Plots of the potential energy vs interatomic spacing, r, are shown below for all diatom sets associated with the interatomic potential. This calculation provides insights into the functional form of the potential's two-body interactions. A system consisting of only two atoms is created, and the potential energy is evaluated for the atoms separated by 0.02 Å <= r <= 6.0> Å in intervals of 0.02 Å. Two plots are shown: one for the "standard" interaction distance range, and one for small values of r. The small r plot is useful for determining whether the potential is suitable for radiation studies.
The calculation method used is available as the iprPy diatom_scan calculation method.
Clicking on the image of a plot will open an interactive version of it in a new tab. The underlying data for the plots can be downloaded by clicking on the links above each plot.
Notes and Disclaimers:
Version Information:
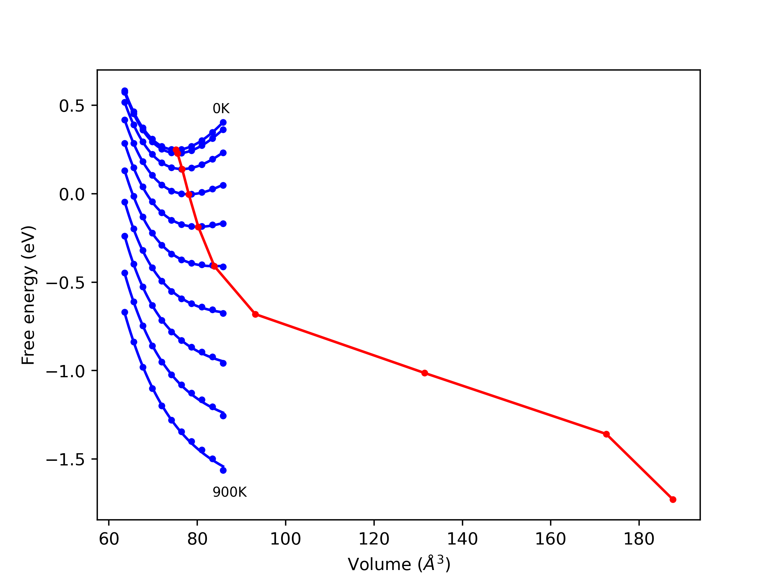
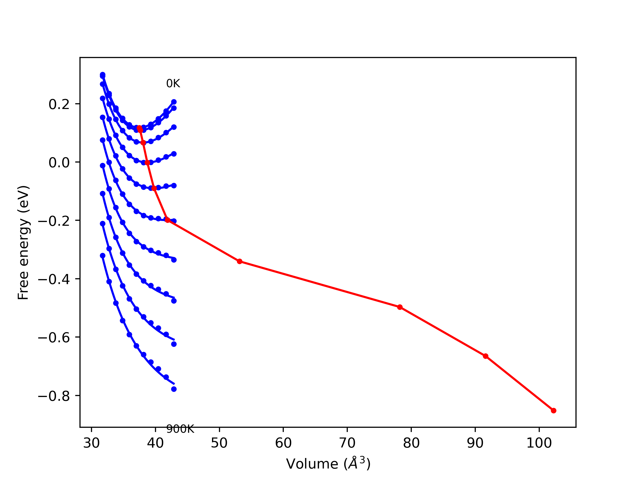
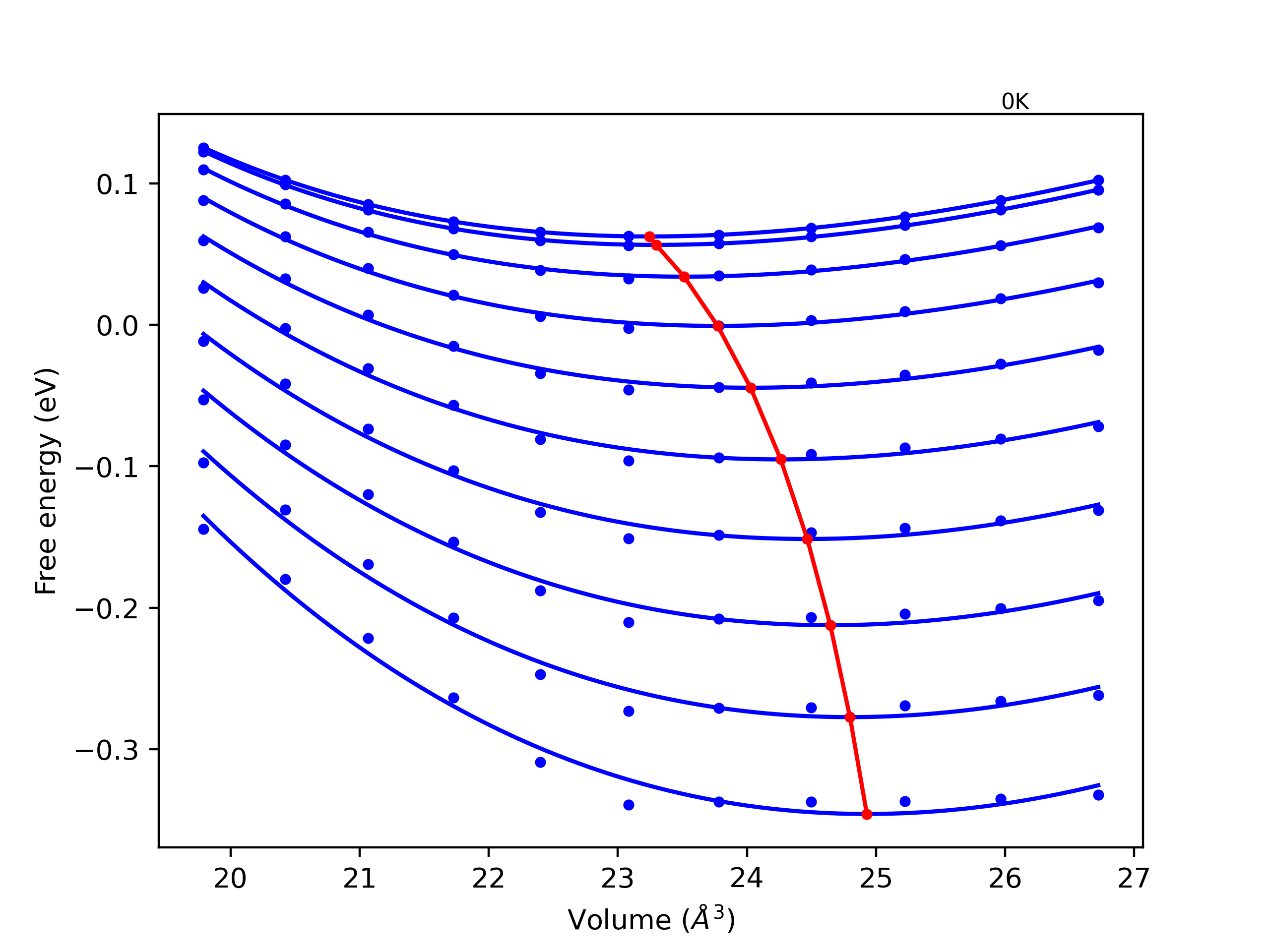
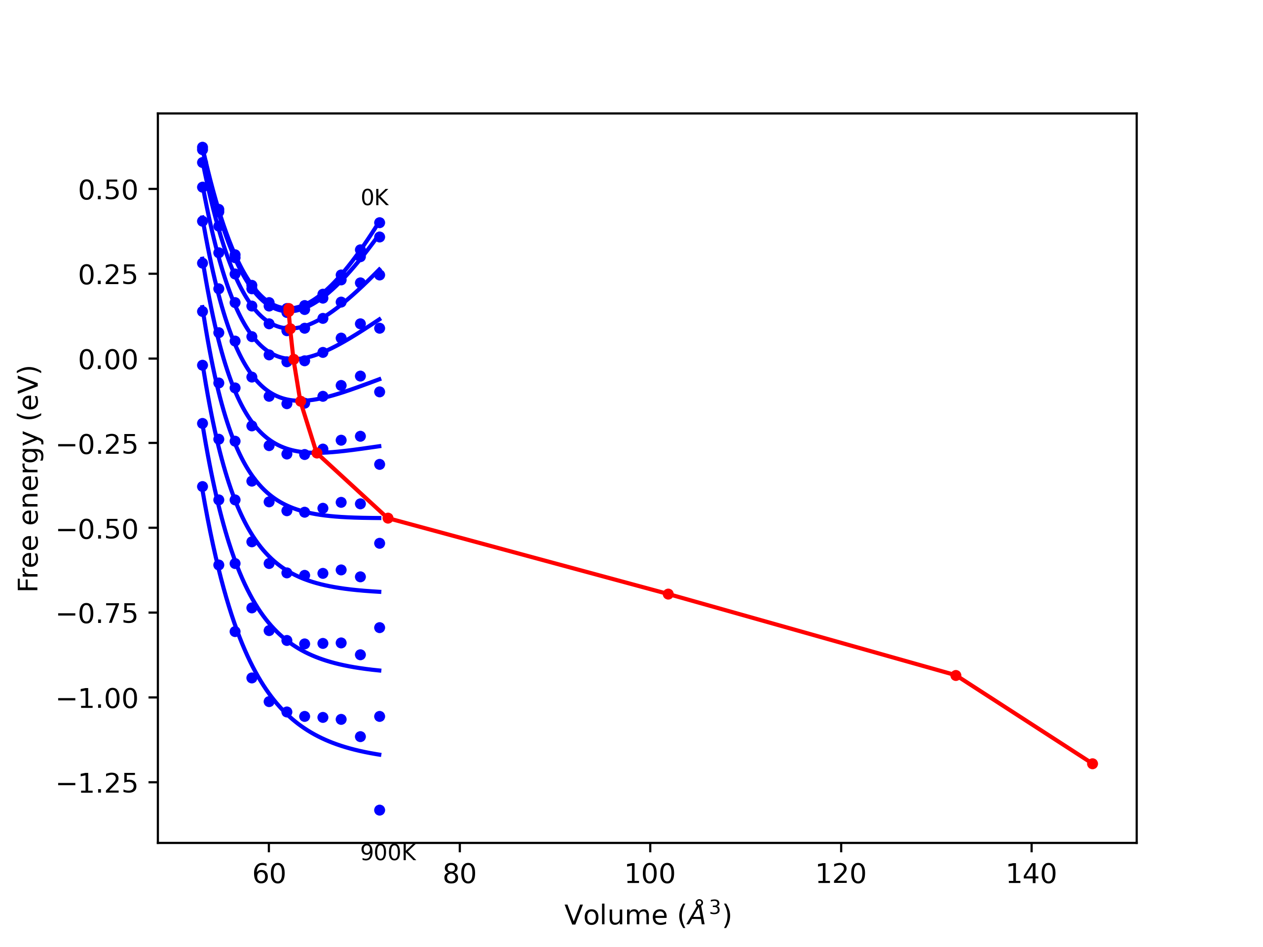
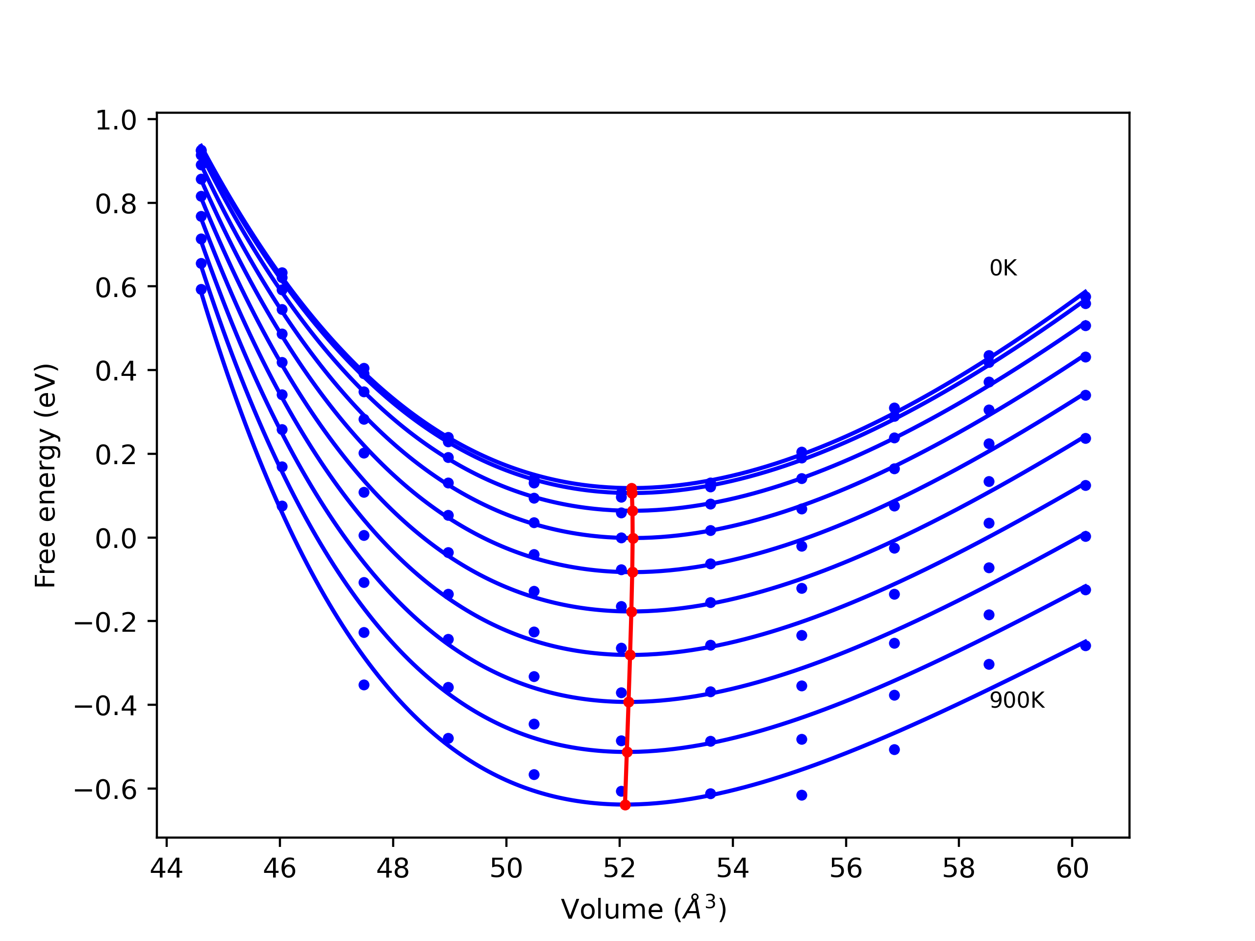
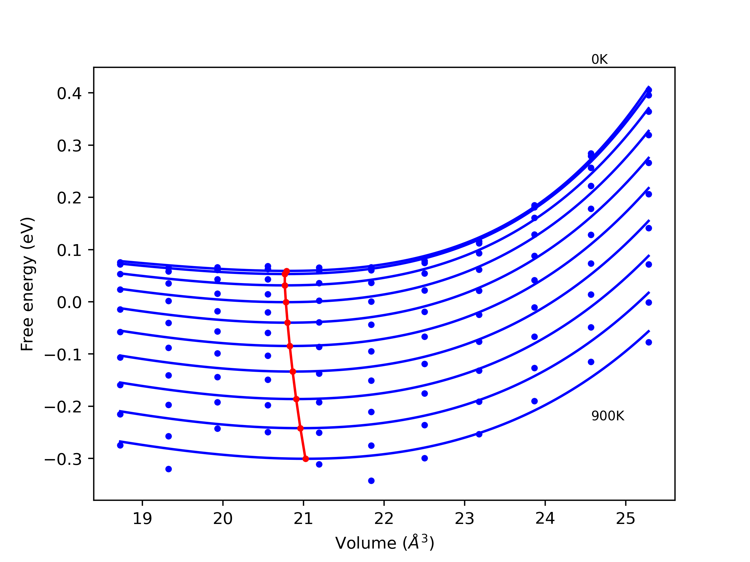
Plots of potential energy vs interatomic spacing, r, are shown below for a number of crystal structures. The structures are generated based on the ideal atomic positions and b/a and c/a lattice parameter ratios for a given crystal prototype. The size of the system is then uniformly scaled, and the energy calculated without relaxing the system. To obtain these plots, values of r are evaluated every 0.02 Å up to 6 Å.
The calculation method used is available as the iprPy E_vs_r_scan calculation method.
Clicking on the image of a plot will open an interactive version of it in a new tab. The underlying data for the plots can be downloaded by clicking on the links above each plot.
Notes and Disclaimers:
Version Information:
Computed lattice constants and cohesive/potential energies are displayed for a variety of crystal structures. The values displayed here are obtained using the following process.
The calculation methods used are implemented into iprPy as the following calculation styles
Notes and Disclaimers:
Version Information:
Download raw data (including filtered results)
Reference structure matches:
A1--Cu--fcc = mp-134, oqmd-8100, oqmd-1214503
A15--beta-W = oqmd-1214948, oqmd-1280406
A2--W--bcc = mp-998860, oqmd-1215126
A3'--alpha-La--double-hcp = mp-1183144, oqmd-1215394
A3--Mg--hcp = oqmd-1215215, oqmd-1215304
A4--C--dc = oqmd-1215483
A5--beta-Sn = oqmd-1215572
A6--In--bct = oqmd-1215661
| prototype | method | Ecoh (eV/atom) | Epot (eV/atom) | a0 (Å) | b0 (Å) | c0 (Å) | α (degrees) | β (degrees) | γ (degrees) |
|---|---|---|---|---|---|---|---|---|---|
| A3--Mg--hcp | dynamic | -3.7394 | -3.7394 | 3.0299 | 3.0299 | 4.6558 | 90.0 | 90.0 | 120.0 |
| A3--Mg--hcp | box | -3.7394 | -3.7394 | 3.0298 | 3.0298 | 4.6558 | 90.0 | 90.0 | 120.0 |
| oqmd-1216017 | dynamic | -3.7344 | -3.7344 | 3.0185 | 3.0185 | 21.1285 | 90.0 | 90.0 | 120.0 |
| oqmd-1216017 | static | -3.7343 | -3.7343 | 3.0199 | 3.0199 | 21.1045 | 90.0 | 90.0 | 120.0 |
| A3'--alpha-La--double-hcp | dynamic | -3.732 | -3.732 | 3.0124 | 3.0124 | 9.4341 | 90.0 | 90.0 | 120.0 |
| A1--Cu--fcc | dynamic | -3.7263 | -3.7263 | 4.2107 | 4.2107 | 4.2107 | 90.0 | 90.0 | 90.0 |
| oqmd-1215037 | box | -3.7076 | -3.7076 | 2.91 | 4.9554 | 10.7272 | 90.0 | 90.0 | 90.0 |
| A2--W--bcc | static | -3.7071 | -3.7071 | 3.3055 | 3.3055 | 3.3055 | 90.0 | 90.0 | 90.0 |
| mp-1245129 | dynamic | -3.7059 | -3.7059 | 11.4953 | 12.3424 | 13.9719 | 93.3 | 92.5 | 100.4 |
| mp-1245307 | dynamic | -3.7034 | -3.7034 | 12.2255 | 12.294 | 13.0232 | 84.4 | 87.6 | 89.0 |
| mp-1245152 | dynamic | -3.7025 | -3.7025 | 12.4628 | 12.5713 | 12.6213 | 90.6 | 91.3 | 97.8 |
| mp-1244953 | dynamic | -3.7013 | -3.7013 | 12.431 | 12.551 | 12.8114 | 85.6 | 78.8 | 85.3 |
| mp-1245067 | dynamic | -3.7004 | -3.7004 | 12.2615 | 12.7146 | 12.9725 | 89.8 | 84.1 | 77.9 |
| mp-1245152 | static | -3.6994 | -3.6994 | 12.2764 | 12.6949 | 12.6981 | 92.2 | 93.6 | 98.0 |
| mp-1245129 | static | -3.6993 | -3.6993 | 11.9053 | 12.6849 | 13.1665 | 93.3 | 92.1 | 100.2 |
| mp-1244953 | static | -3.6976 | -3.6976 | 12.479 | 12.4855 | 12.7926 | 79.1 | 86.5 | 84.9 |
| mp-1245307 | static | -3.6948 | -3.6948 | 12.3923 | 12.5711 | 12.682 | 92.4 | 94.4 | 91.6 |
| mp-1245067 | static | -3.6939 | -3.6939 | 12.1889 | 12.7034 | 12.853 | 93.4 | 96.8 | 93.3 |
| oqmd-1214770 | static | -3.6917 | -3.6917 | 10.2895 | 10.2895 | 10.2895 | 90.0 | 90.0 | 90.0 |
| oqmd-1214859 | dynamic | -3.6893 | -3.6893 | 7.156 | 7.156 | 7.156 | 90.0 | 90.0 | 90.0 |
| oqmd-1214859 | box | -3.6889 | -3.6889 | 7.1595 | 7.1595 | 7.1595 | 90.0 | 90.0 | 90.0 |
| mp-1245129 | box | -3.6872 | -3.6872 | 12.1311 | 12.5238 | 12.814 | 93.6 | 92.1 | 96.8 |
| mp-1245152 | box | -3.6861 | -3.6861 | 12.3149 | 12.4722 | 12.6996 | 91.8 | 91.9 | 95.7 |
| oqmd-1214770 | box | -3.6854 | -3.6854 | 10.2338 | 10.2338 | 10.2338 | 90.0 | 90.0 | 90.0 |
| mp-1244953 | box | -3.6853 | -3.6853 | 12.4368 | 12.4937 | 12.6764 | 85.6 | 80.5 | 87.1 |
| A5--beta-Sn | static | -3.6846 | -3.6846 | 5.4909 | 5.4909 | 2.7866 | 90.0 | 90.0 | 90.0 |
| mp-1245307 | box | -3.6799 | -3.6799 | 12.425 | 12.5417 | 12.5591 | 90.6 | 92.4 | 94.1 |
| mp-1245067 | box | -3.6789 | -3.6789 | 12.3667 | 12.6829 | 12.688 | 92.7 | 97.6 | 93.8 |
| Ah--alpha-Po--sc | dynamic | -3.6696 | -3.6696 | 2.8473 | 2.8473 | 2.8473 | 90.0 | 90.0 | 90.0 |
| A15--beta-W | static | -3.6437 | -3.6437 | 5.3499 | 5.3499 | 5.3499 | 90.0 | 90.0 | 90.0 |
| oqmd-1214681 | box | -3.6148 | -3.6148 | 4.5879 | 8.4325 | 4.6579 | 90.0 | 90.0 | 90.0 |
| oqmd-1215928 | static | -3.5127 | -3.5127 | 4.6743 | 4.6743 | 5.5423 | 90.0 | 90.0 | 120.0 |
| mp-1239196 | box | -3.4616 | -3.4616 | 3.8755 | 3.8755 | 14.0321 | 90.0 | 90.0 | 90.0 |
| A4--C--dc | static | -3.4239 | -3.4239 | 6.127 | 6.127 | 6.127 | 90.0 | 90.0 | 90.0 |
Download raw data (including filtered results)
Reference structure matches:
| prototype | method | Ecoh (eV/atom) | Epot (eV/atom) | a0 (Å) | b0 (Å) | c0 (Å) | α (degrees) | β (degrees) | γ (degrees) |
|---|---|---|---|---|---|---|---|---|---|
| mp-16511 | dynamic | -5.1885 | -5.1885 | 7.5156 | 7.5156 | 7.5932 | 90.0 | 90.0 | 120.0 |
| mp-16511 | box | -5.184 | -5.184 | 7.5323 | 7.5323 | 7.5677 | 90.0 | 90.0 | 120.0 |
| oqmd-10499 | box | -5.1801 | -5.1801 | 7.5566 | 7.5566 | 7.5345 | 90.0 | 90.0 | 120.0 |
Download raw data (including filtered results)
Reference structure matches:
| prototype | method | Ecoh (eV/atom) | Epot (eV/atom) | a0 (Å) | b0 (Å) | c0 (Å) | α (degrees) | β (degrees) | γ (degrees) |
|---|---|---|---|---|---|---|---|---|---|
| mp-2856 | static | -5.3925 | -5.3925 | 4.9896 | 5.039 | 8.7229 | 74.1 | 86.3 | 79.7 |
| oqmd-2782 | static | -5.3925 | -5.3925 | 4.9896 | 5.0392 | 8.7226 | 74.1 | 86.3 | 79.7 |
| mp-2856 | box | -5.3812 | -5.3812 | 4.9493 | 5.0362 | 8.7065 | 74.2 | 88.5 | 81.3 |
| oqmd-2782 | box | -5.3732 | -5.3732 | 4.9844 | 5.0176 | 8.6837 | 105.4 | 91.1 | 98.6 |
Download raw data (including filtered results)
Reference structure matches:
| prototype | method | Ecoh (eV/atom) | Epot (eV/atom) | a0 (Å) | b0 (Å) | c0 (Å) | α (degrees) | β (degrees) | γ (degrees) |
|---|---|---|---|---|---|---|---|---|---|
| mp-1104165 | dynamic | -4.1993 | -4.1993 | 7.5324 | 7.5324 | 7.5324 | 90.0 | 90.0 | 90.0 |
| mp-1104165 | box | -4.1929 | -4.1929 | 7.5275 | 7.5275 | 7.5275 | 90.0 | 90.0 | 90.0 |
| oqmd-27878 | box | -4.1918 | -4.1918 | 7.5269 | 7.5269 | 7.5269 | 90.0 | 90.0 | 90.0 |
Download raw data (including filtered results)
Reference structure matches:
| prototype | method | Ecoh (eV/atom) | Epot (eV/atom) | a0 (Å) | b0 (Å) | c0 (Å) | α (degrees) | β (degrees) | γ (degrees) |
|---|---|---|---|---|---|---|---|---|---|
| mp-30526 | dynamic | -4.8304 | -4.8304 | 12.6603 | 12.6603 | 12.6603 | 90.0 | 90.0 | 90.0 |
| mp-30526 | box | -4.823 | -4.823 | 12.6772 | 12.6772 | 12.6772 | 90.0 | 90.0 | 90.0 |
Download raw data (including filtered results)
Reference structure matches:
| prototype | method | Ecoh (eV/atom) | Epot (eV/atom) | a0 (Å) | b0 (Å) | c0 (Å) | α (degrees) | β (degrees) | γ (degrees) |
|---|---|---|---|---|---|---|---|---|---|
| mp-1498 | dynamic | -4.6911 | -4.6911 | 12.975 | 12.975 | 10.919 | 90.0 | 90.0 | 90.0 |
| mp-1498 | static | -4.6894 | -4.6894 | 13.104 | 13.104 | 10.8074 | 90.0 | 90.0 | 90.0 |
| mp-1498 | box | -4.6848 | -4.6848 | 13.1717 | 13.1717 | 10.817 | 90.0 | 90.0 | 90.0 |
Download raw data (including filtered results)
Reference structure matches:
| prototype | method | Ecoh (eV/atom) | Epot (eV/atom) | a0 (Å) | b0 (Å) | c0 (Å) | α (degrees) | β (degrees) | γ (degrees) |
|---|---|---|---|---|---|---|---|---|---|
| C1--CaF2--fluorite | dynamic | -5.6303 | -5.6303 | 5.7365 | 5.7365 | 5.7365 | 90.0 | 90.0 | 90.0 |
| C1--CaF2--fluorite | box | -2.0066 | -2.0066 | 10.066 | 10.066 | 10.066 | 90.0 | 90.0 | 90.0 |
Download raw data (including filtered results)
Reference structure matches:
L2_1--AlCu2Mn--heusler = oqmd-510324
| prototype | method | Ecoh (eV/atom) | Epot (eV/atom) | a0 (Å) | b0 (Å) | c0 (Å) | α (degrees) | β (degrees) | γ (degrees) |
|---|---|---|---|---|---|---|---|---|---|
| L2_1--AlCu2Mn--heusler | dynamic | -5.714 | -5.714 | 5.9264 | 5.9264 | 5.9264 | 90.0 | 90.0 | 90.0 |
| L2_1--AlCu2Mn--heusler | static | -2.7984 | -2.7984 | 9.3896 | 9.3896 | 9.3896 | 90.0 | 90.0 | 90.0 |
Download raw data (including filtered results)
Reference structure matches:
C1--CaF2--fluorite = mp-16522, oqmd-10553
| prototype | method | Ecoh (eV/atom) | Epot (eV/atom) | a0 (Å) | b0 (Å) | c0 (Å) | α (degrees) | β (degrees) | γ (degrees) |
|---|---|---|---|---|---|---|---|---|---|
| C1--CaF2--fluorite | dynamic | -4.8783 | -4.8783 | 5.952 | 5.952 | 5.952 | 90.0 | 90.0 | 90.0 |
Download raw data (including filtered results)
Reference structure matches:
D0_3--BiF3 = oqmd-309860
| prototype | method | Ecoh (eV/atom) | Epot (eV/atom) | a0 (Å) | b0 (Å) | c0 (Å) | α (degrees) | β (degrees) | γ (degrees) |
|---|---|---|---|---|---|---|---|---|---|
| L1_2--AuCu3 | dynamic | -5.2059 | -5.2059 | 3.7679 | 3.7679 | 3.7679 | 90.0 | 90.0 | 90.0 |
| D0_3--BiF3 | dynamic | -5.1847 | -5.1847 | 5.9027 | 5.9027 | 5.9027 | 90.0 | 90.0 | 90.0 |
| oqmd-299318 | static | -5.178 | -5.178 | 3.7263 | 3.7263 | 7.8199 | 90.0 | 90.0 | 90.0 |
| A15--Cr3Si | dynamic | -5.062 | -5.062 | 4.8086 | 4.8086 | 4.8086 | 90.0 | 90.0 | 90.0 |
| A15--Cr3Si | static | -2.7623 | -2.7623 | 7.3052 | 7.3052 | 7.3052 | 90.0 | 90.0 | 90.0 |
Download raw data (including filtered results)
Reference structure matches:
| prototype | method | Ecoh (eV/atom) | Epot (eV/atom) | a0 (Å) | b0 (Å) | c0 (Å) | α (degrees) | β (degrees) | γ (degrees) |
|---|---|---|---|---|---|---|---|---|---|
| oqmd-27876 | dynamic | -6.2382 | -6.2382 | 6.3607 | 6.3607 | 6.3607 | 90.0 | 90.0 | 90.0 |
| oqmd-27876 | box | -6.2089 | -6.2089 | 6.3639 | 6.3639 | 6.3639 | 90.0 | 90.0 | 90.0 |
| mp-1180309 | box | -6.2076 | -6.2076 | 6.3639 | 6.3639 | 6.3639 | 90.0 | 90.0 | 90.0 |
Download raw data (including filtered results)
Reference structure matches:
D0_3--BiF3 = oqmd-309009
L1_2--AuCu3 = mp-1183127
| prototype | method | Ecoh (eV/atom) | Epot (eV/atom) | a0 (Å) | b0 (Å) | c0 (Å) | α (degrees) | β (degrees) | γ (degrees) |
|---|---|---|---|---|---|---|---|---|---|
| L1_2--AuCu3 | dynamic | -4.5773 | -4.5773 | 3.954 | 3.954 | 3.954 | 90.0 | 90.0 | 90.0 |
| oqmd-298471 | dynamic | -4.5612 | -4.5612 | 3.9453 | 3.9453 | 7.9472 | 90.0 | 90.0 | 90.0 |
| D0_3--BiF3 | static | -4.5399 | -4.5399 | 6.2185 | 6.2185 | 6.2185 | 90.0 | 90.0 | 90.0 |
| A15--Cr3Si | static | -4.5042 | -4.5042 | 5.0116 | 5.0116 | 5.0116 | 90.0 | 90.0 | 90.0 |
Download raw data (including filtered results)
Reference structure matches:
| prototype | method | Ecoh (eV/atom) | Epot (eV/atom) | a0 (Å) | b0 (Å) | c0 (Å) | α (degrees) | β (degrees) | γ (degrees) |
|---|---|---|---|---|---|---|---|---|---|
| oqmd-10554 | dynamic | -5.0973 | -5.0973 | 4.2079 | 4.2079 | 5.0699 | 90.0 | 90.0 | 120.0 |
| mp-10901 | box | -5.092 | -5.092 | 4.2111 | 4.2111 | 5.073 | 90.0 | 90.0 | 120.0 |
| oqmd-10554 | box | -5.0919 | -5.0919 | 4.21 | 4.21 | 5.0751 | 90.0 | 90.0 | 120.0 |
Download raw data (including filtered results)
Reference structure matches:
| prototype | method | Ecoh (eV/atom) | Epot (eV/atom) | a0 (Å) | b0 (Å) | c0 (Å) | α (degrees) | β (degrees) | γ (degrees) |
|---|---|---|---|---|---|---|---|---|---|
| mp-16523 | dynamic | -5.5643 | -5.5643 | 5.3075 | 10.1043 | 4.0835 | 90.0 | 90.0 | 90.0 |
| oqmd-10555 | static | -5.5643 | -5.5643 | 5.3076 | 10.1044 | 4.0835 | 90.0 | 90.0 | 90.0 |
| mp-16523 | box | -5.5528 | -5.5528 | 5.3307 | 10.2896 | 4.0467 | 90.0 | 90.0 | 90.0 |
| oqmd-10555 | box | -5.5522 | -5.5522 | 5.3328 | 10.3024 | 4.044 | 90.0 | 90.0 | 90.0 |
Download raw data (including filtered results)
Reference structure matches:
| prototype | method | Ecoh (eV/atom) | Epot (eV/atom) | a0 (Å) | b0 (Å) | c0 (Å) | α (degrees) | β (degrees) | γ (degrees) |
|---|---|---|---|---|---|---|---|---|---|
| mp-173 | static | -4.6246 | -4.6246 | 7.5837 | 6.6581 | 8.5581 | 90.0 | 90.0 | 90.0 |
| mp-173 | box | -4.6208 | -4.6208 | 7.5925 | 6.5817 | 8.6827 | 90.0 | 90.0 | 90.0 |
| oqmd-10498 | box | -4.6197 | -4.6197 | 7.5908 | 6.5838 | 8.6907 | 90.0 | 90.0 | 90.0 |
Download raw data (including filtered results)
Reference structure matches:
| prototype | method | Ecoh (eV/atom) | Epot (eV/atom) | a0 (Å) | b0 (Å) | c0 (Å) | α (degrees) | β (degrees) | γ (degrees) |
|---|---|---|---|---|---|---|---|---|---|
| mp-1194040 | dynamic | -5.9596 | -5.9596 | 12.5937 | 12.5937 | 7.4251 | 90.0 | 90.0 | 120.0 |
| mp-1194040 | static | -5.9596 | -5.9596 | 12.5937 | 12.5937 | 7.4253 | 90.0 | 90.0 | 120.0 |
| mp-1194040 | box | -5.9304 | -5.9304 | 12.6685 | 12.6685 | 7.5097 | 90.0 | 90.0 | 120.0 |
Download raw data (including filtered results)
Reference structure matches:
| prototype | method | Ecoh (eV/atom) | Epot (eV/atom) | a0 (Å) | b0 (Å) | c0 (Å) | α (degrees) | β (degrees) | γ (degrees) |
|---|---|---|---|---|---|---|---|---|---|
| mp-1212295 | dynamic | -5.6084 | -5.6084 | 14.6397 | 12.1566 | 12.2606 | 90.0 | 90.0 | 90.0 |
| mp-1212295 | static | -5.6084 | -5.6084 | 14.6401 | 12.1565 | 12.2602 | 90.0 | 90.0 | 90.0 |
| mp-1212295 | box | -5.5737 | -5.5737 | 14.5584 | 12.0709 | 12.2594 | 90.0 | 90.0 | 90.0 |
Download raw data (including filtered results)
Reference structure matches:
B2--CsCl = mp-12067, oqmd-658675
L1_0--AuCu = mp-771, oqmd-27877
| prototype | method | Ecoh (eV/atom) | Epot (eV/atom) | a0 (Å) | b0 (Å) | c0 (Å) | α (degrees) | β (degrees) | γ (degrees) |
|---|---|---|---|---|---|---|---|---|---|
| B2--CsCl | dynamic | -6.8656 | -6.8656 | 2.8381 | 2.8381 | 2.8381 | 90.0 | 90.0 | 90.0 |
| B1--NaCl--rock-salt | static | -5.8479 | -5.8479 | 4.4032 | 4.4032 | 4.4032 | 90.0 | 90.0 | 90.0 |
| B3--ZnS--cubic-zinc-blende | static | -4.6939 | -4.6939 | 5.756 | 5.756 | 5.756 | 90.0 | 90.0 | 90.0 |
| B2--CsCl | dynamic | -2.6674 | -2.6674 | 4.9991 | 4.9991 | 4.9991 | 90.0 | 90.0 | 90.0 |
| B1--NaCl--rock-salt | box | -1.665 | -1.665 | 9.1449 | 9.1449 | 9.1449 | 90.0 | 90.0 | 90.0 |
| B3--ZnS--cubic-zinc-blende | dynamic | -1.3139 | -1.3139 | 10.7035 | 10.7035 | 10.7035 | 90.0 | 90.0 | 90.0 |
Download raw data (including filtered results)
Reference structure matches:
| prototype | method | Ecoh (eV/atom) | Epot (eV/atom) | a0 (Å) | b0 (Å) | c0 (Å) | α (degrees) | β (degrees) | γ (degrees) |
|---|---|---|---|---|---|---|---|---|---|
| C1--CaF2--fluorite | static | -6.3617 | -6.3617 | 5.1672 | 5.1672 | 5.1672 | 90.0 | 90.0 | 90.0 |
| C1--CaF2--fluorite | dynamic | -2.0332 | -2.0332 | 10.1084 | 10.1084 | 10.1084 | 90.0 | 90.0 | 90.0 |
| C1--CaF2--fluorite | static | -1.5222 | -1.5222 | 9.5609 | 9.5609 | 9.5609 | 90.0 | 90.0 | 90.0 |
Download raw data (including filtered results)
Reference structure matches:
L2_1--AlCu2Mn--heusler = oqmd-471923
| prototype | method | Ecoh (eV/atom) | Epot (eV/atom) | a0 (Å) | b0 (Å) | c0 (Å) | α (degrees) | β (degrees) | γ (degrees) |
|---|---|---|---|---|---|---|---|---|---|
| L2_1--AlCu2Mn--heusler | static | -5.3423 | -5.3423 | 5.9156 | 5.9156 | 5.9156 | 90.0 | 90.0 | 90.0 |
| L2_1--AlCu2Mn--heusler | dynamic | -2.4186 | -2.4186 | 10.1913 | 10.1913 | 10.1913 | 90.0 | 90.0 | 90.0 |
| L2_1--AlCu2Mn--heusler | static | -0.925 | -0.925 | 7.7596 | 7.7596 | 7.7596 | 90.0 | 90.0 | 90.0 |
| L2_1--AlCu2Mn--heusler | box | -0.914 | -0.914 | 7.9775 | 7.9775 | 7.9775 | 90.0 | 90.0 | 90.0 |
Download raw data (including filtered results)
Reference structure matches:
D0_3--BiF3 = mp-973149, oqmd-22372
| prototype | method | Ecoh (eV/atom) | Epot (eV/atom) | a0 (Å) | b0 (Å) | c0 (Å) | α (degrees) | β (degrees) | γ (degrees) |
|---|---|---|---|---|---|---|---|---|---|
| D0_3--BiF3 | dynamic | -8.1603 | -8.1603 | 5.6329 | 5.6329 | 5.6329 | 90.0 | 90.0 | 90.0 |
| L1_2--AuCu3 | dynamic | -8.1196 | -8.1196 | 3.5115 | 3.5115 | 3.5115 | 90.0 | 90.0 | 90.0 |
| A15--Cr3Si | static | -7.9601 | -7.9601 | 4.4648 | 4.4648 | 4.4648 | 90.0 | 90.0 | 90.0 |
| A15--Cr3Si | dynamic | -2.5039 | -2.5039 | 8.083 | 8.083 | 8.083 | 90.0 | 90.0 | 90.0 |
| L1_2--AuCu3 | dynamic | -2.4923 | -2.4923 | 6.6705 | 6.6705 | 6.6705 | 90.0 | 90.0 | 90.0 |
| D0_3--BiF3 | dynamic | -2.4089 | -2.4089 | 10.301 | 10.301 | 10.301 | 90.0 | 90.0 | 90.0 |
Download raw data (including filtered results)
Reference structure matches:
| prototype | method | Ecoh (eV/atom) | Epot (eV/atom) | a0 (Å) | b0 (Å) | c0 (Å) | α (degrees) | β (degrees) | γ (degrees) |
|---|---|---|---|---|---|---|---|---|---|
| oqmd-903024 | dynamic | -5.14 | -5.14 | 5.9309 | 5.9309 | 5.9309 | 90.0 | 90.0 | 90.0 |
| oqmd-941424 | dynamic | -5.0688 | -5.0688 | 5.8252 | 5.8252 | 5.8252 | 90.0 | 90.0 | 90.0 |
| oqmd-898211 | static | -4.7526 | -4.7526 | 5.9097 | 5.9097 | 5.9097 | 90.0 | 90.0 | 90.0 |
Download raw data (including filtered results)
Reference structure matches:
L2_1--AlCu2Mn--heusler = mp-10891, oqmd-10501
| prototype | method | Ecoh (eV/atom) | Epot (eV/atom) | a0 (Å) | b0 (Å) | c0 (Å) | α (degrees) | β (degrees) | γ (degrees) |
|---|---|---|---|---|---|---|---|---|---|
| L2_1--AlCu2Mn--heusler | static | -5.0967 | -5.0967 | 6.0301 | 6.0301 | 6.0301 | 90.0 | 90.0 | 90.0 |
| L2_1--AlCu2Mn--heusler | dynamic | -2.4358 | -2.4358 | 9.7906 | 9.7906 | 9.7906 | 90.0 | 90.0 | 90.0 |
Download raw data (including filtered results)
Reference structure matches:
B2--CsCl = mp-829, oqmd-10550
| prototype | method | Ecoh (eV/atom) | Epot (eV/atom) | a0 (Å) | b0 (Å) | c0 (Å) | α (degrees) | β (degrees) | γ (degrees) |
|---|---|---|---|---|---|---|---|---|---|
| B2--CsCl | dynamic | -5.4845 | -5.4845 | 2.9987 | 2.9987 | 2.9987 | 90.0 | 90.0 | 90.0 |
| oqmd-10551 | dynamic | -5.3764 | -5.3764 | 4.8549 | 4.8549 | 4.8549 | 90.0 | 90.0 | 90.0 |
| oqmd-10551 | box | -5.3759 | -5.3759 | 4.8543 | 4.8543 | 4.8543 | 90.0 | 90.0 | 90.0 |
| mp-7189 | box | -5.3758 | -5.3758 | 4.854 | 4.854 | 4.854 | 90.0 | 90.0 | 90.0 |
| mp-669546 | dynamic | -5.3632 | -5.3632 | 15.617 | 15.617 | 5.2613 | 90.0 | 90.0 | 120.0 |
| mp-669546 | static | -5.3632 | -5.3632 | 15.6167 | 15.6167 | 5.2614 | 90.0 | 90.0 | 120.0 |
| oqmd-10549 | static | -5.3605 | -5.3605 | 15.6015 | 15.6015 | 5.266 | 90.0 | 90.0 | 120.0 |
| mp-669546 | box | -5.359 | -5.359 | 15.596 | 15.596 | 5.2676 | 90.0 | 90.0 | 120.0 |
| oqmd-10549 | box | -5.3589 | -5.3589 | 15.597 | 15.597 | 5.2673 | 90.0 | 90.0 | 120.0 |
| B1--NaCl--rock-salt | static | -5.0338 | -5.0338 | 5.0935 | 5.0935 | 5.0935 | 90.0 | 90.0 | 90.0 |
| B3--ZnS--cubic-zinc-blende | box | -4.7859 | -4.7859 | 5.7466 | 5.7466 | 5.7466 | 90.0 | 90.0 | 90.0 |
| B2--CsCl | static | -3.4286 | -3.4286 | 4.3399 | 4.3399 | 4.3399 | 90.0 | 90.0 | 90.0 |
| B3--ZnS--cubic-zinc-blende | static | -1.8606 | -1.8606 | 8.9846 | 8.9846 | 8.9846 | 90.0 | 90.0 | 90.0 |
Download raw data (including filtered results)
Reference structure matches:
| prototype | method | Ecoh (eV/atom) | Epot (eV/atom) | a0 (Å) | b0 (Å) | c0 (Å) | α (degrees) | β (degrees) | γ (degrees) |
|---|---|---|---|---|---|---|---|---|---|
| mp-2824 | dynamic | -5.5798 | -5.5798 | 5.3084 | 4.0593 | 7.694 | 90.0 | 90.0 | 90.0 |
| oqmd-10552 | box | -5.5738 | -5.5738 | 5.3572 | 4.061 | 7.6616 | 90.0 | 90.0 | 90.0 |
| mp-2824 | box | -5.5734 | -5.5734 | 5.3566 | 4.0593 | 7.669 | 90.0 | 90.0 | 90.0 |
| C1--CaF2--fluorite | dynamic | -5.5697 | -5.5697 | 5.7635 | 5.7635 | 5.7635 | 90.0 | 90.0 | 90.0 |
| C1--CaF2--fluorite | static | -2.7017 | -2.7017 | 8.9049 | 8.9049 | 8.9049 | 90.0 | 90.0 | 90.0 |
Download raw data (including filtered results)
Reference structure matches:
D0_3--BiF3 = oqmd-309410
L1_2--AuCu3 = mp-1183143
| prototype | method | Ecoh (eV/atom) | Epot (eV/atom) | a0 (Å) | b0 (Å) | c0 (Å) | α (degrees) | β (degrees) | γ (degrees) |
|---|---|---|---|---|---|---|---|---|---|
| L1_2--AuCu3 | dynamic | -5.5318 | -5.5318 | 3.8973 | 3.8973 | 3.8973 | 90.0 | 90.0 | 90.0 |
| oqmd-298869 | dynamic | -5.5136 | -5.5136 | 3.9012 | 3.9012 | 7.7907 | 90.0 | 90.0 | 90.0 |
| D0_3--BiF3 | static | -5.4421 | -5.4421 | 5.9968 | 5.9968 | 5.9968 | 90.0 | 90.0 | 90.0 |
| A15--Cr3Si | static | -5.3366 | -5.3366 | 4.8664 | 4.8664 | 4.8664 | 90.0 | 90.0 | 90.0 |
| A15--Cr3Si | static | -3.1588 | -3.1588 | 6.8177 | 6.8177 | 6.8177 | 90.0 | 90.0 | 90.0 |
| D0_3--BiF3 | static | -3.1167 | -3.1167 | 8.9485 | 8.9485 | 8.9485 | 90.0 | 90.0 | 90.0 |
| L1_2--AuCu3 | dynamic | -2.9505 | -2.9505 | 6.1017 | 6.1017 | 6.1017 | 90.0 | 90.0 | 90.0 |
Download raw data (including filtered results)
Reference structure matches:
| prototype | method | Ecoh (eV/atom) | Epot (eV/atom) | a0 (Å) | b0 (Å) | c0 (Å) | α (degrees) | β (degrees) | γ (degrees) |
|---|---|---|---|---|---|---|---|---|---|
| mp-605663 | dynamic | -5.4679 | -5.4679 | 10.9908 | 3.9281 | 8.1999 | 90.0 | 90.0 | 90.0 |
| mp-605663 | static | -5.4679 | -5.4679 | 10.9906 | 3.9281 | 8.1997 | 90.0 | 90.0 | 90.0 |
| mp-605663 | box | -5.454 | -5.454 | 10.7697 | 3.9763 | 8.0714 | 90.0 | 90.0 | 90.0 |
| oqmd-23084 | box | -5.4528 | -5.4528 | 10.754 | 3.979 | 8.0637 | 90.0 | 90.0 | 90.0 |
Download raw data (including filtered results)
Reference structure matches:
A1--Cu--fcc = mp-8634, oqmd-676149
A2--W--bcc = mp-1055908
A5--beta-Sn = mp-1057139
| prototype | method | Ecoh (eV/atom) | Epot (eV/atom) | a0 (Å) | b0 (Å) | c0 (Å) | α (degrees) | β (degrees) | γ (degrees) |
|---|---|---|---|---|---|---|---|---|---|
| A2--W--bcc | dynamic | -9.0562 | -9.0562 | 2.788 | 2.788 | 2.788 | 90.0 | 90.0 | 90.0 |
| A6--In--bct | dynamic | -9.0491 | -9.0491 | 2.3145 | 2.3145 | 3.9688 | 90.0 | 90.0 | 90.0 |
| A1--Cu--fcc | static | -9.0074 | -9.0074 | 3.4745 | 3.4745 | 3.4745 | 90.0 | 90.0 | 90.0 |
| A3'--alpha-La--double-hcp | static | -9.0006 | -9.0006 | 2.4518 | 2.4518 | 8.103 | 90.0 | 90.0 | 120.0 |
| A3--Mg--hcp | box | -8.9978 | -8.9978 | 2.4487 | 2.4487 | 4.088 | 90.0 | 90.0 | 120.0 |
| mp-35 | static | -8.9641 | -8.9641 | 8.5108 | 8.5108 | 8.5108 | 90.0 | 90.0 | 90.0 |
| oqmd-7874 | static | -8.9639 | -8.9639 | 8.5121 | 8.5121 | 8.5121 | 90.0 | 90.0 | 90.0 |
| oqmd-7874 | box | -8.9612 | -8.9612 | 8.512 | 8.512 | 8.512 | 90.0 | 90.0 | 90.0 |
| mp-35 | box | -8.9587 | -8.9587 | 8.505 | 8.505 | 8.505 | 90.0 | 90.0 | 90.0 |
| A5--beta-Sn | static | -8.9036 | -8.9036 | 4.2508 | 4.2508 | 2.3737 | 90.0 | 90.0 | 90.0 |
| A15--beta-W | dynamic | -8.9026 | -8.9026 | 4.3856 | 4.3856 | 4.3856 | 90.0 | 90.0 | 90.0 |
| oqmd-7587 | static | -8.8822 | -8.8822 | 6.0015 | 6.0015 | 6.0015 | 90.0 | 90.0 | 90.0 |
| oqmd-7587 | box | -8.8539 | -8.8539 | 5.9908 | 5.9908 | 5.9908 | 90.0 | 90.0 | 90.0 |
| Ah--alpha-Po--sc | static | -8.6351 | -8.6351 | 2.1918 | 2.1918 | 2.1918 | 90.0 | 90.0 | 90.0 |
| A7--alpha-As | box | -8.2919 | -8.2919 | 2.9523 | 2.9523 | 8.5604 | 90.0 | 90.0 | 120.0 |
| A4--C--dc | static | -7.0914 | -7.0914 | 4.4468 | 4.4468 | 4.4468 | 90.0 | 90.0 | 90.0 |
| A3--Mg--hcp | dynamic | -2.5652 | -2.5652 | 4.813 | 4.813 | 7.8596 | 90.0 | 90.0 | 120.0 |
| A1--Cu--fcc | dynamic | -2.5652 | -2.5652 | 6.8066 | 6.8066 | 6.8066 | 90.0 | 90.0 | 90.0 |
| A3'--alpha-La--double-hcp | dynamic | -2.5652 | -2.5652 | 4.813 | 4.813 | 15.7191 | 90.0 | 90.0 | 120.0 |
| A15--beta-W | dynamic | -2.4049 | -2.4049 | 8.3667 | 8.3667 | 8.3667 | 90.0 | 90.0 | 90.0 |
| A2--W--bcc | dynamic | -2.3931 | -2.3931 | 5.2715 | 5.2715 | 5.2715 | 90.0 | 90.0 | 90.0 |
| A5--beta-Sn | static | -1.4328 | -1.4328 | 8.9846 | 8.9846 | 4.6398 | 90.0 | 90.0 | 90.0 |
| Ah--alpha-Po--sc | dynamic | -1.2941 | -1.2941 | 4.816 | 4.816 | 4.816 | 90.0 | 90.0 | 90.0 |
| A4--C--dc | dynamic | -0.8583 | -0.8583 | 11.1233 | 11.1233 | 11.1233 | 90.0 | 90.0 | 90.0 |
| A2--W--bcc | static | -0.8237 | -0.8237 | 4.0645 | 4.0645 | 4.0645 | 90.0 | 90.0 | 90.0 |
| A3--Mg--hcp | static | -0.8212 | -0.8212 | 3.62 | 3.62 | 5.9114 | 90.0 | 90.0 | 120.0 |
| A3'--alpha-La--double-hcp | static | -0.821 | -0.821 | 3.62 | 3.62 | 11.8229 | 90.0 | 90.0 | 120.0 |
| A1--Cu--fcc | static | -0.821 | -0.821 | 5.1477 | 5.1477 | 5.1477 | 90.0 | 90.0 | 90.0 |
| A6--In--bct | static | -0.8204 | -0.8204 | 3.56 | 3.56 | 5.34 | 90.0 | 90.0 | 90.0 |
| A2--W--bcc | box | -0.8124 | -0.8124 | 3.9509 | 3.9509 | 3.9509 | 90.0 | 90.0 | 90.0 |
| A3'--alpha-La--double-hcp | box | -0.8102 | -0.8102 | 3.528 | 3.528 | 11.5654 | 90.0 | 90.0 | 120.0 |
| A1--Cu--fcc | box | -0.8089 | -0.8089 | 4.9937 | 4.9937 | 4.9937 | 90.0 | 90.0 | 90.0 |
| A15--beta-W | static | -0.7914 | -0.7914 | 6.56 | 6.56 | 6.56 | 90.0 | 90.0 | 90.0 |
| A15--beta-W | box | -0.7753 | -0.7753 | 6.3455 | 6.3455 | 6.3455 | 90.0 | 90.0 | 90.0 |
| A4--C--dc | static | -0.2529 | -0.2529 | 8.7295 | 8.7295 | 8.7295 | 90.0 | 90.0 | 90.0 |
| A4--C--dc | box | -0.2496 | -0.2496 | 8.4614 | 8.4614 | 8.4614 | 90.0 | 90.0 | 90.0 |
Download raw data (including filtered results)
Reference structure matches:
| prototype | method | Ecoh (eV/atom) | Epot (eV/atom) | a0 (Å) | b0 (Å) | c0 (Å) | α (degrees) | β (degrees) | γ (degrees) |
|---|---|---|---|---|---|---|---|---|---|
| C1--CaF2--fluorite | static | -3.3131 | -3.3131 | 5.9288 | 5.9288 | 5.9288 | 90.0 | 90.0 | 90.0 |
| C1--CaF2--fluorite | dynamic | -1.6961 | -1.6961 | 10.3394 | 10.3394 | 10.3394 | 90.0 | 90.0 | 90.0 |
| C1--CaF2--fluorite | static | -1.2031 | -1.2031 | 9.5147 | 9.5147 | 9.5147 | 90.0 | 90.0 | 90.0 |
Download raw data (including filtered results)
Reference structure matches:
D0_3--BiF3 = oqmd-309193
| prototype | method | Ecoh (eV/atom) | Epot (eV/atom) | a0 (Å) | b0 (Å) | c0 (Å) | α (degrees) | β (degrees) | γ (degrees) |
|---|---|---|---|---|---|---|---|---|---|
| D0_3--BiF3 | static | -5.8681 | -5.8681 | 5.8795 | 5.8795 | 5.8795 | 90.0 | 90.0 | 90.0 |
| L1_2--AuCu3 | static | -5.7993 | -5.7993 | 3.6349 | 3.6349 | 3.6349 | 90.0 | 90.0 | 90.0 |
| oqmd-298655 | static | -5.7557 | -5.7557 | 3.4804 | 3.4804 | 8.1078 | 90.0 | 90.0 | 90.0 |
| oqmd-298655 | box | -5.6718 | -5.6718 | 3.7112 | 3.7112 | 7.1203 | 90.0 | 90.0 | 90.0 |
| A15--Cr3Si | static | -5.6033 | -5.6033 | 4.663 | 4.663 | 4.663 | 90.0 | 90.0 | 90.0 |
| L1_2--AuCu3 | dynamic | -2.398 | -2.398 | 6.7165 | 6.7165 | 6.7165 | 90.0 | 90.0 | 90.0 |
| A15--Cr3Si | dynamic | -2.3223 | -2.3223 | 8.2175 | 8.2175 | 8.2175 | 90.0 | 90.0 | 90.0 |
| D0_3--BiF3 | dynamic | -2.2355 | -2.2355 | 10.4272 | 10.4272 | 10.4272 | 90.0 | 90.0 | 90.0 |
| D0_3--BiF3 | static | -0.6783 | -0.6783 | 8.1753 | 8.1753 | 8.1753 | 90.0 | 90.0 | 90.0 |
| L1_2--AuCu3 | static | -0.6361 | -0.6361 | 5.4306 | 5.4306 | 5.4306 | 90.0 | 90.0 | 90.0 |
| A15--Cr3Si | static | -0.5482 | -0.5482 | 6.68 | 6.68 | 6.68 | 90.0 | 90.0 | 90.0 |
| A15--Cr3Si | box | -0.5051 | -0.5051 | 6.3554 | 6.3554 | 6.3554 | 90.0 | 90.0 | 90.0 |
| D0_3--BiF3 | box | -0.4446 | -0.4446 | 7.6489 | 7.6489 | 7.6489 | 90.0 | 90.0 | 90.0 |
Download raw data (including filtered results)
Reference structure matches:
| prototype | method | Ecoh (eV/atom) | Epot (eV/atom) | a0 (Å) | b0 (Å) | c0 (Å) | α (degrees) | β (degrees) | γ (degrees) |
|---|---|---|---|---|---|---|---|---|---|
| mp-1078895 | dynamic | -4.9523 | -4.9523 | 5.9956 | 8.6159 | 4.1472 | 90.0 | 90.0 | 90.0 |
| oqmd-684936 | box | -4.1709 | -4.1709 | 7.5633 | 8.1919 | 3.578 | 90.0 | 90.0 | 90.0 |
Download raw data (including filtered results)
Reference structure matches:
B2--CsCl = mp-1902, oqmd-90200
L1_0--AuCu = mp-238, oqmd-17676
| prototype | method | Ecoh (eV/atom) | Epot (eV/atom) | a0 (Å) | b0 (Å) | c0 (Å) | α (degrees) | β (degrees) | γ (degrees) |
|---|---|---|---|---|---|---|---|---|---|
| B2--CsCl | box | -3.9104 | -3.9104 | 3.0152 | 3.0152 | 3.0152 | 90.0 | 90.0 | 90.0 |
| B3--ZnS--cubic-zinc-blende | dynamic | -3.4177 | -3.4177 | 6.1235 | 6.1235 | 6.1235 | 90.0 | 90.0 | 90.0 |
| L1_0--AuCu | dynamic | -2.3299 | -2.3299 | 4.6132 | 4.6132 | 6.6373 | 90.0 | 90.0 | 90.0 |
| B2--CsCl | static | -2.1309 | -2.1309 | 5.2008 | 5.2008 | 5.2008 | 90.0 | 90.0 | 90.0 |
| B1--NaCl--rock-salt | static | -2.0768 | -2.0768 | 5.8144 | 5.8144 | 5.8144 | 90.0 | 90.0 | 90.0 |
| B1--NaCl--rock-salt | static | -1.4374 | -1.4374 | 7.04 | 7.04 | 7.04 | 90.0 | 90.0 | 90.0 |
| B1--NaCl--rock-salt | dynamic | -1.4366 | -1.4366 | 9.1431 | 9.1431 | 9.1431 | 90.0 | 90.0 | 90.0 |
| B1--NaCl--rock-salt | box | -1.3884 | -1.3884 | 7.2688 | 7.2688 | 7.2688 | 90.0 | 90.0 | 90.0 |
| B3--ZnS--cubic-zinc-blende | dynamic | -0.986 | -0.986 | 10.9358 | 10.9358 | 10.9358 | 90.0 | 90.0 | 90.0 |
| B3--ZnS--cubic-zinc-blende | static | -0.9034 | -0.9034 | 7.2053 | 7.2053 | 7.2053 | 90.0 | 90.0 | 90.0 |
| B3--ZnS--cubic-zinc-blende | box | -0.5703 | -0.5703 | 7.9715 | 7.9715 | 7.9715 | 90.0 | 90.0 | 90.0 |
Download raw data (including filtered results)
Reference structure matches:
| prototype | method | Ecoh (eV/atom) | Epot (eV/atom) | a0 (Å) | b0 (Å) | c0 (Å) | α (degrees) | β (degrees) | γ (degrees) |
|---|---|---|---|---|---|---|---|---|---|
| mp-1102640 | dynamic | -4.9864 | -4.9864 | 6.3446 | 2.8614 | 9.1462 | 90.0 | 90.0 | 90.0 |
| C1--CaF2--fluorite | static | -4.2351 | -4.2351 | 5.9759 | 5.9759 | 5.9759 | 90.0 | 90.0 | 90.0 |
| mp-1102640 | box | -4.0878 | -4.0878 | 5.3479 | 3.9727 | 8.104 | 90.0 | 90.0 | 90.0 |
| C1--CaF2--fluorite | static | -1.3577 | -1.3577 | 10.718 | 10.718 | 10.718 | 90.0 | 90.0 | 90.0 |
| C1--CaF2--fluorite | static | -0.5522 | -0.5522 | 7.5748 | 7.5748 | 7.5748 | 90.0 | 90.0 | 90.0 |
| C1--CaF2--fluorite | box | -0.5224 | -0.5224 | 7.8079 | 7.8079 | 7.8079 | 90.0 | 90.0 | 90.0 |
Download raw data (including filtered results)
Reference structure matches:
D0_3--BiF3 = oqmd-309239
| prototype | method | Ecoh (eV/atom) | Epot (eV/atom) | a0 (Å) | b0 (Å) | c0 (Å) | α (degrees) | β (degrees) | γ (degrees) |
|---|---|---|---|---|---|---|---|---|---|
| mp-1221576 | static | -4.6929 | -4.6929 | 2.6857 | 2.6857 | 27.5606 | 90.0 | 90.0 | 120.0 |
| mp-1221576 | box | -4.6706 | -4.6706 | 2.6947 | 2.6947 | 27.4095 | 90.0 | 90.0 | 120.0 |
| mp-31138 | dynamic | -4.3025 | -4.3025 | 3.889 | 3.889 | 15.6313 | 90.0 | 90.0 | 90.0 |
| mp-31138 | box | -4.301 | -4.301 | 3.8865 | 3.8865 | 15.6551 | 90.0 | 90.0 | 90.0 |
| oqmd-17678 | box | -4.2998 | -4.2998 | 3.8861 | 3.8861 | 15.6623 | 90.0 | 90.0 | 90.0 |
| oqmd-298701 | dynamic | -4.2978 | -4.2978 | 3.8809 | 3.8809 | 7.869 | 90.0 | 90.0 | 90.0 |
| L1_2--AuCu3 | dynamic | -4.2963 | -4.2963 | 3.8901 | 3.8901 | 3.8901 | 90.0 | 90.0 | 90.0 |
| mp-1186013 | dynamic | -4.2455 | -4.2455 | 5.5219 | 5.5219 | 4.3334 | 90.0 | 90.0 | 120.0 |
| mp-1186013 | box | -4.2392 | -4.2392 | 5.5141 | 5.5141 | 4.3429 | 90.0 | 90.0 | 120.0 |
| D0_3--BiF3 | dynamic | -4.1998 | -4.1998 | 6.032 | 6.032 | 6.032 | 90.0 | 90.0 | 90.0 |
| A15--Cr3Si | static | -4.0258 | -4.0258 | 4.8936 | 4.8936 | 4.8936 | 90.0 | 90.0 | 90.0 |
| L1_2--AuCu3 | dynamic | -2.3887 | -2.3887 | 6.3942 | 6.3942 | 6.3942 | 90.0 | 90.0 | 90.0 |
| D0_3--BiF3 | static | -2.128 | -2.128 | 10.0526 | 10.0526 | 10.0526 | 90.0 | 90.0 | 90.0 |
| A15--Cr3Si | static | -2.0343 | -2.0343 | 8.0471 | 8.0471 | 8.0471 | 90.0 | 90.0 | 90.0 |
| D0_3--BiF3 | static | -0.6002 | -0.6002 | 7.7596 | 7.7596 | 7.7596 | 90.0 | 90.0 | 90.0 |
| L1_2--AuCu3 | static | -0.5868 | -0.5868 | 5.2609 | 5.2609 | 5.2609 | 90.0 | 90.0 | 90.0 |
| D0_3--BiF3 | box | -0.5804 | -0.5804 | 7.9292 | 7.9292 | 7.9292 | 90.0 | 90.0 | 90.0 |
Download raw data (including filtered results)
Reference structure matches:
A1--Cu--fcc = mp-2, oqmd-676153, oqmd-1214557
A15--beta-W = oqmd-1215002, oqmd-1280323
A2--W--bcc = oqmd-690547, oqmd-1215180
A3'--alpha-La--double-hcp = mp-1186427, oqmd-1215448
A3--Mg--hcp = oqmd-1215358
A4--C--dc = oqmd-1215537
A5--beta-Sn = oqmd-1215626
A6--In--bct = oqmd-1215715
| prototype | method | Ecoh (eV/atom) | Epot (eV/atom) | a0 (Å) | b0 (Å) | c0 (Å) | α (degrees) | β (degrees) | γ (degrees) |
|---|---|---|---|---|---|---|---|---|---|
| A1--Cu--fcc | dynamic | -5.1986 | -5.1986 | 3.9211 | 3.9211 | 3.9211 | 90.0 | 90.0 | 90.0 |
| A3--Mg--hcp | dynamic | -5.1413 | -5.1413 | 2.8041 | 2.8041 | 4.1927 | 90.0 | 90.0 | 120.0 |
| oqmd-1216074 | dynamic | -5.1391 | -5.1391 | 2.8076 | 2.8076 | 19.0613 | 90.0 | 90.0 | 120.0 |
| oqmd-1216074 | static | -5.1377 | -5.1377 | 2.8068 | 2.8068 | 19.0625 | 90.0 | 90.0 | 120.0 |
| A3'--alpha-La--double-hcp | dynamic | -5.1346 | -5.1346 | 2.8036 | 2.8036 | 8.5514 | 90.0 | 90.0 | 120.0 |
| oqmd-1215269 | box | -5.112 | -5.112 | 2.7902 | 4.8472 | 4.2103 | 90.0 | 90.0 | 90.0 |
| oqmd-1214913 | dynamic | -4.9832 | -4.9832 | 6.76 | 6.76 | 6.76 | 90.0 | 90.0 | 90.0 |
| A2--W--bcc | box | -4.9797 | -4.9797 | 2.9757 | 2.9757 | 2.9757 | 90.0 | 90.0 | 90.0 |
| oqmd-1214913 | box | -4.9652 | -4.9652 | 6.5888 | 6.5888 | 6.5888 | 90.0 | 90.0 | 90.0 |
| oqmd-1214735 | box | -4.9321 | -4.9321 | 3.9402 | 8.8745 | 3.9402 | 90.0 | 90.0 | 90.0 |
| A15--beta-W | static | -4.9236 | -4.9236 | 4.8457 | 4.8457 | 4.8457 | 90.0 | 90.0 | 90.0 |
| oqmd-1214824 | dynamic | -4.9053 | -4.9053 | 9.4951 | 9.4951 | 9.4951 | 90.0 | 90.0 | 90.0 |
| oqmd-1214824 | box | -4.9034 | -4.9034 | 9.5038 | 9.5038 | 9.5038 | 90.0 | 90.0 | 90.0 |
| Ah--alpha-Po--sc | static | -4.2775 | -4.2775 | 2.6761 | 2.6761 | 2.6761 | 90.0 | 90.0 | 90.0 |
| Ah--alpha-Po--sc | dynamic | -4.2758 | -4.2758 | 2.7952 | 2.7952 | 2.7952 | 90.0 | 90.0 | 90.0 |
| A5--beta-Sn | static | -4.1892 | -4.1892 | 5.524 | 5.524 | 2.5636 | 90.0 | 90.0 | 90.0 |
| A3--Mg--hcp | box | -4.1417 | -4.1417 | 3.3402 | 3.3402 | 3.2834 | 90.0 | 90.0 | 120.0 |
| A4--C--dc | dynamic | -4.1356 | -4.1356 | 5.926 | 5.926 | 5.926 | 90.0 | 90.0 | 90.0 |
| A7--alpha-As | box | -3.9629 | -3.9629 | 3.9826 | 3.9826 | 10.6294 | 90.0 | 90.0 | 120.0 |
| oqmd-1215982 | box | -3.4692 | -3.4692 | 4.2806 | 4.2806 | 4.7578 | 90.0 | 90.0 | 120.0 |
| A1--Cu--fcc | dynamic | -2.6251 | -2.6251 | 6.208 | 6.208 | 6.208 | 90.0 | 90.0 | 90.0 |
| A3'--alpha-La--double-hcp | dynamic | -2.6251 | -2.6251 | 4.3897 | 4.3897 | 14.3368 | 90.0 | 90.0 | 120.0 |
| A3--Mg--hcp | dynamic | -2.6251 | -2.6251 | 4.3897 | 4.3897 | 7.1684 | 90.0 | 90.0 | 120.0 |
| A2--W--bcc | dynamic | -2.5884 | -2.5884 | 4.5343 | 4.5343 | 4.5343 | 90.0 | 90.0 | 90.0 |
| A15--beta-W | static | -2.5633 | -2.5633 | 6.9886 | 6.9886 | 6.9886 | 90.0 | 90.0 | 90.0 |
| A1--Cu--fcc | static | -2.0496 | -2.0496 | 5.1569 | 5.1569 | 5.1569 | 90.0 | 90.0 | 90.0 |
| A3'--alpha-La--double-hcp | box | -1.9787 | -1.9787 | 3.6359 | 3.6359 | 12.2082 | 90.0 | 90.0 | 120.0 |
| A5--beta-Sn | static | -1.9411 | -1.9411 | 8.2405 | 8.2405 | 3.9261 | 90.0 | 90.0 | 90.0 |
| Ah--alpha-Po--sc | dynamic | -1.8835 | -1.8835 | 4.4141 | 4.4141 | 4.4141 | 90.0 | 90.0 | 90.0 |
| A3--Mg--hcp | box | -1.501 | -1.501 | 4.3575 | 4.3575 | 9.978 | 90.0 | 90.0 | 120.0 |
| A4--C--dc | dynamic | -1.2233 | -1.2233 | 9.0427 | 9.0427 | 9.0427 | 90.0 | 90.0 | 90.0 |
| A4--C--dc | dynamic | -1.0822 | -1.0822 | 10.0567 | 10.0567 | 10.0567 | 90.0 | 90.0 | 90.0 |
| A15--beta-W | static | -0.5855 | -0.5855 | 10.316 | 10.316 | 10.316 | 90.0 | 90.0 | 90.0 |
Static elastic constants are displayed for the unique structures identified in Crystal Structure Predictions above. The values displayed here are obtained by measuring the change in virial stresses due to applying small strains to the relaxed crystals. The initial structure and the strained states are all relaxed using force minimization.
The calculation method used is available as the iprPy elastic_constants_static calculation method.
Notes and Disclaimers:
Version Information:
| 56.167 | 30.414 | 30.414 | 0.000 | 0.000 | 0.000 |
| 30.414 | 56.167 | 30.414 | 0.000 | 0.000 | 0.000 |
| 30.414 | 30.414 | 56.167 | 0.000 | 0.000 | 0.000 |
| 0.000 | 0.000 | 0.000 | 8.944 | 0.000 | 0.000 |
| 0.000 | 0.000 | 0.000 | 0.000 | 8.944 | 0.000 |
| 0.000 | 0.000 | 0.000 | 0.000 | 0.000 | 8.944 |
| 56.167 | 30.414 | 30.414 | -0.000 | -0.000 | -0.000 |
| 30.414 | 56.167 | 30.414 | -0.000 | -0.000 | -0.000 |
| 30.414 | 30.414 | 56.167 | -0.000 | -0.000 | -0.000 |
| -0.000 | -0.000 | -0.000 | 8.944 | -0.000 | -0.000 |
| -0.000 | -0.000 | -0.000 | -0.000 | 8.944 | -0.000 |
| -0.000 | -0.000 | -0.000 | -0.000 | -0.000 | 8.944 |
| 56.167 | 30.414 | 30.414 | 0.000 | 0.000 | 0.000 |
| 30.414 | 56.167 | 30.414 | 0.000 | 0.000 | 0.000 |
| 30.414 | 30.414 | 56.167 | 0.000 | 0.000 | 0.000 |
| 0.000 | -0.000 | -0.000 | 8.944 | 0.000 | 0.000 |
| -0.000 | 0.000 | -0.000 | 0.000 | 8.944 | 0.000 |
| -0.000 | -0.000 | 0.000 | 0.000 | 0.000 | 8.944 |
| 56.167 | 30.414 | 30.414 | -0.000 | -0.000 | -0.000 |
| 30.414 | 56.167 | 30.414 | -0.000 | -0.000 | -0.000 |
| 30.414 | 30.414 | 56.167 | -0.000 | -0.000 | -0.000 |
| -0.000 | 0.000 | 0.000 | 8.944 | -0.000 | -0.000 |
| 0.000 | -0.000 | 0.000 | -0.000 | 8.944 | -0.000 |
| 0.000 | 0.000 | -0.000 | -0.000 | -0.000 | 8.944 |
| 56.167 | 30.414 | 30.414 | 0.000 | 0.000 | 0.000 |
| 30.414 | 56.167 | 30.414 | 0.000 | 0.000 | 0.000 |
| 30.414 | 30.414 | 56.167 | 0.000 | 0.000 | 0.000 |
| 0.000 | -0.000 | -0.000 | 8.944 | 0.000 | 0.000 |
| -0.000 | 0.000 | -0.000 | 0.000 | 8.944 | 0.000 |
| -0.000 | -0.000 | 0.000 | 0.000 | -0.000 | 8.944 |
| 56.167 | 30.414 | 30.414 | 0.000 | -0.000 | -0.000 |
| 30.414 | 56.167 | 30.414 | 0.000 | 0.000 | -0.000 |
| 30.414 | 30.414 | 56.167 | -0.000 | -0.000 | 0.000 |
| -0.000 | 0.000 | 0.000 | 8.944 | -0.000 | -0.000 |
| 0.000 | -0.000 | 0.000 | -0.000 | 8.944 | -0.000 |
| 0.000 | 0.000 | -0.000 | -0.000 | 0.000 | 8.944 |
| 45.039 | 9.320 | 9.320 | 0.000 | 0.000 | 0.000 |
| 9.320 | 45.039 | 9.320 | -0.000 | 0.000 | -0.000 |
| 9.320 | 9.320 | 45.039 | -0.000 | 0.000 | -0.000 |
| 0.000 | 0.000 | -0.000 | -12.341 | 0.000 | 0.000 |
| -0.000 | 0.000 | -0.000 | -0.000 | -12.341 | 0.000 |
| -0.000 | -0.000 | 0.000 | 0.000 | 0.000 | -12.341 |
| 45.039 | 9.320 | 9.320 | 0.000 | 0.000 | 0.000 |
| 9.320 | 45.039 | 9.320 | 0.000 | -0.000 | -0.000 |
| 9.320 | 9.320 | 45.039 | 0.000 | -0.000 | 0.000 |
| -0.000 | -0.000 | -0.000 | -12.341 | -0.000 | 0.000 |
| 0.000 | -0.000 | 0.000 | 0.000 | -12.341 | -0.000 |
| -0.000 | -0.000 | -0.000 | 0.000 | -0.000 | -12.341 |
| 44.501 | 9.589 | 9.589 | 0.000 | 0.000 | -0.000 |
| 9.589 | 44.501 | 9.589 | 0.000 | 0.000 | 0.000 |
| 9.589 | 9.589 | 44.501 | 0.000 | 0.000 | -0.000 |
| 0.000 | 0.000 | -0.000 | -12.341 | 0.000 | 0.000 |
| 0.000 | 0.000 | -0.000 | -0.000 | -12.341 | 0.000 |
| 0.000 | -0.000 | 0.000 | -0.000 | 0.000 | -12.341 |
| 44.501 | 9.589 | 9.589 | -0.000 | -0.000 | 0.000 |
| 9.589 | 44.501 | 9.589 | 0.000 | 0.000 | 0.000 |
| 9.589 | 9.589 | 44.501 | 0.000 | 0.000 | 0.000 |
| -0.000 | -0.000 | 0.000 | -12.341 | -0.000 | 0.000 |
| -0.000 | -0.000 | 0.000 | 0.000 | -12.341 | -0.000 |
| -0.000 | 0.000 | -0.000 | 0.000 | 0.000 | -12.341 |
| 44.501 | 9.590 | 9.590 | 0.000 | 0.000 | -0.000 |
| 9.590 | 44.501 | 9.590 | 0.000 | 0.000 | -0.000 |
| 9.590 | 9.590 | 44.501 | -0.000 | -0.000 | 0.000 |
| 0.000 | 0.000 | -0.000 | -12.341 | -0.000 | 0.000 |
| 0.000 | 0.000 | -0.000 | 0.000 | -12.341 | -0.000 |
| 0.000 | -0.000 | 0.000 | 0.000 | 0.000 | -12.341 |
| 44.501 | 9.589 | 9.589 | -0.000 | -0.000 | 0.000 |
| 9.589 | 44.501 | 9.589 | 0.000 | -0.000 | 0.000 |
| 9.589 | 9.589 | 44.501 | 0.000 | -0.000 | -0.000 |
| -0.000 | -0.000 | 0.000 | -12.341 | 0.000 | 0.000 |
| -0.000 | -0.000 | 0.000 | 0.000 | -12.341 | 0.000 |
| -0.000 | 0.000 | -0.000 | -0.000 | -0.000 | -12.341 |
| 61.165 | 55.392 | 55.392 | -0.000 | -0.000 | 0.000 |
| 55.392 | 61.165 | 55.392 | -0.000 | -0.000 | 0.000 |
| 55.392 | 55.392 | 61.165 | -0.000 | -0.000 | 0.000 |
| -0.000 | -0.000 | -0.000 | 33.058 | 0.000 | 0.000 |
| -0.000 | -0.000 | -0.000 | -0.000 | 33.058 | -0.000 |
| -0.000 | -0.000 | -0.000 | -0.000 | -0.000 | 33.058 |
| 61.165 | 55.392 | 55.392 | -0.000 | -0.000 | -0.000 |
| 55.392 | 61.165 | 55.392 | -0.000 | -0.000 | -0.000 |
| 55.392 | 55.392 | 61.165 | 0.000 | 0.000 | -0.000 |
| 0.000 | 0.000 | 0.000 | 33.058 | 0.000 | 0.000 |
| 0.000 | 0.000 | 0.000 | 0.000 | 33.058 | -0.000 |
| 0.000 | 0.000 | 0.000 | 0.000 | 0.000 | 33.058 |
| 61.165 | 55.392 | 55.392 | 0.000 | -0.000 | 0.000 |
| 55.392 | 61.165 | 55.392 | 0.000 | 0.000 | -0.000 |
| 55.392 | 55.392 | 61.165 | -0.000 | -0.000 | 0.000 |
| -0.000 | -0.000 | -0.000 | 33.058 | -0.000 | 0.000 |
| -0.000 | -0.000 | -0.000 | -0.000 | 33.058 | -0.000 |
| -0.000 | -0.000 | -0.000 | -0.000 | -0.000 | 33.058 |
| 61.165 | 55.392 | 55.392 | 0.000 | -0.000 | 0.000 |
| 55.392 | 61.165 | 55.392 | -0.000 | -0.000 | 0.000 |
| 55.392 | 55.392 | 61.165 | 0.000 | 0.000 | 0.000 |
| 0.000 | 0.000 | 0.000 | 33.058 | 0.000 | 0.000 |
| 0.000 | 0.000 | 0.000 | -0.000 | 33.058 | -0.000 |
| 0.000 | 0.000 | 0.000 | 0.000 | 0.000 | 33.058 |
| 61.165 | 55.392 | 55.392 | 0.000 | 0.000 | -0.000 |
| 55.392 | 61.165 | 55.392 | -0.000 | -0.000 | 0.000 |
| 55.392 | 55.392 | 61.165 | 0.000 | 0.000 | -0.000 |
| -0.000 | -0.000 | -0.000 | 33.058 | -0.000 | 0.000 |
| -0.000 | -0.000 | -0.000 | -0.000 | 33.058 | -0.000 |
| -0.000 | -0.000 | -0.000 | 0.000 | -0.000 | 33.058 |
| 61.165 | 55.392 | 55.392 | 0.000 | -0.000 | 0.000 |
| 55.392 | 61.165 | 55.392 | -0.000 | 0.000 | 0.000 |
| 55.392 | 55.392 | 61.165 | 0.000 | 0.000 | 0.000 |
| 0.000 | 0.000 | 0.000 | 33.058 | -0.000 | 0.000 |
| 0.000 | 0.000 | 0.000 | -0.000 | 33.058 | 0.000 |
| 0.000 | 0.000 | 0.000 | -0.000 | 0.000 | 33.058 |
| 50.983 | 31.205 | 41.915 | 0.000 | -0.000 | 0.000 |
| 31.142 | 51.046 | 41.915 | -0.000 | 0.000 | 0.000 |
| 41.915 | 41.915 | 75.234 | 0.000 | -0.000 | 0.000 |
| -0.000 | -0.000 | 0.000 | 20.396 | 0.000 | 0.000 |
| -0.000 | 0.000 | 0.000 | 0.000 | 20.396 | 0.000 |
| -0.000 | -0.000 | 0.000 | 0.000 | 0.000 | 9.952 |
| 50.983 | 31.205 | 41.915 | -0.000 | -0.000 | -0.000 |
| 31.142 | 51.046 | 41.915 | 0.000 | 0.000 | -0.000 |
| 41.915 | 41.915 | 75.234 | -0.000 | -0.000 | -0.000 |
| 0.000 | -0.000 | -0.000 | 20.396 | -0.000 | -0.000 |
| 0.000 | -0.000 | 0.000 | 0.000 | 20.396 | 0.000 |
| 0.000 | 0.000 | -0.000 | -0.000 | -0.000 | 9.952 |
| 51.046 | 31.142 | 41.915 | 0.000 | 0.000 | 0.000 |
| 31.142 | 51.046 | 41.915 | -0.000 | -0.000 | 0.000 |
| 41.915 | 41.915 | 75.234 | -0.000 | 0.000 | 0.000 |
| -0.000 | -0.000 | -0.000 | 20.396 | -0.000 | -0.000 |
| -0.000 | -0.000 | -0.000 | 0.000 | 20.396 | 0.000 |
| -0.000 | -0.000 | -0.000 | 0.000 | 0.000 | 9.889 |
| 51.046 | 31.142 | 41.915 | -0.000 | -0.000 | -0.000 |
| 31.205 | 50.983 | 41.915 | -0.000 | -0.000 | -0.000 |
| 41.915 | 41.915 | 75.234 | 0.000 | 0.000 | -0.000 |
| 0.000 | 0.000 | 0.000 | 20.396 | 0.000 | 0.000 |
| 0.000 | 0.000 | 0.000 | 0.000 | 20.396 | -0.000 |
| 0.000 | 0.000 | 0.000 | -0.000 | -0.000 | 9.889 |
| 51.046 | 31.142 | 41.915 | 0.000 | 0.000 | 0.000 |
| 31.205 | 50.983 | 41.915 | 0.000 | 0.000 | 0.000 |
| 41.915 | 41.915 | 75.234 | 0.000 | 0.000 | 0.000 |
| -0.000 | -0.000 | -0.000 | 20.396 | 0.000 | 0.000 |
| -0.000 | -0.000 | -0.000 | -0.000 | 20.396 | 0.000 |
| -0.000 | -0.000 | -0.000 | -0.000 | 0.000 | 9.871 |
| 51.046 | 31.142 | 41.915 | -0.000 | -0.000 | -0.000 |
| 31.205 | 50.983 | 41.915 | -0.000 | -0.000 | -0.000 |
| 41.915 | 41.915 | 75.234 | -0.000 | -0.000 | -0.000 |
| 0.000 | 0.000 | 0.000 | 20.396 | -0.000 | 0.000 |
| 0.000 | 0.000 | 0.000 | -0.000 | 20.396 | -0.000 |
| 0.000 | 0.000 | 0.000 | 0.000 | -0.000 | 9.871 |
| 52.036 | 32.071 | 48.532 | -0.000 | -0.000 | 0.000 |
| 32.071 | 52.036 | 48.532 | 0.000 | 0.000 | -0.000 |
| 48.532 | 48.532 | 104.737 | -0.000 | -0.000 | -0.000 |
| -0.000 | -0.000 | -0.000 | 27.005 | -0.000 | 0.000 |
| -0.000 | 0.000 | -0.000 | 0.000 | 27.005 | 0.000 |
| -0.000 | -0.000 | -0.000 | 0.000 | 0.000 | 9.982 |
| 52.036 | 32.071 | 48.532 | -0.000 | -0.000 | -0.000 |
| 31.661 | 52.446 | 48.532 | -0.000 | -0.000 | -0.000 |
| 48.532 | 48.532 | 104.737 | -0.000 | 0.000 | -0.000 |
| 0.000 | 0.000 | 0.000 | 27.005 | -0.000 | 0.000 |
| 0.000 | 0.000 | 0.000 | -0.000 | 27.005 | 0.000 |
| 0.000 | -0.000 | 0.000 | 0.000 | 0.000 | 9.982 |
| 52.446 | 31.661 | 48.532 | 0.000 | 0.000 | 0.000 |
| 32.071 | 52.036 | 48.532 | 0.000 | 0.000 | 0.000 |
| 48.532 | 48.532 | 104.737 | 0.000 | 0.000 | 0.000 |
| -0.000 | -0.000 | -0.000 | 27.005 | 0.000 | 0.000 |
| -0.000 | -0.000 | -0.000 | 0.000 | 27.005 | -0.000 |
| -0.000 | -0.000 | -0.000 | -0.000 | -0.000 | 10.393 |
| 52.446 | 31.661 | 48.532 | -0.000 | -0.000 | -0.000 |
| 32.071 | 52.036 | 48.532 | -0.000 | -0.000 | 0.000 |
| 48.532 | 48.532 | 104.737 | 0.000 | 0.000 | 0.000 |
| 0.000 | 0.000 | 0.000 | 27.005 | -0.000 | 0.000 |
| 0.000 | 0.000 | 0.000 | -0.000 | 27.005 | -0.000 |
| 0.000 | 0.000 | 0.000 | -0.000 | -0.000 | 10.393 |
| 52.036 | 32.071 | 48.532 | 0.000 | 0.000 | -0.000 |
| 32.071 | 52.036 | 48.532 | -0.000 | -0.000 | 0.000 |
| 48.532 | 48.532 | 104.737 | 0.000 | 0.000 | 0.000 |
| -0.000 | -0.000 | -0.000 | 27.005 | 0.000 | -0.000 |
| -0.000 | -0.000 | -0.000 | -0.000 | 27.005 | 0.000 |
| -0.000 | -0.000 | -0.000 | 0.000 | -0.000 | 9.982 |
| 52.036 | 32.071 | 48.532 | -0.000 | -0.000 | 0.000 |
| 31.661 | 52.446 | 48.532 | -0.000 | -0.000 | -0.000 |
| 48.532 | 48.532 | 104.737 | -0.000 | -0.000 | 0.000 |
| 0.000 | 0.000 | 0.000 | 27.005 | 0.000 | 0.000 |
| 0.000 | 0.000 | 0.000 | -0.000 | 27.005 | -0.000 |
| 0.000 | 0.000 | 0.000 | 0.000 | 0.000 | 9.982 |
| 52.042 | 32.065 | 48.522 | -0.000 | -0.000 | -0.000 |
| 32.065 | 52.042 | 48.522 | 0.000 | 0.000 | -0.000 |
| 48.522 | 48.522 | 104.724 | 0.000 | -0.000 | -0.000 |
| -0.000 | -0.000 | -0.000 | 27.007 | -0.000 | -0.000 |
| -0.000 | 0.000 | -0.000 | 0.000 | 27.007 | 0.000 |
| 0.000 | -0.000 | -0.000 | -0.000 | -0.000 | 9.988 |
| 52.452 | 31.655 | 48.522 | -0.000 | -0.000 | 0.000 |
| 32.065 | 52.042 | 48.522 | -0.000 | -0.000 | 0.000 |
| 48.522 | 48.522 | 104.724 | -0.000 | -0.000 | 0.000 |
| -0.000 | 0.000 | 0.000 | 27.007 | -0.000 | 0.000 |
| 0.000 | 0.000 | 0.000 | -0.000 | 27.007 | -0.000 |
| -0.000 | 0.000 | 0.000 | 0.000 | 0.000 | 9.988 |
| 52.042 | 32.065 | 48.522 | 0.000 | -0.000 | -0.000 |
| 31.655 | 52.452 | 48.522 | 0.000 | -0.000 | -0.000 |
| 48.522 | 48.522 | 104.724 | -0.000 | -0.000 | -0.000 |
| -0.000 | -0.000 | -0.000 | 27.007 | 0.000 | -0.000 |
| -0.000 | -0.000 | -0.000 | 0.000 | 27.007 | -0.000 |
| -0.000 | -0.000 | -0.000 | 0.000 | 0.000 | 10.398 |
| 52.452 | 31.655 | 48.522 | 0.000 | 0.000 | 0.000 |
| 32.065 | 52.042 | 48.522 | -0.000 | 0.000 | 0.000 |
| 48.522 | 48.522 | 104.724 | -0.000 | -0.000 | -0.000 |
| 0.000 | 0.000 | 0.000 | 27.007 | -0.000 | -0.000 |
| 0.000 | 0.000 | 0.000 | -0.000 | 27.007 | -0.000 |
| 0.000 | 0.000 | 0.000 | -0.000 | -0.000 | 10.398 |
| 51.908 | 31.119 | 48.522 | 0.000 | -0.000 | -0.000 |
| 31.884 | 51.497 | 48.522 | 0.000 | 0.000 | -0.000 |
| 48.522 | 48.522 | 104.724 | 0.000 | -0.000 | 0.000 |
| -0.000 | -0.000 | -0.000 | 27.007 | -0.000 | -0.000 |
| -0.000 | -0.000 | -0.000 | 0.000 | 27.007 | -0.000 |
| -0.090 | -0.270 | -0.000 | -0.000 | -0.000 | 9.832 |
| 52.041 | 32.065 | 48.522 | -0.000 | -0.000 | 0.000 |
| 32.065 | 52.041 | 48.522 | 0.000 | 0.000 | 0.000 |
| 48.522 | 48.522 | 104.724 | -0.000 | 0.000 | 0.000 |
| 0.000 | 0.000 | 0.000 | 27.007 | 0.000 | 0.000 |
| 0.000 | 0.000 | 0.000 | -0.000 | 27.007 | 0.000 |
| 0.090 | 0.270 | 0.000 | -0.000 | -0.000 | 9.832 |
| 20.280 | 36.089 | 36.089 | 0.000 | 0.000 | 0.000 |
| 36.089 | 20.280 | 36.089 | 0.000 | 0.000 | 0.000 |
| 36.089 | 36.089 | 20.280 | 0.000 | 0.000 | 0.000 |
| -0.000 | -0.000 | 0.000 | 27.121 | 0.000 | 0.000 |
| -0.000 | 0.000 | 0.000 | 0.000 | 27.121 | 0.000 |
| -0.000 | 0.000 | 0.000 | 0.000 | 0.000 | 27.121 |
| 20.280 | 36.089 | 36.089 | -0.000 | -0.000 | -0.000 |
| 36.089 | 20.280 | 36.089 | -0.000 | -0.000 | -0.000 |
| 36.089 | 36.089 | 20.280 | -0.000 | -0.000 | -0.000 |
| -0.000 | 0.000 | -0.000 | 27.121 | 0.000 | -0.000 |
| 0.000 | -0.000 | -0.000 | 0.000 | 27.121 | -0.000 |
| 0.000 | -0.000 | 0.000 | 0.000 | -0.000 | 27.121 |
| 20.280 | 36.089 | 36.089 | 0.000 | 0.000 | 0.000 |
| 36.089 | 20.280 | 36.089 | 0.000 | 0.000 | 0.000 |
| 36.089 | 36.089 | 20.280 | 0.000 | 0.000 | 0.000 |
| -0.000 | -0.000 | -0.000 | 27.121 | 0.000 | 0.000 |
| -0.000 | -0.000 | -0.000 | 0.000 | 27.121 | 0.000 |
| -0.000 | -0.000 | -0.000 | -0.000 | 0.000 | 27.121 |
| 20.280 | 36.089 | 36.089 | -0.000 | -0.000 | -0.000 |
| 36.089 | 20.280 | 36.089 | -0.000 | -0.000 | -0.000 |
| 36.089 | 36.089 | 20.280 | -0.000 | -0.000 | -0.000 |
| 0.000 | 0.000 | 0.000 | 27.121 | -0.000 | -0.000 |
| 0.000 | 0.000 | 0.000 | -0.000 | 27.121 | -0.000 |
| 0.000 | 0.000 | 0.000 | -0.000 | -0.000 | 27.121 |
| 20.280 | 36.090 | 36.090 | 0.000 | 0.000 | 0.000 |
| 36.090 | 20.280 | 36.090 | 0.000 | 0.000 | 0.000 |
| 36.090 | 36.090 | 20.280 | 0.000 | 0.000 | 0.000 |
| -0.000 | -0.000 | -0.000 | -12.268 | 0.000 | 0.000 |
| -0.000 | -0.000 | -0.000 | 0.000 | -12.268 | 0.000 |
| -0.000 | -0.000 | -0.000 | 0.000 | 0.000 | -12.268 |
| 20.280 | 36.089 | 36.089 | -0.000 | -0.000 | -0.000 |
| 36.089 | 20.280 | 36.089 | -0.000 | -0.000 | -0.000 |
| 36.089 | 36.089 | 20.280 | -0.000 | -0.000 | -0.000 |
| 0.000 | 0.000 | 0.000 | -12.268 | -0.000 | -0.000 |
| 0.000 | 0.000 | 0.000 | -0.000 | -12.268 | -0.000 |
| 0.000 | 0.000 | 0.000 | -0.000 | -0.000 | -12.268 |
| 71.356 | 16.510 | 15.392 | -0.000 | -0.000 | 0.000 |
| 16.510 | 71.356 | 15.392 | -0.000 | -0.000 | 0.000 |
| 15.392 | 15.392 | 112.677 | -0.000 | -0.000 | 0.000 |
| -0.000 | 0.000 | -0.000 | -3.123 | 0.000 | 0.000 |
| -0.000 | 0.000 | -0.000 | -0.000 | -3.123 | 0.000 |
| -0.000 | 0.000 | 0.000 | -0.000 | 0.000 | 6.517 |
| 71.356 | 16.510 | 15.392 | -0.000 | -0.000 | -0.000 |
| 16.510 | 71.356 | 15.392 | -0.000 | -0.000 | 0.000 |
| 15.392 | 15.392 | 112.677 | 0.000 | 0.000 | -0.000 |
| 0.000 | -0.000 | 0.000 | -3.123 | 0.000 | -0.000 |
| 0.000 | -0.000 | 0.000 | -0.000 | -3.123 | -0.000 |
| 0.000 | -0.000 | 0.000 | 0.000 | 0.000 | 6.517 |
| 71.356 | 16.510 | 15.392 | 0.000 | 0.000 | -0.000 |
| 16.510 | 71.356 | 15.392 | 0.000 | 0.000 | 0.000 |
| 15.392 | 15.392 | 112.677 | 0.000 | -0.000 | -0.000 |
| -0.000 | 0.000 | -0.000 | -3.123 | 0.000 | 0.000 |
| 0.000 | -0.000 | -0.000 | -0.000 | -3.123 | 0.000 |
| -0.000 | -0.000 | -0.000 | -0.000 | 0.000 | 6.517 |
| 71.356 | 16.510 | 15.392 | -0.000 | -0.000 | -0.000 |
| 16.510 | 71.356 | 15.392 | 0.000 | 0.000 | 0.000 |
| 15.392 | 15.392 | 112.677 | 0.000 | -0.000 | -0.000 |
| 0.000 | -0.000 | 0.000 | -3.123 | -0.000 | 0.000 |
| -0.000 | 0.000 | 0.000 | 0.000 | -3.123 | -0.000 |
| 0.000 | 0.000 | 0.000 | -0.000 | -0.000 | 6.517 |
| 21.657 | 66.209 | 15.392 | 0.000 | 0.000 | 0.000 |
| 66.209 | 21.657 | 15.392 | -0.000 | 0.000 | 0.000 |
| 15.392 | 15.392 | 112.677 | -0.000 | 0.000 | -0.000 |
| -0.000 | 0.000 | -0.000 | -3.123 | 0.000 | 0.000 |
| 0.000 | -0.000 | -0.000 | -0.000 | -3.123 | 0.000 |
| -0.000 | -0.000 | -0.000 | -0.000 | -0.000 | 6.517 |
| 71.356 | 16.510 | 15.392 | 0.000 | -0.000 | -0.000 |
| 16.510 | 71.356 | 15.392 | 0.000 | -0.000 | -0.000 |
| 15.392 | 15.392 | 112.677 | 0.000 | 0.000 | -0.000 |
| 0.000 | -0.000 | 0.000 | -3.123 | -0.000 | 0.000 |
| -0.000 | 0.000 | 0.000 | 0.000 | -3.123 | 0.000 |
| 0.000 | 0.000 | 0.000 | 0.000 | -0.000 | 6.517 |
| 77.569 | 9.565 | 9.565 | -0.000 | -0.000 | -0.000 |
| 9.565 | 77.569 | 9.565 | -0.000 | -0.000 | -0.000 |
| 9.565 | 9.565 | 77.569 | -0.000 | 0.000 | -0.000 |
| 0.000 | -0.000 | 0.000 | 0.149 | -0.000 | -0.000 |
| 0.000 | 0.000 | 0.000 | 0.000 | 0.149 | -0.000 |
| 0.000 | 0.000 | 0.000 | 0.000 | 0.000 | 0.149 |
| 77.569 | 9.565 | 9.565 | 0.000 | -0.000 | 0.000 |
| 9.565 | 77.569 | 9.565 | -0.000 | -0.000 | 0.000 |
| 9.565 | 9.565 | 77.569 | 0.000 | 0.000 | 0.000 |
| -0.000 | -0.000 | -0.000 | 0.149 | -0.000 | -0.000 |
| -0.000 | -0.000 | -0.000 | -0.000 | 0.149 | 0.000 |
| -0.000 | -0.000 | -0.000 | -0.000 | -0.000 | 0.149 |
| 77.569 | 9.565 | 9.565 | 0.000 | 0.000 | -0.000 |
| 9.565 | 77.569 | 9.565 | 0.000 | 0.000 | -0.000 |
| 9.565 | 9.565 | 77.569 | 0.000 | 0.000 | 0.000 |
| -0.000 | -0.000 | -0.000 | 0.149 | 0.000 | 0.000 |
| -0.000 | -0.000 | -0.000 | -0.000 | 0.149 | -0.000 |
| -0.000 | -0.000 | -0.000 | 0.000 | 0.000 | 0.149 |
| 77.569 | 9.565 | 9.565 | -0.000 | -0.000 | 0.000 |
| 9.565 | 77.569 | 9.565 | -0.000 | -0.000 | -0.000 |
| 9.565 | 9.565 | 77.569 | -0.000 | -0.000 | 0.000 |
| 0.000 | 0.000 | 0.000 | 0.149 | 0.000 | 0.000 |
| 0.000 | 0.000 | 0.000 | 0.000 | 0.149 | 0.000 |
| 0.000 | 0.000 | 0.000 | -0.000 | -0.000 | 0.149 |
| 77.569 | 9.565 | 9.565 | -0.000 | 0.000 | -0.000 |
| 9.565 | 77.569 | 9.565 | -0.000 | 0.000 | -0.000 |
| 9.565 | 9.565 | 77.569 | 0.000 | 0.000 | -0.000 |
| -0.000 | -0.000 | -0.000 | 0.149 | 0.000 | -0.000 |
| -0.000 | -0.000 | -0.000 | 0.000 | 0.149 | -0.000 |
| -0.000 | -0.000 | -0.000 | 0.000 | 0.000 | 0.149 |
| 77.569 | 9.565 | 9.565 | -0.000 | -0.000 | 0.000 |
| 9.565 | 77.569 | 9.565 | -0.000 | -0.000 | -0.000 |
| 9.565 | 9.565 | 77.569 | -0.000 | -0.000 | 0.000 |
| 0.000 | 0.000 | 0.000 | 0.149 | 0.000 | 0.000 |
| 0.000 | 0.000 | 0.000 | 0.000 | 0.149 | 0.000 |
| 0.000 | 0.000 | 0.000 | -0.000 | -0.000 | 0.149 |
| 8.357 | 41.917 | 17.396 | -0.000 | 0.000 | -0.000 |
| 41.917 | 8.357 | 17.396 | -0.000 | 0.000 | 0.000 |
| 16.993 | 16.993 | 52.714 | -0.000 | -0.000 | -0.000 |
| 0.001 | 0.001 | -0.000 | 0.172 | 0.000 | 0.000 |
| 0.001 | 0.001 | -0.000 | 0.000 | 0.172 | 0.000 |
| 0.001 | 0.001 | -0.000 | 0.000 | 0.000 | 15.397 |
| 20.964 | 25.684 | 18.328 | 0.000 | 0.000 | 0.000 |
| 25.684 | 20.964 | 18.328 | 0.000 | 0.000 | -0.000 |
| 16.992 | 16.992 | 52.715 | 0.000 | 0.000 | 0.000 |
| -0.001 | -0.001 | 0.000 | 0.172 | -0.000 | 0.000 |
| -0.001 | -0.001 | 0.000 | -0.000 | 0.172 | 0.000 |
| -0.001 | -0.001 | 0.000 | -0.000 | 0.000 | 15.397 |
| 8.356 | 41.917 | 17.396 | -0.000 | 0.000 | 0.000 |
| 41.917 | 8.356 | 17.396 | -0.000 | -0.000 | 0.000 |
| 15.775 | 15.775 | 53.341 | -0.000 | -0.000 | 0.000 |
| -0.000 | -0.000 | 0.000 | -7.820 | 0.000 | 0.000 |
| -0.000 | -0.000 | 0.000 | -0.000 | -7.820 | 0.000 |
| 0.000 | 0.000 | -0.000 | 0.000 | 0.000 | 15.397 |
| 8.356 | 41.917 | 17.396 | -0.000 | -0.000 | -0.000 |
| 41.917 | 8.356 | 17.396 | 0.000 | 0.000 | -0.000 |
| 15.775 | 15.775 | 53.341 | 0.000 | 0.000 | -0.000 |
| 0.000 | 0.000 | -0.000 | -7.820 | -0.000 | 0.000 |
| 0.000 | 0.000 | -0.000 | 0.000 | -7.820 | 0.000 |
| -0.000 | -0.000 | 0.000 | -0.000 | -0.000 | 15.397 |
| 8.356 | 41.917 | 17.396 | -0.000 | -0.000 | -0.000 |
| 41.917 | 8.356 | 17.396 | -0.000 | -0.000 | 0.000 |
| 16.993 | 16.993 | 52.715 | 0.000 | -0.000 | 0.000 |
| -2353827.079 | -1597598.197 | -3021590.348 | 191109.538 | -0.000 | -0.000 |
| -1597598.197 | -2353827.079 | -3021590.348 | -0.000 | 191109.538 | -0.000 |
| -0.000 | 0.000 | -0.000 | 0.000 | 0.000 | 15.397 |
| 8.002 | 41.877 | 17.396 | 0.000 | 0.000 | 0.000 |
| 41.877 | 8.002 | 17.396 | 0.000 | 0.000 | -0.000 |
| 16.993 | 16.993 | 52.715 | 0.000 | 0.000 | 0.000 |
| 2353827.079 | 1597598.197 | 3021590.348 | 191109.538 | -0.000 | 0.000 |
| 1597598.197 | 2353827.079 | 3021590.348 | -0.000 | 191109.538 | 0.000 |
| 0.000 | -0.000 | 0.000 | -0.000 | -0.000 | 15.397 |
| 55.675 | 9.313 | 31.576 | -5.744 | -1.143 | 6.376 |
| 26.894 | 36.208 | 31.604 | -5.740 | 0.835 | 7.916 |
| 27.705 | 10.604 | 63.912 | -3.448 | 1.682 | 8.423 |
| -7.691 | -24.145 | -1.434 | 8.116 | 0.775 | 8.236 |
| -6.103 | -23.907 | -1.851 | -4.778 | 14.112 | 8.263 |
| -8.303 | -26.063 | -3.091 | -5.364 | -0.069 | 21.551 |
| 82.435 | 128.006 | 29.294 | 45.682 | -11.662 | 27.369 |
| 58.757 | 147.025 | 29.415 | 45.425 | -10.390 | 29.013 |
| 110.651 | 98.385 | 105.404 | 52.623 | -19.402 | 134.963 |
| 6.212 | 24.594 | 4.112 | 17.677 | -0.894 | -9.429 |
| 25.774 | 93.557 | -4.894 | 46.352 | -0.714 | 29.484 |
| 23.175 | 91.411 | -5.673 | 45.505 | -11.118 | 39.176 |
| 55.114 | 25.268 | 35.542 | -5.284 | -0.019 | -5.423 |
| 32.052 | 46.116 | 35.808 | -5.043 | 1.132 | -4.235 |
| 33.859 | 33.694 | 70.619 | 1.192 | 1.001 | -0.288 |
| -0.702 | -0.484 | 1.192 | 15.464 | -0.111 | -0.380 |
| -1.602 | -9.070 | 1.296 | -4.523 | 11.207 | -3.454 |
| -6.717 | -7.325 | 0.633 | -4.250 | 0.533 | 1.210 |
| 63.478 | 36.653 | 34.685 | -0.323 | -2.082 | -3.533 |
| 34.945 | 67.308 | 35.098 | 0.856 | 0.154 | -1.246 |
| 35.257 | 37.016 | 66.715 | 1.791 | 0.770 | -1.127 |
| 1.351 | 5.282 | -0.353 | 12.726 | -1.713 | 1.695 |
| 1.424 | 2.476 | 1.141 | 0.453 | 13.094 | -1.275 |
| 1.159 | 7.730 | -0.674 | 4.153 | -1.923 | 13.155 |
| 66.681 | 33.385 | 33.702 | -0.639 | -2.493 | -2.788 |
| 34.070 | 60.559 | 34.575 | -0.881 | 0.010 | -1.040 |
| 33.870 | 33.695 | 70.616 | 1.188 | 0.989 | -0.281 |
| -0.975 | -0.484 | 1.264 | 12.376 | -0.025 | -0.334 |
| 0.617 | -0.623 | 0.784 | -0.204 | 13.038 | -0.335 |
| -1.275 | -1.469 | -0.278 | -0.495 | -0.870 | 12.372 |
| 57.163 | 34.734 | 34.680 | -0.378 | -1.133 | -1.762 |
| 34.524 | 51.647 | 36.217 | 0.339 | -0.324 | -0.300 |
| 34.739 | 34.922 | 65.796 | 1.359 | 0.819 | -0.319 |
| -0.535 | 0.469 | 1.504 | 10.354 | -0.104 | -0.081 |
| 1.134 | 0.622 | 0.585 | 0.339 | 9.795 | -0.131 |
| -1.135 | -1.035 | -0.330 | -0.380 | -1.465 | 15.192 |
| 88.690 | 90.969 | -32.926 | -0.904 | -37.996 | 21.174 |
| 34.317 | 66.545 | 33.458 | -2.049 | 0.090 | 0.656 |
| 33.983 | 33.299 | 67.789 | 0.139 | 0.536 | 0.223 |
| 27.503 | 54.023 | -69.024 | 10.156 | -35.984 | 22.858 |
| 34.434 | -30.558 | -92.582 | 17.675 | -43.123 | 66.645 |
| 58.502 | -87.763 | -170.808 | 74.744 | -64.702 | 122.926 |
| 36.041 | 41.504 | 70.770 | -2.648 | 30.031 | -6.708 |
| -25.193 | 129.600 | 207.034 | -77.348 | 66.558 | -121.572 |
| 5.266 | 40.523 | 99.023 | -1.730 | 32.496 | -4.726 |
| -0.212 | -0.896 | 0.139 | 15.325 | 0.043 | -0.359 |
| -28.650 | -54.858 | 69.625 | 0.490 | 45.593 | -23.113 |
| -30.836 | 7.052 | 35.705 | -2.348 | 31.188 | 8.756 |
| 70.399 | 34.083 | 33.882 | -0.255 | -2.616 | -1.743 |
| 38.527 | 68.533 | 30.742 | -2.119 | -2.893 | 0.019 |
| 38.884 | 40.071 | 51.580 | 0.351 | -3.491 | 2.681 |
| 2.580 | -1.835 | -3.006 | 13.206 | -3.178 | 0.225 |
| 2.477 | -0.457 | -3.161 | 0.225 | 9.695 | 0.457 |
| -1.026 | 0.634 | 0.149 | -0.222 | -1.334 | 16.179 |
| 70.427 | 34.109 | 33.897 | -0.244 | -2.631 | -1.769 |
| 34.317 | 66.553 | 33.463 | -2.043 | 0.089 | 0.654 |
| 33.986 | 33.305 | 67.773 | 0.138 | 0.526 | 0.219 |
| -3.343 | -0.585 | 4.007 | 12.754 | 3.214 | -0.748 |
| -3.490 | 0.823 | 3.954 | -0.231 | 16.127 | -0.524 |
| -4.097 | 1.279 | 3.698 | -0.350 | 2.298 | 13.163 |
| 70.421 | 34.106 | 33.885 | -0.246 | -2.623 | -1.764 |
| 36.213 | 58.414 | 34.133 | -2.224 | 0.262 | 0.430 |
| 37.144 | 34.866 | 53.235 | 0.274 | -0.764 | 0.550 |
| -0.213 | -0.892 | 0.148 | 15.329 | 0.048 | -0.357 |
| -0.310 | -0.053 | 0.513 | 0.036 | 15.827 | -0.219 |
| -0.832 | 0.060 | -0.446 | -0.249 | -0.806 | 11.356 |
| 64.804 | 35.309 | 35.549 | -0.451 | -1.906 | -1.810 |
| 34.318 | 66.786 | 33.547 | -2.176 | 0.075 | 0.669 |
| 35.920 | 34.891 | 59.132 | 0.264 | 0.429 | -0.045 |
| -0.208 | -0.881 | 0.132 | 15.330 | 0.036 | -0.363 |
| -0.901 | -0.356 | 0.784 | -0.018 | 12.754 | 0.061 |
| -1.476 | 0.055 | 0.521 | -0.110 | -0.504 | 13.314 |
| 784.672 | 346.289 | 849.046 | 86.461 | 15.552 | -171.162 |
| 38.309 | 78.744 | 89.259 | 25.806 | -32.401 | -7.217 |
| 366.912 | 209.068 | 493.389 | 22.615 | 0.680 | 26.904 |
| 85.154 | 88.364 | 179.114 | 31.161 | -20.961 | -2.317 |
| 0.819 | 19.358 | 56.936 | 29.301 | -21.115 | -8.150 |
| 1.939 | 20.129 | 57.678 | 29.170 | -33.040 | 6.909 |
| 59.750 | 16.492 | -23.204 | -28.551 | 33.813 | 8.694 |
| 34.679 | 64.652 | 32.983 | -1.592 | 0.713 | 0.601 |
| 31.846 | 33.046 | 62.870 | -1.142 | 1.777 | 1.457 |
| -335.180 | -176.030 | -450.439 | -16.814 | 1.880 | -27.051 |
| -4.031 | -19.142 | -54.871 | -26.774 | 44.973 | 7.834 |
| -2.919 | -18.371 | -54.124 | -26.909 | 33.107 | 22.942 |
| 64.632 | 44.752 | 51.287 | 1.626 | -1.092 | 0.666 |
| 54.992 | 61.986 | 68.558 | -0.030 | -1.873 | 0.843 |
| 33.242 | 35.894 | 64.520 | 1.579 | -1.667 | 0.369 |
| 134.319 | 118.813 | 179.225 | 56.791 | 1.085 | -47.100 |
| -1.342 | 0.633 | 1.777 | 1.485 | 14.783 | -0.469 |
| 30.540 | 15.852 | 38.645 | 4.044 | -2.312 | 10.976 |
| 66.950 | 34.852 | 32.208 | -0.224 | 0.764 | 0.602 |
| 28.108 | 43.185 | 17.040 | -4.904 | 2.600 | 1.338 |
| 25.616 | 26.086 | 34.099 | -3.647 | 3.576 | 0.962 |
| -33.288 | -20.178 | -46.465 | 5.440 | 1.610 | -2.578 |
| -9.579 | -9.050 | -17.051 | -0.648 | 9.618 | -0.217 |
| -20.071 | -12.281 | -34.226 | -2.266 | 1.930 | 8.614 |
| 56.122 | 38.214 | 38.049 | 0.171 | -0.196 | 1.385 |
| 40.877 | 51.226 | 41.835 | -2.252 | 0.227 | 0.618 |
| 35.691 | 37.138 | 53.700 | -1.745 | 1.089 | 0.539 |
| 0.389 | -2.514 | 0.143 | 10.791 | 1.212 | 0.578 |
| 0.775 | 1.951 | 4.634 | 1.641 | 6.746 | -0.552 |
| 0.958 | 1.615 | 2.385 | 0.984 | -0.241 | 11.538 |
| 49.543 | 35.265 | 29.792 | -0.181 | -0.510 | 0.893 |
| 34.761 | 64.737 | 33.057 | -1.592 | 0.711 | 0.604 |
| 33.223 | 34.049 | 57.863 | -1.587 | 1.984 | 1.191 |
| -0.492 | -2.534 | -1.512 | 16.215 | 1.478 | 0.706 |
| -1.182 | 0.138 | 0.974 | 1.154 | 11.755 | -0.328 |
| -1.364 | -0.281 | -2.297 | 0.009 | 0.011 | 10.204 |
| 36.798 | 7.117 | 9.747 | -41.882 | 42.060 | 3.650 |
| 33.474 | 64.918 | 33.478 | -2.018 | 0.371 | 0.657 |
| 5.855 | 11.775 | 61.862 | -71.238 | 72.976 | 7.093 |
| -0.413 | -2.690 | -2.310 | 16.180 | 1.238 | 0.411 |
| 8.936 | 19.566 | 141.149 | -46.478 | 78.487 | -26.216 |
| -22.240 | -26.625 | -22.426 | -40.814 | 41.793 | 17.002 |
| 81.961 | 62.619 | 56.484 | 41.704 | -41.549 | -1.932 |
| 57.089 | 88.543 | 57.604 | 39.851 | -42.283 | -1.951 |
| 31.610 | 20.382 | -90.765 | 50.203 | -80.306 | 24.488 |
| 22.387 | 25.183 | 20.829 | 56.112 | -41.032 | -2.232 |
| 22.115 | 27.999 | 24.309 | 43.394 | -30.521 | -3.008 |
| 23.024 | 28.867 | 24.283 | 42.779 | -41.815 | 11.364 |
| 22.526 | 70.848 | 100.801 | -6.590 | 15.238 | -2.886 |
| 32.154 | 41.579 | 65.457 | -10.107 | 2.641 | -0.051 |
| 30.740 | 32.989 | 59.091 | -9.213 | 8.106 | 1.338 |
| -0.494 | -2.787 | -2.336 | 16.189 | 1.219 | 0.326 |
| -0.965 | 0.309 | 1.222 | 1.239 | 14.392 | -0.370 |
| 2.335 | 3.241 | 13.880 | -3.970 | 6.867 | 5.160 |
| 57.710 | 37.151 | 33.752 | 6.403 | -6.491 | 0.296 |
| 37.345 | 58.299 | 34.994 | 4.352 | -7.286 | 0.509 |
| 33.973 | 35.029 | 37.039 | 2.116 | -5.731 | 3.010 |
| -0.413 | -2.690 | -2.310 | 16.180 | 1.238 | 0.411 |
| -1.040 | 0.326 | 1.195 | 1.238 | 14.508 | -0.278 |
| 17.522 | -43.956 | -100.750 | 7.508 | -26.130 | 25.214 |
| 58.268 | 34.435 | 33.250 | -0.896 | 1.243 | 0.941 |
| 34.057 | 59.565 | 34.402 | -2.778 | 0.474 | 0.957 |
| 34.462 | 37.383 | 53.046 | -2.502 | 2.121 | 0.335 |
| -0.413 | -2.687 | -2.287 | 16.187 | 1.230 | 0.394 |
| -0.997 | -0.038 | 5.569 | 1.033 | 4.041 | 0.384 |
| -0.033 | 0.651 | 1.296 | 0.456 | 0.534 | 16.637 |
| 51.006 | 34.702 | 33.951 | 0.237 | 0.029 | 1.633 |
| 34.815 | 55.235 | 35.019 | -1.982 | -0.821 | 1.054 |
| 34.039 | 35.743 | 57.355 | -1.667 | 0.165 | 0.575 |
| -0.274 | -2.620 | -2.266 | 14.259 | 0.811 | 0.612 |
| -0.256 | 0.156 | 0.990 | 2.047 | 8.298 | -0.237 |
| 0.655 | 1.291 | 0.811 | 1.342 | -0.391 | 11.605 |
| 237.910 | 240.105 | -68.703 | 85.111 | 106.589 | -262.046 |
| 29.442 | 109.205 | -1.517 | 0.471 | 7.008 | -40.792 |
| 102.523 | 120.220 | 37.259 | 11.850 | 67.940 | -83.871 |
| 64.008 | 82.710 | -13.763 | 20.834 | 68.784 | -82.971 |
| 64.505 | 87.379 | -18.034 | 11.481 | 79.902 | -87.471 |
| 63.864 | 85.369 | -16.138 | 11.804 | 68.901 | -76.554 |
| -7.569 | -51.536 | 54.250 | -11.172 | -69.383 | 88.175 |
| 34.787 | 70.470 | 34.053 | 1.342 | 1.261 | -0.860 |
| 42.419 | -9.181 | 96.270 | 1.234 | -7.685 | 41.579 |
| 5.673 | -44.526 | 38.557 | 13.677 | -6.041 | 42.595 |
| 6.108 | -43.355 | 36.465 | 0.772 | 8.197 | 40.882 |
| -105.233 | -142.820 | 80.215 | -36.681 | -79.008 | 187.475 |
| 63.739 | 39.591 | 32.291 | -0.115 | 1.243 | -2.442 |
| 34.755 | 70.465 | 34.044 | 1.335 | 1.237 | -0.879 |
| 35.342 | 34.198 | 62.873 | 0.632 | -1.639 | 0.088 |
| 6.010 | 8.066 | -0.931 | 10.816 | 7.228 | -7.623 |
| 6.226 | 9.325 | -2.690 | 1.534 | 17.655 | -9.132 |
| 10.417 | 13.812 | -6.983 | 4.737 | 8.075 | -11.363 |
| 51.204 | 26.747 | 38.613 | -1.134 | -6.783 | 9.475 |
| 34.787 | 70.470 | 34.053 | 1.342 | 1.261 | -0.860 |
| 30.989 | 27.850 | 53.459 | -0.375 | -7.807 | 9.288 |
| -0.296 | -0.031 | 0.645 | 15.750 | 0.192 | 1.244 |
| 0.162 | 1.282 | -1.641 | 0.192 | 16.870 | -0.393 |
| 0.773 | -5.488 | 3.989 | 1.247 | -0.175 | 17.545 |
| 58.838 | 35.990 | 36.460 | 0.070 | 0.565 | 0.210 |
| 35.480 | 59.077 | 35.892 | 0.592 | 1.550 | -1.989 |
| 38.498 | 37.166 | 46.890 | 1.691 | 0.126 | -1.202 |
| 0.182 | 0.589 | 0.242 | 8.990 | 1.143 | -0.480 |
| 0.813 | 2.034 | -1.223 | 0.903 | 9.644 | -1.868 |
| 0.116 | -0.426 | -0.248 | 1.187 | 0.502 | 12.756 |
| 52.778 | 33.130 | 37.759 | -0.795 | -0.589 | 2.373 |
| 34.773 | 59.295 | 36.971 | 0.349 | 0.242 | 0.117 |
| 36.745 | 35.572 | 53.124 | 0.567 | -1.494 | 1.433 |
| -0.888 | -1.364 | 1.352 | 9.395 | 0.006 | 1.880 |
| -0.789 | -0.142 | -0.448 | 0.299 | 10.426 | 0.397 |
| -0.504 | -1.603 | 1.182 | 0.867 | -0.067 | 11.235 |
| 51.532 | 59.248 | 88.661 | 155.747 | 217.866 | -194.614 |
| -24.838 | 167.098 | -13.945 | -19.467 | 45.139 | -39.053 |
| -74.607 | 132.643 | 29.447 | 3.976 | -13.537 | -30.352 |
| -33.149 | 20.048 | 220.483 | 332.673 | 213.651 | -363.019 |
| -109.671 | 98.321 | -33.169 | 5.863 | 0.174 | -30.010 |
| -30.899 | 28.587 | 221.021 | 326.244 | 218.176 | -360.479 |
| 116.899 | -75.402 | 86.062 | 15.933 | -42.402 | 40.066 |
| 142.849 | -30.244 | 66.289 | -8.332 | 12.883 | 28.622 |
| 144.615 | -62.676 | 94.123 | -8.549 | 12.314 | 29.924 |
| 79.172 | -75.120 | -4.262 | -58.155 | -126.486 | 87.682 |
| 42.757 | -45.149 | -92.448 | -235.369 | -190.153 | 303.397 |
| 110.047 | -97.521 | 31.779 | -5.980 | 13.613 | 44.255 |
| 47.165 | 49.290 | 30.902 | -1.403 | 6.089 | -2.208 |
| 25.107 | 72.487 | 32.302 | -1.666 | -1.063 | -3.332 |
| 23.270 | 45.745 | 58.557 | -1.233 | -2.035 | -3.618 |
| 1.399 | -2.302 | 2.135 | 19.648 | 20.508 | -18.694 |
| -5.471 | 10.880 | -6.595 | -2.079 | 13.758 | -3.702 |
| -8.017 | 6.054 | 0.544 | 6.649 | 12.573 | -5.343 |
| 71.428 | 26.360 | 37.846 | -0.633 | 2.158 | 5.284 |
| 45.829 | 36.748 | 37.297 | -9.939 | -13.413 | 8.052 |
| 45.602 | 25.791 | 64.847 | -2.869 | 0.644 | 2.651 |
| 11.212 | -12.491 | 1.005 | 13.808 | 0.857 | 3.211 |
| -1.340 | 0.241 | -2.467 | 0.211 | 17.459 | -0.105 |
| 6.614 | -11.562 | 4.723 | 1.816 | -3.932 | 13.838 |
| 64.575 | 35.156 | 34.121 | 0.060 | 0.760 | 2.663 |
| 35.157 | 63.087 | 35.169 | -2.336 | 0.010 | -0.796 |
| 35.326 | 37.499 | 49.066 | -2.508 | -1.847 | -0.398 |
| -0.936 | -1.625 | -2.587 | 14.339 | -0.568 | -0.133 |
| -0.862 | 1.176 | -0.964 | -0.362 | 12.914 | -0.065 |
| -0.405 | 0.680 | -0.745 | 0.341 | 0.554 | 13.678 |
| 48.559 | 36.957 | 36.201 | -0.229 | 0.927 | 1.408 |
| 37.809 | 48.435 | 35.814 | -4.624 | -1.842 | 0.905 |
| 36.313 | 34.583 | 61.881 | -2.347 | -0.284 | -0.238 |
| 0.074 | -2.511 | -2.285 | 16.764 | -0.199 | 0.166 |
| 1.706 | -1.633 | -1.014 | -0.419 | 9.209 | 0.558 |
| 0.838 | -0.899 | -1.226 | -1.205 | -0.745 | 8.216 |
| 27.775 | 134.529 | 42.802 | 6.733 | 3.398 | 14.255 |
| 33.434 | 66.327 | 33.429 | 0.980 | 1.051 | -0.255 |
| 57.096 | 66.837 | 45.190 | 26.723 | 27.082 | -0.878 |
| -25.092 | 105.075 | 7.900 | 19.657 | 7.858 | 14.050 |
| -5.410 | 135.716 | 24.125 | 17.499 | -4.913 | 22.190 |
| 22.275 | 32.579 | -13.600 | 25.188 | 28.083 | 12.010 |
| 58.370 | -99.831 | 3.361 | -11.343 | 23.565 | -26.511 |
| 59.329 | -48.786 | 29.496 | -8.759 | -5.567 | -13.546 |
| 41.581 | -99.410 | 26.269 | -13.531 | 12.608 | -19.895 |
| -23.108 | -32.706 | 17.079 | -10.672 | -25.553 | 2.731 |
| 24.756 | -104.420 | -5.443 | -7.724 | 2.900 | -12.662 |
| -25.118 | -33.114 | 15.863 | -23.536 | -25.843 | 16.472 |
| 63.687 | 33.433 | 33.097 | 0.350 | 0.494 | 1.232 |
| 33.233 | 65.426 | 38.770 | 1.154 | -1.282 | 2.914 |
| 35.852 | 48.421 | 53.184 | 3.545 | -1.899 | 3.783 |
| 2.318 | 3.343 | 0.849 | 16.156 | 3.982 | 0.513 |
| 2.066 | 4.219 | -1.244 | 3.747 | 15.928 | 0.269 |
| 1.480 | 3.098 | -0.325 | 3.230 | 3.928 | 13.823 |
| 58.000 | 30.758 | 35.612 | -2.267 | -2.271 | 1.265 |
| 31.847 | 60.428 | 35.353 | -1.220 | -1.315 | 0.010 |
| 39.644 | 25.265 | 49.184 | 2.079 | 1.103 | -1.820 |
| -1.995 | -2.692 | 3.489 | 12.073 | -0.966 | 0.934 |
| -2.641 | -2.357 | 1.719 | -1.149 | 10.590 | 0.689 |
| 2.009 | -9.783 | 0.381 | 0.058 | 1.331 | 9.980 |
| 63.974 | 33.496 | 33.222 | 0.394 | 0.557 | 1.187 |
| 33.894 | 55.192 | 35.424 | 0.279 | 0.965 | 0.403 |
| 34.387 | 34.533 | 59.557 | 2.654 | 0.581 | 1.116 |
| 0.326 | 0.717 | 2.558 | 9.763 | 1.383 | 0.575 |
| -0.478 | 1.983 | 0.858 | 1.780 | 8.308 | 1.386 |
| -0.967 | 1.054 | 1.529 | 0.550 | 1.373 | 10.585 |
| 51.468 | 32.978 | 35.063 | 0.412 | 0.629 | -0.364 |
| 33.825 | 61.617 | 35.325 | 0.674 | 0.554 | -0.171 |
| 34.000 | 33.953 | 60.027 | 2.199 | -0.144 | 1.085 |
| 0.681 | -1.345 | 1.697 | 9.387 | 2.088 | -0.726 |
| -0.301 | 0.228 | 0.021 | 1.533 | 7.841 | 0.712 |
| -1.031 | -1.013 | 0.993 | 0.201 | 1.789 | 9.221 |
| 45.274 | 33.385 | 31.306 | 5.258 | 4.587 | 2.761 |
| 35.751 | 60.638 | 35.067 | 0.558 | 1.459 | -1.158 |
| 34.513 | 33.578 | 59.887 | 1.992 | 4.466 | 1.161 |
| -0.554 | -2.390 | 0.764 | 16.208 | 1.435 | 0.357 |
| 0.511 | -0.414 | -1.803 | 3.143 | 9.866 | 5.424 |
| -1.165 | -2.325 | 0.656 | 0.004 | -0.339 | 17.460 |
| 63.617 | 39.511 | 35.356 | -1.023 | -0.215 | -2.705 |
| 36.473 | 65.183 | 36.235 | -0.441 | 0.231 | -3.186 |
| 35.963 | 39.427 | 57.340 | 0.435 | 2.146 | -2.139 |
| 1.808 | 4.670 | 3.214 | 6.674 | -2.885 | -7.315 |
| 0.540 | 0.086 | 3.986 | 0.628 | 16.837 | -0.547 |
| -0.197 | 1.150 | 0.727 | -1.672 | -2.440 | 11.062 |
| 65.552 | 35.574 | 34.602 | -0.136 | 1.582 | -0.421 |
| 36.059 | 62.499 | 35.586 | 0.096 | 0.885 | -2.046 |
| 34.548 | 34.978 | 63.794 | 1.253 | 4.001 | 0.430 |
| -0.381 | -0.338 | 1.309 | 16.317 | 0.791 | -0.423 |
| 0.634 | 1.123 | 3.287 | 1.061 | 10.405 | -0.591 |
| -1.206 | -2.360 | 0.370 | -0.313 | -0.479 | 15.380 |
| 68.684 | 35.017 | 34.457 | -0.464 | 1.622 | -0.271 |
| 35.322 | 66.287 | 34.831 | 0.249 | 0.294 | -2.288 |
| 34.758 | 35.706 | 61.435 | 1.341 | 3.826 | 0.164 |
| -0.184 | 0.044 | 1.523 | 15.537 | 0.730 | -0.712 |
| 0.563 | 0.821 | 3.860 | 0.735 | 14.572 | -0.851 |
| -1.193 | -1.916 | 0.468 | -0.439 | -0.612 | 15.152 |
| 59.248 | 36.969 | 35.051 | 0.167 | 1.625 | -0.798 |
| 36.930 | 54.204 | 37.072 | 0.556 | 1.896 | -1.657 |
| 36.277 | 36.899 | 45.561 | 1.363 | 4.253 | 0.694 |
| 0.404 | 1.477 | 1.269 | 9.235 | 0.575 | -1.331 |
| 2.833 | 2.479 | 5.170 | 0.362 | 7.609 | -0.449 |
| -1.475 | -1.775 | 0.832 | -1.239 | -0.339 | 9.556 |
| 57.961 | 36.736 | 35.250 | 0.114 | 1.905 | -0.942 |
| 35.936 | 49.189 | 36.376 | 1.598 | 2.658 | -1.502 |
| 36.195 | 36.981 | 45.657 | 1.299 | 4.326 | 0.520 |
| 0.189 | 0.291 | 1.499 | 11.323 | 0.644 | -1.358 |
| 1.823 | 2.363 | 3.918 | 0.550 | 9.408 | -0.515 |
| -1.181 | -1.808 | 0.154 | -1.004 | -0.874 | 11.708 |
| 270.197 | -515.943 | 288.488 | 0.000 | 0.000 | 0.000 |
| 21.412 | 63.160 | 32.704 | -0.000 | -0.000 | -0.000 |
| 37.988 | 32.616 | 33.696 | -0.000 | -0.000 | -0.000 |
| 0.000 | 0.000 | -0.000 | 20.633 | -0.000 | 0.000 |
| 207.124 | -547.769 | 256.428 | -0.000 | 19.312 | -0.000 |
| 0.000 | 0.000 | -0.000 | -0.000 | -0.000 | 7.660 |
| 71.477 | 20.871 | 37.535 | 0.000 | 0.000 | 0.000 |
| 21.412 | 63.160 | 32.704 | 0.000 | 0.000 | -0.000 |
| -122.151 | 560.792 | -210.337 | 0.000 | 0.000 | -0.000 |
| -0.000 | -0.000 | 0.000 | 20.633 | 0.000 | 0.000 |
| -207.124 | 547.769 | -256.428 | 0.000 | 19.312 | 0.000 |
| -0.000 | -0.000 | 0.000 | 0.000 | 0.000 | 7.660 |
| 59.066 | -7.866 | 49.093 | -0.000 | -0.000 | 0.000 |
| 58.777 | -18.711 | 71.552 | -0.000 | -0.000 | -0.000 |
| 52.889 | -11.037 | 54.000 | -0.000 | -0.000 | -0.000 |
| 14.806 | -51.297 | 23.640 | 0.181 | -0.000 | 0.000 |
| -0.000 | -0.000 | -0.000 | -0.000 | 25.161 | -0.000 |
| -0.000 | -0.000 | -0.000 | -0.000 | -0.000 | 7.660 |
| 71.477 | 20.871 | 37.535 | 0.000 | 0.000 | 0.000 |
| 21.412 | 63.160 | 32.704 | 0.000 | 0.000 | -0.000 |
| 37.988 | 32.616 | 33.696 | 0.000 | 0.000 | -0.000 |
| -14.806 | 51.297 | -23.640 | 0.181 | 0.000 | 0.000 |
| 0.000 | 0.000 | 0.000 | 0.000 | 25.161 | -0.000 |
| 0.000 | 0.000 | 0.000 | 0.000 | 0.000 | 7.660 |
| 71.477 | 20.871 | 37.535 | -0.000 | 0.000 | 0.000 |
| 36.072 | 32.064 | 47.498 | -0.000 | -0.000 | -0.000 |
| 37.988 | 32.616 | 33.696 | 0.000 | 0.000 | 0.000 |
| 1.649 | -5.225 | 2.419 | 0.181 | -0.000 | 0.000 |
| 1.481 | -5.130 | 2.364 | 0.000 | 17.964 | -0.000 |
| 3.704 | -9.795 | 4.585 | -0.000 | -0.000 | 4.479 |
| 42.780 | 48.560 | 23.089 | 0.000 | 0.000 | -0.000 |
| 32.546 | 41.932 | 42.895 | 0.000 | 0.000 | 0.000 |
| 24.424 | 52.954 | 23.697 | 0.000 | 0.000 | 0.000 |
| -1.649 | 5.225 | -2.419 | 0.181 | 0.000 | 0.000 |
| -1.481 | 5.130 | -2.364 | -0.000 | 17.964 | -0.000 |
| -3.704 | 9.795 | -4.585 | 0.000 | -0.000 | 4.479 |
| 54.640 | 20.645 | 20.645 | 0.000 | 0.000 | -0.000 |
| 20.645 | 54.640 | 20.645 | 0.000 | 0.000 | 0.000 |
| 20.645 | 20.645 | 54.640 | 0.000 | 0.000 | 0.000 |
| -0.000 | -0.000 | 0.000 | 8.647 | 0.000 | -0.000 |
| -0.000 | -0.000 | 0.000 | -0.000 | 8.647 | 0.000 |
| -0.000 | 0.000 | 0.000 | 0.000 | 0.000 | 8.647 |
| 66.342 | 29.129 | 29.129 | -0.000 | -0.000 | -0.000 |
| 29.129 | 66.342 | 29.129 | -0.000 | -0.000 | -0.000 |
| 29.129 | 29.129 | 66.342 | -0.000 | -0.000 | -0.000 |
| -0.000 | 0.000 | -0.000 | 8.647 | -0.000 | -0.000 |
| 0.000 | -0.000 | -0.000 | -0.000 | 8.647 | 0.000 |
| 0.000 | -0.000 | -0.000 | 0.000 | 0.000 | 8.647 |
| 66.342 | 29.129 | 29.129 | 0.000 | 0.000 | 0.000 |
| 29.129 | 66.342 | 29.129 | -0.000 | 0.000 | -0.000 |
| 29.129 | 29.129 | 66.342 | 0.000 | 0.000 | -0.000 |
| 9.269 | 9.269 | 9.269 | -3.117 | 0.000 | 0.000 |
| 9.269 | 9.269 | 9.269 | 0.000 | -3.117 | 0.000 |
| 9.269 | 9.269 | 9.269 | 0.000 | 0.000 | -3.117 |
| 63.872 | 29.982 | 29.982 | -0.000 | -0.000 | 0.000 |
| 29.982 | 63.872 | 29.982 | -0.000 | -0.000 | 0.000 |
| 29.982 | 29.982 | 63.872 | -0.000 | -0.000 | -0.000 |
| -9.269 | -9.269 | -9.269 | -3.117 | -0.000 | -0.000 |
| -9.269 | -9.269 | -9.269 | -0.000 | -3.117 | -0.000 |
| -9.269 | -9.269 | -9.269 | -0.000 | -0.000 | -3.117 |
| 66.342 | 29.129 | 29.129 | 0.000 | 0.000 | -0.000 |
| 29.129 | 66.342 | 29.129 | 0.000 | 0.000 | -0.000 |
| 29.129 | 29.129 | 66.342 | 0.000 | 0.000 | 0.000 |
| -0.120 | -0.120 | -0.120 | 3.824 | 0.000 | 0.000 |
| -0.120 | -0.120 | -0.120 | 0.000 | 3.824 | 0.000 |
| 0.602 | 0.602 | 0.602 | 0.000 | 0.000 | 0.107 |
| 53.797 | 24.280 | 24.280 | -0.000 | -0.000 | -0.000 |
| 24.280 | 53.797 | 24.280 | -0.000 | -0.000 | -0.000 |
| 24.280 | 24.280 | 53.797 | -0.000 | -0.000 | 0.000 |
| 0.120 | 0.120 | 0.120 | 3.824 | -0.000 | -0.000 |
| 0.120 | 0.120 | 0.120 | -0.000 | 3.824 | -0.000 |
| -0.602 | -0.602 | -0.602 | -0.000 | -0.000 | 0.107 |
| -314.594 | -321.301 | -321.301 | -0.000 | -0.000 | -0.000 |
| -321.301 | -314.594 | -321.301 | -0.000 | -0.000 | -0.000 |
| -321.301 | -321.301 | -314.594 | -0.000 | -0.000 | -0.000 |
| -361.362 | -361.362 | -361.362 | 10.667 | -0.000 | -0.000 |
| -361.362 | -361.362 | -361.362 | -0.000 | 10.667 | -0.000 |
| -361.362 | -361.362 | -361.362 | -0.000 | -0.000 | 10.667 |
| 422.248 | 394.370 | 394.370 | 0.000 | 0.000 | 0.000 |
| 394.370 | 422.248 | 394.370 | 0.000 | 0.000 | 0.000 |
| 394.370 | 394.370 | 422.248 | 0.000 | 0.000 | 0.000 |
| 361.362 | 361.362 | 361.362 | 10.667 | 0.000 | 0.000 |
| 361.362 | 361.362 | 361.362 | 0.000 | 10.667 | 0.000 |
| 361.362 | 361.362 | 361.362 | 0.000 | 0.000 | 10.667 |
| 21.254 | 13.811 | 13.811 | 0.000 | 0.000 | 0.000 |
| 13.811 | 21.254 | 13.811 | 0.000 | 0.000 | 0.000 |
| 13.811 | 13.811 | 21.254 | 0.000 | 0.000 | 0.000 |
| -36.165 | -36.165 | -36.165 | 10.581 | -0.000 | -0.000 |
| -36.165 | -36.165 | -36.165 | -0.000 | 10.581 | -0.000 |
| -36.165 | -36.165 | -36.165 | -0.000 | -0.000 | 10.581 |
| 96.766 | 69.423 | 69.423 | 0.000 | 0.000 | 0.000 |
| 69.423 | 96.766 | 69.423 | 0.000 | 0.000 | 0.000 |
| 76.178 | 76.178 | 82.888 | 0.000 | 0.000 | 0.000 |
| 36.165 | 36.165 | 36.165 | 10.581 | 0.000 | 0.000 |
| 36.165 | 36.165 | 36.165 | 0.000 | 10.581 | 0.000 |
| 36.165 | 36.165 | 36.165 | 0.000 | 0.000 | 10.581 |
| 43.447 | 36.468 | 36.468 | -0.000 | -0.000 | -0.000 |
| 36.468 | 43.447 | 36.468 | -0.000 | -0.000 | -0.000 |
| 35.653 | 35.653 | 44.735 | 0.000 | 0.000 | 0.000 |
| -3.518 | -3.519 | -3.519 | 6.549 | -0.000 | -0.000 |
| -3.519 | -3.518 | -3.519 | -0.000 | 6.549 | -0.000 |
| -3.519 | -3.519 | -3.518 | -0.000 | -0.000 | 6.549 |
| 55.143 | 36.204 | 36.204 | 0.000 | -0.000 | -0.000 |
| 36.204 | 55.143 | 36.204 | -0.000 | 0.000 | 0.000 |
| 36.204 | 36.204 | 55.143 | 0.000 | -0.000 | 0.000 |
| 3.518 | 3.519 | 3.519 | 6.549 | 0.000 | 0.000 |
| 3.519 | 3.518 | 3.519 | 0.000 | 6.549 | 0.000 |
| 3.565 | 3.565 | 3.565 | -0.000 | -0.000 | 7.255 |
| 37.272 | 34.583 | 34.583 | 0.058 | 0.058 | 0.058 |
| 34.583 | 37.272 | 34.583 | 0.058 | 0.058 | 0.058 |
| 34.583 | 34.583 | 37.272 | 0.058 | 0.058 | 0.058 |
| -0.000 | -0.000 | 0.000 | 14.632 | 0.000 | 0.000 |
| -6.089 | -6.089 | -6.088 | 0.058 | -1.727 | 0.058 |
| -6.089 | -6.089 | -6.088 | 0.058 | 0.058 | -1.727 |
| 44.543 | 57.727 | 57.727 | -0.117 | -0.117 | -0.117 |
| 57.727 | 44.543 | 57.727 | -0.117 | -0.117 | -0.117 |
| 57.727 | 57.727 | 44.543 | -0.117 | -0.117 | -0.117 |
| 6.089 | 6.089 | 6.088 | -1.844 | -0.058 | -0.058 |
| 6.089 | 6.089 | 6.088 | -0.058 | -1.844 | -0.058 |
| 6.089 | 6.089 | 6.088 | -0.058 | -0.058 | -1.844 |
| 54.356 | 35.795 | 35.795 | 0.000 | 0.000 | -0.000 |
| 35.795 | 54.356 | 35.795 | -0.000 | 0.000 | 0.000 |
| 35.795 | 35.795 | 54.356 | 0.000 | -0.000 | 0.000 |
| -1.218 | -1.218 | -1.218 | -18.192 | 0.012 | 0.012 |
| -1.218 | -1.218 | -1.218 | 0.012 | -18.192 | 0.012 |
| 12.184 | 12.184 | 12.184 | 0.003 | 0.003 | 5.984 |
| 33.583 | 46.767 | 46.767 | -0.012 | -0.012 | -0.012 |
| 35.795 | 54.356 | 35.795 | 0.000 | 0.000 | 0.000 |
| 35.795 | 35.795 | 54.356 | -0.000 | -0.000 | 0.000 |
| -12.250 | -12.250 | -12.250 | 7.264 | -0.001 | -0.001 |
| -11.866 | -11.866 | -11.866 | 0.008 | 11.645 | 0.008 |
| -11.866 | -11.866 | -11.866 | 0.008 | 0.008 | 11.645 |
| 54.356 | 35.795 | 35.795 | 0.000 | 0.000 | -0.000 |
| 35.795 | 54.356 | 35.795 | 0.000 | 0.000 | -0.000 |
| 35.795 | 35.795 | 54.356 | 0.000 | 0.000 | 0.000 |
| 0.574 | 0.574 | 0.574 | 5.512 | -0.000 | -0.000 |
| -0.000 | -0.000 | -0.000 | 0.000 | 14.632 | -0.000 |
| 0.574 | 0.574 | 0.574 | -0.000 | -0.000 | 5.512 |
| 54.356 | 35.795 | 35.795 | 0.000 | 0.000 | 0.000 |
| 35.795 | 54.356 | 35.795 | -0.000 | -0.000 | 0.000 |
| 35.795 | 35.795 | 54.356 | -0.000 | -0.000 | 0.000 |
| -0.573 | -0.573 | -0.573 | 5.511 | 0.000 | 0.000 |
| -0.573 | -0.573 | -0.573 | 0.000 | 5.511 | 0.000 |
| 0.032 | 0.032 | 0.032 | -0.000 | -0.000 | 6.089 |
| 63.382 | 38.481 | 29.398 | -0.000 | -0.000 | -0.000 |
| 38.417 | 72.275 | 13.639 | -0.000 | -0.000 | 0.000 |
| 29.251 | 13.555 | 86.605 | -0.000 | -0.000 | -0.000 |
| 0.000 | -0.000 | -0.000 | -3.701 | -0.000 | -0.000 |
| 0.000 | -0.000 | -0.000 | -0.000 | 12.548 | -0.000 |
| 0.000 | -0.000 | -0.000 | -0.000 | -0.000 | 19.853 |
| 63.382 | 38.481 | 29.398 | 0.000 | 0.000 | 0.000 |
| 38.417 | 72.275 | 13.639 | 0.000 | 0.000 | -0.000 |
| 29.251 | 13.555 | 86.605 | 0.000 | 0.000 | 0.000 |
| -0.000 | 0.000 | 0.000 | -3.701 | 0.000 | -0.000 |
| -0.000 | 0.000 | 0.000 | 0.000 | 12.548 | 0.000 |
| -0.000 | 0.000 | 0.000 | 0.000 | 0.000 | 19.853 |
| 63.667 | 38.211 | 28.242 | -0.000 | -0.000 | -0.000 |
| 38.417 | 72.275 | 13.639 | -0.000 | -0.000 | -0.000 |
| 29.251 | 13.555 | 86.605 | -0.000 | -0.000 | 0.000 |
| -0.000 | -0.000 | -0.000 | 0.015 | -0.000 | -0.000 |
| -0.000 | -0.000 | -0.000 | -0.000 | 12.548 | -0.000 |
| -0.000 | -0.000 | -0.000 | -0.000 | -0.000 | 19.853 |
| 63.382 | 38.481 | 29.398 | 0.000 | 0.000 | 0.000 |
| 38.417 | 72.275 | 13.639 | 0.000 | 0.000 | 0.000 |
| 29.251 | 13.555 | 86.605 | 0.000 | 0.000 | 0.000 |
| 0.000 | 0.000 | 0.000 | 0.015 | 0.000 | 0.000 |
| 0.000 | 0.000 | 0.000 | 0.000 | 12.548 | 0.000 |
| 0.000 | 0.000 | 0.000 | 0.000 | 0.000 | 19.853 |
| 63.667 | 38.211 | 28.242 | -0.000 | -0.000 | -0.000 |
| 38.147 | 72.531 | 14.734 | -0.000 | -0.000 | -0.000 |
| 29.251 | 13.555 | 86.605 | -0.000 | 0.000 | -0.000 |
| -0.000 | 0.000 | -0.000 | -3.701 | 0.000 | -0.000 |
| -0.000 | 0.000 | -0.000 | -0.000 | 12.218 | -0.000 |
| -0.000 | -0.000 | 0.000 | -0.000 | -0.000 | 19.853 |
| 63.382 | 38.481 | 29.398 | 0.000 | 0.000 | 0.000 |
| 38.417 | 72.275 | 13.639 | 0.000 | 0.000 | -0.000 |
| 28.095 | 14.650 | 91.290 | 0.000 | 0.000 | 0.000 |
| 0.000 | -0.000 | 0.000 | -3.701 | -0.000 | 0.000 |
| 0.000 | -0.000 | 0.000 | 0.000 | 12.218 | 0.000 |
| 0.000 | 0.000 | -0.000 | 0.000 | 0.000 | 19.853 |
| 33.104 | 47.705 | 8.087 | -0.000 | -0.000 | 0.000 |
| 25.849 | 54.959 | 8.087 | -0.000 | -0.000 | -0.000 |
| 8.087 | 8.087 | 40.541 | -0.000 | -0.000 | 0.000 |
| -0.000 | -0.000 | -0.000 | -0.014 | -0.000 | 0.000 |
| -0.000 | -0.000 | -0.000 | -0.000 | -0.014 | 0.000 |
| -0.000 | -0.000 | -0.000 | -0.000 | -0.000 | 14.555 |
| 33.104 | 47.705 | 8.087 | 0.000 | 0.000 | -0.000 |
| 25.849 | 54.959 | 8.087 | 0.000 | 0.000 | 0.000 |
| 8.087 | 8.087 | 40.541 | 0.000 | 0.000 | -0.000 |
| 0.000 | 0.000 | 0.000 | -0.014 | 0.000 | -0.000 |
| 0.000 | 0.000 | 0.000 | 0.000 | -0.014 | -0.000 |
| 0.000 | 0.000 | 0.000 | 0.000 | 0.000 | 14.555 |
| 33.104 | 47.705 | 8.087 | -0.000 | -0.000 | 0.000 |
| 25.849 | 54.959 | 8.087 | -0.000 | -0.000 | -0.000 |
| 8.087 | 8.087 | 40.541 | -0.000 | -0.000 | 0.000 |
| 0.000 | 0.000 | -0.000 | -0.014 | -0.000 | 0.000 |
| 0.000 | 0.000 | -0.000 | -0.000 | -0.014 | 0.000 |
| 0.000 | -0.000 | -0.000 | -0.000 | -0.000 | -7.301 |
| 33.104 | 47.705 | 8.087 | 0.000 | 0.000 | -0.000 |
| 47.753 | 33.056 | 8.087 | -0.000 | -0.000 | 0.000 |
| 8.087 | 8.087 | 40.541 | 0.000 | 0.000 | -0.000 |
| -0.000 | -0.000 | 0.000 | -0.014 | 0.000 | -0.000 |
| -0.000 | -0.000 | 0.000 | 0.000 | -0.014 | -0.000 |
| 0.000 | 0.000 | 0.000 | 0.000 | 0.000 | -7.301 |
| 54.959 | 25.850 | 8.087 | -0.000 | -0.000 | -0.000 |
| 47.753 | 33.056 | 8.087 | 0.000 | 0.000 | -0.000 |
| 8.087 | 8.087 | 40.541 | -0.000 | -0.000 | 0.000 |
| 0.000 | 0.000 | -0.000 | -0.014 | -0.000 | 0.000 |
| 0.000 | 0.000 | -0.000 | -0.000 | -0.014 | -0.000 |
| 0.000 | -0.000 | -0.000 | -0.000 | -0.000 | -7.301 |
| 33.104 | 47.705 | 8.087 | 0.000 | 0.000 | -0.000 |
| 25.849 | 54.960 | 8.087 | 0.000 | 0.000 | -0.000 |
| 8.087 | 8.087 | 40.542 | 0.000 | 0.000 | -0.000 |
| -0.000 | -0.000 | 0.000 | -0.014 | 0.000 | -0.000 |
| -0.000 | -0.000 | 0.000 | 0.000 | -0.014 | -0.000 |
| -0.000 | 0.000 | 0.000 | 0.000 | 0.000 | -7.301 |
| 51.416 | 31.280 | 44.447 | 0.175 | 0.000 | 0.000 |
| 31.280 | 51.416 | 44.447 | -0.175 | 0.000 | 0.000 |
| 43.970 | 43.970 | 83.579 | 0.000 | 0.000 | 0.000 |
| 0.438 | -0.438 | 0.000 | 22.454 | 0.000 | 0.000 |
| -0.000 | 0.000 | 0.000 | 0.000 | 22.817 | 0.175 |
| -0.000 | 0.000 | 0.000 | 0.000 | 0.175 | 10.068 |
| 51.226 | 31.223 | 43.861 | 0.266 | -0.000 | 0.000 |
| 31.280 | 51.416 | 44.447 | -0.175 | 0.000 | -0.000 |
| 44.405 | 44.405 | 85.639 | -0.000 | -0.000 | -0.000 |
| 0.438 | -0.438 | -0.000 | 22.454 | -0.000 | 0.000 |
| 0.000 | -0.000 | -0.000 | -0.000 | 22.817 | 0.175 |
| 0.000 | -0.000 | -0.000 | 0.000 | 0.175 | 10.068 |
| 59.551 | 33.992 | 49.297 | 3.801 | 0.000 | -0.000 |
| 30.986 | 56.712 | 45.870 | -3.688 | 0.000 | -0.000 |
| 44.405 | 44.405 | 85.639 | 0.000 | 0.000 | 0.000 |
| 0.438 | -0.438 | -0.000 | 22.454 | 0.000 | -0.000 |
| -0.000 | -0.000 | -0.000 | 0.000 | 22.817 | 0.175 |
| -0.000 | -0.000 | -0.000 | 0.000 | 0.438 | 9.877 |
| 51.416 | 31.280 | 44.447 | 0.175 | -0.000 | 0.000 |
| 31.280 | 51.416 | 44.447 | -0.175 | -0.000 | 0.000 |
| 44.405 | 44.405 | 85.639 | -0.000 | -0.000 | -0.000 |
| 0.438 | -0.438 | 0.000 | 22.454 | -0.000 | 0.000 |
| 0.000 | 0.000 | 0.000 | -0.000 | 22.817 | 0.175 |
| 0.000 | 0.000 | 0.000 | 0.000 | 0.438 | 9.877 |
| 52.072 | 31.463 | 44.318 | 0.594 | 0.000 | -0.000 |
| 32.095 | 52.243 | 45.179 | -0.174 | 0.000 | 0.000 |
| 44.757 | 44.757 | 84.172 | -0.000 | -0.000 | 0.000 |
| 1.185 | -0.264 | 0.091 | 22.797 | 0.000 | 0.000 |
| 0.422 | 0.098 | 0.186 | 0.146 | 22.707 | 0.719 |
| 0.408 | 0.136 | 0.243 | 0.182 | 0.490 | 10.304 |
| 51.161 | 30.815 | 43.783 | 0.766 | -0.000 | 0.000 |
| 31.280 | 51.416 | 44.447 | -0.175 | -0.000 | -0.000 |
| 43.970 | 43.970 | 83.579 | -0.000 | -0.000 | -0.000 |
| 0.175 | -0.720 | -0.244 | 23.181 | -0.000 | 0.000 |
| -0.422 | -0.098 | -0.186 | -0.146 | 22.707 | 0.719 |
| -0.408 | -0.136 | -0.243 | -0.182 | 0.490 | 10.304 |
| 548.275 | 365.692 | 1145.819 | 0.000 | 0.000 | 0.000 |
| 365.692 | 548.275 | 1145.819 | 0.000 | 0.000 | 0.000 |
| 146.036 | 146.035 | 294.856 | 0.000 | 0.000 | -0.000 |
| 0.000 | -0.000 | 0.000 | 101.834 | 0.000 | -0.000 |
| 0.000 | -0.000 | 0.000 | 0.000 | 101.834 | 0.000 |
| 194.106 | 194.106 | 996.313 | 0.000 | 0.000 | 91.273 |
| 378.213 | 171.551 | 148.189 | -0.000 | -0.000 | 0.000 |
| 171.551 | 378.213 | 148.189 | -0.000 | -0.000 | 0.000 |
| -43.957 | -43.957 | -721.660 | 0.000 | 0.000 | -0.000 |
| -0.000 | 0.000 | -0.000 | 101.834 | -0.000 | 0.000 |
| -0.000 | 0.000 | -0.000 | -0.000 | 101.834 | 0.000 |
| -194.106 | -194.106 | -996.313 | -0.000 | -0.000 | 91.273 |
| 373.881 | 191.146 | 249.897 | 0.000 | 0.000 | 0.000 |
| 171.551 | 378.213 | 148.189 | 0.000 | 0.000 | -0.000 |
| 146.036 | 146.036 | 294.856 | 0.000 | 0.000 | -0.000 |
| -0.000 | -0.000 | -0.000 | 101.834 | 0.000 | -0.000 |
| -0.000 | -0.000 | -0.000 | 0.000 | 101.834 | -0.000 |
| -0.000 | -0.000 | -0.000 | 0.000 | 0.000 | 103.331 |
| 309.807 | 142.527 | 76.271 | -0.000 | -0.000 | 0.000 |
| 142.527 | 309.807 | 76.271 | -0.000 | -0.000 | -0.000 |
| 146.035 | 146.036 | 294.856 | -0.000 | -0.000 | 0.000 |
| 0.000 | 0.000 | 0.000 | 101.834 | -0.000 | 0.000 |
| 0.000 | 0.000 | 0.000 | -0.000 | 101.834 | 0.000 |
| 0.000 | 0.000 | 0.000 | -0.000 | -0.000 | 103.331 |
| 378.212 | 171.551 | 148.188 | 0.000 | 0.000 | -0.000 |
| 174.477 | 350.190 | 164.671 | 0.000 | 0.000 | 0.000 |
| 150.011 | 150.011 | 280.990 | 0.000 | 0.000 | -0.000 |
| -0.000 | -0.001 | 0.000 | 101.834 | 0.000 | -0.000 |
| -0.001 | -0.000 | -0.000 | 0.000 | 101.834 | -0.000 |
| 2.510 | 2.510 | 12.883 | 0.000 | 0.000 | 87.738 |
| 343.471 | 169.387 | 138.624 | -0.000 | -0.000 | -0.000 |
| 169.375 | 343.527 | 138.547 | -0.000 | -0.000 | 0.000 |
| 146.765 | 146.765 | 266.377 | -0.000 | -0.000 | -0.000 |
| 0.000 | 0.001 | -0.000 | 101.834 | -0.000 | 0.000 |
| 0.001 | 0.000 | 0.000 | -0.000 | 101.834 | 0.000 |
| -2.510 | -2.510 | -12.883 | -0.000 | -0.000 | 87.738 |
| 481.326 | 298.043 | 152.553 | 0.000 | 0.000 | 0.000 |
| 298.043 | 481.326 | 152.553 | 0.000 | 0.000 | -0.000 |
| 148.229 | 148.229 | 274.882 | 0.000 | 0.000 | 0.000 |
| 117.885 | 117.885 | -0.027 | 92.316 | 0.000 | 0.000 |
| 105.114 | 105.114 | -168.466 | 0.000 | 91.544 | 0.000 |
| 117.912 | 117.912 | -0.027 | 0.000 | 0.000 | 91.680 |
| 245.617 | 62.185 | 152.585 | -0.000 | -0.000 | -0.000 |
| 178.616 | 390.753 | 148.229 | -0.000 | -0.000 | -0.000 |
| 148.229 | 148.229 | 274.882 | -0.000 | 0.000 | -0.000 |
| -117.885 | -117.885 | 0.027 | 92.316 | -0.000 | 0.000 |
| -105.114 | -105.114 | 168.466 | -0.000 | 91.544 | -0.000 |
| -117.912 | -117.912 | 0.027 | -0.000 | -0.000 | 91.680 |
| 390.753 | 178.616 | 148.229 | 0.000 | 0.000 | 0.000 |
| 178.616 | 390.753 | 148.229 | 0.000 | 0.000 | 0.000 |
| 164.974 | 164.974 | 236.320 | -0.000 | 0.000 | 0.000 |
| 11.775 | 11.775 | -0.003 | 92.328 | 0.000 | 0.000 |
| 11.775 | 11.775 | -0.003 | 0.000 | 92.328 | 0.000 |
| -0.000 | -0.000 | -0.000 | 0.000 | 0.000 | 106.069 |
| 351.277 | 167.993 | 152.583 | -0.000 | -0.000 | -0.000 |
| 167.993 | 351.277 | 152.583 | -0.000 | -0.000 | -0.000 |
| 142.730 | 142.730 | 264.611 | -0.000 | -0.000 | -0.000 |
| -11.775 | -11.775 | 0.003 | 92.328 | -0.000 | -0.000 |
| -11.775 | -11.775 | 0.003 | -0.000 | 92.328 | -0.000 |
| 0.000 | 0.000 | 0.000 | -0.000 | -0.000 | 106.069 |
| 353.467 | 184.086 | 147.526 | -0.000 | 0.000 | 0.000 |
| 178.616 | 390.753 | 148.229 | 0.000 | 0.000 | 0.000 |
| 151.775 | 151.775 | 251.015 | 0.000 | 0.000 | 0.000 |
| -0.000 | -0.000 | -0.000 | 102.509 | 0.000 | 0.000 |
| -0.000 | -0.000 | -0.000 | 0.000 | 102.509 | -0.000 |
| -0.000 | -0.000 | -0.000 | 0.000 | 0.000 | 106.069 |
| 356.563 | 178.636 | 153.388 | -0.000 | -0.000 | -0.000 |
| 178.616 | 390.754 | 148.229 | -0.000 | -0.000 | -0.000 |
| 148.229 | 148.229 | 274.883 | -0.000 | -0.000 | -0.000 |
| 0.000 | 0.000 | 0.000 | 102.509 | -0.000 | -0.000 |
| 0.000 | 0.000 | 0.000 | -0.000 | 102.509 | -0.000 |
| 0.000 | 0.000 | 0.000 | -0.000 | -0.000 | 106.069 |
| 378.515 | 171.688 | 148.261 | -0.000 | -0.000 | 0.000 |
| 478.387 | 639.812 | 136.990 | -0.000 | -0.000 | -0.000 |
| 400.587 | 400.587 | 239.294 | 0.000 | 0.000 | 0.000 |
| -0.000 | 0.000 | 0.000 | 101.901 | -0.000 | 0.000 |
| 252.219 | 252.219 | -26.996 | -0.000 | 93.376 | 0.000 |
| -0.000 | 0.000 | 0.000 | -0.000 | -0.000 | 103.413 |
| 378.515 | 171.688 | 148.261 | 0.000 | 0.000 | 0.000 |
| -81.650 | 99.142 | 178.532 | 0.000 | -0.000 | 0.000 |
| 146.129 | 146.129 | 294.852 | 0.000 | 0.000 | 0.000 |
| 0.000 | -0.000 | 0.000 | 101.901 | 0.000 | -0.000 |
| -252.219 | -252.219 | 26.996 | 0.000 | 93.376 | 0.000 |
| -0.000 | -0.000 | 0.000 | 0.000 | 0.000 | 103.413 |
| 369.280 | 208.470 | 147.371 | -0.000 | -0.000 | 0.000 |
| 171.688 | 378.515 | 148.261 | 0.000 | -0.000 | 0.000 |
| 146.129 | 146.129 | 294.852 | -0.000 | -0.000 | -0.000 |
| 25.394 | 25.394 | -2.718 | 93.318 | -0.000 | -0.000 |
| 25.394 | 25.394 | -2.718 | -0.000 | 93.318 | 0.000 |
| 30.879 | 30.879 | -1.180 | 0.000 | 0.000 | 79.626 |
| 378.515 | 171.688 | 148.261 | 0.000 | 0.000 | -0.000 |
| 144.859 | 323.726 | 154.522 | -0.000 | -0.000 | -0.000 |
| 146.129 | 146.129 | 294.852 | -0.000 | -0.000 | 0.000 |
| -25.394 | -25.394 | 2.718 | 93.318 | 0.000 | -0.000 |
| -25.394 | -25.394 | 2.718 | -0.000 | 93.318 | 0.000 |
| -30.879 | -30.879 | 1.180 | -0.000 | 0.000 | 79.626 |
| 342.123 | 178.931 | 148.237 | -0.000 | -0.000 | 0.000 |
| 183.102 | 340.527 | 150.099 | -0.000 | 0.000 | 0.000 |
| 150.895 | 150.895 | 275.013 | 0.000 | 0.000 | 0.000 |
| 2.745 | 2.745 | -0.294 | 92.624 | -0.000 | 0.000 |
| 3.291 | 3.291 | -0.086 | -0.000 | 91.194 | -0.000 |
| 2.533 | 2.640 | -0.270 | -0.000 | -0.000 | 79.130 |
| 339.507 | 169.282 | 154.136 | 0.000 | -0.000 | 0.000 |
| 168.705 | 342.404 | 153.514 | 0.000 | 0.000 | -0.000 |
| 146.521 | 146.521 | 275.357 | -0.000 | -0.000 | -0.000 |
| -2.745 | -2.745 | 0.294 | 92.624 | 0.000 | -0.000 |
| -3.291 | -3.291 | 0.086 | 0.000 | 91.194 | 0.000 |
| -2.533 | -2.640 | 0.270 | 0.000 | 0.000 | 79.130 |
| -330.881 | 199.987 | 779.013 | 42.585 | 294.989 | 314.178 |
| -6026.201 | 2305.057 | 4999.335 | -1377.707 | 8390.013 | -1594.068 |
| -6037.469 | 2205.231 | 5109.950 | -1393.544 | 8361.008 | -1570.749 |
| -6113.759 | 2825.918 | 5476.425 | -2074.986 | 9942.511 | -1655.831 |
| -658.817 | 73.977 | 645.831 | 30.378 | 349.910 | 298.794 |
| -661.408 | 51.634 | 644.418 | 31.123 | 300.922 | 371.440 |
| 5714.211 | -1165.929 | -3613.048 | 971.298 | -6443.392 | 1116.535 |
| 6433.215 | -2735.086 | -5452.875 | 2461.229 | -10553.097 | 1540.135 |
| 784.318 | 78.485 | -323.501 | -30.339 | -294.744 | -315.243 |
| 659.998 | -63.983 | -638.934 | 34.162 | -303.217 | -316.924 |
| 650.377 | -64.446 | -650.208 | -48.290 | -239.031 | -320.300 |
| 648.591 | -86.901 | -652.399 | -47.536 | -288.263 | -247.977 |
| 258.022 | 137.579 | 195.161 | 7.352 | 29.716 | 35.308 |
| -443.035 | 466.859 | 627.643 | -108.521 | 806.463 | -179.775 |
| 64.981 | 154.543 | 388.791 | 12.834 | 28.822 | 24.966 |
| -60.320 | 12.217 | 74.213 | 77.314 | 20.750 | 23.661 |
| -69.973 | 11.633 | 62.936 | -4.869 | 85.418 | 20.437 |
| -72.389 | -10.604 | 61.237 | -4.436 | 35.831 | 92.659 |
| 826.309 | -119.311 | -388.779 | 210.039 | -936.756 | 177.311 |
| 319.680 | 281.832 | 5.538 | 15.343 | -110.995 | -26.594 |
| 131.082 | 146.600 | 341.753 | 5.564 | 1.563 | -0.296 |
| -1.882 | 1.666 | 5.564 | 91.301 | -3.124 | 0.198 |
| 61.506 | -2.070 | -67.297 | -13.087 | 25.340 | -41.963 |
| 580.076 | -151.591 | -384.584 | 24.861 | -677.540 | 122.065 |
| 183.085 | 188.083 | 193.839 | -22.154 | 135.253 | -2.015 |
| 120.824 | 322.358 | 157.984 | 21.442 | 12.593 | -25.092 |
| 122.722 | 148.508 | 330.261 | 9.612 | 2.668 | -2.783 |
| -68.962 | 57.275 | 75.839 | 10.814 | 119.029 | -38.615 |
| -13.220 | 6.067 | 6.589 | -8.976 | 57.841 | -6.896 |
| -29.569 | 2.866 | 29.515 | -39.371 | 62.077 | 39.534 |
| 311.439 | 125.517 | 116.532 | 9.065 | -7.126 | 2.053 |
| 219.714 | 272.272 | 99.928 | 57.264 | -102.012 | -9.508 |
| 204.792 | 117.189 | 224.221 | 40.012 | -167.464 | 20.357 |
| 35.855 | 9.103 | 0.265 | 43.465 | -31.738 | -19.668 |
| -6.655 | 1.477 | 1.563 | -3.124 | 73.219 | -5.553 |
| 75.789 | -49.443 | -64.978 | 2.811 | -114.505 | 66.140 |
| 188.895 | 87.374 | 87.374 | 0.000 | 0.000 | 0.000 |
| 87.374 | 188.895 | 87.374 | -0.000 | -0.000 | -0.000 |
| 87.374 | 87.374 | 188.895 | -0.000 | 0.000 | -0.000 |
| 0.000 | -0.000 | -0.000 | 55.921 | -0.000 | 0.000 |
| 0.000 | 0.000 | -0.000 | -0.000 | 55.921 | 0.000 |
| 0.000 | -0.000 | 0.000 | 0.000 | -0.000 | 55.921 |
| 188.895 | 87.374 | 87.374 | -0.000 | -0.000 | -0.000 |
| 87.374 | 188.895 | 87.374 | -0.000 | 0.000 | -0.000 |
| 87.374 | 87.374 | 188.895 | -0.000 | -0.000 | -0.000 |
| -0.000 | -0.000 | 0.000 | 55.921 | 0.000 | -0.000 |
| 0.000 | -0.000 | -0.000 | -0.000 | 55.921 | -0.000 |
| -0.000 | -0.000 | -0.000 | -0.000 | -0.000 | 55.921 |
| 171.874 | 82.514 | 82.514 | -0.000 | -0.000 | -0.000 |
| 82.514 | 171.874 | 82.514 | 0.000 | 0.000 | -0.000 |
| 82.514 | 82.514 | 171.874 | -0.000 | -0.000 | -0.000 |
| -0.000 | -0.000 | -0.000 | 55.921 | -0.000 | 0.000 |
| -0.000 | -0.000 | -0.000 | 0.000 | 55.921 | -0.000 |
| -0.000 | -0.000 | -0.000 | -0.000 | -0.000 | 55.921 |
| 188.895 | 87.374 | 87.374 | 0.000 | 0.000 | 0.000 |
| 87.374 | 188.895 | 87.374 | -0.000 | -0.000 | -0.000 |
| 87.374 | 87.374 | 188.895 | -0.000 | -0.000 | -0.000 |
| 0.000 | 0.000 | 0.000 | 55.921 | -0.000 | -0.000 |
| 0.000 | 0.000 | 0.000 | -0.000 | 55.921 | 0.000 |
| 0.000 | 0.000 | 0.000 | 0.000 | 0.000 | 55.921 |
| 172.354 | 84.114 | 84.114 | 0.000 | 0.000 | -0.000 |
| 84.114 | 172.354 | 84.114 | 0.000 | 0.000 | 0.000 |
| 84.114 | 84.114 | 172.354 | 0.000 | 0.000 | 0.000 |
| -0.000 | -0.000 | -0.000 | 55.921 | 0.000 | 0.000 |
| -0.000 | -0.000 | -0.000 | 0.000 | 55.921 | 0.000 |
| -0.000 | -0.000 | -0.000 | -0.000 | -0.000 | 55.921 |
| 172.424 | 84.502 | 84.502 | -0.000 | -0.000 | -0.000 |
| 84.502 | 172.424 | 84.502 | 0.000 | 0.000 | -0.000 |
| 84.502 | 84.502 | 172.424 | -0.000 | -0.000 | -0.000 |
| 0.000 | 0.000 | 0.000 | 55.921 | -0.000 | -0.000 |
| 0.000 | 0.000 | 0.000 | -0.000 | 55.921 | -0.000 |
| 0.000 | 0.000 | 0.000 | -0.000 | -0.000 | 55.921 |
| 188.876 | 87.341 | 87.341 | -0.000 | 0.000 | 0.000 |
| 87.341 | 188.876 | 87.341 | 0.000 | 0.000 | 0.000 |
| 87.341 | 87.341 | 188.876 | -0.000 | 0.000 | 0.000 |
| 0.000 | 0.000 | -0.000 | 55.916 | 0.000 | 0.000 |
| 0.000 | 0.000 | 0.000 | 0.000 | 55.916 | 0.000 |
| 0.000 | 0.000 | 0.000 | -0.000 | 0.000 | 55.916 |
| 188.876 | 87.341 | 87.341 | 0.000 | -0.000 | -0.000 |
| 87.341 | 188.876 | 87.341 | -0.000 | -0.000 | 0.000 |
| 87.341 | 87.341 | 188.876 | 0.000 | -0.000 | -0.000 |
| -0.000 | -0.000 | -0.000 | 55.916 | -0.000 | -0.000 |
| -0.000 | -0.000 | -0.000 | -0.000 | 55.916 | -0.000 |
| -0.000 | -0.000 | -0.000 | 0.000 | -0.000 | 55.916 |
| 188.876 | 87.341 | 87.341 | 0.000 | 0.000 | 0.000 |
| 87.341 | 188.876 | 87.341 | 0.000 | 0.000 | -0.000 |
| 87.341 | 87.341 | 188.876 | -0.000 | 0.000 | 0.000 |
| -1.284 | -1.284 | -1.284 | 53.146 | 0.000 | 0.000 |
| -1.284 | -1.284 | -1.284 | -0.000 | 53.146 | -0.000 |
| -1.284 | -1.284 | -1.284 | 0.000 | 0.000 | 53.146 |
| 188.876 | 87.341 | 87.341 | -0.000 | -0.000 | 0.000 |
| 87.341 | 188.876 | 87.341 | -0.000 | -0.000 | -0.000 |
| 87.341 | 87.341 | 188.876 | -0.000 | -0.000 | -0.000 |
| 1.284 | 1.284 | 1.284 | 53.146 | -0.000 | -0.000 |
| 1.284 | 1.284 | 1.284 | 0.000 | 53.146 | -0.000 |
| 1.284 | 1.284 | 1.284 | 0.000 | 0.000 | 53.146 |
| 172.369 | 84.233 | 84.233 | 0.000 | 0.000 | 0.000 |
| 84.233 | 172.369 | 84.233 | 0.000 | 0.000 | 0.000 |
| 84.233 | 84.233 | 172.369 | -0.000 | -0.000 | 0.000 |
| -0.000 | -0.000 | -0.000 | 55.916 | 0.000 | 0.000 |
| -0.000 | -0.000 | -0.000 | -0.000 | 55.916 | -0.000 |
| -0.000 | -0.000 | -0.000 | 0.000 | 0.000 | 55.916 |
| 188.944 | 87.346 | 87.344 | -0.000 | -0.000 | -0.000 |
| 89.024 | 165.574 | 89.014 | -0.000 | -0.000 | -0.000 |
| 87.346 | 87.344 | 188.944 | -0.000 | -0.000 | -0.000 |
| 0.000 | 0.000 | 0.000 | 55.916 | -0.000 | -0.000 |
| 0.000 | 0.000 | 0.000 | -0.000 | 55.916 | -0.000 |
| 0.000 | 0.000 | 0.000 | -0.000 | -0.000 | 55.916 |
| -95.571 | -172.379 | -172.379 | -0.000 | -0.000 | -0.000 |
| 88.312 | 191.231 | 88.312 | -0.000 | -0.000 | 0.000 |
| 88.312 | 88.312 | 191.231 | 0.000 | 0.000 | -0.000 |
| 0.000 | -0.000 | -0.000 | 56.339 | 0.000 | 0.000 |
| -0.000 | -0.000 | -0.000 | -0.000 | 56.339 | 0.000 |
| -304.789 | -304.789 | -304.789 | 0.000 | -0.000 | 54.887 |
| 436.408 | 351.894 | 351.894 | -0.000 | -0.000 | 0.000 |
| 351.894 | 436.408 | 351.894 | -0.000 | -0.000 | -0.000 |
| 351.894 | 351.894 | 436.408 | -0.000 | -0.000 | -0.000 |
| -0.000 | 0.000 | 0.000 | 56.339 | -0.000 | -0.000 |
| -0.000 | 0.000 | 0.000 | 0.000 | 56.339 | -0.000 |
| 304.789 | 304.789 | 304.789 | 0.000 | 0.000 | 54.887 |
| 146.276 | 62.056 | 62.056 | -0.000 | -0.000 | -0.000 |
| 62.056 | 146.276 | 62.056 | 0.000 | 0.000 | 0.000 |
| 62.056 | 62.056 | 146.276 | -0.000 | -0.000 | -0.000 |
| -0.000 | -0.000 | -0.000 | 56.339 | 0.000 | 0.000 |
| -0.000 | -0.000 | -0.000 | 0.000 | 56.339 | 0.000 |
| -0.000 | -0.000 | -0.000 | -0.000 | -0.000 | 56.339 |
| 203.181 | 117.935 | 117.935 | 0.000 | 0.000 | -0.000 |
| 117.935 | 203.181 | 117.935 | -0.000 | -0.000 | 0.000 |
| 117.935 | 117.935 | 203.181 | 0.000 | 0.000 | -0.000 |
| 0.000 | 0.000 | 0.000 | 56.339 | -0.000 | 0.000 |
| 0.000 | 0.000 | 0.000 | -0.000 | 56.339 | -0.000 |
| 0.000 | 0.000 | 0.000 | 0.000 | 0.000 | 56.339 |
| 165.341 | 88.482 | 88.482 | -0.000 | 0.000 | 0.000 |
| 88.482 | 165.341 | 88.482 | -0.000 | -0.000 | 0.000 |
| 88.482 | 88.482 | 165.341 | 0.000 | 0.000 | 0.000 |
| -3.934 | -3.934 | -3.934 | 54.465 | -0.000 | 0.000 |
| -3.934 | -3.934 | -3.934 | 0.000 | 54.465 | -0.000 |
| -3.934 | -3.934 | -3.934 | -0.000 | 0.000 | 54.465 |
| 170.641 | 93.460 | 93.460 | 0.000 | 0.000 | -0.000 |
| 93.460 | 170.641 | 93.460 | -0.000 | -0.000 | -0.000 |
| 93.460 | 93.460 | 170.641 | 0.000 | 0.000 | 0.000 |
| 3.934 | 3.934 | 3.934 | 54.465 | 0.000 | -0.000 |
| 3.934 | 3.934 | 3.934 | -0.000 | 54.465 | 0.000 |
| 3.934 | 3.934 | 3.934 | 0.000 | -0.000 | 54.465 |
| 147.275 | 34.847 | 34.847 | -0.000 | -0.000 | -0.000 |
| 311.999 | 439.874 | 311.999 | 0.000 | 0.000 | -0.000 |
| 311.999 | 311.999 | 439.874 | -0.000 | -0.000 | -0.000 |
| 203.739 | 203.739 | 203.739 | 54.480 | 0.000 | -0.000 |
| 203.739 | 203.739 | 203.739 | -0.000 | 54.480 | -0.000 |
| 203.739 | 203.739 | 203.739 | -0.000 | 0.000 | 54.480 |
| 32.479 | -95.497 | -95.497 | -0.000 | -0.000 | 0.000 |
| -95.497 | 32.479 | -95.497 | -0.000 | -0.000 | 0.000 |
| -95.497 | -95.497 | 32.479 | 0.000 | 0.000 | 0.000 |
| -203.739 | -203.739 | -203.739 | 54.480 | -0.000 | 0.000 |
| -203.739 | -203.739 | -203.739 | -0.000 | 54.480 | 0.000 |
| -203.739 | -203.739 | -203.739 | -0.000 | -0.000 | 54.480 |
| 220.322 | 102.029 | 102.029 | 0.000 | 0.000 | 0.000 |
| 89.779 | 194.760 | 89.779 | 0.000 | 0.000 | -0.000 |
| 89.779 | 89.779 | 194.760 | -0.000 | -0.000 | -0.000 |
| -0.000 | -0.000 | -0.000 | 63.834 | 0.000 | 0.000 |
| -0.000 | -0.000 | -0.000 | -0.000 | 63.834 | -0.000 |
| -0.000 | -0.000 | -0.000 | 0.000 | 0.000 | 63.834 |
| 216.055 | 87.725 | 87.725 | 0.000 | -0.000 | 0.000 |
| 87.725 | 216.055 | 87.725 | -0.000 | -0.000 | 0.000 |
| 87.725 | 87.725 | 216.055 | -0.000 | -0.000 | 0.000 |
| 0.000 | 0.000 | 0.000 | 63.834 | -0.000 | 0.000 |
| 0.000 | 0.000 | 0.000 | -0.000 | 63.834 | 0.000 |
| 0.000 | 0.000 | 0.000 | 0.000 | -0.000 | 63.834 |
| 231.906 | 109.681 | 108.529 | -0.000 | 0.000 | -0.000 |
| 109.032 | 229.949 | 110.217 | 0.000 | 0.000 | -0.000 |
| 110.217 | 109.032 | 229.949 | 0.000 | 0.000 | -0.000 |
| 0.064 | 0.138 | 0.155 | 63.892 | -0.000 | -0.000 |
| 0.155 | 0.064 | 0.138 | -0.000 | 63.892 | -0.000 |
| 0.138 | 0.155 | 0.064 | 0.000 | 0.000 | 63.892 |
| 251.350 | 105.675 | 105.671 | 0.000 | 0.000 | 0.000 |
| 105.671 | 251.350 | 105.675 | 0.000 | 0.000 | 0.000 |
| 105.675 | 105.671 | 251.350 | 0.000 | 0.000 | 0.000 |
| -0.064 | -0.138 | -0.155 | 63.892 | -0.000 | 0.000 |
| -0.155 | -0.064 | -0.138 | 0.000 | 63.892 | 0.000 |
| -0.138 | -0.155 | -0.064 | -0.000 | -0.000 | 63.892 |
| 816.508 | 695.459 | 695.458 | 0.000 | 0.000 | 0.000 |
| 695.458 | 816.508 | 695.459 | 0.000 | 0.000 | 0.000 |
| 695.459 | 695.458 | 816.508 | 0.000 | 0.000 | 0.000 |
| 556.012 | 556.012 | 556.012 | 48.038 | 0.000 | 0.000 |
| 556.012 | 556.012 | 556.012 | -0.000 | 48.038 | 0.000 |
| 556.012 | 556.012 | 556.012 | 0.000 | 0.000 | 48.038 |
| -339.267 | -453.240 | -453.241 | -0.000 | -0.000 | -0.000 |
| -453.241 | -339.267 | -453.240 | 0.000 | -0.000 | -0.000 |
| -453.240 | -453.241 | -339.267 | 0.000 | -0.000 | -0.000 |
| -556.012 | -556.012 | -556.012 | 48.038 | 0.000 | -0.000 |
| -556.012 | -556.012 | -556.012 | -0.000 | 48.038 | -0.000 |
| -556.012 | -556.012 | -556.012 | -0.000 | -0.000 | 48.038 |
| 264.579 | 148.027 | 138.047 | 0.000 | -0.000 | 0.000 |
| 138.047 | 264.579 | 148.027 | -0.000 | 0.000 | 0.000 |
| 111.283 | 111.284 | 222.332 | 0.000 | 0.000 | 0.000 |
| 30.774 | 30.775 | 30.773 | 22.763 | 0.000 | 0.000 |
| 30.773 | 30.774 | 30.775 | -0.000 | 22.763 | 0.000 |
| 30.775 | 30.773 | 30.774 | 0.000 | 0.000 | 22.763 |
| 161.568 | 48.559 | 48.557 | 0.000 | -0.000 | -0.000 |
| 48.557 | 161.568 | 48.559 | -0.000 | -0.000 | -0.000 |
| 48.559 | 48.557 | 161.568 | -0.000 | -0.000 | -0.000 |
| -30.774 | -30.775 | -30.773 | 22.763 | 0.000 | -0.000 |
| -30.773 | -30.774 | -30.775 | -0.000 | 22.763 | -0.000 |
| -30.775 | -30.773 | -30.774 | -0.000 | -0.000 | 22.763 |
| 232.821 | 110.766 | 110.589 | -0.000 | 0.000 | 0.000 |
| 110.589 | 232.821 | 110.766 | -0.000 | -0.000 | 0.000 |
| 110.766 | 110.589 | 232.821 | -0.000 | 0.000 | 0.000 |
| 2.219 | 2.218 | 2.219 | 49.377 | 0.000 | 0.000 |
| 2.218 | 2.219 | 2.218 | -0.000 | 49.377 | 0.000 |
| 2.218 | 2.219 | 2.219 | 0.000 | 0.000 | 49.377 |
| 230.429 | 104.386 | 104.344 | -0.000 | -0.000 | -0.000 |
| 104.344 | 230.429 | 104.386 | 0.000 | 0.000 | -0.000 |
| 104.386 | 104.344 | 230.429 | 0.000 | 0.000 | -0.000 |
| -2.219 | -2.218 | -2.219 | 49.377 | 0.000 | -0.000 |
| -2.218 | -2.219 | -2.218 | 0.000 | 49.377 | -0.000 |
| -2.218 | -2.219 | -2.219 | -0.000 | -0.000 | 49.377 |
| 206.883 | 138.316 | 114.280 | 0.000 | -0.000 | 2.976 |
| 138.316 | 206.883 | 114.280 | 0.000 | 0.000 | -2.976 |
| 144.005 | 144.005 | 179.584 | 0.000 | 0.000 | -0.000 |
| -0.000 | 0.000 | -0.000 | 35.564 | 0.000 | -0.000 |
| -0.000 | 0.000 | -0.000 | 0.000 | 35.564 | -0.000 |
| -120.059 | -122.547 | -34.544 | 0.000 | 0.000 | 16.425 |
| -129.313 | -203.460 | -78.256 | -0.000 | -0.000 | 2.462 |
| -146.963 | -77.724 | 51.805 | -0.000 | -0.000 | -1.703 |
| -194.743 | -194.743 | -10.696 | -0.000 | -0.000 | 0.000 |
| -0.000 | -0.000 | 0.000 | 35.564 | 0.000 | 0.000 |
| -0.000 | -0.000 | 0.000 | 0.000 | 35.564 | 0.000 |
| 122.547 | 120.059 | 34.544 | 0.000 | 0.000 | 16.425 |
| 163.391 | 92.014 | 87.823 | -0.000 | -0.000 | 1.918 |
| 92.014 | 163.391 | 87.823 | 0.000 | 0.000 | -1.918 |
| 69.985 | 69.985 | 148.845 | 0.000 | 0.000 | 0.000 |
| -12.089 | -12.089 | -3.443 | 28.139 | -0.000 | 0.000 |
| -12.089 | -12.089 | -3.443 | 0.000 | 28.139 | 0.000 |
| -10.887 | -13.375 | -3.455 | 0.000 | 0.000 | 16.424 |
| 117.711 | 48.371 | 77.449 | -0.000 | -0.000 | 1.675 |
| 48.371 | 117.711 | 77.449 | -0.000 | -0.000 | -1.675 |
| 74.206 | 74.206 | 142.683 | -0.000 | -0.000 | 0.000 |
| 12.089 | 12.089 | 3.443 | 28.139 | -0.000 | -0.000 |
| 12.089 | 12.089 | 3.443 | 0.000 | 28.139 | -0.000 |
| 13.375 | 10.887 | 3.455 | 0.000 | 0.000 | 16.424 |
| 150.217 | 73.386 | 81.683 | 0.000 | 0.000 | 1.129 |
| 73.386 | 150.217 | 81.683 | 0.000 | 0.000 | -1.129 |
| 81.601 | 81.601 | 143.723 | -0.000 | -0.000 | 0.000 |
| -1.234 | -1.246 | -0.426 | 28.049 | 0.015 | -0.005 |
| -1.246 | -1.234 | -0.426 | -0.015 | 28.049 | 0.005 |
| 2.909 | -2.267 | 0.216 | 0.000 | 0.000 | 10.725 |
| 137.531 | 68.028 | 79.867 | -0.000 | -0.000 | 1.838 |
| 68.028 | 137.531 | 79.867 | -0.000 | -0.000 | -1.838 |
| 78.095 | 78.095 | 140.257 | -0.000 | -0.000 | -0.000 |
| 1.234 | 1.246 | 0.426 | 28.049 | 0.015 | 0.005 |
| 1.246 | 1.234 | 0.426 | -0.015 | 28.049 | -0.005 |
| 2.267 | -2.909 | -0.216 | 0.000 | -0.000 | 10.725 |
| -26017.728 | -26066.760 | -4198.340 | -0.000 | 0.000 | 3.660 |
| -26066.759 | -26017.729 | -4198.340 | -0.000 | 0.000 | -3.664 |
| -6257.012 | -6257.012 | -1391.238 | -0.000 | 0.000 | -0.000 |
| -4020.265 | -4020.265 | -373.990 | 21.386 | 0.564 | 0.000 |
| -4020.265 | -4020.265 | -373.990 | -0.564 | 21.386 | 0.000 |
| -24474.824 | -24464.830 | -4168.783 | 0.000 | -0.000 | 12.947 |
| 26057.615 | 26011.303 | 4306.197 | 0.000 | -0.000 | 4.409 |
| 26011.301 | 26057.616 | 4306.197 | 0.000 | -0.000 | -4.405 |
| 26075.443 | 26075.444 | 4354.507 | 0.000 | -0.000 | 0.002 |
| 4020.265 | 4020.265 | 373.990 | 21.386 | 0.564 | -0.000 |
| 4020.265 | 4020.265 | 373.990 | -0.564 | 21.386 | -0.000 |
| 24464.832 | 24474.824 | 4168.783 | -0.000 | 0.000 | 12.945 |
| 137.365 | 68.591 | 76.825 | -0.000 | 0.000 | -0.021 |
| 68.591 | 137.365 | 76.825 | -0.000 | -0.000 | 0.021 |
| -330.905 | -330.905 | 87.892 | 0.000 | -0.000 | 0.000 |
| -2596.219 | -2596.096 | -423.177 | 11.091 | -0.591 | -0.269 |
| -2596.096 | -2596.219 | -423.177 | 0.591 | 11.091 | 0.269 |
| -2581.033 | -2582.841 | -412.787 | -0.000 | 0.000 | -7.112 |
| 2787.836 | 2736.081 | 506.841 | 0.000 | -0.000 | -0.065 |
| 2736.065 | 2787.820 | 506.841 | 0.000 | -0.000 | 0.064 |
| 2666.406 | 2666.406 | 534.409 | 0.000 | -0.000 | 0.000 |
| 2596.219 | 2596.096 | 423.177 | 11.091 | -0.591 | 0.269 |
| 2596.096 | 2596.219 | 423.177 | 0.591 | 11.091 | -0.269 |
| 2582.842 | 2581.033 | 412.787 | 0.000 | -0.000 | -7.111 |
| -202.493 | -253.729 | 20.329 | -0.000 | 0.000 | -1.141 |
| -253.729 | -202.493 | 20.329 | -0.000 | 0.000 | 1.141 |
| -176.862 | -176.862 | 65.146 | 0.000 | -0.000 | 0.000 |
| -258.901 | -258.868 | -40.680 | 16.596 | -0.066 | 0.002 |
| -258.868 | -258.901 | -40.680 | 0.066 | 16.596 | -0.002 |
| -63.051 | -59.427 | -14.360 | -0.000 | 0.000 | -1.196 |
| 315.268 | 264.645 | 103.981 | 0.000 | -0.000 | -1.374 |
| 113.538 | 161.368 | 84.068 | 0.000 | -0.000 | 1.819 |
| 248.377 | 248.377 | 148.697 | 0.000 | -0.000 | 0.000 |
| 258.901 | 258.868 | 40.680 | 16.596 | -0.066 | -0.002 |
| 258.868 | 258.901 | 40.680 | 0.066 | 16.596 | 0.002 |
| 59.427 | 63.051 | 14.360 | 0.000 | -0.000 | -1.196 |
| -869.516 | -1094.959 | 168.357 | -0.000 | -0.000 | -0.000 |
| -983.808 | -943.095 | 155.245 | -0.000 | -0.000 | 0.000 |
| -975.381 | -1099.074 | 323.547 | -0.000 | -0.000 | -0.000 |
| 0.000 | -0.000 | -0.000 | 71.043 | 0.000 | -0.000 |
| -0.000 | -0.000 | 0.000 | -0.000 | 83.634 | -0.000 |
| -2425.564 | -2761.544 | -55.921 | -0.000 | -0.000 | 60.374 |
| 298.053 | 146.869 | 144.467 | 0.000 | 0.000 | 0.000 |
| 146.869 | 314.377 | 129.530 | 0.000 | 0.000 | 0.000 |
| 1241.046 | 1338.571 | 252.126 | 0.000 | 0.000 | 0.000 |
| -0.000 | 0.000 | 0.000 | 71.043 | -0.000 | 0.000 |
| 0.000 | 0.000 | -0.000 | -0.000 | 83.634 | 0.000 |
| 2353.396 | 2759.135 | 746.753 | 0.000 | 0.000 | 61.559 |
| 298.073 | 146.870 | 144.468 | -0.000 | -0.000 | -0.000 |
| 146.865 | 314.314 | 129.530 | -0.000 | -0.000 | -0.000 |
| 144.467 | 129.530 | 305.601 | -0.000 | 0.000 | -0.000 |
| -0.000 | -0.000 | -0.000 | 71.043 | -0.000 | 0.000 |
| -110.856 | -121.920 | 3.572 | -0.000 | 69.972 | -0.000 |
| -243.682 | -275.701 | -4.413 | -0.000 | 0.000 | 60.313 |
| 466.467 | 390.884 | 107.441 | 0.000 | 0.000 | 0.000 |
| 146.869 | 314.378 | 129.530 | -0.000 | -0.000 | -0.000 |
| 243.649 | 241.621 | 284.217 | 0.000 | 0.000 | 0.000 |
| 0.000 | 0.000 | 0.000 | 71.043 | -0.000 | 0.000 |
| 110.856 | 121.920 | -3.572 | 0.000 | 69.972 | 0.000 |
| 243.682 | 275.701 | 4.413 | 0.000 | -0.000 | 60.313 |
| 225.846 | 111.829 | 132.444 | 0.000 | -0.000 | -0.000 |
| 98.033 | 219.950 | 105.358 | 0.000 | -0.000 | -0.000 |
| 144.516 | 129.484 | 305.615 | 0.000 | -0.000 | -0.000 |
| -12.234 | -12.700 | 0.699 | 58.831 | 0.000 | -0.000 |
| -23.846 | -26.933 | -2.512 | -0.000 | 58.960 | -0.000 |
| -23.899 | -27.082 | -0.467 | 0.000 | -0.000 | 60.817 |
| 235.488 | 151.234 | 124.317 | 0.000 | 0.000 | -0.000 |
| 146.282 | 281.672 | 111.025 | 0.000 | -0.000 | 0.000 |
| 146.328 | 133.069 | 286.253 | -0.000 | 0.000 | 0.000 |
| 12.234 | 12.700 | -0.699 | 58.831 | 0.000 | 0.000 |
| 23.846 | 26.933 | 2.512 | -0.000 | 58.960 | -0.000 |
| 23.559 | 27.364 | 4.811 | 0.000 | -0.000 | 61.559 |
| -262.084 | 1350.442 | 1156.542 | 0.000 | -0.000 | -0.000 |
| 158.550 | 323.319 | 145.564 | -0.000 | 0.000 | 0.000 |
| 151.485 | 145.744 | 342.021 | 0.000 | -0.000 | -0.000 |
| 0.242 | 0.632 | 2.177 | 81.880 | -0.000 | 0.000 |
| -353.295 | -259.479 | 109.856 | 0.000 | 74.914 | -0.000 |
| 0.000 | 0.000 | 0.000 | 0.000 | -0.000 | 96.584 |
| 602.212 | 402.281 | 30.514 | 0.000 | 0.000 | 0.000 |
| 158.550 | 323.319 | 145.564 | -0.000 | 0.000 | 0.000 |
| 151.002 | 144.480 | 337.668 | 0.000 | -0.000 | -0.000 |
| -0.242 | -0.632 | -2.177 | 81.880 | 0.000 | -0.000 |
| 353.295 | 259.479 | -109.856 | -0.000 | 74.914 | -0.000 |
| -0.000 | -0.000 | -0.000 | -0.000 | 0.000 | 96.584 |
| 105.950 | 252.013 | 213.488 | 0.000 | -0.000 | 0.000 |
| 108.178 | 250.989 | 154.965 | 0.000 | -0.000 | -0.000 |
| 104.177 | 110.914 | 332.551 | 0.000 | -0.000 | -0.000 |
| -22.757 | 124.496 | 124.799 | 15.578 | -0.000 | -0.000 |
| -20.146 | -4.153 | 30.182 | 0.000 | 56.037 | 0.000 |
| -19.806 | -21.711 | 12.221 | 0.000 | -0.000 | 73.791 |
| 249.105 | 158.436 | 127.276 | -0.000 | 0.000 | 0.000 |
| 185.940 | 339.056 | 146.638 | -0.000 | 0.000 | 0.000 |
| 151.002 | 144.480 | 337.668 | -0.000 | 0.000 | -0.000 |
| 22.757 | -124.496 | -124.799 | 15.578 | -0.000 | 0.000 |
| 33.893 | 24.055 | -9.005 | -0.000 | 76.914 | 0.000 |
| 19.806 | 21.711 | -12.221 | 0.000 | 0.000 | 73.791 |
| 200.673 | 145.529 | 131.926 | 0.000 | -0.000 | 0.000 |
| 138.295 | 271.515 | 131.706 | 0.000 | -0.000 | -0.000 |
| 151.008 | 144.494 | 337.690 | 0.000 | -0.000 | 0.000 |
| -4.473 | 0.476 | 3.277 | 46.483 | -0.000 | 0.000 |
| -4.082 | 0.092 | 2.893 | -0.000 | 57.193 | 0.000 |
| -2.086 | -2.309 | 1.311 | 0.000 | -0.000 | 85.299 |
| 240.705 | 142.516 | 136.108 | -0.000 | 0.000 | -0.000 |
| 139.423 | 267.179 | 126.120 | -0.000 | 0.000 | 0.000 |
| 130.229 | 123.698 | 292.459 | -0.000 | 0.000 | 0.000 |
| 4.473 | -0.476 | -3.277 | 46.483 | 0.000 | 0.000 |
| 4.082 | -0.092 | -2.893 | -0.000 | 57.193 | -0.000 |
| 2.086 | 2.309 | -1.311 | -0.000 | 0.000 | 85.299 |
| 224.367 | 117.876 | 117.876 | 0.000 | 0.000 | 0.000 |
| 117.876 | 224.367 | 117.876 | 0.000 | 0.000 | 0.000 |
| 117.876 | 117.876 | 224.367 | -0.000 | -0.000 | 0.000 |
| 0.000 | 0.000 | 0.000 | 94.985 | 0.000 | 0.000 |
| 0.000 | 0.000 | 0.000 | 0.000 | 94.985 | 0.000 |
| 0.000 | 0.000 | 0.000 | 0.000 | 0.000 | 94.985 |
| 224.367 | 117.876 | 117.876 | -0.000 | -0.000 | -0.000 |
| 117.876 | 224.367 | 117.876 | -0.000 | -0.000 | -0.000 |
| 117.876 | 117.876 | 224.367 | -0.000 | 0.000 | -0.000 |
| -0.000 | -0.000 | -0.000 | 94.985 | -0.000 | -0.000 |
| -0.000 | -0.000 | -0.000 | -0.000 | 94.985 | -0.000 |
| -0.000 | -0.000 | -0.000 | -0.000 | -0.000 | 94.985 |
| 224.367 | 117.876 | 117.876 | 0.000 | -0.000 | 0.000 |
| 117.876 | 224.367 | 117.876 | 0.000 | -0.000 | 0.000 |
| 117.876 | 117.876 | 224.367 | 0.000 | 0.000 | 0.000 |
| -0.000 | -0.000 | -0.000 | 94.985 | -0.000 | 0.000 |
| -0.000 | -0.000 | -0.000 | -0.000 | 94.985 | 0.000 |
| -0.000 | -0.000 | -0.000 | 0.000 | 0.000 | 94.985 |
| 224.367 | 117.876 | 117.876 | -0.000 | -0.000 | -0.000 |
| 117.876 | 224.367 | 117.876 | -0.000 | -0.000 | -0.000 |
| 117.876 | 117.876 | 224.367 | -0.000 | -0.000 | -0.000 |
| 0.000 | 0.000 | 0.000 | 94.985 | -0.000 | 0.000 |
| 0.000 | 0.000 | 0.000 | -0.000 | 94.985 | -0.000 |
| 0.000 | 0.000 | 0.000 | -0.000 | -0.000 | 94.985 |
| 224.367 | 117.876 | 117.876 | 0.000 | 0.000 | 0.000 |
| 117.876 | 224.367 | 117.876 | 0.000 | 0.000 | 0.000 |
| 117.876 | 117.876 | 224.367 | 0.000 | -0.000 | 0.000 |
| -0.000 | -0.000 | -0.000 | 94.985 | -0.000 | -0.000 |
| -0.000 | -0.000 | -0.000 | -0.000 | 94.985 | 0.000 |
| -0.000 | -0.000 | -0.000 | 0.000 | 0.000 | 94.985 |
| 224.368 | 117.876 | 117.876 | -0.000 | -0.000 | -0.000 |
| 117.876 | 224.368 | 117.876 | -0.000 | -0.000 | -0.000 |
| 117.876 | 117.876 | 224.368 | 0.000 | 0.000 | -0.000 |
| 0.000 | 0.000 | 0.000 | 94.985 | 0.000 | -0.000 |
| 0.000 | 0.000 | 0.000 | 0.000 | 94.985 | -0.000 |
| 0.000 | 0.000 | 0.000 | -0.000 | -0.000 | 94.985 |
| 1.784 | 10.307 | 10.307 | 0.000 | 0.000 | 0.000 |
| 10.307 | 1.784 | 10.307 | 0.000 | 0.000 | 0.000 |
| 10.307 | 10.307 | 1.784 | -0.000 | -0.000 | 0.000 |
| -0.000 | -0.000 | -0.000 | -2.466 | -0.000 | -0.000 |
| -0.000 | -0.000 | -0.000 | -0.000 | -2.466 | -0.000 |
| -0.000 | -0.000 | -0.000 | -0.000 | -0.000 | -2.466 |
| 1.784 | 10.307 | 10.307 | 0.000 | -0.000 | -0.000 |
| 10.307 | 1.784 | 10.307 | -0.000 | -0.000 | 0.000 |
| 10.307 | 10.307 | 1.784 | 0.000 | 0.000 | -0.000 |
| 0.000 | 0.000 | 0.000 | -2.466 | 0.000 | 0.000 |
| 0.000 | 0.000 | 0.000 | 0.000 | -2.466 | 0.000 |
| 0.000 | 0.000 | 0.000 | 0.000 | 0.000 | -2.466 |
| 1.784 | 10.307 | 10.307 | 0.000 | 0.000 | 0.000 |
| 10.307 | 1.784 | 10.307 | -0.000 | 0.000 | 0.000 |
| 10.307 | 10.307 | 1.784 | 0.000 | -0.000 | 0.000 |
| -0.000 | -0.000 | 0.000 | 9.934 | -0.000 | 0.000 |
| -0.000 | -0.000 | -0.000 | -0.000 | 9.934 | -0.000 |
| -0.000 | -0.000 | -0.000 | 0.000 | -0.000 | 9.934 |
| 1.784 | 10.307 | 10.307 | -0.000 | -0.000 | -0.000 |
| 10.307 | 1.784 | 10.307 | -0.000 | -0.000 | -0.000 |
| 10.307 | 10.307 | 1.784 | -0.000 | -0.000 | -0.000 |
| 0.000 | 0.000 | -0.000 | 9.934 | 0.000 | -0.000 |
| 0.000 | 0.000 | -0.000 | 0.000 | 9.934 | 0.000 |
| 0.000 | 0.000 | 0.000 | -0.000 | 0.000 | 9.934 |
| 1.784 | 10.307 | 10.307 | 0.000 | 0.000 | 0.000 |
| 10.307 | 1.784 | 10.307 | 0.000 | -0.000 | -0.000 |
| 10.307 | 10.307 | 1.784 | -0.000 | -0.000 | 0.000 |
| 0.000 | 0.000 | -0.000 | -10.101 | -0.000 | -0.000 |
| 0.000 | 0.000 | -0.000 | -0.000 | -10.101 | -0.000 |
| 0.000 | -0.000 | 0.000 | -0.000 | -0.000 | -10.101 |
| 1.784 | 10.307 | 10.307 | 0.000 | -0.000 | -0.000 |
| 10.307 | 1.784 | 10.307 | -0.000 | -0.000 | 0.000 |
| 10.307 | 10.307 | 1.784 | 0.000 | 0.000 | -0.000 |
| -0.000 | -0.000 | 0.000 | -10.101 | 0.000 | 0.000 |
| -0.000 | -0.000 | 0.000 | 0.000 | -10.101 | 0.000 |
| -0.000 | 0.000 | -0.000 | 0.000 | 0.000 | -10.101 |
| 594.237 | 314.490 | 314.490 | -0.000 | -0.000 | -0.000 |
| 314.490 | 594.237 | 314.490 | -0.000 | -0.000 | -0.000 |
| 314.490 | 314.490 | 594.237 | -0.000 | -0.000 | -0.000 |
| -0.000 | -0.000 | 0.000 | 207.848 | -0.000 | -0.000 |
| -0.000 | -0.000 | 0.000 | -0.000 | 207.848 | -0.000 |
| -0.000 | -0.000 | 0.000 | -0.000 | -0.000 | 207.848 |
| 594.237 | 314.490 | 314.490 | 0.000 | 0.000 | 0.000 |
| 314.490 | 594.237 | 314.490 | 0.000 | 0.000 | 0.000 |
| 314.490 | 314.490 | 594.237 | -0.000 | -0.000 | 0.000 |
| 0.000 | 0.000 | -0.000 | 207.848 | 0.000 | 0.000 |
| 0.000 | 0.000 | -0.000 | 0.000 | 207.848 | 0.000 |
| 0.000 | 0.000 | -0.000 | 0.000 | 0.000 | 207.848 |
| 594.237 | 314.490 | 314.490 | -0.000 | -0.000 | -0.000 |
| 314.490 | 594.237 | 314.490 | -0.000 | -0.000 | -0.000 |
| 314.490 | 314.490 | 594.237 | -0.000 | -0.000 | -0.000 |
| -0.000 | -0.000 | -0.000 | 205.681 | -0.000 | -0.000 |
| -0.000 | -0.000 | -0.000 | -0.000 | 205.681 | -0.000 |
| -0.000 | -0.000 | -0.000 | -0.000 | -0.000 | 205.681 |
| 594.237 | 314.490 | 314.490 | 0.000 | 0.000 | 0.000 |
| 314.490 | 594.237 | 314.490 | 0.000 | 0.000 | 0.000 |
| 314.490 | 314.490 | 594.237 | -0.000 | -0.000 | 0.000 |
| 0.000 | 0.000 | 0.000 | 205.681 | 0.000 | 0.000 |
| 0.000 | 0.000 | 0.000 | 0.000 | 205.681 | 0.000 |
| 0.000 | 0.000 | 0.000 | 0.000 | 0.000 | 205.681 |
| 594.236 | 314.490 | 314.490 | -0.000 | -0.000 | -0.000 |
| 314.490 | 594.236 | 314.490 | -0.000 | -0.000 | -0.000 |
| 314.490 | 314.490 | 594.236 | -0.000 | -0.000 | -0.000 |
| -0.000 | -0.001 | -0.000 | 205.681 | -0.000 | -0.000 |
| -0.001 | -0.000 | -0.000 | -0.000 | 205.681 | -0.000 |
| -0.001 | -0.000 | -0.000 | -0.000 | -0.000 | 205.681 |
| 594.237 | 314.489 | 314.489 | 0.000 | 0.000 | 0.000 |
| 314.489 | 594.237 | 314.489 | 0.000 | 0.000 | 0.000 |
| 314.489 | 314.489 | 594.237 | 0.000 | 0.000 | 0.000 |
| 0.000 | 0.001 | 0.000 | 205.681 | 0.000 | 0.000 |
| 0.001 | 0.000 | 0.000 | 0.000 | 205.681 | 0.000 |
| 0.001 | 0.000 | 0.000 | 0.000 | 0.000 | 205.681 |
| 25.326 | 2.104 | 2.104 | 0.000 | -0.000 | -0.000 |
| 2.104 | 25.326 | 2.104 | 0.000 | 0.000 | -0.000 |
| 2.104 | 2.104 | 25.326 | -0.000 | -0.000 | -0.000 |
| -0.000 | 0.000 | -0.000 | -0.446 | -0.000 | -0.000 |
| 0.000 | -0.000 | -0.000 | -0.000 | -0.446 | -0.000 |
| -0.000 | -0.000 | -0.000 | -0.000 | -0.000 | -0.446 |
| 25.326 | 2.104 | 2.104 | 0.000 | 0.000 | 0.000 |
| 2.104 | 25.326 | 2.104 | 0.000 | 0.000 | 0.000 |
| 2.104 | 2.104 | 25.326 | 0.000 | 0.000 | 0.000 |
| 0.000 | 0.000 | 0.000 | -0.446 | 0.000 | 0.000 |
| 0.000 | 0.000 | 0.000 | 0.000 | -0.446 | 0.000 |
| 0.000 | 0.000 | 0.000 | 0.000 | 0.000 | -0.446 |
| 25.326 | 2.104 | 2.104 | 0.000 | -0.000 | -0.000 |
| 2.104 | 25.326 | 2.104 | -0.000 | -0.000 | -0.000 |
| 2.104 | 2.104 | 25.326 | -0.000 | -0.000 | -0.000 |
| 0.000 | 0.000 | -0.000 | -0.441 | 0.000 | -0.000 |
| 0.000 | 0.000 | -0.000 | 0.000 | -0.441 | -0.000 |
| 0.000 | -0.000 | 0.000 | 0.000 | 0.000 | -0.441 |
| 25.326 | 2.104 | 2.104 | 0.000 | 0.000 | 0.000 |
| 2.104 | 25.326 | 2.104 | 0.000 | -0.000 | 0.000 |
| 2.104 | 2.104 | 25.326 | -0.000 | -0.000 | 0.000 |
| -0.000 | 0.000 | 0.000 | -0.441 | 0.000 | 0.000 |
| 0.000 | -0.000 | 0.000 | 0.000 | -0.441 | 0.000 |
| -0.000 | 0.000 | -0.000 | -0.000 | -0.000 | -0.441 |
| 25.326 | 2.104 | 2.104 | 0.000 | -0.000 | -0.000 |
| 2.104 | 25.326 | 2.104 | 0.000 | -0.000 | -0.000 |
| 2.104 | 2.104 | 25.326 | -0.000 | -0.000 | -0.000 |
| 0.000 | 0.000 | -0.000 | -0.446 | -0.000 | -0.000 |
| 0.000 | 0.000 | -0.000 | -0.000 | -0.446 | -0.000 |
| 0.000 | -0.000 | 0.000 | -0.000 | -0.000 | -0.446 |
| 25.326 | 2.104 | 2.104 | 0.000 | 0.000 | 0.000 |
| 2.104 | 25.326 | 2.104 | 0.000 | 0.000 | 0.000 |
| 2.104 | 2.104 | 25.326 | -0.000 | -0.000 | 0.000 |
| -0.000 | -0.000 | 0.000 | -0.446 | -0.000 | 0.000 |
| -0.000 | -0.000 | 0.000 | -0.000 | -0.446 | 0.000 |
| -0.000 | 0.000 | -0.000 | -0.000 | 0.000 | -0.446 |
| 150.743 | 110.946 | 110.946 | 0.000 | 0.000 | 0.000 |
| 110.946 | 150.743 | 110.946 | 0.000 | 0.000 | -0.000 |
| 110.946 | 110.946 | 150.743 | -0.000 | -0.000 | 0.000 |
| -0.000 | -0.000 | -0.000 | 75.038 | 0.000 | 0.000 |
| 0.000 | -0.000 | 0.000 | 0.000 | 75.038 | -0.000 |
| 0.000 | 0.000 | 0.000 | -0.000 | -0.000 | 75.038 |
| 150.743 | 110.946 | 110.946 | 0.000 | 0.000 | 0.000 |
| 110.946 | 150.743 | 110.946 | 0.000 | 0.000 | 0.000 |
| 110.946 | 110.946 | 150.743 | 0.000 | 0.000 | 0.000 |
| 0.000 | 0.000 | -0.000 | 75.038 | -0.000 | 0.000 |
| 0.000 | 0.000 | -0.000 | -0.000 | 75.038 | 0.000 |
| 0.000 | 0.000 | -0.000 | 0.000 | 0.000 | 75.038 |
| 150.743 | 110.946 | 110.946 | -0.000 | 0.000 | 0.000 |
| 110.946 | 150.743 | 110.946 | -0.000 | -0.000 | -0.000 |
| 110.946 | 110.946 | 150.743 | -0.000 | -0.000 | -0.000 |
| -0.000 | -0.000 | -0.000 | 75.038 | 0.000 | 0.000 |
| -0.000 | -0.000 | -0.000 | -0.000 | 75.038 | -0.000 |
| -0.000 | -0.000 | -0.000 | -0.000 | -0.000 | 75.038 |
| 150.743 | 110.946 | 110.946 | -0.000 | 0.000 | 0.000 |
| 110.946 | 150.743 | 110.946 | 0.000 | -0.000 | -0.000 |
| 110.946 | 110.946 | 150.743 | -0.000 | -0.000 | -0.000 |
| 0.000 | 0.000 | 0.000 | 75.038 | -0.000 | -0.000 |
| 0.000 | 0.000 | 0.000 | 0.000 | 75.038 | 0.000 |
| 0.000 | 0.000 | 0.000 | 0.000 | 0.000 | 75.038 |
| 150.743 | 110.946 | 110.946 | 0.000 | 0.000 | 0.000 |
| 110.946 | 150.743 | 110.946 | 0.000 | 0.000 | 0.000 |
| 110.946 | 110.946 | 150.743 | 0.000 | 0.000 | 0.000 |
| -0.000 | -0.000 | -0.000 | 75.038 | 0.000 | -0.000 |
| -0.000 | -0.000 | -0.000 | 0.000 | 75.038 | -0.000 |
| -0.000 | -0.000 | -0.000 | 0.000 | -0.000 | 75.038 |
| 150.743 | 110.946 | 110.946 | 0.000 | 0.000 | 0.000 |
| 110.946 | 150.743 | 110.946 | 0.000 | 0.000 | -0.000 |
| 110.946 | 110.946 | 150.743 | -0.000 | -0.000 | -0.000 |
| 0.000 | 0.000 | 0.000 | 75.038 | 0.000 | 0.000 |
| 0.000 | 0.000 | 0.000 | 0.000 | 75.038 | 0.000 |
| 0.000 | 0.000 | 0.000 | -0.000 | 0.000 | 75.038 |
| 366.993 | 116.634 | 116.634 | 0.000 | 0.000 | -0.000 |
| 116.634 | 366.993 | 116.634 | -0.000 | -0.000 | 0.000 |
| 116.634 | 116.634 | 366.993 | 0.000 | -0.000 | 0.000 |
| -0.000 | -0.000 | -0.000 | 76.447 | 0.000 | 0.000 |
| -0.000 | 0.000 | -0.000 | -0.000 | 76.447 | 0.000 |
| -0.000 | 0.000 | 0.000 | 0.000 | 0.000 | 76.447 |
| 367.006 | 116.628 | 116.628 | -0.000 | 0.000 | -0.000 |
| 116.628 | 367.006 | 116.628 | -0.000 | -0.000 | -0.000 |
| 116.628 | 116.628 | 367.006 | -0.000 | 0.000 | -0.000 |
| -0.000 | 0.000 | 0.000 | 76.447 | 0.000 | 0.000 |
| 0.000 | -0.000 | 0.000 | -0.000 | 76.447 | -0.000 |
| 0.000 | 0.000 | -0.000 | -0.000 | 0.000 | 76.447 |
| 366.993 | 116.634 | 116.634 | 0.000 | 0.000 | 0.000 |
| 116.634 | 366.993 | 116.634 | 0.000 | 0.000 | 0.000 |
| 116.634 | 116.634 | 366.993 | 0.000 | -0.000 | -0.000 |
| -0.000 | -0.000 | -0.000 | 76.042 | -0.000 | 0.000 |
| -0.000 | -0.000 | -0.000 | 0.000 | 76.042 | 0.000 |
| -0.000 | -0.000 | -0.000 | -0.000 | -0.000 | 76.042 |
| 367.006 | 116.628 | 116.628 | -0.000 | 0.000 | 0.000 |
| 116.628 | 367.006 | 116.628 | 0.000 | 0.000 | -0.000 |
| 116.628 | 116.628 | 367.006 | -0.000 | -0.000 | -0.000 |
| 0.000 | 0.000 | 0.000 | 76.042 | 0.000 | 0.000 |
| 0.000 | 0.000 | 0.000 | -0.000 | 76.042 | -0.000 |
| 0.000 | 0.000 | 0.000 | 0.000 | 0.000 | 76.042 |
| 366.992 | 116.634 | 116.634 | 0.000 | 0.000 | 0.000 |
| 116.634 | 366.992 | 116.634 | 0.000 | 0.000 | 0.000 |
| 116.634 | 116.634 | 366.992 | -0.000 | -0.000 | 0.000 |
| -0.000 | -0.000 | -0.000 | 76.042 | 0.000 | 0.000 |
| -0.000 | -0.000 | -0.000 | 0.000 | 76.042 | -0.000 |
| -0.000 | -0.000 | -0.000 | 0.000 | -0.000 | 76.042 |
| 366.993 | 116.634 | 116.634 | -0.000 | -0.000 | -0.000 |
| 116.634 | 366.993 | 116.634 | -0.000 | -0.000 | 0.000 |
| 116.634 | 116.634 | 366.993 | 0.000 | 0.000 | -0.000 |
| 0.000 | 0.000 | 0.000 | 76.042 | 0.000 | -0.000 |
| 0.000 | 0.000 | 0.000 | -0.000 | 76.042 | 0.000 |
| 0.000 | 0.000 | 0.000 | -0.000 | 0.000 | 76.042 |
| 13.719 | 3.531 | 3.531 | 0.000 | 0.000 | -0.000 |
| 3.531 | 13.719 | 3.531 | 0.000 | -0.000 | 0.000 |
| 3.531 | 3.531 | 13.719 | 0.000 | -0.000 | 0.000 |
| -0.000 | 0.000 | -0.000 | 2.943 | 0.000 | -0.000 |
| -0.000 | -0.000 | -0.000 | -0.000 | 2.943 | 0.000 |
| 0.000 | -0.000 | -0.000 | -0.000 | 0.000 | 2.943 |
| 14.079 | 3.351 | 3.351 | 0.000 | 0.000 | -0.000 |
| 3.351 | 14.079 | 3.351 | -0.000 | 0.000 | -0.000 |
| 3.351 | 3.351 | 14.079 | 0.000 | 0.000 | -0.000 |
| -0.000 | 0.000 | -0.000 | 2.943 | -0.000 | 0.000 |
| -0.000 | 0.000 | 0.000 | 0.000 | 2.943 | -0.000 |
| -0.000 | 0.000 | 0.000 | 0.000 | -0.000 | 2.943 |
| 14.079 | 3.351 | 3.351 | 0.000 | -0.000 | 0.000 |
| 3.351 | 14.079 | 3.351 | 0.000 | -0.000 | -0.000 |
| 3.351 | 3.351 | 14.079 | -0.000 | -0.000 | 0.000 |
| -0.000 | -0.000 | -0.000 | 2.943 | -0.000 | -0.000 |
| -0.000 | -0.000 | -0.000 | 0.000 | 2.943 | 0.000 |
| -0.000 | -0.000 | -0.000 | 0.000 | 0.000 | 2.943 |
| 13.719 | 3.531 | 3.531 | -0.000 | 0.000 | -0.000 |
| 3.531 | 13.719 | 3.531 | -0.000 | -0.000 | -0.000 |
| 3.531 | 3.531 | 13.719 | -0.000 | 0.000 | 0.000 |
| 0.000 | 0.000 | 0.000 | 2.943 | -0.000 | 0.000 |
| 0.000 | 0.000 | 0.000 | 0.000 | 2.943 | 0.000 |
| 0.000 | 0.000 | 0.000 | -0.000 | -0.000 | 2.943 |
| 14.079 | 3.351 | 3.351 | 0.000 | -0.000 | 0.000 |
| 3.351 | 14.079 | 3.351 | 0.000 | -0.000 | -0.000 |
| 3.351 | 3.351 | 14.079 | -0.000 | -0.000 | 0.000 |
| -0.000 | -0.000 | -0.000 | 2.943 | -0.000 | -0.000 |
| -0.000 | -0.000 | -0.000 | 0.000 | 2.943 | -0.000 |
| -0.000 | -0.000 | -0.000 | 0.000 | -0.000 | 2.943 |
| 13.178 | 3.801 | 3.801 | 0.000 | -0.000 | -0.000 |
| 3.801 | 13.178 | 3.801 | -0.000 | 0.000 | -0.000 |
| 3.801 | 3.801 | 13.178 | 0.000 | 0.000 | 0.000 |
| 0.000 | 0.000 | 0.000 | 2.943 | 0.000 | -0.000 |
| 0.000 | 0.000 | 0.000 | -0.000 | 2.943 | -0.000 |
| 0.000 | 0.000 | 0.000 | -0.000 | -0.000 | 2.943 |
| 306.623 | 239.987 | 239.987 | -0.000 | -0.000 | -0.000 |
| 239.987 | 306.623 | 239.987 | -0.000 | -0.000 | 0.000 |
| 239.987 | 239.987 | 306.623 | -0.000 | -0.000 | -0.000 |
| -0.000 | -0.000 | -0.000 | 177.048 | -0.000 | -0.000 |
| -0.000 | -0.000 | -0.000 | -0.000 | 177.048 | -0.000 |
| -0.000 | -0.000 | -0.000 | -0.000 | -0.000 | 177.048 |
| 306.623 | 239.987 | 239.987 | 0.000 | 0.000 | -0.000 |
| 239.987 | 306.623 | 239.987 | 0.000 | 0.000 | 0.000 |
| 239.987 | 239.987 | 306.623 | 0.000 | 0.000 | -0.000 |
| -0.000 | 0.000 | 0.000 | 177.048 | 0.000 | 0.000 |
| 0.000 | 0.000 | 0.000 | 0.000 | 177.048 | -0.000 |
| 0.000 | 0.000 | 0.000 | 0.000 | 0.000 | 177.048 |
| 306.623 | 239.987 | 239.987 | -0.000 | -0.000 | 0.000 |
| 239.987 | 306.623 | 239.987 | -0.000 | -0.000 | 0.000 |
| 239.987 | 239.987 | 306.623 | -0.000 | -0.000 | -0.000 |
| -0.000 | -0.000 | -0.000 | 177.048 | -0.000 | 0.000 |
| -0.000 | -0.000 | -0.000 | -0.000 | 177.048 | -0.000 |
| -0.000 | -0.000 | -0.000 | -0.000 | -0.000 | 177.048 |
| 306.623 | 239.987 | 239.987 | 0.000 | 0.000 | 0.000 |
| 239.987 | 306.623 | 239.987 | 0.000 | 0.000 | 0.000 |
| 239.987 | 239.987 | 306.623 | 0.000 | 0.000 | 0.000 |
| 0.000 | 0.000 | 0.000 | 177.048 | 0.000 | 0.000 |
| 0.000 | 0.000 | 0.000 | 0.000 | 177.048 | 0.000 |
| 0.000 | 0.000 | 0.000 | 0.000 | 0.000 | 177.048 |
| 306.622 | 239.987 | 239.987 | -0.000 | -0.000 | -0.000 |
| 239.987 | 306.622 | 239.987 | -0.000 | -0.000 | 0.000 |
| 239.987 | 239.987 | 306.622 | -0.000 | -0.000 | 0.000 |
| -0.000 | -0.000 | -0.000 | 177.048 | -0.000 | 0.000 |
| -0.000 | -0.000 | -0.000 | -0.000 | 177.048 | 0.000 |
| -0.000 | -0.000 | -0.000 | -0.000 | -0.000 | 177.048 |
| 306.623 | 239.987 | 239.987 | 0.000 | 0.000 | 0.000 |
| 239.987 | 306.623 | 239.987 | 0.000 | 0.000 | 0.000 |
| 239.987 | 239.987 | 306.623 | 0.000 | 0.000 | 0.000 |
| 0.000 | 0.000 | 0.000 | 177.048 | 0.000 | -0.000 |
| 0.000 | 0.000 | 0.000 | 0.000 | 177.048 | 0.000 |
| 0.000 | 0.000 | 0.000 | 0.000 | 0.000 | 177.048 |
| 203.511 | 169.148 | 169.148 | 0.000 | 0.000 | 0.000 |
| 169.148 | 203.511 | 169.148 | 0.000 | 0.000 | 0.000 |
| 169.148 | 169.148 | 203.511 | -0.000 | -0.000 | 0.000 |
| -0.000 | -0.000 | -0.000 | 101.490 | 0.000 | 0.000 |
| -0.000 | -0.000 | -0.000 | 0.000 | 101.490 | 0.000 |
| -0.000 | -0.000 | 0.000 | 0.000 | 0.000 | 101.490 |
| 203.511 | 169.148 | 169.148 | 0.000 | -0.000 | -0.000 |
| 169.148 | 203.511 | 169.148 | -0.000 | -0.000 | -0.000 |
| 169.148 | 169.148 | 203.511 | -0.000 | -0.000 | -0.000 |
| 0.000 | 0.000 | -0.000 | 101.490 | -0.000 | -0.000 |
| 0.000 | 0.000 | -0.000 | -0.000 | 101.490 | -0.000 |
| 0.000 | 0.000 | -0.000 | -0.000 | -0.000 | 101.490 |
| 203.511 | 169.148 | 169.148 | 0.000 | 0.000 | 0.000 |
| 169.148 | 203.511 | 169.148 | 0.000 | 0.000 | 0.000 |
| 169.148 | 169.148 | 203.511 | 0.000 | 0.000 | 0.000 |
| -0.000 | -0.000 | -0.000 | 101.490 | 0.000 | 0.000 |
| -0.000 | -0.000 | -0.000 | 0.000 | 101.490 | 0.000 |
| -0.000 | -0.000 | -0.000 | 0.000 | 0.000 | 101.490 |
| 203.511 | 169.148 | 169.148 | -0.000 | -0.000 | -0.000 |
| 169.148 | 203.511 | 169.148 | 0.000 | -0.000 | -0.000 |
| 169.148 | 169.148 | 203.511 | -0.000 | -0.000 | -0.000 |
| 0.000 | 0.000 | 0.000 | 101.490 | -0.000 | -0.000 |
| 0.000 | 0.000 | 0.000 | -0.000 | 101.490 | -0.000 |
| 0.000 | 0.000 | 0.000 | -0.000 | -0.000 | 101.490 |
| 203.511 | 169.148 | 169.148 | 0.000 | 0.000 | 0.000 |
| 169.148 | 203.511 | 169.148 | 0.000 | 0.000 | 0.000 |
| 169.148 | 169.148 | 203.511 | 0.000 | 0.000 | 0.000 |
| 0.177 | 0.177 | 0.177 | 101.313 | 0.000 | 0.000 |
| 0.177 | 0.177 | 0.177 | 0.000 | 101.313 | 0.000 |
| 0.177 | 0.177 | 0.177 | 0.000 | 0.000 | 101.313 |
| 203.156 | 168.793 | 168.793 | -0.000 | -0.000 | -0.000 |
| 168.793 | 203.156 | 168.793 | -0.000 | -0.000 | -0.000 |
| 168.793 | 168.793 | 203.156 | -0.000 | 0.000 | -0.000 |
| -0.177 | -0.177 | -0.177 | 101.313 | -0.000 | -0.000 |
| -0.177 | -0.177 | -0.177 | -0.000 | 101.313 | -0.000 |
| -0.177 | -0.177 | -0.177 | -0.000 | -0.000 | 101.313 |
| 167.531 | 180.079 | 138.319 | 0.000 | -0.000 | -0.000 |
| 180.079 | 167.531 | 138.319 | -0.000 | -0.000 | -0.000 |
| 138.319 | 138.319 | 214.290 | -0.000 | -0.000 | 0.000 |
| -0.000 | -0.000 | -0.000 | 76.187 | -0.000 | -0.000 |
| -0.000 | -0.000 | -0.000 | -0.000 | 76.187 | -0.000 |
| -0.000 | -0.000 | 0.000 | 0.000 | 0.000 | 122.279 |
| 138.367 | 209.242 | 138.319 | -0.000 | 0.000 | 0.000 |
| 209.242 | 138.367 | 138.319 | 0.000 | 0.000 | 0.000 |
| 138.319 | 138.319 | 214.290 | 0.000 | 0.000 | 0.000 |
| 0.000 | 0.000 | 0.000 | 76.187 | 0.000 | 0.000 |
| 0.000 | 0.000 | 0.000 | 0.000 | 76.187 | 0.000 |
| 0.000 | 0.000 | -0.000 | -0.000 | -0.000 | 122.279 |
| 167.531 | 180.079 | 138.319 | -0.000 | 0.000 | -0.000 |
| 180.079 | 167.531 | 138.319 | 0.000 | -0.000 | -0.000 |
| 138.319 | 138.319 | 214.290 | -0.000 | -0.000 | -0.000 |
| -0.000 | -0.000 | -0.000 | 76.187 | -0.000 | -0.000 |
| -0.000 | -0.000 | -0.000 | -0.000 | 76.187 | -0.000 |
| -0.000 | -0.000 | -0.000 | -0.000 | -0.000 | 122.279 |
| 138.367 | 209.242 | 138.319 | 0.000 | 0.000 | -0.000 |
| 209.242 | 138.367 | 138.319 | 0.000 | 0.000 | 0.000 |
| 138.319 | 138.319 | 214.290 | -0.000 | -0.000 | 0.000 |
| 0.000 | 0.000 | 0.000 | 76.187 | 0.000 | 0.000 |
| 0.000 | 0.000 | 0.000 | 0.000 | 76.187 | -0.000 |
| 0.000 | 0.000 | 0.000 | 0.000 | 0.000 | 122.279 |
| 138.367 | 209.242 | 138.319 | -0.000 | -0.000 | 0.000 |
| 209.242 | 138.367 | 138.319 | -0.000 | -0.000 | 0.000 |
| 138.319 | 138.319 | 214.290 | 0.000 | 0.000 | -0.000 |
| -0.000 | -0.000 | -0.000 | 76.187 | -0.000 | -0.000 |
| -0.000 | -0.000 | -0.000 | 0.000 | 76.187 | -0.000 |
| -0.000 | -0.000 | -0.000 | -0.000 | -0.000 | 122.279 |
| 138.367 | 209.242 | 138.319 | 0.000 | 0.000 | -0.000 |
| 209.242 | 138.367 | 138.319 | 0.000 | 0.000 | 0.000 |
| 138.319 | 138.319 | 214.291 | -0.000 | -0.000 | 0.000 |
| 0.000 | 0.000 | 0.000 | 76.187 | 0.000 | 0.000 |
| 0.000 | 0.000 | 0.000 | 0.000 | 76.187 | 0.000 |
| 0.000 | 0.000 | 0.000 | 0.000 | 0.000 | 122.279 |
| 391.722 | 246.263 | 246.263 | 0.000 | -0.000 | -0.000 |
| 246.263 | 391.722 | 246.263 | 0.000 | 0.000 | -0.000 |
| 246.263 | 246.263 | 391.722 | 0.000 | -0.000 | -0.000 |
| -0.000 | -0.000 | -0.000 | 117.075 | -0.000 | -0.000 |
| -0.000 | -0.000 | -0.000 | 0.000 | 117.075 | -0.000 |
| -0.000 | -0.000 | -0.000 | 0.000 | 0.000 | 117.075 |
| 371.100 | 248.579 | 248.579 | 0.000 | 0.000 | 0.000 |
| 248.579 | 371.100 | 248.579 | -0.000 | 0.000 | 0.000 |
| 248.579 | 248.579 | 371.100 | -0.000 | 0.000 | 0.000 |
| 0.000 | 0.000 | 0.000 | 117.075 | 0.000 | 0.000 |
| 0.000 | 0.000 | 0.000 | 0.000 | 117.075 | 0.000 |
| 0.000 | 0.000 | 0.000 | -0.000 | 0.000 | 117.075 |
| 391.722 | 246.263 | 246.263 | 0.000 | -0.000 | -0.000 |
| 246.263 | 391.722 | 246.263 | 0.000 | -0.000 | -0.000 |
| 246.263 | 246.263 | 391.722 | -0.000 | -0.000 | -0.000 |
| -0.000 | -0.000 | -0.000 | 117.075 | -0.000 | -0.000 |
| -0.000 | -0.000 | -0.000 | 0.000 | 117.075 | -0.000 |
| -0.000 | -0.000 | -0.000 | 0.000 | -0.000 | 117.075 |
| 391.592 | 246.242 | 246.242 | -0.000 | 0.000 | 0.000 |
| 246.242 | 391.592 | 246.242 | 0.000 | 0.000 | 0.000 |
| 246.242 | 246.242 | 391.592 | 0.000 | 0.000 | 0.000 |
| 0.000 | 0.000 | 0.000 | 117.075 | 0.000 | 0.000 |
| 0.000 | 0.000 | 0.000 | -0.000 | 117.075 | 0.000 |
| 0.000 | 0.000 | 0.000 | -0.000 | 0.000 | 117.075 |
| 391.722 | 246.263 | 246.263 | 0.000 | -0.000 | -0.000 |
| 246.263 | 391.722 | 246.263 | -0.000 | -0.000 | -0.000 |
| 246.263 | 246.263 | 391.722 | -0.000 | -0.000 | -0.000 |
| 0.008 | 0.007 | 0.007 | 98.684 | -0.000 | -0.000 |
| 0.007 | 0.008 | 0.007 | 0.000 | 98.684 | -0.000 |
| 0.007 | 0.007 | 0.008 | -0.000 | -0.000 | 98.684 |
| 371.086 | 248.567 | 248.567 | -0.000 | 0.000 | 0.000 |
| 248.567 | 371.086 | 248.567 | 0.000 | 0.000 | 0.000 |
| 248.567 | 248.567 | 371.086 | 0.000 | 0.000 | 0.000 |
| -0.008 | -0.007 | -0.007 | 98.684 | 0.000 | 0.000 |
| -0.007 | -0.008 | -0.007 | 0.000 | 98.684 | 0.000 |
| -0.007 | -0.007 | -0.008 | -0.000 | 0.000 | 98.684 |
| 370.290 | 248.167 | 248.167 | -0.000 | -0.000 | 0.000 |
| 248.167 | 370.290 | 248.167 | -0.000 | -0.000 | -0.000 |
| 248.167 | 248.167 | 370.290 | -0.000 | -0.000 | -0.000 |
| 0.000 | -0.000 | -0.000 | 117.098 | -0.000 | 0.000 |
| -0.343 | -0.343 | -0.343 | -0.000 | 100.284 | -0.000 |
| -0.343 | -0.343 | -0.343 | -0.000 | -0.000 | 100.284 |
| 391.734 | 246.251 | 246.251 | -0.000 | -0.000 | 0.000 |
| 246.251 | 391.734 | 246.251 | 0.000 | 0.000 | -0.000 |
| 246.251 | 246.251 | 391.734 | 0.000 | 0.000 | 0.000 |
| -0.000 | 0.000 | 0.000 | 117.098 | -0.000 | -0.000 |
| 0.343 | 0.343 | 0.343 | 0.000 | 100.284 | 0.000 |
| 0.343 | 0.343 | 0.343 | 0.000 | 0.000 | 100.284 |
| 371.035 | 248.526 | 248.526 | -0.000 | -0.000 | 0.000 |
| 248.526 | 371.035 | 248.526 | -0.000 | -0.000 | -0.000 |
| 248.526 | 248.526 | 371.035 | -0.000 | -0.000 | 0.000 |
| -0.000 | -0.000 | -0.000 | 117.098 | 0.000 | 0.000 |
| -0.000 | -0.000 | -0.000 | -0.000 | 117.098 | -0.000 |
| -0.000 | -0.000 | -0.000 | 0.000 | 0.000 | 117.098 |
| 391.734 | 246.251 | 246.251 | 0.000 | -0.000 | 0.000 |
| 252.938 | 366.800 | 252.938 | 0.000 | 0.000 | 0.000 |
| 252.938 | 252.938 | 366.800 | 0.000 | 0.000 | 0.000 |
| 0.000 | 0.000 | 0.000 | 117.098 | -0.000 | 0.000 |
| 0.000 | 0.000 | 0.000 | -0.000 | 117.098 | 0.000 |
| 0.000 | 0.000 | 0.000 | 0.000 | -0.000 | 117.098 |
| 366.938 | 253.283 | 253.283 | -0.000 | -0.000 | 0.000 |
| 253.283 | 366.938 | 253.283 | -0.000 | -0.000 | -0.000 |
| 253.283 | 253.283 | 366.938 | -0.000 | -0.000 | -0.000 |
| -0.004 | -0.004 | -0.004 | 100.409 | -0.000 | -0.000 |
| -0.004 | -0.004 | -0.004 | -0.000 | 100.409 | -0.000 |
| -0.004 | -0.004 | -0.004 | -0.000 | -0.000 | 100.409 |
| 370.983 | 248.584 | 248.584 | 0.000 | 0.000 | 0.000 |
| 248.584 | 370.983 | 248.584 | 0.000 | 0.000 | 0.000 |
| 248.584 | 248.584 | 370.983 | 0.000 | 0.000 | 0.000 |
| 0.004 | 0.004 | 0.004 | 100.409 | 0.000 | 0.000 |
| 0.004 | 0.004 | 0.004 | 0.000 | 100.409 | -0.000 |
| 0.004 | 0.004 | 0.004 | 0.000 | 0.000 | 100.409 |
| 172.225 | 62.952 | 62.952 | 0.000 | 0.000 | 0.000 |
| 62.952 | 172.225 | 62.952 | 0.000 | -0.000 | 0.000 |
| 62.952 | 62.952 | 172.225 | 0.000 | 0.000 | 0.000 |
| -0.000 | 0.000 | 0.000 | 17.760 | 0.000 | 0.000 |
| -0.000 | -0.000 | 0.000 | -0.000 | 17.760 | 0.000 |
| 0.000 | -0.000 | 0.000 | 0.000 | 0.000 | 17.760 |
| 172.225 | 62.952 | 62.952 | -0.000 | 0.000 | -0.000 |
| 62.952 | 172.225 | 62.952 | -0.000 | -0.000 | 0.000 |
| 62.952 | 62.952 | 172.225 | 0.000 | -0.000 | -0.000 |
| 0.000 | -0.000 | -0.000 | 17.760 | -0.000 | -0.000 |
| 0.000 | -0.000 | 0.000 | 0.000 | 17.760 | -0.000 |
| -0.000 | -0.000 | -0.000 | -0.000 | -0.000 | 17.760 |
| 172.170 | 62.979 | 62.979 | -0.000 | 0.000 | 0.000 |
| 62.979 | 172.170 | 62.979 | 0.000 | 0.000 | -0.000 |
| 62.979 | 62.979 | 172.170 | -0.000 | 0.000 | 0.000 |
| 0.000 | -0.000 | -0.000 | 17.041 | 0.000 | 0.000 |
| -0.000 | 0.000 | -0.000 | 0.000 | 17.041 | 0.000 |
| -0.000 | -0.000 | 0.000 | -0.000 | 0.000 | 17.041 |
| 172.225 | 62.952 | 62.952 | 0.000 | -0.000 | -0.000 |
| 62.952 | 172.225 | 62.952 | 0.000 | 0.000 | -0.000 |
| 62.952 | 62.952 | 172.225 | 0.000 | -0.000 | 0.000 |
| -0.000 | 0.000 | 0.000 | 17.041 | -0.000 | -0.000 |
| 0.000 | 0.000 | 0.000 | -0.000 | 17.041 | -0.000 |
| 0.000 | 0.000 | -0.000 | -0.000 | -0.000 | 17.041 |
| 172.170 | 62.980 | 62.980 | -0.000 | -0.000 | 0.000 |
| 62.980 | 172.170 | 62.980 | 0.000 | 0.000 | -0.000 |
| 62.980 | 62.980 | 172.170 | -0.000 | -0.000 | -0.000 |
| -0.000 | -0.000 | -0.000 | 18.988 | 0.000 | 0.000 |
| -0.000 | -0.000 | -0.000 | -0.000 | 18.988 | -0.000 |
| -0.000 | -0.000 | -0.000 | -0.000 | 0.000 | 18.988 |
| 172.170 | 62.979 | 62.979 | -0.000 | -0.000 | -0.000 |
| 62.979 | 172.170 | 62.979 | 0.000 | 0.000 | -0.000 |
| 62.979 | 62.979 | 172.170 | -0.000 | -0.000 | -0.000 |
| 0.000 | 0.000 | 0.000 | 18.988 | -0.000 | -0.000 |
| 0.000 | 0.000 | 0.000 | 0.000 | 18.988 | -0.000 |
| 0.000 | 0.000 | 0.000 | 0.000 | -0.000 | 18.988 |
| 118.786 | 123.560 | 123.560 | -0.000 | -0.000 | -0.000 |
| 123.560 | 118.786 | 123.560 | -0.000 | 0.000 | 0.000 |
| 123.560 | 123.560 | 118.786 | 0.000 | 0.000 | -0.000 |
| -0.000 | -0.000 | -0.000 | 66.341 | 0.000 | -0.000 |
| -0.000 | -0.000 | -0.000 | 0.000 | 66.341 | 0.000 |
| -0.000 | -0.000 | -0.000 | 0.000 | 0.000 | 66.341 |
| 118.786 | 123.561 | 123.560 | -0.000 | -0.000 | 0.000 |
| 123.561 | 118.786 | 123.560 | 0.000 | -0.000 | -0.000 |
| 123.561 | 123.561 | 118.786 | -0.000 | -0.000 | 0.000 |
| 0.000 | 0.000 | -0.000 | 66.341 | -0.000 | 0.000 |
| 0.000 | 0.000 | -0.000 | -0.000 | 66.341 | -0.000 |
| 0.000 | -0.000 | 0.000 | -0.000 | -0.000 | 66.341 |
| 118.786 | 123.561 | 123.561 | -0.000 | -0.000 | -0.000 |
| 123.561 | 118.786 | 123.561 | -0.000 | -0.000 | 0.000 |
| 123.561 | 123.561 | 118.786 | 0.000 | 0.000 | -0.000 |
| -0.000 | -0.000 | -0.000 | 66.341 | 0.000 | 0.000 |
| -0.000 | -0.000 | -0.000 | -0.000 | 66.341 | 0.000 |
| -0.000 | -0.000 | -0.000 | 0.000 | 0.000 | 66.341 |
| 118.786 | 123.560 | 123.560 | 0.000 | 0.000 | 0.000 |
| 123.560 | 118.786 | 123.560 | 0.000 | 0.000 | 0.000 |
| 123.560 | 123.560 | 118.786 | 0.000 | 0.000 | 0.000 |
| 0.000 | 0.000 | 0.000 | 66.341 | -0.000 | -0.000 |
| 0.000 | 0.000 | 0.000 | -0.000 | 66.341 | -0.000 |
| 0.000 | 0.000 | 0.000 | -0.000 | -0.000 | 66.341 |
| 118.786 | 123.561 | 123.561 | 0.000 | 0.000 | -0.000 |
| 123.561 | 118.786 | 123.561 | 0.000 | 0.000 | 0.000 |
| 123.561 | 123.561 | 118.786 | 0.000 | 0.000 | 0.000 |
| -0.000 | -1.225 | -1.225 | 67.566 | 0.000 | 0.000 |
| -1.225 | -0.000 | -1.225 | 0.000 | 67.566 | 0.000 |
| -1.225 | -1.225 | -0.000 | 0.000 | 0.000 | 67.566 |
| 123.684 | 126.009 | 126.009 | -0.000 | 0.000 | 0.000 |
| 126.009 | 123.684 | 126.009 | 0.000 | -0.000 | 0.000 |
| 126.009 | 126.009 | 123.684 | 0.000 | 0.000 | 0.000 |
| 0.000 | 1.225 | 1.225 | 67.566 | -0.000 | -0.000 |
| 1.225 | 0.000 | 1.225 | -0.000 | 67.566 | -0.000 |
| 1.225 | 1.225 | 0.000 | -0.000 | -0.000 | 67.566 |
| 99.920 | 72.020 | 72.020 | 0.000 | 0.000 | 0.000 |
| 72.020 | 99.920 | 72.020 | 0.000 | 0.000 | 0.000 |
| 72.020 | 72.020 | 99.920 | -0.000 | -0.000 | 0.000 |
| 0.000 | -0.000 | -0.000 | 27.268 | -0.000 | 0.000 |
| -0.000 | -0.000 | -0.000 | 0.000 | 27.268 | 0.000 |
| -0.000 | -0.000 | -0.000 | 0.000 | 0.000 | 27.268 |
| 99.920 | 72.020 | 72.020 | -0.000 | -0.000 | -0.000 |
| 72.020 | 99.920 | 72.020 | -0.000 | -0.000 | -0.000 |
| 72.020 | 72.020 | 99.920 | -0.000 | 0.000 | -0.000 |
| -0.000 | 0.000 | 0.000 | 27.268 | 0.000 | 0.000 |
| 0.000 | 0.000 | 0.000 | -0.000 | 27.268 | -0.000 |
| 0.000 | 0.000 | 0.000 | -0.000 | -0.000 | 27.268 |
| 99.920 | 72.020 | 72.020 | 0.000 | 0.000 | 0.000 |
| 72.020 | 99.920 | 72.020 | 0.000 | 0.000 | 0.000 |
| 72.020 | 72.020 | 99.920 | 0.000 | -0.000 | 0.000 |
| -0.000 | -0.000 | -0.000 | 27.268 | 0.000 | -0.000 |
| -0.000 | -0.000 | -0.000 | 0.000 | 27.268 | 0.000 |
| -0.000 | -0.000 | -0.000 | 0.000 | 0.000 | 27.268 |
| 99.920 | 72.020 | 72.020 | -0.000 | -0.000 | -0.000 |
| 72.020 | 99.920 | 72.020 | -0.000 | -0.000 | -0.000 |
| 72.020 | 72.020 | 99.920 | -0.000 | 0.000 | -0.000 |
| 0.000 | 0.000 | 0.000 | 27.268 | 0.000 | 0.000 |
| 0.000 | 0.000 | 0.000 | 0.000 | 27.268 | -0.000 |
| 0.000 | 0.000 | 0.000 | -0.000 | -0.000 | 27.268 |
| 99.919 | 72.020 | 72.020 | 0.000 | 0.000 | 0.000 |
| 72.020 | 99.919 | 72.020 | 0.000 | 0.000 | 0.000 |
| 72.020 | 72.020 | 99.919 | 0.000 | 0.000 | 0.000 |
| -0.000 | -0.000 | -0.000 | 27.268 | 0.000 | -0.000 |
| -0.000 | -0.000 | -0.000 | 0.000 | 27.268 | 0.000 |
| -0.000 | -0.000 | -0.000 | 0.000 | 0.000 | 27.268 |
| 99.920 | 72.020 | 72.020 | 0.000 | 0.000 | -0.000 |
| 72.020 | 99.920 | 72.020 | 0.000 | 0.000 | -0.000 |
| 72.020 | 72.020 | 99.920 | -0.000 | -0.000 | 0.000 |
| 0.000 | 0.000 | 0.000 | 27.268 | -0.000 | 0.000 |
| 0.000 | 0.000 | 0.000 | -0.000 | 27.268 | -0.000 |
| 0.000 | 0.000 | 0.000 | -0.000 | -0.000 | 27.268 |
| 103.613 | 79.818 | 78.492 | 0.000 | 0.000 | 0.000 |
| 79.818 | 103.613 | 78.492 | 0.000 | 0.000 | 0.000 |
| 78.492 | 78.492 | 113.888 | 0.000 | 0.000 | 0.000 |
| 0.000 | -0.000 | -0.000 | 28.311 | -0.000 | 0.000 |
| -0.000 | 0.000 | -0.000 | -0.000 | 28.311 | 0.000 |
| 0.000 | 0.000 | -0.000 | 0.000 | 0.000 | 34.443 |
| 103.613 | 79.818 | 78.492 | -0.000 | -0.000 | -0.000 |
| 79.818 | 103.613 | 78.492 | -0.000 | -0.000 | -0.000 |
| 78.492 | 78.492 | 113.888 | -0.000 | -0.000 | 0.000 |
| -0.000 | -0.000 | -0.000 | 28.311 | -0.000 | 0.000 |
| -0.000 | -0.000 | -0.000 | -0.000 | 28.311 | -0.000 |
| 0.000 | -0.000 | 0.000 | -0.000 | -0.000 | 34.443 |
| 103.613 | 79.818 | 78.492 | -0.000 | 0.000 | -0.000 |
| 79.818 | 103.613 | 78.492 | 0.000 | 0.000 | 0.000 |
| 78.492 | 78.492 | 113.888 | 0.000 | 0.000 | -0.000 |
| -0.000 | -0.000 | -0.000 | 31.213 | 0.000 | -0.000 |
| -0.000 | -0.000 | -0.000 | 0.000 | 31.213 | 0.000 |
| -0.000 | -0.000 | -0.000 | 0.000 | 0.000 | 34.443 |
| 103.613 | 79.818 | 78.492 | -0.000 | -0.000 | -0.000 |
| 79.818 | 103.613 | 78.492 | -0.000 | -0.000 | -0.000 |
| 78.492 | 78.492 | 113.888 | -0.000 | -0.000 | -0.000 |
| 0.000 | 0.000 | 0.000 | 31.213 | -0.000 | 0.000 |
| 0.000 | 0.000 | 0.000 | -0.000 | 31.213 | 0.000 |
| 0.000 | 0.000 | 0.000 | -0.000 | -0.000 | 34.443 |
| 98.287 | 85.145 | 78.492 | 0.000 | 0.000 | -0.000 |
| 85.145 | 98.287 | 78.492 | 0.000 | 0.000 | -0.000 |
| 78.492 | 78.492 | 113.888 | 0.000 | 0.000 | 0.000 |
| -0.000 | -0.000 | -0.000 | 28.311 | 0.000 | 0.000 |
| -0.000 | -0.000 | -0.000 | 0.000 | 28.311 | -0.000 |
| -0.000 | -0.000 | -0.000 | 0.000 | 0.000 | 34.443 |
| 103.613 | 79.818 | 78.492 | -0.000 | -0.000 | 0.000 |
| 79.818 | 103.613 | 78.492 | -0.000 | -0.000 | -0.000 |
| 78.492 | 78.492 | 113.888 | -0.000 | -0.000 | 0.000 |
| 0.000 | 0.000 | 0.000 | 28.311 | -0.000 | -0.000 |
| 0.000 | 0.000 | 0.000 | -0.000 | 28.311 | 0.000 |
| 0.000 | 0.000 | 0.000 | -0.000 | -0.000 | 34.443 |
| 253.161 | 126.938 | 108.876 | 23.936 | 0.000 | 0.000 |
| 126.938 | 253.161 | 108.876 | -23.936 | 0.000 | 0.000 |
| 109.027 | 109.027 | 292.501 | 0.000 | 0.000 | -0.000 |
| 23.936 | -23.936 | -0.000 | 41.938 | 0.000 | 0.000 |
| 6.327 | 6.327 | 8.814 | -0.000 | 34.676 | 18.436 |
| 5.127 | 5.127 | 7.142 | 0.000 | 19.479 | 44.298 |
| 253.161 | 126.938 | 108.876 | 23.936 | -0.000 | -0.000 |
| 126.938 | 253.161 | 108.876 | -23.936 | -0.000 | -0.000 |
| 107.817 | 107.817 | 277.727 | 0.000 | -0.000 | -0.000 |
| 12.109 | -24.763 | -8.814 | 34.676 | -0.000 | -0.000 |
| -6.327 | -6.327 | -8.814 | 0.000 | 34.676 | 18.436 |
| -5.127 | -5.127 | -7.142 | -0.000 | 19.479 | 44.298 |
| 234.909 | 129.131 | 113.011 | 21.514 | 0.000 | -0.000 |
| 129.131 | 234.909 | 113.011 | -21.514 | 0.000 | 0.000 |
| 111.525 | 111.525 | 288.892 | 0.000 | 0.000 | 0.000 |
| 16.738 | -14.866 | 1.304 | 31.197 | 0.000 | 0.000 |
| -0.000 | -0.000 | -0.000 | 0.000 | 41.938 | 23.936 |
| -0.000 | -0.000 | -0.000 | 0.000 | 23.936 | 63.111 |
| 234.472 | 128.564 | 112.213 | 21.530 | -0.000 | 0.000 |
| 128.564 | 234.472 | 112.213 | -21.530 | -0.000 | -0.000 |
| 109.027 | 109.027 | 292.501 | -0.000 | -0.000 | -0.000 |
| 11.697 | -11.854 | -1.570 | 30.049 | -0.000 | -0.000 |
| 0.000 | 0.000 | 0.000 | -0.000 | 41.938 | 23.936 |
| 0.000 | 0.000 | 0.000 | -0.000 | 23.936 | 63.111 |
| 234.742 | 128.872 | 112.645 | 21.525 | 0.000 | -0.000 |
| 126.939 | 253.161 | 108.876 | -23.936 | 0.000 | 0.000 |
| 111.309 | 111.309 | 287.873 | -0.000 | 0.000 | -0.000 |
| 23.936 | -23.936 | -0.000 | 41.938 | 0.000 | 0.000 |
| -0.000 | -0.000 | -0.000 | -0.000 | 41.938 | 23.936 |
| 0.042 | 0.042 | 0.059 | 0.000 | 20.257 | 47.579 |
| 253.161 | 126.938 | 108.876 | 23.936 | -0.000 | 0.000 |
| 128.744 | 235.344 | 112.633 | -21.696 | -0.000 | 0.000 |
| 112.743 | 112.743 | 289.051 | -0.000 | -0.000 | -0.000 |
| 15.462 | -15.654 | -0.134 | 30.875 | -0.000 | -0.000 |
| 0.000 | 0.000 | 0.000 | 0.000 | 41.938 | 23.936 |
| -0.042 | -0.042 | -0.059 | -0.000 | 20.257 | 47.579 |
| 255.869 | 128.177 | 111.479 | -23.691 | 0.000 | 0.000 |
| 132.147 | 236.198 | 117.987 | 20.945 | 0.000 | 0.000 |
| 111.480 | 111.480 | 298.390 | -0.000 | 0.000 | 0.000 |
| -23.691 | 23.691 | -0.000 | 43.795 | 0.000 | 0.000 |
| -0.000 | 0.000 | -0.000 | -0.000 | 43.795 | -23.691 |
| -0.000 | 0.000 | -0.000 | -0.000 | -23.691 | 63.846 |
| 255.869 | 128.177 | 111.479 | -23.691 | 0.000 | -0.000 |
| 128.177 | 255.869 | 111.479 | 23.691 | -0.000 | -0.000 |
| 115.408 | 115.408 | 287.982 | 0.000 | -0.000 | -0.000 |
| -15.640 | 12.880 | -6.747 | 33.694 | -0.000 | -0.000 |
| 0.000 | 0.000 | 0.000 | 0.000 | 43.795 | -23.691 |
| 0.000 | 0.000 | 0.000 | 0.000 | -23.691 | 63.846 |
| 255.869 | 128.177 | 111.480 | -23.691 | 0.000 | -0.000 |
| 144.053 | 230.438 | 113.599 | 15.780 | 0.000 | 0.000 |
| 113.740 | 113.740 | 294.120 | -0.000 | -0.000 | 0.000 |
| -23.691 | 23.691 | -0.000 | 43.795 | 0.000 | 0.000 |
| 0.030 | 0.030 | 0.855 | -0.000 | 31.344 | -11.242 |
| -0.000 | -0.000 | -0.000 | -0.000 | -23.691 | 63.846 |
| 227.387 | 144.158 | 112.685 | -11.266 | 0.000 | -0.000 |
| 128.177 | 255.869 | 111.479 | 23.691 | -0.000 | -0.000 |
| 115.385 | 115.385 | 294.360 | 0.000 | -0.000 | -0.000 |
| -16.037 | 14.927 | -0.689 | 32.488 | -0.000 | -0.000 |
| -0.030 | -0.030 | -0.855 | 0.000 | 31.344 | -11.242 |
| 0.000 | 0.000 | 0.000 | 0.000 | -23.691 | 63.846 |
| 229.567 | 143.495 | 112.920 | -15.659 | 0.000 | 0.000 |
| 129.980 | 236.800 | 115.054 | 21.148 | 0.000 | 0.000 |
| 115.174 | 115.174 | 294.984 | -0.000 | -0.000 | -0.000 |
| -11.133 | 11.190 | 0.064 | 31.291 | 0.000 | 0.000 |
| 0.002 | 0.002 | 0.086 | -0.000 | 31.290 | -11.161 |
| 0.029 | 0.029 | 0.064 | -0.000 | -11.159 | 41.457 |
| 227.490 | 144.458 | 113.298 | -11.199 | 0.000 | -0.000 |
| 143.806 | 230.219 | 112.973 | 15.794 | 0.000 | -0.000 |
| 111.479 | 111.479 | 298.390 | 0.000 | 0.000 | -0.000 |
| -11.164 | 11.159 | -0.086 | 31.290 | 0.000 | -0.000 |
| -0.002 | -0.002 | -0.086 | 0.000 | 31.290 | -11.161 |
| -0.029 | -0.029 | -0.064 | 0.000 | -11.159 | 41.457 |
| 234.325 | 128.710 | 112.484 | -21.505 | -0.000 | 0.000 |
| 128.710 | 234.325 | 112.484 | 21.505 | -0.000 | 0.000 |
| 112.538 | 112.538 | 288.894 | 0.000 | 0.000 | 0.000 |
| -15.347 | 15.349 | -0.000 | 30.692 | -0.000 | 0.000 |
| 0.001 | 0.001 | -0.000 | -0.000 | 30.692 | -15.348 |
| 0.000 | 0.000 | -0.000 | -0.000 | -20.235 | 47.491 |
| 234.325 | 128.709 | 112.484 | -21.505 | 0.000 | -0.000 |
| 128.709 | 234.325 | 112.484 | 21.505 | 0.000 | -0.000 |
| 111.060 | 111.060 | 287.627 | 0.000 | 0.000 | -0.000 |
| -23.932 | 23.932 | 0.000 | 41.811 | 0.000 | -0.000 |
| -0.001 | -0.001 | 0.000 | 0.000 | 30.692 | -15.348 |
| -0.000 | -0.000 | 0.000 | 0.000 | -20.235 | 47.491 |
| 227.333 | 142.475 | 110.418 | -16.016 | -0.000 | 0.000 |
| 128.709 | 234.325 | 112.484 | 21.505 | -0.000 | 0.000 |
| 108.853 | 108.853 | 292.236 | 0.000 | -0.000 | 0.000 |
| -15.348 | 15.348 | -0.000 | 30.692 | -0.000 | 0.000 |
| 0.000 | 0.000 | -0.000 | -0.000 | 30.692 | -15.348 |
| -0.000 | -0.000 | 0.000 | -0.000 | -11.510 | 40.680 |
| 252.666 | 126.729 | 108.742 | -23.932 | 0.000 | -0.000 |
| 126.729 | 252.666 | 108.742 | 23.932 | -0.000 | -0.000 |
| 108.853 | 108.853 | 292.236 | 0.000 | 0.000 | -0.000 |
| -15.348 | 15.348 | 0.000 | 30.692 | 0.000 | -0.000 |
| -0.000 | -0.000 | 0.000 | 0.000 | 30.692 | -15.348 |
| 0.000 | 0.000 | -0.000 | 0.000 | -11.510 | 40.680 |
| 234.682 | 128.671 | 112.411 | -21.552 | -0.000 | 0.000 |
| 129.148 | 230.554 | 114.186 | 20.466 | -0.000 | 0.000 |
| 113.013 | 113.013 | 291.649 | -0.000 | -0.000 | 0.000 |
| -15.364 | 15.364 | -0.000 | 30.713 | -0.000 | 0.000 |
| 0.494 | 0.283 | 0.839 | 0.288 | 31.135 | -15.122 |
| -0.000 | -0.000 | -0.000 | -0.000 | -20.353 | 47.986 |
| 252.666 | 126.728 | 108.742 | -23.932 | -0.000 | -0.000 |
| 126.728 | 252.666 | 108.742 | 23.932 | 0.000 | -0.000 |
| 112.537 | 112.537 | 288.895 | 0.000 | 0.000 | 0.000 |
| -15.474 | 14.696 | -0.840 | 31.202 | -0.000 | -0.000 |
| -0.494 | -0.283 | -0.839 | -0.288 | 31.135 | -15.122 |
| 0.000 | 0.000 | 0.000 | 0.000 | -20.353 | 47.986 |
| 330.194 | 183.435 | 179.648 | -0.000 | 0.000 | -0.000 |
| 183.434 | 429.136 | 236.366 | 0.000 | -0.000 | 0.000 |
| 537.343 | 325.949 | 506.734 | 0.000 | -0.000 | -0.000 |
| -0.000 | -0.000 | -0.000 | 113.325 | 0.000 | -0.000 |
| 353.817 | 85.835 | -27.037 | 0.000 | 54.892 | -0.000 |
| -0.000 | -0.000 | -0.000 | 0.000 | 0.000 | 61.414 |
| -63.124 | 68.009 | 210.958 | -0.000 | 0.000 | 0.000 |
| 183.434 | 429.136 | 236.366 | -0.000 | -0.000 | 0.000 |
| 179.648 | 236.365 | 534.934 | -0.000 | 0.000 | 0.000 |
| 0.000 | 0.000 | 0.000 | 113.325 | 0.000 | -0.000 |
| -353.817 | -85.835 | 27.037 | -0.000 | 54.892 | 0.000 |
| 0.000 | 0.000 | 0.000 | -0.000 | 0.000 | 61.414 |
| 330.194 | 183.435 | 179.648 | 0.000 | 0.000 | -0.000 |
| 165.989 | 356.985 | 240.911 | 0.000 | 0.000 | 0.000 |
| 218.344 | 248.367 | 531.170 | 0.000 | -0.000 | -0.000 |
| 33.577 | 8.146 | -2.566 | 109.806 | -0.000 | -0.000 |
| 34.555 | 8.383 | -2.641 | -0.000 | 54.923 | -0.000 |
| -0.000 | -0.000 | -0.000 | 0.000 | 0.000 | 61.414 |
| 261.464 | 152.431 | 185.798 | -0.000 | 0.000 | 0.000 |
| 183.434 | 429.136 | 236.366 | -0.000 | -0.000 | 0.000 |
| 148.864 | 231.912 | 536.356 | -0.000 | -0.000 | 0.000 |
| -33.577 | -8.146 | 2.566 | 109.806 | -0.000 | 0.000 |
| -34.555 | -8.383 | 2.641 | -0.000 | 54.923 | 0.000 |
| 0.000 | 0.000 | 0.000 | 0.000 | 0.000 | 61.414 |
| 276.941 | 126.906 | 185.552 | 0.000 | 0.000 | -0.000 |
| 183.435 | 429.136 | 236.366 | 0.000 | 0.000 | -0.000 |
| 179.648 | 236.366 | 534.933 | 0.000 | -0.000 | -0.000 |
| -0.000 | -0.000 | -0.000 | 113.325 | -0.000 | -0.000 |
| 2.859 | 1.053 | -0.203 | 0.000 | 55.324 | 0.000 |
| 1.505 | 0.365 | -0.115 | 0.000 | 0.000 | 34.790 |
| 290.865 | 162.011 | 183.398 | -0.000 | -0.000 | 0.000 |
| 115.532 | 316.187 | 245.696 | -0.000 | -0.000 | 0.000 |
| 181.302 | 240.967 | 534.124 | -0.000 | -0.000 | -0.000 |
| 0.000 | 0.000 | 0.000 | 113.325 | -0.000 | 0.000 |
| -2.859 | -1.053 | 0.203 | 0.000 | 55.324 | -0.000 |
| -1.505 | -0.365 | 0.115 | -0.000 | -0.000 | 34.790 |
| 328.873 | 182.213 | 178.836 | 0.000 | 0.000 | -0.000 |
| 183.485 | 341.198 | 213.678 | 0.000 | -0.000 | -0.000 |
| 130.117 | 224.861 | 510.138 | -0.000 | 0.000 | 0.010 |
| 0.000 | -0.000 | 0.000 | 96.370 | -0.000 | -0.000 |
| 0.000 | 0.000 | 0.000 | -0.000 | 61.173 | -0.000 |
| 0.000 | 0.000 | -0.000 | -0.000 | -0.000 | 70.469 |
| 310.498 | 155.718 | 182.685 | 0.000 | 0.000 | -0.009 |
| 179.280 | 275.677 | 213.955 | 0.000 | 0.000 | -0.012 |
| 227.736 | 198.243 | 505.770 | 0.000 | -0.000 | -0.012 |
| -0.000 | 0.000 | -0.000 | 96.370 | 0.000 | 0.000 |
| -0.000 | -0.000 | 0.000 | 0.000 | 61.173 | 0.000 |
| -0.000 | -0.000 | 0.000 | 0.000 | 0.000 | 70.469 |
| 328.873 | 182.213 | 178.836 | -0.000 | -0.000 | -0.000 |
| 183.485 | 341.198 | 213.678 | -0.000 | 0.000 | -0.000 |
| 178.068 | 210.619 | 507.710 | -0.000 | 0.000 | 0.001 |
| -0.000 | -0.000 | -0.000 | 96.370 | 0.000 | -0.000 |
| -0.000 | -0.000 | -0.000 | 0.000 | 61.173 | -0.000 |
| -0.000 | -0.000 | -0.000 | 0.000 | 0.000 | 70.469 |
| 296.979 | 150.501 | 180.237 | -0.000 | 0.000 | 0.000 |
| 183.485 | 341.198 | 213.678 | -0.000 | -0.000 | 0.000 |
| 183.906 | 210.235 | 507.758 | 0.000 | 0.000 | -0.003 |
| 0.000 | 0.000 | 0.000 | 96.370 | 0.000 | 0.000 |
| 0.000 | 0.000 | 0.000 | 0.000 | 61.173 | 0.000 |
| 0.000 | 0.000 | 0.000 | 0.000 | -0.000 | 70.469 |
| 291.583 | 148.938 | 180.307 | 0.000 | 0.000 | -0.000 |
| 155.570 | 281.179 | 212.612 | -0.000 | -0.000 | 0.000 |
| 177.108 | 210.679 | 508.633 | 0.000 | 0.000 | -0.000 |
| -0.000 | -0.000 | -0.000 | 96.370 | -0.000 | -0.000 |
| -0.521 | 0.146 | 0.049 | -0.000 | 60.687 | -0.000 |
| -0.111 | 0.045 | -0.006 | -0.000 | 0.000 | 44.199 |
| 301.529 | 166.637 | 181.129 | -0.000 | -0.000 | -0.000 |
| 152.710 | 273.700 | 212.512 | 0.000 | -0.000 | -0.000 |
| 179.009 | 210.656 | 507.947 | -0.000 | 0.000 | 0.000 |
| 0.000 | 0.000 | 0.000 | 96.370 | 0.000 | 0.000 |
| 0.521 | -0.146 | -0.049 | 0.000 | 60.687 | 0.000 |
| 0.111 | -0.045 | 0.006 | 0.000 | 0.000 | 44.199 |
| -1501.022 | 159.949 | 720.032 | -0.000 | -0.000 | 0.001 |
| -1991.783 | -312.421 | 840.981 | -0.000 | 0.000 | -0.000 |
| 176.960 | 206.889 | 503.981 | -0.000 | -0.000 | -0.000 |
| -2061.709 | -876.497 | 601.201 | 91.281 | -0.000 | -0.000 |
| -1817.306 | -13.377 | 539.848 | -0.000 | 61.544 | 0.001 |
| -2107.524 | -845.802 | 616.077 | -0.000 | -0.000 | 38.792 |
| 2451.842 | 743.942 | -450.289 | 0.000 | 0.000 | 0.000 |
| 2307.366 | 857.759 | -420.099 | 0.000 | 0.000 | 0.000 |
| 2011.653 | 219.882 | -41.171 | 0.000 | 0.000 | -0.001 |
| 2061.709 | 876.497 | -601.201 | 91.281 | 0.000 | 0.000 |
| 1817.306 | 13.377 | -539.848 | 0.000 | 61.544 | -0.001 |
| 2107.524 | 845.802 | -616.077 | 0.000 | 0.000 | 38.789 |
| 331.455 | 181.660 | 178.780 | -0.000 | -0.000 | -0.000 |
| -33.784 | 301.120 | 271.358 | -0.000 | -0.000 | 0.000 |
| -3.379 | 205.054 | 557.415 | -0.000 | -0.000 | 0.000 |
| -241.244 | -52.941 | 70.946 | 90.838 | -0.000 | 0.000 |
| -214.941 | -58.480 | 63.052 | -0.000 | 61.305 | -0.000 |
| -214.784 | -58.188 | 63.009 | -0.000 | -0.000 | 41.713 |
| 517.328 | 217.701 | 117.119 | 0.000 | 0.000 | 0.000 |
| 183.235 | 324.061 | 210.284 | 0.000 | 0.000 | 0.000 |
| 383.982 | 207.839 | 442.328 | 0.000 | 0.000 | -0.000 |
| 241.244 | 52.942 | -70.946 | 90.838 | 0.000 | -0.000 |
| 214.941 | 58.480 | -63.052 | 0.000 | 61.305 | 0.000 |
| 214.784 | 58.188 | -63.009 | 0.000 | -0.000 | 41.713 |
| 296.403 | 172.639 | 185.886 | -0.000 | -0.000 | 0.000 |
| 151.602 | 301.516 | 216.134 | -0.000 | 0.000 | 0.000 |
| 176.960 | 206.889 | 503.981 | -0.000 | -0.000 | -0.000 |
| -18.286 | -0.135 | 5.432 | 92.281 | -0.000 | 0.000 |
| -20.577 | -0.152 | 6.112 | -0.000 | 61.513 | 0.000 |
| -21.194 | -4.872 | 6.230 | -0.000 | -0.000 | 43.685 |
| 318.034 | 159.791 | 173.744 | 0.000 | 0.000 | 0.000 |
| 154.067 | 234.620 | 204.610 | 0.000 | 0.000 | -0.000 |
| 199.886 | 212.062 | 496.985 | 0.000 | 0.000 | 0.000 |
| 18.286 | 0.135 | -5.432 | 92.281 | 0.000 | -0.000 |
| 20.577 | 0.152 | -6.112 | 0.000 | 61.513 | -0.000 |
| 21.194 | 4.872 | -6.230 | 0.000 | 0.000 | 43.685 |
| 235.880 | 91.383 | 77.866 | 0.000 | 0.000 | 0.000 |
| 90.929 | 161.081 | 93.538 | 0.000 | 0.000 | -0.000 |
| 326.318 | 164.781 | -58.336 | 0.000 | 0.000 | 0.000 |
| 220.237 | 14.235 | -217.549 | 72.668 | 0.000 | 0.000 |
| 388.130 | 18.685 | -430.748 | 0.000 | 41.390 | -0.000 |
| 346.732 | 667.506 | -62.587 | 0.000 | 0.000 | 47.864 |
| -178.250 | 66.673 | 525.561 | -0.000 | -0.000 | -0.000 |
| -338.229 | -288.824 | 352.638 | -0.000 | -0.000 | -0.000 |
| -171.176 | 22.747 | 369.700 | -0.000 | -0.000 | 0.000 |
| -220.237 | -14.235 | 217.549 | 72.668 | -0.000 | -0.000 |
| -388.130 | -18.685 | 430.748 | -0.000 | 41.390 | 0.000 |
| -346.732 | -667.506 | 62.587 | -0.000 | -0.000 | 47.864 |
| 257.350 | 98.193 | 56.790 | 0.000 | 0.000 | 0.000 |
| 90.929 | 161.081 | 93.538 | 0.000 | 0.000 | 0.000 |
| 112.938 | 161.287 | 134.487 | 0.000 | 0.000 | -0.000 |
| 34.431 | 67.988 | -5.409 | 55.440 | 0.000 | 0.000 |
| -0.000 | -0.000 | -0.000 | 0.000 | 43.520 | 0.000 |
| -2.846 | -5.673 | -0.351 | 0.000 | 0.000 | 54.691 |
| 175.536 | 2.227 | 64.425 | -0.000 | -0.000 | -0.000 |
| 64.861 | 74.133 | 114.762 | -0.000 | -0.000 | 0.000 |
| 37.678 | 90.794 | 189.238 | -0.000 | -0.000 | -0.000 |
| -34.431 | -67.988 | 5.409 | 55.440 | -0.000 | 0.000 |
| 0.000 | 0.000 | 0.000 | -0.000 | 43.520 | -0.000 |
| 2.846 | 5.673 | 0.351 | -0.000 | -0.000 | 54.691 |
| 233.459 | 98.043 | 73.096 | 0.000 | 0.000 | 0.000 |
| 94.612 | 154.097 | 94.270 | 0.000 | 0.000 | 0.000 |
| 78.200 | 105.950 | 134.115 | 0.000 | 0.000 | 0.000 |
| 3.142 | 6.280 | -2.313 | 56.079 | 0.000 | 0.000 |
| 4.394 | 5.706 | -1.918 | 0.000 | 38.958 | -0.000 |
| 3.039 | 7.555 | -1.648 | 0.000 | 0.000 | 48.293 |
| 229.900 | 91.373 | 80.417 | -0.000 | -0.000 | -0.000 |
| 87.666 | 136.071 | 97.429 | -0.000 | -0.000 | -0.000 |
| 67.343 | 88.175 | 129.117 | -0.000 | -0.000 | -0.000 |
| -3.142 | -6.280 | 2.313 | 56.079 | -0.000 | 0.000 |
| -4.394 | -5.706 | 1.918 | -0.000 | 38.958 | -0.000 |
| -3.039 | -7.555 | 1.648 | -0.000 | -0.000 | 48.293 |
| 196.198 | 124.434 | 295.049 | 0.000 | 0.000 | -0.000 |
| 245.240 | 311.476 | 743.646 | 0.000 | 0.000 | 0.000 |
| 50.094 | 124.548 | 339.960 | -0.000 | -0.000 | -0.000 |
| -0.000 | 0.000 | -0.000 | 60.229 | -0.000 | -0.000 |
| -28.746 | 35.205 | 227.669 | 0.000 | 38.864 | 0.000 |
| -0.000 | -0.000 | 0.000 | 0.000 | 0.000 | 50.500 |
| 234.896 | 91.078 | 77.319 | 0.000 | 0.000 | 0.000 |
| 90.623 | 160.506 | 93.145 | -0.000 | 0.000 | 0.000 |
| 78.244 | 94.526 | 162.581 | -0.000 | -0.000 | -0.000 |
| -0.000 | 0.000 | 0.000 | 60.229 | 0.000 | 0.000 |
| 28.746 | -35.205 | -227.669 | 0.000 | 38.864 | 0.000 |
| -0.000 | -0.000 | -0.000 | -0.000 | 0.000 | 50.500 |
| 242.952 | 107.492 | 136.040 | 0.000 | 0.000 | -0.000 |
| 90.623 | 160.506 | 93.145 | -0.000 | -0.000 | -0.000 |
| 78.244 | 94.526 | 162.581 | 0.000 | -0.000 | -0.000 |
| -2.761 | 3.382 | 21.869 | 52.966 | 0.000 | -0.000 |
| 18.794 | 19.951 | 60.495 | 0.000 | 32.059 | -0.000 |
| -0.000 | -0.000 | -0.000 | -0.000 | -0.000 | 50.500 |
| 222.500 | 85.358 | 43.331 | 0.000 | 0.000 | 0.000 |
| 93.187 | 134.802 | 65.056 | -0.000 | -0.000 | 0.000 |
| 80.221 | 87.153 | 96.247 | -0.000 | 0.000 | -0.000 |
| -16.548 | -17.431 | -63.744 | 52.456 | -0.000 | 0.000 |
| -18.794 | -19.951 | -60.495 | 0.000 | 32.059 | 0.000 |
| 0.000 | 0.000 | 0.000 | 0.000 | 0.000 | 50.500 |
| 234.784 | 91.078 | 77.319 | 0.000 | 0.000 | -0.000 |
| 90.294 | 146.134 | 100.668 | 0.000 | 0.000 | 0.000 |
| 78.245 | 94.526 | 162.580 | 0.000 | 0.000 | 0.000 |
| -0.000 | -0.000 | -0.000 | 60.229 | -0.000 | -0.000 |
| -0.000 | -0.000 | -0.000 | 0.000 | 43.130 | -0.000 |
| -0.000 | -0.000 | -0.000 | 0.000 | 0.000 | 50.500 |
| 234.896 | 91.078 | 77.319 | -0.000 | 0.000 | 0.000 |
| 90.623 | 160.506 | 93.145 | -0.000 | 0.000 | 0.000 |
| 78.244 | 94.526 | 162.581 | -0.000 | -0.000 | 0.000 |
| 0.000 | 0.000 | 0.000 | 60.229 | 0.000 | 0.000 |
| 0.000 | 0.000 | 0.000 | -0.000 | 43.130 | 0.000 |
| 0.000 | 0.000 | 0.000 | -0.000 | -0.000 | 50.500 |
| 484.015 | 262.259 | 247.107 | -5.666 | 0.000 | -0.000 |
| 262.509 | 483.764 | 247.107 | 4.366 | 0.000 | 0.000 |
| 247.411 | 247.411 | 456.192 | -0.000 | 0.000 | 0.000 |
| -6.191 | 6.191 | 0.000 | 104.626 | 0.000 | 0.000 |
| -0.000 | -0.000 | 0.000 | -0.000 | 104.626 | -6.191 |
| -0.000 | -0.000 | 0.000 | 0.000 | -6.191 | 115.799 |
| 494.769 | 263.170 | 247.410 | -6.191 | 0.000 | -0.000 |
| 263.170 | 494.769 | 247.410 | 6.191 | 0.000 | -0.000 |
| 247.411 | 247.411 | 456.192 | -0.000 | -0.000 | -0.000 |
| -6.191 | 6.191 | -0.000 | 104.626 | -0.000 | -0.000 |
| 0.000 | 0.000 | -0.000 | 0.000 | 104.626 | -6.191 |
| 0.000 | 0.000 | -0.000 | -0.000 | -6.191 | 115.799 |
| -1708.695 | -1885.970 | -1953.269 | -20.220 | 0.000 | 0.000 |
| 262.495 | 493.106 | 247.349 | 6.138 | -0.000 | 0.000 |
| 247.411 | 247.411 | 456.192 | 0.000 | 0.000 | 0.000 |
| -6.257 | 5.090 | -0.030 | 104.443 | 0.000 | 0.000 |
| -1865.526 | -1865.848 | -2522.208 | -0.163 | 59.078 | -22.865 |
| -1832.763 | -1832.763 | -2460.065 | -0.000 | -22.868 | 88.098 |
| 494.769 | 263.170 | 247.410 | -6.191 | -0.000 | -0.000 |
| 2059.895 | 2243.830 | 2817.649 | 18.475 | -0.000 | -0.000 |
| 403.807 | 403.807 | 539.273 | 0.000 | -0.000 | -0.000 |
| 236.343 | 259.506 | 185.545 | 90.968 | -0.000 | -0.000 |
| 1874.286 | 1885.090 | 2685.749 | -2.945 | 81.405 | -8.992 |
| 1832.763 | 1832.763 | 2460.065 | 0.000 | -22.868 | 88.098 |
| 494.905 | 263.003 | 247.403 | -6.204 | 0.000 | 0.000 |
| 62.253 | 224.532 | 139.185 | 17.493 | -0.000 | 0.000 |
| -3.223 | -3.223 | 115.062 | 0.000 | 0.000 | 0.000 |
| -6.200 | 6.077 | -0.016 | 104.601 | 0.000 | 0.000 |
| -99.508 | -99.548 | -89.978 | -0.064 | 60.136 | -20.374 |
| -175.313 | -175.422 | -240.584 | 0.035 | -21.867 | 90.260 |
| 401.319 | 194.891 | 202.977 | -9.657 | -0.000 | -0.000 |
| 263.163 | 494.640 | 247.389 | 6.144 | -0.000 | -0.000 |
| 247.411 | 247.411 | 456.192 | 0.000 | -0.000 | 0.000 |
| -6.022 | 6.169 | 0.002 | 104.560 | -0.000 | -0.000 |
| 99.508 | 99.548 | 89.978 | 0.064 | 60.136 | -20.374 |
| 175.313 | 175.422 | 240.584 | -0.035 | -21.867 | 90.260 |
| 16546.208 | 14872.157 | 7491.202 | 19.941 | 0.000 | 0.000 |
| 17033.564 | 17141.421 | 6580.102 | -9.469 | 0.000 | -0.000 |
| 234.167 | 234.167 | 399.422 | 0.000 | 0.000 | -0.000 |
| -8.787 | 8.787 | 0.000 | 99.707 | 0.000 | -0.000 |
| 14695.113 | 14695.113 | 7248.566 | 0.000 | 89.926 | -12.082 |
| 14428.224 | 14403.623 | -5926.401 | -56.296 | -115.174 | 107.616 |
| -11985.324 | -12153.968 | 8168.592 | -18.785 | -0.000 | -0.000 |
| -16069.093 | -15881.893 | -6975.222 | 11.929 | -0.000 | -0.000 |
| -13346.177 | -13346.177 | 4917.884 | -0.000 | -0.000 | 0.000 |
| -16247.275 | -16223.410 | -7146.852 | 90.352 | -0.000 | 0.000 |
| -14695.113 | -14695.113 | -7248.566 | -0.000 | 89.926 | -12.082 |
| -14428.224 | -14403.623 | 5926.401 | 56.296 | -115.174 | 107.616 |
| 453.006 | 243.391 | 233.799 | -8.787 | 0.000 | 0.000 |
| 1841.291 | 2027.482 | 907.718 | 12.071 | 0.000 | -0.000 |
| 1935.544 | 1935.544 | 47.149 | 0.000 | 0.000 | 0.000 |
| -8.787 | 8.787 | 0.000 | 99.707 | 0.000 | 0.000 |
| 1628.418 | 1678.897 | -378.786 | -5.071 | 64.914 | -60.113 |
| 1674.933 | 1635.426 | -318.915 | -11.531 | 3.800 | 48.188 |
| 453.006 | 243.391 | 233.799 | -8.787 | -0.000 | 0.000 |
| -1418.786 | -1250.035 | 880.945 | 16.735 | -0.000 | 0.000 |
| -1282.628 | -1282.628 | -395.230 | -0.000 | -0.000 | 0.000 |
| -1507.756 | -1583.030 | -732.267 | 120.341 | -0.000 | -0.000 |
| -1628.418 | -1678.897 | 378.786 | 5.071 | 64.914 | -60.113 |
| -1674.933 | -1635.426 | 318.915 | 11.531 | 3.800 | 48.188 |
| 453.006 | 243.391 | 233.800 | -8.787 | 0.000 | -0.000 |
| 296.267 | 462.274 | 135.995 | 16.182 | 0.000 | -0.000 |
| 302.619 | 302.619 | 214.433 | 0.000 | 0.000 | -0.000 |
| 123.047 | 165.702 | -45.741 | 73.784 | 0.000 | -0.000 |
| -0.000 | -0.000 | -0.000 | 0.000 | 99.707 | -8.787 |
| 159.036 | 158.970 | -39.050 | -0.044 | -12.951 | 80.339 |
| 175.763 | 5.425 | 224.648 | -16.086 | -0.000 | -0.000 |
| 0.123 | 163.013 | 214.988 | 12.971 | -0.000 | 0.000 |
| 8.984 | 8.984 | 330.184 | -0.000 | -0.000 | -0.000 |
| -185.509 | -146.392 | 15.326 | 76.265 | -0.000 | 0.000 |
| 0.000 | 0.000 | 0.000 | -0.000 | 99.707 | -8.787 |
| -159.036 | -158.970 | 39.050 | 0.044 | -12.951 | 80.339 |
| 1812.781 | 3502.174 | 3379.178 | 0.000 | -0.000 | 0.000 |
| -939.472 | 458.688 | -1119.514 | 0.000 | 0.000 | 0.000 |
| 169.582 | 163.580 | 359.272 | 0.000 | 0.000 | -0.000 |
| -0.000 | 0.000 | 0.000 | 85.974 | -0.000 | -0.000 |
| 2462.489 | 4930.050 | 4520.202 | 0.000 | 72.024 | 0.000 |
| 142.586 | 2622.051 | 2371.000 | 0.000 | -0.000 | 52.695 |
| 113.682 | -2530.761 | -2159.331 | -0.000 | 0.000 | -0.000 |
| 171.917 | 379.478 | 162.329 | 0.000 | -0.000 | -0.000 |
| 169.579 | 163.580 | 359.244 | -0.000 | 0.000 | -0.000 |
| 0.000 | -0.000 | -0.000 | 85.974 | -0.000 | -0.000 |
| -2036.110 | -5706.465 | -6314.501 | -0.000 | 74.050 | -0.000 |
| -142.586 | -2622.051 | -2371.000 | -0.000 | 0.000 | 52.695 |
| 542.966 | 628.202 | 779.610 | 0.000 | -0.000 | 0.000 |
| 267.710 | 637.051 | 439.051 | 0.000 | -0.000 | 0.000 |
| 133.698 | 356.880 | 342.777 | 0.000 | 0.000 | 0.000 |
| 161.117 | 337.161 | 322.540 | 33.781 | -0.000 | -0.000 |
| 199.426 | 562.252 | 624.068 | 0.000 | 73.363 | 0.000 |
| 149.894 | 340.084 | 313.525 | 0.000 | 0.000 | 49.768 |
| 14.318 | -352.486 | -350.939 | -0.000 | -0.000 | -0.000 |
| -145.170 | -175.788 | -491.241 | -0.000 | -0.000 | -0.000 |
| -132.251 | -359.024 | -265.934 | -0.000 | 0.000 | -0.000 |
| -161.117 | -337.161 | -322.540 | 33.781 | 0.000 | -0.000 |
| -219.899 | -553.692 | -585.234 | -0.000 | 71.785 | -0.000 |
| -222.643 | -550.667 | -586.101 | -0.000 | 0.000 | 57.645 |
| 245.843 | 159.673 | 184.886 | 0.000 | 0.000 | 0.000 |
| 119.233 | 343.576 | 132.548 | 0.000 | 0.000 | 0.000 |
| 175.037 | 181.757 | 346.941 | -0.000 | -0.000 | 0.000 |
| 19.823 | 55.023 | 64.712 | 31.740 | -0.000 | 0.000 |
| 23.585 | 47.669 | 46.335 | 0.000 | 71.542 | 0.000 |
| 20.898 | 54.855 | 61.795 | -0.000 | 0.000 | 57.719 |
| 194.388 | 102.216 | 111.447 | 0.000 | -0.000 | -0.000 |
| 111.779 | 266.048 | 74.415 | -0.000 | -0.000 | -0.000 |
| 121.769 | 99.311 | 234.660 | -0.000 | 0.000 | -0.000 |
| -19.823 | -55.023 | -64.712 | 31.740 | 0.000 | 0.000 |
| 0.015 | -23.900 | -18.473 | -0.000 | 65.182 | -0.000 |
| -21.232 | -54.679 | -61.766 | -0.000 | -0.000 | 57.622 |
| 358.017 | -89.165 | 174.950 | -0.000 | 0.000 | 0.000 |
| 225.467 | 106.143 | 173.874 | -0.000 | -0.000 | -0.000 |
| 219.355 | -96.124 | 346.357 | -0.000 | 0.000 | 0.000 |
| -0.009 | -0.270 | -0.278 | 80.256 | 0.000 | -0.000 |
| -39.888 | -367.066 | -60.673 | -0.000 | 68.330 | -0.000 |
| 75.290 | -238.073 | 31.302 | -0.000 | -0.000 | 80.285 |
| 324.316 | 162.375 | 160.722 | 0.000 | -0.000 | 0.000 |
| 74.752 | 582.298 | 111.151 | 0.000 | 0.000 | 0.000 |
| 160.721 | 153.157 | 348.433 | 0.000 | -0.000 | -0.000 |
| 0.009 | 0.270 | 0.278 | 80.256 | -0.000 | -0.000 |
| 39.888 | 367.067 | 60.673 | 0.000 | 68.330 | 0.000 |
| -75.300 | 238.105 | -31.306 | 0.000 | -0.000 | 80.284 |
| 324.726 | 162.387 | 160.733 | -0.000 | 0.000 | -0.000 |
| 157.762 | 320.240 | 145.928 | -0.000 | 0.000 | 0.000 |
| 116.113 | 87.438 | 256.025 | -0.000 | 0.000 | -0.000 |
| -0.001 | -0.027 | -0.028 | 80.502 | 0.000 | -0.000 |
| 7.597 | -24.009 | 3.161 | 0.000 | 85.545 | 0.000 |
| -16.846 | -61.877 | -8.555 | -0.000 | -0.000 | 59.364 |
| 324.316 | 162.375 | 160.722 | 0.000 | -0.000 | 0.000 |
| 162.376 | 358.948 | 153.157 | 0.000 | -0.000 | 0.000 |
| 123.887 | 157.371 | 268.774 | 0.000 | -0.000 | 0.000 |
| 0.001 | 0.027 | 0.028 | 80.502 | 0.000 | -0.000 |
| -7.597 | 24.009 | -3.161 | 0.000 | 85.545 | -0.000 |
| 36.153 | 88.341 | 17.840 | 0.000 | -0.000 | 52.794 |
| 254.287 | 137.558 | 132.434 | 0.000 | 0.000 | -0.000 |
| 162.337 | 358.899 | 153.148 | -0.000 | 0.000 | -0.000 |
| 160.685 | 153.129 | 348.388 | -0.000 | -0.000 | -0.000 |
| -0.029 | -0.084 | -0.008 | 80.543 | 0.000 | -0.000 |
| 1.049 | -3.258 | 0.455 | -0.000 | 82.422 | -0.000 |
| -0.801 | -2.667 | -0.786 | 0.000 | 0.000 | 64.960 |
| 324.412 | 162.369 | 160.637 | 0.000 | -0.000 | -0.000 |
| 135.678 | 333.109 | 131.082 | 0.000 | -0.000 | 0.000 |
| 138.670 | 132.286 | 281.462 | 0.000 | -0.000 | 0.000 |
| 0.029 | 0.084 | 0.008 | 80.543 | -0.000 | -0.000 |
| -1.049 | 3.260 | -0.455 | 0.000 | 82.414 | 0.000 |
| -0.987 | 3.336 | -0.417 | -0.000 | -0.000 | 76.371 |
| 1296.200 | 281.137 | 281.137 | -0.000 | -0.000 | 0.000 |
| 281.137 | 1296.200 | 281.137 | -0.000 | -0.000 | 0.000 |
| 281.137 | 281.137 | 1296.200 | -0.000 | -0.000 | -0.000 |
| -0.000 | -0.000 | -0.000 | -28.713 | -0.000 | -0.000 |
| -0.000 | -0.000 | -0.000 | -0.000 | -28.713 | -0.000 |
| -0.000 | -0.000 | -0.000 | -0.000 | -0.000 | -28.713 |
| 1296.200 | 281.137 | 281.137 | 0.000 | 0.000 | -0.000 |
| 281.137 | 1296.200 | 281.137 | 0.000 | 0.000 | -0.000 |
| 281.137 | 281.137 | 1296.200 | -0.000 | -0.000 | 0.000 |
| 0.000 | 0.000 | 0.000 | -28.713 | 0.000 | -0.000 |
| 0.000 | 0.000 | 0.000 | 0.000 | -28.713 | 0.000 |
| 0.000 | 0.000 | 0.000 | 0.000 | 0.000 | -28.713 |
| 1296.200 | 281.137 | 281.137 | -0.000 | -0.000 | -0.000 |
| 281.137 | 1296.200 | 281.137 | -0.000 | -0.000 | 0.000 |
| 281.137 | 281.137 | 1296.200 | -0.000 | -0.000 | -0.000 |
| 0.000 | 0.000 | -0.000 | -28.713 | -0.000 | -0.000 |
| 0.000 | 0.000 | -0.000 | -0.000 | -28.713 | -0.000 |
| 0.000 | -0.000 | 0.000 | -0.000 | -0.000 | -28.713 |
| 1296.200 | 281.137 | 281.137 | 0.000 | 0.000 | -0.000 |
| 281.137 | 1296.200 | 281.137 | 0.000 | 0.000 | -0.000 |
| 281.137 | 281.137 | 1296.200 | -0.000 | -0.000 | -0.000 |
| -0.000 | -0.000 | 0.000 | -28.713 | 0.000 | -0.000 |
| -0.000 | -0.000 | 0.000 | 0.000 | -28.713 | 0.000 |
| -0.000 | 0.000 | -0.000 | 0.000 | 0.000 | -28.713 |
| 1296.199 | 281.138 | 281.138 | -0.000 | -0.000 | 0.000 |
| 281.138 | 1296.199 | 281.138 | 0.000 | -0.000 | -0.000 |
| 281.138 | 281.138 | 1296.199 | -0.000 | -0.000 | -0.000 |
| 0.000 | 0.000 | -0.000 | -28.713 | -0.000 | -0.000 |
| 0.000 | 0.000 | -0.000 | -0.000 | -28.713 | -0.000 |
| 0.000 | -0.000 | 0.000 | -0.000 | -0.000 | -28.713 |
| 1296.200 | 281.136 | 281.136 | 0.000 | 0.000 | 0.000 |
| 281.136 | 1296.200 | 281.136 | 0.000 | 0.000 | -0.000 |
| 281.136 | 281.136 | 1296.200 | 0.000 | 0.000 | 0.000 |
| -0.000 | -0.000 | 0.000 | -28.713 | 0.000 | -0.000 |
| -0.000 | -0.000 | 0.000 | 0.000 | -28.713 | 0.000 |
| -0.000 | 0.000 | -0.000 | 0.000 | 0.000 | -28.713 |
| 33.086 | 0.517 | 0.517 | -0.000 | 0.000 | 0.000 |
| 0.517 | 33.086 | 0.517 | -0.000 | -0.000 | 0.000 |
| 0.517 | 0.517 | 33.086 | -0.000 | -0.000 | 0.000 |
| -0.000 | 0.000 | -0.000 | -2.058 | 0.000 | -0.000 |
| 0.000 | -0.000 | -0.000 | 0.000 | -2.058 | -0.000 |
| 0.000 | -0.000 | -0.000 | -0.000 | -0.000 | -2.058 |
| 33.086 | 0.517 | 0.517 | 0.000 | 0.000 | -0.000 |
| 0.517 | 33.086 | 0.517 | 0.000 | 0.000 | 0.000 |
| 0.517 | 0.517 | 33.086 | -0.000 | 0.000 | -0.000 |
| 0.000 | -0.000 | 0.000 | -2.058 | 0.000 | -0.000 |
| -0.000 | 0.000 | 0.000 | 0.000 | -2.058 | 0.000 |
| -0.000 | 0.000 | 0.000 | 0.000 | 0.000 | -2.058 |
| 33.086 | 0.517 | 0.517 | -0.000 | -0.000 | -0.000 |
| 0.517 | 33.086 | 0.517 | -0.000 | -0.000 | 0.000 |
| 0.517 | 0.517 | 33.086 | 0.000 | 0.000 | -0.000 |
| -0.000 | 0.000 | -0.000 | -2.058 | -0.000 | 0.000 |
| 0.000 | -0.000 | -0.000 | -0.000 | -2.058 | -0.000 |
| 0.000 | -0.000 | -0.000 | -0.000 | -0.000 | -2.058 |
| 33.086 | 0.517 | 0.517 | -0.000 | -0.000 | -0.000 |
| 0.517 | 33.086 | 0.517 | -0.000 | 0.000 | -0.000 |
| 0.517 | 0.517 | 33.086 | 0.000 | 0.000 | 0.000 |
| 0.000 | -0.000 | 0.000 | -2.058 | 0.000 | 0.000 |
| -0.000 | 0.000 | 0.000 | 0.000 | -2.058 | 0.000 |
| -0.000 | 0.000 | 0.000 | 0.000 | 0.000 | -2.058 |
| 33.086 | 0.517 | 0.517 | -0.000 | -0.000 | -0.000 |
| 0.517 | 33.086 | 0.517 | -0.000 | -0.000 | -0.000 |
| 0.517 | 0.517 | 33.086 | -0.000 | -0.000 | 0.000 |
| -0.000 | 0.000 | -0.000 | -2.058 | -0.000 | 0.000 |
| 0.000 | -0.000 | -0.000 | 0.000 | -2.058 | 0.000 |
| 0.000 | -0.000 | -0.000 | -0.000 | -0.000 | -2.058 |
| 33.086 | 0.517 | 0.517 | 0.000 | 0.000 | -0.000 |
| 0.517 | 33.086 | 0.517 | 0.000 | -0.000 | -0.000 |
| 0.517 | 0.517 | 33.086 | 0.000 | 0.000 | -0.000 |
| 0.000 | -0.000 | 0.000 | -2.058 | 0.000 | -0.000 |
| -0.000 | 0.000 | 0.000 | 0.000 | -2.058 | 0.000 |
| -0.000 | 0.000 | 0.000 | 0.000 | -0.000 | -2.058 |
| 401.835 | 347.640 | 347.640 | 0.000 | 0.000 | -0.000 |
| 347.640 | 401.835 | 347.640 | 0.000 | 0.000 | -0.000 |
| 347.640 | 347.640 | 401.835 | 0.000 | 0.000 | 0.000 |
| -0.000 | -0.000 | -0.000 | 221.964 | 0.000 | 0.000 |
| -0.000 | -0.000 | -0.000 | 0.000 | 221.964 | -0.000 |
| -0.000 | -0.000 | 0.000 | 0.000 | 0.000 | 221.964 |
| 401.835 | 347.640 | 347.640 | -0.000 | -0.000 | 0.000 |
| 347.640 | 401.835 | 347.640 | -0.000 | -0.000 | 0.000 |
| 347.640 | 347.640 | 401.835 | -0.000 | -0.000 | 0.000 |
| 0.000 | 0.000 | -0.000 | 221.964 | -0.000 | 0.000 |
| 0.000 | 0.000 | -0.000 | -0.000 | 221.964 | 0.000 |
| 0.000 | 0.000 | 0.000 | 0.000 | -0.000 | 221.964 |
| 401.835 | 347.640 | 347.640 | -0.000 | 0.000 | -0.000 |
| 347.640 | 401.835 | 347.640 | 0.000 | 0.000 | -0.000 |
| 347.640 | 347.640 | 401.835 | 0.000 | 0.000 | -0.000 |
| -0.000 | -0.000 | -0.000 | 221.964 | 0.000 | 0.000 |
| -0.000 | -0.000 | -0.000 | -0.000 | 221.964 | 0.000 |
| -0.000 | -0.000 | -0.000 | 0.000 | 0.000 | 221.964 |
| 401.835 | 347.640 | 347.640 | -0.000 | -0.000 | 0.000 |
| 347.640 | 401.835 | 347.640 | -0.000 | -0.000 | -0.000 |
| 347.640 | 347.640 | 401.835 | 0.000 | -0.000 | 0.000 |
| 0.000 | 0.000 | 0.000 | 221.964 | -0.000 | 0.000 |
| 0.000 | 0.000 | 0.000 | -0.000 | 221.964 | -0.000 |
| 0.000 | 0.000 | 0.000 | -0.000 | -0.000 | 221.964 |
| 401.835 | 347.640 | 347.640 | -0.000 | -0.000 | -0.000 |
| 347.640 | 401.835 | 347.640 | 0.000 | 0.000 | 0.000 |
| 347.640 | 347.640 | 401.835 | -0.000 | 0.000 | -0.000 |
| -0.000 | -0.001 | -0.000 | 221.964 | 0.000 | -0.000 |
| -0.001 | -0.000 | -0.000 | 0.000 | 221.964 | -0.000 |
| -0.001 | -0.000 | -0.000 | 0.000 | 0.000 | 221.964 |
| 401.835 | 347.639 | 347.639 | -0.000 | -0.000 | -0.000 |
| 347.639 | 401.835 | 347.639 | -0.000 | -0.000 | -0.000 |
| 347.639 | 347.639 | 401.835 | -0.000 | -0.000 | -0.000 |
| 0.000 | 0.001 | 0.000 | 221.964 | -0.000 | -0.000 |
| 0.001 | 0.000 | 0.000 | -0.000 | 221.964 | 0.000 |
| 0.001 | 0.000 | 0.000 | -0.000 | -0.000 | 221.964 |
| 50.718 | 22.816 | 22.816 | 0.000 | 0.000 | 0.000 |
| 22.816 | 50.718 | 22.816 | 0.000 | 0.000 | 0.000 |
| 22.816 | 22.816 | 50.718 | 0.000 | 0.000 | 0.000 |
| 0.000 | 0.000 | -0.000 | 17.113 | 0.000 | 0.000 |
| -0.000 | 0.000 | -0.000 | 0.000 | 17.113 | 0.000 |
| -0.000 | -0.000 | -0.000 | 0.000 | 0.000 | 17.113 |
| 50.718 | 22.816 | 22.816 | -0.000 | -0.000 | -0.000 |
| 22.816 | 50.718 | 22.816 | -0.000 | -0.000 | -0.000 |
| 22.816 | 22.816 | 50.718 | -0.000 | -0.000 | -0.000 |
| -0.000 | 0.000 | -0.000 | 17.113 | -0.000 | -0.000 |
| 0.000 | -0.000 | 0.000 | -0.000 | 17.113 | -0.000 |
| 0.000 | 0.000 | 0.000 | -0.000 | -0.000 | 17.113 |
| 50.718 | 22.816 | 22.816 | 0.000 | 0.000 | 0.000 |
| 22.816 | 50.718 | 22.816 | 0.000 | 0.000 | -0.000 |
| 22.816 | 22.816 | 50.718 | 0.000 | 0.000 | 0.000 |
| -0.000 | -0.000 | -0.000 | 17.113 | 0.000 | 0.000 |
| -0.000 | -0.000 | -0.000 | 0.000 | 17.113 | 0.000 |
| -0.000 | -0.000 | -0.000 | 0.000 | 0.000 | 17.113 |
| 50.718 | 22.816 | 22.816 | -0.000 | -0.000 | -0.000 |
| 22.816 | 50.718 | 22.816 | -0.000 | -0.000 | -0.000 |
| 22.816 | 22.816 | 50.718 | -0.000 | -0.000 | -0.000 |
| 0.000 | 0.000 | 0.000 | 17.113 | -0.000 | -0.000 |
| 0.000 | 0.000 | 0.000 | -0.000 | 17.113 | -0.000 |
| 0.000 | 0.000 | 0.000 | -0.000 | -0.000 | 17.113 |
| 50.717 | 22.816 | 22.816 | 0.000 | 0.000 | 0.000 |
| 22.816 | 50.717 | 22.816 | 0.000 | 0.000 | 0.000 |
| 22.816 | 22.816 | 50.717 | 0.000 | 0.000 | 0.000 |
| -0.000 | -0.000 | -0.000 | 17.113 | 0.000 | 0.000 |
| -0.000 | -0.000 | -0.000 | 0.000 | 17.113 | 0.000 |
| -0.000 | -0.000 | -0.000 | 0.000 | 0.000 | 17.113 |
| 50.718 | 22.815 | 22.815 | -0.000 | -0.000 | -0.000 |
| 22.815 | 50.718 | 22.815 | -0.000 | -0.000 | -0.000 |
| 22.815 | 22.815 | 50.718 | -0.000 | -0.000 | -0.000 |
| 0.000 | 0.000 | 0.000 | 17.113 | -0.000 | 0.000 |
| 0.000 | 0.000 | 0.000 | -0.000 | 17.113 | -0.000 |
| 0.000 | 0.000 | 0.000 | -0.000 | -0.000 | 17.113 |
| 43.861 | 59.916 | 59.916 | -0.000 | -0.000 | -0.000 |
| 59.916 | 43.861 | 59.916 | -0.000 | -0.000 | -0.000 |
| 59.916 | 59.916 | 43.861 | -0.000 | -0.000 | -0.000 |
| -0.000 | -0.000 | -0.000 | 45.829 | -0.000 | -0.000 |
| -0.000 | -0.000 | -0.000 | -0.000 | 45.829 | -0.000 |
| -0.000 | -0.000 | 0.000 | -0.000 | -0.000 | 45.829 |
| 43.861 | 59.916 | 59.916 | 0.000 | 0.000 | 0.000 |
| 59.916 | 43.861 | 59.916 | 0.000 | 0.000 | 0.000 |
| 59.916 | 59.916 | 43.861 | 0.000 | 0.000 | 0.000 |
| 0.000 | 0.000 | 0.000 | 45.829 | 0.000 | 0.000 |
| 0.000 | 0.000 | 0.000 | 0.000 | 45.829 | 0.000 |
| 0.000 | 0.000 | -0.000 | 0.000 | 0.000 | 45.829 |
| 43.861 | 59.916 | 59.916 | -0.000 | -0.000 | -0.000 |
| 59.916 | 43.861 | 59.916 | -0.000 | -0.000 | -0.000 |
| 59.916 | 59.916 | 43.861 | -0.000 | -0.000 | -0.000 |
| -0.000 | -0.000 | -0.000 | 45.829 | -0.000 | -0.000 |
| -0.000 | -0.000 | -0.000 | -0.000 | 45.829 | -0.000 |
| -0.000 | -0.000 | -0.000 | -0.000 | -0.000 | 45.829 |
| 43.861 | 59.916 | 59.916 | 0.000 | 0.000 | 0.000 |
| 59.916 | 43.861 | 59.916 | 0.000 | 0.000 | 0.000 |
| 59.916 | 59.916 | 43.861 | 0.000 | 0.000 | 0.000 |
| 0.000 | 0.000 | 0.000 | 45.829 | 0.000 | 0.000 |
| 0.000 | 0.000 | 0.000 | 0.000 | 45.829 | 0.000 |
| 0.000 | 0.000 | 0.000 | 0.000 | 0.000 | 45.829 |
| 43.861 | 59.916 | 59.916 | -0.000 | -0.000 | -0.000 |
| 59.916 | 43.861 | 59.916 | -0.000 | -0.000 | -0.000 |
| 59.916 | 59.916 | 43.861 | -0.000 | -0.000 | -0.000 |
| -0.000 | -0.000 | -0.000 | 45.829 | -0.000 | -0.000 |
| -0.000 | -0.000 | -0.000 | -0.000 | 45.829 | -0.000 |
| -0.000 | -0.000 | -0.000 | 0.000 | -0.000 | 45.829 |
| 43.861 | 59.916 | 59.916 | 0.000 | 0.000 | 0.000 |
| 59.916 | 43.861 | 59.916 | 0.000 | 0.000 | 0.000 |
| 59.916 | 59.916 | 43.861 | 0.000 | 0.000 | 0.000 |
| 0.000 | 0.000 | 0.000 | 45.829 | 0.000 | 0.000 |
| 0.000 | 0.000 | 0.000 | 0.000 | 45.829 | 0.000 |
| 0.000 | 0.000 | 0.000 | 0.000 | 0.000 | 45.829 |
| 6.522 | 6.522 | 6.522 | 0.000 | 0.000 | 0.000 |
| 6.522 | 6.522 | 6.522 | 0.000 | 0.000 | 0.000 |
| 6.522 | 6.522 | 6.522 | 0.000 | 0.000 | 0.000 |
| -0.000 | -0.000 | -0.000 | 0.000 | 0.000 | 0.000 |
| -0.000 | -0.000 | -0.000 | -0.000 | 0.000 | -0.000 |
| -0.000 | -0.000 | -0.000 | 0.000 | -0.000 | 0.000 |
| 6.522 | 6.522 | 6.522 | -0.000 | -0.000 | -0.000 |
| 6.522 | 6.522 | 6.522 | -0.000 | -0.000 | -0.000 |
| 6.522 | 6.522 | 6.522 | -0.000 | -0.000 | -0.000 |
| 0.000 | 0.000 | -0.000 | -0.000 | -0.000 | -0.000 |
| 0.000 | 0.000 | -0.000 | -0.000 | -0.000 | -0.000 |
| 0.000 | 0.000 | 0.000 | -0.000 | -0.000 | -0.000 |
| 6.522 | 6.522 | 6.522 | 0.000 | 0.000 | 0.000 |
| 6.522 | 6.522 | 6.522 | 0.000 | 0.000 | 0.000 |
| 6.522 | 6.522 | 6.522 | 0.000 | 0.000 | 0.000 |
| -0.000 | -0.000 | -0.000 | 0.000 | 0.000 | 0.000 |
| -0.000 | -0.000 | -0.000 | 0.000 | 0.000 | 0.000 |
| -0.000 | -0.000 | -0.000 | 0.000 | 0.000 | 0.000 |
| 6.522 | 6.522 | 6.522 | -0.000 | -0.000 | -0.000 |
| 6.522 | 6.522 | 6.522 | -0.000 | -0.000 | -0.000 |
| 6.522 | 6.522 | 6.522 | -0.000 | -0.000 | -0.000 |
| 0.000 | 0.000 | 0.000 | -0.000 | -0.000 | -0.000 |
| 0.000 | 0.000 | 0.000 | -0.000 | -0.000 | -0.000 |
| 0.000 | 0.000 | 0.000 | -0.000 | -0.000 | -0.000 |
| 6.522 | 6.522 | 6.522 | 0.000 | 0.000 | 0.000 |
| 6.522 | 6.522 | 6.522 | 0.000 | 0.000 | 0.000 |
| 6.522 | 6.522 | 6.522 | 0.000 | 0.000 | 0.000 |
| -0.000 | -0.000 | -0.000 | 0.000 | 0.000 | 0.000 |
| -0.000 | -0.000 | -0.000 | 0.000 | 0.000 | 0.000 |
| -0.000 | -0.000 | -0.000 | -0.000 | -0.000 | 0.000 |
| 6.522 | 6.522 | 6.522 | -0.000 | -0.000 | -0.000 |
| 6.522 | 6.522 | 6.522 | -0.000 | -0.000 | -0.000 |
| 6.522 | 6.522 | 6.522 | -0.000 | -0.000 | -0.000 |
| 0.000 | 0.000 | 0.000 | -0.000 | -0.000 | -0.000 |
| 0.000 | 0.000 | 0.000 | -0.000 | -0.000 | -0.000 |
| 0.000 | 0.000 | 0.000 | -0.000 | -0.000 | -0.000 |
| -86.294 | 307.384 | 307.384 | -0.000 | -0.000 | 0.000 |
| 307.384 | -86.294 | 307.384 | -0.000 | -0.000 | 0.000 |
| 307.384 | 307.384 | -86.294 | -0.000 | -0.000 | -0.000 |
| -0.000 | 0.000 | -0.000 | 85.090 | -0.000 | 0.000 |
| 0.000 | 0.000 | -0.000 | -0.000 | 85.090 | 0.000 |
| 0.000 | 0.000 | -0.000 | 0.000 | 0.000 | 85.090 |
| -86.294 | 307.384 | 307.384 | 0.000 | 0.000 | 0.000 |
| 307.384 | -86.294 | 307.384 | 0.000 | -0.000 | -0.000 |
| 307.384 | 307.384 | -86.294 | 0.000 | 0.000 | -0.000 |
| -0.000 | -0.000 | 0.000 | 85.090 | 0.000 | -0.000 |
| 0.000 | -0.000 | 0.000 | 0.000 | 85.090 | -0.000 |
| -0.000 | 0.000 | 0.000 | -0.000 | -0.000 | 85.090 |
| -86.294 | 307.384 | 307.384 | -0.000 | 0.000 | 0.000 |
| 307.384 | -86.294 | 307.384 | 0.000 | -0.000 | 0.000 |
| 307.384 | 307.384 | -86.294 | -0.000 | 0.000 | -0.000 |
| 0.000 | 0.000 | 0.000 | -202.317 | 0.000 | 0.000 |
| 0.000 | 0.000 | 0.000 | 0.000 | -202.317 | 0.000 |
| 0.000 | 0.000 | 0.000 | -0.000 | 0.000 | -202.317 |
| -86.294 | 307.384 | 307.384 | 0.000 | -0.000 | -0.000 |
| 307.384 | -86.294 | 307.384 | 0.000 | -0.000 | -0.000 |
| 307.384 | 307.384 | -86.294 | 0.000 | -0.000 | -0.000 |
| -0.000 | -0.000 | -0.000 | -202.317 | 0.000 | -0.000 |
| -0.000 | -0.000 | -0.000 | 0.000 | -202.317 | -0.000 |
| -0.000 | -0.000 | -0.000 | -0.000 | -0.000 | -202.317 |
| -89.429 | 307.037 | 307.037 | 0.000 | 0.000 | 0.000 |
| 307.037 | -89.429 | 307.037 | 0.000 | 0.000 | 0.000 |
| 307.037 | 307.037 | -89.429 | 0.000 | 0.000 | 0.000 |
| -1.908 | -1.905 | -1.906 | -203.721 | 0.000 | -0.000 |
| -1.905 | -1.908 | -1.906 | -0.000 | -203.721 | 0.000 |
| -1.905 | -1.906 | -1.908 | 0.000 | 0.000 | -203.721 |
| -86.297 | 307.383 | 307.383 | 0.000 | 0.000 | 0.000 |
| 307.383 | -86.297 | 307.383 | 0.000 | -0.000 | -0.000 |
| 307.383 | 307.383 | -86.297 | -0.000 | -0.000 | -0.000 |
| 1.908 | 1.905 | 1.906 | -203.721 | -0.000 | -0.000 |
| 1.905 | 1.908 | 1.906 | 0.000 | -203.721 | -0.000 |
| 1.905 | 1.906 | 1.908 | -0.000 | -0.000 | -203.721 |
| 54.635 | 502.794 | 502.794 | 0.000 | 0.000 | 0.000 |
| 502.794 | 54.635 | 502.794 | 0.000 | 0.000 | -0.000 |
| 502.794 | 502.794 | 54.635 | -0.000 | -0.000 | 0.000 |
| 0.000 | 0.000 | 0.000 | -966.861 | -0.000 | 0.000 |
| 0.000 | 0.000 | -0.001 | 0.000 | -966.861 | 0.000 |
| 0.000 | 0.000 | 0.000 | 0.000 | 0.000 | -966.861 |
| 54.635 | 502.793 | 502.793 | -0.000 | -0.000 | -0.000 |
| 502.793 | 54.635 | 502.793 | -0.000 | -0.000 | -0.000 |
| 502.793 | 502.793 | 54.635 | 0.000 | -0.000 | -0.000 |
| -0.000 | -0.000 | -0.000 | -966.861 | -0.000 | -0.000 |
| -0.000 | -0.000 | -0.000 | -0.000 | -966.861 | 0.000 |
| -0.000 | -0.000 | -0.000 | -0.000 | -0.000 | -966.861 |
| 54.635 | 502.793 | 502.793 | 0.000 | 0.000 | 0.000 |
| 502.793 | 54.635 | 502.793 | 0.000 | 0.000 | 0.000 |
| 502.793 | 502.793 | 54.635 | 0.000 | 0.000 | 0.000 |
| 0.000 | -0.000 | 0.000 | 10.190 | -0.000 | 0.000 |
| -0.000 | 0.000 | 0.000 | -0.000 | 10.190 | -0.000 |
| -0.000 | 0.000 | 0.000 | 0.000 | 0.000 | 10.190 |
| 54.635 | 502.792 | 502.792 | -0.000 | -0.000 | -0.000 |
| 502.792 | 54.635 | 502.792 | 0.000 | -0.000 | -0.000 |
| 502.792 | 502.792 | 54.635 | -0.000 | -0.000 | -0.000 |
| -0.000 | 0.000 | -0.000 | 10.190 | -0.000 | -0.000 |
| 0.000 | -0.000 | -0.000 | -0.000 | 10.190 | 0.000 |
| 0.000 | -0.000 | -0.000 | -0.000 | -0.000 | 10.190 |
| 54.634 | 502.793 | 502.793 | 0.000 | -0.000 | -0.000 |
| 502.793 | 54.634 | 502.793 | 0.000 | 0.000 | -0.000 |
| 502.793 | 502.793 | 54.634 | -0.000 | -0.000 | 0.000 |
| -0.000 | -0.000 | -0.000 | 10.190 | 0.000 | 0.000 |
| -0.000 | -0.000 | -0.000 | 0.000 | 10.190 | -0.000 |
| -0.000 | -0.000 | -0.000 | 0.000 | 0.000 | 10.190 |
| 54.635 | 502.792 | 502.792 | -0.000 | -0.000 | -0.000 |
| 502.792 | 54.635 | 502.792 | -0.000 | -0.000 | 0.000 |
| 502.792 | 502.792 | 54.635 | -0.000 | 0.000 | -0.000 |
| 0.000 | 0.000 | 0.000 | 10.190 | 0.000 | 0.000 |
| 0.000 | 0.000 | 0.000 | 0.000 | 10.190 | 0.000 |
| 0.000 | 0.000 | 0.000 | -0.000 | -0.000 | 10.190 |
| 55.395 | 24.349 | 24.349 | 0.000 | 0.000 | 0.000 |
| 24.349 | 55.395 | 24.349 | 0.000 | 0.000 | 0.000 |
| 24.349 | 24.349 | 55.395 | -0.000 | -0.000 | 0.000 |
| 0.000 | 0.000 | -0.000 | 8.553 | -0.000 | 0.000 |
| 0.000 | 0.000 | -0.000 | -0.000 | 8.553 | 0.000 |
| 0.000 | 0.000 | 0.000 | 0.000 | -0.000 | 8.553 |
| 55.395 | 24.349 | 24.349 | -0.000 | -0.000 | -0.000 |
| 24.349 | 55.395 | 24.349 | -0.000 | -0.000 | -0.000 |
| 24.349 | 24.349 | 55.395 | -0.000 | -0.000 | -0.000 |
| -0.000 | -0.000 | -0.000 | 8.553 | 0.000 | -0.000 |
| -0.000 | -0.000 | 0.000 | 0.000 | 8.553 | -0.000 |
| -0.000 | -0.000 | -0.000 | -0.000 | 0.000 | 8.553 |
| 55.395 | 24.349 | 24.349 | 0.000 | 0.000 | 0.000 |
| 24.349 | 55.395 | 24.349 | 0.000 | 0.000 | 0.000 |
| 24.349 | 24.349 | 55.395 | 0.000 | -0.000 | 0.000 |
| -0.000 | -0.000 | -0.000 | 8.553 | -0.000 | 0.000 |
| -0.000 | -0.000 | -0.000 | -0.000 | 8.553 | 0.000 |
| -0.000 | -0.000 | -0.000 | 0.000 | 0.000 | 8.553 |
| 55.395 | 24.349 | 24.349 | -0.000 | -0.000 | -0.000 |
| 24.349 | 55.395 | 24.349 | -0.000 | -0.000 | -0.000 |
| 24.349 | 24.349 | 55.395 | -0.000 | -0.000 | -0.000 |
| 0.000 | 0.000 | 0.000 | 8.553 | 0.000 | -0.000 |
| 0.000 | 0.000 | 0.000 | -0.000 | 8.553 | -0.000 |
| 0.000 | 0.000 | 0.000 | -0.000 | -0.000 | 8.553 |
| 55.395 | 24.349 | 24.349 | 0.000 | 0.000 | 0.000 |
| 24.349 | 55.395 | 24.349 | 0.000 | 0.000 | 0.000 |
| 24.349 | 24.349 | 55.395 | -0.000 | -0.000 | 0.000 |
| 0.295 | 0.295 | 0.295 | 8.330 | 0.000 | 0.000 |
| 0.295 | 0.295 | 0.295 | 0.000 | 8.330 | 0.000 |
| 0.295 | 0.295 | 0.295 | -0.000 | -0.000 | 8.330 |
| 54.805 | 23.759 | 23.759 | -0.000 | -0.000 | -0.000 |
| 23.759 | 54.805 | 23.759 | -0.000 | -0.000 | -0.000 |
| 23.759 | 23.759 | 54.805 | 0.000 | -0.000 | -0.000 |
| -0.295 | -0.295 | -0.295 | 8.330 | -0.000 | -0.000 |
| -0.295 | -0.295 | -0.295 | -0.000 | 8.330 | -0.000 |
| -0.295 | -0.295 | -0.295 | 0.000 | 0.000 | 8.330 |
| 394.335 | 476.355 | 476.355 | -0.000 | -0.000 | -0.000 |
| 476.355 | 394.335 | 476.355 | -0.000 | 0.000 | -0.000 |
| 476.355 | 476.355 | 394.335 | -0.000 | -0.000 | 0.000 |
| -0.000 | 0.000 | -0.000 | 206.052 | 0.000 | -0.000 |
| -0.000 | -0.000 | -0.000 | 0.000 | 206.052 | 0.000 |
| -0.000 | -0.000 | -0.000 | -0.000 | -0.000 | 206.052 |
| 394.335 | 476.355 | 476.355 | -0.000 | 0.000 | -0.000 |
| 476.355 | 394.335 | 476.355 | -0.000 | -0.000 | 0.000 |
| 476.355 | 476.355 | 394.335 | 0.000 | 0.000 | -0.000 |
| 0.000 | 0.000 | -0.000 | 206.052 | 0.000 | 0.000 |
| 0.000 | 0.000 | -0.000 | 0.000 | 206.052 | -0.000 |
| 0.000 | 0.000 | 0.000 | -0.000 | -0.000 | 206.052 |
| 394.335 | 476.355 | 476.355 | 0.000 | 0.000 | 0.000 |
| 476.355 | 394.335 | 476.355 | 0.000 | 0.000 | -0.000 |
| 476.355 | 476.355 | 394.335 | -0.000 | -0.000 | 0.000 |
| -0.000 | -0.000 | -0.000 | 206.052 | 0.000 | -0.000 |
| -0.000 | -0.000 | -0.000 | 0.000 | 206.052 | -0.000 |
| -0.000 | -0.000 | -0.000 | -0.000 | 0.000 | 206.052 |
| 394.335 | 476.355 | 476.355 | -0.000 | -0.000 | 0.000 |
| 476.355 | 394.335 | 476.355 | -0.000 | -0.000 | 0.000 |
| 476.355 | 476.355 | 394.335 | 0.000 | 0.000 | -0.000 |
| 0.000 | 0.000 | 0.000 | 206.052 | 0.000 | 0.000 |
| 0.000 | 0.000 | 0.000 | 0.000 | 206.052 | 0.000 |
| 0.000 | 0.000 | 0.000 | 0.000 | -0.000 | 206.052 |
| 394.335 | 476.355 | 476.355 | -0.000 | 0.000 | -0.000 |
| 476.355 | 394.335 | 476.355 | 0.000 | -0.000 | 0.000 |
| 476.355 | 476.355 | 394.335 | 0.000 | 0.000 | 0.000 |
| -0.000 | -0.001 | -0.000 | 206.052 | 0.000 | -0.000 |
| -0.001 | -0.000 | -0.000 | 0.000 | 206.052 | -0.000 |
| -0.001 | -0.000 | -0.000 | -0.000 | -0.000 | 206.052 |
| 394.335 | 476.354 | 476.354 | -0.000 | -0.000 | 0.000 |
| 476.354 | 394.335 | 476.354 | -0.000 | -0.000 | 0.000 |
| 476.354 | 476.354 | 394.335 | 0.000 | 0.000 | -0.000 |
| 0.000 | 0.001 | 0.000 | 206.052 | -0.000 | 0.000 |
| 0.001 | 0.000 | 0.000 | -0.000 | 206.052 | -0.000 |
| 0.001 | 0.000 | 0.000 | 0.000 | 0.000 | 206.052 |
| -4504.242 | -3861.095 | -3861.138 | 0.403 | 0.091 | 0.372 |
| -3861.098 | -4504.367 | -3861.133 | 0.413 | 0.146 | 0.359 |
| -3861.133 | -3861.120 | -4504.165 | 0.428 | 0.119 | 0.384 |
| -0.290 | -0.293 | -0.306 | -3349.304 | 0.057 | 0.470 |
| -0.455 | -0.414 | -0.461 | 0.218 | -3349.511 | 0.587 |
| -0.464 | -0.457 | -0.449 | 0.288 | 0.243 | -3349.150 |
| -4503.518 | -3860.240 | -3860.311 | -0.150 | -0.023 | -0.404 |
| -3860.266 | -4503.755 | -3860.297 | -0.146 | -0.073 | -0.457 |
| -3860.328 | -3860.283 | -4503.459 | -0.131 | -0.117 | -0.465 |
| 0.541 | 0.553 | 0.578 | -3349.888 | -0.165 | -0.409 |
| 0.429 | 0.471 | 0.444 | -0.323 | -3349.693 | -0.311 |
| 0.409 | 0.418 | 0.399 | -0.229 | 0.029 | -3349.983 |
| -112787.380 | -112772.029 | -112778.675 | 226.948 | 154.128 | 267.077 |
| -112765.333 | -112779.230 | -112770.630 | 177.803 | 174.776 | 268.405 |
| -112775.585 | -112775.451 | -112796.314 | 168.243 | 158.808 | 282.129 |
| 948028.698 | -5172163.370 | -5172174.532 | -599195545.191 | 4.585 | 5.417 |
| -5172161.499 | 948028.184 | -5172173.686 | 5.260 | -599195459.037 | 5.762 |
| -5172158.308 | -5172170.942 | 948028.173 | 4.717 | 3.204 | -599195325.316 |
| -2201.212 | -2183.388 | -2183.388 | 0.000 | 0.000 | 0.000 |
| -2183.388 | -2201.212 | -2183.388 | 0.000 | -0.000 | 0.000 |
| -2183.388 | -2183.388 | -2201.212 | -0.000 | 0.000 | -0.000 |
| -948027.894 | 5172153.461 | 5172164.923 | -599195040.544 | -2.326 | -5.311 |
| 5172151.821 | -948027.374 | 5172163.599 | -3.673 | -599194953.390 | -5.393 |
| 5172153.792 | 5172165.623 | -948027.705 | -3.476 | -3.111 | -599195105.924 |
| -13265.109 | -13246.282 | -13247.027 | 12.230 | 13.229 | 24.576 |
| -13246.887 | -13265.518 | -13247.416 | 16.476 | 10.313 | 25.240 |
| -13247.811 | -13247.666 | -13266.974 | 17.057 | 13.810 | 25.514 |
| 95381.404 | -520325.387 | -520337.407 | -60102129.683 | 0.037 | 0.068 |
| -520325.385 | 95381.403 | -520337.406 | 0.041 | -60102129.595 | 0.068 |
| -520325.370 | -520337.391 | 95381.401 | 0.050 | 0.044 | -60102128.746 |
| -2201.213 | -2183.388 | -2183.388 | 0.000 | 0.000 | -0.000 |
| -2183.388 | -2201.213 | -2183.388 | 0.000 | 0.000 | -0.000 |
| -2183.388 | -2183.388 | -2201.213 | 0.000 | -0.000 | -0.000 |
| -95381.400 | 520325.357 | 520337.377 | -60102128.015 | -0.051 | -0.067 |
| 520325.341 | -95381.397 | 520337.362 | -0.057 | -60102127.146 | -0.067 |
| 520325.357 | 520337.377 | -95381.400 | -0.058 | -0.044 | -60102128.002 |
| -3313.258 | -3294.363 | -3294.416 | 1.773 | 1.486 | 2.334 |
| -3294.404 | -3313.279 | -3294.455 | 1.727 | 1.457 | 2.385 |
| -3294.386 | -3294.381 | -3313.327 | 1.684 | 1.489 | 2.108 |
| -655.818 | -693.362 | -693.651 | -144559.646 | 0.000 | 0.000 |
| -693.362 | -655.818 | -693.651 | 0.000 | -144559.646 | 0.000 |
| -693.362 | -693.651 | -655.818 | 0.000 | 0.000 | -144559.646 |
| -1101.236 | -1082.239 | -1082.197 | -2.169 | -1.220 | -2.330 |
| -1082.204 | -1101.190 | -1082.151 | -1.498 | -2.066 | -2.219 |
| -1082.223 | -1082.219 | -1101.164 | -1.469 | -1.189 | -2.155 |
| 655.818 | 693.362 | 693.651 | -144559.646 | -0.000 | -0.000 |
| 693.362 | 655.818 | 693.651 | -0.000 | -144559.646 | -0.000 |
| 693.362 | 693.651 | 655.818 | -0.000 | -0.000 | -144559.646 |
| 45.164 | 31.394 | 31.394 | -0.000 | -0.000 | -0.000 |
| 31.394 | 45.164 | 31.394 | -0.000 | -0.000 | 0.000 |
| 31.394 | 31.394 | 45.164 | -0.000 | -0.000 | -0.000 |
| -0.000 | -0.000 | -0.000 | 24.621 | -0.000 | -0.000 |
| -0.000 | -0.000 | -0.000 | -0.000 | 24.621 | -0.000 |
| -0.000 | -0.000 | -0.000 | -0.000 | -0.000 | 24.621 |
| 45.164 | 31.394 | 31.394 | -0.000 | -0.000 | -0.000 |
| 31.394 | 45.164 | 31.394 | -0.000 | -0.000 | -0.000 |
| 31.394 | 31.394 | 45.164 | -0.000 | -0.000 | -0.000 |
| 0.000 | 0.000 | 0.000 | 24.621 | 0.000 | 0.000 |
| 0.000 | 0.000 | 0.000 | 0.000 | 24.621 | 0.000 |
| 0.000 | 0.000 | 0.000 | 0.000 | 0.000 | 24.621 |
| 45.164 | 31.394 | 31.394 | 0.000 | 0.000 | 0.000 |
| 31.394 | 45.164 | 31.394 | 0.000 | 0.000 | 0.000 |
| 31.394 | 31.394 | 45.164 | -0.000 | -0.000 | 0.000 |
| -0.000 | -0.000 | -0.000 | 24.621 | -0.000 | -0.000 |
| -0.000 | -0.000 | -0.000 | -0.000 | 24.621 | -0.000 |
| -0.000 | -0.000 | -0.000 | -0.000 | -0.000 | 24.621 |
| 45.164 | 31.394 | 31.394 | 0.000 | 0.000 | 0.000 |
| 31.394 | 45.164 | 31.394 | 0.000 | 0.000 | -0.000 |
| 31.394 | 31.394 | 45.164 | 0.000 | 0.000 | 0.000 |
| 0.000 | 0.000 | 0.000 | 24.621 | 0.000 | 0.000 |
| 0.000 | 0.000 | 0.000 | 0.000 | 24.621 | 0.000 |
| 0.000 | 0.000 | 0.000 | 0.000 | 0.000 | 24.621 |
| 45.164 | 31.394 | 31.394 | 0.000 | 0.000 | 0.000 |
| 31.394 | 45.164 | 31.394 | 0.000 | 0.000 | 0.000 |
| 31.394 | 31.394 | 45.164 | -0.000 | -0.000 | 0.000 |
| -0.000 | -0.000 | -0.000 | 24.621 | -0.000 | -0.000 |
| -0.000 | -0.000 | -0.000 | -0.000 | 24.621 | -0.000 |
| -0.000 | -0.000 | -0.000 | -0.000 | -0.000 | 24.621 |
| 45.164 | 31.394 | 31.394 | -0.000 | -0.000 | -0.000 |
| 31.394 | 45.164 | 31.394 | -0.000 | -0.000 | -0.000 |
| 31.394 | 31.394 | 45.164 | 0.000 | 0.000 | -0.000 |
| 0.000 | 0.000 | 0.000 | 24.621 | 0.000 | 0.000 |
| 0.000 | 0.000 | 0.000 | 0.000 | 24.621 | 0.000 |
| 0.000 | 0.000 | 0.000 | 0.000 | 0.000 | 24.621 |
| 510.730 | 282.592 | 282.592 | -0.000 | -0.000 | -0.000 |
| 282.592 | 510.730 | 282.592 | -0.000 | -0.000 | -0.000 |
| 282.592 | 282.592 | 510.730 | -0.000 | -0.000 | 0.000 |
| 0.000 | 0.000 | -0.000 | -13.940 | -0.000 | 0.000 |
| 0.000 | 0.000 | 0.000 | 0.000 | -13.940 | 0.000 |
| 0.000 | -0.000 | 0.000 | 0.000 | 0.000 | -13.940 |
| 488.715 | 293.600 | 293.600 | -0.000 | -0.000 | 0.000 |
| 293.600 | 488.715 | 293.600 | 0.000 | 0.000 | 0.000 |
| 293.600 | 293.600 | 488.715 | 0.000 | 0.000 | -0.000 |
| -0.000 | -0.000 | -0.000 | -13.940 | -0.000 | 0.000 |
| -0.000 | -0.000 | -0.000 | -0.000 | -13.940 | -0.000 |
| -0.000 | -0.000 | -0.000 | -0.000 | -0.000 | -13.940 |
| 488.715 | 293.600 | 293.600 | -0.000 | -0.000 | -0.000 |
| 293.600 | 488.715 | 293.600 | 0.000 | 0.000 | -0.000 |
| 293.600 | 293.600 | 488.715 | -0.000 | -0.000 | 0.000 |
| -0.000 | -0.000 | -0.000 | 41.377 | -0.000 | 0.000 |
| -0.000 | -0.000 | -0.000 | 0.000 | 41.377 | 0.000 |
| -0.000 | -0.000 | -0.000 | -0.000 | -0.000 | 41.377 |
| 488.715 | 293.600 | 293.600 | 0.000 | 0.000 | 0.000 |
| 293.600 | 488.715 | 293.600 | 0.000 | 0.000 | 0.000 |
| 282.592 | 282.592 | 510.730 | 0.000 | 0.000 | 0.000 |
| 0.000 | 0.000 | 0.000 | 41.377 | 0.000 | 0.000 |
| 0.000 | 0.000 | 0.000 | 0.000 | 41.377 | -0.000 |
| 0.000 | 0.000 | 0.000 | 0.000 | -0.000 | 41.377 |
| 488.679 | 293.619 | 293.619 | 0.000 | 0.000 | -0.000 |
| 293.619 | 488.679 | 293.619 | -0.000 | -0.000 | -0.000 |
| 293.619 | 293.619 | 488.679 | -0.000 | -0.000 | 0.000 |
| -0.000 | 0.884 | 0.884 | 40.492 | -0.000 | 0.000 |
| 0.884 | -0.000 | 0.884 | -0.000 | 40.492 | -0.000 |
| 0.884 | 0.884 | -0.000 | -0.000 | -0.000 | 40.492 |
| 485.140 | 291.849 | 291.849 | 0.000 | -0.000 | 0.000 |
| 291.849 | 485.140 | 291.849 | -0.000 | -0.000 | -0.000 |
| 291.849 | 291.849 | 485.140 | 0.000 | 0.000 | -0.000 |
| 0.000 | -0.884 | -0.884 | 40.492 | 0.000 | 0.000 |
| -0.884 | 0.000 | -0.884 | 0.000 | 40.492 | -0.000 |
| -0.884 | -0.884 | 0.000 | 0.000 | -0.000 | 40.492 |
| 70.633 | 29.565 | 29.565 | -0.000 | 0.000 | -0.000 |
| 29.565 | 70.633 | 29.565 | -0.000 | 0.000 | -0.000 |
| 29.565 | 29.565 | 70.633 | -0.000 | -0.000 | -0.000 |
| -0.000 | -0.000 | -0.000 | 23.282 | -0.000 | -0.000 |
| -0.000 | -0.000 | 0.000 | 0.000 | 23.282 | -0.000 |
| -0.000 | -0.000 | 0.000 | 0.000 | 0.000 | 23.282 |
| 70.633 | 29.565 | 29.565 | 0.000 | 0.000 | 0.000 |
| 29.565 | 70.633 | 29.565 | 0.000 | -0.000 | -0.000 |
| 29.565 | 29.565 | 70.633 | 0.000 | -0.000 | 0.000 |
| 0.000 | 0.000 | 0.000 | 23.282 | 0.000 | 0.000 |
| 0.000 | 0.000 | -0.000 | -0.000 | 23.282 | 0.000 |
| 0.000 | 0.000 | -0.000 | 0.000 | -0.000 | 23.282 |
| 70.633 | 29.565 | 29.565 | -0.000 | 0.000 | -0.000 |
| 29.565 | 70.633 | 29.565 | 0.000 | 0.000 | -0.000 |
| 29.565 | 29.565 | 70.633 | -0.000 | -0.000 | -0.000 |
| -0.000 | -0.000 | -0.000 | 23.282 | -0.000 | -0.000 |
| -0.000 | -0.000 | -0.000 | -0.000 | 23.282 | 0.000 |
| -0.000 | -0.000 | -0.000 | 0.000 | 0.000 | 23.282 |
| 70.633 | 29.565 | 29.565 | -0.000 | -0.000 | 0.000 |
| 29.565 | 70.633 | 29.565 | 0.000 | -0.000 | 0.000 |
| 29.565 | 29.565 | 70.633 | -0.000 | -0.000 | 0.000 |
| 0.000 | 0.000 | 0.000 | 23.282 | 0.000 | 0.000 |
| 0.000 | 0.000 | 0.000 | -0.000 | 23.282 | -0.000 |
| 0.000 | 0.000 | 0.000 | -0.000 | -0.000 | 23.282 |
| 70.633 | 29.565 | 29.565 | 0.000 | -0.000 | -0.000 |
| 29.565 | 70.633 | 29.565 | 0.000 | 0.000 | -0.000 |
| 29.565 | 29.565 | 70.633 | 0.000 | 0.000 | -0.000 |
| -0.000 | -0.000 | -0.000 | 23.282 | -0.000 | -0.000 |
| -0.000 | -0.000 | -0.000 | 0.000 | 23.282 | -0.000 |
| -0.000 | -0.000 | -0.000 | 0.000 | 0.000 | 23.282 |
| 70.633 | 29.565 | 29.565 | -0.000 | -0.000 | 0.000 |
| 29.565 | 70.633 | 29.565 | 0.000 | -0.000 | 0.000 |
| 29.565 | 29.565 | 70.633 | -0.000 | -0.000 | 0.000 |
| 0.000 | 0.000 | 0.000 | 23.282 | -0.000 | 0.000 |
| 0.000 | 0.000 | 0.000 | 0.000 | 23.282 | -0.000 |
| 0.000 | 0.000 | 0.000 | -0.000 | -0.000 | 23.282 |
| 526.995 | 430.954 | 430.954 | 0.000 | 0.000 | 0.000 |
| 430.954 | 526.995 | 430.954 | 0.000 | 0.000 | 0.000 |
| 430.954 | 430.954 | 526.995 | -0.000 | 0.000 | 0.000 |
| -0.000 | -0.000 | 0.000 | 195.940 | -0.000 | -0.000 |
| -0.000 | -0.000 | -0.000 | -0.000 | 195.940 | -0.000 |
| 0.000 | -0.000 | -0.000 | -0.000 | -0.000 | 195.940 |
| 526.995 | 430.954 | 430.954 | -0.000 | -0.000 | -0.000 |
| 430.954 | 526.995 | 430.954 | -0.000 | -0.000 | 0.000 |
| 430.954 | 430.954 | 526.995 | 0.000 | 0.000 | -0.000 |
| 0.000 | 0.000 | -0.000 | 195.940 | 0.000 | 0.000 |
| -0.000 | 0.000 | -0.000 | 0.000 | 195.940 | 0.000 |
| 0.000 | 0.000 | 0.000 | 0.000 | 0.000 | 195.940 |
| 526.995 | 430.954 | 430.954 | 0.000 | 0.000 | 0.000 |
| 430.954 | 526.995 | 430.954 | -0.000 | 0.000 | 0.000 |
| 430.954 | 430.954 | 526.995 | -0.000 | 0.000 | 0.000 |
| 0.000 | -0.000 | 0.000 | 161.063 | -0.000 | -0.000 |
| -0.000 | 0.000 | 0.000 | -0.000 | 161.063 | -0.000 |
| -0.000 | 0.000 | 0.000 | -0.000 | -0.000 | 161.063 |
| 526.995 | 430.954 | 430.954 | 0.000 | -0.000 | -0.000 |
| 430.954 | 526.995 | 430.954 | 0.000 | -0.000 | -0.000 |
| 430.954 | 430.954 | 526.995 | -0.000 | -0.000 | -0.000 |
| -0.000 | 0.000 | -0.000 | 161.063 | -0.000 | 0.000 |
| 0.000 | -0.000 | -0.000 | 0.000 | 161.063 | -0.000 |
| 0.000 | -0.000 | -0.000 | 0.000 | -0.000 | 161.063 |
| 526.995 | 430.955 | 430.955 | 0.000 | 0.000 | 0.000 |
| 430.955 | 526.995 | 430.955 | 0.000 | 0.000 | 0.000 |
| 430.955 | 430.955 | 526.995 | -0.000 | -0.000 | 0.000 |
| -0.000 | -0.001 | -0.000 | 195.940 | -0.000 | -0.000 |
| -0.001 | -0.000 | -0.000 | -0.000 | 195.940 | 0.000 |
| -0.001 | -0.000 | -0.000 | -0.000 | -0.000 | 195.940 |
| 526.994 | 430.953 | 430.953 | -0.000 | -0.000 | -0.000 |
| 430.953 | 526.994 | 430.953 | -0.000 | -0.000 | 0.000 |
| 430.953 | 430.953 | 526.994 | 0.000 | 0.000 | -0.000 |
| 0.000 | 0.001 | 0.000 | 195.940 | 0.000 | 0.000 |
| 0.001 | 0.000 | 0.000 | 0.000 | 195.940 | 0.000 |
| 0.001 | 0.000 | 0.000 | 0.000 | 0.000 | 195.940 |
| 42.788 | 25.067 | 25.067 | 0.000 | 0.000 | -0.000 |
| 25.067 | 42.788 | 25.067 | -0.000 | 0.000 | 0.000 |
| 25.067 | 25.067 | 42.788 | 0.000 | 0.000 | -0.000 |
| 0.000 | 0.000 | -0.000 | 22.387 | 0.000 | -0.000 |
| 0.000 | 0.000 | -0.000 | 0.000 | 22.387 | -0.000 |
| 0.000 | -0.000 | -0.000 | -0.000 | 0.000 | 22.387 |
| 42.788 | 25.067 | 25.067 | -0.000 | -0.000 | 0.000 |
| 25.067 | 42.788 | 25.067 | -0.000 | -0.000 | 0.000 |
| 25.067 | 25.067 | 42.788 | -0.000 | 0.000 | 0.000 |
| -0.000 | -0.000 | -0.000 | 22.387 | -0.000 | -0.000 |
| -0.000 | -0.000 | -0.000 | -0.000 | 22.387 | 0.000 |
| -0.000 | -0.000 | -0.000 | 0.000 | -0.000 | 22.387 |
| 42.788 | 25.067 | 25.067 | 0.000 | 0.000 | -0.000 |
| 25.067 | 42.788 | 25.067 | 0.000 | 0.000 | -0.000 |
| 25.067 | 25.067 | 42.788 | -0.000 | -0.000 | -0.000 |
| -0.000 | -0.000 | -0.000 | 24.357 | -0.000 | 0.000 |
| -0.000 | -0.000 | -0.000 | -0.000 | 24.357 | -0.000 |
| -0.000 | -0.000 | -0.000 | -0.000 | -0.000 | 24.357 |
| 42.788 | 25.067 | 25.067 | -0.000 | -0.000 | 0.000 |
| 25.067 | 42.788 | 25.067 | -0.000 | -0.000 | 0.000 |
| 25.067 | 25.067 | 42.788 | 0.000 | 0.000 | 0.000 |
| 0.000 | 0.000 | 0.000 | 24.357 | -0.000 | 0.000 |
| 0.000 | 0.000 | 0.000 | 0.000 | 24.357 | 0.000 |
| 0.000 | 0.000 | 0.000 | 0.000 | 0.000 | 24.357 |
| 42.787 | 25.067 | 25.067 | 0.000 | 0.000 | -0.000 |
| 25.067 | 42.787 | 25.067 | 0.000 | 0.000 | 0.000 |
| 25.067 | 25.067 | 42.787 | 0.000 | 0.000 | -0.000 |
| -0.000 | -0.000 | -0.000 | 22.387 | 0.000 | -0.000 |
| -0.000 | -0.000 | -0.000 | 0.000 | 22.387 | -0.000 |
| -0.000 | -0.000 | -0.000 | -0.000 | -0.000 | 22.387 |
| 42.788 | 25.067 | 25.067 | -0.000 | -0.000 | 0.000 |
| 25.067 | 42.788 | 25.067 | -0.000 | -0.000 | 0.000 |
| 25.067 | 25.067 | 42.788 | 0.000 | 0.000 | 0.000 |
| 0.000 | 0.000 | 0.000 | 22.387 | -0.000 | -0.000 |
| 0.000 | 0.000 | 0.000 | 0.000 | 22.387 | 0.000 |
| 0.000 | 0.000 | 0.000 | 0.000 | 0.000 | 22.387 |
| 621.508 | 538.221 | 538.221 | -0.000 | -0.000 | 0.000 |
| 538.221 | 621.508 | 538.221 | -0.000 | -0.000 | 0.000 |
| 538.221 | 538.221 | 621.508 | 0.000 | 0.000 | -0.000 |
| 0.000 | 0.000 | 0.000 | 229.775 | 0.000 | 0.000 |
| 0.000 | 0.000 | 0.000 | 0.000 | 229.775 | -0.000 |
| 0.000 | 0.000 | 0.000 | -0.000 | -0.000 | 229.775 |
| 621.508 | 538.221 | 538.221 | -0.000 | -0.000 | 0.000 |
| 538.221 | 621.508 | 538.221 | -0.000 | -0.000 | 0.000 |
| 538.221 | 538.221 | 621.508 | 0.000 | 0.000 | -0.000 |
| -0.000 | -0.000 | -0.000 | 229.775 | 0.000 | 0.000 |
| 0.000 | -0.000 | -0.000 | 0.000 | 229.775 | -0.000 |
| 0.000 | -0.000 | -0.000 | 0.000 | -0.000 | 229.775 |
| 621.508 | 538.221 | 538.221 | -0.000 | -0.000 | -0.000 |
| 538.221 | 621.508 | 538.221 | -0.000 | -0.000 | -0.000 |
| 538.221 | 538.221 | 621.508 | -0.000 | -0.000 | 0.000 |
| -0.000 | -0.000 | -0.000 | 229.775 | 0.000 | -0.000 |
| -0.000 | -0.000 | -0.000 | 0.000 | 229.775 | 0.000 |
| -0.000 | -0.000 | -0.000 | 0.000 | 0.000 | 229.775 |
| 621.508 | 538.221 | 538.221 | -0.000 | -0.000 | 0.000 |
| 538.221 | 621.508 | 538.221 | -0.000 | -0.000 | -0.000 |
| 538.221 | 538.221 | 621.508 | -0.000 | -0.000 | -0.000 |
| 0.000 | 0.000 | 0.000 | 229.775 | 0.000 | -0.000 |
| 0.000 | 0.000 | 0.000 | 0.000 | 229.775 | -0.000 |
| 0.000 | 0.000 | 0.000 | -0.000 | -0.000 | 229.775 |
| 621.509 | 538.222 | 538.222 | 0.000 | 0.000 | 0.000 |
| 538.222 | 621.509 | 538.222 | 0.000 | 0.000 | -0.000 |
| 538.222 | 538.222 | 621.509 | -0.000 | -0.000 | 0.000 |
| -0.000 | -0.001 | -0.000 | 229.775 | 0.000 | -0.000 |
| -0.001 | -0.000 | -0.000 | 0.000 | 229.775 | 0.000 |
| -0.001 | -0.000 | -0.000 | 0.000 | 0.000 | 229.775 |
| 621.507 | 538.220 | 538.220 | -0.000 | -0.000 | -0.000 |
| 538.220 | 621.507 | 538.220 | -0.000 | -0.000 | -0.000 |
| 538.220 | 538.220 | 621.507 | -0.000 | -0.000 | -0.000 |
| 0.000 | 0.001 | 0.000 | 229.775 | -0.000 | -0.000 |
| 0.001 | 0.000 | 0.000 | -0.000 | 229.775 | 0.000 |
| 0.001 | 0.000 | 0.000 | -0.000 | -0.000 | 229.775 |
| 52.768 | 26.963 | 26.963 | 0.000 | -0.000 | -0.000 |
| 26.963 | 52.768 | 26.963 | -0.000 | -0.000 | -0.000 |
| 26.963 | 26.963 | 52.768 | -0.000 | -0.000 | -0.000 |
| 0.000 | -0.000 | -0.000 | 26.577 | -0.000 | -0.000 |
| -0.000 | -0.000 | -0.000 | -0.000 | 26.577 | -0.000 |
| -0.000 | -0.000 | -0.000 | 0.000 | -0.000 | 26.577 |
| 52.768 | 26.963 | 26.963 | 0.000 | 0.000 | 0.000 |
| 26.963 | 52.768 | 26.963 | 0.000 | 0.000 | 0.000 |
| 26.963 | 26.963 | 52.768 | -0.000 | -0.000 | 0.000 |
| 0.000 | 0.000 | 0.000 | 26.577 | 0.000 | 0.000 |
| 0.000 | 0.000 | 0.000 | -0.000 | 26.577 | 0.000 |
| 0.000 | 0.000 | 0.000 | 0.000 | 0.000 | 26.577 |
| 52.768 | 26.963 | 26.963 | -0.000 | -0.000 | -0.000 |
| 26.963 | 52.768 | 26.963 | -0.000 | -0.000 | -0.000 |
| 26.963 | 26.963 | 52.768 | 0.000 | -0.000 | -0.000 |
| -0.000 | -0.000 | -0.000 | 26.577 | -0.000 | -0.000 |
| -0.000 | -0.000 | -0.000 | 0.000 | 26.577 | -0.000 |
| -0.000 | -0.000 | -0.000 | 0.000 | -0.000 | 26.577 |
| 52.768 | 26.963 | 26.963 | 0.000 | 0.000 | 0.000 |
| 26.963 | 52.768 | 26.963 | 0.000 | 0.000 | 0.000 |
| 26.963 | 26.963 | 52.768 | -0.000 | 0.000 | 0.000 |
| 0.000 | 0.000 | 0.000 | 26.577 | 0.000 | 0.000 |
| 0.000 | 0.000 | 0.000 | -0.000 | 26.577 | 0.000 |
| 0.000 | 0.000 | 0.000 | -0.000 | 0.000 | 26.577 |
| 52.768 | 26.963 | 26.963 | -0.000 | -0.000 | -0.000 |
| 26.963 | 52.768 | 26.963 | -0.000 | -0.000 | -0.000 |
| 26.963 | 26.963 | 52.768 | -0.000 | -0.000 | -0.000 |
| -0.000 | -0.000 | -0.000 | 26.577 | -0.000 | -0.000 |
| -0.000 | -0.000 | -0.000 | 0.000 | 26.577 | -0.000 |
| -0.000 | -0.000 | -0.000 | 0.000 | -0.000 | 26.577 |
| 52.768 | 26.962 | 26.962 | -0.000 | -0.000 | 0.000 |
| 26.962 | 52.768 | 26.962 | -0.000 | -0.000 | 0.000 |
| 26.962 | 26.962 | 52.768 | 0.000 | 0.000 | 0.000 |
| 0.000 | 0.000 | 0.000 | 26.577 | 0.000 | 0.000 |
| 0.000 | 0.000 | 0.000 | 0.000 | 26.577 | 0.000 |
| 0.000 | 0.000 | 0.000 | -0.000 | 0.000 | 26.577 |
| 278.967 | 201.725 | 201.725 | -0.000 | -0.000 | 0.000 |
| 201.725 | 278.967 | 201.725 | 0.000 | -0.000 | -0.000 |
| 201.725 | 201.725 | 278.967 | 0.000 | 0.000 | 0.000 |
| 0.000 | -0.000 | -0.000 | 144.648 | -0.000 | -0.000 |
| -0.000 | -0.000 | 0.000 | -0.000 | 144.648 | -0.000 |
| -0.000 | -0.000 | 0.000 | -0.000 | -0.000 | 144.648 |
| 278.967 | 201.725 | 201.725 | -0.000 | 0.000 | 0.000 |
| 201.725 | 278.967 | 201.725 | 0.000 | -0.000 | 0.000 |
| 201.725 | 201.725 | 278.967 | 0.000 | 0.000 | -0.000 |
| -0.000 | 0.000 | 0.000 | 144.648 | 0.000 | 0.000 |
| 0.000 | 0.000 | -0.000 | 0.000 | 144.648 | 0.000 |
| 0.000 | 0.000 | 0.000 | 0.000 | 0.000 | 144.648 |
| 278.967 | 201.725 | 201.725 | -0.000 | -0.000 | 0.000 |
| 201.725 | 278.967 | 201.725 | -0.000 | -0.000 | -0.000 |
| 201.725 | 201.725 | 278.967 | -0.000 | -0.000 | 0.000 |
| -0.000 | -0.000 | -0.000 | 91.079 | -0.000 | -0.000 |
| -0.000 | -0.000 | -0.000 | -0.000 | 91.079 | -0.000 |
| -0.000 | -0.000 | -0.000 | 0.000 | -0.000 | 91.079 |
| 278.967 | 201.725 | 201.725 | -0.000 | 0.000 | 0.000 |
| 201.725 | 278.967 | 201.725 | 0.000 | -0.000 | 0.000 |
| 201.725 | 201.725 | 278.967 | 0.000 | 0.000 | -0.000 |
| 0.000 | 0.000 | 0.000 | 91.079 | 0.000 | 0.000 |
| 0.000 | 0.000 | 0.000 | 0.000 | 91.079 | 0.000 |
| 0.000 | 0.000 | 0.000 | 0.000 | 0.000 | 91.079 |
| 278.967 | 201.725 | 201.725 | -0.000 | -0.000 | 0.000 |
| 201.725 | 278.967 | 201.725 | -0.000 | -0.000 | -0.000 |
| 201.725 | 201.725 | 278.967 | -0.000 | -0.000 | -0.000 |
| -0.000 | -0.000 | -0.000 | 102.073 | -0.000 | -0.000 |
| -0.000 | -0.000 | -0.000 | -0.000 | 102.073 | 0.000 |
| -0.000 | -0.000 | -0.000 | -0.000 | 0.000 | 102.073 |
| 278.967 | 201.725 | 201.725 | 0.000 | -0.000 | -0.000 |
| 201.725 | 278.967 | 201.725 | -0.000 | 0.000 | 0.000 |
| 201.725 | 201.725 | 278.967 | 0.000 | 0.000 | 0.000 |
| 0.000 | 0.000 | 0.000 | 102.073 | 0.000 | 0.000 |
| 0.000 | 0.000 | 0.000 | 0.000 | 102.073 | 0.000 |
| 0.000 | 0.000 | 0.000 | -0.000 | 0.000 | 102.073 |
| 315.027 | 202.643 | 202.643 | 0.000 | 0.000 | 0.000 |
| 202.643 | 315.027 | 202.643 | 0.000 | 0.000 | 0.000 |
| 202.643 | 202.643 | 315.027 | 0.000 | 0.000 | 0.000 |
| -0.000 | -0.000 | 0.000 | 115.718 | 0.000 | 0.000 |
| -0.000 | -0.000 | 0.000 | -0.000 | 115.718 | -0.000 |
| -0.000 | -0.000 | 0.000 | -0.000 | 0.000 | 115.718 |
| 315.027 | 202.643 | 202.643 | -0.000 | -0.000 | -0.000 |
| 202.643 | 315.027 | 202.643 | -0.000 | -0.000 | -0.000 |
| 202.643 | 202.643 | 315.027 | -0.000 | -0.000 | -0.000 |
| 0.000 | 0.000 | -0.000 | 115.718 | -0.000 | -0.000 |
| 0.000 | 0.000 | -0.000 | -0.000 | 115.718 | -0.000 |
| 0.000 | -0.000 | -0.000 | 0.000 | -0.000 | 115.718 |
| 315.027 | 202.643 | 202.643 | 0.000 | 0.000 | 0.000 |
| 202.643 | 315.027 | 202.643 | 0.000 | 0.000 | 0.000 |
| 202.643 | 202.643 | 315.027 | -0.000 | -0.000 | 0.000 |
| -0.000 | -0.000 | -0.000 | 115.718 | 0.000 | 0.000 |
| -0.000 | -0.000 | -0.000 | 0.000 | 115.718 | -0.000 |
| -0.000 | -0.000 | -0.000 | -0.000 | -0.000 | 115.718 |
| 315.027 | 202.643 | 202.643 | -0.000 | -0.000 | -0.000 |
| 202.643 | 315.027 | 202.643 | -0.000 | -0.000 | -0.000 |
| 202.643 | 202.643 | 315.027 | -0.000 | -0.000 | -0.000 |
| 0.000 | 0.000 | 0.000 | 115.718 | -0.000 | -0.000 |
| 0.000 | 0.000 | 0.000 | 0.000 | 115.718 | -0.000 |
| 0.000 | 0.000 | 0.000 | -0.000 | -0.000 | 115.718 |
| 315.027 | 202.643 | 202.643 | 0.000 | 0.000 | 0.000 |
| 202.643 | 315.027 | 202.643 | 0.000 | 0.000 | 0.000 |
| 202.643 | 202.643 | 315.027 | 0.000 | 0.000 | 0.000 |
| -0.000 | -0.000 | -0.000 | 115.718 | 0.000 | 0.000 |
| -0.000 | -0.000 | -0.000 | 0.000 | 115.718 | 0.000 |
| -0.000 | -0.000 | -0.000 | 0.000 | 0.000 | 115.718 |
| 315.028 | 202.643 | 202.643 | -0.000 | -0.000 | -0.000 |
| 202.643 | 315.028 | 202.643 | -0.000 | -0.000 | -0.000 |
| 202.643 | 202.643 | 315.028 | -0.000 | -0.000 | -0.000 |
| 0.000 | 0.000 | 0.000 | 115.718 | -0.000 | -0.000 |
| 0.000 | 0.000 | 0.000 | -0.000 | 115.718 | -0.000 |
| 0.000 | 0.000 | 0.000 | -0.000 | 0.000 | 115.718 |
| 260.434 | 340.307 | 340.307 | 0.000 | 0.000 | 0.000 |
| 340.307 | 260.434 | 340.307 | 0.000 | 0.000 | -0.000 |
| 340.307 | 340.307 | 260.434 | -0.000 | -0.000 | 0.000 |
| 0.000 | 0.000 | 0.000 | 164.785 | 0.000 | -0.000 |
| 0.000 | 0.000 | 0.000 | -0.000 | 164.785 | -0.000 |
| 0.000 | 0.000 | 0.000 | 0.000 | 0.000 | 164.785 |
| 260.434 | 340.307 | 340.307 | -0.000 | -0.000 | -0.000 |
| 340.307 | 260.434 | 340.307 | -0.000 | -0.000 | -0.000 |
| 340.307 | 340.307 | 260.434 | -0.000 | -0.000 | -0.000 |
| -0.000 | -0.000 | -0.000 | 164.785 | 0.000 | 0.000 |
| 0.000 | -0.000 | -0.000 | 0.000 | 164.785 | 0.000 |
| -0.000 | -0.000 | -0.000 | -0.000 | -0.000 | 164.785 |
| 260.434 | 340.307 | 340.307 | -0.000 | -0.000 | -0.000 |
| 340.307 | 260.434 | 340.307 | -0.000 | -0.000 | -0.000 |
| 340.307 | 340.307 | 260.434 | -0.000 | -0.000 | -0.000 |
| -0.000 | -0.000 | -0.000 | 145.992 | -0.000 | -0.000 |
| -0.000 | -0.000 | -0.000 | -0.000 | 145.992 | 0.000 |
| -0.000 | -0.000 | -0.000 | 0.000 | 0.000 | 145.992 |
| 260.434 | 340.307 | 340.307 | 0.000 | 0.000 | 0.000 |
| 340.307 | 260.434 | 340.307 | 0.000 | 0.000 | 0.000 |
| 340.307 | 340.307 | 260.434 | 0.000 | 0.000 | 0.000 |
| 0.000 | 0.000 | 0.000 | 145.992 | 0.000 | 0.000 |
| 0.000 | 0.000 | 0.000 | 0.000 | 145.992 | 0.000 |
| 0.000 | 0.000 | 0.000 | -0.000 | -0.000 | 145.992 |
| 260.435 | 340.308 | 340.308 | -0.000 | 0.000 | 0.000 |
| 340.308 | 260.435 | 340.308 | 0.000 | 0.000 | 0.000 |
| 340.308 | 340.308 | 260.435 | 0.000 | 0.000 | -0.000 |
| -0.000 | -0.000 | -0.000 | 145.992 | -0.000 | -0.000 |
| -0.000 | -0.000 | -0.000 | -0.000 | 145.992 | -0.000 |
| -0.000 | -0.000 | -0.000 | -0.000 | 0.000 | 145.992 |
| 260.434 | 340.306 | 340.306 | -0.000 | 0.000 | 0.000 |
| 340.306 | 260.434 | 340.306 | 0.000 | -0.000 | 0.000 |
| 340.306 | 340.306 | 260.434 | 0.000 | 0.000 | -0.000 |
| 0.000 | 0.000 | 0.000 | 145.992 | -0.000 | 0.000 |
| 0.000 | 0.000 | 0.000 | -0.000 | 145.992 | 0.000 |
| 0.000 | 0.000 | 0.000 | -0.000 | -0.000 | 145.992 |
| 23.803 | 16.969 | 16.969 | 0.000 | 0.000 | 0.000 |
| 16.969 | 23.803 | 16.969 | 0.000 | 0.000 | 0.000 |
| 16.969 | 16.969 | 23.803 | 0.000 | 0.000 | 0.000 |
| 0.000 | 0.000 | -0.000 | 12.366 | 0.000 | 0.000 |
| 0.000 | 0.000 | -0.000 | 0.000 | 12.366 | 0.000 |
| 0.000 | 0.000 | -0.000 | 0.000 | 0.000 | 12.366 |
| 23.803 | 16.969 | 16.969 | -0.000 | -0.000 | -0.000 |
| 16.969 | 23.803 | 16.969 | -0.000 | -0.000 | -0.000 |
| 16.969 | 16.969 | 23.803 | -0.000 | -0.000 | -0.000 |
| -0.000 | -0.000 | 0.000 | 12.366 | -0.000 | -0.000 |
| -0.000 | -0.000 | 0.000 | -0.000 | 12.366 | -0.000 |
| -0.000 | -0.000 | 0.000 | -0.000 | -0.000 | 12.366 |
| 23.803 | 16.969 | 16.969 | 0.000 | 0.000 | 0.000 |
| 16.969 | 23.803 | 16.969 | 0.000 | 0.000 | 0.000 |
| 16.969 | 16.969 | 23.803 | 0.000 | 0.000 | 0.000 |
| -0.000 | -0.000 | -0.000 | 12.366 | 0.000 | 0.000 |
| -0.000 | -0.000 | -0.000 | 0.000 | 12.366 | 0.000 |
| -0.000 | 0.000 | -0.000 | 0.000 | 0.000 | 12.366 |
| 23.803 | 16.969 | 16.969 | -0.000 | -0.000 | -0.000 |
| 16.969 | 23.803 | 16.969 | -0.000 | -0.000 | -0.000 |
| 16.969 | 16.969 | 23.803 | -0.000 | -0.000 | -0.000 |
| 0.000 | 0.000 | 0.000 | 12.366 | -0.000 | -0.000 |
| 0.000 | 0.000 | 0.000 | -0.000 | 12.366 | -0.000 |
| 0.000 | 0.000 | 0.000 | -0.000 | -0.000 | 12.366 |
| 23.803 | 16.969 | 16.969 | 0.000 | 0.000 | 0.000 |
| 16.969 | 23.803 | 16.969 | 0.000 | 0.000 | 0.000 |
| 16.969 | 16.969 | 23.803 | 0.000 | 0.000 | 0.000 |
| -0.000 | -0.000 | -0.000 | 12.366 | 0.000 | 0.000 |
| -0.000 | -0.000 | -0.000 | 0.000 | 12.366 | 0.000 |
| -0.000 | -0.000 | -0.000 | 0.000 | 0.000 | 12.366 |
| 23.803 | 16.969 | 16.969 | -0.000 | -0.000 | -0.000 |
| 16.969 | 23.803 | 16.969 | -0.000 | -0.000 | -0.000 |
| 16.969 | 16.969 | 23.803 | -0.000 | -0.000 | -0.000 |
| 0.000 | 0.000 | 0.000 | 12.366 | -0.000 | -0.000 |
| 0.000 | 0.000 | 0.000 | -0.000 | 12.366 | -0.000 |
| 0.000 | 0.000 | 0.000 | -0.000 | -0.000 | 12.366 |
| 173.226 | 53.516 | 53.516 | -0.000 | -0.000 | -0.000 |
| 53.516 | 173.226 | 53.516 | -0.000 | -0.000 | 0.000 |
| 53.516 | 53.516 | 173.226 | 0.000 | 0.000 | -0.000 |
| 0.000 | 0.000 | -0.000 | 25.473 | -0.000 | 0.000 |
| 0.000 | 0.000 | -0.000 | -0.000 | 25.473 | -0.000 |
| 0.000 | -0.000 | -0.000 | -0.000 | -0.000 | 25.473 |
| 173.226 | 53.516 | 53.516 | 0.000 | 0.000 | 0.000 |
| 53.516 | 173.226 | 53.516 | 0.000 | 0.000 | -0.000 |
| 53.516 | 53.516 | 173.226 | -0.000 | -0.000 | -0.000 |
| -0.000 | -0.000 | 0.000 | 25.473 | 0.000 | 0.000 |
| -0.000 | 0.000 | 0.000 | 0.000 | 25.473 | 0.000 |
| -0.000 | 0.000 | 0.000 | 0.000 | 0.000 | 25.473 |
| 173.226 | 53.516 | 53.516 | -0.000 | 0.000 | 0.000 |
| 53.516 | 173.226 | 53.516 | 0.000 | -0.000 | 0.000 |
| 53.516 | 53.516 | 173.226 | 0.000 | 0.000 | -0.000 |
| -0.000 | -0.000 | -0.000 | 25.473 | -0.000 | -0.000 |
| -0.000 | -0.000 | -0.000 | -0.000 | 25.473 | -0.000 |
| -0.000 | -0.000 | -0.000 | -0.000 | -0.000 | 25.473 |
| 173.226 | 53.516 | 53.516 | 0.000 | 0.000 | -0.000 |
| 53.516 | 173.226 | 53.516 | -0.000 | -0.000 | 0.000 |
| 53.516 | 53.516 | 173.226 | 0.000 | 0.000 | 0.000 |
| 0.000 | 0.000 | 0.000 | 25.473 | 0.000 | -0.000 |
| 0.000 | 0.000 | 0.000 | 0.000 | 25.473 | -0.000 |
| 0.000 | 0.000 | 0.000 | 0.000 | 0.000 | 25.473 |
| 173.226 | 53.516 | 53.516 | -0.000 | -0.000 | -0.000 |
| 53.516 | 173.226 | 53.516 | -0.000 | -0.000 | 0.000 |
| 53.516 | 53.516 | 173.226 | -0.000 | -0.000 | -0.000 |
| -0.000 | -0.000 | -0.000 | 25.473 | 0.000 | 0.000 |
| -0.000 | -0.000 | -0.000 | -0.000 | 25.473 | -0.000 |
| -0.000 | -0.000 | -0.000 | -0.000 | -0.000 | 25.473 |
| 173.226 | 53.516 | 53.516 | 0.000 | 0.000 | -0.000 |
| 53.516 | 173.226 | 53.516 | 0.000 | 0.000 | 0.000 |
| 53.516 | 53.516 | 173.226 | 0.000 | 0.000 | 0.000 |
| 0.000 | 0.000 | 0.000 | 25.473 | -0.000 | -0.000 |
| 0.000 | 0.000 | 0.000 | -0.000 | 25.473 | 0.000 |
| 0.000 | 0.000 | 0.000 | 0.000 | 0.000 | 25.473 |
| 191.906 | 187.414 | 187.414 | -0.000 | -0.000 | -0.000 |
| 187.414 | 191.906 | 187.414 | -0.000 | -0.000 | -0.000 |
| 187.414 | 187.414 | 191.906 | -0.000 | -0.000 | -0.000 |
| -0.000 | -0.000 | -0.000 | 82.570 | -0.000 | 0.000 |
| -0.000 | -0.000 | -0.000 | -0.000 | 82.570 | -0.000 |
| -0.000 | -0.000 | -0.000 | -0.000 | -0.000 | 82.570 |
| 191.906 | 187.414 | 187.414 | 0.000 | 0.000 | 0.000 |
| 187.414 | 191.906 | 187.414 | 0.000 | 0.000 | 0.000 |
| 187.414 | 187.414 | 191.906 | 0.000 | 0.000 | 0.000 |
| 0.000 | 0.000 | -0.000 | 82.570 | 0.000 | 0.000 |
| 0.000 | 0.000 | -0.000 | 0.000 | 82.570 | 0.000 |
| 0.000 | 0.000 | 0.000 | 0.000 | 0.000 | 82.570 |
| 191.906 | 187.414 | 187.414 | -0.000 | -0.000 | -0.000 |
| 187.414 | 191.906 | 187.414 | -0.000 | -0.000 | -0.000 |
| 187.414 | 187.414 | 191.906 | -0.000 | -0.000 | -0.000 |
| -0.000 | -0.000 | -0.000 | 82.570 | -0.000 | 0.000 |
| -0.000 | -0.000 | -0.000 | -0.000 | 82.570 | -0.000 |
| -0.000 | -0.000 | -0.000 | -0.000 | -0.000 | 82.570 |
| 191.906 | 187.414 | 187.414 | 0.000 | 0.000 | 0.000 |
| 187.414 | 191.906 | 187.414 | 0.000 | 0.000 | -0.000 |
| 187.414 | 187.414 | 191.906 | -0.000 | -0.000 | -0.000 |
| 0.000 | 0.000 | 0.000 | 82.570 | 0.000 | -0.000 |
| 0.000 | 0.000 | 0.000 | 0.000 | 82.570 | 0.000 |
| 0.000 | 0.000 | 0.000 | 0.000 | 0.000 | 82.570 |
| 191.906 | 187.414 | 187.414 | -0.000 | -0.000 | 0.000 |
| 187.414 | 191.906 | 187.414 | -0.000 | -0.000 | -0.000 |
| 187.414 | 187.414 | 191.906 | -0.000 | -0.000 | -0.000 |
| -0.000 | -0.000 | -0.000 | 82.570 | -0.000 | 0.000 |
| -0.000 | -0.000 | -0.000 | -0.000 | 82.570 | -0.000 |
| -0.000 | -0.000 | -0.000 | -0.000 | -0.000 | 82.570 |
| 191.905 | 187.413 | 187.413 | 0.000 | 0.000 | 0.000 |
| 187.413 | 191.905 | 187.413 | 0.000 | 0.000 | 0.000 |
| 187.413 | 187.413 | 191.905 | 0.000 | 0.000 | 0.000 |
| 0.000 | 0.000 | 0.000 | 82.570 | 0.000 | 0.000 |
| 0.000 | 0.000 | 0.000 | 0.000 | 82.570 | 0.000 |
| 0.000 | 0.000 | 0.000 | 0.000 | 0.000 | 82.570 |
| 43.383 | -0.182 | -0.182 | -0.000 | -0.000 | -0.000 |
| -0.182 | 43.383 | -0.182 | -0.000 | -0.000 | -0.000 |
| -0.182 | -0.182 | 43.383 | -0.000 | -0.000 | -0.000 |
| -0.000 | -0.000 | -0.000 | -0.539 | -0.000 | -0.000 |
| -0.000 | -0.000 | -0.000 | -0.000 | -0.539 | 0.000 |
| 0.000 | -0.000 | 0.000 | -0.000 | -0.000 | -0.539 |
| 43.383 | -0.182 | -0.182 | -0.000 | -0.000 | -0.000 |
| -0.182 | 43.383 | -0.182 | -0.000 | -0.000 | 0.000 |
| -0.182 | -0.182 | 43.383 | 0.000 | 0.000 | -0.000 |
| -0.000 | -0.000 | 0.000 | -0.539 | 0.000 | -0.000 |
| -0.000 | -0.000 | 0.000 | 0.000 | -0.539 | -0.000 |
| -0.000 | 0.000 | -0.000 | 0.000 | 0.000 | -0.539 |
| 43.383 | -0.182 | -0.182 | -0.000 | 0.000 | 0.000 |
| -0.182 | 43.383 | -0.182 | -0.000 | -0.000 | 0.000 |
| -0.182 | -0.182 | 43.383 | -0.000 | 0.000 | -0.000 |
| -0.000 | 0.000 | -0.000 | -0.539 | -0.000 | -0.000 |
| 0.000 | -0.000 | -0.000 | -0.000 | -0.539 | -0.000 |
| 0.000 | -0.000 | 0.000 | -0.000 | 0.000 | -0.539 |
| 43.383 | -0.182 | -0.182 | -0.000 | -0.000 | -0.000 |
| -0.182 | 43.383 | -0.182 | -0.000 | -0.000 | -0.000 |
| -0.182 | -0.182 | 43.383 | -0.000 | -0.000 | -0.000 |
| 0.000 | -0.000 | 0.000 | -0.539 | -0.000 | 0.000 |
| -0.000 | 0.000 | 0.000 | -0.000 | -0.539 | -0.000 |
| -0.000 | 0.000 | -0.000 | 0.000 | -0.000 | -0.539 |
| 43.383 | -0.182 | -0.182 | 0.000 | -0.000 | -0.000 |
| -0.182 | 43.383 | -0.182 | -0.000 | -0.000 | 0.000 |
| -0.182 | -0.182 | 43.383 | -0.000 | -0.000 | -0.000 |
| 0.000 | 0.000 | -0.000 | -0.539 | -0.000 | 0.000 |
| 0.000 | 0.000 | -0.000 | -0.000 | -0.539 | -0.000 |
| 0.000 | -0.000 | 0.000 | -0.000 | -0.000 | -0.539 |
| 43.383 | -0.182 | -0.182 | 0.000 | -0.000 | 0.000 |
| -0.182 | 43.383 | -0.182 | 0.000 | -0.000 | 0.000 |
| -0.182 | -0.182 | 43.383 | 0.000 | -0.000 | -0.000 |
| -0.000 | -0.000 | 0.000 | -0.539 | -0.000 | -0.000 |
| -0.000 | -0.000 | 0.000 | 0.000 | -0.539 | -0.000 |
| -0.000 | 0.000 | -0.000 | 0.000 | -0.000 | -0.539 |
| 55.508 | 60.365 | 60.365 | 0.000 | -0.000 | -0.000 |
| 60.365 | 55.508 | 60.365 | -0.000 | 0.000 | -0.000 |
| 60.365 | 60.365 | 55.508 | -0.000 | -0.000 | -0.000 |
| 0.000 | 0.000 | 0.000 | 15.397 | 0.000 | -0.000 |
| -0.000 | 0.000 | 0.000 | 0.000 | 15.397 | -0.000 |
| 0.000 | 0.000 | -0.000 | -0.000 | -0.000 | 15.397 |
| 55.508 | 60.365 | 60.365 | -0.000 | -0.000 | 0.000 |
| 60.365 | 55.508 | 60.365 | -0.000 | -0.000 | 0.000 |
| 60.365 | 60.365 | 55.508 | -0.000 | -0.000 | -0.000 |
| -0.000 | -0.000 | -0.000 | 15.397 | -0.000 | 0.000 |
| -0.000 | -0.000 | -0.000 | -0.000 | 15.397 | -0.000 |
| -0.000 | -0.000 | -0.000 | -0.000 | -0.000 | 15.397 |
| 55.508 | 60.365 | 60.365 | -0.000 | -0.000 | -0.000 |
| 60.365 | 55.508 | 60.365 | -0.000 | -0.000 | -0.000 |
| 60.365 | 60.365 | 55.508 | -0.000 | -0.000 | -0.000 |
| -0.000 | -0.000 | -0.000 | 15.397 | -0.000 | -0.000 |
| -0.000 | -0.000 | -0.000 | 0.000 | 15.397 | 0.000 |
| -0.000 | -0.000 | -0.000 | 0.000 | 0.000 | 15.397 |
| 55.508 | 60.365 | 60.365 | 0.000 | 0.000 | 0.000 |
| 60.365 | 55.508 | 60.365 | 0.000 | 0.000 | 0.000 |
| 60.365 | 60.365 | 55.508 | 0.000 | 0.000 | 0.000 |
| 0.000 | 0.000 | 0.000 | 15.397 | -0.000 | 0.000 |
| 0.000 | 0.000 | 0.000 | -0.000 | 15.397 | 0.000 |
| 0.000 | 0.000 | 0.000 | 0.000 | 0.000 | 15.397 |
| 55.508 | 60.365 | 60.365 | -0.000 | -0.000 | -0.000 |
| 60.365 | 55.508 | 60.365 | -0.000 | -0.000 | -0.000 |
| 60.365 | 60.365 | 55.508 | -0.000 | -0.000 | -0.000 |
| -0.000 | -0.000 | -0.000 | 15.397 | 0.000 | -0.000 |
| -0.000 | -0.000 | -0.000 | 0.000 | 15.397 | 0.000 |
| -0.000 | -0.000 | -0.000 | -0.000 | 0.000 | 15.397 |
| 55.509 | 60.365 | 60.365 | 0.000 | 0.000 | 0.000 |
| 60.365 | 55.509 | 60.365 | 0.000 | 0.000 | 0.000 |
| 60.365 | 60.365 | 55.509 | 0.000 | -0.000 | 0.000 |
| 0.000 | 0.000 | 0.000 | 15.397 | -0.000 | 0.000 |
| 0.000 | 0.000 | 0.000 | -0.000 | 15.397 | -0.000 |
| 0.000 | 0.000 | 0.000 | -0.000 | -0.000 | 15.397 |
| 24.554 | 13.638 | 13.638 | 0.000 | 0.000 | 0.000 |
| 13.638 | 24.554 | 13.638 | 0.000 | 0.000 | 0.000 |
| 13.638 | 13.638 | 24.554 | 0.000 | 0.000 | 0.000 |
| 0.000 | 0.000 | 0.000 | 11.632 | 0.000 | 0.000 |
| 0.000 | 0.000 | 0.000 | 0.000 | 11.632 | 0.000 |
| 0.000 | 0.000 | 0.000 | 0.000 | 0.000 | 11.632 |
| 24.554 | 13.638 | 13.638 | -0.000 | -0.000 | -0.000 |
| 13.638 | 24.554 | 13.638 | -0.000 | -0.000 | 0.000 |
| 13.638 | 13.638 | 24.554 | -0.000 | -0.000 | -0.000 |
| -0.000 | -0.000 | -0.000 | 11.632 | -0.000 | -0.000 |
| -0.000 | -0.000 | -0.000 | -0.000 | 11.632 | 0.000 |
| -0.000 | -0.000 | -0.000 | -0.000 | -0.000 | 11.632 |
| 24.554 | 13.638 | 13.638 | 0.000 | 0.000 | 0.000 |
| 13.638 | 24.554 | 13.638 | 0.000 | 0.000 | 0.000 |
| 13.638 | 13.638 | 24.554 | 0.000 | 0.000 | 0.000 |
| -0.000 | -0.000 | -0.000 | 11.632 | -0.000 | 0.000 |
| -0.000 | -0.000 | -0.000 | -0.000 | 11.632 | 0.000 |
| -0.000 | -0.000 | -0.000 | 0.000 | 0.000 | 11.632 |
| 24.554 | 13.638 | 13.638 | -0.000 | -0.000 | -0.000 |
| 13.638 | 24.554 | 13.638 | -0.000 | -0.000 | -0.000 |
| 13.638 | 13.638 | 24.554 | -0.000 | -0.000 | -0.000 |
| 0.000 | 0.000 | 0.000 | 11.632 | 0.000 | 0.000 |
| 0.000 | 0.000 | 0.000 | 0.000 | 11.632 | -0.000 |
| 0.000 | 0.000 | 0.000 | -0.000 | -0.000 | 11.632 |
| 24.554 | 13.638 | 13.638 | 0.000 | 0.000 | 0.000 |
| 13.638 | 24.554 | 13.638 | 0.000 | 0.000 | -0.000 |
| 13.638 | 13.638 | 24.554 | -0.000 | -0.000 | 0.000 |
| -1891423.502 | -1879365.958 | -1879410.124 | 93829.932 | -6624.624 | 1791.888 |
| -1870050.440 | -1892997.158 | -1860082.414 | 2255.982 | 109155.840 | -6775.373 |
| -1890084.360 | -1863153.722 | -1892952.509 | -9191.339 | 4977.201 | 95830.220 |
| 24.554 | 13.638 | 13.638 | -0.000 | -0.000 | -0.000 |
| 13.638 | 24.554 | 13.638 | -0.000 | -0.000 | -0.000 |
| 13.638 | 13.638 | 24.554 | 0.000 | -0.000 | -0.000 |
| 2021111.202 | 1979093.282 | 2001329.084 | 90065.661 | -367.633 | 2725.008 |
| 1959597.780 | 1971929.288 | 1966319.285 | 7461.781 | 92781.626 | 233.149 |
| 1923849.341 | 1954486.043 | 1959809.591 | 19545.262 | -6858.355 | 86452.791 |
| 399.483 | 286.877 | 114.172 | 13.129 | 12.705 | 0.000 |
| 286.877 | 399.483 | 114.172 | -13.129 | -12.706 | 0.000 |
| 267.403 | 267.403 | 270.237 | -0.000 | -0.000 | 0.000 |
| -194.216 | -219.801 | -55.209 | 38.341 | -0.000 | -11.854 |
| 153.950 | 128.538 | -11.551 | -0.000 | 40.880 | 13.129 |
| 141.244 | 141.244 | -11.551 | -12.706 | 13.129 | 56.308 |
| 264.153 | 144.398 | 126.305 | 13.448 | 12.834 | -0.000 |
| 4.397 | 117.024 | 137.274 | -13.130 | -12.706 | -0.000 |
| -15.534 | -15.534 | 293.373 | 0.000 | 0.000 | -0.000 |
| -128.102 | -154.361 | 11.550 | 40.880 | 0.000 | -12.706 |
| 218.303 | 194.597 | 55.254 | 0.000 | 38.325 | 12.791 |
| -141.142 | -141.142 | 11.542 | -12.706 | 13.130 | 56.311 |
| 272.317 | 159.833 | 124.553 | 13.123 | 12.703 | 0.000 |
| 159.842 | 272.322 | 124.552 | -13.123 | -12.703 | 0.000 |
| 140.295 | 140.295 | 280.631 | -0.000 | -0.000 | 0.000 |
| 13.448 | -13.448 | -0.000 | 44.922 | -0.000 | -12.834 |
| -8.842 | -32.549 | -5.520 | -0.000 | 38.342 | 12.793 |
| 14.164 | 14.164 | -1.158 | -12.706 | 13.128 | 56.298 |
| 244.215 | 131.494 | 126.886 | 13.134 | 12.708 | -0.000 |
| 131.469 | 244.176 | 126.887 | -13.133 | -12.707 | -0.000 |
| 126.718 | 126.718 | 282.627 | 0.000 | 0.000 | -0.000 |
| 33.504 | 7.918 | 5.518 | 38.347 | 0.000 | -11.854 |
| 12.834 | -12.834 | 0.000 | 0.000 | 44.922 | 13.448 |
| 20.704 | 20.704 | 5.522 | -11.853 | 12.792 | 53.526 |
| 258.520 | 147.326 | 125.489 | 13.066 | 12.680 | 0.000 |
| 142.000 | 245.633 | 124.300 | -12.033 | -11.565 | 0.000 |
| 126.706 | 126.706 | 282.717 | -0.000 | -0.000 | 0.000 |
| 14.552 | -11.701 | -0.117 | 40.842 | -0.000 | -12.705 |
| 9.851 | -13.904 | -0.543 | 0.003 | 38.476 | 12.815 |
| -0.000 | -0.000 | -0.000 | -12.834 | 13.448 | 59.878 |
| 264.153 | 144.397 | 126.305 | 13.448 | 12.834 | -0.000 |
| 147.892 | 256.491 | 125.746 | -12.888 | -12.007 | 0.005 |
| 124.759 | 124.759 | 281.911 | 0.000 | 0.000 | -0.000 |
| 17.332 | -7.083 | 0.462 | 38.311 | 0.010 | -11.646 |
| 11.320 | -14.122 | 0.222 | 0.029 | 40.776 | 13.108 |
| 0.000 | 0.000 | 0.000 | -12.834 | 13.448 | 59.878 |
| 139.795 | 25.821 | 475.647 | 12.541 | -12.133 | -0.000 |
| 143.915 | 264.735 | 125.519 | -12.863 | 12.243 | -0.000 |
| 125.519 | 125.519 | 285.444 | -0.000 | -0.000 | -0.000 |
| 12.863 | -12.863 | -0.000 | 44.278 | 0.000 | 12.243 |
| -116.136 | -91.843 | 306.221 | -0.008 | 40.993 | 12.582 |
| 510.256 | 510.256 | 605.513 | 11.283 | 12.248 | 54.571 |
| 343.630 | 227.582 | -119.150 | 12.639 | -12.166 | 0.000 |
| 143.915 | 264.735 | 125.520 | -12.863 | 12.242 | 0.000 |
| 244.112 | 244.112 | -66.507 | -0.000 | 0.000 | 0.000 |
| 12.863 | -12.863 | 0.000 | 44.278 | 0.000 | 12.243 |
| -497.934 | -475.365 | -652.056 | -0.000 | 37.754 | 12.195 |
| 0.000 | 0.000 | 0.000 | 12.243 | 12.863 | 60.410 |
| 249.317 | 134.419 | 155.364 | 12.585 | -12.148 | 0.000 |
| 134.416 | 249.317 | 155.359 | -12.585 | 12.151 | 0.000 |
| 125.528 | 125.528 | 285.472 | -0.000 | -0.000 | -0.000 |
| 2.182 | -22.982 | 30.626 | 40.925 | -0.003 | 12.147 |
| -12.243 | 12.243 | -0.000 | -0.000 | 44.278 | 12.863 |
| -10.403 | -10.401 | 30.622 | 12.147 | 12.582 | 57.422 |
| 204.468 | 96.364 | 58.422 | 12.199 | -11.262 | -0.000 |
| 96.364 | 204.468 | 58.422 | -12.199 | 11.262 | -0.001 |
| 133.441 | 133.441 | 260.395 | -0.000 | -0.000 | 0.000 |
| 24.456 | -0.623 | -35.097 | 40.434 | 0.001 | 12.133 |
| -12.243 | 12.243 | 0.000 | 0.000 | 44.278 | 12.863 |
| 10.398 | 10.400 | -30.631 | 12.147 | 12.582 | 57.422 |
| 259.069 | 143.695 | 127.918 | 12.598 | -12.173 | -0.004 |
| 143.916 | 264.738 | 125.523 | -12.863 | 12.241 | -0.000 |
| 123.994 | 123.994 | 287.778 | -0.000 | 0.000 | -0.000 |
| 12.864 | -12.880 | -0.116 | 44.325 | 0.004 | 12.240 |
| -12.253 | 12.237 | -0.116 | -0.027 | 44.317 | 12.872 |
| -1.055 | -1.055 | 3.106 | 12.145 | 12.578 | 57.377 |
| 259.567 | 146.222 | 121.069 | 12.512 | -12.123 | 0.000 |
| 134.474 | 237.657 | 118.956 | -10.887 | 11.047 | -0.000 |
| 125.563 | 125.563 | 286.012 | -0.000 | -0.000 | 0.000 |
| 13.631 | -11.526 | -3.099 | 40.879 | -0.000 | 12.146 |
| -11.304 | 13.018 | -2.387 | 0.019 | 41.572 | 12.636 |
| -0.001 | -0.001 | -0.002 | 12.242 | 12.864 | 60.411 |
| 393.487 | 266.720 | 266.720 | -0.000 | 0.000 | -0.000 |
| 266.720 | 393.487 | 266.720 | 0.000 | 0.000 | 0.000 |
| 266.720 | 266.720 | 393.487 | 0.000 | 0.000 | -0.000 |
| 0.000 | -0.000 | -0.000 | 63.335 | -0.000 | -0.000 |
| 113.888 | 113.888 | 113.888 | -0.000 | 55.910 | -0.000 |
| 113.888 | 113.888 | 113.888 | -0.000 | -0.000 | 55.910 |
| 152.947 | 26.160 | 26.160 | -0.000 | -0.000 | -0.000 |
| 33.697 | 157.325 | 33.697 | 0.000 | 0.000 | 0.000 |
| 26.160 | 26.160 | 152.947 | -0.000 | -0.000 | -0.000 |
| -113.888 | -113.888 | -113.888 | 55.910 | -0.000 | 0.000 |
| -113.888 | -113.888 | -113.888 | -0.000 | 55.910 | 0.000 |
| -113.888 | -113.888 | -113.888 | 0.000 | 0.000 | 55.910 |
| 279.535 | 147.808 | 147.808 | 0.000 | 0.000 | -0.000 |
| 147.808 | 279.535 | 147.808 | 0.000 | 0.000 | -0.000 |
| 147.808 | 147.808 | 279.535 | -0.000 | -0.000 | -0.000 |
| 11.696 | 11.696 | 11.696 | 55.765 | 0.000 | -0.000 |
| -0.000 | -0.000 | -0.000 | 0.000 | 63.335 | -0.000 |
| -0.000 | -0.000 | -0.000 | 0.000 | 0.000 | 63.335 |
| 258.443 | 137.163 | 137.163 | 0.000 | 0.000 | 0.000 |
| 137.163 | 258.443 | 137.163 | 0.000 | 0.000 | 0.000 |
| 137.163 | 137.163 | 258.443 | 0.000 | 0.000 | 0.000 |
| -11.696 | -11.696 | -11.696 | 55.765 | -0.000 | 0.000 |
| 0.000 | 0.000 | 0.000 | -0.000 | 63.335 | 0.000 |
| 0.000 | 0.000 | 0.000 | 0.000 | 0.000 | 63.335 |
| 269.298 | 150.022 | 150.022 | 0.000 | -0.000 | -0.000 |
| 150.022 | 269.298 | 150.022 | -0.000 | -0.000 | -0.000 |
| 150.051 | 150.051 | 269.230 | 0.000 | 0.000 | 0.000 |
| 1.406 | 1.406 | 1.406 | 54.248 | 0.000 | -0.000 |
| 1.406 | 1.406 | 1.406 | 0.000 | 54.248 | -0.000 |
| 1.406 | 1.406 | 1.406 | -0.000 | -0.000 | 54.248 |
| 267.009 | 147.742 | 147.742 | 0.000 | 0.000 | 0.000 |
| 144.436 | 270.222 | 144.436 | -0.000 | -0.000 | -0.000 |
| 147.742 | 147.742 | 267.009 | 0.000 | 0.000 | 0.000 |
| -1.406 | -1.406 | -1.406 | 54.248 | -0.000 | 0.000 |
| -1.406 | -1.406 | -1.406 | -0.000 | 54.248 | 0.000 |
| -1.406 | -1.406 | -1.406 | -0.000 | -0.000 | 54.248 |
| 264.052 | 144.297 | 126.207 | 13.380 | -12.754 | -0.000 |
| 32.473 | 137.722 | 416.625 | -12.634 | 11.788 | -0.000 |
| -599.479 | -599.479 | 530.357 | -0.000 | -0.000 | -0.000 |
| -101.448 | -126.715 | 291.723 | 37.213 | -0.000 | 11.789 |
| -735.147 | -711.384 | 248.893 | -0.000 | 39.798 | 11.679 |
| -724.750 | -724.749 | 248.793 | 11.882 | 11.676 | 52.720 |
| 607.229 | 502.024 | -142.333 | 12.316 | -11.621 | -0.000 |
| 869.106 | 974.576 | -124.171 | -11.682 | 11.887 | -0.000 |
| 848.452 | 848.452 | 20.552 | -0.000 | 0.000 | 0.000 |
| 367.248 | 342.615 | -267.158 | 38.174 | -0.000 | 11.621 |
| 102.293 | 125.871 | -291.723 | 0.000 | 37.213 | 12.634 |
| 0.000 | -0.000 | 0.000 | 12.754 | 13.380 | 59.878 |
| 244.718 | 140.238 | 160.156 | 12.599 | -11.787 | 0.000 |
| 89.962 | 199.940 | 151.716 | -11.857 | 11.804 | 1.749 |
| 146.349 | 146.349 | 311.109 | -0.000 | 0.000 | -0.000 |
| -22.689 | -42.499 | 26.689 | 38.222 | 0.004 | 12.970 |
| -44.177 | -21.012 | 26.689 | -0.011 | 38.218 | 9.556 |
| -30.397 | -30.310 | 26.100 | 11.636 | 12.309 | 55.426 |
| 263.223 | 157.906 | 95.735 | 12.637 | -11.794 | 0.000 |
| 157.952 | 263.256 | 95.737 | -12.637 | 11.793 | -0.000 |
| 150.193 | 150.193 | 256.091 | -0.000 | -0.000 | 0.000 |
| -6.956 | -33.295 | -28.841 | 42.283 | 0.000 | 12.669 |
| -0.542 | 23.045 | -29.181 | 0.000 | 37.238 | 12.636 |
| 6.427 | 6.427 | -35.301 | 11.791 | 12.602 | 52.265 |
| 264.052 | 144.297 | 126.207 | 13.380 | -12.754 | -0.000 |
| 145.884 | 250.679 | 128.128 | -12.613 | 11.787 | -0.000 |
| 128.300 | 128.300 | 285.399 | 0.000 | 0.000 | -0.000 |
| 15.190 | -11.146 | 2.898 | 42.271 | 0.000 | 12.669 |
| -14.940 | 8.333 | 2.426 | 0.001 | 38.163 | 12.083 |
| -0.280 | -0.271 | -0.000 | 12.756 | 13.379 | 60.153 |
| 260.317 | 143.552 | 123.733 | 13.217 | -12.690 | -0.137 |
| 144.611 | 264.835 | 126.207 | -13.379 | 12.756 | -0.143 |
| 124.211 | 124.211 | 279.384 | 0.000 | 0.000 | 0.000 |
| 13.380 | -13.380 | 0.000 | 44.839 | 0.000 | 12.754 |
| -12.754 | 12.754 | 0.000 | 0.000 | 44.839 | 13.380 |
| 3.255 | 3.235 | -2.516 | 11.626 | 12.353 | 52.876 |
| 279.503 | 147.889 | 147.889 | -0.000 | 0.000 | -0.000 |
| 147.889 | 279.503 | 147.889 | -0.000 | 0.000 | -0.000 |
| 147.889 | 147.889 | 279.503 | -0.000 | 0.000 | -0.000 |
| 75.707 | 75.707 | 75.707 | 55.841 | 0.000 | -0.000 |
| 80.828 | 80.828 | 80.828 | 0.000 | 55.761 | -0.000 |
| 80.828 | 80.828 | 80.828 | -0.000 | 0.000 | 55.761 |
| 195.473 | 72.000 | 72.000 | 0.000 | -0.000 | 0.000 |
| 72.000 | 195.473 | 72.000 | 0.000 | -0.000 | 0.000 |
| 72.000 | 72.000 | 195.473 | 0.000 | -0.000 | 0.000 |
| -80.828 | -80.828 | -80.828 | 55.761 | -0.000 | 0.000 |
| -75.707 | -75.707 | -75.707 | 0.000 | 55.841 | 0.000 |
| -80.828 | -80.828 | -80.828 | 0.000 | -0.000 | 55.761 |
| 279.503 | 147.889 | 147.889 | -0.000 | 0.000 | -0.000 |
| 147.889 | 279.503 | 147.889 | -0.000 | 0.000 | -0.000 |
| 147.889 | 147.889 | 279.503 | -0.000 | 0.000 | -0.000 |
| 7.468 | 7.468 | 7.468 | 54.111 | 0.000 | -0.000 |
| 7.468 | 7.468 | 7.468 | -0.000 | 54.111 | -0.000 |
| 7.468 | 7.468 | 7.468 | -0.000 | 0.000 | 54.111 |
| 261.830 | 141.167 | 141.167 | 0.000 | -0.000 | 0.000 |
| 141.167 | 261.830 | 141.167 | 0.000 | -0.000 | 0.000 |
| 141.167 | 141.167 | 261.830 | -0.000 | -0.000 | 0.000 |
| -7.468 | -7.468 | -7.468 | 54.111 | -0.000 | 0.000 |
| -7.932 | -7.932 | -7.932 | 0.000 | 55.545 | 0.000 |
| -7.468 | -7.468 | -7.468 | 0.000 | -0.000 | 54.111 |
| 268.745 | 149.701 | 149.701 | -0.000 | 0.000 | -0.000 |
| 149.701 | 268.745 | 149.701 | -0.000 | 0.000 | -0.000 |
| 149.701 | 149.701 | 268.745 | -0.000 | 0.000 | -0.000 |
| 0.944 | 0.944 | 0.944 | 54.069 | 0.000 | -0.000 |
| -0.000 | -0.000 | -0.000 | -0.000 | 63.310 | -0.000 |
| 0.944 | 0.944 | 0.944 | -0.000 | 0.000 | 54.069 |
| 279.503 | 147.889 | 147.889 | 0.000 | -0.000 | 0.000 |
| 147.889 | 279.503 | 147.889 | -0.000 | -0.000 | 0.000 |
| 144.832 | 144.832 | 270.303 | 0.000 | -0.000 | 0.000 |
| -0.944 | -0.944 | -0.944 | 54.069 | -0.000 | 0.000 |
| -0.944 | -0.944 | -0.944 | 0.000 | 54.069 | 0.000 |
| -0.944 | -0.944 | -0.944 | 0.000 | -0.000 | 54.069 |
| 118.368 | -5.395 | -5.395 | -0.000 | -0.000 | 0.000 |
| -11.983 | 115.022 | -11.983 | 0.000 | 0.000 | 0.000 |
| 147.808 | 147.808 | 279.650 | -0.000 | 0.000 | 0.000 |
| -152.932 | -152.932 | -152.932 | 55.981 | 0.000 | 0.000 |
| -152.932 | -152.932 | -152.932 | -0.000 | 55.981 | 0.000 |
| -152.932 | -152.932 | -152.932 | -0.000 | 0.000 | 55.981 |
| 279.650 | 147.808 | 147.808 | 0.000 | -0.000 | -0.000 |
| 147.808 | 279.650 | 147.808 | 0.000 | -0.000 | -0.000 |
| 147.808 | 147.808 | 279.650 | 0.000 | -0.000 | -0.000 |
| 152.932 | 152.932 | 152.932 | 55.981 | -0.000 | -0.000 |
| 152.932 | 152.932 | 152.932 | 0.000 | 55.981 | -0.000 |
| 152.932 | 152.932 | 152.932 | 0.000 | -0.000 | 55.981 |
| 254.621 | 133.173 | 133.173 | -0.000 | -0.000 | 0.000 |
| 147.808 | 279.650 | 147.808 | -0.000 | -0.000 | -0.000 |
| 133.173 | 133.173 | 254.621 | -0.000 | -0.000 | 0.000 |
| -15.176 | -15.176 | -15.176 | 54.339 | 0.000 | 0.000 |
| -15.243 | -15.243 | -15.243 | -0.000 | 53.684 | 0.000 |
| -15.243 | -15.243 | -15.243 | -0.000 | 0.000 | 53.684 |
| 284.472 | 163.112 | 163.112 | 0.000 | -0.000 | -0.000 |
| 163.112 | 284.472 | 163.112 | 0.000 | -0.000 | -0.000 |
| 163.112 | 163.112 | 284.472 | 0.000 | -0.000 | -0.000 |
| 15.243 | 15.243 | 15.243 | 53.684 | 0.000 | -0.000 |
| 15.243 | 15.243 | 15.243 | -0.000 | 53.684 | -0.000 |
| 15.566 | 15.566 | 15.566 | 0.000 | -0.000 | 55.898 |
| 279.649 | 147.808 | 147.808 | -0.000 | 0.000 | 0.000 |
| 147.343 | 266.747 | 147.343 | -0.000 | 0.000 | 0.000 |
| 147.343 | 147.343 | 266.747 | -0.000 | 0.000 | 0.000 |
| -1.871 | -1.871 | -1.871 | 54.407 | 0.000 | 0.000 |
| -1.530 | -1.530 | -1.530 | -0.000 | 53.711 | 0.000 |
| -1.871 | -1.871 | -1.871 | -0.000 | 0.000 | 54.407 |
| 270.886 | 147.812 | 147.812 | 0.000 | -0.000 | -0.000 |
| 147.812 | 270.886 | 147.812 | 0.000 | -0.000 | -0.000 |
| 147.812 | 147.812 | 270.886 | 0.000 | -0.000 | -0.000 |
| 1.871 | 1.871 | 1.871 | 54.407 | -0.000 | -0.000 |
| 1.532 | 1.532 | 1.532 | 0.000 | 53.700 | -0.000 |
| 1.871 | 1.871 | 1.871 | 0.000 | 0.000 | 54.407 |
| 507.211 | 205.362 | 205.362 | -0.000 | -0.000 | -0.000 |
| 205.362 | 507.211 | 205.362 | -0.000 | -0.000 | -0.000 |
| 205.362 | 205.362 | 507.211 | -0.000 | -0.000 | -0.000 |
| 0.000 | -0.000 | 0.000 | 136.500 | -0.000 | -0.000 |
| -0.000 | 0.000 | 0.000 | -0.000 | 136.500 | -0.000 |
| -0.000 | 0.000 | 0.000 | -0.000 | -0.000 | 136.500 |
| 507.211 | 205.362 | 205.362 | 0.000 | 0.000 | 0.000 |
| 205.362 | 507.211 | 205.362 | 0.000 | 0.000 | 0.000 |
| 205.362 | 205.362 | 507.211 | 0.000 | 0.000 | 0.000 |
| -0.000 | 0.000 | -0.000 | 136.500 | 0.000 | 0.000 |
| 0.000 | -0.000 | -0.000 | 0.000 | 136.500 | 0.000 |
| 0.000 | -0.000 | -0.000 | 0.000 | 0.000 | 136.500 |
| 507.211 | 205.362 | 205.362 | -0.000 | -0.000 | -0.000 |
| 205.362 | 507.211 | 205.362 | -0.000 | -0.000 | -0.000 |
| 205.362 | 205.362 | 507.211 | -0.000 | -0.000 | -0.000 |
| -0.000 | -0.000 | -0.000 | 136.500 | -0.000 | -0.000 |
| -0.000 | -0.000 | -0.000 | -0.000 | 136.500 | -0.000 |
| -0.000 | -0.000 | -0.000 | -0.000 | -0.000 | 136.500 |
| 507.211 | 205.362 | 205.362 | 0.000 | 0.000 | 0.000 |
| 205.362 | 507.211 | 205.362 | 0.000 | 0.000 | 0.000 |
| 205.362 | 205.362 | 507.211 | 0.000 | 0.000 | 0.000 |
| 0.000 | 0.000 | 0.000 | 136.500 | 0.000 | 0.000 |
| 0.000 | 0.000 | 0.000 | 0.000 | 136.500 | 0.000 |
| 0.000 | 0.000 | 0.000 | 0.000 | 0.000 | 136.500 |
| 507.210 | 205.362 | 205.362 | -0.000 | -0.000 | -0.000 |
| 205.362 | 507.210 | 205.362 | -0.000 | -0.000 | -0.000 |
| 205.362 | 205.362 | 507.210 | -0.000 | -0.000 | -0.000 |
| -0.000 | -0.000 | -0.000 | 136.500 | -0.000 | -0.000 |
| -0.000 | -0.000 | -0.000 | -0.000 | 136.500 | -0.000 |
| -0.000 | -0.000 | -0.000 | -0.000 | -0.000 | 136.500 |
| 507.212 | 205.362 | 205.362 | 0.000 | 0.000 | 0.000 |
| 205.362 | 507.212 | 205.362 | 0.000 | 0.000 | 0.000 |
| 205.362 | 205.362 | 507.212 | -0.000 | -0.000 | 0.000 |
| 0.000 | 0.000 | 0.000 | 136.500 | 0.000 | 0.000 |
| 0.000 | 0.000 | 0.000 | 0.000 | 136.500 | 0.000 |
| 0.000 | 0.000 | 0.000 | 0.000 | 0.000 | 136.500 |
| 75.774 | 22.610 | 22.610 | 0.000 | 0.000 | 0.000 |
| 22.610 | 75.774 | 22.610 | 0.000 | 0.000 | -0.000 |
| 22.610 | 22.610 | 75.774 | 0.000 | 0.000 | 0.000 |
| -0.000 | -0.000 | -0.000 | 18.684 | 0.000 | -0.000 |
| -0.000 | -0.000 | -0.000 | 0.000 | 18.684 | 0.000 |
| -0.000 | -0.000 | -0.000 | 0.000 | 0.000 | 18.684 |
| 75.774 | 22.610 | 22.610 | -0.000 | -0.000 | -0.000 |
| 22.610 | 75.774 | 22.610 | -0.000 | -0.000 | -0.000 |
| 22.610 | 22.610 | 75.774 | -0.000 | -0.000 | -0.000 |
| 0.000 | 0.000 | 0.000 | 18.684 | -0.000 | 0.000 |
| 0.000 | 0.000 | 0.000 | -0.000 | 18.684 | 0.000 |
| 0.000 | 0.000 | -0.000 | -0.000 | -0.000 | 18.684 |
| 75.774 | 22.610 | 22.610 | 0.000 | 0.000 | 0.000 |
| 22.610 | 75.774 | 22.610 | 0.000 | 0.000 | 0.000 |
| 22.610 | 22.610 | 75.774 | 0.000 | 0.000 | 0.000 |
| -0.000 | -0.000 | -0.000 | 18.707 | -0.000 | 0.000 |
| -0.000 | -0.000 | -0.000 | -0.000 | 18.707 | -0.000 |
| -0.000 | -0.000 | -0.000 | -0.000 | -0.000 | 18.707 |
| 75.774 | 22.610 | 22.610 | -0.000 | -0.000 | -0.000 |
| 22.610 | 75.774 | 22.610 | -0.000 | -0.000 | -0.000 |
| 22.610 | 22.610 | 75.774 | -0.000 | -0.000 | 0.000 |
| 0.000 | 0.000 | 0.000 | 18.707 | 0.000 | 0.000 |
| 0.000 | 0.000 | 0.000 | 0.000 | 18.707 | 0.000 |
| 0.000 | 0.000 | 0.000 | 0.000 | 0.000 | 18.707 |
| 75.774 | 22.610 | 22.610 | -0.000 | 0.000 | 0.000 |
| 22.610 | 75.774 | 22.610 | 0.000 | 0.000 | 0.000 |
| 22.610 | 22.610 | 75.774 | 0.000 | 0.000 | -0.000 |
| -0.000 | -0.000 | -0.000 | 18.707 | -0.000 | -0.000 |
| -0.000 | -0.000 | -0.000 | -0.000 | 18.707 | -0.000 |
| -0.000 | -0.000 | -0.000 | -0.000 | -0.000 | 18.707 |
| 75.774 | 22.610 | 22.610 | -0.000 | -0.000 | -0.000 |
| 22.610 | 75.774 | 22.610 | -0.000 | -0.000 | -0.000 |
| 22.610 | 22.610 | 75.774 | -0.000 | -0.000 | -0.000 |
| 0.000 | 0.000 | 0.000 | 18.707 | -0.000 | 0.000 |
| 0.000 | 0.000 | 0.000 | -0.000 | 18.707 | 0.000 |
| 0.000 | 0.000 | 0.000 | -0.000 | 0.000 | 18.707 |
| 297.692 | 178.050 | 169.914 | 0.000 | -0.000 | 0.000 |
| 178.050 | 569.545 | 258.315 | 0.000 | -0.000 | 0.000 |
| -813.294 | -395.668 | 1613.904 | 0.000 | -0.000 | 0.000 |
| -884.750 | -508.449 | 577.659 | 120.359 | -0.000 | 0.000 |
| -755.164 | -678.856 | 1515.305 | 0.000 | 29.117 | 0.000 |
| -0.000 | -0.000 | 0.000 | 0.000 | 0.000 | 51.748 |
| 1150.643 | 686.850 | -423.593 | -0.000 | 0.000 | -0.000 |
| 1118.553 | 1263.053 | -804.655 | -0.000 | -0.000 | -0.000 |
| 1050.413 | 780.500 | -136.371 | -0.000 | -0.000 | -0.000 |
| 884.750 | 508.449 | -577.659 | 120.359 | 0.000 | -0.000 |
| 885.433 | 508.841 | -578.105 | -0.000 | 23.367 | -0.000 |
| -0.000 | -0.000 | -0.000 | -0.000 | -0.000 | 51.748 |
| 169.626 | 102.328 | 260.179 | 0.000 | 0.000 | 0.000 |
| 178.050 | 569.545 | 258.315 | 0.000 | 0.000 | 0.000 |
| 169.914 | 258.314 | 485.358 | 0.000 | 0.000 | 0.000 |
| -76.305 | -67.911 | 150.858 | 121.297 | -0.000 | 0.000 |
| -0.000 | -0.000 | -0.000 | 0.000 | 45.578 | 0.000 |
| -95.686 | -66.466 | 121.043 | 0.000 | -0.000 | 51.178 |
| 339.184 | 238.238 | -15.027 | -0.000 | 0.000 | -0.000 |
| 262.469 | 612.040 | 210.109 | -0.000 | 0.000 | -0.000 |
| 255.241 | 338.534 | 310.462 | -0.000 | 0.000 | -0.000 |
| 78.902 | 68.369 | -148.236 | 121.623 | -0.000 | -0.000 |
| 0.000 | 0.000 | 0.000 | -0.000 | 45.578 | -0.000 |
| 95.686 | 66.466 | -121.043 | -0.000 | 0.000 | 51.178 |
| 245.192 | 163.819 | 152.708 | 0.000 | -0.000 | 0.000 |
| 161.080 | 556.189 | 274.667 | 0.000 | -0.000 | 0.000 |
| 146.255 | 261.252 | 453.130 | 0.000 | -0.000 | 0.000 |
| -9.336 | -6.743 | 11.587 | 121.309 | -0.000 | 0.000 |
| -0.119 | -0.000 | -0.026 | 0.000 | 45.523 | 0.000 |
| -8.578 | -4.930 | 5.600 | -0.000 | -0.000 | 51.440 |
| 297.692 | 178.049 | 169.914 | -0.000 | -0.000 | -0.000 |
| 182.145 | 568.363 | 259.378 | -0.000 | 0.000 | -0.000 |
| 166.994 | 276.992 | 384.825 | -0.000 | -0.000 | -0.000 |
| 9.336 | 6.743 | -11.587 | 121.309 | 0.000 | -0.000 |
| 0.119 | 0.000 | 0.026 | -0.000 | 45.523 | -0.000 |
| 8.578 | 4.930 | -5.600 | -0.000 | 0.000 | 51.440 |
| 301.442 | -129.808 | 1217.559 | -0.000 | 0.000 | 0.000 |
| 171.231 | 562.902 | 259.290 | 0.000 | -0.000 | -0.000 |
| 164.212 | 258.271 | 506.869 | -0.000 | -0.000 | 0.000 |
| -579.327 | -659.974 | 2139.008 | 122.178 | -0.000 | -0.000 |
| -107.424 | -767.952 | 2804.507 | 0.000 | 29.515 | 0.000 |
| 74.888 | -299.165 | 1054.862 | 0.000 | -0.000 | 49.571 |
| 151.839 | 468.572 | -892.218 | -0.000 | -0.000 | -0.000 |
| 94.667 | 857.302 | -789.801 | 0.000 | 0.000 | -0.000 |
| 164.212 | 258.271 | 506.869 | 0.000 | 0.000 | -0.000 |
| 579.327 | 659.974 | -2139.008 | 122.178 | 0.000 | 0.000 |
| -74.887 | 299.163 | -1054.854 | -0.000 | 25.459 | -0.000 |
| -74.888 | 299.165 | -1054.862 | 0.000 | 0.000 | 49.571 |
| 233.894 | 104.385 | 461.521 | -0.000 | -0.000 | -0.000 |
| 177.014 | 528.156 | 370.595 | 0.000 | -0.000 | 0.000 |
| 97.272 | 201.213 | 644.241 | -0.000 | -0.000 | -0.000 |
| 7.493 | -29.932 | 105.542 | 127.426 | -0.000 | 0.000 |
| 7.478 | -29.876 | 105.341 | -0.000 | 25.484 | 0.000 |
| -57.905 | -65.985 | 213.864 | -0.000 | -0.000 | 49.577 |
| 247.936 | 172.424 | 166.425 | 0.000 | 0.000 | -0.000 |
| 221.434 | 623.486 | 45.906 | 0.000 | 0.000 | 0.000 |
| 164.212 | 258.271 | 506.869 | 0.000 | 0.000 | -0.000 |
| -7.493 | 29.932 | -105.542 | 127.426 | 0.000 | -0.000 |
| -7.478 | 29.876 | -105.341 | 0.000 | 25.484 | -0.000 |
| 57.905 | 65.985 | -213.864 | -0.000 | 0.000 | 49.577 |
| 216.966 | 165.329 | 169.947 | 0.000 | -0.000 | 0.000 |
| 162.980 | 543.170 | 290.590 | -0.000 | 0.000 | 0.000 |
| 123.750 | 253.903 | 410.675 | -0.000 | -0.000 | -0.000 |
| 0.775 | -3.095 | 10.913 | 127.135 | 0.000 | 0.000 |
| 0.705 | -2.818 | 9.935 | -0.000 | 26.524 | 0.000 |
| -0.000 | -0.000 | -0.000 | -0.000 | -0.000 | 49.688 |
| 247.935 | 172.424 | 166.424 | 0.000 | 0.000 | -0.000 |
| 171.231 | 562.902 | 259.290 | 0.000 | 0.000 | -0.000 |
| 164.212 | 258.271 | 506.870 | 0.000 | 0.000 | -0.000 |
| -0.775 | 3.095 | -10.913 | 127.135 | 0.000 | -0.000 |
| -0.705 | 2.818 | -9.935 | 0.000 | 26.524 | -0.000 |
| 0.000 | 0.000 | 0.000 | -0.000 | 0.000 | 49.688 |
| -383.016 | -66.716 | 564.348 | 0.000 | 0.000 | -0.000 |
| -512.109 | -89.383 | 2870.101 | -0.000 | -0.000 | 0.000 |
| -525.490 | -388.240 | 3064.999 | -0.000 | -0.000 | 0.000 |
| 0.000 | -0.000 | -0.000 | 135.623 | 0.000 | 0.000 |
| -615.720 | -237.648 | 406.476 | 0.000 | 25.961 | -0.000 |
| 0.000 | 0.000 | 0.000 | 0.000 | 0.000 | 49.038 |
| 871.459 | 417.749 | -264.755 | 0.000 | -0.000 | 0.000 |
| 834.373 | 1218.199 | -2429.040 | -0.000 | 0.000 | -0.000 |
| 164.840 | 258.337 | 504.713 | 0.000 | -0.000 | 0.000 |
| -0.000 | 0.000 | 0.000 | 135.623 | 0.000 | 0.000 |
| 361.449 | 422.049 | -3481.457 | -0.000 | 30.377 | 0.000 |
| -0.000 | -0.000 | 0.000 | -0.000 | -0.000 | 49.038 |
| 146.444 | 105.379 | 368.839 | 0.000 | -0.000 | 0.000 |
| 171.305 | 563.617 | 259.295 | 0.000 | 0.000 | -0.000 |
| 164.840 | 258.337 | 504.713 | -0.000 | 0.000 | -0.000 |
| -0.000 | -0.000 | -0.000 | 135.623 | 0.000 | -0.000 |
| -61.485 | -23.731 | 40.590 | 0.000 | 25.986 | -0.000 |
| -63.937 | -24.678 | 42.209 | -0.000 | 0.000 | 48.900 |
| 295.852 | 195.726 | 114.756 | -0.000 | -0.000 | 0.000 |
| 227.203 | 623.152 | -9.796 | -0.000 | 0.000 | -0.000 |
| 224.442 | 289.859 | 430.973 | -0.000 | -0.000 | 0.000 |
| 0.000 | 0.000 | 0.000 | 135.623 | 0.000 | -0.000 |
| 57.473 | 64.516 | -271.243 | 0.000 | 11.875 | -0.000 |
| 63.937 | 24.678 | -42.209 | -0.000 | -0.000 | 48.900 |
| 212.278 | 161.473 | 166.170 | -0.000 | -0.000 | 0.000 |
| 165.633 | 551.814 | 304.575 | -0.000 | 0.000 | -0.000 |
| 164.840 | 258.337 | 504.713 | -0.000 | 0.000 | 0.000 |
| -6.434 | -5.114 | 18.971 | 122.474 | -0.000 | 0.000 |
| -4.910 | -2.363 | 5.041 | -0.000 | 26.097 | -0.000 |
| -0.000 | -0.000 | -0.000 | -0.000 | 0.000 | 49.038 |
| 206.500 | 165.204 | 115.197 | 0.000 | 0.000 | -0.000 |
| 162.613 | 561.530 | 231.317 | 0.000 | 0.000 | -0.000 |
| 148.905 | 274.142 | 351.009 | -0.000 | 0.000 | -0.000 |
| 6.434 | 5.114 | -18.971 | 122.474 | 0.000 | -0.000 |
| 4.910 | 2.363 | -5.041 | -0.000 | 26.097 | 0.000 |
| 0.000 | 0.000 | 0.000 | 0.000 | -0.000 | 49.038 |
| 336.472 | 155.729 | 155.729 | 0.000 | 0.000 | 0.000 |
| 155.729 | 336.472 | 155.729 | 0.000 | 0.000 | 0.000 |
| 155.729 | 155.729 | 336.472 | 0.000 | 0.000 | -0.000 |
| 0.000 | 0.000 | -0.000 | 21.021 | 0.000 | -0.000 |
| -0.000 | 0.000 | 0.000 | -0.000 | 21.021 | 0.000 |
| -0.000 | -0.000 | 0.000 | 0.000 | 0.000 | 21.021 |
| 336.400 | 155.765 | 155.765 | -0.000 | -0.000 | -0.000 |
| 155.765 | 336.400 | 155.765 | -0.000 | -0.000 | -0.000 |
| 155.765 | 155.765 | 336.400 | -0.000 | -0.000 | 0.000 |
| -0.000 | -0.000 | -0.000 | 21.021 | -0.000 | 0.000 |
| -0.000 | -0.000 | -0.000 | -0.000 | 21.021 | -0.000 |
| 0.000 | -0.000 | 0.000 | -0.000 | -0.000 | 15.848 |
| 336.400 | 155.765 | 155.765 | 0.000 | 0.000 | 0.000 |
| 155.765 | 336.400 | 155.765 | 0.000 | 0.000 | 0.000 |
| 155.729 | 155.729 | 336.472 | 0.000 | 0.000 | -0.000 |
| 0.000 | -0.000 | -0.000 | 3.628 | 0.000 | 0.000 |
| -0.000 | 0.000 | -0.000 | 0.000 | 3.628 | 0.000 |
| -0.000 | -0.000 | 0.000 | 0.000 | 0.000 | 3.628 |
| 336.400 | 155.765 | 155.765 | -0.000 | -0.000 | -0.000 |
| 155.765 | 336.400 | 155.765 | 0.000 | 0.000 | 0.000 |
| 155.765 | 155.765 | 336.400 | 0.000 | 0.000 | -0.000 |
| -0.000 | 0.000 | 0.000 | 3.628 | -0.000 | -0.000 |
| 0.000 | -0.000 | 0.000 | -0.000 | 3.628 | -0.000 |
| 0.000 | 0.000 | -0.000 | -0.000 | -0.000 | 3.628 |
| 336.473 | 155.730 | 155.730 | 0.000 | 0.000 | 0.000 |
| 155.730 | 336.473 | 155.730 | -0.000 | 0.000 | 0.000 |
| 155.730 | 155.730 | 336.473 | 0.000 | 0.000 | 0.000 |
| 7884285.184 | 7586896.398 | 7525405.296 | -1104595.605 | -124278.595 | 19320.725 |
| -0.000 | 0.000 | -0.000 | 0.000 | 21.021 | 0.000 |
| -0.000 | -0.000 | 0.000 | 0.000 | 0.000 | 21.021 |
| 336.400 | 155.765 | 155.765 | 0.000 | 0.000 | -0.000 |
| 155.729 | 336.472 | 155.729 | -0.000 | -0.000 | 0.000 |
| 155.729 | 155.729 | 336.472 | 0.000 | 0.000 | 0.000 |
| -8038730.757 | -8017449.631 | -7642175.171 | -1064673.848 | 249486.676 | 150026.349 |
| 0.000 | -0.000 | 0.000 | -0.000 | 21.021 | -0.000 |
| 0.000 | 0.000 | -0.000 | -0.000 | -0.000 | 21.021 |
| 59.250 | 68.405 | 68.405 | 0.000 | 0.000 | -0.000 |
| 68.405 | 59.250 | 68.405 | 0.000 | -0.000 | 0.000 |
| 68.405 | 68.405 | 59.250 | 0.000 | -0.000 | 0.000 |
| 0.000 | -0.000 | 0.000 | 63.719 | 0.000 | 0.000 |
| -0.000 | 0.000 | 0.000 | 0.000 | 63.719 | 0.000 |
| -0.000 | 0.000 | 0.000 | 0.000 | 0.000 | 63.719 |
| 58.472 | 68.794 | 68.794 | 0.000 | 0.000 | 0.000 |
| 68.794 | 58.472 | 68.794 | 0.000 | -0.000 | 0.000 |
| 68.794 | 68.794 | 58.472 | -0.000 | 0.000 | 0.000 |
| -0.000 | 0.000 | -0.000 | 63.719 | -0.000 | -0.000 |
| 0.000 | -0.000 | -0.000 | 0.000 | 63.719 | 0.000 |
| 0.000 | -0.000 | -0.000 | -0.000 | -0.000 | 63.719 |
| 59.250 | 68.405 | 68.405 | 0.000 | 0.000 | -0.000 |
| 68.405 | 59.250 | 68.405 | 0.000 | 0.000 | -0.000 |
| 68.405 | 68.405 | 59.250 | -0.000 | -0.000 | 0.000 |
| -0.000 | -0.000 | -0.000 | 63.555 | 0.000 | -0.000 |
| -0.000 | -0.000 | -0.000 | -0.000 | 63.555 | -0.000 |
| -0.000 | -0.000 | -0.000 | -0.000 | 0.000 | 63.555 |
| 49885073.958 | 50662987.648 | 50563132.285 | -266171.776 | -247201.811 | 23543.445 |
| 50408266.377 | 48341058.293 | 50111994.608 | -607102.973 | 437669.338 | 233392.750 |
| 50029365.714 | 50474012.180 | 50369972.275 | 207158.386 | 135909.957 | 274922.285 |
| 0.000 | 0.000 | 0.000 | 63.555 | -0.000 | 0.000 |
| 0.000 | 0.000 | 0.000 | -0.000 | 63.555 | 0.000 |
| 0.000 | 0.000 | 0.000 | 0.000 | -0.000 | 63.555 |
| -5403063.934 | -5246196.722 | -5222501.328 | -11473.876 | 12277.406 | -9537.076 |
| -5107776.795 | -5262935.453 | -5039088.031 | -4803.126 | -58729.169 | 10663.085 |
| -5197694.835 | -5146156.416 | -5469138.286 | 33767.198 | -37185.971 | -6418.121 |
| -0.000 | -0.000 | -0.000 | 63.555 | -0.000 | -0.000 |
| -0.000 | -0.000 | -0.000 | 0.000 | 63.555 | -0.000 |
| -0.000 | -0.000 | -0.000 | -0.000 | 0.000 | 63.555 |
| 4966523.687 | 5016876.689 | 5020078.105 | 1481.296 | -36426.836 | 26672.274 |
| 4988435.764 | 4835802.784 | 5032474.314 | 17506.023 | -8931.157 | 13236.705 |
| 4999810.234 | 5187275.379 | 4945287.014 | 5474.093 | 41198.771 | 5597.578 |
| 0.000 | 0.000 | 0.000 | 63.555 | 0.000 | -0.000 |
| 0.000 | 0.000 | 0.000 | -0.000 | 63.555 | 0.000 |
| 0.000 | 0.000 | 0.000 | 0.000 | -0.000 | 63.555 |
| 309.635 | 348.048 | 348.048 | 0.000 | 0.000 | -0.000 |
| 348.048 | 309.635 | 348.048 | 0.000 | 0.000 | -0.000 |
| 348.048 | 348.048 | 309.635 | 0.000 | 0.000 | 0.000 |
| -0.000 | -0.000 | 0.000 | 115.548 | 0.000 | -0.000 |
| -0.000 | -0.000 | 0.000 | 0.000 | 115.548 | -0.000 |
| -0.000 | 0.000 | 0.000 | 0.000 | 0.000 | 115.548 |
| 309.635 | 348.048 | 348.048 | -0.000 | -0.000 | -0.000 |
| 348.048 | 309.635 | 348.048 | -0.000 | -0.000 | 0.000 |
| 348.048 | 348.048 | 309.635 | 0.000 | 0.000 | 0.000 |
| 0.000 | 0.000 | -0.000 | 115.548 | -0.000 | 0.000 |
| 0.000 | 0.000 | -0.000 | 0.000 | 115.548 | 0.000 |
| 0.000 | 0.000 | -0.000 | -0.000 | -0.000 | 115.548 |
| 309.635 | 348.048 | 348.048 | -0.000 | -0.000 | -0.000 |
| 348.048 | 309.635 | 348.048 | -0.000 | 0.000 | 0.000 |
| 348.048 | 348.048 | 309.635 | 0.000 | 0.000 | -0.000 |
| -0.000 | -0.000 | -0.000 | 115.548 | 0.000 | -0.000 |
| -0.000 | -0.000 | -0.000 | 0.000 | 115.548 | 0.000 |
| -0.000 | -0.000 | -0.000 | 0.000 | 0.000 | 115.548 |
| 309.635 | 348.048 | 348.048 | 0.000 | 0.000 | 0.000 |
| 348.048 | 309.635 | 348.048 | -0.000 | -0.000 | 0.000 |
| 348.048 | 348.048 | 309.635 | 0.000 | -0.000 | 0.000 |
| 0.000 | 0.000 | 0.000 | 115.548 | -0.000 | 0.000 |
| 0.000 | 0.000 | 0.000 | -0.000 | 115.548 | 0.000 |
| 0.000 | 0.000 | 0.000 | -0.000 | 0.000 | 115.548 |
| 309.636 | 348.049 | 348.049 | 0.000 | 0.000 | -0.000 |
| 348.049 | 309.636 | 348.049 | 0.000 | 0.000 | -0.000 |
| 348.049 | 348.049 | 309.636 | 0.000 | 0.000 | 0.000 |
| -0.000 | -0.000 | -0.000 | 115.548 | 0.000 | -0.000 |
| -0.000 | -0.000 | -0.000 | 0.000 | 115.548 | 0.000 |
| -0.000 | -0.000 | -0.000 | -0.000 | 0.000 | 115.548 |
| 309.635 | 348.048 | 348.048 | -0.000 | -0.000 | -0.000 |
| 348.048 | 309.635 | 348.048 | -0.000 | -0.000 | 0.000 |
| 348.048 | 348.048 | 309.635 | 0.000 | -0.000 | 0.000 |
| 0.000 | 0.000 | 0.000 | 115.548 | -0.000 | 0.000 |
| 0.000 | 0.000 | 0.000 | -0.000 | 115.548 | 0.000 |
| 0.000 | 0.000 | 0.000 | -0.000 | -0.000 | 115.548 |
| 114.818 | 33.698 | 33.698 | -0.000 | 0.000 | 0.000 |
| 33.698 | 114.818 | 33.698 | 0.000 | -0.000 | -0.000 |
| 33.698 | 33.698 | 114.818 | 0.000 | 0.000 | -0.000 |
| 0.000 | 0.000 | 0.000 | 33.152 | 0.000 | -0.000 |
| 0.000 | 0.000 | 0.000 | 0.000 | 33.152 | 0.000 |
| 0.000 | 0.000 | -0.000 | 0.000 | 0.000 | 33.152 |
| 114.818 | 33.698 | 33.698 | 0.000 | 0.000 | -0.000 |
| 33.698 | 114.818 | 33.698 | -0.000 | 0.000 | 0.000 |
| 33.698 | 33.698 | 114.818 | 0.000 | 0.000 | 0.000 |
| -0.000 | -0.000 | 0.000 | 33.152 | 0.000 | -0.000 |
| -0.000 | -0.000 | 0.000 | 0.000 | 33.152 | -0.000 |
| -0.000 | -0.000 | -0.000 | -0.000 | -0.000 | 33.152 |
| 114.818 | 33.698 | 33.698 | 0.000 | 0.000 | -0.000 |
| 33.698 | 114.818 | 33.698 | 0.000 | 0.000 | -0.000 |
| 33.698 | 33.698 | 114.818 | -0.000 | -0.000 | 0.000 |
| -0.000 | -0.000 | -0.000 | 33.053 | -0.000 | -0.000 |
| -0.000 | -0.000 | -0.000 | -0.000 | 33.053 | 0.000 |
| -0.000 | -0.000 | -0.000 | -0.000 | -0.000 | 33.053 |
| 114.818 | 33.698 | 33.698 | 0.000 | -0.000 | -0.000 |
| 33.698 | 114.818 | 33.698 | 0.000 | -0.000 | -0.000 |
| 33.698 | 33.698 | 114.818 | -0.000 | -0.000 | 0.000 |
| 0.000 | 0.000 | 0.000 | 33.053 | 0.000 | -0.000 |
| 0.000 | 0.000 | 0.000 | 0.000 | 33.053 | -0.000 |
| 0.000 | 0.000 | 0.000 | 0.000 | -0.000 | 33.053 |
| 114.818 | 33.698 | 33.698 | 0.000 | 0.000 | -0.000 |
| 33.698 | 114.818 | 33.698 | -0.000 | -0.000 | -0.000 |
| 33.698 | 33.698 | 114.818 | -0.000 | -0.000 | -0.000 |
| -0.000 | -0.000 | -0.000 | 33.053 | -0.000 | 0.000 |
| -0.000 | -0.000 | -0.000 | -0.000 | 33.053 | -0.000 |
| -0.000 | -0.000 | -0.000 | 0.000 | -0.000 | 33.053 |
| 114.819 | 33.698 | 33.698 | -0.000 | 0.000 | 0.000 |
| 33.698 | 114.819 | 33.698 | 0.000 | 0.000 | 0.000 |
| 33.698 | 33.698 | 114.819 | 0.000 | -0.000 | 0.000 |
| 0.000 | 0.000 | 0.000 | 33.053 | 0.000 | 0.000 |
| 0.000 | 0.000 | 0.000 | 0.000 | 33.053 | 0.000 |
| 0.000 | 0.000 | 0.000 | 0.000 | 0.000 | 33.053 |
| 334.470 | 156.204 | 156.204 | 0.000 | 0.000 | 0.000 |
| 156.203 | 334.470 | 156.204 | 0.000 | 0.000 | -0.000 |
| 156.203 | 156.204 | 334.470 | -0.000 | -0.000 | 0.000 |
| -0.000 | -0.000 | -0.000 | 51.539 | -0.000 | -0.000 |
| -0.000 | -0.000 | -0.000 | -0.000 | 51.539 | -0.000 |
| -0.000 | -0.000 | -0.000 | 0.000 | 0.000 | 51.539 |
| 334.470 | 156.204 | 156.204 | 0.000 | 0.000 | -0.000 |
| 156.204 | 334.470 | 156.204 | 0.000 | 0.000 | -0.000 |
| 156.204 | 156.204 | 334.470 | 0.000 | 0.000 | 0.000 |
| 0.000 | 0.000 | 0.000 | 51.539 | -0.000 | 0.000 |
| 0.000 | 0.000 | 0.000 | -0.000 | 51.539 | 0.000 |
| 0.000 | 0.000 | 0.000 | 0.000 | 0.000 | 51.539 |
| 334.470 | 156.204 | 156.204 | 0.000 | 0.000 | -0.000 |
| 156.204 | 334.470 | 156.204 | 0.000 | 0.000 | -0.000 |
| 156.204 | 156.204 | 334.470 | -0.000 | -0.000 | -0.000 |
| -0.000 | -0.000 | -0.000 | 51.539 | 0.000 | -0.000 |
| -0.000 | -0.000 | -0.000 | 0.000 | 51.539 | -0.000 |
| -0.000 | -0.000 | -0.000 | 0.000 | 0.000 | 51.539 |
| 334.470 | 156.203 | 156.203 | -0.000 | -0.000 | -0.000 |
| 156.203 | 334.470 | 156.203 | -0.000 | -0.000 | 0.000 |
| 156.203 | 156.203 | 334.470 | 0.000 | 0.000 | -0.000 |
| 0.000 | 0.000 | 0.000 | 51.539 | -0.000 | 0.000 |
| 0.000 | 0.000 | 0.000 | -0.000 | 51.539 | 0.000 |
| 0.000 | 0.000 | 0.000 | 0.000 | 0.000 | 51.539 |
| 334.470 | 156.204 | 156.204 | 0.000 | 0.000 | 0.000 |
| 156.204 | 334.470 | 156.204 | 0.000 | 0.000 | -0.000 |
| 156.204 | 156.204 | 334.470 | -0.000 | -0.000 | 0.000 |
| -0.000 | -0.000 | -0.000 | 51.539 | -0.000 | -0.000 |
| -0.000 | -0.000 | -0.000 | 0.000 | 51.539 | -0.000 |
| -0.000 | -0.000 | -0.000 | -0.000 | 0.000 | 51.539 |
| 334.471 | 156.203 | 156.203 | -0.000 | 0.000 | 0.000 |
| 156.203 | 334.471 | 156.203 | 0.000 | 0.000 | 0.000 |
| 156.203 | 156.203 | 334.471 | 0.000 | 0.000 | -0.000 |
| 0.000 | 0.000 | 0.000 | 51.539 | 0.000 | 0.000 |
| 0.000 | 0.000 | 0.000 | -0.000 | 51.539 | 0.000 |
| 0.000 | 0.000 | 0.000 | -0.000 | -0.000 | 51.539 |
| 61.656 | 21.056 | 21.056 | -0.000 | -0.000 | -0.000 |
| 21.056 | 61.656 | 21.056 | -0.000 | -0.000 | -0.000 |
| 21.056 | 21.056 | 61.656 | -0.000 | -0.000 | -0.000 |
| -0.000 | -0.000 | -0.000 | 21.067 | -0.000 | -0.000 |
| -0.000 | -0.000 | -0.000 | -0.000 | 21.067 | -0.000 |
| -0.000 | -0.000 | -0.000 | -0.000 | -0.000 | 21.067 |
| 61.656 | 21.056 | 21.056 | 0.000 | 0.000 | 0.000 |
| 21.056 | 61.656 | 21.056 | 0.000 | 0.000 | 0.000 |
| 21.056 | 21.056 | 61.656 | -0.000 | 0.000 | 0.000 |
| 0.000 | 0.000 | -0.000 | 21.067 | 0.000 | 0.000 |
| 0.000 | 0.000 | -0.000 | 0.000 | 21.067 | 0.000 |
| 0.000 | 0.000 | 0.000 | 0.000 | 0.000 | 21.067 |
| 61.656 | 21.056 | 21.056 | -0.000 | -0.000 | -0.000 |
| 21.056 | 61.656 | 21.056 | -0.000 | -0.000 | -0.000 |
| 21.056 | 21.056 | 61.656 | -0.000 | -0.000 | -0.000 |
| -0.000 | -0.000 | -0.000 | 21.067 | -0.000 | -0.000 |
| -0.000 | -0.000 | -0.000 | -0.000 | 21.067 | -0.000 |
| -0.000 | -0.000 | -0.000 | -0.000 | -0.000 | 21.067 |
| 61.656 | 21.056 | 21.056 | 0.000 | 0.000 | 0.000 |
| 21.056 | 61.656 | 21.056 | 0.000 | 0.000 | 0.000 |
| 21.056 | 21.056 | 61.656 | -0.000 | -0.000 | 0.000 |
| 0.000 | 0.000 | 0.000 | 21.067 | 0.000 | 0.000 |
| 0.000 | 0.000 | 0.000 | 0.000 | 21.067 | 0.000 |
| 0.000 | 0.000 | 0.000 | 0.000 | 0.000 | 21.067 |
| 61.656 | 21.056 | 21.056 | -0.000 | -0.000 | -0.000 |
| 21.056 | 61.656 | 21.056 | -0.000 | -0.000 | -0.000 |
| 21.056 | 21.056 | 61.656 | -0.000 | -0.000 | -0.000 |
| -0.000 | -0.000 | -0.000 | 21.067 | -0.000 | -0.000 |
| -0.000 | -0.000 | -0.000 | -0.000 | 21.067 | -0.000 |
| -0.000 | -0.000 | -0.000 | -0.000 | -0.000 | 21.067 |
| 61.656 | 21.056 | 21.056 | 0.000 | 0.000 | 0.000 |
| 21.056 | 61.656 | 21.056 | 0.000 | 0.000 | 0.000 |
| 21.056 | 21.056 | 61.656 | 0.000 | 0.000 | 0.000 |
| 0.000 | 0.000 | 0.000 | 21.067 | 0.000 | 0.000 |
| 0.000 | 0.000 | 0.000 | 0.000 | 21.067 | 0.000 |
| 0.000 | 0.000 | 0.000 | 0.000 | 0.000 | 21.067 |
| 354.088 | 173.849 | 175.255 | 0.000 | 0.000 | 0.000 |
| 229.331 | 298.605 | 175.255 | 0.000 | 0.000 | 0.000 |
| 175.255 | 175.255 | 351.215 | -0.000 | 0.000 | -0.000 |
| 0.000 | 0.000 | -0.000 | 56.876 | 0.000 | 0.000 |
| 0.000 | 0.000 | -0.000 | 0.000 | 56.876 | 0.000 |
| 0.000 | -0.000 | -0.000 | -0.000 | -0.000 | 68.653 |
| 298.605 | 229.331 | 175.255 | -0.000 | -0.000 | 0.000 |
| 229.331 | 298.605 | 175.255 | -0.000 | -0.000 | 0.000 |
| 175.255 | 175.255 | 351.215 | -0.000 | -0.000 | 0.000 |
| -0.000 | 0.000 | 0.000 | 56.876 | -0.000 | 0.000 |
| -0.000 | -0.000 | 0.000 | -0.000 | 56.876 | 0.000 |
| -0.000 | -0.000 | 0.000 | 0.000 | 0.000 | 68.653 |
| 298.605 | 229.331 | 175.255 | 0.000 | 0.000 | 0.000 |
| 229.331 | 298.605 | 175.255 | 0.000 | -0.000 | 0.000 |
| 175.255 | 175.255 | 351.215 | 0.000 | 0.000 | -0.000 |
| -0.000 | -0.000 | -0.000 | 56.876 | 0.000 | -0.000 |
| -0.000 | -0.000 | -0.000 | 0.000 | 56.876 | 0.000 |
| -0.000 | -0.000 | -0.000 | -0.000 | -0.000 | 68.653 |
| 298.605 | 229.331 | 175.255 | -0.000 | -0.000 | -0.000 |
| 229.331 | 298.605 | 175.255 | -0.000 | -0.000 | 0.000 |
| 175.255 | 175.255 | 351.215 | -0.000 | -0.000 | 0.000 |
| 0.000 | 0.000 | 0.000 | 56.876 | 0.000 | -0.000 |
| 0.000 | 0.000 | 0.000 | 0.000 | 56.876 | 0.000 |
| 0.000 | 0.000 | 0.000 | 0.000 | 0.000 | 68.653 |
| 293.708 | 228.955 | 172.627 | 0.000 | 0.000 | -0.000 |
| 228.955 | 293.708 | 172.627 | 0.000 | -0.000 | -0.000 |
| 175.255 | 175.255 | 351.215 | -0.000 | -0.000 | -0.000 |
| -0.187 | -2.427 | -1.303 | 55.336 | -0.000 | -0.000 |
| -2.427 | -0.187 | -1.303 | 0.000 | 55.336 | 0.000 |
| -0.000 | -0.000 | -0.000 | 0.000 | 0.000 | 68.653 |
| 294.084 | 228.829 | 175.255 | 0.000 | 0.000 | -0.000 |
| 228.829 | 294.084 | 175.255 | 0.000 | 0.000 | 0.000 |
| 175.255 | 175.255 | 351.215 | 0.000 | 0.000 | 0.000 |
| 0.187 | 2.427 | 1.303 | 55.336 | -0.000 | -0.000 |
| 2.427 | 0.187 | 1.303 | 0.000 | 55.336 | 0.000 |
| 0.000 | 0.000 | 0.000 | -0.000 | -0.000 | 68.653 |
| 391.108 | 233.496 | 220.538 | -0.000 | -0.000 | 0.000 |
| 235.687 | 668.081 | 229.683 | -0.000 | 0.000 | -0.000 |
| 221.553 | 228.507 | 404.793 | -0.000 | -0.000 | -0.000 |
| 190.198 | 90.913 | 860.970 | 85.968 | -0.000 | -0.000 |
| -58.514 | 67.694 | 244.315 | -0.000 | 48.488 | 0.000 |
| 0.000 | -0.000 | 0.000 | 0.000 | 0.000 | 97.207 |
| 367.772 | 159.328 | -85.168 | 0.000 | 0.000 | -0.000 |
| 235.687 | 668.081 | 229.683 | -0.000 | 0.000 | 0.000 |
| 234.020 | 149.820 | 77.122 | -0.000 | 0.000 | -0.000 |
| -190.198 | -90.913 | -860.970 | 85.968 | 0.000 | -0.000 |
| 58.514 | -67.694 | -244.315 | -0.000 | 48.488 | -0.000 |
| -0.000 | 0.000 | -0.000 | -0.000 | 0.000 | 97.207 |
| 297.463 | 237.670 | 196.447 | -0.000 | -0.000 | -0.000 |
| 229.867 | 670.974 | 287.155 | -0.000 | -0.000 | -0.000 |
| 221.553 | 228.507 | 404.793 | -0.000 | 0.000 | 0.000 |
| -0.000 | -0.000 | -0.000 | 89.451 | -0.000 | 0.000 |
| -6.209 | 7.183 | 25.925 | -0.000 | 46.158 | 0.000 |
| 51.711 | 21.648 | 142.630 | -0.000 | -0.000 | 89.793 |
| 391.108 | 233.496 | 220.538 | 0.000 | 0.000 | 0.000 |
| 235.687 | 668.081 | 229.683 | -0.000 | 0.000 | 0.000 |
| 151.130 | 205.060 | 248.854 | -0.000 | -0.000 | -0.000 |
| 0.000 | 0.000 | 0.000 | 89.451 | 0.000 | -0.000 |
| 6.209 | -7.183 | -25.925 | 0.000 | 46.158 | -0.000 |
| -51.711 | -21.648 | -142.631 | 0.000 | 0.000 | 89.793 |
| 391.108 | 233.496 | 220.539 | -0.000 | -0.000 | 0.000 |
| 191.095 | 659.468 | 195.712 | -0.000 | 0.000 | 0.000 |
| -303.972 | 139.641 | -173.640 | -0.000 | -0.000 | -0.000 |
| 3.323 | 1.740 | 10.558 | 86.513 | -0.000 | -0.000 |
| 0.971 | 0.589 | 5.062 | -0.000 | 32.934 | -0.000 |
| 1.272 | 0.526 | 5.324 | 0.000 | -0.000 | 92.102 |
| -236.443 | 140.811 | -368.862 | 0.000 | 0.000 | -0.000 |
| 209.353 | 658.512 | 192.571 | 0.000 | -0.000 | -0.000 |
| -331.966 | 131.646 | -228.014 | 0.000 | 0.000 | -0.000 |
| -3.323 | -1.740 | -10.558 | 86.513 | 0.000 | -0.000 |
| -0.971 | -0.589 | -5.062 | 0.000 | 32.934 | -0.000 |
| -1.272 | -0.526 | -5.324 | 0.000 | -0.000 | 92.102 |
| 437.496 | 226.089 | 243.944 | 0.000 | 0.000 | -0.000 |
| 207.694 | 439.363 | 399.918 | -0.000 | -0.000 | 0.000 |
| 215.643 | 117.475 | 591.499 | -0.000 | 0.000 | 0.000 |
| -44.521 | -75.669 | 193.315 | 92.132 | 0.000 | 0.000 |
| -17.569 | -96.402 | 179.835 | -0.000 | 111.719 | 0.000 |
| -17.567 | -96.386 | 179.805 | 0.000 | 0.000 | 100.894 |
| 437.496 | 226.089 | 243.944 | 0.000 | -0.000 | 0.000 |
| 263.362 | 612.405 | 18.597 | 0.000 | -0.000 | -0.000 |
| 251.482 | 312.680 | 227.954 | 0.000 | -0.000 | -0.000 |
| 44.521 | 75.669 | -193.315 | 92.132 | -0.000 | -0.000 |
| 17.989 | 98.706 | -184.133 | -0.000 | 111.469 | -0.000 |
| 17.567 | 96.386 | -179.805 | -0.000 | -0.000 | 100.894 |
| 437.496 | 226.089 | 243.944 | 0.000 | 0.000 | 0.000 |
| 226.089 | 542.610 | 218.869 | -0.000 | 0.000 | -0.000 |
| 231.222 | 205.823 | 425.493 | 0.000 | 0.000 | 0.000 |
| -1.756 | -9.638 | 17.978 | 92.689 | -0.000 | 0.000 |
| -0.079 | -6.734 | 26.067 | 0.000 | 95.295 | 0.000 |
| -1.803 | -9.891 | 18.451 | 0.000 | 0.000 | 100.834 |
| 414.024 | 235.607 | 214.927 | -0.000 | 0.000 | -0.000 |
| 223.068 | 544.354 | 192.473 | -0.000 | -0.000 | -0.000 |
| 210.861 | 217.841 | 350.504 | 0.000 | -0.000 | -0.000 |
| 1.756 | 9.638 | -17.978 | 92.689 | -0.000 | -0.000 |
| 0.079 | 6.734 | -26.067 | 0.000 | 95.295 | -0.000 |
| 1.803 | 9.891 | -18.451 | 0.000 | 0.000 | 100.834 |
| 394.646 | 223.616 | 229.616 | 0.000 | 0.000 | 0.000 |
| 214.337 | 534.330 | 208.993 | 0.000 | 0.000 | 0.000 |
| 169.812 | 203.181 | 341.414 | -0.000 | 0.000 | -0.000 |
| -0.000 | -0.000 | -0.000 | 94.715 | 0.000 | 0.000 |
| 0.068 | -0.483 | 2.198 | 0.000 | 102.601 | 0.000 |
| -0.373 | -0.723 | 1.757 | -0.000 | 0.000 | 99.808 |
| 363.215 | 215.523 | 195.298 | -0.000 | 0.000 | 0.000 |
| 220.080 | 538.397 | 210.280 | 0.000 | -0.000 | -0.000 |
| 226.787 | 216.292 | 391.534 | -0.000 | -0.000 | -0.000 |
| 0.000 | 0.000 | 0.000 | 94.715 | -0.000 | -0.000 |
| -0.068 | 0.483 | -2.198 | 0.000 | 102.601 | 0.000 |
| 0.373 | 0.723 | -1.757 | 0.000 | -0.000 | 99.808 |
| 460.424 | 398.075 | 304.330 | -0.000 | -0.000 | -0.000 |
| 236.373 | 663.127 | 230.820 | -0.000 | -0.000 | -0.000 |
| 322.107 | 394.808 | 476.907 | -0.000 | -0.000 | -0.000 |
| 0.000 | -0.000 | -0.000 | 90.736 | -0.000 | 0.000 |
| 1103.080 | 224.305 | 731.047 | -0.000 | 4.144 | 0.000 |
| 151.293 | 176.544 | 139.127 | -0.000 | -0.000 | 94.285 |
| 396.559 | 233.951 | 220.895 | 0.000 | 0.000 | -0.000 |
| -2030.601 | 263.664 | -1781.639 | 0.000 | 0.000 | 0.000 |
| 12.498 | 34.486 | 149.709 | 0.000 | 0.000 | -0.000 |
| -0.000 | 0.000 | 0.000 | 90.736 | 0.000 | 0.000 |
| -1103.080 | -224.305 | -731.047 | 0.000 | 4.144 | 0.000 |
| -151.293 | -176.544 | -139.127 | 0.000 | 0.000 | 94.285 |
| 340.545 | 245.921 | 191.816 | -0.000 | -0.000 | -0.000 |
| 319.917 | 680.001 | 275.922 | -0.000 | -0.000 | 0.000 |
| 165.854 | 224.766 | 291.099 | -0.000 | -0.000 | 0.000 |
| -0.075 | -0.192 | -2.088 | 90.103 | -0.000 | 0.000 |
| 94.242 | 20.302 | 64.267 | -0.000 | 13.497 | 0.000 |
| -0.000 | -0.000 | -0.000 | -0.000 | -0.000 | 98.569 |
| 201.714 | 193.090 | 93.727 | 0.000 | 0.000 | 0.000 |
| 219.545 | 640.796 | 207.529 | 0.000 | 0.000 | -0.000 |
| 224.393 | 229.290 | 789.214 | 0.000 | 0.000 | 0.000 |
| 0.075 | 0.192 | 2.088 | 90.103 | 0.000 | 0.000 |
| -94.242 | -20.302 | -64.267 | 0.000 | 13.497 | -0.000 |
| 0.000 | 0.000 | 0.000 | -0.000 | 0.000 | 98.569 |
| -118.083 | 163.745 | -248.691 | -0.000 | -0.000 | 0.000 |
| 236.358 | 663.087 | 230.402 | -0.000 | -0.000 | -0.000 |
| -205.465 | 158.041 | -69.937 | -0.000 | -0.000 | 0.000 |
| -0.008 | -0.020 | -0.211 | 90.672 | -0.000 | 0.000 |
| 5.715 | 1.558 | 4.011 | -0.000 | 35.108 | 0.000 |
| 7.359 | 1.485 | 4.926 | -0.000 | -0.000 | 93.359 |
| -191.270 | 146.508 | -328.160 | 0.000 | 0.000 | -0.000 |
| 233.260 | 657.582 | 224.576 | 0.000 | 0.000 | 0.000 |
| -310.161 | 145.001 | -101.349 | 0.000 | 0.000 | -0.000 |
| 0.008 | 0.020 | 0.211 | 90.672 | 0.000 | 0.000 |
| -2.356 | -1.903 | -2.188 | 0.000 | 41.955 | -0.000 |
| -7.359 | -1.485 | -4.926 | 0.000 | 0.000 | 93.359 |
| 668.427 | 749.505 | 749.505 | 0.000 | 0.000 | 0.000 |
| 749.505 | 668.427 | 749.505 | 0.000 | 0.000 | 0.000 |
| 749.505 | 749.505 | 668.427 | 0.000 | 0.000 | -0.000 |
| 0.000 | 0.000 | 0.000 | 143.500 | 0.000 | -0.000 |
| 0.000 | 0.000 | 0.000 | 0.000 | 143.500 | 0.000 |
| 0.000 | 0.000 | 0.000 | 0.000 | 0.000 | 143.500 |
| 668.427 | 749.505 | 749.505 | -0.000 | -0.000 | 0.000 |
| 749.505 | 668.427 | 749.505 | -0.000 | -0.000 | 0.000 |
| 749.505 | 749.505 | 668.427 | -0.000 | -0.000 | -0.000 |
| 0.000 | -0.000 | -0.000 | 143.500 | -0.000 | -0.000 |
| -0.000 | -0.000 | -0.000 | -0.000 | 143.500 | -0.000 |
| -0.000 | -0.000 | -0.000 | -0.000 | -0.000 | 143.500 |
| 668.427 | 749.505 | 749.505 | 0.000 | 0.000 | 0.000 |
| 749.505 | 668.427 | 749.505 | 0.000 | 0.000 | -0.000 |
| 749.505 | 749.505 | 668.427 | -0.000 | -0.000 | -0.000 |
| -0.000 | -0.000 | -0.000 | 143.500 | 0.000 | -0.000 |
| -0.000 | -0.000 | -0.000 | 0.000 | 143.500 | -0.000 |
| -0.000 | -0.000 | -0.000 | 0.000 | 0.000 | 143.500 |
| 668.427 | 749.505 | 749.505 | -0.000 | -0.000 | -0.000 |
| 749.505 | 668.427 | 749.505 | -0.000 | -0.000 | -0.000 |
| 749.505 | 749.505 | 668.427 | -0.000 | -0.000 | -0.000 |
| 0.000 | 0.000 | 0.000 | 143.500 | -0.000 | -0.000 |
| 0.000 | 0.000 | 0.000 | -0.000 | 143.500 | 0.000 |
| 0.000 | 0.000 | 0.000 | -0.000 | 0.000 | 143.500 |
| 668.429 | 749.507 | 749.507 | 0.000 | 0.000 | -0.000 |
| 749.507 | 668.429 | 749.507 | 0.000 | 0.000 | 0.000 |
| 749.507 | 749.507 | 668.429 | 0.000 | 0.000 | 0.000 |
| -0.000 | -0.000 | -0.000 | 143.500 | 0.000 | 0.000 |
| -0.000 | -0.000 | -0.000 | 0.000 | 143.500 | 0.000 |
| -0.000 | -0.000 | -0.000 | 0.000 | 0.000 | 143.500 |
| 668.425 | 749.503 | 749.503 | -0.000 | -0.000 | 0.000 |
| 749.503 | 668.425 | 749.503 | -0.000 | -0.000 | 0.000 |
| 749.503 | 749.503 | 668.425 | -0.000 | -0.000 | 0.000 |
| 0.000 | 0.000 | 0.000 | 143.500 | -0.000 | -0.000 |
| 0.000 | 0.000 | 0.000 | -0.000 | 143.500 | 0.000 |
| 0.000 | 0.000 | 0.000 | -0.000 | 0.000 | 143.500 |
| -121.281 | -118.108 | -118.108 | 0.000 | 0.000 | 0.000 |
| -118.108 | -121.281 | -118.108 | 0.000 | 0.000 | 0.000 |
| -118.108 | -118.108 | -121.281 | -0.000 | -0.000 | 0.000 |
| 0.000 | 0.000 | 0.000 | -118.108 | -0.000 | 0.000 |
| 0.000 | 0.000 | 0.000 | -0.000 | -118.108 | 0.000 |
| 0.000 | 0.000 | 0.000 | -0.000 | -0.000 | -118.108 |
| -121.281 | -118.108 | -118.108 | -0.000 | 0.000 | -0.000 |
| -118.108 | -121.281 | -118.108 | 0.000 | -0.000 | -0.000 |
| -118.108 | -118.108 | -121.281 | 0.000 | -0.000 | -0.000 |
| -0.000 | -0.000 | -0.000 | -118.108 | -0.000 | -0.000 |
| -0.000 | -0.000 | -0.000 | -0.000 | -118.108 | -0.000 |
| -0.000 | -0.000 | -0.000 | -0.000 | -0.000 | -118.108 |
| -121.281 | -118.108 | -118.108 | -0.000 | -0.000 | 0.000 |
| -118.108 | -121.281 | -118.108 | 0.000 | -0.000 | 0.000 |
| -118.108 | -118.108 | -121.281 | 0.000 | 0.000 | 0.000 |
| 0.000 | 0.000 | 0.000 | -118.108 | 0.000 | 0.000 |
| 0.000 | 0.000 | 0.000 | 0.000 | -118.108 | 0.000 |
| 0.000 | 0.000 | 0.000 | 0.000 | 0.000 | -118.108 |
| -121.281 | -118.108 | -118.108 | 0.000 | 0.000 | -0.000 |
| -118.108 | -121.281 | -118.108 | -0.000 | 0.000 | -0.000 |
| -118.108 | -118.108 | -121.281 | 0.000 | 0.000 | -0.000 |
| -0.000 | -0.000 | -0.000 | -118.108 | -0.000 | -0.000 |
| -0.000 | -0.000 | -0.000 | 0.000 | -118.108 | -0.000 |
| -0.000 | -0.000 | -0.000 | -0.000 | -0.000 | -118.108 |
| -121.281 | -118.108 | -118.108 | 0.000 | -0.000 | 0.000 |
| -118.108 | -121.281 | -118.108 | 0.000 | 0.000 | 0.000 |
| -118.108 | -118.108 | -121.281 | -0.000 | -0.000 | 0.000 |
| 0.000 | 0.000 | 0.000 | -118.108 | 0.000 | 0.000 |
| 0.000 | 0.000 | 0.000 | -0.000 | -118.108 | 0.000 |
| 0.000 | 0.000 | 0.000 | 0.000 | 0.000 | -118.108 |
| -121.281 | -118.108 | -118.108 | 0.000 | 0.000 | -0.000 |
| -118.108 | -121.281 | -118.108 | 0.000 | 0.000 | -0.000 |
| -118.108 | -118.108 | -121.281 | 0.000 | -0.000 | -0.000 |
| -0.000 | -0.000 | -0.000 | -118.108 | -0.000 | 0.000 |
| -0.000 | -0.000 | -0.000 | -0.000 | -118.108 | -0.000 |
| -0.000 | -0.000 | -0.000 | 0.000 | 0.000 | -118.108 |
| -76.643 | -57.120 | -57.120 | 0.000 | -0.000 | -0.000 |
| -57.120 | -76.643 | -57.120 | 0.000 | -0.000 | -0.000 |
| -57.120 | -57.120 | -76.643 | 0.000 | 0.000 | -0.000 |
| 0.000 | 0.000 | 0.000 | -73.456 | -0.000 | -0.000 |
| -0.000 | 0.000 | 0.000 | 0.000 | -73.456 | -0.000 |
| -0.000 | 0.000 | 0.000 | -0.000 | -0.000 | -73.456 |
| -76.643 | -57.120 | -57.120 | 0.000 | 0.000 | 0.000 |
| -57.120 | -76.643 | -57.120 | 0.000 | 0.000 | 0.000 |
| -57.120 | -57.120 | -76.643 | -0.000 | -0.000 | 0.000 |
| -0.000 | 0.000 | -0.000 | -73.456 | 0.000 | 0.000 |
| 0.000 | -0.000 | -0.000 | 0.000 | -73.456 | 0.000 |
| 0.000 | -0.000 | -0.000 | 0.000 | 0.000 | -73.456 |
| -76.642 | -57.120 | -57.120 | -0.000 | -0.000 | -0.000 |
| -57.120 | -76.642 | -57.120 | 0.000 | -0.000 | -0.000 |
| -57.120 | -57.120 | -76.642 | 0.000 | 0.000 | -0.000 |
| 0.000 | 0.000 | 0.000 | -73.456 | -0.000 | -0.000 |
| 0.000 | 0.000 | 0.000 | 0.000 | -73.456 | -0.000 |
| 0.000 | 0.000 | 0.000 | -0.000 | -0.000 | -73.456 |
| -76.643 | -57.120 | -57.120 | 0.000 | 0.000 | 0.000 |
| -57.120 | -76.643 | -57.120 | -0.000 | 0.000 | 0.000 |
| -57.120 | -57.120 | -76.643 | 0.000 | 0.000 | 0.000 |
| -0.000 | -0.000 | -0.000 | -73.456 | -0.000 | 0.000 |
| -0.000 | -0.000 | -0.000 | -0.000 | -73.456 | 0.000 |
| -0.000 | -0.000 | -0.000 | 0.000 | 0.000 | -73.456 |
| -76.642 | -57.120 | -57.120 | -0.000 | -0.000 | -0.000 |
| -57.120 | -76.642 | -57.120 | -0.000 | -0.000 | -0.000 |
| -57.120 | -57.120 | -76.642 | 0.000 | 0.000 | -0.000 |
| 0.000 | 0.000 | 0.000 | -73.456 | -0.000 | -0.000 |
| 0.000 | 0.000 | 0.000 | 0.000 | -73.456 | -0.000 |
| 0.000 | 0.000 | 0.000 | 0.000 | -0.000 | -73.456 |
| -76.643 | -57.120 | -57.120 | 0.000 | 0.000 | 0.000 |
| -57.120 | -76.643 | -57.120 | 0.000 | 0.000 | 0.000 |
| -57.120 | -57.120 | -76.643 | -0.000 | -0.000 | 0.000 |
| -0.000 | -0.000 | -0.000 | -73.456 | 0.000 | 0.000 |
| -0.000 | -0.000 | -0.000 | 0.000 | -73.456 | 0.000 |
| -0.000 | -0.000 | -0.000 | 0.000 | 0.000 | -73.456 |
| 72.745 | 36.454 | 36.454 | -0.000 | -0.000 | -0.000 |
| 36.454 | 72.745 | 36.454 | -0.000 | -0.000 | -0.000 |
| 36.454 | 36.454 | 72.745 | -0.000 | -0.000 | -0.000 |
| 0.000 | -0.000 | -0.000 | 36.373 | -0.000 | -0.000 |
| -0.000 | 0.000 | -0.000 | -0.000 | 36.373 | -0.000 |
| -0.000 | -0.000 | 0.000 | -0.000 | -0.000 | 36.373 |
| 72.745 | 36.454 | 36.454 | 0.000 | 0.000 | 0.000 |
| 36.454 | 72.745 | 36.454 | 0.000 | 0.000 | 0.000 |
| 36.454 | 36.454 | 72.745 | 0.000 | 0.000 | 0.000 |
| -0.000 | 0.000 | 0.000 | 36.373 | 0.000 | 0.000 |
| 0.000 | -0.000 | 0.000 | 0.000 | 36.373 | 0.000 |
| 0.000 | 0.000 | -0.000 | 0.000 | 0.000 | 36.373 |
| 72.745 | 36.454 | 36.454 | -0.000 | -0.000 | -0.000 |
| 36.454 | 72.745 | 36.454 | -0.000 | -0.000 | -0.000 |
| 36.454 | 36.454 | 72.745 | -0.000 | -0.000 | -0.000 |
| -0.000 | -0.000 | -0.000 | 36.373 | -0.000 | -0.000 |
| -0.000 | -0.000 | -0.000 | -0.000 | 36.373 | -0.000 |
| -0.000 | -0.000 | -0.000 | -0.000 | -0.000 | 36.373 |
| 72.745 | 36.454 | 36.454 | 0.000 | 0.000 | 0.000 |
| 36.454 | 72.745 | 36.454 | 0.000 | 0.000 | 0.000 |
| 36.454 | 36.454 | 72.745 | -0.000 | 0.000 | 0.000 |
| 0.000 | 0.000 | 0.000 | 36.373 | -0.000 | 0.000 |
| 0.000 | 0.000 | 0.000 | -0.000 | 36.373 | 0.000 |
| 0.000 | 0.000 | 0.000 | 0.000 | 0.000 | 36.373 |
| 72.745 | 36.454 | 36.454 | -0.000 | -0.000 | -0.000 |
| 36.454 | 72.745 | 36.454 | -0.000 | -0.000 | -0.000 |
| 36.454 | 36.454 | 72.745 | -0.000 | -0.000 | -0.000 |
| -0.000 | -0.000 | -0.000 | 36.373 | -0.000 | -0.000 |
| -0.000 | -0.000 | -0.000 | -0.000 | 36.373 | -0.000 |
| -0.000 | -0.000 | -0.000 | -0.000 | -0.000 | 36.373 |
| 72.745 | 36.454 | 36.454 | 0.000 | 0.000 | 0.000 |
| 36.454 | 72.745 | 36.454 | 0.000 | 0.000 | 0.000 |
| 36.454 | 36.454 | 72.745 | 0.000 | 0.000 | 0.000 |
| 0.000 | 0.000 | 0.000 | 36.373 | 0.000 | 0.000 |
| 0.000 | 0.000 | 0.000 | 0.000 | 36.373 | 0.000 |
| 0.000 | 0.000 | 0.000 | 0.000 | 0.000 | 36.373 |
| 821.458 | 578.588 | 578.588 | 0.000 | 0.000 | 0.000 |
| 578.588 | 821.458 | 578.588 | -0.000 | -0.000 | -0.000 |
| 578.588 | 578.588 | 821.458 | -0.000 | -0.000 | 0.000 |
| 0.000 | -0.000 | -0.000 | 9.134 | -0.000 | 0.000 |
| -0.000 | -0.000 | -0.000 | -0.000 | 9.134 | 0.000 |
| -0.000 | -0.000 | -0.000 | -0.000 | -0.000 | 9.134 |
| 821.451 | 578.591 | 578.591 | -0.000 | -0.000 | -0.000 |
| 578.588 | 821.458 | 578.588 | 0.000 | -0.000 | -0.000 |
| 578.588 | 578.588 | 821.458 | 0.000 | 0.000 | -0.000 |
| 0.000 | 0.000 | 0.000 | 9.134 | 0.000 | -0.000 |
| 0.000 | 0.000 | 0.000 | 0.000 | 9.134 | 0.000 |
| 0.000 | 0.000 | 0.000 | 0.000 | 0.000 | 9.134 |
| 821.451 | 578.592 | 578.592 | -0.000 | -0.000 | -0.000 |
| 578.592 | 821.451 | 578.592 | -0.000 | -0.000 | -0.000 |
| 578.592 | 578.592 | 821.451 | 0.000 | -0.000 | -0.000 |
| 0.000 | 0.000 | -0.000 | 9.134 | -0.000 | 0.000 |
| 0.000 | 0.000 | -0.000 | -0.000 | 9.134 | 0.000 |
| 0.000 | -0.000 | 0.000 | -0.000 | -0.000 | 9.134 |
| 821.451 | 578.591 | 578.591 | -0.000 | -0.000 | -0.000 |
| 578.591 | 821.451 | 578.591 | -0.000 | -0.000 | 0.000 |
| 578.591 | 578.591 | 821.451 | 0.000 | 0.000 | -0.000 |
| -0.000 | -0.000 | 0.000 | 9.134 | 0.000 | -0.000 |
| -0.000 | -0.000 | 0.000 | 0.000 | 9.134 | 0.000 |
| -0.000 | 0.000 | -0.000 | 0.000 | 0.000 | 9.134 |
| 821.452 | 578.593 | 578.593 | -0.000 | -0.000 | 0.000 |
| 578.590 | 821.460 | 578.590 | -0.000 | -0.000 | -0.000 |
| 578.590 | 578.590 | 821.460 | -0.000 | -0.000 | -0.000 |
| 0.000 | 0.000 | -0.000 | 9.134 | 0.000 | 0.000 |
| 0.000 | 0.000 | -0.000 | -0.000 | 9.134 | 0.000 |
| 0.000 | -0.000 | 0.000 | -0.000 | -0.000 | 9.134 |
| 821.449 | 578.590 | 578.590 | -0.000 | 0.000 | 0.000 |
| 578.590 | 821.449 | 578.590 | 0.000 | 0.000 | 0.000 |
| 578.590 | 578.590 | 821.449 | 0.000 | 0.000 | -0.000 |
| -0.000 | -0.000 | 0.000 | 9.134 | -0.000 | 0.000 |
| -0.000 | -0.000 | 0.000 | 0.000 | 9.134 | -0.000 |
| -0.000 | 0.000 | -0.000 | 0.000 | 0.000 | 9.134 |
| -299.725 | -92.308 | -92.308 | -0.000 | -0.000 | -0.000 |
| -92.308 | -299.725 | -92.308 | -0.000 | -0.000 | 0.000 |
| -92.308 | -92.308 | -299.725 | 0.000 | -0.000 | -0.000 |
| -0.000 | 0.000 | 0.000 | -159.427 | 0.000 | -0.000 |
| 0.000 | 0.000 | -0.000 | 0.000 | -92.308 | 0.000 |
| 0.000 | 0.000 | -0.000 | -0.000 | 0.000 | -159.427 |
| -366.844 | -58.749 | -58.748 | 0.000 | 0.000 | -0.000 |
| -92.308 | -299.725 | -92.308 | 0.000 | 0.000 | 0.000 |
| -58.749 | -58.748 | -366.844 | -0.000 | -0.000 | 0.000 |
| -0.000 | -0.000 | -0.000 | -159.427 | -0.000 | -0.000 |
| -0.000 | -0.000 | -0.000 | -0.000 | -159.427 | -0.000 |
| -0.000 | -0.000 | -0.000 | 0.000 | 0.000 | -159.427 |
| -299.725 | -92.308 | -92.308 | -0.000 | 0.000 | 0.000 |
| -92.308 | -299.725 | -92.308 | -0.000 | -0.000 | 0.000 |
| -92.308 | -92.308 | -299.725 | 0.000 | 0.000 | 0.000 |
| 0.000 | 0.000 | 0.000 | -92.308 | 0.000 | 0.000 |
| 0.000 | 0.000 | 0.000 | 0.000 | -92.308 | 0.000 |
| 0.000 | 0.000 | 0.000 | -0.000 | -0.000 | -92.308 |
| -299.725 | -92.308 | -92.308 | 0.000 | -0.000 | -0.000 |
| -92.308 | -299.725 | -92.308 | 0.000 | 0.000 | -0.000 |
| -92.308 | -92.308 | -299.725 | -0.000 | -0.000 | -0.000 |
| -0.000 | -0.000 | -0.000 | -92.308 | -0.000 | -0.000 |
| -0.000 | -0.000 | -0.000 | -0.000 | -92.308 | -0.000 |
| -0.000 | -0.000 | -0.000 | 0.000 | 0.000 | -92.308 |
| -299.725 | -92.308 | -92.308 | -0.000 | 0.000 | 0.000 |
| -92.308 | -299.725 | -92.308 | -0.000 | 0.000 | 0.000 |
| -92.308 | -92.308 | -299.725 | 0.000 | 0.000 | 0.000 |
| 0.000 | 0.000 | 0.000 | -92.308 | -0.000 | -0.000 |
| 0.000 | 0.000 | 0.000 | -0.000 | -92.308 | 0.000 |
| 0.000 | 0.000 | 0.000 | -0.000 | -0.000 | -92.308 |
| -299.725 | -92.308 | -92.308 | 0.000 | -0.000 | 0.000 |
| -92.308 | -299.725 | -92.308 | 0.000 | 0.000 | -0.000 |
| -92.308 | -92.308 | -299.725 | 0.000 | -0.000 | -0.000 |
| -0.000 | -0.000 | -0.000 | -92.308 | -0.000 | -0.000 |
| -0.000 | -0.000 | -0.000 | 0.000 | -92.308 | -0.000 |
| -0.000 | -0.000 | -0.000 | 0.000 | 0.000 | -92.308 |
| -238.345 | -25.389 | -25.389 | -0.000 | -0.000 | 0.000 |
| -25.389 | -238.345 | -25.389 | 0.000 | 0.000 | -0.000 |
| -25.389 | -25.389 | -238.345 | -0.000 | 0.000 | -0.000 |
| 0.000 | 0.000 | 0.000 | -71.564 | 0.000 | -0.000 |
| 0.000 | 0.000 | 0.000 | -0.000 | -71.564 | -0.000 |
| 0.000 | 0.000 | 0.000 | -0.000 | -0.000 | -71.564 |
| -197.634 | -45.745 | -45.745 | 0.000 | -0.000 | 0.000 |
| -45.745 | -197.634 | -45.745 | 0.000 | -0.000 | 0.000 |
| -45.745 | -45.745 | -197.634 | 0.000 | 0.000 | 0.000 |
| -0.000 | -0.000 | -0.000 | -71.564 | -0.000 | 0.000 |
| -0.000 | -0.000 | -0.000 | 0.000 | -71.564 | 0.000 |
| -0.000 | -0.000 | -0.000 | 0.000 | 0.000 | -71.564 |
| -197.634 | -45.745 | -45.745 | -0.000 | 0.000 | -0.000 |
| -45.745 | -197.634 | -45.745 | -0.000 | 0.000 | -0.000 |
| -45.745 | -45.745 | -197.634 | -0.000 | 0.000 | -0.000 |
| 0.000 | 0.000 | 0.000 | -112.276 | 0.000 | -0.000 |
| 0.000 | 0.000 | 0.000 | -0.000 | -112.276 | -0.000 |
| 0.000 | 0.000 | 0.000 | -0.000 | 0.000 | -112.276 |
| -238.346 | -25.389 | -25.389 | 0.000 | 0.000 | 0.000 |
| -25.389 | -238.346 | -25.389 | 0.000 | -0.000 | 0.000 |
| -45.745 | -45.745 | -197.634 | 0.000 | -0.000 | 0.000 |
| -0.000 | -0.000 | -0.000 | -112.276 | -0.000 | 0.000 |
| -0.000 | -0.000 | -0.000 | 0.000 | -112.276 | 0.000 |
| -0.000 | -0.000 | -0.000 | 0.000 | -0.000 | -112.276 |
| -197.633 | -45.745 | -45.745 | -0.000 | 0.000 | -0.000 |
| -45.745 | -197.633 | -45.745 | -0.000 | 0.000 | -0.000 |
| -45.745 | -45.745 | -197.633 | -0.000 | 0.000 | -0.000 |
| 0.000 | 0.000 | 0.000 | -71.564 | 0.000 | -0.000 |
| 0.000 | 0.000 | 0.000 | -0.000 | -71.564 | -0.000 |
| 0.000 | 0.000 | 0.000 | -0.000 | -0.000 | -71.564 |
| -197.634 | -45.745 | -45.745 | 0.000 | 0.000 | 0.000 |
| -45.745 | -197.634 | -45.745 | 0.000 | -0.000 | 0.000 |
| -45.745 | -45.745 | -197.634 | 0.000 | 0.000 | 0.000 |
| -0.000 | -0.000 | -0.000 | -71.564 | -0.000 | 0.000 |
| -0.000 | -0.000 | -0.000 | 0.000 | -71.564 | 0.000 |
| -0.000 | -0.000 | -0.000 | 0.000 | 0.000 | -71.564 |
| 86.145 | 24.252 | 24.252 | -0.000 | 0.000 | 0.000 |
| 24.252 | 86.145 | 24.252 | 0.000 | -0.000 | 0.000 |
| 24.252 | 24.252 | 86.145 | 0.000 | -0.000 | -0.000 |
| 0.000 | -0.000 | -0.000 | 22.299 | 0.000 | 0.000 |
| -0.000 | 0.000 | -0.000 | 0.000 | 22.299 | 0.000 |
| -0.000 | -0.000 | 0.000 | 0.000 | 0.000 | 22.299 |
| 87.232 | 23.709 | 23.709 | 0.000 | 0.000 | -0.000 |
| 23.709 | 87.232 | 23.709 | -0.000 | 0.000 | 0.000 |
| 23.709 | 23.709 | 87.232 | 0.000 | 0.000 | -0.000 |
| -0.000 | 0.000 | 0.000 | 22.299 | -0.000 | 0.000 |
| 0.000 | -0.000 | 0.000 | -0.000 | 22.299 | -0.000 |
| 0.000 | 0.000 | -0.000 | -0.000 | -0.000 | 22.299 |
| 86.145 | 24.252 | 24.252 | 0.000 | 0.000 | 0.000 |
| 24.252 | 86.145 | 24.252 | 0.000 | 0.000 | 0.000 |
| 24.252 | 24.252 | 86.145 | 0.000 | 0.000 | 0.000 |
| -0.000 | -0.000 | -0.000 | 22.299 | 0.000 | 0.000 |
| -0.000 | -0.000 | -0.000 | -0.000 | 22.299 | 0.000 |
| -0.000 | -0.000 | -0.000 | 0.000 | 0.000 | 22.299 |
| 86.145 | 24.252 | 24.252 | 0.000 | -0.000 | -0.000 |
| 24.252 | 86.145 | 24.252 | -0.000 | 0.000 | 0.000 |
| 24.252 | 24.252 | 86.145 | -0.000 | -0.000 | 0.000 |
| 0.000 | 0.000 | 0.000 | 22.299 | -0.000 | -0.000 |
| 0.000 | 0.000 | 0.000 | -0.000 | 22.299 | -0.000 |
| 0.000 | 0.000 | 0.000 | -0.000 | -0.000 | 22.299 |
| 86.145 | 24.252 | 24.252 | 0.000 | 0.000 | 0.000 |
| 24.252 | 86.145 | 24.252 | 0.000 | -0.000 | 0.000 |
| 24.252 | 24.252 | 86.145 | 0.000 | 0.000 | 0.000 |
| -0.000 | -0.000 | -0.000 | 22.299 | 0.000 | 0.000 |
| -0.000 | -0.000 | -0.000 | 0.000 | 22.299 | 0.000 |
| -0.000 | -0.000 | -0.000 | 0.000 | 0.000 | 22.299 |
| 86.145 | 24.252 | 24.252 | -0.000 | -0.000 | 0.000 |
| 24.252 | 86.145 | 24.252 | -0.000 | -0.000 | -0.000 |
| 24.252 | 24.252 | 86.145 | -0.000 | 0.000 | -0.000 |
| 0.000 | 0.000 | 0.000 | 22.299 | -0.000 | -0.000 |
| 0.000 | 0.000 | 0.000 | 0.000 | 22.299 | -0.000 |
| 0.000 | 0.000 | 0.000 | -0.000 | -0.000 | 22.299 |
| 575.592 | 535.469 | 535.469 | -0.000 | -0.000 | 0.000 |
| 535.469 | 575.592 | 535.469 | -0.000 | -0.000 | -0.000 |
| 535.469 | 535.469 | 575.592 | -0.000 | -0.000 | 0.000 |
| 0.000 | 0.000 | 0.000 | 115.451 | -0.000 | 0.000 |
| 0.000 | 0.000 | 0.000 | -0.000 | 115.451 | 0.000 |
| 0.000 | 0.000 | -0.000 | -0.000 | -0.000 | 115.451 |
| 575.592 | 535.469 | 535.469 | 0.000 | 0.000 | -0.000 |
| 535.469 | 575.592 | 535.469 | 0.000 | 0.000 | -0.000 |
| 535.469 | 535.469 | 575.592 | 0.000 | -0.000 | -0.000 |
| -0.000 | -0.000 | -0.000 | 115.451 | -0.000 | -0.000 |
| -0.000 | -0.000 | -0.000 | 0.000 | 115.451 | -0.000 |
| -0.000 | -0.000 | 0.000 | 0.000 | 0.000 | 115.451 |
| 575.592 | 535.469 | 535.469 | -0.000 | -0.000 | 0.000 |
| 535.469 | 575.592 | 535.469 | 0.000 | -0.000 | 0.000 |
| 535.469 | 535.469 | 575.592 | 0.000 | 0.000 | 0.000 |
| -0.000 | -0.000 | -0.000 | 115.451 | -0.000 | 0.000 |
| -0.000 | -0.000 | -0.000 | -0.000 | 115.451 | 0.000 |
| -0.000 | -0.000 | -0.000 | -0.000 | -0.000 | 115.451 |
| 575.592 | 535.469 | 535.469 | -0.000 | 0.000 | -0.000 |
| 535.469 | 575.592 | 535.469 | -0.000 | 0.000 | 0.000 |
| 535.469 | 535.469 | 575.592 | 0.000 | 0.000 | -0.000 |
| 0.000 | 0.000 | 0.000 | 115.451 | -0.000 | -0.000 |
| 0.000 | 0.000 | 0.000 | 0.000 | 115.451 | -0.000 |
| 0.000 | 0.000 | 0.000 | 0.000 | 0.000 | 115.451 |
| 575.593 | 535.470 | 535.470 | -0.000 | -0.000 | 0.000 |
| 535.470 | 575.593 | 535.470 | 0.000 | -0.000 | 0.000 |
| 535.470 | 535.470 | 575.593 | -0.000 | -0.000 | 0.000 |
| -0.000 | -0.000 | -0.000 | 115.451 | -0.000 | 0.000 |
| -0.000 | -0.000 | -0.000 | -0.000 | 115.451 | 0.000 |
| -0.000 | -0.000 | -0.000 | -0.000 | 0.000 | 115.451 |
| 575.591 | 535.468 | 535.468 | 0.000 | 0.000 | -0.000 |
| 535.468 | 575.591 | 535.468 | 0.000 | 0.000 | -0.000 |
| 535.468 | 535.468 | 575.591 | 0.000 | 0.000 | -0.000 |
| 0.000 | 0.000 | 0.000 | 115.451 | 0.000 | 0.000 |
| 0.000 | 0.000 | 0.000 | 0.000 | 115.451 | -0.000 |
| 0.000 | 0.000 | 0.000 | 0.000 | 0.000 | 115.451 |
| -154.991 | -107.048 | -107.048 | 0.000 | 0.000 | -0.000 |
| -107.048 | -154.991 | -107.048 | 0.000 | -0.000 | -0.000 |
| -107.048 | -107.048 | -154.991 | 0.000 | 0.000 | -0.000 |
| -0.000 | 0.000 | 0.000 | -107.048 | 0.000 | -0.000 |
| 0.000 | 0.000 | -0.000 | 0.000 | -107.048 | -0.000 |
| 0.000 | 0.000 | -0.000 | 0.000 | -0.000 | -107.048 |
| -154.991 | -107.048 | -107.048 | -0.000 | -0.000 | 0.000 |
| -107.048 | -154.991 | -107.048 | -0.000 | -0.000 | 0.000 |
| -107.048 | -107.048 | -154.991 | -0.000 | 0.000 | 0.000 |
| -0.000 | -0.000 | -0.000 | -107.048 | -0.000 | 0.000 |
| -0.000 | -0.000 | 0.000 | -0.000 | -107.048 | 0.000 |
| -0.000 | -0.000 | 0.000 | -0.000 | -0.000 | -107.048 |
| -154.991 | -107.048 | -107.048 | 0.000 | 0.000 | -0.000 |
| -107.048 | -154.991 | -107.048 | 0.000 | -0.000 | -0.000 |
| -107.048 | -107.048 | -154.991 | 0.000 | -0.000 | -0.000 |
| 0.000 | 0.000 | 0.000 | -107.048 | -0.000 | -0.000 |
| 0.000 | 0.000 | 0.000 | 0.000 | -107.048 | -0.000 |
| 0.000 | 0.000 | 0.000 | 0.000 | 0.000 | -107.048 |
| -154.991 | -107.048 | -107.048 | 0.000 | -0.000 | 0.000 |
| -107.048 | -154.991 | -107.048 | -0.000 | -0.000 | 0.000 |
| -107.048 | -107.048 | -154.991 | -0.000 | -0.000 | 0.000 |
| -0.000 | -0.000 | -0.000 | -107.048 | -0.000 | -0.000 |
| -0.000 | -0.000 | -0.000 | -0.000 | -107.048 | 0.000 |
| -0.000 | -0.000 | -0.000 | -0.000 | -0.000 | -107.048 |
| -154.991 | -107.048 | -107.048 | 0.000 | -0.000 | -0.000 |
| -107.048 | -154.991 | -107.048 | 0.000 | 0.000 | -0.000 |
| -107.048 | -107.048 | -154.991 | 0.000 | 0.000 | 0.000 |
| 0.000 | 0.000 | 0.000 | -107.048 | -0.000 | -0.000 |
| 0.000 | 0.000 | 0.000 | 0.000 | -107.048 | -0.000 |
| 0.000 | 0.000 | 0.000 | 0.000 | 0.000 | -107.048 |
| -154.991 | -107.048 | -107.048 | -0.000 | 0.000 | 0.000 |
| -107.048 | -154.991 | -107.048 | -0.000 | -0.000 | 0.000 |
| -107.048 | -107.048 | -154.991 | -0.000 | 0.000 | 0.000 |
| -0.000 | -0.000 | -0.000 | -107.048 | 0.000 | 0.000 |
| -0.000 | -0.000 | -0.000 | -0.000 | -107.048 | 0.000 |
| -0.000 | -0.000 | -0.000 | -0.000 | -0.000 | -107.048 |
| -115.131 | -85.004 | -85.004 | -0.000 | -0.000 | 0.000 |
| -85.004 | -115.131 | -85.004 | -0.000 | -0.000 | -0.000 |
| -85.004 | -85.004 | -115.131 | -0.000 | -0.000 | -0.000 |
| 0.000 | 0.000 | 0.000 | -103.642 | 0.000 | 0.000 |
| 0.000 | 0.000 | 0.000 | 0.000 | -103.642 | -0.000 |
| 0.000 | 0.000 | -0.000 | -0.000 | -0.000 | -103.642 |
| -115.131 | -85.004 | -85.004 | 0.000 | 0.000 | 0.000 |
| -85.004 | -115.131 | -85.004 | 0.000 | 0.000 | 0.000 |
| -85.004 | -85.004 | -115.131 | 0.000 | 0.000 | 0.000 |
| -0.000 | -0.000 | -0.000 | -103.642 | 0.000 | -0.000 |
| -0.000 | -0.000 | -0.000 | -0.000 | -103.642 | 0.000 |
| -0.000 | -0.000 | 0.000 | 0.000 | 0.000 | -103.642 |
| -115.131 | -85.004 | -85.004 | -0.000 | -0.000 | -0.000 |
| -85.004 | -115.131 | -85.004 | -0.000 | -0.000 | -0.000 |
| -85.004 | -85.004 | -115.131 | -0.000 | -0.000 | -0.000 |
| 0.000 | 0.000 | 0.000 | -103.642 | -0.000 | -0.000 |
| 0.000 | 0.000 | 0.000 | 0.000 | -103.642 | -0.000 |
| 0.000 | 0.000 | 0.000 | 0.000 | -0.000 | -103.642 |
| -115.131 | -85.004 | -85.004 | -0.000 | 0.000 | 0.000 |
| -85.004 | -115.131 | -85.004 | 0.000 | 0.000 | 0.000 |
| -85.004 | -85.004 | -115.131 | -0.000 | 0.000 | -0.000 |
| -0.000 | -0.000 | -0.000 | -103.642 | -0.000 | 0.000 |
| -0.000 | -0.000 | -0.000 | 0.000 | -103.642 | 0.000 |
| -0.000 | -0.000 | -0.000 | 0.000 | 0.000 | -103.642 |
| -115.131 | -85.004 | -85.004 | -0.000 | -0.000 | -0.000 |
| -85.004 | -115.131 | -85.004 | -0.000 | -0.000 | -0.000 |
| -85.004 | -85.004 | -115.131 | -0.000 | -0.000 | -0.000 |
| 0.000 | 0.000 | 0.000 | -103.642 | 0.000 | -0.000 |
| 0.000 | 0.000 | 0.000 | 0.000 | -103.642 | -0.000 |
| 0.000 | 0.000 | 0.000 | -0.000 | -0.000 | -103.642 |
| -115.132 | -85.004 | -85.004 | 0.000 | -0.000 | 0.000 |
| -85.004 | -115.132 | -85.004 | -0.000 | 0.000 | 0.000 |
| -85.004 | -85.004 | -115.132 | -0.000 | 0.000 | 0.000 |
| -0.000 | -0.000 | -0.000 | -103.642 | 0.000 | 0.000 |
| -0.000 | -0.000 | -0.000 | -0.000 | -103.642 | 0.000 |
| -0.000 | -0.000 | -0.000 | 0.000 | 0.000 | -103.642 |
| 47.966 | 34.747 | 34.747 | 0.000 | 0.000 | 0.000 |
| 34.747 | 47.966 | 34.747 | 0.000 | 0.000 | 0.000 |
| 34.747 | 34.747 | 47.966 | 0.000 | 0.000 | 0.000 |
| -0.000 | -0.000 | -0.000 | 34.661 | 0.000 | 0.000 |
| -0.000 | -0.000 | -0.000 | 0.000 | 34.661 | 0.000 |
| -0.000 | -0.000 | -0.000 | 0.000 | 0.000 | 34.661 |
| 47.966 | 34.747 | 34.747 | 0.000 | -0.000 | -0.000 |
| 34.747 | 47.966 | 34.747 | 0.000 | -0.000 | -0.000 |
| 34.747 | 34.747 | 47.966 | -0.000 | -0.000 | -0.000 |
| 0.000 | 0.000 | 0.000 | 34.661 | -0.000 | -0.000 |
| 0.000 | 0.000 | 0.000 | 0.000 | 34.661 | -0.000 |
| 0.000 | 0.000 | 0.000 | 0.000 | -0.000 | 34.661 |
| 47.966 | 34.747 | 34.747 | -0.000 | 0.000 | 0.000 |
| 34.747 | 47.966 | 34.747 | 0.000 | 0.000 | -0.000 |
| 34.747 | 34.747 | 47.966 | -0.000 | 0.000 | 0.000 |
| -0.000 | -0.000 | -0.000 | 34.661 | 0.000 | 0.000 |
| -0.000 | -0.000 | -0.000 | -0.000 | 34.661 | -0.000 |
| -0.000 | -0.000 | -0.000 | -0.000 | 0.000 | 34.661 |
| 47.966 | 34.747 | 34.747 | -0.000 | -0.000 | -0.000 |
| 34.747 | 47.966 | 34.747 | -0.000 | -0.000 | -0.000 |
| 34.747 | 34.747 | 47.966 | 0.000 | -0.000 | -0.000 |
| 0.000 | 0.000 | 0.000 | 34.661 | -0.000 | -0.000 |
| 0.000 | 0.000 | 0.000 | 0.000 | 34.661 | -0.000 |
| 0.000 | 0.000 | 0.000 | -0.000 | -0.000 | 34.661 |
| 47.966 | 34.747 | 34.747 | -0.000 | 0.000 | 0.000 |
| 34.747 | 47.966 | 34.747 | 0.000 | -0.000 | 0.000 |
| 34.747 | 34.747 | 47.966 | -0.000 | -0.000 | 0.000 |
| -0.000 | -0.000 | -0.000 | 34.661 | 0.000 | -0.000 |
| -0.000 | -0.000 | -0.000 | -0.000 | 34.661 | 0.000 |
| -0.000 | -0.000 | -0.000 | -0.000 | 0.000 | 34.661 |
| 47.966 | 34.747 | 34.747 | -0.000 | -0.000 | -0.000 |
| 34.747 | 47.966 | 34.747 | 0.000 | -0.000 | -0.000 |
| 34.747 | 34.747 | 47.966 | 0.000 | -0.000 | -0.000 |
| 0.000 | 0.000 | 0.000 | 34.661 | -0.000 | -0.000 |
| 0.000 | 0.000 | 0.000 | 0.000 | 34.661 | -0.000 |
| 0.000 | 0.000 | 0.000 | -0.000 | -0.000 | 34.661 |
| 516.359 | 911.782 | 566.569 | -0.000 | -0.000 | -0.000 |
| 813.112 | 615.029 | 566.569 | -0.000 | -0.000 | -0.000 |
| 566.569 | 566.569 | 889.306 | -0.000 | -0.000 | 0.000 |
| -0.000 | -0.000 | -0.000 | 9.074 | -0.000 | 0.000 |
| -0.000 | -0.000 | -0.000 | -0.000 | 9.074 | -0.000 |
| -0.000 | -0.000 | -0.000 | -0.000 | -0.000 | 72.689 |
| 615.029 | 813.112 | 566.569 | 0.000 | 0.000 | -0.000 |
| 813.112 | 615.029 | 566.569 | 0.000 | 0.000 | 0.000 |
| 566.569 | 566.569 | 889.306 | 0.000 | 0.000 | -0.000 |
| 0.000 | 0.000 | 0.000 | 9.074 | 0.000 | 0.000 |
| 0.000 | 0.000 | 0.000 | 0.000 | 9.074 | 0.000 |
| 0.000 | 0.000 | 0.000 | 0.000 | 0.000 | 72.689 |
| 786.760 | 641.382 | 566.569 | 0.000 | 0.000 | 0.000 |
| 641.382 | 786.760 | 566.569 | -0.000 | -0.000 | -0.000 |
| 566.569 | 566.569 | 889.306 | -0.000 | -0.000 | 0.000 |
| 0.000 | 0.000 | -0.000 | 9.074 | -0.000 | 0.000 |
| 0.000 | 0.000 | -0.000 | -0.000 | 9.074 | 0.000 |
| -0.000 | -0.000 | -0.000 | 0.000 | 0.000 | 72.689 |
| 786.759 | 641.381 | 566.569 | 0.000 | 0.000 | 0.000 |
| 641.381 | 786.759 | 566.569 | 0.000 | 0.000 | -0.000 |
| 566.569 | 566.569 | 889.306 | 0.000 | 0.000 | 0.000 |
| -0.000 | -0.000 | 0.000 | 9.074 | -0.000 | -0.000 |
| -0.000 | -0.000 | 0.000 | 0.000 | 9.074 | -0.000 |
| 0.000 | 0.000 | 0.000 | -0.000 | -0.000 | 72.689 |
| 786.761 | 641.383 | 566.571 | -0.000 | -0.000 | -0.000 |
| 862.502 | 565.202 | 566.292 | -0.000 | -0.000 | -0.000 |
| 566.571 | 566.571 | 889.307 | -0.000 | -0.000 | -0.000 |
| 0.000 | 0.000 | -0.000 | 9.074 | 0.000 | 0.000 |
| 0.000 | 0.000 | -0.000 | -0.000 | 9.074 | 0.000 |
| -0.205 | -0.234 | -0.279 | -0.000 | -0.000 | -197.934 |
| 590.359 | 837.777 | 566.567 | 0.000 | 0.000 | -0.000 |
| 963.263 | 465.316 | 566.848 | 0.000 | 0.000 | 0.000 |
| 566.567 | 566.567 | 889.305 | 0.000 | 0.000 | -0.000 |
| -0.000 | -0.000 | 0.000 | 9.074 | 0.000 | 0.000 |
| -0.000 | -0.000 | 0.000 | 0.000 | 9.074 | 0.000 |
| 0.205 | 0.234 | 0.279 | 0.000 | 0.000 | -197.934 |
| -238.833 | -79.611 | -35.133 | 0.000 | 0.000 | 0.000 |
| -79.611 | -238.833 | -35.133 | 0.000 | 0.000 | 0.000 |
| -35.133 | -35.133 | -248.801 | 0.000 | 0.000 | 0.000 |
| -0.000 | 0.000 | 0.000 | -35.133 | 0.000 | 0.000 |
| -0.000 | 0.000 | 0.000 | 0.000 | -35.133 | 0.000 |
| 0.000 | 0.000 | -0.000 | 0.000 | -0.000 | -79.611 |
| -381.498 | 63.054 | -35.133 | -0.000 | -0.000 | -0.000 |
| 63.054 | -381.498 | -35.133 | -0.000 | -0.000 | 0.000 |
| -35.133 | -35.133 | -248.801 | -0.000 | -0.000 | 0.000 |
| 0.000 | -0.000 | -0.000 | -35.133 | -0.000 | -0.000 |
| 0.000 | -0.000 | -0.000 | -0.000 | -35.133 | 0.000 |
| -0.000 | -0.000 | 0.000 | -0.000 | -0.000 | -79.611 |
| -381.498 | 63.054 | -35.132 | 0.000 | 0.000 | -0.000 |
| 63.054 | -381.497 | -35.132 | 0.000 | 0.000 | -0.000 |
| -35.133 | -35.133 | -248.801 | 0.000 | 0.000 | -0.000 |
| 0.000 | 0.000 | 0.000 | -35.133 | 0.000 | 0.000 |
| 0.000 | 0.000 | 0.000 | 0.000 | -35.133 | -0.000 |
| 0.000 | 0.000 | 0.000 | 0.000 | 0.000 | -79.611 |
| -381.498 | 63.054 | -35.133 | -0.000 | -0.000 | 0.000 |
| -79.611 | -238.833 | -35.133 | -0.000 | -0.000 | -0.000 |
| -35.133 | -35.133 | -248.801 | -0.000 | -0.000 | 0.000 |
| -0.000 | -0.000 | -0.000 | -35.133 | -0.000 | -0.000 |
| -0.000 | -0.000 | -0.000 | -0.000 | -35.133 | -0.000 |
| -0.000 | -0.000 | -0.000 | -0.000 | -0.000 | -79.611 |
| -238.833 | -79.611 | -35.133 | 0.000 | 0.000 | 0.000 |
| -75.153 | -243.291 | -35.133 | 0.000 | 0.000 | 0.000 |
| -35.133 | -35.133 | -248.801 | 0.000 | 0.000 | -0.000 |
| 0.000 | 0.000 | 0.000 | -35.133 | 0.000 | -0.000 |
| 0.000 | 0.000 | 0.000 | 0.000 | -35.133 | -0.000 |
| 0.000 | 0.000 | 0.000 | 0.000 | 0.000 | -97.444 |
| -256.666 | -61.778 | -35.133 | -0.000 | -0.000 | -0.000 |
| -75.153 | -243.292 | -35.133 | -0.000 | -0.000 | -0.000 |
| -35.133 | -35.133 | -248.801 | -0.000 | -0.000 | -0.000 |
| -0.000 | -0.000 | -0.000 | -35.133 | -0.000 | 0.000 |
| -0.000 | -0.000 | -0.000 | -0.000 | -35.133 | -0.000 |
| -0.000 | -0.000 | -0.000 | -0.000 | -0.000 | -97.444 |
| -155.273 | -42.266 | -16.488 | -0.000 | 0.000 | 0.000 |
| 16.139 | -213.678 | -16.488 | -0.000 | -0.000 | 0.000 |
| -15.395 | -15.395 | -182.566 | -0.000 | -0.000 | 0.000 |
| 0.000 | -0.000 | -0.000 | -28.540 | -0.000 | 0.000 |
| 0.000 | 0.000 | 0.000 | -0.000 | -28.540 | 0.000 |
| 0.000 | 0.000 | 0.000 | -0.000 | -0.000 | -114.908 |
| -155.273 | -42.266 | -16.488 | 0.000 | 0.000 | -0.000 |
| 373.254 | -570.793 | -16.488 | 0.000 | 0.000 | 0.000 |
| -15.395 | -15.395 | -182.566 | 0.000 | 0.000 | 0.000 |
| -0.000 | -0.000 | 0.000 | -28.540 | 0.000 | -0.000 |
| 0.000 | -0.000 | -0.000 | 0.000 | -28.540 | -0.000 |
| 0.000 | -0.000 | -0.000 | 0.000 | 0.000 | -114.908 |
| -213.678 | 16.139 | -16.488 | -0.000 | -0.000 | 0.000 |
| 16.139 | -213.678 | -16.488 | -0.000 | -0.000 | -0.000 |
| -15.395 | -15.395 | -182.566 | -0.000 | -0.000 | 0.000 |
| 0.000 | 0.000 | 0.000 | -28.540 | -0.000 | 0.000 |
| 0.000 | 0.000 | 0.000 | -0.000 | -28.540 | 0.000 |
| 0.000 | 0.000 | 0.000 | -0.000 | -0.000 | -56.503 |
| -155.273 | -42.266 | -16.488 | 0.000 | -0.000 | 0.000 |
| -42.266 | -155.273 | -16.488 | 0.000 | 0.000 | -0.000 |
| -15.395 | -15.395 | -182.566 | 0.000 | -0.000 | -0.000 |
| -0.000 | -0.000 | -0.000 | -28.540 | 0.000 | -0.000 |
| -0.000 | -0.000 | -0.000 | 0.000 | -28.540 | -0.000 |
| -0.000 | -0.000 | -0.000 | 0.000 | 0.000 | -56.503 |
| -155.273 | -42.266 | -16.488 | -0.000 | -0.000 | -0.000 |
| -42.266 | -155.273 | -16.488 | -0.000 | -0.000 | 0.000 |
| -15.395 | -15.395 | -182.566 | -0.000 | -0.000 | 0.000 |
| 0.000 | 0.000 | 0.000 | -28.540 | 0.000 | 0.000 |
| 0.000 | 0.000 | 0.000 | -0.000 | -28.540 | 0.000 |
| 0.000 | 0.000 | 0.000 | -0.000 | -0.000 | -60.154 |
| -155.273 | -42.266 | -16.488 | 0.000 | 0.000 | -0.000 |
| -42.266 | -155.273 | -16.488 | 0.000 | 0.000 | -0.000 |
| -15.395 | -15.395 | -182.567 | 0.000 | 0.000 | -0.000 |
| -0.000 | -0.000 | -0.000 | -28.540 | 0.000 | 0.000 |
| -0.000 | -0.000 | -0.000 | 0.000 | -28.540 | 0.000 |
| -0.000 | -0.000 | -0.000 | 0.000 | 0.000 | -60.154 |
| 87.924 | 33.426 | 24.302 | 0.000 | -0.000 | 0.000 |
| 30.378 | 90.972 | 24.302 | 0.000 | 0.000 | -0.000 |
| 24.302 | 24.302 | 97.048 | 0.000 | -0.000 | 0.000 |
| -0.000 | -0.000 | -0.000 | 24.221 | -0.000 | 0.000 |
| -0.000 | -0.000 | -0.000 | 0.000 | 24.221 | -0.000 |
| -0.000 | -0.000 | -0.000 | 0.000 | -0.000 | 30.297 |
| 87.924 | 33.426 | 24.302 | -0.000 | 0.000 | -0.000 |
| 30.378 | 90.972 | 24.302 | -0.000 | 0.000 | 0.000 |
| 24.302 | 24.302 | 97.048 | -0.000 | -0.000 | 0.000 |
| 0.000 | 0.000 | 0.000 | 24.221 | 0.000 | -0.000 |
| 0.000 | 0.000 | 0.000 | 0.000 | 24.221 | -0.000 |
| 0.000 | 0.000 | 0.000 | -0.000 | -0.000 | 30.297 |
| 87.924 | 33.426 | 24.302 | 0.000 | -0.000 | 0.000 |
| 33.426 | 87.924 | 24.302 | 0.000 | 0.000 | 0.000 |
| 24.302 | 24.302 | 97.048 | 0.000 | 0.000 | 0.000 |
| -0.000 | -0.000 | -0.000 | 24.221 | 0.000 | 0.000 |
| -0.000 | -0.000 | -0.000 | 0.000 | 24.221 | 0.000 |
| -0.000 | -0.000 | -0.000 | 0.000 | -0.000 | 27.249 |
| 90.972 | 30.378 | 24.302 | -0.000 | 0.000 | -0.000 |
| 30.378 | 90.972 | 24.302 | -0.000 | 0.000 | -0.000 |
| 24.302 | 24.302 | 97.048 | 0.000 | -0.000 | -0.000 |
| 0.000 | 0.000 | 0.000 | 24.221 | 0.000 | -0.000 |
| 0.000 | 0.000 | 0.000 | -0.000 | 24.221 | -0.000 |
| 0.000 | 0.000 | 0.000 | -0.000 | 0.000 | 27.249 |
| 90.972 | 30.378 | 24.302 | 0.000 | 0.000 | -0.000 |
| 30.378 | 90.972 | 24.302 | 0.000 | -0.000 | -0.000 |
| 24.302 | 24.302 | 97.048 | 0.000 | -0.000 | 0.000 |
| -0.000 | -0.000 | -0.000 | 24.221 | -0.000 | 0.000 |
| -0.000 | -0.000 | -0.000 | -0.000 | 24.221 | -0.000 |
| -0.000 | -0.000 | -0.000 | 0.000 | -0.000 | 30.297 |
| 87.924 | 33.426 | 24.302 | -0.000 | 0.000 | -0.000 |
| 33.426 | 87.924 | 24.302 | -0.000 | 0.000 | -0.000 |
| 24.302 | 24.302 | 97.048 | -0.000 | 0.000 | -0.000 |
| 0.000 | 0.000 | 0.000 | 24.221 | 0.000 | -0.000 |
| 0.000 | 0.000 | 0.000 | 0.000 | 24.221 | -0.000 |
| 0.000 | 0.000 | 0.000 | -0.000 | 0.000 | 30.297 |
| 498.346 | 822.533 | 515.508 | -0.000 | -0.000 | 0.000 |
| 595.520 | 725.359 | 515.508 | -0.000 | -0.000 | 0.000 |
| 515.508 | 515.508 | 894.078 | -0.000 | -0.000 | -0.000 |
| -0.000 | -0.000 | -0.000 | 6.395 | -0.000 | -0.000 |
| 0.000 | -0.000 | -0.000 | -0.000 | 6.395 | -0.000 |
| -0.000 | -0.000 | -0.000 | -0.000 | -0.000 | 64.919 |
| 498.346 | 822.533 | 515.508 | 0.000 | 0.000 | -0.000 |
| 822.533 | 498.346 | 515.508 | 0.000 | 0.000 | -0.000 |
| 515.508 | 515.508 | 894.078 | 0.000 | 0.000 | 0.000 |
| -0.000 | 0.000 | -0.000 | 6.395 | -0.000 | 0.000 |
| 0.000 | 0.000 | 0.000 | 0.000 | 6.395 | 0.000 |
| 0.000 | 0.000 | 0.000 | 0.000 | 0.000 | 64.919 |
| 725.359 | 595.520 | 515.508 | -0.000 | -0.000 | -0.000 |
| 822.533 | 498.347 | 515.508 | -0.000 | -0.000 | -0.000 |
| 515.508 | 515.508 | 894.078 | -0.000 | -0.000 | -0.000 |
| 0.000 | 0.000 | -0.000 | 6.395 | -0.000 | -0.000 |
| 0.000 | 0.000 | -0.000 | -0.000 | 6.395 | 0.000 |
| -0.000 | -0.000 | 0.000 | -0.000 | -0.000 | 64.919 |
| 725.359 | 595.520 | 515.508 | 0.000 | 0.000 | -0.000 |
| 822.533 | 498.346 | 515.508 | 0.000 | 0.000 | -0.000 |
| 515.508 | 515.508 | 894.078 | 0.000 | 0.000 | 0.000 |
| -0.000 | -0.000 | 0.000 | 6.395 | 0.000 | 0.000 |
| -0.000 | -0.000 | 0.000 | 0.000 | 6.395 | -0.000 |
| 0.000 | 0.000 | -0.000 | 0.000 | 0.000 | 64.919 |
| 375.703 | 945.183 | 515.509 | -0.000 | -0.000 | 0.000 |
| 822.535 | 498.350 | 515.510 | -0.000 | -0.000 | 0.000 |
| 515.509 | 515.509 | 894.079 | -0.000 | -0.000 | -0.000 |
| 0.000 | 0.000 | -0.000 | 6.395 | -0.000 | -0.000 |
| 0.000 | 0.000 | -0.000 | -0.000 | 6.395 | -0.000 |
| 0.001 | 0.001 | -0.000 | -0.000 | -0.000 | -162.093 |
| 498.343 | 822.531 | 515.506 | 0.000 | 0.000 | -0.000 |
| 822.531 | 498.343 | 515.506 | 0.000 | 0.000 | 0.000 |
| 515.506 | 515.506 | 894.078 | 0.000 | 0.000 | 0.000 |
| -0.000 | -0.000 | 0.000 | 6.395 | 0.000 | -0.000 |
| -0.000 | -0.000 | 0.000 | 0.000 | 6.395 | 0.000 |
| -0.001 | -0.001 | 0.000 | 0.000 | 0.000 | -162.093 |
| -274.983 | 77.771 | -14.917 | 0.000 | 0.000 | -0.000 |
| -42.112 | -155.100 | -14.917 | -0.000 | 0.000 | 0.000 |
| -12.731 | -12.731 | -185.326 | 0.000 | 0.000 | -0.000 |
| 0.000 | 0.000 | -0.000 | -24.927 | 0.000 | 0.000 |
| -0.000 | 0.000 | -0.000 | -0.000 | -24.927 | 0.000 |
| -0.000 | 0.000 | -0.000 | -0.000 | 0.000 | -56.494 |
| -274.983 | 77.771 | -14.917 | -0.000 | -0.000 | 0.000 |
| 1817.024 | -2014.238 | -14.918 | -0.000 | -0.000 | 0.000 |
| -12.731 | -12.731 | -185.326 | -0.000 | 0.000 | -0.000 |
| -0.000 | -0.000 | 0.000 | -24.927 | -0.000 | -0.000 |
| 0.000 | -0.000 | 0.000 | 0.000 | -24.927 | 0.000 |
| 0.000 | -0.000 | 0.000 | 0.000 | -0.000 | -56.494 |
| -155.100 | -42.112 | -14.917 | 0.000 | -0.000 | 0.000 |
| -42.112 | -155.100 | -14.917 | -0.000 | 0.000 | 0.000 |
| -12.731 | -12.731 | -185.326 | -0.000 | 0.000 | 0.000 |
| -0.000 | 0.000 | 0.000 | -24.927 | 0.000 | -0.000 |
| 0.000 | 0.000 | 0.000 | -0.000 | -24.927 | -0.000 |
| 0.000 | 0.000 | 0.000 | -0.000 | -0.000 | -176.377 |
| -274.983 | 77.771 | -14.917 | 0.000 | -0.000 | 0.000 |
| -42.112 | -155.100 | -14.917 | -0.000 | -0.000 | -0.000 |
| -12.731 | -12.731 | -185.326 | 0.000 | -0.000 | -0.000 |
| 0.000 | -0.000 | -0.000 | -24.927 | -0.000 | 0.000 |
| -0.000 | -0.000 | -0.000 | 0.000 | -24.927 | 0.000 |
| -0.000 | -0.000 | -0.000 | 0.000 | -0.000 | -176.377 |
| -155.100 | -42.112 | -14.917 | 0.000 | 0.000 | 0.000 |
| -42.112 | -155.100 | -14.917 | 0.000 | -0.000 | 0.000 |
| -12.731 | -12.731 | -185.326 | -0.000 | 0.000 | 0.000 |
| 0.000 | 0.000 | 0.000 | -24.927 | -0.000 | 0.000 |
| 0.000 | 0.000 | 0.000 | -0.000 | -24.927 | -0.000 |
| 0.000 | 0.000 | 0.000 | -0.000 | 0.000 | -56.494 |
| -155.100 | -42.112 | -14.917 | 0.000 | -0.000 | -0.000 |
| -42.112 | -155.100 | -14.917 | 0.000 | -0.000 | 0.000 |
| -12.731 | -12.731 | -185.326 | 0.000 | -0.000 | 0.000 |
| -0.000 | -0.000 | -0.000 | -24.927 | 0.000 | -0.000 |
| -0.000 | -0.000 | -0.000 | 0.000 | -24.927 | 0.000 |
| -0.000 | -0.000 | -0.000 | 0.000 | 0.000 | -56.494 |
| 87.924 | 33.426 | 24.302 | -0.000 | -0.000 | 0.000 |
| 30.378 | 90.972 | 24.302 | -0.000 | -0.000 | 0.000 |
| 24.302 | 24.302 | 97.048 | 0.000 | 0.000 | 0.000 |
| 0.000 | -0.000 | -0.000 | 24.221 | -0.000 | 0.000 |
| -0.000 | -0.000 | -0.000 | -0.000 | 24.221 | 0.000 |
| -0.000 | -0.000 | -0.000 | -0.000 | -0.000 | 27.249 |
| 87.924 | 33.426 | 24.302 | 0.000 | 0.000 | -0.000 |
| 30.378 | 90.972 | 24.302 | 0.000 | -0.000 | -0.000 |
| 24.302 | 24.302 | 97.048 | 0.000 | 0.000 | -0.000 |
| 0.000 | 0.000 | 0.000 | 24.221 | -0.000 | -0.000 |
| 0.000 | 0.000 | 0.000 | 0.000 | 24.221 | 0.000 |
| 0.000 | 0.000 | 0.000 | 0.000 | 0.000 | 27.249 |
| 87.924 | 33.426 | 24.302 | -0.000 | 0.000 | 0.000 |
| 33.426 | 87.924 | 24.302 | -0.000 | -0.000 | 0.000 |
| 24.302 | 24.302 | 97.048 | 0.000 | -0.000 | 0.000 |
| -0.000 | -0.000 | -0.000 | 24.221 | 0.000 | 0.000 |
| -0.000 | -0.000 | -0.000 | 0.000 | 24.221 | 0.000 |
| -0.000 | -0.000 | -0.000 | 0.000 | 0.000 | 27.249 |
| 87.924 | 33.426 | 24.302 | 0.000 | 0.000 | -0.000 |
| 30.378 | 90.972 | 24.302 | 0.000 | 0.000 | -0.000 |
| 24.302 | 24.302 | 97.048 | 0.000 | 0.000 | -0.000 |
| 0.000 | 0.000 | 0.000 | 24.221 | 0.000 | -0.000 |
| 0.000 | 0.000 | 0.000 | -0.000 | 24.221 | -0.000 |
| 0.000 | 0.000 | 0.000 | 0.000 | 0.000 | 27.249 |
| 87.924 | 33.426 | 24.302 | -0.000 | -0.000 | 0.000 |
| 30.378 | 90.972 | 24.302 | -0.000 | -0.000 | 0.000 |
| 24.302 | 24.302 | 97.048 | -0.000 | 0.000 | 0.000 |
| -0.000 | -0.000 | -0.000 | 24.221 | -0.000 | 0.000 |
| -0.000 | -0.000 | -0.000 | 0.000 | 24.221 | -0.000 |
| -0.000 | -0.000 | -0.000 | -0.000 | 0.000 | 27.249 |
| 87.924 | 33.426 | 24.302 | 0.000 | 0.000 | -0.000 |
| 33.426 | 87.924 | 24.302 | 0.000 | 0.000 | 0.000 |
| 24.302 | 24.302 | 97.048 | 0.000 | 0.000 | -0.000 |
| 0.000 | 0.000 | 0.000 | 24.221 | 0.000 | -0.000 |
| 0.000 | 0.000 | 0.000 | -0.000 | 24.221 | -0.000 |
| 0.000 | 0.000 | 0.000 | 0.000 | 0.000 | 27.249 |
| 510.116 | 683.748 | 683.748 | -0.000 | 0.000 | -0.000 |
| 683.748 | 510.116 | 683.748 | -0.000 | -0.000 | 0.000 |
| 683.748 | 683.748 | 510.116 | -0.000 | -0.000 | -0.000 |
| 0.000 | -0.000 | -0.000 | -289.705 | 0.000 | -0.000 |
| 0.000 | -0.000 | 0.000 | 0.000 | -289.705 | -0.000 |
| 0.000 | -0.000 | 0.000 | 0.000 | 0.000 | -289.705 |
| 510.115 | 683.748 | 683.748 | 0.000 | -0.000 | 0.000 |
| 683.748 | 510.115 | 683.748 | -0.000 | 0.000 | 0.000 |
| 683.748 | 683.748 | 510.115 | 0.000 | 0.000 | 0.000 |
| 0.000 | -0.000 | 0.000 | -289.705 | 0.000 | -0.000 |
| -0.000 | 0.000 | 0.000 | 0.000 | -289.705 | -0.000 |
| -0.000 | 0.000 | 0.000 | 0.000 | 0.000 | -289.705 |
| 510.116 | 683.748 | 683.748 | -0.000 | 0.000 | 0.000 |
| 683.748 | 510.116 | 683.748 | 0.000 | -0.000 | -0.000 |
| 683.748 | 683.748 | 510.116 | -0.000 | -0.000 | -0.000 |
| 0.000 | 0.000 | 0.000 | 30.630 | 0.000 | 0.000 |
| 0.000 | 0.000 | 0.000 | 0.000 | 30.630 | 0.000 |
| 0.000 | 0.000 | 0.000 | -0.000 | 0.000 | 30.630 |
| 510.115 | 683.748 | 683.748 | 0.000 | -0.000 | -0.000 |
| 683.748 | 510.115 | 683.748 | -0.000 | 0.000 | -0.000 |
| 683.748 | 683.748 | 510.115 | -0.000 | -0.000 | 0.000 |
| -0.000 | -0.000 | -0.000 | 30.630 | -0.000 | -0.000 |
| -0.000 | -0.000 | -0.000 | -0.000 | 30.630 | -0.000 |
| -0.000 | -0.000 | -0.000 | -0.000 | -0.000 | 30.630 |
| 510.118 | 683.751 | 683.751 | -0.000 | 0.000 | -0.000 |
| 683.751 | 510.118 | 683.751 | 0.000 | 0.000 | -0.000 |
| 683.751 | 683.751 | 510.118 | -0.000 | -0.000 | -0.000 |
| -0.000 | 0.000 | -0.000 | -289.705 | -0.000 | -0.000 |
| 0.000 | -0.000 | -0.000 | -0.000 | -289.705 | -0.000 |
| 0.000 | -0.000 | -0.000 | 0.000 | -0.000 | -289.495 |
| 510.113 | 683.745 | 683.745 | 0.000 | 0.000 | 0.000 |
| 683.745 | 510.113 | 683.745 | 0.000 | -0.000 | 0.000 |
| 683.745 | 683.745 | 510.113 | 0.000 | 0.000 | 0.000 |
| 0.000 | -0.000 | 0.000 | -289.495 | -0.000 | 0.000 |
| -0.000 | 0.000 | 0.000 | -0.000 | -289.495 | -0.000 |
| -0.000 | 0.000 | 0.000 | 0.000 | 0.000 | -289.495 |
| -42.565 | -24.580 | -24.580 | -0.000 | -0.000 | -0.000 |
| -24.580 | -42.565 | -24.580 | -0.000 | -0.000 | -0.000 |
| -24.580 | -24.580 | -42.565 | -0.000 | -0.000 | -0.000 |
| 0.000 | 0.000 | 0.000 | -24.580 | 0.000 | -0.000 |
| 0.000 | 0.000 | 0.000 | 0.000 | -24.580 | -0.000 |
| 0.000 | 0.000 | 0.000 | 0.000 | -0.000 | -24.580 |
| -42.565 | -24.580 | -24.580 | 0.000 | 0.000 | 0.000 |
| -24.580 | -42.565 | -24.580 | 0.000 | 0.000 | 0.000 |
| -24.580 | -24.580 | -42.565 | 0.000 | 0.000 | 0.000 |
| -0.000 | -0.000 | -0.000 | -24.580 | 0.000 | 0.000 |
| -0.000 | -0.000 | -0.000 | 0.000 | -24.580 | 0.000 |
| -0.000 | -0.000 | -0.000 | 0.000 | 0.000 | -24.580 |
| -42.565 | -24.580 | -24.580 | -0.000 | -0.000 | -0.000 |
| -24.580 | -42.565 | -24.580 | -0.000 | -0.000 | -0.000 |
| -24.580 | -24.580 | -42.565 | 0.000 | 0.000 | 0.000 |
| 0.000 | 0.000 | 0.000 | -24.580 | 0.000 | -0.000 |
| 0.000 | 0.000 | 0.000 | 0.000 | -24.580 | -0.000 |
| 0.000 | 0.000 | 0.000 | 0.000 | -0.000 | -24.580 |
| -42.565 | -24.580 | -24.580 | -0.000 | -0.000 | -0.000 |
| -24.580 | -42.565 | -24.580 | -0.000 | -0.000 | -0.000 |
| -24.580 | -24.580 | -42.565 | -0.000 | -0.000 | -0.000 |
| -0.000 | -0.000 | -0.000 | -24.580 | 0.000 | 0.000 |
| -0.000 | -0.000 | -0.000 | 0.000 | -24.580 | 0.000 |
| -0.000 | -0.000 | -0.000 | 0.000 | 0.000 | -24.580 |
| -42.565 | -24.580 | -24.580 | 0.000 | 0.000 | 0.000 |
| -24.580 | -42.565 | -24.580 | 0.000 | 0.000 | 0.000 |
| -24.580 | -24.580 | -42.565 | 0.000 | 0.000 | 0.000 |
| 0.000 | 0.000 | 0.000 | -24.580 | 0.000 | -0.000 |
| 0.000 | 0.000 | 0.000 | 0.000 | -24.580 | -0.000 |
| 0.000 | 0.000 | 0.000 | 0.000 | -0.000 | -24.580 |
| -42.565 | -24.580 | -24.580 | -0.000 | -0.000 | -0.000 |
| -24.580 | -42.565 | -24.580 | -0.000 | -0.000 | -0.000 |
| -24.580 | -24.580 | -42.565 | -0.000 | -0.000 | -0.000 |
| -0.000 | -0.000 | -0.000 | -24.580 | 0.000 | 0.000 |
| -0.000 | -0.000 | -0.000 | 0.000 | -24.580 | 0.000 |
| -0.000 | -0.000 | -0.000 | 0.000 | 0.000 | -24.580 |
| -25.706 | -11.233 | -11.233 | -0.000 | -0.000 | -0.000 |
| -11.233 | -25.706 | -11.233 | -0.000 | -0.000 | -0.000 |
| -11.233 | -11.233 | -25.706 | -0.000 | -0.000 | -0.000 |
| -0.000 | 0.000 | 0.000 | -20.302 | -0.000 | -0.000 |
| 0.000 | 0.000 | 0.000 | -0.000 | -20.302 | -0.000 |
| -0.000 | 0.000 | 0.000 | -0.000 | -0.000 | -20.302 |
| -25.706 | -11.233 | -11.233 | 0.000 | 0.000 | 0.000 |
| -11.233 | -25.706 | -11.233 | 0.000 | 0.000 | 0.000 |
| -11.233 | -11.233 | -25.706 | 0.000 | 0.000 | 0.000 |
| 0.000 | -0.000 | -0.000 | -20.302 | 0.000 | 0.000 |
| 0.000 | -0.000 | -0.000 | 0.000 | -20.302 | 0.000 |
| 0.000 | -0.000 | -0.000 | 0.000 | 0.000 | -20.302 |
| -25.706 | -11.233 | -11.233 | -0.000 | 0.000 | -0.000 |
| -11.233 | -25.706 | -11.233 | 0.000 | -0.000 | -0.000 |
| -11.233 | -11.233 | -25.706 | -0.000 | -0.000 | -0.000 |
| 0.000 | 0.000 | 0.000 | -20.302 | -0.000 | -0.000 |
| 0.000 | 0.000 | 0.000 | -0.000 | -20.302 | -0.000 |
| 0.000 | 0.000 | 0.000 | -0.000 | -0.000 | -20.302 |
| -25.706 | -11.233 | -11.233 | 0.000 | 0.000 | 0.000 |
| -11.233 | -25.706 | -11.233 | 0.000 | 0.000 | 0.000 |
| -11.233 | -11.233 | -25.706 | 0.000 | 0.000 | 0.000 |
| -0.000 | -0.000 | -0.000 | -20.302 | 0.000 | 0.000 |
| -0.000 | -0.000 | -0.000 | 0.000 | -20.302 | 0.000 |
| -0.000 | -0.000 | -0.000 | 0.000 | 0.000 | -20.302 |
| -25.706 | -11.233 | -11.233 | 0.000 | -0.000 | -0.000 |
| -11.233 | -25.706 | -11.233 | 0.000 | -0.000 | -0.000 |
| -11.233 | -11.233 | -25.706 | 0.000 | 0.000 | -0.000 |
| 0.000 | 0.000 | 0.000 | -15.586 | 0.000 | -0.000 |
| 0.000 | 0.000 | 0.000 | 0.000 | -15.586 | -0.000 |
| 0.000 | 0.000 | 0.000 | 0.000 | -0.000 | -15.586 |
| -25.706 | -11.233 | -11.233 | -0.000 | -0.000 | 0.000 |
| -11.233 | -25.706 | -11.233 | -0.000 | -0.000 | 0.000 |
| -11.233 | -11.233 | -25.706 | -0.000 | -0.000 | -0.000 |
| -0.000 | -0.000 | -0.000 | -15.586 | 0.000 | 0.000 |
| -0.000 | -0.000 | -0.000 | 0.000 | -15.586 | 0.000 |
| -0.000 | -0.000 | -0.000 | 0.000 | 0.000 | -15.586 |
| 7.914 | 7.914 | 7.914 | -0.000 | -0.000 | -0.000 |
| 7.914 | 7.914 | 7.914 | -0.000 | -0.000 | -0.000 |
| 7.914 | 7.914 | 7.914 | -0.000 | -0.000 | -0.000 |
| -0.000 | -0.000 | -0.000 | -0.000 | -0.000 | -0.000 |
| -0.000 | -0.000 | -0.000 | -0.000 | -0.000 | -0.000 |
| -0.000 | -0.000 | -0.000 | -0.000 | -0.000 | -0.000 |
| 7.914 | 7.914 | 7.914 | 0.000 | 0.000 | 0.000 |
| 7.914 | 7.914 | 7.914 | 0.000 | 0.000 | 0.000 |
| 7.914 | 7.914 | 7.914 | 0.000 | 0.000 | 0.000 |
| 0.000 | 0.000 | 0.000 | 0.000 | 0.000 | 0.000 |
| 0.000 | 0.000 | 0.000 | 0.000 | 0.000 | 0.000 |
| 0.000 | 0.000 | 0.000 | 0.000 | 0.000 | 0.000 |
| 7.914 | 7.914 | 7.914 | -0.000 | -0.000 | -0.000 |
| 7.914 | 7.914 | 7.914 | -0.000 | -0.000 | -0.000 |
| 7.914 | 7.914 | 7.914 | -0.000 | -0.000 | -0.000 |
| -0.000 | -0.000 | -0.000 | -0.000 | -0.000 | -0.000 |
| -0.000 | -0.000 | -0.000 | -0.000 | -0.000 | -0.000 |
| -0.000 | -0.000 | -0.000 | -0.000 | -0.000 | -0.000 |
| 7.914 | 7.914 | 7.914 | 0.000 | 0.000 | 0.000 |
| 7.914 | 7.914 | 7.914 | 0.000 | 0.000 | 0.000 |
| 7.914 | 7.914 | 7.914 | 0.000 | 0.000 | 0.000 |
| 0.000 | 0.000 | 0.000 | 0.000 | 0.000 | 0.000 |
| 0.000 | 0.000 | 0.000 | 0.000 | 0.000 | 0.000 |
| 0.000 | 0.000 | 0.000 | 0.000 | 0.000 | 0.000 |
| 7.914 | 7.914 | 7.914 | -0.000 | -0.000 | -0.000 |
| 7.914 | 7.914 | 7.914 | -0.000 | -0.000 | -0.000 |
| 7.914 | 7.914 | 7.914 | -0.000 | -0.000 | -0.000 |
| -0.000 | -0.000 | -0.000 | -0.000 | -0.000 | -0.000 |
| -0.000 | -0.000 | -0.000 | -0.000 | -0.000 | -0.000 |
| -0.000 | -0.000 | -0.000 | -0.000 | -0.000 | -0.000 |
| 7.914 | 7.914 | 7.914 | 0.000 | 0.000 | 0.000 |
| 7.914 | 7.914 | 7.914 | 0.000 | 0.000 | 0.000 |
| 7.914 | 7.914 | 7.914 | 0.000 | 0.000 | 0.000 |
| 0.000 | 0.000 | 0.000 | 0.000 | 0.000 | 0.000 |
| 0.000 | 0.000 | 0.000 | 0.000 | 0.000 | 0.000 |
| 0.000 | 0.000 | 0.000 | 0.000 | 0.000 | 0.000 |
| 1220.291 | 641.932 | 668.084 | 0.000 | 0.000 | 0.000 |
| 641.932 | 1220.291 | 668.084 | 0.000 | 0.000 | 0.000 |
| 668.084 | 668.084 | 1000.977 | -0.000 | -0.000 | 0.000 |
| 0.000 | 0.000 | -0.000 | 73.092 | -0.000 | 0.000 |
| 0.000 | 0.000 | -0.000 | -0.000 | 53.875 | 0.000 |
| 0.000 | -0.000 | -0.000 | -0.000 | -0.000 | 3.728 |
| 1220.291 | 641.932 | 668.084 | 0.000 | 0.000 | -0.000 |
| 641.932 | 1220.291 | 668.084 | 0.000 | 0.000 | -0.000 |
| 668.084 | 668.084 | 1000.977 | 0.000 | 0.000 | -0.000 |
| -0.000 | -0.000 | -0.000 | 73.092 | 0.000 | 0.000 |
| 0.000 | 0.000 | 0.000 | 0.000 | 53.875 | -0.000 |
| -0.000 | -0.000 | 0.000 | 0.000 | 0.000 | 3.728 |
| 1220.290 | 641.933 | 668.084 | -0.000 | -0.000 | 0.000 |
| 641.933 | 1220.290 | 668.084 | -0.000 | -0.000 | 0.000 |
| 668.084 | 668.084 | 1000.977 | -0.000 | -0.000 | 0.000 |
| -0.000 | -0.000 | -0.000 | 53.875 | -0.000 | 0.000 |
| -0.000 | -0.000 | -0.000 | -0.000 | 53.875 | 0.000 |
| -0.000 | -0.000 | -0.000 | -0.000 | -0.000 | 3.728 |
| 1220.291 | 641.932 | 668.084 | 0.000 | 0.000 | -0.000 |
| 641.932 | 1220.291 | 668.084 | 0.000 | 0.000 | -0.000 |
| 668.084 | 668.084 | 1000.977 | 0.000 | 0.000 | -0.000 |
| 0.000 | 0.000 | 0.000 | 53.875 | 0.000 | 0.000 |
| 0.000 | 0.000 | 0.000 | 0.000 | 53.875 | -0.000 |
| 0.000 | 0.000 | 0.000 | 0.000 | 0.000 | 3.728 |
| 4872069.002 | -1036017.834 | 5829378.922 | -475851.369 | -154251.078 | 1394220.910 |
| -2331854.727 | 646217.208 | -520036.253 | -250709.303 | 189699.145 | -251344.286 |
| 668.085 | 668.085 | 1000.977 | -0.000 | -0.000 | 0.000 |
| -0.000 | -0.000 | -0.000 | 53.905 | -0.000 | -0.000 |
| -0.000 | -0.000 | -0.000 | -0.000 | 53.905 | 0.000 |
| -0.000 | -0.000 | -0.000 | -0.000 | -0.000 | 3.728 |
| 1432566.603 | -3877527.168 | -4350940.149 | 63291.206 | 11035.245 | 1263071.957 |
| -5083381.961 | 1268741.133 | -6034949.851 | 569182.962 | 111335.229 | -1452334.833 |
| 668.083 | 668.083 | 1000.977 | 0.000 | 0.000 | -0.000 |
| 0.000 | 0.000 | 0.000 | 53.905 | 0.000 | -0.000 |
| 0.000 | 0.000 | 0.000 | 0.000 | 53.905 | -0.000 |
| 0.000 | 0.000 | 0.000 | 0.000 | 0.000 | 3.728 |
| 41.256 | -0.167 | -6.093 | 0.000 | 0.000 | -0.000 |
| -0.167 | 41.256 | -6.093 | 0.000 | 0.000 | 0.000 |
| -6.093 | -6.093 | 54.569 | -0.000 | 0.000 | 0.000 |
| 0.000 | 0.000 | -0.000 | -24.744 | 0.000 | 0.000 |
| 0.000 | -0.000 | -0.000 | -0.000 | -24.744 | 0.000 |
| 0.000 | -0.000 | 0.000 | -0.000 | 0.000 | -0.181 |
| 41.256 | -0.167 | -6.093 | -0.000 | -0.000 | -0.000 |
| 454039976.660 | -408137765.756 | -104239879.665 | 0.000 | -0.000 | -0.000 |
| -6.093 | -6.093 | 54.569 | -0.000 | 0.000 | -0.000 |
| -0.000 | -0.000 | 0.000 | -24.744 | -0.000 | 0.000 |
| -0.000 | 0.000 | 0.000 | -0.000 | -24.744 | -0.000 |
| -0.000 | 0.000 | -0.000 | 0.000 | -0.000 | -0.181 |
| -45403938.644 | 40813785.341 | 10424003.229 | 0.000 | 0.000 | -0.000 |
| 40813785.341 | -45403938.644 | 10424003.229 | 0.000 | 0.000 | -0.000 |
| -6.093 | -6.093 | 54.569 | -0.000 | -0.000 | -0.000 |
| -0.000 | 0.000 | -0.000 | -24.744 | 0.000 | -0.000 |
| 0.000 | -0.000 | -0.000 | -0.000 | -24.744 | -0.000 |
| -0.000 | 0.000 | 0.000 | 0.000 | -0.000 | -0.181 |
| -40813729.052 | 45403993.043 | -10423989.655 | -0.000 | 0.000 | 0.000 |
| 45403993.043 | -40813729.052 | -10423989.655 | -0.000 | 0.000 | 0.000 |
| -6.093 | -6.093 | 54.569 | 0.000 | -0.000 | 0.000 |
| 0.000 | -0.000 | 0.000 | -24.744 | -0.000 | -0.000 |
| -0.000 | 0.000 | 0.000 | 0.000 | -24.744 | -0.000 |
| 0.000 | -0.000 | -0.000 | 0.000 | -0.000 | -0.181 |
| -4540340.282 | 4081381.671 | 1042414.228 | -0.000 | -0.000 | -0.000 |
| 4081381.671 | -4540340.282 | 1042414.228 | -0.000 | 0.000 | -0.000 |
| -6.093 | -6.093 | 54.569 | -0.000 | 0.000 | 0.000 |
| -0.261 | 0.365 | 0.063 | -24.649 | 0.000 | 0.000 |
| 0.365 | -0.261 | 0.063 | 0.000 | -24.649 | 0.000 |
| 0.000 | -0.000 | 0.000 | 0.000 | -0.000 | -0.181 |
| -4081325.381 | 4540394.681 | -1042400.654 | -0.000 | 0.000 | -0.000 |
| 4540394.681 | -4081325.381 | -1042400.654 | -0.000 | 0.000 | 0.000 |
| -6.093 | -6.093 | 54.569 | 0.000 | -0.000 | 0.000 |
| 0.261 | -0.365 | -0.063 | -24.649 | -0.000 | -0.000 |
| -0.365 | 0.261 | -0.063 | 0.000 | -24.649 | -0.000 |
| -0.000 | 0.000 | -0.000 | 0.000 | -0.000 | -0.181 |
| 987.212 | 611.023 | 626.288 | 0.000 | -0.000 | 0.000 |
| 611.023 | 987.212 | 626.288 | 0.000 | 0.000 | 0.000 |
| 626.288 | 626.288 | 773.215 | 0.000 | 0.000 | 0.000 |
| -0.000 | -0.000 | 0.000 | 101.537 | 0.000 | 0.000 |
| -0.000 | -0.000 | 0.000 | 0.000 | 101.538 | -0.000 |
| -0.000 | -0.000 | -0.000 | 0.000 | 0.000 | 16.831 |
| 987.212 | 611.023 | 626.288 | -0.000 | -0.000 | 0.000 |
| 611.023 | 987.212 | 626.288 | -0.000 | -0.000 | -0.000 |
| 626.288 | 626.288 | 773.215 | 0.000 | 0.000 | 0.000 |
| 0.000 | 0.000 | -0.000 | 101.537 | -0.000 | 0.000 |
| 0.000 | 0.000 | -0.000 | -0.000 | 101.537 | -0.000 |
| 0.000 | 0.000 | 0.000 | -0.000 | -0.000 | 16.831 |
| 987.212 | 611.023 | 626.288 | 0.000 | 0.000 | -0.000 |
| 611.023 | 987.212 | 626.288 | 0.000 | 0.000 | 0.000 |
| 626.288 | 626.288 | 773.215 | 0.000 | 0.000 | 0.000 |
| -0.000 | -0.000 | -0.000 | 101.537 | 0.000 | 0.000 |
| -0.000 | -0.000 | -0.000 | 0.000 | 101.537 | 0.000 |
| -0.000 | -0.000 | -0.000 | 0.000 | 0.000 | 16.831 |
| 987.212 | 611.023 | 626.287 | -0.000 | -0.000 | -0.000 |
| 611.023 | 987.212 | 626.287 | -0.000 | -0.000 | 0.000 |
| 626.287 | 626.287 | 773.215 | 0.000 | 0.000 | -0.000 |
| 0.000 | 0.000 | 0.000 | 101.537 | -0.000 | 0.000 |
| 0.000 | 0.000 | 0.000 | -0.000 | 101.537 | -0.000 |
| 0.000 | 0.000 | 0.000 | -0.000 | -0.000 | 16.831 |
| 987.212 | 611.025 | 626.289 | -0.000 | -0.000 | 0.000 |
| 611.025 | 987.212 | 626.289 | -0.000 | -0.000 | 0.000 |
| 626.289 | 626.289 | 773.215 | -0.000 | -0.000 | 0.000 |
| -0.000 | -0.000 | -0.000 | 101.537 | 0.000 | 0.000 |
| -0.000 | -0.000 | -0.000 | 0.000 | 101.537 | -0.000 |
| -0.000 | -0.000 | -0.000 | -0.000 | -0.000 | 16.831 |
| 987.211 | 611.022 | 626.286 | -0.000 | -0.000 | -0.000 |
| 611.022 | 987.211 | 626.286 | -0.000 | -0.000 | -0.000 |
| 626.286 | 626.286 | 773.214 | 0.000 | 0.000 | -0.000 |
| 0.000 | 0.000 | 0.000 | 101.537 | 0.000 | 0.000 |
| 0.000 | 0.000 | 0.000 | 0.000 | 101.537 | 0.000 |
| 0.000 | 0.000 | 0.000 | 0.000 | 0.000 | 16.831 |
| -157.272 | 21.407 | -54.209 | 0.000 | 0.000 | 0.000 |
| 21.407 | -157.272 | -54.209 | -0.000 | 0.000 | -0.000 |
| -56.389 | -56.389 | -129.635 | -0.000 | -0.000 | -0.000 |
| -0.000 | 0.000 | 0.000 | -73.087 | 0.000 | -0.000 |
| -0.000 | 0.000 | 0.000 | 0.000 | -73.087 | -0.000 |
| 0.000 | 0.000 | 0.000 | 0.000 | 0.000 | 6.888 |
| -157.272 | 21.407 | -54.209 | -0.000 | -0.000 | -0.000 |
| 21.407 | -157.272 | -54.209 | -0.000 | -0.000 | 0.000 |
| -56.389 | -56.389 | -129.635 | -0.000 | -0.000 | 0.000 |
| 0.000 | 0.000 | -0.000 | -73.087 | 0.000 | 0.000 |
| 0.000 | -0.000 | -0.000 | 0.000 | -73.087 | 0.000 |
| -0.000 | -0.000 | -0.000 | 0.000 | -0.000 | 6.888 |
| -157.272 | 21.407 | -54.209 | 0.000 | -0.000 | -0.000 |
| 21.407 | -157.272 | -54.209 | -0.000 | -0.000 | -0.000 |
| -56.389 | -56.389 | -129.635 | -0.000 | -0.000 | 0.000 |
| 0.000 | 0.000 | 0.000 | -73.087 | -0.000 | 0.000 |
| 0.000 | 0.000 | 0.000 | -0.000 | -73.087 | -0.000 |
| -0.000 | 0.000 | 0.000 | -0.000 | -0.000 | 6.888 |
| -157.272 | 21.407 | -54.209 | 0.000 | -0.000 | 0.000 |
| 21.407 | -157.272 | -54.209 | -0.000 | 0.000 | 0.000 |
| -56.389 | -56.389 | -129.635 | 0.000 | 0.000 | -0.000 |
| -0.000 | -0.000 | -0.000 | -73.087 | 0.000 | 0.000 |
| -0.000 | -0.000 | -0.000 | 0.000 | -73.087 | 0.000 |
| 0.000 | -0.000 | -0.000 | 0.000 | -0.000 | 6.888 |
| -157.272 | 21.407 | -54.209 | -0.000 | -0.000 | -0.000 |
| 21.407 | -157.272 | -54.209 | -0.000 | -0.000 | -0.000 |
| -56.389 | -56.389 | -129.635 | 0.000 | 0.000 | -0.000 |
| 0.000 | 0.000 | 0.000 | -73.087 | -0.000 | -0.000 |
| 0.000 | 0.000 | 0.000 | 0.000 | -73.087 | -0.000 |
| -0.000 | 0.000 | 0.000 | -0.000 | -0.000 | 6.888 |
| -157.272 | 21.407 | -54.209 | -0.000 | -0.000 | 0.000 |
| 21.407 | -157.272 | -54.209 | -0.000 | -0.000 | -0.000 |
| -56.389 | -56.389 | -129.635 | 0.000 | 0.000 | 0.000 |
| -0.000 | -0.000 | -0.000 | -73.087 | 0.000 | 0.000 |
| -0.000 | -0.000 | -0.000 | 0.000 | -73.087 | 0.000 |
| 0.000 | -0.000 | -0.000 | 0.000 | 0.000 | 6.888 |
| 971.533 | 782.070 | 913.801 | -144.098 | -0.000 | -0.000 |
| 782.070 | 971.533 | 913.801 | 144.098 | -0.000 | -0.000 |
| 903.778 | 903.778 | 866.169 | -0.000 | -0.000 | -0.000 |
| -144.098 | 144.098 | 0.000 | 166.075 | -0.000 | 0.000 |
| -0.000 | 0.000 | 0.000 | -0.000 | 166.075 | -144.098 |
| -0.000 | 0.000 | 0.000 | -0.000 | -144.098 | 94.731 |
| 971.533 | 782.070 | 913.801 | -144.098 | 0.000 | -0.000 |
| 782.070 | 971.534 | 913.801 | 144.098 | 0.000 | -0.000 |
| 903.778 | 903.778 | 866.169 | 0.000 | 0.000 | 0.000 |
| -144.098 | 144.098 | -0.000 | 166.075 | 0.000 | -0.000 |
| -0.000 | -0.000 | -0.000 | -0.000 | 166.075 | -144.098 |
| 0.000 | -0.000 | -0.000 | 0.000 | -144.098 | 94.731 |
| 971.534 | 782.071 | 913.801 | -144.098 | -0.000 | -0.000 |
| 782.071 | 971.534 | 913.801 | 144.098 | -0.000 | -0.000 |
| 903.778 | 903.778 | 866.169 | -0.000 | -0.000 | -0.000 |
| -144.098 | 144.098 | -0.000 | 166.075 | -0.000 | -0.000 |
| -0.000 | -0.000 | -0.000 | -0.000 | 166.075 | -144.098 |
| -0.000 | -0.000 | -0.000 | -0.000 | -144.098 | 94.731 |
| 971.533 | 782.070 | 913.801 | -144.098 | 0.000 | 0.000 |
| 782.070 | 971.533 | 913.801 | 144.098 | -0.000 | 0.000 |
| 903.778 | 903.778 | 866.169 | 0.000 | 0.000 | 0.000 |
| -144.098 | 144.098 | 0.000 | 166.075 | 0.000 | -0.000 |
| 0.000 | 0.000 | 0.000 | 0.000 | 166.075 | -144.098 |
| 0.000 | 0.000 | 0.000 | 0.000 | -144.098 | 94.732 |
| 971.534 | 782.072 | 913.803 | -144.098 | -0.000 | -0.000 |
| 782.072 | 971.534 | 913.803 | 144.098 | -0.000 | -0.000 |
| 903.780 | 903.780 | 866.171 | -0.000 | -0.000 | 0.000 |
| -144.098 | 144.098 | -0.000 | 166.075 | -0.000 | -0.000 |
| -0.001 | -0.000 | -0.000 | -0.000 | 166.075 | -144.098 |
| -0.000 | -0.000 | -0.000 | -0.000 | -144.098 | 94.731 |
| 971.533 | 782.069 | 913.800 | -144.098 | -0.000 | 0.000 |
| 782.069 | 971.533 | 913.800 | 144.098 | 0.000 | -0.000 |
| 903.776 | 903.776 | 866.167 | 0.000 | 0.000 | -0.000 |
| -144.098 | 144.099 | 0.000 | 166.075 | 0.000 | 0.000 |
| 0.001 | 0.000 | 0.000 | 0.000 | 166.075 | -144.098 |
| 0.000 | 0.000 | 0.000 | 0.000 | -144.098 | 94.731 |
| 1434.976 | 812.569 | 812.569 | -0.000 | -0.000 | 0.000 |
| 812.569 | 1434.976 | 812.569 | -0.000 | -0.000 | 0.000 |
| 812.569 | 812.569 | 1434.976 | 0.000 | 0.000 | 0.000 |
| 0.000 | 0.000 | 0.000 | -11.329 | -0.000 | 0.000 |
| 0.000 | 0.000 | 0.000 | -0.000 | -11.329 | -0.000 |
| 0.000 | 0.000 | 0.000 | -0.000 | -0.000 | -11.329 |
| 1434.976 | 812.569 | 812.569 | 0.000 | 0.000 | -0.000 |
| 812.569 | 1434.976 | 812.569 | 0.000 | 0.000 | -0.000 |
| 812.569 | 812.569 | 1434.976 | 0.000 | 0.000 | -0.000 |
| -0.000 | -0.000 | -0.000 | -11.329 | 0.000 | 0.000 |
| -0.000 | -0.000 | -0.000 | 0.000 | -11.329 | 0.000 |
| -0.000 | -0.000 | -0.000 | 0.000 | 0.000 | -11.329 |
| 1434.976 | 812.569 | 812.569 | 0.000 | 0.000 | 0.000 |
| 812.569 | 1434.976 | 812.569 | 0.000 | 0.000 | 0.000 |
| 812.569 | 812.569 | 1434.976 | -0.000 | -0.000 | -0.000 |
| -0.000 | -0.000 | -0.000 | -11.329 | -0.000 | -0.000 |
| -0.000 | -0.000 | -0.000 | -0.000 | -11.329 | 0.000 |
| -0.000 | -0.000 | -0.000 | -0.000 | -0.000 | -11.329 |
| 1434.976 | 812.569 | 812.569 | -0.000 | -0.000 | -0.000 |
| 812.569 | 1434.976 | 812.569 | -0.000 | -0.000 | 0.000 |
| 812.569 | 812.569 | 1434.976 | 0.000 | 0.000 | -0.000 |
| 0.000 | 0.000 | 0.000 | -11.329 | 0.000 | -0.000 |
| 0.000 | 0.000 | 0.000 | 0.000 | -11.329 | -0.000 |
| 0.000 | 0.000 | 0.000 | 0.000 | 0.000 | -11.329 |
| 1434.976 | 812.571 | 812.571 | -0.000 | -0.000 | -0.000 |
| 812.571 | 1434.976 | 812.571 | -0.000 | -0.000 | 0.000 |
| 812.571 | 812.571 | 1434.976 | -0.000 | -0.000 | 0.000 |
| -0.000 | -0.000 | -0.000 | -11.329 | -0.000 | 0.000 |
| -0.000 | -0.000 | -0.000 | -0.000 | -11.329 | -0.000 |
| -0.000 | -0.000 | -0.000 | -0.000 | -0.000 | -11.329 |
| 1434.977 | 812.568 | 812.568 | 0.000 | 0.000 | -0.000 |
| 812.568 | 1434.977 | 812.568 | 0.000 | 0.000 | -0.000 |
| 812.568 | 812.568 | 1434.977 | 0.000 | 0.000 | -0.000 |
| 0.000 | 0.000 | 0.000 | -11.329 | -0.000 | 0.000 |
| 0.000 | 0.000 | 0.000 | -0.000 | -11.329 | 0.000 |
| 0.000 | 0.000 | 0.000 | 0.000 | 0.000 | -11.329 |
| 54.209 | -0.019 | -0.019 | 0.000 | 0.000 | 0.000 |
| -0.019 | 54.209 | -0.019 | 0.000 | 0.000 | 0.000 |
| -0.019 | -0.019 | 54.209 | -0.000 | -0.000 | 0.000 |
| 0.000 | 0.000 | -0.000 | -0.028 | -0.000 | 0.000 |
| 0.000 | 0.000 | -0.000 | -0.000 | -0.028 | 0.000 |
| 0.000 | -0.000 | 0.000 | -0.000 | 0.000 | -0.028 |
| 54.209 | -0.019 | -0.019 | -0.000 | -0.000 | -0.000 |
| -0.019 | 54.209 | -0.019 | -0.000 | -0.000 | -0.000 |
| -0.019 | -0.019 | 54.209 | -0.000 | -0.000 | -0.000 |
| -0.000 | -0.000 | 0.000 | -0.028 | 0.000 | -0.000 |
| 0.000 | -0.000 | 0.000 | 0.000 | -0.028 | -0.000 |
| 0.000 | 0.000 | -0.000 | 0.000 | 0.000 | -0.028 |
| 54.209 | -0.019 | -0.019 | 0.000 | 0.000 | 0.000 |
| -0.019 | 54.209 | -0.019 | 0.000 | 0.000 | 0.000 |
| -0.019 | -0.019 | 54.209 | 0.000 | 0.000 | 0.000 |
| 0.000 | 0.000 | -0.000 | -0.028 | 0.000 | -0.000 |
| 0.000 | 0.000 | -0.000 | 0.000 | -0.028 | 0.000 |
| 0.000 | -0.000 | 0.000 | 0.000 | 0.000 | -0.028 |
| 54.209 | -0.019 | -0.019 | -0.000 | -0.000 | -0.000 |
| -0.019 | 54.209 | -0.019 | -0.000 | -0.000 | -0.000 |
| -0.019 | -0.019 | 54.209 | -0.000 | -0.000 | -0.000 |
| -0.000 | -0.000 | 0.000 | -0.028 | -0.000 | -0.000 |
| -0.000 | -0.000 | 0.000 | -0.000 | -0.028 | -0.000 |
| -0.000 | 0.000 | -0.000 | -0.000 | -0.000 | -0.028 |
| 54.209 | -0.019 | -0.019 | -0.000 | -0.000 | 0.000 |
| -0.019 | 54.209 | -0.019 | -0.000 | -0.000 | 0.000 |
| -0.019 | -0.019 | 54.209 | 0.000 | 0.000 | 0.000 |
| 0.000 | 0.000 | -0.000 | -0.028 | 0.000 | 0.000 |
| 0.000 | 0.000 | -0.000 | 0.000 | -0.028 | 0.000 |
| 0.000 | -0.000 | 0.000 | 0.000 | 0.000 | -0.028 |
| 54.209 | -0.019 | -0.019 | -0.000 | -0.000 | -0.000 |
| -0.019 | 54.209 | -0.019 | -0.000 | -0.000 | -0.000 |
| -0.019 | -0.019 | 54.209 | -0.000 | -0.000 | -0.000 |
| -0.000 | -0.000 | 0.000 | -0.028 | -0.000 | -0.000 |
| -0.000 | -0.000 | 0.000 | -0.000 | -0.028 | -0.000 |
| -0.000 | 0.000 | -0.000 | -0.000 | 0.000 | -0.028 |
| 834.566 | 591.137 | 591.137 | -0.000 | 0.000 | -0.000 |
| 591.137 | 834.566 | 591.137 | 0.000 | 0.000 | 0.000 |
| 591.137 | 591.137 | 834.566 | -0.000 | -0.000 | 0.000 |
| 493.394 | 493.394 | 493.394 | 33.327 | -0.000 | 0.000 |
| 493.394 | 493.394 | 493.394 | -0.000 | 33.327 | 0.000 |
| 493.394 | 493.394 | 493.394 | 0.000 | -0.000 | 33.327 |
| 834.566 | 591.137 | 591.137 | 0.000 | 0.000 | -0.000 |
| 591.137 | 834.566 | 591.137 | 0.000 | -0.000 | 0.000 |
| 591.137 | 591.137 | 834.566 | 0.000 | -0.000 | 0.000 |
| -493.394 | -493.394 | -493.394 | 33.327 | 0.000 | 0.000 |
| -493.394 | -493.394 | -493.394 | 0.000 | 33.327 | -0.000 |
| -493.394 | -493.394 | -493.394 | -0.000 | -0.000 | 33.327 |
| 834.566 | 591.138 | 591.138 | 0.000 | 0.000 | 0.000 |
| 591.138 | 834.566 | 591.138 | 0.000 | 0.000 | 0.000 |
| 591.138 | 591.138 | 834.566 | -0.000 | -0.000 | 0.000 |
| 48.933 | 48.933 | 48.933 | 33.429 | 0.000 | 0.000 |
| 48.933 | 48.933 | 48.933 | 0.000 | 33.429 | 0.000 |
| 48.933 | 48.933 | 48.933 | -0.000 | -0.000 | 33.429 |
| 834.565 | 591.137 | 591.137 | -0.000 | -0.000 | -0.000 |
| 591.137 | 834.565 | 591.137 | -0.000 | -0.000 | 0.000 |
| 591.137 | 591.137 | 834.565 | -0.000 | -0.000 | -0.000 |
| -48.933 | -48.933 | -48.933 | 33.429 | -0.000 | -0.000 |
| -48.933 | -48.933 | -48.933 | -0.000 | 33.429 | 0.000 |
| -48.933 | -48.933 | -48.933 | -0.000 | -0.000 | 33.429 |
| 813.516 | 587.355 | 587.355 | 0.000 | 0.000 | 0.000 |
| 587.355 | 813.516 | 587.355 | 0.000 | 0.000 | 0.000 |
| 587.355 | 587.355 | 813.516 | 0.000 | 0.000 | 0.000 |
| 4.145 | 4.036 | 4.036 | 35.128 | 0.000 | 0.000 |
| 4.036 | 4.145 | 4.036 | 0.000 | 35.128 | 0.000 |
| 4.036 | 4.036 | 4.145 | 0.000 | 0.000 | 35.128 |
| 805.485 | 578.394 | 578.394 | 0.000 | 0.000 | -0.000 |
| 578.394 | 805.485 | 578.394 | -0.000 | -0.000 | -0.000 |
| 578.394 | 578.394 | 805.485 | 0.000 | 0.000 | -0.000 |
| -4.145 | -4.036 | -4.036 | 35.128 | 0.000 | -0.000 |
| -4.036 | -4.145 | -4.036 | 0.000 | 35.128 | -0.000 |
| -4.036 | -4.036 | -4.145 | 0.000 | 0.000 | 35.128 |
| 1595.177 | 1374.915 | 1374.915 | -0.000 | -0.000 | -0.000 |
| 1374.915 | 1595.177 | 1374.915 | -0.000 | -0.000 | -0.000 |
| 1374.915 | 1374.915 | 1595.177 | -0.000 | -0.000 | -0.000 |
| 1012.548 | 1012.548 | 1012.548 | 32.664 | 0.000 | -0.000 |
| 1012.548 | 1012.548 | 1012.548 | -0.000 | 32.664 | -0.000 |
| 796.448 | 796.448 | 796.448 | -0.000 | -0.000 | 28.846 |
| 833.959 | 590.108 | 590.108 | 0.000 | 0.000 | 0.000 |
| 590.108 | 833.959 | 590.108 | 0.000 | 0.000 | -0.000 |
| 590.108 | 590.108 | 833.959 | 0.000 | 0.000 | 0.000 |
| -1542.580 | -1542.580 | -1542.580 | 32.115 | 0.000 | 0.000 |
| -1012.548 | -1012.548 | -1012.548 | 0.000 | 32.664 | -0.000 |
| -1012.548 | -1012.548 | -1012.548 | 0.000 | 0.000 | 32.664 |
| 833.960 | 590.108 | 590.108 | -0.000 | -0.000 | -0.000 |
| 590.108 | 833.960 | 590.108 | -0.000 | -0.000 | -0.000 |
| 590.108 | 590.108 | 833.960 | -0.000 | -0.000 | -0.000 |
| -0.000 | -0.000 | -0.000 | 45.866 | -0.000 | -0.000 |
| -0.000 | -0.000 | -0.000 | -0.000 | 45.866 | -0.000 |
| -0.000 | -0.000 | -0.000 | -0.000 | -0.000 | 45.866 |
| 834.023 | 590.111 | 590.111 | 0.000 | 0.000 | 0.000 |
| 590.111 | 834.023 | 590.111 | 0.000 | 0.000 | 0.000 |
| 418.677 | 418.677 | 638.958 | 0.000 | 0.000 | 0.000 |
| -0.000 | 0.000 | 0.000 | 45.866 | 0.000 | -0.000 |
| 0.000 | -0.000 | 0.000 | 0.000 | 45.866 | -0.000 |
| 0.000 | 0.000 | -0.000 | 0.000 | 0.000 | 45.866 |
| 798.922 | 589.403 | 589.403 | -0.000 | -0.000 | 0.000 |
| 589.403 | 798.922 | 589.403 | -0.000 | -0.000 | -0.000 |
| 591.470 | 591.470 | 797.337 | -0.000 | -0.000 | -0.000 |
| 5.801 | 5.798 | 5.798 | 33.469 | -0.000 | -0.000 |
| 5.798 | 5.801 | 5.798 | -0.000 | 33.469 | 0.000 |
| 5.798 | 5.798 | 5.801 | 0.000 | -0.000 | 33.469 |
| 833.965 | 590.110 | 590.110 | 0.000 | 0.000 | -0.000 |
| 590.110 | 833.965 | 590.110 | -0.000 | -0.000 | 0.000 |
| 590.110 | 590.110 | 833.965 | 0.000 | 0.000 | 0.000 |
| -5.801 | -5.798 | -5.798 | 33.469 | 0.000 | -0.000 |
| -5.798 | -5.801 | -5.798 | 0.000 | 33.469 | 0.000 |
| -5.798 | -5.798 | -5.801 | 0.000 | 0.000 | 33.469 |
| 560.135 | 556.355 | 556.355 | -0.000 | -0.000 | 0.000 |
| 556.355 | 560.135 | 556.355 | -0.000 | 0.000 | -0.000 |
| 556.355 | 556.355 | 560.135 | -0.000 | 0.000 | -0.000 |
| 0.001 | 0.001 | 0.001 | 80.133 | -0.000 | -0.000 |
| 0.001 | 0.001 | 0.001 | -0.000 | 80.133 | -0.000 |
| 0.001 | 0.001 | 0.001 | -0.000 | 0.000 | 80.133 |
| 575.174 | 561.992 | 561.992 | 0.000 | -0.000 | 0.000 |
| 561.992 | 575.174 | 561.992 | 0.000 | -0.000 | 0.000 |
| 561.992 | 561.992 | 575.174 | 0.000 | 0.000 | 0.000 |
| -0.001 | -0.001 | -0.001 | 80.133 | 0.000 | 0.000 |
| -0.001 | -0.001 | -0.001 | 0.000 | 80.133 | 0.000 |
| -0.001 | -0.001 | -0.001 | 0.000 | -0.000 | 80.133 |
| 556.225 | 550.504 | 550.504 | -0.000 | -0.000 | -0.000 |
| 550.504 | 556.225 | 550.504 | -0.000 | -0.000 | -0.000 |
| 550.504 | 550.504 | 556.225 | -0.000 | -0.000 | -0.000 |
| 0.000 | 0.000 | 0.000 | 80.133 | -0.000 | -0.000 |
| 0.000 | 0.000 | 0.000 | -0.000 | 80.133 | -0.000 |
| 0.000 | 0.000 | 0.000 | -0.000 | 0.000 | 80.133 |
| 560.132 | 556.353 | 556.353 | 0.000 | 0.000 | -0.000 |
| 556.353 | 560.132 | 556.353 | 0.000 | 0.000 | -0.000 |
| 556.353 | 556.353 | 560.132 | 0.000 | -0.000 | 0.000 |
| -0.000 | -0.000 | -0.000 | 80.133 | 0.000 | 0.000 |
| -0.000 | -0.000 | -0.000 | 0.000 | 80.133 | 0.000 |
| -0.000 | -0.000 | -0.000 | 0.000 | -0.000 | 80.133 |
| 560.128 | 556.353 | 556.353 | -0.000 | -0.000 | -0.000 |
| 556.353 | 560.128 | 556.353 | -0.000 | -0.000 | 0.000 |
| 556.353 | 556.353 | 560.128 | -0.000 | -0.000 | 0.000 |
| -0.000 | -0.000 | -0.000 | 91.445 | 0.000 | -0.000 |
| -0.000 | -0.000 | -0.000 | -0.000 | 91.445 | -0.000 |
| -0.000 | -0.000 | -0.000 | -0.000 | 0.000 | 91.445 |
| 560.131 | 556.352 | 556.352 | 0.000 | -0.000 | 0.000 |
| 556.352 | 560.131 | 556.352 | 0.000 | -0.000 | -0.000 |
| 556.352 | 556.352 | 560.131 | 0.000 | -0.000 | 0.000 |
| 0.000 | 0.000 | 0.000 | 91.445 | -0.000 | 0.000 |
| 0.000 | 0.000 | 0.000 | 0.000 | 91.445 | 0.000 |
| 0.000 | 0.000 | 0.000 | 0.000 | -0.000 | 91.445 |
| 576.197 | 562.936 | 562.936 | -0.000 | 0.000 | -0.000 |
| 562.936 | 576.197 | 562.936 | 0.000 | 0.000 | -0.000 |
| 562.936 | 562.936 | 576.197 | 0.000 | 0.000 | -0.000 |
| 0.000 | 0.000 | -0.000 | 91.510 | -0.000 | -0.000 |
| -0.000 | -0.000 | 0.000 | -0.000 | 91.510 | -0.000 |
| -0.000 | 0.000 | 0.000 | 0.000 | 0.000 | 91.510 |
| 576.197 | 562.936 | 562.936 | -0.000 | -0.000 | 0.000 |
| 562.936 | 576.197 | 562.936 | 0.000 | 0.000 | -0.000 |
| 562.936 | 562.936 | 576.197 | -0.000 | -0.000 | -0.000 |
| -0.000 | -0.000 | -0.000 | 91.510 | 0.000 | 0.000 |
| 0.000 | 0.000 | -0.000 | -0.000 | 91.510 | 0.000 |
| 0.000 | 0.000 | 0.000 | 0.000 | 0.000 | 91.510 |
| 576.197 | 562.936 | 562.936 | -0.000 | -0.000 | -0.000 |
| 562.936 | 576.197 | 562.936 | -0.000 | -0.000 | -0.000 |
| 562.936 | 562.936 | 576.197 | -0.000 | 0.000 | -0.000 |
| -0.043 | -0.043 | -0.043 | 80.119 | -0.000 | -0.000 |
| -0.043 | -0.043 | -0.043 | -0.000 | 80.119 | -0.000 |
| -0.000 | -0.000 | -0.000 | -0.000 | -0.000 | 91.510 |
| 561.254 | 557.431 | 557.431 | 0.000 | 0.000 | 0.000 |
| 562.936 | 576.197 | 562.936 | -0.000 | 0.000 | 0.000 |
| 557.431 | 557.431 | 561.254 | 0.000 | 0.000 | 0.000 |
| 0.043 | 0.043 | 0.043 | 80.119 | 0.000 | 0.000 |
| 0.043 | 0.043 | 0.043 | 0.000 | 80.119 | 0.000 |
| 0.043 | 0.043 | 0.043 | 0.000 | 0.000 | 80.119 |
| 576.198 | 562.937 | 562.937 | -0.000 | -0.000 | -0.000 |
| 562.937 | 576.198 | 562.937 | 0.000 | 0.000 | -0.000 |
| 557.370 | 557.370 | 561.181 | -0.000 | -0.000 | -0.000 |
| 0.731 | 0.730 | 0.731 | 79.408 | -0.000 | -0.000 |
| 0.730 | 0.731 | 0.731 | -0.000 | 79.408 | -0.000 |
| 0.730 | 0.731 | 0.731 | -0.000 | -0.000 | 79.408 |
| 559.783 | 555.866 | 555.866 | 0.000 | 0.000 | 0.000 |
| 555.866 | 559.783 | 555.866 | 0.000 | 0.000 | 0.000 |
| 555.866 | 555.866 | 559.783 | 0.000 | 0.000 | 0.000 |
| -0.731 | -0.730 | -0.731 | 79.408 | 0.000 | 0.000 |
| -0.730 | -0.731 | -0.731 | 0.000 | 79.408 | 0.000 |
| -0.730 | -0.731 | -0.731 | 0.000 | 0.000 | 79.408 |
| 833.960 | 590.074 | 590.074 | -0.000 | -0.000 | 0.000 |
| 590.074 | 833.960 | 590.074 | 0.000 | -0.000 | 0.000 |
| 590.074 | 590.074 | 833.960 | -0.000 | -0.000 | -0.000 |
| -0.000 | -0.000 | -0.000 | 45.878 | -0.000 | -0.000 |
| -0.000 | -0.000 | -0.000 | 0.000 | 45.878 | -0.000 |
| -0.000 | -0.000 | -0.000 | -0.000 | -0.000 | 45.878 |
| 833.960 | 590.074 | 590.074 | 0.000 | 0.000 | 0.000 |
| 590.074 | 833.960 | 590.074 | 0.000 | 0.000 | -0.000 |
| 590.074 | 590.074 | 833.960 | -0.000 | -0.000 | 0.000 |
| 0.000 | 0.000 | 0.000 | 45.878 | 0.000 | 0.000 |
| 0.000 | 0.000 | 0.000 | 0.000 | 45.878 | -0.000 |
| -0.000 | 0.000 | -0.000 | -0.000 | -0.000 | 45.878 |
| 833.960 | 590.074 | 590.074 | -0.000 | -0.000 | -0.000 |
| 590.074 | 833.960 | 590.074 | -0.000 | -0.000 | 0.000 |
| 590.074 | 590.074 | 833.960 | -0.000 | -0.000 | -0.000 |
| -253.936 | -253.936 | -253.936 | 33.977 | -0.000 | 0.000 |
| -253.936 | -253.936 | -253.936 | -0.000 | 33.977 | 0.000 |
| -253.936 | -253.936 | -253.936 | -0.000 | -0.000 | 33.977 |
| 1055.298 | 830.873 | 830.873 | 0.000 | 0.000 | 0.000 |
| 830.873 | 1055.298 | 830.873 | 0.000 | 0.000 | -0.000 |
| 830.873 | 830.873 | 1055.298 | 0.000 | 0.000 | 0.000 |
| 253.936 | 253.936 | 253.936 | 33.977 | 0.000 | 0.000 |
| 253.936 | 253.936 | 253.936 | 0.000 | 33.977 | 0.000 |
| 253.936 | 253.936 | 253.936 | -0.000 | -0.000 | 33.977 |
| 833.961 | 590.075 | 590.075 | 0.000 | 0.000 | 0.000 |
| 590.075 | 833.961 | 590.075 | 0.000 | 0.000 | 0.000 |
| 590.075 | 590.075 | 833.961 | -0.000 | -0.000 | 0.000 |
| -13.282 | -13.224 | -13.224 | 34.660 | -0.000 | -0.000 |
| -13.224 | -13.282 | -13.224 | -0.000 | 34.660 | -0.000 |
| -35.652 | -35.652 | -35.637 | 0.000 | 0.000 | 31.722 |
| 833.728 | 589.955 | 589.955 | -0.000 | -0.000 | 0.000 |
| 589.955 | 833.728 | 589.955 | -0.000 | -0.000 | -0.000 |
| 589.955 | 589.955 | 833.728 | -0.000 | -0.000 | 0.000 |
| 13.282 | 13.224 | 13.224 | 34.660 | 0.000 | 0.000 |
| 13.224 | 13.282 | 13.224 | 0.000 | 34.660 | 0.000 |
| 13.224 | 13.224 | 13.282 | -0.000 | -0.000 | 34.660 |
| 20226602.066 | 13361130.335 | 13389437.858 | -4446198.445 | 5052520.571 | 549670.085 |
| 20256677.803 | 13370883.792 | 13437741.294 | -4399667.797 | 4981211.560 | 506433.682 |
| 20262531.696 | 13374292.930 | 13436471.518 | -4403771.074 | 4984215.303 | 504053.401 |
| 20201789.069 | 13065549.232 | 13566246.704 | -4425891.055 | 4863264.076 | 412756.207 |
| 20188010.320 | 13070452.166 | 13537417.957 | -4439859.720 | 4868933.209 | 427942.003 |
| 20258726.199 | 13369151.175 | 13426047.696 | -4409012.755 | 5006538.586 | 506676.130 |
| -20195554.051 | -13064098.370 | -13554128.997 | 4406257.730 | -4846130.363 | -394659.256 |
| -20250719.399 | -13371182.408 | -13448237.930 | 4368281.416 | -4961560.722 | -497793.783 |
| -20246566.367 | -13367840.399 | -13439485.953 | 4385758.130 | -4970580.962 | -505974.000 |
| -20248145.638 | -13377983.085 | -13408745.244 | 4431021.447 | -5019440.572 | -524139.031 |
| -20250970.708 | -13365474.799 | -13424713.009 | 4405204.267 | -5000609.297 | -507463.326 |
| -20184084.711 | -13069992.961 | -13535321.169 | 4438788.747 | -4867540.677 | -429422.493 |
| 2060579.943 | 1192201.274 | 1316384.988 | -464034.937 | 556177.454 | 16962.441 |
| 2025073.389 | 1337286.076 | 1341653.792 | -441199.107 | 500557.348 | 50985.802 |
| 2030702.120 | 1340333.097 | 1344588.157 | -441393.977 | 499579.604 | 46413.578 |
| 2026843.646 | 1317995.684 | 1350124.641 | -435940.032 | 480635.667 | 32759.479 |
| 2023634.674 | 1313509.382 | 1344136.965 | -442012.002 | 479804.406 | 30833.892 |
| 2003819.062 | 1273729.811 | 1371215.300 | -445631.297 | 474853.282 | 37321.186 |
| -2013302.766 | -1301387.763 | -1306527.719 | 430134.324 | -470453.645 | -34667.029 |
| -2021384.357 | -1306521.178 | -1355882.156 | 439280.498 | -483499.720 | -37732.845 |
| -2009531.673 | -1302315.798 | -1355331.011 | 440848.592 | -484149.688 | -44160.374 |
| -2117290.255 | -1227573.587 | -1340278.929 | 420205.711 | -458659.846 | -31559.184 |
| -2017562.298 | -1335653.330 | -1358209.817 | 463742.567 | -513096.904 | -51432.834 |
| -2022806.414 | -1315967.685 | -1343003.353 | 441629.410 | -478951.906 | -33911.400 |
| 223498.449 | 126353.949 | 133125.811 | -44764.037 | 58338.724 | 2041.342 |
| 203893.871 | 134822.254 | 134398.559 | -45037.489 | 50856.646 | 4534.418 |
| 199333.111 | 122251.082 | 133781.841 | -47521.519 | 48400.562 | -125.610 |
| 195044.381 | 126303.699 | 124608.205 | -45561.406 | 47173.344 | 7999.492 |
| 185786.509 | 122224.438 | 118128.661 | -46921.860 | 47297.864 | 7958.834 |
| 211536.582 | 125876.038 | 135469.588 | -44906.636 | 54527.379 | 558.206 |
| -194805.906 | -123926.820 | -130171.294 | 49269.396 | -46603.321 | -3720.719 |
| -200084.479 | -132795.554 | -134180.756 | 47386.470 | -50211.428 | -4092.153 |
| -204018.374 | -138483.562 | -139334.808 | 40096.527 | -52785.645 | -10300.293 |
| -209058.799 | -122789.400 | -132462.844 | 46784.287 | -56460.317 | -1075.731 |
| -211726.091 | -123097.388 | -134828.249 | 47717.702 | -55231.514 | -182.142 |
| -194112.608 | -121936.146 | -121475.913 | 42861.011 | -49328.216 | -8016.596 |
| 47.803 | 344.119 | 344.119 | 0.000 | 0.000 | -0.000 |
| 344.119 | 47.803 | 344.119 | 0.000 | 0.000 | 0.000 |
| 344.119 | 344.119 | 47.803 | 0.000 | 0.000 | 0.000 |
| -610397403.376 | -482858099.898 | -442446240.134 | 47317665.836 | 1220706.088 | 8459132.892 |
| -419914091.302 | -584392747.782 | -409462204.647 | 9989207.324 | 49532315.903 | 5132518.142 |
| -445942580.633 | -433629210.147 | -582850385.672 | 9443394.236 | 6202891.148 | 36321153.308 |
| 47.803 | 344.119 | 344.119 | -0.000 | -0.000 | -0.000 |
| 344.119 | 47.803 | 344.119 | -0.000 | -0.000 | -0.000 |
| 344.119 | 344.119 | 47.803 | -0.000 | -0.000 | -0.000 |
| 604624643.919 | 430820615.181 | 408357349.316 | 45326328.375 | 3508067.121 | -5743692.505 |
| 452047140.759 | 611191800.351 | 439383373.926 | -14150190.809 | 27433734.954 | -4164227.909 |
| 467563188.493 | 432923058.879 | 607482412.501 | 2795731.829 | -3522702.150 | 40514929.040 |
| 47.803 | 344.119 | 344.119 | 0.000 | 0.000 | 0.000 |
| 344.119 | 47.803 | 344.119 | -0.000 | 0.000 | -0.000 |
| 344.119 | 344.119 | 47.803 | -0.000 | -0.000 | 0.000 |
| -60818163.113 | -44844747.967 | -42927926.599 | 4846161.266 | 167692.006 | -311302.807 |
| -46743779.293 | -59515944.356 | -43863280.331 | 624359.430 | 3304349.093 | -577472.051 |
| -41812278.702 | -40523226.223 | -58091211.133 | 1298855.963 | -453174.651 | 2643867.397 |
| 47.803 | 344.119 | 344.119 | -0.000 | -0.000 | -0.000 |
| 344.119 | 47.803 | 344.119 | -0.000 | -0.000 | -0.000 |
| 344.119 | 344.119 | 47.803 | -0.000 | -0.000 | -0.000 |
| 58625458.880 | 44959581.653 | 43622370.668 | 2722548.747 | -500774.006 | 442871.585 |
| 47133711.518 | 62731223.687 | 45303706.991 | -1554633.808 | 2853888.302 | -168612.096 |
| 46818205.575 | 45509366.160 | 62559835.655 | -33032.736 | 1562591.825 | 2961472.105 |
| 47.803 | 344.119 | 344.119 | 0.000 | 0.000 | -0.000 |
| 344.119 | 47.803 | 344.119 | 0.000 | 0.000 | 0.000 |
| 344.119 | 344.119 | 47.803 | 0.000 | 0.000 | 0.000 |
| -5664496.266 | -4228486.308 | -4172282.238 | 583831.185 | -161743.877 | 71180.653 |
| -4430895.303 | -5758958.645 | -4547162.098 | -161885.492 | 307851.486 | 129708.417 |
| -4654065.369 | -4639514.043 | -5769980.302 | -52034.091 | -91437.716 | 442090.957 |
| 47.803 | 344.119 | 344.119 | -0.000 | -0.000 | -0.000 |
| 344.119 | 47.803 | 344.119 | -0.000 | -0.000 | -0.000 |
| 344.119 | 344.119 | 47.803 | -0.000 | -0.000 | -0.000 |
| 5667794.577 | 4212734.479 | 3820307.519 | 664601.571 | -21135.491 | 104125.290 |
| 4228257.503 | 5731919.386 | 3831370.804 | 100495.274 | 609235.975 | -67291.639 |
| 4147364.305 | 4224031.443 | 5701486.189 | -33253.931 | 59362.195 | 454296.717 |
| -57.701 | 1.423 | 1.423 | 0.000 | 0.000 | 0.000 |
| 1.423 | -57.701 | 1.423 | 0.000 | 0.000 | 0.000 |
| 1.423 | 1.423 | -57.701 | 0.000 | 0.000 | 0.000 |
| 0.000 | 0.000 | 0.000 | -74.206 | 0.000 | 0.000 |
| 0.000 | 0.000 | 0.000 | 0.000 | -74.206 | 0.000 |
| 0.000 | 0.000 | 0.000 | 0.000 | 0.000 | -74.206 |
| -57.701 | 1.423 | 1.423 | -0.000 | -0.000 | -0.000 |
| 1.423 | -57.701 | 1.423 | -0.000 | -0.000 | -0.000 |
| 1.423 | 1.423 | -57.701 | -0.000 | -0.000 | -0.000 |
| -0.000 | -0.000 | -0.000 | -74.206 | -0.000 | -0.000 |
| -0.000 | -0.000 | -0.000 | -0.000 | -74.206 | -0.000 |
| -0.000 | -0.000 | -0.000 | -0.000 | -0.000 | -74.206 |
| -57.701 | 1.423 | 1.423 | 0.000 | 0.000 | 0.000 |
| 1.423 | -57.701 | 1.423 | 0.000 | 0.000 | 0.000 |
| 1.423 | 1.423 | -57.701 | 0.000 | 0.000 | 0.000 |
| 0.000 | 0.000 | 0.000 | -54.223 | 0.000 | 0.000 |
| 0.000 | 0.000 | 0.000 | 0.000 | -54.223 | 0.000 |
| 0.000 | 0.000 | 0.000 | 0.000 | 0.000 | -54.223 |
| -57.701 | 1.423 | 1.423 | -0.000 | -0.000 | -0.000 |
| 1.423 | -57.701 | 1.423 | -0.000 | -0.000 | -0.000 |
| 1.423 | 1.423 | -57.701 | -0.000 | -0.000 | -0.000 |
| -0.000 | -0.000 | -0.000 | -54.223 | -0.000 | -0.000 |
| -0.000 | -0.000 | -0.000 | -0.000 | -54.223 | -0.000 |
| -0.000 | -0.000 | -0.000 | -0.000 | -0.000 | -54.223 |
| -57.701 | 1.423 | 1.423 | 0.000 | 0.000 | 0.000 |
| 1.423 | -57.701 | 1.423 | 0.000 | 0.000 | 0.000 |
| 1.423 | 1.423 | -57.701 | 0.000 | 0.000 | 0.000 |
| 0.000 | 0.000 | 0.000 | -54.223 | 0.000 | 0.000 |
| 0.000 | 0.000 | 0.000 | 0.000 | -54.223 | 0.000 |
| 0.000 | 0.000 | 0.000 | 0.000 | 0.000 | -54.223 |
| -57.701 | 1.423 | 1.423 | -0.000 | -0.000 | -0.000 |
| 1.423 | -57.701 | 1.423 | -0.000 | -0.000 | -0.000 |
| 1.423 | 1.423 | -57.701 | -0.000 | -0.000 | -0.000 |
| -0.000 | -0.000 | -0.000 | -54.223 | -0.000 | -0.000 |
| -0.000 | -0.000 | -0.000 | -0.000 | -54.223 | -0.000 |
| -0.000 | -0.000 | -0.000 | -0.000 | -0.000 | -54.223 |
| 40.725 | 21.971 | 21.971 | -0.000 | 0.000 | 0.000 |
| 21.971 | 40.725 | 21.971 | -0.000 | -0.000 | 0.000 |
| 21.971 | 21.971 | 40.725 | 0.000 | 0.000 | 0.000 |
| 0.000 | 0.000 | 0.000 | 16.823 | 0.000 | -0.000 |
| 0.000 | 0.000 | 0.000 | 0.000 | 16.823 | 0.000 |
| 0.000 | 0.000 | 0.000 | -0.000 | 0.000 | 16.823 |
| 40.725 | 21.971 | 21.971 | 0.000 | 0.000 | -0.000 |
| 21.971 | 40.725 | 21.971 | 0.000 | 0.000 | -0.000 |
| 21.971 | 21.971 | 40.725 | -0.000 | -0.000 | -0.000 |
| -0.000 | -0.000 | -0.000 | 16.823 | -0.000 | 0.000 |
| -0.000 | -0.000 | -0.000 | -0.000 | 16.823 | -0.000 |
| -0.000 | -0.000 | -0.000 | 0.000 | 0.000 | 16.823 |
| 40.725 | 21.971 | 21.971 | -0.000 | -0.000 | 0.000 |
| 21.971 | 40.725 | 21.971 | -0.000 | -0.000 | -0.000 |
| 21.971 | 21.971 | 40.725 | -0.000 | -0.000 | 0.000 |
| 0.000 | -0.000 | -0.000 | 9.881 | 0.000 | 0.000 |
| -0.000 | 0.000 | -0.000 | -0.000 | 9.881 | 0.000 |
| -0.000 | -0.000 | -0.000 | -0.000 | 0.000 | 9.881 |
| 40.725 | 21.971 | 21.971 | 0.000 | 0.000 | -0.000 |
| 21.971 | 40.725 | 21.971 | 0.000 | 0.000 | 0.000 |
| 21.971 | 21.971 | 40.725 | 0.000 | 0.000 | -0.000 |
| -0.000 | 0.000 | 0.000 | 9.881 | 0.000 | -0.000 |
| 0.000 | -0.000 | 0.000 | 0.000 | 9.881 | -0.000 |
| 0.000 | 0.000 | 0.000 | 0.000 | 0.000 | 9.881 |
| 40.725 | 21.971 | 21.971 | -0.000 | -0.000 | 0.000 |
| 21.971 | 40.725 | 21.971 | -0.000 | -0.000 | 0.000 |
| 21.971 | 21.971 | 40.725 | -0.000 | -0.000 | 0.000 |
| -0.000 | -0.000 | -0.000 | 9.881 | -0.000 | 0.000 |
| -0.000 | -0.000 | -0.000 | -0.000 | 9.881 | 0.000 |
| -0.000 | -0.000 | -0.000 | -0.000 | 0.000 | 9.881 |
| 40.725 | 21.971 | 21.971 | 0.000 | 0.000 | -0.000 |
| 21.971 | 40.725 | 21.971 | 0.000 | 0.000 | -0.000 |
| 21.971 | 21.971 | 40.725 | 0.000 | 0.000 | -0.000 |
| 0.000 | 0.000 | 0.000 | 9.881 | 0.000 | -0.000 |
| 0.000 | 0.000 | 0.000 | 0.000 | 9.881 | -0.000 |
| 0.000 | 0.000 | 0.000 | 0.000 | -0.000 | 9.881 |
| -1998.721 | 1669.006 | 1669.006 | -0.000 | -0.000 | 0.000 |
| 1669.006 | -1998.721 | 1669.006 | -0.000 | 0.000 | 0.000 |
| 1669.006 | 1669.006 | -1998.721 | -0.000 | 0.000 | 0.000 |
| 0.000 | 0.000 | 0.000 | -673.450 | -0.000 | -0.000 |
| 0.000 | 0.000 | 0.000 | 0.000 | -673.450 | 0.000 |
| 0.000 | 0.000 | 0.000 | -0.000 | -0.000 | -673.450 |
| -1998.722 | 1669.004 | 1669.004 | -0.000 | -0.000 | 0.000 |
| 1669.004 | -1998.722 | 1669.004 | 0.000 | 0.000 | -0.000 |
| 1669.004 | 1669.004 | -1998.722 | 0.000 | 0.000 | -0.000 |
| -0.000 | -0.000 | -0.000 | -673.450 | 0.000 | -0.000 |
| -0.000 | -0.000 | -0.000 | 0.000 | -673.450 | -0.000 |
| -0.000 | -0.000 | -0.000 | 0.000 | 0.000 | -673.450 |
| -1998.714 | 1669.014 | 1669.014 | -0.000 | -0.000 | 0.000 |
| 1669.014 | -1998.714 | 1669.014 | 0.000 | 0.000 | 0.000 |
| 323.850 | 323.850 | 691.589 | -0.000 | -0.000 | -0.000 |
| -0.000 | -0.000 | -0.000 | 41.860 | 0.000 | -0.000 |
| -0.000 | -0.000 | -0.000 | -0.000 | 41.860 | 0.000 |
| -0.000 | -0.000 | -0.000 | 0.000 | 0.000 | 41.860 |
| 691.589 | 323.850 | 323.850 | -0.000 | -0.000 | -0.000 |
| 323.850 | 691.589 | 323.850 | 0.000 | 0.000 | -0.000 |
| 323.850 | 323.850 | 691.589 | -0.000 | -0.000 | -0.000 |
| 0.000 | 0.000 | 0.000 | 41.860 | -0.000 | 0.000 |
| 0.000 | 0.000 | 0.000 | 0.000 | 41.860 | -0.000 |
| 0.000 | 0.000 | 0.000 | 0.000 | 0.000 | 41.860 |
| -3600.749 | 2467.599 | 2467.599 | 0.000 | -0.000 | 0.000 |
| 2467.599 | -3600.749 | 2467.599 | -0.000 | -0.000 | -0.000 |
| 2467.599 | 2467.599 | -3600.749 | -0.000 | 0.000 | 0.000 |
| 0.002 | 0.002 | 0.002 | -673.450 | -0.000 | -0.000 |
| 0.002 | 0.002 | 0.002 | 0.000 | -673.450 | 0.000 |
| 0.002 | 0.002 | 0.002 | -0.000 | -0.000 | -673.450 |
| -3599.569 | 2471.758 | 2471.758 | -0.000 | -0.000 | 0.000 |
| 2471.758 | -3599.569 | 2471.758 | 0.000 | 0.000 | 0.000 |
| 2471.758 | 2471.758 | -3599.569 | 0.000 | 0.000 | -0.000 |
| -0.002 | -0.002 | -0.002 | -673.450 | 0.000 | -0.000 |
| -0.002 | -0.002 | -0.002 | 0.000 | -673.450 | 0.000 |
| -0.002 | -0.002 | -0.002 | 0.000 | 0.000 | -673.450 |
| -2019.885 | 374.005 | 374.005 | -0.000 | 0.000 | 0.000 |
| 374.005 | -2019.885 | 374.005 | 0.000 | 0.000 | 0.000 |
| 374.005 | 374.005 | -2019.885 | -0.000 | -0.000 | -0.000 |
| 0.000 | 0.000 | 0.000 | -286.759 | 0.000 | -0.000 |
| 0.000 | 0.000 | 0.000 | -0.000 | -286.759 | 0.000 |
| 0.000 | 0.000 | 0.000 | -0.000 | -0.000 | -286.759 |
| -698.360 | -286.759 | -286.759 | 0.000 | -0.000 | -0.000 |
| -286.759 | -698.360 | -286.759 | 0.000 | 0.000 | -0.000 |
| -286.759 | -286.759 | -698.360 | -0.000 | -0.000 | 0.000 |
| -0.000 | -0.000 | -0.000 | -286.759 | -0.000 | 0.000 |
| -0.000 | 0.000 | -0.000 | 0.000 | -286.759 | 0.000 |
| -0.000 | -0.000 | -0.000 | 0.000 | 0.000 | -286.759 |
| -698.360 | -286.759 | -286.759 | -0.000 | -0.000 | 0.000 |
| -286.759 | -698.360 | -286.759 | -0.000 | -0.000 | 0.000 |
| -286.759 | -286.759 | -698.360 | -0.000 | -0.000 | 0.000 |
| 0.000 | 0.000 | 0.000 | -286.759 | -0.000 | -0.000 |
| 0.000 | 0.000 | 0.000 | -0.000 | -286.759 | -0.000 |
| 0.000 | 0.000 | 0.000 | -0.000 | -0.000 | -286.759 |
| -698.360 | -286.759 | -286.759 | -0.000 | 0.000 | 0.000 |
| -286.759 | -698.360 | -286.759 | 0.000 | 0.000 | -0.000 |
| -286.759 | -286.759 | -698.360 | 0.000 | -0.000 | 0.000 |
| -0.000 | -0.000 | -0.000 | -286.759 | 0.000 | 0.000 |
| -0.000 | -0.000 | -0.000 | 0.000 | -286.759 | 0.000 |
| -0.000 | -0.000 | -0.000 | 0.000 | 0.000 | -286.759 |
| -698.359 | -286.759 | -286.759 | -0.000 | -0.000 | -0.000 |
| -286.759 | -698.359 | -286.759 | 0.000 | -0.000 | -0.000 |
| -286.759 | -286.759 | -698.359 | 0.000 | -0.000 | 0.000 |
| 0.000 | 0.001 | 0.000 | -286.759 | -0.000 | -0.000 |
| 0.001 | 0.000 | 0.000 | -0.000 | -286.759 | 0.000 |
| 0.001 | 0.000 | 0.000 | -0.000 | -0.000 | -286.759 |
| -698.361 | -286.759 | -286.759 | 0.000 | 0.000 | 0.000 |
| -286.759 | -698.361 | -286.759 | 0.000 | 0.000 | -0.000 |
| -286.759 | -286.759 | -698.361 | -0.000 | 0.000 | 0.000 |
| -0.000 | -0.001 | -0.000 | -286.759 | 0.000 | 0.000 |
| -0.001 | -0.000 | -0.000 | 0.000 | -286.759 | -0.000 |
| -0.001 | -0.000 | -0.000 | 0.000 | 0.000 | -286.759 |
| -656.339 | -84.818 | -84.818 | -0.000 | -0.000 | -0.000 |
| -84.818 | -656.339 | -84.818 | -0.000 | -0.000 | -0.000 |
| -84.818 | -84.818 | -656.339 | 0.000 | 0.000 | -0.000 |
| 0.000 | 0.000 | 0.000 | -379.556 | 0.000 | -0.000 |
| 0.000 | 0.000 | 0.000 | 0.000 | -379.556 | -0.000 |
| 0.000 | 0.000 | 0.000 | 0.000 | 0.000 | -379.556 |
| -656.339 | -84.818 | -84.818 | 0.000 | 0.000 | 0.000 |
| -84.818 | -656.340 | -84.818 | 0.000 | 0.000 | 0.000 |
| -84.818 | -84.818 | -656.340 | -0.000 | 0.000 | 0.000 |
| -0.000 | -0.000 | -0.000 | -379.556 | -0.000 | 0.000 |
| -0.000 | -0.000 | -0.000 | -0.000 | -379.556 | 0.000 |
| -0.000 | -0.000 | -0.000 | -0.000 | -0.000 | -379.556 |
| -656.339 | -84.818 | -84.818 | -0.000 | -0.000 | -0.000 |
| -84.818 | -656.339 | -84.818 | -0.000 | -0.000 | -0.000 |
| -84.818 | -84.818 | -656.339 | 0.000 | 0.000 | 0.000 |
| 0.000 | 0.000 | 0.000 | -186.463 | -0.000 | -0.000 |
| 0.000 | 0.000 | 0.000 | 0.000 | -186.463 | -0.000 |
| 0.000 | 0.000 | 0.000 | -0.000 | -0.000 | -186.463 |
| -656.340 | -84.818 | -84.818 | 0.000 | 0.000 | 0.000 |
| -84.818 | -656.340 | -84.818 | 0.000 | 0.000 | 0.000 |
| -84.818 | -84.818 | -656.340 | 0.000 | 0.000 | 0.000 |
| -0.000 | -0.000 | -0.000 | -186.463 | 0.000 | 0.000 |
| -0.000 | -0.000 | -0.000 | -0.000 | -186.463 | 0.000 |
| -0.000 | -0.000 | -0.000 | 0.000 | 0.000 | -186.463 |
| -656.339 | -84.818 | -84.818 | -0.000 | -0.000 | -0.000 |
| -84.818 | -656.339 | -84.818 | -0.000 | -0.000 | -0.000 |
| -84.818 | -84.818 | -656.339 | -0.000 | 0.000 | -0.000 |
| 0.000 | 2.873 | 2.873 | -189.114 | -0.000 | -0.000 |
| 2.873 | 0.000 | 2.873 | 0.000 | -189.114 | -0.000 |
| 2.873 | 2.873 | 0.000 | -0.000 | -0.000 | -189.114 |
| -667.793 | -90.570 | -90.570 | 0.000 | 0.000 | 0.000 |
| -90.570 | -667.793 | -90.570 | 0.000 | 0.000 | 0.000 |
| -90.570 | -90.570 | -667.793 | 0.000 | 0.000 | 0.000 |
| -0.000 | -2.873 | -2.873 | -189.114 | 0.000 | 0.000 |
| -2.873 | -0.000 | -2.873 | -0.000 | -189.114 | 0.000 |
| -2.873 | -2.873 | -0.000 | 0.000 | 0.000 | -189.114 |
| 84.641 | 28.176 | 28.176 | -0.000 | -0.000 | -0.000 |
| 28.176 | 84.641 | 28.176 | -0.000 | -0.000 | 0.000 |
| 28.176 | 28.176 | 84.641 | -0.000 | -0.000 | -0.000 |
| -0.000 | -0.000 | -0.000 | 25.560 | 0.000 | 0.000 |
| -0.000 | 0.000 | 0.000 | -0.000 | 25.560 | -0.000 |
| -0.000 | -0.000 | 0.000 | -0.000 | -0.000 | 25.560 |
| 84.641 | 28.176 | 28.176 | 0.000 | 0.000 | 0.000 |
| 28.176 | 84.641 | 28.176 | 0.000 | 0.000 | -0.000 |
| 28.176 | 28.176 | 84.641 | -0.000 | 0.000 | 0.000 |
| 0.000 | 0.000 | -0.000 | 25.560 | -0.000 | -0.000 |
| 0.000 | -0.000 | -0.000 | 0.000 | 25.560 | 0.000 |
| 0.000 | 0.000 | -0.000 | 0.000 | 0.000 | 25.560 |
| 84.641 | 28.176 | 28.176 | -0.000 | 0.000 | -0.000 |
| 28.176 | 84.641 | 28.176 | -0.000 | -0.000 | -0.000 |
| 28.176 | 28.176 | 84.641 | -0.000 | 0.000 | -0.000 |
| -0.000 | -0.000 | -0.000 | 25.560 | -0.000 | 0.000 |
| -0.000 | -0.000 | -0.000 | 0.000 | 25.560 | -0.000 |
| -0.000 | -0.000 | -0.000 | -0.000 | -0.000 | 25.560 |
| 84.641 | 28.176 | 28.176 | 0.000 | 0.000 | 0.000 |
| 28.176 | 84.641 | 28.176 | 0.000 | 0.000 | 0.000 |
| 28.176 | 28.176 | 84.641 | -0.000 | -0.000 | 0.000 |
| 0.000 | 0.000 | 0.000 | 25.560 | 0.000 | -0.000 |
| 0.000 | 0.000 | 0.000 | 0.000 | 25.560 | 0.000 |
| 0.000 | 0.000 | 0.000 | 0.000 | 0.000 | 25.560 |
| 84.640 | 28.176 | 28.176 | -0.000 | -0.000 | -0.000 |
| 28.176 | 84.640 | 28.176 | -0.000 | -0.000 | -0.000 |
| 28.176 | 28.176 | 84.640 | -0.000 | -0.000 | -0.000 |
| -0.000 | -0.000 | -0.000 | 25.560 | -0.000 | 0.000 |
| -0.000 | -0.000 | -0.000 | -0.000 | 25.560 | 0.000 |
| -0.000 | -0.000 | -0.000 | -0.000 | -0.000 | 25.560 |
| 84.641 | 28.176 | 28.176 | 0.000 | 0.000 | 0.000 |
| 28.176 | 84.641 | 28.176 | 0.000 | 0.000 | -0.000 |
| 28.176 | 28.176 | 84.641 | 0.000 | -0.000 | -0.000 |
| 0.000 | 0.000 | 0.000 | 25.560 | 0.000 | -0.000 |
| 0.000 | 0.000 | 0.000 | -0.000 | 25.560 | -0.000 |
| 0.000 | 0.000 | 0.000 | 0.000 | 0.000 | 25.560 |
| 805.471 | 571.897 | 571.897 | 0.000 | -0.000 | -0.000 |
| 571.897 | 805.471 | 571.897 | 0.000 | -0.000 | 0.000 |
| 571.897 | 571.897 | 805.471 | 0.000 | 0.000 | -0.000 |
| 0.000 | 0.000 | 0.000 | -444.666 | -0.000 | 0.000 |
| 0.000 | 0.000 | 0.000 | 0.000 | -444.666 | 0.000 |
| 0.000 | 0.000 | 0.000 | 0.000 | 0.000 | -444.666 |
| 805.471 | 571.897 | 571.897 | -0.000 | -0.000 | -0.000 |
| 571.897 | 805.471 | 571.897 | -0.000 | -0.000 | -0.000 |
| 571.897 | 571.897 | 805.471 | -0.000 | -0.000 | -0.000 |
| -0.000 | -0.000 | -0.000 | -444.666 | -0.000 | 0.000 |
| -0.000 | -0.000 | -0.000 | -0.000 | -444.666 | -0.000 |
| -0.000 | -0.000 | -0.000 | -0.000 | -0.000 | -444.666 |
| 805.471 | 571.897 | 571.897 | 0.000 | 0.000 | 0.000 |
| 571.897 | 805.471 | 571.897 | 0.000 | 0.000 | 0.000 |
| 571.897 | 571.897 | 805.471 | 0.000 | 0.000 | -0.000 |
| -0.000 | -0.000 | -0.000 | 276.577 | 0.000 | 0.000 |
| -0.000 | -0.000 | -0.000 | 0.000 | 276.577 | -0.000 |
| -0.000 | -0.000 | -0.000 | 0.000 | 0.000 | 276.577 |
| 805.471 | 571.897 | 571.897 | -0.000 | -0.000 | -0.000 |
| 571.897 | 805.471 | 571.897 | -0.000 | -0.000 | 0.000 |
| 571.897 | 571.897 | 805.471 | -0.000 | -0.000 | -0.000 |
| 0.000 | 0.000 | 0.000 | 276.577 | -0.000 | 0.000 |
| 0.000 | 0.000 | 0.000 | -0.000 | 276.577 | 0.000 |
| 0.000 | 0.000 | 0.000 | -0.000 | -0.000 | 276.577 |
| 805.470 | 571.897 | 571.897 | 0.000 | -0.000 | -0.000 |
| 571.897 | 805.470 | 571.897 | 0.000 | -0.000 | 0.000 |
| 571.897 | 571.897 | 805.470 | 0.000 | -0.000 | -0.000 |
| 14.202 | 0.003 | 0.002 | -496.183 | 0.000 | 0.000 |
| 0.003 | 14.202 | 0.002 | 0.000 | -496.183 | 0.000 |
| 0.003 | 0.002 | 14.202 | 0.000 | 0.000 | -496.183 |
| 805.472 | 571.897 | 571.897 | 0.000 | -0.000 | -0.000 |
| 571.897 | 805.472 | 571.897 | -0.000 | 0.000 | 0.000 |
| 571.897 | 571.897 | 805.472 | -0.000 | -0.000 | 0.000 |
| -14.202 | -0.003 | -0.002 | -496.183 | -0.000 | -0.000 |
| -0.003 | -14.202 | -0.002 | -0.000 | -496.183 | 0.000 |
| -0.003 | -0.002 | -14.202 | -0.000 | -0.000 | -496.183 |
| -757.482 | -395.105 | -395.105 | -0.000 | -0.000 | 0.000 |
| -395.105 | -757.482 | -395.105 | 0.000 | 0.000 | -0.000 |
| -395.105 | -395.105 | -757.482 | 0.000 | 0.000 | -0.000 |
| 0.000 | -0.000 | 0.000 | -395.105 | 0.000 | -0.000 |
| -0.000 | -0.000 | 0.000 | 0.000 | -395.105 | 0.000 |
| -0.000 | -0.000 | 0.000 | 0.000 | 0.000 | -395.105 |
| -757.482 | -395.105 | -395.105 | -0.000 | -0.000 | -0.000 |
| -395.105 | -757.482 | -395.105 | -0.000 | -0.000 | 0.000 |
| -395.105 | -395.105 | -757.482 | -0.000 | -0.000 | 0.000 |
| -0.000 | -0.000 | -0.000 | -395.105 | -0.000 | 0.000 |
| 0.000 | 0.000 | -0.000 | -0.000 | -395.105 | 0.000 |
| 0.000 | 0.000 | -0.000 | -0.000 | -0.000 | -395.105 |
| -757.482 | -395.105 | -395.105 | 0.000 | 0.000 | -0.000 |
| -395.105 | -757.482 | -395.105 | 0.000 | 0.000 | -0.000 |
| -395.105 | -395.105 | -757.482 | 0.000 | -0.000 | -0.000 |
| 0.000 | 0.000 | 0.000 | -395.105 | 0.000 | -0.000 |
| 0.000 | 0.000 | 0.000 | 0.000 | -395.105 | -0.000 |
| 0.000 | 0.000 | 0.000 | 0.000 | 0.000 | -395.105 |
| -757.482 | -395.105 | -395.105 | -0.000 | -0.000 | 0.000 |
| -395.105 | -757.482 | -395.105 | -0.000 | -0.000 | 0.000 |
| -395.105 | -395.105 | -757.482 | -0.000 | -0.000 | 0.000 |
| -0.000 | -0.000 | -0.000 | -395.105 | 0.000 | 0.000 |
| -0.000 | -0.000 | -0.000 | 0.000 | -395.105 | 0.000 |
| -0.000 | -0.000 | -0.000 | -0.000 | -0.000 | -395.105 |
| -757.481 | -395.106 | -395.106 | -0.000 | 0.000 | -0.000 |
| -395.106 | -757.481 | -395.106 | 0.000 | -0.000 | -0.000 |
| -395.106 | -395.106 | -757.481 | 0.000 | -0.000 | -0.000 |
| 0.000 | 0.001 | 0.000 | -401.117 | 0.000 | -0.000 |
| 0.001 | 0.000 | 0.000 | 0.000 | -401.117 | -0.000 |
| 0.001 | 0.000 | 0.000 | 0.000 | 0.000 | -401.117 |
| -757.483 | -395.105 | -395.105 | -0.000 | -0.000 | 0.000 |
| -395.105 | -757.483 | -395.105 | -0.000 | -0.000 | 0.000 |
| -395.105 | -395.105 | -757.483 | -0.000 | -0.000 | 0.000 |
| -0.000 | -0.001 | -0.000 | -401.117 | -0.000 | -0.000 |
| -0.001 | -0.000 | -0.000 | -0.000 | -401.117 | -0.000 |
| -0.001 | -0.000 | -0.000 | -0.000 | -0.000 | -401.117 |
| -200.374 | -142.733 | -142.733 | 0.000 | 0.000 | 0.000 |
| -142.733 | -200.374 | -142.733 | 0.000 | -0.000 | 0.000 |
| -142.733 | -142.733 | -200.374 | 0.000 | -0.000 | 0.000 |
| 0.001 | 0.000 | 0.000 | -1446.000 | 0.000 | 0.000 |
| 0.000 | 0.001 | 0.000 | 0.000 | -1446.001 | 0.000 |
| 0.000 | 0.000 | 0.001 | 0.000 | 0.000 | -1446.000 |
| -200.374 | -142.734 | -142.734 | -0.000 | -0.000 | -0.000 |
| -142.734 | -200.375 | -142.734 | 0.000 | -0.000 | -0.000 |
| -142.734 | -142.734 | -200.375 | -0.000 | -0.000 | -0.000 |
| -0.001 | -0.000 | -0.000 | -1446.000 | -0.000 | -0.000 |
| -0.000 | -0.001 | -0.000 | 0.000 | -1446.000 | -0.000 |
| -0.000 | -0.000 | -0.001 | -0.000 | -0.000 | -1446.001 |
| -200.374 | -142.733 | -142.733 | 0.000 | 0.000 | 0.000 |
| -142.733 | -200.374 | -142.733 | 0.000 | 0.000 | 0.000 |
| -142.733 | -142.733 | -200.374 | 0.000 | -0.000 | 0.000 |
| 0.000 | 0.000 | 0.000 | -267.660 | 0.000 | -0.000 |
| 0.000 | 0.000 | 0.000 | 0.000 | -267.660 | 0.000 |
| 0.000 | 0.000 | 0.000 | -0.000 | 0.000 | -267.660 |
| -200.374 | -142.734 | -142.734 | 0.000 | 0.000 | 0.000 |
| -142.734 | -200.374 | -142.734 | 0.000 | 0.000 | 0.000 |
| -142.734 | -142.734 | -200.374 | -0.000 | 0.000 | -0.000 |
| -0.000 | -0.000 | -0.000 | -267.660 | 0.000 | 0.000 |
| -0.000 | -0.000 | -0.000 | 0.000 | -267.660 | 0.000 |
| -0.000 | -0.000 | -0.000 | 0.000 | 0.000 | -267.660 |
| -200.374 | -142.734 | -142.734 | 0.000 | 0.000 | 0.000 |
| -142.734 | -200.374 | -142.734 | 0.000 | 0.000 | 0.000 |
| -142.734 | -142.734 | -200.374 | 0.000 | 0.000 | 0.000 |
| 0.000 | 0.001 | 0.000 | -267.660 | -0.000 | -0.000 |
| 0.001 | 0.000 | 0.000 | -0.000 | -267.660 | 0.000 |
| 0.001 | 0.000 | 0.000 | -0.000 | 0.000 | -272.263 |
| -200.374 | -142.733 | -142.733 | 0.000 | 0.000 | 0.000 |
| -142.733 | -200.374 | -142.733 | 0.000 | 0.000 | -0.000 |
| -142.733 | -142.733 | -200.374 | 0.000 | 0.000 | 0.000 |
| -0.000 | -0.001 | -0.000 | -267.660 | 0.000 | 0.000 |
| -0.001 | -0.000 | -0.000 | 0.000 | -267.660 | 0.000 |
| -0.001 | -0.000 | -0.000 | -0.000 | 0.000 | -272.263 |
| 44.561 | 31.519 | 31.519 | 0.000 | -0.000 | 0.000 |
| 31.519 | 44.561 | 31.519 | 0.000 | -0.000 | 0.000 |
| 31.519 | 31.519 | 44.561 | 0.000 | -0.000 | 0.000 |
| -0.000 | -0.000 | -0.000 | 30.981 | -0.000 | -0.000 |
| -0.000 | 0.000 | -0.000 | -0.000 | 30.981 | -0.000 |
| -0.000 | 0.000 | -0.000 | -0.000 | -0.000 | 30.981 |
| 44.561 | 31.519 | 31.519 | 0.000 | 0.000 | 0.000 |
| 31.519 | 44.561 | 31.519 | 0.000 | 0.000 | 0.000 |
| 31.519 | 31.519 | 44.561 | 0.000 | 0.000 | 0.000 |
| 0.000 | 0.000 | 0.000 | 30.981 | 0.000 | -0.000 |
| 0.000 | -0.000 | 0.000 | -0.000 | 30.981 | 0.000 |
| 0.000 | -0.000 | -0.000 | 0.000 | 0.000 | 30.981 |
| 44.561 | 31.519 | 31.519 | -0.000 | -0.000 | 0.000 |
| 31.519 | 44.561 | 31.519 | -0.000 | -0.000 | 0.000 |
| 31.519 | 31.519 | 44.561 | 0.000 | 0.000 | -0.000 |
| -0.000 | -0.000 | -0.000 | 30.575 | -0.000 | 0.000 |
| -0.000 | -0.000 | -0.000 | 0.000 | 30.575 | 0.000 |
| -0.000 | -0.000 | -0.000 | -0.000 | -0.000 | 30.575 |
| 44.561 | 31.519 | 31.519 | -0.000 | 0.000 | -0.000 |
| 31.519 | 44.561 | 31.519 | -0.000 | -0.000 | -0.000 |
| 31.519 | 31.519 | 44.561 | -0.000 | 0.000 | -0.000 |
| 0.000 | 0.000 | 0.000 | 30.575 | -0.000 | -0.000 |
| 0.000 | 0.000 | 0.000 | -0.000 | 30.575 | -0.000 |
| 0.000 | 0.000 | 0.000 | -0.000 | 0.000 | 30.575 |
| 44.561 | 31.519 | 31.519 | 0.000 | -0.000 | 0.000 |
| 31.519 | 44.561 | 31.519 | -0.000 | -0.000 | -0.000 |
| 31.519 | 31.519 | 44.561 | 0.000 | 0.000 | 0.000 |
| -0.000 | -0.000 | -0.000 | 30.981 | -0.000 | -0.000 |
| -0.000 | -0.000 | -0.000 | 0.000 | 30.981 | -0.000 |
| -0.000 | -0.000 | -0.000 | 0.000 | -0.000 | 30.981 |
| 44.561 | 31.519 | 31.519 | -0.000 | 0.000 | -0.000 |
| 31.519 | 44.561 | 31.519 | -0.000 | -0.000 | -0.000 |
| 31.519 | 31.519 | 44.561 | -0.000 | -0.000 | -0.000 |
| 0.000 | 0.000 | 0.000 | 30.981 | 0.000 | 0.000 |
| 0.000 | 0.000 | 0.000 | -0.000 | 30.981 | 0.000 |
| 0.000 | 0.000 | 0.000 | -0.000 | 0.000 | 30.981 |
| 424.644 | 557.598 | 557.598 | 0.000 | 0.000 | -0.000 |
| 557.598 | 424.644 | 557.598 | 0.000 | 0.000 | -0.000 |
| 557.598 | 557.598 | 424.644 | 0.000 | 0.000 | 0.000 |
| -0.000 | -0.000 | 0.000 | 263.870 | -0.000 | -0.000 |
| -0.000 | 0.000 | 0.000 | -0.000 | 263.870 | 0.000 |
| -0.000 | 0.000 | 0.000 | 0.000 | 0.000 | 263.870 |
| 424.644 | 557.598 | 557.598 | -0.000 | 0.000 | 0.000 |
| 557.598 | 424.644 | 557.598 | 0.000 | -0.000 | -0.000 |
| 557.598 | 557.598 | 424.644 | -0.000 | -0.000 | -0.000 |
| 0.000 | 0.000 | -0.000 | 263.870 | -0.000 | 0.000 |
| 0.000 | 0.000 | -0.000 | -0.000 | 263.870 | -0.000 |
| 0.000 | -0.000 | -0.000 | 0.000 | -0.000 | 263.870 |
| 424.644 | 557.599 | 557.599 | 0.000 | 0.000 | -0.000 |
| 557.599 | 424.644 | 557.599 | 0.000 | 0.000 | -0.000 |
| 557.599 | 557.599 | 424.644 | -0.000 | -0.000 | 0.000 |
| -0.000 | -0.000 | -0.000 | 263.870 | 0.000 | -0.000 |
| -0.000 | -0.000 | -0.000 | -0.000 | 263.870 | 0.000 |
| -0.000 | -0.000 | -0.000 | -0.000 | 0.000 | 263.870 |
| 424.644 | 557.598 | 557.598 | -0.000 | 0.000 | 0.000 |
| 557.598 | 424.644 | 557.598 | -0.000 | -0.000 | 0.000 |
| 557.598 | 557.598 | 424.644 | -0.000 | 0.000 | -0.000 |
| 0.000 | 0.000 | 0.000 | 263.870 | -0.000 | -0.000 |
| 0.000 | 0.000 | 0.000 | -0.000 | 263.870 | 0.000 |
| 0.000 | 0.000 | 0.000 | 0.000 | -0.000 | 263.870 |
| 424.646 | 557.600 | 557.600 | -0.000 | -0.000 | -0.000 |
| 557.600 | 424.646 | 557.600 | -0.000 | -0.000 | 0.000 |
| 557.600 | 557.600 | 424.646 | -0.000 | -0.000 | -0.000 |
| -0.000 | -0.001 | -0.000 | 263.870 | -0.000 | -0.000 |
| -0.001 | -0.000 | -0.000 | -0.000 | 263.870 | -0.000 |
| -0.001 | -0.000 | -0.000 | 0.000 | 0.000 | 263.870 |
| 424.643 | 557.597 | 557.597 | -0.000 | -0.000 | -0.000 |
| 557.597 | 424.643 | 557.597 | -0.000 | -0.000 | 0.000 |
| 557.597 | 557.597 | 424.643 | -0.000 | -0.000 | -0.000 |
| 0.000 | 0.001 | 0.000 | 263.870 | 0.000 | -0.000 |
| 0.001 | 0.000 | 0.000 | 0.000 | 263.870 | -0.000 |
| 0.001 | 0.000 | 0.000 | -0.000 | -0.000 | 263.870 |
| -232.803 | 30.094 | 30.094 | 0.000 | 0.000 | 0.000 |
| 30.094 | -232.803 | 30.094 | -0.000 | 0.000 | 0.000 |
| 30.094 | 30.094 | -232.803 | -0.000 | -0.000 | 0.000 |
| 0.000 | 0.000 | 0.000 | -87.893 | -0.000 | -0.000 |
| 0.000 | 0.000 | 0.000 | -0.000 | -87.893 | -0.000 |
| 0.000 | 0.000 | 0.000 | -0.000 | -0.000 | -87.893 |
| -232.803 | 30.094 | 30.094 | -0.000 | 0.000 | 0.000 |
| 30.094 | -232.803 | 30.094 | 0.000 | -0.000 | -0.000 |
| 30.094 | 30.094 | -232.803 | -0.000 | -0.000 | -0.000 |
| -0.000 | -0.000 | -0.000 | -87.893 | 0.000 | -0.000 |
| -0.000 | -0.000 | -0.000 | 0.000 | -87.893 | -0.000 |
| -0.000 | -0.000 | -0.000 | 0.000 | 0.000 | -87.893 |
| -232.803 | 30.094 | 30.094 | -0.000 | 0.000 | 0.000 |
| 30.094 | -232.803 | 30.094 | -0.000 | -0.000 | 0.000 |
| 30.094 | 30.094 | -232.803 | -0.000 | 0.000 | -0.000 |
| 0.000 | 0.000 | 0.000 | -87.893 | 0.000 | -0.000 |
| 0.000 | 0.000 | 0.000 | -0.000 | -87.893 | 0.000 |
| 0.000 | 0.000 | 0.000 | -0.000 | 0.000 | -87.893 |
| -232.804 | 30.094 | 30.094 | 0.000 | 0.000 | -0.000 |
| 30.094 | -232.804 | 30.094 | 0.000 | 0.000 | 0.000 |
| 30.094 | 30.094 | -232.804 | 0.000 | 0.000 | 0.000 |
| -0.000 | -0.000 | -0.000 | -87.893 | 0.000 | -0.000 |
| -0.000 | -0.000 | -0.000 | 0.000 | -87.893 | -0.000 |
| -0.000 | -0.000 | -0.000 | 0.000 | -0.000 | -87.893 |
| -232.803 | 30.094 | 30.094 | -0.000 | -0.000 | -0.000 |
| 30.094 | -232.803 | 30.094 | -0.000 | -0.000 | 0.000 |
| 30.094 | 30.094 | -232.803 | 0.000 | 0.000 | 0.000 |
| 0.000 | 0.000 | 0.000 | -87.893 | -0.000 | -0.000 |
| 0.000 | 0.000 | 0.000 | -0.000 | -87.893 | 0.000 |
| 0.000 | 0.000 | 0.000 | -0.000 | -0.000 | -87.893 |
| -232.804 | 30.094 | 30.094 | -0.000 | 0.000 | 0.000 |
| 30.094 | -232.804 | 30.094 | 0.000 | -0.000 | -0.000 |
| 30.094 | 30.094 | -232.804 | 0.000 | 0.000 | -0.000 |
| -0.000 | -0.000 | -0.000 | -87.893 | 0.000 | 0.000 |
| -0.000 | -0.000 | -0.000 | 0.000 | -87.893 | 0.000 |
| -0.000 | -0.000 | -0.000 | 0.000 | 0.000 | -87.893 |
| 48.481 | 32.547 | 32.547 | -0.000 | -0.000 | -0.000 |
| 32.547 | 48.481 | 32.547 | -0.000 | -0.000 | -0.000 |
| 32.547 | 32.547 | 48.481 | -0.000 | -0.000 | -0.000 |
| 0.000 | 0.000 | -0.000 | 32.281 | -0.000 | -0.000 |
| 0.000 | 0.000 | -0.000 | -0.000 | 32.281 | -0.000 |
| 0.000 | 0.000 | 0.000 | -0.000 | -0.000 | 32.281 |
| 48.481 | 32.547 | 32.547 | 0.000 | 0.000 | 0.000 |
| 32.547 | 48.481 | 32.547 | 0.000 | 0.000 | 0.000 |
| 32.547 | 32.547 | 48.481 | 0.000 | 0.000 | 0.000 |
| -0.000 | -0.000 | 0.000 | 32.281 | 0.000 | 0.000 |
| -0.000 | -0.000 | 0.000 | 0.000 | 32.281 | 0.000 |
| -0.000 | 0.000 | -0.000 | 0.000 | 0.000 | 32.281 |
| 48.481 | 32.547 | 32.547 | -0.000 | -0.000 | -0.000 |
| 32.547 | 48.481 | 32.547 | -0.000 | -0.000 | 0.000 |
| 32.547 | 32.547 | 48.481 | 0.000 | 0.000 | -0.000 |
| -0.000 | -0.000 | -0.000 | 32.281 | -0.000 | -0.000 |
| -0.000 | -0.000 | -0.000 | -0.000 | 32.281 | -0.000 |
| -0.000 | -0.000 | -0.000 | -0.000 | -0.000 | 32.281 |
| 48.481 | 32.547 | 32.547 | 0.000 | 0.000 | 0.000 |
| 32.547 | 48.481 | 32.547 | 0.000 | 0.000 | 0.000 |
| 32.547 | 32.547 | 48.481 | 0.000 | 0.000 | 0.000 |
| 0.000 | 0.000 | 0.000 | 32.281 | 0.000 | 0.000 |
| 0.000 | 0.000 | 0.000 | 0.000 | 32.281 | 0.000 |
| 0.000 | 0.000 | 0.000 | 0.000 | 0.000 | 32.281 |
| 48.481 | 32.547 | 32.547 | -0.000 | -0.000 | -0.000 |
| 32.547 | 48.481 | 32.547 | -0.000 | -0.000 | -0.000 |
| 32.547 | 32.547 | 48.481 | -0.000 | -0.000 | -0.000 |
| -0.000 | -0.000 | -0.000 | 32.281 | -0.000 | -0.000 |
| -0.000 | -0.000 | -0.000 | -0.000 | 32.281 | -0.000 |
| -0.000 | -0.000 | -0.000 | -0.000 | -0.000 | 32.281 |
| 48.481 | 32.547 | 32.547 | 0.000 | 0.000 | 0.000 |
| 32.547 | 48.481 | 32.547 | 0.000 | 0.000 | 0.000 |
| 32.547 | 32.547 | 48.481 | 0.000 | 0.000 | 0.000 |
| 0.000 | 0.000 | 0.000 | 32.281 | 0.000 | 0.000 |
| 0.000 | 0.000 | 0.000 | -0.000 | 32.281 | 0.000 |
| 0.000 | 0.000 | 0.000 | 0.000 | 0.000 | 32.281 |
| 313.472 | 896.606 | 467.089 | 0.000 | 0.000 | 0.000 |
| 896.606 | 313.472 | 467.089 | 0.000 | 0.000 | 0.000 |
| 467.089 | 467.089 | 758.658 | 0.000 | -0.000 | 0.000 |
| 0.000 | 0.000 | 0.000 | -570.468 | 0.000 | 0.000 |
| 0.000 | 0.000 | 0.000 | 0.000 | -570.468 | 0.000 |
| -0.000 | 0.000 | -0.000 | 0.000 | 0.000 | 384.374 |
| 313.472 | 896.606 | 467.089 | -0.000 | 0.000 | -0.000 |
| 896.606 | 313.472 | 467.089 | 0.000 | -0.000 | -0.000 |
| 467.089 | 467.089 | 758.658 | 0.000 | -0.000 | -0.000 |
| -0.000 | -0.000 | -0.000 | -570.468 | -0.000 | -0.000 |
| -0.000 | -0.000 | -0.000 | -0.000 | -570.468 | -0.000 |
| 0.000 | -0.000 | 0.000 | -0.000 | -0.000 | 384.374 |
| 313.472 | 896.606 | 467.089 | -0.000 | 0.000 | 0.000 |
| 896.606 | 313.472 | 467.089 | 0.000 | 0.000 | 0.000 |
| 467.089 | 467.089 | 758.658 | 0.000 | 0.000 | 0.000 |
| 0.001 | 0.001 | 0.001 | -570.468 | 0.000 | 0.000 |
| 0.001 | 0.001 | 0.001 | 0.000 | -570.468 | 0.000 |
| -0.000 | 0.000 | -0.000 | 0.000 | 0.000 | 384.374 |
| 313.472 | 896.606 | 467.089 | 0.000 | 0.000 | -0.000 |
| 896.606 | 313.472 | 467.089 | -0.000 | -0.000 | -0.000 |
| 467.089 | 467.089 | 758.658 | 0.000 | -0.000 | -0.000 |
| -0.001 | -0.001 | -0.001 | -570.468 | -0.000 | -0.000 |
| -0.001 | -0.001 | -0.001 | -0.000 | -570.468 | -0.000 |
| 0.000 | -0.000 | 0.000 | -0.000 | -0.000 | 384.374 |
| 313.473 | 896.607 | 467.090 | -0.000 | 0.000 | 0.000 |
| 896.607 | 313.473 | 467.090 | 0.000 | 0.000 | 0.000 |
| 467.089 | 467.089 | 758.657 | 0.000 | 0.000 | 0.000 |
| 0.009 | 0.014 | 0.005 | -570.468 | 0.000 | 0.000 |
| 0.014 | 0.009 | 0.005 | 0.000 | -570.468 | 0.000 |
| -0.001 | -0.000 | -0.000 | 0.000 | 0.000 | 384.374 |
| 440.901 | 768.827 | 467.088 | -0.000 | -0.000 | -0.000 |
| 768.827 | 440.901 | 467.088 | -0.000 | 0.000 | -0.000 |
| 467.088 | 467.088 | 758.659 | -0.000 | -0.000 | -0.000 |
| -0.009 | -0.014 | -0.005 | -570.468 | -0.000 | -0.000 |
| -0.014 | -0.009 | -0.005 | -0.000 | -570.468 | -0.000 |
| 0.001 | 0.000 | 0.000 | -0.000 | -0.000 | 384.374 |
| 46.687 | 702.768 | 520.628 | -0.000 | -0.000 | -0.000 |
| 702.768 | 46.687 | 520.628 | -0.000 | 0.000 | 0.000 |
| 520.628 | 520.628 | 394.372 | 0.000 | 0.000 | 0.000 |
| 0.000 | 0.001 | 0.000 | -1930.447 | 0.000 | 0.000 |
| 0.001 | 0.000 | 0.000 | -0.000 | -1930.447 | 0.000 |
| -0.000 | 0.000 | -0.000 | -0.000 | -0.000 | 178.748 |
| 46.687 | 702.768 | 520.628 | -0.000 | -0.000 | 0.000 |
| 702.768 | 46.687 | 520.628 | -0.000 | 0.000 | -0.000 |
| 520.628 | 520.628 | 394.372 | -0.000 | -0.000 | -0.000 |
| -0.000 | -0.001 | -0.000 | -1930.447 | 0.000 | -0.000 |
| -0.001 | -0.000 | -0.000 | -0.000 | -1930.447 | 0.000 |
| 0.000 | -0.000 | 0.000 | -0.000 | -0.000 | 178.748 |
| 46.687 | 702.768 | 520.628 | -0.000 | 0.000 | -0.000 |
| 702.768 | 46.687 | 520.628 | -0.000 | -0.000 | 0.000 |
| 520.628 | 520.628 | 394.372 | -0.000 | -0.000 | 0.000 |
| -0.000 | -0.000 | -0.000 | 227.167 | 0.000 | -0.000 |
| -0.000 | -0.000 | -0.000 | 0.000 | 227.167 | 0.000 |
| -0.000 | 0.000 | -0.000 | -0.000 | 0.000 | 178.748 |
| 46.687 | 702.767 | 520.628 | 0.000 | 0.000 | -0.000 |
| 702.767 | 46.687 | 520.628 | -0.000 | 0.000 | 0.000 |
| 520.628 | 520.628 | 394.372 | -0.000 | -0.000 | -0.000 |
| 0.000 | 0.000 | 0.000 | 227.167 | -0.000 | -0.000 |
| 0.000 | 0.000 | 0.000 | 0.000 | 227.167 | -0.000 |
| 0.000 | -0.000 | 0.000 | -0.000 | -0.000 | 178.748 |
| 50.519 | 703.933 | 528.901 | 0.000 | -0.000 | -0.000 |
| 703.933 | 50.519 | 528.901 | -0.000 | 0.000 | 0.000 |
| 525.686 | 525.686 | 411.126 | -0.000 | 0.000 | 0.000 |
| 8258177.875 | 8192611.229 | 8639442.974 | 170365.091 | 203637.560 | 251244.196 |
| 8679079.337 | 8072017.256 | 9098197.196 | 19081.667 | -73374.799 | 58671.609 |
| -0.001 | 0.000 | -0.000 | -0.000 | 0.000 | 178.748 |
| 46.998 | 702.453 | 520.627 | -0.000 | 0.000 | -0.000 |
| 702.453 | 46.998 | 520.627 | 0.000 | 0.000 | 0.000 |
| 520.627 | 520.627 | 394.370 | 0.000 | 0.000 | -0.000 |
| -8360615.213 | -8106442.680 | -9099645.265 | 150864.776 | -159924.004 | -52564.881 |
| -8164837.756 | -7987782.620 | -8811089.801 | -49339.508 | 256479.611 | -83577.904 |
| 0.001 | -0.000 | 0.000 | 0.000 | 0.000 | 178.748 |
| 1173.985 | 767.690 | 1037.582 | -0.000 | 0.000 | 0.000 |
| 407.749 | 745.611 | 326.355 | -0.000 | 0.000 | 0.000 |
| 784.628 | 715.445 | 1640.762 | -0.000 | 0.000 | 0.000 |
| 0.000 | -0.000 | 0.000 | 42.822 | -0.000 | 0.000 |
| 625.030 | 368.264 | 550.438 | -0.000 | 207.898 | 0.000 |
| 0.000 | -0.000 | 0.000 | -0.000 | 0.000 | 132.506 |
| -76.613 | 30.041 | -64.561 | 0.000 | -0.000 | -0.000 |
| -234.671 | 368.487 | -238.032 | 0.000 | 0.000 | -0.000 |
| -146.936 | -53.393 | 603.552 | 0.000 | -0.000 | -0.000 |
| -0.000 | 0.000 | -0.000 | 42.823 | -0.000 | -0.000 |
| -625.030 | -368.264 | -550.438 | 0.000 | 207.898 | -0.000 |
| -0.000 | -0.000 | -0.000 | 0.000 | -0.000 | 132.506 |
| 588.394 | 407.749 | 507.175 | -0.000 | 0.000 | 0.000 |
| 425.992 | 775.919 | 361.700 | -0.000 | -0.000 | -0.000 |
| 540.547 | 353.163 | 1210.463 | -0.000 | -0.000 | 0.000 |
| 62.500 | 36.825 | 55.041 | 42.711 | -0.000 | 0.000 |
| -0.000 | -0.000 | -0.000 | -0.000 | 208.155 | 0.000 |
| 62.765 | 36.981 | 55.275 | -0.000 | 0.000 | 129.448 |
| 496.385 | 354.902 | 427.492 | 0.000 | -0.000 | -0.000 |
| 327.828 | 699.884 | 257.314 | 0.000 | 0.000 | -0.000 |
| 507.175 | 326.355 | 1174.031 | 0.000 | 0.000 | -0.000 |
| -62.500 | -36.825 | -55.041 | 42.711 | -0.000 | -0.000 |
| 0.000 | 0.000 | 0.000 | 0.000 | 208.155 | -0.000 |
| -62.765 | -36.981 | -55.275 | 0.000 | 0.000 | 129.448 |
| 537.085 | 392.179 | 476.441 | -0.000 | 0.000 | 0.000 |
| 396.333 | 740.125 | 317.524 | -0.000 | -0.000 | 0.000 |
| 479.511 | 316.792 | 1156.306 | -0.000 | -0.000 | 0.000 |
| 6.233 | 3.673 | 5.489 | 42.711 | -0.000 | 0.000 |
| -0.001 | -0.000 | -0.001 | -0.000 | 208.155 | 0.000 |
| 2.460 | 3.448 | 4.136 | -0.000 | 0.000 | 128.073 |
| 524.126 | 391.144 | 471.535 | 0.000 | 0.000 | -0.000 |
| 384.006 | 732.926 | 306.731 | 0.000 | 0.000 | -0.000 |
| 470.248 | 309.606 | 1146.449 | 0.000 | -0.000 | -0.000 |
| -6.233 | -3.673 | -5.489 | 42.711 | 0.000 | -0.000 |
| 0.001 | 0.000 | 0.001 | 0.000 | 208.155 | -0.000 |
| -2.460 | -3.448 | -4.136 | 0.000 | -0.000 | 128.073 |
| 395.839 | 257.792 | 403.194 | 0.000 | 0.000 | 0.000 |
| 247.515 | 651.501 | 293.021 | 0.000 | -0.000 | 0.000 |
| 430.714 | 348.283 | 260.701 | -0.000 | -0.000 | 0.000 |
| -0.742 | -1.156 | 0.614 | 96.909 | -0.000 | -0.000 |
| -1.809 | -2.821 | 1.498 | 0.000 | 149.341 | 0.000 |
| 0.000 | 0.000 | -0.000 | -0.000 | -0.000 | 81.805 |
| 437.584 | 321.165 | 438.793 | 0.000 | 0.000 | 0.000 |
| 248.496 | 653.043 | 291.719 | 0.000 | 0.000 | -0.000 |
| 430.714 | 348.283 | 260.701 | -0.000 | -0.000 | 0.000 |
| 0.742 | 1.156 | -0.614 | 96.909 | 0.000 | -0.000 |
| 1.809 | 2.821 | -1.498 | 0.000 | 149.341 | -0.000 |
| -0.000 | 0.000 | 0.000 | 0.000 | 0.000 | 81.805 |
| 395.018 | 256.956 | 385.746 | 0.000 | -0.000 | 0.000 |
| 247.964 | 652.207 | 292.444 | -0.000 | -0.000 | 0.000 |
| 351.740 | 231.944 | 48.413 | 0.000 | -0.000 | 0.000 |
| -0.000 | -0.000 | -0.000 | 110.092 | -0.000 | 0.000 |
| -0.181 | -0.283 | 0.150 | 0.000 | 149.271 | -0.000 |
| -0.000 | -0.000 | -0.000 | -0.000 | -0.000 | 81.805 |
| 437.584 | 321.165 | 438.793 | -0.000 | -0.000 | 0.000 |
| 248.062 | 652.361 | 292.314 | -0.000 | 0.000 | -0.000 |
| 351.712 | 231.927 | 47.359 | 0.000 | 0.000 | -0.000 |
| 0.000 | 0.000 | 0.000 | 110.092 | 0.000 | 0.000 |
| 0.181 | 0.283 | -0.150 | 0.000 | 149.271 | -0.000 |
| 0.000 | 0.000 | 0.000 | -0.000 | 0.000 | 81.805 |
| 396.338 | 258.575 | 402.557 | -0.000 | -0.000 | 0.000 |
| 246.276 | 650.158 | 270.020 | 0.000 | -0.000 | -0.000 |
| 377.366 | 272.619 | -2.039 | 0.000 | -0.000 | 0.000 |
| -0.008 | -0.012 | 0.006 | 96.916 | 0.000 | -0.000 |
| -0.018 | -0.028 | 0.015 | 0.000 | 149.249 | -0.000 |
| -0.000 | -0.000 | -0.000 | 0.000 | -0.000 | 81.805 |
| 437.583 | 321.164 | 438.793 | -0.000 | 0.000 | -0.000 |
| 246.259 | 650.135 | 269.943 | -0.000 | 0.000 | -0.000 |
| 377.420 | 272.700 | -1.900 | 0.000 | 0.000 | -0.000 |
| 0.008 | 0.012 | -0.006 | 96.916 | -0.000 | 0.000 |
| 0.018 | 0.028 | -0.015 | -0.000 | 149.249 | -0.000 |
| 0.000 | 0.000 | 0.000 | -0.000 | 0.000 | 81.805 |
| 797.699 | 865.613 | 878.370 | -0.000 | -0.000 | -0.000 |
| 653.667 | 1258.708 | 770.941 | -0.000 | -0.000 | -0.000 |
| 774.364 | 865.819 | 611.325 | -0.000 | -0.000 | -0.000 |
| 408.764 | 605.045 | 825.395 | 97.125 | 0.000 | 0.000 |
| 408.136 | 604.321 | 816.259 | 0.000 | 147.830 | -0.000 |
| 0.000 | 0.000 | 0.000 | 0.000 | 0.000 | 81.750 |
| 434.903 | 320.960 | 438.652 | -0.000 | -0.000 | -0.000 |
| 310.237 | 743.380 | 345.059 | 0.000 | -0.000 | 0.000 |
| 430.192 | 347.322 | 263.304 | 0.000 | -0.000 | 0.000 |
| -408.764 | -605.045 | -825.395 | 97.125 | -0.000 | 0.000 |
| -408.136 | -604.321 | -816.259 | 0.000 | 147.830 | 0.000 |
| -0.000 | -0.000 | -0.000 | 0.000 | -0.000 | 81.750 |
| 454.945 | 323.737 | 438.653 | 0.000 | 0.000 | -0.000 |
| 310.237 | 743.380 | 345.059 | -0.000 | 0.000 | -0.000 |
| 430.193 | 347.322 | 263.304 | 0.000 | 0.000 | -0.000 |
| 40.915 | 61.464 | 48.088 | 96.627 | 0.000 | -0.000 |
| 48.485 | 72.836 | 56.985 | 0.000 | 169.118 | -0.000 |
| 43.276 | 64.263 | 79.466 | -0.000 | 0.000 | 69.660 |
| 353.816 | 198.822 | 355.855 | -0.000 | -0.000 | 0.000 |
| 208.442 | 589.928 | 245.849 | -0.000 | -0.000 | 0.000 |
| 316.808 | 210.140 | -69.238 | -0.000 | -0.000 | 0.000 |
| -40.915 | -61.464 | -48.088 | 96.627 | -0.000 | 0.000 |
| -48.485 | -72.836 | -56.985 | -0.000 | 169.118 | 0.000 |
| -43.276 | -64.263 | -79.466 | 0.000 | -0.000 | 69.660 |
| 399.095 | 264.081 | 405.910 | 0.000 | 0.000 | -0.000 |
| 250.088 | 652.928 | 277.956 | -0.000 | 0.000 | -0.000 |
| 355.459 | 238.319 | 50.479 | 0.000 | 0.000 | -0.000 |
| 3.449 | 5.117 | 6.500 | 95.904 | 0.000 | -0.000 |
| 10.156 | 15.258 | 11.937 | 0.000 | 150.220 | -0.000 |
| 4.221 | 4.969 | 3.612 | -0.000 | 0.000 | 68.106 |
| 389.452 | 252.364 | 397.433 | -0.000 | -0.000 | 0.000 |
| 244.140 | 643.568 | 287.332 | 0.000 | -0.000 | 0.000 |
| 370.733 | 266.021 | -5.151 | -0.000 | -0.000 | 0.000 |
| -3.449 | -5.117 | -6.500 | 95.904 | -0.000 | 0.000 |
| -10.156 | -15.258 | -11.937 | -0.000 | 150.220 | -0.000 |
| -4.221 | -4.969 | -3.612 | -0.000 | -0.000 | 68.106 |
| 56.773 | 148.876 | 148.876 | -0.000 | 0.000 | 0.000 |
| 148.876 | 56.773 | 148.876 | 0.000 | -0.000 | 0.000 |
| 148.876 | 148.876 | 56.773 | 0.000 | -0.000 | -0.000 |
| 0.000 | -0.000 | 0.000 | 101.803 | -0.000 | -0.000 |
| -0.000 | 0.000 | -0.000 | 0.000 | 101.803 | 0.000 |
| -0.000 | 0.000 | 0.000 | -0.000 | -0.000 | 101.803 |
| 56.773 | 148.876 | 148.876 | 0.000 | 0.000 | 0.000 |
| 148.876 | 56.773 | 148.876 | 0.000 | 0.000 | -0.000 |
| 148.876 | 148.876 | 56.773 | 0.000 | 0.000 | -0.000 |
| 0.000 | -0.000 | -0.000 | 101.803 | 0.000 | 0.000 |
| 0.000 | -0.000 | -0.000 | 0.000 | 101.803 | -0.000 |
| 0.000 | -0.000 | -0.000 | 0.000 | 0.000 | 101.803 |
| 56.773 | 148.876 | 148.876 | -0.000 | 0.000 | -0.000 |
| 148.876 | 56.773 | 148.876 | -0.000 | -0.000 | 0.000 |
| 148.876 | 148.876 | 56.773 | -0.000 | -0.000 | -0.000 |
| -0.000 | -0.000 | -0.000 | 101.803 | -0.000 | 0.000 |
| -0.000 | -0.000 | -0.000 | -0.000 | 101.803 | 0.000 |
| -0.000 | -0.000 | -0.000 | -0.000 | 0.000 | 101.803 |
| 56.773 | 148.876 | 148.876 | 0.000 | 0.000 | -0.000 |
| 148.876 | 56.773 | 148.876 | 0.000 | 0.000 | 0.000 |
| 148.876 | 148.876 | 56.773 | 0.000 | 0.000 | -0.000 |
| 0.000 | 0.000 | 0.000 | 101.803 | 0.000 | 0.000 |
| 0.000 | 0.000 | 0.000 | 0.000 | 101.803 | -0.000 |
| 0.000 | 0.000 | 0.000 | 0.000 | 0.000 | 101.803 |
| 56.773 | 148.876 | 148.876 | 0.000 | -0.000 | -0.000 |
| 148.876 | 56.773 | 148.876 | -0.000 | -0.000 | 0.000 |
| 148.876 | 148.876 | 56.773 | -0.000 | 0.000 | 0.000 |
| -0.000 | -0.000 | -0.000 | 101.803 | 0.000 | -0.000 |
| -0.000 | -0.000 | -0.000 | -0.000 | 101.803 | -0.000 |
| -0.000 | -0.000 | -0.000 | -0.000 | -0.000 | 101.803 |
| 56.772 | 148.876 | 148.876 | 0.000 | -0.000 | -0.000 |
| 148.876 | 56.772 | 148.876 | 0.000 | 0.000 | 0.000 |
| 148.876 | 148.876 | 56.772 | 0.000 | -0.000 | -0.000 |
| 0.000 | 0.000 | 0.000 | 101.803 | 0.000 | -0.000 |
| 0.000 | 0.000 | 0.000 | 0.000 | 101.803 | -0.000 |
| 0.000 | 0.000 | 0.000 | 0.000 | 0.000 | 101.803 |
| -570.099 | -130.235 | -130.235 | 0.000 | 0.000 | 0.000 |
| -130.235 | -570.099 | -130.235 | 0.000 | 0.000 | 0.000 |
| -130.235 | -130.235 | -570.099 | 0.000 | 0.000 | 0.000 |
| 0.000 | 0.000 | 0.000 | -83.739 | 0.000 | 0.000 |
| 0.000 | 0.000 | 0.000 | 0.000 | -83.739 | 0.000 |
| 0.000 | 0.000 | 0.000 | 0.000 | 0.000 | -83.739 |
| -570.099 | -130.235 | -130.235 | 0.000 | -0.000 | -0.000 |
| -130.235 | -570.099 | -130.235 | 0.000 | -0.000 | -0.000 |
| -130.235 | -130.235 | -570.099 | 0.000 | 0.000 | -0.000 |
| -0.000 | -0.000 | -0.000 | -83.739 | -0.000 | -0.000 |
| -0.000 | -0.000 | -0.000 | 0.000 | -83.739 | -0.000 |
| -0.000 | -0.000 | -0.000 | 0.000 | -0.000 | -83.739 |
| -570.099 | -130.235 | -130.235 | -0.000 | 0.000 | 0.000 |
| -130.235 | -570.099 | -130.235 | 0.000 | -0.000 | 0.000 |
| -130.235 | -130.235 | -570.099 | -0.000 | -0.000 | 0.000 |
| 0.000 | 0.000 | 0.000 | -83.739 | 0.000 | 0.000 |
| 0.000 | 0.000 | 0.000 | -0.000 | -83.739 | -0.000 |
| 0.000 | 0.000 | 0.000 | -0.000 | 0.000 | -83.739 |
| -570.099 | -130.235 | -130.235 | 0.000 | -0.000 | -0.000 |
| -130.235 | -570.099 | -130.235 | 0.000 | 0.000 | -0.000 |
| -130.235 | -130.235 | -570.099 | -0.000 | -0.000 | 0.000 |
| -0.000 | -0.000 | -0.000 | -83.739 | -0.000 | -0.000 |
| -0.000 | -0.000 | -0.000 | -0.000 | -83.739 | -0.000 |
| -0.000 | -0.000 | -0.000 | 0.000 | -0.000 | -83.739 |
| -570.098 | -130.235 | -130.235 | -0.000 | -0.000 | 0.000 |
| -130.235 | -570.098 | -130.235 | -0.000 | -0.000 | 0.000 |
| -130.235 | -130.235 | -570.098 | -0.000 | 0.000 | 0.000 |
| 0.000 | 0.000 | 0.000 | -83.739 | -0.000 | 0.000 |
| 0.000 | 0.000 | 0.000 | 0.000 | -83.739 | 0.000 |
| 0.000 | 0.000 | 0.000 | 0.000 | 0.000 | -83.739 |
| -570.100 | -130.235 | -130.235 | -0.000 | 0.000 | 0.000 |
| -130.235 | -570.100 | -130.235 | 0.000 | -0.000 | -0.000 |
| -130.235 | -130.235 | -570.100 | -0.000 | -0.000 | -0.000 |
| -0.000 | -0.000 | -0.000 | -83.739 | -0.000 | 0.000 |
| -0.000 | -0.000 | -0.000 | -0.000 | -83.739 | -0.000 |
| -0.000 | -0.000 | -0.000 | 0.000 | -0.000 | -83.739 |
| -453.760 | -86.183 | -86.183 | -0.000 | 0.000 | -0.000 |
| -86.183 | -453.760 | -86.183 | -0.000 | -0.000 | -0.000 |
| -86.183 | -86.183 | -453.760 | -0.000 | 0.000 | -0.000 |
| 0.000 | 0.000 | 0.000 | -86.907 | 0.000 | 0.000 |
| 0.000 | 0.000 | 0.000 | -0.000 | -86.907 | -0.000 |
| 0.000 | 0.000 | 0.000 | -0.000 | -0.000 | -86.907 |
| -453.760 | -86.183 | -86.183 | 0.000 | 0.000 | -0.000 |
| -86.183 | -453.760 | -86.183 | 0.000 | 0.000 | -0.000 |
| -86.183 | -86.183 | -453.760 | 0.000 | 0.000 | -0.000 |
| -0.000 | -0.000 | -0.000 | -86.907 | 0.000 | 0.000 |
| -0.000 | -0.000 | -0.000 | 0.000 | -86.907 | 0.000 |
| -0.000 | -0.000 | 0.000 | 0.000 | 0.000 | -86.907 |
| -453.760 | -86.183 | -86.183 | -0.000 | 0.000 | -0.000 |
| -86.183 | -453.760 | -86.183 | -0.000 | -0.000 | -0.000 |
| -86.183 | -86.183 | -453.760 | -0.000 | -0.000 | -0.000 |
| 0.000 | 0.000 | 0.000 | -86.907 | -0.000 | 0.000 |
| 0.000 | 0.000 | 0.000 | -0.000 | -86.907 | 0.000 |
| 0.000 | 0.000 | 0.000 | -0.000 | -0.000 | -86.907 |
| -453.760 | -86.183 | -86.183 | 0.000 | 0.000 | -0.000 |
| -86.183 | -453.760 | -86.183 | 0.000 | 0.000 | -0.000 |
| -86.183 | -86.183 | -453.760 | 0.000 | 0.000 | -0.000 |
| -0.000 | -0.000 | -0.000 | -86.907 | 0.000 | -0.000 |
| -0.000 | -0.000 | -0.000 | 0.000 | -86.907 | 0.000 |
| -0.000 | -0.000 | -0.000 | 0.000 | 0.000 | -86.907 |
| -453.760 | -86.183 | -86.183 | -0.000 | -0.000 | 0.000 |
| -86.183 | -453.760 | -86.183 | -0.000 | 0.000 | 0.000 |
| -86.183 | -86.183 | -453.760 | -0.000 | -0.000 | -0.000 |
| 0.000 | 0.000 | 0.000 | -86.907 | -0.000 | 0.000 |
| 0.000 | 0.000 | 0.000 | -0.000 | -86.907 | 0.000 |
| 0.000 | 0.000 | 0.000 | -0.000 | -0.000 | -86.907 |
| -453.761 | -86.183 | -86.183 | 0.000 | 0.000 | -0.000 |
| -86.183 | -453.761 | -86.183 | 0.000 | 0.000 | -0.000 |
| -86.183 | -86.183 | -453.761 | 0.000 | 0.000 | -0.000 |
| -0.000 | -0.000 | -0.000 | -86.907 | -0.000 | -0.000 |
| -0.000 | -0.000 | -0.000 | 0.000 | -86.907 | -0.000 |
| -0.000 | -0.000 | -0.000 | 0.000 | 0.000 | -86.907 |
| 76.146 | 10.683 | 10.683 | 0.000 | -0.000 | -0.000 |
| 10.683 | 76.146 | 10.683 | -0.000 | 0.000 | -0.000 |
| 10.683 | 10.683 | 76.146 | 0.000 | 0.000 | -0.000 |
| -0.000 | -0.000 | -0.000 | 10.070 | -0.000 | -0.000 |
| -0.000 | 0.000 | -0.000 | -0.000 | 10.070 | -0.000 |
| -0.000 | -0.000 | 0.000 | -0.000 | -0.000 | 10.070 |
| 76.146 | 10.683 | 10.683 | 0.000 | 0.000 | 0.000 |
| 10.683 | 76.146 | 10.683 | -0.000 | 0.000 | 0.000 |
| 10.683 | 10.683 | 76.146 | -0.000 | -0.000 | 0.000 |
| 0.000 | 0.000 | 0.000 | 10.070 | -0.000 | 0.000 |
| 0.000 | -0.000 | 0.000 | 0.000 | 10.070 | 0.000 |
| 0.000 | 0.000 | -0.000 | 0.000 | 0.000 | 10.070 |
| 76.146 | 10.683 | 10.683 | -0.000 | -0.000 | -0.000 |
| 10.683 | 76.146 | 10.683 | -0.000 | -0.000 | -0.000 |
| 10.683 | 10.683 | 76.146 | -0.000 | -0.000 | -0.000 |
| -0.000 | -0.000 | -0.000 | 10.070 | -0.000 | 0.000 |
| -0.000 | -0.000 | -0.000 | -0.000 | 10.070 | -0.000 |
| -0.000 | -0.000 | -0.000 | -0.000 | -0.000 | 10.070 |
| 76.146 | 10.683 | 10.683 | 0.000 | 0.000 | 0.000 |
| 10.683 | 76.146 | 10.683 | -0.000 | -0.000 | 0.000 |
| 10.683 | 10.683 | 76.146 | 0.000 | 0.000 | 0.000 |
| 0.000 | 0.000 | 0.000 | 10.070 | 0.000 | 0.000 |
| 0.000 | 0.000 | 0.000 | 0.000 | 10.070 | 0.000 |
| 0.000 | 0.000 | 0.000 | 0.000 | 0.000 | 10.070 |
| 76.146 | 10.683 | 10.683 | -0.000 | -0.000 | -0.000 |
| 10.683 | 76.146 | 10.683 | -0.000 | -0.000 | 0.000 |
| 10.683 | 10.683 | 76.146 | 0.000 | 0.000 | -0.000 |
| -0.000 | -0.000 | -0.000 | 10.070 | -0.000 | -0.000 |
| -0.000 | -0.000 | -0.000 | -0.000 | 10.070 | -0.000 |
| -0.000 | -0.000 | -0.000 | -0.000 | -0.000 | 10.070 |
| 76.146 | 10.683 | 10.683 | -0.000 | 0.000 | 0.000 |
| 10.683 | 76.146 | 10.683 | -0.000 | 0.000 | 0.000 |
| 10.683 | 10.683 | 76.146 | 0.000 | 0.000 | 0.000 |
| 0.000 | 0.000 | 0.000 | 10.070 | 0.000 | 0.000 |
| 0.000 | 0.000 | 0.000 | 0.000 | 10.070 | 0.000 |
| 0.000 | 0.000 | 0.000 | 0.000 | 0.000 | 10.070 |
| 407.678 | 583.712 | 583.712 | 0.000 | 0.000 | 0.000 |
| 583.712 | 407.678 | 583.712 | 0.000 | 0.000 | -0.000 |
| 583.712 | 583.712 | 407.678 | 0.000 | 0.000 | 0.000 |
| 0.000 | -0.000 | 0.000 | 323.045 | 0.000 | -0.000 |
| -0.000 | 0.000 | 0.000 | 0.000 | 323.045 | 0.000 |
| -0.000 | 0.000 | 0.000 | 0.000 | 0.000 | 323.045 |
| 407.678 | 583.712 | 583.712 | -0.000 | -0.000 | -0.000 |
| 583.712 | 407.678 | 583.712 | -0.000 | -0.000 | -0.000 |
| 583.712 | 583.712 | 407.678 | -0.000 | -0.000 | -0.000 |
| -0.000 | -0.000 | -0.000 | 323.045 | -0.000 | -0.000 |
| 0.000 | -0.000 | -0.000 | -0.000 | 323.045 | -0.000 |
| 0.000 | -0.000 | -0.000 | -0.000 | -0.000 | 323.045 |
| 407.678 | 583.712 | 583.712 | 0.000 | 0.000 | -0.000 |
| 583.712 | 407.678 | 583.712 | 0.000 | 0.000 | 0.000 |
| 583.712 | 583.712 | 407.678 | 0.000 | 0.000 | -0.000 |
| -0.000 | -0.000 | -0.000 | 323.045 | 0.000 | 0.000 |
| -0.000 | -0.000 | -0.000 | 0.000 | 323.045 | 0.000 |
| -0.000 | -0.000 | -0.000 | 0.000 | 0.000 | 323.045 |
| 407.678 | 583.712 | 583.712 | -0.000 | -0.000 | -0.000 |
| 583.712 | 407.678 | 583.712 | -0.000 | -0.000 | 0.000 |
| 583.712 | 583.712 | 407.678 | -0.000 | -0.000 | -0.000 |
| 0.000 | 0.000 | 0.000 | 323.045 | -0.000 | -0.000 |
| 0.000 | 0.000 | 0.000 | -0.000 | 323.045 | -0.000 |
| 0.000 | 0.000 | 0.000 | -0.000 | -0.000 | 323.045 |
| 407.679 | 583.713 | 583.713 | 0.000 | -0.000 | -0.000 |
| 583.713 | 407.679 | 583.713 | -0.000 | 0.000 | -0.000 |
| 583.713 | 583.713 | 407.679 | -0.000 | -0.000 | 0.000 |
| -0.000 | -0.001 | -0.000 | 323.045 | 0.000 | -0.000 |
| -0.001 | -0.000 | -0.000 | 0.000 | 323.045 | 0.000 |
| -0.001 | -0.000 | -0.000 | -0.000 | 0.000 | 323.045 |
| 407.678 | 583.711 | 583.711 | -0.000 | -0.000 | -0.000 |
| 583.711 | 407.678 | 583.711 | -0.000 | -0.000 | -0.000 |
| 583.711 | 583.711 | 407.678 | -0.000 | -0.000 | -0.000 |
| 0.000 | 0.001 | 0.000 | 323.045 | 0.000 | -0.000 |
| 0.001 | 0.000 | 0.000 | 0.000 | 323.045 | -0.000 |
| 0.001 | 0.000 | 0.000 | -0.000 | -0.000 | 323.045 |
| 30.931 | 36.741 | 36.741 | -0.000 | -0.000 | 0.000 |
| 36.741 | 30.931 | 36.741 | -0.000 | -0.000 | 0.000 |
| 36.741 | 36.741 | 30.931 | 0.000 | 0.000 | -0.000 |
| -0.000 | -0.000 | 0.000 | 31.890 | -0.000 | 0.000 |
| -0.000 | -0.000 | 0.000 | 0.000 | 31.890 | 0.000 |
| -0.000 | 0.000 | -0.000 | -0.000 | -0.000 | 31.890 |
| 30.931 | 36.741 | 36.741 | 0.000 | 0.000 | -0.000 |
| 36.741 | 30.931 | 36.741 | 0.000 | 0.000 | 0.000 |
| 36.741 | 36.741 | 30.931 | 0.000 | 0.000 | -0.000 |
| 0.000 | 0.000 | 0.000 | 31.890 | 0.000 | -0.000 |
| -0.000 | 0.000 | 0.000 | 0.000 | 31.890 | -0.000 |
| 0.000 | 0.000 | 0.000 | 0.000 | 0.000 | 31.890 |
| 30.931 | 36.741 | 36.741 | -0.000 | -0.000 | -0.000 |
| 36.741 | 30.931 | 36.741 | -0.000 | -0.000 | 0.000 |
| 36.741 | 36.741 | 30.931 | -0.000 | -0.000 | 0.000 |
| -0.000 | -0.000 | -0.000 | 31.890 | -0.000 | -0.000 |
| -0.000 | -0.000 | -0.000 | -0.000 | 31.890 | 0.000 |
| -0.000 | -0.000 | -0.000 | -0.000 | -0.000 | 31.890 |
| 30.931 | 36.741 | 36.741 | 0.000 | 0.000 | -0.000 |
| 36.741 | 30.931 | 36.741 | 0.000 | 0.000 | 0.000 |
| 36.741 | 36.741 | 30.931 | 0.000 | 0.000 | 0.000 |
| 0.000 | 0.000 | 0.000 | 31.890 | 0.000 | 0.000 |
| 0.000 | 0.000 | 0.000 | 0.000 | 31.890 | -0.000 |
| 0.000 | 0.000 | 0.000 | 0.000 | 0.000 | 31.890 |
| 30.931 | 36.741 | 36.741 | 0.000 | -0.000 | 0.000 |
| 36.741 | 30.931 | 36.741 | -0.000 | 0.000 | -0.000 |
| 36.741 | 36.741 | 30.931 | -0.000 | -0.000 | 0.000 |
| -0.000 | -0.000 | -0.000 | 31.890 | -0.000 | 0.000 |
| -0.000 | -0.000 | -0.000 | -0.000 | 31.890 | 0.000 |
| -0.000 | -0.000 | -0.000 | -0.000 | -0.000 | 31.890 |
| 30.931 | 36.741 | 36.741 | 0.000 | 0.000 | 0.000 |
| 36.741 | 30.931 | 36.741 | 0.000 | 0.000 | 0.000 |
| 36.741 | 36.741 | 30.931 | 0.000 | 0.000 | -0.000 |
| 0.000 | 0.000 | 0.000 | 31.890 | 0.000 | 0.000 |
| 0.000 | 0.000 | 0.000 | 0.000 | 31.890 | -0.000 |
| 0.000 | 0.000 | 0.000 | 0.000 | 0.000 | 31.890 |
| 176.703 | 120.268 | 120.268 | 0.000 | 0.000 | -0.000 |
| 120.268 | 176.703 | 120.268 | 0.000 | 0.000 | -0.000 |
| 120.268 | 120.268 | 176.703 | -0.000 | -0.000 | -0.000 |
| -0.000 | -0.000 | -0.000 | 75.363 | -0.000 | -0.000 |
| -0.000 | -0.000 | -0.000 | -0.000 | 75.363 | -0.000 |
| -0.000 | -0.000 | 0.000 | 0.000 | 0.000 | 75.363 |
| 176.703 | 120.268 | 120.268 | -0.000 | -0.000 | -0.000 |
| 120.268 | 176.703 | 120.268 | -0.000 | -0.000 | 0.000 |
| 120.268 | 120.268 | 176.703 | 0.000 | 0.000 | -0.000 |
| 0.000 | 0.000 | 0.000 | 75.363 | 0.000 | 0.000 |
| 0.000 | 0.000 | 0.000 | -0.000 | 75.363 | 0.000 |
| 0.000 | 0.000 | 0.000 | 0.000 | 0.000 | 75.363 |
| 176.703 | 120.268 | 120.268 | -0.000 | 0.000 | -0.000 |
| 120.268 | 176.703 | 120.268 | 0.000 | -0.000 | 0.000 |
| 120.268 | 120.268 | 176.703 | 0.000 | 0.000 | -0.000 |
| -0.000 | -0.000 | -0.000 | 75.363 | -0.000 | -0.000 |
| -0.000 | -0.000 | -0.000 | -0.000 | 75.363 | -0.000 |
| -0.000 | -0.000 | -0.000 | -0.000 | -0.000 | 75.363 |
| 176.703 | 120.268 | 120.268 | -0.000 | 0.000 | 0.000 |
| 120.268 | 176.703 | 120.268 | -0.000 | 0.000 | 0.000 |
| 120.268 | 120.268 | 176.703 | 0.000 | 0.000 | 0.000 |
| 0.000 | 0.000 | 0.000 | 75.363 | 0.000 | 0.000 |
| 0.000 | 0.000 | 0.000 | -0.000 | 75.363 | -0.000 |
| 0.000 | 0.000 | 0.000 | -0.000 | -0.000 | 75.363 |
| 176.703 | 120.268 | 120.268 | 0.000 | 0.000 | 0.000 |
| 120.268 | 176.703 | 120.268 | 0.000 | -0.000 | -0.000 |
| 120.268 | 120.268 | 176.703 | 0.000 | -0.000 | -0.000 |
| -0.000 | -0.000 | -0.000 | 75.363 | -0.000 | -0.000 |
| -0.000 | -0.000 | -0.000 | 0.000 | 75.363 | -0.000 |
| -0.000 | -0.000 | -0.000 | -0.000 | -0.000 | 75.363 |
| 176.704 | 120.268 | 120.268 | -0.000 | -0.000 | -0.000 |
| 120.268 | 176.704 | 120.268 | -0.000 | 0.000 | 0.000 |
| 120.268 | 120.268 | 176.704 | -0.000 | 0.000 | 0.000 |
| 0.000 | 0.000 | 0.000 | 75.363 | 0.000 | 0.000 |
| 0.000 | 0.000 | 0.000 | 0.000 | 75.363 | 0.000 |
| 0.000 | 0.000 | 0.000 | 0.000 | 0.000 | 75.363 |
| -530.015 | -380.602 | -380.602 | -0.002 | -0.001 | -0.001 |
| -380.602 | -530.015 | -380.602 | -0.001 | -0.002 | -0.001 |
| -380.602 | -380.602 | -530.015 | -0.001 | -0.001 | -0.002 |
| 0.012 | 0.003 | 0.003 | -6423.401 | -0.000 | -0.001 |
| 0.003 | 0.012 | 0.003 | -0.000 | -6423.401 | -0.001 |
| 0.003 | 0.002 | 0.012 | -0.000 | -0.001 | -6423.401 |
| -530.015 | -380.602 | -380.602 | 0.000 | 0.000 | 0.000 |
| -380.602 | -530.015 | -380.602 | 0.000 | 0.000 | 0.000 |
| -380.602 | -380.602 | -530.016 | 0.000 | 0.000 | 0.000 |
| -0.012 | -0.003 | -0.003 | -6423.398 | 0.001 | 0.001 |
| -0.003 | -0.012 | -0.003 | 0.001 | -6423.398 | 0.001 |
| -0.003 | -0.002 | -0.012 | 0.001 | 0.001 | -6423.398 |
| -530.015 | -380.602 | -380.602 | -0.000 | -0.000 | -0.000 |
| -380.602 | -530.015 | -380.602 | -0.000 | -0.000 | -0.000 |
| -380.602 | -380.602 | -530.015 | -0.000 | -0.000 | -0.000 |
| 0.000 | 0.000 | 0.000 | -207.602 | 0.000 | -0.000 |
| 0.000 | 0.000 | 0.000 | 0.000 | -207.602 | -0.000 |
| 0.000 | 0.000 | 0.000 | 0.000 | -0.000 | -207.602 |
| -530.015 | -380.602 | -380.602 | 0.000 | 0.000 | 0.000 |
| -380.602 | -530.015 | -380.602 | 0.000 | 0.000 | 0.000 |
| -380.602 | -380.602 | -530.015 | 0.000 | 0.000 | 0.000 |
| -0.000 | -0.000 | -0.000 | -207.602 | 0.000 | 0.000 |
| -0.000 | -0.000 | -0.000 | -0.000 | -207.602 | 0.000 |
| -0.000 | -0.000 | -0.000 | 0.000 | 0.000 | -207.602 |
| -530.014 | -380.602 | -380.602 | -0.000 | -0.000 | -0.000 |
| -380.602 | -530.014 | -380.602 | -0.000 | -0.000 | -0.000 |
| -380.602 | -380.602 | -530.014 | 0.000 | 0.000 | -0.000 |
| 0.000 | 0.001 | 0.000 | -207.602 | -0.000 | -0.000 |
| 0.001 | 0.000 | 0.000 | -0.000 | -207.602 | -0.000 |
| 0.001 | 0.000 | 0.000 | 0.000 | -0.000 | -207.602 |
| -530.016 | -380.602 | -380.602 | 0.000 | 0.000 | 0.000 |
| -380.602 | -530.016 | -380.602 | 0.000 | 0.000 | 0.000 |
| -380.602 | -380.602 | -530.016 | 0.000 | 0.000 | 0.000 |
| -0.000 | -0.001 | -0.000 | -207.602 | 0.000 | 0.000 |
| -0.001 | -0.000 | -0.000 | 0.000 | -207.602 | 0.000 |
| -0.001 | -0.000 | -0.000 | 0.000 | 0.000 | -207.602 |
| -191.283 | -139.746 | -139.746 | 0.000 | -0.000 | -0.000 |
| -139.746 | -191.283 | -139.746 | -0.000 | 0.000 | -0.000 |
| -139.746 | -139.746 | -191.283 | -0.000 | -0.000 | 0.000 |
| 0.000 | 0.000 | 0.000 | -140.730 | 0.000 | -0.000 |
| 0.000 | 0.000 | 0.000 | 0.000 | -140.730 | -0.000 |
| 0.000 | 0.000 | -0.000 | -0.000 | -0.000 | -140.730 |
| -191.283 | -139.746 | -139.746 | 0.000 | 0.000 | 0.001 |
| -139.746 | -191.283 | -139.746 | 0.000 | 0.000 | 0.001 |
| -139.746 | -139.746 | -191.283 | 0.000 | 0.000 | 0.001 |
| -0.000 | -0.000 | -0.000 | -140.730 | 0.000 | 0.000 |
| -0.000 | -0.000 | -0.000 | 0.000 | -140.730 | -0.000 |
| -0.003 | -0.003 | -0.013 | 0.001 | 0.000 | -6822.756 |
| -191.283 | -139.746 | -139.746 | 0.000 | -0.000 | -0.000 |
| -139.746 | -191.283 | -139.746 | -0.000 | 0.000 | -0.000 |
| -139.746 | -139.746 | -191.283 | -0.000 | -0.000 | -0.000 |
| 0.000 | 0.000 | 0.000 | -140.730 | -0.000 | -0.000 |
| 0.000 | 0.000 | 0.000 | -0.000 | -140.730 | 0.000 |
| 0.000 | 0.000 | 0.000 | 0.000 | 0.000 | -140.730 |
| -191.283 | -139.746 | -139.746 | 0.000 | 0.000 | 0.000 |
| -139.746 | -191.283 | -139.746 | 0.000 | 0.000 | 0.000 |
| -139.746 | -139.746 | -191.283 | 0.000 | 0.000 | -0.000 |
| -0.000 | -0.000 | -0.000 | -140.730 | 0.000 | 0.000 |
| -0.000 | -0.000 | -0.000 | 0.000 | -140.730 | 0.000 |
| -0.000 | -0.000 | -0.000 | 0.000 | 0.000 | -140.730 |
| -191.282 | -139.746 | -139.746 | 0.000 | -0.000 | -0.000 |
| -139.746 | -191.282 | -139.746 | -0.000 | 0.000 | -0.000 |
| -139.746 | -139.746 | -191.282 | -0.000 | -0.000 | -0.000 |
| 0.000 | 0.000 | 0.000 | -140.730 | 0.000 | -0.000 |
| 0.000 | 0.000 | 0.000 | 0.000 | -140.730 | -0.000 |
| 0.000 | 0.000 | 0.000 | 0.000 | -0.000 | -140.730 |
| -191.283 | -139.746 | -139.746 | 0.000 | 0.000 | 0.000 |
| -139.746 | -191.283 | -139.746 | 0.000 | 0.000 | 0.000 |
| -139.746 | -139.746 | -191.283 | 0.000 | 0.000 | 0.000 |
| -0.000 | -0.000 | -0.000 | -140.730 | 0.000 | 0.000 |
| -0.000 | -0.000 | -0.000 | 0.000 | -140.730 | 0.000 |
| -0.000 | -0.000 | -0.000 | 0.000 | 0.000 | -140.730 |
| 7.911 | 7.911 | 7.911 | -0.000 | -0.000 | -0.000 |
| 7.911 | 7.911 | 7.911 | -0.000 | -0.000 | -0.000 |
| 7.911 | 7.911 | 7.911 | 0.000 | 0.000 | -0.000 |
| 0.000 | 0.000 | 0.000 | -0.000 | -0.000 | -0.000 |
| 0.000 | -0.000 | 0.000 | -0.000 | -0.000 | -0.000 |
| -0.000 | 0.000 | 0.000 | 0.000 | -0.000 | -0.000 |
| 7.911 | 7.911 | 7.911 | 0.000 | 0.000 | 0.000 |
| 7.911 | 7.911 | 7.911 | 0.000 | 0.000 | 0.000 |
| 7.911 | 7.911 | 7.911 | 0.000 | 0.000 | 0.000 |
| 0.000 | -0.000 | -0.000 | 0.000 | 0.000 | 0.000 |
| -0.000 | -0.000 | -0.000 | 0.000 | 0.000 | 0.000 |
| -0.000 | -0.000 | 0.000 | 0.000 | 0.000 | 0.000 |
| 7.911 | 7.911 | 7.911 | -0.000 | -0.000 | -0.000 |
| 7.911 | 7.911 | 7.911 | -0.000 | -0.000 | -0.000 |
| 7.911 | 7.911 | 7.911 | -0.000 | -0.000 | -0.000 |
| -0.000 | -0.000 | -0.000 | -0.000 | -0.000 | -0.000 |
| -0.000 | -0.000 | -0.000 | -0.000 | -0.000 | 0.000 |
| -0.000 | -0.000 | -0.000 | 0.000 | 0.000 | -0.000 |
| 7.911 | 7.911 | 7.911 | 0.000 | 0.000 | 0.000 |
| 7.911 | 7.911 | 7.911 | 0.000 | 0.000 | 0.000 |
| 7.911 | 7.911 | 7.911 | 0.000 | 0.000 | 0.000 |
| 0.000 | 0.000 | 0.000 | 0.000 | 0.000 | 0.000 |
| 0.000 | 0.000 | 0.000 | 0.000 | 0.000 | 0.000 |
| 0.000 | 0.000 | 0.000 | 0.000 | -0.000 | 0.000 |
| 7.911 | 7.911 | 7.911 | -0.000 | -0.000 | -0.000 |
| 7.911 | 7.911 | 7.911 | -0.000 | -0.000 | -0.000 |
| 7.911 | 7.911 | 7.911 | -0.000 | -0.000 | -0.000 |
| -0.000 | -0.000 | -0.000 | -0.000 | -0.000 | -0.000 |
| -0.000 | -0.000 | -0.000 | -0.000 | -0.000 | -0.000 |
| -0.000 | -0.000 | -0.000 | -0.000 | 0.000 | -0.000 |
| 7.911 | 7.911 | 7.911 | 0.000 | 0.000 | 0.000 |
| 7.911 | 7.911 | 7.911 | 0.000 | 0.000 | 0.000 |
| 7.911 | 7.911 | 7.911 | 0.000 | -0.000 | 0.000 |
| 0.000 | 0.000 | 0.000 | 0.000 | 0.000 | 0.000 |
| 0.000 | 0.000 | 0.000 | 0.000 | 0.000 | 0.000 |
| 0.000 | 0.000 | 0.000 | 0.000 | -0.000 | 0.000 |
| 79.250 | 20.331 | 31.443 | -0.000 | 0.000 | 0.000 |
| 20.331 | 79.250 | 31.443 | 0.000 | -0.000 | -0.000 |
| 31.443 | 31.443 | 39.229 | 0.000 | 0.000 | 0.000 |
| 0.000 | 0.000 | 0.000 | 31.364 | 0.000 | 0.000 |
| 0.000 | 0.000 | 0.000 | 0.000 | 31.364 | 0.000 |
| -0.000 | -0.000 | 0.000 | -0.000 | 0.000 | 20.268 |
| 79.250 | 20.331 | 31.443 | -0.000 | 0.000 | -0.000 |
| 20.331 | 79.250 | 31.443 | 0.000 | -0.000 | -0.000 |
| 31.443 | 31.443 | 39.229 | -0.000 | 0.000 | -0.000 |
| -0.000 | 0.000 | -0.000 | 31.364 | 0.000 | -0.000 |
| 0.000 | -0.000 | -0.000 | 0.000 | 31.364 | -0.000 |
| -0.000 | 0.000 | -0.000 | -0.000 | -0.000 | 20.268 |
| 79.250 | 20.331 | 31.443 | 0.000 | 0.000 | -0.000 |
| 20.331 | 79.250 | 31.443 | -0.000 | 0.000 | -0.000 |
| 31.443 | 31.443 | 39.229 | 0.000 | 0.000 | 0.000 |
| -0.000 | -0.000 | -0.000 | 31.364 | 0.000 | 0.000 |
| -0.000 | -0.000 | -0.000 | 0.000 | 31.364 | 0.000 |
| -0.000 | -0.000 | -0.000 | 0.000 | 0.000 | 20.268 |
| 79.250 | 20.331 | 31.443 | 0.000 | -0.000 | -0.000 |
| 20.331 | 79.250 | 31.443 | -0.000 | -0.000 | 0.000 |
| 31.443 | 31.443 | 39.229 | -0.000 | -0.000 | -0.000 |
| 0.000 | 0.000 | 0.000 | 31.364 | -0.000 | -0.000 |
| 0.000 | 0.000 | 0.000 | -0.000 | 31.364 | -0.000 |
| 0.000 | 0.000 | 0.000 | -0.000 | -0.000 | 20.268 |
| 79.250 | 20.331 | 31.443 | 0.000 | -0.000 | 0.000 |
| 20.331 | 79.250 | 31.443 | -0.000 | 0.000 | 0.000 |
| 31.443 | 31.443 | 39.229 | 0.000 | 0.000 | 0.000 |
| -0.000 | -0.000 | -0.000 | 31.364 | 0.000 | 0.000 |
| -0.000 | -0.000 | -0.000 | 0.000 | 31.364 | 0.000 |
| -0.000 | -0.000 | -0.000 | 0.000 | 0.000 | 20.268 |
| 79.250 | 20.331 | 31.443 | -0.000 | -0.000 | -0.000 |
| 20.331 | 79.250 | 31.443 | 0.000 | -0.000 | -0.000 |
| 31.443 | 31.443 | 39.229 | -0.000 | -0.000 | 0.000 |
| 0.000 | 0.000 | 0.000 | 31.364 | -0.000 | -0.000 |
| 0.000 | 0.000 | 0.000 | -0.000 | 31.364 | -0.000 |
| 0.000 | 0.000 | 0.000 | -0.000 | -0.000 | 20.268 |
| 202.139 | 230.437 | 230.437 | 0.000 | 0.000 | 0.000 |
| 230.437 | 202.139 | 230.437 | 0.000 | 0.000 | -0.000 |
| 230.437 | 230.437 | 202.139 | 0.000 | 0.000 | 0.000 |
| -0.000 | -0.000 | -0.000 | 109.890 | -0.000 | -0.000 |
| -0.000 | -0.000 | -0.000 | -0.000 | 109.890 | -0.000 |
| -0.000 | -0.000 | 0.000 | -0.000 | -0.000 | 109.890 |
| 202.139 | 230.437 | 230.437 | -0.000 | -0.000 | 0.000 |
| 230.437 | 202.139 | 230.437 | -0.000 | -0.000 | 0.000 |
| 230.437 | 230.437 | 202.139 | 0.000 | 0.000 | -0.000 |
| 0.000 | -0.000 | -0.000 | 109.890 | -0.000 | 0.000 |
| 0.000 | 0.000 | 0.000 | -0.000 | 109.890 | 0.000 |
| 0.000 | 0.000 | -0.000 | 0.000 | 0.000 | 109.890 |
| 202.139 | 230.437 | 230.437 | 0.000 | 0.000 | 0.000 |
| 230.437 | 202.139 | 230.437 | 0.000 | 0.000 | -0.000 |
| 230.437 | 230.437 | 202.139 | 0.000 | 0.000 | 0.000 |
| -0.000 | -0.000 | -0.000 | 27.501 | 0.000 | -0.000 |
| -0.000 | -0.000 | -0.000 | 0.000 | 27.501 | -0.000 |
| -0.000 | -0.000 | -0.000 | 0.000 | 0.000 | 27.501 |
| 202.139 | 230.437 | 230.437 | -0.000 | -0.000 | 0.000 |
| 230.437 | 202.139 | 230.437 | -0.000 | -0.000 | 0.000 |
| 230.437 | 230.437 | 202.139 | 0.000 | 0.000 | -0.000 |
| 0.000 | 0.000 | 0.000 | 27.501 | 0.000 | 0.000 |
| 0.000 | 0.000 | 0.000 | 0.000 | 27.501 | 0.000 |
| 0.000 | 0.000 | 0.000 | -0.000 | 0.000 | 27.501 |
| 202.139 | 230.438 | 230.438 | 0.000 | 0.000 | 0.000 |
| 230.438 | 202.139 | 230.438 | 0.000 | 0.000 | -0.000 |
| 230.438 | 230.438 | 202.139 | -0.000 | -0.000 | -0.000 |
| -0.000 | -0.000 | -0.000 | 27.501 | -0.000 | -0.000 |
| -0.000 | -0.000 | -0.000 | 0.000 | 27.501 | -0.000 |
| -0.000 | -0.000 | -0.000 | 0.000 | 0.000 | 27.501 |
| 202.139 | 230.437 | 230.437 | 0.000 | 0.000 | 0.000 |
| 230.437 | 202.139 | 230.437 | 0.000 | 0.000 | 0.000 |
| 230.437 | 230.437 | 202.139 | 0.000 | 0.000 | 0.000 |
| 0.000 | 0.000 | 0.000 | 27.501 | -0.000 | 0.000 |
| 0.000 | 0.000 | 0.000 | -0.000 | 27.501 | 0.000 |
| 0.000 | 0.000 | 0.000 | -0.000 | -0.000 | 27.501 |
| -754.318 | -500.885 | -500.885 | -0.000 | -0.000 | -0.000 |
| -500.885 | -754.318 | -500.885 | -0.000 | 0.000 | -0.000 |
| -500.885 | -500.885 | -754.318 | -0.000 | 0.000 | -0.000 |
| 0.000 | 0.000 | -0.000 | -393.073 | 0.000 | -0.000 |
| 0.000 | 0.000 | -0.000 | -0.000 | -393.073 | -0.000 |
| 0.000 | -0.000 | 0.000 | -0.000 | 0.000 | -393.073 |
| -754.318 | -500.885 | -500.885 | 0.000 | 0.000 | 0.000 |
| -500.885 | -754.318 | -500.885 | 0.000 | -0.000 | 0.000 |
| -500.885 | -500.885 | -754.318 | 0.000 | 0.000 | 0.000 |
| -0.000 | 0.000 | 0.000 | -393.073 | -0.000 | 0.000 |
| 0.000 | -0.000 | 0.000 | -0.000 | -393.073 | 0.000 |
| 0.000 | 0.000 | -0.000 | 0.000 | -0.000 | -393.073 |
| -754.318 | -500.885 | -500.885 | -0.000 | -0.000 | -0.000 |
| -500.885 | -754.318 | -500.885 | -0.000 | -0.000 | -0.000 |
| -500.885 | -500.885 | -754.318 | -0.000 | -0.000 | -0.000 |
| 0.000 | 0.000 | 0.000 | -393.073 | 0.000 | -0.000 |
| 0.000 | 0.000 | 0.000 | 0.000 | -393.073 | 0.000 |
| 0.000 | 0.000 | 0.000 | -0.000 | 0.000 | -393.073 |
| -754.318 | -500.885 | -500.885 | -0.000 | -0.000 | 0.000 |
| -500.885 | -754.318 | -500.885 | 0.000 | -0.000 | 0.000 |
| -500.885 | -500.885 | -754.318 | 0.000 | -0.000 | 0.000 |
| -0.000 | -0.000 | -0.000 | -393.073 | -0.000 | 0.000 |
| -0.000 | -0.000 | -0.000 | -0.000 | -393.073 | -0.000 |
| -0.000 | -0.000 | -0.000 | 0.000 | -0.000 | -393.073 |
| -754.317 | -500.885 | -500.885 | 0.000 | 0.000 | -0.000 |
| -500.885 | -754.317 | -500.885 | -0.000 | 0.000 | -0.000 |
| -500.885 | -500.885 | -754.317 | -0.000 | 0.000 | 0.000 |
| 0.000 | 0.001 | 0.000 | -393.073 | -0.000 | -0.000 |
| 0.001 | 0.000 | 0.000 | -0.000 | -393.073 | -0.000 |
| 0.001 | 0.000 | 0.000 | -0.000 | 0.000 | -393.073 |
| -754.319 | -500.885 | -500.885 | 0.000 | -0.000 | -0.000 |
| -500.885 | -754.319 | -500.885 | 0.000 | -0.000 | -0.000 |
| -500.885 | -500.885 | -754.319 | -0.000 | -0.000 | -0.000 |
| -0.000 | -0.001 | -0.000 | -393.073 | 0.000 | 0.000 |
| -0.001 | -0.000 | -0.000 | 0.000 | -393.073 | 0.000 |
| -0.001 | -0.000 | -0.000 | 0.000 | -0.000 | -393.073 |
| -561.028 | -500.504 | -500.504 | 0.000 | 0.000 | -0.000 |
| -500.504 | -561.028 | -500.504 | 0.000 | 0.000 | -0.000 |
| -500.504 | -500.504 | -561.028 | 0.000 | 0.000 | 0.000 |
| 0.000 | 0.000 | 0.000 | -504.367 | 0.000 | -0.000 |
| 0.000 | 0.000 | 0.000 | 0.000 | -504.367 | -0.000 |
| 0.000 | 0.000 | 0.000 | 0.000 | 0.000 | -504.367 |
| -561.028 | -500.504 | -500.504 | -0.000 | -0.000 | 0.000 |
| -500.504 | -561.028 | -500.504 | -0.000 | -0.000 | 0.000 |
| -500.504 | -500.504 | -561.028 | -0.000 | -0.000 | -0.000 |
| -0.000 | -0.000 | -0.000 | -504.367 | -0.000 | 0.000 |
| -0.000 | -0.000 | -0.000 | -0.000 | -504.367 | 0.000 |
| -0.000 | -0.000 | -0.000 | -0.000 | -0.000 | -504.367 |
| -561.028 | -500.504 | -500.504 | 0.000 | 0.000 | -0.000 |
| -500.504 | -561.028 | -500.504 | 0.000 | 0.000 | -0.000 |
| -500.504 | -500.504 | -561.028 | 0.000 | 0.000 | -0.000 |
| 0.000 | 0.000 | 0.000 | -504.367 | 0.000 | 0.000 |
| 0.000 | 0.000 | 0.000 | -0.000 | -504.367 | 0.000 |
| 0.000 | 0.000 | 0.000 | 0.000 | 0.000 | -504.367 |
| -561.028 | -500.504 | -500.504 | -0.000 | -0.000 | 0.000 |
| -500.504 | -561.028 | -500.504 | -0.000 | -0.000 | 0.000 |
| -500.504 | -500.504 | -561.028 | -0.000 | -0.000 | 0.000 |
| -0.000 | -0.000 | -0.000 | -504.367 | -0.000 | 0.000 |
| -0.000 | -0.000 | -0.000 | -0.000 | -504.367 | 0.000 |
| -0.000 | -0.000 | -0.000 | -0.000 | -0.000 | -504.367 |
| -561.027 | -500.504 | -500.504 | 0.000 | 0.000 | -0.000 |
| -500.504 | -561.027 | -500.504 | 0.000 | 0.000 | -0.000 |
| -500.504 | -500.504 | -561.027 | 0.000 | 0.000 | -0.000 |
| 0.000 | 0.001 | 0.000 | -504.367 | 0.000 | 0.000 |
| 0.001 | 0.000 | 0.000 | 0.000 | -504.367 | -0.000 |
| 0.001 | 0.000 | 0.000 | 0.000 | 0.000 | -504.367 |
| -561.029 | -500.504 | -500.504 | -0.000 | -0.000 | 0.000 |
| -500.504 | -561.029 | -500.504 | -0.000 | -0.000 | 0.000 |
| -500.504 | -500.504 | -561.029 | -0.000 | -0.000 | 0.000 |
| -0.000 | -0.001 | -0.000 | -504.367 | -0.000 | -0.000 |
| -0.001 | -0.000 | -0.000 | -0.000 | -504.367 | -0.000 |
| -0.001 | -0.000 | -0.000 | -0.000 | -0.000 | -504.367 |
| -8.293 | 17.732 | 17.732 | -0.000 | -0.000 | -0.000 |
| 17.732 | -8.293 | 17.732 | -0.000 | -0.000 | -0.000 |
| 17.732 | 17.732 | -8.293 | -0.000 | -0.000 | -0.000 |
| 0.000 | 0.000 | 0.000 | -22.696 | -0.000 | -0.000 |
| 0.000 | 0.000 | 0.000 | -0.000 | -22.696 | -0.000 |
| 0.000 | 0.000 | 0.000 | -0.000 | -0.000 | -22.696 |
| -8.293 | 17.732 | 17.732 | 0.000 | 0.000 | 0.000 |
| 17.732 | -8.293 | 17.732 | 0.000 | 0.000 | 0.000 |
| 17.732 | 17.732 | -8.293 | 0.000 | 0.000 | 0.000 |
| -0.000 | -0.000 | -0.000 | -22.696 | 0.000 | 0.000 |
| -0.000 | -0.000 | -0.000 | 0.000 | -22.696 | 0.000 |
| -0.000 | -0.000 | -0.000 | 0.000 | 0.000 | -22.696 |
| -8.293 | 17.732 | 17.732 | -0.000 | -0.000 | -0.000 |
| 17.732 | -8.293 | 17.732 | -0.000 | -0.000 | -0.000 |
| 17.732 | 17.732 | -8.293 | -0.000 | -0.000 | -0.000 |
| -0.000 | -0.000 | 0.000 | 17.287 | -0.000 | -0.000 |
| -0.000 | -0.000 | 0.000 | -0.000 | 17.287 | -0.000 |
| -0.000 | 0.000 | -0.000 | -0.000 | -0.000 | 17.287 |
| -8.293 | 17.732 | 17.732 | 0.000 | 0.000 | 0.000 |
| 17.732 | -8.293 | 17.732 | 0.000 | 0.000 | 0.000 |
| 17.732 | 17.732 | -8.293 | 0.000 | 0.000 | 0.000 |
| 0.000 | 0.000 | -0.000 | 17.287 | 0.000 | 0.000 |
| 0.000 | 0.000 | -0.000 | 0.000 | 17.287 | 0.000 |
| 0.000 | -0.000 | 0.000 | 0.000 | 0.000 | 17.287 |
| -8.293 | 17.732 | 17.732 | -0.000 | -0.000 | -0.000 |
| 17.732 | -8.293 | 17.732 | -0.000 | -0.000 | -0.000 |
| 17.732 | 17.732 | -8.293 | -0.000 | -0.000 | -0.000 |
| -1436315.240 | -1253361.678 | -1242547.505 | -236497.518 | -8236.307 | 2574.952 |
| -1292898.718 | -1432830.752 | -1273574.149 | -2259.264 | -232511.174 | -4065.352 |
| -1275281.263 | -1272520.074 | -1435219.549 | 14433.555 | 5548.774 | -224484.324 |
| -8.293 | 17.732 | 17.732 | 0.000 | 0.000 | 0.000 |
| 17.732 | -8.293 | 17.732 | 0.000 | 0.000 | 0.000 |
| 17.732 | 17.732 | -8.293 | 0.000 | 0.000 | 0.000 |
| 1387417.359 | 1278606.637 | 1236330.878 | -221497.985 | 10076.258 | -5585.180 |
| 1279436.255 | 1347039.750 | 1236114.106 | 5240.167 | -228418.403 | -14611.817 |
| 1294458.534 | 1230828.213 | 1410783.558 | 1240.829 | -5094.249 | -217671.449 |
| 668.789 | 366.351 | 154.997 | -0.000 | -0.000 | -0.000 |
| 420.941 | 747.151 | 326.243 | -0.000 | -0.000 | -0.000 |
| 137.854 | 201.681 | 187.784 | -0.000 | -0.000 | -0.000 |
| -9.366 | -6.487 | -16.577 | 135.228 | -0.000 | -0.000 |
| -0.000 | -0.000 | 0.000 | -0.000 | 123.470 | -0.000 |
| -11.454 | -8.132 | -22.143 | -0.000 | -0.000 | 190.998 |
| 685.653 | 377.493 | 183.672 | 0.000 | 0.000 | 0.000 |
| 420.941 | 747.151 | 326.243 | 0.000 | 0.000 | 0.000 |
| 180.311 | 236.977 | 299.586 | 0.000 | 0.000 | 0.000 |
| 9.366 | 6.487 | 16.577 | 135.228 | 0.000 | 0.000 |
| -0.000 | 0.000 | -0.000 | -0.000 | 123.470 | 0.000 |
| 11.454 | 8.132 | 22.143 | 0.000 | 0.000 | 190.998 |
| 818.523 | 420.941 | 313.189 | -0.000 | -0.000 | -0.000 |
| 420.929 | 735.971 | 306.634 | -0.000 | -0.000 | -0.000 |
| 171.895 | 220.950 | 266.535 | -0.000 | -0.000 | -0.000 |
| 1.287 | -3.911 | -6.252 | 128.326 | -0.000 | 0.000 |
| -1.086 | -0.767 | -2.063 | -0.000 | 65.605 | -0.000 |
| -0.000 | -0.000 | -0.000 | -0.000 | -0.000 | 200.489 |
| 657.061 | 373.790 | 166.363 | 0.000 | 0.000 | 0.000 |
| 420.940 | 747.151 | 326.243 | 0.000 | 0.000 | -0.000 |
| 313.189 | 326.243 | 543.668 | 0.000 | 0.000 | 0.000 |
| -1.287 | 3.911 | 6.252 | 128.326 | 0.000 | 0.000 |
| 1.086 | 0.767 | 2.063 | 0.000 | 65.605 | 0.000 |
| 0.000 | 0.000 | 0.000 | 0.000 | 0.000 | 200.489 |
| 656.125 | 373.080 | 164.466 | -0.000 | -0.000 | -0.000 |
| 420.940 | 746.020 | 324.260 | -0.000 | -0.000 | -0.000 |
| 149.486 | 208.914 | 208.022 | -0.000 | -0.000 | 0.000 |
| -0.001 | -0.568 | -0.996 | 138.211 | -0.000 | 0.000 |
| -0.051 | -0.005 | -0.066 | -0.000 | 65.165 | -0.000 |
| 0.186 | -0.367 | -0.545 | -0.000 | -0.000 | 190.918 |
| 652.735 | 362.731 | 148.169 | 0.000 | 0.000 | 0.000 |
| 372.907 | 700.383 | 231.367 | 0.000 | 0.000 | 0.000 |
| 152.751 | 214.468 | 207.363 | 0.000 | 0.000 | 0.000 |
| 0.001 | 0.568 | 0.996 | 138.211 | -0.000 | 0.000 |
| 0.051 | 0.005 | 0.066 | 0.000 | 65.165 | 0.000 |
| 0.096 | 0.625 | 1.148 | 0.000 | -0.000 | 193.223 |
| 234.231 | 368.328 | 447.300 | 0.000 | 0.000 | 0.000 |
| 281.289 | 729.027 | 335.437 | 0.000 | 0.000 | -0.000 |
| 262.558 | 328.719 | 531.599 | 0.000 | 0.000 | -0.000 |
| 38.372 | 107.530 | 318.395 | 116.745 | 0.000 | 0.000 |
| 38.546 | 108.015 | 319.831 | 0.000 | 19.906 | -0.000 |
| -38.417 | 148.265 | 278.501 | -0.000 | 0.000 | 53.144 |
| 199.499 | 167.307 | -129.032 | -0.000 | -0.000 | 0.000 |
| 281.289 | 729.027 | 335.437 | -0.000 | -0.000 | -0.000 |
| 88.825 | 183.927 | -99.047 | -0.000 | -0.000 | 0.000 |
| -38.372 | -107.530 | -318.395 | 116.745 | -0.000 | 0.000 |
| -0.000 | -0.000 | -0.000 | -0.000 | 67.903 | 0.000 |
| 38.417 | -148.265 | -278.501 | -0.000 | -0.000 | 53.144 |
| 328.098 | 290.242 | 278.229 | 0.000 | 0.000 | -0.000 |
| 281.289 | 729.027 | 335.437 | 0.000 | 0.000 | -0.000 |
| 89.402 | 259.632 | 62.329 | 0.000 | 0.000 | 0.000 |
| -3.853 | 14.217 | 26.407 | 116.690 | 0.000 | 0.000 |
| 0.454 | 17.555 | 37.898 | 0.000 | -28.612 | -0.000 |
| -0.000 | -0.000 | -0.000 | 0.000 | 0.000 | 61.371 |
| 328.098 | 290.242 | 278.229 | -0.000 | -0.000 | 0.000 |
| 281.289 | 729.027 | 335.437 | -0.000 | -0.000 | -0.000 |
| 88.986 | 231.621 | 0.771 | -0.000 | -0.000 | -0.000 |
| 3.853 | -14.217 | -26.407 | 116.690 | -0.000 | 0.000 |
| 0.000 | 0.000 | 0.000 | -0.000 | 67.903 | 0.000 |
| 0.000 | 0.000 | 0.000 | -0.000 | -0.000 | 61.371 |
| 217.098 | 259.316 | 105.568 | 0.000 | 0.000 | -0.000 |
| 245.287 | 677.553 | 234.643 | 0.000 | 0.000 | -0.000 |
| 86.394 | 246.535 | 32.344 | 0.000 | 0.000 | -0.000 |
| 0.315 | 0.882 | 2.612 | 116.995 | 0.000 | 0.000 |
| 0.072 | 1.743 | 3.801 | 0.000 | -28.256 | -0.000 |
| -0.000 | -0.000 | -0.000 | 0.000 | 0.000 | 61.371 |
| 217.728 | 257.729 | 103.809 | 0.000 | -0.000 | -0.000 |
| 246.530 | 692.159 | 274.156 | -0.000 | -0.000 | -0.000 |
| 88.564 | 244.731 | 28.589 | -0.000 | -0.000 | 0.000 |
| -0.315 | -0.882 | -2.612 | 116.995 | -0.000 | 0.000 |
| 0.557 | -1.951 | -3.573 | 0.000 | -23.534 | 0.000 |
| 0.000 | 0.000 | 0.000 | -0.000 | -0.000 | 61.371 |
| 491.214 | 285.227 | 285.227 | -0.000 | -0.000 | -0.000 |
| 285.227 | 491.214 | 285.227 | -0.000 | -0.000 | -0.000 |
| 285.227 | 285.227 | 491.214 | -0.000 | -0.000 | -0.000 |
| 0.000 | -0.000 | -0.000 | 51.024 | -0.000 | 0.000 |
| 0.000 | 0.000 | -0.000 | 0.000 | 51.024 | -0.000 |
| 0.000 | -0.000 | -0.000 | -0.000 | -0.000 | 51.024 |
| 491.214 | 285.227 | 285.227 | 0.000 | 0.000 | 0.000 |
| 285.227 | 491.214 | 285.227 | -0.000 | -0.000 | 0.000 |
| 285.227 | 285.227 | 491.214 | 0.000 | 0.000 | 0.000 |
| -0.000 | 0.000 | 0.000 | 51.024 | 0.000 | -0.000 |
| -0.000 | -0.000 | 0.000 | 0.000 | 51.024 | 0.000 |
| -0.000 | 0.000 | 0.000 | 0.000 | 0.000 | 51.024 |
| 491.215 | 285.227 | 285.227 | -0.000 | -0.000 | 0.000 |
| 285.227 | 491.215 | 285.227 | 0.000 | 0.000 | 0.000 |
| 285.227 | 285.227 | 491.215 | 0.000 | -0.000 | -0.000 |
| 43225399.059 | 32495491.951 | 32495483.694 | -41109172.110 | -3.612 | -3.612 |
| 32495491.881 | 43225398.993 | 32495483.656 | -2.172 | -41109172.075 | -2.172 |
| 217245158.802 | 217245141.431 | 217245137.589 | -86673397.751 | -86673389.090 | -86673241.179 |
| 491.214 | 285.227 | 285.227 | 0.000 | 0.000 | -0.000 |
| 285.227 | 491.214 | 285.227 | -0.000 | -0.000 | 0.000 |
| 285.227 | 285.227 | 491.214 | 0.000 | 0.000 | 0.000 |
| -217245137.378 | -217245158.889 | -217245141.627 | -86673241.221 | -86673397.748 | 86673389.068 |
| -32495489.909 | -43225396.537 | -32495481.677 | -3.467 | -41109170.785 | 3.467 |
| -157709810.261 | -157436235.826 | -144133467.354 | -4900857.808 | 10984828.882 | -50317934.505 |
| 492.102 | 284.785 | 284.785 | 0.000 | -0.000 | -0.000 |
| 284.785 | 492.102 | 284.785 | -0.000 | -0.000 | -0.000 |
| 284.785 | 284.785 | 492.102 | -0.000 | -0.000 | -0.000 |
| 4322599.246 | 3249587.006 | 3249578.784 | -4110882.077 | 0.041 | 0.041 |
| 3249587.008 | 4322599.250 | 3249578.787 | -0.030 | -4110882.079 | -0.030 |
| 21724525.955 | 21724508.627 | 21724504.579 | 8667360.691 | 8667352.021 | -8667204.142 |
| 492.099 | 284.782 | 284.782 | 0.000 | 0.000 | 0.000 |
| 284.782 | 492.099 | 284.782 | 0.000 | 0.000 | -0.000 |
| 284.782 | 284.782 | 492.099 | -0.000 | -0.000 | 0.000 |
| -4322599.249 | -3249587.007 | -3249578.785 | -4110882.079 | 0.010 | -0.010 |
| -3249587.007 | -4322599.249 | -3249578.788 | 0.028 | -4110882.079 | -0.028 |
| -3249587.008 | -3249578.786 | -4322599.249 | -0.025 | 0.025 | -4110882.079 |
| 48.987 | 15.671 | 15.671 | 0.000 | 0.000 | 0.000 |
| 15.671 | 48.987 | 15.671 | 0.000 | 0.000 | 0.000 |
| 15.671 | 15.671 | 48.987 | 0.000 | 0.000 | 0.000 |
| 0.000 | -0.000 | -0.000 | -13.022 | 0.000 | 0.000 |
| 0.000 | -0.000 | -0.000 | -0.000 | -13.022 | -0.000 |
| 0.000 | -0.000 | -0.000 | 0.000 | -0.000 | -13.022 |
| 48.987 | 15.671 | 15.671 | -0.000 | -0.000 | -0.000 |
| 15.671 | 48.987 | 15.671 | -0.000 | -0.000 | -0.000 |
| 15.671 | 15.671 | 48.987 | -0.000 | 0.000 | -0.000 |
| -0.000 | -0.000 | 0.000 | -13.022 | 0.000 | 0.000 |
| 0.000 | 0.000 | 0.000 | 0.000 | -13.022 | 0.000 |
| -0.000 | -0.000 | 0.000 | -0.000 | 0.000 | -13.022 |
| 48.987 | 15.671 | 15.671 | 0.000 | 0.000 | 0.000 |
| 15.671 | 48.987 | 15.671 | 0.000 | 0.000 | 0.000 |
| 15.671 | 15.671 | 48.987 | 0.000 | 0.000 | 0.000 |
| -0.000 | 0.000 | -0.000 | -13.022 | -0.000 | 0.000 |
| 0.000 | -0.000 | -0.000 | 0.000 | -13.022 | 0.000 |
| 0.000 | -0.000 | -0.000 | 0.000 | 0.000 | -13.022 |
| 48.987 | 15.671 | 15.671 | -0.000 | -0.000 | -0.000 |
| 15.671 | 48.987 | 15.671 | -0.000 | -0.000 | -0.000 |
| 15.671 | 15.671 | 48.987 | -0.000 | -0.000 | -0.000 |
| 0.000 | -0.000 | 0.000 | -13.022 | -0.000 | 0.000 |
| -0.000 | 0.000 | 0.000 | -0.000 | -13.022 | -0.000 |
| -0.000 | 0.000 | 0.000 | 0.000 | -0.000 | -13.022 |
| 48.987 | 15.671 | 15.671 | 0.000 | 0.000 | 0.000 |
| 15.671 | 48.987 | 15.671 | 0.000 | 0.000 | -0.000 |
| 15.671 | 15.671 | 48.987 | -0.000 | -0.000 | 0.000 |
| -0.000 | 0.000 | -0.000 | -13.022 | 0.000 | 0.000 |
| 0.000 | -0.000 | -0.000 | 0.000 | -13.022 | 0.000 |
| 0.000 | -0.000 | -0.000 | 0.000 | 0.000 | -13.022 |
| 48.987 | 15.671 | 15.671 | -0.000 | -0.000 | -0.000 |
| 15.671 | 48.987 | 15.671 | -0.000 | -0.000 | -0.000 |
| 15.671 | 15.671 | 48.987 | -0.000 | -0.000 | -0.000 |
| 0.000 | -0.000 | 0.000 | -13.022 | -0.000 | 0.000 |
| -0.000 | 0.000 | 0.000 | 0.000 | -13.022 | -0.000 |
| -0.000 | 0.000 | 0.000 | -0.000 | -0.000 | -13.022 |
| 534.752 | 532.773 | 532.773 | 0.000 | 0.000 | -0.000 |
| 532.773 | 534.752 | 532.773 | 0.000 | 0.000 | 0.000 |
| 532.773 | 532.773 | 534.752 | 0.000 | 0.000 | 0.000 |
| 0.000 | -0.000 | 0.000 | 243.510 | 0.000 | 0.000 |
| -0.000 | 0.000 | 0.000 | 0.000 | 243.510 | 0.000 |
| -0.000 | -0.000 | -0.000 | -0.000 | 0.000 | 233.859 |
| 534.752 | 532.773 | 532.773 | 0.000 | -0.000 | -0.000 |
| 532.773 | 534.752 | 532.773 | -0.000 | 0.000 | -0.000 |
| 532.773 | 532.773 | 534.752 | -0.000 | -0.000 | 0.000 |
| -0.000 | 0.000 | -0.000 | 243.510 | -0.000 | -0.000 |
| 0.000 | -0.000 | -0.000 | -0.000 | 243.510 | -0.000 |
| 0.000 | -0.000 | 0.000 | -0.000 | -0.000 | 233.859 |
| 534.752 | 532.773 | 532.773 | 0.000 | 0.000 | 0.000 |
| 532.773 | 534.752 | 532.773 | 0.000 | 0.000 | 0.000 |
| 532.773 | 532.773 | 534.752 | 0.000 | 0.000 | -0.000 |
| -0.000 | -0.000 | -0.000 | 243.510 | 0.000 | 0.000 |
| -0.000 | -0.000 | -0.000 | -0.000 | 243.510 | 0.000 |
| -0.000 | -0.000 | -0.000 | 0.000 | 0.000 | 243.510 |
| 534.752 | 532.773 | 532.773 | -0.000 | -0.000 | -0.000 |
| 532.773 | 534.752 | 532.773 | -0.000 | -0.000 | -0.000 |
| 532.773 | 532.773 | 534.752 | -0.000 | -0.000 | -0.000 |
| 0.000 | 0.000 | 0.000 | 243.510 | -0.000 | -0.000 |
| 0.000 | 0.000 | 0.000 | -0.000 | 243.510 | -0.000 |
| 0.000 | 0.000 | 0.000 | -0.000 | -0.000 | 243.510 |
| 534.753 | 532.774 | 532.774 | 0.000 | 0.000 | -0.000 |
| 532.774 | 534.753 | 532.774 | 0.000 | 0.000 | 0.000 |
| 532.774 | 532.774 | 534.753 | 0.000 | 0.000 | 0.000 |
| -0.000 | -0.001 | -0.000 | 243.510 | -0.000 | 0.000 |
| -0.001 | -0.000 | -0.000 | -0.000 | 243.510 | 0.000 |
| -0.001 | -0.000 | -0.000 | -0.000 | 0.000 | 243.510 |
| 534.751 | 532.772 | 532.772 | 0.000 | 0.000 | 0.000 |
| 532.772 | 534.751 | 532.772 | 0.000 | -0.000 | 0.000 |
| 532.772 | 532.772 | 534.751 | 0.000 | 0.000 | -0.000 |
| 0.000 | 0.001 | 0.000 | 243.510 | -0.000 | 0.000 |
| 0.001 | 0.000 | 0.000 | -0.000 | 243.510 | -0.000 |
| 0.001 | 0.000 | 0.000 | 0.000 | -0.000 | 243.510 |
| -49.595 | -648.464 | -648.464 | -0.000 | 0.000 | -0.000 |
| -648.464 | -49.595 | -648.464 | -0.000 | 0.000 | -0.000 |
| -648.464 | -648.464 | -49.595 | -0.000 | -0.000 | -0.000 |
| -0.000 | -0.000 | 0.000 | -587.526 | -0.000 | -0.000 |
| -0.000 | -0.000 | 0.000 | -0.000 | -587.526 | -0.000 |
| -0.000 | -0.000 | 0.000 | -0.000 | -0.000 | -587.526 |
| -49.595 | -648.464 | -648.464 | 0.000 | 0.000 | 0.000 |
| -648.463 | -49.595 | -648.464 | -0.000 | 0.000 | 0.000 |
| -648.463 | -648.464 | -49.595 | 0.000 | 0.000 | 0.000 |
| 0.000 | -0.000 | -0.000 | -587.526 | 0.000 | 0.000 |
| -0.000 | 0.000 | -0.000 | 0.000 | -587.526 | 0.000 |
| 0.000 | 0.000 | -0.000 | 0.000 | -0.000 | -587.526 |
| -49.595 | -648.464 | -648.464 | -0.000 | -0.000 | -0.000 |
| -648.464 | -49.595 | -648.464 | -0.000 | -0.000 | -0.000 |
| -648.464 | -648.464 | -49.595 | -0.000 | -0.000 | -0.000 |
| 0.000 | 0.000 | 0.000 | -587.526 | 0.000 | -0.000 |
| 0.000 | 0.000 | 0.000 | 0.000 | -587.526 | -0.000 |
| 0.000 | 0.000 | 0.000 | -0.000 | -0.000 | -587.526 |
| -49.595 | -648.464 | -648.464 | 0.000 | 0.000 | 0.000 |
| -648.464 | -49.595 | -648.464 | 0.000 | 0.000 | 0.000 |
| -648.464 | -648.464 | -49.595 | 0.000 | 0.000 | 0.000 |
| -0.000 | -0.000 | -0.000 | -587.526 | -0.000 | 0.000 |
| -0.000 | -0.000 | -0.000 | 0.000 | -587.526 | 0.000 |
| -0.000 | -0.000 | -0.000 | -0.000 | 0.000 | -587.526 |
| -49.595 | -648.464 | -648.464 | -0.000 | -0.000 | -0.000 |
| -648.464 | -49.595 | -648.464 | -0.000 | -0.000 | 0.000 |
| -648.464 | -648.464 | -49.595 | -0.000 | -0.000 | -0.000 |
| 0.000 | 0.002 | 0.000 | -587.526 | -0.000 | -0.000 |
| 0.002 | 0.000 | 0.000 | -0.000 | -587.526 | -0.000 |
| 0.002 | 0.000 | 0.000 | 0.000 | 0.000 | -587.526 |
| -49.595 | -648.463 | -648.463 | 0.000 | -0.000 | 0.000 |
| -648.463 | -49.595 | -648.463 | 0.000 | 0.000 | 0.000 |
| -648.463 | -648.463 | -49.595 | -0.000 | 0.000 | 0.000 |
| -0.000 | -0.002 | -0.000 | -587.526 | -0.000 | 0.000 |
| -0.002 | -0.000 | -0.000 | -0.000 | -587.526 | 0.000 |
| -0.002 | -0.000 | -0.000 | -0.000 | 0.000 | -587.526 |
| -738.627 | -609.109 | -609.109 | 0.000 | 0.000 | 0.000 |
| -609.109 | -738.627 | -609.109 | 0.000 | 0.000 | 0.000 |
| -609.109 | -609.109 | -738.627 | 0.000 | 0.000 | -0.000 |
| 0.000 | 0.000 | 0.000 | -611.687 | 0.000 | 0.000 |
| 0.000 | 0.000 | 0.000 | 0.000 | -611.687 | -0.000 |
| 0.000 | 0.000 | 0.000 | 0.000 | 0.000 | -611.687 |
| -738.627 | -609.109 | -609.109 | 0.000 | 0.000 | 0.000 |
| -609.109 | -738.627 | -609.109 | 0.000 | -0.000 | 0.000 |
| -609.109 | -609.109 | -738.627 | -0.000 | -0.000 | -0.000 |
| -0.000 | -0.000 | -0.000 | -611.687 | -0.000 | -0.000 |
| -0.000 | -0.000 | -0.000 | -0.000 | -611.687 | -0.000 |
| -0.000 | -0.000 | -0.000 | -0.000 | -0.000 | -611.687 |
| -738.626 | -609.109 | -609.109 | -0.000 | 0.000 | 0.000 |
| -609.109 | -738.626 | -609.109 | 0.000 | -0.000 | 0.000 |
| -609.109 | -609.109 | -738.626 | 0.000 | 0.000 | -0.000 |
| 0.000 | 0.000 | 0.000 | -611.687 | -0.000 | 0.000 |
| 0.000 | 0.000 | 0.000 | -0.000 | -611.687 | -0.000 |
| 0.000 | 0.000 | 0.000 | 0.000 | 0.000 | -611.687 |
| -738.627 | -609.109 | -609.109 | -0.000 | -0.000 | -0.000 |
| -609.109 | -738.627 | -609.109 | -0.000 | -0.000 | -0.000 |
| -609.109 | -609.109 | -738.627 | -0.000 | -0.000 | -0.000 |
| -0.000 | -0.000 | -0.000 | -611.687 | -0.000 | -0.000 |
| -0.000 | -0.000 | -0.000 | -0.000 | -611.687 | -0.000 |
| -0.000 | -0.000 | -0.000 | -0.000 | -0.000 | -611.687 |
| -738.625 | -609.109 | -609.109 | 0.000 | 0.000 | 0.000 |
| -609.109 | -738.625 | -609.109 | 0.000 | 0.000 | -0.000 |
| -609.109 | -609.109 | -738.625 | 0.000 | 0.000 | 0.000 |
| 0.001 | 0.002 | 0.001 | -625.022 | 0.000 | 0.000 |
| 0.002 | 0.001 | 0.001 | 0.000 | -625.022 | -0.000 |
| 0.002 | 0.001 | 0.001 | 0.000 | 0.000 | -625.022 |
| -738.628 | -609.109 | -609.109 | -0.000 | -0.000 | -0.000 |
| -609.109 | -738.628 | -609.109 | 0.000 | -0.000 | 0.000 |
| -609.109 | -609.109 | -738.628 | -0.000 | -0.000 | -0.000 |
| -0.001 | -0.002 | -0.001 | -625.022 | -0.000 | -0.000 |
| -0.002 | -0.001 | -0.001 | -0.000 | -625.022 | 0.000 |
| -0.002 | -0.001 | -0.001 | -0.000 | -0.000 | -625.022 |
| 33.563 | 31.343 | 31.343 | 0.000 | 0.000 | -0.000 |
| 31.343 | 33.563 | 31.343 | 0.000 | 0.000 | 0.000 |
| 31.343 | 31.343 | 33.563 | 0.000 | 0.000 | -0.000 |
| -0.000 | -0.000 | 0.000 | 29.641 | 0.000 | -0.000 |
| -0.000 | -0.000 | 0.000 | 0.000 | 29.641 | 0.000 |
| -0.000 | -0.000 | 0.000 | 0.000 | 0.000 | 29.640 |
| 33.563 | 31.344 | 31.343 | -0.000 | -0.000 | 0.000 |
| 31.344 | 33.563 | 31.343 | -0.000 | -0.000 | -0.000 |
| 31.344 | 31.344 | 33.563 | -0.000 | -0.000 | 0.000 |
| 0.000 | 0.000 | -0.000 | 29.640 | -0.000 | -0.000 |
| 0.000 | 0.000 | -0.000 | -0.000 | 29.640 | -0.000 |
| 0.000 | 0.000 | -0.000 | -0.000 | -0.000 | 29.640 |
| 33.563 | 31.343 | 31.344 | 0.000 | 0.000 | 0.000 |
| 31.343 | 33.563 | 31.344 | 0.000 | 0.000 | 0.000 |
| 31.343 | 31.343 | 33.563 | 0.000 | 0.000 | 0.000 |
| -0.000 | -0.000 | 0.000 | 29.640 | 0.000 | 0.000 |
| -0.000 | -0.000 | 0.000 | 0.000 | 29.640 | -0.000 |
| -0.000 | -0.000 | 0.000 | 0.000 | 0.000 | 29.640 |
| 33.563 | 31.343 | 31.343 | -0.000 | -0.000 | 0.000 |
| 31.343 | 33.563 | 31.343 | -0.000 | -0.000 | -0.000 |
| 31.343 | 31.343 | 33.563 | -0.000 | -0.000 | 0.000 |
| 0.000 | 0.000 | -0.000 | 29.640 | -0.000 | -0.000 |
| 0.000 | 0.000 | -0.000 | -0.000 | 29.640 | 0.000 |
| 0.000 | 0.000 | -0.000 | -0.000 | -0.000 | 29.640 |
| 33.563 | 31.344 | 31.344 | -0.000 | -0.000 | -0.000 |
| 31.344 | 33.563 | 31.344 | -0.000 | -0.000 | 0.000 |
| 31.344 | 31.344 | 33.563 | 0.000 | 0.000 | -0.000 |
| -0.000 | -0.000 | -0.000 | 28.548 | 0.000 | 0.000 |
| -0.000 | -0.000 | -0.000 | 0.000 | 28.548 | -0.000 |
| -0.000 | -0.000 | -0.000 | -0.000 | 0.000 | 28.548 |
| 33.563 | 31.343 | 31.343 | -0.000 | -0.000 | 0.000 |
| 31.343 | 33.563 | 31.343 | -0.000 | -0.000 | 0.000 |
| 31.343 | 31.343 | 33.563 | -0.000 | -0.000 | 0.000 |
| 0.000 | 0.000 | 0.000 | 28.548 | 0.000 | -0.000 |
| 0.000 | 0.000 | 0.000 | 0.000 | 28.548 | -0.000 |
| 0.000 | 0.000 | 0.000 | 0.000 | -0.000 | 28.548 |
| 459.539 | 249.633 | 249.633 | 0.000 | 0.000 | -0.000 |
| 249.633 | 459.539 | 249.633 | 0.000 | 0.000 | -0.000 |
| 249.633 | 249.633 | 459.539 | 0.000 | 0.000 | 0.000 |
| 0.000 | 0.000 | 0.000 | 86.418 | 0.000 | -0.000 |
| 0.000 | -0.000 | 0.000 | 0.000 | 86.418 | 0.000 |
| 0.000 | -0.000 | -0.000 | 0.000 | 0.000 | 86.418 |
| 459.539 | 249.633 | 249.633 | -0.000 | -0.000 | -0.000 |
| 249.633 | 459.539 | 249.633 | -0.000 | -0.000 | -0.000 |
| 249.633 | 249.633 | 459.539 | -0.000 | -0.000 | -0.000 |
| -0.000 | 0.000 | -0.000 | 86.418 | 0.000 | -0.000 |
| 0.000 | 0.000 | -0.000 | -0.000 | 86.418 | -0.000 |
| -0.000 | 0.000 | 0.000 | -0.000 | -0.000 | 86.418 |
| 459.539 | 249.633 | 249.633 | 0.000 | 0.000 | 0.000 |
| 249.633 | 459.539 | 249.633 | 0.000 | 0.000 | 0.000 |
| 249.633 | 249.633 | 459.539 | 0.000 | 0.000 | 0.000 |
| -0.000 | -0.000 | -0.000 | 86.418 | 0.000 | -0.000 |
| -0.000 | -0.000 | -0.000 | 0.000 | 86.418 | 0.000 |
| -0.000 | -0.000 | -0.000 | 0.000 | 0.000 | 86.418 |
| 459.540 | 249.633 | 249.633 | 0.000 | -0.000 | -0.000 |
| 249.633 | 459.540 | 249.633 | -0.000 | -0.000 | -0.000 |
| 249.633 | 249.633 | 459.539 | -0.000 | -0.000 | -0.000 |
| 0.000 | 0.000 | 0.000 | 86.418 | -0.000 | -0.000 |
| 0.000 | 0.000 | 0.000 | -0.000 | 86.418 | -0.000 |
| 0.000 | 0.000 | 0.000 | -0.000 | -0.000 | 86.418 |
| 459.539 | 249.633 | 249.633 | 0.000 | 0.000 | 0.000 |
| 249.633 | 459.539 | 249.633 | 0.000 | 0.000 | -0.000 |
| 249.633 | 249.633 | 459.539 | 0.000 | 0.000 | 0.000 |
| -0.000 | -0.000 | -0.000 | 86.418 | 0.000 | 0.000 |
| -0.000 | -0.000 | -0.000 | 0.000 | 86.418 | 0.000 |
| -0.000 | -0.000 | -0.000 | 0.000 | 0.000 | 86.418 |
| 459.540 | 249.633 | 249.633 | -0.000 | -0.000 | 0.000 |
| 249.633 | 459.540 | 249.633 | -0.000 | -0.000 | -0.000 |
| 249.633 | 249.633 | 459.540 | -0.000 | -0.000 | -0.000 |
| 0.000 | 0.000 | 0.000 | 86.418 | -0.000 | 0.000 |
| 0.000 | 0.000 | 0.000 | -0.000 | 86.418 | -0.000 |
| 0.000 | 0.000 | 0.000 | -0.000 | -0.000 | 86.418 |
| -35.611 | 172.978 | 172.978 | 0.000 | 0.000 | 0.000 |
| 172.978 | -35.611 | 172.978 | 0.000 | 0.000 | -0.000 |
| 172.978 | 172.978 | -35.611 | 0.000 | 0.000 | 0.000 |
| 0.000 | 0.000 | 0.000 | 111.372 | 0.000 | -0.000 |
| 0.000 | 0.000 | 0.000 | 0.000 | 111.372 | -0.000 |
| 0.000 | 0.000 | 0.000 | -0.000 | 0.000 | 111.372 |
| -35.611 | 172.978 | 172.978 | -0.000 | 0.000 | -0.000 |
| 172.978 | -35.611 | 172.978 | 0.000 | 0.000 | 0.000 |
| 172.978 | 172.978 | -35.611 | -0.000 | -0.000 | 0.000 |
| -0.000 | -0.000 | -0.000 | 111.372 | -0.000 | 0.000 |
| -0.000 | -0.000 | -0.000 | -0.000 | 111.372 | -0.000 |
| -0.000 | -0.000 | -0.000 | 0.000 | -0.000 | 111.372 |
| -35.611 | 172.978 | 172.978 | 0.000 | 0.000 | 0.000 |
| 172.978 | -35.611 | 172.978 | 0.000 | 0.000 | -0.000 |
| 172.978 | 172.978 | -35.611 | 0.000 | 0.000 | -0.000 |
| -0.000 | -0.000 | 0.000 | 111.372 | 0.000 | 0.000 |
| -0.000 | -0.000 | 0.000 | 0.000 | 111.372 | -0.000 |
| -0.000 | 0.000 | -0.000 | 0.000 | 0.000 | 111.372 |
| -35.611 | 172.978 | 172.978 | -0.000 | -0.000 | -0.000 |
| 172.978 | -35.611 | 172.978 | -0.000 | -0.000 | 0.000 |
| 172.978 | 172.978 | -35.611 | -0.000 | -0.000 | 0.000 |
| 0.000 | 0.000 | -0.000 | 111.372 | -0.000 | -0.000 |
| 0.000 | 0.000 | -0.000 | -0.000 | 111.372 | 0.000 |
| 0.000 | -0.000 | 0.000 | -0.000 | -0.000 | 111.372 |
| -35.611 | 172.978 | 172.978 | 0.000 | 0.000 | -0.000 |
| 172.978 | -35.611 | 172.978 | 0.000 | 0.000 | -0.000 |
| 172.978 | 172.978 | -35.611 | 0.000 | 0.000 | -0.000 |
| -0.000 | -0.000 | 0.000 | 111.372 | 0.000 | -0.000 |
| -0.000 | -0.000 | 0.000 | 0.000 | 111.372 | 0.000 |
| -0.000 | 0.000 | -0.000 | 0.000 | 0.000 | 111.372 |
| -35.611 | 172.978 | 172.978 | -0.000 | -0.000 | -0.000 |
| 172.978 | -35.611 | 172.978 | -0.000 | -0.000 | -0.000 |
| 172.978 | 172.978 | -35.611 | -0.000 | -0.000 | -0.000 |
| 0.000 | 0.000 | -0.000 | 111.372 | -0.000 | -0.000 |
| 0.000 | 0.000 | -0.000 | -0.000 | 111.372 | -0.000 |
| 0.000 | -0.000 | 0.000 | -0.000 | -0.000 | 111.372 |
| 116.174 | 29.754 | 29.754 | 0.000 | 0.000 | 0.000 |
| 29.754 | 116.174 | 29.754 | 0.000 | 0.000 | 0.000 |
| 29.754 | 29.754 | 116.174 | 0.000 | 0.000 | 0.000 |
| 0.000 | -0.000 | -0.000 | 30.293 | 0.000 | 0.000 |
| -0.000 | -0.000 | -0.000 | 0.000 | 30.293 | 0.000 |
| -0.000 | -0.000 | -0.000 | 0.000 | 0.000 | 30.293 |
| 116.174 | 29.754 | 29.754 | -0.000 | -0.000 | -0.000 |
| 29.754 | 116.174 | 29.754 | -0.000 | -0.000 | -0.000 |
| 29.754 | 29.754 | 116.174 | -0.000 | -0.000 | -0.000 |
| -0.000 | 0.000 | 0.000 | 30.293 | -0.000 | -0.000 |
| -0.000 | 0.000 | 0.000 | -0.000 | 30.293 | -0.000 |
| -0.000 | 0.000 | 0.000 | -0.000 | -0.000 | 30.293 |
| 116.174 | 29.754 | 29.754 | 0.000 | 0.000 | 0.000 |
| 29.754 | 116.174 | 29.754 | 0.000 | 0.000 | 0.000 |
| 29.754 | 29.754 | 116.174 | 0.000 | 0.000 | 0.000 |
| -0.000 | -0.000 | -0.000 | 30.293 | 0.000 | 0.000 |
| -0.000 | -0.000 | -0.000 | 0.000 | 30.293 | 0.000 |
| -0.000 | -0.000 | -0.000 | 0.000 | 0.000 | 30.293 |
| 116.174 | 29.754 | 29.754 | -0.000 | -0.000 | -0.000 |
| 29.754 | 116.174 | 29.754 | 0.000 | -0.000 | 0.000 |
| 29.754 | 29.754 | 116.174 | 0.000 | 0.000 | -0.000 |
| 0.000 | 0.000 | 0.000 | 30.293 | -0.000 | -0.000 |
| 0.000 | 0.000 | 0.000 | -0.000 | 30.293 | -0.000 |
| 0.000 | 0.000 | 0.000 | -0.000 | -0.000 | 30.293 |
| 116.174 | 29.754 | 29.754 | 0.000 | 0.000 | 0.000 |
| 29.754 | 116.174 | 29.754 | 0.000 | 0.000 | 0.000 |
| 29.754 | 29.754 | 116.174 | -0.000 | 0.000 | 0.000 |
| -0.000 | -0.000 | -0.000 | 30.293 | 0.000 | 0.000 |
| -0.000 | -0.000 | -0.000 | 0.000 | 30.293 | 0.000 |
| -0.000 | -0.000 | -0.000 | 0.000 | 0.000 | 30.293 |
| 116.174 | 29.754 | 29.754 | -0.000 | -0.000 | -0.000 |
| 29.754 | 116.174 | 29.754 | 0.000 | -0.000 | -0.000 |
| 29.754 | 29.754 | 116.174 | -0.000 | -0.000 | -0.000 |
| 0.000 | 0.000 | 0.000 | 30.293 | -0.000 | -0.000 |
| 0.000 | 0.000 | 0.000 | -0.000 | 30.293 | -0.000 |
| 0.000 | 0.000 | 0.000 | -0.000 | -0.000 | 30.293 |
| 561.817 | 311.624 | 393.906 | 0.000 | 0.000 | 0.000 |
| 358.309 | 601.050 | 384.001 | -0.000 | -0.000 | 0.000 |
| 394.469 | 394.469 | 632.223 | -0.000 | -0.000 | 0.000 |
| 45.649 | 45.649 | -10.525 | 169.809 | -0.000 | 0.000 |
| -0.000 | 0.000 | -0.000 | 0.000 | 176.602 | 0.000 |
| 45.821 | 45.821 | -10.564 | 0.000 | -0.000 | 121.373 |
| 509.411 | 266.662 | 405.130 | -0.000 | 0.000 | -0.000 |
| 277.762 | 498.640 | 405.093 | 0.000 | 0.000 | -0.000 |
| 349.482 | 349.482 | 642.595 | 0.000 | 0.000 | -0.000 |
| -45.732 | -45.732 | 10.544 | 174.827 | -0.000 | -0.000 |
| 0.000 | -0.000 | 0.000 | 0.000 | 176.602 | -0.000 |
| -45.821 | -45.821 | 10.564 | 0.000 | 0.000 | 121.373 |
| 557.020 | 324.461 | 392.979 | -0.000 | -0.000 | 0.000 |
| 311.624 | 561.817 | 393.906 | -0.000 | -0.000 | 0.000 |
| 394.469 | 394.469 | 632.223 | -0.000 | -0.000 | 0.000 |
| -0.000 | -0.000 | -0.000 | 176.602 | -0.000 | 0.000 |
| -0.000 | -0.000 | -0.000 | 0.000 | 176.602 | 0.000 |
| 6.076 | 6.076 | -1.401 | -0.000 | -0.000 | 120.159 |
| 561.817 | 311.624 | 393.906 | 0.000 | 0.000 | -0.000 |
| 307.394 | 549.168 | 395.852 | -0.000 | 0.000 | -0.000 |
| 390.566 | 390.566 | 633.123 | 0.000 | 0.000 | -0.000 |
| 0.000 | 0.000 | 0.000 | 176.602 | 0.000 | -0.000 |
| 0.000 | 0.000 | 0.000 | 0.000 | 176.602 | -0.000 |
| -6.076 | -6.076 | 1.401 | 0.000 | 0.000 | 120.159 |
| 561.817 | 311.624 | 393.906 | -0.000 | -0.000 | 0.000 |
| 323.891 | 544.709 | 394.464 | -0.000 | -0.000 | 0.000 |
| 395.588 | 395.588 | 631.966 | -0.000 | -0.000 | 0.000 |
| 1.575 | 1.574 | -0.363 | 170.491 | -0.000 | 0.000 |
| 1.574 | 1.575 | -0.363 | -0.000 | 170.491 | 0.000 |
| 0.475 | 0.476 | -0.110 | -0.000 | -0.000 | 110.409 |
| 543.874 | 322.900 | 394.674 | 0.000 | 0.000 | -0.000 |
| 312.219 | 550.792 | 395.108 | 0.000 | 0.000 | -0.000 |
| 394.674 | 394.674 | 632.176 | -0.000 | -0.000 | -0.000 |
| -1.575 | -1.574 | 0.363 | 170.491 | 0.000 | -0.000 |
| -1.574 | -1.575 | 0.363 | 0.000 | 170.491 | -0.000 |
| -0.475 | -0.476 | 0.110 | 0.000 | 0.000 | 110.409 |
| 561.018 | 311.092 | 397.256 | 0.000 | 0.000 | -0.000 |
| 311.092 | 561.018 | 397.256 | 0.000 | 0.000 | -0.000 |
| 397.256 | 397.256 | 645.153 | 0.000 | 0.000 | -0.000 |
| 0.000 | 0.000 | 0.000 | 179.087 | 0.000 | -0.000 |
| 1.981 | 1.981 | -0.435 | 0.000 | 173.787 | -0.000 |
| 0.000 | -0.000 | 0.000 | 0.000 | 0.000 | 124.963 |
| 561.018 | 311.092 | 397.256 | -0.000 | -0.000 | 0.000 |
| 311.092 | 561.018 | 397.256 | -0.000 | -0.000 | 0.000 |
| 397.196 | 397.196 | 645.166 | -0.000 | -0.000 | 0.000 |
| -0.000 | 0.000 | -0.000 | 179.087 | -0.000 | 0.000 |
| -1.981 | -1.981 | 0.435 | -0.000 | 173.787 | 0.000 |
| 0.000 | 0.000 | -0.000 | -0.000 | 0.000 | 124.963 |
| 549.660 | 313.106 | 398.283 | -0.000 | -0.000 | -0.000 |
| 313.106 | 549.660 | 398.283 | 0.000 | 0.000 | -0.000 |
| 397.257 | 397.257 | 645.153 | 0.000 | 0.000 | -0.000 |
| 0.242 | 0.242 | -0.053 | 172.613 | -0.000 | -0.000 |
| 0.065 | 0.065 | -0.014 | 0.000 | 172.597 | -0.000 |
| 0.163 | 0.163 | -0.036 | 0.000 | 0.000 | 110.245 |
| 543.617 | 323.046 | 397.855 | -0.000 | 0.000 | 0.000 |
| 312.821 | 549.771 | 398.302 | -0.000 | -0.000 | 0.000 |
| 397.785 | 397.785 | 645.037 | -0.000 | -0.000 | 0.000 |
| -0.242 | -0.242 | 0.053 | 172.613 | -0.000 | 0.000 |
| -0.065 | -0.065 | 0.014 | -0.000 | 172.597 | 0.000 |
| -0.163 | -0.163 | 0.036 | -0.000 | -0.000 | 110.245 |
| 561.017 | 311.092 | 397.257 | 0.000 | 0.000 | -0.000 |
| 323.120 | 543.690 | 397.839 | -0.000 | -0.000 | -0.000 |
| 397.858 | 397.858 | 645.021 | 0.000 | 0.000 | -0.000 |
| -0.000 | -0.001 | -0.000 | 179.087 | -0.000 | -0.000 |
| 0.024 | 0.024 | -0.006 | 0.000 | 172.597 | -0.000 |
| 0.024 | 0.024 | -0.006 | 0.000 | 0.000 | 110.860 |
| 549.723 | 312.946 | 398.293 | -0.000 | -0.000 | 0.000 |
| 323.087 | 543.594 | 397.853 | -0.000 | -0.000 | 0.000 |
| 397.256 | 397.256 | 645.153 | -0.000 | -0.000 | 0.000 |
| 0.000 | 0.001 | 0.000 | 179.087 | -0.000 | 0.000 |
| -0.024 | -0.024 | 0.006 | -0.000 | 172.597 | 0.000 |
| -0.024 | -0.024 | 0.006 | 0.000 | -0.000 | 110.860 |
| 552.735 | 303.509 | 271.893 | 29.145 | 0.000 | -0.000 |
| 303.509 | 552.735 | 271.893 | -29.145 | 0.000 | -0.000 |
| 269.722 | 269.722 | 481.059 | 0.000 | 0.000 | 0.000 |
| -361.469 | -421.113 | 633.564 | 96.074 | -0.000 | 0.000 |
| -391.291 | -391.291 | 633.564 | -0.000 | 96.074 | 29.822 |
| -0.000 | -0.000 | 0.000 | -0.000 | 29.145 | 124.613 |
| 932.596 | 701.419 | -357.775 | 29.822 | -0.000 | -0.000 |
| 303.509 | 552.735 | 271.893 | -29.145 | 0.000 | 0.000 |
| 664.973 | 664.973 | -158.917 | -0.000 | 0.000 | 0.000 |
| 421.113 | 361.469 | -633.564 | 96.074 | -0.000 | -0.000 |
| 391.291 | 391.291 | -633.564 | 0.000 | 96.074 | 29.822 |
| 0.000 | 0.000 | -0.000 | 0.000 | 29.145 | 124.613 |
| 552.735 | 303.509 | 271.893 | 29.145 | -0.000 | -0.000 |
| 292.591 | 480.503 | 339.210 | -31.444 | 0.000 | -0.000 |
| 269.722 | 269.722 | 481.059 | -0.000 | -0.000 | -0.000 |
| 29.145 | -29.145 | -0.000 | 96.125 | 0.000 | 0.000 |
| -39.129 | -39.129 | 63.356 | 0.000 | 95.953 | 31.444 |
| -0.000 | -0.000 | -0.000 | 0.000 | 29.145 | 124.613 |
| 558.761 | 370.849 | 212.497 | 31.444 | -0.000 | 0.000 |
| 303.509 | 552.735 | 271.893 | -29.145 | -0.000 | 0.000 |
| 312.811 | 312.811 | 411.290 | 0.000 | 0.000 | -0.000 |
| 70.573 | 7.685 | -63.356 | 95.953 | -0.000 | -0.000 |
| 39.129 | 39.129 | -63.356 | -0.000 | 95.953 | 31.444 |
| 0.000 | 0.000 | 0.000 | -0.000 | 29.145 | 124.613 |
| 532.247 | 307.059 | 285.606 | 30.046 | -0.000 | 0.000 |
| 327.808 | 515.719 | 282.189 | -31.444 | -0.000 | -0.000 |
| 269.723 | 269.723 | 481.059 | -0.000 | 0.000 | 0.000 |
| 29.145 | -29.145 | -0.000 | 96.125 | -0.000 | 0.000 |
| -0.000 | -0.000 | -0.000 | -0.000 | 96.125 | 29.145 |
| -0.000 | -0.000 | -0.000 | 0.000 | 29.145 | 124.613 |
| 523.545 | 335.633 | 269.517 | 31.444 | -0.000 | -0.000 |
| 332.891 | 531.570 | 265.240 | -31.040 | 0.000 | -0.000 |
| 277.595 | 277.595 | 468.310 | -0.000 | 0.000 | -0.000 |
| 29.145 | -29.145 | 0.000 | 96.125 | -0.000 | -0.000 |
| 0.000 | 0.000 | 0.000 | 0.000 | 96.125 | 29.145 |
| 0.000 | 0.000 | 0.000 | -0.000 | 29.145 | 124.613 |
| 464.303 | 275.928 | 274.327 | -0.000 | -0.000 | -0.000 |
| 275.928 | 464.303 | 274.327 | -0.000 | -0.000 | -0.000 |
| 274.958 | 274.958 | 550.152 | 0.000 | 0.000 | -0.000 |
| -0.000 | -0.000 | 0.000 | 103.980 | 0.000 | -0.000 |
| -0.000 | -0.000 | 0.000 | 0.000 | 103.980 | -0.000 |
| -0.000 | -0.000 | 0.000 | 0.000 | -0.000 | 100.432 |
| 464.303 | 275.928 | 274.327 | 0.000 | -0.000 | 0.000 |
| 275.928 | 464.303 | 274.327 | -0.000 | 0.000 | 0.000 |
| 275.625 | 275.625 | 541.359 | -0.000 | -0.000 | 0.000 |
| 0.000 | 0.000 | -0.000 | 103.980 | -0.000 | 0.000 |
| 0.000 | 0.000 | -0.000 | -0.000 | 103.980 | 0.000 |
| -0.000 | 0.000 | -0.000 | -0.000 | -0.000 | 100.432 |
| 464.303 | 275.928 | 274.327 | 0.000 | 0.000 | -0.000 |
| 275.928 | 464.303 | 274.327 | -0.000 | 0.000 | -0.000 |
| 274.958 | 274.958 | 550.152 | 0.000 | 0.000 | -0.000 |
| -0.035 | -0.035 | 0.085 | 95.893 | 0.000 | -0.000 |
| -0.035 | -0.035 | 0.085 | 0.000 | 95.893 | -0.000 |
| -0.000 | -0.000 | -0.000 | -0.000 | 0.000 | 100.432 |
| 441.825 | 294.225 | 274.399 | 0.000 | -0.000 | 0.000 |
| 294.225 | 441.825 | 274.399 | -0.000 | -0.000 | 0.000 |
| 274.958 | 274.958 | 550.152 | 0.000 | 0.000 | -0.000 |
| 0.035 | 0.035 | -0.085 | 95.893 | -0.000 | 0.000 |
| 0.035 | 0.035 | -0.085 | -0.000 | 95.893 | 0.000 |
| 0.000 | 0.000 | 0.000 | -0.000 | -0.000 | 100.432 |
| 464.303 | 275.929 | 274.327 | 0.000 | 0.000 | -0.000 |
| 275.929 | 464.303 | 274.327 | 0.000 | 0.000 | -0.000 |
| 274.886 | 274.886 | 538.659 | 0.000 | 0.000 | -0.000 |
| -0.000 | -0.000 | -0.000 | 103.980 | 0.000 | -0.000 |
| -0.000 | -0.000 | -0.000 | -0.000 | 103.980 | -0.000 |
| -0.000 | -0.000 | -0.000 | 0.000 | 0.000 | 100.432 |
| 442.084 | 293.878 | 274.578 | 0.000 | 0.000 | 0.000 |
| 293.878 | 442.084 | 274.578 | 0.000 | 0.000 | 0.000 |
| 275.694 | 275.694 | 542.658 | -0.000 | -0.000 | 0.000 |
| 0.000 | 0.000 | 0.000 | 103.980 | -0.000 | 0.000 |
| 0.000 | 0.000 | 0.000 | 0.000 | 103.980 | -0.000 |
| 0.000 | 0.000 | 0.000 | -0.000 | -0.000 | 100.432 |
| 469.564 | 275.422 | 275.499 | -0.000 | -0.000 | 0.000 |
| 275.422 | 469.564 | 275.499 | -0.000 | -0.000 | -0.000 |
| 275.517 | 275.517 | 531.571 | -0.000 | -0.000 | 0.000 |
| 0.000 | -0.000 | -0.000 | 104.315 | -0.000 | 0.000 |
| -0.000 | -0.000 | -0.000 | -0.000 | 104.315 | 0.000 |
| -0.162 | -0.162 | 1.659 | 0.000 | -0.000 | 99.494 |
| 448.041 | 293.046 | 273.136 | 0.000 | 0.000 | 0.000 |
| 293.046 | 448.041 | 273.136 | 0.000 | 0.000 | -0.000 |
| 275.499 | 275.499 | 537.030 | 0.000 | 0.000 | -0.000 |
| -0.000 | 0.000 | 0.000 | 104.315 | 0.000 | -0.000 |
| 0.000 | -0.000 | 0.000 | 0.000 | 104.315 | -0.000 |
| 0.162 | 0.162 | -1.659 | -0.000 | 0.000 | 99.494 |
| 469.564 | 275.422 | 275.499 | -0.000 | -0.000 | -0.000 |
| 275.422 | 469.564 | 275.499 | -0.000 | -0.000 | 0.000 |
| 275.499 | 275.499 | 537.030 | -0.000 | -0.000 | 0.000 |
| -0.011 | -0.011 | 0.115 | 96.198 | -0.000 | -0.000 |
| -0.011 | -0.011 | 0.115 | -0.000 | 96.198 | 0.000 |
| -0.000 | -0.000 | -0.000 | -0.000 | -0.000 | 99.494 |
| 447.099 | 293.379 | 275.525 | 0.000 | 0.000 | -0.000 |
| 293.379 | 447.099 | 275.525 | 0.000 | 0.000 | 0.000 |
| 275.499 | 275.499 | 537.030 | 0.000 | 0.000 | -0.000 |
| 0.011 | 0.011 | -0.115 | 96.198 | 0.000 | -0.000 |
| 0.011 | 0.011 | -0.115 | 0.000 | 96.198 | -0.000 |
| 0.000 | 0.000 | 0.000 | 0.000 | 0.000 | 99.494 |
| 469.564 | 275.423 | 275.500 | -0.000 | -0.000 | 0.000 |
| 275.423 | 469.564 | 275.500 | -0.000 | -0.000 | -0.000 |
| 275.500 | 275.500 | 537.030 | -0.000 | -0.000 | 0.000 |
| -0.000 | -0.000 | -0.000 | 104.315 | -0.000 | -0.000 |
| -0.000 | -0.000 | -0.000 | -0.000 | 104.315 | 0.000 |
| -0.002 | -0.002 | 0.017 | -0.000 | -0.000 | 99.494 |
| 469.564 | 275.422 | 275.499 | 0.000 | 0.000 | -0.000 |
| 275.422 | 469.564 | 275.499 | 0.000 | 0.000 | -0.000 |
| 276.269 | 276.269 | 529.610 | 0.000 | 0.000 | 0.000 |
| 0.000 | 0.000 | 0.000 | 104.315 | 0.000 | -0.000 |
| 0.000 | 0.000 | 0.000 | 0.000 | 104.315 | -0.000 |
| 0.002 | 0.002 | -0.017 | 0.000 | 0.000 | 99.494 |
| 464.124 | 275.849 | 274.296 | -0.000 | -0.000 | 0.000 |
| 275.849 | 464.124 | 274.296 | -0.000 | -0.000 | -0.000 |
| 275.110 | 275.110 | 543.591 | 0.000 | -0.000 | -0.000 |
| 0.006 | 0.006 | -0.023 | 95.936 | -0.000 | 0.000 |
| 0.006 | 0.006 | -0.023 | 0.000 | 95.936 | -0.000 |
| 0.000 | 0.000 | 0.000 | 0.000 | 0.000 | 100.407 |
| 464.124 | 275.849 | 274.296 | -0.000 | -0.000 | 0.000 |
| 275.849 | 464.124 | 274.296 | -0.000 | 0.000 | 0.000 |
| 274.951 | 274.951 | 550.848 | -0.000 | 0.000 | 0.000 |
| -0.006 | -0.006 | 0.023 | 95.936 | 0.000 | -0.000 |
| -0.006 | -0.006 | 0.023 | -0.000 | 95.936 | -0.000 |
| -0.000 | -0.000 | -0.000 | -0.000 | -0.000 | 100.407 |
| 464.124 | 275.849 | 274.296 | 0.000 | 0.000 | -0.000 |
| 275.849 | 464.124 | 274.296 | 0.000 | -0.000 | -0.000 |
| 275.103 | 275.103 | 543.625 | -0.000 | -0.000 | -0.000 |
| 0.001 | 0.001 | -0.002 | 95.936 | -0.000 | -0.000 |
| 0.001 | 0.001 | -0.002 | 0.000 | 95.936 | 0.000 |
| -0.000 | -0.000 | -0.000 | -0.000 | -0.000 | 100.407 |
| 464.124 | 275.849 | 274.296 | -0.000 | 0.000 | 0.000 |
| 275.849 | 464.124 | 274.296 | -0.000 | 0.000 | 0.000 |
| 274.951 | 274.951 | 550.848 | -0.000 | -0.000 | -0.000 |
| -0.001 | -0.001 | 0.002 | 95.936 | 0.000 | 0.000 |
| -0.001 | -0.001 | 0.002 | -0.000 | 95.936 | 0.000 |
| 0.000 | 0.000 | 0.000 | -0.000 | -0.000 | 100.407 |
| 464.124 | 275.849 | 274.297 | -0.000 | -0.000 | 0.000 |
| 275.849 | 464.124 | 274.297 | 0.000 | 0.000 | -0.000 |
| 275.103 | 275.103 | 543.628 | -0.000 | -0.000 | 0.000 |
| -0.000 | -0.000 | -0.000 | 104.025 | 0.000 | 0.000 |
| -0.000 | -0.000 | -0.000 | -0.000 | 104.025 | -0.000 |
| -0.000 | -0.000 | -0.000 | 0.000 | 0.000 | 100.407 |
| 460.071 | 275.398 | 274.296 | -0.000 | 0.000 | 0.000 |
| 275.398 | 460.071 | 274.296 | -0.000 | 0.000 | 0.000 |
| 275.678 | 275.678 | 543.344 | -0.000 | -0.000 | -0.000 |
| 0.000 | 0.000 | 0.000 | 104.025 | 0.000 | 0.000 |
| 0.000 | 0.000 | 0.000 | -0.000 | 104.025 | -0.000 |
| 0.000 | 0.000 | 0.000 | -0.000 | 0.000 | 100.407 |
| 429.198 | 345.735 | 299.476 | 0.000 | 0.000 | 0.000 |
| 345.735 | 429.198 | 299.476 | -0.000 | -0.000 | 0.000 |
| 299.476 | 299.476 | 622.767 | 0.000 | 0.000 | 0.000 |
| 0.000 | 0.000 | -0.000 | 104.350 | 0.000 | 0.000 |
| -0.000 | 0.000 | 0.000 | -0.000 | 104.350 | 0.000 |
| -0.000 | 0.000 | -0.000 | 0.000 | 0.000 | 113.968 |
| 429.198 | 345.735 | 299.476 | -0.000 | 0.000 | -0.000 |
| 345.735 | 429.198 | 299.476 | -0.000 | -0.000 | -0.000 |
| 299.476 | 299.476 | 622.767 | -0.000 | -0.000 | -0.000 |
| -0.000 | -0.000 | 0.000 | 104.350 | -0.000 | 0.000 |
| -0.000 | -0.000 | 0.000 | -0.000 | 104.350 | -0.000 |
| 0.000 | 0.000 | 0.000 | 0.000 | 0.000 | 113.968 |
| 466.234 | 308.698 | 299.476 | -0.000 | -0.000 | 0.000 |
| 308.698 | 466.234 | 299.476 | -0.000 | -0.000 | -0.000 |
| 299.476 | 299.476 | 622.767 | 0.000 | 0.000 | 0.000 |
| -0.000 | -0.000 | -0.000 | 114.584 | 0.000 | 0.000 |
| -0.000 | -0.000 | -0.000 | 0.000 | 114.584 | 0.000 |
| -0.000 | -0.000 | -0.000 | 0.000 | -0.000 | 113.968 |
| 466.234 | 308.698 | 299.476 | 0.000 | 0.000 | 0.000 |
| 308.698 | 466.234 | 299.476 | 0.000 | 0.000 | 0.000 |
| 299.476 | 299.476 | 622.767 | -0.000 | -0.000 | -0.000 |
| 0.000 | 0.000 | 0.000 | 114.584 | -0.000 | -0.000 |
| 0.000 | 0.000 | 0.000 | -0.000 | 114.584 | -0.000 |
| 0.000 | 0.000 | 0.000 | -0.000 | 0.000 | 113.968 |
| 466.234 | 308.699 | 299.476 | 0.000 | -0.000 | -0.000 |
| 308.699 | 466.234 | 299.476 | -0.000 | 0.000 | -0.000 |
| 299.476 | 299.476 | 622.767 | 0.000 | 0.000 | 0.000 |
| -0.000 | -0.000 | -0.000 | 104.350 | 0.000 | 0.000 |
| -0.000 | -0.000 | -0.000 | 0.000 | 104.350 | 0.000 |
| -0.000 | -0.000 | -0.000 | 0.000 | 0.000 | 113.968 |
| 466.234 | 308.697 | 299.476 | 0.000 | 0.000 | 0.000 |
| 308.697 | 466.234 | 299.476 | 0.000 | 0.000 | -0.000 |
| 299.476 | 299.476 | 622.768 | 0.000 | 0.000 | -0.000 |
| 0.000 | 0.000 | 0.000 | 104.350 | -0.000 | -0.000 |
| 0.000 | 0.000 | 0.000 | -0.000 | 104.350 | -0.000 |
| 0.000 | 0.000 | 0.000 | -0.000 | -0.000 | 113.968 |
| 674.462 | 241.060 | 241.060 | 0.000 | 0.000 | 0.000 |
| 241.060 | 674.462 | 241.060 | 0.000 | 0.000 | 0.000 |
| 241.060 | 241.060 | 674.462 | 0.000 | 0.000 | 0.000 |
| -0.000 | -0.000 | -0.000 | 92.153 | 0.000 | 0.000 |
| -0.000 | -0.000 | -0.000 | 0.000 | 92.153 | 0.000 |
| -0.000 | -0.000 | -0.000 | 0.000 | 0.000 | 92.153 |
| 674.462 | 241.060 | 241.060 | 0.000 | -0.000 | 0.000 |
| 241.060 | 674.462 | 241.060 | -0.000 | 0.000 | -0.000 |
| 241.060 | 241.060 | 674.462 | -0.000 | -0.000 | -0.000 |
| 0.000 | 0.000 | 0.000 | 92.153 | -0.000 | 0.000 |
| 0.000 | 0.000 | 0.000 | -0.000 | 92.153 | -0.000 |
| 0.000 | 0.000 | -0.000 | -0.000 | -0.000 | 92.153 |
| 674.462 | 241.060 | 241.060 | 0.000 | 0.000 | -0.000 |
| 241.060 | 674.462 | 241.060 | 0.000 | 0.000 | 0.000 |
| 241.060 | 241.060 | 674.462 | 0.000 | 0.000 | 0.000 |
| -0.000 | -0.000 | -0.000 | 92.153 | -0.000 | -0.000 |
| -0.000 | -0.000 | -0.000 | 0.000 | 92.153 | 0.000 |
| -0.000 | -0.000 | -0.000 | 0.000 | 0.000 | 92.153 |
| 674.462 | 241.060 | 241.060 | 0.000 | -0.000 | -0.000 |
| 241.060 | 674.462 | 241.060 | -0.000 | 0.000 | -0.000 |
| 241.060 | 241.060 | 674.462 | -0.000 | -0.000 | -0.000 |
| 0.000 | 0.000 | 0.000 | 92.153 | -0.000 | -0.000 |
| 0.000 | 0.000 | 0.000 | -0.000 | 92.153 | -0.000 |
| 0.000 | 0.000 | 0.000 | -0.000 | -0.000 | 92.153 |
| 674.461 | 241.060 | 241.060 | -0.000 | 0.000 | 0.000 |
| 241.060 | 674.461 | 241.060 | 0.000 | -0.000 | 0.000 |
| 241.060 | 241.060 | 674.461 | 0.000 | 0.000 | 0.000 |
| 7.838 | 7.838 | 7.838 | 84.315 | 0.000 | 0.000 |
| 7.838 | 7.838 | 7.838 | 0.000 | 84.315 | 0.000 |
| 7.838 | 7.838 | 7.838 | -0.000 | -0.000 | 84.315 |
| 658.787 | 225.383 | 225.383 | -0.000 | -0.000 | -0.000 |
| 225.383 | 658.787 | 225.383 | -0.000 | -0.000 | -0.000 |
| 225.383 | 225.383 | 658.787 | 0.000 | 0.000 | -0.000 |
| -7.838 | -7.838 | -7.838 | 84.315 | 0.000 | 0.000 |
| -7.838 | -7.838 | -7.838 | 0.000 | 84.315 | -0.000 |
| -7.838 | -7.838 | -7.838 | 0.000 | 0.000 | 84.315 |
| 137.376 | 112.682 | 112.682 | -0.000 | -0.000 | -0.000 |
| 112.682 | 137.376 | 112.682 | -0.000 | -0.000 | -0.000 |
| 112.682 | 112.682 | 137.376 | -0.000 | -0.000 | -0.000 |
| -0.000 | -0.000 | -0.000 | 112.533 | -0.000 | -0.000 |
| -0.000 | -0.000 | -0.000 | -0.000 | 112.533 | -0.000 |
| -0.000 | -0.000 | -0.000 | -0.000 | -0.000 | 112.533 |
| 137.376 | 112.682 | 112.682 | 0.000 | 0.000 | 0.000 |
| 112.682 | 137.376 | 112.682 | 0.000 | 0.000 | 0.000 |
| 112.682 | 112.682 | 137.376 | 0.000 | -0.000 | 0.000 |
| 0.000 | 0.000 | 0.000 | 112.533 | 0.000 | -0.000 |
| 0.000 | 0.000 | 0.000 | 0.000 | 112.533 | 0.000 |
| 0.000 | 0.000 | 0.000 | 0.000 | 0.000 | 112.533 |
| 137.376 | 112.682 | 112.682 | -0.000 | -0.000 | -0.000 |
| 112.682 | 137.376 | 112.682 | -0.000 | -0.000 | -0.000 |
| 112.682 | 112.682 | 137.376 | -0.000 | -0.000 | -0.000 |
| -0.000 | -0.000 | -0.000 | 112.533 | -0.000 | -0.000 |
| -0.000 | -0.000 | -0.000 | -0.000 | 112.533 | 0.000 |
| -0.000 | -0.000 | -0.000 | -0.000 | -0.000 | 112.533 |
| 137.376 | 112.682 | 112.682 | 0.000 | 0.000 | 0.000 |
| 112.682 | 137.376 | 112.682 | 0.000 | 0.000 | 0.000 |
| 112.682 | 112.682 | 137.376 | 0.000 | 0.000 | 0.000 |
| 0.000 | 0.000 | 0.000 | 112.533 | 0.000 | 0.000 |
| 0.000 | 0.000 | 0.000 | 0.000 | 112.533 | 0.000 |
| 0.000 | 0.000 | 0.000 | 0.000 | 0.000 | 112.533 |
| 137.376 | 112.682 | 112.682 | -0.000 | -0.000 | -0.000 |
| 112.682 | 137.376 | 112.682 | -0.000 | -0.000 | -0.000 |
| 112.682 | 112.682 | 137.376 | -0.000 | -0.000 | 0.000 |
| -0.000 | -0.000 | -0.000 | 112.533 | -0.000 | -0.000 |
| -0.000 | -0.000 | -0.000 | -0.000 | 112.533 | -0.000 |
| -0.000 | -0.000 | -0.000 | -0.000 | -0.000 | 112.533 |
| 137.376 | 112.682 | 112.682 | 0.000 | 0.000 | 0.000 |
| 112.682 | 137.376 | 112.682 | 0.000 | 0.000 | 0.000 |
| 112.682 | 112.682 | 137.376 | 0.000 | 0.000 | 0.000 |
| 0.000 | 0.000 | 0.000 | 112.533 | 0.000 | 0.000 |
| 0.000 | 0.000 | 0.000 | 0.000 | 112.533 | 0.000 |
| 0.000 | 0.000 | 0.000 | 0.000 | 0.000 | 112.533 |
| 115.550 | 30.372 | 30.372 | -0.000 | -0.000 | -0.000 |
| 30.372 | 115.550 | 30.372 | -0.000 | -0.000 | -0.000 |
| 30.372 | 30.372 | 115.550 | 0.000 | 0.000 | -0.000 |
| -0.000 | -0.000 | -0.000 | 30.301 | -0.000 | -0.000 |
| -0.000 | -0.000 | -0.000 | -0.000 | 30.301 | -0.000 |
| -0.000 | -0.000 | -0.000 | -0.000 | -0.000 | 30.301 |
| 115.550 | 30.372 | 30.372 | -0.000 | 0.000 | 0.000 |
| 30.372 | 115.550 | 30.372 | 0.000 | 0.000 | 0.000 |
| 30.372 | 30.372 | 115.550 | 0.000 | 0.000 | 0.000 |
| 0.000 | 0.000 | 0.000 | 30.301 | -0.000 | 0.000 |
| 0.000 | 0.000 | 0.000 | -0.000 | 30.301 | 0.000 |
| 0.000 | 0.000 | 0.000 | 0.000 | 0.000 | 30.301 |
| 115.550 | 30.372 | 30.372 | 0.000 | 0.000 | -0.000 |
| 30.372 | 115.550 | 30.372 | -0.000 | 0.000 | -0.000 |
| 30.372 | 30.372 | 115.550 | -0.000 | -0.000 | -0.000 |
| -0.000 | -0.000 | -0.000 | 30.301 | -0.000 | -0.000 |
| -0.000 | -0.000 | -0.000 | -0.000 | 30.301 | -0.000 |
| -0.000 | -0.000 | -0.000 | -0.000 | -0.000 | 30.301 |
| 115.550 | 30.372 | 30.372 | 0.000 | -0.000 | 0.000 |
| 30.372 | 115.550 | 30.372 | 0.000 | 0.000 | 0.000 |
| 30.372 | 30.372 | 115.550 | 0.000 | 0.000 | 0.000 |
| 0.000 | 0.000 | 0.000 | 30.301 | 0.000 | 0.000 |
| 0.000 | 0.000 | 0.000 | 0.000 | 30.301 | 0.000 |
| 0.000 | 0.000 | 0.000 | 0.000 | 0.000 | 30.301 |
| 115.550 | 30.372 | 30.372 | 0.000 | 0.000 | -0.000 |
| 30.372 | 115.550 | 30.372 | -0.000 | -0.000 | -0.000 |
| 30.372 | 30.372 | 115.550 | -0.000 | -0.000 | -0.000 |
| -0.000 | -0.000 | -0.000 | 30.301 | 0.000 | -0.000 |
| -0.000 | -0.000 | -0.000 | 0.000 | 30.301 | -0.000 |
| -0.000 | -0.000 | -0.000 | -0.000 | -0.000 | 30.301 |
| 115.550 | 30.372 | 30.372 | 0.000 | -0.000 | 0.000 |
| 30.372 | 115.550 | 30.372 | 0.000 | 0.000 | 0.000 |
| 30.372 | 30.372 | 115.550 | -0.000 | -0.000 | 0.000 |
| 0.000 | 0.000 | 0.000 | 30.301 | -0.000 | 0.000 |
| 0.000 | 0.000 | 0.000 | 0.000 | 30.301 | 0.000 |
| 0.000 | 0.000 | 0.000 | 0.000 | 0.000 | 30.301 |
| 631.430 | 277.780 | 277.780 | 0.000 | 0.000 | -0.000 |
| 277.780 | 631.430 | 277.780 | -0.000 | -0.000 | -0.000 |
| 277.780 | 277.780 | 631.430 | 0.000 | 0.000 | -0.000 |
| -0.000 | 0.000 | -0.000 | 65.723 | -0.000 | 0.000 |
| -0.000 | -0.000 | 0.000 | 0.000 | 65.723 | 0.000 |
| -0.000 | -0.000 | 0.000 | 0.000 | -0.000 | 65.723 |
| 624.741 | 281.125 | 281.125 | 0.000 | 0.000 | -0.000 |
| 281.125 | 624.741 | 281.125 | -0.000 | -0.000 | -0.000 |
| 281.125 | 281.125 | 624.741 | -0.000 | 0.000 | 0.000 |
| 0.000 | -0.000 | -0.000 | 65.723 | -0.000 | -0.000 |
| 0.000 | -0.000 | -0.000 | -0.000 | 65.723 | -0.000 |
| 0.000 | -0.000 | 0.000 | 0.000 | 0.000 | 65.723 |
| 631.430 | 277.780 | 277.780 | 0.000 | 0.000 | -0.000 |
| 277.780 | 631.430 | 277.780 | -0.000 | -0.000 | -0.000 |
| 277.780 | 277.780 | 631.430 | 0.000 | 0.000 | 0.000 |
| -0.000 | -0.000 | -0.000 | 65.723 | 0.000 | -0.000 |
| -0.000 | -0.000 | -0.000 | 0.000 | 65.723 | -0.000 |
| -0.000 | -0.000 | -0.000 | 0.000 | -0.000 | 65.723 |
| 624.741 | 281.125 | 281.125 | 0.000 | 0.000 | -0.000 |
| 281.125 | 624.741 | 281.125 | -0.000 | -0.000 | 0.000 |
| 281.125 | 281.125 | 624.741 | 0.000 | 0.000 | 0.000 |
| 0.000 | 0.000 | 0.000 | 65.723 | 0.000 | -0.000 |
| 0.000 | 0.000 | 0.000 | -0.000 | 65.723 | -0.000 |
| 0.000 | 0.000 | 0.000 | -0.000 | -0.000 | 65.723 |
| 624.741 | 281.126 | 281.126 | -0.000 | -0.000 | 0.000 |
| 281.126 | 624.741 | 281.126 | 0.000 | 0.000 | 0.000 |
| 281.126 | 281.126 | 624.741 | 0.000 | 0.000 | 0.000 |
| 0.000 | -0.001 | -0.001 | -109.424 | 0.000 | 0.000 |
| -0.001 | 0.000 | -0.001 | -0.000 | -109.424 | 0.000 |
| -0.001 | -0.001 | 0.000 | 0.000 | 0.000 | -109.424 |
| 624.741 | 281.124 | 281.124 | -0.000 | -0.000 | 0.000 |
| 281.124 | 624.741 | 281.124 | 0.000 | 0.000 | -0.000 |
| 281.124 | 281.124 | 624.741 | -0.000 | -0.000 | -0.000 |
| -0.000 | 0.001 | 0.001 | -109.424 | -0.000 | -0.000 |
| 0.001 | -0.000 | 0.001 | 0.000 | -109.424 | 0.000 |
| 0.001 | 0.001 | -0.000 | -0.000 | -0.000 | -109.424 |
| 132.667 | 70.345 | 70.345 | -0.000 | -0.000 | -0.000 |
| 70.345 | 132.667 | 70.345 | -0.000 | -0.000 | 0.000 |
| 70.345 | 70.345 | 132.667 | -0.000 | -0.000 | -0.000 |
| -0.000 | -0.000 | -0.000 | 60.622 | 0.000 | 0.000 |
| -0.000 | -0.000 | -0.000 | 0.000 | 60.622 | 0.000 |
| -0.000 | -0.000 | -0.000 | 0.000 | -0.000 | 60.622 |
| 132.667 | 70.345 | 70.345 | 0.000 | 0.000 | 0.000 |
| 70.345 | 132.667 | 70.345 | 0.000 | -0.000 | 0.000 |
| 70.345 | 70.345 | 132.667 | 0.000 | 0.000 | 0.000 |
| 0.000 | 0.000 | 0.000 | 60.622 | 0.000 | 0.000 |
| 0.000 | 0.000 | 0.000 | -0.000 | 60.622 | -0.000 |
| 0.000 | 0.000 | 0.000 | -0.000 | 0.000 | 60.622 |
| 132.667 | 70.345 | 70.345 | -0.000 | -0.000 | -0.000 |
| 70.345 | 132.667 | 70.345 | -0.000 | -0.000 | -0.000 |
| 70.345 | 70.345 | 132.667 | -0.000 | -0.000 | -0.000 |
| -0.000 | -0.000 | -0.000 | 60.622 | 0.000 | -0.000 |
| -0.000 | -0.000 | -0.000 | 0.000 | 60.622 | 0.000 |
| -0.000 | -0.000 | -0.000 | 0.000 | 0.000 | 60.622 |
| 132.667 | 70.345 | 70.345 | 0.000 | 0.000 | 0.000 |
| 70.345 | 132.667 | 70.345 | 0.000 | 0.000 | 0.000 |
| 70.345 | 70.345 | 132.667 | 0.000 | 0.000 | 0.000 |
| 0.000 | 0.000 | 0.000 | 60.622 | -0.000 | -0.000 |
| 0.000 | 0.000 | 0.000 | -0.000 | 60.622 | -0.000 |
| 0.000 | 0.000 | 0.000 | -0.000 | 0.000 | 60.622 |
| -5412640.090 | -4609851.259 | -4744722.248 | 50487.295 | -26777.472 | 30116.871 |
| -4646347.661 | -5223120.467 | -4612071.103 | 4069.965 | 7621.873 | -1469.824 |
| 5099059.867 | 5099059.790 | -31129.410 | 0.000 | -0.000 | -0.000 |
| -0.000 | -0.000 | -0.000 | 60.622 | -0.000 | 0.000 |
| -0.000 | -0.000 | -0.000 | 0.000 | 60.622 | 0.000 |
| -0.000 | -0.000 | -0.000 | 0.000 | -0.000 | 60.622 |
| 4673410.151 | 4949757.763 | 5017732.576 | 45654.141 | 10503.061 | -44111.495 |
| 5203021.359 | 4822178.579 | 5171107.215 | 11735.826 | 72614.784 | -571.804 |
| 4872788.936 | 4950899.372 | 4601943.049 | 51233.419 | -27526.743 | -8323.627 |
| 0.000 | 0.000 | 0.000 | 60.622 | 0.000 | 0.000 |
| 0.000 | 0.000 | 0.000 | 0.000 | 60.622 | 0.000 |
| 0.000 | 0.000 | 0.000 | -0.000 | 0.000 | 60.622 |
| -51670326.013 | -64595423.065 | -67956514.306 | -216974.538 | 24393.330 | -1351986.929 |
| -64516633.346 | -54011595.268 | -66118421.794 | 948127.368 | 140743.083 | -11024.850 |
| -64738614.396 | -65360272.482 | -50705392.684 | -586096.170 | -90846.927 | -1289113.448 |
| 0.000 | -0.000 | -0.000 | 0.545 | -0.000 | -0.000 |
| -0.000 | -0.000 | 0.000 | -0.000 | 0.545 | -0.000 |
| 0.000 | -0.000 | 0.000 | 0.000 | -0.000 | 0.545 |
| 6.743 | 11.502 | 11.502 | -0.000 | -0.000 | 0.000 |
| 11.502 | 6.743 | 11.502 | -0.000 | -0.000 | 0.000 |
| 11.502 | 11.502 | 6.743 | 0.000 | -0.000 | 0.000 |
| -0.000 | -0.000 | 0.000 | 0.545 | -0.000 | 0.000 |
| 0.000 | 0.000 | -0.000 | -0.000 | 0.545 | -0.000 |
| 0.000 | 0.000 | -0.000 | -0.000 | 0.000 | 0.545 |
| -5607722.055 | -6943215.816 | -6463413.364 | 99434.424 | 54604.699 | -77056.808 |
| -6526693.206 | -5476815.756 | -6702426.114 | 83858.530 | 2359.363 | -37061.386 |
| -6546880.312 | -6617786.832 | -5681958.814 | -26535.140 | 52881.923 | 138148.748 |
| -0.000 | -0.000 | -0.000 | 0.545 | -0.000 | -0.000 |
| -0.000 | -0.000 | 0.000 | 0.000 | 0.545 | -0.000 |
| -0.000 | -0.000 | -0.000 | -0.000 | -0.000 | 0.545 |
| 6667431.270 | 6122744.922 | 6434260.993 | -77848.733 | 48881.692 | 174660.588 |
| 6441138.742 | 6748343.595 | 6430062.408 | 54767.845 | -3799.101 | -46156.134 |
| 6192091.446 | 6175912.302 | 6556292.395 | -96648.460 | -14184.011 | -38750.744 |
| 0.000 | 0.000 | -0.000 | 0.545 | 0.000 | 0.000 |
| 0.000 | 0.000 | -0.000 | -0.000 | 0.545 | 0.000 |
| 0.000 | -0.000 | 0.000 | -0.000 | 0.000 | 0.545 |
| -525129.394 | -642389.815 | -638806.047 | 34.324 | -781.574 | 364.035 |
| -635977.457 | -523717.938 | -635793.845 | 2123.898 | 1855.697 | 5997.794 |
| -636713.083 | -629930.844 | -503053.981 | -968.456 | 6066.207 | 23687.998 |
| -0.000 | -0.000 | -0.000 | 0.545 | 0.000 | 0.000 |
| -0.000 | -0.000 | -0.000 | -0.000 | 0.545 | -0.000 |
| -0.000 | -0.000 | -0.000 | -0.000 | 0.000 | 0.545 |
| 633136.515 | 627838.472 | 621255.452 | -12813.912 | -6349.579 | -10246.220 |
| 640111.753 | 638288.146 | 616545.736 | -3029.224 | -15227.259 | -668.550 |
| 596925.854 | 624032.208 | 626215.624 | -1255.544 | -3548.376 | -27910.205 |
| 0.000 | 0.000 | 0.000 | 0.545 | -0.000 | 0.000 |
| 0.000 | 0.000 | 0.000 | -0.000 | 0.545 | -0.000 |
| 0.000 | 0.000 | 0.000 | -0.000 | -0.000 | 0.545 |
| 559.506 | 624.030 | 624.030 | -0.000 | -0.000 | 0.000 |
| 624.030 | 559.506 | 624.030 | -0.000 | -0.000 | -0.000 |
| 624.030 | 624.030 | 559.506 | -0.000 | -0.000 | -0.000 |
| -0.000 | -0.000 | 0.000 | 337.477 | 0.000 | -0.000 |
| -0.000 | -0.000 | 0.000 | 0.000 | 337.477 | -0.000 |
| -0.000 | 0.000 | -0.000 | 0.000 | -0.000 | 337.477 |
| 559.506 | 624.030 | 624.030 | -0.000 | 0.000 | 0.000 |
| 624.030 | 559.506 | 624.030 | -0.000 | -0.000 | 0.000 |
| 624.030 | 624.030 | 559.506 | 0.000 | 0.000 | 0.000 |
| 0.000 | 0.000 | 0.000 | 337.477 | 0.000 | 0.000 |
| 0.000 | 0.000 | 0.000 | 0.000 | 337.477 | 0.000 |
| 0.000 | 0.000 | 0.000 | 0.000 | 0.000 | 337.477 |
| 559.506 | 624.030 | 624.030 | -0.000 | -0.000 | -0.000 |
| 624.030 | 559.506 | 624.030 | -0.000 | -0.000 | -0.000 |
| 624.030 | 624.030 | 559.506 | 0.000 | 0.000 | 0.000 |
| -0.000 | -0.000 | -0.000 | 337.477 | 0.000 | -0.000 |
| -0.000 | -0.000 | -0.000 | 0.000 | 337.477 | -0.000 |
| -0.000 | -0.000 | -0.000 | -0.000 | -0.000 | 337.477 |
| 559.506 | 624.030 | 624.030 | 0.000 | 0.000 | 0.000 |
| 624.030 | 559.506 | 624.030 | 0.000 | 0.000 | 0.000 |
| 624.030 | 624.030 | 559.506 | -0.000 | -0.000 | 0.000 |
| 0.000 | 0.000 | 0.000 | 337.477 | 0.000 | 0.000 |
| 0.000 | 0.000 | 0.000 | 0.000 | 337.477 | 0.000 |
| 0.000 | 0.000 | 0.000 | 0.000 | 0.000 | 337.477 |
| 559.506 | 624.031 | 624.031 | -0.000 | -0.000 | -0.000 |
| 624.031 | 559.506 | 624.031 | -0.000 | -0.000 | 0.000 |
| 624.031 | 624.031 | 559.506 | -0.000 | -0.000 | -0.000 |
| -0.000 | -0.001 | -0.000 | 337.477 | -0.000 | -0.000 |
| -0.001 | -0.000 | -0.000 | -0.000 | 337.477 | -0.000 |
| -0.001 | -0.000 | -0.000 | -0.000 | -0.000 | 337.477 |
| 559.505 | 624.029 | 624.029 | 0.000 | 0.000 | 0.000 |
| 624.029 | 559.505 | 624.029 | 0.000 | 0.000 | 0.000 |
| 624.029 | 624.029 | 559.505 | 0.000 | 0.000 | 0.000 |
| 0.000 | 0.001 | 0.000 | 337.477 | 0.000 | 0.000 |
| 0.001 | 0.000 | 0.000 | 0.000 | 337.477 | 0.000 |
| 0.001 | 0.000 | 0.000 | 0.000 | 0.000 | 337.477 |
| 184.758 | 64.188 | 64.188 | -0.000 | 0.000 | 0.000 |
| 64.188 | 184.758 | 64.188 | -0.000 | -0.000 | 0.000 |
| 64.188 | 64.188 | 184.758 | -0.000 | -0.000 | 0.000 |
| -0.000 | -0.000 | -0.000 | 64.188 | -0.000 | -0.000 |
| -0.000 | -0.000 | -0.000 | 0.000 | 64.188 | 0.000 |
| -0.000 | -0.000 | -0.000 | -0.000 | -0.000 | 64.188 |
| 184.758 | 64.188 | 64.188 | 0.000 | -0.000 | 0.000 |
| 64.188 | 184.758 | 64.188 | -0.000 | 0.000 | -0.000 |
| 64.188 | 64.188 | 184.758 | -0.000 | 0.000 | 0.000 |
| 0.000 | 0.000 | 0.000 | 64.188 | 0.000 | 0.000 |
| 0.000 | 0.000 | 0.000 | -0.000 | 64.188 | 0.000 |
| 0.000 | 0.000 | 0.000 | -0.000 | 0.000 | 64.188 |
| 184.758 | 64.188 | 64.188 | -0.000 | -0.000 | 0.000 |
| 64.188 | 184.758 | 64.188 | -0.000 | -0.000 | 0.000 |
| 64.188 | 64.188 | 184.758 | 0.000 | 0.000 | 0.000 |
| -0.000 | -0.000 | -0.000 | 64.188 | -0.000 | -0.000 |
| -0.000 | -0.000 | -0.000 | -0.000 | 64.188 | 0.000 |
| -0.000 | -0.000 | -0.000 | -0.000 | -0.000 | 64.188 |
| 184.758 | 64.188 | 64.188 | 0.000 | -0.000 | -0.000 |
| 64.188 | 184.758 | 64.188 | -0.000 | 0.000 | 0.000 |
| 64.188 | 64.188 | 184.758 | 0.000 | 0.000 | -0.000 |
| 0.000 | 0.000 | 0.000 | 64.188 | 0.000 | -0.000 |
| 0.000 | 0.000 | 0.000 | 0.000 | 64.188 | -0.000 |
| 0.000 | 0.000 | 0.000 | 0.000 | -0.000 | 64.188 |
| 184.757 | 64.188 | 64.188 | -0.000 | -0.000 | 0.000 |
| 64.188 | 184.757 | 64.188 | -0.000 | -0.000 | 0.000 |
| 64.188 | 64.188 | 184.757 | -0.000 | -0.000 | -0.000 |
| -0.000 | -0.000 | -0.000 | 64.188 | -0.000 | -0.000 |
| -0.000 | -0.000 | -0.000 | -0.000 | 64.188 | -0.000 |
| -0.000 | -0.000 | -0.000 | -0.000 | -0.000 | 64.188 |
| 184.758 | 64.188 | 64.188 | 0.000 | -0.000 | 0.000 |
| 64.188 | 184.758 | 64.188 | -0.000 | -0.000 | 0.000 |
| 64.188 | 64.188 | 184.758 | 0.000 | -0.000 | 0.000 |
| 0.000 | 0.000 | 0.000 | 64.188 | 0.000 | 0.000 |
| 0.000 | 0.000 | 0.000 | 0.000 | 64.188 | -0.000 |
| 0.000 | 0.000 | 0.000 | 0.000 | 0.000 | 64.188 |
| 621.705 | 315.736 | 386.123 | 0.000 | 0.000 | -0.000 |
| 315.949 | 621.492 | 386.123 | 0.000 | 0.000 | -0.000 |
| 386.123 | 386.123 | 531.965 | 0.000 | 0.000 | -0.000 |
| -0.000 | -0.000 | -0.000 | 205.148 | 0.000 | -0.000 |
| -0.000 | -0.000 | -0.000 | 0.000 | 205.148 | -0.000 |
| -0.000 | -0.000 | 0.000 | 0.000 | 0.000 | 152.771 |
| 621.705 | 315.736 | 386.123 | -0.000 | -0.000 | 0.000 |
| 315.949 | 621.492 | 386.123 | -0.000 | -0.000 | 0.000 |
| 386.123 | 386.123 | 531.965 | -0.000 | -0.000 | 0.000 |
| -0.000 | 0.000 | -0.000 | 205.148 | -0.000 | 0.000 |
| 0.000 | 0.000 | 0.000 | -0.000 | 205.148 | 0.000 |
| 0.000 | 0.000 | -0.000 | -0.000 | -0.000 | 152.771 |
| 621.492 | 315.949 | 386.123 | 0.000 | 0.000 | -0.000 |
| 315.949 | 621.492 | 386.123 | 0.000 | 0.000 | -0.000 |
| 386.123 | 386.123 | 531.965 | 0.000 | 0.000 | -0.000 |
| -0.000 | -0.000 | -0.000 | 205.148 | 0.000 | -0.000 |
| -0.000 | -0.000 | -0.000 | 0.000 | 205.148 | -0.000 |
| -0.000 | -0.000 | -0.000 | 0.000 | 0.000 | 152.771 |
| 621.705 | 315.736 | 386.123 | -0.000 | -0.000 | 0.000 |
| 315.736 | 621.705 | 386.123 | -0.000 | -0.000 | 0.000 |
| 386.123 | 386.123 | 531.965 | -0.000 | -0.000 | 0.000 |
| 0.000 | 0.000 | 0.000 | 205.148 | -0.000 | 0.000 |
| 0.000 | 0.000 | 0.000 | -0.000 | 205.148 | 0.000 |
| 0.000 | 0.000 | 0.000 | -0.000 | -0.000 | 152.771 |
| 621.704 | 315.737 | 386.123 | 0.000 | 0.000 | -0.000 |
| 315.737 | 621.704 | 386.123 | 0.000 | 0.000 | -0.000 |
| 386.123 | 386.123 | 531.965 | 0.000 | 0.000 | -0.000 |
| -0.000 | -0.001 | -0.000 | 205.148 | 0.000 | -0.000 |
| -0.001 | -0.000 | -0.000 | 0.000 | 205.148 | -0.000 |
| -0.000 | -0.000 | -0.000 | 0.000 | 0.000 | 152.771 |
| 621.492 | 315.949 | 386.122 | -0.000 | -0.000 | 0.000 |
| 315.949 | 621.492 | 386.122 | -0.000 | -0.000 | 0.000 |
| 386.122 | 386.122 | 531.965 | -0.000 | -0.000 | 0.000 |
| 0.000 | 0.001 | 0.000 | 205.148 | -0.000 | 0.000 |
| 0.001 | 0.000 | 0.000 | -0.000 | 205.148 | 0.000 |
| 0.000 | 0.000 | 0.000 | -0.000 | -0.000 | 152.771 |
| 227.927 | 76.086 | 45.059 | 0.000 | -0.000 | -0.000 |
| 142.852 | 161.161 | 45.059 | 0.000 | 0.000 | -0.000 |
| 45.059 | 45.059 | 148.082 | 0.000 | -0.000 | -0.000 |
| 0.000 | -0.000 | 0.000 | 44.718 | -0.000 | -0.000 |
| -0.000 | -0.000 | 0.000 | 0.000 | 44.718 | -0.000 |
| 0.000 | -0.000 | 0.000 | 0.000 | -0.000 | 9.154 |
| 161.161 | 142.852 | 45.059 | -0.000 | 0.000 | 0.000 |
| 142.852 | 161.161 | 45.059 | -0.000 | 0.000 | 0.000 |
| 45.059 | 45.059 | 148.082 | -0.000 | 0.000 | 0.000 |
| -0.000 | 0.000 | -0.000 | 44.718 | -0.000 | 0.000 |
| 0.000 | 0.000 | -0.000 | -0.000 | 44.718 | 0.000 |
| -0.000 | 0.000 | -0.000 | -0.000 | 0.000 | 9.154 |
| 227.927 | 76.086 | 45.059 | -0.000 | -0.000 | -0.000 |
| 76.086 | 192.258 | 45.059 | -0.000 | -0.000 | -0.000 |
| 45.059 | 45.059 | 148.082 | 0.000 | 0.000 | -0.000 |
| -0.000 | -0.000 | -0.000 | 44.718 | -0.000 | -0.000 |
| -0.000 | -0.000 | -0.000 | 0.000 | 44.718 | 0.000 |
| -0.000 | -0.000 | -0.000 | 0.000 | -0.000 | 9.154 |
| 227.927 | 76.086 | 45.059 | 0.000 | 0.000 | -0.000 |
| 76.086 | 227.927 | 45.059 | 0.000 | 0.000 | 0.000 |
| 45.059 | 45.059 | 148.082 | -0.000 | -0.000 | 0.000 |
| 0.000 | 0.000 | 0.000 | 44.718 | 0.000 | 0.000 |
| 0.000 | 0.000 | 0.000 | -0.000 | 44.718 | -0.000 |
| 0.000 | 0.000 | 0.000 | -0.000 | 0.000 | 9.154 |
| 155.698 | 141.031 | 45.059 | 0.000 | -0.000 | -0.000 |
| 137.476 | 155.698 | 45.059 | 0.000 | -0.000 | -0.000 |
| 45.059 | 45.059 | 148.082 | 0.000 | -0.000 | -0.000 |
| -0.000 | -0.000 | -0.000 | 44.718 | -0.000 | -0.000 |
| -0.000 | -0.000 | -0.000 | 0.000 | 44.718 | 0.000 |
| -2.704 | -0.902 | -0.000 | 0.000 | -0.000 | 7.593 |
| 161.161 | 142.852 | 45.060 | -0.000 | 0.000 | 0.000 |
| 142.852 | 161.161 | 45.060 | -0.000 | 0.000 | 0.000 |
| 45.059 | 45.059 | 148.082 | -0.000 | 0.000 | 0.000 |
| 0.000 | 0.000 | 0.000 | 44.718 | 0.000 | 0.000 |
| 0.000 | 0.000 | 0.000 | -0.000 | 44.718 | 0.000 |
| 2.704 | 0.902 | 0.000 | -0.000 | 0.000 | 7.593 |
| 103.262 | 34.468 | 38.563 | 0.000 | 0.000 | 0.000 |
| 34.468 | 103.262 | 38.563 | -0.000 | -0.000 | 0.000 |
| 38.563 | 38.563 | 99.166 | -0.000 | 0.000 | 0.000 |
| -0.000 | 0.000 | -0.000 | 38.493 | 0.000 | 0.000 |
| -0.000 | 0.000 | -0.000 | -0.000 | 38.493 | 0.000 |
| -0.000 | 0.000 | 0.000 | -0.000 | 0.000 | 33.526 |
| 103.262 | 34.468 | 38.563 | -0.000 | -0.000 | -0.000 |
| 34.468 | 103.262 | 38.563 | 0.000 | 0.000 | -0.000 |
| 38.563 | 38.563 | 99.166 | -0.000 | 0.000 | -0.000 |
| 0.000 | -0.000 | 0.000 | 38.493 | 0.000 | -0.000 |
| 0.000 | -0.000 | 0.000 | 0.000 | 38.493 | 0.000 |
| 0.000 | -0.000 | -0.000 | 0.000 | 0.000 | 33.526 |
| 102.390 | 35.339 | 38.563 | -0.000 | -0.000 | 0.000 |
| 35.339 | 102.390 | 38.563 | -0.000 | 0.000 | 0.000 |
| 38.563 | 38.563 | 99.166 | -0.000 | -0.000 | 0.000 |
| -0.000 | -0.000 | -0.000 | 38.493 | -0.000 | 0.000 |
| -0.000 | -0.000 | -0.000 | -0.000 | 38.493 | -0.000 |
| -0.000 | -0.000 | -0.000 | -0.000 | 0.000 | 33.526 |
| 102.390 | 35.339 | 38.563 | -0.000 | 0.000 | -0.000 |
| 35.339 | 102.390 | 38.563 | 0.000 | 0.000 | -0.000 |
| 38.563 | 38.563 | 99.166 | 0.000 | 0.000 | -0.000 |
| 0.000 | 0.000 | 0.000 | 38.493 | 0.000 | -0.000 |
| 0.000 | 0.000 | 0.000 | 0.000 | 38.493 | -0.000 |
| 0.000 | 0.000 | 0.000 | -0.000 | -0.000 | 33.526 |
| 103.262 | 34.468 | 38.563 | 0.000 | -0.000 | -0.000 |
| 35.339 | 102.390 | 38.563 | -0.000 | -0.000 | 0.000 |
| 38.563 | 38.563 | 99.166 | 0.000 | 0.000 | 0.000 |
| -0.000 | -0.000 | -0.000 | 38.493 | -0.000 | 0.000 |
| -0.000 | -0.000 | -0.000 | -0.000 | 38.493 | -0.000 |
| -0.000 | -0.000 | -0.000 | -0.000 | -0.000 | 34.397 |
| 103.262 | 34.468 | 38.563 | -0.000 | 0.000 | -0.000 |
| 35.339 | 102.391 | 38.563 | 0.000 | -0.000 | -0.000 |
| 38.563 | 38.563 | 99.166 | 0.000 | 0.000 | -0.000 |
| 0.000 | 0.000 | 0.000 | 38.493 | -0.000 | -0.000 |
| 0.000 | 0.000 | 0.000 | 0.000 | 38.493 | -0.000 |
| 0.000 | 0.000 | 0.000 | 0.000 | 0.000 | 34.397 |
| 709.514 | 358.075 | 502.269 | 0.000 | 0.000 | -0.000 |
| 358.075 | 709.514 | 502.269 | 0.000 | 0.000 | -0.000 |
| 502.269 | 502.269 | 1233.348 | 0.000 | 0.000 | -0.000 |
| -0.000 | -0.000 | -0.000 | 305.479 | -0.000 | -0.000 |
| -0.000 | -0.000 | -0.000 | -0.000 | 305.479 | -0.000 |
| -0.000 | -0.000 | -0.000 | -0.000 | -0.000 | 179.156 |
| 712.951 | 354.638 | 502.269 | 0.000 | -0.000 | 0.000 |
| 354.638 | 712.951 | 502.269 | 0.000 | 0.000 | 0.000 |
| 502.269 | 502.269 | 1233.348 | 0.000 | 0.000 | 0.000 |
| 0.000 | 0.000 | 0.000 | 305.479 | 0.000 | -0.000 |
| 0.000 | 0.000 | 0.000 | 0.000 | 305.479 | 0.000 |
| 0.000 | 0.000 | 0.000 | 0.000 | 0.000 | 179.156 |
| 709.514 | 358.075 | 502.269 | -0.000 | 0.000 | -0.000 |
| 358.075 | 709.514 | 502.269 | -0.000 | -0.000 | -0.000 |
| 502.269 | 502.269 | 1233.347 | 0.000 | 0.000 | 0.000 |
| -0.000 | -0.000 | -0.000 | 305.479 | 0.000 | -0.000 |
| -0.000 | -0.000 | -0.000 | -0.000 | 305.479 | -0.000 |
| -0.000 | -0.000 | -0.000 | 0.000 | 0.000 | 175.720 |
| 712.951 | 354.638 | 502.269 | 0.000 | 0.000 | -0.000 |
| 358.075 | 709.515 | 502.269 | -0.000 | -0.000 | 0.000 |
| 502.269 | 502.269 | 1233.348 | 0.000 | 0.000 | 0.000 |
| 0.000 | 0.000 | 0.000 | 305.479 | -0.000 | 0.000 |
| 0.000 | 0.000 | 0.000 | 0.000 | 305.479 | 0.000 |
| 0.000 | 0.000 | 0.000 | 0.000 | 0.000 | 175.720 |
| 696.790 | 349.252 | 500.011 | -0.000 | -0.000 | -0.000 |
| 357.538 | 699.202 | 501.132 | -0.000 | -0.000 | -0.000 |
| 502.269 | 502.269 | 1233.345 | -0.000 | 0.000 | -0.000 |
| -0.000 | -0.001 | -0.001 | 305.479 | -0.000 | -0.000 |
| -0.001 | -0.000 | -0.001 | -0.000 | 305.479 | -0.000 |
| -6.972 | 0.401 | -1.117 | 0.000 | 0.000 | 172.771 |
| 705.487 | 358.075 | 502.268 | 0.000 | 0.000 | 0.000 |
| 352.611 | 706.870 | 502.268 | 0.000 | 0.000 | 0.000 |
| 502.269 | 502.269 | 1233.350 | -0.000 | -0.000 | -0.000 |
| 0.000 | 0.001 | 0.001 | 305.479 | 0.000 | 0.000 |
| 0.001 | 0.000 | 0.001 | 0.000 | 305.479 | 0.000 |
| 6.972 | -0.401 | 1.117 | 0.000 | -0.000 | 172.771 |
| 61.329 | 21.266 | -10.755 | 0.000 | 0.000 | 0.000 |
| 21.266 | 61.329 | -10.755 | 0.000 | -0.000 | 0.000 |
| -10.755 | -10.755 | -84.485 | 0.000 | 0.000 | 0.000 |
| 0.000 | -0.000 | 0.000 | -10.743 | 0.000 | 0.000 |
| 0.000 | 0.000 | 0.000 | 0.000 | -10.743 | 0.000 |
| -0.000 | -0.000 | 0.000 | -0.000 | -0.000 | 20.635 |
| 59.186 | 23.409 | -10.755 | -0.000 | 0.000 | -0.000 |
| 23.409 | 59.186 | -10.755 | -0.000 | 0.000 | -0.000 |
| -10.755 | -10.755 | -84.485 | -0.000 | 0.000 | 0.000 |
| -0.000 | 0.000 | -0.000 | -10.743 | 0.000 | -0.000 |
| -0.000 | -0.000 | -0.000 | -0.000 | -10.743 | 0.000 |
| 0.000 | 0.000 | 0.000 | 0.000 | 0.000 | 20.635 |
| 61.329 | 21.266 | -10.755 | 0.000 | -0.000 | 0.000 |
| 20.663 | 61.933 | -10.755 | 0.000 | -0.000 | 0.000 |
| -10.755 | -10.755 | -84.485 | 0.000 | -0.000 | -0.000 |
| 0.000 | 0.000 | 0.000 | -10.743 | 0.000 | 0.000 |
| 0.000 | 0.000 | 0.000 | 0.000 | -10.743 | -0.000 |
| -0.000 | -0.000 | 0.000 | 0.000 | -0.000 | 20.031 |
| 61.933 | 20.663 | -10.755 | 0.000 | 0.000 | 0.000 |
| -724038.839 | 1136459.625 | 2350077.385 | 40360.164 | 10522.210 | -5591.310 |
| -10.755 | -10.755 | -84.485 | -0.000 | 0.000 | -0.000 |
| -0.000 | -0.000 | -0.000 | -10.743 | 0.000 | -0.000 |
| -0.000 | -0.000 | -0.000 | -0.000 | -10.743 | -0.000 |
| 0.000 | 0.000 | -0.000 | -0.000 | 0.000 | 20.031 |
| -641030.909 | -1655452.396 | -656666.675 | -53582.519 | 11735.876 | 909.225 |
| 455094.389 | 455144.355 | -0.039 | -0.001 | 0.000 | 0.000 |
| -10.755 | -10.755 | -84.485 | 0.000 | -0.000 | 0.000 |
| 0.000 | 0.000 | 0.000 | -10.743 | -0.000 | 0.000 |
| 0.000 | 0.000 | 0.000 | 0.000 | -10.743 | 0.000 |
| -823604.922 | -989757.409 | -2243407.968 | 15170.386 | 10590.831 | -130745.083 |
| 61.933 | 20.663 | -10.755 | 0.000 | 0.000 | -0.000 |
| 674025.438 | 1789903.599 | 694023.882 | 36771.418 | -3641.146 | 130.544 |
| -10.755 | -10.755 | -84.485 | 0.000 | 0.000 | -0.000 |
| -0.000 | -0.000 | -0.000 | -10.743 | 0.000 | -0.000 |
| -0.000 | -0.000 | -0.000 | -0.000 | -10.743 | 0.000 |
| 905288.944 | 1082122.231 | 2273544.305 | 10627.302 | 4529.095 | -128871.442 |
| 103.262 | 34.468 | 38.563 | -0.000 | -0.000 | 0.000 |
| 35.339 | 102.390 | 38.563 | -0.000 | -0.000 | -0.000 |
| 38.563 | 38.563 | 99.166 | -0.000 | 0.000 | -0.000 |
| -0.000 | -0.000 | -0.000 | 38.493 | 0.000 | -0.000 |
| -0.000 | 0.000 | -0.000 | 0.000 | 38.493 | 0.000 |
| -0.000 | 0.000 | -0.000 | 0.000 | 0.000 | 33.526 |
| 103.262 | 34.468 | 38.563 | -0.000 | 0.000 | 0.000 |
| 35.339 | 102.390 | 38.563 | -0.000 | 0.000 | -0.000 |
| 38.563 | 38.563 | 99.166 | -0.000 | -0.000 | -0.000 |
| 0.000 | 0.000 | 0.000 | 38.493 | 0.000 | 0.000 |
| 0.000 | -0.000 | 0.000 | 0.000 | 38.493 | 0.000 |
| 0.000 | -0.000 | 0.000 | -0.000 | 0.000 | 33.526 |
| 103.262 | 34.468 | 38.563 | -0.000 | -0.000 | -0.000 |
| 35.339 | 102.390 | 38.563 | 0.000 | 0.000 | -0.000 |
| 38.563 | 38.563 | 99.166 | 0.000 | 0.000 | -0.000 |
| -0.000 | -0.000 | -0.000 | 38.493 | -0.000 | -0.000 |
| -0.000 | -0.000 | -0.000 | 0.000 | 38.493 | 0.000 |
| -0.000 | -0.000 | -0.000 | 0.000 | 0.000 | 33.526 |
| 103.262 | 34.468 | 38.563 | -0.000 | -0.000 | 0.000 |
| 34.468 | 103.262 | 38.563 | 0.000 | 0.000 | 0.000 |
| 38.563 | 38.563 | 99.166 | -0.000 | -0.000 | 0.000 |
| 0.000 | 0.000 | 0.000 | 38.493 | 0.000 | -0.000 |
| 0.000 | 0.000 | 0.000 | -0.000 | 38.493 | 0.000 |
| 0.000 | 0.000 | 0.000 | -0.000 | -0.000 | 33.526 |
| 102.390 | 35.339 | 38.563 | 0.000 | -0.000 | -0.000 |
| 35.339 | 102.390 | 38.563 | 0.000 | -0.000 | -0.000 |
| 38.563 | 38.563 | 99.166 | 0.000 | -0.000 | -0.000 |
| -0.000 | -0.000 | -0.000 | 38.493 | -0.000 | 0.000 |
| -0.000 | -0.000 | -0.000 | 0.000 | 38.493 | -0.000 |
| -0.000 | -0.000 | -0.000 | -0.000 | -0.000 | 33.526 |
| 102.391 | 35.339 | 38.563 | -0.000 | -0.000 | 0.000 |
| 35.339 | 102.391 | 38.563 | 0.000 | 0.000 | 0.000 |
| 38.563 | 38.563 | 99.166 | -0.000 | -0.000 | 0.000 |
| 0.000 | 0.000 | 0.000 | 38.493 | 0.000 | -0.000 |
| 0.000 | 0.000 | 0.000 | -0.000 | 38.493 | -0.000 |
| 0.000 | 0.000 | 0.000 | 0.000 | -0.000 | 33.526 |
| 257.146 | 193.951 | 193.951 | 0.000 | 0.000 | 0.000 |
| 193.951 | 257.146 | 193.951 | 0.000 | 0.000 | 0.000 |
| 193.951 | 193.951 | 257.146 | 0.000 | 0.000 | 0.000 |
| -0.000 | -0.000 | -0.000 | 61.089 | 0.000 | 0.000 |
| -0.000 | -0.000 | -0.000 | 0.000 | 61.089 | 0.000 |
| -0.000 | -0.000 | -0.000 | 0.000 | 0.000 | 61.089 |
| 257.146 | 193.951 | 193.951 | -0.000 | -0.000 | -0.000 |
| 193.951 | 257.146 | 193.951 | -0.000 | -0.000 | -0.000 |
| 193.951 | 193.951 | 257.146 | -0.000 | -0.000 | -0.000 |
| 0.000 | 0.000 | 0.000 | 61.089 | -0.000 | -0.000 |
| 0.000 | 0.000 | 0.000 | -0.000 | 61.089 | -0.000 |
| 0.000 | 0.000 | 0.000 | -0.000 | -0.000 | 61.089 |
| 257.146 | 193.951 | 193.951 | 0.000 | 0.000 | 0.000 |
| 193.951 | 257.146 | 193.951 | 0.000 | 0.000 | 0.000 |
| 193.951 | 193.951 | 257.146 | 0.000 | 0.000 | 0.000 |
| -0.000 | -0.000 | -0.000 | 61.089 | 0.000 | 0.000 |
| -0.000 | -0.000 | -0.000 | 0.000 | 61.089 | 0.000 |
| -0.000 | -0.000 | -0.000 | 0.000 | 0.000 | 61.089 |
| 257.146 | 193.951 | 193.951 | -0.000 | -0.000 | -0.000 |
| 193.951 | 257.146 | 193.951 | -0.000 | -0.000 | -0.000 |
| 193.951 | 193.951 | 257.146 | -0.000 | -0.000 | -0.000 |
| 0.000 | 0.000 | 0.000 | 61.089 | -0.000 | -0.000 |
| 0.000 | 0.000 | 0.000 | -0.000 | 61.089 | -0.000 |
| 0.000 | 0.000 | 0.000 | -0.000 | -0.000 | 61.089 |
| 257.145 | 193.951 | 193.951 | 0.000 | 0.000 | 0.000 |
| 193.951 | 257.145 | 193.951 | 0.000 | 0.000 | 0.000 |
| 193.951 | 193.951 | 257.145 | 0.000 | 0.000 | 0.000 |
| -0.000 | -0.000 | -0.000 | 61.089 | 0.000 | 0.000 |
| -0.000 | -0.000 | -0.000 | 0.000 | 61.089 | 0.000 |
| -0.000 | -0.000 | -0.000 | 0.000 | 0.000 | 61.089 |
| 257.147 | 193.951 | 193.951 | -0.000 | -0.000 | -0.000 |
| 193.951 | 257.147 | 193.951 | -0.000 | -0.000 | -0.000 |
| 193.951 | 193.951 | 257.147 | -0.000 | -0.000 | -0.000 |
| 0.000 | 0.000 | 0.000 | 61.089 | -0.000 | -0.000 |
| 0.000 | 0.000 | 0.000 | -0.000 | 61.089 | -0.000 |
| 0.000 | 0.000 | 0.000 | -0.000 | -0.000 | 61.089 |
| 78.270 | 40.774 | 40.774 | 0.000 | 0.000 | 0.000 |
| 40.774 | 78.270 | 40.774 | 0.000 | 0.000 | 0.000 |
| 40.774 | 40.774 | 78.270 | 0.000 | 0.000 | 0.000 |
| -0.000 | -0.000 | -0.000 | 40.770 | 0.000 | 0.000 |
| -0.000 | -0.000 | -0.000 | 0.000 | 40.770 | 0.000 |
| -0.000 | -0.000 | -0.000 | 0.000 | 0.000 | 40.770 |
| 78.270 | 40.774 | 40.774 | -0.000 | -0.000 | -0.000 |
| 40.774 | 78.270 | 40.774 | -0.000 | -0.000 | -0.000 |
| 40.774 | 40.774 | 78.270 | 0.000 | 0.000 | -0.000 |
| 0.000 | 0.000 | 0.000 | 40.770 | -0.000 | -0.000 |
| 0.000 | 0.000 | -0.000 | -0.000 | 40.770 | -0.000 |
| 0.000 | 0.000 | 0.000 | -0.000 | -0.000 | 40.770 |
| 78.270 | 40.774 | 40.774 | 0.000 | 0.000 | 0.000 |
| 40.774 | 78.270 | 40.774 | 0.000 | 0.000 | 0.000 |
| 40.774 | 40.774 | 78.270 | 0.000 | 0.000 | 0.000 |
| -0.000 | -0.000 | -0.000 | 40.770 | 0.000 | 0.000 |
| -0.000 | -0.000 | -0.000 | 0.000 | 40.770 | 0.000 |
| -0.000 | -0.000 | -0.000 | 0.000 | 0.000 | 40.770 |
| 78.270 | 40.774 | 40.774 | -0.000 | -0.000 | -0.000 |
| 40.774 | 78.270 | 40.774 | -0.000 | -0.000 | -0.000 |
| 40.774 | 40.774 | 78.270 | -0.000 | -0.000 | -0.000 |
| 0.000 | 0.000 | 0.000 | 40.770 | -0.000 | -0.000 |
| 0.000 | 0.000 | 0.000 | -0.000 | 40.770 | -0.000 |
| 0.000 | 0.000 | 0.000 | -0.000 | -0.000 | 40.770 |
| 78.270 | 40.774 | 40.774 | 0.000 | 0.000 | 0.000 |
| 40.774 | 78.270 | 40.774 | 0.000 | 0.000 | 0.000 |
| 40.774 | 40.774 | 78.270 | 0.000 | 0.000 | 0.000 |
| -0.000 | -0.000 | -0.000 | 24.407 | 0.000 | 0.000 |
| -0.000 | -0.000 | -0.000 | 0.000 | 24.407 | 0.000 |
| -0.000 | -0.000 | -0.000 | 0.000 | 0.000 | 24.407 |
| 78.270 | 40.774 | 40.774 | -0.000 | -0.000 | -0.000 |
| 40.774 | 78.270 | 40.774 | -0.000 | -0.000 | -0.000 |
| 40.774 | 40.774 | 78.270 | -0.000 | -0.000 | -0.000 |
| 0.000 | 0.000 | 0.000 | 24.407 | -0.000 | -0.000 |
| 0.000 | 0.000 | 0.000 | -0.000 | 26.403 | -0.000 |
| 0.000 | 0.000 | 0.000 | -0.000 | -0.000 | 24.407 |
| 9.241 | 9.241 | 9.241 | 0.000 | 0.000 | 0.000 |
| 9.241 | 9.241 | 9.241 | 0.000 | 0.000 | 0.000 |
| 9.241 | 9.241 | 9.241 | 0.000 | 0.000 | 0.000 |
| -0.000 | -0.000 | -0.000 | 0.000 | 0.000 | 0.000 |
| -0.000 | -0.000 | -0.000 | 0.000 | 0.000 | 0.000 |
| -0.000 | -0.000 | -0.000 | 0.000 | 0.000 | 0.000 |
| 9.241 | 9.241 | 9.241 | -0.000 | -0.000 | -0.000 |
| 9.241 | 9.241 | 9.241 | -0.000 | -0.000 | -0.000 |
| 9.241 | 9.241 | 9.241 | -0.000 | -0.000 | -0.000 |
| 0.000 | 0.000 | 0.000 | -0.000 | -0.000 | -0.000 |
| 0.000 | 0.000 | 0.000 | -0.000 | -0.000 | -0.000 |
| 0.000 | 0.000 | 0.000 | -0.000 | -0.000 | -0.000 |
| 9.241 | 9.241 | 9.241 | 0.000 | 0.000 | 0.000 |
| 9.241 | 9.241 | 9.241 | 0.000 | 0.000 | 0.000 |
| 9.241 | 9.241 | 9.241 | 0.000 | 0.000 | 0.000 |
| -0.000 | -0.000 | -0.000 | 0.000 | 0.000 | 0.000 |
| -0.000 | -0.000 | -0.000 | 0.000 | 0.000 | 0.000 |
| -0.000 | -0.000 | -0.000 | 0.000 | 0.000 | 0.000 |
| 9.241 | 9.241 | 9.241 | -0.000 | -0.000 | -0.000 |
| 9.241 | 9.241 | 9.241 | -0.000 | -0.000 | -0.000 |
| 9.241 | 9.241 | 9.241 | -0.000 | -0.000 | -0.000 |
| 0.000 | 0.000 | 0.000 | -0.000 | -0.000 | -0.000 |
| 0.000 | 0.000 | 0.000 | -0.000 | -0.000 | -0.000 |
| 0.000 | 0.000 | 0.000 | -0.000 | -0.000 | -0.000 |
| 9.241 | 9.241 | 9.241 | 0.000 | 0.000 | 0.000 |
| 9.241 | 9.241 | 9.241 | 0.000 | 0.000 | 0.000 |
| 9.241 | 9.241 | 9.241 | 0.000 | 0.000 | 0.000 |
| -0.000 | -0.000 | -0.000 | 0.000 | 0.000 | 0.000 |
| -0.000 | -0.000 | -0.000 | 0.000 | 0.000 | 0.000 |
| -0.000 | -0.000 | -0.000 | 0.000 | 0.000 | 0.000 |
| 9.241 | 9.241 | 9.241 | -0.000 | -0.000 | -0.000 |
| 9.241 | 9.241 | 9.241 | -0.000 | -0.000 | -0.000 |
| 9.241 | 9.241 | 9.241 | -0.000 | -0.000 | -0.000 |
| 0.000 | 0.000 | 0.000 | -0.000 | -0.000 | -0.000 |
| 0.000 | 0.000 | 0.000 | -0.000 | -0.000 | -0.000 |
| 0.000 | 0.000 | 0.000 | -0.000 | -0.000 | -0.000 |
| 141.897 | 449.987 | 54.622 | -0.000 | -0.000 | -0.000 |
| 449.987 | 141.897 | 54.622 | 0.000 | 0.000 | -0.000 |
| 54.622 | 54.622 | 539.933 | -0.000 | -0.000 | -0.000 |
| 0.000 | -0.000 | 0.000 | -63.944 | 0.000 | -0.000 |
| 0.000 | -0.000 | -0.000 | -0.000 | -63.944 | -0.000 |
| -0.000 | -0.000 | -0.000 | -0.000 | -0.000 | 173.783 |
| 141.897 | 449.987 | 54.622 | 0.000 | -0.000 | 0.000 |
| 449.987 | 141.897 | 54.622 | 0.000 | 0.000 | 0.000 |
| 54.622 | 54.622 | 539.933 | 0.000 | -0.000 | 0.000 |
| -0.000 | -0.000 | 0.000 | -63.944 | 0.000 | -0.000 |
| -0.000 | 0.000 | 0.000 | 0.000 | -63.944 | 0.000 |
| 0.000 | 0.000 | 0.000 | -0.000 | -0.000 | 173.783 |
| 141.897 | 449.987 | 54.622 | -0.000 | 0.000 | 0.000 |
| 449.987 | 141.897 | 54.622 | -0.000 | -0.000 | -0.000 |
| 54.622 | 54.622 | 539.933 | -0.000 | -0.000 | -0.000 |
| -0.000 | 0.000 | -0.000 | -63.944 | 0.000 | -0.000 |
| 0.000 | -0.000 | -0.000 | -0.000 | -63.944 | 0.000 |
| -0.000 | -0.000 | -0.000 | -0.000 | -0.000 | 173.783 |
| 141.897 | 449.987 | 54.622 | 0.000 | -0.000 | -0.000 |
| 449.987 | 141.897 | 54.622 | 0.000 | -0.000 | 0.000 |
| 54.622 | 54.622 | 539.933 | 0.000 | 0.000 | -0.000 |
| 0.000 | -0.000 | 0.000 | -63.944 | 0.000 | -0.000 |
| -0.000 | 0.000 | 0.000 | 0.000 | -63.944 | 0.000 |
| 0.000 | 0.000 | 0.000 | 0.000 | -0.000 | 173.783 |
| 141.895 | 449.987 | 54.622 | -0.000 | -0.000 | -0.000 |
| 449.987 | 141.895 | 54.622 | -0.000 | -0.000 | 0.000 |
| 54.622 | 54.622 | 539.933 | -0.000 | 0.000 | 0.000 |
| -0.000 | 0.000 | -0.000 | -64.038 | 0.000 | 0.000 |
| 0.000 | -0.000 | -0.000 | -0.000 | -64.038 | -0.000 |
| -0.001 | -0.000 | -0.000 | -0.000 | -0.000 | 173.783 |
| 141.898 | 449.987 | 54.622 | 0.000 | 0.000 | -0.000 |
| 449.987 | 141.898 | 54.622 | -0.000 | -0.000 | 0.000 |
| 54.622 | 54.622 | 544.208 | 0.000 | -0.000 | -0.000 |
| 0.000 | -0.000 | 0.000 | -64.038 | -0.000 | 0.000 |
| -0.000 | 0.000 | 0.000 | 0.000 | -64.038 | 0.000 |
| 0.001 | 0.000 | 0.000 | 0.000 | 0.000 | 173.783 |
| 43.608 | 79.795 | 24.467 | 0.000 | -0.000 | -0.000 |
| 79.795 | 43.608 | 24.467 | 0.000 | 0.000 | -0.000 |
| 24.467 | 24.467 | 72.210 | 0.000 | 0.000 | 0.000 |
| -0.000 | 0.000 | -0.000 | -4.512 | 0.000 | -0.000 |
| -0.000 | 0.000 | -0.000 | 0.000 | -4.512 | -0.000 |
| -0.000 | 0.000 | 0.000 | -0.000 | 0.000 | 34.536 |
| 43.608 | 79.795 | 24.467 | -0.000 | -0.000 | 0.000 |
| 79.795 | 43.608 | 24.467 | 0.000 | -0.000 | 0.000 |
| 24.467 | 24.467 | 72.210 | -0.000 | -0.000 | 0.000 |
| 0.000 | -0.000 | 0.000 | -4.512 | -0.000 | -0.000 |
| 0.000 | -0.000 | 0.000 | -0.000 | -4.512 | 0.000 |
| 0.000 | -0.000 | -0.000 | 0.000 | -0.000 | 34.536 |
| 43.608 | 79.795 | 24.467 | 0.000 | 0.000 | 0.000 |
| 79.795 | 43.608 | 24.467 | -0.000 | 0.000 | -0.000 |
| 24.467 | 24.467 | 72.210 | -0.000 | 0.000 | -0.000 |
| -0.000 | 0.000 | -0.000 | -4.512 | 0.000 | 0.000 |
| 0.000 | -0.000 | -0.000 | 0.000 | -4.512 | -0.000 |
| -0.000 | -0.000 | -0.000 | -0.000 | 0.000 | 34.536 |
| 43.608 | 79.795 | 24.467 | -0.000 | 0.000 | 0.000 |
| 79.795 | 43.608 | 24.467 | -0.000 | -0.000 | 0.000 |
| 24.467 | 24.467 | 72.210 | -0.000 | 0.000 | 0.000 |
| 0.000 | -0.000 | 0.000 | -4.512 | -0.000 | 0.000 |
| -0.000 | 0.000 | 0.000 | -0.000 | -4.512 | 0.000 |
| 0.000 | 0.000 | 0.000 | 0.000 | -0.000 | 34.536 |
| 43.608 | 79.795 | 24.467 | 0.000 | 0.000 | -0.000 |
| 79.795 | 43.608 | 24.467 | 0.000 | 0.000 | -0.000 |
| 24.467 | 24.467 | 72.210 | -0.000 | 0.000 | 0.000 |
| -0.000 | 0.000 | -0.000 | -4.513 | 0.000 | 0.000 |
| 0.000 | -0.000 | -0.000 | 0.000 | -4.513 | 0.000 |
| -0.000 | -0.000 | -0.000 | 0.000 | 0.000 | 34.536 |
| 43.608 | 79.795 | 24.467 | -0.000 | -0.000 | 0.000 |
| 79.795 | 43.608 | 24.467 | -0.000 | -0.000 | 0.000 |
| 24.467 | 24.467 | 72.210 | 0.000 | -0.000 | 0.000 |
| 0.000 | -0.000 | 0.000 | -4.513 | -0.000 | 0.000 |
| -0.000 | 0.000 | 0.000 | -0.000 | -4.513 | 0.000 |
| 0.000 | 0.000 | 0.000 | -0.000 | -0.000 | 34.536 |
| -89.579 | -288.759 | -858.420 | 1.674 | -0.000 | 0.000 |
| -288.759 | -89.579 | -858.420 | -1.674 | -0.000 | 0.000 |
| 80.535 | 80.535 | 112.819 | -0.000 | -0.000 | 0.000 |
| -238.702 | -235.265 | -548.895 | -7.527 | -0.000 | 0.000 |
| 0.000 | 0.000 | 0.000 | -0.000 | 76.723 | -21.079 |
| 0.000 | 0.000 | 0.000 | -0.000 | -21.079 | 104.819 |
| 463.153 | 263.673 | 421.459 | 1.021 | 0.000 | -0.000 |
| 266.114 | 471.238 | 433.649 | 11.260 | 0.000 | -0.000 |
| 80.535 | 80.535 | 112.819 | -0.000 | -0.000 | -0.000 |
| -21.079 | 21.079 | -0.000 | 76.723 | 0.000 | -0.000 |
| -0.000 | -0.000 | -0.000 | 0.000 | 76.723 | -21.079 |
| -0.000 | -0.000 | -0.000 | 0.000 | -21.079 | 104.819 |
| 317.990 | 108.352 | 73.472 | -21.079 | -0.000 | 0.000 |
| -33.703 | 165.791 | -267.301 | -0.992 | -0.000 | 0.000 |
| 80.535 | 80.535 | 112.819 | -0.000 | -0.000 | 0.000 |
| -21.079 | 21.079 | 0.000 | 76.723 | -0.000 | 0.000 |
| -0.000 | 0.000 | 0.000 | 0.000 | 76.723 | -21.079 |
| -0.000 | -0.000 | 0.000 | -0.000 | -21.079 | 104.819 |
| 317.990 | 108.353 | 73.472 | -21.079 | 0.000 | -0.000 |
| 108.353 | 317.990 | 73.472 | 21.079 | 0.000 | -0.000 |
| -179.793 | -179.793 | -490.147 | 0.000 | 0.000 | -0.000 |
| -21.079 | 21.079 | -0.000 | 76.723 | 0.000 | -0.000 |
| 0.000 | -0.000 | -0.000 | 0.000 | 76.723 | -21.079 |
| 0.000 | 0.000 | -0.000 | 0.000 | -21.079 | 104.819 |
| 191.094 | -14.238 | -215.455 | -11.713 | 0.000 | 0.000 |
| -16.679 | 188.448 | -221.345 | 11.267 | 0.000 | 0.000 |
| -210.587 | -210.587 | -561.469 | -0.000 | -0.000 | 0.000 |
| -12.486 | 10.089 | -2.776 | 34.113 | -0.000 | 0.000 |
| -1.896 | -1.223 | -2.850 | 0.045 | 34.385 | -11.431 |
| -1.617 | -1.658 | -3.030 | 0.314 | -11.471 | 102.934 |
| 193.910 | -12.222 | -212.877 | -11.470 | 0.000 | -0.000 |
| -2.982 | 197.872 | -197.587 | -0.828 | 0.000 | -0.000 |
| -204.519 | -204.519 | -551.989 | -0.000 | -0.000 | -0.000 |
| -9.906 | 13.759 | 2.936 | 34.452 | 0.000 | -0.000 |
| 1.896 | 1.223 | 2.850 | -0.045 | 34.385 | -11.431 |
| 1.617 | 1.658 | 3.030 | -0.314 | -11.471 | 102.934 |
| 288.052 | 81.249 | 81.249 | 0.000 | 0.000 | 0.000 |
| 81.249 | 288.052 | 81.249 | 0.000 | 0.000 | -0.000 |
| 81.249 | 81.249 | 288.052 | 0.000 | 0.000 | 0.000 |
| -0.000 | -0.000 | 0.000 | 42.416 | 0.000 | 0.000 |
| -0.000 | 0.000 | 0.000 | 0.000 | 42.416 | 0.000 |
| -0.000 | -0.000 | 0.000 | 0.000 | 0.000 | 42.416 |
| 288.052 | 81.249 | 81.249 | -0.000 | -0.000 | -0.000 |
| 81.249 | 288.052 | 81.249 | -0.000 | -0.000 | 0.000 |
| 81.249 | 81.249 | 288.052 | -0.000 | 0.000 | -0.000 |
| 0.000 | 0.000 | -0.000 | 42.416 | -0.000 | -0.000 |
| 0.000 | -0.000 | -0.000 | -0.000 | 42.416 | -0.000 |
| 0.000 | -0.000 | -0.000 | -0.000 | -0.000 | 42.416 |
| 288.052 | 81.249 | 81.249 | 0.000 | 0.000 | 0.000 |
| 81.249 | 288.052 | 81.249 | 0.000 | 0.000 | 0.000 |
| 81.249 | 81.249 | 288.052 | 0.000 | 0.000 | 0.000 |
| -0.000 | -0.000 | -0.000 | 42.416 | 0.000 | 0.000 |
| -0.000 | -0.000 | -0.000 | 0.000 | 42.416 | 0.000 |
| -0.000 | -0.000 | -0.000 | 0.000 | 0.000 | 42.416 |
| 288.052 | 81.249 | 81.249 | -0.000 | -0.000 | -0.000 |
| 81.249 | 288.052 | 81.249 | -0.000 | -0.000 | 0.000 |
| 81.249 | 81.249 | 288.052 | -0.000 | -0.000 | -0.000 |
| 0.000 | 0.000 | 0.000 | 42.416 | -0.000 | -0.000 |
| 0.000 | 0.000 | 0.000 | -0.000 | 42.416 | -0.000 |
| 0.000 | 0.000 | 0.000 | -0.000 | -0.000 | 42.416 |
| 288.051 | 81.249 | 81.249 | 0.000 | 0.000 | -0.000 |
| 81.249 | 288.051 | 81.249 | 0.000 | 0.000 | 0.000 |
| 81.249 | 81.249 | 288.051 | -0.000 | -0.000 | 0.000 |
| -0.000 | -0.000 | -0.000 | 42.416 | 0.000 | -0.000 |
| -0.000 | -0.000 | -0.000 | 0.000 | 42.416 | 0.000 |
| -0.000 | -0.000 | -0.000 | 0.000 | 0.000 | 42.416 |
| 288.052 | 81.249 | 81.249 | -0.000 | -0.000 | -0.000 |
| 81.249 | 288.052 | 81.249 | -0.000 | -0.000 | -0.000 |
| 81.249 | 81.249 | 288.052 | -0.000 | -0.000 | -0.000 |
| 0.000 | 0.000 | 0.000 | 42.416 | -0.000 | -0.000 |
| 0.000 | 0.000 | 0.000 | -0.000 | 42.416 | -0.000 |
| 0.000 | 0.000 | 0.000 | -0.000 | 0.000 | 42.416 |
| 267.259 | 48.106 | 48.106 | -0.000 | -0.000 | -0.000 |
| 48.106 | 267.259 | 48.106 | -0.000 | -0.000 | 0.000 |
| 48.106 | 48.106 | 267.259 | -0.000 | -0.000 | 0.000 |
| 0.000 | -0.000 | -0.000 | 25.437 | -0.000 | -0.000 |
| 0.000 | 0.000 | -0.000 | -0.000 | 25.437 | 0.000 |
| 0.000 | 0.000 | 0.000 | -0.000 | -0.000 | 25.437 |
| 267.259 | 48.106 | 48.106 | 0.000 | 0.000 | -0.000 |
| 48.106 | 267.259 | 48.106 | 0.000 | 0.000 | 0.000 |
| 48.106 | 48.106 | 267.259 | 0.000 | 0.000 | -0.000 |
| -0.000 | -0.000 | -0.000 | 25.437 | 0.000 | -0.000 |
| -0.000 | -0.000 | 0.000 | 0.000 | 25.437 | -0.000 |
| -0.000 | -0.000 | -0.000 | 0.000 | -0.000 | 25.437 |
| 267.259 | 48.106 | 48.106 | -0.000 | -0.000 | 0.000 |
| 48.106 | 267.259 | 48.106 | -0.000 | -0.000 | 0.000 |
| 48.106 | 48.106 | 267.259 | -0.000 | -0.000 | 0.000 |
| -0.000 | -0.000 | -0.000 | 25.437 | -0.000 | -0.000 |
| -0.000 | -0.000 | -0.000 | -0.000 | 25.437 | 0.000 |
| -0.000 | -0.000 | -0.000 | -0.000 | -0.000 | 25.437 |
| 267.259 | 48.106 | 48.106 | 0.000 | -0.000 | -0.000 |
| 48.106 | 267.259 | 48.106 | -0.000 | -0.000 | -0.000 |
| 48.106 | 48.106 | 267.259 | 0.000 | 0.000 | -0.000 |
| 0.000 | 0.000 | 0.000 | 25.437 | 0.000 | -0.000 |
| 0.000 | 0.000 | 0.000 | 0.000 | 25.437 | -0.000 |
| 0.000 | 0.000 | 0.000 | 0.000 | 0.000 | 25.437 |
| 267.259 | 48.106 | 48.106 | -0.000 | -0.000 | 0.000 |
| 48.106 | 267.259 | 48.106 | -0.000 | -0.000 | 0.000 |
| 48.106 | 48.106 | 267.259 | -0.000 | -0.000 | 0.000 |
| -0.000 | -0.000 | -0.000 | 25.437 | -0.000 | 0.000 |
| -0.000 | -0.000 | -0.000 | -0.000 | 25.437 | 0.000 |
| -0.000 | -0.000 | -0.000 | -0.000 | -0.000 | 25.437 |
| 267.260 | 48.105 | 48.105 | 0.000 | -0.000 | 0.000 |
| 48.105 | 267.260 | 48.105 | 0.000 | 0.000 | -0.000 |
| 48.105 | 48.105 | 267.260 | -0.000 | -0.000 | -0.000 |
| 0.000 | 0.000 | 0.000 | 25.437 | 0.000 | 0.000 |
| 0.000 | 0.000 | 0.000 | 0.000 | 25.437 | -0.000 |
| 0.000 | 0.000 | 0.000 | 0.000 | 0.000 | 25.437 |
| 98.586 | 25.167 | 25.167 | 0.000 | 0.000 | 0.000 |
| 25.167 | 98.586 | 25.167 | 0.000 | 0.000 | -0.000 |
| 25.167 | 25.167 | 98.586 | -0.000 | -0.000 | 0.000 |
| 0.000 | -0.000 | -0.000 | 25.143 | 0.000 | 0.000 |
| -0.000 | 0.000 | -0.000 | -0.000 | 25.143 | 0.000 |
| -0.000 | -0.000 | 0.000 | -0.000 | 0.000 | 25.143 |
| 98.586 | 25.167 | 25.167 | 0.000 | -0.000 | -0.000 |
| 25.167 | 98.586 | 25.167 | -0.000 | 0.000 | -0.000 |
| 25.167 | 25.167 | 98.586 | 0.000 | -0.000 | 0.000 |
| -0.000 | 0.000 | 0.000 | 25.143 | 0.000 | -0.000 |
| 0.000 | -0.000 | 0.000 | 0.000 | 25.143 | -0.000 |
| 0.000 | 0.000 | -0.000 | 0.000 | -0.000 | 25.143 |
| 98.586 | 25.167 | 25.167 | 0.000 | 0.000 | 0.000 |
| 25.167 | 98.586 | 25.167 | -0.000 | 0.000 | 0.000 |
| 25.167 | 25.167 | 98.586 | -0.000 | -0.000 | 0.000 |
| -0.000 | -0.000 | -0.000 | 25.143 | 0.000 | 0.000 |
| -0.000 | -0.000 | -0.000 | -0.000 | 25.143 | 0.000 |
| -0.000 | -0.000 | -0.000 | -0.000 | -0.000 | 25.143 |
| 98.586 | 25.167 | 25.167 | -0.000 | 0.000 | -0.000 |
| 25.167 | 98.586 | 25.167 | 0.000 | -0.000 | -0.000 |
| 25.167 | 25.167 | 98.586 | 0.000 | 0.000 | -0.000 |
| 0.000 | 0.000 | 0.000 | 25.143 | -0.000 | -0.000 |
| 0.000 | 0.000 | 0.000 | 0.000 | 25.143 | -0.000 |
| 0.000 | 0.000 | 0.000 | 0.000 | 0.000 | 25.143 |
| 98.586 | 25.167 | 25.167 | 0.000 | 0.000 | 0.000 |
| 25.167 | 98.586 | 25.167 | 0.000 | 0.000 | 0.000 |
| 25.167 | 25.167 | 98.586 | 0.000 | 0.000 | 0.000 |
| -0.000 | -0.000 | -0.000 | 25.143 | -0.000 | 0.000 |
| -0.000 | -0.000 | -0.000 | -0.000 | 25.143 | 0.000 |
| -0.000 | -0.000 | -0.000 | 0.000 | 0.000 | 25.143 |
| 98.587 | 25.167 | 25.167 | 0.000 | -0.000 | -0.000 |
| 25.167 | 98.587 | 25.167 | 0.000 | -0.000 | -0.000 |
| 25.167 | 25.167 | 98.587 | -0.000 | -0.000 | -0.000 |
| 0.000 | 0.000 | 0.000 | 25.143 | 0.000 | -0.000 |
| 0.000 | 0.000 | 0.000 | 0.000 | 25.143 | -0.000 |
| 0.000 | 0.000 | 0.000 | 0.000 | -0.000 | 25.143 |
| 457.497 | 273.530 | 210.608 | 0.000 | -0.000 | -0.000 |
| 282.281 | 732.073 | 282.193 | -0.000 | -0.000 | -0.000 |
| 210.604 | 273.438 | 457.379 | -0.000 | -0.000 | -0.000 |
| -2.472 | -0.392 | -2.472 | -5.869 | -0.000 | 0.000 |
| 0.000 | -0.000 | 0.000 | -0.000 | 126.255 | 0.000 |
| 0.000 | 0.000 | 0.000 | -0.000 | -0.000 | 188.620 |
| 375.681 | 260.559 | 128.795 | -0.000 | -0.000 | -0.000 |
| 282.281 | 732.073 | 282.193 | 0.000 | 0.000 | -0.000 |
| 128.791 | 260.467 | 375.569 | -0.000 | -0.000 | -0.000 |
| 2.472 | 0.392 | 2.472 | -5.869 | 0.000 | -0.000 |
| -0.000 | -0.000 | -0.000 | -0.000 | 126.255 | 0.000 |
| -0.000 | 0.000 | -0.000 | -0.000 | 0.000 | 188.620 |
| 457.497 | 273.530 | 210.608 | 0.000 | 0.000 | 0.000 |
| 269.147 | 729.991 | 269.060 | -0.000 | -0.000 | -0.000 |
| 128.189 | 260.372 | 374.967 | -0.000 | -0.000 | 0.000 |
| -0.248 | -0.039 | -0.248 | -6.809 | 0.000 | 0.000 |
| -0.000 | -0.000 | -0.000 | -0.000 | 126.255 | -0.000 |
| -0.248 | -0.039 | -0.248 | -0.000 | -0.000 | 2.028 |
| 375.216 | 260.485 | 128.330 | 0.000 | -0.000 | -0.000 |
| 282.281 | 732.074 | 282.193 | -0.000 | 0.000 | 0.000 |
| 128.326 | 260.394 | 375.105 | -0.000 | 0.000 | -0.000 |
| 0.248 | 0.039 | 0.248 | -6.809 | 0.000 | 0.000 |
| 0.000 | 0.000 | 0.000 | 0.000 | 126.255 | -0.000 |
| 0.248 | 0.039 | 0.248 | -0.000 | 0.000 | 2.028 |
| 375.142 | 260.474 | 128.257 | 0.000 | -0.000 | 0.000 |
| 269.219 | 730.001 | 269.131 | 0.000 | -0.000 | 0.000 |
| 128.253 | 260.382 | 375.030 | 0.000 | 0.000 | -0.000 |
| -0.025 | -0.004 | -0.025 | -6.819 | -0.000 | 0.000 |
| -0.000 | -0.000 | -0.000 | -0.000 | 126.255 | 0.000 |
| -0.025 | -0.005 | -0.025 | 0.000 | 0.000 | 2.019 |
| 375.153 | 260.475 | 128.266 | -0.000 | -0.000 | -0.000 |
| 269.233 | 730.006 | 269.145 | 0.000 | -0.000 | 0.000 |
| 128.262 | 260.384 | 375.041 | -0.000 | 0.000 | 0.000 |
| 0.025 | 0.004 | 0.025 | -6.819 | 0.000 | 0.000 |
| 0.000 | 0.000 | 0.000 | -0.000 | 126.255 | -0.000 |
| 0.025 | 0.005 | 0.025 | -0.000 | 0.000 | 2.019 |
| 293.478 | 174.016 | 174.016 | -0.000 | -0.000 | 0.000 |
| 174.016 | 293.478 | 174.016 | 0.000 | 0.000 | 0.000 |
| 174.016 | 174.016 | 293.478 | 0.000 | 0.000 | 0.000 |
| -124.513 | -124.513 | -124.513 | 65.308 | 0.000 | 0.000 |
| -131.710 | -131.710 | -131.710 | -0.000 | 69.108 | 0.000 |
| -0.000 | 0.000 | 0.000 | 0.000 | -0.000 | 108.296 |
| 516.384 | 420.414 | 420.414 | -0.000 | -0.000 | -0.000 |
| 420.414 | 516.384 | 420.414 | -0.000 | 0.000 | 0.000 |
| 420.414 | 420.414 | 516.384 | 0.000 | 0.000 | -0.000 |
| 131.710 | 131.710 | 131.710 | 69.108 | -0.000 | -0.000 |
| 131.710 | 131.710 | 131.710 | -0.000 | 69.108 | -0.000 |
| 0.000 | -0.000 | -0.000 | -0.000 | -0.000 | 108.296 |
| 392.121 | 289.348 | 289.348 | 0.000 | 0.000 | 0.000 |
| 289.348 | 392.121 | 289.348 | -0.000 | -0.000 | 0.000 |
| 289.348 | 289.348 | 392.121 | 0.000 | 0.000 | 0.000 |
| -13.402 | -13.402 | -13.402 | 68.421 | -0.000 | 0.000 |
| -13.402 | -13.402 | -13.402 | 0.000 | 68.421 | 0.000 |
| -13.402 | -13.402 | -13.402 | 0.000 | 0.000 | 68.421 |
| 439.140 | 312.868 | 312.868 | -0.000 | -0.000 | -0.000 |
| 312.868 | 439.140 | 312.868 | -0.000 | -0.000 | -0.000 |
| 312.868 | 312.868 | 439.140 | -0.000 | -0.000 | -0.000 |
| 13.402 | 13.402 | 13.402 | 68.421 | -0.000 | -0.000 |
| 13.402 | 13.402 | 13.402 | 0.000 | 68.421 | -0.000 |
| 13.402 | 13.402 | 13.402 | 0.000 | 0.000 | 68.421 |
| 410.376 | 299.227 | 299.227 | 0.000 | 0.000 | 0.000 |
| 299.227 | 410.376 | 299.227 | -0.000 | -0.000 | -0.000 |
| 299.227 | 299.227 | 410.376 | 0.000 | 0.000 | 0.000 |
| 0.057 | 0.076 | 0.076 | 108.220 | -0.000 | 0.000 |
| 0.076 | 0.057 | 0.076 | 0.000 | 108.220 | 0.000 |
| 0.076 | 0.076 | 0.057 | 0.000 | 0.000 | 108.220 |
| 378.555 | 308.313 | 308.313 | -0.000 | -0.000 | -0.000 |
| 308.313 | 378.555 | 308.313 | -0.000 | -0.000 | -0.000 |
| 308.313 | 308.313 | 378.555 | -0.000 | -0.000 | -0.000 |
| -0.057 | -0.076 | -0.076 | 108.220 | -0.000 | -0.000 |
| -0.076 | -0.057 | -0.076 | 0.000 | 108.220 | -0.000 |
| -0.076 | -0.076 | -0.057 | -0.000 | -0.000 | 108.220 |
| 486.501 | 274.338 | 274.338 | -0.000 | -0.000 | 0.000 |
| 274.338 | 486.501 | 274.338 | 0.000 | 0.000 | 0.000 |
| 274.338 | 274.338 | 486.501 | -0.000 | -0.000 | 0.000 |
| -0.000 | 0.000 | -0.000 | 107.405 | 0.000 | 0.000 |
| -0.000 | 0.000 | -0.000 | 0.000 | 107.405 | 0.000 |
| -0.000 | 0.000 | -0.000 | 0.000 | 0.000 | 107.405 |
| 29.954 | -14.320 | -14.320 | -0.000 | -0.000 | -0.000 |
| -14.320 | 29.954 | -14.320 | 0.000 | 0.000 | -0.000 |
| -14.320 | -14.320 | 29.954 | -0.000 | -0.000 | -0.000 |
| -0.000 | -0.000 | 0.000 | 107.405 | -0.000 | -0.000 |
| -0.000 | -0.000 | 0.000 | 0.000 | 107.405 | -0.000 |
| -0.000 | 0.000 | 0.000 | -0.000 | -0.000 | 107.405 |
| 486.501 | 274.338 | 274.338 | -0.000 | -0.000 | 0.000 |
| 274.338 | 486.501 | 274.338 | 0.000 | 0.000 | 0.000 |
| 274.338 | 274.338 | 486.501 | 0.000 | 0.000 | 0.000 |
| 32.747 | 32.747 | 32.747 | 28.682 | 0.000 | 0.000 |
| 32.747 | 32.747 | 32.747 | 0.000 | 28.681 | 0.000 |
| 32.747 | 32.747 | 32.747 | 0.000 | 0.000 | 28.681 |
| 486.501 | 274.338 | 274.338 | -0.000 | -0.000 | -0.000 |
| 274.338 | 486.501 | 274.338 | 0.000 | 0.000 | -0.000 |
| 274.338 | 274.338 | 486.501 | -0.000 | -0.000 | -0.000 |
| -32.747 | -32.747 | -32.747 | 28.681 | -0.000 | -0.000 |
| -32.747 | -32.747 | -32.747 | -0.000 | 28.681 | -0.000 |
| -32.747 | -32.747 | -32.747 | 0.000 | 0.000 | 28.681 |
| 409.209 | 298.598 | 298.598 | -0.000 | -0.000 | 0.000 |
| 298.598 | 409.209 | 298.598 | -0.000 | -0.000 | 0.000 |
| 298.598 | 298.598 | 409.209 | 0.000 | -0.000 | 0.000 |
| 1.145 | 0.118 | 0.118 | 68.102 | -0.000 | 0.000 |
| 0.118 | 1.145 | 0.118 | -0.000 | 68.102 | 0.000 |
| 0.137 | 0.137 | 1.165 | 0.000 | 0.000 | 67.343 |
| 370.084 | 299.232 | 299.232 | 0.000 | 0.000 | -0.000 |
| 299.232 | 370.084 | 299.232 | 0.000 | 0.000 | -0.000 |
| 299.232 | 299.232 | 370.084 | -0.000 | -0.000 | -0.000 |
| -1.145 | -0.118 | -0.118 | 68.102 | 0.000 | -0.000 |
| -0.118 | -1.145 | -0.118 | 0.000 | 68.102 | -0.000 |
| -0.137 | -0.137 | -1.165 | 0.000 | -0.000 | 67.343 |
| 442.975 | 328.457 | 328.457 | -0.000 | 0.000 | 0.000 |
| 328.457 | 442.975 | 328.457 | -0.000 | 0.000 | 0.000 |
| 328.457 | 328.457 | 442.975 | -0.000 | 0.000 | 0.000 |
| 47.257 | 47.256 | 47.256 | 38.999 | -0.000 | 0.000 |
| 47.256 | 47.256 | 47.256 | 0.000 | 38.999 | 0.000 |
| 47.257 | 47.256 | 47.256 | 0.000 | -0.000 | 38.999 |
| 442.975 | 328.457 | 328.457 | 0.000 | 0.000 | -0.000 |
| 328.457 | 442.975 | 328.457 | 0.000 | -0.000 | -0.000 |
| 328.457 | 328.457 | 442.975 | 0.000 | -0.000 | -0.000 |
| -142.444 | -142.444 | -142.444 | 33.964 | -0.000 | 0.000 |
| -47.257 | -47.256 | -47.256 | -0.000 | 38.999 | -0.000 |
| -47.256 | -47.256 | -47.256 | -0.000 | 0.000 | 38.999 |
| 377.540 | 302.243 | 302.243 | -0.000 | -0.000 | 0.000 |
| 302.243 | 377.540 | 302.243 | -0.000 | -0.000 | 0.000 |
| 302.243 | 302.243 | 377.540 | 0.000 | -0.000 | 0.000 |
| -0.000 | -0.000 | -0.000 | 130.670 | -0.000 | 0.000 |
| -0.000 | -0.000 | -0.000 | -0.000 | 130.670 | 0.000 |
| -0.000 | -0.000 | -0.000 | -0.000 | 0.000 | 130.670 |
| 442.975 | 328.457 | 328.457 | 0.000 | -0.000 | -0.000 |
| 328.457 | 442.975 | 328.457 | 0.000 | -0.000 | -0.000 |
| 328.457 | 328.457 | 442.975 | 0.000 | -0.000 | -0.000 |
| 0.000 | 0.000 | 0.000 | 130.670 | -0.000 | -0.000 |
| 0.000 | 0.000 | 0.000 | 0.000 | 130.670 | -0.000 |
| 0.000 | 0.000 | 0.000 | 0.000 | -0.000 | 130.670 |
| 260.607 | 219.577 | 219.577 | 0.000 | -0.000 | -0.000 |
| 219.577 | 260.607 | 219.577 | 0.000 | -0.000 | -0.000 |
| 219.577 | 219.577 | 260.607 | 0.000 | -0.000 | -0.000 |
| 0.684 | 0.690 | 0.690 | 59.467 | -0.000 | 0.000 |
| 0.690 | 0.684 | 0.690 | 0.000 | 59.467 | 0.000 |
| 0.690 | 0.690 | 0.684 | 0.000 | 0.000 | 59.467 |
| 241.759 | 204.993 | 204.993 | 0.000 | 0.000 | -0.000 |
| 204.993 | 241.759 | 204.993 | 0.000 | 0.000 | -0.000 |
| 215.622 | 215.622 | 245.049 | -0.000 | 0.000 | 0.000 |
| -0.683 | -0.688 | -0.688 | 59.501 | 0.000 | -0.000 |
| -0.690 | -0.684 | -0.690 | 0.000 | 59.462 | -0.000 |
| -0.690 | -0.690 | -0.684 | -0.000 | -0.000 | 59.467 |
| -18513.978 | -18554.884 | -18554.884 | -0.000 | 0.000 | -0.000 |
| -18554.884 | -18513.978 | -18554.884 | -0.000 | 0.000 | -0.000 |
| -18554.884 | -18554.884 | -18513.978 | -0.000 | 0.000 | -0.000 |
| -18697.482 | -18697.482 | -18697.482 | 64.549 | 0.000 | -0.000 |
| -18697.482 | -18697.482 | -18697.482 | -0.000 | 64.549 | -0.000 |
| -18697.482 | -18697.482 | -18697.482 | -0.000 | 0.000 | 64.549 |
| 6890.161 | 6860.655 | 6860.655 | 0.000 | 0.000 | 0.000 |
| 6860.655 | 6890.161 | 6860.655 | 0.000 | 0.000 | -0.000 |
| 6860.655 | 6860.655 | 6890.161 | 0.000 | 0.000 | 0.000 |
| 18697.190 | 18697.190 | 18697.190 | 42.266 | -0.000 | 0.000 |
| 18697.482 | 18697.482 | 18697.482 | 0.000 | 64.549 | 0.000 |
| 18697.482 | 18697.482 | 18697.482 | 0.000 | -0.000 | 64.549 |
| 315.874 | 255.687 | 255.687 | -0.000 | -0.000 | 0.000 |
| 255.687 | 315.874 | 255.687 | -0.000 | -0.000 | 0.000 |
| 255.687 | 255.687 | 315.874 | -0.000 | -0.000 | 0.000 |
| -1866.294 | -1866.294 | -1866.294 | 42.398 | 0.000 | -0.000 |
| -1866.294 | -1866.294 | -1866.294 | -0.000 | 42.398 | -0.000 |
| -1866.294 | -1866.294 | -1866.294 | -0.000 | 0.000 | 42.398 |
| 2042.400 | 2015.920 | 2015.920 | 0.000 | -0.000 | 0.000 |
| 2015.920 | 2042.400 | 2015.920 | 0.000 | -0.000 | 0.000 |
| 2015.920 | 2015.920 | 2042.400 | 0.000 | -0.000 | 0.000 |
| 1866.294 | 1866.294 | 1866.294 | 42.398 | -0.000 | 0.000 |
| 1866.294 | 1866.294 | 1866.294 | 0.000 | 42.398 | 0.000 |
| 1866.294 | 1866.294 | 1866.294 | 0.000 | -0.000 | 42.398 |
| -5.453 | -32.777 | -32.777 | -0.000 | -0.000 | -0.000 |
| -32.777 | -5.453 | -32.777 | -0.000 | 0.000 | -0.000 |
| -32.777 | -32.777 | -5.453 | -0.000 | 0.000 | -0.000 |
| -60.006 | -60.006 | -60.006 | 83.173 | -0.000 | -0.000 |
| -60.006 | -60.006 | -60.006 | -0.000 | 83.173 | -0.000 |
| -60.006 | -60.006 | -60.006 | -0.000 | -0.000 | 83.173 |
| 316.655 | 275.738 | 275.738 | 0.000 | 0.000 | -0.000 |
| 317.216 | 352.510 | 317.216 | 0.000 | -0.000 | 0.000 |
| 275.738 | 275.738 | 316.655 | 0.000 | 0.000 | 0.000 |
| 60.006 | 60.006 | 60.006 | 83.173 | 0.000 | 0.000 |
| 60.006 | 60.006 | 60.006 | 0.000 | 83.173 | 0.000 |
| 60.006 | 60.006 | 60.006 | 0.000 | 0.000 | 83.173 |
| 683.912 | 349.259 | 490.238 | 0.000 | 0.000 | -0.000 |
| 350.274 | 697.962 | 493.073 | 0.000 | 0.000 | -0.000 |
| 493.847 | 495.667 | 1145.310 | 0.000 | -0.000 | -0.000 |
| -0.000 | -0.000 | 0.000 | 297.001 | 0.000 | -0.000 |
| -0.000 | -0.000 | -0.000 | -0.000 | 295.434 | -0.000 |
| -0.000 | -0.000 | 0.000 | -0.000 | 0.000 | 166.419 |
| 683.912 | 349.259 | 490.238 | -0.000 | -0.000 | 0.000 |
| 350.274 | 697.962 | 493.073 | -0.000 | -0.000 | 0.000 |
| 493.847 | 495.667 | 1145.310 | -0.000 | -0.000 | 0.000 |
| 0.000 | 0.000 | 0.000 | 297.001 | -0.000 | -0.000 |
| 0.000 | 0.000 | 0.000 | 0.000 | 295.434 | -0.000 |
| -0.000 | 0.000 | -0.000 | 0.000 | -0.000 | 166.419 |
| 683.912 | 349.259 | 490.238 | 0.000 | 0.000 | -0.000 |
| 350.274 | 697.962 | 493.073 | 0.000 | 0.000 | -0.000 |
| 493.847 | 495.667 | 1145.310 | 0.000 | 0.000 | -0.000 |
| -0.000 | -0.000 | -0.000 | 297.001 | 0.000 | 0.000 |
| -0.000 | -0.000 | -0.000 | 0.000 | 295.434 | 0.000 |
| -0.000 | -0.000 | -0.000 | 0.000 | -0.000 | 166.419 |
| 686.770 | 346.536 | 490.479 | -0.000 | -0.000 | 0.000 |
| 350.274 | 697.962 | 493.073 | -0.000 | -0.000 | 0.000 |
| 493.847 | 495.667 | 1145.311 | -0.000 | -0.000 | 0.000 |
| 0.000 | 0.000 | 0.000 | 297.001 | -0.000 | -0.000 |
| 0.000 | 0.000 | 0.000 | -0.000 | 295.434 | -0.000 |
| 0.000 | 0.000 | 0.000 | -0.000 | -0.000 | 166.419 |
| 683.911 | 349.260 | 490.238 | 0.000 | 0.000 | -0.000 |
| 350.274 | 697.961 | 493.073 | 0.000 | 0.000 | -0.000 |
| 493.847 | 495.667 | 1145.308 | 0.000 | 0.000 | -0.000 |
| -0.000 | -0.001 | -0.001 | 297.001 | 0.000 | -0.000 |
| -0.001 | -0.000 | -0.001 | -0.000 | 295.434 | 0.000 |
| -0.000 | -0.000 | -0.000 | 0.000 | 0.000 | 166.419 |
| 683.913 | 349.259 | 490.237 | -0.000 | -0.000 | 0.000 |
| 350.274 | 697.962 | 493.073 | -0.000 | -0.000 | 0.000 |
| 493.847 | 495.667 | 1145.312 | 0.000 | -0.000 | 0.000 |
| 0.000 | 0.001 | 0.001 | 297.001 | -0.000 | 0.000 |
| 0.001 | 0.000 | 0.001 | -0.000 | 295.434 | -0.000 |
| 0.000 | 0.000 | 0.000 | -0.000 | -0.000 | 166.419 |
| 308.653 | 410.331 | 30.278 | 0.000 | 0.000 | -0.000 |
| 212.362 | 506.623 | 30.278 | -0.000 | -0.000 | -0.000 |
| 30.278 | 30.278 | 593.011 | 0.000 | 0.000 | -0.000 |
| -0.000 | 0.000 | 0.000 | -26.129 | -0.000 | -0.000 |
| -0.000 | 0.000 | 0.000 | -0.000 | -26.129 | 0.000 |
| 0.000 | -0.000 | 0.000 | -0.000 | -0.000 | 147.130 |
| 308.653 | 410.331 | 30.278 | 0.000 | -0.000 | -0.000 |
| 410.331 | 308.653 | 30.278 | 0.000 | 0.000 | 0.000 |
| 30.278 | 30.278 | 593.011 | 0.000 | 0.000 | 0.000 |
| 0.000 | -0.000 | 0.000 | -26.129 | 0.000 | 0.000 |
| 0.000 | -0.000 | -0.000 | 0.000 | -26.129 | -0.000 |
| -0.000 | 0.000 | -0.000 | -0.000 | -0.000 | 147.130 |
| 506.623 | 212.362 | 30.278 | -0.000 | -0.000 | -0.000 |
| 212.362 | 506.623 | 30.278 | -0.000 | -0.000 | 0.000 |
| 30.278 | 30.278 | 593.011 | -0.000 | -0.000 | 0.000 |
| 0.000 | 0.000 | -0.000 | -26.129 | 0.000 | -0.000 |
| 0.000 | 0.000 | -0.000 | -0.000 | -26.129 | -0.000 |
| -0.000 | -0.000 | -0.000 | -0.000 | -0.000 | 147.130 |
| 506.623 | 212.362 | 30.278 | 0.000 | -0.000 | -0.000 |
| 215147580.014 | 215433512.555 | -561687323.200 | -0.032 | 0.011 | 62.300 |
| 30.278 | 30.278 | 593.011 | 0.000 | 0.000 | 0.000 |
| -0.000 | -0.000 | 0.000 | -26.129 | 0.000 | 0.000 |
| -0.000 | -0.000 | 0.000 | 0.000 | -26.129 | 0.000 |
| 0.000 | 0.000 | 0.000 | 0.000 | 0.000 | 147.130 |
| -21339517.563 | -21255354.769 | 56108523.210 | 0.009 | 0.011 | 0.554 |
| 410.332 | 308.653 | 30.278 | -0.000 | -0.000 | 0.000 |
| 30.278 | 30.278 | 593.010 | -0.000 | 0.000 | 0.000 |
| 0.000 | 0.000 | -0.000 | -26.129 | 0.000 | -0.000 |
| 0.000 | 0.000 | -0.000 | -0.000 | -26.129 | -0.000 |
| 6887582.007 | 3768941.382 | -814891.897 | -0.022 | -0.005 | 2700885.635 |
| 308.697 | 410.288 | 30.278 | -0.000 | -0.000 | 0.000 |
| 410.293 | 308.692 | 30.278 | -0.000 | -0.000 | 0.000 |
| 30.278 | 30.278 | 593.012 | -0.000 | -0.000 | 0.000 |
| -0.000 | -0.000 | 0.000 | -26.129 | 0.000 | -0.000 |
| -0.000 | -0.000 | 0.000 | 0.000 | -26.129 | 0.000 |
| -6887581.970 | -3768941.487 | 814891.841 | 0.001 | -0.001 | 2700885.512 |
| 661.037 | 329.623 | 435.526 | -11.963 | -0.000 | -0.000 |
| 332.504 | 664.360 | 438.991 | 12.654 | -0.000 | -0.000 |
| 439.056 | 439.056 | 897.512 | 0.000 | 0.000 | -0.000 |
| -12.654 | 12.654 | -0.000 | 252.583 | -0.000 | -0.000 |
| -0.001 | -0.001 | -0.001 | 0.000 | 245.339 | -10.337 |
| -0.001 | -0.001 | -0.001 | -0.000 | -10.337 | 165.187 |
| 664.360 | 332.504 | 438.991 | -12.654 | 0.000 | 0.000 |
| 330.291 | 660.665 | 435.692 | 10.337 | 0.000 | -0.000 |
| 435.757 | 435.757 | 893.826 | -0.000 | 0.000 | 0.000 |
| -10.336 | 10.338 | 0.001 | 245.339 | -0.000 | 0.000 |
| 0.001 | 0.001 | 0.001 | 0.000 | 245.339 | -10.337 |
| 0.001 | 0.001 | 0.001 | -0.000 | -10.337 | 165.187 |
| 664.360 | 332.504 | 438.991 | -12.654 | -0.000 | -0.000 |
| 332.504 | 664.360 | 438.991 | 12.654 | -0.000 | -0.000 |
| 439.056 | 439.056 | 897.512 | 0.000 | -0.000 | -0.000 |
| -12.654 | 12.654 | -0.000 | 252.583 | -0.000 | -0.000 |
| -0.000 | -0.000 | -0.000 | -0.000 | 245.339 | -10.337 |
| -0.000 | -0.000 | -0.000 | -0.000 | -10.337 | 165.187 |
| 661.037 | 329.623 | 435.527 | -11.963 | -0.000 | 0.000 |
| 332.504 | 664.360 | 438.991 | 12.654 | 0.000 | 0.000 |
| 435.757 | 435.757 | 893.826 | -0.000 | -0.000 | -0.000 |
| -12.654 | 12.654 | 0.000 | 252.583 | -0.000 | 0.000 |
| 0.000 | 0.000 | 0.000 | -0.000 | 245.339 | -10.337 |
| 0.000 | 0.000 | 0.000 | 0.000 | -10.337 | 165.187 |
| 664.359 | 332.504 | 438.992 | -12.654 | -0.000 | -0.000 |
| 329.624 | 661.037 | 435.527 | 11.963 | -0.000 | -0.000 |
| 435.757 | 435.757 | 893.824 | -0.000 | -0.000 | -0.000 |
| -12.654 | 12.653 | -0.000 | 252.583 | 0.000 | -0.000 |
| -0.001 | -0.000 | -0.000 | 0.000 | 245.339 | -10.337 |
| -7.029 | -2.343 | -0.000 | -0.000 | -10.337 | 169.245 |
| 674.637 | 334.948 | 435.691 | -10.337 | 0.000 | 0.000 |
| 330.291 | 669.934 | 435.691 | 10.337 | 0.000 | 0.000 |
| 439.056 | 439.056 | 897.513 | -0.000 | 0.000 | 0.000 |
| -10.337 | 10.338 | 0.000 | 245.339 | -0.000 | 0.000 |
| 0.001 | 0.000 | 0.000 | -0.000 | 245.339 | -10.337 |
| 7.029 | 2.343 | 0.000 | 0.000 | -10.337 | 169.245 |
Phonon band structures and crystal properties estimated from quasi-harmonic approximation (QHA) calculations are displayed for select crystals. The calculations were performed using phonopy and LAMMPS. For the phonon calculations, 3x3 supercells of the potential-specific relaxed crystals were used. The QHA calculations were based on 11 strain states ranging from -0.05 to 0.05.
The calculation method used is available as the iprPy phonon calculation method.
Notes and Disclaimers:
Version Information:




















































































































































































































































































































































Static free surface formation energies are displayed for select crystals. The values displayed here are obtained by taking a perfect periodic bulk crystal, slicing along a crystallographic plane, and using force minimization to statically relax the surfaces. The free surface formation energy is computed by comparing the energy of the defect system to the bulk system and dividing by the total surface area created by the cut.
The calculation method used is available as the iprPy surface_energy_static calculation method.
Notes and Disclaimers:
Version Information:
| Surface | γfs (mJ/m2) |
|---|---|
| (100) | 582.59 |
| (111) | 600.64 |
| (110) | 621.97 |
| (210) | 630.97 |
| (310) | 631.40 |
| (332) | 631.49 |
| (322) | 634.93 |
| (320) | 635.13 |
| (311) | 638.72 |
| (221) | 641.28 |
| (331) | 645.04 |
| (211) | 645.09 |
| (321) | 651.22 |
| Surface | γfs (mJ/m2) |
|---|---|
| (1012) 2 | 603.64 |
| (0001) | 612.28 |
| (1120) | 624.00 |
| (2021) 1 | 639.22 |
| (2132) 2 | 646.06 |
| (2021) 2 | 646.53 |
| (1121) | 647.80 |
| (2130) | 648.73 |
| (2131) 1 | 650.26 |
| (2131) 2 | 651.16 |
| (1010) | 651.38 |
| (2112) | 655.46 |
| (1011) 2 | 661.06 |
| (1012) 1 | 675.38 |
| Surface | γfs (mJ/m2) |
|---|---|
| (1011) 2 | 614.21 |
| (1120) | 629.38 |
| (0001) | 629.50 |
| (1010) 1 | 632.76 |
| (1012) 1 | 634.27 |
| (2021) 1 | 644.23 |
| (2130) 1 | 651.79 |
| (2112) | 655.07 |
| (2130) 2 | 655.21 |
| (2131) 2 | 656.02 |
| (2021) 2 | 664.25 |
| (1121) | 667.56 |
| (2132) 2 | 668.64 |
| (1010) 2 | 681.09 |
| (2131) 1 | 685.10 |
| (1012) 2 | 688.84 |
| (1011) 1 | 761.00 |
| Surface | γfs (mJ/m2) |
|---|---|
| (321) | -585.33 |
| (320) | -442.24 |
| (310) | -381.14 |
| (210) | 76.96 |
| (100) | 541.20 |
| (111) | 568.41 |
| (110) | 575.06 |
| (211) | 608.04 |
| (311) | 611.59 |
| Surface | γfs (mJ/m2) |
|---|---|
| (111) | 501.34 |
| (332) | 556.43 |
| (322) | 562.79 |
| (221) | 580.51 |
| (100) | 581.38 |
| (211) | 592.81 |
| (331) | 599.86 |
| (311) | 613.83 |
| (110) | 617.44 |
| (321) | 621.74 |
| (310) | 644.52 |
| (320) | 646.22 |
| (210) | 651.49 |
| Surface | γfs (mJ/m2) |
|---|---|
| (332) 1 | -9701.42 |
| (331) | -9410.40 |
| (322) | -9001.11 |
| (332) 2 | -8296.51 |
| (100) | 5241.48 |
| (111) | 5312.05 |
| Surface | γfs (mJ/m2) |
|---|---|
| (211) 2 | 488.25 |
| (332) 2 | 519.67 |
| (210) | 523.31 |
| (311) | 528.36 |
| (321) 2 | 532.05 |
| (321) 1 | 532.43 |
| (111) | 536.83 |
| (221) | 537.16 |
| (322) | 537.67 |
| (331) | 548.39 |
| (100) | 553.06 |
| (332) 1 | 557.58 |
| (320) | 558.01 |
| (110) | 571.41 |
| (211) 1 | 573.27 |
| Surface | γfs (mJ/m2) |
|---|---|
| (110) | 5547.93 |
| (211) | 5631.65 |
| (321) | 5639.96 |
| (320) | 5651.71 |
| (221) | 5681.91 |
| (331) | 5689.92 |
| (332) | 5724.91 |
| (322) | 5747.08 |
| (311) | 5823.35 |
| (111) | 5869.21 |
| (100) | 6481.54 |
| Surface | γfs (mJ/m2) |
|---|---|
| (332) | -1371.55 |
| (321) | -1189.63 |
| (320) | -80.69 |
| (311) | 22.00 |
| (211) | 38.03 |
| (310) | 43.08 |
| (110) | 540.52 |
| (100) | 566.23 |
| (331) | 598.68 |
| (221) | 617.62 |
| (322) | 621.38 |
| (111) | 643.29 |
| Surface | γfs (mJ/m2) |
|---|---|
| (111) 2 | 65.48 |
| (331) 2 | 78.06 |
| (110) | 80.20 |
| (321) | 90.91 |
| (211) | 92.57 |
| (320) | 94.35 |
| (332) | 96.55 |
| (210) | 101.41 |
| (311) 2 | 102.54 |
| (311) 1 | 102.54 |
| (310) | 107.54 |
| (322) | 109.82 |
| (221) | 113.15 |
| (100) | 113.33 |
| (331) 1 | 129.73 |
| (111) 1 | 195.51 |
| Surface | γfs (mJ/m2) |
|---|---|
| (101) | 5378.45 |
| (001) | 5466.32 |
| (201) | 5535.10 |
| (100) | 5543.65 |
| (111) | 5753.11 |
| (110) | 6173.55 |
| Surface | γfs (mJ/m2) |
|---|---|
| (322) | -12072.36 |
| (332) | -10248.51 |
| (331) | -9818.83 |
| (321) | -9623.67 |
| (311) | -9101.61 |
| (221) | -8609.46 |
| (310) | -8269.50 |
| (210) | -5412.27 |
| (211) | -4954.62 |
| (320) | -3181.90 |
| (100) | 150.17 |
| (110) | 212.88 |
| (111) | 261.15 |
| Surface | γfs (mJ/m2) |
|---|---|
| (111) | 2797.52 |
| (100) | 2825.94 |
| (311) | 2829.59 |
| (210) | 2851.44 |
| (110) | 2872.82 |
| (310) | 2879.20 |
| (320) | 2903.06 |
| (331) | 2913.84 |
| (221) | 2916.94 |
| Surface | γfs (mJ/m2) |
|---|---|
| (111) | 520.71 |
| (100) | 555.76 |
| (332) | 569.67 |
| (322) | 575.26 |
| (221) | 590.10 |
| (211) | 600.15 |
| (331) | 605.49 |
| (110) | 613.40 |
| (311) | 614.64 |
| (321) | 626.86 |
| (310) | 630.08 |
| (320) | 638.90 |
| (210) | 642.25 |
| Surface | γfs (mJ/m2) |
|---|---|
| (210) | -13400.69 |
| (100) | -4810.92 |
| (310) | 699.71 |
| (110) | 712.42 |
| (320) | 724.57 |
| (311) | 759.58 |
| (321) | 784.48 |
| (211) | 789.21 |
| (332) | 800.07 |
| Surface | γfs (mJ/m2) |
|---|---|
| (0001) | 2689.59 |
| (1120) | 2741.05 |
| (1011) 1 | 2756.68 |
| (2241) | 2780.39 |
| (2130) | 2794.02 |
| (2132) 2 | 2799.89 |
| (1121) | 2801.34 |
| (2131) 1 | 2801.77 |
| (2112) | 2804.79 |
| (2021) 2 | 2814.60 |
| (1010) | 2821.94 |
| (2132) 1 | 2831.53 |
| (1012) 1 | 2904.17 |
| Surface | γfs (mJ/m2) |
|---|---|
| (1010) 1 | 2738.64 |
| (0001) | 2761.87 |
| (1011) 2 | 2770.51 |
| (1120) | 2797.19 |
| (2112) | 2818.22 |
| (2130) 1 | 2834.11 |
| (2021) 1 | 2848.06 |
| (1012) 1 | 2852.36 |
| (2241) | 2853.22 |
| (2131) 2 | 2859.91 |
| (1121) | 2865.68 |
| (2130) 2 | 2869.16 |
| (1012) 2 | 2879.98 |
| (2132) 1 | 2884.41 |
| (2131) 1 | 2900.47 |
| (2132) 2 | 2908.79 |
| (2021) 2 | 2973.67 |
| (1011) 1 | 3083.14 |
| Surface | γfs (mJ/m2) |
|---|---|
| (0001) | 520.71 |
| (1011) 2 | 544.87 |
| (1010) 1 | 556.09 |
| (2021) 1 | 566.80 |
| (1012) 1 | 597.86 |
| (2130) 1 | 611.79 |
| (1120) | 612.96 |
| (2112) | 614.81 |
| (1012) 2 | 618.46 |
| (2132) 2 | 623.53 |
| (2132) 1 | 624.60 |
| (2131) 2 | 625.28 |
| (2241) | 633.91 |
| (2021) 2 | 633.98 |
| (2131) 1 | 636.27 |
| (1121) | 640.30 |
| (2130) 2 | 667.13 |
| (1010) 2 | 695.05 |
| (1011) 1 | 724.90 |
| Surface | γfs (mJ/m2) |
|---|---|
| (111) 2 | 1300.73 |
| (331) 2 | 1454.40 |
| (110) | 1456.36 |
| (211) | 1457.47 |
| (332) | 1460.25 |
| (321) | 1494.56 |
| (311) 1 | 1506.32 |
| (322) | 1507.70 |
| (320) | 1533.65 |
| (221) | 1534.09 |
| (100) | 1545.67 |
| (310) | 1552.56 |
| (210) | 1555.25 |
| (311) 2 | 1598.32 |
| (331) 1 | 1604.61 |
| (111) 1 | 1808.60 |
| Surface | γfs (mJ/m2) |
|---|---|
| (331) 2 | -19187.13 |
| (331) 1 | -18607.29 |
| (320) | -15819.20 |
| (311) 2 | -14462.69 |
| (221) | -12084.88 |
| (210) | -9617.03 |
| (111) 2 | -6944.52 |
| (110) | -6034.31 |
| (100) | -4067.99 |
| (310) | -339.27 |
| (111) 1 | 267.43 |
| Surface | γfs (mJ/m2) |
|---|---|
| (111) 2 | 78.64 |
| (331) 2 | 93.74 |
| (110) | 96.31 |
| (321) | 110.90 |
| (211) | 113.80 |
| (320) | 115.09 |
| (332) | 121.04 |
| (210) | 124.66 |
| (311) 1 | 127.03 |
| (311) 2 | 127.03 |
| (310) | 133.23 |
| (322) | 139.23 |
| (100) | 142.55 |
| (221) | 143.84 |
| (331) 1 | 166.75 |
| (111) 1 | 262.36 |
| Surface | γfs (mJ/m2) |
|---|---|
| (321) | -14689.45 |
| (322) | -11808.87 |
| (221) | -7615.94 |
| (311) | -7093.80 |
| (211) | -5492.14 |
| (100) | 1813.56 |
| (110) | 1942.06 |
| Surface | γfs (mJ/m2) |
|---|---|
| (100) | 255.41 |
| (310) | 308.99 |
| (210) | 322.81 |
| (110) | 328.58 |
| (320) | 329.06 |
| (311) | 341.81 |
| (331) | 354.84 |
| (111) | 355.08 |
| (211) | 358.39 |
| (321) | 359.25 |
| (221) | 360.76 |
| (332) | 361.82 |
| (322) | 362.03 |
Static point defect formation energies, Ef, and elastic dipole tensors, pij, are displayed for select crystals. Relaxed defect configurations are obtained by taking a 12x12x12 supercell of a perfect periodic bulk crystal, inserting the point defect, and using force minimization to statically relax the atomic positions while keeping the system dimensions constant. Ef is computed by comparing the energy of the defect system to the same number of atoms in a perfect bulk crystal. pij is estimated as the difference in the system's global pressure with and without the defect multiplied by the system's volume.
Simple structural comparisons of the unrelaxed and relaxed defect configurations are used to help determine if the defect structure has relaxed to a different configuration. Relaxed structures that are identified as no longer consistent with the ideal defect definition are excluded from the table below. The only exception to this is if the lowest energy interstitial configuration does not coincide with a known ideal defect, its energies and pressure tensor are included under the listing "relaxed interstitial". The full list of calculation results including the transformed structures and the structural comparison values is included in the csv file available from the "Download raw data" link.
The calculation method used is available as the iprPy point_defect_static calculation method.
Notes and Disclaimers:
| Point Defect | Ef (eV) | p11 (eV) | p22 (eV) | p33 (eV) | p12 (eV) | p13 (eV) | p23 (eV) |
|---|---|---|---|---|---|---|---|
| vacancy | 0.482 | -1.917 | -1.917 | -1.917 | -0.000 | 0.000 | -0.000 |
| octahedral interstitial | 1.024 | 9.880 | 9.880 | 9.880 | 0.000 | 0.000 | 0.000 |
| Point Defect | Ef (eV) | p11 (eV) | p22 (eV) | p33 (eV) | p12 (eV) | p13 (eV) | p23 (eV) |
|---|---|---|---|---|---|---|---|
| 100 dumbbell | -5.004 | 1.889 | 1.889 | 0.867 | 0.000 | -0.000 | -0.000 |
| vacancy | 2.489 | 0.101 | 0.101 | 0.101 | 0.000 | -0.000 | -0.000 |
| octahedral interstitial | 3.521 | -1.948 | -1.948 | -1.948 | 0.000 | 0.000 | 0.000 |
| 1nn divacancy | 4.570 | 0.175 | 0.184 | 0.184 | 0.000 | -0.000 | -0.002 |
| 2nn divacancy | 4.985 | 0.205 | 0.205 | 0.194 | 0.000 | -0.000 | 0.000 |
| Point Defect | Ef (eV) | p11 (eV) | p22 (eV) | p33 (eV) | p12 (eV) | p13 (eV) | p23 (eV) |
|---|---|---|---|---|---|---|---|
| 100 dumbbell | 2.024 | 33.535 | 33.535 | 32.267 | 0.000 | 0.000 | 0.000 |
| Point Defect | Ef (eV) | p11 (eV) | p22 (eV) | p33 (eV) | p12 (eV) | p13 (eV) | p23 (eV) |
|---|---|---|---|---|---|---|---|
| crowdion interstitial | -9.001 | 0.763 | 0.763 | 0.763 | -4.366 | -4.366 | -4.366 |
| vacancy | 1.703 | 0.405 | 0.405 | 0.405 | 0.000 | 0.000 | -0.000 |
| 2nn divacancy | 3.111 | 3.424 | 3.424 | -5.199 | 0.000 | 0.000 | 0.000 |
| 100 dumbbell | 6.269 | 0.491 | 0.491 | -4.131 | 0.000 | -0.000 | -0.000 |
| Point Defect | Ef (eV) | p11 (eV) | p22 (eV) | p33 (eV) | p12 (eV) | p13 (eV) | p23 (eV) |
|---|---|---|---|---|---|---|---|
| vacancy | 0.876 | 0.000 | 0.000 | 0.000 | 0.000 | 0.000 | 0.000 |
| 1nn divacancy | 1.314 | 0.001 | 0.001 | 0.001 | 0.000 | 0.000 | 0.000 |
| Point Defect | Ef (eV) | p11 (eV) | p22 (eV) | p33 (eV) | p12 (eV) | p13 (eV) | p23 (eV) |
|---|---|---|---|---|---|---|---|
| tetrahedral interstitial | -1.744 | -8.956 | -8.956 | -8.956 | -0.000 | -0.000 | -0.000 |
| 110 dumbbell | 0.617 | 4.923 | -1.973 | -1.973 | 0.000 | 0.000 | 4.859 |
| vacancy | 1.914 | -0.082 | -0.082 | -0.082 | 0.000 | -0.000 | -0.000 |
| 1nn divacancy | 3.557 | 0.002 | -0.262 | -0.262 | 0.000 | 0.000 | -0.010 |
| 2nn divacancy | 3.789 | -0.153 | -0.153 | 0.177 | 0.000 | 0.000 | -0.000 |
| Point Defect | Ef (eV) | p11 (eV) | p22 (eV) | p33 (eV) | p12 (eV) | p13 (eV) | p23 (eV) |
|---|---|---|---|---|---|---|---|
| tetrahedral interstitial | -2.801 | -2.686 | 4.895 | -2.686 | -0.000 | 0.000 | 0.000 |
| 111 dumbbell | -1.295 | -3.830 | -3.830 | -3.830 | -2.197 | -2.197 | -2.197 |
| vacancy | 1.756 | 0.529 | 0.529 | 0.529 | 0.000 | 0.000 | 0.000 |
| 2nn divacancy | 3.170 | 1.823 | 1.823 | -0.034 | -0.000 | 0.000 | 0.000 |
| Point Defect | Ef (eV) | p11 (eV) | p22 (eV) | p33 (eV) | p12 (eV) | p13 (eV) | p23 (eV) |
|---|---|---|---|---|---|---|---|
| 0001 dumbbell | 10.966 | 49.785 | 49.785 | 79.143 | -0.000 | 0.000 | 0.000 |
| Point Defect | Ef (eV) | p11 (eV) | p22 (eV) | p33 (eV) | p12 (eV) | p13 (eV) | p23 (eV) |
|---|---|---|---|---|---|---|---|
| relaxed interstitial | -2.488 | -3.091 | -3.091 | 0.230 | 0.000 | 0.000 | -0.000 |
| vacancy | 1.914 | -0.085 | -0.085 | -0.082 | 0.000 | 0.000 | -0.000 |
| Point Defect | Ef (eV) | p11 (eV) | p22 (eV) | p33 (eV) | p12 (eV) | p13 (eV) | p23 (eV) |
|---|---|---|---|---|---|---|---|
| tetragonal interstitial | -1.599 | -10.711 | -10.711 | -10.711 | -0.000 | -0.000 | -0.000 |
| Point Defect | Ef (eV) | p11 (eV) | p22 (eV) | p33 (eV) | p12 (eV) | p13 (eV) | p23 (eV) |
|---|---|---|---|---|---|---|---|
| tetragonal interstitial | -2.337 | 1.222 | 1.222 | 1.222 | 0.000 | 0.000 | 0.000 |
| vacancy | 0.799 | -0.028 | -0.028 | -0.028 | 0.000 | 0.000 | 0.000 |
| 1nn divacancy | 1.429 | -1.153 | -1.153 | -1.153 | -3.724 | -3.724 | -3.724 |
| Point Defect | Ef (eV) | p11 (eV) | p22 (eV) | p33 (eV) | p12 (eV) | p13 (eV) | p23 (eV) |
|---|---|---|---|---|---|---|---|
| vacancy | 0.860 | -0.013 | -0.013 | -0.013 | 0.000 | 0.000 | 0.000 |
| 1nn divacancy | 1.290 | -0.018 | -0.018 | -0.018 | 0.000 | 0.000 | 0.000 |
Plots of the atomic structure of dislocation cores are shown here. The dislocations were constructed using dislocation monopole configurations in which a straight dislocation is created in the center of the system using anisotropic elasticity and the elastic constants computed above. A cylindrical region centered around the dislocation is allowed to relax while the remaining atoms are held fixed. The relaxation consists of 1 million NVT steps at 10 K followed by an energy/force minimization. The final plots show the atomic configuration near the center of the monopole system, and display differential displacement arrows and Nye tensor color maps that are both taken with respect to the Burgers vector direction.
These plots show a wide range of final structures, some corresponding to expected dislocation structures and others not. While the characterizations are dislocation-type dependent, some general classification guidelines are listed here.
The calculation method used is available as the iprPy dislocation_monopole calculation method.
Links are provided above the images allowing for users to download the final defect configuration and a corresponding defect-free configuration if they wish to further analyze the structures or use them for subsequent simulations.
Notes and Disclaimers:
Version Information:
Plots of lattice and elastic constants are shown as a function of temperature. The 0K points were taken from the Crystal Structure Predictions and the Elastic Constants Predictions sections above for the unique crystal structures relaxed with the "dynamic" method. Starting from the 0 K relaxed crystal unit cells, supercell systems are created by replicating all three dimensions by the same multiplier to achieve at least 4000 atoms. The systems are then relaxed at 50 K and zero pressure using 1 million NPT steps. Lattice constants are estimated by averaging the measured box dimensions. Temperatures are iteratively increased by 50 K, with each subsequent relaxation calculation starting from the final atomic configuration at the previous temperature and relaxing for another 1 million steps.
The elastic constants are calculated using the deformation–fluctuation hybrid method. Starting from the final atomic configurations of the dynamic relaxations, the system is allowed to evolve at constant volume with a Langevin thermostat. The Born matrix is computed during this run by evaluating how the atomic forces would vary due to applied linear strain fields. The elastic constants can then be estimated using the averaged Born matrix values and the averaged stresses on the system.
The calculation methods used are available as the iprPy relax_dynamic and elastic_constants_dynamic calculation methods.
Clicking on the image of a plot will open an interactive version of it in a new tab. The underlying data for the plots can be downloaded by clicking on the links above each plot.
Notes and Disclaimers:
Version Information:
Plots of radial distribution functions at different temperatures and the temperature-dependent diffusion and viscosity are shown here for elemental liquids. Melt phases are constructed by starting with a 10x10x10 fcc super cell and relaxing with 50,000 NPT steps at zero pressure and a high melting temperature (3000 K for most potentials and elements). Following the melt, liquid structures are relaxed by running NPT for 10,000 steps over which the temperature is dropped by 50 K, then 50,000 NPT at the target temperature to estimate the equilibrium volume, followed by 20,000 NVT steps at the averaged equilibrium volume and target temperature. Structures from the NVT run are sampled to compute the radial distribution function of the liquid at the corresponding temperature.
The final relaxed configurations at each temperature explored are used as the initial configurations for the diffusion and viscosity calculations. For diffusion, the system is integrated for 100 runs of 2,000 NVT steps during which both the mean squared displacement (MSD) and the velocity auto correlation function (VACF) are computed. From these simulations, three estimates of diffusion are computed: one from the MSD of the full 200,000 step run, one in which the MSD is reset for each short run and then averaged, and one from the VACF computed for each short run and averaged. For viscosity, the Green-Kubo method is used which is evaluated during a 1 million step NVT run.
The calculation methods used are available as the iprPy relax_liquid_redo, diffusion_liquid, and viscosity_green_kubo calculation methods.
Clicking on the image of a plot will open an interactive version of it in a new tab. The underlying data for the plots can be downloaded by clicking on the links above each plot.
Notes and Disclaimers:
Version Information:
Plots of internal energy, Gibbs free energy, entropy, heat capacity and volume are shown here as a function of temperature for various crystal structures and liquid phases. The included crystal structures correspond to those in the Solid Structures vs. Temperature section, and the liquid phases to those in the Liquid Properties section. Internal energy and volume are taken from the associated structure relaxations mentioned in those previous sections. Constant pressure heat capacity is estimated using 3-point numerical derivatives of enthalpy versus temperature. Note that since all simulations done here are at 0 pressure, internal energy and enthalpy are equivalent.
The Gibbs energies of the phases are estimated using thermodynamic integration between the interatomic potential in question and a simpler model with known Gibbs free energy values. For solids, the reference model is an Einstein solid, while for liquids it is the Uhlenbeck-Ford potential. Besides a short run at the start of the solid calculations to estimate Einstein model spring constants, the two calculations proceed similarly. Starting with the final relaxation configurations, the systems are stabilized for 25,000 steps. Then, over the next 50,000 steps the potential is swapped out for the reference potential. The system is then stabilized for another 25,000 steps with the reference model before a reverse swap of 50,000 steps is performed. The simulation ends with one final 25,000 step stabilization period. From the simulation, the irreversible work of transformation is estimated and used to compute the absolute Gibbs free energy of the target phase and potential relative to the reference potential. Entropy is estimated as the difference in enthalpy and Gibbs free energy and divided by temperature.
The calculation methods used are available as the iprPy relax_dynamic, relax_liquid_redo, free_energy, and free_energy_liquid calculation methods.
Clicking on the image of a plot will open an interactive version of it in a new tab. The underlying data for the plots can be downloaded by clicking on the links above each plot.
Notes and Disclaimers:
Version Information:






