--bct | static | -0.0 | -0.0 | 3.0006 | 3.0006 | 4.2783 | 90.0 | 90.0 | 90.0 |
| A6--In--bct | static | -0.0 | -0.0 | 3.0006 | 3.0006 | 4.5 | 90.0 | 90.0 | 90.0 |
| oqmd-82346 | static | -0.0 | -0.0 | 3.656 | 4.7591 | 4.9418 | 90.0 | 90.0 | 90.0 |
| oqmd-40937 | static | -0.0 | -0.0 | 3.1678 | 5.0971 | 5.1205 | 90.0 | 90.0 | 90.0 |
| oqmd-1215954 | static | -0.0 | -0.0 | 5.1972 | 5.1972 | 6.0012 | 90.0 | 90.0 | 120.0 |
| A7--alpha-As | static | -0.0 | -0.0 | 4.483 | 4.483 | 12.4485 | 90.0 | 90.0 | 120.0 |
| A3--Mg--hcp | static | -0.0 | -0.0 | 4.5706 | 4.5706 | 3.0006 | 90.0 | 90.0 | 120.0 |
| oqmd-82345 | static | -0.0 | -0.0 | 3.8898 | 4.9353 | 4.597 | 90.0 | 90.0 | 90.0 |
| A15--beta-W | static | -0.0 | -0.0 | 6.0012 | 6.0012 | 6.0012 | 90.0 | 90.0 | 90.0 |
| mp-1066989 | static | -0.0 | -0.0 | 3.2973 | 22.1082 | 6.3141 | 90.0 | 90.0 | 90.0 |
| mp-24504 | static | -0.0 | -0.0 | 3.8402 | 3.8402 | 20.3792 | 90.0 | 90.0 | 120.0 |
| oqmd-5539 | static | -0.0 | -0.0 | 3.2506 | 3.2506 | 11.1719 | 90.0 | 90.0 | 90.0 |
| mp-632172 | static | -0.0 | -0.0 | 4.4568 | 4.4568 | 12.5716 | 90.0 | 90.0 | 90.0 |
| oqmd-675624 | static | -0.0 | -0.0 | 3.4818 | 3.4818 | 10.7138 | 90.0 | 90.0 | 90.0 |
| mp-850274 | static | -0.0 | -0.0 | 4.3181 | 4.3181 | 14.9714 | 90.0 | 90.0 | 90.0 |
| mp-632291 | static | -0.0 | -0.0 | 3.3834 | 3.3834 | 16.6185 | 90.0 | 90.0 | 90.0 |
| oqmd-1214796 | static | -0.0 | -0.0 | 26.7945 | 26.7945 | 26.7945 | 90.0 | 90.0 | 90.0 |
| mp-1181265 | static | -0.0 | -0.0 | 6.8306 | 11.3241 | 19.8829 | 90.0 | 90.5 | 90.2 |
| mp-1188177 | static | -0.0 | -0.0 | 23.4196 | 11.1942 | 26.7102 | 90.0 | 90.0 | 90.0 |
| oqmd-1214885 | static | -0.0 | -0.0 | 24.2025 | 24.2025 | 29.6969 | 90.0 | 90.0 | 120.0 |
| A1--Cu--fcc | dynamic | 0.0 | 0.0 | 5.4286 | 5.4286 | 5.4286 | 90.0 | 90.0 | 90.0 |
| A7--alpha-As | dynamic | 0.0 | 0.0 | 5.0422 | 5.0422 | 13.4971 | 90.0 | 90.0 | 120.0 |
| Ah--alpha-Po--sc | dynamic | 0.0 | 0.0 | 3.8837 | 3.8837 | 3.8837 | 90.0 | 90.0 | 90.0 |
| mp-24504 | dynamic | 0.0 | 0.0 | 4.0107 | 4.0107 | 16.1713 | 90.0 | 90.0 | 120.0 |
| A5--beta-Sn | dynamic | 0.0 | 0.0 | 6.8004 | 6.8004 | 3.2606 | 90.0 | 90.0 | 90.0 |
| A1--Cu--fcc | dynamic | 0.0 | 0.0 | 4.8862 | 4.8862 | 4.8862 | 90.0 | 90.0 | 90.0 |
| mp-632291 | dynamic | 0.0 | 0.0 | 3.4988 | 3.4988 | 12.5692 | 90.0 | 90.0 | 90.0 |
| A2--W--bcc | dynamic | 0.0 | 0.0 | 4.1907 | 4.1907 | 4.1907 | 90.0 | 90.0 | 90.0 |
| mp-1066989 | dynamic | 0.0 | 0.0 | 3.3828 | 17.6726 | 7.2683 | 90.0 | 90.0 | 90.0 |
| mp-632172 | dynamic | 0.0 | 0.0 | 4.457 | 4.457 | 9.1607 | 90.0 | 90.0 | 90.0 |
| A3--Mg--hcp | dynamic | 0.0 | 0.0 | 3.9004 | 3.9004 | 6.3557 | 90.0 | 90.0 | 120.0 |
| A3--Mg--hcp | dynamic | 0.0 | 0.0 | 5.1702 | 5.1702 | 3.8495 | 90.0 | 90.0 | 120.0 |
| A4--C--dc | dynamic | 0.0 | 0.0 | 7.6204 | 7.6204 | 7.6204 | 90.0 | 90.0 | 90.0 |
| mp-850274 | dynamic | 0.0 | 0.0 | 4.3182 | 4.3182 | 10.1804 | 90.0 | 90.0 | 90.0 |
| mp-1188177 | dynamic | 0.0 | 0.0 | 13.527 | 10.225 | 14.3254 | 90.0 | 90.0 | 90.0 |
| A2--W--bcc | dynamic | 0.0 | 0.0 | 5.21 | 5.21 | 5.21 | 90.0 | 90.0 | 90.0 |
| A3'--alpha-La--double-hcp | dynamic | 0.0 | 0.0 | 3.4551 | 3.4551 | 11.2842 | 90.0 | 90.0 | 120.0 |
| A2--W--bcc | box | 0.0 | 0.0 | 3.4657 | 3.4657 | 3.4657 | 90.0 | 90.0 | 90.0 |
Download raw data (including filtered results)
Reference structure matches:
| prototype | method | Ecoh (eV/atom) | Epot (eV/atom) | a0 (Å) | b0 (Å) | c0 (Å) | α (degrees) | β (degrees) | γ (degrees) |
|---|---|---|---|---|---|---|---|---|---|
| C1--CaF2--fluorite | static | -0.4616 | -0.4616 | 3.9405 | 3.9405 | 3.9405 | 90.0 | 90.0 | 90.0 |
Download raw data (including filtered results)
Reference structure matches:
| prototype | method | Ecoh (eV/atom) | Epot (eV/atom) | a0 (Å) | b0 (Å) | c0 (Å) | α (degrees) | β (degrees) | γ (degrees) |
|---|---|---|---|---|---|---|---|---|---|
| L2_1--AlCu2Mn--heusler | static | -11.6039 | -11.6039 | 4.3211 | 4.3211 | 4.3211 | 90.0 | 90.0 | 90.0 |
Download raw data (including filtered results)
Reference structure matches:
| prototype | method | Ecoh (eV/atom) | Epot (eV/atom) | a0 (Å) | b0 (Å) | c0 (Å) | α (degrees) | β (degrees) | γ (degrees) |
|---|---|---|---|---|---|---|---|---|---|
| mp-1095432 | dynamic | -17.7753 | -17.7753 | 5.3836 | 2.5924 | 4.5756 | 90.0 | 90.0 | 90.0 |
| mp-1095432 | box | -16.9241 | -16.9241 | 4.8801 | 2.9724 | 5.0215 | 90.0 | 90.0 | 90.0 |
| C1--CaF2--fluorite | static | -16.589 | -16.589 | 4.2427 | 4.2427 | 4.2427 | 90.0 | 90.0 | 90.0 |
| oqmd-1239725 | static | -10.7764 | -10.7764 | 8.729 | 8.729 | 8.729 | 90.0 | 90.0 | 90.0 |
Download raw data (including filtered results)
Reference structure matches:
| prototype | method | Ecoh (eV/atom) | Epot (eV/atom) | a0 (Å) | b0 (Å) | c0 (Å) | α (degrees) | β (degrees) | γ (degrees) |
|---|---|---|---|---|---|---|---|---|---|
| oqmd-427306 | dynamic | -14.3536 | -14.3536 | 4.9402 | 4.9402 | 13.1416 | 90.0 | 90.0 | 120.0 |
Download raw data (including filtered results)
Reference structure matches:
| prototype | method | Ecoh (eV/atom) | Epot (eV/atom) | a0 (Å) | b0 (Å) | c0 (Å) | α (degrees) | β (degrees) | γ (degrees) |
|---|---|---|---|---|---|---|---|---|---|
| A15--Cr3Si | dynamic | -0.341 | -0.341 | 3.1147 | 3.1147 | 3.1147 | 90.0 | 90.0 | 90.0 |
| L1_2--AuCu3 | dynamic | -0.338 | -0.338 | 2.4518 | 2.4518 | 2.4518 | 90.0 | 90.0 | 90.0 |
| D0_3--BiF3 | dynamic | -0.3327 | -0.3327 | 3.8212 | 3.8212 | 3.8212 | 90.0 | 90.0 | 90.0 |
| A15--Cr3Si | static | -0.0 | -0.0 | 6.0012 | 6.0012 | 6.0012 | 90.0 | 90.0 | 90.0 |
| L1_2--AuCu3 | static | -0.0 | -0.0 | 4.2435 | 4.2435 | 4.2435 | 90.0 | 90.0 | 90.0 |
| D0_3--BiF3 | static | -0.0 | -0.0 | 6.9296 | 6.9296 | 6.9296 | 90.0 | 90.0 | 90.0 |
| A15--Cr3Si | dynamic | 0.0 | 0.0 | 6.5613 | 6.5613 | 6.5613 | 90.0 | 90.0 | 90.0 |
| D0_3--BiF3 | dynamic | 0.0 | 0.0 | 7.3646 | 7.3646 | 7.3646 | 90.0 | 90.0 | 90.0 |
Download raw data (including filtered results)
Reference structure matches:
L1_2--AuCu3 = oqmd-349162
| prototype | method | Ecoh (eV/atom) | Epot (eV/atom) | a0 (Å) | b0 (Å) | c0 (Å) | α (degrees) | β (degrees) | γ (degrees) |
|---|---|---|---|---|---|---|---|---|---|
| oqmd-324676 | static | -18.6758 | -18.6758 | 3.9734 | 3.9734 | 2.5083 | 90.0 | 90.0 | 120.0 |
| oqmd-310100 | static | -18.5361 | -18.5361 | 2.57 | 2.57 | 9.1029 | 90.0 | 90.0 | 120.0 |
| A15--Cr3Si | static | -18.033 | -18.033 | 3.2947 | 3.2947 | 3.2947 | 90.0 | 90.0 | 90.0 |
| mp-1078686 | dynamic | -18.0321 | -18.0321 | 2.8892 | 2.6264 | 4.657 | 90.0 | 100.4 | 90.0 |
| oqmd-299558 | static | -17.9305 | -17.9305 | 2.6367 | 2.6367 | 5.1224 | 90.0 | 90.0 | 90.0 |
| D0_3--BiF3 | static | -17.8955 | -17.8955 | 4.2307 | 4.2307 | 4.2307 | 90.0 | 90.0 | 90.0 |
| L1_2--AuCu3 | static | -17.8718 | -17.8718 | 2.6214 | 2.6214 | 2.6214 | 90.0 | 90.0 | 90.0 |
| mp-1078686 | box | -17.1275 | -17.1275 | 3.6943 | 2.6321 | 4.1337 | 90.0 | 93.3 | 90.0 |
Download raw data (including filtered results)
Reference structure matches:
| prototype | method | Ecoh (eV/atom) | Epot (eV/atom) | a0 (Å) | b0 (Å) | c0 (Å) | α (degrees) | β (degrees) | γ (degrees) |
|---|---|---|---|---|---|---|---|---|---|
| mp-1078595 | static | -17.3859 | -17.3859 | 2.6644 | 2.6644 | 5.1941 | 90.0 | 90.0 | 90.0 |
| mp-1078595 | box | -15.4127 | -15.4127 | 2.6409 | 2.6409 | 7.688 | 90.0 | 90.0 | 90.0 |
Download raw data (including filtered results)
Reference structure matches:
| prototype | method | Ecoh (eV/atom) | Epot (eV/atom) | a0 (Å) | b0 (Å) | c0 (Å) | α (degrees) | β (degrees) | γ (degrees) |
|---|---|---|---|---|---|---|---|---|---|
| mp-1095646 | box | -15.9071 | -15.9071 | 7.5219 | 2.369 | 3.1943 | 90.0 | 90.0 | 90.0 |
Download raw data (including filtered results)
Reference structure matches:
| prototype | method | Ecoh (eV/atom) | Epot (eV/atom) | a0 (Å) | b0 (Å) | c0 (Å) | α (degrees) | β (degrees) | γ (degrees) |
|---|---|---|---|---|---|---|---|---|---|
| L1_0--AuCu | dynamic | -0.9079 | -0.9079 | 1.6281 | 1.6281 | 2.436 | 90.0 | 90.0 | 90.0 |
| B2--CsCl | static | -0.7452 | -0.7452 | 1.9212 | 1.9212 | 1.9212 | 90.0 | 90.0 | 90.0 |
| B1--NaCl--rock-salt | dynamic | -0.5934 | -0.5934 | 3.4043 | 3.4043 | 3.4043 | 90.0 | 90.0 | 90.0 |
| B3--ZnS--cubic-zinc-blende | static | -0.43 | -0.43 | 3.8795 | 3.8795 | 3.8795 | 90.0 | 90.0 | 90.0 |
Download raw data (including filtered results)
Reference structure matches:
| prototype | method | Ecoh (eV/atom) | Epot (eV/atom) | a0 (Å) | b0 (Å) | c0 (Å) | α (degrees) | β (degrees) | γ (degrees) |
|---|---|---|---|---|---|---|---|---|---|
| C1--CaF2--fluorite | static | -0.5711 | -0.5711 | 3.5437 | 3.5437 | 3.5437 | 90.0 | 90.0 | 90.0 |
Download raw data (including filtered results)
Reference structure matches:
| prototype | method | Ecoh (eV/atom) | Epot (eV/atom) | a0 (Å) | b0 (Å) | c0 (Å) | α (degrees) | β (degrees) | γ (degrees) |
|---|---|---|---|---|---|---|---|---|---|
| L2_1--AlCu2Mn--heusler | dynamic | -5.4304 | -5.4304 | 4.366 | 4.366 | 4.366 | 90.0 | 90.0 | 90.0 |
Download raw data (including filtered results)
Reference structure matches:
| prototype | method | Ecoh (eV/atom) | Epot (eV/atom) | a0 (Å) | b0 (Å) | c0 (Å) | α (degrees) | β (degrees) | γ (degrees) |
|---|---|---|---|---|---|---|---|---|---|
| L1_2--AuCu3 | static | -1.1494 | -1.1494 | 2.3004 | 2.3004 | 2.3004 | 90.0 | 90.0 | 90.0 |
| D0_3--BiF3 | static | -1.0478 | -1.0478 | 3.6461 | 3.6461 | 3.6461 | 90.0 | 90.0 | 90.0 |
| A15--Cr3Si | box | -0.7896 | -0.7896 | 2.8995 | 2.8995 | 2.8995 | 90.0 | 90.0 | 90.0 |
| A15--Cr3Si | static | -0.0 | -0.0 | 6.0012 | 6.0012 | 6.0012 | 90.0 | 90.0 | 90.0 |
Download raw data (including filtered results)
Reference structure matches:
| prototype | method | Ecoh (eV/atom) | Epot (eV/atom) | a0 (Å) | b0 (Å) | c0 (Å) | α (degrees) | β (degrees) | γ (degrees) |
|---|---|---|---|---|---|---|---|---|---|
| L2_1--AlCu2Mn--heusler | static | -8.0924 | -8.0924 | 5.3514 | 5.3514 | 5.3514 | 90.0 | 90.0 | 90.0 |
Download raw data (including filtered results)
Reference structure matches:
B1--NaCl--rock-salt = oqmd-1104666
B2--CsCl = oqmd-305481, oqmd-337023
B3--ZnS--cubic-zinc-blende = oqmd-1222771
| prototype | method | Ecoh (eV/atom) | Epot (eV/atom) | a0 (Å) | b0 (Å) | c0 (Å) | α (degrees) | β (degrees) | γ (degrees) |
|---|---|---|---|---|---|---|---|---|---|
| B1--NaCl--rock-salt | dynamic | -15.6505 | -15.6505 | 3.7813 | 3.7813 | 3.7813 | 90.0 | 90.0 | 90.0 |
| mp-1007761 | static | -15.5426 | -15.5426 | 2.9997 | 2.9997 | 4.337 | 90.0 | 90.0 | 120.0 |
| B2--CsCl | static | -14.9038 | -14.9038 | 2.6063 | 2.6063 | 2.6063 | 90.0 | 90.0 | 90.0 |
| B3--ZnS--cubic-zinc-blende | static | -14.5809 | -14.5809 | 4.2119 | 4.2119 | 4.2119 | 90.0 | 90.0 | 90.0 |
Download raw data (including filtered results)
Reference structure matches:
| prototype | method | Ecoh (eV/atom) | Epot (eV/atom) | a0 (Å) | b0 (Å) | c0 (Å) | α (degrees) | β (degrees) | γ (degrees) |
|---|---|---|---|---|---|---|---|---|---|
| C1--CaF2--fluorite | static | -12.2557 | -12.2557 | 5.2372 | 5.2372 | 5.2372 | 90.0 | 90.0 | 90.0 |
| oqmd-1239724 | static | -10.1867 | -10.1867 | 8.5769 | 8.5769 | 8.5769 | 90.0 | 90.0 | 90.0 |
Download raw data (including filtered results)
Reference structure matches:
D0_3--BiF3 = oqmd-314134
L1_2--AuCu3 = oqmd-345128
| prototype | method | Ecoh (eV/atom) | Epot (eV/atom) | a0 (Å) | b0 (Å) | c0 (Å) | α (degrees) | β (degrees) | γ (degrees) |
|---|---|---|---|---|---|---|---|---|---|
| D0_3--BiF3 | static | -11.6765 | -11.6765 | 6.0997 | 6.0997 | 6.0997 | 90.0 | 90.0 | 90.0 |
| oqmd-303592 | static | -11.6259 | -11.6259 | 3.7517 | 3.7517 | 7.4358 | 90.0 | 90.0 | 90.0 |
| L1_2--AuCu3 | static | -11.5853 | -11.5853 | 3.7421 | 3.7421 | 3.7421 | 90.0 | 90.0 | 90.0 |
| oqmd-320642 | static | -11.5477 | -11.5477 | 5.2891 | 5.2891 | 4.3568 | 90.0 | 90.0 | 120.0 |
| A15--Cr3Si | dynamic | -11.5089 | -11.5089 | 4.719 | 4.719 | 4.719 | 90.0 | 90.0 | 90.0 |
| L1_2--AuCu3 | static | -0.0 | -0.0 | 7.7216 | 7.7216 | 7.7216 | 90.0 | 90.0 | 90.0 |
| D0_3--BiF3 | static | -0.0 | -0.0 | 12.6093 | 12.6093 | 12.6093 | 90.0 | 90.0 | 90.0 |
| A15--Cr3Si | static | -0.0 | -0.0 | 10.92 | 10.92 | 10.92 | 90.0 | 90.0 | 90.0 |
| D0_3--BiF3 | dynamic | 0.0 | 0.0 | 13.9038 | 13.9038 | 13.9038 | 90.0 | 90.0 | 90.0 |
| A15--Cr3Si | dynamic | 0.0 | 0.0 | 12.4814 | 12.4814 | 12.4814 | 90.0 | 90.0 | 90.0 |
Download raw data (including filtered results)
Reference structure matches:
A1--Cu--fcc = mp-614456, oqmd-4177, oqmd-1214530
A15--beta-W = oqmd-1214975
A2--W--bcc = mp-23158, oqmd-8084, oqmd-1215153
A3'--alpha-La--double-hcp = oqmd-1215421
A3--Mg--hcp = mp-23156, oqmd-8085, oqmd-8394, oqmd-1215331
A4--C--dc = oqmd-1215510
A5--beta-Sn = oqmd-1215599
A6--In--bct = oqmd-1215688
A7--alpha-As = oqmd-1215777
| prototype | method | Ecoh (eV/atom) | Epot (eV/atom) | a0 (Å) | b0 (Å) | c0 (Å) | α (degrees) | β (degrees) | γ (degrees) |
|---|---|---|---|---|---|---|---|---|---|
| A1--Cu--fcc | static | -1.0702 | -1.0702 | 2.2769 | 2.2769 | 2.2769 | 90.0 | 90.0 | 90.0 |
| A3'--alpha-La--double-hcp | static | -1.0698 | -1.0698 | 1.61 | 1.61 | 5.2586 | 90.0 | 90.0 | 120.0 |
| A3--Mg--hcp | static | -1.0694 | -1.0694 | 1.61 | 1.61 | 2.6294 | 90.0 | 90.0 | 120.0 |
| A2--W--bcc | static | -0.7863 | -0.7863 | 1.8114 | 1.8114 | 1.8114 | 90.0 | 90.0 | 90.0 |
| A15--beta-W | static | -0.705 | -0.705 | 2.8633 | 2.8633 | 2.8633 | 90.0 | 90.0 | 90.0 |
| Ah--alpha-Po--sc | dynamic | -0.4823 | -0.4823 | 1.6172 | 1.6172 | 1.6172 | 90.0 | 90.0 | 90.0 |
| A5--beta-Sn | box | -0.4607 | -0.4607 | 3.1176 | 3.1176 | 1.6044 | 90.0 | 90.0 | 90.0 |
| A4--C--dc | static | -0.3603 | -0.3603 | 3.7206 | 3.7206 | 3.7206 | 90.0 | 90.0 | 90.0 |
| A7--alpha-As | dynamic | -0.2767 | -0.2767 | 2.7843 | 2.7843 | 9.905 | 90.0 | 90.0 | 120.0 |
| A1--Cu--fcc | static | -0.0 | -0.0 | 4.2435 | 4.2435 | 4.2435 | 90.0 | 90.0 | 90.0 |
| A3'--alpha-La--double-hcp | static | -0.0 | -0.0 | 3.0006 | 3.0006 | 9.8 | 90.0 | 90.0 | 120.0 |
| A3--Mg--hcp | static | -0.0 | -0.0 | 3.0006 | 3.0006 | 4.9 | 90.0 | 90.0 | 120.0 |
| A2--W--bcc | static | -0.0 | -0.0 | 3.4648 | 3.4648 | 3.4648 | 90.0 | 90.0 | 90.0 |
| A5--beta-Sn | static | -0.0 | -0.0 | 5.8107 | 5.8107 | 3.0006 | 90.0 | 90.0 | 90.0 |
| Ah--alpha-Po--sc | static | -0.0 | -0.0 | 3.0006 | 3.0006 | 3.0006 | 90.0 | 90.0 | 90.0 |
| A3--Mg--hcp | box | -0.0 | -0.0 | 3.0014 | 3.0014 | 4.8995 | 90.0 | 90.0 | 120.0 |
| A4--C--dc | static | -0.0 | -0.0 | 6.9296 | 6.9296 | 6.9296 | 90.0 | 90.0 | 90.0 |
| A5--beta-Sn | static | -0.0 | -0.0 | 5.7865 | 5.7865 | 3.182 | 90.0 | 90.0 | 90.0 |
| A6--In--bct | static | -0.0 | -0.0 | 3.0006 | 3.0006 | 4.2743 | 90.0 | 90.0 | 90.0 |
| A6--In--bct | static | -0.0 | -0.0 | 3.0006 | 3.0006 | 4.5 | 90.0 | 90.0 | 90.0 |
| oqmd-1215955 | static | -0.0 | -0.0 | 5.1972 | 5.1972 | 6.0012 | 90.0 | 90.0 | 120.0 |
| A7--alpha-As | static | -0.0 | -0.0 | 4.483 | 4.483 | 12.4485 | 90.0 | 90.0 | 120.0 |
| oqmd-1214708 | static | -0.0 | -0.0 | 4.978 | 9.2965 | 4.956 | 90.0 | 90.0 | 90.0 |
| A3'--alpha-La--double-hcp | box | -0.0 | -0.0 | 3.0006 | 3.0006 | 9.802 | 90.0 | 90.0 | 120.0 |
| A15--beta-W | static | -0.0 | -0.0 | 6.0012 | 6.0012 | 6.0012 | 90.0 | 90.0 | 90.0 |
| oqmd-1214886 | static | -0.0 | -0.0 | 7.9968 | 7.9968 | 7.9968 | 90.0 | 90.0 | 90.0 |
| A3--Mg--hcp | box | -0.0 | -0.0 | 3.0006 | 3.0006 | 4.902 | 90.0 | 90.0 | 120.0 |
| A1--Cu--fcc | dynamic | 0.0 | 0.0 | 4.8661 | 4.8661 | 4.8661 | 90.0 | 90.0 | 90.0 |
| A2--W--bcc | dynamic | 0.0 | 0.0 | 3.9891 | 3.9891 | 3.9891 | 90.0 | 90.0 | 90.0 |
| A2--W--bcc | dynamic | 0.0 | 0.0 | 4.1656 | 4.1656 | 4.1656 | 90.0 | 90.0 | 90.0 |
| A3--Mg--hcp | dynamic | 0.0 | 0.0 | 3.6077 | 3.6077 | 5.8979 | 90.0 | 90.0 | 120.0 |
| A2--W--bcc | dynamic | 0.0 | 0.0 | 4.1316 | 4.1316 | 4.1316 | 90.0 | 90.0 | 90.0 |
| A4--C--dc | dynamic | 0.0 | 0.0 | 7.9884 | 7.9884 | 7.9884 | 90.0 | 90.0 | 90.0 |
| A4--C--dc | dynamic | 0.0 | 0.0 | 7.5975 | 7.5975 | 7.5975 | 90.0 | 90.0 | 90.0 |
| A1--Cu--fcc | dynamic | 0.0 | 0.0 | 4.6586 | 4.6586 | 4.6586 | 90.0 | 90.0 | 90.0 |
| A3'--alpha-La--double-hcp | dynamic | 0.0 | 0.0 | 3.1908 | 3.1908 | 10.4891 | 90.0 | 90.0 | 120.0 |
| A3--Mg--hcp | dynamic | 0.0 | 0.0 | 3.5952 | 3.5952 | 5.8873 | 90.0 | 90.0 | 120.0 |
| mp-754382 | dynamic | 0.0 | 0.0 | 3.7937 | 3.7937 | 3.2678 | 90.0 | 90.0 | 120.0 |
| A5--beta-Sn | dynamic | 0.0 | 0.0 | 6.6528 | 6.6528 | 3.2895 | 90.0 | 90.0 | 90.0 |
| A3--Mg--hcp | dynamic | 0.0 | 0.0 | 3.3025 | 3.3025 | 5.411 | 90.0 | 90.0 | 120.0 |
| oqmd-8392 | dynamic | 0.0 | 0.0 | 3.7776 | 3.7776 | 4.3192 | 90.0 | 90.0 | 120.0 |
| A7--alpha-As | dynamic | 0.0 | 0.0 | 5.0246 | 5.0246 | 13.4647 | 90.0 | 90.0 | 120.0 |
| oqmd-1215242 | dynamic | 0.0 | 0.0 | 3.8315 | 5.6902 | 5.8202 | 90.0 | 90.0 | 90.0 |
| A15--beta-W | box | 0.0 | 0.0 | 6.005 | 6.005 | 6.005 | 90.0 | 90.0 | 90.0 |
| A1--Cu--fcc | box | 0.0 | 0.0 | 4.2446 | 4.2446 | 4.2446 | 90.0 | 90.0 | 90.0 |
Download raw data (including filtered results)
Reference structure matches:
| prototype | method | Ecoh (eV/atom) | Epot (eV/atom) | a0 (Å) | b0 (Å) | c0 (Å) | α (degrees) | β (degrees) | γ (degrees) |
|---|---|---|---|---|---|---|---|---|---|
| C1--CaF2--fluorite | static | -0.0 | -0.0 | 8.0825 | 8.0825 | 8.0825 | 90.0 | 90.0 | 90.0 |
| C1--CaF2--fluorite | static | 0.0229 | 0.0229 | 6.0657 | 6.0657 | 6.0657 | 90.0 | 90.0 | 90.0 |
Download raw data (including filtered results)
Reference structure matches:
| prototype | method | Ecoh (eV/atom) | Epot (eV/atom) | a0 (Å) | b0 (Å) | c0 (Å) | α (degrees) | β (degrees) | γ (degrees) |
|---|---|---|---|---|---|---|---|---|---|
| L1_2--AuCu3 | static | -0.2166 | -0.2166 | 4.1366 | 4.1366 | 4.1366 | 90.0 | 90.0 | 90.0 |
| D0_3--BiF3 | static | -0.0 | -0.0 | 8.0825 | 8.0825 | 8.0825 | 90.0 | 90.0 | 90.0 |
| A15--Cr3Si | box | 0.0272 | 0.0272 | 5.2218 | 5.2218 | 5.2218 | 90.0 | 90.0 | 90.0 |
| D0_3--BiF3 | static | 0.0552 | 0.0552 | 6.2286 | 6.2286 | 6.2286 | 90.0 | 90.0 | 90.0 |
Download raw data (including filtered results)
Reference structure matches:
| prototype | method | Ecoh (eV/atom) | Epot (eV/atom) | a0 (Å) | b0 (Å) | c0 (Å) | α (degrees) | β (degrees) | γ (degrees) |
|---|---|---|---|---|---|---|---|---|---|
| B2--CsCl | dynamic | -2.2572 | -2.2572 | 3.103 | 3.103 | 3.103 | 90.0 | 90.0 | 90.0 |
| L1_0--AuCu | box | -2.2518 | -2.2518 | 2.9897 | 2.9897 | 3.3392 | 90.0 | 90.0 | 90.0 |
| B1--NaCl--rock-salt | static | -1.9468 | -1.9468 | 4.4765 | 4.4765 | 4.4765 | 90.0 | 90.0 | 90.0 |
| B3--ZnS--cubic-zinc-blende | dynamic | -1.6245 | -1.6245 | 4.3769 | 4.3769 | 4.3769 | 90.0 | 90.0 | 90.0 |
| B3--ZnS--cubic-zinc-blende | static | -0.0 | -0.0 | 8.0825 | 8.0825 | 8.0825 | 90.0 | 90.0 | 90.0 |
| B3--ZnS--cubic-zinc-blende | dynamic | 0.0 | 0.0 | 8.8085 | 8.8085 | 8.8085 | 90.0 | 90.0 | 90.0 |
Download raw data (including filtered results)
Reference structure matches:
| prototype | method | Ecoh (eV/atom) | Epot (eV/atom) | a0 (Å) | b0 (Å) | c0 (Å) | α (degrees) | β (degrees) | γ (degrees) |
|---|---|---|---|---|---|---|---|---|---|
| C1--CaF2--fluorite | static | -3.5303 | -3.5303 | 5.9826 | 5.9826 | 5.9826 | 90.0 | 90.0 | 90.0 |
Download raw data (including filtered results)
Reference structure matches:
| prototype | method | Ecoh (eV/atom) | Epot (eV/atom) | a0 (Å) | b0 (Å) | c0 (Å) | α (degrees) | β (degrees) | γ (degrees) |
|---|---|---|---|---|---|---|---|---|---|
| D0_3--BiF3 | static | -5.3675 | -5.3675 | 6.3262 | 6.3262 | 6.3262 | 90.0 | 90.0 | 90.0 |
| L1_2--AuCu3 | dynamic | -5.1656 | -5.1656 | 4.1224 | 4.1224 | 4.1224 | 90.0 | 90.0 | 90.0 |
| A15--Cr3Si | dynamic | -5.087 | -5.087 | 5.0324 | 5.0324 | 5.0324 | 90.0 | 90.0 | 90.0 |
| L1_2--AuCu3 | static | -0.0 | -0.0 | 7.7216 | 7.7216 | 7.7216 | 90.0 | 90.0 | 90.0 |
| D0_3--BiF3 | static | -0.0 | -0.0 | 12.6093 | 12.6093 | 12.6093 | 90.0 | 90.0 | 90.0 |
| A15--Cr3Si | static | -0.0 | -0.0 | 10.92 | 10.92 | 10.92 | 90.0 | 90.0 | 90.0 |
| D0_3--BiF3 | dynamic | 0.0 | 0.0 | 13.9038 | 13.9038 | 13.9038 | 90.0 | 90.0 | 90.0 |
Download raw data (including filtered results)
Reference structure matches:
A1--Cu--fcc = mp-8641, oqmd-676155, oqmd-1214584
A15--beta-W = mp-11334, oqmd-9254, oqmd-1215029
A2--W--bcc = mp-91, oqmd-676232, oqmd-1215207
A3'--alpha-La--double-hcp = oqmd-1215475
A3--Mg--hcp = oqmd-1215385
A4--C--dc = oqmd-1215564
A5--beta-Sn = oqmd-1215653
A6--In--bct = oqmd-1215742
A7--alpha-As = oqmd-1215831
| prototype | method | Ecoh (eV/atom) | Epot (eV/atom) | a0 (Å) | b0 (Å) | c0 (Å) | α (degrees) | β (degrees) | γ (degrees) |
|---|---|---|---|---|---|---|---|---|---|
| A2--W--bcc | dynamic | -8.9 | -8.9 | 3.14 | 3.14 | 3.14 | 90.0 | 90.0 | 90.0 |
| oqmd-1214851 | dynamic | -8.6459 | -8.6459 | 9.7107 | 9.7107 | 9.7107 | 90.0 | 90.0 | 90.0 |
| oqmd-1214851 | box | -8.6349 | -8.6349 | 9.724 | 9.724 | 9.724 | 90.0 | 90.0 | 90.0 |
| oqmd-1214940 | static | -8.588 | -8.588 | 6.7998 | 6.7998 | 6.7998 | 90.0 | 90.0 | 90.0 |
| oqmd-1214940 | box | -8.5842 | -8.5842 | 6.8229 | 6.8229 | 6.8229 | 90.0 | 90.0 | 90.0 |
| A15--beta-W | dynamic | -8.5642 | -8.5642 | 4.9596 | 4.9596 | 4.9596 | 90.0 | 90.0 | 90.0 |
| A6--In--bct | static | -8.5538 | -8.5538 | 2.6493 | 2.6493 | 4.2962 | 90.0 | 90.0 | 90.0 |
| A1--Cu--fcc | dynamic | -8.5272 | -8.5272 | 3.7926 | 3.7926 | 3.7926 | 90.0 | 90.0 | 90.0 |
| A3'--alpha-La--double-hcp | static | -8.5261 | -8.5261 | 2.6841 | 2.6841 | 9.1246 | 90.0 | 90.0 | 120.0 |
| A6--In--bct | box | -8.5227 | -8.5227 | 2.6624 | 2.6624 | 3.9619 | 90.0 | 90.0 | 90.0 |
| A1--Cu--fcc | box | -8.4298 | -8.4298 | 4.0293 | 4.0293 | 4.0293 | 90.0 | 90.0 | 90.0 |
| A5--beta-Sn | static | -7.5987 | -7.5987 | 5.1165 | 5.1165 | 2.6672 | 90.0 | 90.0 | 90.0 |
| mp-1178801 | box | -7.3599 | -7.3599 | 9.5712 | 2.6362 | 14.1288 | 90.0 | 105.5 | 90.0 |
| Ah--alpha-Po--sc | box | -6.9656 | -6.9656 | 2.6314 | 2.6314 | 2.6314 | 90.0 | 90.0 | 90.0 |
| A7--alpha-As | box | -6.2022 | -6.2022 | 3.8249 | 3.8249 | 10.9063 | 90.0 | 90.0 | 120.0 |
| A4--C--dc | dynamic | -5.8524 | -5.8524 | 6.1594 | 6.1594 | 6.1594 | 90.0 | 90.0 | 90.0 |
| A3'--alpha-La--double-hcp | static | -0.0 | -0.0 | 5.4602 | 5.4602 | 17.8332 | 90.0 | 90.0 | 120.0 |
| A3--Mg--hcp | static | -0.0 | -0.0 | 5.4602 | 5.4602 | 8.9166 | 90.0 | 90.0 | 120.0 |
| A1--Cu--fcc | static | -0.0 | -0.0 | 7.7216 | 7.7216 | 7.7216 | 90.0 | 90.0 | 90.0 |
| A2--W--bcc | static | -0.0 | -0.0 | 6.3047 | 6.3047 | 6.3047 | 90.0 | 90.0 | 90.0 |
| Ah--alpha-Po--sc | static | -0.0 | -0.0 | 5.46 | 5.46 | 5.46 | 90.0 | 90.0 | 90.0 |
| A7--alpha-As | static | -0.0 | -0.0 | 8.1577 | 8.1577 | 22.6536 | 90.0 | 90.0 | 120.0 |
| A4--C--dc | static | -0.0 | -0.0 | 12.6093 | 12.6093 | 12.6093 | 90.0 | 90.0 | 90.0 |
| A6--In--bct | static | -0.0 | -0.0 | 5.46 | 5.46 | 8.19 | 90.0 | 90.0 | 90.0 |
| A5--beta-Sn | static | -0.0 | -0.0 | 10.5291 | 10.5291 | 5.791 | 90.0 | 90.0 | 90.0 |
| A15--beta-W | static | -0.0 | -0.0 | 10.92 | 10.92 | 10.92 | 90.0 | 90.0 | 90.0 |
| A7--alpha-As | dynamic | 0.0 | 0.0 | 9.6891 | 9.6891 | 25.5005 | 90.0 | 90.0 | 120.0 |
| A3'--alpha-La--double-hcp | dynamic | 0.0 | 0.0 | 6.6369 | 6.6369 | 21.6761 | 90.0 | 90.0 | 120.0 |
| A6--In--bct | dynamic | 0.0 | 0.0 | 7.5759 | 7.5759 | 8.19 | 90.0 | 90.0 | 90.0 |
| A2--W--bcc | dynamic | 0.0 | 0.0 | 8.2687 | 8.2687 | 8.2687 | 90.0 | 90.0 | 90.0 |
| A4--C--dc | dynamic | 0.0 | 0.0 | 14.4592 | 14.4592 | 14.4592 | 90.0 | 90.0 | 90.0 |
Static elastic constants are displayed for the unique structures identified in Crystal Structure Predictions above. The values displayed here are obtained by measuring the change in virial stresses due to applying small strains to the relaxed crystals. The initial structure and the strained states are all relaxed using force minimization.
The calculation method used is available as the iprPy elastic_constants_static calculation method.
Notes and Disclaimers:
Version Information:
| 0.001 | 0.000 | 0.000 | 0.000 | -0.000 | -0.000 |
| 0.000 | 0.001 | 0.000 | -0.000 | 0.000 | 0.000 |
| 0.000 | 0.000 | 0.001 | 0.000 | 0.000 | -0.000 |
| -0.000 | -0.000 | -0.000 | 0.000 | 0.000 | -0.000 |
| -0.000 | -0.000 | -0.000 | 0.000 | 0.000 | -0.000 |
| -0.000 | -0.000 | -0.000 | 0.000 | -0.000 | 0.000 |
| 0.001 | 0.000 | 0.000 | 0.000 | -0.000 | -0.000 |
| 0.000 | 0.001 | 0.000 | -0.000 | 0.000 | 0.000 |
| 0.000 | 0.000 | 0.001 | 0.000 | 0.000 | 0.000 |
| 0.000 | 0.000 | 0.000 | 0.000 | -0.000 | -0.000 |
| 0.000 | 0.000 | 0.000 | -0.000 | 0.000 | -0.000 |
| 0.000 | 0.000 | 0.000 | 0.000 | -0.000 | 0.000 |
| 0.001 | 0.000 | 0.000 | 0.000 | -0.000 | 0.000 |
| 0.000 | 0.001 | 0.000 | -0.000 | 0.000 | -0.000 |
| 0.000 | 0.000 | 0.001 | -0.000 | -0.000 | -0.000 |
| -0.000 | -0.000 | -0.000 | 0.000 | -0.000 | -0.000 |
| -0.000 | -0.000 | -0.000 | -0.000 | 0.000 | -0.000 |
| -0.000 | -0.000 | -0.000 | -0.000 | -0.000 | 0.000 |
| 0.001 | 0.000 | 0.000 | 0.000 | -0.000 | -0.000 |
| 0.000 | 0.001 | 0.000 | -0.000 | 0.000 | -0.000 |
| 0.000 | 0.000 | 0.001 | -0.000 | -0.000 | 0.000 |
| 0.000 | 0.000 | 0.000 | 0.000 | -0.000 | 0.000 |
| 0.000 | 0.000 | 0.000 | -0.000 | 0.000 | 0.000 |
| 0.000 | 0.000 | 0.000 | 0.000 | 0.000 | 0.000 |
| 0.001 | 0.000 | 0.000 | 0.000 | -0.000 | 0.000 |
| 0.000 | 0.001 | 0.000 | -0.000 | 0.000 | 0.000 |
| 0.000 | 0.000 | 0.001 | 0.000 | 0.000 | -0.000 |
| -0.000 | -0.000 | -0.000 | 0.000 | 0.000 | -0.000 |
| -0.000 | -0.000 | -0.000 | 0.000 | 0.000 | -0.000 |
| -0.000 | -0.000 | -0.000 | -0.000 | -0.000 | 0.000 |
| 0.001 | 0.000 | 0.000 | 0.000 | 0.000 | 0.000 |
| 0.000 | 0.001 | 0.000 | 0.000 | 0.000 | -0.000 |
| 0.000 | 0.000 | 0.001 | 0.000 | -0.000 | 0.000 |
| 0.000 | 0.000 | 0.000 | 0.000 | 0.000 | -0.000 |
| 0.000 | 0.000 | 0.000 | -0.000 | 0.000 | -0.000 |
| 0.000 | 0.000 | 0.000 | 0.000 | -0.000 | 0.000 |
| 0.000 | 0.000 | 0.000 | 0.000 | 0.000 | -0.000 |
| 0.000 | 0.000 | 0.000 | -0.000 | -0.000 | 0.000 |
| 0.000 | 0.000 | 0.000 | 0.000 | -0.000 | 0.000 |
| 0.000 | -0.000 | 0.000 | -0.000 | 0.000 | 0.000 |
| -0.000 | 0.000 | 0.000 | 0.000 | -0.000 | -0.000 |
| -0.000 | 0.000 | 0.000 | 0.000 | -0.000 | -0.000 |
| 0.000 | 0.000 | 0.000 | 0.000 | -0.000 | 0.000 |
| 0.000 | 0.000 | 0.000 | 0.000 | -0.000 | 0.000 |
| 0.000 | 0.000 | 0.000 | -0.000 | 0.000 | 0.000 |
| -0.000 | 0.000 | -0.000 | -0.000 | -0.000 | -0.000 |
| 0.000 | -0.000 | -0.000 | -0.000 | -0.000 | 0.000 |
| 0.000 | -0.000 | -0.000 | -0.000 | 0.000 | -0.000 |
| 0.000 | 0.000 | 0.000 | 0.000 | 0.000 | -0.000 |
| 0.000 | 0.000 | 0.000 | 0.000 | -0.000 | 0.000 |
| 0.000 | 0.000 | 0.000 | -0.000 | 0.000 | 0.000 |
| 0.000 | -0.000 | -0.000 | -0.000 | 0.000 | -0.000 |
| -0.000 | 0.000 | -0.000 | 0.000 | -0.000 | 0.000 |
| -0.000 | -0.000 | 0.000 | 0.000 | 0.000 | -0.000 |
| 0.000 | 0.000 | 0.000 | 0.000 | 0.000 | 0.000 |
| 0.000 | 0.000 | 0.000 | 0.000 | -0.000 | -0.000 |
| 0.000 | 0.000 | 0.000 | -0.000 | 0.000 | 0.000 |
| -0.000 | 0.000 | 0.000 | -0.000 | -0.000 | 0.000 |
| 0.000 | -0.000 | 0.000 | -0.000 | -0.000 | -0.000 |
| 0.000 | 0.000 | -0.000 | -0.000 | -0.000 | -0.000 |
| 0.000 | 0.000 | 0.000 | 0.000 | 0.000 | -0.000 |
| 0.000 | 0.000 | 0.000 | -0.000 | -0.000 | -0.000 |
| 0.000 | 0.000 | 0.000 | -0.000 | -0.000 | 0.000 |
| 0.000 | -0.000 | -0.000 | -0.000 | -0.000 | 0.000 |
| 0.000 | 0.000 | -0.000 | 0.000 | -0.000 | 0.000 |
| -0.000 | -0.000 | 0.000 | 0.000 | 0.000 | -0.000 |
| 0.000 | 0.000 | 0.000 | 0.000 | -0.000 | -0.000 |
| 0.000 | 0.000 | 0.000 | -0.000 | -0.000 | -0.000 |
| 0.000 | 0.000 | 0.000 | -0.000 | 0.000 | 0.000 |
| -0.000 | 0.000 | 0.000 | -0.000 | 0.000 | -0.000 |
| 0.000 | -0.000 | 0.000 | -0.000 | -0.000 | 0.000 |
| 0.000 | 0.000 | -0.000 | -0.000 | -0.000 | -0.000 |
| 0.000 | 0.000 | 0.000 | 0.000 | -0.000 | -0.000 |
| 0.000 | 0.000 | 0.000 | -0.000 | 0.000 | -0.000 |
| 0.000 | 0.000 | 0.000 | -0.000 | -0.000 | -0.000 |
| -0.000 | -0.000 | -0.000 | 0.000 | -0.000 | -0.000 |
| -0.000 | -0.000 | -0.000 | -0.000 | 0.000 | -0.000 |
| -0.000 | -0.000 | -0.000 | -0.000 | 0.000 | 0.000 |
| 0.000 | 0.000 | 0.000 | 0.000 | 0.000 | 0.000 |
| 0.000 | 0.000 | 0.000 | 0.000 | 0.000 | 0.000 |
| 0.000 | 0.000 | 0.000 | 0.000 | 0.000 | 0.000 |
| 0.000 | 0.000 | 0.000 | 0.000 | 0.000 | 0.000 |
| 0.000 | 0.000 | 0.000 | 0.000 | 0.000 | 0.000 |
| 0.000 | 0.000 | 0.000 | 0.000 | 0.000 | 0.000 |
| 0.000 | 0.000 | 0.000 | -0.000 | -0.000 | -0.000 |
| 0.000 | 0.000 | 0.000 | -0.000 | -0.000 | -0.000 |
| 0.000 | 0.000 | 0.000 | -0.000 | -0.000 | -0.000 |
| -0.000 | -0.000 | -0.000 | 0.000 | -0.000 | -0.000 |
| -0.000 | -0.000 | -0.000 | -0.000 | 0.000 | -0.000 |
| -0.000 | -0.000 | -0.000 | -0.000 | -0.000 | 0.000 |
| 0.000 | 0.000 | 0.000 | 0.000 | -0.000 | 0.000 |
| 0.000 | 0.000 | 0.000 | -0.000 | 0.000 | 0.000 |
| 0.000 | 0.000 | 0.000 | -0.000 | -0.000 | 0.000 |
| 0.000 | 0.000 | 0.000 | 0.000 | -0.000 | 0.000 |
| 0.000 | 0.000 | 0.000 | -0.000 | 0.000 | 0.000 |
| 0.000 | 0.000 | 0.000 | -0.000 | -0.000 | 0.000 |
| 0.000 | 0.000 | 0.000 | 0.000 | -0.000 | -0.000 |
| 0.000 | 0.000 | 0.000 | -0.000 | 0.000 | -0.000 |
| 0.000 | 0.000 | 0.000 | -0.000 | -0.000 | 0.000 |
| -0.000 | -0.000 | -0.000 | 0.000 | 0.000 | -0.000 |
| -0.000 | -0.000 | -0.000 | 0.000 | 0.000 | -0.000 |
| -0.000 | -0.000 | -0.000 | 0.000 | -0.000 | 0.000 |
| 0.000 | 0.000 | 0.000 | 0.000 | 0.000 | 0.000 |
| 0.000 | 0.000 | 0.000 | 0.000 | 0.000 | 0.000 |
| 0.000 | 0.000 | 0.000 | 0.000 | 0.000 | 0.000 |
| 0.000 | 0.000 | 0.000 | 0.000 | 0.000 | 0.000 |
| 0.000 | 0.000 | 0.000 | 0.000 | 0.000 | 0.000 |
| 0.000 | 0.000 | 0.000 | 0.000 | 0.000 | 0.000 |
| -0.000 | -0.000 | -0.000 | 0.000 | 0.000 | 0.000 |
| -0.000 | -0.000 | -0.000 | 0.000 | 0.000 | 0.000 |
| -0.000 | -0.000 | -0.000 | 0.000 | 0.000 | 0.000 |
| -0.000 | -0.000 | -0.000 | -0.000 | 0.000 | -0.000 |
| -0.000 | -0.000 | -0.000 | 0.000 | -0.000 | -0.000 |
| -0.000 | -0.000 | -0.000 | 0.000 | 0.000 | -0.000 |
| -0.000 | -0.000 | -0.000 | -0.000 | -0.000 | -0.000 |
| -0.000 | -0.000 | -0.000 | -0.000 | -0.000 | -0.000 |
| -0.000 | -0.000 | -0.000 | -0.000 | -0.000 | 0.000 |
| 0.000 | 0.000 | 0.000 | -0.000 | -0.000 | 0.000 |
| 0.000 | 0.000 | 0.000 | -0.000 | -0.000 | 0.000 |
| 0.000 | 0.000 | 0.000 | -0.000 | -0.000 | -0.000 |
| -0.000 | -0.000 | -0.000 | 0.000 | 0.000 | 0.000 |
| -0.000 | -0.000 | -0.000 | 0.000 | 0.000 | 0.000 |
| -0.000 | -0.000 | -0.000 | 0.000 | 0.000 | -0.000 |
| -0.000 | -0.000 | -0.000 | -0.000 | 0.000 | -0.000 |
| -0.000 | -0.000 | -0.000 | 0.000 | -0.000 | -0.000 |
| -0.000 | -0.000 | -0.000 | 0.000 | 0.000 | -0.000 |
| -0.000 | -0.000 | -0.000 | -0.000 | -0.000 | -0.000 |
| -0.000 | -0.000 | -0.000 | -0.000 | -0.000 | -0.000 |
| -0.000 | -0.000 | -0.000 | -0.000 | -0.000 | -0.000 |
| 0.000 | 0.000 | 0.000 | -0.000 | -0.000 | -0.000 |
| 0.000 | 0.000 | 0.000 | -0.000 | -0.000 | -0.000 |
| 0.000 | 0.000 | 0.000 | -0.000 | -0.000 | -0.000 |
| -0.000 | -0.000 | -0.000 | 0.000 | 0.000 | 0.000 |
| -0.000 | -0.000 | -0.000 | 0.000 | 0.000 | 0.000 |
| -0.000 | -0.000 | -0.000 | 0.000 | 0.000 | -0.000 |
| -0.000 | -0.000 | -0.000 | -0.000 | 0.000 | -0.000 |
| -0.000 | -0.000 | -0.000 | 0.000 | -0.000 | -0.000 |
| -0.000 | -0.000 | -0.000 | 0.000 | 0.000 | -0.000 |
| -0.000 | -0.000 | -0.000 | -0.000 | -0.000 | -0.000 |
| -0.000 | -0.000 | -0.000 | -0.000 | -0.000 | -0.000 |
| -0.000 | -0.000 | -0.000 | -0.000 | -0.000 | 0.000 |
| 0.000 | 0.000 | 0.000 | -0.000 | -0.000 | -0.000 |
| 0.000 | 0.000 | 0.000 | -0.000 | -0.000 | -0.000 |
| 0.000 | 0.000 | 0.000 | -0.000 | -0.000 | -0.000 |
| 0.001 | 0.000 | 0.000 | 0.000 | 0.000 | -0.000 |
| 0.000 | 0.001 | 0.000 | -0.000 | -0.000 | -0.000 |
| 0.000 | 0.000 | 0.001 | 0.000 | 0.000 | -0.000 |
| -0.000 | -0.000 | -0.000 | 0.000 | 0.000 | -0.000 |
| -0.000 | -0.000 | -0.000 | -0.000 | 0.000 | 0.000 |
| -0.000 | -0.000 | -0.000 | 0.000 | 0.000 | 0.000 |
| 0.001 | 0.000 | 0.000 | -0.000 | -0.000 | 0.000 |
| 0.000 | 0.001 | 0.000 | 0.000 | -0.000 | 0.000 |
| 0.000 | 0.000 | 0.001 | 0.000 | -0.000 | 0.000 |
| 0.000 | 0.000 | 0.000 | 0.000 | -0.000 | 0.000 |
| 0.000 | 0.000 | 0.000 | 0.000 | 0.000 | 0.000 |
| 0.000 | 0.000 | 0.000 | -0.000 | 0.000 | 0.000 |
| 0.001 | 0.000 | 0.000 | -0.000 | 0.000 | -0.000 |
| 0.000 | 0.001 | 0.000 | -0.000 | 0.000 | -0.000 |
| 0.000 | 0.000 | 0.001 | -0.000 | 0.000 | -0.000 |
| -0.000 | -0.000 | -0.000 | 0.000 | 0.000 | -0.000 |
| -0.000 | -0.000 | -0.000 | 0.000 | 0.000 | 0.000 |
| -0.000 | -0.000 | -0.000 | -0.000 | 0.000 | 0.000 |
| 0.001 | 0.000 | 0.000 | 0.000 | -0.000 | 0.000 |
| 0.000 | 0.001 | 0.000 | 0.000 | -0.000 | 0.000 |
| 0.000 | 0.000 | 0.001 | 0.000 | -0.000 | 0.000 |
| 0.000 | 0.000 | 0.000 | 0.000 | -0.000 | 0.000 |
| 0.000 | 0.000 | 0.000 | -0.000 | 0.000 | 0.000 |
| 0.000 | 0.000 | 0.000 | 0.000 | 0.000 | 0.000 |
| 0.001 | 0.000 | 0.000 | -0.000 | 0.000 | -0.000 |
| 0.000 | 0.001 | 0.000 | 0.000 | 0.000 | -0.000 |
| 0.000 | 0.000 | 0.001 | 0.000 | 0.000 | -0.000 |
| -0.000 | -0.000 | -0.000 | 0.000 | 0.000 | -0.000 |
| -0.000 | -0.000 | -0.000 | -0.000 | 0.000 | 0.000 |
| -0.000 | -0.000 | -0.000 | -0.000 | -0.000 | 0.000 |
| 0.001 | 0.000 | 0.000 | -0.000 | -0.000 | 0.000 |
| 0.000 | 0.001 | 0.000 | 0.000 | -0.000 | 0.000 |
| 0.000 | 0.000 | 0.001 | 0.000 | -0.000 | 0.000 |
| 0.000 | 0.000 | 0.000 | 0.000 | -0.000 | 0.000 |
| 0.000 | 0.000 | 0.000 | 0.000 | 0.000 | 0.000 |
| 0.000 | 0.000 | 0.000 | 0.000 | -0.000 | 0.000 |
| 0.001 | 0.000 | 0.000 | 0.000 | 0.000 | -0.000 |
| 0.000 | 0.001 | 0.000 | 0.000 | 0.000 | -0.000 |
| 0.000 | 0.000 | 0.001 | 0.000 | 0.000 | 0.000 |
| -0.000 | -0.000 | -0.000 | 0.000 | 0.000 | -0.000 |
| -0.000 | -0.000 | -0.000 | 0.000 | 0.000 | -0.000 |
| -0.000 | -0.000 | -0.000 | 0.000 | -0.000 | 0.000 |
| 0.001 | 0.000 | 0.000 | -0.000 | -0.000 | 0.000 |
| 0.000 | 0.001 | 0.000 | -0.000 | -0.000 | 0.000 |
| 0.000 | 0.000 | 0.001 | -0.000 | -0.000 | -0.000 |
| 0.000 | 0.000 | 0.000 | 0.000 | -0.000 | 0.000 |
| 0.000 | 0.000 | 0.000 | -0.000 | 0.000 | -0.000 |
| 0.000 | 0.000 | 0.000 | -0.000 | -0.000 | 0.000 |
| 0.001 | 0.000 | 0.000 | 0.000 | 0.000 | -0.000 |
| 0.000 | 0.001 | 0.000 | 0.000 | 0.000 | 0.000 |
| 0.000 | 0.000 | 0.001 | 0.000 | 0.000 | 0.000 |
| -0.000 | -0.000 | -0.000 | 0.000 | 0.000 | -0.000 |
| -0.000 | -0.000 | -0.000 | 0.000 | 0.000 | -0.000 |
| -0.000 | -0.000 | -0.000 | 0.000 | 0.000 | 0.000 |
| 0.001 | 0.000 | 0.000 | -0.000 | -0.000 | -0.000 |
| 0.000 | 0.001 | 0.000 | -0.000 | -0.000 | -0.000 |
| 0.000 | 0.000 | 0.001 | 0.000 | -0.000 | -0.000 |
| 0.000 | 0.000 | 0.000 | 0.000 | -0.000 | -0.000 |
| 0.000 | 0.000 | 0.000 | -0.000 | 0.000 | -0.000 |
| 0.000 | 0.000 | 0.000 | -0.000 | 0.000 | 0.000 |
| 0.001 | 0.000 | 0.000 | 0.000 | 0.000 | -0.000 |
| 0.000 | 0.001 | 0.000 | 0.000 | 0.000 | -0.000 |
| 0.000 | 0.000 | 0.001 | -0.000 | 0.000 | 0.000 |
| -0.000 | -0.000 | -0.000 | 0.000 | 0.000 | 0.000 |
| -0.000 | -0.000 | -0.000 | 0.000 | 0.000 | -0.000 |
| -0.000 | -0.000 | -0.000 | 0.000 | 0.000 | 0.000 |
| 0.001 | 0.000 | 0.000 | -0.000 | -0.000 | 0.000 |
| 0.000 | 0.001 | 0.000 | -0.000 | -0.000 | -0.000 |
| 0.000 | 0.000 | 0.001 | -0.000 | -0.000 | -0.000 |
| 0.000 | 0.000 | 0.000 | 0.000 | -0.000 | 0.000 |
| 0.000 | 0.000 | 0.000 | -0.000 | 0.000 | -0.000 |
| 0.000 | 0.000 | 0.000 | -0.000 | -0.000 | 0.000 |
| 0.000 | 0.000 | 0.000 | -0.000 | 0.000 | 0.000 |
| 0.000 | 0.000 | 0.000 | 0.000 | -0.000 | 0.000 |
| 0.000 | 0.000 | 0.000 | 0.000 | 0.000 | -0.000 |
| -0.000 | -0.000 | -0.000 | 0.000 | 0.000 | 0.000 |
| -0.000 | -0.000 | -0.000 | 0.000 | 0.000 | 0.000 |
| -0.000 | -0.000 | -0.000 | 0.000 | 0.000 | 0.000 |
| 0.000 | 0.000 | 0.000 | -0.000 | -0.000 | -0.000 |
| 0.000 | 0.000 | 0.000 | -0.000 | -0.000 | -0.000 |
| 0.000 | 0.000 | 0.000 | -0.000 | -0.000 | -0.000 |
| 0.000 | 0.000 | 0.000 | 0.000 | -0.000 | -0.000 |
| 0.000 | 0.000 | 0.000 | -0.000 | 0.000 | -0.000 |
| 0.000 | 0.000 | 0.000 | -0.000 | -0.000 | 0.000 |
| 0.000 | 0.000 | 0.000 | 0.000 | 0.000 | 0.000 |
| 0.000 | 0.000 | 0.000 | 0.000 | 0.000 | 0.000 |
| 0.000 | 0.000 | 0.000 | 0.000 | 0.000 | 0.000 |
| -0.000 | -0.000 | -0.000 | 0.000 | 0.000 | 0.000 |
| -0.000 | -0.000 | -0.000 | 0.000 | 0.000 | 0.000 |
| -0.000 | -0.000 | -0.000 | 0.000 | 0.000 | 0.000 |
| 0.000 | 0.000 | 0.000 | 0.000 | -0.000 | -0.000 |
| 0.000 | 0.000 | 0.000 | -0.000 | 0.000 | -0.000 |
| 0.000 | 0.000 | 0.000 | -0.000 | -0.000 | 0.000 |
| 0.000 | 0.000 | 0.000 | 0.000 | -0.000 | -0.000 |
| 0.000 | 0.000 | 0.000 | -0.000 | 0.000 | -0.000 |
| 0.000 | 0.000 | 0.000 | -0.000 | -0.000 | 0.000 |
| 0.000 | 0.000 | 0.000 | 0.000 | 0.000 | 0.000 |
| 0.000 | 0.000 | 0.000 | 0.000 | 0.000 | 0.000 |
| 0.000 | 0.000 | 0.000 | 0.000 | 0.000 | 0.000 |
| -0.000 | -0.000 | -0.000 | 0.000 | 0.000 | 0.000 |
| -0.000 | -0.000 | -0.000 | 0.000 | 0.000 | 0.000 |
| -0.000 | -0.000 | -0.000 | 0.000 | 0.000 | 0.000 |
| 0.000 | 0.000 | 0.000 | -0.000 | -0.000 | -0.000 |
| 0.000 | 0.000 | 0.000 | -0.000 | -0.000 | -0.000 |
| 0.000 | 0.000 | 0.000 | -0.000 | -0.000 | -0.000 |
| 0.000 | 0.000 | 0.000 | 0.000 | -0.000 | -0.000 |
| 0.000 | 0.000 | 0.000 | -0.000 | 0.000 | -0.000 |
| 0.000 | 0.000 | 0.000 | -0.000 | -0.000 | 0.000 |
| 0.000 | -0.000 | 0.000 | 0.000 | -0.000 | 0.000 |
| 0.000 | 0.000 | 0.000 | 0.000 | -0.000 | 0.000 |
| 0.000 | 0.000 | 0.000 | 0.000 | -0.000 | 0.000 |
| 0.000 | -0.000 | -0.000 | 0.000 | -0.000 | 0.000 |
| -0.000 | -0.000 | -0.000 | 0.000 | 0.000 | 0.000 |
| 0.000 | -0.000 | -0.000 | 0.000 | 0.000 | -0.000 |
| 0.000 | 0.000 | 0.000 | -0.000 | 0.000 | -0.000 |
| -0.000 | 0.000 | 0.000 | -0.000 | 0.000 | -0.000 |
| 0.000 | 0.000 | 0.000 | -0.000 | 0.000 | -0.000 |
| -0.000 | 0.000 | 0.000 | 0.000 | 0.000 | 0.000 |
| 0.000 | 0.000 | 0.000 | -0.000 | 0.000 | -0.000 |
| 0.000 | 0.000 | 0.000 | -0.000 | 0.000 | -0.000 |
| 0.000 | 0.000 | 0.000 | 0.000 | -0.000 | -0.000 |
| 0.000 | 0.000 | 0.000 | 0.000 | -0.000 | 0.000 |
| 0.000 | 0.000 | 0.000 | 0.000 | -0.000 | 0.000 |
| -0.000 | -0.000 | -0.000 | 0.000 | -0.000 | -0.000 |
| -0.000 | -0.000 | -0.000 | 0.000 | 0.000 | 0.000 |
| 0.000 | -0.000 | -0.000 | 0.000 | 0.000 | -0.000 |
| 0.000 | 0.000 | 0.000 | -0.000 | -0.000 | 0.000 |
| 0.000 | 0.000 | 0.000 | -0.000 | 0.000 | -0.000 |
| 0.000 | 0.000 | 0.000 | -0.000 | 0.000 | -0.000 |
| 0.000 | 0.000 | 0.000 | 0.000 | 0.000 | 0.000 |
| 0.000 | 0.000 | 0.000 | -0.000 | 0.000 | 0.000 |
| -0.000 | 0.000 | 0.000 | -0.000 | -0.000 | -0.000 |
| 0.000 | 0.000 | 0.000 | 0.000 | -0.000 | -0.000 |
| 0.000 | 0.000 | 0.000 | 0.000 | 0.000 | 0.000 |
| 0.000 | 0.000 | 0.000 | 0.000 | -0.000 | 0.000 |
| -0.000 | -0.000 | -0.000 | 0.000 | -0.000 | 0.000 |
| -0.000 | -0.000 | -0.000 | 0.000 | 0.000 | -0.000 |
| 0.000 | -0.000 | -0.000 | 0.000 | -0.000 | -0.000 |
| 0.000 | 0.000 | 0.000 | -0.000 | -0.000 | -0.000 |
| 0.000 | 0.000 | 0.000 | -0.000 | 0.000 | -0.000 |
| 0.000 | 0.000 | 0.000 | -0.000 | 0.000 | 0.000 |
| 0.000 | 0.000 | 0.000 | 0.000 | 0.000 | 0.000 |
| 0.000 | 0.000 | 0.000 | -0.000 | 0.000 | -0.000 |
| 0.000 | 0.000 | 0.000 | -0.000 | 0.000 | -0.000 |
| 0.001 | 0.000 | 0.000 | 0.000 | 0.000 | -0.000 |
| 0.000 | 0.001 | 0.000 | 0.000 | 0.000 | -0.000 |
| 0.000 | 0.000 | 0.000 | 0.000 | 0.000 | 0.000 |
| 0.000 | -0.000 | 0.000 | 0.000 | 0.000 | -0.000 |
| -0.000 | 0.000 | 0.000 | 0.000 | 0.000 | -0.000 |
| -0.000 | -0.000 | 0.000 | 0.000 | 0.000 | -0.000 |
| 0.001 | 0.000 | -0.000 | -0.000 | -0.000 | 0.000 |
| 0.000 | 0.001 | -0.000 | -0.000 | -0.000 | 0.000 |
| 0.000 | 0.000 | -0.000 | -0.000 | -0.000 | 0.000 |
| -0.000 | 0.000 | -0.000 | -0.000 | -0.000 | 0.000 |
| 0.000 | -0.000 | -0.000 | -0.000 | -0.000 | 0.000 |
| 0.000 | 0.000 | -0.000 | -0.000 | -0.000 | -0.000 |
| 0.001 | 0.000 | 0.000 | 0.000 | 0.000 | -0.000 |
| 0.000 | 0.001 | 0.000 | 0.000 | 0.000 | -0.000 |
| 0.000 | 0.000 | 0.000 | 0.000 | 0.000 | 0.000 |
| 0.000 | -0.000 | 0.000 | 0.000 | 0.000 | -0.000 |
| -0.000 | 0.000 | 0.000 | 0.000 | 0.000 | -0.000 |
| -0.000 | -0.000 | 0.000 | 0.000 | 0.000 | -0.000 |
| 0.001 | 0.000 | -0.000 | -0.000 | -0.000 | -0.000 |
| 0.000 | 0.001 | -0.000 | -0.000 | -0.000 | 0.000 |
| 0.000 | 0.000 | -0.000 | -0.000 | -0.000 | 0.000 |
| -0.000 | 0.000 | -0.000 | -0.000 | -0.000 | 0.000 |
| 0.000 | -0.000 | -0.000 | -0.000 | -0.000 | 0.000 |
| 0.000 | 0.000 | -0.000 | -0.000 | -0.000 | -0.000 |
| 0.001 | 0.000 | 0.000 | 0.000 | 0.000 | -0.000 |
| 0.000 | 0.001 | 0.000 | 0.000 | 0.000 | 0.000 |
| 0.000 | 0.000 | 0.000 | 0.000 | 0.000 | 0.000 |
| 0.000 | -0.000 | 0.000 | 0.000 | 0.000 | -0.000 |
| -0.000 | 0.000 | 0.000 | 0.000 | 0.000 | -0.000 |
| -0.000 | -0.000 | 0.000 | 0.000 | 0.000 | -0.000 |
| 0.001 | 0.000 | -0.000 | -0.000 | -0.000 | 0.000 |
| 0.000 | 0.001 | -0.000 | -0.000 | -0.000 | 0.000 |
| 0.000 | 0.000 | -0.000 | -0.000 | -0.000 | 0.000 |
| -0.000 | 0.000 | -0.000 | -0.000 | -0.000 | 0.000 |
| 0.000 | -0.000 | -0.000 | -0.000 | -0.000 | 0.000 |
| 0.000 | 0.000 | -0.000 | -0.000 | -0.000 | -0.000 |
| 0.000 | 0.000 | 0.000 | -0.000 | 0.000 | -0.000 |
| 0.000 | 0.000 | 0.000 | 0.000 | 0.000 | -0.000 |
| 0.000 | 0.000 | 0.000 | 0.000 | 0.000 | -0.000 |
| -0.000 | 0.000 | -0.000 | 0.000 | 0.000 | -0.000 |
| -0.000 | -0.000 | -0.000 | 0.000 | 0.000 | -0.000 |
| -0.000 | -0.000 | -0.000 | 0.000 | -0.000 | 0.000 |
| 0.000 | 0.000 | 0.000 | -0.000 | -0.000 | 0.000 |
| 0.000 | 0.000 | 0.000 | 0.000 | -0.000 | 0.000 |
| 0.000 | 0.000 | 0.000 | -0.000 | -0.000 | 0.000 |
| -0.000 | 0.000 | 0.000 | 0.000 | -0.000 | 0.000 |
| 0.000 | 0.000 | 0.000 | -0.000 | 0.000 | -0.000 |
| 0.000 | 0.000 | 0.000 | -0.000 | -0.000 | 0.000 |
| 0.000 | 0.000 | 0.000 | -0.000 | 0.000 | -0.000 |
| 0.000 | 0.000 | 0.000 | 0.000 | -0.000 | 0.000 |
| 0.000 | 0.000 | 0.000 | 0.000 | 0.000 | -0.000 |
| -0.000 | 0.000 | -0.000 | 0.000 | 0.000 | -0.000 |
| -0.000 | -0.000 | -0.000 | 0.000 | 0.000 | -0.000 |
| -0.000 | -0.000 | -0.000 | 0.000 | -0.000 | 0.000 |
| 0.000 | 0.000 | 0.000 | -0.000 | -0.000 | 0.000 |
| 0.000 | 0.000 | 0.000 | 0.000 | -0.000 | 0.000 |
| 0.000 | 0.000 | 0.000 | -0.000 | -0.000 | 0.000 |
| -0.000 | 0.000 | 0.000 | 0.000 | 0.000 | -0.000 |
| 0.000 | 0.000 | 0.000 | -0.000 | 0.000 | -0.000 |
| 0.000 | 0.000 | 0.000 | -0.000 | -0.000 | 0.000 |
| 0.000 | 0.000 | 0.000 | -0.000 | 0.000 | -0.000 |
| 0.000 | 0.000 | 0.000 | 0.000 | 0.000 | -0.000 |
| 0.000 | 0.000 | 0.000 | 0.000 | 0.000 | -0.000 |
| -0.000 | 0.000 | -0.000 | 0.000 | 0.000 | -0.000 |
| -0.000 | -0.000 | -0.000 | 0.000 | 0.000 | -0.000 |
| -0.000 | -0.000 | -0.000 | 0.000 | -0.000 | 0.000 |
| 0.000 | 0.000 | 0.000 | -0.000 | -0.000 | 0.000 |
| 0.000 | 0.000 | 0.000 | 0.000 | -0.000 | 0.000 |
| 0.000 | 0.000 | 0.000 | -0.000 | -0.000 | 0.000 |
| -0.000 | 0.000 | 0.000 | 0.000 | -0.000 | 0.000 |
| 0.000 | 0.000 | 0.000 | -0.000 | 0.000 | -0.000 |
| 0.000 | 0.000 | 0.000 | -0.000 | -0.000 | 0.000 |
| 0.000 | -0.000 | -0.000 | 0.000 | 0.000 | -0.000 |
| -0.000 | 0.000 | -0.000 | 0.000 | 0.000 | 0.000 |
| -0.000 | -0.000 | 0.000 | 0.000 | 0.000 | -0.000 |
| -0.000 | -0.000 | -0.000 | -0.000 | 0.000 | -0.000 |
| -0.000 | -0.000 | -0.000 | 0.000 | -0.000 | -0.000 |
| -0.000 | -0.000 | -0.000 | 0.000 | 0.000 | -0.000 |
| 0.000 | 0.000 | 0.000 | -0.000 | -0.000 | 0.000 |
| 0.000 | 0.000 | 0.000 | -0.000 | -0.000 | 0.000 |
| 0.000 | 0.000 | 0.000 | 0.000 | 0.000 | 0.000 |
| 0.000 | 0.000 | 0.000 | -0.000 | -0.000 | 0.000 |
| 0.000 | 0.000 | 0.000 | -0.000 | -0.000 | 0.000 |
| 0.000 | 0.000 | 0.000 | -0.000 | -0.000 | -0.000 |
| 0.000 | 0.000 | 0.000 | 0.000 | 0.000 | -0.000 |
| 0.000 | 0.000 | 0.000 | 0.000 | 0.000 | -0.000 |
| 0.000 | 0.000 | 0.000 | -0.000 | -0.000 | -0.000 |
| -0.000 | -0.000 | -0.000 | -0.000 | 0.000 | -0.000 |
| -0.000 | -0.000 | -0.000 | 0.000 | -0.000 | 0.000 |
| -0.000 | -0.000 | -0.000 | 0.000 | 0.000 | -0.000 |
| 0.000 | 0.000 | 0.000 | -0.000 | -0.000 | 0.000 |
| 0.000 | 0.000 | 0.000 | -0.000 | -0.000 | -0.000 |
| 0.000 | 0.000 | 0.000 | 0.000 | 0.000 | 0.000 |
| 0.000 | 0.000 | 0.000 | -0.000 | -0.000 | 0.000 |
| 0.000 | 0.000 | 0.000 | -0.000 | -0.000 | -0.000 |
| 0.000 | 0.000 | 0.000 | -0.000 | -0.000 | -0.000 |
| 0.000 | 0.000 | 0.000 | 0.000 | 0.000 | -0.000 |
| 0.000 | 0.000 | 0.000 | 0.000 | 0.000 | 0.000 |
| 0.000 | 0.000 | 0.000 | 0.000 | 0.000 | -0.000 |
| -0.000 | -0.000 | -0.000 | -0.000 | -0.000 | -0.000 |
| -0.000 | -0.000 | -0.000 | -0.000 | -0.000 | -0.000 |
| -0.000 | -0.000 | -0.000 | 0.000 | 0.000 | -0.000 |
| 0.000 | 0.000 | 0.000 | -0.000 | 0.000 | 0.000 |
| 0.000 | 0.000 | 0.000 | 0.000 | -0.000 | -0.000 |
| 0.000 | 0.000 | 0.000 | -0.000 | -0.000 | 0.000 |
| 0.000 | 0.000 | 0.000 | -0.000 | 0.000 | 0.000 |
| 0.000 | 0.000 | 0.000 | 0.000 | -0.000 | 0.000 |
| 0.000 | 0.000 | 0.000 | -0.000 | -0.000 | -0.000 |
| 0.000 | 0.000 | 0.000 | -0.000 | 0.000 | 0.000 |
| 0.000 | 0.000 | 0.000 | 0.000 | 0.000 | 0.000 |
| 0.000 | 0.000 | 0.000 | 0.000 | 0.000 | 0.000 |
| 0.000 | 0.000 | -0.000 | -0.000 | 0.000 | -0.000 |
| 0.000 | 0.000 | -0.000 | -0.000 | -0.000 | 0.000 |
| 0.000 | 0.000 | 0.000 | -0.000 | 0.000 | 0.000 |
| -0.000 | -0.000 | 0.000 | 0.000 | -0.000 | -0.000 |
| -0.000 | -0.000 | 0.000 | -0.000 | -0.000 | -0.000 |
| -0.000 | -0.000 | 0.000 | 0.000 | 0.000 | -0.000 |
| -0.000 | -0.000 | 0.000 | -0.000 | -0.000 | -0.000 |
| -0.000 | -0.000 | 0.000 | 0.000 | -0.000 | -0.000 |
| -0.000 | -0.000 | -0.000 | 0.000 | -0.000 | -0.000 |
| 0.000 | 0.000 | 0.000 | -0.000 | 0.000 | 0.000 |
| 0.000 | 0.000 | 0.000 | 0.000 | 0.000 | 0.000 |
| 0.000 | 0.000 | 0.000 | 0.000 | 0.000 | 0.000 |
| 0.000 | 0.000 | -0.000 | -0.000 | 0.000 | 0.000 |
| 0.000 | 0.000 | -0.000 | 0.000 | -0.000 | 0.000 |
| 0.000 | 0.000 | 0.000 | -0.000 | 0.000 | 0.000 |
| -0.000 | -0.000 | 0.000 | 0.000 | -0.000 | -0.000 |
| -0.000 | -0.000 | 0.000 | -0.000 | -0.000 | -0.000 |
| -0.000 | -0.000 | 0.000 | 0.000 | 0.000 | -0.000 |
| -0.000 | -0.000 | 0.000 | -0.000 | -0.000 | 0.000 |
| -0.000 | -0.000 | 0.000 | -0.000 | -0.000 | -0.000 |
| -0.000 | -0.000 | -0.000 | 0.000 | -0.000 | -0.000 |
| 0.000 | 0.000 | 0.000 | -0.000 | 0.000 | 0.000 |
| 0.000 | 0.000 | 0.000 | 0.000 | 0.000 | 0.000 |
| 0.000 | 0.000 | 0.000 | 0.000 | 0.000 | 0.000 |
| 0.000 | 0.000 | -0.000 | -0.000 | 0.000 | -0.000 |
| 0.000 | 0.000 | -0.000 | -0.000 | -0.000 | 0.000 |
| 0.000 | 0.000 | 0.000 | -0.000 | 0.000 | 0.000 |
| -0.000 | -0.000 | 0.000 | 0.000 | -0.000 | -0.000 |
| -0.000 | -0.000 | 0.000 | -0.000 | -0.000 | -0.000 |
| -0.000 | -0.000 | 0.000 | -0.000 | -0.000 | -0.000 |
| -0.000 | -0.000 | 0.000 | -0.000 | -0.000 | 0.000 |
| -0.000 | -0.000 | 0.000 | 0.000 | -0.000 | -0.000 |
| -0.000 | -0.000 | -0.000 | 0.000 | -0.000 | -0.000 |
| 119.453 | 99.620 | 99.620 | -0.000 | -0.000 | 0.000 |
| 99.620 | 119.453 | 99.620 | 0.000 | -0.000 | 0.000 |
| 99.620 | 99.620 | 119.453 | -0.000 | -0.000 | -0.000 |
| -0.000 | -0.000 | -0.000 | 9.809 | -0.000 | -0.000 |
| -0.000 | -0.000 | -0.000 | -0.000 | 9.809 | 0.000 |
| -0.000 | -0.000 | -0.000 | -0.000 | -0.000 | 9.809 |
| 119.453 | 99.620 | 99.620 | -0.000 | 0.000 | -0.000 |
| 99.620 | 119.453 | 99.620 | 0.000 | 0.000 | 0.000 |
| 99.620 | 99.620 | 119.453 | -0.000 | 0.000 | 0.000 |
| 0.000 | 0.000 | 0.000 | 9.809 | 0.000 | 0.000 |
| 0.000 | 0.000 | 0.000 | 0.000 | 9.809 | 0.000 |
| 0.000 | 0.000 | 0.000 | 0.000 | -0.000 | 9.809 |
| 119.453 | 99.620 | 99.620 | 0.000 | -0.000 | -0.000 |
| 99.620 | 119.453 | 99.620 | -0.000 | 0.000 | -0.000 |
| 99.620 | 99.620 | 119.453 | -0.000 | -0.000 | -0.000 |
| -0.000 | -0.000 | -0.000 | 9.809 | -0.000 | -0.000 |
| -0.000 | -0.000 | -0.000 | 0.000 | 9.809 | -0.000 |
| -0.000 | -0.000 | -0.000 | 0.000 | -0.000 | 9.809 |
| 119.453 | 99.620 | 99.620 | -0.000 | 0.000 | 0.000 |
| 99.620 | 119.453 | 99.620 | -0.000 | 0.000 | 0.000 |
| 99.620 | 99.620 | 119.453 | -0.000 | 0.000 | 0.000 |
| 0.000 | 0.000 | 0.000 | 9.809 | 0.000 | 0.000 |
| 0.000 | 0.000 | 0.000 | 0.000 | 9.809 | 0.000 |
| 0.000 | 0.000 | 0.000 | 0.000 | 0.000 | 9.809 |
| 119.453 | 99.620 | 99.620 | -0.000 | -0.000 | 0.000 |
| 99.620 | 119.453 | 99.620 | -0.000 | -0.000 | -0.000 |
| 99.620 | 99.620 | 119.453 | -0.000 | -0.000 | -0.000 |
| -0.000 | -0.000 | -0.000 | 9.809 | -0.000 | -0.000 |
| -0.000 | -0.000 | -0.000 | -0.000 | 9.809 | -0.000 |
| -0.000 | -0.000 | -0.000 | -0.000 | -0.000 | 9.809 |
| 119.453 | 99.620 | 99.620 | 0.000 | 0.000 | -0.000 |
| 99.620 | 119.453 | 99.620 | 0.000 | 0.000 | 0.000 |
| 99.620 | 99.620 | 119.453 | 0.000 | 0.000 | 0.000 |
| 0.000 | 0.000 | 0.000 | 9.809 | 0.000 | 0.000 |
| 0.000 | 0.000 | 0.000 | 0.000 | 9.809 | 0.000 |
| 0.000 | 0.000 | 0.000 | 0.000 | -0.000 | 9.809 |
| 699.128 | 682.519 | 682.519 | -0.000 | -0.000 | 0.000 |
| 682.519 | 699.128 | 682.519 | -0.000 | -0.000 | -0.000 |
| 682.519 | 682.519 | 699.128 | 0.000 | -0.000 | -0.000 |
| -0.000 | 0.000 | 0.000 | 604.526 | -0.000 | -0.000 |
| 0.000 | -0.000 | 0.000 | -0.000 | 604.526 | 0.000 |
| -0.000 | 0.000 | 0.000 | -0.000 | 0.000 | 604.526 |
| 699.128 | 682.519 | 682.519 | 0.000 | 0.000 | -0.000 |
| 682.519 | 699.128 | 682.519 | 0.000 | 0.000 | -0.000 |
| 682.519 | 682.519 | 699.128 | -0.000 | -0.000 | 0.000 |
| 0.000 | 0.000 | -0.000 | 604.526 | 0.000 | 0.000 |
| 0.000 | 0.000 | -0.000 | 0.000 | 604.526 | -0.000 |
| 0.000 | 0.000 | -0.000 | 0.000 | 0.000 | 604.526 |
| 699.127 | 682.520 | 682.520 | -0.000 | 0.000 | 0.000 |
| 682.520 | 699.127 | 682.520 | 0.000 | -0.000 | 0.000 |
| 682.520 | 682.520 | 699.127 | -0.000 | -0.000 | 0.000 |
| -0.000 | -0.000 | -0.000 | -150.576 | -0.000 | -0.000 |
| -0.000 | -0.000 | -0.000 | -0.000 | -150.576 | 0.000 |
| -0.000 | -0.000 | -0.000 | -0.000 | -0.000 | -150.576 |
| 699.128 | 682.519 | 682.519 | 0.000 | 0.000 | 0.000 |
| 682.519 | 699.128 | 682.519 | 0.000 | 0.000 | -0.000 |
| 682.519 | 682.519 | 699.128 | -0.000 | -0.000 | 0.000 |
| 0.000 | 0.000 | 0.000 | -150.576 | 0.000 | 0.000 |
| 0.000 | 0.000 | 0.000 | 0.000 | -150.576 | -0.000 |
| 0.000 | 0.000 | 0.000 | -0.000 | 0.000 | -150.576 |
| 699.125 | 682.521 | 682.521 | -0.000 | -0.000 | -0.000 |
| 682.521 | 699.125 | 682.521 | -0.000 | -0.000 | 0.000 |
| 682.521 | 682.521 | 699.125 | 0.000 | 0.000 | -0.000 |
| -0.001 | -0.001 | -0.001 | -150.576 | 0.000 | 0.000 |
| -0.001 | -0.001 | -0.001 | 0.000 | -150.576 | -0.000 |
| -0.001 | -0.001 | -0.001 | 0.000 | 0.000 | -150.576 |
| 699.130 | 682.517 | 682.517 | 0.000 | 0.000 | 0.000 |
| 682.517 | 699.130 | 682.517 | 0.000 | 0.000 | -0.000 |
| 682.517 | 682.517 | 699.130 | -0.000 | -0.000 | 0.000 |
| 0.001 | 0.001 | 0.001 | -150.576 | -0.000 | -0.000 |
| 0.001 | 0.001 | 0.001 | -0.000 | -150.576 | -0.000 |
| 0.001 | 0.001 | 0.001 | 0.000 | 0.000 | -150.576 |
| 612.340 | 841.883 | 841.883 | -0.000 | -0.000 | -0.000 |
| 841.883 | 612.340 | 841.883 | -0.000 | -0.000 | -0.000 |
| 841.883 | 841.883 | 612.340 | -0.000 | -0.000 | -0.000 |
| 0.000 | 0.000 | 0.000 | 755.216 | 0.000 | -0.000 |
| 0.000 | -0.000 | 0.000 | -0.000 | 755.216 | -0.000 |
| 0.000 | 0.000 | -0.000 | -0.000 | -0.000 | 755.216 |
| 612.340 | 841.883 | 841.883 | 0.000 | 0.000 | 0.000 |
| 841.883 | 612.340 | 841.883 | 0.000 | 0.000 | 0.000 |
| 841.883 | 841.883 | 612.340 | 0.000 | 0.000 | 0.000 |
| -0.000 | 0.000 | 0.000 | 755.216 | 0.000 | 0.000 |
| 0.000 | 0.000 | 0.000 | 0.000 | 755.216 | 0.000 |
| 0.000 | 0.000 | 0.000 | 0.000 | 0.000 | 755.216 |
| 612.340 | 841.883 | 841.883 | -0.000 | -0.000 | -0.000 |
| 841.883 | 612.340 | 841.883 | -0.000 | -0.000 | -0.000 |
| 841.883 | 841.883 | 612.340 | -0.000 | -0.000 | -0.000 |
| 0.000 | -0.000 | 0.000 | 755.216 | 0.000 | -0.000 |
| -0.000 | 0.000 | 0.000 | -0.000 | 755.216 | -0.000 |
| -0.000 | 0.000 | 0.000 | -0.000 | -0.000 | 755.216 |
| 612.340 | 841.883 | 841.883 | 0.000 | 0.000 | 0.000 |
| 841.883 | 612.340 | 841.883 | 0.000 | 0.000 | 0.000 |
| 841.883 | 841.883 | 612.340 | 0.000 | 0.000 | 0.000 |
| -0.000 | 0.000 | -0.000 | 755.216 | 0.000 | 0.000 |
| 0.000 | -0.000 | -0.000 | 0.000 | 755.216 | 0.000 |
| 0.000 | -0.000 | -0.000 | 0.000 | 0.000 | 755.216 |
| 612.340 | 841.885 | 841.885 | -0.000 | -0.000 | -0.000 |
| 841.885 | 612.340 | 841.885 | -0.000 | -0.000 | -0.000 |
| 841.885 | 841.885 | 612.340 | -0.000 | -0.000 | -0.000 |
| -0.002 | -0.001 | -0.002 | -362.588 | -0.000 | -0.000 |
| -0.001 | -0.002 | -0.002 | -0.000 | -362.588 | -0.000 |
| -0.001 | -0.002 | -0.002 | -0.000 | -0.000 | -362.588 |
| 612.341 | 841.881 | 841.881 | 0.000 | 0.000 | 0.000 |
| 841.881 | 612.341 | 841.881 | 0.000 | 0.000 | 0.000 |
| 841.881 | 841.881 | 612.341 | 0.000 | 0.000 | 0.000 |
| 0.002 | 0.001 | 0.002 | -362.588 | 0.000 | 0.000 |
| 0.001 | 0.002 | 0.002 | 0.000 | -362.588 | 0.000 |
| 0.001 | 0.002 | 0.002 | 0.000 | 0.000 | -362.588 |
| -1327.150 | -2310.295 | -1895.569 | -0.000 | -0.000 | 0.000 |
| 569.208 | 451.459 | 176.588 | -0.000 | -0.000 | -0.000 |
| -151.139 | -2452.977 | -3512.867 | 0.000 | -0.000 | -0.000 |
| 0.000 | 0.000 | 0.000 | 144.141 | 0.000 | 0.000 |
| -2320.998 | -2851.550 | -2375.429 | -0.000 | 212.750 | -0.000 |
| -2319.195 | -2849.335 | -2373.584 | -0.000 | -0.000 | 444.959 |
| 3310.507 | 3404.353 | 2869.287 | 0.000 | 0.000 | 0.000 |
| 569.208 | 451.459 | 176.588 | 0.000 | -0.000 | -0.000 |
| 421.825 | 164.532 | 1031.922 | 0.000 | 0.000 | 0.000 |
| 2318.442 | 2848.410 | 2372.813 | 110.027 | 0.000 | 0.000 |
| -0.000 | -0.000 | -0.000 | 0.000 | 377.610 | -0.000 |
| 2319.195 | 2849.335 | 2373.584 | 0.000 | 0.000 | 444.959 |
| 752.276 | 219.939 | 205.831 | -0.000 | -0.000 | -0.000 |
| 804.868 | 15.451 | -319.255 | -0.000 | -0.000 | -0.000 |
| 163.237 | -185.997 | 560.648 | -0.000 | -0.000 | 0.000 |
| -235.940 | -289.873 | -241.473 | 109.424 | -0.000 | -0.000 |
| -222.146 | -272.926 | -227.356 | -0.000 | 219.820 | -0.000 |
| -243.118 | -298.692 | -248.820 | -0.000 | -0.000 | 440.636 |
| 601.065 | 844.918 | 984.225 | 0.000 | 0.000 | 0.000 |
| 569.208 | 451.458 | 176.588 | 0.000 | 0.000 | 0.000 |
| 533.391 | 448.526 | 992.361 | 0.000 | 0.000 | 0.000 |
| 235.940 | 289.873 | 241.473 | 109.424 | 0.000 | -0.000 |
| 222.146 | 272.926 | 227.356 | 0.000 | 219.820 | -0.000 |
| 243.118 | 298.692 | 248.820 | -0.000 | 0.000 | 440.636 |
| 615.992 | 540.375 | 456.618 | -0.000 | -0.000 | -0.000 |
| 672.869 | 275.220 | 183.251 | -0.000 | -0.000 | 0.000 |
| 412.861 | 183.628 | 536.070 | -0.000 | -0.000 | 0.000 |
| 6.957 | -33.955 | -47.592 | -1.260 | -0.000 | -0.000 |
| -17.956 | -22.060 | -18.376 | -0.000 | 250.072 | -0.000 |
| 133.115 | -39.129 | -147.755 | 0.000 | -0.000 | -625.142 |
| 578.350 | 605.581 | 559.344 | 0.000 | 0.000 | 0.000 |
| 580.993 | 330.111 | 242.478 | 0.000 | 0.000 | 0.000 |
| 503.252 | 205.371 | 644.495 | 0.000 | -0.000 | -0.000 |
| -6.957 | 33.955 | 47.592 | -1.260 | 0.000 | 0.000 |
| 17.956 | 22.060 | 18.376 | -0.000 | 250.072 | 0.000 |
| -133.115 | 39.129 | 147.755 | -0.000 | 0.000 | -625.142 |
| 391.764 | -1526.716 | -438.567 | 0.000 | -0.000 | 0.000 |
| -819.456 | -173.173 | -392.180 | -0.000 | -0.000 | 0.000 |
| 5595.038 | -1446.560 | 3413.214 | 0.000 | -0.000 | 0.000 |
| 9695.274 | -4129.758 | 3818.130 | 659.951 | -0.000 | 0.000 |
| 0.000 | 0.000 | 0.000 | -0.000 | 613.595 | 0.000 |
| -1474.177 | -2218.095 | -1201.273 | 0.000 | -0.000 | 500.981 |
| -3459.614 | 2912.302 | -60.229 | -0.000 | 0.000 | -0.000 |
| 677.642 | 2102.068 | 834.017 | 0.000 | 0.000 | -0.000 |
| -4191.928 | 3078.686 | 1727.380 | 0.000 | 0.000 | -0.000 |
| -9695.274 | 4129.758 | -3818.130 | 659.951 | 0.000 | -0.000 |
| -0.000 | -0.000 | -0.000 | -0.000 | 613.595 | -0.000 |
| 1474.178 | 2218.095 | 1201.273 | -0.000 | 0.000 | 500.980 |
| 2081.755 | 677.643 | 734.166 | 0.000 | -0.000 | 0.000 |
| 1182.551 | 1731.773 | 904.369 | -0.000 | -0.000 | 0.000 |
| 734.166 | 834.019 | 2985.749 | 0.000 | -0.000 | 0.000 |
| 0.000 | 0.001 | 0.001 | 685.080 | -0.000 | 0.000 |
| -145.982 | -219.649 | -118.957 | 0.000 | 500.348 | 0.000 |
| -148.071 | -222.792 | -120.659 | 0.000 | -0.000 | 500.768 |
| 937.923 | 878.013 | 704.767 | 0.000 | 0.000 | -0.000 |
| 201.262 | 2196.822 | 735.905 | 0.000 | 0.000 | -0.000 |
| -289.429 | 1318.657 | 2025.898 | 0.000 | 0.000 | -0.000 |
| -0.000 | -0.001 | -0.001 | 685.080 | 0.000 | -0.000 |
| 145.982 | 219.649 | 118.957 | 0.000 | 500.348 | -0.000 |
| 148.071 | 222.792 | 120.659 | -0.000 | 0.000 | 500.768 |
| 1599.766 | 602.232 | 815.693 | 0.000 | -0.000 | 0.000 |
| 744.648 | 1866.905 | 961.674 | 0.000 | -0.000 | 0.000 |
| 851.599 | 862.328 | 2546.405 | -0.000 | 0.000 | 0.000 |
| -15.865 | -23.868 | -12.916 | 672.310 | -0.000 | 0.000 |
| -12.626 | -18.995 | -10.283 | -0.000 | 515.648 | 0.000 |
| -17.477 | -26.300 | -14.243 | 0.000 | -0.000 | 492.062 |
| 1469.065 | 663.185 | 777.923 | -0.000 | -0.000 | -0.000 |
| 661.832 | 2037.617 | 809.903 | 0.000 | 0.000 | -0.000 |
| 793.782 | 825.724 | 2656.146 | -0.000 | 0.000 | -0.000 |
| 15.865 | 23.868 | 12.916 | 672.310 | 0.000 | -0.000 |
| 12.626 | 18.995 | 10.283 | -0.000 | 515.648 | -0.000 |
| 17.477 | 26.300 | 14.243 | -0.000 | 0.000 | 492.062 |
| 36.877 | 40.495 | 40.495 | -0.000 | -0.000 | -0.000 |
| 40.495 | 36.877 | 40.495 | -0.000 | -0.000 | -0.000 |
| 40.495 | 40.495 | 36.877 | -0.000 | -0.000 | -0.000 |
| -0.000 | -0.000 | 0.000 | -3.874 | -0.000 | -0.000 |
| -0.000 | -0.000 | 0.000 | -0.000 | -3.874 | -0.000 |
| -0.000 | -0.000 | -0.000 | -0.000 | -0.000 | -3.874 |
| 36.877 | 40.495 | 40.495 | 0.000 | 0.000 | 0.000 |
| 40.495 | 36.877 | 40.495 | 0.000 | -0.000 | 0.000 |
| 40.495 | 40.495 | 36.877 | 0.000 | 0.000 | -0.000 |
| 0.000 | 0.000 | -0.000 | -3.874 | 0.000 | 0.000 |
| 0.000 | 0.000 | -0.000 | 0.000 | -3.874 | 0.000 |
| 0.000 | 0.000 | -0.000 | 0.000 | 0.000 | -3.874 |
| 36.877 | 40.495 | 40.495 | -0.000 | -0.000 | -0.000 |
| 40.495 | 36.877 | 40.495 | -0.000 | -0.000 | -0.000 |
| 40.495 | 40.495 | 36.877 | -0.000 | -0.000 | -0.000 |
| 0.000 | 0.000 | 0.000 | 26.234 | -0.000 | -0.000 |
| 0.000 | 0.000 | 0.000 | -0.000 | 26.234 | -0.000 |
| 0.000 | 0.000 | 0.000 | -0.000 | -0.000 | 26.234 |
| 36.877 | 40.495 | 40.495 | 0.000 | 0.000 | 0.000 |
| 40.495 | 36.877 | 40.495 | 0.000 | 0.000 | 0.000 |
| 40.495 | 40.495 | 36.877 | 0.000 | 0.000 | 0.000 |
| -0.000 | -0.000 | -0.000 | 26.234 | 0.000 | 0.000 |
| -0.000 | -0.000 | -0.000 | 0.000 | 26.234 | 0.000 |
| -0.000 | -0.000 | -0.000 | 0.000 | 0.000 | 26.234 |
| 36.878 | 40.495 | 40.495 | -0.000 | -0.000 | -0.000 |
| 40.495 | 36.878 | 40.495 | -0.000 | -0.000 | -0.000 |
| 40.495 | 40.495 | 36.878 | -0.000 | -0.000 | -0.000 |
| 0.000 | 0.000 | 0.000 | 26.234 | -0.000 | -0.000 |
| 0.000 | 0.000 | 0.000 | -0.000 | 26.234 | -0.000 |
| 0.000 | 0.000 | 0.000 | -0.000 | -0.000 | 26.234 |
| 36.877 | 40.494 | 40.494 | 0.000 | 0.000 | 0.000 |
| 40.494 | 36.877 | 40.494 | 0.000 | 0.000 | 0.000 |
| 40.494 | 40.494 | 36.877 | 0.000 | 0.000 | 0.000 |
| -0.000 | -0.000 | -0.000 | 26.234 | 0.000 | 0.000 |
| -0.000 | -0.000 | -0.000 | 0.000 | 26.234 | 0.000 |
| -0.000 | -0.000 | -0.000 | 0.000 | 0.000 | 26.234 |
| 1120.824 | 420.668 | 344.252 | 34.294 | -0.000 | 0.000 |
| -10451.458 | -9779.178 | -3702.740 | -38.156 | -0.000 | 0.000 |
| -10059.633 | -10059.633 | -3174.408 | 0.000 | -0.000 | -0.000 |
| 34.293 | -34.293 | -0.000 | 268.356 | -0.000 | -0.000 |
| -10403.143 | -10403.143 | -4238.272 | 0.000 | 248.449 | 70.364 |
| -10628.529 | -10628.529 | -4001.040 | 0.000 | 37.886 | 336.680 |
| 11159.747 | 10615.250 | 4555.903 | 70.302 | 0.000 | 0.000 |
| 10808.877 | 11483.043 | 4301.166 | -37.683 | 0.000 | -0.000 |
| 10939.757 | 10939.756 | 5085.720 | -0.000 | 0.000 | -0.000 |
| 34.293 | -34.293 | 0.000 | 268.356 | 0.000 | -0.000 |
| 10403.143 | 10403.143 | 4238.272 | -0.000 | 248.449 | 70.364 |
| 10628.529 | 10628.529 | 4001.040 | -0.000 | 37.886 | 336.680 |
| -254.115 | -799.758 | -95.034 | 70.038 | -0.000 | -0.000 |
| -848.278 | -257.123 | -92.779 | -53.107 | -0.000 | 0.000 |
| -687.714 | -687.714 | 646.493 | 0.000 | -0.000 | -0.000 |
| -964.447 | -1104.779 | -421.504 | 248.558 | -0.000 | 0.000 |
| 0.000 | 0.000 | 0.001 | 0.000 | 268.356 | 34.293 |
| -1058.532 | -1058.532 | -408.229 | 0.000 | 47.727 | 317.102 |
| 1886.444 | 1245.577 | 712.196 | 46.067 | 0.000 | 0.000 |
| 1219.003 | 1772.554 | 724.451 | -68.208 | 0.000 | -0.000 |
| 1370.112 | 1370.112 | 1481.347 | -0.000 | 0.000 | -0.000 |
| 1104.718 | 964.390 | 421.480 | 248.560 | 0.000 | -0.000 |
| -0.000 | -0.000 | -0.001 | -0.000 | 268.356 | 34.293 |
| 1058.532 | 1058.532 | 408.229 | -0.000 | 47.727 | 317.102 |
| 718.897 | 85.778 | 267.178 | 47.989 | -0.000 | 0.000 |
| 178.321 | 750.503 | 293.491 | -63.902 | -0.000 | -0.000 |
| 193.649 | 193.649 | 1055.481 | 0.000 | -0.000 | 0.000 |
| 34.294 | -34.291 | 0.007 | 268.355 | -0.000 | 0.000 |
| 0.002 | 0.001 | 0.007 | 0.001 | 268.356 | 34.293 |
| 0.008 | 0.003 | 0.001 | 0.000 | 34.293 | 350.078 |
| 983.762 | 371.509 | 357.169 | 54.624 | 0.000 | -0.000 |
| 297.426 | 931.524 | 348.974 | -47.723 | 0.000 | -0.000 |
| 344.244 | 344.244 | 1176.448 | -0.000 | 0.000 | -0.000 |
| 156.105 | 58.540 | 41.469 | 258.877 | 0.000 | -0.000 |
| -0.002 | -0.001 | -0.007 | -0.001 | 268.356 | 34.293 |
| -0.008 | -0.003 | -0.001 | -0.000 | 34.293 | 350.078 |
| 529.694 | 69.772 | 69.772 | -0.000 | -0.000 | -0.000 |
| 69.772 | 529.694 | 69.772 | -0.000 | -0.000 | -0.000 |
| 69.772 | 69.772 | 529.694 | -0.000 | -0.000 | -0.000 |
| -0.000 | -0.000 | 0.000 | 11.180 | -0.000 | -0.000 |
| -0.000 | 0.000 | -0.000 | -0.000 | 11.180 | -0.000 |
| -0.000 | 0.000 | -0.000 | -0.000 | -0.000 | 11.180 |
| 529.694 | 69.772 | 69.772 | 0.000 | 0.000 | 0.000 |
| 69.772 | 529.694 | 69.772 | 0.000 | 0.000 | 0.000 |
| 69.772 | 69.772 | 529.694 | 0.000 | 0.000 | 0.000 |
| 0.000 | 0.000 | 0.000 | 11.180 | 0.000 | 0.000 |
| 0.000 | -0.000 | 0.000 | 0.000 | 11.180 | 0.000 |
| 0.000 | 0.000 | 0.000 | 0.000 | 0.000 | 11.180 |
| 529.694 | 69.772 | 69.772 | 0.000 | -0.000 | -0.000 |
| 69.772 | 529.694 | 69.772 | -0.000 | -0.000 | -0.000 |
| 69.772 | 69.772 | 529.694 | -0.000 | -0.000 | -0.000 |
| -0.000 | -0.000 | -0.000 | 11.180 | -0.000 | -0.000 |
| -0.000 | 0.000 | -0.000 | -0.000 | 11.180 | -0.000 |
| -0.000 | -0.000 | -0.000 | -0.000 | -0.000 | 11.180 |
| 529.693 | 69.772 | 69.772 | -0.000 | 0.000 | 0.000 |
| 69.772 | 529.693 | 69.772 | 0.000 | 0.000 | 0.000 |
| 69.772 | 69.772 | 529.693 | 0.000 | 0.000 | -0.000 |
| 0.000 | 0.000 | 0.000 | 11.180 | 0.000 | 0.000 |
| 0.000 | -0.000 | 0.000 | 0.000 | 11.180 | 0.000 |
| 0.000 | 0.000 | 0.000 | 0.000 | 0.000 | 11.180 |
| 529.700 | 69.772 | 69.772 | 0.000 | -0.000 | -0.000 |
| 69.772 | 529.700 | 69.772 | -0.000 | -0.000 | -0.000 |
| 69.772 | 69.772 | 529.700 | -0.000 | -0.000 | 0.000 |
| 0.000 | -0.000 | -0.000 | 11.180 | -0.000 | -0.000 |
| -0.000 | 0.000 | -0.000 | -0.000 | 11.180 | -0.000 |
| -0.000 | -0.000 | 0.000 | -0.000 | -0.000 | 11.180 |
| 529.688 | 69.772 | 69.772 | 0.000 | 0.000 | -0.000 |
| 69.772 | 529.688 | 69.772 | -0.000 | 0.000 | 0.000 |
| 69.772 | 69.772 | 529.688 | 0.000 | 0.000 | 0.000 |
| -0.000 | 0.000 | 0.000 | 11.180 | 0.000 | 0.000 |
| 0.000 | -0.000 | 0.000 | 0.000 | 11.180 | 0.000 |
| 0.000 | 0.000 | -0.000 | 0.000 | 0.000 | 11.180 |
| 0.000 | 0.000 | 0.000 | 0.000 | 0.000 | -0.000 |
| 0.000 | 0.000 | 0.000 | -0.000 | -0.000 | 0.000 |
| 0.000 | 0.000 | 0.000 | 0.000 | -0.000 | 0.000 |
| 0.000 | -0.000 | 0.000 | -0.000 | 0.000 | 0.000 |
| -0.000 | 0.000 | 0.000 | 0.000 | -0.000 | -0.000 |
| -0.000 | 0.000 | 0.000 | 0.000 | -0.000 | -0.000 |
| 0.000 | 0.000 | 0.000 | 0.000 | -0.000 | 0.000 |
| 0.000 | 0.000 | 0.000 | 0.000 | -0.000 | 0.000 |
| 0.000 | 0.000 | 0.000 | -0.000 | 0.000 | 0.000 |
| -0.000 | 0.000 | -0.000 | -0.000 | -0.000 | -0.000 |
| 0.000 | -0.000 | -0.000 | -0.000 | -0.000 | 0.000 |
| 0.000 | -0.000 | -0.000 | -0.000 | 0.000 | -0.000 |
| 0.000 | 0.000 | 0.000 | 0.000 | 0.000 | -0.000 |
| 0.000 | 0.000 | 0.000 | 0.000 | -0.000 | 0.000 |
| 0.000 | 0.000 | 0.000 | -0.000 | 0.000 | 0.000 |
| 0.000 | -0.000 | -0.000 | -0.000 | 0.000 | -0.000 |
| -0.000 | 0.000 | -0.000 | 0.000 | -0.000 | 0.000 |
| -0.000 | -0.000 | 0.000 | 0.000 | 0.000 | -0.000 |
| 0.000 | 0.000 | 0.000 | 0.000 | 0.000 | 0.000 |
| 0.000 | 0.000 | 0.000 | 0.000 | -0.000 | -0.000 |
| 0.000 | 0.000 | 0.000 | -0.000 | 0.000 | 0.000 |
| -0.000 | 0.000 | 0.000 | -0.000 | -0.000 | 0.000 |
| 0.000 | -0.000 | 0.000 | -0.000 | -0.000 | -0.000 |
| 0.000 | 0.000 | -0.000 | -0.000 | -0.000 | -0.000 |
| 0.000 | 0.000 | 0.000 | 0.000 | 0.000 | -0.000 |
| 0.000 | 0.000 | 0.000 | -0.000 | -0.000 | -0.000 |
| 0.000 | 0.000 | 0.000 | -0.000 | -0.000 | 0.000 |
| 0.000 | -0.000 | -0.000 | -0.000 | -0.000 | 0.000 |
| 0.000 | 0.000 | -0.000 | 0.000 | -0.000 | 0.000 |
| -0.000 | -0.000 | 0.000 | 0.000 | 0.000 | -0.000 |
| 0.000 | 0.000 | 0.000 | 0.000 | -0.000 | -0.000 |
| 0.000 | 0.000 | 0.000 | -0.000 | -0.000 | -0.000 |
| 0.000 | 0.000 | 0.000 | -0.000 | 0.000 | 0.000 |
| -0.000 | 0.000 | 0.000 | -0.000 | 0.000 | -0.000 |
| 0.000 | -0.000 | 0.000 | -0.000 | -0.000 | 0.000 |
| 0.000 | 0.000 | -0.000 | -0.000 | -0.000 | -0.000 |
| 159.657 | 147.635 | 147.635 | -0.000 | -0.000 | -0.000 |
| 147.635 | 159.657 | 147.635 | -0.000 | -0.000 | 0.000 |
| 147.635 | 147.635 | 159.657 | 0.000 | 0.000 | 0.000 |
| -0.000 | -0.000 | -0.000 | 39.187 | -0.000 | -0.000 |
| -0.000 | -0.000 | -0.000 | -0.000 | 39.187 | -0.000 |
| -0.000 | -0.000 | -0.000 | 0.000 | -0.000 | 39.187 |
| 159.656 | 147.635 | 147.635 | 0.000 | 0.000 | 0.000 |
| 147.635 | 159.656 | 147.635 | 0.000 | 0.000 | 0.000 |
| 147.635 | 147.635 | 159.656 | 0.000 | 0.000 | 0.000 |
| 0.000 | 0.000 | 0.000 | 39.187 | -0.000 | 0.000 |
| 0.000 | 0.000 | 0.000 | -0.000 | 39.187 | -0.000 |
| 0.000 | 0.000 | 0.000 | -0.000 | -0.000 | 39.187 |
| 159.657 | 147.635 | 147.635 | -0.000 | -0.000 | 0.000 |
| 147.635 | 159.657 | 147.635 | -0.000 | -0.000 | 0.000 |
| 147.635 | 147.635 | 159.657 | 0.000 | -0.000 | 0.000 |
| -0.000 | -0.000 | -0.000 | 39.187 | -0.000 | -0.000 |
| -0.000 | -0.000 | -0.000 | -0.000 | 39.187 | 0.000 |
| -0.000 | -0.000 | -0.000 | -0.000 | -0.000 | 39.187 |
| 159.656 | 147.635 | 147.635 | -0.000 | -0.000 | -0.000 |
| 147.635 | 159.656 | 147.635 | -0.000 | 0.000 | -0.000 |
| 147.635 | 147.635 | 159.656 | -0.000 | 0.000 | -0.000 |
| 0.000 | 0.000 | 0.000 | 39.187 | 0.000 | 0.000 |
| 0.000 | 0.000 | 0.000 | 0.000 | 39.187 | 0.000 |
| 0.000 | 0.000 | 0.000 | -0.000 | 0.000 | 39.187 |
| 159.658 | 147.635 | 147.635 | -0.000 | -0.000 | 0.000 |
| 147.635 | 159.658 | 147.635 | -0.000 | -0.000 | -0.000 |
| 147.635 | 147.635 | 159.658 | -0.000 | -0.000 | -0.000 |
| -0.000 | -0.000 | -0.000 | 39.187 | -0.000 | 0.000 |
| -0.000 | -0.000 | -0.000 | 0.000 | 39.187 | 0.000 |
| -0.000 | -0.000 | -0.000 | -0.000 | -0.000 | 39.187 |
| 159.655 | 147.635 | 147.635 | 0.000 | -0.000 | -0.000 |
| 147.635 | 159.655 | 147.635 | 0.000 | 0.000 | -0.000 |
| 147.635 | 147.635 | 159.655 | 0.000 | 0.000 | 0.000 |
| 0.000 | 0.000 | 0.000 | 39.187 | 0.000 | 0.000 |
| 0.000 | 0.000 | 0.000 | 0.000 | 39.187 | 0.000 |
| 0.000 | 0.000 | 0.000 | 0.000 | 0.000 | 39.187 |
| 0.000 | 0.000 | 0.000 | -0.000 | 0.000 | -0.000 |
| 0.000 | 0.000 | 0.000 | 0.000 | -0.000 | -0.000 |
| 0.000 | 0.000 | 0.000 | 0.000 | 0.000 | -0.000 |
| -0.000 | -0.000 | -0.000 | 0.000 | -0.000 | -0.000 |
| -0.000 | -0.000 | -0.000 | -0.000 | 0.000 | -0.000 |
| -0.000 | -0.000 | -0.000 | -0.000 | -0.000 | 0.000 |
| 0.000 | 0.000 | 0.000 | -0.000 | 0.000 | 0.000 |
| 0.000 | 0.000 | 0.000 | 0.000 | -0.000 | 0.000 |
| 0.000 | 0.000 | 0.000 | -0.000 | -0.000 | -0.000 |
| 0.000 | 0.000 | 0.000 | 0.000 | 0.000 | -0.000 |
| 0.000 | 0.000 | 0.000 | 0.000 | 0.000 | -0.000 |
| 0.000 | 0.000 | 0.000 | -0.000 | -0.000 | 0.000 |
| 0.000 | 0.000 | 0.000 | -0.000 | -0.000 | 0.000 |
| 0.000 | 0.000 | 0.000 | -0.000 | -0.000 | 0.000 |
| 0.000 | 0.000 | 0.000 | -0.000 | -0.000 | -0.000 |
| -0.000 | -0.000 | -0.000 | 0.000 | -0.000 | 0.000 |
| -0.000 | -0.000 | -0.000 | -0.000 | 0.000 | 0.000 |
| -0.000 | -0.000 | -0.000 | -0.000 | 0.000 | 0.000 |
| 0.000 | 0.000 | 0.000 | 0.000 | -0.000 | -0.000 |
| 0.000 | 0.000 | 0.000 | -0.000 | 0.000 | -0.000 |
| 0.000 | 0.000 | 0.000 | -0.000 | -0.000 | 0.000 |
| 0.000 | 0.000 | 0.000 | 0.000 | 0.000 | 0.000 |
| 0.000 | 0.000 | 0.000 | 0.000 | 0.000 | 0.000 |
| 0.000 | 0.000 | 0.000 | -0.000 | -0.000 | 0.000 |
| 0.000 | 0.000 | 0.000 | -0.000 | -0.000 | 0.000 |
| 0.000 | 0.000 | 0.000 | -0.000 | -0.000 | 0.000 |
| 0.000 | 0.000 | 0.000 | 0.000 | 0.000 | -0.000 |
| -0.000 | -0.000 | -0.000 | 0.000 | -0.000 | 0.000 |
| -0.000 | -0.000 | -0.000 | -0.000 | 0.000 | 0.000 |
| -0.000 | -0.000 | -0.000 | -0.000 | -0.000 | 0.000 |
| 0.000 | 0.000 | 0.000 | 0.000 | 0.000 | 0.000 |
| 0.000 | 0.000 | 0.000 | 0.000 | 0.000 | 0.000 |
| 0.000 | 0.000 | 0.000 | -0.000 | -0.000 | 0.000 |
| 0.000 | 0.000 | 0.000 | 0.000 | -0.000 | -0.000 |
| 0.000 | 0.000 | 0.000 | -0.000 | 0.000 | -0.000 |
| 0.000 | 0.000 | 0.000 | -0.000 | -0.000 | 0.000 |
| 253.435 | 104.319 | 104.319 | 0.000 | 0.000 | 0.000 |
| 104.319 | 253.435 | 104.319 | 0.000 | 0.000 | -0.000 |
| 104.319 | 104.319 | 253.435 | 0.000 | 0.000 | 0.000 |
| -0.000 | 0.000 | 0.000 | 104.319 | 0.000 | -0.000 |
| 0.000 | -0.000 | 0.000 | 0.000 | 104.319 | 0.000 |
| 0.000 | 0.000 | -0.000 | 0.000 | 0.000 | 104.319 |
| 253.435 | 104.319 | 104.319 | -0.000 | 0.000 | 0.000 |
| 104.319 | 253.435 | 104.319 | 0.000 | -0.000 | 0.000 |
| 104.319 | 104.319 | 253.435 | -0.000 | -0.000 | -0.000 |
| 0.000 | -0.000 | -0.000 | 104.319 | -0.000 | -0.000 |
| -0.000 | 0.000 | -0.000 | -0.000 | 104.319 | 0.000 |
| -0.000 | -0.000 | 0.000 | -0.000 | -0.000 | 104.319 |
| 253.435 | 104.319 | 104.319 | 0.000 | 0.000 | -0.000 |
| 104.319 | 253.435 | 104.319 | -0.000 | -0.000 | -0.000 |
| 104.319 | 104.319 | 253.435 | -0.000 | -0.000 | -0.000 |
| -0.000 | 0.000 | 0.000 | 104.319 | 0.000 | 0.000 |
| 0.000 | -0.000 | 0.000 | -0.000 | 104.319 | -0.000 |
| 0.000 | 0.000 | -0.000 | -0.000 | -0.000 | 104.319 |
| 253.435 | 104.319 | 104.319 | 0.000 | 0.000 | 0.000 |
| 104.319 | 253.435 | 104.319 | -0.000 | -0.000 | 0.000 |
| 104.319 | 104.319 | 253.435 | -0.000 | -0.000 | -0.000 |
| 0.000 | -0.000 | -0.000 | 104.319 | 0.000 | 0.000 |
| -0.000 | 0.000 | -0.000 | -0.000 | 104.319 | -0.000 |
| -0.000 | -0.000 | 0.000 | -0.000 | -0.000 | 104.319 |
| 253.435 | 104.319 | 104.319 | 0.000 | 0.000 | 0.000 |
| 104.319 | 253.435 | 104.319 | 0.000 | 0.000 | 0.000 |
| 104.319 | 104.319 | 253.435 | 0.000 | -0.000 | 0.000 |
| -0.000 | 0.000 | 0.000 | 104.319 | 0.000 | 0.000 |
| 0.000 | -0.000 | 0.000 | 0.000 | 104.319 | 0.000 |
| 0.000 | 0.000 | -0.000 | 0.000 | 0.000 | 104.319 |
| 253.434 | 104.319 | 104.319 | 0.000 | 0.000 | 0.000 |
| 104.319 | 253.434 | 104.319 | -0.000 | -0.000 | -0.000 |
| 104.319 | 104.319 | 253.434 | -0.000 | -0.000 | -0.000 |
| 0.000 | -0.000 | -0.000 | 104.319 | -0.000 | -0.000 |
| -0.000 | 0.000 | -0.000 | -0.000 | 104.319 | 0.000 |
| -0.000 | -0.000 | 0.000 | 0.000 | 0.000 | 104.319 |
| 0.000 | 0.000 | 0.000 | -0.000 | -0.000 | -0.000 |
| 0.000 | 0.000 | 0.000 | -0.000 | -0.000 | -0.000 |
| 0.000 | 0.000 | 0.000 | -0.000 | -0.000 | -0.000 |
| -0.000 | -0.000 | -0.000 | 0.000 | -0.000 | -0.000 |
| -0.000 | -0.000 | -0.000 | -0.000 | 0.000 | -0.000 |
| -0.000 | -0.000 | -0.000 | -0.000 | -0.000 | 0.000 |
| 0.000 | 0.000 | 0.000 | 0.000 | -0.000 | -0.000 |
| 0.000 | 0.000 | 0.000 | -0.000 | 0.000 | -0.000 |
| 0.000 | 0.000 | 0.000 | -0.000 | -0.000 | 0.000 |
| 0.000 | 0.000 | 0.000 | 0.000 | 0.000 | 0.000 |
| 0.000 | 0.000 | 0.000 | 0.000 | 0.000 | 0.000 |
| 0.000 | 0.000 | 0.000 | 0.000 | 0.000 | 0.000 |
| 0.000 | 0.000 | 0.000 | -0.000 | -0.000 | -0.000 |
| 0.000 | 0.000 | 0.000 | -0.000 | -0.000 | -0.000 |
| 0.000 | 0.000 | 0.000 | -0.000 | -0.000 | -0.000 |
| -0.000 | -0.000 | -0.000 | 0.000 | 0.000 | -0.000 |
| -0.000 | -0.000 | -0.000 | 0.000 | 0.000 | -0.000 |
| -0.000 | -0.000 | -0.000 | 0.000 | -0.000 | 0.000 |
| 0.000 | 0.000 | 0.000 | 0.000 | -0.000 | -0.000 |
| 0.000 | 0.000 | 0.000 | -0.000 | 0.000 | -0.000 |
| 0.000 | 0.000 | 0.000 | -0.000 | -0.000 | 0.000 |
| 0.000 | 0.000 | 0.000 | 0.000 | -0.000 | 0.000 |
| 0.000 | 0.000 | 0.000 | -0.000 | 0.000 | 0.000 |
| 0.000 | 0.000 | 0.000 | -0.000 | 0.000 | 0.000 |
| 0.000 | 0.000 | 0.000 | -0.000 | -0.000 | -0.000 |
| 0.000 | 0.000 | 0.000 | -0.000 | -0.000 | -0.000 |
| 0.000 | 0.000 | 0.000 | -0.000 | -0.000 | -0.000 |
| -0.000 | -0.000 | -0.000 | 0.000 | 0.000 | -0.000 |
| -0.000 | -0.000 | -0.000 | 0.000 | 0.000 | -0.000 |
| -0.000 | -0.000 | -0.000 | 0.000 | -0.000 | 0.000 |
| 0.000 | 0.000 | 0.000 | 0.000 | -0.000 | -0.000 |
| 0.000 | 0.000 | 0.000 | -0.000 | 0.000 | -0.000 |
| 0.000 | 0.000 | 0.000 | -0.000 | -0.000 | 0.000 |
| 0.000 | 0.000 | 0.000 | 0.000 | -0.000 | 0.000 |
| 0.000 | 0.000 | 0.000 | -0.000 | 0.000 | 0.000 |
| 0.000 | 0.000 | 0.000 | -0.000 | 0.000 | 0.000 |
| 2434.085 | 700.676 | 700.676 | -0.000 | 0.000 | 0.000 |
| 700.676 | 2434.085 | 700.676 | -0.000 | 0.000 | -0.000 |
| 700.676 | 700.676 | 2434.085 | -0.000 | -0.000 | -0.000 |
| 0.000 | -0.000 | -0.000 | 569.198 | 0.000 | 0.000 |
| 0.000 | -0.000 | -0.000 | -0.000 | 569.198 | 0.000 |
| -0.000 | -0.000 | -0.000 | -0.000 | 0.000 | 569.198 |
| 2434.085 | 700.676 | 700.676 | 0.000 | -0.000 | -0.000 |
| 700.676 | 2434.085 | 700.676 | 0.000 | -0.000 | -0.000 |
| 700.676 | 700.676 | 2434.085 | 0.000 | -0.000 | 0.000 |
| 0.000 | -0.000 | -0.000 | 569.198 | -0.000 | -0.000 |
| -0.000 | 0.000 | 0.000 | -0.000 | 569.198 | -0.000 |
| -0.000 | -0.000 | 0.000 | 0.000 | -0.000 | 569.198 |
| 2434.087 | 700.677 | 700.677 | -0.000 | 0.000 | 0.000 |
| 700.677 | 2434.087 | 700.677 | -0.000 | 0.000 | -0.000 |
| 700.677 | 700.677 | 2434.086 | -0.000 | 0.000 | 0.000 |
| -0.000 | -0.000 | -0.000 | -127.910 | -0.000 | -0.000 |
| -0.000 | -0.000 | -0.000 | -0.000 | -127.910 | 0.000 |
| -0.000 | -0.000 | -0.000 | -0.000 | 0.000 | -127.910 |
| 2434.084 | 700.676 | 700.676 | -0.000 | -0.000 | -0.000 |
| 700.676 | 2434.084 | 700.676 | -0.000 | -0.000 | 0.000 |
| 700.676 | 700.676 | 2434.084 | 0.000 | -0.000 | -0.000 |
| 0.000 | 0.000 | 0.000 | -127.910 | -0.000 | 0.000 |
| 0.000 | 0.000 | 0.000 | 0.000 | -127.910 | -0.000 |
| 0.000 | 0.000 | 0.000 | 0.000 | -0.000 | -127.910 |
| 1027.612 | 1403.917 | 1403.917 | -0.000 | 0.000 | -0.000 |
| 1403.917 | 1027.612 | 1403.917 | -0.000 | 0.000 | -0.000 |
| 1403.917 | 1403.917 | 1027.612 | -0.000 | 0.000 | -0.000 |
| -0.001 | -0.001 | -0.002 | -127.910 | 0.000 | -0.000 |
| -0.001 | -0.001 | -0.002 | 0.000 | -127.910 | 0.000 |
| -0.001 | -0.002 | -0.001 | -0.000 | 0.000 | -127.910 |
| 1027.617 | 1403.906 | 1403.906 | 0.000 | -0.000 | 0.000 |
| 1403.906 | 1027.617 | 1403.906 | 0.000 | -0.000 | 0.000 |
| 1403.906 | 1403.906 | 1027.617 | 0.000 | -0.000 | 0.000 |
| 0.001 | 0.001 | 0.002 | -127.910 | 0.000 | 0.000 |
| 0.001 | 0.001 | 0.002 | 0.000 | -127.910 | -0.000 |
| 0.001 | 0.002 | 0.001 | 0.000 | 0.000 | -127.910 |
| 951.149 | 841.462 | 841.462 | 0.000 | 0.000 | -0.000 |
| 841.462 | 951.149 | 841.462 | 0.000 | 0.000 | -0.000 |
| 841.462 | 841.462 | 951.149 | 0.000 | 0.000 | -0.000 |
| -0.000 | -0.000 | -0.000 | 712.872 | 0.000 | -0.000 |
| -0.000 | -0.000 | -0.000 | -0.000 | 712.872 | -0.000 |
| -0.000 | -0.000 | -0.000 | -0.000 | 0.000 | 712.872 |
| 951.149 | 841.462 | 841.462 | 0.000 | -0.000 | 0.000 |
| 841.462 | 951.149 | 841.462 | -0.000 | -0.000 | 0.000 |
| 841.462 | 841.462 | 951.149 | 0.000 | -0.000 | 0.000 |
| 0.000 | 0.000 | 0.000 | 712.872 | -0.000 | 0.000 |
| 0.000 | 0.000 | 0.000 | -0.000 | 712.872 | 0.000 |
| 0.000 | 0.000 | -0.000 | 0.000 | -0.000 | 712.872 |
| 951.149 | 841.462 | 841.462 | 0.000 | 0.000 | -0.000 |
| 841.462 | 951.149 | 841.462 | 0.000 | 0.000 | -0.000 |
| 841.462 | 841.462 | 951.149 | -0.000 | 0.000 | -0.000 |
| 0.000 | -0.000 | 0.000 | 712.872 | 0.000 | -0.000 |
| -0.000 | 0.000 | 0.000 | 0.000 | 712.872 | -0.000 |
| -0.000 | 0.000 | 0.000 | 0.000 | 0.000 | 712.872 |
| 951.149 | 841.462 | 841.462 | 0.000 | -0.000 | 0.000 |
| 841.462 | 951.149 | 841.462 | -0.000 | -0.000 | 0.000 |
| 841.462 | 841.462 | 951.149 | 0.000 | -0.000 | 0.000 |
| -0.000 | 0.000 | -0.000 | 712.872 | 0.000 | 0.000 |
| 0.000 | -0.000 | -0.000 | 0.000 | 712.872 | 0.000 |
| 0.000 | -0.000 | -0.000 | -0.000 | -0.000 | 712.872 |
| 951.148 | 841.464 | 841.464 | 0.000 | 0.000 | -0.000 |
| 841.464 | 951.148 | 841.464 | 0.000 | 0.000 | -0.000 |
| 841.464 | 841.464 | 951.148 | 0.000 | 0.000 | -0.000 |
| 0.002 | -0.001 | 0.001 | 712.872 | 0.000 | -0.000 |
| -0.001 | 0.002 | 0.001 | 0.000 | 712.872 | -0.000 |
| -0.001 | 0.001 | 0.002 | -0.000 | 0.000 | 712.872 |
| 951.149 | 841.460 | 841.460 | -0.000 | -0.000 | 0.000 |
| 841.460 | 951.149 | 841.460 | 0.000 | -0.000 | 0.000 |
| 841.460 | 841.460 | 951.149 | -0.000 | -0.000 | 0.000 |
| -0.002 | 0.001 | -0.001 | 712.872 | -0.000 | 0.000 |
| 0.001 | -0.002 | -0.001 | -0.000 | 712.872 | 0.000 |
| 0.001 | -0.001 | -0.002 | 0.000 | 0.000 | 712.872 |
| 3255.794 | 791.267 | 791.267 | -0.000 | -0.000 | -0.000 |
| 791.267 | 3255.794 | 791.267 | -0.000 | -0.000 | 0.000 |
| 791.267 | 791.267 | 3255.794 | 0.000 | 0.000 | 0.000 |
| -0.000 | 0.000 | 0.000 | 670.001 | -0.000 | -0.000 |
| -0.000 | 0.000 | 0.000 | -0.000 | 670.001 | -0.000 |
| -0.000 | 0.000 | -0.000 | 0.000 | 0.000 | 670.001 |
| 3255.795 | 791.267 | 791.267 | -0.000 | 0.000 | 0.000 |
| 791.267 | 3255.795 | 791.267 | 0.000 | -0.000 | -0.000 |
| 791.267 | 791.267 | 3255.795 | -0.000 | -0.000 | -0.000 |
| 0.000 | -0.000 | -0.000 | 670.001 | -0.000 | 0.000 |
| -0.000 | -0.000 | -0.000 | -0.000 | 670.001 | 0.000 |
| 0.000 | -0.000 | 0.000 | -0.000 | 0.000 | 670.001 |
| 3255.791 | 791.268 | 791.268 | -0.000 | -0.000 | -0.000 |
| 791.268 | 3255.791 | 791.268 | -0.000 | -0.000 | 0.000 |
| 791.268 | 791.268 | 3255.791 | -0.000 | 0.000 | 0.000 |
| 0.000 | 0.000 | 0.000 | 670.001 | -0.000 | -0.000 |
| 0.000 | 0.000 | 0.000 | -0.000 | 670.001 | -0.000 |
| 0.000 | 0.000 | 0.000 | -0.000 | -0.000 | 670.001 |
| 3255.798 | 791.267 | 791.267 | 0.000 | 0.000 | 0.000 |
| 791.267 | 3255.798 | 791.267 | 0.000 | 0.000 | 0.000 |
| 791.267 | 791.267 | 3255.798 | -0.000 | 0.000 | 0.000 |
| -0.000 | -0.000 | -0.000 | 670.001 | 0.000 | 0.000 |
| -0.000 | -0.000 | -0.000 | -0.000 | 670.001 | -0.000 |
| -0.000 | -0.000 | -0.000 | 0.000 | -0.000 | 670.001 |
| 3255.757 | 791.273 | 791.273 | -0.000 | -0.000 | -0.000 |
| 791.273 | 3255.757 | 791.273 | -0.000 | -0.000 | 0.000 |
| 791.273 | 791.273 | 3255.757 | -0.000 | -0.000 | 0.000 |
| 0.000 | 0.003 | 0.003 | 670.001 | 0.000 | 0.000 |
| 0.003 | 0.000 | 0.003 | 0.000 | 670.001 | 0.000 |
| 0.003 | 0.003 | 0.000 | -0.000 | -0.000 | 670.001 |
| 3255.831 | 791.262 | 791.262 | 0.000 | 0.000 | -0.000 |
| 791.262 | 3255.831 | 791.262 | -0.000 | 0.000 | 0.000 |
| 791.262 | 791.262 | 3255.831 | 0.000 | 0.000 | -0.000 |
| -0.000 | -0.003 | -0.003 | 670.001 | 0.000 | 0.000 |
| -0.003 | -0.000 | -0.003 | 0.000 | 670.001 | -0.000 |
| -0.003 | -0.003 | -0.000 | 0.000 | -0.000 | 670.001 |
| 1047.182 | 356.967 | 489.528 | 11.885 | 65.503 | -60.072 |
| 244.534 | 2505.361 | 627.555 | -3.263 | -102.518 | -141.065 |
| 421.589 | 773.302 | 945.191 | 40.482 | 13.589 | -63.572 |
| 39.247 | 95.518 | 29.303 | 705.586 | -113.380 | -14.610 |
| 232.622 | 57.486 | 3.945 | -2.350 | 21.957 | -87.767 |
| 40.659 | -15.802 | -43.150 | 17.237 | -168.165 | -14.979 |
| 886.727 | 216.942 | 624.912 | -3.730 | 376.355 | 59.648 |
| 161.699 | 2435.664 | 717.438 | -16.026 | 185.057 | -6.463 |
| 489.791 | 592.083 | 1182.216 | 2.572 | 206.308 | 68.826 |
| -60.392 | -81.388 | 63.299 | 735.702 | 153.642 | 58.680 |
| 201.332 | -195.988 | 49.030 | -53.289 | 287.949 | 95.430 |
| -216.260 | -328.967 | 93.646 | -21.231 | 177.622 | 180.198 |
| 950.012 | 237.286 | 589.137 | 4.741 | 209.300 | -22.558 |
| 213.874 | 2520.413 | 677.114 | -4.089 | 39.244 | -96.617 |
| 569.410 | 705.718 | 1108.979 | 6.897 | 23.549 | 6.707 |
| 13.067 | 23.476 | -2.916 | 741.357 | -26.807 | -4.745 |
| 210.519 | 62.058 | 39.069 | -3.699 | 152.046 | -21.505 |
| 12.795 | -43.175 | -0.545 | 13.842 | -41.377 | 39.008 |
| 932.896 | 221.411 | 591.482 | -1.148 | 237.549 | -3.269 |
| 190.203 | 2478.871 | 685.004 | -9.295 | 68.654 | -65.363 |
| 523.233 | 653.114 | 1141.883 | -0.841 | 79.187 | 32.485 |
| -7.316 | -18.404 | 11.636 | 737.835 | 11.521 | 12.413 |
| 194.939 | 37.138 | 52.334 | -5.268 | 178.854 | -11.856 |
| -17.756 | -82.319 | 19.636 | 10.426 | -2.386 | 50.693 |
| 942.238 | 233.627 | 587.695 | 0.018 | 223.756 | -7.560 |
| 195.689 | 2491.772 | 680.496 | -9.147 | 54.820 | -68.528 |
| 554.468 | 671.585 | 1125.789 | 5.521 | 45.930 | 15.788 |
| 0.681 | -6.598 | 4.923 | 738.463 | -6.915 | 6.032 |
| 202.678 | 44.260 | 47.793 | -4.188 | 162.893 | -20.978 |
| 1.436 | -32.106 | 6.216 | 9.719 | -16.857 | 58.457 |
| 938.914 | 227.844 | 589.696 | -1.079 | 225.170 | -7.766 |
| 201.368 | 2492.235 | 675.124 | -9.231 | 49.672 | -70.231 |
| 548.317 | 654.478 | 1130.084 | 4.415 | 51.110 | 14.497 |
| -0.469 | -0.060 | 7.874 | 766.281 | -0.886 | 8.326 |
| 201.835 | 45.374 | 47.700 | -4.314 | 165.888 | -17.938 |
| -10.217 | -75.566 | 15.306 | 12.507 | -15.934 | 39.813 |
| 3100.311 | 625.138 | 815.470 | -0.000 | -0.000 | -0.000 |
| 625.138 | 3100.311 | 815.470 | -0.000 | -0.000 | -0.000 |
| 815.471 | 815.471 | 1423.161 | -0.000 | -0.000 | -0.000 |
| -0.000 | 0.000 | 0.000 | 691.375 | -0.000 | -0.000 |
| 0.000 | -0.000 | 0.000 | 0.000 | 691.375 | -0.000 |
| 0.000 | 0.000 | -0.000 | -0.000 | -0.000 | 487.596 |
| 3100.310 | 625.138 | 815.470 | 0.000 | 0.000 | 0.000 |
| 625.138 | 3100.310 | 815.470 | 0.000 | 0.000 | 0.000 |
| 815.470 | 815.471 | 1423.162 | 0.000 | 0.000 | 0.000 |
| 0.000 | -0.000 | -0.000 | 691.375 | -0.000 | 0.000 |
| -0.000 | 0.000 | -0.000 | 0.000 | 691.375 | 0.000 |
| -0.000 | -0.000 | 0.000 | 0.000 | 0.000 | 487.596 |
| 3100.317 | 625.138 | 815.471 | -0.000 | -0.000 | -0.000 |
| 625.138 | 3100.317 | 815.471 | -0.000 | -0.000 | -0.000 |
| 815.471 | 815.471 | 1423.162 | -0.000 | 0.000 | -0.000 |
| 0.000 | 0.000 | 0.000 | 691.375 | -0.000 | -0.000 |
| 0.000 | 0.000 | 0.000 | 0.000 | 691.375 | -0.000 |
| 0.000 | 0.000 | 0.000 | -0.000 | -0.000 | 487.596 |
| 3100.305 | 625.137 | 815.469 | 0.000 | 0.000 | 0.000 |
| 625.137 | 3100.305 | 815.469 | 0.000 | 0.000 | 0.000 |
| 815.470 | 815.470 | 1423.161 | 0.000 | -0.000 | 0.000 |
| -0.000 | -0.000 | -0.000 | 691.375 | 0.000 | 0.000 |
| -0.000 | -0.000 | -0.000 | 0.000 | 691.375 | 0.000 |
| -0.000 | -0.000 | -0.000 | 0.000 | 0.000 | 487.596 |
| 2494.826 | 1230.685 | 815.474 | -0.000 | -0.000 | -0.000 |
| 1230.685 | 2494.826 | 815.474 | -0.000 | -0.000 | -0.000 |
| 815.476 | 815.476 | 1423.163 | -0.000 | -0.000 | -0.000 |
| 0.004 | 0.001 | -0.000 | -583.895 | -0.000 | -0.000 |
| 0.001 | 0.004 | -0.000 | -0.000 | -583.895 | -0.000 |
| 0.004 | 0.004 | 0.000 | -0.000 | -0.000 | 487.596 |
| 3100.254 | 625.132 | 815.463 | 0.000 | 0.000 | 0.000 |
| 625.132 | 3100.254 | 815.463 | 0.000 | 0.000 | 0.000 |
| 815.465 | 815.465 | 1423.160 | 0.000 | 0.000 | 0.000 |
| -0.004 | -0.001 | 0.000 | -583.895 | 0.000 | 0.000 |
| -0.001 | -0.004 | 0.000 | 0.000 | -583.895 | 0.000 |
| -0.004 | -0.004 | -0.000 | 0.000 | 0.000 | 487.596 |
| 2477.181 | 222.782 | 616.459 | 0.000 | 0.000 | -0.000 |
| 222.782 | 2477.181 | 616.459 | 0.000 | 0.000 | -0.000 |
| 625.967 | 625.967 | 1361.604 | -0.000 | -0.000 | 0.000 |
| 0.000 | 0.000 | 0.000 | 529.165 | -0.000 | 0.000 |
| 0.000 | 0.000 | 0.000 | -0.000 | 529.165 | 0.000 |
| 0.000 | 0.000 | 0.000 | 0.000 | -0.000 | 140.433 |
| 2477.181 | 222.782 | 616.459 | -0.000 | 0.000 | -0.000 |
| 222.782 | 2477.181 | 616.459 | -0.000 | -0.000 | -0.000 |
| 625.967 | 625.967 | 1361.603 | -0.000 | -0.000 | -0.000 |
| -0.000 | -0.000 | -0.000 | 529.165 | 0.000 | 0.000 |
| -0.000 | -0.000 | -0.000 | 0.000 | 529.165 | -0.000 |
| -0.000 | -0.000 | 0.000 | 0.000 | -0.000 | 140.433 |
| 2477.184 | 222.783 | 616.459 | 0.000 | 0.000 | -0.000 |
| 222.783 | 2477.184 | 616.459 | 0.000 | 0.000 | -0.000 |
| 469.936 | 469.936 | 865.848 | -0.001 | -0.000 | 0.000 |
| 4.714 | 4.715 | 2.809 | 143.833 | -0.000 | 0.000 |
| 4.715 | 4.715 | 2.810 | -0.003 | 143.836 | 0.000 |
| 0.000 | 0.000 | 0.000 | -0.000 | 0.000 | 140.433 |
| 2343.936 | 92.500 | 457.146 | 0.001 | 0.000 | 0.000 |
| -246.686 | 2003.885 | 1.759 | 0.005 | 0.001 | 0.000 |
| 124.583 | 124.583 | 92.202 | 0.003 | 0.000 | -0.000 |
| -0.000 | -0.000 | -0.000 | 529.165 | -0.000 | -0.000 |
| -0.000 | -0.000 | -0.000 | -0.000 | 529.165 | 0.000 |
| -0.000 | -0.000 | -0.000 | 0.000 | -0.000 | 140.433 |
| 2477.211 | 222.785 | 616.463 | 0.000 | 0.000 | -0.000 |
| 222.785 | 2477.211 | 616.463 | 0.000 | 0.000 | -0.000 |
| 11.760 | 11.760 | 1.851 | -0.000 | -0.000 | 0.000 |
| 0.000 | 0.002 | 0.001 | 529.165 | 0.000 | -0.000 |
| 0.002 | 0.000 | 0.001 | 0.000 | 529.165 | -0.000 |
| 0.002 | 0.001 | 0.000 | -0.000 | 0.000 | 140.433 |
| 2477.150 | 222.780 | 616.455 | -0.000 | 0.000 | 0.000 |
| 222.780 | 2477.150 | 616.455 | -0.000 | 0.000 | 0.000 |
| 9.555 | 9.555 | 0.409 | 0.000 | 0.000 | -0.000 |
| -0.000 | -0.002 | -0.001 | 529.165 | -0.000 | 0.000 |
| -0.002 | -0.000 | -0.001 | -0.000 | 529.165 | -0.000 |
| -0.002 | -0.001 | -0.000 | -0.000 | -0.000 | 140.433 |
| 795.274 | 346.430 | 176.229 | -7.650 | 359.064 | -12.900 |
| 9.188 | 1140.319 | 406.669 | -18.154 | 656.899 | 16.080 |
| 45.973 | 581.050 | 680.087 | -10.283 | 510.996 | -2.101 |
| -42.049 | 26.342 | -16.822 | 299.407 | 124.870 | -7.605 |
| -66.695 | 37.529 | -17.520 | 2.989 | 451.428 | -15.747 |
| -4.580 | 13.751 | -8.389 | -0.607 | 25.215 | 94.575 |
| 1060.628 | 67.756 | 239.013 | 13.972 | -676.160 | -8.407 |
| 223.878 | 900.607 | 562.529 | -6.153 | -66.690 | 3.490 |
| 214.869 | 417.388 | 636.780 | 3.436 | -281.057 | 19.162 |
| 67.866 | -45.596 | 9.399 | 326.055 | -223.692 | 14.487 |
| 144.500 | -164.528 | -8.091 | 11.554 | -369.094 | -4.142 |
| 181.985 | -197.875 | 27.525 | 16.764 | -664.325 | 146.931 |
| 861.714 | 276.692 | 209.850 | 0.244 | 20.342 | -0.615 |
| 193.150 | 951.613 | 445.265 | -0.318 | -1.088 | 0.080 |
| 234.685 | 369.459 | 842.623 | -0.300 | -5.211 | -0.068 |
| -17.125 | 18.091 | -1.791 | 302.396 | 66.053 | 2.788 |
| -14.979 | 6.201 | -11.072 | -1.248 | 274.737 | 0.830 |
| -1.737 | 1.945 | -1.039 | 0.814 | 5.756 | 149.677 |
| 891.956 | 252.074 | 209.573 | 1.767 | -64.859 | -1.248 |
| 194.848 | 937.318 | 426.820 | 0.925 | -56.520 | 1.328 |
| 166.820 | 436.857 | 660.119 | 1.403 | -76.481 | -1.051 |
| 3.562 | -2.629 | 1.153 | 297.654 | -10.734 | 2.210 |
| 19.043 | -29.652 | -7.553 | 2.038 | 144.318 | -2.032 |
| 6.699 | -2.983 | 2.581 | -0.945 | -17.781 | 160.814 |
| 872.768 | 273.159 | 208.160 | -0.344 | 9.277 | 0.538 |
| 185.080 | 951.557 | 430.224 | -0.414 | -5.023 | 0.265 |
| 147.994 | 458.235 | 657.892 | -0.644 | -1.321 | 0.558 |
| -1.465 | 1.316 | -0.486 | 303.921 | 6.154 | 0.956 |
| -3.760 | -4.984 | -7.277 | 0.301 | 253.387 | -0.025 |
| 0.210 | 0.253 | 0.171 | -0.064 | 0.183 | 167.150 |
| 876.055 | 269.317 | 208.403 | -0.090 | -3.108 | 0.270 |
| 185.140 | 954.592 | 432.408 | -0.442 | -5.418 | 0.440 |
| 151.760 | 455.314 | 658.523 | -0.311 | -12.181 | 0.771 |
| 0.113 | -0.540 | -0.138 | 305.757 | -0.284 | 0.834 |
| 5.352 | -14.910 | -8.398 | 0.916 | 200.527 | -1.022 |
| 0.467 | 0.238 | 0.442 | 0.502 | -0.416 | 161.917 |
| 357.479 | 13.996 | 13.996 | -0.000 | -0.000 | -0.000 |
| 13.996 | 357.479 | 13.996 | -0.000 | -0.000 | -0.000 |
| 13.996 | 13.996 | 357.479 | -0.000 | -0.000 | -0.000 |
| -0.000 | -0.000 | -0.000 | 13.996 | 0.000 | -0.000 |
| -0.000 | -0.000 | -0.000 | -0.000 | 13.996 | -0.000 |
| -0.000 | -0.000 | -0.000 | -0.000 | -0.000 | 13.996 |
| 357.478 | 13.996 | 13.996 | 0.000 | -0.000 | 0.000 |
| 13.996 | 357.478 | 13.996 | -0.000 | 0.000 | 0.000 |
| 13.996 | 13.996 | 357.478 | -0.000 | -0.000 | 0.000 |
| 0.000 | 0.000 | 0.000 | 13.996 | 0.000 | 0.000 |
| 0.000 | 0.000 | 0.000 | 0.000 | 13.996 | 0.000 |
| 0.000 | 0.000 | 0.000 | 0.000 | 0.000 | 13.996 |
| 357.479 | 13.996 | 13.996 | 0.000 | -0.000 | 0.000 |
| 13.996 | 357.479 | 13.996 | -0.000 | 0.000 | -0.000 |
| 13.996 | 13.996 | 357.479 | -0.000 | -0.000 | -0.000 |
| -0.000 | -0.000 | -0.000 | 13.996 | -0.000 | 0.000 |
| -0.000 | -0.000 | -0.000 | -0.000 | 13.996 | -0.000 |
| -0.000 | -0.000 | -0.000 | -0.000 | -0.000 | 13.996 |
| 357.478 | 13.996 | 13.996 | 0.000 | 0.000 | 0.000 |
| 13.996 | 357.478 | 13.996 | 0.000 | 0.000 | 0.000 |
| 13.996 | 13.996 | 357.478 | -0.000 | -0.000 | 0.000 |
| 0.000 | 0.000 | 0.000 | 13.996 | 0.000 | 0.000 |
| 0.000 | 0.000 | 0.000 | -0.000 | 13.996 | 0.000 |
| 0.000 | 0.000 | 0.000 | 0.000 | 0.000 | 13.996 |
| 357.480 | 13.996 | 13.996 | -0.000 | 0.000 | 0.000 |
| 13.996 | 357.480 | 13.996 | -0.000 | -0.000 | -0.000 |
| 13.996 | 13.996 | 357.480 | -0.000 | -0.000 | -0.000 |
| -0.000 | -0.000 | -0.000 | 13.996 | -0.000 | -0.000 |
| -0.000 | -0.000 | -0.000 | -0.000 | 13.996 | -0.000 |
| -0.000 | -0.000 | -0.000 | -0.000 | -0.000 | 13.996 |
| 357.477 | 13.996 | 13.996 | 0.000 | 0.000 | 0.000 |
| 13.996 | 357.477 | 13.996 | -0.000 | 0.000 | 0.000 |
| 13.996 | 13.996 | 357.477 | 0.000 | 0.000 | 0.000 |
| 0.000 | 0.000 | 0.000 | 13.996 | 0.000 | 0.000 |
| 0.000 | 0.000 | 0.000 | 0.000 | 13.996 | 0.000 |
| 0.000 | 0.000 | 0.000 | 0.000 | 0.000 | 13.996 |
| -35.432 | 246.879 | 246.879 | 0.000 | 0.000 | 0.000 |
| 246.879 | -35.432 | 246.879 | 0.000 | 0.000 | 0.000 |
| 246.879 | 246.879 | -35.432 | 0.000 | 0.000 | 0.000 |
| 0.000 | -0.000 | 0.000 | 246.879 | 0.000 | 0.000 |
| -0.000 | 0.000 | 0.000 | 0.000 | 246.879 | 0.000 |
| -0.000 | 0.000 | 0.000 | 0.000 | 0.000 | 246.879 |
| -35.432 | 246.879 | 246.879 | -0.000 | -0.000 | -0.000 |
| 246.879 | -35.432 | 246.879 | -0.000 | -0.000 | -0.000 |
| 246.879 | 246.879 | -35.432 | -0.000 | -0.000 | -0.000 |
| -0.000 | 0.000 | -0.000 | 246.879 | -0.000 | -0.000 |
| 0.000 | -0.000 | -0.000 | -0.000 | 246.879 | -0.000 |
| 0.000 | -0.000 | -0.000 | -0.000 | -0.000 | 246.879 |
| -35.432 | 246.879 | 246.879 | 0.000 | 0.000 | 0.000 |
| 246.879 | -35.432 | 246.879 | 0.000 | 0.000 | 0.000 |
| 246.879 | 246.879 | -35.432 | 0.000 | 0.000 | 0.000 |
| 0.000 | -0.000 | 0.000 | 246.879 | 0.000 | 0.000 |
| -0.000 | 0.000 | 0.000 | 0.000 | 246.879 | 0.000 |
| -0.000 | 0.000 | 0.000 | 0.000 | 0.000 | 246.879 |
| -35.432 | 246.879 | 246.879 | -0.000 | -0.000 | -0.000 |
| 246.879 | -35.432 | 246.879 | -0.000 | -0.000 | 0.000 |
| 246.879 | 246.879 | -35.432 | -0.000 | -0.000 | -0.000 |
| -0.000 | 0.000 | -0.000 | 246.879 | -0.000 | -0.000 |
| 0.000 | -0.000 | -0.000 | -0.000 | 246.879 | -0.000 |
| 0.000 | -0.000 | -0.000 | -0.000 | -0.000 | 246.879 |
| -35.433 | 246.879 | 246.879 | 0.000 | 0.000 | 0.000 |
| 246.879 | -35.433 | 246.879 | 0.000 | 0.000 | 0.000 |
| 246.879 | 246.879 | -35.433 | 0.000 | 0.000 | 0.000 |
| 0.000 | -0.000 | 0.000 | 246.879 | 0.000 | 0.000 |
| -0.000 | 0.000 | 0.000 | 0.000 | 246.879 | 0.000 |
| -0.000 | 0.000 | 0.000 | 0.000 | 0.000 | 246.879 |
| -35.431 | 246.878 | 246.878 | -0.000 | -0.000 | -0.000 |
| 246.878 | -35.431 | 246.878 | -0.000 | -0.000 | -0.000 |
| 246.878 | 246.878 | -35.431 | -0.000 | -0.000 | -0.000 |
| -0.000 | 0.000 | -0.000 | 246.879 | -0.000 | -0.000 |
| 0.000 | -0.000 | -0.000 | -0.000 | 246.879 | -0.000 |
| 0.000 | -0.000 | -0.000 | -0.000 | -0.000 | 246.879 |
| 64.953 | 59.369 | 59.369 | -0.000 | 0.000 | 0.000 |
| 59.369 | 64.953 | 59.369 | 0.000 | -0.000 | 0.000 |
| 59.369 | 59.369 | 64.953 | 0.000 | 0.000 | -0.000 |
| -0.000 | -0.000 | -0.000 | 6.566 | -0.000 | -0.000 |
| -0.000 | -0.000 | -0.000 | -0.000 | 6.566 | -0.000 |
| -0.000 | -0.000 | -0.000 | -0.000 | -0.000 | 6.566 |
| 64.953 | 59.369 | 59.369 | 0.000 | -0.000 | -0.000 |
| 59.369 | 64.953 | 59.369 | -0.000 | 0.000 | -0.000 |
| 59.369 | 59.369 | 64.953 | -0.000 | -0.000 | 0.000 |
| 0.000 | 0.000 | 0.000 | 6.566 | 0.000 | 0.000 |
| 0.000 | 0.000 | 0.000 | 0.000 | 6.566 | 0.000 |
| 0.000 | 0.000 | 0.000 | 0.000 | 0.000 | 6.566 |
| 64.953 | 59.369 | 59.369 | 0.000 | 0.000 | 0.000 |
| 59.369 | 64.953 | 59.369 | 0.000 | 0.000 | 0.000 |
| 59.369 | 59.369 | 64.953 | 0.000 | 0.000 | 0.000 |
| -0.000 | -0.000 | -0.000 | 6.566 | -0.000 | -0.000 |
| -0.000 | -0.000 | -0.000 | -0.000 | 6.566 | -0.000 |
| -0.000 | -0.000 | -0.000 | -0.000 | -0.000 | 6.566 |
| 64.953 | 59.369 | 59.369 | 0.000 | -0.000 | -0.000 |
| 59.369 | 64.953 | 59.369 | -0.000 | 0.000 | -0.000 |
| 59.369 | 59.369 | 64.953 | -0.000 | -0.000 | 0.000 |
| 0.000 | 0.000 | 0.000 | 6.566 | 0.000 | 0.000 |
| 0.000 | 0.000 | 0.000 | 0.000 | 6.566 | 0.000 |
| 0.000 | 0.000 | 0.000 | 0.000 | 0.000 | 6.566 |
| 64.954 | 59.369 | 59.369 | 0.000 | 0.000 | 0.000 |
| 59.369 | 64.954 | 59.369 | 0.000 | 0.000 | 0.000 |
| 59.369 | 59.369 | 64.954 | 0.000 | 0.000 | 0.000 |
| -0.000 | -0.000 | -0.000 | 6.566 | -0.000 | -0.000 |
| -0.000 | -0.000 | -0.000 | -0.000 | 6.566 | -0.000 |
| -0.000 | -0.000 | -0.000 | -0.000 | -0.000 | 6.566 |
| 64.953 | 59.368 | 59.368 | 0.000 | -0.000 | -0.000 |
| 59.368 | 64.953 | 59.368 | -0.000 | 0.000 | -0.000 |
| 59.368 | 59.368 | 64.953 | -0.000 | -0.000 | 0.000 |
| 0.000 | 0.000 | 0.000 | 6.566 | 0.000 | 0.000 |
| 0.000 | 0.000 | 0.000 | 0.000 | 6.566 | 0.000 |
| 0.000 | 0.000 | 0.000 | 0.000 | 0.000 | 6.566 |
| 911.289 | 141.987 | 269.725 | 0.000 | 0.000 | 0.000 |
| 141.987 | 911.289 | 269.725 | 0.000 | 0.000 | 0.000 |
| 269.725 | 269.725 | 675.850 | 0.000 | 0.000 | 0.000 |
| 0.000 | -0.000 | 0.000 | 269.725 | -0.000 | 0.000 |
| -0.000 | 0.000 | 0.000 | 0.000 | 269.725 | 0.000 |
| 0.000 | -0.000 | 0.000 | 0.000 | 0.000 | 141.987 |
| 911.289 | 141.987 | 269.725 | -0.000 | -0.000 | -0.000 |
| 141.987 | 911.289 | 269.725 | -0.000 | -0.000 | -0.000 |
| 269.725 | 269.725 | 675.850 | 0.000 | 0.000 | -0.000 |
| -0.000 | 0.000 | -0.000 | 269.725 | -0.000 | -0.000 |
| 0.000 | -0.000 | -0.000 | -0.000 | 269.725 | -0.000 |
| -0.000 | 0.000 | -0.000 | -0.000 | -0.000 | 141.987 |
| 911.290 | 141.987 | 269.725 | 0.000 | 0.000 | 0.000 |
| 141.987 | 911.290 | 269.725 | 0.000 | 0.000 | 0.000 |
| 269.725 | 269.725 | 675.850 | 0.000 | 0.000 | 0.000 |
| 0.000 | -0.000 | 0.000 | 269.725 | -0.000 | 0.000 |
| -0.000 | 0.000 | 0.000 | 0.000 | 269.725 | 0.000 |
| -0.000 | -0.000 | 0.000 | 0.000 | 0.000 | 141.987 |
| 911.289 | 141.987 | 269.725 | -0.000 | -0.000 | -0.000 |
| 141.987 | 911.289 | 269.725 | -0.000 | -0.000 | -0.000 |
| 269.725 | 269.725 | 675.850 | -0.000 | -0.000 | -0.000 |
| -0.000 | 0.000 | -0.000 | 269.725 | -0.000 | -0.000 |
| 0.000 | -0.000 | -0.000 | -0.000 | 269.725 | -0.000 |
| 0.000 | 0.000 | -0.000 | -0.000 | -0.000 | 141.987 |
| 911.295 | 141.987 | 269.725 | 0.000 | 0.000 | 0.000 |
| 141.987 | 911.295 | 269.725 | 0.000 | 0.000 | 0.000 |
| 269.726 | 269.726 | 675.851 | 0.000 | 0.000 | 0.000 |
| 0.000 | -0.000 | 0.000 | 269.725 | 0.000 | 0.000 |
| -0.000 | 0.000 | 0.000 | 0.000 | 269.725 | 0.000 |
| -0.000 | -0.000 | 0.000 | 0.000 | 0.000 | 141.987 |
| 911.284 | 141.986 | 269.724 | -0.000 | -0.000 | -0.000 |
| 141.986 | 911.284 | 269.724 | -0.000 | -0.000 | 0.000 |
| 269.724 | 269.724 | 675.849 | -0.000 | -0.000 | -0.000 |
| -0.000 | 0.000 | -0.000 | 269.725 | -0.000 | -0.000 |
| 0.000 | -0.000 | -0.000 | -0.000 | 269.725 | -0.000 |
| 0.000 | 0.000 | -0.000 | -0.000 | 0.000 | 141.987 |
| -74.078 | 220.775 | 220.775 | 0.000 | -0.000 | -0.000 |
| 220.775 | -74.078 | 220.775 | 0.000 | 0.000 | 0.000 |
| 220.775 | 220.775 | -74.078 | -0.000 | 0.000 | 0.000 |
| 0.024 | 0.001 | 0.001 | -3320.597 | -0.000 | 0.000 |
| 0.001 | 0.024 | 0.001 | -0.000 | -3320.597 | 0.000 |
| 0.001 | 0.001 | 0.024 | 0.000 | -0.000 | -3320.597 |
| -74.079 | 220.775 | 220.775 | -0.000 | 0.000 | -0.000 |
| 220.775 | -74.079 | 220.775 | 0.000 | -0.000 | -0.000 |
| 220.775 | 220.775 | -74.079 | 0.000 | -0.000 | -0.000 |
| -0.024 | -0.001 | -0.001 | -3320.597 | 0.000 | -0.000 |
| -0.001 | -0.024 | -0.001 | -0.000 | -3320.597 | -0.000 |
| -0.001 | -0.001 | -0.024 | -0.000 | 0.000 | -3320.597 |
| -74.078 | 220.775 | 220.775 | -0.000 | -0.000 | 0.000 |
| 220.775 | -74.078 | 220.775 | -0.000 | -0.000 | 0.000 |
| 220.775 | 220.775 | -74.078 | 0.000 | -0.000 | 0.000 |
| 0.000 | -0.000 | 0.000 | 220.775 | 0.000 | 0.000 |
| -0.000 | 0.000 | 0.000 | 0.000 | 220.775 | 0.000 |
| -0.000 | 0.000 | 0.000 | -0.000 | -0.000 | 220.775 |
| -74.079 | 220.775 | 220.775 | 0.000 | 0.000 | 0.000 |
| 220.775 | -74.079 | 220.775 | 0.000 | -0.000 | 0.000 |
| 220.775 | 220.775 | -74.079 | 0.000 | 0.000 | -0.000 |
| -0.000 | 0.000 | -0.000 | 220.775 | -0.000 | -0.000 |
| 0.000 | -0.000 | -0.000 | 0.000 | 220.775 | -0.000 |
| 0.000 | -0.000 | -0.000 | -0.000 | -0.000 | 220.775 |
| -74.071 | 220.775 | 220.775 | -0.000 | -0.000 | 0.000 |
| 220.775 | -74.071 | 220.775 | -0.000 | -0.000 | 0.000 |
| 220.775 | 220.775 | -74.071 | 0.000 | 0.000 | 0.000 |
| -12694553.300 | -13712824.456 | -14360327.070 | -513020.257 | 224423.378 | -350931.022 |
| -12892185.558 | -12830374.246 | -13924606.055 | -198659.714 | -557818.756 | 149562.689 |
| -13925272.601 | -13517622.941 | -13076381.307 | 26203.727 | -142791.547 | -633546.966 |
| -74.086 | 220.775 | 220.775 | 0.000 | -0.000 | -0.000 |
| 220.775 | -74.086 | 220.775 | -0.000 | 0.000 | 0.000 |
| 220.775 | 220.775 | -74.086 | 0.000 | 0.000 | -0.000 |
| 11873538.476 | 13306123.611 | 13614585.467 | -97993.660 | -321673.674 | -358483.142 |
| 12182619.072 | 11525924.552 | 13545424.609 | 112723.044 | -327711.674 | -12671.901 |
| 12813601.553 | 12968863.131 | 11644552.153 | -64069.866 | 9940.975 | 40709.503 |
| 855.220 | 354.797 | 354.797 | 0.000 | 0.000 | -0.000 |
| 354.797 | 855.220 | 354.797 | 0.000 | 0.000 | -0.000 |
| 354.797 | 354.797 | 855.220 | 0.000 | 0.000 | -0.000 |
| 0.000 | -0.000 | -0.000 | 245.155 | 0.000 | 0.000 |
| -0.000 | 0.000 | -0.000 | 0.000 | 245.155 | -0.000 |
| -0.000 | -0.000 | 0.000 | 0.000 | 0.000 | 245.155 |
| 855.220 | 354.797 | 354.797 | -0.000 | -0.000 | 0.000 |
| 354.797 | 855.220 | 354.797 | -0.000 | -0.000 | 0.000 |
| 354.797 | 354.797 | 855.220 | -0.000 | -0.000 | -0.000 |
| -0.000 | 0.000 | 0.000 | 245.155 | -0.000 | 0.000 |
| -0.000 | -0.000 | 0.000 | -0.000 | 245.155 | 0.000 |
| 0.000 | 0.000 | -0.000 | -0.000 | -0.000 | 245.155 |
| 855.220 | 354.797 | 354.797 | 0.000 | 0.000 | -0.000 |
| 354.797 | 855.220 | 354.797 | 0.000 | 0.000 | -0.000 |
| 354.797 | 354.797 | 855.220 | 0.000 | 0.000 | 0.000 |
| 0.000 | -0.000 | -0.000 | 40.398 | 0.000 | -0.000 |
| -0.000 | 0.000 | -0.000 | 0.000 | 40.398 | -0.000 |
| -0.000 | -0.000 | 0.000 | 0.000 | 0.000 | 40.398 |
| 855.220 | 354.797 | 354.797 | -0.000 | -0.000 | -0.000 |
| 354.797 | 855.220 | 354.797 | -0.000 | -0.000 | 0.000 |
| 354.797 | 354.797 | 855.220 | -0.000 | -0.000 | -0.000 |
| -0.000 | 0.000 | 0.000 | 40.398 | -0.000 | 0.000 |
| 0.000 | -0.000 | 0.000 | -0.000 | 40.398 | 0.000 |
| 0.000 | 0.000 | -0.000 | -0.000 | -0.000 | 40.398 |
| 855.220 | 354.797 | 354.797 | 0.000 | 0.000 | -0.000 |
| 354.797 | 855.220 | 354.797 | 0.000 | 0.000 | -0.000 |
| 354.797 | 354.797 | 855.220 | -0.000 | 0.000 | 0.000 |
| 0.000 | -0.000 | -0.000 | 40.398 | 0.000 | -0.000 |
| -0.000 | 0.000 | -0.000 | 0.000 | 40.398 | -0.000 |
| -0.000 | -0.000 | 0.000 | 0.000 | 0.000 | 40.398 |
| 855.220 | 354.797 | 354.797 | -0.000 | -0.000 | 0.000 |
| 354.797 | 855.220 | 354.797 | -0.000 | -0.000 | 0.000 |
| 354.797 | 354.797 | 855.220 | 0.000 | 0.000 | 0.000 |
| -0.000 | 0.000 | 0.000 | 40.398 | -0.000 | 0.000 |
| 0.000 | -0.000 | 0.000 | -0.000 | 40.398 | 0.000 |
| 0.000 | 0.000 | -0.000 | -0.000 | -0.000 | 40.398 |
| 1053.732 | -18.977 | -18.977 | -0.000 | -0.000 | 0.000 |
| -18.977 | 1053.733 | -18.977 | -0.000 | -0.000 | 0.000 |
| -18.977 | -18.977 | 1053.733 | 0.000 | -0.000 | 0.000 |
| 3347125402.789 | 2768286705.381 | 2742639537.351 | -1107553389.381 | -133933351.841 | 75553491.463 |
| 2742006705.050 | 3262122331.417 | 2804285491.519 | -28359590.554 | -1281892731.229 | -45022068.032 |
| 2710906232.827 | 2583076723.596 | 3413279563.891 | -43990564.145 | 22415851.410 | -1249903243.365 |
| 1053.732 | -18.978 | -18.978 | 0.000 | -0.000 | -0.000 |
| -18.978 | 1053.732 | -18.978 | -0.000 | -0.000 | -0.000 |
| -18.978 | -18.978 | 1053.732 | 0.000 | -0.000 | -0.000 |
| -2935723719.580 | -3133209110.132 | -3131072670.910 | -1036641358.442 | 72557012.827 | -60001816.879 |
| -3143850806.868 | -3223897605.144 | -3063800725.230 | 94042743.523 | -1169989052.238 | -4609970.800 |
| -2851337308.592 | -3165813399.640 | -2450649770.688 | 43635758.081 | -74561191.506 | -927248446.566 |
| 1053.733 | -18.977 | -18.977 | -0.000 | -0.000 | 0.000 |
| -18.977 | 1053.733 | -18.977 | -0.000 | -0.000 | 0.000 |
| -18.977 | -18.977 | 1053.733 | -0.000 | 0.000 | 0.000 |
| 340330915.631 | 273273730.926 | 260390409.519 | -117703771.409 | -7694760.800 | 1723764.195 |
| 247665120.328 | 319009514.356 | 269539333.943 | -2096460.858 | -114860628.409 | -2211635.091 |
| 214392837.923 | 265723442.638 | 263157624.196 | -15538444.039 | -8432577.108 | -99491362.337 |
| 1053.732 | -18.978 | -18.978 | 0.000 | -0.000 | -0.000 |
| -18.978 | 1053.732 | -18.978 | 0.000 | 0.000 | -0.000 |
| -18.978 | -18.978 | 1053.732 | 0.000 | -0.000 | -0.000 |
| -320043738.908 | -327706052.835 | -300579760.407 | -134005877.217 | 1535216.597 | -6376656.110 |
| -296244534.934 | -316304022.811 | -319889237.071 | -6396796.769 | -108713585.528 | 15753930.237 |
| -303855912.177 | -303343362.558 | -334242952.180 | 5389293.067 | -3884146.868 | -107052043.879 |
| 1053.741 | -18.976 | -18.976 | -0.000 | -0.000 | 0.000 |
| -18.976 | 1053.741 | -18.976 | -0.000 | -0.000 | 0.000 |
| -18.976 | -18.976 | 1053.741 | -0.000 | -0.000 | 0.000 |
| 32262926.002 | 24674935.420 | 26729839.354 | -11233841.926 | -154153.878 | -168606.565 |
| 25039520.438 | 34091750.188 | 25959146.568 | 592378.617 | -11674802.070 | -776620.214 |
| 26020379.485 | 25198797.175 | 30934772.136 | 28106.851 | 688252.915 | -10879917.269 |
| 1053.724 | -18.979 | -18.979 | 0.000 | 0.000 | -0.000 |
| -18.979 | 1053.724 | -18.979 | 0.000 | -0.000 | -0.000 |
| -18.979 | -18.979 | 1053.724 | -0.000 | 0.000 | -0.000 |
| -32926413.744 | -29485859.962 | -31200575.152 | -11188737.221 | 261771.891 | -256847.067 |
| -28477303.111 | -33986935.099 | -29102062.403 | -505070.747 | -11035141.919 | 420626.932 |
| -29511240.939 | -29297567.240 | -32936486.565 | 911605.762 | -504853.007 | -12109150.004 |
| 0.000 | 0.000 | 0.000 | -0.000 | -0.000 | 0.000 |
| 0.000 | 0.000 | 0.000 | 0.000 | 0.000 | 0.000 |
| 0.000 | 0.000 | 0.000 | -0.000 | -0.000 | -0.000 |
| 0.000 | 0.000 | -0.000 | -0.000 | -0.000 | 0.000 |
| 0.000 | 0.000 | -0.000 | 0.000 | -0.000 | 0.000 |
| 0.000 | -0.000 | 0.000 | 0.000 | -0.000 | -0.000 |
| 0.000 | 0.000 | 0.000 | -0.000 | 0.000 | -0.000 |
| 0.000 | 0.000 | 0.000 | -0.000 | 0.000 | 0.000 |
| 0.000 | 0.000 | 0.000 | 0.000 | -0.000 | -0.000 |
| -0.000 | -0.000 | 0.000 | -0.000 | 0.000 | 0.000 |
| 0.000 | -0.000 | 0.000 | -0.000 | -0.000 | -0.000 |
| -0.000 | 0.000 | -0.000 | -0.000 | -0.000 | -0.000 |
| 0.000 | 0.000 | 0.000 | -0.000 | -0.000 | 0.000 |
| 0.000 | 0.000 | 0.000 | 0.000 | 0.000 | 0.000 |
| 0.000 | 0.000 | 0.000 | 0.000 | 0.000 | -0.000 |
| 0.000 | 0.000 | -0.000 | -0.000 | 0.000 | -0.000 |
| 0.000 | 0.000 | -0.000 | 0.000 | -0.000 | 0.000 |
| 0.000 | -0.000 | 0.000 | 0.000 | 0.000 | -0.000 |
| 0.000 | 0.000 | 0.000 | -0.000 | -0.000 | -0.000 |
| 0.000 | 0.000 | 0.000 | -0.000 | 0.000 | -0.000 |
| 0.000 | 0.000 | 0.000 | 0.000 | -0.000 | -0.000 |
| -0.000 | 0.000 | 0.000 | -0.000 | -0.000 | -0.000 |
| -0.000 | -0.000 | 0.000 | -0.000 | -0.000 | -0.000 |
| 0.000 | 0.000 | -0.000 | -0.000 | 0.000 | -0.000 |
| 0.000 | 0.000 | 0.000 | -0.000 | -0.000 | 0.000 |
| 0.000 | 0.000 | 0.000 | 0.000 | 0.000 | -0.000 |
| 0.000 | 0.000 | 0.000 | 0.000 | -0.000 | -0.000 |
| 0.000 | 0.000 | -0.000 | -0.000 | -0.000 | -0.000 |
| 0.000 | 0.000 | -0.000 | 0.000 | -0.000 | 0.000 |
| 0.000 | -0.000 | 0.000 | 0.000 | -0.000 | -0.000 |
| 0.000 | 0.000 | 0.000 | -0.000 | 0.000 | 0.000 |
| 0.000 | 0.000 | 0.000 | -0.000 | 0.000 | -0.000 |
| 0.000 | 0.000 | 0.000 | -0.000 | 0.000 | -0.000 |
| -0.000 | -0.000 | 0.000 | -0.000 | 0.000 | 0.000 |
| 0.000 | -0.000 | 0.000 | -0.000 | -0.000 | -0.000 |
| -0.000 | 0.000 | -0.000 | -0.000 | 0.000 | -0.000 |
| 326.971 | 696.112 | 696.112 | 0.000 | 0.000 | -0.000 |
| 696.112 | 326.971 | 696.112 | 0.000 | 0.000 | 0.000 |
| 696.112 | 696.112 | 326.971 | -0.000 | -0.000 | 0.000 |
| -0.000 | 0.000 | 0.000 | 217.683 | -0.000 | -0.000 |
| 0.000 | -0.000 | 0.000 | -0.000 | 217.683 | -0.000 |
| 0.000 | 0.000 | -0.000 | 0.000 | -0.000 | 217.683 |
| 326.971 | 696.112 | 696.112 | -0.000 | -0.000 | -0.000 |
| 696.112 | 326.971 | 696.112 | -0.000 | -0.000 | -0.000 |
| 696.112 | 696.112 | 326.971 | -0.000 | -0.000 | 0.000 |
| 0.000 | -0.000 | -0.000 | 217.683 | -0.000 | -0.000 |
| -0.000 | 0.000 | -0.000 | -0.000 | 217.683 | 0.000 |
| -0.000 | -0.000 | 0.000 | 0.000 | 0.000 | 217.683 |
| 326.971 | 696.113 | 696.113 | -0.000 | 0.000 | -0.000 |
| 696.113 | 326.971 | 696.113 | 0.000 | 0.000 | -0.000 |
| 696.113 | 696.113 | 326.971 | -0.000 | 0.000 | -0.000 |
| -0.000 | 0.000 | 0.000 | 217.683 | 0.000 | -0.000 |
| 0.000 | -0.000 | 0.000 | 0.000 | 217.683 | -0.000 |
| 0.000 | 0.000 | -0.000 | -0.000 | -0.000 | 217.683 |
| 326.971 | 696.112 | 696.112 | 0.000 | -0.000 | -0.000 |
| 696.112 | 326.971 | 696.112 | -0.000 | -0.000 | -0.000 |
| 696.112 | 696.112 | 326.971 | 0.000 | 0.000 | -0.000 |
| 0.000 | -0.000 | -0.000 | 217.683 | 0.000 | 0.000 |
| -0.000 | 0.000 | -0.000 | -0.000 | 217.683 | 0.000 |
| -0.000 | -0.000 | 0.000 | 0.000 | -0.000 | 217.683 |
| 326.971 | 696.114 | 696.114 | 0.000 | 0.000 | -0.000 |
| 696.114 | 326.971 | 696.114 | 0.000 | 0.000 | 0.000 |
| 696.114 | 696.114 | 326.971 | 0.000 | 0.000 | 0.000 |
| -0.003 | 0.001 | 0.001 | 217.683 | -0.000 | 0.000 |
| 0.001 | -0.003 | 0.001 | 0.000 | 217.683 | 0.000 |
| 0.001 | 0.001 | -0.003 | -0.000 | -0.000 | 217.683 |
| 326.970 | 696.111 | 696.111 | -0.000 | -0.000 | 0.000 |
| 696.111 | 326.970 | 696.111 | -0.000 | -0.000 | -0.000 |
| 696.111 | 696.111 | 326.970 | -0.000 | 0.000 | 0.000 |
| 0.003 | -0.001 | -0.001 | 217.683 | 0.000 | -0.000 |
| -0.001 | 0.003 | -0.001 | 0.000 | 217.683 | 0.000 |
| -0.001 | -0.001 | 0.003 | 0.000 | 0.000 | 217.683 |
| 1216.973 | 583.580 | 583.580 | 0.000 | -0.000 | -0.000 |
| 583.580 | 1216.973 | 583.580 | -0.000 | 0.000 | -0.000 |
| 583.580 | 583.580 | 1216.973 | -0.000 | -0.000 | 0.000 |
| -0.000 | 0.000 | 0.000 | 583.580 | 0.000 | 0.000 |
| 0.000 | -0.000 | 0.000 | 0.000 | 583.580 | 0.000 |
| 0.000 | 0.000 | -0.000 | 0.000 | 0.000 | 583.580 |
| 1216.973 | 583.580 | 583.580 | -0.000 | -0.000 | 0.000 |
| 583.580 | 1216.973 | 583.580 | -0.000 | -0.000 | -0.000 |
| 583.580 | 583.580 | 1216.973 | -0.000 | -0.000 | -0.000 |
| 0.000 | -0.000 | -0.000 | 583.580 | -0.000 | -0.000 |
| -0.000 | 0.000 | -0.000 | -0.000 | 583.580 | -0.000 |
| -0.000 | -0.000 | 0.000 | -0.000 | -0.000 | 583.580 |
| 1216.973 | 583.580 | 583.580 | 0.000 | 0.000 | 0.000 |
| 583.580 | 1216.973 | 583.580 | 0.000 | 0.000 | 0.000 |
| 583.580 | 583.580 | 1216.973 | 0.000 | 0.000 | 0.000 |
| -0.000 | 0.000 | 0.000 | 583.580 | 0.000 | -0.000 |
| 0.000 | -0.000 | 0.000 | 0.000 | 583.580 | -0.000 |
| 0.000 | 0.000 | -0.000 | 0.000 | -0.000 | 583.580 |
| 1216.973 | 583.579 | 583.579 | -0.000 | -0.000 | -0.000 |
| 583.579 | 1216.973 | 583.579 | -0.000 | -0.000 | 0.000 |
| 583.579 | 583.579 | 1216.973 | 0.000 | -0.000 | -0.000 |
| 0.000 | -0.000 | -0.000 | 583.580 | -0.000 | -0.000 |
| -0.000 | 0.000 | -0.000 | -0.000 | 583.580 | -0.000 |
| -0.000 | -0.000 | 0.000 | -0.000 | -0.000 | 583.580 |
| 1216.975 | 583.582 | 583.582 | 0.000 | 0.000 | -0.000 |
| 583.582 | 1216.975 | 583.582 | 0.000 | 0.000 | 0.000 |
| 583.582 | 583.582 | 1216.975 | 0.000 | 0.000 | 0.000 |
| -0.000 | 0.001 | 0.002 | 583.580 | 0.000 | 0.000 |
| 0.001 | -0.000 | 0.002 | -0.000 | 583.580 | -0.000 |
| 0.001 | 0.002 | -0.000 | -0.000 | 0.000 | 583.580 |
| 1216.970 | 583.577 | 583.577 | -0.000 | -0.000 | -0.000 |
| 583.577 | 1216.970 | 583.577 | -0.000 | -0.000 | -0.000 |
| 583.577 | 583.577 | 1216.970 | -0.000 | -0.000 | -0.000 |
| 0.000 | -0.001 | -0.002 | 583.580 | -0.000 | -0.000 |
| -0.001 | 0.000 | -0.002 | 0.000 | 583.580 | -0.000 |
| -0.001 | -0.002 | 0.000 | 0.000 | -0.000 | 583.580 |
| 660.034 | 77.729 | 77.729 | -0.000 | -0.000 | -0.000 |
| 77.729 | 660.034 | 77.729 | -0.000 | -0.000 | -0.000 |
| 77.729 | 77.729 | 660.034 | -0.000 | -0.000 | -0.000 |
| -0.000 | -0.000 | -0.000 | -63.818 | -0.000 | -0.000 |
| -0.000 | -0.000 | -0.000 | -0.000 | -63.818 | -0.000 |
| -0.000 | -0.000 | 0.000 | -0.000 | -0.000 | -63.818 |
| 660.033 | 77.730 | 77.730 | 0.000 | 0.000 | 0.000 |
| 77.730 | 660.033 | 77.730 | 0.000 | 0.000 | 0.000 |
| 77.730 | 77.730 | 660.033 | 0.000 | 0.000 | 0.000 |
| 0.000 | 0.000 | -0.000 | -63.818 | 0.000 | -0.000 |
| 0.000 | 0.000 | -0.000 | 0.000 | -63.818 | 0.000 |
| 0.000 | 0.000 | -0.000 | 0.000 | 0.000 | -63.818 |
| 660.038 | 77.729 | 77.729 | -0.000 | -0.000 | -0.000 |
| 77.729 | 660.038 | 77.729 | -0.000 | -0.000 | -0.000 |
| 77.729 | 77.729 | 660.038 | -0.000 | -0.000 | -0.000 |
| 0.000 | 0.000 | -0.000 | -62.860 | -0.000 | -0.000 |
| 0.000 | 0.000 | -0.000 | -0.000 | -62.860 | 0.000 |
| 0.000 | -0.000 | 0.000 | -0.000 | -0.000 | -62.860 |
| 660.029 | 77.729 | 77.729 | -0.000 | 0.000 | 0.000 |
| 77.729 | 660.029 | 77.729 | 0.000 | -0.000 | 0.000 |
| 77.729 | 77.729 | 660.029 | 0.000 | 0.000 | -0.000 |
| -0.000 | -0.000 | 0.000 | -62.860 | -0.000 | -0.000 |
| -0.000 | -0.000 | 0.000 | -0.000 | -62.860 | -0.000 |
| -0.000 | -0.000 | -0.000 | 0.000 | -0.000 | -62.860 |
| 660.077 | 77.730 | 77.730 | -0.000 | 0.000 | 0.000 |
| 77.730 | 660.077 | 77.730 | -0.000 | -0.000 | -0.000 |
| 77.730 | 77.730 | 660.077 | -0.000 | -0.000 | -0.000 |
| 0.000 | 0.000 | -0.000 | -63.818 | -0.000 | -0.000 |
| 0.000 | 0.000 | -0.000 | -0.000 | -63.818 | -0.000 |
| 0.000 | -0.000 | 0.000 | -0.000 | -0.000 | -63.818 |
| 659.990 | 77.729 | 77.729 | 0.000 | 0.000 | 0.000 |
| 77.729 | 659.990 | 77.729 | 0.000 | 0.000 | 0.000 |
| 77.729 | 77.729 | 659.990 | 0.000 | 0.000 | 0.000 |
| -0.000 | -0.000 | 0.000 | -63.818 | 0.000 | 0.000 |
| -0.000 | -0.000 | 0.000 | 0.000 | -63.818 | 0.000 |
| -0.000 | 0.000 | -0.000 | 0.000 | 0.000 | -63.818 |
| 2328.861 | 571.430 | 571.430 | -0.000 | -0.000 | 0.000 |
| 571.430 | 2328.861 | 571.430 | -0.000 | -0.000 | 0.000 |
| 571.430 | 571.430 | 2328.861 | 0.000 | -0.000 | 0.000 |
| -0.000 | 0.000 | 0.000 | 525.111 | 0.000 | 0.000 |
| 0.000 | -0.000 | 0.000 | 0.000 | 525.111 | 0.000 |
| 0.000 | 0.000 | -0.000 | -0.000 | 0.000 | 525.111 |
| 2328.860 | 571.430 | 571.430 | -0.000 | 0.000 | -0.000 |
| 571.430 | 2328.860 | 571.430 | -0.000 | 0.000 | -0.000 |
| 571.430 | 571.430 | 2328.860 | -0.000 | -0.000 | -0.000 |
| 0.000 | -0.000 | -0.000 | 525.111 | -0.000 | -0.000 |
| -0.000 | 0.000 | -0.000 | -0.000 | 525.111 | -0.000 |
| -0.000 | -0.000 | 0.000 | -0.000 | 0.000 | 525.111 |
| 2328.866 | 571.432 | 571.432 | 0.000 | 0.000 | 0.000 |
| 571.432 | 2328.866 | 571.432 | 0.000 | 0.000 | 0.000 |
| 571.432 | 571.432 | 2328.866 | 0.000 | 0.000 | 0.000 |
| 0.000 | 0.001 | 0.001 | 525.111 | -0.000 | 0.000 |
| 0.001 | 0.000 | 0.001 | 0.000 | 525.111 | 0.000 |
| 0.001 | 0.001 | 0.000 | 0.000 | -0.000 | 525.111 |
| 2328.855 | 571.428 | 571.428 | -0.000 | -0.000 | -0.000 |
| 571.428 | 2328.855 | 571.428 | -0.000 | -0.000 | -0.000 |
| 571.428 | 571.428 | 2328.855 | 0.000 | 0.000 | -0.000 |
| -0.000 | -0.001 | -0.001 | 525.111 | 0.000 | 0.000 |
| -0.001 | -0.000 | -0.001 | -0.000 | 525.111 | -0.000 |
| -0.001 | -0.001 | -0.000 | -0.000 | 0.000 | 525.111 |
| 2328.911 | 571.446 | 571.446 | -0.000 | -0.000 | 0.000 |
| 571.446 | 2328.911 | 571.446 | 0.000 | -0.000 | 0.000 |
| 571.446 | 571.446 | 2328.911 | 0.000 | 0.000 | 0.000 |
| 0.000 | 0.015 | 0.015 | 525.111 | -0.000 | 0.000 |
| 0.015 | 0.000 | 0.015 | 0.000 | 525.111 | 0.000 |
| 0.015 | 0.015 | 0.000 | 0.000 | -0.000 | 525.111 |
| 2328.810 | 571.414 | 571.414 | -0.000 | -0.000 | -0.000 |
| 571.414 | 2328.810 | 571.414 | -0.000 | 0.000 | -0.000 |
| 571.414 | 571.414 | 2328.810 | 0.000 | 0.000 | -0.000 |
| -0.000 | -0.015 | -0.015 | 525.111 | 0.000 | -0.000 |
| -0.015 | -0.000 | -0.015 | 0.000 | 525.111 | -0.000 |
| -0.015 | -0.015 | -0.000 | 0.000 | 0.000 | 525.111 |
| 1406.193 | 126.123 | 126.123 | 0.000 | 0.000 | 0.000 |
| 126.123 | 1406.193 | 126.123 | 0.000 | 0.000 | 0.000 |
| 126.123 | 126.123 | 1406.193 | 0.000 | 0.000 | 0.000 |
| 0.000 | 0.000 | 0.000 | -69.434 | 0.000 | 0.000 |
| 0.000 | 0.000 | 0.000 | 0.000 | -69.434 | 0.000 |
| 0.000 | 0.000 | 0.000 | 0.000 | 0.000 | -69.434 |
| 1406.194 | 126.123 | 126.123 | -0.000 | -0.000 | -0.000 |
| 126.123 | 1406.194 | 126.123 | -0.000 | -0.000 | -0.000 |
| 126.123 | 126.123 | 1406.194 | -0.000 | -0.000 | -0.000 |
| -0.000 | -0.000 | -0.000 | -69.434 | -0.000 | -0.000 |
| -0.000 | -0.000 | -0.000 | -0.000 | -69.434 | -0.000 |
| -0.000 | -0.000 | -0.000 | -0.000 | -0.000 | -69.434 |
| 1406.189 | 126.123 | 126.123 | 0.000 | 0.000 | 0.000 |
| 126.123 | 1406.189 | 126.123 | 0.000 | 0.000 | 0.000 |
| 126.123 | 126.123 | 1406.189 | 0.000 | 0.000 | 0.000 |
| 0.000 | 0.000 | -0.000 | -69.434 | 0.000 | 0.000 |
| 0.000 | 0.000 | -0.000 | 0.000 | -69.434 | 0.000 |
| 0.000 | -0.000 | 0.000 | 0.000 | 0.000 | -69.434 |
| 1406.198 | 126.123 | 126.123 | -0.000 | -0.000 | -0.000 |
| 126.123 | 1406.198 | 126.123 | -0.000 | -0.000 | -0.000 |
| 126.123 | 126.123 | 1406.198 | -0.000 | -0.000 | -0.000 |
| -0.000 | -0.000 | 0.000 | -69.434 | -0.000 | -0.000 |
| -0.000 | -0.000 | 0.000 | -0.000 | -69.434 | -0.000 |
| -0.000 | 0.000 | -0.000 | -0.000 | -0.000 | -69.434 |
| 1406.148 | 126.123 | 126.123 | 0.000 | 0.000 | 0.000 |
| 126.123 | 1406.148 | 126.123 | 0.000 | 0.000 | 0.000 |
| 126.123 | 126.123 | 1406.148 | 0.000 | 0.000 | 0.000 |
| 0.000 | 0.000 | -0.000 | -69.434 | 0.000 | 0.000 |
| 0.000 | 0.000 | -0.000 | 0.000 | -69.434 | 0.000 |
| 0.000 | -0.000 | 0.000 | 0.000 | 0.000 | -69.434 |
| 1406.239 | 126.123 | 126.123 | -0.000 | -0.000 | -0.000 |
| 126.123 | 1406.239 | 126.123 | -0.000 | -0.000 | -0.000 |
| 126.123 | 126.123 | 1406.239 | -0.000 | -0.000 | -0.000 |
| -0.000 | -0.000 | 0.000 | -69.434 | -0.000 | -0.000 |
| -0.000 | -0.000 | 0.000 | -0.000 | -69.434 | -0.000 |
| -0.000 | 0.000 | -0.000 | -0.000 | -0.000 | -69.434 |
| 423.682 | 505.334 | 505.334 | -0.000 | -0.000 | -0.000 |
| 505.334 | 423.682 | 505.334 | -0.000 | -0.000 | -0.000 |
| 505.334 | 505.334 | 423.682 | -0.000 | -0.000 | -0.000 |
| -0.000 | 0.000 | 0.000 | -189.325 | -0.000 | -0.000 |
| -0.000 | -0.000 | 0.000 | -0.000 | -189.325 | -0.000 |
| -0.000 | -0.000 | 0.000 | 0.000 | -0.000 | -189.325 |
| 423.682 | 505.334 | 505.334 | 0.000 | 0.000 | 0.000 |
| 505.334 | 423.682 | 505.334 | 0.000 | 0.000 | 0.000 |
| 505.334 | 505.334 | 423.682 | 0.000 | 0.000 | 0.000 |
| 0.000 | 0.000 | -0.000 | -189.325 | 0.000 | 0.000 |
| 0.000 | 0.000 | -0.000 | 0.000 | -189.325 | 0.000 |
| 0.000 | 0.000 | -0.000 | -0.000 | -0.000 | 435.313 |
| 423.682 | 505.334 | 505.334 | -0.000 | -0.000 | -0.000 |
| 505.334 | 423.682 | 505.334 | -0.000 | -0.000 | -0.000 |
| 505.334 | 505.334 | 423.682 | -0.000 | -0.000 | -0.000 |
| 0.000 | -0.000 | 0.000 | 435.313 | 0.000 | 0.000 |
| -0.000 | 0.000 | 0.000 | 0.000 | 435.313 | 0.000 |
| -0.000 | 0.000 | 0.000 | 0.000 | 0.000 | 435.313 |
| 423.682 | 505.334 | 505.334 | 0.000 | 0.000 | 0.000 |
| 505.334 | 423.682 | 505.334 | 0.000 | 0.000 | 0.000 |
| 505.334 | 505.334 | 423.682 | 0.000 | 0.000 | 0.000 |
| -0.000 | 0.000 | -0.000 | 435.313 | -0.000 | -0.000 |
| 0.000 | -0.000 | -0.000 | -0.000 | 435.313 | -0.000 |
| 0.000 | -0.000 | -0.000 | -0.000 | -0.000 | 435.313 |
| 423.681 | 505.335 | 505.335 | -0.000 | -0.000 | -0.000 |
| 505.335 | 423.681 | 505.335 | -0.000 | -0.000 | -0.000 |
| 505.335 | 505.335 | 423.681 | -0.000 | -0.000 | -0.000 |
| -0.001 | -0.001 | -0.001 | -189.325 | -0.000 | -0.000 |
| -0.001 | -0.001 | -0.001 | -0.000 | -189.325 | -0.000 |
| -0.001 | -0.001 | -0.001 | -0.000 | -0.000 | -189.325 |
| 423.684 | 505.334 | 505.334 | 0.000 | 0.000 | 0.000 |
| 505.334 | 423.684 | 505.334 | 0.000 | 0.000 | 0.000 |
| 505.334 | 505.334 | 423.684 | 0.000 | 0.000 | 0.000 |
| 0.001 | 0.001 | 0.001 | -189.325 | 0.000 | 0.000 |
| 0.001 | 0.001 | 0.001 | 0.000 | -189.325 | 0.000 |
| 0.001 | 0.001 | 0.001 | -0.000 | 0.000 | -189.325 |
| 302.146 | 144.726 | 271.231 | 0.000 | 0.000 | 0.000 |
| 221.787 | 225.086 | 271.231 | 0.000 | 0.000 | -0.000 |
| 271.231 | 271.231 | 443.731 | 0.000 | 0.000 | -0.000 |
| -0.000 | -0.000 | 0.000 | 193.578 | 0.000 | -0.000 |
| -0.000 | -0.000 | 0.000 | 0.000 | 193.578 | 0.000 |
| -0.000 | -0.000 | 0.000 | 0.000 | 0.000 | 78.710 |
| 302.146 | 144.726 | 271.231 | -0.000 | -0.000 | 0.000 |
| 221.787 | 225.086 | 271.231 | -0.000 | -0.000 | -0.000 |
| 271.231 | 271.231 | 443.731 | -0.000 | -0.000 | 0.000 |
| 0.000 | 0.000 | -0.000 | 193.578 | -0.000 | -0.000 |
| 0.000 | 0.000 | -0.000 | -0.000 | 193.577 | -0.000 |
| 0.000 | 0.000 | -0.000 | -0.000 | -0.000 | 78.710 |
| 225.085 | 221.787 | 271.231 | 0.000 | 0.000 | 0.000 |
| 221.787 | 225.084 | 271.231 | 0.000 | 0.000 | -0.000 |
| 271.231 | 271.231 | 443.731 | 0.000 | 0.000 | -0.000 |
| -0.000 | -0.000 | -0.000 | 193.578 | 0.000 | 0.000 |
| -0.000 | -0.000 | -0.000 | 0.000 | 193.578 | -0.000 |
| -0.000 | -0.000 | -0.000 | 0.000 | 0.000 | 1.649 |
| 302.147 | 144.726 | 271.231 | -0.000 | -0.000 | -0.000 |
| 144.726 | 302.147 | 271.231 | -0.000 | -0.000 | -0.000 |
| 271.231 | 271.231 | 443.731 | -0.000 | -0.000 | -0.000 |
| 0.000 | 0.000 | 0.000 | 193.578 | -0.000 | -0.000 |
| 0.000 | 0.000 | 0.000 | -0.000 | 193.578 | 0.000 |
| 0.000 | 0.000 | 0.000 | -0.000 | -0.000 | 1.649 |
| 225.075 | 221.787 | 271.229 | 0.000 | 0.000 | 0.000 |
| 221.781 | 225.081 | 271.229 | 0.000 | 0.000 | 0.000 |
| 271.230 | 271.230 | 443.728 | 0.000 | 0.000 | -0.000 |
| -0.001 | -0.002 | -0.001 | 193.578 | 0.000 | -0.000 |
| -0.002 | -0.001 | -0.001 | 0.000 | 193.578 | 0.000 |
| -0.001 | -0.002 | -0.001 | 0.000 | 0.000 | 78.710 |
| 225.101 | 221.782 | 271.233 | -0.000 | -0.000 | -0.000 |
| 221.793 | 225.090 | 271.233 | -0.000 | -0.000 | 0.000 |
| 271.232 | 271.232 | 443.734 | 0.000 | -0.000 | 0.000 |
| 0.001 | 0.002 | 0.001 | 193.578 | -0.000 | 0.000 |
| 0.002 | 0.001 | 0.001 | -0.000 | 193.578 | -0.000 |
| 0.001 | 0.002 | 0.001 | -0.000 | -0.000 | 78.710 |
| 1803.314 | 37.741 | 37.741 | 0.000 | -0.000 | 0.000 |
| 37.741 | 1803.314 | 37.741 | -0.000 | 0.000 | 0.000 |
| 37.741 | 37.741 | 1803.314 | 0.000 | 0.000 | 0.000 |
| 0.000 | -0.000 | 0.000 | -91.027 | -0.000 | 0.000 |
| 0.000 | 0.000 | 0.000 | 0.000 | -91.027 | 0.000 |
| -0.000 | 0.000 | 0.000 | 0.000 | -0.000 | -91.027 |
| 1803.316 | 37.741 | 37.741 | -0.000 | 0.000 | -0.000 |
| 37.741 | 1803.315 | 37.741 | -0.000 | -0.000 | -0.000 |
| 37.741 | 37.741 | 1803.316 | -0.000 | -0.000 | -0.000 |
| -0.000 | -0.000 | 0.000 | -91.027 | 0.000 | -0.000 |
| -0.000 | -0.000 | 0.000 | 0.000 | -91.027 | 0.000 |
| -0.000 | -0.000 | -0.000 | -0.000 | 0.000 | -91.027 |
| 1803.310 | 37.741 | 37.741 | 0.000 | 0.000 | 0.000 |
| 37.741 | 1803.310 | 37.741 | 0.000 | 0.000 | -0.000 |
| 37.741 | 37.741 | 1803.310 | -0.000 | -0.000 | 0.000 |
| 0.000 | 0.000 | -0.000 | -91.027 | 0.000 | 0.000 |
| 0.000 | 0.000 | -0.000 | 0.000 | -91.027 | 0.000 |
| 0.000 | -0.000 | 0.000 | 0.000 | -0.000 | -91.027 |
| 1803.320 | 37.741 | 37.741 | -0.000 | -0.000 | -0.000 |
| 37.741 | 1803.320 | 37.741 | -0.000 | -0.000 | -0.000 |
| 37.741 | 37.741 | 1803.320 | -0.000 | 0.000 | -0.000 |
| -0.000 | -0.000 | 0.000 | -91.027 | 0.000 | -0.000 |
| -0.000 | -0.000 | 0.000 | 0.000 | -91.027 | -0.000 |
| -0.000 | 0.000 | -0.000 | 0.000 | 0.000 | -91.027 |
| 1803.270 | 37.741 | 37.741 | 0.000 | -0.000 | 0.000 |
| 37.741 | 1803.270 | 37.741 | -0.000 | 0.000 | -0.000 |
| 37.741 | 37.741 | 1803.270 | -0.000 | -0.000 | 0.000 |
| 0.000 | 0.000 | -0.001 | -91.027 | -0.000 | 0.000 |
| 0.000 | 0.000 | -0.001 | -0.000 | -91.027 | -0.000 |
| 0.000 | -0.001 | 0.000 | -0.000 | -0.000 | -91.027 |
| 1803.360 | 37.740 | 37.740 | -0.000 | 0.000 | -0.000 |
| 37.740 | 1803.360 | 37.740 | 0.000 | -0.000 | -0.000 |
| 37.740 | 37.740 | 1803.360 | -0.000 | -0.000 | -0.000 |
| -0.000 | -0.000 | 0.001 | -91.027 | 0.000 | 0.000 |
| -0.000 | -0.000 | 0.001 | 0.000 | -91.027 | -0.000 |
| -0.000 | 0.001 | -0.000 | 0.000 | 0.000 | -91.027 |
| 126.147 | 115.893 | 115.893 | 0.000 | 0.000 | 0.000 |
| 115.893 | 126.147 | 115.893 | 0.000 | 0.000 | 0.000 |
| 115.893 | 115.893 | 126.147 | 0.000 | 0.000 | 0.000 |
| -0.000 | -0.000 | -0.000 | 1.332 | 0.000 | 0.000 |
| -0.000 | -0.000 | -0.000 | 0.000 | 1.332 | 0.000 |
| -0.000 | -0.000 | -0.000 | 0.000 | 0.000 | 1.332 |
| 126.147 | 115.893 | 115.893 | -0.000 | -0.000 | -0.000 |
| 115.893 | 126.147 | 115.893 | -0.000 | -0.000 | -0.000 |
| 115.893 | 115.893 | 126.147 | -0.000 | -0.000 | -0.000 |
| 0.000 | 0.000 | 0.000 | 1.332 | -0.000 | -0.000 |
| 0.000 | 0.000 | 0.000 | -0.000 | 1.332 | -0.000 |
| 0.000 | 0.000 | 0.000 | -0.000 | -0.000 | 1.332 |
| 126.147 | 115.893 | 115.893 | 0.000 | 0.000 | 0.000 |
| 115.893 | 126.147 | 115.893 | 0.000 | 0.000 | 0.000 |
| 115.893 | 115.893 | 126.147 | 0.000 | 0.000 | 0.000 |
| 0.000 | -0.000 | 0.000 | 100.921 | -0.000 | 0.000 |
| -0.000 | 0.000 | 0.000 | -0.000 | 100.921 | 0.000 |
| -0.000 | 0.000 | 0.000 | -0.000 | 0.000 | 100.921 |
| 126.147 | 115.893 | 115.893 | 0.000 | -0.000 | -0.000 |
| 115.893 | 126.147 | 115.893 | -0.000 | 0.000 | -0.000 |
| 115.893 | 115.893 | 126.147 | -0.000 | -0.000 | 0.000 |
| -0.000 | 0.000 | -0.000 | 100.921 | -0.000 | -0.000 |
| 0.000 | -0.000 | -0.000 | -0.000 | 100.921 | -0.000 |
| 0.000 | -0.000 | -0.000 | -0.000 | -0.000 | 100.921 |
| 126.147 | 115.893 | 115.893 | 0.000 | 0.000 | 0.000 |
| 115.893 | 126.147 | 115.893 | 0.000 | 0.000 | 0.000 |
| 115.893 | 115.893 | 126.147 | 0.000 | 0.000 | 0.000 |
| -0.000 | -0.000 | -0.000 | 1.332 | 0.000 | 0.000 |
| -0.000 | -0.000 | -0.000 | 0.000 | 1.332 | 0.000 |
| -0.000 | -0.000 | -0.000 | 0.000 | 0.000 | 1.332 |
| 126.148 | 115.893 | 115.893 | 0.000 | -0.000 | -0.000 |
| 115.893 | 126.148 | 115.893 | -0.000 | 0.000 | -0.000 |
| 115.893 | 115.893 | 126.148 | -0.000 | -0.000 | 0.000 |
| 0.000 | 0.000 | 0.000 | 1.332 | -0.000 | -0.000 |
| 0.000 | 0.000 | 0.000 | -0.000 | 1.332 | -0.000 |
| 0.000 | 0.000 | 0.000 | -0.000 | -0.000 | 1.332 |
| 737.348 | 257.211 | 257.211 | 0.000 | 0.000 | -0.000 |
| 257.211 | 737.348 | 257.211 | 0.000 | -0.000 | -0.000 |
| 257.211 | 257.211 | 737.348 | 0.000 | 0.000 | 0.000 |
| 0.000 | 0.000 | -0.000 | 123.528 | -0.000 | -0.000 |
| 0.000 | 0.000 | 0.000 | -0.000 | 123.528 | -0.000 |
| 0.000 | -0.000 | 0.000 | 0.000 | -0.000 | 123.528 |
| 737.348 | 257.211 | 257.211 | -0.000 | 0.000 | 0.000 |
| 257.211 | 737.348 | 257.211 | 0.000 | 0.000 | -0.000 |
| 257.211 | 257.211 | 737.348 | -0.000 | -0.000 | 0.000 |
| -0.000 | -0.000 | 0.000 | 123.528 | 0.000 | 0.000 |
| -0.000 | -0.000 | -0.000 | 0.000 | 123.528 | 0.000 |
| -0.000 | 0.000 | -0.000 | 0.000 | 0.000 | 123.528 |
| 737.349 | 257.211 | 257.211 | -0.000 | -0.000 | 0.000 |
| 257.211 | 737.349 | 257.211 | 0.000 | -0.000 | -0.000 |
| 257.211 | 257.211 | 737.349 | 0.000 | -0.000 | -0.000 |
| 0.000 | -0.000 | -0.000 | 123.528 | -0.000 | -0.000 |
| -0.000 | 0.000 | -0.000 | -0.000 | 123.528 | -0.000 |
| -0.000 | -0.000 | 0.000 | -0.000 | -0.000 | 123.528 |
| 735.873 | 257.948 | 257.948 | 0.000 | 0.000 | -0.000 |
| 257.948 | 735.873 | 257.948 | -0.000 | 0.000 | -0.000 |
| 257.948 | 257.948 | 735.873 | -0.000 | 0.000 | 0.000 |
| -0.000 | 0.000 | 0.000 | 123.528 | 0.000 | -0.000 |
| 0.000 | -0.000 | 0.000 | 0.000 | 123.528 | -0.000 |
| 0.000 | 0.000 | -0.000 | -0.000 | 0.000 | 123.528 |
| 737.353 | 257.211 | 257.211 | 0.000 | -0.000 | 0.000 |
| 257.211 | 737.353 | 257.211 | 0.000 | -0.000 | -0.000 |
| 257.211 | 257.211 | 737.353 | 0.000 | -0.000 | 0.000 |
| 0.000 | -0.000 | -0.000 | 123.528 | -0.000 | 0.000 |
| -0.000 | 0.000 | -0.000 | 0.000 | 123.528 | -0.000 |
| -0.000 | -0.000 | 0.000 | -0.000 | -0.000 | 123.528 |
| 735.869 | 257.947 | 257.947 | -0.000 | 0.000 | 0.000 |
| 257.947 | 735.869 | 257.947 | 0.000 | 0.000 | -0.000 |
| 257.947 | 257.947 | 735.869 | -0.000 | 0.000 | -0.000 |
| -0.000 | 0.000 | 0.000 | 123.528 | 0.000 | -0.000 |
| 0.000 | -0.000 | 0.000 | -0.000 | 123.528 | 0.000 |
| 0.000 | 0.000 | -0.000 | 0.000 | 0.000 | 123.528 |
| 0.000 | 0.000 | 0.000 | -0.000 | 0.000 | -0.000 |
| 0.000 | 0.000 | 0.000 | -0.000 | 0.000 | -0.000 |
| 0.000 | 0.000 | 0.000 | -0.000 | 0.000 | -0.000 |
| 0.000 | 0.000 | 0.000 | -0.000 | 0.000 | -0.000 |
| 0.000 | 0.000 | 0.000 | -0.000 | -0.000 | -0.000 |
| 0.000 | 0.000 | 0.000 | -0.000 | -0.000 | -0.000 |
| 0.000 | 0.000 | 0.000 | 0.000 | 0.000 | 0.000 |
| 0.000 | 0.000 | 0.000 | 0.000 | -0.000 | 0.000 |
| 0.000 | 0.000 | 0.000 | 0.000 | -0.000 | 0.000 |
| -0.000 | -0.000 | -0.000 | -0.000 | -0.000 | 0.000 |
| -0.000 | -0.000 | -0.000 | 0.000 | -0.000 | 0.000 |
| -0.000 | -0.000 | -0.000 | 0.000 | -0.000 | -0.000 |
| 0.000 | 0.000 | 0.000 | -0.000 | -0.000 | -0.000 |
| 0.000 | 0.000 | 0.000 | -0.000 | 0.000 | -0.000 |
| 0.000 | 0.000 | 0.000 | -0.000 | 0.000 | -0.000 |
| 0.000 | 0.000 | 0.000 | -0.000 | 0.000 | -0.000 |
| 0.000 | 0.000 | 0.000 | -0.000 | -0.000 | -0.000 |
| 0.000 | 0.000 | 0.000 | -0.000 | 0.000 | -0.000 |
| 0.000 | 0.000 | 0.000 | 0.000 | -0.000 | 0.000 |
| 0.000 | 0.000 | 0.000 | 0.000 | -0.000 | 0.000 |
| 0.000 | 0.000 | 0.000 | 0.000 | 0.000 | 0.000 |
| -0.000 | -0.000 | -0.000 | -0.000 | -0.000 | 0.000 |
| -0.000 | -0.000 | -0.000 | 0.000 | -0.000 | 0.000 |
| -0.000 | -0.000 | -0.000 | 0.000 | -0.000 | -0.000 |
| 0.000 | 0.000 | 0.000 | -0.000 | 0.000 | -0.000 |
| 0.000 | 0.000 | 0.000 | -0.000 | 0.000 | -0.000 |
| 0.000 | 0.000 | 0.000 | -0.000 | 0.000 | -0.000 |
| 0.000 | 0.000 | -0.000 | -0.000 | 0.000 | -0.000 |
| 0.000 | 0.000 | -0.000 | -0.000 | -0.000 | -0.000 |
| 0.000 | -0.000 | 0.000 | -0.000 | -0.000 | -0.000 |
| 0.000 | 0.000 | 0.000 | 0.000 | 0.000 | 0.000 |
| 0.000 | 0.000 | 0.000 | 0.000 | -0.000 | 0.000 |
| 0.000 | 0.000 | 0.000 | 0.000 | -0.000 | 0.000 |
| -0.000 | -0.000 | 0.000 | -0.000 | -0.000 | 0.000 |
| -0.000 | -0.000 | 0.000 | 0.000 | -0.000 | 0.000 |
| -0.000 | 0.000 | -0.000 | 0.000 | -0.000 | -0.000 |
| 781.423 | 703.063 | 703.063 | 0.000 | 0.000 | 0.000 |
| 703.063 | 781.423 | 703.063 | 0.000 | 0.000 | 0.000 |
| 703.063 | 703.063 | 781.423 | 0.000 | 0.000 | -0.000 |
| 0.000 | 0.000 | 0.000 | 580.297 | 0.000 | 0.000 |
| 0.000 | 0.000 | 0.000 | 0.000 | 580.297 | 0.000 |
| 0.000 | 0.000 | 0.000 | 0.000 | 0.000 | 580.297 |
| 781.423 | 703.063 | 703.063 | -0.000 | -0.000 | -0.000 |
| 703.063 | 781.423 | 703.063 | -0.000 | -0.000 | -0.000 |
| 703.063 | 703.063 | 781.423 | -0.000 | -0.000 | -0.000 |
| -0.000 | -0.000 | -0.000 | 580.297 | 0.000 | 0.000 |
| -0.000 | -0.000 | -0.000 | 0.000 | 580.297 | -0.000 |
| -0.000 | -0.000 | -0.000 | 0.000 | -0.000 | 580.297 |
| 781.423 | 703.064 | 703.064 | 0.000 | 0.000 | 0.000 |
| 703.064 | 781.423 | 703.064 | 0.000 | 0.000 | -0.000 |
| 703.064 | 703.064 | 781.423 | -0.000 | -0.000 | 0.000 |
| 0.000 | 0.000 | 0.000 | 580.297 | 0.000 | 0.000 |
| 0.000 | 0.000 | 0.000 | 0.000 | 580.297 | 0.000 |
| 0.000 | 0.000 | 0.000 | -0.000 | -0.000 | 580.297 |
| 781.423 | 703.063 | 703.063 | -0.000 | -0.000 | 0.000 |
| 703.063 | 781.423 | 703.063 | -0.000 | -0.000 | -0.000 |
| 703.063 | 703.063 | 781.423 | -0.000 | -0.000 | 0.000 |
| -0.000 | -0.000 | -0.000 | 580.297 | -0.000 | -0.000 |
| -0.000 | -0.000 | -0.000 | -0.000 | 580.297 | -0.000 |
| -0.000 | -0.000 | -0.000 | 0.000 | 0.000 | 580.297 |
| 781.421 | 703.068 | 703.068 | 0.000 | 0.000 | 0.000 |
| 703.068 | 781.421 | 703.068 | 0.000 | 0.000 | 0.000 |
| 703.068 | 703.068 | 781.421 | 0.000 | 0.000 | 0.000 |
| -0.003 | -0.002 | -0.002 | 121.983 | 0.000 | 0.000 |
| -0.002 | -0.003 | -0.002 | 0.000 | 121.983 | 0.000 |
| -0.002 | -0.002 | -0.003 | 0.000 | 0.000 | 121.983 |
| 781.425 | 703.059 | 703.059 | 0.000 | -0.000 | -0.000 |
| 703.059 | 781.425 | 703.059 | -0.000 | 0.000 | 0.000 |
| 703.059 | 703.059 | 781.425 | 0.000 | 0.000 | -0.000 |
| 0.003 | 0.002 | 0.002 | 121.983 | -0.000 | -0.000 |
| 0.002 | 0.003 | 0.002 | -0.000 | 121.983 | -0.000 |
| 0.002 | 0.002 | 0.003 | -0.000 | -0.000 | 121.983 |
| 0.000 | 0.000 | 0.000 | 0.000 | 0.000 | 0.000 |
| 0.000 | 0.000 | 0.000 | 0.000 | 0.000 | 0.000 |
| 0.000 | 0.000 | 0.000 | 0.000 | 0.000 | -0.000 |
| 0.000 | 0.000 | 0.000 | -0.000 | -0.000 | 0.000 |
| 0.000 | 0.000 | 0.000 | -0.000 | 0.000 | 0.000 |
| 0.000 | 0.000 | 0.000 | 0.000 | 0.000 | -0.000 |
| -0.000 | 0.000 | 0.000 | -0.000 | -0.000 | -0.000 |
| 0.000 | -0.000 | 0.000 | -0.000 | 0.000 | -0.000 |
| 0.000 | 0.000 | -0.000 | -0.000 | -0.000 | -0.000 |
| -0.000 | -0.000 | -0.000 | -0.000 | -0.000 | -0.000 |
| -0.000 | -0.000 | -0.000 | -0.000 | 0.000 | 0.000 |
| -0.000 | -0.000 | -0.000 | -0.000 | 0.000 | 0.000 |
| 0.000 | 0.000 | 0.000 | 0.000 | 0.000 | 0.000 |
| 0.000 | 0.000 | 0.000 | 0.000 | -0.000 | -0.000 |
| 0.000 | 0.000 | 0.000 | 0.000 | 0.000 | 0.000 |
| 0.000 | 0.000 | 0.000 | -0.000 | -0.000 | 0.000 |
| 0.000 | 0.000 | 0.000 | 0.000 | -0.000 | -0.000 |
| 0.000 | 0.000 | 0.000 | 0.000 | -0.000 | -0.000 |
| 0.000 | 0.000 | 0.000 | -0.000 | -0.000 | 0.000 |
| 0.000 | 0.000 | 0.000 | -0.000 | -0.000 | -0.000 |
| 0.000 | 0.000 | 0.000 | -0.000 | -0.000 | 0.000 |
| -0.000 | -0.000 | -0.000 | 0.000 | -0.000 | 0.000 |
| -0.000 | -0.000 | -0.000 | -0.000 | 0.000 | 0.000 |
| -0.000 | -0.000 | -0.000 | -0.000 | -0.000 | 0.000 |
| -0.000 | 0.000 | 0.000 | -0.000 | -0.000 | -0.000 |
| 0.000 | -0.000 | 0.000 | 0.000 | -0.000 | -0.000 |
| 0.000 | 0.000 | -0.000 | 0.000 | -0.000 | -0.000 |
| 0.000 | -0.000 | 0.000 | -0.000 | -0.000 | -0.000 |
| -0.000 | 0.000 | 0.000 | -0.000 | -0.000 | 0.000 |
| -0.000 | 0.000 | 0.000 | 0.000 | -0.000 | -0.000 |
| 0.000 | 0.000 | 0.000 | -0.000 | -0.000 | 0.000 |
| 0.000 | 0.000 | 0.000 | -0.000 | 0.000 | 0.000 |
| 0.000 | 0.000 | 0.000 | -0.000 | 0.000 | -0.000 |
| -0.000 | 0.000 | -0.000 | -0.000 | 0.000 | 0.000 |
| 0.000 | -0.000 | -0.000 | 0.000 | -0.000 | -0.000 |
| 0.000 | -0.000 | -0.000 | -0.000 | 0.000 | 0.000 |
| 1208.999 | 799.251 | 799.251 | -0.000 | -0.000 | -0.000 |
| 799.251 | 1208.999 | 799.251 | -0.000 | -0.000 | -0.000 |
| 799.251 | 799.251 | 1208.999 | -0.000 | -0.000 | -0.000 |
| 0.000 | 0.000 | 0.000 | 661.819 | -0.000 | -0.000 |
| 0.000 | 0.000 | 0.000 | -0.000 | 661.819 | -0.000 |
| 0.000 | 0.000 | -0.000 | -0.000 | -0.000 | 661.819 |
| 1208.999 | 799.250 | 799.250 | 0.000 | 0.000 | 0.000 |
| 799.250 | 1208.999 | 799.250 | 0.000 | 0.000 | 0.000 |
| 799.250 | 799.250 | 1208.999 | 0.000 | 0.000 | 0.000 |
| -0.000 | -0.000 | -0.000 | 661.819 | 0.000 | 0.000 |
| -0.000 | -0.000 | -0.000 | 0.000 | 661.819 | 0.000 |
| -0.000 | -0.000 | 0.000 | 0.000 | 0.000 | 661.819 |
| 1209.000 | 799.251 | 799.251 | -0.000 | -0.000 | -0.000 |
| 799.251 | 1209.000 | 799.251 | -0.000 | -0.000 | -0.000 |
| 799.251 | 799.251 | 1209.000 | -0.000 | -0.000 | -0.000 |
| -0.000 | 0.001 | 0.001 | 661.819 | -0.000 | -0.000 |
| 0.001 | -0.000 | 0.001 | -0.000 | 661.819 | -0.000 |
| 0.001 | 0.001 | -0.000 | -0.000 | -0.000 | 661.819 |
| 1208.998 | 799.250 | 799.250 | 0.000 | 0.000 | 0.000 |
| 799.250 | 1208.998 | 799.250 | 0.000 | 0.000 | 0.000 |
| 799.250 | 799.250 | 1208.998 | 0.000 | 0.000 | 0.000 |
| 0.000 | -0.001 | -0.001 | 661.819 | 0.000 | 0.000 |
| -0.001 | 0.000 | -0.001 | 0.000 | 661.819 | 0.000 |
| -0.001 | -0.001 | 0.000 | 0.000 | 0.000 | 661.819 |
| 1209.013 | 799.259 | 799.259 | -0.000 | -0.000 | -0.000 |
| 799.259 | 1209.013 | 799.259 | -0.000 | -0.000 | -0.000 |
| 799.259 | 799.259 | 1209.013 | -0.000 | -0.000 | -0.000 |
| -0.000 | 0.006 | 0.007 | 661.819 | -0.000 | -0.000 |
| 0.006 | -0.000 | 0.007 | -0.000 | 661.819 | -0.000 |
| 0.006 | 0.007 | -0.000 | -0.000 | -0.000 | 661.819 |
| 1208.985 | 799.242 | 799.242 | 0.000 | 0.000 | 0.000 |
| 799.242 | 1208.985 | 799.242 | 0.000 | 0.000 | 0.000 |
| 799.242 | 799.242 | 1208.985 | 0.000 | 0.000 | 0.000 |
| 0.000 | -0.006 | -0.007 | 661.819 | 0.000 | 0.000 |
| -0.006 | 0.000 | -0.007 | 0.000 | 661.819 | 0.000 |
| -0.006 | -0.007 | 0.000 | 0.000 | 0.000 | 661.819 |
| 0.000 | 0.000 | 0.000 | -0.000 | -0.000 | -0.000 |
| 0.000 | 0.000 | 0.000 | -0.000 | -0.000 | -0.000 |
| 0.000 | 0.000 | 0.000 | -0.000 | -0.000 | -0.000 |
| 0.000 | -0.000 | 0.000 | -0.000 | -0.000 | 0.000 |
| -0.000 | 0.000 | 0.000 | -0.000 | -0.000 | -0.000 |
| 0.000 | 0.000 | 0.000 | -0.000 | -0.000 | -0.000 |
| 0.000 | 0.000 | 0.000 | 0.000 | 0.000 | 0.000 |
| 0.000 | 0.000 | 0.000 | 0.000 | 0.000 | 0.000 |
| 0.000 | 0.000 | 0.000 | 0.000 | 0.000 | 0.000 |
| -0.000 | 0.000 | -0.000 | -0.000 | 0.000 | -0.000 |
| 0.000 | -0.000 | -0.000 | 0.000 | -0.000 | 0.000 |
| 0.000 | -0.000 | -0.000 | 0.000 | 0.000 | -0.000 |
| 0.000 | 0.000 | 0.000 | -0.000 | -0.000 | -0.000 |
| 0.000 | 0.000 | 0.000 | -0.000 | 0.000 | -0.000 |
| 0.000 | 0.000 | 0.000 | -0.000 | -0.000 | 0.000 |
| 0.000 | 0.000 | 0.000 | -0.000 | -0.000 | 0.000 |
| 0.000 | 0.000 | 0.000 | -0.000 | -0.000 | -0.000 |
| -0.000 | 0.000 | 0.000 | -0.000 | -0.000 | -0.000 |
| 0.000 | 0.000 | 0.000 | 0.000 | -0.000 | -0.000 |
| 0.000 | 0.000 | 0.000 | -0.000 | 0.000 | 0.000 |
| 0.000 | 0.000 | 0.000 | 0.000 | 0.000 | -0.000 |
| -0.000 | 0.000 | -0.000 | -0.000 | -0.000 | 0.000 |
| 0.000 | -0.000 | -0.000 | -0.000 | -0.000 | 0.000 |
| 0.000 | -0.000 | -0.000 | 0.000 | 0.000 | -0.000 |
| 0.000 | 0.000 | 0.000 | -0.000 | -0.000 | -0.000 |
| 0.000 | 0.000 | 0.000 | -0.000 | -0.000 | -0.000 |
| 0.000 | 0.000 | 0.000 | -0.000 | -0.000 | -0.000 |
| -0.000 | 0.000 | 0.000 | -0.000 | -0.000 | -0.000 |
| 0.000 | -0.000 | 0.000 | -0.000 | -0.000 | -0.000 |
| 0.000 | 0.000 | -0.000 | -0.000 | -0.000 | -0.000 |
| 0.000 | 0.000 | 0.000 | 0.000 | -0.000 | 0.000 |
| 0.000 | 0.000 | 0.000 | -0.000 | 0.000 | 0.000 |
| 0.000 | 0.000 | 0.000 | 0.000 | 0.000 | 0.000 |
| 0.000 | -0.000 | -0.000 | -0.000 | 0.000 | 0.000 |
| -0.000 | 0.000 | -0.000 | 0.000 | -0.000 | 0.000 |
| -0.000 | -0.000 | 0.000 | 0.000 | 0.000 | -0.000 |
| 829.998 | 1088.969 | 860.527 | -0.000 | 0.000 | -0.000 |
| 1088.969 | 829.998 | 860.527 | -0.000 | -0.000 | -0.000 |
| 860.527 | 860.527 | 1371.774 | -0.000 | 0.000 | -0.000 |
| 0.000 | 0.000 | 0.000 | 566.884 | 0.000 | -0.000 |
| 0.000 | 0.000 | 0.000 | 0.000 | 566.884 | -0.000 |
| 0.000 | 0.000 | 0.000 | 0.000 | 0.000 | 593.610 |
| 829.998 | 1088.968 | 860.527 | -0.000 | -0.000 | 0.000 |
| 1088.968 | 829.998 | 860.527 | 0.000 | -0.000 | 0.000 |
| 860.527 | 860.527 | 1371.773 | 0.000 | -0.000 | 0.000 |
| -0.000 | -0.000 | -0.000 | 566.884 | 0.000 | 0.000 |
| -0.000 | -0.000 | -0.000 | 0.000 | 566.884 | 0.000 |
| -0.000 | -0.000 | -0.000 | 0.000 | -0.000 | 593.610 |
| 1187.042 | 731.927 | 860.528 | -0.000 | 0.000 | -0.000 |
| 731.927 | 1187.042 | 860.528 | 0.000 | 0.000 | -0.000 |
| 860.528 | 860.528 | 1371.775 | -0.000 | -0.000 | -0.000 |
| -0.000 | 0.001 | 0.001 | 718.264 | -0.000 | -0.000 |
| 0.001 | -0.000 | 0.001 | -0.000 | 718.264 | -0.000 |
| 0.001 | 0.001 | -0.000 | 0.000 | 0.000 | 593.610 |
| 829.997 | 1088.967 | 860.527 | 0.000 | 0.000 | 0.000 |
| 1088.967 | 829.997 | 860.527 | 0.000 | 0.000 | 0.000 |
| 860.526 | 860.526 | 1371.772 | -0.000 | -0.000 | 0.000 |
| 0.000 | -0.001 | -0.001 | 718.264 | -0.000 | 0.000 |
| -0.001 | 0.000 | -0.001 | -0.000 | 718.264 | 0.000 |
| -0.001 | -0.001 | 0.000 | -0.000 | -0.000 | 593.610 |
| 830.005 | 1088.980 | 860.531 | -0.000 | -0.000 | -0.000 |
| 1088.980 | 830.005 | 860.531 | -0.000 | 0.000 | -0.000 |
| 860.535 | 860.535 | 1371.787 | 0.000 | 0.000 | -0.000 |
| 0.003 | 0.003 | 0.004 | 566.884 | 0.000 | -0.000 |
| 0.003 | 0.003 | 0.004 | -0.000 | 566.884 | -0.000 |
| 0.006 | 0.008 | -0.000 | -0.000 | -0.000 | 593.610 |
| 829.991 | 1088.957 | 860.523 | 0.000 | -0.000 | 0.000 |
| 1088.957 | 829.991 | 860.523 | 0.000 | 0.000 | 0.000 |
| 860.519 | 860.519 | 1371.760 | -0.000 | -0.000 | 0.000 |
| -0.003 | -0.003 | -0.004 | 566.884 | 0.000 | 0.000 |
| -0.003 | -0.003 | -0.004 | 0.000 | 566.884 | 0.000 |
| -0.006 | -0.008 | 0.000 | 0.000 | 0.000 | 593.610 |
| 1623.025 | 632.435 | 327.926 | -0.000 | 0.000 | 0.000 |
| 568.283 | 1517.959 | 445.169 | -0.000 | -0.000 | 0.000 |
| 320.869 | 320.869 | 1246.688 | -0.000 | -0.000 | -0.000 |
| -65.770 | -65.770 | 91.138 | 148.146 | -0.000 | 0.000 |
| -65.770 | -65.770 | 91.138 | 0.000 | 148.146 | -0.000 |
| -58.077 | -58.076 | 80.477 | -0.000 | -0.000 | 472.591 |
| 1479.267 | 805.258 | 307.787 | 0.000 | 0.000 | -0.000 |
| 710.943 | 1622.229 | 274.082 | 0.000 | 0.000 | -0.000 |
| 327.927 | 327.927 | 1236.907 | -0.000 | 0.000 | 0.000 |
| 65.770 | 65.770 | -91.138 | 148.146 | -0.000 | -0.000 |
| 65.770 | 65.770 | -91.138 | -0.000 | 148.146 | 0.000 |
| 58.077 | 58.076 | -80.477 | 0.000 | 0.000 | 472.591 |
| 1549.490 | 610.798 | 393.868 | 0.000 | -0.000 | 0.000 |
| 610.799 | 1549.490 | 393.868 | 0.000 | -0.000 | 0.000 |
| 327.928 | 327.928 | 1236.910 | 0.000 | -0.000 | 0.000 |
| -41.929 | -41.929 | 58.101 | -83.338 | 0.000 | 0.000 |
| -4.861 | -4.861 | 6.736 | 0.000 | -147.199 | 0.000 |
| 7.386 | 7.386 | -10.234 | 0.000 | -0.000 | 331.618 |
| 1623.022 | 632.434 | 327.925 | 0.000 | 0.000 | -0.000 |
| 632.434 | 1623.022 | 327.925 | 0.000 | -0.000 | -0.000 |
| 374.374 | 374.374 | 1172.542 | -0.000 | 0.000 | -0.000 |
| 41.929 | 41.929 | -58.101 | -83.338 | 0.000 | -0.000 |
| 4.861 | 4.861 | -6.736 | 0.000 | -147.199 | -0.000 |
| -7.386 | -7.386 | 10.234 | -0.000 | 0.000 | 331.618 |
| 1436.613 | 762.482 | 367.007 | -0.000 | -0.000 | 0.000 |
| 615.611 | 1550.436 | 389.904 | 0.000 | -0.000 | 0.000 |
| 327.934 | 327.934 | 1236.935 | 0.000 | -0.000 | 0.000 |
| 0.001 | 0.002 | 0.007 | 191.211 | -0.000 | 0.000 |
| 0.002 | 0.001 | 0.007 | 0.000 | 191.211 | 0.000 |
| 0.002 | 0.008 | 0.001 | -0.000 | -0.000 | 495.295 |
| 1550.591 | 616.760 | 388.943 | 0.000 | 0.000 | -0.000 |
| 763.488 | 1438.130 | 365.201 | -0.000 | 0.000 | -0.000 |
| 370.006 | 370.006 | 1178.564 | 0.000 | 0.000 | 0.000 |
| -0.001 | -0.002 | -0.007 | 191.211 | 0.000 | -0.000 |
| -0.002 | -0.001 | -0.007 | 0.000 | 191.211 | -0.000 |
| -0.002 | -0.008 | -0.001 | 0.000 | 0.000 | 495.295 |
| 2013.372 | 984.023 | 984.023 | -0.000 | -0.000 | -0.000 |
| 984.023 | 2013.372 | 984.023 | -0.000 | -0.000 | -0.000 |
| 984.023 | 984.023 | 2013.372 | -0.000 | -0.000 | -0.000 |
| -0.000 | 0.000 | 0.000 | 984.023 | 0.000 | -0.000 |
| 0.000 | -0.000 | 0.000 | 0.000 | 984.023 | -0.000 |
| 0.000 | 0.000 | -0.000 | 0.000 | -0.000 | 984.023 |
| 2013.372 | 984.023 | 984.023 | 0.000 | 0.000 | 0.000 |
| 984.023 | 2013.372 | 984.023 | 0.000 | 0.000 | 0.000 |
| 984.023 | 984.023 | 2013.372 | -0.000 | 0.000 | 0.000 |
| 0.000 | -0.000 | -0.000 | 984.023 | -0.000 | -0.000 |
| -0.000 | 0.000 | -0.000 | -0.000 | 984.023 | -0.000 |
| -0.000 | -0.000 | 0.000 | -0.000 | -0.000 | 984.023 |
| 2013.372 | 984.024 | 984.024 | -0.000 | 0.000 | -0.000 |
| 984.024 | 2013.372 | 984.024 | 0.000 | -0.000 | -0.000 |
| 984.024 | 984.024 | 2013.372 | 0.000 | 0.000 | -0.000 |
| -0.000 | 0.000 | 0.000 | 984.023 | -0.000 | 0.000 |
| 0.000 | -0.000 | 0.000 | -0.000 | 984.023 | 0.000 |
| 0.000 | 0.000 | -0.000 | -0.000 | 0.000 | 984.023 |
| 2013.371 | 984.023 | 984.023 | 0.000 | 0.000 | 0.000 |
| 984.023 | 2013.371 | 984.023 | 0.000 | 0.000 | 0.000 |
| 984.023 | 984.023 | 2013.371 | 0.000 | 0.000 | 0.000 |
| 0.000 | -0.000 | -0.000 | 984.023 | -0.000 | -0.000 |
| -0.000 | 0.000 | -0.000 | 0.000 | 984.023 | -0.000 |
| -0.000 | -0.000 | 0.000 | 0.000 | -0.000 | 984.023 |
| 2013.376 | 984.027 | 984.027 | -0.000 | -0.000 | -0.000 |
| 984.027 | 2013.376 | 984.027 | -0.000 | -0.000 | -0.000 |
| 984.027 | 984.027 | 2013.376 | -0.000 | -0.000 | -0.000 |
| -0.000 | 0.001 | 0.003 | 984.023 | 0.000 | -0.000 |
| 0.001 | -0.000 | 0.003 | 0.000 | 984.023 | -0.000 |
| 0.001 | 0.003 | -0.000 | 0.000 | -0.000 | 984.023 |
| 2013.367 | 984.019 | 984.019 | 0.000 | 0.000 | 0.000 |
| 984.019 | 2013.367 | 984.019 | 0.000 | 0.000 | 0.000 |
| 984.019 | 984.019 | 2013.367 | 0.000 | 0.000 | 0.000 |
| 0.000 | -0.001 | -0.003 | 984.023 | -0.000 | 0.000 |
| -0.001 | 0.000 | -0.003 | -0.000 | 984.023 | 0.000 |
| -0.001 | -0.003 | 0.000 | -0.000 | 0.000 | 984.023 |
| 0.000 | 0.000 | 0.000 | 0.000 | 0.000 | 0.000 |
| 0.000 | 0.000 | 0.000 | 0.000 | 0.000 | 0.000 |
| 0.000 | 0.000 | 0.000 | 0.000 | 0.000 | -0.000 |
| -0.000 | -0.000 | -0.000 | 0.000 | -0.000 | -0.000 |
| -0.000 | -0.000 | -0.000 | -0.000 | 0.000 | -0.000 |
| -0.000 | -0.000 | -0.000 | 0.000 | -0.000 | 0.000 |
| 0.000 | 0.000 | 0.000 | 0.000 | -0.000 | -0.000 |
| 0.000 | 0.000 | 0.000 | -0.000 | 0.000 | -0.000 |
| 0.000 | 0.000 | 0.000 | 0.000 | 0.000 | 0.000 |
| 0.000 | 0.000 | 0.000 | 0.000 | -0.000 | -0.000 |
| 0.000 | 0.000 | 0.000 | -0.000 | 0.000 | -0.000 |
| 0.000 | 0.000 | 0.000 | -0.000 | -0.000 | 0.000 |
| 0.000 | 0.000 | 0.000 | 0.000 | -0.000 | -0.000 |
| 0.000 | 0.000 | 0.000 | -0.000 | 0.000 | 0.000 |
| 0.000 | 0.000 | 0.000 | 0.000 | 0.000 | 0.000 |
| -0.000 | -0.000 | -0.000 | 0.000 | -0.000 | 0.000 |
| -0.000 | -0.000 | -0.000 | -0.000 | 0.000 | 0.000 |
| -0.000 | -0.000 | -0.000 | -0.000 | 0.000 | 0.000 |
| 0.000 | 0.000 | 0.000 | 0.000 | 0.000 | 0.000 |
| 0.000 | 0.000 | 0.000 | 0.000 | 0.000 | -0.000 |
| 0.000 | 0.000 | 0.000 | 0.000 | 0.000 | -0.000 |
| 0.000 | 0.000 | 0.000 | 0.000 | -0.000 | -0.000 |
| 0.000 | 0.000 | 0.000 | -0.000 | 0.000 | -0.000 |
| 0.000 | 0.000 | 0.000 | 0.000 | -0.000 | 0.000 |
| 0.000 | 0.000 | 0.000 | 0.000 | 0.000 | -0.000 |
| 0.000 | 0.000 | 0.000 | -0.000 | 0.000 | 0.000 |
| 0.000 | 0.000 | 0.000 | 0.000 | 0.000 | 0.000 |
| -0.000 | -0.000 | -0.000 | 0.000 | -0.000 | 0.000 |
| -0.000 | -0.000 | -0.000 | -0.000 | 0.000 | 0.000 |
| -0.000 | -0.000 | -0.000 | -0.000 | 0.000 | 0.000 |
| 0.000 | 0.000 | 0.000 | -0.000 | 0.000 | -0.000 |
| 0.000 | 0.000 | 0.000 | 0.000 | -0.000 | 0.000 |
| 0.000 | 0.000 | 0.000 | 0.000 | 0.000 | -0.000 |
| 0.000 | 0.000 | 0.000 | 0.000 | -0.000 | 0.000 |
| 0.000 | 0.000 | 0.000 | 0.000 | 0.000 | 0.000 |
| 0.000 | 0.000 | 0.000 | -0.000 | 0.000 | 0.000 |
| 2245.702 | 327.257 | 327.257 | 0.000 | 0.000 | 0.000 |
| 327.257 | 2245.702 | 327.257 | 0.000 | 0.000 | 0.000 |
| 327.257 | 327.257 | 2245.702 | 0.000 | 0.000 | 0.000 |
| 0.000 | 0.000 | 0.000 | -630.242 | 0.000 | 0.000 |
| 0.000 | 0.000 | 0.000 | 0.000 | -630.242 | 0.000 |
| 0.000 | 0.000 | 0.000 | 0.000 | 0.000 | -630.242 |
| 2245.702 | 327.257 | 327.257 | 0.000 | -0.000 | -0.000 |
| 327.257 | 2245.702 | 327.257 | -0.000 | -0.000 | -0.000 |
| 327.257 | 327.257 | 2245.702 | 0.000 | -0.000 | -0.000 |
| -0.000 | -0.000 | -0.000 | -630.242 | -0.000 | -0.000 |
| -0.000 | -0.000 | -0.000 | 0.000 | -630.242 | -0.000 |
| -0.000 | -0.000 | -0.000 | -0.000 | -0.000 | -630.242 |
| 2245.704 | 327.257 | 327.257 | 0.000 | 0.000 | 0.000 |
| 327.257 | 2245.704 | 327.257 | 0.000 | 0.000 | -0.000 |
| 327.257 | 327.257 | 2245.704 | -0.000 | 0.000 | 0.000 |
| 0.001 | 0.002 | 0.002 | -630.242 | 0.000 | 0.000 |
| 0.002 | 0.001 | 0.002 | -0.000 | -630.242 | 0.000 |
| 0.002 | 0.002 | 0.001 | -0.000 | 0.000 | -630.242 |
| 2245.701 | 327.256 | 327.256 | -0.000 | -0.000 | 0.000 |
| 327.256 | 2245.701 | 327.256 | -0.000 | -0.000 | 0.000 |
| 327.256 | 327.256 | 2245.701 | 0.000 | -0.000 | -0.000 |
| -0.001 | -0.002 | -0.002 | -630.242 | -0.000 | 0.000 |
| -0.002 | -0.001 | -0.002 | -0.000 | -630.242 | -0.000 |
| -0.002 | -0.002 | -0.001 | 0.000 | -0.000 | -630.242 |
| 2245.715 | 327.259 | 327.259 | 0.000 | 0.000 | 0.000 |
| 327.259 | 2245.715 | 327.259 | 0.000 | 0.000 | 0.000 |
| 327.259 | 327.259 | 2245.715 | 0.000 | 0.000 | 0.000 |
| 0.009 | 0.017 | 0.016 | -630.242 | 0.000 | 0.000 |
| 0.017 | 0.009 | 0.016 | -0.000 | -630.242 | 0.000 |
| 0.017 | 0.016 | 0.009 | 0.000 | 0.000 | -630.242 |
| 2245.689 | 327.254 | 327.254 | 0.000 | -0.000 | 0.000 |
| 327.254 | 2245.689 | 327.254 | 0.000 | -0.000 | -0.000 |
| 327.254 | 327.254 | 2245.689 | 0.000 | -0.000 | -0.000 |
| -0.009 | -0.017 | -0.016 | -630.242 | -0.000 | -0.000 |
| -0.017 | -0.009 | -0.016 | -0.000 | -630.242 | -0.000 |
| -0.017 | -0.016 | -0.009 | -0.000 | -0.000 | -630.242 |
| 0.000 | 0.000 | 0.000 | -0.000 | -0.000 | 0.000 |
| 0.000 | 0.000 | 0.000 | 0.000 | 0.000 | 0.000 |
| 0.000 | 0.000 | 0.000 | -0.000 | -0.000 | -0.000 |
| 0.000 | 0.000 | -0.000 | -0.000 | -0.000 | 0.000 |
| 0.000 | 0.000 | -0.000 | 0.000 | -0.000 | 0.000 |
| 0.000 | -0.000 | 0.000 | 0.000 | -0.000 | -0.000 |
| 0.000 | 0.000 | 0.000 | -0.000 | 0.000 | -0.000 |
| 0.000 | 0.000 | 0.000 | -0.000 | 0.000 | 0.000 |
| 0.000 | 0.000 | 0.000 | 0.000 | -0.000 | -0.000 |
| -0.000 | -0.000 | 0.000 | -0.000 | 0.000 | 0.000 |
| 0.000 | -0.000 | 0.000 | -0.000 | -0.000 | -0.000 |
| -0.000 | 0.000 | -0.000 | -0.000 | -0.000 | -0.000 |
| 0.000 | 0.000 | 0.000 | -0.000 | -0.000 | 0.000 |
| 0.000 | 0.000 | 0.000 | 0.000 | 0.000 | 0.000 |
| 0.000 | 0.000 | 0.000 | 0.000 | 0.000 | -0.000 |
| 0.000 | 0.000 | -0.000 | -0.000 | 0.000 | -0.000 |
| 0.000 | 0.000 | -0.000 | 0.000 | -0.000 | 0.000 |
| 0.000 | -0.000 | 0.000 | 0.000 | 0.000 | -0.000 |
| 0.000 | 0.000 | 0.000 | -0.000 | -0.000 | -0.000 |
| 0.000 | 0.000 | 0.000 | -0.000 | 0.000 | -0.000 |
| 0.000 | 0.000 | 0.000 | 0.000 | -0.000 | -0.000 |
| -0.000 | 0.000 | 0.000 | -0.000 | -0.000 | -0.000 |
| -0.000 | -0.000 | 0.000 | -0.000 | -0.000 | -0.000 |
| 0.000 | 0.000 | -0.000 | -0.000 | 0.000 | -0.000 |
| 0.000 | 0.000 | 0.000 | -0.000 | -0.000 | 0.000 |
| 0.000 | 0.000 | 0.000 | 0.000 | 0.000 | -0.000 |
| 0.000 | 0.000 | 0.000 | 0.000 | -0.000 | -0.000 |
| 0.000 | 0.000 | -0.000 | -0.000 | -0.000 | -0.000 |
| 0.000 | 0.000 | -0.000 | 0.000 | -0.000 | 0.000 |
| 0.000 | -0.000 | 0.000 | 0.000 | -0.000 | -0.000 |
| 0.000 | 0.000 | 0.000 | -0.000 | 0.000 | 0.000 |
| 0.000 | 0.000 | 0.000 | -0.000 | 0.000 | -0.000 |
| 0.000 | 0.000 | 0.000 | -0.000 | 0.000 | -0.000 |
| -0.000 | -0.000 | 0.000 | -0.000 | 0.000 | 0.000 |
| 0.000 | -0.000 | 0.000 | -0.000 | -0.000 | -0.000 |
| -0.000 | 0.000 | -0.000 | -0.000 | 0.000 | -0.000 |
| -0.000 | -0.000 | -0.000 | 0.000 | -0.000 | -0.000 |
| -0.000 | -0.000 | -0.000 | -0.000 | -0.000 | -0.000 |
| -0.000 | -0.000 | -0.000 | 0.000 | 0.000 | -0.000 |
| 0.000 | 0.000 | 0.000 | 0.000 | -0.000 | -0.000 |
| 0.000 | 0.000 | 0.000 | 0.000 | 0.000 | -0.000 |
| 0.000 | 0.000 | 0.000 | 0.000 | -0.000 | 0.000 |
| -0.000 | -0.000 | -0.000 | -0.000 | 0.000 | 0.000 |
| -0.000 | -0.000 | -0.000 | 0.000 | 0.000 | 0.000 |
| -0.000 | -0.000 | -0.000 | -0.000 | 0.000 | 0.000 |
| -0.000 | -0.000 | -0.000 | 0.000 | 0.000 | 0.000 |
| -0.000 | -0.000 | -0.000 | -0.000 | 0.000 | 0.000 |
| -0.000 | -0.000 | -0.000 | -0.000 | 0.000 | 0.000 |
| -0.000 | -0.000 | -0.000 | 0.000 | -0.000 | -0.000 |
| -0.000 | -0.000 | -0.000 | 0.000 | -0.000 | 0.000 |
| -0.000 | -0.000 | -0.000 | 0.000 | -0.000 | -0.000 |
| 0.000 | 0.000 | 0.000 | 0.000 | -0.000 | 0.000 |
| 0.000 | 0.000 | 0.000 | 0.000 | 0.000 | -0.000 |
| 0.000 | 0.000 | 0.000 | 0.000 | -0.000 | 0.000 |
| -0.000 | -0.000 | -0.000 | -0.000 | 0.000 | 0.000 |
| -0.000 | -0.000 | -0.000 | 0.000 | 0.000 | 0.000 |
| -0.000 | -0.000 | -0.000 | -0.000 | -0.000 | 0.000 |
| -0.000 | -0.000 | -0.000 | 0.000 | 0.000 | 0.000 |
| -0.000 | -0.000 | -0.000 | -0.000 | 0.000 | 0.000 |
| -0.000 | -0.000 | -0.000 | -0.000 | 0.000 | 0.000 |
| -0.000 | -0.000 | -0.000 | 0.000 | 0.000 | -0.000 |
| -0.000 | -0.000 | -0.000 | -0.000 | -0.000 | 0.000 |
| -0.000 | -0.000 | -0.000 | 0.000 | 0.000 | -0.000 |
| 0.000 | 0.000 | 0.000 | 0.000 | -0.000 | -0.000 |
| 0.000 | 0.000 | 0.000 | -0.000 | 0.000 | -0.000 |
| 0.000 | 0.000 | 0.000 | 0.000 | -0.000 | 0.000 |
| -0.000 | -0.000 | -0.000 | -0.000 | -0.000 | -0.000 |
| -0.000 | -0.000 | -0.000 | 0.000 | 0.000 | 0.000 |
| -0.000 | -0.000 | -0.000 | 0.000 | 0.000 | 0.000 |
| -0.000 | -0.000 | -0.000 | 0.000 | 0.000 | 0.000 |
| -0.000 | -0.000 | -0.000 | 0.000 | 0.000 | 0.000 |
| -0.000 | -0.000 | -0.000 | -0.000 | 0.000 | 0.000 |
| 68.588 | 1100.120 | 1100.120 | -0.000 | 0.000 | 0.000 |
| 1100.120 | 68.588 | 1100.120 | -0.000 | 0.000 | 0.000 |
| 1100.120 | 1100.120 | 68.588 | 0.000 | 0.000 | 0.000 |
| 0.000 | -0.000 | 0.000 | 1100.120 | 0.000 | 0.000 |
| -0.000 | 0.000 | 0.000 | 0.000 | 1100.120 | 0.000 |
| -0.000 | 0.000 | 0.000 | 0.000 | 0.000 | 1100.120 |
| 68.588 | 1100.120 | 1100.120 | -0.000 | 0.000 | -0.000 |
| 1100.120 | 68.588 | 1100.120 | -0.000 | 0.000 | -0.000 |
| 1100.120 | 1100.120 | 68.588 | -0.000 | -0.000 | -0.000 |
| -0.000 | 0.000 | -0.000 | 1100.120 | -0.000 | -0.000 |
| 0.000 | -0.000 | -0.000 | -0.000 | 1100.120 | -0.000 |
| 0.000 | -0.000 | -0.000 | -0.000 | -0.000 | 1100.120 |
| 68.588 | 1100.120 | 1100.120 | 0.000 | 0.000 | 0.000 |
| 1100.120 | 68.588 | 1100.120 | 0.000 | 0.000 | 0.000 |
| 1100.120 | 1100.120 | 68.588 | 0.000 | 0.000 | 0.000 |
| 0.000 | -0.000 | 0.000 | 1100.120 | 0.000 | 0.000 |
| -0.000 | 0.000 | 0.000 | 0.000 | 1100.120 | 0.000 |
| -0.000 | 0.000 | 0.000 | 0.000 | -0.000 | 1100.120 |
| 68.589 | 1100.120 | 1100.120 | -0.000 | 0.000 | -0.000 |
| 1100.120 | 68.589 | 1100.120 | 0.000 | 0.000 | -0.000 |
| 1100.120 | 1100.120 | 68.589 | 0.000 | 0.000 | -0.000 |
| -0.000 | 0.000 | -0.000 | 1100.120 | -0.000 | -0.000 |
| 0.000 | -0.000 | -0.000 | -0.000 | 1100.120 | -0.000 |
| 0.000 | -0.000 | -0.000 | -0.000 | -0.000 | 1100.120 |
| 68.586 | 1100.123 | 1100.123 | 0.000 | 0.000 | 0.000 |
| 1100.123 | 68.586 | 1100.123 | 0.000 | 0.000 | 0.000 |
| 1100.123 | 1100.123 | 68.586 | 0.000 | 0.000 | 0.000 |
| 0.002 | -0.001 | 0.002 | 1100.120 | 0.000 | 0.000 |
| -0.001 | 0.002 | 0.002 | 0.000 | 1100.120 | 0.000 |
| -0.001 | 0.002 | 0.002 | 0.000 | 0.000 | 1100.120 |
| 68.591 | 1100.117 | 1100.117 | 0.000 | -0.000 | -0.000 |
| 1100.117 | 68.591 | 1100.117 | -0.000 | 0.000 | -0.000 |
| 1100.117 | 1100.117 | 68.591 | -0.000 | -0.000 | -0.000 |
| -0.002 | 0.001 | -0.002 | 1100.120 | 0.000 | -0.000 |
| 0.001 | -0.002 | -0.002 | 0.000 | 1100.120 | -0.000 |
| 0.001 | -0.002 | -0.002 | -0.000 | 0.000 | 1100.120 |
| 0.000 | 0.000 | 0.000 | -0.000 | -0.000 | -0.000 |
| 0.000 | 0.000 | 0.000 | -0.000 | -0.000 | -0.000 |
| 0.000 | 0.000 | 0.000 | -0.000 | -0.000 | -0.000 |
| -0.000 | -0.000 | -0.000 | 0.000 | -0.000 | -0.000 |
| -0.000 | -0.000 | -0.000 | -0.000 | 0.000 | -0.000 |
| -0.000 | -0.000 | -0.000 | -0.000 | -0.000 | 0.000 |
| 0.000 | 0.000 | 0.000 | 0.000 | 0.000 | 0.000 |
| 0.000 | 0.000 | 0.000 | 0.000 | 0.000 | 0.000 |
| 0.000 | 0.000 | 0.000 | 0.000 | 0.000 | 0.000 |
| 0.000 | 0.000 | 0.000 | 0.000 | 0.000 | -0.000 |
| 0.000 | 0.000 | 0.000 | 0.000 | 0.000 | -0.000 |
| 0.000 | 0.000 | 0.000 | 0.000 | 0.000 | 0.000 |
| 0.000 | 0.000 | 0.000 | -0.000 | -0.000 | -0.000 |
| 0.000 | 0.000 | 0.000 | -0.000 | -0.000 | -0.000 |
| 0.000 | 0.000 | 0.000 | -0.000 | -0.000 | -0.000 |
| -0.000 | -0.000 | -0.000 | 0.000 | -0.000 | -0.000 |
| -0.000 | -0.000 | -0.000 | -0.000 | 0.000 | -0.000 |
| -0.000 | -0.000 | -0.000 | -0.000 | -0.000 | 0.000 |
| 0.000 | 0.000 | 0.000 | 0.000 | 0.000 | 0.000 |
| 0.000 | 0.000 | 0.000 | 0.000 | 0.000 | 0.000 |
| 0.000 | 0.000 | 0.000 | 0.000 | 0.000 | 0.000 |
| 0.000 | 0.000 | 0.000 | 0.000 | 0.000 | 0.000 |
| 0.000 | 0.000 | 0.000 | 0.000 | 0.000 | 0.000 |
| 0.000 | 0.000 | 0.000 | 0.000 | 0.000 | 0.000 |
| 0.000 | 0.000 | 0.000 | -0.000 | -0.000 | -0.000 |
| 0.000 | 0.000 | 0.000 | -0.000 | -0.000 | -0.000 |
| 0.000 | 0.000 | 0.000 | -0.000 | -0.000 | -0.000 |
| -0.000 | -0.000 | -0.000 | 0.000 | -0.000 | 0.000 |
| -0.000 | -0.000 | -0.000 | -0.000 | 0.000 | 0.000 |
| -0.000 | -0.000 | -0.000 | -0.000 | 0.000 | 0.000 |
| 0.000 | 0.000 | 0.000 | 0.000 | -0.000 | -0.000 |
| 0.000 | 0.000 | 0.000 | -0.000 | 0.000 | -0.000 |
| 0.000 | 0.000 | 0.000 | -0.000 | -0.000 | 0.000 |
| 0.000 | 0.000 | 0.000 | 0.000 | 0.000 | -0.000 |
| 0.000 | 0.000 | 0.000 | 0.000 | 0.000 | -0.000 |
| 0.000 | 0.000 | 0.000 | 0.000 | -0.000 | 0.000 |
| -0.000 | -0.000 | -0.000 | 0.000 | 0.000 | 0.000 |
| -0.000 | -0.000 | -0.000 | 0.000 | 0.000 | 0.000 |
| -0.000 | -0.000 | -0.000 | 0.000 | 0.000 | 0.000 |
| -0.000 | -0.000 | -0.000 | -0.000 | 0.000 | 0.000 |
| -0.000 | -0.000 | -0.000 | 0.000 | -0.000 | 0.000 |
| -0.000 | -0.000 | -0.000 | 0.000 | 0.000 | -0.000 |
| -0.000 | -0.000 | -0.000 | -0.000 | -0.000 | -0.000 |
| -0.000 | -0.000 | -0.000 | -0.000 | -0.000 | -0.000 |
| -0.000 | -0.000 | -0.000 | 0.000 | 0.000 | 0.000 |
| 0.000 | 0.000 | 0.000 | -0.000 | -0.000 | -0.000 |
| 0.000 | 0.000 | 0.000 | -0.000 | -0.000 | -0.000 |
| 0.000 | 0.000 | 0.000 | -0.000 | -0.000 | -0.000 |
| -0.000 | -0.000 | -0.000 | -0.000 | 0.000 | 0.000 |
| -0.000 | -0.000 | -0.000 | 0.000 | -0.000 | 0.000 |
| -0.000 | -0.000 | -0.000 | 0.000 | 0.000 | -0.000 |
| -0.000 | -0.000 | -0.000 | -0.000 | -0.000 | 0.000 |
| -0.000 | -0.000 | -0.000 | -0.000 | -0.000 | 0.000 |
| -0.000 | -0.000 | -0.000 | -0.000 | 0.000 | -0.000 |
| -0.000 | -0.000 | -0.000 | 0.000 | -0.000 | -0.000 |
| -0.000 | -0.000 | -0.000 | -0.000 | 0.000 | -0.000 |
| -0.000 | -0.000 | -0.000 | -0.000 | -0.000 | 0.000 |
| 0.000 | 0.000 | 0.000 | -0.000 | -0.000 | -0.000 |
| 0.000 | 0.000 | 0.000 | -0.000 | -0.000 | -0.000 |
| 0.000 | 0.000 | 0.000 | -0.000 | -0.000 | -0.000 |
| 2410.015 | 900.814 | 669.645 | 0.000 | 0.000 | 0.000 |
| 827.707 | 2483.121 | 669.645 | -0.000 | 0.000 | -0.000 |
| 669.645 | 669.645 | 2632.079 | -0.000 | 0.000 | 0.000 |
| -0.000 | -0.000 | 0.000 | 669.645 | 0.000 | 0.000 |
| -0.000 | -0.000 | 0.000 | 0.000 | 669.645 | -0.000 |
| 0.000 | 0.000 | -0.000 | 0.000 | 0.000 | 754.601 |
| 2483.121 | 827.707 | 669.645 | -0.000 | 0.000 | 0.000 |
| 827.707 | 2483.121 | 669.645 | -0.000 | -0.000 | -0.000 |
| 669.645 | 669.645 | 2632.079 | -0.000 | -0.000 | -0.000 |
| -0.000 | 0.000 | -0.000 | 669.645 | -0.000 | -0.000 |
| 0.000 | 0.000 | -0.000 | -0.000 | 669.645 | -0.000 |
| -0.000 | -0.000 | 0.000 | -0.000 | -0.000 | 754.601 |
| 2410.016 | 900.814 | 669.645 | 0.000 | 0.000 | 0.000 |
| 827.708 | 2483.122 | 669.645 | 0.000 | 0.000 | 0.000 |
| 669.645 | 669.645 | 2632.080 | 0.000 | -0.000 | 0.000 |
| 0.000 | -0.000 | 0.000 | 669.645 | 0.000 | 0.000 |
| -0.000 | 0.000 | 0.000 | 0.000 | 669.645 | -0.000 |
| -0.000 | 0.000 | -0.000 | 0.000 | 0.000 | 754.601 |
| 2410.014 | 900.814 | 669.645 | -0.000 | -0.000 | -0.000 |
| 900.813 | 2410.014 | 669.645 | -0.000 | 0.000 | -0.000 |
| 669.645 | 669.645 | 2632.078 | 0.000 | -0.000 | -0.000 |
| -0.000 | 0.000 | -0.000 | 669.645 | -0.000 | -0.000 |
| 0.000 | -0.000 | -0.000 | -0.000 | 669.645 | -0.000 |
| 0.000 | -0.000 | 0.000 | -0.000 | -0.000 | 754.601 |
| 2410.027 | 900.815 | 669.646 | 0.000 | 0.000 | 0.000 |
| 900.819 | 2410.023 | 669.646 | 0.000 | 0.000 | 0.000 |
| 669.649 | 669.649 | 2632.088 | 0.000 | 0.000 | 0.000 |
| 0.000 | -0.000 | 0.002 | 669.645 | 0.000 | 0.000 |
| -0.001 | 0.000 | 0.002 | 0.000 | 669.645 | 0.000 |
| -0.001 | 0.003 | -0.000 | 0.000 | 0.000 | 754.601 |
| 2410.003 | 900.812 | 669.644 | -0.000 | -0.000 | -0.000 |
| 900.808 | 2410.006 | 669.644 | 0.000 | -0.000 | -0.000 |
| 669.641 | 669.641 | 2632.070 | -0.000 | -0.000 | -0.000 |
| -0.000 | 0.000 | -0.002 | 669.645 | -0.000 | -0.000 |
| 0.001 | -0.000 | -0.002 | -0.000 | 669.645 | -0.000 |
| 0.001 | -0.003 | 0.000 | -0.000 | -0.000 | 754.601 |
| 0.001 | 0.000 | 0.000 | -0.000 | -0.000 | -0.000 |
| 0.000 | 0.001 | 0.000 | -0.000 | 0.000 | -0.000 |
| 0.000 | 0.000 | 0.001 | 0.000 | 0.000 | 0.000 |
| -0.000 | -0.000 | -0.000 | 0.000 | -0.000 | -0.000 |
| -0.000 | -0.000 | -0.000 | 0.000 | 0.000 | 0.000 |
| -0.000 | -0.000 | -0.000 | 0.000 | 0.000 | 0.000 |
| 0.001 | 0.000 | 0.000 | 0.000 | 0.000 | 0.000 |
| 0.000 | 0.001 | 0.000 | 0.000 | 0.000 | 0.000 |
| 0.000 | 0.000 | 0.001 | 0.000 | 0.000 | 0.000 |
| 0.000 | 0.000 | 0.000 | 0.000 | 0.000 | 0.000 |
| 0.000 | 0.000 | 0.000 | 0.000 | 0.000 | 0.000 |
| 0.000 | 0.000 | 0.000 | -0.000 | 0.000 | 0.000 |
| 0.001 | 0.000 | 0.000 | 0.000 | -0.000 | 0.000 |
| 0.000 | 0.001 | 0.000 | -0.000 | -0.000 | -0.000 |
| 0.000 | 0.000 | 0.001 | -0.000 | -0.000 | -0.000 |
| -0.000 | -0.000 | -0.000 | 0.000 | 0.000 | -0.000 |
| -0.000 | -0.000 | -0.000 | -0.000 | 0.000 | 0.000 |
| -0.000 | -0.000 | -0.000 | -0.000 | 0.000 | 0.000 |
| 0.001 | 0.000 | 0.000 | 0.000 | 0.000 | -0.000 |
| 0.000 | 0.001 | 0.000 | 0.000 | 0.000 | 0.000 |
| 0.000 | 0.000 | 0.001 | 0.000 | -0.000 | 0.000 |
| 0.000 | 0.000 | 0.000 | 0.000 | 0.000 | 0.000 |
| 0.000 | 0.000 | 0.000 | 0.000 | 0.000 | 0.000 |
| 0.000 | 0.000 | 0.000 | 0.000 | 0.000 | 0.000 |
| 0.001 | 0.000 | 0.000 | -0.000 | 0.000 | -0.000 |
| 0.000 | 0.001 | 0.000 | -0.000 | -0.000 | -0.000 |
| 0.000 | 0.000 | 0.001 | -0.000 | -0.000 | -0.000 |
| -0.000 | -0.000 | -0.000 | 0.000 | -0.000 | -0.000 |
| -0.000 | -0.000 | -0.000 | -0.000 | 0.000 | 0.000 |
| -0.000 | -0.000 | -0.000 | -0.000 | -0.000 | 0.000 |
| 0.001 | 0.000 | 0.000 | 0.000 | 0.000 | 0.000 |
| 0.000 | 0.001 | 0.000 | 0.000 | 0.000 | 0.000 |
| 0.000 | 0.000 | 0.001 | 0.000 | 0.000 | 0.000 |
| 0.000 | 0.000 | 0.000 | 0.000 | 0.000 | 0.000 |
| 0.000 | 0.000 | 0.000 | 0.000 | 0.000 | 0.000 |
| 0.000 | 0.000 | 0.000 | 0.000 | -0.000 | 0.000 |
| 0.001 | 0.000 | 0.000 | 0.000 | -0.000 | -0.000 |
| 0.000 | 0.001 | 0.000 | 0.000 | -0.000 | -0.000 |
| 0.000 | 0.000 | 0.001 | 0.000 | -0.000 | 0.000 |
| -0.000 | -0.000 | -0.000 | 0.000 | -0.000 | -0.000 |
| -0.000 | -0.000 | -0.000 | 0.000 | 0.000 | -0.000 |
| -0.000 | -0.000 | -0.000 | 0.000 | 0.000 | 0.000 |
| 0.001 | 0.000 | 0.000 | -0.000 | 0.000 | -0.000 |
| 0.000 | 0.001 | 0.000 | 0.000 | 0.000 | 0.000 |
| 0.000 | 0.000 | 0.001 | -0.000 | 0.000 | 0.000 |
| 0.000 | 0.000 | 0.000 | 0.000 | 0.000 | -0.000 |
| 0.000 | 0.000 | 0.000 | -0.000 | 0.000 | -0.000 |
| 0.000 | 0.000 | 0.000 | -0.000 | 0.000 | 0.000 |
| 0.001 | 0.000 | 0.000 | 0.000 | 0.000 | 0.000 |
| 0.000 | 0.001 | 0.000 | 0.000 | -0.000 | -0.000 |
| 0.000 | 0.000 | 0.001 | -0.000 | -0.000 | 0.000 |
| -0.000 | -0.000 | -0.000 | 0.000 | -0.000 | 0.000 |
| -0.000 | -0.000 | -0.000 | 0.000 | 0.000 | -0.000 |
| -0.000 | -0.000 | -0.000 | -0.000 | 0.000 | 0.000 |
| 0.001 | 0.000 | 0.000 | -0.000 | -0.000 | 0.000 |
| 0.000 | 0.001 | 0.000 | 0.000 | 0.000 | -0.000 |
| 0.000 | 0.000 | 0.001 | -0.000 | 0.000 | -0.000 |
| 0.000 | 0.000 | 0.000 | 0.000 | -0.000 | 0.000 |
| 0.000 | 0.000 | 0.000 | -0.000 | 0.000 | -0.000 |
| 0.000 | 0.000 | 0.000 | 0.000 | 0.000 | 0.000 |
| 0.001 | 0.000 | 0.000 | -0.000 | -0.000 | 0.000 |
| 0.000 | 0.001 | 0.000 | 0.000 | -0.000 | 0.000 |
| 0.000 | 0.000 | 0.001 | -0.000 | 0.000 | -0.000 |
| -0.000 | -0.000 | -0.000 | 0.000 | -0.000 | -0.000 |
| -0.000 | -0.000 | -0.000 | -0.000 | 0.000 | -0.000 |
| -0.000 | -0.000 | -0.000 | -0.000 | -0.000 | 0.000 |
| 0.001 | 0.000 | 0.000 | -0.000 | 0.000 | -0.000 |
| 0.000 | 0.001 | 0.000 | -0.000 | 0.000 | -0.000 |
| 0.000 | 0.000 | 0.001 | 0.000 | 0.000 | 0.000 |
| 0.000 | 0.000 | 0.000 | 0.000 | 0.000 | -0.000 |
| 0.000 | 0.000 | 0.000 | 0.000 | 0.000 | -0.000 |
| 0.000 | 0.000 | 0.000 | 0.000 | -0.000 | 0.000 |
| 2483.521 | 827.840 | 668.166 | -0.000 | -0.000 | 0.000 |
| 901.112 | 2410.250 | 668.166 | 0.000 | -0.000 | 0.000 |
| 668.166 | 668.166 | 2624.994 | -0.000 | -0.000 | 0.000 |
| -0.000 | 0.000 | 0.000 | 668.166 | -0.000 | 0.000 |
| -0.000 | 0.000 | 0.000 | -0.000 | 668.166 | 0.000 |
| -0.000 | 0.000 | -0.000 | -0.000 | -0.000 | 754.569 |
| 2410.250 | 901.112 | 668.166 | 0.000 | 0.000 | -0.000 |
| 827.840 | 2483.521 | 668.166 | 0.000 | 0.000 | -0.000 |
| 668.166 | 668.166 | 2624.994 | 0.000 | -0.000 | -0.000 |
| 0.000 | -0.000 | -0.000 | 668.166 | -0.000 | -0.000 |
| 0.000 | -0.000 | -0.000 | 0.000 | 668.166 | -0.000 |
| 0.000 | -0.000 | 0.000 | 0.000 | 0.000 | 754.569 |
| 2410.251 | 901.112 | 668.166 | -0.000 | 0.000 | 0.000 |
| 827.841 | 2483.522 | 668.167 | 0.000 | 0.000 | -0.000 |
| 668.167 | 668.167 | 2624.995 | 0.000 | -0.000 | 0.000 |
| 0.000 | -0.000 | 0.000 | 668.166 | -0.000 | 0.000 |
| -0.000 | 0.000 | 0.000 | -0.000 | 668.166 | 0.000 |
| -0.000 | 0.000 | -0.000 | -0.000 | -0.000 | 754.569 |
| 2410.249 | 901.112 | 668.166 | 0.000 | 0.000 | -0.000 |
| 901.111 | 2410.249 | 668.166 | 0.000 | 0.000 | -0.000 |
| 668.166 | 668.166 | 2624.993 | -0.000 | 0.000 | -0.000 |
| -0.000 | 0.000 | -0.000 | 668.166 | -0.000 | -0.000 |
| 0.000 | -0.000 | -0.000 | 0.000 | 668.166 | -0.000 |
| 0.000 | -0.000 | 0.000 | 0.000 | 0.000 | 754.569 |
| 2410.258 | 901.117 | 668.167 | -0.000 | -0.000 | 0.000 |
| 901.118 | 2410.258 | 668.167 | 0.000 | 0.000 | 0.000 |
| 668.170 | 668.170 | 2625.003 | 0.000 | -0.000 | 0.000 |
| 0.000 | -0.001 | 0.002 | 668.166 | 0.000 | 0.000 |
| -0.001 | 0.000 | 0.002 | 0.000 | 668.166 | 0.000 |
| -0.001 | 0.003 | -0.000 | -0.000 | -0.000 | 754.569 |
| 2410.237 | 901.111 | 668.165 | -0.000 | -0.000 | -0.000 |
| 901.106 | 2410.242 | 668.165 | 0.000 | 0.000 | -0.000 |
| 668.163 | 668.163 | 2624.985 | 0.000 | -0.000 | -0.000 |
| -0.000 | 0.001 | -0.002 | 668.166 | 0.000 | -0.000 |
| 0.001 | -0.000 | -0.002 | -0.000 | 668.166 | -0.000 |
| 0.001 | -0.003 | 0.000 | 0.000 | 0.000 | 754.569 |
| 0.001 | 0.000 | 0.000 | 0.000 | -0.000 | 0.000 |
| 0.000 | 0.001 | 0.000 | 0.000 | 0.000 | -0.000 |
| 0.000 | 0.000 | 0.001 | 0.000 | -0.000 | -0.000 |
| -0.000 | -0.000 | -0.000 | 0.000 | 0.000 | -0.000 |
| -0.000 | -0.000 | -0.000 | 0.000 | 0.000 | -0.000 |
| -0.000 | -0.000 | -0.000 | 0.000 | -0.000 | 0.000 |
| 0.001 | 0.000 | 0.000 | -0.000 | -0.000 | 0.000 |
| 0.000 | 0.001 | 0.000 | -0.000 | 0.000 | -0.000 |
| 0.000 | 0.000 | 0.001 | -0.000 | 0.000 | 0.000 |
| 0.000 | 0.000 | 0.000 | 0.000 | -0.000 | 0.000 |
| 0.000 | 0.000 | 0.000 | -0.000 | 0.000 | -0.000 |
| 0.000 | 0.000 | 0.000 | -0.000 | -0.000 | 0.000 |
| 0.001 | 0.000 | 0.000 | 0.000 | 0.000 | -0.000 |
| 0.000 | 0.001 | 0.000 | 0.000 | 0.000 | 0.000 |
| 0.000 | 0.000 | 0.001 | 0.000 | -0.000 | -0.000 |
| -0.000 | -0.000 | -0.000 | 0.000 | -0.000 | -0.000 |
| -0.000 | -0.000 | -0.000 | 0.000 | 0.000 | -0.000 |
| -0.000 | -0.000 | -0.000 | -0.000 | -0.000 | 0.000 |
| 0.001 | 0.000 | 0.000 | -0.000 | -0.000 | 0.000 |
| 0.000 | 0.001 | 0.000 | -0.000 | -0.000 | 0.000 |
| 0.000 | 0.000 | 0.001 | 0.000 | 0.000 | 0.000 |
| 0.000 | 0.000 | 0.000 | 0.000 | 0.000 | 0.000 |
| 0.000 | 0.000 | 0.000 | -0.000 | 0.000 | -0.000 |
| 0.000 | 0.000 | 0.000 | 0.000 | -0.000 | 0.000 |
| 0.001 | 0.000 | 0.000 | 0.000 | 0.000 | 0.000 |
| 0.000 | 0.001 | 0.000 | -0.000 | 0.000 | 0.000 |
| 0.000 | 0.000 | 0.001 | 0.000 | 0.000 | -0.000 |
| -0.000 | -0.000 | -0.000 | 0.000 | 0.000 | -0.000 |
| -0.000 | -0.000 | -0.000 | 0.000 | 0.000 | -0.000 |
| -0.000 | -0.000 | -0.000 | 0.000 | 0.000 | 0.000 |
| 0.001 | 0.000 | 0.000 | -0.000 | -0.000 | -0.000 |
| 0.000 | 0.001 | 0.000 | -0.000 | -0.000 | -0.000 |
| 0.000 | 0.000 | 0.001 | -0.000 | 0.000 | 0.000 |
| 0.000 | 0.000 | 0.000 | 0.000 | 0.000 | 0.000 |
| 0.000 | 0.000 | 0.000 | 0.000 | 0.000 | 0.000 |
| 0.000 | 0.000 | 0.000 | -0.000 | 0.000 | 0.000 |
| -0.000 | -0.000 | 0.000 | -0.000 | 0.000 | 0.000 |
| -0.000 | -0.000 | 0.000 | 0.000 | -0.000 | -0.000 |
| 0.000 | 0.000 | 0.001 | -0.000 | -0.000 | 0.000 |
| -0.000 | -0.000 | -0.000 | 0.000 | -0.000 | 0.000 |
| -0.000 | -0.000 | -0.000 | -0.000 | 0.000 | -0.000 |
| -0.000 | -0.000 | -0.000 | 0.000 | 0.000 | -0.000 |
| -0.000 | -0.000 | 0.000 | 0.000 | 0.000 | -0.000 |
| -0.000 | -0.000 | 0.000 | 0.000 | -0.000 | 0.000 |
| 0.000 | 0.000 | 0.001 | -0.000 | -0.000 | -0.000 |
| 0.000 | 0.000 | 0.000 | 0.000 | -0.000 | -0.000 |
| 0.000 | 0.000 | 0.000 | 0.000 | 0.000 | 0.000 |
| 0.000 | 0.000 | 0.000 | -0.000 | 0.000 | -0.000 |
| -0.000 | -0.000 | 0.000 | 0.000 | -0.000 | 0.000 |
| -0.000 | -0.000 | 0.000 | 0.000 | -0.000 | -0.000 |
| 0.000 | 0.000 | 0.001 | -0.000 | 0.000 | 0.000 |
| -0.000 | -0.000 | -0.000 | 0.000 | -0.000 | 0.000 |
| -0.000 | -0.000 | -0.000 | 0.000 | 0.000 | -0.000 |
| -0.000 | -0.000 | -0.000 | 0.000 | -0.000 | -0.000 |
| -0.000 | -0.000 | 0.000 | -0.000 | -0.000 | 0.000 |
| -0.000 | -0.000 | 0.000 | -0.000 | -0.000 | -0.000 |
| 0.000 | 0.000 | 0.001 | -0.000 | 0.000 | -0.000 |
| 0.000 | 0.000 | 0.000 | 0.000 | -0.000 | -0.000 |
| 0.000 | 0.000 | 0.000 | -0.000 | 0.000 | -0.000 |
| 0.000 | 0.000 | 0.000 | -0.000 | -0.000 | -0.000 |
| -0.000 | -0.000 | 0.000 | 0.000 | 0.000 | -0.000 |
| -0.000 | -0.000 | 0.000 | 0.000 | -0.000 | -0.000 |
| 0.000 | 0.000 | 0.001 | 0.000 | 0.000 | 0.000 |
| -0.000 | -0.000 | -0.000 | 0.000 | -0.000 | 0.000 |
| -0.000 | -0.000 | -0.000 | 0.000 | 0.000 | -0.000 |
| -0.000 | -0.000 | -0.000 | 0.000 | 0.000 | -0.000 |
| -0.000 | -0.000 | 0.000 | -0.000 | -0.000 | 0.000 |
| -0.000 | -0.000 | 0.000 | -0.000 | -0.000 | -0.000 |
| 0.000 | 0.000 | 0.001 | 0.000 | 0.000 | -0.000 |
| 0.000 | 0.000 | 0.000 | 0.000 | -0.000 | -0.000 |
| 0.000 | 0.000 | 0.000 | -0.000 | 0.000 | -0.000 |
| 0.000 | 0.000 | 0.000 | -0.000 | 0.000 | -0.000 |
| 208.587 | 202.047 | 202.047 | -0.000 | 0.000 | 0.000 |
| 202.047 | 208.587 | 202.047 | 0.000 | -0.000 | 0.000 |
| 202.047 | 202.047 | 208.587 | 0.000 | 0.000 | -0.000 |
| -0.000 | -0.000 | -0.000 | 8.240 | 0.000 | 0.000 |
| -0.000 | -0.000 | -0.000 | 0.000 | 8.240 | 0.000 |
| -0.000 | -0.000 | -0.000 | 0.000 | 0.000 | 8.240 |
| 208.587 | 202.047 | 202.047 | 0.000 | -0.000 | -0.000 |
| 202.047 | 208.587 | 202.047 | -0.000 | 0.000 | -0.000 |
| 202.047 | 202.047 | 208.587 | -0.000 | -0.000 | 0.000 |
| 0.000 | 0.000 | 0.000 | 8.240 | 0.000 | -0.000 |
| 0.000 | 0.000 | 0.000 | 0.000 | 8.240 | -0.000 |
| 0.000 | 0.000 | 0.000 | 0.000 | -0.000 | 8.240 |
| 208.587 | 202.047 | 202.047 | -0.000 | 0.000 | 0.000 |
| 202.047 | 208.587 | 202.047 | 0.000 | -0.000 | 0.000 |
| 202.047 | 202.047 | 208.587 | 0.000 | 0.000 | -0.000 |
| -0.000 | -0.000 | -0.000 | 8.240 | 0.000 | 0.000 |
| -0.000 | -0.000 | -0.000 | 0.000 | 8.240 | 0.000 |
| -0.000 | -0.000 | -0.000 | 0.000 | 0.000 | 8.240 |
| 208.587 | 202.047 | 202.047 | 0.000 | -0.000 | -0.000 |
| 202.047 | 208.587 | 202.047 | -0.000 | 0.000 | -0.000 |
| 202.047 | 202.047 | 208.587 | -0.000 | -0.000 | 0.000 |
| 0.000 | 0.000 | 0.000 | 8.240 | -0.000 | -0.000 |
| 0.000 | 0.000 | 0.000 | -0.000 | 8.240 | -0.000 |
| 0.000 | 0.000 | 0.000 | -0.000 | 0.000 | 8.240 |
| 208.587 | 202.048 | 202.048 | 0.000 | 0.000 | 0.000 |
| 202.048 | 208.587 | 202.048 | 0.000 | 0.000 | 0.000 |
| 202.048 | 202.048 | 208.587 | 0.000 | 0.000 | 0.000 |
| -0.000 | -0.000 | -0.000 | 8.240 | 0.000 | 0.000 |
| -0.000 | -0.000 | -0.000 | 0.000 | 8.240 | 0.000 |
| -0.000 | -0.000 | -0.000 | 0.000 | 0.000 | 8.240 |
| 208.586 | 202.046 | 202.046 | 0.000 | -0.000 | -0.000 |
| 202.046 | 208.586 | 202.046 | -0.000 | 0.000 | -0.000 |
| 202.046 | 202.046 | 208.586 | -0.000 | -0.000 | 0.000 |
| 0.000 | 0.000 | 0.000 | 8.240 | -0.000 | -0.000 |
| 0.000 | 0.000 | 0.000 | -0.000 | 8.240 | -0.000 |
| 0.000 | 0.000 | 0.000 | -0.000 | -0.000 | 8.240 |
| 0.000 | 0.000 | 0.000 | 0.000 | 0.000 | 0.000 |
| 0.000 | 0.000 | 0.000 | 0.000 | 0.000 | 0.000 |
| 0.000 | 0.000 | 0.000 | 0.000 | 0.000 | 0.000 |
| -0.000 | -0.000 | -0.000 | 0.000 | 0.000 | 0.000 |
| -0.000 | -0.000 | -0.000 | 0.000 | 0.000 | 0.000 |
| -0.000 | -0.000 | -0.000 | 0.000 | 0.000 | 0.000 |
| 0.000 | 0.000 | 0.000 | -0.000 | -0.000 | -0.000 |
| 0.000 | 0.000 | 0.000 | -0.000 | -0.000 | -0.000 |
| 0.000 | 0.000 | 0.000 | -0.000 | -0.000 | -0.000 |
| 0.000 | 0.000 | 0.000 | 0.000 | -0.000 | -0.000 |
| 0.000 | 0.000 | 0.000 | -0.000 | 0.000 | -0.000 |
| 0.000 | 0.000 | 0.000 | -0.000 | -0.000 | 0.000 |
| 0.000 | 0.000 | 0.000 | -0.000 | 0.000 | 0.000 |
| 0.000 | 0.000 | 0.000 | 0.000 | -0.000 | 0.000 |
| 0.000 | 0.000 | 0.000 | 0.000 | 0.000 | -0.000 |
| -0.000 | -0.000 | -0.000 | 0.000 | 0.000 | 0.000 |
| -0.000 | -0.000 | -0.000 | 0.000 | 0.000 | 0.000 |
| -0.000 | -0.000 | -0.000 | 0.000 | 0.000 | 0.000 |
| 0.000 | 0.000 | 0.000 | 0.000 | -0.000 | -0.000 |
| 0.000 | 0.000 | 0.000 | -0.000 | 0.000 | -0.000 |
| 0.000 | 0.000 | 0.000 | -0.000 | -0.000 | 0.000 |
| 0.000 | 0.000 | 0.000 | 0.000 | -0.000 | -0.000 |
| 0.000 | 0.000 | 0.000 | -0.000 | 0.000 | -0.000 |
| 0.000 | 0.000 | 0.000 | -0.000 | -0.000 | 0.000 |
| 0.000 | 0.000 | 0.000 | -0.000 | 0.000 | 0.000 |
| 0.000 | 0.000 | 0.000 | 0.000 | -0.000 | 0.000 |
| 0.000 | 0.000 | 0.000 | 0.000 | 0.000 | -0.000 |
| -0.000 | -0.000 | -0.000 | 0.000 | 0.000 | 0.000 |
| -0.000 | -0.000 | -0.000 | 0.000 | 0.000 | 0.000 |
| -0.000 | -0.000 | -0.000 | 0.000 | 0.000 | 0.000 |
| 0.000 | 0.000 | 0.000 | -0.000 | -0.000 | -0.000 |
| 0.000 | 0.000 | 0.000 | -0.000 | -0.000 | -0.000 |
| 0.000 | 0.000 | 0.000 | -0.000 | -0.000 | -0.000 |
| 0.000 | 0.000 | 0.000 | 0.000 | -0.000 | -0.000 |
| 0.000 | 0.000 | 0.000 | -0.000 | 0.000 | -0.000 |
| 0.000 | 0.000 | 0.000 | -0.000 | -0.000 | 0.000 |
| -7779.368 | 8949.520 | -6.148 | 0.000 | -0.000 | -0.000 |
| 8949.520 | -7779.368 | -6.148 | 0.000 | -0.000 | 0.000 |
| -6.147 | -6.147 | 1427.835 | 0.000 | -0.000 | 0.000 |
| 0.000 | -0.000 | -0.000 | -202.682 | -0.000 | 0.000 |
| -0.000 | 0.000 | -0.000 | 0.000 | -202.682 | 0.000 |
| -0.000 | -0.000 | 0.000 | 0.000 | -0.000 | 25.265 |
| 1299077009.665 | 1357500307.786 | 1459238470.295 | -18211166.601 | -60561268.017 | -57466771.177 |
| 1231640388.883 | 1125340099.336 | 1225930421.359 | 5375044.541 | 15525818.078 | -109235983.923 |
| -6.147 | -6.147 | 1427.835 | -0.000 | 0.000 | -0.000 |
| -0.000 | 0.000 | 0.000 | -202.682 | 0.000 | 0.000 |
| 0.000 | -0.000 | 0.000 | -0.000 | -202.682 | -0.000 |
| 0.000 | 0.000 | -0.000 | -0.000 | 0.000 | 25.265 |
| -128325883.775 | -126717671.471 | -145559856.341 | -7873523.976 | 718661.961 | 7333550.003 |
| -121187791.632 | -132108464.139 | -148877205.174 | 50893.189 | 3014352.577 | -7155967.841 |
| -6.147 | -6.147 | 1427.836 | 0.000 | -0.000 | 0.000 |
| -0.000 | -0.000 | -0.000 | -202.682 | -0.000 | 0.000 |
| -0.000 | -0.000 | -0.000 | 0.000 | -202.682 | -0.000 |
| -0.000 | -0.000 | 0.000 | 0.000 | -0.000 | 25.265 |
| 135672348.596 | 124400710.775 | 140821157.191 | 1110213.634 | -3567467.291 | 1302917.742 |
| 143781680.569 | 123884676.636 | 152878906.254 | 587167.534 | -5278720.737 | -7262442.555 |
| -6.147 | -6.147 | 1427.834 | -0.000 | 0.000 | -0.000 |
| 0.000 | 0.000 | 0.000 | -202.682 | 0.000 | -0.000 |
| 0.000 | 0.000 | 0.000 | -0.000 | -202.682 | -0.000 |
| 0.000 | 0.000 | -0.000 | -0.000 | 0.000 | 25.265 |
| -12713931.536 | -11867027.082 | -14674264.926 | 299509.195 | 246802.061 | 324844.585 |
| -14581428.502 | -15102503.353 | -16378034.717 | 178783.949 | -632680.175 | -275948.613 |
| -6.147 | -6.147 | 1427.843 | 0.000 | -0.000 | -0.000 |
| -0.000 | -0.001 | -0.001 | -202.682 | -0.000 | -0.000 |
| -0.001 | -0.000 | -0.001 | 0.000 | -202.682 | 0.000 |
| -0.004 | 0.004 | 0.000 | 0.000 | 0.000 | 25.265 |
| 12259408.081 | 12170008.135 | 13662237.624 | -469103.996 | -787724.248 | 448616.577 |
| 12732343.431 | 13047857.122 | 13619379.424 | -80906.451 | 438926.828 | 554459.748 |
| -6.146 | -6.146 | 1427.826 | -0.000 | 0.000 | 0.000 |
| 0.000 | 0.001 | 0.001 | -202.682 | 0.000 | 0.000 |
| 0.001 | 0.000 | 0.001 | -0.000 | -202.682 | 0.000 |
| 0.004 | -0.004 | -0.000 | -0.000 | 0.000 | 25.265 |
| 0.000 | 0.000 | 0.000 | 0.000 | 0.000 | 0.000 |
| -0.000 | 0.000 | 0.000 | 0.000 | -0.000 | -0.000 |
| 0.000 | 0.000 | 0.000 | 0.000 | 0.000 | -0.000 |
| -0.000 | -0.000 | -0.000 | 0.000 | -0.000 | 0.000 |
| -0.000 | 0.000 | -0.000 | 0.000 | 0.000 | -0.000 |
| -0.000 | 0.000 | 0.000 | 0.000 | -0.000 | -0.000 |
| 0.000 | -0.000 | 0.000 | -0.000 | -0.000 | -0.000 |
| 0.000 | 0.000 | 0.000 | -0.000 | 0.000 | 0.000 |
| 0.000 | 0.000 | 0.000 | -0.000 | -0.000 | 0.000 |
| 0.000 | 0.000 | 0.000 | 0.000 | 0.000 | 0.000 |
| 0.000 | -0.000 | 0.000 | -0.000 | 0.000 | 0.000 |
| 0.000 | -0.000 | -0.000 | -0.000 | -0.000 | -0.000 |
| 0.000 | 0.000 | 0.000 | 0.000 | 0.000 | -0.000 |
| 0.000 | 0.000 | 0.000 | 0.000 | 0.000 | -0.000 |
| 0.000 | 0.000 | 0.000 | 0.000 | 0.000 | -0.000 |
| -0.000 | -0.000 | -0.000 | 0.000 | 0.000 | 0.000 |
| -0.000 | -0.000 | -0.000 | 0.000 | 0.000 | -0.000 |
| -0.000 | -0.000 | -0.000 | 0.000 | 0.000 | -0.000 |
| 0.000 | 0.000 | 0.000 | -0.000 | -0.000 | 0.000 |
| 0.000 | 0.000 | 0.000 | -0.000 | -0.000 | 0.000 |
| 0.000 | 0.000 | 0.000 | -0.000 | -0.000 | -0.000 |
| 0.000 | 0.000 | 0.000 | 0.000 | -0.000 | -0.000 |
| 0.000 | 0.000 | 0.000 | -0.000 | 0.000 | -0.000 |
| 0.000 | 0.000 | 0.000 | -0.000 | 0.000 | -0.000 |
| 0.000 | 0.000 | 0.000 | 0.000 | 0.000 | -0.000 |
| 0.000 | 0.000 | 0.000 | 0.000 | 0.000 | -0.000 |
| 0.000 | 0.000 | 0.000 | 0.000 | 0.000 | -0.000 |
| -0.000 | -0.000 | -0.000 | 0.000 | 0.000 | -0.000 |
| -0.000 | -0.000 | -0.000 | 0.000 | 0.000 | -0.000 |
| -0.000 | -0.000 | -0.000 | 0.000 | -0.000 | -0.000 |
| 0.000 | 0.000 | 0.000 | -0.000 | 0.000 | 0.000 |
| 0.000 | 0.000 | 0.000 | -0.000 | -0.000 | 0.000 |
| 0.000 | 0.000 | 0.000 | -0.000 | -0.000 | 0.000 |
| 0.000 | 0.000 | 0.000 | 0.000 | -0.000 | -0.000 |
| 0.000 | 0.000 | 0.000 | -0.000 | 0.000 | -0.000 |
| 0.000 | 0.000 | 0.000 | -0.000 | -0.000 | -0.000 |
| 0.000 | -0.000 | 0.000 | 0.000 | 0.000 | -0.000 |
| 0.000 | 0.000 | 0.000 | 0.000 | 0.000 | 0.000 |
| 0.000 | 0.000 | 0.000 | 0.000 | 0.000 | -0.000 |
| 0.000 | -0.000 | -0.000 | 0.000 | 0.000 | -0.000 |
| -0.000 | -0.000 | -0.000 | 0.000 | 0.000 | -0.000 |
| 0.000 | -0.000 | -0.000 | 0.000 | 0.000 | -0.000 |
| 0.000 | 0.000 | 0.000 | -0.000 | -0.000 | 0.000 |
| -0.000 | 0.000 | 0.000 | 0.000 | -0.000 | -0.000 |
| 0.000 | 0.000 | 0.000 | 0.000 | 0.000 | -0.000 |
| -0.000 | 0.000 | 0.000 | 0.000 | -0.000 | -0.000 |
| 0.000 | 0.000 | 0.000 | -0.000 | 0.000 | -0.000 |
| -0.000 | 0.000 | -0.000 | -0.000 | -0.000 | -0.000 |
| 0.000 | 0.000 | 0.000 | 0.000 | 0.000 | 0.000 |
| 0.000 | 0.000 | 0.000 | 0.000 | -0.000 | -0.000 |
| 0.000 | 0.000 | 0.000 | -0.000 | 0.000 | 0.000 |
| -0.000 | -0.000 | -0.000 | 0.000 | 0.000 | 0.000 |
| -0.000 | -0.000 | -0.000 | -0.000 | 0.000 | -0.000 |
| 0.000 | -0.000 | -0.000 | -0.000 | 0.000 | -0.000 |
| 0.000 | 0.000 | 0.000 | 0.000 | -0.000 | 0.000 |
| 0.000 | 0.000 | 0.000 | 0.000 | -0.000 | 0.000 |
| 0.000 | 0.000 | 0.000 | 0.000 | 0.000 | -0.000 |
| 0.000 | 0.000 | 0.000 | 0.000 | -0.000 | 0.000 |
| 0.000 | 0.000 | 0.000 | 0.000 | 0.000 | -0.000 |
| -0.000 | 0.000 | 0.000 | 0.000 | 0.000 | -0.000 |
| 0.000 | 0.000 | 0.000 | -0.000 | 0.000 | -0.000 |
| 0.000 | 0.000 | 0.000 | -0.000 | 0.000 | 0.000 |
| 0.000 | 0.000 | 0.000 | -0.000 | 0.000 | -0.000 |
| -0.000 | -0.000 | -0.000 | 0.000 | 0.000 | 0.000 |
| -0.000 | -0.000 | -0.000 | -0.000 | 0.000 | 0.000 |
| 0.000 | -0.000 | -0.000 | -0.000 | -0.000 | -0.000 |
| 0.000 | 0.000 | 0.000 | 0.000 | -0.000 | -0.000 |
| 0.000 | 0.000 | 0.000 | 0.000 | -0.000 | -0.000 |
| 0.000 | 0.000 | 0.000 | 0.000 | 0.000 | -0.000 |
| 0.000 | 0.000 | 0.000 | 0.000 | -0.000 | 0.000 |
| 0.000 | 0.000 | 0.000 | 0.000 | 0.000 | 0.000 |
| -0.000 | 0.000 | 0.000 | 0.000 | -0.000 | -0.000 |
| 0.000 | 0.000 | 0.000 | 0.000 | 0.000 | -0.000 |
| 0.000 | 0.000 | 0.000 | 0.000 | 0.000 | -0.000 |
| 0.000 | 0.000 | 0.000 | 0.000 | 0.000 | -0.000 |
| 0.000 | 0.000 | 0.000 | 0.000 | 0.000 | 0.000 |
| 0.000 | 0.000 | 0.000 | 0.000 | 0.000 | 0.000 |
| 0.000 | -0.000 | 0.000 | 0.000 | 0.000 | -0.000 |
| 0.000 | -0.000 | -0.000 | -0.000 | -0.000 | -0.000 |
| -0.000 | 0.000 | -0.000 | -0.000 | -0.000 | 0.000 |
| -0.000 | -0.000 | -0.000 | -0.000 | -0.000 | 0.000 |
| -0.000 | -0.000 | -0.000 | -0.000 | -0.000 | 0.000 |
| -0.000 | -0.000 | -0.000 | -0.000 | -0.000 | 0.000 |
| -0.000 | 0.000 | -0.000 | -0.000 | -0.000 | -0.000 |
| 0.000 | 0.000 | 0.000 | 0.000 | 0.000 | 0.000 |
| 0.000 | 0.000 | 0.000 | 0.000 | 0.000 | 0.000 |
| 0.000 | 0.000 | 0.000 | 0.000 | 0.000 | -0.000 |
| 0.000 | 0.000 | 0.000 | 0.000 | 0.000 | 0.000 |
| 0.000 | 0.000 | 0.000 | 0.000 | 0.000 | 0.000 |
| 0.000 | -0.000 | 0.000 | 0.000 | 0.000 | -0.000 |
| 0.000 | 0.000 | -0.000 | -0.000 | -0.000 | -0.000 |
| 0.000 | 0.000 | -0.000 | -0.000 | -0.000 | -0.000 |
| 0.000 | 0.000 | -0.000 | -0.000 | -0.000 | 0.000 |
| -0.000 | -0.000 | -0.000 | -0.000 | -0.000 | 0.000 |
| -0.000 | -0.000 | -0.000 | -0.000 | -0.000 | 0.000 |
| -0.000 | 0.000 | -0.000 | -0.000 | -0.000 | -0.000 |
| 0.000 | 0.000 | 0.000 | 0.000 | 0.000 | -0.000 |
| 0.000 | 0.000 | 0.000 | 0.000 | 0.000 | -0.000 |
| 0.000 | 0.000 | 0.000 | 0.000 | 0.000 | -0.000 |
| 0.000 | 0.000 | 0.000 | 0.000 | 0.000 | -0.000 |
| 0.000 | 0.000 | 0.000 | 0.000 | 0.000 | -0.000 |
| 0.000 | -0.000 | 0.000 | 0.000 | 0.000 | -0.000 |
| 0.000 | 0.000 | -0.000 | -0.000 | -0.000 | -0.000 |
| 0.000 | 0.000 | -0.000 | -0.000 | -0.000 | 0.000 |
| 0.000 | 0.000 | -0.000 | -0.000 | -0.000 | 0.000 |
| -0.000 | -0.000 | -0.000 | -0.000 | -0.000 | -0.000 |
| -0.000 | -0.000 | -0.000 | -0.000 | -0.000 | 0.000 |
| -0.000 | 0.000 | -0.000 | -0.000 | -0.000 | -0.000 |
| 0.000 | 0.000 | 0.000 | 0.000 | 0.000 | -0.000 |
| 0.000 | 0.000 | 0.000 | 0.000 | 0.000 | 0.000 |
| 0.000 | 0.000 | 0.000 | 0.000 | 0.000 | 0.000 |
| -0.000 | 0.000 | 0.000 | 0.000 | 0.000 | 0.000 |
| 0.000 | -0.000 | 0.000 | 0.000 | 0.000 | 0.000 |
| 0.000 | -0.000 | 0.000 | 0.000 | 0.000 | -0.000 |
| 0.000 | 0.000 | -0.000 | -0.000 | -0.000 | -0.000 |
| 0.000 | 0.000 | -0.000 | -0.000 | -0.000 | 0.000 |
| 0.000 | 0.000 | -0.000 | -0.000 | -0.000 | -0.000 |
| 0.000 | -0.000 | -0.000 | -0.000 | -0.000 | -0.000 |
| -0.000 | 0.000 | -0.000 | -0.000 | -0.000 | -0.000 |
| -0.000 | 0.000 | -0.000 | -0.000 | -0.000 | -0.000 |
| 0.000 | 0.000 | 0.000 | 0.000 | 0.000 | -0.000 |
| 0.000 | 0.000 | 0.000 | 0.000 | 0.000 | 0.000 |
| 0.000 | 0.000 | 0.000 | 0.000 | 0.000 | 0.000 |
| -0.000 | 0.000 | 0.000 | 0.000 | 0.000 | 0.000 |
| 0.000 | -0.000 | 0.000 | 0.000 | 0.000 | 0.000 |
| 0.000 | -0.000 | 0.000 | 0.000 | 0.000 | -0.000 |
| 0.000 | 0.000 | -0.000 | -0.000 | -0.000 | -0.000 |
| 0.000 | 0.000 | -0.000 | -0.000 | -0.000 | -0.000 |
| 0.000 | 0.000 | -0.000 | -0.000 | -0.000 | -0.000 |
| 0.000 | -0.000 | -0.000 | -0.000 | -0.000 | -0.000 |
| -0.000 | 0.000 | -0.000 | -0.000 | -0.000 | 0.000 |
| -0.000 | 0.000 | -0.000 | -0.000 | -0.000 | -0.000 |
| 0.000 | 0.000 | 0.000 | 0.000 | 0.000 | 0.000 |
| 0.000 | 0.000 | 0.000 | 0.000 | 0.000 | -0.000 |
| 0.000 | 0.000 | 0.000 | 0.000 | 0.000 | 0.000 |
| -0.000 | 0.000 | 0.000 | 0.000 | 0.000 | 0.000 |
| 0.000 | -0.000 | 0.000 | 0.000 | 0.000 | -0.000 |
| 0.000 | -0.000 | 0.000 | 0.000 | 0.000 | -0.000 |
| 0.000 | 0.000 | -0.000 | -0.000 | -0.000 | -0.000 |
| 0.000 | 0.000 | -0.000 | -0.000 | -0.000 | 0.000 |
| 0.000 | 0.000 | -0.000 | -0.000 | -0.000 | -0.000 |
| 0.000 | -0.000 | -0.000 | -0.000 | -0.000 | -0.000 |
| -0.000 | 0.000 | -0.000 | -0.000 | -0.000 | -0.000 |
| -0.000 | 0.000 | -0.000 | -0.000 | -0.000 | -0.000 |
| 0.000 | 0.000 | 0.000 | -0.000 | -0.000 | 0.000 |
| 0.000 | 0.000 | 0.000 | 0.000 | -0.000 | 0.000 |
| 0.000 | 0.000 | 0.000 | -0.000 | 0.000 | -0.000 |
| -0.000 | 0.000 | -0.000 | 0.000 | 0.000 | -0.000 |
| -0.000 | -0.000 | -0.000 | 0.000 | 0.000 | -0.000 |
| -0.000 | -0.000 | -0.000 | 0.000 | -0.000 | 0.000 |
| 0.000 | 0.000 | 0.000 | -0.000 | 0.000 | -0.000 |
| 0.000 | 0.000 | 0.000 | 0.000 | 0.000 | -0.000 |
| 0.000 | 0.000 | 0.000 | 0.000 | -0.000 | 0.000 |
| -0.000 | 0.000 | 0.000 | 0.000 | 0.000 | -0.000 |
| 0.000 | 0.000 | 0.000 | -0.000 | 0.000 | -0.000 |
| 0.000 | 0.000 | 0.000 | -0.000 | -0.000 | 0.000 |
| 0.000 | 0.000 | 0.000 | -0.000 | -0.000 | 0.000 |
| 0.000 | 0.000 | 0.000 | 0.000 | -0.000 | 0.000 |
| 0.000 | 0.000 | 0.000 | -0.000 | 0.000 | -0.000 |
| -0.000 | 0.000 | -0.000 | 0.000 | -0.000 | 0.000 |
| -0.000 | -0.000 | -0.000 | 0.000 | 0.000 | -0.000 |
| -0.000 | -0.000 | -0.000 | 0.000 | -0.000 | 0.000 |
| 0.000 | 0.000 | 0.000 | -0.000 | 0.000 | -0.000 |
| 0.000 | 0.000 | 0.000 | 0.000 | 0.000 | -0.000 |
| 0.000 | 0.000 | 0.000 | 0.000 | 0.000 | -0.000 |
| -0.000 | 0.000 | 0.000 | 0.000 | 0.000 | -0.000 |
| 0.000 | 0.000 | 0.000 | -0.000 | 0.000 | -0.000 |
| 0.000 | 0.000 | 0.000 | -0.000 | -0.000 | 0.000 |
| 0.000 | 0.000 | 0.000 | -0.000 | -0.000 | 0.000 |
| 0.000 | 0.000 | 0.000 | 0.000 | -0.000 | 0.000 |
| 0.000 | 0.000 | 0.000 | 0.000 | -0.000 | 0.000 |
| -0.000 | 0.000 | -0.000 | 0.000 | 0.000 | -0.000 |
| -0.000 | -0.000 | -0.000 | 0.000 | 0.000 | -0.000 |
| -0.000 | -0.000 | -0.000 | 0.000 | -0.000 | 0.000 |
| 0.000 | 0.000 | 0.000 | -0.000 | -0.000 | 0.000 |
| 0.000 | 0.000 | 0.000 | 0.000 | -0.000 | 0.000 |
| 0.000 | 0.000 | 0.000 | 0.000 | 0.000 | -0.000 |
| -0.000 | 0.000 | 0.000 | 0.000 | 0.000 | -0.000 |
| 0.000 | 0.000 | 0.000 | -0.000 | 0.000 | -0.000 |
| 0.000 | 0.000 | 0.000 | -0.000 | -0.000 | 0.000 |
| 1317.899 | 20.916 | 20.916 | 0.000 | 0.000 | -0.000 |
| 20.916 | 1317.899 | 20.916 | -0.000 | -0.000 | -0.000 |
| 20.916 | 20.916 | 1317.899 | 0.000 | 0.000 | -0.000 |
| -0.000 | 0.000 | -0.000 | 20.916 | -0.000 | 0.000 |
| 0.000 | -0.000 | -0.000 | -0.000 | 20.916 | -0.000 |
| 0.000 | -0.000 | -0.000 | -0.000 | 0.000 | 20.916 |
| 1317.899 | 20.916 | 20.916 | 0.000 | 0.000 | 0.000 |
| 20.916 | 1317.899 | 20.916 | 0.000 | 0.000 | 0.000 |
| 20.916 | 20.916 | 1317.899 | -0.000 | 0.000 | 0.000 |
| 0.000 | -0.000 | 0.000 | 20.916 | -0.000 | 0.000 |
| -0.000 | 0.000 | 0.000 | -0.000 | 20.916 | 0.000 |
| -0.000 | 0.000 | 0.000 | 0.000 | 0.000 | 20.916 |
| 1317.900 | 20.916 | 20.916 | 0.000 | 0.000 | -0.000 |
| 20.916 | 1317.900 | 20.916 | 0.000 | 0.000 | -0.000 |
| 20.916 | 20.916 | 1317.900 | -0.000 | -0.000 | -0.000 |
| 0.000 | -0.000 | -0.000 | 20.916 | 0.000 | -0.000 |
| -0.000 | 0.000 | -0.000 | 0.000 | 20.916 | -0.000 |
| -0.000 | -0.000 | -0.000 | 0.000 | -0.000 | 20.916 |
| 1317.898 | 20.916 | 20.916 | 0.000 | 0.000 | 0.000 |
| 20.916 | 1317.898 | 20.916 | -0.000 | -0.000 | 0.000 |
| 20.916 | 20.916 | 1317.898 | 0.000 | 0.000 | 0.000 |
| -0.000 | 0.000 | 0.000 | 20.916 | 0.000 | 0.000 |
| 0.000 | -0.000 | 0.000 | 0.000 | 20.916 | 0.000 |
| 0.000 | 0.000 | 0.000 | 0.000 | 0.000 | 20.916 |
| 1317.907 | 20.916 | 20.916 | 0.000 | 0.000 | -0.000 |
| 20.916 | 1317.907 | 20.916 | -0.000 | 0.000 | -0.000 |
| 20.916 | 20.916 | 1317.907 | 0.000 | -0.000 | -0.000 |
| 0.000 | -0.000 | -0.001 | 20.916 | 0.000 | -0.000 |
| -0.000 | 0.000 | -0.001 | 0.000 | 20.916 | 0.000 |
| -0.000 | -0.001 | 0.000 | -0.000 | -0.000 | 20.916 |
| 1317.891 | 20.916 | 20.916 | 0.000 | -0.000 | -0.000 |
| 20.916 | 1317.891 | 20.916 | -0.000 | 0.000 | 0.000 |
| 20.916 | 20.916 | 1317.891 | -0.000 | -0.000 | 0.000 |
| -0.000 | 0.000 | 0.001 | 20.916 | -0.000 | 0.000 |
| 0.000 | -0.000 | 0.001 | 0.000 | 20.916 | 0.000 |
| 0.000 | 0.001 | -0.000 | -0.000 | 0.000 | 20.916 |
| 0.000 | 0.000 | 0.000 | 0.000 | 0.000 | -0.000 |
| 0.000 | 0.000 | 0.000 | 0.000 | 0.000 | -0.000 |
| 0.000 | 0.000 | 0.000 | -0.000 | -0.000 | 0.000 |
| 0.000 | 0.000 | -0.000 | -0.000 | -0.000 | 0.000 |
| 0.000 | 0.000 | -0.000 | -0.000 | -0.000 | 0.000 |
| 0.000 | -0.000 | 0.000 | 0.000 | 0.000 | -0.000 |
| 0.000 | 0.000 | 0.000 | -0.000 | -0.000 | -0.000 |
| 0.000 | 0.000 | 0.000 | -0.000 | -0.000 | 0.000 |
| 0.000 | 0.000 | 0.000 | -0.000 | -0.000 | -0.000 |
| -0.000 | -0.000 | 0.000 | -0.000 | 0.000 | -0.000 |
| -0.000 | -0.000 | 0.000 | 0.000 | -0.000 | -0.000 |
| -0.000 | 0.000 | -0.000 | -0.000 | -0.000 | -0.000 |
| 0.000 | 0.000 | 0.000 | 0.000 | 0.000 | 0.000 |
| 0.000 | 0.000 | 0.000 | 0.000 | 0.000 | -0.000 |
| 0.000 | 0.000 | 0.000 | -0.000 | -0.000 | 0.000 |
| 0.000 | 0.000 | -0.000 | -0.000 | 0.000 | 0.000 |
| 0.000 | 0.000 | -0.000 | 0.000 | -0.000 | 0.000 |
| 0.000 | -0.000 | 0.000 | 0.000 | 0.000 | -0.000 |
| 0.000 | 0.000 | 0.000 | -0.000 | -0.000 | -0.000 |
| 0.000 | 0.000 | 0.000 | -0.000 | -0.000 | -0.000 |
| 0.000 | 0.000 | 0.000 | 0.000 | 0.000 | -0.000 |
| -0.000 | -0.000 | 0.000 | -0.000 | -0.000 | -0.000 |
| -0.000 | -0.000 | 0.000 | -0.000 | -0.000 | -0.000 |
| -0.000 | 0.000 | -0.000 | -0.000 | -0.000 | -0.000 |
| 0.000 | 0.000 | 0.000 | 0.000 | 0.000 | 0.000 |
| 0.000 | 0.000 | 0.000 | 0.000 | 0.000 | 0.000 |
| 0.000 | 0.000 | 0.000 | -0.000 | -0.000 | 0.000 |
| 0.000 | 0.000 | -0.000 | -0.000 | 0.000 | 0.000 |
| 0.000 | 0.000 | -0.000 | 0.000 | -0.000 | 0.000 |
| 0.000 | -0.000 | 0.000 | 0.000 | 0.000 | -0.000 |
| 0.000 | 0.000 | 0.000 | -0.000 | -0.000 | 0.000 |
| 0.000 | 0.000 | 0.000 | -0.000 | -0.000 | 0.000 |
| 0.000 | 0.000 | 0.000 | 0.000 | 0.000 | -0.000 |
| -0.000 | -0.000 | 0.000 | -0.000 | -0.000 | -0.000 |
| -0.000 | -0.000 | 0.000 | -0.000 | -0.000 | -0.000 |
| -0.000 | 0.000 | -0.000 | -0.000 | -0.000 | -0.000 |
| 6.822 | 52.285 | 52.285 | 0.000 | -0.000 | -0.000 |
| 52.285 | 6.822 | 52.285 | 0.000 | 0.000 | -0.000 |
| 52.285 | 52.285 | 6.822 | 0.000 | 0.000 | 0.000 |
| 0.000 | 0.000 | -0.000 | -70.442 | 0.000 | -0.000 |
| 0.000 | 0.000 | 0.000 | 0.000 | -70.442 | -0.000 |
| 0.000 | 0.000 | 0.000 | -0.000 | -0.000 | -70.442 |
| 6.822 | 52.285 | 52.285 | 0.000 | 0.000 | 0.000 |
| 52.285 | 6.822 | 52.285 | 0.000 | 0.000 | 0.000 |
| 52.285 | 52.285 | 6.822 | -0.000 | -0.000 | 0.000 |
| -0.000 | -0.000 | 0.000 | -70.442 | -0.000 | 0.000 |
| -0.000 | -0.000 | 0.000 | 0.000 | -70.442 | 0.000 |
| -0.000 | 0.000 | -0.000 | 0.000 | 0.000 | -70.442 |
| 6.822 | 52.285 | 52.285 | 0.000 | 0.000 | -0.000 |
| 52.285 | 6.822 | 52.285 | 0.000 | -0.000 | 0.000 |
| 52.285 | 52.285 | 6.822 | 0.000 | 0.000 | -0.000 |
| 0.000 | 0.000 | -0.000 | -70.442 | -0.000 | 0.000 |
| 0.000 | 0.000 | -0.000 | 0.000 | -70.442 | 0.000 |
| 0.000 | -0.000 | 0.000 | -0.000 | -0.000 | -70.442 |
| 6.822 | 52.285 | 52.285 | 0.000 | 0.000 | 0.000 |
| 52.285 | 6.822 | 52.285 | -0.000 | 0.000 | -0.000 |
| 52.285 | 52.285 | 6.822 | -0.000 | -0.000 | 0.000 |
| -0.000 | -0.000 | 0.000 | -70.442 | 0.000 | 0.000 |
| -0.000 | -0.000 | 0.000 | -0.000 | -70.442 | 0.000 |
| -0.000 | 0.000 | -0.000 | 0.000 | 0.000 | -70.442 |
| 6.822 | 52.285 | 52.285 | 0.000 | -0.000 | 0.000 |
| 52.285 | 6.822 | 52.285 | 0.000 | -0.000 | -0.000 |
| 52.285 | 52.285 | 6.822 | 0.000 | -0.000 | -0.000 |
| 0.000 | 0.000 | -0.000 | -70.442 | -0.000 | 0.000 |
| 0.000 | 0.000 | -0.000 | 0.000 | -70.442 | -0.000 |
| 0.000 | -0.000 | 0.000 | -0.000 | -0.000 | -70.442 |
| 6.822 | 52.285 | 52.285 | 0.000 | 0.000 | 0.000 |
| 52.285 | 6.822 | 52.285 | 0.000 | 0.000 | 0.000 |
| 52.285 | 52.285 | 6.822 | -0.000 | 0.000 | 0.000 |
| -0.000 | -0.000 | 0.000 | -70.442 | 0.000 | 0.000 |
| -0.000 | -0.000 | 0.000 | -0.000 | -70.442 | 0.000 |
| -0.000 | 0.000 | -0.000 | 0.000 | 0.000 | -70.442 |
| 0.006 | 0.006 | 0.006 | 0.000 | 0.000 | 0.000 |
| 0.006 | 0.006 | 0.006 | 0.000 | 0.000 | 0.000 |
| 0.006 | 0.006 | 0.006 | 0.000 | 0.000 | 0.000 |
| 0.000 | 0.000 | 0.000 | 0.006 | 0.000 | 0.000 |
| 0.000 | 0.000 | 0.000 | 0.000 | 0.006 | 0.000 |
| 0.000 | 0.000 | 0.000 | 0.000 | 0.000 | 0.006 |
| 0.006 | 0.006 | 0.006 | 0.000 | -0.000 | -0.000 |
| 0.006 | 0.006 | 0.006 | -0.000 | 0.000 | -0.000 |
| 0.006 | 0.006 | 0.006 | -0.000 | -0.000 | -0.000 |
| -0.000 | -0.000 | -0.000 | 0.006 | 0.000 | -0.000 |
| -0.000 | -0.000 | -0.000 | 0.000 | 0.006 | -0.000 |
| -0.000 | -0.000 | -0.000 | 0.000 | 0.000 | 0.006 |
| 0.006 | 0.006 | 0.006 | -0.000 | -0.000 | 0.000 |
| 0.006 | 0.006 | 0.006 | -0.000 | -0.000 | 0.000 |
| 0.006 | 0.006 | 0.006 | -0.000 | -0.000 | 0.000 |
| 0.000 | 0.000 | 0.000 | 0.006 | -0.000 | 0.000 |
| 0.000 | 0.000 | 0.000 | -0.000 | 0.006 | 0.000 |
| 0.000 | 0.000 | 0.000 | 0.000 | 0.000 | 0.006 |
| 0.006 | 0.006 | 0.006 | -0.000 | -0.000 | -0.000 |
| 0.006 | 0.006 | 0.006 | -0.000 | -0.000 | -0.000 |
| 0.006 | 0.006 | 0.006 | -0.000 | -0.000 | -0.000 |
| -0.000 | -0.000 | -0.000 | 0.006 | 0.000 | 0.000 |
| -0.000 | -0.000 | -0.000 | 0.000 | 0.006 | 0.000 |
| -0.000 | -0.000 | -0.000 | 0.000 | 0.000 | 0.006 |
| 0.006 | 0.006 | 0.006 | -0.000 | -0.000 | 0.000 |
| 0.006 | 0.006 | 0.006 | -0.000 | -0.000 | 0.000 |
| 0.006 | 0.006 | 0.006 | -0.000 | -0.000 | -0.000 |
| 0.000 | 0.000 | 0.000 | 0.006 | -0.000 | 0.000 |
| 0.000 | 0.000 | 0.000 | -0.000 | 0.006 | 0.000 |
| 0.000 | 0.000 | 0.000 | -0.000 | -0.000 | 0.006 |
| 0.006 | 0.006 | 0.006 | 0.000 | -0.000 | -0.000 |
| 0.006 | 0.006 | 0.006 | -0.000 | 0.000 | -0.000 |
| 0.006 | 0.006 | 0.006 | -0.000 | -0.000 | -0.000 |
| -0.000 | -0.000 | -0.000 | 0.006 | 0.000 | -0.000 |
| -0.000 | -0.000 | -0.000 | 0.000 | 0.006 | -0.000 |
| -0.000 | -0.000 | -0.000 | 0.000 | 0.000 | 0.006 |
| 157.783 | 134.944 | 134.944 | -0.000 | 0.000 | 0.000 |
| 134.944 | 157.783 | 134.944 | -0.000 | -0.000 | 0.000 |
| 134.944 | 134.944 | 157.783 | -0.000 | 0.000 | 0.000 |
| 0.000 | 0.000 | 0.000 | -71.883 | -0.000 | 0.000 |
| 0.000 | 0.000 | 0.000 | -0.000 | -71.883 | -0.000 |
| 0.000 | 0.000 | 0.000 | -0.000 | -0.000 | -71.883 |
| 157.783 | 134.944 | 134.944 | 0.000 | 0.000 | -0.000 |
| 134.944 | 157.783 | 134.944 | -0.000 | 0.000 | -0.000 |
| 134.944 | 134.944 | 157.783 | 0.000 | 0.000 | -0.000 |
| -0.000 | -0.000 | -0.000 | -71.883 | 0.000 | -0.000 |
| -0.000 | -0.000 | -0.000 | 0.000 | -71.883 | 0.000 |
| -0.000 | -0.000 | -0.000 | 0.000 | -0.000 | -71.883 |
| 157.783 | 134.944 | 134.944 | -0.000 | -0.000 | 0.000 |
| 134.944 | 157.783 | 134.944 | 0.000 | -0.000 | 0.000 |
| 134.944 | 134.944 | 157.783 | -0.000 | 0.000 | -0.000 |
| 0.000 | 0.000 | 0.000 | -71.883 | 0.000 | 0.000 |
| 0.000 | 0.000 | 0.000 | -0.000 | -71.883 | -0.000 |
| 0.000 | 0.000 | 0.000 | -0.000 | 0.000 | -71.883 |
| 152.788 | 137.442 | 137.442 | 0.000 | 0.000 | -0.000 |
| 137.442 | 152.788 | 137.442 | 0.000 | -0.000 | -0.000 |
| 137.442 | 137.442 | 152.788 | 0.000 | 0.000 | -0.000 |
| -0.000 | -0.000 | -0.000 | -71.883 | -0.000 | -0.000 |
| -0.000 | -0.000 | -0.000 | 0.000 | -71.883 | 0.000 |
| -0.000 | -0.000 | -0.000 | 0.000 | -0.000 | -71.883 |
| 151.888 | 137.889 | 137.889 | -0.000 | -0.000 | 0.000 |
| 137.889 | 151.888 | 137.889 | -0.000 | -0.000 | -0.000 |
| 134.943 | 134.943 | 157.781 | 0.000 | 0.000 | -0.000 |
| 0.000 | 0.001 | 0.000 | -71.883 | -0.000 | -0.000 |
| 0.001 | 0.000 | 0.000 | 0.000 | -71.883 | -0.000 |
| 0.001 | 0.000 | 0.000 | -0.000 | -0.000 | -71.883 |
| 151.892 | 137.892 | 137.892 | 0.000 | 0.000 | 0.000 |
| 137.892 | 151.892 | 137.892 | 0.000 | -0.000 | -0.000 |
| 137.892 | 137.892 | 151.892 | 0.000 | -0.000 | -0.000 |
| -0.000 | -0.001 | -0.000 | -71.883 | 0.000 | -0.000 |
| -0.001 | -0.000 | -0.000 | 0.000 | -71.883 | -0.000 |
| -0.001 | -0.000 | -0.000 | 0.000 | 0.000 | -71.883 |
| 35.888 | 52.231 | 52.231 | 0.000 | 0.000 | 0.000 |
| 52.231 | 35.888 | 52.231 | 0.000 | 0.000 | 0.000 |
| 52.231 | 52.231 | 35.888 | -0.000 | 0.000 | 0.000 |
| 0.000 | 0.000 | -0.000 | -67.792 | 0.000 | 0.000 |
| 0.000 | 0.000 | -0.000 | 0.000 | -67.792 | 0.000 |
| 0.000 | -0.000 | 0.000 | -0.000 | 0.000 | -67.792 |
| 35.888 | 52.231 | 52.231 | -0.000 | -0.000 | 0.000 |
| 52.231 | 35.888 | 52.231 | -0.000 | 0.000 | -0.000 |
| 52.231 | 52.231 | 35.888 | 0.000 | 0.000 | 0.000 |
| -0.000 | -0.000 | 0.000 | -67.792 | 0.000 | -0.000 |
| -0.000 | -0.000 | 0.000 | -0.000 | -67.792 | -0.000 |
| -0.000 | 0.000 | -0.000 | -0.000 | 0.000 | -67.792 |
| 35.888 | 52.231 | 52.231 | 0.000 | 0.000 | 0.000 |
| 52.231 | 35.888 | 52.231 | 0.000 | 0.000 | 0.000 |
| 52.231 | 52.231 | 35.888 | -0.000 | -0.000 | 0.000 |
| 0.000 | 0.000 | -0.000 | -67.792 | -0.000 | 0.000 |
| 0.000 | 0.000 | -0.000 | -0.000 | -67.792 | -0.000 |
| 0.000 | -0.000 | 0.000 | -0.000 | 0.000 | -67.792 |
| 35.888 | 52.231 | 52.231 | 0.000 | 0.000 | 0.000 |
| 52.231 | 35.888 | 52.231 | -0.000 | 0.000 | -0.000 |
| 52.231 | 52.231 | 35.888 | -0.000 | -0.000 | 0.000 |
| -0.000 | -0.000 | 0.000 | -67.792 | -0.000 | -0.000 |
| -0.000 | -0.000 | 0.000 | -0.000 | -67.792 | -0.000 |
| -0.000 | 0.000 | -0.000 | 0.000 | -0.000 | -67.792 |
| 35.888 | 52.231 | 52.231 | 0.000 | 0.000 | 0.000 |
| 52.231 | 35.888 | 52.231 | 0.000 | 0.000 | 0.000 |
| 52.231 | 52.231 | 35.888 | 0.000 | -0.000 | 0.000 |
| 0.000 | 0.000 | -0.000 | -67.792 | -0.000 | 0.000 |
| 0.000 | 0.000 | -0.000 | 0.000 | -67.792 | 0.000 |
| 0.000 | -0.000 | 0.000 | -0.000 | 0.000 | -67.792 |
| 35.888 | 52.231 | 52.231 | -0.000 | 0.000 | 0.000 |
| 52.231 | 35.888 | 52.231 | 0.000 | 0.000 | -0.000 |
| 52.231 | 52.231 | 35.888 | 0.000 | -0.000 | 0.000 |
| -0.000 | -0.000 | 0.000 | -67.792 | -0.000 | -0.000 |
| -0.000 | -0.000 | 0.000 | 0.000 | -67.792 | -0.000 |
| -0.000 | 0.000 | -0.000 | 0.000 | 0.000 | -67.792 |
| 0.006 | 0.006 | 0.006 | 0.000 | 0.000 | 0.000 |
| 0.006 | 0.006 | 0.006 | 0.000 | 0.000 | 0.000 |
| 0.006 | 0.006 | 0.006 | 0.000 | 0.000 | 0.000 |
| 0.000 | 0.000 | 0.000 | 0.006 | 0.000 | 0.000 |
| 0.000 | 0.000 | 0.000 | 0.000 | 0.006 | 0.000 |
| 0.000 | 0.000 | 0.000 | 0.000 | 0.000 | 0.006 |
| 0.006 | 0.006 | 0.006 | 0.000 | -0.000 | -0.000 |
| 0.006 | 0.006 | 0.006 | -0.000 | 0.000 | -0.000 |
| 0.006 | 0.006 | 0.006 | -0.000 | -0.000 | -0.000 |
| -0.000 | -0.000 | -0.000 | 0.006 | 0.000 | -0.000 |
| -0.000 | -0.000 | -0.000 | 0.000 | 0.006 | -0.000 |
| -0.000 | -0.000 | -0.000 | 0.000 | 0.000 | 0.006 |
| 0.006 | 0.006 | 0.006 | -0.000 | -0.000 | 0.000 |
| 0.006 | 0.006 | 0.006 | -0.000 | -0.000 | 0.000 |
| 0.006 | 0.006 | 0.006 | -0.000 | -0.000 | 0.000 |
| 0.000 | 0.000 | 0.000 | 0.006 | -0.000 | 0.000 |
| 0.000 | 0.000 | 0.000 | -0.000 | 0.006 | 0.000 |
| 0.000 | 0.000 | 0.000 | 0.000 | 0.000 | 0.006 |
| 0.006 | 0.006 | 0.006 | -0.000 | -0.000 | -0.000 |
| 0.006 | 0.006 | 0.006 | -0.000 | -0.000 | -0.000 |
| 0.006 | 0.006 | 0.006 | -0.000 | -0.000 | -0.000 |
| -0.000 | -0.000 | -0.000 | 0.006 | 0.000 | 0.000 |
| -0.000 | -0.000 | -0.000 | 0.000 | 0.006 | 0.000 |
| -0.000 | -0.000 | -0.000 | 0.000 | 0.000 | 0.006 |
| 0.006 | 0.006 | 0.006 | -0.000 | -0.000 | 0.000 |
| 0.006 | 0.006 | 0.006 | -0.000 | -0.000 | 0.000 |
| 0.006 | 0.006 | 0.006 | -0.000 | -0.000 | -0.000 |
| 0.000 | 0.000 | 0.000 | 0.006 | -0.000 | 0.000 |
| 0.000 | 0.000 | 0.000 | -0.000 | 0.006 | 0.000 |
| 0.000 | 0.000 | 0.000 | -0.000 | -0.000 | 0.006 |
| 0.006 | 0.006 | 0.006 | 0.000 | -0.000 | -0.000 |
| 0.006 | 0.006 | 0.006 | -0.000 | 0.000 | -0.000 |
| 0.006 | 0.006 | 0.006 | -0.000 | -0.000 | -0.000 |
| -0.000 | -0.000 | -0.000 | 0.006 | 0.000 | -0.000 |
| -0.000 | -0.000 | -0.000 | 0.000 | 0.006 | -0.000 |
| -0.000 | -0.000 | -0.000 | 0.000 | 0.000 | 0.006 |
| -23.068 | 52.960 | 52.960 | 0.000 | 0.000 | -0.000 |
| 52.960 | -23.068 | 52.960 | 0.000 | 0.000 | 0.000 |
| 52.960 | 52.960 | -23.068 | -0.000 | -0.000 | -0.000 |
| 0.000 | 0.000 | 0.000 | 23.068 | 0.000 | -0.000 |
| 0.000 | -0.000 | 0.000 | -0.000 | 23.068 | -0.000 |
| 0.000 | -0.000 | 0.000 | -0.000 | 0.000 | 23.068 |
| -23.068 | 52.960 | 52.960 | 0.000 | -0.000 | 0.000 |
| 52.960 | -23.068 | 52.960 | 0.000 | 0.000 | 0.000 |
| 52.960 | 52.960 | -23.068 | 0.000 | 0.000 | 0.000 |
| 0.000 | -0.000 | -0.000 | 23.068 | -0.000 | 0.000 |
| 0.000 | 0.000 | -0.000 | -0.000 | 23.068 | 0.000 |
| -0.000 | 0.000 | -0.000 | 0.000 | 0.000 | 23.068 |
| -23.068 | 52.960 | 52.960 | -0.000 | -0.000 | -0.000 |
| 52.960 | -23.068 | 52.960 | -0.000 | 0.000 | -0.000 |
| 52.960 | 52.960 | -23.068 | 0.000 | 0.000 | -0.000 |
| -0.000 | -0.000 | 0.000 | 23.068 | -0.000 | -0.000 |
| -0.000 | -0.000 | 0.000 | 0.000 | 23.068 | -0.000 |
| -0.000 | 0.000 | -0.000 | 0.000 | -0.000 | 23.068 |
| -23.068 | 52.960 | 52.960 | 0.000 | 0.000 | 0.000 |
| 52.960 | -23.068 | 52.960 | 0.000 | 0.000 | 0.000 |
| 52.960 | 52.960 | -23.068 | 0.000 | 0.000 | -0.000 |
| 0.000 | 0.000 | -0.000 | 23.068 | 0.000 | 0.000 |
| 0.000 | 0.000 | -0.000 | 0.000 | 23.068 | 0.000 |
| 0.000 | -0.000 | 0.000 | 0.000 | 0.000 | 23.068 |
| -23.068 | 52.960 | 52.960 | -0.000 | -0.000 | -0.000 |
| 52.960 | -23.068 | 52.960 | -0.000 | -0.000 | -0.000 |
| 52.960 | 52.960 | -23.068 | 0.000 | -0.000 | -0.000 |
| -0.000 | -0.000 | 0.000 | 23.068 | -0.000 | -0.000 |
| -0.000 | -0.000 | 0.000 | 0.000 | 23.068 | -0.000 |
| -0.000 | 0.000 | -0.000 | -0.000 | 0.000 | 23.068 |
| -23.067 | 52.960 | 52.960 | 0.000 | 0.000 | 0.000 |
| 52.960 | -23.067 | 52.960 | -0.000 | -0.000 | 0.000 |
| 52.960 | 52.960 | -23.067 | 0.000 | -0.000 | 0.000 |
| 0.000 | 0.000 | -0.000 | 23.068 | 0.000 | 0.000 |
| 0.000 | 0.000 | -0.000 | 0.000 | 23.068 | 0.000 |
| 0.000 | -0.000 | 0.000 | -0.000 | 0.000 | 23.068 |
| 347.829 | 77.014 | 77.014 | 0.000 | -0.000 | -0.000 |
| 77.014 | 347.830 | 77.014 | -0.000 | -0.000 | 0.000 |
| 77.014 | 77.014 | 347.829 | 0.000 | 0.000 | 0.000 |
| -0.000 | 0.000 | -0.000 | 28.911 | 0.000 | 0.000 |
| 0.000 | -0.000 | -0.000 | 0.000 | 28.911 | -0.000 |
| 0.000 | 0.000 | 0.000 | 0.000 | -0.000 | 28.911 |
| 347.829 | 77.014 | 77.014 | -0.000 | 0.000 | -0.000 |
| 77.014 | 347.829 | 77.014 | 0.000 | 0.000 | -0.000 |
| 77.014 | 77.014 | 347.829 | -0.000 | -0.000 | 0.000 |
| 0.000 | -0.000 | 0.000 | 28.911 | -0.000 | -0.000 |
| 0.000 | 0.000 | 0.000 | -0.000 | 28.911 | 0.000 |
| 0.000 | -0.000 | 0.000 | -0.000 | 0.000 | 28.911 |
| 347.830 | 77.014 | 77.014 | -0.000 | -0.000 | 0.000 |
| 77.014 | 347.830 | 77.014 | 0.000 | -0.000 | 0.000 |
| 77.014 | 77.014 | 347.830 | 0.000 | 0.000 | 0.000 |
| -0.000 | 0.000 | 0.000 | 28.911 | -0.000 | 0.000 |
| 0.000 | -0.000 | 0.000 | 0.000 | 28.911 | 0.000 |
| 0.000 | 0.000 | -0.000 | -0.000 | -0.000 | 28.911 |
| 347.829 | 77.014 | 77.014 | 0.000 | 0.000 | 0.000 |
| 77.014 | 347.829 | 77.014 | 0.000 | 0.000 | -0.000 |
| 77.014 | 77.014 | 347.829 | -0.000 | -0.000 | -0.000 |
| 0.000 | -0.000 | -0.000 | 28.911 | 0.000 | -0.000 |
| -0.000 | 0.000 | -0.000 | -0.000 | 28.911 | -0.000 |
| -0.000 | -0.000 | 0.000 | 0.000 | 0.000 | 28.911 |
| 347.830 | 77.014 | 77.014 | -0.000 | -0.000 | -0.000 |
| 77.014 | 347.830 | 77.014 | -0.000 | -0.000 | 0.000 |
| 77.014 | 77.014 | 347.830 | 0.000 | 0.000 | -0.000 |
| -0.000 | 0.000 | 0.000 | 28.911 | -0.000 | 0.000 |
| 0.000 | -0.000 | 0.000 | -0.000 | 28.911 | -0.000 |
| 0.000 | 0.000 | -0.000 | -0.000 | -0.000 | 28.911 |
| 347.829 | 77.014 | 77.014 | -0.000 | -0.000 | -0.000 |
| 77.014 | 347.829 | 77.014 | 0.000 | 0.000 | -0.000 |
| 77.014 | 77.014 | 347.829 | 0.000 | 0.000 | -0.000 |
| 0.000 | -0.000 | -0.000 | 28.911 | 0.000 | -0.000 |
| -0.000 | 0.000 | -0.000 | 0.000 | 28.911 | 0.000 |
| -0.000 | -0.000 | 0.000 | -0.000 | 0.000 | 28.911 |
| 173.708 | 133.957 | 133.957 | 0.000 | -0.000 | 0.000 |
| 133.957 | 173.708 | 133.957 | 0.000 | -0.000 | 0.000 |
| 133.957 | 133.957 | 173.708 | 0.000 | -0.000 | 0.000 |
| 0.000 | -0.000 | 0.000 | 97.206 | 0.000 | 0.000 |
| -0.000 | 0.000 | 0.000 | 0.000 | 97.206 | 0.000 |
| -0.000 | -0.000 | 0.000 | 0.000 | -0.000 | 97.206 |
| 173.708 | 133.957 | 133.957 | -0.000 | -0.000 | -0.000 |
| 133.957 | 173.708 | 133.957 | -0.000 | 0.000 | -0.000 |
| 133.957 | 133.957 | 173.708 | 0.000 | 0.000 | -0.000 |
| -0.000 | 0.000 | -0.000 | 97.206 | 0.000 | -0.000 |
| 0.000 | -0.000 | -0.000 | -0.000 | 97.206 | -0.000 |
| 0.000 | 0.000 | -0.000 | -0.000 | -0.000 | 97.206 |
| 173.708 | 133.957 | 133.957 | 0.000 | -0.000 | 0.000 |
| 133.957 | 173.708 | 133.957 | 0.000 | -0.000 | 0.000 |
| 133.957 | 133.957 | 173.708 | 0.000 | 0.000 | 0.000 |
| -0.000 | -0.000 | -0.000 | 97.206 | 0.000 | 0.000 |
| -0.000 | -0.000 | -0.000 | 0.000 | 97.206 | 0.000 |
| -0.000 | -0.000 | -0.000 | 0.000 | 0.000 | 97.206 |
| 173.708 | 133.957 | 133.957 | -0.000 | -0.000 | -0.000 |
| 133.957 | 173.708 | 133.957 | -0.000 | -0.000 | -0.000 |
| 133.957 | 133.957 | 173.708 | -0.000 | -0.000 | -0.000 |
| 0.000 | 0.000 | 0.000 | 97.206 | -0.000 | -0.000 |
| 0.000 | 0.000 | 0.000 | -0.000 | 97.206 | -0.000 |
| 0.000 | 0.000 | 0.000 | -0.000 | -0.000 | 97.206 |
| 173.709 | 133.957 | 133.957 | 0.000 | 0.000 | 0.000 |
| 133.957 | 173.709 | 133.957 | -0.000 | 0.000 | 0.000 |
| 133.957 | 133.957 | 173.709 | -0.000 | -0.000 | 0.000 |
| -0.000 | -0.000 | -0.000 | 97.206 | 0.000 | 0.000 |
| -0.000 | -0.000 | -0.000 | 0.000 | 97.206 | 0.000 |
| -0.000 | -0.000 | -0.000 | 0.000 | 0.000 | 97.206 |
| 173.707 | 133.957 | 133.957 | -0.000 | -0.000 | -0.000 |
| 133.957 | 173.707 | 133.957 | -0.000 | 0.000 | -0.000 |
| 133.957 | 133.957 | 173.707 | -0.000 | -0.000 | -0.000 |
| 0.000 | 0.000 | 0.000 | 97.206 | 0.000 | -0.000 |
| 0.000 | 0.000 | 0.000 | -0.000 | 97.206 | -0.000 |
| 0.000 | 0.000 | 0.000 | -0.000 | 0.000 | 97.206 |
| 455.101 | 268.333 | 268.333 | 0.000 | 0.000 | 0.000 |
| 268.333 | 455.101 | 268.333 | 0.000 | 0.000 | 0.000 |
| 268.333 | 268.333 | 455.101 | 0.000 | 0.000 | 0.000 |
| -0.000 | -0.000 | -0.000 | 79.403 | 0.000 | 0.000 |
| -0.000 | -0.000 | -0.000 | 0.000 | 79.403 | 0.000 |
| -0.000 | -0.000 | -0.000 | 0.000 | 0.000 | 79.403 |
| 455.101 | 268.333 | 268.333 | -0.000 | -0.000 | -0.000 |
| 268.333 | 455.101 | 268.333 | -0.000 | -0.000 | -0.000 |
| 268.333 | 268.333 | 455.101 | -0.000 | -0.000 | -0.000 |
| 0.000 | 0.000 | 0.000 | 79.403 | -0.000 | -0.000 |
| 0.000 | 0.000 | 0.000 | -0.000 | 79.403 | -0.000 |
| 0.000 | 0.000 | 0.000 | -0.000 | -0.000 | 79.403 |
| 455.101 | 268.333 | 268.333 | 0.000 | 0.000 | 0.000 |
| 268.333 | 455.101 | 268.333 | 0.000 | 0.000 | 0.000 |
| 268.333 | 268.333 | 455.101 | 0.000 | 0.000 | 0.000 |
| -0.000 | -0.000 | -0.000 | 79.403 | 0.000 | 0.000 |
| -0.000 | -0.000 | -0.000 | 0.000 | 79.403 | 0.000 |
| -0.000 | -0.000 | -0.000 | 0.000 | 0.000 | 79.403 |
| 455.101 | 268.333 | 268.333 | -0.000 | -0.000 | -0.000 |
| 268.333 | 455.101 | 268.333 | -0.000 | -0.000 | -0.000 |
| 268.333 | 268.333 | 455.101 | -0.000 | -0.000 | -0.000 |
| 0.000 | 0.000 | 0.000 | 79.403 | -0.000 | -0.000 |
| 0.000 | 0.000 | 0.000 | -0.000 | 79.403 | -0.000 |
| 0.000 | 0.000 | 0.000 | -0.000 | -0.000 | 79.403 |
| 455.100 | 268.333 | 268.333 | 0.000 | 0.000 | 0.000 |
| 268.333 | 455.100 | 268.333 | 0.000 | 0.000 | 0.000 |
| 268.333 | 268.333 | 455.100 | 0.000 | 0.000 | 0.000 |
| -0.000 | -0.001 | -0.000 | 79.403 | 0.000 | 0.000 |
| -0.001 | -0.000 | -0.000 | 0.000 | 79.403 | 0.000 |
| -0.001 | -0.000 | -0.000 | 0.000 | 0.000 | 79.403 |
| 455.102 | 268.333 | 268.333 | -0.000 | -0.000 | -0.000 |
| 268.333 | 455.102 | 268.333 | -0.000 | -0.000 | -0.000 |
| 268.333 | 268.333 | 455.102 | -0.000 | -0.000 | -0.000 |
| 0.000 | 0.001 | 0.000 | 79.403 | -0.000 | -0.000 |
| 0.001 | 0.000 | 0.000 | -0.000 | 79.403 | -0.000 |
| 0.001 | 0.000 | 0.000 | -0.000 | -0.000 | 79.403 |
| 0.003 | 0.003 | 0.003 | 0.000 | -0.000 | -0.000 |
| 0.003 | 0.003 | 0.003 | -0.000 | 0.000 | -0.000 |
| 0.003 | 0.003 | 0.003 | -0.000 | -0.000 | 0.000 |
| 0.000 | 0.000 | 0.000 | 0.003 | -0.000 | -0.000 |
| 0.000 | 0.000 | 0.000 | -0.000 | 0.003 | -0.000 |
| 0.000 | 0.000 | 0.000 | -0.000 | -0.000 | 0.003 |
| 0.003 | 0.003 | 0.003 | -0.000 | 0.000 | 0.000 |
| 0.003 | 0.003 | 0.003 | 0.000 | -0.000 | 0.000 |
| 0.003 | 0.003 | 0.003 | 0.000 | 0.000 | -0.000 |
| -0.000 | -0.000 | -0.000 | 0.003 | -0.000 | 0.000 |
| -0.000 | -0.000 | -0.000 | -0.000 | 0.003 | 0.000 |
| -0.000 | -0.000 | -0.000 | -0.000 | 0.000 | 0.003 |
| 0.003 | 0.003 | 0.003 | 0.000 | -0.000 | -0.000 |
| 0.003 | 0.003 | 0.003 | -0.000 | 0.000 | -0.000 |
| 0.003 | 0.003 | 0.003 | -0.000 | -0.000 | 0.000 |
| 0.000 | 0.000 | 0.000 | 0.003 | -0.000 | -0.000 |
| 0.000 | 0.000 | 0.000 | -0.000 | 0.003 | -0.000 |
| 0.000 | 0.000 | 0.000 | -0.000 | -0.000 | 0.003 |
| 0.003 | 0.003 | 0.003 | 0.000 | 0.000 | 0.000 |
| 0.003 | 0.003 | 0.003 | 0.000 | 0.000 | 0.000 |
| 0.003 | 0.003 | 0.003 | 0.000 | 0.000 | 0.000 |
| -0.000 | -0.000 | -0.000 | 0.003 | -0.000 | 0.000 |
| -0.000 | -0.000 | -0.000 | -0.000 | 0.003 | 0.000 |
| -0.000 | -0.000 | -0.000 | -0.000 | 0.000 | 0.003 |
| 0.003 | 0.003 | 0.003 | -0.000 | -0.000 | -0.000 |
| 0.003 | 0.003 | 0.003 | -0.000 | -0.000 | -0.000 |
| 0.003 | 0.003 | 0.003 | -0.000 | -0.000 | -0.000 |
| 0.000 | 0.000 | 0.000 | 0.003 | 0.000 | -0.000 |
| 0.000 | 0.000 | 0.000 | 0.000 | 0.003 | -0.000 |
| 0.000 | 0.000 | 0.000 | 0.000 | -0.000 | 0.003 |
| 0.003 | 0.003 | 0.003 | 0.000 | 0.000 | 0.000 |
| 0.003 | 0.003 | 0.003 | 0.000 | 0.000 | 0.000 |
| 0.003 | 0.003 | 0.003 | 0.000 | 0.000 | 0.000 |
| -0.000 | -0.000 | -0.000 | 0.003 | 0.000 | 0.000 |
| -0.000 | -0.000 | -0.000 | 0.000 | 0.003 | 0.000 |
| -0.000 | -0.000 | -0.000 | 0.000 | 0.000 | 0.003 |
| 83.407 | 135.570 | 134.268 | 0.000 | 0.000 | -0.000 |
| 135.570 | 83.407 | 134.268 | 0.000 | 0.000 | -0.000 |
| 134.268 | 134.268 | 94.198 | 0.000 | -0.000 | -0.000 |
| -0.000 | -0.000 | -0.000 | 103.148 | 0.000 | -0.000 |
| -0.000 | -0.000 | -0.000 | 0.000 | 103.148 | -0.000 |
| -0.000 | -0.000 | -0.000 | 0.000 | 0.000 | 87.912 |
| 83.407 | 135.570 | 134.268 | -0.000 | -0.000 | 0.000 |
| 135.570 | 83.407 | 134.268 | 0.000 | -0.000 | -0.000 |
| 134.268 | 134.268 | 94.198 | -0.000 | -0.000 | 0.000 |
| 0.000 | 0.000 | 0.000 | 103.148 | -0.000 | 0.000 |
| 0.000 | 0.000 | 0.000 | -0.000 | 103.148 | 0.000 |
| 0.000 | 0.000 | 0.000 | -0.000 | -0.000 | 87.912 |
| 83.407 | 135.570 | 134.268 | 0.000 | 0.000 | 0.000 |
| 135.570 | 83.407 | 134.268 | 0.000 | 0.000 | -0.000 |
| 134.268 | 134.268 | 94.198 | 0.000 | 0.000 | -0.000 |
| -0.000 | -0.000 | -0.000 | 103.148 | 0.000 | -0.000 |
| -0.000 | -0.000 | -0.000 | 0.000 | 103.148 | -0.000 |
| -0.000 | -0.000 | -0.000 | 0.000 | 0.000 | 87.912 |
| 83.407 | 135.570 | 134.268 | -0.000 | -0.000 | 0.000 |
| 135.570 | 83.407 | 134.268 | -0.000 | -0.000 | 0.000 |
| 134.268 | 134.268 | 94.198 | -0.000 | -0.000 | 0.000 |
| 0.000 | 0.000 | 0.000 | 103.148 | -0.000 | 0.000 |
| 0.000 | 0.000 | 0.000 | 0.000 | 103.148 | 0.000 |
| 0.000 | 0.000 | 0.000 | -0.000 | -0.000 | 87.912 |
| 83.406 | 135.570 | 134.268 | 0.000 | 0.000 | 0.000 |
| 135.570 | 83.406 | 134.268 | 0.000 | 0.000 | -0.000 |
| 134.268 | 134.268 | 94.199 | 0.000 | 0.000 | -0.000 |
| -0.000 | -0.000 | -0.000 | 103.148 | 0.000 | -0.000 |
| -0.000 | -0.000 | -0.000 | 0.000 | 103.148 | -0.000 |
| -0.000 | -0.000 | -0.000 | 0.000 | 0.000 | 87.912 |
| 83.408 | 135.570 | 134.268 | -0.000 | -0.000 | 0.000 |
| 135.570 | 83.408 | 134.268 | -0.000 | -0.000 | 0.000 |
| 134.267 | 134.267 | 94.197 | -0.000 | -0.000 | 0.000 |
| 0.000 | 0.000 | 0.000 | 103.148 | -0.000 | 0.000 |
| 0.000 | 0.000 | 0.000 | -0.000 | 103.148 | 0.000 |
| 0.000 | 0.000 | 0.000 | -0.000 | -0.000 | 87.912 |
| 84.708 | 107.623 | 107.623 | -0.000 | 0.000 | -0.000 |
| 107.623 | 84.708 | 107.623 | -0.000 | 0.000 | -0.000 |
| 107.623 | 107.623 | 84.708 | -0.000 | -0.000 | -0.000 |
| -0.000 | -0.000 | -0.000 | 39.257 | 0.000 | -0.000 |
| -0.000 | -0.000 | -0.000 | -0.000 | 39.257 | 0.000 |
| -0.000 | -0.000 | -0.000 | -0.000 | -0.000 | 39.257 |
| 84.708 | 107.623 | 107.623 | 0.000 | 0.000 | 0.000 |
| 107.623 | 84.708 | 107.623 | 0.000 | -0.000 | -0.000 |
| 107.623 | 107.623 | 84.708 | 0.000 | -0.000 | 0.000 |
| 0.000 | 0.000 | 0.000 | 39.257 | 0.000 | -0.000 |
| 0.000 | 0.000 | 0.000 | 0.000 | 39.257 | 0.000 |
| 0.000 | 0.000 | 0.000 | 0.000 | -0.000 | 39.257 |
| 84.708 | 107.623 | 107.623 | -0.000 | 0.000 | -0.000 |
| 107.623 | 84.708 | 107.623 | 0.000 | 0.000 | -0.000 |
| 107.623 | 107.623 | 84.708 | -0.000 | 0.000 | -0.000 |
| -0.000 | -0.000 | -0.000 | 63.909 | 0.000 | -0.000 |
| -0.000 | -0.000 | -0.000 | -0.000 | 63.909 | -0.000 |
| -0.000 | -0.000 | -0.000 | -0.000 | 0.000 | 63.909 |
| 84.708 | 107.623 | 107.623 | 0.000 | 0.000 | 0.000 |
| 107.623 | 84.708 | 107.623 | 0.000 | -0.000 | 0.000 |
| 107.623 | 107.623 | 84.708 | 0.000 | -0.000 | 0.000 |
| 0.000 | 0.000 | 0.000 | 63.909 | -0.000 | 0.000 |
| 0.000 | 0.000 | 0.000 | 0.000 | 63.909 | 0.000 |
| 0.000 | 0.000 | 0.000 | 0.000 | -0.000 | 63.909 |
| 84.707 | 107.623 | 107.623 | -0.000 | 0.000 | -0.000 |
| 107.623 | 84.707 | 107.623 | -0.000 | 0.000 | -0.000 |
| 107.623 | 107.623 | 84.707 | -0.000 | -0.000 | -0.000 |
| -0.000 | -0.000 | -0.000 | 63.909 | 0.000 | -0.000 |
| -0.000 | -0.000 | -0.000 | -0.000 | 63.909 | -0.000 |
| -0.000 | -0.000 | -0.000 | -0.000 | 0.000 | 63.909 |
| 84.709 | 107.623 | 107.623 | -0.000 | -0.000 | 0.000 |
| 107.623 | 84.709 | 107.623 | 0.000 | -0.000 | 0.000 |
| 107.623 | 107.623 | 84.709 | 0.000 | -0.000 | 0.000 |
| 0.000 | 0.000 | 0.000 | 63.909 | -0.000 | 0.000 |
| 0.000 | 0.000 | 0.000 | 0.000 | 63.909 | 0.000 |
| 0.000 | 0.000 | 0.000 | 0.000 | -0.000 | 63.909 |
| 181.436 | 96.599 | 96.599 | -0.000 | 0.000 | 0.000 |
| 96.599 | 181.436 | 96.599 | 0.000 | 0.000 | -0.000 |
| 96.599 | 96.599 | 181.436 | -0.000 | 0.000 | -0.000 |
| 0.000 | 0.000 | 0.000 | 57.469 | 0.000 | -0.000 |
| 0.000 | 0.000 | 0.000 | -0.000 | 57.469 | 0.000 |
| 0.000 | 0.000 | 0.000 | 0.000 | 0.000 | 57.469 |
| 181.436 | 96.599 | 96.599 | 0.000 | -0.000 | -0.000 |
| 96.599 | 181.436 | 96.599 | -0.000 | -0.000 | -0.000 |
| 96.599 | 96.599 | 181.436 | 0.000 | -0.000 | 0.000 |
| -0.000 | -0.000 | -0.000 | 57.469 | -0.000 | -0.000 |
| -0.000 | -0.000 | -0.000 | 0.000 | 57.469 | -0.000 |
| -0.000 | -0.000 | -0.000 | 0.000 | -0.000 | 57.469 |
| 181.436 | 96.599 | 96.599 | -0.000 | 0.000 | 0.000 |
| 96.599 | 181.436 | 96.599 | 0.000 | 0.000 | 0.000 |
| 96.599 | 96.599 | 181.436 | -0.000 | 0.000 | 0.000 |
| 0.000 | 0.000 | 0.000 | 57.469 | 0.000 | 0.000 |
| 0.000 | 0.000 | 0.000 | -0.000 | 57.469 | 0.000 |
| 0.000 | 0.000 | 0.000 | -0.000 | 0.000 | 57.469 |
| 181.436 | 96.599 | 96.599 | 0.000 | -0.000 | 0.000 |
| 96.599 | 181.436 | 96.599 | -0.000 | -0.000 | -0.000 |
| 96.599 | 96.599 | 181.436 | -0.000 | -0.000 | -0.000 |
| -0.000 | -0.000 | -0.000 | 57.469 | -0.000 | -0.000 |
| -0.000 | -0.000 | -0.000 | -0.000 | 57.469 | -0.000 |
| -0.000 | -0.000 | -0.000 | 0.000 | -0.000 | 57.469 |
| 181.382 | 96.626 | 96.626 | 0.000 | 0.000 | -0.000 |
| 96.626 | 181.382 | 96.626 | -0.000 | 0.000 | -0.000 |
| 96.626 | 96.626 | 181.382 | -0.000 | 0.000 | 0.000 |
| 0.000 | 0.001 | 0.001 | 57.469 | 0.000 | 0.000 |
| 0.001 | 0.000 | 0.001 | -0.000 | 57.469 | 0.000 |
| 0.001 | 0.001 | 0.000 | 0.000 | 0.000 | 57.469 |
| 181.436 | 96.598 | 96.598 | 0.000 | 0.000 | -0.000 |
| 96.598 | 181.436 | 96.598 | -0.000 | -0.000 | -0.000 |
| 96.598 | 96.598 | 181.436 | 0.000 | -0.000 | 0.000 |
| -0.000 | -0.001 | -0.001 | 57.469 | -0.000 | -0.000 |
| -0.001 | -0.000 | -0.001 | -0.000 | 57.469 | -0.000 |
| -0.001 | -0.001 | -0.000 | -0.000 | -0.000 | 57.469 |
| 0.000 | 0.000 | 0.000 | -0.000 | 0.000 | -0.000 |
| 0.000 | 0.000 | 0.000 | -0.000 | 0.000 | -0.000 |
| 0.000 | 0.000 | 0.000 | -0.000 | 0.000 | -0.000 |
| 0.000 | 0.000 | 0.000 | -0.000 | 0.000 | -0.000 |
| 0.000 | 0.000 | 0.000 | -0.000 | -0.000 | -0.000 |
| 0.000 | 0.000 | 0.000 | -0.000 | -0.000 | -0.000 |
| 0.000 | 0.000 | 0.000 | 0.000 | 0.000 | 0.000 |
| 0.000 | 0.000 | 0.000 | 0.000 | -0.000 | 0.000 |
| 0.000 | 0.000 | 0.000 | 0.000 | -0.000 | 0.000 |
| -0.000 | -0.000 | -0.000 | -0.000 | -0.000 | 0.000 |
| -0.000 | -0.000 | -0.000 | 0.000 | -0.000 | 0.000 |
| -0.000 | -0.000 | -0.000 | 0.000 | -0.000 | -0.000 |
| 0.000 | 0.000 | 0.000 | -0.000 | -0.000 | -0.000 |
| 0.000 | 0.000 | 0.000 | -0.000 | 0.000 | -0.000 |
| 0.000 | 0.000 | 0.000 | -0.000 | 0.000 | -0.000 |
| 0.000 | 0.000 | 0.000 | -0.000 | 0.000 | -0.000 |
| 0.000 | 0.000 | 0.000 | -0.000 | -0.000 | -0.000 |
| 0.000 | 0.000 | 0.000 | -0.000 | 0.000 | -0.000 |
| 0.000 | 0.000 | 0.000 | 0.000 | -0.000 | 0.000 |
| 0.000 | 0.000 | 0.000 | 0.000 | -0.000 | 0.000 |
| 0.000 | 0.000 | 0.000 | 0.000 | 0.000 | 0.000 |
| -0.000 | -0.000 | -0.000 | -0.000 | -0.000 | 0.000 |
| -0.000 | -0.000 | -0.000 | 0.000 | -0.000 | 0.000 |
| -0.000 | -0.000 | -0.000 | 0.000 | -0.000 | -0.000 |
| 0.000 | 0.000 | 0.000 | -0.000 | 0.000 | -0.000 |
| 0.000 | 0.000 | 0.000 | -0.000 | 0.000 | -0.000 |
| 0.000 | 0.000 | 0.000 | -0.000 | 0.000 | -0.000 |
| 0.000 | 0.000 | -0.000 | -0.000 | 0.000 | -0.000 |
| 0.000 | 0.000 | -0.000 | -0.000 | -0.000 | -0.000 |
| 0.000 | -0.000 | 0.000 | -0.000 | -0.000 | -0.000 |
| 0.000 | 0.000 | 0.000 | 0.000 | 0.000 | 0.000 |
| 0.000 | 0.000 | 0.000 | 0.000 | -0.000 | 0.000 |
| 0.000 | 0.000 | 0.000 | 0.000 | -0.000 | 0.000 |
| -0.000 | -0.000 | 0.000 | -0.000 | -0.000 | 0.000 |
| -0.000 | -0.000 | 0.000 | 0.000 | -0.000 | 0.000 |
| -0.000 | 0.000 | -0.000 | 0.000 | -0.000 | -0.000 |
| 326.762 | 141.260 | 141.260 | -0.000 | -0.000 | -0.000 |
| 141.260 | 326.762 | 141.260 | -0.000 | -0.000 | -0.000 |
| 141.260 | 141.260 | 326.762 | -0.000 | -0.000 | -0.000 |
| 0.000 | -0.000 | -0.000 | 93.334 | -0.000 | -0.000 |
| -0.000 | 0.000 | -0.000 | -0.000 | 93.334 | -0.000 |
| -0.000 | -0.000 | 0.000 | -0.000 | -0.000 | 93.334 |
| 326.762 | 141.260 | 141.260 | 0.000 | 0.000 | 0.000 |
| 141.260 | 326.762 | 141.260 | 0.000 | 0.000 | 0.000 |
| 141.260 | 141.260 | 326.762 | 0.000 | 0.000 | 0.000 |
| -0.000 | 0.000 | 0.000 | 93.334 | 0.000 | 0.000 |
| 0.000 | -0.000 | 0.000 | 0.000 | 93.334 | 0.000 |
| 0.000 | 0.000 | -0.000 | 0.000 | 0.000 | 93.334 |
| 326.762 | 141.260 | 141.260 | -0.000 | -0.000 | -0.000 |
| 141.260 | 326.762 | 141.260 | -0.000 | -0.000 | -0.000 |
| 141.260 | 141.260 | 326.762 | -0.000 | -0.000 | -0.000 |
| -0.000 | -0.000 | -0.000 | 91.861 | -0.000 | -0.000 |
| -0.000 | -0.000 | -0.000 | -0.000 | 91.861 | -0.000 |
| -0.000 | -0.000 | -0.000 | -0.000 | -0.000 | 91.861 |
| 326.762 | 141.260 | 141.260 | 0.000 | 0.000 | 0.000 |
| 141.260 | 326.762 | 141.260 | 0.000 | 0.000 | 0.000 |
| 141.260 | 141.260 | 326.762 | 0.000 | 0.000 | 0.000 |
| 0.000 | 0.000 | 0.000 | 91.861 | 0.000 | 0.000 |
| 0.000 | 0.000 | 0.000 | 0.000 | 91.861 | 0.000 |
| 0.000 | 0.000 | 0.000 | 0.000 | 0.000 | 91.861 |
| 326.762 | 141.260 | 141.260 | -0.000 | -0.000 | -0.000 |
| 141.260 | 326.762 | 141.260 | -0.000 | -0.000 | -0.000 |
| 141.260 | 141.260 | 326.762 | -0.000 | -0.000 | -0.000 |
| -0.000 | -0.000 | -0.000 | 91.861 | -0.000 | -0.000 |
| -0.000 | -0.000 | -0.000 | -0.000 | 91.861 | -0.000 |
| -0.000 | -0.000 | -0.000 | -0.000 | -0.000 | 91.861 |
| 326.762 | 141.260 | 141.260 | 0.000 | 0.000 | 0.000 |
| 141.260 | 326.762 | 141.260 | 0.000 | 0.000 | 0.000 |
| 141.260 | 141.260 | 326.762 | 0.000 | 0.000 | 0.000 |
| 0.000 | 0.000 | 0.000 | 91.861 | 0.000 | 0.000 |
| 0.000 | 0.000 | 0.000 | 0.000 | 91.861 | 0.000 |
| 0.000 | 0.000 | 0.000 | 0.000 | 0.000 | 91.861 |
| 0.000 | 0.000 | 0.000 | 0.000 | 0.000 | 0.000 |
| 0.000 | 0.000 | 0.000 | 0.000 | 0.000 | 0.000 |
| 0.000 | 0.000 | 0.000 | 0.000 | 0.000 | -0.000 |
| 0.000 | 0.000 | 0.000 | -0.000 | -0.000 | 0.000 |
| 0.000 | 0.000 | 0.000 | -0.000 | 0.000 | 0.000 |
| 0.000 | 0.000 | 0.000 | 0.000 | 0.000 | -0.000 |
| -0.000 | 0.000 | 0.000 | -0.000 | -0.000 | -0.000 |
| 0.000 | -0.000 | 0.000 | -0.000 | 0.000 | -0.000 |
| 0.000 | 0.000 | -0.000 | -0.000 | -0.000 | -0.000 |
| -0.000 | -0.000 | -0.000 | -0.000 | -0.000 | -0.000 |
| -0.000 | -0.000 | -0.000 | -0.000 | 0.000 | 0.000 |
| -0.000 | -0.000 | -0.000 | -0.000 | 0.000 | 0.000 |
| 0.000 | 0.000 | 0.000 | 0.000 | 0.000 | 0.000 |
| 0.000 | 0.000 | 0.000 | 0.000 | -0.000 | -0.000 |
| 0.000 | 0.000 | 0.000 | 0.000 | 0.000 | 0.000 |
| 0.000 | 0.000 | 0.000 | -0.000 | -0.000 | 0.000 |
| 0.000 | 0.000 | 0.000 | 0.000 | -0.000 | -0.000 |
| 0.000 | 0.000 | 0.000 | 0.000 | -0.000 | -0.000 |
| 0.000 | 0.000 | 0.000 | -0.000 | -0.000 | 0.000 |
| 0.000 | 0.000 | 0.000 | -0.000 | -0.000 | -0.000 |
| 0.000 | 0.000 | 0.000 | -0.000 | -0.000 | 0.000 |
| -0.000 | -0.000 | -0.000 | 0.000 | -0.000 | 0.000 |
| -0.000 | -0.000 | -0.000 | -0.000 | 0.000 | 0.000 |
| -0.000 | -0.000 | -0.000 | -0.000 | -0.000 | 0.000 |
| -0.000 | 0.000 | 0.000 | -0.000 | -0.000 | -0.000 |
| 0.000 | -0.000 | 0.000 | 0.000 | -0.000 | -0.000 |
| 0.000 | 0.000 | -0.000 | 0.000 | -0.000 | -0.000 |
| 0.000 | -0.000 | 0.000 | -0.000 | -0.000 | -0.000 |
| -0.000 | 0.000 | 0.000 | -0.000 | -0.000 | 0.000 |
| -0.000 | 0.000 | 0.000 | 0.000 | -0.000 | -0.000 |
| 0.000 | 0.000 | 0.000 | -0.000 | -0.000 | 0.000 |
| 0.000 | 0.000 | 0.000 | -0.000 | 0.000 | 0.000 |
| 0.000 | 0.000 | 0.000 | -0.000 | 0.000 | -0.000 |
| -0.000 | 0.000 | -0.000 | -0.000 | 0.000 | 0.000 |
| 0.000 | -0.000 | -0.000 | 0.000 | -0.000 | -0.000 |
| 0.000 | -0.000 | -0.000 | -0.000 | 0.000 | 0.000 |
| 118.459 | 78.872 | 78.872 | -0.000 | -0.000 | -0.000 |
| 78.872 | 118.459 | 78.872 | 0.000 | 0.000 | -0.000 |
| 78.872 | 78.872 | 118.459 | -0.000 | -0.000 | -0.000 |
| -0.000 | -0.000 | -0.000 | 37.287 | -0.000 | 0.000 |
| -0.000 | -0.000 | -0.000 | -0.000 | 37.287 | -0.000 |
| -0.000 | -0.000 | -0.000 | -0.000 | 0.000 | 37.287 |
| 118.459 | 78.872 | 78.872 | 0.000 | 0.000 | 0.000 |
| 78.872 | 118.459 | 78.872 | 0.000 | 0.000 | 0.000 |
| 78.872 | 78.872 | 118.459 | 0.000 | 0.000 | 0.000 |
| 0.000 | 0.000 | 0.000 | 37.287 | 0.000 | 0.000 |
| 0.000 | 0.000 | 0.000 | 0.000 | 37.287 | 0.000 |
| 0.000 | 0.000 | 0.000 | -0.000 | 0.000 | 37.287 |
| 118.458 | 78.872 | 78.872 | -0.000 | -0.000 | -0.000 |
| 78.872 | 118.458 | 78.872 | -0.000 | 0.000 | -0.000 |
| 78.872 | 78.872 | 118.458 | 0.000 | 0.000 | -0.000 |
| -0.000 | -0.000 | -0.000 | 37.287 | 0.000 | -0.000 |
| -0.000 | -0.000 | -0.000 | -0.000 | 37.287 | -0.000 |
| -0.000 | -0.000 | -0.000 | -0.000 | 0.000 | 37.287 |
| 118.459 | 78.872 | 78.872 | 0.000 | 0.000 | 0.000 |
| 78.872 | 118.459 | 78.872 | 0.000 | 0.000 | 0.000 |
| 78.872 | 78.872 | 118.459 | 0.000 | 0.000 | 0.000 |
| 0.000 | 0.000 | 0.000 | 37.287 | 0.000 | 0.000 |
| 0.000 | 0.000 | 0.000 | 0.000 | 37.287 | 0.000 |
| 0.000 | 0.000 | 0.000 | 0.000 | 0.000 | 37.287 |
| 118.456 | 78.872 | 78.872 | -0.000 | -0.000 | -0.000 |
| 78.872 | 118.456 | 78.872 | -0.000 | -0.000 | -0.000 |
| 78.872 | 78.872 | 118.456 | 0.000 | 0.000 | -0.000 |
| -0.000 | -0.000 | -0.000 | 37.287 | -0.000 | 0.000 |
| -0.000 | -0.000 | -0.000 | -0.000 | 37.287 | -0.000 |
| -0.000 | -0.000 | -0.000 | -0.000 | -0.000 | 37.287 |
| 118.461 | 78.872 | 78.872 | 0.000 | -0.000 | 0.000 |
| 78.872 | 118.461 | 78.872 | 0.000 | 0.000 | 0.000 |
| 78.872 | 78.872 | 118.461 | 0.000 | 0.000 | 0.000 |
| 0.000 | 0.000 | 0.000 | 37.287 | 0.000 | 0.000 |
| 0.000 | 0.000 | 0.000 | 0.000 | 37.287 | 0.000 |
| 0.000 | 0.000 | 0.000 | 0.000 | 0.000 | 37.287 |
| 0.000 | 0.000 | 0.000 | -0.000 | -0.000 | -0.000 |
| 0.000 | 0.000 | 0.000 | -0.000 | -0.000 | -0.000 |
| 0.000 | 0.000 | 0.000 | -0.000 | -0.000 | -0.000 |
| 0.000 | -0.000 | 0.000 | -0.000 | -0.000 | 0.000 |
| -0.000 | 0.000 | 0.000 | -0.000 | -0.000 | -0.000 |
| 0.000 | 0.000 | 0.000 | -0.000 | -0.000 | -0.000 |
| 0.000 | 0.000 | 0.000 | 0.000 | 0.000 | 0.000 |
| 0.000 | 0.000 | 0.000 | 0.000 | 0.000 | 0.000 |
| 0.000 | 0.000 | 0.000 | 0.000 | 0.000 | 0.000 |
| -0.000 | 0.000 | -0.000 | -0.000 | 0.000 | -0.000 |
| 0.000 | -0.000 | -0.000 | 0.000 | -0.000 | 0.000 |
| 0.000 | -0.000 | -0.000 | 0.000 | 0.000 | -0.000 |
| 0.000 | 0.000 | 0.000 | -0.000 | -0.000 | -0.000 |
| 0.000 | 0.000 | 0.000 | -0.000 | 0.000 | -0.000 |
| 0.000 | 0.000 | 0.000 | -0.000 | -0.000 | 0.000 |
| 0.000 | 0.000 | 0.000 | -0.000 | -0.000 | 0.000 |
| 0.000 | 0.000 | 0.000 | -0.000 | -0.000 | -0.000 |
| -0.000 | 0.000 | 0.000 | -0.000 | -0.000 | -0.000 |
| 0.000 | 0.000 | 0.000 | 0.000 | -0.000 | -0.000 |
| 0.000 | 0.000 | 0.000 | -0.000 | 0.000 | 0.000 |
| 0.000 | 0.000 | 0.000 | 0.000 | 0.000 | -0.000 |
| -0.000 | 0.000 | -0.000 | -0.000 | -0.000 | 0.000 |
| 0.000 | -0.000 | -0.000 | -0.000 | -0.000 | 0.000 |
| 0.000 | -0.000 | -0.000 | 0.000 | 0.000 | -0.000 |
| 0.000 | 0.000 | 0.000 | -0.000 | -0.000 | -0.000 |
| 0.000 | 0.000 | 0.000 | -0.000 | -0.000 | -0.000 |
| 0.000 | 0.000 | 0.000 | -0.000 | -0.000 | -0.000 |
| -0.000 | 0.000 | 0.000 | -0.000 | -0.000 | -0.000 |
| 0.000 | -0.000 | 0.000 | -0.000 | -0.000 | -0.000 |
| 0.000 | 0.000 | -0.000 | -0.000 | -0.000 | -0.000 |
| 0.000 | 0.000 | 0.000 | 0.000 | -0.000 | 0.000 |
| 0.000 | 0.000 | 0.000 | -0.000 | 0.000 | 0.000 |
| 0.000 | 0.000 | 0.000 | 0.000 | 0.000 | 0.000 |
| 0.000 | -0.000 | -0.000 | -0.000 | 0.000 | 0.000 |
| -0.000 | 0.000 | -0.000 | 0.000 | -0.000 | 0.000 |
| -0.000 | -0.000 | 0.000 | 0.000 | 0.000 | -0.000 |
| 626.369 | 494.748 | 494.748 | 0.000 | 0.000 | -0.000 |
| 494.748 | 626.369 | 494.748 | 0.000 | 0.000 | -0.000 |
| 494.748 | 494.748 | 626.369 | 0.000 | 0.000 | -0.000 |
| -0.000 | 0.000 | 0.000 | 477.759 | 0.000 | -0.000 |
| 0.000 | -0.000 | 0.000 | 0.000 | 477.759 | -0.000 |
| 0.000 | 0.000 | -0.000 | 0.000 | 0.000 | 477.759 |
| 626.368 | 494.748 | 494.748 | -0.000 | -0.000 | 0.000 |
| 494.748 | 626.368 | 494.748 | -0.000 | -0.000 | 0.000 |
| 494.748 | 494.748 | 626.368 | -0.000 | -0.000 | 0.000 |
| 0.000 | -0.000 | -0.000 | 477.759 | -0.000 | 0.000 |
| -0.000 | 0.000 | -0.000 | -0.000 | 477.759 | 0.000 |
| -0.000 | -0.000 | 0.000 | -0.000 | -0.000 | 477.759 |
| 626.372 | 494.749 | 494.749 | 0.000 | 0.000 | -0.000 |
| 494.749 | 626.372 | 494.749 | 0.000 | 0.000 | 0.000 |
| 494.749 | 494.749 | 626.372 | 0.000 | 0.000 | -0.000 |
| -0.000 | 0.001 | 0.002 | 477.759 | 0.000 | 0.000 |
| 0.001 | -0.000 | 0.002 | 0.000 | 477.759 | 0.000 |
| 0.001 | 0.002 | -0.000 | 0.000 | 0.000 | 477.759 |
| 626.365 | 494.746 | 494.746 | 0.000 | 0.000 | 0.000 |
| 494.746 | 626.365 | 494.746 | 0.000 | 0.000 | 0.000 |
| 494.746 | 494.746 | 626.365 | -0.000 | -0.000 | 0.000 |
| 0.000 | -0.001 | -0.002 | 477.759 | -0.000 | 0.000 |
| -0.001 | 0.000 | -0.002 | -0.000 | 477.759 | 0.000 |
| -0.001 | -0.002 | 0.000 | -0.000 | -0.000 | 477.759 |
| 626.399 | 494.764 | 494.764 | 0.000 | -0.000 | -0.000 |
| 494.764 | 626.399 | 494.764 | -0.000 | 0.000 | -0.000 |
| 494.764 | 494.764 | 626.399 | -0.000 | -0.000 | -0.000 |
| -0.000 | 0.014 | 0.015 | 477.759 | 0.000 | -0.000 |
| 0.014 | -0.000 | 0.015 | 0.000 | 477.759 | 0.000 |
| 0.014 | 0.015 | -0.000 | 0.000 | 0.000 | 477.759 |
| 626.338 | 494.732 | 494.732 | -0.000 | -0.000 | -0.000 |
| 494.732 | 626.338 | 494.732 | -0.000 | -0.000 | -0.000 |
| 494.732 | 494.732 | 626.338 | -0.000 | -0.000 | 0.000 |
| 0.000 | -0.014 | -0.015 | 477.759 | -0.000 | 0.000 |
| -0.014 | 0.000 | -0.015 | -0.000 | 477.759 | 0.000 |
| -0.014 | -0.015 | 0.000 | -0.000 | -0.000 | 477.759 |
| -133.820 | 10.730 | 10.730 | 0.000 | -0.000 | 0.000 |
| 10.730 | -133.820 | 10.730 | 0.000 | -0.000 | 0.000 |
| 10.730 | 10.730 | -133.820 | 0.000 | -0.000 | 0.000 |
| -0.000 | -0.000 | -0.000 | -37.921 | 0.000 | -0.000 |
| -0.000 | -0.000 | -0.000 | 0.000 | -37.921 | -0.000 |
| -0.000 | -0.000 | -0.000 | 0.000 | 0.000 | -37.921 |
| -133.820 | 10.730 | 10.730 | -0.000 | -0.000 | -0.000 |
| 10.730 | -133.820 | 10.730 | -0.000 | -0.000 | 0.000 |
| 10.730 | 10.730 | -133.820 | 0.000 | 0.000 | 0.000 |
| 0.000 | 0.000 | 0.000 | -37.921 | -0.000 | 0.000 |
| 0.000 | 0.000 | 0.000 | -0.000 | -37.921 | 0.000 |
| 0.000 | 0.000 | 0.000 | -0.000 | 0.000 | -37.921 |
| -133.821 | 10.730 | 10.730 | -0.000 | 0.000 | 0.000 |
| 10.730 | -133.821 | 10.730 | 0.000 | 0.000 | 0.000 |
| 10.730 | 10.730 | -133.821 | 0.000 | 0.000 | 0.000 |
| -0.000 | -0.000 | -0.000 | -37.921 | 0.000 | -0.000 |
| -0.000 | -0.000 | -0.000 | -0.000 | -37.921 | -0.000 |
| -0.000 | -0.000 | -0.000 | 0.000 | -0.000 | -37.921 |
| -133.820 | 10.730 | 10.730 | 0.000 | 0.000 | -0.000 |
| 10.730 | -133.820 | 10.730 | 0.000 | 0.000 | -0.000 |
| 10.730 | 10.730 | -133.820 | 0.000 | 0.000 | -0.000 |
| 0.000 | 0.000 | 0.000 | -37.921 | 0.000 | -0.000 |
| 0.000 | 0.000 | 0.000 | -0.000 | -37.921 | 0.000 |
| 0.000 | 0.000 | 0.000 | -0.000 | 0.000 | -37.921 |
| -133.827 | 10.728 | 10.728 | -0.000 | 0.000 | -0.000 |
| 10.728 | -133.827 | 10.728 | -0.000 | 0.000 | -0.000 |
| 10.728 | 10.728 | -133.827 | 0.000 | -0.000 | -0.000 |
| -0.001 | -0.002 | -0.002 | -37.921 | 0.000 | 0.000 |
| -0.002 | -0.001 | -0.002 | 0.000 | -37.921 | 0.000 |
| -0.002 | -0.002 | -0.001 | 0.000 | 0.000 | -37.921 |
| -133.813 | 10.732 | 10.732 | 0.000 | 0.000 | -0.000 |
| 10.732 | -133.813 | 10.732 | 0.000 | 0.000 | 0.000 |
| 10.732 | 10.732 | -133.813 | 0.000 | 0.000 | 0.000 |
| 0.001 | 0.002 | 0.002 | -37.921 | -0.000 | 0.000 |
| 0.002 | 0.001 | 0.002 | 0.000 | -37.921 | -0.000 |
| 0.002 | 0.002 | 0.001 | -0.000 | -0.000 | -37.921 |
| -7.707 | 59.052 | 59.052 | -0.000 | -0.000 | -0.000 |
| 59.052 | -7.707 | 59.052 | -0.000 | -0.000 | -0.000 |
| 59.052 | 59.052 | -7.707 | 0.000 | -0.000 | 0.000 |
| -0.000 | -0.000 | -0.000 | 9.633 | -0.000 | 0.000 |
| -0.000 | -0.000 | -0.000 | -0.000 | 9.633 | 0.000 |
| -0.000 | -0.000 | -0.000 | -0.000 | -0.000 | 9.633 |
| -7.707 | 59.052 | 59.052 | 0.000 | 0.000 | 0.000 |
| 59.052 | -7.707 | 59.052 | 0.000 | 0.000 | 0.000 |
| 59.052 | 59.052 | -7.707 | 0.000 | -0.000 | -0.000 |
| 0.000 | 0.000 | 0.000 | 9.633 | 0.000 | 0.000 |
| 0.000 | 0.000 | 0.000 | -0.000 | 9.633 | 0.000 |
| 0.000 | 0.000 | 0.000 | -0.000 | 0.000 | 9.633 |
| -7.707 | 59.052 | 59.052 | -0.000 | -0.000 | -0.000 |
| 59.052 | -7.707 | 59.052 | -0.000 | -0.000 | -0.000 |
| 59.052 | 59.052 | -7.707 | -0.000 | -0.000 | 0.000 |
| -0.000 | -0.000 | -0.000 | 9.633 | -0.000 | -0.000 |
| -0.000 | -0.000 | -0.000 | -0.000 | 9.633 | -0.000 |
| -0.000 | -0.000 | -0.000 | -0.000 | -0.000 | 9.633 |
| -7.706 | 59.052 | 59.052 | 0.000 | 0.000 | 0.000 |
| 59.052 | -7.706 | 59.052 | 0.000 | 0.000 | 0.000 |
| 59.052 | 59.052 | -7.706 | -0.000 | 0.000 | -0.000 |
| 0.000 | 0.000 | 0.000 | 9.633 | 0.000 | 0.000 |
| 0.000 | 0.000 | 0.000 | 0.000 | 9.633 | 0.000 |
| 0.000 | 0.000 | 0.000 | -0.000 | 0.000 | 9.633 |
| -7.713 | 59.051 | 59.051 | 0.000 | -0.000 | -0.000 |
| 59.051 | -7.713 | 59.051 | -0.000 | -0.000 | -0.000 |
| 59.051 | 59.051 | -7.713 | -0.000 | -0.000 | -0.000 |
| -0.001 | -0.001 | -0.001 | 9.633 | -0.000 | -0.000 |
| -0.001 | -0.001 | -0.001 | -0.000 | 9.633 | -0.000 |
| -0.001 | -0.001 | -0.001 | -0.000 | -0.000 | 9.633 |
| -7.700 | 59.053 | 59.053 | 0.000 | -0.000 | -0.000 |
| 59.053 | -7.700 | 59.053 | -0.000 | 0.000 | -0.000 |
| 59.053 | 59.053 | -7.700 | 0.000 | 0.000 | 0.000 |
| 0.001 | 0.001 | 0.001 | 9.633 | -0.000 | 0.000 |
| 0.001 | 0.001 | 0.001 | 0.000 | 9.633 | 0.000 |
| 0.001 | 0.001 | 0.001 | 0.000 | 0.000 | 9.633 |
| 0.000 | 0.000 | 0.000 | 0.000 | 0.000 | -0.000 |
| 0.000 | 0.000 | 0.000 | 0.000 | 0.000 | -0.000 |
| 0.000 | 0.000 | 0.000 | -0.000 | -0.000 | -0.000 |
| 0.000 | -0.000 | 0.000 | -0.000 | 0.000 | -0.000 |
| -0.000 | 0.000 | 0.000 | 0.000 | -0.000 | -0.000 |
| -0.000 | 0.000 | 0.000 | 0.000 | 0.000 | -0.000 |
| 0.000 | 0.000 | 0.000 | -0.000 | -0.000 | -0.000 |
| 0.000 | 0.000 | 0.000 | -0.000 | -0.000 | -0.000 |
| 0.000 | 0.000 | 0.000 | -0.000 | -0.000 | 0.000 |
| -0.000 | 0.000 | -0.000 | -0.000 | -0.000 | 0.000 |
| 0.000 | -0.000 | -0.000 | -0.000 | -0.000 | 0.000 |
| 0.000 | -0.000 | -0.000 | -0.000 | -0.000 | -0.000 |
| 0.000 | 0.000 | 0.000 | 0.000 | 0.000 | -0.000 |
| 0.000 | 0.000 | 0.000 | 0.000 | 0.000 | 0.000 |
| 0.000 | 0.000 | 0.000 | 0.000 | -0.000 | -0.000 |
| 0.000 | -0.000 | 0.000 | -0.000 | 0.000 | -0.000 |
| -0.000 | 0.000 | 0.000 | 0.000 | -0.000 | -0.000 |
| -0.000 | 0.000 | 0.000 | 0.000 | 0.000 | -0.000 |
| 0.000 | 0.000 | 0.000 | -0.000 | -0.000 | 0.000 |
| 0.000 | 0.000 | 0.000 | -0.000 | -0.000 | -0.000 |
| 0.000 | 0.000 | 0.000 | -0.000 | -0.000 | 0.000 |
| -0.000 | 0.000 | -0.000 | -0.000 | -0.000 | 0.000 |
| 0.000 | -0.000 | -0.000 | -0.000 | -0.000 | 0.000 |
| 0.000 | -0.000 | -0.000 | -0.000 | -0.000 | -0.000 |
| 0.000 | 0.000 | 0.000 | 0.000 | 0.000 | -0.000 |
| 0.000 | 0.000 | 0.000 | 0.000 | 0.000 | -0.000 |
| 0.000 | 0.000 | 0.000 | -0.000 | -0.000 | -0.000 |
| -0.000 | 0.000 | 0.000 | -0.000 | 0.000 | -0.000 |
| 0.000 | -0.000 | 0.000 | 0.000 | -0.000 | -0.000 |
| 0.000 | 0.000 | -0.000 | 0.000 | 0.000 | -0.000 |
| 0.000 | 0.000 | 0.000 | -0.000 | -0.000 | -0.000 |
| 0.000 | 0.000 | 0.000 | -0.000 | -0.000 | 0.000 |
| 0.000 | 0.000 | 0.000 | -0.000 | -0.000 | 0.000 |
| 0.000 | -0.000 | -0.000 | -0.000 | -0.000 | 0.000 |
| -0.000 | 0.000 | -0.000 | -0.000 | -0.000 | 0.000 |
| -0.000 | -0.000 | 0.000 | -0.000 | -0.000 | -0.000 |
| 233.646 | 138.878 | 138.878 | -0.000 | -0.000 | -0.000 |
| 138.878 | 233.646 | 138.878 | -0.000 | -0.000 | 0.000 |
| 138.878 | 138.878 | 233.646 | -0.000 | -0.000 | 0.000 |
| -0.000 | -0.000 | -0.000 | 96.389 | -0.000 | -0.000 |
| -0.000 | 0.000 | -0.000 | -0.000 | 96.389 | -0.000 |
| -0.000 | -0.000 | -0.000 | -0.000 | -0.000 | 96.389 |
| 234.937 | 138.232 | 138.232 | 0.000 | 0.000 | 0.000 |
| 138.232 | 234.937 | 138.232 | 0.000 | 0.000 | 0.000 |
| 138.232 | 138.232 | 234.937 | 0.000 | 0.000 | 0.000 |
| -0.000 | 0.000 | 0.000 | 96.389 | 0.000 | 0.000 |
| -0.000 | -0.000 | 0.000 | 0.000 | 96.389 | 0.000 |
| -0.000 | 0.000 | 0.000 | 0.000 | 0.000 | 96.389 |
| 233.646 | 138.878 | 138.878 | -0.000 | -0.000 | -0.000 |
| 138.878 | 233.646 | 138.878 | 0.000 | -0.000 | -0.000 |
| 138.232 | 138.232 | 234.937 | -0.000 | -0.000 | -0.000 |
| -0.000 | -0.000 | -0.000 | 100.309 | -0.000 | -0.000 |
| -0.000 | -0.000 | -0.000 | 0.000 | 100.309 | -0.000 |
| -0.000 | -0.000 | -0.000 | -0.000 | -0.000 | 100.309 |
| 233.646 | 138.878 | 138.878 | 0.000 | 0.000 | 0.000 |
| 138.878 | 233.646 | 138.878 | 0.000 | 0.000 | 0.000 |
| 138.878 | 138.878 | 233.646 | 0.000 | 0.000 | 0.000 |
| 0.000 | 0.000 | 0.000 | 100.309 | 0.000 | 0.000 |
| 0.000 | 0.000 | 0.000 | 0.000 | 100.309 | 0.000 |
| 0.000 | 0.000 | 0.000 | 0.000 | 0.000 | 100.309 |
| 234.935 | 138.232 | 138.232 | -0.000 | -0.000 | -0.000 |
| 138.232 | 234.935 | 138.232 | -0.000 | -0.000 | -0.000 |
| 138.232 | 138.232 | 234.935 | -0.000 | -0.000 | -0.000 |
| -0.000 | -0.000 | -0.000 | 100.309 | -0.000 | -0.000 |
| -0.000 | -0.000 | -0.000 | -0.000 | 100.309 | -0.000 |
| -0.000 | -0.000 | -0.000 | -0.000 | -0.000 | 100.309 |
| 234.940 | 138.232 | 138.232 | 0.000 | 0.000 | 0.000 |
| 138.232 | 234.940 | 138.232 | 0.000 | 0.000 | 0.000 |
| 138.232 | 138.232 | 234.940 | 0.000 | 0.000 | 0.000 |
| 0.000 | 0.000 | 0.000 | 100.309 | 0.000 | 0.000 |
| 0.000 | 0.000 | 0.000 | 0.000 | 100.309 | 0.000 |
| 0.000 | 0.000 | 0.000 | 0.000 | 0.000 | 100.309 |
| 0.000 | 0.000 | 0.000 | -0.000 | 0.000 | -0.000 |
| 0.000 | 0.000 | 0.000 | -0.000 | 0.000 | -0.000 |
| 0.000 | 0.000 | 0.000 | -0.000 | 0.000 | -0.000 |
| 0.000 | 0.000 | 0.000 | -0.000 | 0.000 | -0.000 |
| 0.000 | 0.000 | 0.000 | -0.000 | -0.000 | -0.000 |
| 0.000 | 0.000 | 0.000 | -0.000 | -0.000 | -0.000 |
| 0.000 | 0.000 | 0.000 | 0.000 | 0.000 | 0.000 |
| 0.000 | 0.000 | 0.000 | 0.000 | -0.000 | 0.000 |
| 0.000 | 0.000 | 0.000 | 0.000 | -0.000 | 0.000 |
| -0.000 | -0.000 | -0.000 | -0.000 | -0.000 | 0.000 |
| -0.000 | -0.000 | -0.000 | 0.000 | -0.000 | 0.000 |
| -0.000 | -0.000 | -0.000 | 0.000 | -0.000 | -0.000 |
| 0.000 | 0.000 | 0.000 | -0.000 | -0.000 | -0.000 |
| 0.000 | 0.000 | 0.000 | -0.000 | 0.000 | -0.000 |
| 0.000 | 0.000 | 0.000 | -0.000 | 0.000 | -0.000 |
| 0.000 | 0.000 | 0.000 | -0.000 | 0.000 | -0.000 |
| 0.000 | 0.000 | 0.000 | -0.000 | -0.000 | -0.000 |
| 0.000 | 0.000 | 0.000 | -0.000 | 0.000 | -0.000 |
| 0.000 | 0.000 | 0.000 | 0.000 | -0.000 | 0.000 |
| 0.000 | 0.000 | 0.000 | 0.000 | -0.000 | 0.000 |
| 0.000 | 0.000 | 0.000 | 0.000 | 0.000 | 0.000 |
| -0.000 | -0.000 | -0.000 | -0.000 | -0.000 | 0.000 |
| -0.000 | -0.000 | -0.000 | 0.000 | -0.000 | 0.000 |
| -0.000 | -0.000 | -0.000 | 0.000 | -0.000 | -0.000 |
| 0.000 | 0.000 | 0.000 | -0.000 | 0.000 | -0.000 |
| 0.000 | 0.000 | 0.000 | -0.000 | 0.000 | -0.000 |
| 0.000 | 0.000 | 0.000 | -0.000 | 0.000 | -0.000 |
| 0.000 | 0.000 | -0.000 | -0.000 | 0.000 | -0.000 |
| 0.000 | 0.000 | -0.000 | -0.000 | -0.000 | -0.000 |
| 0.000 | -0.000 | 0.000 | -0.000 | -0.000 | -0.000 |
| 0.000 | 0.000 | 0.000 | 0.000 | 0.000 | 0.000 |
| 0.000 | 0.000 | 0.000 | 0.000 | -0.000 | 0.000 |
| 0.000 | 0.000 | 0.000 | 0.000 | -0.000 | 0.000 |
| -0.000 | -0.000 | 0.000 | -0.000 | -0.000 | 0.000 |
| -0.000 | -0.000 | 0.000 | 0.000 | -0.000 | 0.000 |
| -0.000 | 0.000 | -0.000 | 0.000 | -0.000 | -0.000 |
| 522.996 | 202.990 | 202.990 | 0.000 | 0.000 | 0.000 |
| 202.990 | 522.996 | 202.990 | 0.000 | -0.000 | 0.000 |
| 202.990 | 202.990 | 522.996 | 0.000 | -0.000 | -0.000 |
| 0.000 | 0.000 | 0.000 | 160.009 | -0.000 | 0.000 |
| 0.000 | 0.000 | 0.000 | 0.000 | 160.009 | -0.000 |
| 0.000 | 0.000 | 0.000 | 0.000 | 0.000 | 160.009 |
| 522.996 | 202.990 | 202.990 | -0.000 | 0.000 | 0.000 |
| 202.990 | 522.996 | 202.990 | -0.000 | -0.000 | 0.000 |
| 202.990 | 202.990 | 522.996 | 0.000 | 0.000 | -0.000 |
| -0.000 | -0.000 | -0.000 | 160.009 | 0.000 | -0.000 |
| -0.000 | -0.000 | -0.000 | -0.000 | 160.009 | -0.000 |
| -0.000 | -0.000 | -0.000 | -0.000 | -0.000 | 160.009 |
| 522.996 | 202.990 | 202.990 | 0.000 | -0.000 | -0.000 |
| 202.990 | 522.996 | 202.990 | 0.000 | -0.000 | 0.000 |
| 202.990 | 202.990 | 522.996 | 0.000 | 0.000 | -0.000 |
| 0.000 | 0.000 | 0.000 | 160.009 | 0.000 | 0.000 |
| 0.000 | 0.000 | 0.000 | 0.000 | 160.009 | -0.000 |
| 0.000 | 0.000 | 0.000 | 0.000 | -0.000 | 160.009 |
| 522.996 | 202.990 | 202.990 | -0.000 | 0.000 | 0.000 |
| 202.990 | 522.996 | 202.990 | -0.000 | -0.000 | -0.000 |
| 202.990 | 202.990 | 522.996 | -0.000 | -0.000 | 0.000 |
| -0.000 | -0.000 | -0.000 | 160.009 | 0.000 | 0.000 |
| -0.000 | -0.000 | -0.000 | -0.000 | 160.009 | -0.000 |
| -0.000 | -0.000 | -0.000 | -0.000 | 0.000 | 160.009 |
| 522.996 | 202.991 | 202.991 | -0.000 | -0.000 | -0.000 |
| 202.991 | 522.996 | 202.991 | 0.000 | -0.000 | -0.000 |
| 202.991 | 202.991 | 522.996 | 0.000 | 0.000 | 0.000 |
| 0.001 | 0.000 | 0.000 | 160.009 | 0.000 | -0.000 |
| 0.000 | 0.001 | 0.000 | 0.000 | 160.009 | -0.000 |
| 0.000 | 0.000 | 0.001 | 0.000 | -0.000 | 160.009 |
| 522.996 | 202.989 | 202.989 | -0.000 | 0.000 | -0.000 |
| 202.989 | 522.996 | 202.989 | -0.000 | -0.000 | -0.000 |
| 202.989 | 202.989 | 522.996 | -0.000 | 0.000 | 0.000 |
| -0.001 | -0.000 | -0.000 | 160.009 | -0.000 | -0.000 |
| -0.000 | -0.001 | -0.000 | -0.000 | 160.009 | -0.000 |
| -0.000 | -0.000 | -0.001 | -0.000 | 0.000 | 160.009 |
| 0.000 | 0.000 | 0.000 | -0.000 | -0.000 | -0.000 |
| 0.000 | 0.000 | 0.000 | -0.000 | -0.000 | -0.000 |
| 0.000 | 0.000 | 0.000 | -0.000 | -0.000 | 0.000 |
| 0.000 | 0.000 | 0.000 | 0.000 | -0.000 | -0.000 |
| 0.000 | 0.000 | 0.000 | -0.000 | -0.000 | 0.000 |
| 0.000 | 0.000 | 0.000 | 0.000 | 0.000 | -0.000 |
| -0.000 | 0.000 | 0.000 | 0.000 | 0.000 | 0.000 |
| 0.000 | -0.000 | 0.000 | 0.000 | -0.000 | 0.000 |
| 0.000 | 0.000 | -0.000 | 0.000 | 0.000 | -0.000 |
| -0.000 | -0.000 | -0.000 | 0.000 | 0.000 | 0.000 |
| -0.000 | -0.000 | -0.000 | 0.000 | 0.000 | -0.000 |
| -0.000 | -0.000 | -0.000 | 0.000 | 0.000 | 0.000 |
| 0.000 | 0.000 | 0.000 | -0.000 | -0.000 | -0.000 |
| 0.000 | 0.000 | 0.000 | -0.000 | -0.000 | -0.000 |
| 0.000 | 0.000 | 0.000 | -0.000 | -0.000 | -0.000 |
| 0.000 | 0.000 | 0.000 | -0.000 | 0.000 | -0.000 |
| 0.000 | 0.000 | 0.000 | 0.000 | -0.000 | 0.000 |
| 0.000 | 0.000 | 0.000 | -0.000 | -0.000 | -0.000 |
| -0.000 | 0.000 | 0.000 | 0.000 | 0.000 | -0.000 |
| 0.000 | -0.000 | 0.000 | 0.000 | 0.000 | 0.000 |
| 0.000 | 0.000 | -0.000 | 0.000 | 0.000 | 0.000 |
| -0.000 | -0.000 | -0.000 | 0.000 | 0.000 | 0.000 |
| -0.000 | -0.000 | -0.000 | 0.000 | 0.000 | 0.000 |
| -0.000 | -0.000 | -0.000 | 0.000 | 0.000 | 0.000 |
| -0.000 | 0.000 | 0.000 | -0.000 | -0.000 | 0.000 |
| 0.000 | -0.000 | 0.000 | -0.000 | -0.000 | -0.000 |
| 0.000 | 0.000 | -0.000 | -0.000 | -0.000 | 0.000 |
| 0.000 | -0.000 | 0.000 | 0.000 | 0.000 | -0.000 |
| -0.000 | 0.000 | 0.000 | 0.000 | 0.000 | 0.000 |
| -0.000 | 0.000 | 0.000 | -0.000 | -0.000 | -0.000 |
| 0.000 | 0.000 | 0.000 | 0.000 | 0.000 | 0.000 |
| 0.000 | 0.000 | 0.000 | 0.000 | 0.000 | 0.000 |
| 0.000 | 0.000 | 0.000 | 0.000 | 0.000 | 0.000 |
| -0.000 | 0.000 | -0.000 | 0.000 | -0.000 | 0.000 |
| 0.000 | -0.000 | -0.000 | 0.000 | 0.000 | 0.000 |
| 0.000 | -0.000 | -0.000 | 0.000 | 0.000 | -0.000 |
| 801.929 | 287.873 | 13.245 | -0.000 | 0.000 | -0.000 |
| 731.095 | 358.708 | 13.245 | -0.000 | -0.000 | -0.000 |
| 13.245 | 13.245 | 237.474 | -0.000 | -0.000 | 0.000 |
| -0.000 | -0.000 | -0.000 | -15.706 | 0.000 | 0.000 |
| -0.000 | -0.000 | -0.000 | -0.000 | -15.706 | 0.000 |
| -0.000 | 0.000 | -0.000 | -0.000 | -0.000 | -186.194 |
| 358.707 | 731.095 | 13.245 | 0.000 | 0.000 | 0.000 |
| 731.094 | 358.707 | 13.245 | 0.000 | 0.000 | 0.000 |
| 13.245 | 13.245 | 237.474 | 0.000 | 0.000 | -0.000 |
| 0.000 | 0.000 | 0.000 | -15.706 | 0.000 | -0.000 |
| 0.000 | 0.000 | 0.000 | 0.000 | -15.706 | 0.000 |
| 0.000 | -0.000 | 0.000 | 0.000 | 0.000 | -186.194 |
| -274.381 | 1364.184 | 13.240 | -0.000 | 0.000 | -0.000 |
| 287.875 | 801.933 | 13.245 | 0.000 | -0.000 | 0.000 |
| 13.245 | 13.245 | 237.474 | 0.000 | -0.000 | -0.000 |
| -0.000 | -0.000 | -0.000 | -15.706 | -0.000 | -0.000 |
| -0.000 | -0.000 | -0.000 | -0.000 | -15.706 | 0.000 |
| 0.000 | 0.002 | -0.000 | -0.000 | 0.000 | 257.028 |
| 358.702 | 731.095 | 13.246 | 0.000 | 0.000 | 0.000 |
| 287.872 | 801.924 | 13.245 | 0.000 | 0.000 | -0.000 |
| 13.245 | 13.245 | 237.473 | 0.000 | 0.000 | 0.000 |
| 0.000 | 0.000 | 0.000 | -15.706 | 0.000 | -0.000 |
| 0.000 | 0.000 | 0.000 | 0.000 | -15.706 | 0.000 |
| -0.000 | -0.002 | 0.000 | 0.000 | -0.000 | 257.028 |
| -6887670.810 | 9115577.073 | 3015349.769 | -0.000 | -0.000 | 0.003 |
| 31121271.982 | -5580064.515 | 30169888.788 | -0.000 | -0.000 | -0.000 |
| 13.244 | 13.244 | 237.474 | -0.000 | -0.000 | -0.000 |
| 0.000 | -0.001 | -0.001 | -15.706 | -0.000 | -0.000 |
| -0.001 | -0.000 | -0.001 | 0.000 | -15.706 | -0.000 |
| 3594252.830 | 21945249.814 | 30169296.494 | 0.000 | 0.000 | -15892109.776 |
| -31119555.478 | 5581751.674 | -30168599.990 | -0.000 | -0.000 | -0.000 |
| 6888751.377 | -9114608.654 | -3015364.579 | -0.000 | -0.000 | -0.003 |
| 13.245 | 13.245 | 237.473 | 0.000 | 0.000 | 0.000 |
| -0.000 | 0.001 | 0.001 | -15.706 | 0.000 | 0.000 |
| 0.001 | 0.000 | 0.001 | -0.000 | -15.706 | -0.000 |
| -3594252.830 | -21945249.814 | -30169296.494 | -0.000 | 0.000 | -15892109.776 |
| 0.000 | 0.000 | 0.000 | -0.000 | -0.000 | 0.000 |
| 0.000 | 0.000 | 0.000 | -0.000 | -0.000 | 0.000 |
| 0.000 | 0.000 | 0.000 | -0.000 | -0.000 | -0.000 |
| 0.000 | -0.000 | 0.000 | -0.000 | -0.000 | 0.000 |
| 0.000 | 0.000 | 0.000 | -0.000 | -0.000 | 0.000 |
| -0.000 | 0.000 | 0.000 | -0.000 | -0.000 | -0.000 |
| 0.000 | 0.000 | 0.000 | 0.000 | 0.000 | -0.000 |
| 0.000 | 0.000 | 0.000 | 0.000 | 0.000 | -0.000 |
| 0.000 | 0.000 | 0.000 | 0.000 | -0.000 | 0.000 |
| -0.000 | 0.000 | -0.000 | -0.000 | -0.000 | -0.000 |
| -0.000 | -0.000 | -0.000 | 0.000 | -0.000 | -0.000 |
| 0.000 | -0.000 | -0.000 | 0.000 | 0.000 | -0.000 |
| 0.000 | 0.000 | 0.000 | -0.000 | -0.000 | 0.000 |
| 0.000 | 0.000 | 0.000 | -0.000 | -0.000 | 0.000 |
| 0.000 | 0.000 | 0.000 | -0.000 | -0.000 | -0.000 |
| 0.000 | -0.000 | -0.000 | -0.000 | 0.000 | -0.000 |
| 0.000 | 0.000 | 0.000 | -0.000 | -0.000 | 0.000 |
| -0.000 | 0.000 | 0.000 | -0.000 | -0.000 | -0.000 |
| 0.000 | 0.000 | 0.000 | -0.000 | 0.000 | -0.000 |
| 0.000 | 0.000 | 0.000 | 0.000 | 0.000 | -0.000 |
| 0.000 | 0.000 | 0.000 | -0.000 | -0.000 | 0.000 |
| -0.000 | 0.000 | -0.000 | -0.000 | -0.000 | -0.000 |
| -0.000 | -0.000 | 0.000 | 0.000 | -0.000 | -0.000 |
| -0.000 | -0.000 | -0.000 | 0.000 | 0.000 | -0.000 |
| 0.000 | 0.000 | 0.000 | -0.000 | -0.000 | 0.000 |
| 0.000 | 0.000 | 0.000 | -0.000 | -0.000 | 0.000 |
| 0.000 | 0.000 | 0.000 | 0.000 | 0.000 | -0.000 |
| -0.000 | 0.000 | -0.000 | -0.000 | -0.000 | 0.000 |
| 0.000 | -0.000 | -0.000 | 0.000 | -0.000 | 0.000 |
| -0.000 | 0.000 | -0.000 | 0.000 | -0.000 | -0.000 |
| 0.000 | 0.000 | 0.000 | 0.000 | 0.000 | -0.000 |
| 0.000 | 0.000 | 0.000 | 0.000 | 0.000 | -0.000 |
| 0.000 | 0.000 | 0.000 | -0.000 | -0.000 | 0.000 |
| 0.000 | -0.000 | 0.000 | -0.000 | 0.000 | -0.000 |
| -0.000 | 0.000 | 0.000 | -0.000 | -0.000 | -0.000 |
| 0.000 | -0.000 | 0.000 | -0.000 | 0.000 | -0.000 |
| 0.000 | 0.000 | 0.000 | 0.000 | 0.000 | 0.000 |
| 0.000 | 0.000 | 0.000 | -0.000 | 0.000 | -0.000 |
| 0.000 | 0.000 | 0.000 | 0.000 | 0.000 | 0.000 |
| 0.000 | 0.000 | 0.000 | -0.000 | 0.000 | -0.000 |
| 0.000 | 0.000 | 0.000 | 0.000 | -0.000 | 0.000 |
| 0.000 | 0.000 | 0.000 | 0.000 | 0.000 | -0.000 |
| 0.000 | 0.000 | 0.000 | -0.000 | -0.000 | -0.000 |
| 0.000 | 0.000 | 0.000 | -0.000 | 0.000 | -0.000 |
| 0.000 | 0.000 | 0.000 | -0.000 | 0.000 | -0.000 |
| -0.000 | 0.000 | -0.000 | -0.000 | -0.000 | 0.000 |
| -0.000 | -0.000 | -0.000 | -0.000 | -0.000 | -0.000 |
| -0.000 | -0.000 | -0.000 | -0.000 | 0.000 | -0.000 |
| 0.000 | 0.000 | 0.000 | -0.000 | 0.000 | -0.000 |
| 0.000 | 0.000 | 0.000 | -0.000 | -0.000 | 0.000 |
| 0.000 | 0.000 | 0.000 | 0.000 | 0.000 | 0.000 |
| 0.000 | 0.000 | 0.000 | -0.000 | 0.000 | -0.000 |
| 0.000 | 0.000 | 0.000 | -0.000 | -0.000 | 0.000 |
| 0.000 | 0.000 | 0.000 | -0.000 | 0.000 | -0.000 |
| 0.000 | 0.000 | 0.000 | -0.000 | -0.000 | 0.000 |
| 0.000 | 0.000 | 0.000 | 0.000 | -0.000 | -0.000 |
| 0.000 | 0.000 | 0.000 | 0.000 | 0.000 | 0.000 |
| -0.000 | 0.000 | -0.000 | -0.000 | 0.000 | 0.000 |
| -0.000 | -0.000 | -0.000 | 0.000 | -0.000 | 0.000 |
| -0.000 | -0.000 | -0.000 | 0.000 | 0.000 | -0.000 |
| 0.000 | 0.000 | 0.000 | 0.000 | 0.000 | -0.000 |
| 0.000 | 0.000 | 0.000 | -0.000 | 0.000 | 0.000 |
| 0.000 | 0.000 | 0.000 | -0.000 | 0.000 | -0.000 |
| -0.000 | 0.000 | -0.000 | -0.000 | -0.000 | -0.000 |
| 0.000 | -0.000 | -0.000 | 0.000 | -0.000 | 0.000 |
| -0.000 | 0.000 | -0.000 | -0.000 | -0.000 | -0.000 |
| 0.000 | 0.000 | 0.000 | -0.000 | -0.000 | -0.000 |
| 0.000 | 0.000 | 0.000 | -0.000 | -0.000 | -0.000 |
| 0.000 | 0.000 | 0.000 | -0.000 | -0.000 | -0.000 |
| 0.000 | -0.000 | 0.000 | -0.000 | 0.000 | 0.000 |
| -0.000 | 0.000 | 0.000 | -0.000 | -0.000 | -0.000 |
| 0.000 | -0.000 | 0.000 | 0.000 | 0.000 | -0.000 |
| 207.165 | 178.146 | 178.146 | -0.000 | -0.000 | -0.000 |
| 178.146 | 207.165 | 178.146 | -0.000 | -0.000 | -0.000 |
| 178.146 | 178.146 | 207.165 | -0.000 | -0.000 | -0.000 |
| 0.000 | 0.000 | 0.000 | 140.610 | 0.000 | -0.000 |
| 0.000 | 0.000 | 0.000 | 0.000 | 140.610 | -0.000 |
| 0.000 | 0.000 | 0.000 | 0.000 | -0.000 | 140.610 |
| 207.165 | 178.146 | 178.146 | 0.000 | 0.000 | 0.000 |
| 178.146 | 207.165 | 178.146 | 0.000 | 0.000 | 0.000 |
| 178.146 | 178.146 | 207.165 | 0.000 | 0.000 | 0.000 |
| -0.000 | -0.000 | -0.000 | 140.610 | 0.000 | 0.000 |
| -0.000 | -0.000 | -0.000 | 0.000 | 140.610 | 0.000 |
| -0.000 | -0.000 | -0.000 | 0.000 | 0.000 | 140.610 |
| 207.165 | 178.147 | 178.147 | -0.000 | -0.000 | -0.000 |
| 178.147 | 207.165 | 178.147 | -0.000 | -0.000 | -0.000 |
| 178.147 | 178.147 | 207.165 | -0.000 | -0.000 | -0.000 |
| -0.000 | -0.000 | -0.000 | 26.816 | -0.000 | -0.000 |
| -0.000 | -0.000 | -0.000 | -0.000 | 26.816 | -0.000 |
| -0.000 | -0.000 | -0.000 | -0.000 | -0.000 | 26.816 |
| 207.165 | 178.146 | 178.146 | 0.000 | 0.000 | 0.000 |
| 178.146 | 207.165 | 178.146 | 0.000 | 0.000 | 0.000 |
| 178.146 | 178.146 | 207.165 | 0.000 | 0.000 | 0.000 |
| -0.000 | -0.000 | -0.000 | 140.610 | 0.000 | 0.000 |
| -0.000 | -0.000 | -0.000 | 0.000 | 140.610 | 0.000 |
| -0.000 | -0.000 | -0.000 | 0.000 | 0.000 | 140.610 |
| 207.166 | 178.149 | 178.149 | -0.000 | -0.000 | -0.000 |
| 178.149 | 207.166 | 178.149 | -0.000 | -0.000 | -0.000 |
| 178.149 | 178.149 | 207.166 | -0.000 | -0.000 | -0.000 |
| -0.000 | -0.000 | -0.000 | 26.816 | -0.000 | -0.000 |
| -0.000 | -0.000 | -0.000 | -0.000 | 26.816 | -0.000 |
| -0.000 | -0.000 | -0.000 | -0.000 | -0.000 | 26.816 |
| 207.163 | 178.144 | 178.144 | 0.000 | 0.000 | 0.000 |
| 178.144 | 207.163 | 178.144 | 0.000 | 0.000 | 0.000 |
| 178.144 | 178.144 | 207.163 | 0.000 | 0.000 | 0.000 |
| 0.000 | 0.000 | 0.000 | 26.816 | 0.000 | 0.000 |
| 0.000 | 0.000 | 0.000 | 0.000 | 26.816 | 0.000 |
| 0.000 | 0.000 | 0.000 | 0.000 | 0.000 | 26.816 |
| 0.000 | 0.000 | 0.000 | 0.000 | 0.000 | 0.000 |
| 0.000 | 0.000 | 0.000 | 0.000 | 0.000 | 0.000 |
| 0.000 | 0.000 | 0.000 | 0.000 | 0.000 | 0.000 |
| 0.000 | 0.000 | 0.000 | 0.000 | 0.000 | 0.000 |
| 0.000 | 0.000 | 0.000 | 0.000 | 0.000 | 0.000 |
| 0.000 | 0.000 | 0.000 | 0.000 | -0.000 | 0.000 |
| -0.000 | 0.000 | 0.000 | -0.000 | -0.000 | -0.000 |
| 0.000 | -0.000 | 0.000 | -0.000 | -0.000 | -0.000 |
| 0.000 | 0.000 | -0.000 | -0.000 | -0.000 | -0.000 |
| -0.000 | -0.000 | -0.000 | -0.000 | -0.000 | -0.000 |
| -0.000 | -0.000 | -0.000 | -0.000 | -0.000 | -0.000 |
| -0.000 | -0.000 | -0.000 | -0.000 | -0.000 | -0.000 |
| 0.000 | 0.000 | 0.000 | 0.000 | 0.000 | 0.000 |
| 0.000 | 0.000 | 0.000 | 0.000 | 0.000 | 0.000 |
| 0.000 | 0.000 | 0.000 | 0.000 | 0.000 | 0.000 |
| 0.000 | 0.000 | 0.000 | 0.000 | 0.000 | 0.000 |
| 0.000 | 0.000 | 0.000 | 0.000 | 0.000 | 0.000 |
| 0.000 | 0.000 | 0.000 | 0.000 | 0.000 | 0.000 |
| -0.000 | 0.000 | 0.000 | -0.000 | -0.000 | -0.000 |
| 0.000 | -0.000 | 0.000 | -0.000 | -0.000 | -0.000 |
| 0.000 | 0.000 | -0.000 | -0.000 | -0.000 | -0.000 |
| -0.000 | -0.000 | -0.000 | -0.000 | -0.000 | -0.000 |
| -0.000 | -0.000 | -0.000 | -0.000 | -0.000 | -0.000 |
| -0.000 | -0.000 | -0.000 | 0.000 | 0.000 | -0.000 |
| -0.000 | 0.000 | 0.000 | 0.000 | 0.000 | 0.000 |
| 0.000 | -0.000 | 0.000 | 0.000 | 0.000 | 0.000 |
| 0.000 | 0.000 | -0.000 | 0.000 | 0.000 | 0.000 |
| 0.000 | -0.000 | 0.000 | 0.000 | -0.000 | 0.000 |
| -0.000 | 0.000 | 0.000 | -0.000 | 0.000 | 0.000 |
| -0.000 | 0.000 | 0.000 | 0.000 | 0.000 | -0.000 |
| 0.000 | 0.000 | 0.000 | -0.000 | -0.000 | -0.000 |
| 0.000 | 0.000 | 0.000 | -0.000 | -0.000 | -0.000 |
| 0.000 | 0.000 | 0.000 | -0.000 | -0.000 | 0.000 |
| -0.000 | 0.000 | -0.000 | -0.000 | -0.000 | -0.000 |
| 0.000 | -0.000 | -0.000 | -0.000 | 0.000 | -0.000 |
| 0.000 | -0.000 | -0.000 | -0.000 | -0.000 | -0.000 |
| 1575.293 | -141.044 | 217.891 | -0.000 | -0.000 | 0.000 |
| -141.044 | 1575.293 | 217.891 | -0.000 | -0.000 | -0.000 |
| 217.891 | 217.891 | 1574.505 | 0.000 | 0.000 | -0.000 |
| -0.000 | 0.000 | -0.000 | 56.156 | -0.000 | 0.000 |
| -0.000 | 0.000 | -0.000 | 0.000 | 56.156 | -0.000 |
| -0.000 | -0.000 | -0.000 | 0.000 | -0.000 | -195.318 |
| 1575.293 | -141.044 | 217.891 | 0.000 | -0.000 | -0.000 |
| -141.044 | 1575.293 | 217.891 | -0.000 | -0.000 | 0.000 |
| 217.891 | 217.891 | 1574.504 | -0.000 | -0.000 | -0.000 |
| 0.000 | -0.000 | 0.000 | 56.156 | -0.000 | 0.000 |
| 0.000 | -0.000 | 0.000 | -0.000 | 56.156 | -0.000 |
| 0.000 | 0.000 | 0.000 | -0.000 | -0.000 | -195.318 |
| 995.165 | 439.085 | 217.892 | 0.000 | 0.000 | -0.000 |
| 439.085 | 995.165 | 217.892 | -0.000 | 0.000 | -0.000 |
| 217.891 | 217.891 | 1574.509 | 0.000 | 0.000 | -0.000 |
| -0.000 | -0.000 | -0.000 | 56.156 | -0.000 | 0.000 |
| -0.000 | -0.000 | -0.000 | 0.000 | 56.156 | 0.000 |
| -0.000 | -0.000 | -0.000 | 0.000 | 0.000 | -195.318 |
| 995.164 | 439.083 | 217.891 | -0.000 | 0.000 | 0.000 |
| 439.083 | 995.164 | 217.891 | -0.000 | -0.000 | -0.000 |
| 217.891 | 217.891 | 1574.500 | -0.000 | -0.000 | 0.000 |
| 0.000 | 0.000 | 0.000 | 56.156 | -0.000 | 0.000 |
| 0.000 | 0.000 | 0.000 | -0.000 | 56.156 | -0.000 |
| 0.000 | 0.000 | 0.000 | -0.000 | -0.000 | -195.318 |
| 995.172 | 439.093 | 217.893 | 0.000 | 0.000 | -0.000 |
| 439.093 | 995.172 | 217.893 | 0.000 | 0.000 | -0.000 |
| 217.891 | 217.891 | 1574.550 | 0.000 | 0.000 | -0.000 |
| -0.000 | -0.000 | -0.001 | 56.156 | -0.000 | 0.000 |
| -0.000 | -0.000 | -0.001 | 0.000 | 56.156 | 0.000 |
| -0.000 | -0.002 | -0.000 | 0.000 | 0.000 | -195.318 |
| 995.158 | 439.074 | 217.890 | -0.000 | -0.000 | -0.000 |
| 439.074 | 995.158 | 217.890 | -0.000 | -0.000 | 0.000 |
| 217.891 | 217.891 | 1574.460 | -0.000 | -0.000 | -0.000 |
| 0.000 | 0.000 | 0.001 | 56.156 | 0.000 | 0.000 |
| 0.000 | 0.000 | 0.001 | -0.000 | 56.156 | 0.000 |
| 0.000 | 0.002 | 0.000 | 0.000 | -0.000 | -195.318 |
| 0.000 | 0.000 | 0.000 | -0.000 | -0.000 | 0.000 |
| 0.000 | 0.000 | 0.000 | 0.000 | -0.000 | -0.000 |
| 0.000 | 0.000 | -0.000 | 0.000 | 0.000 | 0.000 |
| 0.000 | -0.000 | 0.000 | 0.000 | -0.000 | -0.000 |
| -0.000 | 0.000 | 0.000 | 0.000 | 0.000 | 0.000 |
| -0.000 | 0.000 | 0.000 | -0.000 | -0.000 | -0.000 |
| 0.000 | 0.000 | 0.000 | 0.000 | 0.000 | -0.000 |
| 0.000 | 0.000 | 0.000 | 0.000 | 0.000 | -0.000 |
| 0.000 | 0.000 | -0.000 | -0.000 | -0.000 | -0.000 |
| -0.000 | -0.000 | -0.000 | 0.000 | 0.000 | -0.000 |
| 0.000 | -0.000 | -0.000 | -0.000 | 0.000 | 0.000 |
| 0.000 | -0.000 | -0.000 | -0.000 | 0.000 | -0.000 |
| 0.000 | 0.000 | 0.000 | 0.000 | 0.000 | -0.000 |
| 0.000 | 0.000 | 0.000 | 0.000 | -0.000 | 0.000 |
| 0.000 | 0.000 | -0.000 | 0.000 | -0.000 | -0.000 |
| 0.000 | -0.000 | 0.000 | 0.000 | -0.000 | -0.000 |
| -0.000 | 0.000 | -0.000 | 0.000 | 0.000 | -0.000 |
| 0.000 | -0.000 | -0.000 | 0.000 | 0.000 | -0.000 |
| 0.000 | 0.000 | 0.000 | 0.000 | 0.000 | 0.000 |
| 0.000 | 0.000 | 0.000 | -0.000 | -0.000 | -0.000 |
| 0.000 | 0.000 | -0.000 | 0.000 | 0.000 | -0.000 |
| -0.000 | 0.000 | -0.000 | 0.000 | 0.000 | -0.000 |
| -0.000 | -0.000 | -0.000 | -0.000 | 0.000 | -0.000 |
| -0.000 | 0.000 | 0.000 | -0.000 | -0.000 | -0.000 |
| 0.000 | 0.000 | 0.000 | -0.000 | -0.000 | -0.000 |
| 0.000 | 0.000 | 0.000 | 0.000 | -0.000 | 0.000 |
| 0.000 | 0.000 | -0.000 | 0.000 | -0.000 | -0.000 |
| -0.000 | 0.000 | 0.000 | 0.000 | -0.000 | -0.000 |
| 0.000 | -0.000 | 0.000 | 0.000 | 0.000 | -0.000 |
| 0.000 | -0.000 | -0.000 | 0.000 | -0.000 | -0.000 |
| 0.000 | 0.000 | 0.000 | 0.000 | -0.000 | 0.000 |
| 0.000 | 0.000 | 0.000 | -0.000 | 0.000 | 0.000 |
| 0.000 | 0.000 | -0.000 | 0.000 | 0.000 | -0.000 |
| 0.000 | -0.000 | -0.000 | 0.000 | 0.000 | -0.000 |
| -0.000 | 0.000 | -0.000 | -0.000 | 0.000 | -0.000 |
| -0.000 | 0.000 | 0.000 | -0.000 | -0.000 | -0.000 |
| 2061.856 | -39.671 | 191.802 | -0.000 | -0.000 | 0.000 |
| -39.671 | 2061.856 | 191.802 | -0.000 | 0.000 | -0.000 |
| 191.802 | 191.802 | 461.336 | 0.000 | -0.000 | -0.000 |
| 0.000 | 0.000 | -0.000 | 153.788 | 0.000 | 0.000 |
| 0.000 | 0.000 | -0.000 | -0.000 | 153.788 | 0.000 |
| 0.000 | 0.000 | -0.000 | -0.000 | 0.000 | -82.420 |
| 2061.855 | -39.671 | 191.802 | 0.000 | -0.000 | 0.000 |
| -39.671 | 2061.855 | 191.802 | 0.000 | 0.000 | 0.000 |
| 191.802 | 191.802 | 461.336 | 0.000 | 0.000 | 0.000 |
| -0.000 | -0.000 | 0.000 | 153.788 | 0.000 | 0.000 |
| -0.000 | -0.000 | 0.000 | 0.000 | 153.788 | 0.000 |
| -0.000 | -0.000 | 0.000 | -0.000 | -0.000 | -82.420 |
| 2061.861 | -39.671 | 191.802 | -0.000 | -0.000 | -0.000 |
| -39.671 | 2061.861 | 191.802 | -0.000 | -0.000 | -0.000 |
| 191.801 | 191.801 | 461.336 | 0.000 | 0.000 | -0.000 |
| 0.000 | 0.000 | -0.000 | 153.788 | 0.000 | 0.000 |
| 0.000 | 0.000 | -0.000 | -0.000 | 153.788 | 0.000 |
| 0.000 | -0.000 | 0.000 | -0.000 | 0.000 | -82.420 |
| 2061.850 | -39.671 | 191.801 | 0.000 | -0.000 | 0.000 |
| -39.671 | 2061.850 | 191.801 | -0.000 | 0.000 | -0.000 |
| 191.802 | 191.802 | 461.337 | 0.000 | 0.000 | 0.000 |
| -0.000 | -0.000 | 0.000 | 153.788 | -0.000 | -0.000 |
| -0.000 | -0.000 | 0.000 | -0.000 | 153.788 | -0.000 |
| -0.000 | 0.000 | -0.000 | 0.000 | 0.000 | -82.420 |
| 2061.913 | -39.670 | 191.802 | -0.000 | -0.000 | 0.000 |
| -39.670 | 2061.913 | 191.802 | -0.000 | -0.000 | -0.000 |
| 191.801 | 191.801 | 461.329 | -0.000 | -0.000 | -0.000 |
| 0.000 | 0.000 | -0.001 | 153.788 | 0.000 | 0.000 |
| 0.000 | 0.000 | -0.001 | -0.000 | 153.788 | -0.000 |
| 0.001 | -0.000 | 0.000 | -0.000 | -0.000 | -82.420 |
| 2061.798 | -39.671 | 191.801 | 0.000 | 0.000 | 0.000 |
| -39.671 | 2061.798 | 191.801 | 0.000 | 0.000 | 0.000 |
| 191.802 | 191.802 | 461.343 | 0.000 | 0.000 | -0.000 |
| -0.000 | -0.000 | 0.001 | 153.788 | -0.000 | -0.000 |
| -0.000 | -0.000 | 0.001 | 0.000 | 153.788 | -0.000 |
| -0.001 | 0.000 | -0.000 | 0.000 | 0.000 | -82.420 |
| 1656.457 | -78.675 | 102.570 | 0.000 | 0.000 | -0.000 |
| -78.675 | 1656.457 | 102.570 | 0.000 | 0.000 | -0.000 |
| 102.570 | 102.570 | -127.986 | 0.000 | 0.000 | -0.000 |
| -0.000 | 0.000 | 0.000 | 76.841 | 0.000 | -0.000 |
| 0.000 | 0.000 | 0.000 | 0.000 | 76.841 | -0.000 |
| 0.000 | -0.000 | -0.000 | -0.000 | -0.000 | -105.236 |
| 1656.456 | -78.675 | 102.570 | -0.000 | 0.000 | 0.000 |
| -78.675 | 1656.456 | 102.570 | 0.000 | 0.000 | 0.000 |
| 102.570 | 102.570 | -127.986 | -0.000 | 0.000 | 0.000 |
| 0.000 | -0.000 | -0.000 | 76.841 | 0.000 | 0.000 |
| -0.000 | -0.000 | -0.000 | -0.000 | 76.841 | 0.000 |
| -0.000 | 0.000 | 0.000 | 0.000 | -0.000 | -105.236 |
| 1656.463 | -78.675 | 102.570 | -0.000 | 0.000 | -0.000 |
| -78.675 | 1656.463 | 102.570 | 0.000 | -0.000 | -0.000 |
| 102.570 | 102.570 | -127.986 | 0.000 | -0.000 | -0.000 |
| -0.000 | 0.000 | 0.000 | 76.841 | -0.000 | -0.000 |
| 0.000 | -0.000 | 0.000 | 0.000 | 76.841 | -0.000 |
| 0.000 | -0.000 | -0.000 | 0.000 | 0.000 | -105.236 |
| 1656.451 | -78.675 | 102.570 | 0.000 | 0.000 | 0.000 |
| -78.675 | 1656.451 | 102.570 | -0.000 | -0.000 | 0.000 |
| 102.570 | 102.570 | -127.987 | -0.000 | 0.000 | 0.000 |
| 0.000 | -0.000 | -0.000 | 76.841 | -0.000 | 0.000 |
| -0.000 | 0.000 | -0.000 | -0.000 | 76.841 | 0.000 |
| -0.000 | 0.000 | 0.000 | -0.000 | 0.000 | -105.236 |
| 1656.515 | -78.675 | 102.571 | 0.000 | -0.000 | -0.000 |
| -78.675 | 1656.515 | 102.571 | 0.000 | -0.000 | -0.000 |
| 102.571 | 102.571 | -127.986 | 0.000 | 0.000 | -0.000 |
| -0.000 | 0.000 | 0.001 | 76.841 | 0.000 | -0.000 |
| 0.000 | -0.000 | 0.001 | 0.000 | 76.841 | -0.000 |
| 0.000 | -0.001 | -0.000 | 0.000 | 0.000 | -105.236 |
| 1656.398 | -78.675 | 102.570 | -0.000 | -0.000 | 0.000 |
| -78.675 | 1656.398 | 102.570 | -0.000 | -0.000 | 0.000 |
| 102.570 | 102.570 | -127.987 | -0.000 | -0.000 | 0.000 |
| 0.000 | -0.000 | -0.001 | 76.841 | 0.000 | 0.000 |
| -0.000 | 0.000 | -0.001 | -0.000 | 76.841 | 0.000 |
| -0.000 | 0.001 | 0.000 | -0.000 | -0.000 | -105.236 |
| 0.000 | 0.000 | 0.000 | 0.000 | 0.000 | -0.000 |
| 0.000 | 0.000 | 0.000 | 0.000 | 0.000 | 0.000 |
| 0.000 | 0.000 | 0.000 | 0.000 | 0.000 | -0.000 |
| 0.000 | 0.000 | 0.000 | 0.000 | 0.000 | 0.000 |
| 0.000 | 0.000 | 0.000 | 0.000 | 0.000 | -0.000 |
| 0.000 | 0.000 | 0.000 | 0.000 | 0.000 | -0.000 |
| 0.000 | 0.000 | -0.000 | -0.000 | -0.000 | 0.000 |
| 0.000 | 0.000 | -0.000 | -0.000 | -0.000 | 0.000 |
| 0.000 | 0.000 | -0.000 | -0.000 | -0.000 | 0.000 |
| -0.000 | -0.000 | -0.000 | -0.000 | -0.000 | 0.000 |
| -0.000 | -0.000 | -0.000 | -0.000 | -0.000 | 0.000 |
| -0.000 | -0.000 | -0.000 | -0.000 | -0.000 | -0.000 |
| 0.000 | 0.000 | 0.000 | 0.000 | 0.000 | -0.000 |
| 0.000 | 0.000 | 0.000 | 0.000 | 0.000 | -0.000 |
| 0.000 | 0.000 | 0.000 | 0.000 | 0.000 | -0.000 |
| 0.000 | 0.000 | 0.000 | 0.000 | 0.000 | -0.000 |
| 0.000 | 0.000 | 0.000 | 0.000 | 0.000 | 0.000 |
| 0.000 | -0.000 | 0.000 | 0.000 | 0.000 | -0.000 |
| 0.000 | 0.000 | -0.000 | -0.000 | -0.000 | 0.000 |
| 0.000 | 0.000 | -0.000 | -0.000 | -0.000 | 0.000 |
| 0.000 | 0.000 | -0.000 | -0.000 | -0.000 | 0.000 |
| -0.000 | -0.000 | -0.000 | -0.000 | -0.000 | 0.000 |
| -0.000 | -0.000 | -0.000 | -0.000 | -0.000 | 0.000 |
| -0.000 | 0.000 | -0.000 | -0.000 | -0.000 | -0.000 |
| 0.000 | 0.000 | 0.000 | 0.000 | 0.000 | -0.000 |
| 0.000 | 0.000 | 0.000 | 0.000 | 0.000 | -0.000 |
| 0.000 | 0.000 | 0.000 | 0.000 | 0.000 | -0.000 |
| 0.000 | 0.000 | 0.000 | 0.000 | 0.000 | 0.000 |
| 0.000 | 0.000 | 0.000 | 0.000 | 0.000 | -0.000 |
| 0.000 | -0.000 | 0.000 | 0.000 | 0.000 | -0.000 |
| 0.000 | 0.000 | -0.000 | -0.000 | -0.000 | 0.000 |
| 0.000 | 0.000 | -0.000 | -0.000 | -0.000 | 0.000 |
| 0.000 | 0.000 | -0.000 | -0.000 | -0.000 | 0.000 |
| -0.000 | -0.000 | -0.000 | -0.000 | -0.000 | 0.000 |
| -0.000 | -0.000 | -0.000 | -0.000 | -0.000 | 0.000 |
| -0.000 | 0.000 | -0.000 | -0.000 | -0.000 | -0.000 |
| 0.000 | 0.000 | 0.000 | -0.000 | 0.000 | -0.000 |
| 0.000 | 0.000 | 0.000 | 0.000 | 0.000 | 0.000 |
| 0.000 | 0.000 | -0.000 | -0.000 | 0.000 | 0.000 |
| -0.000 | 0.000 | 0.000 | 0.000 | 0.000 | 0.000 |
| -0.000 | -0.000 | 0.000 | -0.000 | 0.000 | -0.000 |
| -0.000 | -0.000 | 0.000 | 0.000 | -0.000 | -0.000 |
| 0.000 | 0.000 | 0.000 | -0.000 | -0.000 | -0.000 |
| 0.000 | 0.000 | 0.000 | 0.000 | -0.000 | -0.000 |
| 0.000 | 0.000 | -0.000 | 0.000 | -0.000 | -0.000 |
| -0.000 | 0.000 | -0.000 | 0.000 | 0.000 | -0.000 |
| 0.000 | 0.000 | -0.000 | 0.000 | 0.000 | -0.000 |
| 0.000 | 0.000 | -0.000 | -0.000 | -0.000 | -0.000 |
| 0.000 | 0.000 | 0.000 | -0.000 | 0.000 | 0.000 |
| 0.000 | 0.000 | 0.000 | 0.000 | 0.000 | 0.000 |
| 0.000 | 0.000 | -0.000 | -0.000 | 0.000 | 0.000 |
| -0.000 | 0.000 | 0.000 | 0.000 | 0.000 | 0.000 |
| -0.000 | -0.000 | 0.000 | -0.000 | 0.000 | -0.000 |
| -0.000 | -0.000 | 0.000 | -0.000 | -0.000 | -0.000 |
| 0.000 | 0.000 | 0.000 | -0.000 | -0.000 | -0.000 |
| 0.000 | 0.000 | 0.000 | 0.000 | -0.000 | -0.000 |
| 0.000 | 0.000 | -0.000 | 0.000 | -0.000 | -0.000 |
| -0.000 | 0.000 | -0.000 | 0.000 | -0.000 | -0.000 |
| 0.000 | 0.000 | -0.000 | 0.000 | 0.000 | -0.000 |
| 0.000 | 0.000 | -0.000 | 0.000 | -0.000 | -0.000 |
| -0.000 | -0.000 | 0.000 | -0.000 | 0.000 | 0.000 |
| -0.000 | -0.000 | 0.000 | 0.000 | 0.000 | 0.000 |
| -0.000 | -0.000 | 0.000 | 0.000 | 0.000 | 0.000 |
| -0.000 | -0.000 | 0.000 | 0.000 | 0.000 | 0.000 |
| -0.000 | -0.000 | 0.000 | -0.000 | 0.000 | -0.000 |
| -0.000 | -0.000 | 0.000 | -0.000 | -0.000 | -0.000 |
| 0.000 | 0.000 | 0.000 | -0.000 | -0.000 | -0.000 |
| 0.000 | 0.000 | 0.000 | 0.000 | -0.000 | -0.000 |
| 0.000 | 0.000 | -0.000 | -0.000 | -0.000 | -0.000 |
| 0.000 | 0.000 | -0.000 | 0.000 | -0.000 | -0.000 |
| 0.000 | 0.000 | -0.000 | 0.000 | 0.000 | -0.000 |
| 0.000 | 0.000 | -0.000 | 0.000 | -0.000 | -0.000 |
| 2107.394 | -49.839 | -49.839 | -0.000 | -0.000 | -0.000 |
| -49.839 | 2107.394 | -49.839 | -0.000 | -0.000 | -0.000 |
| -49.839 | -49.839 | 2107.394 | -0.000 | -0.000 | -0.000 |
| 0.000 | 0.000 | 0.000 | -107.494 | -0.000 | -0.000 |
| 0.000 | 0.000 | 0.000 | -0.000 | -107.494 | -0.000 |
| 0.000 | 0.000 | 0.000 | -0.000 | -0.000 | -107.494 |
| 2107.393 | -49.839 | -49.839 | -0.000 | -0.000 | 0.000 |
| -49.839 | 2107.393 | -49.839 | -0.000 | 0.000 | 0.000 |
| -49.839 | -49.839 | 2107.393 | -0.000 | -0.000 | 0.000 |
| -0.000 | -0.000 | -0.000 | -107.494 | 0.000 | 0.000 |
| -0.000 | -0.000 | -0.000 | 0.000 | -107.494 | 0.000 |
| -0.000 | -0.000 | -0.000 | 0.000 | -0.000 | -107.494 |
| 2107.400 | -49.839 | -49.839 | -0.000 | -0.000 | -0.000 |
| -49.839 | 2107.400 | -49.839 | -0.000 | -0.000 | -0.000 |
| -49.839 | -49.839 | 2107.400 | -0.000 | -0.000 | -0.000 |
| 0.000 | 0.000 | -0.000 | -107.494 | -0.000 | -0.000 |
| 0.000 | 0.000 | -0.000 | -0.000 | -107.494 | -0.000 |
| 0.000 | -0.000 | 0.000 | -0.000 | -0.000 | -107.494 |
| 2107.388 | -49.839 | -49.839 | -0.000 | 0.000 | 0.000 |
| -49.839 | 2107.388 | -49.839 | 0.000 | 0.000 | 0.000 |
| -49.839 | -49.839 | 2107.388 | -0.000 | -0.000 | 0.000 |
| -0.000 | -0.000 | 0.000 | -107.494 | 0.000 | 0.000 |
| -0.000 | -0.000 | 0.000 | 0.000 | -107.494 | 0.000 |
| -0.000 | 0.000 | -0.000 | 0.000 | 0.000 | -107.494 |
| 2107.453 | -49.839 | -49.839 | 0.000 | 0.000 | -0.000 |
| -49.839 | 2107.453 | -49.839 | 0.000 | -0.000 | -0.000 |
| -49.839 | -49.839 | 2107.453 | -0.000 | -0.000 | -0.000 |
| 0.000 | 0.000 | -0.001 | -107.494 | 0.000 | -0.000 |
| 0.000 | 0.000 | -0.001 | 0.000 | -107.494 | -0.000 |
| 0.000 | -0.001 | 0.000 | -0.000 | 0.000 | -107.494 |
| 2107.335 | -49.840 | -49.840 | -0.000 | 0.000 | 0.000 |
| -49.840 | 2107.335 | -49.840 | -0.000 | 0.000 | 0.000 |
| -49.840 | -49.840 | 2107.335 | 0.000 | 0.000 | 0.000 |
| -0.000 | -0.000 | 0.001 | -107.494 | 0.000 | 0.000 |
| -0.000 | -0.000 | 0.001 | 0.000 | -107.494 | 0.000 |
| -0.000 | 0.001 | -0.000 | -0.000 | 0.000 | -107.494 |
| 0.000 | 0.000 | 0.000 | 0.000 | 0.000 | -0.000 |
| 0.000 | 0.000 | 0.000 | 0.000 | 0.000 | -0.000 |
| 0.000 | 0.000 | 0.000 | -0.000 | -0.000 | -0.000 |
| 0.000 | -0.000 | 0.000 | -0.000 | 0.000 | -0.000 |
| -0.000 | 0.000 | 0.000 | 0.000 | -0.000 | 0.000 |
| 0.000 | 0.000 | 0.000 | 0.000 | 0.000 | -0.000 |
| 0.000 | 0.000 | 0.000 | -0.000 | -0.000 | 0.000 |
| 0.000 | 0.000 | 0.000 | -0.000 | -0.000 | 0.000 |
| 0.000 | 0.000 | 0.000 | 0.000 | 0.000 | 0.000 |
| -0.000 | -0.000 | -0.000 | -0.000 | -0.000 | 0.000 |
| -0.000 | -0.000 | -0.000 | -0.000 | -0.000 | 0.000 |
| 0.000 | -0.000 | -0.000 | -0.000 | -0.000 | -0.000 |
| 0.000 | 0.000 | 0.000 | 0.000 | 0.000 | -0.000 |
| 0.000 | 0.000 | 0.000 | 0.000 | 0.000 | 0.000 |
| 0.000 | 0.000 | 0.000 | -0.000 | -0.000 | -0.000 |
| 0.000 | 0.000 | -0.000 | -0.000 | 0.000 | -0.000 |
| 0.000 | 0.000 | -0.000 | 0.000 | -0.000 | 0.000 |
| 0.000 | -0.000 | 0.000 | 0.000 | 0.000 | -0.000 |
| 0.000 | 0.000 | 0.000 | -0.000 | -0.000 | 0.000 |
| 0.000 | 0.000 | 0.000 | -0.000 | -0.000 | 0.000 |
| 0.000 | 0.000 | 0.000 | 0.000 | 0.000 | 0.000 |
| -0.000 | -0.000 | 0.000 | -0.000 | -0.000 | 0.000 |
| -0.000 | -0.000 | 0.000 | -0.000 | -0.000 | -0.000 |
| -0.000 | 0.000 | -0.000 | -0.000 | -0.000 | -0.000 |
| 0.000 | 0.000 | 0.000 | 0.000 | 0.000 | -0.000 |
| 0.000 | 0.000 | 0.000 | -0.000 | 0.000 | -0.000 |
| 0.000 | 0.000 | 0.000 | 0.000 | -0.000 | -0.000 |
| 0.000 | 0.000 | -0.000 | -0.000 | 0.000 | -0.000 |
| 0.000 | 0.000 | -0.000 | 0.000 | -0.000 | -0.000 |
| 0.000 | -0.000 | 0.000 | 0.000 | 0.000 | -0.000 |
| 0.000 | 0.000 | 0.000 | -0.000 | -0.000 | 0.000 |
| 0.000 | 0.000 | 0.000 | -0.000 | -0.000 | 0.000 |
| 0.000 | 0.000 | 0.000 | 0.000 | 0.000 | 0.000 |
| -0.000 | -0.000 | 0.000 | -0.000 | -0.000 | 0.000 |
| -0.000 | -0.000 | 0.000 | -0.000 | -0.000 | 0.000 |
| -0.000 | 0.000 | -0.000 | -0.000 | -0.000 | -0.000 |
| 4386.398 | 4086.551 | 4086.551 | -0.000 | -0.000 | -0.000 |
| 4086.550 | 4386.398 | 4086.551 | -0.000 | -0.000 | -0.000 |
| 4086.550 | 4086.551 | 4386.398 | -0.000 | -0.000 | -0.000 |
| 3824.295 | 3824.295 | 3824.295 | 116.401 | -0.000 | -0.000 |
| 3662.755 | 3662.755 | 3662.755 | 0.000 | 119.575 | 0.000 |
| 3662.755 | 3662.755 | 3662.755 | 0.000 | 0.000 | 119.575 |
| 892.301 | 247.279 | 247.279 | -0.000 | 0.000 | 0.000 |
| 247.279 | 892.301 | 247.279 | -0.000 | -0.000 | 0.000 |
| 247.279 | 247.279 | 892.301 | -0.000 | 0.000 | 0.000 |
| -3662.755 | -3662.755 | -3662.755 | 119.575 | -0.000 | 0.000 |
| -3824.295 | -3824.295 | -3824.295 | 0.000 | 116.401 | 0.000 |
| -3824.295 | -3824.295 | -3824.295 | 0.000 | 0.000 | 116.401 |
| 892.301 | 247.279 | 247.279 | 0.000 | -0.000 | -0.000 |
| 247.279 | 892.301 | 247.279 | 0.000 | 0.000 | -0.000 |
| 247.279 | 247.279 | 892.301 | 0.000 | 0.000 | -0.000 |
| 0.000 | -0.000 | -0.000 | 203.764 | -0.000 | -0.000 |
| -0.000 | 0.000 | -0.000 | 0.000 | 203.764 | -0.000 |
| -0.000 | -0.000 | 0.000 | 0.000 | -0.000 | 203.764 |
| 234.838 | -107.128 | -107.128 | 0.000 | 0.000 | 0.000 |
| -107.128 | 234.838 | -107.128 | 0.000 | 0.000 | 0.000 |
| -107.128 | -107.128 | 234.838 | 0.000 | 0.000 | 0.000 |
| -0.000 | 0.000 | 0.000 | 203.764 | 0.000 | -0.000 |
| 0.000 | -0.000 | 0.000 | -0.000 | 203.764 | -0.000 |
| 0.000 | 0.000 | -0.000 | -0.000 | -0.000 | 203.764 |
| 593.667 | 296.677 | 296.677 | -0.000 | -0.000 | -0.000 |
| 296.677 | 593.667 | 296.677 | -0.000 | -0.000 | -0.000 |
| 296.677 | 296.677 | 593.667 | -0.000 | -0.000 | -0.000 |
| 45.848 | 45.848 | 45.848 | 101.485 | -0.000 | -0.000 |
| 45.848 | 45.848 | 45.848 | -0.000 | 101.485 | 0.000 |
| 45.848 | 45.848 | 45.848 | -0.000 | 0.000 | 101.485 |
| 547.384 | 214.003 | 214.003 | 0.000 | 0.000 | 0.000 |
| 214.003 | 547.384 | 214.003 | 0.000 | 0.000 | 0.000 |
| 214.003 | 214.003 | 547.384 | 0.000 | 0.000 | 0.000 |
| -45.848 | -45.848 | -45.848 | 101.485 | -0.000 | -0.000 |
| -45.848 | -45.848 | -45.848 | -0.000 | 101.485 | -0.000 |
| -45.848 | -45.848 | -45.848 | -0.000 | -0.000 | 101.485 |
| -569.967 | -926.333 | -926.333 | 0.000 | 0.000 | 0.000 |
| -926.333 | -569.967 | -926.333 | 0.000 | 0.000 | 0.000 |
| -926.333 | -926.333 | -569.967 | 0.000 | 0.000 | 0.000 |
| -0.000 | -0.000 | -0.000 | 204.739 | 0.000 | 0.000 |
| -0.000 | 0.000 | -0.000 | 0.000 | 204.739 | 0.000 |
| -0.000 | -0.000 | 0.000 | 0.000 | 0.000 | 204.739 |
| 879.091 | 245.869 | 245.869 | -0.000 | -0.000 | -0.000 |
| 245.869 | 879.091 | 245.869 | -0.000 | -0.000 | 0.000 |
| 245.869 | 245.869 | 879.091 | -0.000 | -0.000 | -0.000 |
| -0.000 | 0.000 | 0.000 | 204.739 | -0.000 | -0.000 |
| 0.000 | -0.000 | 0.000 | -0.000 | 204.739 | -0.000 |
| 0.000 | 0.000 | -0.000 | -0.000 | -0.000 | 204.739 |
| 428.255 | 155.987 | 155.987 | 0.000 | 0.000 | 0.000 |
| 155.987 | 428.255 | 155.987 | 0.000 | 0.000 | 0.000 |
| 155.987 | 155.987 | 428.255 | 0.000 | 0.000 | 0.000 |
| -14.650 | -14.649 | -14.650 | 52.161 | 0.000 | 0.000 |
| -14.649 | -14.650 | -14.650 | 0.000 | 52.161 | 0.000 |
| -14.649 | -14.650 | -14.650 | 0.000 | 0.000 | 52.161 |
| 428.337 | 410.513 | 410.513 | -0.000 | -0.000 | -0.000 |
| 410.513 | 428.337 | 410.513 | -0.000 | -0.000 | -0.000 |
| 410.513 | 410.513 | 428.337 | -0.000 | -0.000 | -0.000 |
| 14.650 | 14.649 | 14.650 | 52.161 | -0.000 | -0.000 |
| 14.649 | 14.650 | 14.650 | -0.000 | 52.161 | -0.000 |
| 14.649 | 14.650 | 14.650 | -0.000 | -0.000 | 52.161 |
| 508.460 | 249.574 | 249.574 | 0.000 | 0.000 | 0.000 |
| 249.574 | 508.460 | 249.574 | 0.000 | 0.000 | 0.000 |
| 249.574 | 249.574 | 508.460 | 0.000 | 0.000 | 0.000 |
| -11.730 | -11.731 | -11.731 | 96.212 | 0.000 | 0.000 |
| -11.731 | -11.730 | -11.731 | 0.000 | 96.212 | 0.000 |
| -11.731 | -11.731 | -11.730 | 0.000 | 0.000 | 96.212 |
| 571.266 | 272.755 | 272.755 | -0.000 | -0.000 | -0.000 |
| 272.755 | 571.266 | 272.755 | -0.000 | -0.000 | -0.000 |
| 272.755 | 272.755 | 571.266 | -0.000 | -0.000 | -0.000 |
| 11.730 | 11.731 | 11.731 | 96.212 | -0.000 | -0.000 |
| 11.731 | 11.730 | 11.731 | -0.000 | 96.212 | -0.000 |
| 11.731 | 11.731 | 11.730 | -0.000 | -0.000 | 96.212 |
| 292.137 | 194.098 | 194.098 | 0.000 | -0.000 | -0.000 |
| 194.098 | 292.137 | 194.098 | -0.000 | 0.000 | 0.000 |
| 194.098 | 194.098 | 292.137 | 0.000 | -0.000 | 0.000 |
| -1.223 | -1.223 | -1.223 | 98.684 | -0.000 | -0.000 |
| -1.223 | -1.223 | -1.223 | -0.000 | 98.684 | -0.000 |
| -1.223 | -1.223 | -1.223 | -0.000 | -0.000 | 98.684 |
| 215.275 | 147.491 | 147.491 | 0.000 | 0.000 | 0.000 |
| 147.491 | 215.275 | 147.491 | 0.000 | 0.000 | 0.000 |
| 147.491 | 147.491 | 215.275 | 0.000 | 0.000 | 0.000 |
| 1.223 | 1.223 | 1.223 | 98.684 | 0.000 | 0.000 |
| 1.223 | 1.223 | 1.223 | 0.000 | 98.684 | 0.000 |
| 1.223 | 1.223 | 1.223 | 0.000 | 0.000 | 98.684 |
| 212.221 | 144.683 | 144.683 | -0.000 | -0.000 | -0.000 |
| 144.683 | 212.221 | 144.683 | -0.000 | -0.000 | -0.000 |
| 144.683 | 144.683 | 212.221 | -0.000 | -0.000 | -0.000 |
| -0.366 | -0.366 | -0.366 | 81.908 | -0.000 | -0.000 |
| -0.366 | -0.366 | -0.366 | -0.000 | 81.908 | -0.000 |
| -0.366 | -0.366 | -0.366 | -0.000 | -0.000 | 81.908 |
| 198.659 | 129.038 | 129.038 | 0.000 | 0.000 | 0.000 |
| 129.038 | 198.659 | 129.038 | 0.000 | 0.000 | 0.000 |
| 129.038 | 129.038 | 198.659 | 0.000 | 0.000 | 0.000 |
| 0.366 | 0.366 | 0.366 | 81.908 | 0.000 | 0.000 |
| 0.366 | 0.366 | 0.366 | 0.000 | 81.908 | 0.000 |
| 0.366 | 0.366 | 0.366 | 0.000 | 0.000 | 81.908 |
| 198.407 | 128.774 | 128.774 | -0.000 | -0.000 | -0.000 |
| 128.774 | 198.407 | 128.774 | -0.000 | -0.000 | -0.000 |
| 128.774 | 128.774 | 198.407 | -0.000 | -0.000 | -0.000 |
| -0.000 | -0.001 | -0.001 | 151.130 | -0.000 | 0.000 |
| -0.001 | -0.000 | -0.001 | -0.000 | 151.130 | -0.000 |
| -0.001 | -0.001 | -0.000 | -0.000 | 0.000 | 151.130 |
| 193.087 | 140.209 | 140.209 | 0.000 | 0.000 | 0.000 |
| 140.209 | 193.087 | 140.209 | 0.000 | 0.000 | 0.000 |
| 140.209 | 140.209 | 193.087 | 0.000 | 0.000 | 0.000 |
| 0.000 | 0.001 | 0.001 | 151.130 | -0.000 | 0.000 |
| 0.001 | 0.000 | 0.001 | -0.000 | 151.130 | -0.000 |
| 0.001 | 0.001 | 0.000 | -0.000 | 0.000 | 151.130 |
| 229.985 | 153.508 | 153.508 | -0.002 | -0.002 | -0.002 |
| 153.508 | 229.985 | 153.508 | -0.002 | -0.002 | -0.002 |
| 153.508 | 153.508 | 229.985 | -0.002 | -0.002 | -0.002 |
| 0.045 | 0.045 | 0.045 | 85.257 | -0.001 | -0.001 |
| 0.045 | 0.045 | 0.045 | -0.001 | 85.257 | -0.001 |
| 0.045 | 0.045 | 0.045 | -0.001 | -0.001 | 85.258 |
| 301.959 | 191.508 | 191.508 | 0.000 | -0.000 | 0.000 |
| 191.508 | 301.959 | 191.508 | -0.000 | 0.000 | -0.000 |
| 191.508 | 191.508 | 301.959 | -0.000 | -0.000 | 0.000 |
| -0.045 | -0.045 | -0.045 | 85.263 | 0.001 | 0.001 |
| -0.045 | -0.045 | -0.045 | 0.001 | 85.263 | 0.001 |
| -0.045 | -0.045 | -0.045 | 0.001 | 0.001 | 85.263 |
| 301.959 | 191.508 | 191.508 | 0.000 | 0.000 | -0.000 |
| 191.508 | 301.959 | 191.508 | 0.000 | 0.000 | 0.000 |
| 191.508 | 191.508 | 301.959 | -0.000 | 0.000 | 0.000 |
| -0.000 | -0.000 | -0.000 | 150.833 | 0.000 | -0.000 |
| -0.000 | -0.000 | -0.000 | 0.000 | 150.833 | -0.000 |
| -0.000 | -0.000 | -0.000 | 0.000 | -0.000 | 150.833 |
| 229.858 | 153.402 | 153.402 | 0.000 | 0.000 | 0.000 |
| 153.402 | 229.858 | 153.402 | 0.000 | 0.000 | 0.000 |
| 153.402 | 153.402 | 229.858 | 0.000 | 0.000 | 0.000 |
| 0.000 | 0.000 | 0.000 | 150.833 | 0.000 | 0.000 |
| 0.000 | 0.000 | 0.000 | 0.000 | 150.833 | 0.000 |
| 0.000 | 0.000 | 0.000 | 0.000 | 0.000 | 150.833 |
| 301.959 | 191.508 | 191.508 | 0.000 | -0.000 | -0.000 |
| 191.508 | 301.959 | 191.508 | 0.000 | 0.000 | -0.000 |
| 191.508 | 191.508 | 301.959 | -0.000 | 0.000 | 0.000 |
| -0.000 | -0.000 | -0.000 | 150.833 | -0.000 | -0.000 |
| -0.000 | -0.000 | -0.000 | 0.000 | 150.833 | -0.000 |
| -0.000 | -0.000 | -0.000 | 0.000 | 0.000 | 150.833 |
| 229.868 | 153.411 | 153.411 | 0.000 | 0.000 | 0.000 |
| 153.411 | 229.868 | 153.411 | 0.000 | 0.000 | 0.000 |
| 153.411 | 153.411 | 229.868 | 0.000 | 0.000 | 0.000 |
| 0.000 | 0.000 | 0.000 | 150.833 | -0.000 | 0.000 |
| 0.000 | 0.000 | 0.000 | -0.000 | 150.833 | 0.000 |
| 0.000 | 0.000 | 0.000 | -0.000 | 0.000 | 150.833 |
Phonon band structures and crystal properties estimated from quasi-harmonic approximation (QHA) calculations are displayed for select crystals. The calculations were performed using phonopy and LAMMPS. For the phonon calculations, 3x3 supercells of the potential-specific relaxed crystals were used. The QHA calculations were based on 11 strain states ranging from -0.05 to 0.05.
The calculation method used is available as the iprPy phonon calculation method.
Notes and Disclaimers:
Version Information:


























































































Static free surface formation energies are displayed for select crystals. The values displayed here are obtained by taking a perfect periodic bulk crystal, slicing along a crystallographic plane, and using force minimization to statically relax the surfaces. The free surface formation energy is computed by comparing the energy of the defect system to the bulk system and dividing by the total surface area created by the cut.
The calculation method used is available as the iprPy surface_energy_static calculation method.
Notes and Disclaimers:
Version Information:
| Surface | γfs (mJ/m2) |
|---|---|
| (331) | 0.00 |
| (210) | 0.00 |
| (321) | 0.00 |
| (211) | 0.00 |
| (320) | 0.00 |
| (311) | 0.00 |
| (100) | 0.00 |
| (110) | 0.00 |
| (322) | 0.00 |
| (310) | 0.00 |
| (221) | 0.00 |
| (111) | 0.00 |
| (332) | 0.00 |
| Surface | γfs (mJ/m2) |
|---|---|
| (110) | 0.00 |
| (321) | 0.00 |
| (100) | 0.00 |
| (331) | 0.00 |
| (322) | 0.00 |
| (320) | 0.00 |
| (211) | 0.00 |
| (221) | 0.00 |
| (332) | 0.00 |
| (210) | 0.00 |
| (311) | 0.00 |
| (111) | 0.00 |
| (310) | 0.00 |
| Surface | γfs (mJ/m2) |
|---|---|
| (1012) 1 | 0.00 |
| (1011) 1 | 0.00 |
| (1011) 2 | 0.00 |
| (2130) | 0.00 |
| (1121) | 0.00 |
| (2132) 2 | 0.00 |
| (2131) 2 | 0.00 |
| (1010) | 0.00 |
| (1120) | 0.00 |
| (1012) 2 | 0.00 |
| (0001) | 0.00 |
| (2021) 2 | 0.00 |
| (2131) 1 | 0.00 |
| (2021) 1 | 0.00 |
| (2241) | 0.00 |
| (2112) | 0.00 |
| (2132) 1 | 0.00 |
| Surface | γfs (mJ/m2) |
|---|---|
| (110) | 0.00 |
| (332) | 0.00 |
| (322) | 0.00 |
| (321) | 0.00 |
| (310) | 0.00 |
| (111) 2 | 0.00 |
| (320) | 0.00 |
| (221) | 0.00 |
| (331) 2 | 0.00 |
| (211) | 0.00 |
| (331) 1 | 0.00 |
| (111) 1 | 0.00 |
| (311) 1 | 0.00 |
| (100) | 0.00 |
| (311) 2 | 0.00 |
| (210) | 0.00 |
| Surface | γfs (mJ/m2) |
|---|---|
| (211) 2 | 0.00 |
| (112) | 0.00 |
| (201) | 0.00 |
| (100) | 0.00 |
| (101) 2 | 0.00 |
| (111) | 0.00 |
| (001) | 0.00 |
| (211) 1 | 0.00 |
| (110) | 0.00 |
| Surface | γfs (mJ/m2) |
|---|---|
| (0001) 2 | 0.00 |
| (2131) 1 | 0.00 |
| (2241) 1 | 0.00 |
| (2132) 1 | 0.00 |
| (2112) 2 | 0.00 |
| (1011) 2 | 0.00 |
| (1011) 1 | 0.00 |
| (1121) 2 | 0.00 |
| (2112) 1 | 0.00 |
| (1010) | 0.00 |
| (1121) 1 | 0.00 |
| (2130) | 0.00 |
| (2021) 1 | 0.00 |
| (0001) 1 | 0.00 |
| (2132) 2 | 0.00 |
| (2131) 2 | 0.00 |
| (1012) 2 | 0.00 |
| (1120) | 0.00 |
| (2241) 2 | 0.00 |
| (2021) 2 | 0.00 |
| (1012) 1 | 0.00 |
| Surface | γfs (mJ/m2) |
|---|---|
| (320) | 0.00 |
| (111) | 0.00 |
| (332) | 0.00 |
| (210) | 0.00 |
| (110) | 0.00 |
| (321) | 0.00 |
| (331) | 0.00 |
| (221) | 0.00 |
| (310) | 0.00 |
| (211) | 0.00 |
| (100) | 0.00 |
| (322) | 0.00 |
| (311) | 0.00 |
| Surface | γfs (mJ/m2) |
|---|---|
| (110) | 0.00 |
| (322) | 0.00 |
| (321) | 0.00 |
| (320) | 0.00 |
| (311) | 0.00 |
| (111) | 0.00 |
| (310) | 0.00 |
| (210) | 0.00 |
| (331) | 0.00 |
| (221) | 0.00 |
| (211) | 0.00 |
| (100) | 0.00 |
| (332) | 0.00 |
| Surface | γfs (mJ/m2) |
|---|---|
| (211) | 0.00 |
| (210) | 0.00 |
| (332) | 0.00 |
| (100) | 0.00 |
| (311) | 0.00 |
| (331) | 0.00 |
| (322) | 0.00 |
| (321) | 0.00 |
| (310) | 0.00 |
| (110) | 0.00 |
| (320) | 0.00 |
| (221) | 0.00 |
| (111) | 0.00 |
| Surface | γfs (mJ/m2) |
|---|---|
| (332) | 0.00 |
| (211) | 0.00 |
| (221) | 0.00 |
| (331) 2 | 0.00 |
| (111) 2 | 0.00 |
| (210) | 0.00 |
| (110) | 0.00 |
| (310) | 0.00 |
| (321) | 0.00 |
| (111) 1 | 0.00 |
| (100) | 0.00 |
| (311) 2 | 0.00 |
| (311) 1 | 0.00 |
| (320) | 0.00 |
| (331) 1 | 0.00 |
| Surface | γfs (mJ/m2) |
|---|---|
| (2241) 2 | 0.00 |
| (1120) | 0.00 |
| (2130) | 0.00 |
| (1011) 2 | 0.00 |
| (2241) 1 | 0.00 |
| (2112) 2 | 0.00 |
| (2131) 1 | 0.00 |
| (1121) 1 | 0.00 |
| (0001) 2 | 0.00 |
| (2132) 2 | 0.00 |
| (1012) 2 | 0.00 |
| (1011) 1 | 0.00 |
| (1012) 1 | 0.00 |
| (2021) 1 | 0.00 |
| (2021) 2 | 0.00 |
| (2132) 1 | 0.00 |
| (2131) 2 | 0.00 |
| (2112) 1 | 0.00 |
| (0001) 1 | 0.00 |
| (1010) | 0.00 |
| (1121) 2 | 0.00 |
| Surface | γfs (mJ/m2) |
|---|---|
| (100) | 419.25 |
| (310) | 551.89 |
| (210) | 593.72 |
| (320) | 621.04 |
| (110) | 644.87 |
| (311) | 693.55 |
| (321) | 745.92 |
| (331) | 753.14 |
| (211) | 769.44 |
| (221) | 791.84 |
| (322) | 813.95 |
| (332) | 820.11 |
| (111) | 849.85 |
| Surface | γfs (mJ/m2) |
|---|---|
| (211) 2 | 1732.46 |
| (332) 2 | 1832.85 |
| (111) | 1884.76 |
| (311) | 1898.91 |
| (221) | 1913.16 |
| (321) 2 | 1913.34 |
| (210) | 1919.62 |
| (321) 1 | 1922.87 |
| (322) | 1930.09 |
| (332) 1 | 1965.53 |
| (331) | 1984.31 |
| (310) | 2001.11 |
| (320) | 2080.59 |
| (211) 1 | 2085.50 |
| (100) | 2131.05 |
| (110) | 2171.25 |
| Surface | γfs (mJ/m2) |
|---|---|
| (110) | 2306.27 |
| (320) | 2571.06 |
| (321) | 2664.06 |
| (331) | 2675.10 |
| (210) | 2686.44 |
| (100) | 2721.07 |
| (211) | 2752.90 |
| (310) | 2773.57 |
| (221) | 2803.19 |
| (311) | 2859.75 |
| (322) | 2880.11 |
| (332) | 2895.69 |
| (111) | 2962.94 |
| Surface | γfs (mJ/m2) |
|---|---|
| (110) | 0.00 |
| (321) | 0.00 |
| (322) | 0.00 |
| (332) | 0.00 |
| (111) | 0.00 |
| (211) | 0.00 |
| (100) | 0.00 |
| (210) | 0.00 |
| (311) | 0.00 |
| (331) | 0.00 |
| (320) | 0.00 |
| (310) | 0.00 |
| (221) | 0.00 |
| Surface | γfs (mJ/m2) |
|---|---|
| (2241) | 0.00 |
| (1011) 1 | 0.00 |
| (1012) 2 | 0.00 |
| (1010) | 0.00 |
| (1012) 1 | 0.00 |
| (1120) | 0.00 |
| (2132) 1 | 0.00 |
| (2131) 1 | 0.00 |
| (2130) | 0.00 |
| (2112) | 0.00 |
| (2021) 2 | 0.00 |
| (2132) 2 | 0.00 |
| (2021) 1 | 0.00 |
| (0001) | 0.00 |
| (1011) 2 | 0.00 |
| (1121) | 0.00 |
| (2131) 2 | 0.00 |
| Surface | γfs (mJ/m2) |
|---|---|
| (322) | -129784.26 |
| (311) 2 | -103233.96 |
| (221) | -94287.68 |
| (211) | -76684.88 |
| (210) | -71426.48 |
| (111) 1 | -54689.27 |
| (331) 2 | -38934.47 |
| (311) 1 | -26286.80 |
| (111) 2 | 454.09 |
| (110) | 573.72 |
| (310) | 893.76 |
| (100) | 994.26 |
| Surface | γfs (mJ/m2) |
|---|---|
| (100) | 0.00 |
| (211) | 0.00 |
| (221) | 0.00 |
| (210) | 0.00 |
| (320) | 0.00 |
| (331) 2 | 0.00 |
| (331) 1 | 0.00 |
| (311) 2 | 0.00 |
| (111) 1 | 0.00 |
| (110) | 0.00 |
| (111) 2 | 0.00 |
| (321) | 0.00 |
| (310) | 0.00 |
| (332) | 0.00 |
| (311) 1 | 0.00 |
| (322) | 0.00 |
| Surface | γfs (mJ/m2) |
|---|---|
| (211) | 0.00 |
| (100) | 0.00 |
| (101) | 0.00 |
| (110) | 0.00 |
| (201) | 0.00 |
| (111) | 0.00 |
| (112) | 0.00 |
| (001) | 0.00 |
| Surface | γfs (mJ/m2) |
|---|---|
| (2112) 1 | 0.00 |
| (2132) 2 | 0.00 |
| (2241) 1 | 0.00 |
| (2131) 2 | 0.00 |
| (1011) 1 | 0.00 |
| (2021) 2 | 0.00 |
| (1011) 2 | 0.00 |
| (0001) 2 | 0.00 |
| (1120) | 0.00 |
| (2130) | 0.00 |
| (1121) 2 | 0.00 |
| (2132) 1 | 0.00 |
| (1121) 1 | 0.00 |
| (1010) | 0.00 |
| (2131) 1 | 0.00 |
| (2241) 2 | 0.00 |
| (1012) 2 | 0.00 |
| (2021) 1 | 0.00 |
| (0001) 1 | 0.00 |
| (1012) 1 | 0.00 |
| (2112) 2 | 0.00 |
Static point defect formation energies, Ef, and elastic dipole tensors, pij, are displayed for select crystals. Relaxed defect configurations are obtained by taking a 12x12x12 supercell of a perfect periodic bulk crystal, inserting the point defect, and using force minimization to statically relax the atomic positions while keeping the system dimensions constant. Ef is computed by comparing the energy of the defect system to the same number of atoms in a perfect bulk crystal. pij is estimated as the difference in the system's global pressure with and without the defect multiplied by the system's volume.
Simple structural comparisons of the unrelaxed and relaxed defect configurations are used to help determine if the defect structure has relaxed to a different configuration. Relaxed structures that are identified as no longer consistent with the ideal defect definition are excluded from the table below. The only exception to this is if the lowest energy interstitial configuration does not coincide with a known ideal defect, its energies and pressure tensor are included under the listing "relaxed interstitial". The full list of calculation results including the transformed structures and the structural comparison values is included in the csv file available from the "Download raw data" link.
The calculation method used is available as the iprPy point_defect_static calculation method.
Notes and Disclaimers:
| Point Defect | Ef (eV) | p11 (eV) | p22 (eV) | p33 (eV) | p12 (eV) | p13 (eV) | p23 (eV) |
|---|---|---|---|---|---|---|---|
| vacancy | 0.000 | -0.000 | -0.000 | -0.000 | -0.000 | -0.000 | -0.000 |
| 2nn divacancy | 0.000 | -0.000 | -0.000 | -0.000 | -0.000 | -0.000 | -0.000 |
| 1nn divacancy | 0.000 | -0.000 | -0.000 | -0.000 | -0.000 | -0.000 | -0.000 |
| octahedral interstitial | 0.000 | 0.000 | 0.000 | 0.000 | 0.000 | -0.000 | -0.000 |
| 100 dumbbell | 0.000 | 0.000 | 0.000 | 0.000 | -0.000 | -0.000 | -0.000 |
| Point Defect | Ef (eV) | p11 (eV) | p22 (eV) | p33 (eV) | p12 (eV) | p13 (eV) | p23 (eV) |
|---|---|---|---|---|---|---|---|
| 1nn divacancy | 0.000 | -0.000 | -0.000 | -0.000 | -0.000 | -0.000 | -0.000 |
| vacancy | 0.000 | -0.000 | -0.000 | -0.000 | -0.000 | -0.000 | -0.000 |
| 2nn divacancy | 0.000 | -0.000 | -0.000 | -0.000 | -0.000 | -0.000 | -0.000 |
| tetrahedral interstitial | 0.000 | 0.000 | 0.000 | 0.000 | -0.000 | 0.000 | -0.000 |
| octahedral interstitial | 0.000 | 0.000 | 0.000 | 0.000 | 0.000 | 0.000 | -0.000 |
| 100 dumbbell | 0.000 | -0.000 | -0.000 | 0.000 | -0.000 | -0.000 | -0.000 |
| 110 dumbbell | 0.000 | 0.000 | 0.000 | 0.000 | -0.000 | -0.000 | 0.000 |
| crowdion interstitial | 0.000 | 0.000 | 0.000 | 0.000 | 0.000 | 0.000 | 0.000 |
| 111 dumbbell | 0.000 | 0.000 | 0.000 | 0.000 | 0.000 | 0.000 | 0.000 |
| Point Defect | Ef (eV) | p11 (eV) | p22 (eV) | p33 (eV) | p12 (eV) | p13 (eV) | p23 (eV) |
|---|---|---|---|---|---|---|---|
| 1nn divacancy | 0.000 | -0.000 | -0.000 | -0.000 | -0.000 | -0.000 | -0.000 |
| tetragonal interstitial | 0.000 | -0.000 | -0.000 | -0.000 | -0.000 | -0.000 | -0.000 |
| hexagonal interstitial | 0.000 | -0.000 | -0.000 | -0.000 | -0.000 | -0.000 | -0.000 |
| vacancy | 0.000 | -0.000 | -0.000 | -0.000 | -0.000 | -0.000 | -0.000 |
| 110 dumbbell | 0.000 | 0.000 | 0.000 | 0.000 | 0.000 | 0.000 | 0.000 |
| bond centered interstitial | 0.000 | 0.000 | 0.000 | 0.000 | 0.000 | 0.000 | 0.000 |
| 100 dumbbell | 0.000 | 0.000 | 0.000 | 0.000 | 0.000 | 0.000 | 0.000 |
| Point Defect | Ef (eV) | p11 (eV) | p22 (eV) | p33 (eV) | p12 (eV) | p13 (eV) | p23 (eV) |
|---|---|---|---|---|---|---|---|
| crowdion interstitial | -0.370 | 0.000 | 0.000 | 0.000 | -0.000 | 0.000 | 0.000 |
| 110 dumbbell | -0.370 | 0.000 | 0.000 | 0.000 | 0.000 | -0.000 | -0.000 |
| vacancy | 0.000 | -0.000 | -0.000 | -0.000 | -0.000 | -0.000 | -0.000 |
| 1nn divacancy | 0.000 | -0.000 | -0.000 | -0.000 | -0.000 | -0.000 | -0.000 |
| 2nn divacancy | 0.000 | -0.000 | -0.000 | -0.000 | -0.000 | -0.000 | -0.000 |
| octahedral interstitial | 0.000 | 0.000 | 0.000 | 0.000 | -0.000 | -0.000 | -0.000 |
| 100 dumbbell | 0.000 | 0.000 | 0.000 | 0.000 | 0.000 | 0.000 | 0.000 |
| Point Defect | Ef (eV) | p11 (eV) | p22 (eV) | p33 (eV) | p12 (eV) | p13 (eV) | p23 (eV) |
|---|---|---|---|---|---|---|---|
| crowdion interstitial | -0.370 | -0.000 | -0.000 | -0.000 | -0.000 | -0.000 | -0.000 |
| 111 dumbbell | -0.370 | -0.000 | -0.000 | -0.000 | -0.000 | -0.000 | -0.000 |
| vacancy | 0.000 | -0.000 | -0.000 | -0.000 | -0.000 | -0.000 | -0.000 |
| 1nn divacancy | 0.000 | -0.000 | -0.000 | -0.000 | -0.000 | -0.000 | -0.000 |
| 2nn divacancy | 0.000 | -0.000 | -0.000 | -0.000 | -0.000 | -0.000 | -0.000 |
| tetrahedral interstitial | 0.000 | 0.000 | 0.000 | 0.000 | -0.000 | -0.000 | 0.000 |
| octahedral interstitial | 0.000 | 0.000 | 0.000 | 0.000 | 0.000 | 0.000 | 0.000 |
| 100 dumbbell | 0.000 | 0.000 | 0.000 | 0.000 | -0.000 | 0.000 | 0.000 |
| 110 dumbbell | 0.000 | 0.000 | 0.000 | 0.000 | -0.000 | -0.000 | 0.000 |
| Point Defect | Ef (eV) | p11 (eV) | p22 (eV) | p33 (eV) | p12 (eV) | p13 (eV) | p23 (eV) |
|---|---|---|---|---|---|---|---|
| bond centered interstitial | -0.370 | -0.000 | -0.000 | -0.000 | -0.000 | -0.000 | -0.000 |
| 100 dumbbell | -0.185 | -0.000 | -0.000 | -0.000 | -0.000 | 0.000 | 0.000 |
| hexagonal interstitial | 0.000 | -0.000 | -0.000 | -0.000 | -0.000 | -0.000 | -0.000 |
| 1nn divacancy | 0.000 | -0.000 | -0.000 | -0.000 | -0.000 | -0.000 | -0.000 |
| tetragonal interstitial | 0.000 | -0.000 | -0.000 | -0.000 | -0.000 | -0.000 | -0.000 |
| vacancy | 0.000 | -0.000 | -0.000 | -0.000 | -0.000 | -0.000 | -0.000 |
| 110 dumbbell | 0.000 | 0.000 | 0.000 | 0.000 | 0.000 | 0.000 | 0.000 |
| Point Defect | Ef (eV) | p11 (eV) | p22 (eV) | p33 (eV) | p12 (eV) | p13 (eV) | p23 (eV) |
|---|---|---|---|---|---|---|---|
| vacancy | 3.485 | -1.293 | -1.293 | -1.293 | 0.000 | 0.000 | 0.000 |
| 1nn divacancy | 6.480 | -2.633 | -2.633 | -2.633 | 0.267 | 0.267 | 0.267 |
| 2nn divacancy | 6.588 | -2.833 | -2.833 | -5.958 | -0.000 | -0.000 | 0.000 |
| 111 dumbbell | 10.401 | 36.023 | 36.023 | 36.023 | 16.020 | 16.020 | 16.020 |
| crowdion interstitial | 10.420 | 34.731 | 34.731 | 34.731 | 14.258 | 14.258 | 14.258 |
| 110 dumbbell | 10.860 | 50.231 | 51.172 | 51.172 | 0.000 | 0.000 | 13.467 |
| octahedral interstitial | 12.723 | 57.717 | 41.151 | 41.151 | 0.000 | 0.000 | -0.000 |
| Point Defect | Ef (eV) | p11 (eV) | p22 (eV) | p33 (eV) | p12 (eV) | p13 (eV) | p23 (eV) |
|---|---|---|---|---|---|---|---|
| relaxed interstitial | -28.878 | -0.000 | 0.000 | -0.000 | -0.000 | 0.000 | 0.000 |
| 111 dumbbell | -15.305 | -0.000 | -0.000 | -0.000 | -0.000 | -0.000 | -0.000 |
| octahedral interstitial | -12.178 | -0.000 | -0.000 | -0.000 | -0.000 | -0.000 | -0.000 |
| crowdion interstitial | -12.178 | -0.000 | -0.000 | -0.000 | -0.000 | -0.000 | -0.000 |
| 110 dumbbell | -0.000 | 0.000 | 0.000 | 0.000 | 0.000 | 0.000 | 0.000 |
| vacancy | 0.000 | -0.000 | -0.000 | -0.000 | -0.000 | -0.000 | -0.000 |
| 2nn divacancy | 0.000 | -0.000 | -0.000 | -0.000 | -0.000 | -0.000 | -0.000 |
| 1nn divacancy | 0.000 | -0.000 | -0.000 | -0.000 | -0.000 | -0.000 | -0.000 |
| 100 dumbbell | 0.000 | -0.000 | -0.000 | -0.000 | -0.000 | -0.000 | -0.000 |
| Point Defect | Ef (eV) | p11 (eV) | p22 (eV) | p33 (eV) | p12 (eV) | p13 (eV) | p23 (eV) |
|---|---|---|---|---|---|---|---|
| relaxed interstitial | -28445.297 | -7067.070 | -7081.515 | -6987.824 | -426.998 | -238.223 | -38.902 |
| vacancy | -14.877 | -31.402 | -31.402 | -31.402 | 0.000 | -0.000 | -0.000 |
| tetragonal interstitial | -5.921 | 3.332 | 3.332 | 3.332 | -0.000 | -0.000 | -0.000 |
| Point Defect | Ef (eV) | p11 (eV) | p22 (eV) | p33 (eV) | p12 (eV) | p13 (eV) | p23 (eV) |
|---|---|---|---|---|---|---|---|
| 110 dumbbell | -15.305 | -0.000 | -0.000 | -0.000 | 0.000 | 0.000 | -0.000 |
| bond centered interstitial | -12.178 | -0.000 | -0.000 | -0.000 | -0.000 | -0.000 | -0.000 |
| 100 dumbbell | -7.653 | -0.000 | -0.000 | -0.000 | -0.000 | -0.000 | -0.000 |
| hexagonal interstitial | 0.000 | -0.000 | -0.000 | -0.000 | -0.000 | -0.000 | -0.000 |
| tetragonal interstitial | 0.000 | -0.000 | -0.000 | -0.000 | -0.000 | -0.000 | -0.000 |
| vacancy | 0.000 | -0.000 | -0.000 | -0.000 | -0.000 | -0.000 | -0.000 |
| 1nn divacancy | 0.000 | -0.000 | -0.000 | -0.000 | -0.000 | -0.000 | -0.000 |
Plots of the atomic structure of dislocation cores are shown here. The dislocations were constructed using dislocation monopole configurations in which a straight dislocation is created in the center of the system using anisotropic elasticity and the elastic constants computed above. A cylindrical region centered around the dislocation is allowed to relax while the remaining atoms are held fixed. The relaxation consists of 1 million NVT steps at 10 K followed by an energy/force minimization. The final plots show the atomic configuration near the center of the monopole system, and display differential displacement arrows and Nye tensor color maps that are both taken with respect to the Burgers vector direction.
These plots show a wide range of final structures, some corresponding to expected dislocation structures and others not. While the characterizations are dislocation-type dependent, some general classification guidelines are listed here.
The calculation method used is available as the iprPy dislocation_monopole calculation method.
Links are provided above the images allowing for users to download the final defect configuration and a corresponding defect-free configuration if they wish to further analyze the structures or use them for subsequent simulations.
Notes and Disclaimers:
Version Information:
Plots of lattice and elastic constants are shown as a function of temperature. The 0K points were taken from the Crystal Structure Predictions and the Elastic Constants Predictions sections above for the unique crystal structures relaxed with the "dynamic" method. Starting from the 0 K relaxed crystal unit cells, supercell systems are created by replicating all three dimensions by the same multiplier to achieve at least 4000 atoms. The systems are then relaxed at 50 K and zero pressure using 1 million NPT steps. Lattice constants are estimated by averaging the measured box dimensions. Temperatures are iteratively increased by 50 K, with each subsequent relaxation calculation starting from the final atomic configuration at the previous temperature and relaxing for another 1 million steps.
The elastic constants are calculated using the deformation–fluctuation hybrid method. Starting from the final atomic configurations of the dynamic relaxations, the system is allowed to evolve at constant volume with a Langevin thermostat. The Born matrix is computed during this run by evaluating how the atomic forces would vary due to applied linear strain fields. The elastic constants can then be estimated using the averaged Born matrix values and the averaged stresses on the system.
The calculation methods used are available as the iprPy relax_dynamic and elastic_constants_dynamic calculation methods.
Clicking on the image of a plot will open an interactive version of it in a new tab. The underlying data for the plots can be downloaded by clicking on the links above each plot.
Notes and Disclaimers:
Version Information:
Plots of internal energy, Gibbs free energy, entropy, heat capacity and volume are shown here as a function of temperature for various crystal structures and liquid phases. The included crystal structures correspond to those in the Solid Structures vs. Temperature section, and the liquid phases to those in the Liquid Properties section. Internal energy and volume are taken from the associated structure relaxations mentioned in those previous sections. Constant pressure heat capacity is estimated using 3-point numerical derivatives of enthalpy versus temperature. Note that since all simulations done here are at 0 pressure, internal energy and enthalpy are equivalent.
The Gibbs energies of the phases are estimated using thermodynamic integration between the interatomic potential in question and a simpler model with known Gibbs free energy values. For solids, the reference model is an Einstein solid, while for liquids it is the Uhlenbeck-Ford potential. Besides a short run at the start of the solid calculations to estimate Einstein model spring constants, the two calculations proceed similarly. Starting with the final relaxation configurations, the systems are stabilized for 25,000 steps. Then, over the next 50,000 steps the potential is swapped out for the reference potential. The system is then stabilized for another 25,000 steps with the reference model before a reverse swap of 50,000 steps is performed. The simulation ends with one final 25,000 step stabilization period. From the simulation, the irreversible work of transformation is estimated and used to compute the absolute Gibbs free energy of the target phase and potential relative to the reference potential. Entropy is estimated as the difference in enthalpy and Gibbs free energy and divided by temperature.
The calculation methods used are available as the iprPy relax_dynamic, relax_liquid_redo, free_energy, and free_energy_liquid calculation methods.
Clicking on the image of a plot will open an interactive version of it in a new tab. The underlying data for the plots can be downloaded by clicking on the links above each plot.
Notes and Disclaimers:
Version Information:





