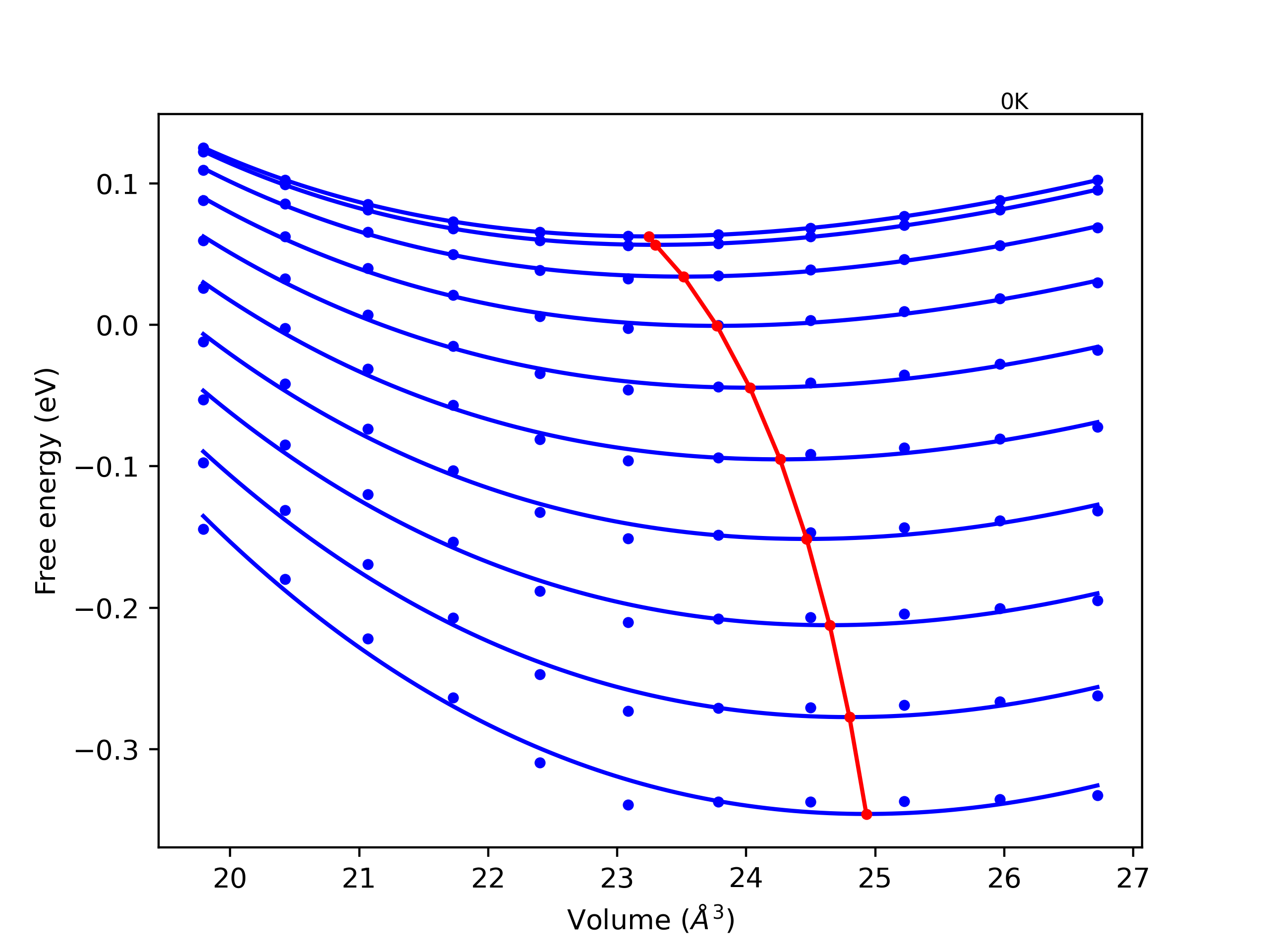
Plots of the potential energy vs interatomic spacing, r, are shown below for all diatom sets associated with the interatomic potential. This calculation provides insights into the functional form of the potential's two-body interactions. A system consisting of only two atoms is created, and the potential energy is evaluated for the atoms separated by 0.02 Å <= r <= 6.0> Å in intervals of 0.02 Å. Two plots are shown: one for the "standard" interaction distance range, and one for small values of r. The small r plot is useful for determining whether the potential is suitable for radiation studies.
The calculation method used is available as the iprPy diatom_scan calculation method.
Clicking on the image of a plot will open an interactive version of it in a new tab. The underlying data for the plots can be downloaded by clicking on the links above each plot.
Notes and Disclaimers:
Version Information:
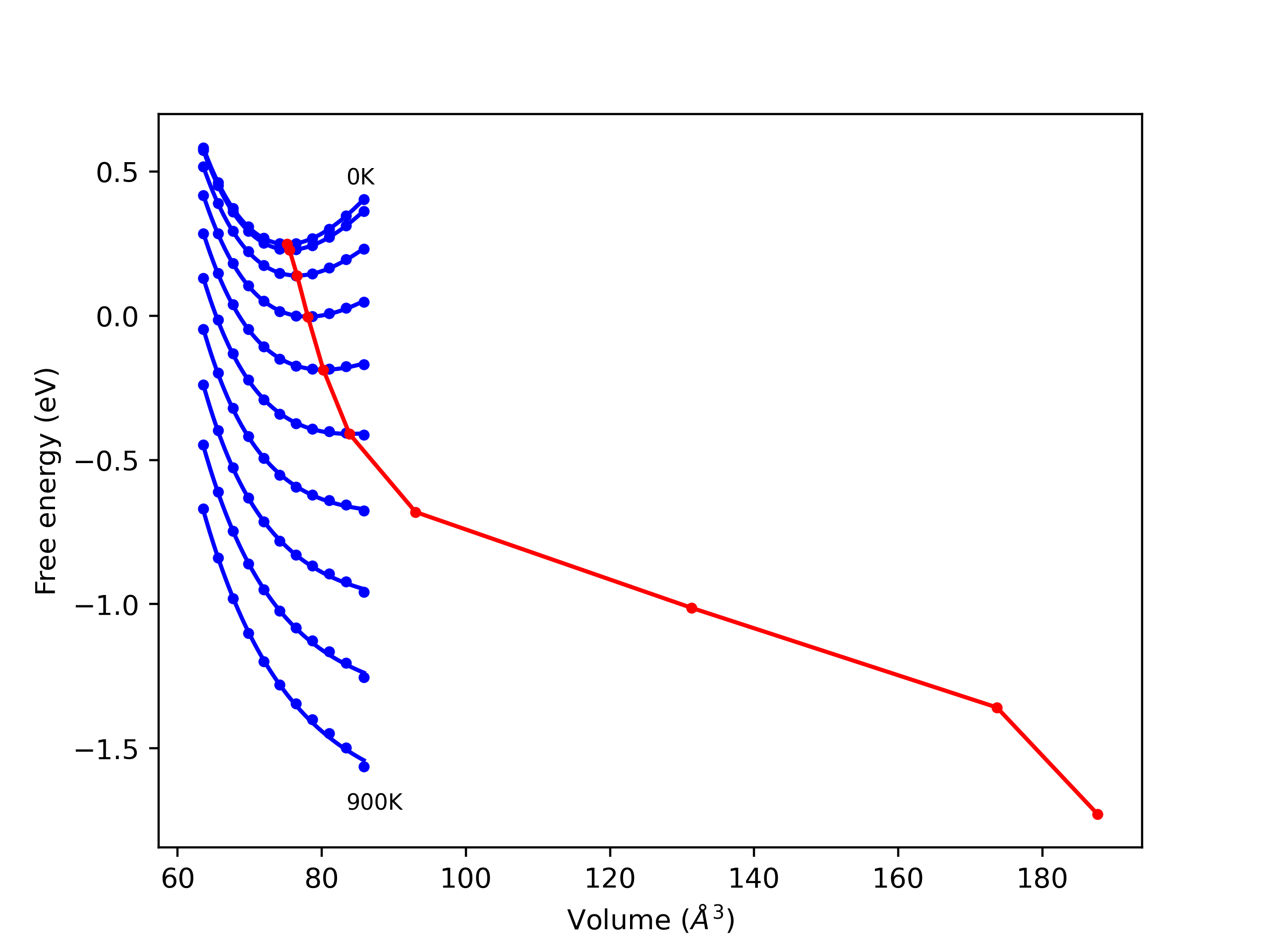
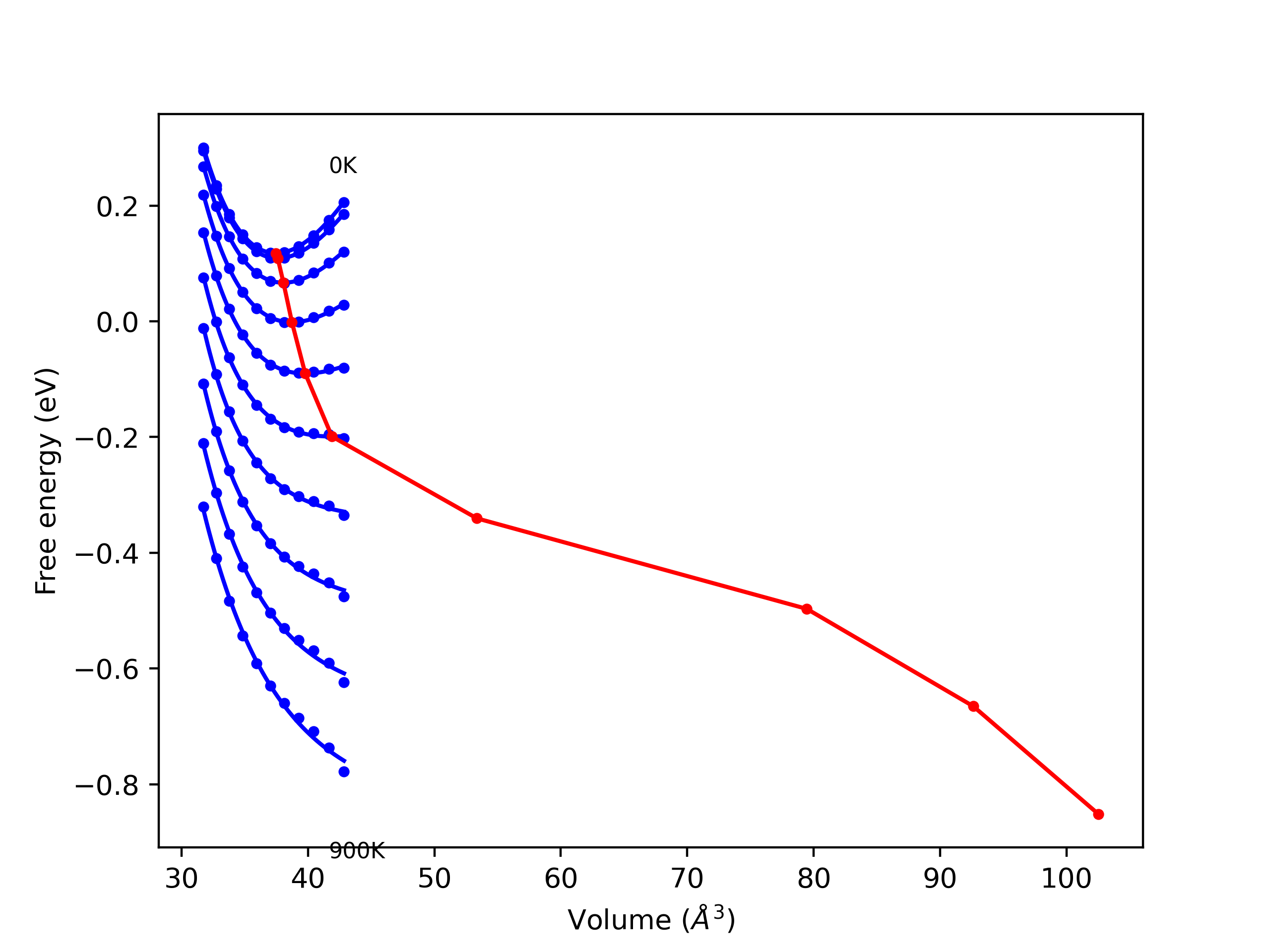
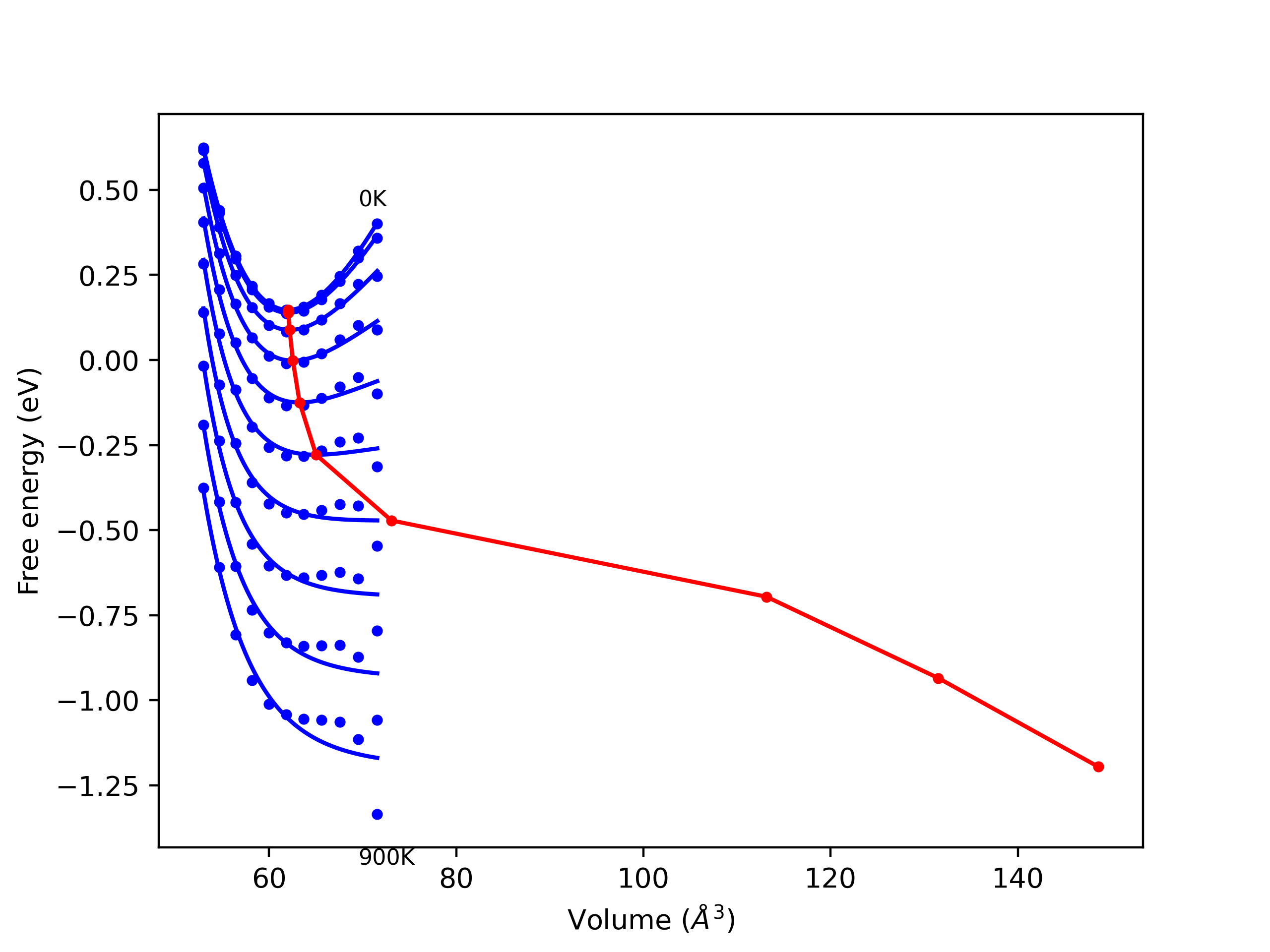
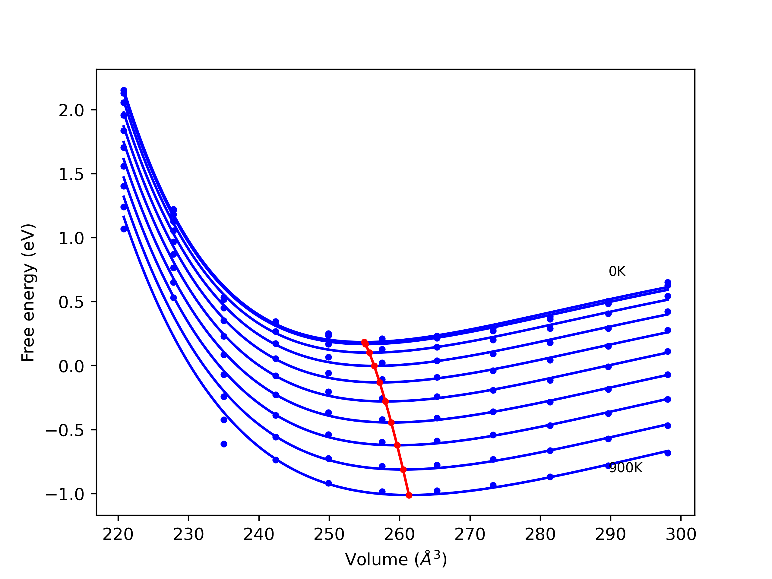
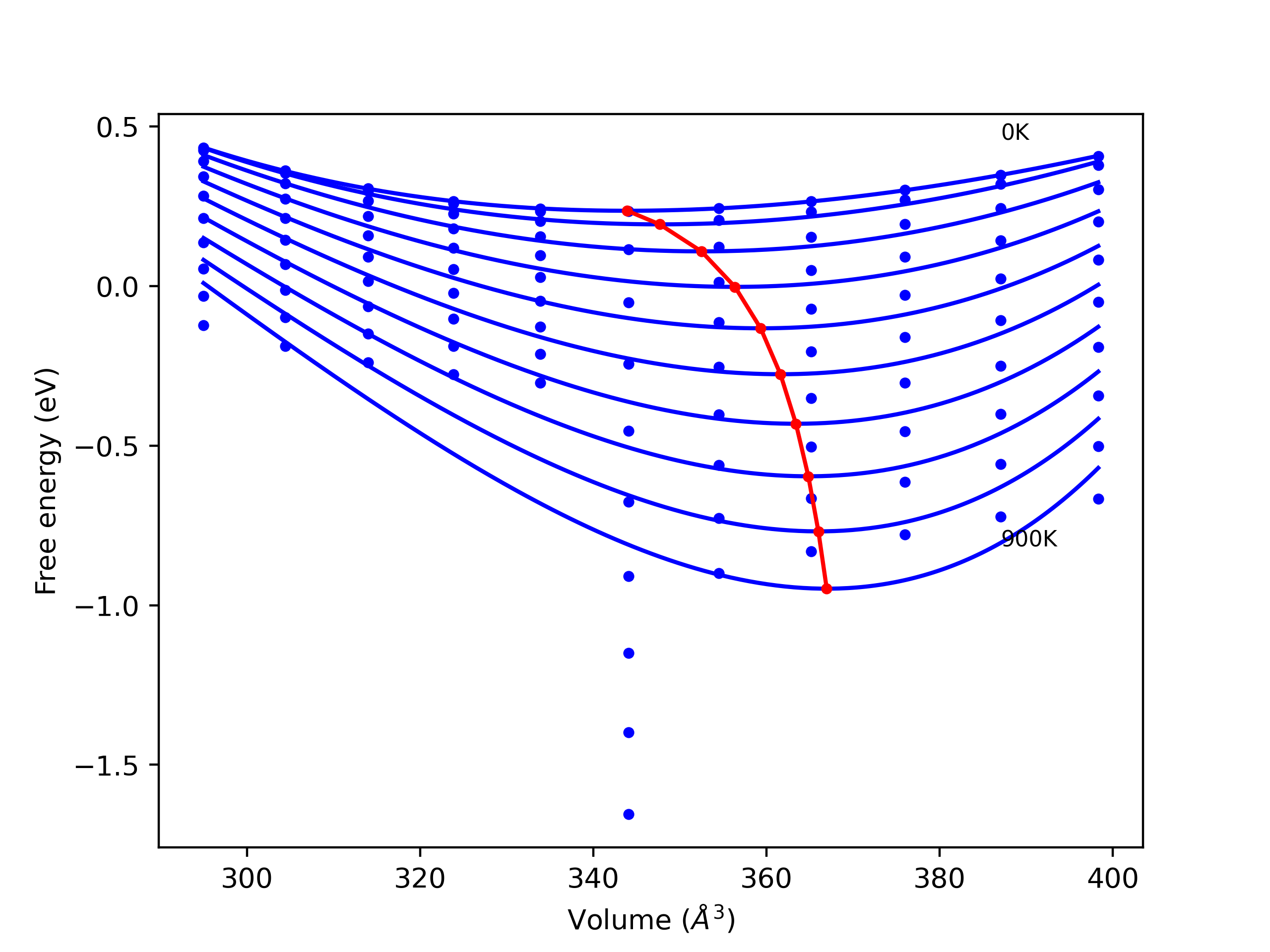
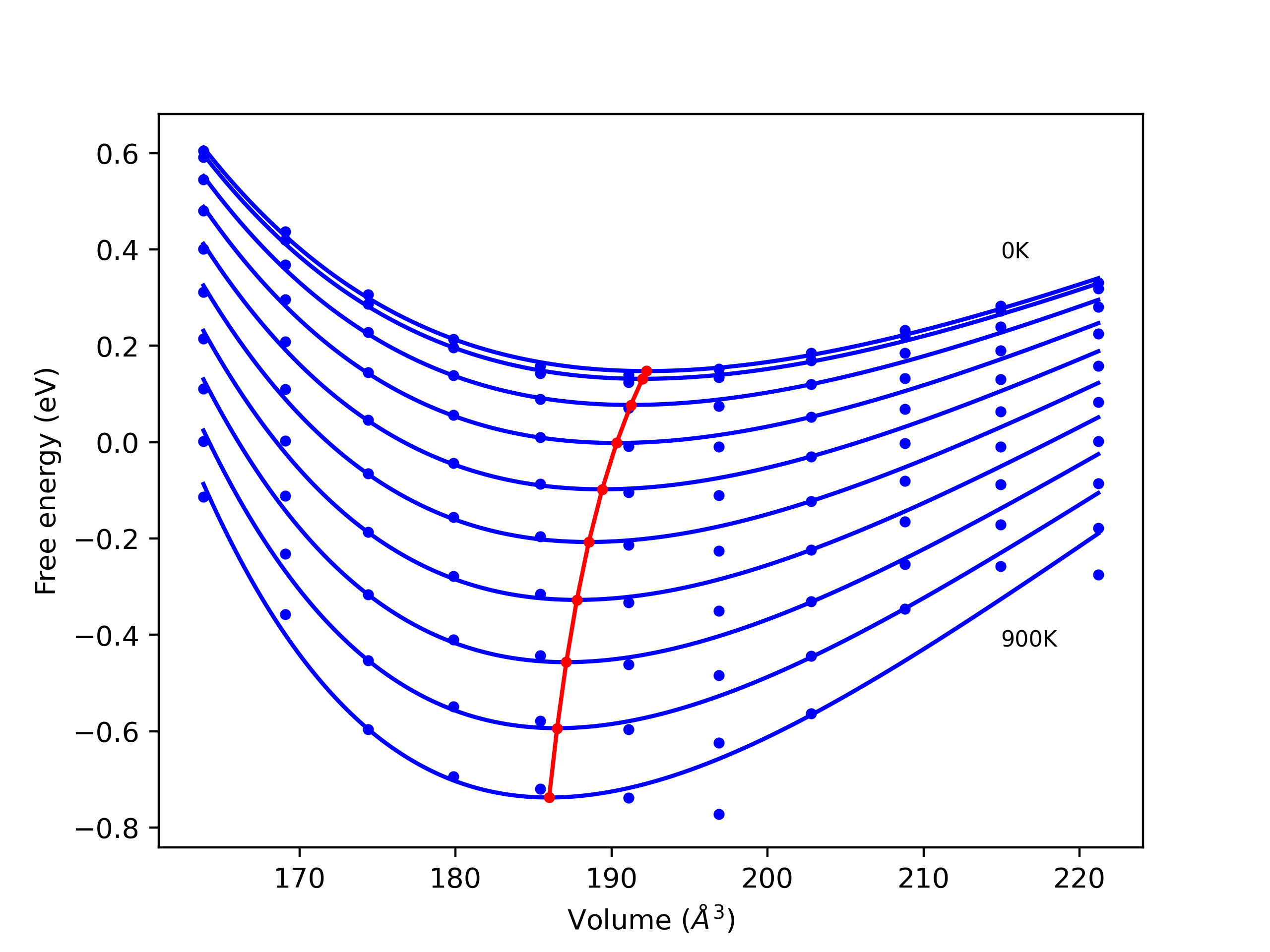
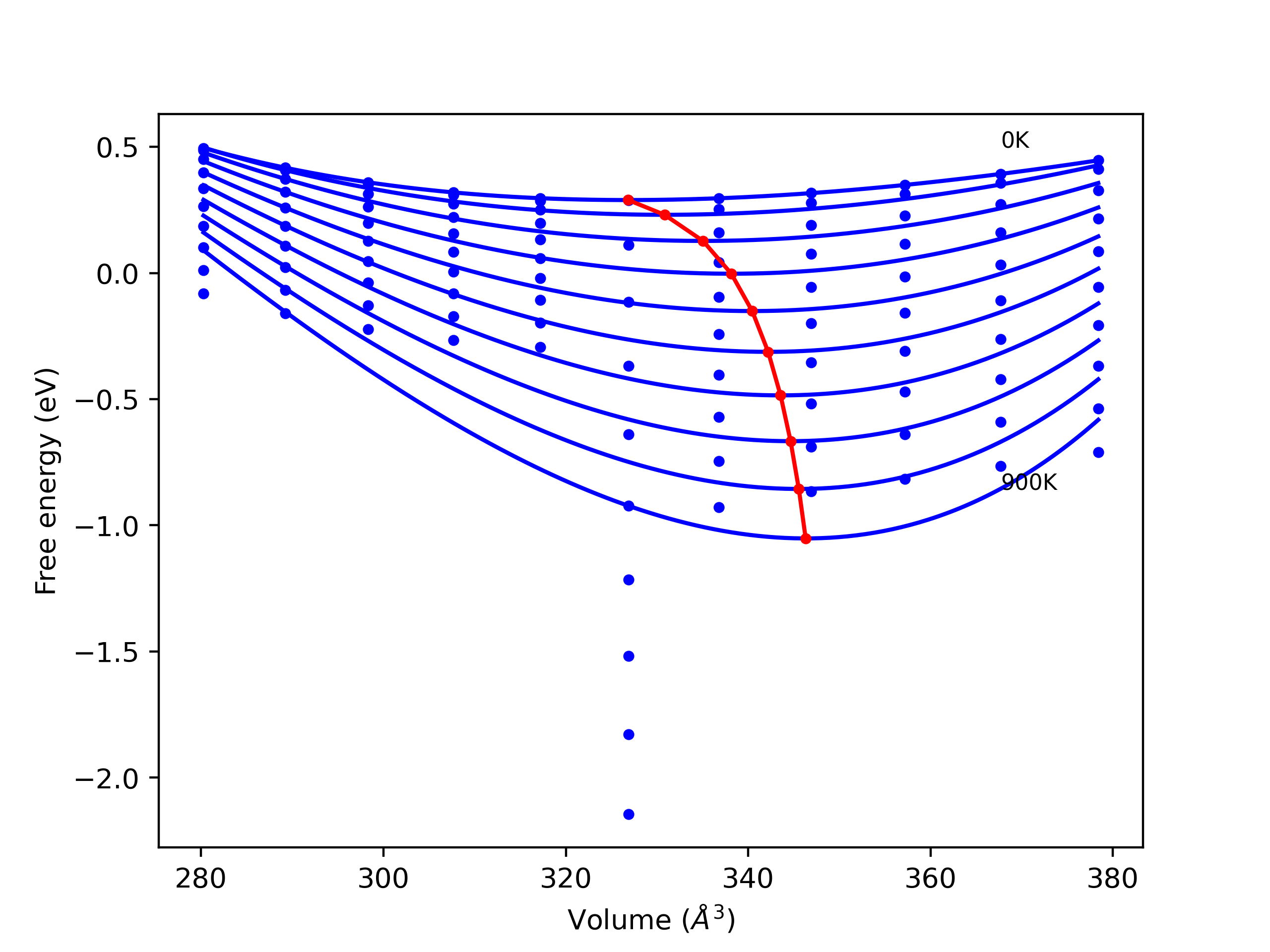
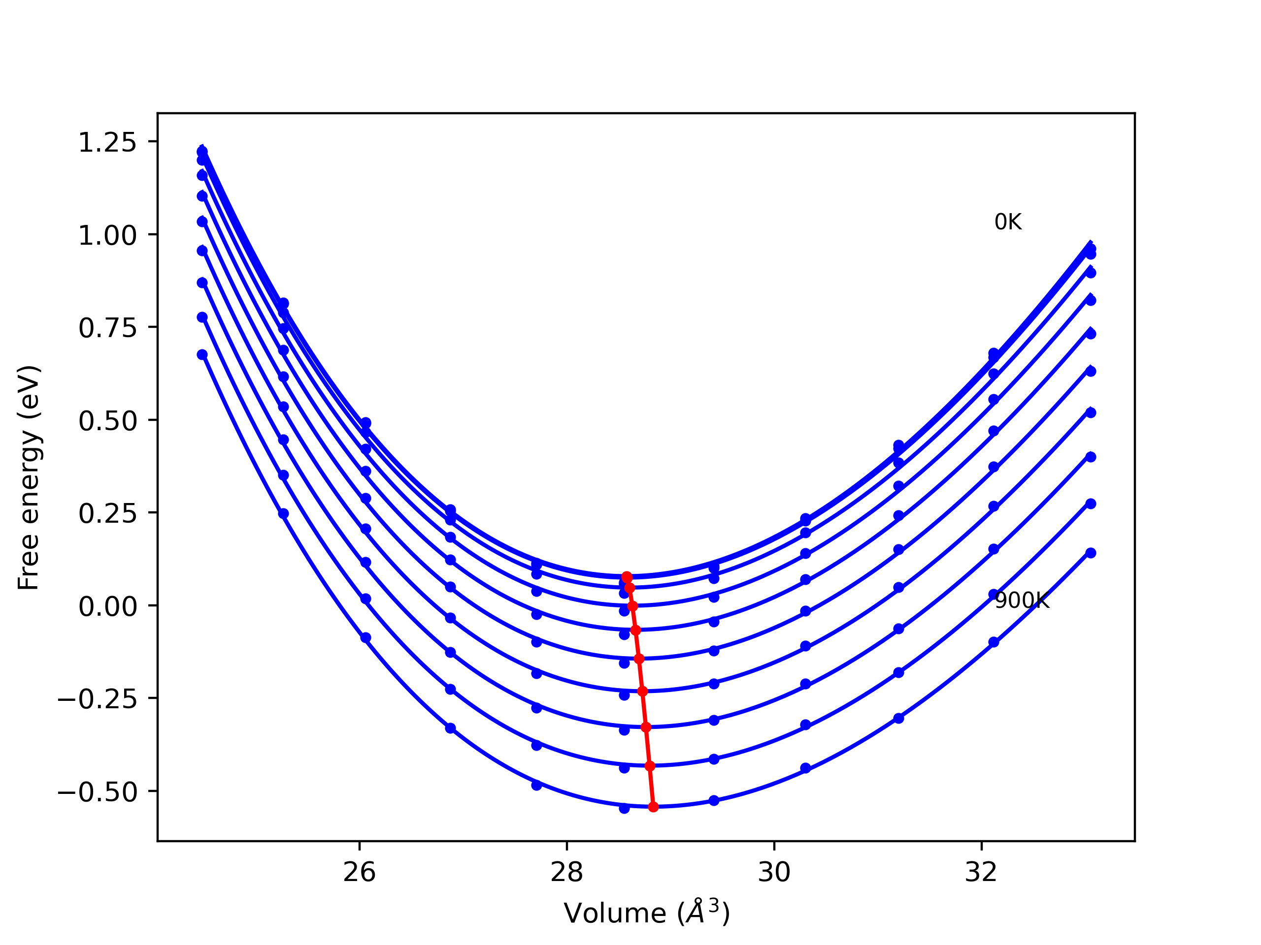
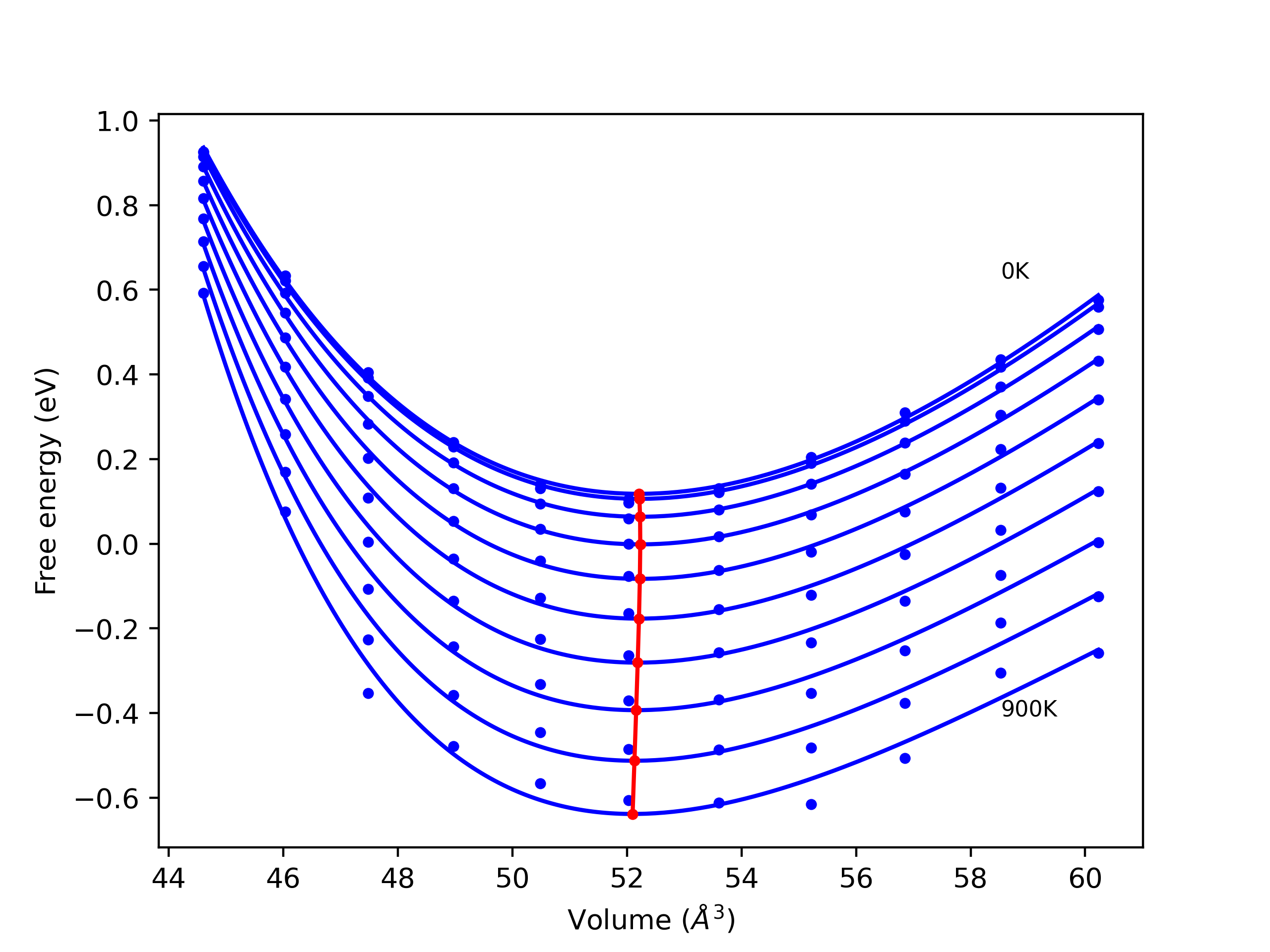
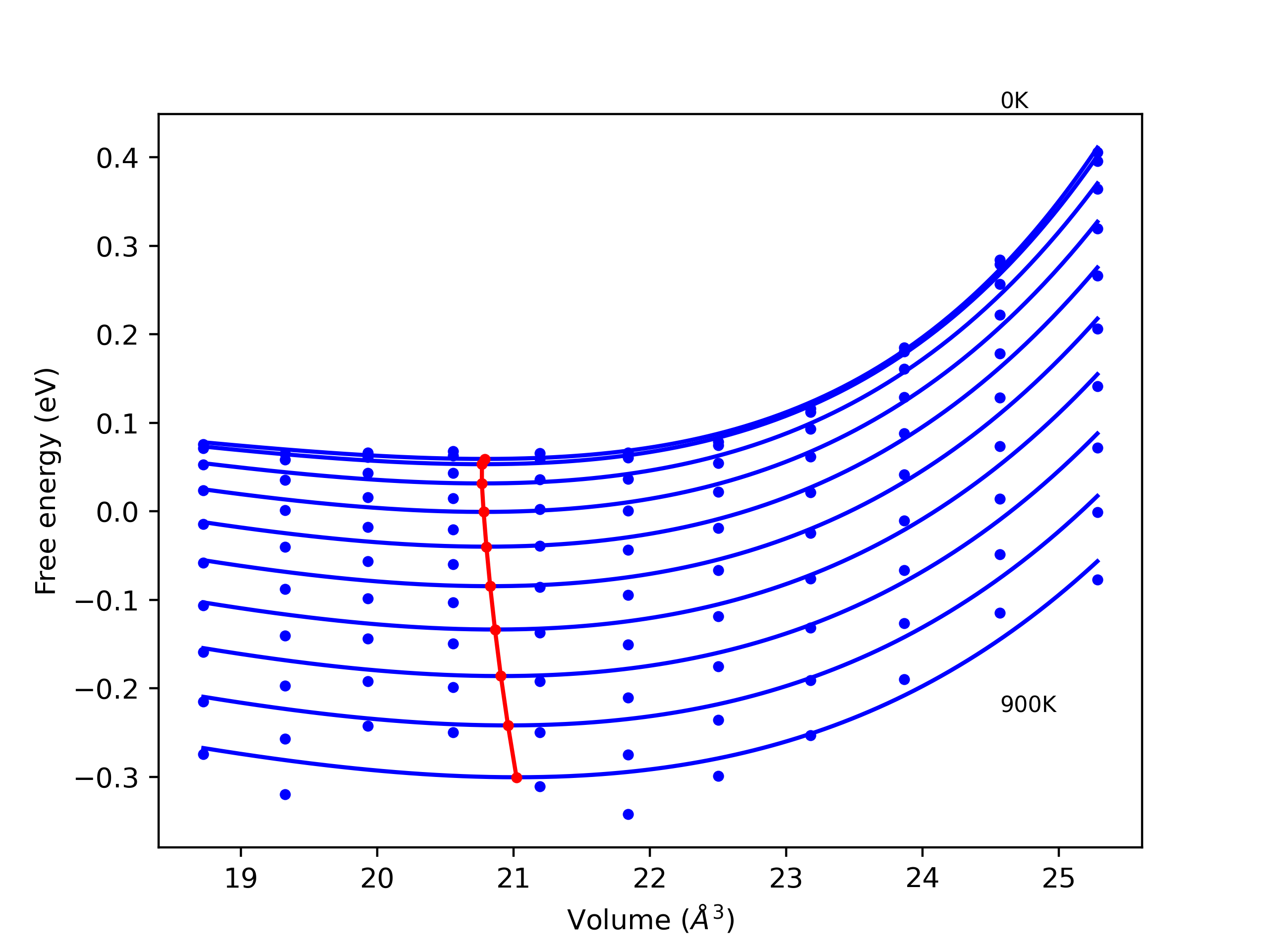
Plots of potential energy vs interatomic spacing, r, are shown below for a number of crystal structures. The structures are generated based on the ideal atomic positions and b/a and c/a lattice parameter ratios for a given crystal prototype. The size of the system is then uniformly scaled, and the energy calculated without relaxing the system. To obtain these plots, values of r are evaluated every 0.02 Å up to 6 Å.
The calculation method used is available as the iprPy E_vs_r_scan calculation method.
Clicking on the image of a plot will open an interactive version of it in a new tab. The underlying data for the plots can be downloaded by clicking on the links above each plot.
Notes and Disclaimers:
Version Information:
Computed lattice constants and cohesive/potential energies are displayed for a variety of crystal structures. The values displayed here are obtained using the following process.
The calculation methods used are implemented into iprPy as the following calculation styles
Notes and Disclaimers:
Version Information:
Download raw data (including filtered results)
Reference structure matches:
A1--Cu--fcc = mp-134, oqmd-8100, oqmd-1214503
A15--beta-W = oqmd-1214948, oqmd-1280406
A2--W--bcc = mp-998860, oqmd-1215126
A3'--alpha-La--double-hcp = mp-1183144, oqmd-1215394
A3--Mg--hcp = oqmd-1215215, oqmd-1215304
A4--C--dc = oqmd-1215483
A5--beta-Sn = oqmd-1215572
A6--In--bct = oqmd-1215661
| prototype | method | Ecoh (eV/atom) | Epot (eV/atom) | a0 (Å) | b0 (Å) | c0 (Å) | α (degrees) | β (degrees) | γ (degrees) |
|---|---|---|---|---|---|---|---|---|---|
| A3--Mg--hcp | dynamic | -3.6433 | -3.7394 | 3.0299 | 3.0299 | 4.6558 | 90.0 | 90.0 | 120.0 |
| A3--Mg--hcp | box | -3.6433 | -3.7394 | 3.0298 | 3.0298 | 4.6558 | 90.0 | 90.0 | 120.0 |
| oqmd-1216017 | dynamic | -3.6384 | -3.7344 | 3.0185 | 3.0185 | 21.1285 | 90.0 | 90.0 | 120.0 |
| oqmd-1216017 | static | -3.6383 | -3.7343 | 3.0195 | 3.0195 | 21.1114 | 90.0 | 90.0 | 120.0 |
| A3'--alpha-La--double-hcp | dynamic | -3.6359 | -3.732 | 3.0124 | 3.0124 | 9.4341 | 90.0 | 90.0 | 120.0 |
| A1--Cu--fcc | dynamic | -3.6302 | -3.7263 | 4.2107 | 4.2107 | 4.2107 | 90.0 | 90.0 | 90.0 |
| oqmd-1215037 | box | -3.6116 | -3.7076 | 2.91 | 4.9554 | 10.7271 | 90.0 | 90.0 | 90.0 |
| A2--W--bcc | static | -3.611 | -3.7071 | 3.3055 | 3.3055 | 3.3055 | 90.0 | 90.0 | 90.0 |
| mp-1245129 | dynamic | -3.6099 | -3.7059 | 11.4995 | 12.3416 | 13.9675 | 93.3 | 92.5 | 100.4 |
| mp-1245307 | dynamic | -3.6073 | -3.7034 | 12.2258 | 12.2949 | 13.022 | 84.4 | 87.6 | 89.0 |
| mp-1245152 | dynamic | -3.6065 | -3.7025 | 12.4621 | 12.571 | 12.6219 | 90.6 | 91.3 | 97.8 |
| mp-1244953 | dynamic | -3.6053 | -3.7013 | 12.43 | 12.5482 | 12.8151 | 85.6 | 78.8 | 85.4 |
| mp-1245067 | dynamic | -3.6043 | -3.7004 | 12.2634 | 12.712 | 12.9746 | 89.8 | 84.2 | 77.8 |
| mp-1245129 | static | -3.6033 | -3.6994 | 11.9044 | 12.6848 | 13.1678 | 93.3 | 92.1 | 100.2 |
| mp-1245152 | static | -3.6026 | -3.6987 | 12.2815 | 12.6799 | 12.6836 | 91.9 | 93.6 | 97.3 |
| mp-1244953 | static | -3.6016 | -3.6976 | 12.4786 | 12.4852 | 12.7936 | 79.1 | 86.5 | 84.9 |
| mp-1245307 | static | -3.5989 | -3.695 | 12.3867 | 12.5742 | 12.6861 | 92.4 | 94.4 | 91.6 |
| mp-1245067 | static | -3.5979 | -3.694 | 12.188 | 12.7034 | 12.8528 | 93.4 | 96.8 | 93.3 |
| oqmd-1214770 | static | -3.5957 | -3.6917 | 10.2895 | 10.2895 | 10.2895 | 90.0 | 90.0 | 90.0 |
| oqmd-1214859 | dynamic | -3.5932 | -3.6893 | 7.1561 | 7.1561 | 7.1561 | 90.0 | 90.0 | 90.0 |
| oqmd-1214859 | box | -3.5929 | -3.6889 | 7.1596 | 7.1596 | 7.1596 | 90.0 | 90.0 | 90.0 |
| mp-1245129 | box | -3.5911 | -3.6872 | 12.1311 | 12.5238 | 12.814 | 93.6 | 92.1 | 96.8 |
| mp-1245152 | box | -3.59 | -3.6861 | 12.3149 | 12.4722 | 12.6996 | 91.8 | 91.9 | 95.7 |
| oqmd-1214770 | box | -3.5893 | -3.6854 | 10.2339 | 10.2339 | 10.2339 | 90.0 | 90.0 | 90.0 |
| mp-1244953 | box | -3.5893 | -3.6853 | 12.4368 | 12.4937 | 12.6764 | 85.6 | 80.5 | 87.1 |
| A5--beta-Sn | static | -3.5886 | -3.6846 | 5.4909 | 5.4909 | 2.7866 | 90.0 | 90.0 | 90.0 |
| mp-1245307 | box | -3.5838 | -3.6799 | 12.425 | 12.5417 | 12.559 | 90.6 | 92.4 | 94.1 |
| mp-1245067 | box | -3.5829 | -3.6789 | 12.3667 | 12.6829 | 12.688 | 92.7 | 97.6 | 93.8 |
| Ah--alpha-Po--sc | dynamic | -3.5736 | -3.6696 | 2.8473 | 2.8473 | 2.8473 | 90.0 | 90.0 | 90.0 |
| A15--beta-W | static | -3.5476 | -3.6437 | 5.3498 | 5.3498 | 5.3498 | 90.0 | 90.0 | 90.0 |
| oqmd-1214681 | box | -3.5187 | -3.6148 | 4.5879 | 8.4325 | 4.6579 | 90.0 | 90.0 | 90.0 |
| oqmd-1215928 | box | -3.4167 | -3.5127 | 4.6743 | 4.6743 | 5.5422 | 90.0 | 90.0 | 120.0 |
| mp-1239196 | box | -3.3656 | -3.4616 | 3.8755 | 3.8755 | 14.0321 | 90.0 | 90.0 | 90.0 |
| A4--C--dc | static | -3.3278 | -3.4239 | 6.127 | 6.127 | 6.127 | 90.0 | 90.0 | 90.0 |
Download raw data (including filtered results)
Reference structure matches:
| prototype | method | Ecoh (eV/atom) | Epot (eV/atom) | a0 (Å) | b0 (Å) | c0 (Å) | α (degrees) | β (degrees) | γ (degrees) |
|---|---|---|---|---|---|---|---|---|---|
| mp-16511 | dynamic | -5.1146 | -5.1885 | 7.5156 | 7.5156 | 7.5932 | 90.0 | 90.0 | 120.0 |
| oqmd-10499 | static | -5.1146 | -5.1885 | 7.5157 | 7.5157 | 7.5931 | 90.0 | 90.0 | 120.0 |
| mp-16511 | box | -5.1102 | -5.184 | 7.5322 | 7.5322 | 7.5677 | 90.0 | 90.0 | 120.0 |
| oqmd-10499 | box | -5.1063 | -5.1801 | 7.5567 | 7.5567 | 7.5345 | 90.0 | 90.0 | 120.0 |
Download raw data (including filtered results)
Reference structure matches:
| prototype | method | Ecoh (eV/atom) | Epot (eV/atom) | a0 (Å) | b0 (Å) | c0 (Å) | α (degrees) | β (degrees) | γ (degrees) |
|---|---|---|---|---|---|---|---|---|---|
| oqmd-2782 | static | -5.3221 | -5.3925 | 4.9895 | 5.0394 | 8.7222 | 74.1 | 86.3 | 79.7 |
| mp-2856 | static | -5.3221 | -5.3925 | 4.9894 | 5.0397 | 8.7217 | 74.1 | 86.3 | 79.7 |
| mp-2856 | box | -5.3108 | -5.3812 | 4.9493 | 5.0363 | 8.7065 | 74.2 | 88.5 | 81.3 |
| oqmd-2782 | box | -5.3028 | -5.3732 | 4.9843 | 5.0175 | 8.6837 | 105.4 | 91.1 | 98.6 |
Download raw data (including filtered results)
Reference structure matches:
| prototype | method | Ecoh (eV/atom) | Epot (eV/atom) | a0 (Å) | b0 (Å) | c0 (Å) | α (degrees) | β (degrees) | γ (degrees) |
|---|---|---|---|---|---|---|---|---|---|
| mp-1104165 | dynamic | -4.1106 | -4.1993 | 7.5325 | 7.5325 | 7.5325 | 90.0 | 90.0 | 90.0 |
| mp-1104165 | box | -4.1042 | -4.1929 | 7.5275 | 7.5275 | 7.5275 | 90.0 | 90.0 | 90.0 |
| oqmd-27878 | box | -4.1031 | -4.1918 | 7.527 | 7.527 | 7.527 | 90.0 | 90.0 | 90.0 |
Download raw data (including filtered results)
Reference structure matches:
| prototype | method | Ecoh (eV/atom) | Epot (eV/atom) | a0 (Å) | b0 (Å) | c0 (Å) | α (degrees) | β (degrees) | γ (degrees) |
|---|---|---|---|---|---|---|---|---|---|
| mp-30526 | dynamic | -4.7511 | -4.8304 | 12.6603 | 12.6603 | 12.6603 | 90.0 | 90.0 | 90.0 |
| mp-30526 | box | -4.7436 | -4.823 | 12.6771 | 12.6771 | 12.6771 | 90.0 | 90.0 | 90.0 |
Download raw data (including filtered results)
Reference structure matches:
| prototype | method | Ecoh (eV/atom) | Epot (eV/atom) | a0 (Å) | b0 (Å) | c0 (Å) | α (degrees) | β (degrees) | γ (degrees) |
|---|---|---|---|---|---|---|---|---|---|
| mp-1498 | dynamic | -4.6204 | -4.6911 | 12.9749 | 12.9749 | 10.9191 | 90.0 | 90.0 | 90.0 |
| mp-1498 | static | -4.6186 | -4.6893 | 13.114 | 13.114 | 10.7984 | 90.0 | 90.0 | 90.0 |
| mp-1498 | box | -4.6141 | -4.6848 | 13.1717 | 13.1717 | 10.817 | 90.0 | 90.0 | 90.0 |
Download raw data (including filtered results)
Reference structure matches:
| prototype | method | Ecoh (eV/atom) | Epot (eV/atom) | a0 (Å) | b0 (Å) | c0 (Å) | α (degrees) | β (degrees) | γ (degrees) |
|---|---|---|---|---|---|---|---|---|---|
| C1--CaF2--fluorite | dynamic | -5.5664 | -5.6303 | 5.7365 | 5.7365 | 5.7365 | 90.0 | 90.0 | 90.0 |
| C1--CaF2--fluorite | static | -1.9426 | -2.0066 | 10.0686 | 10.0686 | 10.0686 | 90.0 | 90.0 | 90.0 |
Download raw data (including filtered results)
Reference structure matches:
L2_1--AlCu2Mn--heusler = oqmd-510324
| prototype | method | Ecoh (eV/atom) | Epot (eV/atom) | a0 (Å) | b0 (Å) | c0 (Å) | α (degrees) | β (degrees) | γ (degrees) |
|---|---|---|---|---|---|---|---|---|---|
| L2_1--AlCu2Mn--heusler | dynamic | -5.665 | -5.714 | 5.9264 | 5.9264 | 5.9264 | 90.0 | 90.0 | 90.0 |
| L2_1--AlCu2Mn--heusler | static | -2.7495 | -2.7985 | 9.3882 | 9.3882 | 9.3882 | 90.0 | 90.0 | 90.0 |
Download raw data (including filtered results)
Reference structure matches:
C1--CaF2--fluorite = mp-16522, oqmd-10553
| prototype | method | Ecoh (eV/atom) | Epot (eV/atom) | a0 (Å) | b0 (Å) | c0 (Å) | α (degrees) | β (degrees) | γ (degrees) |
|---|---|---|---|---|---|---|---|---|---|
| C1--CaF2--fluorite | dynamic | -4.8129 | -4.8783 | 5.9521 | 5.9521 | 5.9521 | 90.0 | 90.0 | 90.0 |
Download raw data (including filtered results)
Reference structure matches:
D0_3--BiF3 = oqmd-309860
| prototype | method | Ecoh (eV/atom) | Epot (eV/atom) | a0 (Å) | b0 (Å) | c0 (Å) | α (degrees) | β (degrees) | γ (degrees) |
|---|---|---|---|---|---|---|---|---|---|
| L1_2--AuCu3 | dynamic | -5.1339 | -5.2059 | 3.7678 | 3.7678 | 3.7678 | 90.0 | 90.0 | 90.0 |
| D0_3--BiF3 | dynamic | -5.1127 | -5.1847 | 5.9027 | 5.9027 | 5.9027 | 90.0 | 90.0 | 90.0 |
| oqmd-299318 | static | -5.106 | -5.178 | 3.7262 | 3.7262 | 7.82 | 90.0 | 90.0 | 90.0 |
| A15--Cr3Si | dynamic | -4.99 | -5.062 | 4.8086 | 4.8086 | 4.8086 | 90.0 | 90.0 | 90.0 |
| A15--Cr3Si | static | -2.6904 | -2.7623 | 7.3052 | 7.3052 | 7.3052 | 90.0 | 90.0 | 90.0 |
Download raw data (including filtered results)
Reference structure matches:
| prototype | method | Ecoh (eV/atom) | Epot (eV/atom) | a0 (Å) | b0 (Å) | c0 (Å) | α (degrees) | β (degrees) | γ (degrees) |
|---|---|---|---|---|---|---|---|---|---|
| mp-1180309 | dynamic | -6.1806 | -6.2382 | 6.3609 | 6.3609 | 6.3609 | 90.0 | 90.0 | 90.0 |
| oqmd-27876 | box | -6.1513 | -6.2089 | 6.3639 | 6.3639 | 6.3639 | 90.0 | 90.0 | 90.0 |
| mp-1180309 | box | -6.15 | -6.2076 | 6.3638 | 6.3638 | 6.3638 | 90.0 | 90.0 | 90.0 |
Download raw data (including filtered results)
Reference structure matches:
D0_3--BiF3 = oqmd-309009
L1_2--AuCu3 = mp-1183127
| prototype | method | Ecoh (eV/atom) | Epot (eV/atom) | a0 (Å) | b0 (Å) | c0 (Å) | α (degrees) | β (degrees) | γ (degrees) |
|---|---|---|---|---|---|---|---|---|---|
| L1_2--AuCu3 | dynamic | -4.5042 | -4.5773 | 3.954 | 3.954 | 3.954 | 90.0 | 90.0 | 90.0 |
| oqmd-298471 | dynamic | -4.4882 | -4.5612 | 3.9453 | 3.9453 | 7.9471 | 90.0 | 90.0 | 90.0 |
| D0_3--BiF3 | static | -4.4668 | -4.5399 | 6.2185 | 6.2185 | 6.2185 | 90.0 | 90.0 | 90.0 |
| A15--Cr3Si | static | -4.4311 | -4.5042 | 5.0115 | 5.0115 | 5.0115 | 90.0 | 90.0 | 90.0 |
Download raw data (including filtered results)
Reference structure matches:
| prototype | method | Ecoh (eV/atom) | Epot (eV/atom) | a0 (Å) | b0 (Å) | c0 (Å) | α (degrees) | β (degrees) | γ (degrees) |
|---|---|---|---|---|---|---|---|---|---|
| oqmd-10554 | dynamic | -5.038 | -5.0973 | 4.2079 | 4.2079 | 5.0699 | 90.0 | 90.0 | 120.0 |
| mp-10901 | box | -5.0327 | -5.092 | 4.211 | 4.211 | 5.0729 | 90.0 | 90.0 | 120.0 |
| oqmd-10554 | box | -5.0326 | -5.0919 | 4.2099 | 4.2099 | 5.075 | 90.0 | 90.0 | 120.0 |
Download raw data (including filtered results)
Reference structure matches:
| prototype | method | Ecoh (eV/atom) | Epot (eV/atom) | a0 (Å) | b0 (Å) | c0 (Å) | α (degrees) | β (degrees) | γ (degrees) |
|---|---|---|---|---|---|---|---|---|---|
| oqmd-10555 | dynamic | -5.5257 | -5.5643 | 5.3078 | 10.1047 | 4.0835 | 90.0 | 90.0 | 90.0 |
| oqmd-10555 | static | -5.5257 | -5.5643 | 5.3078 | 10.1048 | 4.0835 | 90.0 | 90.0 | 90.0 |
| mp-16523 | static | -5.5257 | -5.5643 | 5.3079 | 10.105 | 4.0834 | 90.0 | 90.0 | 90.0 |
| mp-16523 | box | -5.5142 | -5.5528 | 5.3307 | 10.2896 | 4.0467 | 90.0 | 90.0 | 90.0 |
| oqmd-10555 | box | -5.5136 | -5.5522 | 5.3327 | 10.3023 | 4.044 | 90.0 | 90.0 | 90.0 |
Download raw data (including filtered results)
Reference structure matches:
| prototype | method | Ecoh (eV/atom) | Epot (eV/atom) | a0 (Å) | b0 (Å) | c0 (Å) | α (degrees) | β (degrees) | γ (degrees) |
|---|---|---|---|---|---|---|---|---|---|
| oqmd-10498 | static | -4.5423 | -4.6246 | 7.5837 | 6.658 | 8.5581 | 90.0 | 90.0 | 90.0 |
| mp-173 | static | -4.5423 | -4.6246 | 7.5836 | 6.658 | 8.5583 | 90.0 | 90.0 | 90.0 |
| mp-173 | box | -4.5385 | -4.6208 | 7.5925 | 6.5817 | 8.6826 | 90.0 | 90.0 | 90.0 |
| oqmd-10498 | box | -4.5374 | -4.6197 | 7.5908 | 6.5837 | 8.6907 | 90.0 | 90.0 | 90.0 |
Download raw data (including filtered results)
Reference structure matches:
| prototype | method | Ecoh (eV/atom) | Epot (eV/atom) | a0 (Å) | b0 (Å) | c0 (Å) | α (degrees) | β (degrees) | γ (degrees) |
|---|---|---|---|---|---|---|---|---|---|
| mp-1194040 | dynamic | -5.9005 | -5.9596 | 12.5936 | 12.5936 | 7.4251 | 90.0 | 90.0 | 120.0 |
| mp-1194040 | static | -5.9005 | -5.9596 | 12.5943 | 12.5943 | 7.4273 | 90.0 | 90.0 | 120.0 |
| mp-1194040 | box | -5.8714 | -5.9304 | 12.6685 | 12.6685 | 7.5097 | 90.0 | 90.0 | 120.0 |
Download raw data (including filtered results)
Reference structure matches:
| prototype | method | Ecoh (eV/atom) | Epot (eV/atom) | a0 (Å) | b0 (Å) | c0 (Å) | α (degrees) | β (degrees) | γ (degrees) |
|---|---|---|---|---|---|---|---|---|---|
| mp-1212295 | dynamic | -5.5419 | -5.6084 | 14.6396 | 12.1566 | 12.2606 | 90.0 | 90.0 | 90.0 |
| mp-1212295 | static | -5.5419 | -5.6084 | 14.642 | 12.1559 | 12.2586 | 90.0 | 90.0 | 90.0 |
| mp-1212295 | box | -5.5072 | -5.5737 | 14.5583 | 12.0709 | 12.2594 | 90.0 | 90.0 | 90.0 |
Download raw data (including filtered results)
Reference structure matches:
B2--CsCl = mp-12067, oqmd-658675
L1_0--AuCu = mp-771, oqmd-27877
| prototype | method | Ecoh (eV/atom) | Epot (eV/atom) | a0 (Å) | b0 (Å) | c0 (Å) | α (degrees) | β (degrees) | γ (degrees) |
|---|---|---|---|---|---|---|---|---|---|
| B3--ZnS--cubic-zinc-blende | dynamic | -38.2143 | -38.2623 | 8.1977 | 8.1977 | 8.1977 | 90.0 | 90.0 | 90.0 |
| B4--ZnS--wurtzite | static | -36.9437 | -36.9916 | 5.7442 | 5.7442 | 9.6949 | 90.0 | 90.0 | 120.0 |
| B4--ZnS--wurtzite | box | -36.269 | -36.3169 | 5.7817 | 5.7817 | 9.6186 | 90.0 | 90.0 | 120.0 |
| B1--NaCl--rock-salt | box | -11.2801 | -11.3281 | 7.4337 | 7.4337 | 7.4337 | 90.0 | 90.0 | 90.0 |
| B2--CsCl | dynamic | -11.1776 | -11.2256 | 4.0894 | 4.0894 | 4.0894 | 90.0 | 90.0 | 90.0 |
| B2--CsCl | dynamic | -6.8176 | -6.8656 | 2.838 | 2.838 | 2.838 | 90.0 | 90.0 | 90.0 |
| B1--NaCl--rock-salt | static | -5.8 | -5.8479 | 4.4032 | 4.4032 | 4.4032 | 90.0 | 90.0 | 90.0 |
| B3--ZnS--cubic-zinc-blende | static | -4.6459 | -4.6939 | 5.756 | 5.756 | 5.756 | 90.0 | 90.0 | 90.0 |
| B4--ZnS--wurtzite | static | -4.5565 | -4.6044 | 4.0307 | 4.0307 | 7.1507 | 90.0 | 90.0 | 120.0 |
| B4--ZnS--wurtzite | box | -4.5231 | -4.571 | 4.053 | 4.053 | 6.9585 | 90.0 | 90.0 | 120.0 |
| B2--CsCl | dynamic | -2.6194 | -2.6674 | 4.9991 | 4.9991 | 4.9991 | 90.0 | 90.0 | 90.0 |
| B1--NaCl--rock-salt | static | -1.6171 | -1.665 | 9.1482 | 9.1482 | 9.1482 | 90.0 | 90.0 | 90.0 |
| B3--ZnS--cubic-zinc-blende | dynamic | -1.2671 | -1.3151 | 10.6946 | 10.6946 | 10.6946 | 90.0 | 90.0 | 90.0 |
| B4--ZnS--wurtzite | dynamic | -1.2671 | -1.3151 | 7.5602 | 7.5602 | 12.3557 | 90.0 | 90.0 | 120.0 |
Download raw data (including filtered results)
Reference structure matches:
| prototype | method | Ecoh (eV/atom) | Epot (eV/atom) | a0 (Å) | b0 (Å) | c0 (Å) | α (degrees) | β (degrees) | γ (degrees) |
|---|---|---|---|---|---|---|---|---|---|
| C1--CaF2--fluorite | dynamic | -272.4543 | -272.4862 | 8.0768 | 8.0768 | 8.0768 | 90.0 | 90.0 | 90.0 |
| C1--CaF2--fluorite | static | -6.3298 | -6.3617 | 5.1671 | 5.1671 | 5.1671 | 90.0 | 90.0 | 90.0 |
| C1--CaF2--fluorite | dynamic | -2.0016 | -2.0335 | 10.099 | 10.099 | 10.099 | 90.0 | 90.0 | 90.0 |
Download raw data (including filtered results)
Reference structure matches:
L2_1--AlCu2Mn--heusler = oqmd-471923
| prototype | method | Ecoh (eV/atom) | Epot (eV/atom) | a0 (Å) | b0 (Å) | c0 (Å) | α (degrees) | β (degrees) | γ (degrees) |
|---|---|---|---|---|---|---|---|---|---|
| L2_1--AlCu2Mn--heusler | static | -107.9607 | -107.9857 | 7.9755 | 7.9755 | 7.9755 | 90.0 | 90.0 | 90.0 |
| L2_1--AlCu2Mn--heusler | static | -5.3173 | -5.3423 | 5.9156 | 5.9156 | 5.9156 | 90.0 | 90.0 | 90.0 |
| L2_1--AlCu2Mn--heusler | dynamic | -2.3936 | -2.4186 | 10.1916 | 10.1916 | 10.1916 | 90.0 | 90.0 | 90.0 |
Download raw data (including filtered results)
Reference structure matches:
D0_3--BiF3 = mp-973149, oqmd-22372
| prototype | method | Ecoh (eV/atom) | Epot (eV/atom) | a0 (Å) | b0 (Å) | c0 (Å) | α (degrees) | β (degrees) | γ (degrees) |
|---|---|---|---|---|---|---|---|---|---|
| D0_3--BiF3 | static | -498.8458 | -498.8697 | 7.7282 | 7.7282 | 7.7282 | 90.0 | 90.0 | 90.0 |
| L1_2--AuCu3 | static | -397.8776 | -397.9015 | 5.0419 | 5.0419 | 5.0419 | 90.0 | 90.0 | 90.0 |
| A15--Cr3Si | static | -382.3453 | -382.3692 | 6.4491 | 6.4491 | 6.4491 | 90.0 | 90.0 | 90.0 |
| D0_3--BiF3 | dynamic | -8.1364 | -8.1603 | 5.6328 | 5.6328 | 5.6328 | 90.0 | 90.0 | 90.0 |
| L1_2--AuCu3 | dynamic | -8.0957 | -8.1196 | 3.5115 | 3.5115 | 3.5115 | 90.0 | 90.0 | 90.0 |
| A15--Cr3Si | static | -7.9362 | -7.9601 | 4.4649 | 4.4649 | 4.4649 | 90.0 | 90.0 | 90.0 |
| oqmd-299450 | box | -6.2926 | -6.3165 | 3.072 | 3.072 | 12.0723 | 90.0 | 90.0 | 90.0 |
| A15--Cr3Si | dynamic | -2.48 | -2.5039 | 8.083 | 8.083 | 8.083 | 90.0 | 90.0 | 90.0 |
| L1_2--AuCu3 | dynamic | -2.4684 | -2.4923 | 6.6705 | 6.6705 | 6.6705 | 90.0 | 90.0 | 90.0 |
| D0_3--BiF3 | dynamic | -2.385 | -2.4089 | 10.301 | 10.301 | 10.301 | 90.0 | 90.0 | 90.0 |
Download raw data (including filtered results)
Reference structure matches:
| prototype | method | Ecoh (eV/atom) | Epot (eV/atom) | a0 (Å) | b0 (Å) | c0 (Å) | α (degrees) | β (degrees) | γ (degrees) |
|---|---|---|---|---|---|---|---|---|---|
| oqmd-903024 | dynamic | -5.1067 | -5.14 | 5.9309 | 5.9309 | 5.9309 | 90.0 | 90.0 | 90.0 |
| oqmd-941424 | dynamic | -5.0354 | -5.0688 | 5.8253 | 5.8253 | 5.8253 | 90.0 | 90.0 | 90.0 |
| oqmd-898211 | static | -4.7193 | -4.7526 | 5.9098 | 5.9098 | 5.9098 | 90.0 | 90.0 | 90.0 |
Download raw data (including filtered results)
Reference structure matches:
L2_1--AlCu2Mn--heusler = mp-10891, oqmd-10501
| prototype | method | Ecoh (eV/atom) | Epot (eV/atom) | a0 (Å) | b0 (Å) | c0 (Å) | α (degrees) | β (degrees) | γ (degrees) |
|---|---|---|---|---|---|---|---|---|---|
| L2_1--AlCu2Mn--heusler | static | -5.0706 | -5.0967 | 6.0301 | 6.0301 | 6.0301 | 90.0 | 90.0 | 90.0 |
| L2_1--AlCu2Mn--heusler | static | -2.4097 | -2.4358 | 9.7906 | 9.7906 | 9.7906 | 90.0 | 90.0 | 90.0 |
Download raw data (including filtered results)
Reference structure matches:
B2--CsCl = mp-829, oqmd-10550
| prototype | method | Ecoh (eV/atom) | Epot (eV/atom) | a0 (Å) | b0 (Å) | c0 (Å) | α (degrees) | β (degrees) | γ (degrees) |
|---|---|---|---|---|---|---|---|---|---|
| B2--CsCl | dynamic | -5.4344 | -5.4845 | 2.9988 | 2.9988 | 2.9988 | 90.0 | 90.0 | 90.0 |
| mp-7189 | dynamic | -5.3263 | -5.3764 | 4.855 | 4.855 | 4.855 | 90.0 | 90.0 | 90.0 |
| oqmd-10551 | box | -5.3259 | -5.3759 | 4.8544 | 4.8544 | 4.8544 | 90.0 | 90.0 | 90.0 |
| mp-7189 | box | -5.3258 | -5.3758 | 4.8541 | 4.8541 | 4.8541 | 90.0 | 90.0 | 90.0 |
| mp-669546 | dynamic | -5.3131 | -5.3632 | 15.6172 | 15.6172 | 5.2613 | 90.0 | 90.0 | 120.0 |
| mp-669546 | static | -5.3131 | -5.3632 | 15.6168 | 15.6168 | 5.2614 | 90.0 | 90.0 | 120.0 |
| oqmd-10549 | static | -5.311 | -5.3611 | 15.6034 | 15.6034 | 5.2657 | 90.0 | 90.0 | 120.0 |
| mp-669546 | box | -5.3089 | -5.359 | 15.5958 | 15.5958 | 5.2675 | 90.0 | 90.0 | 120.0 |
| oqmd-10549 | box | -5.3089 | -5.3589 | 15.5969 | 15.5969 | 5.2673 | 90.0 | 90.0 | 120.0 |
| B1--NaCl--rock-salt | static | -4.9838 | -5.0338 | 5.0935 | 5.0935 | 5.0935 | 90.0 | 90.0 | 90.0 |
| B4--ZnS--wurtzite | dynamic | -4.9822 | -5.0323 | 2.9947 | 2.9947 | 8.7145 | 90.0 | 90.0 | 120.0 |
| B3--ZnS--cubic-zinc-blende | box | -4.7358 | -4.7859 | 5.7466 | 5.7466 | 5.7466 | 90.0 | 90.0 | 90.0 |
| B4--ZnS--wurtzite | box | -4.6692 | -4.7193 | 4.0441 | 4.0441 | 6.8462 | 90.0 | 90.0 | 120.0 |
| B2--CsCl | static | -3.3785 | -3.4286 | 4.3399 | 4.3399 | 4.3399 | 90.0 | 90.0 | 90.0 |
| B4--ZnS--wurtzite | box | -1.8428 | -1.8929 | 6.3724 | 6.3724 | 10.2623 | 90.0 | 90.0 | 120.0 |
| B3--ZnS--cubic-zinc-blende | static | -1.8291 | -1.8792 | 9.0083 | 9.0083 | 9.0083 | 90.0 | 90.0 | 90.0 |
Download raw data (including filtered results)
Reference structure matches:
| prototype | method | Ecoh (eV/atom) | Epot (eV/atom) | a0 (Å) | b0 (Å) | c0 (Å) | α (degrees) | β (degrees) | γ (degrees) |
|---|---|---|---|---|---|---|---|---|---|
| mp-2824 | dynamic | -5.545 | -5.5798 | 5.3084 | 4.0593 | 7.694 | 90.0 | 90.0 | 90.0 |
| mp-2824 | static | -5.545 | -5.5798 | 5.3086 | 4.0592 | 7.6945 | 90.0 | 90.0 | 90.0 |
| oqmd-10552 | box | -5.539 | -5.5738 | 5.3575 | 4.061 | 7.6617 | 90.0 | 90.0 | 90.0 |
| mp-2824 | box | -5.5387 | -5.5734 | 5.3567 | 4.0593 | 7.669 | 90.0 | 90.0 | 90.0 |
| C1--CaF2--fluorite | dynamic | -5.5349 | -5.5697 | 5.7635 | 5.7635 | 5.7635 | 90.0 | 90.0 | 90.0 |
| C1--CaF2--fluorite | static | -2.6637 | -2.6985 | 8.8964 | 8.8964 | 8.8964 | 90.0 | 90.0 | 90.0 |
Download raw data (including filtered results)
Reference structure matches:
D0_3--BiF3 = oqmd-309410
L1_2--AuCu3 = mp-1183143
| prototype | method | Ecoh (eV/atom) | Epot (eV/atom) | a0 (Å) | b0 (Å) | c0 (Å) | α (degrees) | β (degrees) | γ (degrees) |
|---|---|---|---|---|---|---|---|---|---|
| L1_2--AuCu3 | dynamic | -5.5047 | -5.5318 | 3.8973 | 3.8973 | 3.8973 | 90.0 | 90.0 | 90.0 |
| oqmd-298869 | dynamic | -5.4865 | -5.5136 | 3.9012 | 3.9012 | 7.7909 | 90.0 | 90.0 | 90.0 |
| D0_3--BiF3 | static | -5.415 | -5.4421 | 5.997 | 5.997 | 5.997 | 90.0 | 90.0 | 90.0 |
| A15--Cr3Si | static | -5.3095 | -5.3366 | 4.8663 | 4.8663 | 4.8663 | 90.0 | 90.0 | 90.0 |
| A15--Cr3Si | static | -3.1315 | -3.1586 | 6.8171 | 6.8171 | 6.8171 | 90.0 | 90.0 | 90.0 |
| D0_3--BiF3 | static | -3.0896 | -3.1167 | 8.9486 | 8.9486 | 8.9486 | 90.0 | 90.0 | 90.0 |
| L1_2--AuCu3 | dynamic | -2.9234 | -2.9505 | 6.1018 | 6.1018 | 6.1018 | 90.0 | 90.0 | 90.0 |
Download raw data (including filtered results)
Reference structure matches:
| prototype | method | Ecoh (eV/atom) | Epot (eV/atom) | a0 (Å) | b0 (Å) | c0 (Å) | α (degrees) | β (degrees) | γ (degrees) |
|---|---|---|---|---|---|---|---|---|---|
| mp-605663 | dynamic | -5.4484 | -5.4679 | 10.9908 | 3.9281 | 8.1999 | 90.0 | 90.0 | 90.0 |
| oqmd-23084 | static | -5.4484 | -5.4679 | 10.9904 | 3.9282 | 8.1996 | 90.0 | 90.0 | 90.0 |
| mp-605663 | static | -5.4484 | -5.4679 | 10.9902 | 3.9282 | 8.1994 | 90.0 | 90.0 | 90.0 |
| mp-605663 | box | -5.4345 | -5.454 | 10.7697 | 3.9763 | 8.0713 | 90.0 | 90.0 | 90.0 |
| oqmd-23084 | box | -5.4334 | -5.4528 | 10.7539 | 3.979 | 8.0636 | 90.0 | 90.0 | 90.0 |
Download raw data (including filtered results)
Reference structure matches:
A1--Cu--fcc = mp-8634, oqmd-676149
A2--W--bcc = mp-1055908
A5--beta-Sn = mp-1057139
| prototype | method | Ecoh (eV/atom) | Epot (eV/atom) | a0 (Å) | b0 (Å) | c0 (Å) | α (degrees) | β (degrees) | γ (degrees) |
|---|---|---|---|---|---|---|---|---|---|
| A3--Mg--hcp | static | -294.3844 | -294.3842 | 1.1356 | 1.1356 | 1.859 | 90.0 | 90.0 | 120.0 |
| A3'--alpha-La--double-hcp | static | -294.3785 | -294.3783 | 1.1362 | 1.1362 | 3.7142 | 90.0 | 90.0 | 120.0 |
| A4--C--dc | static | -237.9398 | -237.9397 | 2.1576 | 2.1576 | 2.1576 | 90.0 | 90.0 | 90.0 |
| mp-1191484 | box | -61.855 | -61.8548 | 5.7073 | 5.7073 | 5.7073 | 90.0 | 90.0 | 90.0 |
| A2--W--bcc | dynamic | -9.0564 | -9.0562 | 2.788 | 2.788 | 2.788 | 90.0 | 90.0 | 90.0 |
| A6--In--bct | dynamic | -9.0493 | -9.0491 | 2.3146 | 2.3146 | 3.9688 | 90.0 | 90.0 | 90.0 |
| A1--Cu--fcc | static | -9.0075 | -9.0074 | 3.4746 | 3.4746 | 3.4746 | 90.0 | 90.0 | 90.0 |
| A3'--alpha-La--double-hcp | static | -9.0008 | -9.0006 | 2.4518 | 2.4518 | 8.103 | 90.0 | 90.0 | 120.0 |
| A3--Mg--hcp | static | -8.998 | -8.9978 | 2.4487 | 2.4487 | 4.088 | 90.0 | 90.0 | 120.0 |
| mp-35 | static | -8.9643 | -8.9641 | 8.5108 | 8.5108 | 8.5108 | 90.0 | 90.0 | 90.0 |
| oqmd-7874 | static | -8.964 | -8.9639 | 8.5122 | 8.5122 | 8.5122 | 90.0 | 90.0 | 90.0 |
| oqmd-7874 | box | -8.9613 | -8.9612 | 8.5118 | 8.5118 | 8.5118 | 90.0 | 90.0 | 90.0 |
| mp-35 | box | -8.9588 | -8.9587 | 8.5049 | 8.5049 | 8.5049 | 90.0 | 90.0 | 90.0 |
| A5--beta-Sn | static | -8.9038 | -8.9036 | 4.2508 | 4.2508 | 2.3737 | 90.0 | 90.0 | 90.0 |
| A15--beta-W | dynamic | -8.9028 | -8.9027 | 4.3856 | 4.3856 | 4.3856 | 90.0 | 90.0 | 90.0 |
| oqmd-7587 | static | -8.8824 | -8.8822 | 6.0015 | 6.0015 | 6.0015 | 90.0 | 90.0 | 90.0 |
| mp-542909 | box | -8.8607 | -8.8605 | 5.9919 | 5.9919 | 5.9919 | 90.0 | 90.0 | 90.0 |
| oqmd-7587 | box | -8.8541 | -8.8539 | 5.9908 | 5.9908 | 5.9908 | 90.0 | 90.0 | 90.0 |
| Ah--alpha-Po--sc | static | -8.6352 | -8.6351 | 2.1918 | 2.1918 | 2.1918 | 90.0 | 90.0 | 90.0 |
| A7--alpha-As | box | -8.292 | -8.2919 | 2.9524 | 2.9524 | 8.5604 | 90.0 | 90.0 | 120.0 |
| A4--C--dc | static | -7.0915 | -7.0914 | 4.447 | 4.447 | 4.447 | 90.0 | 90.0 | 90.0 |
| A3'--alpha-La--double-hcp | dynamic | -2.5654 | -2.5652 | 4.813 | 4.813 | 15.7191 | 90.0 | 90.0 | 120.0 |
| A3--Mg--hcp | dynamic | -2.5654 | -2.5652 | 4.813 | 4.813 | 7.8596 | 90.0 | 90.0 | 120.0 |
| A1--Cu--fcc | dynamic | -2.5654 | -2.5652 | 6.8066 | 6.8066 | 6.8066 | 90.0 | 90.0 | 90.0 |
| A15--beta-W | dynamic | -2.405 | -2.4049 | 8.3667 | 8.3667 | 8.3667 | 90.0 | 90.0 | 90.0 |
| A2--W--bcc | dynamic | -2.3933 | -2.3931 | 5.2715 | 5.2715 | 5.2715 | 90.0 | 90.0 | 90.0 |
| A5--beta-Sn | box | -1.433 | -1.4328 | 8.9846 | 8.9846 | 4.6398 | 90.0 | 90.0 | 90.0 |
| Ah--alpha-Po--sc | dynamic | -1.2943 | -1.2941 | 4.816 | 4.816 | 4.816 | 90.0 | 90.0 | 90.0 |
| A4--C--dc | dynamic | -0.8584 | -0.8583 | 11.1234 | 11.1234 | 11.1234 | 90.0 | 90.0 | 90.0 |
Download raw data (including filtered results)
Reference structure matches:
| prototype | method | Ecoh (eV/atom) | Epot (eV/atom) | a0 (Å) | b0 (Å) | c0 (Å) | α (degrees) | β (degrees) | γ (degrees) |
|---|---|---|---|---|---|---|---|---|---|
| C1--CaF2--fluorite | dynamic | -92.9389 | -92.9401 | 7.9007 | 7.9007 | 7.9007 | 90.0 | 90.0 | 90.0 |
| C1--CaF2--fluorite | static | -3.3118 | -3.3131 | 5.9289 | 5.9289 | 5.9289 | 90.0 | 90.0 | 90.0 |
| C1--CaF2--fluorite | dynamic | -1.6948 | -1.6961 | 10.3394 | 10.3394 | 10.3394 | 90.0 | 90.0 | 90.0 |
Download raw data (including filtered results)
Reference structure matches:
D0_3--BiF3 = oqmd-309193
| prototype | method | Ecoh (eV/atom) | Epot (eV/atom) | a0 (Å) | b0 (Å) | c0 (Å) | α (degrees) | β (degrees) | γ (degrees) |
|---|---|---|---|---|---|---|---|---|---|
| D0_3--BiF3 | static | -191.9687 | -191.9696 | 7.6255 | 7.6255 | 7.6255 | 90.0 | 90.0 | 90.0 |
| L1_2--AuCu3 | dynamic | -151.6841 | -151.685 | 5.0141 | 5.0141 | 5.0141 | 90.0 | 90.0 | 90.0 |
| A15--Cr3Si | static | -107.5524 | -107.5533 | 6.4116 | 6.4116 | 6.4116 | 90.0 | 90.0 | 90.0 |
| D0_3--BiF3 | static | -5.8672 | -5.8681 | 5.8796 | 5.8796 | 5.8796 | 90.0 | 90.0 | 90.0 |
| L1_2--AuCu3 | static | -5.7983 | -5.7993 | 3.6349 | 3.6349 | 3.6349 | 90.0 | 90.0 | 90.0 |
| oqmd-298655 | static | -5.7547 | -5.7557 | 3.4804 | 3.4804 | 8.108 | 90.0 | 90.0 | 90.0 |
| oqmd-298655 | box | -5.6709 | -5.6718 | 3.7112 | 3.7112 | 7.1203 | 90.0 | 90.0 | 90.0 |
| A15--Cr3Si | static | -5.6024 | -5.6033 | 4.663 | 4.663 | 4.663 | 90.0 | 90.0 | 90.0 |
| L1_2--AuCu3 | dynamic | -2.3971 | -2.398 | 6.7165 | 6.7165 | 6.7165 | 90.0 | 90.0 | 90.0 |
| A15--Cr3Si | dynamic | -2.3214 | -2.3223 | 8.2175 | 8.2175 | 8.2175 | 90.0 | 90.0 | 90.0 |
| D0_3--BiF3 | dynamic | -2.2346 | -2.2355 | 10.4272 | 10.4272 | 10.4272 | 90.0 | 90.0 | 90.0 |
Download raw data (including filtered results)
Reference structure matches:
| prototype | method | Ecoh (eV/atom) | Epot (eV/atom) | a0 (Å) | b0 (Å) | c0 (Å) | α (degrees) | β (degrees) | γ (degrees) |
|---|---|---|---|---|---|---|---|---|---|
| mp-1078895 | dynamic | -4.9498 | -4.9523 | 5.9957 | 8.6158 | 4.1472 | 90.0 | 90.0 | 90.0 |
| oqmd-684936 | static | -4.9498 | -4.9523 | 5.9956 | 8.6159 | 4.1472 | 90.0 | 90.0 | 90.0 |
| oqmd-684936 | box | -4.1684 | -4.1709 | 7.5631 | 8.1919 | 3.578 | 90.0 | 90.0 | 90.0 |
Download raw data (including filtered results)
Reference structure matches:
B2--CsCl = mp-1902, oqmd-90200
L1_0--AuCu = mp-238, oqmd-17676
| prototype | method | Ecoh (eV/atom) | Epot (eV/atom) | a0 (Å) | b0 (Å) | c0 (Å) | α (degrees) | β (degrees) | γ (degrees) |
|---|---|---|---|---|---|---|---|---|---|
| B2--CsCl | dynamic | -83.833 | -83.835 | 3.9145 | 3.9145 | 3.9145 | 90.0 | 90.0 | 90.0 |
| B1--NaCl--rock-salt | dynamic | -22.9962 | -22.9981 | 7.2315 | 7.2315 | 7.2315 | 90.0 | 90.0 | 90.0 |
| B3--ZnS--cubic-zinc-blende | dynamic | -16.0258 | -16.0278 | 7.8914 | 7.8914 | 7.8914 | 90.0 | 90.0 | 90.0 |
| B4--ZnS--wurtzite | static | -15.0066 | -15.0086 | 5.5075 | 5.5075 | 9.4355 | 90.0 | 90.0 | 120.0 |
| B4--ZnS--wurtzite | box | -14.3629 | -14.3649 | 5.56 | 5.56 | 9.3097 | 90.0 | 90.0 | 120.0 |
| L1_0--AuCu | static | -4.8026 | -4.8045 | 2.4667 | 2.4667 | 4.2779 | 90.0 | 90.0 | 90.0 |
| B2--CsCl | static | -3.9085 | -3.9104 | 3.0152 | 3.0152 | 3.0152 | 90.0 | 90.0 | 90.0 |
| B3--ZnS--cubic-zinc-blende | dynamic | -3.4157 | -3.4177 | 6.1235 | 6.1235 | 6.1235 | 90.0 | 90.0 | 90.0 |
| B4--ZnS--wurtzite | dynamic | -3.4028 | -3.4048 | 4.2803 | 4.2803 | 7.4775 | 90.0 | 90.0 | 120.0 |
| B4--ZnS--wurtzite | box | -3.331 | -3.333 | 4.2971 | 4.2971 | 7.4672 | 90.0 | 90.0 | 120.0 |
| L1_0--AuCu | dynamic | -2.3279 | -2.3299 | 4.6132 | 4.6132 | 6.6373 | 90.0 | 90.0 | 90.0 |
| B2--CsCl | static | -2.1289 | -2.1309 | 5.2008 | 5.2008 | 5.2008 | 90.0 | 90.0 | 90.0 |
| B1--NaCl--rock-salt | static | -2.0748 | -2.0768 | 5.8144 | 5.8144 | 5.8144 | 90.0 | 90.0 | 90.0 |
| B1--NaCl--rock-salt | dynamic | -1.4346 | -1.4366 | 9.1432 | 9.1432 | 9.1432 | 90.0 | 90.0 | 90.0 |
| B4--ZnS--wurtzite | dynamic | -0.9838 | -0.9858 | 7.7301 | 7.7301 | 12.6333 | 90.0 | 90.0 | 120.0 |
| B3--ZnS--cubic-zinc-blende | dynamic | -0.9838 | -0.9858 | 10.9349 | 10.9349 | 10.9349 | 90.0 | 90.0 | 90.0 |
Download raw data (including filtered results)
Reference structure matches:
| prototype | method | Ecoh (eV/atom) | Epot (eV/atom) | a0 (Å) | b0 (Å) | c0 (Å) | α (degrees) | β (degrees) | γ (degrees) |
|---|---|---|---|---|---|---|---|---|---|
| C1--CaF2--fluorite | dynamic | -6.5097 | -6.5124 | 7.7937 | 7.7937 | 7.7937 | 90.0 | 90.0 | 90.0 |
| mp-1102640 | dynamic | -4.9837 | -4.9864 | 6.3446 | 2.8614 | 9.1462 | 90.0 | 90.0 | 90.0 |
| C1--CaF2--fluorite | static | -4.2325 | -4.2351 | 5.9759 | 5.9759 | 5.9759 | 90.0 | 90.0 | 90.0 |
| mp-1102640 | box | -4.0851 | -4.0878 | 5.3478 | 3.9727 | 8.1039 | 90.0 | 90.0 | 90.0 |
| C1--CaF2--fluorite | static | -1.3551 | -1.3578 | 10.7162 | 10.7162 | 10.7162 | 90.0 | 90.0 | 90.0 |
Download raw data (including filtered results)
Reference structure matches:
D0_3--BiF3 = oqmd-309239
| prototype | method | Ecoh (eV/atom) | Epot (eV/atom) | a0 (Å) | b0 (Å) | c0 (Å) | α (degrees) | β (degrees) | γ (degrees) |
|---|---|---|---|---|---|---|---|---|---|
| mp-1221576 | static | -4.6898 | -4.6929 | 2.6857 | 2.6857 | 27.5607 | 90.0 | 90.0 | 120.0 |
| mp-1221576 | box | -4.6676 | -4.6706 | 2.6947 | 2.6947 | 27.4096 | 90.0 | 90.0 | 120.0 |
| mp-31138 | dynamic | -4.2994 | -4.3025 | 3.889 | 3.889 | 15.6313 | 90.0 | 90.0 | 90.0 |
| mp-31138 | box | -4.298 | -4.301 | 3.8865 | 3.8865 | 15.6551 | 90.0 | 90.0 | 90.0 |
| oqmd-17678 | box | -4.2968 | -4.2998 | 3.8861 | 3.8861 | 15.6623 | 90.0 | 90.0 | 90.0 |
| oqmd-298701 | dynamic | -4.2948 | -4.2978 | 3.8809 | 3.8809 | 7.8691 | 90.0 | 90.0 | 90.0 |
| L1_2--AuCu3 | dynamic | -4.2932 | -4.2963 | 3.8901 | 3.8901 | 3.8901 | 90.0 | 90.0 | 90.0 |
| mp-1186013 | dynamic | -4.2425 | -4.2455 | 5.5219 | 5.5219 | 4.3334 | 90.0 | 90.0 | 120.0 |
| mp-1186013 | box | -4.2361 | -4.2392 | 5.5141 | 5.5141 | 4.3429 | 90.0 | 90.0 | 120.0 |
| D0_3--BiF3 | dynamic | -4.1967 | -4.1998 | 6.032 | 6.032 | 6.032 | 90.0 | 90.0 | 90.0 |
| A15--Cr3Si | static | -4.0228 | -4.0258 | 4.8936 | 4.8936 | 4.8936 | 90.0 | 90.0 | 90.0 |
| L1_2--AuCu3 | dynamic | -2.3856 | -2.3887 | 6.3942 | 6.3942 | 6.3942 | 90.0 | 90.0 | 90.0 |
| D0_3--BiF3 | static | -2.1706 | -2.1737 | 7.9531 | 7.9531 | 7.9531 | 90.0 | 90.0 | 90.0 |
| D0_3--BiF3 | static | -2.1249 | -2.128 | 10.0529 | 10.0529 | 10.0529 | 90.0 | 90.0 | 90.0 |
| A15--Cr3Si | static | -2.0313 | -2.0344 | 8.0471 | 8.0471 | 8.0471 | 90.0 | 90.0 | 90.0 |
| L1_2--AuCu3 | dynamic | -1.5483 | -1.5514 | 4.9862 | 4.9862 | 4.9862 | 90.0 | 90.0 | 90.0 |
Download raw data (including filtered results)
Reference structure matches:
A1--Cu--fcc = mp-2, oqmd-676153, oqmd-1214557
A15--beta-W = oqmd-1215002, oqmd-1280323
A2--W--bcc = oqmd-690547, oqmd-1215180
A3'--alpha-La--double-hcp = mp-1186427, oqmd-1215448
A3--Mg--hcp = oqmd-1215358
A4--C--dc = oqmd-1215537
A5--beta-Sn = oqmd-1215626
A6--In--bct = oqmd-1215715
| prototype | method | Ecoh (eV/atom) | Epot (eV/atom) | a0 (Å) | b0 (Å) | c0 (Å) | α (degrees) | β (degrees) | γ (degrees) |
|---|---|---|---|---|---|---|---|---|---|
| A1--Cu--fcc | dynamic | -5.1945 | -5.1986 | 3.9211 | 3.9211 | 3.9211 | 90.0 | 90.0 | 90.0 |
| A3--Mg--hcp | dynamic | -5.1372 | -5.1413 | 2.8041 | 2.8041 | 4.1927 | 90.0 | 90.0 | 120.0 |
| oqmd-1216074 | dynamic | -5.135 | -5.1391 | 2.8076 | 2.8076 | 19.0612 | 90.0 | 90.0 | 120.0 |
| oqmd-1216074 | static | -5.133 | -5.1371 | 2.8066 | 2.8066 | 19.0622 | 90.0 | 90.0 | 120.0 |
| A3'--alpha-La--double-hcp | dynamic | -5.1305 | -5.1346 | 2.8036 | 2.8036 | 8.5514 | 90.0 | 90.0 | 120.0 |
| oqmd-1215269 | box | -5.1079 | -5.112 | 2.7902 | 4.8472 | 4.2103 | 90.0 | 90.0 | 90.0 |
| oqmd-1214913 | dynamic | -4.9791 | -4.9832 | 6.76 | 6.76 | 6.76 | 90.0 | 90.0 | 90.0 |
| oqmd-1214913 | static | -4.9791 | -4.9832 | 6.7598 | 6.7598 | 6.7598 | 90.0 | 90.0 | 90.0 |
| A2--W--bcc | static | -4.9756 | -4.9797 | 2.9757 | 2.9757 | 2.9757 | 90.0 | 90.0 | 90.0 |
| oqmd-1214913 | box | -4.9611 | -4.9652 | 6.5888 | 6.5888 | 6.5888 | 90.0 | 90.0 | 90.0 |
| oqmd-1214735 | box | -4.928 | -4.9321 | 3.9402 | 8.8745 | 3.9402 | 90.0 | 90.0 | 90.0 |
| A15--beta-W | static | -4.9194 | -4.9236 | 4.8458 | 4.8458 | 4.8458 | 90.0 | 90.0 | 90.0 |
| oqmd-1214824 | dynamic | -4.9012 | -4.9053 | 9.4951 | 9.4951 | 9.4951 | 90.0 | 90.0 | 90.0 |
| oqmd-1214824 | box | -4.8993 | -4.9034 | 9.5038 | 9.5038 | 9.5038 | 90.0 | 90.0 | 90.0 |
| oqmd-1215091 | box | -4.5065 | -4.5106 | 4.078 | 9.3828 | 3.2125 | 90.0 | 90.0 | 90.0 |
| Ah--alpha-Po--sc | static | -4.2733 | -4.2775 | 2.6761 | 2.6761 | 2.6761 | 90.0 | 90.0 | 90.0 |
| Ah--alpha-Po--sc | dynamic | -4.2717 | -4.2758 | 2.7952 | 2.7952 | 2.7952 | 90.0 | 90.0 | 90.0 |
| A5--beta-Sn | static | -4.1851 | -4.1892 | 5.524 | 5.524 | 2.5636 | 90.0 | 90.0 | 90.0 |
| A3--Mg--hcp | box | -4.1376 | -4.1417 | 3.3402 | 3.3402 | 3.2834 | 90.0 | 90.0 | 120.0 |
| A4--C--dc | dynamic | -4.1315 | -4.1356 | 5.926 | 5.926 | 5.926 | 90.0 | 90.0 | 90.0 |
| A7--alpha-As | box | -3.9588 | -3.9629 | 3.9826 | 3.9826 | 10.6294 | 90.0 | 90.0 | 120.0 |
| A5--beta-Sn | box | -2.9165 | -2.9206 | 8.4523 | 8.4523 | 2.5226 | 90.0 | 90.0 | 90.0 |
| A1--Cu--fcc | dynamic | -2.6209 | -2.6251 | 6.208 | 6.208 | 6.208 | 90.0 | 90.0 | 90.0 |
| A3'--alpha-La--double-hcp | dynamic | -2.6209 | -2.6251 | 4.3897 | 4.3897 | 14.3368 | 90.0 | 90.0 | 120.0 |
| A3--Mg--hcp | dynamic | -2.6209 | -2.6251 | 4.3897 | 4.3897 | 7.1684 | 90.0 | 90.0 | 120.0 |
| A2--W--bcc | dynamic | -2.5842 | -2.5884 | 4.5343 | 4.5343 | 4.5343 | 90.0 | 90.0 | 90.0 |
| A15--beta-W | static | -2.5592 | -2.5633 | 6.9885 | 6.9885 | 6.9885 | 90.0 | 90.0 | 90.0 |
| A1--Cu--fcc | static | -2.0453 | -2.0495 | 5.1569 | 5.1569 | 5.1569 | 90.0 | 90.0 | 90.0 |
| A3'--alpha-La--double-hcp | static | -1.9745 | -1.9787 | 3.6359 | 3.6359 | 12.2073 | 90.0 | 90.0 | 120.0 |
| A5--beta-Sn | static | -1.9368 | -1.9409 | 8.2405 | 8.2405 | 3.926 | 90.0 | 90.0 | 90.0 |
| Ah--alpha-Po--sc | dynamic | -1.8794 | -1.8835 | 4.4142 | 4.4142 | 4.4142 | 90.0 | 90.0 | 90.0 |
| A3--Mg--hcp | box | -1.4969 | -1.501 | 4.3573 | 4.3573 | 9.9779 | 90.0 | 90.0 | 120.0 |
| oqmd-1215982 | box | -1.388 | -1.3921 | 3.6848 | 3.6848 | 4.8766 | 90.0 | 90.0 | 120.0 |
| A4--C--dc | dynamic | -1.2172 | -1.2213 | 9.0426 | 9.0426 | 9.0426 | 90.0 | 90.0 | 90.0 |
| A4--C--dc | dynamic | -1.0789 | -1.083 | 10.0586 | 10.0586 | 10.0586 | 90.0 | 90.0 | 90.0 |
| A15--beta-W | static | -0.5736 | -0.5777 | 10.3057 | 10.3057 | 10.3057 | 90.0 | 90.0 | 90.0 |
| A3'--alpha-La--double-hcp | box | 3.3559 | 3.3518 | 3.1953 | 3.1953 | 4.2466 | 90.0 | 90.0 | 120.0 |
Static elastic constants are displayed for the unique structures identified in Crystal Structure Predictions above. The values displayed here are obtained by measuring the change in virial stresses due to applying small strains to the relaxed crystals. The initial structure and the strained states are all relaxed using force minimization.
The calculation method used is available as the iprPy elastic_constants_static calculation method.
Notes and Disclaimers:
Version Information:
| 55.698 | 29.874 | 29.874 | 0.000 | -0.000 | 0.000 |
| 29.874 | 55.698 | 29.874 | 0.000 | 0.000 | 0.000 |
| 29.874 | 29.874 | 55.698 | -0.000 | -0.000 | 0.000 |
| -0.000 | -0.000 | -0.000 | 8.982 | 0.000 | 0.000 |
| -0.000 | -0.000 | -0.000 | -0.000 | 8.982 | 0.000 |
| -0.000 | 0.000 | -0.000 | -0.000 | -0.000 | 8.982 |
| 55.698 | 29.874 | 29.874 | 0.000 | -0.000 | -0.000 |
| 29.874 | 55.698 | 29.874 | -0.000 | 0.000 | -0.000 |
| 29.874 | 29.874 | 55.698 | 0.000 | -0.000 | -0.000 |
| 0.000 | -0.000 | 0.000 | 8.982 | -0.000 | -0.000 |
| 0.000 | 0.000 | 0.000 | 0.000 | 8.982 | -0.000 |
| 0.000 | 0.000 | 0.000 | 0.000 | 0.000 | 8.982 |
| 55.698 | 29.874 | 29.874 | 0.000 | 0.000 | 0.000 |
| 29.874 | 55.698 | 29.874 | 0.000 | 0.000 | 0.000 |
| 29.874 | 29.874 | 55.698 | 0.000 | -0.000 | 0.000 |
| -0.000 | 0.000 | 0.000 | 8.982 | 0.000 | 0.000 |
| 0.000 | -0.000 | 0.000 | 0.000 | 8.982 | 0.000 |
| 0.000 | 0.000 | -0.000 | -0.000 | -0.000 | 8.982 |
| 55.698 | 29.874 | 29.874 | -0.000 | -0.000 | -0.000 |
| 29.874 | 55.698 | 29.874 | -0.000 | 0.000 | -0.000 |
| 29.874 | 29.874 | 55.698 | -0.000 | 0.000 | -0.000 |
| 0.000 | -0.000 | -0.000 | 8.982 | 0.000 | -0.000 |
| -0.000 | 0.000 | -0.000 | -0.000 | 8.982 | -0.000 |
| -0.000 | -0.000 | 0.000 | 0.000 | 0.000 | 8.982 |
| 55.697 | 29.873 | 29.873 | 0.000 | -0.000 | 0.000 |
| 29.873 | 55.697 | 29.873 | 0.000 | -0.000 | 0.000 |
| 29.873 | 29.873 | 55.697 | -0.000 | -0.000 | 0.000 |
| -0.000 | 0.000 | 0.000 | 8.982 | 0.000 | 0.000 |
| 0.000 | -0.000 | 0.000 | 0.000 | 8.982 | 0.000 |
| 0.000 | 0.000 | -0.000 | 0.000 | -0.000 | 8.982 |
| 55.698 | 29.874 | 29.874 | -0.000 | 0.000 | -0.000 |
| 29.874 | 55.698 | 29.874 | -0.000 | -0.000 | -0.000 |
| 29.874 | 29.874 | 55.698 | -0.000 | 0.000 | -0.000 |
| 0.000 | -0.000 | -0.000 | 8.982 | -0.000 | -0.000 |
| -0.000 | 0.000 | -0.000 | -0.000 | 8.982 | -0.000 |
| -0.000 | -0.000 | 0.000 | -0.000 | 0.000 | 8.982 |
| 46.040 | 9.914 | 9.914 | 0.000 | -0.000 | 0.000 |
| 9.914 | 46.040 | 9.914 | 0.000 | 0.000 | -0.000 |
| 9.914 | 9.914 | 46.040 | 0.000 | -0.000 | -0.000 |
| 0.000 | 0.000 | -0.000 | -12.163 | 0.000 | -0.000 |
| -0.000 | -0.000 | -0.000 | 0.000 | -12.163 | -0.000 |
| 0.000 | -0.000 | -0.000 | 0.000 | 0.000 | -12.163 |
| 45.502 | 10.183 | 10.183 | -0.000 | 0.000 | -0.000 |
| 10.183 | 45.502 | 10.183 | -0.000 | -0.000 | 0.000 |
| 10.183 | 10.183 | 45.502 | -0.000 | 0.000 | 0.000 |
| -0.000 | -0.000 | 0.000 | -12.163 | -0.000 | -0.000 |
| 0.000 | 0.000 | 0.000 | -0.000 | -12.163 | 0.000 |
| 0.000 | 0.000 | 0.000 | -0.000 | 0.000 | -12.163 |
| 46.040 | 9.914 | 9.914 | 0.000 | 0.000 | -0.000 |
| 9.914 | 46.040 | 9.914 | 0.000 | 0.000 | -0.000 |
| 9.914 | 9.914 | 46.040 | 0.000 | 0.000 | -0.000 |
| 0.000 | 0.000 | -0.000 | -30.508 | 0.000 | -0.000 |
| 0.000 | 0.000 | -0.000 | 0.000 | -30.508 | -0.000 |
| 0.000 | -0.000 | 0.000 | 0.000 | 0.000 | -30.508 |
| 45.502 | 10.183 | 10.183 | 0.000 | -0.000 | 0.000 |
| 10.183 | 45.502 | 10.183 | -0.000 | -0.000 | 0.000 |
| 10.183 | 10.183 | 45.502 | -0.000 | 0.000 | 0.000 |
| -0.000 | -0.000 | 0.000 | -30.508 | -0.000 | -0.000 |
| -0.000 | -0.000 | 0.000 | -0.000 | -30.508 | 0.000 |
| -0.000 | 0.000 | -0.000 | -0.000 | -0.000 | -30.508 |
| 46.041 | 9.915 | 9.915 | 0.000 | 0.000 | 0.000 |
| 9.915 | 46.041 | 9.915 | 0.000 | -0.000 | -0.000 |
| 9.915 | 9.915 | 46.041 | 0.000 | 0.000 | -0.000 |
| -0.000 | -0.000 | -0.000 | -12.163 | 0.000 | 0.000 |
| -0.000 | -0.000 | -0.000 | 0.000 | -12.163 | -0.000 |
| -0.000 | -0.000 | -0.000 | 0.000 | 0.000 | -12.163 |
| 45.501 | 10.183 | 10.183 | -0.000 | -0.000 | 0.000 |
| 10.183 | 45.501 | 10.183 | -0.000 | 0.000 | 0.000 |
| 10.183 | 10.183 | 45.501 | -0.000 | 0.000 | 0.000 |
| 0.000 | 0.000 | 0.000 | -12.163 | -0.000 | 0.000 |
| 0.000 | 0.000 | 0.000 | -0.000 | -12.163 | 0.000 |
| 0.000 | 0.000 | 0.000 | -0.000 | -0.000 | -12.163 |
| 63.106 | 57.155 | 57.155 | -0.000 | -0.000 | -0.000 |
| 57.155 | 63.106 | 57.155 | 0.000 | 0.000 | -0.000 |
| 57.155 | 57.155 | 63.106 | 0.000 | 0.000 | 0.000 |
| 0.000 | 0.000 | 0.000 | 33.106 | 0.000 | -0.000 |
| 0.000 | 0.000 | 0.000 | 0.000 | 33.106 | -0.000 |
| 0.000 | 0.000 | 0.000 | -0.000 | -0.000 | 33.106 |
| 63.106 | 57.155 | 57.155 | -0.000 | 0.000 | 0.000 |
| 57.155 | 63.106 | 57.155 | 0.000 | 0.000 | -0.000 |
| 57.155 | 57.155 | 63.106 | -0.000 | 0.000 | -0.000 |
| -0.000 | -0.000 | -0.000 | 33.106 | -0.000 | 0.000 |
| -0.000 | -0.000 | -0.000 | -0.000 | 33.106 | -0.000 |
| -0.000 | -0.000 | -0.000 | -0.000 | 0.000 | 33.106 |
| 63.106 | 57.155 | 57.155 | 0.000 | -0.000 | -0.000 |
| 57.155 | 63.106 | 57.155 | 0.000 | -0.000 | -0.000 |
| 57.155 | 57.155 | 63.106 | -0.000 | -0.000 | -0.000 |
| 0.000 | 0.000 | 0.000 | 33.106 | -0.000 | -0.000 |
| 0.000 | 0.000 | 0.000 | 0.000 | 33.106 | -0.000 |
| 0.000 | 0.000 | 0.000 | -0.000 | -0.000 | 33.106 |
| 63.106 | 57.155 | 57.155 | -0.000 | 0.000 | 0.000 |
| 57.155 | 63.106 | 57.155 | -0.000 | 0.000 | 0.000 |
| 57.155 | 57.155 | 63.106 | 0.000 | 0.000 | 0.000 |
| -0.000 | -0.000 | -0.000 | 33.106 | 0.000 | 0.000 |
| -0.000 | -0.000 | -0.000 | -0.000 | 33.106 | 0.000 |
| -0.000 | -0.000 | -0.000 | 0.000 | 0.000 | 33.106 |
| 63.106 | 57.155 | 57.155 | 0.000 | -0.000 | -0.000 |
| 57.155 | 63.106 | 57.155 | 0.000 | -0.000 | -0.000 |
| 57.155 | 57.155 | 63.106 | -0.000 | -0.000 | -0.000 |
| 0.000 | 0.000 | 0.000 | 33.106 | 0.000 | 0.000 |
| 0.000 | 0.000 | 0.000 | -0.000 | 33.106 | -0.000 |
| 0.000 | 0.000 | 0.000 | 0.000 | -0.000 | 33.106 |
| 63.106 | 57.155 | 57.155 | 0.000 | 0.000 | 0.000 |
| 57.155 | 63.106 | 57.155 | -0.000 | 0.000 | 0.000 |
| 57.155 | 57.155 | 63.106 | -0.000 | 0.000 | 0.000 |
| -0.000 | -0.000 | -0.000 | 33.106 | -0.000 | 0.000 |
| -0.000 | -0.000 | -0.000 | -0.000 | 33.106 | 0.000 |
| -0.000 | -0.000 | -0.000 | -0.000 | 0.000 | 33.106 |
| 50.190 | 30.318 | 40.988 | 0.000 | 0.000 | -0.000 |
| 30.256 | 50.251 | 40.988 | 0.000 | 0.000 | -0.000 |
| 40.988 | 40.988 | 74.275 | 0.000 | 0.000 | -0.000 |
| 0.000 | 0.000 | 0.000 | 20.421 | 0.000 | -0.000 |
| -0.000 | 0.000 | 0.000 | 0.000 | 20.421 | -0.000 |
| -0.000 | 0.000 | 0.000 | 0.000 | 0.000 | 9.936 |
| 50.251 | 30.256 | 40.988 | -0.000 | -0.000 | 0.000 |
| 30.318 | 50.190 | 40.988 | -0.000 | -0.000 | 0.000 |
| 40.988 | 40.988 | 74.275 | -0.000 | -0.000 | 0.000 |
| -0.000 | -0.000 | -0.000 | 20.421 | -0.000 | 0.000 |
| 0.000 | -0.000 | -0.000 | -0.000 | 20.421 | 0.000 |
| 0.000 | 0.000 | -0.000 | -0.000 | -0.000 | 9.936 |
| 50.251 | 30.256 | 40.988 | 0.000 | 0.000 | -0.000 |
| 30.256 | 50.251 | 40.988 | 0.000 | 0.000 | -0.000 |
| 40.988 | 40.988 | 74.275 | 0.000 | 0.000 | -0.000 |
| 0.000 | -0.000 | 0.000 | 20.421 | 0.000 | -0.000 |
| -0.000 | 0.000 | 0.000 | 0.000 | 20.421 | -0.000 |
| -0.000 | 0.000 | 0.000 | 0.000 | 0.000 | 9.936 |
| 50.251 | 30.256 | 40.988 | 0.000 | -0.000 | 0.000 |
| 30.318 | 50.190 | 40.988 | -0.000 | -0.000 | 0.000 |
| 40.988 | 40.988 | 74.275 | -0.000 | -0.000 | 0.000 |
| -0.000 | 0.000 | -0.000 | 20.421 | -0.000 | 0.000 |
| 0.000 | -0.000 | -0.000 | -0.000 | 20.421 | 0.000 |
| 0.000 | -0.000 | -0.000 | -0.000 | -0.000 | 9.936 |
| 50.172 | 30.336 | 40.988 | 0.000 | 0.000 | -0.000 |
| 30.318 | 50.190 | 40.988 | 0.000 | 0.000 | -0.000 |
| 40.988 | 40.988 | 74.275 | 0.000 | 0.000 | -0.000 |
| 0.000 | -0.000 | 0.000 | 20.421 | 0.000 | -0.000 |
| -0.000 | 0.000 | 0.000 | 0.000 | 20.421 | -0.000 |
| -0.000 | 0.000 | 0.000 | 0.000 | 0.000 | 9.998 |
| 50.251 | 30.256 | 40.988 | -0.000 | -0.000 | 0.000 |
| 30.317 | 50.189 | 40.988 | -0.000 | -0.000 | 0.000 |
| 40.988 | 40.988 | 74.274 | -0.000 | -0.000 | 0.000 |
| -0.000 | 0.000 | -0.000 | 20.421 | -0.000 | 0.000 |
| 0.000 | -0.000 | -0.000 | -0.000 | 20.421 | 0.000 |
| 0.000 | -0.000 | -0.000 | -0.000 | -0.000 | 9.998 |
| 49.817 | 29.714 | 46.100 | 0.000 | 0.000 | 0.000 |
| 29.309 | 50.222 | 46.100 | 0.000 | 0.000 | 0.000 |
| 46.100 | 46.100 | 102.490 | 0.000 | 0.000 | 0.000 |
| -0.000 | 0.000 | 0.000 | 27.018 | 0.000 | 0.000 |
| -0.000 | 0.000 | 0.000 | 0.000 | 27.018 | 0.000 |
| -0.000 | 0.000 | 0.000 | 0.000 | 0.000 | 10.457 |
| 50.222 | 29.309 | 46.100 | -0.000 | -0.000 | -0.000 |
| 29.714 | 49.817 | 46.100 | -0.000 | -0.000 | -0.000 |
| 46.100 | 46.100 | 102.490 | -0.000 | -0.000 | -0.000 |
| 0.000 | -0.000 | -0.000 | 27.018 | -0.000 | -0.000 |
| 0.000 | -0.000 | -0.000 | -0.000 | 27.018 | -0.000 |
| 0.000 | -0.000 | -0.000 | -0.000 | -0.000 | 10.457 |
| 50.222 | 29.308 | 46.100 | 0.000 | 0.000 | 0.000 |
| 29.308 | 50.222 | 46.100 | 0.000 | 0.000 | 0.000 |
| 46.100 | 46.100 | 102.490 | 0.000 | 0.000 | 0.000 |
| 0.000 | -0.000 | 0.000 | 27.018 | 0.000 | 0.000 |
| -0.000 | 0.000 | 0.000 | 0.000 | 27.018 | 0.000 |
| -0.000 | 0.000 | 0.000 | 0.000 | 0.000 | 10.457 |
| 49.817 | 29.714 | 46.100 | -0.000 | -0.000 | -0.000 |
| 29.714 | 49.817 | 46.100 | -0.000 | -0.000 | -0.000 |
| 46.100 | 46.100 | 102.490 | -0.000 | -0.000 | -0.000 |
| -0.000 | 0.000 | -0.000 | 27.018 | -0.000 | -0.000 |
| 0.000 | -0.000 | -0.000 | -0.000 | 27.018 | -0.000 |
| 0.000 | -0.000 | -0.000 | -0.000 | -0.000 | 10.457 |
| 49.817 | 29.713 | 46.100 | 0.000 | 0.000 | 0.000 |
| 29.713 | 49.816 | 46.100 | 0.000 | 0.000 | 0.000 |
| 46.099 | 46.099 | 102.490 | -0.000 | 0.000 | 0.000 |
| 0.000 | -0.000 | 0.000 | 27.018 | 0.000 | 0.000 |
| -0.000 | 0.000 | 0.000 | 0.000 | 27.018 | 0.000 |
| -0.000 | 0.000 | -0.000 | 0.000 | 0.000 | 10.052 |
| 49.818 | 29.714 | 46.101 | -0.000 | -0.000 | -0.000 |
| 29.714 | 49.818 | 46.101 | -0.000 | -0.000 | -0.000 |
| 46.100 | 46.100 | 102.490 | -0.000 | -0.000 | -0.000 |
| -0.000 | 0.000 | -0.000 | 27.018 | -0.000 | -0.000 |
| 0.000 | -0.000 | -0.000 | -0.000 | 27.018 | -0.000 |
| 0.000 | -0.000 | 0.000 | -0.000 | -0.000 | 10.052 |
| 50.296 | 29.381 | 46.171 | 0.000 | 0.000 | 0.000 |
| 29.787 | 49.890 | 46.171 | -0.000 | 0.000 | 0.000 |
| 46.171 | 46.171 | 102.544 | -0.000 | -0.000 | 0.000 |
| -0.000 | 0.000 | -0.000 | 27.016 | 0.000 | 0.000 |
| -0.000 | 0.000 | -0.000 | -0.000 | 27.016 | 0.000 |
| -0.000 | 0.000 | -0.000 | -0.000 | 0.000 | 10.052 |
| 49.890 | 29.787 | 46.171 | 0.000 | 0.000 | -0.000 |
| 29.381 | 50.296 | 46.171 | 0.000 | -0.000 | -0.000 |
| 46.171 | 46.171 | 102.544 | 0.000 | -0.000 | -0.000 |
| 0.000 | -0.000 | 0.000 | 27.016 | -0.000 | -0.000 |
| 0.000 | -0.000 | 0.000 | 0.000 | 27.016 | -0.000 |
| 0.000 | -0.000 | 0.000 | 0.000 | -0.000 | 10.052 |
| 49.890 | 29.787 | 46.170 | 0.000 | 0.000 | 0.000 |
| 29.381 | 50.296 | 46.170 | -0.000 | 0.000 | 0.000 |
| 46.170 | 46.170 | 102.544 | -0.000 | 0.000 | 0.000 |
| 0.000 | -0.000 | 0.000 | 27.016 | 0.000 | 0.000 |
| -0.000 | 0.000 | 0.000 | -0.000 | 27.016 | 0.000 |
| -0.000 | 0.000 | 0.000 | 0.000 | 0.000 | 10.457 |
| 50.296 | 29.381 | 46.171 | 0.000 | -0.000 | -0.000 |
| 29.381 | 50.296 | 46.171 | 0.000 | -0.000 | -0.000 |
| 46.171 | 46.171 | 102.544 | 0.000 | -0.000 | -0.000 |
| -0.000 | 0.000 | -0.000 | 27.016 | -0.000 | -0.000 |
| 0.000 | -0.000 | -0.000 | -0.000 | 27.016 | -0.000 |
| 0.000 | -0.000 | -0.000 | 0.000 | -0.000 | 10.457 |
| 49.890 | 29.786 | 46.170 | -0.000 | -0.000 | 0.000 |
| 29.786 | 49.890 | 46.170 | -0.000 | 0.000 | 0.000 |
| 46.170 | 46.170 | 102.544 | 0.000 | 0.000 | 0.000 |
| 0.000 | -0.000 | 0.000 | 27.016 | 0.000 | 0.000 |
| -0.000 | 0.000 | 0.000 | -0.000 | 27.016 | 0.000 |
| -0.000 | 0.000 | 0.000 | -0.000 | 0.000 | 10.457 |
| 50.297 | 29.382 | 46.171 | 0.000 | -0.000 | -0.000 |
| 29.382 | 50.297 | 46.171 | 0.000 | -0.000 | -0.000 |
| 46.171 | 46.171 | 102.544 | 0.000 | -0.000 | -0.000 |
| -0.000 | 0.000 | -0.000 | 27.016 | -0.000 | -0.000 |
| 0.000 | -0.000 | -0.000 | -0.000 | 27.016 | -0.000 |
| 0.000 | -0.000 | -0.000 | -0.000 | -0.000 | 10.457 |
| 20.363 | 36.162 | 36.162 | 0.000 | -0.000 | 0.000 |
| 36.162 | 20.363 | 36.162 | 0.000 | -0.000 | 0.000 |
| 36.162 | 36.162 | 20.363 | 0.000 | 0.000 | 0.000 |
| 0.000 | 0.000 | 0.000 | 27.109 | 0.000 | -0.000 |
| 0.000 | 0.000 | 0.000 | -0.000 | 27.109 | -0.000 |
| 0.000 | 0.000 | -0.000 | -0.000 | -0.000 | 27.109 |
| 20.363 | 36.162 | 36.162 | 0.000 | -0.000 | -0.000 |
| 36.162 | 20.363 | 36.162 | 0.000 | 0.000 | -0.000 |
| 36.162 | 36.162 | 20.363 | 0.000 | 0.000 | -0.000 |
| -0.000 | -0.000 | -0.000 | 27.109 | 0.000 | 0.000 |
| -0.000 | -0.000 | -0.000 | 0.000 | 27.109 | 0.000 |
| -0.000 | -0.000 | -0.000 | 0.000 | 0.000 | 27.109 |
| 20.363 | 36.162 | 36.162 | -0.000 | 0.000 | 0.000 |
| 36.162 | 20.363 | 36.162 | -0.000 | 0.000 | 0.000 |
| 36.162 | 36.162 | 20.363 | 0.000 | 0.000 | 0.000 |
| -0.000 | -0.000 | -0.000 | -12.253 | 0.000 | -0.000 |
| -0.000 | -0.000 | -0.000 | -0.000 | -12.253 | -0.000 |
| -0.000 | -0.000 | -0.000 | -0.000 | -0.000 | -12.253 |
| 20.363 | 36.162 | 36.162 | 0.000 | 0.000 | -0.000 |
| 36.162 | 20.363 | 36.162 | -0.000 | 0.000 | -0.000 |
| 36.162 | 36.162 | 20.363 | 0.000 | -0.000 | -0.000 |
| 0.000 | 0.000 | 0.000 | -12.253 | 0.000 | 0.000 |
| 0.000 | 0.000 | 0.000 | 0.000 | -12.253 | 0.000 |
| 0.000 | 0.000 | 0.000 | 0.000 | 0.000 | -12.253 |
| 20.363 | 36.162 | 36.162 | -0.000 | 0.000 | 0.000 |
| 36.162 | 20.363 | 36.162 | 0.000 | -0.000 | 0.000 |
| 36.162 | 36.162 | 20.363 | 0.000 | -0.000 | 0.000 |
| -0.000 | -0.000 | -0.000 | -12.253 | -0.000 | -0.000 |
| -0.000 | -0.000 | -0.000 | -0.000 | -12.253 | -0.000 |
| -0.000 | -0.000 | -0.000 | -0.000 | -0.000 | -12.253 |
| 20.363 | 36.162 | 36.162 | 0.000 | 0.000 | -0.000 |
| 36.162 | 20.363 | 36.162 | -0.000 | 0.000 | -0.000 |
| 36.162 | 36.162 | 20.363 | 0.000 | 0.000 | -0.000 |
| 0.000 | 0.000 | 0.000 | -12.253 | 0.000 | 0.000 |
| 0.000 | 0.000 | 0.000 | 0.000 | -12.253 | 0.000 |
| 0.000 | 0.000 | 0.000 | -0.000 | 0.000 | -12.253 |
| 71.378 | 16.542 | 15.350 | 0.000 | 0.000 | -0.000 |
| 16.542 | 71.378 | 15.350 | 0.000 | 0.000 | -0.000 |
| 15.350 | 15.350 | 112.817 | 0.000 | 0.000 | 0.000 |
| 0.000 | 0.000 | -0.000 | -3.292 | 0.000 | -0.000 |
| 0.000 | 0.000 | -0.000 | 0.000 | -3.292 | -0.000 |
| -0.000 | -0.000 | -0.000 | 0.000 | 0.000 | 6.516 |
| 43.893 | 44.027 | 15.350 | -0.000 | -0.000 | 0.000 |
| 44.027 | 43.893 | 15.350 | -0.000 | -0.000 | 0.000 |
| 15.350 | 15.350 | 112.817 | -0.000 | -0.000 | 0.000 |
| -0.000 | -0.000 | 0.000 | -3.292 | -0.000 | 0.000 |
| -0.000 | -0.000 | -0.000 | -0.000 | -3.292 | 0.000 |
| 0.000 | -0.000 | 0.000 | -0.000 | -0.000 | 6.516 |
| 1.159 | 86.762 | 15.350 | -0.000 | -0.000 | -0.000 |
| 86.762 | 1.159 | 15.350 | -0.000 | 0.000 | -0.000 |
| 15.350 | 15.350 | 112.817 | 0.000 | 0.000 | -0.000 |
| 0.000 | 0.000 | 0.000 | -3.292 | 0.000 | -0.000 |
| 0.000 | 0.000 | 0.000 | 0.000 | -3.292 | -0.000 |
| -0.000 | -0.000 | 0.000 | 0.000 | 0.000 | 6.516 |
| 43.893 | 44.027 | 15.350 | -0.000 | -0.000 | 0.000 |
| 44.027 | 43.893 | 15.350 | -0.000 | -0.000 | 0.000 |
| 15.350 | 15.350 | 112.816 | -0.000 | -0.000 | 0.000 |
| -0.000 | -0.000 | -0.000 | -3.292 | -0.000 | -0.000 |
| -0.000 | -0.000 | -0.000 | -0.000 | -3.292 | 0.000 |
| 0.000 | 0.000 | -0.000 | -0.000 | -0.000 | 6.516 |
| 71.378 | 16.542 | 15.350 | 0.000 | 0.000 | -0.000 |
| 16.542 | 71.378 | 15.350 | 0.000 | 0.000 | -0.000 |
| 15.350 | 15.350 | 112.818 | 0.000 | 0.000 | -0.000 |
| 0.000 | 0.000 | 0.000 | -3.292 | 0.000 | 0.000 |
| 0.000 | 0.000 | 0.000 | 0.000 | -3.292 | -0.000 |
| -0.000 | -0.000 | 0.000 | 0.000 | 0.000 | 6.516 |
| 43.893 | 44.027 | 15.350 | -0.000 | -0.000 | 0.000 |
| 44.027 | 43.893 | 15.350 | 0.000 | -0.000 | 0.000 |
| 15.350 | 15.350 | 112.815 | 0.000 | -0.000 | 0.000 |
| -0.000 | -0.000 | -0.000 | -3.292 | -0.000 | 0.000 |
| -0.000 | -0.000 | -0.000 | 0.000 | -3.292 | 0.000 |
| 0.000 | 0.000 | -0.000 | -0.000 | -0.000 | 6.516 |
| 77.450 | 9.391 | 9.391 | 0.000 | 0.000 | 0.000 |
| 9.391 | 77.450 | 9.391 | 0.000 | -0.000 | -0.000 |
| 9.391 | 9.391 | 77.450 | 0.000 | 0.000 | -0.000 |
| -0.000 | -0.000 | -0.000 | 0.110 | 0.000 | -0.000 |
| -0.000 | -0.000 | -0.000 | 0.000 | 0.110 | -0.000 |
| -0.000 | -0.000 | -0.000 | 0.000 | 0.000 | 0.110 |
| 77.450 | 9.391 | 9.391 | -0.000 | -0.000 | 0.000 |
| 9.391 | 77.450 | 9.391 | -0.000 | -0.000 | 0.000 |
| 9.391 | 9.391 | 77.450 | -0.000 | 0.000 | 0.000 |
| 0.000 | 0.000 | 0.000 | 0.110 | -0.000 | -0.000 |
| 0.000 | 0.000 | 0.000 | -0.000 | 0.110 | 0.000 |
| 0.000 | 0.000 | 0.000 | -0.000 | 0.000 | 0.110 |
| 77.450 | 9.391 | 9.391 | 0.000 | -0.000 | 0.000 |
| 9.391 | 77.450 | 9.391 | 0.000 | -0.000 | -0.000 |
| 9.391 | 9.391 | 77.450 | 0.000 | -0.000 | -0.000 |
| -0.000 | -0.000 | -0.000 | 0.110 | 0.000 | -0.000 |
| -0.000 | -0.000 | -0.000 | 0.000 | 0.110 | -0.000 |
| -0.000 | -0.000 | -0.000 | 0.000 | -0.000 | 0.110 |
| 77.450 | 9.391 | 9.391 | -0.000 | -0.000 | 0.000 |
| 9.391 | 77.450 | 9.391 | 0.000 | -0.000 | 0.000 |
| 9.391 | 9.391 | 77.450 | -0.000 | 0.000 | -0.000 |
| 0.000 | 0.000 | 0.000 | 0.110 | -0.000 | -0.000 |
| 0.000 | 0.000 | 0.000 | -0.000 | 0.110 | 0.000 |
| 0.000 | 0.000 | 0.000 | -0.000 | 0.000 | 0.110 |
| 77.450 | 9.390 | 9.390 | 0.000 | 0.000 | -0.000 |
| 9.390 | 77.450 | 9.390 | 0.000 | 0.000 | 0.000 |
| 9.390 | 9.390 | 77.450 | 0.000 | 0.000 | 0.000 |
| -0.000 | -0.000 | -0.000 | 0.110 | 0.000 | 0.000 |
| -0.000 | -0.000 | -0.000 | 0.000 | 0.110 | -0.000 |
| -0.000 | -0.000 | -0.000 | 0.000 | -0.000 | 0.110 |
| 77.449 | 9.391 | 9.391 | -0.000 | 0.000 | 0.000 |
| 9.391 | 77.449 | 9.391 | -0.000 | -0.000 | 0.000 |
| 9.391 | 9.391 | 77.449 | -0.000 | -0.000 | 0.000 |
| 0.000 | 0.000 | 0.000 | 0.110 | -0.000 | 0.000 |
| 0.000 | 0.000 | 0.000 | -0.000 | 0.110 | 0.000 |
| 0.000 | 0.000 | 0.000 | -0.000 | -0.000 | 0.110 |
| 29.162 | 25.655 | 15.926 | -0.000 | 0.000 | 0.000 |
| 25.655 | 29.162 | 15.926 | 0.000 | 0.000 | 0.000 |
| 16.751 | 16.751 | 52.414 | -0.000 | 0.000 | 0.000 |
| -0.000 | 0.000 | -0.000 | 3.605 | 0.000 | 0.000 |
| 0.000 | 0.000 | -0.000 | 0.000 | 3.605 | 0.000 |
| -0.000 | -0.000 | 0.000 | 0.000 | 0.000 | 15.412 |
| 8.290 | 41.789 | 17.154 | 0.000 | -0.000 | -0.000 |
| 41.789 | 8.290 | 17.154 | 0.000 | -0.000 | -0.000 |
| 15.523 | 15.523 | 53.051 | -0.000 | -0.000 | -0.000 |
| 0.000 | -0.000 | 0.000 | 3.605 | -0.000 | -0.000 |
| -0.000 | -0.000 | 0.000 | -0.000 | 3.605 | -0.000 |
| 0.000 | 0.000 | -0.000 | -0.000 | -0.000 | 15.412 |
| 29.162 | 25.655 | 15.926 | 0.000 | 0.000 | 0.000 |
| 25.655 | 29.162 | 15.926 | 0.000 | 0.000 | 0.000 |
| 15.523 | 15.523 | 53.051 | -0.000 | 0.000 | 0.000 |
| -0.000 | -0.000 | 0.000 | 0.166 | 0.000 | 0.000 |
| -0.000 | -0.000 | 0.000 | 0.000 | 0.166 | 0.000 |
| -0.000 | -0.000 | 0.000 | -0.000 | 0.000 | 15.412 |
| 20.835 | 25.607 | 18.097 | -0.000 | -0.000 | -0.000 |
| 25.607 | 20.835 | 18.097 | -0.000 | -0.000 | -0.000 |
| 16.751 | 16.751 | 52.414 | -0.000 | -0.000 | -0.000 |
| 0.000 | 0.000 | -0.000 | 0.166 | -0.000 | -0.000 |
| 0.000 | 0.000 | -0.000 | 0.000 | 0.166 | -0.000 |
| 0.000 | 0.000 | -0.000 | 0.000 | -0.000 | 15.412 |
| 29.162 | 25.655 | 15.926 | 0.000 | 0.000 | 0.000 |
| 25.655 | 29.162 | 15.926 | 0.000 | 0.000 | 0.000 |
| 15.523 | 15.523 | 53.051 | -0.000 | 0.000 | 0.000 |
| -0.000 | 0.000 | 0.000 | 3.605 | 0.000 | 0.000 |
| 0.000 | -0.000 | 0.000 | -0.000 | 3.605 | 0.000 |
| 0.000 | 0.000 | -0.000 | 0.000 | 0.000 | 15.412 |
| 8.290 | 41.789 | 17.154 | 0.000 | -0.000 | -0.000 |
| 41.789 | 8.290 | 17.154 | -0.000 | 0.000 | -0.000 |
| 16.751 | 16.751 | 52.414 | 0.000 | -0.000 | -0.000 |
| 0.000 | -0.000 | -0.000 | 3.605 | -0.000 | -0.000 |
| -0.000 | 0.000 | -0.000 | 0.000 | 3.605 | -0.000 |
| -0.000 | -0.000 | 0.000 | 0.000 | -0.000 | 15.412 |
| 66.797 | 33.411 | 33.722 | -0.638 | -2.489 | -2.802 |
| 180.555 | 125.981 | -103.682 | 23.398 | -271.983 | 33.140 |
| 13.046 | 41.246 | 57.684 | 13.726 | -142.447 | 21.507 |
| -0.706 | -0.483 | 1.194 | 15.519 | -0.111 | -0.384 |
| -20.733 | 6.745 | -8.479 | 12.394 | -129.791 | 21.308 |
| -1.134 | -1.037 | -0.329 | -0.384 | -1.473 | 15.243 |
| -182.960 | 13.457 | 226.284 | 32.427 | 273.515 | 3.521 |
| -111.280 | -18.405 | 174.776 | -24.292 | 272.294 | -35.939 |
| -200.816 | 14.764 | 248.315 | 35.051 | 275.011 | 5.571 |
| 20.585 | -7.055 | 10.640 | 0.637 | 143.248 | -22.158 |
| 0.698 | -0.308 | 1.001 | -0.111 | 15.756 | -0.814 |
| -1.134 | -1.037 | -0.329 | -0.384 | -1.473 | 15.243 |
| 66.797 | 33.411 | 33.722 | -0.638 | -2.489 | -2.802 |
| 33.236 | 65.845 | 33.674 | -1.138 | -0.308 | -1.034 |
| 33.885 | 33.726 | 70.776 | 1.194 | 1.001 | -0.286 |
| -0.706 | -0.483 | 1.194 | 15.519 | -0.111 | -0.384 |
| 0.698 | -0.308 | 1.001 | -0.111 | 15.756 | -0.814 |
| 13.164 | 5.776 | -14.052 | 2.087 | -27.906 | 12.722 |
| 29.370 | 32.523 | 54.092 | 2.604 | 26.990 | -1.643 |
| 20.048 | 46.587 | 49.462 | -2.832 | 27.359 | -4.852 |
| 33.885 | 33.726 | 70.776 | 1.194 | 1.001 | -0.286 |
| -15.346 | -7.317 | 15.777 | 6.535 | 27.252 | -3.745 |
| -13.615 | -7.030 | 14.735 | -2.378 | 36.452 | -3.785 |
| -1.134 | -1.037 | -0.329 | -0.384 | -1.473 | 15.243 |
| 55.904 | 34.765 | 33.132 | -1.026 | -3.102 | -2.309 |
| 33.236 | 65.845 | 33.674 | -1.138 | -0.308 | -1.034 |
| 36.625 | 36.246 | 59.083 | 2.004 | -1.811 | 0.194 |
| -1.086 | -0.190 | 1.188 | 13.172 | -1.500 | -0.209 |
| 0.501 | 0.024 | 0.783 | 0.078 | 12.021 | -0.196 |
| -1.410 | -1.100 | -0.358 | -0.306 | -2.429 | 13.053 |
| 63.303 | 34.080 | 34.492 | -0.948 | -0.507 | -2.873 |
| 34.236 | 61.654 | 34.523 | -0.931 | 1.454 | -1.383 |
| 33.885 | 33.726 | 70.775 | 1.194 | 1.001 | -0.286 |
| -0.706 | -0.483 | 1.194 | 15.519 | -0.111 | -0.384 |
| 0.698 | -0.308 | 1.001 | -0.111 | 15.756 | -0.814 |
| -0.977 | -1.237 | -0.169 | -0.557 | 0.463 | 12.623 |
| 70.479 | 34.066 | 33.847 | -0.249 | -2.630 | -1.769 |
| 34.274 | 66.635 | 33.430 | -2.059 | 0.089 | 0.658 |
| 228.307 | 595.434 | 99.964 | 586.824 | 808.937 | 702.097 |
| 206.756 | -121.252 | 57.124 | -7.175 | 74.690 | 27.929 |
| 206.662 | -119.866 | 57.024 | -20.180 | 87.652 | 28.157 |
| 206.023 | -119.397 | 56.734 | -20.299 | 73.742 | 41.914 |
| 70.479 | 34.066 | 33.847 | -0.249 | -2.630 | -1.769 |
| -171.955 | 182.749 | -22.421 | 17.983 | -74.393 | -27.531 |
| -172.200 | 154.138 | 6.917 | 20.684 | -74.300 | -28.013 |
| -115.439 | -80.731 | -9.679 | -163.063 | -217.546 | -167.036 |
| -0.304 | -0.047 | 0.533 | 0.044 | 15.863 | -0.222 |
| -142.897 | -103.365 | -20.960 | -180.426 | -242.914 | -214.275 |
| 70.479 | 34.066 | 33.847 | -0.249 | -2.630 | -1.769 |
| 56.374 | 54.064 | 38.405 | 3.861 | 13.240 | 13.583 |
| 33.944 | 33.271 | 67.868 | 0.138 | 0.533 | 0.223 |
| 20.314 | -13.202 | 6.155 | 10.993 | 7.461 | 2.556 |
| 20.221 | -11.818 | 6.057 | -2.016 | 20.423 | 2.784 |
| 19.569 | -7.737 | 4.907 | 1.828 | 9.298 | 20.496 |
| 70.479 | 34.066 | 33.847 | -0.249 | -2.630 | -1.769 |
| 27.026 | 50.743 | 34.432 | -14.941 | -13.747 | -14.213 |
| 26.169 | 14.121 | 46.844 | -30.123 | -31.415 | -35.563 |
| -20.840 | -6.058 | -1.464 | -7.466 | -18.652 | -25.430 |
| -0.304 | -0.048 | 0.533 | 0.044 | 15.863 | -0.222 |
| -1.025 | 0.636 | 0.149 | -0.223 | -1.338 | 16.230 |
| 61.983 | 35.115 | 36.558 | 0.245 | -0.744 | -0.251 |
| 37.340 | 61.442 | 34.796 | -2.409 | 1.077 | 0.952 |
| 37.145 | 32.874 | 63.953 | 0.307 | 1.167 | 0.469 |
| 3.120 | 6.268 | 4.287 | 10.947 | 13.086 | 11.655 |
| 1.618 | -1.034 | 0.970 | -0.204 | 13.659 | 0.257 |
| -1.025 | 0.637 | 0.149 | -0.223 | -1.338 | 16.230 |
| 70.479 | 34.066 | 33.847 | -0.249 | -2.630 | -1.769 |
| 33.126 | 63.720 | 33.669 | -2.001 | -0.449 | 0.372 |
| 32.847 | 35.341 | 62.857 | 0.717 | -0.374 | -0.113 |
| -0.216 | -0.902 | 0.138 | 15.385 | 0.044 | -0.359 |
| -2.622 | 1.424 | -0.190 | 0.209 | 12.110 | -0.319 |
| -3.580 | -4.575 | -0.480 | -5.122 | -3.440 | -9.281 |
| -501.872 | 641.470 | 78.705 | -582.177 | -499.906 | -23.463 |
| -518.628 | 654.239 | 80.473 | -585.151 | -498.914 | -24.044 |
| 134.310 | 141.119 | -13.642 | 85.788 | -158.681 | -198.238 |
| -555.510 | 601.576 | 42.151 | -574.086 | -498.227 | -24.696 |
| 99.886 | 107.189 | -70.759 | 88.487 | -148.954 | -199.832 |
| -0.602 | 0.600 | 1.569 | 0.781 | 0.358 | 17.783 |
| 67.119 | 34.974 | 32.346 | -0.223 | 0.769 | 0.633 |
| 591.812 | -555.170 | -7.793 | 579.482 | 500.422 | 25.654 |
| 334.426 | -899.040 | -1592.467 | 2719.054 | 908.042 | -1353.462 |
| 554.932 | -607.836 | -46.115 | 590.552 | 501.109 | 25.002 |
| -1.345 | 0.628 | 1.775 | 1.486 | 14.841 | -0.468 |
| -101.345 | -106.091 | 73.554 | -86.067 | 160.533 | 214.008 |
| -32.508 | 114.488 | 45.680 | -108.294 | -69.551 | 20.798 |
| -18.915 | 109.988 | 40.752 | -61.053 | -49.206 | -1.682 |
| -68.154 | 127.646 | 94.288 | -165.237 | -74.439 | 48.132 |
| 9.594 | 7.909 | -8.445 | 22.031 | -14.597 | -19.144 |
| -24.019 | 36.417 | 5.624 | -19.865 | -41.701 | -16.279 |
| -0.602 | 0.600 | 1.569 | 0.781 | 0.358 | 17.783 |
| 108.853 | -23.696 | 30.163 | 58.358 | 49.723 | 3.874 |
| 34.814 | 64.908 | 33.125 | -1.592 | 0.708 | 0.604 |
| 90.062 | -24.147 | 43.803 | 56.387 | 51.294 | 2.705 |
| 55.226 | -63.594 | -6.392 | 66.477 | 51.405 | 2.641 |
| -11.235 | -10.345 | 8.797 | -7.203 | 27.360 | 19.503 |
| 23.477 | -35.304 | -3.783 | 22.119 | 48.477 | 26.114 |
| 67.119 | 34.974 | 32.346 | -0.223 | 0.769 | 0.633 |
| 37.048 | 60.246 | 33.497 | -1.196 | -1.190 | -1.177 |
| 32.291 | 39.266 | 52.419 | -3.607 | -3.561 | -1.012 |
| -10.020 | 7.646 | 5.491 | -14.705 | -6.440 | 8.277 |
| -1.345 | 0.628 | 1.775 | 1.486 | 14.841 | -0.468 |
| -0.602 | 0.600 | 1.569 | 0.781 | 0.358 | 17.783 |
| 67.119 | 34.974 | 32.346 | -0.223 | 0.769 | 0.633 |
| 41.996 | 43.849 | 35.865 | 2.890 | 5.684 | 1.080 |
| 40.014 | 30.362 | 47.709 | 3.888 | 6.263 | 0.474 |
| 8.011 | -10.618 | -3.298 | 18.054 | 8.363 | -1.844 |
| 1.325 | -3.378 | 0.818 | 3.586 | 11.665 | 1.024 |
| -0.602 | 0.600 | 1.569 | 0.781 | 0.358 | 17.783 |
| -8.220 | -7.162 | 42.452 | -41.609 | 15.648 | 17.389 |
| 33.388 | 64.929 | 33.383 | -2.018 | 0.372 | 0.658 |
| -34.207 | -7.324 | 71.373 | -43.555 | 16.013 | 17.405 |
| -67.330 | -44.580 | 6.764 | -27.362 | 16.155 | 17.097 |
| -67.590 | -41.803 | 10.255 | -39.901 | 26.437 | 16.318 |
| -66.694 | -40.881 | 10.211 | -40.504 | 15.388 | 30.466 |
| 125.432 | 76.351 | 24.188 | 40.752 | -14.123 | -15.557 |
| 33.388 | 64.929 | 33.383 | -2.018 | 0.372 | 0.658 |
| 99.445 | 76.188 | 53.111 | 38.806 | -13.758 | -15.541 |
| -0.411 | -2.693 | -2.310 | 16.226 | 1.240 | 0.413 |
| 101.851 | 113.971 | 21.501 | 20.590 | -37.109 | -20.933 |
| 66.959 | 42.632 | -8.052 | 41.856 | -14.383 | -2.479 |
| 63.246 | 33.840 | 32.209 | -0.336 | 0.899 | 0.926 |
| 27.466 | 55.839 | 35.350 | -6.433 | 1.488 | 2.569 |
| 31.499 | 33.392 | 65.861 | -2.310 | 1.197 | 1.138 |
| -7.189 | -7.000 | -1.454 | 9.704 | 2.758 | 2.272 |
| -7.450 | -4.224 | 2.037 | -2.841 | 13.042 | 1.493 |
| -0.036 | 0.653 | 1.293 | 0.458 | 0.547 | 16.700 |
| 63.774 | 46.278 | 36.400 | 1.566 | -3.861 | -1.048 |
| 33.388 | 64.929 | 33.383 | -2.018 | 0.372 | 0.658 |
| 39.305 | 38.610 | 61.333 | 1.747 | -0.362 | -0.716 |
| -0.411 | -2.693 | -2.310 | 16.226 | 1.240 | 0.413 |
| -1.044 | 0.327 | 1.197 | 1.240 | 14.559 | -0.278 |
| 6.818 | 5.053 | 0.166 | 4.796 | -0.986 | 12.346 |
| 63.246 | 33.840 | 32.209 | -0.336 | 0.899 | 0.926 |
| 33.388 | 64.930 | 33.383 | -2.018 | 0.372 | 0.658 |
| 32.011 | 34.085 | 61.989 | -2.822 | 1.281 | 1.089 |
| -0.411 | -2.693 | -2.309 | 16.226 | 1.240 | 0.413 |
| -1.044 | 0.327 | 1.197 | 1.240 | 14.559 | -0.278 |
| -0.554 | 0.451 | 1.165 | 0.258 | 0.656 | 14.054 |
| 51.647 | 37.202 | 35.004 | -0.125 | 0.488 | 0.503 |
| 34.905 | 60.259 | 34.383 | -1.881 | -0.177 | 0.755 |
| 34.813 | 36.724 | 57.363 | -2.255 | 0.504 | 0.426 |
| -0.411 | -2.693 | -2.310 | 16.226 | 1.240 | 0.413 |
| -0.048 | 0.368 | 1.023 | 1.712 | 11.215 | -0.320 |
| -0.036 | 0.653 | 1.293 | 0.458 | 0.547 | 16.700 |
| 68.761 | 34.677 | 35.072 | 0.006 | 0.804 | 1.903 |
| 34.781 | 70.587 | 34.051 | 1.343 | 1.263 | -0.859 |
| 35.391 | 34.201 | 63.010 | 0.644 | -1.643 | 0.105 |
| -0.299 | -0.034 | 0.644 | 15.803 | 0.191 | 1.247 |
| 0.161 | 1.285 | -1.643 | 0.191 | 16.922 | -0.394 |
| -228.783 | -51.342 | -52.444 | 44.027 | -153.584 | 322.284 |
| 68.761 | 34.677 | 35.072 | 0.006 | 0.804 | 1.903 |
| 34.781 | 70.587 | 34.051 | 1.343 | 1.263 | -0.859 |
| 35.391 | 34.201 | 63.009 | 0.644 | -1.643 | 0.105 |
| -0.299 | -0.034 | 0.644 | 15.803 | 0.191 | 1.247 |
| 228.415 | 51.207 | 52.091 | -42.663 | 164.692 | -312.697 |
| 0.133 | -0.856 | 0.043 | 1.225 | 0.753 | 15.963 |
| 68.762 | 34.677 | 35.072 | 0.006 | 0.804 | 1.903 |
| 34.781 | 70.587 | 34.051 | 1.343 | 1.263 | -0.859 |
| 37.368 | 32.871 | 53.830 | 7.953 | -2.916 | 14.854 |
| -16.475 | -47.121 | 1.101 | 5.274 | -66.574 | 64.226 |
| -23.188 | -4.397 | -6.317 | 4.742 | -4.612 | 30.872 |
| 0.133 | -0.856 | 0.043 | 1.225 | 0.753 | 15.963 |
| 67.008 | 105.924 | 26.742 | -2.149 | 103.490 | -95.344 |
| 34.781 | 70.587 | 34.051 | 1.343 | 1.263 | -0.859 |
| 55.195 | 119.143 | 9.129 | -11.851 | 125.427 | -114.152 |
| 27.921 | 71.713 | -9.645 | -0.706 | 105.152 | -94.178 |
| 29.098 | 72.643 | -11.096 | 0.664 | 103.217 | -94.609 |
| 0.133 | -0.856 | 0.043 | 1.225 | 0.753 | 15.963 |
| 68.762 | 34.678 | 35.072 | 0.006 | 0.804 | 1.903 |
| 35.404 | 66.455 | 34.442 | 1.724 | 0.806 | 0.603 |
| 36.455 | 34.861 | 58.191 | 1.449 | -1.554 | 1.683 |
| -0.255 | -0.443 | 0.217 | 14.041 | 0.104 | 2.703 |
| 0.161 | 1.285 | -1.643 | 0.191 | 16.922 | -0.394 |
| 0.293 | -1.126 | -0.342 | 1.926 | 0.329 | 15.065 |
| 64.530 | 35.392 | 36.529 | -0.776 | 0.756 | 0.220 |
| 30.956 | 63.764 | 28.784 | -2.236 | 17.438 | -10.080 |
| 31.070 | 43.170 | 39.609 | -2.372 | 18.029 | -9.402 |
| 1.946 | 0.003 | 1.224 | 9.403 | 1.947 | -2.156 |
| 1.982 | 1.178 | -0.498 | -0.003 | 12.500 | -3.476 |
| 0.947 | 3.912 | 1.330 | 0.444 | 6.251 | -2.358 |
| -28.048 | 33.092 | 216.523 | -18.815 | -46.874 | 94.950 |
| 34.358 | 64.638 | 34.001 | 1.083 | -0.257 | -0.567 |
| -40.586 | 31.354 | 234.911 | -19.480 | -45.114 | 95.122 |
| 1.020 | -0.007 | -0.652 | 15.856 | -0.145 | -0.107 |
| -0.832 | -0.195 | 0.625 | -0.145 | 16.127 | 0.969 |
| 0.236 | -0.574 | -0.159 | -0.170 | 2.124 | 16.698 |
| 64.231 | 34.379 | 34.279 | 0.981 | 0.106 | 1.162 |
| 34.358 | 64.638 | 34.001 | 1.083 | -0.257 | -0.567 |
| 34.010 | 33.939 | 66.842 | -0.652 | 0.625 | -0.180 |
| 1.020 | -0.007 | -0.652 | 15.856 | -0.145 | -0.107 |
| 75.718 | 2.669 | -178.733 | 19.293 | 55.179 | -93.211 |
| 76.430 | 1.216 | -179.497 | 18.649 | 48.430 | -86.244 |
| 50.863 | 33.607 | 50.202 | -0.372 | 0.545 | 6.895 |
| 34.358 | 64.638 | 34.001 | 1.083 | -0.257 | -0.567 |
| 36.925 | 31.442 | 73.302 | -0.722 | 6.890 | 3.115 |
| 2.610 | -2.602 | 9.854 | 13.114 | 6.120 | 2.859 |
| -3.934 | -1.433 | 15.041 | -1.280 | 12.017 | 7.588 |
| 0.237 | -0.574 | -0.159 | -0.170 | 2.124 | 16.698 |
| 60.269 | 32.319 | 21.637 | -0.231 | 5.280 | -9.094 |
| 34.358 | 64.638 | 34.001 | 1.083 | -0.257 | -0.567 |
| 33.432 | 37.257 | 52.625 | -0.248 | -5.808 | -3.125 |
| 1.020 | -0.007 | -0.652 | 15.856 | -0.145 | -0.107 |
| -1.414 | 2.537 | -10.654 | 0.231 | 7.897 | -2.806 |
| -1.569 | 2.070 | -10.331 | -0.093 | -4.349 | 10.892 |
| 58.810 | 34.680 | 36.601 | 0.778 | 0.623 | 1.303 |
| 34.979 | 57.341 | 35.507 | 1.181 | 0.324 | -0.457 |
| 34.010 | 33.939 | 66.842 | -0.652 | 0.625 | -0.180 |
| 1.020 | -0.007 | -0.652 | 15.856 | -0.145 | -0.107 |
| -0.832 | -0.195 | 0.625 | -0.145 | 16.127 | 0.969 |
| -1.210 | -1.099 | 2.228 | -0.995 | 1.661 | 9.424 |
| 64.230 | 34.379 | 34.279 | 0.981 | 0.106 | 1.162 |
| 35.850 | 46.647 | 30.916 | 1.499 | 1.630 | -3.398 |
| 37.084 | 33.653 | 52.910 | 0.175 | 1.679 | -0.576 |
| 1.020 | -0.007 | -0.652 | 15.856 | -0.145 | -0.107 |
| -0.832 | -0.195 | 0.625 | -0.145 | 16.127 | 0.969 |
| 0.236 | -0.574 | -0.159 | -0.170 | 2.124 | 16.698 |
| -14.154 | 80.745 | -17.360 | 161.305 | 63.907 | -78.079 |
| -1501.626 | -863.630 | -690.385 | -157.371 | 405.123 | 195.750 |
| -167.909 | 40.402 | -17.349 | 203.444 | 74.002 | -86.430 |
| -614.435 | -381.788 | -425.817 | 41.947 | 157.363 | -227.808 |
| -73.933 | 44.278 | -52.970 | 160.753 | 75.804 | -80.076 |
| -1538.872 | -899.590 | -726.765 | -152.043 | 406.970 | 194.842 |
| 134.255 | -7.551 | 87.238 | -161.078 | -62.110 | 82.527 |
| 110.693 | 18.183 | 87.914 | -163.637 | -62.824 | 79.881 |
| 238.941 | 32.312 | 128.631 | -208.677 | -76.868 | 86.065 |
| 74.408 | -46.865 | 50.019 | -147.044 | -63.447 | 80.488 |
| 204.332 | -4.321 | 71.549 | -206.576 | -64.940 | 86.512 |
| 74.993 | -44.568 | 51.898 | -160.958 | -62.330 | 94.173 |
| -17.856 | 0.071 | -5.763 | 3.494 | 17.712 | -22.656 |
| -179.627 | -102.126 | -33.973 | -24.512 | 54.394 | 42.618 |
| 27.470 | 40.143 | 55.935 | 13.844 | 5.632 | -8.380 |
| 0.220 | -2.514 | -2.109 | 16.753 | -0.376 | 0.218 |
| -215.302 | -136.603 | -76.363 | -20.103 | 54.120 | 43.117 |
| -19.777 | 0.021 | -7.541 | 20.793 | 8.172 | 2.595 |
| 64.630 | 35.245 | 34.029 | 0.116 | 0.936 | 2.629 |
| 35.117 | 67.149 | 34.987 | -2.159 | 0.474 | -0.224 |
| 42.314 | 31.312 | 66.397 | -18.401 | -6.972 | 7.684 |
| 152.933 | 84.945 | 69.249 | 17.928 | -41.325 | -19.240 |
| 7.692 | -4.285 | 4.559 | -16.558 | 6.495 | 8.258 |
| 215.721 | 136.130 | 68.842 | 19.672 | -54.457 | -43.648 |
| 64.631 | 35.245 | 34.029 | 0.116 | 0.936 | 2.629 |
| 8.917 | 23.878 | 27.012 | -8.486 | 9.340 | 6.280 |
| 33.487 | 36.418 | 54.681 | -0.556 | -0.698 | -1.044 |
| -21.697 | -18.069 | -9.435 | 0.733 | 4.475 | 4.556 |
| -12.863 | -9.603 | -12.169 | -2.107 | 5.000 | 2.475 |
| 0.860 | -0.217 | -0.351 | 0.272 | 0.967 | 17.011 |
| 51.531 | 41.117 | 40.219 | -0.348 | 0.292 | 2.569 |
| 35.117 | 67.148 | 34.987 | -2.159 | 0.474 | -0.224 |
| 42.255 | 40.351 | 47.989 | -3.344 | -4.569 | 2.431 |
| 0.220 | -2.514 | -2.110 | 16.753 | -0.375 | 0.218 |
| 2.947 | -0.324 | -0.720 | -2.578 | 9.701 | 1.127 |
| 41.003 | 32.148 | 9.129 | 8.527 | -10.153 | -2.594 |
| 63.846 | 33.561 | 33.215 | 0.352 | 0.531 | 1.234 |
| 33.561 | 66.561 | 33.555 | 0.987 | 1.056 | -0.251 |
| 33.037 | 33.435 | 63.881 | 2.109 | 0.088 | 1.314 |
| 39.275 | -253.025 | 593.768 | -610.949 | -446.662 | 171.602 |
| 168.479 | -572.305 | 1083.025 | -1075.329 | -830.095 | 265.767 |
| -0.921 | -0.242 | 1.319 | 0.912 | 1.119 | 16.108 |
| 63.846 | 33.561 | 33.215 | 0.352 | 0.531 | 1.234 |
| -1391.795 | 1517.206 | -3550.146 | 1646.740 | 3141.261 | -982.288 |
| 33.037 | 33.435 | 63.881 | 2.109 | 0.088 | 1.314 |
| -168.484 | 572.974 | -1079.138 | 1084.442 | 838.003 | -264.532 |
| -39.293 | 253.334 | -590.706 | 621.252 | 455.587 | -170.095 |
| -39.805 | 252.696 | -590.129 | 620.387 | 449.823 | -161.926 |
| 55.612 | 46.025 | 40.648 | 16.179 | 0.142 | 14.418 |
| 29.917 | 74.078 | 40.676 | 16.918 | 0.736 | 13.250 |
| 33.037 | 33.435 | 63.881 | 2.109 | 0.088 | 1.314 |
| 17.125 | -57.729 | 110.791 | -99.598 | -82.004 | 26.446 |
| -0.290 | 0.980 | 0.088 | 1.341 | 15.736 | 0.224 |
| 2.018 | -11.236 | 30.032 | -8.488 | -22.399 | 21.382 |
| 63.846 | 33.561 | 33.215 | 0.352 | 0.531 | 1.234 |
| 31.494 | 66.892 | 6.800 | 9.207 | 24.838 | -10.801 |
| 33.037 | 33.435 | 63.881 | 2.109 | 0.088 | 1.314 |
| -2.782 | 11.017 | -26.332 | 19.070 | 25.257 | -10.449 |
| -17.130 | 58.396 | -106.907 | 108.713 | 89.942 | -25.215 |
| -0.921 | -0.242 | 1.319 | 0.912 | 1.119 | 16.108 |
| 52.409 | 31.743 | 42.347 | -5.453 | -4.099 | 2.176 |
| 33.791 | 63.319 | 35.162 | 2.458 | 0.939 | 1.223 |
| 33.037 | 33.435 | 63.881 | 2.109 | 0.088 | 1.314 |
| -0.494 | 1.255 | 3.029 | 14.943 | 1.242 | 2.079 |
| 14.376 | -12.777 | 33.928 | -15.896 | -23.942 | 10.078 |
| -0.459 | -2.240 | 7.044 | -5.681 | -2.825 | 11.161 |
| 63.846 | 33.561 | 33.214 | 0.352 | 0.531 | 1.234 |
| 24.336 | 61.015 | 15.097 | 17.216 | 21.069 | -5.947 |
| 36.244 | 37.832 | 44.290 | 8.672 | 4.919 | -0.542 |
| -0.082 | 1.918 | -3.395 | 15.228 | 5.959 | -1.387 |
| -0.651 | 1.963 | -2.446 | 2.252 | 11.324 | -0.061 |
| -1.218 | 1.257 | -1.696 | 1.392 | 3.924 | 9.419 |
| -67.051 | -6.870 | 161.777 | 42.538 | 54.789 | -41.250 |
| 34.682 | 64.412 | 35.236 | 0.911 | -0.492 | -1.582 |
| 11.691 | 19.159 | 96.142 | -2.014 | 13.577 | -16.592 |
| -24.972 | -16.264 | 29.680 | 11.595 | 11.342 | -17.490 |
| -37.187 | -36.200 | 56.022 | 7.805 | 37.361 | -22.911 |
| -25.064 | -18.213 | 29.249 | -3.289 | 11.106 | -2.694 |
| 92.547 | 52.130 | 8.865 | 3.672 | -9.685 | 18.588 |
| 61.636 | 76.565 | 7.332 | 3.521 | -11.070 | 15.308 |
| 75.816 | 72.860 | 9.246 | -6.398 | -21.581 | 23.147 |
| 26.567 | 17.009 | -28.116 | 17.224 | -9.992 | 16.305 |
| 25.851 | 16.105 | -25.995 | 3.499 | 4.752 | 17.150 |
| 26.476 | 15.060 | -28.546 | 2.343 | -10.227 | 31.101 |
| 58.461 | 32.809 | 44.041 | 2.184 | 3.563 | -0.790 |
| 33.286 | 58.179 | 39.160 | 0.418 | 0.674 | -3.294 |
| 36.283 | 34.808 | 71.279 | 0.933 | 3.178 | 0.529 |
| -1.792 | -1.298 | 3.685 | 14.131 | 1.746 | -2.289 |
| -2.505 | -2.201 | 5.803 | 0.400 | 16.494 | -1.443 |
| -2.951 | -4.767 | 5.450 | 0.333 | 2.776 | 8.621 |
| 71.533 | 46.742 | 8.350 | -2.971 | -10.862 | 15.923 |
| 34.682 | 64.412 | 35.236 | 0.911 | -0.492 | -1.582 |
| 36.283 | 34.808 | 71.279 | 0.933 | 3.178 | 0.529 |
| 3.390 | 2.042 | -2.122 | 14.665 | -0.395 | 1.105 |
| 0.229 | -0.620 | 3.178 | 0.553 | 17.937 | 0.344 |
| 0.465 | -1.582 | 0.591 | -0.490 | 0.572 | 17.122 |
| 57.475 | 36.712 | 40.142 | 2.300 | 1.994 | 1.150 |
| 36.491 | 53.854 | 38.343 | 0.286 | -0.132 | -1.352 |
| 37.971 | 36.881 | 62.829 | 0.828 | 2.974 | -0.191 |
| 0.554 | 0.135 | 1.117 | 13.922 | 0.830 | -0.799 |
| -0.254 | -0.720 | 3.211 | 0.669 | 15.159 | 0.034 |
| 0.443 | -1.783 | 0.654 | -0.504 | 0.541 | 13.283 |
| 59.693 | 37.208 | 38.496 | 1.770 | 1.273 | 1.793 |
| 38.328 | 46.695 | 37.037 | -1.893 | -1.528 | 2.460 |
| 38.773 | 37.712 | 61.446 | 0.646 | 2.449 | 0.251 |
| 1.219 | 0.527 | 0.401 | 13.781 | 0.581 | -0.386 |
| 0.229 | -0.620 | 3.178 | 0.553 | 17.937 | 0.344 |
| 1.197 | -0.758 | -0.480 | -0.458 | 0.072 | 10.819 |
| 35.068 | 84.010 | 7.122 | -0.000 | 0.000 | -0.000 |
| 21.589 | 63.420 | 32.836 | -0.000 | 0.000 | -0.000 |
| 15.760 | 88.801 | 7.587 | 0.000 | 0.000 | -0.000 |
| 0.000 | 0.000 | 0.000 | 20.671 | 0.000 | 0.000 |
| 0.000 | -0.000 | 0.000 | 0.000 | 25.250 | -0.000 |
| -16.700 | 45.220 | -21.168 | -0.000 | 0.000 | 5.910 |
| 71.828 | 21.049 | 37.720 | -0.000 | -0.000 | 0.000 |
| 21.589 | 63.420 | 32.836 | -0.000 | -0.000 | 0.000 |
| 48.847 | -0.967 | 49.602 | -0.000 | -0.000 | 0.000 |
| -0.000 | -0.000 | -0.000 | 20.671 | -0.000 | 0.000 |
| -0.000 | 0.000 | -0.000 | -0.000 | 25.250 | 0.000 |
| 16.700 | -45.220 | 21.168 | -0.000 | -0.000 | 5.910 |
| 71.828 | 21.049 | 37.720 | 0.000 | 0.000 | -0.000 |
| 33.142 | 41.274 | 43.484 | 0.000 | 0.000 | -0.000 |
| 25.079 | 52.012 | 24.452 | 0.000 | 0.000 | -0.000 |
| -3.339 | 9.040 | -4.232 | 3.573 | 0.000 | -0.000 |
| -1.413 | 4.252 | -1.977 | 0.000 | 18.012 | -0.000 |
| -3.382 | 9.158 | -4.287 | -0.000 | 0.000 | 4.042 |
| 50.204 | 44.155 | 25.813 | -0.000 | -0.000 | 0.000 |
| 21.589 | 63.420 | 32.836 | -0.000 | -0.000 | 0.000 |
| 32.453 | 42.250 | 29.336 | 0.000 | -0.000 | 0.000 |
| 3.339 | -9.040 | 4.232 | 3.573 | -0.000 | 0.000 |
| 1.413 | -4.252 | 1.977 | -0.000 | 18.012 | 0.000 |
| 3.382 | -9.158 | 4.287 | 0.000 | -0.000 | 4.042 |
| 55.859 | 43.316 | 26.651 | 0.000 | 0.000 | -0.000 |
| 44.069 | 33.311 | 47.877 | 0.000 | 0.000 | -0.000 |
| 31.470 | 45.907 | 27.655 | -0.000 | 0.000 | -0.000 |
| -0.375 | 1.015 | -0.475 | 1.465 | 0.000 | -0.000 |
| -0.201 | 0.545 | -0.255 | 0.000 | 18.035 | 0.000 |
| -0.097 | 0.405 | -0.185 | 0.000 | 0.000 | -0.191 |
| 71.828 | 21.049 | 37.720 | -0.000 | -0.000 | 0.000 |
| 34.573 | 37.035 | 45.457 | -0.000 | -0.000 | 0.000 |
| 26.123 | 47.569 | 26.482 | -0.000 | -0.000 | 0.000 |
| 0.375 | -1.015 | 0.475 | 1.465 | -0.000 | 0.000 |
| 0.201 | -0.545 | 0.255 | -0.000 | 18.035 | 0.000 |
| 0.097 | -0.405 | 0.185 | 0.000 | -0.000 | -0.191 |
| 66.276 | 28.909 | 28.909 | 0.000 | 0.000 | -0.000 |
| 28.909 | 66.276 | 28.909 | -0.000 | 0.000 | -0.000 |
| 28.909 | 28.909 | 66.276 | -0.000 | 0.000 | -0.000 |
| 0.000 | 0.000 | 0.000 | 8.684 | 0.000 | -0.000 |
| 0.000 | 0.000 | 0.000 | 0.000 | 8.684 | -0.000 |
| 0.000 | 0.000 | -0.000 | 0.000 | 0.000 | 8.684 |
| -783.013 | -815.839 | -815.839 | 0.000 | -0.000 | 0.000 |
| -815.839 | -783.013 | -815.839 | 0.000 | -0.000 | 0.000 |
| -815.839 | -815.839 | -783.013 | 0.000 | -0.000 | 0.000 |
| -0.000 | -0.000 | 0.000 | 8.684 | -0.000 | 0.000 |
| -0.000 | -0.000 | -0.000 | 0.000 | 8.684 | 0.000 |
| -0.000 | 0.000 | -0.000 | 0.000 | -0.000 | 8.684 |
| 66.276 | 28.909 | 28.909 | -0.000 | 0.000 | -0.000 |
| 28.909 | 66.276 | 28.909 | -0.000 | 0.000 | -0.000 |
| 28.909 | 28.909 | 66.276 | -0.000 | 0.000 | -0.000 |
| 58.615 | 58.615 | 58.615 | -9.051 | -0.000 | -0.000 |
| 58.615 | 58.615 | 58.615 | -0.000 | -9.051 | -0.000 |
| 58.615 | 58.615 | 58.615 | -0.000 | 0.000 | -9.051 |
| 66.276 | 28.909 | 28.909 | 0.000 | -0.000 | 0.000 |
| 28.909 | 66.276 | 28.909 | 0.000 | -0.000 | 0.000 |
| 28.909 | 28.909 | 66.276 | 0.000 | -0.000 | 0.000 |
| -58.615 | -58.615 | -58.615 | -9.051 | -0.000 | 0.000 |
| -58.615 | -58.615 | -58.615 | 0.000 | -9.051 | 0.000 |
| -58.615 | -58.615 | -58.615 | 0.000 | 0.000 | -9.051 |
| 66.277 | 28.909 | 28.909 | -0.000 | 0.000 | -0.000 |
| 28.909 | 66.277 | 28.909 | -0.000 | 0.000 | -0.000 |
| 28.909 | 28.909 | 66.277 | -0.000 | 0.000 | -0.000 |
| 2.868 | 2.869 | 2.869 | 0.005 | 0.000 | -0.000 |
| 2.869 | 2.868 | 2.869 | -0.000 | 0.005 | -0.000 |
| 2.869 | 2.869 | 2.868 | -0.000 | 0.000 | 0.005 |
| 49.774 | 24.611 | 24.611 | 0.000 | 0.000 | 0.000 |
| 24.611 | 49.774 | 24.611 | 0.000 | -0.000 | 0.000 |
| 24.611 | 24.611 | 49.774 | 0.000 | -0.000 | 0.000 |
| -2.868 | -2.869 | -2.869 | 0.005 | -0.000 | 0.000 |
| -2.869 | -2.868 | -2.869 | 0.000 | 0.005 | 0.000 |
| -2.869 | -2.869 | -2.868 | 0.000 | 0.000 | 0.005 |
| 77.054 | 49.757 | 49.758 | -0.000 | 0.000 | -0.000 |
| 49.757 | 77.054 | 49.758 | -0.000 | 0.000 | -0.000 |
| 49.757 | 49.757 | 77.054 | -0.000 | 0.000 | -0.000 |
| -21.847 | -21.847 | -21.847 | 3.316 | -0.000 | 0.000 |
| -21.847 | -21.847 | -21.847 | 0.000 | 3.316 | 0.000 |
| -21.847 | -21.847 | -21.847 | 0.000 | -0.000 | 3.316 |
| 44.285 | 16.635 | 16.635 | 0.000 | -0.000 | 0.000 |
| 16.635 | 44.285 | 16.635 | 0.000 | -0.000 | 0.000 |
| 16.635 | 16.635 | 44.285 | 0.000 | -0.000 | 0.000 |
| 21.847 | 21.847 | 21.847 | 3.316 | 0.000 | -0.000 |
| 21.847 | 21.847 | 21.847 | -0.000 | 3.316 | -0.000 |
| 21.847 | 21.847 | 21.847 | -0.000 | 0.000 | 3.316 |
| 47.397 | 37.631 | 37.631 | 0.000 | -0.000 | 0.000 |
| 37.631 | 47.397 | 37.631 | 0.000 | -0.000 | 0.000 |
| 37.631 | 37.631 | 47.397 | 0.000 | -0.000 | 0.000 |
| -1.922 | -1.922 | -1.922 | 4.714 | -0.000 | 0.000 |
| -1.922 | -1.922 | -1.922 | 0.000 | 4.714 | 0.000 |
| -1.922 | -1.922 | -1.922 | 0.000 | -0.000 | 4.714 |
| 50.388 | 41.884 | 41.884 | -0.000 | 0.000 | -0.000 |
| 41.884 | 50.388 | 41.884 | -0.000 | 0.000 | -0.000 |
| 41.884 | 41.884 | 50.388 | -0.000 | 0.000 | -0.000 |
| 1.922 | 1.922 | 1.922 | 4.714 | 0.000 | -0.000 |
| 1.922 | 1.922 | 1.922 | -0.000 | 4.714 | -0.000 |
| 1.922 | 1.922 | 1.922 | -0.000 | 0.000 | 4.714 |
| 55.622 | 36.581 | 36.581 | -0.000 | -0.000 | -0.000 |
| 36.581 | 55.622 | 36.581 | 0.000 | -0.000 | -0.000 |
| 36.581 | 36.581 | 55.622 | -0.000 | -0.000 | -0.000 |
| 0.000 | 0.000 | 0.000 | 14.920 | -0.000 | -0.000 |
| 0.000 | 0.000 | 0.000 | -0.000 | 14.920 | 0.000 |
| 0.000 | 0.000 | 0.000 | -0.000 | -0.000 | 14.920 |
| 48.809 | 39.414 | 39.414 | 0.000 | 0.000 | 0.000 |
| 39.414 | 48.809 | 39.414 | 0.000 | 0.000 | 0.000 |
| 39.414 | 39.414 | 48.809 | 0.000 | 0.000 | 0.000 |
| -0.000 | -0.000 | -0.000 | 14.920 | 0.000 | 0.000 |
| -0.000 | -0.000 | -0.000 | 0.000 | 14.920 | 0.000 |
| -0.000 | -0.000 | -0.000 | -0.000 | 0.000 | 14.920 |
| 56.554 | 37.823 | 37.823 | 0.000 | -0.000 | 0.000 |
| 37.823 | 56.554 | 37.823 | -0.000 | 0.000 | 0.000 |
| 37.823 | 37.823 | 56.554 | -0.000 | -0.000 | 0.000 |
| 0.000 | 0.000 | 0.000 | 14.696 | -0.000 | -0.000 |
| 0.000 | -0.000 | 0.000 | -0.000 | 14.696 | -0.000 |
| 0.000 | 0.000 | -0.000 | -0.000 | 0.000 | 14.696 |
| 57.644 | 45.265 | 45.264 | -0.002 | -0.002 | -0.002 |
| 45.265 | 57.644 | 45.264 | -0.002 | -0.002 | -0.002 |
| 45.265 | 45.265 | 57.644 | -0.002 | -0.002 | -0.002 |
| -0.000 | 0.000 | -0.000 | 14.696 | -0.000 | -0.000 |
| -0.000 | 0.000 | -0.000 | -0.000 | 14.696 | -0.000 |
| -0.000 | -0.000 | -0.000 | -0.000 | -0.000 | 14.696 |
| 49.378 | 40.340 | 40.340 | 0.000 | 0.000 | 0.000 |
| 40.340 | 49.378 | 40.340 | 0.000 | 0.000 | 0.000 |
| 40.340 | 40.340 | 49.378 | 0.000 | 0.000 | 0.000 |
| 0.000 | 0.000 | 0.000 | 14.696 | 0.000 | -0.000 |
| 0.000 | 0.000 | 0.000 | -0.000 | 14.696 | -0.000 |
| 0.000 | 0.000 | 0.000 | -0.000 | 0.000 | 14.696 |
| 56.554 | 37.823 | 37.823 | 0.000 | -0.000 | -0.000 |
| 37.823 | 56.554 | 37.823 | 0.000 | -0.000 | -0.000 |
| 37.823 | 37.823 | 56.554 | 0.000 | -0.000 | 0.000 |
| -0.000 | -0.000 | -0.000 | 14.696 | -0.000 | -0.000 |
| -0.000 | -0.000 | -0.000 | -0.000 | 14.696 | -0.000 |
| -0.000 | -0.000 | -0.000 | -0.000 | -0.000 | 14.696 |
| 56.555 | 37.823 | 37.823 | -0.000 | -0.000 | 0.000 |
| 37.823 | 56.555 | 37.823 | -0.000 | 0.000 | -0.000 |
| 37.823 | 37.823 | 56.555 | -0.000 | 0.000 | -0.000 |
| 0.000 | 0.000 | 0.000 | 14.696 | 0.000 | 0.000 |
| 0.000 | 0.000 | 0.000 | -0.000 | 14.696 | 0.000 |
| 0.000 | 0.000 | 0.000 | -0.000 | 0.000 | 14.696 |
| 56.553 | 37.822 | 37.822 | -0.000 | -0.000 | 0.000 |
| 37.822 | 56.553 | 37.822 | 0.000 | -0.000 | 0.000 |
| 37.822 | 37.822 | 56.553 | -0.000 | -0.000 | -0.000 |
| -0.000 | -0.000 | -0.000 | 14.696 | -0.000 | 0.000 |
| -0.000 | -0.000 | -0.000 | 0.000 | 14.696 | 0.000 |
| -0.000 | -0.000 | -0.000 | -0.000 | -0.000 | 14.696 |
| 62.901 | 37.350 | 27.425 | 0.000 | -0.000 | -0.000 |
| 37.286 | 72.070 | 13.958 | 0.000 | 0.000 | 0.000 |
| 28.414 | 12.741 | 86.280 | 0.000 | 0.000 | 0.000 |
| -0.008 | 0.008 | 0.035 | -3.641 | -0.000 | 0.000 |
| 0.000 | 0.000 | 0.000 | 0.000 | 12.611 | -0.000 |
| -0.001 | 0.001 | 0.006 | 0.000 | -0.000 | 20.032 |
| 62.901 | 37.350 | 27.425 | -0.000 | -0.000 | 0.000 |
| 37.558 | 71.799 | 12.817 | -0.000 | 0.000 | 0.000 |
| 27.279 | 13.875 | 91.052 | -0.000 | 0.000 | 0.000 |
| 0.008 | -0.008 | -0.035 | -3.641 | 0.000 | 0.000 |
| -0.000 | -0.000 | 0.000 | -0.000 | 12.611 | 0.000 |
| 0.001 | -0.001 | -0.006 | -0.000 | 0.000 | 20.032 |
| 62.901 | 37.350 | 27.425 | 0.000 | -0.000 | -0.000 |
| 37.286 | 72.070 | 13.958 | 0.000 | -0.000 | 0.000 |
| 27.279 | 13.875 | 91.052 | 0.000 | -0.000 | 0.000 |
| 0.000 | 0.000 | -0.000 | 0.064 | -0.000 | 0.000 |
| 0.000 | 0.000 | 0.000 | 0.000 | 12.611 | -0.000 |
| -0.000 | 0.000 | 0.001 | 0.000 | -0.000 | 20.032 |
| 62.630 | 37.620 | 28.562 | -0.000 | 0.000 | -0.000 |
| 37.286 | 72.070 | 13.958 | -0.000 | 0.000 | 0.000 |
| 27.279 | 13.875 | 91.052 | -0.000 | 0.000 | 0.000 |
| -0.000 | -0.000 | 0.000 | 0.064 | 0.000 | 0.000 |
| -0.000 | -0.000 | -0.000 | -0.000 | 12.611 | 0.000 |
| 0.000 | -0.000 | -0.001 | -0.000 | 0.000 | 20.032 |
| 62.901 | 37.350 | 27.425 | 0.000 | 0.000 | -0.000 |
| 37.286 | 72.071 | 13.958 | 0.000 | 0.000 | -0.000 |
| 28.415 | 12.739 | 86.275 | 0.000 | -0.000 | 0.000 |
| -0.002 | 0.002 | 0.008 | -11.126 | 0.000 | -0.000 |
| 0.000 | 0.000 | 0.000 | 0.000 | 12.611 | 0.000 |
| 0.000 | 0.000 | 0.000 | 0.000 | 0.000 | 20.032 |
| 62.630 | 37.620 | 28.562 | -0.000 | 0.000 | 0.000 |
| 37.287 | 72.070 | 13.958 | -0.000 | 0.000 | 0.000 |
| 28.416 | 12.739 | 86.274 | -0.000 | 0.000 | -0.000 |
| 0.002 | -0.002 | -0.008 | -11.126 | -0.000 | 0.000 |
| -0.000 | -0.000 | -0.000 | -0.000 | 12.611 | 0.000 |
| -0.000 | -0.000 | -0.000 | -0.000 | 0.000 | 20.032 |
| 55.176 | 25.882 | 8.017 | 0.000 | 0.000 | -0.000 |
| 25.882 | 55.176 | 8.017 | 0.000 | -0.000 | -0.000 |
| 8.017 | 8.017 | 40.660 | 0.000 | 0.000 | 0.000 |
| -0.000 | -0.000 | -0.000 | -0.034 | 0.000 | 0.000 |
| 0.000 | -0.000 | -0.000 | 0.000 | -0.034 | 0.000 |
| -0.000 | 0.000 | -0.000 | 0.000 | 0.000 | -7.309 |
| 55.176 | 25.882 | 8.017 | -0.000 | 0.000 | 0.000 |
| 25.882 | 55.176 | 8.017 | -0.000 | 0.000 | -0.000 |
| 8.017 | 8.017 | 40.660 | -0.000 | -0.000 | -0.000 |
| -0.000 | 0.000 | -0.000 | -0.034 | 0.000 | -0.000 |
| -0.000 | 0.000 | 0.000 | -0.000 | -0.034 | -0.000 |
| -0.000 | -0.000 | 0.000 | -0.000 | -0.000 | -7.309 |
| 33.172 | 47.886 | 8.017 | 0.000 | 0.000 | -0.000 |
| 47.886 | 33.173 | 8.017 | 0.000 | 0.000 | 0.000 |
| 8.017 | 8.017 | 40.660 | 0.000 | 0.000 | 0.000 |
| -0.000 | -0.000 | -0.000 | -0.034 | 0.000 | 0.000 |
| -0.000 | -0.000 | -0.000 | 0.000 | -0.034 | -0.000 |
| 0.000 | 0.000 | -0.000 | 0.000 | -0.000 | 14.647 |
| 33.221 | 47.838 | 8.017 | -0.000 | -0.000 | -0.000 |
| 25.882 | 55.176 | 8.017 | -0.000 | -0.000 | 0.000 |
| 8.017 | 8.017 | 40.660 | -0.000 | -0.000 | -0.000 |
| 0.000 | 0.000 | 0.000 | -0.034 | -0.000 | -0.000 |
| 0.000 | 0.000 | 0.000 | -0.000 | -0.034 | 0.000 |
| -0.000 | -0.000 | 0.000 | -0.000 | -0.000 | 14.647 |
| 33.221 | 47.838 | 8.017 | 0.000 | 0.000 | 0.000 |
| 47.887 | 33.172 | 8.017 | 0.000 | 0.000 | -0.000 |
| 8.017 | 8.017 | 40.661 | 0.000 | 0.000 | -0.000 |
| -0.000 | -0.000 | -0.000 | -0.034 | -0.000 | -0.000 |
| -0.000 | -0.000 | -0.000 | 0.000 | -0.034 | -0.000 |
| -0.000 | -0.000 | -0.000 | 0.000 | 0.000 | -7.309 |
| 33.220 | 47.838 | 8.017 | -0.000 | -0.000 | 0.000 |
| 47.837 | 33.221 | 8.017 | -0.000 | -0.000 | -0.000 |
| 8.017 | 8.017 | 40.660 | -0.000 | -0.000 | -0.000 |
| 0.000 | 0.000 | 0.000 | -0.034 | -0.000 | 0.000 |
| 0.000 | 0.000 | 0.000 | -0.000 | -0.034 | -0.000 |
| 0.000 | 0.000 | 0.000 | -0.000 | -0.000 | -7.309 |
| 55.936 | 35.789 | 68.320 | 0.242 | -0.000 | 0.000 |
| 35.789 | 55.936 | 68.320 | -0.242 | -0.000 | 0.000 |
| 48.494 | 48.494 | 108.142 | -0.000 | -0.000 | 0.000 |
| 5.227 | 4.743 | 24.782 | 22.753 | -0.000 | 0.000 |
| 4.985 | 4.985 | 24.782 | -0.000 | 22.753 | 0.242 |
| 4.985 | 4.985 | 24.779 | -0.000 | 0.242 | 10.073 |
| 51.080 | 30.836 | 43.938 | 0.175 | 0.000 | -0.000 |
| 25.820 | 45.966 | 18.761 | -0.242 | 0.000 | -0.000 |
| 38.526 | 38.526 | 58.589 | 0.000 | 0.000 | -0.000 |
| 0.175 | -0.175 | -0.000 | 22.845 | 0.000 | -0.000 |
| -4.985 | -4.985 | -24.782 | 0.000 | 22.753 | 0.242 |
| -4.985 | -4.985 | -24.779 | 0.000 | 0.242 | 10.073 |
| 51.080 | 30.836 | 43.938 | 0.175 | -0.000 | 0.000 |
| 31.445 | 51.308 | 46.018 | -0.436 | -0.000 | 0.000 |
| 44.009 | 44.009 | 85.843 | -0.000 | 0.000 | 0.000 |
| 0.753 | 0.266 | 2.532 | 22.751 | -0.000 | 0.000 |
| -0.000 | 0.000 | 0.000 | 0.000 | 22.845 | 0.175 |
| -0.000 | 0.000 | 0.000 | -0.000 | 0.175 | 10.122 |
| 50.447 | 30.302 | 41.038 | 0.242 | 0.000 | -0.000 |
| 30.836 | 51.080 | 43.938 | -0.175 | 0.000 | -0.000 |
| 43.907 | 43.907 | 85.338 | 0.000 | 0.000 | -0.000 |
| -0.266 | -0.753 | -2.532 | 22.751 | -0.000 | -0.000 |
| 0.000 | -0.000 | -0.000 | -0.000 | 22.845 | 0.175 |
| 0.000 | -0.000 | -0.000 | 0.000 | 0.175 | 10.122 |
| 50.860 | 30.996 | 43.789 | 0.436 | -0.000 | 0.000 |
| 30.883 | 50.881 | 43.561 | -0.344 | -0.000 | 0.000 |
| 43.908 | 43.908 | 85.339 | -0.000 | -0.000 | 0.000 |
| 0.175 | -0.175 | 0.000 | 22.845 | -0.000 | 0.000 |
| -0.000 | 0.000 | 0.000 | 0.000 | 22.845 | 0.175 |
| 0.091 | 0.091 | 0.454 | -0.000 | 0.297 | 10.033 |
| 50.872 | 30.741 | 43.188 | 0.253 | 0.000 | -0.000 |
| 30.835 | 51.079 | 43.937 | -0.175 | 0.000 | -0.000 |
| 43.907 | 43.907 | 85.337 | -0.000 | 0.000 | -0.000 |
| 0.175 | -0.175 | -0.000 | 22.845 | 0.000 | -0.000 |
| 0.000 | -0.000 | -0.000 | -0.000 | 22.845 | 0.175 |
| -0.091 | -0.091 | -0.454 | 0.000 | 0.297 | 10.033 |
| 394.458 | 181.953 | 149.975 | -0.000 | -0.000 | -0.000 |
| 181.953 | 394.458 | 149.975 | 0.000 | -0.000 | -0.000 |
| 149.974 | 149.974 | 275.967 | 0.000 | -0.000 | -0.000 |
| 0.000 | 0.000 | -0.000 | 102.621 | -0.000 | -0.000 |
| 0.000 | 0.000 | -0.000 | -0.000 | 102.621 | -0.000 |
| 0.000 | 0.000 | -0.000 | -0.000 | -0.000 | 106.252 |
| 394.458 | 181.953 | 149.975 | 0.000 | 0.000 | 0.000 |
| 181.953 | 394.458 | 149.975 | 0.000 | -0.000 | 0.000 |
| -555.368 | -555.368 | -1230.884 | -0.000 | 0.000 | 0.000 |
| -0.000 | -0.000 | 0.000 | 102.621 | 0.000 | 0.000 |
| -0.000 | -0.000 | 0.000 | 0.000 | 102.621 | 0.000 |
| -0.000 | -0.000 | 0.000 | 0.000 | 0.000 | 106.253 |
| 430.777 | 253.243 | 298.153 | 0.000 | -0.000 | -0.000 |
| 181.953 | 394.458 | 149.975 | -0.000 | -0.000 | -0.000 |
| 227.991 | 227.991 | 378.882 | -0.000 | -0.000 | -0.000 |
| 71.214 | 71.214 | 146.510 | 89.928 | -0.000 | -0.000 |
| 0.000 | 0.000 | 0.000 | -0.000 | 102.621 | -0.000 |
| 71.327 | 71.327 | 146.743 | 0.000 | -0.000 | 88.402 |
| 394.458 | 181.953 | 149.975 | 0.000 | 0.000 | 0.000 |
| 181.953 | 394.458 | 149.975 | 0.000 | 0.000 | 0.000 |
| 149.974 | 149.974 | 275.967 | 0.000 | 0.000 | 0.000 |
| -71.214 | -71.214 | -146.510 | 89.928 | -0.000 | 0.000 |
| -0.000 | -0.000 | -0.000 | 0.000 | 102.621 | 0.000 |
| -71.327 | -71.327 | -146.743 | -0.000 | -0.000 | 88.402 |
| 394.459 | 181.953 | 149.975 | -0.000 | -0.000 | -0.000 |
| 199.448 | 366.030 | 164.666 | -0.000 | 0.000 | -0.000 |
| 149.974 | 149.974 | 275.969 | -0.000 | -0.000 | -0.000 |
| 6.640 | 6.640 | 13.661 | 90.786 | -0.000 | -0.000 |
| 0.000 | 0.000 | 0.000 | -0.000 | 102.621 | -0.000 |
| 0.000 | 0.000 | 0.000 | 0.000 | -0.000 | 106.252 |
| 394.457 | 181.953 | 149.976 | -0.000 | 0.000 | 0.000 |
| 175.741 | 349.209 | 138.882 | -0.000 | 0.000 | 0.000 |
| 149.974 | 149.974 | 275.966 | -0.000 | -0.000 | 0.000 |
| -6.640 | -6.640 | -13.661 | 90.786 | -0.000 | 0.000 |
| -0.000 | -0.000 | -0.000 | 0.000 | 102.621 | 0.000 |
| -0.000 | -0.000 | -0.000 | -0.000 | 0.000 | 106.252 |
| 390.101 | 182.905 | 153.489 | 0.000 | 0.000 | -0.000 |
| 182.905 | 390.101 | 153.489 | 0.000 | 0.000 | -0.000 |
| 3031.106 | 3031.106 | 7954.932 | -0.000 | -0.000 | -0.000 |
| -0.000 | 0.000 | 0.000 | 102.072 | 0.000 | -0.000 |
| -0.000 | 0.000 | 0.000 | -0.000 | 102.072 | -0.000 |
| 1299.847 | 1299.847 | 7988.591 | -0.000 | 0.000 | 94.167 |
| -929.313 | -1117.637 | -7839.011 | 0.000 | -0.000 | 0.000 |
| -1117.637 | -929.313 | -7839.011 | -0.000 | -0.000 | -0.000 |
| -1148.267 | -1148.267 | -7710.601 | 0.000 | 0.000 | 0.000 |
| 0.000 | -0.000 | -0.000 | 102.072 | 0.000 | 0.000 |
| 0.000 | -0.000 | -0.000 | 0.000 | 102.072 | -0.000 |
| -1299.847 | -1299.847 | -7988.591 | -0.000 | -0.000 | 94.167 |
| 500.576 | 312.152 | 948.175 | 0.000 | -0.000 | -0.000 |
| 312.233 | 500.645 | 948.674 | 0.000 | 0.000 | 0.000 |
| 281.586 | 281.586 | 1076.868 | -0.000 | -0.000 | -0.000 |
| 0.000 | 0.000 | 0.000 | 102.072 | -0.000 | 0.000 |
| 280.468 | 280.468 | 765.204 | -0.000 | 91.012 | -0.000 |
| 130.006 | 130.006 | 798.989 | 0.000 | 0.000 | 94.165 |
| 240.434 | 52.191 | -649.492 | -0.000 | -0.000 | 0.000 |
| 52.191 | 240.434 | -649.492 | 0.000 | -0.000 | 0.000 |
| -137.517 | -137.517 | -491.428 | 0.000 | 0.000 | 0.000 |
| -0.000 | -0.000 | -0.000 | 102.072 | -0.000 | 0.000 |
| -280.468 | -280.468 | -765.204 | 0.000 | 91.012 | 0.000 |
| -130.006 | -130.006 | -798.989 | -0.000 | -0.000 | 94.165 |
| 390.098 | 182.901 | 153.487 | 0.000 | 0.000 | 0.000 |
| 182.901 | 390.097 | 153.487 | 0.000 | 0.000 | -0.000 |
| 151.336 | 151.336 | 297.747 | 0.000 | 0.000 | 0.000 |
| 13.077 | 13.077 | 80.369 | 95.782 | -0.000 | -0.000 |
| 13.077 | 13.077 | 80.369 | -0.000 | 95.782 | -0.000 |
| 13.209 | 13.209 | 81.180 | 0.000 | 0.000 | 94.014 |
| 355.924 | 168.895 | 67.749 | 0.000 | -0.000 | -0.000 |
| 156.404 | 322.435 | 76.448 | -0.000 | 0.000 | -0.000 |
| 151.337 | 151.337 | 297.745 | 0.000 | 0.000 | -0.000 |
| -13.077 | -13.077 | -80.369 | 95.782 | -0.000 | -0.000 |
| -13.077 | -13.077 | -80.369 | -0.000 | 95.782 | 0.000 |
| -13.209 | -13.209 | -81.180 | -0.000 | -0.000 | 94.014 |
| 389.349 | 182.094 | 153.077 | 0.000 | 0.000 | -0.000 |
| 571.041 | 740.240 | -200.079 | 0.000 | -0.000 | -0.000 |
| 150.946 | 150.946 | 297.399 | 0.000 | 0.000 | -0.000 |
| 0.000 | 0.000 | -0.000 | 102.091 | -0.000 | -0.000 |
| 0.000 | 0.000 | -0.000 | 0.000 | 102.091 | -0.000 |
| 387.681 | 387.681 | -351.728 | 0.000 | 0.000 | 84.666 |
| 389.349 | 182.094 | 153.077 | -0.000 | -0.000 | 0.000 |
| 182.094 | 389.349 | 153.077 | -0.000 | 0.000 | 0.000 |
| 150.946 | 150.946 | 297.399 | -0.000 | -0.000 | 0.000 |
| -0.000 | -0.000 | 0.000 | 102.091 | 0.000 | 0.000 |
| -0.000 | -0.000 | 0.000 | -0.000 | 102.091 | -0.000 |
| -387.681 | -387.681 | 351.728 | -0.000 | -0.000 | 84.666 |
| 389.349 | 182.093 | 153.077 | 0.000 | 0.000 | -0.000 |
| 222.181 | 390.121 | 116.418 | 0.000 | 0.000 | -0.000 |
| 185.916 | 185.916 | 251.608 | -0.000 | -0.000 | -0.000 |
| 0.000 | 0.000 | 0.000 | 102.091 | -0.000 | -0.000 |
| 38.460 | 38.460 | -34.893 | 0.000 | 89.625 | -0.000 |
| 38.865 | 38.865 | -35.261 | 0.000 | -0.000 | 84.619 |
| 389.349 | 182.094 | 153.078 | -0.000 | -0.000 | 0.000 |
| 144.384 | 314.847 | 187.019 | -0.000 | 0.000 | 0.000 |
| 115.767 | 115.767 | 303.320 | -0.000 | 0.000 | -0.000 |
| -0.000 | -0.000 | -0.000 | 102.091 | 0.000 | 0.000 |
| -38.460 | -38.460 | 34.893 | -0.000 | 89.625 | 0.000 |
| -38.865 | -38.865 | 35.261 | -0.000 | 0.000 | 84.619 |
| 351.804 | 188.894 | 150.612 | -0.000 | 0.000 | -0.000 |
| 182.090 | 389.346 | 153.075 | 0.000 | -0.000 | -0.000 |
| 154.171 | 154.171 | 273.678 | 0.000 | 0.000 | 0.000 |
| 3.115 | 3.115 | -2.993 | 91.492 | -0.000 | -0.000 |
| 0.000 | 0.000 | 0.000 | 0.000 | 102.091 | -0.000 |
| 4.109 | 4.109 | -3.728 | 0.000 | -0.000 | 83.531 |
| 389.352 | 182.098 | 153.079 | -0.000 | -0.000 | 0.000 |
| 182.098 | 389.352 | 153.079 | -0.000 | -0.000 | 0.000 |
| 150.947 | 150.947 | 297.398 | -0.000 | 0.000 | 0.000 |
| -3.115 | -3.115 | 2.993 | 91.492 | 0.000 | 0.000 |
| -0.000 | -0.000 | -0.000 | -0.000 | 102.091 | 0.000 |
| -4.109 | -4.109 | 3.728 | -0.000 | -0.000 | 83.531 |
| 187.126 | 85.266 | 85.266 | -0.000 | 0.000 | -0.000 |
| 85.266 | 187.126 | 85.266 | -0.000 | -0.000 | 0.000 |
| 85.266 | 85.266 | 187.126 | -0.000 | -0.000 | -0.000 |
| -97.045 | -97.045 | -97.045 | 54.433 | 0.000 | 0.000 |
| -97.045 | -97.045 | -97.045 | -0.000 | 54.433 | 0.000 |
| -97.045 | -97.045 | -97.045 | -0.000 | -0.000 | 54.433 |
| 261.209 | 178.512 | 178.512 | -0.000 | -0.000 | -0.000 |
| 178.512 | 261.209 | 178.512 | 0.000 | 0.000 | -0.000 |
| 178.512 | 178.512 | 261.209 | 0.000 | 0.000 | -0.000 |
| 97.045 | 97.045 | 97.045 | 54.433 | -0.000 | -0.000 |
| 97.045 | 97.045 | 97.045 | -0.000 | 54.433 | -0.000 |
| 97.045 | 97.045 | 97.045 | 0.000 | 0.000 | 54.433 |
| 157.282 | 72.987 | 72.987 | -0.000 | 0.000 | -0.000 |
| 72.987 | 157.282 | 72.987 | -0.000 | 0.000 | 0.000 |
| 72.987 | 72.987 | 157.282 | -0.000 | -0.000 | 0.000 |
| 0.000 | 0.000 | 0.000 | 56.095 | -0.000 | -0.000 |
| 0.000 | 0.000 | 0.000 | -0.000 | 56.095 | 0.000 |
| 0.000 | 0.000 | 0.000 | -0.000 | -0.000 | 56.095 |
| 187.126 | 85.266 | 85.266 | 0.000 | -0.000 | -0.000 |
| 85.266 | 187.126 | 85.266 | 0.000 | 0.000 | 0.000 |
| 85.266 | 85.266 | 187.126 | -0.000 | 0.000 | -0.000 |
| -0.000 | -0.000 | -0.000 | 56.095 | 0.000 | -0.000 |
| -0.000 | -0.000 | -0.000 | 0.000 | 56.095 | 0.000 |
| -0.000 | -0.000 | -0.000 | 0.000 | 0.000 | 56.095 |
| 169.624 | 81.836 | 81.836 | -0.000 | -0.000 | 0.000 |
| 81.836 | 169.624 | 81.836 | -0.000 | -0.000 | -0.000 |
| 81.836 | 81.836 | 169.624 | -0.000 | -0.000 | 0.000 |
| -1.001 | -1.001 | -1.001 | 52.994 | -0.000 | 0.000 |
| 0.000 | 0.000 | 0.000 | -0.000 | 56.095 | 0.000 |
| -1.001 | -1.001 | -1.001 | 0.000 | -0.000 | 52.994 |
| 187.125 | 85.265 | 85.265 | 0.000 | -0.000 | -0.000 |
| 85.265 | 187.125 | 85.265 | -0.000 | 0.000 | 0.000 |
| 85.265 | 85.265 | 187.125 | 0.000 | 0.000 | -0.000 |
| 1.001 | 1.001 | 1.001 | 52.994 | 0.000 | 0.000 |
| -0.000 | -0.000 | -0.000 | 0.000 | 56.095 | 0.000 |
| 1.001 | 1.001 | 1.001 | -0.000 | 0.000 | 52.994 |
| 1964.744 | 1874.129 | 1874.129 | 0.000 | -0.000 | -0.000 |
| 1874.129 | 1964.744 | 1874.129 | 0.000 | -0.000 | 0.000 |
| 1874.129 | 1874.129 | 1964.744 | -0.000 | -0.000 | 0.000 |
| -0.000 | 0.000 | 0.000 | 56.074 | 0.000 | 0.000 |
| -0.000 | 0.000 | 0.000 | 0.000 | 56.074 | 0.000 |
| -0.000 | 0.000 | 0.000 | 0.000 | 0.000 | 56.074 |
| 186.999 | 85.202 | 85.202 | 0.000 | -0.000 | -0.000 |
| 85.202 | 186.999 | 85.202 | 0.000 | 0.000 | -0.000 |
| 85.202 | 85.202 | 186.999 | 0.000 | 0.000 | -0.000 |
| 0.000 | -0.000 | -0.000 | 56.074 | 0.000 | 0.000 |
| 0.000 | -0.000 | -0.000 | -0.000 | 56.074 | 0.000 |
| 0.000 | -0.000 | -0.000 | -0.000 | 0.000 | 56.074 |
| 353.318 | 262.740 | 262.740 | 0.000 | -0.000 | 0.000 |
| 262.740 | 353.318 | 262.740 | -0.000 | -0.000 | 0.000 |
| 262.740 | 262.740 | 353.318 | 0.000 | -0.000 | -0.000 |
| 0.000 | 0.000 | 0.000 | 56.074 | -0.000 | -0.000 |
| 0.000 | 0.000 | 0.000 | 0.000 | 56.074 | -0.000 |
| 0.000 | 0.000 | 0.000 | 0.000 | -0.000 | 56.074 |
| -4.939 | -95.585 | -95.585 | 0.000 | 0.000 | -0.000 |
| -95.585 | -4.939 | -95.585 | -0.000 | -0.000 | -0.000 |
| -95.585 | -95.585 | -4.939 | -0.000 | 0.000 | 0.000 |
| -0.000 | -0.000 | -0.000 | 56.074 | 0.000 | -0.000 |
| -0.000 | -0.000 | -0.000 | -0.000 | 56.074 | -0.000 |
| -0.000 | -0.000 | -0.000 | -0.000 | 0.000 | 56.074 |
| 185.979 | 105.765 | 105.765 | -0.000 | -0.000 | 0.000 |
| 105.765 | 185.979 | 105.765 | 0.000 | -0.000 | 0.000 |
| 105.765 | 105.765 | 185.979 | -0.000 | -0.000 | -0.000 |
| 0.000 | 0.000 | 0.000 | 56.074 | -0.000 | 0.000 |
| 0.000 | 0.000 | 0.000 | -0.000 | 56.074 | 0.000 |
| 0.000 | 0.000 | 0.000 | -0.000 | -0.000 | 56.074 |
| 144.954 | 69.851 | 69.851 | 0.000 | 0.000 | -0.000 |
| 69.851 | 144.954 | 69.851 | -0.000 | 0.000 | -0.000 |
| 69.851 | 69.851 | 144.954 | -0.000 | 0.000 | -0.000 |
| -0.000 | -0.000 | -0.000 | 56.074 | 0.000 | 0.000 |
| -0.000 | -0.000 | -0.000 | -0.000 | 56.074 | -0.000 |
| -0.000 | -0.000 | -0.000 | 0.000 | 0.000 | 56.074 |
| 192.583 | 89.289 | 89.289 | 0.000 | 0.000 | -0.000 |
| 89.289 | 192.583 | 89.289 | -0.000 | 0.000 | 0.000 |
| 89.289 | 89.289 | 192.583 | -0.000 | 0.000 | 0.000 |
| 0.000 | 0.000 | 0.000 | 56.476 | -0.000 | -0.000 |
| 0.000 | -0.000 | 0.000 | -0.000 | 56.476 | 0.000 |
| 0.000 | 0.000 | 0.000 | -0.000 | -0.000 | 56.476 |
| 186.968 | 103.833 | 103.833 | 0.000 | 0.000 | -0.000 |
| 103.833 | 186.968 | 103.833 | 0.000 | 0.000 | -0.000 |
| 103.833 | 103.833 | 186.968 | 0.000 | 0.000 | -0.000 |
| -0.000 | -0.000 | -0.000 | 56.476 | 0.000 | 0.000 |
| -0.000 | 0.000 | -0.000 | 0.000 | 56.476 | -0.000 |
| -0.000 | -0.000 | -0.000 | 0.000 | 0.000 | 56.476 |
| 192.584 | 89.290 | 89.290 | -0.000 | 0.000 | 0.000 |
| 89.290 | 192.584 | 89.290 | -0.000 | 0.000 | 0.000 |
| 89.290 | 89.290 | 192.584 | -0.000 | -0.000 | 0.000 |
| 0.000 | 0.000 | 0.000 | 56.476 | -0.000 | 0.000 |
| 0.000 | 0.000 | 0.000 | -0.000 | 56.476 | -0.000 |
| 0.000 | 0.000 | 0.000 | -0.000 | -0.000 | 56.476 |
| 170.405 | 93.237 | 93.237 | 0.000 | 0.000 | -0.000 |
| 93.237 | 170.405 | 93.237 | 0.000 | 0.000 | -0.000 |
| 93.237 | 93.237 | 170.405 | 0.000 | 0.000 | 0.000 |
| -0.000 | -0.000 | -0.000 | 56.476 | 0.000 | 0.000 |
| -0.000 | -0.000 | -0.000 | -0.000 | 56.476 | -0.000 |
| -0.000 | -0.000 | -0.000 | 0.000 | 0.000 | 56.476 |
| 192.586 | 89.291 | 89.291 | -0.000 | 0.000 | 0.000 |
| 89.291 | 192.586 | 89.291 | 0.000 | -0.000 | 0.000 |
| 89.291 | 89.291 | 192.586 | 0.000 | -0.000 | 0.000 |
| -0.329 | -0.329 | -0.329 | 53.418 | -0.000 | 0.000 |
| -0.329 | -0.329 | -0.329 | -0.000 | 53.418 | -0.000 |
| -0.329 | -0.329 | -0.329 | -0.000 | -0.000 | 53.418 |
| 192.580 | 89.287 | 89.287 | 0.000 | 0.000 | 0.000 |
| 89.287 | 192.580 | 89.287 | -0.000 | 0.000 | 0.000 |
| 89.287 | 89.287 | 192.580 | 0.000 | 0.000 | -0.000 |
| 0.329 | 0.329 | 0.329 | 53.418 | 0.000 | -0.000 |
| 0.329 | 0.329 | 0.329 | 0.000 | 53.418 | -0.000 |
| 0.329 | 0.329 | 0.329 | 0.000 | 0.000 | 53.418 |
| -567.607 | -698.159 | -698.159 | 0.000 | -0.000 | -0.000 |
| -698.159 | -567.607 | -698.159 | 0.000 | -0.000 | -0.000 |
| -698.159 | -698.159 | -567.607 | 0.000 | -0.000 | -0.000 |
| 0.000 | -0.000 | 0.000 | 63.999 | -0.000 | -0.000 |
| 0.000 | -0.000 | 0.000 | 0.000 | 63.999 | -0.000 |
| 0.000 | -0.000 | 0.000 | 0.000 | 0.000 | 63.999 |
| 953.709 | 847.561 | 847.561 | -0.000 | 0.000 | 0.000 |
| 847.561 | 953.709 | 847.561 | -0.000 | 0.000 | 0.000 |
| 847.561 | 847.561 | 953.709 | 0.000 | 0.000 | 0.000 |
| -0.000 | 0.000 | -0.000 | 63.999 | 0.000 | 0.000 |
| -0.000 | 0.000 | -0.000 | 0.000 | 63.999 | 0.000 |
| -0.000 | 0.000 | -0.000 | -0.000 | 0.000 | 63.999 |
| 160.094 | 29.755 | 29.755 | 0.000 | -0.000 | -0.000 |
| 29.755 | 160.094 | 29.755 | 0.000 | -0.000 | -0.000 |
| 29.755 | 29.755 | 160.094 | 0.000 | -0.000 | -0.000 |
| -122.301 | -122.301 | -122.301 | 44.174 | -0.000 | -0.000 |
| -122.301 | -122.301 | -122.301 | 0.000 | 44.174 | -0.000 |
| -122.301 | -122.301 | -122.301 | 0.000 | -0.000 | 44.174 |
| 289.932 | 183.766 | 183.766 | -0.000 | 0.000 | 0.000 |
| 183.766 | 289.932 | 183.766 | -0.000 | 0.000 | 0.000 |
| 183.766 | 183.766 | 289.932 | -0.000 | 0.000 | 0.000 |
| 122.301 | 122.301 | 122.301 | 44.174 | 0.000 | 0.000 |
| 122.301 | 122.301 | 122.301 | -0.000 | 44.174 | 0.000 |
| 122.301 | 122.301 | 122.301 | 0.000 | 0.000 | 44.174 |
| 252.022 | 105.934 | 105.934 | 0.000 | 0.000 | -0.000 |
| 105.934 | 252.022 | 105.934 | 0.000 | -0.000 | 0.000 |
| 105.934 | 105.934 | 252.022 | 0.000 | -0.000 | -0.000 |
| -6.831 | -6.831 | -6.831 | 44.546 | -0.000 | -0.000 |
| -6.831 | -6.831 | -6.831 | 0.000 | 44.546 | -0.000 |
| -6.831 | -6.831 | -6.831 | 0.000 | -0.000 | 44.546 |
| 237.115 | 116.683 | 116.682 | -0.000 | -0.000 | -0.000 |
| 116.683 | 237.115 | 116.683 | -0.000 | 0.000 | 0.000 |
| 116.683 | 116.682 | 237.115 | -0.000 | 0.000 | -0.000 |
| 6.831 | 6.831 | 6.831 | 44.546 | 0.000 | -0.000 |
| 6.831 | 6.831 | 6.831 | -0.000 | 44.546 | 0.000 |
| 6.831 | 6.831 | 6.831 | -0.000 | 0.000 | 44.546 |
| -342.107 | -463.236 | -463.236 | -0.000 | -0.000 | 0.000 |
| -463.236 | -342.107 | -463.236 | -0.000 | -0.000 | 0.000 |
| -463.236 | -463.236 | -342.107 | -0.000 | -0.000 | 0.000 |
| -293.158 | -293.158 | -293.158 | 45.072 | -0.000 | 0.000 |
| -293.158 | -293.158 | -293.158 | -0.000 | 45.072 | 0.000 |
| -293.158 | -293.158 | -293.158 | -0.000 | -0.000 | 45.072 |
| 800.616 | 679.568 | 679.568 | 0.000 | -0.000 | -0.000 |
| 679.568 | 800.616 | 679.568 | 0.000 | 0.000 | -0.000 |
| 679.568 | 679.568 | 800.616 | 0.000 | 0.000 | -0.000 |
| 293.158 | 293.158 | 293.158 | 45.072 | 0.000 | -0.000 |
| 293.158 | 293.158 | 293.158 | 0.000 | 45.072 | -0.000 |
| 293.158 | 293.158 | 293.158 | 0.000 | 0.000 | 45.072 |
| 248.921 | 105.167 | 105.167 | 0.000 | 0.000 | 0.000 |
| 105.167 | 248.921 | 105.167 | -0.000 | 0.000 | 0.000 |
| 105.167 | 105.167 | 248.921 | -0.000 | 0.000 | 0.000 |
| -57.120 | -57.120 | -57.120 | 50.608 | -0.000 | 0.000 |
| -57.120 | -57.120 | -57.120 | -0.000 | 50.608 | 0.000 |
| -57.120 | -57.120 | -57.120 | -0.000 | -0.000 | 50.608 |
| 286.009 | 165.320 | 165.320 | 0.000 | 0.000 | -0.000 |
| 165.320 | 286.009 | 165.320 | 0.000 | 0.000 | -0.000 |
| 165.320 | 165.320 | 286.009 | 0.000 | 0.000 | -0.000 |
| 57.120 | 57.120 | 57.120 | 50.608 | 0.000 | -0.000 |
| 57.120 | 57.120 | 57.120 | 0.000 | 50.608 | -0.000 |
| 57.120 | 57.120 | 57.120 | 0.000 | 0.000 | 50.608 |
| 248.923 | 105.168 | 105.168 | -0.000 | 0.000 | 0.000 |
| 105.168 | 248.923 | 105.168 | -0.000 | -0.000 | 0.000 |
| 105.168 | 105.168 | 248.923 | -0.000 | -0.000 | 0.000 |
| 0.000 | 0.000 | 0.000 | 62.693 | 0.000 | 0.000 |
| 0.000 | 0.000 | 0.000 | -0.000 | 62.693 | 0.000 |
| 0.000 | 0.000 | 0.000 | -0.000 | -0.000 | 62.693 |
| 248.919 | 105.166 | 105.166 | 0.000 | -0.000 | -0.000 |
| 105.166 | 248.919 | 105.166 | 0.000 | 0.000 | -0.000 |
| 105.166 | 105.166 | 248.919 | 0.000 | 0.000 | -0.000 |
| -0.000 | -0.000 | -0.000 | 62.693 | 0.000 | -0.000 |
| -0.000 | -0.000 | -0.000 | 0.000 | 62.693 | -0.000 |
| -0.000 | -0.000 | -0.000 | 0.000 | 0.000 | 62.693 |
| 158.919 | 71.262 | 78.300 | -0.000 | -0.000 | 0.130 |
| 71.262 | 158.919 | 78.300 | -0.000 | -0.000 | -0.130 |
| 4228.821 | 4228.821 | -127.041 | 0.000 | -0.000 | -0.000 |
| 4154.152 | 4154.152 | -256.657 | 15.852 | -0.000 | -0.000 |
| 4154.152 | 4154.152 | -256.657 | 0.000 | 15.852 | -0.000 |
| 0.130 | -0.130 | 0.000 | 0.000 | -0.000 | 28.788 |
| -200.368 | -278.555 | 897.617 | -0.000 | 0.000 | 0.994 |
| -278.555 | -200.368 | 897.617 | 0.000 | 0.000 | -0.994 |
| -271.481 | -271.481 | 971.573 | 0.000 | 0.000 | 0.000 |
| -4154.152 | -4154.152 | 256.657 | 15.852 | -0.000 | 0.000 |
| -4154.152 | -4154.152 | 256.657 | 0.000 | 15.852 | 0.000 |
| 0.130 | -0.130 | -0.000 | -0.000 | 0.000 | 28.788 |
| 158.919 | 71.262 | 78.300 | -0.000 | -0.000 | 0.130 |
| 71.262 | 158.919 | 78.300 | -0.000 | -0.000 | -0.130 |
| 489.770 | 489.770 | 104.022 | -0.000 | -0.000 | -0.000 |
| 0.000 | 0.000 | 0.000 | 35.712 | -0.000 | -0.000 |
| 0.000 | 0.000 | 0.000 | 0.000 | 35.712 | -0.000 |
| 0.130 | -0.130 | 0.000 | -0.000 | -0.000 | 28.788 |
| 114.411 | 36.254 | 160.937 | 0.000 | 0.000 | 0.996 |
| 36.254 | 114.411 | 160.937 | 0.000 | 0.000 | -0.996 |
| -340.341 | -340.341 | 155.238 | 0.000 | 0.000 | 0.000 |
| -0.000 | -0.000 | -0.000 | 35.712 | 0.000 | 0.000 |
| -0.000 | -0.000 | -0.000 | 0.000 | 35.712 | 0.000 |
| 0.130 | -0.130 | -0.000 | 0.000 | 0.000 | 28.788 |
| 151.328 | 80.247 | 79.045 | -0.000 | -0.000 | 2.388 |
| 80.247 | 151.328 | 79.045 | 0.000 | -0.000 | -2.388 |
| 78.300 | 78.300 | 162.369 | -0.000 | -0.000 | -0.000 |
| 0.000 | 0.000 | 0.000 | 35.712 | 0.000 | 0.000 |
| 0.000 | 0.000 | 0.000 | -0.000 | 35.712 | -0.000 |
| 4.567 | 2.550 | -8.328 | -0.000 | -0.000 | 18.865 |
| 124.171 | 60.059 | 74.117 | 0.000 | 0.000 | 3.472 |
| 60.059 | 124.171 | 74.117 | 0.000 | 0.000 | -3.472 |
| 68.233 | 68.233 | 139.408 | 0.000 | 0.000 | 0.000 |
| -0.000 | -0.000 | -0.000 | 35.712 | 0.000 | -0.000 |
| -0.000 | -0.000 | -0.000 | -0.000 | 35.712 | 0.000 |
| -2.550 | -4.567 | 8.328 | 0.000 | 0.000 | 18.865 |
| 139.440 | 70.271 | 78.516 | 0.000 | 0.000 | -0.000 |
| 70.271 | 139.440 | 78.516 | -0.000 | 0.000 | 0.000 |
| 78.046 | 78.046 | 152.447 | 0.000 | -0.000 | -0.000 |
| 0.000 | 0.000 | 0.000 | 35.321 | 0.000 | -0.000 |
| 0.000 | 0.000 | 0.000 | -0.000 | 35.321 | -0.000 |
| -0.000 | 0.000 | 0.000 | -0.000 | -0.000 | 28.493 |
| 139.440 | 70.271 | 78.516 | -0.000 | 0.000 | -0.000 |
| 70.271 | 139.440 | 78.516 | -0.000 | -0.000 | 0.000 |
| 78.046 | 78.046 | 152.447 | -0.000 | 0.000 | 0.000 |
| -0.000 | -0.000 | -0.000 | 35.321 | -0.000 | 0.000 |
| -0.000 | -0.000 | -0.000 | -0.000 | 35.321 | 0.000 |
| -0.000 | 0.000 | -0.000 | 0.000 | 0.000 | 28.493 |
| 51.033 | 0.249 | -95.039 | 0.000 | 0.000 | -2.275 |
| 0.249 | 51.033 | -95.039 | -0.000 | 0.000 | 2.275 |
| 95.713 | 95.713 | 143.556 | 0.000 | -0.000 | 0.000 |
| 16.360 | 16.360 | 7.495 | 27.129 | -0.000 | 0.000 |
| 16.360 | 16.360 | 7.495 | 0.000 | 27.129 | 0.000 |
| -0.000 | 0.000 | 0.000 | -0.000 | 0.000 | 28.493 |
| 955.548 | 905.264 | 323.089 | -0.000 | 0.000 | -2.132 |
| 905.264 | 955.548 | 323.089 | -0.000 | -0.000 | 2.132 |
| 78.046 | 78.046 | 152.447 | 0.000 | -0.000 | 0.000 |
| -16.360 | -16.360 | -7.495 | 27.129 | -0.000 | -0.000 |
| -16.360 | -16.360 | -7.495 | 0.000 | 27.129 | -0.000 |
| -0.000 | 0.000 | -0.000 | 0.000 | -0.000 | 28.493 |
| 128.039 | 70.718 | 80.541 | 0.000 | -0.000 | -1.133 |
| 70.718 | 128.039 | 80.541 | -0.000 | -0.000 | 1.133 |
| 68.907 | 68.907 | 112.651 | -0.000 | -0.000 | -0.000 |
| 0.000 | 0.000 | 0.000 | 35.321 | 0.000 | -0.000 |
| 0.000 | 0.000 | 0.000 | 0.000 | 35.321 | 0.000 |
| 0.529 | 2.750 | 0.751 | 0.000 | 0.000 | 15.207 |
| 139.439 | 70.272 | 78.516 | 0.000 | -0.000 | -0.000 |
| 70.272 | 139.439 | 78.516 | -0.000 | -0.000 | 0.000 |
| 77.659 | 77.659 | 136.108 | 0.000 | -0.000 | -0.000 |
| -0.000 | -0.000 | -0.000 | 35.321 | -0.000 | 0.000 |
| -0.000 | -0.000 | -0.000 | -0.000 | 35.321 | -0.000 |
| -2.750 | -0.529 | -0.751 | 0.000 | 0.000 | 15.207 |
| 298.312 | 146.977 | 144.620 | 0.000 | -0.000 | 0.000 |
| 146.978 | 315.107 | 129.823 | 0.000 | -0.000 | -0.000 |
| -304.709 | -117.558 | 236.722 | 0.000 | -0.000 | 0.000 |
| 0.000 | 0.000 | 0.000 | 71.220 | -0.000 | 0.000 |
| -438.891 | -238.512 | -53.903 | 0.000 | 71.721 | -0.000 |
| -755.939 | -742.584 | -1.649 | 0.000 | 0.000 | 62.143 |
| 298.312 | 146.977 | 144.620 | -0.000 | 0.000 | -0.000 |
| 567.027 | 520.728 | 174.832 | -0.000 | 0.000 | 0.000 |
| 144.619 | 129.821 | 306.362 | -0.000 | 0.000 | -0.000 |
| -0.000 | 0.000 | -0.000 | 71.220 | 0.000 | 0.000 |
| 438.891 | 238.512 | 53.903 | -0.000 | 71.721 | -0.000 |
| 755.939 | 742.584 | 1.649 | -0.000 | -0.000 | 62.143 |
| 298.312 | 146.977 | 144.620 | -0.000 | -0.000 | -0.000 |
| 146.978 | 315.107 | 129.823 | 0.000 | -0.000 | -0.000 |
| 90.306 | 97.112 | 285.245 | 0.000 | -0.000 | -0.000 |
| 0.000 | 0.000 | 0.000 | 71.220 | -0.000 | 0.000 |
| -134.441 | -138.957 | -2.560 | 0.000 | 56.381 | 0.000 |
| -43.897 | -23.856 | -5.391 | 0.000 | -0.000 | 74.012 |
| 282.005 | 193.471 | 125.304 | -0.000 | -0.000 | 0.000 |
| 146.978 | 315.107 | 129.823 | -0.000 | 0.000 | 0.000 |
| 144.619 | 129.821 | 306.362 | -0.000 | 0.000 | 0.000 |
| -0.000 | -0.000 | -0.000 | 71.220 | 0.000 | -0.000 |
| 134.441 | 138.957 | 2.560 | -0.000 | 56.381 | -0.000 |
| 43.897 | 23.856 | 5.391 | -0.000 | 0.000 | 74.012 |
| 298.311 | 146.976 | 144.619 | -0.000 | -0.000 | 0.000 |
| 146.977 | 315.108 | 129.822 | -0.000 | -0.000 | 0.000 |
| 117.512 | 105.965 | 275.228 | 0.000 | 0.000 | -0.000 |
| -7.587 | -7.517 | 0.001 | 51.185 | 0.000 | -0.000 |
| -4.467 | -2.427 | -0.548 | 0.000 | 71.506 | -0.000 |
| -4.446 | -2.416 | -0.546 | 0.000 | -0.000 | 73.835 |
| 298.312 | 146.978 | 144.621 | -0.000 | 0.000 | -0.000 |
| 132.793 | 284.946 | 121.559 | -0.000 | 0.000 | 0.000 |
| 132.721 | 120.976 | 275.550 | -0.000 | -0.000 | 0.000 |
| 7.587 | 7.517 | -0.001 | 51.185 | -0.000 | 0.000 |
| 4.467 | 2.427 | 0.548 | -0.000 | 71.506 | 0.000 |
| 4.446 | 2.416 | 0.546 | 0.000 | 0.000 | 73.835 |
| 2152.091 | -5493.062 | 461.330 | -0.000 | 0.000 | -0.000 |
| 573.900 | -3306.413 | 332.387 | 0.000 | -0.000 | -0.000 |
| 152.342 | 145.987 | 339.443 | 0.000 | 0.000 | -0.000 |
| -0.000 | 0.000 | 0.000 | 80.900 | -0.000 | -0.000 |
| 443.056 | -3566.440 | 204.619 | 0.000 | 58.269 | -0.000 |
| -0.000 | 0.000 | 0.000 | -0.000 | 0.000 | 96.799 |
| -252.910 | 3697.613 | -77.962 | -0.000 | 0.000 | 0.000 |
| -312.201 | 3826.472 | -76.841 | -0.000 | -0.000 | 0.000 |
| 152.342 | 145.987 | 339.443 | 0.000 | 0.000 | 0.000 |
| -0.000 | -0.000 | -0.000 | 80.900 | 0.000 | 0.000 |
| -443.056 | 3566.440 | -204.619 | -0.000 | 58.269 | 0.000 |
| 0.000 | -0.000 | -0.000 | -0.000 | 0.000 | 96.799 |
| 318.429 | -303.962 | 137.378 | -0.000 | -0.000 | -0.000 |
| 160.068 | 325.506 | 147.071 | 0.000 | -0.000 | -0.000 |
| 125.002 | -102.621 | 254.183 | 0.000 | -0.000 | -0.000 |
| 0.000 | 0.000 | 0.000 | 80.900 | -0.000 | -0.000 |
| -12.134 | -239.290 | -64.444 | -0.000 | 72.548 | -0.000 |
| 118.571 | -445.682 | 10.263 | -0.000 | -0.000 | 74.655 |
| 145.670 | 487.653 | 106.157 | 0.000 | 0.000 | 0.000 |
| 86.606 | 616.710 | 107.356 | -0.000 | 0.000 | 0.000 |
| 152.342 | 145.987 | 339.443 | 0.000 | 0.000 | 0.000 |
| -0.000 | -0.000 | -0.000 | 80.900 | 0.000 | 0.000 |
| 12.134 | 239.290 | 64.444 | 0.000 | 72.548 | 0.000 |
| -118.571 | 445.682 | -10.263 | 0.000 | 0.000 | 74.655 |
| 296.553 | 159.816 | 153.173 | 0.000 | -0.000 | -0.000 |
| 166.743 | 211.905 | 129.155 | 0.000 | -0.000 | -0.000 |
| 130.488 | 91.056 | 301.990 | -0.000 | -0.000 | -0.000 |
| -1.220 | -24.063 | -6.480 | 66.459 | -0.000 | -0.000 |
| 4.443 | -35.590 | 2.082 | 0.000 | 58.300 | -0.000 |
| 4.395 | -35.402 | 2.026 | 0.000 | -0.000 | 73.843 |
| 238.358 | 163.773 | 144.155 | 0.000 | 0.000 | 0.000 |
| 140.925 | 313.040 | 143.383 | -0.000 | 0.000 | 0.000 |
| 137.781 | 160.321 | 324.307 | 0.000 | 0.000 | 0.000 |
| 1.220 | 24.063 | 6.480 | 66.459 | 0.000 | 0.000 |
| -4.443 | 35.590 | -2.082 | 0.000 | 58.300 | 0.000 |
| -4.395 | 35.402 | -2.026 | 0.000 | 0.000 | 73.843 |
| 224.419 | 117.770 | 117.771 | 0.000 | -0.000 | -0.000 |
| 117.771 | 224.419 | 117.771 | 0.000 | -0.000 | 0.000 |
| 117.771 | 117.770 | 224.419 | 0.000 | -0.000 | 0.000 |
| 0.000 | -0.000 | -0.000 | 94.951 | -0.000 | 0.000 |
| -0.000 | -0.000 | 0.000 | -0.000 | 94.951 | 0.000 |
| -0.000 | -0.000 | -0.000 | -0.000 | -0.000 | 94.951 |
| 224.419 | 117.771 | 117.771 | 0.000 | -0.000 | -0.000 |
| 117.771 | 224.419 | 117.771 | 0.000 | 0.000 | -0.000 |
| 117.771 | 117.771 | 224.419 | 0.000 | 0.000 | -0.000 |
| -0.000 | 0.000 | 0.000 | 94.951 | -0.000 | -0.000 |
| 0.000 | 0.000 | 0.000 | 0.000 | 94.951 | -0.000 |
| 0.000 | 0.000 | 0.000 | 0.000 | 0.000 | 94.951 |
| 224.419 | 117.771 | 117.771 | -0.000 | -0.000 | 0.000 |
| 117.771 | 224.419 | 117.771 | 0.000 | -0.000 | 0.000 |
| 117.771 | 117.771 | 224.419 | -0.000 | -0.000 | 0.000 |
| 0.000 | -0.000 | -0.000 | 94.951 | -0.000 | 0.000 |
| -0.000 | 0.000 | -0.000 | -0.000 | 94.951 | 0.000 |
| -0.000 | -0.000 | 0.000 | -0.000 | -0.000 | 94.951 |
| 224.419 | 117.771 | 117.771 | 0.000 | 0.000 | -0.000 |
| 117.771 | 224.419 | 117.771 | -0.000 | 0.000 | -0.000 |
| 117.771 | 117.771 | 224.419 | 0.000 | 0.000 | -0.000 |
| -0.000 | 0.000 | 0.000 | 94.951 | -0.000 | -0.000 |
| 0.000 | -0.000 | 0.000 | 0.000 | 94.951 | -0.000 |
| 0.000 | 0.000 | -0.000 | 0.000 | 0.000 | 94.951 |
| 224.420 | 117.771 | 117.771 | -0.000 | -0.000 | 0.000 |
| 117.771 | 224.420 | 117.771 | -0.000 | -0.000 | 0.000 |
| 117.771 | 117.771 | 224.420 | -0.000 | -0.000 | 0.000 |
| 0.000 | -0.000 | -0.000 | 94.951 | -0.000 | 0.000 |
| -0.000 | 0.000 | -0.000 | 0.000 | 94.951 | 0.000 |
| -0.000 | -0.000 | 0.000 | 0.000 | -0.000 | 94.951 |
| 224.419 | 117.770 | 117.770 | 0.000 | 0.000 | -0.000 |
| 117.770 | 224.419 | 117.770 | 0.000 | -0.000 | -0.000 |
| 117.770 | 117.770 | 224.419 | 0.000 | 0.000 | -0.000 |
| -0.000 | 0.000 | 0.000 | 94.951 | 0.000 | -0.000 |
| 0.000 | -0.000 | 0.000 | -0.000 | 94.951 | -0.000 |
| 0.000 | 0.000 | -0.000 | 0.000 | 0.000 | 94.951 |
| 1.798 | 10.415 | 10.415 | 0.000 | -0.000 | -0.000 |
| 10.415 | 1.798 | 10.415 | 0.000 | -0.000 | -0.000 |
| 10.415 | 10.415 | 1.798 | -0.000 | -0.000 | -0.000 |
| -0.000 | -0.000 | -0.000 | 10.013 | -0.000 | 0.000 |
| -0.000 | -0.000 | -0.000 | 0.000 | 10.013 | -0.000 |
| -0.000 | -0.000 | -0.000 | 0.000 | 0.000 | 10.013 |
| 1.798 | 10.415 | 10.415 | -0.000 | -0.000 | 0.000 |
| 10.415 | 1.798 | 10.415 | -0.000 | -0.000 | 0.000 |
| 10.415 | 10.415 | 1.798 | 0.000 | 0.000 | 0.000 |
| 0.000 | 0.000 | 0.000 | 10.013 | 0.000 | 0.000 |
| 0.000 | 0.000 | 0.000 | -0.000 | 10.013 | 0.000 |
| 0.000 | 0.000 | 0.000 | -0.000 | -0.000 | 10.013 |
| 1.798 | 10.415 | 10.415 | 0.000 | 0.000 | -0.000 |
| 10.415 | 1.798 | 10.415 | 0.000 | 0.000 | -0.000 |
| 10.415 | 10.415 | 1.798 | 0.000 | 0.000 | -0.000 |
| 0.000 | -0.000 | -0.000 | -2.588 | 0.000 | 0.000 |
| -0.000 | 0.000 | -0.000 | 0.000 | -2.588 | -0.000 |
| -0.000 | -0.000 | 0.000 | 0.000 | 0.000 | -2.588 |
| 1.798 | 10.415 | 10.415 | -0.000 | 0.000 | 0.000 |
| 10.415 | 1.798 | 10.415 | -0.000 | -0.000 | 0.000 |
| 10.415 | 10.415 | 1.798 | -0.000 | -0.000 | 0.000 |
| -0.000 | 0.000 | 0.000 | -2.588 | -0.000 | 0.000 |
| 0.000 | -0.000 | 0.000 | -0.000 | -2.588 | 0.000 |
| 0.000 | 0.000 | -0.000 | -0.000 | -0.000 | -2.588 |
| 1.798 | 10.415 | 10.415 | 0.000 | -0.000 | -0.000 |
| 10.415 | 1.798 | 10.415 | 0.000 | 0.000 | -0.000 |
| 10.415 | 10.415 | 1.798 | 0.000 | 0.000 | 0.000 |
| 0.000 | -0.000 | -0.000 | -2.588 | 0.000 | 0.000 |
| -0.000 | 0.000 | -0.000 | 0.000 | -2.588 | -0.000 |
| -0.000 | -0.000 | 0.000 | 0.000 | 0.000 | -2.588 |
| 1.798 | 10.415 | 10.415 | -0.000 | -0.000 | 0.000 |
| 10.415 | 1.798 | 10.415 | -0.000 | -0.000 | 0.000 |
| 10.415 | 10.415 | 1.798 | -0.000 | -0.000 | 0.000 |
| -0.000 | 0.000 | 0.000 | -2.588 | -0.000 | 0.000 |
| 0.000 | -0.000 | 0.000 | -0.000 | -2.588 | 0.000 |
| 0.000 | 0.000 | -0.000 | -0.000 | -0.000 | -2.588 |
| 581.520 | 302.018 | 302.017 | 0.000 | 0.000 | -0.000 |
| 302.017 | 581.520 | 302.017 | 0.000 | -0.000 | -0.000 |
| 302.017 | 302.018 | 581.520 | -0.000 | -0.000 | -0.000 |
| -0.000 | 0.000 | -0.000 | 207.415 | -0.000 | -0.000 |
| -0.000 | 0.000 | -0.000 | -0.000 | 207.415 | -0.000 |
| -0.000 | 0.000 | -0.000 | -0.000 | -0.000 | 207.415 |
| 581.520 | 302.018 | 302.018 | -0.000 | -0.000 | 0.000 |
| 302.018 | 581.520 | 302.018 | -0.000 | -0.000 | 0.000 |
| 302.018 | 302.018 | 581.520 | -0.000 | -0.000 | 0.000 |
| 0.000 | -0.000 | 0.000 | 207.415 | 0.000 | 0.000 |
| 0.000 | -0.000 | 0.000 | 0.000 | 207.415 | 0.000 |
| 0.000 | -0.000 | 0.000 | 0.000 | 0.000 | 207.415 |
| 581.520 | 302.017 | 302.017 | 0.000 | 0.000 | -0.000 |
| 302.017 | 581.520 | 302.017 | 0.000 | 0.000 | -0.000 |
| 302.017 | 302.017 | 581.520 | -0.000 | -0.000 | 0.000 |
| 0.000 | -0.000 | -0.000 | 207.415 | -0.000 | -0.000 |
| -0.000 | 0.000 | -0.000 | -0.000 | 207.415 | -0.000 |
| -0.000 | -0.000 | 0.000 | -0.000 | -0.000 | 207.415 |
| 581.521 | 302.018 | 302.018 | -0.000 | -0.000 | -0.000 |
| 302.018 | 581.521 | 302.018 | -0.000 | -0.000 | 0.000 |
| 302.018 | 302.018 | 581.521 | -0.000 | -0.000 | 0.000 |
| -0.000 | 0.000 | 0.000 | 207.415 | 0.000 | 0.000 |
| 0.000 | -0.000 | 0.000 | 0.000 | 207.415 | 0.000 |
| 0.000 | 0.000 | -0.000 | 0.000 | 0.000 | 207.415 |
| 581.515 | 302.011 | 302.011 | 0.000 | -0.000 | -0.000 |
| 302.011 | 581.515 | 302.011 | 0.000 | 0.000 | -0.000 |
| 302.011 | 302.011 | 581.515 | -0.000 | 0.000 | -0.000 |
| 0.000 | -0.000 | -0.000 | 207.415 | -0.000 | -0.000 |
| -0.000 | 0.000 | -0.000 | -0.000 | 207.415 | -0.000 |
| -0.000 | -0.000 | 0.000 | -0.000 | -0.000 | 207.415 |
| 581.526 | 302.024 | 302.024 | -0.000 | -0.000 | 0.000 |
| 302.024 | 581.526 | 302.024 | -0.000 | -0.000 | 0.000 |
| 302.024 | 302.024 | 581.526 | -0.000 | -0.000 | 0.000 |
| -0.000 | 0.000 | 0.000 | 207.415 | 0.000 | 0.000 |
| 0.000 | -0.000 | 0.000 | 0.000 | 207.415 | 0.000 |
| 0.000 | 0.000 | -0.000 | 0.000 | 0.000 | 207.415 |
| 25.668 | 2.278 | 2.278 | 0.000 | 0.000 | 0.000 |
| 2.278 | 25.668 | 2.278 | 0.000 | -0.000 | -0.000 |
| 2.278 | 2.278 | 25.668 | 0.000 | 0.000 | -0.000 |
| -0.000 | 0.000 | 0.000 | -0.440 | 0.000 | 0.000 |
| -0.000 | 0.000 | 0.000 | 0.000 | -0.440 | -0.000 |
| -0.000 | 0.000 | 0.000 | 0.000 | -0.000 | -0.440 |
| 25.668 | 2.278 | 2.278 | -0.000 | 0.000 | 0.000 |
| 2.278 | 25.668 | 2.278 | -0.000 | 0.000 | 0.000 |
| 2.278 | 2.278 | 25.668 | -0.000 | 0.000 | 0.000 |
| 0.000 | -0.000 | -0.000 | -0.440 | -0.000 | 0.000 |
| 0.000 | -0.000 | -0.000 | -0.000 | -0.440 | 0.000 |
| 0.000 | -0.000 | -0.000 | -0.000 | 0.000 | -0.440 |
| 25.668 | 2.278 | 2.278 | 0.000 | -0.000 | -0.000 |
| 2.278 | 25.668 | 2.278 | 0.000 | 0.000 | -0.000 |
| 2.278 | 2.278 | 25.668 | 0.000 | -0.000 | 0.000 |
| -0.000 | 0.000 | 0.000 | -0.440 | 0.000 | -0.000 |
| 0.000 | -0.000 | 0.000 | 0.000 | -0.440 | -0.000 |
| 0.000 | 0.000 | -0.000 | 0.000 | -0.000 | -0.440 |
| 25.668 | 2.278 | 2.278 | -0.000 | -0.000 | 0.000 |
| 2.278 | 25.668 | 2.278 | -0.000 | 0.000 | 0.000 |
| 2.278 | 2.278 | 25.668 | 0.000 | 0.000 | -0.000 |
| 0.000 | -0.000 | -0.000 | -0.440 | -0.000 | 0.000 |
| -0.000 | 0.000 | -0.000 | -0.000 | -0.440 | 0.000 |
| -0.000 | -0.000 | 0.000 | -0.000 | 0.000 | -0.440 |
| 25.668 | 2.279 | 2.279 | 0.000 | -0.000 | -0.000 |
| 2.279 | 25.668 | 2.279 | 0.000 | -0.000 | -0.000 |
| 2.279 | 2.279 | 25.668 | 0.000 | -0.000 | -0.000 |
| -0.000 | 0.000 | 0.000 | -0.440 | -0.000 | 0.000 |
| 0.000 | -0.000 | 0.000 | 0.000 | -0.440 | -0.000 |
| 0.000 | 0.000 | -0.000 | 0.000 | -0.000 | -0.440 |
| 25.668 | 2.278 | 2.278 | -0.000 | -0.000 | 0.000 |
| 2.278 | 25.668 | 2.278 | -0.000 | -0.000 | 0.000 |
| 2.278 | 2.278 | 25.668 | -0.000 | 0.000 | 0.000 |
| 0.000 | -0.000 | -0.000 | -0.440 | 0.000 | -0.000 |
| -0.000 | 0.000 | -0.000 | -0.000 | -0.440 | 0.000 |
| -0.000 | -0.000 | 0.000 | -0.000 | 0.000 | -0.440 |
| 147.981 | 107.908 | 107.908 | -0.000 | -0.000 | 0.000 |
| 107.908 | 147.981 | 107.908 | -0.000 | -0.000 | 0.000 |
| 107.908 | 107.908 | 147.981 | -0.000 | -0.000 | -0.000 |
| 0.000 | 0.000 | -0.000 | 75.196 | -0.000 | -0.000 |
| -0.000 | 0.000 | -0.000 | -0.000 | 75.196 | 0.000 |
| -0.000 | 0.000 | 0.000 | -0.000 | -0.000 | 75.196 |
| 147.981 | 107.908 | 107.908 | 0.000 | 0.000 | -0.000 |
| 107.908 | 147.981 | 107.908 | 0.000 | 0.000 | -0.000 |
| 107.908 | 107.908 | 147.981 | 0.000 | 0.000 | -0.000 |
| -0.000 | -0.000 | 0.000 | 75.196 | 0.000 | -0.000 |
| 0.000 | -0.000 | 0.000 | 0.000 | 75.196 | -0.000 |
| 0.000 | -0.000 | -0.000 | 0.000 | 0.000 | 75.196 |
| 147.981 | 107.908 | 107.908 | -0.000 | -0.000 | -0.000 |
| 107.908 | 147.981 | 107.908 | -0.000 | -0.000 | 0.000 |
| 107.908 | 107.908 | 147.981 | -0.000 | -0.000 | -0.000 |
| 0.000 | -0.000 | -0.000 | 32.809 | -0.000 | 0.000 |
| -0.000 | 0.000 | -0.000 | -0.000 | 32.809 | 0.000 |
| -0.000 | -0.000 | 0.000 | -0.000 | -0.000 | 32.809 |
| 147.981 | 107.908 | 107.908 | 0.000 | 0.000 | 0.000 |
| 107.908 | 147.981 | 107.908 | 0.000 | 0.000 | -0.000 |
| 107.908 | 107.908 | 147.981 | 0.000 | 0.000 | 0.000 |
| -0.000 | 0.000 | 0.000 | 32.809 | 0.000 | -0.000 |
| 0.000 | -0.000 | 0.000 | 0.000 | 32.809 | -0.000 |
| 0.000 | 0.000 | -0.000 | 0.000 | 0.000 | 32.809 |
| 147.979 | 107.906 | 107.906 | -0.000 | -0.000 | 0.000 |
| 107.906 | 147.979 | 107.906 | -0.000 | -0.000 | -0.000 |
| 107.906 | 107.906 | 147.979 | -0.000 | -0.000 | 0.000 |
| 0.000 | -0.000 | -0.000 | 32.809 | -0.000 | 0.000 |
| -0.000 | 0.000 | -0.000 | -0.000 | 32.809 | 0.000 |
| -0.000 | -0.000 | 0.000 | -0.000 | -0.000 | 32.809 |
| 147.982 | 107.910 | 107.910 | 0.000 | 0.000 | 0.000 |
| 107.910 | 147.982 | 107.910 | 0.000 | 0.000 | -0.000 |
| 107.910 | 107.910 | 147.982 | 0.000 | 0.000 | 0.000 |
| -0.000 | 0.000 | 0.000 | 32.809 | 0.000 | -0.000 |
| 0.000 | -0.000 | 0.000 | 0.000 | 32.809 | -0.000 |
| 0.000 | 0.000 | -0.000 | -0.000 | 0.000 | 32.809 |
| 366.804 | 116.710 | 116.710 | 0.000 | 0.000 | -0.000 |
| 116.710 | 366.804 | 116.710 | 0.000 | -0.000 | -0.000 |
| 116.710 | 116.710 | 366.804 | 0.000 | 0.000 | -0.000 |
| 0.000 | -0.000 | 0.000 | 76.448 | -0.000 | -0.000 |
| 0.000 | 0.000 | 0.000 | -0.000 | 76.448 | -0.000 |
| -0.000 | -0.000 | 0.000 | 0.000 | -0.000 | 76.448 |
| 366.804 | 116.710 | 116.710 | -0.000 | 0.000 | 0.000 |
| 116.710 | 366.804 | 116.710 | -0.000 | 0.000 | 0.000 |
| 116.710 | 116.710 | 366.804 | -0.000 | 0.000 | -0.000 |
| -0.000 | 0.000 | -0.000 | 76.448 | -0.000 | 0.000 |
| -0.000 | -0.000 | -0.000 | -0.000 | 76.448 | 0.000 |
| -0.000 | 0.000 | -0.000 | -0.000 | 0.000 | 76.448 |
| 366.804 | 116.710 | 116.710 | 0.000 | 0.000 | -0.000 |
| 116.710 | 366.804 | 116.710 | 0.000 | -0.000 | -0.000 |
| 116.710 | 116.710 | 366.804 | 0.000 | -0.000 | -0.000 |
| 0.000 | -0.000 | 0.000 | 76.087 | -0.000 | -0.000 |
| -0.000 | 0.000 | 0.000 | 0.000 | 76.087 | -0.000 |
| -0.000 | 0.000 | 0.000 | 0.000 | -0.000 | 76.087 |
| 366.804 | 116.710 | 116.710 | -0.000 | -0.000 | -0.000 |
| 116.710 | 366.804 | 116.710 | -0.000 | -0.000 | 0.000 |
| 116.710 | 116.710 | 366.804 | -0.000 | -0.000 | 0.000 |
| -0.000 | 0.000 | -0.000 | 76.087 | 0.000 | 0.000 |
| 0.000 | -0.000 | -0.000 | 0.000 | 76.087 | 0.000 |
| 0.000 | -0.000 | -0.000 | 0.000 | 0.000 | 76.087 |
| 366.806 | 116.711 | 116.711 | 0.000 | -0.000 | -0.000 |
| 116.711 | 366.806 | 116.711 | 0.000 | -0.000 | -0.000 |
| 116.711 | 116.711 | 366.806 | 0.000 | 0.000 | -0.000 |
| 0.000 | -0.000 | 0.000 | 76.448 | 0.000 | -0.000 |
| -0.000 | 0.000 | 0.000 | -0.000 | 76.448 | -0.000 |
| -0.000 | 0.000 | 0.000 | 0.000 | -0.000 | 76.448 |
| 366.802 | 116.710 | 116.710 | -0.000 | 0.000 | 0.000 |
| 116.710 | 366.802 | 116.710 | -0.000 | 0.000 | 0.000 |
| 116.710 | 116.710 | 366.802 | -0.000 | 0.000 | 0.000 |
| -0.000 | 0.000 | -0.000 | 76.448 | 0.000 | 0.000 |
| 0.000 | -0.000 | -0.000 | -0.000 | 76.448 | 0.000 |
| 0.000 | -0.000 | -0.000 | -0.000 | 0.000 | 76.448 |
| 13.673 | 3.521 | 3.521 | 0.000 | 0.000 | -0.000 |
| 3.521 | 13.673 | 3.521 | -0.000 | 0.000 | -0.000 |
| 3.521 | 3.521 | 13.673 | -0.000 | 0.000 | -0.000 |
| 0.000 | -0.000 | -0.000 | 2.928 | 0.000 | -0.000 |
| -0.000 | -0.000 | -0.000 | 0.000 | 2.928 | -0.000 |
| 0.000 | -0.000 | -0.000 | -0.000 | 0.000 | 2.928 |
| 13.673 | 3.521 | 3.521 | -0.000 | 0.000 | 0.000 |
| 3.521 | 13.673 | 3.521 | 0.000 | 0.000 | 0.000 |
| 3.521 | 3.521 | 13.673 | -0.000 | 0.000 | 0.000 |
| -0.000 | 0.000 | 0.000 | 2.928 | -0.000 | 0.000 |
| -0.000 | 0.000 | 0.000 | -0.000 | 2.928 | 0.000 |
| -0.000 | 0.000 | 0.000 | -0.000 | -0.000 | 2.928 |
| 13.673 | 3.521 | 3.521 | 0.000 | -0.000 | -0.000 |
| 3.521 | 13.673 | 3.521 | 0.000 | 0.000 | -0.000 |
| 3.521 | 3.521 | 13.673 | -0.000 | 0.000 | -0.000 |
| -0.000 | 0.000 | 0.000 | 2.928 | 0.000 | -0.000 |
| 0.000 | -0.000 | 0.000 | 0.000 | 2.928 | -0.000 |
| 0.000 | 0.000 | -0.000 | -0.000 | 0.000 | 2.928 |
| 14.036 | 3.339 | 3.339 | 0.000 | -0.000 | 0.000 |
| 3.339 | 14.036 | 3.339 | 0.000 | -0.000 | 0.000 |
| 3.339 | 3.339 | 14.036 | -0.000 | 0.000 | 0.000 |
| 0.000 | -0.000 | -0.000 | 2.928 | -0.000 | 0.000 |
| -0.000 | 0.000 | -0.000 | -0.000 | 2.928 | 0.000 |
| -0.000 | -0.000 | 0.000 | -0.000 | -0.000 | 2.928 |
| 14.036 | 3.339 | 3.339 | -0.000 | -0.000 | -0.000 |
| 3.339 | 14.036 | 3.339 | -0.000 | -0.000 | -0.000 |
| 3.339 | 3.339 | 14.036 | -0.000 | -0.000 | -0.000 |
| -0.000 | 0.000 | 0.000 | 3.180 | -0.000 | -0.000 |
| 0.000 | -0.000 | 0.000 | -0.000 | 3.180 | -0.000 |
| 0.000 | 0.000 | -0.000 | 0.000 | 0.000 | 3.180 |
| 14.036 | 3.339 | 3.339 | -0.000 | 0.000 | 0.000 |
| 3.339 | 14.036 | 3.339 | -0.000 | -0.000 | 0.000 |
| 3.339 | 3.339 | 14.036 | 0.000 | -0.000 | 0.000 |
| 0.000 | -0.000 | -0.000 | 3.180 | 0.000 | 0.000 |
| -0.000 | 0.000 | -0.000 | 0.000 | 3.180 | 0.000 |
| -0.000 | -0.000 | 0.000 | -0.000 | -0.000 | 3.180 |
| 306.231 | 239.260 | 239.260 | 0.000 | 0.000 | -0.000 |
| 239.260 | 306.231 | 239.260 | 0.000 | 0.000 | -0.000 |
| 239.260 | 239.260 | 306.231 | -0.000 | 0.000 | -0.000 |
| -0.000 | 0.000 | -0.000 | 177.826 | 0.000 | -0.000 |
| -0.000 | 0.000 | -0.000 | -0.000 | 177.826 | -0.000 |
| -0.000 | 0.000 | -0.000 | -0.000 | 0.000 | 177.826 |
| 306.231 | 239.260 | 239.260 | -0.000 | -0.000 | 0.000 |
| 239.260 | 306.231 | 239.260 | -0.000 | -0.000 | 0.000 |
| 239.260 | 239.260 | 306.231 | 0.000 | -0.000 | 0.000 |
| 0.000 | -0.000 | 0.000 | 177.826 | -0.000 | 0.000 |
| 0.000 | -0.000 | 0.000 | -0.000 | 177.826 | 0.000 |
| 0.000 | -0.000 | 0.000 | 0.000 | -0.000 | 177.826 |
| 306.231 | 239.260 | 239.260 | 0.000 | 0.000 | -0.000 |
| 239.260 | 306.231 | 239.260 | 0.000 | 0.000 | -0.000 |
| 239.260 | 239.260 | 306.231 | -0.000 | 0.000 | -0.000 |
| 0.000 | 0.000 | 0.000 | 190.364 | 0.000 | -0.000 |
| 0.000 | 0.000 | 0.000 | -0.000 | 190.364 | -0.000 |
| 0.000 | 0.000 | 0.000 | -0.000 | 0.000 | 190.364 |
| 306.231 | 239.260 | 239.260 | -0.000 | -0.000 | 0.000 |
| 239.260 | 306.231 | 239.260 | -0.000 | -0.000 | 0.000 |
| 239.260 | 239.260 | 306.231 | -0.000 | -0.000 | 0.000 |
| -0.000 | -0.000 | -0.000 | 190.364 | -0.000 | 0.000 |
| -0.000 | -0.000 | -0.000 | 0.000 | 190.364 | 0.000 |
| -0.000 | -0.000 | -0.000 | 0.000 | -0.000 | 190.364 |
| 306.232 | 239.259 | 239.259 | 0.000 | 0.000 | -0.000 |
| 239.259 | 306.232 | 239.259 | 0.000 | 0.000 | -0.000 |
| 239.259 | 239.259 | 306.232 | -0.000 | 0.000 | -0.000 |
| 0.000 | 0.000 | 0.001 | 177.826 | 0.000 | -0.000 |
| 0.000 | 0.000 | 0.001 | -0.000 | 177.826 | -0.000 |
| 0.000 | 0.001 | 0.000 | 0.000 | 0.000 | 177.826 |
| 306.229 | 239.262 | 239.262 | -0.000 | -0.000 | 0.000 |
| 239.262 | 306.229 | 239.262 | -0.000 | -0.000 | 0.000 |
| 239.262 | 239.262 | 306.229 | -0.000 | -0.000 | 0.000 |
| -0.000 | -0.000 | -0.001 | 177.826 | -0.000 | 0.000 |
| -0.000 | -0.000 | -0.001 | 0.000 | 177.826 | 0.000 |
| -0.000 | -0.001 | -0.000 | -0.000 | -0.000 | 177.826 |
| 208.345 | 173.844 | 173.844 | -0.000 | 0.000 | -0.000 |
| 173.844 | 208.345 | 173.844 | 0.000 | -0.000 | -0.000 |
| 173.844 | 173.844 | 208.345 | -0.000 | 0.000 | -0.000 |
| 0.000 | 0.000 | -0.000 | 101.657 | -0.000 | -0.000 |
| 0.000 | 0.000 | 0.000 | -0.000 | 101.657 | -0.000 |
| 0.000 | 0.000 | -0.000 | 0.000 | -0.000 | 101.657 |
| 208.345 | 173.844 | 173.844 | -0.000 | 0.000 | 0.000 |
| 173.844 | 208.345 | 173.844 | 0.000 | 0.000 | 0.000 |
| 173.844 | 173.844 | 208.345 | 0.000 | 0.000 | 0.000 |
| -0.000 | -0.000 | -0.000 | 101.657 | 0.000 | 0.000 |
| -0.000 | -0.000 | -0.000 | 0.000 | 101.657 | 0.000 |
| -0.000 | -0.000 | 0.000 | -0.000 | 0.000 | 101.657 |
| 208.345 | 173.845 | 173.845 | -0.000 | -0.000 | 0.000 |
| 173.845 | 208.345 | 173.845 | -0.000 | -0.000 | -0.000 |
| 173.845 | 173.845 | 208.345 | 0.000 | -0.000 | 0.000 |
| -0.000 | 0.000 | 0.000 | 101.657 | -0.000 | -0.000 |
| 0.000 | -0.000 | 0.000 | 0.000 | 101.657 | -0.000 |
| 0.000 | 0.000 | -0.000 | 0.000 | -0.000 | 101.657 |
| 208.345 | 173.844 | 173.844 | -0.000 | 0.000 | 0.000 |
| 173.844 | 208.345 | 173.844 | 0.000 | 0.000 | 0.000 |
| 173.844 | 173.844 | 208.345 | -0.000 | -0.000 | 0.000 |
| 0.000 | -0.000 | -0.000 | 101.657 | 0.000 | 0.000 |
| -0.000 | 0.000 | -0.000 | 0.000 | 101.657 | 0.000 |
| -0.000 | -0.000 | 0.000 | -0.000 | 0.000 | 101.657 |
| 208.348 | 173.848 | 173.848 | 0.000 | -0.000 | -0.000 |
| 173.848 | 208.348 | 173.848 | -0.000 | 0.000 | -0.000 |
| 173.848 | 173.848 | 208.348 | -0.000 | 0.000 | -0.000 |
| -0.000 | 0.000 | 0.000 | 101.657 | -0.000 | -0.000 |
| 0.000 | -0.000 | 0.000 | -0.000 | 101.657 | -0.000 |
| 0.000 | 0.000 | -0.000 | 0.000 | -0.000 | 101.657 |
| 208.342 | 173.841 | 173.841 | 0.000 | 0.000 | -0.000 |
| 173.841 | 208.342 | 173.841 | 0.000 | 0.000 | 0.000 |
| 173.841 | 173.841 | 208.342 | 0.000 | 0.000 | -0.000 |
| 0.000 | -0.000 | -0.000 | 101.657 | 0.000 | 0.000 |
| -0.000 | 0.000 | -0.000 | 0.000 | 101.657 | 0.000 |
| -0.000 | -0.000 | 0.000 | -0.000 | 0.000 | 101.657 |
| 142.879 | 213.449 | 142.626 | 0.000 | -0.000 | -0.000 |
| 213.449 | 142.880 | 142.626 | 0.000 | -0.000 | -0.000 |
| 142.626 | 142.626 | 219.303 | 0.000 | -0.000 | 0.000 |
| -0.000 | 0.000 | -0.000 | 76.478 | -0.000 | 0.000 |
| 0.000 | 0.000 | -0.000 | 0.000 | 76.478 | -0.000 |
| 0.000 | 0.000 | -0.000 | -0.000 | -0.000 | 122.401 |
| 172.043 | 184.286 | 142.626 | -0.000 | 0.000 | -0.000 |
| 184.286 | 172.043 | 142.626 | -0.000 | 0.000 | 0.000 |
| 142.626 | 142.626 | 219.303 | -0.000 | 0.000 | 0.000 |
| -0.000 | -0.000 | 0.000 | 76.478 | 0.000 | 0.000 |
| -0.000 | -0.000 | 0.000 | -0.000 | 76.478 | 0.000 |
| -0.000 | -0.000 | 0.000 | 0.000 | 0.000 | 122.401 |
| 142.880 | 213.449 | 142.626 | 0.000 | -0.000 | -0.000 |
| 213.449 | 142.880 | 142.626 | 0.000 | -0.000 | 0.000 |
| 142.625 | 142.625 | 219.303 | -0.000 | -0.000 | -0.000 |
| 0.000 | 0.000 | 0.000 | 76.478 | -0.000 | -0.000 |
| 0.000 | 0.000 | 0.000 | 0.000 | 76.478 | -0.000 |
| 0.000 | 0.000 | 0.000 | 0.000 | -0.000 | 122.401 |
| 172.043 | 184.286 | 142.625 | -0.000 | 0.000 | -0.000 |
| 184.286 | 172.043 | 142.625 | -0.000 | 0.000 | -0.000 |
| 142.626 | 142.626 | 219.303 | -0.000 | 0.000 | 0.000 |
| -0.000 | -0.000 | -0.000 | 76.478 | 0.000 | -0.000 |
| -0.000 | -0.000 | -0.000 | -0.000 | 76.478 | 0.000 |
| -0.000 | -0.000 | -0.000 | -0.000 | 0.000 | 122.401 |
| 142.880 | 213.450 | 142.626 | 0.000 | -0.000 | 0.000 |
| 213.450 | 142.880 | 142.626 | 0.000 | -0.000 | 0.000 |
| 142.625 | 142.625 | 219.300 | 0.000 | -0.000 | -0.000 |
| 0.000 | 0.000 | 0.000 | 87.166 | -0.000 | -0.000 |
| 0.000 | 0.000 | 0.000 | 0.000 | 87.166 | -0.000 |
| 0.000 | 0.001 | 0.000 | 0.000 | -0.000 | 122.401 |
| 142.879 | 213.448 | 142.625 | -0.000 | 0.000 | 0.000 |
| 213.448 | 142.879 | 142.625 | -0.000 | 0.000 | 0.000 |
| 142.626 | 142.626 | 219.305 | -0.000 | 0.000 | 0.000 |
| -0.000 | -0.000 | -0.000 | 87.166 | 0.000 | 0.000 |
| -0.000 | -0.000 | -0.000 | -0.000 | 87.166 | -0.000 |
| -0.000 | -0.001 | -0.000 | -0.000 | 0.000 | 122.401 |
| 384.300 | 238.803 | 238.803 | -0.000 | 0.000 | 0.000 |
| 238.803 | 384.300 | 238.803 | -0.000 | 0.000 | 0.000 |
| 238.803 | 238.803 | 384.300 | 0.000 | -0.000 | 0.000 |
| -0.000 | -0.000 | -0.000 | 117.335 | 0.000 | 0.000 |
| -0.000 | -0.000 | -0.000 | 0.000 | 117.335 | 0.000 |
| -0.000 | -0.000 | -0.000 | 0.000 | 0.000 | 117.335 |
| 384.300 | 238.803 | 238.803 | -0.000 | -0.000 | 0.000 |
| 238.803 | 384.300 | 238.803 | -0.000 | -0.000 | -0.000 |
| 238.803 | 238.803 | 384.300 | 0.000 | -0.000 | -0.000 |
| 0.000 | 0.000 | 0.000 | 117.335 | 0.000 | -0.000 |
| 0.000 | 0.000 | 0.000 | 0.000 | 117.335 | -0.000 |
| 0.000 | -0.000 | 0.000 | 0.000 | -0.000 | 117.335 |
| 384.299 | 238.802 | 238.802 | -0.000 | 0.000 | -0.000 |
| 238.802 | 384.299 | 238.802 | -0.000 | 0.000 | 0.000 |
| 238.802 | 238.802 | 384.299 | 0.000 | -0.000 | 0.000 |
| -0.158 | -0.158 | -0.158 | 100.706 | 0.000 | 0.000 |
| -0.158 | -0.158 | -0.158 | 0.000 | 100.706 | 0.000 |
| -0.158 | -0.158 | -0.158 | 0.000 | 0.000 | 100.706 |
| 384.301 | 238.804 | 238.804 | 0.000 | -0.000 | -0.000 |
| 238.804 | 384.301 | 238.804 | 0.000 | 0.000 | -0.000 |
| 238.804 | 238.804 | 384.301 | 0.000 | -0.000 | -0.000 |
| 0.158 | 0.158 | 0.158 | 100.706 | -0.000 | -0.000 |
| 0.158 | 0.158 | 0.158 | -0.000 | 100.706 | -0.000 |
| 0.158 | 0.158 | 0.158 | -0.000 | -0.000 | 100.706 |
| 363.618 | 241.562 | 241.562 | -0.000 | 0.000 | 0.000 |
| 241.562 | 363.618 | 241.562 | 0.000 | 0.000 | 0.000 |
| 241.562 | 241.562 | 363.618 | 0.000 | 0.000 | 0.000 |
| -0.014 | -0.014 | -0.014 | 99.024 | 0.000 | 0.000 |
| -0.014 | -0.014 | -0.014 | 0.000 | 99.024 | 0.000 |
| -0.014 | -0.014 | -0.014 | 0.000 | 0.000 | 99.024 |
| 363.638 | 241.626 | 241.626 | -0.000 | -0.000 | -0.000 |
| 241.626 | 363.638 | 241.626 | -0.000 | 0.000 | -0.000 |
| 241.626 | 241.626 | 363.638 | 0.000 | -0.000 | -0.000 |
| 0.014 | 0.014 | 0.014 | 99.024 | -0.000 | -0.000 |
| 0.014 | 0.014 | 0.014 | -0.000 | 99.024 | -0.000 |
| 0.014 | 0.014 | 0.014 | -0.000 | -0.000 | 99.024 |
| 410.783 | 265.121 | 265.121 | -0.000 | 0.000 | -0.000 |
| 265.121 | 410.783 | 265.121 | 0.000 | 0.000 | -0.000 |
| 265.121 | 265.121 | 410.783 | -0.000 | 0.000 | -0.000 |
| -0.000 | -0.000 | 0.000 | 117.574 | 0.000 | -0.000 |
| -0.000 | -0.000 | 0.000 | -0.000 | 117.574 | -0.000 |
| -0.000 | 0.000 | 0.000 | -0.000 | 0.000 | 117.574 |
| -727.125 | -858.138 | -858.138 | 0.000 | -0.000 | 0.000 |
| -858.138 | -727.125 | -858.138 | -0.000 | -0.000 | 0.000 |
| -858.138 | -858.138 | -727.125 | 0.000 | -0.000 | 0.000 |
| 0.000 | 0.000 | -0.000 | 117.574 | -0.000 | 0.000 |
| 0.000 | 0.000 | -0.000 | 0.000 | 117.574 | 0.000 |
| 0.000 | 0.000 | -0.000 | 0.000 | -0.000 | 117.574 |
| 410.782 | 265.120 | 265.120 | -0.000 | 0.000 | -0.000 |
| 265.120 | 410.782 | 265.120 | 0.000 | 0.000 | -0.000 |
| 265.120 | 265.120 | 410.782 | -0.000 | 0.000 | -0.000 |
| -0.000 | -0.000 | -0.000 | 117.574 | 0.000 | -0.000 |
| -0.000 | -0.000 | -0.000 | -0.000 | 117.574 | -0.000 |
| -0.000 | -0.000 | -0.000 | -0.000 | 0.000 | 117.574 |
| 410.784 | 265.122 | 265.122 | 0.000 | -0.000 | 0.000 |
| 265.122 | 410.784 | 265.122 | -0.000 | -0.000 | 0.000 |
| 265.122 | 265.122 | 410.784 | 0.000 | -0.000 | 0.000 |
| 0.000 | 0.000 | 0.000 | 117.574 | -0.000 | 0.000 |
| 0.000 | 0.000 | 0.000 | 0.000 | 117.574 | 0.000 |
| 0.000 | 0.000 | 0.000 | 0.000 | -0.000 | 117.574 |
| 410.773 | 265.111 | 265.111 | -0.000 | 0.000 | -0.000 |
| 265.111 | 410.773 | 265.111 | 0.000 | 0.000 | -0.000 |
| 265.111 | 265.111 | 410.773 | -0.000 | 0.000 | -0.000 |
| -0.000 | -0.000 | -0.000 | 117.574 | 0.000 | -0.000 |
| -0.000 | -0.000 | -0.000 | -0.000 | 117.574 | -0.000 |
| -0.000 | -0.000 | -0.000 | -0.000 | 0.000 | 117.574 |
| 410.794 | 265.131 | 265.131 | 0.000 | -0.000 | 0.000 |
| 265.131 | 410.794 | 265.131 | -0.000 | -0.000 | 0.000 |
| 265.131 | 265.131 | 410.794 | 0.000 | -0.000 | 0.000 |
| 0.000 | 0.000 | 0.000 | 117.574 | -0.000 | 0.000 |
| 0.000 | 0.000 | 0.000 | 0.000 | 117.574 | 0.000 |
| 0.000 | 0.000 | 0.000 | 0.000 | -0.000 | 117.574 |
| 139.759 | 25.899 | 25.899 | 0.000 | 0.000 | 0.000 |
| 25.899 | 139.759 | 25.899 | 0.000 | 0.000 | 0.000 |
| 25.899 | 25.899 | 139.759 | 0.000 | -0.000 | 0.000 |
| -247.518 | -247.518 | -247.518 | 98.208 | 0.000 | 0.000 |
| -247.518 | -247.518 | -247.518 | -0.000 | 98.208 | 0.000 |
| -247.518 | -247.518 | -247.518 | -0.000 | 0.000 | 98.208 |
| 412.729 | 267.044 | 267.044 | 0.000 | -0.000 | -0.000 |
| 267.044 | 412.729 | 267.044 | 0.000 | 0.000 | -0.000 |
| 267.044 | 267.044 | 412.729 | 0.000 | 0.000 | -0.000 |
| 247.518 | 247.518 | 247.518 | 98.208 | 0.000 | -0.000 |
| 247.518 | 247.518 | 247.518 | -0.000 | 98.208 | -0.000 |
| 247.518 | 247.518 | 247.518 | 0.000 | -0.000 | 98.208 |
| 412.728 | 267.043 | 267.043 | -0.000 | -0.000 | 0.000 |
| 267.043 | 412.728 | 267.043 | -0.000 | -0.000 | 0.000 |
| 267.043 | 267.043 | 412.728 | -0.000 | 0.000 | 0.000 |
| -25.026 | -25.026 | -25.026 | 103.311 | -0.000 | 0.000 |
| -25.026 | -25.026 | -25.026 | -0.000 | 103.311 | 0.000 |
| -25.026 | -25.026 | -25.026 | -0.000 | 0.000 | 103.311 |
| 424.082 | 293.627 | 293.627 | 0.000 | 0.000 | -0.000 |
| 293.627 | 424.082 | 293.627 | 0.000 | -0.000 | -0.000 |
| 293.627 | 293.627 | 424.082 | 0.000 | -0.000 | -0.000 |
| 25.026 | 25.026 | 25.026 | 103.311 | -0.000 | -0.000 |
| 25.026 | 25.026 | 25.026 | 0.000 | 103.311 | -0.000 |
| 25.026 | 25.026 | 25.026 | 0.000 | -0.000 | 103.311 |
| 384.909 | 271.341 | 271.341 | -0.000 | 0.000 | -0.000 |
| 271.341 | 384.909 | 271.341 | 0.000 | -0.000 | 0.000 |
| 271.341 | 271.341 | 384.909 | 0.000 | 0.000 | 0.000 |
| -2.913 | -2.913 | -2.913 | 100.969 | 0.000 | 0.000 |
| -2.913 | -2.913 | -2.913 | -0.000 | 100.969 | -0.000 |
| -2.913 | -2.913 | -2.913 | 0.000 | 0.000 | 100.969 |
| 412.740 | 267.054 | 267.054 | 0.000 | -0.000 | -0.000 |
| 267.054 | 412.740 | 267.054 | 0.000 | -0.000 | -0.000 |
| 267.054 | 267.054 | 412.740 | 0.000 | -0.000 | -0.000 |
| 2.913 | 2.913 | 2.913 | 100.969 | 0.000 | -0.000 |
| 2.913 | 2.913 | 2.913 | -0.000 | 100.969 | -0.000 |
| 2.913 | 2.913 | 2.913 | -0.000 | -0.000 | 100.969 |
| 172.284 | 62.120 | 62.120 | -0.000 | -0.000 | -0.000 |
| 62.120 | 172.284 | 62.120 | -0.000 | -0.000 | -0.000 |
| 62.120 | 62.120 | 172.284 | -0.000 | -0.000 | -0.000 |
| -0.000 | 0.000 | 0.000 | 19.152 | -0.000 | 0.000 |
| 0.000 | 0.000 | 0.000 | -0.000 | 19.152 | 0.000 |
| -0.000 | 0.000 | -0.000 | -0.000 | -0.000 | 19.152 |
| 172.225 | 62.149 | 62.149 | 0.000 | 0.000 | -0.000 |
| 62.149 | 172.225 | 62.149 | 0.000 | 0.000 | 0.000 |
| 62.149 | 62.149 | 172.225 | 0.000 | 0.000 | -0.000 |
| 0.000 | -0.000 | -0.000 | 19.152 | 0.000 | -0.000 |
| -0.000 | -0.000 | -0.000 | -0.000 | 19.152 | 0.000 |
| 0.000 | -0.000 | 0.000 | 0.000 | 0.000 | 19.152 |
| 172.284 | 62.120 | 62.120 | -0.000 | 0.000 | -0.000 |
| 62.120 | 172.284 | 62.120 | -0.000 | 0.000 | -0.000 |
| 62.120 | 62.120 | 172.284 | 0.000 | -0.000 | -0.000 |
| 0.000 | 0.000 | 0.000 | 19.152 | -0.000 | 0.000 |
| 0.000 | 0.000 | 0.000 | -0.000 | 19.152 | 0.000 |
| 0.000 | 0.000 | 0.000 | -0.000 | -0.000 | 19.152 |
| 172.224 | 62.149 | 62.149 | 0.000 | 0.000 | 0.000 |
| 62.149 | 172.224 | 62.149 | 0.000 | 0.000 | -0.000 |
| 62.149 | 62.149 | 172.224 | 0.000 | 0.000 | -0.000 |
| -0.000 | -0.000 | -0.000 | 19.152 | 0.000 | -0.000 |
| -0.000 | -0.000 | -0.000 | 0.000 | 19.152 | -0.000 |
| -0.000 | -0.000 | -0.000 | 0.000 | 0.000 | 19.152 |
| 172.286 | 62.121 | 62.121 | -0.000 | -0.000 | 0.000 |
| 62.121 | 172.286 | 62.121 | -0.000 | 0.000 | 0.000 |
| 62.121 | 62.121 | 172.286 | -0.000 | -0.000 | 0.000 |
| 0.000 | 0.000 | 0.000 | 19.152 | -0.000 | 0.000 |
| 0.000 | 0.000 | 0.000 | -0.000 | 19.152 | 0.000 |
| 0.000 | 0.000 | 0.000 | 0.000 | -0.000 | 19.152 |
| 172.222 | 62.148 | 62.148 | 0.000 | 0.000 | 0.000 |
| 62.148 | 172.222 | 62.148 | 0.000 | 0.000 | -0.000 |
| 62.148 | 62.148 | 172.222 | 0.000 | 0.000 | 0.000 |
| -0.000 | -0.000 | -0.000 | 19.152 | 0.000 | -0.000 |
| -0.000 | -0.000 | -0.000 | 0.000 | 19.152 | -0.000 |
| -0.000 | -0.000 | -0.000 | -0.000 | -0.000 | 19.152 |
| 119.809 | 124.395 | 124.395 | 0.000 | 0.000 | 0.000 |
| 124.395 | 119.809 | 124.395 | 0.000 | -0.000 | 0.000 |
| 124.395 | 124.395 | 119.809 | 0.000 | 0.000 | 0.000 |
| 0.000 | -0.000 | 0.000 | 69.827 | 0.000 | 0.000 |
| 0.000 | 0.000 | 0.000 | 0.000 | 69.827 | 0.000 |
| 0.000 | 0.000 | 0.000 | 0.000 | 0.000 | 69.827 |
| 119.809 | 124.395 | 124.395 | 0.000 | 0.000 | -0.000 |
| 124.395 | 119.809 | 124.395 | 0.000 | -0.000 | -0.000 |
| 124.395 | 124.395 | 119.809 | -0.000 | -0.000 | -0.000 |
| -0.000 | -0.000 | -0.000 | 69.827 | -0.000 | -0.000 |
| -0.000 | -0.000 | -0.000 | -0.000 | 69.827 | -0.000 |
| -0.000 | -0.000 | -0.000 | -0.000 | -0.000 | 69.827 |
| 119.809 | 124.395 | 124.395 | 0.000 | -0.000 | 0.000 |
| 124.395 | 119.809 | 124.395 | -0.000 | -0.000 | 0.000 |
| 124.395 | 124.395 | 119.810 | 0.000 | 0.000 | 0.000 |
| 0.000 | -0.000 | 0.000 | 66.770 | -0.000 | 0.000 |
| -0.000 | 0.000 | 0.000 | -0.000 | 66.770 | 0.000 |
| -0.000 | 0.000 | 0.000 | 0.000 | 0.000 | 66.770 |
| 119.809 | 124.395 | 124.395 | -0.000 | 0.000 | -0.000 |
| 124.395 | 119.809 | 124.395 | -0.000 | -0.000 | -0.000 |
| 124.395 | 124.395 | 119.809 | -0.000 | -0.000 | -0.000 |
| -0.000 | 0.000 | -0.000 | 66.770 | 0.000 | -0.000 |
| 0.000 | -0.000 | -0.000 | -0.000 | 66.770 | -0.000 |
| 0.000 | -0.000 | -0.000 | -0.000 | -0.000 | 66.770 |
| 119.810 | 124.396 | 124.396 | 0.000 | -0.000 | 0.000 |
| 124.396 | 119.810 | 124.396 | 0.000 | 0.000 | 0.000 |
| 124.396 | 124.396 | 119.810 | 0.000 | 0.000 | 0.000 |
| 0.000 | -0.000 | 0.000 | 66.770 | 0.000 | 0.000 |
| -0.000 | 0.000 | 0.000 | 0.000 | 66.770 | 0.000 |
| -0.000 | 0.000 | 0.000 | 0.000 | 0.000 | 66.770 |
| 119.809 | 124.395 | 124.395 | -0.000 | -0.000 | -0.000 |
| 124.395 | 119.809 | 124.395 | -0.000 | -0.000 | -0.000 |
| 124.395 | 124.395 | 119.809 | -0.000 | -0.000 | -0.000 |
| -0.000 | 0.000 | -0.000 | 66.770 | -0.000 | -0.000 |
| 0.000 | -0.000 | -0.000 | -0.000 | 66.770 | -0.000 |
| 0.000 | -0.000 | -0.000 | -0.000 | -0.000 | 66.770 |
| 98.830 | 70.706 | 70.706 | 0.000 | 0.000 | 0.000 |
| 70.706 | 98.830 | 70.706 | 0.000 | 0.000 | 0.000 |
| 70.706 | 70.706 | 98.830 | 0.000 | 0.000 | 0.000 |
| -0.000 | 0.000 | 0.000 | 27.563 | 0.000 | 0.000 |
| -0.000 | 0.000 | -0.000 | 0.000 | 27.563 | 0.000 |
| 0.000 | 0.000 | 0.000 | 0.000 | -0.000 | 27.563 |
| 98.830 | 70.706 | 70.706 | 0.000 | -0.000 | -0.000 |
| 70.706 | 98.830 | 70.706 | -0.000 | -0.000 | -0.000 |
| 70.706 | 70.706 | 98.830 | -0.000 | -0.000 | -0.000 |
| 0.000 | -0.000 | 0.000 | 27.563 | 0.000 | -0.000 |
| 0.000 | -0.000 | -0.000 | -0.000 | 27.563 | -0.000 |
| 0.000 | -0.000 | -0.000 | -0.000 | -0.000 | 27.563 |
| 98.830 | 70.706 | 70.706 | 0.000 | -0.000 | 0.000 |
| 70.706 | 98.830 | 70.706 | -0.000 | 0.000 | 0.000 |
| 70.706 | 70.706 | 98.830 | 0.000 | 0.000 | 0.000 |
| -0.000 | -0.000 | -0.000 | 27.563 | 0.000 | 0.000 |
| -0.000 | -0.000 | -0.000 | 0.000 | 27.563 | 0.000 |
| -0.000 | -0.000 | -0.000 | -0.000 | 0.000 | 27.563 |
| 98.830 | 70.705 | 70.705 | -0.000 | -0.000 | -0.000 |
| 70.705 | 98.830 | 70.705 | -0.000 | -0.000 | -0.000 |
| 70.705 | 70.705 | 98.830 | 0.000 | -0.000 | -0.000 |
| 0.000 | 0.000 | 0.000 | 27.563 | -0.000 | -0.000 |
| 0.000 | 0.000 | 0.000 | -0.000 | 27.563 | -0.000 |
| 0.000 | 0.000 | 0.000 | -0.000 | -0.000 | 27.563 |
| 98.831 | 70.707 | 70.707 | 0.000 | 0.000 | 0.000 |
| 70.707 | 98.831 | 70.707 | -0.000 | -0.000 | 0.000 |
| 70.707 | 70.707 | 98.831 | 0.000 | 0.000 | 0.000 |
| -0.000 | -0.000 | -0.000 | 27.563 | 0.000 | 0.000 |
| -0.000 | -0.000 | -0.000 | 0.000 | 27.563 | 0.000 |
| -0.000 | -0.000 | -0.000 | 0.000 | 0.000 | 27.563 |
| 98.830 | 70.704 | 70.704 | -0.000 | 0.000 | -0.000 |
| 70.704 | 98.830 | 70.704 | -0.000 | -0.000 | -0.000 |
| 70.704 | 70.704 | 98.830 | -0.000 | -0.000 | -0.000 |
| 0.000 | 0.000 | 0.000 | 27.563 | -0.000 | -0.000 |
| 0.000 | 0.000 | 0.000 | -0.000 | 27.563 | -0.000 |
| 0.000 | 0.000 | 0.000 | -0.000 | -0.000 | 27.563 |
| 106.637 | 82.620 | 81.873 | -0.000 | 0.000 | 0.000 |
| 82.620 | 106.637 | 81.873 | -0.000 | 0.000 | 0.000 |
| 81.873 | 81.873 | 117.868 | 0.000 | 0.000 | 0.000 |
| 0.000 | -0.000 | 0.000 | 28.769 | 0.000 | -0.000 |
| -0.000 | -0.000 | 0.000 | 0.000 | 28.769 | 0.000 |
| 0.000 | -0.000 | 0.000 | -0.000 | 0.000 | 34.367 |
| 101.502 | 87.754 | 81.873 | -0.000 | -0.000 | -0.000 |
| 87.754 | 101.502 | 81.873 | -0.000 | -0.000 | -0.000 |
| 81.873 | 81.873 | 117.868 | -0.000 | -0.000 | -0.000 |
| -0.000 | -0.000 | -0.000 | 28.769 | -0.000 | -0.000 |
| -0.000 | 0.000 | -0.000 | 0.000 | 28.769 | 0.000 |
| -0.000 | -0.000 | -0.000 | 0.000 | -0.000 | 34.367 |
| 101.502 | 87.754 | 81.873 | -0.000 | 0.000 | -0.000 |
| 87.754 | 101.502 | 81.873 | 0.000 | 0.000 | 0.000 |
| 81.873 | 81.873 | 117.868 | -0.000 | 0.000 | -0.000 |
| 0.000 | -0.000 | 0.000 | 28.769 | 0.000 | -0.000 |
| -0.000 | 0.000 | 0.000 | -0.000 | 28.769 | -0.000 |
| 0.000 | 0.000 | -0.000 | -0.000 | 0.000 | 34.367 |
| 101.502 | 87.754 | 81.873 | -0.000 | -0.000 | 0.000 |
| 87.754 | 101.502 | 81.873 | 0.000 | -0.000 | 0.000 |
| 81.873 | 81.873 | 117.868 | 0.000 | -0.000 | 0.000 |
| -0.000 | 0.000 | -0.000 | 28.769 | -0.000 | -0.000 |
| 0.000 | -0.000 | -0.000 | -0.000 | 28.769 | 0.000 |
| -0.000 | -0.000 | 0.000 | 0.000 | -0.000 | 34.367 |
| 101.503 | 87.756 | 81.874 | 0.000 | 0.000 | -0.000 |
| 87.756 | 101.503 | 81.874 | 0.000 | 0.000 | -0.000 |
| 81.875 | 81.875 | 117.869 | -0.000 | -0.000 | 0.000 |
| 0.000 | -0.000 | 0.000 | 28.769 | 0.000 | 0.000 |
| -0.000 | 0.000 | 0.000 | 0.000 | 28.769 | 0.000 |
| 0.000 | 0.000 | -0.000 | -0.000 | 0.000 | 34.367 |
| 106.636 | 82.618 | 81.871 | 0.000 | -0.000 | 0.000 |
| 82.618 | 106.636 | 81.871 | 0.000 | -0.000 | -0.000 |
| 81.871 | 81.871 | 117.866 | 0.000 | -0.000 | -0.000 |
| -0.000 | 0.000 | -0.000 | 28.769 | -0.000 | 0.000 |
| 0.000 | -0.000 | -0.000 | 0.000 | 28.769 | 0.000 |
| -0.000 | -0.000 | 0.000 | 0.000 | -0.000 | 34.367 |
| 229.056 | 142.568 | 112.688 | -15.845 | -0.000 | 0.000 |
| 142.568 | 229.056 | 112.688 | 15.845 | -0.000 | 0.000 |
| 110.539 | 110.539 | 298.417 | 0.000 | 0.000 | 0.000 |
| -16.451 | 14.661 | 0.910 | 32.823 | -0.000 | -0.000 |
| -0.895 | -0.895 | 0.910 | 0.000 | 32.823 | -15.556 |
| -0.397 | -0.397 | 0.404 | -0.000 | -20.091 | 48.302 |
| 254.753 | 126.977 | 110.539 | -23.705 | -0.000 | -0.000 |
| 129.269 | 236.191 | 114.322 | 21.287 | 0.000 | -0.000 |
| 112.993 | 112.993 | 292.971 | 0.000 | 0.000 | 0.000 |
| -14.661 | 16.451 | -0.910 | 32.823 | 0.000 | -0.000 |
| 0.895 | 0.895 | -0.910 | -0.000 | 32.823 | -15.556 |
| 0.397 | 0.397 | -0.404 | -0.000 | -20.091 | 48.302 |
| 236.211 | 128.944 | 114.552 | -21.327 | -0.000 | -0.000 |
| 143.399 | 226.480 | 112.713 | 11.238 | -0.000 | 0.000 |
| 110.539 | 110.539 | 298.417 | -0.000 | -0.000 | 0.000 |
| -23.705 | 23.705 | 0.000 | 44.025 | 0.000 | 0.000 |
| -0.091 | -0.091 | 0.092 | 0.000 | 32.676 | -15.449 |
| -0.040 | -0.040 | 0.040 | 0.000 | -20.088 | 48.289 |
| 254.754 | 126.977 | 110.539 | -23.705 | 0.000 | -0.000 |
| 126.977 | 254.754 | 110.539 | 23.705 | 0.000 | 0.000 |
| 110.539 | 110.539 | 298.417 | 0.000 | 0.000 | -0.000 |
| -15.359 | 15.540 | -0.092 | 32.676 | 0.000 | -0.000 |
| 0.091 | 0.091 | -0.092 | -0.000 | 32.676 | -15.449 |
| 0.040 | 0.040 | -0.040 | -0.000 | -20.088 | 48.289 |
| 236.209 | 128.969 | 114.532 | -21.324 | -0.000 | 0.000 |
| 128.968 | 236.209 | 114.532 | 21.324 | -0.000 | 0.000 |
| 114.418 | 114.418 | 294.748 | -0.000 | -0.000 | 0.000 |
| -11.204 | 11.213 | 0.002 | 31.578 | -0.000 | 0.000 |
| 0.001 | 0.000 | 0.001 | 0.000 | 44.025 | -23.705 |
| 0.004 | 0.004 | 0.002 | 0.000 | -11.209 | 41.498 |
| 236.211 | 128.977 | 114.531 | -21.323 | -0.000 | -0.000 |
| 128.977 | 236.211 | 114.531 | 21.323 | 0.000 | -0.000 |
| 110.540 | 110.540 | 298.418 | 0.000 | -0.000 | -0.000 |
| -23.705 | 23.704 | -0.001 | 44.025 | -0.000 | -0.000 |
| -0.001 | -0.000 | -0.001 | -0.000 | 44.025 | -23.705 |
| -0.004 | -0.004 | -0.002 | -0.000 | -11.209 | 41.498 |
| 255.882 | 129.263 | 111.442 | -23.999 | -0.000 | 0.000 |
| 142.611 | 227.980 | 114.059 | 16.181 | -0.000 | 0.000 |
| 111.592 | 111.592 | 295.957 | -0.000 | -0.000 | 0.000 |
| -23.999 | 23.999 | 0.000 | 42.306 | -0.000 | -0.000 |
| 0.000 | 0.000 | 0.000 | -0.000 | 42.306 | -23.999 |
| 0.000 | 0.000 | 0.000 | -0.000 | -23.999 | 63.309 |
| 229.441 | 147.528 | 112.445 | -11.579 | 0.000 | -0.000 |
| 129.263 | 255.882 | 111.442 | 23.999 | 0.000 | -0.000 |
| 115.685 | 115.685 | 290.368 | -0.000 | 0.000 | -0.000 |
| -23.999 | 23.999 | -0.000 | 42.306 | 0.000 | -0.000 |
| -0.000 | -0.000 | -0.000 | 0.000 | 42.306 | -23.999 |
| -0.000 | -0.000 | 0.000 | 0.000 | -23.999 | 63.309 |
| 255.882 | 129.263 | 111.442 | -23.999 | -0.000 | -0.000 |
| 144.653 | 229.940 | 113.129 | 16.071 | -0.000 | 0.000 |
| 113.488 | 113.488 | 291.383 | -0.000 | -0.000 | 0.000 |
| -23.999 | 23.999 | 0.000 | 42.306 | -0.000 | 0.000 |
| 0.000 | 0.000 | 0.000 | 0.000 | 42.306 | -23.999 |
| 0.000 | 0.000 | 0.000 | 0.000 | -23.999 | 63.309 |
| 237.250 | 131.293 | 114.981 | -21.549 | 0.000 | -0.000 |
| 145.125 | 230.384 | 112.915 | 16.033 | 0.000 | -0.000 |
| 111.592 | 111.592 | 295.957 | 0.000 | 0.000 | -0.000 |
| -14.568 | 16.549 | -0.460 | 31.292 | 0.000 | -0.000 |
| -0.000 | -0.000 | -0.000 | -0.000 | 42.306 | -23.999 |
| -0.000 | -0.000 | -0.000 | -0.000 | -23.999 | 63.309 |
| 230.140 | 144.865 | 113.034 | -16.055 | -0.000 | 0.000 |
| 129.264 | 255.883 | 111.443 | 23.999 | -0.000 | 0.000 |
| 115.278 | 115.278 | 292.586 | -0.000 | -0.000 | 0.000 |
| -23.999 | 24.000 | 0.001 | 42.306 | -0.000 | 0.000 |
| 0.001 | 0.000 | 0.001 | 0.000 | 42.306 | -23.999 |
| -0.043 | -0.043 | 0.020 | 0.000 | -20.305 | 47.736 |
| 237.212 | 131.013 | 115.057 | -21.577 | 0.000 | -0.000 |
| 131.013 | 237.212 | 115.057 | 21.578 | 0.000 | -0.000 |
| 111.591 | 111.591 | 295.954 | 0.000 | 0.000 | -0.000 |
| -23.999 | 23.999 | -0.001 | 42.307 | 0.000 | -0.000 |
| -0.001 | -0.000 | -0.001 | -0.000 | 42.306 | -23.999 |
| 0.043 | 0.043 | -0.020 | -0.000 | -20.305 | 47.736 |
| 255.633 | 129.102 | 111.197 | -24.034 | -0.000 | 0.000 |
| 129.102 | 255.633 | 111.197 | 24.034 | -0.000 | -0.000 |
| -1316.033 | -1316.033 | 980.880 | -0.000 | 0.000 | -0.000 |
| -1439.331 | -1405.841 | 722.709 | 34.225 | -0.000 | -0.000 |
| 0.000 | 0.000 | 0.000 | -0.000 | 42.172 | -24.034 |
| 0.000 | -0.000 | 0.000 | 0.000 | -24.034 | 63.266 |
| 1672.630 | 1560.430 | -573.875 | -22.328 | 0.000 | 0.000 |
| 1560.370 | 1672.571 | -573.846 | 22.328 | 0.000 | 0.000 |
| 111.308 | 111.308 | 295.666 | 0.000 | 0.000 | 0.000 |
| -24.034 | 24.034 | -0.000 | 42.172 | 0.000 | 0.000 |
| -0.000 | -0.000 | -0.000 | 0.000 | 42.172 | -24.034 |
| -0.000 | -0.000 | -0.000 | 0.000 | -24.034 | 63.266 |
| 255.634 | 129.102 | 111.197 | -24.034 | -0.000 | -0.000 |
| -12.778 | 99.410 | 182.580 | 22.327 | -0.000 | -0.000 |
| 111.308 | 111.308 | 295.666 | -0.000 | -0.000 | 0.000 |
| -165.398 | -120.744 | 68.793 | 39.970 | 0.000 | 0.000 |
| -143.071 | -143.071 | 68.793 | 0.000 | 39.970 | -22.327 |
| -143.177 | -143.177 | 68.845 | 0.000 | -22.326 | 56.092 |
| 385.725 | 273.543 | 44.908 | -22.326 | -0.000 | 0.000 |
| 129.102 | 255.633 | 111.197 | 24.034 | 0.000 | 0.000 |
| 256.982 | 256.982 | 224.520 | 0.000 | 0.000 | 0.000 |
| 126.951 | 157.162 | -73.309 | 32.538 | 0.000 | 0.000 |
| 143.071 | 143.071 | -68.793 | -0.000 | 39.970 | -22.327 |
| 143.177 | 143.177 | -68.845 | -0.000 | -22.326 | 56.092 |
| 212.986 | 131.291 | 120.506 | -11.583 | -0.000 | -0.000 |
| 129.769 | 215.133 | 120.389 | 16.358 | -0.000 | -0.000 |
| 111.309 | 111.309 | 295.669 | 0.000 | 0.000 | -0.000 |
| -37.257 | 7.229 | 7.220 | 39.861 | -0.000 | -0.000 |
| -15.013 | -15.014 | 7.220 | 0.000 | 39.861 | -22.243 |
| -15.748 | -15.748 | 7.572 | 0.000 | -22.155 | 55.375 |
| 242.512 | 157.192 | 106.365 | -16.245 | -0.000 | -0.000 |
| 148.614 | 257.155 | 105.780 | 21.893 | -0.000 | 0.000 |
| 111.307 | 111.307 | 295.663 | 0.000 | 0.000 | -0.000 |
| 1.265 | 27.053 | -7.463 | 30.263 | -0.000 | -0.000 |
| 15.013 | 15.014 | -7.220 | -0.000 | 39.861 | -22.243 |
| 15.748 | 15.748 | -7.572 | -0.000 | -22.155 | 55.375 |
| -2920.170 | -3471.729 | -112.071 | -0.000 | -0.000 | 0.001 |
| -3050.638 | -3327.609 | -78.937 | -0.000 | 0.000 | 0.001 |
| 171.958 | 206.031 | 504.839 | 0.000 | 0.000 | 0.000 |
| -3208.533 | -3624.857 | -287.199 | 94.026 | 0.000 | 0.001 |
| 0.000 | 0.000 | 0.000 | 0.000 | 61.350 | 0.000 |
| -4301.761 | -4483.510 | -173.408 | -0.000 | -0.000 | 40.716 |
| 3496.968 | 3777.992 | 462.313 | 0.000 | -0.000 | -0.001 |
| 4448.817 | 4765.279 | 383.046 | 0.000 | -0.000 | 0.000 |
| 171.958 | 206.031 | 504.839 | 0.000 | 0.000 | -0.000 |
| 3208.533 | 3624.857 | 287.199 | 94.026 | -0.000 | -0.001 |
| -0.000 | -0.000 | -0.000 | 0.000 | 61.350 | -0.000 |
| 4301.761 | 4483.510 | 173.408 | -0.000 | -0.000 | 40.716 |
| -183.724 | -435.212 | 162.231 | -0.000 | -0.000 | 0.000 |
| 177.979 | 335.617 | 209.031 | -0.000 | 0.000 | 0.000 |
| -145.498 | -155.308 | 475.372 | 0.000 | -0.000 | 0.000 |
| -430.177 | -448.349 | -17.339 | 93.899 | 0.000 | -0.000 |
| -320.854 | -362.487 | -28.720 | 0.000 | 60.909 | 0.000 |
| -320.692 | -362.304 | -28.706 | -0.000 | -0.000 | 40.128 |
| 323.706 | 176.707 | 173.686 | -0.000 | 0.000 | -0.000 |
| 177.978 | 335.616 | 209.030 | 0.000 | -0.000 | -0.000 |
| 171.957 | 206.031 | 504.838 | -0.000 | -0.000 | -0.000 |
| 430.177 | 448.349 | 17.339 | 93.899 | -0.000 | 0.000 |
| 320.854 | 362.487 | 28.720 | -0.000 | 60.909 | -0.000 |
| 320.692 | 362.304 | 28.706 | -0.000 | -0.000 | 40.128 |
| 243.834 | 99.315 | 173.862 | -0.000 | -0.000 | -0.000 |
| 177.981 | 335.623 | 209.034 | 0.000 | 0.000 | 0.000 |
| 143.159 | 170.900 | 501.250 | 0.000 | 0.000 | 0.000 |
| 0.000 | 0.000 | 0.000 | 96.636 | 0.000 | 0.000 |
| -43.021 | -44.836 | -1.732 | -0.000 | 60.851 | -0.000 |
| -30.884 | -34.891 | -2.764 | -0.000 | 0.000 | 41.252 |
| 326.700 | 192.237 | 177.372 | -0.000 | -0.000 | -0.000 |
| 195.127 | 338.911 | 211.619 | -0.000 | -0.000 | -0.000 |
| 207.499 | 243.373 | 506.920 | -0.000 | 0.000 | -0.000 |
| -0.000 | -0.000 | -0.000 | 96.636 | 0.000 | -0.000 |
| 43.021 | 44.836 | 1.732 | -0.000 | 60.851 | 0.000 |
| 30.884 | 34.891 | 2.764 | -0.000 | 0.000 | 41.252 |
| 742.040 | 553.101 | 267.488 | 0.000 | 0.000 | 0.000 |
| 588.912 | 770.348 | 326.142 | 0.000 | 0.000 | 0.000 |
| 185.642 | 242.583 | 541.049 | 0.000 | -0.000 | -0.000 |
| 244.586 | 185.434 | 93.894 | 110.726 | -0.000 | -0.000 |
| 453.315 | 409.315 | 77.802 | 0.000 | 55.467 | 0.000 |
| -0.000 | 0.000 | -0.000 | 0.000 | 0.000 | 61.490 |
| -164.432 | -265.879 | 111.852 | -0.000 | 0.000 | -0.000 |
| -321.047 | -52.383 | 170.934 | -0.000 | 0.000 | -0.000 |
| -54.225 | 60.468 | 446.450 | -0.000 | 0.000 | 0.000 |
| -244.586 | -185.434 | -93.894 | 110.726 | -0.000 | 0.000 |
| -453.315 | -409.315 | -77.802 | -0.000 | 55.467 | -0.000 |
| 0.000 | -0.000 | -0.000 | -0.000 | 0.000 | 61.490 |
| 335.369 | 189.419 | 185.641 | -0.000 | -0.000 | -0.000 |
| 199.508 | 412.469 | 253.755 | 0.000 | 0.000 | -0.000 |
| 185.641 | 242.583 | 541.049 | 0.000 | 0.000 | -0.000 |
| 0.000 | 0.000 | 0.000 | 113.289 | -0.000 | -0.000 |
| 24.440 | 18.529 | 9.382 | 0.000 | 55.237 | -0.000 |
| 23.372 | 17.720 | 8.972 | 0.000 | 0.000 | 20.245 |
| 260.475 | 142.440 | 180.415 | 0.000 | -0.000 | 0.000 |
| 132.665 | 367.477 | 235.520 | 0.000 | -0.000 | 0.000 |
| 185.642 | 242.583 | 541.049 | -0.000 | 0.000 | 0.000 |
| -0.000 | -0.000 | -0.000 | 113.289 | -0.000 | 0.000 |
| -24.440 | -18.529 | -9.382 | 0.000 | 55.237 | 0.000 |
| -23.372 | -17.720 | -8.972 | -0.000 | -0.000 | 20.245 |
| 302.621 | 171.473 | 189.587 | 0.000 | 0.000 | -0.000 |
| 134.827 | 333.419 | 251.288 | 0.000 | 0.000 | -0.000 |
| 185.637 | 242.579 | 541.045 | 0.000 | 0.000 | -0.000 |
| 4.520 | 4.086 | 0.770 | 111.088 | -0.000 | 0.000 |
| 0.000 | 0.000 | 0.000 | -0.000 | 56.128 | -0.000 |
| 2.655 | 2.206 | 0.736 | 0.000 | 0.000 | 30.365 |
| 335.373 | 189.424 | 185.646 | -0.000 | 0.000 | 0.000 |
| 189.424 | 435.568 | 242.587 | -0.000 | -0.000 | 0.000 |
| 185.647 | 242.587 | 541.053 | 0.000 | 0.000 | 0.000 |
| -4.520 | -4.086 | -0.770 | 111.088 | -0.000 | -0.000 |
| -0.000 | -0.000 | -0.000 | -0.000 | 56.128 | 0.000 |
| -2.655 | -2.206 | -0.736 | -0.000 | 0.000 | 30.365 |
| 323.670 | 173.313 | 170.928 | 0.000 | 0.000 | -0.000 |
| 174.890 | 317.382 | 202.965 | 0.000 | 0.000 | -0.000 |
| 169.108 | 199.569 | 497.446 | -0.000 | 0.000 | -0.000 |
| 8.204 | -86.174 | -6.983 | 90.852 | 0.000 | -0.000 |
| 0.000 | 0.000 | 0.000 | 0.000 | 62.334 | -0.000 |
| 0.000 | 0.000 | 0.000 | 0.000 | 0.000 | 71.468 |
| 349.088 | 387.703 | 167.142 | 0.000 | -0.000 | -0.000 |
| 174.890 | 317.382 | 202.965 | -0.000 | -0.000 | 0.000 |
| 169.108 | 199.569 | 497.446 | -0.000 | -0.000 | 0.000 |
| -8.204 | 86.174 | 6.983 | 90.852 | -0.000 | 0.000 |
| -0.000 | -0.000 | -0.000 | 0.000 | 62.334 | 0.000 |
| -0.000 | -0.000 | 0.000 | -0.000 | -0.000 | 71.468 |
| 323.670 | 173.313 | 170.928 | 0.000 | 0.000 | -0.000 |
| 143.210 | 230.315 | 200.742 | 0.000 | 0.000 | -0.000 |
| 169.108 | 199.569 | 497.446 | 0.000 | 0.000 | -0.000 |
| -13.518 | -34.887 | 0.408 | 91.371 | 0.000 | 0.000 |
| 0.000 | 0.000 | 0.000 | 0.000 | 62.334 | -0.000 |
| -0.000 | -0.000 | 0.000 | 0.000 | 0.000 | 71.468 |
| 323.670 | 173.314 | 170.928 | -0.000 | -0.000 | 0.000 |
| 174.890 | 317.382 | 202.965 | 0.000 | -0.000 | 0.000 |
| 179.794 | 227.856 | 495.630 | -0.000 | -0.000 | -0.000 |
| 13.518 | 34.887 | -0.408 | 91.371 | -0.000 | -0.000 |
| -0.000 | -0.000 | -0.000 | -0.000 | 62.334 | 0.000 |
| 0.000 | 0.000 | -0.000 | -0.000 | -0.000 | 71.468 |
| 323.671 | 173.312 | 170.927 | 0.000 | 0.000 | -0.000 |
| 143.743 | 248.585 | 201.949 | -0.000 | 0.000 | -0.000 |
| 169.108 | 199.569 | 497.445 | -0.000 | 0.000 | -0.000 |
| 0.000 | 0.000 | 0.000 | 94.090 | 0.000 | -0.000 |
| 0.000 | 0.000 | 0.000 | 0.000 | 62.334 | -0.000 |
| -0.000 | -0.000 | 0.000 | 0.000 | 0.000 | 71.468 |
| 323.669 | 173.315 | 170.929 | -0.000 | -0.000 | 0.000 |
| 174.891 | 317.380 | 202.965 | -0.000 | -0.000 | 0.000 |
| 169.108 | 199.569 | 497.446 | -0.000 | -0.000 | 0.000 |
| -0.000 | -0.000 | -0.000 | 94.090 | -0.000 | 0.000 |
| -0.000 | -0.000 | -0.000 | 0.000 | 62.334 | 0.000 |
| 0.000 | 0.000 | -0.000 | 0.000 | -0.000 | 71.468 |
| 90.712 | -13.201 | 12.475 | -0.000 | 0.000 | 0.000 |
| 89.095 | 160.045 | 91.951 | 0.000 | -0.000 | 0.000 |
| -26.724 | 43.481 | 86.840 | -0.000 | -0.000 | 0.000 |
| 0.000 | 0.000 | 0.000 | 60.592 | -0.000 | 0.000 |
| 0.000 | 0.000 | 0.000 | -0.000 | 43.489 | -0.000 |
| -104.183 | -48.285 | -52.763 | -0.000 | -0.000 | 47.872 |
| 233.934 | 89.549 | 75.792 | -0.000 | -0.000 | 0.000 |
| 220.703 | 245.394 | 163.694 | 0.000 | -0.000 | -0.000 |
| 202.770 | 211.074 | 199.955 | 0.000 | 0.000 | -0.000 |
| -0.000 | -0.000 | -0.000 | 60.592 | 0.000 | -0.000 |
| -0.000 | -0.000 | -0.000 | 0.000 | 43.489 | -0.000 |
| 104.183 | 48.285 | 52.763 | 0.000 | 0.000 | 47.872 |
| 218.075 | 84.924 | 70.545 | 0.000 | -0.000 | 0.000 |
| 89.095 | 160.045 | 91.951 | 0.000 | -0.000 | -0.000 |
| 76.683 | 93.296 | 163.026 | 0.000 | -0.000 | 0.000 |
| -10.366 | -4.804 | -5.250 | 56.020 | 0.000 | 0.000 |
| 0.000 | 0.000 | 0.000 | 0.000 | 43.489 | -0.000 |
| -10.248 | -4.750 | -5.190 | -0.000 | 0.000 | 47.920 |
| 233.934 | 89.549 | 75.792 | -0.000 | -0.000 | -0.000 |
| 98.237 | 153.282 | 94.797 | -0.000 | 0.000 | 0.000 |
| 76.683 | 93.296 | 163.025 | 0.000 | 0.000 | -0.000 |
| 10.366 | 4.804 | 5.250 | 56.020 | 0.000 | -0.000 |
| -0.000 | -0.000 | -0.000 | -0.000 | 43.489 | -0.000 |
| 10.248 | 4.750 | 5.190 | 0.000 | -0.000 | 47.920 |
| 233.937 | 89.550 | 75.793 | 0.000 | 0.000 | 0.000 |
| 86.986 | 142.514 | 96.800 | -0.000 | 0.000 | -0.000 |
| 76.684 | 93.297 | 163.028 | 0.000 | 0.000 | -0.000 |
| 0.000 | 0.000 | 0.000 | 60.592 | -0.000 | -0.000 |
| -1.372 | -1.371 | -0.498 | -0.000 | 31.676 | -0.000 |
| -1.286 | -1.126 | -0.509 | -0.000 | -0.000 | 47.531 |
| 229.238 | 89.841 | 75.937 | -0.000 | 0.000 | 0.000 |
| 89.876 | 149.730 | 90.615 | 0.000 | 0.000 | -0.000 |
| 77.174 | 92.157 | 146.059 | 0.000 | -0.000 | -0.000 |
| -0.000 | -0.000 | -0.000 | 60.592 | 0.000 | -0.000 |
| 1.372 | 1.371 | 0.498 | 0.000 | 31.676 | 0.000 |
| 1.286 | 1.126 | 0.509 | 0.000 | 0.000 | 47.531 |
| 225.330 | 93.159 | 72.165 | 0.000 | -0.000 | 0.000 |
| 87.837 | 150.312 | 92.061 | -0.000 | -0.000 | -0.000 |
| 76.465 | 93.929 | 138.721 | 0.000 | 0.000 | -0.000 |
| -0.000 | 0.000 | 0.000 | 60.450 | -0.000 | -0.000 |
| 1.208 | 5.047 | -2.820 | 0.000 | 39.523 | -0.000 |
| 0.826 | 3.453 | -1.929 | 0.000 | -0.000 | 47.764 |
| 232.832 | 88.911 | 75.187 | -0.000 | 0.000 | 0.000 |
| 87.412 | 142.317 | 91.207 | -0.000 | 0.000 | -0.000 |
| 73.051 | 92.258 | 136.693 | 0.000 | 0.000 | 0.000 |
| 0.000 | -0.000 | -0.000 | 60.450 | 0.000 | 0.000 |
| -1.208 | -5.047 | 2.820 | -0.000 | 39.523 | 0.000 |
| -0.826 | -3.453 | 1.929 | 0.000 | 0.000 | 47.764 |
| 225.750 | 88.504 | 70.318 | 0.000 | -0.000 | -0.000 |
| 88.391 | 148.654 | 89.394 | -0.000 | 0.000 | -0.000 |
| 75.869 | 91.486 | 143.295 | -0.000 | -0.000 | 0.000 |
| 0.000 | 0.000 | 0.000 | 60.450 | -0.000 | -0.000 |
| 0.320 | 1.335 | -0.746 | -0.000 | 33.351 | -0.000 |
| 0.000 | 0.000 | 0.000 | 0.000 | -0.000 | 50.696 |
| 232.832 | 88.911 | 75.187 | 0.000 | 0.000 | 0.000 |
| 88.456 | 159.122 | 91.390 | -0.000 | -0.000 | 0.000 |
| 76.112 | 92.770 | 160.992 | 0.000 | 0.000 | 0.000 |
| -0.000 | -0.000 | -0.000 | 60.450 | 0.000 | 0.000 |
| -0.320 | -1.335 | 0.746 | 0.000 | 33.351 | -0.000 |
| -0.000 | -0.000 | -0.000 | 0.000 | 0.000 | 50.696 |
| 225.683 | 87.871 | 70.504 | 0.000 | -0.000 | -0.000 |
| 88.324 | 148.155 | 89.506 | 0.000 | -0.000 | -0.000 |
| 76.112 | 92.770 | 160.993 | 0.000 | -0.000 | -0.000 |
| 0.008 | 0.034 | -0.019 | 56.027 | -0.000 | -0.000 |
| 0.000 | 0.000 | 0.000 | -0.000 | 43.275 | 0.000 |
| 0.007 | 0.029 | -0.016 | 0.000 | -0.000 | 48.219 |
| 225.661 | 87.720 | 70.543 | -0.000 | 0.000 | 0.000 |
| 88.456 | 159.121 | 91.389 | -0.000 | 0.000 | 0.000 |
| 75.808 | 91.234 | 143.737 | -0.000 | 0.000 | 0.000 |
| -0.008 | -0.034 | 0.019 | 56.027 | 0.000 | 0.000 |
| -0.000 | -0.000 | -0.000 | 0.000 | 43.275 | 0.000 |
| -0.007 | -0.029 | 0.016 | -0.000 | 0.000 | 48.219 |
| -50.611 | -251.352 | 2053.355 | -10.502 | -0.000 | -0.000 |
| 260.198 | 492.170 | 244.573 | 6.162 | -0.000 | 0.000 |
| 244.577 | 244.577 | 454.170 | 0.000 | -0.000 | 0.000 |
| -14436.389 | -14392.693 | -23194.415 | 60.845 | -0.000 | -0.000 |
| 0.000 | 0.000 | -0.000 | 0.000 | 104.869 | -6.162 |
| -0.000 | -0.000 | 0.000 | 0.000 | -6.162 | 115.986 |
| 492.169 | 260.197 | 244.573 | -6.162 | 0.000 | 0.000 |
| 15076.499 | 15255.457 | 14725.485 | 17.202 | 0.000 | 0.000 |
| 4209.843 | 4209.843 | 2788.539 | -0.000 | 0.000 | 0.000 |
| 400.013 | 421.013 | -1874.539 | 93.886 | 0.000 | 0.000 |
| 0.000 | 0.000 | -0.000 | -0.000 | 104.869 | -6.162 |
| -0.000 | 0.000 | -0.000 | -0.000 | -6.162 | 115.986 |
| -1238.717 | -1418.038 | -1295.652 | -17.193 | -0.000 | 0.000 |
| 260.198 | 492.170 | 244.573 | 6.162 | -0.000 | 0.000 |
| 244.577 | 244.577 | 454.170 | 0.000 | -0.000 | 0.000 |
| -411.773 | -384.332 | -239.197 | 81.225 | -0.000 | 0.000 |
| 0.000 | 0.000 | 0.000 | -0.000 | 104.869 | -6.162 |
| 0.000 | 0.000 | 0.000 | 0.000 | -6.162 | 115.986 |
| 492.169 | 260.197 | 244.573 | -6.162 | 0.000 | -0.000 |
| 200.918 | 401.889 | -7.971 | 10.470 | -0.000 | 0.000 |
| 219.069 | 219.069 | 190.961 | 0.000 | 0.000 | 0.000 |
| 30.553 | 51.554 | -187.464 | 93.886 | 0.000 | -0.000 |
| -0.000 | -0.000 | -0.000 | 0.000 | 104.869 | -6.162 |
| -0.000 | -0.000 | -0.000 | -0.000 | -6.162 | 115.986 |
| 359.267 | 157.784 | 197.614 | -10.399 | -0.000 | 0.000 |
| 157.748 | 359.220 | 197.597 | 10.401 | -0.000 | -0.000 |
| 171.502 | 171.502 | 392.673 | 0.000 | -0.000 | -0.000 |
| -6.162 | 6.162 | 0.000 | 104.869 | -0.000 | -0.000 |
| -146.774 | -146.774 | -142.190 | 0.000 | 68.499 | -17.029 |
| -142.403 | -142.403 | -228.691 | -0.000 | -21.686 | 87.475 |
| 378.267 | 174.105 | 168.341 | -10.027 | 0.000 | 0.000 |
| 227.157 | 415.680 | 247.946 | 13.277 | 0.000 | -0.000 |
| 189.279 | 189.279 | 368.482 | -0.000 | 0.000 | -0.000 |
| 129.741 | 163.797 | 142.186 | 68.502 | 0.000 | -0.000 |
| 146.774 | 146.774 | 142.190 | -0.000 | 68.499 | -17.029 |
| 142.403 | 142.403 | 228.691 | 0.000 | -21.686 | 87.475 |
| 460.994 | 250.977 | 244.679 | -8.833 | -0.000 | -0.000 |
| 250.976 | 460.994 | 244.679 | 8.832 | -0.000 | -0.000 |
| 245.044 | 245.044 | 414.623 | -0.000 | 0.000 | -0.000 |
| -5548.643 | -5522.027 | -5129.505 | 86.435 | -0.000 | -0.000 |
| -5534.938 | -5534.938 | -5129.137 | -0.000 | 86.436 | -13.307 |
| 0.000 | -0.000 | 0.000 | -0.000 | -8.833 | 105.009 |
| 5860.471 | 5683.378 | 5300.600 | -13.348 | 0.000 | 0.000 |
| 250.977 | 460.994 | 244.679 | 8.833 | 0.000 | 0.000 |
| 5710.984 | 5710.984 | 5457.174 | -0.000 | 0.000 | 0.000 |
| 5522.027 | 5548.643 | 5129.505 | 86.436 | 0.000 | 0.000 |
| 5534.938 | 5534.938 | 5129.137 | 0.000 | 86.437 | -13.307 |
| 0.000 | 0.000 | -0.000 | 0.000 | -8.833 | 105.009 |
| 460.994 | 250.976 | 244.678 | -8.833 | -0.000 | -0.000 |
| -395.278 | -215.136 | -334.411 | 12.930 | -0.000 | -0.000 |
| -371.767 | -371.767 | -177.531 | 0.000 | -0.000 | -0.000 |
| -8.833 | 8.833 | 0.000 | 99.958 | -0.000 | -0.000 |
| 0.000 | 0.000 | 0.000 | -0.000 | 99.958 | -8.833 |
| -42.439 | -42.439 | 23.124 | -0.000 | -15.784 | 83.547 |
| 460.994 | 250.977 | 244.679 | -8.833 | 0.000 | 0.000 |
| 250.977 | 460.994 | 244.679 | 8.833 | -0.000 | 0.000 |
| 245.045 | 245.045 | 414.624 | -0.000 | -0.000 | 0.000 |
| -8.833 | 8.833 | -0.000 | 99.958 | -0.000 | 0.000 |
| -0.000 | -0.000 | -0.000 | 0.000 | 99.958 | -8.833 |
| 42.439 | 42.439 | -23.124 | 0.000 | -15.784 | 83.547 |
| 311.902 | 122.135 | 138.694 | -11.610 | 0.000 | -0.000 |
| 250.973 | 460.992 | 244.674 | 8.833 | -0.000 | -0.000 |
| 245.038 | 245.038 | 414.616 | -0.000 | -0.000 | -0.000 |
| -8.833 | 8.833 | 0.000 | 99.958 | -0.000 | -0.000 |
| 0.000 | 0.000 | 0.000 | -0.000 | 99.958 | -8.833 |
| -54.576 | -54.576 | -50.575 | -0.000 | -13.245 | 88.925 |
| 460.996 | 250.980 | 244.684 | -8.833 | 0.000 | 0.000 |
| 250.980 | 460.996 | 244.684 | 8.833 | -0.000 | 0.000 |
| 161.687 | 161.687 | 308.201 | 0.000 | 0.000 | 0.000 |
| 43.233 | 70.057 | 52.492 | 86.120 | 0.000 | 0.000 |
| -0.000 | -0.000 | -0.000 | 0.000 | 99.958 | -8.833 |
| 54.576 | 54.576 | 50.575 | 0.000 | -13.245 | 88.925 |
| 8578.526 | 12124.543 | -3057.761 | 0.000 | 0.000 | -0.000 |
| 11675.776 | 20319.988 | 5365.480 | 0.000 | 0.000 | -0.000 |
| 10160.717 | 19075.688 | 8876.545 | 0.000 | 0.000 | -0.000 |
| 5748.565 | 5933.348 | -7391.984 | 48.011 | 0.000 | 0.000 |
| 10944.564 | 19906.916 | 6889.123 | 0.000 | 73.436 | -0.000 |
| 11541.001 | 20003.774 | 5234.311 | 0.000 | 0.000 | 54.760 |
| -10701.258 | -19769.999 | -6745.102 | -0.000 | -0.000 | -0.000 |
| -8229.699 | -11681.089 | 3336.586 | -0.000 | 0.000 | 0.000 |
| -5631.282 | -5819.179 | 7658.588 | -0.000 | 0.000 | 0.000 |
| -5748.565 | -5933.348 | 7391.984 | 48.011 | -0.000 | 0.000 |
| -10944.564 | -19906.916 | -6889.123 | -0.000 | 73.436 | 0.000 |
| -11541.001 | -20003.774 | -5234.311 | -0.000 | -0.000 | 54.760 |
| 1294.004 | 2070.605 | 931.103 | 0.000 | -0.000 | -0.000 |
| 1229.787 | 2311.726 | 822.063 | 0.000 | -0.000 | -0.000 |
| 1236.891 | 2123.341 | 973.551 | 0.000 | 0.000 | -0.000 |
| 1051.397 | 1933.803 | 783.437 | 32.100 | 0.000 | 0.000 |
| 1154.157 | 2000.431 | 523.492 | 0.000 | 74.336 | -0.000 |
| 835.434 | 1199.526 | -320.641 | 0.000 | 0.000 | 61.585 |
| -908.293 | -1863.868 | -379.377 | -0.000 | 0.000 | 0.000 |
| -448.701 | -267.219 | 868.133 | -0.000 | 0.000 | 0.000 |
| -691.686 | -1071.592 | 604.820 | -0.000 | -0.000 | 0.000 |
| -1051.397 | -1933.803 | -783.437 | 32.100 | -0.000 | 0.000 |
| -1154.157 | -2000.431 | -523.492 | -0.000 | 74.336 | 0.000 |
| -835.434 | -1199.526 | 320.641 | -0.000 | -0.000 | 61.585 |
| 342.119 | 170.758 | 167.331 | 0.000 | 0.000 | -0.000 |
| 249.355 | 514.293 | 182.879 | 0.000 | 0.000 | -0.000 |
| 257.251 | 329.021 | 333.409 | 0.000 | 0.000 | -0.000 |
| 128.871 | 177.796 | 41.305 | 37.891 | 0.000 | -0.000 |
| 128.542 | 177.415 | 40.887 | 0.000 | 70.832 | 0.000 |
| 109.545 | 198.972 | 68.672 | 0.000 | 0.000 | 61.542 |
| 133.058 | -62.342 | 74.976 | -0.000 | 0.000 | 0.000 |
| 29.846 | 131.573 | 56.778 | -0.000 | -0.000 | 0.000 |
| 149.156 | 108.580 | 356.661 | -0.000 | -0.000 | 0.000 |
| -128.871 | -177.796 | -41.305 | 37.891 | 0.000 | -0.000 |
| -128.542 | -177.415 | -40.887 | -0.000 | 70.832 | 0.000 |
| -109.545 | -198.972 | -68.672 | -0.000 | -0.000 | 61.542 |
| 3933.110 | 3296.856 | 4512.677 | 0.000 | -0.000 | -0.000 |
| 2030.418 | 2875.112 | 2177.810 | 0.000 | 0.000 | 0.000 |
| 161.707 | 154.686 | 349.932 | 0.000 | -0.000 | -0.000 |
| 1903.031 | 2556.671 | 2055.543 | 54.083 | -0.000 | 0.000 |
| 0.000 | 0.000 | 0.000 | 0.000 | 95.245 | -0.000 |
| 1903.031 | 2556.671 | 2055.543 | -0.000 | -0.000 | 65.402 |
| -23.491 | 610.474 | 1071.653 | -0.000 | -0.000 | -0.000 |
| -1775.682 | -2238.273 | -1933.311 | -0.000 | -0.000 | 0.000 |
| -1777.133 | -2429.462 | -1781.655 | -0.000 | 0.000 | 0.000 |
| -1903.031 | -2556.671 | -2055.543 | 54.083 | 0.000 | -0.000 |
| -0.000 | -0.000 | -0.000 | -0.000 | 95.245 | 0.000 |
| -1903.031 | -2556.671 | -2055.543 | 0.000 | 0.000 | 65.402 |
| 325.466 | 163.687 | 161.707 | 0.000 | -0.000 | -0.000 |
| 317.861 | 574.337 | 328.028 | -0.000 | -0.000 | -0.000 |
| 168.653 | 94.600 | 213.602 | 0.000 | -0.000 | 0.000 |
| 29.452 | -46.282 | -93.220 | 67.716 | -0.000 | 0.000 |
| 29.451 | -46.280 | -93.217 | -0.000 | 83.072 | 0.000 |
| 348.567 | 648.772 | 142.537 | -0.000 | -0.000 | 59.169 |
| 30.897 | -126.013 | -79.621 | 0.000 | 0.000 | -0.000 |
| -63.129 | 62.521 | -83.499 | -0.000 | 0.000 | -0.000 |
| 109.441 | 186.967 | 399.435 | -0.000 | 0.000 | -0.000 |
| -29.452 | 46.282 | 93.220 | 67.716 | 0.000 | -0.000 |
| -29.451 | 46.280 | 93.217 | -0.000 | 83.072 | -0.000 |
| -348.567 | -648.772 | -142.537 | -0.000 | 0.000 | 59.169 |
| 274.553 | 143.131 | 130.235 | 0.000 | 0.000 | 0.000 |
| 163.211 | 345.964 | 166.713 | 0.000 | -0.000 | -0.000 |
| 145.258 | 152.535 | 295.124 | 0.000 | -0.000 | -0.000 |
| 19.116 | 25.749 | 20.745 | 54.032 | -0.000 | -0.000 |
| 2.954 | -4.641 | -9.348 | 0.000 | 83.038 | 0.000 |
| 37.228 | 31.750 | 43.963 | 0.000 | -0.000 | 63.630 |
| 265.624 | 151.675 | 147.989 | -0.000 | 0.000 | -0.000 |
| 143.138 | 344.798 | 149.408 | -0.000 | 0.000 | -0.000 |
| 161.707 | 154.685 | 349.931 | -0.000 | 0.000 | 0.000 |
| -19.116 | -25.749 | -20.745 | 54.032 | 0.000 | -0.000 |
| -2.954 | 4.641 | 9.348 | -0.000 | 83.038 | -0.000 |
| -37.228 | -31.750 | -43.963 | -0.000 | 0.000 | 63.630 |
| 1353.128 | 335.930 | 335.930 | 0.000 | 0.000 | 0.000 |
| 335.930 | 1353.128 | 335.930 | 0.000 | -0.000 | 0.000 |
| 335.930 | 335.930 | 1353.128 | 0.000 | 0.000 | 0.000 |
| 0.000 | 0.000 | 0.000 | -28.420 | 0.000 | 0.000 |
| 0.000 | 0.000 | 0.000 | 0.000 | -28.420 | 0.000 |
| 0.000 | 0.000 | 0.000 | 0.000 | -0.000 | -28.420 |
| 1353.128 | 335.930 | 335.930 | -0.000 | 0.000 | -0.000 |
| 335.930 | 1353.128 | 335.930 | -0.000 | 0.000 | -0.000 |
| 335.930 | 335.930 | 1353.128 | -0.000 | -0.000 | -0.000 |
| -0.000 | -0.000 | -0.000 | -28.420 | 0.000 | -0.000 |
| -0.000 | -0.000 | -0.000 | -0.000 | -28.420 | -0.000 |
| -0.000 | -0.000 | -0.000 | -0.000 | 0.000 | -28.420 |
| 1353.126 | 335.927 | 335.927 | 0.000 | -0.000 | 0.000 |
| 335.927 | 1353.126 | 335.927 | 0.000 | 0.000 | -0.000 |
| 335.927 | 335.927 | 1353.126 | 0.000 | -0.000 | 0.000 |
| 0.000 | 0.000 | 0.000 | -28.420 | -0.000 | 0.000 |
| 0.000 | 0.000 | 0.000 | 0.000 | -28.420 | 0.000 |
| 0.000 | 0.000 | 0.000 | 0.000 | 0.000 | -28.420 |
| 1353.130 | 335.933 | 335.933 | -0.000 | 0.000 | -0.000 |
| 335.933 | 1353.130 | 335.933 | -0.000 | 0.000 | 0.000 |
| 335.933 | 335.933 | 1353.130 | -0.000 | 0.000 | -0.000 |
| -0.000 | -0.000 | -0.000 | -28.420 | 0.000 | -0.000 |
| -0.000 | -0.000 | -0.000 | -0.000 | -28.420 | -0.000 |
| -0.000 | -0.000 | -0.000 | -0.000 | -0.000 | -28.420 |
| 1353.108 | 335.898 | 335.898 | 0.000 | -0.000 | 0.000 |
| 335.898 | 1353.108 | 335.898 | 0.000 | -0.000 | 0.000 |
| 335.898 | 335.898 | 1353.108 | 0.000 | -0.000 | 0.000 |
| 0.001 | 0.002 | 0.002 | -28.420 | 0.000 | 0.000 |
| 0.002 | 0.001 | 0.002 | 0.000 | -28.420 | 0.000 |
| 0.002 | 0.002 | 0.001 | 0.000 | -0.000 | -28.420 |
| 1353.149 | 335.962 | 335.962 | -0.000 | -0.000 | -0.000 |
| 335.962 | 1353.149 | 335.962 | -0.000 | -0.000 | -0.000 |
| 335.962 | 335.962 | 1353.149 | -0.000 | 0.000 | -0.000 |
| -0.001 | -0.002 | -0.002 | -28.420 | -0.000 | -0.000 |
| -0.002 | -0.001 | -0.002 | -0.000 | -28.420 | -0.000 |
| -0.002 | -0.002 | -0.001 | -0.000 | 0.000 | -28.420 |
| 5385.885 | 1259.209 | 1259.209 | -0.000 | 0.000 | 0.000 |
| 1259.209 | 5385.884 | 1259.209 | -0.000 | 0.000 | -0.000 |
| 1259.209 | 1259.209 | 5385.884 | -0.000 | 0.000 | 0.000 |
| 0.000 | -0.000 | 0.000 | 1257.477 | -0.000 | 0.000 |
| 0.000 | -0.000 | 0.000 | -0.000 | 1257.477 | 0.000 |
| 0.000 | -0.000 | 0.000 | 0.000 | -0.000 | 1257.477 |
| 5385.884 | 1259.209 | 1259.209 | 0.000 | 0.000 | -0.000 |
| 1259.209 | 5385.884 | 1259.209 | -0.000 | -0.000 | -0.000 |
| 1259.209 | 1259.209 | 5385.884 | 0.000 | 0.000 | -0.000 |
| -0.000 | 0.000 | -0.000 | 1257.477 | 0.000 | -0.000 |
| -0.000 | 0.000 | -0.000 | 0.000 | 1257.477 | 0.000 |
| -0.000 | 0.000 | -0.000 | 0.000 | 0.000 | 1257.477 |
| 5385.886 | 1259.209 | 1259.209 | -0.000 | -0.000 | 0.000 |
| 1259.209 | 5385.886 | 1259.209 | 0.000 | 0.000 | 0.000 |
| 1259.209 | 1259.209 | 5385.886 | 0.000 | -0.000 | -0.000 |
| 0.000 | -0.000 | -0.000 | 1257.477 | -0.000 | -0.000 |
| -0.000 | 0.000 | -0.000 | -0.000 | 1257.477 | -0.000 |
| -0.000 | -0.000 | 0.000 | 0.000 | -0.000 | 1257.477 |
| 5385.882 | 1259.209 | 1259.209 | 0.000 | 0.000 | 0.000 |
| 1259.209 | 5385.882 | 1259.209 | 0.000 | 0.000 | 0.000 |
| 1259.209 | 1259.209 | 5385.882 | 0.000 | 0.000 | 0.000 |
| -0.000 | 0.000 | 0.000 | 1257.477 | 0.000 | -0.000 |
| 0.000 | -0.000 | 0.000 | 0.000 | 1257.477 | -0.000 |
| 0.000 | 0.000 | -0.000 | -0.000 | 0.000 | 1257.477 |
| 5385.901 | 1259.210 | 1259.210 | -0.000 | 0.000 | 0.000 |
| 1259.210 | 5385.901 | 1259.210 | -0.000 | -0.000 | -0.000 |
| 1259.210 | 1259.210 | 5385.901 | 0.000 | 0.000 | 0.000 |
| 0.001 | -0.002 | -0.002 | 1257.477 | -0.000 | -0.000 |
| -0.002 | 0.001 | -0.002 | -0.000 | 1257.477 | -0.000 |
| -0.002 | -0.002 | 0.001 | -0.000 | -0.000 | 1257.477 |
| 5385.867 | 1259.208 | 1259.208 | 0.000 | 0.000 | -0.000 |
| 1259.208 | 5385.867 | 1259.208 | 0.000 | 0.000 | -0.000 |
| 1259.208 | 1259.208 | 5385.867 | 0.000 | 0.000 | 0.000 |
| -0.001 | 0.002 | 0.002 | 1257.477 | 0.000 | -0.000 |
| 0.002 | -0.001 | 0.002 | 0.000 | 1257.477 | 0.000 |
| 0.002 | 0.002 | -0.001 | 0.000 | 0.000 | 1257.477 |
| 33.546 | 0.856 | 0.856 | 0.000 | -0.000 | -0.000 |
| 0.856 | 33.546 | 0.856 | 0.000 | -0.000 | -0.000 |
| 0.856 | 0.856 | 33.546 | 0.000 | 0.000 | -0.000 |
| -0.000 | -0.000 | -0.000 | -2.036 | 0.000 | -0.000 |
| -0.000 | -0.000 | -0.000 | 0.000 | -2.036 | -0.000 |
| -0.000 | -0.000 | -0.000 | 0.000 | -0.000 | -2.036 |
| 33.546 | 0.856 | 0.856 | -0.000 | 0.000 | 0.000 |
| 0.856 | 33.546 | 0.856 | -0.000 | 0.000 | 0.000 |
| 0.856 | 0.856 | 33.546 | -0.000 | 0.000 | 0.000 |
| 0.000 | 0.000 | 0.000 | -2.036 | -0.000 | 0.000 |
| 0.000 | 0.000 | 0.000 | -0.000 | -2.036 | 0.000 |
| 0.000 | 0.000 | 0.000 | -0.000 | -0.000 | -2.036 |
| 33.546 | 0.856 | 0.856 | 0.000 | -0.000 | -0.000 |
| 0.856 | 33.546 | 0.856 | 0.000 | 0.000 | -0.000 |
| 0.856 | 0.856 | 33.546 | 0.000 | -0.000 | -0.000 |
| -0.000 | -0.000 | -0.000 | -2.036 | -0.000 | -0.000 |
| -0.000 | -0.000 | -0.000 | 0.000 | -2.036 | -0.000 |
| -0.000 | -0.000 | -0.000 | -0.000 | -0.000 | -2.036 |
| 33.546 | 0.856 | 0.856 | -0.000 | 0.000 | 0.000 |
| 0.856 | 33.546 | 0.856 | -0.000 | 0.000 | 0.000 |
| 0.856 | 0.856 | 33.546 | -0.000 | 0.000 | 0.000 |
| 0.000 | 0.000 | 0.000 | -2.036 | 0.000 | 0.000 |
| 0.000 | 0.000 | 0.000 | -0.000 | -2.036 | 0.000 |
| 0.000 | 0.000 | 0.000 | 0.000 | -0.000 | -2.036 |
| 33.546 | 0.856 | 0.856 | 0.000 | -0.000 | -0.000 |
| 0.856 | 33.546 | 0.856 | 0.000 | -0.000 | -0.000 |
| 0.856 | 0.856 | 33.546 | 0.000 | -0.000 | -0.000 |
| -0.000 | -0.000 | -0.000 | -2.036 | 0.000 | -0.000 |
| -0.000 | -0.000 | -0.000 | 0.000 | -2.036 | -0.000 |
| -0.000 | -0.000 | -0.000 | 0.000 | -0.000 | -2.036 |
| 33.546 | 0.856 | 0.856 | -0.000 | -0.000 | 0.000 |
| 0.856 | 33.546 | 0.856 | -0.000 | 0.000 | 0.000 |
| 0.856 | 0.856 | 33.546 | -0.000 | -0.000 | 0.000 |
| 0.000 | 0.000 | 0.000 | -2.036 | -0.000 | 0.000 |
| 0.000 | 0.000 | 0.000 | -0.000 | -2.036 | 0.000 |
| 0.000 | 0.000 | 0.000 | -0.000 | -0.000 | -2.036 |
| 400.976 | 346.843 | 346.843 | -0.000 | 0.000 | -0.000 |
| 346.843 | 400.976 | 346.843 | -0.000 | 0.000 | -0.000 |
| 346.843 | 346.843 | 400.976 | -0.000 | -0.000 | -0.000 |
| 0.000 | -0.000 | 0.000 | 222.356 | -0.000 | -0.000 |
| -0.000 | 0.000 | 0.000 | -0.000 | 222.356 | -0.000 |
| -0.000 | 0.000 | 0.000 | 0.000 | 0.000 | 222.356 |
| 400.976 | 346.843 | 346.843 | -0.000 | 0.000 | 0.000 |
| 346.843 | 400.976 | 346.843 | 0.000 | -0.000 | 0.000 |
| 346.843 | 346.843 | 400.976 | 0.000 | -0.000 | 0.000 |
| -0.000 | 0.000 | -0.000 | 222.356 | 0.000 | 0.000 |
| 0.000 | -0.000 | -0.000 | 0.000 | 222.356 | 0.000 |
| 0.000 | 0.000 | -0.000 | 0.000 | -0.000 | 222.356 |
| 400.976 | 346.843 | 346.843 | 0.000 | -0.000 | -0.000 |
| 346.843 | 400.976 | 346.843 | 0.000 | -0.000 | -0.000 |
| 346.843 | 346.843 | 400.976 | 0.000 | -0.000 | -0.000 |
| 0.000 | -0.000 | -0.000 | 222.356 | -0.000 | -0.000 |
| -0.000 | 0.000 | -0.000 | 0.000 | 222.356 | -0.000 |
| -0.000 | -0.000 | 0.000 | 0.000 | -0.000 | 222.356 |
| 400.975 | 346.842 | 346.842 | -0.000 | -0.000 | 0.000 |
| 346.842 | 400.975 | 346.842 | -0.000 | 0.000 | 0.000 |
| 346.842 | 346.842 | 400.975 | -0.000 | -0.000 | 0.000 |
| -0.000 | 0.000 | 0.000 | 222.356 | 0.000 | 0.000 |
| 0.000 | -0.000 | 0.000 | 0.000 | 222.356 | 0.000 |
| 0.000 | 0.000 | -0.000 | 0.000 | 0.000 | 222.356 |
| 400.981 | 346.848 | 346.848 | -0.000 | -0.000 | -0.000 |
| 346.848 | 400.981 | 346.848 | 0.000 | -0.000 | -0.000 |
| 346.848 | 346.848 | 400.981 | 0.000 | -0.000 | -0.000 |
| 0.000 | -0.001 | -0.000 | 222.356 | -0.000 | -0.000 |
| -0.001 | 0.000 | -0.000 | 0.000 | 222.356 | -0.000 |
| -0.001 | -0.000 | 0.000 | -0.000 | -0.000 | 222.356 |
| 400.970 | 346.837 | 346.837 | 0.000 | 0.000 | 0.000 |
| 346.837 | 400.970 | 346.837 | -0.000 | -0.000 | 0.000 |
| 346.837 | 346.837 | 400.970 | -0.000 | 0.000 | 0.000 |
| -0.000 | 0.001 | 0.000 | 222.356 | 0.000 | 0.000 |
| 0.001 | -0.000 | 0.000 | -0.000 | 222.356 | 0.000 |
| 0.001 | 0.000 | -0.000 | 0.000 | -0.000 | 222.356 |
| 5729.803 | 4690.050 | 4690.050 | -0.000 | -0.000 | 0.000 |
| 4690.050 | 5729.803 | 4690.050 | -0.000 | -0.000 | 0.000 |
| 4690.050 | 4690.050 | 5729.803 | 0.000 | 0.000 | -0.000 |
| -0.000 | 0.000 | -0.000 | 4689.911 | -0.000 | -0.000 |
| -0.000 | -0.000 | 0.000 | -0.000 | 4689.911 | -0.000 |
| -0.000 | 0.000 | -0.000 | 0.000 | -0.000 | 4689.911 |
| 5729.803 | 4690.050 | 4690.050 | 0.000 | 0.000 | 0.000 |
| 4690.050 | 5729.803 | 4690.050 | 0.000 | 0.000 | 0.000 |
| 4690.050 | 4690.050 | 5729.803 | 0.000 | 0.000 | 0.000 |
| -0.000 | 0.000 | 0.000 | 4689.911 | 0.000 | -0.000 |
| 0.000 | -0.000 | 0.000 | 0.000 | 4689.911 | -0.000 |
| 0.000 | -0.000 | 0.000 | 0.000 | 0.000 | 4689.911 |
| 5729.805 | 4690.052 | 4690.051 | -0.000 | -0.000 | 0.000 |
| 4690.052 | 5729.805 | 4690.052 | -0.000 | -0.000 | 0.000 |
| 4690.052 | 4690.052 | 5729.805 | -0.000 | 0.000 | -0.000 |
| 0.000 | -0.000 | 0.001 | 4689.911 | -0.000 | -0.000 |
| -0.000 | 0.000 | 0.001 | -0.000 | 4689.911 | 0.000 |
| -0.000 | 0.001 | 0.000 | -0.000 | -0.000 | 4689.911 |
| 5729.801 | 4690.049 | 4690.049 | 0.000 | -0.000 | -0.000 |
| 4690.049 | 5729.801 | 4690.049 | 0.000 | -0.000 | -0.000 |
| 4690.049 | 4690.049 | 5729.801 | -0.000 | 0.000 | 0.000 |
| -0.000 | 0.000 | -0.001 | 4689.911 | 0.000 | -0.000 |
| 0.000 | -0.000 | -0.001 | 0.000 | 4689.911 | -0.000 |
| 0.000 | -0.001 | -0.000 | 0.000 | 0.000 | 4689.911 |
| 5729.823 | 4690.063 | 4690.063 | -0.000 | -0.000 | -0.000 |
| 4690.063 | 5729.823 | 4690.063 | -0.000 | -0.000 | -0.000 |
| 4690.063 | 4690.063 | 5729.823 | -0.000 | 0.000 | 0.000 |
| 0.004 | -0.001 | 0.007 | 4689.911 | 0.000 | 0.000 |
| -0.001 | 0.004 | 0.007 | -0.000 | 4689.911 | -0.000 |
| -0.001 | 0.007 | 0.004 | -0.000 | -0.000 | 4689.911 |
| 5729.783 | 4690.038 | 4690.038 | 0.000 | 0.000 | -0.000 |
| 4690.038 | 5729.783 | 4690.038 | -0.000 | 0.000 | -0.000 |
| 4690.038 | 4690.038 | 5729.783 | -0.000 | -0.000 | -0.000 |
| -0.004 | 0.001 | -0.007 | 4689.911 | 0.000 | 0.000 |
| 0.001 | -0.004 | -0.007 | 0.000 | 4689.911 | 0.000 |
| 0.001 | -0.007 | -0.004 | 0.000 | 0.000 | 4689.911 |
| 50.300 | 22.598 | 22.598 | 0.000 | 0.000 | 0.000 |
| 22.598 | 50.300 | 22.598 | 0.000 | 0.000 | 0.000 |
| 22.598 | 22.598 | 50.300 | 0.000 | 0.000 | 0.000 |
| 0.000 | 0.000 | -0.000 | 17.100 | 0.000 | -0.000 |
| 0.000 | -0.000 | -0.000 | 0.000 | 17.100 | 0.000 |
| 0.000 | 0.000 | -0.000 | -0.000 | 0.000 | 17.100 |
| 50.300 | 22.598 | 22.598 | 0.000 | -0.000 | -0.000 |
| 22.598 | 50.300 | 22.598 | -0.000 | -0.000 | 0.000 |
| 22.598 | 22.598 | 50.300 | -0.000 | -0.000 | -0.000 |
| -0.000 | -0.000 | 0.000 | 17.100 | -0.000 | -0.000 |
| -0.000 | 0.000 | 0.000 | -0.000 | 17.100 | -0.000 |
| -0.000 | 0.000 | 0.000 | -0.000 | -0.000 | 17.100 |
| 50.300 | 22.598 | 22.598 | 0.000 | 0.000 | 0.000 |
| 22.598 | 50.300 | 22.598 | 0.000 | 0.000 | 0.000 |
| 22.598 | 22.598 | 50.300 | 0.000 | 0.000 | 0.000 |
| -0.000 | -0.000 | -0.000 | 17.100 | 0.000 | 0.000 |
| -0.000 | -0.000 | -0.000 | 0.000 | 17.100 | 0.000 |
| -0.000 | -0.000 | -0.000 | 0.000 | 0.000 | 17.100 |
| 50.300 | 22.598 | 22.598 | 0.000 | -0.000 | -0.000 |
| 22.598 | 50.300 | 22.598 | -0.000 | -0.000 | 0.000 |
| 22.598 | 22.598 | 50.300 | -0.000 | -0.000 | -0.000 |
| 0.000 | 0.000 | 0.000 | 17.100 | -0.000 | -0.000 |
| 0.000 | 0.000 | 0.000 | -0.000 | 17.100 | -0.000 |
| 0.000 | 0.000 | 0.000 | -0.000 | -0.000 | 17.100 |
| 50.300 | 22.598 | 22.598 | -0.000 | 0.000 | 0.000 |
| 22.598 | 50.300 | 22.598 | 0.000 | 0.000 | 0.000 |
| 22.598 | 22.598 | 50.300 | 0.000 | 0.000 | 0.000 |
| -0.000 | -0.000 | -0.000 | 17.100 | 0.000 | 0.000 |
| -0.000 | -0.000 | -0.000 | 0.000 | 17.100 | 0.000 |
| -0.000 | -0.000 | -0.000 | 0.000 | 0.000 | 17.100 |
| 50.300 | 22.598 | 22.598 | -0.000 | -0.000 | -0.000 |
| 22.598 | 50.300 | 22.598 | -0.000 | -0.000 | -0.000 |
| 22.598 | 22.598 | 50.300 | -0.000 | -0.000 | -0.000 |
| 0.000 | 0.000 | 0.000 | 17.100 | -0.000 | -0.000 |
| 0.000 | 0.000 | 0.000 | 0.000 | 17.100 | -0.000 |
| 0.000 | 0.000 | 0.000 | 0.000 | -0.000 | 17.100 |
| 44.366 | 60.214 | 60.214 | 0.000 | 0.000 | 0.000 |
| 60.214 | 44.366 | 60.214 | 0.000 | 0.000 | 0.000 |
| 60.214 | 60.214 | 44.366 | 0.000 | 0.000 | 0.000 |
| -0.000 | 0.000 | -0.000 | 53.910 | 0.000 | 0.000 |
| -0.000 | 0.000 | -0.000 | 0.000 | 53.910 | 0.000 |
| -0.000 | 0.000 | 0.000 | 0.000 | -0.000 | 53.910 |
| 44.366 | 60.214 | 60.214 | -0.000 | -0.000 | -0.000 |
| 60.214 | 44.366 | 60.214 | -0.000 | -0.000 | -0.000 |
| 60.214 | 60.214 | 44.366 | -0.000 | -0.000 | -0.000 |
| 0.000 | -0.000 | 0.000 | 53.910 | 0.000 | -0.000 |
| 0.000 | 0.000 | 0.000 | 0.000 | 53.910 | -0.000 |
| 0.000 | -0.000 | -0.000 | -0.000 | 0.000 | 53.910 |
| 44.366 | 60.214 | 60.214 | 0.000 | 0.000 | 0.000 |
| 60.214 | 44.366 | 60.214 | 0.000 | 0.000 | 0.000 |
| 60.214 | 60.214 | 44.366 | 0.000 | 0.000 | 0.000 |
| -0.000 | -0.000 | -0.000 | 53.910 | -0.000 | 0.000 |
| -0.000 | -0.000 | -0.000 | 0.000 | 53.910 | 0.000 |
| -0.000 | -0.000 | 0.000 | 0.000 | 0.000 | 53.910 |
| 44.366 | 60.214 | 60.214 | -0.000 | -0.000 | -0.000 |
| 60.214 | 44.366 | 60.214 | -0.000 | -0.000 | -0.000 |
| 60.214 | 60.214 | 44.366 | -0.000 | -0.000 | -0.000 |
| 0.000 | 0.000 | 0.000 | 53.910 | -0.000 | -0.000 |
| 0.000 | 0.000 | 0.000 | 0.000 | 53.910 | -0.000 |
| 0.000 | 0.000 | -0.000 | -0.000 | 0.000 | 53.910 |
| 44.365 | 60.214 | 60.214 | 0.000 | 0.000 | 0.000 |
| 60.214 | 44.365 | 60.214 | 0.000 | 0.000 | 0.000 |
| 60.214 | 60.214 | 44.365 | 0.000 | 0.000 | 0.000 |
| -0.000 | -0.000 | -0.000 | 45.924 | 0.000 | 0.000 |
| -0.000 | -0.000 | -0.000 | 0.000 | 45.924 | 0.000 |
| -0.000 | -0.000 | -0.000 | 0.000 | 0.000 | 45.924 |
| 44.366 | 60.214 | 60.214 | -0.000 | -0.000 | -0.000 |
| 60.214 | 44.366 | 60.214 | -0.000 | -0.000 | -0.000 |
| 60.214 | 60.214 | 44.366 | -0.000 | -0.000 | -0.000 |
| 0.000 | 0.000 | 0.000 | 45.924 | -0.000 | -0.000 |
| 0.000 | 0.000 | 0.000 | -0.000 | 45.924 | -0.000 |
| 0.000 | 0.000 | 0.000 | -0.000 | -0.000 | 45.924 |
| 4508.394 | 3286.939 | 3286.939 | 0.000 | -0.000 | 0.000 |
| 3286.939 | 4508.395 | 3286.939 | 0.000 | 0.000 | 0.001 |
| 3286.939 | 3286.939 | 4508.395 | 0.000 | 0.000 | 0.001 |
| -0.001 | -0.000 | 0.000 | 3286.027 | 0.000 | 0.000 |
| -0.000 | 0.000 | 0.000 | 0.000 | 3286.027 | 0.000 |
| -0.000 | 0.000 | 0.000 | 0.000 | -0.000 | 3286.027 |
| 4508.395 | 3286.939 | 3286.939 | -0.000 | 0.000 | -0.000 |
| 3286.939 | 4508.395 | 3286.939 | -0.000 | 0.000 | -0.000 |
| 3286.939 | 3286.940 | 4508.395 | -0.000 | 0.000 | -0.000 |
| 0.000 | 0.000 | -0.000 | 3286.027 | 0.000 | -0.000 |
| 0.000 | -0.000 | -0.000 | 0.000 | 3286.027 | -0.000 |
| 0.000 | -0.000 | 0.000 | -0.000 | 0.000 | 3286.026 |
| 4508.396 | 3286.940 | 3286.940 | 0.000 | -0.000 | 0.000 |
| 3286.940 | 4508.396 | 3286.940 | 0.000 | -0.000 | 0.000 |
| 3286.940 | 3286.940 | 4508.396 | 0.000 | 0.000 | 0.000 |
| 0.000 | 0.000 | 0.001 | 3286.027 | -0.000 | 0.000 |
| 0.000 | 0.000 | 0.001 | -0.000 | 3286.027 | 0.000 |
| 0.000 | 0.001 | 0.000 | -0.000 | -0.000 | 3286.027 |
| 4508.394 | 3286.938 | 3286.938 | 0.000 | 0.000 | -0.000 |
| 3286.938 | 4508.394 | 3286.938 | -0.000 | 0.000 | -0.000 |
| 3286.938 | 3286.938 | 4508.394 | -0.000 | 0.000 | -0.000 |
| -0.000 | -0.000 | -0.001 | 3286.027 | -0.000 | -0.000 |
| -0.000 | -0.000 | -0.001 | -0.000 | 3286.027 | -0.000 |
| -0.000 | -0.001 | -0.000 | -0.000 | 0.000 | 3286.027 |
| 4508.406 | 3286.951 | 3286.951 | 0.000 | -0.000 | 0.000 |
| 3286.951 | 4508.406 | 3286.951 | 0.000 | 0.000 | 0.000 |
| 3286.951 | 3286.951 | 4508.406 | 0.000 | 0.000 | 0.000 |
| -0.002 | 0.001 | 0.003 | 1466.865 | -0.000 | 0.000 |
| 0.001 | -0.002 | 0.003 | 0.000 | 1466.865 | 0.000 |
| 0.001 | 0.003 | -0.002 | 0.000 | 0.000 | 1466.865 |
| 4508.384 | 3286.927 | 3286.927 | 0.000 | -0.000 | -0.000 |
| 3286.927 | 4508.384 | 3286.927 | -0.000 | 0.000 | -0.000 |
| 3286.927 | 3286.927 | 4508.384 | -0.000 | -0.000 | 0.000 |
| 0.002 | -0.001 | -0.003 | 1466.865 | 0.000 | -0.000 |
| -0.001 | 0.002 | -0.003 | -0.000 | 1466.865 | -0.000 |
| -0.001 | -0.003 | 0.002 | -0.000 | -0.000 | 1466.865 |
| 6.770 | 6.770 | 6.770 | -0.000 | -0.000 | -0.000 |
| 6.770 | 6.770 | 6.770 | -0.000 | -0.000 | -0.000 |
| 6.770 | 6.770 | 6.770 | -0.000 | -0.000 | -0.000 |
| -0.000 | -0.000 | -0.000 | 0.000 | -0.000 | -0.000 |
| -0.000 | -0.000 | -0.000 | -0.000 | 0.000 | -0.000 |
| -0.000 | -0.000 | -0.000 | -0.000 | -0.000 | 0.000 |
| 6.770 | 6.770 | 6.770 | 0.000 | -0.000 | 0.000 |
| 6.770 | 6.770 | 6.770 | -0.000 | 0.000 | 0.000 |
| 6.770 | 6.770 | 6.770 | 0.000 | 0.000 | 0.000 |
| 0.000 | 0.000 | 0.000 | 0.000 | 0.000 | -0.000 |
| 0.000 | 0.000 | 0.000 | 0.000 | 0.000 | -0.000 |
| 0.000 | 0.000 | 0.000 | 0.000 | -0.000 | 0.000 |
| 6.770 | 6.770 | 6.770 | -0.000 | 0.000 | 0.000 |
| 6.770 | 6.770 | 6.770 | 0.000 | -0.000 | 0.000 |
| 6.770 | 6.770 | 6.770 | -0.000 | -0.000 | -0.000 |
| -0.000 | -0.000 | -0.000 | 0.000 | -0.000 | -0.000 |
| -0.000 | -0.000 | -0.000 | -0.000 | 0.000 | -0.000 |
| -0.000 | -0.000 | -0.000 | -0.000 | 0.000 | 0.000 |
| 6.770 | 6.770 | 6.770 | 0.000 | -0.000 | -0.000 |
| 6.770 | 6.770 | 6.770 | -0.000 | 0.000 | -0.000 |
| 6.770 | 6.770 | 6.770 | -0.000 | -0.000 | 0.000 |
| 0.000 | 0.000 | 0.000 | 0.000 | 0.000 | 0.000 |
| 0.000 | 0.000 | 0.000 | 0.000 | 0.000 | 0.000 |
| 0.000 | 0.000 | 0.000 | 0.000 | 0.000 | 0.000 |
| 6.770 | 6.770 | 6.770 | -0.000 | -0.000 | -0.000 |
| 6.770 | 6.770 | 6.770 | -0.000 | -0.000 | -0.000 |
| 6.770 | 6.770 | 6.770 | -0.000 | -0.000 | -0.000 |
| -0.000 | -0.000 | -0.000 | -0.000 | -0.000 | 0.000 |
| -0.000 | -0.000 | -0.000 | -0.000 | -0.000 | 0.000 |
| -0.000 | -0.000 | -0.000 | -0.000 | 0.000 | -0.000 |
| 6.770 | 6.770 | 6.770 | 0.000 | 0.000 | 0.000 |
| 6.770 | 6.770 | 6.770 | 0.000 | 0.000 | 0.000 |
| 6.770 | 6.770 | 6.770 | 0.000 | 0.000 | 0.000 |
| 0.000 | 0.000 | 0.000 | 0.000 | 0.000 | 0.000 |
| 0.000 | 0.000 | 0.000 | 0.000 | 0.000 | 0.000 |
| 0.000 | 0.000 | 0.000 | 0.000 | 0.000 | 0.000 |
| -81.925 | 309.600 | 309.600 | -0.000 | 0.000 | -0.000 |
| 309.600 | -81.925 | 309.600 | -0.000 | 0.000 | -0.000 |
| 309.600 | 309.600 | -81.926 | -0.000 | -0.000 | -0.000 |
| -0.000 | -0.000 | -0.000 | -199.812 | 0.000 | -0.000 |
| -0.000 | -0.000 | -0.000 | -0.000 | -199.812 | -0.000 |
| -0.000 | -0.000 | -0.000 | -0.000 | 0.000 | -199.812 |
| -81.925 | 309.600 | 309.600 | 0.000 | -0.000 | 0.000 |
| 309.600 | -81.925 | 309.600 | -0.000 | -0.000 | 0.000 |
| 309.600 | 309.600 | -81.926 | 0.000 | -0.000 | 0.000 |
| 0.000 | 0.000 | 0.000 | -199.812 | -0.000 | 0.000 |
| 0.000 | 0.000 | 0.000 | 0.000 | -199.812 | 0.000 |
| 0.000 | 0.000 | 0.000 | 0.000 | -0.000 | -199.812 |
| -81.925 | 309.600 | 309.600 | -0.000 | 0.000 | -0.000 |
| 309.600 | -81.925 | 309.600 | -0.000 | 0.000 | -0.000 |
| 309.600 | 309.600 | -81.925 | -0.000 | -0.000 | -0.000 |
| 0.000 | -0.000 | 0.000 | 86.140 | 0.000 | -0.000 |
| -0.000 | 0.000 | 0.000 | -0.000 | 86.140 | -0.000 |
| -0.000 | 0.000 | 0.000 | -0.000 | 0.000 | 86.140 |
| -81.926 | 309.600 | 309.600 | 0.000 | -0.000 | 0.000 |
| 309.600 | -81.926 | 309.600 | 0.000 | -0.000 | 0.000 |
| 309.600 | 309.600 | -81.926 | 0.000 | 0.000 | 0.000 |
| -0.000 | 0.000 | -0.000 | 86.140 | -0.000 | -0.000 |
| 0.000 | -0.000 | -0.000 | 0.000 | 86.140 | 0.000 |
| 0.000 | -0.000 | -0.000 | 0.000 | -0.000 | 86.140 |
| -81.919 | 309.603 | 309.603 | -0.000 | 0.000 | -0.000 |
| 309.603 | -81.919 | 309.603 | 0.000 | 0.000 | 0.000 |
| 309.603 | 309.603 | -81.919 | -0.000 | 0.000 | 0.000 |
| 0.001 | 0.000 | 0.000 | -199.812 | -0.000 | 0.000 |
| 0.000 | 0.001 | 0.000 | -0.000 | -199.812 | -0.000 |
| 0.000 | 0.000 | 0.001 | -0.000 | 0.000 | -199.812 |
| -81.932 | 309.597 | 309.597 | 0.000 | -0.000 | 0.000 |
| 309.597 | -81.932 | 309.597 | 0.000 | -0.000 | 0.000 |
| 309.597 | 309.597 | -81.932 | 0.000 | -0.000 | 0.000 |
| -0.001 | -0.000 | -0.000 | -199.812 | 0.000 | 0.000 |
| -0.000 | -0.001 | -0.000 | 0.000 | -199.812 | 0.000 |
| -0.000 | -0.000 | -0.001 | 0.000 | -0.000 | -199.812 |
| 39308.493 | 30846.018 | 30846.015 | 0.000 | -0.000 | 0.001 |
| 30846.018 | 39308.495 | 30846.014 | 0.000 | 0.001 | 0.000 |
| 30846.018 | 30846.019 | 39308.492 | 0.000 | -0.001 | 0.002 |
| 0.001 | -0.000 | -0.002 | 9676.477 | 0.001 | -0.002 |
| 0.001 | 0.001 | -0.002 | -0.000 | 9676.477 | 0.000 |
| 0.001 | 0.000 | -0.003 | 0.000 | 0.000 | 9676.477 |
| 39308.490 | 30846.016 | 30846.018 | 0.000 | -0.002 | -0.002 |
| 30846.015 | 39308.491 | 30846.018 | -0.001 | -0.002 | 0.002 |
| 30846.015 | 30846.015 | 39308.493 | -0.000 | 0.001 | -0.001 |
| -0.001 | -0.001 | 0.002 | 9676.478 | -0.001 | -0.001 |
| -0.001 | -0.001 | 0.002 | 0.000 | 9676.478 | -0.001 |
| -0.001 | -0.000 | 0.003 | -0.000 | 0.000 | 9676.477 |
| 39308.504 | 30846.027 | 30846.026 | -0.000 | 0.000 | 0.000 |
| 30846.027 | 39308.504 | 30846.026 | 0.000 | 0.000 | -0.000 |
| 30846.027 | 30846.027 | 39308.504 | -0.000 | -0.000 | 0.000 |
| -0.001 | 0.001 | 0.002 | 9676.466 | -0.000 | 0.000 |
| 0.001 | -0.001 | 0.002 | -0.000 | 9676.466 | -0.000 |
| 0.001 | 0.002 | -0.001 | -0.000 | 0.000 | 9676.466 |
| 39308.479 | 30846.006 | 30846.006 | 0.000 | 0.000 | 0.000 |
| 30846.006 | 39308.479 | 30846.006 | -0.000 | 0.000 | -0.000 |
| 30846.006 | 30846.006 | 39308.479 | -0.000 | -0.000 | -0.000 |
| 0.001 | -0.001 | -0.002 | 9676.466 | 0.000 | 0.000 |
| -0.001 | 0.001 | -0.002 | 0.000 | 9676.466 | 0.000 |
| -0.001 | -0.002 | 0.001 | -0.000 | -0.000 | 9676.466 |
| 39308.615 | 30846.119 | 30846.119 | 0.000 | -0.000 | 0.000 |
| 30846.119 | 39308.615 | 30846.119 | 0.000 | 0.000 | 0.000 |
| 30846.119 | 30846.119 | 39308.615 | 0.000 | -0.000 | 0.000 |
| -0.009 | 0.005 | 0.021 | 9676.478 | -0.000 | -0.000 |
| 0.005 | -0.009 | 0.021 | 0.000 | 9676.478 | -0.000 |
| 0.005 | 0.021 | -0.009 | -0.000 | 0.000 | 9676.478 |
| 39308.368 | 30845.913 | 30845.913 | -0.000 | -0.000 | -0.000 |
| 30845.913 | 39308.368 | 30845.913 | 0.000 | -0.000 | -0.000 |
| 30845.913 | 30845.913 | 39308.368 | 0.000 | -0.000 | 0.000 |
| 0.009 | -0.005 | -0.021 | 9676.478 | 0.000 | 0.000 |
| -0.005 | 0.009 | -0.021 | 0.000 | 9676.478 | -0.000 |
| -0.005 | -0.021 | 0.009 | 0.000 | 0.000 | 9676.478 |
| 55.767 | 24.242 | 24.242 | 0.000 | 0.000 | 0.000 |
| 24.242 | 55.767 | 24.242 | 0.000 | 0.000 | 0.000 |
| 24.242 | 24.242 | 55.767 | 0.000 | 0.000 | 0.000 |
| 0.000 | 0.000 | -0.000 | 8.466 | 0.000 | 0.000 |
| 0.000 | 0.000 | -0.000 | 0.000 | 8.466 | 0.000 |
| 0.000 | 0.000 | -0.000 | 0.000 | 0.000 | 8.466 |
| 55.767 | 24.242 | 24.242 | 0.000 | -0.000 | 0.000 |
| 24.242 | 55.767 | 24.242 | -0.000 | -0.000 | -0.000 |
| 24.242 | 24.242 | 55.767 | -0.000 | -0.000 | 0.000 |
| -0.000 | -0.000 | 0.000 | 8.466 | -0.000 | -0.000 |
| -0.000 | -0.000 | 0.000 | -0.000 | 8.466 | -0.000 |
| -0.000 | -0.000 | 0.000 | -0.000 | -0.000 | 8.466 |
| 55.767 | 24.242 | 24.242 | 0.000 | 0.000 | 0.000 |
| 24.242 | 55.767 | 24.242 | 0.000 | 0.000 | 0.000 |
| 24.242 | 24.242 | 55.767 | 0.000 | 0.000 | 0.000 |
| 0.000 | -0.000 | -0.000 | 8.466 | 0.000 | 0.000 |
| -0.000 | 0.000 | -0.000 | 0.000 | 8.466 | 0.000 |
| -0.000 | -0.000 | -0.000 | 0.000 | 0.000 | 8.466 |
| 55.767 | 24.242 | 24.242 | -0.000 | -0.000 | -0.000 |
| 24.242 | 55.767 | 24.242 | -0.000 | -0.000 | -0.000 |
| 24.242 | 24.242 | 55.767 | 0.000 | 0.000 | -0.000 |
| -0.000 | 0.000 | 0.000 | 8.466 | -0.000 | -0.000 |
| 0.000 | -0.000 | 0.000 | -0.000 | 8.466 | -0.000 |
| 0.000 | 0.000 | 0.000 | -0.000 | -0.000 | 8.466 |
| 55.767 | 24.243 | 24.243 | 0.000 | 0.000 | 0.000 |
| 24.243 | 55.767 | 24.243 | 0.000 | 0.000 | 0.000 |
| 24.243 | 24.243 | 55.767 | 0.000 | 0.000 | 0.000 |
| 0.000 | -0.000 | -0.000 | 11.115 | 0.000 | 0.000 |
| -0.000 | 0.000 | -0.000 | 0.000 | 11.115 | 0.000 |
| -0.000 | -0.000 | -0.000 | 0.000 | 0.000 | 11.115 |
| 55.766 | 24.241 | 24.241 | -0.000 | -0.000 | -0.000 |
| 24.241 | 55.766 | 24.241 | -0.000 | -0.000 | -0.000 |
| 24.241 | 24.241 | 55.766 | -0.000 | -0.000 | -0.000 |
| -0.000 | 0.000 | 0.000 | 11.115 | -0.000 | -0.000 |
| 0.000 | -0.000 | 0.000 | -0.000 | 11.115 | -0.000 |
| 0.000 | 0.000 | 0.000 | -0.000 | -0.000 | 11.115 |
| 25486.369 | 25358.415 | 25358.416 | -0.000 | 0.002 | -0.001 |
| 25358.414 | 25486.369 | 25358.416 | -0.001 | -0.000 | -0.001 |
| 25358.414 | 25358.415 | 25486.369 | -0.000 | 0.001 | -0.000 |
| 0.001 | 0.001 | 0.002 | 25358.176 | -0.001 | -0.000 |
| 0.000 | 0.002 | 0.002 | -0.000 | 25358.176 | -0.000 |
| 0.001 | 0.002 | 0.003 | 0.000 | 0.000 | 25358.176 |
| 25486.365 | 25358.412 | 25358.410 | -0.000 | 0.001 | 0.001 |
| 25358.412 | 25486.364 | 25358.411 | 0.001 | 0.001 | 0.000 |
| 25358.412 | 25358.412 | 25486.366 | 0.000 | -0.001 | 0.001 |
| -0.001 | -0.001 | -0.002 | 25358.177 | 0.001 | 0.001 |
| -0.000 | -0.002 | -0.002 | 0.000 | 25358.177 | 0.000 |
| -0.000 | -0.002 | -0.003 | -0.000 | -0.000 | 25358.177 |
| 25486.387 | 25358.424 | 25358.424 | 0.000 | -0.000 | -0.000 |
| 25358.423 | 25486.387 | 25358.424 | 0.000 | -0.000 | -0.000 |
| 25358.423 | 25358.424 | 25486.387 | 0.000 | -0.000 | -0.000 |
| 0.004 | 0.003 | 0.005 | 12154.452 | -0.000 | -0.000 |
| 0.003 | 0.004 | 0.005 | 0.000 | 12154.452 | -0.000 |
| 0.003 | 0.005 | 0.004 | -0.000 | 0.000 | 12154.452 |
| 25486.347 | 25358.403 | 25358.403 | 0.000 | -0.000 | 0.000 |
| 25358.403 | 25486.347 | 25358.403 | 0.000 | 0.000 | -0.000 |
| 25358.403 | 25358.403 | 25486.347 | -0.000 | 0.000 | 0.000 |
| -0.004 | -0.003 | -0.005 | 12154.452 | 0.000 | 0.000 |
| -0.003 | -0.004 | -0.005 | 0.000 | 12154.452 | 0.000 |
| -0.003 | -0.005 | -0.004 | 0.000 | -0.000 | 12154.452 |
| 25486.566 | 25358.514 | 25358.514 | -0.000 | -0.000 | -0.000 |
| 25358.514 | 25486.566 | 25358.514 | -0.000 | -0.000 | -0.000 |
| 25358.514 | 25358.514 | 25486.566 | -0.000 | 0.000 | -0.000 |
| 0.040 | 0.025 | 0.050 | 12154.456 | -0.000 | -0.000 |
| 0.025 | 0.040 | 0.050 | -0.000 | 12154.456 | -0.000 |
| 0.025 | 0.050 | 0.040 | 0.000 | 0.000 | 12154.456 |
| 25486.167 | 25358.312 | 25358.312 | -0.000 | -0.000 | 0.000 |
| 25358.312 | 25486.167 | 25358.312 | -0.000 | 0.000 | 0.000 |
| 25358.312 | 25358.312 | 25486.167 | 0.000 | -0.000 | 0.000 |
| -0.040 | -0.025 | -0.050 | 12154.457 | 0.000 | -0.000 |
| -0.025 | -0.040 | -0.050 | -0.000 | 12154.456 | 0.000 |
| -0.025 | -0.050 | -0.040 | -0.000 | -0.000 | 12154.457 |
| 45.845 | 31.988 | 31.988 | -0.000 | -0.000 | -0.000 |
| 31.988 | 45.845 | 31.988 | -0.000 | -0.000 | -0.000 |
| 31.988 | 31.988 | 45.845 | -0.000 | -0.000 | -0.000 |
| 0.000 | -0.000 | -0.000 | 25.162 | -0.000 | -0.000 |
| 0.000 | 0.000 | -0.000 | -0.000 | 25.162 | -0.000 |
| -0.000 | -0.000 | -0.000 | -0.000 | -0.000 | 25.162 |
| 45.845 | 31.988 | 31.988 | 0.000 | 0.000 | 0.000 |
| 31.988 | 45.845 | 31.988 | 0.000 | 0.000 | 0.000 |
| 31.988 | 31.988 | 45.845 | 0.000 | 0.000 | 0.000 |
| -0.000 | -0.000 | 0.000 | 25.162 | 0.000 | 0.000 |
| -0.000 | -0.000 | 0.000 | 0.000 | 25.162 | 0.000 |
| 0.000 | 0.000 | 0.000 | 0.000 | 0.000 | 25.162 |
| 45.845 | 31.988 | 31.988 | -0.000 | -0.000 | -0.000 |
| 31.988 | 45.845 | 31.988 | -0.000 | -0.000 | -0.000 |
| 31.988 | 31.988 | 45.845 | -0.000 | -0.000 | -0.000 |
| -0.000 | -0.000 | -0.000 | 25.162 | -0.000 | -0.000 |
| -0.000 | -0.000 | -0.000 | -0.000 | 25.162 | -0.000 |
| -0.000 | -0.000 | -0.000 | -0.000 | 0.000 | 25.162 |
| 45.845 | 31.988 | 31.988 | 0.000 | 0.000 | 0.000 |
| 31.988 | 45.845 | 31.988 | 0.000 | 0.000 | -0.000 |
| 31.988 | 31.988 | 45.845 | -0.000 | -0.000 | 0.000 |
| 0.000 | 0.000 | 0.000 | 25.162 | -0.000 | 0.000 |
| 0.000 | 0.000 | 0.000 | -0.000 | 25.162 | 0.000 |
| 0.000 | 0.000 | 0.000 | 0.000 | 0.000 | 25.162 |
| 45.845 | 31.988 | 31.988 | -0.000 | -0.000 | -0.000 |
| 31.988 | 45.845 | 31.988 | -0.000 | -0.000 | -0.000 |
| 31.988 | 31.988 | 45.845 | -0.000 | -0.000 | -0.000 |
| -0.000 | -0.000 | -0.000 | 25.162 | -0.000 | -0.000 |
| -0.000 | -0.000 | -0.000 | -0.000 | 25.162 | -0.000 |
| -0.000 | -0.000 | -0.000 | -0.000 | -0.000 | 25.162 |
| 45.845 | 31.988 | 31.988 | 0.000 | 0.000 | -0.000 |
| 31.988 | 45.845 | 31.988 | 0.000 | 0.000 | 0.000 |
| 31.988 | 31.988 | 45.845 | 0.000 | 0.000 | 0.000 |
| 0.000 | 0.000 | 0.000 | 25.162 | 0.000 | 0.000 |
| 0.000 | 0.000 | 0.000 | 0.000 | 25.162 | 0.000 |
| 0.000 | 0.000 | 0.000 | 0.000 | 0.000 | 25.162 |
| 497.546 | 269.432 | 269.432 | -0.000 | 0.000 | -0.000 |
| 269.432 | 497.546 | 269.432 | -0.000 | 0.000 | -0.000 |
| 269.432 | 269.432 | 497.546 | -0.000 | 0.000 | -0.000 |
| 0.000 | 0.000 | 0.000 | 41.187 | -0.000 | -0.000 |
| 0.000 | 0.000 | 0.000 | -0.000 | 41.187 | -0.000 |
| 0.000 | 0.000 | 0.000 | -0.000 | 0.000 | 41.187 |
| 475.525 | 280.443 | 280.443 | 0.000 | 0.000 | 0.000 |
| 280.443 | 475.525 | 280.443 | 0.000 | -0.000 | 0.000 |
| 280.443 | 280.443 | 475.525 | 0.000 | -0.000 | 0.000 |
| -0.000 | -0.000 | -0.000 | 41.187 | 0.000 | 0.000 |
| -0.000 | -0.000 | -0.000 | 0.000 | 41.187 | 0.000 |
| -0.000 | -0.000 | -0.000 | 0.000 | -0.000 | 41.187 |
| 475.523 | 280.442 | 280.442 | -0.000 | -0.000 | -0.000 |
| 280.442 | 475.523 | 280.442 | 0.000 | 0.000 | -0.000 |
| 280.442 | 280.442 | 475.523 | -0.000 | 0.000 | -0.000 |
| 0.000 | 0.000 | 0.000 | -14.493 | -0.000 | -0.000 |
| 0.000 | 0.000 | 0.000 | -0.000 | -14.493 | -0.000 |
| 0.000 | 0.000 | 0.000 | -0.000 | 0.000 | -14.493 |
| 475.526 | 280.444 | 280.444 | 0.000 | -0.000 | 0.000 |
| 280.444 | 475.526 | 280.444 | 0.000 | -0.000 | 0.000 |
| 280.444 | 280.444 | 475.526 | 0.000 | -0.000 | 0.000 |
| -0.000 | -0.000 | -0.000 | -14.493 | 0.000 | 0.000 |
| -0.000 | -0.000 | -0.000 | 0.000 | -14.493 | 0.000 |
| -0.000 | -0.000 | -0.000 | 0.000 | -0.000 | -14.493 |
| 475.513 | 280.430 | 280.430 | -0.000 | 0.000 | -0.000 |
| 280.430 | 475.513 | 280.430 | -0.000 | 0.000 | -0.000 |
| 280.430 | 280.430 | 475.513 | -0.000 | 0.000 | -0.000 |
| 0.000 | 0.001 | 0.001 | -14.493 | 0.000 | -0.000 |
| 0.001 | 0.000 | 0.001 | -0.000 | -14.493 | -0.000 |
| 0.001 | 0.001 | 0.000 | -0.000 | -0.000 | -14.493 |
| 475.536 | 280.455 | 280.455 | 0.000 | -0.000 | 0.000 |
| 280.455 | 475.536 | 280.455 | 0.000 | -0.000 | 0.000 |
| 280.455 | 280.455 | 475.536 | 0.000 | 0.000 | 0.000 |
| -0.000 | -0.001 | -0.001 | -14.493 | -0.000 | 0.000 |
| -0.001 | -0.000 | -0.001 | 0.000 | -14.493 | 0.000 |
| -0.001 | -0.001 | -0.000 | 0.000 | 0.000 | -14.493 |
| 154156.550 | 51235.882 | 51235.876 | 0.000 | 0.003 | -0.000 |
| 51235.880 | 154156.550 | 51235.878 | -0.001 | 0.002 | -0.000 |
| 51235.881 | 51235.880 | 154156.547 | -0.000 | 0.003 | -0.000 |
| 0.001 | -0.000 | -0.002 | 44861.845 | 0.003 | -0.001 |
| 0.000 | 0.001 | -0.003 | -0.000 | 44861.847 | -0.000 |
| -0.000 | 0.001 | -0.002 | 0.000 | 0.003 | 44861.843 |
| 154156.545 | 51235.877 | 51235.880 | -0.000 | -0.002 | 0.000 |
| 51235.877 | 154156.545 | 51235.880 | -0.000 | -0.003 | 0.000 |
| 51235.877 | 51235.877 | 154156.547 | 0.000 | -0.003 | 0.000 |
| -0.001 | -0.000 | 0.002 | 44861.844 | -0.004 | -0.000 |
| -0.000 | -0.001 | 0.002 | 0.000 | 44861.840 | 0.000 |
| 0.000 | -0.001 | 0.002 | -0.000 | -0.002 | 44861.843 |
| 154156.564 | 51235.890 | 51235.889 | 0.000 | 0.000 | 0.000 |
| 51235.890 | 154156.564 | 51235.889 | 0.000 | 0.000 | 0.000 |
| 51235.890 | 51235.890 | 154156.564 | 0.000 | 0.000 | -0.000 |
| -0.002 | -0.007 | -0.004 | 39099.766 | 0.000 | -0.000 |
| -0.007 | -0.002 | -0.004 | -0.000 | 39099.767 | -0.000 |
| -0.007 | -0.004 | -0.002 | -0.000 | 0.000 | 39099.766 |
| 154156.531 | 51235.868 | 51235.869 | 0.000 | -0.000 | 0.000 |
| 51235.868 | 154156.531 | 51235.869 | 0.000 | -0.000 | 0.000 |
| 51235.868 | 51235.868 | 154156.532 | 0.000 | -0.000 | 0.000 |
| 0.002 | 0.007 | 0.004 | 39099.766 | -0.000 | 0.000 |
| 0.007 | 0.002 | 0.004 | 0.000 | 39099.766 | 0.000 |
| 0.007 | 0.004 | 0.002 | 0.000 | -0.000 | 39099.766 |
| 147311.058 | 54658.784 | 54658.784 | -0.000 | 0.000 | -0.000 |
| 54658.784 | 147311.058 | 54658.784 | -0.000 | 0.000 | -0.000 |
| 54658.784 | 54658.784 | 147311.058 | -0.000 | 0.000 | 0.000 |
| -0.009 | -0.063 | -0.019 | 44861.844 | 0.000 | 0.000 |
| -0.063 | -0.009 | -0.019 | 0.000 | 44861.844 | -0.000 |
| -0.063 | -0.019 | -0.009 | 0.000 | 0.000 | 44861.844 |
| 147242.926 | 54692.530 | 54692.530 | -0.000 | -0.000 | 0.000 |
| 54692.530 | 147242.926 | 54692.530 | -0.000 | -0.000 | 0.000 |
| 54692.530 | 54692.530 | 147242.926 | -0.000 | -0.000 | 0.000 |
| 0.009 | 0.063 | 0.019 | 44861.844 | -0.000 | 0.000 |
| 0.063 | 0.009 | 0.019 | 0.000 | 44861.843 | 0.000 |
| 0.063 | 0.019 | 0.009 | 0.000 | -0.000 | 44861.844 |
| 72.379 | 28.419 | 28.419 | -0.000 | -0.000 | 0.000 |
| 28.419 | 72.379 | 28.419 | -0.000 | 0.000 | 0.000 |
| 28.419 | 28.419 | 72.379 | -0.000 | -0.000 | 0.000 |
| -0.000 | -0.000 | 0.000 | 23.179 | -0.000 | 0.000 |
| -0.000 | -0.000 | 0.000 | -0.000 | 23.179 | 0.000 |
| -0.000 | -0.000 | 0.000 | -0.000 | -0.000 | 23.179 |
| 70.391 | 29.413 | 29.413 | 0.000 | 0.000 | 0.000 |
| 29.413 | 70.391 | 29.413 | 0.000 | 0.000 | -0.000 |
| 29.413 | 29.413 | 70.391 | 0.000 | -0.000 | -0.000 |
| 0.000 | 0.000 | 0.000 | 23.179 | 0.000 | 0.000 |
| 0.000 | 0.000 | 0.000 | 0.000 | 23.179 | 0.000 |
| 0.000 | 0.000 | 0.000 | 0.000 | 0.000 | 23.179 |
| 70.391 | 29.413 | 29.413 | 0.000 | -0.000 | -0.000 |
| 29.413 | 70.391 | 29.413 | -0.000 | -0.000 | -0.000 |
| 29.413 | 29.413 | 70.391 | -0.000 | 0.000 | 0.000 |
| -0.000 | -0.000 | -0.000 | 23.179 | 0.000 | 0.000 |
| -0.000 | -0.000 | -0.000 | -0.000 | 23.179 | -0.000 |
| -0.000 | -0.000 | -0.000 | -0.000 | -0.000 | 23.179 |
| 72.379 | 28.419 | 28.419 | 0.000 | -0.000 | -0.000 |
| 28.419 | 72.379 | 28.419 | 0.000 | -0.000 | 0.000 |
| 28.419 | 28.419 | 72.379 | 0.000 | -0.000 | 0.000 |
| 0.000 | 0.000 | 0.000 | 23.179 | -0.000 | -0.000 |
| 0.000 | 0.000 | 0.000 | 0.000 | 23.179 | 0.000 |
| 0.000 | 0.000 | 0.000 | 0.000 | 0.000 | 23.179 |
| 70.391 | 29.413 | 29.413 | -0.000 | -0.000 | -0.000 |
| 29.413 | 70.391 | 29.413 | -0.000 | -0.000 | 0.000 |
| 29.413 | 29.413 | 70.391 | -0.000 | -0.000 | -0.000 |
| -0.000 | -0.000 | -0.000 | 24.723 | -0.000 | 0.000 |
| -0.000 | -0.000 | -0.000 | -0.000 | 24.723 | 0.000 |
| -0.000 | -0.000 | -0.000 | -0.000 | -0.000 | 24.723 |
| 72.379 | 28.419 | 28.419 | 0.000 | -0.000 | 0.000 |
| 28.419 | 72.379 | 28.419 | 0.000 | -0.000 | -0.000 |
| 28.419 | 28.419 | 72.379 | 0.000 | 0.000 | 0.000 |
| 0.000 | 0.000 | 0.000 | 24.723 | 0.000 | 0.000 |
| 0.000 | 0.000 | 0.000 | 0.000 | 24.723 | -0.000 |
| 0.000 | 0.000 | 0.000 | 0.000 | 0.000 | 24.723 |
| 500.740 | 404.367 | 404.367 | -0.000 | -0.000 | -0.000 |
| 404.367 | 500.740 | 404.367 | 0.000 | -0.000 | -0.000 |
| 404.367 | 404.367 | 500.740 | 0.000 | 0.000 | 0.000 |
| 0.000 | -0.000 | 0.000 | 195.925 | -0.000 | -0.000 |
| -0.000 | 0.000 | 0.000 | -0.000 | 195.925 | 0.000 |
| -0.000 | -0.000 | 0.000 | -0.000 | -0.000 | 195.925 |
| 500.739 | 404.367 | 404.367 | 0.000 | 0.000 | 0.000 |
| 404.367 | 500.739 | 404.367 | -0.000 | 0.000 | 0.000 |
| 404.367 | 404.367 | 500.739 | 0.000 | 0.000 | -0.000 |
| -0.000 | 0.000 | -0.000 | 195.925 | 0.000 | 0.000 |
| -0.000 | -0.000 | -0.000 | 0.000 | 195.925 | 0.000 |
| -0.000 | 0.000 | -0.000 | 0.000 | 0.000 | 195.925 |
| 500.741 | 404.369 | 404.369 | 0.000 | -0.000 | -0.000 |
| 404.369 | 500.741 | 404.369 | -0.000 | -0.000 | -0.000 |
| 404.369 | 404.369 | 500.741 | -0.000 | 0.000 | 0.000 |
| 0.000 | -0.000 | -0.000 | 195.925 | -0.000 | -0.000 |
| -0.000 | 0.000 | -0.000 | -0.000 | 195.925 | 0.000 |
| -0.000 | -0.000 | 0.000 | -0.000 | -0.000 | 195.925 |
| 500.738 | 404.366 | 404.366 | -0.000 | 0.000 | 0.000 |
| 404.366 | 500.738 | 404.366 | 0.000 | 0.000 | 0.000 |
| 404.366 | 404.366 | 500.738 | -0.000 | 0.000 | 0.000 |
| -0.000 | 0.000 | 0.000 | 195.925 | 0.000 | 0.000 |
| 0.000 | -0.000 | 0.000 | 0.000 | 195.925 | 0.000 |
| 0.000 | 0.000 | -0.000 | 0.000 | 0.000 | 195.925 |
| 500.753 | 404.382 | 404.382 | -0.000 | -0.000 | -0.000 |
| 404.382 | 500.753 | 404.382 | 0.000 | -0.000 | 0.000 |
| 404.382 | 404.382 | 500.753 | -0.000 | -0.000 | -0.000 |
| 0.000 | -0.001 | -0.000 | 195.925 | -0.000 | -0.000 |
| -0.001 | 0.000 | -0.000 | -0.000 | 195.925 | -0.000 |
| -0.001 | -0.000 | 0.000 | 0.000 | -0.000 | 195.925 |
| 500.726 | 404.353 | 404.353 | -0.000 | 0.000 | 0.000 |
| 404.353 | 500.726 | 404.353 | 0.000 | 0.000 | 0.000 |
| 404.353 | 404.353 | 500.726 | 0.000 | -0.000 | 0.000 |
| -0.000 | 0.001 | 0.000 | 195.925 | 0.000 | 0.000 |
| 0.001 | -0.000 | 0.000 | 0.000 | 195.925 | 0.000 |
| 0.001 | 0.000 | -0.000 | 0.000 | 0.000 | 195.925 |
| 164233.195 | 91201.996 | 91202.027 | -0.002 | -0.002 | 0.003 |
| 91201.996 | 164233.192 | 91202.016 | 0.001 | 0.033 | 0.005 |
| 91201.996 | 91201.994 | 164233.209 | -0.005 | -0.022 | 0.007 |
| 0.001 | -0.009 | -0.006 | 91203.543 | 0.012 | 0.008 |
| -0.001 | -0.013 | -0.006 | 0.001 | 91203.552 | 0.005 |
| -0.001 | -0.007 | -0.015 | -0.007 | -0.006 | 91203.548 |
| 164233.175 | 91201.992 | 91201.973 | -0.008 | -0.028 | -0.009 |
| 91201.993 | 164233.188 | 91201.969 | -0.001 | -0.021 | -0.007 |
| 91201.992 | 91201.991 | 164233.119 | 0.006 | -0.003 | -0.009 |
| -0.002 | 0.012 | -0.004 | 91203.552 | -0.012 | -0.003 |
| 0.001 | 0.013 | -0.003 | 0.005 | 91203.548 | -0.007 |
| 0.000 | 0.009 | 0.012 | 0.010 | 0.007 | 91203.539 |
| 164233.285 | 91202.020 | 91202.023 | 0.001 | 0.001 | 0.001 |
| 91202.020 | 164233.284 | 91202.023 | -0.000 | -0.000 | 0.001 |
| 91202.020 | 91202.020 | 164233.286 | -0.000 | 0.001 | 0.001 |
| 0.006 | 0.003 | 0.008 | 37645.485 | 0.002 | 0.001 |
| 0.004 | 0.005 | 0.007 | 0.000 | 37645.486 | 0.000 |
| 0.004 | 0.007 | 0.006 | -0.000 | 0.001 | 37645.486 |
| 164233.087 | 91201.970 | 91201.971 | -0.000 | -0.001 | -0.001 |
| 91201.970 | 164233.088 | 91201.972 | 0.001 | -0.000 | -0.001 |
| 91201.970 | 91201.970 | 164233.087 | 0.001 | -0.000 | -0.001 |
| -0.006 | -0.003 | -0.009 | 37645.486 | -0.002 | -0.001 |
| -0.004 | -0.005 | -0.008 | -0.000 | 37645.484 | -0.001 |
| -0.004 | -0.006 | -0.007 | 0.000 | -0.000 | 37645.485 |
| 164234.177 | 91202.249 | 91202.250 | 0.000 | 0.001 | 0.000 |
| 91202.249 | 164234.177 | 91202.250 | 0.000 | 0.000 | 0.000 |
| 91202.249 | 91202.249 | 164234.178 | 0.000 | 0.000 | 0.000 |
| 0.058 | 0.037 | 0.076 | 37659.813 | 0.000 | 0.000 |
| 0.037 | 0.058 | 0.076 | -0.000 | 37659.813 | 0.000 |
| 0.037 | 0.076 | 0.058 | -0.000 | 0.000 | 37659.813 |
| 164232.195 | 91201.741 | 91201.741 | 0.000 | 0.000 | -0.000 |
| 91201.741 | 164232.195 | 91201.741 | 0.000 | -0.000 | -0.000 |
| 91201.741 | 91201.741 | 164232.195 | 0.000 | 0.000 | -0.000 |
| -0.058 | -0.037 | -0.076 | 37659.813 | -0.000 | -0.000 |
| -0.037 | -0.058 | -0.076 | 0.000 | 37659.812 | -0.000 |
| -0.037 | -0.076 | -0.058 | -0.000 | -0.000 | 37659.812 |
| 42.800 | 25.004 | 25.004 | 0.000 | 0.000 | 0.000 |
| 25.004 | 42.800 | 25.004 | 0.000 | 0.000 | 0.000 |
| 25.004 | 25.004 | 42.800 | 0.000 | 0.000 | 0.000 |
| 0.000 | 0.000 | 0.000 | 22.333 | 0.000 | 0.000 |
| 0.000 | 0.000 | 0.000 | 0.000 | 22.333 | 0.000 |
| 0.000 | 0.000 | 0.000 | 0.000 | 0.000 | 22.333 |
| 42.800 | 25.004 | 25.004 | -0.000 | -0.000 | -0.000 |
| 25.004 | 42.800 | 25.004 | -0.000 | -0.000 | -0.000 |
| 25.004 | 25.004 | 42.800 | -0.000 | -0.000 | -0.000 |
| -0.000 | -0.000 | -0.000 | 22.333 | -0.000 | -0.000 |
| -0.000 | -0.000 | -0.000 | -0.000 | 22.333 | -0.000 |
| -0.000 | -0.000 | -0.000 | -0.000 | -0.000 | 22.333 |
| 42.800 | 25.004 | 25.004 | 0.000 | 0.000 | 0.000 |
| 25.004 | 42.800 | 25.004 | 0.000 | 0.000 | 0.000 |
| 25.004 | 25.004 | 42.800 | 0.000 | 0.000 | 0.000 |
| -0.000 | -0.000 | -0.000 | 22.333 | 0.000 | 0.000 |
| -0.000 | -0.000 | -0.000 | 0.000 | 22.333 | 0.000 |
| -0.000 | -0.000 | 0.000 | 0.000 | 0.000 | 22.333 |
| 42.800 | 25.004 | 25.004 | -0.000 | -0.000 | -0.000 |
| 25.004 | 42.800 | 25.004 | -0.000 | -0.000 | -0.000 |
| 25.004 | 25.004 | 42.800 | -0.000 | -0.000 | -0.000 |
| 0.000 | 0.000 | 0.000 | 22.333 | -0.000 | -0.000 |
| 0.000 | 0.000 | 0.000 | -0.000 | 22.333 | -0.000 |
| 0.000 | 0.000 | -0.000 | -0.000 | -0.000 | 22.333 |
| 42.800 | 25.004 | 25.004 | 0.000 | 0.000 | 0.000 |
| 25.004 | 42.800 | 25.004 | 0.000 | 0.000 | 0.000 |
| 25.004 | 25.004 | 42.800 | 0.000 | 0.000 | 0.000 |
| -0.000 | -0.000 | -0.000 | 22.333 | 0.000 | 0.000 |
| -0.000 | -0.000 | -0.000 | 0.000 | 22.333 | 0.000 |
| -0.000 | -0.000 | -0.000 | 0.000 | 0.000 | 22.333 |
| 42.799 | 25.004 | 25.004 | -0.000 | -0.000 | -0.000 |
| 25.004 | 42.799 | 25.004 | -0.000 | -0.000 | -0.000 |
| 25.004 | 25.004 | 42.799 | -0.000 | -0.000 | -0.000 |
| 0.000 | 0.000 | 0.000 | 22.333 | -0.000 | -0.000 |
| 0.000 | 0.000 | 0.000 | -0.000 | 22.333 | -0.000 |
| 0.000 | 0.000 | 0.000 | -0.000 | -0.000 | 22.333 |
| 625.943 | 541.320 | 541.320 | 0.000 | -0.000 | -0.000 |
| 541.320 | 625.943 | 541.320 | 0.000 | -0.000 | -0.000 |
| 541.320 | 541.320 | 625.943 | -0.000 | -0.000 | -0.000 |
| 0.000 | 0.000 | 0.000 | 230.069 | -0.000 | -0.000 |
| 0.000 | 0.000 | 0.000 | 0.000 | 230.069 | -0.000 |
| 0.000 | 0.000 | 0.000 | -0.000 | -0.000 | 230.069 |
| 625.943 | 541.321 | 541.321 | -0.000 | 0.000 | 0.000 |
| 541.321 | 625.943 | 541.321 | -0.000 | 0.000 | 0.000 |
| 541.321 | 541.321 | 625.943 | 0.000 | 0.000 | 0.000 |
| -0.000 | -0.000 | -0.000 | 230.069 | 0.000 | 0.000 |
| -0.000 | -0.000 | -0.000 | -0.000 | 230.069 | 0.000 |
| -0.000 | -0.000 | -0.000 | -0.000 | 0.000 | 230.069 |
| 625.940 | 541.319 | 541.319 | -0.000 | -0.000 | -0.000 |
| 541.319 | 625.940 | 541.319 | -0.000 | -0.000 | -0.000 |
| 541.319 | 541.319 | 625.940 | 0.000 | -0.000 | -0.000 |
| 0.000 | 0.000 | 0.000 | 230.069 | -0.000 | -0.000 |
| 0.000 | 0.000 | 0.000 | 0.000 | 230.069 | -0.000 |
| 0.000 | 0.000 | 0.000 | -0.000 | -0.000 | 230.069 |
| 625.946 | 541.322 | 541.322 | 0.000 | 0.000 | 0.000 |
| 541.322 | 625.946 | 541.322 | -0.000 | 0.000 | 0.000 |
| 541.322 | 541.322 | 625.946 | -0.000 | 0.000 | 0.000 |
| -0.000 | -0.000 | -0.000 | 230.069 | 0.000 | 0.000 |
| -0.000 | -0.000 | -0.000 | -0.000 | 230.069 | 0.000 |
| -0.000 | -0.000 | -0.000 | -0.000 | 0.000 | 230.069 |
| 625.916 | 541.304 | 541.304 | 0.000 | -0.000 | -0.000 |
| 541.304 | 625.916 | 541.304 | -0.000 | -0.000 | -0.000 |
| 541.304 | 541.304 | 625.916 | -0.000 | -0.000 | -0.000 |
| 0.000 | 0.001 | 0.001 | 230.069 | -0.000 | -0.000 |
| 0.001 | 0.000 | 0.001 | -0.000 | 230.069 | -0.000 |
| 0.001 | 0.001 | 0.000 | 0.000 | -0.000 | 230.069 |
| 625.969 | 541.337 | 541.337 | -0.000 | 0.000 | 0.000 |
| 541.337 | 625.969 | 541.337 | 0.000 | 0.000 | 0.000 |
| 541.337 | 541.337 | 625.969 | -0.000 | 0.000 | 0.000 |
| -0.000 | -0.001 | -0.001 | 230.069 | 0.000 | 0.000 |
| -0.001 | -0.000 | -0.001 | -0.000 | 230.069 | 0.000 |
| -0.001 | -0.001 | -0.000 | -0.000 | 0.000 | 230.069 |
| 149471.415 | 66094.824 | 66094.826 | 0.000 | -0.000 | 0.001 |
| 66094.826 | 149471.415 | 66094.826 | -0.001 | 0.000 | 0.001 |
| 66094.826 | 66094.825 | 149471.415 | -0.000 | -0.000 | 0.001 |
| 0.000 | 0.000 | 0.001 | 66095.223 | -0.000 | 0.000 |
| 0.001 | 0.000 | 0.002 | 0.000 | 66095.223 | 0.000 |
| 0.001 | 0.002 | -0.000 | -0.001 | -0.001 | 66095.223 |
| 149471.411 | 66094.823 | 66094.821 | -0.000 | -0.000 | -0.001 |
| 66094.821 | 149471.410 | 66094.821 | -0.000 | 0.000 | -0.001 |
| 66094.821 | 66094.823 | 149471.410 | -0.000 | 0.000 | -0.001 |
| -0.000 | 0.000 | -0.001 | 66095.223 | -0.000 | -0.000 |
| -0.000 | 0.001 | -0.002 | -0.000 | 66095.224 | -0.000 |
| 0.000 | -0.002 | 0.000 | 0.000 | 0.000 | 66095.222 |
| 149471.448 | 66094.853 | 66094.854 | -0.000 | -0.000 | 0.000 |
| 66094.853 | 149471.448 | 66094.854 | -0.000 | -0.000 | 0.000 |
| 66094.853 | 66094.853 | 149471.448 | -0.000 | -0.000 | 0.000 |
| 0.004 | 0.010 | 0.019 | 66095.223 | -0.000 | 0.000 |
| 0.010 | 0.004 | 0.019 | -0.000 | 66095.223 | 0.000 |
| 0.010 | 0.019 | 0.004 | -0.000 | -0.000 | 66095.223 |
| 149471.377 | 66094.794 | 66094.794 | -0.000 | 0.000 | -0.000 |
| 66094.794 | 149471.377 | 66094.794 | 0.000 | 0.000 | -0.000 |
| 66094.794 | 66094.794 | 149471.377 | -0.000 | -0.000 | 0.000 |
| -0.004 | -0.010 | -0.019 | 66095.223 | 0.000 | -0.000 |
| -0.010 | -0.004 | -0.019 | 0.000 | 66095.223 | -0.000 |
| -0.010 | -0.019 | -0.004 | 0.000 | 0.000 | 66095.223 |
| 149471.766 | 66095.121 | 66095.121 | 0.000 | -0.000 | 0.000 |
| 66095.121 | 149471.766 | 66095.121 | -0.000 | 0.000 | 0.000 |
| 66095.121 | 66095.121 | 149471.766 | -0.000 | -0.000 | 0.000 |
| 0.044 | 0.099 | 0.189 | 66095.223 | 0.000 | -0.000 |
| 0.099 | 0.044 | 0.189 | 0.000 | 66095.223 | 0.000 |
| 0.099 | 0.189 | 0.044 | -0.000 | -0.000 | 66095.223 |
| 149471.059 | 66094.527 | 66094.527 | 0.000 | -0.000 | -0.000 |
| 66094.527 | 149471.059 | 66094.527 | -0.000 | 0.000 | -0.000 |
| 66094.527 | 66094.527 | 149471.059 | 0.000 | 0.000 | 0.000 |
| -0.044 | -0.099 | -0.189 | 66095.223 | -0.000 | -0.000 |
| -0.099 | -0.044 | -0.189 | 0.000 | 66095.223 | -0.000 |
| -0.099 | -0.189 | -0.044 | -0.000 | 0.000 | 66095.223 |
| 52.720 | 26.943 | 26.943 | -0.000 | -0.000 | 0.000 |
| 26.943 | 52.720 | 26.943 | -0.000 | -0.000 | -0.000 |
| 26.943 | 26.943 | 52.720 | -0.000 | -0.000 | -0.000 |
| 0.000 | -0.000 | 0.000 | 26.554 | -0.000 | -0.000 |
| 0.000 | -0.000 | 0.000 | -0.000 | 26.554 | -0.000 |
| 0.000 | 0.000 | -0.000 | -0.000 | -0.000 | 26.554 |
| 52.720 | 26.943 | 26.943 | 0.000 | 0.000 | 0.000 |
| 26.943 | 52.720 | 26.943 | 0.000 | 0.000 | 0.000 |
| 26.943 | 26.943 | 52.720 | 0.000 | 0.000 | 0.000 |
| -0.000 | -0.000 | -0.000 | 26.554 | 0.000 | 0.000 |
| -0.000 | 0.000 | -0.000 | 0.000 | 26.554 | 0.000 |
| -0.000 | -0.000 | 0.000 | 0.000 | 0.000 | 26.554 |
| 52.720 | 26.943 | 26.943 | -0.000 | -0.000 | 0.000 |
| 26.943 | 52.720 | 26.943 | -0.000 | -0.000 | 0.000 |
| 26.943 | 26.943 | 52.720 | -0.000 | -0.000 | 0.000 |
| -0.000 | -0.000 | 0.000 | 26.554 | -0.000 | 0.000 |
| -0.000 | -0.000 | 0.000 | 0.000 | 26.554 | -0.000 |
| -0.000 | 0.000 | -0.000 | -0.000 | -0.000 | 26.554 |
| 52.720 | 26.943 | 26.943 | 0.000 | -0.000 | 0.000 |
| 26.943 | 52.720 | 26.943 | 0.000 | 0.000 | -0.000 |
| 26.943 | 26.943 | 52.720 | 0.000 | 0.000 | -0.000 |
| 0.000 | 0.000 | -0.000 | 26.554 | 0.000 | 0.000 |
| 0.000 | 0.000 | -0.000 | 0.000 | 26.554 | 0.000 |
| 0.000 | -0.000 | 0.000 | 0.000 | 0.000 | 26.554 |
| 52.720 | 26.943 | 26.943 | -0.000 | -0.000 | 0.000 |
| 26.943 | 52.720 | 26.943 | 0.000 | -0.000 | 0.000 |
| 26.943 | 26.943 | 52.720 | -0.000 | -0.000 | -0.000 |
| -0.000 | -0.000 | 0.000 | 26.554 | -0.000 | -0.000 |
| -0.000 | -0.000 | 0.000 | -0.000 | 26.554 | -0.000 |
| -0.000 | 0.000 | -0.000 | 0.000 | 0.000 | 26.554 |
| 52.720 | 26.943 | 26.943 | 0.000 | -0.000 | -0.000 |
| 26.943 | 52.720 | 26.943 | -0.000 | 0.000 | 0.000 |
| 26.943 | 26.943 | 52.720 | 0.000 | 0.000 | 0.000 |
| 0.000 | 0.000 | -0.000 | 26.554 | 0.000 | 0.000 |
| 0.000 | 0.000 | -0.000 | 0.000 | 26.554 | -0.000 |
| 0.000 | -0.000 | 0.000 | -0.000 | -0.000 | 26.554 |
| -1994242281.099 | -1829706736.225 | -1979904640.103 | -13322170.939 | -3979124.703 | 12231541.151 |
| -1742691555.828 | -1880814933.695 | -1921505107.698 | -33137180.761 | 31577005.299 | -6742413.053 |
| 83.828 | 83.828 | -314.438 | 0.000 | 0.000 | -0.000 |
| -0.000 | -0.000 | -0.000 | 36.965 | 0.000 | -0.000 |
| -0.000 | -0.000 | -0.000 | -0.000 | 36.965 | -0.000 |
| -0.000 | -0.000 | -0.000 | 0.000 | 0.000 | 370.658 |
| 455.944 | 597.462 | 83.828 | 0.000 | -0.000 | 0.000 |
| 597.462 | 455.944 | 83.828 | -0.000 | -0.000 | 0.000 |
| 83.828 | 83.828 | -314.438 | 0.000 | -0.000 | 0.000 |
| 0.000 | 0.000 | 0.000 | 36.965 | -0.000 | 0.000 |
| 0.000 | 0.000 | 0.000 | 0.000 | 36.965 | 0.000 |
| 0.000 | 0.000 | 0.000 | -0.000 | -0.000 | 370.658 |
| 455.943 | 597.461 | 83.828 | -0.000 | -0.000 | -0.000 |
| 597.461 | 455.943 | 83.828 | -0.000 | -0.000 | -0.000 |
| 83.828 | 83.828 | -314.439 | 0.000 | 0.000 | -0.000 |
| -0.000 | -0.000 | -0.000 | 36.965 | 0.000 | -0.000 |
| -0.000 | -0.000 | -0.000 | 0.000 | 36.965 | -0.000 |
| -0.000 | 0.000 | -0.000 | 0.000 | 0.000 | 370.658 |
| 166745492.610 | 176733054.348 | 176112258.727 | -484098.709 | -930340.378 | -1265247.172 |
| 182386614.453 | 176690653.369 | 187552183.940 | 638176.831 | 1755232.102 | 202914.559 |
| 83.828 | 83.828 | -314.438 | -0.000 | -0.000 | 0.000 |
| 0.000 | 0.000 | 0.000 | 36.965 | -0.000 | 0.000 |
| 0.000 | 0.000 | 0.000 | -0.000 | 36.965 | 0.000 |
| 0.000 | -0.000 | 0.000 | -0.000 | -0.000 | 370.658 |
| -18660959.462 | -16298662.169 | -18330890.234 | 64900.133 | 60990.274 | 178089.965 |
| -14892821.481 | -16418745.708 | -15704887.744 | -36866.026 | -48640.676 | -59005.176 |
| 83.828 | 83.828 | -314.441 | -0.000 | 0.000 | -0.000 |
| -0.000 | -0.000 | -0.000 | 36.965 | 0.000 | -0.000 |
| -0.000 | -0.000 | -0.000 | -0.000 | 36.965 | -0.000 |
| -0.001 | 0.000 | -0.000 | -0.000 | -0.000 | 370.658 |
| 17728991.141 | 19292026.156 | 19349252.828 | -96078.734 | -267151.131 | 145596.134 |
| 18744496.746 | 17837629.006 | 19060906.413 | 61994.472 | 128237.574 | -44702.831 |
| 83.829 | 83.829 | -314.435 | -0.000 | -0.000 | 0.000 |
| 0.000 | 0.000 | 0.000 | 36.965 | -0.000 | 0.000 |
| 0.000 | 0.000 | 0.000 | -0.000 | 36.965 | 0.000 |
| 0.001 | -0.000 | 0.000 | 0.000 | 0.000 | 370.658 |
| 169.270 | 202.226 | 202.226 | -0.000 | -0.000 | -0.000 |
| 202.226 | 169.270 | 202.226 | -0.000 | -0.000 | -0.000 |
| 202.226 | 202.226 | 169.270 | -0.000 | -0.000 | -0.000 |
| -0.000 | -0.000 | 0.000 | 142.606 | 0.000 | 0.000 |
| -0.000 | -0.000 | 0.000 | 0.000 | 142.606 | 0.000 |
| -0.000 | 0.000 | 0.000 | 0.000 | 0.000 | 142.606 |
| 169.270 | 202.226 | 202.226 | 0.000 | 0.000 | 0.000 |
| 202.226 | 169.270 | 202.226 | 0.000 | -0.000 | 0.000 |
| 202.226 | 202.226 | 169.270 | 0.000 | 0.000 | 0.000 |
| 0.000 | 0.000 | -0.000 | 142.606 | -0.000 | -0.000 |
| 0.000 | 0.000 | -0.000 | -0.000 | 142.606 | -0.000 |
| 0.000 | 0.000 | -0.000 | -0.000 | -0.000 | 142.606 |
| 169.270 | 202.226 | 202.226 | -0.000 | 0.000 | -0.000 |
| 202.226 | 169.270 | 202.226 | -0.000 | -0.000 | -0.000 |
| 202.226 | 202.226 | 169.270 | 0.000 | -0.000 | -0.000 |
| 0.000 | -0.000 | 0.000 | 142.606 | 0.000 | 0.000 |
| -0.000 | 0.000 | 0.000 | 0.000 | 142.606 | 0.000 |
| -0.000 | 0.000 | 0.000 | 0.000 | 0.000 | 142.606 |
| 169.270 | 202.226 | 202.226 | 0.000 | 0.000 | 0.000 |
| 202.226 | 169.270 | 202.226 | 0.000 | 0.000 | 0.000 |
| 202.226 | 202.226 | 169.270 | -0.000 | 0.000 | -0.000 |
| -0.000 | 0.000 | -0.000 | 142.606 | -0.000 | -0.000 |
| 0.000 | -0.000 | -0.000 | -0.000 | 142.606 | -0.000 |
| 0.000 | -0.000 | -0.000 | -0.000 | -0.000 | 142.606 |
| 169.270 | 202.224 | 202.224 | -0.000 | -0.000 | -0.000 |
| 202.224 | 169.270 | 202.224 | -0.000 | -0.000 | -0.000 |
| 202.224 | 202.224 | 169.270 | -0.000 | 0.000 | -0.000 |
| 0.000 | -0.000 | 0.000 | 142.606 | 0.000 | 0.000 |
| -0.000 | 0.000 | 0.000 | 0.000 | 142.606 | 0.000 |
| -0.000 | 0.000 | 0.000 | 0.000 | 0.000 | 142.606 |
| 169.271 | 202.228 | 202.228 | 0.000 | -0.000 | 0.000 |
| 202.228 | 169.271 | 202.228 | 0.000 | 0.000 | 0.000 |
| 202.228 | 202.228 | 169.271 | 0.000 | 0.000 | 0.000 |
| -0.000 | 0.000 | -0.000 | 142.606 | -0.000 | -0.000 |
| 0.000 | -0.000 | -0.000 | -0.000 | 142.606 | -0.000 |
| 0.000 | -0.000 | -0.000 | -0.000 | -0.000 | 142.606 |
| 282.839 | 205.436 | 205.436 | 0.000 | 0.000 | -0.000 |
| 205.436 | 282.839 | 205.436 | 0.000 | -0.000 | -0.000 |
| 205.436 | 205.436 | 282.839 | 0.000 | 0.000 | 0.000 |
| -0.000 | -0.000 | 0.000 | 102.103 | -0.000 | 0.000 |
| -0.000 | 0.000 | 0.000 | -0.000 | 102.103 | -0.000 |
| -0.000 | -0.000 | 0.000 | 0.000 | 0.000 | 102.103 |
| 282.839 | 205.436 | 205.436 | 0.000 | -0.000 | 0.000 |
| 205.436 | 282.839 | 205.436 | -0.000 | 0.000 | 0.000 |
| 205.436 | 205.436 | 282.839 | -0.000 | 0.000 | 0.000 |
| 0.000 | 0.000 | -0.000 | 102.103 | -0.000 | 0.000 |
| 0.000 | 0.000 | -0.000 | -0.000 | 102.103 | -0.000 |
| 0.000 | -0.000 | -0.000 | -0.000 | -0.000 | 102.103 |
| 282.839 | 205.436 | 205.436 | -0.000 | 0.000 | 0.000 |
| 205.436 | 282.839 | 205.436 | 0.000 | -0.000 | 0.000 |
| 205.436 | 205.436 | 282.839 | 0.000 | -0.000 | 0.000 |
| 0.000 | -0.000 | -0.000 | 102.103 | 0.000 | 0.000 |
| -0.000 | 0.000 | -0.000 | 0.000 | 102.103 | -0.000 |
| -0.000 | -0.000 | 0.000 | 0.000 | 0.000 | 102.103 |
| 282.839 | 205.436 | 205.436 | -0.000 | -0.000 | -0.000 |
| 205.436 | 282.839 | 205.436 | -0.000 | -0.000 | -0.000 |
| 205.436 | 205.436 | 282.839 | -0.000 | -0.000 | -0.000 |
| -0.000 | 0.000 | 0.000 | 102.103 | 0.000 | 0.000 |
| 0.000 | -0.000 | 0.000 | -0.000 | 102.103 | 0.000 |
| 0.000 | 0.000 | -0.000 | -0.000 | -0.000 | 102.103 |
| 282.841 | 205.438 | 205.438 | 0.000 | -0.000 | 0.000 |
| 205.438 | 282.841 | 205.438 | 0.000 | -0.000 | 0.000 |
| 205.438 | 205.438 | 282.841 | 0.000 | 0.000 | -0.000 |
| 0.000 | -0.000 | 0.000 | 144.598 | -0.000 | -0.000 |
| -0.000 | 0.000 | 0.000 | 0.000 | 144.598 | 0.000 |
| -0.000 | 0.000 | 0.000 | 0.000 | 0.000 | 144.598 |
| 282.837 | 205.435 | 205.435 | -0.000 | 0.000 | -0.000 |
| 205.435 | 282.837 | 205.435 | -0.000 | -0.000 | 0.000 |
| 205.435 | 205.435 | 282.837 | -0.000 | 0.000 | -0.000 |
| -0.000 | 0.000 | -0.000 | 144.598 | -0.000 | -0.000 |
| 0.000 | -0.000 | -0.000 | -0.000 | 144.598 | 0.000 |
| 0.000 | -0.000 | -0.000 | -0.000 | -0.000 | 144.598 |
| 318.927 | 206.527 | 206.527 | 0.000 | -0.000 | -0.000 |
| 206.527 | 318.927 | 206.527 | 0.000 | -0.000 | -0.000 |
| 206.527 | 206.527 | 318.927 | 0.000 | 0.000 | -0.000 |
| 0.000 | -0.000 | 0.000 | 136.638 | -0.000 | -0.000 |
| 0.000 | 0.000 | 0.000 | 0.000 | 136.638 | -0.000 |
| 0.000 | -0.000 | 0.000 | 0.000 | -0.000 | 136.638 |
| 318.927 | 206.527 | 206.527 | -0.000 | 0.000 | 0.000 |
| 206.527 | 318.927 | 206.527 | -0.000 | 0.000 | 0.000 |
| 206.527 | 206.527 | 318.927 | -0.000 | 0.000 | 0.000 |
| -0.000 | 0.000 | -0.000 | 136.638 | 0.000 | 0.000 |
| -0.000 | -0.000 | -0.000 | 0.000 | 136.638 | 0.000 |
| -0.000 | -0.000 | -0.000 | 0.000 | 0.000 | 136.638 |
| 318.927 | 206.527 | 206.527 | 0.000 | -0.000 | -0.000 |
| 206.527 | 318.927 | 206.527 | 0.000 | -0.000 | -0.000 |
| 206.527 | 206.527 | 318.927 | 0.000 | -0.000 | -0.000 |
| 0.000 | -0.000 | -0.000 | 136.638 | 0.000 | -0.000 |
| -0.000 | 0.000 | -0.000 | 0.000 | 136.638 | -0.000 |
| -0.000 | -0.000 | 0.000 | 0.000 | -0.000 | 136.638 |
| 318.927 | 206.527 | 206.527 | -0.000 | 0.000 | 0.000 |
| 206.527 | 318.927 | 206.527 | -0.000 | 0.000 | 0.000 |
| 206.527 | 206.527 | 318.927 | -0.000 | 0.000 | 0.000 |
| -0.000 | 0.000 | 0.000 | 136.638 | -0.000 | 0.000 |
| 0.000 | -0.000 | 0.000 | 0.000 | 136.638 | 0.000 |
| 0.000 | 0.000 | -0.000 | -0.000 | 0.000 | 136.638 |
| 318.925 | 206.526 | 206.526 | 0.000 | -0.000 | -0.000 |
| 206.526 | 318.925 | 206.526 | 0.000 | -0.000 | -0.000 |
| 206.526 | 206.526 | 318.925 | 0.000 | -0.000 | -0.000 |
| 0.000 | -0.000 | -0.000 | 136.638 | 0.000 | -0.000 |
| -0.000 | 0.000 | -0.000 | -0.000 | 136.638 | -0.000 |
| -0.000 | -0.000 | 0.000 | 0.000 | -0.000 | 136.638 |
| 318.929 | 206.528 | 206.528 | 0.000 | 0.000 | 0.000 |
| 206.528 | 318.929 | 206.528 | -0.000 | 0.000 | 0.000 |
| 206.528 | 206.528 | 318.929 | 0.000 | 0.000 | 0.000 |
| -0.000 | 0.000 | 0.000 | 136.638 | -0.000 | 0.000 |
| 0.000 | -0.000 | 0.000 | -0.000 | 136.638 | 0.000 |
| 0.000 | 0.000 | -0.000 | -0.000 | 0.000 | 136.638 |
| 278.685 | 359.053 | 359.053 | 0.000 | 0.000 | 0.000 |
| 359.053 | 278.685 | 359.053 | 0.000 | 0.000 | 0.000 |
| 359.053 | 359.053 | 278.685 | 0.000 | 0.000 | -0.000 |
| -0.000 | -0.000 | 0.000 | 164.985 | 0.000 | 0.000 |
| -0.000 | 0.000 | 0.000 | 0.000 | 164.985 | -0.000 |
| -0.000 | -0.000 | 0.000 | 0.000 | 0.000 | 164.985 |
| 278.685 | 359.053 | 359.053 | -0.000 | -0.000 | 0.000 |
| 359.053 | 278.685 | 359.053 | -0.000 | -0.000 | -0.000 |
| 359.053 | 359.053 | 278.685 | -0.000 | -0.000 | -0.000 |
| 0.000 | 0.000 | -0.000 | 164.985 | -0.000 | -0.000 |
| 0.000 | -0.000 | -0.000 | -0.000 | 164.985 | 0.000 |
| 0.000 | -0.000 | -0.000 | -0.000 | -0.000 | 164.985 |
| 278.685 | 359.054 | 359.054 | -0.000 | 0.000 | 0.000 |
| 359.054 | 278.685 | 359.054 | 0.000 | 0.000 | 0.000 |
| 359.054 | 359.054 | 278.685 | 0.000 | 0.000 | -0.000 |
| 0.000 | -0.000 | -0.000 | 164.985 | 0.000 | -0.000 |
| -0.000 | 0.000 | -0.000 | 0.000 | 164.985 | -0.000 |
| -0.000 | -0.000 | 0.000 | 0.000 | 0.000 | 164.985 |
| 278.684 | 359.052 | 359.052 | -0.000 | -0.000 | -0.000 |
| 359.052 | 278.684 | 359.052 | -0.000 | -0.000 | -0.000 |
| 359.052 | 359.052 | 278.684 | -0.000 | -0.000 | -0.000 |
| -0.000 | 0.000 | 0.000 | 164.985 | -0.000 | -0.000 |
| 0.000 | -0.000 | 0.000 | -0.000 | 164.985 | -0.000 |
| 0.000 | 0.000 | -0.000 | -0.000 | -0.000 | 164.985 |
| 278.692 | 359.062 | 359.062 | 0.000 | 0.000 | -0.000 |
| 359.062 | 278.692 | 359.062 | 0.000 | 0.000 | -0.000 |
| 359.062 | 359.062 | 278.692 | 0.000 | 0.000 | 0.000 |
| 0.000 | -0.000 | -0.000 | 164.985 | 0.000 | -0.000 |
| -0.000 | 0.000 | -0.000 | 0.000 | 164.985 | 0.000 |
| -0.000 | -0.000 | 0.000 | 0.000 | 0.000 | 164.985 |
| 278.678 | 359.045 | 359.045 | -0.000 | -0.000 | -0.000 |
| 359.045 | 278.678 | 359.045 | -0.000 | -0.000 | -0.000 |
| 359.045 | 359.045 | 278.678 | -0.000 | -0.000 | -0.000 |
| -0.000 | 0.000 | 0.000 | 164.985 | -0.000 | -0.000 |
| 0.000 | -0.000 | 0.000 | -0.000 | 164.985 | 0.000 |
| 0.000 | 0.000 | -0.000 | -0.000 | -0.000 | 164.985 |
| 23.829 | 16.936 | 16.936 | -0.000 | -0.000 | 0.000 |
| 16.936 | 23.829 | 16.936 | -0.000 | -0.000 | 0.000 |
| 16.936 | 16.936 | 23.829 | -0.000 | -0.000 | 0.000 |
| 0.000 | 0.000 | 0.000 | 16.430 | -0.000 | 0.000 |
| 0.000 | 0.000 | 0.000 | 0.000 | 16.430 | 0.000 |
| 0.000 | 0.000 | -0.000 | -0.000 | -0.000 | 16.430 |
| 23.829 | 16.936 | 16.936 | 0.000 | 0.000 | -0.000 |
| 16.936 | 23.829 | 16.936 | 0.000 | 0.000 | -0.000 |
| 16.936 | 16.936 | 23.829 | 0.000 | 0.000 | -0.000 |
| -0.000 | -0.000 | -0.000 | 16.430 | 0.000 | -0.000 |
| -0.000 | -0.000 | -0.000 | -0.000 | 16.430 | -0.000 |
| -0.000 | -0.000 | 0.000 | -0.000 | 0.000 | 16.430 |
| 23.829 | 16.936 | 16.936 | -0.000 | -0.000 | 0.000 |
| 16.936 | 23.829 | 16.936 | -0.000 | -0.000 | 0.000 |
| 16.936 | 16.936 | 23.829 | -0.000 | -0.000 | 0.000 |
| -0.000 | -0.000 | -0.000 | 16.430 | -0.000 | 0.000 |
| -0.000 | -0.000 | -0.000 | 0.000 | 16.430 | 0.000 |
| -0.000 | -0.000 | -0.000 | 0.000 | -0.000 | 16.430 |
| 23.829 | 16.936 | 16.936 | 0.000 | 0.000 | -0.000 |
| 16.936 | 23.829 | 16.936 | 0.000 | 0.000 | -0.000 |
| 16.936 | 16.936 | 23.829 | 0.000 | 0.000 | -0.000 |
| 0.000 | 0.000 | 0.000 | 16.430 | 0.000 | -0.000 |
| 0.000 | 0.000 | 0.000 | -0.000 | 16.430 | -0.000 |
| 0.000 | 0.000 | 0.000 | -0.000 | 0.000 | 16.430 |
| 23.829 | 16.936 | 16.936 | -0.000 | -0.000 | 0.000 |
| 16.936 | 23.829 | 16.936 | -0.000 | -0.000 | 0.000 |
| 16.936 | 16.936 | 23.829 | 0.000 | -0.000 | 0.000 |
| 0.000 | -0.000 | -0.000 | 12.345 | -0.000 | 0.000 |
| -0.000 | 0.000 | -0.000 | -0.000 | 12.345 | 0.000 |
| -0.000 | -0.000 | 0.000 | -0.000 | -0.000 | 12.345 |
| 23.829 | 16.936 | 16.936 | 0.000 | 0.000 | -0.000 |
| 16.936 | 23.829 | 16.936 | 0.000 | 0.000 | -0.000 |
| 16.936 | 16.936 | 23.829 | 0.000 | 0.000 | -0.000 |
| -0.000 | 0.000 | 0.000 | 12.345 | 0.000 | -0.000 |
| 0.000 | -0.000 | 0.000 | 0.000 | 12.345 | -0.000 |
| 0.000 | 0.000 | -0.000 | 0.000 | 0.000 | 12.345 |
| 173.440 | 52.749 | 52.749 | 0.000 | 0.000 | 0.000 |
| 52.749 | 173.440 | 52.749 | 0.000 | 0.000 | 0.000 |
| 52.749 | 52.749 | 173.440 | 0.000 | 0.000 | 0.000 |
| -0.000 | -0.000 | -0.000 | 25.514 | 0.000 | 0.000 |
| -0.000 | -0.000 | -0.000 | 0.000 | 25.514 | 0.000 |
| -0.000 | -0.000 | 0.000 | 0.000 | 0.000 | 25.514 |
| 173.440 | 52.749 | 52.749 | -0.000 | -0.000 | -0.000 |
| 52.749 | 173.440 | 52.749 | -0.000 | -0.000 | -0.000 |
| 52.749 | 52.749 | 173.440 | -0.000 | -0.000 | -0.000 |
| 0.000 | 0.000 | 0.000 | 25.514 | -0.000 | -0.000 |
| 0.000 | 0.000 | 0.000 | -0.000 | 25.514 | -0.000 |
| 0.000 | 0.000 | -0.000 | -0.000 | -0.000 | 25.514 |
| 173.440 | 52.748 | 52.748 | 0.000 | 0.000 | 0.000 |
| 52.748 | 173.440 | 52.748 | 0.000 | 0.000 | 0.000 |
| 52.748 | 52.748 | 173.440 | 0.000 | 0.000 | 0.000 |
| -0.000 | -0.000 | -0.000 | 25.514 | 0.000 | 0.000 |
| -0.000 | -0.000 | -0.000 | 0.000 | 25.514 | 0.000 |
| -0.000 | -0.000 | -0.000 | 0.000 | 0.000 | 25.514 |
| 173.440 | 52.749 | 52.749 | -0.000 | -0.000 | -0.000 |
| 52.749 | 173.440 | 52.749 | -0.000 | -0.000 | -0.000 |
| 52.749 | 52.749 | 173.440 | -0.000 | 0.000 | -0.000 |
| 0.000 | 0.000 | 0.000 | 25.514 | -0.000 | -0.000 |
| 0.000 | 0.000 | 0.000 | -0.000 | 25.514 | -0.000 |
| 0.000 | 0.000 | 0.000 | -0.000 | -0.000 | 25.514 |
| 173.441 | 52.748 | 52.748 | 0.000 | 0.000 | 0.000 |
| 52.748 | 173.441 | 52.748 | 0.000 | 0.000 | 0.000 |
| 52.748 | 52.748 | 173.441 | 0.000 | 0.000 | 0.000 |
| -0.000 | -0.000 | -0.000 | 25.514 | 0.000 | 0.000 |
| -0.000 | -0.000 | -0.000 | 0.000 | 25.514 | 0.000 |
| -0.000 | -0.000 | -0.000 | 0.000 | 0.000 | 25.514 |
| 173.440 | 52.749 | 52.749 | -0.000 | -0.000 | -0.000 |
| 52.749 | 173.440 | 52.749 | -0.000 | -0.000 | -0.000 |
| 52.749 | 52.749 | 173.440 | -0.000 | -0.000 | -0.000 |
| 0.000 | 0.000 | 0.000 | 25.514 | -0.000 | -0.000 |
| 0.000 | 0.000 | 0.000 | -0.000 | 25.514 | -0.000 |
| 0.000 | 0.000 | 0.000 | -0.000 | -0.000 | 25.514 |
| 192.772 | 187.961 | 187.961 | 0.000 | 0.000 | -0.000 |
| 187.961 | 192.772 | 187.961 | 0.000 | 0.000 | -0.000 |
| 187.961 | 187.961 | 192.772 | -0.000 | -0.000 | -0.000 |
| 0.000 | -0.000 | 0.000 | 83.490 | 0.000 | -0.000 |
| -0.000 | -0.000 | 0.000 | -0.000 | 83.490 | 0.000 |
| -0.000 | 0.000 | 0.000 | -0.000 | -0.000 | 83.490 |
| 192.772 | 187.961 | 187.961 | -0.000 | -0.000 | 0.000 |
| 187.961 | 192.772 | 187.961 | 0.000 | -0.000 | 0.000 |
| 187.961 | 187.961 | 192.772 | -0.000 | -0.000 | 0.000 |
| -0.000 | 0.000 | -0.000 | 83.490 | 0.000 | -0.000 |
| 0.000 | 0.000 | -0.000 | -0.000 | 83.490 | 0.000 |
| 0.000 | 0.000 | -0.000 | -0.000 | -0.000 | 83.490 |
| 192.772 | 187.960 | 187.960 | 0.000 | 0.000 | -0.000 |
| 187.960 | 192.772 | 187.960 | 0.000 | 0.000 | -0.000 |
| 187.960 | 187.960 | 192.772 | -0.000 | -0.000 | 0.000 |
| 0.000 | 0.000 | 0.000 | 83.490 | 0.000 | -0.000 |
| 0.000 | 0.000 | 0.000 | 0.000 | 83.490 | -0.000 |
| 0.000 | 0.000 | 0.000 | 0.000 | 0.000 | 83.490 |
| 192.773 | 187.961 | 187.961 | -0.000 | 0.000 | 0.000 |
| 187.961 | 192.773 | 187.961 | 0.000 | -0.000 | 0.000 |
| 187.961 | 187.961 | 192.773 | -0.000 | 0.000 | 0.000 |
| -0.000 | -0.000 | -0.000 | 83.490 | -0.000 | -0.000 |
| -0.000 | -0.000 | -0.000 | -0.000 | 83.490 | 0.000 |
| -0.000 | -0.000 | -0.000 | -0.000 | -0.000 | 83.490 |
| 192.766 | 187.954 | 187.954 | 0.000 | 0.000 | -0.000 |
| 187.954 | 192.766 | 187.954 | 0.000 | 0.000 | -0.000 |
| 187.954 | 187.954 | 192.766 | 0.000 | 0.000 | -0.000 |
| 0.000 | 0.000 | 0.000 | 83.490 | -0.000 | -0.000 |
| 0.000 | 0.000 | 0.000 | -0.000 | 83.490 | -0.000 |
| 0.000 | 0.000 | 0.000 | -0.000 | 0.000 | 83.490 |
| 192.778 | 187.967 | 187.967 | -0.000 | 0.000 | 0.000 |
| 187.967 | 192.778 | 187.967 | -0.000 | -0.000 | 0.000 |
| 187.967 | 187.967 | 192.778 | 0.000 | -0.000 | 0.000 |
| -0.000 | -0.000 | -0.000 | 83.490 | 0.000 | 0.000 |
| -0.000 | -0.000 | -0.000 | 0.000 | 83.490 | 0.000 |
| -0.000 | -0.000 | -0.000 | 0.000 | -0.000 | 83.490 |
| 42.894 | -0.133 | -0.133 | -0.000 | 0.000 | 0.000 |
| -0.133 | 42.894 | -0.133 | 0.000 | 0.000 | 0.000 |
| -0.133 | -0.133 | 42.894 | 0.000 | -0.000 | 0.000 |
| 0.000 | -0.000 | -0.000 | -0.491 | 0.000 | 0.000 |
| -0.000 | 0.000 | -0.000 | 0.000 | -0.491 | 0.000 |
| -0.000 | -0.000 | 0.000 | 0.000 | 0.000 | -0.491 |
| 42.894 | -0.133 | -0.133 | -0.000 | -0.000 | 0.000 |
| -0.133 | 42.894 | -0.133 | -0.000 | -0.000 | -0.000 |
| -0.133 | -0.133 | 42.894 | 0.000 | -0.000 | -0.000 |
| -0.000 | 0.000 | 0.000 | -0.491 | -0.000 | -0.000 |
| 0.000 | -0.000 | 0.000 | 0.000 | -0.491 | -0.000 |
| 0.000 | 0.000 | -0.000 | -0.000 | -0.000 | -0.491 |
| 42.894 | -0.133 | -0.133 | 0.000 | 0.000 | 0.000 |
| -0.133 | 42.894 | -0.133 | -0.000 | 0.000 | 0.000 |
| -0.133 | -0.133 | 42.894 | -0.000 | -0.000 | 0.000 |
| -0.000 | -0.000 | -0.000 | -0.491 | 0.000 | 0.000 |
| -0.000 | -0.000 | -0.000 | 0.000 | -0.491 | 0.000 |
| -0.000 | -0.000 | -0.000 | 0.000 | 0.000 | -0.491 |
| 42.894 | -0.133 | -0.133 | -0.000 | -0.000 | -0.000 |
| -0.133 | 42.894 | -0.133 | 0.000 | 0.000 | -0.000 |
| -0.133 | -0.133 | 42.894 | -0.000 | -0.000 | -0.000 |
| 0.000 | 0.000 | 0.000 | -0.491 | -0.000 | -0.000 |
| 0.000 | 0.000 | 0.000 | 0.000 | -0.491 | -0.000 |
| 0.000 | 0.000 | 0.000 | -0.000 | -0.000 | -0.491 |
| 42.894 | -0.133 | -0.133 | 0.000 | -0.000 | 0.000 |
| -0.133 | 42.894 | -0.133 | 0.000 | 0.000 | 0.000 |
| -0.133 | -0.133 | 42.894 | 0.000 | -0.000 | 0.000 |
| -0.000 | -0.000 | -0.000 | -0.491 | 0.000 | 0.000 |
| -0.000 | -0.000 | -0.000 | -0.000 | -0.491 | 0.000 |
| -0.000 | -0.000 | -0.000 | -0.000 | -0.000 | -0.491 |
| 42.894 | -0.133 | -0.133 | 0.000 | -0.000 | -0.000 |
| -0.133 | 42.894 | -0.133 | 0.000 | 0.000 | -0.000 |
| -0.133 | -0.133 | 42.894 | -0.000 | -0.000 | -0.000 |
| 0.000 | 0.000 | 0.000 | -0.491 | -0.000 | -0.000 |
| 0.000 | 0.000 | 0.000 | -0.000 | -0.491 | -0.000 |
| 0.000 | 0.000 | 0.000 | 0.000 | -0.000 | -0.491 |
| 55.319 | 60.335 | 60.335 | 0.000 | 0.000 | 0.000 |
| 60.335 | 55.319 | 60.335 | 0.000 | 0.000 | 0.000 |
| 60.335 | 60.335 | 55.319 | 0.000 | 0.000 | 0.000 |
| 0.000 | -0.000 | 0.000 | 49.103 | -0.000 | -0.000 |
| 0.000 | 0.000 | -0.000 | -0.000 | 49.103 | -0.000 |
| 0.000 | 0.000 | 0.000 | -0.000 | -0.000 | 49.103 |
| 55.319 | 60.335 | 60.335 | -0.000 | -0.000 | -0.000 |
| 60.335 | 55.319 | 60.335 | -0.000 | -0.000 | -0.000 |
| 60.335 | 60.335 | 55.319 | -0.000 | -0.000 | -0.000 |
| -0.000 | -0.000 | -0.000 | 49.103 | 0.000 | 0.000 |
| -0.000 | -0.000 | -0.000 | 0.000 | 49.103 | 0.000 |
| -0.000 | -0.000 | -0.000 | -0.000 | 0.000 | 49.103 |
| 55.319 | 60.335 | 60.335 | 0.000 | 0.000 | 0.000 |
| 60.335 | 55.319 | 60.335 | 0.000 | 0.000 | 0.000 |
| 60.335 | 60.335 | 55.319 | 0.000 | 0.000 | 0.000 |
| 0.000 | -0.000 | -0.000 | 15.293 | 0.000 | -0.000 |
| -0.000 | 0.000 | -0.000 | 0.000 | 15.293 | 0.000 |
| -0.000 | -0.000 | 0.000 | 0.000 | 0.000 | 15.293 |
| 55.319 | 60.335 | 60.335 | -0.000 | -0.000 | -0.000 |
| 60.335 | 55.319 | 60.335 | -0.000 | -0.000 | -0.000 |
| 60.335 | 60.335 | 55.319 | -0.000 | -0.000 | -0.000 |
| -0.000 | 0.000 | 0.000 | 15.293 | -0.000 | -0.000 |
| 0.000 | -0.000 | 0.000 | -0.000 | 15.293 | -0.000 |
| 0.000 | 0.000 | -0.000 | -0.000 | -0.000 | 15.293 |
| 55.319 | 60.335 | 60.335 | 0.000 | 0.000 | 0.000 |
| 60.335 | 55.319 | 60.335 | 0.000 | 0.000 | 0.000 |
| 60.335 | 60.335 | 55.319 | 0.000 | 0.000 | 0.000 |
| 0.000 | -0.000 | -0.000 | 15.293 | 0.000 | 0.000 |
| -0.000 | 0.000 | -0.000 | 0.000 | 15.293 | 0.000 |
| -0.000 | -0.000 | 0.000 | 0.000 | 0.000 | 15.293 |
| 55.319 | 60.335 | 60.335 | -0.000 | -0.000 | -0.000 |
| 60.335 | 55.319 | 60.335 | -0.000 | -0.000 | -0.000 |
| 60.335 | 60.335 | 55.319 | -0.000 | -0.000 | -0.000 |
| -0.000 | 0.000 | 0.000 | 15.293 | -0.000 | -0.000 |
| 0.000 | -0.000 | 0.000 | -0.000 | 15.293 | -0.000 |
| 0.000 | 0.000 | -0.000 | -0.000 | -0.000 | 15.293 |
| 29.784 | 18.838 | 18.838 | 0.000 | 0.000 | -0.000 |
| 18.838 | 29.784 | 18.838 | 0.000 | 0.000 | -0.000 |
| 18.838 | 18.838 | 29.784 | -0.000 | -0.000 | -0.000 |
| -0.000 | -0.000 | -0.000 | 11.491 | 0.000 | 0.000 |
| -0.000 | 0.000 | -0.000 | 0.000 | 11.491 | -0.000 |
| -0.000 | -0.000 | -0.000 | 0.000 | 0.000 | 11.491 |
| 29.784 | 18.838 | 18.838 | -0.000 | -0.000 | 0.000 |
| 18.838 | 29.784 | 18.838 | -0.000 | -0.000 | 0.000 |
| 18.838 | 18.838 | 29.784 | -0.000 | -0.000 | 0.000 |
| -0.000 | 0.000 | 0.000 | 11.491 | 0.000 | 0.000 |
| 0.000 | 0.000 | 0.000 | 0.000 | 11.491 | 0.000 |
| 0.000 | 0.000 | 0.000 | 0.000 | -0.000 | 11.491 |
| 29.784 | 18.838 | 18.838 | 0.000 | 0.000 | -0.000 |
| 18.838 | 29.784 | 18.838 | 0.000 | 0.000 | -0.000 |
| 18.838 | 18.838 | 29.784 | 0.000 | 0.000 | -0.000 |
| -0.000 | -0.000 | -0.000 | 10.835 | 0.000 | -0.000 |
| -0.000 | -0.000 | -0.000 | -0.000 | 10.835 | -0.000 |
| -0.000 | -0.000 | -0.000 | 0.000 | 0.000 | 10.835 |
| 29.784 | 18.838 | 18.838 | -0.000 | -0.000 | 0.000 |
| 18.838 | 29.784 | 18.838 | -0.000 | -0.000 | 0.000 |
| 18.838 | 18.838 | 29.784 | -0.000 | -0.000 | -0.000 |
| 0.000 | 0.000 | 0.000 | 10.835 | -0.000 | 0.000 |
| 0.000 | 0.000 | 0.000 | -0.000 | 10.835 | 0.000 |
| 0.000 | 0.000 | 0.000 | -0.000 | -0.000 | 10.835 |
| 29.784 | 18.838 | 18.838 | 0.000 | 0.000 | -0.000 |
| 18.838 | 29.784 | 18.838 | 0.000 | 0.000 | -0.000 |
| 18.838 | 18.838 | 29.784 | -0.000 | 0.000 | -0.000 |
| -0.000 | -0.000 | -0.000 | 11.491 | -0.000 | -0.000 |
| -0.000 | -0.000 | -0.000 | -0.000 | 11.491 | -0.000 |
| -0.000 | -0.000 | -0.000 | -0.000 | 0.000 | 11.491 |
| 29.785 | 18.838 | 18.838 | -0.000 | -0.000 | 0.000 |
| 18.838 | 29.785 | 18.838 | -0.000 | -0.000 | 0.000 |
| 18.838 | 18.838 | 29.785 | -0.000 | -0.000 | 0.000 |
| 0.000 | 0.000 | 0.000 | 11.491 | -0.000 | -0.000 |
| 0.000 | 0.000 | 0.000 | -0.000 | 11.491 | 0.000 |
| 0.000 | 0.000 | 0.000 | 0.000 | -0.000 | 11.491 |
| -606.711 | -717.591 | -96.711 | 13.060 | 12.663 | 0.000 |
| -717.591 | -606.711 | -96.711 | -13.060 | -12.663 | -0.000 |
| -736.006 | -736.006 | 59.392 | -0.000 | 0.000 | -0.000 |
| -2559.680 | -2582.581 | -349.750 | 37.260 | 0.000 | -11.606 |
| -2559.524 | -2582.736 | -349.750 | 0.000 | 37.260 | 11.451 |
| -854.907 | -854.907 | -214.932 | -12.663 | 13.060 | 55.442 |
| 256.600 | 136.797 | 119.223 | 13.472 | 12.818 | -0.000 |
| 136.797 | 256.600 | 119.223 | -13.472 | -12.818 | -0.000 |
| 119.635 | 119.635 | 275.571 | 0.000 | -0.000 | -0.000 |
| 2582.581 | 2559.680 | 349.750 | 37.260 | -0.000 | -11.606 |
| 2582.736 | 2559.524 | 349.750 | 0.000 | 37.260 | 11.451 |
| 854.907 | 854.907 | 214.932 | -12.663 | 13.060 | 55.442 |
| 162.670 | 51.839 | 96.726 | 13.058 | 12.662 | -0.000 |
| 51.837 | 162.667 | 96.725 | -13.058 | -12.662 | -0.000 |
| 33.410 | 33.410 | 252.833 | -0.000 | 0.000 | 0.000 |
| -72.427 | -98.547 | -21.492 | 39.956 | 0.000 | -12.663 |
| -72.824 | -98.150 | -21.492 | -0.000 | 39.956 | 13.060 |
| -85.491 | -85.491 | -21.493 | -12.663 | 13.060 | 55.442 |
| 256.601 | 136.797 | 119.224 | 13.472 | 12.818 | 0.000 |
| 222.793 | 333.733 | 139.719 | -13.063 | -12.664 | 0.000 |
| 119.635 | 119.635 | 275.571 | 0.000 | -0.000 | 0.000 |
| 13.472 | -13.472 | 0.000 | 44.970 | -0.000 | -12.818 |
| 243.859 | 221.625 | 22.959 | -0.000 | 36.458 | 12.533 |
| 0.000 | 0.000 | -0.000 | -12.818 | 13.472 | 59.902 |
| 239.327 | 128.903 | 116.048 | 13.039 | 12.655 | -0.000 |
| 116.351 | 219.269 | 115.072 | -12.541 | -11.075 | -0.000 |
| 110.358 | 110.358 | 272.193 | -0.000 | 0.000 | -0.000 |
| 13.472 | -13.472 | -0.000 | 44.970 | 0.000 | -12.818 |
| 12.818 | -12.818 | -0.000 | 0.000 | 44.970 | 13.472 |
| -0.000 | -0.000 | 0.000 | -12.818 | 13.472 | 59.902 |
| 257.231 | 145.769 | 120.421 | 13.087 | 12.673 | 0.000 |
| 145.769 | 257.231 | 120.421 | -13.087 | -12.673 | 0.000 |
| 127.439 | 127.439 | 276.454 | 0.000 | -0.000 | -0.000 |
| 35.327 | 10.222 | 2.263 | 36.617 | -0.000 | -11.159 |
| 39.447 | 16.474 | 3.611 | -0.000 | 38.459 | 11.474 |
| 0.000 | 0.000 | -0.000 | -12.818 | 13.472 | 59.902 |
| -5320.336 | -5418.570 | 866.151 | 11.681 | -10.651 | 0.000 |
| -443.310 | -327.428 | 621.286 | -12.633 | 12.133 | -0.000 |
| -462.666 | -462.666 | 780.053 | -0.000 | -0.000 | -0.000 |
| -572.215 | -597.481 | 498.967 | 41.503 | -0.000 | 12.133 |
| -596.982 | -572.715 | 498.967 | 0.000 | 41.503 | 12.633 |
| -5564.705 | -5564.705 | 745.771 | 10.651 | 11.681 | 49.114 |
| 261.876 | 140.941 | 122.582 | 12.884 | -12.216 | -0.000 |
| 140.941 | 261.876 | 122.582 | -12.884 | 12.216 | 0.000 |
| 707.030 | 707.030 | -217.881 | -0.000 | 0.000 | -0.000 |
| 597.481 | 572.215 | -498.967 | 41.503 | -0.000 | 12.133 |
| 5553.792 | 5575.093 | -745.758 | -0.000 | 32.522 | 11.681 |
| 584.848 | 584.848 | -498.967 | 12.133 | 12.633 | 57.942 |
| 261.876 | 140.941 | 122.582 | 12.884 | -12.216 | 0.000 |
| 140.941 | 261.876 | 122.582 | -12.884 | 12.216 | 0.000 |
| 63.697 | 63.697 | 330.983 | 0.000 | 0.000 | 0.000 |
| -45.852 | -71.119 | 49.897 | 41.503 | -0.000 | 12.133 |
| -606.895 | -584.529 | 68.846 | -0.000 | 37.450 | 10.752 |
| -0.000 | -0.000 | 0.000 | 12.216 | 12.884 | 60.467 |
| 315.910 | 200.014 | 72.431 | 12.634 | -12.134 | -0.000 |
| 200.023 | 315.918 | 72.423 | -12.634 | 12.134 | -0.000 |
| 180.667 | 180.667 | 231.189 | -0.000 | -0.000 | 0.000 |
| 71.119 | 45.852 | -49.897 | 41.503 | -0.000 | 12.133 |
| -12.216 | 12.216 | 0.000 | -0.000 | 44.333 | 12.884 |
| 0.000 | 0.000 | -0.000 | 12.216 | 12.884 | 60.468 |
| 261.875 | 140.940 | 122.581 | 12.884 | -12.216 | 0.000 |
| 87.493 | 188.434 | 128.510 | -11.073 | 10.372 | 0.000 |
| 116.329 | 116.329 | 286.076 | 0.000 | -0.000 | -0.000 |
| 12.884 | -12.884 | -0.000 | 44.333 | -0.000 | 12.216 |
| -12.216 | 12.216 | -0.000 | 0.000 | 44.333 | 12.884 |
| -5.857 | -5.857 | 4.997 | 12.133 | 12.633 | 57.938 |
| 263.379 | 147.387 | 117.327 | 12.638 | -12.135 | -0.000 |
| 140.942 | 261.877 | 122.583 | -12.883 | 12.216 | -0.000 |
| 175.866 | 175.866 | 271.643 | -0.000 | -0.000 | -0.000 |
| 12.884 | -12.884 | 0.000 | 44.333 | 0.000 | 12.216 |
| -6.277 | 17.990 | -4.996 | 0.000 | 41.499 | 12.633 |
| 0.000 | 0.000 | -0.000 | 12.216 | 12.884 | 60.468 |
| 275.802 | 150.367 | 150.367 | -0.000 | -0.000 | -0.000 |
| 150.367 | 275.802 | 150.367 | -0.000 | 0.000 | -0.000 |
| 150.367 | 150.367 | 275.802 | 0.000 | 0.000 | -0.000 |
| 12.713 | 12.713 | 12.713 | 55.495 | 0.000 | -0.000 |
| 12.713 | 12.713 | 12.713 | -0.000 | 55.495 | -0.000 |
| 12.713 | 12.713 | 12.713 | 0.000 | -0.000 | 55.495 |
| 247.418 | 125.937 | 125.937 | 0.000 | 0.000 | 0.000 |
| 125.937 | 247.418 | 125.937 | 0.000 | 0.000 | 0.000 |
| 125.937 | 125.937 | 247.418 | 0.000 | 0.000 | 0.000 |
| -12.713 | -12.713 | -12.713 | 55.495 | -0.000 | 0.000 |
| -12.713 | -12.713 | -12.713 | 0.000 | 55.495 | 0.000 |
| -12.713 | -12.713 | -12.713 | -0.000 | 0.000 | 55.495 |
| 268.451 | 137.978 | 137.978 | -0.000 | -0.000 | -0.000 |
| 137.978 | 268.451 | 137.978 | 0.000 | -0.000 | -0.000 |
| 137.978 | 137.978 | 268.451 | 0.000 | -0.000 | -0.000 |
| 1.320 | 1.320 | 1.320 | 55.608 | 0.000 | -0.000 |
| 1.320 | 1.320 | 1.320 | 0.000 | 55.608 | -0.000 |
| 1.320 | 1.320 | 1.320 | 0.000 | -0.000 | 55.608 |
| 259.340 | 134.376 | 134.376 | -0.000 | 0.000 | 0.000 |
| 134.376 | 259.340 | 134.376 | 0.000 | -0.000 | 0.000 |
| 134.376 | 134.376 | 259.340 | 0.000 | 0.000 | 0.000 |
| -1.320 | -1.320 | -1.320 | 55.608 | 0.000 | 0.000 |
| -1.320 | -1.320 | -1.320 | -0.000 | 55.608 | 0.000 |
| -1.320 | -1.320 | -1.320 | 0.000 | 0.000 | 55.608 |
| 268.447 | 137.973 | 137.973 | 0.000 | 0.000 | -0.000 |
| 137.973 | 268.447 | 137.973 | 0.000 | 0.000 | -0.000 |
| 137.973 | 137.973 | 268.447 | -0.000 | 0.000 | -0.000 |
| 0.000 | -0.000 | 0.000 | 63.041 | 0.000 | -0.000 |
| 0.000 | 0.000 | -0.000 | 0.000 | 63.041 | -0.000 |
| -0.000 | 0.000 | 0.000 | 0.000 | -0.000 | 63.041 |
| 259.715 | 135.489 | 135.489 | -0.000 | -0.000 | 0.000 |
| 135.489 | 259.715 | 135.489 | -0.000 | -0.000 | 0.000 |
| 135.489 | 135.489 | 259.715 | 0.000 | 0.000 | 0.000 |
| -0.000 | 0.000 | -0.000 | 63.041 | 0.000 | 0.000 |
| -0.000 | -0.000 | 0.000 | 0.000 | 63.041 | 0.000 |
| 0.000 | -0.000 | -0.000 | -0.000 | -0.000 | 63.041 |
| 607.927 | 482.595 | 482.595 | -0.000 | -0.000 | 0.000 |
| 482.595 | 607.926 | 482.595 | -0.000 | -0.000 | 0.000 |
| 482.595 | 482.595 | 607.927 | -0.000 | -0.000 | 0.000 |
| 0.000 | -0.000 | -0.000 | 63.031 | 0.000 | 0.000 |
| 0.000 | -0.000 | -0.000 | 0.000 | 63.031 | 0.000 |
| -0.000 | -0.000 | -0.000 | 0.000 | -0.000 | 63.031 |
| 270.146 | 139.693 | 139.693 | 0.000 | -0.000 | -0.000 |
| 139.693 | 270.146 | 139.693 | -0.000 | 0.000 | -0.000 |
| 139.693 | 139.693 | 270.146 | -0.000 | 0.000 | -0.000 |
| -0.000 | 0.000 | 0.000 | 63.031 | -0.000 | -0.000 |
| 0.000 | 0.000 | 0.000 | -0.000 | 63.031 | -0.000 |
| 0.000 | 0.000 | -0.000 | -0.000 | 0.000 | 63.031 |
| 270.145 | 139.693 | 139.693 | -0.000 | -0.000 | 0.000 |
| 139.693 | 270.145 | 139.693 | 0.000 | -0.000 | 0.000 |
| 139.693 | 139.693 | 270.145 | -0.000 | -0.000 | 0.000 |
| 0.000 | -0.000 | 0.000 | 63.031 | 0.000 | 0.000 |
| 0.000 | 0.000 | -0.000 | 0.000 | 63.031 | 0.000 |
| -0.000 | 0.000 | 0.000 | 0.000 | -0.000 | 63.031 |
| 230.160 | 111.794 | 111.794 | 0.000 | 0.000 | -0.000 |
| 111.794 | 230.160 | 111.794 | 0.000 | 0.000 | -0.000 |
| 111.794 | 111.794 | 230.160 | 0.000 | 0.000 | -0.000 |
| -0.000 | 0.000 | -0.000 | 63.031 | 0.000 | -0.000 |
| -0.000 | -0.000 | 0.000 | -0.000 | 63.031 | -0.000 |
| 0.000 | -0.000 | -0.000 | -0.000 | 0.000 | 63.031 |
| 270.141 | 139.689 | 139.689 | 0.000 | -0.000 | 0.000 |
| 139.689 | 270.141 | 139.689 | 0.000 | -0.000 | 0.000 |
| 139.689 | 139.689 | 270.141 | 0.000 | 0.000 | 0.000 |
| 2.886 | 2.885 | 2.886 | 53.285 | -0.000 | 0.000 |
| 0.000 | 0.000 | -0.000 | 0.000 | 63.031 | 0.000 |
| 2.885 | 2.886 | 2.886 | -0.000 | -0.000 | 53.285 |
| 259.616 | 134.288 | 134.288 | 0.000 | 0.000 | -0.000 |
| 134.288 | 259.616 | 134.288 | 0.000 | 0.000 | -0.000 |
| 134.288 | 134.288 | 259.616 | 0.000 | 0.000 | -0.000 |
| -2.886 | -2.885 | -2.886 | 53.285 | 0.000 | 0.000 |
| -0.000 | -0.000 | 0.000 | -0.000 | 63.031 | -0.000 |
| -2.885 | -2.886 | -2.886 | 0.000 | 0.000 | 53.285 |
| 3574.679 | 3463.923 | 496.697 | 12.989 | -12.598 | 0.000 |
| 3463.923 | 3574.679 | 496.697 | -12.989 | 12.598 | -0.000 |
| 119.907 | 119.907 | 275.970 | 0.000 | -0.000 | 0.000 |
| 3639.064 | 3614.745 | 541.610 | 38.723 | -0.000 | 11.981 |
| 3614.923 | 3638.886 | 541.610 | 0.000 | 38.723 | 12.159 |
| -0.000 | -0.000 | 0.000 | 12.758 | 13.413 | 59.949 |
| -3075.954 | -3186.712 | -259.292 | 12.989 | -12.598 | 0.000 |
| -3400.872 | -3292.460 | -515.490 | -12.783 | 11.621 | 0.000 |
| -3206.356 | -3206.356 | -103.333 | -0.000 | 0.000 | -0.000 |
| -3312.328 | -3338.306 | -377.995 | 39.776 | 0.000 | 12.598 |
| -12.758 | 12.758 | 0.000 | -0.000 | 44.908 | 13.413 |
| -3539.881 | -3539.881 | -633.660 | 11.621 | 12.783 | 54.206 |
| 581.886 | 471.139 | 156.501 | 12.989 | -12.598 | 0.000 |
| 471.139 | 581.886 | 156.501 | -12.989 | 12.598 | -0.000 |
| 451.493 | 451.493 | 312.461 | 0.000 | -0.000 | 0.000 |
| 366.772 | 341.205 | 63.365 | 39.205 | -0.000 | 11.621 |
| 319.932 | 345.128 | 37.799 | -0.000 | 39.777 | 12.989 |
| -0.000 | -0.000 | 0.000 | 12.758 | 13.413 | 59.949 |
| 257.068 | 137.170 | 119.535 | 13.413 | -12.758 | -0.000 |
| 137.170 | 257.068 | 119.535 | -13.413 | 12.758 | -0.000 |
| 119.907 | 119.907 | 275.970 | -0.000 | 0.000 | -0.000 |
| -341.205 | -366.772 | -63.365 | 39.205 | 0.000 | 11.621 |
| -12.758 | 12.758 | 0.000 | -0.000 | 44.908 | 13.413 |
| -332.532 | -332.531 | -37.799 | 12.598 | 12.989 | 55.379 |
| 282.890 | 174.437 | 124.513 | 12.787 | -11.641 | 0.000 |
| 171.872 | 282.534 | 122.473 | -12.985 | 12.596 | 0.000 |
| 119.906 | 119.906 | 275.971 | 0.000 | 0.000 | 0.000 |
| 13.413 | -13.413 | -0.000 | 44.908 | -0.000 | 12.758 |
| -12.758 | 12.758 | -0.000 | 0.000 | 44.908 | 13.413 |
| -0.000 | -0.000 | 0.000 | 12.758 | 13.413 | 59.949 |
| 216.185 | 105.335 | 114.932 | 12.993 | -12.599 | -0.000 |
| 105.335 | 216.185 | 114.932 | -12.993 | 12.599 | -0.000 |
| 85.710 | 85.710 | 270.879 | -0.000 | 0.000 | -0.000 |
| -24.092 | -48.416 | -5.422 | 38.727 | 0.000 | 11.978 |
| -47.027 | -23.781 | -6.332 | -0.000 | 39.205 | 12.784 |
| -33.251 | -33.251 | -3.780 | 12.598 | 12.989 | 55.379 |
| -4678.060 | -4784.971 | -1055.521 | 12.544 | -11.697 | -0.000 |
| 138.473 | 258.706 | 120.569 | -13.240 | 12.581 | 0.000 |
| 208.547 | 208.547 | -1995.568 | 0.000 | -0.000 | 0.000 |
| 101.028 | 76.849 | -2271.332 | 38.050 | 0.000 | 11.417 |
| -4939.556 | -4916.163 | -1174.068 | -0.000 | 37.773 | 12.544 |
| 88.939 | 88.939 | -2271.332 | 11.417 | 12.090 | 52.634 |
| 5174.488 | 5067.580 | 1294.095 | 12.544 | -11.696 | -0.000 |
| 138.473 | 258.706 | 120.569 | -13.240 | 12.581 | 0.000 |
| 30.438 | 30.438 | 2547.146 | -0.000 | 0.000 | 0.000 |
| -76.849 | -101.028 | 2271.332 | 38.050 | 0.000 | 11.417 |
| -5693.405 | -5670.831 | 1151.971 | 0.000 | 38.912 | 11.522 |
| -88.939 | -88.939 | 2271.332 | 11.417 | 12.090 | 52.634 |
| 258.706 | 138.473 | 120.569 | 13.240 | -12.581 | 0.000 |
| 150.129 | 255.409 | -107.846 | -12.091 | 11.418 | 0.000 |
| -373.175 | -373.175 | 158.329 | -0.000 | 0.000 | -0.000 |
| 13.240 | -13.240 | -0.000 | 44.732 | -0.000 | 12.581 |
| -504.293 | -480.899 | -117.495 | -0.000 | 37.775 | 12.544 |
| 8.902 | 8.902 | -227.135 | 11.417 | 12.090 | 52.634 |
| 740.492 | 633.594 | 236.926 | 12.544 | -11.696 | -0.000 |
| 633.594 | 740.492 | 236.926 | -12.544 | 11.696 | 0.000 |
| 407.414 | 407.414 | 142.922 | 0.000 | 0.000 | 0.000 |
| 505.330 | 480.241 | 117.407 | 37.773 | 0.000 | 11.697 |
| 480.899 | 504.293 | 117.495 | -0.000 | 37.775 | 12.544 |
| 0.000 | 0.000 | -0.000 | 12.581 | 13.240 | 60.117 |
| 224.859 | 110.506 | 133.450 | 12.960 | -12.482 | 0.000 |
| 91.709 | 198.747 | 107.690 | -12.551 | 11.706 | 0.000 |
| 70.223 | 70.223 | 264.046 | -0.000 | -0.000 | -0.000 |
| 59.881 | 37.064 | -15.854 | 39.069 | -0.000 | 11.630 |
| -10.524 | 12.310 | -22.711 | -0.000 | 38.051 | 12.090 |
| 0.889 | 0.889 | -22.712 | 11.417 | 12.090 | 52.634 |
| 297.061 | 190.281 | 131.172 | 12.537 | -11.686 | -0.000 |
| 140.199 | 245.387 | 142.024 | -12.081 | 11.408 | -0.000 |
| 70.997 | 70.997 | 291.963 | -0.000 | 0.000 | 0.000 |
| 61.799 | 36.710 | 11.748 | 37.776 | 0.000 | 11.697 |
| -12.312 | 10.523 | 22.710 | -0.000 | 38.051 | 12.090 |
| -48.485 | -48.486 | 15.851 | 11.630 | 11.408 | 52.214 |
| 258.114 | 133.802 | 133.802 | -0.000 | -0.000 | 0.000 |
| 133.802 | 258.114 | 133.802 | -0.000 | -0.000 | 0.000 |
| 133.802 | 133.802 | 258.114 | -0.000 | -0.000 | 0.000 |
| -0.190 | -0.190 | -0.190 | 53.760 | -0.000 | 0.000 |
| -0.190 | -0.190 | -0.190 | -0.000 | 53.760 | 0.000 |
| -0.190 | -0.190 | -0.190 | -0.000 | -0.000 | 53.760 |
| 258.173 | 134.135 | 134.135 | 0.000 | 0.000 | -0.000 |
| 134.135 | 258.173 | 134.135 | 0.000 | 0.000 | -0.000 |
| 134.135 | 134.135 | 258.173 | 0.000 | 0.000 | -0.000 |
| 0.190 | 0.190 | 0.190 | 53.760 | 0.000 | 0.000 |
| 0.190 | 0.190 | 0.190 | -0.000 | 53.760 | -0.000 |
| 0.190 | 0.190 | 0.190 | -0.000 | 0.000 | 53.760 |
| 266.836 | 136.235 | 136.235 | 0.000 | -0.000 | -0.000 |
| 136.235 | 266.836 | 136.235 | -0.000 | -0.000 | -0.000 |
| 136.235 | 136.235 | 266.836 | 0.000 | -0.000 | 0.000 |
| -0.016 | -0.016 | -0.016 | 55.688 | -0.000 | 0.000 |
| -0.016 | -0.016 | -0.016 | -0.000 | 55.688 | 0.000 |
| -0.016 | -0.016 | -0.016 | -0.000 | -0.000 | 55.688 |
| 258.150 | 133.983 | 133.983 | 0.000 | 0.000 | -0.000 |
| 133.983 | 258.150 | 133.983 | 0.000 | 0.000 | 0.000 |
| 133.983 | 133.983 | 258.150 | 0.000 | 0.000 | -0.000 |
| 0.016 | 0.016 | 0.016 | 55.688 | 0.000 | -0.000 |
| 0.016 | 0.016 | 0.016 | 0.000 | 55.688 | -0.000 |
| 0.016 | 0.016 | 0.016 | 0.000 | 0.000 | 55.688 |
| 255.680 | 137.180 | 137.180 | 0.000 | 0.000 | -0.000 |
| 137.180 | 255.680 | 137.180 | 0.000 | 0.000 | -0.000 |
| 137.180 | 137.180 | 255.680 | 0.000 | 0.000 | -0.000 |
| -0.001 | -0.002 | -0.001 | 53.314 | -0.000 | 0.000 |
| -0.001 | -0.001 | -0.002 | -0.000 | 53.314 | 0.000 |
| -0.002 | -0.001 | -0.001 | -0.000 | -0.000 | 53.314 |
| 258.151 | 133.972 | 133.972 | 0.000 | 0.000 | -0.000 |
| 133.972 | 258.151 | 133.972 | 0.000 | 0.000 | 0.000 |
| 133.972 | 133.972 | 258.151 | 0.000 | 0.000 | -0.000 |
| 0.001 | 0.002 | 0.001 | 53.314 | 0.000 | 0.000 |
| 0.001 | 0.001 | 0.002 | 0.000 | 53.314 | -0.000 |
| 0.002 | 0.001 | 0.001 | 0.000 | 0.000 | 53.314 |
| 507.662 | 205.488 | 205.488 | -0.000 | 0.000 | -0.000 |
| 205.488 | 507.662 | 205.488 | 0.000 | -0.000 | 0.000 |
| 205.488 | 205.488 | 507.662 | -0.000 | -0.000 | 0.000 |
| 0.000 | 0.000 | 0.000 | 136.587 | 0.000 | 0.000 |
| 0.000 | 0.000 | 0.000 | 0.000 | 136.587 | 0.000 |
| 0.000 | 0.000 | 0.000 | -0.000 | -0.000 | 136.587 |
| 507.662 | 205.488 | 205.488 | -0.000 | 0.000 | -0.000 |
| 205.488 | 507.662 | 205.488 | -0.000 | 0.000 | -0.000 |
| 205.488 | 205.488 | 507.662 | 0.000 | 0.000 | -0.000 |
| -0.000 | -0.000 | -0.000 | 136.587 | -0.000 | -0.000 |
| -0.000 | -0.000 | -0.000 | -0.000 | 136.587 | -0.000 |
| -0.000 | -0.000 | -0.000 | 0.000 | 0.000 | 136.587 |
| 507.662 | 205.488 | 205.488 | -0.000 | 0.000 | 0.000 |
| 205.488 | 507.662 | 205.488 | 0.000 | -0.000 | 0.000 |
| 205.488 | 205.488 | 507.662 | 0.000 | -0.000 | 0.000 |
| 0.000 | 0.000 | 0.000 | 136.587 | -0.000 | 0.000 |
| 0.000 | 0.000 | 0.000 | -0.000 | 136.587 | 0.000 |
| 0.000 | 0.000 | 0.000 | 0.000 | 0.000 | 136.587 |
| 507.662 | 205.488 | 205.488 | -0.000 | -0.000 | -0.000 |
| 205.488 | 507.662 | 205.488 | -0.000 | 0.000 | -0.000 |
| 205.488 | 205.488 | 507.662 | 0.000 | 0.000 | -0.000 |
| -0.000 | -0.000 | -0.000 | 136.587 | 0.000 | -0.000 |
| -0.000 | -0.000 | -0.000 | 0.000 | 136.587 | -0.000 |
| -0.000 | -0.000 | -0.000 | -0.000 | 0.000 | 136.587 |
| 507.665 | 205.489 | 205.489 | -0.000 | -0.000 | 0.000 |
| 205.489 | 507.665 | 205.489 | -0.000 | 0.000 | -0.000 |
| 205.489 | 205.489 | 507.665 | 0.000 | 0.000 | 0.000 |
| 0.000 | 0.000 | 0.000 | 117.220 | -0.000 | 0.000 |
| 0.000 | 0.000 | 0.000 | -0.000 | 117.220 | 0.000 |
| 0.000 | 0.000 | 0.000 | -0.000 | -0.000 | 117.220 |
| 507.659 | 205.487 | 205.487 | -0.000 | 0.000 | -0.000 |
| 205.487 | 507.659 | 205.487 | -0.000 | -0.000 | -0.000 |
| 205.487 | 205.487 | 507.659 | -0.000 | -0.000 | -0.000 |
| -0.000 | -0.000 | -0.000 | 117.220 | 0.000 | -0.000 |
| -0.000 | -0.000 | -0.000 | 0.000 | 117.220 | -0.000 |
| -0.000 | -0.000 | -0.000 | 0.000 | 0.000 | 117.220 |
| 68.330 | 15.308 | 15.308 | 0.000 | -0.000 | 0.000 |
| 15.308 | 68.330 | 15.308 | 0.000 | 0.000 | 0.000 |
| 15.308 | 15.308 | 68.330 | 0.000 | 0.000 | 0.000 |
| 0.000 | -0.000 | 0.000 | 18.215 | -0.000 | 0.000 |
| -0.000 | 0.000 | -0.000 | 0.000 | 18.215 | 0.000 |
| -0.000 | -0.000 | 0.000 | 0.000 | 0.000 | 18.215 |
| 68.330 | 15.308 | 15.308 | -0.000 | -0.000 | -0.000 |
| 15.308 | 68.330 | 15.308 | -0.000 | -0.000 | -0.000 |
| 15.308 | 15.308 | 68.330 | -0.000 | 0.000 | -0.000 |
| -0.000 | 0.000 | 0.000 | 18.215 | 0.000 | -0.000 |
| 0.000 | -0.000 | 0.000 | -0.000 | 18.215 | -0.000 |
| 0.000 | 0.000 | -0.000 | -0.000 | -0.000 | 18.215 |
| 68.330 | 15.308 | 15.308 | 0.000 | 0.000 | 0.000 |
| 15.308 | 68.330 | 15.308 | 0.000 | 0.000 | -0.000 |
| 15.308 | 15.308 | 68.330 | 0.000 | 0.000 | 0.000 |
| -0.000 | -0.000 | -0.000 | 18.252 | 0.000 | 0.000 |
| -0.000 | -0.000 | -0.000 | 0.000 | 18.252 | 0.000 |
| -0.000 | -0.000 | -0.000 | 0.000 | 0.000 | 18.252 |
| 68.330 | 15.308 | 15.308 | -0.000 | -0.000 | -0.000 |
| 15.308 | 68.330 | 15.308 | -0.000 | -0.000 | -0.000 |
| 15.308 | 15.308 | 68.330 | -0.000 | -0.000 | -0.000 |
| 0.000 | 0.000 | 0.000 | 18.252 | -0.000 | -0.000 |
| 0.000 | 0.000 | 0.000 | -0.000 | 18.252 | -0.000 |
| 0.000 | 0.000 | 0.000 | -0.000 | -0.000 | 18.252 |
| 68.330 | 15.308 | 15.308 | 0.000 | 0.000 | 0.000 |
| 15.308 | 68.330 | 15.308 | 0.000 | -0.000 | 0.000 |
| 15.308 | 15.308 | 68.330 | 0.000 | 0.000 | 0.000 |
| -0.000 | -0.000 | -0.000 | 18.215 | -0.000 | 0.000 |
| -0.000 | -0.000 | -0.000 | 0.000 | 18.215 | 0.000 |
| -0.000 | -0.000 | -0.000 | 0.000 | 0.000 | 18.215 |
| 68.331 | 15.308 | 15.308 | -0.000 | -0.000 | -0.000 |
| 15.308 | 68.331 | 15.308 | -0.000 | -0.000 | -0.000 |
| 15.308 | 15.308 | 68.331 | -0.000 | -0.000 | -0.000 |
| 0.000 | 0.000 | 0.000 | 18.215 | 0.000 | 0.000 |
| 0.000 | 0.000 | 0.000 | -0.000 | 18.215 | -0.000 |
| 0.000 | 0.000 | 0.000 | -0.000 | -0.000 | 18.215 |
| -1250.522 | -1223.839 | 1108.440 | 0.000 | 0.000 | -0.000 |
| -1116.918 | -666.878 | 1084.159 | 0.000 | -0.000 | 0.000 |
| -1904.103 | -1213.466 | 986.040 | 0.000 | -0.000 | 0.000 |
| 0.000 | 0.000 | 0.000 | 133.588 | -0.000 | -0.000 |
| -1285.968 | -1221.381 | 821.366 | 0.000 | 17.680 | 0.000 |
| -1286.063 | -1221.471 | 821.427 | 0.000 | 0.000 | 51.453 |
| 1776.387 | 1542.131 | -800.557 | -0.000 | -0.000 | 0.000 |
| 1455.170 | 1776.032 | -558.675 | -0.000 | 0.000 | -0.000 |
| 1431.711 | 1484.410 | -388.524 | -0.000 | 0.000 | -0.000 |
| -0.000 | -0.000 | 0.000 | 133.588 | -0.000 | 0.000 |
| 1285.968 | 1221.381 | -821.366 | -0.000 | 17.680 | -0.000 |
| 1286.063 | 1221.471 | -821.427 | 0.000 | -0.000 | 51.453 |
| 291.039 | 171.653 | 163.313 | 0.000 | -0.000 | -0.000 |
| 171.654 | 564.129 | 252.485 | 0.000 | -0.000 | 0.000 |
| 163.314 | 252.485 | 480.179 | -0.000 | -0.000 | -0.000 |
| 0.000 | 0.000 | 0.000 | 133.588 | -0.000 | 0.000 |
| -127.651 | -121.240 | 81.532 | 0.000 | 17.886 | 0.000 |
| -128.587 | -122.129 | 82.130 | 0.000 | -0.000 | 51.453 |
| 374.171 | 289.921 | 64.504 | -0.000 | 0.000 | -0.000 |
| 171.654 | 564.129 | 252.485 | -0.000 | 0.000 | 0.000 |
| 274.314 | 385.260 | 350.467 | -0.000 | 0.000 | -0.000 |
| -0.000 | -0.000 | -0.000 | 133.588 | -0.000 | 0.000 |
| 127.651 | 121.240 | -81.532 | 0.000 | 17.886 | -0.000 |
| 128.587 | 122.129 | -82.130 | 0.000 | -0.000 | 51.453 |
| 291.041 | 171.653 | 163.312 | 0.000 | -0.000 | 0.000 |
| 171.653 | 564.129 | 252.484 | -0.000 | -0.000 | 0.000 |
| 130.803 | 250.166 | 439.534 | -0.000 | -0.000 | 0.000 |
| 0.000 | 0.000 | 0.000 | 133.588 | -0.000 | 0.000 |
| -14.668 | -13.540 | 9.282 | -0.000 | 31.395 | -0.000 |
| -12.672 | -12.035 | 8.094 | -0.000 | -0.000 | 51.459 |
| 291.038 | 171.655 | 163.315 | -0.000 | 0.000 | -0.000 |
| 171.654 | 564.129 | 252.485 | 0.000 | -0.000 | 0.000 |
| 163.316 | 252.486 | 480.178 | -0.000 | 0.000 | 0.000 |
| -0.000 | -0.000 | -0.000 | 133.588 | 0.000 | 0.000 |
| 14.668 | 13.540 | -9.282 | -0.000 | 31.395 | 0.000 |
| 12.672 | 12.035 | -8.094 | -0.000 | 0.000 | 51.459 |
| 519.643 | 241.462 | 391.711 | -0.000 | 0.000 | 0.000 |
| 472.552 | 630.009 | 504.425 | 0.000 | 0.000 | 0.000 |
| 451.850 | 334.741 | 708.731 | 0.000 | 0.000 | 0.000 |
| 1579.564 | 129.879 | 1747.056 | 118.908 | -0.000 | -0.000 |
| 287.788 | 56.077 | 223.890 | 0.000 | 19.016 | 0.000 |
| 1579.690 | 129.886 | 1747.203 | 0.000 | -0.000 | 49.796 |
| -1156.093 | 111.715 | -2012.895 | -0.000 | -0.000 | -0.000 |
| -1399.312 | 441.916 | -1457.451 | -0.000 | 0.000 | 0.000 |
| -124.317 | 222.705 | 259.718 | -0.000 | -0.000 | -0.000 |
| -1579.564 | -129.879 | -1747.056 | 118.908 | 0.000 | 0.000 |
| -287.788 | -56.077 | -223.890 | 0.000 | 19.016 | -0.000 |
| -1579.693 | -129.887 | -1747.205 | -0.000 | 0.000 | 49.796 |
| 263.598 | 191.237 | 191.449 | 0.000 | 0.000 | 0.000 |
| 187.012 | 579.222 | 274.898 | 0.000 | 0.000 | -0.000 |
| 179.555 | 273.880 | 522.694 | 0.000 | 0.000 | -0.000 |
| 156.589 | 12.902 | 173.117 | 118.987 | -0.000 | -0.000 |
| -0.000 | -0.000 | -0.000 | 0.000 | 43.795 | -0.000 |
| 28.779 | 5.608 | 22.390 | 0.000 | 0.000 | 49.747 |
| 199.297 | 179.481 | 143.903 | -0.000 | -0.000 | -0.000 |
| 155.978 | 568.315 | 258.152 | -0.000 | -0.000 | -0.000 |
| 179.555 | 273.880 | 522.693 | -0.000 | -0.000 | 0.000 |
| -156.589 | -12.902 | -173.117 | 118.987 | 0.000 | 0.000 |
| 0.000 | 0.000 | 0.000 | 0.000 | 43.795 | -0.000 |
| -28.779 | -5.608 | -22.390 | -0.000 | -0.000 | 49.747 |
| 263.886 | 188.205 | 181.767 | 0.000 | 0.000 | -0.000 |
| 187.013 | 579.224 | 274.900 | 0.000 | 0.000 | -0.000 |
| 179.555 | 273.882 | 522.697 | 0.000 | 0.000 | -0.000 |
| 2.540 | 0.495 | 1.976 | 125.669 | 0.000 | 0.000 |
| 2.093 | 0.408 | 1.628 | 0.000 | 25.772 | 0.000 |
| -0.000 | 0.000 | -0.000 | 0.000 | 0.000 | 49.912 |
| 263.883 | 188.204 | 181.766 | -0.000 | -0.000 | 0.000 |
| 182.198 | 573.692 | 278.139 | -0.000 | -0.000 | -0.000 |
| 125.909 | 279.515 | 362.960 | -0.000 | -0.000 | -0.000 |
| -2.540 | -0.495 | -1.976 | 125.669 | -0.000 | -0.000 |
| -2.093 | -0.408 | -1.628 | -0.000 | 25.772 | -0.000 |
| 0.000 | -0.000 | 0.000 | 0.000 | -0.000 | 49.912 |
| 4415.805 | -251.222 | 3963.962 | 0.000 | 0.000 | 0.000 |
| 4352.128 | 138.474 | 4067.363 | 0.000 | 0.000 | 0.000 |
| 4335.968 | -158.207 | 4280.032 | 0.000 | 0.000 | 0.000 |
| 9424.533 | 1014.485 | 10918.150 | 115.098 | -0.000 | -0.000 |
| 4179.549 | -429.538 | 3799.969 | 0.000 | 25.465 | 0.000 |
| 9424.598 | 1014.496 | 10918.230 | -0.000 | -0.000 | 48.976 |
| -3943.342 | 607.856 | -3636.013 | -0.000 | -0.000 | -0.000 |
| -8957.481 | 388.175 | -14215.910 | -0.000 | -0.000 | -0.000 |
| -4023.250 | 700.894 | -3320.077 | 0.000 | -0.000 | -0.000 |
| -9424.533 | -1014.485 | -10918.150 | 115.098 | 0.000 | 0.000 |
| -4179.549 | 429.538 | -3799.969 | -0.000 | 25.465 | -0.000 |
| -9424.598 | -1014.496 | -10918.230 | -0.000 | 0.000 | 48.976 |
| 1130.772 | 191.365 | 1583.881 | -0.000 | 0.000 | 0.000 |
| 178.945 | 571.845 | 267.133 | 0.000 | -0.000 | 0.000 |
| 574.693 | 228.294 | 860.614 | -0.000 | 0.000 | 0.000 |
| 417.974 | -42.956 | 380.015 | 126.688 | 0.000 | 0.000 |
| 914.228 | 18.749 | 1445.965 | 0.000 | 40.392 | 0.000 |
| 417.955 | -42.954 | 379.997 | 0.000 | 0.000 | 49.016 |
| -181.860 | 221.271 | -216.105 | -0.000 | -0.000 | -0.000 |
| -765.568 | 462.322 | -800.998 | -0.000 | 0.000 | 0.000 |
| -786.415 | 251.859 | -1073.356 | -0.000 | -0.000 | -0.000 |
| -417.974 | 42.956 | -380.015 | 126.688 | -0.000 | -0.000 |
| -914.228 | -18.750 | -1445.965 | -0.000 | 40.392 | -0.000 |
| -417.955 | 42.954 | -379.997 | -0.000 | -0.000 | 49.016 |
| 260.457 | 179.928 | 174.248 | 0.000 | -0.000 | -0.000 |
| 215.455 | 563.991 | 305.849 | 0.000 | 0.000 | 0.000 |
| 172.303 | 266.171 | 512.786 | -0.000 | 0.000 | -0.000 |
| -0.000 | 0.000 | 0.000 | 135.717 | -0.000 | 0.000 |
| 85.672 | 9.480 | 99.554 | 0.000 | 16.425 | -0.000 |
| 94.039 | 10.070 | 108.881 | 0.000 | -0.000 | 48.976 |
| 129.224 | 160.058 | 64.515 | -0.000 | 0.000 | 0.000 |
| 129.547 | 571.832 | 229.088 | -0.000 | -0.000 | -0.000 |
| 172.311 | 266.178 | 512.791 | -0.000 | -0.000 | -0.000 |
| 0.000 | -0.000 | -0.000 | 135.717 | 0.000 | 0.000 |
| -85.672 | -9.480 | -99.554 | -0.000 | 16.425 | 0.000 |
| -94.039 | -10.070 | -108.881 | -0.000 | 0.000 | 48.976 |
| 334.892 | 151.772 | 151.772 | 0.000 | 0.000 | 0.000 |
| 151.772 | 334.892 | 151.772 | 0.000 | 0.000 | 0.000 |
| 151.772 | 151.772 | 334.892 | -0.000 | -0.000 | 0.000 |
| -0.000 | 0.000 | 0.000 | 15.664 | 0.000 | 0.000 |
| 0.000 | 0.000 | -0.000 | 0.000 | 15.664 | 0.000 |
| 0.000 | 0.000 | -0.000 | -0.000 | 0.000 | 15.664 |
| 334.891 | 151.772 | 151.772 | -0.000 | -0.000 | -0.000 |
| 151.772 | 334.891 | 151.772 | -0.000 | -0.000 | -0.000 |
| 151.772 | 151.772 | 334.891 | -0.000 | -0.000 | -0.000 |
| 0.000 | 0.000 | -0.000 | 15.664 | -0.000 | -0.000 |
| -0.000 | -0.000 | 0.000 | 0.000 | 15.664 | -0.000 |
| -0.000 | -0.000 | 0.000 | 0.000 | -0.000 | 15.664 |
| 334.815 | 151.810 | 151.810 | 0.000 | 0.000 | 0.000 |
| 151.810 | 334.815 | 151.810 | -0.000 | 0.000 | 0.000 |
| 151.810 | 151.810 | 334.815 | -0.000 | 0.000 | 0.000 |
| 0.000 | 0.000 | 0.000 | 15.664 | 0.000 | 0.000 |
| 0.000 | 0.000 | 0.000 | -0.000 | 15.664 | 0.000 |
| 0.000 | 0.000 | 0.000 | -0.000 | 0.000 | 15.664 |
| 334.891 | 151.771 | 151.771 | 0.000 | -0.000 | -0.000 |
| 151.771 | 334.891 | 151.771 | -0.000 | -0.000 | -0.000 |
| 151.771 | 151.771 | 334.891 | 0.000 | -0.000 | -0.000 |
| -0.000 | -0.000 | -0.000 | 15.664 | -0.000 | -0.000 |
| -0.000 | -0.000 | -0.000 | -0.000 | 15.664 | -0.000 |
| -0.000 | -0.000 | -0.000 | 0.000 | -0.000 | 15.664 |
| 334.899 | 151.773 | 151.773 | 0.000 | 0.000 | 0.000 |
| 151.773 | 334.899 | 151.773 | -0.000 | 0.000 | 0.000 |
| 151.773 | 151.773 | 334.899 | 0.000 | -0.000 | 0.000 |
| 0.000 | 0.000 | 0.000 | 15.664 | 0.000 | 0.000 |
| 0.000 | 0.000 | 0.000 | -0.000 | 15.664 | 0.000 |
| 0.000 | 0.000 | 0.000 | -0.000 | 0.000 | 15.664 |
| 334.807 | 151.809 | 151.809 | 0.000 | 0.000 | -0.000 |
| 151.809 | 334.807 | 151.809 | -0.000 | -0.000 | -0.000 |
| 151.809 | 151.809 | 334.807 | 0.000 | 0.000 | -0.000 |
| -0.000 | -0.000 | -0.000 | 15.664 | -0.000 | -0.000 |
| -0.000 | -0.000 | -0.000 | -0.000 | 15.664 | -0.000 |
| -0.000 | -0.000 | -0.000 | 0.000 | -0.000 | 15.664 |
| 56.956 | 66.610 | 66.610 | 0.000 | -0.000 | 0.000 |
| 66.610 | 56.956 | 66.610 | 0.000 | -0.000 | 0.000 |
| 66.610 | 66.610 | 56.956 | 0.000 | -0.000 | 0.000 |
| -0.000 | -0.000 | -0.000 | 63.596 | -0.000 | -0.000 |
| -0.000 | -0.000 | -0.000 | 0.000 | 63.596 | -0.000 |
| -0.000 | -0.000 | -0.000 | 0.000 | -0.000 | 63.596 |
| 56.956 | 66.610 | 66.610 | -0.000 | 0.000 | -0.000 |
| 66.610 | 56.956 | 66.610 | -0.000 | 0.000 | 0.000 |
| 66.610 | 66.610 | 56.956 | -0.000 | 0.000 | 0.000 |
| 0.000 | 0.000 | 0.000 | 63.596 | 0.000 | 0.000 |
| 0.000 | 0.000 | 0.000 | -0.000 | 63.596 | -0.000 |
| 0.000 | 0.000 | 0.000 | -0.000 | 0.000 | 63.596 |
| 56.192 | 66.992 | 66.992 | 0.000 | -0.000 | 0.000 |
| 66.992 | 56.192 | 66.992 | 0.000 | -0.000 | -0.000 |
| 66.992 | 66.992 | 56.192 | 0.000 | -0.000 | -0.000 |
| -0.000 | -0.000 | -0.000 | 63.596 | -0.000 | -0.000 |
| -0.000 | -0.000 | -0.000 | 0.000 | 63.596 | 0.000 |
| -0.000 | -0.000 | -0.000 | 0.000 | -0.000 | 63.596 |
| 56.956 | 66.610 | 66.610 | -0.000 | 0.000 | 0.000 |
| 66.610 | 56.956 | 66.610 | -0.000 | 0.000 | 0.000 |
| 66.610 | 66.610 | 56.956 | -0.000 | 0.000 | -0.000 |
| 0.000 | 0.000 | 0.000 | 63.596 | 0.000 | 0.000 |
| 0.000 | 0.000 | 0.000 | -0.000 | 63.596 | -0.000 |
| 0.000 | 0.000 | 0.000 | -0.000 | 0.000 | 63.596 |
| 56.954 | 66.610 | 66.610 | 0.000 | -0.000 | -0.000 |
| 66.610 | 56.954 | 66.610 | 0.000 | -0.000 | 0.000 |
| 66.610 | 66.610 | 56.954 | 0.000 | -0.000 | -0.000 |
| -0.000 | -0.000 | -0.000 | 63.596 | -0.000 | 0.000 |
| -0.000 | -0.000 | -0.000 | 0.000 | 63.596 | 0.000 |
| -0.000 | -0.000 | -0.000 | 0.000 | -0.000 | 63.596 |
| 56.958 | 66.610 | 66.610 | -0.000 | 0.000 | -0.000 |
| 66.610 | 56.958 | 66.610 | 0.000 | 0.000 | -0.000 |
| 66.610 | 66.610 | 56.958 | -0.000 | 0.000 | 0.000 |
| 0.000 | 0.000 | 0.000 | 63.596 | 0.000 | -0.000 |
| 0.000 | 0.000 | 0.000 | -0.000 | 63.596 | -0.000 |
| 0.000 | 0.000 | 0.000 | -0.000 | 0.000 | 63.596 |
| 303.974 | 342.062 | 342.062 | -0.000 | -0.000 | 0.000 |
| 342.062 | 303.974 | 342.062 | -0.000 | -0.000 | 0.000 |
| 342.062 | 342.062 | 303.974 | 0.000 | 0.000 | 0.000 |
| 0.000 | 0.000 | -0.000 | 175.457 | -0.000 | 0.000 |
| 0.000 | 0.000 | -0.000 | -0.000 | 175.457 | 0.000 |
| 0.000 | 0.000 | -0.000 | -0.000 | -0.000 | 175.457 |
| 303.974 | 342.062 | 342.062 | 0.000 | 0.000 | 0.000 |
| 342.062 | 303.974 | 342.062 | 0.000 | 0.000 | -0.000 |
| 342.062 | 342.062 | 303.974 | 0.000 | 0.000 | -0.000 |
| -0.000 | -0.000 | 0.000 | 175.457 | 0.000 | 0.000 |
| -0.000 | -0.000 | 0.000 | 0.000 | 175.457 | -0.000 |
| -0.000 | -0.000 | 0.000 | 0.000 | 0.000 | 175.457 |
| 303.973 | 342.061 | 342.061 | -0.000 | -0.000 | -0.000 |
| 342.061 | 303.973 | 342.061 | -0.000 | -0.000 | -0.000 |
| 342.061 | 342.061 | 303.973 | -0.000 | -0.000 | -0.000 |
| 0.000 | 0.000 | 0.000 | 175.457 | -0.000 | 0.000 |
| 0.000 | 0.000 | 0.000 | -0.000 | 175.457 | 0.000 |
| 0.000 | 0.000 | 0.000 | -0.000 | -0.000 | 175.457 |
| 303.974 | 342.062 | 342.062 | 0.000 | 0.000 | -0.000 |
| 342.062 | 303.974 | 342.062 | 0.000 | 0.000 | -0.000 |
| 342.062 | 342.062 | 303.974 | 0.000 | 0.000 | -0.000 |
| -0.000 | -0.000 | -0.000 | 175.457 | 0.000 | -0.000 |
| -0.000 | -0.000 | -0.000 | 0.000 | 175.457 | -0.000 |
| -0.000 | -0.000 | -0.000 | 0.000 | 0.000 | 175.457 |
| 303.969 | 342.055 | 342.055 | -0.000 | -0.000 | -0.000 |
| 342.055 | 303.969 | 342.055 | -0.000 | -0.000 | 0.000 |
| 342.055 | 342.055 | 303.969 | -0.000 | -0.000 | 0.000 |
| 0.001 | 0.001 | 0.001 | 117.132 | -0.000 | 0.000 |
| 0.001 | 0.001 | 0.001 | -0.000 | 117.132 | 0.000 |
| 0.001 | 0.001 | 0.001 | 0.000 | -0.000 | 117.132 |
| 303.978 | 342.068 | 342.068 | 0.000 | 0.000 | -0.000 |
| 342.068 | 303.978 | 342.068 | 0.000 | 0.000 | 0.000 |
| 342.068 | 342.068 | 303.978 | 0.000 | 0.000 | -0.000 |
| -0.001 | -0.001 | -0.001 | 117.132 | 0.000 | -0.000 |
| -0.001 | -0.001 | -0.001 | -0.000 | 117.132 | -0.000 |
| -0.001 | -0.001 | -0.001 | -0.000 | 0.000 | 117.132 |
| 114.814 | 33.773 | 33.773 | -0.000 | 0.000 | 0.000 |
| 33.773 | 114.814 | 33.773 | 0.000 | 0.000 | -0.000 |
| 33.773 | 33.773 | 114.814 | 0.000 | 0.000 | -0.000 |
| -0.000 | -0.000 | -0.000 | 33.063 | 0.000 | -0.000 |
| -0.000 | -0.000 | -0.000 | 0.000 | 33.063 | -0.000 |
| -0.000 | -0.000 | 0.000 | -0.000 | 0.000 | 33.063 |
| 114.814 | 33.773 | 33.773 | 0.000 | 0.000 | 0.000 |
| 33.773 | 114.814 | 33.773 | 0.000 | -0.000 | 0.000 |
| 33.773 | 33.773 | 114.814 | 0.000 | 0.000 | 0.000 |
| 0.000 | 0.000 | 0.000 | 33.063 | -0.000 | 0.000 |
| 0.000 | 0.000 | -0.000 | -0.000 | 33.063 | 0.000 |
| 0.000 | 0.000 | -0.000 | -0.000 | -0.000 | 33.063 |
| 114.814 | 33.773 | 33.773 | 0.000 | 0.000 | -0.000 |
| 33.773 | 114.814 | 33.773 | 0.000 | 0.000 | -0.000 |
| 33.773 | 33.773 | 114.814 | 0.000 | 0.000 | 0.000 |
| -0.000 | -0.000 | -0.000 | 33.063 | 0.000 | -0.000 |
| -0.000 | -0.000 | -0.000 | 0.000 | 33.063 | -0.000 |
| -0.000 | -0.000 | -0.000 | 0.000 | 0.000 | 33.063 |
| 114.814 | 33.773 | 33.773 | -0.000 | 0.000 | 0.000 |
| 33.773 | 114.814 | 33.773 | 0.000 | -0.000 | 0.000 |
| 33.773 | 33.773 | 114.814 | 0.000 | 0.000 | 0.000 |
| 0.000 | 0.000 | 0.000 | 33.063 | -0.000 | 0.000 |
| 0.000 | 0.000 | 0.000 | -0.000 | 33.063 | 0.000 |
| 0.000 | 0.000 | 0.000 | -0.000 | -0.000 | 33.063 |
| 114.813 | 33.773 | 33.773 | 0.000 | 0.000 | -0.000 |
| 33.773 | 114.813 | 33.773 | -0.000 | 0.000 | -0.000 |
| 33.773 | 33.773 | 114.813 | 0.000 | 0.000 | -0.000 |
| -0.000 | -0.000 | -0.000 | 33.063 | 0.000 | -0.000 |
| -0.000 | -0.000 | -0.000 | 0.000 | 33.063 | -0.000 |
| -0.000 | -0.000 | -0.000 | 0.000 | 0.000 | 33.063 |
| 114.814 | 33.774 | 33.774 | -0.000 | -0.000 | 0.000 |
| 33.774 | 114.814 | 33.774 | 0.000 | -0.000 | 0.000 |
| 33.774 | 33.774 | 114.814 | 0.000 | 0.000 | 0.000 |
| 0.000 | 0.000 | 0.000 | 33.063 | -0.000 | 0.000 |
| 0.000 | 0.000 | 0.000 | -0.000 | 33.063 | 0.000 |
| 0.000 | 0.000 | 0.000 | -0.000 | -0.000 | 33.063 |
| 330.692 | 152.303 | 152.303 | -0.000 | -0.000 | -0.000 |
| 152.303 | 330.692 | 152.303 | 0.000 | -0.000 | -0.000 |
| 152.303 | 152.303 | 330.692 | -0.000 | 0.000 | -0.000 |
| 0.000 | -0.000 | 0.000 | 51.766 | -0.000 | -0.000 |
| 0.000 | -0.000 | 0.000 | -0.000 | 51.766 | -0.000 |
| 0.000 | -0.000 | 0.000 | -0.000 | -0.000 | 51.766 |
| 330.692 | 152.303 | 152.303 | 0.000 | 0.000 | 0.000 |
| 152.303 | 330.692 | 152.303 | 0.000 | -0.000 | 0.000 |
| 152.303 | 152.303 | 330.692 | -0.000 | -0.000 | 0.000 |
| 0.000 | 0.000 | 0.000 | 51.766 | 0.000 | 0.000 |
| -0.000 | 0.000 | -0.000 | -0.000 | 51.766 | 0.000 |
| -0.000 | 0.000 | -0.000 | -0.000 | -0.000 | 51.766 |
| 330.692 | 152.303 | 152.303 | 0.000 | 0.000 | -0.000 |
| 152.303 | 330.692 | 152.303 | 0.000 | 0.000 | -0.000 |
| 152.303 | 152.303 | 330.692 | 0.000 | -0.000 | -0.000 |
| -0.000 | 0.000 | 0.000 | 51.766 | -0.000 | -0.000 |
| 0.000 | -0.000 | 0.000 | -0.000 | 51.766 | -0.000 |
| 0.000 | 0.000 | -0.000 | 0.000 | -0.000 | 51.766 |
| 330.692 | 152.303 | 152.303 | 0.000 | -0.000 | 0.000 |
| 152.303 | 330.692 | 152.303 | 0.000 | -0.000 | 0.000 |
| 152.303 | 152.303 | 330.692 | 0.000 | 0.000 | -0.000 |
| 0.000 | -0.000 | -0.000 | 51.766 | 0.000 | 0.000 |
| -0.000 | 0.000 | -0.000 | 0.000 | 51.766 | 0.000 |
| -0.000 | -0.000 | 0.000 | -0.000 | 0.000 | 51.766 |
| 330.691 | 152.304 | 152.304 | -0.000 | 0.000 | -0.000 |
| 152.304 | 330.691 | 152.304 | 0.000 | 0.000 | -0.000 |
| 152.304 | 152.304 | 330.691 | -0.000 | 0.000 | 0.000 |
| -0.000 | 0.000 | 0.000 | 51.766 | 0.000 | -0.000 |
| 0.000 | -0.000 | 0.000 | -0.000 | 51.766 | -0.000 |
| 0.000 | 0.000 | -0.000 | -0.000 | -0.000 | 51.766 |
| 330.693 | 152.302 | 152.302 | 0.000 | -0.000 | 0.000 |
| 152.302 | 330.693 | 152.302 | -0.000 | 0.000 | 0.000 |
| 152.302 | 152.302 | 330.693 | -0.000 | -0.000 | 0.000 |
| 0.000 | -0.000 | -0.000 | 51.766 | 0.000 | 0.000 |
| -0.000 | 0.000 | -0.000 | 0.000 | 51.766 | 0.000 |
| -0.000 | -0.000 | 0.000 | 0.000 | 0.000 | 51.766 |
| 61.453 | 20.970 | 20.970 | 0.000 | -0.000 | -0.000 |
| 20.970 | 61.453 | 20.970 | 0.000 | -0.000 | 0.000 |
| 20.970 | 20.970 | 61.453 | 0.000 | -0.000 | 0.000 |
| -0.000 | -0.000 | -0.000 | 20.981 | -0.000 | -0.000 |
| -0.000 | 0.000 | -0.000 | 0.000 | 20.981 | -0.000 |
| -0.000 | -0.000 | 0.000 | 0.000 | -0.000 | 20.981 |
| 61.453 | 20.970 | 20.970 | 0.000 | 0.000 | 0.000 |
| 20.970 | 61.453 | 20.970 | -0.000 | 0.000 | -0.000 |
| 20.970 | 20.970 | 61.453 | -0.000 | 0.000 | -0.000 |
| 0.000 | 0.000 | 0.000 | 20.981 | 0.000 | -0.000 |
| 0.000 | -0.000 | 0.000 | -0.000 | 20.981 | 0.000 |
| 0.000 | 0.000 | -0.000 | -0.000 | 0.000 | 20.981 |
| 61.453 | 20.970 | 20.970 | 0.000 | -0.000 | 0.000 |
| 20.970 | 61.453 | 20.970 | 0.000 | -0.000 | 0.000 |
| 20.970 | 20.970 | 61.453 | 0.000 | -0.000 | 0.000 |
| -0.000 | -0.000 | -0.000 | 20.981 | -0.000 | -0.000 |
| -0.000 | -0.000 | -0.000 | 0.000 | 20.981 | -0.000 |
| -0.000 | -0.000 | -0.000 | 0.000 | -0.000 | 20.981 |
| 61.453 | 20.970 | 20.970 | -0.000 | 0.000 | -0.000 |
| 20.970 | 61.453 | 20.970 | -0.000 | 0.000 | -0.000 |
| 20.970 | 20.970 | 61.453 | -0.000 | -0.000 | -0.000 |
| 0.000 | 0.000 | 0.000 | 20.981 | 0.000 | 0.000 |
| 0.000 | 0.000 | 0.000 | -0.000 | 20.981 | 0.000 |
| 0.000 | 0.000 | 0.000 | -0.000 | 0.000 | 20.981 |
| 61.452 | 20.970 | 20.970 | 0.000 | -0.000 | -0.000 |
| 20.970 | 61.452 | 20.970 | 0.000 | -0.000 | -0.000 |
| 20.970 | 20.970 | 61.452 | 0.000 | -0.000 | 0.000 |
| -0.000 | -0.000 | -0.000 | 20.981 | -0.000 | -0.000 |
| -0.000 | -0.000 | -0.000 | 0.000 | 20.981 | -0.000 |
| -0.000 | -0.000 | -0.000 | 0.000 | -0.000 | 20.981 |
| 61.453 | 20.970 | 20.970 | -0.000 | 0.000 | -0.000 |
| 20.970 | 61.453 | 20.970 | -0.000 | 0.000 | -0.000 |
| 20.970 | 20.970 | 61.453 | -0.000 | 0.000 | -0.000 |
| 0.000 | 0.000 | 0.000 | 20.981 | 0.000 | 0.000 |
| 0.000 | 0.000 | 0.000 | -0.000 | 20.981 | 0.000 |
| 0.000 | 0.000 | 0.000 | -0.000 | 0.000 | 20.981 |
| 348.913 | 168.995 | 170.002 | 0.000 | 0.000 | -0.000 |
| 168.995 | 348.913 | 170.002 | 0.000 | 0.000 | -0.000 |
| 170.002 | 170.002 | 346.232 | 0.000 | 0.000 | -0.000 |
| -0.000 | -0.000 | -0.000 | 68.571 | 0.000 | -0.000 |
| -0.000 | -0.000 | -0.000 | 0.000 | 68.571 | -0.000 |
| -0.000 | -0.000 | -0.000 | 0.000 | 0.000 | 69.052 |
| 348.913 | 168.995 | 170.002 | -0.000 | -0.000 | 0.000 |
| 168.995 | 348.913 | 170.002 | -0.000 | -0.000 | 0.000 |
| 170.002 | 170.002 | 346.232 | -0.000 | -0.000 | 0.000 |
| 0.000 | 0.000 | 0.000 | 68.571 | -0.000 | 0.000 |
| 0.000 | 0.000 | 0.000 | -0.000 | 68.571 | 0.000 |
| 0.000 | 0.000 | 0.000 | -0.000 | -0.000 | 69.052 |
| 348.913 | 168.995 | 170.002 | 0.000 | 0.000 | -0.000 |
| 168.995 | 348.913 | 170.002 | 0.000 | 0.000 | -0.000 |
| 170.002 | 170.002 | 346.232 | 0.000 | 0.000 | -0.000 |
| -0.000 | 0.000 | 0.000 | 68.571 | 0.000 | -0.000 |
| 0.000 | -0.000 | 0.000 | 0.000 | 68.571 | -0.000 |
| 0.000 | 0.000 | -0.000 | 0.000 | 0.000 | 69.052 |
| 348.913 | 168.995 | 170.002 | -0.000 | -0.000 | 0.000 |
| 168.995 | 348.913 | 170.002 | -0.000 | -0.000 | 0.000 |
| 170.002 | 170.002 | 346.233 | -0.000 | -0.000 | 0.000 |
| 0.000 | -0.000 | -0.000 | 68.571 | -0.000 | 0.000 |
| -0.000 | 0.000 | -0.000 | -0.000 | 68.571 | 0.000 |
| -0.000 | -0.000 | 0.000 | -0.000 | -0.000 | 69.052 |
| 348.911 | 168.994 | 170.001 | 0.000 | 0.000 | -0.000 |
| 168.994 | 348.911 | 170.001 | 0.000 | 0.000 | -0.000 |
| 170.001 | 170.001 | 346.229 | 0.000 | 0.000 | -0.000 |
| -0.000 | 0.000 | 0.000 | 56.988 | 0.000 | -0.000 |
| 0.000 | -0.000 | 0.000 | 0.000 | 56.988 | -0.000 |
| 0.000 | 0.000 | -0.000 | 0.000 | 0.000 | 69.052 |
| 348.916 | 168.995 | 170.002 | -0.000 | -0.000 | 0.000 |
| 168.995 | 348.916 | 170.002 | -0.000 | -0.000 | 0.000 |
| 170.003 | 170.003 | 346.235 | -0.000 | -0.000 | 0.000 |
| 0.000 | -0.000 | -0.000 | 56.988 | -0.000 | 0.000 |
| -0.000 | 0.000 | -0.000 | -0.000 | 56.988 | 0.000 |
| -0.000 | -0.000 | 0.000 | -0.000 | -0.000 | 69.052 |
| 601.405 | 247.756 | -0.282 | -0.000 | -0.000 | 0.000 |
| 239.733 | 672.438 | 233.602 | 0.000 | -0.000 | 0.000 |
| 225.295 | 232.430 | 408.795 | 0.000 | -0.000 | 0.000 |
| 0.000 | 0.000 | 0.000 | 89.892 | 0.000 | 0.000 |
| 323.800 | -53.718 | -67.262 | 0.000 | 28.742 | 0.000 |
| 0.000 | 0.000 | 0.000 | 0.000 | -0.000 | 97.612 |
| 395.523 | 237.547 | 224.282 | -0.000 | 0.000 | -0.000 |
| 239.733 | 672.439 | 233.602 | -0.000 | 0.000 | -0.000 |
| 225.295 | 232.430 | 408.795 | 0.000 | 0.000 | -0.000 |
| -0.000 | -0.000 | -0.000 | 89.892 | -0.000 | 0.000 |
| -323.805 | 53.717 | 67.266 | -0.000 | 28.741 | -0.000 |
| -0.000 | -0.000 | -0.000 | 0.000 | 0.000 | 97.612 |
| 395.524 | 237.547 | 224.282 | 0.000 | 0.000 | 0.000 |
| 239.733 | 672.438 | 233.602 | -0.000 | 0.000 | 0.000 |
| 156.824 | 209.927 | 272.054 | -0.000 | -0.000 | 0.000 |
| 28.151 | 1.300 | -17.980 | 87.823 | -0.000 | -0.000 |
| -0.000 | 0.000 | -0.000 | 0.000 | 86.880 | 0.000 |
| 0.000 | 0.000 | 0.000 | 0.000 | -0.000 | 97.612 |
| -159.529 | 153.103 | -298.650 | -0.000 | -0.000 | -0.000 |
| 209.325 | 665.785 | 244.757 | -0.000 | 0.000 | -0.000 |
| 64.985 | 218.448 | 254.339 | -0.000 | 0.000 | -0.000 |
| -28.151 | -1.300 | 17.980 | 87.823 | 0.000 | -0.000 |
| 0.000 | -0.000 | 0.000 | 0.000 | 86.880 | -0.000 |
| -0.000 | -0.000 | -0.000 | -0.000 | 0.000 | 97.612 |
| 395.525 | 237.548 | 224.282 | 0.000 | -0.000 | 0.000 |
| 239.737 | 667.428 | 225.714 | 0.000 | -0.000 | 0.000 |
| 7.795 | 190.924 | 135.287 | -0.000 | -0.000 | -0.000 |
| 0.000 | 0.000 | 0.000 | 89.892 | -0.000 | 0.000 |
| -0.000 | 0.000 | -0.000 | 0.000 | 86.880 | 0.000 |
| 0.000 | 0.000 | 0.000 | 0.000 | -0.000 | 97.612 |
| 395.522 | 237.546 | 224.281 | -0.000 | 0.000 | -0.000 |
| 235.233 | 667.958 | 229.745 | 0.000 | -0.000 | -0.000 |
| 225.295 | 232.428 | 408.794 | -0.000 | 0.000 | -0.000 |
| -0.000 | -0.000 | -0.000 | 89.892 | 0.000 | -0.000 |
| 0.000 | -0.000 | 0.000 | -0.000 | 86.880 | -0.000 |
| -0.000 | -0.000 | -0.000 | -0.000 | 0.000 | 97.612 |
| 655.248 | -20.233 | 845.145 | -0.000 | 0.000 | -0.000 |
| 473.735 | 291.042 | 829.234 | -0.000 | -0.000 | -0.000 |
| 479.880 | -30.466 | 1018.205 | -0.000 | 0.000 | -0.000 |
| 136.990 | -129.692 | -197.172 | 91.767 | 0.000 | -0.000 |
| 136.989 | -129.692 | -197.164 | 0.000 | 92.986 | -0.000 |
| 248.064 | -245.903 | 613.548 | 0.000 | -0.000 | 100.362 |
| 228.991 | 343.651 | 394.125 | 0.000 | 0.000 | 0.000 |
| 76.939 | 666.136 | 404.840 | 0.000 | -0.000 | 0.000 |
| 244.059 | 219.089 | 425.670 | -0.000 | -0.000 | 0.000 |
| -136.990 | 129.692 | 197.172 | 91.767 | 0.000 | 0.000 |
| -136.989 | 129.692 | 197.165 | 0.000 | 92.986 | 0.000 |
| -248.064 | 245.903 | -613.548 | 0.000 | -0.000 | 100.362 |
| 431.822 | 201.038 | 292.962 | 0.000 | -0.000 | -0.000 |
| 250.474 | 512.392 | 277.041 | -0.000 | 0.000 | -0.000 |
| 244.059 | 219.090 | 425.670 | 0.000 | -0.000 | -0.000 |
| 0.000 | 0.000 | 0.000 | 94.816 | 0.000 | -0.000 |
| 24.820 | -24.603 | 61.388 | -0.000 | 108.765 | -0.000 |
| 13.695 | -12.966 | -19.704 | -0.000 | 0.000 | 98.032 |
| 438.572 | 226.348 | 244.058 | 0.000 | -0.000 | 0.000 |
| 200.870 | 561.492 | 154.334 | 0.000 | -0.000 | 0.000 |
| 244.059 | 219.089 | 425.670 | 0.000 | -0.000 | 0.000 |
| -0.000 | -0.000 | -0.000 | 94.816 | 0.000 | 0.000 |
| -24.820 | 24.603 | -61.388 | -0.000 | 108.765 | 0.000 |
| -13.695 | 12.966 | 19.704 | 0.000 | -0.000 | 98.032 |
| 404.395 | 222.818 | 236.213 | -0.000 | 0.000 | -0.000 |
| 226.349 | 542.845 | 219.089 | -0.000 | 0.000 | -0.000 |
| 143.144 | 195.765 | 308.817 | -0.000 | -0.000 | -0.000 |
| 0.000 | 0.000 | 0.000 | 94.816 | 0.000 | -0.000 |
| 2.593 | -2.571 | 6.415 | -0.000 | 108.161 | -0.000 |
| 2.483 | -2.461 | 6.142 | 0.000 | 0.000 | 100.359 |
| 402.098 | 228.407 | 223.741 | 0.000 | 0.000 | 0.000 |
| 223.276 | 539.206 | 209.732 | -0.000 | -0.000 | 0.000 |
| 244.059 | 219.089 | 425.669 | -0.000 | -0.000 | 0.000 |
| -0.000 | -0.000 | -0.000 | 94.816 | -0.000 | 0.000 |
| -2.593 | 2.571 | -6.415 | -0.000 | 108.161 | 0.000 |
| -2.483 | 2.461 | -6.142 | -0.000 | 0.000 | 100.359 |
| 870.896 | 95.396 | 618.051 | 0.000 | 0.000 | 0.000 |
| 239.764 | 666.854 | 234.121 | 0.000 | 0.000 | 0.000 |
| 717.038 | 87.926 | 794.421 | 0.000 | 0.000 | 0.000 |
| 1546.046 | 3.433 | 1341.435 | 87.942 | 0.000 | 0.000 |
| 0.000 | 0.000 | -0.000 | 0.000 | 87.504 | 0.000 |
| 529.866 | -142.886 | 430.461 | 0.000 | 0.000 | 96.418 |
| -191.673 | 381.362 | -244.740 | 0.000 | 0.000 | -0.000 |
| -1342.555 | 654.319 | -1144.468 | -0.000 | -0.000 | -0.000 |
| 224.825 | 232.596 | 411.948 | -0.000 | -0.000 | -0.000 |
| -1546.046 | -3.433 | -1341.435 | 87.942 | -0.000 | -0.000 |
| -0.000 | -0.000 | 0.000 | -0.000 | 87.504 | -0.000 |
| -529.866 | 142.886 | -430.461 | -0.000 | -0.000 | 96.418 |
| 399.722 | 237.350 | 223.937 | 0.000 | 0.000 | 0.000 |
| 239.764 | 666.854 | 234.121 | -0.000 | 0.000 | 0.000 |
| 224.825 | 232.596 | 411.948 | 0.000 | 0.000 | 0.000 |
| 0.000 | 0.000 | 0.000 | 91.106 | 0.000 | 0.000 |
| 55.116 | -14.863 | 44.776 | 0.000 | 62.463 | 0.000 |
| -0.000 | 0.000 | 0.000 | -0.000 | -0.000 | 99.010 |
| 399.721 | 237.350 | 223.936 | -0.000 | -0.000 | -0.000 |
| 180.172 | 678.370 | 182.509 | 0.000 | -0.000 | -0.000 |
| 122.257 | 245.088 | 306.516 | -0.000 | 0.000 | -0.000 |
| -0.000 | -0.000 | -0.000 | 91.106 | -0.000 | -0.000 |
| -55.116 | 14.863 | -44.776 | -0.000 | 62.463 | -0.000 |
| 0.000 | -0.000 | -0.000 | 0.000 | -0.000 | 99.010 |
| 103.079 | 196.858 | 10.007 | -0.000 | 0.000 | 0.000 |
| 239.765 | 666.853 | 234.122 | -0.000 | 0.000 | 0.000 |
| 224.826 | 232.597 | 411.949 | 0.000 | 0.000 | 0.000 |
| 0.000 | 0.000 | 0.000 | 91.106 | 0.000 | 0.000 |
| 11.642 | 0.294 | 10.156 | 0.000 | 35.004 | 0.000 |
| 11.502 | -0.150 | 9.944 | 0.000 | 0.000 | 93.782 |
| 399.720 | 237.349 | 223.936 | -0.000 | -0.000 | -0.000 |
| 105.337 | 644.644 | 105.258 | -0.000 | -0.000 | -0.000 |
| 118.774 | 223.795 | 271.284 | -0.000 | -0.000 | -0.000 |
| -0.000 | -0.000 | -0.000 | 91.106 | -0.000 | 0.000 |
| -11.642 | -0.294 | -10.156 | -0.000 | 35.004 | -0.000 |
| -11.502 | 0.150 | -9.944 | 0.000 | -0.000 | 93.782 |
| 740.346 | 820.028 | 820.028 | 0.000 | -0.000 | -0.000 |
| 820.028 | 740.346 | 820.028 | 0.000 | -0.000 | -0.000 |
| 820.028 | 820.028 | 740.346 | -0.000 | 0.000 | -0.000 |
| 0.000 | 0.000 | 0.000 | 145.409 | 0.000 | -0.000 |
| 0.000 | 0.000 | 0.000 | 0.000 | 145.409 | 0.000 |
| 0.000 | 0.000 | 0.000 | 0.000 | 0.000 | 145.409 |
| 740.347 | 820.030 | 820.030 | 0.000 | 0.000 | 0.000 |
| 820.030 | 740.347 | 820.030 | 0.000 | 0.000 | 0.000 |
| 820.030 | 820.030 | 740.347 | 0.000 | -0.000 | 0.000 |
| -0.000 | -0.000 | -0.000 | 145.409 | -0.000 | 0.000 |
| -0.000 | -0.000 | -0.000 | -0.000 | 145.409 | 0.000 |
| -0.000 | -0.000 | -0.000 | -0.000 | -0.000 | 145.409 |
| 740.340 | 820.022 | 820.022 | -0.000 | 0.000 | -0.000 |
| 820.022 | 740.340 | 820.022 | -0.000 | -0.000 | -0.000 |
| 820.022 | 820.022 | 740.340 | -0.000 | -0.000 | 0.000 |
| -0.000 | -0.000 | -0.000 | 145.409 | 0.000 | 0.000 |
| -0.000 | -0.000 | -0.000 | -0.000 | 145.409 | 0.000 |
| -0.000 | -0.000 | -0.000 | 0.000 | 0.000 | 145.409 |
| 740.353 | 820.036 | 820.036 | -0.000 | -0.000 | 0.000 |
| 820.036 | 740.353 | 820.036 | -0.000 | -0.000 | 0.000 |
| 820.036 | 820.036 | 740.353 | -0.000 | -0.000 | 0.000 |
| 0.000 | 0.000 | 0.000 | 145.409 | -0.000 | 0.000 |
| 0.000 | 0.000 | 0.000 | 0.000 | 145.409 | 0.000 |
| 0.000 | 0.000 | 0.000 | -0.000 | -0.000 | 145.409 |
| 740.279 | 819.960 | 819.960 | 0.000 | -0.000 | 0.000 |
| 819.960 | 740.279 | 819.960 | -0.000 | 0.000 | -0.000 |
| 819.960 | 819.960 | 740.279 | -0.000 | -0.000 | -0.000 |
| -0.000 | -0.000 | -0.000 | 145.409 | -0.000 | 0.000 |
| -0.000 | -0.000 | -0.000 | -0.000 | 145.409 | -0.000 |
| -0.000 | -0.000 | -0.000 | 0.000 | 0.000 | 145.409 |
| 740.414 | 820.098 | 820.098 | -0.000 | -0.000 | 0.000 |
| 820.098 | 740.414 | 820.098 | 0.000 | 0.000 | -0.000 |
| 820.098 | 820.098 | 740.414 | -0.000 | -0.000 | -0.000 |
| 0.000 | 0.000 | 0.000 | 145.409 | 0.000 | -0.000 |
| 0.000 | 0.000 | 0.000 | -0.000 | 145.409 | 0.000 |
| 0.000 | 0.000 | 0.000 | -0.000 | -0.000 | 145.409 |
| 72.680 | 36.422 | 36.422 | -0.000 | -0.000 | -0.000 |
| 36.422 | 72.680 | 36.422 | -0.000 | -0.000 | -0.000 |
| 36.422 | 36.422 | 72.680 | -0.000 | -0.000 | -0.000 |
| -0.000 | -0.000 | -0.000 | 36.340 | -0.000 | 0.000 |
| -0.000 | -0.000 | -0.000 | -0.000 | 36.340 | 0.000 |
| -0.000 | -0.000 | -0.000 | -0.000 | 0.000 | 36.340 |
| 72.680 | 36.422 | 36.422 | 0.000 | 0.000 | 0.000 |
| 36.422 | 72.680 | 36.422 | 0.000 | 0.000 | 0.000 |
| 36.422 | 36.422 | 72.680 | 0.000 | 0.000 | 0.000 |
| 0.000 | 0.000 | 0.000 | 36.340 | 0.000 | 0.000 |
| 0.000 | 0.000 | 0.000 | 0.000 | 36.340 | -0.000 |
| 0.000 | 0.000 | 0.000 | 0.000 | -0.000 | 36.340 |
| 72.680 | 36.422 | 36.422 | -0.000 | 0.000 | 0.000 |
| 36.422 | 72.680 | 36.422 | 0.000 | -0.000 | -0.000 |
| 36.422 | 36.422 | 72.680 | -0.000 | -0.000 | -0.000 |
| -0.000 | -0.000 | 0.000 | 36.340 | -0.000 | -0.000 |
| -0.000 | -0.000 | 0.000 | -0.000 | 36.340 | 0.000 |
| -0.000 | 0.000 | -0.000 | -0.000 | 0.000 | 36.340 |
| 72.680 | 36.422 | 36.422 | 0.000 | 0.000 | 0.000 |
| 36.422 | 72.680 | 36.422 | 0.000 | 0.000 | 0.000 |
| 36.422 | 36.422 | 72.680 | 0.000 | 0.000 | 0.000 |
| 0.000 | 0.000 | -0.000 | 36.340 | 0.000 | 0.000 |
| 0.000 | 0.000 | -0.000 | 0.000 | 36.340 | -0.000 |
| 0.000 | -0.000 | 0.000 | 0.000 | -0.000 | 36.340 |
| 72.680 | 36.422 | 36.422 | -0.000 | 0.000 | 0.000 |
| 36.422 | 72.680 | 36.422 | -0.000 | -0.000 | -0.000 |
| 36.422 | 36.422 | 72.680 | -0.000 | -0.000 | -0.000 |
| -0.000 | -0.000 | 0.000 | 36.340 | -0.000 | 0.000 |
| -0.000 | -0.000 | 0.000 | -0.000 | 36.340 | -0.000 |
| -0.000 | 0.000 | -0.000 | -0.000 | -0.000 | 36.340 |
| 72.680 | 36.422 | 36.422 | 0.000 | 0.000 | -0.000 |
| 36.422 | 72.680 | 36.422 | 0.000 | 0.000 | 0.000 |
| 36.422 | 36.422 | 72.680 | 0.000 | 0.000 | 0.000 |
| 0.000 | 0.000 | -0.000 | 36.340 | 0.000 | -0.000 |
| 0.000 | 0.000 | -0.000 | 0.000 | 36.340 | -0.000 |
| 0.000 | -0.000 | 0.000 | 0.000 | -0.000 | 36.340 |
| 888.542 | 645.233 | 645.233 | 0.000 | 0.000 | -0.000 |
| 645.233 | 888.542 | 645.233 | 0.000 | 0.000 | -0.000 |
| 645.233 | 645.233 | 888.542 | 0.000 | 0.000 | -0.000 |
| -0.000 | -0.000 | -0.000 | 9.086 | 0.000 | -0.000 |
| -0.000 | -0.000 | -0.000 | 0.000 | 9.086 | -0.000 |
| -0.000 | -0.000 | -0.000 | 0.000 | 0.000 | 9.086 |
| 888.545 | 645.231 | 645.231 | -0.000 | -0.000 | 0.000 |
| 645.231 | 888.545 | 645.231 | -0.000 | -0.000 | 0.000 |
| 645.231 | 645.231 | 888.545 | -0.000 | -0.000 | 0.000 |
| 0.000 | 0.000 | 0.000 | 9.086 | -0.000 | 0.000 |
| 0.000 | 0.000 | 0.000 | -0.000 | 9.086 | 0.000 |
| 0.000 | 0.000 | 0.000 | -0.000 | -0.000 | 9.086 |
| 888.541 | 645.232 | 645.232 | 0.000 | 0.000 | -0.000 |
| 645.232 | 888.541 | 645.232 | 0.000 | 0.000 | -0.000 |
| 645.232 | 645.232 | 888.541 | 0.000 | 0.000 | -0.000 |
| -0.000 | -0.000 | -0.000 | 9.223 | 0.000 | -0.000 |
| -0.000 | -0.000 | -0.000 | 0.000 | 9.223 | -0.000 |
| -0.000 | -0.000 | -0.000 | 0.000 | 0.000 | 9.223 |
| 888.546 | 645.232 | 645.232 | -0.000 | -0.000 | 0.000 |
| 645.232 | 888.546 | 645.232 | -0.000 | -0.000 | 0.000 |
| 645.232 | 645.232 | 888.546 | -0.000 | -0.000 | 0.000 |
| 0.000 | 0.000 | 0.000 | 9.223 | -0.000 | 0.000 |
| 0.000 | 0.000 | 0.000 | -0.000 | 9.223 | 0.000 |
| 0.000 | 0.000 | 0.000 | -0.000 | -0.000 | 9.223 |
| 888.537 | 645.225 | 645.225 | 0.000 | 0.000 | -0.000 |
| 645.225 | 888.537 | 645.225 | 0.000 | 0.000 | -0.000 |
| 645.225 | 645.225 | 888.537 | 0.000 | 0.000 | -0.000 |
| -0.000 | -0.001 | -0.001 | 9.086 | 0.000 | -0.000 |
| -0.001 | -0.000 | -0.001 | 0.000 | 9.086 | -0.000 |
| -0.001 | -0.001 | -0.000 | 0.000 | 0.000 | 9.086 |
| 888.553 | 645.237 | 645.237 | -0.000 | -0.000 | 0.000 |
| 645.237 | 888.553 | 645.237 | -0.000 | -0.000 | 0.000 |
| 645.237 | 645.237 | 888.553 | -0.000 | -0.000 | 0.000 |
| 0.000 | 0.001 | 0.001 | 9.086 | -0.000 | 0.000 |
| 0.001 | 0.000 | 0.001 | -0.000 | 9.086 | 0.000 |
| 0.001 | 0.001 | 0.000 | -0.000 | -0.000 | 9.086 |
| 86.293 | 24.332 | 24.332 | -0.000 | -0.000 | -0.000 |
| 24.332 | 86.293 | 24.332 | 0.000 | -0.000 | -0.000 |
| 24.332 | 24.332 | 86.293 | 0.000 | -0.000 | -0.000 |
| -0.000 | -0.000 | -0.000 | 22.466 | -0.000 | -0.000 |
| -0.000 | -0.000 | -0.000 | 0.000 | 22.466 | -0.000 |
| -0.000 | -0.000 | 0.000 | 0.000 | -0.000 | 22.466 |
| 87.331 | 23.813 | 23.813 | -0.000 | 0.000 | 0.000 |
| 23.813 | 87.331 | 23.813 | -0.000 | 0.000 | 0.000 |
| 23.813 | 23.813 | 87.331 | -0.000 | 0.000 | 0.000 |
| 0.000 | 0.000 | -0.000 | 22.466 | 0.000 | 0.000 |
| 0.000 | -0.000 | 0.000 | -0.000 | 22.466 | 0.000 |
| 0.000 | -0.000 | -0.000 | -0.000 | 0.000 | 22.466 |
| 87.331 | 23.813 | 23.813 | 0.000 | -0.000 | -0.000 |
| 23.813 | 87.331 | 23.813 | 0.000 | -0.000 | -0.000 |
| 23.813 | 23.813 | 87.331 | 0.000 | -0.000 | -0.000 |
| -0.000 | -0.000 | -0.000 | 22.466 | -0.000 | -0.000 |
| -0.000 | -0.000 | -0.000 | 0.000 | 22.466 | -0.000 |
| -0.000 | -0.000 | -0.000 | 0.000 | -0.000 | 22.466 |
| 86.293 | 24.332 | 24.332 | -0.000 | 0.000 | 0.000 |
| 24.332 | 86.293 | 24.332 | -0.000 | 0.000 | 0.000 |
| 24.332 | 24.332 | 86.293 | -0.000 | 0.000 | 0.000 |
| 0.000 | 0.000 | 0.000 | 22.466 | 0.000 | 0.000 |
| 0.000 | 0.000 | 0.000 | -0.000 | 22.466 | 0.000 |
| 0.000 | 0.000 | 0.000 | 0.000 | 0.000 | 22.466 |
| 87.331 | 23.813 | 23.813 | 0.000 | -0.000 | -0.000 |
| 23.813 | 87.331 | 23.813 | 0.000 | -0.000 | -0.000 |
| 23.813 | 23.813 | 87.331 | 0.000 | -0.000 | -0.000 |
| -0.000 | -0.000 | -0.000 | 22.466 | -0.000 | 0.000 |
| -0.000 | -0.000 | -0.000 | 0.000 | 22.466 | -0.000 |
| -0.000 | -0.000 | -0.000 | 0.000 | -0.000 | 22.466 |
| 87.331 | 23.813 | 23.813 | -0.000 | 0.000 | 0.000 |
| 23.813 | 87.331 | 23.813 | 0.000 | 0.000 | 0.000 |
| 23.813 | 23.813 | 87.331 | -0.000 | 0.000 | 0.000 |
| 0.000 | 0.000 | 0.000 | 22.466 | 0.000 | 0.000 |
| 0.000 | 0.000 | 0.000 | -0.000 | 22.466 | 0.000 |
| 0.000 | 0.000 | 0.000 | -0.000 | 0.000 | 22.466 |
| 558.690 | 518.522 | 518.522 | 0.000 | 0.000 | 0.000 |
| 518.522 | 558.690 | 518.522 | 0.000 | -0.000 | 0.000 |
| 518.522 | 518.522 | 558.690 | 0.000 | -0.000 | 0.000 |
| 0.000 | 0.000 | 0.000 | 114.424 | 0.000 | 0.000 |
| -0.000 | 0.000 | 0.000 | 0.000 | 114.424 | 0.000 |
| -0.000 | -0.000 | 0.000 | 0.000 | -0.000 | 114.424 |
| 558.691 | 518.523 | 518.523 | 0.000 | -0.000 | -0.000 |
| 518.523 | 558.691 | 518.523 | -0.000 | 0.000 | -0.000 |
| 518.523 | 518.523 | 558.691 | -0.000 | 0.000 | -0.000 |
| 0.000 | 0.000 | -0.000 | 114.424 | -0.000 | -0.000 |
| 0.000 | -0.000 | -0.000 | -0.000 | 114.424 | -0.000 |
| 0.000 | 0.000 | -0.000 | -0.000 | -0.000 | 114.424 |
| 558.689 | 518.520 | 518.520 | 0.000 | -0.000 | 0.000 |
| 518.520 | 558.689 | 518.520 | 0.000 | 0.000 | 0.000 |
| 518.520 | 518.520 | 558.689 | 0.000 | -0.000 | 0.000 |
| 0.000 | -0.000 | -0.000 | 114.424 | -0.000 | 0.000 |
| -0.000 | 0.000 | -0.000 | 0.000 | 114.424 | 0.000 |
| -0.000 | -0.000 | 0.000 | 0.000 | -0.000 | 114.424 |
| 558.692 | 518.524 | 518.524 | -0.000 | 0.000 | -0.000 |
| 518.524 | 558.692 | 518.524 | -0.000 | -0.000 | -0.000 |
| 518.524 | 518.524 | 558.692 | -0.000 | -0.000 | -0.000 |
| -0.000 | 0.000 | 0.000 | 114.424 | 0.000 | -0.000 |
| 0.000 | -0.000 | 0.000 | -0.000 | 114.424 | -0.000 |
| 0.000 | 0.000 | -0.000 | -0.000 | -0.000 | 114.424 |
| 558.672 | 518.503 | 518.503 | 0.000 | 0.000 | 0.000 |
| 518.503 | 558.672 | 518.503 | 0.000 | -0.000 | 0.000 |
| 518.503 | 518.503 | 558.672 | 0.000 | -0.000 | 0.000 |
| 0.000 | -0.000 | -0.000 | 114.424 | 0.000 | 0.000 |
| -0.000 | 0.000 | -0.000 | 0.000 | 114.424 | 0.000 |
| -0.000 | -0.000 | 0.000 | 0.000 | 0.000 | 114.424 |
| 558.709 | 518.542 | 518.542 | -0.000 | 0.000 | -0.000 |
| 518.542 | 558.709 | 518.542 | -0.000 | -0.000 | -0.000 |
| 518.542 | 518.542 | 558.709 | -0.000 | -0.000 | -0.000 |
| -0.000 | 0.000 | 0.000 | 114.424 | -0.000 | -0.000 |
| 0.000 | -0.000 | 0.000 | -0.000 | 114.424 | -0.000 |
| 0.000 | 0.000 | -0.000 | -0.000 | 0.000 | 114.424 |
| 47.425 | 34.732 | 34.732 | -0.000 | -0.000 | 0.000 |
| 34.732 | 47.425 | 34.732 | -0.000 | -0.000 | 0.000 |
| 34.732 | 34.732 | 47.425 | -0.000 | -0.000 | -0.000 |
| 0.000 | 0.000 | -0.000 | 34.647 | -0.000 | 0.000 |
| 0.000 | 0.000 | -0.000 | -0.000 | 34.647 | 0.000 |
| 0.000 | 0.000 | -0.000 | -0.000 | 0.000 | 34.647 |
| 47.425 | 34.732 | 34.732 | 0.000 | 0.000 | 0.000 |
| 34.732 | 47.425 | 34.732 | 0.000 | 0.000 | 0.000 |
| 34.732 | 34.732 | 47.425 | 0.000 | 0.000 | 0.000 |
| -0.000 | -0.000 | 0.000 | 34.647 | 0.000 | -0.000 |
| -0.000 | -0.000 | 0.000 | 0.000 | 34.647 | -0.000 |
| -0.000 | -0.000 | 0.000 | 0.000 | 0.000 | 34.647 |
| 47.425 | 34.732 | 34.732 | -0.000 | -0.000 | 0.000 |
| 34.732 | 47.425 | 34.732 | -0.000 | 0.000 | 0.000 |
| 34.732 | 34.732 | 47.425 | -0.000 | -0.000 | 0.000 |
| -0.000 | -0.000 | -0.000 | 34.647 | -0.000 | 0.000 |
| -0.000 | -0.000 | -0.000 | -0.000 | 34.647 | -0.000 |
| -0.000 | -0.000 | -0.000 | -0.000 | -0.000 | 34.647 |
| 47.425 | 34.732 | 34.732 | 0.000 | -0.000 | 0.000 |
| 34.732 | 47.425 | 34.732 | 0.000 | -0.000 | 0.000 |
| 34.732 | 34.732 | 47.425 | 0.000 | -0.000 | 0.000 |
| 0.000 | 0.000 | 0.000 | 34.647 | 0.000 | 0.000 |
| 0.000 | 0.000 | 0.000 | 0.000 | 34.647 | -0.000 |
| 0.000 | 0.000 | 0.000 | 0.000 | -0.000 | 34.647 |
| 47.425 | 34.732 | 34.732 | -0.000 | 0.000 | -0.000 |
| 34.732 | 47.425 | 34.732 | 0.000 | -0.000 | -0.000 |
| 34.732 | 34.732 | 47.425 | -0.000 | -0.000 | 0.000 |
| -0.000 | -0.000 | -0.000 | 34.647 | -0.000 | -0.000 |
| -0.000 | -0.000 | -0.000 | -0.000 | 34.647 | -0.000 |
| -0.000 | -0.000 | -0.000 | -0.000 | 0.000 | 34.647 |
| 47.425 | 34.732 | 34.732 | -0.000 | 0.000 | -0.000 |
| 34.732 | 47.425 | 34.732 | 0.000 | 0.000 | -0.000 |
| 34.732 | 34.732 | 47.425 | 0.000 | 0.000 | -0.000 |
| 0.000 | 0.000 | 0.000 | 34.647 | 0.000 | 0.000 |
| 0.000 | 0.000 | 0.000 | 0.000 | 34.647 | 0.000 |
| 0.000 | 0.000 | 0.000 | 0.000 | -0.000 | 34.647 |
| 58219478.176 | 58201017.513 | 58181802.026 | 0.007 | 0.018 | 0.022 |
| 58208236.027 | 58212259.428 | 58181801.939 | 0.024 | 0.057 | 0.072 |
| 58181800.490 | 58181800.432 | 58192733.590 | 0.045 | 0.090 | 0.007 |
| 0.184 | 0.142 | 0.165 | 4901.298 | 0.030 | 0.055 |
| 0.076 | 0.056 | 0.085 | 0.018 | 4901.296 | 0.032 |
| -0.103 | -0.116 | -0.101 | 0.027 | 0.033 | -1573.823 |
| 58209998.891 | 58209873.119 | 58181490.492 | -0.026 | -0.039 | -0.056 |
| 58200706.575 | 58219166.916 | 58181491.193 | -0.027 | -0.055 | -0.099 |
| 58181490.515 | 58181490.538 | 58192423.163 | -0.019 | -0.007 | -0.003 |
| 0.059 | 0.084 | 0.087 | 4901.260 | -0.034 | -0.143 |
| -0.022 | -0.025 | -0.039 | -0.016 | 4901.238 | -0.017 |
| 0.080 | 0.083 | 0.038 | -0.023 | -0.046 | -1565.053 |
| 58216655.635 | 58206642.522 | 58183201.746 | 0.003 | 0.004 | -0.001 |
| 58309426.954 | 58114012.774 | 58183272.536 | 0.003 | 0.004 | 0.003 |
| 58183201.632 | 58183201.631 | 58194136.649 | 0.003 | 0.000 | 0.003 |
| 0.254 | 0.243 | 0.249 | 4901.277 | 0.005 | 0.000 |
| 0.258 | 0.260 | 0.259 | 0.002 | 4901.277 | 0.004 |
| 0.191 | 0.173 | 0.184 | 0.003 | 0.005 | 1948.435 |
| 58110013.308 | 58306909.787 | 58180017.565 | 0.006 | -0.004 | -0.004 |
| 58206480.988 | 58210587.211 | 58180090.130 | -0.003 | -0.004 | -0.003 |
| 58180090.062 | 58180090.067 | 58191020.771 | -0.004 | -0.005 | 0.008 |
| -0.242 | -0.234 | -0.239 | 4901.272 | -0.006 | -0.005 |
| -0.245 | -0.251 | -0.250 | -0.002 | 4901.272 | -0.000 |
| -0.193 | -0.177 | -0.187 | -0.003 | -0.005 | 1948.757 |
| 58234907.782 | 58216429.330 | 58197206.129 | 0.000 | 0.001 | 0.001 |
| 58224342.859 | 58226989.171 | 58197203.470 | 0.000 | 0.000 | 0.001 |
| 58197203.928 | 58197203.928 | 58208158.311 | 0.000 | -0.000 | 0.001 |
| 2.621 | 2.558 | 2.572 | 4901.275 | 0.000 | -0.000 |
| 2.558 | 2.621 | 2.571 | 0.000 | 4901.275 | 0.001 |
| 1.935 | 1.802 | 1.831 | 0.000 | 0.000 | 1300.997 |
| 58203735.868 | 58185293.426 | 58166085.758 | -0.000 | -0.001 | 0.001 |
| 58185293.338 | 58203735.943 | 58166085.752 | -0.000 | -0.000 | -0.001 |
| 58166087.766 | 58166087.766 | 58176999.113 | -0.000 | -0.001 | -0.000 |
| -2.622 | -2.559 | -2.572 | 4901.274 | -0.000 | -0.001 |
| -2.558 | -2.621 | -2.571 | -0.000 | 4901.274 | -0.001 |
| -1.931 | -1.799 | -1.827 | -0.000 | -0.000 | 1307.554 |
| 657.689 | 858.816 | 612.957 | 0.000 | 0.000 | -0.000 |
| 685.700 | 830.805 | 612.957 | 0.000 | 0.000 | -0.000 |
| 612.957 | 612.957 | 939.331 | 0.000 | -0.000 | -0.000 |
| -0.000 | -0.000 | 0.000 | 10.085 | 0.000 | 0.000 |
| -0.000 | -0.000 | -0.000 | -0.000 | 10.085 | 0.000 |
| 0.000 | -0.000 | 0.000 | 0.000 | 0.000 | -100.564 |
| 563.770 | 952.734 | 612.957 | -0.000 | -0.000 | -0.000 |
| 858.816 | 657.689 | 612.957 | 0.000 | -0.000 | -0.000 |
| 612.957 | 612.957 | 939.331 | -0.000 | -0.000 | 0.000 |
| -0.000 | 0.000 | 0.000 | 10.085 | -0.000 | 0.000 |
| 0.000 | 0.000 | 0.000 | 0.000 | 10.085 | 0.000 |
| -0.000 | 0.000 | -0.000 | 0.000 | -0.000 | -100.564 |
| 830.806 | 685.700 | 612.958 | -0.000 | -0.000 | -0.000 |
| 685.700 | 830.806 | 612.958 | 0.000 | -0.000 | 0.000 |
| 612.958 | 612.958 | 939.332 | -0.000 | 0.000 | -0.000 |
| 0.000 | 0.000 | 0.000 | 10.085 | 0.000 | 0.000 |
| 0.000 | 0.000 | 0.000 | 0.000 | 10.085 | -0.000 |
| -0.000 | -0.000 | -0.000 | 0.000 | 0.000 | 72.553 |
| 830.805 | 685.699 | 612.956 | -0.000 | -0.000 | -0.000 |
| 952.734 | 563.769 | 612.956 | 0.000 | -0.000 | -0.000 |
| 612.956 | 612.956 | 939.330 | 0.000 | -0.000 | -0.000 |
| -0.000 | -0.000 | -0.000 | 10.085 | -0.000 | 0.000 |
| -0.000 | -0.000 | -0.000 | 0.000 | 10.085 | -0.000 |
| 0.000 | 0.000 | 0.000 | 0.000 | -0.000 | 72.553 |
| 563.785 | 952.741 | 612.971 | -0.000 | 0.000 | 0.000 |
| 685.707 | 830.811 | 612.966 | 0.000 | 0.000 | 0.000 |
| 612.968 | 612.968 | 939.342 | 0.000 | 0.000 | 0.000 |
| 0.000 | -0.000 | 0.000 | 10.085 | 0.000 | 0.000 |
| 0.000 | 0.000 | 0.000 | -0.000 | 10.085 | 0.000 |
| 0.003 | 0.001 | 0.002 | 0.000 | 0.000 | -100.564 |
| 677.479 | 839.009 | 612.946 | -0.000 | -0.000 | -0.000 |
| 1031.324 | 485.156 | 612.939 | 0.000 | -0.000 | -0.000 |
| 612.946 | 612.946 | 939.320 | 0.000 | -0.000 | -0.000 |
| -0.000 | 0.000 | -0.000 | 10.085 | -0.000 | 0.000 |
| -0.000 | -0.000 | -0.000 | 0.000 | 10.085 | -0.000 |
| -0.003 | -0.001 | -0.002 | 0.000 | -0.000 | -100.564 |
| 90.891 | 30.352 | 24.281 | -0.000 | -0.000 | -0.000 |
| 33.397 | 87.846 | 24.281 | -0.000 | -0.000 | -0.000 |
| 24.281 | 24.281 | 96.962 | -0.000 | -0.000 | -0.000 |
| 0.000 | -0.000 | -0.000 | 24.199 | -0.000 | -0.000 |
| -0.000 | -0.000 | -0.000 | -0.000 | 24.199 | 0.000 |
| -0.000 | 0.000 | 0.000 | -0.000 | -0.000 | 27.224 |
| 90.891 | 30.352 | 24.281 | 0.000 | 0.000 | -0.000 |
| 33.397 | 87.846 | 24.281 | 0.000 | 0.000 | 0.000 |
| 24.281 | 24.281 | 96.962 | -0.000 | 0.000 | 0.000 |
| 0.000 | 0.000 | 0.000 | 24.199 | 0.000 | 0.000 |
| 0.000 | 0.000 | 0.000 | 0.000 | 24.199 | 0.000 |
| 0.000 | -0.000 | -0.000 | -0.000 | 0.000 | 27.224 |
| 87.846 | 33.397 | 24.281 | -0.000 | -0.000 | -0.000 |
| 30.352 | 90.891 | 24.281 | 0.000 | -0.000 | -0.000 |
| 24.281 | 24.281 | 96.962 | -0.000 | -0.000 | -0.000 |
| -0.000 | -0.000 | -0.000 | 24.199 | -0.000 | -0.000 |
| -0.000 | -0.000 | -0.000 | -0.000 | 24.199 | -0.000 |
| -0.000 | 0.000 | -0.000 | -0.000 | -0.000 | 30.270 |
| 90.891 | 30.352 | 24.281 | 0.000 | -0.000 | -0.000 |
| 30.351 | 90.891 | 24.281 | 0.000 | 0.000 | 0.000 |
| 24.281 | 24.281 | 96.962 | 0.000 | 0.000 | 0.000 |
| 0.000 | 0.000 | 0.000 | 24.199 | 0.000 | 0.000 |
| 0.000 | 0.000 | 0.000 | 0.000 | 24.199 | 0.000 |
| 0.000 | -0.000 | 0.000 | 0.000 | 0.000 | 30.270 |
| 90.891 | 30.352 | 24.281 | -0.000 | -0.000 | -0.000 |
| 30.352 | 90.891 | 24.281 | 0.000 | -0.000 | -0.000 |
| 24.281 | 24.281 | 96.962 | 0.000 | -0.000 | -0.000 |
| -0.000 | -0.000 | -0.000 | 24.199 | -0.000 | -0.000 |
| -0.000 | -0.000 | -0.000 | -0.000 | 24.199 | -0.000 |
| -0.000 | 0.000 | -0.000 | 0.000 | -0.000 | 30.270 |
| 90.891 | 30.351 | 24.281 | 0.000 | -0.000 | 0.000 |
| 30.351 | 90.891 | 24.281 | 0.000 | 0.000 | 0.000 |
| 24.281 | 24.281 | 96.962 | 0.000 | 0.000 | 0.000 |
| 0.000 | 0.000 | 0.000 | 24.199 | 0.000 | 0.000 |
| 0.000 | 0.000 | 0.000 | 0.000 | 24.199 | 0.000 |
| 0.000 | -0.000 | 0.000 | -0.000 | 0.000 | 30.270 |
| 58192876.808 | 58189483.726 | 58140274.179 | -0.010 | -0.035 | -0.070 |
| 58181639.441 | 58200721.708 | 58140274.514 | 0.007 | -0.008 | -0.046 |
| 58140273.922 | 58140273.917 | 58129783.426 | -0.004 | -0.016 | -0.057 |
| -0.027 | -0.013 | -0.029 | 5036.130 | -0.036 | 0.001 |
| 0.170 | 0.147 | 0.169 | -0.001 | 5036.115 | -0.050 |
| 0.291 | 0.274 | 0.276 | -0.017 | -0.052 | 9541.022 |
| 58200409.136 | 58181327.231 | 58139962.522 | -0.007 | 0.008 | 0.061 |
| 58186813.724 | 58194924.105 | 58139963.264 | 0.005 | 0.020 | 0.025 |
| 58139963.419 | 58139963.423 | 58129472.616 | 0.038 | 0.070 | 0.050 |
| -0.007 | 0.019 | -0.028 | 5036.138 | 0.016 | 0.067 |
| -0.068 | -0.082 | -0.084 | 0.007 | 5036.161 | 0.058 |
| -0.267 | -0.265 | -0.268 | 0.023 | 0.056 | 9541.097 |
| 58194144.759 | 58191017.713 | 58141673.076 | -0.001 | -0.004 | -0.012 |
| 58183039.581 | 58202123.495 | 58141673.384 | -0.002 | -0.005 | -0.007 |
| 58141672.432 | 58141672.433 | 58131183.447 | -0.003 | -0.007 | -0.009 |
| 0.285 | 0.280 | 0.290 | 5036.137 | -0.003 | -0.008 |
| 0.291 | 0.292 | 0.299 | 0.001 | 5036.137 | -0.003 |
| 0.221 | 0.207 | 0.216 | -0.001 | -0.002 | 1563.945 |
| 58191078.741 | 58187858.265 | 58138564.913 | 0.001 | 0.003 | 0.006 |
| 58179928.121 | 58199008.433 | 58138564.679 | 0.000 | 0.003 | 0.000 |
| 58138565.455 | 58138565.457 | 58128073.125 | -0.001 | 0.001 | 0.002 |
| -0.283 | -0.279 | -0.288 | 5036.139 | 0.003 | 0.007 |
| -0.271 | -0.273 | -0.279 | -0.000 | 5036.140 | 0.005 |
| -0.222 | -0.212 | -0.219 | 0.000 | 0.003 | 1562.844 |
| 58216141.321 | 58197040.925 | 58155662.463 | -0.000 | -0.001 | 0.000 |
| 58205019.999 | 58208157.152 | 58155659.831 | -0.000 | -0.000 | -0.000 |
| 58155654.810 | 58155654.810 | 58145180.892 | 0.000 | -0.000 | -0.001 |
| 2.668 | 2.644 | 2.718 | 5036.138 | -0.000 | -0.001 |
| 2.651 | 2.675 | 2.725 | -0.000 | 5036.138 | -0.000 |
| 2.041 | 1.928 | 2.002 | -0.000 | -0.000 | 1559.540 |
| 58184990.695 | 58165926.860 | 58124575.681 | 0.000 | 0.000 | 0.000 |
| 58173910.406 | 58177012.247 | 58124578.314 | 0.000 | 0.000 | 0.000 |
| 58124583.280 | 58124583.280 | 58114075.900 | 0.000 | 0.001 | 0.001 |
| -2.670 | -2.646 | -2.720 | 5036.138 | 0.000 | 0.000 |
| -2.650 | -2.674 | -2.724 | 0.000 | 5036.138 | 0.001 |
| -2.041 | -1.928 | -2.002 | 0.000 | 0.000 | 1559.541 |
| 770.381 | 641.860 | 560.129 | 0.000 | -0.000 | 0.000 |
| 867.760 | 544.481 | 560.129 | -0.000 | 0.000 | 0.000 |
| 560.129 | 560.129 | 935.492 | 0.000 | 0.000 | 0.000 |
| -0.000 | -0.000 | -0.000 | 5.927 | -0.000 | 0.000 |
| -0.000 | -0.000 | -0.000 | -0.000 | 5.927 | -0.000 |
| -0.000 | -0.000 | 0.000 | 0.000 | 0.000 | 64.261 |
| 449.196 | 963.046 | 560.129 | -0.000 | -0.000 | -0.000 |
| 641.860 | 770.382 | 560.129 | -0.000 | -0.000 | -0.000 |
| 560.129 | 560.129 | 935.493 | -0.000 | -0.000 | -0.000 |
| 0.000 | 0.000 | 0.000 | 5.927 | -0.000 | -0.000 |
| 0.000 | 0.000 | 0.000 | 0.000 | 5.927 | -0.000 |
| 0.000 | 0.000 | -0.000 | -0.000 | -0.000 | 64.261 |
| 770.378 | 641.857 | 560.126 | -0.000 | 0.000 | -0.000 |
| 641.857 | 770.378 | 560.126 | -0.000 | 0.000 | -0.000 |
| 560.126 | 560.126 | 935.489 | 0.000 | 0.000 | 0.000 |
| -0.000 | -0.000 | -0.000 | 5.927 | 0.000 | 0.000 |
| -0.000 | -0.000 | -0.000 | 0.000 | 5.927 | -0.000 |
| 0.000 | 0.000 | 0.000 | -0.000 | 0.000 | -161.639 |
| 544.484 | 867.763 | 560.132 | -0.000 | 0.000 | -0.000 |
| 641.863 | 770.385 | 560.132 | 0.000 | 0.000 | -0.000 |
| 560.132 | 560.132 | 935.496 | 0.000 | 0.000 | 0.000 |
| 0.000 | 0.000 | 0.000 | 5.927 | -0.000 | -0.000 |
| 0.000 | 0.000 | 0.000 | -0.000 | 5.927 | -0.000 |
| -0.000 | -0.000 | -0.000 | 0.000 | -0.000 | -161.639 |
| 657.403 | 754.777 | 560.098 | 0.000 | -0.000 | 0.000 |
| 867.725 | 544.458 | 560.098 | 0.000 | 0.000 | 0.000 |
| 560.098 | 560.098 | 935.461 | 0.000 | 0.000 | -0.000 |
| -0.000 | -0.000 | -0.000 | 5.927 | 0.000 | 0.000 |
| -0.000 | -0.000 | -0.000 | 0.000 | 5.927 | 0.000 |
| 0.007 | 0.002 | 0.002 | 0.000 | 0.000 | -256.925 |
| 449.218 | 963.079 | 560.158 | 0.000 | -0.000 | -0.000 |
| 915.439 | 496.859 | 560.159 | 0.000 | -0.000 | 0.000 |
| 560.160 | 560.160 | 935.524 | 0.000 | -0.000 | -0.000 |
| 0.000 | 0.000 | 0.000 | 5.927 | 0.000 | -0.000 |
| 0.000 | 0.000 | 0.000 | 0.000 | 5.927 | -0.000 |
| -0.007 | -0.002 | -0.002 | -0.000 | -0.000 | -256.925 |
| 90.891 | 30.352 | 24.281 | 0.000 | -0.000 | -0.000 |
| 33.397 | 87.846 | 24.281 | 0.000 | 0.000 | 0.000 |
| 24.281 | 24.281 | 96.962 | 0.000 | 0.000 | 0.000 |
| -0.000 | -0.000 | 0.000 | 24.199 | 0.000 | 0.000 |
| -0.000 | 0.000 | 0.000 | 0.000 | 24.199 | -0.000 |
| -0.000 | 0.000 | 0.000 | 0.000 | 0.000 | 27.224 |
| 87.846 | 33.397 | 24.281 | 0.000 | -0.000 | -0.000 |
| 33.397 | 87.846 | 24.281 | -0.000 | -0.000 | -0.000 |
| 24.281 | 24.281 | 96.962 | -0.000 | -0.000 | -0.000 |
| 0.000 | -0.000 | -0.000 | 24.199 | -0.000 | -0.000 |
| 0.000 | -0.000 | -0.000 | 0.000 | 24.199 | -0.000 |
| 0.000 | -0.000 | -0.000 | 0.000 | -0.000 | 27.224 |
| 87.846 | 33.397 | 24.281 | -0.000 | -0.000 | 0.000 |
| 30.352 | 90.891 | 24.281 | 0.000 | -0.000 | -0.000 |
| 24.281 | 24.281 | 96.962 | -0.000 | 0.000 | -0.000 |
| -0.000 | -0.000 | -0.000 | 24.199 | 0.000 | 0.000 |
| -0.000 | -0.000 | -0.000 | 0.000 | 24.199 | 0.000 |
| -0.000 | 0.000 | -0.000 | 0.000 | 0.000 | 27.224 |
| 90.891 | 30.352 | 24.281 | -0.000 | 0.000 | 0.000 |
| 33.397 | 87.846 | 24.281 | 0.000 | -0.000 | -0.000 |
| 24.281 | 24.281 | 96.962 | 0.000 | -0.000 | -0.000 |
| 0.000 | 0.000 | 0.000 | 24.199 | -0.000 | -0.000 |
| 0.000 | 0.000 | 0.000 | -0.000 | 24.199 | 0.000 |
| 0.000 | -0.000 | 0.000 | -0.000 | -0.000 | 27.224 |
| 87.846 | 33.397 | 24.281 | 0.000 | -0.000 | 0.000 |
| 33.397 | 87.846 | 24.281 | 0.000 | 0.000 | 0.000 |
| 24.281 | 24.281 | 96.962 | 0.000 | 0.000 | 0.000 |
| -0.000 | -0.000 | -0.000 | 24.199 | 0.000 | 0.000 |
| -0.000 | -0.000 | -0.000 | -0.000 | 24.199 | 0.000 |
| -0.000 | 0.000 | -0.000 | -0.000 | 0.000 | 27.224 |
| 87.846 | 33.397 | 24.281 | -0.000 | -0.000 | -0.000 |
| 33.397 | 87.846 | 24.281 | -0.000 | -0.000 | -0.000 |
| 24.281 | 24.281 | 96.962 | -0.000 | -0.000 | -0.000 |
| 0.000 | 0.000 | 0.000 | 24.199 | -0.000 | -0.000 |
| 0.000 | 0.000 | 0.000 | 0.000 | 24.199 | -0.000 |
| 0.000 | -0.000 | 0.000 | 0.000 | 0.000 | 27.224 |
| 10502458.387 | 10620967.427 | 10620967.405 | -0.038 | -0.063 | 0.024 |
| 10620967.525 | 10502458.243 | 10620967.359 | -0.047 | -0.038 | 0.002 |
| 10620967.630 | 10620967.481 | 10502458.343 | 0.028 | 0.004 | 0.019 |
| -3.102 | -2.978 | -3.059 | -1050531.607 | 0.024 | 0.099 |
| -2.873 | -3.142 | -3.048 | -0.002 | -1050531.988 | 0.088 |
| -2.891 | -3.012 | -3.275 | -0.036 | -0.024 | -1050531.350 |
| 10502443.385 | 10620951.821 | 10620951.813 | 0.015 | 0.023 | -0.006 |
| 10620951.832 | 10502443.472 | 10620951.819 | 0.004 | 0.012 | -0.026 |
| 10620951.691 | 10620951.699 | 10502443.398 | 0.062 | 0.075 | -0.019 |
| 3.038 | 2.964 | 3.016 | -1050531.082 | -0.037 | -0.081 |
| 2.899 | 3.183 | 3.039 | -0.025 | -1050531.095 | -0.073 |
| 2.840 | 2.979 | 3.197 | 0.016 | 0.011 | -1050530.978 |
| 10502531.874 | 10621044.677 | 10621044.666 | -0.008 | -0.008 | 0.003 |
| 10621044.682 | 10502531.870 | 10621044.666 | -0.010 | -0.011 | 0.005 |
| 10621044.663 | 10621044.659 | 10502531.841 | 0.001 | 0.001 | 0.002 |
| -21.517 | -19.689 | -19.898 | -1047313.368 | 0.001 | 0.011 |
| -19.687 | -21.525 | -19.901 | 0.002 | -1047312.415 | 0.009 |
| -19.682 | -19.895 | -21.535 | 0.001 | -0.002 | -1047313.399 |
| 10502370.012 | 10620874.745 | 10620874.748 | 0.005 | 0.005 | -0.002 |
| 10620874.742 | 10502370.016 | 10620874.747 | 0.003 | 0.004 | -0.000 |
| 10620874.755 | 10620874.756 | 10502370.041 | 0.004 | 0.003 | -0.002 |
| 21.517 | 19.690 | 19.899 | -1047313.856 | -0.003 | -0.010 |
| 19.687 | 21.529 | 19.902 | -0.003 | -1047313.826 | -0.009 |
| 19.683 | 19.896 | 21.534 | 0.002 | 0.002 | -1047314.048 |
| 10503260.636 | 10621809.835 | 10621809.834 | -0.000 | -0.000 | 0.000 |
| 10621809.835 | 10503260.635 | 10621809.834 | -0.000 | -0.001 | 0.000 |
| 10621809.833 | 10621809.832 | 10503260.632 | -0.001 | -0.001 | 0.000 |
| -214.408 | -196.064 | -198.099 | -1046992.601 | 0.000 | 0.001 |
| -196.064 | -214.409 | -198.100 | 0.000 | -1046992.544 | 0.001 |
| -196.063 | -198.099 | -214.410 | -0.000 | -0.000 | -1046992.638 |
| 10501641.245 | 10620109.589 | 10620109.590 | 0.000 | 0.000 | 0.000 |
| 10620109.588 | 10501641.245 | 10620109.591 | 0.000 | -0.000 | -0.000 |
| 10620109.589 | 10620109.591 | 10501641.247 | 0.001 | 0.001 | -0.000 |
| 214.409 | 196.064 | 198.099 | -1046995.362 | -0.000 | -0.001 |
| 196.064 | 214.409 | 198.099 | -0.000 | -1046995.383 | -0.001 |
| 196.064 | 198.099 | 214.411 | 0.000 | 0.000 | -1046995.374 |
| 488.602 | 662.713 | 662.713 | -0.000 | -0.000 | -0.000 |
| 662.712 | 488.602 | 662.713 | -0.000 | -0.000 | -0.000 |
| 662.712 | 662.713 | 488.602 | -0.000 | -0.000 | -0.000 |
| -0.000 | 0.000 | 0.000 | -289.833 | -0.000 | -0.000 |
| 0.000 | -0.000 | 0.000 | -0.000 | -289.833 | -0.000 |
| -0.000 | -0.000 | 0.000 | -0.000 | -0.000 | -289.833 |
| 488.604 | 662.714 | 662.714 | 0.000 | 0.000 | 0.000 |
| 662.714 | 488.604 | 662.714 | 0.000 | 0.000 | 0.000 |
| 662.714 | 662.714 | 488.604 | 0.000 | 0.000 | 0.000 |
| -0.000 | 0.000 | -0.000 | -289.833 | 0.000 | 0.000 |
| 0.000 | 0.000 | -0.000 | 0.000 | -289.833 | 0.000 |
| 0.000 | 0.000 | -0.000 | 0.000 | 0.000 | -289.833 |
| 488.595 | 662.705 | 662.705 | -0.000 | -0.000 | -0.000 |
| 662.705 | 488.595 | 662.705 | -0.000 | -0.000 | -0.000 |
| 662.705 | 662.705 | 488.595 | -0.000 | -0.000 | -0.000 |
| 0.000 | 0.000 | 0.000 | 30.584 | 0.000 | 0.000 |
| 0.000 | 0.000 | 0.000 | 0.000 | 30.584 | 0.000 |
| 0.000 | 0.000 | 0.000 | 0.000 | 0.000 | 30.584 |
| 488.612 | 662.722 | 662.722 | 0.000 | 0.000 | 0.000 |
| 662.722 | 488.612 | 662.722 | 0.000 | 0.000 | 0.000 |
| 662.722 | 662.722 | 488.612 | 0.000 | 0.000 | 0.000 |
| -0.000 | -0.000 | -0.000 | 30.584 | -0.000 | -0.000 |
| -0.000 | -0.000 | -0.000 | -0.000 | 30.584 | -0.000 |
| -0.000 | -0.000 | -0.000 | -0.000 | -0.000 | 30.584 |
| 488.517 | 662.628 | 662.628 | -0.000 | -0.000 | -0.000 |
| 662.628 | 488.517 | 662.628 | -0.000 | -0.000 | -0.000 |
| 662.628 | 662.628 | 488.517 | -0.000 | -0.000 | -0.000 |
| -0.001 | 0.000 | -0.000 | -289.833 | -0.000 | -0.000 |
| 0.000 | -0.001 | -0.000 | -0.000 | -289.833 | -0.000 |
| 0.000 | -0.000 | -0.001 | -0.000 | -0.000 | -289.833 |
| 488.690 | 662.799 | 662.799 | 0.000 | 0.000 | 0.000 |
| 662.799 | 488.690 | 662.799 | 0.000 | 0.000 | 0.000 |
| 662.799 | 662.799 | 488.690 | 0.000 | 0.000 | 0.000 |
| 0.001 | -0.000 | 0.000 | -289.833 | 0.000 | 0.000 |
| -0.000 | 0.001 | 0.000 | 0.000 | -289.833 | 0.000 |
| -0.000 | 0.000 | 0.001 | 0.000 | 0.000 | -289.833 |
| 7.907 | 7.907 | 7.907 | -0.000 | -0.000 | -0.000 |
| 7.907 | 7.907 | 7.907 | -0.000 | -0.000 | -0.000 |
| 7.907 | 7.907 | 7.907 | -0.000 | -0.000 | -0.000 |
| -0.000 | -0.000 | -0.000 | -0.000 | -0.000 | -0.000 |
| -0.000 | -0.000 | -0.000 | -0.000 | -0.000 | -0.000 |
| -0.000 | -0.000 | -0.000 | -0.000 | -0.000 | -0.000 |
| 7.907 | 7.907 | 7.907 | 0.000 | 0.000 | 0.000 |
| 7.907 | 7.907 | 7.907 | 0.000 | 0.000 | 0.000 |
| 7.907 | 7.907 | 7.907 | 0.000 | 0.000 | 0.000 |
| 0.000 | 0.000 | 0.000 | 0.000 | 0.000 | 0.000 |
| 0.000 | 0.000 | 0.000 | 0.000 | 0.000 | 0.000 |
| 0.000 | 0.000 | 0.000 | 0.000 | 0.000 | 0.000 |
| 7.907 | 7.907 | 7.907 | -0.000 | -0.000 | -0.000 |
| 7.907 | 7.907 | 7.907 | -0.000 | -0.000 | -0.000 |
| 7.907 | 7.907 | 7.907 | -0.000 | -0.000 | -0.000 |
| -0.000 | -0.000 | -0.000 | -0.000 | -0.000 | -0.000 |
| -0.000 | -0.000 | -0.000 | -0.000 | -0.000 | -0.000 |
| -0.000 | -0.000 | -0.000 | -0.000 | -0.000 | -0.000 |
| 7.907 | 7.907 | 7.907 | 0.000 | 0.000 | 0.000 |
| 7.907 | 7.907 | 7.907 | 0.000 | 0.000 | 0.000 |
| 7.907 | 7.907 | 7.907 | 0.000 | 0.000 | 0.000 |
| 0.000 | 0.000 | 0.000 | 0.000 | 0.000 | 0.000 |
| 0.000 | 0.000 | 0.000 | 0.000 | 0.000 | 0.000 |
| 0.000 | 0.000 | 0.000 | 0.000 | 0.000 | 0.000 |
| 7.907 | 7.907 | 7.907 | -0.000 | -0.000 | -0.000 |
| 7.907 | 7.907 | 7.907 | -0.000 | -0.000 | -0.000 |
| 7.907 | 7.907 | 7.907 | -0.000 | -0.000 | -0.000 |
| -0.000 | -0.000 | -0.000 | -0.000 | -0.000 | -0.000 |
| -0.000 | -0.000 | -0.000 | -0.000 | -0.000 | -0.000 |
| -0.000 | -0.000 | -0.000 | -0.000 | -0.000 | -0.000 |
| 7.907 | 7.907 | 7.907 | 0.000 | 0.000 | 0.000 |
| 7.907 | 7.907 | 7.907 | 0.000 | 0.000 | 0.000 |
| 7.907 | 7.907 | 7.907 | 0.000 | 0.000 | 0.000 |
| 0.000 | 0.000 | 0.000 | 0.000 | 0.000 | 0.000 |
| 0.000 | 0.000 | 0.000 | 0.000 | 0.000 | 0.000 |
| 0.000 | 0.000 | 0.000 | 0.000 | 0.000 | 0.000 |
| 476.742 | 1390.831 | 670.189 | -0.000 | -0.000 | -0.000 |
| 1390.831 | 476.742 | 670.189 | -0.000 | 0.000 | -0.000 |
| 670.189 | 670.189 | 1001.416 | -0.000 | -0.000 | -0.000 |
| 0.000 | 0.000 | 0.000 | 53.923 | -0.000 | -0.000 |
| 0.000 | 0.000 | 0.000 | 0.000 | 53.923 | -0.000 |
| 0.000 | -0.000 | -0.000 | -0.000 | -0.000 | 3.800 |
| 476.742 | 1390.830 | 670.189 | 0.000 | -0.000 | 0.000 |
| 1390.830 | 476.742 | 670.189 | 0.000 | -0.000 | -0.000 |
| 670.189 | 670.189 | 1001.416 | 0.000 | 0.000 | 0.000 |
| -0.000 | -0.000 | -0.000 | 53.923 | 0.000 | -0.000 |
| -0.000 | -0.000 | -0.000 | -0.000 | 53.923 | -0.000 |
| 0.000 | 0.000 | -0.000 | 0.000 | -0.000 | 3.800 |
| 1223.352 | 644.224 | 670.191 | 0.000 | 0.000 | 0.000 |
| 644.224 | 1223.352 | 670.191 | 0.000 | 0.000 | 0.000 |
| 670.190 | 670.190 | 1001.417 | 0.000 | 0.000 | 0.000 |
| -0.000 | -0.000 | -0.000 | 53.923 | -0.000 | -0.000 |
| -0.000 | -0.000 | -0.000 | -0.000 | 53.923 | 0.000 |
| 0.000 | -0.000 | -0.000 | -0.000 | 0.000 | 3.800 |
| 476.741 | 1390.829 | 670.190 | 0.000 | -0.000 | 0.000 |
| 1390.829 | 476.741 | 670.190 | 0.000 | -0.000 | -0.000 |
| 670.187 | 670.187 | 1001.415 | -0.000 | -0.000 | 0.000 |
| 0.000 | 0.000 | 0.000 | 53.923 | 0.000 | 0.000 |
| 0.000 | 0.000 | 0.000 | -0.000 | 53.923 | 0.000 |
| -0.000 | 0.000 | 0.000 | 0.000 | -0.000 | 3.800 |
| 180514.632 | -2376930.201 | 2310893.349 | -1084889.208 | -17397.155 | 559017.571 |
| -1210777.355 | 4904046.039 | 5722504.562 | 72184.613 | -481030.205 | -1499520.522 |
| 670.204 | 670.204 | 1001.429 | 0.000 | -0.000 | 0.000 |
| -0.000 | -0.000 | -0.000 | 73.130 | -0.000 | -0.000 |
| -0.000 | -0.000 | -0.000 | -0.000 | 73.130 | 0.000 |
| -0.000 | -0.000 | -0.000 | 0.000 | 0.000 | 3.800 |
| -84.799 | 1952.364 | 670.248 | 0.000 | 0.000 | 0.000 |
| 1952.364 | -84.799 | 670.248 | 0.000 | -0.000 | -0.000 |
| 670.174 | 670.174 | 1001.403 | -0.000 | -0.000 | 0.000 |
| 0.000 | 0.000 | 0.000 | 73.130 | 0.000 | -0.000 |
| 0.000 | 0.000 | 0.000 | -0.000 | 73.130 | 0.000 |
| 0.000 | 0.000 | 0.000 | -0.000 | -0.000 | 3.800 |
| -454049282.127 | 408145108.585 | 104232857.013 | 0.000 | 0.000 | 0.000 |
| -662851910.743 | -522534655.077 | -35884005.727 | 0.002 | -0.001 | 12225583.629 |
| -6.083 | -6.083 | 54.628 | 0.000 | 0.000 | -0.000 |
| -0.000 | 0.000 | -0.000 | -24.712 | 0.000 | -0.000 |
| 0.000 | 0.000 | -0.000 | 0.000 | -24.712 | -0.000 |
| -0.000 | -0.000 | -0.000 | 0.000 | 0.000 | -0.182 |
| 41.315 | -0.168 | -6.083 | -0.000 | -0.000 | 0.000 |
| -0.168 | 41.315 | -6.083 | -0.000 | -0.000 | 0.000 |
| -6.083 | -6.083 | 54.628 | -0.000 | -0.000 | 0.000 |
| 0.000 | -0.000 | 0.000 | -24.712 | -0.000 | -0.000 |
| -0.000 | -0.000 | 0.000 | -0.000 | -24.712 | 0.000 |
| 0.000 | 0.000 | 0.000 | -0.000 | -0.000 | -0.182 |
| 41.315 | -0.168 | -6.083 | 0.000 | 0.000 | -0.000 |
| -0.168 | 41.315 | -6.083 | 0.000 | 0.000 | 0.000 |
| -6.083 | -6.083 | 54.628 | 0.000 | 0.000 | -0.000 |
| -0.000 | 0.000 | -0.000 | -24.712 | 0.000 | 0.000 |
| 0.000 | -0.000 | -0.000 | 0.000 | -24.712 | 0.000 |
| -0.000 | 0.000 | 0.000 | 0.000 | 0.000 | -0.182 |
| -40814457.602 | 45404929.051 | -10423286.032 | -0.000 | -0.000 | -0.000 |
| 45404929.051 | -40814457.602 | -10423286.032 | -0.000 | -0.000 | 0.000 |
| -6.083 | -6.083 | 54.628 | -0.000 | -0.000 | -0.000 |
| 0.000 | -0.000 | 0.000 | -24.712 | -0.000 | -0.000 |
| -0.000 | 0.000 | 0.000 | -0.000 | -24.712 | 0.000 |
| 0.000 | -0.000 | -0.000 | -0.000 | -0.000 | -0.182 |
| -4540433.682 | 4081454.538 | 1042343.920 | 0.000 | 0.000 | 0.000 |
| 4081454.538 | -4540433.682 | 1042343.920 | 0.000 | 0.000 | 0.000 |
| -6.083 | -6.083 | 54.628 | 0.000 | 0.000 | -0.000 |
| -0.000 | 0.000 | -0.000 | -24.712 | 0.000 | 0.000 |
| 0.000 | -0.000 | -0.000 | 0.000 | -24.712 | -0.000 |
| -0.000 | -0.000 | 0.000 | 0.000 | 0.000 | -0.182 |
| -4081398.143 | 4540488.284 | -1042330.296 | -0.000 | -0.000 | 0.000 |
| 4540488.284 | -4081398.143 | -1042330.296 | -0.000 | -0.000 | 0.000 |
| -6.083 | -6.083 | 54.628 | -0.000 | -0.000 | 0.000 |
| 0.000 | -0.000 | 0.000 | -24.712 | -0.000 | 0.000 |
| -0.000 | 0.000 | 0.000 | -0.000 | -24.712 | 0.000 |
| 0.000 | 0.000 | -0.000 | -0.000 | -0.000 | -0.182 |
| 971.591 | 595.086 | 612.688 | -0.000 | -0.000 | -0.000 |
| 595.086 | 971.591 | 612.688 | -0.000 | -0.000 | 0.000 |
| 612.688 | 612.688 | 761.780 | -0.000 | -0.000 | -0.000 |
| -0.000 | -0.000 | -0.000 | 102.170 | -0.000 | -0.000 |
| -0.000 | 0.000 | -0.000 | -0.000 | 102.170 | -0.000 |
| 0.000 | 0.000 | -0.000 | -0.000 | -0.000 | 17.004 |
| 971.590 | 595.086 | 612.688 | 0.000 | 0.000 | 0.000 |
| 595.086 | 971.590 | 612.688 | 0.000 | -0.000 | -0.000 |
| 612.688 | 612.688 | 761.780 | 0.000 | 0.000 | -0.000 |
| -0.000 | 0.000 | 0.000 | 102.170 | 0.000 | 0.000 |
| 0.000 | -0.000 | 0.000 | 0.000 | 102.170 | -0.000 |
| -0.000 | -0.000 | 0.000 | 0.000 | 0.000 | 17.004 |
| 971.591 | 595.087 | 612.688 | -0.000 | -0.000 | 0.000 |
| 595.087 | 971.591 | 612.688 | 0.000 | -0.000 | 0.000 |
| 612.688 | 612.688 | 761.780 | -0.000 | -0.000 | -0.000 |
| 0.000 | -0.000 | -0.000 | 102.170 | -0.000 | -0.000 |
| -0.000 | 0.000 | -0.000 | -0.000 | 102.170 | -0.000 |
| 0.000 | 0.000 | 0.000 | -0.000 | -0.000 | 17.004 |
| 971.590 | 595.086 | 612.688 | 0.000 | 0.000 | -0.000 |
| 595.086 | 971.590 | 612.688 | -0.000 | 0.000 | -0.000 |
| 612.688 | 612.688 | 761.780 | 0.000 | 0.000 | 0.000 |
| -0.000 | 0.000 | 0.000 | 102.170 | 0.000 | -0.000 |
| 0.000 | -0.000 | 0.000 | 0.000 | 102.170 | -0.000 |
| -0.000 | -0.000 | -0.000 | 0.000 | 0.000 | 17.004 |
| 971.592 | 595.089 | 612.689 | -0.000 | -0.000 | 0.000 |
| 595.089 | 971.592 | 612.689 | -0.000 | -0.000 | -0.000 |
| 612.689 | 612.689 | 761.778 | -0.000 | -0.000 | 0.000 |
| 0.000 | -0.001 | -0.000 | 102.170 | -0.000 | 0.000 |
| -0.001 | 0.000 | -0.000 | -0.000 | 102.170 | 0.000 |
| 0.001 | 0.001 | 0.000 | -0.000 | -0.000 | 17.004 |
| 971.589 | 595.084 | 612.687 | 0.000 | 0.000 | 0.000 |
| 595.084 | 971.589 | 612.687 | 0.000 | 0.000 | -0.000 |
| 612.687 | 612.687 | 761.781 | 0.000 | 0.000 | 0.000 |
| -0.000 | 0.001 | 0.000 | 102.170 | 0.000 | 0.000 |
| 0.001 | -0.000 | 0.000 | 0.000 | 102.170 | -0.000 |
| -0.001 | -0.001 | -0.000 | 0.000 | 0.000 | 17.004 |
| 1063.075 | 873.570 | 1011.007 | -144.416 | -0.000 | -0.000 |
| 873.570 | 1063.075 | 1011.007 | 144.417 | 0.000 | -0.000 |
| 1000.984 | 1000.984 | 969.598 | 0.000 | 0.000 | -0.000 |
| -144.417 | 144.417 | 0.000 | 166.812 | 0.000 | -0.000 |
| 0.000 | -0.000 | 0.000 | 0.000 | 166.812 | -144.417 |
| 0.000 | 0.000 | 0.000 | 0.000 | -144.416 | 94.753 |
| 1063.077 | 873.571 | 1011.008 | -144.417 | -0.000 | 0.000 |
| 873.571 | 1063.077 | 1011.008 | 144.416 | -0.000 | 0.000 |
| 1000.986 | 1000.986 | 969.599 | -0.000 | -0.000 | 0.000 |
| -144.417 | 144.417 | -0.000 | 166.812 | -0.000 | 0.000 |
| -0.000 | 0.000 | -0.000 | -0.000 | 166.812 | -144.416 |
| -0.000 | -0.000 | -0.000 | -0.000 | -144.417 | 94.753 |
| 1063.071 | 873.565 | 1011.002 | -144.417 | 0.000 | -0.000 |
| 873.565 | 1063.071 | 1011.002 | 144.417 | 0.000 | -0.000 |
| 1000.979 | 1000.979 | 969.592 | 0.000 | 0.000 | -0.000 |
| -144.416 | 144.416 | 0.000 | 166.812 | 0.000 | -0.000 |
| 0.000 | 0.000 | 0.000 | 0.000 | 166.812 | -144.417 |
| 0.000 | -0.000 | 0.000 | -0.000 | -144.416 | 94.753 |
| 1063.082 | 873.576 | 1011.014 | -144.416 | -0.000 | 0.000 |
| 873.576 | 1063.082 | 1011.014 | 144.416 | 0.000 | 0.000 |
| 1000.991 | 1000.991 | 969.605 | -0.000 | -0.000 | 0.000 |
| -144.416 | 144.416 | -0.000 | 166.812 | -0.000 | 0.000 |
| -0.000 | -0.000 | -0.000 | -0.000 | 166.812 | -144.416 |
| -0.000 | 0.000 | -0.000 | 0.000 | -144.416 | 94.753 |
| 1063.021 | 873.515 | 1010.949 | -144.417 | 0.000 | -0.000 |
| 873.515 | 1063.021 | 1010.949 | 144.417 | 0.000 | -0.000 |
| 1000.923 | 1000.923 | 969.532 | 0.000 | 0.000 | -0.000 |
| -144.417 | 144.417 | 0.000 | 166.812 | 0.000 | -0.000 |
| 0.000 | -0.000 | 0.000 | -0.000 | 166.812 | -144.416 |
| 0.000 | -0.000 | -0.000 | -0.000 | -144.416 | 94.753 |
| 1063.132 | 873.626 | 1011.066 | -144.416 | 0.000 | 0.000 |
| 873.626 | 1063.131 | 1011.066 | 144.416 | -0.000 | 0.000 |
| 1001.046 | 1001.046 | 969.665 | -0.000 | 0.000 | 0.000 |
| -144.416 | 144.416 | -0.000 | 166.812 | -0.000 | 0.000 |
| -0.000 | 0.000 | -0.000 | 0.000 | 166.812 | -144.416 |
| -0.000 | 0.000 | 0.000 | 0.000 | -144.416 | 94.753 |
| 1438.214 | 814.054 | 814.054 | 0.000 | 0.000 | -0.000 |
| 814.054 | 1438.214 | 814.054 | 0.000 | -0.000 | -0.000 |
| 814.054 | 814.054 | 1438.214 | -0.000 | 0.000 | -0.000 |
| -0.000 | -0.000 | -0.000 | -11.850 | 0.000 | -0.000 |
| -0.000 | -0.000 | -0.000 | -0.000 | -11.850 | -0.000 |
| -0.000 | -0.000 | -0.000 | 0.000 | 0.000 | -11.850 |
| 1438.214 | 814.054 | 814.054 | 0.000 | -0.000 | 0.000 |
| 814.054 | 1438.214 | 814.054 | -0.000 | 0.000 | 0.000 |
| 814.054 | 814.054 | 1438.214 | -0.000 | 0.000 | 0.000 |
| 0.000 | 0.000 | 0.000 | -11.850 | -0.000 | 0.000 |
| 0.000 | 0.000 | 0.000 | -0.000 | -11.850 | 0.000 |
| 0.000 | 0.000 | 0.000 | -0.000 | 0.000 | -11.850 |
| 1438.214 | 814.054 | 814.054 | -0.000 | -0.000 | -0.000 |
| 814.054 | 1438.214 | 814.054 | -0.000 | -0.000 | -0.000 |
| 814.054 | 814.054 | 1438.214 | 0.000 | 0.000 | -0.000 |
| -0.000 | -0.000 | -0.000 | -11.850 | 0.000 | -0.000 |
| -0.000 | -0.000 | -0.000 | -0.000 | -11.850 | -0.000 |
| -0.000 | -0.000 | -0.000 | 0.000 | -0.000 | -11.850 |
| 1438.213 | 814.053 | 814.053 | -0.000 | -0.000 | 0.000 |
| 814.053 | 1438.213 | 814.053 | -0.000 | -0.000 | 0.000 |
| 814.053 | 814.053 | 1438.213 | 0.000 | -0.000 | 0.000 |
| 0.000 | 0.000 | 0.000 | -11.850 | -0.000 | 0.000 |
| 0.000 | 0.000 | 0.000 | -0.000 | -11.850 | 0.000 |
| 0.000 | 0.000 | 0.000 | 0.000 | -0.000 | -11.850 |
| 1438.216 | 814.055 | 814.055 | -0.000 | -0.000 | -0.000 |
| 814.055 | 1438.216 | 814.055 | -0.000 | 0.000 | -0.000 |
| 814.055 | 814.055 | 1438.216 | 0.000 | 0.000 | -0.000 |
| -0.000 | -0.000 | -0.000 | -11.850 | 0.000 | -0.000 |
| -0.000 | -0.000 | -0.000 | 0.000 | -11.850 | -0.000 |
| -0.000 | -0.000 | -0.000 | 0.000 | -0.000 | -11.850 |
| 1438.211 | 814.052 | 814.052 | -0.000 | 0.000 | 0.000 |
| 814.052 | 1438.211 | 814.052 | 0.000 | -0.000 | 0.000 |
| 814.052 | 814.052 | 1438.211 | 0.000 | 0.000 | 0.000 |
| 0.000 | 0.000 | 0.000 | -11.850 | -0.000 | 0.000 |
| 0.000 | 0.000 | 0.000 | -0.000 | -11.850 | 0.000 |
| 0.000 | 0.000 | 0.000 | -0.000 | -0.000 | -11.850 |
| 54.227 | -0.019 | -0.019 | 0.000 | 0.000 | 0.000 |
| -0.019 | 54.227 | -0.019 | 0.000 | 0.000 | -0.000 |
| -0.019 | -0.019 | 54.227 | -0.000 | -0.000 | -0.000 |
| -0.000 | -0.000 | -0.000 | -0.028 | 0.000 | 0.000 |
| -0.000 | -0.000 | -0.000 | 0.000 | -0.028 | 0.000 |
| -0.000 | -0.000 | 0.000 | 0.000 | 0.000 | -0.028 |
| 54.227 | -0.019 | -0.019 | -0.000 | -0.000 | 0.000 |
| -0.019 | 54.227 | -0.019 | 0.000 | -0.000 | -0.000 |
| -0.019 | -0.019 | 54.227 | 0.000 | -0.000 | -0.000 |
| -0.000 | 0.000 | 0.000 | -0.028 | -0.000 | -0.000 |
| 0.000 | -0.000 | 0.000 | -0.000 | -0.028 | -0.000 |
| 0.000 | 0.000 | -0.000 | -0.000 | -0.000 | -0.028 |
| 54.227 | -0.019 | -0.019 | -0.000 | 0.000 | 0.000 |
| -0.019 | 54.227 | -0.019 | 0.000 | 0.000 | 0.000 |
| -0.019 | -0.019 | 54.227 | 0.000 | 0.000 | 0.000 |
| 0.000 | -0.000 | -0.000 | -0.028 | -0.000 | 0.000 |
| -0.000 | 0.000 | -0.000 | -0.000 | -0.028 | 0.000 |
| -0.000 | -0.000 | 0.000 | -0.000 | 0.000 | -0.028 |
| 54.227 | -0.019 | -0.019 | -0.000 | 0.000 | 0.000 |
| -0.019 | 54.227 | -0.019 | 0.000 | -0.000 | 0.000 |
| -0.019 | -0.019 | 54.227 | 0.000 | 0.000 | -0.000 |
| -0.000 | 0.000 | 0.000 | -0.028 | 0.000 | -0.000 |
| 0.000 | -0.000 | 0.000 | 0.000 | -0.028 | -0.000 |
| 0.000 | 0.000 | -0.000 | 0.000 | -0.000 | -0.028 |
| 54.227 | -0.019 | -0.019 | -0.000 | 0.000 | 0.000 |
| -0.019 | 54.227 | -0.019 | 0.000 | -0.000 | -0.000 |
| -0.019 | -0.019 | 54.227 | -0.000 | -0.000 | -0.000 |
| 0.000 | -0.000 | -0.000 | -0.028 | -0.000 | 0.000 |
| -0.000 | 0.000 | -0.000 | -0.000 | -0.028 | 0.000 |
| -0.000 | -0.000 | 0.000 | -0.000 | 0.000 | -0.028 |
| 54.227 | -0.019 | -0.019 | 0.000 | -0.000 | 0.000 |
| -0.019 | 54.227 | -0.019 | -0.000 | 0.000 | 0.000 |
| -0.019 | -0.019 | 54.227 | 0.000 | 0.000 | -0.000 |
| -0.000 | 0.000 | 0.000 | -0.028 | 0.000 | -0.000 |
| 0.000 | -0.000 | 0.000 | 0.000 | -0.028 | -0.000 |
| 0.000 | 0.000 | -0.000 | 0.000 | -0.000 | -0.028 |
| 221093945569.300 | 219642867354.610 | 217969996511.610 | -3125511373.636 | -271975429.225 | 3820334014.418 |
| 234569569451.150 | 233072197225.130 | 231859037569.900 | -3836934914.026 | -522690011.278 | 3863576331.430 |
| 216830394707.270 | 215691994553.400 | 213578627443.090 | -3450672377.933 | -348826914.023 | 3953718780.470 |
| 239503043348.220 | 238759647756.770 | 237133593982.070 | -3978527119.258 | -384950098.822 | 4048674854.816 |
| 226173708080.160 | 225054477449.050 | 223701467843.810 | -3882769368.000 | -224137270.033 | 3914815625.924 |
| 232979473636.540 | 232016550794.170 | 230330116389.350 | -3714291084.072 | -558806988.881 | 3807220633.223 |
| -225176958088.860 | -224770148897.110 | -222449169993.840 | 3453539464.163 | 229358197.026 | -3580251826.822 |
| -223260380213.180 | -221745712507.620 | -220082988840.140 | 3537849351.464 | 478050976.533 | -3819630839.422 |
| -213445509119.980 | -212384589674.550 | -210967478188.440 | 3608879867.656 | 228906605.154 | -3947673353.534 |
| -222688165743.890 | -221645196948.920 | -219879101195.880 | 3402022458.781 | 186174470.763 | -3666277114.534 |
| -210413579017.960 | -209040604107.850 | -207618757533.040 | 3702482596.940 | 284953977.391 | -3819873493.667 |
| -226201809807.330 | -224940989103.630 | -223147690802.720 | 3527734115.594 | 474933535.186 | -3672447245.593 |
| 22152919166.124 | 22019764857.235 | 21861650035.228 | -375813822.465 | -65264640.656 | 389796875.879 |
| 21684252363.695 | 21625808011.758 | 21417442688.871 | -362464702.712 | -54248599.726 | 374900271.901 |
| 22600391104.013 | 22492008887.805 | 22309036652.132 | -347249654.373 | 1600991.735 | 370749669.738 |
| 22745201127.412 | 22639608474.222 | 22487435663.342 | -369266455.279 | -40457211.141 | 402281912.640 |
| 22954854159.798 | 22800221848.684 | 22624426268.488 | -332086020.303 | -34908224.525 | 355016196.099 |
| 22576767215.296 | 22473521334.833 | 22320552010.474 | -368630626.379 | -33218830.852 | 399679052.687 |
| -22292642410.523 | -22208820135.567 | -21988313640.259 | 378176437.270 | 30615030.270 | -391064832.525 |
| -21815498584.217 | -21665015141.228 | -21533548973.471 | 340489036.107 | 34419720.536 | -380344180.964 |
| -22661812927.493 | -22517293349.143 | -22375434250.873 | 392970015.249 | 37333604.362 | -376266247.503 |
| -22293440359.659 | -22164610488.773 | -21960678072.286 | 358782762.530 | 34623160.427 | -392380081.210 |
| -22168611513.340 | -22047877035.942 | -21857273194.280 | 362266430.233 | 44023422.086 | -368352520.532 |
| -22252943731.469 | -22167795221.014 | -21980410681.386 | 389459839.588 | 36369035.840 | -381812820.574 |
| 2361153861.883 | 2344126886.231 | 2330523212.429 | -34904160.157 | -633810.818 | 39825209.013 |
| 2149383144.688 | 2140748288.609 | 2127615523.299 | -37444547.663 | -748761.268 | 41128479.797 |
| 2119866045.300 | 2105939432.250 | 2091705498.528 | -34034941.786 | -3167865.089 | 39064271.312 |
| 2151527076.385 | 2141501888.117 | 2118726253.728 | -33755234.025 | -4234637.162 | 35862997.978 |
| 2156831292.863 | 2139364110.079 | 2124843523.709 | -37781932.992 | -3268206.247 | 38535804.229 |
| 2627952119.332 | 2613558083.709 | 2609302998.255 | -45405062.537 | -9248869.603 | 38134378.453 |
| -2180297221.442 | -2167239887.972 | -2148315201.522 | 33988857.471 | 4136806.685 | -37224914.423 |
| -2174062251.221 | -2162282991.890 | -2145191715.020 | 37261492.571 | 3631349.959 | -39040693.887 |
| -2060541486.718 | -2047445021.084 | -2028346144.392 | 32504857.116 | 3486686.973 | -35294946.769 |
| -2148238461.762 | -2133047798.068 | -2117960545.324 | 32640038.226 | 3030427.850 | -37155595.193 |
| -2757704459.718 | -2748834342.555 | -2741970446.913 | 40421628.773 | -2316247.201 | -38439754.116 |
| -2382240910.045 | -2372638405.682 | -2357033586.782 | 36076701.636 | 4972868.562 | -38973036.860 |
| 1295.693 | 1072.661 | 1072.661 | -0.000 | -0.000 | 0.000 |
| 1072.661 | 1295.693 | 1072.661 | 0.000 | -0.000 | 0.000 |
| 1072.661 | 1072.661 | 1295.693 | 0.000 | -0.000 | 0.000 |
| 504.247 | 504.247 | 504.247 | 32.582 | -0.000 | 0.000 |
| 504.247 | 504.247 | 504.247 | 0.000 | 32.582 | 0.000 |
| 504.247 | 504.247 | 504.247 | -0.000 | -0.000 | 32.582 |
| 260.298 | 29.756 | 29.756 | 0.000 | 0.000 | -0.000 |
| 29.756 | 260.298 | 29.756 | -0.000 | 0.000 | -0.000 |
| 29.756 | 29.756 | 260.298 | -0.000 | 0.000 | -0.000 |
| -504.247 | -504.247 | -504.247 | 32.582 | 0.000 | -0.000 |
| -504.247 | -504.247 | -504.247 | -0.000 | 32.582 | -0.000 |
| -504.247 | -504.247 | -504.247 | -0.000 | 0.000 | 32.582 |
| 857.631 | 627.437 | 627.437 | 0.000 | -0.000 | 0.000 |
| 627.437 | 857.631 | 627.437 | 0.000 | -0.000 | 0.000 |
| 627.437 | 627.437 | 857.631 | 0.000 | -0.000 | 0.000 |
| 54.342 | 54.342 | 54.342 | 36.152 | -0.000 | 0.000 |
| 54.342 | 54.342 | 54.342 | -0.000 | 36.152 | 0.000 |
| 54.342 | 54.342 | 54.342 | 0.000 | -0.000 | 36.152 |
| 749.485 | 518.731 | 518.731 | -0.000 | 0.000 | -0.000 |
| 518.731 | 749.485 | 518.731 | -0.000 | 0.000 | -0.000 |
| 518.731 | 518.731 | 749.485 | -0.000 | 0.000 | -0.000 |
| -54.342 | -54.342 | -54.342 | 36.152 | 0.000 | -0.000 |
| -54.342 | -54.342 | -54.342 | -0.000 | 36.152 | -0.000 |
| -54.342 | -54.342 | -54.342 | 0.000 | 0.000 | 36.152 |
| 822.990 | 578.760 | 578.760 | -0.000 | -0.000 | 0.000 |
| 578.760 | 822.990 | 578.760 | 0.000 | -0.000 | 0.000 |
| 578.760 | 578.760 | 822.990 | 0.000 | -0.000 | 0.000 |
| 4.878 | 4.877 | 4.877 | 32.837 | -0.000 | 0.000 |
| 4.877 | 4.878 | 4.877 | 0.000 | 32.837 | 0.000 |
| 4.877 | 4.877 | 4.878 | 0.000 | -0.000 | 32.837 |
| 777.686 | 561.102 | 561.102 | -0.000 | 0.000 | -0.000 |
| 561.102 | 777.686 | 561.102 | -0.000 | 0.000 | -0.000 |
| 561.102 | 561.102 | 777.686 | -0.000 | 0.000 | -0.000 |
| -4.878 | -4.877 | -4.877 | 32.837 | -0.000 | -0.000 |
| -4.877 | -4.878 | -4.877 | 0.000 | 32.837 | -0.000 |
| -4.877 | -4.877 | -4.878 | -0.000 | 0.000 | 32.837 |
| 7151.546 | 7149.270 | 7149.270 | -0.000 | 0.000 | 0.000 |
| 7149.270 | 7151.546 | 7149.270 | -0.000 | 0.000 | 0.000 |
| 7149.270 | 7149.270 | 7151.546 | -0.000 | 0.000 | 0.000 |
| -0.000 | 0.000 | -0.000 | 91.583 | -0.000 | 0.000 |
| -0.000 | -0.000 | 0.000 | -0.000 | 91.583 | 0.000 |
| 0.000 | -0.000 | 0.000 | 0.000 | -0.000 | 91.583 |
| 591.922 | 578.365 | 578.365 | 0.000 | 0.000 | -0.000 |
| 578.365 | 591.922 | 578.365 | 0.000 | -0.000 | -0.000 |
| 578.365 | 578.365 | 591.922 | 0.000 | 0.000 | -0.000 |
| -0.000 | 0.000 | 0.000 | 91.583 | 0.000 | -0.000 |
| 0.000 | 0.000 | -0.000 | 0.000 | 91.583 | -0.000 |
| 0.000 | 0.000 | -0.000 | 0.000 | 0.000 | 91.583 |
| 1264.315 | 1248.136 | 1248.136 | -0.000 | 0.000 | -0.000 |
| 1248.136 | 1264.315 | 1248.136 | -0.000 | -0.000 | -0.000 |
| 1248.136 | 1248.136 | 1264.315 | -0.000 | -0.000 | -0.000 |
| -0.000 | -0.000 | -0.000 | 91.583 | 0.000 | 0.000 |
| -0.000 | -0.000 | -0.000 | -0.000 | 91.583 | 0.000 |
| -0.000 | -0.000 | -0.000 | -0.000 | 0.000 | 91.583 |
| -85.236 | -87.508 | -87.508 | 0.000 | -0.000 | -0.000 |
| -87.508 | -85.236 | -87.508 | 0.000 | 0.000 | -0.000 |
| -87.508 | -87.508 | -85.236 | 0.000 | -0.000 | -0.000 |
| 0.000 | 0.000 | 0.000 | 91.583 | 0.000 | -0.000 |
| 0.000 | 0.000 | 0.000 | 0.000 | 91.583 | -0.000 |
| 0.000 | 0.000 | 0.000 | 0.000 | 0.000 | 91.583 |
| 591.925 | 578.369 | 578.369 | -0.000 | -0.000 | 0.000 |
| 578.369 | 591.925 | 578.369 | -0.000 | 0.000 | 0.000 |
| 578.369 | 578.369 | 591.925 | -0.000 | 0.000 | 0.000 |
| 68.570 | 68.570 | 68.570 | 80.173 | 0.000 | 0.000 |
| 68.570 | 68.570 | 68.570 | -0.000 | 80.173 | 0.000 |
| 68.570 | 68.570 | 68.570 | -0.000 | -0.000 | 80.173 |
| 591.920 | 578.362 | 578.362 | 0.000 | 0.000 | -0.000 |
| 578.362 | 591.920 | 578.362 | 0.000 | 0.000 | -0.000 |
| 578.362 | 578.362 | 591.920 | 0.000 | -0.000 | -0.000 |
| -68.570 | -68.570 | -68.570 | 80.173 | 0.000 | -0.000 |
| -68.570 | -68.570 | -68.570 | 0.000 | 80.173 | -0.000 |
| -68.570 | -68.570 | -68.570 | 0.000 | -0.000 | 80.173 |
| 573.696 | 567.833 | 567.833 | 0.000 | -0.000 | -0.000 |
| 567.833 | 573.696 | 567.833 | 0.000 | -0.000 | -0.000 |
| 567.833 | 567.833 | 573.696 | 0.000 | -0.000 | -0.000 |
| 0.122 | 0.122 | 0.122 | 79.917 | 0.000 | -0.000 |
| 0.122 | 0.122 | 0.122 | 0.000 | 79.917 | -0.000 |
| 0.122 | 0.122 | 0.122 | 0.000 | 0.000 | 79.917 |
| 573.448 | 567.541 | 567.541 | -0.000 | -0.000 | 0.000 |
| 567.541 | 573.448 | 567.541 | -0.000 | -0.000 | 0.000 |
| 567.541 | 567.541 | 573.448 | -0.000 | 0.000 | 0.000 |
| -0.122 | -0.122 | -0.122 | 79.917 | -0.000 | 0.000 |
| -0.122 | -0.122 | -0.122 | -0.000 | 79.917 | 0.000 |
| -0.122 | -0.122 | -0.122 | -0.000 | -0.000 | 79.917 |
| 577.732 | 574.018 | 574.018 | 0.000 | 0.000 | -0.000 |
| 574.018 | 577.732 | 574.018 | 0.000 | 0.000 | -0.000 |
| 574.018 | 574.018 | 577.732 | 0.000 | 0.000 | -0.000 |
| -0.000 | -0.000 | -0.000 | 91.464 | 0.000 | -0.000 |
| -0.000 | -0.000 | -0.000 | 0.000 | 91.464 | -0.000 |
| -0.000 | -0.000 | -0.000 | 0.000 | -0.000 | 91.464 |
| 593.697 | 580.397 | 580.397 | -0.000 | 0.000 | 0.000 |
| 580.397 | 593.697 | 580.397 | -0.000 | 0.000 | 0.000 |
| 580.397 | 580.397 | 593.697 | -0.000 | 0.000 | 0.000 |
| 0.000 | 0.000 | 0.000 | 91.464 | -0.000 | 0.000 |
| 0.000 | 0.000 | 0.000 | -0.000 | 91.464 | 0.000 |
| 0.000 | 0.000 | 0.000 | -0.000 | 0.000 | 91.464 |
| 571.460 | 568.355 | 568.355 | 0.000 | 0.000 | -0.000 |
| 568.355 | 571.460 | 568.355 | 0.000 | 0.000 | -0.000 |
| 568.355 | 568.355 | 571.460 | 0.000 | 0.000 | -0.000 |
| -0.000 | -0.000 | -0.000 | 91.464 | 0.000 | -0.000 |
| -0.000 | -0.000 | -0.000 | -0.000 | 91.464 | -0.000 |
| -0.000 | -0.000 | -0.000 | 0.000 | 0.000 | 91.464 |
| 577.708 | 573.996 | 573.996 | -0.000 | -0.000 | 0.000 |
| 573.996 | 577.708 | 573.996 | -0.000 | -0.000 | 0.000 |
| 573.996 | 573.996 | 577.708 | -0.000 | -0.000 | 0.000 |
| 0.000 | 0.000 | 0.000 | 91.464 | 0.000 | 0.000 |
| 0.000 | 0.000 | 0.000 | 0.000 | 91.464 | 0.000 |
| 0.000 | 0.000 | 0.000 | 0.000 | 0.000 | 91.464 |
| 819.690 | 575.462 | 575.462 | 0.000 | 0.000 | -0.000 |
| 575.462 | 819.690 | 575.462 | 0.000 | -0.000 | 0.000 |
| 575.462 | 575.462 | 819.690 | 0.000 | 0.000 | -0.000 |
| -0.000 | -0.000 | -0.000 | 45.977 | 0.000 | -0.000 |
| -0.000 | -0.000 | -0.000 | 0.000 | 45.977 | -0.000 |
| -0.000 | -0.000 | -0.000 | 0.000 | -0.000 | 45.977 |
| 819.690 | 575.462 | 575.462 | 0.000 | -0.000 | 0.000 |
| 575.462 | 819.690 | 575.462 | -0.000 | 0.000 | 0.000 |
| 575.462 | 575.462 | 819.690 | -0.000 | -0.000 | 0.000 |
| 0.000 | 0.000 | 0.000 | 45.977 | -0.000 | 0.000 |
| 0.000 | 0.000 | -0.000 | -0.000 | 45.977 | 0.000 |
| 0.000 | 0.000 | 0.000 | -0.000 | -0.000 | 45.977 |
| 819.688 | 575.460 | 575.460 | 0.000 | 0.000 | -0.000 |
| 575.460 | 819.688 | 575.460 | 0.000 | -0.000 | -0.000 |
| 575.460 | 575.460 | 819.688 | 0.000 | -0.000 | -0.000 |
| -121.434 | -121.434 | -121.434 | 39.033 | -0.000 | -0.000 |
| -121.434 | -121.434 | -121.434 | 0.000 | 39.033 | -0.000 |
| -121.434 | -121.434 | -121.434 | 0.000 | 0.000 | 39.033 |
| 831.888 | 607.933 | 607.933 | -0.000 | -0.000 | 0.000 |
| 607.933 | 831.888 | 607.933 | -0.000 | -0.000 | 0.000 |
| 607.933 | 607.933 | 831.888 | -0.000 | -0.000 | 0.000 |
| 121.434 | 121.434 | 121.434 | 39.033 | -0.000 | -0.000 |
| 121.434 | 121.434 | 121.434 | -0.000 | 39.033 | 0.000 |
| 121.434 | 121.434 | 121.434 | -0.000 | -0.000 | 39.033 |
| 819.664 | 575.437 | 575.437 | -0.000 | 0.000 | -0.000 |
| 575.437 | 819.664 | 575.437 | 0.000 | 0.000 | -0.000 |
| 575.437 | 575.437 | 819.664 | 0.000 | 0.000 | -0.000 |
| -4.066 | -4.066 | -4.066 | 33.084 | 0.000 | -0.000 |
| -4.066 | -4.066 | -4.066 | 0.000 | 33.084 | -0.000 |
| -4.066 | -4.066 | -4.066 | 0.000 | 0.000 | 33.084 |
| 817.025 | 583.660 | 583.660 | -0.000 | -0.000 | 0.000 |
| 583.660 | 817.025 | 583.660 | -0.000 | -0.000 | 0.000 |
| 583.660 | 583.660 | 817.025 | -0.000 | -0.000 | 0.000 |
| 4.066 | 4.066 | 4.066 | 33.084 | -0.000 | 0.000 |
| 4.066 | 4.066 | 4.066 | -0.000 | 33.084 | 0.000 |
| 4.066 | 4.066 | 4.066 | -0.000 | -0.000 | 33.084 |
| 45.605 | 341.867 | 341.867 | -0.000 | -0.000 | -0.000 |
| 341.867 | 45.605 | 341.867 | -0.000 | -0.000 | -0.000 |
| 341.867 | 341.867 | 45.605 | -0.000 | -0.000 | 0.000 |
| -0.000 | 0.000 | 0.000 | -632.072 | -0.000 | -0.000 |
| 0.000 | -0.000 | 0.000 | -0.000 | -632.072 | 0.000 |
| 0.000 | 0.000 | -0.000 | -0.000 | -0.000 | -632.072 |
| 45.605 | 341.867 | 341.867 | 0.000 | 0.000 | 0.000 |
| 341.867 | 45.605 | 341.867 | 0.000 | -0.000 | 0.000 |
| 341.867 | 341.867 | 45.605 | 0.000 | 0.000 | -0.000 |
| 0.000 | -0.000 | -0.000 | -632.072 | 0.000 | 0.000 |
| -0.000 | 0.000 | -0.000 | 0.000 | -632.072 | -0.000 |
| -0.000 | -0.000 | 0.000 | 0.000 | 0.000 | -632.072 |
| 45.604 | 341.867 | 341.867 | -0.000 | -0.000 | 0.000 |
| 341.867 | 45.604 | 341.867 | -0.000 | -0.000 | 0.000 |
| 341.867 | 341.867 | 45.604 | -0.000 | -0.000 | 0.000 |
| -9128176659656.736 | 521611517367.355 | 1790600808830.565 | -1102235673852.500 | 6439674124809.801 | 6769692112144.301 |
| 1539894488233.965 | -5276279730905.635 | 2984640374724.266 | 4567924747954.899 | -145036327453.660 | 4889859478187.601 |
| -4948048211782.336 | 1920958863847.665 | -9841685275435.535 | -5565437592380.900 | -10139675943901.000 | -6683540545066.500 |
| 45.605 | 341.868 | 341.868 | 0.000 | 0.000 | -0.000 |
| 341.868 | 45.605 | 341.868 | 0.000 | 0.000 | -0.000 |
| 341.868 | 341.868 | 45.605 | 0.000 | -0.000 | -0.000 |
| -8342534496837.966 | -2201118702159.465 | -14475291929177.564 | -3809949455133.601 | -575812360118.320 | -1334221015849.600 |
| 10058757396223.438 | 40795992867383.430 | 621428406172.705 | -16749452854554.002 | -10718872635275.000 | 22492849920087.000 |
| -10692922618042.566 | -18234223984931.566 | -9592013620101.266 | -499561209369.360 | -624653917100.590 | -10214158382676.000 |
| 45.599 | 341.863 | 341.863 | -0.000 | -0.000 | 0.000 |
| 341.863 | 45.599 | 341.863 | -0.000 | -0.000 | 0.000 |
| 341.863 | 341.863 | 45.599 | -0.000 | -0.000 | 0.000 |
| 114511849132.557 | 281520893613.947 | -31574985758.282 | -235548608767.860 | 124774075254.490 | 123969576293.120 |
| 345103522443.097 | 167310312232.357 | -9828741829.331 | 140657548466.580 | -222201385561.450 | 111862227943.490 |
| 178458718967.337 | -432845781524.603 | -888984724201.214 | 932220226982.320 | 452971102962.550 | -624614860206.420 |
| 45.610 | 341.871 | 341.871 | 0.000 | 0.000 | -0.000 |
| 341.871 | 45.610 | 341.871 | 0.000 | 0.000 | -0.000 |
| 341.871 | 341.871 | 45.610 | 0.000 | 0.000 | -0.000 |
| 511388856038.883 | 563466147458.874 | 86356833945.008 | 410817943751.620 | 463712229703.370 | 989643036260.820 |
| -648388296250.707 | -2849574249429.657 | -459886370475.877 | 23783129508.244 | 80447714249.437 | 57577784019.553 |
| 615802809252.073 | 100247221954.313 | 845923905988.974 | 560949767001.020 | 1144771928124.600 | 433973267412.700 |
| 16375.415 | 11960.925 | 11960.925 | 0.000 | 0.000 | -0.000 |
| 11960.925 | 16375.415 | 11960.925 | 0.000 | 0.000 | 0.000 |
| 11960.925 | 11960.925 | 16375.415 | 0.000 | 0.000 | -0.000 |
| 0.000 | 0.000 | 0.000 | 11962.781 | 0.000 | -0.000 |
| 0.000 | 0.000 | 0.000 | 0.000 | 11962.781 | 0.000 |
| 0.000 | 0.000 | 0.000 | 0.000 | 0.000 | 11962.781 |
| 16375.413 | 11960.924 | 11960.924 | -0.000 | -0.000 | 0.000 |
| 11960.924 | 16375.413 | 11960.924 | -0.000 | -0.000 | -0.000 |
| 11960.924 | 11960.924 | 16375.413 | -0.000 | 0.000 | -0.000 |
| -0.000 | -0.000 | -0.000 | 11962.781 | -0.000 | 0.000 |
| -0.000 | -0.000 | -0.000 | -0.000 | 11962.781 | -0.000 |
| -0.000 | -0.000 | -0.000 | -0.000 | -0.000 | 11962.781 |
| 16375.420 | 11960.928 | 11960.928 | 0.000 | 0.000 | 0.000 |
| 11960.928 | 16375.420 | 11960.928 | 0.000 | -0.000 | -0.000 |
| 11960.928 | 11960.928 | 16375.420 | 0.000 | 0.000 | 0.000 |
| 0.001 | 0.000 | 0.002 | 11962.781 | 0.000 | -0.000 |
| 0.000 | 0.001 | 0.002 | 0.000 | 11962.781 | 0.000 |
| 0.000 | 0.002 | 0.001 | 0.000 | 0.000 | 11962.781 |
| 16375.407 | 11960.921 | 11960.921 | -0.000 | 0.000 | 0.000 |
| 11960.921 | 16375.407 | 11960.921 | 0.000 | -0.000 | -0.000 |
| 11960.921 | 11960.921 | 16375.407 | -0.000 | 0.000 | -0.000 |
| -0.001 | -0.000 | -0.002 | 11962.781 | -0.000 | -0.000 |
| -0.000 | -0.001 | -0.002 | -0.000 | 11962.781 | -0.000 |
| -0.000 | -0.002 | -0.001 | -0.000 | -0.000 | 11962.781 |
| 16375.479 | 11960.963 | 11960.963 | -0.000 | 0.000 | 0.000 |
| 11960.963 | 16375.479 | 11960.963 | 0.000 | 0.000 | 0.000 |
| 11960.963 | 11960.963 | 16375.479 | -0.000 | 0.000 | 0.000 |
| 0.002 | 0.004 | 0.010 | 3843.830 | 0.000 | -0.000 |
| 0.004 | 0.002 | 0.010 | 0.000 | 3843.830 | -0.000 |
| 0.004 | 0.010 | 0.002 | 0.000 | 0.000 | 3843.830 |
| 16375.349 | 11960.886 | 11960.886 | -0.000 | -0.000 | -0.000 |
| 11960.886 | 16375.349 | 11960.886 | -0.000 | -0.000 | -0.000 |
| 11960.886 | 11960.886 | 16375.349 | -0.000 | -0.000 | -0.000 |
| -0.002 | -0.004 | -0.010 | 3843.830 | -0.000 | 0.000 |
| -0.004 | -0.002 | -0.010 | -0.000 | 3843.830 | 0.000 |
| -0.004 | -0.010 | -0.002 | -0.000 | -0.000 | 3843.830 |
| 40.934 | 22.104 | 22.104 | 0.000 | 0.000 | 0.000 |
| 22.104 | 40.934 | 22.104 | 0.000 | 0.000 | 0.000 |
| 22.104 | 22.104 | 40.934 | -0.000 | 0.000 | -0.000 |
| -0.000 | -0.000 | -0.000 | 9.893 | 0.000 | 0.000 |
| -0.000 | -0.000 | -0.000 | 0.000 | 9.893 | 0.000 |
| -0.000 | -0.000 | -0.000 | -0.000 | 0.000 | 9.893 |
| 40.934 | 22.104 | 22.104 | -0.000 | -0.000 | -0.000 |
| 22.104 | 40.934 | 22.104 | -0.000 | -0.000 | -0.000 |
| 22.104 | 22.104 | 40.934 | -0.000 | -0.000 | -0.000 |
| 0.000 | 0.000 | 0.000 | 9.893 | -0.000 | 0.000 |
| 0.000 | 0.000 | 0.000 | -0.000 | 9.893 | 0.000 |
| 0.000 | 0.000 | 0.000 | -0.000 | -0.000 | 9.893 |
| 40.934 | 22.104 | 22.104 | 0.000 | 0.000 | 0.000 |
| 22.104 | 40.934 | 22.104 | 0.000 | 0.000 | 0.000 |
| 22.104 | 22.104 | 40.934 | 0.000 | 0.000 | -0.000 |
| 0.000 | -0.000 | -0.000 | 9.893 | 0.000 | 0.000 |
| -0.000 | 0.000 | -0.000 | 0.000 | 9.893 | -0.000 |
| -0.000 | -0.000 | 0.000 | 0.000 | 0.000 | 9.893 |
| 40.934 | 22.104 | 22.104 | -0.000 | -0.000 | -0.000 |
| 22.104 | 40.934 | 22.104 | -0.000 | -0.000 | -0.000 |
| 22.104 | 22.104 | 40.934 | -0.000 | -0.000 | 0.000 |
| -0.000 | 0.000 | 0.000 | 9.893 | -0.000 | 0.000 |
| 0.000 | -0.000 | 0.000 | -0.000 | 9.893 | -0.000 |
| 0.000 | 0.000 | -0.000 | -0.000 | -0.000 | 9.893 |
| 40.934 | 22.104 | 22.104 | 0.000 | 0.000 | 0.000 |
| 22.104 | 40.934 | 22.104 | 0.000 | 0.000 | 0.000 |
| 22.104 | 22.104 | 40.934 | -0.000 | 0.000 | -0.000 |
| -0.000 | -0.000 | -0.000 | 16.820 | 0.000 | -0.000 |
| -0.000 | -0.000 | -0.000 | 0.000 | 16.820 | 0.000 |
| -0.000 | -0.000 | -0.000 | 0.000 | 0.000 | 16.820 |
| 40.933 | 22.104 | 22.104 | -0.000 | -0.000 | 0.000 |
| 22.104 | 40.933 | 22.104 | -0.000 | -0.000 | 0.000 |
| 22.104 | 22.104 | 40.933 | 0.000 | -0.000 | 0.000 |
| 0.000 | 0.000 | 0.000 | 16.820 | -0.000 | -0.000 |
| 0.000 | 0.000 | 0.000 | -0.000 | 16.820 | -0.000 |
| 0.000 | 0.000 | 0.000 | -0.000 | -0.000 | 16.820 |
| 686.778 | 318.733 | 318.733 | 0.000 | 0.000 | 0.000 |
| 318.733 | 686.778 | 318.733 | 0.000 | 0.000 | 0.000 |
| 318.733 | 318.733 | 686.778 | 0.000 | -0.000 | 0.000 |
| -0.000 | -0.000 | -0.000 | 42.259 | 0.000 | 0.000 |
| -0.000 | 0.000 | -0.000 | 0.000 | 42.259 | 0.000 |
| -0.000 | -0.000 | -0.000 | 0.000 | -0.000 | 42.259 |
| -2012.384 | 1668.311 | 1668.311 | 0.000 | 0.000 | -0.000 |
| 1668.311 | -2012.384 | 1668.311 | -0.000 | 0.000 | -0.000 |
| 1668.311 | 1668.311 | -2012.384 | -0.000 | 0.000 | -0.000 |
| 0.000 | -0.000 | 0.000 | 42.259 | 0.000 | -0.000 |
| 0.000 | -0.000 | 0.000 | -0.000 | 42.259 | -0.000 |
| 0.000 | 0.000 | 0.000 | 0.000 | 0.000 | 42.259 |
| -3103.642 | 2213.977 | 2213.977 | 0.000 | 0.000 | 0.000 |
| 2213.977 | -3103.642 | 2213.977 | 0.000 | 0.000 | 0.000 |
| 2213.977 | 2213.977 | -3103.642 | 0.000 | 0.000 | 0.000 |
| -0.000 | 0.000 | -0.000 | 42.259 | 0.000 | 0.000 |
| 0.000 | -0.000 | -0.000 | 0.000 | 42.259 | 0.000 |
| 0.000 | -0.000 | -0.000 | 0.000 | -0.000 | 42.259 |
| -2012.393 | 1668.300 | 1668.300 | -0.000 | 0.000 | -0.000 |
| 1668.300 | -2012.393 | 1668.300 | 0.000 | 0.000 | -0.000 |
| 1668.300 | 1668.300 | -2012.393 | -0.000 | 0.000 | -0.000 |
| 0.000 | -0.000 | 0.000 | 42.259 | -0.000 | -0.000 |
| -0.000 | 0.000 | 0.000 | -0.000 | 42.259 | -0.000 |
| -0.000 | 0.000 | 0.000 | -0.000 | -0.000 | 42.259 |
| -3322.918 | 2323.963 | 2323.963 | -0.000 | 0.000 | 0.000 |
| 2434.074 | -3543.058 | 2434.074 | 0.000 | -0.000 | -0.000 |
| 2323.963 | 2323.963 | -3322.918 | -0.000 | -0.000 | 0.000 |
| -0.001 | 0.008 | 0.007 | -670.411 | -0.000 | -0.000 |
| 0.008 | -0.001 | 0.007 | 0.000 | -670.411 | 0.000 |
| 0.008 | 0.007 | -0.001 | 0.000 | -0.000 | -670.411 |
| -3546.958 | 2435.176 | 2435.176 | 0.000 | -0.000 | -0.000 |
| 2435.176 | -3546.958 | 2435.176 | -0.000 | 0.000 | 0.000 |
| 2435.176 | 2435.176 | -3546.958 | 0.000 | 0.000 | 0.000 |
| 0.001 | -0.008 | -0.007 | -670.411 | 0.000 | -0.000 |
| -0.008 | 0.001 | -0.007 | -0.000 | -670.411 | -0.000 |
| -0.008 | -0.007 | 0.001 | -0.000 | 0.000 | -670.411 |
| 29720.577 | 15260.106 | 15260.106 | -0.000 | -0.000 | -0.000 |
| 15260.106 | 29720.577 | 15260.106 | -0.000 | -0.000 | -0.000 |
| 15260.106 | 15260.106 | 29720.576 | -0.000 | -0.000 | -0.000 |
| -0.000 | -0.000 | 0.000 | 14154.453 | -0.000 | -0.000 |
| -0.000 | 0.000 | -0.000 | 0.000 | 14154.453 | -0.000 |
| -0.000 | 0.000 | -0.001 | -0.000 | 0.000 | 14154.453 |
| 31919.979 | 14160.405 | 14160.405 | 0.000 | 0.000 | 0.000 |
| 14160.405 | 31919.979 | 14160.405 | 0.000 | 0.000 | 0.000 |
| 14160.405 | 14160.405 | 31919.979 | 0.000 | -0.000 | 0.000 |
| 0.000 | 0.000 | -0.000 | 14154.454 | 0.000 | 0.000 |
| 0.000 | -0.000 | 0.000 | 0.000 | 14154.453 | 0.000 |
| -0.000 | -0.000 | 0.001 | 0.000 | 0.000 | 14154.454 |
| 31919.978 | 14160.408 | 14160.408 | -0.000 | 0.000 | -0.000 |
| 14160.408 | 31919.978 | 14160.408 | -0.000 | 0.000 | -0.000 |
| 14160.408 | 14160.408 | 31919.978 | -0.000 | -0.000 | -0.000 |
| -0.000 | -0.002 | -0.001 | 12111.785 | -0.000 | -0.000 |
| -0.002 | -0.000 | -0.001 | -0.000 | 12111.785 | -0.000 |
| -0.003 | -0.001 | -0.000 | -0.000 | -0.000 | 12111.785 |
| 29682.758 | 15279.015 | 15279.015 | 0.000 | -0.000 | 0.000 |
| 15279.015 | 29682.758 | 15279.015 | 0.000 | -0.000 | 0.000 |
| 15279.015 | 15279.015 | 29682.758 | 0.000 | 0.000 | 0.000 |
| 0.000 | 0.002 | 0.001 | 12111.785 | 0.000 | 0.000 |
| 0.002 | 0.000 | 0.001 | 0.000 | 12111.785 | 0.000 |
| 0.002 | 0.001 | 0.000 | 0.000 | 0.000 | 12111.785 |
| 29720.533 | 15260.134 | 15260.134 | -0.000 | -0.000 | -0.000 |
| 15260.134 | 29720.533 | 15260.134 | -0.000 | -0.000 | -0.000 |
| 15260.134 | 15260.134 | 29720.533 | -0.000 | 0.000 | -0.000 |
| -0.003 | -0.025 | -0.008 | 12111.785 | -0.000 | -0.000 |
| -0.025 | -0.003 | -0.008 | -0.000 | 12111.785 | -0.000 |
| -0.025 | -0.008 | -0.003 | -0.000 | -0.000 | 12111.785 |
| 29721.594 | 15259.591 | 15259.591 | 0.000 | -0.000 | 0.000 |
| 15259.591 | 29721.594 | 15259.591 | 0.000 | 0.000 | 0.000 |
| 15259.591 | 15259.591 | 29721.594 | 0.000 | 0.000 | 0.000 |
| 0.002 | 0.025 | 0.008 | 12112.228 | 0.000 | 0.000 |
| 0.025 | 0.003 | 0.008 | 0.000 | 12111.785 | 0.000 |
| 0.025 | 0.008 | 0.003 | 0.000 | 0.000 | 12111.785 |
| 84.509 | 28.127 | 28.127 | -0.000 | -0.000 | -0.000 |
| 28.127 | 84.509 | 28.127 | -0.000 | -0.000 | -0.000 |
| 28.127 | 28.127 | 84.509 | -0.000 | 0.000 | -0.000 |
| -0.000 | -0.000 | 0.000 | 25.512 | 0.000 | -0.000 |
| -0.000 | -0.000 | 0.000 | -0.000 | 25.512 | -0.000 |
| -0.000 | -0.000 | 0.000 | -0.000 | -0.000 | 25.512 |
| 84.509 | 28.127 | 28.127 | 0.000 | 0.000 | 0.000 |
| 28.127 | 84.509 | 28.127 | 0.000 | 0.000 | -0.000 |
| 28.127 | 28.127 | 84.509 | 0.000 | -0.000 | 0.000 |
| 0.000 | 0.000 | 0.000 | 25.512 | -0.000 | 0.000 |
| 0.000 | 0.000 | -0.000 | 0.000 | 25.512 | 0.000 |
| 0.000 | 0.000 | -0.000 | 0.000 | 0.000 | 25.512 |
| 84.517 | 28.123 | 28.123 | -0.000 | 0.000 | -0.000 |
| 28.123 | 84.517 | 28.123 | 0.000 | 0.000 | -0.000 |
| 28.123 | 28.123 | 84.517 | -0.000 | 0.000 | -0.000 |
| 0.000 | 0.000 | 0.000 | 25.516 | -0.000 | 0.000 |
| 0.000 | 0.000 | 0.000 | -0.000 | 25.516 | -0.000 |
| 0.000 | 0.000 | 0.000 | -0.000 | 0.000 | 25.516 |
| 84.517 | 28.123 | 28.123 | 0.000 | -0.000 | 0.000 |
| 28.123 | 84.517 | 28.123 | 0.000 | -0.000 | 0.000 |
| 28.123 | 28.123 | 84.517 | 0.000 | 0.000 | 0.000 |
| -0.000 | -0.000 | -0.000 | 25.516 | 0.000 | 0.000 |
| -0.000 | -0.000 | -0.000 | 0.000 | 25.516 | 0.000 |
| -0.000 | -0.000 | -0.000 | 0.000 | -0.000 | 25.516 |
| 84.517 | 28.123 | 28.123 | -0.000 | 0.000 | -0.000 |
| 28.123 | 84.517 | 28.123 | -0.000 | -0.000 | -0.000 |
| 28.123 | 28.123 | 84.517 | -0.000 | 0.000 | -0.000 |
| 0.000 | 0.000 | 0.000 | 25.516 | 0.000 | -0.000 |
| 0.000 | 0.000 | 0.000 | 0.000 | 25.516 | -0.000 |
| 0.000 | 0.000 | 0.000 | -0.000 | 0.000 | 25.516 |
| 84.517 | 28.123 | 28.123 | 0.000 | -0.000 | 0.000 |
| 28.123 | 84.517 | 28.123 | 0.000 | 0.000 | 0.000 |
| 28.123 | 28.123 | 84.517 | 0.000 | 0.000 | 0.000 |
| -0.000 | -0.000 | -0.000 | 25.516 | 0.000 | -0.000 |
| -0.000 | -0.000 | -0.000 | 0.000 | 25.516 | 0.000 |
| -0.000 | -0.000 | -0.000 | 0.000 | -0.000 | 25.516 |
| 808.381 | 574.826 | 574.826 | 0.000 | 0.000 | 0.000 |
| 574.826 | 808.381 | 574.826 | 0.000 | -0.000 | 0.000 |
| 574.826 | 574.826 | 808.381 | 0.000 | 0.000 | 0.000 |
| -0.000 | 0.000 | -0.000 | 277.105 | 0.000 | 0.000 |
| -0.000 | 0.000 | -0.000 | 0.000 | 277.105 | 0.000 |
| -0.000 | 0.000 | -0.000 | 0.000 | 0.000 | 277.105 |
| 808.381 | 574.826 | 574.827 | -0.000 | -0.000 | -0.000 |
| 574.827 | 808.381 | 574.827 | -0.000 | -0.000 | -0.000 |
| 574.827 | 574.826 | 808.381 | -0.000 | -0.000 | -0.000 |
| 0.000 | -0.000 | 0.000 | 277.105 | -0.000 | -0.000 |
| 0.000 | -0.000 | 0.000 | -0.000 | 277.105 | -0.000 |
| 0.000 | -0.000 | 0.000 | -0.000 | -0.000 | 277.105 |
| 808.380 | 574.826 | 574.826 | 0.000 | 0.000 | 0.000 |
| 574.826 | 808.380 | 574.826 | 0.000 | 0.000 | 0.000 |
| 574.826 | 574.826 | 808.380 | 0.000 | -0.000 | 0.000 |
| -0.000 | 0.000 | -0.000 | -431.881 | 0.000 | 0.000 |
| 0.000 | -0.000 | -0.000 | 0.000 | -431.881 | 0.000 |
| 0.000 | 0.000 | -0.000 | 0.000 | 0.000 | -431.881 |
| 808.382 | 574.827 | 574.827 | -0.000 | -0.000 | -0.000 |
| 574.827 | 808.382 | 574.827 | -0.000 | -0.000 | -0.000 |
| 574.827 | 574.827 | 808.382 | -0.000 | -0.000 | -0.000 |
| 0.000 | -0.000 | 0.000 | -431.881 | -0.000 | -0.000 |
| -0.000 | 0.000 | 0.000 | -0.000 | -431.881 | -0.000 |
| -0.000 | -0.000 | 0.000 | -0.000 | 0.000 | -431.881 |
| 808.374 | 574.821 | 574.821 | 0.000 | 0.000 | 0.000 |
| 574.821 | 808.374 | 574.821 | 0.000 | 0.000 | 0.000 |
| 574.821 | 574.821 | 808.374 | 0.000 | 0.000 | 0.000 |
| -0.000 | -0.001 | -0.001 | 277.105 | 0.000 | 0.000 |
| -0.001 | -0.000 | -0.001 | 0.000 | 277.105 | 0.000 |
| -0.001 | -0.001 | -0.000 | 0.000 | 0.000 | 277.105 |
| 808.388 | 574.832 | 574.832 | -0.000 | -0.000 | -0.000 |
| 574.832 | 808.388 | 574.832 | -0.000 | -0.000 | -0.000 |
| 574.832 | 574.832 | 808.388 | -0.000 | 0.000 | -0.000 |
| 0.000 | 0.001 | 0.001 | 277.105 | -0.000 | -0.000 |
| 0.001 | 0.000 | 0.001 | -0.000 | 277.105 | -0.000 |
| 0.001 | 0.001 | 0.000 | -0.000 | -0.000 | 277.105 |
| 71134.534 | 35817.393 | 35817.396 | 0.007 | 0.004 | -0.005 |
| 35817.394 | 71134.533 | 35817.395 | 0.007 | -0.000 | -0.005 |
| 35817.394 | 35817.393 | 71134.537 | 0.006 | 0.004 | -0.005 |
| -0.001 | -0.003 | -0.006 | 35212.396 | -0.005 | -0.005 |
| -0.002 | -0.002 | -0.001 | 0.003 | 35212.391 | -0.005 |
| -0.002 | -0.002 | -0.006 | -0.001 | -0.002 | 35212.389 |
| 71134.529 | 35817.397 | 35817.402 | -0.005 | -0.007 | 0.005 |
| 35817.396 | 71134.530 | 35817.406 | -0.006 | -0.003 | 0.005 |
| 35817.396 | 35817.397 | 71134.535 | -0.008 | -0.002 | 0.005 |
| 0.001 | 0.003 | 0.004 | 35212.397 | 0.005 | 0.005 |
| 0.002 | 0.002 | 0.003 | -0.001 | 35212.401 | 0.005 |
| 0.002 | 0.002 | 0.005 | 0.002 | 0.004 | 35212.399 |
| 71134.573 | 35817.405 | 35817.406 | -0.000 | -0.001 | -0.001 |
| 35817.405 | 71134.573 | 35817.405 | -0.000 | -0.000 | -0.001 |
| 35817.405 | 35817.405 | 71134.572 | -0.001 | -0.000 | -0.000 |
| 0.004 | -0.000 | 0.006 | 35212.394 | -0.001 | -0.000 |
| -0.000 | 0.004 | 0.006 | 0.000 | 35212.394 | -0.000 |
| -0.000 | 0.005 | 0.003 | 0.000 | -0.000 | 35212.393 |
| 71134.490 | 35817.385 | 35817.384 | 0.000 | 0.001 | 0.000 |
| 35817.384 | 71134.490 | 35817.384 | 0.000 | -0.001 | 0.001 |
| 35817.384 | 35817.385 | 71134.491 | -0.000 | 0.001 | 0.000 |
| -0.004 | 0.000 | -0.005 | 35212.394 | 0.001 | 0.001 |
| 0.000 | -0.004 | -0.005 | 0.000 | 35212.394 | 0.000 |
| 0.000 | -0.005 | -0.003 | -0.000 | 0.001 | 35212.394 |
| 71134.948 | 35817.500 | 35817.500 | 0.000 | 0.000 | -0.000 |
| 35817.500 | 71134.948 | 35817.500 | 0.000 | 0.000 | -0.000 |
| 35817.500 | 35817.500 | 71134.948 | -0.000 | -0.000 | -0.000 |
| 0.034 | 0.019 | 0.034 | 16043.314 | 0.000 | -0.000 |
| 0.019 | 0.034 | 0.034 | 0.000 | 16043.314 | -0.000 |
| 0.019 | 0.034 | 0.034 | 0.000 | -0.000 | 16043.314 |
| 71134.116 | 35817.289 | 35817.289 | -0.000 | 0.000 | 0.000 |
| 35817.289 | 71134.116 | 35817.289 | -0.000 | -0.000 | 0.000 |
| 35817.289 | 35817.289 | 71134.116 | -0.000 | 0.000 | 0.000 |
| -0.034 | -0.019 | -0.034 | 16043.314 | -0.000 | 0.000 |
| -0.019 | -0.034 | -0.034 | -0.000 | 16043.314 | 0.000 |
| -0.019 | -0.034 | -0.034 | 0.000 | 0.000 | 16043.314 |
| 44.904 | 31.555 | 31.555 | -0.000 | 0.000 | -0.000 |
| 31.555 | 44.904 | 31.555 | -0.000 | -0.000 | -0.000 |
| 31.555 | 31.555 | 44.904 | -0.000 | 0.000 | -0.000 |
| -0.000 | -0.000 | 0.000 | 30.616 | 0.000 | 0.000 |
| -0.000 | -0.000 | 0.000 | 0.000 | 30.616 | -0.000 |
| -0.000 | -0.000 | 0.000 | -0.000 | -0.000 | 30.616 |
| 44.904 | 31.555 | 31.555 | 0.000 | 0.000 | 0.000 |
| 31.555 | 44.904 | 31.555 | 0.000 | 0.000 | 0.000 |
| 31.555 | 31.555 | 44.903 | 0.000 | 0.000 | 0.000 |
| 0.000 | 0.000 | -0.000 | 30.616 | -0.000 | 0.000 |
| 0.000 | 0.000 | -0.000 | -0.000 | 30.616 | 0.000 |
| 0.000 | 0.000 | -0.000 | 0.000 | 0.000 | 30.616 |
| 44.904 | 31.555 | 31.555 | -0.000 | 0.000 | -0.000 |
| 31.555 | 44.904 | 31.555 | -0.000 | 0.000 | -0.000 |
| 31.555 | 31.555 | 44.904 | -0.000 | 0.000 | -0.000 |
| 0.000 | -0.000 | 0.000 | 31.019 | -0.000 | 0.000 |
| -0.000 | 0.000 | 0.000 | -0.000 | 31.019 | -0.000 |
| -0.000 | -0.000 | 0.000 | -0.000 | 0.000 | 31.019 |
| 44.903 | 31.555 | 31.555 | -0.000 | 0.000 | 0.000 |
| 31.555 | 44.903 | 31.555 | 0.000 | 0.000 | 0.000 |
| 31.555 | 31.555 | 44.903 | 0.000 | 0.000 | 0.000 |
| -0.000 | 0.000 | -0.000 | 31.019 | 0.000 | 0.000 |
| 0.000 | -0.000 | -0.000 | 0.000 | 31.019 | -0.000 |
| 0.000 | 0.000 | -0.000 | -0.000 | -0.000 | 31.019 |
| 44.904 | 31.555 | 31.555 | -0.000 | 0.000 | -0.000 |
| 31.555 | 44.904 | 31.555 | -0.000 | -0.000 | -0.000 |
| 31.555 | 31.555 | 44.904 | -0.000 | -0.000 | -0.000 |
| 0.000 | -0.000 | 0.000 | 31.019 | -0.000 | -0.000 |
| -0.000 | 0.000 | 0.000 | -0.000 | 31.019 | -0.000 |
| -0.000 | 0.000 | 0.000 | -0.000 | -0.000 | 31.019 |
| 44.903 | 31.555 | 31.555 | 0.000 | 0.000 | 0.000 |
| 31.555 | 44.903 | 31.555 | -0.000 | 0.000 | 0.000 |
| 31.555 | 31.555 | 44.903 | 0.000 | 0.000 | 0.000 |
| -0.000 | 0.000 | -0.000 | 31.019 | 0.000 | 0.000 |
| 0.000 | -0.000 | -0.000 | 0.000 | 31.019 | 0.000 |
| 0.000 | -0.000 | -0.000 | 0.000 | 0.000 | 31.019 |
| 431.829 | 562.797 | 562.797 | 0.000 | -0.000 | 0.000 |
| 562.797 | 431.829 | 562.797 | -0.000 | -0.000 | 0.000 |
| 562.797 | 562.797 | 431.829 | 0.000 | 0.000 | 0.000 |
| 0.000 | -0.000 | 0.000 | 265.719 | 0.000 | 0.000 |
| 0.000 | -0.000 | 0.000 | 0.000 | 265.719 | 0.000 |
| 0.000 | 0.000 | 0.000 | 0.000 | 0.000 | 265.719 |
| 431.829 | 562.797 | 562.797 | -0.000 | -0.000 | -0.000 |
| 562.797 | 431.829 | 562.797 | -0.000 | -0.000 | -0.000 |
| 562.797 | 562.797 | 431.829 | -0.000 | -0.000 | -0.000 |
| -0.000 | 0.000 | -0.000 | 265.719 | -0.000 | -0.000 |
| -0.000 | 0.000 | -0.000 | -0.000 | 265.719 | -0.000 |
| -0.000 | -0.000 | -0.000 | -0.000 | -0.000 | 265.719 |
| 431.829 | 562.798 | 562.798 | 0.000 | -0.000 | -0.000 |
| 562.798 | 431.829 | 562.798 | 0.000 | -0.000 | 0.000 |
| 562.798 | 562.798 | 431.829 | 0.000 | 0.000 | 0.000 |
| -0.000 | 0.000 | 0.000 | 265.719 | 0.000 | 0.000 |
| 0.000 | -0.000 | 0.000 | 0.000 | 265.719 | 0.000 |
| 0.000 | 0.000 | -0.000 | 0.000 | -0.000 | 265.719 |
| 431.828 | 562.796 | 562.796 | -0.000 | -0.000 | -0.000 |
| 562.796 | 431.828 | 562.796 | -0.000 | -0.000 | -0.000 |
| 562.796 | 562.796 | 431.828 | -0.000 | -0.000 | 0.000 |
| 0.000 | -0.000 | -0.000 | 265.719 | -0.000 | -0.000 |
| -0.000 | 0.000 | -0.000 | -0.000 | 265.719 | -0.000 |
| -0.000 | -0.000 | 0.000 | -0.000 | -0.000 | 265.719 |
| 431.836 | 562.804 | 562.804 | 0.000 | 0.000 | 0.000 |
| 562.804 | 431.836 | 562.804 | 0.000 | 0.000 | 0.000 |
| 562.804 | 562.804 | 431.836 | 0.000 | 0.000 | 0.000 |
| -0.000 | 0.000 | 0.001 | 265.719 | 0.000 | -0.000 |
| 0.000 | -0.000 | 0.001 | 0.000 | 265.719 | 0.000 |
| 0.000 | 0.001 | -0.000 | 0.000 | 0.000 | 265.719 |
| 431.821 | 562.790 | 562.790 | -0.000 | -0.000 | -0.000 |
| 562.790 | 431.821 | 562.790 | -0.000 | -0.000 | -0.000 |
| 562.790 | 562.790 | 431.821 | -0.000 | -0.000 | 0.000 |
| 0.000 | -0.000 | -0.001 | 265.719 | -0.000 | -0.000 |
| -0.000 | 0.000 | -0.001 | -0.000 | 265.719 | -0.000 |
| -0.000 | -0.001 | 0.000 | -0.000 | -0.000 | 265.719 |
| 53583.087 | 23921.210 | 23921.210 | 0.000 | 0.000 | 0.000 |
| 23921.210 | 53583.087 | 23921.210 | 0.000 | 0.000 | 0.000 |
| 23921.210 | 23921.210 | 53583.087 | 0.000 | 0.000 | 0.000 |
| 0.000 | 0.000 | 0.001 | 23942.118 | 0.000 | 0.000 |
| 0.000 | 0.000 | 0.001 | 0.000 | 23942.118 | 0.000 |
| 0.000 | 0.001 | 0.000 | 0.000 | 0.000 | 23942.118 |
| 53583.084 | 23921.207 | 23921.208 | -0.000 | -0.000 | -0.000 |
| 23921.207 | 53583.084 | 23921.208 | -0.000 | -0.000 | -0.000 |
| 23921.207 | 23921.207 | 53583.084 | -0.000 | -0.000 | -0.000 |
| -0.000 | -0.000 | -0.001 | 23942.118 | -0.000 | -0.000 |
| -0.000 | -0.000 | -0.001 | -0.000 | 23942.118 | -0.000 |
| -0.000 | -0.001 | -0.000 | -0.000 | -0.000 | 23942.118 |
| 53583.096 | 23921.219 | 23921.219 | 0.000 | 0.000 | 0.000 |
| 23921.219 | 53583.096 | 23921.219 | 0.000 | 0.000 | 0.000 |
| 23921.219 | 23921.219 | 53583.096 | 0.000 | 0.000 | -0.000 |
| 0.001 | 0.003 | 0.006 | 23942.118 | 0.000 | 0.000 |
| 0.003 | 0.001 | 0.006 | 0.000 | 23942.118 | 0.000 |
| 0.003 | 0.006 | 0.001 | 0.000 | 0.000 | 23942.118 |
| 53583.075 | 23921.199 | 23921.199 | -0.000 | -0.000 | -0.000 |
| 23921.199 | 53583.075 | 23921.199 | -0.000 | -0.000 | -0.000 |
| 23921.199 | 23921.199 | 53583.075 | -0.000 | -0.000 | -0.000 |
| -0.001 | -0.003 | -0.006 | 23942.118 | -0.000 | 0.000 |
| -0.003 | -0.001 | -0.006 | -0.000 | 23942.118 | -0.000 |
| -0.003 | -0.006 | -0.001 | -0.000 | -0.000 | 23942.118 |
| 53583.193 | 23921.308 | 23921.308 | 0.000 | 0.000 | 0.000 |
| 23921.308 | 53583.193 | 23921.308 | 0.000 | 0.000 | 0.000 |
| 23921.308 | 23921.308 | 53583.193 | 0.000 | 0.000 | 0.000 |
| 0.014 | 0.028 | 0.061 | 23942.118 | 0.000 | 0.000 |
| 0.028 | 0.014 | 0.061 | 0.000 | 23942.118 | 0.000 |
| 0.028 | 0.061 | 0.014 | 0.000 | 0.000 | 23942.118 |
| 53582.978 | 23921.109 | 23921.109 | -0.000 | -0.000 | -0.000 |
| 23921.109 | 53582.978 | 23921.109 | -0.000 | -0.000 | -0.000 |
| 23921.109 | 23921.109 | 53582.978 | -0.000 | -0.000 | -0.000 |
| -0.014 | -0.028 | -0.061 | 23942.118 | -0.000 | -0.000 |
| -0.028 | -0.014 | -0.061 | -0.000 | 23942.118 | -0.000 |
| -0.028 | -0.061 | -0.014 | -0.000 | -0.000 | 23942.118 |
| 48.471 | 32.543 | 32.543 | 0.000 | -0.000 | -0.000 |
| 32.543 | 48.471 | 32.543 | -0.000 | 0.000 | 0.000 |
| 32.543 | 32.543 | 48.471 | 0.000 | 0.000 | -0.000 |
| 0.000 | -0.000 | 0.000 | 32.277 | 0.000 | 0.000 |
| -0.000 | 0.000 | 0.000 | 0.000 | 32.277 | -0.000 |
| -0.000 | 0.000 | 0.000 | 0.000 | 0.000 | 32.277 |
| 48.471 | 32.543 | 32.543 | -0.000 | -0.000 | 0.000 |
| 32.543 | 48.471 | 32.543 | -0.000 | -0.000 | 0.000 |
| 32.543 | 32.543 | 48.471 | -0.000 | -0.000 | 0.000 |
| -0.000 | 0.000 | -0.000 | 32.277 | -0.000 | -0.000 |
| 0.000 | 0.000 | -0.000 | -0.000 | 32.277 | 0.000 |
| 0.000 | -0.000 | -0.000 | -0.000 | -0.000 | 32.277 |
| 48.471 | 32.543 | 32.543 | 0.000 | 0.000 | 0.000 |
| 32.543 | 48.471 | 32.543 | 0.000 | 0.000 | -0.000 |
| 32.543 | 32.543 | 48.471 | 0.000 | -0.000 | -0.000 |
| -0.000 | -0.000 | 0.000 | 32.277 | 0.000 | 0.000 |
| -0.000 | -0.000 | 0.000 | 0.000 | 32.277 | -0.000 |
| -0.000 | 0.000 | -0.000 | 0.000 | 0.000 | 32.277 |
| 48.471 | 32.543 | 32.543 | -0.000 | -0.000 | 0.000 |
| 32.543 | 48.471 | 32.543 | 0.000 | -0.000 | -0.000 |
| 32.543 | 32.543 | 48.471 | -0.000 | -0.000 | -0.000 |
| 0.000 | 0.000 | -0.000 | 32.277 | -0.000 | 0.000 |
| 0.000 | 0.000 | -0.000 | -0.000 | 32.277 | 0.000 |
| 0.000 | -0.000 | 0.000 | -0.000 | -0.000 | 32.277 |
| 48.470 | 32.543 | 32.543 | 0.000 | 0.000 | -0.000 |
| 32.543 | 48.470 | 32.543 | 0.000 | 0.000 | -0.000 |
| 32.543 | 32.543 | 48.470 | 0.000 | -0.000 | 0.000 |
| -0.000 | -0.000 | 0.000 | 32.277 | 0.000 | -0.000 |
| -0.000 | -0.000 | 0.000 | 0.000 | 32.277 | -0.000 |
| -0.000 | 0.000 | -0.000 | 0.000 | 0.000 | 32.277 |
| 48.471 | 32.543 | 32.543 | -0.000 | -0.000 | -0.000 |
| 32.543 | 48.471 | 32.543 | -0.000 | -0.000 | -0.000 |
| 32.543 | 32.543 | 48.471 | -0.000 | -0.000 | -0.000 |
| 0.000 | 0.000 | -0.000 | 32.277 | -0.000 | 0.000 |
| 0.000 | 0.000 | -0.000 | -0.000 | 32.277 | -0.000 |
| 0.000 | -0.000 | 0.000 | -0.000 | -0.000 | 32.277 |
| 431.852 | 759.649 | 459.024 | -0.000 | -0.000 | 0.000 |
| 759.649 | 431.852 | 459.024 | -0.000 | -0.000 | -0.000 |
| 459.024 | 459.024 | 751.854 | -0.000 | 0.000 | -0.000 |
| 0.000 | 0.000 | 0.000 | -589.000 | -0.000 | -0.000 |
| 0.000 | 0.000 | 0.000 | -0.000 | -589.000 | 0.000 |
| -0.000 | -0.000 | -0.000 | -0.000 | -0.000 | 383.690 |
| 431.852 | 759.649 | 459.024 | 0.000 | 0.000 | -0.000 |
| 759.649 | 431.852 | 459.024 | 0.000 | 0.000 | -0.000 |
| 459.024 | 459.024 | 751.854 | 0.000 | 0.000 | -0.000 |
| -0.000 | -0.000 | -0.000 | -589.000 | 0.000 | -0.000 |
| -0.000 | -0.000 | -0.000 | 0.000 | -589.000 | 0.000 |
| 0.000 | -0.000 | 0.000 | 0.000 | 0.000 | 383.690 |
| 431.850 | 759.648 | 459.023 | -0.000 | -0.000 | 0.000 |
| 759.648 | 431.850 | 459.023 | -0.000 | -0.000 | 0.000 |
| 459.023 | 459.023 | 751.852 | -0.000 | -0.000 | 0.000 |
| -0.000 | -0.000 | -0.000 | 154.617 | -0.000 | -0.000 |
| -0.000 | -0.000 | -0.000 | -0.000 | 154.617 | -0.000 |
| -0.000 | 0.000 | -0.000 | -0.000 | -0.000 | 383.690 |
| 431.853 | 759.651 | 459.026 | 0.000 | 0.000 | 0.000 |
| 759.651 | 431.853 | 459.026 | 0.000 | 0.000 | 0.000 |
| 459.026 | 459.026 | 751.856 | 0.000 | 0.000 | -0.000 |
| 0.000 | 0.000 | 0.000 | 154.617 | 0.000 | -0.000 |
| 0.000 | 0.000 | 0.000 | 0.000 | 154.617 | 0.000 |
| 0.000 | -0.000 | 0.000 | 0.000 | 0.000 | 383.690 |
| 304.124 | 887.348 | 459.009 | -0.000 | -0.000 | 0.000 |
| 887.348 | 304.124 | 459.009 | -0.000 | -0.000 | -0.000 |
| 459.009 | 459.009 | 751.837 | -0.000 | -0.000 | 0.000 |
| 0.032 | 0.046 | 0.007 | -589.000 | -0.000 | 0.000 |
| 0.046 | 0.032 | 0.007 | -0.000 | -589.000 | 0.000 |
| -0.001 | 0.000 | -0.000 | -0.000 | -0.000 | 383.690 |
| 304.153 | 887.377 | 459.040 | 0.000 | 0.000 | 0.000 |
| 887.377 | 304.153 | 459.040 | 0.000 | 0.000 | 0.000 |
| 459.039 | 459.039 | 751.871 | 0.000 | 0.000 | 0.000 |
| -0.032 | -0.046 | -0.007 | -589.000 | 0.000 | -0.000 |
| -0.046 | -0.032 | -0.007 | 0.000 | -589.000 | -0.000 |
| 0.001 | -0.000 | 0.000 | 0.000 | 0.000 | 383.690 |
| 34.621 | 688.440 | 504.766 | -0.000 | 0.000 | -0.000 |
| 688.440 | 34.621 | 504.766 | -0.000 | 0.000 | -0.000 |
| 504.766 | 504.766 | 374.568 | -0.000 | -0.000 | -0.000 |
| 0.001 | 0.001 | 0.001 | -1929.750 | -0.000 | -0.000 |
| 0.001 | 0.001 | 0.001 | -0.000 | -1929.750 | -0.000 |
| 0.000 | 0.000 | -0.000 | -0.000 | 0.000 | 178.544 |
| 34.621 | 688.440 | 504.766 | -0.000 | 0.000 | -0.000 |
| 688.440 | 34.621 | 504.766 | -0.000 | -0.000 | 0.000 |
| 504.766 | 504.766 | 374.568 | 0.000 | -0.000 | 0.000 |
| -0.001 | -0.001 | -0.001 | -1929.750 | 0.000 | 0.000 |
| -0.001 | -0.001 | -0.001 | 0.000 | -1929.750 | 0.000 |
| -0.000 | -0.000 | 0.000 | 0.000 | -0.000 | 178.544 |
| 255.216 | 467.843 | 504.765 | -0.000 | 0.000 | -0.000 |
| 467.843 | 255.216 | 504.765 | -0.000 | 0.000 | -0.000 |
| 504.765 | 504.765 | 374.567 | 0.000 | -0.000 | -0.000 |
| -0.000 | -0.000 | 0.000 | 227.607 | 0.000 | -0.000 |
| -0.000 | -0.000 | 0.000 | 0.000 | 227.607 | -0.000 |
| 0.000 | 0.000 | -0.000 | 0.000 | 0.000 | 178.544 |
| 34.622 | 688.440 | 504.766 | -0.000 | -0.000 | 0.000 |
| 688.440 | 34.622 | 504.766 | -0.000 | -0.000 | 0.000 |
| 504.766 | 504.766 | 374.569 | 0.000 | 0.000 | 0.000 |
| 0.000 | 0.000 | -0.000 | 227.607 | -0.000 | 0.000 |
| 0.000 | 0.000 | -0.000 | -0.000 | 227.607 | 0.000 |
| -0.000 | -0.000 | 0.000 | -0.000 | -0.000 | 178.544 |
| 34.614 | 688.432 | 504.758 | 0.000 | 0.000 | 0.000 |
| 688.432 | 34.614 | 504.758 | -0.000 | 0.000 | -0.000 |
| 504.757 | 504.757 | 374.560 | -0.000 | -0.000 | -0.000 |
| 8388684.678 | 8433403.363 | 8950755.901 | 29648.903 | 31474.338 | -458056.635 |
| 8469397.528 | 8394674.060 | 9120701.018 | -258593.184 | 130749.118 | -97653.213 |
| 0.000 | 0.001 | -0.000 | -0.000 | -0.000 | 178.544 |
| 34.628 | 688.447 | 504.773 | 0.000 | -0.000 | 0.000 |
| 688.447 | 34.628 | 504.773 | 0.000 | -0.000 | 0.000 |
| 504.774 | 504.774 | 374.576 | 0.000 | -0.000 | 0.000 |
| -8254366.969 | -8239711.033 | -8814689.383 | 241847.920 | 182531.979 | 109023.451 |
| -8307830.508 | -8117350.131 | -8495256.783 | 39732.010 | 133663.122 | -87129.372 |
| -0.000 | -0.001 | 0.000 | 0.000 | -0.000 | 178.544 |
| -180.108 | 319.895 | 192.143 | -0.000 | 0.000 | 0.000 |
| 405.804 | 745.911 | 323.470 | 0.000 | -0.000 | 0.000 |
| -150.692 | 136.885 | 795.515 | -0.000 | 0.000 | 0.000 |
| -632.694 | -175.250 | -356.824 | 43.073 | -0.000 | -0.000 |
| -632.715 | -175.256 | -356.836 | -0.000 | 208.494 | 0.000 |
| -632.737 | -175.262 | -356.848 | 0.000 | 0.000 | 129.775 |
| 586.518 | 405.803 | 503.683 | 0.000 | -0.000 | 0.000 |
| 405.803 | 745.911 | 323.469 | 0.000 | -0.000 | -0.000 |
| 1115.726 | 487.409 | 1509.494 | -0.000 | -0.000 | -0.000 |
| 632.694 | 175.250 | 356.824 | 43.073 | 0.000 | -0.000 |
| 632.715 | 175.256 | 356.836 | 0.000 | 208.494 | -0.000 |
| 632.737 | 175.262 | 356.848 | -0.000 | -0.000 | 129.775 |
| 586.519 | 405.804 | 503.683 | 0.000 | 0.000 | 0.000 |
| 405.804 | 745.912 | 323.470 | -0.000 | 0.000 | 0.000 |
| 403.894 | 303.162 | 1120.387 | 0.000 | 0.000 | 0.000 |
| 0.000 | 0.000 | 0.000 | 43.186 | 0.000 | 0.000 |
| -70.814 | -7.361 | -28.228 | 0.000 | 207.978 | 0.000 |
| -69.992 | -7.380 | -28.001 | -0.000 | -0.000 | 128.048 |
| 597.438 | 401.481 | 502.820 | -0.000 | -0.000 | -0.000 |
| 467.464 | 756.307 | 351.859 | -0.000 | 0.000 | -0.000 |
| 552.693 | 327.158 | 1187.851 | -0.000 | -0.000 | -0.000 |
| -0.000 | -0.000 | -0.000 | 43.186 | -0.000 | -0.000 |
| 70.814 | 7.361 | 28.228 | -0.000 | 207.978 | -0.000 |
| 69.992 | 7.380 | 28.001 | 0.000 | -0.000 | 128.048 |
| 527.852 | 386.842 | 468.005 | -0.000 | 0.000 | 0.000 |
| 384.462 | 736.066 | 307.669 | -0.000 | -0.000 | 0.000 |
| 503.689 | 323.474 | 1169.668 | 0.000 | -0.000 | 0.000 |
| -6.233 | -1.726 | -3.515 | 43.074 | 0.000 | 0.000 |
| -7.068 | -0.742 | -2.824 | 0.000 | 207.671 | 0.000 |
| 0.001 | 0.001 | 0.000 | -0.000 | 0.000 | 132.926 |
| 540.123 | 390.293 | 474.977 | -0.000 | 0.000 | -0.000 |
| 405.800 | 745.903 | 323.466 | 0.000 | -0.000 | -0.000 |
| 478.893 | 312.091 | 1151.364 | -0.000 | -0.000 | -0.000 |
| 6.233 | 1.726 | 3.515 | 43.074 | -0.000 | -0.000 |
| 7.068 | 0.742 | 2.824 | 0.000 | 207.671 | -0.000 |
| -0.001 | -0.001 | -0.000 | 0.000 | -0.000 | 132.926 |
| 392.144 | 255.583 | 400.835 | -0.000 | -0.000 | 0.000 |
| 311.775 | 745.003 | 346.712 | -0.000 | 0.000 | 0.000 |
| 374.796 | 268.937 | -0.327 | -0.000 | 0.000 | 0.000 |
| -2.671 | -4.007 | -2.571 | 96.363 | 0.000 | 0.000 |
| 0.000 | 0.000 | 0.000 | -0.000 | 186.798 | 0.000 |
| -2.028 | -3.042 | -1.952 | -0.000 | 0.000 | 68.307 |
| 395.583 | 261.174 | 389.225 | 0.000 | -0.000 | -0.000 |
| 311.775 | 745.003 | 346.712 | 0.000 | -0.000 | -0.000 |
| 432.227 | 348.970 | 266.478 | 0.000 | -0.000 | -0.000 |
| 2.671 | 4.007 | 2.571 | 96.363 | -0.000 | -0.000 |
| -0.000 | -0.000 | -0.000 | 0.000 | 186.798 | -0.000 |
| 2.028 | 3.042 | 1.952 | 0.000 | -0.000 | 68.307 |
| 394.247 | 258.736 | 402.857 | -0.000 | 0.000 | 0.000 |
| 248.418 | 649.768 | 292.149 | -0.000 | 0.000 | 0.000 |
| 376.973 | 272.172 | 2.859 | -0.000 | 0.000 | 0.000 |
| 0.000 | 0.000 | 0.000 | 109.621 | 0.000 | 0.000 |
| -0.655 | -0.983 | -0.631 | -0.000 | 149.346 | 0.000 |
| -0.202 | -0.304 | -0.195 | -0.000 | 0.000 | 68.322 |
| 393.404 | 257.937 | 386.034 | 0.000 | 0.000 | -0.000 |
| 248.885 | 650.469 | 292.598 | 0.000 | -0.000 | -0.000 |
| 432.226 | 348.970 | 266.477 | 0.000 | -0.000 | -0.000 |
| -0.000 | -0.000 | -0.000 | 109.621 | -0.000 | -0.000 |
| 0.655 | 0.983 | 0.631 | 0.000 | 149.346 | -0.000 |
| 0.202 | 0.304 | 0.195 | 0.000 | -0.000 | 68.322 |
| 393.145 | 257.551 | 385.651 | -0.000 | 0.000 | 0.000 |
| 246.834 | 647.983 | 270.244 | -0.000 | -0.000 | 0.000 |
| 377.172 | 272.466 | 3.120 | -0.000 | 0.000 | 0.000 |
| 0.000 | 0.001 | 0.001 | 109.621 | 0.000 | 0.000 |
| -0.065 | -0.097 | -0.062 | -0.000 | 149.340 | 0.000 |
| 0.001 | 0.001 | 0.001 | -0.000 | 0.000 | 82.360 |
| 436.684 | 322.491 | 440.683 | 0.000 | -0.000 | -0.000 |
| 246.884 | 648.056 | 270.314 | 0.000 | -0.000 | -0.000 |
| 377.263 | 272.604 | 3.320 | 0.000 | -0.000 | -0.000 |
| -0.000 | -0.001 | -0.001 | 109.621 | -0.000 | -0.000 |
| 0.065 | 0.097 | 0.062 | 0.000 | 149.340 | -0.000 |
| -0.001 | -0.001 | -0.001 | 0.000 | 0.000 | 82.360 |
| 56.521 | 148.746 | 148.746 | 0.000 | 0.000 | 0.000 |
| 148.746 | 56.521 | 148.746 | 0.000 | 0.000 | 0.000 |
| 148.746 | 148.746 | 56.521 | -0.000 | 0.000 | 0.000 |
| 0.000 | -0.000 | -0.000 | 101.673 | -0.000 | 0.000 |
| 0.000 | -0.000 | -0.000 | -0.000 | 101.673 | 0.000 |
| 0.000 | -0.000 | -0.000 | -0.000 | 0.000 | 101.673 |
| 56.521 | 148.746 | 148.746 | 0.000 | -0.000 | -0.000 |
| 148.746 | 56.521 | 148.746 | -0.000 | -0.000 | -0.000 |
| 148.746 | 148.746 | 56.521 | 0.000 | -0.000 | -0.000 |
| -0.000 | 0.000 | 0.000 | 101.673 | -0.000 | -0.000 |
| -0.000 | 0.000 | 0.000 | 0.000 | 101.673 | -0.000 |
| -0.000 | 0.000 | 0.000 | 0.000 | -0.000 | 101.673 |
| 56.521 | 148.746 | 148.746 | 0.000 | 0.000 | 0.000 |
| 148.746 | 56.521 | 148.746 | 0.000 | 0.000 | 0.000 |
| 148.746 | 148.746 | 56.521 | -0.000 | 0.000 | 0.000 |
| 0.000 | -0.000 | -0.000 | 101.673 | 0.000 | 0.000 |
| -0.000 | 0.000 | -0.000 | -0.000 | 101.673 | 0.000 |
| -0.000 | -0.000 | 0.000 | -0.000 | 0.000 | 101.673 |
| 56.522 | 148.746 | 148.746 | 0.000 | -0.000 | -0.000 |
| 148.746 | 56.522 | 148.746 | 0.000 | -0.000 | -0.000 |
| 148.746 | 148.746 | 56.522 | -0.000 | -0.000 | -0.000 |
| -0.000 | 0.000 | 0.000 | 101.673 | -0.000 | -0.000 |
| 0.000 | -0.000 | 0.000 | 0.000 | 101.673 | -0.000 |
| 0.000 | 0.000 | -0.000 | -0.000 | -0.000 | 101.673 |
| 56.521 | 148.746 | 148.746 | -0.000 | 0.000 | 0.000 |
| 148.746 | 56.521 | 148.746 | 0.000 | -0.000 | 0.000 |
| 148.746 | 148.746 | 56.521 | 0.000 | 0.000 | 0.000 |
| 0.000 | -0.000 | -0.000 | 101.673 | 0.000 | 0.000 |
| -0.000 | 0.000 | -0.000 | -0.000 | 101.673 | 0.000 |
| -0.000 | -0.000 | 0.000 | 0.000 | 0.000 | 101.673 |
| 56.522 | 148.746 | 148.746 | 0.000 | -0.000 | -0.000 |
| 148.746 | 56.522 | 148.746 | -0.000 | -0.000 | -0.000 |
| 148.746 | 148.746 | 56.522 | -0.000 | -0.000 | -0.000 |
| -0.000 | 0.000 | 0.000 | 101.673 | -0.000 | -0.000 |
| 0.000 | -0.000 | 0.000 | -0.000 | 101.673 | -0.000 |
| 0.000 | 0.000 | -0.000 | -0.000 | -0.000 | 101.673 |
| 7687.907 | 1670.522 | 1670.522 | 0.000 | -0.000 | 0.000 |
| 1670.523 | 7687.906 | 1670.522 | 0.000 | -0.000 | -0.000 |
| 1670.523 | 1670.523 | 7687.906 | -0.000 | -0.000 | 0.000 |
| 0.000 | 0.000 | 0.000 | 1670.010 | 0.000 | 0.000 |
| 0.000 | 0.000 | 0.000 | 0.000 | 1670.010 | 0.000 |
| 0.000 | 0.000 | 0.000 | 0.000 | 0.000 | 1670.010 |
| 7687.905 | 1670.522 | 1670.522 | -0.000 | -0.000 | -0.000 |
| 1670.522 | 7687.905 | 1670.522 | -0.000 | 0.000 | -0.000 |
| 1670.522 | 1670.522 | 7687.905 | -0.000 | -0.000 | 0.000 |
| -0.000 | -0.000 | -0.000 | 1670.010 | 0.000 | 0.000 |
| -0.000 | -0.000 | -0.000 | -0.000 | 1670.010 | -0.000 |
| -0.000 | -0.000 | -0.000 | -0.000 | -0.000 | 1670.010 |
| 7687.909 | 1670.523 | 1670.523 | 0.000 | 0.000 | 0.000 |
| 1670.523 | 7687.909 | 1670.523 | 0.000 | 0.000 | 0.000 |
| 1670.523 | 1670.523 | 7687.909 | 0.000 | 0.000 | 0.000 |
| 0.000 | -0.000 | -0.000 | 1670.010 | 0.000 | -0.000 |
| -0.000 | 0.000 | -0.000 | 0.000 | 1670.010 | 0.000 |
| -0.000 | -0.000 | 0.000 | 0.000 | 0.000 | 1670.010 |
| 7687.902 | 1670.522 | 1670.522 | -0.000 | -0.000 | -0.000 |
| 1670.522 | 7687.902 | 1670.522 | -0.000 | -0.000 | -0.000 |
| 1670.522 | 1670.522 | 7687.902 | -0.000 | -0.000 | 0.000 |
| -0.000 | 0.000 | 0.000 | 1670.010 | -0.000 | -0.000 |
| 0.000 | -0.000 | 0.000 | -0.000 | 1670.010 | -0.000 |
| 0.000 | 0.000 | -0.000 | -0.000 | -0.000 | 1670.010 |
| 7687.943 | 1670.525 | 1670.525 | 0.000 | 0.000 | 0.000 |
| 1670.525 | 7687.943 | 1670.525 | 0.000 | 0.000 | 0.000 |
| 1670.525 | 1670.525 | 7687.943 | 0.000 | 0.000 | 0.000 |
| 0.003 | -0.002 | -0.002 | 1670.010 | 0.000 | 0.000 |
| -0.002 | 0.003 | -0.002 | 0.000 | 1670.010 | 0.000 |
| -0.002 | -0.002 | 0.003 | 0.000 | -0.000 | 1670.010 |
| 7687.868 | 1670.520 | 1670.520 | -0.000 | -0.000 | -0.000 |
| 1670.520 | 7687.868 | 1670.520 | -0.000 | -0.000 | -0.000 |
| 1670.520 | 1670.520 | 7687.868 | -0.000 | -0.000 | -0.000 |
| -0.003 | 0.002 | 0.002 | 1670.010 | -0.000 | -0.000 |
| 0.002 | -0.003 | 0.002 | -0.000 | 1670.010 | -0.000 |
| 0.002 | 0.002 | -0.003 | -0.000 | -0.000 | 1670.010 |
| 76.092 | 10.711 | 10.711 | -0.000 | 0.000 | -0.000 |
| 10.711 | 76.092 | 10.711 | -0.000 | -0.000 | -0.000 |
| 10.711 | 10.711 | 76.092 | -0.000 | -0.000 | -0.000 |
| 0.000 | 0.000 | -0.000 | 10.089 | -0.000 | -0.000 |
| 0.000 | -0.000 | -0.000 | -0.000 | 10.089 | -0.000 |
| 0.000 | 0.000 | -0.000 | 0.000 | -0.000 | 10.089 |
| 76.092 | 10.711 | 10.711 | 0.000 | -0.000 | 0.000 |
| 10.711 | 76.092 | 10.711 | -0.000 | 0.000 | 0.000 |
| 10.711 | 10.711 | 76.092 | 0.000 | 0.000 | 0.000 |
| -0.000 | -0.000 | 0.000 | 10.089 | 0.000 | 0.000 |
| -0.000 | 0.000 | 0.000 | 0.000 | 10.089 | 0.000 |
| -0.000 | -0.000 | 0.000 | -0.000 | -0.000 | 10.089 |
| 76.092 | 10.711 | 10.711 | -0.000 | -0.000 | -0.000 |
| 10.711 | 76.092 | 10.711 | -0.000 | -0.000 | -0.000 |
| 10.711 | 10.711 | 76.092 | -0.000 | -0.000 | -0.000 |
| -0.000 | 0.000 | 0.000 | 10.089 | 0.000 | -0.000 |
| 0.000 | -0.000 | 0.000 | -0.000 | 10.089 | -0.000 |
| 0.000 | 0.000 | -0.000 | -0.000 | -0.000 | 10.089 |
| 76.092 | 10.711 | 10.711 | 0.000 | 0.000 | 0.000 |
| 10.711 | 76.092 | 10.711 | 0.000 | 0.000 | 0.000 |
| 10.711 | 10.711 | 76.092 | 0.000 | 0.000 | 0.000 |
| 0.000 | -0.000 | -0.000 | 10.089 | -0.000 | 0.000 |
| -0.000 | 0.000 | -0.000 | 0.000 | 10.089 | 0.000 |
| -0.000 | -0.000 | 0.000 | 0.000 | 0.000 | 10.089 |
| 76.093 | 10.711 | 10.711 | -0.000 | -0.000 | -0.000 |
| 10.711 | 76.093 | 10.711 | -0.000 | -0.000 | -0.000 |
| 10.711 | 10.711 | 76.093 | -0.000 | -0.000 | 0.000 |
| -0.000 | 0.000 | 0.000 | 10.089 | 0.000 | -0.000 |
| 0.000 | -0.000 | 0.000 | -0.000 | 10.089 | -0.000 |
| 0.000 | 0.000 | -0.000 | 0.000 | -0.000 | 10.089 |
| 76.092 | 10.710 | 10.710 | 0.000 | 0.000 | 0.000 |
| 10.710 | 76.092 | 10.710 | -0.000 | -0.000 | 0.000 |
| 10.710 | 10.710 | 76.092 | 0.000 | 0.000 | 0.000 |
| 0.000 | -0.000 | -0.000 | 10.089 | -0.000 | 0.000 |
| -0.000 | 0.000 | -0.000 | 0.000 | 10.089 | 0.000 |
| -0.000 | -0.000 | 0.000 | 0.000 | 0.000 | 10.089 |
| 402.875 | 579.211 | 579.211 | 0.000 | -0.000 | 0.000 |
| 579.211 | 402.875 | 579.211 | 0.000 | -0.000 | 0.000 |
| 579.211 | 579.211 | 402.875 | 0.000 | -0.000 | 0.000 |
| 0.000 | -0.000 | 0.000 | 323.496 | -0.000 | 0.000 |
| -0.000 | 0.000 | 0.000 | -0.000 | 323.496 | 0.000 |
| 0.000 | 0.000 | 0.000 | -0.000 | -0.000 | 323.496 |
| 402.875 | 579.211 | 579.211 | -0.000 | -0.000 | 0.000 |
| 579.211 | 402.875 | 579.211 | -0.000 | 0.000 | -0.000 |
| 579.211 | 579.211 | 402.875 | -0.000 | 0.000 | -0.000 |
| -0.000 | -0.000 | -0.000 | 323.496 | 0.000 | -0.000 |
| -0.000 | -0.000 | -0.000 | 0.000 | 323.496 | -0.000 |
| -0.000 | -0.000 | -0.000 | -0.000 | 0.000 | 323.496 |
| 402.875 | 579.211 | 579.211 | 0.000 | -0.000 | 0.000 |
| 579.211 | 402.875 | 579.211 | -0.000 | -0.000 | 0.000 |
| 579.211 | 579.211 | 402.875 | -0.000 | -0.000 | 0.000 |
| 0.000 | -0.000 | 0.000 | 323.496 | -0.000 | 0.000 |
| -0.000 | 0.000 | 0.000 | 0.000 | 323.496 | 0.000 |
| -0.000 | 0.000 | 0.000 | -0.000 | -0.000 | 323.496 |
| 402.876 | 579.211 | 579.211 | -0.000 | 0.000 | -0.000 |
| 579.211 | 402.876 | 579.211 | -0.000 | 0.000 | -0.000 |
| 579.211 | 579.211 | 402.876 | 0.000 | 0.000 | -0.000 |
| -0.000 | 0.000 | -0.000 | 323.496 | 0.000 | -0.000 |
| 0.000 | -0.000 | -0.000 | -0.000 | 323.496 | -0.000 |
| 0.000 | -0.000 | -0.000 | -0.000 | 0.000 | 323.496 |
| 402.872 | 579.210 | 579.210 | -0.000 | -0.000 | 0.000 |
| 579.210 | 402.872 | 579.210 | 0.000 | -0.000 | 0.000 |
| 579.210 | 579.210 | 402.872 | 0.000 | -0.000 | 0.000 |
| 0.000 | -0.000 | 0.000 | 323.496 | -0.000 | 0.000 |
| -0.000 | 0.000 | 0.000 | -0.000 | 323.496 | 0.000 |
| -0.000 | 0.000 | 0.000 | 0.000 | -0.000 | 323.496 |
| 402.878 | 579.212 | 579.212 | -0.000 | 0.000 | -0.000 |
| 579.212 | 402.878 | 579.212 | -0.000 | -0.000 | -0.000 |
| 579.212 | 579.212 | 402.878 | 0.000 | 0.000 | 0.000 |
| -0.000 | 0.000 | -0.000 | 323.496 | 0.000 | -0.000 |
| 0.000 | -0.000 | -0.000 | -0.000 | 323.496 | -0.000 |
| 0.000 | -0.000 | -0.000 | -0.000 | 0.000 | 323.496 |
| 29021.617 | 24218.773 | 24218.773 | 0.000 | -0.000 | 0.000 |
| 24218.773 | 29021.617 | 24218.773 | 0.000 | -0.000 | 0.000 |
| 24218.773 | 24218.773 | 29021.617 | -0.000 | -0.001 | 0.000 |
| 0.001 | 0.000 | 0.001 | 24219.892 | -0.000 | -0.000 |
| 0.001 | 0.001 | 0.001 | 0.000 | 24219.892 | 0.000 |
| 0.001 | 0.001 | 0.001 | 0.000 | -0.000 | 24219.892 |
| 29021.612 | 24218.770 | 24218.770 | 0.000 | 0.000 | -0.000 |
| 24218.770 | 29021.612 | 24218.770 | 0.000 | 0.001 | -0.000 |
| 24218.770 | 24218.770 | 29021.612 | 0.000 | 0.000 | -0.000 |
| -0.001 | -0.001 | -0.001 | 24219.892 | 0.000 | -0.000 |
| -0.001 | -0.001 | -0.001 | 0.000 | 24219.892 | -0.000 |
| -0.001 | -0.001 | -0.001 | -0.000 | 0.000 | 24219.892 |
| 29021.636 | 24218.783 | 24218.783 | -0.000 | -0.000 | 0.000 |
| 24218.783 | 29021.636 | 24218.783 | -0.000 | -0.000 | 0.000 |
| 24218.783 | 24218.783 | 29021.636 | -0.000 | -0.000 | 0.000 |
| 0.006 | 0.003 | 0.008 | 24219.892 | -0.000 | -0.000 |
| 0.003 | 0.006 | 0.008 | 0.000 | 24219.892 | 0.000 |
| 0.003 | 0.008 | 0.006 | -0.000 | -0.000 | 24219.892 |
| 29021.594 | 24218.761 | 24218.761 | -0.000 | 0.000 | -0.000 |
| 24218.761 | 29021.594 | 24218.761 | 0.000 | 0.000 | -0.000 |
| 24218.761 | 24218.761 | 29021.594 | -0.000 | 0.000 | -0.000 |
| -0.006 | -0.003 | -0.008 | 24219.892 | 0.000 | -0.000 |
| -0.003 | -0.006 | -0.008 | -0.000 | 24219.892 | -0.000 |
| -0.003 | -0.008 | -0.006 | 0.000 | 0.000 | 24219.892 |
| 29021.827 | 24218.879 | 24218.879 | 0.000 | -0.000 | 0.000 |
| 24218.879 | 29021.827 | 24218.879 | 0.000 | -0.000 | 0.000 |
| 24218.879 | 24218.879 | 29021.827 | -0.000 | -0.000 | -0.000 |
| 0.062 | 0.034 | 0.080 | 24219.892 | -0.000 | 0.000 |
| 0.034 | 0.062 | 0.080 | 0.000 | 24219.892 | 0.000 |
| 0.034 | 0.080 | 0.062 | -0.000 | -0.000 | 24219.892 |
| 29021.403 | 24218.665 | 24218.665 | 0.000 | 0.000 | -0.000 |
| 24218.665 | 29021.403 | 24218.665 | -0.000 | 0.000 | -0.000 |
| 24218.665 | 24218.665 | 29021.403 | 0.000 | 0.000 | -0.000 |
| -0.062 | -0.034 | -0.080 | 24219.892 | 0.000 | -0.000 |
| -0.034 | -0.062 | -0.080 | 0.000 | 24219.892 | -0.000 |
| -0.034 | -0.080 | -0.062 | 0.000 | 0.000 | 24219.892 |
| 30.997 | 36.718 | 36.718 | 0.000 | 0.000 | -0.000 |
| 36.718 | 30.997 | 36.718 | 0.000 | -0.000 | 0.000 |
| 36.718 | 36.718 | 30.997 | 0.000 | 0.000 | -0.000 |
| 0.000 | 0.000 | -0.000 | 31.904 | 0.000 | 0.000 |
| 0.000 | 0.000 | -0.000 | -0.000 | 31.904 | 0.000 |
| 0.000 | 0.000 | -0.000 | -0.000 | 0.000 | 31.904 |
| 30.997 | 36.718 | 36.718 | 0.000 | -0.000 | 0.000 |
| 36.718 | 30.997 | 36.718 | -0.000 | -0.000 | -0.000 |
| 36.718 | 36.718 | 30.997 | -0.000 | -0.000 | -0.000 |
| -0.000 | -0.000 | 0.000 | 31.904 | -0.000 | -0.000 |
| -0.000 | -0.000 | 0.000 | 0.000 | 31.904 | -0.000 |
| -0.000 | -0.000 | 0.000 | -0.000 | -0.000 | 31.904 |
| 30.997 | 36.718 | 36.718 | -0.000 | 0.000 | 0.000 |
| 36.718 | 30.997 | 36.718 | -0.000 | 0.000 | 0.000 |
| 36.718 | 36.718 | 30.997 | -0.000 | 0.000 | -0.000 |
| 0.000 | -0.000 | 0.000 | 31.904 | 0.000 | 0.000 |
| -0.000 | 0.000 | 0.000 | 0.000 | 31.904 | 0.000 |
| -0.000 | 0.000 | 0.000 | -0.000 | 0.000 | 31.904 |
| 30.997 | 36.718 | 36.718 | 0.000 | -0.000 | 0.000 |
| 36.718 | 30.997 | 36.718 | -0.000 | -0.000 | -0.000 |
| 36.718 | 36.718 | 30.997 | -0.000 | -0.000 | -0.000 |
| -0.000 | 0.000 | -0.000 | 31.904 | -0.000 | 0.000 |
| 0.000 | -0.000 | -0.000 | -0.000 | 31.904 | -0.000 |
| 0.000 | -0.000 | -0.000 | -0.000 | -0.000 | 31.904 |
| 30.997 | 36.718 | 36.718 | -0.000 | 0.000 | 0.000 |
| 36.718 | 30.997 | 36.718 | 0.000 | 0.000 | 0.000 |
| 36.718 | 36.718 | 30.997 | 0.000 | 0.000 | 0.000 |
| 0.000 | -0.000 | 0.000 | 31.904 | 0.000 | 0.000 |
| -0.000 | 0.000 | 0.000 | -0.000 | 31.904 | 0.000 |
| -0.000 | 0.000 | 0.000 | 0.000 | 0.000 | 31.904 |
| 30.996 | 36.718 | 36.718 | 0.000 | 0.000 | 0.000 |
| 36.718 | 30.996 | 36.718 | 0.000 | -0.000 | -0.000 |
| 36.718 | 36.718 | 30.996 | 0.000 | -0.000 | -0.000 |
| -0.000 | 0.000 | -0.000 | 31.904 | -0.000 | -0.000 |
| 0.000 | -0.000 | -0.000 | -0.000 | 31.904 | -0.000 |
| 0.000 | -0.000 | -0.000 | 0.000 | -0.000 | 31.904 |
| 176.920 | 120.338 | 120.338 | 0.000 | 0.000 | -0.000 |
| 120.338 | 176.920 | 120.338 | 0.000 | 0.000 | 0.000 |
| 120.338 | 120.338 | 176.920 | 0.000 | 0.000 | -0.000 |
| 0.000 | -0.000 | 0.000 | 86.535 | 0.000 | 0.000 |
| 0.000 | -0.000 | 0.000 | 0.000 | 86.535 | 0.000 |
| 0.000 | 0.000 | 0.000 | 0.000 | 0.000 | 86.535 |
| 176.920 | 120.338 | 120.338 | -0.000 | -0.000 | -0.000 |
| 120.338 | 176.920 | 120.338 | -0.000 | -0.000 | -0.000 |
| 120.338 | 120.338 | 176.920 | -0.000 | 0.000 | -0.000 |
| -0.000 | 0.000 | -0.000 | 86.535 | -0.000 | -0.000 |
| -0.000 | 0.000 | -0.000 | -0.000 | 86.535 | -0.000 |
| -0.000 | -0.000 | -0.000 | -0.000 | -0.000 | 86.535 |
| 176.920 | 120.338 | 120.338 | 0.000 | 0.000 | -0.000 |
| 120.338 | 176.920 | 120.338 | 0.000 | 0.000 | 0.000 |
| 120.338 | 120.338 | 176.920 | -0.000 | 0.000 | 0.000 |
| 0.000 | -0.000 | 0.000 | 75.482 | 0.000 | 0.000 |
| -0.000 | 0.000 | 0.000 | 0.000 | 75.482 | 0.000 |
| -0.000 | 0.000 | 0.000 | 0.000 | 0.000 | 75.482 |
| 176.920 | 120.338 | 120.338 | -0.000 | -0.000 | -0.000 |
| 120.338 | 176.920 | 120.338 | -0.000 | -0.000 | 0.000 |
| 120.338 | 120.338 | 176.920 | 0.000 | 0.000 | -0.000 |
| -0.000 | 0.000 | -0.000 | 75.482 | -0.000 | -0.000 |
| 0.000 | -0.000 | -0.000 | -0.000 | 75.482 | -0.000 |
| 0.000 | -0.000 | -0.000 | -0.000 | -0.000 | 75.482 |
| 176.920 | 120.338 | 120.338 | 0.000 | 0.000 | 0.000 |
| 120.338 | 176.920 | 120.338 | 0.000 | 0.000 | 0.000 |
| 120.338 | 120.338 | 176.920 | 0.000 | 0.000 | 0.000 |
| 0.000 | -0.000 | 0.000 | 75.482 | -0.000 | 0.000 |
| -0.000 | 0.000 | 0.000 | 0.000 | 75.482 | 0.000 |
| -0.000 | 0.000 | 0.000 | 0.000 | 0.000 | 75.482 |
| 176.920 | 120.337 | 120.337 | -0.000 | -0.000 | -0.000 |
| 120.337 | 176.920 | 120.337 | -0.000 | -0.000 | 0.000 |
| 120.337 | 120.337 | 176.920 | -0.000 | -0.000 | 0.000 |
| -0.000 | 0.000 | -0.000 | 75.482 | 0.000 | -0.000 |
| 0.000 | -0.000 | -0.000 | 0.000 | 75.482 | -0.000 |
| 0.000 | -0.000 | -0.000 | -0.000 | -0.000 | 75.482 |
| 2588.869 | 1742.243 | 1742.243 | -0.000 | -0.000 | -0.000 |
| 1742.243 | 2588.869 | 1742.243 | -0.000 | -0.000 | -0.000 |
| 1742.243 | 1742.243 | 2588.869 | -0.000 | -0.000 | -0.000 |
| 0.000 | 0.000 | 0.000 | 767.114 | -0.000 | -0.000 |
| 0.000 | 0.000 | 0.000 | -0.000 | 767.114 | -0.000 |
| 0.000 | 0.000 | 0.000 | -0.000 | -0.000 | 767.114 |
| 2588.869 | 1742.243 | 1742.243 | 0.000 | 0.000 | 0.000 |
| 1742.243 | 2588.869 | 1742.243 | 0.000 | 0.000 | 0.000 |
| 1742.243 | 1742.243 | 2588.869 | 0.000 | 0.000 | 0.000 |
| -0.000 | -0.000 | -0.000 | 767.114 | -0.000 | 0.000 |
| -0.000 | -0.000 | -0.000 | -0.000 | 767.114 | 0.000 |
| -0.000 | -0.000 | -0.000 | -0.000 | 0.000 | 767.114 |
| 2588.870 | 1742.244 | 1742.244 | -0.000 | 0.000 | -0.000 |
| 1742.244 | 2588.870 | 1742.244 | 0.000 | -0.000 | 0.000 |
| 1742.244 | 1742.244 | 2588.870 | 0.000 | 0.000 | -0.000 |
| 0.000 | 0.000 | 0.000 | 767.114 | -0.000 | -0.000 |
| 0.000 | 0.000 | 0.000 | -0.000 | 767.114 | -0.000 |
| 0.000 | 0.000 | 0.000 | -0.000 | -0.000 | 767.114 |
| 2588.868 | 1742.243 | 1742.243 | -0.000 | 0.000 | 0.000 |
| 1742.243 | 2588.868 | 1742.243 | 0.000 | -0.000 | 0.000 |
| 1742.243 | 1742.243 | 2588.868 | 0.000 | 0.000 | -0.000 |
| -0.000 | -0.000 | -0.000 | 767.114 | 0.000 | 0.000 |
| -0.000 | -0.000 | -0.000 | 0.000 | 767.114 | 0.000 |
| -0.000 | -0.000 | -0.000 | 0.000 | 0.000 | 767.114 |
| 2588.878 | 1742.249 | 1742.249 | 0.000 | -0.000 | -0.000 |
| 1742.249 | 2588.878 | 1742.249 | -0.000 | 0.000 | -0.000 |
| 1742.249 | 1742.249 | 2588.878 | -0.000 | -0.000 | -0.000 |
| 0.000 | 0.001 | 0.002 | 767.113 | 0.000 | -0.000 |
| 0.001 | 0.000 | 0.002 | 0.000 | 767.113 | -0.000 |
| 0.001 | 0.002 | 0.000 | 0.000 | -0.000 | 767.113 |
| 2588.859 | 1742.238 | 1742.238 | 0.000 | 0.000 | 0.000 |
| 1742.238 | 2588.859 | 1742.238 | 0.000 | 0.000 | 0.000 |
| 1742.238 | 1742.238 | 2588.859 | 0.000 | 0.000 | 0.000 |
| -0.000 | -0.001 | -0.002 | 767.113 | 0.000 | 0.000 |
| -0.001 | -0.000 | -0.002 | 0.000 | 767.113 | 0.000 |
| -0.001 | -0.002 | -0.000 | 0.000 | 0.000 | 767.113 |
| 7.834 | 7.834 | 7.834 | 0.000 | 0.000 | 0.000 |
| 7.834 | 7.834 | 7.834 | 0.000 | 0.000 | 0.000 |
| 7.834 | 7.834 | 7.834 | 0.000 | 0.000 | 0.000 |
| 0.000 | 0.000 | 0.000 | 0.000 | 0.000 | 0.000 |
| 0.000 | 0.000 | 0.000 | 0.000 | 0.000 | 0.000 |
| -0.000 | -0.000 | -0.000 | 0.000 | 0.000 | 0.000 |
| 7.834 | 7.834 | 7.834 | -0.000 | -0.000 | -0.000 |
| 7.834 | 7.834 | 7.834 | -0.000 | -0.000 | -0.000 |
| 7.834 | 7.834 | 7.834 | -0.000 | -0.000 | -0.000 |
| -0.000 | -0.000 | -0.000 | -0.000 | -0.000 | -0.000 |
| -0.000 | -0.000 | -0.000 | -0.000 | -0.000 | -0.000 |
| -0.000 | -0.000 | -0.000 | -0.000 | -0.000 | -0.000 |
| 7.834 | 7.834 | 7.834 | 0.000 | 0.000 | 0.000 |
| 7.834 | 7.834 | 7.834 | 0.000 | 0.000 | 0.000 |
| 7.834 | 7.834 | 7.834 | 0.000 | 0.000 | 0.000 |
| -0.000 | -0.000 | -0.000 | 0.000 | 0.000 | 0.000 |
| -0.000 | -0.000 | -0.000 | 0.000 | 0.000 | 0.000 |
| -0.000 | -0.000 | -0.000 | 0.000 | 0.000 | 0.000 |
| 7.834 | 7.834 | 7.834 | -0.000 | -0.000 | -0.000 |
| 7.834 | 7.834 | 7.834 | -0.000 | -0.000 | -0.000 |
| 7.834 | 7.834 | 7.834 | -0.000 | -0.000 | -0.000 |
| 0.000 | 0.000 | 0.000 | -0.000 | -0.000 | -0.000 |
| 0.000 | 0.000 | 0.000 | -0.000 | -0.000 | -0.000 |
| 0.000 | 0.000 | 0.000 | -0.000 | -0.000 | -0.000 |
| 7.834 | 7.834 | 7.834 | 0.000 | 0.000 | 0.000 |
| 7.834 | 7.834 | 7.834 | 0.000 | 0.000 | 0.000 |
| 7.834 | 7.834 | 7.834 | 0.000 | 0.000 | 0.000 |
| -0.000 | -0.000 | -0.000 | 0.000 | 0.000 | 0.000 |
| -0.000 | -0.000 | -0.000 | 0.000 | 0.000 | 0.000 |
| -0.000 | -0.000 | -0.000 | 0.000 | 0.000 | 0.000 |
| 7.834 | 7.834 | 7.834 | -0.000 | -0.000 | -0.000 |
| 7.834 | 7.834 | 7.834 | -0.000 | -0.000 | -0.000 |
| 7.834 | 7.834 | 7.834 | -0.000 | -0.000 | -0.000 |
| 0.000 | 0.000 | 0.000 | -0.000 | -0.000 | -0.000 |
| 0.000 | 0.000 | 0.000 | -0.000 | -0.000 | -0.000 |
| 0.000 | 0.000 | 0.000 | -0.000 | -0.000 | -0.000 |
| 1237.312 | 197.227 | 494.433 | 0.000 | -0.000 | -0.000 |
| 197.227 | 1237.312 | 494.433 | -0.000 | 0.000 | -0.000 |
| 494.433 | 494.433 | 1322.223 | 0.000 | 0.000 | -0.000 |
| 0.000 | 0.000 | 0.000 | 209.336 | 0.000 | -0.000 |
| 0.000 | 0.000 | 0.000 | 0.000 | 209.336 | -0.000 |
| 0.000 | -0.000 | 0.000 | 0.000 | 0.000 | -133.730 |
| 1237.311 | 197.227 | 494.433 | -0.000 | -0.000 | 0.000 |
| 197.227 | 1237.311 | 494.433 | -0.000 | -0.000 | 0.000 |
| 494.433 | 494.433 | 1322.223 | -0.000 | -0.000 | -0.000 |
| -0.000 | -0.000 | -0.000 | 209.336 | -0.000 | 0.000 |
| -0.000 | -0.000 | -0.000 | -0.000 | 209.336 | 0.000 |
| -0.000 | -0.000 | -0.000 | -0.000 | 0.000 | -133.730 |
| 1237.313 | 197.228 | 494.434 | 0.000 | 0.000 | -0.000 |
| 197.228 | 1237.313 | 494.434 | 0.000 | 0.000 | -0.000 |
| 494.434 | 494.434 | 1322.225 | 0.000 | 0.000 | -0.000 |
| -0.000 | 0.000 | 0.000 | 209.336 | 0.000 | -0.000 |
| 0.000 | -0.000 | 0.000 | 0.000 | 209.336 | -0.000 |
| 0.000 | -0.000 | 0.000 | 0.000 | 0.000 | -133.730 |
| 1237.311 | 197.227 | 494.432 | -0.000 | -0.000 | 0.000 |
| 197.227 | 1237.311 | 494.432 | -0.000 | -0.000 | 0.000 |
| 494.432 | 494.432 | 1322.221 | -0.000 | -0.000 | 0.000 |
| 0.000 | -0.000 | -0.000 | 209.336 | -0.000 | 0.000 |
| -0.000 | 0.000 | -0.000 | -0.000 | 209.336 | 0.000 |
| -0.000 | 0.000 | -0.000 | -0.000 | -0.000 | -133.730 |
| 1237.321 | 197.233 | 494.439 | 0.000 | 0.000 | -0.000 |
| 197.233 | 1237.321 | 494.439 | 0.000 | 0.000 | -0.000 |
| 494.443 | 494.443 | 1322.245 | 0.000 | 0.000 | -0.000 |
| -0.000 | 0.000 | 0.001 | 209.336 | 0.000 | -0.000 |
| 0.000 | -0.000 | 0.001 | 0.000 | 209.336 | -0.000 |
| 0.000 | -0.001 | 0.000 | 0.000 | 0.000 | -133.730 |
| 1237.302 | 197.222 | 494.427 | -0.000 | -0.000 | 0.000 |
| 197.222 | 1237.302 | 494.427 | -0.000 | -0.000 | 0.000 |
| 494.424 | 494.424 | 1322.201 | -0.000 | -0.000 | 0.000 |
| 0.000 | -0.000 | -0.001 | 209.336 | -0.000 | 0.000 |
| -0.000 | 0.000 | -0.001 | -0.000 | 209.336 | 0.000 |
| -0.000 | 0.001 | -0.000 | -0.000 | -0.000 | -133.730 |
| 79.407 | 20.407 | 31.475 | 0.000 | 0.000 | 0.000 |
| 20.407 | 79.407 | 31.475 | -0.000 | 0.000 | 0.000 |
| 31.475 | 31.475 | 39.325 | -0.000 | 0.000 | 0.000 |
| -0.000 | -0.000 | 0.000 | 31.395 | -0.000 | 0.000 |
| -0.000 | -0.000 | 0.000 | -0.000 | 31.395 | 0.000 |
| 0.000 | 0.000 | -0.000 | 0.000 | 0.000 | 20.344 |
| 79.407 | 20.407 | 31.475 | -0.000 | -0.000 | -0.000 |
| 20.407 | 79.407 | 31.475 | 0.000 | -0.000 | -0.000 |
| 31.475 | 31.475 | 39.325 | 0.000 | 0.000 | -0.000 |
| 0.000 | 0.000 | 0.000 | 31.395 | 0.000 | 0.000 |
| 0.000 | 0.000 | 0.000 | 0.000 | 31.395 | -0.000 |
| -0.000 | -0.000 | 0.000 | -0.000 | 0.000 | 20.344 |
| 79.407 | 20.407 | 31.475 | -0.000 | 0.000 | 0.000 |
| 20.407 | 79.407 | 31.475 | 0.000 | 0.000 | 0.000 |
| 31.475 | 31.475 | 39.326 | -0.000 | -0.000 | -0.000 |
| -0.000 | -0.000 | 0.000 | 31.395 | -0.000 | -0.000 |
| -0.000 | -0.000 | 0.000 | -0.000 | 31.395 | -0.000 |
| 0.000 | 0.000 | 0.000 | 0.000 | 0.000 | 20.344 |
| 79.407 | 20.407 | 31.475 | -0.000 | -0.000 | -0.000 |
| 20.407 | 79.407 | 31.475 | -0.000 | -0.000 | 0.000 |
| 31.475 | 31.475 | 39.325 | -0.000 | -0.000 | 0.000 |
| 0.000 | 0.000 | -0.000 | 31.395 | -0.000 | 0.000 |
| 0.000 | 0.000 | -0.000 | -0.000 | 31.395 | -0.000 |
| -0.000 | -0.000 | -0.000 | -0.000 | -0.000 | 20.344 |
| 79.407 | 20.407 | 31.475 | 0.000 | 0.000 | 0.000 |
| 20.407 | 79.407 | 31.475 | 0.000 | 0.000 | 0.000 |
| 31.475 | 31.475 | 39.326 | -0.000 | 0.000 | 0.000 |
| 0.000 | -0.000 | 0.000 | 31.395 | 0.000 | -0.000 |
| -0.000 | 0.000 | 0.000 | -0.000 | 31.395 | -0.000 |
| 0.000 | 0.000 | 0.000 | 0.000 | 0.000 | 20.344 |
| 79.406 | 20.407 | 31.475 | 0.000 | -0.000 | -0.000 |
| 20.407 | 79.406 | 31.475 | -0.000 | -0.000 | 0.000 |
| 31.475 | 31.475 | 39.325 | 0.000 | -0.000 | -0.000 |
| -0.000 | 0.000 | -0.000 | 31.395 | -0.000 | 0.000 |
| 0.000 | -0.000 | -0.000 | -0.000 | 31.395 | 0.000 |
| -0.000 | -0.000 | -0.000 | -0.000 | -0.000 | 20.344 |
| 203.593 | 230.774 | 230.774 | 0.000 | 0.000 | -0.000 |
| 230.774 | 203.593 | 230.774 | 0.000 | 0.000 | -0.000 |
| 230.774 | 230.774 | 203.593 | -0.000 | -0.000 | -0.000 |
| 0.000 | -0.000 | 0.000 | 28.605 | -0.000 | -0.000 |
| 0.000 | 0.000 | 0.000 | 0.000 | 28.605 | -0.000 |
| 0.000 | 0.000 | 0.000 | -0.000 | 0.000 | 28.605 |
| 203.593 | 230.774 | 230.774 | -0.000 | -0.000 | 0.000 |
| 230.774 | 203.593 | 230.774 | -0.000 | -0.000 | 0.000 |
| 230.774 | 230.774 | 203.593 | -0.000 | 0.000 | 0.000 |
| -0.000 | 0.000 | -0.000 | 28.605 | 0.000 | -0.000 |
| -0.000 | -0.000 | -0.000 | 0.000 | 28.605 | 0.000 |
| -0.000 | -0.000 | -0.000 | 0.000 | -0.000 | 28.605 |
| 203.593 | 230.774 | 230.774 | -0.000 | -0.000 | -0.000 |
| 230.774 | 203.593 | 230.774 | -0.000 | 0.000 | -0.000 |
| 230.774 | 230.774 | 203.593 | 0.000 | -0.000 | -0.000 |
| 0.000 | 0.000 | 0.000 | 110.280 | 0.000 | -0.000 |
| 0.000 | 0.000 | 0.000 | -0.000 | 110.280 | -0.000 |
| 0.000 | 0.000 | 0.000 | 0.000 | 0.000 | 110.280 |
| 203.593 | 230.774 | 230.774 | 0.000 | 0.000 | 0.000 |
| 230.774 | 203.593 | 230.774 | -0.000 | -0.000 | 0.000 |
| 230.774 | 230.774 | 203.593 | 0.000 | 0.000 | -0.000 |
| -0.000 | -0.000 | -0.000 | 110.280 | 0.000 | 0.000 |
| -0.000 | -0.000 | -0.000 | 0.000 | 110.280 | 0.000 |
| -0.000 | -0.000 | -0.000 | -0.000 | -0.000 | 110.280 |
| 203.595 | 230.774 | 230.774 | 0.000 | -0.000 | -0.000 |
| 230.774 | 203.595 | 230.774 | 0.000 | 0.000 | -0.000 |
| 230.774 | 230.774 | 203.595 | -0.000 | -0.000 | -0.000 |
| 0.000 | 0.000 | 0.000 | 110.280 | 0.000 | -0.000 |
| 0.000 | 0.000 | 0.000 | -0.000 | 110.280 | -0.000 |
| 0.000 | 0.000 | 0.000 | 0.000 | 0.000 | 110.280 |
| 203.591 | 230.773 | 230.773 | 0.000 | -0.000 | 0.000 |
| 230.773 | 203.591 | 230.773 | 0.000 | -0.000 | 0.000 |
| 230.773 | 230.773 | 203.591 | 0.000 | 0.000 | 0.000 |
| -0.000 | -0.000 | -0.000 | 110.280 | -0.000 | 0.000 |
| -0.000 | -0.000 | -0.000 | -0.000 | 110.280 | 0.000 |
| -0.000 | -0.000 | -0.000 | -0.000 | -0.000 | 110.280 |
| 3478.194 | 2862.659 | 2862.659 | 0.000 | -0.000 | 0.000 |
| 2862.659 | 3478.194 | 2862.658 | 0.000 | -0.000 | -0.000 |
| 2862.659 | 2862.659 | 3478.194 | 0.000 | -0.000 | -0.000 |
| 0.000 | 0.000 | 0.000 | 2858.887 | -0.000 | -0.000 |
| -0.000 | 0.000 | -0.000 | 0.000 | 2858.887 | -0.000 |
| 0.000 | 0.000 | -0.000 | -0.000 | -0.000 | 2858.887 |
| 3478.193 | 2862.658 | 2862.659 | 0.000 | 0.000 | 0.000 |
| 2862.659 | 3478.193 | 2862.659 | -0.000 | 0.000 | 0.000 |
| 2862.659 | 2862.658 | 3478.193 | -0.000 | 0.000 | 0.000 |
| -0.000 | -0.000 | 0.000 | 2858.887 | 0.000 | 0.000 |
| -0.000 | -0.000 | 0.000 | -0.000 | 2858.888 | 0.000 |
| -0.000 | -0.000 | 0.000 | -0.000 | 0.000 | 2858.888 |
| 3478.196 | 2862.660 | 2862.660 | -0.000 | -0.000 | -0.000 |
| 2862.660 | 3478.196 | 2862.660 | -0.000 | -0.000 | -0.000 |
| 2862.660 | 2862.660 | 3478.196 | 0.000 | -0.000 | -0.000 |
| 0.001 | 0.000 | 0.001 | 2280.928 | -0.000 | -0.000 |
| 0.000 | 0.001 | 0.001 | 0.000 | 2280.928 | -0.000 |
| 0.000 | 0.001 | 0.001 | 0.000 | -0.000 | 2280.928 |
| 3478.191 | 2862.658 | 2862.658 | -0.000 | 0.000 | 0.000 |
| 2862.658 | 3478.191 | 2862.658 | -0.000 | 0.000 | 0.000 |
| 2862.658 | 2862.658 | 3478.191 | -0.000 | 0.000 | 0.000 |
| -0.001 | -0.000 | -0.001 | 2280.928 | 0.000 | 0.000 |
| -0.000 | -0.001 | -0.001 | -0.000 | 2280.928 | 0.000 |
| -0.000 | -0.001 | -0.001 | -0.000 | 0.000 | 2280.928 |
| 3478.217 | 2862.670 | 2862.670 | -0.000 | -0.000 | -0.000 |
| 2862.670 | 3478.217 | 2862.670 | 0.000 | -0.000 | -0.000 |
| 2862.670 | 2862.670 | 3478.217 | 0.000 | 0.000 | -0.000 |
| 0.009 | 0.004 | 0.008 | 2280.928 | -0.000 | -0.000 |
| 0.004 | 0.009 | 0.008 | 0.000 | 2280.928 | -0.000 |
| 0.004 | 0.008 | 0.009 | 0.000 | -0.000 | 2280.928 |
| 3478.169 | 2862.648 | 2862.648 | -0.000 | 0.000 | 0.000 |
| 2862.648 | 3478.169 | 2862.648 | -0.000 | 0.000 | -0.000 |
| 2862.648 | 2862.648 | 3478.169 | -0.000 | 0.000 | 0.000 |
| -0.009 | -0.004 | -0.008 | 2280.928 | 0.000 | -0.000 |
| -0.004 | -0.009 | -0.008 | -0.000 | 2280.928 | 0.000 |
| -0.004 | -0.008 | -0.009 | -0.000 | 0.000 | 2280.928 |
| -8.279 | 17.671 | 17.671 | -0.000 | 0.000 | 0.000 |
| 17.671 | -8.279 | 17.671 | -0.000 | 0.000 | 0.000 |
| 17.671 | 17.671 | -8.279 | -0.000 | 0.000 | 0.000 |
| 0.000 | 0.000 | -0.000 | -22.596 | 0.000 | -0.000 |
| 0.000 | 0.000 | -0.000 | -0.000 | -22.596 | 0.000 |
| 0.000 | 0.000 | -0.000 | -0.000 | 0.000 | -22.596 |
| -8.279 | 17.671 | 17.671 | 0.000 | -0.000 | -0.000 |
| 17.671 | -8.279 | 17.671 | 0.000 | -0.000 | -0.000 |
| 17.671 | 17.671 | -8.279 | 0.000 | 0.000 | 0.000 |
| -0.000 | -0.000 | 0.000 | -22.596 | -0.000 | 0.000 |
| -0.000 | -0.000 | 0.000 | 0.000 | -22.596 | -0.000 |
| -0.000 | -0.000 | 0.000 | 0.000 | -0.000 | -22.596 |
| -8.279 | 17.671 | 17.671 | -0.000 | 0.000 | 0.000 |
| 17.671 | -8.279 | 17.671 | -0.000 | 0.000 | 0.000 |
| 17.671 | 17.671 | -8.279 | -0.000 | 0.000 | -0.000 |
| -12850992.254 | -11305562.067 | -12128386.842 | -2209946.248 | -3015.790 | 60026.745 |
| -11891007.810 | -13016494.089 | -12228695.005 | -229531.096 | -2156816.695 | -259790.085 |
| -11820053.373 | -12386760.658 | -12918210.135 | -87068.936 | -132219.475 | -2157610.857 |
| -8.279 | 17.671 | 17.671 | 0.000 | -0.000 | -0.000 |
| 17.671 | -8.279 | 17.671 | 0.000 | -0.000 | -0.000 |
| 17.671 | 17.671 | -8.279 | 0.000 | -0.000 | 0.000 |
| 13063640.355 | 12303174.687 | 12434595.062 | -2064837.552 | 7646.200 | -60343.422 |
| 12276286.857 | 13289084.125 | 12704210.973 | 74573.279 | -2084321.342 | -65787.029 |
| 12498437.103 | 12194751.640 | 13275976.496 | 349455.224 | -281296.968 | -2281916.009 |
| -8.279 | 17.671 | 17.671 | -0.000 | 0.000 | 0.000 |
| 17.671 | -8.279 | 17.671 | -0.000 | 0.000 | -0.000 |
| 17.671 | 17.671 | -8.279 | -0.000 | 0.000 | 0.000 |
| -1435466.973 | -1192654.707 | -1234505.150 | -254880.097 | 3350.639 | 5554.465 |
| -1158215.495 | -1399120.970 | -1205364.118 | -11293.659 | -261957.958 | -8326.250 |
| -1152476.279 | -1216550.366 | -1381375.180 | 5057.025 | 1061.738 | -272088.781 |
| -8.279 | 17.671 | 17.671 | 0.000 | -0.000 | -0.000 |
| 17.671 | -8.279 | 17.671 | 0.000 | -0.000 | 0.000 |
| 17.671 | 17.671 | -8.279 | 0.000 | 0.000 | -0.000 |
| 1436895.566 | 1251312.643 | 1248842.991 | -264084.616 | 2933.503 | -4882.369 |
| 1277069.618 | 1475722.465 | 1273168.556 | -2938.320 | -273453.188 | 3707.862 |
| 1266069.185 | 1240369.821 | 1465170.473 | 26926.943 | -36853.631 | -264168.107 |
| -12498.503 | 5.183 | -17691.290 | -0.000 | -0.000 | -0.000 |
| 420.729 | 746.859 | 326.289 | -0.000 | 0.000 | -0.000 |
| -14146.865 | -2170.694 | -17730.235 | 0.000 | -0.000 | -0.000 |
| -10026.403 | 204.686 | -18964.094 | 135.452 | -0.000 | -0.000 |
| -14332.047 | -2368.721 | -17990.684 | 0.000 | 70.142 | -0.000 |
| 0.000 | -0.000 | -0.000 | 0.000 | 0.000 | 200.548 |
| 819.041 | 420.729 | 313.210 | 0.000 | -0.000 | 0.000 |
| 14717.917 | 3051.071 | 18220.913 | -0.000 | 0.000 | 0.000 |
| 10177.726 | 5.803 | 19163.082 | -0.000 | 0.000 | 0.000 |
| 10026.403 | -204.686 | 18964.094 | 135.452 | 0.000 | 0.000 |
| 14332.047 | 2368.721 | 17990.684 | 0.000 | 70.142 | 0.000 |
| -0.000 | 0.000 | 0.000 | 0.000 | 0.000 | 200.548 |
| 819.042 | 420.729 | 313.210 | -0.000 | -0.000 | -0.000 |
| -1045.998 | 447.365 | -1565.679 | 0.000 | -0.000 | -0.000 |
| -1242.440 | -32.600 | -1525.487 | 0.000 | 0.000 | -0.000 |
| -1097.833 | -77.240 | -2015.491 | 135.827 | -0.000 | -0.000 |
| -1314.871 | -36.145 | -1787.311 | -0.000 | 55.136 | -0.000 |
| -1433.200 | -236.871 | -1799.063 | -0.000 | -0.000 | 191.861 |
| 1960.291 | 400.128 | 1967.337 | 0.000 | 0.000 | 0.000 |
| 1815.848 | 917.367 | 2024.070 | -0.000 | 0.000 | 0.000 |
| 1434.251 | 233.891 | 1958.010 | 0.000 | 0.000 | 0.000 |
| 1097.833 | 77.240 | 2015.491 | 135.827 | -0.000 | 0.000 |
| 1314.871 | 36.145 | 1787.311 | -0.000 | 55.136 | 0.000 |
| 1433.200 | 236.871 | 1799.063 | -0.000 | 0.000 | 191.861 |
| 528.369 | 364.817 | 0.392 | 0.000 | -0.000 | -0.000 |
| 420.730 | 746.856 | 326.290 | 0.000 | -0.000 | -0.000 |
| 8.630 | 197.546 | 12.965 | -0.000 | -0.000 | -0.000 |
| -0.000 | -0.000 | -0.000 | 139.121 | 0.000 | -0.000 |
| -129.907 | -4.808 | -175.650 | 0.000 | 57.285 | -0.000 |
| -142.306 | -23.519 | -178.635 | -0.000 | 0.000 | 191.922 |
| 737.018 | 360.555 | 271.731 | -0.000 | 0.000 | 0.000 |
| 463.630 | 680.142 | 403.887 | -0.000 | 0.000 | 0.000 |
| 278.920 | 217.611 | 380.004 | 0.000 | 0.000 | 0.000 |
| 0.000 | 0.000 | 0.000 | 139.121 | -0.000 | 0.000 |
| 129.907 | 4.808 | 175.650 | -0.000 | 57.285 | 0.000 |
| 142.306 | 23.519 | 178.635 | -0.000 | 0.000 | 191.922 |
| 330.790 | 292.626 | 279.772 | 0.000 | -0.000 | -0.000 |
| 789.217 | 930.029 | 1149.737 | 0.000 | -0.000 | 0.000 |
| 264.105 | 330.459 | 532.814 | 0.000 | -0.000 | -0.000 |
| 562.142 | 260.529 | 909.490 | 116.408 | -0.000 | -0.000 |
| 560.843 | 259.927 | 907.388 | 0.000 | -0.591 | -0.000 |
| 562.293 | 260.599 | 909.734 | -0.000 | -0.000 | 55.619 |
| -425.466 | -38.711 | -921.173 | -0.000 | 0.000 | 0.000 |
| 283.673 | 731.496 | 337.174 | -0.000 | 0.000 | 0.000 |
| 264.105 | 330.459 | 532.814 | 0.000 | -0.000 | 0.000 |
| -562.142 | -260.529 | -909.490 | 116.408 | 0.000 | -0.000 |
| -560.843 | -259.927 | -907.388 | -0.000 | -0.591 | 0.000 |
| -562.293 | -260.599 | -909.734 | -0.000 | 0.000 | 55.619 |
| 330.791 | 292.626 | 279.772 | 0.000 | -0.000 | -0.000 |
| 280.476 | 703.478 | 328.026 | -0.000 | -0.000 | -0.000 |
| 182.517 | 298.652 | 298.061 | 0.000 | -0.000 | -0.000 |
| 0.000 | 0.000 | -0.000 | 118.350 | -0.000 | -0.000 |
| 0.000 | 0.000 | 0.000 | 0.000 | 68.104 | -0.000 |
| 56.814 | 26.331 | 91.919 | 0.000 | -0.000 | 55.553 |
| 330.790 | 292.626 | 279.772 | -0.000 | 0.000 | 0.000 |
| 181.496 | 649.871 | 96.116 | -0.000 | 0.000 | 0.000 |
| 264.105 | 330.459 | 532.814 | -0.000 | 0.000 | -0.000 |
| -0.000 | -0.000 | 0.000 | 118.350 | 0.000 | 0.000 |
| -0.000 | -0.000 | -0.000 | 0.000 | 68.104 | 0.000 |
| -56.814 | -26.331 | -91.919 | -0.000 | 0.000 | 55.553 |
| 247.737 | 263.481 | 156.422 | 0.000 | -0.000 | 0.000 |
| 262.924 | 681.696 | 265.096 | 0.000 | -0.000 | -0.000 |
| 92.966 | 243.340 | 54.685 | 0.000 | -0.000 | -0.000 |
| 0.000 | 0.000 | -0.000 | 118.350 | -0.000 | 0.000 |
| 4.174 | 1.935 | 6.753 | 0.000 | 16.976 | -0.000 |
| 6.599 | 3.058 | 10.674 | -0.000 | -0.000 | 54.525 |
| 233.481 | 257.776 | 134.434 | -0.000 | 0.000 | -0.000 |
| 283.672 | 731.498 | 337.172 | 0.000 | 0.000 | 0.000 |
| 124.279 | 273.496 | 172.427 | -0.000 | 0.000 | 0.000 |
| -0.000 | -0.000 | 0.000 | 118.350 | 0.000 | 0.000 |
| -4.174 | -1.935 | -6.753 | 0.000 | 16.976 | 0.000 |
| -6.599 | -3.058 | -10.674 | 0.000 | 0.000 | 54.525 |
| 494.564 | 285.591 | 285.591 | 0.000 | 0.000 | -0.000 |
| 285.591 | 494.564 | 285.591 | -0.000 | -0.000 | -0.000 |
| 285.591 | 285.591 | 494.564 | -0.000 | -0.000 | -0.000 |
| 0.000 | -0.000 | -0.000 | 51.503 | -0.000 | -0.000 |
| 0.000 | 0.000 | -0.000 | -0.000 | 51.503 | -0.000 |
| -0.000 | -0.000 | 0.000 | 0.000 | -0.000 | 51.503 |
| 494.564 | 285.591 | 285.591 | -0.000 | -0.000 | 0.000 |
| 285.591 | 494.564 | 285.591 | 0.000 | 0.000 | -0.000 |
| 285.591 | 285.591 | 494.564 | 0.000 | -0.000 | 0.000 |
| -0.000 | 0.000 | 0.000 | 51.503 | -0.000 | 0.000 |
| -0.000 | -0.000 | 0.000 | -0.000 | 51.503 | 0.000 |
| -0.000 | 0.000 | -0.000 | 0.000 | -0.000 | 51.503 |
| 493.678 | 286.034 | 286.034 | -0.000 | -0.000 | -0.000 |
| 286.034 | 493.678 | 286.034 | -0.000 | 0.000 | -0.000 |
| 286.034 | 286.034 | 493.678 | -0.000 | 0.000 | 0.000 |
| 0.000 | 0.000 | 0.000 | -36.010 | 0.000 | -0.000 |
| 0.000 | 0.000 | 0.000 | 0.000 | -36.010 | -0.000 |
| 0.000 | 0.000 | 0.000 | -0.000 | 0.000 | -36.010 |
| 494.563 | 285.591 | 285.591 | -0.000 | 0.000 | -0.000 |
| 285.591 | 494.563 | 285.591 | 0.000 | -0.000 | 0.000 |
| 285.591 | 285.591 | 494.563 | 0.000 | 0.000 | 0.000 |
| -0.000 | -0.000 | -0.000 | -36.010 | -0.000 | -0.000 |
| -0.000 | -0.000 | -0.000 | 0.000 | -36.010 | 0.000 |
| -0.000 | -0.000 | -0.000 | 0.000 | -0.000 | -36.010 |
| 494.568 | 285.592 | 285.592 | 0.000 | 0.000 | -0.000 |
| 285.592 | 494.568 | 285.592 | -0.000 | 0.000 | -0.000 |
| 285.592 | 285.592 | 494.568 | -0.000 | -0.000 | -0.000 |
| 4325417.778 | 3251073.543 | 3251065.319 | -4112061.306 | 0.004 | 0.004 |
| 3251073.805 | 4325417.849 | 3251065.574 | 0.003 | -4112061.180 | 0.003 |
| 3251073.544 | 3251065.319 | 4325417.778 | 0.003 | 0.003 | -4112061.306 |
| 493.673 | 286.034 | 286.034 | 0.000 | -0.000 | -0.000 |
| 286.034 | 493.673 | 286.034 | -0.000 | -0.000 | -0.000 |
| 286.034 | 286.034 | 493.673 | 0.000 | -0.000 | 0.000 |
| -4325417.871 | -3251073.617 | -3251065.393 | -4112061.355 | -0.004 | 0.004 |
| -3251073.840 | -4325417.917 | -3251065.608 | -0.002 | -4112061.232 | 0.002 |
| -3251073.618 | -3251065.393 | -4325417.872 | -0.001 | 0.001 | -4112061.356 |
| 49.104 | 15.710 | 15.710 | -0.000 | -0.000 | 0.000 |
| 15.710 | 49.104 | 15.710 | -0.000 | -0.000 | 0.000 |
| 15.710 | 15.710 | 49.104 | -0.000 | -0.000 | 0.000 |
| 0.000 | 0.000 | 0.000 | -12.851 | -0.000 | 0.000 |
| 0.000 | -0.000 | 0.000 | -0.000 | -12.851 | 0.000 |
| 0.000 | 0.000 | 0.000 | -0.000 | -0.000 | -12.851 |
| 49.104 | 15.710 | 15.710 | 0.000 | 0.000 | -0.000 |
| 15.710 | 49.104 | 15.710 | 0.000 | 0.000 | -0.000 |
| 15.710 | 15.710 | 49.104 | 0.000 | 0.000 | 0.000 |
| -0.000 | -0.000 | -0.000 | -12.851 | 0.000 | -0.000 |
| -0.000 | 0.000 | -0.000 | 0.000 | -12.851 | -0.000 |
| -0.000 | -0.000 | -0.000 | 0.000 | 0.000 | -12.851 |
| 58.925 | 10.800 | 10.800 | -0.000 | -0.000 | 0.000 |
| 10.800 | 58.925 | 10.800 | -0.000 | -0.000 | 0.000 |
| 10.800 | 10.800 | 58.925 | -0.000 | -0.000 | -0.000 |
| 0.000 | 0.000 | 0.000 | 10.400 | -0.000 | -0.000 |
| 0.000 | 0.000 | 0.000 | -0.000 | 10.400 | -0.000 |
| 0.000 | 0.000 | 0.000 | -0.000 | -0.000 | 10.400 |
| 49.104 | 15.710 | 15.710 | 0.000 | 0.000 | -0.000 |
| 15.710 | 49.104 | 15.710 | 0.000 | 0.000 | -0.000 |
| 15.710 | 15.710 | 49.104 | 0.000 | 0.000 | 0.000 |
| -0.000 | -0.000 | -0.000 | 10.400 | 0.000 | -0.000 |
| -0.000 | -0.000 | -0.000 | 0.000 | 10.400 | -0.000 |
| -0.000 | -0.000 | -0.000 | 0.000 | 0.000 | 10.400 |
| 58.925 | 10.800 | 10.800 | -0.000 | -0.000 | 0.000 |
| 10.800 | 58.925 | 10.800 | -0.000 | -0.000 | 0.000 |
| 10.800 | 10.800 | 58.925 | -0.000 | -0.000 | 0.000 |
| 0.000 | 0.000 | 0.000 | -12.851 | -0.000 | 0.000 |
| 0.000 | 0.000 | 0.000 | -0.000 | -12.851 | 0.000 |
| 0.000 | 0.000 | 0.000 | -0.000 | -0.000 | -12.851 |
| 49.104 | 15.710 | 15.710 | 0.000 | 0.000 | -0.000 |
| 15.710 | 49.104 | 15.710 | 0.000 | 0.000 | -0.000 |
| 15.710 | 15.710 | 49.104 | 0.000 | 0.000 | -0.000 |
| -0.000 | -0.000 | -0.000 | -12.851 | 0.000 | 0.000 |
| -0.000 | -0.000 | -0.000 | 0.000 | -12.851 | -0.000 |
| -0.000 | -0.000 | -0.000 | 0.000 | 0.000 | -12.851 |
| 559.234 | 556.862 | 556.862 | -0.000 | -0.000 | -0.000 |
| 556.862 | 559.234 | 556.862 | -0.000 | -0.000 | -0.000 |
| 556.862 | 556.862 | 559.234 | -0.000 | -0.000 | -0.000 |
| 0.000 | -0.000 | 0.000 | 234.743 | 0.000 | -0.000 |
| 0.000 | -0.000 | 0.000 | -0.000 | 234.743 | -0.000 |
| 0.000 | 0.000 | 0.000 | -0.000 | -0.000 | 234.743 |
| 559.235 | 556.863 | 556.863 | 0.000 | 0.000 | 0.000 |
| 556.863 | 559.235 | 556.863 | 0.000 | -0.000 | 0.000 |
| 556.863 | 556.863 | 559.235 | 0.000 | 0.000 | 0.000 |
| -0.000 | 0.000 | -0.000 | 234.743 | 0.000 | 0.000 |
| -0.000 | 0.000 | -0.000 | 0.000 | 234.743 | 0.000 |
| -0.000 | -0.000 | -0.000 | 0.000 | 0.000 | 234.743 |
| 559.234 | 556.861 | 556.861 | -0.000 | -0.000 | -0.000 |
| 556.861 | 559.234 | 556.861 | -0.000 | -0.000 | -0.000 |
| 556.861 | 556.861 | 559.234 | -0.000 | -0.000 | -0.000 |
| 0.000 | 0.000 | 0.000 | 234.743 | -0.000 | -0.000 |
| 0.000 | 0.000 | 0.000 | -0.000 | 234.743 | -0.000 |
| 0.000 | 0.000 | 0.000 | -0.000 | -0.000 | 234.743 |
| 559.235 | 556.864 | 556.864 | 0.000 | 0.000 | 0.000 |
| 556.864 | 559.235 | 556.864 | 0.000 | 0.000 | 0.000 |
| 556.864 | 556.864 | 559.235 | 0.000 | 0.000 | 0.000 |
| -0.000 | -0.000 | -0.000 | 234.743 | 0.000 | 0.000 |
| -0.000 | -0.000 | -0.000 | 0.000 | 234.743 | 0.000 |
| -0.000 | -0.000 | -0.000 | 0.000 | 0.000 | 234.743 |
| 559.225 | 556.852 | 556.852 | -0.000 | -0.000 | -0.000 |
| 556.852 | 559.225 | 556.852 | -0.000 | -0.000 | -0.000 |
| 556.852 | 556.852 | 559.225 | -0.000 | -0.000 | -0.000 |
| 0.001 | 0.002 | 0.002 | 244.375 | -0.000 | -0.000 |
| 0.002 | 0.001 | 0.002 | -0.000 | 244.375 | -0.000 |
| 0.002 | 0.002 | 0.001 | -0.000 | -0.000 | 244.375 |
| 559.244 | 556.873 | 556.873 | 0.000 | 0.000 | 0.000 |
| 556.873 | 559.244 | 556.873 | 0.000 | 0.000 | 0.000 |
| 556.873 | 556.873 | 559.244 | 0.000 | 0.000 | 0.000 |
| -0.001 | -0.002 | -0.002 | 244.375 | 0.000 | 0.000 |
| -0.002 | -0.001 | -0.002 | 0.000 | 244.375 | 0.000 |
| -0.002 | -0.002 | -0.001 | 0.000 | 0.000 | 244.375 |
| 1927.498 | 1411.901 | 1411.901 | -0.000 | 0.000 | 0.000 |
| 1411.901 | 1927.498 | 1411.901 | -0.000 | -0.000 | 0.000 |
| 1411.901 | 1411.901 | 1927.498 | 0.000 | 0.000 | 0.000 |
| 0.000 | -0.000 | -0.000 | 1439.226 | 0.000 | 0.000 |
| -0.000 | -0.000 | -0.000 | -0.000 | 1439.226 | 0.000 |
| -0.000 | 0.000 | -0.000 | -0.000 | 0.000 | 1439.226 |
| 1927.498 | 1411.901 | 1411.901 | 0.000 | -0.000 | -0.000 |
| 1411.901 | 1927.498 | 1411.901 | 0.000 | 0.000 | -0.000 |
| 1411.901 | 1411.901 | 1927.499 | -0.000 | -0.000 | -0.000 |
| -0.000 | 0.000 | 0.000 | 1439.226 | -0.000 | -0.000 |
| 0.000 | -0.000 | 0.000 | 0.000 | 1439.226 | -0.000 |
| 0.000 | 0.000 | 0.000 | 0.000 | -0.000 | 1439.226 |
| 1927.494 | 1411.901 | 1411.901 | -0.000 | 0.000 | 0.000 |
| 1411.901 | 1927.494 | 1411.901 | -0.000 | 0.000 | 0.000 |
| 1411.901 | 1411.901 | 1927.494 | 0.000 | 0.000 | 0.000 |
| 0.000 | -0.000 | -0.000 | 1515.761 | 0.000 | 0.000 |
| -0.000 | 0.000 | -0.000 | -0.000 | 1515.761 | 0.000 |
| -0.000 | -0.000 | 0.000 | -0.000 | 0.000 | 1515.761 |
| 1927.502 | 1411.901 | 1411.901 | 0.000 | 0.000 | -0.000 |
| 1411.901 | 1927.502 | 1411.901 | 0.000 | -0.000 | -0.000 |
| 1411.901 | 1411.901 | 1927.502 | 0.000 | -0.000 | -0.000 |
| -0.000 | 0.000 | 0.000 | 1515.761 | -0.000 | -0.000 |
| 0.000 | -0.000 | 0.000 | -0.000 | 1515.761 | -0.000 |
| 0.000 | 0.000 | -0.000 | -0.000 | -0.000 | 1515.761 |
| 1927.461 | 1411.903 | 1411.903 | -0.000 | -0.000 | 0.000 |
| 1411.903 | 1927.461 | 1411.903 | -0.000 | -0.000 | 0.000 |
| 1411.903 | 1411.903 | 1927.461 | -0.000 | 0.000 | 0.000 |
| 0.004 | -0.002 | 0.001 | 1439.226 | 0.000 | 0.000 |
| -0.002 | 0.004 | 0.001 | -0.000 | 1439.226 | 0.000 |
| -0.002 | 0.001 | 0.004 | -0.000 | 0.000 | 1439.226 |
| 1927.535 | 1411.899 | 1411.899 | 0.000 | -0.000 | -0.000 |
| 1411.899 | 1927.535 | 1411.899 | 0.000 | -0.000 | -0.000 |
| 1411.899 | 1411.899 | 1927.535 | 0.000 | -0.000 | -0.000 |
| -0.004 | 0.002 | -0.001 | 1439.226 | -0.000 | -0.000 |
| 0.002 | -0.004 | -0.001 | 0.000 | 1439.226 | -0.000 |
| 0.002 | -0.001 | -0.004 | 0.000 | -0.000 | 1439.226 |
| 33.465 | 31.223 | 31.223 | 0.000 | 0.000 | -0.000 |
| 31.223 | 33.465 | 31.223 | 0.000 | 0.000 | 0.000 |
| 31.223 | 31.223 | 33.465 | 0.000 | 0.000 | -0.000 |
| 0.000 | 0.000 | -0.000 | 29.529 | -0.000 | -0.000 |
| 0.000 | 0.000 | -0.000 | 0.000 | 29.529 | -0.000 |
| 0.000 | 0.000 | -0.000 | 0.000 | -0.000 | 29.529 |
| 33.465 | 31.223 | 31.223 | -0.000 | -0.000 | 0.000 |
| 31.223 | 33.465 | 31.223 | -0.000 | -0.000 | -0.000 |
| 31.223 | 31.223 | 33.465 | -0.000 | -0.000 | 0.000 |
| -0.000 | -0.000 | 0.000 | 29.529 | 0.000 | -0.000 |
| -0.000 | -0.000 | 0.000 | -0.000 | 29.529 | -0.000 |
| -0.000 | -0.000 | 0.000 | 0.000 | 0.000 | 29.529 |
| 33.465 | 31.223 | 31.223 | 0.000 | 0.000 | -0.000 |
| 31.223 | 33.465 | 31.223 | 0.000 | 0.000 | -0.000 |
| 31.223 | 31.223 | 33.465 | 0.000 | 0.000 | -0.000 |
| 0.000 | 0.000 | 0.000 | 28.400 | 0.000 | -0.000 |
| 0.000 | 0.000 | 0.000 | 0.000 | 28.400 | -0.000 |
| 0.000 | 0.000 | 0.000 | 0.000 | -0.000 | 28.400 |
| 33.465 | 31.223 | 31.223 | -0.000 | -0.000 | 0.000 |
| 31.223 | 33.465 | 31.223 | -0.000 | -0.000 | 0.000 |
| 31.223 | 31.223 | 33.465 | -0.000 | -0.000 | 0.000 |
| -0.000 | -0.000 | -0.000 | 28.400 | -0.000 | -0.000 |
| -0.000 | -0.000 | -0.000 | -0.000 | 28.400 | 0.000 |
| -0.000 | -0.000 | -0.000 | -0.000 | -0.000 | 28.400 |
| 33.466 | 31.223 | 31.223 | 0.000 | 0.000 | -0.000 |
| 31.223 | 33.466 | 31.223 | 0.000 | 0.000 | 0.000 |
| 31.223 | 31.223 | 33.466 | 0.000 | 0.000 | -0.000 |
| 0.000 | -0.000 | 0.000 | 28.400 | -0.000 | 0.000 |
| -0.000 | 0.000 | 0.000 | 0.000 | 28.400 | -0.000 |
| -0.000 | 0.000 | 0.000 | 0.000 | 0.000 | 28.400 |
| 33.465 | 31.223 | 31.223 | -0.000 | -0.000 | -0.000 |
| 31.223 | 33.465 | 31.223 | -0.000 | -0.000 | 0.000 |
| 31.223 | 31.223 | 33.465 | -0.000 | -0.000 | -0.000 |
| -0.000 | 0.000 | -0.000 | 28.400 | -0.000 | 0.000 |
| 0.000 | -0.000 | -0.000 | -0.000 | 28.400 | 0.000 |
| 0.000 | -0.000 | -0.000 | -0.000 | 0.000 | 28.400 |
| 459.935 | 250.479 | 250.479 | -0.000 | 0.000 | 0.000 |
| 250.479 | 459.935 | 250.479 | -0.000 | -0.000 | 0.000 |
| 250.479 | 250.479 | 459.935 | -0.000 | -0.000 | 0.000 |
| -0.000 | -0.000 | -0.000 | 86.731 | -0.000 | 0.000 |
| -0.000 | -0.000 | -0.000 | -0.000 | 86.731 | 0.000 |
| -0.000 | -0.000 | -0.000 | -0.000 | -0.000 | 86.731 |
| 459.935 | 250.479 | 250.479 | 0.000 | 0.000 | -0.000 |
| 250.479 | 459.935 | 250.479 | -0.000 | 0.000 | -0.000 |
| 250.479 | 250.479 | 459.935 | 0.000 | 0.000 | -0.000 |
| 0.000 | 0.000 | 0.000 | 86.731 | 0.000 | -0.000 |
| 0.000 | 0.000 | -0.000 | -0.000 | 86.731 | -0.000 |
| 0.000 | 0.000 | 0.000 | 0.000 | 0.000 | 86.731 |
| 459.935 | 250.479 | 250.479 | -0.000 | -0.000 | 0.000 |
| 250.479 | 459.935 | 250.479 | -0.000 | -0.000 | 0.000 |
| 250.479 | 250.479 | 459.935 | -0.000 | -0.000 | -0.000 |
| -0.000 | 0.000 | 0.000 | 86.731 | -0.000 | 0.000 |
| 0.000 | -0.000 | 0.000 | -0.000 | 86.731 | 0.000 |
| 0.000 | 0.000 | -0.000 | -0.000 | -0.000 | 86.731 |
| 459.935 | 250.479 | 250.479 | 0.000 | 0.000 | -0.000 |
| 250.479 | 459.935 | 250.479 | 0.000 | 0.000 | -0.000 |
| 250.479 | 250.479 | 459.935 | 0.000 | 0.000 | -0.000 |
| 0.000 | -0.000 | -0.000 | 86.731 | 0.000 | -0.000 |
| -0.000 | 0.000 | -0.000 | 0.000 | 86.731 | -0.000 |
| -0.000 | -0.000 | 0.000 | 0.000 | 0.000 | 86.731 |
| 459.933 | 250.480 | 250.480 | -0.000 | -0.000 | 0.000 |
| 250.480 | 459.933 | 250.480 | -0.000 | -0.000 | 0.000 |
| 250.480 | 250.480 | 459.933 | 0.000 | -0.000 | 0.000 |
| -0.000 | 0.000 | 0.000 | 86.731 | -0.000 | 0.000 |
| 0.000 | -0.000 | 0.000 | -0.000 | 86.731 | 0.000 |
| 0.000 | 0.000 | -0.000 | -0.000 | -0.000 | 86.731 |
| 459.937 | 250.479 | 250.479 | 0.000 | 0.000 | -0.000 |
| 250.479 | 459.937 | 250.479 | -0.000 | 0.000 | -0.000 |
| 250.479 | 250.479 | 459.937 | -0.000 | 0.000 | 0.000 |
| 0.000 | -0.000 | -0.000 | 86.731 | 0.000 | -0.000 |
| -0.000 | 0.000 | -0.000 | 0.000 | 86.731 | -0.000 |
| -0.000 | -0.000 | 0.000 | 0.000 | 0.000 | 86.731 |
| 1418.049 | 976.319 | 976.319 | -0.000 | 0.000 | -0.000 |
| 976.319 | 1418.049 | 976.319 | -0.000 | -0.000 | -0.000 |
| 976.319 | 976.319 | 1418.049 | -0.000 | 0.000 | -0.000 |
| -0.000 | 0.000 | 0.000 | 748.528 | -0.000 | -0.000 |
| 0.000 | 0.000 | 0.000 | -0.000 | 748.528 | -0.000 |
| 0.000 | 0.000 | 0.000 | -0.000 | 0.000 | 748.528 |
| 1418.049 | 976.319 | 976.319 | 0.000 | 0.000 | 0.000 |
| 976.319 | 1418.049 | 976.319 | 0.000 | 0.000 | 0.000 |
| 976.319 | 976.319 | 1418.049 | 0.000 | 0.000 | 0.000 |
| 0.000 | -0.000 | -0.000 | 748.528 | 0.000 | 0.000 |
| -0.000 | -0.000 | -0.000 | 0.000 | 748.528 | 0.000 |
| -0.000 | -0.000 | 0.000 | 0.000 | 0.000 | 748.528 |
| 1418.049 | 976.320 | 976.320 | -0.000 | -0.000 | -0.000 |
| 976.320 | 1418.049 | 976.320 | -0.000 | 0.000 | -0.000 |
| 976.320 | 976.320 | 1418.049 | 0.000 | 0.000 | -0.000 |
| 0.000 | 0.000 | 0.000 | 748.528 | 0.000 | -0.000 |
| 0.000 | 0.000 | 0.000 | -0.000 | 748.528 | -0.000 |
| 0.000 | 0.000 | 0.000 | -0.000 | 0.000 | 748.528 |
| 1418.049 | 976.319 | 976.319 | 0.000 | 0.000 | 0.000 |
| 976.319 | 1418.049 | 976.319 | 0.000 | -0.000 | 0.000 |
| 976.319 | 976.319 | 1418.049 | 0.000 | 0.000 | 0.000 |
| -0.000 | -0.000 | -0.000 | 748.528 | -0.000 | 0.000 |
| -0.000 | -0.000 | -0.000 | 0.000 | 748.528 | 0.000 |
| -0.000 | -0.000 | -0.000 | 0.000 | 0.000 | 748.528 |
| 1418.051 | 976.327 | 976.327 | -0.000 | -0.000 | -0.000 |
| 976.327 | 1418.051 | 976.327 | -0.000 | 0.000 | -0.000 |
| 976.327 | 976.327 | 1418.051 | 0.000 | -0.000 | -0.000 |
| 0.001 | 0.003 | 0.005 | 748.528 | -0.000 | -0.000 |
| 0.003 | 0.001 | 0.005 | 0.000 | 748.528 | -0.000 |
| 0.003 | 0.005 | 0.001 | -0.000 | -0.000 | 748.528 |
| 1418.047 | 976.312 | 976.312 | 0.000 | 0.000 | 0.000 |
| 976.312 | 1418.047 | 976.312 | 0.000 | 0.000 | 0.000 |
| 976.312 | 976.312 | 1418.047 | 0.000 | -0.000 | 0.000 |
| -0.001 | -0.003 | -0.005 | 748.528 | -0.000 | -0.000 |
| -0.003 | -0.001 | -0.005 | 0.000 | 748.528 | 0.000 |
| -0.003 | -0.005 | -0.001 | 0.000 | -0.000 | 748.528 |
| 116.294 | 29.800 | 29.800 | -0.000 | -0.000 | -0.000 |
| 29.800 | 116.294 | 29.800 | -0.000 | -0.000 | -0.000 |
| 29.800 | 29.800 | 116.294 | -0.000 | -0.000 | 0.000 |
| 0.000 | -0.000 | 0.000 | 30.345 | -0.000 | 0.000 |
| -0.000 | -0.000 | 0.000 | 0.000 | 30.345 | 0.000 |
| -0.000 | 0.000 | 0.000 | -0.000 | -0.000 | 30.345 |
| 116.294 | 29.800 | 29.800 | 0.000 | 0.000 | -0.000 |
| 29.800 | 116.294 | 29.800 | 0.000 | 0.000 | -0.000 |
| 29.800 | 29.800 | 116.294 | 0.000 | 0.000 | 0.000 |
| 0.000 | -0.000 | -0.000 | 30.345 | -0.000 | 0.000 |
| -0.000 | -0.000 | -0.000 | 0.000 | 30.345 | 0.000 |
| -0.000 | -0.000 | -0.000 | -0.000 | 0.000 | 30.345 |
| 116.294 | 29.800 | 29.800 | -0.000 | -0.000 | -0.000 |
| 29.800 | 116.294 | 29.800 | -0.000 | -0.000 | -0.000 |
| 29.800 | 29.800 | 116.294 | -0.000 | -0.000 | 0.000 |
| -0.000 | -0.000 | -0.000 | 30.345 | -0.000 | 0.000 |
| -0.000 | -0.000 | -0.000 | -0.000 | 30.345 | -0.000 |
| -0.000 | -0.000 | -0.000 | -0.000 | -0.000 | 30.345 |
| 116.294 | 29.800 | 29.800 | 0.000 | 0.000 | 0.000 |
| 29.800 | 116.294 | 29.800 | 0.000 | 0.000 | -0.000 |
| 29.800 | 29.800 | 116.294 | 0.000 | 0.000 | 0.000 |
| 0.000 | 0.000 | 0.000 | 30.345 | 0.000 | 0.000 |
| 0.000 | 0.000 | 0.000 | 0.000 | 30.345 | -0.000 |
| 0.000 | 0.000 | 0.000 | 0.000 | 0.000 | 30.345 |
| 116.294 | 29.800 | 29.800 | -0.000 | -0.000 | 0.000 |
| 29.800 | 116.294 | 29.800 | -0.000 | -0.000 | 0.000 |
| 29.800 | 29.800 | 116.294 | 0.000 | 0.000 | -0.000 |
| -0.000 | -0.000 | -0.000 | 30.345 | -0.000 | -0.000 |
| -0.000 | -0.000 | -0.000 | -0.000 | 30.345 | -0.000 |
| -0.000 | -0.000 | -0.000 | -0.000 | -0.000 | 30.345 |
| 116.294 | 29.800 | 29.800 | 0.000 | -0.000 | -0.000 |
| 29.800 | 116.294 | 29.800 | 0.000 | 0.000 | 0.000 |
| 29.800 | 29.800 | 116.294 | 0.000 | -0.000 | 0.000 |
| 0.000 | 0.000 | 0.000 | 30.345 | 0.000 | 0.000 |
| 0.000 | 0.000 | 0.000 | 0.000 | 30.345 | -0.000 |
| 0.000 | 0.000 | 0.000 | -0.000 | 0.000 | 30.345 |
| 564.493 | 313.462 | 396.427 | 0.000 | 0.000 | 0.000 |
| 314.950 | 553.197 | 397.452 | 0.000 | -0.000 | -0.000 |
| 396.987 | 396.987 | 636.942 | -0.000 | -0.000 | -0.000 |
| -0.000 | -0.000 | 0.000 | 177.291 | -0.000 | 0.000 |
| -0.000 | -0.000 | 0.000 | 0.000 | 177.291 | -0.000 |
| 0.000 | 0.000 | -0.000 | 0.000 | -0.000 | 111.485 |
| 564.493 | 313.462 | 396.427 | -0.000 | -0.000 | -0.000 |
| 313.462 | 564.493 | 396.427 | 0.000 | 0.000 | 0.000 |
| 396.987 | 396.987 | 636.942 | 0.000 | 0.000 | 0.000 |
| -0.000 | -0.000 | 0.000 | 170.736 | 0.000 | 0.000 |
| 0.000 | 0.000 | -0.000 | -0.000 | 177.291 | -0.000 |
| -0.000 | -0.000 | 0.000 | -0.000 | -0.000 | 111.485 |
| 553.197 | 314.950 | 397.452 | 0.000 | 0.000 | -0.000 |
| 313.462 | 564.493 | 396.427 | 0.000 | 0.000 | -0.000 |
| 397.586 | 397.586 | 636.816 | -0.000 | 0.000 | 0.000 |
| 0.000 | -0.000 | 0.000 | 170.736 | -0.000 | -0.000 |
| -0.000 | 0.000 | 0.000 | -0.000 | 170.736 | -0.000 |
| -0.000 | 0.000 | -0.000 | -0.000 | 0.000 | 125.516 |
| 564.493 | 313.462 | 396.428 | -0.000 | -0.000 | 0.000 |
| 313.462 | 564.493 | 396.428 | -0.000 | 0.000 | -0.000 |
| 396.987 | 396.987 | 636.942 | -0.000 | -0.000 | 0.000 |
| -0.000 | 0.000 | -0.000 | 170.736 | 0.000 | 0.000 |
| 0.000 | -0.000 | -0.000 | 0.000 | 170.736 | 0.000 |
| 0.000 | -0.000 | 0.000 | 0.000 | 0.000 | 125.516 |
| 564.491 | 313.459 | 396.424 | 0.000 | 0.000 | -0.000 |
| 313.460 | 564.490 | 396.424 | 0.000 | 0.000 | -0.000 |
| 397.584 | 397.584 | 636.815 | 0.000 | 0.000 | 0.000 |
| -0.000 | -0.000 | 0.001 | 177.291 | 0.000 | 0.000 |
| -0.000 | -0.000 | 0.001 | 0.000 | 170.736 | -0.000 |
| -0.001 | -0.000 | -0.000 | 0.000 | 0.000 | 111.485 |
| 553.200 | 314.952 | 397.455 | -0.000 | 0.000 | -0.000 |
| 325.349 | 546.980 | 397.019 | -0.000 | -0.000 | -0.000 |
| 396.990 | 396.990 | 636.943 | -0.000 | -0.000 | -0.000 |
| 0.000 | 0.000 | -0.001 | 177.291 | -0.000 | 0.000 |
| 0.000 | 0.000 | -0.001 | 0.000 | 170.736 | -0.000 |
| 0.001 | 0.000 | 0.000 | -0.000 | 0.000 | 111.485 |
| 564.368 | 313.694 | 400.368 | 0.000 | -0.000 | -0.000 |
| 315.001 | 553.300 | 401.380 | -0.000 | -0.000 | -0.000 |
| 400.612 | 400.612 | 649.673 | -0.000 | -0.000 | -0.000 |
| -0.000 | -0.000 | -0.000 | 179.403 | -0.000 | -0.000 |
| -0.000 | -0.000 | 0.000 | 0.000 | 179.403 | -0.000 |
| -0.000 | 0.000 | -0.000 | 0.000 | -0.000 | 125.337 |
| 564.368 | 313.694 | 400.369 | -0.000 | 0.000 | 0.000 |
| 313.694 | 564.368 | 400.369 | 0.000 | 0.000 | -0.000 |
| 401.231 | 401.231 | 649.545 | 0.000 | 0.000 | 0.000 |
| 0.000 | 0.000 | 0.000 | 179.403 | 0.000 | 0.000 |
| 0.000 | 0.000 | -0.000 | 0.000 | 179.403 | 0.000 |
| 0.000 | 0.000 | 0.000 | -0.000 | 0.000 | 125.337 |
| 553.101 | 315.566 | 401.342 | -0.000 | -0.000 | -0.000 |
| 313.694 | 564.368 | 400.368 | 0.000 | -0.000 | -0.000 |
| 400.891 | 400.891 | 649.615 | 0.000 | -0.000 | -0.000 |
| -0.114 | -0.114 | 0.024 | 172.967 | -0.000 | -0.000 |
| -0.031 | -0.031 | 0.006 | -0.000 | 172.964 | -0.000 |
| -0.000 | 0.000 | -0.000 | 0.000 | -0.000 | 125.337 |
| 553.047 | 315.703 | 401.334 | 0.000 | 0.000 | 0.000 |
| 313.695 | 564.368 | 400.369 | -0.000 | 0.000 | 0.000 |
| 400.369 | 400.369 | 649.724 | 0.000 | 0.000 | 0.000 |
| 0.114 | 0.114 | -0.024 | 172.967 | 0.000 | 0.000 |
| 0.031 | 0.031 | -0.006 | 0.000 | 172.964 | 0.000 |
| 0.000 | -0.000 | 0.000 | -0.000 | 0.000 | 125.337 |
| 553.075 | 315.625 | 401.335 | -0.000 | -0.000 | -0.000 |
| 315.626 | 553.074 | 401.335 | -0.000 | -0.000 | -0.000 |
| 400.366 | 400.366 | 649.725 | 0.000 | -0.000 | -0.000 |
| -0.003 | -0.004 | 0.001 | 172.964 | -0.000 | -0.000 |
| -0.012 | -0.011 | 0.003 | -0.000 | 172.964 | -0.000 |
| -0.012 | -0.012 | 0.002 | -0.000 | -0.000 | 111.210 |
| 564.370 | 313.697 | 400.371 | -0.000 | 0.000 | 0.000 |
| 313.696 | 564.370 | 400.371 | -0.000 | 0.000 | 0.000 |
| 400.371 | 400.371 | 649.723 | 0.000 | 0.000 | 0.000 |
| 0.003 | 0.004 | -0.001 | 172.964 | 0.000 | 0.000 |
| 0.012 | 0.011 | -0.003 | 0.000 | 172.964 | 0.000 |
| 0.012 | 0.012 | -0.002 | 0.000 | 0.000 | 111.210 |
| 513.514 | 324.002 | 289.716 | 31.672 | 0.000 | 0.000 |
| 304.027 | 554.867 | 271.780 | -29.224 | 0.000 | -0.000 |
| 269.611 | 269.611 | 482.120 | -0.000 | 0.000 | -0.000 |
| 21.601 | -38.287 | 13.999 | 96.061 | 0.000 | -0.000 |
| 0.000 | -0.000 | -0.000 | 0.000 | 96.118 | 29.224 |
| -8.331 | -8.331 | 13.980 | 0.000 | 31.672 | 94.756 |
| 554.867 | 304.027 | 271.780 | 29.224 | -0.000 | -0.000 |
| 304.027 | 554.867 | 271.780 | -29.224 | -0.000 | -0.000 |
| 281.898 | 281.898 | 461.503 | -0.000 | -0.000 | -0.000 |
| 38.287 | -21.601 | -13.999 | 96.061 | -0.000 | 0.000 |
| -0.000 | 0.000 | -0.000 | 0.000 | 96.118 | 29.224 |
| 8.331 | 8.331 | -13.980 | -0.000 | 31.672 | 94.756 |
| 554.867 | 304.027 | 271.780 | 29.225 | 0.000 | -0.000 |
| 304.027 | 554.867 | 271.780 | -29.225 | 0.000 | 0.000 |
| 272.733 | 272.733 | 476.881 | -0.000 | 0.000 | -0.000 |
| 29.095 | -30.978 | 1.580 | 96.053 | 0.000 | -0.000 |
| -0.942 | -0.942 | 1.580 | 0.000 | 96.053 | 30.037 |
| -0.833 | -0.833 | 1.398 | 0.000 | 31.672 | 94.756 |
| 525.889 | 324.613 | 278.820 | 31.203 | -0.000 | 0.000 |
| 304.027 | 554.866 | 271.780 | -29.224 | -0.000 | 0.000 |
| 269.611 | 269.611 | 482.120 | -0.000 | -0.000 | 0.000 |
| 30.978 | -29.095 | -1.580 | 96.053 | -0.000 | -0.000 |
| 0.942 | 0.942 | -1.580 | -0.000 | 96.053 | 30.037 |
| 0.833 | 0.833 | -1.398 | -0.000 | 31.672 | 94.756 |
| 554.868 | 304.027 | 271.780 | 29.225 | 0.000 | 0.000 |
| 304.027 | 554.868 | 271.780 | -29.226 | 0.000 | -0.000 |
| 269.611 | 269.611 | 482.121 | 0.000 | 0.000 | 0.000 |
| 29.224 | -29.225 | -0.000 | 96.118 | 0.000 | -0.000 |
| -0.254 | -0.254 | 0.426 | 0.000 | 95.943 | 31.415 |
| -0.000 | 0.000 | -0.000 | 0.000 | 29.224 | 125.420 |
| 528.760 | 319.604 | 280.613 | 30.887 | -0.000 | 0.000 |
| 304.026 | 554.865 | 271.780 | -29.223 | -0.000 | -0.000 |
| 269.610 | 269.610 | 482.119 | -0.000 | 0.000 | 0.000 |
| 31.669 | -31.161 | -0.426 | 95.944 | 0.000 | -0.000 |
| 0.254 | 0.254 | -0.426 | -0.000 | 95.943 | 31.415 |
| 0.000 | -0.000 | 0.000 | -0.000 | 29.224 | 125.420 |
| 1052.300 | 890.450 | -1377.132 | 0.000 | 0.000 | 0.000 |
| 890.450 | 1052.300 | -1377.132 | 0.000 | 0.000 | 0.000 |
| 275.134 | 275.134 | 550.861 | -0.000 | 0.000 | 0.000 |
| 602.474 | 602.474 | -1651.690 | 91.757 | 0.000 | 0.000 |
| 602.474 | 602.474 | -1651.690 | -0.000 | 91.757 | 0.000 |
| 602.482 | 602.482 | -1651.713 | 0.000 | 0.000 | 100.748 |
| -152.673 | -314.527 | 1926.324 | -0.000 | -0.000 | -0.000 |
| -314.527 | -152.673 | 1926.324 | -0.000 | -0.000 | -0.000 |
| 275.134 | 275.134 | 550.862 | 0.000 | -0.000 | -0.000 |
| -602.474 | -602.474 | 1651.690 | 91.757 | -0.000 | -0.000 |
| -602.474 | -602.474 | 1651.690 | 0.000 | 91.757 | -0.000 |
| -602.482 | -602.482 | 1651.712 | -0.000 | 0.000 | 100.748 |
| 504.161 | 351.316 | 106.100 | 0.000 | 0.000 | 0.000 |
| 351.316 | 504.161 | 106.100 | 0.000 | 0.000 | 0.000 |
| 334.765 | 334.765 | 374.917 | -0.000 | -0.000 | 0.000 |
| 58.876 | 58.876 | -168.429 | 96.406 | -0.000 | 0.000 |
| 58.876 | 58.876 | -168.429 | 0.000 | 96.406 | 0.000 |
| 60.248 | 60.248 | -165.171 | 0.000 | 0.000 | 100.748 |
| 387.257 | 233.555 | 444.262 | 0.000 | -0.000 | -0.000 |
| 233.555 | 387.257 | 444.262 | -0.000 | 0.000 | -0.000 |
| 215.230 | 215.230 | 707.181 | 0.000 | -0.000 | -0.000 |
| -58.876 | -58.876 | 168.429 | 96.406 | 0.000 | -0.000 |
| -58.876 | -58.876 | 168.429 | 0.000 | 96.406 | -0.000 |
| -60.248 | -60.248 | 165.171 | -0.000 | -0.000 | 100.748 |
| 464.579 | 275.875 | 274.505 | -0.000 | 0.000 | 0.000 |
| 275.875 | 464.579 | 274.505 | 0.000 | 0.000 | 0.000 |
| 275.135 | 275.135 | 550.858 | -0.000 | -0.000 | 0.000 |
| 5.412 | 5.412 | -14.836 | 93.055 | 0.000 | 0.000 |
| 5.412 | 5.412 | -14.836 | -0.000 | 93.055 | 0.000 |
| 0.000 | 0.000 | -0.000 | 0.000 | 0.000 | 100.748 |
| 442.523 | 282.242 | 292.220 | -0.000 | -0.000 | -0.000 |
| 282.242 | 442.523 | 292.220 | 0.000 | -0.000 | -0.000 |
| 269.988 | 269.988 | 560.163 | -0.000 | -0.000 | -0.000 |
| -5.412 | -5.412 | 14.836 | 93.055 | -0.000 | -0.000 |
| -5.412 | -5.412 | 14.836 | 0.000 | 93.055 | -0.000 |
| -0.000 | -0.000 | 0.000 | -0.000 | -0.000 | 100.748 |
| 469.284 | 275.251 | 275.475 | 0.000 | -0.000 | -0.000 |
| 275.251 | 469.283 | 275.475 | 0.000 | -0.000 | -0.000 |
| 275.475 | 275.475 | 537.400 | 0.000 | -0.000 | -0.000 |
| -0.000 | -0.000 | 0.000 | 104.639 | 0.000 | -0.000 |
| 0.000 | -0.000 | 0.000 | 0.000 | 104.639 | -0.000 |
| 0.000 | -0.000 | 0.000 | 0.000 | -0.000 | 99.814 |
| 469.284 | 275.251 | 275.474 | -0.000 | 0.000 | 0.000 |
| 275.251 | 469.284 | 275.475 | -0.000 | -0.000 | 0.000 |
| 275.475 | 275.475 | 537.400 | -0.000 | -0.000 | 0.000 |
| 0.000 | 0.000 | -0.000 | 104.639 | -0.000 | 0.000 |
| -0.000 | 0.000 | -0.000 | -0.000 | 104.639 | 0.000 |
| -0.000 | 0.000 | -0.000 | -0.000 | -0.000 | 99.814 |
| 469.283 | 275.251 | 275.475 | 0.000 | -0.000 | -0.000 |
| 275.251 | 469.283 | 275.475 | 0.000 | -0.000 | -0.000 |
| 242.239 | 242.239 | 636.549 | 0.000 | 0.000 | -0.000 |
| -0.000 | 0.000 | 0.000 | 104.639 | 0.000 | -0.000 |
| 0.000 | -0.000 | 0.000 | 0.000 | 104.639 | -0.000 |
| 0.000 | 0.000 | -0.000 | 0.000 | -0.000 | 99.814 |
| 469.284 | 275.251 | 275.474 | -0.000 | 0.000 | 0.000 |
| 275.251 | 469.284 | 275.474 | -0.000 | 0.000 | 0.000 |
| 310.352 | 310.352 | 423.221 | -0.000 | 0.000 | 0.000 |
| 0.000 | -0.000 | -0.000 | 104.639 | 0.000 | 0.000 |
| -0.000 | 0.000 | -0.000 | -0.000 | 104.639 | 0.000 |
| -0.000 | -0.000 | 0.000 | -0.000 | 0.000 | 99.814 |
| 469.281 | 275.252 | 275.475 | 0.000 | -0.000 | -0.000 |
| 275.252 | 469.281 | 275.475 | 0.000 | -0.000 | 0.000 |
| 272.890 | 272.890 | 540.549 | 0.000 | 0.000 | 0.000 |
| -3.409 | -3.409 | 10.706 | 96.609 | -0.000 | -0.000 |
| -3.409 | -3.409 | 10.706 | 0.000 | 96.609 | -0.000 |
| 0.000 | 0.000 | -0.000 | 0.000 | -0.000 | 99.814 |
| 449.124 | 299.856 | 265.628 | -0.000 | 0.000 | 0.000 |
| 299.856 | 449.124 | 265.628 | -0.000 | 0.000 | 0.000 |
| 279.701 | 279.701 | 519.221 | -0.000 | -0.000 | 0.000 |
| 3.409 | 3.409 | -10.706 | 96.609 | 0.000 | 0.000 |
| 3.409 | 3.409 | -10.706 | -0.000 | 96.609 | 0.000 |
| -0.000 | -0.000 | 0.000 | -0.000 | 0.000 | 99.814 |
| 285.698 | 116.113 | 185.270 | 0.000 | -0.000 | 0.000 |
| 116.113 | 285.698 | 185.271 | 0.000 | 0.000 | -0.000 |
| 275.100 | 275.100 | 551.493 | 0.000 | 0.000 | -0.000 |
| -0.000 | -0.000 | -0.000 | 104.515 | -0.000 | -0.000 |
| 0.000 | 0.000 | -0.000 | -0.000 | 104.515 | -0.000 |
| 0.000 | 0.000 | -0.000 | -0.000 | 0.000 | 100.774 |
| 464.442 | 275.860 | 274.446 | -0.000 | -0.000 | 0.000 |
| 275.860 | 464.442 | 274.446 | 0.000 | -0.000 | 0.000 |
| 275.100 | 275.100 | 551.493 | -0.000 | -0.000 | -0.000 |
| 0.000 | -0.000 | 0.000 | 104.515 | -0.000 | 0.000 |
| -0.000 | -0.000 | 0.000 | 0.000 | 104.515 | 0.000 |
| -0.000 | -0.000 | 0.000 | -0.000 | -0.000 | 100.774 |
| 464.442 | 275.860 | 274.446 | 0.000 | -0.000 | -0.000 |
| 275.860 | 464.442 | 274.446 | 0.000 | -0.000 | -0.000 |
| 257.791 | 257.791 | 542.370 | 0.000 | 0.000 | -0.000 |
| -0.000 | 0.000 | 0.000 | 104.515 | 0.000 | 0.000 |
| 0.000 | -0.000 | 0.000 | -0.000 | 104.515 | -0.000 |
| 0.000 | 0.000 | -0.000 | -0.000 | 0.000 | 100.774 |
| 464.442 | 275.859 | 274.446 | -0.000 | 0.000 | -0.000 |
| 275.859 | 464.442 | 274.446 | -0.000 | -0.000 | -0.000 |
| 292.797 | 292.797 | 554.525 | -0.000 | -0.000 | 0.000 |
| 0.000 | -0.000 | -0.000 | 104.515 | -0.000 | 0.000 |
| -0.000 | 0.000 | 0.000 | 0.000 | 104.515 | 0.000 |
| -0.000 | -0.000 | 0.000 | 0.000 | -0.000 | 100.774 |
| 446.193 | 286.120 | 273.334 | -0.000 | -0.000 | -0.000 |
| 286.120 | 446.193 | 273.334 | 0.000 | -0.000 | -0.000 |
| 275.101 | 275.101 | 551.491 | 0.000 | 0.000 | -0.000 |
| -0.000 | 0.000 | 0.000 | 104.515 | 0.000 | -0.000 |
| 0.000 | -0.000 | 0.000 | 0.000 | 104.515 | -0.000 |
| 0.000 | 0.000 | -0.000 | 0.000 | 0.000 | 100.774 |
| 445.765 | 297.528 | 276.664 | 0.000 | 0.000 | -0.000 |
| 297.528 | 445.765 | 276.664 | -0.000 | 0.000 | -0.000 |
| 277.694 | 277.694 | 544.238 | 0.000 | 0.000 | 0.000 |
| 0.000 | -0.000 | -0.000 | 104.515 | -0.000 | 0.000 |
| -0.000 | 0.000 | -0.000 | -0.000 | 104.515 | 0.000 |
| -0.000 | -0.000 | 0.000 | -0.000 | -0.000 | 100.774 |
| 428.930 | 345.268 | 299.181 | -0.000 | 0.000 | 0.000 |
| 345.268 | 428.930 | 299.181 | -0.000 | 0.000 | 0.000 |
| 299.181 | 299.181 | 621.907 | -0.000 | 0.000 | 0.000 |
| 0.000 | 0.000 | -0.000 | 114.612 | -0.000 | 0.000 |
| 0.000 | 0.000 | 0.000 | -0.000 | 114.612 | 0.000 |
| 0.000 | 0.000 | 0.000 | -0.000 | 0.000 | 114.086 |
| 465.897 | 308.300 | 299.181 | 0.000 | -0.000 | -0.000 |
| 308.300 | 465.897 | 299.181 | 0.000 | -0.000 | -0.000 |
| 299.181 | 299.181 | 621.907 | 0.000 | -0.000 | 0.000 |
| -0.000 | -0.000 | 0.000 | 114.612 | -0.000 | -0.000 |
| 0.000 | -0.000 | -0.000 | 0.000 | 114.612 | -0.000 |
| -0.000 | -0.000 | -0.000 | 0.000 | -0.000 | 114.086 |
| 428.929 | 345.268 | 299.181 | -0.000 | 0.000 | 0.000 |
| 345.268 | 428.929 | 299.181 | -0.000 | 0.000 | 0.000 |
| 299.181 | 299.181 | 621.907 | -0.000 | 0.000 | 0.000 |
| 0.000 | 0.000 | 0.000 | 114.612 | -0.000 | 0.000 |
| 0.000 | 0.000 | 0.000 | -0.000 | 114.612 | 0.000 |
| 0.000 | 0.000 | 0.000 | -0.000 | 0.000 | 114.086 |
| 428.930 | 345.268 | 299.181 | 0.000 | -0.000 | -0.000 |
| 345.268 | 428.930 | 299.181 | 0.000 | -0.000 | -0.000 |
| 299.181 | 299.181 | 621.908 | 0.000 | -0.000 | -0.000 |
| -0.000 | -0.000 | -0.000 | 114.612 | 0.000 | -0.000 |
| -0.000 | -0.000 | -0.000 | 0.000 | 114.612 | -0.000 |
| -0.000 | -0.000 | -0.000 | 0.000 | -0.000 | 114.086 |
| 428.927 | 345.269 | 299.181 | -0.000 | -0.000 | 0.000 |
| 345.269 | 428.927 | 299.181 | -0.000 | 0.000 | 0.000 |
| 299.181 | 299.181 | 621.903 | -0.000 | 0.000 | 0.000 |
| 0.000 | 0.000 | 0.000 | 114.612 | 0.000 | 0.000 |
| 0.000 | 0.000 | 0.000 | -0.000 | 114.612 | 0.000 |
| 0.000 | 0.000 | 0.000 | -0.000 | 0.000 | 114.086 |
| 465.900 | 308.300 | 299.180 | 0.000 | 0.000 | -0.000 |
| 308.300 | 465.900 | 299.180 | 0.000 | 0.000 | -0.000 |
| 299.180 | 299.180 | 621.911 | 0.000 | 0.000 | -0.000 |
| -0.000 | -0.000 | -0.000 | 114.612 | -0.000 | 0.000 |
| -0.000 | -0.000 | -0.000 | 0.000 | 114.612 | -0.000 |
| -0.000 | -0.000 | -0.000 | 0.000 | -0.000 | 114.086 |
| 678.355 | 243.039 | 243.039 | -0.000 | 0.000 | 0.000 |
| 243.039 | 678.355 | 243.039 | 0.000 | -0.000 | 0.000 |
| 243.039 | 243.039 | 678.355 | -0.000 | 0.000 | -0.000 |
| -0.000 | 0.000 | -0.000 | 94.120 | 0.000 | -0.000 |
| 0.000 | 0.000 | -0.000 | 0.000 | 94.120 | 0.000 |
| 0.000 | 0.000 | -0.000 | 0.000 | -0.000 | 94.120 |
| 678.355 | 243.039 | 243.039 | 0.000 | 0.000 | 0.000 |
| 243.039 | 678.355 | 243.039 | -0.000 | -0.000 | -0.000 |
| 243.039 | 243.039 | 678.355 | -0.000 | -0.000 | 0.000 |
| 0.000 | -0.000 | 0.000 | 94.120 | -0.000 | 0.000 |
| -0.000 | -0.000 | 0.000 | -0.000 | 94.120 | -0.000 |
| -0.000 | -0.000 | 0.000 | -0.000 | -0.000 | 94.120 |
| 678.354 | 243.039 | 243.039 | -0.000 | -0.000 | -0.000 |
| 243.039 | 678.354 | 243.039 | -0.000 | -0.000 | 0.000 |
| 243.039 | 243.039 | 678.354 | 0.000 | 0.000 | 0.000 |
| -0.000 | -0.000 | -0.000 | 94.120 | 0.000 | 0.000 |
| -0.000 | -0.000 | -0.000 | -0.000 | 94.120 | 0.000 |
| -0.000 | -0.000 | -0.000 | 0.000 | 0.000 | 94.120 |
| 678.355 | 243.039 | 243.039 | 0.000 | -0.000 | 0.000 |
| 243.039 | 678.355 | 243.039 | -0.000 | -0.000 | 0.000 |
| 243.039 | 243.039 | 678.355 | -0.000 | -0.000 | 0.000 |
| 0.000 | 0.000 | 0.000 | 94.120 | -0.000 | -0.000 |
| 0.000 | 0.000 | 0.000 | -0.000 | 94.120 | -0.000 |
| 0.000 | 0.000 | 0.000 | -0.000 | -0.000 | 94.120 |
| 678.351 | 243.039 | 243.039 | -0.000 | 0.000 | -0.000 |
| 243.039 | 678.351 | 243.039 | 0.000 | 0.000 | -0.000 |
| 243.039 | 243.039 | 678.351 | 0.000 | 0.000 | 0.000 |
| -0.000 | -0.000 | -0.000 | 94.120 | 0.000 | -0.000 |
| -0.000 | -0.000 | -0.000 | 0.000 | 94.120 | 0.000 |
| -0.000 | -0.000 | -0.000 | 0.000 | 0.000 | 94.120 |
| 678.359 | 243.039 | 243.039 | -0.000 | -0.000 | 0.000 |
| 243.039 | 678.359 | 243.039 | -0.000 | -0.000 | -0.000 |
| 243.039 | 243.039 | 678.359 | -0.000 | -0.000 | 0.000 |
| 0.000 | 0.000 | 0.000 | 94.120 | -0.000 | -0.000 |
| 0.000 | 0.000 | 0.000 | 0.000 | 94.120 | -0.000 |
| 0.000 | 0.000 | 0.000 | -0.000 | -0.000 | 94.120 |
| 137.504 | 112.709 | 112.709 | -0.000 | 0.000 | 0.000 |
| 112.709 | 137.504 | 112.709 | -0.000 | -0.000 | -0.000 |
| 112.709 | 112.709 | 137.504 | -0.000 | 0.000 | -0.000 |
| -0.000 | -0.000 | -0.000 | 112.574 | 0.000 | -0.000 |
| -0.000 | -0.000 | -0.000 | -0.000 | 112.574 | 0.000 |
| -0.000 | -0.000 | -0.000 | -0.000 | -0.000 | 112.574 |
| 137.504 | 112.709 | 112.709 | 0.000 | 0.000 | -0.000 |
| 112.709 | 137.504 | 112.709 | 0.000 | -0.000 | 0.000 |
| 112.709 | 112.709 | 137.504 | 0.000 | -0.000 | 0.000 |
| 0.000 | 0.000 | 0.000 | 112.574 | -0.000 | 0.000 |
| 0.000 | 0.000 | 0.000 | 0.000 | 112.574 | 0.000 |
| 0.000 | 0.000 | 0.000 | 0.000 | 0.000 | 112.574 |
| 137.504 | 112.709 | 112.709 | -0.000 | 0.000 | -0.000 |
| 112.709 | 137.504 | 112.709 | -0.000 | 0.000 | -0.000 |
| 112.709 | 112.709 | 137.504 | -0.000 | 0.000 | -0.000 |
| -0.000 | -0.000 | -0.000 | 112.574 | 0.000 | 0.000 |
| -0.000 | -0.000 | -0.000 | -0.000 | 112.574 | -0.000 |
| -0.000 | -0.000 | -0.000 | -0.000 | 0.000 | 112.574 |
| 137.504 | 112.709 | 112.709 | 0.000 | 0.000 | 0.000 |
| 112.709 | 137.504 | 112.709 | 0.000 | -0.000 | 0.000 |
| 112.709 | 112.709 | 137.504 | 0.000 | -0.000 | -0.000 |
| 0.000 | 0.000 | 0.000 | 112.574 | 0.000 | 0.000 |
| 0.000 | 0.000 | 0.000 | 0.000 | 112.574 | 0.000 |
| 0.000 | 0.000 | 0.000 | 0.000 | 0.000 | 112.574 |
| 137.503 | 112.709 | 112.709 | -0.000 | -0.000 | -0.000 |
| 112.709 | 137.503 | 112.709 | -0.000 | 0.000 | -0.000 |
| 112.709 | 112.709 | 137.503 | -0.000 | 0.000 | -0.000 |
| -0.000 | -0.001 | -0.000 | 112.574 | 0.000 | 0.000 |
| -0.001 | -0.000 | -0.000 | -0.000 | 112.574 | -0.000 |
| -0.001 | -0.000 | -0.000 | -0.000 | -0.000 | 112.574 |
| 137.505 | 112.710 | 112.710 | 0.000 | 0.000 | 0.000 |
| 112.710 | 137.505 | 112.710 | 0.000 | -0.000 | -0.000 |
| 112.710 | 112.710 | 137.505 | 0.000 | 0.000 | -0.000 |
| 0.000 | 0.001 | 0.000 | 112.574 | 0.000 | 0.000 |
| 0.001 | 0.000 | 0.000 | 0.000 | 112.574 | 0.000 |
| 0.001 | 0.000 | 0.000 | 0.000 | -0.000 | 112.574 |
| 115.931 | 30.620 | 30.620 | -0.000 | -0.000 | 0.000 |
| 30.620 | 115.931 | 30.620 | -0.000 | -0.000 | -0.000 |
| 30.620 | 30.620 | 115.931 | 0.000 | 0.000 | -0.000 |
| 0.000 | 0.000 | 0.000 | 30.550 | -0.000 | -0.000 |
| 0.000 | 0.000 | 0.000 | 0.000 | 30.550 | -0.000 |
| 0.000 | 0.000 | 0.000 | 0.000 | 0.000 | 30.550 |
| 115.931 | 30.620 | 30.620 | -0.000 | -0.000 | 0.000 |
| 30.620 | 115.931 | 30.620 | 0.000 | -0.000 | 0.000 |
| 30.620 | 30.620 | 115.931 | 0.000 | 0.000 | 0.000 |
| -0.000 | -0.000 | -0.000 | 30.550 | -0.000 | 0.000 |
| -0.000 | -0.000 | -0.000 | -0.000 | 30.550 | 0.000 |
| -0.000 | -0.000 | -0.000 | -0.000 | -0.000 | 30.550 |
| 115.931 | 30.620 | 30.620 | 0.000 | 0.000 | -0.000 |
| 30.620 | 115.931 | 30.620 | 0.000 | -0.000 | -0.000 |
| 30.620 | 30.620 | 115.931 | 0.000 | -0.000 | -0.000 |
| -0.000 | 0.000 | 0.000 | 30.550 | 0.000 | -0.000 |
| 0.000 | -0.000 | 0.000 | 0.000 | 30.550 | -0.000 |
| 0.000 | 0.000 | -0.000 | -0.000 | 0.000 | 30.550 |
| 115.931 | 30.620 | 30.620 | -0.000 | 0.000 | 0.000 |
| 30.620 | 115.931 | 30.620 | 0.000 | -0.000 | 0.000 |
| 30.620 | 30.620 | 115.931 | -0.000 | 0.000 | 0.000 |
| 0.000 | -0.000 | -0.000 | 30.550 | -0.000 | -0.000 |
| -0.000 | 0.000 | -0.000 | -0.000 | 30.550 | 0.000 |
| -0.000 | -0.000 | 0.000 | -0.000 | -0.000 | 30.550 |
| 115.931 | 30.620 | 30.620 | -0.000 | 0.000 | -0.000 |
| 30.620 | 115.931 | 30.620 | -0.000 | -0.000 | -0.000 |
| 30.620 | 30.620 | 115.931 | 0.000 | 0.000 | -0.000 |
| -0.000 | 0.000 | 0.000 | 30.550 | 0.000 | -0.000 |
| 0.000 | -0.000 | 0.000 | 0.000 | 30.550 | -0.000 |
| 0.000 | 0.000 | -0.000 | -0.000 | 0.000 | 30.550 |
| 115.931 | 30.620 | 30.620 | 0.000 | -0.000 | 0.000 |
| 30.620 | 115.931 | 30.620 | -0.000 | 0.000 | 0.000 |
| 30.620 | 30.620 | 115.931 | 0.000 | 0.000 | 0.000 |
| 0.000 | -0.000 | -0.000 | 30.550 | -0.000 | 0.000 |
| -0.000 | 0.000 | -0.000 | -0.000 | 30.550 | 0.000 |
| -0.000 | -0.000 | 0.000 | -0.000 | -0.000 | 30.550 |
| 624.980 | 281.057 | 281.057 | 0.000 | -0.000 | 0.000 |
| 281.057 | 624.980 | 281.057 | 0.000 | -0.000 | -0.000 |
| 281.057 | 281.057 | 624.980 | 0.000 | -0.000 | 0.000 |
| 0.000 | 0.000 | 0.000 | -108.286 | -0.000 | 0.000 |
| 0.000 | 0.000 | -0.000 | 0.000 | -108.286 | -0.000 |
| 0.000 | 0.000 | 0.000 | -0.000 | -0.000 | -108.286 |
| 631.701 | 277.697 | 277.697 | -0.000 | 0.000 | -0.000 |
| 277.697 | 631.701 | 277.697 | -0.000 | 0.000 | -0.000 |
| 277.697 | 277.697 | 631.701 | -0.000 | 0.000 | -0.000 |
| -0.000 | -0.000 | -0.000 | -108.286 | -0.000 | -0.000 |
| -0.000 | -0.000 | -0.000 | -0.000 | -108.286 | -0.000 |
| -0.000 | -0.000 | 0.000 | 0.000 | 0.000 | -108.286 |
| 624.981 | 281.057 | 281.057 | -0.000 | -0.000 | -0.000 |
| 281.057 | 624.981 | 281.057 | 0.000 | -0.000 | -0.000 |
| 281.057 | 281.057 | 624.981 | -0.000 | -0.000 | 0.000 |
| 0.000 | 0.000 | 0.000 | 65.731 | -0.000 | 0.000 |
| 0.000 | 0.000 | 0.000 | -0.000 | 65.731 | 0.000 |
| 0.000 | 0.000 | 0.000 | 0.000 | -0.000 | 65.731 |
| 631.699 | 277.696 | 277.696 | 0.000 | 0.000 | -0.000 |
| 277.696 | 631.699 | 277.696 | -0.000 | -0.000 | 0.000 |
| 277.696 | 277.696 | 631.699 | -0.000 | 0.000 | 0.000 |
| -0.000 | -0.000 | -0.000 | 65.731 | 0.000 | 0.000 |
| -0.000 | -0.000 | -0.000 | 0.000 | 65.731 | -0.000 |
| -0.000 | -0.000 | -0.000 | -0.000 | 0.000 | 65.731 |
| 624.993 | 281.059 | 281.059 | 0.000 | -0.000 | 0.000 |
| 281.059 | 624.993 | 281.059 | 0.000 | -0.000 | 0.000 |
| 281.059 | 281.059 | 624.993 | 0.000 | -0.000 | 0.000 |
| 0.003 | 0.003 | 0.003 | -108.286 | -0.000 | -0.000 |
| 0.003 | 0.003 | 0.003 | 0.000 | -108.286 | 0.000 |
| 0.003 | 0.003 | 0.003 | -0.000 | -0.000 | -108.286 |
| 624.966 | 281.055 | 281.055 | 0.000 | 0.000 | 0.000 |
| 281.055 | 624.966 | 281.055 | 0.000 | 0.000 | -0.000 |
| 281.055 | 281.055 | 624.966 | -0.000 | -0.000 | -0.000 |
| -0.003 | -0.003 | -0.003 | -108.286 | 0.000 | -0.000 |
| -0.003 | -0.003 | -0.003 | 0.000 | -108.286 | -0.000 |
| -0.003 | -0.003 | -0.003 | -0.000 | 0.000 | -108.286 |
| -521618978.360 | -460858306.386 | -453498455.295 | 3923661.435 | -795065.575 | -4781944.640 |
| -471292921.133 | -530466882.405 | -461191751.118 | 469478.095 | 3196879.541 | 1243240.870 |
| -458552746.503 | -460200573.097 | -521511915.478 | 7296088.076 | -4990689.761 | -2055855.245 |
| 0.000 | 0.000 | 0.000 | 60.731 | -0.000 | 0.000 |
| 0.000 | 0.000 | 0.000 | -0.000 | 60.731 | 0.000 |
| 0.000 | 0.000 | 0.000 | -0.000 | -0.000 | 60.731 |
| 442973976.469 | 512293086.174 | 489092466.585 | -800558.936 | -1209534.979 | 169223.993 |
| 489874488.023 | 451269023.503 | 505724864.995 | -5545735.082 | -3361135.140 | -1492618.777 |
| 506703553.693 | 502695004.814 | 450466940.975 | -3485527.304 | -4831949.140 | 2122364.196 |
| -0.000 | -0.000 | -0.000 | 60.731 | 0.000 | -0.000 |
| -0.000 | -0.000 | -0.000 | 0.000 | 60.731 | -0.000 |
| -0.000 | -0.000 | -0.000 | 0.000 | 0.000 | 60.731 |
| -53060269.230 | -45892479.367 | -45536044.877 | -336428.621 | 62487.919 | -228291.091 |
| -46040319.423 | -53211573.781 | -46978468.602 | -118803.058 | -506094.620 | 316749.489 |
| -46302730.232 | -45800296.190 | -52808740.814 | -78611.358 | -163993.076 | -324082.548 |
| 0.000 | 0.000 | 0.000 | 60.731 | -0.000 | 0.000 |
| 0.000 | 0.000 | 0.000 | -0.000 | 60.731 | 0.000 |
| 0.000 | 0.000 | 0.000 | 0.000 | -0.000 | 60.731 |
| 44401282.512 | 51741734.054 | 50134424.403 | 315001.726 | -154710.378 | 344462.901 |
| 49468063.093 | 44311388.839 | 50255718.277 | -45906.534 | -227708.581 | 170767.895 |
| 49831971.029 | 48457868.128 | 44441644.982 | 191384.562 | 194948.107 | 105031.727 |
| -0.000 | -0.000 | -0.000 | 60.731 | 0.000 | -0.000 |
| -0.000 | -0.000 | -0.000 | 0.000 | 60.731 | -0.000 |
| -0.000 | -0.000 | -0.000 | -0.000 | 0.000 | 60.731 |
| -5405767.719 | -4602795.802 | -4648001.226 | 14814.047 | -10718.918 | 40484.043 |
| -4665720.789 | -5389049.703 | -4783971.281 | 11422.438 | -7945.977 | -2606.997 |
| -4512414.114 | -4567965.780 | -5229104.024 | -4728.872 | -2760.255 | 20528.335 |
| 0.000 | 0.001 | 0.001 | 66.343 | -0.000 | 0.000 |
| 0.001 | 0.000 | 0.001 | 0.000 | 66.343 | 0.000 |
| 0.001 | 0.001 | 0.000 | -0.000 | 0.000 | 66.343 |
| 4632432.812 | 5159180.222 | 5044346.469 | -14199.647 | -34265.924 | -13296.447 |
| 4990314.731 | 4406610.090 | 5059609.934 | -21156.338 | 23806.462 | -30877.339 |
| 5035229.318 | 5010373.112 | 4511595.509 | 33615.061 | 36355.374 | 8525.198 |
| -0.000 | -0.001 | -0.001 | 66.343 | 0.000 | -0.000 |
| -0.001 | -0.000 | -0.001 | 0.000 | 66.343 | -0.000 |
| -0.001 | -0.001 | -0.000 | 0.000 | 0.000 | 66.343 |
| 6.374 | 10.904 | 10.904 | -0.000 | 0.000 | -0.000 |
| 10.904 | 6.374 | 10.904 | 0.000 | 0.000 | 0.000 |
| 10.904 | 10.904 | 6.374 | 0.000 | 0.000 | 0.000 |
| -0.000 | -0.000 | -0.000 | 0.339 | -0.000 | -0.000 |
| -0.000 | -0.000 | -0.000 | 0.000 | 0.339 | -0.000 |
| -0.000 | -0.000 | -0.000 | 0.000 | -0.000 | 0.339 |
| 6.374 | 10.904 | 10.904 | -0.000 | -0.000 | 0.000 |
| 10.904 | 6.374 | 10.904 | 0.000 | -0.000 | -0.000 |
| 10.904 | 10.904 | 6.374 | -0.000 | 0.000 | 0.000 |
| 0.000 | 0.000 | 0.000 | 0.339 | 0.000 | -0.000 |
| 0.000 | 0.000 | 0.000 | -0.000 | 0.339 | 0.000 |
| 0.000 | 0.000 | 0.000 | -0.000 | 0.000 | 0.339 |
| 6.374 | 10.904 | 10.904 | 0.000 | 0.000 | -0.000 |
| 10.904 | 6.374 | 10.904 | 0.000 | 0.000 | -0.000 |
| 10.904 | 10.904 | 6.374 | 0.000 | 0.000 | 0.000 |
| -0.000 | -0.000 | -0.000 | 0.339 | -0.000 | -0.000 |
| -0.000 | -0.000 | -0.000 | 0.000 | 0.339 | -0.000 |
| -0.000 | -0.000 | -0.000 | -0.000 | -0.000 | 0.339 |
| 6562828.739 | 6082859.233 | 6466276.609 | -16334.889 | 48182.108 | -153541.995 |
| 6129273.460 | 6318811.056 | 5826630.212 | 18581.319 | 19083.813 | -135740.802 |
| 5687020.606 | 6081158.072 | 6265531.223 | 35978.200 | -18356.366 | 45861.704 |
| 0.000 | 0.000 | 0.000 | 0.339 | 0.000 | 0.000 |
| 0.000 | 0.000 | 0.000 | -0.000 | 0.339 | 0.000 |
| 0.000 | 0.000 | 0.000 | -0.000 | 0.000 | 0.339 |
| -458221.254 | -589095.678 | -584496.980 | 4276.360 | 1475.477 | 7312.463 |
| -619022.905 | -466296.570 | -615724.474 | 16875.347 | 2692.237 | 1328.555 |
| -610567.920 | -581720.044 | -457430.822 | -7825.351 | 13360.606 | -4796.943 |
| -0.000 | -0.000 | -0.000 | 0.339 | -0.000 | 0.000 |
| -0.000 | -0.000 | -0.000 | 0.000 | 0.339 | -0.000 |
| -0.000 | -0.000 | -0.000 | 0.000 | -0.000 | 0.339 |
| 616510.617 | 604199.157 | 601789.745 | -1334.636 | 1464.598 | 13498.864 |
| 607707.426 | 622752.652 | 554820.491 | -730.847 | 3091.965 | 5024.620 |
| 584957.305 | 612611.297 | 614711.864 | -6798.670 | 1433.059 | 121.953 |
| 0.000 | 0.000 | 0.000 | 0.339 | 0.000 | 0.000 |
| 0.000 | 0.000 | 0.000 | 0.000 | 0.339 | 0.000 |
| 0.000 | 0.000 | 0.000 | -0.000 | 0.000 | 0.339 |
| 562.354 | 626.683 | 626.683 | -0.000 | -0.000 | -0.000 |
| 626.683 | 562.354 | 626.683 | 0.000 | -0.000 | -0.000 |
| 626.683 | 626.683 | 562.354 | 0.000 | -0.000 | -0.000 |
| 0.000 | 0.000 | 0.000 | 338.744 | -0.000 | -0.000 |
| 0.000 | 0.000 | 0.000 | 0.000 | 338.744 | -0.000 |
| 0.000 | 0.000 | 0.000 | -0.000 | -0.000 | 338.744 |
| 562.353 | 626.683 | 626.683 | -0.000 | 0.000 | 0.000 |
| 626.683 | 562.353 | 626.683 | 0.000 | -0.000 | 0.000 |
| 626.683 | 626.683 | 562.353 | -0.000 | 0.000 | 0.000 |
| -0.000 | -0.000 | -0.000 | 338.744 | 0.000 | 0.000 |
| -0.000 | -0.000 | -0.000 | -0.000 | 338.744 | 0.000 |
| -0.000 | -0.000 | -0.000 | 0.000 | 0.000 | 338.744 |
| 562.355 | 626.683 | 626.683 | -0.000 | -0.000 | -0.000 |
| 626.683 | 562.355 | 626.683 | -0.000 | -0.000 | -0.000 |
| 626.683 | 626.683 | 562.355 | 0.000 | -0.000 | -0.000 |
| 0.000 | 0.000 | 0.000 | 338.744 | -0.000 | 0.000 |
| 0.000 | 0.000 | 0.000 | -0.000 | 338.744 | -0.000 |
| 0.000 | 0.000 | 0.000 | -0.000 | -0.000 | 338.744 |
| 562.352 | 626.682 | 626.682 | -0.000 | 0.000 | 0.000 |
| 626.682 | 562.352 | 626.682 | 0.000 | 0.000 | 0.000 |
| 626.682 | 626.682 | 562.352 | -0.000 | 0.000 | 0.000 |
| -0.000 | -0.000 | -0.000 | 338.744 | 0.000 | 0.000 |
| -0.000 | -0.000 | -0.000 | 0.000 | 338.744 | 0.000 |
| -0.000 | -0.000 | -0.000 | 0.000 | 0.000 | 338.744 |
| 562.367 | 626.688 | 626.688 | 0.000 | -0.000 | -0.000 |
| 626.688 | 562.367 | 626.688 | -0.000 | -0.000 | -0.000 |
| 626.688 | 626.688 | 562.367 | -0.000 | -0.000 | -0.000 |
| 0.001 | 0.003 | 0.003 | 338.744 | -0.000 | -0.000 |
| 0.003 | 0.001 | 0.003 | -0.000 | 338.744 | -0.000 |
| 0.003 | 0.003 | 0.001 | -0.000 | -0.000 | 338.744 |
| 562.340 | 626.678 | 626.678 | -0.000 | -0.000 | -0.000 |
| 626.678 | 562.340 | 626.678 | -0.000 | 0.000 | 0.000 |
| 626.678 | 626.678 | 562.340 | -0.000 | 0.000 | 0.000 |
| -0.001 | -0.003 | -0.003 | 338.744 | -0.000 | 0.000 |
| -0.003 | -0.001 | -0.003 | -0.000 | 338.744 | 0.000 |
| -0.003 | -0.003 | -0.001 | -0.000 | 0.000 | 338.744 |
| 184.820 | 64.126 | 64.126 | 0.000 | 0.000 | 0.000 |
| 64.126 | 184.820 | 64.126 | 0.000 | 0.000 | 0.000 |
| 64.126 | 64.126 | 184.820 | -0.000 | 0.000 | 0.000 |
| -0.000 | -0.000 | 0.000 | 64.126 | 0.000 | 0.000 |
| -0.000 | -0.000 | 0.000 | 0.000 | 64.126 | 0.000 |
| -0.000 | -0.000 | 0.000 | 0.000 | 0.000 | 64.126 |
| 184.820 | 64.126 | 64.126 | -0.000 | -0.000 | 0.000 |
| 64.126 | 184.820 | 64.126 | 0.000 | -0.000 | 0.000 |
| 64.126 | 64.126 | 184.820 | 0.000 | -0.000 | -0.000 |
| 0.000 | 0.000 | 0.000 | 64.126 | -0.000 | -0.000 |
| 0.000 | 0.000 | -0.000 | -0.000 | 64.126 | 0.000 |
| 0.000 | -0.000 | -0.000 | -0.000 | -0.000 | 64.126 |
| 184.820 | 64.126 | 64.126 | 0.000 | 0.000 | 0.000 |
| 64.126 | 184.820 | 64.126 | 0.000 | 0.000 | -0.000 |
| 64.126 | 64.126 | 184.820 | -0.000 | 0.000 | 0.000 |
| -0.000 | -0.000 | -0.000 | 64.126 | 0.000 | 0.000 |
| -0.000 | -0.000 | -0.000 | 0.000 | 64.126 | 0.000 |
| -0.000 | -0.000 | -0.000 | 0.000 | 0.000 | 64.126 |
| 184.820 | 64.126 | 64.126 | -0.000 | -0.000 | -0.000 |
| 64.126 | 184.820 | 64.126 | -0.000 | -0.000 | -0.000 |
| 64.126 | 64.126 | 184.820 | -0.000 | -0.000 | -0.000 |
| 0.000 | 0.000 | 0.000 | 64.126 | -0.000 | -0.000 |
| 0.000 | 0.000 | 0.000 | -0.000 | 64.126 | -0.000 |
| 0.000 | 0.000 | 0.000 | 0.000 | -0.000 | 64.126 |
| 184.819 | 64.126 | 64.126 | 0.000 | 0.000 | 0.000 |
| 64.126 | 184.819 | 64.126 | 0.000 | 0.000 | 0.000 |
| 64.126 | 64.126 | 184.819 | 0.000 | 0.000 | 0.000 |
| -0.000 | -0.000 | -0.000 | 64.126 | 0.000 | -0.000 |
| -0.000 | -0.000 | -0.000 | 0.000 | 64.126 | -0.000 |
| -0.000 | -0.000 | -0.000 | -0.000 | 0.000 | 64.126 |
| 184.820 | 64.126 | 64.126 | -0.000 | 0.000 | -0.000 |
| 64.126 | 184.820 | 64.126 | 0.000 | -0.000 | 0.000 |
| 64.126 | 64.126 | 184.820 | -0.000 | -0.000 | -0.000 |
| 0.000 | 0.000 | 0.000 | 64.126 | -0.000 | -0.000 |
| 0.000 | 0.000 | 0.000 | -0.000 | 64.126 | -0.000 |
| 0.000 | 0.000 | 0.000 | -0.000 | -0.000 | 64.126 |
| 622.838 | 316.179 | 387.159 | 0.000 | -0.000 | -0.000 |
| 316.179 | 622.838 | 387.159 | 0.000 | 0.000 | 0.000 |
| 387.159 | 387.159 | 535.767 | 0.000 | -0.000 | 0.000 |
| -0.000 | 0.000 | 0.000 | 206.073 | 0.000 | 0.000 |
| -0.000 | 0.000 | 0.000 | 0.000 | 206.073 | 0.000 |
| -0.000 | 0.000 | 0.000 | 0.000 | -0.000 | 153.330 |
| 622.652 | 316.365 | 387.159 | -0.000 | 0.000 | -0.000 |
| 316.179 | 622.838 | 387.159 | -0.000 | 0.000 | -0.000 |
| 387.159 | 387.159 | 535.767 | -0.000 | 0.000 | -0.000 |
| 0.000 | -0.000 | -0.000 | 206.073 | -0.000 | -0.000 |
| 0.000 | -0.000 | -0.000 | 0.000 | 206.073 | -0.000 |
| 0.000 | -0.000 | 0.000 | -0.000 | -0.000 | 153.330 |
| 622.652 | 316.365 | 387.159 | 0.000 | 0.000 | 0.000 |
| 316.179 | 622.838 | 387.159 | -0.000 | -0.000 | 0.000 |
| 387.159 | 387.159 | 535.769 | 0.000 | -0.000 | -0.000 |
| -0.000 | -0.000 | 0.000 | 206.073 | -0.000 | -0.000 |
| -0.000 | -0.000 | 0.000 | 0.000 | 206.073 | 0.000 |
| -0.000 | -0.000 | -0.000 | 0.000 | -0.000 | 153.330 |
| 622.838 | 316.179 | 387.159 | -0.000 | 0.000 | -0.000 |
| 316.365 | 622.652 | 387.159 | -0.000 | 0.000 | -0.000 |
| 387.159 | 387.159 | 535.765 | -0.000 | 0.000 | -0.000 |
| 0.000 | 0.000 | -0.000 | 206.073 | 0.000 | -0.000 |
| 0.000 | 0.000 | -0.000 | 0.000 | 206.073 | -0.000 |
| 0.000 | 0.000 | 0.000 | 0.000 | 0.000 | 153.330 |
| 622.650 | 316.365 | 387.159 | 0.000 | -0.000 | 0.000 |
| 316.365 | 622.649 | 387.159 | 0.000 | -0.000 | 0.000 |
| 387.161 | 387.161 | 535.786 | -0.000 | 0.000 | 0.000 |
| -0.000 | -0.000 | 0.001 | 206.073 | -0.000 | 0.000 |
| -0.000 | -0.000 | 0.001 | 0.000 | 206.073 | 0.000 |
| -0.001 | -0.000 | -0.000 | -0.000 | 0.000 | 153.330 |
| 622.841 | 316.180 | 387.158 | -0.000 | 0.000 | -0.000 |
| 316.179 | 622.841 | 387.158 | -0.000 | 0.000 | -0.000 |
| 387.157 | 387.157 | 535.748 | -0.000 | 0.000 | -0.000 |
| 0.000 | 0.000 | -0.001 | 206.073 | 0.000 | -0.000 |
| 0.000 | 0.000 | -0.001 | -0.000 | 206.073 | 0.000 |
| 0.001 | 0.000 | 0.000 | -0.000 | 0.000 | 153.330 |
| 102.982 | 35.498 | 38.690 | -0.000 | -0.000 | 0.000 |
| 34.655 | 103.825 | 38.690 | -0.000 | -0.000 | 0.000 |
| 38.690 | 38.690 | 99.790 | -0.000 | -0.000 | 0.000 |
| -0.000 | -0.000 | 0.000 | 38.620 | -0.000 | -0.000 |
| -0.000 | -0.000 | 0.000 | -0.000 | 38.620 | 0.000 |
| -0.000 | 0.000 | -0.000 | -0.000 | -0.000 | 33.742 |
| 102.982 | 35.498 | 38.690 | 0.000 | 0.000 | -0.000 |
| 34.655 | 103.825 | 38.690 | -0.000 | 0.000 | -0.000 |
| 38.690 | 38.690 | 99.790 | 0.000 | 0.000 | -0.000 |
| 0.000 | 0.000 | -0.000 | 38.620 | 0.000 | -0.000 |
| 0.000 | 0.000 | -0.000 | 0.000 | 38.620 | -0.000 |
| 0.000 | -0.000 | 0.000 | 0.000 | 0.000 | 33.742 |
| 102.982 | 35.498 | 38.690 | -0.000 | -0.000 | 0.000 |
| 34.655 | 103.825 | 38.690 | -0.000 | -0.000 | 0.000 |
| 38.690 | 38.690 | 99.790 | -0.000 | -0.000 | 0.000 |
| -0.000 | -0.000 | -0.000 | 38.620 | -0.000 | 0.000 |
| -0.000 | -0.000 | -0.000 | -0.000 | 38.620 | -0.000 |
| -0.000 | 0.000 | -0.000 | -0.000 | -0.000 | 34.585 |
| 102.982 | 35.498 | 38.690 | 0.000 | 0.000 | 0.000 |
| 35.498 | 102.982 | 38.690 | 0.000 | 0.000 | -0.000 |
| 38.690 | 38.690 | 99.790 | 0.000 | -0.000 | 0.000 |
| 0.000 | 0.000 | 0.000 | 38.620 | 0.000 | -0.000 |
| 0.000 | 0.000 | 0.000 | 0.000 | 38.620 | -0.000 |
| 0.000 | -0.000 | 0.000 | 0.000 | 0.000 | 34.585 |
| 102.982 | 35.498 | 38.690 | -0.000 | -0.000 | 0.000 |
| 35.498 | 102.982 | 38.690 | 0.000 | -0.000 | -0.000 |
| 38.690 | 38.690 | 99.790 | -0.000 | 0.000 | 0.000 |
| -0.000 | -0.000 | -0.000 | 38.620 | -0.000 | -0.000 |
| -0.000 | -0.000 | -0.000 | -0.000 | 38.620 | 0.000 |
| -0.000 | 0.000 | -0.000 | -0.000 | -0.000 | 33.742 |
| 102.982 | 35.498 | 38.690 | 0.000 | -0.000 | 0.000 |
| 35.498 | 102.982 | 38.690 | 0.000 | 0.000 | 0.000 |
| 38.690 | 38.690 | 99.790 | 0.000 | 0.000 | -0.000 |
| 0.000 | 0.000 | 0.000 | 38.620 | 0.000 | -0.000 |
| 0.000 | 0.000 | 0.000 | 0.000 | 38.620 | -0.000 |
| 0.000 | -0.000 | 0.000 | 0.000 | 0.000 | 33.742 |
| 712.759 | 354.502 | 502.338 | 0.000 | 0.000 | -0.000 |
| 357.910 | 709.351 | 502.338 | 0.000 | 0.000 | -0.000 |
| 502.338 | 502.338 | 1233.857 | 0.000 | 0.000 | -0.000 |
| -0.000 | -0.000 | 0.000 | 305.672 | 0.000 | 0.000 |
| -0.000 | 0.000 | 0.000 | -0.000 | 305.672 | -0.000 |
| -0.000 | 0.000 | -0.000 | -0.000 | 0.000 | 175.720 |
| 709.351 | 357.910 | 502.338 | -0.000 | -0.000 | -0.000 |
| 357.910 | 709.351 | 502.338 | -0.000 | -0.000 | 0.000 |
| 502.338 | 502.338 | 1233.857 | 0.000 | -0.000 | 0.000 |
| 0.000 | 0.000 | -0.000 | 305.672 | -0.000 | -0.000 |
| 0.000 | -0.000 | -0.000 | -0.000 | 305.672 | 0.000 |
| 0.000 | -0.000 | 0.000 | 0.000 | -0.000 | 175.720 |
| 712.759 | 354.502 | 502.338 | 0.000 | 0.000 | 0.000 |
| 357.910 | 709.351 | 502.338 | 0.000 | 0.000 | -0.000 |
| 502.338 | 502.338 | 1233.858 | 0.000 | 0.000 | 0.000 |
| -0.000 | -0.000 | 0.000 | 305.672 | 0.000 | -0.000 |
| -0.000 | -0.000 | 0.000 | -0.000 | 305.672 | 0.000 |
| -0.000 | -0.000 | -0.000 | -0.000 | 0.000 | 179.129 |
| 709.351 | 357.910 | 502.338 | -0.000 | -0.000 | 0.000 |
| 354.502 | 712.760 | 502.338 | 0.000 | -0.000 | -0.000 |
| 502.338 | 502.338 | 1233.856 | 0.000 | -0.000 | -0.000 |
| 0.000 | 0.000 | -0.000 | 305.672 | -0.000 | 0.000 |
| 0.000 | 0.000 | -0.000 | 0.000 | 305.672 | 0.000 |
| 0.000 | 0.000 | 0.000 | 0.000 | -0.000 | 179.129 |
| 709.348 | 357.910 | 502.338 | 0.000 | 0.000 | -0.000 |
| 354.502 | 712.756 | 502.338 | 0.000 | 0.000 | -0.000 |
| 502.339 | 502.339 | 1233.869 | -0.000 | 0.000 | -0.000 |
| -0.000 | -0.001 | 0.001 | 305.672 | 0.000 | -0.000 |
| -0.001 | -0.000 | 0.001 | -0.000 | 305.672 | -0.000 |
| -0.001 | -0.000 | -0.000 | 0.000 | 0.000 | 179.129 |
| 709.353 | 357.911 | 502.338 | -0.000 | -0.000 | 0.000 |
| 357.910 | 709.354 | 502.338 | -0.000 | -0.000 | 0.000 |
| 502.337 | 502.337 | 1233.846 | 0.000 | -0.000 | 0.000 |
| 0.000 | 0.001 | -0.001 | 305.672 | -0.000 | 0.000 |
| 0.001 | 0.000 | -0.001 | -0.000 | 305.672 | 0.000 |
| 0.001 | 0.000 | 0.000 | -0.000 | -0.000 | 179.129 |
| -363.501 | -5.084 | 345.062 | -0.000 | -0.000 | -0.000 |
| -5.084 | -363.501 | 345.062 | -0.000 | -0.000 | -0.000 |
| 345.061 | 345.061 | 415.066 | -0.000 | -0.000 | 0.000 |
| 0.000 | 0.000 | 0.000 | 221.390 | -0.000 | 0.000 |
| 0.000 | 0.000 | 0.000 | 0.000 | 221.390 | -0.000 |
| 0.000 | 0.000 | 0.000 | -0.000 | -0.000 | -179.209 |
| -363.501 | -5.084 | 345.062 | 0.000 | 0.000 | 0.000 |
| -5.084 | -363.501 | 345.062 | 0.000 | 0.000 | 0.000 |
| 345.061 | 345.061 | 415.066 | 0.000 | 0.000 | 0.000 |
| -0.000 | -0.000 | -0.000 | 221.390 | 0.000 | -0.000 |
| -0.000 | -0.000 | -0.000 | -0.000 | 221.390 | 0.000 |
| -0.000 | -0.000 | -0.000 | 0.000 | 0.000 | -179.209 |
| -319.874 | -48.711 | 345.062 | -0.000 | 0.000 | -0.000 |
| -5.084 | -363.501 | 345.062 | 0.000 | -0.000 | -0.000 |
| 345.062 | 345.062 | 415.067 | -0.000 | -0.000 | 0.000 |
| 0.000 | 0.000 | 0.000 | 221.390 | -0.000 | -0.000 |
| 0.000 | 0.000 | 0.000 | -0.000 | 221.390 | -0.000 |
| 0.000 | 0.000 | 0.000 | -0.000 | 0.000 | -179.209 |
| -319.875 | -48.711 | 345.062 | 0.000 | 0.000 | 0.000 |
| -48.711 | -319.875 | 345.062 | 0.000 | -0.000 | -0.000 |
| 345.061 | 345.061 | 415.065 | -0.000 | 0.000 | -0.000 |
| -0.000 | -0.000 | -0.000 | 221.390 | -0.000 | 0.000 |
| -0.000 | -0.000 | -0.000 | -0.000 | 221.390 | 0.000 |
| -0.000 | -0.000 | -0.000 | 0.000 | 0.000 | -179.209 |
| -363.494 | -5.084 | 345.064 | -0.000 | -0.000 | -0.000 |
| -5.081 | -363.497 | 345.064 | -0.000 | 0.000 | -0.000 |
| 345.063 | 345.063 | 415.075 | -0.000 | -0.000 | -0.000 |
| 0.001 | 0.001 | 0.001 | 221.390 | 0.000 | -0.000 |
| 0.001 | 0.001 | 0.001 | -0.000 | 221.390 | 0.000 |
| 0.001 | 0.001 | 0.000 | -0.000 | -0.000 | -179.209 |
| -363.509 | -5.084 | 345.060 | 0.000 | -0.000 | 0.000 |
| -5.087 | -363.505 | 345.060 | 0.000 | -0.000 | 0.000 |
| 345.060 | 345.060 | 415.058 | -0.000 | 0.000 | 0.000 |
| -0.001 | -0.001 | -0.001 | 221.390 | -0.000 | 0.000 |
| -0.001 | -0.001 | -0.001 | 0.000 | 221.390 | 0.000 |
| -0.001 | -0.001 | -0.000 | 0.000 | 0.000 | -179.209 |
| 62.566 | 20.879 | -10.853 | 0.000 | -0.000 | -0.000 |
| 20.879 | 62.566 | -10.853 | -0.000 | -0.000 | 0.000 |
| -10.853 | -10.853 | -85.232 | 0.000 | -0.000 | -0.000 |
| 0.000 | -0.000 | -0.000 | -10.837 | 0.000 | 0.000 |
| 0.000 | 0.000 | -0.000 | -0.000 | -10.837 | 0.000 |
| -0.000 | -0.000 | -0.000 | -0.000 | 0.000 | 20.229 |
| 59.753 | 23.691 | -10.853 | 0.000 | 0.000 | -0.000 |
| 20.879 | 62.566 | -10.853 | 0.000 | 0.000 | 0.000 |
| -10.853 | -10.853 | -85.232 | 0.000 | -0.000 | -0.000 |
| 0.000 | -0.000 | 0.000 | -10.837 | -0.000 | -0.000 |
| 0.000 | -0.000 | 0.000 | 0.000 | -10.837 | -0.000 |
| 0.000 | 0.000 | 0.000 | 0.000 | 0.000 | 20.229 |
| 62.566 | 20.879 | -10.853 | 0.000 | -0.000 | -0.000 |
| 20.879 | 62.566 | -10.853 | -0.000 | -0.000 | -0.000 |
| -10.853 | -10.853 | -85.232 | -0.000 | -0.000 | -0.000 |
| 0.000 | 0.000 | -0.000 | -10.837 | 0.000 | 0.000 |
| 0.000 | 0.000 | -0.000 | -0.000 | -10.837 | 0.000 |
| -0.000 | -0.000 | 0.000 | 0.000 | 0.000 | 20.844 |
| 61.951 | 21.493 | -10.853 | 0.000 | 0.000 | -0.000 |
| 20.879 | 62.566 | -10.853 | 0.000 | 0.000 | 0.000 |
| -10.853 | -10.853 | -85.232 | 0.000 | 0.000 | 0.000 |
| -0.000 | -0.000 | 0.000 | -10.837 | -0.000 | -0.000 |
| -0.000 | -0.000 | 0.000 | 0.000 | -10.837 | 0.000 |
| 0.000 | 0.000 | -0.000 | 0.000 | 0.000 | 20.844 |
| 62.565 | 20.878 | -10.853 | 0.000 | -0.000 | -0.000 |
| 20.878 | 62.565 | -10.853 | -0.000 | -0.000 | -0.000 |
| -10.853 | -10.853 | -85.233 | 0.000 | -0.000 | -0.000 |
| 0.000 | 0.000 | -0.000 | -10.837 | -0.000 | -0.000 |
| 0.000 | 0.000 | -0.000 | -0.000 | -10.837 | -0.000 |
| -589895.666 | -722458.959 | -1506347.756 | -55123.691 | -16740.313 | -100880.324 |
| 62.566 | 20.879 | -10.853 | -0.000 | 0.000 | 0.000 |
| 20.879 | 62.566 | -10.853 | 0.000 | 0.000 | 0.000 |
| -10.853 | -10.853 | -85.232 | 0.000 | -0.000 | -0.000 |
| -0.000 | -0.000 | 0.000 | -10.837 | 0.000 | 0.000 |
| -0.000 | -0.000 | 0.000 | 0.000 | -10.837 | -0.000 |
| 653935.218 | 748416.738 | 1399901.570 | 21755.035 | -27622.688 | -131037.592 |
| 102.982 | 35.498 | 38.690 | 0.000 | -0.000 | 0.000 |
| 35.498 | 102.982 | 38.690 | 0.000 | -0.000 | -0.000 |
| 38.690 | 38.690 | 99.790 | 0.000 | -0.000 | 0.000 |
| -0.000 | -0.000 | 0.000 | 38.620 | -0.000 | 0.000 |
| -0.000 | -0.000 | 0.000 | 0.000 | 38.620 | -0.000 |
| 0.000 | 0.000 | 0.000 | 0.000 | 0.000 | 33.742 |
| 103.825 | 34.655 | 38.690 | -0.000 | -0.000 | -0.000 |
| 34.655 | 103.825 | 38.690 | 0.000 | 0.000 | 0.000 |
| 38.690 | 38.690 | 99.790 | -0.000 | -0.000 | 0.000 |
| -0.000 | 0.000 | -0.000 | 38.620 | 0.000 | 0.000 |
| 0.000 | 0.000 | -0.000 | -0.000 | 38.620 | -0.000 |
| -0.000 | -0.000 | -0.000 | -0.000 | 0.000 | 33.742 |
| 103.825 | 34.655 | 38.690 | -0.000 | 0.000 | -0.000 |
| 35.498 | 102.982 | 38.690 | 0.000 | -0.000 | 0.000 |
| 38.690 | 38.690 | 99.790 | 0.000 | 0.000 | 0.000 |
| -0.000 | -0.000 | -0.000 | 38.620 | -0.000 | 0.000 |
| -0.000 | -0.000 | -0.000 | 0.000 | 38.620 | 0.000 |
| -0.000 | 0.000 | -0.000 | 0.000 | -0.000 | 33.742 |
| 103.825 | 34.655 | 38.690 | -0.000 | 0.000 | 0.000 |
| 35.498 | 102.982 | 38.690 | 0.000 | 0.000 | 0.000 |
| 38.690 | 38.690 | 99.790 | -0.000 | -0.000 | -0.000 |
| 0.000 | 0.000 | 0.000 | 38.620 | 0.000 | 0.000 |
| 0.000 | 0.000 | 0.000 | -0.000 | 38.620 | -0.000 |
| 0.000 | -0.000 | 0.000 | -0.000 | 0.000 | 33.742 |
| 103.825 | 34.655 | 38.690 | -0.000 | 0.000 | -0.000 |
| 35.498 | 102.982 | 38.690 | 0.000 | -0.000 | 0.000 |
| 38.690 | 38.690 | 99.790 | -0.000 | -0.000 | -0.000 |
| -0.000 | -0.000 | -0.000 | 38.620 | -0.000 | -0.000 |
| -0.000 | -0.000 | -0.000 | 0.000 | 38.620 | -0.000 |
| -0.000 | 0.000 | -0.000 | 0.000 | -0.000 | 33.742 |
| 102.982 | 35.498 | 38.690 | 0.000 | -0.000 | 0.000 |
| 35.498 | 102.982 | 38.690 | 0.000 | 0.000 | -0.000 |
| 38.690 | 38.690 | 99.790 | -0.000 | 0.000 | -0.000 |
| 0.000 | 0.000 | 0.000 | 38.620 | 0.000 | 0.000 |
| 0.000 | 0.000 | 0.000 | -0.000 | 38.620 | -0.000 |
| 0.000 | -0.000 | 0.000 | -0.000 | 0.000 | 33.742 |
| 257.409 | 194.072 | 194.072 | -0.000 | -0.000 | -0.000 |
| 194.072 | 257.409 | 194.072 | -0.000 | -0.000 | -0.000 |
| 194.072 | 194.072 | 257.409 | -0.000 | -0.000 | -0.000 |
| 0.000 | -0.000 | 0.000 | 61.216 | -0.000 | -0.000 |
| -0.000 | -0.000 | 0.000 | -0.000 | 61.216 | -0.000 |
| -0.000 | -0.000 | 0.000 | -0.000 | -0.000 | 61.216 |
| 257.409 | 194.072 | 194.072 | 0.000 | -0.000 | 0.000 |
| 194.072 | 257.409 | 194.072 | -0.000 | 0.000 | 0.000 |
| 194.072 | 194.072 | 257.409 | 0.000 | 0.000 | 0.000 |
| -0.000 | -0.000 | -0.000 | 61.216 | 0.000 | 0.000 |
| 0.000 | 0.000 | -0.000 | 0.000 | 61.216 | 0.000 |
| -0.000 | 0.000 | -0.000 | 0.000 | 0.000 | 61.216 |
| 257.409 | 194.072 | 194.072 | -0.000 | -0.000 | -0.000 |
| 194.072 | 257.409 | 194.072 | -0.000 | -0.000 | -0.000 |
| 194.072 | 194.072 | 257.409 | -0.000 | -0.000 | -0.000 |
| 0.000 | 0.000 | 0.000 | 61.216 | -0.000 | -0.000 |
| 0.000 | 0.000 | 0.000 | -0.000 | 61.216 | -0.000 |
| 0.000 | 0.000 | 0.000 | -0.000 | -0.000 | 61.216 |
| 257.409 | 194.072 | 194.072 | -0.000 | 0.000 | 0.000 |
| 194.072 | 257.409 | 194.072 | 0.000 | -0.000 | 0.000 |
| 194.072 | 194.072 | 257.409 | 0.000 | 0.000 | -0.000 |
| -0.000 | -0.000 | -0.000 | 61.216 | 0.000 | 0.000 |
| -0.000 | -0.000 | -0.000 | 0.000 | 61.216 | 0.000 |
| -0.000 | -0.000 | -0.000 | 0.000 | 0.000 | 61.216 |
| 257.410 | 194.073 | 194.073 | -0.000 | 0.000 | 0.000 |
| 194.073 | 257.410 | 194.073 | 0.000 | -0.000 | -0.000 |
| 194.073 | 194.073 | 257.410 | 0.000 | 0.000 | -0.000 |
| 0.000 | 0.000 | 0.000 | 61.216 | -0.000 | -0.000 |
| 0.000 | 0.000 | 0.000 | -0.000 | 61.216 | -0.000 |
| 0.000 | 0.000 | 0.000 | -0.000 | 0.000 | 61.216 |
| 257.409 | 194.071 | 194.071 | 0.000 | -0.000 | 0.000 |
| 194.071 | 257.409 | 194.071 | -0.000 | 0.000 | 0.000 |
| 194.071 | 194.071 | 257.409 | -0.000 | -0.000 | 0.000 |
| -0.000 | -0.000 | -0.000 | 61.216 | 0.000 | 0.000 |
| -0.000 | -0.000 | -0.000 | 0.000 | 61.216 | 0.000 |
| -0.000 | -0.000 | -0.000 | 0.000 | -0.000 | 61.216 |
| 77.839 | 40.537 | 40.537 | 0.000 | 0.000 | -0.000 |
| 40.537 | 77.839 | 40.537 | 0.000 | 0.000 | -0.000 |
| 40.537 | 40.537 | 77.839 | 0.000 | -0.000 | -0.000 |
| -0.000 | -0.000 | 0.000 | 32.439 | 0.000 | -0.000 |
| -0.000 | -0.000 | 0.000 | 0.000 | 32.439 | -0.000 |
| -0.000 | -0.000 | 0.000 | 0.000 | 0.000 | 32.439 |
| 77.839 | 40.537 | 40.537 | -0.000 | -0.000 | 0.000 |
| 40.537 | 77.839 | 40.537 | -0.000 | -0.000 | 0.000 |
| 40.537 | 40.537 | 77.839 | -0.000 | -0.000 | 0.000 |
| 0.000 | 0.000 | -0.000 | 32.439 | -0.000 | 0.000 |
| 0.000 | 0.000 | -0.000 | -0.000 | 32.439 | 0.000 |
| 0.000 | 0.000 | -0.000 | -0.000 | -0.000 | 32.439 |
| 77.839 | 40.537 | 40.537 | 0.000 | 0.000 | -0.000 |
| 40.537 | 77.839 | 40.537 | 0.000 | 0.000 | -0.000 |
| 40.537 | 40.537 | 77.839 | 0.000 | 0.000 | 0.000 |
| -0.000 | -0.000 | 0.000 | 40.535 | -0.000 | -0.000 |
| -0.000 | -0.000 | 0.000 | 0.000 | 40.535 | -0.000 |
| -0.000 | 0.000 | -0.000 | 0.000 | 0.000 | 40.535 |
| 77.839 | 40.537 | 40.537 | -0.000 | -0.000 | -0.000 |
| 40.537 | 77.839 | 40.537 | -0.000 | 0.000 | 0.000 |
| 40.537 | 40.537 | 77.839 | 0.000 | -0.000 | 0.000 |
| 0.000 | 0.000 | -0.000 | 40.535 | -0.000 | 0.000 |
| 0.000 | 0.000 | -0.000 | 0.000 | 40.535 | 0.000 |
| 0.000 | -0.000 | 0.000 | -0.000 | -0.000 | 40.535 |
| 77.839 | 40.537 | 40.537 | -0.000 | 0.000 | -0.000 |
| 40.537 | 77.839 | 40.537 | 0.000 | 0.000 | -0.000 |
| 40.537 | 40.537 | 77.839 | -0.000 | 0.000 | -0.000 |
| -0.000 | -0.000 | -0.000 | 30.021 | 0.000 | -0.000 |
| -0.000 | -0.000 | -0.000 | 0.000 | 30.021 | -0.000 |
| -0.000 | -0.000 | -0.000 | 0.000 | 0.000 | 30.021 |
| 77.839 | 40.537 | 40.537 | -0.000 | -0.000 | -0.000 |
| 40.537 | 77.839 | 40.537 | -0.000 | 0.000 | 0.000 |
| 40.537 | 40.537 | 77.839 | 0.000 | 0.000 | 0.000 |
| 0.000 | 0.000 | 0.000 | 30.021 | -0.000 | 0.000 |
| 0.000 | 0.000 | 0.000 | -0.000 | 30.021 | 0.000 |
| 0.000 | 0.000 | 0.000 | -0.000 | -0.000 | 30.021 |
| 8.871 | 8.871 | 8.871 | -0.000 | -0.000 | -0.000 |
| 8.871 | 8.871 | 8.871 | -0.000 | -0.000 | -0.000 |
| 8.871 | 8.871 | 8.871 | -0.000 | -0.000 | -0.000 |
| -0.000 | -0.000 | -0.000 | -0.000 | -0.000 | -0.000 |
| -0.000 | -0.000 | -0.000 | -0.000 | -0.000 | -0.000 |
| -0.000 | -0.000 | -0.000 | -0.000 | -0.000 | -0.000 |
| 8.871 | 8.871 | 8.871 | 0.000 | 0.000 | 0.000 |
| 8.871 | 8.871 | 8.871 | 0.000 | 0.000 | 0.000 |
| 8.871 | 8.871 | 8.871 | 0.000 | 0.000 | 0.000 |
| 0.000 | 0.000 | 0.000 | 0.000 | 0.000 | 0.000 |
| 0.000 | 0.000 | 0.000 | 0.000 | 0.000 | 0.000 |
| 0.000 | 0.000 | 0.000 | 0.000 | 0.000 | 0.000 |
| 8.871 | 8.871 | 8.871 | -0.000 | -0.000 | -0.000 |
| 8.871 | 8.871 | 8.871 | -0.000 | -0.000 | -0.000 |
| 8.871 | 8.871 | 8.871 | -0.000 | -0.000 | 0.000 |
| -0.000 | -0.000 | -0.000 | -0.000 | -0.000 | -0.000 |
| -0.000 | -0.000 | -0.000 | -0.000 | -0.000 | -0.000 |
| -0.000 | -0.000 | -0.000 | -0.000 | -0.000 | -0.000 |
| 8.871 | 8.871 | 8.871 | 0.000 | 0.000 | 0.000 |
| 8.871 | 8.871 | 8.871 | 0.000 | 0.000 | 0.000 |
| 8.871 | 8.871 | 8.871 | 0.000 | 0.000 | -0.000 |
| 0.000 | 0.000 | 0.000 | 0.000 | 0.000 | 0.000 |
| 0.000 | 0.000 | 0.000 | 0.000 | 0.000 | 0.000 |
| 0.000 | 0.000 | 0.000 | 0.000 | 0.000 | 0.000 |
| 8.871 | 8.871 | 8.871 | -0.000 | -0.000 | -0.000 |
| 8.871 | 8.871 | 8.871 | -0.000 | -0.000 | -0.000 |
| 8.871 | 8.871 | 8.871 | -0.000 | -0.000 | 0.000 |
| -0.000 | -0.000 | -0.000 | -0.000 | -0.000 | -0.000 |
| -0.000 | -0.000 | -0.000 | -0.000 | -0.000 | -0.000 |
| -0.000 | -0.000 | -0.000 | -0.000 | -0.000 | -0.000 |
| 8.871 | 8.871 | 8.871 | 0.000 | 0.000 | 0.000 |
| 8.871 | 8.871 | 8.871 | 0.000 | 0.000 | 0.000 |
| 8.871 | 8.871 | 8.871 | 0.000 | 0.000 | 0.000 |
| 0.000 | 0.000 | 0.000 | 0.000 | 0.000 | 0.000 |
| 0.000 | 0.000 | 0.000 | 0.000 | 0.000 | 0.000 |
| 0.000 | 0.000 | 0.000 | 0.000 | 0.000 | 0.000 |
| 395.126 | 196.232 | 54.351 | -0.000 | 0.000 | 0.000 |
| 196.232 | 395.126 | 54.351 | -0.000 | 0.000 | 0.000 |
| 54.351 | 54.351 | 542.471 | -0.000 | -0.000 | 0.000 |
| 0.000 | -0.000 | -0.000 | 12.085 | -0.000 | 0.000 |
| 0.000 | -0.000 | -0.000 | 0.000 | 12.085 | 0.000 |
| -0.000 | -0.000 | 0.000 | -0.000 | -0.000 | 173.494 |
| 140.651 | 450.707 | 54.351 | 0.000 | 0.000 | -0.000 |
| 450.707 | 140.651 | 54.351 | 0.000 | 0.000 | -0.000 |
| 54.351 | 54.351 | 542.471 | 0.000 | 0.000 | -0.000 |
| -0.000 | 0.000 | 0.000 | 12.085 | 0.000 | -0.000 |
| -0.000 | 0.000 | 0.000 | 0.000 | 12.085 | -0.000 |
| 0.000 | 0.000 | 0.000 | 0.000 | 0.000 | 173.494 |
| 140.650 | 450.708 | 54.351 | -0.000 | -0.000 | 0.000 |
| 450.708 | 140.650 | 54.351 | -0.000 | -0.000 | 0.000 |
| 54.351 | 54.351 | 542.472 | -0.000 | -0.000 | 0.000 |
| -0.000 | -0.000 | -0.000 | -64.093 | 0.000 | 0.000 |
| -0.000 | -0.000 | -0.000 | 0.000 | -64.093 | 0.000 |
| -0.000 | -0.000 | -0.000 | -0.000 | -0.000 | 173.494 |
| 140.651 | 450.707 | 54.351 | 0.000 | 0.000 | -0.000 |
| 450.707 | 140.651 | 54.351 | 0.000 | 0.000 | -0.000 |
| 54.351 | 54.351 | 542.471 | 0.000 | 0.000 | -0.000 |
| 0.000 | 0.000 | 0.000 | -64.093 | 0.000 | -0.000 |
| 0.000 | 0.000 | 0.000 | -0.000 | -64.093 | -0.000 |
| 0.000 | 0.000 | 0.000 | 0.000 | 0.000 | 173.494 |
| 140.646 | 450.709 | 54.352 | -0.000 | 0.000 | 0.000 |
| 450.709 | 140.646 | 54.352 | 0.000 | -0.000 | 0.000 |
| 54.351 | 54.351 | 542.476 | -0.000 | -0.000 | 0.000 |
| -0.000 | -0.000 | -0.000 | -64.093 | -0.000 | 0.000 |
| -0.000 | -0.000 | -0.000 | 0.000 | -64.093 | 0.000 |
| -0.001 | -0.000 | -0.000 | -0.000 | 0.000 | 173.494 |
| 140.656 | 450.706 | 54.351 | 0.000 | 0.000 | -0.000 |
| 450.706 | 140.656 | 54.351 | 0.000 | 0.000 | -0.000 |
| 54.351 | 54.351 | 542.467 | 0.000 | 0.000 | -0.000 |
| 0.000 | 0.000 | 0.000 | -64.093 | 0.000 | -0.000 |
| 0.000 | 0.000 | 0.000 | 0.000 | -64.093 | -0.000 |
| 0.001 | 0.000 | 0.000 | -0.000 | 0.000 | 173.494 |
| 43.680 | 79.654 | 24.458 | -0.000 | -0.000 | 0.000 |
| 79.654 | 43.680 | 24.458 | -0.000 | -0.000 | 0.000 |
| 24.458 | 24.458 | 72.081 | -0.000 | -0.000 | 0.000 |
| -0.000 | 0.000 | 0.000 | -4.449 | -0.000 | 0.000 |
| 0.000 | -0.000 | 0.000 | -0.000 | -4.449 | 0.000 |
| -0.000 | -0.000 | -0.000 | -0.000 | -0.000 | 34.471 |
| 43.680 | 79.654 | 24.458 | 0.000 | -0.000 | -0.000 |
| 79.654 | 43.680 | 24.458 | 0.000 | 0.000 | -0.000 |
| 24.458 | 24.458 | 72.081 | 0.000 | 0.000 | -0.000 |
| 0.000 | -0.000 | -0.000 | -4.449 | -0.000 | -0.000 |
| -0.000 | 0.000 | -0.000 | 0.000 | -4.449 | -0.000 |
| 0.000 | 0.000 | 0.000 | -0.000 | 0.000 | 34.471 |
| 43.680 | 79.654 | 24.458 | -0.000 | 0.000 | 0.000 |
| 79.654 | 43.680 | 24.458 | -0.000 | -0.000 | 0.000 |
| 24.458 | 24.458 | 72.081 | 0.000 | 0.000 | 0.000 |
| -0.000 | 0.000 | 0.000 | -4.449 | 0.000 | -0.000 |
| 0.000 | -0.000 | 0.000 | -0.000 | -4.449 | 0.000 |
| -0.000 | -0.000 | -0.000 | -0.000 | -0.000 | 34.471 |
| 43.680 | 79.654 | 24.458 | 0.000 | 0.000 | -0.000 |
| 79.654 | 43.680 | 24.458 | -0.000 | 0.000 | -0.000 |
| 24.458 | 24.458 | 72.081 | -0.000 | -0.000 | -0.000 |
| 0.000 | -0.000 | -0.000 | -4.449 | -0.000 | -0.000 |
| -0.000 | 0.000 | -0.000 | -0.000 | -4.449 | -0.000 |
| 0.000 | 0.000 | 0.000 | 0.000 | -0.000 | 34.471 |
| 43.680 | 79.653 | 24.458 | -0.000 | -0.000 | 0.000 |
| 79.653 | 43.680 | 24.458 | -0.000 | -0.000 | 0.000 |
| 24.458 | 24.458 | 72.081 | -0.000 | 0.000 | 0.000 |
| -0.000 | 0.000 | 0.000 | -4.449 | -0.000 | 0.000 |
| 0.000 | -0.000 | 0.000 | -0.000 | -4.449 | 0.000 |
| -0.000 | -0.000 | -0.000 | -0.000 | 0.000 | 34.471 |
| 43.679 | 79.654 | 24.458 | 0.000 | 0.000 | -0.000 |
| 79.654 | 43.679 | 24.458 | -0.000 | 0.000 | -0.000 |
| 24.458 | 24.458 | 72.081 | 0.000 | 0.000 | -0.000 |
| 0.000 | -0.000 | -0.000 | -4.449 | -0.000 | -0.000 |
| -0.000 | 0.000 | -0.000 | 0.000 | -4.449 | -0.000 |
| 0.000 | 0.000 | 0.000 | 0.000 | -0.000 | 34.471 |
| 47.271 | 91.957 | 7.429 | -0.000 | -0.000 | -0.000 |
| 91.957 | 47.271 | 7.429 | -0.000 | -0.000 | 0.000 |
| 7.429 | 7.429 | 261.363 | -0.000 | -0.000 | 0.000 |
| -0.000 | 0.000 | -0.000 | -5.746 | 0.000 | 0.000 |
| -0.000 | 0.000 | -0.000 | -0.000 | -5.746 | -0.000 |
| -0.000 | -0.000 | -0.000 | -0.000 | -0.000 | 32.413 |
| 47.271 | 91.957 | 7.429 | 0.000 | 0.000 | 0.000 |
| 91.957 | 47.271 | 7.429 | 0.000 | 0.000 | -0.000 |
| 7.429 | 7.429 | 261.363 | 0.000 | 0.000 | -0.000 |
| 0.000 | -0.000 | 0.000 | -5.746 | 0.000 | -0.000 |
| 0.000 | -0.000 | 0.000 | 0.000 | -5.746 | 0.000 |
| 0.000 | 0.000 | 0.000 | 0.000 | 0.000 | 32.413 |
| 33.111 | 106.116 | 7.429 | 0.000 | -0.000 | 0.000 |
| 106.116 | 33.111 | 7.429 | -0.000 | -0.000 | 0.000 |
| 7.429 | 7.429 | 261.363 | 0.000 | -0.000 | 0.000 |
| -0.000 | -0.000 | -0.000 | -5.746 | -0.000 | -0.000 |
| -0.000 | -0.000 | -0.000 | -0.000 | -5.746 | -0.000 |
| -0.000 | -0.000 | -0.000 | -0.000 | -0.000 | 32.413 |
| 47.271 | 91.957 | 7.429 | 0.000 | 0.000 | -0.000 |
| 91.957 | 47.271 | 7.429 | 0.000 | 0.000 | 0.000 |
| 7.429 | 7.429 | 261.363 | 0.000 | 0.000 | -0.000 |
| 0.000 | 0.000 | 0.000 | -5.746 | 0.000 | -0.000 |
| 0.000 | 0.000 | 0.000 | -0.000 | -5.746 | -0.000 |
| 0.000 | 0.000 | 0.000 | 0.000 | 0.000 | 32.413 |
| 33.110 | 106.117 | 7.428 | -0.000 | -0.000 | -0.000 |
| 106.117 | 33.110 | 7.428 | 0.000 | -0.000 | 0.000 |
| 7.429 | 7.429 | 261.365 | 0.000 | -0.000 | 0.000 |
| -0.000 | -0.000 | -0.000 | -5.746 | -0.000 | -0.000 |
| -0.000 | -0.000 | -0.000 | 0.000 | -5.746 | -0.000 |
| -0.000 | -0.000 | -0.000 | -0.000 | -0.000 | 32.413 |
| 47.272 | 91.957 | 7.429 | 0.000 | 0.000 | 0.000 |
| 91.957 | 47.272 | 7.429 | 0.000 | 0.000 | 0.000 |
| 7.429 | 7.429 | 261.362 | 0.000 | 0.000 | 0.000 |
| 0.000 | 0.000 | 0.000 | -5.746 | 0.000 | -0.000 |
| 0.000 | 0.000 | 0.000 | -0.000 | -5.746 | 0.000 |
| 0.000 | 0.000 | 0.000 | 0.000 | 0.000 | 32.413 |
| 288.784 | 81.259 | 81.259 | -0.000 | -0.000 | 0.000 |
| 81.259 | 288.784 | 81.259 | -0.000 | -0.000 | 0.000 |
| 81.259 | 81.259 | 288.784 | -0.000 | -0.000 | 0.000 |
| 0.000 | 0.000 | 0.000 | 42.399 | -0.000 | 0.000 |
| 0.000 | 0.000 | 0.000 | -0.000 | 42.399 | 0.000 |
| 0.000 | 0.000 | 0.000 | 0.000 | -0.000 | 42.399 |
| 288.784 | 81.259 | 81.259 | 0.000 | 0.000 | -0.000 |
| 81.259 | 288.784 | 81.259 | 0.000 | 0.000 | 0.000 |
| 81.259 | 81.259 | 288.784 | 0.000 | 0.000 | -0.000 |
| -0.000 | -0.000 | -0.000 | 42.399 | 0.000 | -0.000 |
| -0.000 | -0.000 | -0.000 | 0.000 | 42.399 | -0.000 |
| -0.000 | -0.000 | -0.000 | 0.000 | 0.000 | 42.399 |
| 288.785 | 81.259 | 81.259 | -0.000 | -0.000 | 0.000 |
| 81.259 | 288.785 | 81.259 | -0.000 | -0.000 | 0.000 |
| 81.259 | 81.259 | 288.785 | -0.000 | -0.000 | 0.000 |
| 0.000 | 0.000 | 0.000 | 42.399 | 0.000 | 0.000 |
| 0.000 | 0.000 | 0.000 | -0.000 | 42.399 | 0.000 |
| 0.000 | 0.000 | 0.000 | -0.000 | -0.000 | 42.399 |
| 288.783 | 81.259 | 81.259 | 0.000 | 0.000 | -0.000 |
| 81.259 | 288.783 | 81.259 | 0.000 | 0.000 | -0.000 |
| 81.259 | 81.259 | 288.783 | 0.000 | -0.000 | -0.000 |
| -0.000 | -0.000 | -0.000 | 42.399 | 0.000 | -0.000 |
| -0.000 | -0.000 | -0.000 | 0.000 | 42.399 | -0.000 |
| -0.000 | -0.000 | -0.000 | 0.000 | 0.000 | 42.399 |
| 288.791 | 81.261 | 81.261 | -0.000 | -0.000 | 0.000 |
| 81.261 | 288.791 | 81.261 | -0.000 | -0.000 | 0.000 |
| 81.261 | 81.261 | 288.791 | -0.000 | -0.000 | -0.000 |
| 0.001 | 0.002 | 0.002 | 42.399 | -0.000 | 0.000 |
| 0.002 | 0.001 | 0.002 | -0.000 | 42.399 | 0.000 |
| 0.002 | 0.002 | 0.001 | -0.000 | -0.000 | 42.399 |
| 288.777 | 81.257 | 81.257 | 0.000 | 0.000 | 0.000 |
| 81.257 | 288.777 | 81.257 | 0.000 | 0.000 | -0.000 |
| 81.257 | 81.257 | 288.777 | 0.000 | 0.000 | -0.000 |
| -0.001 | -0.002 | -0.002 | 42.399 | 0.000 | -0.000 |
| -0.002 | -0.001 | -0.002 | 0.000 | 42.399 | -0.000 |
| -0.002 | -0.002 | -0.001 | 0.000 | 0.000 | 42.399 |
| 266.820 | 47.869 | 47.869 | 0.000 | -0.000 | 0.000 |
| 47.869 | 266.820 | 47.869 | -0.000 | -0.000 | 0.000 |
| 47.869 | 47.869 | 266.820 | 0.000 | -0.000 | 0.000 |
| -0.000 | -0.000 | -0.000 | 25.225 | 0.000 | -0.000 |
| -0.000 | -0.000 | -0.000 | 0.000 | 25.225 | 0.000 |
| -0.000 | -0.000 | -0.000 | 0.000 | -0.000 | 25.225 |
| 266.820 | 47.869 | 47.869 | 0.000 | 0.000 | -0.000 |
| 47.869 | 266.820 | 47.869 | 0.000 | 0.000 | -0.000 |
| 47.869 | 47.869 | 266.820 | -0.000 | -0.000 | 0.000 |
| 0.000 | 0.000 | 0.000 | 25.225 | -0.000 | -0.000 |
| 0.000 | 0.000 | 0.000 | 0.000 | 25.225 | -0.000 |
| 0.000 | 0.000 | 0.000 | -0.000 | 0.000 | 25.225 |
| 266.820 | 47.869 | 47.869 | -0.000 | -0.000 | -0.000 |
| 47.869 | 266.820 | 47.869 | 0.000 | -0.000 | 0.000 |
| 47.869 | 47.869 | 266.820 | 0.000 | -0.000 | 0.000 |
| -0.000 | -0.000 | -0.000 | 25.225 | 0.000 | 0.000 |
| -0.000 | -0.000 | -0.000 | -0.000 | 25.225 | -0.000 |
| -0.000 | -0.000 | -0.000 | 0.000 | -0.000 | 25.225 |
| 266.821 | 47.869 | 47.869 | 0.000 | 0.000 | -0.000 |
| 47.869 | 266.821 | 47.869 | -0.000 | 0.000 | 0.000 |
| 47.869 | 47.869 | 266.821 | -0.000 | 0.000 | -0.000 |
| 0.000 | 0.000 | 0.000 | 25.225 | 0.000 | -0.000 |
| 0.000 | 0.000 | 0.000 | -0.000 | 25.225 | 0.000 |
| 0.000 | 0.000 | 0.000 | -0.000 | -0.000 | 25.225 |
| 266.815 | 47.868 | 47.868 | 0.000 | 0.000 | 0.000 |
| 47.868 | 266.815 | 47.868 | -0.000 | -0.000 | 0.000 |
| 47.868 | 47.868 | 266.815 | 0.000 | 0.000 | 0.000 |
| -0.001 | -0.002 | -0.002 | 25.225 | -0.000 | 0.000 |
| -0.002 | -0.001 | -0.002 | -0.000 | 25.225 | 0.000 |
| -0.002 | -0.002 | -0.001 | -0.000 | 0.000 | 25.225 |
| 266.826 | 47.871 | 47.871 | 0.000 | 0.000 | 0.000 |
| 47.871 | 266.826 | 47.871 | -0.000 | -0.000 | -0.000 |
| 47.871 | 47.871 | 266.826 | 0.000 | 0.000 | -0.000 |
| 0.001 | 0.002 | 0.002 | 25.225 | 0.000 | -0.000 |
| 0.002 | 0.001 | 0.002 | -0.000 | 25.225 | 0.000 |
| 0.002 | 0.002 | 0.001 | 0.000 | 0.000 | 25.225 |
| 98.381 | 25.091 | 25.091 | -0.000 | -0.000 | -0.000 |
| 25.091 | 98.381 | 25.091 | -0.000 | -0.000 | -0.000 |
| 25.091 | 25.091 | 98.381 | -0.000 | -0.000 | -0.000 |
| -0.000 | -0.000 | -0.000 | 25.068 | -0.000 | -0.000 |
| -0.000 | -0.000 | -0.000 | -0.000 | 25.068 | -0.000 |
| -0.000 | -0.000 | -0.000 | -0.000 | -0.000 | 25.068 |
| 98.382 | 25.091 | 25.091 | 0.000 | -0.000 | -0.000 |
| 25.091 | 98.381 | 25.091 | -0.000 | 0.000 | 0.000 |
| 25.091 | 25.091 | 98.381 | 0.000 | -0.000 | 0.000 |
| 0.000 | 0.000 | 0.000 | 25.068 | 0.000 | 0.000 |
| 0.000 | 0.000 | 0.000 | 0.000 | 25.068 | 0.000 |
| 0.000 | 0.000 | 0.000 | 0.000 | -0.000 | 25.068 |
| 98.381 | 25.091 | 25.091 | -0.000 | 0.000 | 0.000 |
| 25.091 | 98.381 | 25.091 | 0.000 | -0.000 | -0.000 |
| 25.091 | 25.091 | 98.381 | -0.000 | -0.000 | -0.000 |
| -0.000 | -0.000 | -0.000 | 25.068 | -0.000 | -0.000 |
| -0.000 | -0.000 | -0.000 | -0.000 | 25.068 | -0.000 |
| -0.000 | -0.000 | -0.000 | -0.000 | 0.000 | 25.068 |
| 98.382 | 25.091 | 25.091 | 0.000 | 0.000 | 0.000 |
| 25.091 | 98.382 | 25.091 | 0.000 | 0.000 | 0.000 |
| 25.091 | 25.091 | 98.382 | 0.000 | 0.000 | 0.000 |
| 0.000 | 0.000 | 0.000 | 25.068 | 0.000 | 0.000 |
| 0.000 | 0.000 | 0.000 | 0.000 | 25.068 | 0.000 |
| 0.000 | 0.000 | 0.000 | 0.000 | 0.000 | 25.068 |
| 98.381 | 25.091 | 25.091 | -0.000 | -0.000 | -0.000 |
| 25.091 | 98.381 | 25.091 | -0.000 | -0.000 | -0.000 |
| 25.091 | 25.091 | 98.381 | -0.000 | -0.000 | -0.000 |
| -0.000 | -0.000 | -0.000 | 25.068 | -0.000 | -0.000 |
| -0.000 | -0.000 | -0.000 | -0.000 | 25.068 | -0.000 |
| -0.000 | -0.000 | -0.000 | -0.000 | -0.000 | 25.068 |
| 98.382 | 25.091 | 25.091 | 0.000 | 0.000 | -0.000 |
| 25.091 | 98.382 | 25.091 | -0.000 | 0.000 | 0.000 |
| 25.091 | 25.091 | 98.382 | 0.000 | 0.000 | 0.000 |
| 0.000 | 0.000 | 0.000 | 25.068 | 0.000 | 0.000 |
| 0.000 | 0.000 | 0.000 | 0.000 | 25.068 | 0.000 |
| 0.000 | 0.000 | 0.000 | 0.000 | 0.000 | 25.068 |
| 457.961 | 273.252 | 211.406 | -0.000 | -0.000 | -0.000 |
| 282.003 | 732.390 | 281.988 | -0.000 | -0.000 | -0.000 |
| 211.402 | 273.233 | 457.761 | -0.000 | -0.000 | -0.000 |
| 0.082 | 0.013 | 0.082 | -7.481 | -0.000 | -0.000 |
| 0.045 | 0.007 | 0.045 | -0.000 | 127.070 | -0.000 |
| 0.082 | 0.013 | 0.082 | -0.000 | -0.000 | 1.314 |
| 375.539 | 260.398 | 128.981 | 0.000 | 0.000 | 0.000 |
| 269.128 | 730.383 | 269.112 | -0.000 | 0.000 | 0.000 |
| 128.977 | 260.378 | 375.332 | 0.000 | 0.000 | 0.000 |
| -0.082 | -0.013 | -0.082 | -7.481 | 0.000 | 0.000 |
| -0.045 | -0.007 | -0.045 | 0.000 | 127.070 | 0.000 |
| -0.082 | -0.013 | -0.082 | 0.000 | 0.000 | 1.314 |
| 457.961 | 273.252 | 211.406 | -0.000 | -0.000 | -0.000 |
| 282.003 | 732.390 | 281.988 | -0.000 | -0.000 | -0.000 |
| 129.003 | 260.382 | 375.357 | -0.000 | -0.000 | -0.000 |
| -0.000 | -0.000 | -0.000 | 179.593 | -0.000 | 0.000 |
| 0.004 | 0.001 | 0.004 | -0.000 | 127.070 | -0.000 |
| 0.008 | 0.001 | 0.008 | -0.000 | -0.000 | 1.312 |
| 375.560 | 260.401 | 129.002 | 0.000 | 0.000 | 0.000 |
| 269.150 | 730.386 | 269.134 | 0.000 | 0.000 | 0.000 |
| 128.998 | 260.381 | 375.354 | 0.000 | 0.000 | 0.000 |
| 0.000 | 0.000 | 0.000 | 179.593 | 0.000 | 0.000 |
| -0.004 | -0.001 | -0.004 | 0.000 | 127.070 | 0.000 |
| -0.008 | -0.001 | -0.008 | 0.000 | 0.000 | 1.312 |
| 375.558 | 260.401 | 129.006 | -0.000 | -0.000 | -0.000 |
| 269.153 | 730.383 | 269.137 | -0.000 | -0.000 | -0.000 |
| 129.002 | 260.381 | 375.352 | -0.000 | 0.000 | -0.000 |
| -0.001 | -0.001 | -0.001 | 179.593 | -0.000 | -0.000 |
| -0.001 | -0.001 | -0.001 | -0.000 | 127.070 | -0.000 |
| -0.001 | -0.001 | -0.001 | -0.000 | -0.000 | 188.362 |
| 375.566 | 260.402 | 129.002 | 0.000 | 0.000 | 0.000 |
| 269.152 | 730.389 | 269.136 | 0.000 | 0.000 | 0.000 |
| 128.998 | 260.382 | 375.359 | -0.000 | 0.000 | 0.000 |
| 0.001 | 0.001 | 0.001 | 179.593 | 0.000 | 0.000 |
| 0.001 | 0.001 | 0.001 | 0.000 | 127.070 | 0.000 |
| 0.001 | 0.001 | 0.001 | 0.000 | 0.000 | 188.362 |
| 494.095 | 278.126 | 278.126 | -0.000 | 0.000 | -0.000 |
| 278.126 | 494.095 | 278.126 | -0.000 | 0.000 | 0.000 |
| 278.126 | 278.126 | 494.095 | -0.000 | 0.000 | -0.000 |
| 19515.468 | 19515.468 | 19515.468 | 10.125 | 0.000 | -0.000 |
| 19515.468 | 19515.468 | 19515.468 | 0.000 | 10.125 | -0.000 |
| 19515.468 | 19515.468 | 19515.468 | 0.000 | 0.000 | 10.125 |
| -19959.800 | -20010.995 | -20010.995 | -0.000 | -0.000 | 0.000 |
| -20010.995 | -19959.800 | -20010.995 | -0.000 | -0.000 | -0.000 |
| -20010.995 | -20010.995 | -19959.800 | -0.000 | -0.000 | -0.000 |
| -19515.468 | -19515.468 | -19515.468 | 10.125 | -0.000 | -0.000 |
| -19515.468 | -19515.468 | -19515.468 | -0.000 | 10.125 | 0.000 |
| -19515.468 | -19515.468 | -19515.468 | -0.000 | -0.000 | 10.125 |
| 885.130 | 815.871 | 815.871 | 0.000 | 0.000 | 0.000 |
| 815.871 | 885.130 | 815.871 | -0.000 | 0.000 | -0.000 |
| 815.871 | 815.871 | 885.130 | -0.000 | 0.000 | -0.000 |
| 2032.033 | 2032.033 | 2032.033 | 20.474 | 0.000 | -0.000 |
| 2032.033 | 2032.033 | 2032.033 | 0.000 | 20.474 | -0.000 |
| 2032.033 | 2032.033 | 2032.033 | -0.000 | 0.000 | 20.474 |
| -1479.450 | -1541.291 | -1541.291 | -0.000 | -0.000 | -0.000 |
| -1541.291 | -1479.450 | -1541.291 | 0.000 | -0.000 | 0.000 |
| -1541.291 | -1541.291 | -1479.450 | 0.000 | -0.000 | 0.000 |
| -2032.033 | -2032.033 | -2032.033 | 20.474 | -0.000 | 0.000 |
| -2032.033 | -2032.033 | -2032.033 | 0.000 | 20.474 | 0.000 |
| -2032.033 | -2032.033 | -2032.033 | -0.000 | -0.000 | 20.474 |
| 545.478 | 493.684 | 493.684 | 0.000 | 0.000 | 0.000 |
| 493.684 | 545.478 | 493.684 | 0.000 | 0.000 | 0.000 |
| 493.684 | 493.684 | 545.478 | 0.000 | 0.000 | 0.000 |
| 157.770 | 157.771 | 157.771 | 63.799 | 0.000 | 0.000 |
| 157.771 | 157.770 | 157.771 | -0.000 | 63.799 | -0.000 |
| 157.771 | 157.771 | 157.770 | -0.000 | 0.000 | 63.799 |
| 494.093 | 278.126 | 278.126 | 0.000 | -0.000 | 0.000 |
| 278.126 | 494.093 | 278.126 | 0.000 | -0.000 | 0.000 |
| 278.126 | 278.126 | 494.093 | 0.000 | -0.000 | 0.000 |
| -157.770 | -157.771 | -157.771 | 63.799 | -0.000 | 0.000 |
| -157.771 | -157.770 | -157.771 | -0.000 | 63.799 | -0.000 |
| -157.771 | -157.771 | -157.770 | -0.000 | -0.000 | 63.799 |
| 348.943 | 266.807 | 266.807 | -0.000 | -0.000 | -0.000 |
| 266.807 | 348.943 | 266.807 | -0.000 | 0.000 | -0.000 |
| 266.807 | 266.807 | 348.943 | 0.000 | 0.000 | 0.000 |
| -13.126 | -13.126 | -13.126 | 66.341 | -0.000 | -0.000 |
| -13.126 | -13.126 | -13.126 | -0.000 | 66.341 | 0.000 |
| -13.126 | -13.126 | -13.126 | -0.000 | -0.000 | 66.341 |
| 487.400 | 274.540 | 274.540 | 0.000 | 0.000 | 0.000 |
| 274.540 | 487.400 | 274.540 | 0.000 | 0.000 | 0.000 |
| 274.540 | 274.540 | 487.400 | 0.000 | 0.000 | 0.000 |
| 13.126 | 13.126 | 13.126 | 66.341 | 0.000 | 0.000 |
| 13.126 | 13.126 | 13.126 | 0.000 | 66.341 | 0.000 |
| 13.126 | 13.126 | 13.126 | 0.000 | 0.000 | 66.341 |
| 406.833 | 295.088 | 295.088 | -0.000 | 0.000 | -0.000 |
| 295.088 | 406.833 | 295.088 | 0.000 | -0.000 | 0.000 |
| 295.088 | 295.088 | 406.833 | -0.000 | -0.000 | -0.000 |
| 0.000 | 0.000 | 0.000 | 107.489 | 0.000 | 0.000 |
| 0.000 | 0.000 | 0.000 | -0.000 | 107.489 | -0.000 |
| 0.000 | 0.000 | 0.000 | 0.000 | -0.000 | 107.489 |
| 487.399 | 274.540 | 274.540 | 0.000 | 0.000 | -0.000 |
| 274.540 | 487.399 | 274.540 | 0.000 | 0.000 | 0.000 |
| 274.540 | 274.540 | 487.399 | 0.000 | -0.000 | -0.000 |
| -0.000 | -0.000 | -0.000 | 107.489 | 0.000 | 0.000 |
| -0.000 | -0.000 | -0.000 | 0.000 | 107.489 | 0.000 |
| -0.000 | -0.000 | -0.000 | 0.000 | 0.000 | 107.489 |
| 405.144 | 297.497 | 297.497 | 0.000 | 0.000 | -0.000 |
| 297.497 | 405.144 | 297.497 | -0.000 | -0.000 | -0.000 |
| 297.497 | 297.497 | 405.144 | -0.000 | -0.000 | -0.000 |
| 0.000 | 0.000 | 0.000 | 107.489 | -0.000 | -0.000 |
| 0.000 | 0.000 | 0.000 | 0.000 | 107.489 | -0.000 |
| 0.000 | 0.000 | 0.000 | -0.000 | -0.000 | 107.489 |
| 369.106 | 297.933 | 297.933 | 0.000 | -0.000 | 0.000 |
| 297.933 | 369.106 | 297.933 | 0.000 | 0.000 | 0.000 |
| 297.933 | 297.933 | 369.106 | 0.000 | 0.000 | 0.000 |
| -0.000 | -0.000 | -0.000 | 107.489 | -0.000 | -0.000 |
| -0.000 | -0.000 | -0.000 | 0.000 | 107.489 | 0.000 |
| -0.000 | -0.000 | -0.000 | 0.000 | 0.000 | 107.489 |
| 258.729 | 217.255 | 217.255 | -0.000 | 0.000 | -0.000 |
| 217.255 | 258.729 | 217.255 | -0.000 | -0.000 | -0.000 |
| 217.255 | 217.255 | 258.729 | 0.000 | -0.000 | -0.000 |
| 0.000 | 0.000 | 0.000 | 131.317 | -0.000 | -0.000 |
| 0.000 | 0.000 | 0.000 | -0.000 | 131.317 | -0.000 |
| 0.000 | 0.000 | 0.000 | 0.000 | 0.000 | 131.317 |
| 444.448 | 329.092 | 329.092 | 0.000 | -0.000 | -0.000 |
| 329.092 | 444.448 | 329.092 | -0.000 | 0.000 | -0.000 |
| 329.092 | 329.092 | 444.448 | -0.000 | 0.000 | -0.000 |
| -0.000 | -0.000 | -0.000 | 131.317 | 0.000 | 0.000 |
| -0.000 | -0.000 | -0.000 | -0.000 | 131.317 | -0.000 |
| -0.000 | -0.000 | -0.000 | 0.000 | 0.000 | 131.317 |
| 444.449 | 329.092 | 329.092 | -0.000 | 0.000 | 0.000 |
| 329.092 | 444.449 | 329.092 | 0.000 | -0.000 | 0.000 |
| 329.092 | 329.092 | 444.449 | -0.000 | -0.000 | -0.000 |
| -0.017 | -0.017 | -0.017 | 71.122 | 0.000 | 0.000 |
| -0.017 | -0.017 | -0.017 | 0.000 | 71.122 | -0.000 |
| -0.017 | -0.017 | -0.017 | -0.000 | 0.000 | 71.122 |
| 249.177 | 217.909 | 217.909 | 0.000 | -0.000 | -0.000 |
| 217.909 | 249.177 | 217.909 | 0.000 | -0.000 | -0.000 |
| 217.909 | 217.909 | 249.177 | 0.000 | 0.000 | -0.000 |
| 0.017 | 0.017 | 0.017 | 71.122 | 0.000 | -0.000 |
| 0.017 | 0.017 | 0.017 | 0.000 | 71.122 | -0.000 |
| 0.017 | 0.017 | 0.017 | 0.000 | -0.000 | 71.122 |
| 444.446 | 329.087 | 329.087 | 0.000 | -0.000 | 0.000 |
| 329.087 | 444.446 | 329.087 | 0.000 | -0.000 | -0.000 |
| 329.087 | 329.087 | 444.446 | -0.000 | -0.000 | 0.000 |
| -0.009 | -0.009 | -0.009 | 56.303 | 0.000 | 0.000 |
| -0.009 | -0.009 | -0.009 | -0.000 | 56.303 | -0.000 |
| -0.009 | -0.009 | -0.009 | -0.000 | 0.000 | 56.303 |
| 368.706 | 296.344 | 296.344 | 0.000 | 0.000 | -0.000 |
| 296.344 | 368.706 | 296.344 | 0.000 | 0.000 | -0.000 |
| 296.344 | 296.344 | 368.706 | 0.000 | -0.000 | 0.000 |
| 0.009 | 0.009 | 0.009 | 56.303 | 0.000 | -0.000 |
| 0.009 | 0.009 | 0.009 | 0.000 | 56.303 | 0.000 |
| 0.009 | 0.009 | 0.009 | 0.000 | -0.000 | 56.303 |
| 212.713 | 175.699 | 175.699 | 0.000 | 0.000 | 0.000 |
| 175.698 | 212.713 | 175.699 | 0.000 | 0.000 | 0.000 |
| 175.699 | 175.699 | 212.713 | 0.000 | 0.000 | 0.000 |
| 0.011 | 0.011 | 0.011 | 89.936 | -0.000 | -0.000 |
| 0.011 | 0.011 | 0.011 | -0.000 | 89.936 | -0.000 |
| 0.011 | 0.011 | 0.011 | -0.000 | -0.000 | 89.936 |
| 270.054 | 231.020 | 231.020 | 0.000 | 0.000 | 0.000 |
| 231.020 | 270.054 | 231.020 | 0.000 | 0.000 | 0.000 |
| 231.020 | 231.020 | 270.054 | 0.000 | 0.000 | 0.000 |
| -0.011 | -0.011 | -0.011 | 89.935 | 0.000 | 0.000 |
| -0.011 | -0.011 | -0.011 | 0.000 | 89.935 | 0.000 |
| -0.011 | -0.011 | -0.011 | 0.000 | 0.000 | 89.935 |
| 269.896 | 230.942 | 230.942 | -0.000 | -0.000 | -0.000 |
| 230.942 | 269.896 | 230.942 | -0.000 | -0.000 | -0.000 |
| 230.942 | 230.942 | 269.896 | -0.000 | -0.000 | -0.000 |
| 0.001 | 0.001 | 0.001 | 89.936 | -0.000 | -0.000 |
| 0.001 | 0.001 | 0.001 | -0.000 | 89.936 | -0.000 |
| 0.001 | 0.001 | 0.001 | -0.000 | -0.000 | 89.936 |
| 213.186 | 176.107 | 176.107 | -0.000 | -0.000 | -0.000 |
| 176.107 | 213.186 | 176.107 | -0.000 | -0.000 | -0.000 |
| 176.107 | 176.107 | 213.186 | -0.000 | -0.000 | -0.000 |
| -0.001 | -0.001 | -0.001 | 89.936 | 0.000 | 0.000 |
| -0.001 | -0.001 | -0.001 | 0.000 | 89.936 | 0.000 |
| -0.001 | -0.001 | -0.001 | 0.000 | 0.000 | 89.936 |
| 213.136 | 176.066 | 176.066 | 0.000 | 0.000 | 0.000 |
| 176.066 | 213.136 | 176.066 | 0.000 | 0.000 | 0.000 |
| 176.066 | 176.066 | 213.136 | 0.000 | 0.000 | 0.000 |
| 0.000 | 0.000 | 0.000 | 89.936 | -0.000 | -0.000 |
| 0.000 | 0.000 | 0.000 | -0.000 | 89.936 | -0.000 |
| 0.000 | 0.000 | 0.000 | -0.000 | -0.000 | 89.936 |
| 269.914 | 230.949 | 230.949 | 0.000 | 0.000 | 0.000 |
| 230.949 | 269.914 | 230.949 | 0.000 | 0.000 | 0.000 |
| 230.949 | 230.949 | 269.914 | 0.000 | 0.000 | 0.000 |
| -0.000 | -0.000 | -0.000 | 89.936 | 0.000 | 0.000 |
| -0.000 | -0.000 | -0.000 | 0.000 | 89.936 | 0.000 |
| -0.000 | -0.000 | -0.000 | 0.000 | 0.000 | 89.936 |
| 950.623 | 287.135 | 295.875 | 0.000 | 0.000 | -0.000 |
| 248.601 | 459.557 | 125.142 | -0.000 | 0.000 | -0.000 |
| 223.967 | 116.796 | 28.352 | 0.000 | 0.000 | -0.000 |
| 1.130 | 0.872 | 1.347 | -129.605 | 0.000 | -0.000 |
| 0.286 | 0.221 | 0.342 | -0.000 | 158.359 | -0.000 |
| 9.114 | 7.033 | 10.866 | 0.000 | 0.000 | -584.783 |
| 950.623 | 287.135 | 295.875 | -0.000 | 0.000 | 0.000 |
| 294.455 | 494.939 | 179.809 | -0.000 | 0.000 | 0.000 |
| 294.970 | 171.584 | 113.002 | -0.000 | -0.000 | 0.000 |
| -1.130 | -0.872 | -1.347 | -129.605 | -0.000 | 0.000 |
| -0.286 | -0.221 | -0.342 | -0.000 | 158.359 | 0.000 |
| -9.114 | -7.033 | -10.866 | -0.000 | -0.000 | -584.783 |
| 890.856 | 241.017 | 224.619 | 0.000 | -0.000 | -0.000 |
| 294.455 | 494.939 | 179.809 | 0.000 | -0.000 | -0.000 |
| 294.970 | 171.584 | 113.003 | 0.000 | -0.000 | -0.000 |
| -0.000 | -0.000 | -0.000 | 49.613 | -0.000 | -0.000 |
| 0.029 | 0.022 | 0.034 | -0.000 | 158.359 | -0.000 |
| -27.195 | -20.986 | -32.422 | -0.000 | -0.000 | -869.586 |
| 950.624 | 287.135 | 295.874 | -0.000 | 0.000 | 0.000 |
| 248.286 | 459.313 | 124.766 | 0.000 | 0.000 | 0.000 |
| 223.651 | 116.553 | 27.976 | 0.000 | -0.000 | 0.000 |
| 0.000 | 0.000 | 0.000 | 49.613 | 0.000 | 0.000 |
| -0.029 | -0.022 | -0.034 | -0.000 | 158.359 | 0.000 |
| 27.195 | 20.986 | 32.422 | 0.000 | -0.000 | -869.586 |
| 890.826 | 240.997 | 224.589 | 0.000 | 0.000 | -0.000 |
| 248.319 | 459.341 | 124.804 | -0.000 | 0.000 | -0.000 |
| 294.972 | 171.584 | 113.006 | -0.000 | -0.000 | -0.000 |
| 0.009 | 0.006 | 0.010 | -129.621 | -0.000 | -0.000 |
| 0.001 | 0.000 | 0.002 | 0.000 | 158.359 | -0.000 |
| -2.849 | -2.209 | -3.390 | -0.000 | 0.000 | -869.586 |
| 890.828 | 240.993 | 224.581 | 0.000 | 0.000 | 0.000 |
| 248.311 | 459.331 | 124.797 | 0.000 | -0.000 | 0.000 |
| 223.676 | 116.574 | 28.005 | -0.000 | -0.000 | 0.000 |
| -0.009 | -0.006 | -0.010 | -129.621 | -0.000 | 0.000 |
| -0.001 | -0.000 | -0.002 | -0.000 | 158.359 | 0.000 |
| 2.849 | 2.209 | 3.390 | 0.000 | -0.000 | -869.586 |
| 684.843 | 349.629 | 490.526 | 0.000 | 0.000 | -0.000 |
| 347.911 | 701.365 | 493.027 | -0.000 | 0.000 | -0.000 |
| 494.447 | 495.621 | 1146.780 | 0.000 | 0.000 | -0.000 |
| -0.000 | 0.000 | 0.000 | 297.337 | 0.000 | -0.000 |
| -0.000 | 0.000 | 0.000 | -0.000 | 295.949 | -0.000 |
| -0.000 | 0.000 | 0.000 | 0.000 | 0.000 | 166.860 |
| 684.843 | 349.629 | 490.526 | -0.000 | -0.000 | 0.000 |
| 350.644 | 698.808 | 493.319 | -0.000 | -0.000 | 0.000 |
| 494.135 | 495.912 | 1146.747 | -0.000 | -0.000 | 0.000 |
| 0.000 | -0.000 | -0.000 | 297.337 | 0.000 | 0.000 |
| 0.000 | -0.000 | -0.000 | -0.000 | 295.949 | 0.000 |
| 0.000 | -0.000 | -0.000 | -0.000 | -0.000 | 166.860 |
| 684.843 | 349.629 | 490.526 | 0.000 | 0.000 | -0.000 |
| 350.644 | 698.808 | 493.319 | 0.000 | 0.000 | -0.000 |
| 494.447 | 495.621 | 1146.782 | 0.000 | -0.000 | -0.000 |
| -0.000 | -0.000 | 0.000 | 297.337 | 0.000 | -0.000 |
| -0.000 | -0.000 | 0.000 | 0.000 | 295.949 | -0.000 |
| -0.000 | 0.000 | -0.000 | 0.000 | 0.000 | 166.860 |
| 684.843 | 349.629 | 490.526 | -0.000 | -0.000 | 0.000 |
| 350.644 | 698.808 | 493.319 | -0.000 | -0.000 | 0.000 |
| 494.135 | 495.912 | 1146.746 | 0.000 | -0.000 | 0.000 |
| 0.000 | 0.000 | -0.000 | 297.337 | 0.000 | 0.000 |
| 0.000 | 0.000 | -0.000 | -0.000 | 295.949 | 0.000 |
| 0.000 | -0.000 | 0.000 | -0.000 | -0.000 | 166.860 |
| 684.842 | 349.629 | 490.527 | 0.000 | 0.000 | -0.000 |
| 350.645 | 698.806 | 493.320 | -0.000 | 0.000 | -0.000 |
| 494.449 | 495.622 | 1146.795 | 0.000 | 0.000 | -0.000 |
| -0.000 | -0.000 | 0.001 | 297.343 | 0.000 | -0.000 |
| -0.001 | -0.000 | 0.001 | 0.000 | 295.949 | -0.000 |
| -0.001 | -0.000 | -0.000 | 0.000 | 0.000 | 166.860 |
| 684.844 | 349.629 | 490.526 | -0.000 | -0.000 | 0.000 |
| 347.910 | 701.366 | 493.026 | 0.000 | -0.000 | 0.000 |
| 494.133 | 495.911 | 1146.733 | -0.000 | -0.000 | 0.000 |
| 0.000 | 0.000 | -0.001 | 297.343 | 0.000 | 0.000 |
| 0.001 | 0.000 | -0.001 | -0.000 | 295.949 | 0.000 |
| 0.001 | 0.000 | 0.000 | -0.000 | -0.000 | 166.860 |
| 1044954144.139 | 8781997491.207 | -36711183.092 | -1054049.064 | 170780.248 | 445385287.339 |
| 837556882.116 | 8845556131.635 | -2954655582.602 | -1010315.724 | 119936.256 | 436615639.118 |
| 854400936.743 | 8892609960.943 | -2704067381.214 | -1023238.464 | 121122.592 | 437903220.557 |
| 872543183.005 | 8904891612.303 | -2692852937.241 | -1030896.030 | 125275.287 | 437556112.418 |
| 847782006.147 | 8875692008.776 | -2803609397.437 | -1019215.737 | 121793.200 | 438028152.422 |
| 797928893.051 | 8726744170.078 | -3277414371.326 | -996898.154 | 119073.387 | 430960225.547 |
| -844656330.494 | -8860994310.911 | 2881789843.053 | 1014256.144 | -120226.031 | -437104183.869 |
| -802786382.095 | -8738932355.081 | 3253935452.683 | 997735.682 | -119238.579 | -431270491.234 |
| -839336318.230 | -8871505380.710 | 2803845929.657 | 1017700.485 | -120284.627 | -437670575.348 |
| -825360659.442 | -8819888108.410 | 3012208887.593 | 1008537.639 | -119829.098 | -435626926.371 |
| -858796048.448 | -8902586574.035 | 2647888539.935 | 1025860.849 | -120576.954 | -438315253.918 |
| -781361298.892 | -8641144788.559 | 3467914885.244 | 989776.993 | -119005.453 | -428089835.923 |
| 104363444.392 | 875048372.868 | -3960327.899 | -104618.712 | 16567.340 | 44506904.794 |
| 87072832.608 | 893022012.341 | -241642370.883 | -103792.970 | 12094.207 | 43849899.141 |
| 85087877.562 | 888202208.444 | -278076303.532 | -101860.860 | 12056.414 | 43775961.735 |
| 87395354.235 | 894080521.227 | -217712975.749 | -105275.385 | 12169.644 | 43791051.773 |
| 84953673.637 | 887633086.539 | -282340774.280 | -101672.447 | 12082.980 | 43758122.652 |
| 83696291.620 | 884572779.056 | -294263763.124 | -101126.694 | 11997.160 | 43659376.289 |
| -78593487.367 | -864958994.319 | 345494532.805 | 99038.040 | -11935.288 | -42815134.990 |
| -79110949.554 | -868692681.026 | 337945528.933 | 99265.882 | -11932.428 | -42928029.315 |
| -84665607.252 | -887276898.385 | 282249318.969 | 101645.954 | -11947.563 | -43763430.295 |
| -103914013.467 | -893322235.497 | 6844140.378 | 107971.730 | -16799.364 | -44507848.221 |
| -91208479.890 | -895827975.090 | 117039946.257 | 110237.513 | -12935.481 | -43465622.720 |
| -80447323.376 | -875400365.207 | 320275539.658 | 100016.759 | -11939.520 | -43231200.046 |
| 7896209.768 | 87033927.741 | -33284337.434 | -9946.618 | 1209.974 | 4287859.116 |
| 8622433.589 | 89031994.478 | -27035637.928 | -10352.049 | 1292.969 | 4384933.607 |
| 8548416.909 | 88939231.622 | -26946421.573 | -10237.225 | 1205.111 | 4380749.680 |
| 8697140.705 | 89263702.402 | -24909579.596 | -10283.447 | 1203.532 | 4387195.485 |
| 8354113.040 | 88365391.212 | -29870412.543 | -10094.693 | 1219.239 | 4360128.647 |
| 8133978.845 | 87809089.552 | -31385098.955 | -10028.459 | 1195.930 | 4336168.910 |
| -9403322.964 | -89703427.267 | 7797071.100 | 11115.151 | -1376.306 | -4346899.439 |
| -8545838.798 | -88928302.417 | 27054098.599 | 10232.809 | -1200.166 | -4380634.127 |
| -7836845.256 | -86245989.106 | 35071234.114 | 9877.305 | -1169.528 | -4272653.604 |
| -7827775.466 | -85380392.247 | 36882145.101 | 9871.060 | -1198.875 | -4278585.846 |
| -8036432.238 | -87477073.306 | 32429848.074 | 9972.870 | -1168.203 | -4317408.104 |
| -7785934.680 | -85697830.370 | 36181761.412 | 9857.585 | -1190.076 | -4275998.660 |
| 660.952 | 329.586 | 435.693 | -12.021 | 0.000 | -0.000 |
| 329.586 | 660.952 | 435.693 | 12.021 | -0.000 | -0.000 |
| 435.930 | 435.930 | 897.161 | -0.000 | 0.000 | -0.000 |
| -12.727 | 12.727 | 0.000 | 252.837 | -0.000 | -0.000 |
| 0.001 | 0.001 | 0.001 | 0.000 | 245.468 | -10.362 |
| 0.001 | 0.001 | 0.001 | 0.000 | -10.362 | 165.151 |
| 660.952 | 329.586 | 435.693 | -12.021 | 0.000 | 0.000 |
| 332.493 | 664.312 | 439.226 | 12.727 | 0.000 | 0.000 |
| 435.929 | 435.929 | 897.160 | -0.000 | 0.000 | 0.000 |
| -12.727 | 12.727 | -0.000 | 252.837 | -0.000 | 0.000 |
| -0.001 | -0.001 | -0.001 | -0.000 | 245.468 | -10.362 |
| -0.001 | -0.001 | -0.001 | -0.000 | -10.362 | 165.151 |
| 660.570 | 330.269 | 435.863 | -10.362 | -0.000 | -0.000 |
| 332.493 | 664.311 | 439.226 | 12.727 | -0.000 | -0.000 |
| 435.930 | 435.930 | 897.163 | 0.000 | -0.000 | -0.000 |
| -10.362 | 10.362 | 0.000 | 245.468 | 0.000 | -0.000 |
| -0.000 | 0.000 | 0.000 | 0.000 | 245.468 | -10.362 |
| -0.000 | -0.000 | -0.000 | 0.000 | -12.727 | 165.909 |
| 660.952 | 329.586 | 435.693 | -12.021 | 0.000 | 0.000 |
| 329.586 | 660.952 | 435.693 | 12.021 | 0.000 | 0.000 |
| 439.292 | 439.292 | 900.950 | -0.000 | 0.000 | 0.000 |
| -12.726 | 12.727 | -0.000 | 252.837 | 0.000 | 0.000 |
| 0.000 | -0.000 | -0.000 | -0.000 | 245.468 | -10.362 |
| 0.000 | 0.000 | 0.000 | -0.000 | -12.727 | 165.909 |
| 660.950 | 329.585 | 435.693 | -12.021 | -0.000 | -0.000 |
| 330.269 | 660.568 | 435.864 | 10.362 | 0.000 | -0.000 |
| 435.931 | 435.931 | 897.179 | 0.000 | 0.000 | -0.000 |
| -10.362 | 10.361 | 0.001 | 245.468 | -0.000 | -0.000 |
| -0.001 | -0.000 | 0.001 | 0.000 | 245.468 | -10.362 |
| -0.001 | -0.000 | -0.000 | 0.000 | -10.362 | 165.151 |
| 664.314 | 332.493 | 439.226 | -12.727 | 0.000 | 0.000 |
| 330.269 | 660.574 | 435.863 | 10.362 | 0.000 | 0.000 |
| 435.928 | 435.928 | 897.142 | 0.000 | -0.000 | 0.000 |
| -10.362 | 10.363 | -0.001 | 245.469 | 0.000 | 0.000 |
| 0.001 | 0.000 | -0.001 | -0.000 | 245.468 | -10.362 |
| 0.001 | 0.000 | 0.000 | -0.000 | -10.362 | 165.151 |
Phonon band structures and crystal properties estimated from quasi-harmonic approximation (QHA) calculations are displayed for select crystals. The calculations were performed using phonopy and LAMMPS. For the phonon calculations, 3x3 supercells of the potential-specific relaxed crystals were used. The QHA calculations were based on 11 strain states ranging from -0.05 to 0.05.
The calculation method used is available as the iprPy phonon calculation method.
Notes and Disclaimers:
Version Information:













































































































































































































































































































































































Static free surface formation energies are displayed for select crystals. The values displayed here are obtained by taking a perfect periodic bulk crystal, slicing along a crystallographic plane, and using force minimization to statically relax the surfaces. The free surface formation energy is computed by comparing the energy of the defect system to the bulk system and dividing by the total surface area created by the cut.
The calculation method used is available as the iprPy surface_energy_static calculation method.
Notes and Disclaimers:
Version Information:
| Surface | γfs (mJ/m2) |
|---|---|
| (100) | 582.59 |
| (111) | 600.64 |
| (110) | 621.97 |
| (210) | 630.97 |
| (310) | 631.41 |
| (332) | 631.49 |
| (322) | 634.94 |
| (320) | 635.14 |
| (311) | 638.72 |
| (221) | 641.29 |
| (331) | 645.04 |
| (211) | 645.10 |
| (321) | 651.22 |
| Surface | γfs (mJ/m2) |
|---|---|
| (1012) 2 | 603.63 |
| (0001) | 612.28 |
| (1120) | 624.00 |
| (1011) 1 | 630.60 |
| (2241) | 637.80 |
| (2021) 1 | 639.22 |
| (2132) 2 | 646.06 |
| (2021) 2 | 646.53 |
| (1121) | 647.80 |
| (2130) | 648.73 |
| (2131) 1 | 650.25 |
| (2131) 2 | 651.16 |
| (1010) | 651.38 |
| (2112) | 655.46 |
| (2132) 1 | 659.91 |
| (1011) 2 | 661.05 |
| (1012) 1 | 675.38 |
| Surface | γfs (mJ/m2) |
|---|---|
| (1011) 2 | 614.20 |
| (1120) | 629.38 |
| (0001) | 629.49 |
| (1010) 1 | 632.76 |
| (1012) 1 | 634.26 |
| (2021) 1 | 644.23 |
| (2130) 1 | 651.79 |
| (2112) | 655.07 |
| (2130) 2 | 655.20 |
| (2131) 2 | 656.02 |
| (2241) | 656.51 |
| (2132) 1 | 662.63 |
| (2021) 2 | 664.24 |
| (1121) | 667.56 |
| (2132) 2 | 668.64 |
| (1010) 2 | 681.09 |
| (2131) 1 | 685.10 |
| (1012) 2 | 688.84 |
| (1011) 1 | 761.00 |
| Surface | γfs (mJ/m2) |
|---|---|
| (331) | -825.88 |
| (332) | -755.89 |
| (322) | -712.98 |
| (320) | -442.26 |
| (310) | -381.19 |
| (221) | -211.00 |
| (210) | -181.14 |
| (100) | 541.19 |
| (111) | 568.41 |
| (110) | 575.06 |
| (211) | 608.04 |
| (311) | 611.59 |
| (321) | 616.24 |
| Surface | γfs (mJ/m2) |
|---|---|
| (111) | 501.34 |
| (332) | 556.42 |
| (322) | 562.79 |
| (221) | 580.51 |
| (100) | 581.38 |
| (211) | 592.81 |
| (331) | 599.86 |
| (311) | 613.83 |
| (110) | 617.44 |
| (321) | 621.74 |
| (310) | 644.52 |
| (320) | 646.22 |
| (210) | 651.49 |
| Surface | γfs (mJ/m2) |
|---|---|
| (331) | -9358.93 |
| (322) | -9084.24 |
| (332) 2 | -8880.13 |
| (321) 2 | -8047.01 |
| (332) 1 | -8041.01 |
| (321) 1 | -7721.75 |
| (221) | -5909.86 |
| (311) | -5137.58 |
| (320) | -5051.51 |
| (310) | -4811.57 |
| (211) 1 | -2991.21 |
| (210) | -1733.42 |
| (100) | 2274.11 |
| (211) 2 | 5119.05 |
| (110) | 5245.94 |
| (111) | 5312.14 |
| Surface | γfs (mJ/m2) |
|---|---|
| (211) 2 | 488.25 |
| (332) 2 | 519.67 |
| (210) | 523.31 |
| (311) | 528.36 |
| (321) 2 | 532.05 |
| (321) 1 | 532.43 |
| (111) | 536.83 |
| (221) | 537.16 |
| (322) | 537.67 |
| (331) | 548.39 |
| (100) | 553.05 |
| (310) | 553.84 |
| (332) 1 | 557.57 |
| (320) | 558.01 |
| (110) | 571.41 |
| (211) 1 | 573.27 |
| Surface | γfs (mJ/m2) |
|---|---|
| (110) | 5547.96 |
| (211) | 5631.61 |
| (321) | 5639.92 |
| (320) | 5651.70 |
| (221) | 5681.86 |
| (331) | 5689.90 |
| (310) | 5700.94 |
| (332) | 5724.84 |
| (210) | 5732.39 |
| (322) | 5747.02 |
| (311) | 5823.23 |
| (111) | 5869.04 |
| (100) | 6481.34 |
| Surface | γfs (mJ/m2) |
|---|---|
| (332) | -1371.57 |
| (321) | -1189.45 |
| (320) | -80.68 |
| (311) | 22.04 |
| (211) | 38.03 |
| (310) | 61.46 |
| (210) | 151.56 |
| (110) | 540.52 |
| (100) | 566.24 |
| (331) | 598.68 |
| (221) | 617.62 |
| (322) | 621.37 |
| (111) | 643.28 |
| Surface | γfs (mJ/m2) |
|---|---|
| (0001) | 501.34 |
| (1012) 2 | 549.42 |
| (2021) 1 | 549.93 |
| (1011) 1 | 558.08 |
| (2021) 2 | 595.23 |
| (1120) | 617.43 |
| (2131) 1 | 619.52 |
| (1010) | 623.51 |
| (2132) 1 | 627.02 |
| (2132) 2 | 627.29 |
| (2241) | 628.48 |
| (1012) 1 | 629.13 |
| (1121) | 635.80 |
| (2112) | 639.67 |
| (2130) | 640.11 |
| (1011) 2 | 645.72 |
| (2131) 2 | 653.98 |
| Surface | γfs (mJ/m2) |
|---|---|
| (111) 2 | 65.49 |
| (331) 2 | 78.07 |
| (110) | 80.21 |
| (321) | 90.92 |
| (211) | 92.57 |
| (320) | 94.35 |
| (332) | 96.56 |
| (210) | 101.41 |
| (311) 1 | 102.54 |
| (311) 2 | 102.54 |
| (310) | 107.54 |
| (322) | 109.82 |
| (221) | 113.16 |
| (100) | 113.32 |
| (331) 1 | 129.74 |
| (111) 1 | 195.52 |
| Surface | γfs (mJ/m2) |
|---|---|
| (101) | 5378.51 |
| (001) | 5466.32 |
| (201) | 5535.13 |
| (100) | 5543.67 |
| (211) | 5570.61 |
| (111) | 5753.14 |
| (112) | 5874.83 |
| (110) | 6173.67 |
| Surface | γfs (mJ/m2) |
|---|---|
| (332) | -13487.32 |
| (311) | -9623.23 |
| (210) | -5371.78 |
| (211) | -4960.43 |
| (320) | -3181.86 |
| (100) | 150.17 |
| (310) | 190.17 |
| (110) | 212.88 |
| (322) | 255.83 |
| (111) | 261.15 |
| Surface | γfs (mJ/m2) |
|---|---|
| (111) | 2797.53 |
| (100) | 2825.95 |
| (311) | 2829.59 |
| (210) | 2851.45 |
| (110) | 2872.83 |
| (310) | 2879.21 |
| (332) | 2893.37 |
| (320) | 2903.07 |
| (321) | 2903.13 |
| (322) | 2909.22 |
| (331) | 2913.85 |
| (211) | 2915.57 |
| (221) | 2916.95 |
| Surface | γfs (mJ/m2) |
|---|---|
| (111) | 520.80 |
| (100) | 555.88 |
| (332) | 569.66 |
| (322) | 575.23 |
| (221) | 590.03 |
| (211) | 600.03 |
| (331) | 605.36 |
| (110) | 613.21 |
| (311) | 614.41 |
| (321) | 626.78 |
| (310) | 629.97 |
| (320) | 638.71 |
| (210) | 642.06 |
| Surface | γfs (mJ/m2) |
|---|---|
| (331) | -57074.83 |
| (322) | -55742.67 |
| (221) | -39953.86 |
| (210) | -27504.32 |
| (111) | -22103.75 |
| (100) | -3436.08 |
| (310) | 699.58 |
| (110) | 712.56 |
| (320) | 724.61 |
| (311) | 759.33 |
| (321) | 784.27 |
| (211) | 788.85 |
| (332) | 799.89 |
| Surface | γfs (mJ/m2) |
|---|---|
| (0001) | 2689.61 |
| (1012) 2 | 2739.83 |
| (1120) | 2741.05 |
| (1011) 1 | 2756.68 |
| (2241) | 2780.39 |
| (2130) | 2794.02 |
| (2021) 1 | 2797.75 |
| (2132) 2 | 2799.89 |
| (1121) | 2801.34 |
| (2131) 1 | 2801.77 |
| (2112) | 2804.79 |
| (2021) 2 | 2814.60 |
| (2131) 2 | 2816.81 |
| (1010) | 2821.94 |
| (2132) 1 | 2831.53 |
| (1012) 1 | 2904.18 |
| (1011) 2 | 2976.11 |
| Surface | γfs (mJ/m2) |
|---|---|
| (0001) | 520.80 |
| (1012) 2 | 544.77 |
| (2021) 1 | 565.79 |
| (1011) 1 | 567.66 |
| (2021) 2 | 600.72 |
| (1120) | 612.83 |
| (2131) 1 | 621.56 |
| (1010) | 624.67 |
| (2132) 2 | 625.11 |
| (2241) | 625.17 |
| (2132) 1 | 630.58 |
| (1011) 2 | 632.23 |
| (1012) 1 | 633.66 |
| (1121) | 633.79 |
| (2130) | 639.18 |
| (2112) | 640.15 |
| (2131) 2 | 648.80 |
| Surface | γfs (mJ/m2) |
|---|---|
| (1010) 1 | 2738.64 |
| (0001) | 2761.88 |
| (1011) 2 | 2770.51 |
| (1120) | 2797.19 |
| (2112) | 2818.22 |
| (2130) 1 | 2834.11 |
| (2021) 1 | 2848.06 |
| (1012) 1 | 2852.36 |
| (2241) | 2853.22 |
| (2131) 2 | 2859.91 |
| (1121) | 2865.68 |
| (2130) 2 | 2869.16 |
| (1012) 2 | 2879.98 |
| (2132) 1 | 2884.41 |
| (2131) 1 | 2900.47 |
| (2132) 2 | 2908.79 |
| (2021) 2 | 2973.67 |
| (1010) 2 | 3071.91 |
| (1011) 1 | 3083.14 |
| Surface | γfs (mJ/m2) |
|---|---|
| (0001) | 520.80 |
| (1011) 2 | 544.96 |
| (1010) 1 | 556.09 |
| (2021) 1 | 566.85 |
| (1012) 1 | 597.79 |
| (2130) 1 | 611.65 |
| (1120) | 612.77 |
| (2112) | 614.59 |
| (1012) 2 | 618.30 |
| (2132) 2 | 623.48 |
| (2132) 1 | 624.49 |
| (2131) 2 | 625.11 |
| (2241) | 633.76 |
| (2021) 2 | 633.89 |
| (2131) 1 | 636.24 |
| (1121) | 640.20 |
| (2130) 2 | 667.24 |
| (1010) 2 | 694.75 |
| (1011) 1 | 724.74 |
| Surface | γfs (mJ/m2) |
|---|---|
| (111) 2 | 1300.73 |
| (331) 2 | 1454.40 |
| (110) | 1456.36 |
| (211) | 1457.47 |
| (332) | 1460.25 |
| (321) | 1494.56 |
| (311) 1 | 1506.32 |
| (322) | 1507.70 |
| (320) | 1533.65 |
| (221) | 1534.09 |
| (100) | 1545.67 |
| (310) | 1552.56 |
| (210) | 1555.25 |
| (311) 2 | 1598.32 |
| (331) 1 | 1604.61 |
| (111) 1 | 1808.60 |
| Surface | γfs (mJ/m2) |
|---|---|
| (100) | -20496.71 |
| (331) 2 | -19241.83 |
| (331) 1 | -18486.36 |
| (320) | -15865.36 |
| (311) 2 | -13866.86 |
| (210) | -9646.33 |
| (111) 2 | -6965.80 |
| (111) 1 | -6753.38 |
| (110) | -6052.06 |
| (310) | -343.92 |
| Surface | γfs (mJ/m2) |
|---|---|
| (111) 2 | 76.08 |
| (331) 2 | 90.70 |
| (110) | 93.18 |
| (321) | 108.71 |
| (211) | 112.26 |
| (320) | 112.82 |
| (332) | 120.88 |
| (210) | 122.98 |
| (311) 1 | 126.09 |
| (311) 2 | 126.09 |
| (310) | 132.25 |
| (322) | 140.29 |
| (100) | 143.21 |
| (221) | 145.07 |
| (331) 1 | 169.46 |
| (111) 1 | 274.30 |
| Surface | γfs (mJ/m2) |
|---|---|
| (332) | -19326.72 |
| (321) | -14689.60 |
| (320) | -14284.22 |
| (310) | -12282.12 |
| (322) | -11809.01 |
| (331) | -10929.75 |
| (210) | -7629.41 |
| (221) | -7615.97 |
| (311) | -7094.00 |
| (111) | -5912.56 |
| (211) | -5492.20 |
| (100) | 1813.57 |
| (110) | 1942.06 |
| Surface | γfs (mJ/m2) |
|---|---|
| (100) | 255.10 |
| (310) | 309.25 |
| (210) | 323.31 |
| (110) | 329.53 |
| (320) | 329.75 |
| (311) | 341.83 |
| (331) | 355.45 |
| (111) | 355.88 |
| (211) | 358.50 |
| (321) | 359.37 |
| (221) | 361.19 |
| (332) | 362.39 |
| (322) | 362.43 |
Stacking fault energy plots and maps are displayed for select crystals. The values are computed by
The calculation method used is available as the iprPy stacking_fault_map_2D calculation method.
Notes and Disclaimers:
Version Information:
| E_usf a/2 [0 -1 1] | 57.43 |
| τ_ideal a/2 [0 -1 1] | 1.13 |




| E_isf | -45.52 |
| E_usf a/2 [0 -1 1] | 61.50 |
| τ_ideal a/2 [0 -1 1] | 1.90 |




| E_isf | 59.27 |
| E_usf a/3 [-2 1 1 0] | 129.86 |
| τ_ideal a/3 [-2 1 1 0] | 2.22 |




| E_usf a/3 [-1 2 -1 0] | 103.82 |
| E_usf a/3 [-2 1 1 3] | 160.93 |
| τ_ideal a/3 [-1 2 -1 0] | 1.83 |
| τ_ideal a/3 [-2 1 1 3] | 1.95 |





| E_isf | 0.00 |
| E_usf a/2 [0 -1 1] | 240.53 |
| τ_ideal a/2 [0 -1 1] | 2.73 |




| E_usf a/2 [-1 1 -1] | 740.13 |
| τ_ideal a/2 [-1 1 -1] | 9.96 |




| E_usf a/2 [0 -1 1] | 1449.71 |
| τ_ideal a/2 [0 -1 1] | 1102.74 |




| E_isf | 489.75 |
| E_usf a/2 [0 -1 1] | 1030.72 |
| τ_ideal a/2 [0 -1 1] | 17.11 |




| E_usf a/2 [0 -1 1] | 530.31 |
| τ_ideal a/2 [0 -1 1] | 6.68 |




| E_isf | 0.00 |
| E_usf a/2 [0 -1 1] | 355.01 |
| τ_ideal a/2 [0 -1 1] | 114.60 |




| E_usf a/2 [-1 1 -1] | 581.46 |
| τ_ideal a/2 [-1 1 -1] | 1180.40 |




| E_usf a/2 [-1 -1 1] | 2301.67 |
| τ_ideal a/2 [-1 -1 1] | 1008.29 |




| E_usf a/3 [-1 2 -1 0] | 1981.19 |
| E_usf a/3 [-2 1 1 3] | 1281192.78 |
| τ_ideal a/3 [-1 2 -1 0] | 268.44 |
| τ_ideal a/3 [-2 1 1 3] | 854360.16 |





| E_usf a/3 [-1 2 -1 0] | 2248834.05 |
| E_usf a/3 [-2 1 1 3] | 1863151.75 |
| τ_ideal a/3 [-1 2 -1 0] | 1490539.46 |
| τ_ideal a/3 [-2 1 1 3] | 1152071.39 |





| E_usf a/3 [-2 1 1 3] | 439885.18 |
| τ_ideal a/3 [-2 1 1 3] | 290797.14 |




| E_isf | 0.00 |
| E_usf a/3 [-2 1 1 0] | 355.06 |
| τ_ideal a/3 [-2 1 1 0] | 114.62 |




| E_usf a/3 [-1 2 -1 0] | 408.32 |
| τ_ideal a/3 [-1 2 -1 0] | 115.91 |




| E_usf a/3 [-1 2 -1 0] | 625.83 |
| E_usf a/3 [-2 1 1 3] | 619.37 |
| τ_ideal a/3 [-1 2 -1 0] | 69.19 |
| τ_ideal a/3 [-2 1 1 3] | 44402.24 |





| E_usf a/3 [-1 2 -1 0] | 501.76 |
| E_usf a/3 [-2 1 1 3] | 214.12 |
| τ_ideal a/3 [-1 2 -1 0] | 117.99 |
| τ_ideal a/3 [-2 1 1 3] | 33.36 |





| E_usf a/3 [-2 1 1 3] | 734.16 |
| τ_ideal a/3 [-2 1 1 3] | 80.44 |




Static point defect formation energies, Ef, and elastic dipole tensors, pij, are displayed for select crystals. Relaxed defect configurations are obtained by taking a 12x12x12 supercell of a perfect periodic bulk crystal, inserting the point defect, and using force minimization to statically relax the atomic positions while keeping the system dimensions constant. Ef is computed by comparing the energy of the defect system to the same number of atoms in a perfect bulk crystal. pij is estimated as the difference in the system's global pressure with and without the defect multiplied by the system's volume.
Simple structural comparisons of the unrelaxed and relaxed defect configurations are used to help determine if the defect structure has relaxed to a different configuration. Relaxed structures that are identified as no longer consistent with the ideal defect definition are excluded from the table below. The only exception to this is if the lowest energy interstitial configuration does not coincide with a known ideal defect, its energies and pressure tensor are included under the listing "relaxed interstitial". The full list of calculation results including the transformed structures and the structural comparison values is included in the csv file available from the "Download raw data" link.
The calculation method used is available as the iprPy point_defect_static calculation method.
Notes and Disclaimers:
| Point Defect | Ef (eV) | p11 (eV) | p22 (eV) | p33 (eV) | p12 (eV) | p13 (eV) | p23 (eV) |
|---|---|---|---|---|---|---|---|
| tetrahedral interstitial | -231822070999.458 | 8847148945.713 | 8847148945.695 | 8847148945.686 | 0.008 | 0.006 | 0.009 |
| 111 dumbbell | -154652413094.798 | 8083830064.709 | 8083830064.696 | 8083830064.725 | 762869118.045 | 762869118.069 | 762869118.070 |
| crowdion interstitial | -16594007488.831 | 1429880540.491 | 1429880540.808 | 1839045709.466 | -459331921.320 | -0.000 | 0.000 |
| 110 dumbbell | -2561549147.048 | 617036283.857 | 533670362.698 | 533670362.698 | 0.003 | 0.002 | -94664210.012 |
| vacancy | 0.482 | -1.904 | -1.904 | -1.904 | 0.000 | -0.000 | 0.000 |
| 2nn divacancy | 0.917 | -3.840 | -3.840 | -3.956 | 0.000 | -0.000 | 0.000 |
| 1nn divacancy | 0.929 | -4.765 | -3.537 | -3.537 | 0.000 | -0.000 | -0.239 |
| 100 dumbbell | 0.971 | 9.809 | 9.809 | 8.003 | 0.000 | -0.000 | 0.000 |
| octahedral interstitial | 1.024 | 9.791 | 9.791 | 9.791 | 0.000 | 0.000 | -0.000 |
| Point Defect | Ef (eV) | p11 (eV) | p22 (eV) | p33 (eV) | p12 (eV) | p13 (eV) | p23 (eV) |
|---|---|---|---|---|---|---|---|
| relaxed interstitial | -16570231682.564 | 1647056172.050 | 1732913288.102 | 1316512630.181 | 74354548.362 | -425565260.071 | 245700206.327 |
| 0001 dumbbell | -1271323618.197 | 325122516.209 | 325122516.209 | 329034257.219 | 0.000 | -0.000 | 0.000 |
| vacancy | 0.482 | -1.755 | -1.755 | -2.175 | -0.000 | -0.000 | 0.000 |
| Point Defect | Ef (eV) | p11 (eV) | p22 (eV) | p33 (eV) | p12 (eV) | p13 (eV) | p23 (eV) |
|---|---|---|---|---|---|---|---|
| 110 dumbbell | -29.366 | 6.410 | 0.613 | 0.613 | -0.000 | -0.000 | 0.769 |
| vacancy | 2.489 | 0.101 | 0.101 | 0.101 | -0.000 | -0.000 | -0.000 |
| 1nn divacancy | 4.570 | 0.175 | 0.184 | 0.184 | -0.000 | -0.000 | -0.002 |
| 2nn divacancy | 4.985 | 0.205 | 0.205 | 0.194 | -0.000 | -0.000 | -0.000 |
| Point Defect | Ef (eV) | p11 (eV) | p22 (eV) | p33 (eV) | p12 (eV) | p13 (eV) | p23 (eV) |
|---|---|---|---|---|---|---|---|
| crowdion interstitial | -68.298 | 7.455 | 7.455 | 7.455 | -1.548 | -1.548 | -1.548 |
| 110 dumbbell | 1.775 | 29.286 | 29.630 | 29.630 | -0.000 | -0.000 | -0.496 |
| 100 dumbbell | 2.023 | 32.071 | 32.071 | 30.779 | 0.000 | -0.000 | -0.000 |
| vacancy | 2.725 | -17.705 | -17.705 | -17.705 | 0.000 | 0.000 | 0.000 |
| 1nn divacancy | 5.364 | -35.392 | -35.392 | -35.392 | 0.054 | 0.054 | 0.054 |
| 2nn divacancy | 5.716 | -35.213 | -35.213 | -35.509 | 0.000 | 0.000 | 0.000 |
| Point Defect | Ef (eV) | p11 (eV) | p22 (eV) | p33 (eV) | p12 (eV) | p13 (eV) | p23 (eV) |
|---|---|---|---|---|---|---|---|
| relaxed interstitial | -196.829 | -7.116 | 14.494 | 14.494 | 0.000 | -0.000 | 2.448 |
| 111 dumbbell | -31.348 | 3.870 | 3.870 | 3.870 | -1.707 | -1.707 | -1.707 |
| 100 dumbbell | -16.275 | 0.961 | 0.961 | 8.173 | 0.000 | 0.000 | 0.000 |
| vacancy | 1.703 | 0.369 | 0.369 | 0.369 | -0.000 | 0.000 | -0.000 |
| 2nn divacancy | 3.111 | 3.334 | 3.334 | -5.234 | 0.000 | 0.000 | 0.000 |
| 1nn divacancy | 3.449 | 0.958 | 0.958 | 0.958 | 1.324 | 1.324 | 1.324 |
| Point Defect | Ef (eV) | p11 (eV) | p22 (eV) | p33 (eV) | p12 (eV) | p13 (eV) | p23 (eV) |
|---|---|---|---|---|---|---|---|
| vacancy | 0.876 | -0.000 | -0.000 | -0.000 | 0.000 | 0.000 | 0.000 |
| 1nn divacancy | 1.314 | -0.000 | -0.000 | -0.000 | -0.000 | -0.000 | -0.000 |
| Point Defect | Ef (eV) | p11 (eV) | p22 (eV) | p33 (eV) | p12 (eV) | p13 (eV) | p23 (eV) |
|---|---|---|---|---|---|---|---|
| 111 dumbbell | -85524.988 | -12.753 | -12.753 | -12.754 | -2.153 | -2.153 | -2.153 |
| 110 dumbbell | -14288.519 | 45.241 | 38.149 | 38.149 | 0.000 | -0.000 | -6.722 |
| vacancy | 1.890 | -7.798 | -7.798 | -7.798 | 0.000 | -0.000 | -0.000 |
| 2nn divacancy | 3.749 | -15.507 | -15.507 | -15.340 | 0.000 | -0.000 | -0.000 |
| 1nn divacancy | 3.782 | -15.917 | -15.276 | -15.276 | 0.000 | -0.000 | 0.885 |
| Point Defect | Ef (eV) | p11 (eV) | p22 (eV) | p33 (eV) | p12 (eV) | p13 (eV) | p23 (eV) |
|---|---|---|---|---|---|---|---|
| tetrahedral interstitial | -1.744 | -8.964 | -8.964 | -8.964 | 0.000 | 0.000 | 0.000 |
| 111 dumbbell | -1.500 | -1.928 | -1.928 | -1.928 | 3.153 | 3.153 | 3.153 |
| vacancy | 1.914 | -0.079 | -0.079 | -0.079 | -0.000 | -0.000 | 0.000 |
| 1nn divacancy | 3.556 | 0.006 | -0.258 | -0.258 | -0.000 | -0.000 | -0.010 |
| 2nn divacancy | 3.788 | -0.148 | -0.148 | 0.182 | -0.000 | -0.000 | 0.000 |
| Point Defect | Ef (eV) | p11 (eV) | p22 (eV) | p33 (eV) | p12 (eV) | p13 (eV) | p23 (eV) |
|---|---|---|---|---|---|---|---|
| tetrahedral interstitial | -2.801 | -2.701 | 4.879 | -2.701 | 0.000 | 0.000 | -0.000 |
| 110 dumbbell | -2.736 | -6.944 | 0.277 | 0.277 | -0.000 | -0.000 | -10.544 |
| vacancy | 1.755 | 0.518 | 0.518 | 0.518 | -0.000 | 0.000 | 0.000 |
| 2nn divacancy | 3.170 | 1.802 | 1.802 | -0.053 | 0.000 | 0.000 | 0.000 |
| 1nn divacancy | 3.437 | 0.649 | 0.649 | 0.649 | 0.303 | 0.303 | 0.303 |
| Point Defect | Ef (eV) | p11 (eV) | p22 (eV) | p33 (eV) | p12 (eV) | p13 (eV) | p23 (eV) |
|---|---|---|---|---|---|---|---|
| vacancy | 1.352 | -8.816 | -8.816 | -10.963 | 0.000 | -0.000 | -0.000 |
| Point Defect | Ef (eV) | p11 (eV) | p22 (eV) | p33 (eV) | p12 (eV) | p13 (eV) | p23 (eV) |
|---|---|---|---|---|---|---|---|
| vacancy | 1.914 | -0.082 | -0.082 | -0.079 | -0.000 | 0.000 | 0.000 |
| Point Defect | Ef (eV) | p11 (eV) | p22 (eV) | p33 (eV) | p12 (eV) | p13 (eV) | p23 (eV) |
|---|---|---|---|---|---|---|---|
| tetragonal interstitial | -1.599 | -10.706 | -10.706 | -10.706 | -0.000 | -0.000 | -0.000 |
| vacancy | 1.618 | -10.120 | -10.120 | -10.120 | -0.000 | 0.000 | -0.000 |
| 1nn divacancy | 3.255 | -17.996 | -17.996 | -17.996 | -0.524 | -0.524 | -0.524 |
| Point Defect | Ef (eV) | p11 (eV) | p22 (eV) | p33 (eV) | p12 (eV) | p13 (eV) | p23 (eV) |
|---|---|---|---|---|---|---|---|
| relaxed interstitial | -21413.021 | -17.441 | -17.441 | -17.442 | 4.623 | 4.629 | 4.629 |
| tetragonal interstitial | -2.347 | 1.293 | 1.293 | 1.293 | 0.000 | 0.000 | 0.000 |
| vacancy | 0.790 | -0.037 | -0.037 | -0.037 | 0.000 | 0.000 | 0.000 |
| 1nn divacancy | 1.409 | -1.128 | -1.128 | -1.128 | -3.653 | -3.653 | -3.653 |
| Point Defect | Ef (eV) | p11 (eV) | p22 (eV) | p33 (eV) | p12 (eV) | p13 (eV) | p23 (eV) |
|---|---|---|---|---|---|---|---|
| vacancy | 0.832 | -0.017 | -0.017 | -0.017 | -0.000 | -0.000 | -0.000 |
| 1nn divacancy | 1.248 | -0.024 | -0.024 | -0.024 | 0.000 | 0.000 | 0.000 |
Plots of the atomic structure of dislocation cores are shown here. The dislocations were constructed using dislocation monopole configurations in which a straight dislocation is created in the center of the system using anisotropic elasticity and the elastic constants computed above. A cylindrical region centered around the dislocation is allowed to relax while the remaining atoms are held fixed. The relaxation consists of 1 million NVT steps at 10 K followed by an energy/force minimization. The final plots show the atomic configuration near the center of the monopole system, and display differential displacement arrows and Nye tensor color maps that are both taken with respect to the Burgers vector direction.
These plots show a wide range of final structures, some corresponding to expected dislocation structures and others not. While the characterizations are dislocation-type dependent, some general classification guidelines are listed here.
The calculation method used is available as the iprPy dislocation_monopole calculation method.
Links are provided above the images allowing for users to download the final defect configuration and a corresponding defect-free configuration if they wish to further analyze the structures or use them for subsequent simulations.
Notes and Disclaimers:
Version Information:
Plots of lattice and elastic constants are shown as a function of temperature. The 0K points were taken from the Crystal Structure Predictions and the Elastic Constants Predictions sections above for the unique crystal structures relaxed with the "dynamic" method. Starting from the 0 K relaxed crystal unit cells, supercell systems are created by replicating all three dimensions by the same multiplier to achieve at least 4000 atoms. The systems are then relaxed at 50 K and zero pressure using 1 million NPT steps. Lattice constants are estimated by averaging the measured box dimensions. Temperatures are iteratively increased by 50 K, with each subsequent relaxation calculation starting from the final atomic configuration at the previous temperature and relaxing for another 1 million steps.
The elastic constants are calculated using the deformation–fluctuation hybrid method. Starting from the final atomic configurations of the dynamic relaxations, the system is allowed to evolve at constant volume with a Langevin thermostat. The Born matrix is computed during this run by evaluating how the atomic forces would vary due to applied linear strain fields. The elastic constants can then be estimated using the averaged Born matrix values and the averaged stresses on the system.
The calculation methods used are available as the iprPy relax_dynamic and elastic_constants_dynamic calculation methods.
Clicking on the image of a plot will open an interactive version of it in a new tab. The underlying data for the plots can be downloaded by clicking on the links above each plot.
Notes and Disclaimers:
Version Information:
Plots of radial distribution functions at different temperatures and the temperature-dependent diffusion and viscosity are shown here for elemental liquids. Melt phases are constructed by starting with a 10x10x10 fcc super cell and relaxing with 50,000 NPT steps at zero pressure and a high melting temperature (3000 K for most potentials and elements). Following the melt, liquid structures are relaxed by running NPT for 10,000 steps over which the temperature is dropped by 50 K, then 50,000 NPT at the target temperature to estimate the equilibrium volume, followed by 20,000 NVT steps at the averaged equilibrium volume and target temperature. Structures from the NVT run are sampled to compute the radial distribution function of the liquid at the corresponding temperature.
The final relaxed configurations at each temperature explored are used as the initial configurations for the diffusion and viscosity calculations. For diffusion, the system is integrated for 100 runs of 2,000 NVT steps during which both the mean squared displacement (MSD) and the velocity auto correlation function (VACF) are computed. From these simulations, three estimates of diffusion are computed: one from the MSD of the full 200,000 step run, one in which the MSD is reset for each short run and then averaged, and one from the VACF computed for each short run and averaged. For viscosity, the Green-Kubo method is used which is evaluated during a 1 million step NVT run.
The calculation methods used are available as the iprPy relax_liquid_redo, diffusion_liquid, and viscosity_green_kubo calculation methods.
Clicking on the image of a plot will open an interactive version of it in a new tab. The underlying data for the plots can be downloaded by clicking on the links above each plot.
Notes and Disclaimers:
Version Information:
Estimated melting temperatures are tabulated below. The melting temperature is computed here using a two-phase solid-liquid atomic configuration. The two-phase configuration is created by starting with a crystalline system in which the c box vector is roughly twice the length of the other two box vectors. Based on some input temperature Tinit, an NPH plus a Berensen thermostat simulation is performed for 10,000 steps in which half the system is subjected to a temperature of 1.25*Tinit and the other half to a temperature of 0.5*Tinit. This is then followed by 10,000 steps during which the temperature of the two regions are both scaled to Tinit. The system is then ran for 200,000 NPH steps to equilibrate the system. For the second half of the final NPH run, the average temperature of the system is calculated and the polyhedral template matching algorithm is used to estimate the number of solid and liquid atoms for a number of configuration snapshots. If the averaged fraction of solid atoms is found to be between 0.25-0.75, then the averaged temperature provides an estimate of the melting temperature.
This calculation is iteratively performed where the Tinit value is adjusted up or down if the fraction of solid atoms is outside the range 0.25-0.75. Iterations are repeated until 10 calculations are performed that produce solid fractions in the target range, or 30 total calculations are performed.
The calculation method used is available as the iprPy melting_temperature calculation method.
Notes and Disclaimers:
Version Information:
| prototype | Tmelt | stderr |
|---|---|---|
| A1--Cu--fcc | 317.81 | 0.31 |
Plots of internal energy, Gibbs free energy, entropy, heat capacity and volume are shown here as a function of temperature for various crystal structures and liquid phases. The included crystal structures correspond to those in the Solid Structures vs. Temperature section, and the liquid phases to those in the Liquid Properties section. Internal energy and volume are taken from the associated structure relaxations mentioned in those previous sections. Constant pressure heat capacity is estimated using 3-point numerical derivatives of enthalpy versus temperature. Note that since all simulations done here are at 0 pressure, internal energy and enthalpy are equivalent.
The Gibbs energies of the phases are estimated using thermodynamic integration between the interatomic potential in question and a simpler model with known Gibbs free energy values. For solids, the reference model is an Einstein solid, while for liquids it is the Uhlenbeck-Ford potential. Besides a short run at the start of the solid calculations to estimate Einstein model spring constants, the two calculations proceed similarly. Starting with the final relaxation configurations, the systems are stabilized for 25,000 steps. Then, over the next 50,000 steps the potential is swapped out for the reference potential. The system is then stabilized for another 25,000 steps with the reference model before a reverse swap of 50,000 steps is performed. The simulation ends with one final 25,000 step stabilization period. From the simulation, the irreversible work of transformation is estimated and used to compute the absolute Gibbs free energy of the target phase and potential relative to the reference potential. Entropy is estimated as the difference in enthalpy and Gibbs free energy and divided by temperature.
The calculation methods used are available as the iprPy relax_dynamic, relax_liquid_redo, free_energy, and free_energy_liquid calculation methods.
Clicking on the image of a plot will open an interactive version of it in a new tab. The underlying data for the plots can be downloaded by clicking on the links above each plot.
Notes and Disclaimers:
Version Information:






