Plots of the potential energy vs interatomic spacing, r, are shown below for all diatom sets associated with the interatomic potential. This calculation provides insights into the functional form of the potential's two-body interactions. A system consisting of only two atoms is created, and the potential energy is evaluated for the atoms separated by 0.02 Å <= r <= 6.0> Å in intervals of 0.02 Å. Two plots are shown: one for the "standard" interaction distance range, and one for small values of r. The small r plot is useful for determining whether the potential is suitable for radiation studies.
The calculation method used is available as the iprPy diatom_scan calculation method.
Clicking on the image of a plot will open an interactive version of it in a new tab. The underlying data for the plots can be downloaded by clicking on the links above each plot.
Notes and Disclaimers:
Version Information:
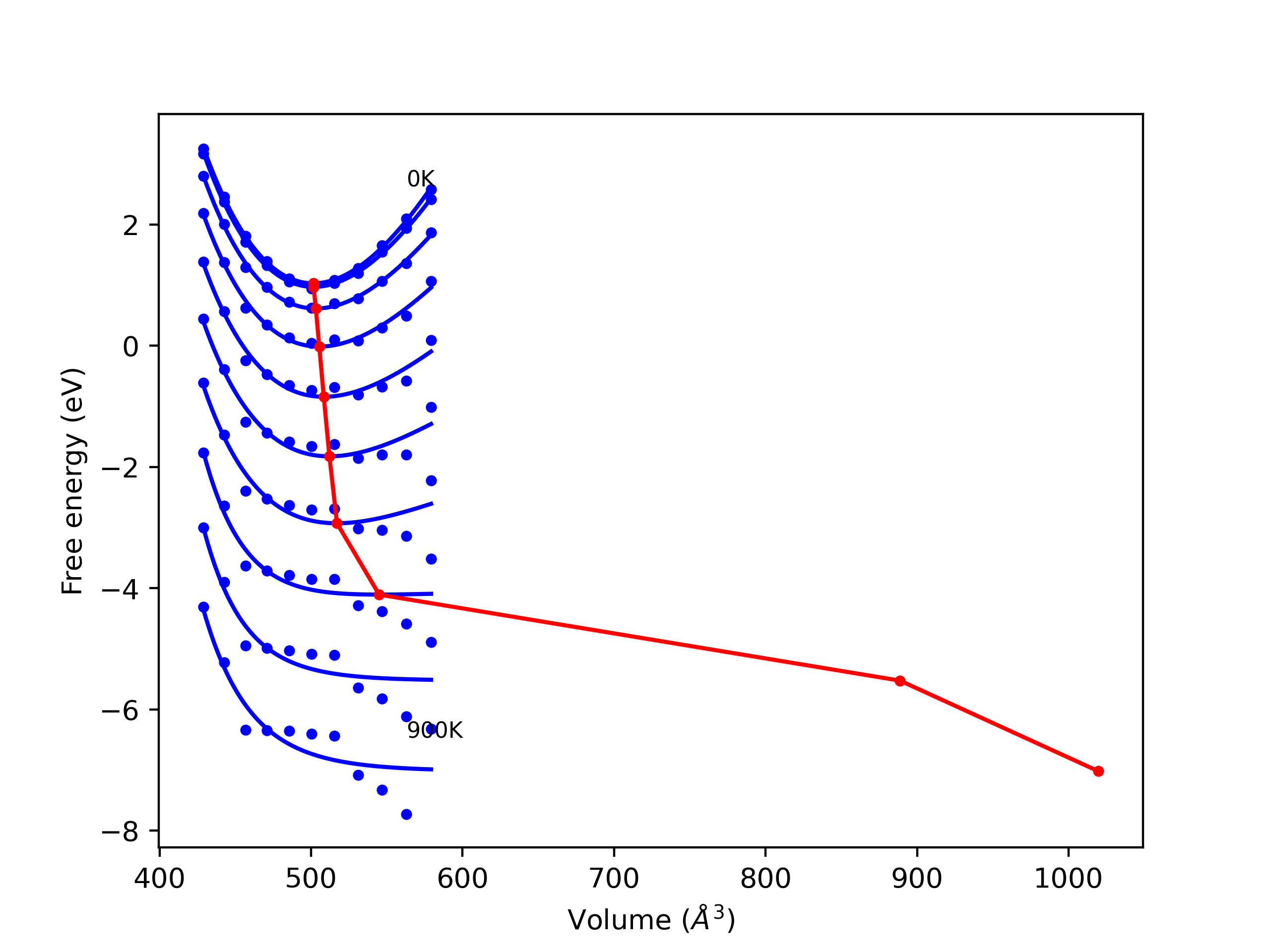
Plots of potential energy vs interatomic spacing, r, are shown below for a number of crystal structures. The structures are generated based on the ideal atomic positions and b/a and c/a lattice parameter ratios for a given crystal prototype. The size of the system is then uniformly scaled, and the energy calculated without relaxing the system. To obtain these plots, values of r are evaluated every 0.02 Å up to 6 Å.
The calculation method used is available as the iprPy E_vs_r_scan calculation method.
Clicking on the image of a plot will open an interactive version of it in a new tab. The underlying data for the plots can be downloaded by clicking on the links above each plot.
Notes and Disclaimers:
Version Information:
Computed lattice constants and cohesive/potential energies are displayed for a variety of crystal structures. The values displayed here are obtained using the following process.
The calculation methods used are implemented into iprPy as the following calculation styles
Notes and Disclaimers:
Version Information:
Download raw data (including filtered results)
Reference structure matches:
A1--Cu--fcc = mp-134, oqmd-8100, oqmd-1214503
A15--beta-W = oqmd-1214948, oqmd-1280406
A2--W--bcc = mp-998860, oqmd-1215126
A3'--alpha-La--double-hcp = mp-1183144, oqmd-1215394
A3--Mg--hcp = oqmd-1215215, oqmd-1215304
A4--C--dc = oqmd-1215483
A5--beta-Sn = oqmd-1215572
A6--In--bct = oqmd-1215661
| prototype | method | Ecoh (eV/atom) | Epot (eV/atom) | a0 (Å) | b0 (Å) | c0 (Å) | α (degrees) | β (degrees) | γ (degrees) |
|---|---|---|---|---|---|---|---|---|---|
| A1--Cu--fcc | dynamic | -3.3601 | -3.3601 | 4.0321 | 4.0321 | 4.0321 | 90.0 | 90.0 | 90.0 |
| A15--beta-W | dynamic | -3.3587 | -3.3587 | 5.0641 | 5.0641 | 5.0641 | 90.0 | 90.0 | 90.0 |
| oqmd-1214859 | dynamic | -3.3508 | -3.3508 | 6.9193 | 6.9193 | 6.9193 | 90.0 | 90.0 | 90.0 |
| oqmd-1214859 | box | -3.3491 | -3.3491 | 6.9205 | 6.9205 | 6.9205 | 90.0 | 90.0 | 90.0 |
| A3'--alpha-La--double-hcp | dynamic | -3.3481 | -3.3481 | 2.8301 | 2.8301 | 9.5823 | 90.0 | 90.0 | 120.0 |
| oqmd-1216017 | dynamic | -3.3462 | -3.3462 | 2.8261 | 2.8261 | 21.6885 | 90.0 | 90.0 | 120.0 |
| oqmd-1214770 | dynamic | -3.3424 | -3.3424 | 9.8617 | 9.8617 | 9.8617 | 90.0 | 90.0 | 90.0 |
| A3--Mg--hcp | dynamic | -3.342 | -3.342 | 2.8174 | 2.8174 | 4.8807 | 90.0 | 90.0 | 120.0 |
| oqmd-1214770 | box | -3.3386 | -3.3386 | 9.8716 | 9.8716 | 9.8716 | 90.0 | 90.0 | 90.0 |
| A2--W--bcc | static | -3.3032 | -3.3032 | 3.1481 | 3.1481 | 3.1481 | 90.0 | 90.0 | 90.0 |
| mp-1245152 | dynamic | -3.3021 | -3.3021 | 10.946 | 12.1268 | 12.7274 | 89.0 | 86.4 | 88.7 |
| mp-1244953 | dynamic | -3.3019 | -3.3019 | 11.514 | 12.1069 | 12.4279 | 84.9 | 80.3 | 83.7 |
| mp-1245129 | dynamic | -3.3016 | -3.3016 | 11.6595 | 12.0364 | 12.1577 | 97.7 | 91.2 | 93.0 |
| mp-1245307 | dynamic | -3.2976 | -3.2976 | 11.6765 | 11.7239 | 12.4113 | 92.7 | 93.5 | 93.3 |
| mp-1245067 | dynamic | -3.2925 | -3.2925 | 11.6486 | 12.0712 | 12.3755 | 92.8 | 96.6 | 97.3 |
| mp-1245129 | static | -3.2913 | -3.2913 | 11.5847 | 11.9402 | 12.3856 | 96.2 | 92.6 | 93.3 |
| mp-1244953 | static | -3.2878 | -3.2878 | 11.3301 | 12.3195 | 12.4045 | 89.8 | 79.8 | 87.0 |
| mp-1245307 | static | -3.2845 | -3.2845 | 11.749 | 11.9307 | 12.2164 | 90.9 | 92.8 | 92.0 |
| mp-1245152 | static | -3.2823 | -3.2823 | 11.265 | 12.3339 | 12.3697 | 91.8 | 96.0 | 91.8 |
| mp-1245067 | static | -3.2758 | -3.2758 | 11.7414 | 12.1705 | 12.302 | 93.0 | 99.3 | 93.7 |
| mp-1245129 | box | -3.2664 | -3.2664 | 11.6273 | 12.0925 | 12.311 | 94.1 | 92.8 | 96.0 |
| mp-1244953 | box | -3.2595 | -3.2595 | 11.9728 | 11.9846 | 12.1912 | 86.8 | 80.6 | 87.3 |
| mp-1245307 | box | -3.2553 | -3.2553 | 11.8859 | 12.0906 | 12.1012 | 90.9 | 92.5 | 93.6 |
| mp-1245152 | box | -3.2543 | -3.2543 | 11.8266 | 12.0583 | 12.1771 | 92.3 | 91.7 | 96.2 |
| mp-1245067 | box | -3.2451 | -3.2451 | 11.8836 | 12.2086 | 12.2165 | 92.7 | 97.7 | 93.9 |
| oqmd-1215037 | box | -3.2096 | -3.2096 | 2.7853 | 4.9551 | 11.1034 | 90.0 | 90.0 | 90.0 |
| oqmd-1214681 | box | -3.1144 | -3.1144 | 4.3667 | 8.3236 | 4.4828 | 90.0 | 90.0 | 90.0 |
| A5--beta-Sn | static | -3.0661 | -3.0661 | 5.4154 | 5.4154 | 2.8005 | 90.0 | 90.0 | 90.0 |
| A3--Mg--hcp | box | -3.0378 | -3.0378 | 3.5629 | 3.5629 | 3.4103 | 90.0 | 90.0 | 120.0 |
| Ah--alpha-Po--sc | static | -3.0075 | -3.0075 | 2.7543 | 2.7543 | 2.7543 | 90.0 | 90.0 | 90.0 |
| mp-1239196 | static | -2.8679 | -2.8679 | 3.6899 | 3.6899 | 13.2857 | 90.0 | 90.0 | 90.0 |
| oqmd-1215928 | box | -2.7262 | -2.7262 | 4.4973 | 4.4973 | 5.0349 | 90.0 | 90.0 | 120.0 |
| A4--C--dc | static | -2.4942 | -2.4942 | 5.9899 | 5.9899 | 5.9899 | 90.0 | 90.0 | 90.0 |
| A3'--alpha-La--double-hcp | static | -0.0 | -0.0 | 5.5733 | 5.5733 | 18.2023 | 90.0 | 90.0 | 120.0 |
| A1--Cu--fcc | static | -0.0 | -0.0 | 7.8818 | 7.8818 | 7.8818 | 90.0 | 90.0 | 90.0 |
| A3--Mg--hcp | static | -0.0 | -0.0 | 5.5733 | 5.5733 | 9.1011 | 90.0 | 90.0 | 120.0 |
| A2--W--bcc | static | -0.0 | -0.0 | 6.4355 | 6.4355 | 6.4355 | 90.0 | 90.0 | 90.0 |
| Ah--alpha-Po--sc | static | -0.0 | -0.0 | 5.5733 | 5.5733 | 5.5733 | 90.0 | 90.0 | 90.0 |
| A5--beta-Sn | static | -0.0 | -0.0 | 10.7468 | 10.7468 | 5.9171 | 90.0 | 90.0 | 90.0 |
| A4--C--dc | static | -0.0 | -0.0 | 12.871 | 12.871 | 12.871 | 90.0 | 90.0 | 90.0 |
| A6--In--bct | static | -0.0 | -0.0 | 5.5733 | 5.5733 | 8.37 | 90.0 | 90.0 | 90.0 |
| A7--alpha-As | static | -0.0 | -0.0 | 8.3259 | 8.3259 | 23.1299 | 90.0 | 90.0 | 120.0 |
| A7--alpha-As | dynamic | -0.0 | -0.0 | 8.802 | 8.802 | 18.7789 | 90.0 | 90.0 | 120.0 |
| A15--beta-W | static | -0.0 | -0.0 | 11.1466 | 11.1466 | 11.1466 | 90.0 | 90.0 | 90.0 |
| A1--Cu--fcc | box | -0.0 | -0.0 | 7.9009 | 7.9009 | 7.9009 | 90.0 | 90.0 | 90.0 |
| A3'--alpha-La--double-hcp | box | -0.0 | -0.0 | 5.5867 | 5.5867 | 18.2462 | 90.0 | 90.0 | 120.0 |
| A3--Mg--hcp | box | -0.0 | -0.0 | 5.5867 | 5.5867 | 9.1231 | 90.0 | 90.0 | 120.0 |
| A2--W--bcc | box | -0.0 | -0.0 | 6.451 | 6.451 | 6.451 | 90.0 | 90.0 | 90.0 |
| A4--C--dc | box | -0.0 | -0.0 | 12.902 | 12.902 | 12.902 | 90.0 | 90.0 | 90.0 |
| A1--Cu--fcc | dynamic | 0.0 | 0.0 | 9.6849 | 9.6849 | 9.6849 | 90.0 | 90.0 | 90.0 |
| Ah--alpha-Po--sc | dynamic | 0.0 | 0.0 | 8.3718 | 8.3718 | 8.3718 | 90.0 | 90.0 | 90.0 |
| A6--In--bct | dynamic | 0.0 | 0.0 | 7.9522 | 7.9522 | 8.37 | 90.0 | 90.0 | 90.0 |
| A15--beta-W | dynamic | 0.0 | 0.0 | 12.895 | 12.895 | 12.895 | 90.0 | 90.0 | 90.0 |
| A3--Mg--hcp | dynamic | 0.0 | 0.0 | 5.648 | 5.648 | 9.2231 | 90.0 | 90.0 | 120.0 |
| A3'--alpha-La--double-hcp | dynamic | 0.0 | 0.0 | 5.7656 | 5.7656 | 18.8304 | 90.0 | 90.0 | 120.0 |
| A5--beta-Sn | dynamic | 0.0 | 0.0 | 13.8589 | 13.8589 | 6.1523 | 90.0 | 90.0 | 90.0 |
| A2--W--bcc | dynamic | 0.0 | 0.0 | 8.6184 | 8.6184 | 8.6184 | 90.0 | 90.0 | 90.0 |
| A4--C--dc | dynamic | 0.0 | 0.0 | 14.9175 | 14.9175 | 14.9175 | 90.0 | 90.0 | 90.0 |
Download raw data (including filtered results)
Reference structure matches:
| prototype | method | Ecoh (eV/atom) | Epot (eV/atom) | a0 (Å) | b0 (Å) | c0 (Å) | α (degrees) | β (degrees) | γ (degrees) |
|---|---|---|---|---|---|---|---|---|---|
| mp-1094700 | dynamic | -2.2401 | -2.2401 | 10.5323 | 14.8648 | 9.1091 | 90.0 | 125.1 | 90.0 |
| mp-1094700 | static | -2.2401 | -2.2401 | 10.5323 | 14.8649 | 9.109 | 90.0 | 125.1 | 90.0 |
| oqmd-31414 | dynamic | -2.2401 | -2.2401 | 10.5323 | 14.865 | 9.1087 | 90.0 | 125.1 | 90.0 |
| oqmd-31414 | static | -2.2401 | -2.2401 | 10.5319 | 14.8658 | 9.1091 | 90.0 | 125.1 | 90.0 |
| oqmd-31414 | box | -2.2383 | -2.2383 | 10.5271 | 14.8546 | 9.1237 | 90.0 | 125.2 | 90.0 |
| mp-1094700 | box | -2.2378 | -2.2378 | 10.5163 | 14.8338 | 9.1311 | 90.0 | 125.0 | 90.0 |
Download raw data (including filtered results)
Reference structure matches:
| prototype | method | Ecoh (eV/atom) | Epot (eV/atom) | a0 (Å) | b0 (Å) | c0 (Å) | α (degrees) | β (degrees) | γ (degrees) |
|---|---|---|---|---|---|---|---|---|---|
| mp-2151 | dynamic | -2.3117 | -2.3117 | 10.5052 | 10.5052 | 10.5052 | 90.0 | 90.0 | 90.0 |
| oqmd-4367 | box | -2.3108 | -2.3108 | 10.5015 | 10.5015 | 10.5015 | 90.0 | 90.0 | 90.0 |
| mp-2151 | box | -2.3106 | -2.3106 | 10.5009 | 10.5009 | 10.5009 | 90.0 | 90.0 | 90.0 |
Download raw data (including filtered results)
Reference structure matches:
| prototype | method | Ecoh (eV/atom) | Epot (eV/atom) | a0 (Å) | b0 (Å) | c0 (Å) | α (degrees) | β (degrees) | γ (degrees) |
|---|---|---|---|---|---|---|---|---|---|
| mp-1094685 | dynamic | -2.3729 | -2.3729 | 10.4714 | 14.7973 | 9.0687 | 90.0 | 125.1 | 90.0 |
| oqmd-31546 | dynamic | -2.3729 | -2.3729 | 10.4714 | 14.7974 | 9.0685 | 90.0 | 125.1 | 90.0 |
| oqmd-31546 | static | -2.3729 | -2.3729 | 10.4706 | 14.7987 | 9.0677 | 90.0 | 125.1 | 90.0 |
| mp-1094685 | box | -2.3709 | -2.3709 | 10.4562 | 14.8085 | 9.0646 | 90.0 | 125.1 | 90.0 |
| oqmd-31546 | box | -2.3693 | -2.3693 | 10.4689 | 14.7674 | 9.0859 | 90.0 | 125.1 | 90.0 |
| oqmd-31630 | dynamic | -2.3646 | -2.3646 | 14.7542 | 14.7542 | 9.1819 | 90.0 | 90.0 | 120.0 |
| mp-1094692 | static | -2.3646 | -2.3646 | 14.7548 | 14.7548 | 9.181 | 90.0 | 90.0 | 120.0 |
| oqmd-31630 | static | -2.3645 | -2.3645 | 14.7555 | 14.7555 | 9.1799 | 90.0 | 90.0 | 120.0 |
| oqmd-31630 | box | -2.3623 | -2.3623 | 14.7438 | 14.7438 | 9.1873 | 90.0 | 90.0 | 120.0 |
| mp-1094692 | box | -2.3617 | -2.3617 | 14.7878 | 14.7878 | 9.1054 | 90.0 | 90.0 | 120.0 |
| mp-1094683 | dynamic | -2.3599 | -2.3599 | 10.4924 | 10.4924 | 10.4924 | 90.0 | 90.0 | 90.0 |
| mp-1094683 | box | -2.3582 | -2.3582 | 10.4871 | 10.4871 | 10.4871 | 90.0 | 90.0 | 90.0 |
| oqmd-31462 | box | -2.3579 | -2.3579 | 10.4953 | 10.4953 | 10.4953 | 90.0 | 90.0 | 90.0 |
Download raw data (including filtered results)
Reference structure matches:
| prototype | method | Ecoh (eV/atom) | Epot (eV/atom) | a0 (Å) | b0 (Å) | c0 (Å) | α (degrees) | β (degrees) | γ (degrees) |
|---|---|---|---|---|---|---|---|---|---|
| oqmd-19371 | box | -2.3971 | -2.3971 | 10.13 | 10.13 | 10.13 | 90.0 | 90.0 | 90.0 |
| mp-12766 | box | -2.3952 | -2.3952 | 10.1284 | 10.1284 | 10.1284 | 90.0 | 90.0 | 90.0 |
Download raw data (including filtered results)
Reference structure matches:
| prototype | method | Ecoh (eV/atom) | Epot (eV/atom) | a0 (Å) | b0 (Å) | c0 (Å) | α (degrees) | β (degrees) | γ (degrees) |
|---|---|---|---|---|---|---|---|---|---|
| mp-1194114 | dynamic | -2.5261 | -2.5261 | 10.392 | 10.392 | 10.392 | 90.0 | 90.0 | 90.0 |
| mp-1194114 | box | -2.5236 | -2.5236 | 10.3896 | 10.3896 | 10.3896 | 90.0 | 90.0 | 90.0 |
| oqmd-27873 | box | -2.521 | -2.521 | 10.3938 | 10.3938 | 10.3938 | 90.0 | 90.0 | 90.0 |
Download raw data (including filtered results)
Reference structure matches:
| prototype | method | Ecoh (eV/atom) | Epot (eV/atom) | a0 (Å) | b0 (Å) | c0 (Å) | α (degrees) | β (degrees) | γ (degrees) |
|---|---|---|---|---|---|---|---|---|---|
| mp-1094116 | dynamic | -2.7913 | -2.7913 | 5.3112 | 5.3112 | 8.8219 | 90.0 | 90.0 | 120.0 |
| mp-1094116 | box | -2.7887 | -2.7887 | 5.3217 | 5.3217 | 8.7703 | 90.0 | 90.0 | 120.0 |
| oqmd-27874 | dynamic | -2.75 | -2.75 | 4.1982 | 4.1982 | 24.994 | 90.0 | 90.0 | 90.0 |
| oqmd-27874 | box | -2.7498 | -2.7498 | 4.1974 | 4.1974 | 25.0001 | 90.0 | 90.0 | 90.0 |
| mp-1102064 | box | -2.7487 | -2.7487 | 4.211 | 4.211 | 24.887 | 90.0 | 90.0 | 90.0 |
| mp-1222013 | dynamic | -2.7253 | -2.7253 | 2.9375 | 2.9375 | 7.4669 | 90.0 | 90.0 | 120.0 |
| mp-1222013 | box | -2.7162 | -2.7162 | 2.9579 | 2.9579 | 7.4667 | 90.0 | 90.0 | 120.0 |
| C1--CaF2--fluorite | static | -2.4054 | -2.4054 | 6.373 | 6.373 | 6.373 | 90.0 | 90.0 | 90.0 |
| mp-1039192 | static | -2.0483 | -2.0483 | 5.6589 | 5.6589 | 4.7422 | 90.0 | 90.0 | 90.0 |
| mp-1039192 | box | -2.0301 | -2.0301 | 5.6238 | 5.6238 | 4.8181 | 90.0 | 90.0 | 90.0 |
Download raw data (including filtered results)
Reference structure matches:
| prototype | method | Ecoh (eV/atom) | Epot (eV/atom) | a0 (Å) | b0 (Å) | c0 (Å) | α (degrees) | β (degrees) | γ (degrees) |
|---|---|---|---|---|---|---|---|---|---|
| mp-17659 | dynamic | -2.5809 | -2.5809 | 12.8173 | 12.8173 | 21.4339 | 90.0 | 90.0 | 120.0 |
| oqmd-10496 | static | -2.5809 | -2.5809 | 12.8175 | 12.8175 | 21.4333 | 90.0 | 90.0 | 120.0 |
| oqmd-10496 | dynamic | -2.5809 | -2.5809 | 12.8179 | 12.8179 | 21.4321 | 90.0 | 90.0 | 120.0 |
| mp-17659 | static | -2.5809 | -2.5809 | 12.8179 | 12.8179 | 21.4318 | 90.0 | 90.0 | 120.0 |
| mp-17659 | box | -2.577 | -2.577 | 12.8347 | 12.8347 | 21.4179 | 90.0 | 90.0 | 120.0 |
| oqmd-10496 | box | -2.5768 | -2.5768 | 12.8334 | 12.8334 | 21.4305 | 90.0 | 90.0 | 120.0 |
Download raw data (including filtered results)
Reference structure matches:
D0_3--BiF3 = mp-1039180, oqmd-313589
| prototype | method | Ecoh (eV/atom) | Epot (eV/atom) | a0 (Å) | b0 (Å) | c0 (Å) | α (degrees) | β (degrees) | γ (degrees) |
|---|---|---|---|---|---|---|---|---|---|
| L1_2--AuCu3 | dynamic | -2.9125 | -2.9125 | 4.1414 | 4.1414 | 4.1414 | 90.0 | 90.0 | 90.0 |
| mp-1038916 | dynamic | -2.8903 | -2.8903 | 4.1241 | 4.1241 | 8.534 | 90.0 | 90.0 | 90.0 |
| mp-1039119 | dynamic | -2.8784 | -2.8784 | 5.7597 | 5.7597 | 5.1144 | 90.0 | 90.0 | 120.0 |
| mp-1039119 | static | -2.8768 | -2.8768 | 5.8255 | 5.8255 | 4.8234 | 90.0 | 90.0 | 120.0 |
| mp-1039119 | box | -2.8736 | -2.8736 | 5.8473 | 5.8473 | 4.7767 | 90.0 | 90.0 | 120.0 |
| A15--Cr3Si | dynamic | -2.8365 | -2.8365 | 5.2576 | 5.2576 | 5.2576 | 90.0 | 90.0 | 90.0 |
| D0_3--BiF3 | dynamic | -2.8022 | -2.8022 | 6.5046 | 6.5046 | 6.5046 | 90.0 | 90.0 | 90.0 |
| A15--Cr3Si | dynamic | -0.0683 | -0.0683 | 11.328 | 11.328 | 11.328 | 90.0 | 90.0 | 90.0 |
Download raw data (including filtered results)
Reference structure matches:
| prototype | method | Ecoh (eV/atom) | Epot (eV/atom) | a0 (Å) | b0 (Å) | c0 (Å) | α (degrees) | β (degrees) | γ (degrees) |
|---|---|---|---|---|---|---|---|---|---|
| mp-1210739 | static | -2.5313 | -2.5313 | 6.4011 | 6.4011 | 18.9528 | 90.0 | 90.0 | 90.0 |
| mp-1210739 | box | -2.5277 | -2.5277 | 6.3505 | 6.3505 | 19.3665 | 90.0 | 90.0 | 90.0 |
Download raw data (including filtered results)
Reference structure matches:
| prototype | method | Ecoh (eV/atom) | Epot (eV/atom) | a0 (Å) | b0 (Å) | c0 (Å) | α (degrees) | β (degrees) | γ (degrees) |
|---|---|---|---|---|---|---|---|---|---|
| oqmd-751547 | dynamic | -2.2953 | -2.2953 | 7.9891 | 7.9891 | 5.1875 | 90.0 | 90.0 | 120.0 |
| oqmd-751535 | dynamic | -2.2907 | -2.2907 | 7.9935 | 7.9935 | 5.1888 | 90.0 | 90.0 | 120.0 |
Download raw data (including filtered results)
Reference structure matches:
| prototype | method | Ecoh (eV/atom) | Epot (eV/atom) | a0 (Å) | b0 (Å) | c0 (Å) | α (degrees) | β (degrees) | γ (degrees) |
|---|---|---|---|---|---|---|---|---|---|
| mp-568106 | dynamic | -2.6509 | -2.6509 | 12.6965 | 12.6965 | 12.6965 | 90.0 | 90.0 | 90.0 |
| oqmd-19370 | box | -2.6488 | -2.6488 | 12.6947 | 12.6947 | 12.6947 | 90.0 | 90.0 | 90.0 |
| mp-568106 | box | -2.6482 | -2.6482 | 12.6921 | 12.6921 | 12.6921 | 90.0 | 90.0 | 90.0 |
Download raw data (including filtered results)
Reference structure matches:
B1--NaCl--rock-salt = mp-1039010
B2--CsCl = mp-1038934, oqmd-307218
B3--ZnS--cubic-zinc-blende = mp-1038818
L1_0--AuCu = mp-1039141
| prototype | method | Ecoh (eV/atom) | Epot (eV/atom) | a0 (Å) | b0 (Å) | c0 (Å) | α (degrees) | β (degrees) | γ (degrees) |
|---|---|---|---|---|---|---|---|---|---|
| L1_0--AuCu | dynamic | -2.4535 | -2.4535 | 2.9418 | 2.9418 | 4.3685 | 90.0 | 90.0 | 90.0 |
| mp-1039019 | dynamic | -2.4462 | -2.4462 | 3.0109 | 3.0109 | 5.0169 | 90.0 | 90.0 | 120.0 |
| mp-1038779 | dynamic | -2.4397 | -2.4397 | 3.0228 | 3.0228 | 14.8123 | 90.0 | 90.0 | 120.0 |
| mp-1094987 | dynamic | -2.4346 | -2.4346 | 5.2155 | 2.8619 | 5.2564 | 90.0 | 90.0 | 90.0 |
| oqmd-751544 | dynamic | -2.4289 | -2.4289 | 5.9737 | 5.9737 | 5.1892 | 90.0 | 90.0 | 120.0 |
| oqmd-751562 | dynamic | -2.4264 | -2.4264 | 5.169 | 5.9646 | 5.2187 | 90.0 | 90.0 | 90.0 |
| oqmd-751538 | dynamic | -2.4254 | -2.4254 | 5.1696 | 11.963 | 5.2076 | 90.0 | 90.0 | 90.0 |
| oqmd-751553 | dynamic | -2.4233 | -2.4233 | 5.1725 | 12.0032 | 5.2036 | 90.0 | 90.0 | 90.0 |
| oqmd-751536 | dynamic | -2.4203 | -2.4203 | 5.1582 | 9.0643 | 5.188 | 90.0 | 90.0 | 90.0 |
| oqmd-751552 | dynamic | -2.4201 | -2.4201 | 5.9689 | 5.2217 | 5.188 | 90.0 | 90.0 | 90.0 |
| oqmd-751532 | dynamic | -2.4199 | -2.4199 | 5.9281 | 15.7185 | 5.1883 | 90.0 | 90.0 | 90.0 |
| oqmd-751532 | static | -2.4199 | -2.4199 | 5.9281 | 15.7183 | 5.1883 | 90.0 | 90.0 | 90.0 |
| oqmd-751545 | dynamic | -2.4196 | -2.4196 | 5.2309 | 5.1905 | 5.9809 | 90.0 | 90.0 | 90.0 |
| oqmd-751534 | dynamic | -2.4191 | -2.4191 | 5.9168 | 5.1848 | 8.0159 | 90.0 | 100.6 | 90.0 |
| oqmd-751558 | dynamic | -2.4191 | -2.4191 | 5.1646 | 9.0498 | 5.2011 | 90.0 | 90.0 | 90.0 |
| oqmd-751561 | dynamic | -2.4171 | -2.4171 | 5.9426 | 5.1796 | 7.9883 | 90.0 | 100.6 | 90.0 |
| oqmd-751545 | box | -2.4161 | -2.4161 | 5.2462 | 5.1804 | 5.9803 | 90.0 | 90.0 | 90.0 |
| oqmd-751537 | dynamic | -2.4147 | -2.4147 | 5.1603 | 5.9635 | 10.4761 | 90.0 | 90.0 | 90.0 |
| oqmd-751536 | box | -2.4146 | -2.4146 | 5.1369 | 9.0871 | 5.1826 | 90.0 | 90.0 | 90.0 |
| oqmd-751540 | dynamic | -2.4142 | -2.4142 | 5.9503 | 5.1857 | 7.976 | 90.0 | 100.5 | 90.0 |
| oqmd-751546 | dynamic | -2.4121 | -2.4121 | 2.9636 | 5.1399 | 10.3939 | 90.0 | 90.0 | 90.0 |
| oqmd-751540 | box | -2.4084 | -2.4084 | 5.982 | 5.1717 | 7.9648 | 90.0 | 100.5 | 90.0 |
| oqmd-751546 | box | -2.4044 | -2.4044 | 2.9923 | 5.1322 | 10.2914 | 90.0 | 90.0 | 90.0 |
| B4--ZnS--wurtzite | dynamic | -2.3804 | -2.3804 | 3.0132 | 3.0132 | 11.082 | 90.0 | 90.0 | 120.0 |
| B2--CsCl | dynamic | -2.3251 | -2.3251 | 3.3025 | 3.3025 | 3.3025 | 90.0 | 90.0 | 90.0 |
| B1--NaCl--rock-salt | static | -2.1764 | -2.1764 | 5.6877 | 5.6877 | 5.6877 | 90.0 | 90.0 | 90.0 |
| oqmd-751553 | box | -2.1537 | -2.1537 | 3.1015 | 16.6358 | 6.9922 | 90.0 | 90.0 | 90.0 |
| oqmd-751561 | box | -2.1435 | -2.1435 | 7.6391 | 3.3746 | 10.4445 | 90.0 | 100.6 | 90.0 |
| mp-1094987 | box | -2.139 | -2.139 | 2.8787 | 2.8574 | 12.1453 | 90.0 | 90.0 | 90.0 |
| oqmd-751537 | box | -2.1369 | -2.1369 | 3.4253 | 7.5575 | 13.6864 | 90.0 | 90.0 | 90.0 |
| B3--ZnS--cubic-zinc-blende | static | -1.6961 | -1.6961 | 6.0711 | 6.0711 | 6.0711 | 90.0 | 90.0 | 90.0 |
Download raw data (including filtered results)
Reference structure matches:
| prototype | method | Ecoh (eV/atom) | Epot (eV/atom) | a0 (Å) | b0 (Å) | c0 (Å) | α (degrees) | β (degrees) | γ (degrees) |
|---|---|---|---|---|---|---|---|---|---|
| oqmd-31714 | dynamic | -1.522 | -1.522 | 15.9544 | 15.9544 | 15.5558 | 90.0 | 90.0 | 120.0 |
| mp-1185596 | box | -1.5219 | -1.5219 | 15.9542 | 15.9542 | 15.5566 | 90.0 | 90.0 | 120.0 |
| oqmd-31714 | box | -1.5219 | -1.5219 | 15.9541 | 15.9541 | 15.5568 | 90.0 | 90.0 | 120.0 |
Download raw data (including filtered results)
Reference structure matches:
| prototype | method | Ecoh (eV/atom) | Epot (eV/atom) | a0 (Å) | b0 (Å) | c0 (Å) | α (degrees) | β (degrees) | γ (degrees) |
|---|---|---|---|---|---|---|---|---|---|
| mp-1023506 | dynamic | -1.6246 | -1.6246 | 6.2963 | 6.2963 | 10.3653 | 90.0 | 90.0 | 120.0 |
| mp-1023506 | box | -1.6243 | -1.6243 | 6.2952 | 6.2952 | 10.3637 | 90.0 | 90.0 | 120.0 |
Download raw data (including filtered results)
Reference structure matches:
| prototype | method | Ecoh (eV/atom) | Epot (eV/atom) | a0 (Å) | b0 (Å) | c0 (Å) | α (degrees) | β (degrees) | γ (degrees) |
|---|---|---|---|---|---|---|---|---|---|
| oqmd-751556 | dynamic | -2.129 | -2.129 | 5.2767 | 5.2767 | 5.1563 | 90.0 | 90.0 | 120.0 |
| oqmd-751556 | box | -2.1273 | -2.1273 | 5.2764 | 5.2764 | 5.151 | 90.0 | 90.0 | 120.0 |
| oqmd-751533 | dynamic | -2.1258 | -2.1258 | 5.1982 | 9.1146 | 5.2785 | 90.0 | 90.0 | 90.0 |
| oqmd-751549 | dynamic | -2.123 | -2.123 | 3.02 | 15.8221 | 5.2014 | 90.0 | 90.0 | 90.0 |
| oqmd-751543 | dynamic | -2.1212 | -2.1212 | 9.1577 | 5.2626 | 5.206 | 90.0 | 90.0 | 90.0 |
| oqmd-751557 | dynamic | -2.121 | -2.121 | 8.055 | 5.1907 | 12.1851 | 90.0 | 100.9 | 90.0 |
| oqmd-751543 | box | -2.1182 | -2.1182 | 9.1817 | 5.2722 | 5.1928 | 90.0 | 90.0 | 90.0 |
| oqmd-751557 | box | -2.1154 | -2.1154 | 8.0746 | 5.1798 | 12.1997 | 90.0 | 100.7 | 90.0 |
| oqmd-751549 | box | -2.1138 | -2.1138 | 3.0348 | 15.8166 | 5.1966 | 90.0 | 90.0 | 90.0 |
| C1--CaF2--fluorite | dynamic | -1.8716 | -1.8716 | 6.4574 | 6.4574 | 6.4574 | 90.0 | 90.0 | 90.0 |
Download raw data (including filtered results)
Reference structure matches:
D0_3--BiF3 = mp-1094666, oqmd-310993
L1_2--AuCu3 = mp-978271
| prototype | method | Ecoh (eV/atom) | Epot (eV/atom) | a0 (Å) | b0 (Å) | c0 (Å) | α (degrees) | β (degrees) | γ (degrees) |
|---|---|---|---|---|---|---|---|---|---|
| mp-1016233 | dynamic | -1.9767 | -1.9767 | 3.0538 | 5.1764 | 5.3327 | 90.0 | 90.0 | 90.0 |
| L1_2--AuCu3 | dynamic | -1.9765 | -1.9765 | 4.3537 | 4.3537 | 4.3537 | 90.0 | 90.0 | 90.0 |
| mp-1094970 | dynamic | -1.9748 | -1.9748 | 6.1166 | 6.1166 | 5.2063 | 90.0 | 90.0 | 120.0 |
| mp-1016233 | box | -1.9745 | -1.9745 | 3.0593 | 5.1749 | 5.3199 | 90.0 | 90.0 | 90.0 |
| mp-1094970 | box | -1.9732 | -1.9732 | 6.1144 | 6.1144 | 5.2046 | 90.0 | 90.0 | 120.0 |
| oqmd-751563 | dynamic | -1.9718 | -1.9718 | 5.2007 | 6.1143 | 5.3194 | 90.0 | 90.0 | 90.0 |
| mp-1094961 | dynamic | -1.9698 | -1.9698 | 4.3469 | 4.3469 | 8.7883 | 90.0 | 90.0 | 90.0 |
| oqmd-751563 | box | -1.969 | -1.969 | 5.1894 | 6.1172 | 5.3317 | 90.0 | 90.0 | 90.0 |
| A15--Cr3Si | dynamic | -1.9385 | -1.9385 | 5.4652 | 5.4652 | 5.4652 | 90.0 | 90.0 | 90.0 |
| D0_3--BiF3 | static | -1.8941 | -1.8941 | 7.0493 | 7.0493 | 7.0493 | 90.0 | 90.0 | 90.0 |
Download raw data (including filtered results)
Reference structure matches:
| prototype | method | Ecoh (eV/atom) | Epot (eV/atom) | a0 (Å) | b0 (Å) | c0 (Å) | α (degrees) | β (degrees) | γ (degrees) |
|---|---|---|---|---|---|---|---|---|---|
| oqmd-751548 | dynamic | -1.8174 | -1.8174 | 5.376 | 5.376 | 5.1819 | 90.0 | 90.0 | 120.0 |
| oqmd-751548 | box | -1.8162 | -1.8162 | 5.3771 | 5.3771 | 5.1784 | 90.0 | 90.0 | 120.0 |
Download raw data (including filtered results)
Reference structure matches:
| prototype | method | Ecoh (eV/atom) | Epot (eV/atom) | a0 (Å) | b0 (Å) | c0 (Å) | α (degrees) | β (degrees) | γ (degrees) |
|---|---|---|---|---|---|---|---|---|---|
| mp-1016271 | dynamic | -1.7413 | -1.7413 | 6.2227 | 6.2227 | 5.1885 | 90.0 | 90.0 | 120.0 |
| mp-1016271 | box | -1.7406 | -1.7406 | 6.22 | 6.22 | 5.1869 | 90.0 | 90.0 | 120.0 |
Download raw data (including filtered results)
Reference structure matches:
A1--Cu--fcc = mp-1056702
A15--beta-W = oqmd-1214987
A2--W--bcc = mp-110, oqmd-8597
A3'--alpha-La--double-hcp = mp-973364, oqmd-1215433
A3--Mg--hcp = mp-153, oqmd-9226, oqmd-31750, oqmd-752493, oqmd-752495, oqmd-752506, oqmd-752508
A4--C--dc = oqmd-1215522
A5--beta-Sn = oqmd-1215611
A6--In--bct = mp-1056351, oqmd-1215700
| prototype | method | Ecoh (eV/atom) | Epot (eV/atom) | a0 (Å) | b0 (Å) | c0 (Å) | α (degrees) | β (degrees) | γ (degrees) |
|---|---|---|---|---|---|---|---|---|---|
| A3--Mg--hcp | dynamic | -1.51 | -1.51 | 3.196 | 3.196 | 5.1871 | 90.0 | 90.0 | 120.0 |
| oqmd-1215254 | box | -1.5098 | -1.5098 | 3.1912 | 5.5431 | 5.1875 | 90.0 | 90.0 | 90.0 |
| mp-1094122 | dynamic | -1.505 | -1.505 | 3.1927 | 3.1927 | 23.3653 | 90.0 | 90.0 | 120.0 |
| oqmd-1216059 | static | -1.505 | -1.505 | 3.1926 | 3.1926 | 23.3666 | 90.0 | 90.0 | 120.0 |
| mp-1094122 | box | -1.505 | -1.505 | 3.1927 | 3.1927 | 23.3664 | 90.0 | 90.0 | 120.0 |
| A3'--alpha-La--double-hcp | dynamic | -1.5025 | -1.5025 | 3.191 | 3.191 | 10.39 | 90.0 | 90.0 | 120.0 |
| A1--Cu--fcc | dynamic | -1.4951 | -1.4951 | 4.5058 | 4.5058 | 4.5058 | 90.0 | 90.0 | 90.0 |
| A2--W--bcc | dynamic | -1.4926 | -1.4926 | 3.5655 | 3.5655 | 3.5655 | 90.0 | 90.0 | 90.0 |
| oqmd-1214898 | dynamic | -1.4587 | -1.4587 | 7.7131 | 7.7131 | 7.7131 | 90.0 | 90.0 | 90.0 |
| oqmd-1214898 | box | -1.4583 | -1.4583 | 7.7117 | 7.7117 | 7.7117 | 90.0 | 90.0 | 90.0 |
| oqmd-1214809 | dynamic | -1.4525 | -1.4525 | 10.8858 | 10.8858 | 10.8858 | 90.0 | 90.0 | 90.0 |
| oqmd-1214809 | box | -1.4512 | -1.4512 | 10.8884 | 10.8884 | 10.8884 | 90.0 | 90.0 | 90.0 |
| oqmd-1215076 | static | -1.446 | -1.446 | 3.1817 | 5.2961 | 11.2441 | 90.0 | 90.0 | 90.0 |
| oqmd-1214720 | box | -1.4455 | -1.4455 | 3.1871 | 5.29 | 11.2334 | 90.0 | 90.0 | 90.0 |
| oqmd-1215076 | box | -1.4454 | -1.4454 | 3.1877 | 5.2894 | 11.2326 | 90.0 | 90.0 | 90.0 |
| A15--beta-W | dynamic | -1.4199 | -1.4199 | 5.5852 | 5.5852 | 5.5852 | 90.0 | 90.0 | 90.0 |
| mp-1055956 | dynamic | -1.4128 | -1.4128 | 3.1024 | 3.1024 | 2.8913 | 90.0 | 90.0 | 120.0 |
| mp-1055956 | static | -1.4116 | -1.4116 | 3.1086 | 3.1086 | 2.9683 | 90.0 | 90.0 | 120.0 |
| A5--beta-Sn | static | -1.3988 | -1.3988 | 5.6466 | 5.6466 | 3.0172 | 90.0 | 90.0 | 90.0 |
| mp-1247180 | box | -1.3523 | -1.3523 | 5.1564 | 3.2842 | 15.0464 | 90.0 | 90.4 | 90.0 |
| Ah--alpha-Po--sc | static | -1.2691 | -1.2691 | 2.9139 | 2.9139 | 2.9139 | 90.0 | 90.0 | 90.0 |
| A7--alpha-As | box | -1.0961 | -1.0961 | 3.8495 | 3.8495 | 12.8957 | 90.0 | 90.0 | 120.0 |
| oqmd-1215967 | box | -1.0808 | -1.0808 | 5.0757 | 5.0757 | 5.6368 | 90.0 | 90.0 | 120.0 |
| A4--C--dc | static | -0.8605 | -0.8605 | 6.7401 | 6.7401 | 6.7401 | 90.0 | 90.0 | 90.0 |
Static elastic constants are displayed for the unique structures identified in Crystal Structure Predictions above. The values displayed here are obtained by measuring the change in virial stresses due to applying small strains to the relaxed crystals. The initial structure and the strained states are all relaxed using force minimization.
The calculation method used is available as the iprPy elastic_constants_static calculation method.
Notes and Disclaimers:
Version Information:
| 117.997 | 62.231 | 62.231 | 0.000 | -0.000 | -0.000 |
| 62.231 | 117.997 | 62.231 | 0.000 | -0.000 | -0.000 |
| 62.231 | 62.231 | 117.997 | 0.000 | 0.000 | -0.000 |
| 0.000 | 0.000 | 0.000 | 36.676 | -0.000 | -0.000 |
| 0.000 | 0.000 | 0.000 | 0.000 | 36.676 | -0.000 |
| 0.000 | 0.000 | 0.000 | -0.000 | -0.000 | 36.676 |
| 117.997 | 62.231 | 62.231 | -0.000 | -0.000 | 0.000 |
| 62.231 | 117.997 | 62.231 | 0.000 | 0.000 | 0.000 |
| 62.231 | 62.231 | 117.997 | 0.000 | 0.000 | 0.000 |
| -0.000 | -0.000 | -0.000 | 36.676 | 0.000 | -0.000 |
| -0.000 | -0.000 | -0.000 | 0.000 | 36.676 | 0.000 |
| -0.000 | -0.000 | -0.000 | -0.000 | 0.000 | 36.676 |
| 117.997 | 62.231 | 62.231 | -0.000 | -0.000 | -0.000 |
| 62.231 | 117.997 | 62.231 | -0.000 | -0.000 | -0.000 |
| 62.231 | 62.231 | 117.997 | -0.000 | -0.000 | -0.000 |
| 0.000 | 0.000 | 0.000 | 36.676 | -0.000 | -0.000 |
| 0.000 | 0.000 | 0.000 | -0.000 | 36.676 | -0.000 |
| 0.000 | 0.000 | 0.000 | 0.000 | -0.000 | 36.676 |
| 117.997 | 62.231 | 62.231 | 0.000 | 0.000 | 0.000 |
| 62.231 | 117.997 | 62.231 | -0.000 | 0.000 | 0.000 |
| 62.231 | 62.231 | 117.997 | 0.000 | 0.000 | 0.000 |
| -0.000 | -0.000 | -0.000 | 36.676 | 0.000 | 0.000 |
| -0.000 | -0.000 | -0.000 | 0.000 | 36.676 | 0.000 |
| -0.000 | -0.000 | -0.000 | -0.000 | 0.000 | 36.676 |
| 117.997 | 62.231 | 62.231 | -0.000 | -0.000 | -0.000 |
| 62.231 | 117.997 | 62.231 | -0.000 | -0.000 | -0.000 |
| 62.231 | 62.231 | 117.997 | -0.000 | -0.000 | -0.000 |
| 0.000 | 0.000 | 0.000 | 36.676 | -0.000 | -0.000 |
| 0.000 | 0.000 | 0.000 | 0.000 | 36.676 | -0.000 |
| 0.000 | 0.000 | 0.000 | -0.000 | -0.000 | 36.676 |
| 117.997 | 62.231 | 62.231 | -0.000 | 0.000 | 0.000 |
| 62.231 | 117.997 | 62.231 | 0.000 | 0.000 | 0.000 |
| 62.231 | 62.231 | 117.997 | 0.000 | 0.000 | 0.000 |
| -0.000 | -0.000 | -0.000 | 36.676 | 0.000 | 0.000 |
| -0.000 | -0.000 | -0.000 | -0.000 | 36.676 | 0.000 |
| -0.000 | -0.000 | -0.000 | 0.000 | 0.000 | 36.676 |
| 13.670 | 6.835 | 6.835 | 0.000 | -0.000 | -0.000 |
| 6.835 | 13.670 | 6.835 | -0.000 | -0.000 | 0.000 |
| 6.835 | 6.835 | 13.670 | 0.000 | -0.000 | -0.000 |
| -0.000 | 0.000 | 0.000 | 6.835 | -0.000 | 0.000 |
| 0.000 | -0.000 | 0.000 | 0.000 | 6.835 | 0.000 |
| 0.000 | 0.000 | -0.000 | 0.000 | 0.000 | 6.835 |
| 13.669 | 6.835 | 6.835 | -0.000 | 0.000 | 0.000 |
| 6.835 | 13.669 | 6.835 | 0.000 | 0.000 | -0.000 |
| 6.835 | 6.835 | 13.669 | -0.000 | 0.000 | 0.000 |
| 0.000 | -0.000 | -0.000 | 6.835 | 0.000 | 0.000 |
| -0.000 | 0.000 | -0.000 | -0.000 | 6.835 | -0.000 |
| -0.000 | -0.000 | 0.000 | -0.000 | -0.000 | 6.835 |
| 13.670 | 6.835 | 6.835 | 0.000 | 0.000 | 0.000 |
| 6.835 | 13.670 | 6.835 | 0.000 | -0.000 | 0.000 |
| 6.835 | 6.835 | 13.670 | 0.000 | 0.000 | -0.000 |
| -0.000 | 0.000 | 0.000 | 6.835 | 0.000 | -0.000 |
| 0.000 | -0.000 | 0.000 | 0.000 | 6.835 | -0.000 |
| 0.000 | 0.000 | -0.000 | 0.000 | -0.000 | 6.835 |
| 13.669 | 6.835 | 6.835 | -0.000 | -0.000 | -0.000 |
| 6.835 | 13.669 | 6.835 | -0.000 | 0.000 | 0.000 |
| 6.835 | 6.835 | 13.669 | 0.000 | 0.000 | 0.000 |
| 0.000 | -0.000 | -0.000 | 6.835 | 0.000 | -0.000 |
| -0.000 | 0.000 | -0.000 | -0.000 | 6.835 | -0.000 |
| -0.000 | -0.000 | 0.000 | -0.000 | -0.000 | 6.835 |
| 13.674 | 6.837 | 6.837 | 0.000 | -0.000 | -0.000 |
| 6.837 | 13.674 | 6.837 | 0.000 | -0.000 | 0.000 |
| 6.837 | 6.837 | 13.674 | 0.000 | -0.000 | -0.000 |
| -0.000 | 0.002 | 0.002 | 6.835 | -0.000 | -0.000 |
| 0.002 | -0.000 | 0.002 | 0.000 | 6.835 | 0.000 |
| 0.002 | 0.002 | -0.000 | 0.000 | 0.000 | 6.835 |
| 13.665 | 6.833 | 6.833 | -0.000 | -0.000 | -0.000 |
| 6.833 | 13.665 | 6.833 | -0.000 | 0.000 | -0.000 |
| 6.833 | 6.833 | 13.665 | -0.000 | 0.000 | 0.000 |
| 0.000 | -0.002 | -0.002 | 6.835 | 0.000 | 0.000 |
| -0.002 | 0.000 | -0.002 | -0.000 | 6.835 | -0.000 |
| -0.002 | -0.002 | 0.000 | -0.000 | -0.000 | 6.835 |
| 0.426 | 0.213 | 0.213 | 0.000 | -0.000 | -0.000 |
| 0.213 | 0.426 | 0.213 | -0.000 | -0.000 | -0.000 |
| 0.213 | 0.213 | 0.426 | 0.000 | 0.000 | 0.000 |
| -0.000 | 0.000 | 0.000 | 0.213 | -0.000 | 0.000 |
| 0.000 | -0.000 | 0.000 | -0.000 | 0.213 | -0.000 |
| 0.000 | 0.000 | -0.000 | 0.000 | -0.000 | 0.213 |
| 0.426 | 0.213 | 0.213 | -0.000 | 0.000 | 0.000 |
| 0.213 | 0.426 | 0.213 | 0.000 | -0.000 | 0.000 |
| 0.213 | 0.213 | 0.426 | 0.000 | 0.000 | 0.000 |
| 0.000 | -0.000 | -0.000 | 0.213 | 0.000 | 0.000 |
| -0.000 | 0.000 | -0.000 | 0.000 | 0.213 | -0.000 |
| -0.000 | -0.000 | 0.000 | -0.000 | -0.000 | 0.213 |
| 0.426 | 0.213 | 0.213 | -0.000 | 0.000 | 0.000 |
| 0.213 | 0.426 | 0.213 | 0.000 | -0.000 | 0.000 |
| 0.213 | 0.213 | 0.426 | -0.000 | -0.000 | 0.000 |
| -0.000 | 0.000 | 0.000 | 0.213 | 0.000 | 0.000 |
| 0.000 | -0.000 | 0.000 | 0.000 | 0.213 | 0.000 |
| 0.000 | 0.000 | -0.000 | -0.000 | 0.000 | 0.213 |
| 0.426 | 0.213 | 0.213 | 0.000 | 0.000 | 0.000 |
| 0.213 | 0.426 | 0.213 | -0.000 | -0.000 | 0.000 |
| 0.213 | 0.213 | 0.426 | -0.000 | -0.000 | -0.000 |
| 0.000 | -0.000 | -0.000 | 0.213 | -0.000 | -0.000 |
| -0.000 | 0.000 | -0.000 | -0.000 | 0.213 | 0.000 |
| -0.000 | -0.000 | 0.000 | 0.000 | 0.000 | 0.213 |
| 0.426 | 0.213 | 0.213 | 0.000 | -0.000 | -0.000 |
| 0.213 | 0.426 | 0.213 | -0.000 | 0.000 | -0.000 |
| 0.213 | 0.213 | 0.426 | -0.000 | -0.000 | 0.000 |
| -0.000 | 0.000 | 0.000 | 0.213 | -0.000 | -0.000 |
| 0.000 | -0.000 | 0.000 | -0.000 | 0.213 | -0.000 |
| 0.000 | 0.000 | -0.000 | -0.000 | -0.000 | 0.213 |
| 0.426 | 0.213 | 0.213 | 0.000 | 0.000 | -0.000 |
| 0.213 | 0.426 | 0.213 | -0.000 | -0.000 | -0.000 |
| 0.213 | 0.213 | 0.426 | 0.000 | -0.000 | -0.000 |
| 0.000 | -0.000 | -0.000 | 0.213 | 0.000 | -0.000 |
| -0.000 | 0.000 | -0.000 | -0.000 | 0.213 | -0.000 |
| -0.000 | -0.000 | 0.000 | 0.000 | -0.000 | 0.213 |
| 200.667 | 58.967 | 58.967 | 0.000 | -0.000 | -0.000 |
| 58.967 | 200.667 | 58.967 | 0.000 | -0.000 | -0.000 |
| 58.967 | 58.967 | 200.667 | -0.000 | -0.000 | 0.000 |
| 0.000 | 0.000 | -0.000 | 42.940 | -0.000 | -0.000 |
| 0.000 | 0.000 | -0.000 | -0.000 | 42.940 | -0.000 |
| 0.000 | 0.000 | -0.000 | -0.000 | -0.000 | 42.940 |
| 200.667 | 58.967 | 58.967 | 0.000 | 0.000 | 0.000 |
| 58.967 | 200.667 | 58.967 | 0.000 | 0.000 | -0.000 |
| 58.967 | 58.967 | 200.667 | 0.000 | 0.000 | -0.000 |
| -0.000 | -0.000 | 0.000 | 42.940 | 0.000 | 0.000 |
| -0.000 | -0.000 | 0.000 | 0.000 | 42.940 | 0.000 |
| -0.000 | -0.000 | 0.000 | 0.000 | 0.000 | 42.940 |
| 200.667 | 58.967 | 58.967 | 0.000 | -0.000 | -0.000 |
| 58.967 | 200.667 | 58.967 | -0.000 | -0.000 | -0.000 |
| 58.967 | 58.967 | 200.667 | -0.000 | -0.000 | -0.000 |
| 0.000 | 0.000 | 0.000 | 38.884 | -0.000 | -0.000 |
| 0.000 | 0.000 | 0.000 | -0.000 | 38.884 | -0.000 |
| 0.000 | 0.000 | 0.000 | -0.000 | -0.000 | 38.884 |
| 200.667 | 58.967 | 58.967 | 0.000 | 0.000 | 0.000 |
| 58.967 | 200.667 | 58.967 | 0.000 | 0.000 | 0.000 |
| 58.967 | 58.967 | 200.667 | 0.000 | 0.000 | 0.000 |
| -0.000 | -0.000 | -0.000 | 38.884 | 0.000 | -0.000 |
| -0.000 | -0.000 | -0.000 | 0.000 | 38.884 | 0.000 |
| -0.000 | -0.000 | -0.000 | 0.000 | 0.000 | 38.884 |
| 200.255 | 59.174 | 59.174 | -0.000 | -0.000 | -0.000 |
| 59.174 | 200.255 | 59.174 | -0.000 | -0.000 | -0.000 |
| 59.174 | 59.174 | 200.255 | 0.000 | -0.000 | -0.000 |
| 0.000 | 0.000 | 0.000 | 38.884 | -0.000 | -0.000 |
| 0.000 | 0.000 | 0.000 | -0.000 | 38.884 | -0.000 |
| 0.000 | 0.000 | 0.000 | -0.000 | -0.000 | 38.884 |
| 200.253 | 59.173 | 59.173 | 0.000 | 0.000 | 0.000 |
| 59.173 | 200.253 | 59.173 | 0.000 | 0.000 | -0.000 |
| 59.173 | 59.173 | 200.253 | -0.000 | 0.000 | 0.000 |
| -0.000 | -0.000 | -0.000 | 38.884 | 0.000 | 0.000 |
| -0.000 | -0.000 | -0.000 | 0.000 | 38.884 | 0.000 |
| -0.000 | -0.000 | -0.000 | 0.000 | 0.000 | 38.884 |
| 2.416 | -0.000 | -0.000 | 0.000 | 0.000 | -0.000 |
| -0.000 | 2.416 | -0.000 | 0.000 | 0.000 | 0.000 |
| -0.000 | -0.000 | 2.416 | 0.000 | 0.000 | 0.000 |
| -0.000 | 0.000 | -0.000 | 0.000 | 0.000 | -0.000 |
| 0.000 | -0.000 | -0.000 | 0.000 | 0.000 | 0.000 |
| 0.000 | -0.000 | -0.000 | 0.000 | 0.000 | 0.000 |
| 2.416 | 0.000 | 0.000 | -0.000 | 0.000 | 0.000 |
| 0.000 | 2.416 | 0.000 | -0.000 | -0.000 | -0.000 |
| 0.000 | 0.000 | 2.416 | 0.000 | -0.000 | -0.000 |
| 0.000 | -0.000 | 0.000 | 0.000 | -0.000 | 0.000 |
| -0.000 | 0.000 | 0.000 | -0.000 | 0.000 | 0.000 |
| -0.000 | 0.000 | 0.000 | -0.000 | -0.000 | 0.000 |
| 2.417 | -0.000 | -0.000 | 0.000 | 0.000 | 0.000 |
| -0.000 | 2.417 | -0.000 | 0.000 | 0.000 | -0.000 |
| -0.000 | -0.000 | 2.417 | -0.000 | -0.000 | 0.000 |
| -0.000 | 0.000 | -0.000 | 0.000 | 0.000 | -0.000 |
| 0.000 | -0.000 | -0.000 | -0.000 | 0.000 | 0.000 |
| 0.000 | -0.000 | -0.000 | 0.000 | 0.000 | 0.000 |
| 2.416 | 0.000 | 0.000 | -0.000 | -0.000 | -0.000 |
| 0.000 | 2.416 | 0.000 | -0.000 | -0.000 | -0.000 |
| 0.000 | 0.000 | 2.416 | 0.000 | -0.000 | -0.000 |
| 0.000 | -0.000 | 0.000 | 0.000 | -0.000 | 0.000 |
| -0.000 | 0.000 | 0.000 | 0.000 | 0.000 | -0.000 |
| -0.000 | 0.000 | 0.000 | -0.000 | -0.000 | 0.000 |
| 2.418 | -0.000 | -0.000 | 0.000 | 0.000 | 0.000 |
| -0.000 | 2.418 | -0.000 | 0.000 | 0.000 | 0.000 |
| -0.000 | -0.000 | 2.418 | -0.000 | 0.000 | 0.000 |
| -0.000 | 0.000 | -0.000 | 0.000 | -0.000 | 0.000 |
| 0.000 | -0.000 | -0.000 | 0.000 | 0.000 | -0.000 |
| 0.000 | -0.000 | -0.000 | 0.000 | 0.000 | 0.000 |
| 2.415 | 0.000 | 0.000 | -0.000 | 0.000 | -0.000 |
| 0.000 | 2.415 | 0.000 | -0.000 | -0.000 | -0.000 |
| 0.000 | 0.000 | 2.415 | -0.000 | 0.000 | -0.000 |
| 0.000 | -0.000 | 0.000 | 0.000 | 0.000 | -0.000 |
| -0.000 | 0.000 | 0.000 | -0.000 | 0.000 | -0.000 |
| -0.000 | 0.000 | 0.000 | -0.000 | -0.000 | 0.000 |
| 78.407 | 87.861 | 87.861 | 0.000 | 0.000 | -0.000 |
| 87.861 | 78.407 | 87.861 | 0.000 | 0.000 | 0.000 |
| 87.861 | 87.861 | 78.407 | 0.000 | -0.000 | -0.000 |
| 0.000 | 0.000 | 0.000 | 62.399 | 0.000 | 0.000 |
| 0.000 | 0.000 | 0.000 | -0.000 | 62.399 | 0.000 |
| 0.000 | 0.000 | 0.000 | 0.000 | -0.000 | 62.399 |
| 78.407 | 87.861 | 87.861 | 0.000 | -0.000 | 0.000 |
| 87.861 | 78.407 | 87.861 | -0.000 | -0.000 | -0.000 |
| 87.861 | 87.861 | 78.407 | 0.000 | -0.000 | -0.000 |
| -0.000 | -0.000 | -0.000 | 62.399 | -0.000 | 0.000 |
| -0.000 | -0.000 | -0.000 | 0.000 | 62.399 | -0.000 |
| -0.000 | -0.000 | -0.000 | -0.000 | -0.000 | 62.399 |
| 78.407 | 87.861 | 87.861 | -0.000 | 0.000 | -0.000 |
| 87.861 | 78.407 | 87.861 | -0.000 | -0.000 | -0.000 |
| 87.861 | 87.861 | 78.407 | -0.000 | 0.000 | -0.000 |
| 0.000 | 0.000 | 0.000 | 62.399 | 0.000 | 0.000 |
| 0.000 | 0.000 | 0.000 | -0.000 | 62.399 | 0.000 |
| 0.000 | 0.000 | 0.000 | 0.000 | 0.000 | 62.399 |
| 78.406 | 87.861 | 87.861 | -0.000 | -0.000 | 0.000 |
| 87.861 | 78.406 | 87.861 | -0.000 | 0.000 | -0.000 |
| 87.861 | 87.861 | 78.406 | -0.000 | 0.000 | 0.000 |
| -0.000 | -0.000 | -0.000 | 62.399 | -0.000 | 0.000 |
| -0.000 | -0.000 | -0.000 | 0.000 | 62.399 | 0.000 |
| -0.000 | -0.000 | -0.000 | -0.000 | 0.000 | 62.399 |
| 78.407 | 87.862 | 87.862 | -0.000 | 0.000 | 0.000 |
| 87.862 | 78.407 | 87.862 | -0.000 | 0.000 | -0.000 |
| 87.862 | 87.862 | 78.407 | 0.000 | -0.000 | -0.000 |
| 0.000 | 0.000 | 0.000 | 62.399 | -0.000 | -0.000 |
| 0.000 | 0.000 | 0.000 | 0.000 | 62.399 | -0.000 |
| 0.000 | 0.000 | 0.000 | 0.000 | -0.000 | 62.399 |
| 78.406 | 87.861 | 87.861 | 0.000 | -0.000 | 0.000 |
| 87.861 | 78.406 | 87.861 | -0.000 | 0.000 | 0.000 |
| 87.861 | 87.861 | 78.406 | -0.000 | 0.000 | -0.000 |
| -0.000 | -0.000 | -0.000 | 62.399 | -0.000 | -0.000 |
| -0.000 | -0.000 | -0.000 | -0.000 | 62.399 | -0.000 |
| -0.000 | -0.000 | -0.000 | 0.000 | -0.000 | 62.399 |
| 5.581 | 5.581 | 5.581 | -0.000 | -0.000 | -0.000 |
| 5.581 | 5.581 | 5.581 | -0.000 | -0.000 | -0.000 |
| 5.581 | 5.581 | 5.581 | -0.000 | -0.000 | -0.000 |
| 0.000 | 0.000 | 0.000 | 5.581 | -0.000 | -0.000 |
| 0.000 | 0.000 | 0.000 | -0.000 | 5.581 | -0.000 |
| 0.000 | 0.000 | 0.000 | -0.000 | -0.000 | 5.581 |
| 5.581 | 5.581 | 5.581 | 0.000 | 0.000 | -0.000 |
| 5.581 | 5.581 | 5.581 | 0.000 | 0.000 | -0.000 |
| 5.581 | 5.581 | 5.581 | 0.000 | 0.000 | 0.000 |
| -0.000 | -0.000 | -0.000 | 5.581 | 0.000 | 0.000 |
| -0.000 | -0.000 | -0.000 | 0.000 | 5.581 | 0.000 |
| -0.000 | -0.000 | -0.000 | 0.000 | 0.000 | 5.581 |
| 5.581 | 5.581 | 5.581 | -0.000 | -0.000 | -0.000 |
| 5.581 | 5.581 | 5.581 | -0.000 | -0.000 | -0.000 |
| 5.581 | 5.581 | 5.581 | -0.000 | -0.000 | -0.000 |
| 0.000 | 0.000 | 0.000 | 5.581 | -0.000 | -0.000 |
| 0.000 | 0.000 | 0.000 | -0.000 | 5.581 | -0.000 |
| 0.000 | 0.000 | 0.000 | -0.000 | -0.000 | 5.581 |
| 5.580 | 5.580 | 5.580 | 0.000 | 0.000 | 0.000 |
| 5.580 | 5.580 | 5.580 | 0.000 | 0.000 | 0.000 |
| 5.580 | 5.580 | 5.580 | 0.000 | 0.000 | 0.000 |
| -0.000 | -0.000 | -0.000 | 5.581 | 0.000 | 0.000 |
| -0.000 | -0.000 | -0.000 | 0.000 | 5.581 | 0.000 |
| -0.000 | -0.000 | -0.000 | 0.000 | 0.000 | 5.581 |
| 5.582 | 5.582 | 5.582 | -0.000 | -0.000 | -0.000 |
| 5.582 | 5.582 | 5.582 | -0.000 | -0.000 | -0.000 |
| 5.582 | 5.582 | 5.582 | -0.000 | -0.000 | -0.000 |
| 0.001 | 0.001 | 0.001 | 5.581 | -0.000 | -0.000 |
| 0.001 | 0.001 | 0.001 | -0.000 | 5.581 | -0.000 |
| 0.001 | 0.001 | 0.001 | -0.000 | -0.000 | 5.581 |
| 5.579 | 5.579 | 5.579 | 0.000 | 0.000 | 0.000 |
| 5.579 | 5.579 | 5.579 | 0.000 | 0.000 | 0.000 |
| 5.579 | 5.579 | 5.579 | 0.000 | 0.000 | 0.000 |
| -0.001 | -0.001 | -0.001 | 5.581 | 0.000 | 0.000 |
| -0.001 | -0.001 | -0.001 | 0.000 | 5.581 | 0.000 |
| -0.001 | -0.001 | -0.001 | 0.000 | 0.000 | 5.581 |
| 0.174 | 0.174 | 0.174 | 0.000 | 0.000 | -0.000 |
| 0.174 | 0.174 | 0.174 | 0.000 | 0.000 | -0.000 |
| 0.174 | 0.174 | 0.174 | -0.000 | -0.000 | 0.000 |
| 0.000 | 0.000 | 0.000 | 0.174 | 0.000 | -0.000 |
| 0.000 | 0.000 | 0.000 | 0.000 | 0.174 | -0.000 |
| 0.000 | 0.000 | 0.000 | 0.000 | -0.000 | 0.174 |
| 0.174 | 0.174 | 0.174 | -0.000 | -0.000 | 0.000 |
| 0.174 | 0.174 | 0.174 | -0.000 | -0.000 | 0.000 |
| 0.174 | 0.174 | 0.174 | -0.000 | -0.000 | -0.000 |
| -0.000 | -0.000 | -0.000 | 0.174 | -0.000 | 0.000 |
| -0.000 | -0.000 | -0.000 | -0.000 | 0.174 | 0.000 |
| -0.000 | -0.000 | -0.000 | 0.000 | -0.000 | 0.174 |
| 0.174 | 0.174 | 0.174 | 0.000 | -0.000 | -0.000 |
| 0.174 | 0.174 | 0.174 | -0.000 | 0.000 | -0.000 |
| 0.174 | 0.174 | 0.174 | -0.000 | -0.000 | -0.000 |
| 0.000 | 0.000 | 0.000 | 0.174 | 0.000 | -0.000 |
| 0.000 | 0.000 | 0.000 | 0.000 | 0.174 | -0.000 |
| 0.000 | 0.000 | 0.000 | 0.000 | 0.000 | 0.174 |
| 0.174 | 0.174 | 0.174 | -0.000 | -0.000 | 0.000 |
| 0.174 | 0.174 | 0.174 | -0.000 | -0.000 | 0.000 |
| 0.174 | 0.174 | 0.174 | -0.000 | -0.000 | -0.000 |
| -0.000 | -0.000 | -0.000 | 0.174 | -0.000 | 0.000 |
| -0.000 | -0.000 | -0.000 | -0.000 | 0.174 | 0.000 |
| -0.000 | -0.000 | -0.000 | -0.000 | 0.000 | 0.174 |
| 0.174 | 0.174 | 0.174 | -0.000 | 0.000 | 0.000 |
| 0.174 | 0.174 | 0.174 | 0.000 | -0.000 | 0.000 |
| 0.174 | 0.174 | 0.174 | 0.000 | 0.000 | -0.000 |
| 0.000 | 0.000 | 0.000 | 0.174 | 0.000 | -0.000 |
| 0.000 | 0.000 | 0.000 | 0.000 | 0.174 | -0.000 |
| 0.000 | 0.000 | 0.000 | 0.000 | -0.000 | 0.174 |
| 0.174 | 0.174 | 0.174 | -0.000 | -0.000 | 0.000 |
| 0.174 | 0.174 | 0.174 | -0.000 | -0.000 | 0.000 |
| 0.174 | 0.174 | 0.174 | -0.000 | -0.000 | -0.000 |
| -0.000 | -0.000 | -0.000 | 0.174 | -0.000 | 0.000 |
| -0.000 | -0.000 | -0.000 | -0.000 | 0.174 | 0.000 |
| -0.000 | -0.000 | -0.000 | -0.000 | -0.000 | 0.174 |
| 133.940 | 62.058 | 52.659 | 0.000 | 0.000 | 0.000 |
| 62.137 | 133.862 | 52.659 | -0.000 | -0.000 | 0.000 |
| 52.659 | 52.659 | 115.472 | -0.000 | 0.000 | 0.000 |
| 0.000 | -0.000 | -0.000 | 24.378 | -0.000 | 0.000 |
| -0.000 | -0.000 | -0.000 | -0.000 | 24.378 | 0.000 |
| 0.000 | 0.000 | -0.000 | -0.000 | 0.000 | 35.941 |
| 133.862 | 62.137 | 52.659 | -0.000 | -0.000 | -0.000 |
| 62.058 | 133.940 | 52.659 | 0.000 | 0.000 | -0.000 |
| 52.659 | 52.659 | 115.472 | 0.000 | -0.000 | -0.000 |
| 0.000 | 0.000 | 0.000 | 24.378 | 0.000 | -0.000 |
| 0.000 | 0.000 | 0.000 | -0.000 | 24.378 | -0.000 |
| -0.000 | -0.000 | 0.000 | 0.000 | -0.000 | 35.941 |
| 133.940 | 62.058 | 52.659 | -0.000 | -0.000 | 0.000 |
| 62.058 | 133.940 | 52.659 | -0.000 | 0.000 | 0.000 |
| 52.659 | 52.659 | 115.470 | 0.000 | -0.000 | 0.000 |
| -0.000 | -0.000 | -0.000 | 24.378 | -0.000 | 0.000 |
| -0.000 | -0.000 | -0.000 | -0.000 | 24.378 | 0.000 |
| 0.000 | 0.000 | -0.000 | -0.000 | 0.000 | 35.863 |
| 133.940 | 62.058 | 52.659 | 0.000 | -0.000 | -0.000 |
| 62.136 | 133.862 | 52.659 | -0.000 | 0.000 | -0.000 |
| 52.660 | 52.660 | 115.474 | 0.000 | 0.000 | -0.000 |
| 0.000 | 0.000 | 0.000 | 24.378 | 0.000 | -0.000 |
| 0.000 | 0.000 | 0.000 | 0.000 | 24.378 | -0.000 |
| -0.000 | -0.000 | 0.000 | -0.000 | -0.000 | 35.863 |
| 133.854 | 62.145 | 52.658 | -0.000 | 0.000 | 0.000 |
| 62.137 | 133.863 | 52.658 | -0.000 | -0.000 | 0.000 |
| 52.656 | 52.656 | 115.454 | -0.000 | -0.000 | 0.000 |
| -0.000 | -0.001 | -0.003 | 24.378 | 0.000 | 0.000 |
| -0.001 | -0.000 | -0.003 | -0.000 | 24.378 | 0.000 |
| 0.000 | 0.000 | -0.000 | -0.000 | 0.000 | 35.863 |
| 133.853 | 62.145 | 52.660 | 0.000 | -0.000 | -0.000 |
| 62.136 | 133.862 | 52.660 | -0.000 | -0.000 | -0.000 |
| 52.662 | 52.662 | 115.490 | 0.000 | -0.000 | -0.000 |
| 0.000 | 0.001 | 0.003 | 24.378 | -0.000 | -0.000 |
| 0.001 | 0.000 | 0.003 | 0.000 | 24.378 | -0.000 |
| -0.000 | -0.000 | 0.000 | 0.000 | -0.000 | 35.863 |
| 0.533 | 0.178 | 0.142 | -0.000 | 0.000 | 0.000 |
| 0.178 | 0.533 | 0.142 | -0.000 | 0.000 | 0.000 |
| 0.142 | 0.142 | 0.568 | -0.000 | 0.000 | -0.000 |
| 0.000 | 0.000 | 0.000 | 0.142 | 0.000 | 0.000 |
| 0.000 | 0.000 | 0.000 | 0.000 | 0.142 | 0.000 |
| 0.000 | 0.000 | 0.000 | 0.000 | 0.000 | 0.178 |
| 0.533 | 0.178 | 0.142 | 0.000 | -0.000 | -0.000 |
| 0.178 | 0.533 | 0.142 | 0.000 | -0.000 | -0.000 |
| 0.142 | 0.142 | 0.568 | 0.000 | -0.000 | -0.000 |
| -0.000 | -0.000 | -0.000 | 0.142 | -0.000 | -0.000 |
| -0.000 | -0.000 | -0.000 | -0.000 | 0.142 | 0.000 |
| -0.000 | -0.000 | -0.000 | -0.000 | -0.000 | 0.178 |
| 0.533 | 0.178 | 0.142 | -0.000 | 0.000 | 0.000 |
| 0.178 | 0.533 | 0.142 | -0.000 | 0.000 | 0.000 |
| 0.142 | 0.142 | 0.568 | -0.000 | -0.000 | -0.000 |
| 0.000 | 0.000 | 0.000 | 0.142 | 0.000 | 0.000 |
| 0.000 | 0.000 | 0.000 | -0.000 | 0.142 | 0.000 |
| 0.000 | 0.000 | 0.000 | -0.000 | 0.000 | 0.178 |
| 0.533 | 0.178 | 0.142 | -0.000 | -0.000 | -0.000 |
| 0.178 | 0.533 | 0.142 | 0.000 | -0.000 | -0.000 |
| 0.142 | 0.142 | 0.568 | -0.000 | -0.000 | -0.000 |
| -0.000 | -0.000 | -0.000 | 0.142 | -0.000 | -0.000 |
| -0.000 | -0.000 | -0.000 | 0.000 | 0.142 | 0.000 |
| -0.000 | -0.000 | -0.000 | 0.000 | -0.000 | 0.178 |
| 0.525 | 0.186 | 0.142 | -0.000 | 0.000 | 0.000 |
| 0.186 | 0.525 | 0.142 | -0.000 | 0.000 | 0.000 |
| 0.142 | 0.142 | 0.568 | 0.000 | 0.000 | 0.000 |
| 0.000 | 0.000 | 0.000 | 0.142 | 0.000 | 0.000 |
| 0.000 | 0.000 | 0.000 | -0.000 | 0.142 | -0.000 |
| 0.000 | 0.000 | 0.000 | -0.000 | 0.000 | 0.169 |
| 0.524 | 0.186 | 0.142 | 0.000 | -0.000 | -0.000 |
| 0.186 | 0.524 | 0.142 | 0.000 | -0.000 | -0.000 |
| 0.142 | 0.142 | 0.568 | 0.000 | -0.000 | 0.000 |
| -0.000 | -0.000 | -0.000 | 0.142 | -0.000 | -0.000 |
| -0.000 | -0.000 | -0.000 | 0.000 | 0.142 | -0.000 |
| -0.000 | -0.000 | -0.000 | 0.000 | -0.000 | 0.169 |
| 138.398 | 63.703 | 54.638 | 0.000 | 0.000 | 0.000 |
| 63.713 | 138.388 | 54.638 | -0.000 | 0.000 | 0.000 |
| 54.638 | 54.638 | 147.874 | -0.000 | 0.000 | 0.000 |
| -0.000 | -0.000 | -0.000 | 24.971 | 0.000 | -0.000 |
| -0.000 | -0.000 | 0.000 | 0.000 | 24.971 | -0.000 |
| -0.000 | -0.000 | -0.000 | 0.000 | 0.000 | 37.338 |
| 138.388 | 63.713 | 54.638 | 0.000 | -0.000 | 0.000 |
| 63.713 | 138.388 | 54.638 | 0.000 | -0.000 | -0.000 |
| 54.638 | 54.638 | 147.874 | -0.000 | -0.000 | 0.000 |
| 0.000 | 0.000 | 0.000 | 24.971 | -0.000 | -0.000 |
| 0.000 | 0.000 | 0.000 | 0.000 | 24.971 | 0.000 |
| 0.000 | 0.000 | 0.000 | 0.000 | -0.000 | 37.338 |
| 138.398 | 63.703 | 54.638 | 0.000 | 0.000 | -0.000 |
| 63.713 | 138.388 | 54.638 | -0.000 | -0.000 | -0.000 |
| 54.638 | 54.638 | 147.874 | 0.000 | -0.000 | 0.000 |
| 0.000 | 0.000 | 0.000 | 24.971 | 0.000 | 0.000 |
| 0.000 | 0.000 | 0.000 | 0.000 | 24.971 | -0.000 |
| 0.000 | 0.000 | 0.000 | 0.000 | 0.000 | 37.338 |
| 138.398 | 63.703 | 54.638 | -0.000 | -0.000 | -0.000 |
| 63.703 | 138.398 | 54.638 | 0.000 | -0.000 | -0.000 |
| 54.638 | 54.638 | 147.874 | -0.000 | -0.000 | -0.000 |
| -0.000 | -0.000 | -0.000 | 24.971 | -0.000 | 0.000 |
| -0.000 | -0.000 | -0.000 | -0.000 | 24.971 | 0.000 |
| -0.000 | -0.000 | -0.000 | -0.000 | -0.000 | 37.338 |
| 138.389 | 63.713 | 54.638 | -0.000 | -0.000 | 0.000 |
| 63.713 | 138.389 | 54.638 | 0.000 | -0.000 | -0.000 |
| 54.638 | 54.638 | 147.874 | 0.000 | 0.000 | 0.000 |
| 0.000 | 0.000 | 0.000 | 24.971 | 0.000 | -0.000 |
| 0.000 | 0.000 | 0.000 | 0.000 | 24.971 | -0.000 |
| 0.000 | 0.000 | 0.000 | -0.000 | 0.000 | 37.338 |
| 138.397 | 63.703 | 54.637 | -0.000 | -0.000 | 0.000 |
| 63.703 | 138.397 | 54.637 | 0.000 | -0.000 | 0.000 |
| 54.637 | 54.637 | 147.873 | 0.000 | -0.000 | 0.000 |
| -0.000 | -0.000 | -0.000 | 24.971 | -0.000 | -0.000 |
| -0.000 | -0.000 | -0.000 | -0.000 | 24.971 | 0.000 |
| -0.000 | -0.000 | -0.000 | 0.000 | -0.000 | 37.338 |
| 17.087 | 5.696 | 4.557 | 0.000 | 0.000 | 0.000 |
| 5.696 | 17.087 | 4.557 | 0.000 | 0.000 | -0.000 |
| 4.557 | 4.557 | 18.226 | 0.000 | -0.000 | 0.000 |
| 0.000 | 0.000 | 0.000 | 4.556 | -0.000 | 0.000 |
| 0.000 | 0.000 | 0.000 | 0.000 | 4.556 | 0.000 |
| 0.000 | 0.000 | 0.000 | 0.000 | 0.000 | 5.313 |
| 16.704 | 6.079 | 4.556 | 0.000 | 0.000 | -0.000 |
| 6.079 | 16.704 | 4.556 | -0.000 | -0.000 | -0.000 |
| 4.556 | 4.556 | 18.226 | -0.000 | 0.000 | -0.000 |
| -0.000 | -0.000 | -0.000 | 4.556 | 0.000 | -0.000 |
| -0.000 | -0.000 | -0.000 | -0.000 | 4.556 | -0.000 |
| -0.000 | -0.000 | -0.000 | -0.000 | 0.000 | 5.313 |
| 16.579 | 6.204 | 4.557 | 0.000 | -0.000 | 0.000 |
| 6.204 | 16.579 | 4.557 | 0.000 | 0.000 | 0.000 |
| 4.557 | 4.557 | 18.227 | 0.000 | 0.000 | 0.000 |
| 0.000 | 0.000 | 0.000 | 4.556 | -0.000 | -0.000 |
| 0.000 | 0.000 | 0.000 | 0.000 | 4.556 | -0.000 |
| 0.000 | 0.000 | -0.000 | 0.000 | 0.000 | 5.187 |
| 16.578 | 6.204 | 4.556 | -0.000 | -0.000 | -0.000 |
| 6.204 | 16.578 | 4.556 | -0.000 | -0.000 | -0.000 |
| 4.556 | 4.556 | 18.225 | -0.000 | -0.000 | -0.000 |
| -0.000 | -0.000 | -0.000 | 4.556 | 0.000 | -0.000 |
| -0.000 | -0.000 | -0.000 | -0.000 | 4.556 | -0.000 |
| -0.000 | -0.000 | 0.000 | -0.000 | -0.000 | 5.187 |
| 16.533 | 6.260 | 4.557 | 0.000 | 0.000 | 0.000 |
| 6.261 | 16.531 | 4.557 | 0.000 | 0.000 | 0.000 |
| 4.558 | 4.558 | 18.234 | 0.000 | 0.000 | 0.000 |
| 0.000 | 0.001 | 0.002 | 4.556 | -0.000 | 0.000 |
| 0.001 | 0.000 | 0.002 | 0.000 | 4.556 | -0.000 |
| 0.001 | 0.002 | -0.000 | -0.000 | 0.000 | 5.133 |
| 16.515 | 6.258 | 4.556 | -0.000 | -0.000 | -0.000 |
| 6.256 | 16.516 | 4.556 | -0.000 | -0.000 | -0.000 |
| 4.555 | 4.555 | 18.218 | -0.000 | 0.000 | -0.000 |
| -0.000 | -0.001 | -0.002 | 4.556 | -0.000 | -0.000 |
| -0.001 | -0.000 | -0.002 | -0.000 | 4.556 | -0.000 |
| -0.001 | -0.002 | 0.000 | 0.000 | 0.000 | 5.133 |
| 0.533 | 0.178 | 0.142 | -0.000 | 0.000 | 0.000 |
| 0.178 | 0.533 | 0.142 | 0.000 | -0.000 | -0.000 |
| 0.142 | 0.142 | 0.568 | 0.000 | 0.000 | -0.000 |
| 0.000 | 0.000 | 0.000 | 0.142 | 0.000 | -0.000 |
| 0.000 | 0.000 | 0.000 | 0.000 | 0.142 | 0.000 |
| 0.000 | 0.000 | 0.000 | 0.000 | -0.000 | 0.178 |
| 0.533 | 0.178 | 0.142 | -0.000 | -0.000 | -0.000 |
| 0.178 | 0.533 | 0.142 | 0.000 | -0.000 | 0.000 |
| 0.142 | 0.142 | 0.568 | -0.000 | 0.000 | 0.000 |
| -0.000 | -0.000 | -0.000 | 0.142 | -0.000 | 0.000 |
| -0.000 | -0.000 | -0.000 | 0.000 | 0.142 | 0.000 |
| -0.000 | -0.000 | -0.000 | -0.000 | -0.000 | 0.178 |
| 0.532 | 0.178 | 0.142 | 0.000 | -0.000 | -0.000 |
| 0.178 | 0.532 | 0.142 | -0.000 | -0.000 | -0.000 |
| 0.142 | 0.142 | 0.568 | -0.000 | 0.000 | 0.000 |
| 0.000 | 0.000 | 0.000 | 0.142 | -0.000 | -0.000 |
| 0.000 | 0.000 | 0.000 | -0.000 | 0.142 | 0.000 |
| 0.000 | 0.000 | 0.000 | -0.000 | -0.000 | 0.177 |
| 0.533 | 0.178 | 0.142 | 0.000 | -0.000 | -0.000 |
| 0.178 | 0.533 | 0.142 | 0.000 | -0.000 | 0.000 |
| 0.142 | 0.142 | 0.568 | 0.000 | 0.000 | -0.000 |
| -0.000 | -0.000 | -0.000 | 0.142 | -0.000 | -0.000 |
| -0.000 | -0.000 | -0.000 | 0.000 | 0.142 | -0.000 |
| -0.000 | -0.000 | -0.000 | 0.000 | -0.000 | 0.177 |
| 0.525 | 0.186 | 0.142 | -0.000 | -0.000 | -0.000 |
| 0.186 | 0.525 | 0.142 | -0.000 | -0.000 | -0.000 |
| 0.142 | 0.142 | 0.568 | 0.000 | 0.000 | 0.000 |
| 0.000 | 0.000 | 0.000 | 0.142 | 0.000 | 0.000 |
| 0.000 | 0.000 | 0.000 | 0.000 | 0.142 | 0.000 |
| 0.000 | 0.000 | 0.000 | -0.000 | 0.000 | 0.169 |
| 0.524 | 0.186 | 0.142 | 0.000 | 0.000 | 0.000 |
| 0.186 | 0.524 | 0.142 | -0.000 | 0.000 | 0.000 |
| 0.142 | 0.142 | 0.568 | -0.000 | -0.000 | 0.000 |
| -0.000 | -0.000 | -0.000 | 0.142 | -0.000 | -0.000 |
| -0.000 | -0.000 | -0.000 | -0.000 | 0.142 | 0.000 |
| -0.000 | -0.000 | -0.000 | -0.000 | 0.000 | 0.169 |
| 22.441 | 40.398 | 40.398 | -0.000 | -0.000 | -0.000 |
| 40.398 | 22.441 | 40.398 | -0.000 | -0.000 | -0.000 |
| 40.398 | 40.398 | 22.441 | -0.000 | -0.000 | -0.000 |
| -0.000 | -0.000 | 0.000 | -23.082 | -0.000 | -0.000 |
| 0.000 | -0.000 | 0.000 | -0.000 | -23.082 | -0.000 |
| 0.000 | -0.000 | 0.000 | -0.000 | -0.000 | -23.082 |
| 22.441 | 40.398 | 40.398 | 0.000 | 0.000 | 0.000 |
| 40.398 | 22.441 | 40.398 | 0.000 | 0.000 | 0.000 |
| 40.398 | 40.398 | 22.441 | 0.000 | 0.000 | 0.000 |
| -0.000 | 0.000 | -0.000 | -23.082 | -0.000 | 0.000 |
| -0.000 | 0.000 | -0.000 | 0.000 | -23.082 | 0.000 |
| -0.000 | 0.000 | -0.000 | 0.000 | 0.000 | -23.082 |
| 22.441 | 40.398 | 40.398 | -0.000 | -0.000 | -0.000 |
| 40.398 | 22.441 | 40.398 | -0.000 | -0.000 | -0.000 |
| 40.398 | 40.398 | 22.441 | -0.000 | -0.000 | -0.000 |
| 0.000 | -0.000 | -0.000 | 34.563 | 0.000 | 0.000 |
| -0.000 | 0.000 | -0.000 | 0.000 | 34.563 | 0.000 |
| -0.000 | -0.000 | 0.000 | 0.000 | 0.000 | 34.563 |
| 22.441 | 40.398 | 40.398 | 0.000 | 0.000 | 0.000 |
| 40.398 | 22.441 | 40.398 | 0.000 | 0.000 | 0.000 |
| 40.398 | 40.398 | 22.441 | 0.000 | 0.000 | 0.000 |
| -0.000 | 0.000 | 0.000 | 34.563 | 0.000 | -0.000 |
| 0.000 | -0.000 | 0.000 | 0.000 | 34.563 | 0.000 |
| 0.000 | 0.000 | -0.000 | 0.000 | -0.000 | 34.563 |
| 22.441 | 40.398 | 40.398 | -0.000 | -0.000 | -0.000 |
| 40.398 | 22.441 | 40.398 | -0.000 | -0.000 | -0.000 |
| 40.398 | 40.398 | 22.441 | -0.000 | -0.000 | -0.000 |
| -0.000 | -0.000 | -0.000 | -23.082 | -0.000 | -0.000 |
| -0.000 | -0.000 | -0.000 | -0.000 | -23.082 | -0.000 |
| -0.000 | -0.000 | -0.000 | -0.000 | -0.000 | -23.082 |
| 22.441 | 40.398 | 40.398 | 0.000 | 0.000 | 0.000 |
| 40.398 | 22.441 | 40.398 | 0.000 | 0.000 | 0.000 |
| 40.398 | 40.398 | 22.441 | 0.000 | 0.000 | 0.000 |
| 0.000 | 0.000 | 0.000 | -23.082 | 0.000 | 0.000 |
| 0.000 | 0.000 | 0.000 | 0.000 | -23.082 | 0.000 |
| 0.000 | 0.000 | 0.000 | 0.000 | 0.000 | -23.082 |
| 1.395 | 1.395 | 1.395 | -0.000 | 0.000 | 0.000 |
| 1.395 | 1.395 | 1.395 | 0.000 | -0.000 | 0.000 |
| 1.395 | 1.395 | 1.395 | 0.000 | 0.000 | -0.000 |
| 0.000 | 0.000 | 0.000 | 0.144 | -0.000 | -0.000 |
| 0.000 | 0.000 | 0.000 | -0.000 | 0.144 | -0.000 |
| 0.000 | 0.000 | 0.000 | -0.000 | -0.000 | 0.144 |
| 1.395 | 1.395 | 1.395 | -0.000 | -0.000 | -0.000 |
| 1.395 | 1.395 | 1.395 | -0.000 | -0.000 | -0.000 |
| 1.395 | 1.395 | 1.395 | -0.000 | -0.000 | -0.000 |
| -0.000 | -0.000 | -0.000 | 0.144 | 0.000 | 0.000 |
| -0.000 | -0.000 | -0.000 | 0.000 | 0.144 | 0.000 |
| -0.000 | -0.000 | -0.000 | 0.000 | 0.000 | 0.144 |
| 1.395 | 1.395 | 1.395 | -0.000 | 0.000 | 0.000 |
| 1.395 | 1.395 | 1.395 | 0.000 | -0.000 | 0.000 |
| 1.395 | 1.395 | 1.395 | 0.000 | 0.000 | -0.000 |
| -0.000 | -0.000 | -0.000 | 0.015 | -0.000 | -0.000 |
| -0.000 | -0.000 | -0.000 | -0.000 | 0.015 | -0.000 |
| -0.000 | -0.000 | -0.000 | -0.000 | -0.000 | 0.015 |
| 1.395 | 1.395 | 1.395 | 0.000 | -0.000 | -0.000 |
| 1.395 | 1.395 | 1.395 | -0.000 | 0.000 | -0.000 |
| 1.395 | 1.395 | 1.395 | -0.000 | -0.000 | 0.000 |
| 0.000 | 0.000 | 0.000 | 0.015 | 0.000 | 0.000 |
| 0.000 | 0.000 | 0.000 | 0.000 | 0.015 | 0.000 |
| 0.000 | 0.000 | 0.000 | 0.000 | 0.000 | 0.015 |
| 1.395 | 1.395 | 1.395 | -0.000 | -0.000 | -0.000 |
| 1.395 | 1.395 | 1.395 | -0.000 | -0.000 | -0.000 |
| 1.395 | 1.395 | 1.395 | -0.000 | -0.000 | -0.000 |
| -0.000 | -0.000 | -0.000 | 0.002 | -0.000 | 0.000 |
| -0.000 | -0.000 | -0.000 | -0.000 | 0.002 | 0.000 |
| -0.000 | -0.000 | -0.000 | -0.000 | 0.000 | 0.002 |
| 1.395 | 1.395 | 1.395 | 0.000 | -0.000 | -0.000 |
| 1.395 | 1.395 | 1.395 | -0.000 | 0.000 | -0.000 |
| 1.395 | 1.395 | 1.395 | -0.000 | -0.000 | 0.000 |
| 0.000 | 0.000 | 0.000 | 0.002 | 0.000 | -0.000 |
| 0.000 | 0.000 | 0.000 | 0.000 | 0.002 | -0.000 |
| 0.000 | 0.000 | 0.000 | 0.000 | -0.000 | 0.002 |
| 0.043 | 0.043 | 0.043 | -0.000 | 0.000 | 0.000 |
| 0.043 | 0.043 | 0.043 | 0.000 | -0.000 | 0.000 |
| 0.043 | 0.043 | 0.043 | 0.000 | 0.000 | -0.000 |
| 0.000 | 0.000 | 0.000 | 0.043 | 0.000 | 0.000 |
| 0.000 | 0.000 | 0.000 | 0.000 | 0.043 | 0.000 |
| 0.000 | 0.000 | 0.000 | 0.000 | 0.000 | 0.043 |
| 0.043 | 0.043 | 0.043 | 0.000 | -0.000 | -0.000 |
| 0.043 | 0.043 | 0.043 | -0.000 | 0.000 | -0.000 |
| 0.043 | 0.043 | 0.043 | -0.000 | -0.000 | 0.000 |
| -0.000 | -0.000 | -0.000 | 0.043 | 0.000 | -0.000 |
| -0.000 | -0.000 | -0.000 | 0.000 | 0.043 | -0.000 |
| -0.000 | -0.000 | -0.000 | 0.000 | -0.000 | 0.043 |
| 0.043 | 0.043 | 0.043 | 0.000 | 0.000 | 0.000 |
| 0.043 | 0.043 | 0.043 | 0.000 | 0.000 | 0.000 |
| 0.043 | 0.043 | 0.043 | 0.000 | 0.000 | 0.000 |
| 0.000 | 0.000 | 0.000 | 0.042 | -0.000 | 0.000 |
| 0.000 | 0.000 | 0.000 | -0.000 | 0.042 | 0.000 |
| 0.000 | 0.000 | 0.000 | -0.000 | 0.000 | 0.042 |
| 0.043 | 0.043 | 0.043 | -0.000 | -0.000 | -0.000 |
| 0.043 | 0.043 | 0.043 | -0.000 | -0.000 | -0.000 |
| 0.043 | 0.043 | 0.043 | -0.000 | -0.000 | -0.000 |
| -0.000 | -0.000 | -0.000 | 0.042 | -0.000 | -0.000 |
| -0.000 | -0.000 | -0.000 | -0.000 | 0.042 | -0.000 |
| -0.000 | -0.000 | -0.000 | -0.000 | -0.000 | 0.042 |
| 0.044 | 0.044 | 0.044 | -0.000 | 0.000 | 0.000 |
| 0.044 | 0.044 | 0.044 | 0.000 | -0.000 | 0.000 |
| 0.044 | 0.044 | 0.044 | 0.000 | 0.000 | -0.000 |
| 0.000 | 0.000 | 0.000 | 0.011 | 0.000 | -0.000 |
| 0.000 | 0.000 | 0.000 | 0.000 | 0.011 | -0.000 |
| 0.000 | 0.000 | 0.000 | 0.000 | -0.000 | 0.011 |
| 0.043 | 0.043 | 0.043 | 0.000 | -0.000 | -0.000 |
| 0.043 | 0.043 | 0.043 | -0.000 | 0.000 | -0.000 |
| 0.043 | 0.043 | 0.043 | -0.000 | -0.000 | 0.000 |
| -0.000 | -0.000 | -0.000 | 0.011 | 0.000 | 0.000 |
| -0.000 | -0.000 | -0.000 | 0.000 | 0.011 | 0.000 |
| -0.000 | -0.000 | -0.000 | 0.000 | 0.000 | 0.011 |
| 39.693 | 154.108 | 66.197 | 0.000 | -0.000 | 0.000 |
| 154.108 | 39.693 | 66.197 | -0.000 | 0.000 | 0.000 |
| 66.197 | 66.197 | 165.590 | 0.000 | 0.000 | 0.000 |
| 0.000 | 0.000 | 0.000 | -7.765 | 0.000 | 0.000 |
| 0.000 | -0.000 | 0.000 | -0.000 | -7.765 | 0.000 |
| 0.000 | -0.000 | 0.000 | 0.000 | 0.000 | -8.639 |
| 39.693 | 154.108 | 66.197 | -0.000 | 0.000 | -0.000 |
| 154.108 | 39.693 | 66.197 | 0.000 | -0.000 | -0.000 |
| 66.197 | 66.197 | 165.590 | -0.000 | -0.000 | -0.000 |
| -0.000 | -0.000 | -0.000 | -7.765 | 0.000 | -0.000 |
| -0.000 | 0.000 | -0.000 | 0.000 | -7.765 | -0.000 |
| -0.000 | 0.000 | -0.000 | -0.000 | -0.000 | -8.639 |
| 39.693 | 154.108 | 66.197 | 0.000 | -0.000 | 0.000 |
| 154.108 | 39.693 | 66.197 | -0.000 | 0.000 | 0.000 |
| 66.197 | 66.197 | 165.590 | 0.000 | 0.000 | 0.000 |
| -0.000 | 0.000 | 0.000 | -7.765 | 0.000 | 0.000 |
| 0.000 | -0.000 | 0.000 | -0.000 | -7.765 | 0.000 |
| -0.000 | -0.000 | 0.000 | -0.000 | -0.000 | -8.639 |
| 39.693 | 154.108 | 66.197 | -0.000 | -0.000 | -0.000 |
| 154.108 | 39.693 | 66.197 | 0.000 | -0.000 | -0.000 |
| 66.197 | 66.197 | 165.590 | -0.000 | -0.000 | -0.000 |
| 0.000 | -0.000 | -0.000 | -7.765 | -0.000 | -0.000 |
| -0.000 | 0.000 | -0.000 | 0.000 | -7.765 | -0.000 |
| 0.000 | 0.000 | -0.000 | 0.000 | -0.000 | -8.639 |
| 39.694 | 154.108 | 66.197 | -0.000 | -0.000 | 0.000 |
| 154.108 | 39.694 | 66.197 | -0.000 | 0.000 | 0.000 |
| 66.197 | 66.197 | 165.590 | -0.000 | 0.000 | 0.000 |
| -0.000 | 0.000 | 0.000 | -7.765 | -0.000 | 0.000 |
| 0.000 | -0.000 | 0.000 | -0.000 | -7.765 | 0.000 |
| -0.000 | -0.000 | 0.000 | 0.000 | 0.000 | -8.639 |
| 39.692 | 154.109 | 66.196 | -0.000 | 0.000 | -0.000 |
| 154.109 | 39.692 | 66.196 | 0.000 | -0.000 | -0.000 |
| 66.197 | 66.197 | 165.589 | -0.000 | -0.000 | -0.000 |
| 0.000 | -0.000 | -0.000 | -7.765 | 0.000 | -0.000 |
| -0.000 | 0.000 | -0.000 | 0.000 | -7.765 | -0.000 |
| 0.000 | 0.000 | -0.000 | -0.000 | -0.000 | -8.639 |
| 7.661 | 0.802 | 0.641 | -0.000 | 0.000 | 0.000 |
| 0.802 | 7.661 | 0.641 | -0.000 | -0.000 | -0.000 |
| 0.641 | 0.641 | 0.097 | 0.000 | 0.000 | 0.000 |
| 0.000 | -0.000 | -0.000 | -0.000 | -0.000 | 0.000 |
| -0.000 | 0.000 | -0.000 | -0.000 | -0.000 | 0.000 |
| -0.000 | -0.000 | -0.000 | 0.000 | -0.000 | 0.000 |
| 7.661 | 0.802 | 0.641 | 0.000 | 0.000 | -0.000 |
| 0.802 | 7.661 | 0.641 | 0.000 | 0.000 | 0.000 |
| 0.641 | 0.641 | 0.097 | 0.000 | -0.000 | 0.000 |
| -0.000 | 0.000 | 0.000 | -0.000 | 0.000 | 0.000 |
| 0.000 | -0.000 | 0.000 | 0.000 | -0.000 | 0.000 |
| 0.000 | 0.000 | 0.000 | -0.000 | -0.000 | 0.000 |
| 4.870 | 3.593 | 0.641 | 0.000 | 0.000 | 0.000 |
| 3.593 | 4.870 | 0.641 | 0.000 | -0.000 | -0.000 |
| 0.641 | 0.641 | 0.097 | -0.000 | 0.000 | -0.000 |
| 0.000 | -0.000 | -0.000 | 0.000 | 0.000 | -0.000 |
| -0.000 | 0.000 | -0.000 | -0.000 | 0.000 | 0.000 |
| -0.000 | -0.000 | -0.000 | 0.000 | 0.000 | 0.000 |
| 4.870 | 3.593 | 0.641 | -0.000 | -0.000 | -0.000 |
| 3.593 | 4.870 | 0.641 | -0.000 | -0.000 | -0.000 |
| 0.641 | 0.641 | 0.097 | -0.000 | -0.000 | 0.000 |
| -0.000 | 0.000 | 0.000 | 0.000 | -0.000 | -0.000 |
| 0.000 | -0.000 | 0.000 | 0.000 | 0.000 | 0.000 |
| 0.000 | 0.000 | 0.000 | -0.000 | 0.000 | 0.000 |
| 4.296 | 4.169 | 0.642 | -0.000 | 0.000 | -0.000 |
| 4.169 | 4.296 | 0.642 | 0.000 | 0.000 | -0.000 |
| 0.641 | 0.641 | 0.097 | 0.000 | -0.000 | 0.000 |
| 0.000 | -0.000 | -0.000 | -0.000 | 0.000 | 0.000 |
| -0.000 | 0.000 | -0.000 | -0.000 | -0.000 | 0.000 |
| -0.000 | -0.000 | -0.000 | 0.000 | -0.000 | 0.000 |
| 4.294 | 4.167 | 0.641 | 0.000 | -0.000 | -0.000 |
| 4.167 | 4.294 | 0.641 | 0.000 | -0.000 | -0.000 |
| 0.641 | 0.641 | 0.097 | -0.000 | -0.000 | -0.000 |
| -0.000 | 0.000 | 0.000 | -0.000 | -0.000 | 0.000 |
| 0.000 | -0.000 | 0.000 | 0.000 | -0.000 | 0.000 |
| -0.000 | 0.000 | 0.000 | -0.000 | -0.000 | 0.000 |
| 12.872 | 0.000 | 0.000 | 0.000 | 0.000 | -0.000 |
| 0.000 | 12.872 | 0.000 | 0.000 | 0.000 | -0.000 |
| 0.000 | 0.000 | 0.000 | 0.000 | 0.000 | -0.000 |
| 0.000 | 0.000 | 0.000 | 0.000 | 0.000 | -0.000 |
| 0.000 | 0.000 | 0.000 | 0.000 | 0.000 | -0.000 |
| 0.000 | 0.000 | 0.000 | 0.000 | 0.000 | 0.000 |
| 12.872 | -0.000 | -0.000 | -0.000 | -0.000 | 0.000 |
| -0.000 | 12.872 | -0.000 | -0.000 | -0.000 | 0.000 |
| -0.000 | -0.000 | -0.000 | -0.000 | -0.000 | 0.000 |
| -0.000 | -0.000 | -0.000 | -0.000 | -0.000 | 0.000 |
| -0.000 | -0.000 | -0.000 | -0.000 | -0.000 | 0.000 |
| -0.000 | -0.000 | -0.000 | -0.000 | -0.000 | 0.000 |
| 12.873 | 0.000 | 0.000 | 0.000 | 0.000 | -0.000 |
| 0.000 | 12.873 | 0.000 | 0.000 | 0.000 | -0.000 |
| 0.000 | 0.000 | 0.000 | 0.000 | 0.000 | -0.000 |
| 0.000 | 0.000 | 0.000 | 0.000 | 0.000 | 0.000 |
| 0.000 | 0.000 | 0.000 | 0.000 | 0.000 | -0.000 |
| 0.000 | -0.000 | 0.000 | 0.000 | 0.000 | 0.000 |
| 12.871 | -0.000 | -0.000 | -0.000 | -0.000 | -0.000 |
| -0.000 | 12.871 | -0.000 | -0.000 | -0.000 | 0.000 |
| -0.000 | -0.000 | -0.000 | -0.000 | -0.000 | 0.000 |
| -0.000 | -0.000 | -0.000 | -0.000 | -0.000 | 0.000 |
| -0.000 | -0.000 | -0.000 | -0.000 | -0.000 | 0.000 |
| -0.000 | 0.000 | -0.000 | -0.000 | -0.000 | 0.000 |
| 12.880 | 0.000 | 0.000 | 0.000 | 0.000 | 0.000 |
| 0.000 | 12.880 | 0.000 | 0.000 | 0.000 | -0.000 |
| 0.000 | 0.000 | 0.000 | 0.000 | 0.000 | -0.000 |
| 0.000 | 0.000 | 0.000 | 0.000 | 0.000 | -0.000 |
| 0.000 | 0.000 | 0.000 | 0.000 | 0.000 | -0.000 |
| 0.000 | -0.000 | 0.000 | 0.000 | 0.000 | 0.000 |
| 12.864 | -0.000 | -0.000 | -0.000 | -0.000 | 0.000 |
| -0.000 | 12.864 | -0.000 | -0.000 | -0.000 | -0.000 |
| -0.000 | -0.000 | -0.000 | -0.000 | -0.000 | 0.000 |
| -0.000 | -0.000 | -0.000 | -0.000 | -0.000 | -0.000 |
| -0.000 | -0.000 | -0.000 | -0.000 | -0.000 | -0.000 |
| -0.000 | 0.000 | -0.000 | -0.000 | -0.000 | 0.000 |
| 1.153 | 0.778 | 0.665 | -0.220 | 0.000 | -0.000 |
| 0.778 | 1.153 | 0.665 | 0.220 | -0.000 | 0.000 |
| 1.033 | 1.033 | 0.711 | -0.000 | 0.000 | -0.000 |
| 0.020 | 0.460 | 0.165 | 0.258 | -0.000 | 0.000 |
| 0.240 | 0.240 | 0.165 | 0.000 | 0.258 | -0.220 |
| 0.240 | 0.240 | 0.165 | 0.000 | -0.220 | 0.187 |
| 0.041 | -0.053 | -0.004 | -0.055 | -0.000 | 0.000 |
| -0.053 | 0.041 | -0.004 | 0.055 | 0.000 | -0.000 |
| 0.259 | 0.259 | 0.178 | -0.000 | 0.000 | -0.000 |
| -0.460 | -0.020 | -0.165 | 0.258 | 0.000 | -0.000 |
| -0.240 | -0.240 | -0.165 | -0.000 | 0.258 | -0.220 |
| -0.240 | -0.240 | -0.165 | -0.000 | -0.220 | 0.187 |
| 0.086 | 0.084 | 0.058 | -0.001 | -0.000 | 0.000 |
| 0.084 | 0.086 | 0.058 | 0.001 | -0.000 | 0.000 |
| 0.100 | 0.100 | 0.069 | 0.000 | -0.000 | 0.000 |
| -0.019 | 0.090 | 0.025 | 0.064 | 0.000 | -0.000 |
| 0.036 | 0.036 | 0.025 | 0.000 | 0.064 | -0.055 |
| 0.041 | 0.041 | 0.028 | 0.000 | -0.014 | 0.012 |
| 0.041 | 0.035 | 0.026 | -0.003 | 0.000 | -0.000 |
| -0.006 | -0.005 | -0.004 | 0.001 | 0.000 | -0.000 |
| 0.075 | 0.075 | 0.052 | -0.000 | 0.000 | -0.000 |
| -0.055 | -0.028 | -0.028 | 0.016 | -0.000 | 0.000 |
| -0.036 | -0.036 | -0.025 | -0.000 | 0.064 | -0.055 |
| -0.041 | -0.041 | -0.028 | -0.000 | -0.014 | 0.012 |
| 0.009 | 0.009 | 0.006 | -0.000 | -0.000 | 0.000 |
| 0.009 | 0.009 | 0.006 | 0.000 | -0.000 | 0.000 |
| 0.011 | 0.011 | 0.008 | 0.000 | -0.000 | 0.000 |
| 0.001 | 0.008 | 0.003 | 0.004 | -0.000 | 0.000 |
| 0.004 | 0.004 | 0.003 | 0.000 | 0.004 | -0.003 |
| 0.004 | 0.004 | 0.003 | 0.000 | -0.003 | 0.003 |
| -0.000 | -0.000 | -0.000 | -0.000 | 0.000 | -0.000 |
| -0.000 | -0.000 | -0.000 | 0.000 | 0.000 | -0.000 |
| 0.002 | 0.002 | 0.001 | -0.000 | 0.000 | -0.000 |
| -0.008 | -0.001 | -0.003 | 0.004 | -0.000 | 0.000 |
| -0.004 | -0.004 | -0.003 | -0.000 | 0.004 | -0.003 |
| -0.004 | -0.004 | -0.003 | -0.000 | -0.003 | 0.003 |
| 129.443 | 82.364 | 82.364 | -0.000 | -0.000 | -0.000 |
| 82.364 | 129.443 | 82.364 | -0.000 | -0.000 | -0.000 |
| 82.364 | 82.364 | 129.443 | -0.000 | -0.000 | -0.000 |
| 0.000 | -0.000 | -0.000 | -10.348 | -0.000 | 0.000 |
| -0.000 | 0.000 | -0.000 | -0.000 | -10.348 | 0.000 |
| 0.000 | -0.000 | -0.000 | -0.000 | -0.000 | -10.348 |
| 129.443 | 82.364 | 82.364 | 0.000 | 0.000 | -0.000 |
| 82.364 | 129.443 | 82.364 | 0.000 | 0.000 | 0.000 |
| 82.364 | 82.364 | 129.443 | 0.000 | 0.000 | 0.000 |
| -0.000 | 0.000 | 0.000 | -10.348 | 0.000 | 0.000 |
| 0.000 | -0.000 | 0.000 | 0.000 | -10.348 | 0.000 |
| 0.000 | 0.000 | 0.000 | 0.000 | 0.000 | -10.348 |
| 129.443 | 82.364 | 82.364 | -0.000 | -0.000 | 0.000 |
| 82.364 | 129.443 | 82.364 | -0.000 | -0.000 | -0.000 |
| 82.364 | 82.364 | 129.443 | -0.000 | -0.000 | 0.000 |
| 0.000 | 0.000 | -0.000 | -10.348 | -0.000 | 0.000 |
| 0.000 | 0.000 | -0.000 | -0.000 | -10.348 | -0.000 |
| 0.000 | -0.000 | 0.000 | -0.000 | -0.000 | -10.348 |
| 129.443 | 82.364 | 82.364 | 0.000 | 0.000 | -0.000 |
| 82.364 | 129.443 | 82.364 | 0.000 | 0.000 | 0.000 |
| 82.364 | 82.364 | 129.443 | 0.000 | 0.000 | 0.000 |
| -0.000 | -0.000 | 0.000 | -10.348 | 0.000 | -0.000 |
| -0.000 | -0.000 | 0.000 | 0.000 | -10.348 | 0.000 |
| -0.000 | 0.000 | -0.000 | 0.000 | 0.000 | -10.348 |
| 129.445 | 82.363 | 82.363 | -0.000 | -0.000 | -0.000 |
| 82.363 | 129.445 | 82.363 | -0.000 | -0.000 | -0.000 |
| 82.363 | 82.363 | 129.445 | -0.000 | -0.000 | 0.000 |
| 0.000 | 0.000 | -0.000 | -10.348 | -0.000 | -0.000 |
| 0.000 | 0.000 | -0.000 | -0.000 | -10.348 | 0.000 |
| 0.000 | -0.000 | 0.000 | -0.000 | -0.000 | -10.348 |
| 129.441 | 82.364 | 82.364 | 0.000 | 0.000 | -0.000 |
| 82.364 | 129.441 | 82.364 | 0.000 | 0.000 | 0.000 |
| 82.364 | 82.364 | 129.441 | 0.000 | 0.000 | 0.000 |
| -0.000 | -0.000 | 0.000 | -10.348 | 0.000 | -0.000 |
| -0.000 | -0.000 | 0.000 | 0.000 | -10.348 | -0.000 |
| -0.000 | 0.000 | -0.000 | 0.000 | 0.000 | -10.348 |
| 9.666 | 0.000 | 0.000 | 0.000 | 0.000 | -0.000 |
| 0.000 | 9.666 | 0.000 | -0.000 | -0.000 | 0.000 |
| 0.000 | 0.000 | 9.666 | 0.000 | 0.000 | 0.000 |
| 0.000 | 0.000 | 0.000 | -0.000 | 0.000 | 0.000 |
| 0.000 | 0.000 | 0.000 | 0.000 | -0.000 | 0.000 |
| 0.000 | 0.000 | 0.000 | 0.000 | -0.000 | -0.000 |
| 9.666 | -0.000 | -0.000 | -0.000 | -0.000 | 0.000 |
| -0.000 | 9.666 | -0.000 | -0.000 | -0.000 | -0.000 |
| -0.000 | -0.000 | 9.666 | -0.000 | -0.000 | -0.000 |
| -0.000 | 0.000 | -0.000 | -0.000 | -0.000 | -0.000 |
| 0.000 | -0.000 | -0.000 | -0.000 | -0.000 | -0.000 |
| 0.000 | -0.000 | -0.000 | -0.000 | -0.000 | -0.000 |
| 9.666 | 0.000 | 0.000 | 0.000 | -0.000 | 0.000 |
| 0.000 | 9.666 | 0.000 | 0.000 | 0.000 | -0.000 |
| 0.000 | 0.000 | 9.666 | -0.000 | -0.000 | 0.000 |
| 0.000 | -0.000 | -0.000 | 0.000 | -0.000 | -0.000 |
| -0.000 | 0.000 | -0.000 | 0.000 | 0.000 | -0.000 |
| -0.000 | -0.000 | 0.000 | 0.000 | -0.000 | 0.000 |
| 9.665 | -0.000 | -0.000 | -0.000 | 0.000 | 0.000 |
| -0.000 | 9.665 | -0.000 | 0.000 | -0.000 | 0.000 |
| -0.000 | -0.000 | 9.665 | 0.000 | 0.000 | -0.000 |
| -0.000 | -0.000 | 0.000 | 0.000 | 0.000 | -0.000 |
| -0.000 | -0.000 | 0.000 | -0.000 | 0.000 | 0.000 |
| -0.000 | 0.000 | -0.000 | -0.000 | -0.000 | 0.000 |
| 9.672 | -0.000 | -0.000 | 0.000 | -0.000 | 0.000 |
| -0.000 | 9.672 | -0.000 | -0.000 | 0.000 | 0.000 |
| -0.000 | -0.000 | 9.672 | -0.000 | -0.000 | 0.000 |
| 0.000 | -0.000 | -0.000 | 0.000 | -0.000 | -0.000 |
| -0.000 | 0.000 | -0.000 | -0.000 | 0.000 | 0.000 |
| -0.000 | -0.000 | 0.000 | 0.000 | 0.000 | 0.000 |
| 9.660 | 0.000 | 0.000 | -0.000 | 0.000 | -0.000 |
| 0.000 | 9.660 | 0.000 | -0.000 | -0.000 | -0.000 |
| 0.000 | 0.000 | 9.660 | -0.000 | -0.000 | -0.000 |
| -0.000 | -0.000 | 0.000 | 0.000 | 0.000 | 0.000 |
| -0.000 | -0.000 | 0.000 | 0.000 | 0.000 | -0.000 |
| -0.000 | 0.000 | -0.000 | -0.000 | 0.000 | 0.000 |
| 53.275 | 54.621 | 40.975 | -0.000 | 0.000 | -0.000 |
| 54.621 | 53.275 | 40.975 | -0.000 | 0.000 | -0.000 |
| 40.156 | 40.156 | 116.260 | -0.000 | -0.000 | -0.000 |
| -0.186 | -0.186 | 0.017 | 2.075 | -0.000 | -0.000 |
| -0.186 | -0.186 | 0.017 | -0.000 | 2.075 | -0.000 |
| -0.081 | -0.081 | 0.008 | -0.000 | 0.000 | 52.990 |
| 68.130 | 57.232 | 40.156 | 0.000 | -0.000 | 0.000 |
| 57.232 | 68.130 | 40.156 | 0.000 | 0.000 | 0.000 |
| 40.156 | 40.156 | 116.260 | 0.000 | 0.000 | 0.000 |
| 0.186 | 0.186 | -0.017 | 2.075 | 0.000 | 0.000 |
| 0.186 | 0.186 | -0.017 | 0.000 | 2.075 | 0.000 |
| 0.081 | 0.081 | -0.008 | -0.000 | 0.000 | 52.990 |
| 40.261 | 73.603 | 40.695 | -0.000 | -0.000 | -0.000 |
| 73.603 | 40.261 | 40.695 | -0.000 | -0.000 | -0.000 |
| 40.156 | 40.156 | 116.260 | 0.000 | 0.000 | -0.000 |
| -0.010 | -0.010 | 0.001 | 23.835 | -0.000 | -0.000 |
| -0.010 | -0.010 | 0.001 | 0.000 | 23.835 | -0.000 |
| -0.008 | -0.008 | 0.001 | -0.000 | 0.000 | 52.990 |
| 68.130 | 57.232 | 40.156 | -0.000 | -0.000 | 0.000 |
| 57.232 | 68.130 | 40.156 | 0.000 | -0.000 | 0.000 |
| 40.156 | 40.156 | 116.260 | 0.000 | -0.000 | 0.000 |
| 0.010 | 0.010 | -0.001 | 23.835 | 0.000 | 0.000 |
| 0.010 | 0.010 | -0.001 | -0.000 | 23.835 | 0.000 |
| 0.008 | 0.008 | -0.001 | 0.000 | 0.000 | 52.990 |
| 40.268 | 73.610 | 40.695 | -0.000 | 0.000 | -0.000 |
| 73.610 | 40.268 | 40.695 | -0.000 | -0.000 | -0.000 |
| 40.156 | 40.156 | 116.261 | -0.000 | 0.000 | -0.000 |
| -0.002 | -0.002 | 0.000 | 2.072 | -0.000 | -0.000 |
| -0.002 | -0.002 | 0.000 | -0.000 | 2.072 | -0.000 |
| -0.001 | -0.001 | 0.000 | -0.000 | 0.000 | 52.990 |
| 68.130 | 57.232 | 40.156 | 0.000 | 0.000 | 0.000 |
| 57.232 | 68.130 | 40.156 | 0.000 | -0.000 | 0.000 |
| 40.695 | 40.695 | 116.208 | -0.000 | 0.000 | 0.000 |
| 0.002 | 0.002 | -0.000 | 2.072 | 0.000 | 0.000 |
| 0.002 | 0.002 | -0.000 | 0.000 | 2.072 | 0.000 |
| 0.001 | 0.001 | -0.000 | 0.000 | 0.000 | 52.990 |
| 43.206 | 35.143 | 40.981 | 0.000 | 0.000 | 0.000 |
| 35.143 | 43.206 | 40.981 | 0.000 | -0.000 | 0.000 |
| 23.409 | 23.409 | 111.376 | 0.000 | 0.000 | 0.000 |
| -15.324 | -15.324 | 2.269 | 24.454 | -0.000 | 0.000 |
| -15.324 | -15.324 | 2.269 | 0.000 | 24.454 | 0.000 |
| -14.592 | -14.592 | 2.161 | 0.000 | 0.000 | 48.746 |
| 57.029 | 81.534 | 36.523 | -0.000 | -0.000 | -0.000 |
| 81.534 | 57.029 | 36.523 | -0.000 | 0.000 | -0.000 |
| 52.592 | 52.592 | 107.055 | -0.000 | 0.000 | -0.000 |
| 15.324 | 15.324 | -2.269 | 24.454 | 0.000 | -0.000 |
| 15.324 | 15.324 | -2.269 | -0.000 | 24.454 | -0.000 |
| 14.592 | 14.592 | -2.161 | -0.000 | -0.000 | 48.746 |
| 53.569 | 48.025 | 39.260 | 0.000 | 0.000 | 0.000 |
| 48.025 | 53.569 | 39.260 | 0.000 | -0.000 | 0.000 |
| 36.541 | 36.541 | 109.432 | 0.000 | -0.000 | 0.000 |
| 0.000 | 0.000 | 0.000 | 34.304 | -0.000 | 0.000 |
| 0.000 | 0.000 | 0.000 | 0.000 | 34.304 | 0.000 |
| -1.459 | -1.459 | 0.216 | 0.000 | -0.000 | 48.746 |
| 43.897 | 68.402 | 38.468 | -0.000 | 0.000 | -0.000 |
| 68.402 | 43.897 | 38.468 | -0.000 | -0.000 | -0.000 |
| 37.168 | 37.168 | 109.339 | -0.000 | -0.000 | -0.000 |
| -0.000 | -0.000 | -0.000 | 34.304 | -0.000 | -0.000 |
| -0.000 | -0.000 | -0.000 | -0.000 | 34.304 | -0.000 |
| 1.459 | 1.459 | -0.216 | -0.000 | 0.000 | 48.746 |
| 42.292 | 66.797 | 38.705 | 0.000 | -0.000 | 0.000 |
| 66.797 | 42.292 | 38.705 | 0.000 | -0.000 | 0.000 |
| 37.168 | 37.168 | 109.340 | 0.000 | -0.000 | 0.000 |
| -0.146 | -0.146 | 0.022 | 2.139 | -0.000 | 0.000 |
| -0.146 | -0.146 | 0.022 | 0.000 | 2.139 | 0.000 |
| -0.146 | -0.146 | 0.022 | -0.000 | -0.000 | 48.746 |
| 42.584 | 67.089 | 38.662 | -0.000 | -0.000 | -0.000 |
| 67.089 | 42.584 | 38.662 | -0.000 | 0.000 | -0.000 |
| 38.146 | 38.146 | 109.193 | -0.000 | 0.000 | -0.000 |
| 0.146 | 0.146 | -0.022 | 2.139 | 0.000 | -0.000 |
| 0.146 | 0.146 | -0.022 | -0.000 | 2.139 | -0.000 |
| 0.146 | 0.146 | -0.022 | -0.000 | -0.000 | 48.746 |
| 93.874 | 8.464 | 66.988 | 116.512 | 77.308 | -107.386 |
| 300.990 | 32.307 | -221.664 | -114.701 | 1173.761 | 272.651 |
| 63.474 | 60.271 | 138.194 | -1.298 | 0.101 | -0.738 |
| 0.983 | -2.468 | -1.298 | 36.937 | -0.862 | 1.495 |
| -0.698 | 1.426 | 0.101 | -0.862 | 40.030 | 0.764 |
| -35.560 | -57.645 | -0.972 | 117.298 | 77.393 | -67.081 |
| 138.809 | 61.316 | 63.601 | 0.764 | -3.172 | -9.997 |
| 95.879 | 185.585 | 63.355 | -120.111 | -78.510 | 96.220 |
| 63.474 | 60.271 | 138.194 | -1.298 | 0.101 | -0.738 |
| 33.934 | 53.281 | -2.184 | -85.552 | -80.575 | 100.448 |
| 32.417 | 56.774 | 0.566 | -116.971 | -46.898 | 99.852 |
| -3.088 | -1.905 | -0.747 | 1.571 | -2.777 | 37.620 |
| 131.937 | 57.092 | 41.880 | -9.738 | 113.682 | 20.449 |
| 99.951 | 102.042 | 27.120 | -26.402 | 166.121 | 39.437 |
| 63.474 | 60.271 | 138.195 | -1.298 | 0.101 | -0.738 |
| 37.192 | -14.872 | -42.983 | -3.021 | 161.196 | 44.479 |
| -0.698 | 1.426 | 0.101 | -0.862 | 40.030 | 0.764 |
| -6.035 | -8.047 | -1.240 | 13.182 | 5.427 | 21.974 |
| 138.809 | 61.316 | 63.601 | 0.764 | -3.172 | -9.997 |
| 60.991 | 140.503 | 60.386 | -5.735 | 1.502 | -1.911 |
| 46.652 | 76.166 | 136.040 | 8.419 | -114.429 | -29.867 |
| -33.743 | 13.873 | 37.605 | 44.486 | -166.349 | -40.219 |
| -0.698 | 1.426 | 0.101 | -0.862 | 40.030 | 0.764 |
| -26.240 | 5.264 | 26.609 | 13.593 | -118.638 | -5.513 |
| 125.928 | 63.032 | 66.785 | 2.099 | -1.757 | -9.570 |
| 60.991 | 140.504 | 60.386 | -5.735 | 1.502 | -1.911 |
| 72.346 | 65.113 | 105.271 | -5.281 | 18.120 | 1.544 |
| 0.983 | -2.468 | -1.298 | 36.937 | -0.862 | 1.495 |
| -0.698 | 1.426 | 0.101 | -0.862 | 40.030 | 0.764 |
| -3.088 | -1.905 | -0.747 | 1.571 | -2.777 | 37.620 |
| 138.808 | 61.316 | 63.601 | 0.764 | -3.172 | -9.997 |
| 63.589 | 130.195 | 63.942 | -5.521 | 0.609 | -1.663 |
| 63.474 | 60.271 | 138.194 | -1.298 | 0.101 | -0.738 |
| 1.467 | -1.265 | -1.843 | 29.317 | -1.493 | 2.654 |
| 0.076 | 2.305 | 1.351 | -2.544 | 28.044 | 1.996 |
| -3.088 | -1.905 | -0.747 | 1.571 | -2.777 | 37.620 |
| 128.572 | 58.157 | 54.620 | 0.722 | -4.202 | 2.828 |
| -41.706 | 211.937 | 69.199 | -50.236 | -50.850 | -8.880 |
| -127.970 | 210.699 | 267.266 | 9.461 | -239.688 | 177.318 |
| 0.668 | -0.146 | 0.317 | 32.771 | 1.692 | 0.203 |
| 0.655 | 0.051 | 2.287 | 1.692 | 32.064 | 0.301 |
| -98.010 | 100.450 | 12.787 | -48.981 | -52.352 | 17.693 |
| 220.550 | -38.755 | 46.428 | 50.149 | 47.938 | 13.980 |
| 58.299 | 124.591 | 55.979 | -1.041 | 0.165 | 2.421 |
| 159.459 | -39.643 | 105.767 | 49.034 | 54.000 | 13.769 |
| 129.744 | -171.343 | -83.584 | 84.673 | 137.307 | -65.280 |
| 0.655 | 0.051 | 2.287 | 1.692 | 32.064 | 0.301 |
| 105.001 | -96.215 | -8.551 | 49.217 | 50.478 | 39.869 |
| 108.917 | 69.422 | 58.155 | -3.869 | -8.631 | 1.777 |
| 49.632 | 123.420 | 59.608 | -6.059 | -4.587 | 1.100 |
| 55.338 | 56.214 | 125.957 | 0.317 | 2.287 | 1.963 |
| -9.264 | 9.248 | 0.975 | 20.884 | -3.936 | -1.164 |
| -35.188 | 11.601 | 38.850 | 6.248 | -6.288 | 10.711 |
| 3.639 | 2.429 | 1.432 | 0.317 | -1.259 | 34.857 |
| 128.572 | 58.157 | 54.620 | 0.722 | -4.202 | 2.828 |
| 58.299 | 124.591 | 55.979 | -1.041 | 0.165 | 2.421 |
| 55.338 | 56.214 | 125.957 | 0.317 | 2.287 | 1.963 |
| 0.668 | -0.146 | 0.317 | 32.771 | 1.692 | 0.203 |
| 0.655 | 0.051 | 2.286 | 1.692 | 32.064 | 0.301 |
| 15.653 | -14.396 | -4.956 | 5.798 | 12.773 | 14.202 |
| 128.573 | 58.157 | 54.621 | 0.722 | -4.202 | 2.828 |
| 60.656 | 101.215 | 60.430 | -2.105 | -0.191 | 3.265 |
| 58.089 | 59.377 | 100.341 | -1.225 | 2.521 | 5.456 |
| -0.178 | 0.436 | 0.001 | 24.926 | 0.636 | -0.185 |
| -0.712 | 1.525 | 2.693 | 0.631 | 25.244 | 0.183 |
| 3.639 | 2.429 | 1.432 | 0.317 | -1.259 | 34.857 |
| 128.572 | 58.157 | 54.620 | 0.722 | -4.202 | 2.827 |
| 58.299 | 124.590 | 55.979 | -1.041 | 0.165 | 2.421 |
| 55.338 | 56.214 | 125.957 | 0.317 | 2.287 | 1.963 |
| 1.330 | -2.808 | -1.442 | 19.161 | 1.816 | -1.569 |
| 1.865 | -0.819 | 3.156 | 0.066 | 17.401 | -1.801 |
| 4.552 | 1.028 | 2.105 | 0.610 | -0.344 | 28.013 |
| -69.083 | 129.382 | -153.990 | -42.589 | -257.304 | -132.588 |
| 3.899 | 234.112 | -161.042 | -27.827 | -8.629 | -131.252 |
| 4.761 | 175.319 | -97.422 | -28.435 | -8.139 | -130.740 |
| -0.654 | -1.303 | 1.903 | 36.063 | 0.705 | -0.326 |
| -1.211 | -0.208 | 0.729 | 0.705 | 38.787 | -0.729 |
| -32.347 | -223.603 | -559.072 | -151.684 | -491.409 | -96.697 |
| 136.230 | 60.866 | 61.593 | -0.566 | 4.698 | 2.848 |
| 60.894 | 132.164 | 59.552 | 1.832 | -0.145 | -0.928 |
| 61.450 | 59.387 | 135.870 | 1.903 | 0.729 | 0.528 |
| -0.654 | -1.303 | 1.903 | 36.063 | 0.705 | -0.326 |
| 182.558 | -62.461 | 222.140 | 44.175 | 282.953 | 133.922 |
| 59.782 | -114.524 | 222.502 | 30.411 | 11.244 | 161.677 |
| 120.568 | 74.799 | 41.936 | -3.446 | 2.877 | -10.884 |
| 46.908 | 111.802 | 41.881 | -1.499 | -24.172 | -15.189 |
| 58.225 | 73.014 | 103.127 | -1.394 | 0.013 | -13.413 |
| 1.440 | -5.084 | -130.127 | 12.021 | -73.803 | -14.703 |
| -7.037 | 11.790 | -21.495 | -2.103 | 30.864 | -13.697 |
| 0.634 | -0.918 | 0.593 | -0.263 | 2.644 | 37.766 |
| 132.501 | 52.045 | 86.500 | 2.565 | 4.694 | 15.203 |
| 60.894 | 132.164 | 59.552 | 1.832 | -0.145 | -0.928 |
| 70.143 | 50.287 | 147.617 | 4.616 | 1.828 | 12.669 |
| -0.654 | -1.303 | 1.903 | 36.063 | 0.705 | -0.326 |
| 4.849 | -10.956 | 23.076 | 3.906 | 32.755 | 12.382 |
| 2.707 | 19.798 | 56.858 | 17.692 | 51.822 | 31.567 |
| 136.231 | 60.867 | 61.593 | -0.566 | 4.698 | 2.848 |
| 63.369 | 98.330 | 50.535 | 1.567 | -4.079 | -2.950 |
| 64.546 | 64.734 | 107.240 | 0.527 | -1.231 | -1.751 |
| -1.197 | 0.839 | -0.692 | 29.195 | 0.831 | -1.044 |
| -1.688 | 1.617 | -1.465 | 0.612 | 31.193 | -1.975 |
| -0.246 | 0.309 | -2.585 | 0.058 | 2.091 | 29.964 |
| 136.229 | 60.866 | 61.592 | -0.566 | 4.698 | 2.848 |
| 63.969 | 119.117 | 64.123 | 2.539 | 0.532 | 0.484 |
| 65.095 | 60.691 | 126.620 | 1.897 | 1.036 | 0.906 |
| 1.506 | 0.320 | 3.066 | 21.999 | 4.155 | 2.605 |
| 0.549 | 0.814 | 3.541 | 1.884 | 26.819 | 1.150 |
| 1.676 | -2.301 | 1.888 | 1.879 | 4.502 | 25.093 |
| 10.895 | 155.603 | 204.714 | 49.465 | 10.028 | 7.959 |
| 52.722 | 117.119 | 56.431 | -0.655 | 0.126 | -3.278 |
| -39.903 | 157.021 | 270.548 | 51.758 | 2.395 | 4.810 |
| -95.308 | 98.065 | 150.904 | 77.987 | 7.042 | 5.098 |
| 0.095 | 0.166 | -3.372 | 0.575 | 35.256 | 2.225 |
| 1.077 | -3.278 | 0.398 | 0.138 | 4.220 | 33.680 |
| 204.581 | -46.070 | -88.877 | -45.872 | -1.783 | -2.673 |
| 151.408 | 7.355 | -89.412 | -48.557 | -5.604 | -7.985 |
| 298.705 | -138.304 | 118.352 | -61.447 | -160.054 | 135.371 |
| 98.373 | -103.606 | -142.684 | -17.349 | -4.770 | -5.533 |
| 0.095 | 0.166 | -3.372 | 0.575 | 35.256 | 2.225 |
| 98.355 | -103.466 | -146.893 | -47.891 | -1.615 | 23.315 |
| 116.002 | 52.806 | 55.738 | 2.383 | 4.987 | 2.481 |
| 29.810 | 119.596 | 78.756 | 0.950 | 6.921 | -4.311 |
| 47.249 | 66.277 | 138.434 | 8.860 | -2.920 | 0.026 |
| -25.141 | 18.427 | 25.300 | 27.627 | 8.688 | -2.516 |
| -9.762 | 10.379 | 11.148 | 5.894 | 30.782 | 3.113 |
| -24.433 | 19.141 | 20.279 | 1.692 | 11.151 | 22.154 |
| 116.002 | 52.806 | 55.738 | 2.383 | 4.987 | 2.481 |
| 64.265 | 98.076 | 42.693 | -5.660 | -0.289 | -3.200 |
| 89.120 | 40.239 | 107.315 | -4.930 | -60.117 | 57.044 |
| 2.201 | -2.846 | 3.238 | 35.361 | 0.575 | 0.178 |
| 0.095 | 0.166 | -3.372 | 0.575 | 35.256 | 2.225 |
| 25.083 | -21.524 | 1.192 | -6.768 | -11.073 | 35.441 |
| 105.996 | 55.998 | 59.652 | 2.246 | 4.109 | 2.713 |
| 52.723 | 117.120 | 56.431 | -0.655 | 0.126 | -3.278 |
| 56.055 | 57.323 | 124.672 | 4.655 | -3.457 | -0.483 |
| 0.496 | -1.723 | 5.674 | 30.557 | 1.226 | -0.182 |
| -1.081 | 1.339 | -2.019 | 1.630 | 30.156 | 2.644 |
| 1.077 | -3.278 | 0.398 | 0.138 | 4.220 | 33.680 |
| 108.537 | 53.749 | 56.418 | 1.273 | 4.036 | 2.591 |
| 58.431 | 95.746 | 56.515 | -1.272 | -0.693 | -1.896 |
| 58.082 | 55.169 | 121.678 | 3.632 | -3.580 | -0.589 |
| 2.522 | -3.813 | 2.607 | 29.721 | 1.087 | -0.281 |
| 3.074 | -2.231 | -6.078 | 1.739 | 24.267 | 3.079 |
| 4.044 | -4.218 | -1.967 | -0.521 | 3.595 | 24.853 |
| 553.227 | -273.083 | -344.899 | 114.102 | 58.638 | -69.337 |
| 61.405 | 137.742 | 61.344 | 5.974 | 0.512 | 1.538 |
| 60.523 | 61.721 | 141.504 | -3.113 | 1.733 | 0.442 |
| 424.171 | -336.091 | -411.487 | 144.214 | 57.150 | -72.675 |
| 772.221 | -481.283 | -998.014 | -326.740 | 43.641 | 15.591 |
| 881.579 | -31.570 | -2050.094 | 155.833 | 296.269 | 1001.153 |
| 137.655 | 61.809 | 60.674 | -1.790 | 2.353 | 3.954 |
| 61.405 | 137.742 | 61.344 | 5.974 | 0.512 | 1.538 |
| -361.964 | 401.592 | 538.977 | -118.308 | -54.646 | 73.526 |
| -772.095 | 481.617 | 997.630 | 347.027 | -20.609 | -17.527 |
| -424.835 | 337.578 | 410.180 | -114.744 | -26.347 | 71.130 |
| -424.024 | 338.308 | 408.512 | -114.300 | -55.379 | 104.012 |
| 126.956 | 61.855 | -239.794 | 1.669 | 68.600 | 189.429 |
| 105.779 | 93.519 | 23.767 | 15.785 | 6.610 | -5.789 |
| 105.696 | 31.216 | 90.014 | 8.346 | 7.768 | -7.270 |
| 76.984 | -48.795 | -103.502 | -12.452 | 2.177 | 2.553 |
| 42.817 | -32.802 | -38.760 | 11.910 | 36.061 | -9.666 |
| 85.436 | 4.421 | -243.576 | 1.065 | 38.598 | 138.622 |
| 85.571 | 97.301 | 104.046 | -12.553 | -3.775 | 11.460 |
| 20.741 | 160.853 | 105.411 | -7.250 | -4.739 | 8.904 |
| -22.581 | 71.295 | 315.597 | -18.765 | -24.347 | -94.198 |
| -77.354 | 47.612 | 96.662 | 52.820 | -1.967 | -1.099 |
| -76.869 | 49.140 | 103.126 | 32.792 | 20.848 | -4.489 |
| 0.424 | 1.502 | 0.651 | 0.803 | 2.308 | 36.205 |
| 137.655 | 61.810 | 60.674 | -1.790 | 2.353 | 3.954 |
| 61.406 | 137.743 | 61.344 | 5.974 | 0.512 | 1.538 |
| 73.097 | 63.201 | 108.099 | -6.820 | 3.115 | 0.756 |
| 8.560 | -0.788 | -23.883 | 17.695 | 2.813 | 9.996 |
| 4.585 | -2.517 | -2.054 | 1.555 | 30.879 | -3.065 |
| 0.424 | 1.502 | 0.651 | 0.803 | 2.308 | 36.205 |
| 90.184 | 59.723 | 87.897 | 0.136 | -2.780 | -8.237 |
| 58.986 | 130.346 | 68.815 | 3.056 | 0.370 | 2.304 |
| 58.854 | 68.303 | 134.997 | -4.338 | 1.517 | 0.822 |
| -7.715 | 4.103 | 6.356 | 23.334 | -0.099 | 0.545 |
| -8.136 | -0.501 | 30.807 | -0.266 | 15.184 | -17.065 |
| -6.853 | 0.803 | 25.685 | -1.129 | -5.542 | 5.745 |
| 40.817 | 251.433 | -19.334 | 6.674 | 87.115 | -99.537 |
| 57.515 | 135.144 | 59.847 | 3.125 | 1.071 | 1.016 |
| 56.640 | 60.210 | 137.675 | -3.326 | 3.136 | -0.159 |
| -77.183 | 191.421 | -81.445 | 35.322 | 83.462 | -103.213 |
| -73.651 | 192.186 | -75.411 | 8.631 | 110.553 | -106.608 |
| 1.507 | 1.012 | -0.020 | 1.131 | 0.076 | 33.023 |
| 191.055 | -130.738 | 138.156 | -11.358 | -80.637 | 109.036 |
| 133.959 | -67.094 | 141.504 | -7.337 | -82.575 | 105.604 |
| 56.640 | 60.210 | 137.675 | -3.326 | 3.136 | -0.159 |
| 73.060 | -190.750 | 76.045 | 17.284 | -84.289 | 105.359 |
| 76.592 | -189.985 | 82.078 | -9.402 | -57.196 | 101.965 |
| 1.507 | 1.012 | -0.020 | 1.131 | 0.076 | 33.023 |
| 123.703 | 59.065 | 57.886 | -2.866 | 3.643 | 4.958 |
| 51.324 | 143.083 | 54.887 | 2.578 | 9.695 | -9.118 |
| 61.746 | 96.840 | 115.093 | 20.266 | 10.670 | 3.192 |
| -2.602 | 1.185 | -3.326 | 34.870 | -0.288 | 0.901 |
| -6.043 | 20.215 | -4.543 | 0.517 | 35.055 | -12.752 |
| 1.507 | 1.012 | -0.020 | 1.131 | 0.076 | 33.023 |
| 93.923 | 30.729 | 47.941 | -22.371 | -5.292 | 3.281 |
| 58.547 | 70.304 | 52.071 | -26.191 | -5.197 | 0.596 |
| 65.717 | 43.885 | 135.233 | -3.628 | -5.088 | 10.123 |
| 5.454 | -18.780 | 5.178 | 25.372 | -8.803 | 11.505 |
| 8.985 | -18.013 | 11.210 | -1.287 | 18.299 | 8.110 |
| 9.401 | -17.844 | 7.693 | 0.358 | -8.675 | 37.765 |
| 92.257 | 63.973 | 63.489 | 2.643 | 0.399 | 3.409 |
| 59.138 | 111.052 | 65.977 | -0.236 | 1.801 | 1.397 |
| 59.878 | 68.036 | 110.310 | -0.695 | 4.640 | 1.345 |
| -2.602 | 1.185 | -3.326 | 34.870 | -0.288 | 0.901 |
| 1.539 | 0.841 | 3.137 | -0.288 | 32.608 | -2.428 |
| 1.507 | 1.012 | -0.020 | 1.131 | 0.076 | 33.023 |
| 85.436 | 52.953 | 58.885 | -7.948 | -2.201 | 2.408 |
| 59.367 | 104.001 | 64.509 | -3.977 | 0.507 | 1.714 |
| 60.071 | 63.066 | 106.972 | -4.059 | 3.518 | 1.757 |
| -2.602 | 1.185 | -3.326 | 34.870 | -0.288 | 0.901 |
| 1.539 | 0.841 | 3.136 | -0.288 | 32.608 | -2.428 |
| 2.670 | -0.660 | 0.608 | 1.175 | -1.157 | 28.102 |
| -42.666 | -5.699 | 324.424 | -138.666 | -68.312 | -35.597 |
| -86.598 | 104.342 | 127.632 | -94.165 | -25.664 | -27.822 |
| 58.311 | 57.226 | 129.011 | 0.513 | 1.969 | 0.770 |
| -146.306 | -8.713 | 69.935 | -72.138 | -24.350 | -30.164 |
| 0.387 | -0.348 | 1.969 | 0.581 | 34.350 | -0.093 |
| 1.086 | 2.017 | 0.687 | -0.463 | 1.410 | 32.851 |
| 128.072 | 56.501 | 58.774 | -0.276 | 1.614 | 4.962 |
| 204.814 | 132.816 | -10.623 | 107.995 | 24.195 | 32.260 |
| 206.183 | 72.320 | 50.951 | 101.938 | 27.278 | 30.874 |
| -0.312 | 5.842 | 0.513 | 33.556 | 0.581 | -0.530 |
| 151.122 | 66.463 | -257.469 | 139.065 | 92.556 | 39.168 |
| 146.691 | 16.429 | -68.377 | 101.024 | 26.454 | 58.246 |
| 104.918 | 57.892 | 67.789 | -10.622 | -0.878 | 1.361 |
| 56.329 | 127.569 | 57.630 | 7.451 | -0.280 | 2.009 |
| 48.319 | 51.898 | 132.395 | -13.203 | -3.909 | -2.721 |
| -15.178 | 4.099 | 7.724 | 18.829 | -1.915 | -3.129 |
| 0.387 | -0.348 | 1.969 | 0.581 | 34.349 | -0.093 |
| 1.086 | 2.017 | 0.687 | -0.463 | 1.410 | 32.851 |
| 123.434 | 68.793 | 38.020 | 13.549 | 7.970 | 7.212 |
| 56.329 | 127.569 | 57.630 | 7.451 | -0.280 | 2.009 |
| 145.017 | 8.231 | -72.064 | 6.980 | 1.740 | -38.156 |
| -0.312 | 5.842 | 0.513 | 33.556 | 0.581 | -0.530 |
| 108.187 | -71.971 | -185.416 | 21.357 | -20.955 | -54.129 |
| 1.086 | 2.017 | 0.687 | -0.463 | 1.410 | 32.851 |
| 106.361 | 61.465 | 66.790 | -1.610 | 0.317 | 2.892 |
| 57.802 | 117.540 | 59.340 | 5.767 | -1.050 | 1.914 |
| 58.997 | 57.983 | 120.251 | -0.246 | 2.096 | 0.502 |
| -0.312 | 5.842 | 0.513 | 33.556 | 0.581 | -0.530 |
| -1.016 | -0.972 | 3.084 | -0.487 | 28.989 | -0.067 |
| 1.086 | 2.017 | 0.687 | -0.463 | 1.410 | 32.851 |
| 128.071 | 56.501 | 58.774 | -0.276 | 1.614 | 4.962 |
| 60.909 | 118.047 | 57.817 | 7.977 | -0.498 | 2.563 |
| 62.378 | 58.363 | 118.044 | 2.012 | 2.675 | 1.170 |
| -0.312 | 5.842 | 0.513 | 33.555 | 0.581 | -0.530 |
| 1.787 | -3.007 | -2.040 | 1.593 | 16.763 | -1.239 |
| 2.105 | 2.590 | -1.640 | 1.600 | 1.975 | 21.532 |
| -181.059 | 19.174 | -86.022 | 260.007 | 57.287 | -53.283 |
| -1278.588 | -367.505 | -869.097 | 379.792 | 674.371 | -420.434 |
| 60.540 | 60.126 | 143.915 | 0.592 | 1.710 | 0.966 |
| -1343.947 | -477.471 | -937.982 | 395.029 | 678.941 | -420.715 |
| 1.740 | -1.631 | 1.710 | 0.878 | 37.634 | -0.215 |
| -4283.828 | -896.890 | -295.681 | 2607.585 | 2255.779 | 82.372 |
| 450.920 | 107.960 | 212.017 | -259.532 | -50.227 | 53.948 |
| 379.604 | 174.572 | 211.874 | -258.459 | -55.471 | 53.555 |
| 1410.706 | 545.410 | 1041.887 | -381.073 | -672.278 | 419.656 |
| 749.292 | 339.836 | 442.401 | -127.231 | -264.228 | 272.675 |
| 317.726 | 42.629 | 151.247 | -258.526 | -21.459 | 53.548 |
| 3099.814 | 1032.833 | 424.530 | -2132.071 | -1951.432 | 405.933 |
| -202.433 | -42.700 | 18.920 | 213.922 | 199.338 | -35.180 |
| -9.472 | 81.546 | 22.208 | 15.369 | 24.571 | -27.936 |
| -67.642 | 19.400 | 12.536 | 35.395 | 72.530 | -41.723 |
| -0.165 | -0.415 | 0.592 | 37.053 | 0.878 | -1.599 |
| -131.621 | -50.541 | -88.244 | 39.956 | 87.325 | -42.317 |
| -130.933 | -48.793 | -93.174 | 36.414 | 67.709 | -21.808 |
| 249.398 | 112.937 | 159.860 | -38.310 | -63.935 | 45.778 |
| 199.728 | 158.464 | 160.450 | -36.664 | -70.450 | 40.949 |
| 488.266 | 154.923 | 131.655 | -266.321 | -217.613 | -3.005 |
| 31.720 | 4.651 | 14.280 | 4.146 | -4.088 | 3.884 |
| 429.958 | 89.175 | 38.417 | -255.849 | -209.007 | -7.779 |
| 30.551 | 4.374 | 15.644 | -27.368 | -4.331 | 38.182 |
| 143.540 | 61.313 | 60.678 | -0.185 | 3.862 | 0.194 |
| 48.049 | 103.051 | 55.895 | 10.785 | 7.984 | -7.005 |
| 53.245 | 62.110 | 99.569 | 1.472 | 11.189 | -3.793 |
| -3.062 | -0.210 | -2.179 | 32.459 | 1.849 | -2.015 |
| -5.741 | -5.388 | -0.776 | 3.156 | 26.979 | -2.816 |
| -9.938 | -5.619 | -8.752 | 2.319 | 6.683 | 16.508 |
| 132.499 | 69.703 | 68.967 | -11.377 | -10.399 | 12.348 |
| 101.907 | 120.667 | 67.525 | -25.807 | -22.775 | 0.231 |
| 101.224 | 73.641 | 106.893 | -30.636 | -14.078 | 2.985 |
| 7.854 | 3.405 | 2.455 | 18.706 | -0.928 | 1.706 |
| 15.945 | 1.931 | 14.527 | -1.648 | 12.953 | 3.717 |
| 21.788 | 7.593 | 12.310 | -10.828 | -10.941 | 24.374 |
| 118.668 | 53.246 | 55.835 | 1.145 | 2.445 | 4.458 |
| 130.342 | 77.248 | 91.495 | 37.004 | 92.583 | -180.743 |
| 131.642 | 31.444 | 138.297 | 36.697 | 94.869 | -179.580 |
| 0.936 | -1.986 | -2.102 | 33.126 | 3.001 | 0.303 |
| 0.832 | 0.184 | 3.044 | 3.001 | 34.166 | 0.630 |
| 1.153 | 1.669 | 2.958 | 0.370 | 1.258 | 31.780 |
| 118.668 | 53.246 | 55.835 | 1.145 | 2.445 | 4.458 |
| 7.565 | 77.800 | 40.302 | -8.596 | -77.469 | 127.596 |
| 54.607 | 54.626 | 123.954 | -2.102 | 3.044 | 3.538 |
| 0.936 | -1.986 | -2.102 | 33.126 | 3.001 | 0.303 |
| -46.555 | -34.409 | -14.270 | -4.976 | -48.520 | 126.200 |
| -46.454 | -33.131 | -14.007 | -7.326 | -77.153 | 153.183 |
| 116.089 | 59.231 | 58.784 | 1.586 | 9.798 | -8.873 |
| 52.250 | 123.146 | 54.595 | -1.273 | 0.251 | 1.671 |
| 54.607 | 54.626 | 123.954 | -2.102 | 3.044 | 3.538 |
| 0.936 | -1.986 | -2.102 | 33.126 | 3.001 | 0.303 |
| 5.285 | 4.189 | 4.689 | 3.404 | 37.528 | -12.058 |
| 5.385 | 5.468 | 4.952 | 1.054 | 8.900 | 14.923 |
| 80.558 | -29.192 | 8.388 | 17.369 | 14.677 | 31.005 |
| 52.250 | 123.146 | 54.595 | -1.273 | 0.251 | 1.671 |
| 54.607 | 54.626 | 123.954 | -2.102 | 3.044 | 3.538 |
| 0.936 | -1.986 | -2.102 | 33.126 | 3.001 | 0.303 |
| -6.757 | 3.751 | 0.074 | -1.293 | 16.046 | 18.758 |
| -4.044 | -1.553 | 1.503 | -0.470 | -6.752 | 40.073 |
| 111.381 | 56.264 | 57.327 | 0.884 | 2.774 | 2.308 |
| 55.426 | 112.279 | 58.003 | -0.868 | 1.640 | 0.598 |
| 56.420 | 58.167 | 113.752 | -1.687 | 3.801 | 2.474 |
| 0.936 | -1.986 | -2.102 | 33.126 | 3.001 | 0.303 |
| 1.049 | 1.073 | 3.141 | 2.702 | 30.282 | -0.805 |
| 1.595 | 5.486 | 8.526 | 1.659 | 0.157 | 13.962 |
| 118.668 | 53.246 | 55.835 | 1.145 | 2.445 | 4.458 |
| 54.296 | 112.036 | 57.487 | -1.046 | -0.060 | 3.275 |
| 55.406 | 57.421 | 113.339 | -1.851 | 2.110 | 5.191 |
| 0.936 | -1.986 | -2.102 | 33.126 | 3.001 | 0.303 |
| 0.832 | 0.184 | 3.044 | 3.001 | 34.166 | 0.630 |
| 0.158 | 1.603 | 3.058 | 0.209 | 0.250 | 28.635 |
| 130.369 | 51.624 | 41.824 | -0.000 | -0.000 | -0.000 |
| 47.679 | 167.830 | 51.563 | -0.000 | -0.000 | -0.000 |
| -12.333 | 106.506 | 43.015 | -0.000 | -0.000 | 0.000 |
| 0.408 | -0.426 | 0.438 | -10.951 | -0.000 | -0.000 |
| 0.260 | -0.271 | 0.279 | -0.000 | 8.800 | -0.000 |
| 0.542 | -0.565 | 0.581 | -0.000 | -0.000 | -30.171 |
| 130.369 | 51.624 | 41.824 | -0.000 | -0.000 | 0.000 |
| 88.593 | 128.381 | 102.188 | 0.000 | 0.000 | 0.000 |
| 17.301 | 81.574 | 87.273 | 0.000 | 0.000 | 0.000 |
| -0.408 | 0.426 | -0.438 | -10.951 | 0.000 | 0.000 |
| -0.260 | 0.271 | -0.279 | 0.000 | 8.800 | 0.000 |
| -0.542 | 0.565 | -0.581 | 0.000 | 0.000 | -30.171 |
| 130.369 | 51.624 | 41.824 | 0.000 | 0.000 | -0.000 |
| 89.181 | 127.835 | 102.959 | -0.000 | -0.000 | 0.000 |
| 41.993 | 55.676 | 113.467 | -0.000 | -0.000 | -0.000 |
| 0.041 | -0.043 | 0.043 | -10.954 | -0.000 | -0.000 |
| 0.026 | -0.027 | 0.028 | -0.000 | 8.800 | -0.000 |
| 0.054 | -0.057 | 0.058 | -0.000 | -0.000 | -30.178 |
| 86.814 | 93.123 | -13.106 | 0.000 | 0.000 | -0.000 |
| 47.679 | 167.830 | 51.563 | 0.000 | 0.000 | 0.000 |
| 41.993 | 55.676 | 113.468 | 0.000 | 0.000 | 0.000 |
| -0.041 | 0.043 | -0.043 | -10.954 | 0.000 | 0.000 |
| -0.026 | 0.027 | -0.028 | 0.000 | 8.800 | -0.000 |
| -0.054 | 0.057 | -0.058 | 0.000 | 0.000 | -30.178 |
| 86.871 | 93.070 | -13.035 | -0.000 | -0.000 | 0.000 |
| 68.600 | 145.543 | 73.040 | -0.000 | -0.000 | -0.000 |
| -12.878 | 107.006 | 42.282 | -0.000 | -0.000 | 0.000 |
| -0.000 | -0.000 | -0.001 | 31.439 | -0.000 | -0.000 |
| 0.003 | -0.003 | 0.003 | 0.000 | 8.800 | -0.000 |
| 0.005 | -0.006 | 0.006 | -0.000 | -0.000 | -30.178 |
| 109.699 | 73.536 | 20.379 | 0.000 | 0.000 | 0.000 |
| 89.123 | 127.888 | 102.884 | 0.000 | 0.000 | -0.000 |
| 41.993 | 55.677 | 113.471 | 0.000 | 0.000 | 0.000 |
| 0.000 | 0.000 | 0.001 | 31.439 | -0.000 | 0.000 |
| -0.003 | 0.003 | -0.003 | -0.000 | 8.800 | -0.000 |
| -0.005 | 0.006 | -0.006 | 0.000 | 0.000 | -30.178 |
| 157.447 | 61.907 | 61.907 | 0.000 | -0.000 | 0.000 |
| 61.907 | 157.447 | 61.907 | 0.000 | 0.000 | 0.000 |
| 61.907 | 61.907 | 157.447 | 0.000 | -0.000 | 0.000 |
| -0.052 | -0.052 | -0.052 | 34.694 | -0.000 | -0.000 |
| -0.052 | -0.052 | -0.052 | 0.000 | 34.694 | -0.000 |
| -0.052 | -0.052 | -0.052 | 0.000 | -0.000 | 34.694 |
| 157.447 | 61.907 | 61.907 | -0.000 | -0.000 | -0.000 |
| 61.907 | 157.447 | 61.907 | -0.000 | -0.000 | -0.000 |
| 61.907 | 61.907 | 157.447 | -0.000 | -0.000 | -0.000 |
| 0.052 | 0.052 | 0.052 | 34.694 | 0.000 | 0.000 |
| 0.052 | 0.052 | 0.052 | 0.000 | 34.694 | 0.000 |
| 0.052 | 0.052 | 0.052 | -0.000 | 0.000 | 34.694 |
| 143.857 | 66.548 | 66.548 | -0.000 | -0.000 | -0.000 |
| 66.548 | 143.857 | 66.548 | -0.000 | -0.000 | -0.000 |
| 66.548 | 66.548 | 143.857 | -0.000 | -0.000 | -0.000 |
| -0.007 | -0.007 | -0.007 | 32.139 | -0.000 | -0.000 |
| -0.007 | -0.007 | -0.007 | -0.000 | 32.139 | -0.000 |
| -0.007 | -0.007 | -0.007 | -0.000 | -0.000 | 32.139 |
| 157.447 | 61.907 | 61.907 | -0.000 | -0.000 | -0.000 |
| 61.907 | 157.447 | 61.907 | -0.000 | -0.000 | -0.000 |
| 61.907 | 61.907 | 157.447 | -0.000 | -0.000 | -0.000 |
| 0.007 | 0.007 | 0.007 | 32.139 | 0.000 | 0.000 |
| 0.007 | 0.007 | 0.007 | 0.000 | 32.139 | 0.000 |
| 0.007 | 0.007 | 0.007 | -0.000 | 0.000 | 32.139 |
| 157.449 | 61.907 | 61.907 | 0.000 | 0.000 | 0.000 |
| 61.907 | 157.449 | 61.907 | 0.000 | 0.000 | 0.000 |
| 61.907 | 61.907 | 157.449 | 0.000 | 0.000 | 0.000 |
| 0.000 | 0.000 | 0.000 | 40.747 | 0.000 | 0.000 |
| 0.000 | 0.000 | 0.000 | 0.000 | 40.747 | 0.000 |
| 0.000 | 0.000 | 0.000 | 0.000 | 0.000 | 40.747 |
| 143.202 | 66.784 | 66.784 | 0.000 | 0.000 | 0.000 |
| 66.784 | 143.202 | 66.784 | 0.000 | 0.000 | 0.000 |
| 66.784 | 66.784 | 143.202 | 0.000 | 0.000 | 0.000 |
| -0.000 | -0.000 | -0.000 | 40.747 | -0.000 | -0.000 |
| -0.000 | -0.000 | -0.000 | -0.000 | 40.747 | -0.000 |
| -0.000 | -0.000 | -0.000 | -0.000 | -0.000 | 40.747 |
| 156.523 | 79.547 | 79.547 | 0.000 | -0.000 | 0.000 |
| 79.547 | 156.523 | 79.547 | -0.000 | -0.000 | -0.000 |
| 79.547 | 79.547 | 156.523 | -0.000 | -0.000 | -0.000 |
| 0.000 | -0.000 | 0.000 | 40.447 | -0.000 | 0.000 |
| 0.000 | -0.000 | 0.000 | 0.000 | 40.447 | -0.000 |
| 0.000 | -0.000 | 0.000 | 0.000 | -0.000 | 40.447 |
| 155.444 | 61.224 | 61.224 | -0.000 | 0.000 | 0.000 |
| 61.224 | 155.444 | 61.224 | -0.000 | 0.000 | -0.000 |
| 61.224 | 61.224 | 155.444 | 0.000 | 0.000 | 0.000 |
| -0.000 | 0.000 | -0.000 | 40.447 | 0.000 | -0.000 |
| -0.000 | 0.000 | -0.000 | 0.000 | 40.447 | 0.000 |
| -0.000 | -0.000 | -0.000 | -0.000 | 0.000 | 40.447 |
| 144.129 | 67.382 | 67.382 | 0.000 | -0.000 | -0.000 |
| 67.382 | 144.129 | 67.382 | -0.000 | -0.000 | 0.000 |
| 67.382 | 67.382 | 144.129 | 0.000 | -0.000 | -0.000 |
| 1.386 | 1.386 | 1.386 | 31.008 | -0.000 | 0.000 |
| 1.386 | 1.386 | 1.386 | 0.000 | 31.008 | -0.000 |
| 1.386 | 1.386 | 1.386 | 0.000 | -0.000 | 31.008 |
| 155.444 | 61.224 | 61.224 | -0.000 | 0.000 | -0.000 |
| 61.224 | 155.444 | 61.224 | 0.000 | 0.000 | 0.000 |
| 61.224 | 61.224 | 155.444 | -0.000 | -0.000 | 0.000 |
| -1.386 | -1.386 | -1.386 | 31.008 | -0.000 | -0.000 |
| -1.386 | -1.386 | -1.386 | -0.000 | 31.008 | 0.000 |
| -1.386 | -1.386 | -1.386 | -0.000 | 0.000 | 31.008 |
| 138.815 | 64.227 | 64.227 | -0.000 | -0.000 | 0.000 |
| 64.227 | 138.815 | 64.227 | 0.000 | -0.000 | -0.000 |
| 64.227 | 64.227 | 138.815 | 0.000 | -0.000 | -0.000 |
| -0.000 | 0.000 | 0.000 | 40.447 | -0.000 | -0.000 |
| 0.000 | -0.000 | 0.000 | -0.000 | 40.447 | -0.000 |
| 0.000 | 0.000 | -0.000 | 0.000 | -0.000 | 40.447 |
| 155.443 | 61.224 | 61.224 | -0.000 | 0.000 | -0.000 |
| 61.224 | 155.443 | 61.224 | -0.000 | 0.000 | -0.000 |
| 61.224 | 61.224 | 155.443 | -0.000 | 0.000 | -0.000 |
| 0.000 | -0.000 | -0.000 | 40.447 | 0.000 | -0.000 |
| -0.000 | 0.000 | -0.000 | 0.000 | 40.447 | 0.000 |
| -0.000 | -0.000 | 0.000 | -0.000 | 0.000 | 40.447 |
| 142.983 | 62.345 | 62.345 | -0.000 | -0.000 | 0.000 |
| 62.345 | 142.983 | 62.345 | -0.000 | 0.000 | -0.000 |
| 62.345 | 62.345 | 142.983 | -0.000 | 0.000 | 0.000 |
| -0.000 | 0.000 | 0.000 | 43.242 | -0.000 | -0.000 |
| 0.000 | 0.000 | 0.000 | -0.000 | 43.242 | -0.000 |
| 0.000 | 0.000 | 0.000 | -0.000 | 0.000 | 43.242 |
| 333.606 | 292.719 | 292.719 | -0.000 | -0.000 | -0.000 |
| 292.719 | 333.606 | 292.719 | -0.000 | -0.000 | -0.000 |
| 292.719 | 292.719 | 333.606 | -0.000 | -0.000 | -0.000 |
| 0.000 | -0.000 | -0.000 | 43.242 | 0.000 | 0.000 |
| -0.000 | -0.000 | -0.000 | 0.000 | 43.242 | 0.000 |
| -0.000 | -0.000 | -0.000 | 0.000 | -0.000 | 43.242 |
| 98.501 | 50.458 | 50.458 | 0.000 | 0.000 | 0.000 |
| 50.458 | 98.501 | 50.458 | 0.000 | 0.000 | 0.000 |
| 50.458 | 50.458 | 98.501 | 0.000 | 0.000 | 0.000 |
| -19.724 | -19.724 | -19.724 | 5.013 | 0.000 | 0.000 |
| -19.724 | -19.724 | -19.724 | 0.000 | 5.013 | 0.000 |
| -19.724 | -19.724 | -19.724 | 0.000 | 0.000 | 5.013 |
| 133.956 | 90.210 | 90.210 | -0.000 | -0.000 | -0.000 |
| 90.210 | 133.956 | 90.210 | -0.000 | -0.000 | -0.000 |
| 90.210 | 90.210 | 133.956 | -0.000 | -0.000 | -0.000 |
| 19.724 | 19.724 | 19.724 | 5.013 | -0.000 | -0.000 |
| 19.724 | 19.724 | 19.724 | -0.000 | 5.013 | -0.000 |
| 19.724 | 19.724 | 19.724 | -0.000 | -0.000 | 5.013 |
| 136.162 | 63.450 | 63.450 | 0.000 | -0.000 | 0.000 |
| 63.450 | 136.162 | 63.450 | -0.000 | 0.000 | 0.000 |
| 63.450 | 63.450 | 136.162 | 0.000 | 0.000 | 0.000 |
| 0.000 | 0.000 | 0.000 | 43.242 | -0.000 | -0.000 |
| 0.000 | 0.000 | 0.000 | -0.000 | 43.242 | -0.000 |
| 0.000 | 0.000 | 0.000 | -0.000 | 0.000 | 43.242 |
| 142.981 | 62.344 | 62.344 | 0.000 | 0.000 | 0.000 |
| 62.344 | 142.981 | 62.344 | 0.000 | 0.000 | 0.000 |
| 62.344 | 62.344 | 142.981 | 0.000 | -0.000 | 0.000 |
| -0.000 | -0.000 | -0.000 | 43.242 | -0.000 | 0.000 |
| -0.000 | -0.000 | -0.000 | 0.000 | 43.242 | 0.000 |
| -0.000 | -0.000 | -0.000 | 0.000 | -0.000 | 43.242 |
| 141.869 | 61.944 | 61.944 | -0.000 | -0.000 | -0.000 |
| 61.944 | 141.869 | 61.944 | -0.000 | 0.000 | -0.000 |
| 61.944 | 61.944 | 141.869 | -0.000 | 0.000 | -0.000 |
| 0.000 | 0.000 | 0.000 | 42.904 | -0.000 | 0.000 |
| 0.000 | 0.000 | 0.000 | -0.000 | 42.904 | -0.000 |
| 0.000 | 0.000 | 0.000 | -0.000 | 0.000 | 42.904 |
| 141.869 | 61.944 | 61.944 | 0.000 | 0.000 | -0.000 |
| 61.944 | 141.869 | 61.944 | -0.000 | -0.000 | 0.000 |
| 61.944 | 61.944 | 141.869 | -0.000 | 0.000 | -0.000 |
| -0.000 | -0.000 | -0.000 | 42.904 | 0.000 | 0.000 |
| -0.000 | -0.000 | -0.000 | -0.000 | 42.904 | -0.000 |
| -0.000 | -0.000 | -0.000 | 0.000 | -0.000 | 42.904 |
| 137.207 | 63.039 | 63.039 | -0.000 | -0.000 | -0.000 |
| 63.039 | 137.207 | 63.039 | -0.000 | -0.000 | -0.000 |
| 63.039 | 63.039 | 137.207 | -0.000 | -0.000 | -0.000 |
| -0.011 | -0.011 | -0.011 | 30.878 | -0.000 | -0.000 |
| -0.011 | -0.011 | -0.011 | -0.000 | 30.878 | -0.000 |
| -0.011 | -0.011 | -0.011 | -0.000 | -0.000 | 30.878 |
| 141.868 | 61.944 | 61.944 | 0.000 | 0.000 | 0.000 |
| 61.944 | 141.868 | 61.944 | 0.000 | -0.000 | 0.000 |
| 61.944 | 61.944 | 141.868 | -0.000 | 0.000 | -0.000 |
| 0.015 | 0.015 | 0.015 | 33.757 | 0.000 | 0.000 |
| 0.015 | 0.015 | 0.015 | 0.000 | 33.757 | 0.000 |
| 0.015 | 0.015 | 0.015 | 0.000 | 0.000 | 33.757 |
| 136.197 | 62.807 | 62.807 | -0.000 | -0.000 | -0.000 |
| 62.807 | 136.197 | 62.807 | -0.000 | -0.000 | -0.000 |
| 62.807 | 62.807 | 136.197 | -0.000 | -0.000 | -0.000 |
| 0.000 | 0.000 | 0.000 | 42.904 | -0.000 | -0.000 |
| 0.000 | 0.000 | 0.000 | -0.000 | 42.904 | -0.000 |
| 0.000 | 0.000 | 0.000 | -0.000 | 0.000 | 42.904 |
| 137.218 | 63.049 | 63.049 | 0.000 | 0.000 | 0.000 |
| 63.049 | 137.218 | 63.049 | 0.000 | 0.000 | 0.000 |
| 63.049 | 63.049 | 137.218 | 0.000 | 0.000 | 0.000 |
| -0.000 | -0.000 | -0.000 | 42.904 | -0.000 | -0.000 |
| -0.000 | -0.000 | -0.000 | 0.000 | 42.904 | 0.000 |
| -0.000 | -0.000 | -0.000 | 0.000 | 0.000 | 42.904 |
| 134.372 | 41.408 | 29.613 | 0.000 | -0.000 | 0.000 |
| 43.015 | 97.451 | 12.565 | 0.000 | -0.000 | 0.000 |
| 33.659 | 8.090 | 98.662 | 0.000 | -0.000 | 0.000 |
| 0.000 | 0.000 | 0.000 | 10.921 | 0.000 | 0.000 |
| 0.000 | 0.000 | 0.000 | 0.000 | 34.474 | 0.000 |
| 0.000 | 0.000 | 0.000 | 0.000 | -0.000 | 43.239 |
| 137.696 | 39.186 | 33.756 | -0.000 | -0.000 | -0.000 |
| 43.015 | 97.451 | 12.565 | -0.000 | 0.000 | 0.000 |
| 33.658 | 8.090 | 98.662 | -0.000 | -0.000 | -0.000 |
| -0.000 | -0.000 | -0.000 | 10.921 | -0.000 | 0.000 |
| -0.000 | -0.000 | -0.000 | -0.000 | 34.474 | -0.000 |
| -0.000 | -0.000 | -0.000 | -0.000 | -0.000 | 43.239 |
| 137.697 | 39.186 | 33.756 | 0.000 | 0.000 | -0.000 |
| 43.015 | 97.451 | 12.565 | 0.000 | -0.000 | 0.000 |
| 29.515 | 10.860 | 93.498 | 0.000 | 0.000 | 0.000 |
| -0.000 | 0.000 | -0.001 | -5.487 | -0.000 | 0.000 |
| -0.000 | 0.000 | -0.000 | -0.000 | 24.965 | 0.000 |
| 0.000 | 0.000 | -0.000 | -0.000 | -0.000 | 43.239 |
| 137.696 | 39.185 | 33.756 | -0.000 | 0.000 | -0.000 |
| 43.015 | 97.451 | 12.565 | -0.000 | -0.000 | -0.000 |
| 33.659 | 8.090 | 98.662 | -0.000 | -0.000 | -0.000 |
| 0.000 | -0.000 | 0.001 | -5.487 | 0.000 | -0.000 |
| 0.000 | -0.000 | 0.000 | -0.000 | 24.965 | -0.000 |
| -0.000 | -0.000 | 0.000 | 0.000 | 0.000 | 43.239 |
| 134.377 | 41.408 | 29.612 | 0.000 | -0.000 | 0.000 |
| 43.015 | 97.451 | 12.565 | -0.000 | 0.000 | 0.000 |
| 33.658 | 8.090 | 98.662 | 0.000 | 0.000 | 0.000 |
| -0.000 | 0.000 | -0.000 | 1.500 | -0.000 | 0.000 |
| -0.000 | 0.000 | -0.000 | 0.000 | 24.965 | 0.000 |
| 0.000 | 0.000 | -0.000 | 0.000 | -0.000 | 43.239 |
| 134.368 | 41.408 | 29.613 | -0.000 | 0.000 | -0.000 |
| 43.015 | 97.450 | 12.565 | -0.000 | 0.000 | -0.000 |
| 33.659 | 8.090 | 98.662 | -0.000 | -0.000 | -0.000 |
| 0.000 | -0.000 | 0.000 | 1.500 | 0.000 | -0.000 |
| 0.000 | -0.000 | 0.000 | -0.000 | 24.965 | -0.000 |
| -0.000 | -0.000 | 0.000 | -0.000 | 0.000 | 43.239 |
| 73.546 | 125.653 | 2.327 | -0.000 | -0.000 | -0.000 |
| 59.812 | 139.387 | 2.327 | 0.000 | 0.000 | -0.000 |
| 2.327 | 2.327 | 114.707 | 0.000 | 0.000 | -0.000 |
| 0.000 | -0.000 | -0.000 | -23.877 | -0.000 | -0.000 |
| 0.000 | -0.000 | -0.000 | 0.000 | -23.877 | -0.000 |
| 0.000 | -0.000 | -0.000 | -0.000 | -0.000 | -26.053 |
| 139.387 | 59.812 | 2.327 | -0.000 | -0.000 | 0.000 |
| 125.653 | 73.546 | 2.327 | 0.000 | -0.000 | 0.000 |
| 2.327 | 2.327 | 114.707 | -0.000 | -0.000 | 0.000 |
| -0.000 | 0.000 | 0.000 | -23.877 | 0.000 | 0.000 |
| -0.000 | 0.000 | 0.000 | 0.000 | -23.877 | 0.000 |
| -0.000 | 0.000 | 0.000 | 0.000 | 0.000 | -26.053 |
| 139.387 | 59.812 | 2.327 | 0.000 | 0.000 | -0.000 |
| 59.812 | 139.387 | 2.327 | 0.000 | 0.000 | -0.000 |
| 2.327 | 2.327 | 114.707 | 0.000 | 0.000 | -0.000 |
| -0.000 | -0.000 | -0.000 | -23.877 | -0.000 | -0.000 |
| -0.000 | -0.000 | -0.000 | 0.000 | -23.877 | -0.000 |
| -0.000 | -0.000 | -0.000 | -0.000 | -0.000 | -26.053 |
| 73.546 | 125.653 | 2.327 | -0.000 | 0.000 | 0.000 |
| 125.652 | 73.546 | 2.327 | 0.000 | -0.000 | 0.000 |
| 2.327 | 2.327 | 114.707 | -0.000 | -0.000 | 0.000 |
| 0.000 | 0.000 | 0.000 | -23.877 | 0.000 | 0.000 |
| 0.000 | 0.000 | 0.000 | -0.000 | -23.877 | 0.000 |
| 0.000 | 0.000 | 0.000 | 0.000 | 0.000 | -26.053 |
| 139.387 | 59.812 | 2.327 | 0.000 | 0.000 | -0.000 |
| 125.655 | 73.544 | 2.326 | -0.000 | 0.000 | -0.000 |
| 2.327 | 2.327 | 114.708 | -0.000 | 0.000 | -0.000 |
| -0.000 | -0.000 | -0.000 | -23.877 | -0.000 | -0.000 |
| -0.000 | -0.000 | -0.000 | 0.000 | -23.877 | -0.000 |
| 516176.175 | 384983.736 | -9014645.536 | 0.000 | 0.000 | -113622.138 |
| 73.544 | 125.654 | 2.327 | 0.000 | 0.000 | 0.000 |
| 2231477.218 | -1929665.218 | 9689840.363 | 0.000 | 0.000 | 0.000 |
| 2.327 | 2.327 | 114.706 | 0.000 | -0.000 | 0.000 |
| 0.000 | 0.000 | 0.000 | -23.877 | 0.000 | 0.000 |
| 0.000 | 0.000 | 0.000 | -0.000 | -23.877 | 0.000 |
| 7911360.684 | 7878559.815 | 7936280.690 | 5831.176 | -15776.894 | 49340.050 |
| 147.155 | 45.323 | 44.896 | 0.000 | 19.993 | 0.000 |
| 45.820 | 122.955 | 63.229 | 0.000 | -0.597 | 0.000 |
| 45.568 | 63.487 | 116.009 | 0.000 | -0.492 | 0.000 |
| 181.424 | -176.630 | -153.218 | 40.799 | -18.512 | -1.083 |
| 146.388 | -111.920 | -183.162 | -0.000 | 87.084 | 0.000 |
| 0.000 | 0.000 | 0.000 | -0.600 | 0.000 | 30.057 |
| 147.155 | 45.323 | 44.896 | -0.000 | 19.993 | -0.000 |
| 45.820 | 122.955 | 63.229 | -0.000 | -0.597 | 0.000 |
| -33.192 | 169.335 | 222.883 | 0.000 | 107.108 | -0.000 |
| -181.424 | 176.630 | 153.218 | 40.799 | 18.512 | -1.083 |
| -0.989 | -0.611 | -0.492 | -0.000 | 29.898 | -0.000 |
| -0.000 | -0.000 | -0.000 | -0.600 | -0.000 | 30.057 |
| 147.155 | 45.323 | 44.896 | -0.000 | 19.993 | 0.000 |
| 45.821 | 122.955 | 63.229 | 0.000 | -0.597 | 0.000 |
| 56.661 | 57.494 | 94.348 | -0.000 | -10.490 | 0.000 |
| 0.000 | -0.000 | -0.000 | 47.977 | 0.000 | -0.615 |
| 6.095 | -11.037 | -11.065 | -0.000 | 11.133 | 0.000 |
| 8.129 | -10.116 | -11.630 | -1.123 | -10.638 | 21.858 |
| 147.155 | 45.323 | 44.896 | -0.000 | 19.992 | -0.000 |
| 39.451 | 121.537 | 79.072 | -0.000 | 9.388 | -0.000 |
| 45.568 | 63.487 | 116.009 | -0.000 | -0.492 | -0.000 |
| -0.000 | 0.000 | 0.000 | 47.977 | -0.000 | -0.615 |
| -16.626 | 9.722 | 18.748 | -0.000 | 17.288 | -0.000 |
| -8.129 | 10.116 | 11.630 | -1.123 | 10.638 | 21.858 |
| 140.219 | 45.530 | 46.504 | -0.000 | 14.236 | -0.000 |
| 47.843 | 113.215 | 65.539 | -0.000 | -1.968 | 0.000 |
| 45.568 | 63.487 | 116.009 | -0.000 | -0.492 | 0.000 |
| 1.741 | -1.633 | -1.537 | 41.460 | -0.011 | -1.065 |
| -0.435 | -2.417 | -1.378 | -0.000 | 22.452 | 0.000 |
| 0.658 | -0.819 | -0.942 | -1.023 | -0.861 | 23.419 |
| 137.805 | 47.234 | 48.673 | -0.000 | 15.109 | -0.000 |
| 45.820 | 122.955 | 63.229 | -0.000 | -0.597 | -0.000 |
| 47.368 | 67.840 | 108.546 | 0.000 | 0.966 | -0.000 |
| -1.741 | 1.633 | 1.537 | 41.460 | 0.011 | -1.065 |
| -3.206 | -0.002 | 2.213 | -0.000 | 22.783 | -0.000 |
| -0.658 | 0.819 | 0.942 | -1.023 | 0.861 | 23.419 |
| -636.684 | -72.810 | 492.144 | 0.000 | -850.488 | 0.000 |
| -630.887 | 438.460 | 339.363 | 0.000 | -415.868 | 0.000 |
| -629.438 | 390.139 | 388.999 | 0.000 | -414.768 | 0.000 |
| -676.716 | 324.701 | 273.411 | 41.055 | -413.688 | -1.658 |
| -702.767 | 104.734 | 445.473 | 0.000 | -769.764 | -0.000 |
| -676.715 | 324.701 | 273.411 | -1.657 | -413.688 | 22.501 |
| 815.687 | -279.138 | -227.338 | 0.000 | 427.310 | 0.000 |
| 746.173 | 4.929 | -381.152 | -0.000 | 786.135 | 0.000 |
| 675.567 | 137.351 | -390.602 | -0.000 | 787.571 | -0.000 |
| 676.716 | -324.701 | -273.411 | 41.055 | 413.688 | -1.658 |
| 627.359 | 71.131 | -503.030 | -0.000 | 811.169 | -0.000 |
| 676.715 | -324.701 | -273.411 | -1.657 | 413.688 | 22.501 |
| 146.814 | 44.575 | 43.959 | 0.000 | 18.970 | -0.000 |
| -15.781 | 103.096 | 114.812 | -0.000 | -80.463 | -0.000 |
| -32.673 | 51.087 | 160.772 | 0.000 | -90.572 | 0.000 |
| -62.928 | -7.250 | 50.163 | 40.492 | -78.894 | -1.890 |
| -1.710 | -1.034 | -1.535 | 0.000 | 29.393 | -0.000 |
| -62.923 | -7.236 | 50.150 | -1.890 | -78.873 | 21.081 |
| 146.814 | 44.575 | 43.959 | -0.000 | 18.970 | 0.000 |
| 45.303 | 122.796 | 62.370 | -0.000 | -1.033 | 0.000 |
| 124.560 | 78.201 | 63.682 | -0.000 | 89.408 | -0.000 |
| 62.928 | 7.250 | -50.163 | 40.492 | 78.894 | -1.890 |
| -1.710 | -1.034 | -1.535 | -0.000 | 29.393 | 0.000 |
| 62.923 | 7.236 | -50.150 | -1.890 | 78.873 | 21.081 |
| 128.968 | 46.179 | 49.593 | 0.000 | 3.401 | -0.000 |
| 39.060 | 110.851 | 68.930 | 0.000 | -9.753 | 0.000 |
| 40.465 | 64.103 | 115.937 | 0.000 | -8.778 | 0.000 |
| 0.000 | -0.000 | -0.000 | 46.769 | -0.000 | -1.035 |
| -8.617 | 1.695 | 1.499 | 0.000 | 17.971 | 0.000 |
| -6.457 | 3.098 | 2.609 | -1.628 | -3.947 | 22.832 |
| 144.546 | 42.696 | 43.746 | -0.000 | 16.991 | -0.000 |
| 52.609 | 111.781 | 62.662 | -0.000 | 2.178 | 0.000 |
| 52.050 | 63.207 | 107.615 | -0.000 | 7.569 | 0.000 |
| -0.000 | 0.000 | 0.000 | 46.769 | 0.000 | -1.035 |
| 4.687 | -1.440 | -6.120 | -0.000 | 28.893 | -0.000 |
| 6.457 | -3.098 | -2.609 | -1.628 | 3.947 | 22.832 |
| -137.830 | 1.100 | 160.074 | 0.000 | 397.845 | -0.000 |
| -229.757 | 67.435 | 178.432 | 0.000 | 381.962 | 0.000 |
| -229.603 | 20.494 | 225.400 | 0.000 | 383.182 | -0.000 |
| 0.000 | 0.000 | 0.000 | 47.052 | 0.000 | -0.350 |
| 0.067 | -0.315 | -0.807 | 0.000 | 29.790 | -0.000 |
| 0.000 | 0.000 | 0.000 | -0.301 | 0.000 | 30.005 |
| 417.258 | 92.363 | -64.919 | -0.000 | -369.056 | 0.000 |
| 45.726 | 123.242 | 62.643 | 0.000 | -0.267 | -0.000 |
| 325.509 | 111.755 | 0.402 | -0.000 | -383.722 | 0.000 |
| -0.000 | -0.000 | -0.000 | 47.052 | -0.000 | -0.350 |
| 397.915 | -71.634 | -108.692 | -0.000 | -453.497 | 0.000 |
| -0.000 | -0.000 | -0.000 | -0.301 | -0.000 | 30.005 |
| 148.908 | 45.488 | 44.870 | -0.000 | 21.163 | 0.000 |
| 20.069 | 108.628 | 77.124 | -0.000 | 36.803 | -0.000 |
| 45.531 | 62.719 | 121.463 | -0.000 | -0.807 | -0.000 |
| 0.000 | -0.000 | -0.000 | 47.052 | -0.000 | -0.350 |
| -29.021 | -5.797 | 11.146 | -0.000 | 60.665 | -0.000 |
| 0.000 | 0.000 | 0.000 | -0.301 | 0.000 | 30.005 |
| 151.343 | 37.487 | 28.823 | 0.000 | -28.108 | -0.000 |
| 63.662 | 100.154 | 46.965 | 0.000 | -42.734 | 0.000 |
| 45.530 | 62.719 | 121.462 | 0.000 | -0.807 | -0.000 |
| -0.000 | 0.000 | 0.000 | 47.052 | 0.000 | -0.350 |
| 20.820 | -9.022 | -1.728 | 0.000 | -15.869 | -0.000 |
| -0.000 | -0.000 | -0.000 | -0.301 | -0.000 | 30.005 |
| 134.389 | 47.007 | 49.465 | 0.000 | 17.611 | 0.000 |
| 44.168 | 112.652 | 64.953 | 0.000 | 2.944 | 0.000 |
| 45.250 | 65.562 | 114.299 | -0.000 | 3.311 | -0.000 |
| -1.456 | 0.863 | 1.785 | 39.829 | 3.780 | -0.921 |
| -2.246 | -0.195 | 1.551 | 0.000 | 24.119 | 0.000 |
| -2.532 | -0.416 | 1.027 | -0.622 | 3.498 | 23.216 |
| 148.906 | 45.487 | 44.869 | -0.000 | 21.162 | 0.000 |
| 45.725 | 123.241 | 62.643 | 0.000 | -0.267 | -0.000 |
| 45.530 | 62.719 | 121.458 | 0.000 | -0.807 | 0.000 |
| 1.456 | -0.863 | -1.785 | 39.829 | -3.780 | -0.921 |
| 0.066 | -0.316 | -0.807 | -0.000 | 29.790 | 0.000 |
| 2.532 | 0.416 | -1.027 | -0.622 | -3.498 | 23.216 |
| 146.604 | 44.531 | 43.884 | 0.000 | 19.008 | 0.000 |
| 296.338 | -225.728 | 59.257 | 0.000 | 31.111 | 0.000 |
| 299.788 | -275.518 | 107.048 | 0.000 | 32.052 | -0.000 |
| 251.083 | -340.034 | -6.790 | 39.932 | 32.851 | -1.718 |
| -1.577 | -0.993 | -1.466 | 0.000 | 29.270 | 0.000 |
| -0.000 | -0.000 | 0.000 | -0.994 | 0.000 | 29.652 |
| -80.197 | 266.011 | 237.371 | -0.000 | -5.507 | -0.000 |
| 45.229 | 122.797 | 62.345 | -0.000 | -0.994 | 0.000 |
| -169.811 | 286.385 | 303.451 | -0.000 | -19.835 | -0.000 |
| -251.083 | 340.034 | 6.790 | 39.932 | -32.851 | -1.718 |
| -253.023 | 338.255 | 5.835 | 0.000 | -12.821 | 0.000 |
| 0.000 | 0.000 | -0.000 | -0.994 | -0.000 | 29.652 |
| 146.604 | 44.531 | 43.884 | 0.000 | 19.008 | 0.000 |
| 70.398 | 80.835 | 65.114 | 0.000 | 1.601 | -0.000 |
| 44.914 | 62.344 | 124.018 | 0.000 | -1.466 | 0.000 |
| -0.000 | -0.000 | -0.000 | 46.745 | 0.000 | -0.992 |
| 22.915 | -35.440 | -1.627 | 0.000 | 23.283 | -0.000 |
| 24.922 | -33.751 | -0.674 | -1.714 | 3.261 | 21.081 |
| 112.984 | 78.280 | 47.371 | -0.000 | 9.200 | 0.000 |
| 45.229 | 122.797 | 62.345 | 0.000 | -0.994 | -0.000 |
| 23.518 | 98.252 | 115.036 | -0.000 | -4.104 | 0.000 |
| 0.000 | 0.000 | 0.000 | 46.745 | -0.000 | -0.992 |
| -26.823 | 31.940 | -0.291 | -0.000 | 16.930 | 0.000 |
| -24.922 | 33.751 | 0.674 | -1.714 | -3.261 | 21.081 |
| 140.247 | 43.266 | 46.217 | 0.000 | 13.642 | -0.000 |
| 45.229 | 122.796 | 62.345 | -0.000 | -0.994 | 0.000 |
| 49.869 | 62.608 | 114.264 | 0.000 | -0.655 | -0.000 |
| 1.950 | -2.641 | -0.053 | 41.454 | 0.255 | -1.556 |
| 0.153 | -3.999 | -2.513 | 0.000 | 21.469 | 0.000 |
| 2.111 | -2.272 | -1.584 | -1.741 | 0.198 | 21.817 |
| 146.603 | 44.530 | 43.883 | -0.000 | 19.007 | -0.000 |
| 44.884 | 115.462 | 65.771 | -0.000 | -1.731 | -0.000 |
| 45.022 | 67.581 | 116.592 | -0.000 | -1.326 | 0.000 |
| -1.950 | 2.641 | 0.053 | 41.454 | -0.255 | -1.556 |
| -3.841 | 1.140 | -1.039 | -0.000 | 22.264 | -0.000 |
| -2.111 | 2.272 | 1.584 | -1.741 | -0.198 | 21.817 |
| 547.848 | 469.386 | 469.386 | 0.000 | 0.000 | -0.000 |
| 469.386 | 547.848 | 469.386 | 0.000 | 0.000 | -0.000 |
| 469.386 | 469.386 | 547.848 | 0.000 | 0.000 | 0.000 |
| 417.171 | 417.171 | 417.171 | 16.400 | 0.000 | -0.000 |
| 417.171 | 417.171 | 417.171 | 0.000 | 16.400 | -0.000 |
| 417.171 | 417.171 | 417.171 | -0.000 | 0.000 | 16.400 |
| 149.432 | 47.626 | 47.626 | -0.000 | -0.000 | -0.000 |
| 47.626 | 149.432 | 47.626 | 0.000 | -0.000 | 0.000 |
| 47.626 | 47.626 | 149.432 | -0.000 | -0.000 | 0.000 |
| -417.171 | -417.171 | -417.171 | 16.400 | -0.000 | 0.000 |
| -417.171 | -417.171 | -417.171 | -0.000 | 16.400 | 0.000 |
| -417.171 | -417.171 | -417.171 | 0.000 | -0.000 | 16.400 |
| 172.324 | 93.813 | 93.813 | 0.000 | 0.000 | -0.000 |
| 93.813 | 172.324 | 93.813 | -0.000 | 0.000 | -0.000 |
| 93.813 | 93.813 | 172.324 | 0.000 | -0.000 | -0.000 |
| 57.679 | 57.679 | 57.679 | 32.636 | 0.000 | 0.000 |
| 57.679 | 57.679 | 57.679 | 0.000 | 32.636 | 0.000 |
| 57.679 | 57.679 | 57.679 | 0.000 | 0.000 | 32.636 |
| 149.432 | 47.626 | 47.626 | -0.000 | -0.000 | 0.000 |
| 47.626 | 149.432 | 47.626 | -0.000 | -0.000 | -0.000 |
| 47.626 | 47.626 | 149.432 | -0.000 | -0.000 | -0.000 |
| -57.679 | -57.679 | -57.679 | 32.636 | -0.000 | 0.000 |
| -57.679 | -57.679 | -57.679 | -0.000 | 32.636 | 0.000 |
| -57.679 | -57.679 | -57.679 | -0.000 | -0.000 | 32.636 |
| 147.372 | 52.787 | 52.787 | 0.000 | 0.000 | -0.000 |
| 52.787 | 147.372 | 52.787 | 0.000 | 0.000 | 0.000 |
| 52.787 | 52.787 | 147.372 | -0.000 | 0.000 | -0.000 |
| 5.616 | 5.616 | 5.616 | 26.642 | 0.000 | -0.000 |
| 5.616 | 5.616 | 5.616 | 0.000 | 26.642 | 0.000 |
| 5.616 | 5.616 | 5.616 | 0.000 | 0.000 | 26.642 |
| 130.672 | 47.945 | 47.945 | -0.000 | -0.000 | -0.000 |
| 47.945 | 130.672 | 47.945 | -0.000 | -0.000 | 0.000 |
| 47.945 | 47.945 | 130.672 | 0.000 | -0.000 | 0.000 |
| -5.616 | -5.616 | -5.616 | 26.642 | -0.000 | 0.000 |
| -5.616 | -5.616 | -5.616 | -0.000 | 26.642 | 0.000 |
| -5.616 | -5.616 | -5.616 | -0.000 | -0.000 | 26.642 |
| 149.267 | 47.645 | 47.645 | -0.000 | -0.000 | -0.000 |
| 47.645 | 149.267 | 47.645 | -0.000 | -0.000 | -0.000 |
| 47.645 | 47.645 | 149.267 | -0.000 | 0.000 | -0.000 |
| 0.000 | -0.000 | -0.000 | 31.060 | -0.000 | -0.000 |
| -0.000 | -0.000 | -0.000 | -0.000 | 31.060 | -0.000 |
| -0.000 | -0.000 | 0.000 | 0.000 | -0.000 | 31.060 |
| 134.910 | 44.356 | 44.356 | 0.000 | 0.000 | 0.000 |
| 44.356 | 134.910 | 44.356 | -0.000 | 0.000 | 0.000 |
| 44.356 | 44.356 | 134.910 | -0.000 | 0.000 | 0.000 |
| 0.000 | 0.000 | 0.000 | 31.060 | 0.000 | 0.000 |
| 0.000 | 0.000 | 0.000 | -0.000 | 31.060 | 0.000 |
| 0.000 | 0.000 | -0.000 | 0.000 | 0.000 | 31.060 |
| 149.267 | 47.645 | 47.645 | 0.000 | 0.000 | -0.000 |
| 47.645 | 149.267 | 47.645 | -0.000 | -0.000 | -0.000 |
| 47.645 | 47.645 | 149.267 | -0.000 | -0.000 | -0.000 |
| 0.989 | 0.989 | 0.989 | 25.792 | -0.000 | -0.000 |
| 0.989 | 0.989 | 0.989 | 0.000 | 25.792 | -0.000 |
| 0.989 | 0.989 | 0.989 | -0.000 | -0.000 | 25.792 |
| 137.796 | 46.680 | 46.680 | -0.000 | 0.000 | 0.000 |
| 46.680 | 137.796 | 46.680 | -0.000 | 0.000 | 0.000 |
| 46.680 | 46.680 | 137.796 | 0.000 | 0.000 | 0.000 |
| -0.989 | -0.989 | -0.989 | 25.792 | 0.000 | 0.000 |
| -0.989 | -0.989 | -0.989 | -0.000 | 25.792 | 0.000 |
| -0.989 | -0.989 | -0.989 | 0.000 | 0.000 | 25.792 |
| 149.266 | 47.645 | 47.645 | 0.000 | -0.000 | -0.000 |
| 47.645 | 149.266 | 47.645 | -0.000 | -0.000 | -0.000 |
| 47.645 | 47.645 | 149.266 | -0.000 | -0.000 | -0.000 |
| 0.019 | 0.019 | 0.019 | 24.447 | -0.000 | -0.000 |
| 0.019 | 0.019 | 0.019 | -0.000 | 24.447 | -0.000 |
| 0.019 | 0.019 | 0.019 | 0.000 | -0.000 | 24.447 |
| 149.267 | 47.645 | 47.645 | 0.000 | 0.000 | 0.000 |
| 47.645 | 149.267 | 47.645 | 0.000 | 0.000 | 0.000 |
| 47.645 | 47.645 | 149.267 | 0.000 | 0.000 | 0.000 |
| -0.019 | -0.019 | -0.019 | 24.447 | 0.000 | 0.000 |
| -0.019 | -0.019 | -0.019 | 0.000 | 24.447 | 0.000 |
| -0.019 | -0.019 | -0.019 | -0.000 | 0.000 | 24.447 |
| -17.796 | -109.021 | -109.021 | 0.000 | 0.000 | -0.000 |
| -109.021 | -17.796 | -109.021 | 0.000 | 0.000 | -0.000 |
| -109.021 | -109.021 | -17.796 | 0.000 | 0.000 | -0.000 |
| -183.070 | -183.070 | -183.070 | 24.653 | 0.000 | -0.000 |
| -183.070 | -183.070 | -183.070 | 0.000 | 24.653 | -0.000 |
| -183.070 | -183.070 | -183.070 | -0.000 | 0.000 | 24.653 |
| 103.526 | 22.499 | 22.499 | -0.000 | -0.000 | 0.000 |
| 22.499 | 103.526 | 22.499 | -0.000 | -0.000 | 0.000 |
| 22.499 | 22.499 | 103.526 | 0.000 | -0.000 | 0.000 |
| 183.070 | 183.070 | 183.070 | 24.653 | -0.000 | 0.000 |
| 183.070 | 183.070 | 183.070 | -0.000 | 24.653 | 0.000 |
| 183.070 | 183.070 | 183.070 | -0.000 | -0.000 | 24.653 |
| 134.858 | 54.966 | 54.966 | 0.000 | 0.000 | -0.000 |
| 54.966 | 134.858 | 54.966 | 0.000 | 0.000 | -0.000 |
| 54.966 | 54.966 | 134.858 | 0.000 | 0.000 | -0.000 |
| -0.000 | -0.000 | -0.000 | 31.418 | 0.000 | -0.000 |
| -0.000 | 0.000 | -0.000 | 0.000 | 31.418 | -0.000 |
| -0.000 | -0.000 | 0.000 | 0.000 | 0.000 | 31.418 |
| 149.875 | 47.572 | 47.572 | -0.000 | 0.000 | 0.000 |
| 47.572 | 149.875 | 47.572 | -0.000 | -0.000 | 0.000 |
| 47.572 | 47.572 | 149.875 | -0.000 | 0.000 | 0.000 |
| 0.000 | 0.000 | 0.000 | 31.418 | -0.000 | 0.000 |
| 0.000 | -0.000 | 0.000 | -0.000 | 31.418 | 0.000 |
| 0.000 | 0.000 | -0.000 | 0.000 | 0.000 | 31.418 |
| 149.875 | 47.572 | 47.572 | 0.000 | 0.000 | -0.000 |
| 47.572 | 149.875 | 47.572 | 0.000 | 0.000 | -0.000 |
| 47.572 | 47.572 | 149.875 | 0.000 | -0.000 | -0.000 |
| 0.000 | -0.000 | -0.000 | 31.418 | 0.000 | -0.000 |
| -0.000 | 0.000 | -0.000 | 0.000 | 31.418 | -0.000 |
| -0.000 | -0.000 | 0.000 | -0.000 | 0.000 | 31.418 |
| 141.291 | 49.430 | 49.430 | -0.000 | -0.000 | 0.000 |
| 49.430 | 141.291 | 49.430 | -0.000 | -0.000 | 0.000 |
| 49.430 | 49.430 | 141.291 | -0.000 | -0.000 | 0.000 |
| -0.000 | 0.000 | 0.000 | 31.418 | 0.000 | 0.000 |
| 0.000 | -0.000 | 0.000 | 0.000 | 31.418 | 0.000 |
| 0.000 | 0.000 | -0.000 | -0.000 | -0.000 | 31.418 |
| 164.094 | 53.526 | 53.526 | -0.000 | 0.000 | 0.000 |
| 53.526 | 164.094 | 53.526 | -0.000 | 0.000 | -0.000 |
| 53.526 | 53.526 | 164.094 | 0.000 | 0.000 | 0.000 |
| -219.392 | -219.392 | -219.392 | 28.173 | 0.000 | 0.000 |
| -219.392 | -219.392 | -219.392 | -0.000 | 28.173 | -0.000 |
| -219.392 | -219.392 | -219.392 | -0.000 | -0.000 | 28.173 |
| 371.320 | 270.693 | 270.693 | 0.000 | -0.000 | 0.000 |
| 270.693 | 371.320 | 270.693 | 0.000 | 0.000 | -0.000 |
| 270.693 | 270.693 | 371.320 | 0.000 | -0.000 | 0.000 |
| 219.392 | 219.392 | 219.392 | 28.173 | -0.000 | -0.000 |
| 219.392 | 219.392 | 219.392 | -0.000 | 28.173 | -0.000 |
| 219.392 | 219.392 | 219.392 | 0.000 | -0.000 | 28.173 |
| 152.277 | 52.723 | 52.723 | -0.000 | 0.000 | 0.000 |
| 52.723 | 152.277 | 52.723 | 0.000 | 0.000 | -0.000 |
| 52.723 | 52.723 | 152.277 | -0.000 | 0.000 | -0.000 |
| -0.439 | -0.439 | -0.439 | 29.707 | 0.000 | -0.000 |
| -0.439 | -0.439 | -0.439 | -0.000 | 29.707 | 0.000 |
| -0.439 | -0.439 | -0.439 | 0.000 | 0.000 | 29.707 |
| 171.333 | 65.975 | 65.975 | 0.000 | 0.000 | -0.000 |
| 65.975 | 171.333 | 65.975 | 0.000 | -0.000 | -0.000 |
| 65.975 | 65.975 | 171.333 | -0.000 | -0.000 | -0.000 |
| 0.439 | 0.439 | 0.439 | 29.707 | -0.000 | 0.000 |
| 0.439 | 0.439 | 0.439 | 0.000 | 29.707 | 0.000 |
| 0.439 | 0.439 | 0.439 | 0.000 | -0.000 | 29.707 |
| 164.094 | 53.527 | 53.527 | 0.000 | -0.000 | -0.000 |
| 53.527 | 164.094 | 53.527 | -0.000 | 0.000 | 0.000 |
| 53.527 | 53.527 | 164.094 | -0.000 | -0.000 | -0.000 |
| -0.041 | -0.041 | -0.041 | 30.146 | -0.000 | -0.000 |
| -0.041 | -0.041 | -0.041 | -0.000 | 30.146 | -0.000 |
| -0.041 | -0.041 | -0.041 | -0.000 | 0.000 | 30.146 |
| 155.720 | 53.308 | 53.308 | -0.000 | -0.000 | -0.000 |
| 53.308 | 155.720 | 53.308 | 0.000 | -0.000 | -0.000 |
| 53.308 | 53.308 | 155.720 | 0.000 | -0.000 | -0.000 |
| 0.041 | 0.041 | 0.041 | 30.146 | -0.000 | -0.000 |
| 0.041 | 0.041 | 0.041 | 0.000 | 30.146 | 0.000 |
| 0.041 | 0.041 | 0.041 | -0.000 | -0.000 | 30.146 |
| 163.756 | 52.613 | 52.613 | -0.000 | -0.000 | -0.000 |
| 52.613 | 163.756 | 52.613 | -0.000 | -0.000 | -0.000 |
| 52.613 | 52.613 | 163.756 | -0.000 | 0.000 | -0.000 |
| 162.119 | 162.119 | 162.119 | 29.346 | -0.000 | -0.000 |
| 162.119 | 162.119 | 162.119 | -0.000 | 29.346 | -0.000 |
| 162.119 | 162.119 | 162.119 | -0.000 | -0.000 | 29.346 |
| -263.320 | -371.574 | -371.574 | 0.000 | 0.000 | 0.000 |
| -371.574 | -263.320 | -371.574 | -0.000 | -0.000 | 0.000 |
| -371.574 | -371.574 | -263.320 | 0.000 | 0.000 | 0.000 |
| -162.119 | -162.119 | -162.119 | 29.346 | 0.000 | 0.000 |
| -162.119 | -162.119 | -162.119 | 0.000 | 29.346 | 0.000 |
| -162.119 | -162.119 | -162.119 | 0.000 | 0.000 | 29.346 |
| 163.756 | 52.613 | 52.613 | -0.000 | 0.000 | -0.000 |
| 52.613 | 163.756 | 52.613 | -0.000 | -0.000 | -0.000 |
| 52.613 | 52.613 | 163.756 | 0.000 | 0.000 | -0.000 |
| 0.000 | 0.000 | 0.000 | 36.100 | 0.000 | -0.000 |
| 0.000 | 0.000 | 0.000 | -0.000 | 36.100 | -0.000 |
| 0.000 | 0.000 | 0.000 | -0.000 | -0.000 | 36.100 |
| 111.739 | 10.824 | 10.824 | 0.000 | 0.000 | 0.000 |
| 10.824 | 111.739 | 10.824 | 0.000 | 0.000 | 0.000 |
| 10.824 | 10.824 | 111.739 | 0.000 | -0.000 | 0.000 |
| -0.000 | -0.000 | -0.000 | 36.100 | 0.000 | 0.000 |
| -0.000 | -0.000 | -0.000 | 0.000 | 36.100 | 0.000 |
| -0.000 | -0.000 | -0.000 | 0.000 | 0.000 | 36.100 |
| 155.487 | 54.364 | 54.364 | 0.000 | -0.000 | -0.000 |
| 54.364 | 155.487 | 54.364 | -0.000 | -0.000 | -0.000 |
| 54.364 | 54.364 | 155.487 | 0.000 | -0.000 | -0.000 |
| 1.594 | 1.594 | 1.594 | 29.458 | -0.000 | -0.000 |
| 1.594 | 1.594 | 1.594 | -0.000 | 29.458 | -0.000 |
| 1.594 | 1.594 | 1.594 | -0.000 | -0.000 | 29.458 |
| 163.756 | 52.612 | 52.612 | 0.000 | -0.000 | 0.000 |
| 52.612 | 163.756 | 52.612 | 0.000 | -0.000 | 0.000 |
| 52.612 | 52.612 | 163.756 | 0.000 | 0.000 | 0.000 |
| -1.594 | -1.594 | -1.594 | 29.458 | 0.000 | 0.000 |
| -1.594 | -1.594 | -1.594 | 0.000 | 29.458 | 0.000 |
| -1.594 | -1.594 | -1.594 | 0.000 | 0.000 | 29.458 |
| 138.871 | 48.062 | 48.540 | -0.000 | 20.478 | -0.000 |
| 277.715 | 208.069 | 229.278 | 0.000 | 203.138 | -0.000 |
| 277.100 | 161.462 | 282.283 | -0.000 | 202.846 | -0.000 |
| 227.340 | 92.138 | 159.887 | 44.315 | 203.177 | -1.031 |
| -2.036 | -0.651 | -0.658 | -0.000 | 31.926 | -0.000 |
| 227.346 | 92.140 | 159.891 | -1.008 | 203.182 | 25.165 |
| -97.137 | -42.317 | -111.058 | -0.000 | -187.122 | 0.000 |
| -176.970 | 23.819 | -90.504 | -0.000 | -203.217 | 0.000 |
| -177.588 | -22.827 | -37.451 | 0.000 | -203.512 | 0.000 |
| -227.340 | -92.138 | -159.887 | 44.315 | -203.177 | -1.031 |
| -2.036 | -0.651 | -0.658 | -0.000 | 31.926 | 0.000 |
| -227.346 | -92.140 | -159.891 | -1.008 | -203.182 | 25.165 |
| 138.871 | 48.062 | 48.540 | -0.000 | 20.478 | -0.000 |
| 73.112 | 125.026 | 85.398 | -0.000 | 20.271 | -0.000 |
| 49.087 | 66.609 | 132.134 | 0.000 | -0.658 | -0.000 |
| 22.720 | 9.208 | 15.979 | 44.318 | 20.305 | -1.030 |
| 20.608 | 5.817 | -23.243 | -0.000 | 50.780 | -0.000 |
| 20.961 | -6.480 | -11.119 | -0.886 | 26.505 | 22.383 |
| 103.272 | 54.104 | 58.247 | -0.000 | -12.769 | 0.000 |
| 22.952 | 108.354 | 91.015 | 0.000 | -25.876 | 0.000 |
| 49.087 | 66.609 | 132.134 | -0.000 | -0.658 | 0.000 |
| -22.720 | -9.208 | -15.979 | 44.318 | -20.305 | -1.030 |
| -23.664 | 6.040 | 10.578 | 0.000 | -3.148 | 0.000 |
| -20.961 | 6.480 | 11.119 | -0.886 | -26.505 | 22.383 |
| 127.901 | 46.812 | 46.036 | 0.000 | 16.944 | -0.000 |
| 52.491 | 116.396 | 70.934 | 0.000 | 1.819 | -0.000 |
| 49.548 | 68.251 | 115.762 | 0.000 | 1.583 | -0.000 |
| 2.171 | 0.880 | 1.527 | 44.544 | 1.941 | -1.014 |
| -2.036 | -0.651 | -0.658 | -0.000 | 31.926 | 0.000 |
| 2.197 | 0.890 | 1.545 | -0.995 | 1.963 | 25.378 |
| 128.473 | 48.722 | 47.131 | -0.000 | 14.258 | 0.000 |
| 47.897 | 116.081 | 67.487 | 0.000 | -2.154 | 0.000 |
| 46.113 | 69.515 | 118.592 | -0.000 | -3.089 | 0.000 |
| -2.171 | -0.880 | -1.527 | 44.544 | -1.941 | -1.014 |
| -4.799 | -1.215 | -2.297 | -0.000 | 24.508 | 0.000 |
| -2.197 | -0.890 | -1.545 | -0.995 | -1.963 | 25.378 |
| 140.881 | 47.897 | 48.445 | -0.000 | 21.427 | 0.000 |
| -216.439 | 305.683 | 208.477 | 0.000 | -2.599 | 0.000 |
| -50.887 | 242.771 | 311.515 | -0.000 | 30.248 | 0.000 |
| -265.802 | 190.928 | 138.865 | 44.032 | -2.465 | -0.914 |
| -267.346 | 190.693 | 138.066 | 0.000 | 23.525 | -0.000 |
| -0.000 | -0.000 | -0.000 | -0.534 | -0.000 | 31.622 |
| 225.725 | -127.041 | -147.480 | 0.000 | -14.633 | -0.000 |
| 48.283 | 125.521 | 66.443 | 0.000 | -0.547 | -0.000 |
| 145.493 | -106.149 | -76.905 | -0.000 | -31.775 | -0.000 |
| 265.802 | -190.928 | -138.865 | 44.032 | 2.465 | -0.914 |
| 264.261 | -191.164 | -139.666 | 0.000 | 28.448 | -0.000 |
| 0.000 | 0.000 | 0.000 | -0.534 | 0.000 | 31.622 |
| 106.694 | 67.839 | 61.659 | -0.000 | 16.611 | -0.000 |
| 22.914 | 133.595 | 83.489 | -0.000 | -0.373 | -0.000 |
| 22.359 | 88.455 | 134.956 | 0.000 | -0.971 | -0.000 |
| -17.386 | 20.977 | 21.695 | 44.476 | 2.202 | -0.945 |
| -1.264 | -0.548 | -0.544 | -0.000 | 32.259 | -0.000 |
| -0.000 | -0.000 | -0.000 | -0.534 | -0.000 | 31.622 |
| 140.881 | 47.897 | 48.445 | 0.000 | 21.427 | 0.000 |
| 48.283 | 125.521 | 66.443 | 0.000 | -0.547 | 0.000 |
| 64.874 | 47.345 | 96.073 | -0.000 | -1.805 | -0.000 |
| 17.386 | -20.977 | -21.695 | 44.476 | -2.202 | -0.945 |
| 8.297 | -17.810 | -20.197 | 0.000 | 22.231 | -0.000 |
| 0.000 | 0.000 | 0.000 | -0.534 | 0.000 | 31.622 |
| 140.880 | 47.897 | 48.445 | -0.000 | 21.426 | 0.000 |
| 48.283 | 125.520 | 66.443 | 0.000 | -0.547 | -0.000 |
| 48.828 | 66.443 | 132.261 | -0.000 | -0.544 | 0.000 |
| -2.267 | 1.628 | 1.184 | 44.863 | -0.021 | -0.858 |
| -3.930 | 1.464 | 0.501 | 0.000 | 26.813 | 0.000 |
| -2.322 | 1.667 | 1.213 | -0.864 | -0.022 | 25.337 |
| 130.784 | 44.836 | 44.955 | -0.000 | 15.918 | -0.000 |
| 49.092 | 111.922 | 66.756 | -0.000 | -0.611 | 0.000 |
| 51.421 | 67.306 | 120.792 | 0.000 | -0.685 | 0.000 |
| 2.267 | -1.628 | -1.184 | 44.863 | 0.021 | -0.858 |
| -0.045 | -2.509 | -1.932 | 0.000 | 25.021 | -0.000 |
| 2.322 | -1.667 | -1.213 | -0.864 | 0.022 | 25.337 |
| 112.248 | 48.601 | 53.148 | -8.375 | 0.000 | -0.000 |
| 48.601 | 112.248 | 53.148 | 8.375 | 0.000 | 0.000 |
| 53.155 | 53.155 | 105.739 | 0.000 | 0.000 | 0.000 |
| -8.375 | 8.375 | 0.000 | 36.227 | 0.000 | 0.000 |
| -0.000 | -0.000 | 0.000 | -0.000 | 36.227 | -8.375 |
| -31.556 | -31.556 | 35.946 | 0.000 | -10.554 | 20.388 |
| 112.248 | 48.601 | 53.148 | -8.375 | -0.000 | -0.000 |
| 48.601 | 112.248 | 53.148 | 8.375 | 0.000 | -0.000 |
| 53.155 | 53.155 | 105.739 | -0.000 | -0.000 | 0.000 |
| -8.375 | 8.375 | -0.000 | 36.227 | -0.000 | -0.000 |
| 0.000 | 0.000 | -0.000 | 0.000 | 36.227 | -8.375 |
| 31.556 | 31.556 | -35.946 | 0.000 | -10.554 | 20.388 |
| 91.428 | 50.244 | 59.851 | -10.515 | 0.000 | 0.000 |
| 43.548 | 95.797 | 47.887 | 9.690 | 0.000 | 0.000 |
| 53.155 | 53.155 | 105.739 | 0.000 | 0.000 | 0.000 |
| -13.602 | 7.418 | 3.522 | 24.997 | 0.000 | 0.000 |
| -0.000 | -0.000 | -0.000 | 0.000 | 36.227 | -8.375 |
| -3.093 | -3.093 | 3.523 | -0.000 | -10.510 | 20.615 |
| 112.248 | 48.601 | 53.148 | -8.375 | 0.000 | 0.000 |
| 56.299 | 97.894 | 52.796 | 10.476 | -0.000 | 0.000 |
| 53.155 | 53.155 | 105.739 | -0.000 | -0.000 | -0.000 |
| -7.418 | 13.602 | -3.522 | 24.997 | -0.000 | -0.000 |
| 0.000 | -0.000 | 0.000 | -0.000 | 36.227 | -8.375 |
| 3.093 | 3.093 | -3.523 | 0.000 | -10.510 | 20.615 |
| 112.248 | 48.601 | 53.149 | -8.375 | -0.000 | 0.000 |
| 51.526 | 100.349 | 55.475 | 9.787 | 0.000 | -0.000 |
| 55.096 | 55.096 | 94.423 | 0.000 | -0.000 | 0.000 |
| -10.593 | 9.523 | -0.195 | 28.343 | 0.000 | -0.000 |
| -0.535 | -0.535 | -0.195 | 0.000 | 28.343 | -10.058 |
| -0.000 | -0.000 | 0.000 | 0.000 | -8.375 | 31.824 |
| 101.259 | 51.789 | 54.927 | -9.726 | 0.000 | -0.000 |
| 51.298 | 98.406 | 53.470 | 10.534 | -0.000 | -0.000 |
| 55.315 | 55.315 | 94.945 | -0.000 | 0.000 | -0.000 |
| -9.660 | 11.535 | 0.592 | 27.734 | -0.000 | -0.000 |
| 0.535 | 0.535 | 0.195 | -0.000 | 28.343 | -10.058 |
| 0.000 | 0.000 | -0.000 | -0.000 | -8.375 | 31.824 |
| 838.372 | 786.830 | -2274.026 | -8.285 | -0.000 | 0.000 |
| -337.136 | -291.140 | -314.927 | 8.490 | 0.000 | -0.000 |
| 57.850 | 57.850 | 122.634 | -0.000 | -0.000 | -0.000 |
| -399.348 | -382.367 | -374.716 | 30.605 | 0.000 | 0.000 |
| 0.000 | 0.000 | -0.000 | -0.000 | 39.512 | -6.966 |
| -0.000 | 0.000 | -0.000 | 0.000 | -6.966 | 32.815 |
| -502.537 | -547.199 | 572.928 | -9.980 | 0.000 | 0.000 |
| 50.522 | 116.151 | 58.321 | 6.966 | -0.000 | -0.000 |
| 57.850 | 57.850 | 122.634 | 0.000 | -0.000 | 0.000 |
| -6.966 | 6.966 | 0.000 | 39.512 | -0.000 | 0.000 |
| 0.000 | -0.000 | 0.000 | 0.000 | 39.512 | -6.966 |
| 0.000 | -0.000 | 0.000 | 0.000 | -6.966 | 32.815 |
| 60.734 | 14.628 | 22.319 | -8.481 | -0.000 | -0.000 |
| 14.628 | 60.734 | 22.319 | 8.481 | -0.000 | 0.000 |
| 19.724 | 19.724 | 68.136 | -0.000 | -0.000 | -0.000 |
| -47.569 | -30.588 | -37.465 | 30.607 | -0.000 | -0.000 |
| 0.000 | 0.000 | 0.000 | 0.000 | 39.512 | -6.966 |
| 76.813 | 76.813 | -36.262 | 0.000 | -8.941 | 22.956 |
| 116.151 | 50.521 | 58.321 | -6.966 | 0.000 | -0.000 |
| 50.521 | 116.151 | 58.321 | 6.966 | -0.000 | 0.000 |
| 57.850 | 57.850 | 122.634 | 0.000 | -0.000 | 0.000 |
| -6.966 | 6.966 | -0.000 | 39.512 | -0.000 | 0.000 |
| -0.000 | -0.000 | -0.000 | -0.000 | 39.512 | -6.966 |
| -76.813 | -76.813 | 36.262 | -0.000 | -8.941 | 22.956 |
| 97.095 | 49.652 | 56.006 | -8.377 | 0.000 | -0.000 |
| 50.522 | 116.151 | 58.321 | 6.966 | -0.000 | -0.000 |
| 57.850 | 57.850 | 122.635 | -0.000 | 0.000 | -0.000 |
| -1.361 | 16.569 | -3.477 | 31.780 | 0.000 | -0.000 |
| 7.088 | 7.088 | -22.944 | 0.000 | 33.855 | -8.306 |
| 6.121 | 6.121 | -5.639 | 0.000 | -9.941 | 22.457 |
| 116.151 | 50.521 | 58.320 | -6.966 | 0.000 | 0.000 |
| 50.521 | 116.151 | 58.320 | 6.966 | -0.000 | 0.000 |
| 57.849 | 57.849 | 122.633 | -0.000 | 0.000 | -0.000 |
| -6.966 | 6.966 | -0.000 | 39.512 | -0.000 | -0.000 |
| -7.088 | -7.088 | 22.944 | -0.000 | 33.855 | -8.306 |
| -6.121 | -6.121 | 5.639 | -0.000 | -9.941 | 22.457 |
| 154.905 | 52.298 | 52.298 | -0.000 | 0.000 | -0.000 |
| 52.298 | 154.905 | 52.298 | -0.000 | 0.000 | 0.000 |
| 52.298 | 52.298 | 154.905 | -0.000 | 0.000 | -0.000 |
| 0.000 | 0.000 | 0.000 | 35.869 | 0.000 | 0.000 |
| 0.000 | 0.000 | 0.000 | -0.000 | 35.869 | 0.000 |
| 0.000 | 0.000 | 0.000 | -0.000 | 0.000 | 35.869 |
| 163.531 | 52.025 | 52.025 | -0.000 | -0.000 | 0.000 |
| 52.025 | 163.531 | 52.025 | 0.000 | -0.000 | -0.000 |
| 52.025 | 52.025 | 163.531 | 0.000 | -0.000 | 0.000 |
| -0.000 | -0.000 | -0.000 | 35.869 | -0.000 | -0.000 |
| -0.000 | -0.000 | -0.000 | -0.000 | 35.869 | -0.000 |
| -0.000 | -0.000 | -0.000 | -0.000 | -0.000 | 35.869 |
| 153.333 | 50.803 | 50.803 | 0.000 | 0.000 | 0.000 |
| 50.803 | 153.333 | 50.803 | 0.000 | 0.000 | 0.000 |
| 50.803 | 50.803 | 153.333 | 0.000 | 0.000 | 0.000 |
| 0.000 | 0.000 | 0.000 | 35.869 | 0.000 | 0.000 |
| 0.000 | 0.000 | 0.000 | -0.000 | 35.869 | -0.000 |
| 0.000 | 0.000 | 0.000 | -0.000 | 0.000 | 35.869 |
| 154.813 | 52.527 | 52.527 | 0.000 | -0.000 | -0.000 |
| 52.527 | 154.813 | 52.527 | -0.000 | -0.000 | 0.000 |
| 52.527 | 52.527 | 154.813 | -0.000 | -0.000 | -0.000 |
| -0.000 | -0.000 | -0.000 | 35.869 | -0.000 | -0.000 |
| -0.000 | -0.000 | -0.000 | 0.000 | 35.869 | -0.000 |
| -0.000 | -0.000 | -0.000 | 0.000 | -0.000 | 35.869 |
| 153.326 | 50.756 | 50.756 | 0.000 | 0.000 | 0.000 |
| 50.756 | 153.326 | 50.756 | 0.000 | 0.000 | 0.000 |
| 50.756 | 50.756 | 153.326 | 0.000 | 0.000 | -0.000 |
| -0.002 | -0.002 | -0.002 | 30.049 | 0.000 | -0.000 |
| -0.002 | -0.002 | -0.002 | 0.000 | 30.049 | -0.000 |
| -0.002 | -0.002 | -0.002 | 0.000 | 0.000 | 30.049 |
| 163.531 | 52.025 | 52.025 | 0.000 | -0.000 | -0.000 |
| 52.025 | 163.531 | 52.025 | 0.000 | -0.000 | -0.000 |
| 52.025 | 52.025 | 163.531 | -0.000 | -0.000 | 0.000 |
| 0.002 | 0.002 | 0.002 | 30.049 | -0.000 | 0.000 |
| 0.002 | 0.002 | 0.002 | 0.000 | 30.049 | 0.000 |
| 0.002 | 0.002 | 0.002 | -0.000 | -0.000 | 30.049 |
| 142.340 | 49.168 | 49.570 | -0.000 | 25.266 | 0.000 |
| 46.168 | 167.352 | 50.565 | 0.000 | -54.799 | 0.000 |
| 48.866 | 66.986 | 135.830 | 0.000 | 1.106 | 0.000 |
| 45.757 | 88.189 | -76.561 | 43.650 | -26.114 | 1.699 |
| 2.802 | 0.986 | 1.106 | 0.000 | 32.121 | 0.000 |
| 17.185 | 71.341 | 11.011 | 1.436 | -77.810 | 23.668 |
| 142.340 | 49.168 | 49.570 | 0.000 | 25.266 | -0.000 |
| 4.591 | 26.045 | 145.360 | 0.000 | 26.483 | -0.000 |
| 2.606 | -19.549 | 200.893 | 0.000 | 27.808 | -0.000 |
| -45.757 | -88.189 | 76.561 | 43.650 | 26.114 | 1.699 |
| 2.802 | 0.986 | 1.106 | -0.000 | 32.121 | -0.000 |
| -17.185 | -71.341 | -11.011 | 1.436 | 77.810 | 23.668 |
| 142.340 | 49.168 | 49.570 | -0.000 | 25.266 | 0.000 |
| 54.847 | 121.477 | 61.770 | -0.000 | -2.144 | 0.000 |
| 48.866 | 66.986 | 135.830 | 0.000 | 1.106 | 0.000 |
| -0.000 | -0.000 | -0.000 | 49.978 | -0.000 | 1.047 |
| 2.802 | 0.986 | 1.106 | 0.000 | 32.121 | 0.000 |
| 4.425 | 8.528 | -7.404 | 1.602 | -2.525 | 23.591 |
| 142.340 | 49.168 | 49.570 | 0.000 | 25.266 | -0.000 |
| 44.129 | 105.365 | 67.668 | -0.000 | 9.050 | -0.000 |
| 43.918 | 60.375 | 130.347 | -0.000 | 4.265 | -0.000 |
| 0.000 | 0.000 | 0.000 | 49.978 | 0.000 | 1.047 |
| -0.659 | -7.656 | 8.601 | -0.000 | 27.687 | -0.000 |
| -4.425 | -8.528 | 7.404 | 1.602 | 2.525 | 23.591 |
| 142.340 | 49.168 | 49.570 | 0.000 | 25.265 | 0.000 |
| 49.777 | 116.768 | 68.482 | -0.000 | 0.555 | 0.000 |
| 49.376 | 69.948 | 125.661 | -0.000 | 1.042 | 0.000 |
| 0.317 | 0.610 | -0.530 | 45.597 | -0.181 | 1.498 |
| 3.678 | 1.787 | 0.797 | -0.000 | 24.505 | 0.000 |
| 0.110 | 0.566 | -0.302 | 1.304 | -0.426 | 24.158 |
| 131.727 | 47.739 | 48.851 | 0.000 | 21.741 | -0.000 |
| 48.385 | 125.488 | 66.823 | -0.000 | 0.911 | -0.000 |
| 47.610 | 68.330 | 122.729 | -0.000 | 1.534 | -0.000 |
| -0.317 | -0.610 | 0.530 | 45.597 | 0.181 | 1.498 |
| 3.440 | 0.612 | 1.396 | 0.000 | 25.799 | -0.000 |
| -0.110 | -0.566 | 0.302 | 1.304 | 0.426 | 24.158 |
| 103.087 | 247.261 | 42.997 | -0.000 | 33.306 | -0.000 |
| 19.451 | 270.493 | 38.513 | -0.000 | -14.648 | -0.000 |
| 48.948 | 66.439 | 132.311 | 0.000 | -0.597 | -0.000 |
| 13.313 | 165.349 | 5.897 | 46.356 | 45.230 | -0.412 |
| -1.338 | -0.524 | -0.597 | -0.000 | 32.378 | -0.000 |
| -26.017 | 201.171 | -4.931 | -1.062 | 16.711 | 22.609 |
| 141.028 | 47.930 | 48.528 | -0.000 | 21.429 | 0.000 |
| 80.760 | -44.081 | 100.766 | 0.000 | 14.456 | 0.000 |
| 79.862 | -88.108 | 150.353 | 0.000 | 13.841 | 0.000 |
| -13.313 | -165.349 | -5.897 | 46.356 | -45.230 | -0.412 |
| -1.338 | -0.524 | -0.597 | -0.000 | 32.378 | 0.000 |
| 26.017 | -201.171 | 4.931 | -1.062 | -16.711 | 22.609 |
| 141.028 | 47.930 | 48.528 | -0.000 | 21.429 | -0.000 |
| 48.299 | 125.519 | 66.440 | -0.000 | -0.525 | -0.000 |
| 48.025 | 84.641 | 120.217 | -0.000 | 3.541 | -0.000 |
| -3.005 | 15.418 | -3.051 | 43.213 | -1.426 | -0.934 |
| -1.338 | -0.524 | -0.597 | -0.000 | 32.378 | -0.000 |
| -0.000 | -0.000 | -0.000 | -0.510 | -0.000 | 31.639 |
| 130.708 | 30.106 | 45.561 | 0.000 | 13.619 | 0.000 |
| 48.299 | 125.519 | 66.440 | -0.000 | -0.525 | 0.000 |
| 45.969 | 51.129 | 119.885 | 0.000 | -4.880 | 0.000 |
| 3.005 | -15.418 | 3.051 | 43.213 | 1.426 | -0.934 |
| -1.338 | -0.524 | -0.597 | -0.000 | 32.378 | 0.000 |
| 0.000 | 0.000 | 0.000 | -0.510 | 0.000 | 31.639 |
| 133.027 | 50.644 | 48.328 | -0.000 | 17.382 | -0.000 |
| 49.412 | 117.741 | 68.498 | -0.000 | -0.288 | -0.000 |
| 48.824 | 70.148 | 122.139 | -0.000 | -0.833 | -0.000 |
| -0.131 | 1.896 | -0.009 | 44.459 | 0.265 | -0.851 |
| -1.339 | -0.524 | -0.598 | -0.000 | 32.378 | -0.000 |
| -0.220 | 1.129 | -0.224 | -0.821 | -0.104 | 25.607 |
| 132.800 | 48.479 | 48.786 | 0.000 | 17.252 | 0.000 |
| 49.912 | 115.062 | 69.056 | 0.000 | -0.066 | 0.000 |
| 49.303 | 67.834 | 122.165 | 0.000 | -0.614 | 0.000 |
| 0.131 | -1.896 | 0.009 | 44.459 | -0.265 | -0.851 |
| -1.338 | -0.524 | -0.597 | -0.000 | 32.378 | 0.000 |
| 0.220 | -1.129 | 0.224 | -0.821 | 0.104 | 25.607 |
| 112.269 | 48.799 | 53.404 | -8.361 | 0.000 | -0.000 |
| 48.799 | 112.269 | 53.404 | 8.361 | 0.000 | -0.000 |
| 15.816 | 15.816 | -163.518 | -0.000 | 0.000 | -0.000 |
| -48.978 | -29.880 | -259.904 | 30.008 | 0.000 | -0.000 |
| -39.429 | -39.429 | -259.904 | 0.000 | 30.008 | -9.549 |
| -0.000 | 0.000 | -0.000 | 0.000 | -8.361 | 31.735 |
| 141.796 | 90.900 | 315.201 | -9.550 | -0.000 | 0.000 |
| 90.900 | 141.796 | 315.201 | 9.550 | -0.000 | 0.000 |
| 53.456 | 53.456 | 105.776 | -0.000 | -0.000 | 0.000 |
| -513.512 | -493.495 | -227.558 | 28.314 | -0.000 | 0.000 |
| 39.429 | 39.429 | 259.904 | -0.000 | 30.008 | -9.549 |
| 0.000 | 0.000 | 0.000 | 0.000 | -8.361 | 31.735 |
| 166.552 | 117.631 | 88.002 | -10.307 | 0.000 | -0.000 |
| 48.799 | 112.269 | 53.404 | 8.361 | 0.000 | -0.000 |
| 104.450 | 104.450 | 115.297 | -0.000 | -0.000 | -0.000 |
| -8.361 | 8.361 | -0.000 | 36.285 | -0.000 | -0.000 |
| -3.943 | -3.943 | -25.990 | 0.000 | 30.008 | -9.549 |
| -0.000 | -0.000 | -0.000 | 0.000 | -8.361 | 31.735 |
| 106.268 | 55.425 | 81.295 | -9.555 | -0.000 | -0.000 |
| 55.425 | 106.268 | 81.296 | 9.555 | -0.000 | 0.000 |
| 53.456 | 53.456 | 105.775 | -0.000 | -0.000 | 0.000 |
| -60.364 | -40.347 | -22.762 | 28.315 | -0.000 | 0.000 |
| 3.943 | 3.943 | 25.990 | -0.000 | 30.008 | -9.549 |
| 0.000 | 0.000 | 0.000 | 0.000 | -8.361 | 31.735 |
| 112.269 | 48.799 | 53.404 | -8.361 | 0.000 | 0.000 |
| 56.385 | 103.813 | 56.605 | 10.007 | -0.000 | -0.000 |
| 53.456 | 53.456 | 105.776 | 0.000 | 0.000 | -0.000 |
| -8.361 | 8.361 | -0.000 | 36.285 | 0.000 | -0.000 |
| -0.000 | 0.000 | -0.000 | 0.000 | 36.285 | -8.361 |
| -0.000 | -0.000 | -0.000 | 0.000 | -8.361 | 31.735 |
| 102.278 | 51.995 | 57.990 | -9.608 | 0.000 | -0.000 |
| 43.674 | 92.608 | 49.606 | 10.272 | -0.000 | 0.000 |
| 55.733 | 55.733 | 98.502 | -0.000 | -0.000 | 0.000 |
| -8.361 | 8.361 | 0.000 | 36.285 | -0.000 | 0.000 |
| 0.000 | -0.000 | 0.000 | -0.000 | 36.285 | -8.361 |
| 0.000 | 0.000 | 0.000 | -0.000 | -8.361 | 31.735 |
| 17.205 | 42.173 | 42.173 | 0.000 | -0.000 | 0.000 |
| 42.173 | 17.205 | 42.173 | 0.000 | 0.000 | 0.000 |
| 42.173 | 42.173 | 17.205 | 0.000 | 0.000 | 0.000 |
| 0.000 | 0.000 | 0.000 | 20.136 | 0.000 | 0.000 |
| 0.000 | -0.000 | 0.000 | 0.000 | 20.136 | 0.000 |
| -0.000 | -0.000 | -0.000 | 0.000 | -0.000 | 20.136 |
| 17.205 | 42.173 | 42.173 | -0.000 | -0.000 | -0.000 |
| 42.173 | 17.205 | 42.173 | -0.000 | 0.000 | -0.000 |
| 42.173 | 42.173 | 17.205 | -0.000 | -0.000 | -0.000 |
| -0.000 | 0.000 | -0.000 | 20.136 | -0.000 | -0.000 |
| 0.000 | 0.000 | -0.000 | -0.000 | 20.136 | -0.000 |
| 0.000 | -0.000 | 0.000 | -0.000 | 0.000 | 20.136 |
| 17.205 | 42.173 | 42.173 | 0.000 | -0.000 | 0.000 |
| 42.173 | 17.205 | 42.173 | 0.000 | -0.000 | 0.000 |
| 42.173 | 42.173 | 17.205 | 0.000 | -0.000 | 0.000 |
| 3.269 | 3.269 | 3.269 | -18.480 | 0.000 | 0.000 |
| 3.269 | 3.269 | 3.269 | 0.000 | -18.480 | 0.000 |
| 3.269 | 3.269 | 3.269 | 0.000 | -0.000 | -18.480 |
| 17.205 | 42.173 | 42.173 | -0.000 | 0.000 | -0.000 |
| 42.173 | 17.205 | 42.173 | -0.000 | 0.000 | -0.000 |
| 42.173 | 42.173 | 17.205 | -0.000 | -0.000 | -0.000 |
| -3.269 | -3.269 | -3.269 | -18.480 | 0.000 | -0.000 |
| -3.269 | -3.269 | -3.269 | -0.000 | -18.480 | -0.000 |
| -3.269 | -3.269 | -3.269 | -0.000 | 0.000 | -18.480 |
| 17.206 | 42.173 | 42.173 | 0.000 | -0.000 | 0.000 |
| 42.173 | 17.206 | 42.173 | 0.000 | -0.000 | 0.000 |
| 42.173 | 42.173 | 17.206 | 0.000 | 0.000 | 0.000 |
| 0.077 | 0.077 | 0.077 | 10.796 | -0.000 | 0.000 |
| 0.077 | 0.077 | 0.077 | 0.000 | 10.796 | 0.000 |
| 0.077 | 0.077 | 0.077 | 0.000 | -0.000 | 10.796 |
| 17.204 | 42.173 | 42.173 | -0.000 | 0.000 | -0.000 |
| 42.173 | 17.204 | 42.173 | -0.000 | -0.000 | -0.000 |
| 42.173 | 42.173 | 17.204 | -0.000 | -0.000 | -0.000 |
| -0.077 | -0.077 | -0.077 | 10.796 | 0.000 | -0.000 |
| -0.077 | -0.077 | -0.077 | -0.000 | 10.796 | -0.000 |
| -0.077 | -0.077 | -0.077 | -0.000 | 0.000 | 10.796 |
| 6765.415 | 6827.733 | 6827.733 | 0.000 | -0.000 | -0.000 |
| 6827.733 | 6765.415 | 6827.733 | -0.000 | -0.000 | -0.000 |
| 6827.733 | 6827.733 | 6765.415 | 0.000 | -0.000 | 0.000 |
| 6788.759 | 6788.759 | 6788.759 | 13.812 | -0.000 | -0.000 |
| 6788.759 | 6788.759 | 6788.759 | 0.000 | 13.812 | -0.000 |
| 6788.759 | 6788.759 | 6788.759 | -0.000 | -0.000 | 13.812 |
| -6812.198 | -6749.879 | -6749.879 | -0.000 | 0.000 | 0.000 |
| -6749.879 | -6812.198 | -6749.879 | -0.000 | 0.000 | -0.000 |
| -6749.879 | -6749.879 | -6812.198 | -0.000 | 0.000 | 0.000 |
| -6788.759 | -6788.759 | -6788.759 | 13.812 | 0.000 | 0.000 |
| -6788.759 | -6788.759 | -6788.759 | 0.000 | 13.812 | -0.000 |
| -6788.759 | -6788.759 | -6788.759 | 0.000 | 0.000 | 13.812 |
| 656.021 | 718.379 | 718.379 | 0.000 | 0.000 | -0.000 |
| 718.379 | 656.021 | 718.379 | 0.000 | -0.000 | -0.000 |
| 718.379 | 718.379 | 656.021 | 0.000 | -0.000 | -0.000 |
| 678.955 | 678.955 | 678.955 | 13.811 | 0.000 | -0.000 |
| 678.955 | 678.955 | 678.955 | 0.000 | 13.811 | -0.000 |
| 678.955 | 678.955 | 678.955 | -0.000 | -0.000 | 13.811 |
| 17.305 | 42.013 | 42.013 | -0.000 | 0.000 | -0.000 |
| 42.013 | 17.305 | 42.013 | -0.000 | 0.000 | 0.000 |
| 42.013 | 42.013 | 17.305 | 0.000 | 0.000 | 0.000 |
| -678.955 | -678.955 | -678.955 | 13.811 | 0.000 | -0.000 |
| -678.955 | -678.955 | -678.955 | -0.000 | 13.811 | -0.000 |
| -678.955 | -678.955 | -678.955 | 0.000 | 0.000 | 13.811 |
| 47.119 | 116.065 | 116.065 | 0.000 | -0.000 | -0.000 |
| 116.065 | 47.119 | 116.065 | -0.000 | -0.000 | -0.000 |
| 116.065 | 116.065 | 47.119 | 0.000 | -0.000 | 0.000 |
| 68.680 | 68.680 | 68.680 | 13.705 | -0.000 | -0.000 |
| 68.680 | 68.680 | 68.680 | 0.000 | 13.705 | 0.000 |
| 68.680 | 68.680 | 68.680 | 0.000 | -0.000 | 13.705 |
| -97.821 | -32.631 | -32.631 | -0.000 | 0.000 | -0.000 |
| -32.631 | -97.821 | -32.631 | -0.000 | 0.000 | -0.000 |
| -32.631 | -32.631 | -97.821 | 0.000 | 0.000 | 0.000 |
| -68.680 | -68.680 | -68.680 | 13.705 | 0.000 | -0.000 |
| -68.680 | -68.680 | -68.680 | 0.000 | 13.705 | -0.000 |
| -68.680 | -68.680 | -68.680 | -0.000 | 0.000 | 13.705 |
| 119.794 | 44.855 | 44.855 | -0.000 | 0.000 | 0.000 |
| 44.855 | 119.794 | 44.855 | -0.000 | -0.000 | -0.000 |
| 44.855 | 44.855 | 119.794 | 0.000 | -0.000 | -0.000 |
| -60.587 | -60.587 | -60.587 | 13.584 | -0.000 | 0.000 |
| -60.587 | -60.587 | -60.587 | 0.000 | 13.584 | 0.000 |
| -60.587 | -60.587 | -60.587 | 0.000 | -0.000 | 13.584 |
| 119.794 | 44.855 | 44.855 | -0.000 | -0.000 | -0.000 |
| 44.855 | 119.794 | 44.855 | 0.000 | -0.000 | -0.000 |
| 44.855 | 44.855 | 119.794 | -0.000 | -0.000 | -0.000 |
| 60.587 | 60.587 | 60.587 | 13.584 | 0.000 | -0.000 |
| 60.587 | 60.587 | 60.587 | 0.000 | 13.584 | -0.000 |
| 60.587 | 60.587 | 60.587 | -0.000 | 0.000 | 13.584 |
| 119.794 | 44.855 | 44.855 | -0.000 | -0.000 | 0.000 |
| 44.855 | 119.794 | 44.855 | 0.000 | -0.000 | 0.000 |
| 44.855 | 44.855 | 119.794 | 0.000 | 0.000 | 0.000 |
| -14.172 | -14.172 | -14.172 | 20.410 | 0.000 | 0.000 |
| -14.172 | -14.172 | -14.172 | -0.000 | 20.410 | 0.000 |
| -14.172 | -14.172 | -14.172 | 0.000 | -0.000 | 20.410 |
| 105.278 | 50.815 | 50.815 | 0.000 | 0.000 | -0.000 |
| 50.815 | 105.278 | 50.815 | -0.000 | 0.000 | -0.000 |
| 50.815 | 50.815 | 105.278 | 0.000 | 0.000 | -0.000 |
| 14.172 | 14.172 | 14.172 | 20.410 | 0.000 | -0.000 |
| 14.172 | 14.172 | 14.172 | 0.000 | 20.410 | -0.000 |
| 14.172 | 14.172 | 14.172 | -0.000 | 0.000 | 20.410 |
| 104.715 | 44.573 | 44.573 | 0.000 | -0.000 | 0.000 |
| 44.573 | 104.715 | 44.573 | 0.000 | -0.000 | 0.000 |
| 44.573 | 44.573 | 104.715 | -0.000 | -0.000 | 0.000 |
| -0.000 | -0.000 | 0.000 | 28.047 | -0.000 | 0.000 |
| -0.000 | -0.000 | 0.000 | 0.000 | 28.047 | 0.000 |
| -0.000 | 0.000 | -0.000 | -0.000 | -0.000 | 28.047 |
| 106.621 | 45.366 | 45.366 | -0.000 | 0.000 | -0.000 |
| 45.366 | 106.621 | 45.366 | 0.000 | 0.000 | -0.000 |
| 45.366 | 45.366 | 106.621 | 0.000 | -0.000 | -0.000 |
| 0.000 | 0.000 | -0.000 | 28.047 | 0.000 | -0.000 |
| 0.000 | 0.000 | -0.000 | 0.000 | 28.047 | -0.000 |
| 0.000 | -0.000 | 0.000 | -0.000 | 0.000 | 28.047 |
| 13.558 | -46.897 | -46.897 | -0.000 | -0.000 | -0.000 |
| -46.897 | 13.558 | -46.897 | -0.000 | -0.000 | -0.000 |
| -46.897 | -46.897 | 13.558 | 0.000 | -0.000 | -0.000 |
| -87.916 | -87.916 | -87.916 | 17.996 | -0.000 | -0.000 |
| -87.916 | -87.916 | -87.916 | 0.000 | 17.996 | -0.000 |
| -87.916 | -87.916 | -87.916 | 0.000 | -0.000 | 17.996 |
| 199.950 | 133.799 | 133.799 | 0.000 | 0.000 | 0.000 |
| 133.799 | 199.950 | 133.799 | 0.000 | 0.000 | 0.000 |
| 133.799 | 133.799 | 199.950 | 0.000 | 0.000 | 0.000 |
| 87.916 | 87.916 | 87.916 | 17.996 | 0.000 | 0.000 |
| 87.916 | 87.916 | 87.916 | -0.000 | 17.996 | 0.000 |
| 87.916 | 87.916 | 87.916 | -0.000 | 0.000 | 17.996 |
| 101.599 | 35.720 | 35.720 | -0.000 | -0.000 | -0.000 |
| 35.720 | 101.599 | 35.720 | 0.000 | -0.000 | -0.000 |
| 35.720 | 35.720 | 101.599 | -0.000 | -0.000 | -0.000 |
| 0.000 | -0.000 | 0.000 | 28.093 | -0.000 | -0.000 |
| -0.000 | -0.000 | 0.000 | 0.000 | 28.093 | -0.000 |
| -0.000 | 0.000 | -0.000 | -0.000 | -0.000 | 28.093 |
| 119.945 | 54.414 | 54.414 | 0.000 | 0.000 | 0.000 |
| 54.414 | 119.945 | 54.414 | 0.000 | 0.000 | 0.000 |
| 54.414 | 54.414 | 119.945 | -0.000 | 0.000 | 0.000 |
| 0.000 | 0.000 | -0.000 | 28.093 | 0.000 | 0.000 |
| 0.000 | 0.000 | -0.000 | -0.000 | 28.093 | 0.000 |
| 0.000 | -0.000 | 0.000 | 0.000 | 0.000 | 28.093 |
| 106.681 | 43.713 | 43.713 | 0.000 | -0.000 | -0.000 |
| 43.713 | 106.681 | 43.713 | 0.000 | -0.000 | -0.000 |
| 43.713 | 43.713 | 106.681 | 0.000 | -0.000 | -0.000 |
| -0.000 | -0.000 | 0.000 | 28.093 | 0.000 | -0.000 |
| -0.000 | -0.000 | 0.000 | -0.000 | 28.093 | -0.000 |
| -0.000 | 0.000 | -0.000 | -0.000 | -0.000 | 28.093 |
| 119.679 | 44.774 | 44.774 | -0.000 | 0.000 | 0.000 |
| 44.774 | 119.679 | 44.774 | 0.000 | 0.000 | 0.000 |
| 44.774 | 44.774 | 119.679 | 0.000 | 0.000 | 0.000 |
| 0.000 | 0.000 | -0.000 | 28.093 | 0.000 | 0.000 |
| 0.000 | 0.000 | -0.000 | 0.000 | 28.093 | 0.000 |
| 0.000 | -0.000 | 0.000 | 0.000 | 0.000 | 28.093 |
| 119.475 | 44.676 | 44.676 | 0.000 | 0.000 | 0.000 |
| 44.676 | 119.475 | 44.676 | 0.000 | -0.000 | -0.000 |
| 44.676 | 44.676 | 119.475 | -0.000 | 0.000 | -0.000 |
| 83.701 | 83.701 | 83.701 | 15.500 | 0.000 | -0.000 |
| 83.701 | 83.701 | 83.701 | 0.000 | 15.500 | -0.000 |
| 83.701 | 83.701 | 83.701 | -0.000 | 0.000 | 15.500 |
| 119.475 | 44.676 | 44.676 | -0.000 | -0.000 | 0.000 |
| 44.676 | 119.475 | 44.676 | 0.000 | -0.000 | 0.000 |
| 44.676 | 44.676 | 119.475 | 0.000 | 0.000 | 0.000 |
| -83.701 | -83.701 | -83.701 | 15.500 | 0.000 | 0.000 |
| -83.701 | -83.701 | -83.701 | 0.000 | 15.500 | 0.000 |
| -83.701 | -83.701 | -83.701 | -0.000 | 0.000 | 15.500 |
| 110.559 | 49.963 | 49.963 | 0.000 | -0.000 | -0.000 |
| 49.963 | 110.559 | 49.963 | -0.000 | 0.000 | -0.000 |
| 49.963 | 49.963 | 110.559 | 0.000 | -0.000 | -0.000 |
| -0.000 | -0.000 | 0.000 | 28.089 | -0.000 | -0.000 |
| -0.000 | -0.000 | 0.000 | -0.000 | 28.089 | -0.000 |
| -0.000 | 0.000 | -0.000 | 0.000 | -0.000 | 28.089 |
| 119.475 | 44.676 | 44.676 | -0.000 | 0.000 | -0.000 |
| 44.676 | 119.475 | 44.676 | -0.000 | -0.000 | -0.000 |
| 44.676 | 44.676 | 119.475 | 0.000 | 0.000 | -0.000 |
| 0.000 | 0.000 | -0.000 | 28.089 | -0.000 | 0.000 |
| 0.000 | 0.000 | -0.000 | -0.000 | 28.089 | 0.000 |
| 0.000 | -0.000 | 0.000 | -0.000 | 0.000 | 28.089 |
| 102.083 | 45.601 | 45.601 | 0.000 | -0.000 | -0.000 |
| 45.601 | 102.083 | 45.601 | 0.000 | 0.000 | -0.000 |
| 45.601 | 45.601 | 102.083 | 0.000 | -0.000 | -0.000 |
| -0.000 | -0.000 | 0.000 | 28.089 | -0.000 | -0.000 |
| -0.000 | -0.000 | 0.000 | 0.000 | 28.089 | -0.000 |
| -0.000 | 0.000 | -0.000 | -0.000 | 0.000 | 28.089 |
| 101.947 | 44.481 | 44.481 | -0.000 | -0.000 | 0.000 |
| 44.481 | 101.947 | 44.481 | -0.000 | 0.000 | 0.000 |
| 44.481 | 44.481 | 101.947 | -0.000 | 0.000 | 0.000 |
| 0.000 | 0.000 | -0.000 | 28.089 | 0.000 | 0.000 |
| 0.000 | 0.000 | -0.000 | -0.000 | 28.089 | 0.000 |
| 0.000 | -0.000 | 0.000 | -0.000 | 0.000 | 28.089 |
| 88.429 | 82.658 | 82.658 | 0.000 | -0.000 | -0.000 |
| 82.658 | 88.429 | 82.658 | 0.000 | -0.000 | -0.000 |
| 82.658 | 82.658 | 88.429 | 0.000 | -0.000 | -0.000 |
| 0.000 | 0.000 | 0.000 | 28.806 | 0.000 | -0.000 |
| -0.000 | 0.000 | 0.000 | 0.000 | 28.806 | -0.000 |
| -0.000 | -0.000 | 0.000 | 0.000 | -0.000 | 28.806 |
| 88.429 | 82.658 | 82.658 | -0.000 | 0.000 | 0.000 |
| 82.658 | 88.429 | 82.658 | -0.000 | -0.000 | 0.000 |
| 82.658 | 82.658 | 88.429 | -0.000 | 0.000 | 0.000 |
| -0.000 | -0.000 | -0.000 | 28.806 | -0.000 | 0.000 |
| -0.000 | -0.000 | -0.000 | -0.000 | 28.806 | 0.000 |
| 0.000 | -0.000 | -0.000 | -0.000 | 0.000 | 28.806 |
| 88.429 | 82.658 | 82.658 | 0.000 | 0.000 | -0.000 |
| 82.658 | 88.429 | 82.658 | 0.000 | -0.000 | -0.000 |
| 82.658 | 82.658 | 88.429 | 0.000 | 0.000 | -0.000 |
| 0.000 | -0.000 | 0.000 | 28.806 | -0.000 | -0.000 |
| 0.000 | 0.000 | 0.000 | 0.000 | 28.806 | -0.000 |
| 0.000 | 0.000 | 0.000 | 0.000 | -0.000 | 28.806 |
| 88.429 | 82.658 | 82.658 | -0.000 | 0.000 | 0.000 |
| 82.658 | 88.429 | 82.658 | -0.000 | 0.000 | 0.000 |
| 82.658 | 82.658 | 88.429 | -0.000 | -0.000 | 0.000 |
| -0.000 | -0.000 | -0.000 | 28.806 | 0.000 | 0.000 |
| 0.000 | -0.000 | -0.000 | -0.000 | 28.806 | 0.000 |
| -0.000 | -0.000 | -0.000 | -0.000 | 0.000 | 28.806 |
| 88.428 | 82.658 | 82.658 | 0.000 | 0.000 | -0.000 |
| 82.658 | 88.428 | 82.658 | 0.000 | -0.000 | -0.000 |
| 82.658 | 82.658 | 88.428 | 0.000 | -0.000 | -0.000 |
| 0.000 | 0.000 | -0.000 | -46.876 | -0.000 | -0.000 |
| 0.000 | 0.000 | -0.000 | 0.000 | -46.876 | -0.000 |
| 0.000 | -0.000 | 0.000 | 0.000 | -0.000 | -46.876 |
| 88.430 | 82.658 | 82.658 | -0.000 | -0.000 | 0.000 |
| 82.658 | 88.430 | 82.658 | -0.000 | 0.000 | 0.000 |
| 82.658 | 82.658 | 88.430 | -0.000 | 0.000 | 0.000 |
| -0.000 | -0.000 | 0.000 | -46.876 | 0.000 | 0.000 |
| -0.000 | -0.000 | 0.000 | -0.000 | -46.876 | 0.000 |
| -0.000 | 0.000 | -0.000 | -0.000 | 0.000 | -46.876 |
| 64.062 | 65.611 | 32.602 | 0.000 | 0.000 | -0.000 |
| 65.611 | 64.062 | 32.602 | 0.000 | 0.000 | -0.000 |
| 36.532 | 36.532 | 81.123 | 0.000 | 0.000 | -0.000 |
| -0.000 | -0.000 | 0.000 | -3.266 | 0.000 | -0.000 |
| -0.000 | -0.000 | 0.000 | 0.000 | -3.266 | -0.000 |
| -0.000 | 0.000 | 0.000 | 0.000 | 0.000 | 43.782 |
| 64.062 | 65.611 | 32.602 | -0.000 | -0.000 | 0.000 |
| 65.611 | 64.062 | 32.602 | -0.000 | -0.000 | 0.000 |
| 36.532 | 36.532 | 81.123 | -0.000 | -0.000 | 0.000 |
| 0.000 | 0.000 | -0.000 | -3.266 | -0.000 | 0.000 |
| 0.000 | 0.000 | -0.000 | -0.000 | -3.266 | 0.000 |
| 0.000 | -0.000 | -0.000 | -0.000 | -0.000 | 43.782 |
| 60.782 | 65.119 | 35.695 | 0.000 | 0.000 | -0.000 |
| 65.119 | 60.782 | 35.695 | 0.000 | 0.000 | -0.000 |
| 33.820 | 33.820 | 85.570 | 0.000 | 0.000 | -0.000 |
| -0.000 | -0.000 | 0.000 | -3.266 | 0.000 | -0.000 |
| -0.000 | -0.000 | 0.000 | 0.000 | -3.266 | -0.000 |
| -0.000 | -0.000 | -0.000 | 0.000 | 0.000 | 42.089 |
| 64.062 | 65.611 | 32.602 | -0.000 | -0.000 | 0.000 |
| 65.611 | 64.062 | 32.602 | -0.000 | -0.000 | 0.000 |
| 36.532 | 36.532 | 81.123 | -0.000 | -0.000 | 0.000 |
| 0.000 | 0.000 | -0.000 | -3.266 | -0.000 | 0.000 |
| 0.000 | 0.000 | -0.000 | -0.000 | -3.266 | 0.000 |
| 0.000 | 0.000 | 0.000 | -0.000 | -0.000 | 42.089 |
| -5158623.457 | -5065634.901 | -3720284.071 | 13620.610 | 4937.628 | -9093.047 |
| -4967867.452 | -5077658.727 | -3667096.101 | -36906.386 | 10260.033 | 5852.415 |
| 36.531 | 36.531 | 81.122 | 0.000 | 0.000 | -0.000 |
| -0.000 | -0.000 | 0.000 | -3.266 | 0.000 | -0.000 |
| -0.000 | -0.000 | 0.000 | 0.000 | -3.266 | -0.000 |
| -0.000 | -0.000 | -0.000 | 0.000 | 0.000 | 43.782 |
| 64.062 | 65.611 | 32.602 | -0.000 | -0.000 | 0.000 |
| 65.611 | 64.062 | 32.602 | -0.000 | -0.000 | 0.000 |
| 36.532 | 36.532 | 81.123 | -0.000 | -0.000 | 0.000 |
| 0.000 | 0.000 | -0.000 | -3.266 | -0.000 | 0.000 |
| 0.000 | 0.000 | -0.000 | -0.000 | -3.266 | 0.000 |
| 0.000 | 0.000 | 0.000 | -0.000 | -0.000 | 43.782 |
| 67.704 | 65.390 | 41.504 | -0.000 | -0.000 | 0.000 |
| 65.390 | 67.704 | 41.504 | -0.000 | -0.000 | 0.000 |
| 37.846 | 37.846 | 111.357 | -0.000 | -0.000 | 0.000 |
| -0.000 | -0.000 | -0.000 | 15.179 | -0.000 | -0.000 |
| -0.000 | -0.000 | -0.000 | -0.000 | 15.179 | 0.000 |
| -0.000 | -0.000 | 0.000 | -0.000 | -0.000 | 43.956 |
| 67.704 | 65.390 | 41.504 | 0.000 | 0.000 | -0.000 |
| 65.390 | 67.704 | 41.504 | 0.000 | 0.000 | -0.000 |
| 41.322 | 41.322 | 105.618 | 0.000 | 0.000 | 0.000 |
| -0.000 | 0.000 | 0.000 | 15.179 | 0.000 | 0.000 |
| 0.000 | 0.000 | 0.000 | 0.000 | 15.179 | -0.000 |
| 0.000 | 0.000 | -0.000 | 0.000 | 0.000 | 43.956 |
| 70.029 | 67.496 | 37.846 | -0.000 | -0.000 | 0.000 |
| 67.496 | 70.029 | 37.846 | -0.000 | -0.000 | -0.000 |
| 41.322 | 41.322 | 105.618 | -0.000 | -0.000 | 0.000 |
| -0.000 | -0.000 | -0.000 | 2.482 | -0.000 | 0.000 |
| -0.000 | -0.000 | -0.000 | -0.000 | 2.482 | 0.000 |
| -0.000 | -0.000 | 0.000 | -0.000 | -0.000 | 43.956 |
| 67.704 | 65.390 | 41.504 | 0.000 | 0.000 | -0.000 |
| 65.390 | 67.704 | 41.504 | 0.000 | 0.000 | 0.000 |
| 41.322 | 41.322 | 105.618 | 0.000 | 0.000 | -0.000 |
| 0.000 | 0.000 | 0.000 | 2.482 | 0.000 | -0.000 |
| 0.000 | 0.000 | 0.000 | 0.000 | 2.482 | -0.000 |
| 0.000 | 0.000 | -0.000 | 0.000 | 0.000 | 43.956 |
| 70.029 | 67.496 | 37.846 | -0.000 | -0.000 | 0.000 |
| 67.496 | 70.029 | 37.846 | -0.000 | -0.000 | -0.000 |
| 37.846 | 37.846 | 111.357 | -0.000 | -0.000 | 0.000 |
| -0.000 | -0.000 | -0.000 | 2.482 | -0.000 | 0.000 |
| -0.000 | -0.000 | -0.000 | -0.000 | 2.482 | 0.000 |
| -0.000 | -0.000 | -0.000 | -0.000 | -0.000 | 46.226 |
| 70.030 | 67.496 | 37.846 | 0.000 | 0.000 | -0.000 |
| 67.496 | 70.030 | 37.846 | 0.000 | 0.000 | -0.000 |
| 41.322 | 41.322 | 105.618 | 0.000 | 0.000 | 0.000 |
| 0.000 | 0.000 | 0.000 | 2.482 | 0.000 | 0.000 |
| 0.000 | 0.000 | 0.000 | 0.000 | 2.482 | -0.000 |
| 0.000 | 0.000 | 0.000 | 0.000 | 0.000 | 46.226 |
| 170.451 | 71.918 | 66.932 | 0.000 | -0.000 | 0.000 |
| 71.881 | 169.064 | 64.318 | -0.000 | -0.000 | 0.000 |
| 64.059 | 64.059 | 129.789 | 0.000 | -0.000 | 0.000 |
| 0.014 | 0.014 | -0.037 | 21.205 | -0.000 | 0.000 |
| 0.000 | 0.000 | 0.000 | 0.000 | 39.894 | 0.000 |
| 0.000 | 0.000 | 0.000 | 0.000 | 0.000 | 49.868 |
| 172.823 | 73.086 | 64.688 | 0.000 | -0.000 | -0.000 |
| 71.919 | 170.450 | 66.929 | 0.000 | -0.000 | -0.000 |
| 64.060 | 64.060 | 129.786 | 0.000 | -0.000 | -0.000 |
| -0.014 | -0.014 | 0.037 | 21.205 | -0.000 | -0.000 |
| -0.000 | -0.000 | -0.000 | -0.000 | 39.894 | -0.000 |
| -0.000 | -0.000 | -0.000 | -0.000 | -0.000 | 49.868 |
| 172.823 | 73.086 | 64.688 | -0.000 | 0.000 | 0.000 |
| 73.086 | 172.823 | 64.688 | -0.000 | 0.000 | 0.000 |
| 64.688 | 64.688 | 137.680 | 0.000 | 0.000 | 0.000 |
| 0.000 | 0.000 | 0.000 | 39.894 | -0.000 | 0.000 |
| 0.001 | 0.001 | -0.004 | 0.000 | 21.205 | 0.000 |
| 0.000 | 0.000 | -0.000 | 0.000 | 0.000 | 48.798 |
| 170.450 | 71.918 | 66.930 | 0.000 | -0.000 | -0.000 |
| 73.086 | 172.823 | 64.688 | 0.000 | 0.000 | -0.000 |
| 64.060 | 64.060 | 129.787 | 0.000 | -0.000 | -0.000 |
| -0.000 | -0.000 | -0.000 | 39.894 | 0.000 | -0.000 |
| -0.001 | -0.001 | 0.004 | -0.000 | 21.205 | -0.000 |
| -0.000 | -0.000 | 0.000 | -0.000 | 0.000 | 48.798 |
| 170.452 | 71.919 | 66.931 | -0.000 | -0.000 | 0.000 |
| 73.087 | 172.824 | 64.688 | -0.000 | 0.000 | 0.000 |
| 64.060 | 64.060 | 129.788 | -0.000 | 0.000 | 0.000 |
| 0.000 | 0.000 | 0.000 | 39.894 | 0.000 | 0.000 |
| 0.000 | 0.000 | 0.000 | 0.000 | 39.894 | 0.000 |
| 0.000 | 0.000 | 0.000 | 0.000 | 0.000 | 48.798 |
| 172.822 | 73.086 | 64.688 | 0.000 | -0.000 | -0.000 |
| 71.918 | 170.449 | 66.930 | 0.000 | -0.000 | -0.000 |
| 64.688 | 64.688 | 137.679 | 0.000 | -0.000 | -0.000 |
| -0.000 | -0.000 | -0.000 | 39.894 | 0.000 | -0.000 |
| -0.000 | -0.000 | -0.000 | 0.000 | 39.894 | -0.000 |
| -0.000 | -0.000 | -0.000 | -0.000 | 0.000 | 48.798 |
| 172.362 | 73.128 | 65.970 | -0.000 | -0.000 | 0.000 |
| 73.128 | 172.362 | 65.970 | 0.000 | 0.000 | 0.000 |
| 64.894 | 64.894 | 132.512 | 0.000 | 0.000 | 0.000 |
| 0.000 | -0.000 | 0.000 | 40.260 | 0.000 | -0.000 |
| -0.824 | -0.824 | 2.126 | 0.000 | 23.730 | 0.000 |
| -0.302 | -0.302 | 0.780 | 0.000 | 0.000 | 48.787 |
| 172.362 | 73.128 | 65.970 | -0.000 | -0.000 | -0.000 |
| 73.128 | 172.362 | 65.970 | -0.000 | 0.000 | -0.000 |
| 67.406 | 67.406 | 133.695 | -0.000 | -0.000 | 0.000 |
| -0.000 | -0.000 | -0.000 | 40.260 | -0.000 | -0.000 |
| 0.824 | 0.824 | -2.126 | -0.000 | 23.730 | -0.000 |
| 0.302 | 0.302 | -0.780 | -0.000 | -0.000 | 48.787 |
| 169.859 | 71.845 | 68.372 | 0.000 | 0.000 | 0.000 |
| 73.128 | 172.362 | 65.970 | 0.000 | 0.000 | 0.000 |
| 65.607 | 65.607 | 140.344 | 0.000 | 0.000 | -0.000 |
| 0.000 | 0.000 | 0.000 | 40.260 | -0.000 | 0.000 |
| -0.086 | -0.086 | 0.222 | 0.000 | 22.995 | 0.000 |
| 0.000 | 0.000 | 0.000 | -0.000 | -0.000 | 49.617 |
| 168.473 | 71.837 | 65.624 | -0.000 | -0.000 | -0.000 |
| 71.865 | 169.854 | 68.303 | -0.000 | -0.000 | 0.000 |
| 65.607 | 65.607 | 140.344 | 0.000 | 0.000 | 0.000 |
| -0.000 | -0.000 | -0.000 | 40.260 | -0.000 | -0.000 |
| 0.086 | 0.086 | -0.222 | -0.000 | 22.995 | -0.000 |
| -0.000 | -0.000 | -0.000 | 0.000 | -0.000 | 49.617 |
| 169.858 | 71.854 | 68.342 | 0.000 | 0.000 | 0.000 |
| 71.854 | 169.858 | 68.342 | -0.000 | 0.000 | 0.000 |
| 65.608 | 65.608 | 140.345 | -0.000 | -0.000 | -0.000 |
| -0.009 | -0.008 | 0.022 | 22.987 | -0.000 | 0.000 |
| -0.008 | -0.009 | 0.022 | 0.000 | 22.987 | 0.000 |
| -0.003 | -0.003 | 0.008 | 0.000 | 0.000 | 48.722 |
| 172.361 | 73.128 | 65.970 | -0.000 | 0.000 | -0.000 |
| 71.856 | 169.855 | 68.334 | -0.000 | -0.000 | -0.000 |
| 65.041 | 65.041 | 132.134 | 0.000 | -0.000 | -0.000 |
| 0.009 | 0.008 | -0.022 | 22.987 | 0.000 | 0.000 |
| 0.008 | 0.009 | -0.022 | 0.000 | 22.987 | -0.000 |
| 0.003 | 0.003 | -0.008 | -0.000 | -0.000 | 48.722 |
| 72.212 | 41.894 | 53.001 | 0.000 | 0.000 | -0.000 |
| 41.894 | 72.212 | 53.001 | 0.000 | 0.000 | -0.000 |
| 52.825 | 52.825 | 94.604 | 0.000 | 0.000 | -0.000 |
| -113.148 | -113.148 | -253.202 | 18.102 | 0.000 | 0.000 |
| -113.148 | -113.148 | -253.202 | 0.000 | 18.102 | -0.000 |
| -100.207 | -100.207 | -333.423 | 0.000 | 0.000 | 10.322 |
| 184.159 | 154.631 | 305.709 | -0.000 | -0.000 | -0.000 |
| 154.631 | 184.159 | 305.709 | -0.000 | -0.000 | 0.000 |
| 164.562 | 164.562 | 343.874 | -0.000 | -0.000 | 0.000 |
| 113.148 | 113.148 | 253.202 | 18.102 | -0.000 | 0.000 |
| 113.148 | 113.148 | 253.202 | -0.000 | 18.102 | 0.000 |
| 100.207 | 100.207 | 333.423 | -0.000 | -0.000 | 10.322 |
| 59.712 | 30.165 | 27.171 | 0.000 | 0.000 | -0.000 |
| 30.165 | 59.712 | 27.171 | 0.000 | 0.000 | -0.000 |
| 40.098 | 40.098 | 65.326 | 0.000 | -0.000 | -0.000 |
| -11.348 | -11.348 | -25.394 | 18.098 | 0.000 | -0.000 |
| -11.348 | -11.348 | -25.394 | 0.000 | 18.098 | -0.000 |
| -11.314 | -11.314 | -25.319 | 0.000 | 0.000 | 10.321 |
| 80.773 | 51.540 | 85.246 | -0.000 | -0.000 | 0.000 |
| 51.540 | 80.773 | 85.247 | -0.000 | -0.000 | -0.000 |
| 52.825 | 52.825 | 94.604 | -0.000 | -0.000 | 0.000 |
| 11.348 | 11.348 | 25.394 | 18.098 | -0.000 | -0.000 |
| 11.348 | 11.348 | 25.394 | -0.000 | 18.098 | 0.000 |
| 11.314 | 11.314 | 25.319 | -0.000 | -0.000 | 10.321 |
| 72.206 | 41.894 | 53.000 | 0.000 | 0.000 | 0.000 |
| 41.894 | 72.206 | 53.000 | 0.000 | 0.000 | -0.000 |
| 50.273 | 50.273 | 87.998 | 0.000 | 0.000 | 0.000 |
| -0.905 | -0.907 | -3.545 | 15.012 | 0.000 | 0.000 |
| -0.907 | -0.905 | -3.545 | 0.000 | 15.012 | -0.000 |
| -1.131 | -1.131 | -2.532 | 0.000 | 0.000 | 10.321 |
| 71.806 | 42.474 | 54.838 | -0.000 | -0.000 | 0.000 |
| 42.474 | 71.806 | 54.838 | -0.000 | -0.000 | 0.000 |
| 52.825 | 52.825 | 94.602 | -0.000 | -0.000 | 0.000 |
| 0.905 | 0.907 | 3.545 | 15.012 | -0.000 | 0.000 |
| 0.907 | 0.905 | 3.545 | -0.000 | 15.012 | 0.000 |
| 1.131 | 1.131 | 2.532 | -0.000 | -0.000 | 10.321 |
| 67.027 | 37.297 | 53.207 | 1.655 | -0.000 | 0.000 |
| 37.297 | 67.027 | 53.207 | -1.655 | -0.000 | 0.000 |
| 53.474 | 53.474 | 163.889 | 0.000 | 0.000 | 0.000 |
| 1.101 | -1.906 | -0.501 | 24.406 | -0.000 | 0.000 |
| -0.403 | -0.403 | -0.501 | 0.000 | 24.406 | 1.503 |
| -0.104 | -0.104 | -0.130 | 0.000 | 1.616 | 14.864 |
| 67.027 | 37.297 | 53.207 | 1.655 | -0.000 | -0.000 |
| 34.001 | 63.729 | 49.103 | -1.625 | 0.000 | -0.000 |
| 49.351 | 49.351 | 158.757 | -0.000 | 0.000 | -0.000 |
| 1.906 | -1.101 | 0.501 | 24.406 | 0.000 | -0.000 |
| 0.403 | 0.403 | 0.501 | -0.000 | 24.406 | 1.503 |
| 0.104 | 0.104 | 0.130 | -0.000 | 1.616 | 14.864 |
| 63.641 | 33.913 | 48.993 | 1.625 | -0.000 | 0.000 |
| 33.913 | 63.641 | 48.993 | -1.625 | -0.000 | 0.000 |
| 49.263 | 49.263 | 158.647 | 0.000 | -0.000 | 0.000 |
| 1.462 | -1.543 | -0.050 | 24.368 | -0.000 | 0.000 |
| -0.000 | -0.000 | -0.000 | 0.000 | 30.299 | 1.655 |
| -0.000 | 0.000 | -0.000 | 0.000 | 1.655 | 14.865 |
| 63.657 | 33.929 | 49.013 | 1.625 | 0.000 | -0.000 |
| 37.297 | 67.027 | 53.207 | -1.655 | -0.000 | -0.000 |
| 49.279 | 49.279 | 158.667 | -0.000 | 0.000 | -0.000 |
| 1.543 | -1.462 | 0.050 | 24.368 | 0.000 | -0.000 |
| 0.000 | 0.000 | 0.000 | -0.000 | 30.299 | 1.655 |
| 0.000 | -0.000 | 0.000 | -0.000 | 1.655 | 14.865 |
| 67.027 | 37.297 | 53.207 | 1.655 | -0.000 | 0.000 |
| 33.920 | 63.648 | 49.002 | -1.625 | -0.000 | 0.000 |
| 49.270 | 49.270 | 158.654 | 0.000 | -0.000 | 0.000 |
| 1.498 | -1.507 | -0.005 | 24.367 | -0.000 | 0.000 |
| -0.004 | -0.004 | -0.005 | 0.000 | 24.367 | 1.502 |
| -0.004 | -0.004 | -0.005 | 0.000 | 1.502 | 14.861 |
| 63.647 | 33.925 | 49.005 | 1.502 | 0.000 | -0.000 |
| 33.921 | 63.650 | 49.005 | -1.625 | -0.000 | -0.000 |
| 53.474 | 53.474 | 163.891 | -0.000 | 0.000 | -0.000 |
| 1.506 | -1.498 | 0.005 | 24.367 | 0.000 | -0.000 |
| 0.004 | 0.004 | 0.005 | -0.000 | 24.367 | 1.502 |
| 0.004 | 0.004 | 0.005 | -0.000 | 1.502 | 14.861 |
| 74.045 | 46.996 | 52.361 | -0.000 | 0.000 | -0.000 |
| 46.996 | 74.045 | 52.361 | 0.000 | -0.000 | 0.000 |
| 42.532 | 42.532 | 70.381 | 0.000 | -0.000 | -0.000 |
| 0.000 | 0.000 | -0.000 | 17.602 | 0.000 | 0.000 |
| 0.000 | 0.000 | 0.000 | 0.000 | 17.602 | 0.000 |
| 0.000 | 0.000 | 0.000 | 0.000 | 0.000 | 13.310 |
| 74.045 | 46.996 | 52.361 | 0.000 | -0.000 | -0.000 |
| 46.996 | 74.045 | 52.361 | 0.000 | -0.000 | -0.000 |
| 52.372 | 52.372 | 85.306 | 0.000 | 0.000 | 0.000 |
| -0.000 | -0.000 | 0.000 | 17.602 | -0.000 | 0.000 |
| -0.000 | -0.000 | -0.000 | 0.000 | 17.602 | 0.000 |
| -0.000 | -0.000 | 0.000 | -0.000 | 0.000 | 13.310 |
| 74.045 | 46.996 | 52.361 | -0.000 | -0.000 | 0.000 |
| 46.996 | 74.045 | 52.361 | -0.000 | -0.000 | -0.000 |
| 52.372 | 52.372 | 85.306 | -0.000 | 0.000 | -0.000 |
| 0.000 | 0.000 | 0.000 | 17.602 | 0.000 | -0.000 |
| 0.000 | 0.000 | 0.000 | -0.000 | 17.602 | -0.000 |
| 0.000 | 0.000 | 0.000 | -0.000 | 0.000 | 13.310 |
| 74.044 | 46.996 | 52.361 | 0.000 | -0.000 | 0.000 |
| 46.996 | 74.044 | 52.361 | 0.000 | 0.000 | 0.000 |
| 51.520 | 51.520 | 81.032 | 0.000 | 0.000 | 0.000 |
| -0.000 | -0.000 | -0.000 | 17.602 | 0.000 | -0.000 |
| -0.000 | -0.000 | -0.000 | 0.000 | 17.602 | 0.000 |
| -0.000 | -0.000 | -0.000 | 0.000 | -0.000 | 13.310 |
| 74.047 | 46.997 | 52.362 | 0.000 | -0.000 | 0.000 |
| 46.997 | 74.047 | 52.362 | -0.000 | 0.000 | -0.000 |
| 50.632 | 50.632 | 79.512 | 0.000 | 0.000 | 0.000 |
| 0.000 | 0.000 | 0.000 | 17.602 | -0.000 | -0.000 |
| 0.000 | 0.000 | 0.000 | -0.000 | 17.602 | 0.000 |
| 0.000 | 0.000 | 0.000 | -0.000 | 0.000 | 13.310 |
| 74.043 | 46.996 | 52.361 | 0.000 | -0.000 | -0.000 |
| 46.996 | 74.043 | 52.361 | 0.000 | -0.000 | -0.000 |
| 52.371 | 52.371 | 85.304 | 0.000 | -0.000 | 0.000 |
| -0.000 | -0.000 | -0.000 | 17.602 | 0.000 | -0.000 |
| -0.000 | -0.000 | -0.000 | 0.000 | 17.602 | 0.000 |
| -0.000 | -0.000 | -0.000 | -0.000 | -0.000 | 13.310 |
| 73.413 | 46.731 | 52.354 | -0.000 | -0.000 | 0.000 |
| 46.731 | 73.413 | 52.354 | 0.000 | 0.000 | 0.000 |
| 52.354 | 52.354 | 85.886 | -0.000 | -0.000 | 0.000 |
| -205.649 | -205.649 | -269.626 | 15.744 | -0.000 | 0.000 |
| -205.649 | -205.649 | -269.626 | -0.000 | 15.744 | 0.000 |
| 0.000 | 0.000 | 0.000 | 0.000 | 0.000 | 13.156 |
| 73.413 | 46.731 | 52.354 | 0.000 | 0.000 | -0.000 |
| 46.731 | 73.413 | 52.354 | 0.000 | 0.000 | -0.000 |
| 244.115 | 244.115 | 413.759 | 0.000 | 0.000 | -0.000 |
| 205.649 | 205.649 | 269.626 | 15.744 | 0.000 | -0.000 |
| 205.649 | 205.649 | 269.626 | -0.000 | 15.744 | -0.000 |
| -0.000 | -0.000 | 0.000 | -0.000 | -0.000 | 13.156 |
| 73.413 | 46.731 | 52.354 | -0.000 | -0.000 | 0.000 |
| 46.731 | 73.413 | 52.354 | 0.000 | 0.000 | 0.000 |
| 29.912 | 29.912 | 54.467 | -0.000 | 0.000 | 0.000 |
| 0.000 | 0.000 | 0.000 | 17.644 | 0.000 | 0.000 |
| 0.000 | 0.000 | 0.000 | 0.000 | 17.644 | 0.000 |
| 0.000 | 0.000 | -0.000 | -0.000 | 0.000 | 13.156 |
| 91.953 | 66.337 | 77.964 | 0.000 | -0.000 | -0.000 |
| 66.337 | 91.953 | 77.964 | -0.000 | -0.000 | -0.000 |
| 71.111 | 71.111 | 108.549 | -0.000 | -0.000 | -0.000 |
| -0.000 | -0.000 | -0.000 | 17.644 | -0.000 | -0.000 |
| -0.000 | -0.000 | -0.000 | 0.000 | 17.644 | -0.000 |
| -0.000 | -0.000 | 0.000 | 0.000 | -0.000 | 13.156 |
| 69.663 | 43.856 | 47.662 | -0.000 | -0.000 | 0.000 |
| 43.856 | 69.663 | 47.662 | 0.000 | 0.000 | 0.000 |
| 48.265 | 48.265 | 78.266 | -0.000 | 0.000 | 0.000 |
| 0.000 | 0.000 | 0.000 | 17.644 | 0.000 | 0.000 |
| 0.000 | 0.000 | 0.000 | -0.000 | 17.644 | 0.000 |
| -2.056 | -2.056 | -2.696 | 0.000 | 0.000 | 13.156 |
| 73.411 | 46.731 | 52.353 | -0.000 | -0.000 | 0.000 |
| 46.731 | 73.411 | 52.353 | 0.000 | -0.000 | -0.000 |
| 52.353 | 52.353 | 85.884 | 0.000 | 0.000 | -0.000 |
| -0.000 | -0.000 | -0.000 | 17.644 | -0.000 | -0.000 |
| -0.000 | -0.000 | -0.000 | 0.000 | 17.644 | -0.000 |
| 2.056 | 2.056 | 2.696 | -0.000 | -0.000 | 13.156 |
| 1350.591 | 1309.295 | -4753.009 | 1.464 | -0.799 | 0.000 |
| 2916.135 | 2976.420 | -10326.593 | -8.483 | -7.078 | 0.000 |
| 56.475 | 56.475 | 136.640 | -0.000 | -0.000 | 0.000 |
| 572.354 | 564.777 | -8423.663 | 17.203 | 0.000 | -0.747 |
| 778.752 | 772.183 | -8000.464 | 0.000 | 28.858 | 5.900 |
| 1251.969 | 1251.969 | -4810.305 | 0.799 | 1.464 | 20.650 |
| -482.104 | -504.795 | 8483.820 | 3.789 | 0.748 | 0.000 |
| -723.760 | -677.032 | 8055.455 | -5.902 | -3.286 | -0.000 |
| 56.475 | 56.475 | 136.640 | -0.000 | 0.000 | -0.000 |
| -2863.412 | -2880.392 | 10383.883 | 29.260 | -0.000 | -7.089 |
| -567.818 | -569.313 | 8423.663 | -0.000 | 17.203 | 3.789 |
| -2871.802 | -2871.803 | 10383.800 | -7.088 | 8.491 | 30.174 |
| 390.033 | 330.579 | -979.984 | 8.379 | 6.943 | -0.000 |
| 52.479 | 113.561 | 56.473 | -2.039 | 0.769 | -0.000 |
| 183.087 | 183.087 | -366.212 | -0.000 | -0.000 | 0.000 |
| 83.467 | 71.669 | -800.036 | 28.856 | -0.000 | -3.284 |
| 57.597 | 56.099 | -842.352 | -0.000 | 17.210 | 3.790 |
| 56.849 | 56.849 | -842.348 | -0.751 | 3.792 | 11.362 |
| 20.864 | -25.878 | 854.990 | 5.915 | 3.298 | 0.000 |
| 52.479 | 113.561 | 56.473 | -2.039 | 0.769 | 0.000 |
| 56.475 | 56.475 | 136.641 | 0.000 | 0.000 | 0.000 |
| -123.724 | -126.652 | 480.996 | 22.993 | 0.000 | 0.799 |
| -279.672 | -293.819 | 1038.018 | 0.000 | 29.224 | 8.478 |
| -285.774 | -285.775 | 1037.182 | -7.042 | 8.455 | 30.031 |
| 106.280 | 60.038 | -24.458 | 5.641 | 3.051 | 0.000 |
| 69.818 | 110.948 | 9.464 | -1.459 | 0.799 | -0.000 |
| 61.842 | 61.842 | 43.893 | 0.000 | -0.000 | -0.000 |
| 13.898 | 10.962 | -47.758 | 23.078 | 0.000 | 0.798 |
| 11.171 | 4.745 | -79.904 | 0.000 | 28.641 | 5.816 |
| 7.974 | 7.974 | -79.719 | -3.193 | 5.795 | 23.213 |
| 81.542 | 57.169 | 143.722 | 4.087 | 1.069 | 0.000 |
| 23.634 | 54.315 | 161.483 | -4.728 | -1.471 | -0.000 |
| 56.475 | 56.475 | 136.641 | -0.000 | 0.000 | 0.000 |
| -1.675 | -9.541 | 84.105 | 17.830 | 0.000 | -0.900 |
| -4.746 | -11.171 | 79.903 | 0.000 | 28.641 | 5.816 |
| -12.458 | -12.458 | 47.866 | 0.799 | 1.467 | 20.698 |
| 114.081 | 52.259 | 55.711 | 2.254 | 1.146 | -0.000 |
| 243.850 | 290.098 | -767.066 | -1.821 | -1.108 | -0.000 |
| 55.621 | 55.621 | 134.660 | 0.000 | -0.000 | -0.000 |
| 189.866 | 186.223 | -823.377 | 25.142 | -0.000 | -1.108 |
| 1.146 | -1.146 | -0.000 | 0.000 | 34.614 | 2.254 |
| 100.686 | 100.686 | 1383.621 | 2.508 | 5.621 | 19.066 |
| -451.567 | -476.883 | -1034.760 | 6.202 | -2.414 | 0.000 |
| -132.241 | -85.986 | 879.692 | -1.821 | -1.108 | 0.000 |
| -132.107 | -132.107 | 942.448 | 0.000 | 0.000 | 0.000 |
| 2.254 | -2.254 | 0.000 | 34.614 | 0.000 | -1.146 |
| -186.937 | -189.152 | 823.377 | 0.000 | 25.142 | 1.821 |
| -188.045 | -188.045 | 823.379 | -1.107 | 1.821 | 23.126 |
| 120.831 | 74.615 | -26.014 | 1.820 | 1.107 | -0.000 |
| 74.615 | 120.831 | -26.014 | -1.820 | -1.107 | -0.000 |
| 74.731 | 74.731 | 37.176 | -0.000 | -0.000 | -0.000 |
| 2.254 | -2.254 | -0.000 | 34.614 | 0.000 | -1.146 |
| 51.409 | 56.238 | 108.959 | 0.000 | 19.216 | 6.202 |
| 18.801 | 18.801 | -82.323 | -1.108 | 1.821 | 23.127 |
| 33.101 | 7.580 | -54.070 | 6.191 | -2.410 | 0.000 |
| 36.993 | 83.284 | 138.640 | -1.822 | -1.108 | 0.000 |
| 37.145 | 37.145 | 201.021 | 0.000 | 0.000 | 0.000 |
| -47.621 | -60.026 | -108.959 | 19.216 | -0.000 | 2.414 |
| -12.581 | -7.568 | -138.281 | 0.000 | 23.060 | 5.620 |
| -18.801 | -18.801 | 82.323 | -1.108 | 1.821 | 23.127 |
| 103.779 | 57.699 | 48.197 | 1.817 | 1.107 | -0.000 |
| 52.259 | 114.081 | 55.712 | -2.254 | -1.146 | -0.000 |
| 55.350 | 55.350 | 120.796 | -0.000 | -0.000 | -0.000 |
| 3.658 | -0.011 | -7.986 | 25.428 | -0.000 | -1.109 |
| -1.351 | 3.465 | 13.110 | -0.000 | 22.988 | 5.510 |
| -0.000 | -0.000 | -0.000 | -1.146 | 2.254 | 30.911 |
| 114.082 | 52.259 | 55.711 | 2.254 | 1.146 | 0.000 |
| 53.829 | 100.560 | 64.467 | -1.835 | -1.109 | 0.000 |
| 54.278 | 54.278 | 122.921 | 0.000 | 0.000 | 0.000 |
| 2.254 | -2.254 | 0.000 | 34.614 | -0.000 | -1.146 |
| -0.715 | -2.932 | 7.986 | 0.000 | 25.427 | 1.834 |
| 0.000 | 0.000 | 0.000 | -1.146 | 2.254 | 30.911 |
| 113.646 | 52.506 | 56.473 | 2.048 | 0.791 | -0.000 |
| 52.506 | 113.646 | 56.473 | -2.048 | -0.791 | 0.000 |
| 108.245 | 108.245 | 198.624 | 0.000 | 0.000 | 0.000 |
| 2.048 | -2.048 | 0.000 | 34.954 | 0.000 | -0.791 |
| 0.791 | -0.791 | -0.000 | -0.000 | 34.954 | 2.048 |
| -0.000 | -0.000 | -0.000 | -0.791 | 2.048 | 30.570 |
| 68.859 | 23.179 | -257.320 | 3.469 | -0.963 | 0.000 |
| 23.179 | 68.859 | -257.320 | -3.469 | 0.963 | -0.000 |
| 6.826 | 6.826 | 34.310 | -0.000 | -0.000 | -0.000 |
| 2.048 | -2.048 | 0.000 | 34.954 | -0.000 | -0.791 |
| -31.982 | -30.045 | -314.065 | -0.000 | 26.753 | 3.476 |
| -50.719 | -50.719 | -82.067 | -0.820 | 1.537 | 21.826 |
| 113.646 | 52.506 | 56.473 | 2.048 | 0.791 | -0.000 |
| 61.740 | 105.324 | 66.032 | -1.535 | -0.820 | 0.000 |
| 59.581 | 59.581 | 150.106 | 0.000 | 0.000 | -0.000 |
| 2.048 | -2.048 | -0.000 | 34.954 | 0.000 | -0.791 |
| 0.791 | -0.791 | -0.000 | -0.000 | 34.954 | 2.048 |
| 5.051 | 5.051 | 8.173 | -0.820 | 1.539 | 21.862 |
| 113.646 | 52.506 | 56.473 | 2.048 | 0.791 | 0.000 |
| 51.571 | 95.429 | 49.662 | -1.543 | -0.820 | 0.000 |
| 53.128 | 53.128 | 88.736 | -0.000 | 0.000 | -0.000 |
| 2.048 | -2.048 | 0.000 | 34.954 | -0.000 | -0.791 |
| -4.081 | -2.150 | -31.394 | -0.000 | 26.725 | 3.472 |
| -3.126 | -3.126 | -31.326 | 0.960 | 3.465 | 22.815 |
| 99.053 | 54.977 | 59.370 | 3.449 | -0.986 | -0.000 |
| 54.977 | 99.053 | 59.370 | -3.449 | 0.986 | -0.000 |
| 56.467 | 56.467 | 136.427 | -0.000 | -0.000 | 0.000 |
| 2.048 | -2.048 | -0.000 | 34.954 | 0.000 | -0.791 |
| -0.699 | 1.402 | 3.333 | -0.000 | 25.807 | 3.516 |
| -0.000 | -0.000 | -0.000 | -0.791 | 2.048 | 30.570 |
| 98.779 | 54.476 | 53.468 | 3.180 | -0.724 | 0.000 |
| 52.506 | 113.646 | 56.473 | -2.048 | -0.791 | -0.000 |
| 56.467 | 56.467 | 136.428 | -0.000 | 0.000 | 0.000 |
| 2.048 | -2.048 | 0.000 | 34.954 | -0.000 | -0.791 |
| 0.423 | -1.203 | -0.631 | 0.000 | 26.820 | 1.655 |
| 0.000 | 0.000 | 0.000 | -0.791 | 2.048 | 30.570 |
| -75.461 | -116.947 | 2624.841 | 4.481 | 1.494 | 0.000 |
| -735.996 | -704.973 | 1735.330 | -5.624 | -2.052 | 0.001 |
| -115.394 | -115.394 | 2679.705 | -0.000 | 0.000 | 0.000 |
| 440.455 | 436.722 | -1045.127 | 26.070 | 0.000 | 1.028 |
| -169.040 | -172.026 | 2568.651 | -0.000 | 24.264 | 4.480 |
| -794.660 | -794.660 | 1680.234 | -2.052 | 5.623 | 15.516 |
| 265.615 | 224.120 | -2512.453 | 4.478 | 1.492 | -0.000 |
| -383.299 | -335.722 | 1101.161 | -1.866 | 1.026 | -0.001 |
| -382.823 | -382.823 | 1165.752 | 0.000 | -0.000 | -0.001 |
| 175.013 | 166.054 | -2568.651 | 24.264 | -0.000 | -1.493 |
| -439.615 | -437.562 | 1045.127 | 0.000 | 26.070 | 1.866 |
| 170.533 | 170.533 | -2568.649 | -1.493 | 4.479 | 20.745 |
| 77.982 | 36.533 | 313.017 | 4.494 | 1.507 | -0.000 |
| 52.055 | 113.654 | 55.561 | -2.246 | 1.088 | 0.000 |
| 99.620 | 99.620 | 16.273 | -0.000 | 0.000 | 0.000 |
| 2.246 | -2.246 | -0.000 | 34.628 | -0.000 | 1.088 |
| 42.830 | 44.884 | -104.508 | -0.000 | 26.070 | 1.867 |
| -0.000 | -0.000 | -0.000 | 1.088 | 2.246 | 30.799 |
| 113.654 | 52.055 | 55.561 | 2.246 | -1.088 | -0.000 |
| 11.424 | 59.027 | 160.546 | -1.868 | 1.027 | -0.000 |
| 55.506 | 55.506 | 135.574 | 0.000 | 0.000 | -0.000 |
| -41.990 | -45.724 | 104.508 | 26.070 | -0.000 | 1.027 |
| 184.820 | 177.486 | -358.513 | 0.000 | 19.250 | 6.626 |
| 0.000 | 0.000 | 0.000 | 1.088 | 2.246 | 30.799 |
| 113.653 | 52.055 | 55.561 | 2.246 | -1.088 | 0.000 |
| 52.055 | 113.653 | 55.561 | -2.246 | 1.088 | 0.000 |
| 55.506 | 55.506 | 135.573 | -0.000 | -0.000 | 0.000 |
| 6.236 | 2.499 | -10.406 | 26.107 | 0.000 | 1.027 |
| -1.088 | 1.088 | -0.000 | 0.000 | 34.628 | 2.246 |
| -1.653 | -1.653 | 25.433 | -1.478 | 4.463 | 20.737 |
| 97.266 | 55.321 | 30.844 | 4.317 | 1.335 | -0.000 |
| 50.839 | 98.679 | 66.485 | -1.874 | 1.028 | -0.000 |
| 51.437 | 51.437 | 129.535 | 0.000 | -0.000 | -0.000 |
| -2.499 | -6.235 | 10.406 | 26.107 | -0.000 | 1.027 |
| -1.088 | 1.088 | 0.000 | -0.000 | 34.628 | 2.246 |
| 1.653 | 1.653 | -25.433 | -1.478 | 4.463 | 20.737 |
| 237.950 | 74.340 | 74.340 | 0.000 | 0.000 | -0.000 |
| 74.340 | 237.950 | 74.340 | -0.000 | -0.000 | -0.000 |
| 74.340 | 74.340 | 237.950 | -0.000 | -0.000 | -0.000 |
| -0.000 | -0.000 | -0.000 | 45.235 | 0.000 | -0.000 |
| -0.000 | -0.000 | -0.000 | 0.000 | 45.235 | -0.000 |
| -0.000 | -0.000 | -0.000 | -0.000 | -0.000 | 45.235 |
| 239.099 | 73.765 | 73.766 | 0.000 | 0.000 | 0.000 |
| 73.765 | 239.099 | 73.766 | -0.000 | 0.000 | 0.000 |
| 73.765 | 73.765 | 239.099 | -0.000 | -0.000 | 0.000 |
| 0.000 | 0.000 | 0.000 | 45.235 | -0.000 | 0.000 |
| 0.000 | 0.000 | 0.000 | -0.000 | 45.235 | 0.000 |
| 0.000 | 0.000 | 0.000 | 0.000 | 0.000 | 45.235 |
| 239.099 | 73.765 | 73.765 | -0.000 | -0.000 | -0.000 |
| 73.765 | 239.099 | 73.765 | -0.000 | -0.000 | -0.000 |
| 73.765 | 73.765 | 239.099 | -0.000 | -0.000 | -0.000 |
| -0.000 | -0.000 | -0.000 | 39.073 | 0.000 | -0.000 |
| -0.000 | -0.000 | -0.000 | -0.000 | 39.073 | -0.000 |
| -0.000 | -0.000 | -0.000 | 0.000 | -0.000 | 39.073 |
| 237.950 | 74.340 | 74.340 | -0.000 | 0.000 | 0.000 |
| 74.340 | 237.950 | 74.340 | -0.000 | 0.000 | 0.000 |
| 74.340 | 74.340 | 237.950 | 0.000 | -0.000 | 0.000 |
| 0.000 | 0.000 | 0.000 | 39.073 | -0.000 | 0.000 |
| 0.000 | 0.000 | 0.000 | 0.000 | 39.073 | 0.000 |
| 0.000 | 0.000 | 0.000 | 0.000 | 0.000 | 39.073 |
| 237.949 | 74.340 | 74.340 | -0.000 | 0.000 | -0.000 |
| 74.340 | 237.949 | 74.340 | 0.000 | -0.000 | -0.000 |
| 74.340 | 74.340 | 237.949 | 0.000 | -0.000 | -0.000 |
| -0.000 | -0.000 | -0.000 | 45.235 | -0.000 | -0.000 |
| -0.000 | -0.000 | -0.000 | 0.000 | 45.235 | -0.000 |
| -0.000 | -0.000 | -0.000 | 0.000 | -0.000 | 45.235 |
| 239.100 | 73.766 | 73.766 | 0.000 | 0.000 | 0.000 |
| 73.766 | 239.100 | 73.766 | -0.000 | -0.000 | 0.000 |
| 73.766 | 73.766 | 239.100 | 0.000 | 0.000 | 0.000 |
| 0.000 | 0.000 | 0.000 | 45.235 | 0.000 | 0.000 |
| 0.000 | 0.000 | 0.000 | 0.000 | 45.235 | 0.000 |
| 0.000 | 0.000 | 0.000 | -0.000 | 0.000 | 45.235 |
| 6.749 | 1.588 | 1.588 | -0.000 | -0.000 | -0.000 |
| 1.588 | 6.749 | 1.588 | -0.000 | -0.000 | -0.000 |
| 1.588 | 1.588 | 6.749 | -0.000 | 0.000 | -0.000 |
| 0.000 | -0.000 | -0.000 | 1.588 | -0.000 | -0.000 |
| -0.000 | -0.000 | -0.000 | -0.000 | 1.588 | -0.000 |
| -0.000 | -0.000 | 0.000 | -0.000 | -0.000 | 1.588 |
| 6.749 | 1.588 | 1.588 | 0.000 | 0.000 | 0.000 |
| 1.588 | 6.749 | 1.588 | 0.000 | 0.000 | 0.000 |
| 1.588 | 1.588 | 6.749 | 0.000 | -0.000 | 0.000 |
| 0.000 | 0.000 | 0.000 | 1.588 | 0.000 | 0.000 |
| 0.000 | 0.000 | 0.000 | 0.000 | 1.588 | 0.000 |
| 0.000 | 0.000 | 0.000 | 0.000 | 0.000 | 1.588 |
| 5.483 | 2.221 | 2.221 | 0.000 | 0.000 | -0.000 |
| 2.221 | 5.483 | 2.221 | -0.000 | -0.000 | 0.000 |
| 2.221 | 2.221 | 5.483 | 0.000 | -0.000 | 0.000 |
| -0.000 | -0.000 | -0.000 | 0.875 | 0.000 | 0.000 |
| -0.000 | -0.000 | -0.000 | 0.000 | 0.875 | 0.000 |
| -0.000 | -0.000 | -0.000 | 0.000 | -0.000 | 0.875 |
| 5.483 | 2.221 | 2.221 | -0.000 | 0.000 | 0.000 |
| 2.221 | 5.483 | 2.221 | 0.000 | 0.000 | -0.000 |
| 2.221 | 2.221 | 5.483 | -0.000 | 0.000 | -0.000 |
| 0.000 | 0.000 | 0.000 | 0.875 | -0.000 | -0.000 |
| 0.000 | 0.000 | 0.000 | -0.000 | 0.875 | -0.000 |
| 0.000 | 0.000 | 0.000 | -0.000 | 0.000 | 0.875 |
| 3.767 | 3.079 | 3.079 | 0.000 | -0.000 | -0.000 |
| 3.079 | 3.767 | 3.079 | 0.000 | -0.000 | 0.000 |
| 3.079 | 3.079 | 3.767 | 0.000 | -0.000 | -0.000 |
| -0.000 | -0.000 | -0.000 | 0.081 | -0.000 | -0.000 |
| -0.000 | -0.000 | -0.000 | -0.000 | 0.081 | -0.000 |
| -0.000 | -0.000 | -0.000 | -0.000 | -0.000 | 0.081 |
| 3.767 | 3.079 | 3.079 | 0.000 | 0.000 | 0.000 |
| 3.079 | 3.767 | 3.079 | -0.000 | 0.000 | 0.000 |
| 3.079 | 3.079 | 3.767 | 0.000 | 0.000 | 0.000 |
| 0.000 | 0.000 | 0.000 | 0.081 | -0.000 | 0.000 |
| 0.000 | 0.000 | 0.000 | 0.000 | 0.081 | -0.000 |
| 0.000 | 0.000 | 0.000 | 0.000 | 0.000 | 0.081 |
| 98.167 | 87.359 | 87.359 | 0.000 | -0.000 | -0.000 |
| 87.359 | 98.167 | 87.359 | 0.000 | -0.000 | -0.000 |
| 87.359 | 87.359 | 98.167 | 0.000 | 0.000 | -0.000 |
| -0.000 | -0.000 | 0.000 | 49.893 | -0.000 | -0.000 |
| -0.000 | -0.000 | 0.000 | -0.000 | 49.893 | -0.000 |
| -0.000 | -0.000 | 0.000 | -0.000 | -0.000 | 49.893 |
| 98.167 | 87.359 | 87.359 | -0.000 | -0.000 | 0.000 |
| 87.359 | 98.167 | 87.359 | -0.000 | 0.000 | 0.000 |
| 87.359 | 87.359 | 98.167 | 0.000 | 0.000 | 0.000 |
| 0.000 | 0.000 | -0.000 | 49.893 | 0.000 | 0.000 |
| 0.000 | 0.000 | -0.000 | 0.000 | 49.893 | 0.000 |
| 0.000 | 0.000 | -0.000 | 0.000 | 0.000 | 49.893 |
| 98.167 | 87.359 | 87.359 | -0.000 | -0.000 | -0.000 |
| 87.359 | 98.167 | 87.359 | -0.000 | -0.000 | -0.000 |
| 87.359 | 87.359 | 98.167 | -0.000 | -0.000 | -0.000 |
| 0.000 | 0.000 | 0.000 | 50.341 | -0.000 | -0.000 |
| 0.000 | 0.000 | 0.000 | -0.000 | 50.341 | -0.000 |
| 0.000 | 0.000 | 0.000 | -0.000 | -0.000 | 50.341 |
| 98.167 | 87.359 | 87.359 | -0.000 | 0.000 | 0.000 |
| 87.359 | 98.167 | 87.359 | -0.000 | 0.000 | 0.000 |
| 87.359 | 87.359 | 98.167 | 0.000 | 0.000 | 0.000 |
| -0.000 | 0.000 | -0.000 | 50.341 | 0.000 | 0.000 |
| -0.000 | -0.000 | -0.000 | 0.000 | 50.341 | 0.000 |
| -0.000 | -0.000 | -0.000 | 0.000 | 0.000 | 50.341 |
| 98.166 | 87.359 | 87.359 | 0.000 | 0.000 | -0.000 |
| 87.359 | 98.166 | 87.359 | -0.000 | 0.000 | -0.000 |
| 87.359 | 87.359 | 98.166 | -0.000 | -0.000 | -0.000 |
| 0.000 | -0.000 | 0.000 | 49.893 | -0.000 | -0.000 |
| -0.000 | 0.000 | 0.000 | -0.000 | 49.893 | -0.000 |
| -0.000 | 0.000 | 0.000 | -0.000 | -0.000 | 49.893 |
| 98.167 | 87.359 | 87.359 | 0.000 | 0.000 | 0.000 |
| 87.359 | 98.167 | 87.359 | 0.000 | -0.000 | 0.000 |
| 87.359 | 87.359 | 98.167 | 0.000 | 0.000 | 0.000 |
| -0.000 | 0.000 | -0.000 | 49.893 | 0.000 | 0.000 |
| 0.000 | -0.000 | -0.000 | 0.000 | 49.893 | 0.000 |
| 0.000 | -0.000 | -0.000 | 0.000 | 0.000 | 49.893 |
| 120.842 | 66.588 | 66.588 | -0.000 | 0.000 | 0.000 |
| 66.588 | 120.842 | 66.588 | -0.000 | 0.000 | -0.000 |
| 66.588 | 66.588 | 120.842 | -0.000 | 0.000 | -0.000 |
| 0.000 | 0.000 | 0.000 | 26.511 | 0.000 | -0.000 |
| 0.000 | 0.000 | 0.000 | -0.000 | 26.511 | -0.000 |
| 0.000 | 0.000 | 0.000 | -0.000 | 0.000 | 26.511 |
| 120.842 | 66.588 | 66.588 | 0.000 | -0.000 | -0.000 |
| 66.588 | 120.842 | 66.588 | -0.000 | -0.000 | -0.000 |
| 66.588 | 66.588 | 120.842 | 0.000 | -0.000 | 0.000 |
| -0.000 | -0.000 | -0.000 | 26.511 | 0.000 | 0.000 |
| -0.000 | -0.000 | -0.000 | 0.000 | 26.511 | 0.000 |
| -0.000 | -0.000 | -0.000 | -0.000 | -0.000 | 26.511 |
| 120.842 | 66.588 | 66.588 | -0.000 | 0.000 | -0.000 |
| 66.588 | 120.842 | 66.588 | -0.000 | 0.000 | -0.000 |
| 66.588 | 66.588 | 120.842 | -0.000 | -0.000 | -0.000 |
| 0.000 | 0.000 | 0.000 | 26.511 | 0.000 | -0.000 |
| 0.000 | 0.000 | 0.000 | -0.000 | 26.511 | 0.000 |
| 0.000 | 0.000 | 0.000 | -0.000 | 0.000 | 26.511 |
| 120.842 | 66.588 | 66.588 | 0.000 | -0.000 | 0.000 |
| 66.588 | 120.842 | 66.588 | 0.000 | -0.000 | 0.000 |
| 66.588 | 66.588 | 120.842 | 0.000 | 0.000 | 0.000 |
| -0.000 | -0.000 | -0.000 | 26.511 | 0.000 | 0.000 |
| -0.000 | -0.000 | -0.000 | 0.000 | 26.511 | 0.000 |
| -0.000 | -0.000 | -0.000 | 0.000 | -0.000 | 26.511 |
| 120.842 | 66.588 | 66.588 | -0.000 | -0.000 | -0.000 |
| 66.588 | 120.842 | 66.588 | -0.000 | -0.000 | -0.000 |
| 66.588 | 66.588 | 120.842 | 0.000 | 0.000 | -0.000 |
| 0.000 | 0.000 | 0.000 | 26.511 | -0.000 | 0.000 |
| 0.000 | 0.000 | 0.000 | -0.000 | 26.511 | -0.000 |
| 0.000 | 0.000 | 0.000 | -0.000 | 0.000 | 26.511 |
| 120.842 | 66.588 | 66.588 | 0.000 | -0.000 | 0.000 |
| 66.588 | 120.842 | 66.588 | 0.000 | -0.000 | 0.000 |
| 66.588 | 66.588 | 120.842 | -0.000 | -0.000 | 0.000 |
| -0.000 | -0.000 | -0.000 | 26.511 | 0.000 | 0.000 |
| -0.000 | -0.000 | -0.000 | 0.000 | 26.511 | -0.000 |
| -0.000 | -0.000 | -0.000 | 0.000 | 0.000 | 26.511 |
| 130.396 | 70.186 | 35.227 | -0.000 | 0.000 | 0.000 |
| 70.186 | 130.396 | 35.227 | -0.000 | 0.000 | 0.000 |
| 34.843 | 34.843 | -16.942 | 0.000 | 0.000 | 0.000 |
| -0.138 | -0.138 | 0.324 | -9.117 | 0.000 | 0.000 |
| -0.138 | -0.138 | 0.324 | -0.000 | -9.117 | 0.000 |
| 0.000 | 0.000 | 0.000 | -0.000 | 0.000 | 30.105 |
| 129.451 | 70.683 | 35.755 | 0.000 | 0.000 | -0.000 |
| 71.396 | 128.704 | 35.795 | 0.000 | -0.000 | -0.000 |
| 35.337 | 35.337 | -18.107 | 0.000 | 0.000 | -0.000 |
| 0.138 | 0.138 | -0.324 | -9.117 | -0.000 | -0.000 |
| 0.138 | 0.138 | -0.324 | 0.000 | -9.117 | -0.000 |
| -0.000 | -0.000 | -0.000 | 0.000 | -0.000 | 30.105 |
| 130.396 | 70.186 | 35.227 | -0.000 | 0.000 | 0.000 |
| 70.186 | 130.396 | 35.227 | 0.000 | 0.000 | 0.000 |
| 34.843 | 34.843 | -16.942 | 0.000 | 0.000 | 0.000 |
| 0.000 | 0.000 | -0.000 | -5.792 | -0.000 | 0.000 |
| 0.000 | 0.000 | -0.000 | -0.000 | -5.792 | 0.000 |
| 0.000 | 0.000 | -0.000 | -0.000 | -0.000 | 30.105 |
| 130.396 | 70.186 | 35.227 | 0.000 | -0.000 | -0.000 |
| 70.614 | 129.439 | 35.850 | 0.000 | -0.000 | -0.000 |
| 34.843 | 34.843 | -16.942 | 0.000 | -0.000 | -0.000 |
| -0.000 | -0.000 | 0.000 | -5.792 | 0.000 | -0.000 |
| -0.000 | -0.000 | 0.000 | 0.000 | -5.792 | -0.000 |
| -0.000 | -0.000 | 0.000 | 0.000 | -0.000 | 30.105 |
| 130.397 | 70.186 | 35.227 | 0.000 | -0.000 | 0.000 |
| 70.186 | 130.397 | 35.227 | -0.000 | 0.000 | 0.000 |
| 35.297 | 35.297 | -18.015 | -0.000 | 0.000 | 0.000 |
| 0.000 | 0.000 | -0.000 | -5.792 | -0.000 | 0.000 |
| -0.001 | -0.001 | 0.003 | -0.000 | -9.188 | 0.000 |
| 0.000 | 0.000 | -0.000 | -0.000 | 0.000 | 30.105 |
| 130.395 | 70.185 | 35.227 | 0.000 | 0.000 | -0.000 |
| 70.185 | 130.395 | 35.227 | 0.000 | -0.000 | -0.000 |
| 34.843 | 34.843 | -16.940 | 0.000 | -0.000 | -0.000 |
| -0.000 | -0.000 | 0.000 | -5.792 | -0.000 | -0.000 |
| 0.001 | 0.001 | -0.003 | 0.000 | -9.188 | -0.000 |
| -0.000 | -0.000 | 0.000 | 0.000 | -0.000 | 30.105 |
| 127.323 | 71.594 | 49.493 | 0.000 | 0.000 | -0.000 |
| 70.781 | 128.310 | 49.326 | -0.000 | -0.000 | -0.000 |
| 48.440 | 48.440 | 54.884 | 0.000 | -0.000 | -0.000 |
| -0.000 | 0.000 | 0.000 | 7.011 | 0.000 | -0.000 |
| -0.147 | -0.147 | 0.283 | 0.000 | 4.261 | -0.000 |
| -0.083 | -0.083 | 0.160 | -0.000 | -0.000 | 28.602 |
| 128.366 | 70.941 | 49.117 | 0.000 | 0.000 | 0.000 |
| 70.577 | 129.432 | 48.440 | 0.000 | 0.000 | 0.000 |
| 49.098 | 49.098 | 53.615 | -0.000 | 0.000 | 0.000 |
| 0.000 | 0.000 | -0.000 | 7.011 | -0.000 | 0.000 |
| 0.147 | 0.147 | -0.283 | -0.000 | 4.261 | 0.000 |
| 0.083 | 0.083 | -0.160 | -0.000 | 0.000 | 28.602 |
| 128.336 | 70.850 | 49.234 | -0.000 | -0.000 | -0.000 |
| 70.850 | 128.336 | 49.234 | -0.000 | -0.000 | -0.000 |
| 49.039 | 49.039 | 53.729 | 0.000 | -0.000 | -0.000 |
| 0.000 | 0.000 | 0.000 | 7.011 | 0.000 | -0.000 |
| -0.015 | -0.015 | 0.029 | 0.000 | 4.217 | -0.000 |
| -0.008 | -0.008 | 0.016 | -0.000 | -0.000 | 28.594 |
| 127.088 | 72.317 | 49.023 | -0.000 | -0.000 | 0.000 |
| 70.577 | 129.432 | 48.440 | 0.000 | 0.000 | 0.000 |
| 48.440 | 48.440 | 54.884 | 0.000 | 0.000 | 0.000 |
| -0.000 | -0.000 | -0.000 | 7.011 | -0.000 | 0.000 |
| 0.015 | 0.015 | -0.029 | -0.000 | 4.217 | 0.000 |
| 0.008 | 0.008 | -0.016 | 0.000 | 0.000 | 28.594 |
| 127.084 | 72.311 | 49.034 | 0.000 | 0.000 | -0.000 |
| 70.577 | 129.433 | 48.440 | -0.000 | -0.000 | -0.000 |
| 49.044 | 49.044 | 53.722 | 0.000 | 0.000 | -0.000 |
| 0.000 | 0.000 | 0.000 | 7.011 | 0.000 | -0.000 |
| 0.000 | 0.000 | 0.000 | 0.000 | 7.011 | -0.000 |
| 0.002 | 0.002 | -0.004 | 0.000 | 0.000 | 27.365 |
| 128.338 | 70.858 | 49.223 | 0.000 | 0.000 | 0.000 |
| 70.576 | 129.431 | 48.440 | 0.000 | 0.000 | 0.000 |
| 49.044 | 49.044 | 53.714 | -0.000 | 0.000 | 0.000 |
| -0.000 | -0.000 | -0.000 | 7.011 | -0.000 | 0.000 |
| -0.000 | -0.000 | -0.000 | -0.000 | 7.011 | 0.000 |
| -0.002 | -0.002 | 0.004 | -0.000 | 0.000 | 27.365 |
| 110.420 | 69.800 | 60.456 | 0.000 | 0.000 | -0.000 |
| 69.800 | 110.420 | 60.456 | 0.000 | -0.000 | -0.000 |
| 60.456 | 60.456 | 140.027 | 0.000 | 0.000 | -0.000 |
| -0.000 | -0.000 | -0.000 | 22.504 | 0.000 | -0.000 |
| -0.000 | -0.000 | -0.000 | 0.000 | 22.504 | -0.000 |
| 0.000 | -0.000 | 0.000 | 0.000 | 0.000 | 28.543 |
| 108.325 | 71.895 | 60.456 | -0.000 | -0.000 | 0.000 |
| 71.895 | 108.325 | 60.456 | -0.000 | -0.000 | 0.000 |
| 60.456 | 60.456 | 140.027 | -0.000 | -0.000 | 0.000 |
| 0.000 | 0.000 | 0.000 | 22.504 | -0.000 | 0.000 |
| 0.000 | 0.000 | 0.000 | -0.000 | 22.504 | 0.000 |
| -0.000 | 0.000 | -0.000 | -0.000 | -0.000 | 28.543 |
| 108.325 | 71.895 | 60.456 | 0.000 | 0.000 | -0.000 |
| 71.895 | 108.325 | 60.456 | 0.000 | 0.000 | -0.000 |
| 60.456 | 60.456 | 140.027 | 0.000 | 0.000 | -0.000 |
| 0.000 | -0.000 | -0.000 | 20.315 | 0.000 | -0.000 |
| -0.000 | 0.000 | -0.000 | 0.000 | 20.315 | -0.000 |
| 0.000 | 0.000 | 0.000 | 0.000 | 0.000 | 28.543 |
| 108.325 | 71.895 | 60.456 | -0.000 | -0.000 | 0.000 |
| 71.895 | 108.325 | 60.456 | -0.000 | -0.000 | 0.000 |
| 60.456 | 60.456 | 140.027 | -0.000 | -0.000 | 0.000 |
| -0.000 | 0.000 | 0.000 | 20.315 | -0.000 | 0.000 |
| 0.000 | -0.000 | 0.000 | -0.000 | 20.315 | 0.000 |
| -0.000 | -0.000 | -0.000 | -0.000 | -0.000 | 28.543 |
| 108.325 | 71.895 | 60.457 | 0.000 | 0.000 | -0.000 |
| 71.895 | 108.325 | 60.457 | 0.000 | 0.000 | -0.000 |
| 60.457 | 60.457 | 140.026 | 0.000 | 0.000 | -0.000 |
| 0.000 | -0.000 | -0.000 | 20.315 | 0.000 | -0.000 |
| -0.000 | 0.000 | -0.000 | 0.000 | 20.315 | -0.000 |
| 0.000 | 0.000 | 0.000 | 0.000 | 0.000 | 28.543 |
| 110.420 | 69.800 | 60.456 | -0.000 | -0.000 | 0.000 |
| 69.800 | 110.420 | 60.456 | -0.000 | -0.000 | 0.000 |
| 60.456 | 60.456 | 140.027 | -0.000 | 0.000 | 0.000 |
| -0.000 | 0.000 | 0.000 | 20.315 | -0.000 | 0.000 |
| 0.000 | -0.000 | 0.000 | -0.000 | 20.315 | 0.000 |
| -0.000 | -0.000 | -0.000 | -0.000 | -0.000 | 28.543 |
| 69.013 | 49.122 | 44.591 | 0.000 | 0.000 | -0.000 |
| 49.122 | 69.013 | 44.591 | -0.000 | 0.000 | -0.000 |
| 32.993 | 32.993 | 126.914 | -0.000 | 0.000 | -0.000 |
| -12.663 | -12.663 | 56.921 | 20.836 | 0.000 | -0.000 |
| -12.663 | -12.663 | 56.921 | -0.000 | 20.836 | -0.000 |
| 53.868 | 53.868 | 71.236 | -0.000 | 0.000 | 18.535 |
| 69.013 | 49.122 | 44.591 | 0.000 | -0.000 | 0.000 |
| 49.122 | 69.013 | 44.591 | -0.000 | 0.000 | 0.000 |
| 58.319 | 58.319 | 13.067 | -0.000 | 0.000 | 0.000 |
| 12.663 | 12.663 | -56.921 | 20.836 | -0.000 | 0.000 |
| 12.663 | 12.663 | -56.921 | 0.000 | 20.836 | 0.000 |
| -53.868 | -53.868 | -71.236 | 0.000 | -0.000 | 18.535 |
| 61.085 | 52.531 | 50.494 | -0.000 | -0.000 | -0.000 |
| 52.531 | 61.085 | 50.494 | -0.000 | 0.000 | -0.000 |
| 50.279 | 50.279 | 70.528 | -0.000 | 0.000 | -0.000 |
| -0.000 | -0.000 | -0.000 | 22.852 | 0.000 | -0.000 |
| -0.000 | -0.000 | -0.000 | -0.000 | 22.852 | -0.000 |
| -0.000 | -0.000 | -0.000 | -0.000 | 0.000 | 27.749 |
| 55.892 | 49.085 | 37.375 | 0.000 | -0.000 | 0.000 |
| 49.085 | 55.892 | 37.375 | -0.000 | -0.000 | 0.000 |
| 46.927 | 46.927 | 64.250 | 0.000 | -0.000 | 0.000 |
| 0.000 | 0.000 | 0.000 | 22.852 | -0.000 | 0.000 |
| 0.000 | 0.000 | 0.000 | 0.000 | 22.852 | 0.000 |
| 0.000 | 0.000 | 0.000 | 0.000 | -0.000 | 27.749 |
| 69.014 | 49.122 | 44.591 | -0.000 | -0.000 | -0.000 |
| 49.122 | 69.014 | 44.591 | -0.000 | 0.000 | -0.000 |
| 45.560 | 45.560 | 69.113 | 0.000 | 0.000 | -0.000 |
| -402113.391 | 402364.639 | 142836.829 | -1189016.689 | -0.001 | 0.001 |
| 402364.635 | -402113.388 | 142836.837 | -0.001 | -1189016.695 | 0.000 |
| -0.163 | -0.163 | 0.730 | -0.000 | 0.000 | 21.613 |
| 61.733 | 54.447 | 44.257 | -0.000 | 0.000 | 0.000 |
| 54.447 | 61.733 | 44.257 | 0.000 | -0.000 | 0.000 |
| 45.388 | 45.388 | 76.717 | 0.000 | -0.000 | 0.000 |
| 402113.364 | -402364.610 | -142836.895 | -1189016.732 | 0.001 | 0.001 |
| -402364.595 | 402113.350 | -142836.928 | 0.001 | -1189016.753 | 0.000 |
| 0.163 | 0.163 | -0.730 | -0.000 | -0.000 | 21.613 |
| 148.020 | 64.149 | 54.858 | 0.000 | -0.000 | 0.000 |
| -13.538 | 67.527 | 28.682 | 0.000 | -0.000 | 0.000 |
| 54.858 | 54.858 | 178.018 | 0.000 | 0.000 | -0.000 |
| 0.000 | -0.000 | -0.000 | 37.204 | 0.000 | 0.000 |
| -0.000 | -0.000 | -0.000 | -0.000 | 37.204 | 0.000 |
| -75.872 | -75.872 | -26.355 | -0.000 | -0.000 | 40.291 |
| 148.020 | 64.149 | 54.858 | -0.000 | 0.000 | -0.000 |
| 64.149 | 148.020 | 54.858 | -0.000 | -0.000 | -0.000 |
| 54.858 | 54.858 | 178.018 | 0.000 | -0.000 | -0.000 |
| -0.000 | 0.000 | 0.000 | 37.204 | 0.000 | -0.000 |
| 0.000 | 0.000 | 0.000 | 0.000 | 37.204 | -0.000 |
| 0.000 | 0.000 | -0.000 | -0.000 | 0.000 | 41.935 |
| 136.662 | 55.588 | 52.295 | 0.000 | -0.000 | 0.000 |
| 56.098 | 136.703 | 52.385 | -0.000 | -0.000 | 0.000 |
| 47.491 | 47.491 | 173.844 | -0.000 | -0.000 | 0.000 |
| -0.000 | -0.000 | -0.000 | 37.204 | 0.000 | 0.000 |
| -0.000 | -0.000 | -0.000 | -0.000 | 37.204 | 0.000 |
| -0.000 | -0.000 | -0.000 | 0.000 | -0.000 | 41.935 |
| 151.799 | 71.215 | 57.638 | 0.000 | -0.000 | -0.000 |
| 64.149 | 148.020 | 54.858 | -0.000 | 0.000 | 0.000 |
| 54.858 | 54.858 | 178.018 | -0.000 | -0.000 | -0.000 |
| 0.000 | 0.000 | 0.000 | 37.204 | -0.000 | -0.000 |
| 0.000 | 0.000 | 0.000 | 0.000 | 37.204 | -0.000 |
| 7.543 | 7.543 | 2.620 | 0.000 | 0.000 | 40.301 |
| 143.696 | 62.940 | 54.747 | -0.000 | 0.000 | 0.000 |
| 62.940 | 143.696 | 54.747 | -0.000 | -0.000 | 0.000 |
| 54.858 | 54.858 | 178.016 | -0.000 | -0.000 | 0.000 |
| -0.000 | -0.000 | -0.000 | 37.204 | 0.000 | 0.000 |
| -0.000 | -0.000 | -0.000 | 0.000 | 37.204 | 0.000 |
| -0.645 | -0.645 | -0.224 | 0.000 | -0.000 | 40.538 |
| 145.238 | 64.369 | 55.232 | 0.000 | 0.000 | -0.000 |
| 64.149 | 148.021 | 54.858 | -0.000 | 0.000 | 0.000 |
| 55.558 | 55.558 | 177.001 | 0.000 | 0.000 | -0.000 |
| 0.000 | 0.000 | 0.000 | 37.204 | 0.000 | -0.000 |
| 0.000 | 0.000 | 0.000 | -0.000 | 37.204 | -0.000 |
| 0.645 | 0.645 | 0.224 | 0.000 | 0.000 | 40.538 |
| 129.606 | 50.492 | 47.497 | -0.000 | -0.000 | 0.000 |
| 50.651 | 127.496 | -111.277 | -0.000 | 0.000 | 0.000 |
| 47.497 | 47.497 | 176.682 | -0.000 | 0.000 | 0.000 |
| -18.050 | -18.050 | -163.339 | 36.134 | 0.000 | 0.000 |
| -18.050 | -18.050 | -163.339 | 0.000 | 36.134 | 0.000 |
| -18.050 | -18.050 | -163.338 | -0.000 | 0.000 | 38.523 |
| 129.606 | 50.492 | 47.497 | 0.000 | 0.000 | -0.000 |
| 67.348 | 144.388 | 209.897 | 0.000 | -0.000 | -0.000 |
| 44.846 | 44.846 | 331.547 | 0.000 | 0.000 | -0.000 |
| 18.050 | 18.050 | 163.339 | 36.134 | 0.000 | -0.000 |
| 18.050 | 18.050 | 163.339 | -0.000 | 36.134 | -0.000 |
| 0.000 | 0.000 | 0.000 | 0.000 | 0.000 | 39.557 |
| 124.615 | 47.521 | 30.228 | -0.000 | -0.000 | -0.000 |
| 49.452 | 126.286 | 30.310 | -0.000 | -0.000 | -0.000 |
| 47.497 | 47.497 | 176.681 | 0.000 | -0.000 | 0.000 |
| -1.806 | -1.806 | -16.346 | 36.133 | 0.000 | 0.000 |
| -1.806 | -1.806 | -16.346 | -0.000 | 36.133 | 0.000 |
| -0.000 | -0.000 | -0.000 | -0.000 | -0.000 | 39.557 |
| 126.008 | 49.363 | 61.893 | 0.000 | 0.000 | 0.000 |
| 49.472 | 126.047 | 61.948 | 0.000 | 0.000 | 0.000 |
| 47.497 | 47.497 | 176.682 | 0.000 | -0.000 | -0.000 |
| 1.806 | 1.806 | 16.346 | 36.133 | 0.000 | -0.000 |
| 1.806 | 1.806 | 16.346 | -0.000 | 36.133 | -0.000 |
| 0.000 | 0.000 | 0.000 | 0.000 | 0.000 | 39.557 |
| 125.950 | 49.261 | 44.357 | -0.000 | -0.000 | -0.000 |
| 50.492 | 129.605 | 47.497 | -0.000 | -0.000 | 0.000 |
| 47.497 | 47.497 | 176.680 | 0.000 | -0.000 | 0.000 |
| -0.188 | -0.188 | -1.702 | 36.079 | 0.000 | -0.000 |
| -0.188 | -0.188 | -1.702 | -0.000 | 36.079 | 0.000 |
| -0.000 | -0.000 | -0.000 | -0.000 | -0.000 | 39.557 |
| 125.827 | 49.233 | 47.561 | 0.000 | -0.000 | 0.000 |
| 49.326 | 126.156 | 47.816 | 0.000 | -0.000 | 0.000 |
| 46.117 | 46.117 | 175.664 | 0.000 | -0.000 | -0.000 |
| 0.188 | 0.188 | 1.702 | 36.079 | 0.000 | 0.000 |
| 0.188 | 0.188 | 1.702 | -0.000 | 36.079 | -0.000 |
| -0.018 | -0.018 | 1.621 | 0.000 | 0.000 | 38.385 |
| 307.344 | 264.002 | 264.002 | 0.000 | 0.000 | 0.000 |
| 264.002 | 307.344 | 264.002 | 0.000 | 0.000 | 0.000 |
| 264.002 | 264.002 | 307.344 | -0.000 | -0.000 | 0.000 |
| 0.000 | -0.000 | -0.000 | 26.821 | 0.000 | -0.000 |
| 0.000 | -0.000 | -0.000 | 0.000 | 26.821 | 0.000 |
| 0.000 | -0.000 | -0.000 | -0.000 | -0.000 | 26.821 |
| -105.911 | -149.252 | -149.252 | -0.000 | 0.000 | -0.000 |
| -149.252 | -105.911 | -149.252 | 0.000 | -0.000 | 0.000 |
| -149.252 | -149.252 | -105.911 | -0.000 | -0.000 | -0.000 |
| -0.000 | 0.000 | 0.000 | 26.821 | 0.000 | -0.000 |
| -0.000 | 0.000 | 0.000 | -0.000 | 26.821 | -0.000 |
| -0.000 | 0.000 | 0.000 | 0.000 | 0.000 | 26.821 |
| 105.044 | 57.651 | 57.651 | 0.000 | -0.000 | -0.000 |
| 57.651 | 105.044 | 57.651 | -0.000 | -0.000 | 0.000 |
| 57.651 | 57.651 | 105.044 | 0.000 | 0.000 | 0.000 |
| 20.664 | 20.664 | 20.664 | 25.883 | 0.000 | -0.000 |
| 20.664 | 20.664 | 20.664 | -0.000 | 25.883 | 0.000 |
| 20.664 | 20.664 | 20.664 | 0.000 | -0.000 | 25.883 |
| 80.038 | 36.706 | 36.706 | 0.000 | 0.000 | -0.000 |
| 36.706 | 80.038 | 36.706 | 0.000 | -0.000 | -0.000 |
| 36.706 | 36.706 | 80.038 | 0.000 | 0.000 | -0.000 |
| -20.664 | -20.664 | -20.664 | 25.883 | -0.000 | -0.000 |
| -20.664 | -20.664 | -20.664 | 0.000 | 25.883 | -0.000 |
| -20.664 | -20.664 | -20.664 | 0.000 | -0.000 | 25.883 |
| 105.044 | 57.651 | 57.651 | -0.000 | -0.000 | 0.000 |
| 57.651 | 105.044 | 57.651 | 0.000 | -0.000 | 0.000 |
| 57.651 | 57.651 | 105.044 | 0.000 | 0.000 | 0.000 |
| 2.077 | 2.077 | 2.077 | 25.878 | 0.000 | -0.000 |
| 2.077 | 2.077 | 2.077 | 0.000 | 25.878 | -0.000 |
| 2.077 | 2.077 | 2.077 | 0.000 | -0.000 | 25.878 |
| 105.045 | 57.651 | 57.651 | 0.000 | 0.000 | -0.000 |
| 57.651 | 105.045 | 57.651 | 0.000 | -0.000 | -0.000 |
| 57.651 | 57.651 | 105.045 | 0.000 | -0.000 | -0.000 |
| -2.077 | -2.077 | -2.077 | 25.878 | -0.000 | 0.000 |
| -2.077 | -2.077 | -2.077 | -0.000 | 25.878 | -0.000 |
| -2.077 | -2.077 | -2.077 | -0.000 | -0.000 | 25.878 |
| 1137.434 | 1095.564 | 1095.564 | 0.000 | 0.000 | -0.000 |
| 1095.564 | 1137.434 | 1095.564 | 0.000 | 0.000 | -0.000 |
| 1095.564 | 1095.564 | 1137.434 | 0.000 | 0.000 | -0.000 |
| 0.000 | -0.000 | -0.000 | 27.117 | -0.000 | -0.000 |
| -0.000 | -0.000 | -0.000 | 0.000 | 27.117 | -0.000 |
| -0.000 | -0.000 | -0.000 | 0.000 | 0.000 | 27.117 |
| -941.226 | -983.086 | -983.086 | -0.000 | -0.000 | 0.000 |
| -983.086 | -941.226 | -983.086 | -0.000 | -0.000 | 0.000 |
| -983.086 | -983.086 | -941.226 | -0.000 | 0.000 | 0.000 |
| -0.000 | 0.000 | 0.000 | 27.117 | 0.000 | 0.000 |
| 0.000 | 0.000 | 0.000 | -0.000 | 27.117 | 0.000 |
| 0.000 | 0.000 | 0.000 | -0.000 | -0.000 | 27.117 |
| 286.408 | 248.075 | 248.075 | -0.000 | 0.000 | -0.000 |
| 248.075 | 286.408 | 248.075 | 0.000 | -0.000 | -0.000 |
| 248.075 | 248.075 | 286.408 | 0.000 | 0.000 | -0.000 |
| -0.000 | -0.000 | -0.000 | 27.117 | 0.000 | -0.000 |
| -0.000 | -0.000 | -0.000 | 0.000 | 27.117 | -0.000 |
| -0.000 | -0.000 | -0.000 | 0.000 | 0.000 | 27.117 |
| -5.890 | -47.706 | -47.706 | -0.000 | -0.000 | 0.000 |
| -47.706 | -5.890 | -47.706 | -0.000 | -0.000 | 0.000 |
| -47.706 | -47.706 | -5.890 | -0.000 | -0.000 | 0.000 |
| 0.000 | 0.000 | 0.000 | 27.117 | -0.000 | 0.000 |
| 0.000 | 0.000 | 0.000 | -0.000 | 27.117 | 0.000 |
| 0.000 | 0.000 | 0.000 | -0.000 | -0.000 | 27.117 |
| 113.851 | 75.494 | 75.494 | -0.000 | 0.000 | -0.000 |
| 75.494 | 113.851 | 75.494 | 0.000 | 0.000 | -0.000 |
| 75.494 | 75.494 | 113.851 | 0.000 | 0.000 | -0.000 |
| 18.524 | 18.524 | 18.524 | 25.174 | 0.000 | -0.000 |
| 18.524 | 18.524 | 18.524 | 0.000 | 25.174 | -0.000 |
| 18.524 | 18.524 | 18.524 | 0.000 | 0.000 | 25.174 |
| 76.131 | 37.817 | 37.817 | 0.000 | 0.000 | 0.000 |
| 37.817 | 76.131 | 37.817 | 0.000 | -0.000 | 0.000 |
| 37.817 | 37.817 | 76.131 | -0.000 | -0.000 | 0.000 |
| -18.524 | -18.524 | -18.524 | 25.174 | -0.000 | 0.000 |
| -18.524 | -18.524 | -18.524 | -0.000 | 25.174 | 0.000 |
| -18.524 | -18.524 | -18.524 | 0.000 | -0.000 | 25.174 |
| 117.354 | 77.544 | 77.544 | -0.000 | -0.000 | 0.000 |
| 77.544 | 117.354 | 77.544 | 0.000 | 0.000 | 0.000 |
| 77.544 | 77.544 | 117.354 | 0.000 | 0.000 | 0.000 |
| 0.000 | -0.000 | -0.000 | 26.995 | 0.000 | -0.000 |
| -0.000 | -0.000 | -0.000 | 0.000 | 26.995 | 0.000 |
| -0.000 | -0.000 | -0.000 | -0.000 | 0.000 | 26.995 |
| 104.999 | 57.590 | 57.590 | 0.000 | -0.000 | -0.000 |
| 57.590 | 104.999 | 57.590 | -0.000 | -0.000 | -0.000 |
| 57.590 | 57.590 | 104.999 | -0.000 | -0.000 | -0.000 |
| -0.000 | 0.000 | 0.000 | 26.995 | -0.000 | -0.000 |
| 0.000 | 0.000 | 0.000 | -0.000 | 26.995 | -0.000 |
| 0.000 | 0.000 | 0.000 | 0.000 | -0.000 | 26.995 |
| 104.999 | 57.590 | 57.590 | -0.000 | 0.000 | 0.000 |
| 57.590 | 104.999 | 57.590 | 0.000 | 0.000 | 0.000 |
| 57.590 | 57.590 | 104.999 | 0.000 | 0.000 | 0.000 |
| -0.000 | -0.000 | -0.000 | 26.995 | 0.000 | 0.000 |
| -0.000 | -0.000 | -0.000 | 0.000 | 26.995 | 0.000 |
| -0.000 | -0.000 | -0.000 | 0.000 | 0.000 | 26.995 |
| 92.822 | 54.237 | 54.237 | 0.000 | -0.000 | -0.000 |
| 54.237 | 92.822 | 54.237 | -0.000 | -0.000 | -0.000 |
| 54.237 | 54.237 | 92.822 | 0.000 | -0.000 | -0.000 |
| 0.000 | 0.000 | 0.000 | 26.995 | -0.000 | -0.000 |
| 0.000 | 0.000 | 0.000 | -0.000 | 26.995 | -0.000 |
| 0.000 | 0.000 | 0.000 | 0.000 | -0.000 | 26.995 |
| 104.998 | 57.590 | 57.590 | -0.000 | 0.000 | 0.000 |
| 57.590 | 104.998 | 57.590 | -0.000 | 0.000 | 0.000 |
| 57.590 | 57.590 | 104.998 | 0.000 | 0.000 | 0.000 |
| -0.000 | -0.000 | -0.000 | 26.995 | 0.000 | 0.000 |
| -0.000 | -0.000 | -0.000 | -0.000 | 26.995 | 0.000 |
| -0.000 | -0.000 | -0.000 | -0.000 | 0.000 | 26.995 |
| 104.999 | 57.590 | 57.590 | -0.000 | -0.000 | -0.000 |
| 57.590 | 104.999 | 57.590 | 0.000 | -0.000 | -0.000 |
| 57.590 | 57.590 | 104.999 | 0.000 | -0.000 | -0.000 |
| 0.000 | 0.000 | 0.000 | 26.995 | -0.000 | -0.000 |
| 0.000 | 0.000 | 0.000 | -0.000 | 26.995 | -0.000 |
| 0.000 | 0.000 | 0.000 | -0.000 | -0.000 | 26.995 |
| 154.494 | 25.500 | 25.500 | -0.000 | 0.000 | 0.000 |
| 25.500 | 154.494 | 25.500 | -0.000 | -0.000 | 0.000 |
| 25.500 | 25.500 | 154.494 | -0.000 | 0.000 | 0.000 |
| -0.000 | -0.000 | 0.000 | -1.786 | -0.000 | -0.000 |
| -0.000 | 0.000 | 0.000 | -0.000 | -1.786 | 0.000 |
| -0.000 | 0.000 | 0.000 | -0.000 | -0.000 | -1.786 |
| 154.494 | 25.500 | 25.500 | 0.000 | 0.000 | 0.000 |
| 25.500 | 154.494 | 25.500 | 0.000 | 0.000 | 0.000 |
| 25.500 | 25.500 | 154.494 | 0.000 | 0.000 | 0.000 |
| 0.000 | -0.000 | -0.000 | -1.786 | 0.000 | 0.000 |
| 0.000 | -0.000 | -0.000 | 0.000 | -1.786 | 0.000 |
| 0.000 | -0.000 | -0.000 | 0.000 | 0.000 | -1.786 |
| 154.494 | 25.500 | 25.500 | -0.000 | -0.000 | -0.000 |
| 25.500 | 154.494 | 25.500 | -0.000 | 0.000 | 0.000 |
| 25.500 | 25.500 | 154.494 | -0.000 | 0.000 | -0.000 |
| 0.000 | 0.000 | -0.000 | -1.786 | -0.000 | -0.000 |
| 0.000 | 0.000 | -0.000 | -0.000 | -1.786 | -0.000 |
| 0.000 | -0.000 | 0.000 | -0.000 | -0.000 | -1.786 |
| 154.494 | 25.500 | 25.500 | -0.000 | 0.000 | -0.000 |
| 25.500 | 154.494 | 25.500 | 0.000 | 0.000 | 0.000 |
| 25.500 | 25.500 | 154.494 | 0.000 | -0.000 | 0.000 |
| -0.000 | -0.000 | 0.000 | -1.786 | 0.000 | 0.000 |
| -0.000 | -0.000 | 0.000 | 0.000 | -1.786 | -0.000 |
| -0.000 | 0.000 | -0.000 | 0.000 | 0.000 | -1.786 |
| 154.494 | 25.500 | 25.500 | -0.000 | 0.000 | -0.000 |
| 25.500 | 154.494 | 25.500 | -0.000 | 0.000 | -0.000 |
| 25.500 | 25.500 | 154.494 | -0.000 | 0.000 | 0.000 |
| 0.000 | 0.000 | -0.000 | -1.786 | 0.000 | 0.000 |
| 0.000 | 0.000 | -0.000 | -0.000 | -1.786 | 0.000 |
| 0.000 | -0.000 | 0.000 | -0.000 | -0.000 | -1.786 |
| 154.494 | 25.500 | 25.500 | 0.000 | -0.000 | 0.000 |
| 25.500 | 154.494 | 25.500 | 0.000 | 0.000 | -0.000 |
| 25.500 | 25.500 | 154.494 | 0.000 | -0.000 | -0.000 |
| -0.000 | -0.000 | 0.000 | -1.786 | -0.000 | 0.000 |
| -0.000 | -0.000 | 0.000 | 0.000 | -1.786 | 0.000 |
| -0.000 | 0.000 | -0.000 | 0.000 | 0.000 | -1.786 |
| 209.061 | 146.009 | 146.009 | 0.000 | -0.000 | -0.000 |
| 146.009 | 209.061 | 146.009 | 0.000 | -0.000 | -0.000 |
| 146.009 | 146.009 | 209.061 | 0.000 | -0.000 | -0.000 |
| 0.000 | 0.000 | 0.000 | 87.595 | 0.000 | -0.000 |
| 0.000 | 0.000 | 0.000 | 0.000 | 87.595 | -0.000 |
| 0.000 | 0.000 | 0.000 | 0.000 | -0.000 | 87.595 |
| 209.062 | 146.009 | 146.009 | -0.000 | 0.000 | 0.000 |
| 146.009 | 209.062 | 146.009 | -0.000 | -0.000 | 0.000 |
| 146.009 | 146.009 | 209.062 | 0.000 | 0.000 | -0.000 |
| -0.000 | -0.000 | -0.000 | 87.595 | -0.000 | 0.000 |
| -0.000 | -0.000 | -0.000 | -0.000 | 87.595 | 0.000 |
| -0.000 | -0.000 | -0.000 | -0.000 | 0.000 | 87.595 |
| 209.061 | 146.008 | 146.008 | 0.000 | -0.000 | -0.000 |
| 146.008 | 209.061 | 146.008 | 0.000 | -0.000 | -0.000 |
| 146.008 | 146.008 | 209.061 | 0.000 | -0.000 | -0.000 |
| 0.000 | 0.000 | 0.000 | 87.595 | -0.000 | -0.000 |
| 0.000 | 0.000 | 0.000 | 0.000 | 87.595 | -0.000 |
| 0.000 | 0.000 | 0.000 | 0.000 | -0.000 | 87.595 |
| 209.062 | 146.010 | 146.010 | -0.000 | 0.000 | 0.000 |
| 146.010 | 209.062 | 146.010 | -0.000 | 0.000 | 0.000 |
| 146.010 | 146.010 | 209.062 | -0.000 | -0.000 | 0.000 |
| -0.000 | -0.000 | -0.000 | 87.595 | 0.000 | -0.000 |
| -0.000 | -0.000 | -0.000 | -0.000 | 87.595 | 0.000 |
| -0.000 | -0.000 | -0.000 | -0.000 | 0.000 | 87.595 |
| 209.054 | 145.999 | 145.999 | -0.000 | 0.000 | -0.000 |
| 145.999 | 209.054 | 145.999 | 0.000 | -0.000 | -0.000 |
| 145.999 | 145.999 | 209.054 | 0.000 | -0.000 | -0.000 |
| 0.000 | 0.000 | 0.000 | 87.595 | -0.000 | -0.000 |
| 0.000 | 0.000 | 0.000 | 0.000 | 87.595 | -0.000 |
| 0.000 | 0.000 | 0.000 | 0.000 | 0.000 | 87.595 |
| 209.069 | 146.019 | 146.019 | -0.000 | -0.000 | 0.000 |
| 146.019 | 209.069 | 146.019 | -0.000 | 0.000 | 0.000 |
| 146.019 | 146.019 | 209.069 | -0.000 | -0.000 | 0.000 |
| -0.000 | -0.000 | -0.000 | 87.595 | 0.000 | 0.000 |
| -0.000 | -0.000 | -0.000 | 0.000 | 87.595 | 0.000 |
| -0.000 | -0.000 | -0.000 | -0.000 | 0.000 | 87.595 |
| 24.021 | 35.800 | 35.800 | -0.000 | -0.000 | -0.000 |
| 35.800 | 24.021 | 35.800 | -0.000 | 0.000 | -0.000 |
| 35.800 | 35.800 | 24.021 | -0.000 | 0.000 | -0.000 |
| 0.000 | 0.000 | 0.000 | -23.586 | 0.000 | 0.000 |
| 0.000 | 0.000 | 0.000 | -0.000 | -23.586 | -0.000 |
| 0.000 | 0.000 | 0.000 | -0.000 | 0.000 | -23.586 |
| 24.021 | 35.800 | 35.800 | 0.000 | -0.000 | 0.000 |
| 35.800 | 24.021 | 35.800 | 0.000 | 0.000 | 0.000 |
| 35.800 | 35.800 | 24.021 | 0.000 | -0.000 | 0.000 |
| -0.000 | -0.000 | -0.000 | -23.586 | 0.000 | -0.000 |
| -0.000 | -0.000 | -0.000 | 0.000 | -23.586 | -0.000 |
| -0.000 | -0.000 | -0.000 | 0.000 | -0.000 | -23.586 |
| 24.021 | 35.800 | 35.800 | 0.000 | -0.000 | -0.000 |
| 35.800 | 24.021 | 35.800 | -0.000 | 0.000 | -0.000 |
| 35.800 | 35.800 | 24.021 | 0.000 | -0.000 | 0.000 |
| 0.000 | 0.000 | 0.000 | 23.533 | 0.000 | 0.000 |
| 0.000 | 0.000 | 0.000 | 0.000 | 23.533 | 0.000 |
| 0.000 | 0.000 | 0.000 | 0.000 | 0.000 | 23.533 |
| 24.021 | 35.800 | 35.800 | 0.000 | -0.000 | 0.000 |
| 35.800 | 24.021 | 35.800 | 0.000 | -0.000 | 0.000 |
| 35.800 | 35.800 | 24.021 | -0.000 | -0.000 | -0.000 |
| -0.000 | -0.000 | -0.000 | 23.533 | -0.000 | -0.000 |
| -0.000 | -0.000 | -0.000 | -0.000 | 23.533 | -0.000 |
| -0.000 | -0.000 | -0.000 | -0.000 | -0.000 | 23.533 |
| 24.023 | 35.801 | 35.801 | -0.000 | 0.000 | 0.000 |
| 35.801 | 24.023 | 35.801 | -0.000 | 0.000 | -0.000 |
| 35.801 | 35.801 | 24.023 | -0.000 | 0.000 | 0.000 |
| 0.000 | 0.001 | 0.000 | -23.586 | 0.000 | 0.000 |
| 0.001 | 0.000 | 0.000 | -0.000 | -23.586 | 0.000 |
| 0.001 | 0.000 | 0.000 | -0.000 | 0.000 | -23.586 |
| 24.019 | 35.799 | 35.799 | 0.000 | 0.000 | 0.000 |
| 35.799 | 24.019 | 35.799 | 0.000 | 0.000 | 0.000 |
| 35.799 | 35.799 | 24.019 | 0.000 | 0.000 | -0.000 |
| -0.000 | -0.001 | -0.000 | -23.586 | 0.000 | -0.000 |
| -0.001 | -0.000 | -0.000 | 0.000 | -23.586 | -0.000 |
| -0.001 | -0.000 | -0.000 | 0.000 | -0.000 | -23.586 |
| 63.550 | 54.848 | 54.234 | -0.000 | 0.000 | 0.000 |
| 54.848 | 63.550 | 54.234 | 0.000 | 0.000 | 0.000 |
| 54.234 | 54.234 | 125.331 | -0.000 | 0.000 | 0.000 |
| 0.000 | 0.000 | 0.000 | 12.191 | 0.000 | 0.000 |
| 0.000 | 0.000 | 0.000 | 0.000 | 12.191 | 0.000 |
| 0.000 | 0.000 | 0.000 | 0.000 | 0.000 | 1.404 |
| 63.550 | 54.848 | 54.234 | 0.000 | -0.000 | -0.000 |
| 54.848 | 63.550 | 54.234 | -0.000 | -0.000 | -0.000 |
| 54.234 | 54.234 | 125.331 | 0.000 | -0.000 | -0.000 |
| -0.000 | -0.000 | -0.000 | 12.191 | -0.000 | -0.000 |
| -0.000 | -0.000 | -0.000 | -0.000 | 12.191 | -0.000 |
| -0.000 | -0.000 | -0.000 | -0.000 | 0.000 | 1.404 |
| 63.550 | 54.848 | 54.234 | -0.000 | 0.000 | -0.000 |
| 54.848 | 63.550 | 54.234 | 0.000 | -0.000 | 0.000 |
| 54.234 | 54.234 | 125.331 | 0.000 | 0.000 | 0.000 |
| 0.000 | 0.000 | 0.000 | 12.191 | 0.000 | 0.000 |
| 0.000 | 0.000 | 0.000 | 0.000 | 12.191 | 0.000 |
| 0.000 | 0.000 | 0.000 | -0.000 | -0.000 | 1.404 |
| 63.549 | 54.848 | 54.234 | -0.000 | -0.000 | -0.000 |
| 54.848 | 63.549 | 54.234 | -0.000 | -0.000 | -0.000 |
| 54.234 | 54.234 | 125.331 | -0.000 | -0.000 | -0.000 |
| -0.000 | -0.000 | -0.000 | 12.191 | -0.000 | -0.000 |
| -0.000 | -0.000 | -0.000 | 0.000 | 12.191 | -0.000 |
| -0.000 | -0.000 | -0.000 | -0.000 | -0.000 | 1.404 |
| 63.553 | 54.849 | 54.235 | -0.000 | 0.000 | 0.000 |
| 54.849 | 63.553 | 54.235 | 0.000 | 0.000 | 0.000 |
| 54.234 | 54.234 | 125.332 | 0.000 | 0.000 | -0.000 |
| 0.000 | 0.000 | 0.000 | 12.191 | -0.000 | 0.000 |
| 0.000 | 0.000 | 0.000 | 0.000 | 12.191 | 0.000 |
| 0.001 | 0.001 | 0.000 | 0.000 | 0.000 | 1.404 |
| 63.547 | 54.848 | 54.233 | 0.000 | -0.000 | -0.000 |
| 54.848 | 63.547 | 54.233 | -0.000 | -0.000 | -0.000 |
| 54.234 | 54.234 | 125.331 | 0.000 | -0.000 | -0.000 |
| -0.000 | -0.000 | -0.000 | 12.191 | -0.000 | -0.000 |
| -0.000 | -0.000 | -0.000 | 0.000 | 12.191 | -0.000 |
| -0.001 | -0.001 | -0.000 | -0.000 | -0.000 | 1.404 |
| 78.291 | 41.141 | 43.414 | 2.183 | 0.000 | 0.000 |
| 41.141 | 78.291 | 43.414 | -2.183 | 0.000 | 0.000 |
| 43.415 | 43.414 | 90.980 | -0.000 | -0.000 | 0.000 |
| 2.183 | -2.183 | -0.000 | 27.096 | 0.000 | 0.000 |
| -0.000 | -0.000 | 0.000 | -0.000 | 27.096 | 2.183 |
| 0.000 | -0.000 | 0.000 | -0.000 | 2.183 | 18.575 |
| 78.291 | 41.141 | 43.414 | 2.183 | 0.000 | -0.000 |
| 41.141 | 78.291 | 43.414 | -2.183 | -0.000 | -0.000 |
| 43.414 | 43.414 | 90.980 | 0.000 | -0.000 | -0.000 |
| 2.183 | -2.183 | -0.000 | 27.096 | -0.000 | -0.000 |
| 0.000 | 0.000 | -0.000 | 0.000 | 27.096 | 2.183 |
| -0.000 | 0.000 | 0.000 | -0.000 | 2.183 | 18.575 |
| 78.291 | 41.141 | 43.414 | 2.183 | 0.000 | 0.000 |
| 41.141 | 78.291 | 43.414 | -2.183 | 0.000 | 0.000 |
| 43.415 | 43.415 | 90.980 | 0.000 | -0.000 | 0.000 |
| 2.183 | -2.183 | -0.000 | 27.096 | 0.000 | 0.000 |
| -0.000 | -0.000 | -0.000 | -0.000 | 27.096 | 2.183 |
| -0.000 | -0.000 | -0.000 | 0.000 | 2.183 | 18.575 |
| 78.291 | 41.141 | 43.415 | 2.183 | -0.000 | -0.000 |
| 41.141 | 78.291 | 43.415 | -2.183 | -0.000 | -0.000 |
| 43.414 | 43.414 | 90.980 | -0.000 | -0.000 | -0.000 |
| 2.183 | -2.183 | 0.000 | 27.096 | 0.000 | -0.000 |
| 0.000 | 0.000 | 0.000 | 0.000 | 27.096 | 2.183 |
| 0.000 | 0.000 | 0.000 | -0.000 | 2.183 | 18.575 |
| 78.291 | 41.141 | 43.414 | 2.183 | 0.000 | 0.000 |
| 41.141 | 78.291 | 43.414 | -2.183 | 0.000 | 0.000 |
| 43.415 | 43.415 | 90.980 | -0.000 | 0.000 | 0.000 |
| 2.183 | -2.183 | -0.000 | 27.096 | 0.000 | 0.000 |
| -0.000 | -0.000 | -0.000 | -0.000 | 27.096 | 2.183 |
| -0.000 | -0.000 | -0.000 | 0.000 | 2.183 | 18.575 |
| 78.292 | 41.142 | 43.415 | 2.183 | -0.000 | -0.000 |
| 41.142 | 78.292 | 43.415 | -2.183 | -0.000 | -0.000 |
| 43.414 | 43.414 | 90.980 | 0.000 | -0.000 | -0.000 |
| 2.183 | -2.182 | 0.000 | 27.096 | -0.000 | -0.000 |
| 0.000 | 0.000 | 0.000 | 0.000 | 27.096 | 2.183 |
| 0.000 | 0.000 | 0.000 | -0.000 | 2.183 | 18.575 |
| 79.627 | 42.615 | 41.505 | 0.000 | -0.000 | -0.000 |
| 42.615 | 79.627 | 41.505 | 0.000 | -0.000 | -0.000 |
| 41.505 | 41.505 | 112.578 | 0.000 | -0.000 | -0.000 |
| -0.000 | -0.000 | -0.000 | 27.905 | -0.000 | -0.000 |
| -0.000 | -0.000 | -0.000 | 0.000 | 27.905 | 0.000 |
| -0.000 | -0.000 | -0.000 | 0.000 | -0.000 | 19.609 |
| 80.730 | 41.512 | 41.505 | -0.000 | 0.000 | -0.000 |
| 42.615 | 79.627 | 41.505 | -0.000 | 0.000 | -0.000 |
| 41.505 | 41.505 | 112.578 | -0.000 | 0.000 | 0.000 |
| 0.000 | 0.000 | 0.000 | 27.905 | 0.000 | -0.000 |
| 0.000 | 0.000 | 0.000 | -0.000 | 27.905 | -0.000 |
| 0.000 | 0.000 | 0.000 | 0.000 | 0.000 | 19.609 |
| 79.627 | 42.615 | 41.505 | 0.000 | 0.000 | 0.000 |
| 41.512 | 80.730 | 41.505 | 0.000 | -0.000 | -0.000 |
| 41.505 | 41.505 | 112.578 | 0.000 | -0.000 | -0.000 |
| -0.000 | -0.000 | -0.000 | 27.905 | 0.000 | 0.000 |
| -0.000 | -0.000 | -0.000 | 0.000 | 27.905 | -0.000 |
| -0.000 | -0.000 | -0.000 | 0.000 | -0.000 | 18.506 |
| 79.627 | 42.615 | 41.505 | -0.000 | 0.000 | -0.000 |
| 41.512 | 80.730 | 41.505 | -0.000 | -0.000 | -0.000 |
| 41.505 | 41.505 | 112.578 | -0.000 | -0.000 | 0.000 |
| 0.000 | 0.000 | 0.000 | 27.905 | 0.000 | 0.000 |
| 0.000 | 0.000 | 0.000 | -0.000 | 27.905 | 0.000 |
| 0.000 | 0.000 | 0.000 | -0.000 | 0.000 | 18.506 |
| 79.626 | 42.615 | 41.504 | 0.000 | -0.000 | 0.000 |
| 41.512 | 80.729 | 41.504 | 0.000 | -0.000 | -0.000 |
| 41.505 | 41.505 | 112.579 | -0.000 | -0.000 | 0.000 |
| -0.000 | -0.000 | -0.000 | 27.905 | -0.000 | -0.000 |
| -0.000 | -0.000 | -0.000 | 0.000 | 27.905 | -0.000 |
| -0.000 | -0.000 | -0.000 | 0.000 | -0.000 | 19.609 |
| 80.731 | 41.512 | 41.505 | -0.000 | 0.000 | 0.000 |
| 41.512 | 80.731 | 41.505 | -0.000 | 0.000 | -0.000 |
| 41.505 | 41.505 | 112.578 | -0.000 | -0.000 | -0.000 |
| 0.000 | 0.000 | 0.000 | 27.905 | -0.000 | -0.000 |
| 0.000 | 0.000 | 0.000 | 0.000 | 27.905 | 0.000 |
| 0.000 | 0.000 | 0.000 | -0.000 | 0.000 | 19.609 |
| 172.402 | 44.317 | 41.791 | 0.000 | 0.000 | -0.000 |
| 44.194 | -177.675 | 38.603 | 0.000 | 0.000 | -0.000 |
| 44.267 | 37.470 | 84.545 | 0.000 | 0.000 | -0.000 |
| 1.705 | 0.092 | 2.234 | 20.184 | 0.000 | -0.000 |
| 0.265 | 0.014 | 0.348 | 0.000 | 35.311 | -0.000 |
| 1.209 | 0.065 | 1.584 | 0.000 | 0.000 | 28.239 |
| 169.603 | 44.161 | 38.120 | -0.000 | -0.000 | 0.000 |
| 43.520 | -177.640 | 37.764 | -0.000 | -0.000 | 0.000 |
| 41.849 | 37.336 | 81.373 | -0.000 | -0.000 | 0.000 |
| -1.705 | -0.092 | -2.234 | 20.184 | -0.000 | 0.000 |
| -0.265 | -0.014 | -0.348 | -0.000 | 35.311 | 0.000 |
| -1.209 | -0.065 | -1.584 | -0.000 | -0.000 | 28.239 |
| 171.114 | 44.249 | 40.104 | 0.000 | 0.000 | -0.000 |
| 43.868 | -177.629 | 38.215 | 0.000 | 0.000 | -0.000 |
| 40.165 | 38.858 | 80.181 | 0.000 | 0.000 | -0.000 |
| 0.147 | 0.017 | 0.198 | 19.322 | 0.000 | -0.000 |
| 0.026 | 0.001 | 0.034 | -0.000 | 35.336 | -0.000 |
| 0.121 | 0.007 | 0.158 | 0.000 | 0.000 | 28.239 |
| 170.835 | 44.233 | 39.739 | -0.000 | -0.000 | 0.000 |
| 43.803 | -177.625 | 38.135 | -0.000 | -0.000 | 0.000 |
| 42.938 | 37.396 | 82.801 | -0.000 | -0.000 | 0.000 |
| -0.147 | -0.017 | -0.198 | 19.322 | -0.000 | 0.000 |
| -0.026 | -0.001 | -0.034 | -0.000 | 35.336 | 0.000 |
| -0.121 | -0.007 | -0.158 | 0.000 | -0.000 | 28.239 |
| 170.982 | 44.303 | 39.967 | 0.000 | 0.000 | -0.000 |
| 44.469 | -177.662 | 38.963 | 0.000 | -0.000 | -0.000 |
| 40.033 | 38.863 | 80.016 | 0.000 | 0.000 | -0.000 |
| 0.018 | 0.001 | 0.023 | 20.097 | 0.000 | -0.000 |
| -0.001 | 0.000 | -0.001 | 0.000 | 35.336 | -0.000 |
| 0.012 | 0.001 | 0.016 | 0.000 | 0.000 | 28.239 |
| 170.957 | 44.302 | 39.939 | -0.000 | -0.000 | 0.000 |
| 44.441 | -177.655 | 38.928 | -0.000 | 0.000 | 0.000 |
| 40.014 | 38.863 | 79.991 | -0.000 | -0.000 | 0.000 |
| -0.018 | -0.001 | -0.023 | 20.097 | -0.000 | 0.000 |
| 0.001 | -0.000 | 0.001 | -0.000 | 35.336 | 0.000 |
| -0.012 | -0.001 | -0.016 | -0.000 | -0.000 | 28.239 |
| 217.736 | 36.261 | 65.578 | -0.000 | 0.000 | 0.000 |
| 35.989 | 95.692 | 42.803 | -0.000 | -0.000 | -0.000 |
| 66.017 | 42.843 | 125.943 | -0.000 | -0.000 | -0.000 |
| -0.000 | 0.000 | -0.000 | 22.142 | 0.000 | 0.000 |
| -0.000 | 0.000 | -0.000 | -0.000 | 47.092 | -0.000 |
| -0.000 | 0.000 | -0.000 | -0.000 | -0.000 | 19.305 |
| 217.736 | 36.261 | 65.578 | 0.000 | 0.000 | 0.000 |
| 35.735 | 95.936 | 42.402 | 0.000 | 0.000 | -0.000 |
| 66.017 | 42.843 | 125.943 | 0.000 | 0.000 | 0.000 |
| 0.000 | -0.000 | 0.000 | 22.142 | 0.000 | 0.000 |
| 0.000 | -0.000 | 0.000 | 0.000 | 47.092 | -0.000 |
| 0.000 | -0.000 | 0.000 | 0.000 | 0.000 | 19.305 |
| 217.736 | 36.261 | 65.578 | -0.000 | 0.000 | -0.000 |
| 36.495 | 95.532 | 43.168 | -0.000 | -0.000 | 0.000 |
| 66.512 | 42.402 | 126.678 | -0.000 | -0.000 | -0.000 |
| -0.000 | 0.000 | 0.000 | 22.142 | -0.000 | -0.000 |
| -0.000 | 0.000 | -0.000 | -0.000 | 47.092 | -0.000 |
| -0.000 | 0.000 | -0.000 | -0.000 | -0.000 | 19.305 |
| 216.654 | 36.495 | 64.940 | 0.000 | 0.000 | -0.000 |
| 35.735 | 95.936 | 42.402 | 0.000 | 0.000 | 0.000 |
| 64.940 | 43.168 | 125.185 | 0.000 | 0.000 | 0.000 |
| 0.000 | -0.000 | -0.000 | 22.142 | 0.000 | 0.000 |
| 0.000 | -0.000 | 0.000 | 0.000 | 47.092 | 0.000 |
| 0.000 | -0.000 | 0.000 | 0.000 | 0.000 | 19.305 |
| 216.651 | 36.495 | 64.939 | -0.000 | -0.000 | 0.000 |
| 36.495 | 95.534 | 43.169 | -0.000 | -0.000 | 0.000 |
| 64.940 | 43.169 | 125.185 | -0.000 | -0.000 | 0.000 |
| -0.000 | 0.001 | 0.000 | 21.941 | -0.000 | -0.000 |
| -0.001 | 0.000 | -0.000 | -0.000 | 47.062 | -0.000 |
| -0.000 | 0.000 | -0.000 | -0.000 | -0.000 | 19.305 |
| 216.656 | 36.495 | 64.940 | 0.000 | -0.000 | 0.000 |
| 36.494 | 95.530 | 43.167 | 0.000 | 0.000 | -0.000 |
| 64.940 | 43.167 | 125.185 | 0.000 | 0.000 | 0.000 |
| 0.000 | -0.001 | -0.000 | 21.941 | 0.000 | 0.000 |
| 0.001 | -0.000 | 0.000 | 0.000 | 47.062 | 0.000 |
| 0.000 | -0.000 | 0.000 | 0.000 | 0.000 | 19.305 |
| 222.905 | 29.345 | 240.998 | -0.000 | 0.000 | 0.000 |
| 156.829 | 299.362 | 180.739 | 0.000 | -0.000 | 0.000 |
| 147.750 | 210.618 | 292.528 | 0.000 | 0.000 | 0.000 |
| 101.576 | 155.231 | 124.964 | 38.443 | 0.000 | 0.000 |
| 101.576 | 155.231 | 124.964 | 0.000 | 30.835 | 0.000 |
| 101.576 | 155.232 | 124.965 | 0.000 | 0.000 | 33.337 |
| -17.641 | -100.260 | -78.764 | -0.000 | -0.000 | -0.000 |
| -46.322 | -11.081 | -69.190 | -0.000 | 0.000 | -0.000 |
| -94.838 | 81.678 | -27.914 | -0.000 | 0.000 | -0.000 |
| -101.576 | -155.231 | -124.964 | 38.443 | -0.000 | -0.000 |
| -101.576 | -155.231 | -124.964 | -0.000 | 30.835 | -0.000 |
| -101.576 | -155.232 | -124.965 | -0.000 | -0.000 | 33.337 |
| 111.890 | 32.393 | 65.731 | 0.000 | 0.000 | 0.000 |
| 65.409 | 159.564 | 68.275 | 0.000 | 0.000 | 0.000 |
| 46.368 | 55.528 | 169.272 | 0.000 | -0.000 | 0.000 |
| 10.159 | 15.525 | 12.498 | 38.443 | 0.000 | 0.000 |
| 10.158 | 15.524 | 12.497 | -0.000 | 30.835 | 0.000 |
| 17.196 | -23.239 | 19.950 | 0.000 | 0.000 | 30.193 |
| 68.222 | 58.274 | 26.053 | 0.000 | -0.000 | -0.000 |
| 45.097 | 128.711 | 43.272 | -0.000 | -0.000 | -0.000 |
| 36.020 | 39.869 | 155.068 | 0.000 | -0.000 | -0.000 |
| -10.159 | -15.525 | -12.498 | 38.443 | -0.000 | -0.000 |
| -10.158 | -15.524 | -12.497 | -0.000 | 30.835 | -0.000 |
| -17.196 | 23.239 | -19.950 | -0.000 | -0.000 | 30.193 |
| 85.931 | 55.261 | 46.368 | -0.000 | 0.000 | 0.000 |
| 56.874 | 142.799 | 57.434 | 0.000 | -0.000 | 0.000 |
| 47.168 | 56.897 | 168.864 | 0.000 | 0.000 | 0.000 |
| 1.027 | 1.569 | 1.263 | 38.432 | 0.000 | 0.000 |
| 1.018 | 1.556 | 1.253 | 0.000 | 30.835 | 0.000 |
| 1.073 | 1.640 | 1.321 | -0.000 | 0.000 | 33.162 |
| 82.814 | 53.353 | 44.900 | -0.000 | -0.000 | -0.000 |
| 54.144 | 144.141 | 53.631 | 0.000 | -0.000 | -0.000 |
| 46.368 | 55.528 | 169.274 | -0.000 | -0.000 | -0.000 |
| -1.027 | -1.569 | -1.263 | 38.432 | -0.000 | -0.000 |
| -1.018 | -1.556 | -1.253 | -0.000 | 30.835 | -0.000 |
| -1.073 | -1.640 | -1.321 | -0.000 | -0.000 | 33.162 |
| 188.696 | -176.836 | -323.758 | -0.000 | 27.619 | 0.000 |
| 76.487 | -50.236 | -162.571 | -0.000 | 29.144 | 0.000 |
| 231.645 | -166.339 | -281.609 | -0.000 | -39.056 | 0.000 |
| 182.484 | -218.236 | -414.796 | 36.322 | -40.154 | 0.496 |
| 35.094 | -214.192 | -213.740 | -0.000 | 60.329 | 0.000 |
| 34.783 | -214.875 | -214.724 | 0.435 | 28.444 | 28.969 |
| 40.986 | 256.884 | 262.794 | 0.000 | -22.199 | -0.000 |
| -141.062 | 383.451 | 466.721 | 0.000 | 40.832 | -0.000 |
| 12.983 | 266.685 | 347.328 | -0.000 | -27.398 | -0.000 |
| -182.484 | 218.236 | 414.796 | 36.322 | 40.154 | 0.496 |
| 0.072 | 0.444 | 0.369 | 0.000 | 34.205 | 0.000 |
| -34.783 | 214.875 | 214.724 | 0.435 | -28.444 | 28.969 |
| 92.703 | 21.303 | 9.109 | -0.000 | -1.345 | 0.000 |
| 61.723 | 145.049 | 11.866 | -0.000 | -2.974 | 0.000 |
| 48.256 | 51.245 | 136.285 | 0.000 | 0.369 | -0.000 |
| 11.472 | -21.873 | -37.224 | 35.592 | 2.160 | 0.470 |
| 3.792 | -20.817 | -20.500 | 0.000 | 34.727 | -0.000 |
| 3.479 | -21.491 | -21.475 | 0.435 | 2.845 | 28.969 |
| 77.920 | 41.482 | 48.325 | 0.000 | 6.466 | 0.000 |
| 38.228 | 186.106 | 73.625 | -0.000 | -2.142 | 0.000 |
| 44.294 | 73.283 | 154.103 | 0.000 | -1.804 | -0.000 |
| -11.472 | 21.873 | 37.224 | 35.592 | -2.160 | 0.470 |
| -10.968 | 22.470 | 38.325 | 0.000 | 27.913 | -0.000 |
| -3.479 | 21.491 | 21.475 | 0.435 | -2.845 | 28.969 |
| 76.155 | 39.721 | 45.790 | -0.000 | 6.549 | 0.000 |
| 43.241 | 162.869 | 47.825 | -0.000 | 0.340 | 0.000 |
| 50.874 | 49.625 | 129.056 | -0.000 | 0.831 | 0.000 |
| 2.038 | -2.037 | -4.017 | 36.147 | -0.683 | 0.484 |
| 0.072 | 0.444 | 0.369 | -0.000 | 34.205 | -0.000 |
| 0.352 | -2.178 | -2.176 | 0.436 | 0.288 | 28.955 |
| 70.232 | 43.564 | 53.235 | 0.000 | 6.136 | -0.000 |
| 39.682 | 167.330 | 56.116 | 0.000 | 1.020 | -0.000 |
| 47.485 | 53.835 | 135.124 | 0.000 | 0.690 | -0.000 |
| -2.038 | 2.037 | 4.017 | 36.147 | 0.683 | 0.484 |
| 0.072 | 0.444 | 0.370 | 0.000 | 34.205 | 0.000 |
| -0.352 | 2.178 | 2.176 | 0.436 | -0.288 | 28.955 |
| 133.642 | 49.670 | 39.188 | -0.000 | 0.000 | 0.000 |
| 50.574 | 140.363 | 60.509 | -0.000 | 0.000 | 0.000 |
| 36.966 | 61.256 | 115.195 | -0.000 | 0.000 | 0.000 |
| -0.460 | -0.702 | 0.030 | 34.583 | 0.000 | 0.000 |
| -0.000 | -0.000 | -0.000 | -0.000 | 24.834 | -0.000 |
| -0.432 | -0.659 | 0.028 | -0.000 | 0.000 | 30.957 |
| 135.173 | 50.754 | 39.960 | 0.000 | 0.000 | -0.000 |
| 51.197 | 138.628 | 61.755 | -0.000 | 0.000 | 0.000 |
| 39.489 | 63.038 | 118.650 | 0.000 | 0.000 | 0.000 |
| 0.460 | 0.702 | -0.030 | 34.583 | 0.000 | 0.000 |
| 0.000 | 0.000 | 0.000 | -0.000 | 24.834 | -0.000 |
| 0.432 | 0.659 | -0.028 | 0.000 | -0.000 | 30.957 |
| 136.844 | 50.015 | 42.140 | -0.000 | 0.000 | -0.000 |
| 50.476 | 136.447 | 62.503 | -0.000 | 0.000 | -0.000 |
| 37.892 | 62.122 | 114.928 | -0.000 | 0.000 | -0.000 |
| -0.051 | -0.078 | 0.003 | 34.011 | 0.000 | 0.000 |
| -0.000 | -0.000 | -0.000 | -0.000 | 24.834 | 0.000 |
| -0.095 | -0.148 | 0.012 | -0.000 | 0.000 | 30.184 |
| 136.845 | 50.015 | 42.140 | -0.000 | 0.000 | 0.000 |
| 50.936 | 137.707 | 62.022 | 0.000 | -0.000 | -0.000 |
| 42.510 | 60.320 | 126.657 | 0.000 | 0.000 | -0.000 |
| 0.051 | 0.078 | -0.003 | 34.011 | -0.000 | 0.000 |
| 0.000 | 0.000 | 0.000 | 0.000 | 24.834 | -0.000 |
| 0.095 | 0.148 | -0.012 | 0.000 | -0.000 | 30.184 |
| 134.264 | 50.324 | 39.354 | -0.000 | 0.000 | -0.000 |
| 50.371 | 136.464 | 62.457 | -0.000 | 0.000 | 0.000 |
| 38.416 | 62.500 | 117.489 | -0.000 | 0.000 | 0.000 |
| -0.000 | -0.000 | -0.000 | 39.531 | 0.000 | 0.000 |
| -0.000 | -0.000 | -0.000 | -0.000 | 24.834 | 0.000 |
| -0.000 | -0.000 | -0.000 | 0.000 | 0.000 | 32.365 |
| 134.288 | 50.335 | 39.368 | 0.000 | -0.000 | -0.000 |
| 50.574 | 140.364 | 60.510 | 0.000 | -0.000 | 0.000 |
| 42.510 | 60.320 | 126.657 | -0.000 | -0.000 | -0.000 |
| 0.000 | 0.000 | 0.000 | 39.531 | -0.000 | 0.000 |
| 0.000 | 0.000 | 0.000 | -0.000 | 24.834 | -0.000 |
| 0.000 | 0.000 | 0.000 | -0.000 | -0.000 | 32.365 |
| 151.517 | 51.807 | 44.391 | -0.000 | 0.000 | 0.000 |
| 24.385 | 124.296 | 34.540 | -0.000 | -0.000 | -0.000 |
| 44.391 | 60.028 | 129.113 | -0.000 | 0.000 | 0.000 |
| -99.429 | 13.242 | -159.300 | 32.672 | -0.000 | -0.000 |
| -27.845 | -9.635 | -26.657 | 0.000 | 25.816 | -0.000 |
| -0.000 | -0.000 | -0.000 | -0.000 | 0.000 | 34.247 |
| 151.517 | 51.807 | 44.391 | 0.000 | -0.000 | -0.000 |
| 148.761 | 111.266 | 193.803 | -0.000 | 0.000 | 0.000 |
| 69.364 | 70.485 | 150.305 | 0.000 | -0.000 | 0.000 |
| 99.429 | -13.242 | 159.300 | 32.672 | 0.000 | -0.000 |
| 27.845 | 9.635 | 26.657 | -0.000 | 25.816 | -0.000 |
| 0.000 | 0.000 | 0.000 | 0.000 | 0.000 | 34.247 |
| 138.215 | 53.914 | 26.707 | 0.000 | 0.000 | -0.000 |
| 51.807 | 135.866 | 60.028 | -0.000 | 0.000 | 0.000 |
| 38.075 | 60.076 | 119.727 | 0.000 | 0.000 | -0.000 |
| -2.826 | -0.978 | -2.705 | 35.292 | 0.000 | 0.000 |
| -0.000 | -0.000 | -0.000 | -0.000 | 27.442 | -0.000 |
| -0.000 | -0.000 | -0.000 | -0.000 | 0.000 | 34.247 |
| 151.517 | 51.807 | 44.391 | 0.000 | 0.000 | 0.000 |
| 51.807 | 135.866 | 60.028 | 0.000 | -0.000 | 0.000 |
| 49.080 | 59.747 | 131.628 | 0.000 | 0.000 | 0.000 |
| 2.826 | 0.978 | 2.705 | 35.292 | -0.000 | 0.000 |
| 0.000 | 0.000 | 0.000 | 0.000 | 27.442 | 0.000 |
| 0.000 | 0.000 | 0.000 | 0.000 | -0.000 | 34.247 |
| 151.515 | 51.807 | 44.391 | -0.000 | 0.000 | -0.000 |
| 51.774 | 133.816 | 60.744 | -0.000 | -0.000 | 0.000 |
| 39.336 | 61.714 | 119.135 | 0.000 | 0.000 | 0.000 |
| -0.359 | -0.125 | -0.344 | 34.164 | 0.000 | 0.000 |
| -0.000 | -0.000 | -0.000 | -0.000 | 27.442 | -0.000 |
| -0.000 | -0.000 | -0.000 | -0.000 | 0.000 | 34.247 |
| 149.948 | 52.087 | 42.606 | 0.000 | -0.000 | 0.000 |
| 51.807 | 135.867 | 60.028 | 0.000 | -0.000 | -0.000 |
| 44.391 | 60.028 | 129.114 | 0.000 | -0.000 | 0.000 |
| 0.359 | 0.125 | 0.344 | 34.164 | -0.000 | -0.000 |
| 0.000 | 0.000 | 0.000 | 0.000 | 27.442 | 0.000 |
| 0.000 | 0.000 | 0.000 | 0.000 | 0.000 | 34.247 |
| -257402.960 | -13427386.857 | -29860682.521 | -1527636.857 | 1755929.852 | 920151.970 |
| -166593.958 | -13713548.089 | -29797526.696 | -1680588.083 | 1898692.006 | 878085.767 |
| -274254.683 | -13435480.974 | -29800496.344 | -1518289.342 | 1736641.069 | 878740.179 |
| -438545.238 | -14401680.023 | -29892851.656 | -1804464.458 | 1534637.691 | 631897.195 |
| -274971.348 | -14713561.501 | -30145473.021 | -1759080.882 | 1599595.300 | 484490.869 |
| -344284.447 | -13449307.524 | -29818207.638 | -1534873.712 | 1752318.981 | 843114.792 |
| 1223349.993 | 14327621.558 | 31350398.969 | 2029082.997 | -1885187.008 | -261138.826 |
| 677953.114 | 14355798.396 | 30171743.592 | 1838911.046 | -1800752.435 | -375570.911 |
| 1406199.638 | 14392340.602 | 31508707.331 | 1897227.943 | -1811591.944 | -445590.911 |
| 269935.441 | 14184061.732 | 29992935.509 | 1633753.003 | -1830183.315 | -760101.632 |
| 1046264.544 | 14107692.838 | 30975080.366 | 1925442.411 | -2064507.692 | -479055.181 |
| 988522.930 | 14014896.191 | 31178727.901 | 1753173.669 | -2041509.863 | -380066.784 |
| -68135.441 | -1505381.581 | -2950511.627 | -195357.018 | 128602.119 | 12985.553 |
| -89158.449 | -1495993.525 | -3035583.703 | -240545.028 | 192449.985 | 22896.461 |
| -39471.014 | -1520677.348 | -3035015.943 | -173411.076 | 133905.714 | 37229.098 |
| -75006.800 | -1454610.265 | -3145457.412 | -193998.798 | 183525.808 | 29075.841 |
| -116337.791 | -1518564.597 | -3093833.049 | -225644.558 | 108720.174 | 5537.378 |
| -26054.179 | -1414697.906 | -3045923.380 | -204487.189 | 198994.123 | 93969.723 |
| 33564.867 | 1440243.197 | 3011971.322 | 148746.199 | -125658.108 | -34569.241 |
| 63780.862 | 1510374.013 | 2950311.984 | 187304.433 | -122912.113 | -15682.009 |
| 62887.278 | 1530446.060 | 2975388.960 | 187077.483 | -104932.665 | -44079.210 |
| 87367.317 | 1513704.599 | 2933200.856 | 181623.415 | -119450.657 | -33941.804 |
| 100607.765 | 1513559.398 | 2929105.905 | 177476.885 | -121219.941 | -36558.308 |
| 51772.582 | 1483568.777 | 3047622.023 | 236575.972 | -104846.404 | 28798.737 |
| -8401.557 | -140305.815 | -293989.681 | -10568.946 | 22549.419 | -7127.481 |
| -17453.437 | -147497.304 | -304114.589 | -14888.976 | 10697.697 | -122.291 |
| -21420.812 | -150487.686 | -305041.971 | -18376.913 | 1741.758 | -118.076 |
| -9025.533 | -151693.532 | -298464.007 | -18903.763 | 19849.148 | -1855.872 |
| -8064.462 | -165629.007 | -300225.073 | -21077.984 | 22222.607 | 11564.275 |
| -5547.721 | -137686.653 | -293597.855 | -5490.244 | 17234.395 | -3056.552 |
| 6315.913 | 143850.900 | 316577.271 | 23449.960 | -12597.853 | 8076.512 |
| 5237.421 | 160794.490 | 298037.415 | 16088.402 | -16435.068 | -1619.592 |
| 10243.317 | 144539.106 | 311965.962 | 17013.893 | -16391.909 | -3243.320 |
| 20597.139 | 150945.874 | 308567.748 | 17464.826 | -1654.543 | 6999.334 |
| 14015.832 | 150544.759 | 300227.956 | 14909.990 | -15430.433 | 5632.970 |
| 6055.090 | 145104.660 | 300034.572 | 21595.339 | -19385.518 | 1325.920 |
| 143.971 | 44.343 | 52.510 | -0.000 | 0.000 | -0.000 |
| 44.343 | 95.068 | 60.063 | -0.000 | 0.000 | -0.000 |
| 41.530 | 62.854 | 130.825 | -0.000 | 0.000 | -0.000 |
| -0.000 | -0.000 | -0.000 | 36.043 | 0.000 | -0.000 |
| -0.000 | -0.000 | -0.000 | -0.000 | 33.134 | -0.000 |
| -0.000 | -0.000 | -0.000 | 0.000 | 0.000 | 25.467 |
| 151.178 | 41.544 | 63.949 | 0.000 | -0.000 | 0.000 |
| 53.950 | 92.143 | 72.907 | 0.000 | -0.000 | 0.000 |
| 62.493 | 58.904 | 154.954 | 0.000 | -0.000 | 0.000 |
| 0.000 | 0.000 | 0.000 | 36.043 | -0.000 | 0.000 |
| 0.000 | 0.000 | 0.000 | -0.000 | 33.134 | 0.000 |
| 0.000 | 0.000 | 0.000 | -0.000 | -0.000 | 25.467 |
| 139.057 | 43.559 | 50.595 | 0.000 | 0.000 | -0.000 |
| 44.343 | 95.068 | 60.063 | -0.000 | 0.000 | -0.000 |
| 52.510 | 60.063 | 146.756 | -0.000 | 0.000 | -0.000 |
| -0.000 | -0.000 | -0.000 | 36.043 | 0.000 | 0.000 |
| -0.000 | -0.000 | -0.000 | -0.000 | 33.134 | -0.000 |
| -0.000 | -0.000 | -0.000 | 0.000 | 0.000 | 25.467 |
| 143.971 | 44.343 | 52.510 | 0.000 | -0.000 | 0.000 |
| 44.522 | 93.915 | 62.072 | 0.000 | 0.000 | 0.000 |
| 62.638 | 61.406 | 147.252 | -0.000 | 0.000 | 0.000 |
| 0.000 | 0.000 | 0.000 | 36.043 | -0.000 | 0.000 |
| 0.000 | 0.000 | 0.000 | 0.000 | 33.134 | 0.000 |
| 0.000 | 0.000 | 0.000 | 0.000 | -0.000 | 25.467 |
| 138.179 | 43.400 | 50.782 | 0.000 | -0.000 | -0.000 |
| 43.213 | 93.983 | 60.856 | -0.000 | -0.000 | -0.000 |
| 52.510 | 60.062 | 146.755 | -0.000 | 0.000 | -0.000 |
| -0.110 | 0.020 | -0.127 | 33.469 | 0.000 | -0.000 |
| -0.000 | -0.000 | -0.000 | -0.000 | 33.134 | -0.000 |
| -1.101 | 0.008 | -0.533 | -0.000 | 0.000 | 25.107 |
| 143.972 | 44.343 | 52.510 | 0.000 | -0.000 | 0.000 |
| 43.486 | 93.975 | 61.100 | 0.000 | -0.000 | -0.000 |
| 52.510 | 60.063 | 146.758 | -0.000 | -0.000 | 0.000 |
| 0.110 | -0.020 | 0.127 | 33.469 | -0.000 | -0.000 |
| 0.000 | 0.000 | 0.000 | -0.000 | 33.134 | 0.000 |
| 1.101 | -0.008 | 0.533 | -0.000 | -0.000 | 25.107 |
| 166.683 | 17.068 | 55.750 | 0.000 | -0.000 | -0.000 |
| 51.960 | 65.268 | 61.457 | 0.000 | -0.000 | -0.000 |
| 46.568 | 53.423 | 142.052 | -0.000 | -0.000 | -0.000 |
| -0.000 | -0.000 | -0.000 | 36.615 | 0.000 | 0.000 |
| -0.000 | -0.000 | -0.000 | -0.000 | 32.809 | -0.000 |
| -0.000 | -0.000 | -0.000 | -0.000 | -0.000 | 32.758 |
| 152.931 | 62.286 | 38.220 | 0.000 | 0.000 | -0.000 |
| 46.285 | 105.933 | 53.424 | 0.000 | 0.000 | 0.000 |
| 34.867 | 77.506 | 126.370 | 0.000 | -0.000 | -0.000 |
| 0.000 | 0.000 | 0.000 | 36.615 | -0.000 | 0.000 |
| 0.000 | 0.000 | 0.000 | 0.000 | 32.809 | -0.000 |
| 0.000 | 0.000 | 0.000 | 0.000 | -0.000 | 32.758 |
| 158.192 | 42.589 | 45.637 | -0.000 | -0.000 | -0.000 |
| 44.155 | 94.512 | 52.459 | -0.000 | 0.000 | -0.000 |
| 46.568 | 53.423 | 142.052 | -0.000 | -0.000 | 0.000 |
| 0.579 | -2.243 | 0.826 | 32.189 | 0.000 | 0.000 |
| -0.000 | -0.000 | -0.000 | 0.000 | 32.809 | -0.000 |
| -0.000 | -0.000 | -0.000 | 0.000 | 0.000 | 32.758 |
| 156.807 | 45.915 | 43.928 | -0.000 | -0.000 | 0.000 |
| 46.285 | 105.934 | 53.424 | 0.000 | -0.000 | 0.000 |
| 46.568 | 53.423 | 142.052 | 0.000 | 0.000 | 0.000 |
| -0.579 | 2.243 | -0.826 | 32.189 | -0.000 | 0.000 |
| 0.000 | 0.000 | 0.000 | -0.000 | 32.809 | 0.000 |
| 0.000 | 0.000 | 0.000 | -0.000 | 0.000 | 32.758 |
| 159.732 | 46.285 | 46.568 | 0.000 | -0.000 | 0.000 |
| 43.187 | 92.954 | 51.836 | -0.000 | -0.000 | 0.000 |
| 46.568 | 53.423 | 142.051 | 0.000 | -0.000 | -0.000 |
| -0.000 | -0.000 | -0.000 | 36.615 | -0.000 | 0.000 |
| -0.000 | -0.000 | -0.000 | -0.000 | 32.809 | 0.000 |
| 0.085 | -0.332 | 0.122 | 0.000 | -0.000 | 28.458 |
| 159.736 | 46.285 | 46.568 | 0.000 | -0.000 | -0.000 |
| 43.162 | 93.749 | 51.444 | 0.000 | -0.000 | -0.000 |
| 44.375 | 51.980 | 137.053 | 0.000 | -0.000 | 0.000 |
| 0.000 | 0.000 | 0.000 | 36.615 | 0.000 | 0.000 |
| 0.000 | 0.000 | 0.000 | -0.000 | 32.809 | 0.000 |
| -0.085 | 0.332 | -0.122 | 0.000 | 0.000 | 28.458 |
| 160.761 | 146.108 | -79.922 | 0.000 | 141.328 | -0.000 |
| 37.502 | 160.472 | 51.907 | 0.000 | 1.866 | -0.000 |
| 134.881 | 158.412 | 5.794 | 0.000 | 140.207 | -0.000 |
| -0.000 | -0.000 | -0.000 | 39.873 | 0.000 | 1.833 |
| 101.261 | 112.569 | -115.883 | 0.000 | 163.320 | -0.000 |
| -0.000 | -0.000 | -0.000 | 1.833 | 0.000 | 26.070 |
| 43.632 | 8.849 | 181.027 | -0.000 | -31.807 | -0.000 |
| 7.513 | 127.284 | 183.260 | -0.000 | -40.512 | -0.000 |
| -41.445 | -57.152 | 262.511 | -0.000 | -121.276 | -0.000 |
| 0.000 | 0.000 | 0.000 | 39.873 | -0.000 | 1.833 |
| 5.098 | 1.866 | 7.449 | 0.000 | 32.475 | -0.000 |
| 0.000 | 0.000 | 0.000 | 1.833 | -0.000 | 26.070 |
| 75.681 | 37.848 | 48.163 | -0.000 | 11.115 | 0.000 |
| 37.502 | 160.472 | 51.907 | -0.000 | 1.866 | -0.000 |
| 46.783 | 51.907 | 139.873 | -0.000 | 7.449 | 0.000 |
| 2.990 | 2.897 | -13.219 | 35.318 | 4.249 | 1.991 |
| 8.217 | 4.989 | -3.883 | 0.000 | 34.221 | -0.000 |
| 8.815 | 10.777 | -12.833 | 2.155 | 13.073 | 25.423 |
| 75.681 | 37.848 | 48.163 | 0.000 | 11.115 | -0.000 |
| 34.491 | 153.347 | 63.952 | -0.000 | -2.166 | -0.000 |
| 43.500 | 47.448 | 148.254 | -0.000 | 4.702 | -0.000 |
| -2.990 | -2.897 | 13.219 | 35.318 | -4.249 | 1.991 |
| 5.099 | 1.866 | 7.449 | -0.000 | 32.475 | -0.000 |
| -8.815 | -10.777 | 12.833 | 2.155 | -13.073 | 25.423 |
| 75.680 | 37.848 | 48.162 | -0.000 | 11.116 | 0.000 |
| 37.502 | 160.470 | 51.907 | 0.000 | 1.866 | 0.000 |
| 46.844 | 50.866 | 134.319 | -0.000 | 9.188 | 0.000 |
| -0.000 | -0.001 | -0.001 | 39.873 | 0.000 | 1.833 |
| 5.098 | 1.866 | 7.449 | -0.000 | 32.475 | 0.000 |
| 0.873 | 1.068 | -1.255 | 2.151 | 1.295 | 25.436 |
| 72.780 | 37.624 | 49.905 | -0.000 | 10.284 | 0.000 |
| 37.287 | 156.553 | 51.871 | 0.000 | 0.781 | -0.000 |
| 46.783 | 51.907 | 139.873 | -0.000 | 7.450 | -0.000 |
| 0.000 | 0.001 | 0.001 | 39.873 | -0.000 | 1.833 |
| 5.004 | 1.899 | 10.933 | -0.000 | 28.992 | -0.000 |
| -0.873 | -1.068 | 1.255 | 2.151 | -1.295 | 25.436 |
| 79.614 | 38.514 | 51.528 | 0.000 | 12.599 | 0.000 |
| 101.149 | 264.591 | 337.632 | -0.000 | 141.436 | 0.000 |
| 74.560 | 169.288 | 412.155 | 0.000 | 172.809 | 0.000 |
| 58.344 | 147.838 | 293.507 | 33.751 | -15.707 | 2.132 |
| 6.124 | 1.998 | 8.416 | 0.000 | 35.816 | 0.000 |
| 58.344 | 147.839 | 293.509 | 2.063 | -15.707 | 25.783 |
| 19.461 | -109.628 | -242.174 | 0.000 | 28.093 | -0.000 |
| -20.868 | -0.448 | -245.060 | 0.000 | 17.934 | -0.000 |
| 49.709 | 49.616 | 138.440 | -0.000 | 8.416 | -0.000 |
| -58.344 | -147.838 | -293.507 | 33.751 | 15.707 | 2.132 |
| -56.664 | -114.919 | -279.551 | -0.000 | -107.595 | -0.000 |
| -58.344 | -147.839 | -293.509 | 2.063 | 15.707 | 25.783 |
| 84.364 | 53.773 | 87.382 | -0.000 | 19.522 | 0.000 |
| 43.284 | 162.056 | 77.661 | 0.000 | 0.669 | 0.000 |
| 55.375 | 63.083 | 162.414 | 0.000 | 8.083 | 0.000 |
| 6.318 | 11.686 | 28.968 | 33.345 | 13.908 | 2.470 |
| 13.670 | 16.481 | 44.339 | 0.000 | 39.193 | 0.000 |
| 6.319 | 11.683 | 28.970 | 2.401 | 13.932 | 25.732 |
| 71.960 | 23.420 | 21.974 | 0.000 | 13.956 | -0.000 |
| 35.345 | 135.760 | 19.915 | -0.000 | -14.206 | -0.000 |
| 49.709 | 49.616 | 138.439 | 0.000 | 8.416 | -0.000 |
| -6.318 | -11.686 | -28.968 | 33.345 | -13.908 | 2.470 |
| 6.124 | 1.998 | 8.416 | -0.000 | 35.816 | -0.000 |
| -6.319 | -11.683 | -28.970 | 2.401 | -13.932 | 25.732 |
| 79.614 | 38.514 | 51.528 | -0.000 | 12.599 | 0.000 |
| 38.668 | 149.209 | 51.007 | 0.000 | 3.199 | 0.000 |
| 49.710 | 49.616 | 138.442 | 0.000 | 8.417 | 0.000 |
| 0.686 | 1.353 | 3.250 | 33.385 | 0.667 | 2.320 |
| 6.760 | 3.511 | 11.910 | 0.000 | 33.877 | 0.000 |
| 0.723 | 1.432 | 3.430 | 2.265 | 0.690 | 25.701 |
| 76.382 | 37.414 | 48.559 | -0.000 | 11.881 | -0.000 |
| 37.252 | 146.699 | 44.886 | -0.000 | 1.579 | -0.000 |
| 49.191 | 47.243 | 129.440 | 0.000 | 9.549 | -0.000 |
| -0.686 | -1.353 | -3.250 | 33.385 | -0.667 | 2.320 |
| 5.565 | 0.417 | 6.083 | -0.000 | 33.049 | -0.000 |
| -0.723 | -1.432 | -3.430 | 2.265 | -0.690 | 25.701 |
| 90.009 | 42.376 | 48.835 | -0.000 | 0.000 | 0.000 |
| 42.376 | 90.009 | 48.835 | -0.000 | 0.000 | -0.000 |
| 74.926 | 74.926 | 188.143 | 0.000 | 0.000 | 0.000 |
| -0.000 | -0.000 | 0.000 | 34.011 | 0.000 | -0.000 |
| 24.455 | 24.455 | 32.966 | 0.000 | 33.891 | 0.000 |
| -0.000 | 0.000 | -0.000 | 0.000 | 0.000 | 23.817 |
| 90.009 | 42.376 | 48.835 | 0.000 | -0.000 | 0.000 |
| 42.376 | 90.009 | 48.835 | 0.000 | -0.000 | -0.000 |
| 48.836 | 48.836 | 158.139 | -0.000 | 0.000 | -0.000 |
| 0.000 | 0.000 | 0.000 | 34.011 | -0.000 | 0.000 |
| -24.455 | -24.455 | -32.966 | -0.000 | 33.891 | 0.000 |
| 0.000 | -0.000 | 0.000 | -0.000 | -0.000 | 23.817 |
| 91.667 | 45.531 | 52.162 | 0.000 | 0.000 | 0.000 |
| 42.376 | 90.009 | 48.835 | 0.000 | 0.000 | 0.000 |
| 48.835 | 48.835 | 158.139 | 0.000 | 0.000 | 0.000 |
| -0.000 | -0.000 | -0.000 | 34.011 | 0.000 | 0.000 |
| -0.000 | -0.000 | -0.000 | 0.000 | 34.011 | 0.000 |
| 2.721 | 2.721 | 2.814 | 0.000 | 0.000 | 21.120 |
| 84.667 | 42.154 | 46.080 | -0.000 | -0.000 | -0.000 |
| 40.633 | 86.767 | 45.558 | -0.000 | -0.000 | 0.000 |
| 48.836 | 48.836 | 158.139 | -0.000 | -0.000 | -0.000 |
| 0.000 | 0.000 | 0.000 | 34.011 | -0.000 | -0.000 |
| 0.000 | 0.000 | 0.000 | -0.000 | 34.011 | 0.000 |
| -2.721 | -2.721 | -2.814 | -0.000 | -0.000 | 21.120 |
| 90.009 | 42.376 | 48.835 | -0.000 | 0.000 | 0.000 |
| 46.575 | 86.168 | 49.229 | 0.000 | 0.000 | 0.000 |
| 48.835 | 48.835 | 158.137 | 0.000 | 0.000 | 0.000 |
| 0.249 | 0.249 | 0.335 | 33.888 | 0.000 | 0.000 |
| 0.249 | 0.249 | 0.335 | 0.000 | 33.888 | 0.000 |
| -0.000 | -0.000 | -0.000 | -0.000 | 0.000 | 23.817 |
| 88.823 | 42.905 | 48.487 | -0.000 | -0.000 | -0.000 |
| 45.815 | 85.781 | 48.722 | -0.000 | -0.000 | 0.000 |
| 48.642 | 48.642 | 157.654 | 0.000 | -0.000 | -0.000 |
| -0.249 | -0.249 | -0.335 | 33.888 | -0.000 | 0.000 |
| -0.249 | -0.249 | -0.335 | -0.000 | 33.888 | -0.000 |
| 0.000 | 0.000 | 0.000 | -0.000 | -0.000 | 23.817 |
| 282.870 | 211.649 | 160.218 | 0.000 | -0.000 | -0.000 |
| 177.478 | 352.592 | 154.228 | 0.000 | -0.000 | -0.000 |
| 324.285 | 259.977 | 211.365 | 0.000 | -0.000 | 0.000 |
| 124.417 | 160.461 | 99.820 | 38.020 | -0.000 | -0.000 |
| 299.880 | 212.268 | 90.226 | 0.000 | 38.944 | -0.000 |
| 124.421 | 160.466 | 99.823 | 0.000 | -0.000 | 34.548 |
| 33.912 | -109.341 | -39.475 | -0.000 | 0.000 | 0.000 |
| -71.361 | 31.662 | -45.419 | -0.000 | 0.000 | 0.000 |
| -201.980 | -152.639 | -3.006 | -0.000 | 0.000 | 0.000 |
| -124.417 | -160.461 | -99.820 | 38.020 | 0.000 | 0.000 |
| -299.880 | -212.268 | -90.226 | -0.000 | 38.944 | -0.000 |
| -124.421 | -160.466 | -99.823 | -0.000 | 0.000 | 34.548 |
| 171.463 | 67.568 | 70.633 | 0.000 | -0.000 | -0.000 |
| 77.733 | 212.033 | 63.911 | 0.000 | -0.000 | 0.000 |
| 74.482 | 71.066 | 117.731 | 0.000 | -0.000 | -0.000 |
| 29.990 | 21.230 | 9.025 | 38.064 | -0.000 | 0.000 |
| 29.992 | 21.235 | 9.030 | 0.000 | 38.854 | -0.000 |
| -0.000 | -0.000 | -0.000 | 0.000 | 0.000 | 36.437 |
| 164.564 | 55.408 | 63.441 | -0.000 | -0.000 | -0.000 |
| 20.690 | 169.778 | 43.674 | -0.000 | 0.000 | 0.000 |
| 49.235 | 38.515 | 97.608 | -0.000 | 0.000 | 0.000 |
| -29.990 | -21.230 | -9.025 | 38.064 | 0.000 | 0.000 |
| -29.992 | -21.235 | -9.030 | -0.000 | 38.854 | 0.000 |
| 0.000 | 0.000 | 0.000 | -0.000 | -0.000 | 36.437 |
| 158.173 | 52.876 | 61.110 | 0.000 | -0.000 | -0.000 |
| 53.787 | 193.246 | 53.936 | 0.000 | -0.000 | -0.000 |
| 63.206 | 55.160 | 104.124 | 0.000 | 0.000 | -0.000 |
| 2.517 | 1.964 | 1.019 | 37.975 | -0.000 | 0.000 |
| 1.066 | 1.376 | 0.856 | 0.000 | 38.840 | -0.000 |
| -0.000 | -0.000 | -0.000 | 0.000 | 0.000 | 36.437 |
| 155.289 | 49.324 | 58.985 | -0.000 | 0.000 | 0.000 |
| 55.408 | 194.772 | 57.076 | -0.000 | -0.000 | 0.000 |
| 57.208 | 50.915 | 102.317 | -0.000 | 0.000 | 0.000 |
| -2.517 | -1.964 | -1.019 | 37.975 | 0.000 | 0.000 |
| -1.066 | -1.376 | -0.856 | -0.000 | 38.840 | 0.000 |
| 0.000 | 0.000 | 0.000 | -0.000 | -0.000 | 36.437 |
| 176.762 | 55.583 | 66.759 | -0.000 | 0.000 | 0.000 |
| 54.658 | 185.341 | 54.660 | 0.000 | 0.000 | 0.000 |
| 66.198 | 54.384 | 106.065 | 0.000 | -0.000 | -0.000 |
| 2.257 | 2.204 | 2.141 | 36.246 | -0.000 | 0.000 |
| 1.733 | 1.692 | 1.644 | 0.000 | 41.581 | 0.000 |
| 2.438 | 2.382 | 2.314 | 0.000 | 0.000 | 33.528 |
| 166.647 | 49.377 | 60.911 | -0.000 | -0.000 | -0.000 |
| 54.999 | 185.840 | 55.343 | 0.000 | -0.000 | -0.000 |
| 58.764 | 49.227 | 101.066 | -0.000 | -0.000 | -0.000 |
| -2.257 | -2.204 | -2.141 | 36.246 | 0.000 | -0.000 |
| -1.733 | -1.692 | -1.644 | 0.000 | 41.581 | -0.000 |
| -2.438 | -2.382 | -2.314 | -0.000 | -0.000 | 33.528 |
| 168.518 | 51.565 | 63.452 | 0.000 | 0.000 | 0.000 |
| 52.758 | 183.492 | 52.871 | 0.000 | 0.000 | 0.000 |
| 66.465 | 55.631 | 112.417 | 0.000 | 0.000 | 0.000 |
| 0.185 | 0.181 | 0.175 | 36.310 | 0.000 | 0.000 |
| 0.472 | 0.314 | 0.321 | 0.000 | 41.717 | 0.000 |
| 0.251 | 0.245 | 0.238 | 0.000 | 0.000 | 33.461 |
| 167.679 | 50.998 | 62.874 | -0.000 | -0.000 | -0.000 |
| 50.379 | 182.364 | 51.307 | -0.000 | -0.000 | -0.000 |
| 62.852 | 51.409 | 104.703 | -0.000 | -0.000 | -0.000 |
| -0.185 | -0.181 | -0.175 | 36.310 | -0.000 | 0.000 |
| -0.472 | -0.314 | -0.321 | -0.000 | 41.717 | -0.000 |
| -0.251 | -0.245 | -0.238 | -0.000 | -0.000 | 33.461 |
| 168.131 | 51.340 | 63.400 | -0.000 | 0.000 | 0.000 |
| 50.839 | 182.674 | 51.626 | 0.000 | 0.000 | 0.000 |
| 66.464 | 55.631 | 112.417 | -0.000 | 0.000 | 0.000 |
| 0.018 | 0.017 | 0.017 | 36.314 | 0.000 | -0.000 |
| 0.014 | 0.015 | 0.014 | -0.000 | 41.919 | 0.000 |
| 0.031 | 0.023 | 0.024 | 0.000 | 0.000 | 33.390 |
| 176.765 | 55.583 | 66.760 | -0.000 | -0.000 | -0.000 |
| 55.000 | 185.842 | 55.343 | -0.000 | -0.000 | -0.000 |
| 62.659 | 51.901 | 103.661 | -0.000 | -0.000 | -0.000 |
| -0.018 | -0.017 | -0.017 | 36.314 | -0.000 | -0.000 |
| -0.014 | -0.015 | -0.014 | -0.000 | 41.919 | -0.000 |
| -0.031 | -0.023 | -0.024 | 0.000 | -0.000 | 33.390 |
| 65.283 | 38.265 | 36.993 | -0.000 | -0.000 | -0.000 |
| 162.367 | 0.065 | -310.126 | 0.000 | 0.000 | -0.000 |
| 177.006 | -85.863 | -267.872 | 0.000 | 0.000 | 0.000 |
| -0.000 | -0.000 | 0.000 | 25.923 | 0.000 | 0.000 |
| 0.000 | 0.000 | 0.000 | 0.000 | 13.639 | 0.000 |
| 98.368 | -124.187 | -389.151 | 0.000 | 0.000 | 20.623 |
| 65.283 | 38.265 | 36.993 | -0.000 | -0.000 | 0.000 |
| 38.265 | 117.105 | 44.658 | 0.000 | 0.000 | 0.000 |
| -85.319 | 156.449 | 447.215 | -0.000 | -0.000 | -0.000 |
| -0.000 | 0.000 | 0.000 | 25.923 | -0.000 | 0.000 |
| -0.000 | -0.000 | -0.000 | 0.000 | 13.639 | -0.000 |
| -98.368 | 124.187 | 389.151 | -0.000 | 0.000 | 20.623 |
| 65.283 | 38.265 | 36.993 | -0.000 | -0.000 | 0.000 |
| 50.965 | 103.300 | 5.280 | 0.000 | -0.000 | 0.000 |
| 45.442 | 27.281 | 54.512 | 0.000 | -0.000 | -0.000 |
| 10.236 | -13.286 | -39.257 | 19.915 | 0.000 | 0.000 |
| 14.113 | -12.384 | -35.975 | 0.000 | 11.133 | 0.000 |
| 14.068 | -12.344 | -35.859 | 0.000 | 0.000 | 20.623 |
| 50.126 | 49.618 | 71.251 | -0.000 | 0.000 | -0.000 |
| 38.265 | 117.105 | 44.658 | -0.000 | 0.000 | -0.000 |
| 36.993 | 44.658 | 104.775 | -0.000 | 0.000 | -0.000 |
| -10.236 | 13.286 | 39.257 | 19.915 | -0.000 | 0.000 |
| -14.113 | 12.384 | 35.975 | -0.000 | 11.133 | -0.000 |
| -14.068 | 12.344 | 35.859 | -0.000 | 0.000 | 20.623 |
| 62.418 | 36.841 | 31.118 | 0.000 | 0.000 | 0.000 |
| 38.265 | 117.104 | 44.658 | -0.000 | 0.000 | -0.000 |
| 35.993 | 39.080 | 88.898 | -0.000 | -0.000 | -0.000 |
| 0.871 | -1.214 | -3.968 | 16.708 | 0.000 | 0.000 |
| 0.931 | -0.980 | -3.566 | 0.000 | 9.153 | 0.000 |
| -0.000 | -0.000 | -0.000 | 0.000 | -0.000 | 20.623 |
| 61.328 | 39.124 | 39.940 | -0.000 | 0.000 | -0.000 |
| 37.404 | 115.604 | 42.744 | -0.000 | -0.000 | 0.000 |
| 36.147 | 41.728 | 99.380 | 0.000 | -0.000 | -0.000 |
| -0.871 | 1.214 | 3.968 | 16.708 | -0.000 | -0.000 |
| -0.931 | 0.980 | 3.566 | -0.000 | 9.153 | -0.000 |
| 0.000 | 0.000 | 0.000 | 0.000 | 0.000 | 20.623 |
| 72.001 | 40.295 | 47.546 | 0.000 | -0.000 | 0.000 |
| 25.098 | 111.057 | 31.136 | 0.000 | -0.000 | 0.000 |
| 26.305 | 36.098 | 88.572 | 0.000 | -0.000 | 0.000 |
| -3.287 | 6.164 | 10.815 | 18.138 | -0.000 | 0.000 |
| -3.370 | 6.321 | 11.090 | 0.000 | 17.684 | 0.000 |
| -12.497 | 3.775 | -0.738 | 0.000 | -0.000 | 22.072 |
| 80.480 | 36.372 | 46.111 | -0.000 | 0.000 | -0.000 |
| 41.263 | 102.843 | 26.907 | -0.000 | -0.000 | -0.000 |
| 46.679 | 41.762 | 126.107 | -0.000 | 0.000 | 0.000 |
| 3.287 | -6.164 | -10.815 | 18.138 | 0.000 | 0.000 |
| 3.370 | -6.321 | -11.090 | -0.000 | 17.684 | -0.000 |
| 12.497 | -3.775 | 0.738 | -0.000 | 0.000 | 22.072 |
| 66.108 | 39.720 | 40.891 | 0.000 | -0.000 | -0.000 |
| 37.529 | 108.425 | 35.403 | 0.000 | -0.000 | 0.000 |
| 46.679 | 41.762 | 126.107 | 0.000 | -0.000 | 0.000 |
| -0.000 | -0.000 | -0.000 | 21.965 | -0.000 | 0.000 |
| -0.000 | -0.000 | -0.000 | 0.000 | 22.592 | -0.000 |
| -1.232 | 0.275 | -0.545 | 0.000 | -0.000 | 22.072 |
| 72.001 | 40.295 | 47.547 | -0.000 | 0.000 | -0.000 |
| 39.946 | 110.016 | 42.280 | -0.000 | -0.000 | 0.000 |
| 40.705 | 35.266 | 101.169 | -0.000 | 0.000 | 0.000 |
| 0.000 | 0.000 | 0.000 | 21.965 | 0.000 | 0.000 |
| 0.000 | 0.000 | 0.000 | -0.000 | 22.592 | -0.000 |
| 1.232 | -0.275 | 0.545 | -0.000 | 0.000 | 22.072 |
| 68.501 | 39.055 | 41.440 | 0.000 | 0.000 | -0.000 |
| 38.863 | 108.195 | 36.144 | 0.000 | -0.000 | 0.000 |
| 41.138 | 35.890 | 105.355 | 0.000 | -0.000 | -0.000 |
| -0.041 | 0.077 | 0.135 | 17.201 | -0.000 | -0.000 |
| -0.055 | 0.103 | 0.181 | 0.000 | 14.604 | -0.000 |
| -0.125 | 0.038 | -0.007 | 0.000 | -0.000 | 22.072 |
| 68.675 | 39.005 | 41.493 | -0.000 | -0.000 | -0.000 |
| 39.024 | 108.363 | 37.374 | -0.000 | 0.000 | -0.000 |
| 40.728 | 35.366 | 101.093 | -0.000 | -0.000 | 0.000 |
| 0.041 | -0.077 | -0.135 | 17.201 | 0.000 | 0.000 |
| 0.055 | -0.103 | -0.181 | -0.000 | 14.604 | -0.000 |
| 0.125 | -0.038 | 0.007 | -0.000 | 0.000 | 22.072 |
| 92.516 | 60.439 | 53.758 | -0.000 | 0.000 | -0.000 |
| 60.314 | 158.181 | 50.590 | -0.000 | 0.000 | 0.000 |
| 54.337 | 50.590 | 183.863 | 0.000 | 0.000 | 0.000 |
| -0.313 | 0.314 | 0.271 | 33.414 | 0.000 | -0.000 |
| -0.528 | 0.530 | 0.457 | -0.000 | 35.555 | -0.000 |
| -0.552 | 0.554 | 0.478 | -0.000 | 0.000 | 35.952 |
| 88.647 | 58.375 | 51.205 | 0.000 | -0.000 | 0.000 |
| 60.399 | 154.510 | 48.073 | 0.000 | -0.000 | 0.000 |
| 53.982 | 47.980 | 181.864 | 0.000 | -0.000 | -0.000 |
| 0.313 | -0.314 | -0.271 | 33.414 | -0.000 | -0.000 |
| 0.528 | -0.530 | -0.457 | 0.000 | 35.555 | 0.000 |
| 0.552 | -0.554 | -0.478 | 0.000 | -0.000 | 35.952 |
| 97.910 | 60.314 | 54.337 | -0.000 | 0.000 | 0.000 |
| 60.314 | 158.181 | 50.590 | -0.000 | 0.000 | -0.000 |
| 53.352 | 47.692 | 181.694 | -0.000 | 0.000 | -0.000 |
| -0.000 | -0.000 | -0.000 | 34.241 | 0.000 | 0.000 |
| -0.061 | 0.062 | 0.053 | -0.000 | 35.036 | -0.000 |
| -0.041 | 0.039 | 0.035 | -0.000 | 0.000 | 32.808 |
| 90.533 | 59.633 | 52.699 | 0.000 | -0.000 | 0.000 |
| 60.056 | 154.486 | 48.119 | 0.000 | -0.000 | 0.000 |
| 51.292 | 47.015 | 180.930 | 0.000 | -0.000 | -0.000 |
| 0.000 | 0.000 | 0.000 | 34.241 | -0.000 | 0.000 |
| 0.061 | -0.062 | -0.053 | 0.000 | 35.036 | 0.000 |
| 0.041 | -0.039 | -0.035 | 0.000 | -0.000 | 32.808 |
| 88.124 | 57.723 | 50.694 | -0.000 | 0.000 | 0.000 |
| 60.009 | 154.486 | 48.129 | 0.000 | 0.000 | -0.000 |
| 51.214 | 47.058 | 180.951 | -0.000 | 0.000 | -0.000 |
| -0.000 | -0.000 | -0.000 | 34.241 | 0.000 | 0.000 |
| 0.000 | 0.000 | -0.001 | -0.000 | 34.917 | 0.000 |
| -0.000 | -0.000 | -0.000 | -0.000 | 0.000 | 42.062 |
| 90.749 | 59.728 | 52.822 | 0.000 | 0.000 | 0.000 |
| 58.333 | 153.952 | 47.554 | 0.000 | -0.000 | 0.000 |
| 53.432 | 47.729 | 181.719 | 0.000 | -0.000 | 0.000 |
| 0.000 | 0.000 | 0.000 | 34.241 | -0.000 | 0.000 |
| -0.000 | -0.000 | 0.001 | 0.000 | 34.917 | -0.000 |
| 0.000 | 0.000 | 0.000 | 0.000 | -0.000 | 42.062 |
| 220.805 | 75.955 | 185.464 | -0.000 | 0.000 | 0.000 |
| 48.173 | 124.627 | 54.830 | -0.000 | -0.000 | 0.000 |
| 109.858 | 83.120 | 269.076 | -0.000 | -0.000 | 0.000 |
| -0.000 | -0.000 | -0.000 | 38.947 | 0.000 | 0.000 |
| 110.958 | 117.558 | 301.839 | -0.000 | 29.192 | 0.000 |
| -0.000 | -0.000 | -0.000 | -0.000 | -0.000 | 34.988 |
| 85.087 | 20.897 | -100.623 | 0.000 | -0.000 | -0.000 |
| -62.951 | -0.286 | -246.215 | 0.000 | -0.000 | -0.000 |
| -48.143 | -33.889 | -130.442 | 0.000 | -0.000 | -0.000 |
| 0.000 | 0.000 | 0.000 | 38.947 | -0.000 | -0.000 |
| -110.958 | -117.558 | -301.839 | 0.000 | 29.192 | -0.000 |
| 0.000 | 0.000 | 0.000 | 0.000 | -0.000 | 34.988 |
| 153.778 | 48.173 | 44.240 | -0.000 | -0.000 | 0.000 |
| 57.000 | 126.708 | 80.013 | -0.000 | -0.000 | 0.000 |
| 51.650 | 65.790 | 149.311 | -0.000 | 0.000 | 0.000 |
| 8.862 | 8.648 | 24.739 | 35.306 | -0.000 | 0.000 |
| 6.801 | 2.759 | 14.337 | 0.000 | 29.999 | 0.000 |
| 6.795 | 2.757 | 14.323 | -0.000 | -0.000 | 34.599 |
| 143.651 | 39.350 | 15.836 | -0.000 | 0.000 | -0.000 |
| 41.241 | 117.832 | 40.653 | -0.000 | 0.000 | -0.000 |
| 31.972 | 46.311 | 95.323 | 0.000 | 0.000 | -0.000 |
| -8.862 | -8.648 | -24.739 | 35.306 | 0.000 | -0.000 |
| -6.801 | -2.759 | -14.337 | -0.000 | 29.999 | -0.000 |
| -6.795 | -2.757 | -14.323 | -0.000 | 0.000 | 34.599 |
| 153.657 | 48.698 | 43.925 | -0.000 | -0.000 | 0.000 |
| 48.173 | 124.627 | 54.830 | -0.000 | 0.000 | 0.000 |
| 44.240 | 54.830 | 133.316 | -0.000 | -0.000 | 0.000 |
| 0.696 | 0.282 | 1.467 | 36.095 | -0.000 | 0.000 |
| 0.777 | 0.315 | 1.638 | 0.000 | 29.890 | 0.000 |
| -0.000 | -0.000 | -0.000 | -0.000 | -0.000 | 34.988 |
| 153.780 | 48.173 | 44.240 | 0.000 | 0.000 | -0.000 |
| 47.436 | 117.450 | 53.423 | -0.000 | -0.000 | -0.000 |
| 39.992 | 55.067 | 118.406 | -0.000 | -0.000 | -0.000 |
| -0.696 | -0.282 | -1.467 | 36.095 | 0.000 | 0.000 |
| -0.777 | -0.315 | -1.638 | 0.000 | 29.890 | -0.000 |
| 0.000 | 0.000 | 0.000 | 0.000 | 0.000 | 34.988 |
| 148.023 | 48.156 | 43.776 | 0.000 | -0.000 | 0.000 |
| 12.809 | 88.986 | -9.699 | 0.000 | -0.000 | -0.000 |
| 43.776 | 54.393 | 127.503 | -0.000 | -0.000 | 0.000 |
| -35.225 | -56.829 | -64.374 | 34.891 | -0.000 | 0.000 |
| -35.228 | -56.833 | -64.379 | 0.000 | 29.824 | 0.000 |
| -0.000 | -0.000 | -0.000 | 0.000 | -0.000 | 34.173 |
| 148.023 | 48.156 | 43.776 | -0.000 | 0.000 | 0.000 |
| 48.155 | 147.911 | 54.393 | -0.000 | 0.000 | -0.000 |
| 43.776 | 54.393 | 127.503 | 0.000 | 0.000 | 0.000 |
| 35.225 | 56.829 | 64.374 | 34.891 | 0.000 | 0.000 |
| 35.228 | 56.833 | 64.379 | 0.000 | 29.824 | -0.000 |
| 0.000 | 0.000 | 0.000 | -0.000 | 0.000 | 34.173 |
| 148.023 | 48.156 | 43.776 | 0.000 | -0.000 | -0.000 |
| 48.155 | 147.912 | 54.393 | 0.000 | -0.000 | 0.000 |
| 43.776 | 54.393 | 127.503 | 0.000 | -0.000 | -0.000 |
| -0.000 | -0.000 | -0.000 | 37.818 | -0.000 | 0.000 |
| -0.000 | -0.000 | -0.000 | 0.000 | 31.004 | 0.000 |
| -0.000 | -0.000 | -0.000 | 0.000 | -0.000 | 34.173 |
| 148.023 | 48.156 | 43.776 | -0.000 | 0.000 | 0.000 |
| 51.590 | 151.401 | 61.215 | -0.000 | 0.000 | 0.000 |
| 44.217 | 60.078 | 130.293 | -0.000 | 0.000 | -0.000 |
| 0.000 | 0.000 | 0.000 | 37.818 | 0.000 | 0.000 |
| 0.000 | 0.000 | 0.000 | -0.000 | 31.004 | 0.000 |
| 0.000 | 0.000 | 0.000 | -0.000 | 0.000 | 34.173 |
| 148.021 | 48.155 | 43.775 | -0.000 | -0.000 | -0.000 |
| 47.524 | 145.115 | 53.713 | 0.000 | -0.000 | 0.000 |
| 43.776 | 54.393 | 127.502 | -0.000 | -0.000 | 0.000 |
| -0.259 | -0.479 | -0.703 | 34.565 | -0.000 | -0.000 |
| -0.386 | -0.622 | -0.704 | 0.000 | 29.714 | -0.000 |
| -0.369 | -0.595 | -0.674 | 0.000 | -0.000 | 31.983 |
| 145.686 | 48.349 | 41.839 | -0.000 | 0.000 | 0.000 |
| 48.156 | 147.907 | 54.393 | -0.000 | 0.000 | -0.000 |
| 41.620 | 54.995 | 124.883 | -0.000 | 0.000 | -0.000 |
| 0.259 | 0.479 | 0.703 | 34.565 | 0.000 | 0.000 |
| 0.386 | 0.622 | 0.704 | -0.000 | 29.714 | 0.000 |
| 0.369 | 0.595 | 0.674 | -0.000 | 0.000 | 31.983 |
| 124.686 | 25.483 | 77.478 | -0.000 | -21.692 | 0.000 |
| 86.807 | 140.926 | 78.723 | -0.000 | -28.826 | 0.000 |
| 137.716 | 18.676 | 124.414 | -0.000 | -29.086 | 0.000 |
| -0.000 | -0.000 | -0.000 | 40.071 | 0.000 | -0.140 |
| 78.313 | -38.916 | -34.054 | 0.000 | 6.028 | 0.000 |
| -0.000 | -0.000 | -0.000 | -0.140 | -0.000 | 28.551 |
| 89.584 | 48.744 | 60.489 | 0.000 | 6.998 | -0.000 |
| 10.603 | 187.666 | 44.639 | 0.000 | 28.851 | -0.000 |
| 60.616 | 61.324 | 146.941 | 0.000 | -0.678 | -0.000 |
| 0.000 | 0.000 | 0.000 | 40.071 | 0.000 | -0.140 |
| -74.326 | 43.297 | 18.071 | -0.000 | 60.618 | -0.000 |
| 0.000 | 0.000 | 0.000 | -0.140 | 0.000 | 28.551 |
| 90.659 | 46.587 | 62.077 | -0.000 | 4.364 | 0.000 |
| 56.034 | 159.065 | 60.044 | 0.000 | -2.191 | 0.000 |
| 70.100 | 56.946 | 139.965 | -0.000 | -2.604 | 0.000 |
| 7.203 | -4.077 | -1.589 | 34.242 | -2.863 | -0.392 |
| 4.364 | -2.128 | 1.981 | -0.000 | 30.023 | 0.000 |
| -0.000 | -0.000 | -0.000 | -0.140 | 0.000 | 28.551 |
| 79.676 | 53.442 | 63.850 | -0.000 | 9.780 | -0.000 |
| 48.779 | 167.173 | 61.324 | -0.000 | -0.186 | -0.000 |
| 60.616 | 61.324 | 146.941 | 0.000 | -0.678 | -0.000 |
| -7.203 | 4.077 | 1.589 | 34.242 | 2.863 | -0.392 |
| 0.439 | -0.186 | -0.678 | -0.000 | 35.077 | -0.000 |
| 0.000 | 0.000 | 0.000 | -0.140 | -0.000 | 28.551 |
| 89.584 | 48.744 | 60.489 | 0.000 | 6.998 | 0.000 |
| 48.779 | 167.171 | 61.323 | 0.000 | -0.186 | 0.000 |
| 60.615 | 61.323 | 146.939 | -0.000 | -0.678 | 0.000 |
| -0.000 | -0.000 | -0.000 | 40.071 | 0.000 | -0.140 |
| 0.439 | -0.186 | -0.678 | -0.000 | 35.077 | 0.000 |
| -0.000 | -0.000 | -0.000 | -0.140 | 0.000 | 28.551 |
| 85.982 | 49.404 | 61.868 | -0.000 | 7.117 | -0.000 |
| 48.061 | 164.424 | 61.429 | -0.000 | 0.513 | -0.000 |
| 60.907 | 61.886 | 142.917 | -0.000 | 0.635 | -0.000 |
| 0.000 | 0.000 | 0.000 | 40.071 | -0.000 | -0.140 |
| 0.241 | 1.099 | 0.574 | 0.000 | 31.708 | -0.000 |
| 0.000 | 0.000 | 0.000 | -0.140 | -0.000 | 28.551 |
| 49.488 | 25.873 | 30.740 | 0.065 | -0.467 | 0.057 |
| 26.809 | 42.513 | 33.464 | -0.181 | -3.747 | 0.016 |
| 29.954 | 32.542 | 62.322 | -0.473 | 2.218 | -0.089 |
| -0.006 | -0.101 | -0.367 | 19.758 | 0.031 | -1.135 |
| -2.167 | -3.287 | 2.701 | -0.006 | 11.884 | 0.033 |
| 0.007 | -0.004 | 0.044 | -1.543 | 0.009 | 21.971 |
| 49.571 | 25.887 | 30.457 | 0.066 | -0.625 | 0.037 |
| 27.273 | 43.979 | 33.005 | -0.142 | -3.519 | -0.008 |
| 30.046 | 32.547 | 61.797 | -0.472 | 2.057 | -0.109 |
| 0.091 | -0.119 | -0.504 | 19.750 | -0.054 | -1.141 |
| -2.126 | -3.304 | 2.476 | 0.018 | 11.721 | 0.023 |
| 0.041 | -0.016 | -0.052 | -1.508 | -0.028 | 21.965 |
| 44.982 | 24.519 | 29.665 | 0.125 | -2.154 | 0.021 |
| 25.897 | 38.159 | 32.611 | -0.444 | -4.237 | 0.557 |
| 29.052 | 31.640 | 57.519 | -0.645 | 1.854 | -0.233 |
| 0.138 | -0.479 | -0.597 | 17.185 | -0.201 | -1.269 |
| -3.129 | -3.874 | 1.968 | -0.203 | 8.346 | 0.115 |
| 0.049 | 0.378 | -0.143 | -1.559 | 0.077 | 18.953 |
| 45.037 | 24.597 | 29.459 | 0.138 | -2.064 | 0.008 |
| 26.066 | 38.530 | 32.400 | -0.427 | -4.101 | 0.456 |
| 29.128 | 31.723 | 57.131 | -0.638 | 1.938 | -0.289 |
| 0.225 | -0.419 | -0.703 | 17.275 | -0.120 | -1.280 |
| -2.951 | -3.839 | 1.808 | -0.149 | 8.598 | 0.095 |
| 0.097 | 0.433 | -0.258 | -1.571 | 0.112 | 18.923 |
| 44.883 | 24.486 | 29.426 | 0.158 | -2.124 | -0.037 |
| 25.910 | 38.184 | 32.439 | -0.452 | -4.241 | 0.543 |
| 28.931 | 31.610 | 57.221 | -0.602 | 1.870 | -0.304 |
| 0.191 | -0.446 | -0.587 | 17.130 | -0.220 | -1.261 |
| -3.115 | -3.953 | 1.903 | -0.220 | 8.325 | 0.064 |
| -0.022 | 0.508 | -0.289 | -1.551 | 0.055 | 18.838 |
| 44.895 | 24.514 | 29.394 | 0.166 | -2.094 | -0.044 |
| 25.919 | 38.215 | 32.407 | -0.441 | -4.212 | 0.535 |
| 28.931 | 31.631 | 57.187 | -0.591 | 1.900 | -0.309 |
| 0.198 | -0.430 | -0.620 | 17.143 | -0.199 | -1.266 |
| -3.106 | -3.923 | 1.866 | -0.211 | 8.364 | 0.056 |
| -0.024 | 0.532 | -0.317 | -1.544 | 0.071 | 18.831 |
| 145.346 | 46.282 | 46.846 | -0.000 | -0.000 | 0.000 |
| 45.970 | 86.419 | 51.665 | 0.000 | -0.000 | 0.000 |
| 46.895 | 51.482 | 125.367 | 0.000 | -0.000 | 0.000 |
| -0.000 | -0.000 | -0.000 | 31.902 | 0.000 | 0.000 |
| -0.000 | -0.000 | 0.000 | 0.000 | 32.394 | 0.000 |
| -0.000 | -0.000 | 0.000 | 0.000 | 0.000 | 29.467 |
| 145.346 | 46.282 | 46.846 | -0.000 | -0.000 | -0.000 |
| 45.970 | 86.419 | 51.665 | 0.000 | -0.000 | -0.000 |
| 46.895 | 51.482 | 125.367 | 0.000 | 0.000 | -0.000 |
| 0.000 | 0.000 | 0.000 | 31.902 | -0.000 | -0.000 |
| 0.000 | 0.000 | 0.000 | -0.000 | 32.394 | -0.000 |
| 0.000 | 0.000 | -0.000 | 0.000 | -0.000 | 29.467 |
| 145.297 | 46.234 | 46.807 | 0.000 | 0.000 | 0.000 |
| 45.970 | 86.419 | 51.665 | 0.000 | 0.000 | 0.000 |
| 46.895 | 51.482 | 125.367 | 0.000 | 0.000 | 0.000 |
| -0.000 | -0.000 | -0.000 | 31.902 | 0.000 | -0.000 |
| -0.000 | -0.000 | -0.000 | 0.000 | 32.394 | 0.000 |
| -0.000 | -0.000 | -0.000 | 0.000 | 0.000 | 31.126 |
| 145.297 | 46.234 | 46.807 | -0.000 | -0.000 | -0.000 |
| 45.970 | 86.419 | 51.665 | -0.000 | 0.000 | -0.000 |
| 46.801 | 51.810 | 125.168 | -0.000 | -0.000 | -0.000 |
| 0.000 | 0.000 | 0.000 | 31.902 | -0.000 | -0.000 |
| 0.000 | 0.000 | 0.000 | 0.000 | 32.394 | -0.000 |
| 0.000 | 0.000 | 0.000 | -0.000 | -0.000 | 31.126 |
| 145.345 | 46.282 | 46.846 | -0.000 | 0.000 | 0.000 |
| 46.019 | 85.734 | 52.276 | 0.000 | 0.000 | 0.000 |
| 46.815 | 52.194 | 125.088 | -0.000 | 0.000 | 0.000 |
| -0.000 | -0.000 | -0.000 | 31.902 | 0.000 | 0.000 |
| -0.000 | -0.000 | -0.000 | -0.000 | 33.138 | 0.000 |
| -0.000 | -0.000 | -0.000 | -0.000 | 0.000 | 29.372 |
| 145.348 | 46.282 | 46.846 | -0.000 | 0.000 | -0.000 |
| 46.019 | 85.735 | 52.276 | 0.000 | -0.000 | -0.000 |
| 46.895 | 51.482 | 125.368 | -0.000 | -0.000 | -0.000 |
| 0.000 | 0.000 | 0.000 | 31.902 | -0.000 | 0.000 |
| 0.000 | 0.000 | 0.000 | 0.000 | 33.138 | -0.000 |
| 0.000 | 0.000 | 0.000 | -0.000 | -0.000 | 29.372 |
| 69.943 | 32.456 | 33.450 | -0.000 | -0.000 | 0.000 |
| 27.492 | 63.884 | 6.821 | -0.000 | -0.000 | 0.000 |
| 29.640 | 29.640 | 81.749 | -0.000 | -0.000 | 0.000 |
| -0.000 | -0.000 | -0.000 | 18.818 | -0.000 | 0.000 |
| -0.373 | -0.373 | -23.089 | -0.000 | 18.728 | 0.000 |
| 7.131 | 7.131 | 10.945 | -0.000 | -0.000 | 18.743 |
| 55.682 | 18.195 | 11.561 | 0.000 | 0.000 | -0.000 |
| 24.697 | 63.489 | 22.585 | 0.000 | 0.000 | -0.000 |
| 15.379 | 15.379 | 59.860 | 0.000 | -0.000 | -0.000 |
| -0.000 | 0.000 | 0.000 | 18.818 | -0.000 | -0.000 |
| 0.373 | 0.373 | 23.089 | 0.000 | 18.728 | -0.000 |
| -7.131 | -7.131 | -10.945 | 0.000 | 0.000 | 18.743 |
| 63.525 | 26.039 | 23.600 | -0.000 | -0.000 | 0.000 |
| 24.697 | 63.489 | 22.585 | -0.000 | -0.000 | 0.000 |
| 22.588 | 22.588 | 71.261 | -0.000 | 0.000 | 0.000 |
| -0.000 | -0.000 | -0.000 | 18.818 | 0.000 | 0.000 |
| -0.000 | -0.000 | -0.000 | -0.000 | 18.818 | 0.000 |
| -0.000 | 0.000 | -0.000 | -0.000 | -0.000 | 19.396 |
| 63.489 | 24.697 | 22.585 | 0.000 | 0.000 | -0.000 |
| 26.073 | 62.138 | 24.807 | 0.000 | 0.000 | -0.000 |
| 21.797 | 21.797 | 69.712 | 0.000 | 0.000 | -0.000 |
| 0.000 | 0.000 | 0.000 | 18.818 | -0.000 | -0.000 |
| 0.000 | 0.000 | 0.000 | 0.000 | 18.818 | -0.000 |
| 0.000 | -0.000 | 0.000 | 0.000 | 0.000 | 19.396 |
| 63.489 | 24.697 | 22.585 | -0.000 | -0.000 | 0.000 |
| 25.896 | 62.269 | 22.337 | -0.000 | -0.000 | 0.000 |
| 22.579 | 22.579 | 70.901 | -0.000 | -0.000 | 0.000 |
| 0.016 | 0.016 | -0.157 | 18.734 | 0.000 | 0.000 |
| 0.071 | 0.071 | 0.109 | -0.000 | 18.729 | 0.000 |
| 0.016 | 0.016 | -0.159 | -0.000 | -0.000 | 18.187 |
| 62.073 | 26.053 | 22.684 | 0.000 | 0.000 | -0.000 |
| 25.258 | 62.734 | 22.394 | 0.000 | 0.000 | -0.000 |
| 22.588 | 22.588 | 71.261 | 0.000 | -0.000 | -0.000 |
| -0.016 | -0.016 | 0.157 | 18.734 | -0.000 | -0.000 |
| -0.071 | -0.071 | -0.109 | 0.000 | 18.729 | -0.000 |
| -0.016 | -0.016 | 0.159 | 0.000 | 0.000 | 18.187 |
| 23.480 | -14.281 | -173.139 | -0.000 | -0.000 | -0.000 |
| -14.281 | 23.480 | -173.139 | -0.000 | -0.000 | -0.000 |
| -16.949 | -16.949 | -124.752 | 0.000 | 0.000 | -0.000 |
| -39.473 | -39.473 | -195.658 | 18.749 | 0.000 | -0.000 |
| -39.473 | -39.473 | -195.658 | 0.000 | 18.749 | -0.000 |
| 0.000 | -0.000 | -0.000 | -0.000 | -0.000 | 19.396 |
| 63.489 | 24.697 | 22.585 | 0.000 | 0.000 | 0.000 |
| 24.697 | 63.489 | 22.585 | 0.000 | 0.000 | 0.000 |
| 61.998 | 61.998 | 266.565 | 0.000 | -0.000 | 0.000 |
| 39.473 | 39.473 | 195.658 | 18.749 | -0.000 | 0.000 |
| 39.473 | 39.473 | 195.658 | 0.000 | 18.749 | 0.000 |
| -0.000 | 0.000 | 0.000 | 0.000 | 0.000 | 19.396 |
| 55.666 | 19.480 | -4.448 | -0.000 | -0.000 | -0.000 |
| 19.480 | 55.666 | -4.448 | -0.000 | -0.000 | -0.000 |
| 18.577 | 18.577 | 51.341 | -0.000 | 0.000 | -0.000 |
| -0.000 | -0.000 | -0.000 | 18.819 | 0.000 | -0.000 |
| -0.000 | -0.000 | -0.000 | -0.000 | 18.819 | -0.000 |
| -5.939 | -5.939 | -24.463 | -0.000 | -0.000 | 18.335 |
| 68.656 | 32.470 | 49.446 | 0.000 | 0.000 | 0.000 |
| 29.140 | 66.901 | 42.086 | 0.000 | 0.000 | 0.000 |
| 22.588 | 22.588 | 71.270 | -0.000 | 0.000 | 0.000 |
| 0.000 | 0.000 | 0.000 | 18.819 | -0.000 | 0.000 |
| 0.000 | 0.000 | 0.000 | 0.000 | 18.819 | 0.000 |
| 6.544 | 6.544 | 27.620 | 0.000 | 0.000 | 18.024 |
| 63.489 | 24.697 | 22.585 | -0.000 | -0.000 | -0.000 |
| 25.326 | 61.511 | 19.804 | -0.000 | -0.000 | -0.000 |
| 22.588 | 22.588 | 71.270 | 0.000 | 0.000 | -0.000 |
| -0.395 | -0.395 | -1.957 | 18.749 | 0.000 | -0.000 |
| -0.000 | -0.000 | -0.000 | 0.000 | 18.819 | -0.000 |
| -0.000 | 0.000 | -0.000 | -0.000 | -0.000 | 19.396 |
| 63.348 | 25.588 | 24.479 | 0.000 | 0.000 | 0.000 |
| 25.588 | 63.348 | 24.479 | 0.000 | 0.000 | 0.000 |
| 22.919 | 22.919 | 72.863 | 0.000 | 0.000 | 0.000 |
| 0.395 | 0.395 | 1.957 | 18.749 | 0.000 | 0.000 |
| 0.000 | 0.000 | 0.000 | 0.000 | 18.819 | 0.000 |
| 0.000 | -0.000 | 0.000 | 0.000 | 0.000 | 19.396 |
| 63.487 | 24.697 | 22.587 | 0.000 | -0.000 | 0.000 |
| 38.253 | 74.720 | 141.559 | 0.000 | 0.000 | -0.000 |
| 22.587 | 22.587 | 71.234 | -0.000 | -0.000 | 0.000 |
| 12.419 | 12.419 | 119.051 | 18.733 | 0.000 | -0.000 |
| -0.000 | -0.000 | 0.000 | 0.000 | 18.813 | -0.000 |
| 12.419 | 12.419 | 119.051 | 0.000 | -0.000 | 18.233 |
| 63.487 | 24.697 | 22.587 | 0.000 | 0.000 | -0.000 |
| 24.697 | 63.487 | 22.587 | -0.000 | 0.000 | 0.000 |
| 22.587 | 22.587 | 71.234 | 0.000 | 0.000 | -0.000 |
| -12.419 | -12.419 | -119.051 | 18.733 | 0.000 | -0.000 |
| 0.000 | 0.000 | 0.000 | -0.000 | 18.813 | -0.000 |
| -12.419 | -12.419 | -119.051 | -0.000 | 0.000 | 18.233 |
| 63.487 | 24.697 | 22.587 | -0.000 | -0.000 | 0.000 |
| 24.697 | 63.487 | 22.587 | -0.000 | -0.000 | 0.000 |
| 19.483 | 19.483 | 66.096 | 0.000 | 0.000 | -0.000 |
| -0.000 | -0.000 | -0.000 | 18.813 | -0.000 | -0.000 |
| 1.242 | 1.242 | 11.905 | 0.000 | 18.733 | -0.000 |
| -0.000 | 0.000 | -0.000 | -0.000 | -0.000 | 19.395 |
| 63.487 | 24.697 | 22.587 | 0.000 | 0.000 | 0.000 |
| 24.697 | 63.487 | 22.587 | 0.000 | 0.000 | -0.000 |
| 25.564 | 25.564 | 75.580 | 0.000 | -0.000 | 0.000 |
| 0.000 | 0.000 | 0.000 | 18.813 | 0.000 | 0.000 |
| -1.242 | -1.242 | -11.905 | -0.000 | 18.733 | 0.000 |
| 0.000 | -0.000 | 0.000 | -0.000 | 0.000 | 19.395 |
| 62.420 | 25.965 | 23.703 | -0.000 | 0.000 | -0.000 |
| 24.955 | 62.579 | 22.043 | 0.000 | 0.000 | -0.000 |
| 22.221 | 22.221 | 70.373 | 0.000 | -0.000 | -0.000 |
| 0.014 | 0.014 | 0.631 | 18.720 | 0.000 | 0.000 |
| -0.304 | -0.304 | -0.474 | 0.000 | 18.734 | 0.000 |
| -0.305 | -0.305 | -0.476 | 0.000 | 0.000 | 18.808 |
| 63.180 | 25.574 | 22.994 | -0.000 | -0.000 | 0.000 |
| 24.697 | 63.487 | 22.587 | -0.000 | 0.000 | -0.000 |
| 22.826 | 22.826 | 71.302 | -0.000 | -0.000 | -0.000 |
| -0.014 | -0.014 | -0.631 | 18.720 | -0.000 | -0.000 |
| 0.304 | 0.304 | 0.474 | -0.000 | 18.734 | 0.000 |
| 0.305 | 0.305 | 0.476 | -0.000 | -0.000 | 18.808 |
| 455.851 | 410.331 | 113.163 | 0.000 | -0.000 | -0.000 |
| 410.331 | 455.851 | 113.163 | 0.000 | 0.000 | -0.000 |
| 410.337 | 410.337 | 184.696 | -0.000 | -0.000 | -0.000 |
| 381.971 | 381.971 | 84.746 | 24.765 | 0.000 | -0.000 |
| 381.971 | 381.971 | 84.746 | -0.000 | 24.765 | -0.000 |
| 404.866 | 404.866 | 139.560 | -0.000 | -0.000 | 22.084 |
| -308.091 | -353.611 | -56.329 | 0.000 | 0.000 | 0.000 |
| 28.275 | 74.773 | 28.678 | 0.000 | 0.000 | 0.000 |
| -353.605 | -353.605 | 15.205 | 0.000 | 0.000 | 0.000 |
| -381.971 | -381.971 | -84.746 | 24.765 | 0.000 | 0.000 |
| -381.971 | -381.971 | -84.746 | 0.000 | 24.765 | 0.000 |
| -404.866 | -404.866 | -139.560 | 0.000 | 0.000 | 22.084 |
| 112.079 | 66.558 | 36.892 | -0.000 | -0.000 | -0.000 |
| 28.275 | 74.773 | 28.678 | 0.000 | -0.000 | -0.000 |
| 71.129 | 71.129 | 116.803 | -0.000 | -0.000 | -0.000 |
| 38.198 | 38.198 | 8.475 | 24.765 | -0.000 | -0.000 |
| 38.198 | 38.198 | 8.475 | -0.000 | 24.765 | -0.000 |
| 0.000 | 0.000 | -0.000 | -0.000 | -0.000 | 23.249 |
| 35.682 | -9.838 | 19.942 | 0.000 | 0.000 | 0.000 |
| 28.275 | 74.773 | 28.678 | -0.000 | 0.000 | 0.000 |
| -9.831 | -9.831 | 91.475 | 0.000 | 0.000 | 0.000 |
| -38.198 | -38.198 | -8.475 | 24.765 | -0.000 | 0.000 |
| -38.198 | -38.198 | -8.475 | 0.000 | 24.765 | 0.000 |
| -0.000 | -0.000 | 0.000 | 0.000 | 0.000 | 23.249 |
| 76.853 | 33.230 | 29.716 | -0.000 | -0.000 | -0.000 |
| 32.194 | 77.714 | 29.267 | 0.000 | -0.000 | -0.000 |
| 32.684 | 32.684 | 101.657 | -0.000 | -0.000 | -0.000 |
| -0.000 | -0.000 | -0.000 | 24.971 | -0.000 | -0.000 |
| -0.000 | -0.000 | -0.000 | 0.000 | 24.971 | -0.000 |
| 3.977 | 3.977 | 1.350 | -0.000 | -0.000 | 21.865 |
| 69.161 | 24.493 | 26.695 | 0.000 | -0.000 | 0.000 |
| 28.274 | 74.773 | 28.678 | 0.000 | 0.000 | 0.000 |
| 24.544 | 24.544 | 99.100 | 0.000 | 0.000 | 0.000 |
| 0.000 | 0.000 | 0.000 | 24.971 | 0.000 | 0.000 |
| 0.000 | 0.000 | 0.000 | -0.000 | 24.971 | 0.000 |
| -3.977 | -3.977 | -1.350 | 0.000 | 0.000 | 21.865 |
| 8.369 | -36.199 | -32.456 | 0.000 | 0.000 | 0.000 |
| -33.784 | 11.651 | -32.187 | 0.000 | -0.000 | 0.000 |
| 28.606 | 28.606 | 100.376 | -0.000 | -0.000 | -0.000 |
| -0.000 | -0.000 | 0.000 | 24.983 | 0.000 | 0.000 |
| -68.587 | -68.587 | -65.959 | 0.000 | 24.519 | 0.000 |
| 0.000 | 0.000 | 0.000 | -0.000 | 0.000 | 23.160 |
| 135.606 | 90.171 | 88.945 | -0.000 | 0.000 | -0.000 |
| 28.097 | 74.417 | 28.606 | -0.000 | -0.000 | -0.000 |
| 28.606 | 28.606 | 100.376 | -0.000 | -0.000 | -0.000 |
| 0.000 | -0.000 | -0.000 | 24.983 | 0.000 | -0.000 |
| 68.587 | 68.587 | 65.959 | 0.000 | 24.519 | 0.000 |
| -0.000 | -0.000 | -0.000 | -0.000 | -0.000 | 23.160 |
| 67.427 | 21.992 | 22.320 | 0.000 | -0.000 | 0.000 |
| 21.992 | 67.427 | 22.320 | 0.000 | -0.000 | 0.000 |
| 22.185 | 22.185 | 94.044 | 0.000 | 0.000 | 0.000 |
| -6.475 | -6.475 | -6.078 | 24.612 | 0.000 | 0.000 |
| -6.199 | -6.199 | -6.058 | 0.000 | 24.801 | 0.000 |
| 0.000 | 0.000 | -0.000 | 0.000 | 0.000 | 23.160 |
| 74.417 | 28.097 | 28.606 | -0.000 | -0.000 | -0.000 |
| 34.394 | 79.828 | 34.439 | -0.000 | -0.000 | 0.000 |
| 28.606 | 28.606 | 100.376 | -0.000 | -0.000 | -0.000 |
| 6.475 | 6.475 | 6.078 | 24.612 | -0.000 | -0.000 |
| 6.199 | 6.199 | 6.058 | -0.000 | 24.801 | -0.000 |
| -0.000 | -0.000 | 0.000 | 0.000 | -0.000 | 23.160 |
| 72.276 | 27.986 | 27.681 | 0.000 | -0.000 | 0.000 |
| 27.554 | 72.957 | 27.742 | 0.000 | 0.000 | 0.000 |
| 28.606 | 28.606 | 100.375 | -0.000 | 0.000 | 0.000 |
| -0.631 | -0.631 | -0.617 | 24.798 | -0.000 | 0.000 |
| -0.000 | -0.000 | -0.000 | 0.000 | 24.983 | 0.000 |
| 0.000 | 0.000 | -0.000 | 0.000 | 0.000 | 23.160 |
| 73.503 | 29.391 | 28.898 | -0.000 | 0.000 | -0.000 |
| 28.097 | 74.417 | 28.606 | -0.000 | 0.000 | -0.000 |
| 29.001 | 29.001 | 100.706 | -0.000 | 0.000 | -0.000 |
| 0.631 | 0.631 | 0.617 | 24.798 | -0.000 | -0.000 |
| 0.000 | 0.000 | 0.000 | -0.000 | 24.983 | 0.000 |
| -0.000 | -0.000 | 0.000 | -0.000 | 0.000 | 23.160 |
| 140.171 | 91.662 | 91.662 | -0.000 | -0.000 | -0.000 |
| 91.662 | 140.171 | 91.662 | -0.000 | -0.000 | -0.000 |
| 91.662 | 91.662 | 140.171 | -0.000 | -0.000 | -0.000 |
| 0.000 | -0.000 | 0.000 | 21.560 | -0.000 | -0.000 |
| -0.000 | -0.000 | 0.000 | -0.000 | 21.560 | -0.000 |
| -0.000 | -0.000 | -0.000 | 0.000 | -0.000 | 21.560 |
| 140.171 | 91.662 | 91.662 | -0.000 | 0.000 | 0.000 |
| 91.662 | 140.171 | 91.662 | 0.000 | 0.000 | 0.000 |
| 91.662 | 91.662 | 140.171 | -0.000 | 0.000 | 0.000 |
| -0.000 | 0.000 | 0.000 | 21.560 | 0.000 | 0.000 |
| 0.000 | 0.000 | 0.000 | 0.000 | 21.560 | 0.000 |
| 0.000 | 0.000 | 0.000 | -0.000 | -0.000 | 21.560 |
| 140.171 | 91.662 | 91.662 | 0.000 | -0.000 | -0.000 |
| 91.662 | 140.171 | 91.662 | -0.000 | 0.000 | -0.000 |
| 91.662 | 91.662 | 140.171 | -0.000 | -0.000 | -0.000 |
| -0.000 | -0.000 | -0.000 | 21.560 | -0.000 | -0.000 |
| -0.000 | -0.000 | -0.000 | 0.000 | 21.560 | -0.000 |
| -0.000 | -0.000 | -0.000 | 0.000 | -0.000 | 21.560 |
| 140.171 | 91.662 | 91.662 | -0.000 | -0.000 | 0.000 |
| 91.662 | 140.171 | 91.662 | -0.000 | 0.000 | 0.000 |
| 91.662 | 91.662 | 140.171 | -0.000 | -0.000 | 0.000 |
| 0.000 | 0.000 | 0.000 | 21.560 | 0.000 | 0.000 |
| 0.000 | 0.000 | 0.000 | -0.000 | 21.560 | 0.000 |
| 0.000 | 0.000 | 0.000 | -0.000 | 0.000 | 21.560 |
| 140.170 | 91.662 | 91.662 | -0.000 | -0.000 | -0.000 |
| 91.662 | 140.170 | 91.662 | -0.000 | -0.000 | -0.000 |
| 91.662 | 91.662 | 140.170 | 0.000 | 0.000 | -0.000 |
| -0.000 | -0.000 | -0.000 | 21.560 | -0.000 | -0.000 |
| -0.000 | -0.000 | -0.000 | -0.000 | 21.560 | -0.000 |
| -0.000 | -0.000 | -0.000 | 0.000 | -0.000 | 21.560 |
| 140.171 | 91.662 | 91.662 | -0.000 | 0.000 | 0.000 |
| 91.662 | 140.171 | 91.662 | -0.000 | 0.000 | 0.000 |
| 91.662 | 91.662 | 140.171 | -0.000 | 0.000 | 0.000 |
| 0.000 | 0.000 | 0.000 | 21.560 | 0.000 | 0.000 |
| 0.000 | 0.000 | 0.000 | 0.000 | 21.560 | 0.000 |
| 0.000 | 0.000 | 0.000 | 0.000 | 0.000 | 21.560 |
| 185.971 | 44.144 | 51.976 | -0.000 | -0.000 | -0.000 |
| 41.639 | 127.243 | -36.613 | 0.000 | 0.000 | -0.000 |
| 51.976 | 46.733 | 108.249 | 0.000 | 0.000 | -0.000 |
| -0.000 | -0.000 | -0.000 | 34.604 | 0.000 | 0.000 |
| -0.000 | -0.000 | -0.000 | 0.000 | 42.913 | -0.000 |
| -16.105 | 4.766 | -129.274 | 0.000 | 0.000 | 33.524 |
| 185.971 | 44.144 | 51.976 | -0.000 | -0.000 | -0.000 |
| 60.018 | 110.846 | 175.642 | -0.000 | -0.000 | -0.000 |
| 51.976 | 46.733 | 108.249 | -0.000 | -0.000 | 0.000 |
| 0.000 | 0.000 | 0.000 | 34.604 | -0.000 | 0.000 |
| 0.000 | 0.000 | 0.000 | -0.000 | 42.913 | 0.000 |
| 16.105 | -4.766 | 129.274 | 0.000 | -0.000 | 33.524 |
| 185.970 | 44.144 | 51.976 | -0.000 | 0.000 | -0.000 |
| 44.144 | 116.260 | 46.733 | 0.000 | -0.000 | -0.000 |
| 51.976 | 46.733 | 108.249 | 0.000 | 0.000 | -0.000 |
| -0.000 | -0.000 | -0.000 | 34.604 | 0.000 | -0.000 |
| -0.000 | -0.000 | -0.000 | 0.000 | 42.913 | -0.000 |
| -0.000 | -0.000 | -0.000 | 0.000 | 0.000 | 33.587 |
| 185.971 | 44.144 | 51.976 | -0.000 | -0.000 | -0.000 |
| 44.144 | 116.260 | 46.733 | -0.000 | -0.000 | 0.000 |
| 54.608 | 45.901 | 110.807 | 0.000 | -0.000 | 0.000 |
| 0.000 | 0.000 | 0.000 | 34.604 | -0.000 | 0.000 |
| 0.000 | 0.000 | 0.000 | -0.000 | 42.913 | 0.000 |
| 0.000 | 0.000 | 0.000 | -0.000 | -0.000 | 33.587 |
| 184.903 | 44.087 | 50.743 | 0.000 | 0.000 | -0.000 |
| 43.975 | 115.775 | 45.526 | -0.000 | 0.000 | 0.000 |
| 52.517 | 46.353 | 98.038 | -0.000 | 0.000 | -0.000 |
| -0.138 | 0.033 | -1.063 | 33.873 | 0.000 | -0.000 |
| -0.021 | 0.105 | -0.742 | 0.000 | 41.720 | -0.000 |
| -0.220 | 0.077 | -1.315 | 0.000 | 0.000 | 33.550 |
| 185.153 | 43.952 | 52.027 | -0.000 | -0.000 | 0.000 |
| 44.039 | 115.728 | 46.813 | -0.000 | -0.000 | 0.000 |
| 51.976 | 46.733 | 108.249 | -0.000 | -0.000 | 0.000 |
| 0.138 | -0.033 | 1.063 | 33.873 | -0.000 | 0.000 |
| 0.021 | -0.105 | 0.742 | 0.000 | 41.720 | 0.000 |
| 0.220 | -0.077 | 1.315 | -0.000 | -0.000 | 33.550 |
| 154.517 | 56.826 | 56.381 | -0.000 | 0.000 | 0.000 |
| 57.357 | 135.844 | 55.148 | -0.000 | -0.000 | -0.000 |
| 54.900 | 55.148 | 214.312 | -0.000 | -0.000 | -0.000 |
| 0.088 | 0.062 | -0.076 | 43.017 | -0.000 | -0.000 |
| -0.000 | -0.000 | -0.000 | 0.000 | 43.579 | 0.000 |
| -0.000 | -0.000 | -0.000 | 0.000 | 0.000 | 43.154 |
| 154.376 | 56.725 | 56.503 | -0.000 | 0.000 | -0.000 |
| 56.802 | 133.701 | 55.608 | 0.000 | 0.000 | -0.000 |
| 56.396 | 55.584 | 213.023 | -0.000 | 0.000 | -0.000 |
| -0.088 | -0.062 | 0.076 | 43.017 | 0.000 | 0.000 |
| 0.000 | 0.000 | 0.000 | -0.000 | 43.579 | -0.000 |
| 0.000 | 0.000 | 0.000 | -0.000 | 0.000 | 43.154 |
| 154.456 | 56.780 | 56.436 | -0.000 | 0.000 | 0.000 |
| 56.871 | 133.753 | 55.549 | -0.000 | -0.000 | 0.000 |
| 54.900 | 55.148 | 214.311 | -0.000 | -0.000 | 0.000 |
| -0.000 | -0.000 | -0.000 | 43.839 | 0.000 | -0.000 |
| -0.000 | -0.000 | -0.000 | 0.000 | 43.579 | 0.000 |
| 0.007 | 0.005 | -0.006 | 0.000 | -0.000 | 41.780 |
| 154.438 | 56.770 | 56.448 | -0.000 | -0.000 | -0.000 |
| 56.858 | 133.743 | 55.559 | -0.000 | 0.000 | -0.000 |
| 56.462 | 55.631 | 212.966 | -0.000 | 0.000 | -0.000 |
| 0.000 | 0.000 | 0.000 | 43.839 | -0.000 | -0.000 |
| 0.000 | 0.000 | 0.000 | -0.000 | 43.579 | -0.000 |
| -0.007 | -0.005 | 0.006 | 0.000 | 0.000 | 41.780 |
| 154.462 | 56.856 | 56.434 | -0.000 | -0.000 | -0.000 |
| 56.866 | 133.748 | 55.553 | -0.000 | -0.000 | 0.000 |
| 56.470 | 55.636 | 212.956 | 0.000 | -0.000 | 0.000 |
| -0.000 | -0.000 | -0.000 | 43.839 | -0.000 | 0.000 |
| -0.000 | -0.000 | -0.000 | -0.000 | 43.579 | -0.000 |
| -0.000 | 0.000 | -0.000 | 0.000 | -0.000 | 43.154 |
| 156.263 | 57.357 | 54.900 | -0.000 | -0.000 | 0.000 |
| 57.357 | 135.844 | 55.149 | 0.000 | 0.000 | -0.000 |
| 54.901 | 55.149 | 214.314 | 0.000 | -0.000 | 0.000 |
| 0.000 | 0.000 | 0.000 | 43.839 | 0.000 | 0.000 |
| 0.000 | 0.000 | 0.000 | 0.000 | 43.579 | -0.000 |
| 0.000 | -0.000 | 0.000 | 0.000 | 0.000 | 43.154 |
| 92.235 | 53.596 | 54.325 | -0.000 | -0.000 | -0.000 |
| 53.573 | 128.648 | 55.448 | -0.000 | -0.000 | -0.000 |
| 53.413 | 53.996 | 203.961 | -0.000 | -0.000 | -0.000 |
| 0.000 | -0.000 | -0.000 | 42.642 | 0.000 | -0.000 |
| 0.000 | -0.000 | -0.000 | -0.000 | 42.194 | -0.000 |
| -0.000 | -0.000 | -0.000 | -0.000 | -0.000 | 42.228 |
| 93.614 | 55.789 | 53.948 | 0.000 | 0.000 | 0.000 |
| 55.775 | 132.273 | 54.518 | 0.000 | 0.000 | 0.000 |
| 53.413 | 53.996 | 203.961 | -0.000 | 0.000 | 0.000 |
| -0.000 | 0.000 | 0.000 | 42.642 | -0.000 | 0.000 |
| 0.000 | -0.000 | 0.000 | 0.000 | 42.194 | 0.000 |
| 0.000 | 0.000 | -0.000 | 0.000 | 0.000 | 42.228 |
| 92.190 | 53.566 | 54.215 | -0.000 | -0.000 | -0.000 |
| 53.537 | 128.635 | 55.333 | -0.000 | -0.000 | -0.000 |
| 53.413 | 53.996 | 203.961 | -0.000 | 0.000 | -0.000 |
| -0.000 | -0.000 | -0.000 | 42.642 | -0.000 | -0.000 |
| -0.000 | -0.000 | -0.000 | -0.000 | 42.194 | -0.000 |
| 0.007 | 0.004 | 0.016 | -0.000 | -0.000 | 40.349 |
| 93.614 | 55.789 | 53.948 | 0.000 | 0.000 | 0.000 |
| 53.528 | 128.632 | 55.308 | 0.000 | 0.000 | 0.000 |
| 53.724 | 54.984 | 202.491 | -0.000 | 0.000 | 0.000 |
| 0.000 | 0.000 | 0.000 | 42.642 | 0.000 | 0.000 |
| 0.000 | 0.000 | 0.000 | 0.000 | 42.194 | 0.000 |
| -0.007 | -0.004 | -0.016 | 0.000 | 0.000 | 40.349 |
| 93.616 | 55.788 | 53.948 | -0.000 | -0.000 | -0.000 |
| 55.774 | 132.270 | 54.518 | -0.000 | -0.000 | -0.000 |
| 53.413 | 53.996 | 203.959 | 0.000 | -0.000 | -0.000 |
| 0.000 | -0.000 | 0.001 | 41.752 | -0.000 | -0.000 |
| 0.001 | 0.001 | 0.002 | -0.000 | 40.774 | -0.000 |
| 0.000 | -0.000 | 0.002 | -0.000 | -0.000 | 40.349 |
| 92.181 | 53.567 | 54.186 | 0.000 | 0.000 | 0.000 |
| 53.533 | 128.636 | 55.319 | 0.000 | 0.000 | 0.000 |
| 53.730 | 54.988 | 202.507 | 0.000 | 0.000 | 0.000 |
| -0.000 | 0.000 | -0.001 | 41.752 | 0.000 | 0.000 |
| -0.001 | -0.001 | -0.002 | 0.000 | 40.774 | 0.000 |
| -0.000 | 0.000 | -0.002 | 0.000 | 0.000 | 40.349 |
| 84.974 | 48.619 | 41.801 | 0.000 | -0.000 | -0.000 |
| 48.619 | 129.380 | 57.052 | -0.000 | -0.000 | -0.000 |
| 41.801 | 57.052 | 161.776 | -0.000 | 0.000 | -0.000 |
| -0.000 | -0.000 | -0.000 | 41.540 | 0.000 | -0.000 |
| -22.168 | -10.438 | 8.109 | 0.000 | 27.037 | -0.000 |
| 0.000 | 0.000 | -0.000 | -0.000 | -0.000 | 29.066 |
| 84.974 | 48.619 | 41.801 | -0.000 | 0.000 | 0.000 |
| 69.471 | 139.229 | 54.258 | 0.000 | -0.000 | 0.000 |
| 41.801 | 57.052 | 161.776 | 0.000 | -0.000 | 0.000 |
| 0.000 | 0.000 | 0.000 | 41.540 | 0.000 | 0.000 |
| 22.168 | 10.438 | -8.109 | -0.000 | 27.037 | 0.000 |
| -0.000 | -0.000 | -0.000 | 0.000 | 0.000 | 29.066 |
| 81.939 | 46.959 | 42.279 | -0.000 | -0.000 | -0.000 |
| 48.619 | 129.381 | 57.052 | -0.000 | -0.000 | -0.000 |
| 38.911 | 55.041 | 159.906 | -0.000 | 0.000 | -0.000 |
| -2.141 | -1.028 | 0.270 | 40.472 | -0.000 | -0.000 |
| -2.217 | -1.044 | 0.811 | -0.000 | 27.037 | -0.000 |
| -1.887 | -0.751 | 0.670 | -0.000 | 0.000 | 27.858 |
| 86.398 | 49.046 | 40.614 | 0.000 | 0.000 | -0.000 |
| 50.252 | 129.895 | 55.740 | -0.000 | -0.000 | -0.000 |
| 43.725 | 57.645 | 160.056 | 0.000 | -0.000 | 0.000 |
| 2.141 | 1.028 | -0.270 | 40.472 | 0.000 | 0.000 |
| 2.217 | 1.044 | -0.811 | 0.000 | 27.037 | 0.000 |
| 1.887 | 0.751 | -0.670 | -0.000 | -0.000 | 27.858 |
| 83.865 | 47.856 | 41.546 | -0.000 | -0.000 | -0.000 |
| 48.622 | 129.389 | 57.052 | -0.000 | 0.000 | -0.000 |
| 40.802 | 56.023 | 160.325 | -0.000 | -0.000 | 0.000 |
| -0.000 | -0.000 | -0.000 | 41.540 | -0.000 | 0.000 |
| -0.000 | -0.000 | -0.000 | -0.000 | 27.037 | -0.000 |
| -0.480 | -0.223 | 0.176 | -0.000 | 0.000 | 28.344 |
| 84.974 | 48.618 | 41.801 | -0.000 | 0.000 | 0.000 |
| 48.036 | 128.735 | 56.164 | 0.000 | 0.000 | 0.000 |
| 41.174 | 56.156 | 159.912 | 0.000 | 0.000 | -0.000 |
| 0.000 | 0.000 | 0.000 | 41.540 | 0.000 | -0.000 |
| 0.000 | 0.000 | 0.000 | 0.000 | 27.037 | 0.000 |
| 0.480 | 0.223 | -0.176 | 0.000 | 0.000 | 28.344 |
| 293.448 | 137.244 | -193.055 | -0.000 | 0.000 | 0.000 |
| 46.908 | 121.870 | 55.436 | -0.000 | -0.000 | -0.000 |
| 41.603 | 55.341 | 157.643 | -0.000 | -0.000 | 0.000 |
| 265.801 | 166.892 | -117.576 | 39.955 | 0.000 | -0.000 |
| 313.245 | 174.487 | -40.975 | 0.000 | 28.267 | -0.000 |
| 0.000 | 0.000 | -0.000 | -0.000 | -0.000 | 29.330 |
| 88.592 | 47.140 | 41.929 | 0.000 | 0.000 | 0.000 |
| 46.908 | 121.870 | 55.436 | 0.000 | 0.000 | 0.000 |
| 41.603 | 55.341 | 157.643 | 0.000 | 0.000 | 0.000 |
| -265.801 | -166.892 | 117.576 | 39.955 | -0.000 | 0.000 |
| -313.245 | -174.487 | 40.975 | 0.000 | 28.267 | 0.000 |
| -0.000 | -0.000 | 0.000 | 0.000 | -0.000 | 29.330 |
| 113.949 | 62.757 | 28.909 | -0.000 | 0.000 | -0.000 |
| 46.908 | 121.870 | 55.436 | -0.000 | -0.000 | -0.000 |
| 61.292 | 63.331 | 132.337 | -0.000 | -0.000 | -0.000 |
| 31.326 | 17.449 | -4.098 | 40.334 | 0.000 | -0.000 |
| 31.325 | 17.449 | -4.098 | -0.000 | 28.267 | -0.000 |
| 31.330 | 17.452 | -4.098 | 0.000 | -0.000 | 28.924 |
| 88.592 | 47.140 | 41.929 | 0.000 | 0.000 | 0.000 |
| 14.947 | 103.788 | 58.886 | 0.000 | 0.000 | -0.000 |
| 41.603 | 55.341 | 157.643 | -0.000 | -0.000 | 0.000 |
| -31.326 | -17.449 | 4.098 | 40.334 | -0.000 | 0.000 |
| -31.325 | -17.449 | 4.098 | -0.000 | 28.267 | -0.000 |
| -31.330 | -17.452 | 4.098 | 0.000 | -0.000 | 28.924 |
| 88.592 | 47.140 | 41.929 | -0.000 | -0.000 | -0.000 |
| 49.426 | 122.981 | 54.344 | 0.000 | 0.000 | -0.000 |
| 44.414 | 56.500 | 156.219 | 0.000 | 0.000 | -0.000 |
| 3.145 | 1.752 | -0.412 | 40.331 | 0.000 | -0.000 |
| 3.132 | 1.745 | -0.410 | -0.000 | 28.267 | -0.000 |
| 2.018 | 0.864 | -2.430 | -0.000 | 0.000 | 27.735 |
| 84.664 | 44.782 | 41.891 | 0.000 | 0.000 | 0.000 |
| 43.299 | 119.237 | 55.283 | -0.000 | -0.000 | 0.000 |
| 38.146 | 52.700 | 156.947 | 0.000 | 0.000 | 0.000 |
| -3.145 | -1.752 | 0.412 | 40.331 | -0.000 | 0.000 |
| -3.132 | -1.745 | 0.410 | 0.000 | 28.267 | 0.000 |
| -2.018 | -0.864 | 2.430 | 0.000 | -0.000 | 27.735 |
| 143.652 | 61.082 | 47.076 | 0.000 | -0.000 | -0.000 |
| 61.082 | 143.652 | 47.076 | 0.000 | -0.000 | -0.000 |
| 47.345 | 47.345 | 131.330 | 0.000 | 0.000 | -0.000 |
| -0.000 | -0.000 | -0.000 | 34.156 | -0.000 | -0.000 |
| -0.000 | -0.000 | -0.000 | 0.000 | 34.156 | -0.000 |
| 0.000 | 0.000 | -0.000 | 0.000 | -0.000 | 41.299 |
| 143.652 | 61.082 | 47.076 | -0.000 | 0.000 | -0.000 |
| 61.082 | 143.652 | 47.076 | -0.000 | 0.000 | 0.000 |
| 46.960 | 46.960 | 130.589 | -0.000 | -0.000 | -0.000 |
| 0.000 | 0.000 | 0.000 | 34.156 | 0.000 | 0.000 |
| 0.000 | 0.000 | 0.000 | -0.000 | 34.156 | 0.000 |
| -0.000 | -0.000 | 0.000 | 0.000 | 0.000 | 41.299 |
| 143.925 | 61.174 | 47.427 | -0.000 | -0.000 | -0.000 |
| 61.051 | 143.648 | 47.042 | 0.000 | -0.000 | -0.000 |
| 46.960 | 46.960 | 130.589 | 0.000 | 0.000 | -0.000 |
| -0.000 | -0.000 | -0.000 | 34.156 | -0.000 | 0.000 |
| -0.000 | -0.000 | -0.000 | 0.000 | 34.156 | -0.000 |
| 0.000 | 0.000 | -0.000 | -0.000 | -0.000 | 41.299 |
| 143.923 | 61.174 | 47.427 | 0.000 | 0.000 | 0.000 |
| 61.174 | 143.923 | 47.427 | 0.000 | 0.000 | -0.000 |
| 47.345 | 47.345 | 131.330 | -0.000 | 0.000 | -0.000 |
| 0.000 | 0.000 | 0.000 | 34.156 | 0.000 | 0.000 |
| 0.000 | 0.000 | 0.000 | -0.000 | 34.156 | 0.000 |
| -0.000 | -0.000 | 0.000 | -0.000 | 0.000 | 41.299 |
| 143.661 | 61.085 | 47.076 | -0.000 | -0.000 | 0.000 |
| 61.175 | 143.935 | 47.427 | -0.000 | -0.000 | 0.000 |
| 47.345 | 47.345 | 131.329 | -0.000 | -0.000 | 0.000 |
| -0.000 | -0.000 | -0.000 | 33.477 | -0.000 | -0.000 |
| -0.000 | -0.000 | -0.000 | -0.000 | 33.477 | 0.000 |
| 0.003 | 0.001 | -0.000 | -0.000 | -0.000 | 41.375 |
| 143.916 | 61.171 | 47.427 | 0.000 | 0.000 | -0.000 |
| 61.081 | 143.642 | 47.076 | 0.000 | 0.000 | 0.000 |
| 47.345 | 47.345 | 131.331 | -0.000 | 0.000 | 0.000 |
| 0.000 | 0.000 | 0.000 | 33.477 | 0.000 | 0.000 |
| 0.000 | 0.000 | 0.000 | -0.000 | 33.477 | 0.000 |
| -0.003 | -0.001 | 0.000 | 0.000 | 0.000 | 41.375 |
| 142.602 | 60.506 | 47.082 | -0.000 | -0.000 | 0.000 |
| 60.605 | 142.866 | 47.433 | -0.000 | -0.000 | 0.000 |
| 47.433 | 47.433 | 133.271 | 0.000 | -0.000 | 0.000 |
| -0.000 | -0.000 | -0.000 | 34.578 | -0.000 | 0.000 |
| 0.001 | 0.001 | 0.001 | -0.000 | 33.892 | 0.000 |
| 0.000 | 0.000 | 0.001 | -0.000 | -0.000 | 41.061 |
| 142.601 | 60.505 | 47.081 | 0.000 | 0.000 | -0.000 |
| 60.605 | 142.866 | 47.433 | 0.000 | 0.000 | -0.000 |
| 47.433 | 47.433 | 133.271 | 0.000 | 0.000 | -0.000 |
| 0.000 | 0.000 | 0.000 | 34.578 | 0.000 | -0.000 |
| -0.001 | -0.001 | -0.001 | 0.000 | 33.892 | -0.000 |
| -0.000 | -0.000 | -0.001 | 0.000 | 0.000 | 41.061 |
| 142.867 | 60.605 | 47.433 | -0.000 | -0.000 | 0.000 |
| 60.605 | 142.867 | 47.433 | -0.000 | -0.000 | 0.000 |
| 47.433 | 47.433 | 133.271 | -0.000 | -0.000 | 0.000 |
| 0.000 | 0.000 | 0.000 | 33.892 | -0.000 | 0.000 |
| 0.000 | 0.000 | 0.000 | -0.000 | 33.892 | 0.000 |
| 0.000 | 0.000 | -0.000 | -0.000 | -0.000 | 41.131 |
| 142.601 | 60.505 | 47.082 | 0.000 | 0.000 | -0.000 |
| 60.505 | 142.600 | 47.082 | 0.000 | 0.000 | -0.000 |
| 47.433 | 47.433 | 133.271 | 0.000 | 0.000 | -0.000 |
| -0.000 | -0.000 | -0.000 | 33.892 | 0.000 | -0.000 |
| -0.000 | -0.000 | -0.000 | 0.000 | 33.892 | -0.000 |
| -0.000 | -0.000 | 0.000 | 0.000 | 0.000 | 41.131 |
| 142.610 | 60.509 | 47.082 | -0.000 | -0.000 | 0.000 |
| 60.507 | 142.612 | 47.082 | -0.000 | -0.000 | 0.000 |
| 47.433 | 47.433 | 133.270 | -0.000 | -0.000 | 0.000 |
| -0.000 | -0.000 | -0.000 | 33.892 | -0.000 | 0.000 |
| -0.000 | -0.000 | -0.000 | -0.000 | 33.892 | 0.000 |
| 0.003 | 0.001 | -0.000 | -0.000 | -0.000 | 41.131 |
| 142.593 | 60.503 | 47.082 | 0.000 | 0.000 | -0.000 |
| 60.604 | 142.856 | 47.433 | 0.000 | 0.000 | -0.000 |
| 47.433 | 47.433 | 133.272 | 0.000 | 0.000 | -0.000 |
| 0.000 | 0.000 | 0.000 | 33.892 | 0.000 | -0.000 |
| 0.000 | 0.000 | 0.000 | 0.000 | 33.892 | -0.000 |
| -0.003 | -0.001 | 0.000 | 0.000 | 0.000 | 41.131 |
| 132.283 | 67.446 | 53.604 | -0.000 | -3.113 | -0.000 |
| 52.011 | 176.570 | 49.324 | -0.000 | 0.231 | 0.000 |
| 38.416 | 76.594 | 123.113 | 0.000 | -4.746 | -0.000 |
| -0.000 | -0.000 | 0.000 | 37.310 | 0.000 | 0.200 |
| -0.574 | 0.232 | 3.837 | 0.000 | 38.613 | 0.000 |
| -0.000 | -0.000 | 0.000 | 0.199 | 0.000 | 39.412 |
| 145.794 | 25.239 | 40.567 | -0.000 | 14.946 | -0.000 |
| 60.611 | 148.407 | 47.925 | 0.000 | 14.299 | -0.000 |
| 54.779 | 49.324 | 113.353 | -0.000 | 3.837 | -0.000 |
| 0.000 | 0.000 | -0.000 | 37.310 | -0.000 | 0.200 |
| -0.574 | 0.232 | 3.837 | 0.000 | 38.613 | -0.000 |
| 0.000 | 0.000 | -0.000 | 0.199 | -0.000 | 39.412 |
| 133.989 | 52.056 | 55.516 | -0.000 | 6.834 | 0.000 |
| 51.004 | 176.695 | 50.525 | 0.000 | -0.207 | 0.000 |
| 52.192 | 51.642 | 108.101 | -0.000 | 2.713 | -0.000 |
| -0.000 | -0.000 | -0.000 | 37.310 | -0.000 | 0.200 |
| -1.658 | 3.113 | 4.159 | -0.000 | 36.047 | -0.000 |
| -0.000 | -0.000 | -0.000 | 0.199 | 0.000 | 39.412 |
| 133.989 | 52.056 | 55.516 | -0.000 | 6.834 | 0.000 |
| 52.011 | 176.570 | 49.324 | -0.000 | 0.231 | -0.000 |
| 54.779 | 49.324 | 113.353 | -0.000 | 3.837 | 0.000 |
| 0.000 | 0.000 | 0.000 | 37.310 | 0.000 | 0.200 |
| -0.574 | 0.232 | 3.837 | 0.000 | 38.613 | -0.000 |
| 0.000 | 0.000 | 0.000 | 0.199 | -0.000 | 39.412 |
| 131.214 | 52.821 | 54.245 | 0.000 | 6.303 | 0.000 |
| 52.011 | 176.568 | 49.324 | 0.000 | 0.231 | 0.000 |
| 52.942 | 49.432 | 109.596 | 0.000 | 3.800 | 0.000 |
| -0.000 | -0.000 | -0.000 | 37.310 | -0.000 | 0.200 |
| -0.574 | 0.232 | 3.837 | 0.000 | 38.613 | 0.000 |
| -0.000 | -0.000 | -0.000 | 0.199 | 0.000 | 39.412 |
| 131.304 | 52.351 | 53.901 | -0.000 | 6.430 | -0.000 |
| 52.011 | 176.571 | 49.324 | 0.000 | 0.231 | -0.000 |
| 53.409 | 48.893 | 109.712 | -0.000 | 3.970 | -0.000 |
| 0.000 | 0.000 | 0.000 | 37.310 | 0.000 | 0.200 |
| -0.574 | 0.232 | 3.837 | -0.000 | 38.612 | -0.000 |
| 0.000 | 0.000 | 0.000 | 0.199 | -0.000 | 39.412 |
| 128.281 | 68.815 | 107.680 | 0.000 | -21.968 | 0.000 |
| 54.507 | 175.684 | 84.708 | -0.000 | -10.759 | 0.000 |
| 52.307 | 48.650 | 113.483 | -0.000 | 2.319 | -0.000 |
| 0.000 | -0.000 | 0.000 | 36.976 | 0.000 | 0.552 |
| -2.840 | 0.502 | 2.319 | -0.000 | 37.052 | 0.000 |
| -0.000 | -0.000 | 0.000 | 0.467 | 0.000 | 39.036 |
| 127.490 | 44.690 | 14.604 | 0.000 | 15.302 | -0.000 |
| 51.209 | 170.526 | 48.290 | 0.000 | 0.417 | 0.000 |
| 51.326 | 32.840 | 52.441 | 0.000 | 27.615 | -0.000 |
| -0.000 | 0.000 | 0.000 | 36.976 | -0.000 | 0.552 |
| -2.047 | -14.906 | -53.889 | -0.000 | 61.108 | -0.000 |
| 0.000 | 0.000 | -0.000 | 0.467 | -0.000 | 39.036 |
| 129.157 | 54.563 | 56.640 | -0.000 | 0.895 | 0.000 |
| 52.036 | 168.812 | 51.507 | -0.000 | -0.228 | 0.000 |
| 52.307 | 48.650 | 113.483 | -0.000 | 2.319 | -0.000 |
| -0.103 | 1.542 | 5.503 | 35.312 | -2.469 | 0.726 |
| -2.840 | 0.502 | 2.319 | -0.000 | 37.052 | 0.000 |
| -0.108 | 1.526 | 5.430 | 0.639 | -2.445 | 36.354 |
| 133.770 | 51.744 | 52.826 | 0.000 | 4.017 | 0.000 |
| 51.558 | 167.146 | 44.423 | 0.000 | 2.050 | -0.000 |
| 50.336 | 47.644 | 105.796 | 0.000 | 3.691 | -0.000 |
| 0.103 | -1.542 | -5.503 | 35.312 | 2.469 | 0.726 |
| -3.273 | 0.217 | -0.941 | 0.000 | 37.375 | -0.000 |
| 0.108 | -1.526 | -5.430 | 0.639 | 2.445 | 36.354 |
| 133.771 | 51.744 | 52.826 | -0.000 | 4.016 | 0.000 |
| 51.703 | 168.581 | 48.405 | 0.000 | 0.690 | 0.000 |
| 50.731 | 48.598 | 109.815 | -0.000 | 2.369 | 0.000 |
| 0.025 | 0.073 | 0.346 | 35.771 | -0.110 | 0.638 |
| -3.048 | 0.945 | 3.083 | 0.000 | 35.735 | 0.000 |
| -0.000 | -0.000 | -0.000 | 0.467 | 0.000 | 39.036 |
| 130.637 | 52.287 | 51.097 | 0.000 | 3.817 | 0.000 |
| 51.209 | 170.528 | 48.290 | 0.000 | 0.417 | 0.000 |
| 52.307 | 48.650 | 113.484 | -0.000 | 2.319 | 0.000 |
| -0.025 | -0.073 | -0.346 | 35.771 | 0.110 | 0.638 |
| -3.044 | 0.868 | 2.155 | 0.000 | 36.401 | 0.000 |
| 0.000 | 0.000 | 0.000 | 0.467 | -0.000 | 39.036 |
| 120.428 | 41.789 | 41.789 | -0.000 | -0.000 | -0.000 |
| 41.789 | 120.428 | 41.789 | -0.000 | -0.000 | 0.000 |
| 41.789 | 41.789 | 120.428 | 0.000 | -0.000 | -0.000 |
| -0.000 | -0.000 | 0.000 | 14.879 | 0.000 | -0.000 |
| -0.000 | -0.000 | -0.000 | -0.000 | 14.879 | 0.000 |
| -0.000 | -0.000 | 0.000 | -0.000 | -0.000 | 14.879 |
| 120.428 | 41.789 | 41.789 | 0.000 | -0.000 | 0.000 |
| 41.789 | 120.428 | 41.789 | 0.000 | 0.000 | 0.000 |
| 41.789 | 41.789 | 120.428 | 0.000 | 0.000 | -0.000 |
| 0.000 | 0.000 | -0.000 | 14.879 | -0.000 | -0.000 |
| 0.000 | 0.000 | 0.000 | 0.000 | 14.879 | -0.000 |
| 0.000 | 0.000 | 0.000 | -0.000 | -0.000 | 14.879 |
| 120.484 | 41.761 | 41.761 | -0.000 | -0.000 | 0.000 |
| 41.761 | 120.484 | 41.761 | -0.000 | -0.000 | 0.000 |
| 41.761 | 41.761 | 120.484 | -0.000 | 0.000 | 0.000 |
| -0.000 | 0.000 | 0.000 | 15.236 | -0.000 | 0.000 |
| 0.000 | -0.000 | 0.000 | -0.000 | 15.236 | 0.000 |
| 0.000 | 0.000 | -0.000 | -0.000 | 0.000 | 15.236 |
| 120.428 | 41.788 | 41.788 | 0.000 | -0.000 | -0.000 |
| 41.788 | 120.428 | 41.788 | -0.000 | -0.000 | -0.000 |
| 41.788 | 41.788 | 120.428 | 0.000 | -0.000 | -0.000 |
| 0.000 | -0.000 | -0.000 | 15.236 | 0.000 | -0.000 |
| -0.000 | 0.000 | -0.000 | 0.000 | 15.236 | -0.000 |
| -0.000 | -0.000 | 0.000 | 0.000 | 0.000 | 15.236 |
| 120.484 | 41.761 | 41.761 | -0.000 | 0.000 | 0.000 |
| 41.761 | 120.484 | 41.761 | -0.000 | -0.000 | -0.000 |
| 41.761 | 41.761 | 120.484 | -0.000 | 0.000 | -0.000 |
| -0.000 | 0.000 | 0.000 | 14.879 | 0.000 | 0.000 |
| 0.000 | -0.000 | 0.000 | -0.000 | 14.879 | 0.000 |
| 0.000 | 0.000 | -0.000 | 0.000 | -0.000 | 14.879 |
| 120.483 | 41.761 | 41.761 | -0.000 | -0.000 | 0.000 |
| 41.761 | 120.483 | 41.761 | 0.000 | -0.000 | -0.000 |
| 41.761 | 41.761 | 120.483 | -0.000 | -0.000 | -0.000 |
| 0.000 | -0.000 | -0.000 | 14.879 | -0.000 | 0.000 |
| -0.000 | 0.000 | -0.000 | 0.000 | 14.879 | -0.000 |
| -0.000 | -0.000 | 0.000 | -0.000 | -0.000 | 14.879 |
| -13.650 | 24.671 | 24.671 | 0.000 | 0.000 | 0.000 |
| 24.671 | -13.650 | 24.671 | -0.000 | 0.000 | 0.000 |
| 24.671 | 24.671 | -13.650 | 0.000 | 0.000 | 0.000 |
| 0.000 | -0.000 | 0.000 | 15.184 | 0.000 | 0.000 |
| 0.000 | 0.000 | 0.000 | 0.000 | 15.184 | 0.000 |
| 0.000 | 0.000 | 0.000 | -0.000 | 0.000 | 15.184 |
| -13.650 | 24.671 | 24.671 | 0.000 | 0.000 | -0.000 |
| 24.671 | -13.650 | 24.671 | -0.000 | 0.000 | -0.000 |
| 24.671 | 24.671 | -13.650 | 0.000 | 0.000 | -0.000 |
| -0.000 | -0.000 | -0.000 | 15.184 | -0.000 | -0.000 |
| -0.000 | -0.000 | -0.000 | -0.000 | 15.184 | -0.000 |
| -0.000 | -0.000 | -0.000 | -0.000 | -0.000 | 15.184 |
| -13.650 | 24.671 | 24.671 | -0.000 | -0.000 | 0.000 |
| 24.671 | -13.650 | 24.671 | -0.000 | 0.000 | 0.000 |
| 24.671 | 24.671 | -13.650 | 0.000 | 0.000 | 0.000 |
| 0.000 | 0.000 | 0.000 | 15.704 | -0.000 | 0.000 |
| 0.000 | 0.000 | 0.000 | -0.000 | 15.704 | 0.000 |
| 0.000 | 0.000 | 0.000 | 0.000 | 0.000 | 15.704 |
| -13.650 | 24.671 | 24.671 | -0.000 | -0.000 | -0.000 |
| 24.671 | -13.650 | 24.671 | -0.000 | -0.000 | -0.000 |
| 24.671 | 24.671 | -13.650 | -0.000 | -0.000 | -0.000 |
| -0.000 | -0.000 | -0.000 | 15.704 | -0.000 | -0.000 |
| -0.000 | -0.000 | -0.000 | 0.000 | 15.704 | -0.000 |
| -0.000 | -0.000 | -0.000 | -0.000 | -0.000 | 15.704 |
| -13.651 | 24.671 | 24.671 | -0.000 | -0.000 | 0.000 |
| 24.671 | -13.651 | 24.671 | -0.000 | 0.000 | 0.000 |
| 24.671 | 24.671 | -13.651 | -0.000 | 0.000 | 0.000 |
| 0.000 | -0.000 | 0.000 | 15.184 | -0.000 | 0.000 |
| -0.000 | 0.000 | 0.000 | -0.000 | 15.184 | 0.000 |
| -0.000 | 0.000 | 0.000 | 0.000 | 0.000 | 15.184 |
| -13.649 | 24.671 | 24.671 | 0.000 | -0.000 | -0.000 |
| 24.671 | -13.649 | 24.671 | -0.000 | -0.000 | -0.000 |
| 24.671 | 24.671 | -13.649 | -0.000 | -0.000 | -0.000 |
| -0.000 | 0.000 | -0.000 | 15.184 | 0.000 | -0.000 |
| 0.000 | -0.000 | -0.000 | -0.000 | 15.184 | -0.000 |
| 0.000 | -0.000 | -0.000 | 0.000 | -0.000 | 15.184 |
| 96.969 | 50.238 | 50.238 | 0.000 | 0.000 | -0.000 |
| 50.238 | 96.969 | 50.238 | 0.000 | 0.000 | -0.000 |
| 50.238 | 50.238 | 96.969 | 0.000 | 0.000 | -0.000 |
| -0.000 | -0.000 | -0.000 | 35.170 | 0.000 | 0.000 |
| -0.000 | -0.000 | -0.000 | 0.000 | 35.170 | -0.000 |
| -0.000 | -0.000 | -0.000 | 0.000 | 0.000 | 35.170 |
| 96.969 | 50.238 | 50.238 | -0.000 | -0.000 | 0.000 |
| 50.238 | 96.969 | 50.238 | -0.000 | -0.000 | 0.000 |
| 50.238 | 50.238 | 96.969 | -0.000 | -0.000 | 0.000 |
| 0.000 | 0.000 | 0.000 | 35.170 | -0.000 | -0.000 |
| 0.000 | 0.000 | 0.000 | -0.000 | 35.170 | 0.000 |
| 0.000 | 0.000 | 0.000 | -0.000 | -0.000 | 35.170 |
| 96.969 | 50.238 | 50.238 | 0.000 | 0.000 | -0.000 |
| 50.238 | 96.969 | 50.238 | -0.000 | 0.000 | -0.000 |
| 50.238 | 50.238 | 96.969 | 0.000 | 0.000 | -0.000 |
| -0.000 | -0.000 | -0.000 | 35.170 | 0.000 | -0.000 |
| -0.000 | -0.000 | -0.000 | 0.000 | 35.170 | -0.000 |
| -0.000 | -0.000 | -0.000 | 0.000 | 0.000 | 35.170 |
| 96.969 | 50.238 | 50.238 | -0.000 | 0.000 | 0.000 |
| 50.238 | 96.969 | 50.238 | 0.000 | -0.000 | 0.000 |
| 50.238 | 50.238 | 96.969 | 0.000 | -0.000 | 0.000 |
| 0.000 | 0.000 | 0.000 | 35.170 | -0.000 | 0.000 |
| 0.000 | 0.000 | 0.000 | -0.000 | 35.170 | 0.000 |
| 0.000 | 0.000 | 0.000 | -0.000 | -0.000 | 35.170 |
| 96.968 | 50.238 | 50.238 | 0.000 | 0.000 | -0.000 |
| 50.238 | 96.968 | 50.238 | 0.000 | 0.000 | 0.000 |
| 50.238 | 50.238 | 96.968 | 0.000 | 0.000 | -0.000 |
| -0.000 | -0.000 | -0.000 | 35.170 | 0.000 | -0.000 |
| -0.000 | -0.000 | -0.000 | 0.000 | 35.170 | -0.000 |
| -0.000 | -0.000 | -0.000 | 0.000 | 0.000 | 35.170 |
| 96.969 | 50.238 | 50.238 | -0.000 | -0.000 | 0.000 |
| 50.238 | 96.969 | 50.238 | -0.000 | -0.000 | 0.000 |
| 50.238 | 50.238 | 96.969 | -0.000 | -0.000 | -0.000 |
| 0.000 | 0.000 | 0.000 | 35.170 | -0.000 | 0.000 |
| 0.000 | 0.000 | 0.000 | -0.000 | 35.170 | 0.000 |
| 0.000 | 0.000 | 0.000 | -0.000 | -0.000 | 35.170 |
| 102.937 | 41.448 | 48.317 | -0.000 | 0.000 | 0.000 |
| 41.434 | 144.893 | 52.069 | 0.000 | -0.000 | 0.000 |
| 48.166 | 52.040 | 104.405 | -0.000 | 0.000 | 0.000 |
| 0.000 | 0.000 | 0.000 | 40.302 | 0.000 | 0.000 |
| 0.000 | 0.000 | 0.000 | -0.000 | 31.369 | 0.000 |
| 0.000 | 0.000 | 0.000 | -0.000 | 0.000 | 29.524 |
| 102.937 | 41.448 | 48.317 | 0.000 | -0.000 | -0.000 |
| 41.434 | 144.893 | 52.069 | 0.000 | 0.000 | -0.000 |
| 48.166 | 52.040 | 104.405 | -0.000 | -0.000 | -0.000 |
| -0.000 | -0.000 | -0.000 | 40.302 | -0.000 | 0.000 |
| -0.000 | -0.000 | -0.000 | 0.000 | 31.369 | -0.000 |
| -0.000 | -0.000 | -0.000 | 0.000 | -0.000 | 29.524 |
| 102.937 | 41.448 | 48.317 | -0.000 | 0.000 | 0.000 |
| 41.434 | 144.893 | 52.069 | -0.000 | -0.000 | 0.000 |
| 48.340 | 52.062 | 104.192 | -0.000 | 0.000 | -0.000 |
| -0.000 | -0.000 | -0.000 | 40.302 | 0.000 | 0.000 |
| -0.000 | -0.000 | 0.000 | -0.000 | 31.369 | 0.000 |
| -0.000 | -0.000 | -0.000 | 0.000 | 0.000 | 29.524 |
| 102.937 | 41.448 | 48.317 | 0.000 | -0.000 | -0.000 |
| 41.434 | 144.893 | 52.069 | 0.000 | -0.000 | -0.000 |
| 48.340 | 52.062 | 104.192 | 0.000 | -0.000 | -0.000 |
| 0.000 | 0.000 | 0.000 | 40.302 | -0.000 | 0.000 |
| 0.000 | 0.000 | -0.000 | 0.000 | 31.369 | -0.000 |
| 0.000 | 0.000 | 0.000 | -0.000 | -0.000 | 29.524 |
| 103.072 | 41.428 | 48.089 | -0.000 | -0.000 | -0.000 |
| 41.433 | 144.890 | 52.066 | -0.000 | 0.000 | 0.000 |
| 48.340 | 52.062 | 104.192 | -0.000 | 0.000 | 0.000 |
| -0.000 | -0.000 | -0.000 | 40.268 | 0.000 | -0.000 |
| -0.000 | -0.000 | -0.000 | -0.000 | 31.363 | 0.000 |
| -0.000 | -0.000 | -0.000 | -0.000 | 0.000 | 29.524 |
| 102.909 | 41.430 | 48.328 | 0.000 | -0.000 | -0.000 |
| 41.428 | 145.230 | 52.762 | 0.000 | 0.000 | 0.000 |
| 48.340 | 52.062 | 104.192 | 0.000 | -0.000 | -0.000 |
| 0.000 | 0.000 | 0.000 | 40.268 | -0.000 | -0.000 |
| 0.000 | 0.000 | 0.000 | 0.000 | 31.363 | -0.000 |
| 0.000 | 0.000 | 0.000 | 0.000 | -0.000 | 29.524 |
| 103.760 | 41.775 | 48.934 | -0.000 | -0.000 | 0.000 |
| 41.648 | 144.001 | 51.817 | -0.000 | -0.000 | 0.000 |
| 48.605 | 51.740 | 104.457 | -0.000 | 0.000 | 0.000 |
| -0.000 | 0.002 | 0.005 | 39.651 | -0.000 | 0.000 |
| -0.001 | 0.006 | 0.013 | 0.000 | 31.528 | 0.000 |
| -0.000 | 0.001 | 0.002 | 0.000 | -0.000 | 29.550 |
| 103.755 | 41.770 | 48.931 | -0.000 | 0.000 | -0.000 |
| 41.648 | 143.999 | 51.813 | 0.000 | 0.000 | -0.000 |
| 48.605 | 51.738 | 104.454 | 0.000 | -0.000 | -0.000 |
| 0.000 | -0.002 | -0.005 | 39.651 | 0.000 | -0.000 |
| 0.001 | -0.006 | -0.013 | -0.000 | 31.528 | -0.000 |
| 0.000 | -0.001 | -0.002 | 0.000 | 0.000 | 29.550 |
| 103.758 | 41.772 | 48.933 | -0.000 | -0.000 | 0.000 |
| 41.648 | 144.000 | 51.815 | -0.000 | -0.000 | 0.000 |
| 48.762 | 51.755 | 104.294 | -0.000 | -0.000 | 0.000 |
| -0.000 | 0.000 | 0.001 | 39.651 | -0.000 | 0.000 |
| -0.000 | 0.001 | 0.001 | 0.000 | 31.528 | 0.000 |
| -0.000 | 0.000 | 0.000 | 0.000 | -0.000 | 29.550 |
| 103.757 | 41.772 | 48.933 | 0.000 | 0.000 | -0.000 |
| 41.648 | 144.000 | 51.815 | 0.000 | -0.000 | -0.000 |
| 48.762 | 51.755 | 104.294 | -0.000 | 0.000 | -0.000 |
| 0.000 | -0.000 | -0.001 | 39.651 | 0.000 | -0.000 |
| 0.000 | -0.001 | -0.001 | -0.000 | 31.528 | -0.000 |
| 0.000 | -0.000 | -0.000 | 0.000 | -0.000 | 29.550 |
| 103.727 | 41.738 | 48.906 | -0.000 | -0.000 | 0.000 |
| 41.647 | 143.998 | 51.813 | -0.000 | -0.000 | 0.000 |
| 48.763 | 51.755 | 104.294 | -0.000 | -0.000 | 0.000 |
| -0.000 | -0.000 | -0.000 | 39.621 | -0.000 | 0.000 |
| -0.000 | -0.000 | -0.000 | -0.000 | 31.745 | 0.000 |
| -0.000 | -0.000 | -0.000 | -0.000 | -0.000 | 29.550 |
| 103.727 | 41.738 | 48.905 | -0.000 | 0.000 | -0.000 |
| 41.646 | 143.999 | 51.813 | 0.000 | 0.000 | -0.000 |
| 48.762 | 51.755 | 104.294 | 0.000 | 0.000 | -0.000 |
| 0.000 | 0.000 | 0.000 | 39.621 | 0.000 | -0.000 |
| 0.000 | 0.000 | 0.000 | 0.000 | 31.745 | -0.000 |
| 0.000 | 0.000 | 0.000 | 0.000 | 0.000 | 29.550 |
| 98.991 | 57.075 | 48.189 | 0.000 | 0.000 | -0.000 |
| 57.075 | 98.991 | 48.189 | -0.000 | 0.000 | -0.000 |
| 48.189 | 48.189 | 79.563 | 0.000 | -0.000 | -0.000 |
| -0.000 | -0.000 | 0.000 | 26.614 | 0.000 | -0.000 |
| 0.000 | -0.000 | 0.000 | 0.000 | 26.614 | -0.000 |
| -0.000 | -0.000 | -0.000 | 0.000 | -0.000 | 34.606 |
| 98.991 | 57.075 | 48.189 | -0.000 | 0.000 | 0.000 |
| 57.075 | 98.991 | 48.189 | -0.000 | -0.000 | 0.000 |
| 48.189 | 48.189 | 79.563 | 0.000 | 0.000 | 0.000 |
| 0.000 | 0.000 | -0.000 | 26.614 | 0.000 | 0.000 |
| 0.000 | 0.000 | -0.000 | 0.000 | 26.614 | 0.000 |
| 0.000 | 0.000 | 0.000 | -0.000 | 0.000 | 34.606 |
| 98.441 | 57.625 | 48.189 | -0.000 | 0.000 | -0.000 |
| 57.625 | 98.441 | 48.189 | 0.000 | -0.000 | -0.000 |
| 48.190 | 48.190 | 79.563 | 0.000 | 0.000 | -0.000 |
| -0.000 | -0.000 | 0.000 | 26.614 | 0.000 | -0.000 |
| -0.000 | -0.000 | 0.000 | 0.000 | 26.614 | -0.000 |
| -0.000 | -0.000 | -0.000 | 0.000 | 0.000 | 34.606 |
| 98.441 | 57.625 | 48.189 | -0.000 | 0.000 | 0.000 |
| 57.625 | 98.441 | 48.189 | -0.000 | -0.000 | 0.000 |
| 48.189 | 48.189 | 79.563 | 0.000 | 0.000 | 0.000 |
| 0.000 | 0.000 | -0.000 | 26.614 | -0.000 | 0.000 |
| 0.000 | 0.000 | -0.000 | -0.000 | 26.614 | 0.000 |
| 0.000 | 0.000 | 0.000 | -0.000 | 0.000 | 34.606 |
| 98.991 | 57.075 | 48.189 | -0.000 | 0.000 | -0.000 |
| 57.075 | 98.991 | 48.189 | 0.000 | -0.000 | -0.000 |
| 48.190 | 48.190 | 79.563 | 0.000 | 0.000 | -0.000 |
| -0.000 | -0.000 | 0.000 | 26.614 | -0.000 | -0.000 |
| -0.000 | -0.000 | 0.000 | 0.000 | 26.614 | -0.000 |
| -0.000 | -0.000 | -0.000 | 0.000 | -0.000 | 34.606 |
| 98.992 | 57.075 | 48.189 | 0.000 | 0.000 | 0.000 |
| 57.075 | 98.992 | 48.189 | -0.000 | 0.000 | 0.000 |
| 48.189 | 48.189 | 79.562 | -0.000 | 0.000 | 0.000 |
| 0.000 | 0.000 | -0.000 | 26.614 | -0.000 | 0.000 |
| 0.000 | 0.000 | -0.000 | -0.000 | 26.614 | 0.000 |
| 0.000 | 0.000 | 0.000 | 0.000 | 0.000 | 34.606 |
| 118.127 | 56.014 | 56.520 | 0.000 | 0.000 | 0.000 |
| 55.741 | 117.362 | 55.973 | 0.000 | 0.000 | 0.000 |
| 56.498 | 56.498 | 189.073 | -0.000 | -0.000 | 0.000 |
| -0.012 | -0.012 | -0.013 | 38.322 | -0.000 | 0.000 |
| -0.000 | -0.000 | -0.000 | -0.000 | 39.105 | 0.000 |
| -0.006 | -0.006 | -0.006 | 0.000 | 0.000 | 30.757 |
| 118.127 | 56.014 | 56.520 | -0.000 | -0.000 | -0.000 |
| 55.749 | 117.370 | 55.982 | -0.000 | -0.000 | -0.000 |
| 56.003 | 56.003 | 188.552 | -0.000 | -0.000 | -0.000 |
| 0.012 | 0.012 | 0.013 | 38.322 | 0.000 | -0.000 |
| 0.000 | 0.000 | 0.000 | -0.000 | 39.105 | -0.000 |
| 0.006 | 0.006 | 0.006 | -0.000 | -0.000 | 30.757 |
| 117.139 | 56.094 | 56.041 | -0.000 | 0.000 | 0.000 |
| 56.014 | 118.127 | 56.520 | 0.000 | 0.000 | 0.000 |
| 56.498 | 56.498 | 189.073 | -0.000 | -0.000 | 0.000 |
| -0.001 | -0.001 | -0.001 | 38.322 | -0.000 | 0.000 |
| -0.001 | -0.001 | -0.001 | 0.000 | 38.322 | 0.000 |
| -0.000 | -0.000 | -0.000 | 0.000 | 0.000 | 31.057 |
| 118.127 | 56.014 | 56.520 | -0.000 | -0.000 | -0.000 |
| 55.998 | 117.158 | 56.001 | 0.000 | 0.000 | -0.000 |
| 56.498 | 56.498 | 189.074 | 0.000 | 0.000 | -0.000 |
| 0.001 | 0.001 | 0.001 | 38.322 | 0.000 | -0.000 |
| 0.001 | 0.001 | 0.001 | 0.000 | 38.322 | -0.000 |
| 0.000 | 0.000 | 0.000 | -0.000 | -0.000 | 31.057 |
| 118.127 | 56.013 | 56.520 | 0.000 | 0.000 | 0.000 |
| 56.014 | 118.127 | 56.520 | 0.000 | 0.000 | 0.000 |
| 56.498 | 56.498 | 189.072 | -0.000 | -0.000 | 0.000 |
| -0.000 | -0.000 | -0.000 | 39.105 | -0.000 | 0.000 |
| -0.000 | -0.000 | -0.000 | 0.000 | 38.322 | 0.000 |
| -0.000 | -0.000 | -0.000 | 0.000 | 0.000 | 31.057 |
| 118.128 | 56.014 | 56.520 | -0.000 | -0.000 | -0.000 |
| 56.014 | 118.128 | 56.520 | -0.000 | -0.000 | -0.000 |
| 56.498 | 56.498 | 189.075 | 0.000 | -0.000 | -0.000 |
| 0.000 | 0.000 | 0.000 | 39.105 | 0.000 | -0.000 |
| 0.000 | 0.000 | 0.000 | -0.000 | 38.322 | -0.000 |
| 0.000 | 0.000 | 0.000 | -0.000 | -0.000 | 31.057 |
| 118.664 | 56.152 | 56.708 | 0.000 | 0.000 | -0.000 |
| 55.803 | 117.815 | 56.083 | 0.000 | 0.000 | -0.000 |
| 56.708 | 56.708 | 190.343 | 0.000 | -0.000 | -0.000 |
| -0.149 | -0.149 | -0.155 | 38.753 | 0.000 | -0.000 |
| -0.149 | -0.149 | -0.155 | 0.000 | 38.753 | -0.000 |
| -0.000 | -0.000 | -0.000 | 0.000 | 0.000 | 31.256 |
| 117.912 | 55.913 | 56.191 | -0.000 | -0.000 | 0.000 |
| 56.152 | 118.664 | 56.708 | -0.000 | -0.000 | 0.000 |
| 56.708 | 56.708 | 190.344 | -0.000 | -0.000 | 0.000 |
| 0.149 | 0.149 | 0.155 | 38.753 | -0.000 | 0.000 |
| 0.149 | 0.149 | 0.155 | -0.000 | 38.753 | 0.000 |
| 0.000 | 0.000 | 0.000 | -0.000 | -0.000 | 31.256 |
| 118.664 | 56.152 | 56.708 | 0.000 | 0.000 | -0.000 |
| 56.152 | 118.664 | 56.708 | 0.000 | 0.000 | -0.000 |
| 56.177 | 56.177 | 189.790 | -0.000 | -0.000 | -0.000 |
| -0.015 | -0.015 | -0.016 | 38.724 | 0.000 | -0.000 |
| -0.015 | -0.015 | -0.016 | 0.000 | 38.724 | -0.000 |
| -0.000 | -0.000 | -0.000 | 0.000 | 0.000 | 31.256 |
| 117.869 | 55.863 | 56.142 | -0.000 | -0.000 | 0.000 |
| 56.152 | 118.664 | 56.708 | -0.000 | -0.000 | 0.000 |
| 56.188 | 56.188 | 189.801 | -0.000 | -0.000 | 0.000 |
| 0.015 | 0.015 | 0.016 | 38.724 | -0.000 | 0.000 |
| 0.015 | 0.015 | 0.016 | -0.000 | 38.724 | 0.000 |
| 0.000 | 0.000 | 0.000 | -0.000 | -0.000 | 31.256 |
| 118.663 | 56.152 | 56.708 | 0.000 | 0.000 | -0.000 |
| 56.152 | 118.663 | 56.708 | 0.000 | 0.000 | -0.000 |
| 56.708 | 56.708 | 190.342 | 0.000 | -0.000 | -0.000 |
| -0.002 | -0.002 | -0.002 | 38.723 | 0.000 | -0.000 |
| -0.002 | -0.002 | -0.002 | 0.000 | 38.723 | -0.000 |
| -0.000 | -0.000 | -0.000 | 0.000 | 0.000 | 31.256 |
| 118.664 | 56.152 | 56.708 | -0.000 | -0.000 | 0.000 |
| 56.124 | 117.651 | 56.165 | -0.000 | -0.000 | 0.000 |
| 56.708 | 56.708 | 190.345 | -0.000 | -0.000 | 0.000 |
| 0.002 | 0.002 | 0.002 | 38.723 | -0.000 | 0.000 |
| 0.002 | 0.002 | 0.002 | -0.000 | 38.723 | 0.000 |
| 0.000 | 0.000 | 0.000 | -0.000 | -0.000 | 31.256 |
| 59.286 | -11.280 | 113.000 | 0.000 | 0.000 | -0.000 |
| -67.494 | 54.916 | 104.489 | -0.000 | 0.000 | -0.000 |
| -64.892 | -10.914 | 157.399 | -0.000 | 0.000 | -0.000 |
| -117.456 | -62.752 | 60.109 | 26.465 | 0.000 | 0.000 |
| -119.270 | -60.868 | 54.672 | -0.000 | 37.158 | -0.000 |
| -0.000 | -0.000 | 0.000 | 0.000 | -0.000 | 35.157 |
| 288.601 | 112.814 | -15.753 | 0.000 | 0.000 | 0.000 |
| 163.718 | 177.174 | -18.907 | 0.000 | 0.000 | 0.000 |
| 153.064 | 108.710 | 53.784 | 0.000 | -0.000 | 0.000 |
| 117.456 | 62.752 | -60.109 | 26.465 | 0.000 | 0.000 |
| 119.270 | 60.868 | -54.672 | 0.000 | 37.158 | 0.000 |
| 0.000 | 0.000 | -0.000 | 0.000 | -0.000 | 35.157 |
| 165.136 | 45.413 | 59.126 | -0.000 | -0.000 | -0.000 |
| 39.843 | 109.695 | 55.285 | -0.000 | -0.000 | -0.000 |
| 42.058 | 43.668 | 107.956 | -0.000 | 0.000 | -0.000 |
| -11.947 | -6.090 | 5.473 | 26.585 | 0.000 | 0.000 |
| -11.204 | -6.139 | 6.844 | -0.000 | 36.938 | -0.000 |
| -9.873 | -5.879 | 4.978 | -0.000 | 0.000 | 34.182 |
| 189.122 | 57.608 | 48.106 | 0.000 | -0.000 | 0.000 |
| 61.824 | 121.694 | 44.924 | 0.000 | -0.000 | 0.000 |
| 65.150 | 56.161 | 95.048 | -0.000 | -0.000 | 0.000 |
| 11.947 | 6.090 | -5.473 | 26.585 | -0.000 | 0.000 |
| 11.204 | 6.139 | -6.844 | 0.000 | 36.938 | 0.000 |
| 9.873 | 5.879 | -4.978 | 0.000 | 0.000 | 34.182 |
| 175.569 | 50.832 | 53.997 | 0.000 | -0.000 | -0.000 |
| 50.560 | 115.144 | 50.334 | 0.000 | 0.000 | -0.000 |
| 52.918 | 49.143 | 103.803 | -0.000 | 0.000 | -0.000 |
| -1.041 | -0.619 | 0.527 | 26.700 | 0.000 | -0.000 |
| -1.104 | -0.657 | 0.556 | -0.000 | 37.400 | -0.000 |
| -1.139 | -0.616 | 0.581 | 0.000 | 0.000 | 33.811 |
| 177.675 | 51.940 | 52.578 | 0.000 | -0.000 | 0.000 |
| 52.970 | 116.423 | 49.383 | 0.000 | 0.000 | 0.000 |
| 54.599 | 49.943 | 104.418 | 0.000 | -0.000 | 0.000 |
| 1.041 | 0.619 | -0.527 | 26.700 | -0.000 | 0.000 |
| 1.104 | 0.657 | -0.556 | 0.000 | 37.400 | 0.000 |
| 1.139 | 0.616 | -0.581 | 0.000 | 0.000 | 33.811 |
| 186.291 | 53.085 | 54.712 | 0.000 | 0.000 | -0.000 |
| -5.102 | 302.217 | 409.380 | -0.000 | 0.000 | -0.000 |
| 279.570 | 328.670 | 1245.150 | 0.000 | 0.000 | -0.000 |
| 114.369 | 294.061 | 1223.928 | 34.460 | 0.000 | -0.000 |
| -0.000 | 0.000 | -0.000 | 0.000 | 38.558 | -0.000 |
| -0.000 | -0.000 | -0.000 | -0.000 | 0.000 | 36.044 |
| 67.756 | -241.328 | -1168.562 | -0.000 | -0.000 | 0.000 |
| -178.032 | -155.657 | -1064.549 | -0.000 | -0.000 | -0.000 |
| 114.705 | -126.804 | -227.985 | 0.000 | -0.000 | 0.000 |
| -114.369 | -294.061 | -1223.928 | 34.460 | -0.000 | 0.000 |
| 0.000 | 0.000 | 0.000 | -0.000 | 38.558 | 0.000 |
| 0.000 | 0.000 | 0.000 | -0.000 | 0.000 | 36.044 |
| 206.845 | 80.449 | 167.439 | 0.000 | 0.000 | -0.000 |
| 64.578 | 147.509 | 179.388 | 0.000 | 0.000 | -0.000 |
| 50.685 | 75.558 | 159.006 | -0.000 | 0.000 | -0.000 |
| 22.429 | 27.169 | 112.420 | 34.582 | 0.000 | -0.000 |
| -0.000 | -0.000 | -0.000 | 0.000 | 38.558 | -0.000 |
| 11.426 | 29.385 | 122.296 | 0.000 | 0.000 | 33.364 |
| 186.291 | 53.085 | 54.712 | -0.000 | -0.000 | 0.000 |
| 41.705 | 88.703 | -65.376 | -0.000 | -0.000 | 0.000 |
| 32.008 | 29.518 | 8.833 | -0.000 | -0.000 | 0.000 |
| -22.429 | -27.169 | -112.420 | 34.582 | -0.000 | 0.000 |
| 0.000 | 0.000 | 0.000 | -0.000 | 38.558 | 0.000 |
| -11.426 | -29.385 | -122.296 | 0.000 | -0.000 | 33.364 |
| 185.882 | 55.784 | 66.563 | 0.000 | 0.000 | -0.000 |
| 52.462 | 120.117 | 61.242 | -0.000 | 0.000 | -0.000 |
| 54.712 | 58.276 | 129.394 | -0.000 | 0.000 | -0.000 |
| 1.133 | 2.918 | 12.139 | 34.466 | 0.000 | -0.000 |
| 2.248 | 2.716 | 11.234 | 0.000 | 37.240 | -0.000 |
| -0.000 | -0.000 | -0.000 | 0.000 | -0.000 | 36.044 |
| 184.369 | 51.013 | 52.664 | 0.000 | -0.000 | 0.000 |
| 50.682 | 115.463 | 45.742 | -0.000 | -0.000 | 0.000 |
| 52.821 | 54.163 | 109.774 | -0.000 | -0.000 | 0.000 |
| -1.133 | -2.918 | -12.139 | 34.466 | -0.000 | 0.000 |
| -2.248 | -2.716 | -11.234 | -0.000 | 37.240 | 0.000 |
| 0.000 | 0.000 | 0.000 | -0.000 | -0.000 | 36.044 |
| 86.248 | 34.386 | 41.559 | 0.000 | 0.000 | -0.000 |
| 34.386 | 86.248 | 41.559 | 0.000 | 0.000 | 0.000 |
| 42.718 | 42.718 | 148.013 | -0.000 | -0.000 | 0.000 |
| -0.000 | 0.000 | -0.000 | 35.551 | -0.000 | -0.000 |
| -0.000 | 0.000 | -0.000 | -0.000 | 35.551 | 0.000 |
| -0.000 | 0.000 | -0.000 | -0.000 | 0.000 | 25.931 |
| 84.363 | 33.321 | 37.986 | 0.000 | 0.000 | -0.000 |
| 33.321 | 84.363 | 37.986 | 0.000 | 0.000 | -0.000 |
| 39.969 | 39.969 | 141.353 | 0.000 | 0.000 | -0.000 |
| 0.000 | -0.000 | 0.000 | 35.551 | 0.000 | -0.000 |
| 0.000 | -0.000 | 0.000 | 0.000 | 35.551 | 0.000 |
| -0.000 | -0.000 | 0.000 | -0.000 | -0.000 | 25.931 |
| 86.248 | 34.386 | 41.559 | 0.000 | -0.000 | 0.000 |
| 35.505 | 85.231 | 41.683 | -0.000 | -0.000 | -0.000 |
| 41.481 | 41.481 | 145.016 | 0.000 | -0.000 | 0.000 |
| -0.000 | -0.000 | -0.000 | 35.551 | -0.000 | 0.000 |
| -0.000 | -0.000 | -0.000 | -0.000 | 35.551 | 0.000 |
| 0.141 | 0.141 | 0.342 | -0.000 | -0.000 | 24.868 |
| 86.248 | 34.386 | 41.559 | 0.000 | 0.000 | -0.000 |
| 34.386 | 86.248 | 41.559 | 0.000 | -0.000 | -0.000 |
| 41.559 | 41.559 | 145.205 | 0.000 | 0.000 | 0.000 |
| 0.000 | 0.000 | 0.000 | 35.551 | 0.000 | -0.000 |
| 0.000 | 0.000 | 0.000 | 0.000 | 35.551 | 0.000 |
| -0.141 | -0.141 | -0.342 | 0.000 | 0.000 | 24.868 |
| 86.248 | 34.386 | 41.559 | -0.000 | 0.000 | -0.000 |
| 34.939 | 85.444 | 41.255 | -0.000 | -0.000 | 0.000 |
| 41.357 | 41.357 | 144.715 | -0.000 | -0.000 | 0.000 |
| -0.000 | -0.000 | -0.000 | 35.551 | -0.000 | 0.000 |
| -0.000 | -0.000 | -0.000 | -0.000 | 35.551 | -0.000 |
| 0.015 | 0.015 | 0.035 | -0.000 | -0.000 | 24.862 |
| 85.454 | 34.860 | 41.171 | 0.000 | 0.000 | -0.000 |
| 34.386 | 86.247 | 41.559 | -0.000 | -0.000 | 0.000 |
| 41.559 | 41.559 | 145.206 | -0.000 | 0.000 | -0.000 |
| 0.000 | 0.000 | 0.000 | 35.551 | 0.000 | -0.000 |
| 0.000 | 0.000 | 0.000 | 0.000 | 35.551 | 0.000 |
| -0.015 | -0.015 | -0.035 | 0.000 | 0.000 | 24.862 |
| 78.184 | 27.247 | 23.305 | -0.000 | -0.000 | -0.000 |
| 27.247 | 78.184 | 23.305 | -0.000 | -0.000 | -0.000 |
| 33.810 | 33.810 | 125.353 | 0.000 | -0.000 | -0.000 |
| -7.418 | -7.418 | -17.997 | 35.069 | -0.000 | -0.000 |
| -0.000 | 0.000 | -0.000 | -0.000 | 35.350 | -0.000 |
| -0.000 | -0.000 | -0.000 | -0.000 | -0.000 | 25.883 |
| 93.023 | 42.085 | 59.304 | 0.000 | 0.000 | 0.000 |
| 42.085 | 93.023 | 59.304 | 0.000 | 0.000 | 0.000 |
| 41.442 | 41.442 | 143.868 | 0.000 | -0.000 | 0.000 |
| 7.418 | 7.418 | 17.997 | 35.069 | 0.000 | 0.000 |
| 0.000 | -0.000 | 0.000 | 0.000 | 35.350 | 0.000 |
| -0.000 | -0.000 | 0.000 | 0.000 | 0.000 | 25.883 |
| 84.832 | 33.914 | 39.457 | 0.000 | -0.000 | -0.000 |
| 34.340 | 86.106 | 41.519 | -0.000 | -0.000 | -0.000 |
| 40.485 | 40.485 | 141.548 | -0.000 | -0.000 | -0.000 |
| -0.755 | -0.755 | -1.831 | 35.064 | -0.000 | -0.000 |
| -0.000 | -0.000 | -0.000 | -0.000 | 35.350 | -0.000 |
| -0.000 | -0.000 | -0.000 | -0.000 | -0.000 | 25.883 |
| 86.354 | 35.448 | 43.164 | -0.000 | 0.000 | 0.000 |
| 34.340 | 86.106 | 41.519 | 0.000 | 0.000 | 0.000 |
| 41.442 | 41.442 | 143.868 | 0.000 | 0.000 | 0.000 |
| 0.755 | 0.755 | 1.831 | 35.064 | 0.000 | 0.000 |
| 0.000 | 0.000 | 0.000 | 0.000 | 35.350 | 0.000 |
| 0.000 | 0.000 | 0.000 | 0.000 | 0.000 | 25.883 |
| 85.316 | 34.685 | 40.979 | -0.000 | -0.000 | -0.000 |
| 34.685 | 85.316 | 40.979 | -0.000 | -0.000 | -0.000 |
| 41.442 | 41.442 | 143.867 | -0.000 | -0.000 | 0.000 |
| -0.000 | -0.000 | -0.000 | 35.350 | -0.000 | -0.000 |
| -0.000 | -0.000 | -0.000 | -0.000 | 35.350 | -0.000 |
| -0.000 | -0.000 | -0.000 | -0.000 | -0.000 | 25.883 |
| 86.106 | 34.340 | 41.519 | 0.000 | 0.000 | 0.000 |
| 34.340 | 86.106 | 41.519 | 0.000 | 0.000 | 0.000 |
| 41.301 | 41.301 | 143.528 | 0.000 | 0.000 | 0.000 |
| 0.000 | 0.000 | 0.000 | 35.350 | 0.000 | 0.000 |
| 0.000 | 0.000 | 0.000 | 0.000 | 35.350 | 0.000 |
| 0.000 | 0.000 | 0.000 | 0.000 | 0.000 | 25.883 |
| 92.958 | 36.039 | 35.766 | -0.000 | -0.000 | 0.000 |
| 36.039 | 92.958 | 35.766 | -0.000 | -0.000 | 0.000 |
| 35.880 | 35.880 | 129.092 | 0.000 | 0.000 | 0.000 |
| 0.193 | 0.193 | 0.170 | 30.574 | 0.000 | 0.000 |
| -0.000 | -0.000 | 0.000 | -0.000 | 31.075 | 0.000 |
| -0.000 | 0.000 | 0.000 | -0.000 | 0.000 | 29.081 |
| 94.329 | 36.167 | 36.400 | 0.000 | -0.000 | -0.000 |
| 36.167 | 94.329 | 36.400 | 0.000 | -0.000 | -0.000 |
| 36.399 | 36.399 | 129.531 | 0.000 | -0.000 | -0.000 |
| -0.193 | -0.193 | -0.170 | 30.574 | -0.000 | -0.000 |
| 0.000 | 0.000 | -0.000 | 0.000 | 31.075 | -0.000 |
| 0.000 | 0.000 | -0.000 | 0.000 | 0.000 | 29.081 |
| 94.329 | 36.167 | 36.400 | -0.000 | 0.000 | 0.000 |
| 36.167 | 94.329 | 36.400 | -0.000 | 0.000 | 0.000 |
| 36.399 | 36.399 | 129.531 | -0.000 | 0.000 | 0.000 |
| -0.000 | -0.000 | -0.000 | 31.075 | 0.000 | 0.000 |
| -0.000 | -0.000 | -0.000 | -0.000 | 31.075 | 0.000 |
| -0.000 | -0.000 | -0.000 | -0.000 | -0.000 | 29.081 |
| 94.329 | 36.167 | 36.400 | 0.000 | -0.000 | -0.000 |
| 35.907 | 92.891 | 35.677 | 0.000 | 0.000 | -0.000 |
| 35.778 | 35.778 | 129.003 | 0.000 | 0.000 | -0.000 |
| 0.000 | 0.000 | 0.000 | 31.075 | -0.000 | -0.000 |
| 0.000 | 0.000 | 0.000 | 0.000 | 31.075 | -0.000 |
| 0.000 | 0.000 | 0.000 | 0.000 | 0.000 | 29.081 |
| 94.329 | 36.167 | 36.400 | -0.000 | 0.000 | 0.000 |
| 35.919 | 92.897 | 35.685 | -0.000 | -0.000 | 0.000 |
| 35.793 | 35.793 | 129.014 | 0.000 | 0.000 | 0.000 |
| -0.000 | -0.000 | -0.000 | 31.075 | 0.000 | 0.000 |
| 0.002 | 0.002 | 0.002 | -0.000 | 30.483 | 0.000 |
| -0.000 | -0.000 | -0.000 | -0.000 | -0.000 | 29.081 |
| 94.329 | 36.167 | 36.400 | 0.000 | -0.000 | -0.000 |
| 35.917 | 92.896 | 35.683 | 0.000 | 0.000 | -0.000 |
| 36.399 | 36.399 | 129.532 | 0.000 | -0.000 | -0.000 |
| 0.000 | 0.000 | 0.000 | 31.075 | -0.000 | -0.000 |
| -0.002 | -0.002 | -0.002 | 0.000 | 30.483 | -0.000 |
| 0.000 | 0.000 | 0.000 | 0.000 | -0.000 | 29.081 |
| 51.756 | 28.626 | 28.626 | -0.000 | 0.000 | -0.000 |
| 28.626 | 51.756 | 28.626 | -0.000 | -0.000 | -0.000 |
| 28.626 | 28.626 | 51.756 | -0.000 | -0.000 | -0.000 |
| -0.000 | -0.000 | 0.000 | 23.099 | 0.000 | -0.000 |
| -0.000 | -0.000 | 0.000 | -0.000 | 23.099 | -0.000 |
| -0.000 | -0.000 | -0.000 | -0.000 | 0.000 | 23.099 |
| 51.756 | 28.626 | 28.626 | 0.000 | -0.000 | 0.000 |
| 28.626 | 51.756 | 28.626 | -0.000 | 0.000 | 0.000 |
| 28.626 | 28.626 | 51.756 | 0.000 | -0.000 | 0.000 |
| 0.000 | 0.000 | 0.000 | 23.099 | 0.000 | 0.000 |
| 0.000 | 0.000 | 0.000 | 0.000 | 23.099 | 0.000 |
| 0.000 | 0.000 | 0.000 | 0.000 | 0.000 | 23.099 |
| 51.756 | 28.626 | 28.626 | -0.000 | 0.000 | -0.000 |
| 28.626 | 51.756 | 28.626 | -0.000 | -0.000 | -0.000 |
| 28.626 | 28.626 | 51.756 | 0.000 | 0.000 | -0.000 |
| -0.000 | -0.000 | -0.000 | 23.099 | -0.000 | -0.000 |
| -0.000 | -0.000 | -0.000 | -0.000 | 23.099 | -0.000 |
| -0.000 | -0.000 | -0.000 | -0.000 | -0.000 | 23.099 |
| 51.756 | 28.626 | 28.626 | 0.000 | 0.000 | 0.000 |
| 28.626 | 51.756 | 28.626 | 0.000 | 0.000 | 0.000 |
| 28.626 | 28.626 | 51.756 | 0.000 | 0.000 | 0.000 |
| 0.000 | 0.000 | 0.000 | 23.099 | 0.000 | 0.000 |
| 0.000 | 0.000 | 0.000 | 0.000 | 23.099 | 0.000 |
| 0.000 | 0.000 | 0.000 | 0.000 | 0.000 | 23.099 |
| 51.756 | 28.626 | 28.626 | -0.000 | -0.000 | -0.000 |
| 28.626 | 51.756 | 28.626 | -0.000 | 0.000 | -0.000 |
| 28.626 | 28.626 | 51.756 | 0.000 | 0.000 | -0.000 |
| -0.000 | 0.047 | 0.047 | 23.052 | -0.000 | -0.000 |
| 0.047 | -0.000 | 0.047 | -0.000 | 23.052 | -0.000 |
| 0.047 | 0.047 | -0.000 | -0.000 | -0.000 | 23.052 |
| 51.568 | 28.531 | 28.531 | 0.000 | -0.000 | 0.000 |
| 28.531 | 51.568 | 28.531 | 0.000 | -0.000 | 0.000 |
| 28.531 | 28.531 | 51.568 | -0.000 | -0.000 | 0.000 |
| 0.000 | -0.047 | -0.047 | 23.052 | 0.000 | 0.000 |
| -0.047 | 0.000 | -0.047 | 0.000 | 23.052 | 0.000 |
| -0.047 | -0.047 | 0.000 | 0.000 | 0.000 | 23.052 |
| 93.579 | 24.040 | 24.040 | 0.000 | 0.000 | -0.000 |
| 24.040 | 93.579 | 24.040 | 0.000 | 0.000 | -0.000 |
| 24.040 | 24.040 | 93.579 | -0.000 | -0.000 | -0.000 |
| -0.000 | -0.000 | 0.000 | 4.916 | -0.000 | -0.000 |
| -0.000 | -0.000 | 0.000 | -0.000 | 4.916 | -0.000 |
| -0.000 | -0.000 | 0.000 | -0.000 | -0.000 | 4.916 |
| 93.792 | 23.934 | 23.934 | 0.000 | 0.000 | 0.000 |
| 23.934 | 93.792 | 23.934 | 0.000 | 0.000 | 0.000 |
| 23.934 | 23.934 | 93.792 | 0.000 | 0.000 | 0.000 |
| 0.000 | 0.000 | -0.000 | 4.916 | 0.000 | 0.000 |
| 0.000 | 0.000 | -0.000 | 0.000 | 4.916 | 0.000 |
| 0.000 | 0.000 | -0.000 | 0.000 | 0.000 | 4.916 |
| 93.792 | 23.934 | 23.934 | -0.000 | -0.000 | -0.000 |
| 23.934 | 93.792 | 23.934 | -0.000 | 0.000 | -0.000 |
| 23.934 | 23.934 | 93.792 | -0.000 | -0.000 | -0.000 |
| -0.000 | -0.000 | -0.000 | 3.582 | -0.000 | -0.000 |
| -0.000 | -0.000 | -0.000 | -0.000 | 3.582 | -0.000 |
| -0.000 | -0.000 | -0.000 | 0.000 | 0.000 | 3.582 |
| 93.792 | 23.934 | 23.934 | 0.000 | 0.000 | 0.000 |
| 23.934 | 93.792 | 23.934 | 0.000 | 0.000 | 0.000 |
| 23.934 | 23.934 | 93.792 | 0.000 | -0.000 | 0.000 |
| 0.000 | 0.000 | 0.000 | 3.582 | 0.000 | 0.000 |
| 0.000 | 0.000 | 0.000 | 0.000 | 3.582 | 0.000 |
| 0.000 | 0.000 | 0.000 | -0.000 | -0.000 | 3.582 |
| 93.580 | 24.040 | 24.040 | 0.000 | 0.000 | -0.000 |
| 24.040 | 93.580 | 24.040 | 0.000 | 0.000 | -0.000 |
| 24.040 | 24.040 | 93.580 | -0.000 | -0.000 | -0.000 |
| -0.000 | -0.000 | -0.000 | 3.582 | -0.000 | -0.000 |
| -0.000 | -0.000 | -0.000 | 0.000 | 3.582 | -0.000 |
| -0.000 | -0.000 | -0.000 | 0.000 | 0.000 | 3.582 |
| 93.579 | 24.040 | 24.040 | -0.000 | 0.000 | 0.000 |
| 24.040 | 93.579 | 24.040 | 0.000 | -0.000 | 0.000 |
| 24.040 | 24.040 | 93.579 | -0.000 | -0.000 | 0.000 |
| 0.000 | 0.000 | 0.000 | 3.582 | 0.000 | 0.000 |
| 0.000 | 0.000 | 0.000 | -0.000 | 3.582 | 0.000 |
| 0.000 | 0.000 | 0.000 | 0.000 | 0.000 | 3.582 |
| 35.886 | 30.555 | 30.555 | -0.000 | -0.000 | 0.000 |
| 30.555 | 35.886 | 30.555 | -0.000 | -0.000 | 0.000 |
| 30.555 | 30.555 | 35.886 | -0.000 | -0.000 | -0.000 |
| 0.000 | -0.000 | 0.000 | 27.598 | -0.000 | 0.000 |
| 0.000 | 0.000 | -0.000 | 0.000 | 27.598 | 0.000 |
| -0.000 | 0.000 | 0.000 | 0.000 | -0.000 | 27.598 |
| 35.886 | 30.555 | 30.555 | 0.000 | 0.000 | -0.000 |
| 30.555 | 35.886 | 30.555 | -0.000 | 0.000 | -0.000 |
| 30.555 | 30.555 | 35.886 | -0.000 | 0.000 | -0.000 |
| -0.000 | -0.000 | 0.000 | 27.598 | 0.000 | 0.000 |
| 0.000 | -0.000 | 0.000 | -0.000 | 27.598 | -0.000 |
| -0.000 | -0.000 | -0.000 | -0.000 | 0.000 | 27.598 |
| 35.886 | 30.555 | 30.555 | 0.000 | -0.000 | 0.000 |
| 30.555 | 35.886 | 30.555 | 0.000 | -0.000 | 0.000 |
| 30.555 | 30.555 | 35.886 | 0.000 | -0.000 | 0.000 |
| 0.000 | -0.000 | 0.000 | 27.598 | -0.000 | 0.000 |
| -0.000 | 0.000 | 0.000 | 0.000 | 27.598 | -0.000 |
| -0.000 | 0.000 | 0.000 | 0.000 | -0.000 | 27.598 |
| 35.886 | 30.555 | 30.555 | -0.000 | 0.000 | -0.000 |
| 30.555 | 35.886 | 30.555 | -0.000 | 0.000 | -0.000 |
| 30.555 | 30.555 | 35.886 | -0.000 | 0.000 | 0.000 |
| -0.000 | 0.000 | -0.000 | 27.598 | -0.000 | 0.000 |
| 0.000 | -0.000 | -0.000 | 0.000 | 27.598 | -0.000 |
| 0.000 | -0.000 | -0.000 | -0.000 | 0.000 | 27.598 |
| 35.886 | 30.555 | 30.555 | -0.000 | -0.000 | 0.000 |
| 30.555 | 35.886 | 30.555 | 0.000 | -0.000 | -0.000 |
| 30.555 | 30.555 | 35.886 | -0.000 | -0.000 | 0.000 |
| 0.000 | -0.000 | 0.000 | 27.598 | -0.000 | 0.000 |
| -0.000 | 0.000 | 0.000 | -0.000 | 27.598 | 0.000 |
| -0.000 | 0.000 | 0.000 | 0.000 | -0.000 | 27.598 |
| 35.886 | 30.555 | 30.555 | -0.000 | 0.000 | -0.000 |
| 30.555 | 35.886 | 30.555 | 0.000 | 0.000 | -0.000 |
| 30.555 | 30.555 | 35.886 | -0.000 | 0.000 | -0.000 |
| -0.000 | 0.000 | -0.000 | 27.598 | 0.000 | -0.000 |
| 0.000 | -0.000 | -0.000 | -0.000 | 27.598 | 0.000 |
| 0.000 | -0.000 | -0.000 | 0.000 | 0.000 | 27.598 |
| 62.392 | 25.788 | 21.536 | -0.000 | -0.000 | 0.000 |
| 24.778 | 63.402 | 21.536 | -0.000 | -0.000 | 0.000 |
| 21.536 | 21.536 | 67.241 | -0.000 | -0.000 | 0.000 |
| -0.000 | -0.000 | 0.000 | 16.846 | -0.000 | 0.000 |
| -0.000 | 0.000 | 0.000 | 0.000 | 16.846 | 0.000 |
| -0.000 | 0.000 | 0.000 | -0.000 | -0.000 | 18.302 |
| 62.392 | 25.788 | 21.536 | 0.000 | 0.000 | -0.000 |
| 24.778 | 63.402 | 21.536 | -0.000 | 0.000 | -0.000 |
| 21.536 | 21.536 | 67.241 | 0.000 | 0.000 | -0.000 |
| -0.000 | 0.000 | -0.000 | 16.846 | 0.000 | -0.000 |
| 0.000 | 0.000 | -0.000 | 0.000 | 16.846 | -0.000 |
| 0.000 | -0.000 | 0.000 | 0.000 | 0.000 | 18.302 |
| 62.392 | 25.788 | 21.536 | -0.000 | -0.000 | 0.000 |
| 24.778 | 63.402 | 21.536 | 0.000 | -0.000 | 0.000 |
| 21.536 | 21.536 | 67.241 | -0.000 | -0.000 | 0.000 |
| -0.000 | -0.000 | -0.000 | 16.846 | -0.000 | 0.000 |
| -0.000 | -0.000 | -0.000 | 0.000 | 16.846 | 0.000 |
| -0.000 | -0.000 | -0.000 | 0.000 | -0.000 | 19.312 |
| 63.402 | 24.778 | 21.536 | 0.000 | 0.000 | -0.000 |
| 26.182 | 61.997 | 21.536 | 0.000 | 0.000 | -0.000 |
| 21.536 | 21.536 | 67.241 | 0.000 | 0.000 | -0.000 |
| 0.000 | 0.000 | 0.000 | 16.846 | 0.000 | -0.000 |
| 0.000 | 0.000 | 0.000 | 0.000 | 16.846 | -0.000 |
| 0.000 | 0.000 | 0.000 | 0.000 | 0.000 | 19.312 |
| 63.402 | 24.778 | 21.536 | -0.000 | -0.000 | 0.000 |
| 24.778 | 63.402 | 21.536 | -0.000 | -0.000 | 0.000 |
| 21.536 | 21.536 | 67.241 | 0.000 | -0.000 | 0.000 |
| -0.000 | -0.000 | -0.000 | 16.846 | -0.000 | 0.000 |
| -0.000 | -0.000 | -0.000 | -0.000 | 16.846 | 0.000 |
| -0.000 | -0.000 | -0.000 | -0.000 | -0.000 | 19.312 |
| 63.402 | 24.778 | 21.536 | 0.000 | 0.000 | -0.000 |
| 25.788 | 62.392 | 21.536 | 0.000 | 0.000 | -0.000 |
| 21.536 | 21.536 | 67.241 | -0.000 | 0.000 | -0.000 |
| 0.000 | 0.000 | 0.000 | 16.846 | 0.000 | -0.000 |
| 0.000 | 0.000 | 0.000 | 0.000 | 16.846 | -0.000 |
| 0.000 | 0.000 | 0.000 | 0.000 | 0.000 | 19.312 |
| 62.369 | 26.252 | 22.114 | 0.000 | 0.000 | 0.000 |
| 24.865 | 63.756 | 22.114 | -0.000 | 0.000 | -0.000 |
| 22.114 | 22.114 | 67.788 | -0.000 | 0.000 | -0.000 |
| -0.000 | -0.000 | 0.000 | 18.275 | 0.000 | -0.000 |
| -0.000 | 0.000 | -0.000 | -0.000 | 18.275 | -0.000 |
| -0.000 | -0.000 | -0.000 | -0.000 | 0.000 | 19.446 |
| 62.369 | 26.252 | 22.114 | 0.000 | -0.000 | 0.000 |
| 26.252 | 62.369 | 22.114 | 0.000 | -0.000 | -0.000 |
| 22.114 | 22.114 | 67.788 | 0.000 | 0.000 | 0.000 |
| 0.000 | 0.000 | -0.000 | 18.275 | -0.000 | -0.000 |
| 0.000 | 0.000 | 0.000 | 0.000 | 18.275 | -0.000 |
| 0.000 | 0.000 | 0.000 | 0.000 | -0.000 | 19.446 |
| 62.369 | 26.252 | 22.114 | -0.000 | 0.000 | 0.000 |
| 24.865 | 63.756 | 22.114 | -0.000 | 0.000 | -0.000 |
| 22.114 | 22.114 | 67.788 | -0.000 | 0.000 | -0.000 |
| -0.000 | -0.000 | -0.000 | 18.275 | 0.000 | -0.000 |
| -0.000 | -0.000 | -0.000 | -0.000 | 18.275 | -0.000 |
| -0.000 | -0.000 | -0.000 | -0.000 | 0.000 | 18.059 |
| 62.369 | 26.252 | 22.114 | 0.000 | -0.000 | -0.000 |
| 26.252 | 62.369 | 22.114 | 0.000 | -0.000 | -0.000 |
| 22.114 | 22.114 | 67.788 | 0.000 | -0.000 | 0.000 |
| 0.000 | 0.000 | 0.000 | 18.275 | -0.000 | 0.000 |
| 0.000 | 0.000 | 0.000 | 0.000 | 18.275 | -0.000 |
| 0.000 | 0.000 | 0.000 | 0.000 | -0.000 | 18.059 |
| 62.369 | 26.252 | 22.114 | -0.000 | 0.000 | -0.000 |
| 26.252 | 62.369 | 22.114 | -0.000 | 0.000 | -0.000 |
| 22.114 | 22.114 | 67.788 | -0.000 | 0.000 | -0.000 |
| -0.000 | -0.000 | -0.000 | 18.275 | 0.000 | -0.000 |
| -0.000 | -0.000 | -0.000 | -0.000 | 18.275 | -0.000 |
| -0.000 | -0.000 | -0.000 | -0.000 | 0.000 | 19.446 |
| 62.369 | 26.252 | 22.114 | 0.000 | -0.000 | -0.000 |
| 24.865 | 63.757 | 22.114 | 0.000 | -0.000 | -0.000 |
| 22.114 | 22.114 | 67.788 | 0.000 | -0.000 | 0.000 |
| 0.000 | 0.000 | 0.000 | 18.275 | -0.000 | -0.000 |
| 0.000 | 0.000 | 0.000 | 0.000 | 18.275 | 0.000 |
| 0.000 | 0.000 | 0.000 | 0.000 | -0.000 | 19.446 |
| 5.950 | 13.905 | 13.905 | 0.000 | 0.000 | 0.000 |
| 13.905 | 5.950 | 13.905 | -0.000 | 0.000 | 0.000 |
| 13.905 | 13.905 | 5.950 | -0.000 | 0.000 | 0.000 |
| -0.000 | -0.000 | -0.000 | -11.065 | 0.000 | -0.000 |
| 0.000 | -0.000 | -0.000 | -0.000 | -11.065 | 0.000 |
| 0.000 | -0.000 | -0.000 | -0.000 | 0.000 | -11.065 |
| 5.950 | 13.905 | 13.905 | 0.000 | -0.000 | -0.000 |
| 13.905 | 5.950 | 13.905 | -0.000 | 0.000 | -0.000 |
| 13.905 | 13.905 | 5.950 | 0.000 | -0.000 | -0.000 |
| -0.000 | 0.000 | 0.000 | -11.065 | -0.000 | 0.000 |
| -0.000 | 0.000 | 0.000 | 0.000 | -11.065 | -0.000 |
| -0.000 | 0.000 | 0.000 | 0.000 | -0.000 | -11.065 |
| 5.950 | 13.905 | 13.905 | 0.000 | 0.000 | 0.000 |
| 13.905 | 5.950 | 13.905 | 0.000 | 0.000 | 0.000 |
| 13.905 | 13.905 | 5.950 | -0.000 | -0.000 | 0.000 |
| -0.000 | 0.000 | 0.000 | -11.065 | 0.000 | -0.000 |
| 0.000 | -0.000 | 0.000 | -0.000 | -11.065 | 0.000 |
| 0.000 | -0.000 | -0.000 | -0.000 | 0.000 | -11.065 |
| 5.950 | 13.905 | 13.905 | 0.000 | -0.000 | -0.000 |
| 13.905 | 5.950 | 13.905 | 0.000 | -0.000 | -0.000 |
| 13.905 | 13.905 | 5.950 | 0.000 | -0.000 | -0.000 |
| 0.000 | -0.000 | -0.000 | -11.065 | -0.000 | -0.000 |
| -0.000 | 0.000 | -0.000 | 0.000 | -11.065 | 0.000 |
| -0.000 | 0.000 | 0.000 | 0.000 | 0.000 | -11.065 |
| 5.950 | 13.905 | 13.905 | -0.000 | 0.000 | 0.000 |
| 13.905 | 5.950 | 13.905 | -0.000 | -0.000 | 0.000 |
| 13.905 | 13.905 | 5.950 | -0.000 | 0.000 | -0.000 |
| -0.000 | 0.000 | 0.000 | -11.065 | 0.000 | -0.000 |
| 0.000 | -0.000 | 0.000 | -0.000 | -11.065 | -0.000 |
| 0.000 | 0.000 | -0.000 | -0.000 | -0.000 | -11.065 |
| 5.951 | 13.905 | 13.905 | 0.000 | -0.000 | -0.000 |
| 13.905 | 5.951 | 13.905 | -0.000 | 0.000 | -0.000 |
| 13.905 | 13.905 | 5.951 | 0.000 | -0.000 | 0.000 |
| 0.000 | -0.000 | -0.000 | -11.065 | -0.000 | 0.000 |
| -0.000 | 0.000 | -0.000 | 0.000 | -11.065 | 0.000 |
| -0.000 | -0.000 | 0.000 | 0.000 | -0.000 | -11.065 |
| 82.808 | 38.800 | 13.537 | 0.000 | -0.000 | 0.000 |
| 38.800 | 82.808 | 13.537 | 0.000 | -0.000 | 0.000 |
| 13.537 | 13.537 | 99.155 | -0.000 | -0.000 | 0.000 |
| -0.000 | 0.000 | -0.000 | 7.332 | -0.000 | -0.000 |
| -0.000 | 0.000 | -0.000 | 0.000 | 7.332 | 0.000 |
| -0.000 | 0.000 | -0.000 | -0.000 | 0.000 | 7.290 |
| 82.808 | 38.800 | 13.537 | 0.000 | 0.000 | -0.000 |
| 38.800 | 82.808 | 13.537 | -0.000 | 0.000 | -0.000 |
| 13.537 | 13.537 | 99.155 | -0.000 | 0.000 | -0.000 |
| 0.000 | -0.000 | 0.000 | 7.332 | 0.000 | -0.000 |
| 0.000 | -0.000 | 0.000 | -0.000 | 7.332 | -0.000 |
| 0.000 | -0.000 | 0.000 | 0.000 | 0.000 | 7.290 |
| 28.990 | 92.618 | 13.537 | 0.000 | 0.000 | 0.000 |
| 92.618 | 28.990 | 13.537 | 0.000 | 0.000 | 0.000 |
| 13.537 | 13.537 | 99.155 | 0.000 | -0.000 | 0.000 |
| -0.000 | 0.000 | -0.000 | 7.332 | -0.000 | 0.000 |
| 0.000 | -0.000 | -0.000 | -0.000 | 7.332 | 0.000 |
| -0.000 | -0.000 | -0.000 | -0.000 | -0.000 | 7.290 |
| 82.808 | 38.800 | 13.537 | -0.000 | 0.000 | -0.000 |
| 38.800 | 82.808 | 13.537 | -0.000 | -0.000 | -0.000 |
| 13.537 | 13.537 | 99.155 | -0.000 | -0.000 | -0.000 |
| 0.000 | -0.000 | 0.000 | 7.332 | 0.000 | -0.000 |
| -0.000 | 0.000 | 0.000 | -0.000 | 7.332 | -0.000 |
| 0.000 | 0.000 | 0.000 | 0.000 | 0.000 | 7.290 |
| 10.701 | 110.908 | 13.538 | 0.000 | 0.000 | 0.000 |
| 102.962 | 18.646 | 13.538 | -0.000 | -0.000 | 0.000 |
| 13.537 | 13.537 | 99.155 | 0.000 | 0.000 | 0.000 |
| -0.000 | 0.000 | -0.000 | 7.332 | 0.000 | 0.000 |
| 0.000 | -0.000 | -0.000 | 0.000 | 7.332 | 0.000 |
| -0.000 | -0.000 | -0.000 | 0.000 | -0.000 | 7.290 |
| 10.701 | 110.907 | 13.536 | -0.000 | -0.000 | -0.000 |
| 110.907 | 10.701 | 13.536 | -0.000 | -0.000 | -0.000 |
| 13.537 | 13.537 | 99.154 | -0.000 | -0.000 | -0.000 |
| 0.000 | -0.000 | 0.000 | 7.332 | 0.000 | -0.000 |
| -0.000 | 0.000 | 0.000 | -0.000 | 7.332 | -0.000 |
| 0.000 | 0.000 | 0.000 | 0.000 | 0.000 | 7.290 |
| -110.083 | -41.329 | 18.456 | -19.770 | 0.000 | 0.000 |
| -41.329 | -110.083 | 18.456 | 19.770 | -0.000 | 0.000 |
| 16.599 | 16.599 | 27.641 | 0.000 | -0.000 | 0.000 |
| -19.770 | 19.770 | 0.000 | 21.374 | 0.000 | 0.000 |
| -0.000 | 0.000 | 0.000 | -0.000 | 21.374 | -19.770 |
| -0.000 | -0.000 | 0.000 | 0.000 | -19.770 | -34.377 |
| -110.082 | -41.329 | 18.456 | -19.770 | 0.000 | -0.000 |
| -41.329 | -110.082 | 18.456 | 19.770 | -0.000 | -0.000 |
| 16.599 | 16.599 | 27.641 | 0.000 | -0.000 | -0.000 |
| -19.770 | 19.770 | -0.000 | 21.374 | -0.000 | -0.000 |
| 0.000 | -0.000 | -0.000 | 0.000 | 21.374 | -19.770 |
| 0.000 | -0.000 | -0.000 | -0.000 | -19.770 | -34.377 |
| -110.086 | -41.330 | 18.456 | -19.770 | 0.000 | 0.000 |
| -41.329 | -110.087 | 18.456 | 19.770 | -0.000 | 0.000 |
| 16.599 | 16.599 | 27.641 | 0.000 | -0.000 | 0.000 |
| -19.770 | 19.770 | 0.000 | 21.374 | -0.000 | 0.000 |
| -0.000 | 0.000 | 0.000 | -0.000 | 21.374 | -19.770 |
| -0.001 | -0.000 | 0.000 | -0.000 | -19.770 | -34.377 |
| -110.079 | -41.328 | 18.456 | -19.770 | -0.000 | -0.000 |
| -41.328 | -110.078 | 18.456 | 19.770 | -0.000 | -0.000 |
| 16.599 | 16.599 | 27.641 | 0.000 | -0.000 | -0.000 |
| -19.770 | 19.770 | -0.000 | 21.374 | 0.000 | -0.000 |
| 0.000 | -0.000 | -0.000 | 0.000 | 21.374 | -19.770 |
| 0.001 | 0.000 | -0.000 | 0.000 | -19.770 | -34.377 |
| -110.120 | -41.342 | 18.456 | -19.770 | 0.000 | 0.000 |
| -41.333 | -110.129 | 18.456 | 19.770 | 0.000 | 0.000 |
| 16.599 | 16.599 | 27.642 | -0.000 | 0.000 | 0.000 |
| -19.770 | 19.770 | 0.000 | 21.374 | 0.000 | 0.000 |
| 0.000 | 0.000 | 0.000 | -0.000 | 21.374 | -19.770 |
| -0.013 | -0.004 | 0.000 | -0.000 | -19.770 | -34.377 |
| -110.045 | -41.316 | 18.456 | -19.770 | -0.000 | -0.000 |
| -41.325 | -110.036 | 18.456 | 19.770 | -0.000 | -0.000 |
| 16.599 | 16.599 | 27.641 | -0.000 | -0.000 | -0.000 |
| -19.770 | 19.770 | -0.000 | 21.374 | 0.000 | -0.000 |
| -0.000 | -0.000 | -0.000 | 0.000 | 21.374 | -19.770 |
| 0.013 | 0.004 | -0.000 | 0.000 | -19.770 | -34.377 |
| 114.994 | -1.784 | -1.784 | -0.000 | -0.000 | -0.000 |
| -1.784 | 114.994 | -1.784 | 0.000 | -0.000 | 0.000 |
| -1.784 | -1.784 | 114.994 | -0.000 | 0.000 | -0.000 |
| -0.000 | -0.000 | -0.000 | -5.516 | 0.000 | 0.000 |
| -0.000 | -0.000 | -0.000 | -0.000 | -5.516 | 0.000 |
| -0.000 | -0.000 | -0.000 | -0.000 | 0.000 | -5.516 |
| 114.994 | -1.784 | -1.784 | 0.000 | -0.000 | -0.000 |
| -1.784 | 114.994 | -1.784 | -0.000 | 0.000 | -0.000 |
| -1.784 | -1.784 | 114.994 | 0.000 | -0.000 | -0.000 |
| 0.000 | 0.000 | 0.000 | -5.516 | -0.000 | -0.000 |
| 0.000 | 0.000 | 0.000 | -0.000 | -5.516 | -0.000 |
| 0.000 | 0.000 | 0.000 | 0.000 | -0.000 | -5.516 |
| 114.994 | -1.784 | -1.784 | 0.000 | 0.000 | 0.000 |
| -1.784 | 114.994 | -1.784 | 0.000 | 0.000 | 0.000 |
| -1.784 | -1.784 | 114.994 | 0.000 | 0.000 | 0.000 |
| -0.000 | -0.000 | -0.000 | -5.516 | 0.000 | 0.000 |
| -0.000 | -0.000 | -0.000 | 0.000 | -5.516 | 0.000 |
| -0.000 | -0.000 | -0.000 | 0.000 | 0.000 | -5.516 |
| 114.994 | -1.784 | -1.784 | -0.000 | -0.000 | -0.000 |
| -1.784 | 114.994 | -1.784 | 0.000 | 0.000 | 0.000 |
| -1.784 | -1.784 | 114.994 | 0.000 | 0.000 | -0.000 |
| 0.000 | 0.000 | 0.000 | -5.516 | -0.000 | -0.000 |
| 0.000 | 0.000 | 0.000 | -0.000 | -5.516 | -0.000 |
| 0.000 | 0.000 | 0.000 | 0.000 | -0.000 | -5.516 |
| 114.994 | -1.784 | -1.784 | 0.000 | 0.000 | 0.000 |
| -1.784 | 114.994 | -1.784 | -0.000 | -0.000 | 0.000 |
| -1.784 | -1.784 | 114.994 | -0.000 | 0.000 | -0.000 |
| -0.000 | -0.000 | -0.000 | -5.516 | -0.000 | 0.000 |
| -0.000 | -0.000 | -0.000 | 0.000 | -5.516 | 0.000 |
| -0.000 | -0.000 | -0.000 | 0.000 | 0.000 | -5.516 |
| 114.994 | -1.784 | -1.784 | -0.000 | -0.000 | -0.000 |
| -1.784 | 114.994 | -1.784 | -0.000 | -0.000 | -0.000 |
| -1.784 | -1.784 | 114.994 | 0.000 | -0.000 | -0.000 |
| 0.000 | 0.000 | 0.000 | -5.516 | 0.000 | -0.000 |
| 0.000 | 0.000 | 0.000 | -0.000 | -5.516 | -0.000 |
| 0.000 | 0.000 | 0.000 | 0.000 | 0.000 | -5.516 |
| 80.715 | 28.486 | 10.720 | -0.000 | 0.000 | 0.000 |
| 28.486 | 80.715 | 10.720 | 0.000 | 0.000 | 0.000 |
| 10.720 | 10.720 | 137.933 | -0.000 | -0.000 | 0.000 |
| 0.000 | 0.000 | 0.000 | 7.689 | 0.000 | 0.000 |
| 0.000 | 0.000 | 0.000 | -0.000 | 7.689 | 0.000 |
| -0.000 | 0.000 | -0.000 | 0.000 | -0.000 | 26.115 |
| 80.715 | 28.486 | 10.720 | 0.000 | -0.000 | -0.000 |
| 28.486 | 80.715 | 10.720 | 0.000 | -0.000 | -0.000 |
| 10.720 | 10.720 | 137.933 | -0.000 | 0.000 | -0.000 |
| -0.000 | -0.000 | -0.000 | 7.689 | -0.000 | -0.000 |
| -0.000 | -0.000 | -0.000 | 0.000 | 7.689 | -0.000 |
| 0.000 | -0.000 | 0.000 | 0.000 | 0.000 | 26.115 |
| 80.715 | 28.486 | 10.720 | 0.000 | -0.000 | -0.000 |
| 28.486 | 80.715 | 10.720 | 0.000 | 0.000 | -0.000 |
| 10.721 | 10.721 | 137.933 | 0.000 | -0.000 | 0.000 |
| 0.000 | 0.000 | 0.000 | 7.689 | 0.000 | 0.000 |
| 0.000 | 0.000 | 0.000 | -0.000 | 7.689 | -0.000 |
| -0.000 | 0.000 | 0.000 | -0.000 | -0.000 | 26.115 |
| 80.715 | 28.486 | 10.720 | 0.000 | 0.000 | -0.000 |
| 28.486 | 80.715 | 10.720 | 0.000 | 0.000 | -0.000 |
| 10.720 | 10.720 | 137.932 | -0.000 | -0.000 | 0.000 |
| -0.000 | -0.000 | -0.000 | 7.689 | 0.000 | -0.000 |
| -0.000 | -0.000 | -0.000 | 0.000 | 7.689 | -0.000 |
| 0.000 | -0.000 | -0.000 | 0.000 | -0.000 | 26.115 |
| 80.716 | 28.486 | 10.721 | 0.000 | -0.000 | 0.000 |
| 28.486 | 80.715 | 10.721 | 0.000 | -0.000 | 0.000 |
| 10.721 | 10.721 | 137.940 | -0.000 | -0.000 | 0.000 |
| 0.000 | 0.000 | 0.001 | 7.689 | 0.000 | 0.000 |
| 0.000 | 0.000 | 0.001 | -0.000 | 7.689 | 0.000 |
| -0.000 | 0.000 | 0.000 | -0.000 | 0.000 | 26.115 |
| 80.715 | 28.486 | 10.720 | 0.000 | 0.000 | -0.000 |
| 28.486 | 80.715 | 10.720 | -0.000 | -0.000 | -0.000 |
| 10.720 | 10.720 | 137.926 | -0.000 | -0.000 | -0.000 |
| -0.000 | -0.000 | -0.001 | 7.689 | 0.000 | -0.000 |
| -0.000 | -0.000 | -0.001 | 0.000 | 7.689 | -0.000 |
| 0.000 | -0.000 | -0.000 | 0.000 | 0.000 | 26.115 |
| 77.392 | 27.168 | 5.853 | -0.000 | -0.000 | 0.000 |
| 27.168 | 77.392 | 5.853 | -0.000 | -0.000 | 0.000 |
| 5.853 | 5.853 | 95.583 | -0.000 | 0.000 | 0.000 |
| 0.000 | 0.000 | -0.000 | 4.564 | -0.000 | 0.000 |
| -0.000 | 0.000 | 0.000 | -0.000 | 4.564 | 0.000 |
| -0.000 | 0.000 | 0.000 | -0.000 | -0.000 | 25.112 |
| 77.392 | 27.168 | 5.853 | 0.000 | -0.000 | -0.000 |
| 27.168 | 77.392 | 5.853 | 0.000 | 0.000 | -0.000 |
| 5.853 | 5.853 | 95.583 | 0.000 | -0.000 | -0.000 |
| -0.000 | -0.000 | -0.000 | 4.564 | -0.000 | -0.000 |
| 0.000 | -0.000 | -0.000 | 0.000 | 4.564 | -0.000 |
| 0.000 | -0.000 | -0.000 | 0.000 | 0.000 | 25.112 |
| 77.392 | 27.168 | 5.853 | -0.000 | 0.000 | 0.000 |
| 27.168 | 77.392 | 5.853 | -0.000 | -0.000 | 0.000 |
| 5.853 | 5.853 | 95.583 | -0.000 | -0.000 | 0.000 |
| -0.000 | -0.000 | -0.000 | 4.564 | -0.000 | 0.000 |
| -0.000 | -0.000 | -0.000 | -0.000 | 4.564 | 0.000 |
| -0.000 | 0.000 | -0.000 | -0.000 | -0.000 | 25.112 |
| 77.392 | 27.168 | 5.853 | 0.000 | 0.000 | -0.000 |
| 27.168 | 77.392 | 5.853 | 0.000 | 0.000 | -0.000 |
| 5.853 | 5.853 | 95.583 | -0.000 | 0.000 | -0.000 |
| 0.000 | 0.000 | 0.000 | 4.564 | 0.000 | -0.000 |
| 0.000 | 0.000 | 0.000 | 0.000 | 4.564 | -0.000 |
| 0.000 | -0.000 | 0.000 | 0.000 | 0.000 | 25.112 |
| 77.392 | 27.168 | 5.853 | -0.000 | -0.000 | 0.000 |
| 27.168 | 77.392 | 5.853 | -0.000 | 0.000 | 0.000 |
| 5.853 | 5.853 | 95.584 | -0.000 | -0.000 | 0.000 |
| -0.000 | -0.000 | -0.000 | 4.564 | 0.000 | 0.000 |
| -0.000 | -0.000 | -0.000 | -0.000 | 4.564 | 0.000 |
| -0.000 | 0.000 | -0.000 | -0.000 | 0.000 | 25.112 |
| 77.392 | 27.168 | 5.853 | 0.000 | -0.000 | -0.000 |
| 27.168 | 77.392 | 5.853 | 0.000 | -0.000 | -0.000 |
| 5.853 | 5.853 | 95.583 | 0.000 | -0.000 | -0.000 |
| 0.000 | 0.000 | 0.000 | 4.564 | 0.000 | -0.000 |
| 0.000 | 0.000 | 0.000 | -0.000 | 4.564 | -0.000 |
| 0.000 | -0.000 | 0.000 | -0.000 | 0.000 | 25.112 |
| 101.437 | -37.552 | 97.443 | 0.000 | 138.085 | -0.000 |
| 65.588 | -23.320 | 110.912 | 0.000 | 133.349 | -0.000 |
| 75.678 | -41.184 | 118.766 | 0.000 | 138.883 | -0.000 |
| 53.401 | -49.835 | 75.015 | 5.577 | 138.198 | 0.026 |
| 0.083 | 0.051 | -0.050 | 0.000 | 16.662 | -0.000 |
| 63.411 | -1.504 | 10.212 | -0.000 | 162.176 | 17.945 |
| -88.909 | -49.039 | 97.034 | -0.000 | -149.746 | 0.000 |
| -37.803 | 87.209 | -62.133 | -0.000 | -138.712 | 0.000 |
| 19.016 | 5.806 | 53.071 | -0.000 | -0.050 | 0.000 |
| -53.401 | 49.835 | -75.015 | 5.577 | -138.198 | 0.026 |
| 0.083 | 0.051 | -0.050 | -0.000 | 16.662 | 0.000 |
| -63.411 | 1.504 | -10.212 | -0.000 | -162.176 | 17.945 |
| 50.644 | 8.520 | 32.809 | 0.000 | 11.328 | -0.000 |
| 27.564 | 40.925 | 8.725 | 0.000 | 15.213 | -0.000 |
| 28.359 | 1.646 | 51.385 | 0.000 | 14.175 | -0.000 |
| 5.376 | -4.957 | 7.426 | 5.545 | 13.887 | 0.026 |
| 4.478 | -4.759 | 8.446 | 0.000 | 23.828 | -0.000 |
| 4.945 | -6.135 | 9.947 | 0.042 | 13.404 | 18.597 |
| 51.347 | 12.395 | 19.389 | -0.000 | 0.110 | 0.000 |
| 16.057 | 39.808 | 9.842 | -0.000 | 0.058 | 0.000 |
| 19.016 | 5.806 | 53.071 | -0.000 | -0.050 | 0.000 |
| -5.376 | 4.957 | -7.426 | 5.545 | -13.887 | 0.026 |
| -4.846 | 6.289 | -10.081 | -0.000 | -3.175 | 0.000 |
| -4.945 | 6.135 | -9.947 | 0.042 | -13.404 | 18.597 |
| 48.350 | 12.548 | 23.606 | 0.000 | 0.884 | -0.000 |
| 16.744 | 37.125 | 13.059 | 0.000 | 1.327 | -0.000 |
| 26.076 | 11.416 | 38.492 | 0.000 | 2.081 | -0.000 |
| 0.681 | -0.152 | -0.050 | 3.684 | 1.554 | -0.009 |
| 0.765 | -0.704 | 1.192 | 0.000 | 9.838 | -0.000 |
| 0.481 | -0.532 | 0.936 | 0.048 | 1.307 | 18.738 |
| 44.621 | 9.639 | 26.794 | -0.000 | -1.383 | 0.000 |
| 16.392 | 38.523 | 10.068 | -0.000 | -1.303 | 0.000 |
| 22.045 | 9.022 | 41.552 | -0.000 | -1.439 | 0.000 |
| -0.681 | 0.152 | 0.050 | 3.684 | -1.554 | -0.009 |
| -0.455 | 0.540 | -0.701 | -0.000 | 6.908 | 0.000 |
| -0.481 | 0.532 | -0.936 | 0.048 | -1.307 | 18.738 |
| 53.398 | 12.037 | 21.449 | 0.000 | -1.179 | -0.000 |
| 12.202 | 74.658 | 8.038 | 0.000 | -0.496 | -0.000 |
| 25.235 | 8.166 | 46.050 | -0.000 | -2.175 | -0.000 |
| -0.018 | 0.012 | 0.057 | 3.386 | -0.040 | -0.500 |
| -2.821 | -0.537 | -2.386 | -0.000 | 9.414 | -0.000 |
| -0.016 | 0.011 | 0.053 | -0.501 | -0.037 | 8.171 |
| 50.743 | 12.255 | 24.219 | 0.000 | -1.681 | 0.000 |
| 12.041 | 74.747 | 7.760 | 0.000 | -0.422 | 0.000 |
| 25.091 | 8.106 | 46.336 | -0.000 | -2.037 | 0.000 |
| 0.018 | -0.012 | -0.057 | 3.386 | 0.040 | -0.500 |
| -2.648 | -0.557 | -2.347 | 0.000 | 9.679 | 0.000 |
| 0.016 | -0.011 | -0.053 | -0.501 | 0.037 | 8.171 |
| 49.373 | 12.167 | 23.834 | -0.000 | -3.722 | -0.000 |
| 12.436 | 74.526 | 8.266 | 0.000 | -0.507 | -0.000 |
| 24.561 | 8.640 | 44.042 | -0.000 | -2.415 | -0.000 |
| 0.008 | -0.001 | -0.003 | 2.486 | -0.016 | -0.404 |
| -2.642 | -0.527 | -2.112 | 0.000 | 10.767 | -0.000 |
| 0.000 | -0.000 | 0.000 | -0.506 | 0.000 | 8.175 |
| 50.208 | 12.313 | 24.831 | 0.000 | -1.834 | 0.000 |
| 12.041 | 74.747 | 7.760 | 0.000 | -0.422 | 0.000 |
| 24.723 | 8.597 | 44.081 | -0.000 | -2.353 | 0.000 |
| -0.008 | 0.001 | 0.003 | 2.486 | 0.016 | -0.404 |
| -1.349 | -0.422 | -2.074 | 0.000 | 17.359 | 0.000 |
| -0.000 | 0.000 | -0.000 | -0.506 | -0.000 | 8.175 |
| 50.190 | 12.316 | 24.857 | -0.000 | -1.844 | -0.000 |
| 12.214 | 74.477 | 8.549 | 0.000 | -0.592 | -0.000 |
| 23.785 | 8.466 | 43.270 | 0.000 | -3.840 | -0.000 |
| 0.000 | 0.000 | 0.000 | 3.461 | 0.000 | -0.506 |
| -2.559 | -0.525 | -3.513 | 0.000 | 9.088 | -0.000 |
| -0.003 | -0.002 | -0.015 | -0.439 | -0.004 | 8.120 |
| 50.192 | 12.316 | 24.853 | 0.000 | -1.843 | 0.000 |
| 12.466 | 74.508 | 8.284 | -0.000 | -0.502 | 0.000 |
| 24.426 | 8.645 | 43.959 | 0.000 | -2.681 | 0.000 |
| -0.000 | -0.000 | -0.000 | 3.461 | -0.000 | -0.506 |
| -3.568 | -0.694 | -3.885 | 0.000 | 8.139 | 0.000 |
| 0.003 | 0.002 | 0.015 | -0.439 | 0.004 | 8.120 |
| 59.525 | 28.200 | 13.326 | -0.000 | -0.000 | 0.000 |
| 28.263 | 75.959 | 3.491 | 0.000 | -0.000 | 0.000 |
| 12.649 | 4.271 | 98.415 | -0.000 | -0.000 | -0.000 |
| 0.493 | -0.448 | -0.951 | 0.225 | -0.000 | -0.000 |
| 0.429 | -0.389 | -0.827 | -0.000 | 8.763 | 0.000 |
| 0.085 | -0.077 | -0.164 | -0.000 | -0.000 | 24.949 |
| 59.354 | 28.355 | 13.655 | 0.000 | 0.000 | -0.000 |
| 27.843 | 76.341 | 4.301 | -0.000 | 0.000 | 0.000 |
| 13.276 | 3.703 | 97.207 | 0.000 | 0.000 | 0.000 |
| -0.493 | 0.448 | 0.951 | 0.225 | 0.000 | 0.000 |
| -0.429 | 0.389 | 0.827 | 0.000 | 8.763 | 0.000 |
| -0.085 | 0.077 | 0.164 | 0.000 | 0.000 | 24.949 |
| 59.448 | 28.270 | 13.474 | 0.000 | -0.000 | 0.000 |
| 27.843 | 76.341 | 4.301 | -0.000 | -0.000 | -0.000 |
| 13.370 | 3.618 | 97.026 | -0.000 | -0.000 | 0.000 |
| 0.843 | -0.765 | -1.626 | -5.430 | 0.000 | -0.000 |
| -0.000 | -0.000 | -0.000 | 0.000 | 10.214 | 0.000 |
| 0.009 | -0.008 | -0.016 | -0.000 | -0.000 | 24.949 |
| 59.431 | 28.285 | 13.507 | -0.000 | 0.000 | 0.000 |
| 28.170 | 76.044 | 3.672 | -0.000 | 0.000 | -0.000 |
| 13.353 | 3.633 | 97.059 | 0.000 | -0.000 | -0.000 |
| -0.843 | 0.765 | 1.626 | -5.430 | -0.000 | -0.000 |
| 0.000 | 0.000 | -0.000 | -0.000 | 10.214 | 0.000 |
| -0.009 | 0.008 | 0.016 | 0.000 | 0.000 | 24.949 |
| 59.440 | 28.277 | 13.489 | -0.000 | 0.000 | 0.000 |
| 28.179 | 76.036 | 3.654 | -0.000 | 0.000 | -0.000 |
| 12.650 | 4.271 | 98.415 | 0.000 | 0.000 | -0.000 |
| -0.000 | -0.000 | -0.000 | 2.341 | -0.000 | 0.000 |
| -0.000 | -0.000 | 0.000 | 0.000 | 10.214 | 0.000 |
| 0.001 | -0.001 | -0.002 | 0.000 | -0.000 | 24.949 |
| 59.809 | 27.943 | 12.779 | 0.000 | -0.000 | -0.000 |
| 28.177 | 76.037 | 3.657 | 0.000 | 0.000 | 0.000 |
| 13.360 | 3.626 | 97.044 | -0.000 | 0.000 | -0.000 |
| 0.000 | 0.000 | 0.000 | 2.341 | 0.000 | 0.000 |
| 0.000 | 0.000 | -0.000 | -0.000 | 10.214 | -0.000 |
| -0.001 | 0.001 | 0.002 | -0.000 | 0.000 | 24.949 |
| 94.357 | 37.761 | 37.761 | -0.000 | -0.000 | -0.000 |
| 37.761 | 94.357 | 37.761 | -0.000 | -0.000 | -0.000 |
| 37.761 | 37.761 | 94.357 | -0.000 | 0.000 | -0.000 |
| -0.000 | -0.000 | -0.000 | 12.143 | 0.000 | -0.000 |
| 0.000 | 0.000 | -0.000 | 0.000 | 12.143 | 0.000 |
| 0.000 | -0.000 | -0.000 | 0.000 | -0.000 | 12.143 |
| 72.628 | 19.768 | 19.768 | 0.000 | 0.000 | -0.000 |
| 19.768 | 72.628 | 19.768 | 0.000 | -0.000 | 0.000 |
| 19.768 | 19.768 | 72.628 | 0.000 | 0.000 | 0.000 |
| 0.000 | -0.000 | 0.000 | 12.143 | -0.000 | 0.000 |
| -0.000 | -0.000 | -0.000 | -0.000 | 12.143 | 0.000 |
| -0.000 | -0.000 | 0.000 | -0.000 | 0.000 | 12.143 |
| 64.672 | 24.692 | 24.692 | 0.000 | 0.000 | 0.000 |
| 24.692 | 64.672 | 24.692 | 0.000 | -0.000 | 0.000 |
| 24.692 | 24.692 | 64.672 | 0.000 | 0.000 | -0.000 |
| 0.854 | 0.854 | 0.854 | 3.740 | 0.000 | 0.000 |
| 0.854 | 0.854 | 0.854 | 0.000 | 3.740 | 0.000 |
| 0.854 | 0.854 | 0.854 | 0.000 | 0.000 | 3.740 |
| 62.930 | 23.000 | 23.000 | -0.000 | 0.000 | 0.000 |
| 23.000 | 62.930 | 23.000 | -0.000 | -0.000 | -0.000 |
| 23.000 | 23.000 | 62.930 | -0.000 | -0.000 | -0.000 |
| -0.854 | -0.854 | -0.854 | 3.740 | -0.000 | -0.000 |
| -0.854 | -0.854 | -0.854 | -0.000 | 3.740 | -0.000 |
| -0.854 | -0.854 | -0.854 | 0.000 | -0.000 | 3.740 |
| 68.277 | 21.916 | 21.916 | -0.000 | 0.000 | -0.000 |
| 21.916 | 68.277 | 21.916 | 0.000 | -0.000 | 0.000 |
| 21.916 | 21.916 | 68.277 | -0.000 | -0.000 | -0.000 |
| 0.041 | 0.041 | 0.041 | 8.109 | -0.000 | -0.000 |
| 0.041 | 0.041 | 0.041 | -0.000 | 8.109 | -0.000 |
| 0.041 | 0.041 | 0.041 | 0.000 | -0.000 | 8.109 |
| 67.970 | 21.687 | 21.687 | 0.000 | 0.000 | -0.000 |
| 21.687 | 67.970 | 21.687 | 0.000 | 0.000 | 0.000 |
| 21.687 | 21.687 | 67.970 | 0.000 | 0.000 | 0.000 |
| -0.041 | -0.041 | -0.041 | 8.109 | -0.000 | -0.000 |
| -0.041 | -0.041 | -0.041 | 0.000 | 8.109 | 0.000 |
| -0.041 | -0.041 | -0.041 | 0.000 | 0.000 | 8.109 |
| 75.997 | 27.440 | 27.439 | -0.000 | 0.000 | -0.000 |
| 27.440 | 75.997 | 27.439 | -0.000 | 0.000 | -0.000 |
| 27.440 | 27.440 | 75.997 | -0.000 | 0.000 | -0.000 |
| 6.499 | 6.499 | 6.499 | 9.351 | -0.000 | -0.000 |
| 6.499 | 6.499 | 6.499 | -0.000 | 9.351 | -0.000 |
| 6.499 | 6.499 | 6.499 | -0.000 | -0.000 | 9.351 |
| 72.409 | 19.604 | 19.604 | 0.000 | 0.000 | 0.000 |
| 19.604 | 72.409 | 19.604 | 0.000 | -0.000 | 0.000 |
| 19.604 | 19.604 | 72.409 | 0.000 | 0.000 | 0.000 |
| -6.499 | -6.499 | -6.499 | 9.351 | 0.000 | 0.000 |
| -6.499 | -6.499 | -6.499 | 0.000 | 9.351 | 0.000 |
| -6.499 | -6.499 | -6.499 | -0.000 | -0.000 | 9.351 |
| 69.744 | 23.377 | 23.377 | -0.000 | 0.000 | -0.000 |
| 23.377 | 69.744 | 23.377 | -0.000 | 0.000 | -0.000 |
| 23.377 | 23.377 | 69.744 | -0.000 | -0.000 | 0.000 |
| 0.000 | 0.000 | 0.000 | 12.121 | -0.000 | -0.000 |
| 0.000 | 0.000 | 0.000 | -0.000 | 12.121 | -0.000 |
| 0.000 | 0.000 | 0.000 | -0.000 | 0.000 | 12.121 |
| 68.819 | 20.303 | 20.303 | 0.000 | -0.000 | 0.000 |
| 20.303 | 68.819 | 20.303 | 0.000 | -0.000 | 0.000 |
| 20.303 | 20.303 | 68.819 | 0.000 | 0.000 | 0.000 |
| -0.000 | -0.000 | -0.000 | 12.121 | -0.000 | 0.000 |
| -0.000 | -0.000 | -0.000 | 0.000 | 12.121 | 0.000 |
| -0.000 | -0.000 | -0.000 | 0.000 | 0.000 | 12.121 |
| 69.401 | 21.093 | 21.093 | -0.000 | -0.000 | -0.000 |
| 21.093 | 69.401 | 21.093 | -0.000 | -0.000 | -0.000 |
| 21.093 | 21.093 | 69.401 | -0.000 | -0.000 | -0.000 |
| 0.092 | 0.092 | 0.092 | 7.979 | -0.000 | -0.000 |
| 0.092 | 0.092 | 0.092 | -0.000 | 7.979 | -0.000 |
| 0.092 | 0.092 | 0.092 | -0.000 | -0.000 | 7.979 |
| 69.110 | 21.021 | 21.021 | 0.000 | 0.000 | 0.000 |
| 21.021 | 69.110 | 21.021 | 0.000 | -0.000 | 0.000 |
| 21.021 | 21.021 | 69.110 | 0.000 | 0.000 | 0.000 |
| -0.092 | -0.092 | -0.092 | 7.979 | -0.000 | 0.000 |
| -0.092 | -0.092 | -0.092 | 0.000 | 7.979 | 0.000 |
| -0.092 | -0.092 | -0.092 | 0.000 | -0.000 | 7.979 |
| 45.712 | 24.958 | 24.958 | -0.000 | -0.000 | -0.000 |
| 24.958 | 45.712 | 24.958 | -0.000 | 0.000 | -0.000 |
| 24.958 | 24.958 | 45.712 | 0.000 | 0.000 | -0.000 |
| 0.006 | 0.006 | 0.006 | 18.263 | 0.000 | -0.000 |
| 0.006 | 0.006 | 0.006 | -0.000 | 18.263 | -0.000 |
| 0.006 | 0.006 | 0.006 | -0.000 | 0.000 | 18.263 |
| 47.131 | 24.295 | 24.295 | 0.000 | -0.000 | -0.000 |
| 24.295 | 47.131 | 24.295 | 0.000 | -0.000 | 0.000 |
| 24.295 | 24.295 | 47.131 | 0.000 | -0.000 | -0.000 |
| -0.006 | -0.006 | -0.006 | 18.263 | 0.000 | 0.000 |
| -0.006 | -0.006 | -0.006 | -0.000 | 18.263 | -0.000 |
| -0.006 | -0.006 | -0.006 | 0.000 | -0.000 | 18.263 |
| 47.131 | 24.295 | 24.295 | -0.000 | 0.000 | 0.000 |
| 24.295 | 47.131 | 24.295 | -0.000 | -0.000 | 0.000 |
| 24.295 | 24.295 | 47.131 | -0.000 | 0.000 | -0.000 |
| 0.001 | 0.001 | 0.001 | 18.262 | -0.000 | -0.000 |
| 0.001 | 0.001 | 0.001 | -0.000 | 18.262 | 0.000 |
| 0.001 | 0.001 | 0.001 | -0.000 | 0.000 | 18.262 |
| 45.707 | 24.950 | 24.950 | 0.000 | -0.000 | 0.000 |
| 24.950 | 45.707 | 24.950 | -0.000 | -0.000 | 0.000 |
| 24.950 | 24.950 | 45.707 | 0.000 | -0.000 | 0.000 |
| -0.001 | -0.001 | -0.001 | 18.262 | -0.000 | -0.000 |
| -0.001 | -0.001 | -0.001 | 0.000 | 18.262 | 0.000 |
| -0.001 | -0.001 | -0.001 | 0.000 | -0.000 | 18.262 |
| 45.707 | 24.951 | 24.951 | -0.000 | 0.000 | -0.000 |
| 24.951 | 45.707 | 24.951 | -0.000 | 0.000 | -0.000 |
| 24.951 | 24.951 | 45.707 | 0.000 | 0.000 | -0.000 |
| 0.000 | 0.000 | 0.000 | 18.262 | 0.000 | -0.000 |
| 0.000 | 0.000 | 0.000 | -0.000 | 18.262 | -0.000 |
| 0.000 | 0.000 | 0.000 | -0.000 | 0.000 | 18.262 |
| 47.131 | 24.295 | 24.295 | 0.000 | -0.000 | 0.000 |
| 24.295 | 47.131 | 24.295 | 0.000 | -0.000 | 0.000 |
| 24.295 | 24.295 | 47.131 | 0.000 | -0.000 | -0.000 |
| -0.000 | -0.000 | -0.000 | 18.262 | -0.000 | 0.000 |
| -0.000 | -0.000 | -0.000 | 0.000 | 18.262 | 0.000 |
| -0.000 | -0.000 | -0.000 | 0.000 | 0.000 | 18.262 |
| -96.214 | -115.769 | -115.769 | 0.000 | 0.000 | 0.000 |
| -115.769 | -96.214 | -115.769 | 0.000 | 0.000 | 0.000 |
| -115.769 | -115.769 | -96.214 | 0.000 | 0.000 | 0.000 |
| -141.017 | -141.017 | -141.017 | 17.449 | 0.000 | 0.000 |
| -141.017 | -141.017 | -141.017 | 0.000 | 17.449 | 0.000 |
| -141.017 | -141.017 | -141.017 | -0.000 | 0.000 | 17.449 |
| 186.295 | 166.029 | 166.029 | -0.000 | -0.000 | -0.000 |
| 166.029 | 186.295 | 166.029 | -0.000 | -0.000 | -0.000 |
| 166.029 | 166.029 | 186.295 | -0.000 | -0.000 | -0.000 |
| 141.017 | 141.017 | 141.017 | 17.449 | -0.000 | -0.000 |
| 141.017 | 141.017 | 141.017 | 0.000 | 17.449 | -0.000 |
| 141.017 | 141.017 | 141.017 | 0.000 | -0.000 | 17.449 |
| 47.080 | 24.269 | 24.269 | -0.000 | 0.000 | 0.000 |
| 24.269 | 47.080 | 24.269 | -0.000 | 0.000 | -0.000 |
| 24.269 | 24.269 | 47.080 | -0.000 | 0.000 | -0.000 |
| -0.000 | -0.000 | 0.000 | 20.551 | 0.000 | 0.000 |
| -0.000 | -0.000 | 0.000 | -0.000 | 20.551 | 0.000 |
| -0.000 | 0.000 | -0.000 | 0.000 | 0.000 | 20.551 |
| 52.587 | 32.438 | 32.438 | -0.000 | -0.000 | -0.000 |
| 32.438 | 52.587 | 32.438 | 0.000 | -0.000 | -0.000 |
| 32.438 | 32.438 | 52.587 | 0.000 | -0.000 | -0.000 |
| 0.000 | 0.000 | -0.000 | 20.551 | -0.000 | -0.000 |
| 0.000 | 0.000 | -0.000 | 0.000 | 20.551 | -0.000 |
| 0.000 | -0.000 | 0.000 | 0.000 | -0.000 | 20.551 |
| 43.832 | 23.692 | 23.692 | 0.000 | 0.000 | 0.000 |
| 23.692 | 43.832 | 23.692 | -0.000 | 0.000 | 0.000 |
| 23.692 | 23.692 | 43.832 | 0.000 | 0.000 | 0.000 |
| -0.707 | -0.707 | -0.707 | 17.847 | 0.000 | 0.000 |
| -0.707 | -0.707 | -0.707 | 0.000 | 17.847 | 0.000 |
| -0.707 | -0.707 | -0.707 | 0.000 | 0.000 | 17.847 |
| 47.080 | 24.269 | 24.269 | 0.000 | -0.000 | -0.000 |
| 24.269 | 47.080 | 24.269 | -0.000 | -0.000 | 0.000 |
| 24.269 | 24.269 | 47.080 | -0.000 | -0.000 | -0.000 |
| 0.707 | 0.707 | 0.707 | 17.847 | -0.000 | -0.000 |
| 0.707 | 0.707 | 0.707 | 0.000 | 17.847 | -0.000 |
| 0.707 | 0.707 | 0.707 | -0.000 | -0.000 | 17.847 |
| 59.338 | 27.924 | 13.214 | -0.000 | -0.000 | -0.000 |
| 27.924 | 76.405 | 3.520 | -0.000 | -0.000 | -0.000 |
| 12.517 | 4.186 | 98.354 | -0.000 | -0.000 | -0.000 |
| 0.000 | -0.000 | -0.000 | 2.389 | 0.000 | -0.000 |
| 0.000 | -0.000 | -0.000 | -0.000 | 8.567 | -0.000 |
| 0.000 | -0.000 | -0.000 | -0.000 | -0.000 | 24.699 |
| 59.338 | 27.924 | 13.214 | 0.000 | 0.000 | 0.000 |
| 27.591 | 76.724 | 4.186 | 0.000 | 0.000 | 0.000 |
| 12.517 | 4.186 | 98.354 | -0.000 | 0.000 | 0.000 |
| -0.000 | 0.000 | 0.000 | 2.389 | -0.000 | 0.000 |
| -0.000 | 0.000 | 0.000 | 0.000 | 8.567 | 0.000 |
| -0.000 | 0.000 | 0.000 | 0.000 | 0.000 | 24.699 |
| 59.338 | 27.924 | 13.214 | -0.000 | -0.000 | -0.000 |
| 27.591 | 76.724 | 4.186 | -0.000 | 0.000 | -0.000 |
| 13.214 | 3.520 | 96.961 | -0.000 | -0.000 | -0.000 |
| -0.000 | -0.000 | -0.000 | 2.389 | 0.000 | -0.000 |
| -0.000 | -0.000 | -0.000 | 0.000 | 10.124 | -0.000 |
| -0.000 | 0.000 | -0.000 | -0.000 | -0.000 | 24.699 |
| 59.338 | 27.924 | 13.214 | -0.000 | 0.000 | 0.000 |
| 27.924 | 76.405 | 3.520 | -0.000 | 0.000 | 0.000 |
| 12.517 | 4.186 | 98.354 | 0.000 | 0.000 | 0.000 |
| 0.000 | 0.000 | 0.000 | 2.389 | -0.000 | 0.000 |
| 0.000 | 0.000 | 0.000 | -0.000 | 10.124 | 0.000 |
| 0.000 | -0.000 | 0.000 | 0.000 | 0.000 | 24.699 |
| 59.688 | 27.591 | 12.517 | -0.000 | -0.000 | -0.000 |
| 27.924 | 76.405 | 3.520 | 0.000 | 0.000 | -0.000 |
| 13.214 | 3.520 | 96.961 | -0.000 | -0.000 | -0.000 |
| -0.000 | 0.000 | -0.000 | 0.195 | -0.000 | -0.000 |
| -0.000 | -0.000 | 0.000 | 0.000 | 10.124 | -0.000 |
| -0.000 | 0.000 | -0.000 | 0.000 | -0.000 | 24.699 |
| 59.338 | 27.924 | 13.214 | 0.000 | 0.000 | 0.000 |
| 27.924 | 76.405 | 3.520 | 0.000 | -0.000 | 0.000 |
| 13.214 | 3.520 | 96.961 | -0.000 | 0.000 | 0.000 |
| 0.000 | -0.000 | 0.000 | 0.195 | 0.000 | 0.000 |
| 0.000 | 0.000 | -0.000 | -0.000 | 10.124 | 0.000 |
| 0.000 | -0.000 | 0.000 | -0.000 | 0.000 | 24.699 |
| 59.578 | 28.213 | 13.301 | 0.000 | -0.000 | 0.000 |
| 28.314 | 75.895 | 3.451 | 0.000 | -0.000 | 0.000 |
| 13.483 | 3.533 | 96.821 | 0.000 | -0.000 | 0.000 |
| 0.641 | -0.579 | -1.232 | 0.228 | -0.000 | 0.000 |
| 0.478 | -0.432 | -0.919 | 0.000 | 8.973 | 0.000 |
| 0.111 | -0.100 | -0.213 | 0.000 | -0.000 | 24.974 |
| 59.838 | 27.978 | 12.801 | -0.000 | 0.000 | -0.000 |
| 28.093 | 76.094 | 3.877 | -0.000 | 0.000 | -0.000 |
| 13.262 | 3.733 | 97.247 | -0.000 | -0.000 | -0.000 |
| -0.641 | 0.579 | 1.232 | 0.228 | 0.000 | -0.000 |
| -0.478 | 0.432 | 0.919 | -0.000 | 8.973 | -0.000 |
| -0.111 | 0.100 | 0.213 | -0.000 | 0.000 | 24.974 |
| 59.478 | 28.303 | 13.492 | 0.000 | 0.000 | 0.000 |
| 28.214 | 75.985 | 3.643 | 0.000 | -0.000 | 0.000 |
| 12.660 | 4.277 | 98.405 | 0.000 | -0.000 | 0.000 |
| 0.064 | -0.058 | -0.123 | 0.228 | 0.000 | 0.000 |
| -0.000 | -0.000 | -0.000 | 0.000 | 10.223 | 0.000 |
| 0.011 | -0.010 | -0.021 | 0.000 | -0.000 | 24.974 |
| 59.838 | 27.978 | 12.801 | -0.000 | 0.000 | -0.000 |
| 28.192 | 76.005 | 3.685 | -0.000 | 0.000 | -0.000 |
| 12.660 | 4.277 | 98.405 | -0.000 | -0.000 | -0.000 |
| -0.064 | 0.058 | 0.123 | 0.228 | -0.000 | -0.000 |
| 0.000 | 0.000 | -0.000 | -0.000 | 10.223 | -0.000 |
| -0.011 | 0.010 | 0.021 | -0.000 | 0.000 | 24.974 |
| 59.838 | 27.978 | 12.801 | 0.000 | -0.000 | 0.000 |
| 27.868 | 76.297 | 4.308 | 0.000 | 0.000 | 0.000 |
| 13.374 | 3.632 | 97.032 | 0.000 | -0.000 | 0.000 |
| -0.000 | -0.000 | -0.000 | 2.337 | 0.000 | 0.000 |
| -0.000 | -0.000 | 0.000 | 0.000 | 10.223 | 0.000 |
| 0.001 | -0.001 | -0.002 | 0.000 | -0.000 | 24.974 |
| 59.466 | 28.314 | 13.516 | -0.000 | 0.000 | -0.000 |
| 28.202 | 75.996 | 3.666 | -0.000 | 0.000 | -0.000 |
| 12.660 | 4.277 | 98.405 | -0.000 | 0.000 | -0.000 |
| 0.000 | 0.000 | 0.000 | 2.337 | -0.000 | -0.000 |
| 0.000 | 0.000 | -0.000 | 0.000 | 10.223 | -0.000 |
| -0.001 | 0.001 | 0.002 | -0.000 | 0.000 | 24.974 |
| 62.036 | 25.984 | 21.928 | 0.000 | -0.000 | 0.000 |
| 26.087 | 62.882 | 22.230 | 0.000 | -0.000 | -0.000 |
| 21.987 | 22.185 | 67.796 | 0.000 | 0.000 | 0.000 |
| -0.000 | 0.000 | -0.000 | 18.381 | -0.000 | 0.000 |
| -0.000 | 0.000 | -0.000 | 0.000 | 18.112 | -0.000 |
| -0.000 | 0.000 | -0.000 | 0.000 | -0.000 | 17.894 |
| 62.036 | 25.983 | 21.928 | -0.000 | 0.000 | -0.000 |
| 26.087 | 62.882 | 22.230 | -0.000 | 0.000 | -0.000 |
| 21.988 | 22.185 | 67.796 | -0.000 | 0.000 | -0.000 |
| 0.000 | -0.000 | 0.000 | 18.381 | 0.000 | 0.000 |
| 0.000 | -0.000 | 0.000 | -0.000 | 18.112 | 0.000 |
| 0.000 | -0.000 | 0.000 | -0.000 | 0.000 | 17.894 |
| 62.036 | 25.983 | 21.928 | 0.000 | 0.000 | 0.000 |
| 26.087 | 62.882 | 22.230 | 0.000 | -0.000 | -0.000 |
| 21.987 | 22.185 | 67.796 | 0.000 | -0.000 | 0.000 |
| -0.000 | -0.000 | -0.000 | 18.381 | 0.000 | 0.000 |
| -0.000 | 0.000 | -0.000 | 0.000 | 18.112 | -0.000 |
| -0.000 | 0.000 | -0.000 | 0.000 | -0.000 | 17.894 |
| 62.036 | 25.983 | 21.928 | -0.000 | 0.000 | 0.000 |
| 26.087 | 62.882 | 22.230 | -0.000 | 0.000 | 0.000 |
| 21.987 | 22.185 | 67.796 | -0.000 | -0.000 | -0.000 |
| 0.000 | 0.000 | 0.000 | 18.381 | -0.000 | -0.000 |
| 0.000 | -0.000 | 0.000 | -0.000 | 18.112 | 0.000 |
| 0.000 | -0.000 | 0.000 | -0.000 | 0.000 | 17.894 |
| 62.036 | 25.983 | 21.928 | 0.000 | -0.000 | -0.000 |
| 26.087 | 62.882 | 22.230 | 0.000 | -0.000 | 0.000 |
| 21.987 | 22.185 | 67.796 | 0.000 | 0.000 | 0.000 |
| -0.000 | -0.000 | -0.000 | 18.381 | -0.000 | -0.000 |
| -0.000 | -0.000 | -0.000 | 0.000 | 18.112 | 0.000 |
| -0.000 | -0.000 | -0.000 | 0.000 | -0.000 | 17.894 |
| 62.036 | 25.983 | 21.929 | -0.000 | 0.000 | -0.000 |
| 26.087 | 62.882 | 22.230 | -0.000 | 0.000 | -0.000 |
| 21.987 | 22.185 | 67.796 | -0.000 | 0.000 | 0.000 |
| 0.000 | 0.000 | 0.000 | 18.381 | 0.000 | 0.000 |
| 0.000 | 0.000 | 0.000 | -0.000 | 18.112 | 0.000 |
| 0.000 | 0.000 | 0.000 | -0.000 | -0.000 | 17.894 |
| 34.409 | 13.074 | 3.438 | -0.000 | 0.000 | 0.000 |
| 32.483 | 15.000 | 3.438 | -0.000 | -0.000 | 0.000 |
| 3.438 | 3.438 | 55.625 | 0.000 | -0.000 | 0.000 |
| -0.000 | 0.000 | -0.000 | 1.675 | -0.000 | 0.000 |
| -0.000 | 0.000 | -0.000 | -0.000 | 1.675 | 0.000 |
| -0.000 | -0.000 | -0.000 | 0.000 | 0.000 | -11.392 |
| 34.409 | 13.074 | 3.438 | -0.000 | 0.000 | -0.000 |
| 32.483 | 15.000 | 3.438 | 0.000 | 0.000 | -0.000 |
| 3.438 | 3.438 | 55.625 | 0.000 | -0.000 | -0.000 |
| -0.000 | 0.000 | 0.000 | 1.675 | 0.000 | -0.000 |
| 0.000 | -0.000 | 0.000 | 0.000 | 1.675 | -0.000 |
| -0.000 | 0.000 | 0.000 | -0.000 | -0.000 | -11.392 |
| 34.409 | 13.074 | 3.438 | -0.000 | 0.000 | 0.000 |
| 32.483 | 15.000 | 3.438 | 0.000 | 0.000 | 0.000 |
| 3.438 | 3.438 | 55.625 | 0.000 | 0.000 | 0.000 |
| -0.000 | -0.000 | -0.000 | 1.675 | -0.000 | 0.000 |
| -0.000 | -0.000 | -0.000 | -0.000 | 1.675 | 0.000 |
| 0.000 | -0.000 | -0.000 | -0.000 | 0.000 | 10.667 |
| 34.409 | 13.074 | 3.438 | 0.000 | -0.000 | -0.000 |
| 32.483 | 15.000 | 3.438 | 0.000 | 0.000 | -0.000 |
| 3.438 | 3.438 | 55.625 | -0.000 | -0.000 | -0.000 |
| 0.000 | 0.000 | 0.000 | 1.675 | 0.000 | -0.000 |
| 0.000 | 0.000 | 0.000 | -0.000 | 1.675 | -0.000 |
| -0.000 | 0.000 | 0.000 | 0.000 | -0.000 | 10.667 |
| 34.409 | 13.074 | 3.438 | 0.000 | -0.000 | 0.000 |
| 32.483 | 15.000 | 3.438 | -0.000 | -0.000 | -0.000 |
| 3.438 | 3.438 | 55.626 | -0.000 | -0.000 | 0.000 |
| -0.000 | -0.000 | -0.000 | 1.675 | -0.000 | 0.000 |
| -0.000 | -0.000 | -0.000 | -0.000 | 1.675 | 0.000 |
| -0.000 | -0.000 | -0.000 | -0.000 | -0.000 | -8.742 |
| 34.408 | 13.074 | 3.438 | -0.000 | -0.000 | -0.000 |
| 13.074 | 34.408 | 3.438 | 0.000 | -0.000 | -0.000 |
| 3.438 | 3.438 | 55.625 | -0.000 | 0.000 | -0.000 |
| 0.000 | 0.000 | 0.000 | 1.675 | 0.000 | -0.000 |
| 0.000 | 0.000 | 0.000 | 0.000 | 1.675 | -0.000 |
| 0.000 | 0.000 | 0.000 | 0.000 | 0.000 | -8.742 |
| 63.470 | 24.789 | 21.726 | 1.861 | 0.000 | 0.000 |
| 24.789 | 63.470 | 21.726 | -1.861 | -0.000 | 0.000 |
| 21.730 | 21.730 | 67.285 | 0.000 | 0.000 | 0.000 |
| 1.861 | -1.861 | -0.000 | 17.326 | -0.000 | 0.000 |
| -0.000 | -0.000 | -0.000 | 0.000 | 17.326 | 1.861 |
| -0.000 | -0.000 | -0.000 | -0.000 | 1.861 | 19.341 |
| 62.898 | 25.318 | 21.623 | 1.940 | 0.000 | -0.000 |
| 24.789 | 63.470 | 21.726 | -1.861 | 0.000 | -0.000 |
| 21.730 | 21.730 | 67.285 | 0.000 | -0.000 | -0.000 |
| 1.861 | -1.861 | -0.000 | 17.326 | -0.000 | -0.000 |
| 0.000 | 0.000 | -0.000 | 0.000 | 17.326 | 1.861 |
| 0.000 | 0.000 | -0.000 | 0.000 | 1.861 | 19.341 |
| 63.470 | 24.789 | 21.726 | 1.861 | -0.000 | 0.000 |
| 25.977 | 62.286 | 21.736 | -2.030 | -0.000 | -0.000 |
| 21.728 | 21.728 | 67.275 | -0.000 | -0.000 | 0.000 |
| 2.051 | -2.049 | 0.005 | 17.299 | -0.000 | 0.000 |
| 0.003 | 0.003 | 0.013 | 0.000 | 17.311 | 1.965 |
| -0.000 | -0.000 | -0.000 | -0.000 | 1.861 | 19.341 |
| 63.470 | 24.789 | 21.726 | 1.861 | 0.000 | -0.000 |
| 25.968 | 62.278 | 21.694 | -2.030 | 0.000 | 0.000 |
| 21.725 | 21.725 | 67.265 | -0.000 | -0.000 | 0.000 |
| 1.861 | -1.861 | 0.000 | 17.326 | 0.000 | 0.000 |
| -0.003 | -0.003 | -0.013 | -0.000 | 17.311 | 1.965 |
| 0.000 | 0.000 | 0.000 | 0.000 | 1.861 | 19.341 |
| 63.470 | 24.789 | 21.726 | 1.861 | -0.000 | 0.000 |
| 24.789 | 63.470 | 21.726 | -1.861 | -0.000 | -0.000 |
| 21.730 | 21.730 | 67.285 | -0.000 | -0.000 | 0.000 |
| 1.861 | -1.861 | -0.000 | 17.326 | -0.000 | -0.000 |
| -0.000 | -0.000 | 0.000 | 0.000 | 17.301 | 2.036 |
| -0.001 | -0.001 | -0.004 | -0.000 | 2.047 | 18.034 |
| 63.471 | 24.789 | 21.726 | 1.861 | -0.000 | -0.000 |
| 25.972 | 62.282 | 21.713 | -2.030 | 0.000 | -0.000 |
| 21.730 | 21.730 | 67.285 | -0.000 | 0.000 | 0.000 |
| 1.861 | -1.861 | 0.000 | 17.326 | -0.000 | 0.000 |
| 0.000 | 0.000 | -0.000 | -0.000 | 17.301 | 2.036 |
| 0.001 | 0.001 | 0.004 | 0.000 | 2.047 | 18.034 |
Phonon band structures and crystal properties estimated from quasi-harmonic approximation (QHA) calculations are displayed for select crystals. The calculations were performed using phonopy and LAMMPS. For the phonon calculations, 3x3 supercells of the potential-specific relaxed crystals were used. The QHA calculations were based on 11 strain states ranging from -0.05 to 0.05.
The calculation method used is available as the iprPy phonon calculation method.
Notes and Disclaimers:
Version Information:




































































































































































































































































Static free surface formation energies are displayed for select crystals. The values displayed here are obtained by taking a perfect periodic bulk crystal, slicing along a crystallographic plane, and using force minimization to statically relax the surfaces. The free surface formation energy is computed by comparing the energy of the defect system to the bulk system and dividing by the total surface area created by the cut.
The calculation method used is available as the iprPy surface_energy_static calculation method.
Notes and Disclaimers:
Version Information:
| Surface | γfs (mJ/m2) |
|---|---|
| (111) | 879.98 |
| (100) | 951.89 |
| (332) | 965.37 |
| (322) | 977.26 |
| (221) | 1002.49 |
| (211) | 1022.35 |
| (331) | 1032.57 |
| (110) | 1043.79 |
| (311) | 1049.90 |
| (321) | 1061.08 |
| (310) | 1069.12 |
| (320) | 1081.66 |
| (210) | 1083.59 |
| Surface | γfs (mJ/m2) |
|---|---|
| (210) | 0.00 |
| (211) | 0.00 |
| (221) | 0.00 |
| (100) | 0.00 |
| (320) | 0.00 |
| (110) | 0.00 |
| (331) | 0.00 |
| (311) | 0.00 |
| (332) | 0.00 |
| (111) | 0.00 |
| (321) | 0.00 |
| (322) | 0.00 |
| (310) | 0.00 |
| Surface | γfs (mJ/m2) |
|---|---|
| (211) 2 | 942.48 |
| (210) | 982.43 |
| (332) 2 | 986.98 |
| (321) 2 | 992.79 |
| (111) | 1000.58 |
| (311) | 1006.64 |
| (321) 1 | 1008.84 |
| (221) | 1010.82 |
| (322) | 1014.35 |
| (331) | 1029.73 |
| (100) | 1033.94 |
| (332) 1 | 1038.37 |
| (320) | 1040.14 |
| (310) | 1046.04 |
| (211) 1 | 1062.53 |
| (110) | 1078.94 |
| Surface | γfs (mJ/m2) |
|---|---|
| (211) 1 | 0.00 |
| (211) 2 | 0.00 |
| (221) | 0.00 |
| (210) | 0.00 |
| (332) 1 | 0.00 |
| (321) 2 | 0.00 |
| (111) | 0.00 |
| (320) | 0.00 |
| (331) | 0.00 |
| (311) | 0.00 |
| (310) | 0.00 |
| (110) | 0.00 |
| (321) 1 | 0.00 |
| (332) 2 | 0.00 |
| (322) | 0.00 |
| (100) | 0.00 |
| Surface | γfs (mJ/m2) |
|---|---|
| (221) | 0.00 |
| (320) | 0.00 |
| (110) | 0.00 |
| (321) | 0.00 |
| (100) | 0.00 |
| (310) | 0.00 |
| (322) | 0.00 |
| (332) | 0.00 |
| (211) | 0.00 |
| (311) | 0.00 |
| (111) | 0.00 |
| (331) | 0.00 |
| (210) | 0.00 |
| Surface | γfs (mJ/m2) |
|---|---|
| (0001) | 855.99 |
| (1012) 2 | 923.73 |
| (2021) 1 | 950.53 |
| (1011) 1 | 956.58 |
| (2021) 2 | 1022.94 |
| (1120) | 1044.84 |
| (2131) 1 | 1056.08 |
| (2132) 2 | 1061.27 |
| (2241) | 1062.79 |
| (2132) 1 | 1067.85 |
| (1012) 1 | 1071.71 |
| (1121) | 1075.25 |
| (1010) | 1076.77 |
| (2112) | 1085.03 |
| (2130) | 1085.41 |
| (1011) 2 | 1087.06 |
| (2131) 2 | 1099.06 |
| Surface | γfs (mJ/m2) |
|---|---|
| (2132) 2 | 0.00 |
| (1011) 1 | 0.00 |
| (2112) | 0.00 |
| (1120) | 0.00 |
| (1121) | 0.00 |
| (2130) | 0.00 |
| (0001) | 0.00 |
| (1012) 1 | 0.00 |
| (2131) 2 | 0.00 |
| (1012) 2 | 0.00 |
| (2132) 1 | 0.00 |
| (2021) 1 | 0.00 |
| (2241) | 0.00 |
| (1010) | 0.00 |
| (1011) 2 | 0.00 |
| (2021) 2 | 0.00 |
| (2131) 1 | 0.00 |
| Surface | γfs (mJ/m2) |
|---|---|
| (2132) 1 | 0.00 |
| (1010) 2 | 0.00 |
| (2021) 1 | 0.00 |
| (1120) | 0.00 |
| (1012) 1 | 0.00 |
| (1010) 1 | 0.00 |
| (2132) 2 | 0.00 |
| (2130) 1 | 0.00 |
| (1011) 2 | 0.00 |
| (2112) | 0.00 |
| (2021) 2 | 0.00 |
| (1121) | 0.00 |
| (2131) 2 | 0.00 |
| (2131) 1 | 0.00 |
| (1012) 2 | 0.00 |
| (2241) | 0.00 |
| (0001) | 0.00 |
| (1011) 1 | 0.00 |
| (2130) 2 | 0.00 |
| Surface | γfs (mJ/m2) |
|---|---|
| (111) 2 | 0.00 |
| (321) | 0.00 |
| (110) | 0.00 |
| (310) | 0.00 |
| (331) 1 | 0.00 |
| (311) 2 | 0.00 |
| (332) | 0.00 |
| (221) | 0.00 |
| (100) | 0.00 |
| (311) 1 | 0.00 |
| (210) | 0.00 |
| (322) | 0.00 |
| (211) | 0.00 |
| (320) | 0.00 |
| (331) 2 | 0.00 |
| Surface | γfs (mJ/m2) |
|---|---|
| (101) 2 | 0.00 |
| (211) 2 | 0.00 |
| (101) 1 | 0.00 |
| (110) | 0.00 |
| (211) 1 | 0.00 |
| (100) | 0.00 |
| (111) | 0.00 |
| (201) | 0.00 |
| (112) | 0.00 |
| (001) | 0.00 |
| Surface | γfs (mJ/m2) |
|---|---|
| (100) | 0.00 |
| (201) | 0.00 |
| (111) | 0.00 |
| (112) | 0.00 |
| (001) | 0.00 |
| (110) | 0.00 |
| (211) | 0.00 |
| (101) | 0.00 |
| Surface | γfs (mJ/m2) |
|---|---|
| (311) | 0.00 |
| (221) | 0.00 |
| (322) | 0.00 |
| (310) | 0.00 |
| (110) | 0.00 |
| (111) | 0.00 |
| (332) | 0.00 |
| (210) | 0.00 |
| (320) | 0.00 |
| (100) | 0.00 |
| (211) | 0.00 |
| (331) | 0.00 |
| (321) | 0.00 |
| Surface | γfs (mJ/m2) |
|---|---|
| (111) | 473.55 |
| (100) | 488.31 |
| (332) | 514.19 |
| (322) | 520.15 |
| (221) | 531.44 |
| (211) | 540.85 |
| (331) | 544.36 |
| (110) | 544.61 |
| (311) | 549.06 |
| (310) | 559.60 |
| (321) | 565.14 |
| (320) | 568.29 |
| (210) | 570.17 |
| Surface | γfs (mJ/m2) |
|---|---|
| (322) | -4372.21 |
| (331) | -3490.01 |
| (310) | -3339.76 |
| (221) | -3226.86 |
| (321) 2 | -3218.21 |
| (321) 1 | -2965.59 |
| (332) 2 | -2920.13 |
| (320) | -2799.56 |
| (332) 1 | -2778.73 |
| (311) | -2716.40 |
| (211) 2 | -2131.21 |
| (210) | -1746.45 |
| (211) 1 | -1459.28 |
| (110) | -1128.50 |
| (100) | -465.96 |
| (111) | 366.48 |
| Surface | γfs (mJ/m2) |
|---|---|
| (211) | 344.16 |
| (332) | 357.61 |
| (110) | 496.19 |
| (321) | 515.76 |
| (310) | 522.35 |
| (320) | 524.00 |
| (100) | 530.95 |
| (210) | 535.75 |
| (331) | 556.92 |
| (311) | 565.95 |
| (221) | 576.98 |
| (322) | 584.16 |
| (111) | 592.73 |
| Surface | γfs (mJ/m2) |
|---|---|
| (0001) | 486.34 |
| (1012) 2 | 492.43 |
| (1011) 1 | 518.55 |
| (2021) 1 | 518.65 |
| (2021) 2 | 545.25 |
| (1120) | 547.25 |
| (2241) | 560.67 |
| (1010) | 562.50 |
| (2131) 1 | 562.72 |
| (2132) 2 | 563.63 |
| (1011) 2 | 567.80 |
| (1121) | 570.75 |
| (1012) 1 | 572.36 |
| (2132) 1 | 573.87 |
| (2130) | 575.66 |
| (2112) | 579.97 |
| (2131) 2 | 583.17 |
| Surface | γfs (mJ/m2) |
|---|---|
| (0001) | 499.29 |
| (1011) 2 | 499.72 |
| (1010) 1 | 515.58 |
| (2021) 1 | 523.82 |
| (1012) 1 | 549.32 |
| (1120) | 551.54 |
| (2130) 1 | 559.26 |
| (2112) | 565.85 |
| (2131) 2 | 569.11 |
| (2132) 1 | 574.01 |
| (2132) 2 | 574.34 |
| (2021) 2 | 575.11 |
| (2241) | 575.72 |
| (1121) | 585.81 |
| (1012) 2 | 585.96 |
| (2131) 1 | 592.83 |
| (2130) 2 | 600.19 |
| (1010) 2 | 618.49 |
| (1011) 1 | 676.96 |
Stacking fault energy plots and maps are displayed for select crystals. The values are computed by
The calculation method used is available as the iprPy stacking_fault_map_2D calculation method.
Notes and Disclaimers:
Version Information:
| E_usf a/2 [0 -1 1] | 393.75 |
| τ_ideal a/2 [0 -1 1] | 5.16 |




| E_isf | 102.47 |
| E_usf a/2 [0 -1 1] | 127.60 |
| τ_ideal a/2 [0 -1 1] | 1.80 |




| E_usf a/2 [0 -1 1] | 230.95 |
| τ_ideal a/2 [0 -1 1] | 2.88 |




| E_isf | -53.78 |
| E_usf a/2 [0 -1 1] | 63.09 |
| τ_ideal a/2 [0 -1 1] | 1.83 |




| E_usf a/2 [-1 1 -1] | 167.71 |
| τ_ideal a/2 [-1 1 -1] | 2.34 |




| E_usf a/2 [-1 -1 1] | 174.41 |
| τ_ideal a/2 [-1 -1 1] | 2.16 |




| E_usf a/2 [-1 -1 1] | 178.83 |
| τ_ideal a/2 [-1 -1 1] | 2.22 |




| E_isf | 54.19 |
| E_usf a/3 [-2 1 1 0] | 119.46 |
| τ_ideal a/3 [-2 1 1 0] | 1.89 |




| E_usf a/3 [-1 2 -1 0] | 130.15 |
| τ_ideal a/3 [-1 2 -1 0] | 1.72 |




| E_usf a/3 [-1 2 -1 0] | 346.62 |
| τ_ideal a/3 [-1 2 -1 0] | 3.83 |




| E_usf a/3 [-1 2 -1 0] | 192.41 |
| E_usf a/3 [-2 1 1 3] | 1017.48 |
| τ_ideal a/3 [-1 2 -1 0] | 2.60 |
| τ_ideal a/3 [-2 1 1 3] | 12.15 |





| E_usf a/3 [-1 2 -1 0] | 223.45 |
| E_usf a/3 [-2 1 1 3] | 301.89 |
| τ_ideal a/3 [-1 2 -1 0] | 2.48 |
| τ_ideal a/3 [-2 1 1 3] | 2.86 |





| E_usf a/3 [-2 1 1 3] | 505.06 |
| τ_ideal a/3 [-2 1 1 3] | 3.60 |




Static point defect formation energies, Ef, and elastic dipole tensors, pij, are displayed for select crystals. Relaxed defect configurations are obtained by taking a 12x12x12 supercell of a perfect periodic bulk crystal, inserting the point defect, and using force minimization to statically relax the atomic positions while keeping the system dimensions constant. Ef is computed by comparing the energy of the defect system to the same number of atoms in a perfect bulk crystal. pij is estimated as the difference in the system's global pressure with and without the defect multiplied by the system's volume.
Simple structural comparisons of the unrelaxed and relaxed defect configurations are used to help determine if the defect structure has relaxed to a different configuration. Relaxed structures that are identified as no longer consistent with the ideal defect definition are excluded from the table below. The only exception to this is if the lowest energy interstitial configuration does not coincide with a known ideal defect, its energies and pressure tensor are included under the listing "relaxed interstitial". The full list of calculation results including the transformed structures and the structural comparison values is included in the csv file available from the "Download raw data" link.
The calculation method used is available as the iprPy point_defect_static calculation method.
Notes and Disclaimers:
| Point Defect | Ef (eV) | p11 (eV) | p22 (eV) | p33 (eV) | p12 (eV) | p13 (eV) | p23 (eV) |
|---|---|---|---|---|---|---|---|
| vacancy | 0.688 | -3.355 | -3.355 | -3.355 | -0.000 | -0.000 | -0.000 |
| 1nn divacancy | 1.367 | -8.282 | -6.309 | -6.309 | -0.000 | -0.000 | 0.007 |
| 2nn divacancy | 1.383 | -6.759 | -6.759 | -6.514 | -0.000 | -0.000 | -0.000 |
| 100 dumbbell | 2.484 | 15.584 | 15.584 | 16.386 | -0.000 | -0.000 | 0.000 |
| 110 dumbbell | 2.826 | 17.906 | 13.924 | 13.924 | -0.000 | -0.000 | 12.173 |
| crowdion interstitial | 2.828 | 13.995 | 13.995 | 17.989 | 12.298 | -0.000 | -0.000 |
| tetrahedral interstitial | 2.951 | 14.513 | 14.513 | 14.513 | 0.000 | 0.000 | 0.000 |
| Point Defect | Ef (eV) | p11 (eV) | p22 (eV) | p33 (eV) | p12 (eV) | p13 (eV) | p23 (eV) |
|---|---|---|---|---|---|---|---|
| 100 dumbbell | -19.401 | -0.000 | -0.000 | 0.000 | -0.000 | 0.000 | 0.000 |
| 111 dumbbell | -12.413 | 0.000 | 0.000 | 0.000 | 0.000 | 0.000 | 0.000 |
| octahedral interstitial | -10.948 | 0.000 | 0.000 | 0.000 | -0.000 | -0.000 | -0.000 |
| tetrahedral interstitial | -6.507 | -0.000 | -0.000 | -0.000 | -0.000 | -0.000 | -0.000 |
| 110 dumbbell | -3.976 | -0.000 | -0.000 | -0.000 | -0.000 | -0.000 | -0.000 |
| crowdion interstitial | -3.348 | -0.000 | -0.000 | -0.000 | -0.000 | -0.000 | -0.000 |
| 1nn divacancy | 0.000 | -0.000 | -0.000 | -0.000 | -0.000 | -0.000 | -0.000 |
| 2nn divacancy | 0.000 | -0.000 | -0.000 | -0.000 | -0.000 | -0.000 | -0.000 |
| vacancy | 0.000 | -0.000 | -0.000 | -0.000 | -0.000 | -0.000 | -0.000 |
| Point Defect | Ef (eV) | p11 (eV) | p22 (eV) | p33 (eV) | p12 (eV) | p13 (eV) | p23 (eV) |
|---|---|---|---|---|---|---|---|
| relaxed interstitial | -8.557 | 0.000 | 0.000 | -0.000 | -0.000 | 0.000 | 0.000 |
| 110 dumbbell | -8.140 | -0.000 | -0.000 | -0.000 | -0.000 | -0.000 | -0.000 |
| 111 dumbbell | -3.976 | -0.000 | -0.000 | -0.000 | -0.000 | -0.000 | -0.000 |
| octahedral interstitial | -3.348 | -0.000 | -0.000 | -0.000 | -0.000 | -0.000 | -0.000 |
| crowdion interstitial | -3.348 | -0.000 | -0.000 | -0.000 | -0.000 | -0.000 | -0.000 |
| vacancy | 0.000 | -0.000 | -0.000 | -0.000 | -0.000 | -0.000 | -0.000 |
| 100 dumbbell | 0.000 | -0.000 | -0.000 | -0.000 | -0.000 | -0.000 | -0.000 |
| 1nn divacancy | 0.000 | -0.000 | -0.000 | -0.000 | -0.000 | -0.000 | -0.000 |
| 2nn divacancy | 0.000 | -0.000 | -0.000 | -0.000 | -0.000 | -0.000 | -0.000 |
| Point Defect | Ef (eV) | p11 (eV) | p22 (eV) | p33 (eV) | p12 (eV) | p13 (eV) | p23 (eV) |
|---|---|---|---|---|---|---|---|
| relaxed interstitial | -7955.935 | 0.000 | 0.000 | -0.000 | 0.000 | 0.000 | -0.000 |
| vacancy | 0.000 | -0.000 | -0.000 | -0.000 | -0.000 | -0.000 | -0.000 |
| Point Defect | Ef (eV) | p11 (eV) | p22 (eV) | p33 (eV) | p12 (eV) | p13 (eV) | p23 (eV) |
|---|---|---|---|---|---|---|---|
| 110 dumbbell | -3.976 | -0.000 | -0.000 | -0.000 | 0.000 | 0.000 | -0.000 |
| bond centered interstitial | -3.348 | -0.000 | -0.000 | -0.000 | -0.000 | -0.000 | -0.000 |
| 100 dumbbell | -1.988 | 0.000 | 0.000 | 0.000 | 0.000 | -0.000 | -0.000 |
| tetragonal interstitial | 0.000 | -0.000 | -0.000 | -0.000 | -0.000 | -0.000 | -0.000 |
| vacancy | 0.000 | -0.000 | -0.000 | -0.000 | -0.000 | -0.000 | -0.000 |
| 1nn divacancy | 0.000 | -0.000 | -0.000 | -0.000 | -0.000 | -0.000 | -0.000 |
| hexagonal interstitial | 0.000 | -0.000 | -0.000 | -0.000 | -0.000 | -0.000 | -0.000 |
| Point Defect | Ef (eV) | p11 (eV) | p22 (eV) | p33 (eV) | p12 (eV) | p13 (eV) | p23 (eV) |
|---|---|---|---|---|---|---|---|
| vacancy | 0.850 | -0.730 | -0.730 | -0.730 | -0.000 | -0.000 | -0.000 |
| 100 dumbbell | 1.386 | 5.978 | 5.978 | 5.804 | -0.000 | 0.000 | 0.000 |
| 110 dumbbell | 1.488 | 7.688 | 4.977 | 4.977 | -0.000 | -0.000 | 3.494 |
| crowdion interstitial | 1.491 | 4.980 | 4.980 | 7.743 | 3.171 | 0.000 | 0.000 |
| 1nn divacancy | 1.581 | -1.841 | -1.361 | -1.361 | -0.000 | 0.000 | -0.055 |
| 111 dumbbell | 1.625 | 6.030 | 6.030 | 6.030 | 0.831 | 0.831 | 0.831 |
| octahedral interstitial | 1.659 | 6.630 | 6.630 | 6.630 | -0.000 | -0.000 | -0.000 |
| 2nn divacancy | 1.674 | -1.519 | -1.519 | -1.704 | -0.000 | -0.000 | -0.000 |
| Point Defect | Ef (eV) | p11 (eV) | p22 (eV) | p33 (eV) | p12 (eV) | p13 (eV) | p23 (eV) |
|---|---|---|---|---|---|---|---|
| vacancy | 0.687 | -1.443 | -1.443 | -1.443 | -0.000 | -0.000 | -0.000 |
| 111 dumbbell | 1.068 | 6.859 | 6.859 | 6.859 | 2.548 | 2.548 | 2.548 |
| tetrahedral interstitial | 1.135 | 7.183 | 8.935 | 7.183 | -0.000 | 0.000 | 0.000 |
| 2nn divacancy | 1.202 | -3.758 | -3.758 | -1.762 | 0.000 | 0.000 | -0.000 |
| 100 dumbbell | 1.319 | 8.264 | 8.264 | 7.999 | -0.000 | -0.000 | -0.000 |
| 1nn divacancy | 1.416 | -2.280 | -2.280 | -2.280 | 0.597 | 0.597 | 0.597 |
| Point Defect | Ef (eV) | p11 (eV) | p22 (eV) | p33 (eV) | p12 (eV) | p13 (eV) | p23 (eV) |
|---|---|---|---|---|---|---|---|
| vacancy | 0.870 | -0.720 | -0.720 | -0.591 | 0.000 | -0.000 | -0.000 |
| 0001 dumbbell | 1.838 | 5.333 | 5.333 | 7.380 | -0.000 | -0.000 | 0.000 |
Plots of the atomic structure of dislocation cores are shown here. The dislocations were constructed using dislocation monopole configurations in which a straight dislocation is created in the center of the system using anisotropic elasticity and the elastic constants computed above. A cylindrical region centered around the dislocation is allowed to relax while the remaining atoms are held fixed. The relaxation consists of 1 million NVT steps at 10 K followed by an energy/force minimization. The final plots show the atomic configuration near the center of the monopole system, and display differential displacement arrows and Nye tensor color maps that are both taken with respect to the Burgers vector direction.
These plots show a wide range of final structures, some corresponding to expected dislocation structures and others not. While the characterizations are dislocation-type dependent, some general classification guidelines are listed here.
The calculation method used is available as the iprPy dislocation_monopole calculation method.
Links are provided above the images allowing for users to download the final defect configuration and a corresponding defect-free configuration if they wish to further analyze the structures or use them for subsequent simulations.
Notes and Disclaimers:
Version Information:
Plots of lattice and elastic constants are shown as a function of temperature. The 0K points were taken from the Crystal Structure Predictions and the Elastic Constants Predictions sections above for the unique crystal structures relaxed with the "dynamic" method. Starting from the 0 K relaxed crystal unit cells, supercell systems are created by replicating all three dimensions by the same multiplier to achieve at least 4000 atoms. The systems are then relaxed at 50 K and zero pressure using 1 million NPT steps. Lattice constants are estimated by averaging the measured box dimensions. Temperatures are iteratively increased by 50 K, with each subsequent relaxation calculation starting from the final atomic configuration at the previous temperature and relaxing for another 1 million steps.
The elastic constants are calculated using the deformation–fluctuation hybrid method. Starting from the final atomic configurations of the dynamic relaxations, the system is allowed to evolve at constant volume with a Langevin thermostat. The Born matrix is computed during this run by evaluating how the atomic forces would vary due to applied linear strain fields. The elastic constants can then be estimated using the averaged Born matrix values and the averaged stresses on the system.
The calculation methods used are available as the iprPy relax_dynamic and elastic_constants_dynamic calculation methods.
Clicking on the image of a plot will open an interactive version of it in a new tab. The underlying data for the plots can be downloaded by clicking on the links above each plot.
Notes and Disclaimers:
Version Information:
Plots of radial distribution functions at different temperatures and the temperature-dependent diffusion and viscosity are shown here for elemental liquids. Melt phases are constructed by starting with a 10x10x10 fcc super cell and relaxing with 50,000 NPT steps at zero pressure and a high melting temperature (3000 K for most potentials and elements). Following the melt, liquid structures are relaxed by running NPT for 10,000 steps over which the temperature is dropped by 50 K, then 50,000 NPT at the target temperature to estimate the equilibrium volume, followed by 20,000 NVT steps at the averaged equilibrium volume and target temperature. Structures from the NVT run are sampled to compute the radial distribution function of the liquid at the corresponding temperature.
The final relaxed configurations at each temperature explored are used as the initial configurations for the diffusion and viscosity calculations. For diffusion, the system is integrated for 100 runs of 2,000 NVT steps during which both the mean squared displacement (MSD) and the velocity auto correlation function (VACF) are computed. From these simulations, three estimates of diffusion are computed: one from the MSD of the full 200,000 step run, one in which the MSD is reset for each short run and then averaged, and one from the VACF computed for each short run and averaged. For viscosity, the Green-Kubo method is used which is evaluated during a 1 million step NVT run.
The calculation methods used are available as the iprPy relax_liquid_redo, diffusion_liquid, and viscosity_green_kubo calculation methods.
Clicking on the image of a plot will open an interactive version of it in a new tab. The underlying data for the plots can be downloaded by clicking on the links above each plot.
Notes and Disclaimers:
Version Information:
Estimated melting temperatures are tabulated below. The melting temperature is computed here using a two-phase solid-liquid atomic configuration. The two-phase configuration is created by starting with a crystalline system in which the c box vector is roughly twice the length of the other two box vectors. Based on some input temperature Tinit, an NPH plus a Berensen thermostat simulation is performed for 10,000 steps in which half the system is subjected to a temperature of 1.25*Tinit and the other half to a temperature of 0.5*Tinit. This is then followed by 10,000 steps during which the temperature of the two regions are both scaled to Tinit. The system is then ran for 200,000 NPH steps to equilibrate the system. For the second half of the final NPH run, the average temperature of the system is calculated and the polyhedral template matching algorithm is used to estimate the number of solid and liquid atoms for a number of configuration snapshots. If the averaged fraction of solid atoms is found to be between 0.25-0.75, then the averaged temperature provides an estimate of the melting temperature.
This calculation is iteratively performed where the Tinit value is adjusted up or down if the fraction of solid atoms is outside the range 0.25-0.75. Iterations are repeated until 10 calculations are performed that produce solid fractions in the target range, or 30 total calculations are performed.
The calculation method used is available as the iprPy melting_temperature calculation method.
Notes and Disclaimers:
Version Information:
| prototype | Tmelt | stderr |
|---|---|---|
| A1--Cu--fcc | 924.36 | 0.78 |
| prototype | Tmelt | stderr |
|---|---|---|
| A2--W--bcc | 729.3 | 3.55 |
| A3--Mg--hcp | 691.52 | 4.45 |
Plots of internal energy, Gibbs free energy, entropy, heat capacity and volume are shown here as a function of temperature for various crystal structures and liquid phases. The included crystal structures correspond to those in the Solid Structures vs. Temperature section, and the liquid phases to those in the Liquid Properties section. Internal energy and volume are taken from the associated structure relaxations mentioned in those previous sections. Constant pressure heat capacity is estimated using 3-point numerical derivatives of enthalpy versus temperature. Note that since all simulations done here are at 0 pressure, internal energy and enthalpy are equivalent.
The Gibbs energies of the phases are estimated using thermodynamic integration between the interatomic potential in question and a simpler model with known Gibbs free energy values. For solids, the reference model is an Einstein solid, while for liquids it is the Uhlenbeck-Ford potential. Besides a short run at the start of the solid calculations to estimate Einstein model spring constants, the two calculations proceed similarly. Starting with the final relaxation configurations, the systems are stabilized for 25,000 steps. Then, over the next 50,000 steps the potential is swapped out for the reference potential. The system is then stabilized for another 25,000 steps with the reference model before a reverse swap of 50,000 steps is performed. The simulation ends with one final 25,000 step stabilization period. From the simulation, the irreversible work of transformation is estimated and used to compute the absolute Gibbs free energy of the target phase and potential relative to the reference potential. Entropy is estimated as the difference in enthalpy and Gibbs free energy and divided by temperature.
The calculation methods used are available as the iprPy relax_dynamic, relax_liquid_redo, free_energy, and free_energy_liquid calculation methods.
Clicking on the image of a plot will open an interactive version of it in a new tab. The underlying data for the plots can be downloaded by clicking on the links above each plot.
Notes and Disclaimers:
Version Information:






