Plots of the potential energy vs interatomic spacing, r, are shown below for all diatom sets associated with the interatomic potential. This calculation provides insights into the functional form of the potential's two-body interactions. A system consisting of only two atoms is created, and the potential energy is evaluated for the atoms separated by 0.02 Å <= r <= 6.0> Å in intervals of 0.02 Å. Two plots are shown: one for the "standard" interaction distance range, and one for small values of r. The small r plot is useful for determining whether the potential is suitable for radiation studies.
The calculation method used is available as the iprPy diatom_scan calculation method.
Clicking on the image of a plot will open an interactive version of it in a new tab. The underlying data for the plots can be downloaded by clicking on the links above each plot.
Notes and Disclaimers:
Version Information:
Plots of potential energy vs interatomic spacing, r, are shown below for a number of crystal structures. The structures are generated based on the ideal atomic positions and b/a and c/a lattice parameter ratios for a given crystal prototype. The size of the system is then uniformly scaled, and the energy calculated without relaxing the system. To obtain these plots, values of r are evaluated every 0.02 Å up to 6 Å.
The calculation method used is available as the iprPy E_vs_r_scan calculation method.
Clicking on the image of a plot will open an interactive version of it in a new tab. The underlying data for the plots can be downloaded by clicking on the links above each plot.
Notes and Disclaimers:
Version Information:
Computed lattice constants and cohesive/potential energies are displayed for a variety of crystal structures. The values displayed here are obtained using the following process.
The calculation methods used are implemented into iprPy as the following calculation styles
Notes and Disclaimers:
Version Information:
Download raw data (including filtered results)
Reference structure matches:
A1--Cu--fcc = mp-134, oqmd-8100, oqmd-1214503
A15--beta-W = oqmd-1214948, oqmd-1280406
A2--W--bcc = mp-998860, oqmd-1215126
A3'--alpha-La--double-hcp = mp-1183144, oqmd-1215394
A3--Mg--hcp = oqmd-1215215, oqmd-1215304
A4--C--dc = oqmd-1215483
A5--beta-Sn = oqmd-1215572
A6--In--bct = oqmd-1215661
| prototype | method | Ecoh (eV/atom) | Epot (eV/atom) | a0 (Å) | b0 (Å) | c0 (Å) | α (degrees) | β (degrees) | γ (degrees) | 
|---|---|---|---|---|---|---|---|---|---|
| A1--Cu--fcc | dynamic | -3.2063 | -3.2063 | 3.8693 | 3.8693 | 3.8693 | 90.0 | 90.0 | 90.0 | 
| A3'--alpha-La--double-hcp | dynamic | -3.2022 | -3.2022 | 2.739 | 2.739 | 8.8787 | 90.0 | 90.0 | 120.0 | 
| oqmd-1216017 | dynamic | -3.201 | -3.201 | 2.7399 | 2.7399 | 19.9386 | 90.0 | 90.0 | 120.0 | 
| oqmd-1216017 | static | -3.2008 | -3.2008 | 2.7399 | 2.7399 | 19.9392 | 90.0 | 90.0 | 120.0 | 
| A3--Mg--hcp | dynamic | -3.1985 | -3.1985 | 2.7417 | 2.7417 | 4.414 | 90.0 | 90.0 | 120.0 | 
| mp-1244953 | dynamic | -3.1702 | -3.1702 | 11.221 | 11.6063 | 11.8598 | 80.4 | 81.9 | 76.6 | 
| mp-1245067 | dynamic | -3.1632 | -3.1632 | 10.7236 | 11.5796 | 12.1444 | 103.2 | 91.8 | 92.6 | 
| A2--W--bcc | static | -3.1334 | -3.1334 | 3.0646 | 3.0646 | 3.0646 | 90.0 | 90.0 | 90.0 | 
| oqmd-1214859 | dynamic | -3.1243 | -3.1243 | 6.6689 | 6.6689 | 6.6689 | 90.0 | 90.0 | 90.0 | 
| oqmd-1214859 | static | -3.1243 | -3.1243 | 6.6688 | 6.6688 | 6.6688 | 90.0 | 90.0 | 90.0 | 
| oqmd-1214859 | box | -3.1239 | -3.1239 | 6.6588 | 6.6588 | 6.6588 | 90.0 | 90.0 | 90.0 | 
| oqmd-1214770 | dynamic | -3.1198 | -3.1198 | 9.5218 | 9.5218 | 9.5218 | 90.0 | 90.0 | 90.0 | 
| mp-1245129 | dynamic | -3.1187 | -3.1187 | 11.2781 | 11.4509 | 11.5724 | 84.2 | 89.3 | 89.0 | 
| oqmd-1214770 | box | -3.1187 | -3.1187 | 9.5215 | 9.5215 | 9.5215 | 90.0 | 90.0 | 90.0 | 
| mp-1245307 | dynamic | -3.1113 | -3.1113 | 11.4192 | 11.4263 | 11.5139 | 88.5 | 85.3 | 85.0 | 
| mp-1245129 | static | -3.098 | -3.098 | 11.0578 | 11.325 | 12.123 | 83.0 | 86.7 | 86.4 | 
| mp-1244953 | static | -3.094 | -3.094 | 11.0434 | 11.7583 | 11.8372 | 89.3 | 78.8 | 85.8 | 
| mp-1245152 | static | -3.0908 | -3.0908 | 11.1906 | 11.4687 | 11.812 | 87.8 | 89.3 | 83.7 | 
| A15--beta-W | static | -3.0888 | -3.0888 | 4.936 | 4.936 | 4.936 | 90.0 | 90.0 | 90.0 | 
| mp-1245307 | static | -3.0778 | -3.0778 | 11.3974 | 11.4247 | 11.6858 | 92.6 | 92.7 | 93.4 | 
| mp-1245129 | box | -3.0706 | -3.0706 | 11.1828 | 11.5537 | 11.8763 | 94.0 | 92.4 | 96.3 | 
| mp-1245067 | static | -3.0654 | -3.0654 | 11.2342 | 11.6142 | 11.8681 | 96.2 | 97.3 | 90.1 | 
| mp-1244953 | box | -3.0632 | -3.0632 | 11.4854 | 11.5299 | 11.7124 | 86.1 | 80.4 | 87.1 | 
| mp-1245152 | box | -3.0612 | -3.0612 | 11.374 | 11.5343 | 11.7034 | 92.0 | 91.8 | 95.9 | 
| mp-1245307 | box | -3.0495 | -3.0495 | 11.4435 | 11.5977 | 11.6049 | 90.7 | 92.4 | 94.0 | 
| oqmd-1215037 | box | -3.0459 | -3.0459 | 2.7128 | 4.585 | 9.8636 | 90.0 | 90.0 | 90.0 | 
| mp-1245067 | box | -3.0375 | -3.0375 | 11.4323 | 11.6999 | 11.7128 | 92.6 | 97.7 | 93.9 | 
| A5--beta-Sn | static | -2.8852 | -2.8852 | 5.0268 | 5.0268 | 2.5806 | 90.0 | 90.0 | 90.0 | 
| Ah--alpha-Po--sc | static | -2.8038 | -2.8038 | 2.5721 | 2.5721 | 2.5721 | 90.0 | 90.0 | 90.0 | 
| oqmd-1214681 | box | -2.7881 | -2.7881 | 4.1526 | 7.9825 | 4.1901 | 90.0 | 90.0 | 90.0 | 
| mp-1239196 | static | -2.4853 | -2.4853 | 3.5784 | 3.5784 | 12.799 | 90.0 | 90.0 | 90.0 | 
| mp-1239196 | box | -2.4728 | -2.4728 | 3.6154 | 3.6154 | 12.7484 | 90.0 | 90.0 | 90.0 | 
| A7--alpha-As | box | -2.3873 | -2.3873 | 3.3841 | 3.3841 | 11.7222 | 90.0 | 90.0 | 120.0 | 
| oqmd-1215928 | box | -2.384 | -2.384 | 4.3061 | 4.3061 | 4.8512 | 90.0 | 90.0 | 120.0 | 
| A4--C--dc | static | -2.0992 | -2.0992 | 5.698 | 5.698 | 5.698 | 90.0 | 90.0 | 90.0 | 
Download raw data (including filtered results)
Reference structure matches:
| prototype | method | Ecoh (eV/atom) | Epot (eV/atom) | a0 (Å) | b0 (Å) | c0 (Å) | α (degrees) | β (degrees) | γ (degrees) | 
|---|---|---|---|---|---|---|---|---|---|
| mp-1217111 | dynamic | -4.0271 | -4.0271 | 3.9434 | 3.9434 | 16.1177 | 90.0 | 90.0 | 90.0 | 
| mp-1217111 | box | -4.0098 | -4.0098 | 3.9438 | 3.9438 | 16.2046 | 90.0 | 90.0 | 90.0 | 
Download raw data (including filtered results)
Reference structure matches:
| prototype | method | Ecoh (eV/atom) | Epot (eV/atom) | a0 (Å) | b0 (Å) | c0 (Å) | α (degrees) | β (degrees) | γ (degrees) | 
|---|---|---|---|---|---|---|---|---|---|
| C1--CaF2--fluorite | static | -13.6754 | -13.6754 | 4.3409 | 4.3409 | 4.3409 | 90.0 | 90.0 | 90.0 | 
| C1--CaF2--fluorite | static | -5.2921 | -5.2921 | 5.7274 | 5.7274 | 5.7274 | 90.0 | 90.0 | 90.0 | 
| C1--CaF2--fluorite | static | -4.6853 | -4.6853 | 5.9084 | 5.9084 | 5.9084 | 90.0 | 90.0 | 90.0 | 
| C1--CaF2--fluorite | static | -0.1915 | -0.1915 | 10.9624 | 10.9624 | 10.9624 | 90.0 | 90.0 | 90.0 | 
| C1--CaF2--fluorite | box | -0.0001 | -0.0001 | 11.0563 | 11.0563 | 11.0563 | 90.0 | 90.0 | 90.0 | 
| C1--CaF2--fluorite | box | 0.0 | 0.0 | 11.111 | 11.111 | 11.111 | 90.0 | 90.0 | 90.0 | 
Download raw data (including filtered results)
Reference structure matches:
| prototype | method | Ecoh (eV/atom) | Epot (eV/atom) | a0 (Å) | b0 (Å) | c0 (Å) | α (degrees) | β (degrees) | γ (degrees) | 
|---|---|---|---|---|---|---|---|---|---|
| L2_1--AlCu2Mn--heusler | dynamic | -5.598 | -5.598 | 6.5654 | 6.5654 | 6.5654 | 90.0 | 90.0 | 90.0 | 
| L2_1--AlCu2Mn--heusler | static | -5.0536 | -5.0536 | 5.7274 | 5.7274 | 5.7274 | 90.0 | 90.0 | 90.0 | 
| L2_1--AlCu2Mn--heusler | static | -4.9404 | -4.9404 | 4.6893 | 4.6893 | 4.6893 | 90.0 | 90.0 | 90.0 | 
| L2_1--AlCu2Mn--heusler | box | -3.6914 | -3.6914 | 5.1136 | 5.1136 | 5.1136 | 90.0 | 90.0 | 90.0 | 
| L2_1--AlCu2Mn--heusler | box | -0.0462 | -0.0462 | 11.9811 | 11.9811 | 11.9811 | 90.0 | 90.0 | 90.0 | 
Download raw data (including filtered results)
Reference structure matches:
| prototype | method | Ecoh (eV/atom) | Epot (eV/atom) | a0 (Å) | b0 (Å) | c0 (Å) | α (degrees) | β (degrees) | γ (degrees) | 
|---|---|---|---|---|---|---|---|---|---|
| mp-1208228 | box | -5.2071 | -5.2071 | 4.6128 | 4.6128 | 5.5723 | 90.0 | 90.0 | 120.0 | 
Download raw data (including filtered results)
Reference structure matches:
| prototype | method | Ecoh (eV/atom) | Epot (eV/atom) | a0 (Å) | b0 (Å) | c0 (Å) | α (degrees) | β (degrees) | γ (degrees) | 
|---|---|---|---|---|---|---|---|---|---|
| mp-11809 | dynamic | -4.0767 | -4.0767 | 3.945 | 11.8523 | 4.0227 | 90.0 | 90.0 | 90.0 | 
| mp-567705 | dynamic | -4.0758 | -4.0758 | 3.9825 | 3.9825 | 23.7253 | 90.0 | 90.0 | 90.0 | 
| oqmd-18487 | static | -4.0758 | -4.0758 | 3.9825 | 3.9825 | 23.7261 | 90.0 | 90.0 | 90.0 | 
| oqmd-18195 | box | -4.045 | -4.045 | 3.9618 | 12.1145 | 3.9901 | 90.0 | 90.0 | 90.0 | 
| mp-11809 | box | -4.0444 | -4.0444 | 3.9639 | 12.105 | 3.9896 | 90.0 | 90.0 | 90.0 | 
| oqmd-18487 | box | -4.0418 | -4.0418 | 3.9748 | 3.9748 | 24.28 | 90.0 | 90.0 | 90.0 | 
| mp-567705 | box | -4.0412 | -4.0412 | 3.9756 | 3.9756 | 24.2636 | 90.0 | 90.0 | 90.0 | 
| C1--CaF2--fluorite | static | -3.4675 | -3.4675 | 6.2283 | 6.2283 | 6.2283 | 90.0 | 90.0 | 90.0 | 
| oqmd-1231523 | box | -3.0384 | -3.0384 | 5.4805 | 5.4805 | 4.7209 | 90.0 | 90.0 | 90.0 | 
Download raw data (including filtered results)
Reference structure matches:
| prototype | method | Ecoh (eV/atom) | Epot (eV/atom) | a0 (Å) | b0 (Å) | c0 (Å) | α (degrees) | β (degrees) | γ (degrees) | 
|---|---|---|---|---|---|---|---|---|---|
| oqmd-425601 | static | -4.1403 | -4.1403 | 4.8111 | 4.8111 | 28.0783 | 90.0 | 90.0 | 120.0 | 
| oqmd-425601 | box | -4.1344 | -4.1344 | 4.8102 | 4.8102 | 28.1995 | 90.0 | 90.0 | 120.0 | 
Download raw data (including filtered results)
Reference structure matches:
| prototype | method | Ecoh (eV/atom) | Epot (eV/atom) | a0 (Å) | b0 (Å) | c0 (Å) | α (degrees) | β (degrees) | γ (degrees) | 
|---|---|---|---|---|---|---|---|---|---|
| A15--Cr3Si | static | -7.1275 | -7.1275 | 3.494 | 3.494 | 3.494 | 90.0 | 90.0 | 90.0 | 
| L1_2--AuCu3 | static | -6.8685 | -6.8685 | 2.7644 | 2.7644 | 2.7644 | 90.0 | 90.0 | 90.0 | 
| D0_3--BiF3 | static | -6.1809 | -6.1809 | 4.4652 | 4.4652 | 4.4652 | 90.0 | 90.0 | 90.0 | 
| L1_2--AuCu3 | static | -5.3257 | -5.3257 | 3.8758 | 3.8758 | 3.8758 | 90.0 | 90.0 | 90.0 | 
| D0_3--BiF3 | static | -5.1125 | -5.1125 | 5.7274 | 5.7274 | 5.7274 | 90.0 | 90.0 | 90.0 | 
| A15--Cr3Si | static | -4.9979 | -4.9979 | 4.9413 | 4.9413 | 4.9413 | 90.0 | 90.0 | 90.0 | 
| mp-1842 | dynamic | -4.9813 | -4.9813 | 4.1673 | 4.1673 | 6.8945 | 90.0 | 90.0 | 90.0 | 
| D0_3--BiF3 | static | -4.9812 | -4.9812 | 6.203 | 6.203 | 6.203 | 90.0 | 90.0 | 90.0 | 
| mp-1842 | static | -4.9691 | -4.9691 | 3.8841 | 3.8841 | 7.7208 | 90.0 | 90.0 | 90.0 | 
| L1_2--AuCu3 | dynamic | -4.8928 | -4.8928 | 3.9256 | 3.9256 | 3.9256 | 90.0 | 90.0 | 90.0 | 
| D0_3--BiF3 | static | -4.7952 | -4.7952 | 5.4814 | 5.4814 | 5.4814 | 90.0 | 90.0 | 90.0 | 
| A15--Cr3Si | static | -4.0951 | -4.0951 | 4.1434 | 4.1434 | 4.1434 | 90.0 | 90.0 | 90.0 | 
| D0_3--BiF3 | box | -4.0335 | -4.0335 | 4.9745 | 4.9745 | 4.9745 | 90.0 | 90.0 | 90.0 | 
| A15--Cr3Si | box | -3.741 | -3.741 | 3.9147 | 3.9147 | 3.9147 | 90.0 | 90.0 | 90.0 | 
| A15--Cr3Si | static | -0.362 | -0.362 | 8.4564 | 8.4564 | 8.4564 | 90.0 | 90.0 | 90.0 | 
| L1_2--AuCu3 | static | -0.3137 | -0.3137 | 6.6593 | 6.6593 | 6.6593 | 90.0 | 90.0 | 90.0 | 
| D0_3--BiF3 | static | -0.2111 | -0.2111 | 10.8332 | 10.8332 | 10.8332 | 90.0 | 90.0 | 90.0 | 
Download raw data (including filtered results)
Reference structure matches:
D0_3--BiF3 = oqmd-312158
L1_2--AuCu3 = mp-998981, oqmd-21316
| prototype | method | Ecoh (eV/atom) | Epot (eV/atom) | a0 (Å) | b0 (Å) | c0 (Å) | α (degrees) | β (degrees) | γ (degrees) | 
|---|---|---|---|---|---|---|---|---|---|
| L1_2--AuCu3 | dynamic | -3.9156 | -3.9156 | 3.9602 | 3.9602 | 3.9602 | 90.0 | 90.0 | 90.0 | 
| oqmd-323620 | dynamic | -3.8938 | -3.8938 | 5.5943 | 5.5943 | 4.5869 | 90.0 | 90.0 | 120.0 | 
| oqmd-323620 | box | -3.8936 | -3.8936 | 5.5949 | 5.5949 | 4.5815 | 90.0 | 90.0 | 120.0 | 
| mp-542915 | dynamic | -3.8772 | -3.8772 | 3.9387 | 3.9387 | 8.0549 | 90.0 | 90.0 | 90.0 | 
| mp-1217027 | dynamic | -3.8306 | -3.8306 | 2.7583 | 4.6034 | 4.8957 | 90.0 | 90.0 | 90.0 | 
| mp-1217027 | box | -3.8301 | -3.8301 | 2.767 | 4.6064 | 4.8839 | 90.0 | 90.0 | 90.0 | 
| A15--Cr3Si | static | -3.7739 | -3.7739 | 5.048 | 5.048 | 5.048 | 90.0 | 90.0 | 90.0 | 
| D0_3--BiF3 | static | -3.7368 | -3.7368 | 6.3302 | 6.3302 | 6.3302 | 90.0 | 90.0 | 90.0 | 
Download raw data (including filtered results)
Reference structure matches:
| prototype | method | Ecoh (eV/atom) | Epot (eV/atom) | a0 (Å) | b0 (Å) | c0 (Å) | α (degrees) | β (degrees) | γ (degrees) | 
|---|---|---|---|---|---|---|---|---|---|
| mp-1208324 | static | -3.944 | -3.944 | 6.1144 | 6.1144 | 18.1123 | 90.0 | 90.0 | 90.0 | 
Download raw data (including filtered results)
Reference structure matches:
| prototype | method | Ecoh (eV/atom) | Epot (eV/atom) | a0 (Å) | b0 (Å) | c0 (Å) | α (degrees) | β (degrees) | γ (degrees) | 
|---|---|---|---|---|---|---|---|---|---|
| oqmd-753883 | static | -4.4317 | -4.4317 | 7.5181 | 7.5181 | 4.6473 | 90.0 | 90.0 | 120.0 | 
| oqmd-753883 | dynamic | -4.4317 | -4.4317 | 7.518 | 7.518 | 4.6474 | 90.0 | 90.0 | 120.0 | 
| oqmd-753883 | box | -4.3968 | -4.3968 | 7.6532 | 7.6532 | 4.5895 | 90.0 | 90.0 | 120.0 | 
| oqmd-753871 | dynamic | -4.3859 | -4.3859 | 7.5156 | 7.5156 | 4.6883 | 90.0 | 90.0 | 120.0 | 
| oqmd-753871 | box | -4.3756 | -4.3756 | 7.5232 | 7.5232 | 4.686 | 90.0 | 90.0 | 120.0 | 
Download raw data (including filtered results)
Reference structure matches:
| prototype | method | Ecoh (eV/atom) | Epot (eV/atom) | a0 (Å) | b0 (Å) | c0 (Å) | α (degrees) | β (degrees) | γ (degrees) | 
|---|---|---|---|---|---|---|---|---|---|
| mp-1217081 | dynamic | -4.1566 | -4.1566 | 3.9368 | 3.9368 | 8.1256 | 90.0 | 90.0 | 90.0 | 
| mp-1217081 | box | -4.1565 | -4.1565 | 3.9365 | 3.9365 | 8.131 | 90.0 | 90.0 | 90.0 | 
| mp-1217092 | dynamic | -4.1564 | -4.1564 | 3.9388 | 4.0547 | 7.8808 | 90.0 | 90.0 | 90.0 | 
| mp-1217092 | box | -4.1285 | -4.1285 | 3.9422 | 4.0481 | 7.9924 | 90.0 | 90.0 | 90.0 | 
Download raw data (including filtered results)
Reference structure matches:
| prototype | method | Ecoh (eV/atom) | Epot (eV/atom) | a0 (Å) | b0 (Å) | c0 (Å) | α (degrees) | β (degrees) | γ (degrees) | 
|---|---|---|---|---|---|---|---|---|---|
| mp-1208235 | static | -5.1045 | -5.1045 | 6.3631 | 6.3631 | 7.0599 | 90.0 | 90.0 | 90.0 | 
Download raw data (including filtered results)
Reference structure matches:
| prototype | method | Ecoh (eV/atom) | Epot (eV/atom) | a0 (Å) | b0 (Å) | c0 (Å) | α (degrees) | β (degrees) | γ (degrees) | 
|---|---|---|---|---|---|---|---|---|---|
| B1--NaCl--rock-salt | static | -13.772 | -13.772 | 3.939 | 3.939 | 3.939 | 90.0 | 90.0 | 90.0 | 
| B3--ZnS--cubic-zinc-blende | static | -13.7646 | -13.7646 | 4.2309 | 4.2309 | 4.2309 | 90.0 | 90.0 | 90.0 | 
| B2--CsCl | static | -12.5256 | -12.5256 | 2.3951 | 2.3951 | 2.3951 | 90.0 | 90.0 | 90.0 | 
| B2--CsCl | static | -6.896 | -6.896 | 2.8637 | 2.8637 | 2.8637 | 90.0 | 90.0 | 90.0 | 
| L1_0--AuCu | box | -6.7304 | -6.7304 | 2.7183 | 2.7183 | 4.0397 | 90.0 | 90.0 | 90.0 | 
| L1_0--AuCu | static | -6.6756 | -6.6756 | 2.7156 | 2.7156 | 4.0476 | 90.0 | 90.0 | 90.0 | 
| L1_0--AuCu | static | -6.6756 | -6.6756 | 2.7157 | 2.7157 | 4.0475 | 90.0 | 90.0 | 90.0 | 
| L1_0--AuCu | box | -6.5287 | -6.5287 | 2.717 | 2.717 | 3.0615 | 90.0 | 90.0 | 90.0 | 
| B2--CsCl | dynamic | -6.2125 | -6.2125 | 3.1888 | 3.1888 | 3.1888 | 90.0 | 90.0 | 90.0 | 
| L1_0--AuCu | static | -0.3689 | -0.3689 | 4.4907 | 4.4907 | 7.0567 | 90.0 | 90.0 | 90.0 | 
| B2--CsCl | static | -0.2866 | -0.2866 | 5.4812 | 5.4812 | 5.4812 | 90.0 | 90.0 | 90.0 | 
| B1--NaCl--rock-salt | static | -0.2145 | -0.2145 | 9.4937 | 9.4937 | 9.4937 | 90.0 | 90.0 | 90.0 | 
| B3--ZnS--cubic-zinc-blende | static | -0.143 | -0.143 | 10.9624 | 10.9624 | 10.9624 | 90.0 | 90.0 | 90.0 | 
| L1_0--AuCu | static | -0.0829 | -0.0829 | 4.4905 | 4.4905 | 7.172 | 90.0 | 90.0 | 90.0 | 
| B2--CsCl | static | -0.0001 | -0.0001 | 5.5291 | 5.5291 | 5.5291 | 90.0 | 90.0 | 90.0 | 
| B3--ZnS--cubic-zinc-blende | box | -0.0 | -0.0 | 11.0614 | 11.0614 | 11.0614 | 90.0 | 90.0 | 90.0 | 
| B1--NaCl--rock-salt | dynamic | 0.0 | 0.0 | 10.0846 | 10.0846 | 10.0846 | 90.0 | 90.0 | 90.0 | 
| B2--CsCl | dynamic | 0.0 | 0.0 | 7.3835 | 7.3835 | 7.3835 | 90.0 | 90.0 | 90.0 | 
| B2--CsCl | box | 0.0 | 0.0 | 5.5555 | 5.5555 | 5.5555 | 90.0 | 90.0 | 90.0 | 
Download raw data (including filtered results)
Reference structure matches:
| prototype | method | Ecoh (eV/atom) | Epot (eV/atom) | a0 (Å) | b0 (Å) | c0 (Å) | α (degrees) | β (degrees) | γ (degrees) | 
|---|---|---|---|---|---|---|---|---|---|
| C1--CaF2--fluorite | static | -10.4086 | -10.4086 | 4.7141 | 4.7141 | 4.7141 | 90.0 | 90.0 | 90.0 | 
| mp-18427 | box | -7.0753 | -7.0753 | 9.9233 | 9.9233 | 4.9983 | 90.0 | 90.0 | 90.0 | 
| C1--CaF2--fluorite | static | -6.6211 | -6.6211 | 5.7274 | 5.7274 | 5.7274 | 90.0 | 90.0 | 90.0 | 
| C1--CaF2--fluorite | static | -0.1907 | -0.1907 | 10.9624 | 10.9624 | 10.9624 | 90.0 | 90.0 | 90.0 | 
| C1--CaF2--fluorite | box | -0.0 | -0.0 | 11.0614 | 11.0614 | 11.0614 | 90.0 | 90.0 | 90.0 | 
Download raw data (including filtered results)
Reference structure matches:
| prototype | method | Ecoh (eV/atom) | Epot (eV/atom) | a0 (Å) | b0 (Å) | c0 (Å) | α (degrees) | β (degrees) | γ (degrees) | 
|---|---|---|---|---|---|---|---|---|---|
| L2_1--AlCu2Mn--heusler | static | -6.0791 | -6.0791 | 5.7274 | 5.7274 | 5.7274 | 90.0 | 90.0 | 90.0 | 
| L2_1--AlCu2Mn--heusler | static | -6.0671 | -6.0671 | 6.3878 | 6.3878 | 6.3878 | 90.0 | 90.0 | 90.0 | 
Download raw data (including filtered results)
Reference structure matches:
A15--Cr3Si = mp-796
| prototype | method | Ecoh (eV/atom) | Epot (eV/atom) | a0 (Å) | b0 (Å) | c0 (Å) | α (degrees) | β (degrees) | γ (degrees) | 
|---|---|---|---|---|---|---|---|---|---|
| A15--Cr3Si | dynamic | -7.3023 | -7.3023 | 5.1261 | 5.1261 | 5.1261 | 90.0 | 90.0 | 90.0 | 
| L1_2--AuCu3 | static | -7.2178 | -7.2178 | 3.8758 | 3.8758 | 3.8758 | 90.0 | 90.0 | 90.0 | 
| D0_3--BiF3 | dynamic | -7.1261 | -7.1261 | 6.4528 | 6.4528 | 6.4528 | 90.0 | 90.0 | 90.0 | 
| L1_2--AuCu3 | static | -6.9002 | -6.9002 | 4.0543 | 4.0543 | 4.0543 | 90.0 | 90.0 | 90.0 | 
| D0_3--BiF3 | static | -6.7763 | -6.7763 | 5.7274 | 5.7274 | 5.7274 | 90.0 | 90.0 | 90.0 | 
| D0_3--BiF3 | static | -6.2867 | -6.2867 | 5.4836 | 5.4836 | 5.4836 | 90.0 | 90.0 | 90.0 | 
| A15--Cr3Si | static | -5.3433 | -5.3433 | 4.1435 | 4.1435 | 4.1435 | 90.0 | 90.0 | 90.0 | 
| L1_2--AuCu3 | static | -0.2145 | -0.2145 | 6.7131 | 6.7131 | 6.7131 | 90.0 | 90.0 | 90.0 | 
| D0_3--BiF3 | static | -0.143 | -0.143 | 10.9624 | 10.9624 | 10.9624 | 90.0 | 90.0 | 90.0 | 
| L1_2--AuCu3 | box | -0.0 | -0.0 | 6.7737 | 6.7737 | 6.7737 | 90.0 | 90.0 | 90.0 | 
| D0_3--BiF3 | box | -0.0 | -0.0 | 11.0614 | 11.0614 | 11.0614 | 90.0 | 90.0 | 90.0 | 
| L1_2--AuCu3 | dynamic | 0.0 | 0.0 | 7.3125 | 7.3125 | 7.3125 | 90.0 | 90.0 | 90.0 | 
Download raw data (including filtered results)
Reference structure matches:
| prototype | method | Ecoh (eV/atom) | Epot (eV/atom) | a0 (Å) | b0 (Å) | c0 (Å) | α (degrees) | β (degrees) | γ (degrees) | 
|---|---|---|---|---|---|---|---|---|---|
| mp-1220481 | dynamic | -7.0767 | -7.0767 | 3.3286 | 4.6695 | 21.8252 | 90.0 | 90.0 | 90.0 | 
| mp-1220481 | static | -7.0767 | -7.0767 | 3.3286 | 4.6695 | 21.8255 | 90.0 | 90.0 | 90.0 | 
| mp-1220481 | box | -7.0704 | -7.0704 | 3.3089 | 4.6536 | 22.1699 | 90.0 | 90.0 | 90.0 | 
Download raw data (including filtered results)
Reference structure matches:
| prototype | method | Ecoh (eV/atom) | Epot (eV/atom) | a0 (Å) | b0 (Å) | c0 (Å) | α (degrees) | β (degrees) | γ (degrees) | 
|---|---|---|---|---|---|---|---|---|---|
| mp-1217093 | box | -5.4697 | -5.4697 | 6.5232 | 9.1935 | 4.4531 | 90.0 | 90.0 | 90.0 | 
| L2_1--AlCu2Mn--heusler | static | -5.3262 | -5.3262 | 6.4537 | 6.4537 | 6.4537 | 90.0 | 90.0 | 90.0 | 
| L2_1--AlCu2Mn--heusler | static | -5.0426 | -5.0426 | 7.0593 | 7.0593 | 7.0593 | 90.0 | 90.0 | 90.0 | 
| mp-1097622 | static | -2.3327 | -2.3327 | 10.3788 | 10.6729 | 14.6231 | 90.0 | 90.0 | 90.0 | 
| mp-1097622 | dynamic | -2.3327 | -2.3327 | 10.3788 | 10.8756 | 14.9008 | 90.0 | 90.0 | 90.0 | 
Download raw data (including filtered results)
Reference structure matches:
B1--NaCl--rock-salt = oqmd-1105682
B2--CsCl = mp-1061123, oqmd-306497
B3--ZnS--cubic-zinc-blende = oqmd-1218357
L1_0--AuCu = mp-1953, oqmd-18721
| prototype | method | Ecoh (eV/atom) | Epot (eV/atom) | a0 (Å) | b0 (Å) | c0 (Å) | α (degrees) | β (degrees) | γ (degrees) | 
|---|---|---|---|---|---|---|---|---|---|
| L1_0--AuCu | dynamic | -4.3993 | -4.3993 | 2.7623 | 2.7623 | 4.1521 | 90.0 | 90.0 | 90.0 | 
| oqmd-1217571 | dynamic | -4.3819 | -4.3819 | 4.6271 | 2.7698 | 4.9718 | 90.0 | 90.0 | 90.0 | 
| oqmd-1217571 | box | -4.3809 | -4.3809 | 4.6389 | 2.7774 | 4.9585 | 90.0 | 90.0 | 90.0 | 
| oqmd-753881 | dynamic | -4.3203 | -4.3203 | 4.9863 | 4.652 | 5.6298 | 90.0 | 90.0 | 90.0 | 
| oqmd-753881 | box | -4.3027 | -4.3027 | 5.0945 | 4.649 | 5.5881 | 90.0 | 90.0 | 90.0 | 
| oqmd-753875 | dynamic | -4.295 | -4.295 | 4.6616 | 14.1202 | 4.9236 | 90.0 | 90.0 | 90.0 | 
| oqmd-753878 | dynamic | -4.2944 | -4.2944 | 4.6549 | 14.1013 | 4.9124 | 90.0 | 90.0 | 90.0 | 
| oqmd-753888 | dynamic | -4.2878 | -4.2878 | 5.7159 | 4.845 | 4.691 | 90.0 | 90.0 | 90.0 | 
| oqmd-753868 | dynamic | -4.2874 | -4.2874 | 5.6713 | 14.5497 | 4.6495 | 90.0 | 90.0 | 90.0 | 
| oqmd-753889 | dynamic | -4.2866 | -4.2866 | 4.6457 | 11.3206 | 4.9246 | 90.0 | 90.0 | 90.0 | 
| oqmd-753874 | dynamic | -4.2859 | -4.2859 | 4.6549 | 11.3743 | 4.8955 | 90.0 | 90.0 | 90.0 | 
| oqmd-753872 | dynamic | -4.284 | -4.284 | 4.6535 | 8.5263 | 4.9079 | 90.0 | 90.0 | 90.0 | 
| oqmd-753874 | box | -4.2827 | -4.2827 | 4.6495 | 11.3937 | 4.8873 | 90.0 | 90.0 | 90.0 | 
| oqmd-753894 | dynamic | -4.2818 | -4.2818 | 4.6523 | 8.5378 | 4.8992 | 90.0 | 90.0 | 90.0 | 
| oqmd-753878 | box | -4.2797 | -4.2797 | 4.6685 | 14.0936 | 4.8914 | 90.0 | 90.0 | 90.0 | 
| oqmd-753888 | box | -4.2796 | -4.2796 | 5.7448 | 4.8186 | 4.6879 | 90.0 | 90.0 | 90.0 | 
| oqmd-753875 | box | -4.2783 | -4.2783 | 4.6472 | 14.1402 | 4.9738 | 90.0 | 90.0 | 90.0 | 
| oqmd-753873 | dynamic | -4.2782 | -4.2782 | 4.6563 | 5.6289 | 9.8483 | 90.0 | 90.0 | 90.0 | 
| oqmd-753897 | dynamic | -4.273 | -4.273 | 5.644 | 4.6635 | 7.4587 | 90.0 | 100.8 | 90.0 | 
| B2--CsCl | static | -4.2718 | -4.2718 | 3.2398 | 3.2398 | 3.2398 | 90.0 | 90.0 | 90.0 | 
| oqmd-753876 | dynamic | -4.2704 | -4.2704 | 5.6442 | 4.6627 | 7.4726 | 90.0 | 100.7 | 90.0 | 
| oqmd-753876 | box | -4.2669 | -4.2669 | 5.6303 | 4.6597 | 7.4783 | 90.0 | 100.2 | 90.0 | 
| mp-1217008 | dynamic | -4.2628 | -4.2628 | 2.8388 | 2.8388 | 4.6471 | 90.0 | 90.0 | 120.0 | 
| oqmd-753872 | box | -4.2626 | -4.2626 | 4.6226 | 8.5277 | 5.0092 | 90.0 | 90.0 | 90.0 | 
| oqmd-753889 | box | -4.26 | -4.26 | 4.5273 | 11.1366 | 5.2071 | 90.0 | 90.0 | 90.0 | 
| oqmd-327581 | dynamic | -4.2599 | -4.2599 | 2.8317 | 2.8317 | 13.9889 | 90.0 | 90.0 | 120.0 | 
| oqmd-753873 | box | -4.2573 | -4.2573 | 4.6727 | 5.58 | 9.9782 | 90.0 | 90.0 | 90.0 | 
| oqmd-753870 | dynamic | -4.2552 | -4.2552 | 5.7212 | 4.6725 | 7.4485 | 90.0 | 101.1 | 90.0 | 
| oqmd-753897 | box | -4.2538 | -4.2538 | 5.577 | 4.6951 | 7.5205 | 90.0 | 100.6 | 90.0 | 
| oqmd-753880 | dynamic | -4.2516 | -4.2516 | 5.6836 | 5.6836 | 4.6642 | 90.0 | 90.0 | 120.0 | 
| oqmd-753880 | box | -4.2513 | -4.2513 | 5.6853 | 5.6853 | 4.6644 | 90.0 | 90.0 | 120.0 | 
| oqmd-753870 | box | -4.2434 | -4.2434 | 5.8122 | 4.6865 | 7.3731 | 90.0 | 101.3 | 90.0 | 
| oqmd-753898 | box | -4.2401 | -4.2401 | 4.6545 | 6.244 | 4.6551 | 90.0 | 90.0 | 90.0 | 
| oqmd-753868 | box | -4.2397 | -4.2397 | 5.7943 | 14.4023 | 4.7424 | 90.0 | 90.0 | 90.0 | 
| oqmd-753882 | dynamic | -4.2385 | -4.2385 | 2.8103 | 4.6534 | 9.7342 | 90.0 | 90.0 | 90.0 | 
| oqmd-753882 | box | -4.2321 | -4.2321 | 2.7786 | 4.6399 | 9.8243 | 90.0 | 90.0 | 90.0 | 
| oqmd-753894 | box | -4.2262 | -4.2262 | 4.6496 | 8.5643 | 4.9828 | 90.0 | 90.0 | 90.0 | 
| B1--NaCl--rock-salt | static | -3.9386 | -3.9386 | 5.4306 | 5.4306 | 5.4306 | 90.0 | 90.0 | 90.0 | 
| oqmd-1224551 | box | -3.3591 | -3.3591 | 4.6482 | 4.6482 | 5.4112 | 90.0 | 90.0 | 120.0 | 
| B3--ZnS--cubic-zinc-blende | static | -2.9867 | -2.9867 | 5.9982 | 5.9982 | 5.9982 | 90.0 | 90.0 | 90.0 | 
| B3--ZnS--cubic-zinc-blende | static | 3.6098 | 3.6098 | 3.8196 | 3.8196 | 3.8196 | 90.0 | 90.0 | 90.0 | 
Download raw data (including filtered results)
Reference structure matches:
| prototype | method | Ecoh (eV/atom) | Epot (eV/atom) | a0 (Å) | b0 (Å) | c0 (Å) | α (degrees) | β (degrees) | γ (degrees) | 
|---|---|---|---|---|---|---|---|---|---|
| oqmd-753885 | box | -4.5401 | -4.5401 | 2.7944 | 4.6478 | 14.9703 | 90.0 | 90.0 | 90.0 | 
| oqmd-753879 | dynamic | -4.5317 | -4.5317 | 8.7776 | 4.8867 | 4.6781 | 90.0 | 90.0 | 90.0 | 
| oqmd-753879 | static | -4.5317 | -4.5317 | 8.7778 | 4.8866 | 4.6781 | 90.0 | 90.0 | 90.0 | 
| oqmd-753879 | box | -4.5248 | -4.5248 | 8.9642 | 4.8168 | 4.6835 | 90.0 | 90.0 | 90.0 | 
| oqmd-753892 | dynamic | -4.5135 | -4.5135 | 4.9791 | 4.9791 | 4.6569 | 90.0 | 90.0 | 120.0 | 
| oqmd-753869 | dynamic | -4.512 | -4.512 | 4.671 | 8.6157 | 4.9659 | 90.0 | 90.0 | 90.0 | 
| oqmd-753893 | dynamic | -4.4985 | -4.4985 | 7.5473 | 4.6951 | 11.4841 | 90.0 | 100.8 | 90.0 | 
| oqmd-753893 | box | -4.4949 | -4.4949 | 7.5016 | 4.6819 | 11.5276 | 90.0 | 100.8 | 90.0 | 
| oqmd-753869 | box | -4.4832 | -4.4832 | 4.5879 | 8.7644 | 5.0591 | 90.0 | 90.0 | 90.0 | 
| oqmd-753892 | box | -4.4489 | -4.4489 | 5.0573 | 5.0573 | 4.678 | 90.0 | 90.0 | 120.0 | 
| C1--CaF2--fluorite | static | -3.9722 | -3.9722 | 6.2588 | 6.2588 | 6.2588 | 90.0 | 90.0 | 90.0 | 
| mp-1008753 | static | -3.9573 | -3.9573 | 6.2323 | 6.2323 | 6.2323 | 90.0 | 90.0 | 90.0 | 
Download raw data (including filtered results)
Reference structure matches:
D0_3--BiF3 = mp-999027, oqmd-313078
L1_2--AuCu3 = oqmd-347186
| prototype | method | Ecoh (eV/atom) | Epot (eV/atom) | a0 (Å) | b0 (Å) | c0 (Å) | α (degrees) | β (degrees) | γ (degrees) | 
|---|---|---|---|---|---|---|---|---|---|
| oqmd-10598 | dynamic | -4.6759 | -4.6759 | 5.7297 | 5.7297 | 4.6621 | 90.0 | 90.0 | 120.0 | 
| L1_2--AuCu3 | dynamic | -4.6712 | -4.6712 | 4.0451 | 4.0451 | 4.0451 | 90.0 | 90.0 | 90.0 | 
| oqmd-10598 | box | -4.6634 | -4.6634 | 5.7242 | 5.7242 | 4.6826 | 90.0 | 90.0 | 120.0 | 
| oqmd-753887 | box | -4.6634 | -4.6634 | 5.7242 | 5.7242 | 4.6827 | 90.0 | 90.0 | 120.0 | 
| mp-1823 | box | -4.6601 | -4.6601 | 5.7237 | 5.7237 | 4.6854 | 90.0 | 90.0 | 120.0 | 
| oqmd-753899 | dynamic | -4.6518 | -4.6518 | 4.6694 | 5.6852 | 5.0457 | 90.0 | 90.0 | 90.0 | 
| oqmd-753899 | box | -4.6474 | -4.6474 | 4.6797 | 5.6754 | 5.0536 | 90.0 | 90.0 | 90.0 | 
| oqmd-302536 | dynamic | -4.6436 | -4.6436 | 4.0065 | 4.0065 | 8.3354 | 90.0 | 90.0 | 90.0 | 
| D0_3--BiF3 | static | -4.5815 | -4.5815 | 6.4961 | 6.4961 | 6.4961 | 90.0 | 90.0 | 90.0 | 
| mp-1217072 | dynamic | -4.5686 | -4.5686 | 2.9095 | 2.9095 | 9.2634 | 90.0 | 90.0 | 120.0 | 
| mp-1217072 | box | -4.5679 | -4.5679 | 2.91 | 2.91 | 9.2432 | 90.0 | 90.0 | 120.0 | 
| A15--Cr3Si | static | -4.5428 | -4.5428 | 5.1397 | 5.1397 | 5.1397 | 90.0 | 90.0 | 90.0 | 
Download raw data (including filtered results)
Reference structure matches:
| prototype | method | Ecoh (eV/atom) | Epot (eV/atom) | a0 (Å) | b0 (Å) | c0 (Å) | α (degrees) | β (degrees) | γ (degrees) | 
|---|---|---|---|---|---|---|---|---|---|
| oqmd-753884 | dynamic | -4.7045 | -4.7045 | 5.0325 | 5.0325 | 4.6751 | 90.0 | 90.0 | 120.0 | 
| oqmd-753884 | box | -4.6993 | -4.6993 | 5.0314 | 5.0314 | 4.688 | 90.0 | 90.0 | 120.0 | 
Download raw data (including filtered results)
Reference structure matches:
A1--Cu--fcc = mp-8636, oqmd-676151, oqmd-1214547
A15--beta-W = oqmd-1214992, oqmd-1280310
A2--W--bcc = mp-75, oqmd-677905, oqmd-685533, oqmd-1215170
A3'--alpha-La--double-hcp = oqmd-1215438
A3--Mg--hcp = oqmd-1215348
A4--C--dc = oqmd-1215527
A5--beta-Sn = oqmd-1215616
A6--In--bct = oqmd-1215705
| prototype | method | Ecoh (eV/atom) | Epot (eV/atom) | a0 (Å) | b0 (Å) | c0 (Å) | α (degrees) | β (degrees) | γ (degrees) | 
|---|---|---|---|---|---|---|---|---|---|
| A2--W--bcc | dynamic | -7.4654 | -7.4654 | 3.3001 | 3.3001 | 3.3001 | 90.0 | 90.0 | 90.0 | 
| mp-1104341 | box | -7.4644 | -7.4644 | 2.8579 | 4.6667 | 9.7615 | 103.8 | 95.6 | 90.0 | 
| A15--beta-W | dynamic | -7.4059 | -7.4059 | 5.2728 | 5.2728 | 5.2728 | 90.0 | 90.0 | 90.0 | 
| A6--In--bct | box | -7.3935 | -7.3935 | 2.5869 | 2.5869 | 5.18 | 90.0 | 90.0 | 90.0 | 
| oqmd-1214814 | static | -7.3486 | -7.3486 | 10.1975 | 10.1975 | 10.1975 | 90.0 | 90.0 | 90.0 | 
| oqmd-1214814 | box | -7.34 | -7.34 | 10.1977 | 10.1977 | 10.1977 | 90.0 | 90.0 | 90.0 | 
| oqmd-1215259 | box | -7.3341 | -7.3341 | 2.6521 | 5.6397 | 4.7235 | 90.0 | 90.0 | 90.0 | 
| mp-1094120 | box | -7.316 | -7.316 | 5.3965 | 6.5568 | 7.3359 | 108.0 | 109.7 | 101.6 | 
| oqmd-1214903 | box | -7.259 | -7.259 | 7.1711 | 7.1711 | 7.1711 | 90.0 | 90.0 | 90.0 | 
| A3'--alpha-La--double-hcp | static | -7.2582 | -7.2582 | 2.9343 | 2.9343 | 9.5833 | 90.0 | 90.0 | 120.0 | 
| A1--Cu--fcc | static | -7.2582 | -7.2582 | 4.1497 | 4.1497 | 4.1497 | 90.0 | 90.0 | 90.0 | 
| A3--Mg--hcp | box | -7.2582 | -7.2582 | 2.9343 | 2.9343 | 4.7916 | 90.0 | 90.0 | 120.0 | 
| oqmd-1216064 | box | -7.2581 | -7.2581 | 2.9343 | 2.9343 | 21.5629 | 90.0 | 90.0 | 120.0 | 
| A5--beta-Sn | static | -7.164 | -7.164 | 4.7356 | 4.7356 | 3.002 | 90.0 | 90.0 | 90.0 | 
| oqmd-1215081 | box | -7.1222 | -7.1222 | 3.1434 | 4.7731 | 9.4127 | 90.0 | 90.0 | 90.0 | 
| oqmd-1214725 | box | -7.0843 | -7.0843 | 3.1534 | 4.8028 | 9.4169 | 90.0 | 90.0 | 90.0 | 
| Ah--alpha-Po--sc | dynamic | -6.954 | -6.954 | 2.5223 | 2.5223 | 2.5223 | 90.0 | 90.0 | 90.0 | 
| A7--alpha-As | box | -6.6918 | -6.6918 | 3.5478 | 3.5478 | 9.7872 | 90.0 | 90.0 | 120.0 | 
| oqmd-1215972 | box | -6.6777 | -6.6777 | 4.3052 | 4.3052 | 4.7548 | 90.0 | 90.0 | 120.0 | 
| A4--C--dc | static | -5.6613 | -5.6613 | 5.538 | 5.538 | 5.538 | 90.0 | 90.0 | 90.0 | 
| A4--C--dc | box | -0.7766 | -0.7766 | 9.7405 | 9.7405 | 9.7405 | 90.0 | 90.0 | 90.0 | 
| A15--beta-W | static | -0.5857 | -0.5857 | 8.1785 | 8.1785 | 8.1785 | 90.0 | 90.0 | 90.0 | 
Download raw data (including filtered results)
Reference structure matches:
| prototype | method | Ecoh (eV/atom) | Epot (eV/atom) | a0 (Å) | b0 (Å) | c0 (Å) | α (degrees) | β (degrees) | γ (degrees) | 
|---|---|---|---|---|---|---|---|---|---|
| C1--CaF2--fluorite | static | -5.6637 | -5.6637 | 6.0383 | 6.0383 | 6.0383 | 90.0 | 90.0 | 90.0 | 
| C1--CaF2--fluorite | static | -5.1464 | -5.1464 | 7.0594 | 7.0594 | 7.0594 | 90.0 | 90.0 | 90.0 | 
| C1--CaF2--fluorite | box | 0.0709 | 0.0709 | 12.9476 | 12.9476 | 12.9476 | 90.0 | 90.0 | 90.0 | 
Download raw data (including filtered results)
Reference structure matches:
| prototype | method | Ecoh (eV/atom) | Epot (eV/atom) | a0 (Å) | b0 (Å) | c0 (Å) | α (degrees) | β (degrees) | γ (degrees) | 
|---|---|---|---|---|---|---|---|---|---|
| A15--Cr3Si | static | -7.4306 | -7.4306 | 5.3976 | 5.3976 | 5.3976 | 90.0 | 90.0 | 90.0 | 
| L1_2--AuCu3 | static | -7.3085 | -7.3085 | 4.1217 | 4.1217 | 4.1217 | 90.0 | 90.0 | 90.0 | 
| D0_3--BiF3 | dynamic | -7.1389 | -7.1389 | 7.1152 | 7.1152 | 7.1152 | 90.0 | 90.0 | 90.0 | 
| D0_3--BiF3 | static | -7.1205 | -7.1205 | 6.8982 | 6.8982 | 6.8982 | 90.0 | 90.0 | 90.0 | 
Download raw data (including filtered results)
Reference structure matches:
| prototype | method | Ecoh (eV/atom) | Epot (eV/atom) | a0 (Å) | b0 (Å) | c0 (Å) | α (degrees) | β (degrees) | γ (degrees) | 
|---|---|---|---|---|---|---|---|---|---|
| mp-1216634 | dynamic | -9.5775 | -9.5775 | 2.5526 | 4.2984 | 5.74 | 90.0 | 90.0 | 90.0 | 
| L1_0--AuCu | static | -9.3571 | -9.3571 | 2.398 | 2.398 | 5.7911 | 90.0 | 90.0 | 90.0 | 
| L1_0--AuCu | static | -6.6706 | -6.6706 | 3.1713 | 3.1713 | 6.0311 | 90.0 | 90.0 | 90.0 | 
| B2--CsCl | static | -6.0352 | -6.0352 | 3.7397 | 3.7397 | 3.7397 | 90.0 | 90.0 | 90.0 | 
| B2--CsCl | static | -5.8265 | -5.8265 | 3.3135 | 3.3135 | 3.3135 | 90.0 | 90.0 | 90.0 | 
| B1--NaCl--rock-salt | static | -5.5376 | -5.5376 | 5.3723 | 5.3723 | 5.3723 | 90.0 | 90.0 | 90.0 | 
| B1--NaCl--rock-salt | static | -5.4978 | -5.4978 | 5.0737 | 5.0737 | 5.0737 | 90.0 | 90.0 | 90.0 | 
| B3--ZnS--cubic-zinc-blende | static | -4.7888 | -4.7888 | 5.4411 | 5.4411 | 5.4411 | 90.0 | 90.0 | 90.0 | 
| B3--ZnS--cubic-zinc-blende | static | -3.5452 | -3.5452 | 7.1923 | 7.1923 | 7.1923 | 90.0 | 90.0 | 90.0 | 
Download raw data (including filtered results)
Reference structure matches:
| prototype | method | Ecoh (eV/atom) | Epot (eV/atom) | a0 (Å) | b0 (Å) | c0 (Å) | α (degrees) | β (degrees) | γ (degrees) | 
|---|---|---|---|---|---|---|---|---|---|
| C1--CaF2--fluorite | static | -4.863 | -4.863 | 5.9856 | 5.9856 | 5.9856 | 90.0 | 90.0 | 90.0 | 
| C1--CaF2--fluorite | static | -4.5701 | -4.5701 | 7.3609 | 7.3609 | 7.3609 | 90.0 | 90.0 | 90.0 | 
Download raw data (including filtered results)
Reference structure matches:
L1_2--AuCu3 = mp-980945
| prototype | method | Ecoh (eV/atom) | Epot (eV/atom) | a0 (Å) | b0 (Å) | c0 (Å) | α (degrees) | β (degrees) | γ (degrees) | 
|---|---|---|---|---|---|---|---|---|---|
| mp-1217091 | dynamic | -7.1857 | -7.1857 | 9.5105 | 2.6216 | 4.9419 | 90.0 | 90.0 | 90.0 | 
| mp-1217091 | static | -7.1707 | -7.1707 | 9.4324 | 2.6677 | 4.8359 | 90.0 | 90.0 | 90.0 | 
| mp-1217091 | box | -7.0514 | -7.0514 | 9.6376 | 2.7185 | 4.683 | 90.0 | 90.0 | 90.0 | 
| mp-981232 | static | -6.1678 | -6.1678 | 3.913 | 3.913 | 10.0346 | 90.0 | 90.0 | 90.0 | 
| L1_2--AuCu3 | static | -6.0936 | -6.0936 | 4.1157 | 4.1157 | 4.1157 | 90.0 | 90.0 | 90.0 | 
| A15--Cr3Si | static | -6.0529 | -6.0529 | 5.5745 | 5.5745 | 5.5745 | 90.0 | 90.0 | 90.0 | 
| D0_3--BiF3 | static | -5.9582 | -5.9582 | 7.3185 | 7.3185 | 7.3185 | 90.0 | 90.0 | 90.0 | 
| mp-1187514 | box | -5.9374 | -5.9374 | 5.7283 | 5.7283 | 4.9035 | 90.0 | 90.0 | 120.0 | 
| L1_2--AuCu3 | static | -5.5311 | -5.5311 | 4.7791 | 4.7791 | 4.7791 | 90.0 | 90.0 | 90.0 | 
| A15--Cr3Si | dynamic | -0.013 | -0.013 | 10.9465 | 10.9465 | 10.9465 | 90.0 | 90.0 | 90.0 | 
Download raw data (including filtered results)
Reference structure matches:
A1--Cu--fcc = mp-6985, oqmd-676147
A15--beta-W = oqmd-1215024
A2--W--bcc = mp-73, oqmd-8390
A3'--alpha-La--double-hcp = oqmd-1215470
A3--Mg--hcp = mp-46, oqmd-8079, oqmd-755820, oqmd-755821, oqmd-755822, oqmd-755823, oqmd-755827, oqmd-755834, oqmd-755836, oqmd-755845
A4--C--dc = oqmd-1215559
A5--beta-Sn = oqmd-1215648
A6--In--bct = oqmd-1215737
| prototype | method | Ecoh (eV/atom) | Epot (eV/atom) | a0 (Å) | b0 (Å) | c0 (Å) | α (degrees) | β (degrees) | γ (degrees) | 
|---|---|---|---|---|---|---|---|---|---|
| A3--Mg--hcp | dynamic | -4.85 | -4.85 | 2.951 | 2.951 | 4.6862 | 90.0 | 90.0 | 120.0 | 
| A3--Mg--hcp | box | -4.85 | -4.85 | 2.9508 | 2.9508 | 4.6862 | 90.0 | 90.0 | 120.0 | 
| A3--Mg--hcp | box | -4.85 | -4.85 | 2.9509 | 2.9509 | 4.6862 | 90.0 | 90.0 | 120.0 | 
| oqmd-1215291 | box | -4.8492 | -4.8492 | 2.9359 | 5.1373 | 4.686 | 90.0 | 90.0 | 90.0 | 
| oqmd-1216096 | dynamic | -4.8417 | -4.8417 | 2.9442 | 2.9442 | 21.2516 | 90.0 | 90.0 | 120.0 | 
| A2--W--bcc | dynamic | -4.8399 | -4.8399 | 3.2841 | 3.2841 | 3.2841 | 90.0 | 90.0 | 90.0 | 
| A3'--alpha-La--double-hcp | dynamic | -4.8376 | -4.8376 | 2.9409 | 2.9409 | 9.4811 | 90.0 | 90.0 | 120.0 | 
| A1--Cu--fcc | dynamic | -4.8274 | -4.8274 | 4.1475 | 4.1475 | 4.1475 | 90.0 | 90.0 | 90.0 | 
| oqmd-1215915 | box | -4.8274 | -4.8274 | 2.9327 | 2.9327 | 7.1837 | 90.0 | 90.0 | 120.0 | 
| mp-1245164 | dynamic | -4.81 | -4.81 | 11.8231 | 12.4745 | 12.6308 | 82.2 | 76.4 | 81.8 | 
| mp-72 | static | -4.8082 | -4.8082 | 4.6287 | 4.6287 | 2.8665 | 90.0 | 90.0 | 120.0 | 
| oqmd-9315 | box | -4.8082 | -4.8082 | 4.6286 | 4.6286 | 2.8665 | 90.0 | 90.0 | 120.0 | 
| mp-1245170 | dynamic | -4.804 | -4.804 | 11.7023 | 11.7243 | 13.372 | 99.7 | 96.1 | 91.2 | 
| mp-1245320 | dynamic | -4.7907 | -4.7907 | 11.8915 | 12.1121 | 12.5614 | 90.6 | 91.8 | 93.3 | 
| mp-1244924 | dynamic | -4.7874 | -4.7874 | 11.9366 | 11.9891 | 12.5954 | 85.8 | 87.4 | 88.7 | 
| oqmd-1215113 | static | -4.7844 | -4.7844 | 2.9164 | 4.8334 | 10.1622 | 90.0 | 90.0 | 90.0 | 
| mp-1245006 | dynamic | -4.7771 | -4.7771 | 11.5321 | 12.4349 | 12.67 | 82.9 | 87.4 | 89.6 | 
| oqmd-1215113 | box | -4.7691 | -4.7691 | 2.9376 | 4.8191 | 10.1663 | 90.0 | 90.0 | 90.0 | 
| mp-1245006 | static | -4.7577 | -4.7577 | 11.8304 | 12.3115 | 12.4691 | 93.5 | 91.8 | 92.7 | 
| mp-1245164 | static | -4.7536 | -4.7536 | 12.12 | 12.2995 | 12.4961 | 80.2 | 83.8 | 81.1 | 
| oqmd-1214935 | dynamic | -4.7447 | -4.7447 | 7.0572 | 7.0572 | 7.0572 | 90.0 | 90.0 | 90.0 | 
| oqmd-1214846 | static | -4.7441 | -4.7441 | 10.0117 | 10.0117 | 10.0117 | 90.0 | 90.0 | 90.0 | 
| mp-1245320 | static | -4.7436 | -4.7436 | 11.9978 | 12.0705 | 12.5687 | 90.9 | 92.4 | 93.1 | 
| A5--beta-Sn | static | -4.7407 | -4.7407 | 5.1065 | 5.1065 | 2.7645 | 90.0 | 90.0 | 90.0 | 
| mp-1244924 | static | -4.7315 | -4.7315 | 11.9404 | 12.0718 | 12.6319 | 92.4 | 91.3 | 93.0 | 
| mp-1245170 | static | -4.7288 | -4.7288 | 11.6225 | 12.1457 | 12.8991 | 85.9 | 89.7 | 88.9 | 
| mp-1245006 | box | -4.7115 | -4.7115 | 11.8571 | 12.3071 | 12.5498 | 93.1 | 91.7 | 91.7 | 
| mp-1245164 | box | -4.7085 | -4.7085 | 12.1655 | 12.3081 | 12.5145 | 81.0 | 83.5 | 82.5 | 
| oqmd-1214935 | box | -4.6996 | -4.6996 | 7.1272 | 7.1272 | 7.1272 | 90.0 | 90.0 | 90.0 | 
| mp-1245320 | box | -4.6991 | -4.6991 | 11.9936 | 12.1809 | 12.5845 | 90.2 | 90.1 | 90.9 | 
| mp-1245170 | box | -4.6846 | -4.6846 | 12.0318 | 12.0533 | 12.6698 | 93.7 | 90.9 | 90.5 | 
| mp-1244924 | box | -4.6766 | -4.6766 | 11.7896 | 12.3744 | 12.6499 | 92.4 | 92.1 | 93.2 | 
| A15--beta-W | static | -4.6753 | -4.6753 | 5.2236 | 5.2236 | 5.2236 | 90.0 | 90.0 | 90.0 | 
| oqmd-1214757 | box | -4.6561 | -4.6561 | 3.1206 | 4.6964 | 10.1641 | 90.0 | 90.0 | 90.0 | 
| Ah--alpha-Po--sc | static | -4.5461 | -4.5461 | 2.6194 | 2.6194 | 2.6194 | 90.0 | 90.0 | 90.0 | 
| oqmd-1216004 | box | -4.1238 | -4.1238 | 4.4909 | 4.4909 | 4.9916 | 90.0 | 90.0 | 120.0 | 
| A4--C--dc | static | -3.6024 | -3.6024 | 5.5416 | 5.5416 | 5.5416 | 90.0 | 90.0 | 90.0 | 
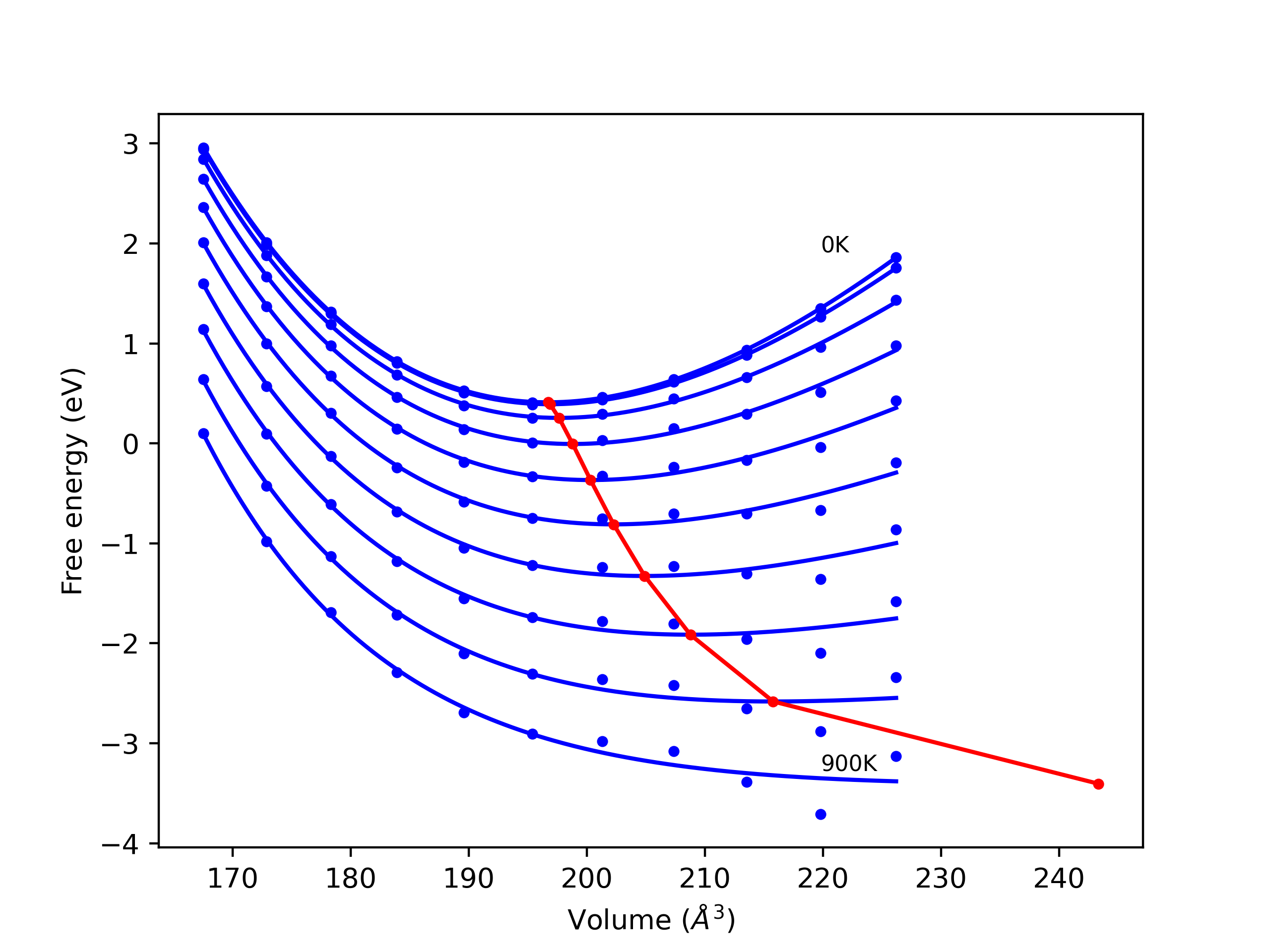
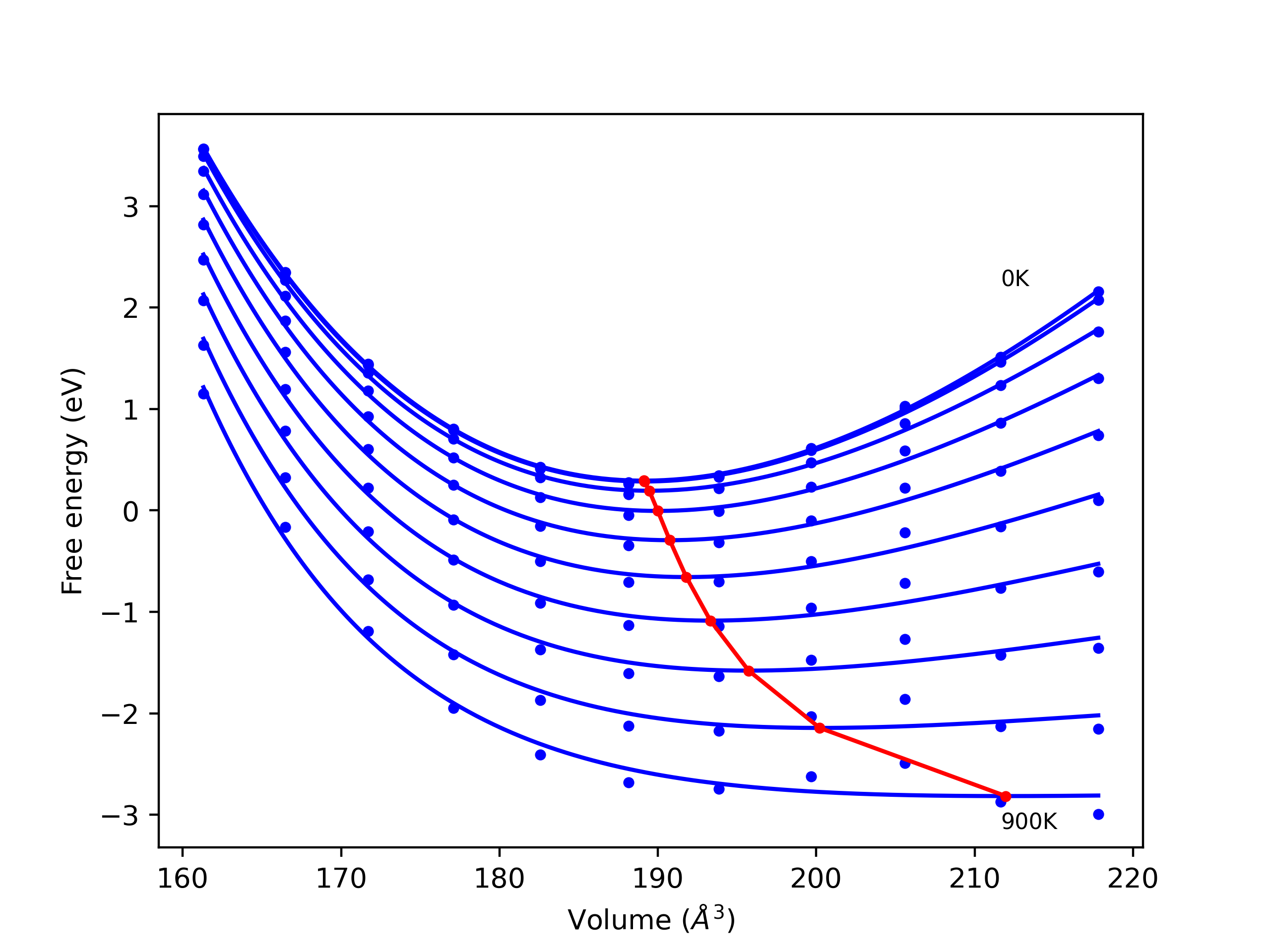
Static elastic constants are displayed for the unique structures identified in Crystal Structure Predictions above. The values displayed here are obtained by measuring the change in virial stresses due to applying small strains to the relaxed crystals. The initial structure and the strained states are all relaxed using force minimization.
The calculation method used is available as the iprPy elastic_constants_static calculation method.
Notes and Disclaimers:
Version Information:
| 180.955 | 123.553 | 123.553 | -0.000 | 0.000 | -0.000 | 
| 123.553 | 180.955 | 123.553 | 0.000 | -0.000 | -0.000 | 
| 123.553 | 123.553 | 180.955 | -0.000 | -0.000 | 0.000 | 
| -0.000 | 0.000 | 0.000 | 50.790 | 0.000 | 0.000 | 
| 0.000 | -0.000 | 0.000 | -0.000 | 50.790 | 0.000 | 
| 0.000 | 0.000 | 0.000 | 0.000 | -0.000 | 50.790 | 
| 180.955 | 123.553 | 123.553 | -0.000 | -0.000 | -0.000 | 
| 123.553 | 180.955 | 123.553 | -0.000 | -0.000 | -0.000 | 
| 123.553 | 123.553 | 180.955 | -0.000 | 0.000 | -0.000 | 
| 0.000 | -0.000 | -0.000 | 50.790 | 0.000 | -0.000 | 
| -0.000 | 0.000 | -0.000 | 0.000 | 50.790 | -0.000 | 
| -0.000 | -0.000 | -0.000 | -0.000 | 0.000 | 50.790 | 
| 180.955 | 123.553 | 123.553 | 0.000 | 0.000 | -0.000 | 
| 123.553 | 180.955 | 123.553 | 0.000 | 0.000 | 0.000 | 
| 123.553 | 123.553 | 180.955 | 0.000 | 0.000 | 0.000 | 
| 0.000 | 0.000 | 0.000 | 50.790 | 0.000 | 0.000 | 
| 0.000 | -0.000 | 0.000 | 0.000 | 50.790 | 0.000 | 
| 0.000 | 0.000 | 0.000 | 0.000 | -0.000 | 50.790 | 
| 180.955 | 123.553 | 123.553 | -0.000 | 0.000 | -0.000 | 
| 123.553 | 180.955 | 123.553 | -0.000 | 0.000 | -0.000 | 
| 123.553 | 123.553 | 180.955 | -0.000 | -0.000 | -0.000 | 
| -0.000 | -0.000 | -0.000 | 50.790 | -0.000 | -0.000 | 
| -0.000 | 0.000 | -0.000 | -0.000 | 50.790 | -0.000 | 
| -0.000 | -0.000 | -0.000 | 0.000 | -0.000 | 50.790 | 
| 180.956 | 123.554 | 123.554 | 0.000 | -0.000 | 0.000 | 
| 123.554 | 180.956 | 123.554 | 0.000 | 0.000 | 0.000 | 
| 123.554 | 123.554 | 180.956 | -0.000 | 0.000 | 0.000 | 
| 0.000 | 0.000 | 0.000 | 50.790 | 0.000 | 0.000 | 
| 0.000 | 0.000 | 0.000 | 0.000 | 50.790 | -0.000 | 
| 0.000 | 0.000 | 0.000 | 0.000 | -0.000 | 50.790 | 
| 180.954 | 123.552 | 123.552 | -0.000 | -0.000 | -0.000 | 
| 123.552 | 180.954 | 123.552 | -0.000 | 0.000 | -0.000 | 
| 123.552 | 123.552 | 180.954 | 0.000 | 0.000 | -0.000 | 
| -0.000 | -0.000 | -0.000 | 50.790 | -0.000 | -0.000 | 
| -0.000 | -0.000 | -0.000 | -0.000 | 50.790 | -0.000 | 
| -0.000 | -0.000 | -0.000 | 0.000 | -0.000 | 50.790 | 
| 268.820 | 96.558 | 96.558 | 0.000 | 0.000 | 0.000 | 
| 96.558 | 268.820 | 96.558 | 0.000 | -0.000 | 0.000 | 
| 96.558 | 96.558 | 268.820 | 0.000 | -0.000 | 0.000 | 
| -0.000 | 0.000 | 0.000 | -24.225 | -0.000 | -0.000 | 
| 0.000 | 0.000 | 0.000 | 0.000 | -24.225 | 0.000 | 
| 0.000 | 0.000 | 0.000 | 0.000 | 0.000 | -24.225 | 
| 267.601 | 97.168 | 97.168 | -0.000 | -0.000 | -0.000 | 
| 97.168 | 267.601 | 97.168 | -0.000 | -0.000 | -0.000 | 
| 97.168 | 97.168 | 267.601 | -0.000 | 0.000 | -0.000 | 
| 0.000 | -0.000 | -0.000 | -24.225 | 0.000 | -0.000 | 
| -0.000 | -0.000 | 0.000 | -0.000 | -24.225 | -0.000 | 
| -0.000 | -0.000 | -0.000 | -0.000 | 0.000 | -24.225 | 
| 268.820 | 96.558 | 96.558 | -0.000 | -0.000 | -0.000 | 
| 96.558 | 268.820 | 96.558 | -0.000 | 0.000 | -0.000 | 
| 96.558 | 96.558 | 268.820 | 0.000 | -0.000 | 0.000 | 
| 0.000 | 0.000 | 0.000 | -24.225 | -0.000 | 0.000 | 
| 0.000 | 0.000 | 0.000 | 0.000 | -24.225 | 0.000 | 
| 0.000 | 0.000 | 0.000 | 0.000 | -0.000 | -24.225 | 
| 268.819 | 96.558 | 96.558 | -0.000 | -0.000 | 0.000 | 
| 96.558 | 268.819 | 96.558 | -0.000 | -0.000 | -0.000 | 
| 96.558 | 96.558 | 268.819 | -0.000 | -0.000 | 0.000 | 
| -0.000 | -0.000 | -0.000 | -24.225 | 0.000 | 0.000 | 
| -0.000 | -0.000 | -0.000 | -0.000 | -24.225 | -0.000 | 
| -0.000 | -0.000 | -0.000 | 0.000 | 0.000 | -24.225 | 
| 267.602 | 97.168 | 97.168 | 0.000 | -0.000 | 0.000 | 
| 97.168 | 267.602 | 97.168 | 0.000 | 0.000 | -0.000 | 
| 97.168 | 97.168 | 267.602 | -0.000 | 0.000 | 0.000 | 
| 0.000 | 0.000 | 0.000 | 14.586 | 0.000 | 0.000 | 
| 0.000 | 0.000 | 0.000 | 0.000 | 14.586 | -0.000 | 
| 0.000 | 0.000 | 0.000 | 0.000 | 0.000 | 14.586 | 
| 267.599 | 97.167 | 97.167 | -0.000 | -0.000 | -0.000 | 
| 97.167 | 267.599 | 97.167 | -0.000 | 0.000 | -0.000 | 
| 97.167 | 97.167 | 267.599 | -0.000 | -0.000 | 0.000 | 
| -0.000 | -0.000 | -0.000 | 14.586 | -0.000 | -0.000 | 
| -0.000 | -0.000 | -0.000 | -0.000 | 14.586 | 0.000 | 
| -0.000 | -0.000 | -0.000 | -0.000 | 0.000 | 14.586 | 
| 146.054 | 164.171 | 164.171 | -0.000 | -0.000 | -0.000 | 
| 164.171 | 146.054 | 164.171 | 0.000 | -0.000 | -0.000 | 
| 164.171 | 164.171 | 146.054 | 0.000 | -0.000 | -0.000 | 
| 0.000 | 0.000 | 0.000 | 90.397 | -0.000 | -0.000 | 
| 0.000 | 0.000 | 0.000 | 0.000 | 90.397 | -0.000 | 
| 0.000 | 0.000 | 0.000 | -0.000 | -0.000 | 90.397 | 
| 146.054 | 164.171 | 164.171 | 0.000 | 0.000 | 0.000 | 
| 164.171 | 146.054 | 164.171 | 0.000 | 0.000 | 0.000 | 
| 164.171 | 164.171 | 146.054 | 0.000 | 0.000 | 0.000 | 
| -0.000 | -0.000 | -0.000 | 90.397 | 0.000 | 0.000 | 
| -0.000 | -0.000 | -0.000 | 0.000 | 90.397 | 0.000 | 
| -0.000 | -0.000 | -0.000 | 0.000 | 0.000 | 90.397 | 
| 146.054 | 164.171 | 164.171 | 0.000 | -0.000 | -0.000 | 
| 164.171 | 146.054 | 164.171 | 0.000 | -0.000 | -0.000 | 
| 164.171 | 164.171 | 146.054 | 0.000 | -0.000 | -0.000 | 
| 0.000 | 0.000 | 0.000 | 90.397 | -0.000 | -0.000 | 
| 0.000 | 0.000 | 0.000 | -0.000 | 90.397 | -0.000 | 
| 0.000 | 0.000 | 0.000 | -0.000 | -0.000 | 90.397 | 
| 146.054 | 164.171 | 164.171 | 0.000 | 0.000 | 0.000 | 
| 164.171 | 146.054 | 164.171 | -0.000 | -0.000 | 0.000 | 
| 164.171 | 164.171 | 146.054 | -0.000 | 0.000 | 0.000 | 
| -0.000 | -0.000 | -0.000 | 90.397 | 0.000 | 0.000 | 
| -0.000 | -0.000 | -0.000 | -0.000 | 90.397 | 0.000 | 
| -0.000 | -0.000 | -0.000 | 0.000 | 0.000 | 90.397 | 
| 146.055 | 164.171 | 164.171 | 0.000 | -0.000 | -0.000 | 
| 164.171 | 146.055 | 164.171 | -0.000 | 0.000 | -0.000 | 
| 164.171 | 164.171 | 146.055 | -0.000 | 0.000 | -0.000 | 
| 0.000 | 0.000 | 0.000 | 90.397 | 0.000 | -0.000 | 
| 0.000 | 0.000 | 0.000 | -0.000 | 90.397 | -0.000 | 
| 0.000 | 0.000 | 0.000 | -0.000 | -0.000 | 90.397 | 
| 146.053 | 164.170 | 164.170 | -0.000 | 0.000 | 0.000 | 
| 164.170 | 146.053 | 164.170 | -0.000 | 0.000 | 0.000 | 
| 164.170 | 164.170 | 146.053 | 0.000 | -0.000 | 0.000 | 
| -0.000 | -0.000 | -0.000 | 90.397 | -0.000 | 0.000 | 
| -0.000 | -0.000 | -0.000 | 0.000 | 90.397 | 0.000 | 
| -0.000 | -0.000 | -0.000 | 0.000 | 0.000 | 90.397 | 
| 197.596 | 120.210 | 114.260 | -0.000 | -0.000 | -0.000 | 
| 115.291 | 202.515 | 114.260 | -0.000 | -0.000 | -0.000 | 
| 114.260 | 114.260 | 231.150 | -0.000 | -0.000 | -0.000 | 
| -0.000 | -0.000 | 0.000 | 41.647 | 0.000 | -0.000 | 
| 0.000 | -0.000 | 0.000 | -0.000 | 41.647 | -0.000 | 
| 0.000 | -0.000 | 0.000 | -0.000 | -0.000 | 38.693 | 
| 197.596 | 120.210 | 114.260 | 0.000 | -0.000 | 0.000 | 
| 115.291 | 202.515 | 114.260 | 0.000 | 0.000 | 0.000 | 
| 114.260 | 114.260 | 231.150 | 0.000 | -0.000 | 0.000 | 
| 0.000 | 0.000 | -0.000 | 41.647 | -0.000 | 0.000 | 
| 0.000 | 0.000 | -0.000 | 0.000 | 41.647 | 0.000 | 
| 0.000 | 0.000 | -0.000 | 0.000 | 0.000 | 38.693 | 
| 197.597 | 120.210 | 114.260 | -0.000 | 0.000 | -0.000 | 
| 115.291 | 202.515 | 114.260 | -0.000 | 0.000 | -0.000 | 
| 114.260 | 114.260 | 231.150 | -0.000 | -0.000 | -0.000 | 
| 0.000 | 0.000 | 0.000 | 41.647 | 0.000 | -0.000 | 
| 0.000 | 0.000 | 0.000 | -0.000 | 41.647 | -0.000 | 
| 0.000 | 0.000 | 0.000 | -0.000 | -0.000 | 43.612 | 
| 197.596 | 120.210 | 114.260 | 0.000 | -0.000 | 0.000 | 
| 120.210 | 197.596 | 114.260 | 0.000 | 0.000 | 0.000 | 
| 114.260 | 114.260 | 231.150 | 0.000 | -0.000 | 0.000 | 
| -0.000 | -0.000 | -0.000 | 41.647 | -0.000 | 0.000 | 
| -0.000 | -0.000 | -0.000 | 0.000 | 41.647 | 0.000 | 
| -0.000 | -0.000 | -0.000 | 0.000 | 0.000 | 43.612 | 
| 197.598 | 120.210 | 114.260 | -0.000 | -0.000 | -0.000 | 
| 120.211 | 197.598 | 114.260 | -0.000 | 0.000 | -0.000 | 
| 114.260 | 114.260 | 231.152 | -0.000 | -0.000 | -0.000 | 
| 0.000 | 0.000 | 0.000 | 41.647 | -0.000 | -0.000 | 
| 0.000 | 0.000 | 0.000 | -0.000 | 41.647 | -0.000 | 
| 0.000 | 0.000 | -0.000 | -0.000 | -0.000 | 38.693 | 
| 202.513 | 115.291 | 114.259 | 0.000 | 0.000 | 0.000 | 
| 115.291 | 202.513 | 114.259 | 0.000 | 0.000 | 0.000 | 
| 114.259 | 114.259 | 231.149 | 0.000 | -0.000 | 0.000 | 
| -0.000 | -0.000 | -0.000 | 41.647 | 0.000 | 0.000 | 
| -0.000 | -0.000 | -0.000 | 0.000 | 41.647 | 0.000 | 
| -0.000 | -0.000 | 0.000 | 0.000 | 0.000 | 38.693 | 
| 195.210 | 121.494 | 118.776 | 0.000 | 0.000 | 0.000 | 
| 121.494 | 195.210 | 118.776 | 0.000 | 0.000 | 0.000 | 
| 118.776 | 118.776 | 248.470 | 0.000 | -0.000 | 0.000 | 
| 0.000 | -0.000 | 0.000 | 46.622 | 0.000 | -0.000 | 
| 0.000 | -0.000 | 0.000 | 0.000 | 46.622 | 0.000 | 
| 0.000 | 0.000 | 0.000 | 0.000 | 0.000 | 36.858 | 
| 195.210 | 121.494 | 118.776 | -0.000 | 0.000 | -0.000 | 
| 121.494 | 195.210 | 118.776 | -0.000 | 0.000 | -0.000 | 
| 118.776 | 118.776 | 248.470 | -0.000 | -0.000 | -0.000 | 
| -0.000 | 0.000 | -0.000 | 46.622 | -0.000 | -0.000 | 
| -0.000 | 0.000 | -0.000 | -0.000 | 46.622 | -0.000 | 
| -0.000 | -0.000 | -0.000 | -0.000 | -0.000 | 36.858 | 
| 195.211 | 121.494 | 118.776 | 0.000 | 0.000 | -0.000 | 
| 121.494 | 195.211 | 118.776 | 0.000 | -0.000 | 0.000 | 
| 118.776 | 118.776 | 248.470 | 0.000 | 0.000 | -0.000 | 
| 0.000 | 0.000 | 0.000 | 46.622 | 0.000 | -0.000 | 
| 0.000 | 0.000 | 0.000 | 0.000 | 46.622 | 0.000 | 
| 0.000 | 0.000 | -0.000 | 0.000 | 0.000 | 36.858 | 
| 195.210 | 121.494 | 118.776 | -0.000 | -0.000 | -0.000 | 
| 121.494 | 195.210 | 118.776 | -0.000 | 0.000 | -0.000 | 
| 118.776 | 118.776 | 248.470 | -0.000 | 0.000 | -0.000 | 
| -0.000 | -0.000 | -0.000 | 46.622 | 0.000 | -0.000 | 
| -0.000 | -0.000 | -0.000 | -0.000 | 46.622 | -0.000 | 
| -0.000 | -0.000 | 0.000 | -0.000 | 0.000 | 36.858 | 
| 202.207 | 114.500 | 118.776 | 0.000 | 0.000 | 0.000 | 
| 114.500 | 202.207 | 118.776 | 0.000 | 0.000 | 0.000 | 
| 118.776 | 118.776 | 248.471 | 0.000 | 0.000 | 0.000 | 
| 0.000 | 0.000 | 0.000 | 46.622 | 0.000 | 0.000 | 
| 0.000 | 0.000 | 0.000 | 0.000 | 46.622 | -0.000 | 
| 0.000 | 0.000 | -0.000 | 0.000 | 0.000 | 36.858 | 
| 195.209 | 121.493 | 118.775 | -0.000 | -0.000 | 0.000 | 
| 121.493 | 195.209 | 118.775 | -0.000 | 0.000 | -0.000 | 
| 118.775 | 118.775 | 248.468 | -0.000 | 0.000 | -0.000 | 
| -0.000 | -0.000 | -0.000 | 46.622 | -0.000 | -0.000 | 
| -0.000 | -0.000 | -0.000 | -0.000 | 46.622 | -0.000 | 
| -0.000 | -0.000 | 0.000 | -0.000 | -0.000 | 36.858 | 
| 54.042 | 77.203 | 77.203 | -0.000 | -0.000 | -0.000 | 
| 77.203 | 54.042 | 77.203 | -0.000 | -0.000 | -0.000 | 
| 77.203 | 77.203 | 54.042 | -0.000 | -0.000 | -0.000 | 
| 0.000 | 0.000 | -0.000 | -31.800 | 0.000 | -0.000 | 
| 0.000 | 0.000 | -0.000 | -0.000 | -31.800 | -0.000 | 
| 0.000 | 0.000 | -0.000 | -0.000 | 0.000 | -31.800 | 
| 54.042 | 77.203 | 77.203 | 0.000 | 0.000 | 0.000 | 
| 77.203 | 54.042 | 77.203 | 0.000 | -0.000 | 0.000 | 
| 77.203 | 77.203 | 54.042 | 0.000 | 0.000 | 0.000 | 
| -0.000 | -0.000 | 0.000 | -31.800 | -0.000 | 0.000 | 
| -0.000 | -0.000 | 0.000 | 0.000 | -31.800 | 0.000 | 
| -0.000 | -0.000 | 0.000 | 0.000 | -0.000 | -31.800 | 
| 54.042 | 77.203 | 77.203 | -0.000 | 0.000 | -0.000 | 
| 77.203 | 54.042 | 77.203 | -0.000 | 0.000 | -0.000 | 
| 77.203 | 77.203 | 54.042 | -0.000 | -0.000 | -0.000 | 
| -0.000 | 0.000 | -0.000 | -31.800 | -0.000 | -0.000 | 
| 0.000 | -0.000 | -0.000 | -0.000 | -31.800 | -0.000 | 
| 0.000 | -0.000 | -0.000 | -0.000 | -0.000 | -31.800 | 
| 54.042 | 77.203 | 77.203 | 0.000 | 0.000 | 0.000 | 
| 77.203 | 54.042 | 77.203 | 0.000 | 0.000 | 0.000 | 
| 77.203 | 77.203 | 54.042 | 0.000 | 0.000 | 0.000 | 
| 0.000 | -0.000 | 0.000 | -31.800 | -0.000 | 0.000 | 
| -0.000 | 0.000 | 0.000 | 0.000 | -31.800 | 0.000 | 
| -0.000 | 0.000 | 0.000 | 0.000 | 0.000 | -31.800 | 
| 54.042 | 77.203 | 77.203 | -0.000 | -0.000 | -0.000 | 
| 77.203 | 54.042 | 77.203 | -0.000 | 0.000 | -0.000 | 
| 77.203 | 77.203 | 54.042 | -0.000 | -0.000 | 0.000 | 
| -0.000 | -0.000 | -0.000 | -31.800 | 0.000 | -0.000 | 
| -0.000 | -0.000 | -0.000 | -0.000 | -31.800 | -0.000 | 
| -0.000 | -0.000 | -0.000 | -0.000 | 0.000 | -31.800 | 
| 54.041 | 77.202 | 77.202 | 0.000 | 0.000 | 0.000 | 
| 77.202 | 54.041 | 77.202 | 0.000 | 0.000 | 0.000 | 
| 77.202 | 77.202 | 54.041 | 0.000 | 0.000 | 0.000 | 
| 0.000 | 0.000 | 0.000 | -31.800 | -0.000 | 0.000 | 
| 0.000 | 0.000 | 0.000 | 0.000 | -31.800 | 0.000 | 
| 0.000 | 0.000 | 0.000 | 0.000 | -0.000 | -31.800 | 
| 317.353 | 85.153 | 94.106 | 0.000 | -0.000 | -0.000 | 
| 85.153 | 317.353 | 94.106 | -0.000 | 0.000 | -0.000 | 
| 94.106 | 94.106 | 330.131 | 0.000 | -0.000 | -0.000 | 
| -0.000 | -0.000 | 0.000 | -21.514 | -0.000 | -0.000 | 
| 0.000 | -0.000 | 0.000 | 0.000 | -21.514 | -0.000 | 
| -0.000 | -0.000 | 0.000 | 0.000 | -0.000 | -7.030 | 
| 317.353 | 85.153 | 94.106 | 0.000 | -0.000 | 0.000 | 
| 85.153 | 317.353 | 94.106 | -0.000 | -0.000 | 0.000 | 
| 94.106 | 94.106 | 330.131 | -0.000 | -0.000 | 0.000 | 
| -0.000 | 0.000 | -0.000 | -21.514 | -0.000 | 0.000 | 
| -0.000 | 0.000 | -0.000 | -0.000 | -21.514 | 0.000 | 
| 0.000 | 0.000 | -0.000 | -0.000 | -0.000 | -7.030 | 
| 317.353 | 85.153 | 94.106 | 0.000 | 0.000 | -0.000 | 
| 85.153 | 317.353 | 94.106 | 0.000 | 0.000 | -0.000 | 
| 94.106 | 94.106 | 330.132 | 0.000 | -0.000 | -0.000 | 
| -0.000 | 0.000 | -0.000 | -21.514 | 0.000 | -0.000 | 
| 0.000 | -0.000 | -0.000 | 0.000 | -21.514 | -0.000 | 
| -0.000 | -0.000 | 0.000 | -0.000 | 0.000 | -7.030 | 
| 317.353 | 85.153 | 94.106 | -0.000 | -0.000 | 0.000 | 
| 85.153 | 317.353 | 94.106 | -0.000 | -0.000 | 0.000 | 
| 94.106 | 94.106 | 330.131 | -0.000 | -0.000 | 0.000 | 
| 0.000 | -0.000 | 0.000 | -21.514 | -0.000 | 0.000 | 
| -0.000 | 0.000 | 0.000 | 0.000 | -21.514 | 0.000 | 
| 0.000 | 0.000 | -0.000 | 0.000 | 0.000 | -7.030 | 
| -977.619 | 1380.123 | 94.114 | -0.000 | -0.000 | -0.000 | 
| 1380.123 | -977.619 | 94.114 | -0.000 | -0.000 | -0.000 | 
| 94.106 | 94.106 | 330.134 | 0.000 | 0.000 | -0.000 | 
| -0.000 | 0.000 | -0.000 | -21.514 | 0.000 | -0.000 | 
| 0.000 | -0.000 | -0.000 | 0.000 | -21.514 | -0.000 | 
| 0.000 | -0.000 | 0.000 | 0.000 | -0.000 | -7.030 | 
| -977.608 | 1380.116 | 94.099 | 0.000 | 0.000 | 0.000 | 
| 1380.116 | -977.608 | 94.099 | 0.000 | 0.000 | 0.000 | 
| 94.106 | 94.106 | 330.129 | -0.000 | 0.000 | 0.000 | 
| 0.000 | -0.000 | 0.000 | -21.514 | -0.000 | 0.000 | 
| -0.000 | 0.000 | 0.000 | 0.000 | -21.514 | 0.000 | 
| -0.000 | 0.000 | -0.000 | 0.000 | -0.000 | -7.030 | 
| -43.889 | -14.282 | 15.834 | -2.380 | -0.000 | 0.000 | 
| -14.282 | -43.889 | 15.834 | 2.380 | -0.000 | 0.000 | 
| 15.129 | 15.129 | 53.105 | 0.000 | 0.000 | 0.000 | 
| -2.380 | 2.380 | 0.000 | 11.767 | 0.000 | 0.000 | 
| 0.000 | 0.000 | 0.000 | -0.000 | 11.767 | -2.380 | 
| 0.000 | 0.000 | 0.000 | -0.000 | -2.380 | -14.803 | 
| -43.889 | -14.282 | 15.834 | -2.380 | 0.000 | -0.000 | 
| -14.282 | -43.889 | 15.834 | 2.380 | 0.000 | -0.000 | 
| 15.129 | 15.129 | 53.106 | 0.000 | 0.000 | -0.000 | 
| -2.380 | 2.380 | -0.000 | 11.767 | 0.000 | -0.000 | 
| -0.000 | -0.000 | -0.000 | 0.000 | 11.767 | -2.380 | 
| -0.000 | -0.000 | -0.000 | 0.000 | -2.380 | -14.804 | 
| -43.889 | -14.282 | 15.834 | -2.380 | -0.000 | 0.000 | 
| -14.282 | -43.889 | 15.834 | 2.380 | -0.000 | 0.000 | 
| 15.129 | 15.129 | 53.106 | -0.000 | 0.000 | 0.000 | 
| -2.380 | 2.380 | 0.000 | 11.767 | -0.000 | 0.000 | 
| 0.000 | 0.000 | 0.000 | -0.000 | 11.767 | -2.380 | 
| 0.000 | 0.000 | 0.000 | -0.000 | -2.380 | -14.804 | 
| -43.889 | -14.282 | 15.834 | -2.380 | 0.000 | -0.000 | 
| -14.282 | -43.889 | 15.834 | 2.380 | 0.000 | -0.000 | 
| 15.129 | 15.129 | 53.105 | 0.000 | 0.000 | -0.000 | 
| -2.380 | 2.380 | -0.000 | 11.767 | 0.000 | -0.000 | 
| -0.000 | -0.000 | -0.000 | 0.000 | 11.767 | -2.380 | 
| -0.000 | -0.000 | -0.000 | 0.000 | -2.380 | -14.804 | 
| -43.888 | -14.282 | 15.834 | -2.380 | -0.000 | 0.000 | 
| -14.282 | -43.888 | 15.834 | 2.380 | -0.000 | 0.000 | 
| 15.130 | 15.130 | 53.106 | 0.000 | -0.000 | 0.000 | 
| -2.380 | 2.380 | 0.000 | 11.768 | -0.000 | 0.000 | 
| 0.000 | 0.000 | 0.000 | -0.000 | 11.767 | -2.380 | 
| 0.000 | 0.000 | 0.000 | -0.000 | -2.380 | -14.804 | 
| -43.890 | -14.282 | 15.834 | -2.380 | 0.000 | -0.000 | 
| -14.282 | -43.890 | 15.834 | 2.380 | 0.000 | -0.000 | 
| 15.129 | 15.129 | 53.105 | 0.000 | 0.000 | -0.000 | 
| -2.380 | 2.380 | -0.000 | 11.767 | 0.000 | -0.000 | 
| -0.000 | -0.000 | -0.000 | 0.000 | 11.767 | -2.380 | 
| -0.000 | -0.000 | -0.000 | 0.000 | -2.380 | -14.804 | 
| 369.677 | 98.279 | 98.279 | -0.000 | -0.000 | 0.000 | 
| 98.279 | 369.677 | 98.279 | -0.000 | -0.000 | 0.000 | 
| 98.279 | 98.279 | 369.677 | 0.000 | -0.000 | 0.000 | 
| -0.000 | -0.000 | -0.000 | -9.348 | -0.000 | 0.000 | 
| -0.000 | 0.000 | 0.000 | -0.000 | -9.348 | 0.000 | 
| -0.000 | -0.000 | -0.000 | -0.000 | -0.000 | -9.348 | 
| 369.677 | 98.279 | 98.279 | 0.000 | 0.000 | -0.000 | 
| 98.279 | 369.677 | 98.279 | 0.000 | 0.000 | -0.000 | 
| 98.279 | 98.279 | 369.677 | 0.000 | 0.000 | -0.000 | 
| 0.000 | 0.000 | 0.000 | -9.348 | 0.000 | -0.000 | 
| 0.000 | 0.000 | 0.000 | 0.000 | -9.348 | -0.000 | 
| 0.000 | 0.000 | -0.000 | 0.000 | 0.000 | -9.348 | 
| 369.677 | 98.279 | 98.279 | -0.000 | -0.000 | 0.000 | 
| 98.279 | 369.677 | 98.279 | -0.000 | -0.000 | 0.000 | 
| 98.279 | 98.279 | 369.677 | 0.000 | 0.000 | -0.000 | 
| 0.000 | 0.000 | -0.000 | -9.348 | -0.000 | 0.000 | 
| 0.000 | 0.000 | -0.000 | -0.000 | -9.348 | 0.000 | 
| 0.000 | -0.000 | 0.000 | -0.000 | -0.000 | -9.348 | 
| 369.676 | 98.279 | 98.279 | 0.000 | 0.000 | -0.000 | 
| 98.279 | 369.676 | 98.279 | 0.000 | 0.000 | -0.000 | 
| 98.279 | 98.279 | 369.676 | 0.000 | 0.000 | -0.000 | 
| -0.000 | -0.000 | 0.000 | -9.348 | 0.000 | -0.000 | 
| -0.000 | -0.000 | 0.000 | 0.000 | -9.348 | -0.000 | 
| -0.000 | 0.000 | -0.000 | 0.000 | 0.000 | -9.348 | 
| 369.678 | 98.278 | 98.278 | -0.000 | -0.000 | -0.000 | 
| 98.278 | 369.678 | 98.278 | -0.000 | -0.000 | 0.000 | 
| 98.278 | 98.278 | 369.678 | -0.000 | 0.000 | 0.000 | 
| 0.000 | 0.000 | -0.000 | -9.348 | -0.000 | -0.000 | 
| 0.000 | 0.000 | -0.000 | -0.000 | -9.348 | 0.000 | 
| 0.000 | -0.000 | 0.000 | -0.000 | -0.000 | -9.348 | 
| 369.675 | 98.279 | 98.279 | -0.000 | -0.000 | 0.000 | 
| 98.279 | 369.675 | 98.279 | -0.000 | 0.000 | -0.000 | 
| 98.279 | 98.279 | 369.675 | 0.000 | 0.000 | 0.000 | 
| -0.000 | -0.000 | 0.000 | -9.348 | 0.000 | 0.000 | 
| -0.000 | -0.000 | 0.000 | 0.000 | -9.348 | -0.000 | 
| -0.000 | 0.000 | -0.000 | 0.000 | 0.000 | -9.348 | 
| 128.487 | 109.869 | 68.549 | 0.000 | 0.000 | 0.000 | 
| 109.869 | 128.487 | 68.549 | 0.000 | -0.000 | 0.000 | 
| 68.549 | 68.549 | 187.095 | 0.000 | 0.000 | 0.000 | 
| 0.000 | 0.000 | -0.000 | 35.918 | -0.000 | 0.000 | 
| 0.000 | -0.000 | 0.000 | 0.000 | 35.918 | -0.000 | 
| -0.001 | -0.001 | 0.000 | 0.000 | -0.000 | 65.871 | 
| 99.074 | 99.692 | 69.944 | -0.000 | 0.000 | -0.000 | 
| 99.692 | 99.074 | 69.944 | -0.000 | 0.000 | 0.000 | 
| 69.576 | 69.576 | 187.023 | -0.000 | 0.000 | -0.000 | 
| -0.000 | 0.000 | -0.000 | 35.918 | 0.000 | -0.000 | 
| -0.000 | 0.000 | -0.000 | -0.000 | 35.918 | -0.000 | 
| 0.001 | 0.001 | -0.000 | -0.000 | 0.000 | 65.871 | 
| 128.487 | 109.869 | 68.549 | 0.000 | -0.000 | -0.000 | 
| 109.869 | 128.487 | 68.549 | 0.000 | -0.000 | 0.000 | 
| 68.549 | 68.549 | 187.096 | 0.000 | -0.000 | 0.000 | 
| -0.000 | -0.000 | 0.000 | 21.696 | -0.000 | 0.000 | 
| -0.000 | -0.000 | 0.000 | 0.000 | 21.696 | 0.000 | 
| -0.000 | -0.000 | 0.000 | 0.000 | -0.000 | 65.871 | 
| 128.487 | 109.869 | 68.549 | -0.000 | 0.000 | -0.000 | 
| 109.869 | 128.487 | 68.549 | -0.000 | 0.000 | -0.000 | 
| 69.575 | 69.575 | 187.023 | -0.000 | 0.000 | -0.000 | 
| 0.000 | 0.000 | -0.000 | 21.696 | 0.000 | -0.000 | 
| 0.000 | 0.000 | -0.000 | -0.000 | 21.696 | -0.000 | 
| 0.000 | 0.000 | -0.000 | -0.000 | 0.000 | 65.871 | 
| 77.011 | 132.220 | 69.575 | 0.000 | 0.000 | 0.000 | 
| 132.220 | 77.011 | 69.575 | 0.000 | -0.000 | 0.000 | 
| 68.549 | 68.549 | 187.096 | 0.000 | -0.000 | 0.000 | 
| -0.000 | -0.000 | 0.000 | 21.696 | 0.000 | 0.000 | 
| -0.000 | -0.000 | 0.000 | 0.000 | 21.696 | 0.000 | 
| 0.000 | 0.000 | -0.000 | 0.000 | 0.000 | 65.871 | 
| 77.010 | 132.218 | 69.575 | -0.000 | -0.000 | -0.000 | 
| 132.218 | 77.010 | 69.575 | -0.000 | -0.000 | -0.000 | 
| 68.548 | 68.548 | 187.094 | -0.000 | 0.000 | -0.000 | 
| 0.000 | 0.000 | -0.000 | 21.696 | -0.000 | -0.000 | 
| 0.000 | 0.000 | -0.000 | -0.000 | 21.696 | -0.000 | 
| -0.000 | -0.000 | 0.000 | -0.000 | 0.000 | 65.871 | 
| 120.434 | 98.156 | 67.007 | -0.000 | -0.000 | 0.000 | 
| 98.156 | 120.434 | 67.007 | -0.000 | -0.000 | 0.000 | 
| 65.906 | 65.906 | 177.022 | -0.000 | -0.000 | 0.000 | 
| -0.001 | -0.001 | 0.000 | 20.205 | -0.000 | 0.000 | 
| -0.001 | -0.001 | 0.000 | 0.000 | 20.205 | 0.000 | 
| -0.001 | -0.001 | 0.000 | -0.000 | -0.000 | 56.353 | 
| 72.133 | 115.256 | 67.286 | -0.000 | 0.000 | -0.000 | 
| 115.256 | 72.133 | 67.286 | 0.000 | -0.000 | -0.000 | 
| 65.906 | 65.906 | 177.022 | -0.000 | -0.000 | -0.000 | 
| 0.001 | 0.001 | -0.000 | 20.205 | 0.000 | -0.000 | 
| 0.001 | 0.001 | -0.000 | 0.000 | 20.205 | -0.000 | 
| 0.001 | 0.001 | -0.000 | -0.000 | 0.000 | 56.353 | 
| 72.133 | 115.256 | 67.286 | -0.000 | -0.000 | 0.000 | 
| 115.256 | 72.133 | 67.286 | -0.000 | 0.000 | 0.000 | 
| 65.906 | 65.906 | 177.022 | -0.000 | -0.000 | 0.000 | 
| -0.000 | 0.000 | 0.000 | 35.423 | -0.000 | 0.000 | 
| 0.000 | -0.000 | 0.000 | -0.000 | 35.423 | 0.000 | 
| -0.000 | -0.000 | 0.000 | 0.000 | -0.000 | 56.353 | 
| 72.133 | 115.256 | 67.286 | 0.000 | 0.000 | -0.000 | 
| 115.256 | 72.133 | 67.286 | -0.000 | 0.000 | -0.000 | 
| 66.185 | 66.185 | 177.017 | -0.000 | 0.000 | -0.000 | 
| 0.000 | -0.000 | -0.000 | 35.423 | 0.000 | -0.000 | 
| -0.000 | 0.000 | -0.000 | 0.000 | 35.423 | -0.000 | 
| 0.000 | 0.000 | -0.000 | 0.000 | 0.000 | 56.353 | 
| 72.133 | 115.256 | 67.286 | -0.000 | 0.000 | 0.000 | 
| 115.256 | 72.133 | 67.286 | 0.000 | 0.000 | 0.000 | 
| 65.906 | 65.906 | 177.023 | 0.000 | -0.000 | 0.000 | 
| 0.000 | -0.000 | -0.000 | -19.050 | -0.000 | 0.000 | 
| -0.000 | 0.000 | -0.000 | -0.000 | -19.050 | 0.000 | 
| 0.000 | 0.000 | -0.000 | -0.000 | -0.000 | 56.353 | 
| 90.011 | 87.117 | 67.377 | -0.000 | 0.000 | -0.000 | 
| 87.117 | 90.011 | 67.377 | 0.000 | 0.000 | -0.000 | 
| 65.905 | 65.905 | 177.021 | -0.000 | 0.000 | -0.000 | 
| -0.000 | 0.000 | 0.000 | -19.050 | 0.000 | -0.000 | 
| 0.000 | -0.000 | 0.000 | 0.000 | -19.050 | -0.000 | 
| -0.000 | -0.000 | 0.000 | 0.000 | 0.000 | 56.353 | 
| 198.703 | 130.603 | 101.035 | 10.687 | 7.448 | -39.394 | 
| 125.863 | 201.370 | 99.078 | 7.258 | -10.220 | -23.572 | 
| 104.490 | 102.093 | 173.296 | 3.833 | 8.139 | 1.681 | 
| 11.328 | 9.724 | 3.833 | 32.591 | 5.912 | -12.760 | 
| 11.446 | -11.148 | 8.139 | 5.912 | 35.916 | 11.477 | 
| -13.491 | -25.672 | -9.891 | -22.559 | 27.414 | 67.032 | 
| 182.774 | 133.151 | 115.760 | 21.863 | -10.703 | -53.362 | 
| 111.606 | 202.051 | 113.620 | 18.006 | -28.434 | -37.561 | 
| 89.978 | 104.196 | 186.731 | 14.553 | -10.265 | -12.538 | 
| 11.328 | 9.724 | 3.833 | 32.591 | 5.912 | -12.760 | 
| -3.160 | -8.929 | 22.575 | 16.525 | 17.110 | -2.834 | 
| -28.234 | -23.671 | 4.780 | -11.832 | 9.275 | 53.638 | 
| 198.703 | 130.603 | 101.035 | 10.687 | 7.448 | -39.394 | 
| 127.624 | 199.615 | 97.500 | 6.256 | -8.401 | -21.935 | 
| 105.997 | 101.753 | 170.597 | 2.805 | 9.764 | 3.088 | 
| 14.952 | 12.687 | -4.193 | 27.718 | 7.477 | -10.917 | 
| 11.446 | -11.148 | 8.139 | 5.912 | 35.916 | 11.477 | 
| -28.234 | -23.671 | 4.780 | -11.832 | 9.275 | 53.638 | 
| 193.921 | 130.204 | 107.577 | 14.094 | 5.527 | -40.850 | 
| 125.862 | 201.370 | 99.078 | 7.258 | -10.220 | -23.572 | 
| 103.082 | 102.200 | 173.554 | 4.941 | 6.125 | 0.246 | 
| 11.328 | 9.724 | 3.833 | 32.591 | 5.912 | -12.760 | 
| 11.446 | -11.148 | 8.139 | 5.912 | 35.916 | 11.477 | 
| -28.234 | -23.671 | 4.780 | -11.832 | 9.275 | 53.638 | 
| 196.570 | 131.179 | 100.712 | 11.179 | 7.668 | -38.719 | 
| 125.863 | 201.372 | 99.079 | 7.258 | -10.220 | -23.572 | 
| 104.694 | 101.939 | 171.772 | 3.769 | 8.105 | 1.809 | 
| 11.328 | 9.725 | 3.833 | 32.591 | 5.912 | -12.760 | 
| 11.487 | -11.085 | 7.218 | 5.680 | 34.791 | 11.562 | 
| -27.538 | -22.898 | 4.435 | -12.407 | 9.434 | 51.735 | 
| 198.702 | 130.602 | 101.034 | 10.687 | 7.448 | -39.394 | 
| 125.862 | 201.368 | 99.078 | 7.258 | -10.220 | -23.572 | 
| 104.383 | 102.004 | 172.273 | 3.985 | 7.758 | 1.516 | 
| 11.668 | 9.761 | 4.031 | 31.897 | 5.664 | -12.952 | 
| 11.252 | -11.126 | 8.073 | 5.955 | 35.135 | 11.225 | 
| -28.234 | -23.671 | 4.780 | -11.832 | 9.275 | 53.638 | 
| 132.047 | 198.179 | 117.451 | -66.226 | -30.024 | -44.399 | 
| 226.004 | 194.004 | 24.842 | -12.045 | -66.090 | -83.781 | 
| 106.843 | 112.501 | 181.785 | -4.901 | -2.097 | 5.895 | 
| -3.438 | 3.072 | -4.901 | 38.943 | 5.218 | -2.583 | 
| 2.182 | -3.103 | -2.097 | 5.218 | 35.253 | -2.912 | 
| -28.626 | 80.225 | 13.389 | -65.287 | -36.864 | -12.760 | 
| 53.508 | 114.402 | 202.993 | 13.166 | 67.295 | 93.473 | 
| 21.783 | 172.755 | 207.654 | 20.523 | 57.488 | 91.156 | 
| 140.963 | 37.972 | 167.189 | 58.124 | 34.210 | 56.107 | 
| -3.438 | 3.072 | -4.901 | 38.943 | 5.218 | -2.583 | 
| 2.182 | -3.103 | -2.097 | 5.218 | 35.253 | -2.912 | 
| -355.630 | 127.933 | 205.276 | -77.858 | 39.096 | 251.166 | 
| 182.058 | 117.030 | 92.870 | 4.833 | 1.326 | -15.458 | 
| 341.588 | -20.672 | 109.309 | 106.479 | 17.744 | -101.220 | 
| 106.843 | 112.501 | 181.785 | -4.901 | -2.097 | 5.895 | 
| -3.438 | 3.072 | -4.901 | 38.943 | 5.218 | -2.583 | 
| 152.537 | -125.466 | -14.239 | 89.720 | 13.773 | -72.555 | 
| -0.026 | 11.029 | 5.975 | -8.661 | -4.768 | 32.658 | 
| 171.140 | 117.945 | 106.789 | -3.284 | 6.172 | 6.359 | 
| 123.116 | 184.066 | 112.150 | 10.555 | -0.173 | 8.433 | 
| 29.962 | 206.979 | 148.426 | -43.519 | 13.969 | 38.854 | 
| -13.724 | 2.274 | 4.401 | 31.268 | 12.277 | 6.513 | 
| -32.929 | 7.281 | 20.345 | -1.321 | 24.431 | 19.985 | 
| 6.336 | -4.364 | 4.326 | 3.935 | 2.372 | 42.771 | 
| 163.191 | 122.268 | 109.399 | -3.999 | 5.227 | 5.510 | 
| 126.064 | 181.160 | 116.177 | 4.102 | -5.081 | 2.882 | 
| 109.167 | 116.037 | 174.618 | -5.469 | -1.754 | 5.041 | 
| 0.065 | 2.372 | -6.633 | 27.337 | 5.846 | -4.356 | 
| 1.997 | -2.891 | -1.315 | 4.978 | 29.602 | -3.403 | 
| 13.923 | -2.531 | 0.099 | 0.866 | -2.617 | 14.100 | 
| 162.947 | 121.009 | 109.530 | -2.619 | 5.942 | 6.584 | 
| 116.530 | 198.554 | 110.641 | 4.479 | -3.185 | 2.844 | 
| 110.492 | 118.699 | 168.271 | -4.757 | -0.124 | 5.722 | 
| -3.238 | 2.298 | -4.848 | 34.568 | 6.046 | -1.722 | 
| 2.664 | -4.505 | -1.494 | 6.300 | 30.388 | -2.341 | 
| 3.504 | 2.538 | 5.046 | -1.660 | -0.830 | 37.856 | 
| 18.872 | 311.961 | 197.937 | 168.695 | -72.370 | -277.968 | 
| 125.309 | 211.357 | 116.338 | 2.724 | 5.742 | -2.379 | 
| 122.083 | 117.309 | 191.251 | 4.499 | 9.575 | 1.880 | 
| -164.827 | 174.285 | 72.040 | 194.327 | -74.352 | -273.046 | 
| 1.713 | 4.607 | 9.575 | 2.325 | 46.601 | 0.644 | 
| -140.120 | 249.723 | -46.775 | 123.437 | 24.825 | -267.181 | 
| 205.020 | 125.300 | 121.633 | 2.199 | 6.014 | -2.064 | 
| 264.456 | -51.248 | 169.658 | -117.560 | -15.541 | 305.413 | 
| 122.083 | 117.309 | 191.251 | 4.499 | 9.575 | 1.880 | 
| 135.130 | -253.760 | 53.539 | -84.704 | -18.508 | 310.780 | 
| 136.576 | -246.885 | 59.042 | -116.096 | 17.464 | 307.906 | 
| 128.504 | -253.893 | 52.043 | -114.979 | -18.328 | 348.180 | 
| 168.555 | 152.519 | 136.252 | 19.000 | -1.928 | -29.964 | 
| 125.309 | 211.357 | 116.338 | 2.724 | 5.742 | -2.379 | 
| 122.083 | 117.309 | 191.251 | 4.499 | 9.575 | 1.880 | 
| -12.620 | 23.243 | -0.814 | 46.427 | 5.228 | -27.691 | 
| 1.713 | 4.607 | 9.575 | 2.325 | 46.601 | 0.644 | 
| -19.250 | 23.110 | -2.309 | 16.159 | 5.411 | 9.746 | 
| 207.302 | 105.066 | 131.205 | -10.053 | 4.044 | 28.533 | 
| 151.504 | 173.237 | 116.829 | -16.450 | 15.069 | 24.740 | 
| 122.083 | 117.309 | 191.251 | 4.499 | 9.575 | 1.880 | 
| 14.258 | -27.148 | 9.073 | 22.572 | 0.910 | 33.882 | 
| 1.713 | 4.607 | 9.575 | 2.325 | 46.601 | 0.644 | 
| 11.292 | -20.326 | -3.569 | -12.855 | 10.531 | 61.340 | 
| 154.850 | 156.306 | 133.515 | 9.886 | -0.479 | -10.079 | 
| 129.392 | 201.725 | 120.277 | 2.776 | 6.309 | -5.564 | 
| 125.431 | 123.882 | 180.149 | 5.333 | 9.870 | -1.589 | 
| -0.616 | 0.673 | 3.588 | 35.355 | 3.338 | -0.174 | 
| 0.912 | 7.566 | 9.124 | 4.413 | 38.665 | -3.011 | 
| -6.584 | -2.294 | 2.951 | 4.610 | 4.137 | 48.344 | 
| 194.466 | 127.954 | 127.126 | 0.585 | 5.987 | 0.999 | 
| 136.802 | 188.775 | 123.049 | -1.591 | 8.166 | -0.107 | 
| 128.647 | 118.899 | 180.325 | 2.788 | 9.422 | 4.871 | 
| 3.145 | -4.654 | 2.715 | 25.646 | 4.851 | 5.214 | 
| 3.680 | 2.286 | 10.151 | 1.871 | 38.721 | 3.444 | 
| -3.588 | -4.402 | 2.598 | 2.031 | 3.479 | 35.702 | 
| 223.501 | 123.595 | 124.064 | 1.002 | 0.140 | -2.774 | 
| 248.449 | 70.852 | 97.760 | 72.683 | -113.054 | -3.828 | 
| 522.040 | -110.756 | 62.339 | 131.444 | -54.363 | 116.142 | 
| 120.929 | -146.268 | -27.794 | 115.223 | -115.274 | -3.543 | 
| 0.254 | 0.119 | 1.316 | -3.241 | 46.270 | 1.039 | 
| 121.674 | -145.071 | -33.710 | 77.895 | -114.046 | 33.156 | 
| -188.228 | 377.052 | 268.411 | -128.491 | 58.677 | -121.391 | 
| 7.491 | 362.049 | 158.091 | -81.340 | 110.486 | 4.396 | 
| -700.823 | 384.999 | 653.077 | -246.651 | 137.427 | -178.944 | 
| -120.030 | 144.930 | 32.537 | -38.800 | 108.266 | 4.681 | 
| -118.925 | 144.022 | 31.757 | -80.537 | 148.671 | 5.348 | 
| -383.102 | 243.987 | 126.201 | -127.188 | 55.195 | -92.193 | 
| 233.290 | 109.314 | 126.249 | 13.204 | -2.577 | 9.448 | 
| 123.538 | 226.512 | 123.883 | -5.313 | 0.426 | 0.397 | 
| 141.891 | 113.568 | 204.424 | 10.092 | -9.618 | -3.817 | 
| 12.501 | -15.233 | -0.645 | 45.910 | -14.685 | 0.158 | 
| 88.492 | -28.300 | -46.267 | 22.042 | 7.158 | 19.832 | 
| 1.760 | 0.384 | -3.388 | 0.300 | -3.400 | 46.036 | 
| 46.495 | 181.092 | 219.873 | -23.382 | 38.684 | -55.788 | 
| 123.538 | 226.511 | 123.883 | -5.313 | 0.426 | 0.397 | 
| 117.763 | 142.692 | 210.497 | -5.322 | 12.748 | -2.994 | 
| -11.603 | 13.897 | 5.389 | 30.507 | 7.677 | 0.981 | 
| 0.254 | 0.119 | 1.316 | -3.241 | 46.270 | 1.039 | 
| 1.760 | 0.384 | -3.388 | 0.300 | -3.400 | 46.036 | 
| 198.688 | 132.905 | 138.055 | 5.674 | 1.308 | 0.112 | 
| 129.367 | 214.611 | 127.744 | -3.496 | -2.501 | 0.237 | 
| 131.459 | 126.859 | 206.407 | 3.245 | 0.412 | -3.457 | 
| 0.998 | -0.862 | 1.492 | 46.454 | -3.241 | -0.008 | 
| 6.799 | -5.419 | 0.107 | -2.202 | 25.706 | 3.123 | 
| 2.432 | -0.970 | -3.856 | 1.680 | -3.420 | 37.173 | 
| 191.108 | 136.006 | 140.561 | -0.851 | 3.538 | -3.543 | 
| 126.930 | 217.477 | 128.435 | -5.083 | -0.202 | 0.321 | 
| 128.773 | 129.805 | 207.356 | 1.606 | 2.749 | -3.367 | 
| 0.998 | -0.862 | 1.492 | 46.454 | -3.241 | -0.008 | 
| -0.572 | -0.692 | 2.554 | -4.640 | 27.301 | 0.841 | 
| -3.801 | 2.977 | -1.646 | 0.390 | 0.047 | 25.793 | 
| 542.683 | -592.032 | 342.905 | 111.296 | -463.151 | -96.827 | 
| 1134.547 | -1548.328 | -246.154 | -376.325 | -2171.507 | 272.654 | 
| 118.168 | 114.501 | 183.128 | -4.527 | -4.574 | 0.970 | 
| 919.395 | -1627.955 | -264.000 | -123.099 | -1814.350 | 68.098 | 
| -1.253 | -0.142 | -4.574 | 0.806 | 43.235 | -0.841 | 
| 352.655 | -722.515 | 216.869 | 114.717 | -457.457 | -74.781 | 
| 141.106 | 501.354 | -125.846 | -68.202 | -12.197 | 288.335 | 
| 52.918 | 574.787 | -129.153 | -69.853 | -11.277 | 290.169 | 
| -77.655 | 679.655 | -149.682 | -158.988 | 105.164 | 377.576 | 
| -71.679 | 374.694 | -249.630 | -31.014 | -10.300 | 286.488 | 
| -1.253 | -0.142 | -4.574 | 0.806 | 43.235 | -0.841 | 
| -1.871 | 3.807 | 0.674 | 0.057 | 0.790 | 42.299 | 
| 221.088 | 71.401 | 154.468 | 12.117 | -13.021 | -36.780 | 
| 118.675 | 203.588 | 113.234 | -4.169 | -0.424 | 3.825 | 
| 128.280 | 79.314 | 199.557 | 2.118 | -3.291 | -27.424 | 
| 17.625 | -60.581 | 26.765 | 42.694 | -10.065 | -37.794 | 
| 5.169 | -37.976 | 20.185 | 7.298 | 38.995 | -29.219 | 
| 4.805 | -34.122 | 25.470 | 6.332 | 2.025 | 7.672 | 
| 180.487 | 183.210 | 91.633 | -18.753 | 8.890 | 38.454 | 
| 115.451 | 233.494 | 91.492 | -10.978 | -1.344 | 32.440 | 
| 118.168 | 114.501 | 183.128 | -4.527 | -4.574 | 0.970 | 
| -9.150 | 33.402 | -28.983 | 27.855 | -0.366 | 28.753 | 
| -8.729 | 37.896 | -28.868 | -5.791 | 36.811 | 28.077 | 
| -1.871 | 3.807 | 0.674 | 0.057 | 0.790 | 42.299 | 
| 211.085 | 118.267 | 121.998 | -2.114 | -1.066 | -1.078 | 
| 118.675 | 203.589 | 113.234 | -4.169 | -0.424 | 3.825 | 
| 122.263 | 113.439 | 177.091 | -3.731 | -4.267 | -1.770 | 
| -1.618 | -4.545 | -4.527 | 40.703 | 0.806 | 0.338 | 
| -1.092 | -3.954 | -1.794 | 1.427 | 37.714 | -3.516 | 
| -0.106 | -2.458 | 3.824 | 1.244 | -2.482 | 21.825 | 
| 209.386 | 126.336 | 116.963 | -3.505 | -1.319 | 4.896 | 
| 125.672 | 190.551 | 116.622 | -6.270 | 1.025 | 7.737 | 
| 122.827 | 126.208 | 161.933 | -6.226 | -3.258 | 5.134 | 
| -4.649 | 0.873 | -7.778 | 26.124 | 1.998 | 3.576 | 
| -2.506 | 3.888 | -6.878 | 0.075 | 37.722 | 2.398 | 
| -1.871 | 3.806 | 0.674 | 0.057 | 0.790 | 42.299 | 
| 275.844 | 103.220 | 61.356 | -60.779 | -62.977 | -6.402 | 
| 109.135 | 174.944 | 99.935 | 6.144 | -0.499 | 1.211 | 
| 108.738 | 98.649 | 195.588 | 5.482 | 4.540 | -8.382 | 
| 60.056 | -1.224 | -57.205 | -71.712 | -88.884 | -28.936 | 
| 71.689 | -4.468 | -58.878 | -108.176 | -45.300 | -28.046 | 
| 65.995 | -3.204 | -70.433 | -101.884 | -82.329 | 11.842 | 
| 207.352 | 107.312 | 107.647 | -1.423 | 12.511 | 6.277 | 
| 45.898 | 173.266 | 163.298 | 104.012 | 79.480 | 24.746 | 
| 37.804 | 103.736 | 238.817 | 63.829 | 78.908 | 3.785 | 
| -2.276 | 2.955 | 5.482 | 31.415 | -8.486 | -3.380 | 
| 8.521 | -1.682 | 4.540 | -8.486 | 38.584 | -3.700 | 
| -61.196 | 3.713 | 53.743 | 95.391 | 76.314 | 60.917 | 
| 207.352 | 107.312 | 107.647 | -1.423 | 12.511 | 6.277 | 
| 115.853 | 169.470 | 94.997 | -4.492 | -7.776 | -2.244 | 
| 108.738 | 98.649 | 195.589 | 5.482 | 4.540 | -8.382 | 
| 2.823 | 1.890 | -1.325 | 17.066 | -17.494 | -6.851 | 
| 8.521 | -1.682 | 4.540 | -8.486 | 38.584 | -3.700 | 
| 3.153 | 1.237 | -8.593 | -2.197 | -3.116 | 40.321 | 
| 207.352 | 107.312 | 107.647 | -1.423 | 12.511 | 6.277 | 
| 109.135 | 174.944 | 99.935 | 6.144 | -0.499 | 1.211 | 
| 102.151 | 99.892 | 196.689 | 11.191 | 11.221 | -7.132 | 
| -2.276 | 2.955 | 5.482 | 31.415 | -8.486 | -3.380 | 
| 1.214 | -0.787 | 8.387 | -3.195 | 43.425 | -2.508 | 
| -4.377 | 1.081 | -3.890 | 2.977 | 4.338 | 39.239 | 
| 201.039 | 107.793 | 108.036 | -4.738 | 10.764 | 4.200 | 
| 110.072 | 171.575 | 100.291 | 4.955 | -0.803 | 0.466 | 
| 108.739 | 98.649 | 195.590 | 5.482 | 4.540 | -8.382 | 
| -2.339 | 2.375 | 4.851 | 27.625 | -9.852 | -4.191 | 
| 8.521 | -1.682 | 4.540 | -8.486 | 38.584 | -3.701 | 
| 3.153 | 1.237 | -8.593 | -2.197 | -3.116 | 40.321 | 
| 207.351 | 107.312 | 107.646 | -1.423 | 12.511 | 6.276 | 
| 108.593 | 171.648 | 101.263 | 6.163 | 0.755 | 0.714 | 
| 108.738 | 98.648 | 195.587 | 5.482 | 4.540 | -8.382 | 
| -2.276 | 2.955 | 5.482 | 31.415 | -8.486 | -3.380 | 
| 8.521 | -1.682 | 4.539 | -8.486 | 38.584 | -3.700 | 
| 2.020 | 0.679 | -8.086 | -2.288 | -2.407 | 38.079 | 
| 691.935 | -370.343 | 621.077 | -0.000 | -0.000 | -0.000 | 
| 130.104 | 311.792 | 136.671 | -0.000 | -0.000 | 0.000 | 
| 582.808 | -358.568 | 693.804 | -0.000 | -0.000 | -0.000 | 
| 0.000 | 0.000 | 0.000 | 57.882 | 0.000 | 0.000 | 
| 508.840 | -549.547 | 543.803 | -0.000 | 27.189 | -0.000 | 
| 1161.661 | -1289.568 | 1439.115 | -0.000 | -0.000 | -224.296 | 
| -326.131 | 729.173 | -466.972 | -0.000 | 0.000 | 0.000 | 
| 130.104 | 311.792 | 136.671 | -0.000 | 0.000 | -0.000 | 
| -435.013 | 740.682 | -393.971 | -0.000 | 0.000 | 0.000 | 
| -0.000 | -0.000 | -0.000 | 57.882 | -0.000 | -0.000 | 
| -508.840 | 549.547 | -543.803 | 0.000 | 27.189 | 0.000 | 
| -1161.661 | 1289.569 | -1439.115 | 0.000 | 0.000 | -224.296 | 
| 264.980 | 89.914 | 169.615 | -0.000 | -0.000 | -0.000 | 
| 327.120 | 93.653 | 377.526 | -0.000 | -0.000 | -0.000 | 
| 112.724 | 149.229 | 190.823 | -0.000 | -0.000 | 0.000 | 
| 62.439 | -67.434 | 66.729 | 17.164 | -0.000 | -0.000 | 
| 51.832 | -55.978 | 55.393 | -0.000 | 27.128 | -0.000 | 
| 62.534 | -67.536 | 66.830 | -0.000 | -0.000 | 7.186 | 
| 27.152 | 352.922 | -119.333 | 0.000 | 0.000 | 0.000 | 
| 130.104 | 311.792 | 136.671 | -0.000 | -0.000 | -0.000 | 
| 112.723 | 149.228 | 190.823 | -0.000 | -0.000 | -0.000 | 
| -62.439 | 67.434 | -66.729 | 17.164 | 0.000 | 0.000 | 
| -51.832 | 55.978 | -55.393 | 0.000 | 27.128 | 0.000 | 
| -62.534 | 67.536 | -66.830 | 0.000 | 0.000 | 7.186 | 
| 184.583 | 177.626 | 78.714 | -0.000 | -0.000 | -0.000 | 
| 219.507 | 213.161 | 243.970 | -0.000 | -0.000 | -0.000 | 
| 40.992 | 228.407 | 104.517 | -0.000 | -0.000 | -0.000 | 
| 3.945 | -4.339 | 4.657 | -18.213 | -0.000 | -0.000 | 
| 11.958 | -13.279 | 14.840 | 0.000 | 25.283 | -0.000 | 
| 13.263 | -14.325 | 14.175 | -0.000 | -0.000 | -28.592 | 
| 134.765 | 233.416 | 14.223 | 0.000 | 0.000 | 0.000 | 
| 195.588 | 239.714 | 214.286 | 0.000 | 0.000 | 0.000 | 
| 17.074 | 254.965 | 74.833 | 0.000 | 0.000 | 0.000 | 
| -3.945 | 4.339 | -4.657 | -18.213 | 0.000 | 0.000 | 
| -11.958 | 13.279 | -14.840 | -0.000 | 25.283 | 0.000 | 
| -13.263 | 14.325 | -14.175 | 0.000 | 0.000 | -28.592 | 
| 291.658 | 204.051 | 204.051 | 0.000 | -0.000 | 0.000 | 
| 204.051 | 291.658 | 204.051 | 0.000 | 0.000 | 0.000 | 
| 204.051 | 204.051 | 291.658 | 0.000 | -0.000 | 0.000 | 
| 80.349 | 80.349 | 80.349 | 18.751 | -0.000 | 0.000 | 
| 80.349 | 80.349 | 80.349 | 0.000 | 18.751 | 0.000 | 
| 80.349 | 80.349 | 80.349 | 0.000 | 0.000 | 18.751 | 
| 230.200 | 114.928 | 114.928 | -0.000 | -0.000 | -0.000 | 
| 114.928 | 230.200 | 114.928 | -0.000 | 0.000 | -0.000 | 
| 114.928 | 114.928 | 230.200 | -0.000 | -0.000 | -0.000 | 
| -80.349 | -80.349 | -80.349 | 18.751 | 0.000 | -0.000 | 
| -80.349 | -80.349 | -80.349 | -0.000 | 18.751 | -0.000 | 
| -80.349 | -80.349 | -80.349 | -0.000 | 0.000 | 18.751 | 
| 219.487 | 131.660 | 131.660 | -0.000 | 0.000 | 0.000 | 
| 131.660 | 219.487 | 131.660 | 0.000 | 0.000 | 0.000 | 
| 131.660 | 131.660 | 219.487 | 0.000 | -0.000 | 0.000 | 
| 8.008 | 8.008 | 8.008 | 18.808 | -0.000 | 0.000 | 
| 8.008 | 8.008 | 8.008 | 0.000 | 18.808 | 0.000 | 
| 8.008 | 8.008 | 8.008 | 0.000 | -0.000 | 18.808 | 
| 203.125 | 115.743 | 115.743 | -0.000 | -0.000 | -0.000 | 
| 115.743 | 203.125 | 115.743 | 0.000 | 0.000 | -0.000 | 
| 115.743 | 115.743 | 203.125 | -0.000 | -0.000 | -0.000 | 
| -8.008 | -8.008 | -8.008 | 18.808 | -0.000 | -0.000 | 
| -8.008 | -8.008 | -8.008 | -0.000 | 18.808 | -0.000 | 
| -8.008 | -8.008 | -8.008 | 0.000 | -0.000 | 18.808 | 
| 213.112 | 124.068 | 124.068 | 0.000 | -0.000 | 0.000 | 
| 124.068 | 213.112 | 124.068 | 0.000 | 0.000 | 0.000 | 
| 124.068 | 124.068 | 213.112 | -0.000 | -0.000 | 0.000 | 
| 0.710 | 0.710 | 0.710 | 20.723 | 0.000 | 0.000 | 
| 0.710 | 0.710 | 0.710 | 0.000 | 20.723 | 0.000 | 
| 0.710 | 0.710 | 0.710 | -0.000 | -0.000 | 20.723 | 
| 205.025 | 122.894 | 122.894 | -0.000 | 0.000 | -0.000 | 
| 122.894 | 205.025 | 122.894 | -0.000 | -0.000 | -0.000 | 
| 122.894 | 122.894 | 205.025 | -0.000 | -0.000 | -0.000 | 
| -0.710 | -0.710 | -0.710 | 20.723 | -0.000 | -0.000 | 
| -0.710 | -0.710 | -0.710 | 0.000 | 20.723 | -0.000 | 
| -0.710 | -0.710 | -0.710 | -0.000 | -0.000 | 20.723 | 
| 230.083 | 114.897 | 114.897 | -0.000 | -0.000 | 0.000 | 
| 114.897 | 230.083 | 114.897 | -0.000 | -0.000 | 0.000 | 
| 114.897 | 114.897 | 230.083 | -0.000 | -0.000 | 0.000 | 
| 0.000 | 0.000 | -0.000 | 35.577 | 0.000 | 0.000 | 
| 0.000 | 0.000 | -0.000 | -0.000 | 35.577 | 0.000 | 
| 0.000 | 0.000 | -0.000 | -0.000 | 0.000 | 35.577 | 
| 429.401 | 338.532 | 338.532 | 0.000 | -0.000 | -0.000 | 
| 338.532 | 429.401 | 338.532 | 0.000 | 0.000 | -0.000 | 
| 338.532 | 338.532 | 429.401 | -0.000 | 0.000 | 0.000 | 
| -0.000 | -0.000 | -0.000 | 35.577 | 0.000 | -0.000 | 
| 0.000 | -0.000 | -0.000 | 0.000 | 35.577 | -0.000 | 
| -0.000 | -0.000 | 0.000 | 0.000 | 0.000 | 35.577 | 
| 230.083 | 114.897 | 114.897 | -0.000 | -0.000 | 0.000 | 
| 114.897 | 230.083 | 114.897 | -0.000 | 0.000 | 0.000 | 
| 114.897 | 114.897 | 230.083 | -0.000 | 0.000 | 0.000 | 
| 0.000 | 0.000 | 0.000 | 35.577 | -0.000 | 0.000 | 
| 0.000 | 0.000 | 0.000 | 0.000 | 35.577 | 0.000 | 
| 0.000 | 0.000 | 0.000 | 0.000 | -0.000 | 35.577 | 
| 203.829 | 134.939 | 134.939 | 0.000 | -0.000 | 0.000 | 
| 134.939 | 203.829 | 134.939 | 0.000 | -0.000 | 0.000 | 
| 134.939 | 134.939 | 203.829 | 0.000 | -0.000 | 0.000 | 
| -0.000 | -0.000 | -0.000 | 35.577 | 0.000 | 0.000 | 
| -0.000 | -0.000 | -0.000 | 0.000 | 35.577 | -0.000 | 
| -0.000 | -0.000 | -0.000 | 0.000 | 0.000 | 35.577 | 
| 209.900 | 123.884 | 123.884 | -0.000 | -0.000 | -0.000 | 
| 123.884 | 209.900 | 123.884 | -0.000 | 0.000 | -0.000 | 
| 123.884 | 123.884 | 209.900 | -0.000 | -0.000 | -0.000 | 
| -0.275 | -0.275 | -0.275 | 20.845 | 0.000 | 0.000 | 
| -0.275 | -0.275 | -0.275 | -0.000 | 20.845 | 0.000 | 
| -0.275 | -0.275 | -0.275 | -0.000 | 0.000 | 20.845 | 
| 212.157 | 123.756 | 123.756 | 0.000 | 0.000 | 0.000 | 
| 123.756 | 212.157 | 123.756 | 0.000 | 0.000 | 0.000 | 
| 123.756 | 123.756 | 212.157 | 0.000 | -0.000 | -0.000 | 
| 0.275 | 0.275 | 0.275 | 20.845 | 0.000 | 0.000 | 
| 0.275 | 0.275 | 0.275 | 0.000 | 20.845 | -0.000 | 
| 0.275 | 0.275 | 0.275 | 0.000 | -0.000 | 20.845 | 
| 113.417 | 108.250 | 108.250 | 0.004 | 0.004 | 0.004 | 
| 108.250 | 113.416 | 108.250 | 0.004 | 0.004 | 0.004 | 
| 108.249 | 108.250 | 113.415 | 0.004 | 0.004 | 0.004 | 
| 0.000 | -0.000 | 0.000 | 44.848 | -0.000 | 0.000 | 
| 0.000 | 0.000 | 0.000 | -0.000 | 44.848 | 0.000 | 
| -0.000 | -0.000 | 0.000 | -0.000 | -0.000 | 44.848 | 
| 183.587 | 121.282 | 121.282 | -0.000 | 0.000 | 0.000 | 
| 121.282 | 183.587 | 121.282 | -0.000 | -0.000 | -0.000 | 
| 121.282 | 121.282 | 183.587 | 0.000 | 0.000 | 0.000 | 
| 0.000 | -0.000 | -0.000 | 44.848 | -0.000 | -0.000 | 
| 0.000 | -0.000 | 0.000 | -0.000 | 44.848 | -0.000 | 
| -0.000 | -0.000 | -0.000 | -0.000 | 0.000 | 44.848 | 
| 183.587 | 121.282 | 121.282 | 0.000 | -0.000 | -0.000 | 
| 121.282 | 183.587 | 121.282 | -0.000 | 0.000 | -0.000 | 
| 121.282 | 121.282 | 183.587 | 0.000 | -0.000 | 0.000 | 
| -0.800 | -0.800 | -0.800 | 23.106 | 0.000 | 0.000 | 
| -0.800 | -0.800 | -0.800 | 0.000 | 23.106 | 0.000 | 
| -0.800 | -0.800 | -0.800 | 0.000 | 0.000 | 23.106 | 
| 171.342 | 124.951 | 124.951 | -0.000 | -0.000 | -0.000 | 
| 124.951 | 171.342 | 124.951 | -0.000 | -0.000 | -0.000 | 
| 124.951 | 124.951 | 171.342 | -0.000 | -0.000 | -0.000 | 
| 0.800 | 0.800 | 0.800 | 23.106 | -0.000 | -0.000 | 
| 0.800 | 0.800 | 0.800 | -0.000 | 23.106 | -0.000 | 
| 0.800 | 0.800 | 0.800 | -0.000 | -0.000 | 23.106 | 
| 133.165 | 115.412 | 115.412 | 0.000 | 0.000 | 0.000 | 
| 115.412 | 133.165 | 115.412 | 0.000 | 0.000 | 0.000 | 
| 115.412 | 115.412 | 133.165 | 0.000 | 0.000 | 0.000 | 
| -0.220 | -0.220 | -0.220 | 19.430 | 0.000 | 0.000 | 
| -0.220 | -0.220 | -0.220 | 0.000 | 19.430 | 0.000 | 
| -0.220 | -0.220 | -0.220 | 0.000 | 0.000 | 19.430 | 
| 126.418 | 113.314 | 113.314 | -0.000 | -0.000 | -0.000 | 
| 113.314 | 126.418 | 113.314 | -0.000 | -0.000 | -0.000 | 
| 113.314 | 113.314 | 126.418 | -0.000 | -0.000 | -0.000 | 
| 0.220 | 0.220 | 0.220 | 19.430 | -0.000 | -0.000 | 
| 0.220 | 0.220 | 0.220 | -0.000 | 19.430 | -0.000 | 
| 0.220 | 0.220 | 0.220 | -0.000 | -0.000 | 19.430 | 
| -1230.132 | -1266.485 | -1266.485 | -0.001 | -0.001 | -0.001 | 
| -1266.485 | -1230.132 | -1266.485 | -0.001 | -0.001 | -0.001 | 
| -1266.485 | -1266.485 | -1230.132 | -0.001 | -0.001 | -0.001 | 
| 0.000 | 0.000 | 0.000 | 42.111 | -0.000 | -0.000 | 
| 0.000 | 0.000 | 0.000 | 0.000 | 42.111 | 0.000 | 
| 0.000 | 0.000 | 0.000 | -0.000 | 0.000 | 42.111 | 
| 1428.346 | 1458.564 | 1458.564 | -0.000 | -0.000 | -0.000 | 
| 1458.564 | 1428.346 | 1458.564 | -0.000 | -0.000 | -0.000 | 
| 1458.564 | 1458.564 | 1428.346 | -0.000 | -0.000 | -0.000 | 
| -0.000 | -0.000 | -0.000 | 42.111 | 0.000 | -0.000 | 
| -0.000 | -0.000 | -0.000 | -0.000 | 42.111 | 0.000 | 
| -0.000 | -0.000 | -0.000 | -0.000 | 0.000 | 42.111 | 
| 176.703 | 118.026 | 118.026 | 0.000 | -0.000 | -0.000 | 
| 118.026 | 176.703 | 118.026 | 0.000 | -0.000 | -0.000 | 
| 118.026 | 118.026 | 176.703 | 0.000 | -0.000 | -0.000 | 
| 0.000 | 0.000 | 0.000 | 42.111 | -0.000 | 0.000 | 
| 0.000 | 0.000 | 0.000 | 0.000 | 42.111 | 0.000 | 
| 0.000 | 0.000 | 0.000 | 0.000 | 0.000 | 42.111 | 
| 166.403 | 130.050 | 130.050 | -0.000 | -0.000 | -0.000 | 
| 130.050 | 166.403 | 130.050 | -0.000 | -0.000 | -0.000 | 
| 130.050 | 130.050 | 166.403 | -0.000 | -0.000 | -0.000 | 
| -0.000 | -0.000 | -0.000 | 42.111 | 0.000 | 0.000 | 
| -0.000 | -0.000 | -0.000 | -0.000 | 42.111 | -0.000 | 
| -0.000 | -0.000 | -0.000 | -0.000 | 0.000 | 42.111 | 
| 176.712 | 118.028 | 118.028 | 0.000 | 0.000 | -0.000 | 
| 118.028 | 176.712 | 118.028 | 0.000 | -0.000 | -0.000 | 
| 118.028 | 118.028 | 176.712 | 0.000 | -0.000 | -0.000 | 
| -2.264 | -2.261 | -2.261 | 15.545 | -0.000 | -0.000 | 
| -2.261 | -2.264 | -2.261 | -0.000 | 15.545 | -0.000 | 
| -2.261 | -2.261 | -2.264 | -0.000 | -0.000 | 15.545 | 
| 162.601 | 121.303 | 121.303 | -0.000 | -0.000 | -0.000 | 
| 121.303 | 162.601 | 121.303 | -0.000 | -0.000 | -0.000 | 
| 121.303 | 121.303 | 162.601 | -0.000 | -0.000 | -0.000 | 
| 2.264 | 2.261 | 2.261 | 15.545 | 0.000 | 0.000 | 
| 2.261 | 2.264 | 2.261 | 0.000 | 15.545 | 0.000 | 
| 2.261 | 2.261 | 2.264 | 0.000 | 0.000 | 15.545 | 
| 175.016 | 117.585 | 117.585 | -0.000 | -0.000 | -0.000 | 
| 117.585 | 175.016 | 117.585 | -0.000 | 0.000 | -0.000 | 
| 117.585 | 117.585 | 175.016 | -0.000 | 0.000 | -0.000 | 
| -859.355 | -859.357 | -859.359 | -199.831 | -0.000 | 0.001 | 
| -859.355 | -859.357 | -859.359 | -0.002 | -199.830 | 0.001 | 
| -859.355 | -859.357 | -859.359 | -0.002 | -0.000 | -199.829 | 
| 844.352 | 1008.354 | 1008.355 | 0.002 | 0.000 | -0.001 | 
| 1008.352 | 844.354 | 1008.355 | 0.002 | 0.000 | -0.001 | 
| 1008.352 | 1008.354 | 844.355 | 0.002 | 0.000 | -0.001 | 
| 859.355 | 859.357 | 859.359 | -199.828 | 0.000 | -0.001 | 
| 859.355 | 859.357 | 859.359 | 0.002 | -199.829 | -0.001 | 
| 859.355 | 859.357 | 859.359 | 0.002 | 0.000 | -199.831 | 
| 175.017 | 117.585 | 117.585 | -0.000 | -0.000 | -0.000 | 
| -35.516 | -63.019 | -35.516 | -0.000 | -0.000 | 0.000 | 
| -35.516 | -35.516 | -63.019 | -0.000 | -0.000 | 0.000 | 
| 0.000 | 0.000 | 0.000 | 41.665 | 0.000 | -0.000 | 
| 0.000 | 0.000 | 0.000 | -0.000 | 41.665 | -0.000 | 
| 0.000 | 0.000 | 0.000 | -0.000 | -0.000 | 41.665 | 
| 175.015 | 117.585 | 117.585 | 0.000 | -0.000 | 0.000 | 
| 117.585 | 175.015 | 117.585 | -0.000 | 0.000 | 0.000 | 
| 117.585 | 117.585 | 175.015 | 0.000 | -0.000 | 0.000 | 
| -0.000 | -0.000 | -0.000 | 41.665 | -0.000 | 0.000 | 
| -0.000 | -0.000 | -0.000 | 0.000 | 41.665 | 0.000 | 
| -0.000 | -0.000 | -0.000 | 0.000 | -0.000 | 41.665 | 
| 155.934 | 119.781 | 119.781 | -0.000 | -0.000 | 0.000 | 
| 119.781 | 155.934 | 119.781 | -0.000 | -0.000 | 0.000 | 
| 119.781 | 119.781 | 155.934 | -0.000 | -0.000 | 0.000 | 
| -2.160 | -2.157 | -2.157 | 14.792 | -0.000 | 0.000 | 
| -2.157 | -2.160 | -2.157 | -0.000 | 14.792 | 0.000 | 
| 0.002 | 0.002 | 0.000 | -0.000 | -0.000 | 41.665 | 
| 160.229 | 120.840 | 120.840 | 0.000 | 0.000 | -0.000 | 
| 120.840 | 160.229 | 120.840 | 0.000 | 0.000 | -0.000 | 
| 120.840 | 120.840 | 160.229 | 0.000 | 0.000 | -0.000 | 
| 2.160 | 2.157 | 2.157 | 14.792 | 0.000 | -0.000 | 
| -0.002 | -0.000 | -0.002 | 0.000 | 41.665 | 0.000 | 
| 2.157 | 2.157 | 2.160 | 0.000 | 0.000 | 14.792 | 
| -1534.751 | -111.542 | 259.648 | 0.000 | -0.000 | 0.000 | 
| -1599.401 | -18.205 | 206.506 | -0.000 | -0.000 | 0.000 | 
| 105.209 | 53.002 | 241.961 | -0.000 | -0.000 | 0.000 | 
| -1742.459 | -254.576 | 153.347 | -26.928 | -0.000 | 0.000 | 
| -1742.458 | -254.576 | 153.347 | 0.000 | -49.231 | 0.000 | 
| -1742.458 | -254.576 | 153.347 | -0.000 | -0.000 | 61.691 | 
| 1950.166 | 397.610 | -47.046 | -0.000 | 0.000 | -0.000 | 
| 1885.516 | 490.946 | -100.187 | 0.000 | 0.000 | -0.000 | 
| 1848.788 | 307.741 | 88.516 | -0.000 | -0.000 | -0.000 | 
| 1742.459 | 254.576 | -153.347 | -26.928 | 0.000 | -0.000 | 
| 1742.458 | 254.576 | -153.347 | 0.000 | -49.231 | -0.000 | 
| 1742.458 | 254.576 | -153.347 | 0.000 | 0.000 | 61.691 | 
| 33.462 | 117.577 | 121.635 | -0.000 | -0.000 | 0.000 | 
| -31.189 | 210.913 | 68.494 | -0.000 | -0.000 | 0.000 | 
| -67.917 | 27.708 | 257.198 | -0.000 | -0.000 | 0.000 | 
| -174.252 | -25.458 | 15.335 | -27.477 | -0.000 | 0.000 | 
| -174.779 | -25.535 | 15.382 | -0.000 | 16.893 | 0.000 | 
| -174.246 | -25.458 | 15.335 | -0.000 | -0.000 | 61.691 | 
| 381.953 | 168.492 | 90.966 | 0.000 | 0.000 | -0.000 | 
| 144.916 | 236.642 | 52.996 | -0.000 | 0.000 | -0.000 | 
| 105.209 | 53.002 | 241.961 | -0.000 | 0.000 | -0.000 | 
| 174.252 | 25.458 | -15.335 | -27.477 | 0.000 | -0.000 | 
| 174.779 | 25.535 | -15.382 | 0.000 | 16.893 | -0.000 | 
| 174.246 | 25.458 | -15.335 | 0.000 | 0.000 | 61.691 | 
| 190.284 | 140.489 | 107.834 | -0.000 | -0.000 | 0.000 | 
| 125.633 | 233.826 | 54.693 | -0.000 | -0.000 | 0.000 | 
| 88.905 | 50.619 | 243.398 | -0.000 | -0.000 | 0.000 | 
| -17.450 | -2.549 | 1.536 | -26.929 | -0.000 | 0.000 | 
| -17.425 | -2.546 | 1.533 | 0.000 | -49.231 | 0.000 | 
| 0.000 | 0.001 | 0.000 | 0.000 | -0.000 | 61.691 | 
| 225.130 | 145.580 | 104.767 | 0.000 | 0.000 | -0.000 | 
| 160.481 | 238.915 | 51.626 | 0.000 | 0.000 | -0.000 | 
| 105.209 | 53.002 | 241.959 | 0.000 | 0.000 | -0.000 | 
| 17.450 | 2.549 | -1.536 | -26.929 | 0.000 | -0.000 | 
| 17.425 | 2.546 | -1.533 | 0.000 | -49.231 | -0.000 | 
| -0.000 | -0.001 | -0.000 | 0.000 | 0.000 | 61.691 | 
| 156.524 | 70.023 | -8.822 | 0.000 | 0.000 | 0.000 | 
| 70.023 | 156.524 | -8.822 | -0.000 | 0.000 | -0.000 | 
| -8.822 | -8.822 | 168.790 | 0.000 | 0.000 | 0.000 | 
| -0.000 | 0.000 | -0.000 | -34.636 | -0.000 | 0.000 | 
| -0.000 | -0.000 | -0.000 | -0.000 | -34.636 | 0.000 | 
| -0.000 | -0.000 | -0.000 | 0.000 | -0.000 | -40.024 | 
| 73.249 | 153.297 | -8.822 | 0.000 | -0.000 | -0.000 | 
| 153.297 | 73.249 | -8.822 | 0.000 | 0.000 | -0.000 | 
| -8.822 | -8.822 | 168.790 | 0.000 | 0.000 | -0.000 | 
| 0.000 | -0.000 | 0.000 | -34.636 | 0.000 | 0.000 | 
| 0.000 | 0.000 | 0.000 | 0.000 | -34.636 | -0.000 | 
| 0.000 | 0.000 | 0.000 | 0.000 | 0.000 | -40.024 | 
| 72.410 | 154.136 | -8.822 | 0.000 | 0.000 | -0.000 | 
| 153.298 | 73.249 | -8.822 | -0.000 | 0.000 | 0.000 | 
| -8.822 | -8.822 | 168.790 | -0.000 | 0.000 | 0.000 | 
| 0.000 | 0.000 | -0.000 | -34.636 | 0.000 | 0.000 | 
| 0.000 | 0.000 | -0.000 | 0.000 | -34.636 | 0.000 | 
| 0.000 | -0.000 | -0.000 | -0.000 | -0.000 | -40.863 | 
| 73.252 | 153.294 | -8.822 | 0.000 | 0.000 | -0.000 | 
| 153.297 | 73.250 | -8.822 | 0.000 | 0.000 | -0.000 | 
| -8.822 | -8.822 | 168.789 | -0.000 | 0.000 | -0.000 | 
| -0.000 | -0.000 | 0.000 | -34.636 | 0.000 | -0.000 | 
| -0.000 | -0.000 | 0.000 | 0.000 | -34.636 | -0.000 | 
| -0.000 | 0.000 | 0.000 | -0.000 | 0.000 | -40.863 | 
| 73.220 | 153.327 | -8.822 | -0.000 | -0.000 | 0.000 | 
| 70.023 | 156.525 | -8.822 | -0.000 | -0.000 | 0.000 | 
| -8.822 | -8.822 | 168.791 | 0.000 | 0.000 | 0.000 | 
| 0.000 | 0.000 | -0.000 | -34.636 | 0.000 | 0.000 | 
| 0.000 | 0.000 | -0.000 | 0.000 | -34.636 | 0.000 | 
| -0.000 | 0.000 | -0.000 | 0.000 | -0.000 | -40.024 | 
| 3864266.498 | 4015644.423 | 4099914.973 | -39871.184 | -15233.262 | -24586.453 | 
| 153.292 | 73.253 | -8.822 | 0.000 | 0.000 | 0.000 | 
| -8.822 | -8.822 | 168.788 | 0.000 | -0.000 | -0.000 | 
| -0.000 | -0.000 | 0.000 | -34.636 | 0.000 | 0.000 | 
| -0.000 | -0.000 | 0.000 | -0.000 | -34.636 | -0.000 | 
| 0.000 | -0.000 | 0.000 | 0.000 | 0.000 | -40.024 | 
| 197.629 | 119.595 | 115.418 | 4.241 | -0.000 | 0.000 | 
| 115.027 | 202.439 | 115.749 | -3.620 | -0.000 | 0.000 | 
| 115.683 | 115.683 | 236.777 | 0.000 | -0.000 | 0.000 | 
| 3.620 | -3.620 | -0.000 | 43.309 | -0.000 | 0.000 | 
| -0.000 | 0.000 | 0.000 | 0.000 | 43.309 | 3.620 | 
| -0.000 | 0.000 | 0.000 | 0.000 | 3.620 | 43.706 | 
| 197.236 | 120.178 | 115.678 | 4.306 | 0.000 | -0.000 | 
| 115.027 | 202.439 | 115.749 | -3.620 | -0.000 | -0.000 | 
| 115.683 | 115.683 | 236.777 | -0.000 | 0.000 | -0.000 | 
| 3.620 | -3.620 | -0.000 | 43.309 | -0.000 | -0.000 | 
| 0.000 | -0.000 | -0.000 | -0.000 | 43.309 | 3.620 | 
| 0.000 | -0.000 | -0.000 | -0.000 | 3.620 | 43.706 | 
| 202.439 | 115.027 | 115.749 | 3.620 | -0.000 | 0.000 | 
| 115.027 | 202.439 | 115.749 | -3.620 | -0.000 | 0.000 | 
| 115.754 | 115.754 | 236.972 | 0.000 | -0.000 | 0.000 | 
| 4.306 | -4.306 | 0.000 | 43.218 | 0.000 | 0.000 | 
| 0.000 | 0.000 | 0.000 | 0.000 | 43.218 | 4.306 | 
| 0.000 | 0.000 | 0.000 | 0.000 | 4.306 | 38.529 | 
| 197.630 | 119.594 | 115.418 | 4.241 | 0.000 | -0.000 | 
| 119.594 | 197.630 | 115.418 | -4.241 | 0.000 | 0.000 | 
| 115.683 | 115.683 | 236.777 | -0.000 | -0.000 | -0.000 | 
| 3.620 | -3.620 | -0.000 | 43.309 | -0.000 | -0.000 | 
| -0.000 | -0.000 | -0.000 | -0.000 | 43.218 | 4.306 | 
| -0.000 | -0.000 | -0.000 | -0.000 | 4.306 | 38.529 | 
| 197.632 | 119.594 | 115.418 | 4.241 | -0.000 | 0.000 | 
| 119.594 | 197.631 | 115.418 | -4.241 | 0.000 | 0.000 | 
| 115.755 | 115.755 | 236.973 | -0.000 | -0.000 | -0.000 | 
| 3.620 | -3.620 | 0.000 | 43.309 | 0.000 | 0.000 | 
| 0.000 | 0.000 | 0.000 | 0.000 | 43.309 | 3.620 | 
| 0.000 | 0.000 | -0.000 | 0.000 | 4.306 | 38.529 | 
| 197.628 | 119.593 | 115.418 | 4.241 | -0.000 | 0.000 | 
| 115.026 | 202.437 | 115.749 | -3.620 | 0.000 | -0.000 | 
| 115.683 | 115.683 | 236.775 | -0.000 | 0.000 | -0.000 | 
| 4.306 | -4.306 | -0.000 | 43.218 | -0.000 | -0.000 | 
| -0.000 | -0.000 | -0.000 | -0.000 | 43.309 | 3.620 | 
| -0.000 | -0.000 | 0.000 | -0.000 | 4.306 | 38.529 | 
| 278.823 | 166.160 | 173.130 | 0.000 | 0.000 | -0.000 | 
| 166.160 | 278.823 | 173.130 | 0.000 | 0.000 | -0.000 | 
| -48.534 | -48.534 | -195.000 | 0.000 | 0.000 | -0.000 | 
| 0.000 | 0.000 | 0.000 | 114.293 | 0.000 | -0.000 | 
| 0.000 | 0.000 | 0.000 | 0.000 | 114.293 | -0.000 | 
| 0.000 | 0.000 | 0.000 | -0.000 | -0.000 | 107.016 | 
| 465.428 | 356.383 | 589.622 | 0.000 | -0.000 | 0.000 | 
| 356.383 | 465.428 | 589.622 | -0.000 | -0.000 | 0.000 | 
| 360.040 | 360.040 | 694.354 | -0.000 | -0.000 | 0.000 | 
| -0.000 | -0.000 | -0.000 | 114.293 | -0.000 | 0.000 | 
| -0.000 | 0.000 | -0.000 | -0.000 | 114.293 | 0.000 | 
| -0.000 | -0.000 | 0.000 | 0.000 | -0.000 | 107.016 | 
| 256.676 | 147.640 | 128.318 | 0.000 | 0.000 | -0.000 | 
| 147.640 | 256.676 | 128.318 | 0.000 | 0.000 | -0.000 | 
| 151.294 | 151.294 | 233.052 | 0.000 | 0.000 | -0.000 | 
| -26.123 | -26.123 | -56.733 | 103.527 | 0.000 | -0.000 | 
| -26.123 | -26.123 | -56.733 | 0.000 | 103.527 | -0.000 | 
| -26.171 | -26.171 | -56.834 | 0.000 | 0.000 | 107.016 | 
| 294.667 | 185.620 | 212.260 | -0.000 | -0.000 | 0.000 | 
| 185.620 | 294.667 | 212.260 | 0.000 | -0.000 | 0.000 | 
| 189.298 | 189.298 | 317.036 | 0.000 | -0.000 | 0.000 | 
| 26.123 | 26.123 | 56.733 | 103.527 | -0.000 | 0.000 | 
| 26.123 | 26.123 | 56.733 | -0.000 | 103.527 | 0.000 | 
| 26.171 | 26.171 | 56.834 | -0.000 | -0.000 | 107.016 | 
| 278.824 | 166.161 | 173.130 | -0.000 | 0.000 | -0.000 | 
| 166.161 | 278.824 | 173.130 | 0.000 | 0.000 | -0.000 | 
| 168.080 | 168.080 | 270.155 | 0.000 | 0.000 | -0.000 | 
| -0.000 | 0.000 | 0.000 | 114.293 | -0.000 | -0.000 | 
| 0.000 | -0.000 | 0.000 | 0.000 | 114.293 | -0.000 | 
| -1.897 | -1.897 | -4.193 | 0.000 | 0.000 | 107.016 | 
| 278.823 | 166.160 | 173.129 | 0.000 | -0.000 | 0.000 | 
| 166.160 | 278.823 | 173.129 | -0.000 | -0.000 | 0.000 | 
| 170.020 | 170.020 | 274.103 | -0.000 | -0.000 | 0.000 | 
| 0.000 | -0.000 | -0.000 | 114.293 | 0.000 | 0.000 | 
| -0.000 | 0.000 | -0.000 | 0.000 | 114.293 | 0.000 | 
| 1.897 | 1.897 | 4.193 | -0.000 | -0.000 | 107.016 | 
| 272.452 | 164.710 | 167.543 | 0.000 | -0.000 | -0.000 | 
| 164.710 | 272.452 | 167.543 | 0.000 | 0.000 | -0.000 | 
| 182.049 | 182.049 | 320.395 | 0.000 | 0.000 | -0.000 | 
| 0.000 | 0.000 | -0.000 | 110.980 | 0.000 | -0.000 | 
| 0.000 | 0.000 | -0.000 | 0.000 | 110.980 | -0.000 | 
| 33.888 | 33.888 | 87.136 | 0.000 | -0.000 | 106.687 | 
| 231.306 | 128.784 | 64.917 | -0.000 | 0.000 | -0.000 | 
| 128.784 | 231.306 | 64.917 | -0.000 | 0.000 | 0.000 | 
| 125.039 | 125.039 | 170.250 | -0.000 | 0.000 | 0.000 | 
| -0.000 | -0.000 | -0.000 | 110.980 | -0.000 | 0.000 | 
| -0.000 | -0.000 | -0.000 | -0.000 | 110.980 | 0.000 | 
| -33.888 | -33.888 | -87.136 | -0.000 | 0.000 | 106.687 | 
| 262.267 | 168.427 | 162.206 | 0.000 | -0.000 | 0.000 | 
| 168.427 | 262.267 | 162.206 | 0.000 | 0.000 | 0.000 | 
| 163.854 | 163.854 | 269.145 | 0.000 | -0.000 | -0.000 | 
| 2.593 | 2.593 | 6.774 | 98.372 | 0.000 | -0.000 | 
| 2.593 | 2.593 | 6.774 | -0.000 | 98.372 | -0.000 | 
| 3.389 | 3.389 | 8.714 | 0.000 | -0.000 | 106.687 | 
| 257.486 | 163.612 | 149.663 | -0.000 | 0.000 | 0.000 | 
| 163.612 | 257.486 | 149.663 | 0.000 | 0.000 | 0.000 | 
| 168.132 | 168.132 | 277.404 | 0.000 | 0.000 | -0.000 | 
| -2.593 | -2.593 | -6.774 | 98.372 | -0.000 | -0.000 | 
| -2.593 | -2.593 | -6.774 | -0.000 | 98.372 | 0.000 | 
| -3.389 | -3.389 | -8.714 | -0.000 | 0.000 | 106.687 | 
| 267.180 | 165.372 | 162.848 | 0.000 | -0.000 | -0.000 | 
| 165.372 | 267.180 | 162.848 | -0.000 | -0.000 | -0.000 | 
| 168.133 | 168.133 | 277.405 | 0.000 | -0.000 | -0.000 | 
| 0.174 | 0.174 | 0.455 | 102.508 | 0.000 | 0.000 | 
| 0.174 | 0.174 | 0.455 | -0.000 | 102.508 | -0.000 | 
| 0.000 | 0.000 | -0.000 | 0.000 | -0.000 | 106.687 | 
| 266.050 | 166.507 | 162.524 | -0.000 | 0.000 | 0.000 | 
| 166.507 | 266.050 | 162.524 | -0.000 | 0.000 | 0.000 | 
| 168.132 | 168.132 | 277.403 | -0.000 | 0.000 | 0.000 | 
| -0.174 | -0.174 | -0.455 | 102.508 | -0.000 | 0.000 | 
| -0.174 | -0.174 | -0.455 | 0.000 | 102.508 | 0.000 | 
| -0.000 | -0.000 | 0.000 | 0.000 | 0.000 | 106.687 | 
| 144115.824 | 142186.247 | 142186.247 | -0.000 | -0.000 | -0.000 | 
| 142186.247 | 144115.824 | 142186.247 | -0.000 | -0.000 | -0.000 | 
| 142186.247 | 142186.247 | 144115.824 | -0.000 | 0.000 | -0.000 | 
| 0.000 | 0.001 | 0.000 | -411.258 | 0.000 | -0.000 | 
| 0.000 | 0.001 | 0.000 | -0.000 | -411.258 | -0.000 | 
| 0.000 | 0.001 | 0.000 | -0.000 | -0.000 | -411.259 | 
| 144115.703 | 142186.121 | 142186.122 | 0.000 | -0.000 | 0.000 | 
| 142186.121 | 144115.703 | 142186.121 | 0.000 | -0.000 | 0.000 | 
| 142186.121 | 142186.121 | 144115.703 | 0.000 | -0.000 | -0.000 | 
| -0.000 | -0.000 | -0.000 | -411.258 | 0.000 | 0.001 | 
| -0.000 | -0.001 | -0.000 | 0.000 | -411.259 | 0.000 | 
| -0.000 | -0.000 | 0.000 | 0.000 | -0.000 | -411.258 | 
| 144116.373 | 142186.817 | 142186.817 | -0.000 | -0.000 | -0.000 | 
| 142186.817 | 144116.373 | 142186.817 | -0.000 | 0.000 | -0.000 | 
| 142186.817 | 142186.817 | 144116.373 | -0.000 | 0.000 | 0.000 | 
| 0.010 | 0.009 | 0.009 | -411.258 | -0.000 | -0.000 | 
| 0.009 | 0.010 | 0.009 | -0.000 | -411.258 | -0.000 | 
| 0.009 | 0.009 | 0.010 | -0.000 | 0.000 | -411.258 | 
| 144115.155 | 142185.551 | 142185.551 | 0.000 | 0.000 | 0.000 | 
| 142185.551 | 144115.155 | 142185.551 | 0.000 | 0.000 | 0.000 | 
| 142185.551 | 142185.551 | 144115.155 | 0.000 | 0.000 | 0.000 | 
| -0.010 | -0.009 | -0.009 | -411.258 | 0.000 | 0.000 | 
| -0.009 | -0.010 | -0.009 | 0.000 | -411.258 | 0.000 | 
| -0.009 | -0.009 | -0.010 | 0.000 | -0.000 | -411.258 | 
| 144121.853 | 142192.516 | 142192.516 | -0.000 | -0.000 | -0.000 | 
| 142192.516 | 144121.853 | 142192.516 | -0.000 | 0.000 | -0.000 | 
| 142192.516 | 142192.516 | 144121.853 | -0.000 | -0.000 | -0.000 | 
| 0.099 | 0.093 | 0.091 | -411.258 | -0.000 | -0.000 | 
| 0.093 | 0.099 | 0.091 | -0.000 | -411.258 | -0.000 | 
| 0.093 | 0.091 | 0.099 | -0.000 | -0.000 | -411.258 | 
| 144109.674 | 142179.853 | 142179.853 | 0.000 | 0.000 | 0.000 | 
| 142179.853 | 144109.674 | 142179.853 | 0.000 | -0.000 | 0.000 | 
| 142179.853 | 142179.853 | 144109.674 | 0.000 | 0.000 | 0.000 | 
| -0.099 | -0.093 | -0.091 | -411.258 | 0.000 | 0.000 | 
| -0.093 | -0.099 | -0.091 | 0.000 | -411.258 | 0.000 | 
| -0.093 | -0.091 | -0.099 | 0.000 | -0.000 | -411.258 | 
| 22053541.927 | 5048555.671 | 5048555.814 | -0.010 | 0.003 | 0.004 | 
| 5048555.671 | 22053541.927 | 5048555.814 | 0.003 | -0.010 | 0.004 | 
| 5048555.641 | 5048555.641 | 22053541.987 | -0.010 | -0.010 | 0.002 | 
| -36.368 | -63.229 | -63.192 | 3092128.943 | -0.013 | 0.008 | 
| -63.229 | -36.368 | -63.192 | -0.013 | 3092128.943 | 0.008 | 
| -63.233 | -63.254 | -36.273 | -0.012 | -0.005 | 3092128.948 | 
| 22055396.987 | 5048786.561 | 5048786.431 | 0.011 | 0.005 | -0.003 | 
| 5048786.561 | 22055396.987 | 5048786.431 | 0.005 | 0.011 | -0.003 | 
| 5048786.584 | 5048786.584 | 22055396.912 | 0.011 | 0.011 | -0.006 | 
| 36.371 | 63.242 | 63.192 | 3092128.950 | 0.014 | -0.005 | 
| 63.242 | 36.371 | 63.192 | 0.014 | 3092128.951 | -0.005 | 
| 63.245 | 63.257 | 36.276 | 0.007 | 0.007 | 3092128.946 | 
| 22045194.608 | 5047517.169 | 5047517.182 | -0.001 | -0.000 | 0.000 | 
| 5047517.169 | 22045194.608 | 5047517.182 | -0.000 | -0.001 | 0.000 | 
| 5047517.168 | 5047517.168 | 22045194.617 | -0.001 | -0.001 | 0.000 | 
| -362.575 | -631.598 | -631.818 | 3092130.202 | -0.000 | 0.000 | 
| -631.598 | -362.575 | -631.818 | -0.000 | 3092130.202 | 0.000 | 
| -631.598 | -631.830 | -362.566 | -0.001 | -0.001 | 3092130.202 | 
| 22063744.177 | 5049825.027 | 5049825.012 | 0.001 | 0.003 | -0.000 | 
| 5049825.027 | 22063744.177 | 5049825.012 | 0.003 | 0.001 | -0.000 | 
| 5049825.030 | 5049825.030 | 22063744.171 | 0.001 | 0.001 | -0.000 | 
| 362.575 | 631.598 | 631.820 | 3092130.204 | -0.000 | -0.000 | 
| 631.598 | 362.575 | 631.820 | -0.000 | 3092130.204 | -0.000 | 
| 631.599 | 631.830 | 362.566 | 0.001 | 0.001 | 3092130.202 | 
| 21961721.566 | 5037131.821 | 5037131.822 | -0.000 | -0.000 | 0.000 | 
| 5037131.821 | 21961721.566 | 5037131.822 | -0.000 | -0.000 | 0.000 | 
| 5037131.821 | 5037131.821 | 21961721.568 | -0.000 | -0.000 | 0.000 | 
| -3625.713 | -6315.874 | -6318.192 | 3092130.372 | -0.000 | 0.000 | 
| -6315.874 | -3625.713 | -6318.192 | -0.000 | 3092130.372 | 0.000 | 
| -6315.874 | -6318.193 | -3625.713 | -0.000 | -0.000 | 3092130.372 | 
| 22147217.104 | 5060210.323 | 5060210.322 | 0.000 | 0.000 | -0.000 | 
| 5060210.323 | 22147217.104 | 5060210.322 | 0.000 | 0.000 | -0.000 | 
| 5060210.323 | 5060210.323 | 22147217.103 | 0.000 | 0.000 | -0.000 | 
| 3625.713 | 6315.874 | 6318.191 | 3092130.372 | 0.000 | -0.000 | 
| 6315.874 | 3625.713 | 6318.191 | 0.000 | 3092130.372 | -0.000 | 
| 6315.874 | 6318.192 | 3625.713 | 0.000 | 0.000 | 3092130.372 | 
| 85.525 | 68.406 | 68.406 | -0.000 | -0.000 | 0.000 | 
| 68.406 | 85.525 | 68.406 | -0.000 | 0.000 | 0.000 | 
| 68.406 | 68.406 | 85.525 | -0.000 | 0.000 | 0.000 | 
| 0.000 | 0.000 | 0.000 | 8.752 | 0.000 | 0.000 | 
| 0.000 | 0.000 | -0.000 | -0.000 | 8.752 | 0.000 | 
| 0.000 | 0.000 | -0.000 | 0.000 | 0.000 | 8.752 | 
| 85.525 | 68.406 | 68.406 | 0.000 | -0.000 | -0.000 | 
| 68.406 | 85.525 | 68.406 | 0.000 | 0.000 | 0.000 | 
| 68.406 | 68.406 | 85.525 | 0.000 | -0.000 | -0.000 | 
| -0.000 | -0.000 | -0.000 | 8.752 | -0.000 | -0.000 | 
| -0.000 | -0.000 | 0.000 | 0.000 | 8.752 | -0.000 | 
| -0.000 | -0.000 | 0.000 | -0.000 | -0.000 | 8.752 | 
| 85.526 | 68.406 | 68.406 | -0.000 | -0.000 | 0.000 | 
| 68.406 | 85.526 | 68.406 | -0.000 | -0.000 | 0.000 | 
| 68.406 | 68.406 | 85.526 | 0.000 | 0.000 | 0.000 | 
| 0.000 | 0.000 | 0.000 | 8.752 | 0.000 | 0.000 | 
| 0.000 | 0.000 | 0.000 | -0.000 | 8.752 | 0.000 | 
| 0.000 | 0.000 | 0.000 | 0.000 | 0.000 | 8.752 | 
| 85.525 | 68.406 | 68.406 | 0.000 | 0.000 | -0.000 | 
| 68.406 | 85.525 | 68.406 | 0.000 | -0.000 | -0.000 | 
| 68.406 | 68.406 | 85.525 | 0.000 | -0.000 | -0.000 | 
| -0.000 | -0.000 | -0.000 | 8.752 | -0.000 | -0.000 | 
| -0.000 | -0.000 | -0.000 | 0.000 | 8.752 | -0.000 | 
| -0.000 | -0.000 | -0.000 | -0.000 | -0.000 | 8.752 | 
| 85.527 | 68.407 | 68.407 | 0.000 | -0.000 | 0.000 | 
| 68.407 | 85.527 | 68.407 | -0.000 | -0.000 | 0.000 | 
| 68.407 | 68.407 | 85.527 | -0.000 | -0.000 | 0.000 | 
| 0.000 | 0.000 | 0.000 | 8.752 | 0.000 | 0.000 | 
| 0.000 | 0.000 | 0.000 | -0.000 | 8.752 | 0.000 | 
| 0.000 | 0.000 | 0.000 | -0.000 | 0.000 | 8.752 | 
| 85.524 | 68.405 | 68.405 | 0.000 | 0.000 | -0.000 | 
| 68.405 | 85.524 | 68.405 | 0.000 | -0.000 | -0.000 | 
| 68.405 | 68.405 | 85.524 | 0.000 | -0.000 | -0.000 | 
| -0.000 | -0.000 | -0.000 | 8.752 | -0.000 | -0.000 | 
| -0.000 | -0.000 | -0.000 | 0.000 | 8.752 | -0.000 | 
| -0.000 | -0.000 | -0.000 | 0.000 | -0.000 | 8.752 | 
| 20.194 | 24.621 | 24.621 | -0.000 | -0.000 | 0.000 | 
| 24.621 | 20.194 | 24.621 | -0.000 | -0.000 | 0.000 | 
| 24.621 | 24.621 | 20.194 | 0.000 | -0.000 | 0.000 | 
| -0.000 | -0.000 | -0.000 | -5.333 | -0.000 | -0.000 | 
| -0.000 | -0.000 | -0.000 | -0.000 | -5.333 | -0.000 | 
| -0.000 | -0.000 | -0.000 | -0.000 | -0.000 | -5.333 | 
| 20.194 | 24.621 | 24.621 | 0.000 | -0.000 | -0.000 | 
| 24.621 | 20.194 | 24.621 | -0.000 | 0.000 | -0.000 | 
| 24.621 | 24.621 | 20.194 | 0.000 | 0.000 | 0.000 | 
| 0.000 | 0.000 | 0.000 | -5.333 | 0.000 | -0.000 | 
| 0.000 | 0.000 | 0.000 | 0.000 | -5.333 | -0.000 | 
| 0.000 | 0.000 | 0.000 | -0.000 | -0.000 | -5.333 | 
| 20.193 | 24.621 | 24.621 | -0.000 | 0.000 | 0.000 | 
| 24.621 | 20.193 | 24.621 | 0.000 | -0.000 | 0.000 | 
| 24.621 | 24.621 | 20.193 | -0.000 | -0.000 | 0.000 | 
| -0.000 | -0.000 | -0.000 | -5.333 | 0.000 | 0.000 | 
| -0.000 | -0.000 | -0.000 | 0.000 | -5.333 | 0.000 | 
| -0.000 | -0.000 | -0.000 | -0.000 | 0.000 | -5.333 | 
| 20.194 | 24.622 | 24.622 | 0.000 | -0.000 | -0.000 | 
| 24.622 | 20.194 | 24.622 | -0.000 | -0.000 | -0.000 | 
| 24.622 | 24.622 | 20.194 | -0.000 | -0.000 | -0.000 | 
| 0.000 | 0.000 | 0.000 | -5.333 | 0.000 | -0.000 | 
| 0.000 | 0.000 | 0.000 | 0.000 | -5.333 | -0.000 | 
| 0.000 | 0.000 | 0.000 | 0.000 | -0.000 | -5.333 | 
| 20.188 | 24.615 | 24.615 | -0.000 | -0.000 | 0.000 | 
| 24.615 | 20.188 | 24.615 | -0.000 | -0.000 | 0.000 | 
| 24.615 | 24.615 | 20.188 | 0.000 | 0.000 | 0.000 | 
| -0.000 | -0.000 | -0.000 | -5.333 | -0.000 | -0.000 | 
| -0.000 | -0.000 | -0.000 | -0.000 | -5.333 | -0.000 | 
| -0.000 | -0.000 | -0.000 | 0.000 | 0.000 | -5.333 | 
| 20.200 | 24.627 | 24.627 | 0.000 | 0.000 | -0.000 | 
| 24.627 | 20.200 | 24.627 | 0.000 | -0.000 | -0.000 | 
| 24.627 | 24.627 | 20.200 | -0.000 | -0.000 | -0.000 | 
| 0.000 | 0.000 | 0.000 | -5.333 | 0.000 | -0.000 | 
| 0.000 | 0.000 | 0.000 | 0.000 | -5.333 | 0.000 | 
| 0.000 | 0.000 | 0.000 | 0.000 | 0.000 | -5.333 | 
| -0.684 | -0.000 | -0.000 | 0.000 | -0.000 | -0.000 | 
| -0.000 | -0.684 | -0.000 | -0.000 | -0.000 | 0.000 | 
| -0.000 | -0.000 | -0.684 | 0.000 | 0.000 | 0.000 | 
| 0.000 | -0.000 | 0.000 | 0.000 | 0.000 | 0.000 | 
| -0.000 | 0.000 | 0.000 | 0.000 | 0.000 | 0.000 | 
| -0.000 | 0.000 | 0.000 | 0.000 | 0.000 | 0.000 | 
| -0.684 | -0.000 | -0.000 | 0.000 | -0.000 | -0.000 | 
| -0.000 | -0.684 | -0.000 | -0.000 | -0.000 | -0.000 | 
| -0.000 | -0.000 | -0.684 | 0.000 | 0.000 | 0.000 | 
| -0.000 | 0.000 | -0.000 | 0.000 | -0.000 | 0.000 | 
| 0.000 | -0.000 | -0.000 | -0.000 | 0.000 | 0.000 | 
| 0.000 | -0.000 | -0.000 | -0.000 | -0.000 | 0.000 | 
| -0.684 | 0.000 | 0.000 | -0.000 | 0.000 | 0.000 | 
| 0.000 | -0.684 | 0.000 | 0.000 | 0.000 | 0.000 | 
| 0.000 | 0.000 | -0.684 | -0.000 | -0.000 | 0.000 | 
| 0.000 | -0.000 | 0.000 | -0.000 | -0.000 | -0.000 | 
| -0.000 | 0.000 | 0.000 | -0.000 | -0.000 | -0.000 | 
| -0.000 | 0.000 | 0.000 | 0.000 | 0.000 | -0.000 | 
| -0.683 | -0.000 | -0.000 | 0.000 | -0.000 | 0.000 | 
| -0.000 | -0.683 | -0.000 | 0.000 | -0.000 | -0.000 | 
| -0.000 | -0.000 | -0.683 | -0.000 | -0.000 | 0.000 | 
| -0.000 | 0.000 | -0.000 | -0.000 | 0.000 | -0.000 | 
| 0.000 | -0.000 | -0.000 | 0.000 | -0.000 | -0.000 | 
| 0.000 | -0.000 | -0.000 | -0.000 | -0.000 | -0.000 | 
| -0.689 | 0.000 | 0.000 | -0.000 | 0.000 | -0.000 | 
| 0.000 | -0.689 | 0.000 | 0.000 | 0.000 | 0.000 | 
| 0.000 | 0.000 | -0.689 | 0.000 | 0.000 | 0.000 | 
| 0.000 | -0.000 | 0.000 | -0.000 | 0.000 | 0.000 | 
| -0.000 | 0.000 | 0.000 | 0.000 | -0.000 | -0.000 | 
| -0.000 | 0.000 | 0.000 | 0.000 | 0.000 | -0.000 | 
| -0.678 | -0.000 | -0.000 | 0.000 | -0.000 | -0.000 | 
| -0.000 | -0.678 | -0.000 | 0.000 | -0.000 | -0.000 | 
| -0.000 | -0.000 | -0.678 | -0.000 | -0.000 | 0.000 | 
| -0.000 | 0.000 | -0.000 | -0.000 | -0.000 | 0.000 | 
| 0.000 | -0.000 | -0.000 | -0.000 | -0.000 | 0.000 | 
| 0.000 | -0.000 | -0.000 | -0.000 | -0.000 | -0.000 | 
| 69323.353 | 67984.418 | 67984.418 | -0.000 | 0.000 | -0.000 | 
| 67984.418 | 69323.353 | 67984.418 | 0.000 | 0.001 | -0.000 | 
| 67984.418 | 67984.418 | 69323.353 | -0.000 | 0.001 | -0.000 | 
| 0.007 | 0.006 | 0.006 | -3054.266 | 0.000 | -0.000 | 
| 0.006 | 0.006 | 0.006 | 0.000 | -3054.266 | -0.000 | 
| 0.006 | 0.006 | 0.006 | 0.000 | 0.000 | -3054.266 | 
| 69323.273 | 67984.337 | 67984.336 | 0.000 | -0.001 | 0.000 | 
| 67984.337 | 69323.273 | 67984.336 | -0.000 | -0.000 | 0.000 | 
| 67984.336 | 67984.336 | 69323.272 | -0.000 | -0.001 | 0.000 | 
| -0.006 | -0.006 | -0.006 | -3054.266 | -0.000 | 0.000 | 
| -0.006 | -0.006 | -0.006 | -0.000 | -3054.267 | 0.000 | 
| -0.006 | -0.006 | -0.006 | -0.000 | -0.000 | -3054.266 | 
| 69323.727 | 67984.798 | 67984.798 | 0.000 | 0.000 | -0.000 | 
| 67984.798 | 69323.727 | 67984.798 | -0.000 | 0.000 | -0.000 | 
| 67984.798 | 67984.798 | 69323.727 | -0.000 | 0.000 | -0.000 | 
| 0.004 | 0.004 | 0.004 | -501.787 | 0.000 | -0.000 | 
| 0.004 | 0.004 | 0.004 | -0.000 | -501.787 | -0.000 | 
| 0.004 | 0.004 | 0.004 | -0.000 | 0.000 | -501.787 | 
| 69322.898 | 67983.956 | 67983.956 | 0.000 | -0.000 | 0.000 | 
| 67983.956 | 69322.898 | 67983.956 | 0.000 | -0.000 | 0.000 | 
| 67983.956 | 67983.956 | 69322.897 | 0.000 | -0.000 | 0.000 | 
| -0.004 | -0.004 | -0.004 | -501.787 | -0.000 | 0.000 | 
| -0.004 | -0.004 | -0.004 | -0.000 | -501.787 | 0.000 | 
| -0.004 | -0.004 | -0.004 | 0.000 | -0.000 | -501.787 | 
| 69327.461 | 67988.588 | 67988.588 | -0.000 | 0.000 | -0.000 | 
| 67988.588 | 69327.461 | 67988.588 | 0.000 | 0.000 | -0.000 | 
| 67988.588 | 67988.588 | 69327.461 | 0.000 | 0.000 | -0.000 | 
| 0.628 | 0.581 | 0.575 | -3054.457 | 0.000 | -0.000 | 
| 0.581 | 0.628 | 0.575 | 0.000 | -3054.457 | -0.000 | 
| 0.582 | 0.575 | 0.628 | -0.000 | 0.000 | -3054.457 | 
| 69319.163 | 67980.165 | 67980.165 | -0.000 | -0.000 | 0.000 | 
| 67980.165 | 69319.163 | 67980.165 | 0.000 | -0.000 | 0.000 | 
| 67980.165 | 67980.165 | 69319.163 | -0.000 | -0.000 | 0.000 | 
| -0.628 | -0.581 | -0.575 | -3054.457 | -0.000 | 0.000 | 
| -0.582 | -0.628 | -0.575 | -0.000 | -3054.457 | 0.000 | 
| -0.581 | -0.575 | -0.628 | -0.000 | -0.000 | -3054.457 | 
| -242.827 | -569.837 | -569.837 | 0.000 | 0.000 | 0.000 | 
| -569.837 | -242.827 | -569.837 | 0.000 | 0.000 | 0.000 | 
| -569.837 | -569.837 | -242.827 | 0.000 | 0.000 | 0.000 | 
| -0.000 | -0.000 | -0.000 | -1241.980 | 0.000 | 0.000 | 
| -0.000 | -0.000 | -0.000 | 0.000 | -1241.980 | 0.000 | 
| -0.000 | -0.000 | -0.000 | 0.000 | 0.000 | -1241.980 | 
| -242.832 | -569.842 | -569.842 | -0.000 | -0.000 | 0.000 | 
| -569.842 | -242.832 | -569.842 | 0.000 | -0.000 | 0.000 | 
| -569.842 | -569.842 | -242.832 | 0.000 | 0.000 | 0.000 | 
| 0.000 | 0.000 | 0.000 | -1241.980 | -0.000 | 0.000 | 
| 0.000 | 0.000 | 0.000 | -0.000 | -1241.981 | -0.000 | 
| 0.000 | 0.000 | 0.000 | -0.000 | -0.000 | -1241.980 | 
| -242.804 | -569.815 | -569.815 | 0.000 | -0.000 | 0.000 | 
| -569.815 | -242.804 | -569.815 | -0.000 | -0.000 | -0.000 | 
| -569.815 | -569.815 | -242.804 | 0.000 | -0.000 | 0.000 | 
| -0.004 | -0.005 | -0.005 | -1241.980 | 0.000 | -0.000 | 
| -0.005 | -0.004 | -0.005 | 0.000 | -1241.980 | 0.000 | 
| -0.005 | -0.005 | -0.004 | 0.000 | 0.000 | -1241.981 | 
| -242.855 | -569.864 | -569.864 | -0.000 | -0.000 | -0.000 | 
| -569.864 | -242.855 | -569.864 | -0.000 | -0.000 | 0.000 | 
| -569.864 | -569.864 | -242.855 | 0.000 | -0.000 | 0.000 | 
| 0.004 | 0.005 | 0.005 | -1241.981 | -0.000 | -0.000 | 
| 0.005 | 0.004 | 0.005 | -0.000 | -1241.981 | -0.000 | 
| 0.005 | 0.005 | 0.004 | -0.000 | -0.000 | -1241.981 | 
| 22464880.721 | 5142686.539 | 5142686.495 | 0.017 | 0.019 | 0.002 | 
| 5142686.539 | 22464880.721 | 5142686.495 | 0.019 | 0.017 | 0.002 | 
| 5142686.537 | 5142686.537 | 22464880.733 | 0.019 | 0.019 | 0.001 | 
| -36.194 | -63.032 | -62.989 | 3149640.919 | 0.028 | 0.008 | 
| -63.032 | -36.194 | -62.988 | 0.028 | 3149640.919 | 0.008 | 
| -63.030 | -63.034 | -36.118 | 0.032 | 0.024 | 3149640.907 | 
| 22466735.493 | 5142917.159 | 5142917.168 | -0.018 | -0.020 | -0.001 | 
| 5142917.159 | 22466735.493 | 5142917.168 | -0.020 | -0.018 | -0.001 | 
| 5142917.164 | 5142917.164 | 22466735.539 | -0.019 | -0.019 | -0.002 | 
| 36.183 | 63.014 | 62.980 | 3149640.854 | -0.029 | 0.004 | 
| 63.014 | 36.183 | 62.980 | -0.030 | 3149640.854 | 0.004 | 
| 63.015 | 63.028 | 36.110 | -0.035 | -0.034 | 3149640.899 | 
| 22456533.378 | 5141647.942 | 5141647.939 | 0.001 | 0.001 | 0.000 | 
| 5141647.942 | 22456533.378 | 5141647.939 | 0.001 | 0.001 | 0.000 | 
| 5141647.944 | 5141647.944 | 22456533.385 | 0.001 | 0.001 | 0.001 | 
| -361.372 | -632.190 | -632.422 | 3153026.966 | 0.002 | -0.000 | 
| -632.190 | -361.372 | -632.422 | 0.002 | 3153026.967 | -0.000 | 
| -632.190 | -632.423 | -361.369 | 0.003 | 0.002 | 3153026.954 | 
| 22475082.812 | 5143955.743 | 5143955.744 | -0.002 | -0.001 | -0.000 | 
| 5143955.743 | 22475082.812 | 5143955.744 | -0.001 | -0.002 | -0.000 | 
| 5143955.741 | 5143955.741 | 22475082.806 | -0.002 | -0.002 | -0.000 | 
| 361.373 | 632.191 | 632.422 | 3153026.981 | -0.002 | -0.001 | 
| 632.191 | 361.373 | 632.422 | -0.002 | 3153026.981 | -0.001 | 
| 632.190 | 632.423 | 361.368 | -0.003 | -0.002 | 3153026.985 | 
| 22373060.797 | 5131262.757 | 5131262.756 | 0.000 | 0.000 | 0.000 | 
| 5131262.757 | 22373060.797 | 5131262.756 | 0.000 | 0.000 | 0.000 | 
| 5131262.757 | 5131262.757 | 22373060.798 | 0.000 | 0.000 | 0.000 | 
| -3624.871 | -6316.407 | -6318.768 | 3149973.197 | 0.000 | 0.000 | 
| -6316.407 | -3624.871 | -6318.768 | 0.000 | 3149973.197 | 0.000 | 
| -6316.407 | -6318.769 | -3624.870 | 0.000 | 0.000 | 3149973.196 | 
| 22558555.261 | 5154340.878 | 5154340.878 | -0.000 | -0.000 | -0.000 | 
| 5154340.878 | 22558555.261 | 5154340.878 | -0.000 | -0.000 | -0.000 | 
| 5154340.879 | 5154340.879 | 22558555.261 | -0.000 | -0.000 | -0.000 | 
| 3624.870 | 6316.407 | 6318.768 | 3149973.199 | -0.000 | 0.000 | 
| 6316.407 | 3624.870 | 6318.768 | -0.000 | 3149973.199 | 0.000 | 
| 6316.407 | 6318.769 | 3624.870 | -0.000 | -0.000 | 3149973.200 | 
| 175.557 | 102.272 | 102.272 | 0.000 | 0.000 | -0.000 | 
| 102.272 | 175.557 | 102.272 | 0.000 | -0.000 | -0.000 | 
| 102.272 | 102.272 | 175.557 | 0.000 | 0.000 | -0.000 | 
| 0.000 | 0.000 | 0.000 | 10.138 | -0.000 | -0.000 | 
| 0.000 | 0.000 | 0.000 | 0.000 | 10.138 | -0.000 | 
| 0.000 | 0.000 | 0.000 | 0.000 | 0.000 | 10.138 | 
| 175.557 | 102.272 | 102.272 | 0.000 | -0.000 | 0.000 | 
| 102.272 | 175.557 | 102.272 | -0.000 | 0.000 | 0.000 | 
| 102.272 | 102.272 | 175.557 | -0.000 | -0.000 | 0.000 | 
| -0.000 | -0.000 | -0.000 | 10.138 | 0.000 | 0.000 | 
| -0.000 | -0.000 | -0.000 | -0.000 | 10.138 | 0.000 | 
| -0.000 | -0.000 | -0.000 | -0.000 | -0.000 | 10.138 | 
| 175.557 | 102.272 | 102.272 | 0.000 | 0.000 | -0.000 | 
| 102.272 | 175.557 | 102.272 | 0.000 | 0.000 | -0.000 | 
| 102.272 | 102.272 | 175.557 | 0.000 | 0.000 | -0.000 | 
| -0.000 | -0.000 | -0.000 | 10.138 | -0.000 | -0.000 | 
| -0.000 | -0.000 | -0.000 | 0.000 | 10.138 | -0.000 | 
| -0.000 | -0.000 | 0.000 | 0.000 | -0.000 | 10.138 | 
| 175.557 | 102.272 | 102.272 | -0.000 | 0.000 | 0.000 | 
| 102.272 | 175.557 | 102.272 | -0.000 | -0.000 | 0.000 | 
| 102.272 | 102.272 | 175.557 | -0.000 | -0.000 | 0.000 | 
| 0.000 | 0.000 | 0.000 | 10.138 | 0.000 | 0.000 | 
| 0.000 | 0.000 | 0.000 | -0.000 | 10.138 | 0.000 | 
| 0.000 | 0.000 | -0.000 | -0.000 | -0.000 | 10.138 | 
| 175.557 | 102.272 | 102.272 | -0.000 | -0.000 | -0.000 | 
| 102.272 | 175.557 | 102.272 | -0.000 | -0.000 | -0.000 | 
| 102.272 | 102.272 | 175.557 | 0.000 | 0.000 | -0.000 | 
| -0.000 | -0.000 | -0.000 | 10.138 | 0.000 | -0.000 | 
| -0.000 | -0.000 | -0.000 | 0.000 | 10.138 | -0.000 | 
| -0.000 | -0.000 | -0.000 | 0.000 | 0.000 | 10.138 | 
| 175.556 | 102.272 | 102.272 | 0.000 | 0.000 | 0.000 | 
| 102.272 | 175.556 | 102.272 | 0.000 | 0.000 | 0.000 | 
| 102.272 | 102.272 | 175.556 | -0.000 | -0.000 | 0.000 | 
| 0.000 | 0.000 | 0.000 | 10.138 | -0.000 | 0.000 | 
| 0.000 | 0.000 | 0.000 | -0.000 | 10.138 | 0.000 | 
| 0.000 | 0.000 | 0.000 | -0.000 | 0.000 | 10.138 | 
| -199.473 | -216.034 | -1051.298 | -26.805 | 0.000 | -0.000 | 
| -143.129 | -100.160 | -1074.067 | 16.770 | 0.000 | -0.000 | 
| -210.903 | -210.903 | -689.538 | 0.000 | 0.000 | 0.000 | 
| -209.867 | -176.328 | -1134.503 | 4.147 | -0.000 | 0.000 | 
| -0.000 | -0.000 | -0.000 | 0.000 | 6.863 | -14.302 | 
| -0.000 | -0.000 | 0.000 | -0.000 | -14.302 | 24.623 | 
| 99.359 | 50.112 | 62.040 | -14.302 | -0.000 | 0.000 | 
| 293.985 | 313.930 | 1184.661 | 25.519 | -0.000 | -0.000 | 
| 47.830 | 47.830 | 441.459 | 0.000 | -0.000 | 0.000 | 
| 176.328 | 209.867 | 1134.503 | 4.147 | 0.000 | -0.000 | 
| 0.000 | 0.000 | -0.000 | -0.000 | 6.863 | -14.302 | 
| 0.000 | 0.000 | -0.000 | -0.000 | -14.302 | 24.623 | 
| 99.359 | 50.112 | 62.040 | -14.302 | 0.000 | 0.000 | 
| 50.112 | 99.359 | 62.040 | 14.302 | 0.000 | 0.000 | 
| 25.765 | 25.765 | 315.014 | 0.000 | -0.000 | -0.000 | 
| -14.302 | 14.302 | -0.000 | 6.863 | 0.000 | 0.000 | 
| -19.341 | -19.341 | -113.635 | -0.000 | 4.143 | -16.774 | 
| 0.000 | -0.000 | -0.000 | -0.000 | -14.302 | 24.623 | 
| 99.359 | 50.112 | 62.040 | -14.302 | -0.000 | -0.000 | 
| 50.112 | 99.359 | 62.040 | 14.302 | -0.000 | -0.000 | 
| 47.830 | 47.830 | 441.459 | 0.000 | -0.000 | -0.000 | 
| 6.831 | 44.583 | 111.783 | -1.880 | 0.000 | 0.000 | 
| 19.341 | 19.341 | 113.635 | 0.000 | 4.143 | -16.774 | 
| 0.000 | 0.000 | 0.000 | 0.000 | -14.302 | 24.623 | 
| 64.991 | 29.162 | 55.104 | -18.817 | 0.000 | -0.000 | 
| 47.506 | 88.727 | 45.758 | 17.458 | -0.000 | -0.000 | 
| 47.830 | 47.830 | 441.461 | -0.000 | -0.000 | 0.000 | 
| -14.302 | 14.302 | -0.000 | 6.863 | 0.000 | 0.000 | 
| -2.142 | -2.142 | -11.064 | -0.000 | -0.680 | -20.507 | 
| -2.213 | -2.213 | -13.002 | -0.000 | -17.130 | 21.027 | 
| 75.910 | 47.804 | 73.842 | -22.408 | -0.000 | 0.000 | 
| 34.424 | 70.254 | 77.428 | 18.817 | -0.000 | -0.000 | 
| 54.691 | 54.691 | 437.791 | -0.000 | -0.000 | 0.000 | 
| -18.365 | 22.650 | 11.065 | -0.680 | 0.000 | -0.000 | 
| 2.142 | 2.142 | 11.064 | 0.000 | -0.680 | -20.507 | 
| 2.213 | 2.213 | 13.002 | 0.000 | -17.130 | 21.027 | 
| 75.709 | 136.436 | 136.436 | -0.000 | 0.000 | 0.000 | 
| 136.436 | 75.709 | 136.436 | -0.000 | 0.000 | 0.000 | 
| 136.436 | 136.436 | 75.709 | -0.000 | -0.000 | 0.000 | 
| 0.000 | 0.000 | 0.000 | -79.157 | -0.000 | 0.000 | 
| 0.000 | 0.000 | 0.000 | -0.000 | -79.157 | 0.000 | 
| 0.000 | 0.000 | 0.000 | -0.000 | 0.000 | -79.157 | 
| 75.709 | 136.436 | 136.436 | 0.000 | -0.000 | 0.000 | 
| 136.436 | 75.709 | 136.436 | 0.000 | -0.000 | -0.000 | 
| 136.436 | 136.436 | 75.709 | 0.000 | 0.000 | -0.000 | 
| -0.000 | -0.000 | -0.000 | -79.157 | 0.000 | -0.000 | 
| -0.000 | -0.000 | -0.000 | -0.000 | -79.157 | -0.000 | 
| -0.000 | -0.000 | -0.000 | 0.000 | -0.000 | -79.157 | 
| 75.709 | 136.436 | 136.436 | -0.000 | -0.000 | 0.000 | 
| 136.436 | 75.709 | 136.436 | -0.000 | -0.000 | 0.000 | 
| 136.436 | 136.436 | 75.709 | 0.000 | 0.000 | 0.000 | 
| 0.000 | 0.000 | 0.000 | -79.157 | 0.000 | 0.000 | 
| 0.000 | 0.000 | 0.000 | -0.000 | -79.157 | -0.000 | 
| 0.000 | 0.000 | 0.000 | -0.000 | 0.000 | -79.157 | 
| 75.708 | 136.435 | 136.435 | 0.000 | -0.000 | -0.000 | 
| 136.435 | 75.708 | 136.435 | -0.000 | 0.000 | -0.000 | 
| 136.435 | 136.435 | 75.708 | 0.000 | -0.000 | -0.000 | 
| -0.000 | -0.000 | -0.000 | -79.157 | -0.000 | -0.000 | 
| -0.000 | -0.000 | -0.000 | 0.000 | -79.157 | -0.000 | 
| -0.000 | -0.000 | -0.000 | 0.000 | -0.000 | -79.157 | 
| 75.716 | 136.437 | 136.437 | -0.000 | -0.000 | 0.000 | 
| 136.437 | 75.716 | 136.437 | 0.000 | 0.000 | 0.000 | 
| 136.437 | 136.437 | 75.716 | -0.000 | 0.000 | 0.000 | 
| 0.001 | 0.001 | 0.001 | 68.701 | 0.000 | -0.000 | 
| 0.001 | 0.001 | 0.001 | 0.000 | 68.701 | 0.000 | 
| 0.001 | 0.001 | 0.001 | -0.000 | 0.000 | 68.701 | 
| 75.702 | 136.434 | 136.434 | -0.000 | -0.000 | -0.000 | 
| 136.434 | 75.702 | 136.434 | 0.000 | 0.000 | -0.000 | 
| 136.434 | 136.434 | 75.702 | -0.000 | -0.000 | -0.000 | 
| -0.001 | -0.001 | -0.001 | 68.701 | -0.000 | -0.000 | 
| -0.001 | -0.001 | -0.001 | -0.000 | 68.701 | -0.000 | 
| -0.001 | -0.001 | -0.001 | 0.000 | -0.000 | 68.701 | 
| 263.713 | 137.618 | 179.680 | -0.000 | 0.000 | -0.000 | 
| 139.278 | 247.227 | 164.397 | -0.000 | 0.000 | -0.000 | 
| 178.625 | 161.683 | 276.966 | -0.000 | 0.000 | -0.000 | 
| 0.000 | 0.000 | 0.000 | 105.660 | 0.000 | -0.000 | 
| 1.499 | 4.015 | 2.722 | -0.000 | 121.936 | -0.000 | 
| 0.589 | 1.577 | 1.069 | -0.000 | 0.000 | 79.400 | 
| 256.605 | 126.178 | 175.055 | 0.000 | -0.000 | 0.000 | 
| 139.278 | 247.227 | 164.397 | 0.000 | -0.000 | 0.000 | 
| 178.625 | 161.683 | 276.966 | 0.000 | -0.000 | 0.000 | 
| -0.000 | -0.000 | -0.000 | 105.660 | -0.000 | 0.000 | 
| -1.499 | -4.015 | -2.722 | 0.000 | 121.936 | 0.000 | 
| -0.589 | -1.577 | -1.069 | 0.000 | -0.000 | 79.400 | 
| 263.713 | 137.618 | 179.680 | -0.000 | 0.000 | -0.000 | 
| 124.925 | 210.796 | 140.536 | -0.000 | 0.000 | -0.000 | 
| 173.298 | 141.368 | 260.709 | -0.000 | 0.000 | -0.000 | 
| 0.065 | 0.174 | 0.118 | 99.113 | 0.000 | -0.000 | 
| 0.150 | 0.402 | 0.272 | -0.000 | 121.936 | -0.000 | 
| 0.000 | 0.000 | -0.000 | -0.000 | 0.000 | 84.171 | 
| 257.947 | 129.025 | 176.677 | 0.000 | -0.000 | 0.000 | 
| 139.278 | 247.227 | 164.396 | 0.000 | -0.000 | 0.000 | 
| 178.625 | 161.683 | 276.965 | 0.000 | -0.000 | 0.000 | 
| -0.065 | -0.174 | -0.118 | 99.113 | -0.000 | 0.000 | 
| -0.150 | -0.402 | -0.272 | 0.000 | 121.936 | 0.000 | 
| -0.000 | -0.000 | 0.000 | 0.000 | -0.000 | 84.171 | 
| 258.101 | 129.346 | 176.858 | -0.000 | 0.000 | -0.000 | 
| 139.278 | 247.227 | 164.397 | -0.000 | 0.000 | -0.000 | 
| 173.159 | 140.976 | 260.436 | -0.000 | 0.000 | -0.000 | 
| 0.006 | 0.018 | 0.012 | 99.114 | 0.000 | -0.000 | 
| 0.015 | 0.040 | 0.028 | -0.000 | 121.936 | -0.000 | 
| 0.000 | 0.000 | -0.000 | -0.000 | 0.000 | 84.171 | 
| 258.072 | 129.288 | 176.824 | 0.000 | -0.000 | 0.000 | 
| 124.766 | 210.356 | 140.232 | 0.000 | -0.000 | 0.000 | 
| 178.625 | 161.682 | 276.965 | -0.000 | -0.000 | 0.000 | 
| -0.006 | -0.018 | -0.012 | 99.114 | -0.000 | 0.000 | 
| -0.015 | -0.040 | -0.028 | 0.000 | 121.936 | 0.000 | 
| -0.000 | -0.000 | 0.000 | 0.000 | -0.000 | 84.171 | 
| 241.877 | 158.374 | 123.505 | 0.000 | -0.000 | 0.000 | 
| 158.374 | 241.877 | 123.505 | -0.000 | -0.000 | 0.000 | 
| 119.325 | 119.325 | 206.588 | -0.000 | -0.000 | 0.000 | 
| 0.000 | -0.000 | 0.000 | 95.315 | 0.000 | 0.000 | 
| 0.000 | -0.000 | 0.000 | -0.000 | 95.315 | 0.000 | 
| 0.000 | 0.000 | 0.000 | 0.000 | -0.000 | 122.371 | 
| 274.241 | 190.543 | 144.263 | 0.000 | -0.000 | -0.000 | 
| 190.543 | 274.241 | 144.263 | 0.000 | 0.000 | -0.000 | 
| 150.647 | 150.647 | 245.654 | 0.000 | 0.000 | -0.000 | 
| -0.000 | 0.000 | -0.000 | 95.315 | -0.000 | -0.000 | 
| -0.000 | 0.000 | -0.000 | -0.000 | 95.315 | -0.000 | 
| -0.000 | -0.000 | -0.000 | 0.000 | 0.000 | 122.371 | 
| 255.981 | 172.755 | 132.122 | -0.000 | -0.000 | 0.000 | 
| 172.755 | 255.981 | 132.122 | -0.000 | 0.000 | 0.000 | 
| 130.155 | 130.155 | 208.674 | -0.000 | 0.000 | 0.000 | 
| -1.226 | -1.226 | -0.778 | 88.005 | -0.000 | 0.000 | 
| -1.226 | -1.226 | -0.778 | 0.000 | 88.005 | 0.000 | 
| -2.724 | -2.724 | -3.155 | -0.000 | -0.000 | 122.371 | 
| 260.116 | 174.734 | 133.662 | 0.000 | 0.000 | -0.000 | 
| 174.734 | 260.116 | 133.662 | 0.000 | 0.000 | -0.000 | 
| 150.647 | 150.647 | 245.654 | 0.000 | 0.000 | -0.000 | 
| 1.226 | 1.226 | 0.778 | 88.005 | 0.000 | -0.000 | 
| 1.226 | 1.226 | 0.778 | -0.000 | 88.005 | -0.000 | 
| 2.724 | 2.724 | 3.155 | 0.000 | 0.000 | 122.371 | 
| 258.472 | 174.680 | 134.375 | -0.000 | -0.000 | 0.000 | 
| 174.680 | 258.472 | 134.375 | -0.000 | -0.000 | 0.000 | 
| 130.689 | 130.689 | 207.425 | 0.000 | -0.000 | 0.000 | 
| -0.093 | -0.093 | -0.059 | 89.772 | -0.000 | 0.000 | 
| -0.093 | -0.093 | -0.059 | -0.000 | 89.772 | 0.000 | 
| 0.000 | 0.000 | -0.000 | -0.000 | -0.000 | 122.371 | 
| 259.173 | 175.144 | 135.100 | 0.000 | 0.000 | -0.000 | 
| 175.144 | 259.173 | 135.100 | 0.000 | 0.000 | -0.000 | 
| 150.646 | 150.646 | 245.653 | 0.000 | 0.000 | -0.000 | 
| 0.093 | 0.093 | 0.059 | 89.772 | 0.000 | -0.000 | 
| 0.093 | 0.093 | 0.059 | 0.000 | 89.772 | -0.000 | 
| -0.000 | -0.000 | 0.000 | 0.000 | 0.000 | 122.371 | 
| 285.138 | 180.553 | 169.246 | 0.000 | 0.000 | -0.000 | 
| 180.553 | 285.138 | 169.246 | -0.000 | 0.000 | -0.000 | 
| 200.478 | 200.478 | 416.220 | 0.000 | 0.000 | -0.000 | 
| 0.000 | -0.000 | -0.000 | 108.163 | 0.000 | -0.000 | 
| 0.000 | -0.000 | -0.000 | -0.000 | 108.163 | -0.000 | 
| 43.949 | 43.949 | 165.692 | -0.000 | 0.000 | 120.799 | 
| 229.936 | 132.890 | -9.216 | 0.000 | -0.000 | 0.000 | 
| 132.890 | 229.936 | -9.216 | -0.000 | -0.000 | 0.000 | 
| 112.549 | 112.549 | 84.740 | -0.000 | -0.000 | 0.000 | 
| -0.000 | -0.000 | 0.000 | 108.163 | -0.000 | 0.000 | 
| -0.000 | 0.000 | 0.000 | -0.000 | 108.163 | 0.000 | 
| -43.949 | -43.949 | -165.692 | 0.000 | -0.000 | 120.799 | 
| 285.138 | 180.553 | 169.246 | 0.000 | 0.000 | -0.000 | 
| 180.553 | 285.138 | 169.246 | 0.000 | 0.000 | -0.000 | 
| 169.246 | 169.246 | 272.729 | 0.000 | 0.000 | -0.000 | 
| 4.252 | 4.252 | 16.029 | 97.623 | 0.000 | -0.000 | 
| 4.252 | 4.252 | 16.029 | 0.000 | 97.623 | -0.000 | 
| 0.000 | 0.000 | -0.000 | 0.000 | 0.000 | 120.799 | 
| 285.138 | 180.553 | 169.246 | -0.000 | -0.000 | 0.000 | 
| 180.553 | 285.138 | 169.246 | 0.000 | -0.000 | 0.000 | 
| 169.246 | 169.246 | 272.729 | 0.000 | -0.000 | 0.000 | 
| -4.252 | -4.252 | -16.029 | 97.623 | -0.000 | 0.000 | 
| -4.252 | -4.252 | -16.029 | -0.000 | 97.623 | 0.000 | 
| -0.000 | -0.000 | 0.000 | -0.000 | -0.000 | 120.799 | 
| 275.052 | 177.509 | 158.920 | 0.000 | 0.000 | -0.000 | 
| 177.509 | 275.052 | 158.920 | 0.000 | 0.000 | -0.000 | 
| 169.246 | 169.246 | 272.730 | 0.000 | 0.000 | -0.000 | 
| -0.000 | 0.000 | 0.000 | 108.163 | 0.000 | -0.000 | 
| 0.000 | -0.000 | 0.000 | 0.000 | 108.163 | -0.000 | 
| 0.000 | 0.000 | -0.000 | 0.000 | 0.000 | 120.799 | 
| 285.138 | 180.552 | 169.245 | -0.000 | -0.000 | 0.000 | 
| 180.552 | 285.138 | 169.245 | -0.000 | -0.000 | 0.000 | 
| 153.914 | 153.914 | 244.952 | -0.000 | -0.000 | 0.000 | 
| 0.000 | -0.000 | -0.000 | 108.163 | -0.000 | 0.000 | 
| -0.000 | 0.000 | -0.000 | -0.000 | 108.163 | 0.000 | 
| -0.000 | -0.000 | 0.000 | -0.000 | -0.000 | 120.799 | 
| 27.634 | 82.351 | 49.380 | 0.000 | -0.000 | -0.000 | 
| 82.351 | 27.634 | 49.380 | 0.000 | -0.000 | -0.000 | 
| 50.625 | 50.625 | 214.237 | 0.000 | -0.000 | -0.000 | 
| -0.007 | -0.007 | 0.050 | -24.898 | -0.000 | -0.000 | 
| -0.007 | -0.007 | 0.050 | 0.000 | -24.898 | -0.000 | 
| -0.003 | -0.003 | 0.019 | 0.000 | -0.000 | 61.665 | 
| 26.641 | 81.621 | 55.108 | -0.000 | 0.000 | 0.000 | 
| 81.621 | 26.641 | 55.108 | -0.000 | 0.000 | 0.000 | 
| 55.539 | 55.539 | 181.555 | -0.000 | 0.000 | 0.000 | 
| 0.007 | 0.007 | -0.050 | -24.898 | 0.000 | 0.000 | 
| 0.007 | 0.007 | -0.050 | -0.000 | -24.898 | 0.000 | 
| 0.003 | 0.003 | -0.019 | -0.000 | 0.000 | 61.665 | 
| 23.738 | 84.003 | 56.844 | 0.000 | 0.000 | -0.000 | 
| 84.003 | 23.738 | 56.844 | 0.000 | 0.000 | -0.000 | 
| 55.536 | 55.536 | 181.577 | 0.000 | -0.000 | -0.000 | 
| 0.000 | 0.000 | 0.000 | 13.490 | -0.000 | -0.000 | 
| 0.000 | 0.000 | 0.000 | 0.000 | 13.490 | -0.000 | 
| -0.000 | -0.000 | 0.002 | 0.000 | -0.000 | 61.665 | 
| 26.638 | 81.619 | 55.122 | -0.000 | 0.000 | 0.000 | 
| 81.619 | 26.638 | 55.122 | -0.000 | 0.000 | 0.000 | 
| 55.536 | 55.536 | 181.572 | -0.000 | 0.000 | 0.000 | 
| -0.000 | -0.000 | -0.000 | 13.490 | 0.000 | 0.000 | 
| -0.000 | -0.000 | -0.000 | -0.000 | 13.490 | 0.000 | 
| 0.000 | 0.000 | -0.002 | -0.000 | 0.000 | 61.665 | 
| 26.643 | 81.624 | 55.128 | 0.000 | -0.000 | -0.000 | 
| 81.624 | 26.643 | 55.128 | 0.000 | -0.000 | -0.000 | 
| 55.541 | 55.541 | 181.587 | 0.000 | -0.000 | -0.000 | 
| -0.000 | 0.000 | 0.000 | -24.898 | -0.000 | -0.000 | 
| 0.000 | -0.000 | 0.000 | 0.000 | -24.898 | -0.000 | 
| 0.002 | 0.002 | 0.002 | 0.000 | -0.000 | 61.665 | 
| 2910107.591 | 3270433.394 | 2680761.262 | 16525.325 | -17397.920 | -53155.348 | 
| 3261333.993 | 2928639.985 | 2629940.749 | 30838.678 | -30332.353 | 60215.400 | 
| 55.530 | 55.530 | 181.567 | -0.000 | 0.000 | 0.000 | 
| 0.000 | -0.000 | -0.000 | -24.898 | 0.000 | 0.000 | 
| -0.000 | 0.000 | -0.000 | -0.000 | -24.898 | 0.000 | 
| -0.002 | -0.002 | -0.002 | -0.000 | 0.000 | 61.665 | 
| 264.605 | 139.108 | 179.810 | -0.000 | 0.000 | 0.000 | 
| 126.234 | 217.077 | 146.384 | -0.000 | -0.000 | -0.000 | 
| 174.386 | 143.993 | 263.031 | -0.000 | -0.000 | 0.000 | 
| 0.551 | 1.456 | 0.987 | 98.563 | 0.000 | 0.000 | 
| 0.699 | 1.740 | 1.134 | -0.000 | 122.100 | 0.000 | 
| 0.000 | 0.000 | 0.000 | -0.000 | -0.000 | 85.285 | 
| 256.715 | 122.948 | 170.847 | 0.000 | -0.000 | 0.000 | 
| 125.679 | 210.510 | 139.764 | 0.000 | 0.000 | -0.000 | 
| 172.892 | 139.991 | 260.295 | 0.000 | -0.000 | -0.000 | 
| -0.551 | -1.456 | -0.987 | 98.563 | -0.000 | -0.000 | 
| -0.699 | -1.740 | -1.134 | 0.000 | 122.100 | -0.000 | 
| -0.000 | -0.000 | -0.000 | 0.000 | 0.000 | 85.285 | 
| 257.436 | 124.867 | 172.154 | -0.000 | -0.000 | 0.000 | 
| 125.574 | 215.467 | 145.349 | -0.000 | -0.000 | 0.000 | 
| 171.207 | 138.591 | 260.643 | -0.000 | -0.000 | 0.000 | 
| 0.055 | 0.145 | 0.098 | 98.575 | 0.000 | 0.000 | 
| 0.070 | 0.174 | 0.113 | -0.000 | 122.100 | 0.000 | 
| 0.028 | 0.069 | 0.045 | -0.000 | -0.000 | 80.527 | 
| 257.304 | 124.518 | 171.916 | 0.000 | -0.000 | -0.000 | 
| 140.749 | 248.475 | 164.715 | 0.000 | -0.000 | -0.000 | 
| 178.917 | 162.180 | 278.004 | 0.000 | -0.000 | -0.000 | 
| -0.055 | -0.145 | -0.098 | 98.575 | -0.000 | -0.000 | 
| -0.070 | -0.174 | -0.113 | 0.000 | 122.100 | -0.000 | 
| -0.028 | -0.069 | -0.045 | 0.000 | 0.000 | 80.527 | 
| 264.606 | 139.108 | 179.811 | -0.000 | 0.000 | 0.000 | 
| 126.341 | 212.273 | 140.965 | -0.000 | -0.000 | 0.000 | 
| 171.148 | 138.435 | 260.537 | -0.000 | -0.000 | 0.000 | 
| 0.003 | 0.008 | 0.006 | 99.417 | -0.000 | 0.000 | 
| 0.007 | 0.017 | 0.012 | -0.000 | 122.100 | -0.000 | 
| 0.008 | 0.022 | 0.015 | -0.000 | 0.000 | 77.728 | 
| 264.604 | 139.107 | 179.810 | 0.000 | -0.000 | -0.000 | 
| 125.493 | 215.269 | 145.221 | 0.000 | 0.000 | -0.000 | 
| 173.635 | 141.968 | 261.641 | 0.000 | 0.000 | 0.000 | 
| -0.003 | -0.008 | -0.006 | 99.417 | 0.000 | -0.000 | 
| -0.007 | -0.017 | -0.012 | 0.000 | 122.100 | -0.000 | 
| -0.008 | -0.022 | -0.015 | 0.000 | 0.000 | 77.728 | 
| 269.451 | 179.035 | 149.004 | 0.000 | -0.000 | 0.000 | 
| 179.035 | 269.451 | 149.004 | 0.000 | 0.000 | 0.000 | 
| 154.996 | 154.996 | 148.436 | -0.000 | -0.000 | -0.000 | 
| 0.000 | 0.000 | 0.000 | 95.769 | -0.000 | -0.000 | 
| 0.000 | 0.000 | 0.000 | 0.000 | 95.769 | 0.000 | 
| -61.791 | -61.791 | -249.066 | -0.000 | 0.000 | 122.345 | 
| 269.451 | 179.035 | 149.004 | 0.000 | -0.000 | -0.000 | 
| 179.035 | 269.451 | 149.004 | -0.000 | 0.000 | -0.000 | 
| 151.267 | 151.267 | 246.651 | -0.000 | -0.000 | -0.000 | 
| -0.000 | -0.000 | -0.000 | 95.769 | 0.000 | -0.000 | 
| -0.000 | -0.000 | 0.000 | 0.000 | 95.769 | -0.000 | 
| 61.791 | 61.791 | 249.066 | -0.000 | -0.000 | 122.345 | 
| 269.451 | 179.035 | 149.004 | -0.000 | 0.000 | 0.000 | 
| 179.035 | 269.451 | 149.004 | 0.000 | 0.000 | 0.000 | 
| 151.267 | 151.267 | 246.651 | -0.000 | 0.000 | 0.000 | 
| 1.541 | 1.541 | -7.455 | 87.845 | 0.000 | 0.000 | 
| 1.541 | 1.541 | -7.455 | -0.000 | 87.845 | 0.000 | 
| 0.000 | 0.000 | -0.000 | -0.000 | 0.000 | 122.345 | 
| 269.451 | 179.035 | 149.004 | -0.000 | -0.000 | -0.000 | 
| 179.035 | 269.451 | 149.004 | 0.000 | -0.000 | -0.000 | 
| 151.267 | 151.267 | 246.651 | 0.000 | 0.000 | -0.000 | 
| -1.541 | -1.541 | 7.455 | 87.845 | -0.000 | -0.000 | 
| -1.541 | -1.541 | 7.455 | 0.000 | 87.845 | -0.000 | 
| -0.000 | -0.000 | 0.000 | 0.000 | -0.000 | 122.345 | 
| 269.452 | 179.035 | 149.005 | -0.000 | 0.000 | -0.000 | 
| 179.035 | 269.452 | 149.005 | -0.000 | 0.000 | -0.000 | 
| 131.060 | 131.060 | 206.676 | 0.000 | -0.000 | -0.000 | 
| -0.000 | 0.000 | 0.000 | 95.769 | -0.000 | 0.000 | 
| 0.000 | -0.000 | 0.000 | -0.000 | 95.769 | 0.000 | 
| 0.155 | 0.155 | -0.750 | -0.000 | 0.000 | 122.345 | 
| 260.709 | 175.412 | 138.262 | 0.000 | -0.000 | -0.000 | 
| 175.412 | 260.709 | 138.262 | 0.000 | -0.000 | -0.000 | 
| 151.266 | 151.266 | 246.650 | 0.000 | 0.000 | -0.000 | 
| 0.000 | -0.000 | -0.000 | 95.769 | 0.000 | -0.000 | 
| -0.000 | 0.000 | -0.000 | -0.000 | 95.769 | -0.000 | 
| -0.155 | -0.155 | 0.750 | 0.000 | -0.000 | 122.345 | 
| -945.013 | -974.812 | -3377.443 | -1.878 | 0.000 | 0.000 | 
| -1690.780 | -1644.352 | -6167.030 | 1.079 | 0.000 | -0.000 | 
| -1682.734 | -1682.734 | -5994.988 | -0.000 | 0.000 | 0.000 | 
| -1775.262 | -1773.104 | -6259.185 | 44.348 | 0.000 | -0.000 | 
| -1776.260 | -1776.260 | -6266.513 | -0.000 | 44.343 | -1.081 | 
| -0.000 | -0.000 | 0.000 | -0.000 | 0.757 | 28.253 | 
| 1906.085 | 1859.669 | 6358.665 | -1.081 | -0.000 | -0.000 | 
| 78.852 | 135.357 | 93.978 | -0.757 | -0.000 | 0.000 | 
| 94.710 | 94.710 | 276.100 | 0.000 | -0.000 | -0.000 | 
| 0.757 | -0.757 | 0.000 | 48.191 | -0.000 | -0.000 | 
| 1776.260 | 1776.260 | 6266.513 | 0.000 | 44.343 | -1.081 | 
| 0.000 | 0.000 | 0.000 | 0.000 | 0.757 | 28.253 | 
| 14.490 | -15.303 | -256.243 | -1.878 | 0.000 | 0.000 | 
| 78.852 | 135.356 | 93.978 | -0.757 | 0.000 | 0.000 | 
| -15.394 | -15.394 | -84.046 | -0.000 | -0.000 | 0.000 | 
| -178.710 | -176.549 | -626.663 | 44.343 | 0.000 | 0.000 | 
| -177.629 | -177.629 | -626.663 | 0.000 | 44.343 | -1.081 | 
| -177.631 | -177.630 | -626.666 | -0.000 | -1.081 | 23.208 | 
| 227.682 | 197.885 | 437.212 | -1.878 | 0.000 | 0.000 | 
| 261.042 | 307.455 | 718.819 | 1.082 | -0.000 | -0.000 | 
| 270.545 | 270.545 | 896.034 | 0.000 | 0.000 | -0.000 | 
| 104.725 | 108.481 | 346.767 | 37.577 | -0.000 | -0.000 | 
| 177.629 | 177.629 | 626.663 | -0.000 | 44.343 | -1.081 | 
| 177.631 | 177.630 | 626.666 | 0.000 | -1.081 | 23.208 | 
| 135.343 | 78.847 | 93.978 | 0.757 | 0.000 | -0.000 | 
| 81.003 | 110.360 | 56.463 | 1.897 | 0.000 | 0.000 | 
| 75.122 | 75.122 | 206.603 | -0.000 | 0.000 | -0.000 | 
| 0.757 | -0.757 | -0.000 | 48.191 | -0.000 | 0.000 | 
| -10.595 | -10.595 | -34.421 | 0.000 | 37.519 | -1.884 | 
| -0.005 | -0.002 | -0.000 | -0.000 | 0.757 | 28.253 | 
| 131.450 | 101.966 | 124.559 | -1.894 | -0.000 | 0.000 | 
| 101.228 | 147.600 | 154.902 | 1.093 | -0.000 | -0.000 | 
| 110.707 | 110.707 | 332.130 | 0.000 | -0.000 | -0.000 | 
| 8.710 | 12.480 | 34.421 | 37.519 | -0.000 | -0.000 | 
| 10.595 | 10.595 | 34.421 | -0.000 | 37.519 | -1.884 | 
| 0.005 | 0.002 | 0.000 | 0.000 | 0.757 | 28.253 | 
| 135605.775 | 131874.759 | 131874.759 | 0.000 | 0.000 | -0.000 | 
| 131874.759 | 135605.776 | 131874.759 | 0.000 | 0.000 | -0.000 | 
| 131874.759 | 131874.759 | 135605.776 | 0.000 | 0.000 | 0.000 | 
| -0.002 | -0.001 | -0.001 | 85.806 | 0.000 | -0.000 | 
| -0.001 | -0.001 | -0.001 | 0.000 | 85.806 | -0.000 | 
| -0.001 | -0.001 | -0.001 | 0.000 | 0.000 | 85.806 | 
| 136247.922 | 131553.453 | 131553.452 | -0.000 | -0.000 | 0.000 | 
| 131553.453 | 136247.922 | 131553.453 | -0.000 | -0.000 | 0.000 | 
| 131553.452 | 131553.452 | 136247.921 | -0.000 | -0.000 | -0.000 | 
| 0.001 | 0.001 | 0.001 | 85.806 | -0.000 | 0.000 | 
| 0.001 | 0.001 | 0.001 | -0.000 | 85.806 | 0.000 | 
| 0.001 | 0.001 | 0.001 | 0.000 | -0.000 | 85.806 | 
| 135606.551 | 131875.468 | 131875.468 | 0.000 | 0.000 | -0.000 | 
| 131875.467 | 135606.551 | 131875.467 | 0.000 | 0.000 | -0.000 | 
| 131875.467 | 131875.467 | 135606.551 | 0.000 | 0.000 | 0.000 | 
| 4427436519.523 | 4547809610.513 | 4558414096.885 | -332554256.001 | -3931074.052 | 9999210.016 | 
| 5007687529.713 | 4753748804.604 | 4972558416.831 | -4785583.700 | -359994360.430 | -13790806.816 | 
| 4582550299.815 | 4574912317.488 | 4503155662.983 | 7723077.561 | -1766154.957 | -344783578.043 | 
| 136247.153 | 131552.749 | 131552.749 | -0.000 | -0.000 | 0.000 | 
| 131552.749 | 136247.153 | 131552.749 | 0.000 | -0.000 | 0.000 | 
| 131552.749 | 131552.749 | 136247.153 | -0.000 | -0.000 | -0.000 | 
| -3841167273.962 | -3656756193.983 | -3628045496.204 | -488658467.316 | -999516.283 | -4202790.411 | 
| -4353335188.157 | -4414243727.969 | -4364107391.995 | -1624978.727 | -341667359.452 | -6131359.837 | 
| -3846009303.144 | -3853567566.020 | -4036382300.461 | 6779382.850 | 70937.736 | -486923948.988 | 
| 135614.264 | 131882.509 | 131882.509 | 0.000 | 0.000 | -0.000 | 
| 131882.509 | 135614.264 | 131882.509 | 0.000 | 0.000 | -0.000 | 
| 131882.509 | 131882.509 | 135614.264 | 0.000 | 0.000 | 0.000 | 
| 601829485.932 | 622368085.588 | 622918200.387 | -20849799.772 | -446295.599 | 490686.688 | 
| 675947715.632 | 653278428.840 | 672142704.751 | 475094.265 | -7365484.375 | 537609.349 | 
| 642091780.951 | 644437948.790 | 620095176.240 | 867874.568 | 253243.629 | -19373348.862 | 
| 135596.900 | 131866.974 | 131866.974 | -0.000 | -0.000 | 0.000 | 
| 131866.974 | 135596.900 | 131866.974 | -0.000 | -0.000 | 0.000 | 
| 131866.974 | 131866.974 | 135596.900 | -0.000 | -0.000 | -0.000 | 
| -521352294.620 | -539726919.225 | -539683251.974 | -36635904.963 | -51474.992 | 826358.063 | 
| -557098418.827 | -535489168.285 | -553881310.071 | -272235.448 | -38015909.620 | -229780.114 | 
| -628731032.354 | -631601549.738 | -602426170.396 | 1697114.658 | 2478618.101 | -20428711.466 | 
| -485.784 | -1011.500 | -1011.500 | 0.000 | -0.000 | -0.000 | 
| -1011.500 | -485.784 | -1011.500 | 0.000 | -0.000 | -0.000 | 
| -1011.500 | -1011.500 | -485.784 | 0.000 | 0.000 | -0.000 | 
| 17177979827.546 | 16442119837.196 | 16187470593.352 | -2028327758.965 | 69224205.523 | 48888321.349 | 
| 15832161811.035 | 16076926771.390 | 15687632931.759 | 219109603.786 | -1638329750.730 | -41193824.553 | 
| 15453400846.768 | 14468389512.049 | 15988351966.507 | 279573025.489 | 333314038.449 | -1669226411.641 | 
| -485.784 | -1011.502 | -1011.502 | -0.000 | -0.000 | 0.000 | 
| -1011.502 | -485.785 | -1011.502 | -0.000 | -0.000 | 0.000 | 
| -1011.502 | -1011.502 | -485.785 | -0.000 | -0.000 | 0.000 | 
| -15981217179.689 | -15856943311.700 | -16152581727.550 | -2041306808.517 | 117682190.137 | 493628197.440 | 
| -15379811906.705 | -15048054873.742 | -15274901759.884 | 124885429.690 | -2419732864.523 | 226505283.668 | 
| -13487121368.743 | -13674252896.193 | -12979958568.162 | -87142311.286 | 98341354.457 | -2005516364.513 | 
| -436.745 | -1036.011 | -1036.011 | 0.000 | 0.000 | -0.000 | 
| -1036.011 | -436.745 | -1036.011 | -0.000 | 0.000 | 0.000 | 
| -1036.011 | -1036.011 | -436.745 | -0.000 | 0.000 | 0.000 | 
| 1722536723.485 | 1753315096.572 | 1690204154.656 | -240001991.058 | -17477604.198 | 6665701.964 | 
| 1293164857.916 | 1377254738.147 | 1267907744.432 | -25956114.408 | -168083052.028 | 7037139.823 | 
| 1393789151.744 | 1421753844.679 | 1390530312.292 | -19059115.499 | -6364286.047 | -215227059.352 | 
| -485.788 | -1011.509 | -1011.509 | -0.000 | -0.000 | -0.000 | 
| -1011.509 | -485.788 | -1011.509 | 0.000 | -0.000 | -0.000 | 
| -1011.509 | -1011.509 | -485.788 | 0.000 | -0.000 | -0.000 | 
| -1193470602.426 | -1257279425.147 | -1208485654.864 | -210175776.677 | -8609735.321 | -39799613.893 | 
| -1493122415.780 | -1564033074.951 | -1544462904.040 | -17909854.909 | -219830427.585 | -13156712.139 | 
| -1618034836.271 | -1611753862.610 | -1642704741.309 | -10816742.664 | 39130760.413 | -218358119.971 | 
| -485.746 | -1011.425 | -1011.425 | 0.000 | 0.000 | 0.000 | 
| -1011.425 | -485.746 | -1011.425 | 0.000 | 0.000 | -0.000 | 
| -1011.425 | -1011.425 | -485.746 | -0.000 | 0.000 | -0.000 | 
| 147793595.249 | 152093381.632 | 151994274.844 | -21234604.579 | -1204715.488 | -920922.733 | 
| 130221772.410 | 113325378.144 | 124349708.267 | 1685883.558 | -20417418.708 | -1504791.279 | 
| 144665967.719 | 149724780.395 | 141036176.799 | 15575.391 | -2338576.573 | -17664139.712 | 
| -436.791 | -1036.094 | -1036.094 | -0.000 | -0.000 | -0.000 | 
| -1036.094 | -436.791 | -1036.094 | 0.000 | 0.000 | 0.000 | 
| -1036.094 | -1036.094 | -436.791 | -0.000 | -0.000 | -0.000 | 
| -137853636.649 | -139000543.764 | -132172660.714 | -20145578.879 | 1458113.714 | 2317277.293 | 
| -163619791.161 | -165061268.899 | -163986217.369 | 884757.256 | -20753424.554 | -1282469.511 | 
| -168208832.277 | -167720151.069 | -169282797.930 | 35310.833 | 723755.493 | -20813589.315 | 
| 2666032.893 | 1528334.487 | 1528334.485 | -0.004 | 0.001 | 0.001 | 
| 1528334.481 | 2666032.898 | 1528334.484 | 0.006 | 0.003 | -0.000 | 
| 1528334.486 | 1528334.486 | 2666032.900 | -0.003 | 0.003 | 0.000 | 
| 9.330 | 27.662 | 27.673 | 996603.807 | 0.000 | -0.000 | 
| 27.668 | 9.336 | 27.674 | -0.001 | 996603.810 | -0.000 | 
| 27.663 | 27.676 | 9.330 | -0.001 | 0.000 | 996603.810 | 
| 2662520.092 | 1529921.397 | 1529921.399 | 0.003 | 0.001 | -0.000 | 
| 1529921.403 | 2662520.090 | 1529921.400 | -0.010 | -0.003 | -0.000 | 
| 1529921.399 | 1529921.401 | 2662520.090 | 0.003 | -0.004 | -0.000 | 
| -9.334 | -27.664 | -27.677 | 996603.805 | -0.001 | 0.000 | 
| -27.661 | -9.341 | -27.667 | 0.000 | 996603.800 | 0.000 | 
| -27.662 | -27.674 | -9.332 | 0.002 | -0.000 | 996603.773 | 
| 2668540.433 | 1527843.530 | 1527843.530 | -0.000 | 0.000 | -0.000 | 
| 1527843.529 | 2668540.433 | 1527843.530 | 0.001 | 0.000 | 0.000 | 
| 1527843.530 | 1527843.530 | 2668540.433 | -0.000 | 0.000 | 0.000 | 
| 1010695346.676 | 267034846.199 | 267034820.692 | -125631391.115 | 0.003 | -0.010 | 
| 267034845.991 | 1010695347.988 | 267034820.744 | 0.002 | -125631391.442 | -0.002 | 
| 267034845.890 | 267034820.908 | 1010695347.532 | 0.000 | -0.001 | -125631391.325 | 
| 2661808.312 | 1529514.666 | 1529514.666 | -0.002 | 0.003 | -0.000 | 
| 1529514.666 | 2661808.312 | 1529514.666 | 0.011 | 0.003 | 0.000 | 
| 1529514.666 | 1529514.666 | 2661808.312 | -0.002 | 0.003 | 0.000 | 
| -1010695347.380 | -267034845.994 | -267034820.746 | -125631391.309 | -0.006 | 0.007 | 
| -267034846.322 | -1010695345.774 | -267034821.506 | -0.004 | -125631390.654 | -0.001 | 
| -267034846.352 | -267034821.057 | -1010695345.842 | -0.006 | -0.009 | -125631390.788 | 
| 2670654.490 | 1534412.373 | 1534412.373 | 0.000 | -0.000 | -0.000 | 
| 1534412.373 | 2670654.490 | 1534412.373 | -0.000 | -0.000 | 0.000 | 
| 1534412.373 | 1534412.373 | 2670654.490 | 0.000 | -0.000 | -0.000 | 
| 101034342.067 | 26710157.457 | 26710133.838 | -11805513.600 | 0.001 | -0.001 | 
| 26710157.521 | 101034342.383 | 26710133.827 | 0.000 | -11805513.653 | -0.000 | 
| 26710157.581 | 26710133.904 | 101034341.956 | 0.000 | -0.000 | -11805513.522 | 
| 2654755.901 | 1525414.424 | 1525414.424 | 0.000 | 0.000 | -0.000 | 
| 1525414.424 | 2654755.901 | 1525414.424 | 0.000 | -0.000 | -0.000 | 
| 1525414.424 | 1525414.424 | 2654755.901 | 0.000 | -0.000 | -0.000 | 
| -101034342.221 | -26710157.507 | -26710133.814 | -11805513.626 | -0.001 | -0.001 | 
| -26710157.526 | -101034342.053 | -26710133.847 | -0.000 | -11805513.575 | -0.000 | 
| -26710157.475 | -26710133.788 | -101034342.258 | 0.000 | -0.000 | -11805513.650 | 
| 188.029 | 52.966 | 52.966 | 0.000 | 0.000 | -0.000 | 
| 52.966 | 188.029 | 52.966 | 0.000 | -0.000 | -0.000 | 
| 52.966 | 52.966 | 188.029 | -0.000 | -0.000 | 0.000 | 
| 0.000 | 0.000 | 0.000 | -32.359 | -0.000 | -0.000 | 
| 0.000 | 0.000 | 0.000 | -0.000 | -32.359 | 0.000 | 
| 0.000 | 0.000 | 0.000 | -0.000 | -0.000 | -32.359 | 
| 188.438 | 52.762 | 52.762 | 0.000 | 0.000 | 0.000 | 
| 52.762 | 188.438 | 52.762 | -0.000 | -0.000 | 0.000 | 
| 52.762 | 52.762 | 188.438 | 0.000 | 0.000 | -0.000 | 
| -0.000 | -0.000 | -0.000 | -32.359 | 0.000 | -0.000 | 
| -0.000 | -0.000 | -0.000 | 0.000 | -32.359 | -0.000 | 
| -0.000 | -0.000 | -0.000 | 0.000 | 0.000 | -32.359 | 
| 188.029 | 52.966 | 52.966 | 0.000 | 0.000 | -0.000 | 
| 52.966 | 188.029 | 52.966 | 0.000 | 0.000 | 0.000 | 
| 52.966 | 52.966 | 188.029 | -0.000 | -0.000 | -0.000 | 
| 0.000 | 0.000 | 0.000 | -32.359 | 0.000 | -0.000 | 
| 0.000 | 0.000 | 0.000 | -0.000 | -32.359 | 0.000 | 
| 0.000 | 0.000 | 0.000 | -0.000 | -0.000 | -32.359 | 
| 188.438 | 52.762 | 52.762 | 0.000 | -0.000 | -0.000 | 
| 52.762 | 188.438 | 52.762 | 0.000 | 0.000 | 0.000 | 
| 52.762 | 52.762 | 188.438 | -0.000 | -0.000 | -0.000 | 
| -0.000 | -0.000 | -0.000 | -32.359 | 0.000 | -0.000 | 
| -0.000 | -0.000 | -0.000 | 0.000 | -32.359 | -0.000 | 
| -0.000 | -0.000 | -0.000 | 0.000 | 0.000 | -32.359 | 
| 188.031 | 52.967 | 52.967 | 0.000 | 0.000 | -0.000 | 
| 52.967 | 188.031 | 52.967 | 0.000 | 0.000 | 0.000 | 
| 52.967 | 52.967 | 188.031 | -0.000 | 0.000 | 0.000 | 
| 0.000 | 0.001 | 0.000 | -17.997 | -0.000 | 0.000 | 
| 0.001 | 0.000 | 0.000 | -0.000 | -17.997 | 0.000 | 
| 0.001 | 0.000 | 0.000 | -0.000 | -0.000 | -17.997 | 
| 188.436 | 52.761 | 52.761 | -0.000 | 0.000 | -0.000 | 
| 52.761 | 188.436 | 52.761 | 0.000 | 0.000 | 0.000 | 
| 52.761 | 52.761 | 188.436 | 0.000 | -0.000 | -0.000 | 
| -0.000 | -0.001 | -0.000 | -17.997 | 0.000 | 0.000 | 
| -0.001 | -0.000 | -0.000 | 0.000 | -17.997 | -0.000 | 
| -0.001 | -0.000 | -0.000 | 0.000 | 0.000 | -17.997 | 
| 24.187 | 39.918 | 39.918 | 0.000 | -0.000 | -0.000 | 
| 39.918 | 24.187 | 39.918 | -0.000 | -0.000 | 0.000 | 
| 39.918 | 39.918 | 24.187 | -0.000 | -0.000 | 0.000 | 
| -0.000 | 0.000 | -0.000 | -3.245 | -0.000 | 0.000 | 
| -0.000 | -0.000 | -0.000 | 0.000 | -3.245 | 0.000 | 
| -0.000 | -0.000 | -0.000 | 0.000 | -0.000 | -3.245 | 
| -42.473 | 73.248 | 73.248 | -0.000 | -0.000 | 0.000 | 
| 73.248 | -42.473 | 73.248 | -0.000 | -0.000 | -0.000 | 
| 73.248 | 73.248 | -42.473 | -0.000 | -0.000 | 0.000 | 
| 0.000 | 0.000 | 0.000 | -3.245 | 0.000 | -0.000 | 
| 0.000 | 0.000 | 0.000 | -0.000 | -3.245 | -0.000 | 
| 0.000 | 0.000 | 0.000 | 0.000 | 0.000 | -3.245 | 
| -3273538.113 | 1901377.252 | 1889679.670 | -0.475 | -2458.615 | -2016.156 | 
| 1841518.940 | -3214762.778 | 1837856.221 | -870.799 | -3.306 | 4997.043 | 
| 1890448.762 | 1889632.875 | -3517373.184 | -789.741 | -650.612 | 1.186 | 
| -0.000 | 0.000 | -0.000 | -3.245 | -0.000 | 0.000 | 
| 0.000 | -0.000 | -0.000 | 0.000 | -3.245 | 0.000 | 
| 0.000 | -0.000 | -0.000 | -0.000 | 0.000 | -3.245 | 
| -3243506.001 | 1370982.930 | 1391617.367 | 5047.275 | -1.900 | -0.922 | 
| 1622209.446 | -3266386.493 | 1609530.752 | 0.031 | 700.900 | -7.580 | 
| 1600229.406 | 1590751.798 | -3302571.954 | 10.074 | 9.883 | 3742.765 | 
| 0.000 | -0.000 | 0.000 | -3.245 | 0.000 | -0.000 | 
| -0.000 | 0.000 | 0.000 | -0.000 | -3.245 | -0.000 | 
| -0.000 | 0.000 | 0.000 | 0.000 | -0.000 | -3.245 | 
| -364469.914 | 193323.425 | 193541.398 | 0.031 | 28.048 | 0.182 | 
| 184504.139 | -304821.224 | 185362.025 | -146.373 | -1.178 | -249.851 | 
| 182291.813 | 182433.687 | -305794.304 | -442.702 | -360.311 | -0.709 | 
| -0.000 | 0.000 | -0.000 | -3.245 | 0.000 | 0.000 | 
| 0.000 | -0.000 | -0.000 | -0.000 | -3.245 | 0.000 | 
| 0.000 | -0.000 | -0.000 | 0.000 | 0.000 | -3.245 | 
| -317569.005 | 135249.793 | 138038.547 | -18.433 | 0.004 | 0.135 | 
| 143914.597 | -329224.355 | 142888.226 | -0.007 | -81.856 | 0.007 | 
| 131477.955 | 132167.920 | -317111.213 | 0.024 | 0.149 | 228.017 | 
| 0.000 | -0.000 | 0.000 | -3.245 | -0.000 | 0.000 | 
| -0.000 | 0.000 | 0.000 | 0.000 | -3.245 | -0.000 | 
| -0.000 | 0.000 | 0.000 | -0.000 | -0.000 | -3.245 | 
| 92934.024 | 92936.346 | 92936.346 | 0.000 | 0.000 | 0.000 | 
| 92936.346 | 92934.024 | 92936.346 | 0.000 | 0.000 | 0.000 | 
| 92936.346 | 92936.346 | 92934.025 | 0.000 | 0.000 | 0.000 | 
| 0.002 | 0.002 | 0.002 | -3022.353 | 0.000 | 0.000 | 
| 0.002 | 0.002 | 0.002 | 0.000 | -3022.353 | 0.000 | 
| 0.002 | 0.002 | 0.003 | 0.000 | 0.000 | -3022.353 | 
| 92933.919 | 92936.239 | 92936.239 | -0.000 | -0.000 | -0.000 | 
| 92936.239 | 92933.919 | 92936.239 | -0.000 | -0.000 | -0.000 | 
| 92936.239 | 92936.239 | 92933.919 | -0.000 | -0.000 | -0.000 | 
| -0.002 | -0.002 | -0.002 | -3022.353 | -0.000 | -0.000 | 
| -0.002 | -0.002 | -0.002 | -0.000 | -3022.353 | -0.000 | 
| -0.002 | -0.002 | -0.003 | -0.000 | -0.000 | -3022.353 | 
| 92934.497 | 92936.830 | 92936.830 | 0.000 | 0.000 | 0.000 | 
| 92936.830 | 92934.497 | 92936.830 | 0.000 | 0.000 | 0.000 | 
| 92936.830 | 92936.830 | 92934.497 | 0.000 | 0.000 | 0.000 | 
| 0.003 | 0.003 | 0.003 | 494.765 | 0.000 | 0.000 | 
| 0.003 | 0.003 | 0.003 | -0.000 | 494.765 | 0.000 | 
| 0.003 | 0.003 | 0.003 | -0.000 | 0.000 | 494.765 | 
| 92933.448 | 92935.756 | 92935.756 | 0.000 | 0.000 | -0.000 | 
| 92935.756 | 92933.448 | 92935.756 | 0.000 | 0.000 | -0.000 | 
| 92935.756 | 92935.756 | 92933.448 | 0.000 | 0.000 | -0.000 | 
| -0.003 | -0.003 | -0.003 | 494.765 | -0.000 | -0.000 | 
| -0.003 | -0.003 | -0.003 | 0.000 | 494.765 | -0.000 | 
| -0.003 | -0.003 | -0.003 | 0.000 | -0.000 | 494.765 | 
| 92939.220 | 92941.663 | 92941.663 | 0.000 | 0.000 | 0.000 | 
| 92941.663 | 92939.220 | 92941.663 | 0.000 | 0.000 | 0.000 | 
| 92941.663 | 92941.663 | 92939.220 | 0.000 | 0.000 | 0.000 | 
| 0.275 | 0.267 | 0.261 | -3022.378 | 0.000 | 0.000 | 
| 0.267 | 0.275 | 0.261 | 0.000 | -3022.378 | 0.000 | 
| 0.267 | 0.261 | 0.275 | 0.000 | 0.000 | -3022.378 | 
| 92928.725 | 92930.923 | 92930.923 | -0.000 | -0.000 | -0.000 | 
| 92930.923 | 92928.725 | 92930.923 | -0.000 | -0.000 | -0.000 | 
| 92930.923 | 92930.923 | 92928.725 | 0.000 | -0.000 | -0.000 | 
| -0.275 | -0.267 | -0.261 | -3022.378 | -0.000 | -0.000 | 
| -0.267 | -0.275 | -0.261 | -0.000 | -3022.378 | -0.000 | 
| -0.267 | -0.261 | -0.275 | -0.000 | -0.000 | -3022.378 | 
| -514.517 | -707.046 | -707.046 | 0.000 | -0.000 | 0.000 | 
| -707.046 | -514.517 | -707.046 | 0.000 | -0.000 | 0.000 | 
| -707.046 | -707.046 | -514.517 | -0.000 | -0.000 | 0.000 | 
| -0.000 | -0.000 | -0.000 | 314.649 | 0.000 | 0.000 | 
| -0.000 | -0.000 | -0.000 | 0.000 | 314.649 | 0.000 | 
| -0.000 | -0.000 | 0.000 | -0.000 | -0.000 | 314.649 | 
| -514.520 | -707.048 | -707.048 | -0.000 | 0.000 | -0.000 | 
| -707.048 | -514.520 | -707.048 | -0.000 | -0.000 | -0.000 | 
| -707.048 | -707.048 | -514.520 | -0.000 | 0.000 | 0.000 | 
| 0.000 | 0.000 | 0.000 | 314.649 | 0.000 | -0.000 | 
| 0.000 | 0.000 | 0.000 | -0.000 | 314.649 | -0.000 | 
| 0.000 | 0.000 | -0.000 | 0.000 | -0.000 | 314.649 | 
| -514.504 | -707.037 | -707.037 | 0.000 | 0.000 | 0.000 | 
| -707.037 | -514.504 | -707.037 | 0.000 | -0.000 | -0.000 | 
| -707.037 | -707.037 | -514.504 | 0.000 | -0.000 | 0.000 | 
| -0.002 | -0.002 | -0.003 | -820.205 | 0.000 | 0.000 | 
| -0.002 | -0.002 | -0.003 | 0.000 | -820.205 | 0.000 | 
| -0.002 | -0.003 | -0.002 | 0.000 | -0.000 | -820.205 | 
| -514.533 | -707.058 | -707.058 | 0.000 | 0.000 | -0.000 | 
| -707.058 | -514.533 | -707.058 | -0.000 | -0.000 | -0.000 | 
| -707.058 | -707.058 | -514.533 | -0.000 | -0.000 | -0.000 | 
| 0.002 | 0.002 | 0.003 | -820.205 | -0.000 | -0.000 | 
| 0.002 | 0.002 | 0.003 | -0.000 | -820.205 | -0.000 | 
| 0.002 | 0.003 | 0.002 | -0.000 | 0.000 | -820.205 | 
| -514.371 | -706.942 | -706.942 | 0.000 | -0.000 | 0.000 | 
| -706.942 | -514.371 | -706.942 | 0.000 | -0.000 | 0.000 | 
| -706.942 | -706.942 | -514.371 | 0.000 | 0.000 | 0.000 | 
| -0.022 | -0.024 | -0.026 | -820.205 | -0.000 | 0.000 | 
| -0.024 | -0.022 | -0.026 | -0.000 | -820.205 | 0.000 | 
| -0.024 | -0.026 | -0.022 | 0.000 | -0.000 | -820.205 | 
| -514.665 | -707.153 | -707.153 | 0.000 | -0.000 | -0.000 | 
| -707.153 | -514.665 | -707.153 | -0.000 | -0.000 | -0.000 | 
| -707.153 | -707.153 | -514.665 | 0.000 | 0.000 | 0.000 | 
| 0.022 | 0.024 | 0.026 | -820.205 | 0.000 | -0.000 | 
| 0.024 | 0.022 | 0.026 | 0.000 | -820.205 | -0.000 | 
| 0.024 | 0.026 | 0.022 | -0.000 | 0.000 | -820.205 | 
| 349846.915 | 349793.575 | 349793.575 | 0.001 | 0.001 | 0.000 | 
| 349793.575 | 349846.915 | 349793.575 | 0.001 | 0.001 | 0.000 | 
| 349793.575 | 349793.575 | 349846.915 | 0.000 | 0.000 | 0.000 | 
| 11.889 | 11.882 | 11.889 | 349803.572 | 0.001 | 0.000 | 
| 11.882 | 11.889 | 11.889 | 0.001 | 349803.572 | 0.000 | 
| 11.882 | 11.889 | 11.889 | 0.001 | 0.001 | 349803.571 | 
| 349823.143 | 349769.789 | 349769.789 | -0.001 | -0.000 | -0.000 | 
| 349769.789 | 349823.143 | 349769.789 | -0.000 | -0.001 | -0.000 | 
| 349769.791 | 349769.791 | 349823.145 | -0.000 | -0.000 | -0.000 | 
| -11.889 | -11.882 | -11.889 | 349803.485 | -0.001 | -0.000 | 
| -11.882 | -11.889 | -11.889 | -0.001 | 349803.485 | -0.000 | 
| -11.882 | -11.889 | -11.889 | -0.001 | -0.001 | 349803.485 | 
| 349953.857 | 349900.579 | 349900.579 | 0.000 | 0.000 | 0.000 | 
| 349900.579 | 349953.857 | 349900.579 | 0.000 | 0.000 | 0.000 | 
| 349900.579 | 349900.579 | 349953.857 | 0.000 | 0.000 | 0.000 | 
| 118.862 | 118.792 | 118.862 | 349803.479 | 0.000 | 0.000 | 
| 118.792 | 118.862 | 118.861 | 0.000 | 349803.479 | 0.000 | 
| 118.792 | 118.862 | 118.862 | 0.000 | 0.000 | 349803.479 | 
| 349716.204 | 349662.787 | 349662.787 | -0.000 | -0.000 | -0.000 | 
| 349662.787 | 349716.204 | 349662.787 | -0.000 | -0.000 | -0.000 | 
| 349662.788 | 349662.788 | 349716.205 | -0.000 | -0.000 | -0.000 | 
| -118.862 | -118.792 | -118.861 | 349803.479 | -0.000 | -0.000 | 
| -118.792 | -118.862 | -118.861 | -0.000 | 349803.479 | -0.000 | 
| -118.792 | -118.862 | -118.862 | -0.000 | -0.000 | 349803.479 | 
| 351023.288 | 350970.642 | 350970.642 | 0.000 | 0.000 | 0.000 | 
| 350970.642 | 351023.288 | 350970.642 | 0.000 | 0.000 | 0.000 | 
| 350970.642 | 350970.642 | 351023.288 | 0.000 | 0.000 | 0.000 | 
| 1188.613 | 1187.912 | 1188.612 | 349803.477 | 0.000 | 0.000 | 
| 1187.912 | 1188.613 | 1188.612 | 0.000 | 349803.477 | -0.000 | 
| 1187.912 | 1188.612 | 1188.613 | 0.000 | 0.000 | 349803.477 | 
| 348646.771 | 348592.727 | 348592.727 | -0.000 | -0.000 | -0.000 | 
| 348592.727 | 348646.771 | 348592.727 | -0.000 | -0.000 | -0.000 | 
| 348592.727 | 348592.727 | 348646.771 | -0.000 | -0.000 | -0.000 | 
| -1188.613 | -1187.912 | -1188.612 | 349803.477 | -0.000 | -0.000 | 
| -1187.912 | -1188.613 | -1188.612 | -0.000 | 349803.477 | -0.000 | 
| -1187.912 | -1188.612 | -1188.613 | -0.000 | -0.000 | 349803.477 | 
| 22291966.820 | 5103171.999 | 5103171.967 | 0.008 | -0.014 | 0.001 | 
| 5103171.999 | 22291966.820 | 5103171.967 | -0.014 | 0.008 | 0.001 | 
| 5103171.995 | 5103171.995 | 22291966.761 | 0.008 | 0.008 | 0.000 | 
| -36.321 | -63.218 | -63.300 | 3125521.983 | 0.004 | -0.001 | 
| -63.218 | -36.321 | -63.300 | 0.004 | 3125521.983 | -0.001 | 
| -63.213 | -63.227 | -36.314 | -0.010 | 0.003 | 3125521.973 | 
| 22293821.878 | 5103402.856 | 5103402.891 | 0.001 | -0.005 | 0.001 | 
| 5103402.856 | 22293821.878 | 5103402.891 | -0.005 | 0.001 | 0.001 | 
| 5103402.858 | 5103402.858 | 22293821.952 | 0.003 | 0.003 | -0.001 | 
| 36.342 | 63.248 | 63.317 | 3125521.995 | -0.006 | -0.001 | 
| 63.248 | 36.342 | 63.316 | -0.006 | 3125521.994 | -0.000 | 
| 63.234 | 63.233 | 36.328 | 0.005 | 0.017 | 3125521.981 | 
| 22283619.563 | 5102133.486 | 5102133.482 | 0.001 | 0.001 | 0.000 | 
| 5102133.486 | 22283619.563 | 5102133.482 | 0.001 | 0.001 | 0.000 | 
| 5102133.487 | 5102133.487 | 22283619.557 | 0.001 | 0.001 | -0.000 | 
| -362.596 | -631.594 | -631.833 | 3125523.365 | 0.001 | -0.000 | 
| -631.594 | -362.596 | -631.833 | 0.001 | 3125523.365 | -0.000 | 
| -631.593 | -631.825 | -362.598 | -0.000 | -0.000 | 3125523.364 | 
| 22302169.068 | 5104441.316 | 5104441.318 | -0.001 | 0.001 | 0.000 | 
| 5104441.316 | 22302169.068 | 5104441.318 | 0.001 | -0.001 | 0.000 | 
| 5104441.317 | 5104441.317 | 22302169.079 | -0.001 | -0.001 | -0.000 | 
| 362.595 | 631.595 | 631.833 | 3125523.364 | -0.001 | 0.000 | 
| 631.595 | 362.595 | 631.833 | -0.001 | 3125523.364 | 0.000 | 
| 631.593 | 631.826 | 362.598 | 0.000 | -0.000 | 3125523.364 | 
| 22200146.779 | 5091748.228 | 5091748.228 | -0.000 | -0.000 | -0.000 | 
| 5091748.228 | 22200146.779 | 5091748.228 | -0.000 | -0.000 | -0.000 | 
| 5091748.228 | 5091748.228 | 22200146.779 | -0.000 | -0.000 | 0.000 | 
| -3625.892 | -6315.850 | -6318.195 | 3125523.529 | 0.000 | -0.000 | 
| -6315.850 | -3625.892 | -6318.195 | 0.000 | 3125523.529 | -0.000 | 
| -6315.850 | -6318.194 | -3625.892 | -0.000 | -0.000 | 3125523.529 | 
| 22385641.693 | 5114826.508 | 5114826.509 | 0.000 | -0.000 | -0.000 | 
| 5114826.508 | 22385641.693 | 5114826.509 | -0.000 | 0.000 | -0.000 | 
| 5114826.508 | 5114826.508 | 22385641.694 | 0.000 | 0.000 | -0.000 | 
| 3625.892 | 6315.850 | 6318.195 | 3125523.529 | -0.000 | -0.000 | 
| 6315.850 | 3625.892 | 6318.195 | -0.000 | 3125523.529 | -0.000 | 
| 6315.850 | 6318.194 | 3625.892 | 0.000 | 0.000 | 3125523.529 | 
| 115.435 | 108.932 | 108.932 | 0.000 | 0.000 | 0.000 | 
| 108.932 | 115.435 | 108.932 | 0.000 | -0.000 | -0.000 | 
| 108.932 | 108.932 | 115.435 | -0.000 | -0.000 | 0.000 | 
| 0.000 | 0.000 | 0.000 | 42.922 | 0.000 | 0.000 | 
| 0.000 | 0.000 | 0.000 | 0.000 | 42.922 | 0.000 | 
| 0.000 | 0.000 | 0.000 | 0.000 | 0.000 | 42.922 | 
| 115.435 | 108.932 | 108.932 | -0.000 | -0.000 | -0.000 | 
| 108.932 | 115.435 | 108.932 | -0.000 | -0.000 | -0.000 | 
| 108.932 | 108.932 | 115.435 | -0.000 | -0.000 | -0.000 | 
| -0.000 | -0.000 | -0.000 | 42.922 | -0.000 | -0.000 | 
| -0.000 | -0.000 | -0.000 | -0.000 | 42.922 | -0.000 | 
| -0.000 | -0.000 | -0.000 | -0.000 | -0.000 | 42.922 | 
| 115.435 | 108.932 | 108.932 | 0.000 | -0.000 | 0.000 | 
| 108.932 | 115.435 | 108.932 | 0.000 | -0.000 | 0.000 | 
| 108.932 | 108.932 | 115.435 | 0.000 | 0.000 | 0.000 | 
| 0.000 | 0.000 | 0.000 | 42.922 | 0.000 | 0.000 | 
| 0.000 | 0.000 | 0.000 | -0.000 | 42.922 | 0.000 | 
| 0.000 | 0.000 | 0.000 | 0.000 | 0.000 | 42.922 | 
| 115.435 | 108.932 | 108.932 | -0.000 | -0.000 | -0.000 | 
| 108.932 | 115.435 | 108.932 | -0.000 | -0.000 | -0.000 | 
| 108.932 | 108.932 | 115.435 | -0.000 | -0.000 | -0.000 | 
| -0.000 | -0.000 | -0.000 | 42.922 | 0.000 | -0.000 | 
| -0.000 | -0.000 | -0.000 | -0.000 | 42.922 | -0.000 | 
| -0.000 | -0.000 | -0.000 | -0.000 | -0.000 | 42.922 | 
| 115.435 | 108.932 | 108.932 | 0.000 | 0.000 | 0.000 | 
| 108.932 | 115.435 | 108.932 | 0.000 | 0.000 | 0.000 | 
| 108.932 | 108.932 | 115.435 | -0.000 | 0.000 | 0.000 | 
| 0.000 | -0.000 | 0.000 | 28.620 | 0.000 | -0.000 | 
| -0.000 | 0.000 | 0.000 | 0.000 | 28.620 | 0.000 | 
| -0.000 | 0.000 | 0.000 | 0.000 | 0.000 | 28.620 | 
| 115.435 | 108.932 | 108.932 | -0.000 | -0.000 | -0.000 | 
| 108.932 | 115.435 | 108.932 | -0.000 | -0.000 | -0.000 | 
| 108.932 | 108.932 | 115.435 | -0.000 | -0.000 | -0.000 | 
| -0.000 | 0.000 | -0.000 | 28.620 | -0.000 | -0.000 | 
| 0.000 | -0.000 | -0.000 | -0.000 | 28.620 | 0.000 | 
| 0.000 | -0.000 | -0.000 | -0.000 | -0.000 | 28.620 | 
| 6.338 | 9.905 | 9.905 | -0.000 | 0.000 | -0.000 | 
| 9.905 | 6.338 | 9.905 | -0.000 | -0.000 | 0.000 | 
| 9.905 | 9.905 | 6.338 | -0.000 | -0.000 | -0.000 | 
| 0.000 | 0.000 | -0.000 | -114.707 | 0.000 | -0.000 | 
| 0.000 | 0.000 | -0.000 | 0.000 | -114.707 | -0.000 | 
| 0.000 | -0.000 | 0.000 | 0.000 | -0.000 | -114.707 | 
| 6.338 | 9.905 | 9.905 | 0.000 | -0.000 | -0.000 | 
| 9.905 | 6.338 | 9.905 | -0.000 | 0.000 | 0.000 | 
| 9.905 | 9.905 | 6.338 | -0.000 | -0.000 | 0.000 | 
| -0.000 | -0.000 | 0.000 | -114.707 | 0.000 | 0.000 | 
| -0.000 | -0.000 | 0.000 | -0.000 | -114.707 | 0.000 | 
| -0.000 | 0.000 | -0.000 | -0.000 | 0.000 | -114.707 | 
| 6.338 | 9.905 | 9.905 | -0.000 | -0.000 | 0.000 | 
| 9.905 | 6.338 | 9.905 | 0.000 | 0.000 | 0.000 | 
| 9.905 | 9.905 | 6.338 | -0.000 | -0.000 | 0.000 | 
| 0.000 | 0.000 | -0.000 | -92.081 | -0.000 | 0.000 | 
| 0.000 | 0.000 | -0.000 | -0.000 | -92.081 | 0.000 | 
| 0.000 | -0.000 | 0.000 | -0.000 | -0.000 | -92.081 | 
| 6.338 | 9.905 | 9.905 | 0.000 | 0.000 | 0.000 | 
| 9.905 | 6.338 | 9.905 | 0.000 | 0.000 | 0.000 | 
| 9.905 | 9.905 | 6.338 | -0.000 | -0.000 | 0.000 | 
| -0.000 | -0.000 | 0.000 | -92.081 | 0.000 | -0.000 | 
| -0.000 | -0.000 | 0.000 | 0.000 | -92.081 | 0.000 | 
| -0.000 | 0.000 | -0.000 | 0.000 | 0.000 | -92.081 | 
| 6.338 | 9.905 | 9.905 | -0.000 | -0.000 | 0.000 | 
| 9.905 | 6.338 | 9.905 | -0.000 | -0.000 | -0.000 | 
| 9.905 | 9.905 | 6.338 | -0.000 | -0.000 | 0.000 | 
| 0.000 | 0.000 | -0.000 | -114.707 | -0.000 | -0.000 | 
| 0.000 | 0.000 | -0.000 | 0.000 | -114.707 | -0.000 | 
| 0.000 | -0.000 | 0.000 | -0.000 | -0.000 | -114.707 | 
| 6.338 | 9.905 | 9.905 | 0.000 | 0.000 | -0.000 | 
| 9.905 | 6.338 | 9.905 | 0.000 | -0.000 | 0.000 | 
| 9.905 | 9.905 | 6.338 | -0.000 | 0.000 | -0.000 | 
| -0.000 | -0.000 | 0.000 | -114.707 | -0.000 | -0.000 | 
| -0.000 | -0.000 | 0.000 | -0.000 | -114.707 | -0.000 | 
| -0.000 | 0.000 | -0.000 | -0.000 | 0.000 | -114.707 | 
| 151773.589 | 119526.346 | 119526.346 | -0.000 | -0.000 | 0.000 | 
| 119526.347 | 151773.589 | 119526.347 | -0.000 | -0.000 | 0.000 | 
| 119526.347 | 119526.347 | 151773.589 | -0.000 | -0.000 | 0.000 | 
| -0.002 | -0.002 | -0.002 | 427.243 | -0.000 | 0.000 | 
| -0.001 | -0.003 | -0.002 | -0.000 | 427.243 | 0.000 | 
| -0.001 | -0.001 | -0.002 | -0.000 | -0.000 | 427.243 | 
| 151773.371 | 119526.192 | 119526.192 | 0.000 | 0.000 | -0.000 | 
| 119526.192 | 151773.371 | 119526.193 | 0.000 | 0.000 | -0.000 | 
| 119526.192 | 119526.192 | 151773.371 | 0.000 | 0.000 | 0.000 | 
| 0.001 | 0.001 | 0.001 | 427.243 | 0.000 | -0.000 | 
| 0.001 | 0.002 | 0.001 | 0.000 | 427.243 | -0.000 | 
| 0.001 | 0.001 | 0.002 | 0.000 | 0.000 | 427.243 | 
| 151774.592 | 119527.064 | 119527.064 | -0.000 | 0.000 | 0.000 | 
| 119527.064 | 151774.592 | 119527.064 | -0.000 | -0.000 | 0.000 | 
| 119527.064 | 119527.064 | 151774.592 | -0.000 | -0.000 | 0.000 | 
| -0.000 | 0.008 | 0.007 | 427.243 | -0.000 | 0.000 | 
| 0.008 | -0.000 | 0.007 | -0.000 | 427.243 | 0.000 | 
| 0.008 | 0.007 | -0.000 | -0.000 | -0.000 | 427.243 | 
| 151772.366 | 119525.473 | 119525.473 | 0.000 | 0.000 | -0.000 | 
| 119525.473 | 151772.366 | 119525.473 | 0.000 | 0.000 | 0.000 | 
| 119525.473 | 119525.473 | 151772.366 | 0.000 | 0.000 | 0.000 | 
| 0.000 | -0.008 | -0.007 | 427.243 | 0.000 | 0.000 | 
| -0.008 | 0.000 | -0.007 | 0.000 | 427.243 | 0.000 | 
| -0.008 | -0.007 | 0.000 | 0.000 | 0.000 | 427.243 | 
| 151784.612 | 119534.225 | 119534.225 | -0.000 | -0.000 | 0.000 | 
| 119534.225 | 151784.612 | 119534.225 | -0.000 | -0.000 | -0.000 | 
| 119534.225 | 119534.225 | 151784.612 | -0.000 | -0.000 | -0.000 | 
| -0.002 | 0.083 | 0.068 | 427.243 | -0.000 | 0.000 | 
| 0.083 | -0.002 | 0.068 | -0.000 | 427.243 | 0.000 | 
| 0.084 | 0.068 | -0.002 | -0.000 | -0.000 | 427.243 | 
| 151762.347 | 119518.313 | 119518.313 | 0.000 | 0.000 | -0.000 | 
| 119518.313 | 151762.347 | 119518.313 | 0.000 | 0.000 | -0.000 | 
| 119518.313 | 119518.313 | 151762.347 | 0.000 | 0.000 | 0.000 | 
| 0.002 | -0.084 | -0.068 | 427.243 | 0.000 | 0.000 | 
| -0.084 | 0.002 | -0.068 | 0.000 | 427.243 | -0.000 | 
| -0.084 | -0.068 | 0.002 | 0.000 | 0.000 | 427.243 | 
| 1967821.765 | 983940.133 | 983940.135 | 0.000 | 0.000 | 0.000 | 
| 983940.133 | 1967821.765 | 983940.135 | 0.000 | 0.000 | 0.000 | 
| 983940.132 | 983940.132 | 1967821.762 | 0.001 | 0.001 | 0.000 | 
| 12.608 | 22.050 | 22.063 | 983857.591 | 0.000 | 0.000 | 
| 22.050 | 12.608 | 22.063 | 0.000 | 983857.591 | 0.000 | 
| 22.050 | 22.064 | 12.610 | 0.001 | 0.000 | 983857.591 | 
| 1967683.075 | 983895.974 | 983895.972 | -0.000 | -0.004 | -0.000 | 
| 983895.974 | 1967683.075 | 983895.972 | -0.004 | -0.000 | -0.000 | 
| 983895.973 | 983895.973 | 1967683.074 | -0.000 | -0.000 | -0.001 | 
| -12.605 | -22.047 | -22.059 | 983857.591 | -0.001 | -0.000 | 
| -22.047 | -12.605 | -22.059 | -0.001 | 983857.591 | -0.000 | 
| -22.049 | -22.062 | -12.608 | 0.000 | 0.000 | 983857.590 | 
| 1968445.796 | 984138.813 | 984138.813 | 0.000 | 0.000 | 0.000 | 
| 984138.813 | 1968445.796 | 984138.813 | 0.000 | 0.000 | 0.000 | 
| 984138.813 | 984138.813 | 1968445.796 | 0.000 | 0.000 | -0.000 | 
| 126.074 | 220.469 | 220.617 | 983857.591 | 0.000 | 0.000 | 
| 220.469 | 126.074 | 220.617 | 0.000 | 983857.591 | 0.000 | 
| 220.470 | 220.617 | 126.074 | -0.000 | 0.000 | 983857.591 | 
| 1967059.030 | 983697.283 | 983697.283 | -0.000 | 0.000 | 0.000 | 
| 983697.283 | 1967059.030 | 983697.283 | 0.000 | -0.000 | 0.000 | 
| 983697.284 | 983697.284 | 1967059.030 | -0.000 | -0.000 | -0.000 | 
| -126.074 | -220.470 | -220.617 | 983857.591 | -0.000 | -0.000 | 
| -220.470 | -126.074 | -220.617 | -0.000 | 983857.591 | -0.000 | 
| -220.470 | -220.617 | -126.074 | -0.000 | 0.000 | 983857.591 | 
| 987686.919 | 739375.376 | 739375.377 | 0.000 | -0.000 | -0.000 | 
| 739375.376 | 987686.919 | 739375.377 | -0.000 | 0.000 | -0.000 | 
| 739375.376 | 739375.376 | 987686.919 | -0.000 | -0.000 | 0.000 | 
| -25601.511 | -64950.948 | -64949.333 | 930133.154 | 0.000 | -0.000 | 
| -64950.948 | -25601.511 | -64949.333 | 0.000 | 930133.154 | -0.000 | 
| -64950.948 | -64949.333 | -25601.511 | -0.000 | -0.000 | 930133.154 | 
| 1960818.721 | 981710.405 | 981710.405 | -0.000 | -0.000 | -0.000 | 
| 981710.405 | 1960818.721 | 981710.405 | -0.000 | -0.000 | -0.000 | 
| 981710.405 | 981710.405 | 1960818.721 | -0.000 | -0.000 | 0.000 | 
| 25601.511 | 64950.948 | 64949.333 | 930133.154 | 0.000 | -0.000 | 
| 64950.948 | 25601.511 | 64949.333 | 0.000 | 930133.154 | -0.000 | 
| 64950.948 | 64949.333 | 25601.511 | 0.000 | 0.000 | 930133.154 | 
| 109.905 | 100.354 | 100.354 | -0.000 | -0.000 | -0.000 | 
| 100.354 | 109.905 | 100.354 | -0.000 | -0.000 | -0.000 | 
| 100.354 | 100.354 | 109.905 | -0.000 | -0.000 | -0.000 | 
| -0.000 | 0.000 | 0.000 | 34.222 | -0.000 | 0.000 | 
| 0.000 | 0.000 | 0.000 | -0.000 | 34.222 | -0.000 | 
| 0.000 | 0.000 | -0.000 | -0.000 | -0.000 | 34.222 | 
| 109.905 | 100.354 | 100.354 | 0.000 | 0.000 | 0.000 | 
| 100.354 | 109.905 | 100.354 | -0.000 | 0.000 | 0.000 | 
| 100.354 | 100.354 | 109.905 | 0.000 | 0.000 | 0.000 | 
| 0.000 | -0.000 | -0.000 | 34.222 | 0.000 | 0.000 | 
| -0.000 | -0.000 | -0.000 | 0.000 | 34.222 | 0.000 | 
| -0.000 | -0.000 | 0.000 | 0.000 | 0.000 | 34.222 | 
| 109.905 | 100.354 | 100.354 | -0.000 | -0.000 | -0.000 | 
| 100.354 | 109.905 | 100.354 | -0.000 | -0.000 | -0.000 | 
| 100.354 | 100.354 | 109.905 | -0.000 | -0.000 | -0.000 | 
| -0.000 | 0.000 | 0.000 | 34.222 | -0.000 | -0.000 | 
| 0.000 | -0.000 | 0.000 | -0.000 | 34.222 | -0.000 | 
| 0.000 | 0.000 | -0.000 | -0.000 | -0.000 | 34.222 | 
| 109.904 | 100.354 | 100.354 | 0.000 | 0.000 | 0.000 | 
| 100.354 | 109.904 | 100.354 | 0.000 | 0.000 | 0.000 | 
| 100.354 | 100.354 | 109.904 | 0.000 | 0.000 | 0.000 | 
| 0.000 | -0.000 | -0.000 | 34.222 | 0.000 | 0.000 | 
| -0.000 | 0.000 | -0.000 | 0.000 | 34.222 | 0.000 | 
| -0.000 | -0.000 | 0.000 | 0.000 | 0.000 | 34.222 | 
| 109.909 | 100.356 | 100.356 | -0.000 | -0.000 | -0.000 | 
| 100.356 | 109.909 | 100.356 | 0.000 | -0.000 | -0.000 | 
| 100.356 | 100.356 | 109.909 | -0.000 | -0.000 | -0.000 | 
| -0.000 | 0.002 | 0.002 | 34.222 | -0.000 | -0.000 | 
| 0.002 | -0.000 | 0.002 | -0.000 | 34.222 | -0.000 | 
| 0.002 | 0.002 | -0.000 | -0.000 | -0.000 | 34.222 | 
| 109.900 | 100.352 | 100.352 | 0.000 | 0.000 | 0.000 | 
| 100.352 | 109.900 | 100.352 | 0.000 | 0.000 | 0.000 | 
| 100.352 | 100.352 | 109.900 | 0.000 | 0.000 | 0.000 | 
| 0.000 | -0.002 | -0.002 | 34.222 | 0.000 | 0.000 | 
| -0.002 | 0.000 | -0.002 | 0.000 | 34.222 | 0.000 | 
| -0.002 | -0.002 | 0.000 | 0.000 | 0.000 | 34.222 | 
| 23.594 | 12.458 | 12.458 | -0.000 | -0.000 | -0.000 | 
| 12.458 | 23.594 | 12.458 | -0.000 | -0.000 | -0.000 | 
| 12.458 | 12.458 | 23.594 | -0.000 | -0.000 | -0.000 | 
| 0.000 | -0.000 | -0.000 | 11.317 | -0.000 | -0.000 | 
| -0.000 | 0.000 | -0.000 | -0.000 | 11.317 | -0.000 | 
| -0.000 | 0.000 | -0.000 | -0.000 | -0.000 | 11.317 | 
| 23.594 | 12.458 | 12.458 | 0.000 | 0.000 | -0.000 | 
| 12.458 | 23.594 | 12.458 | 0.000 | 0.000 | -0.000 | 
| 12.458 | 12.458 | 23.594 | -0.000 | 0.000 | -0.000 | 
| -0.000 | 0.000 | 0.000 | 11.317 | 0.000 | -0.000 | 
| 0.000 | -0.000 | 0.000 | 0.000 | 11.317 | 0.000 | 
| 0.000 | 0.000 | 0.000 | 0.000 | 0.000 | 11.317 | 
| 23.594 | 12.458 | 12.458 | -0.000 | -0.000 | -0.000 | 
| 12.458 | 23.594 | 12.458 | -0.000 | -0.000 | -0.000 | 
| 12.458 | 12.458 | 23.594 | 0.000 | -0.000 | -0.000 | 
| 0.000 | -0.000 | -0.000 | 11.317 | -0.000 | -0.000 | 
| -0.000 | 0.000 | -0.000 | -0.000 | 11.317 | -0.000 | 
| -0.000 | -0.000 | 0.000 | -0.000 | -0.000 | 11.317 | 
| 23.594 | 12.458 | 12.458 | 0.000 | 0.000 | -0.000 | 
| 12.458 | 23.594 | 12.458 | 0.000 | 0.000 | 0.000 | 
| 12.458 | 12.458 | 23.594 | 0.000 | 0.000 | 0.000 | 
| -0.000 | 0.000 | 0.000 | 11.317 | 0.000 | -0.000 | 
| 0.000 | -0.000 | 0.000 | 0.000 | 11.317 | 0.000 | 
| 0.000 | 0.000 | -0.000 | 0.000 | 0.000 | 11.317 | 
| 23.594 | 12.457 | 12.457 | -0.000 | -0.000 | 0.000 | 
| 12.457 | 23.594 | 12.457 | -0.000 | -0.000 | 0.000 | 
| 12.457 | 12.457 | 23.594 | 0.000 | -0.000 | 0.000 | 
| 0.000 | -0.000 | -0.000 | 11.317 | -0.000 | 0.000 | 
| -0.000 | 0.000 | -0.000 | -0.000 | 11.317 | 0.000 | 
| -0.000 | -0.000 | 0.000 | -0.000 | -0.000 | 11.317 | 
| 23.594 | 12.458 | 12.458 | 0.000 | 0.000 | 0.000 | 
| 12.458 | 23.594 | 12.458 | -0.000 | 0.000 | -0.000 | 
| 12.458 | 12.458 | 23.594 | 0.000 | 0.000 | -0.000 | 
| -0.000 | 0.000 | 0.000 | 11.317 | 0.000 | 0.000 | 
| 0.000 | -0.000 | 0.000 | 0.000 | 11.317 | 0.000 | 
| 0.000 | 0.000 | -0.000 | 0.000 | 0.000 | 11.317 | 
| 373.492 | 114.271 | 114.271 | -0.000 | -0.000 | 0.000 | 
| 114.271 | 373.492 | 114.271 | 0.000 | 0.000 | 0.000 | 
| 114.271 | 114.271 | 373.492 | -0.000 | 0.000 | 0.000 | 
| -0.000 | 0.000 | -0.000 | 0.642 | 0.000 | -0.000 | 
| -0.000 | 0.000 | -0.000 | -0.000 | 0.642 | 0.000 | 
| -0.000 | 0.000 | -0.000 | -0.000 | -0.000 | 0.642 | 
| 365.060 | 118.487 | 118.487 | 0.000 | 0.000 | -0.000 | 
| 118.487 | 365.060 | 118.487 | 0.000 | 0.000 | -0.000 | 
| 118.487 | 118.487 | 365.060 | 0.000 | -0.000 | -0.000 | 
| -0.000 | -0.000 | 0.000 | 0.642 | 0.000 | -0.000 | 
| 0.000 | -0.000 | 0.000 | 0.000 | 0.642 | -0.000 | 
| 0.000 | 0.000 | 0.000 | 0.000 | 0.000 | 0.642 | 
| 365.060 | 118.487 | 118.487 | -0.000 | -0.000 | 0.000 | 
| 118.487 | 365.060 | 118.487 | -0.000 | -0.000 | 0.000 | 
| 118.487 | 118.487 | 365.060 | -0.000 | -0.000 | 0.000 | 
| 0.000 | -0.000 | -0.000 | 46.458 | 0.000 | 0.000 | 
| -0.000 | -0.000 | -0.000 | 0.000 | 46.458 | 0.000 | 
| -0.000 | -0.000 | -0.000 | -0.000 | -0.000 | 46.458 | 
| 373.492 | 114.271 | 114.271 | 0.000 | 0.000 | 0.000 | 
| 114.271 | 373.492 | 114.271 | -0.000 | -0.000 | -0.000 | 
| 114.271 | 114.271 | 373.492 | 0.000 | 0.000 | -0.000 | 
| -0.000 | 0.000 | 0.000 | 46.458 | -0.000 | -0.000 | 
| 0.000 | 0.000 | 0.000 | 0.000 | 46.458 | -0.000 | 
| 0.000 | 0.000 | 0.000 | -0.000 | -0.000 | 46.458 | 
| 365.061 | 118.487 | 118.487 | -0.000 | -0.000 | 0.000 | 
| 118.487 | 365.061 | 118.487 | -0.000 | -0.000 | 0.000 | 
| 118.487 | 118.487 | 365.061 | -0.000 | -0.000 | 0.000 | 
| -0.000 | -0.000 | -0.000 | 0.642 | -0.000 | 0.000 | 
| -0.000 | -0.000 | -0.000 | -0.000 | 0.642 | 0.000 | 
| -0.000 | -0.000 | -0.000 | -0.000 | -0.000 | 0.642 | 
| 373.491 | 114.271 | 114.271 | 0.000 | -0.000 | -0.000 | 
| 114.271 | 373.491 | 114.271 | -0.000 | 0.000 | -0.000 | 
| 114.271 | 114.271 | 373.491 | -0.000 | 0.000 | -0.000 | 
| 0.000 | 0.000 | 0.000 | 0.642 | -0.000 | -0.000 | 
| 0.000 | 0.000 | 0.000 | 0.000 | 0.642 | -0.000 | 
| 0.000 | 0.000 | 0.000 | 0.000 | 0.000 | 0.642 | 
| 44.871 | 149.147 | 149.147 | -0.000 | 0.000 | -0.000 | 
| 149.147 | 44.871 | 149.147 | -0.000 | -0.000 | 0.000 | 
| 149.147 | 149.147 | 44.871 | -0.000 | -0.000 | -0.000 | 
| 0.000 | 0.000 | 0.000 | 81.726 | -0.000 | 0.000 | 
| 0.000 | 0.000 | 0.000 | 0.000 | 81.726 | 0.000 | 
| 0.000 | 0.000 | 0.000 | 0.000 | 0.000 | 81.726 | 
| 44.871 | 149.147 | 149.147 | 0.000 | 0.000 | -0.000 | 
| 149.147 | 44.871 | 149.147 | 0.000 | 0.000 | -0.000 | 
| 149.147 | 149.147 | 44.871 | 0.000 | 0.000 | 0.000 | 
| -0.000 | -0.000 | -0.000 | 81.726 | 0.000 | 0.000 | 
| -0.000 | -0.000 | -0.000 | -0.000 | 81.726 | -0.000 | 
| -0.000 | -0.000 | -0.000 | -0.000 | 0.000 | 81.726 | 
| 44.871 | 149.147 | 149.147 | -0.000 | -0.000 | 0.000 | 
| 149.147 | 44.871 | 149.147 | -0.000 | -0.000 | -0.000 | 
| 149.147 | 149.147 | 44.871 | -0.000 | -0.000 | -0.000 | 
| 0.000 | 0.000 | 0.000 | 39.246 | -0.000 | -0.000 | 
| 0.000 | 0.000 | 0.000 | 0.000 | 39.246 | 0.000 | 
| 0.000 | 0.000 | 0.000 | 0.000 | -0.000 | 39.246 | 
| 44.871 | 149.147 | 149.147 | 0.000 | 0.000 | -0.000 | 
| 149.147 | 44.871 | 149.147 | 0.000 | 0.000 | -0.000 | 
| 149.147 | 149.147 | 44.871 | -0.000 | -0.000 | 0.000 | 
| -0.000 | -0.000 | -0.000 | 39.246 | 0.000 | -0.000 | 
| -0.000 | -0.000 | -0.000 | -0.000 | 39.246 | 0.000 | 
| -0.000 | -0.000 | -0.000 | -0.000 | 0.000 | 39.246 | 
| 44.873 | 149.148 | 149.148 | -0.000 | -0.000 | 0.000 | 
| 149.148 | 44.873 | 149.148 | -0.000 | -0.000 | -0.000 | 
| 149.148 | 149.148 | 44.873 | 0.000 | 0.000 | -0.000 | 
| 0.000 | 0.000 | 0.001 | 81.726 | 0.000 | -0.000 | 
| 0.000 | 0.000 | 0.001 | -0.000 | 81.726 | 0.000 | 
| 0.000 | 0.001 | 0.000 | -0.000 | -0.000 | 81.726 | 
| 44.869 | 149.147 | 149.147 | 0.000 | 0.000 | 0.000 | 
| 149.147 | 44.869 | 149.147 | 0.000 | -0.000 | -0.000 | 
| 149.147 | 149.147 | 44.869 | 0.000 | -0.000 | -0.000 | 
| -0.000 | -0.000 | -0.001 | 81.726 | -0.000 | -0.000 | 
| -0.000 | -0.000 | -0.001 | -0.000 | 81.726 | -0.000 | 
| -0.000 | -0.001 | -0.000 | 0.000 | 0.000 | 81.726 | 
| 290.439 | 175.300 | 175.300 | 0.000 | 0.000 | -0.000 | 
| 175.300 | 290.439 | 175.300 | 0.000 | 0.000 | -0.000 | 
| 175.300 | 175.300 | 290.439 | 0.000 | -0.000 | -0.000 | 
| 0.000 | 0.000 | 0.000 | 113.625 | 0.000 | -0.000 | 
| 0.000 | 0.000 | 0.000 | 0.000 | 113.625 | -0.000 | 
| 0.000 | 0.000 | 0.000 | 0.000 | 0.000 | 113.625 | 
| 290.439 | 175.300 | 175.300 | -0.000 | -0.000 | 0.000 | 
| 175.300 | 290.439 | 175.300 | -0.000 | -0.000 | 0.000 | 
| 175.300 | 175.300 | 290.439 | -0.000 | -0.000 | 0.000 | 
| -0.000 | -0.000 | -0.000 | 113.625 | -0.000 | 0.000 | 
| -0.000 | -0.000 | -0.000 | -0.000 | 113.625 | 0.000 | 
| -0.000 | -0.000 | -0.000 | -0.000 | -0.000 | 113.625 | 
| 290.440 | 175.300 | 175.300 | 0.000 | 0.000 | -0.000 | 
| 175.300 | 290.440 | 175.300 | 0.000 | 0.000 | -0.000 | 
| 175.300 | 175.300 | 290.440 | 0.000 | 0.000 | -0.000 | 
| -0.000 | 0.000 | 0.000 | 113.625 | 0.000 | -0.000 | 
| 0.000 | -0.000 | 0.000 | 0.000 | 113.625 | -0.000 | 
| 0.000 | 0.000 | -0.000 | 0.000 | 0.000 | 113.625 | 
| 290.439 | 175.299 | 175.299 | -0.000 | -0.000 | 0.000 | 
| 175.299 | 290.439 | 175.299 | -0.000 | -0.000 | 0.000 | 
| 175.299 | 175.299 | 290.439 | -0.000 | -0.000 | 0.000 | 
| 0.000 | -0.000 | -0.000 | 113.625 | -0.000 | 0.000 | 
| -0.000 | 0.000 | -0.000 | -0.000 | 113.625 | 0.000 | 
| -0.000 | -0.000 | 0.000 | -0.000 | -0.000 | 113.625 | 
| 290.440 | 175.300 | 175.300 | 0.000 | 0.000 | -0.000 | 
| 175.300 | 290.440 | 175.300 | 0.000 | 0.000 | -0.000 | 
| 175.300 | 175.300 | 290.440 | 0.000 | -0.000 | -0.000 | 
| -0.000 | 0.000 | 0.000 | 113.625 | 0.000 | -0.000 | 
| 0.000 | -0.000 | 0.000 | 0.000 | 113.625 | -0.000 | 
| 0.000 | 0.000 | -0.000 | 0.000 | -0.000 | 113.625 | 
| 290.439 | 175.299 | 175.299 | -0.000 | -0.000 | 0.000 | 
| 175.299 | 290.439 | 175.299 | -0.000 | -0.000 | 0.000 | 
| 175.299 | 175.299 | 290.439 | -0.000 | -0.000 | 0.000 | 
| 0.000 | -0.000 | -0.000 | 113.625 | 0.000 | -0.000 | 
| -0.000 | 0.000 | -0.000 | -0.000 | 113.625 | 0.000 | 
| -0.000 | -0.000 | 0.000 | -0.000 | -0.000 | 113.625 | 
| 207.751 | 110.673 | 157.324 | -0.000 | -0.000 | 0.000 | 
| 114.799 | 275.920 | 114.005 | 0.000 | -0.000 | -0.000 | 
| 156.766 | 111.181 | 303.864 | -0.000 | -0.000 | 0.000 | 
| 0.320 | 0.031 | -0.380 | 37.964 | -0.000 | -0.000 | 
| 0.385 | 0.038 | -0.457 | 0.000 | 76.955 | 0.000 | 
| 0.114 | 0.011 | -0.135 | 0.000 | -0.000 | 54.620 | 
| 207.157 | 110.443 | 157.833 | 0.000 | 0.000 | -0.000 | 
| 114.152 | 275.609 | 114.596 | -0.000 | 0.000 | 0.000 | 
| 154.472 | 115.667 | 308.849 | -0.000 | 0.000 | 0.000 | 
| -0.320 | -0.031 | 0.380 | 37.964 | 0.000 | -0.000 | 
| -0.385 | -0.038 | 0.457 | -0.000 | 76.955 | -0.000 | 
| -0.114 | -0.011 | 0.135 | -0.000 | 0.000 | 54.620 | 
| 206.922 | 113.663 | 160.191 | -0.000 | -0.000 | 0.000 | 
| 114.187 | 275.668 | 114.588 | -0.000 | -0.000 | 0.000 | 
| 156.516 | 111.202 | 304.159 | -0.000 | -0.000 | -0.000 | 
| 0.031 | 0.005 | -0.031 | 34.260 | -0.000 | 0.000 | 
| 0.039 | 0.004 | -0.046 | 0.000 | 76.867 | 0.000 | 
| 0.011 | 0.001 | -0.014 | 0.000 | -0.000 | 54.620 | 
| 207.423 | 110.545 | 157.604 | 0.000 | 0.000 | -0.000 | 
| 114.140 | 275.655 | 114.634 | 0.000 | 0.000 | -0.000 | 
| 160.190 | 115.099 | 302.959 | 0.000 | 0.000 | 0.000 | 
| -0.031 | -0.005 | 0.031 | 34.260 | 0.000 | -0.000 | 
| -0.039 | -0.004 | 0.046 | -0.000 | 76.867 | -0.000 | 
| -0.011 | -0.001 | 0.014 | -0.000 | -0.000 | 54.620 | 
| 206.897 | 113.657 | 160.216 | -0.000 | -0.000 | 0.000 | 
| 114.166 | 275.664 | 114.609 | -0.000 | -0.000 | -0.000 | 
| 154.530 | 116.138 | 309.074 | 0.000 | -0.000 | -0.000 | 
| 0.003 | 0.001 | -0.003 | 34.260 | -0.000 | 0.000 | 
| 0.003 | 0.000 | -0.003 | 0.000 | 71.207 | -0.000 | 
| 0.001 | 0.000 | -0.001 | 0.000 | -0.000 | 54.620 | 
| 206.888 | 113.656 | 160.221 | 0.000 | 0.000 | -0.000 | 
| 113.653 | 275.635 | 115.107 | 0.000 | 0.000 | -0.000 | 
| 160.215 | 115.104 | 302.933 | 0.000 | 0.000 | 0.000 | 
| -0.003 | -0.001 | 0.003 | 34.260 | 0.000 | -0.000 | 
| -0.003 | -0.000 | 0.003 | -0.000 | 71.207 | 0.000 | 
| -0.001 | -0.000 | 0.001 | -0.000 | 0.000 | 54.620 | 
| 99.280 | 46.085 | 219.667 | -0.000 | 0.000 | -0.000 | 
| 13.244 | 206.571 | 172.455 | -0.000 | 0.000 | -0.000 | 
| 60.981 | 46.610 | 360.656 | -0.000 | 0.000 | 0.000 | 
| 0.000 | 0.000 | 0.000 | 57.394 | 0.000 | -0.000 | 
| -100.206 | -67.223 | 58.490 | 0.000 | 75.848 | -0.000 | 
| -99.950 | -67.172 | 58.262 | 0.000 | 0.000 | 54.459 | 
| 288.166 | 202.624 | 129.531 | 0.000 | 0.000 | -0.000 | 
| 213.143 | 340.914 | 55.930 | 0.000 | -0.000 | -0.000 | 
| 260.881 | 180.953 | 244.131 | 0.000 | -0.000 | 0.000 | 
| -0.000 | -0.000 | -0.000 | 57.394 | -0.000 | -0.000 | 
| 100.206 | 67.223 | -58.490 | 0.000 | 75.848 | 0.000 | 
| 99.950 | 67.172 | -58.262 | 0.000 | -0.000 | 54.459 | 
| 197.538 | 106.420 | 159.218 | -0.000 | -0.000 | -0.000 | 
| 106.624 | 265.997 | 115.715 | 0.000 | 0.000 | -0.000 | 
| 151.397 | 123.346 | 318.757 | 0.000 | 0.000 | -0.000 | 
| -9.664 | -6.417 | 5.685 | 32.833 | 0.000 | -0.000 | 
| -10.089 | -5.282 | 6.879 | -0.000 | 72.564 | -0.000 | 
| -6.737 | -7.238 | 2.368 | -0.000 | -0.000 | 54.459 | 
| 212.377 | 119.342 | 151.871 | 0.000 | 0.000 | -0.000 | 
| 123.188 | 280.460 | 108.366 | -0.000 | -0.000 | 0.000 | 
| 160.802 | 119.561 | 305.764 | 0.000 | -0.000 | 0.000 | 
| 9.664 | 6.417 | -5.685 | 32.833 | -0.000 | -0.000 | 
| 10.089 | 5.282 | -6.879 | -0.000 | 72.564 | 0.000 | 
| 6.737 | 7.238 | -2.368 | 0.000 | 0.000 | 54.459 | 
| 212.379 | 119.343 | 151.871 | 0.000 | 0.000 | -0.000 | 
| 112.194 | 273.072 | 114.776 | 0.000 | 0.000 | -0.000 | 
| 159.932 | 113.110 | 302.977 | 0.000 | 0.000 | -0.000 | 
| -0.950 | -0.640 | 0.553 | 33.082 | 0.000 | -0.000 | 
| -1.023 | -0.678 | 0.603 | 0.000 | 72.489 | -0.000 | 
| -0.674 | -0.724 | 0.237 | -0.000 | 0.000 | 54.459 | 
| 200.228 | 113.928 | 160.822 | 0.000 | -0.000 | -0.000 | 
| 114.536 | 274.532 | 113.265 | 0.000 | -0.000 | 0.000 | 
| 161.930 | 114.453 | 301.810 | -0.000 | -0.000 | 0.000 | 
| 0.950 | 0.640 | -0.553 | 33.082 | -0.000 | 0.000 | 
| 1.023 | 0.678 | -0.603 | -0.000 | 72.489 | 0.000 | 
| 0.674 | 0.724 | -0.237 | 0.000 | 0.000 | 54.459 | 
| 266.147 | 195.998 | 157.063 | 0.000 | -0.000 | 0.000 | 
| 195.998 | 266.147 | 157.063 | 0.000 | 0.000 | 0.000 | 
| 157.063 | 157.063 | 232.436 | 0.000 | 0.000 | 0.000 | 
| 0.000 | -0.000 | 0.000 | 81.593 | 0.000 | 0.000 | 
| 0.000 | -0.000 | 0.000 | 0.000 | 81.593 | 0.000 | 
| 0.000 | -0.000 | 0.000 | -0.000 | 0.000 | 118.524 | 
| 279.742 | 182.403 | 157.063 | -0.000 | -0.000 | -0.000 | 
| 182.403 | 279.742 | 157.063 | -0.000 | 0.000 | -0.000 | 
| 157.063 | 157.063 | 232.436 | -0.000 | 0.000 | -0.000 | 
| -0.000 | 0.000 | -0.000 | 81.593 | -0.000 | -0.000 | 
| -0.000 | 0.000 | -0.000 | -0.000 | 81.593 | -0.000 | 
| -0.000 | 0.000 | -0.000 | -0.000 | -0.000 | 118.524 | 
| 266.147 | 195.998 | 157.063 | 0.000 | 0.000 | 0.000 | 
| 195.998 | 266.147 | 157.063 | 0.000 | -0.000 | 0.000 | 
| 157.063 | 157.063 | 232.436 | -0.000 | -0.000 | 0.000 | 
| -0.000 | 0.000 | 0.000 | 81.593 | 0.000 | 0.000 | 
| 0.000 | -0.000 | 0.000 | 0.000 | 81.593 | 0.000 | 
| 0.000 | 0.000 | -0.000 | 0.000 | -0.000 | 118.524 | 
| 279.742 | 182.403 | 157.063 | -0.000 | 0.000 | -0.000 | 
| 182.403 | 279.742 | 157.063 | -0.000 | 0.000 | -0.000 | 
| 157.063 | 157.063 | 232.436 | -0.000 | -0.000 | -0.000 | 
| 0.000 | -0.000 | -0.000 | 81.593 | -0.000 | -0.000 | 
| -0.000 | 0.000 | -0.000 | 0.000 | 81.593 | -0.000 | 
| -0.000 | -0.000 | 0.000 | -0.000 | -0.000 | 118.524 | 
| 266.148 | 195.998 | 157.063 | 0.000 | -0.000 | 0.000 | 
| 195.998 | 266.148 | 157.063 | 0.000 | -0.000 | 0.000 | 
| 157.063 | 157.063 | 232.436 | -0.000 | 0.000 | 0.000 | 
| -0.000 | 0.000 | 0.000 | 81.593 | 0.000 | 0.000 | 
| 0.000 | -0.000 | 0.000 | 0.000 | 81.593 | 0.000 | 
| 0.000 | 0.000 | -0.000 | -0.000 | 0.000 | 118.524 | 
| 279.742 | 182.402 | 157.063 | -0.000 | -0.000 | -0.000 | 
| 182.402 | 279.742 | 157.063 | 0.000 | 0.000 | -0.000 | 
| 157.063 | 157.063 | 232.436 | -0.000 | -0.000 | -0.000 | 
| 0.000 | -0.000 | -0.000 | 81.593 | -0.000 | -0.000 | 
| -0.000 | 0.000 | -0.000 | 0.000 | 81.593 | -0.000 | 
| -0.000 | -0.000 | 0.000 | 0.000 | 0.000 | 118.524 | 
| 346.704 | 157.001 | 127.535 | -0.000 | 0.000 | 0.000 | 
| 157.001 | 346.704 | 127.535 | -0.000 | -0.000 | 0.000 | 
| 118.987 | 118.987 | 278.651 | 0.000 | -0.000 | 0.000 | 
| 0.000 | 0.000 | 0.001 | 41.003 | -0.000 | 0.000 | 
| -0.000 | -0.000 | 0.000 | 0.000 | 63.695 | 0.000 | 
| 0.000 | 0.000 | 0.001 | 0.000 | 0.000 | 89.841 | 
| 346.704 | 157.001 | 127.535 | 0.000 | 0.000 | -0.000 | 
| 157.001 | 346.704 | 127.535 | 0.000 | 0.000 | -0.000 | 
| 127.535 | 127.535 | 305.410 | -0.000 | 0.000 | -0.000 | 
| -0.000 | -0.000 | -0.001 | 41.003 | -0.000 | -0.000 | 
| 0.000 | 0.000 | -0.000 | 0.000 | 63.695 | 0.000 | 
| -0.000 | -0.000 | -0.001 | -0.000 | 0.000 | 89.841 | 
| 346.704 | 157.001 | 127.535 | -0.000 | -0.000 | 0.000 | 
| 157.001 | 346.704 | 127.535 | -0.000 | 0.000 | 0.000 | 
| 127.535 | 127.535 | 305.410 | -0.000 | 0.000 | 0.000 | 
| 0.000 | 0.000 | 0.000 | 63.695 | -0.000 | 0.000 | 
| 0.000 | 0.000 | 0.000 | 0.000 | 41.003 | 0.000 | 
| 0.000 | 0.000 | 0.000 | -0.000 | -0.000 | 94.851 | 
| 346.704 | 157.001 | 127.535 | 0.000 | -0.000 | -0.000 | 
| 157.001 | 346.704 | 127.535 | 0.000 | 0.000 | -0.000 | 
| 127.535 | 127.535 | 305.410 | 0.000 | 0.000 | -0.000 | 
| -0.000 | -0.000 | -0.000 | 63.695 | -0.000 | -0.000 | 
| -0.000 | -0.000 | -0.000 | -0.000 | 41.003 | -0.000 | 
| -0.000 | -0.000 | -0.000 | -0.000 | 0.000 | 94.851 | 
| 338.975 | 159.025 | 118.600 | 0.000 | -0.000 | 0.000 | 
| 160.065 | 335.870 | 115.368 | 0.000 | -0.000 | -0.000 | 
| 127.535 | 127.535 | 305.412 | -0.000 | -0.000 | 0.000 | 
| 0.000 | 0.000 | 0.000 | 63.695 | 0.000 | 0.000 | 
| 0.000 | 0.000 | 0.000 | -0.000 | 41.003 | -0.000 | 
| 0.000 | 0.001 | 0.000 | 0.000 | 0.000 | 89.841 | 
| 346.702 | 157.001 | 127.535 | 0.000 | 0.000 | -0.000 | 
| 159.024 | 338.972 | 118.600 | -0.000 | 0.000 | 0.000 | 
| 127.534 | 127.534 | 305.409 | -0.000 | 0.000 | -0.000 | 
| -0.000 | -0.000 | -0.000 | 63.695 | -0.000 | -0.000 | 
| -0.000 | -0.000 | -0.000 | -0.000 | 41.003 | -0.000 | 
| -0.000 | -0.001 | -0.000 | -0.000 | -0.000 | 89.841 | 
| 346.565 | 156.771 | 128.424 | 0.000 | 0.000 | -0.000 | 
| 156.771 | 346.565 | 128.424 | 0.000 | 0.000 | -0.000 | 
| 128.207 | 128.207 | 308.047 | 0.000 | 0.000 | -0.000 | 
| -0.000 | 0.000 | 0.000 | 64.394 | 0.000 | -0.000 | 
| 0.003 | 0.003 | 0.010 | 0.000 | 41.754 | -0.000 | 
| 0.002 | 0.002 | 0.006 | 0.000 | 0.000 | 89.742 | 
| 335.594 | 160.168 | 116.336 | -0.000 | -0.000 | 0.000 | 
| 160.168 | 335.594 | 116.336 | -0.000 | 0.000 | 0.000 | 
| 119.776 | 119.776 | 281.137 | -0.000 | -0.000 | 0.000 | 
| -0.000 | -0.000 | -0.000 | 64.394 | -0.000 | 0.000 | 
| -0.003 | -0.003 | -0.010 | -0.000 | 41.754 | -0.000 | 
| -0.002 | -0.002 | -0.006 | -0.000 | -0.000 | 89.742 | 
| 338.780 | 159.011 | 119.574 | 0.000 | 0.000 | -0.000 | 
| 159.011 | 338.780 | 119.574 | -0.000 | 0.000 | -0.000 | 
| 119.778 | 119.778 | 281.143 | 0.000 | -0.000 | -0.000 | 
| 0.000 | 0.000 | 0.000 | 64.394 | 0.000 | -0.000 | 
| 0.000 | 0.000 | 0.001 | 0.000 | 41.754 | -0.000 | 
| 0.000 | 0.000 | 0.001 | 0.000 | 0.000 | 89.742 | 
| 346.565 | 156.771 | 128.424 | -0.000 | -0.000 | 0.000 | 
| 159.010 | 338.780 | 119.573 | -0.000 | -0.000 | 0.000 | 
| 128.207 | 128.207 | 308.047 | -0.000 | -0.000 | 0.000 | 
| -0.000 | -0.000 | -0.000 | 64.394 | -0.000 | 0.000 | 
| -0.000 | -0.000 | -0.001 | -0.000 | 41.754 | -0.000 | 
| -0.000 | -0.000 | -0.001 | -0.000 | -0.000 | 89.742 | 
| 346.568 | 156.772 | 128.425 | 0.000 | 0.000 | -0.000 | 
| 156.772 | 346.568 | 128.425 | 0.000 | 0.000 | -0.000 | 
| 119.778 | 119.778 | 281.144 | 0.000 | 0.000 | -0.000 | 
| 0.000 | 0.000 | 0.000 | 64.394 | 0.000 | -0.000 | 
| 0.000 | 0.000 | 0.000 | -0.000 | 64.394 | -0.000 | 
| 0.000 | 0.001 | 0.000 | 0.000 | 0.000 | 89.742 | 
| 346.563 | 156.771 | 128.424 | -0.000 | -0.000 | 0.000 | 
| 156.771 | 346.563 | 128.424 | 0.000 | -0.000 | 0.000 | 
| 128.206 | 128.206 | 308.045 | 0.000 | -0.000 | 0.000 | 
| -0.000 | -0.000 | -0.000 | 64.394 | -0.000 | 0.000 | 
| -0.000 | -0.000 | -0.000 | -0.000 | 64.394 | 0.000 | 
| -0.000 | -0.001 | -0.000 | 0.000 | -0.000 | 89.742 | 
| -45236548.063 | -52549405.742 | -204973212.266 | 527406.276 | 7317542.532 | -2026165.736 | 
| -43956944.765 | -49828476.229 | -198109231.795 | 41321.296 | 7672202.781 | -4456263.611 | 
| -44869388.027 | -50494944.322 | -200526209.393 | -3296.616 | 7412264.572 | -4088211.568 | 
| -42625988.916 | -53651148.563 | -207324962.842 | -46450.411 | 7684154.198 | -4018034.317 | 
| -44327582.861 | -50715511.807 | -197016129.746 | 403843.582 | 7454579.566 | -4793773.816 | 
| -43104078.883 | -48447366.486 | -190584135.828 | 208437.810 | 8672991.359 | -3336585.852 | 
| 44269514.830 | 50178723.342 | 200999399.221 | 272081.337 | -7687146.761 | 3995148.185 | 
| 44265586.632 | 49312539.888 | 198413824.916 | 164720.780 | -7893261.343 | 4307402.790 | 
| 43931902.323 | 49292698.983 | 200977190.507 | -200228.131 | -8846063.236 | 2668834.589 | 
| 44076573.494 | 49256503.841 | 198437791.125 | 140097.502 | -8126303.826 | 4277081.987 | 
| 44125663.768 | 50096444.611 | 199081838.903 | -5922.062 | -7181763.688 | 4283832.281 | 
| 47374851.684 | 57254225.793 | 206675116.198 | 2452618.300 | -6695696.074 | -3522089.077 | 
| -4499731.556 | -5115206.076 | -19918438.513 | 32877.790 | 738518.389 | -389710.487 | 
| -4316310.623 | -5108313.223 | -19931347.826 | 104854.014 | 790264.254 | -405246.601 | 
| -4425701.326 | -5023033.502 | -19972444.797 | -7394.409 | 730383.325 | -425106.260 | 
| -4467711.777 | -5243022.677 | -20373535.173 | 43357.958 | 768383.784 | -323896.104 | 
| -4464938.781 | -5119561.474 | -20218584.062 | 17670.974 | 744461.605 | -336110.949 | 
| -4452614.808 | -5042121.768 | -19844945.732 | 19559.632 | 759699.399 | -446146.740 | 
| 4435913.118 | 5092258.936 | 20345100.540 | -14546.000 | -755995.176 | 361978.881 | 
| 4715098.523 | 5029559.439 | 20045383.425 | 83968.135 | -906777.242 | 321649.785 | 
| 4500898.161 | 5125636.334 | 20074923.454 | -43659.892 | -755079.463 | 352539.058 | 
| 4376311.977 | 5020732.562 | 20174872.417 | 38802.949 | -821756.830 | 433041.417 | 
| 4466759.826 | 4974859.666 | 20284891.977 | 14789.978 | -954525.067 | 337120.194 | 
| 4346782.127 | 4771023.220 | 18526761.333 | -59943.474 | -891210.443 | 212452.471 | 
| -440737.966 | -497632.626 | -1996506.120 | 1154.145 | 74428.832 | -35885.005 | 
| -445677.776 | -503565.736 | -2025487.187 | 1376.392 | 82304.536 | -27811.706 | 
| -439669.116 | -500334.088 | -1995141.663 | -1168.597 | 78396.057 | -44770.429 | 
| -447392.962 | -499275.600 | -1998369.245 | -42.452 | 76987.259 | -41999.895 | 
| -526327.645 | -571273.032 | -2210323.797 | -5556.069 | 22756.916 | 13815.777 | 
| -445844.608 | -506936.674 | -1974949.882 | 6401.675 | 78984.007 | -42536.942 | 
| 454545.776 | 506448.737 | 2016638.959 | -189.115 | -82114.717 | 44334.602 | 
| 443843.046 | 498931.154 | 2008964.270 | -142.770 | -81691.470 | 40094.486 | 
| 434626.850 | 495026.970 | 1976741.022 | -3895.522 | -71493.467 | 41868.127 | 
| 438638.636 | 496512.234 | 1990410.948 | 2593.943 | -76245.860 | 41755.938 | 
| 442348.740 | 502208.609 | 1989558.223 | 2351.324 | -72671.489 | 45130.780 | 
| 436242.863 | 485667.198 | 1962294.474 | 557.190 | -83925.471 | 41545.099 | 
| 3634.704 | 3509.324 | 2751.099 | -0.000 | 0.000 | 0.000 | 
| 3787.815 | 3912.989 | 2966.705 | -0.000 | -0.000 | -0.000 | 
| 84.051 | 84.051 | 233.436 | -0.000 | 0.000 | 0.000 | 
| 3410.178 | 3410.178 | 2698.067 | 29.319 | -0.000 | 0.000 | 
| 3410.178 | 3410.178 | 2698.067 | 0.000 | 29.319 | 0.000 | 
| 0.000 | 0.000 | -0.000 | 0.000 | -0.000 | 75.802 | 
| -3185.569 | -3310.948 | -2644.970 | 0.000 | -0.000 | -0.000 | 
| 122.458 | 274.062 | 84.350 | 0.000 | 0.000 | -0.000 | 
| 84.051 | 84.051 | 233.436 | 0.000 | -0.000 | -0.000 | 
| -3410.178 | -3410.178 | -2698.067 | 29.319 | -0.000 | -0.000 | 
| -3410.178 | -3410.178 | -2698.067 | 0.000 | 29.319 | -0.000 | 
| -0.000 | -0.000 | 0.000 | 0.000 | 0.000 | 75.802 | 
| 274.062 | 122.458 | 84.350 | 0.000 | -0.000 | -0.000 | 
| 122.458 | 274.062 | 84.350 | -0.000 | -0.000 | -0.000 | 
| 394.036 | 394.036 | 475.966 | 0.000 | -0.000 | 0.000 | 
| 341.053 | 341.053 | 269.834 | 29.318 | -0.000 | 0.000 | 
| 341.053 | 341.053 | 269.834 | 0.000 | 29.318 | 0.000 | 
| 0.000 | 0.000 | -0.000 | 0.000 | -0.000 | 75.802 | 
| 274.062 | 122.458 | 84.350 | -0.000 | 0.000 | 0.000 | 
| 122.458 | 274.062 | 84.350 | 0.000 | 0.000 | 0.000 | 
| -288.505 | -288.505 | -64.047 | -0.000 | 0.000 | -0.000 | 
| -341.053 | -341.053 | -269.834 | 29.318 | -0.000 | -0.000 | 
| -341.053 | -341.053 | -269.834 | 0.000 | 29.318 | -0.000 | 
| -0.000 | -0.000 | 0.000 | -0.000 | 0.000 | 75.802 | 
| 251.170 | 129.374 | 73.921 | -0.000 | 0.000 | -0.000 | 
| 134.531 | 257.089 | 79.642 | 0.000 | -0.000 | -0.000 | 
| 84.051 | 84.051 | 233.437 | 0.000 | 0.000 | 0.000 | 
| 34.388 | 34.388 | 27.207 | 29.224 | -0.000 | 0.000 | 
| -0.000 | -0.000 | 0.000 | -0.000 | 40.667 | 0.000 | 
| 0.000 | 0.000 | -0.000 | -0.000 | 0.000 | 75.802 | 
| 188.940 | 64.062 | 25.028 | 0.000 | -0.000 | 0.000 | 
| 122.458 | 274.061 | 84.350 | 0.000 | -0.000 | 0.000 | 
| 16.839 | 16.839 | 177.459 | 0.000 | 0.000 | -0.000 | 
| -34.388 | -34.388 | -27.207 | 29.224 | -0.000 | -0.000 | 
| 0.000 | 0.000 | -0.000 | 0.000 | 40.667 | -0.000 | 
| -0.000 | -0.000 | 0.000 | -0.000 | 0.000 | 75.802 | 
| 306.478 | 170.863 | 204.453 | -0.000 | 0.000 | -0.000 | 
| 190.558 | 322.921 | 203.573 | -0.000 | -0.000 | -0.000 | 
| 102.157 | 102.157 | 298.299 | 0.000 | 0.000 | -0.000 | 
| 59.764 | 59.764 | 109.002 | 54.806 | 0.000 | -0.000 | 
| -0.000 | 0.000 | 0.000 | 0.000 | 60.256 | -0.000 | 
| 84.296 | 84.296 | 102.671 | 0.000 | 0.000 | 65.904 | 
| 185.532 | 50.787 | -13.985 | -0.000 | 0.000 | 0.000 | 
| 50.787 | 185.532 | -13.985 | -0.000 | 0.000 | 0.000 | 
| 102.157 | 102.157 | 298.299 | -0.000 | -0.000 | 0.000 | 
| -59.764 | -59.764 | -109.002 | 54.806 | 0.000 | 0.000 | 
| -0.000 | 0.000 | -0.000 | -0.000 | 60.256 | 0.000 | 
| -0.000 | -0.000 | -0.000 | -0.000 | 0.000 | 79.378 | 
| 245.787 | 117.534 | 111.188 | 0.000 | 0.000 | 0.000 | 
| 122.983 | 281.739 | 102.153 | -0.000 | 0.000 | 0.000 | 
| 102.157 | 102.157 | 298.299 | 0.000 | -0.000 | -0.000 | 
| -0.000 | -0.000 | 0.000 | 60.256 | -0.000 | -0.000 | 
| -0.000 | -0.000 | 0.000 | 0.000 | 60.256 | -0.000 | 
| 0.000 | -0.000 | -0.000 | -0.000 | -0.000 | 79.378 | 
| 281.739 | 122.983 | 102.153 | -0.000 | 0.000 | -0.000 | 
| 122.983 | 281.739 | 102.153 | 0.000 | -0.000 | -0.000 | 
| 91.805 | 91.805 | 274.685 | -0.000 | -0.000 | 0.000 | 
| 0.000 | 0.000 | -0.000 | 60.256 | 0.000 | 0.000 | 
| 0.000 | 0.000 | -0.000 | -0.000 | 60.256 | 0.000 | 
| -0.000 | 0.000 | 0.000 | 0.000 | 0.000 | 79.378 | 
| 245.083 | 111.722 | 98.047 | 0.000 | 0.000 | 0.000 | 
| 108.903 | 236.152 | 100.060 | 0.000 | -0.000 | 0.000 | 
| 97.576 | 97.576 | 286.051 | 0.000 | 0.000 | -0.000 | 
| 0.529 | 0.529 | 0.965 | 55.431 | 0.000 | 0.000 | 
| 0.529 | 0.529 | 0.965 | 0.000 | 55.431 | -0.000 | 
| 1.069 | 1.069 | 1.487 | 0.000 | 0.000 | 61.154 | 
| 281.738 | 122.983 | 102.152 | 0.000 | 0.000 | -0.000 | 
| 122.983 | 281.738 | 102.152 | 0.000 | -0.000 | -0.000 | 
| 102.157 | 102.157 | 298.298 | -0.000 | -0.000 | 0.000 | 
| -0.529 | -0.529 | -0.965 | 55.431 | -0.000 | -0.000 | 
| -0.529 | -0.529 | -0.965 | 0.000 | 55.431 | 0.000 | 
| -1.069 | -1.069 | -1.487 | -0.000 | -0.000 | 61.155 | 
| 236.454 | 104.628 | 110.235 | 0.000 | -0.000 | 0.000 | 
| 109.209 | 214.115 | 104.300 | 0.000 | -0.000 | 0.000 | 
| 130.541 | 130.541 | 273.537 | 0.000 | -0.000 | 0.000 | 
| 0.000 | -0.000 | 0.000 | 63.338 | -0.000 | 0.000 | 
| 0.000 | -0.000 | 0.000 | 0.000 | 63.338 | 0.000 | 
| 0.000 | -0.000 | 0.000 | 0.000 | -0.000 | 65.913 | 
| 168.699 | 80.004 | 105.538 | -0.000 | 0.000 | 0.000 | 
| 104.628 | 236.454 | 110.235 | -0.000 | -0.000 | -0.000 | 
| 106.095 | 106.095 | 291.553 | -0.000 | 0.000 | -0.000 | 
| -0.000 | 0.000 | -0.000 | 63.338 | 0.000 | -0.000 | 
| -0.000 | 0.000 | -0.000 | -0.000 | 63.338 | -0.000 | 
| -0.000 | 0.000 | 0.000 | -0.000 | 0.000 | 65.913 | 
| 236.454 | 104.628 | 110.235 | 0.000 | -0.000 | -0.000 | 
| 99.235 | 198.035 | 104.612 | 0.000 | -0.000 | -0.000 | 
| 106.095 | 106.095 | 291.553 | 0.000 | -0.000 | 0.000 | 
| 0.000 | 0.000 | 0.000 | 63.338 | -0.000 | 0.000 | 
| 0.000 | 0.000 | 0.000 | 0.000 | 63.338 | 0.000 | 
| 1.148 | 1.148 | -0.173 | 0.000 | -0.000 | 50.421 | 
| 192.649 | 96.223 | 104.603 | -0.000 | 0.000 | 0.000 | 
| 89.233 | 179.683 | 109.269 | -0.000 | 0.000 | 0.000 | 
| 100.495 | 100.495 | 278.363 | -0.000 | 0.000 | -0.000 | 
| -0.000 | 0.000 | -0.000 | 63.338 | 0.000 | -0.000 | 
| -0.000 | -0.000 | -0.000 | -0.000 | 63.338 | -0.000 | 
| -0.000 | -0.000 | -0.000 | -0.000 | 0.000 | 65.913 | 
| 195.660 | 97.924 | 104.602 | 0.000 | -0.000 | -0.000 | 
| 97.924 | 195.660 | 104.602 | 0.000 | -0.000 | -0.000 | 
| 106.096 | 106.096 | 291.554 | 0.000 | -0.000 | 0.000 | 
| 0.000 | 0.000 | 0.000 | 63.338 | 0.000 | 0.000 | 
| 0.000 | 0.000 | 0.000 | 0.000 | 63.338 | -0.000 | 
| 0.115 | 0.115 | -0.017 | 0.000 | -0.000 | 50.473 | 
| 236.453 | 104.627 | 110.235 | -0.000 | 0.000 | 0.000 | 
| 104.627 | 236.452 | 110.235 | -0.000 | 0.000 | 0.000 | 
| 106.095 | 106.095 | 291.552 | -0.000 | -0.000 | -0.000 | 
| -0.000 | -0.000 | -0.000 | 63.338 | 0.000 | -0.000 | 
| -0.000 | -0.000 | -0.000 | -0.000 | 63.338 | 0.000 | 
| -0.000 | -0.000 | -0.000 | -0.000 | 0.000 | 65.913 | 
| 264.274 | 151.677 | 169.166 | -0.000 | 0.000 | 0.000 | 
| 151.677 | 264.274 | 169.166 | 0.000 | 0.000 | 0.000 | 
| 177.103 | 177.103 | 294.202 | -0.000 | 0.000 | 0.000 | 
| -0.000 | 0.000 | -0.000 | 122.257 | 0.000 | 0.000 | 
| 0.000 | -0.000 | 0.000 | 0.000 | 122.257 | 0.000 | 
| -0.414 | -0.414 | -0.856 | -0.000 | 0.000 | 97.950 | 
| 270.374 | 153.010 | 176.842 | 0.000 | -0.000 | -0.000 | 
| 153.010 | 270.374 | 176.842 | 0.000 | -0.000 | -0.000 | 
| 170.891 | 170.891 | 281.370 | 0.000 | -0.000 | -0.000 | 
| 0.000 | -0.000 | 0.000 | 122.257 | -0.000 | -0.000 | 
| -0.000 | 0.000 | 0.000 | -0.000 | 122.257 | -0.000 | 
| 0.414 | 0.414 | 0.856 | 0.000 | -0.000 | 97.950 | 
| 270.374 | 153.010 | 176.842 | -0.000 | 0.000 | 0.000 | 
| 153.010 | 270.374 | 176.842 | -0.000 | 0.000 | 0.000 | 
| 170.435 | 170.435 | 280.429 | -0.000 | 0.000 | 0.000 | 
| -0.035 | -0.035 | -0.072 | 111.711 | 0.000 | 0.000 | 
| -0.035 | -0.035 | -0.072 | -0.000 | 111.711 | 0.000 | 
| -0.041 | -0.041 | -0.086 | -0.000 | 0.000 | 97.950 | 
| 264.716 | 152.141 | 170.101 | 0.000 | 0.000 | -0.000 | 
| 152.141 | 264.716 | 170.101 | -0.000 | -0.000 | -0.000 | 
| 177.103 | 177.103 | 294.202 | 0.000 | -0.000 | -0.000 | 
| 0.035 | 0.035 | 0.072 | 111.711 | -0.000 | -0.000 | 
| 0.035 | 0.035 | 0.072 | 0.000 | 111.711 | -0.000 | 
| 0.041 | 0.041 | 0.086 | 0.000 | -0.000 | 97.950 | 
| 264.665 | 152.295 | 170.207 | 0.000 | 0.000 | 0.000 | 
| 152.295 | 264.665 | 170.207 | 0.000 | 0.000 | 0.000 | 
| 170.473 | 170.473 | 280.506 | -0.000 | 0.000 | 0.000 | 
| -0.008 | -0.007 | -0.015 | 112.908 | 0.000 | 0.000 | 
| -0.007 | -0.008 | -0.015 | -0.000 | 112.908 | 0.000 | 
| 0.000 | 0.000 | -0.000 | 0.000 | 0.000 | 97.950 | 
| 264.672 | 152.302 | 170.223 | -0.000 | -0.000 | -0.000 | 
| 152.302 | 264.672 | 170.223 | 0.000 | -0.000 | -0.000 | 
| 170.481 | 170.481 | 280.523 | -0.000 | -0.000 | -0.000 | 
| 0.008 | 0.007 | 0.015 | 112.908 | -0.000 | -0.000 | 
| 0.007 | 0.008 | 0.015 | 0.000 | 112.908 | -0.000 | 
| -0.000 | -0.000 | 0.000 | -0.000 | -0.000 | 97.950 | 
| 756.864 | 642.413 | 1184.119 | -0.000 | -0.000 | 0.000 | 
| 642.413 | 756.864 | 1184.119 | -0.000 | -0.000 | 0.000 | 
| 662.437 | 662.437 | 1293.614 | -0.000 | -0.000 | 0.000 | 
| 490.136 | 490.136 | 1011.826 | 112.684 | -0.000 | -0.000 | 
| 490.136 | 490.136 | 1011.826 | 0.000 | 112.684 | -0.000 | 
| 0.000 | 0.000 | -0.000 | 0.000 | -0.000 | 97.620 | 
| 272.227 | 153.016 | 178.733 | 0.000 | 0.000 | 0.000 | 
| 153.016 | 272.227 | 178.733 | 0.000 | 0.000 | -0.000 | 
| -317.848 | -317.848 | -730.062 | -0.000 | -0.000 | -0.000 | 
| -490.136 | -490.136 | -1011.826 | 112.684 | 0.000 | -0.000 | 
| -490.136 | -490.136 | -1011.826 | -0.000 | 112.684 | 0.000 | 
| -0.000 | -0.000 | -0.000 | -0.000 | 0.000 | 97.620 | 
| 272.227 | 153.016 | 178.733 | -0.000 | -0.000 | 0.000 | 
| 153.016 | 272.227 | 178.733 | -0.000 | -0.000 | -0.000 | 
| 221.304 | 221.304 | 382.950 | -0.000 | -0.000 | 0.000 | 
| 49.159 | 49.159 | 101.483 | 118.110 | -0.000 | 0.000 | 
| 49.159 | 49.159 | 101.483 | -0.000 | 118.110 | -0.000 | 
| 49.014 | 49.014 | 101.183 | -0.000 | -0.000 | 97.620 | 
| 217.535 | 103.438 | 71.107 | -0.000 | 0.000 | -0.000 | 
| 103.438 | 217.535 | 71.107 | -0.000 | 0.000 | 0.000 | 
| 123.276 | 123.276 | 180.583 | 0.000 | 0.000 | -0.000 | 
| -49.159 | -49.159 | -101.483 | 118.110 | 0.000 | 0.000 | 
| -49.159 | -49.159 | -101.483 | 0.000 | 118.110 | 0.000 | 
| -49.014 | -49.014 | -101.183 | 0.000 | 0.000 | 97.620 | 
| 272.228 | 153.017 | 178.734 | -0.000 | 0.000 | 0.000 | 
| 153.017 | 272.228 | 178.734 | -0.000 | -0.000 | -0.000 | 
| 177.191 | 177.191 | 291.884 | -0.000 | -0.000 | 0.000 | 
| 5.967 | 5.967 | 12.318 | 117.004 | -0.000 | -0.000 | 
| 5.967 | 5.967 | 12.318 | 0.000 | 117.004 | 0.000 | 
| 0.000 | 0.000 | -0.000 | -0.000 | -0.000 | 97.620 | 
| 261.748 | 147.331 | 162.050 | -0.000 | 0.000 | -0.000 | 
| 147.331 | 261.748 | 162.050 | -0.000 | 0.000 | -0.000 | 
| 167.387 | 167.387 | 271.647 | -0.000 | 0.000 | -0.000 | 
| -5.967 | -5.967 | -12.318 | 117.004 | 0.000 | -0.000 | 
| -5.967 | -5.967 | -12.318 | -0.000 | 117.004 | -0.000 | 
| -0.000 | -0.000 | 0.000 | -0.000 | 0.000 | 97.620 | 
| 270.030 | 181.194 | 147.697 | -0.000 | 0.000 | -0.000 | 
| 180.508 | 290.721 | 170.930 | -0.000 | -0.000 | -0.000 | 
| 145.811 | 173.304 | 255.770 | -0.000 | -0.000 | -0.000 | 
| 0.330 | 0.157 | 0.423 | 118.518 | -0.000 | -0.000 | 
| 0.000 | -0.000 | 0.000 | 0.000 | 94.635 | -0.000 | 
| 0.348 | 0.165 | 0.445 | -0.000 | -0.000 | 125.827 | 
| 269.347 | 180.874 | 146.827 | 0.000 | 0.000 | 0.000 | 
| 182.437 | 301.106 | 181.210 | 0.000 | 0.000 | -0.000 | 
| 146.232 | 170.239 | 253.615 | 0.000 | 0.000 | 0.000 | 
| -0.330 | -0.157 | -0.423 | 118.518 | 0.000 | 0.000 | 
| -0.000 | 0.000 | -0.000 | -0.000 | 94.635 | 0.000 | 
| -0.348 | -0.165 | -0.445 | 0.000 | 0.000 | 125.827 | 
| 269.723 | 181.051 | 147.306 | -0.000 | 0.000 | -0.000 | 
| 182.437 | 301.106 | 181.210 | 0.000 | 0.000 | 0.000 | 
| 153.113 | 181.210 | 268.767 | -0.000 | 0.000 | 0.000 | 
| -0.000 | -0.000 | 0.000 | 123.737 | 0.000 | -0.000 | 
| 0.034 | 0.016 | 0.044 | -0.000 | 89.700 | -0.000 | 
| -0.000 | 0.000 | -0.000 | 0.000 | 0.000 | 125.827 | 
| 269.655 | 181.018 | 147.219 | 0.000 | -0.000 | 0.000 | 
| 180.230 | 290.437 | 170.449 | 0.000 | 0.000 | 0.000 | 
| 145.435 | 173.185 | 255.339 | 0.000 | 0.000 | 0.000 | 
| 0.000 | 0.000 | -0.000 | 123.737 | -0.000 | 0.000 | 
| -0.034 | -0.016 | -0.044 | 0.000 | 89.700 | 0.000 | 
| 0.000 | -0.000 | 0.000 | -0.000 | 0.000 | 125.827 | 
| 269.693 | 181.036 | 147.268 | -0.000 | -0.000 | -0.000 | 
| 179.929 | 290.489 | 170.226 | -0.000 | -0.000 | -0.000 | 
| 145.473 | 173.198 | 255.383 | -0.000 | -0.000 | -0.000 | 
| 0.005 | 0.003 | 0.007 | 115.957 | 0.000 | -0.000 | 
| 0.000 | -0.000 | 0.000 | -0.000 | 94.635 | -0.000 | 
| 0.003 | 0.002 | 0.004 | -0.000 | -0.000 | 125.827 | 
| 269.627 | 180.262 | 146.571 | 0.000 | -0.000 | -0.000 | 
| 180.261 | 290.461 | 170.496 | 0.000 | 0.000 | -0.000 | 
| 146.572 | 170.499 | 254.130 | 0.000 | 0.000 | 0.000 | 
| -0.005 | -0.003 | -0.007 | 115.957 | -0.000 | 0.000 | 
| -0.000 | 0.000 | -0.000 | 0.000 | 94.635 | 0.000 | 
| -0.003 | -0.002 | -0.004 | 0.000 | 0.000 | 125.827 | 
| 259.139 | 178.675 | 135.043 | 0.000 | 0.000 | 0.000 | 
| 177.505 | 278.323 | 155.685 | -0.000 | 0.000 | -0.000 | 
| 134.508 | 160.145 | 237.947 | -0.000 | 0.000 | -0.000 | 
| 0.054 | 0.048 | 0.092 | 107.285 | 0.000 | 0.000 | 
| 0.000 | 0.000 | 0.000 | 0.000 | 87.203 | 0.000 | 
| 0.037 | 0.024 | 0.055 | -0.000 | 0.000 | 125.706 | 
| 263.710 | 180.181 | 140.592 | 0.000 | -0.000 | -0.000 | 
| 180.243 | 289.126 | 167.551 | 0.000 | -0.000 | 0.000 | 
| 141.966 | 168.864 | 252.404 | 0.000 | -0.000 | -0.000 | 
| -0.054 | -0.048 | -0.092 | 107.285 | -0.000 | 0.000 | 
| -0.000 | -0.000 | -0.000 | -0.000 | 87.203 | 0.000 | 
| -0.037 | -0.024 | -0.055 | -0.000 | -0.000 | 125.706 | 
| 263.710 | 180.181 | 140.592 | 0.000 | 0.000 | -0.000 | 
| 180.243 | 289.126 | 167.552 | -0.000 | 0.000 | 0.000 | 
| 135.560 | 157.263 | 236.439 | 0.000 | 0.000 | -0.000 | 
| 0.003 | 0.002 | 0.005 | 109.946 | 0.000 | -0.000 | 
| 0.003 | 0.002 | 0.005 | 0.000 | 83.275 | 0.000 | 
| 0.004 | 0.002 | 0.006 | 0.000 | 0.000 | 125.706 | 
| 259.028 | 177.789 | 134.176 | -0.000 | -0.000 | -0.000 | 
| 177.851 | 278.247 | 155.940 | -0.000 | -0.000 | -0.000 | 
| 141.966 | 168.864 | 252.404 | -0.000 | -0.000 | 0.000 | 
| -0.003 | -0.002 | -0.005 | 109.946 | -0.000 | -0.000 | 
| -0.003 | -0.002 | -0.005 | -0.000 | 83.275 | -0.000 | 
| -0.004 | -0.002 | -0.006 | -0.000 | -0.000 | 125.706 | 
| 259.034 | 177.794 | 134.184 | 0.000 | 0.000 | 0.000 | 
| 177.855 | 278.251 | 155.948 | -0.000 | 0.000 | 0.000 | 
| 135.558 | 157.260 | 236.434 | -0.000 | 0.000 | 0.000 | 
| 0.000 | 0.000 | 0.001 | 107.284 | 0.000 | 0.000 | 
| 0.000 | -0.000 | 0.000 | -0.000 | 87.203 | -0.000 | 
| 0.001 | 0.001 | 0.001 | 0.000 | 0.000 | 125.706 | 
| 259.102 | 178.651 | 134.989 | 0.000 | -0.000 | -0.000 | 
| 180.242 | 289.126 | 167.551 | 0.000 | -0.000 | -0.000 | 
| 134.470 | 160.125 | 237.895 | -0.000 | -0.000 | -0.000 | 
| -0.000 | -0.000 | -0.001 | 107.284 | -0.000 | -0.000 | 
| -0.000 | 0.000 | -0.000 | 0.000 | 87.203 | 0.000 | 
| -0.001 | -0.001 | -0.001 | -0.000 | -0.000 | 125.706 | 
| 86347245.676 | 91657409.309 | 237915149.266 | -7409567.934 | 1715968.406 | 36479592.279 | 
| 48851496.726 | 55628136.700 | 204254487.764 | -3566313.549 | 8442357.899 | 43933696.825 | 
| 39352895.058 | 47420558.931 | 184320628.895 | -3070592.425 | 9983241.570 | 38756780.213 | 
| 79899042.509 | 84180088.475 | 244475616.685 | -3522849.106 | 5709606.326 | 42812223.272 | 
| 72565210.888 | 78052580.603 | 237140364.774 | -1239753.386 | 8860936.647 | 44158199.123 | 
| 49619896.457 | 60603490.447 | 209863334.368 | -1609939.034 | 10390233.822 | 48535658.874 | 
| -75452706.113 | -87514378.151 | -243930355.122 | -849532.861 | -6642167.678 | -46334945.843 | 
| -9420116.532 | 4844862.872 | -156687237.545 | -23514692.351 | -238204.940 | -56088409.321 | 
| -80897074.399 | -83632720.401 | -250988326.918 | -653168.078 | -6324431.024 | -45997326.628 | 
| -68474829.346 | -66555431.876 | -228615547.944 | 1648982.524 | -8393832.624 | -37848644.671 | 
| -69701799.045 | -75138926.010 | -227870942.446 | -2091251.037 | -6899322.415 | -43069007.665 | 
| -34523614.744 | -49921456.594 | -196143828.745 | 5204628.002 | -21092426.221 | -42441734.768 | 
| 5249490.258 | 5682775.446 | 21102280.803 | -85914.310 | 719659.840 | 4247870.310 | 
| 4197295.456 | 3942227.056 | 20696399.598 | 275085.864 | 376745.970 | 3885083.026 | 
| 4579461.207 | 4752786.771 | 19624380.510 | -113120.573 | 812783.962 | 3704055.372 | 
| 307838.841 | -1965801.463 | 15422569.630 | 2180445.713 | 1568862.039 | 4664411.430 | 
| 3772531.443 | 4041714.005 | 18342468.902 | -173167.869 | 1050961.623 | 3443183.602 | 
| 5481781.002 | 5916722.298 | 21800112.380 | 14601.473 | 781156.403 | 4383387.998 | 
| -8853575.213 | -8968784.009 | -25107512.846 | -150679.091 | -649979.208 | -4488297.739 | 
| -4094253.408 | -4672078.909 | -19768350.818 | 43831.678 | -727904.489 | -4019536.846 | 
| -5300977.016 | -5673980.846 | -20942253.569 | 195983.779 | -847114.994 | -4231949.432 | 
| -7498345.025 | -8292754.316 | -23885889.837 | 477134.520 | -658665.933 | -4170128.893 | 
| -3145765.436 | -2846873.709 | -18209409.036 | -465405.935 | -1013523.543 | -3840519.818 | 
| -8322690.747 | -8293504.658 | -21812100.795 | 740575.565 | -1074275.712 | -4583565.838 | 
| 554418.750 | 592730.903 | 2101307.142 | -14448.684 | 71084.915 | 392841.672 | 
| 524153.419 | 559406.731 | 2001460.694 | 17268.370 | 92897.724 | 388968.409 | 
| 660225.726 | 691801.615 | 2254231.659 | 4030.996 | 89868.125 | 473116.520 | 
| 534810.745 | 558839.386 | 2055630.828 | -4970.798 | 85415.527 | 390942.918 | 
| 554105.993 | 625879.876 | 2142457.501 | -9980.583 | 84706.300 | 414755.933 | 
| 644386.919 | 681255.228 | 2217995.847 | 8297.259 | 64372.501 | 422146.840 | 
| -724798.199 | -771717.362 | -2329948.203 | 15598.897 | -68341.258 | -391553.477 | 
| -602790.773 | -645696.394 | -2244540.949 | 41912.345 | -107203.305 | -702713.858 | 
| -567351.767 | -595819.610 | -2126830.631 | 25026.347 | -79535.038 | -354699.155 | 
| -437644.509 | -464004.733 | -2045929.098 | -306.402 | -58559.832 | -405275.137 | 
| -482087.541 | -459163.701 | -2178040.948 | 18752.822 | -169429.993 | -219701.634 | 
| -372264.859 | -444579.924 | -1841107.806 | 17644.441 | -112123.760 | -362589.309 | 
| 113150.189 | 113511.776 | 113511.776 | 0.000 | -0.000 | 0.000 | 
| 113511.776 | 113150.190 | 113511.776 | 0.000 | 0.000 | -0.000 | 
| 113511.776 | 113511.776 | 113150.189 | 0.000 | -0.000 | 0.000 | 
| -0.001 | -0.001 | -0.001 | 174.433 | -0.000 | -0.000 | 
| -0.001 | -0.001 | -0.001 | 0.000 | 174.433 | 0.000 | 
| -0.001 | -0.001 | -0.001 | 0.000 | -0.000 | 174.433 | 
| 113150.075 | 113511.674 | 113511.674 | 0.000 | -0.000 | 0.000 | 
| 113511.674 | 113150.075 | 113511.674 | 0.000 | 0.000 | 0.000 | 
| 113511.673 | 113511.673 | 113150.074 | -0.000 | -0.000 | 0.000 | 
| 0.001 | 0.001 | 0.001 | 174.433 | 0.000 | -0.000 | 
| 0.001 | 0.001 | 0.001 | -0.000 | 174.433 | 0.000 | 
| 0.001 | 0.001 | 0.001 | -0.000 | 0.000 | 174.433 | 
| 113150.706 | 113512.236 | 113512.236 | 0.000 | -0.000 | -0.000 | 
| 113512.236 | 113150.706 | 113512.236 | 0.000 | -0.000 | 0.000 | 
| 113512.236 | 113512.236 | 113150.706 | -0.000 | -0.000 | -0.000 | 
| -0.003 | -0.002 | -0.002 | 174.433 | -0.000 | -0.000 | 
| -0.002 | -0.003 | -0.002 | 0.000 | 174.433 | -0.000 | 
| -0.002 | -0.002 | -0.003 | 0.000 | -0.000 | 174.433 | 
| 113149.558 | 113511.214 | 113511.214 | -0.000 | -0.000 | 0.000 | 
| 113511.214 | 113149.558 | 113511.214 | -0.000 | -0.000 | -0.000 | 
| 113511.214 | 113511.214 | 113149.558 | -0.000 | 0.000 | 0.000 | 
| 0.003 | 0.002 | 0.002 | 174.433 | 0.000 | -0.000 | 
| 0.002 | 0.003 | 0.002 | -0.000 | 174.433 | -0.000 | 
| 0.002 | 0.002 | 0.003 | -0.000 | -0.000 | 174.433 | 
| 113155.872 | 113516.838 | 113516.838 | 0.000 | 0.000 | -0.000 | 
| 113516.838 | 113155.872 | 113516.838 | 0.000 | -0.000 | -0.000 | 
| 113516.838 | 113516.838 | 113155.872 | 0.000 | 0.000 | 0.000 | 
| -0.036 | -0.021 | -0.021 | 174.433 | -0.000 | -0.000 | 
| -0.021 | -0.036 | -0.021 | -0.000 | 174.433 | -0.000 | 
| -0.021 | -0.021 | -0.036 | 0.000 | -0.000 | 174.433 | 
| 113144.393 | 113506.613 | 113506.613 | -0.000 | 0.000 | -0.000 | 
| 113506.613 | 113144.393 | 113506.613 | 0.000 | 0.000 | 0.000 | 
| 113506.613 | 113506.613 | 113144.393 | -0.000 | -0.000 | -0.000 | 
| 0.036 | 0.021 | 0.021 | 174.433 | -0.000 | 0.000 | 
| 0.021 | 0.036 | 0.021 | -0.000 | 174.433 | 0.000 | 
| 0.021 | 0.021 | 0.036 | -0.000 | 0.000 | 174.433 | 
| 122564.770 | 120924.975 | 120924.975 | -0.000 | 0.000 | 0.000 | 
| 120924.975 | 122564.770 | 120924.975 | -0.000 | 0.000 | 0.000 | 
| 120924.976 | 120924.976 | 122564.771 | 0.000 | 0.000 | 0.000 | 
| 0.002 | 0.002 | 0.002 | -282.407 | 0.000 | 0.000 | 
| 0.002 | 0.002 | 0.002 | -0.000 | -282.407 | 0.000 | 
| 0.001 | 0.001 | 0.001 | 0.000 | 0.000 | -282.407 | 
| 122564.655 | 120924.857 | 120924.857 | 0.000 | 0.000 | 0.000 | 
| 120924.857 | 122564.655 | 120924.857 | -0.000 | 0.000 | 0.000 | 
| 120924.857 | 120924.857 | 122564.654 | -0.000 | -0.000 | -0.000 | 
| -0.003 | -0.003 | -0.003 | -282.407 | 0.000 | -0.000 | 
| -0.002 | -0.002 | -0.002 | -0.000 | -282.407 | -0.000 | 
| -0.001 | -0.001 | -0.001 | -0.000 | -0.000 | -282.407 | 
| 122565.284 | 120925.504 | 120925.504 | 0.000 | 0.000 | 0.000 | 
| 120925.504 | 122565.284 | 120925.504 | 0.000 | 0.000 | 0.000 | 
| 120925.504 | 120925.504 | 122565.284 | -0.000 | -0.000 | -0.000 | 
| 0.008 | 0.008 | 0.008 | -282.407 | -0.000 | 0.000 | 
| 0.008 | 0.008 | 0.008 | 0.000 | -282.407 | 0.000 | 
| 0.008 | 0.008 | 0.008 | 0.000 | 0.000 | -282.407 | 
| 122564.144 | 120924.333 | 120924.333 | -0.000 | -0.000 | -0.000 | 
| 120924.333 | 122564.144 | 120924.333 | -0.000 | -0.000 | -0.000 | 
| 120924.333 | 120924.333 | 122564.144 | -0.000 | -0.000 | -0.000 | 
| -0.008 | -0.008 | -0.008 | -282.407 | -0.000 | 0.000 | 
| -0.008 | -0.008 | -0.008 | -0.000 | -282.407 | -0.000 | 
| -0.008 | -0.008 | -0.008 | -0.000 | -0.000 | -282.407 | 
| 122570.412 | 120930.772 | 120930.772 | 0.000 | 0.000 | 0.000 | 
| 120930.772 | 122570.412 | 120930.772 | 0.000 | 0.000 | 0.000 | 
| 120930.772 | 120930.772 | 122570.412 | 0.000 | 0.000 | -0.000 | 
| 0.081 | 0.081 | 0.080 | -282.407 | -0.000 | 0.000 | 
| 0.081 | 0.081 | 0.080 | 0.000 | -282.407 | 0.000 | 
| 0.081 | 0.080 | 0.081 | 0.000 | 0.000 | -282.407 | 
| 122559.017 | 120919.065 | 120919.065 | -0.000 | -0.000 | -0.000 | 
| 120919.065 | 122559.017 | 120919.065 | -0.000 | 0.000 | 0.000 | 
| 120919.065 | 120919.065 | 122559.017 | 0.000 | -0.000 | -0.000 | 
| -0.081 | -0.081 | -0.080 | -282.407 | -0.000 | -0.000 | 
| -0.081 | -0.081 | -0.080 | -0.000 | -282.407 | -0.000 | 
| -0.081 | -0.080 | -0.081 | -0.000 | -0.000 | -282.407 | 
| 44087402.976 | 10092378.654 | 10092378.698 | 0.005 | -0.004 | 0.004 | 
| 10092378.654 | 44087402.976 | 10092378.698 | -0.004 | 0.005 | 0.004 | 
| 10092378.655 | 10092378.655 | 44087402.887 | 0.003 | 0.003 | 0.008 | 
| -68.582 | -231.092 | -231.079 | 10092737.470 | -0.005 | -0.002 | 
| -231.092 | -68.582 | -231.079 | -0.005 | 10092737.470 | -0.002 | 
| -231.056 | -231.104 | -68.543 | -0.006 | -0.004 | 10092737.487 | 
| 44091112.736 | 10092840.235 | 10092840.229 | 0.003 | -0.008 | -0.002 | 
| 10092840.235 | 44091112.736 | 10092840.229 | -0.008 | 0.003 | -0.002 | 
| 10092840.227 | 10092840.227 | 44091112.719 | 0.007 | 0.007 | -0.003 | 
| 68.566 | 231.041 | 231.051 | 10092737.479 | 0.007 | -0.004 | 
| 231.041 | 68.566 | 231.051 | 0.007 | 10092737.479 | -0.004 | 
| 231.060 | 231.096 | 68.544 | -0.003 | 0.004 | 10092737.470 | 
| 44070708.604 | 10090301.655 | 10090301.658 | -0.001 | -0.002 | 0.001 | 
| 10090301.655 | 44070708.604 | 10090301.658 | -0.002 | -0.001 | 0.001 | 
| 10090301.657 | 10090301.657 | 44070708.602 | -0.000 | -0.000 | 0.000 | 
| -685.404 | -2310.878 | -2310.564 | 10092737.486 | -0.001 | 0.001 | 
| -2310.878 | -685.404 | -2310.564 | -0.001 | 10092737.486 | 0.001 | 
| -2310.879 | -2310.564 | -685.405 | 0.000 | -0.001 | 10092737.487 | 
| 44107807.708 | 10094917.363 | 10094917.362 | 0.000 | -0.001 | -0.000 | 
| 10094917.363 | 44107807.708 | 10094917.362 | -0.001 | 0.000 | -0.000 | 
| 10094917.361 | 10094917.361 | 44107807.717 | 0.000 | 0.000 | -0.001 | 
| 685.405 | 2310.880 | 2310.565 | 10092737.488 | 0.000 | -0.001 | 
| 2310.880 | 685.405 | 2310.565 | 0.000 | 10092737.488 | -0.001 | 
| 2310.879 | 2310.565 | 685.404 | 0.001 | 0.001 | 10092737.486 | 
| 43903762.446 | 10069530.942 | 10069530.942 | -0.000 | 0.000 | 0.000 | 
| 10069530.942 | 43903762.446 | 10069530.942 | 0.000 | -0.000 | 0.000 | 
| 10069530.942 | 10069530.942 | 43903762.445 | 0.000 | 0.000 | 0.000 | 
| -6854.013 | -23108.787 | -23105.601 | 10092737.517 | -0.000 | 0.000 | 
| -23108.787 | -6854.013 | -23105.601 | -0.000 | 10092737.517 | 0.000 | 
| -23108.787 | -23105.601 | -6854.013 | -0.000 | -0.000 | 10092737.517 | 
| 44274753.555 | 10115687.959 | 10115687.959 | 0.000 | 0.000 | -0.000 | 
| 10115687.959 | 44274753.555 | 10115687.959 | 0.000 | 0.000 | -0.000 | 
| 10115687.959 | 10115687.959 | 44274753.555 | 0.000 | 0.000 | -0.000 | 
| 6854.013 | 23108.787 | 23105.601 | 10092737.517 | 0.000 | -0.000 | 
| 23108.787 | 6854.013 | 23105.601 | 0.000 | 10092737.517 | -0.000 | 
| 23108.787 | 23105.601 | 6854.013 | -0.000 | 0.000 | 10092737.517 | 
| 134.635 | 87.501 | 87.501 | 0.000 | 0.000 | -0.000 | 
| 87.501 | 134.635 | 87.501 | 0.000 | 0.000 | -0.000 | 
| 87.501 | 87.501 | 134.635 | 0.000 | 0.000 | -0.000 | 
| 0.000 | -0.000 | -0.000 | 32.720 | 0.000 | -0.000 | 
| -0.000 | 0.000 | -0.000 | 0.000 | 32.720 | -0.000 | 
| -0.000 | -0.000 | 0.000 | 0.000 | 0.000 | 32.720 | 
| 134.635 | 87.501 | 87.501 | -0.000 | 0.000 | 0.000 | 
| 87.501 | 134.635 | 87.501 | -0.000 | -0.000 | 0.000 | 
| 87.501 | 87.501 | 134.635 | -0.000 | -0.000 | 0.000 | 
| -0.000 | 0.000 | 0.000 | 32.720 | -0.000 | -0.000 | 
| 0.000 | 0.000 | 0.000 | -0.000 | 32.720 | 0.000 | 
| 0.000 | 0.000 | -0.000 | -0.000 | 0.000 | 32.720 | 
| 134.635 | 87.501 | 87.501 | 0.000 | -0.000 | -0.000 | 
| 87.501 | 134.635 | 87.501 | -0.000 | 0.000 | -0.000 | 
| 87.501 | 87.501 | 134.635 | 0.000 | 0.000 | -0.000 | 
| 0.000 | -0.000 | 0.000 | 32.720 | 0.000 | 0.000 | 
| -0.000 | 0.000 | 0.000 | 0.000 | 32.720 | -0.000 | 
| -0.000 | 0.000 | 0.000 | 0.000 | 0.000 | 32.720 | 
| 134.635 | 87.501 | 87.501 | -0.000 | 0.000 | 0.000 | 
| 87.501 | 134.635 | 87.501 | 0.000 | 0.000 | 0.000 | 
| 87.501 | 87.501 | 134.635 | -0.000 | -0.000 | 0.000 | 
| -0.000 | 0.000 | -0.000 | 32.720 | -0.000 | 0.000 | 
| 0.000 | -0.000 | -0.000 | -0.000 | 32.720 | 0.000 | 
| 0.000 | -0.000 | -0.000 | -0.000 | 0.000 | 32.720 | 
| 134.633 | 87.502 | 87.502 | 0.000 | -0.000 | 0.000 | 
| 87.502 | 134.633 | 87.502 | -0.000 | -0.000 | -0.000 | 
| 87.502 | 87.502 | 134.633 | 0.000 | 0.000 | -0.000 | 
| 0.000 | -0.000 | 0.000 | 32.720 | -0.000 | -0.000 | 
| -0.000 | 0.000 | 0.000 | 0.000 | 32.720 | -0.000 | 
| -0.000 | 0.000 | 0.000 | 0.000 | 0.000 | 32.720 | 
| 134.637 | 87.501 | 87.501 | -0.000 | -0.000 | 0.000 | 
| 87.501 | 134.637 | 87.501 | -0.000 | 0.000 | 0.000 | 
| 87.501 | 87.501 | 134.637 | -0.000 | -0.000 | 0.000 | 
| -0.000 | 0.000 | -0.000 | 32.720 | -0.000 | 0.000 | 
| 0.000 | -0.000 | -0.000 | -0.000 | 32.720 | 0.000 | 
| 0.000 | -0.000 | -0.000 | -0.000 | 0.000 | 32.720 | 
| 33.256 | 37.692 | 37.692 | 0.000 | -0.000 | -0.000 | 
| 37.692 | 33.256 | 37.692 | -0.000 | 0.000 | -0.000 | 
| 37.692 | 37.692 | 33.256 | 0.000 | 0.000 | 0.000 | 
| 0.000 | 0.000 | 0.000 | 37.691 | -0.000 | -0.000 | 
| 0.000 | 0.000 | 0.000 | -0.000 | 37.691 | 0.000 | 
| 0.000 | 0.000 | 0.000 | 0.000 | 0.000 | 37.691 | 
| 33.256 | 37.692 | 37.692 | 0.000 | -0.000 | 0.000 | 
| 37.692 | 33.256 | 37.692 | 0.000 | -0.000 | -0.000 | 
| 37.692 | 37.692 | 33.256 | 0.000 | 0.000 | 0.000 | 
| -0.000 | -0.000 | -0.000 | 37.691 | -0.000 | 0.000 | 
| -0.000 | -0.000 | -0.000 | 0.000 | 37.691 | 0.000 | 
| -0.000 | -0.000 | -0.000 | 0.000 | -0.000 | 37.691 | 
| 33.258 | 37.694 | 37.694 | -0.000 | -0.000 | -0.000 | 
| 37.694 | 33.258 | 37.694 | -0.000 | 0.000 | -0.000 | 
| 37.694 | 37.694 | 33.258 | -0.000 | -0.000 | -0.000 | 
| 0.002 | 0.002 | 0.002 | 37.691 | -0.000 | -0.000 | 
| 0.002 | 0.002 | 0.002 | -0.000 | 37.691 | -0.000 | 
| 0.002 | 0.002 | 0.002 | 0.000 | 0.000 | 37.691 | 
| 33.254 | 37.690 | 37.690 | 0.000 | -0.000 | 0.000 | 
| 37.690 | 33.254 | 37.690 | -0.000 | -0.000 | 0.000 | 
| 37.690 | 37.690 | 33.254 | 0.000 | 0.000 | 0.000 | 
| -0.002 | -0.002 | -0.002 | 37.691 | 0.000 | 0.000 | 
| -0.002 | -0.002 | -0.002 | 0.000 | 37.691 | 0.000 | 
| -0.002 | -0.002 | -0.002 | 0.000 | -0.000 | 37.691 | 
| 33.275 | 37.711 | 37.711 | -0.000 | 0.000 | 0.000 | 
| 37.711 | 33.275 | 37.711 | 0.000 | 0.000 | 0.000 | 
| 37.711 | 37.711 | 33.275 | -0.000 | 0.000 | -0.000 | 
| 0.019 | 0.019 | 0.019 | 37.691 | -0.000 | -0.000 | 
| 0.019 | 0.019 | 0.019 | -0.000 | 37.691 | -0.000 | 
| 0.019 | 0.019 | 0.019 | 0.000 | -0.000 | 37.691 | 
| 33.237 | 37.673 | 37.673 | 0.000 | 0.000 | 0.000 | 
| 37.673 | 33.237 | 37.673 | 0.000 | -0.000 | 0.000 | 
| 37.673 | 37.673 | 33.237 | 0.000 | 0.000 | 0.000 | 
| -0.019 | -0.019 | -0.019 | 37.691 | 0.000 | 0.000 | 
| -0.019 | -0.019 | -0.019 | 0.000 | 37.691 | 0.000 | 
| -0.019 | -0.019 | -0.019 | -0.000 | -0.000 | 37.691 | 
| -0.684 | 0.000 | 0.000 | 0.000 | 0.000 | 0.000 | 
| -0.000 | -0.684 | -0.000 | 0.000 | 0.000 | 0.000 | 
| -0.000 | -0.000 | -0.684 | 0.000 | 0.000 | -0.000 | 
| 0.000 | -0.000 | 0.000 | 0.000 | 0.000 | -0.000 | 
| -0.000 | 0.000 | 0.000 | -0.000 | 0.000 | 0.000 | 
| -0.000 | 0.000 | 0.000 | 0.000 | -0.000 | 0.000 | 
| -0.684 | -0.000 | -0.000 | -0.000 | 0.000 | -0.000 | 
| -0.000 | -0.684 | -0.000 | -0.000 | 0.000 | 0.000 | 
| -0.000 | -0.000 | -0.684 | 0.000 | 0.000 | -0.000 | 
| -0.000 | -0.000 | -0.000 | 0.000 | -0.000 | -0.000 | 
| -0.000 | -0.000 | -0.000 | 0.000 | 0.000 | 0.000 | 
| -0.000 | -0.000 | -0.000 | -0.000 | 0.000 | 0.000 | 
| -0.684 | 0.000 | 0.000 | 0.000 | 0.000 | 0.000 | 
| 0.000 | -0.684 | 0.000 | 0.000 | -0.000 | 0.000 | 
| 0.000 | 0.000 | -0.684 | 0.000 | 0.000 | -0.000 | 
| 0.000 | -0.000 | 0.000 | -0.000 | 0.000 | -0.000 | 
| -0.000 | 0.000 | 0.000 | 0.000 | -0.000 | 0.000 | 
| -0.000 | 0.000 | 0.000 | 0.000 | 0.000 | -0.000 | 
| -0.683 | -0.000 | -0.000 | -0.000 | 0.000 | -0.000 | 
| -0.000 | -0.683 | -0.000 | -0.000 | 0.000 | 0.000 | 
| -0.000 | -0.000 | -0.683 | -0.000 | -0.000 | 0.000 | 
| -0.000 | -0.000 | -0.000 | -0.000 | -0.000 | -0.000 | 
| -0.000 | -0.000 | -0.000 | -0.000 | -0.000 | 0.000 | 
| -0.000 | -0.000 | -0.000 | -0.000 | 0.000 | -0.000 | 
| -0.689 | -0.000 | -0.000 | -0.000 | -0.000 | 0.000 | 
| -0.000 | -0.689 | -0.000 | 0.000 | 0.000 | -0.000 | 
| 0.000 | 0.000 | -0.689 | -0.000 | -0.000 | -0.000 | 
| 0.000 | 0.000 | 0.000 | -0.000 | -0.000 | 0.000 | 
| 0.000 | 0.000 | 0.000 | -0.000 | -0.000 | -0.000 | 
| 0.000 | 0.000 | 0.000 | 0.000 | -0.000 | -0.000 | 
| -0.678 | -0.000 | -0.000 | -0.000 | -0.000 | -0.000 | 
| -0.000 | -0.678 | -0.000 | -0.000 | 0.000 | 0.000 | 
| -0.000 | -0.000 | -0.678 | 0.000 | 0.000 | 0.000 | 
| -0.000 | -0.000 | -0.000 | -0.000 | 0.000 | 0.000 | 
| -0.000 | -0.000 | -0.000 | 0.000 | -0.000 | -0.000 | 
| -0.000 | -0.000 | -0.000 | -0.000 | 0.000 | -0.000 | 
| 94984.231 | 95093.004 | 95093.004 | -0.000 | -0.000 | -0.000 | 
| 95093.004 | 94984.231 | 95093.004 | -0.000 | -0.000 | -0.000 | 
| 95093.004 | 95093.004 | 94984.231 | -0.000 | -0.000 | -0.000 | 
| 0.001 | 0.001 | 0.001 | 35.901 | -0.000 | -0.000 | 
| 0.001 | 0.001 | 0.001 | -0.000 | 35.901 | -0.000 | 
| 0.001 | 0.001 | 0.001 | -0.000 | -0.000 | 35.901 | 
| 94984.154 | 95092.923 | 95092.923 | 0.000 | 0.000 | 0.000 | 
| 95092.923 | 94984.154 | 95092.923 | 0.000 | 0.000 | 0.000 | 
| 95092.922 | 95092.923 | 94984.154 | 0.000 | 0.000 | -0.000 | 
| -0.001 | -0.001 | -0.001 | 35.902 | 0.000 | 0.000 | 
| -0.001 | -0.001 | -0.001 | 0.000 | 35.901 | 0.000 | 
| -0.001 | -0.001 | -0.001 | 0.000 | 0.000 | 35.901 | 
| 94984.584 | 95093.371 | 95093.371 | -0.000 | -0.000 | 0.000 | 
| 95093.371 | 94984.584 | 95093.371 | -0.000 | -0.000 | -0.000 | 
| 95093.371 | 95093.371 | 94984.584 | -0.000 | -0.000 | -0.000 | 
| 105354094.986 | 93360866.195 | 93141054.191 | -8657778.715 | -443109.634 | -2641260.662 | 
| 90138669.933 | 103901141.952 | 90277745.990 | -2355866.288 | -7844372.329 | -1994908.731 | 
| 113808166.952 | 115078096.093 | 121885361.484 | 400834.467 | 755475.993 | -6129696.586 | 
| 94983.802 | 95092.556 | 95092.556 | 0.000 | 0.000 | 0.000 | 
| 95092.556 | 94983.802 | 95092.556 | 0.000 | 0.000 | 0.000 | 
| 95092.556 | 95092.556 | 94983.802 | 0.000 | 0.000 | 0.000 | 
| -115270508.214 | -95612783.951 | -96724059.383 | -8075763.235 | 251993.506 | 160183.664 | 
| -99186868.002 | -118400769.858 | -99402014.393 | 776590.959 | -4358072.300 | -279020.528 | 
| -90036819.164 | -90416943.441 | -109224454.018 | -660856.580 | -508211.279 | -4552786.824 | 
| 94988.101 | 95097.041 | 95097.041 | -0.000 | -0.000 | -0.000 | 
| 95097.041 | 94988.101 | 95097.041 | -0.000 | -0.000 | -0.000 | 
| 95097.041 | 95097.041 | 94988.101 | -0.000 | -0.000 | -0.000 | 
| 10378724.019 | 9060328.255 | 9149330.518 | -29519.555 | 130578.105 | 307251.823 | 
| 9417390.287 | 10238358.681 | 9308443.452 | 42580.378 | -790530.160 | -4035.552 | 
| 8860134.313 | 8829082.417 | 9493060.608 | 43853.240 | -71134.680 | -452949.076 | 
| 94980.284 | 95088.886 | 95088.886 | 0.000 | 0.000 | 0.000 | 
| 95088.886 | 94980.284 | 95088.886 | 0.000 | 0.000 | 0.000 | 
| 95088.886 | 95088.886 | 94980.284 | 0.000 | 0.000 | 0.000 | 
| -10185439.046 | -8018408.058 | -8032211.401 | -1006890.393 | -24180.165 | 216325.360 | 
| -7978447.495 | -10126421.973 | -7993333.200 | 72196.286 | -1017044.081 | 167707.551 | 
| -7608812.128 | -7615207.564 | -9312909.129 | 113050.591 | 207970.158 | -1091635.107 | 
| 2.183 | 2.183 | 2.183 | 0.000 | 0.000 | -0.000 | 
| 2.183 | 2.183 | 2.183 | 0.000 | 0.000 | -0.000 | 
| 2.183 | 2.183 | 2.183 | 0.000 | 0.000 | 0.000 | 
| -0.000 | -0.000 | -0.000 | 0.000 | 0.000 | -0.000 | 
| -0.000 | -0.000 | -0.000 | 0.000 | 0.000 | -0.000 | 
| -0.000 | -0.000 | -0.000 | 0.000 | 0.000 | 0.000 | 
| 2.183 | 2.183 | 2.183 | -0.000 | -0.000 | 0.000 | 
| 2.183 | 2.183 | 2.183 | -0.000 | -0.000 | 0.000 | 
| 2.183 | 2.183 | 2.183 | -0.000 | -0.000 | -0.000 | 
| 0.000 | 0.000 | 0.000 | -0.000 | -0.000 | -0.000 | 
| 0.000 | 0.000 | 0.000 | -0.000 | -0.000 | -0.000 | 
| 0.000 | 0.000 | 0.000 | -0.000 | -0.000 | 0.000 | 
| 2.184 | 2.184 | 2.184 | 0.000 | 0.000 | -0.000 | 
| 2.184 | 2.184 | 2.184 | 0.000 | 0.000 | -0.000 | 
| 2.184 | 2.184 | 2.184 | -0.000 | -0.000 | 0.000 | 
| -0.000 | -0.000 | -0.000 | 0.000 | 0.000 | 0.000 | 
| -0.000 | -0.000 | -0.000 | 0.000 | 0.000 | 0.000 | 
| -0.000 | -0.000 | -0.000 | 0.000 | 0.000 | 0.000 | 
| 2.183 | 2.183 | 2.183 | -0.000 | -0.000 | 0.000 | 
| 2.183 | 2.183 | 2.183 | -0.000 | -0.000 | 0.000 | 
| 2.183 | 2.183 | 2.183 | 0.000 | 0.000 | 0.000 | 
| 0.000 | 0.000 | 0.000 | -0.000 | 0.000 | -0.000 | 
| 0.000 | 0.000 | 0.000 | 0.000 | -0.000 | -0.000 | 
| 0.000 | 0.000 | 0.000 | 0.000 | -0.000 | -0.000 | 
| 2.188 | 2.188 | 2.188 | 0.000 | 0.000 | -0.000 | 
| 2.188 | 2.188 | 2.188 | 0.000 | 0.000 | -0.000 | 
| 2.188 | 2.188 | 2.188 | 0.000 | 0.000 | -0.000 | 
| -0.000 | -0.000 | -0.000 | -0.000 | 0.000 | -0.000 | 
| -0.000 | -0.000 | -0.000 | 0.000 | -0.000 | -0.000 | 
| -0.000 | -0.000 | -0.000 | 0.000 | 0.000 | -0.000 | 
| 2.178 | 2.178 | 2.178 | -0.000 | -0.000 | 0.000 | 
| 2.178 | 2.178 | 2.178 | -0.000 | -0.000 | 0.000 | 
| 2.178 | 2.178 | 2.178 | 0.000 | 0.000 | 0.000 | 
| 0.000 | 0.000 | 0.000 | -0.000 | -0.000 | 0.000 | 
| 0.000 | 0.000 | 0.000 | -0.000 | -0.000 | 0.000 | 
| 0.000 | 0.000 | 0.000 | -0.000 | -0.000 | -0.000 | 
| -134.389 | -186.701 | -223.446 | -0.000 | -0.000 | 0.000 | 
| -186.701 | -134.389 | -223.446 | -0.000 | -0.000 | -0.000 | 
| -223.446 | -223.446 | -188.006 | -0.000 | -0.000 | 0.000 | 
| -0.000 | 0.000 | 0.000 | -19.628 | -0.000 | -0.000 | 
| 0.000 | -0.000 | 0.000 | -0.000 | -19.628 | 0.000 | 
| 0.000 | 0.000 | -0.000 | -0.000 | -0.000 | -49.765 | 
| -134.389 | -186.701 | -223.446 | 0.000 | 0.000 | -0.000 | 
| -186.701 | -134.389 | -223.446 | 0.000 | 0.000 | -0.000 | 
| -223.446 | -223.446 | -188.006 | 0.000 | 0.000 | -0.000 | 
| 0.000 | -0.000 | -0.000 | -19.628 | 0.000 | -0.000 | 
| -0.000 | 0.000 | -0.000 | 0.000 | -19.628 | -0.000 | 
| -0.000 | -0.000 | 0.000 | 0.000 | 0.000 | -49.765 | 
| -134.390 | -186.702 | -223.447 | -0.000 | -0.000 | 0.000 | 
| -186.702 | -134.390 | -223.447 | -0.000 | 0.000 | 0.000 | 
| -223.447 | -223.447 | -188.008 | -0.000 | -0.000 | -0.000 | 
| -0.000 | 0.000 | 0.000 | -19.628 | -0.000 | 0.000 | 
| 0.000 | -0.000 | 0.000 | -0.000 | -19.628 | 0.000 | 
| 0.000 | 0.000 | -0.000 | -0.000 | -0.000 | -49.765 | 
| -134.388 | -186.700 | -223.445 | 0.000 | 0.000 | 0.000 | 
| -186.700 | -134.388 | -223.445 | 0.000 | 0.000 | -0.000 | 
| -223.445 | -223.445 | -188.004 | 0.000 | 0.000 | -0.000 | 
| 0.000 | -0.000 | -0.000 | -19.628 | 0.000 | -0.000 | 
| -0.000 | 0.000 | -0.000 | 0.000 | -19.628 | -0.000 | 
| -0.000 | -0.000 | 0.000 | 0.000 | 0.000 | -49.765 | 
| -134.397 | -186.707 | -223.455 | -0.000 | -0.000 | 0.000 | 
| -186.707 | -134.397 | -223.455 | -0.000 | -0.000 | 0.000 | 
| -223.456 | -223.456 | -188.026 | -0.000 | -0.000 | 0.000 | 
| -0.001 | 0.001 | 0.001 | -19.628 | -0.000 | -0.000 | 
| 0.001 | -0.001 | 0.001 | -0.000 | -19.628 | 0.000 | 
| 0.001 | 0.001 | -0.001 | -0.000 | -0.000 | -49.765 | 
| -134.381 | -186.694 | -223.438 | 0.000 | -0.000 | -0.000 | 
| -186.694 | -134.381 | -223.438 | 0.000 | 0.000 | -0.000 | 
| -223.436 | -223.436 | -187.986 | 0.000 | 0.000 | -0.000 | 
| 0.001 | -0.001 | -0.001 | -19.628 | 0.000 | -0.000 | 
| -0.001 | 0.001 | -0.001 | 0.000 | -19.628 | -0.000 | 
| -0.001 | -0.001 | 0.001 | 0.000 | -0.000 | -49.765 | 
| 27817726.290 | 6106479.313 | 7492453.947 | -0.011 | 0.004 | 0.006 | 
| 6106479.313 | 27817726.290 | 7492453.947 | 0.004 | -0.011 | 0.006 | 
| 7492647.192 | 7492647.192 | 3309668.842 | -0.012 | -0.012 | -0.003 | 
| -58.060 | -264.535 | -71.214 | 7492649.707 | -0.014 | -0.004 | 
| -264.535 | -58.060 | -71.214 | -0.014 | 7492649.707 | -0.004 | 
| -131.533 | -131.538 | -58.074 | -0.001 | -0.002 | 6106511.846 | 
| 27819858.455 | 6106741.975 | 7492982.616 | 0.013 | -0.004 | 0.003 | 
| 6106741.975 | 27819858.455 | 7492982.616 | -0.004 | 0.013 | 0.003 | 
| 7492789.425 | 7492789.425 | 3309731.800 | 0.012 | 0.012 | 0.000 | 
| 58.076 | 264.563 | 71.224 | 7492649.707 | 0.013 | 0.003 | 
| 264.563 | 58.076 | 71.224 | 0.013 | 7492649.707 | 0.003 | 
| 131.526 | 131.518 | 58.068 | -0.003 | -0.004 | 6106511.855 | 
| 27808131.682 | 6105297.153 | 7490074.929 | -0.001 | -0.002 | 0.001 | 
| 6105297.153 | 27808131.682 | 7490074.929 | -0.002 | -0.001 | 0.001 | 
| 7492006.626 | 7492006.626 | 3309385.302 | -0.001 | -0.001 | 0.000 | 
| -580.713 | -2645.636 | -712.231 | 7492649.713 | -0.001 | -0.000 | 
| -2645.636 | -580.713 | -712.231 | -0.001 | 7492649.713 | -0.000 | 
| -1315.358 | -1315.228 | -580.713 | -0.000 | 0.001 | 6106511.872 | 
| 27829453.319 | 6107924.205 | 7495361.705 | 0.002 | -0.000 | 0.001 | 
| 6107924.205 | 27829453.319 | 7495361.705 | -0.000 | 0.002 | 0.001 | 
| 7493430.000 | 7493430.000 | 3310015.343 | 0.001 | 0.001 | 0.000 | 
| 580.712 | 2645.634 | 712.230 | 7492649.712 | 0.001 | 0.000 | 
| 2645.634 | 580.712 | 712.230 | 0.001 | 7492649.712 | 0.000 | 
| 1315.361 | 1315.226 | 580.714 | 0.000 | 0.000 | 6106511.873 | 
| 27712184.289 | 6093475.378 | 7466284.375 | -0.000 | 0.000 | -0.000 | 
| 6093475.378 | 27712184.289 | 7466284.375 | 0.000 | -0.000 | -0.000 | 
| 7485601.419 | 7485601.419 | 3306550.112 | -0.000 | -0.000 | -0.000 | 
| -5807.129 | -26456.363 | -7122.307 | 7492649.713 | -0.000 | 0.000 | 
| -26456.363 | -5807.129 | -7122.307 | -0.000 | 7492649.713 | 0.000 | 
| -13153.597 | -13152.240 | -5807.129 | -0.000 | 0.000 | 6106511.891 | 
| 27925400.605 | 6119745.921 | 7519152.129 | 0.000 | -0.000 | -0.000 | 
| 6119745.921 | 27925400.605 | 7519152.129 | -0.000 | 0.000 | -0.000 | 
| 7499835.205 | 7499835.205 | 3312850.545 | 0.000 | 0.000 | 0.000 | 
| 5807.129 | 26456.363 | 7122.307 | 7492649.712 | 0.000 | -0.000 | 
| 26456.363 | 5807.129 | 7122.307 | 0.000 | 7492649.712 | -0.000 | 
| 13153.597 | 13152.240 | 5807.129 | 0.000 | -0.000 | 6106511.891 | 
| 562.518 | 16.440 | 11.379 | 0.000 | 0.000 | 0.000 | 
| 16.440 | 562.518 | 11.379 | 0.000 | 0.000 | -0.000 | 
| 11.379 | 11.379 | 29.027 | 0.000 | 0.000 | -0.000 | 
| 0.000 | 0.000 | 0.000 | 11.379 | 0.000 | -0.000 | 
| 0.000 | 0.000 | 0.000 | 0.000 | 11.379 | 0.000 | 
| 0.000 | 0.000 | 0.000 | 0.000 | 0.000 | 4.461 | 
| 562.518 | 16.440 | 11.379 | -0.000 | -0.000 | -0.000 | 
| 16.440 | 562.518 | 11.379 | -0.000 | -0.000 | -0.000 | 
| 11.378 | 11.378 | 29.025 | -0.000 | -0.000 | 0.000 | 
| -0.000 | -0.000 | -0.000 | 11.379 | -0.000 | -0.000 | 
| -0.000 | -0.000 | -0.000 | -0.000 | 11.379 | -0.000 | 
| -0.000 | -0.000 | -0.000 | -0.000 | -0.000 | 4.461 | 
| 562.518 | 16.440 | 11.381 | 0.000 | 0.000 | 0.000 | 
| 16.440 | 562.518 | 11.381 | 0.000 | 0.000 | 0.000 | 
| 11.383 | 11.383 | 29.038 | 0.000 | 0.000 | 0.000 | 
| 0.002 | 0.002 | 0.005 | 11.379 | 0.000 | 0.000 | 
| 0.002 | 0.002 | 0.005 | 0.000 | 11.379 | 0.000 | 
| 0.001 | 0.001 | 0.002 | 0.000 | 0.000 | 4.461 | 
| 562.517 | 16.439 | 11.377 | -0.000 | -0.000 | -0.000 | 
| 16.439 | 562.517 | 11.377 | -0.000 | -0.000 | -0.000 | 
| 11.374 | 11.374 | 29.014 | -0.000 | -0.000 | -0.000 | 
| -0.002 | -0.002 | -0.005 | 11.379 | -0.000 | 0.000 | 
| -0.002 | -0.002 | -0.005 | -0.000 | 11.379 | -0.000 | 
| -0.001 | -0.001 | -0.002 | -0.000 | -0.000 | 4.461 | 
| 562.519 | 16.448 | 11.397 | 0.000 | 0.000 | 0.000 | 
| 16.448 | 562.519 | 11.397 | 0.000 | 0.000 | 0.000 | 
| 11.426 | 11.426 | 29.145 | 0.000 | 0.000 | 0.000 | 
| 0.018 | 0.018 | 0.047 | 11.379 | 0.000 | -0.000 | 
| 0.018 | 0.018 | 0.047 | 0.000 | 11.379 | 0.000 | 
| 0.007 | 0.007 | 0.018 | 0.000 | 0.000 | 4.461 | 
| 562.516 | 16.432 | 11.360 | -0.000 | -0.000 | -0.000 | 
| 16.432 | 562.516 | 11.360 | -0.000 | -0.000 | 0.000 | 
| 11.332 | 11.332 | 28.906 | -0.000 | -0.000 | -0.000 | 
| -0.018 | -0.018 | -0.047 | 11.379 | -0.000 | 0.000 | 
| -0.018 | -0.018 | -0.047 | -0.000 | 11.379 | -0.000 | 
| -0.007 | -0.007 | -0.018 | -0.000 | -0.000 | 4.461 | 
| 64277.246 | 63017.536 | 63017.536 | -0.000 | -0.000 | 0.000 | 
| 63017.536 | 64277.246 | 63017.536 | -0.000 | -0.000 | 0.000 | 
| 63017.536 | 63017.536 | 64277.246 | -0.000 | 0.000 | 0.000 | 
| 0.001 | 0.001 | 0.001 | -288.736 | -0.000 | 0.000 | 
| 0.001 | 0.001 | 0.001 | -0.000 | -288.736 | 0.000 | 
| 0.001 | 0.001 | 0.001 | -0.000 | -0.000 | -288.735 | 
| 64277.177 | 63017.468 | 63017.468 | 0.000 | -0.000 | -0.000 | 
| 63017.468 | 64277.177 | 63017.468 | 0.000 | 0.000 | -0.000 | 
| 63017.468 | 63017.468 | 64277.177 | 0.000 | 0.000 | 0.000 | 
| -0.001 | -0.001 | -0.001 | -288.736 | 0.000 | -0.000 | 
| -0.001 | -0.001 | -0.001 | 0.000 | -288.735 | -0.000 | 
| -0.001 | -0.001 | -0.001 | 0.000 | 0.000 | -288.736 | 
| 64277.551 | 63017.837 | 63017.837 | -0.000 | 0.000 | 0.000 | 
| 63017.837 | 64277.551 | 63017.837 | -0.000 | 0.000 | 0.000 | 
| 63017.837 | 63017.837 | 64277.551 | -0.000 | -0.000 | -0.000 | 
| 0.005 | 0.006 | 0.005 | -213.259 | 0.000 | -0.000 | 
| 0.006 | 0.005 | 0.005 | -0.000 | -213.259 | 0.000 | 
| 0.006 | 0.005 | 0.005 | -0.000 | -0.000 | -213.259 | 
| 64276.871 | 63017.167 | 63017.167 | 0.000 | -0.000 | -0.000 | 
| 63017.167 | 64276.871 | 63017.167 | 0.000 | -0.000 | -0.000 | 
| 63017.167 | 63017.167 | 64276.871 | 0.000 | 0.000 | 0.000 | 
| -0.005 | -0.006 | -0.005 | -213.259 | -0.000 | 0.000 | 
| -0.006 | -0.005 | -0.005 | 0.000 | -213.259 | -0.000 | 
| -0.006 | -0.005 | -0.005 | 0.000 | 0.000 | -213.259 | 
| 64280.608 | 63020.851 | 63020.851 | -0.000 | -0.000 | -0.000 | 
| 63020.851 | 64280.608 | 63020.851 | -0.000 | -0.000 | 0.000 | 
| 63020.851 | 63020.851 | 64280.608 | -0.000 | -0.000 | 0.000 | 
| 0.119 | 0.109 | 0.108 | -288.736 | -0.000 | 0.000 | 
| 0.109 | 0.119 | 0.108 | -0.000 | -288.736 | 0.000 | 
| 0.109 | 0.108 | 0.119 | -0.000 | -0.000 | -288.736 | 
| 64273.814 | 63014.152 | 63014.152 | -0.000 | 0.000 | -0.000 | 
| 63014.152 | 64273.814 | 63014.152 | -0.000 | -0.000 | -0.000 | 
| 63014.152 | 63014.152 | 64273.814 | 0.000 | 0.000 | -0.000 | 
| -0.119 | -0.109 | -0.108 | -288.736 | 0.000 | -0.000 | 
| -0.109 | -0.119 | -0.108 | 0.000 | -288.736 | -0.000 | 
| -0.109 | -0.108 | -0.119 | 0.000 | 0.000 | -288.736 | 
| 21993605.515 | 5034767.426 | 5034767.411 | -0.006 | -0.011 | 0.003 | 
| 5034767.426 | 21993605.515 | 5034767.411 | -0.011 | -0.006 | 0.003 | 
| 5034767.424 | 5034767.424 | 21993605.509 | -0.007 | -0.007 | -0.002 | 
| -28.589 | -67.853 | -67.850 | 3320024.727 | -0.019 | 0.001 | 
| -67.853 | -28.588 | -67.849 | -0.019 | 3320024.726 | 0.001 | 
| -67.835 | -67.850 | -28.568 | -0.016 | -0.008 | 3320024.694 | 
| 21995460.587 | 5034998.288 | 5034998.278 | 0.010 | -0.002 | -0.003 | 
| 5034998.288 | 21995460.587 | 5034998.278 | -0.002 | 0.010 | -0.003 | 
| 5034998.297 | 5034998.297 | 21995460.589 | 0.011 | 0.011 | 0.001 | 
| 28.601 | 67.842 | 67.849 | 3320024.975 | 0.019 | -0.001 | 
| 67.842 | 28.601 | 67.849 | 0.019 | 3320024.968 | -0.001 | 
| 67.830 | 67.857 | 28.576 | 0.004 | 0.010 | 3320025.084 | 
| 21985258.263 | 5033728.920 | 5033728.918 | -0.001 | -0.001 | 0.000 | 
| 5033728.920 | 21985258.263 | 5033728.918 | -0.001 | -0.001 | 0.000 | 
| 5033728.917 | 5033728.917 | 21985258.252 | -0.001 | -0.001 | 0.000 | 
| -353.075 | -636.434 | -636.658 | 3109612.932 | -0.001 | 0.000 | 
| -636.434 | -353.075 | -636.658 | -0.001 | 3109612.932 | 0.000 | 
| -636.435 | -636.661 | -353.076 | -0.001 | -0.001 | 3109612.933 | 
| 22003807.839 | 5036036.780 | 5036036.781 | 0.001 | 0.001 | 0.000 | 
| 5036036.780 | 22003807.839 | 5036036.781 | 0.001 | 0.001 | 0.000 | 
| 5036036.781 | 5036036.781 | 22003807.841 | 0.001 | 0.001 | -0.000 | 
| 353.074 | 636.434 | 636.655 | 3109612.934 | 0.001 | -0.001 | 
| 636.434 | 353.074 | 636.655 | 0.001 | 3109612.934 | -0.001 | 
| 636.435 | 636.662 | 353.077 | 0.000 | 0.001 | 3109612.934 | 
| 21901785.143 | 5023343.541 | 5023343.541 | -0.000 | -0.000 | 0.000 | 
| 5023343.541 | 21901785.143 | 5023343.541 | -0.000 | -0.000 | 0.000 | 
| 5023343.541 | 5023343.541 | 21901785.143 | -0.000 | -0.000 | -0.000 | 
| -3625.808 | -6315.810 | -6318.123 | 3083677.292 | -0.000 | 0.000 | 
| -6315.810 | -3625.808 | -6318.123 | -0.000 | 3083677.292 | 0.000 | 
| -6315.810 | -6318.123 | -3625.808 | -0.000 | -0.000 | 3083677.292 | 
| 22087280.831 | 5046422.104 | 5046422.103 | 0.000 | 0.000 | 0.000 | 
| 5046422.104 | 22087280.831 | 5046422.103 | 0.000 | 0.000 | 0.000 | 
| 5046422.104 | 5046422.104 | 22087280.831 | 0.000 | 0.000 | 0.000 | 
| 3625.808 | 6315.810 | 6318.123 | 3083677.292 | 0.000 | 0.000 | 
| 6315.810 | 3625.808 | 6318.123 | 0.000 | 3083677.292 | 0.000 | 
| 6315.810 | 6318.123 | 3625.808 | 0.000 | 0.000 | 3083677.292 | 
| 4.366 | 4.366 | 4.366 | -0.000 | 0.000 | -0.000 | 
| 4.366 | 4.366 | 4.366 | 0.000 | -0.000 | -0.000 | 
| 4.366 | 4.366 | 4.366 | -0.000 | -0.000 | 0.000 | 
| 0.000 | 0.000 | 0.000 | 1.734 | 0.000 | -0.000 | 
| 0.000 | 0.000 | 0.000 | 0.000 | 1.734 | -0.000 | 
| 0.000 | 0.000 | 0.000 | 0.000 | -0.000 | 1.734 | 
| 4.366 | 4.366 | 4.366 | 0.000 | -0.000 | 0.000 | 
| 4.366 | 4.366 | 4.366 | -0.000 | 0.000 | 0.000 | 
| 4.366 | 4.366 | 4.366 | 0.000 | 0.000 | 0.000 | 
| -0.000 | -0.000 | -0.000 | 1.734 | -0.000 | -0.000 | 
| -0.000 | -0.000 | -0.000 | -0.000 | 1.734 | -0.000 | 
| -0.000 | -0.000 | -0.000 | 0.000 | 0.000 | 1.734 | 
| 4.367 | 4.367 | 4.367 | -0.000 | 0.000 | -0.000 | 
| 4.367 | 4.367 | 4.367 | 0.000 | -0.000 | -0.000 | 
| 4.367 | 4.367 | 4.367 | -0.000 | -0.000 | -0.000 | 
| 0.000 | 0.000 | 0.000 | 0.273 | -0.000 | 0.000 | 
| 0.000 | 0.000 | 0.000 | -0.000 | 0.273 | 0.000 | 
| 0.000 | 0.000 | 0.000 | -0.000 | 0.000 | 0.273 | 
| 4.365 | 4.365 | 4.365 | 0.000 | -0.000 | 0.000 | 
| 4.365 | 4.365 | 4.365 | -0.000 | 0.000 | 0.000 | 
| 4.365 | 4.365 | 4.365 | 0.000 | 0.000 | 0.000 | 
| -0.000 | -0.000 | -0.000 | 0.273 | 0.000 | 0.000 | 
| -0.000 | -0.000 | -0.000 | 0.000 | 0.273 | 0.000 | 
| -0.000 | -0.000 | -0.000 | -0.000 | 0.000 | 0.273 | 
| 4.377 | 4.377 | 4.377 | -0.000 | 0.000 | -0.000 | 
| 4.377 | 4.377 | 4.377 | 0.000 | -0.000 | -0.000 | 
| 4.377 | 4.377 | 4.377 | -0.000 | -0.000 | 0.000 | 
| -0.000 | -0.000 | -0.000 | 0.017 | -0.000 | 0.000 | 
| -0.000 | -0.000 | -0.000 | -0.000 | 0.017 | 0.000 | 
| -0.000 | -0.000 | -0.000 | -0.000 | -0.000 | 0.017 | 
| 4.356 | 4.355 | 4.355 | 0.000 | -0.000 | -0.000 | 
| 4.355 | 4.356 | 4.355 | -0.000 | 0.000 | -0.000 | 
| 4.355 | 4.355 | 4.356 | 0.000 | 0.000 | 0.000 | 
| 0.000 | 0.000 | 0.000 | 0.017 | -0.000 | -0.000 | 
| 0.000 | 0.000 | 0.000 | -0.000 | 0.017 | -0.000 | 
| 0.000 | 0.000 | 0.000 | 0.000 | -0.000 | 0.017 | 
| -480545.911 | -502798.056 | -285578.245 | -142098.013 | 88843.421 | -888770.560 | 
| 1074537.640 | 1342929.761 | 660765.109 | 26498.523 | 79088.468 | -1135006.709 | 
| 3224375.069 | 3224237.585 | 3251939.220 | 10133.594 | 231551.175 | 250680.388 | 
| -1104763.224 | -751257.162 | -407671.719 | -91550.169 | -14198.707 | -1051953.437 | 
| 824497.719 | 1127033.200 | 515409.219 | 42221.787 | -95933.683 | -855275.172 | 
| 27800.494 | 114055.033 | 61045.934 | -186216.673 | 31359.187 | -1117587.477 | 
| -1909100.794 | -2303485.679 | -1097479.173 | 120156.086 | -17656.943 | 1091199.601 | 
| 502239.924 | 198783.853 | 143848.504 | 93608.220 | 14886.922 | 1039866.953 | 
| -621611.123 | -975257.304 | -402815.364 | 712645.473 | -455076.803 | 838246.754 | 
| -1102450.630 | -1408784.386 | -280193.184 | 68448.283 | 48408.526 | -46039.643 | 
| 769053.433 | 482649.500 | 287319.245 | 86950.247 | 6683.204 | 1079659.361 | 
| -19944.557 | -20121.052 | -5074.952 | -92.381 | -57.533 | 762209.341 | 
| -287754.570 | -349212.453 | -153026.864 | -19257.529 | -7942.574 | -66647.945 | 
| 667087.068 | 2962832.510 | 687833.337 | -1047.894 | -567.741 | -29934.220 | 
| -128637.688 | -94316.424 | -61537.425 | -8970.272 | -1194.472 | -105017.537 | 
| 93385.517 | 123920.954 | 59471.201 | -10223.405 | 172.661 | -74706.097 | 
| -144732.295 | -112019.707 | -64506.703 | -8652.746 | -1485.407 | -104706.444 | 
| 89107.323 | 125369.757 | 53233.781 | -8992.217 | -318.069 | -108797.055 | 
| 131896.808 | 96381.798 | 56984.204 | 9271.106 | 1057.433 | 106178.738 | 
| 7696.553 | -16652.633 | -58804.965 | 39917.493 | 71.812 | 176551.866 | 
| -487805.835 | -512653.379 | 456274.540 | 8377.354 | -2276.742 | 181651.345 | 
| -304357.603 | -340192.741 | -156208.786 | 7702.001 | 483.285 | 107416.191 | 
| 167413.426 | 134768.407 | 73698.362 | 8951.207 | 1359.636 | 101926.226 | 
| -203244.377 | -235860.095 | -108013.671 | 5493.262 | 2870.706 | 101869.447 | 
| -324446.624 | -328124.156 | -147281.225 | -1112.046 | -308.450 | -22441.146 | 
| -485292.107 | -615739.552 | -234588.737 | -3849.231 | -802.518 | -36744.343 | 
| 45255.400 | 42716.311 | 19877.832 | 188.739 | 664.846 | -7503.347 | 
| -28436.871 | -25017.587 | -13211.694 | -509.937 | -1274.521 | -9983.519 | 
| 62916.444 | 72292.765 | 31628.692 | -4480.171 | -132724.193 | -10131.181 | 
| 72498.662 | 77443.824 | 17727.916 | 995.742 | -3041.437 | -113169.881 | 
| 256361.508 | -262242.732 | -12902.341 | 1938.528 | 1078.633 | 9762.436 | 
| 6577.984 | 2975.946 | 2521.110 | 2536.751 | -500.888 | 5837.363 | 
| -13796.634 | -17436.207 | -7954.310 | 977.707 | 174.583 | 9434.444 | 
| -25972.657 | -29509.206 | -13144.543 | 4531.909 | 2886.391 | 10551.204 | 
| -51861.051 | -49628.611 | -23319.185 | 2295.032 | -18552.071 | 5076.055 | 
| 416.297 | -3002.230 | -1299.166 | 661.842 | -237.406 | 8972.345 | 
| 22288049.926 | 5102222.438 | 5102222.477 | 0.011 | 0.012 | -0.002 | 
| 5102222.438 | 22288049.926 | 5102222.477 | 0.012 | 0.011 | -0.002 | 
| 5102222.447 | 5102222.447 | 22288049.906 | 0.008 | 0.008 | -0.000 | 
| -35.127 | -63.765 | -63.750 | 3156840.854 | -0.003 | -0.003 | 
| -63.765 | -35.126 | -63.750 | -0.003 | 3156840.852 | -0.004 | 
| -63.765 | -63.811 | -35.080 | -0.002 | 0.007 | 3156840.874 | 
| 22289904.785 | 5102453.234 | 5102453.211 | -0.016 | -0.015 | 0.003 | 
| 5102453.234 | 22289904.785 | 5102453.211 | -0.015 | -0.016 | 0.003 | 
| 5102453.211 | 5102453.211 | 22289904.741 | -0.016 | -0.016 | 0.002 | 
| 35.112 | 63.756 | 63.739 | 3156841.159 | -0.001 | 0.003 | 
| 63.756 | 35.113 | 63.739 | -0.001 | 3156841.159 | 0.003 | 
| 63.769 | 63.816 | 35.088 | -0.001 | -0.006 | 3156841.178 | 
| 22279702.727 | 5101183.968 | 5101183.973 | 0.000 | 0.000 | -0.000 | 
| 5101183.968 | 22279702.727 | 5101183.973 | 0.000 | 0.000 | -0.000 | 
| 5101183.971 | 5101183.971 | 22279702.735 | 0.000 | 0.000 | -0.000 | 
| -353.243 | -636.343 | -636.566 | 3150652.209 | 0.001 | -0.001 | 
| -636.343 | -353.243 | -636.566 | 0.001 | 3150652.209 | -0.001 | 
| -636.342 | -636.572 | -353.236 | 0.001 | 0.000 | 3150652.208 | 
| 22298252.217 | 5103491.803 | 5103491.800 | -0.001 | 0.000 | 0.000 | 
| 5103491.803 | 22298252.217 | 5103491.800 | 0.000 | -0.001 | 0.000 | 
| 5103491.802 | 5103491.802 | 22298252.216 | -0.001 | -0.001 | 0.000 | 
| 353.244 | 636.344 | 636.566 | 3150652.209 | -0.001 | 0.000 | 
| 636.344 | 353.244 | 636.566 | -0.001 | 3150652.209 | 0.000 | 
| 636.342 | 636.572 | 353.236 | -0.001 | -0.001 | 3150652.209 | 
| 22196229.946 | 5090798.717 | 5090798.717 | 0.000 | 0.000 | -0.000 | 
| 5090798.717 | 22196229.946 | 5090798.717 | 0.000 | 0.000 | -0.000 | 
| 5090798.717 | 5090798.717 | 22196229.947 | 0.000 | 0.000 | -0.000 | 
| -3624.960 | -6316.317 | -6318.660 | 3125092.506 | -0.000 | -0.000 | 
| -6316.317 | -3624.960 | -6318.660 | -0.000 | 3125092.506 | -0.000 | 
| -6316.317 | -6318.660 | -3624.959 | -0.000 | 0.000 | 3125092.507 | 
| 22381724.870 | 5113877.004 | 5113877.004 | -0.000 | -0.000 | 0.000 | 
| 5113877.004 | 22381724.870 | 5113877.004 | -0.000 | -0.000 | 0.000 | 
| 5113877.004 | 5113877.004 | 22381724.871 | 0.000 | 0.000 | 0.000 | 
| 3624.960 | 6316.317 | 6318.660 | 3125092.511 | 0.000 | 0.000 | 
| 6316.317 | 3624.960 | 6318.660 | 0.000 | 3125092.511 | 0.000 | 
| 6316.317 | 6318.660 | 3624.959 | 0.000 | -0.000 | 3125092.511 | 
| 49.593 | 126.152 | 126.152 | -0.000 | -0.000 | 0.000 | 
| 126.152 | 49.593 | 126.152 | -0.000 | -0.000 | 0.000 | 
| 126.152 | 126.152 | 49.592 | -0.000 | -0.000 | 0.000 | 
| 0.000 | 0.000 | -0.000 | 9.781 | 0.000 | 0.000 | 
| 0.000 | 0.000 | -0.000 | -0.000 | 9.782 | 0.000 | 
| 0.000 | 0.000 | -0.000 | -0.000 | -0.000 | 9.782 | 
| 49.593 | 126.152 | 126.152 | 0.000 | 0.000 | -0.000 | 
| 126.152 | 49.593 | 126.152 | 0.000 | 0.000 | -0.000 | 
| 126.152 | 126.152 | 49.593 | 0.000 | 0.000 | -0.000 | 
| -0.000 | -0.000 | 0.000 | 9.782 | -0.000 | -0.000 | 
| -0.000 | -0.000 | 0.000 | 0.000 | 9.781 | -0.000 | 
| -0.000 | -0.000 | -0.000 | 0.000 | -0.000 | 9.782 | 
| 49.593 | 126.152 | 126.152 | -0.000 | -0.000 | -0.000 | 
| 126.152 | 49.593 | 126.152 | 0.000 | -0.000 | -0.000 | 
| 126.152 | 126.152 | 49.593 | -0.000 | -0.000 | -0.000 | 
| 0.000 | 0.000 | 0.000 | 52.848 | -0.000 | 0.000 | 
| 0.000 | 0.000 | 0.000 | -0.000 | 52.848 | 0.000 | 
| 0.000 | 0.000 | 0.000 | -0.000 | -0.000 | 52.848 | 
| 49.592 | 126.152 | 126.152 | 0.000 | -0.000 | -0.000 | 
| 126.152 | 49.592 | 126.152 | -0.000 | 0.000 | 0.000 | 
| 126.152 | 126.152 | 49.592 | -0.000 | 0.000 | -0.000 | 
| -0.000 | -0.000 | -0.000 | 52.848 | 0.000 | 0.000 | 
| -0.000 | -0.000 | -0.000 | 0.000 | 52.848 | -0.000 | 
| -0.000 | -0.000 | -0.000 | 0.000 | 0.000 | 52.848 | 
| 49.596 | 126.153 | 126.153 | -0.000 | 0.000 | 0.000 | 
| 126.153 | 49.596 | 126.153 | -0.000 | -0.000 | -0.000 | 
| 126.153 | 126.153 | 49.596 | -0.000 | -0.000 | 0.000 | 
| 0.001 | 0.000 | 0.000 | 9.782 | 0.000 | -0.000 | 
| 0.000 | 0.001 | 0.000 | 0.000 | 9.782 | 0.000 | 
| 0.000 | 0.000 | 0.001 | -0.000 | -0.000 | 9.782 | 
| 49.590 | 126.152 | 126.152 | 0.000 | 0.000 | -0.000 | 
| 126.152 | 49.590 | 126.152 | 0.000 | -0.000 | -0.000 | 
| 126.152 | 126.152 | 49.590 | 0.000 | -0.000 | -0.000 | 
| -0.001 | -0.000 | -0.000 | 9.782 | -0.000 | -0.000 | 
| -0.000 | -0.001 | -0.000 | 0.000 | 9.782 | -0.000 | 
| -0.000 | -0.000 | -0.001 | 0.000 | 0.000 | 9.782 | 
| 2445633.204 | 1394563.677 | 1394563.671 | -0.005 | -0.015 | -0.000 | 
| 1394563.676 | 2445633.205 | 1394563.673 | -0.001 | -0.009 | 0.001 | 
| 1394563.680 | 1394563.676 | 2445633.189 | -0.005 | -0.009 | 0.001 | 
| 9.841 | 27.395 | 27.396 | 910954.678 | -0.007 | 0.000 | 
| 27.395 | 9.843 | 27.393 | -0.008 | 910954.662 | 0.001 | 
| 27.394 | 27.401 | 9.831 | -0.005 | -0.003 | 910954.533 | 
| 2445473.106 | 1394474.178 | 1394474.195 | 0.005 | 0.012 | -0.001 | 
| 1394474.184 | 2445473.104 | 1394474.192 | 0.008 | 0.010 | -0.001 | 
| 1394474.183 | 1394474.186 | 2445473.112 | 0.005 | 0.009 | -0.000 | 
| -9.844 | -27.395 | -27.394 | 910954.680 | 0.007 | -0.001 | 
| -27.390 | -9.844 | -27.389 | 0.007 | 910954.656 | -0.001 | 
| -27.391 | -27.397 | -9.832 | 0.005 | 0.003 | 910954.497 | 
| 2446213.363 | 1395036.599 | 1395036.599 | -0.012 | -0.011 | -0.000 | 
| 1395036.604 | 2446213.354 | 1395036.604 | 0.004 | -0.028 | 0.004 | 
| 1395036.602 | 1395036.602 | 2446213.358 | -0.010 | -0.027 | 0.000 | 
| 1410697323.183 | 443067670.184 | 443067638.852 | -155441582.004 | -0.000 | 0.001 | 
| 443067669.834 | 1410697325.236 | 443067638.916 | -0.033 | -155441582.526 | 0.037 | 
| 443067669.303 | 443067638.562 | 1410697327.368 | 0.003 | 0.001 | -155441583.236 | 
| 2444598.133 | 1394148.685 | 1394148.685 | -0.002 | -0.008 | 0.000 | 
| 1394148.685 | 2444598.134 | 1394148.686 | -0.008 | -0.004 | -0.001 | 
| 1394148.685 | 1394148.685 | 2444598.134 | -0.003 | -0.004 | 0.001 | 
| -1410697323.792 | -443067669.843 | -443067638.541 | -155441582.320 | 0.003 | 0.005 | 
| -443067669.710 | -1410697328.306 | -443067638.214 | -0.006 | -155441583.420 | -0.005 | 
| -443067670.553 | -443067639.283 | -1410697329.187 | -0.002 | 0.000 | -155441583.065 | 
| 348661377.234 | 93101701.405 | 93101701.405 | -0.000 | 0.000 | 0.000 | 
| 93101701.376 | 348661377.053 | 93101701.377 | 0.000 | -0.000 | 0.000 | 
| 93101701.486 | 93101701.487 | 348661377.755 | 0.000 | -0.000 | 0.000 | 
| 141027609.027 | 44313546.909 | 44313517.202 | -14848720.396 | -0.001 | 0.001 | 
| 44313546.950 | 141027609.075 | 44313517.272 | 0.000 | -14848720.375 | -0.000 | 
| 44313546.966 | 44313517.268 | 141027609.219 | 0.001 | -0.001 | -14848720.402 | 
| -159921639.449 | -187410949.505 | -187410949.503 | -0.000 | 0.000 | -0.000 | 
| -187410949.361 | -159921639.382 | -187410949.361 | 0.000 | 0.001 | 0.000 | 
| -187410949.469 | -187410949.467 | -159921639.432 | -0.000 | 0.000 | -0.000 | 
| -141027609.301 | -44313546.932 | -44313517.191 | -14848720.451 | 0.000 | -0.000 | 
| -44313546.860 | -141027609.216 | -44313517.148 | -0.000 | -14848720.466 | -0.000 | 
| -44313546.994 | -44313517.211 | -141027608.834 | -0.000 | -0.000 | -14848720.328 | 
| 186.376 | 107.455 | 107.455 | 0.000 | -0.000 | 0.000 | 
| 107.455 | 186.376 | 107.455 | 0.000 | 0.000 | -0.000 | 
| 107.455 | 107.455 | 186.376 | 0.000 | 0.000 | 0.000 | 
| -0.000 | -0.000 | -0.000 | 28.483 | -0.000 | -0.000 | 
| -0.000 | -0.000 | -0.000 | 0.000 | 28.483 | -0.000 | 
| -0.000 | -0.000 | -0.000 | 0.000 | 0.000 | 28.483 | 
| 186.376 | 107.455 | 107.455 | -0.000 | 0.000 | -0.000 | 
| 107.455 | 186.376 | 107.455 | -0.000 | 0.000 | 0.000 | 
| 107.455 | 107.455 | 186.376 | -0.000 | -0.000 | -0.000 | 
| 0.000 | 0.000 | 0.000 | 28.483 | -0.000 | 0.000 | 
| 0.000 | 0.000 | 0.000 | -0.000 | 28.483 | 0.000 | 
| 0.000 | 0.000 | 0.000 | -0.000 | -0.000 | 28.483 | 
| 186.376 | 107.455 | 107.455 | 0.000 | 0.000 | -0.000 | 
| 107.455 | 186.376 | 107.455 | 0.000 | 0.000 | 0.000 | 
| 107.455 | 107.455 | 186.376 | -0.000 | 0.000 | 0.000 | 
| -0.000 | -0.000 | -0.000 | 28.417 | 0.000 | 0.000 | 
| -0.000 | -0.000 | -0.000 | -0.000 | 28.417 | 0.000 | 
| -0.000 | -0.000 | -0.000 | -0.000 | -0.000 | 28.417 | 
| 186.377 | 107.455 | 107.455 | -0.000 | 0.000 | -0.000 | 
| 107.455 | 186.377 | 107.455 | -0.000 | -0.000 | 0.000 | 
| 107.455 | 107.455 | 186.377 | -0.000 | 0.000 | -0.000 | 
| 0.000 | 0.000 | 0.000 | 28.417 | -0.000 | -0.000 | 
| 0.000 | 0.000 | 0.000 | -0.000 | 28.417 | 0.000 | 
| 0.000 | 0.000 | 0.000 | -0.000 | -0.000 | 28.417 | 
| 186.372 | 107.451 | 107.451 | 0.000 | 0.000 | 0.000 | 
| 107.451 | 186.372 | 107.451 | 0.000 | 0.000 | 0.000 | 
| 107.451 | 107.451 | 186.372 | 0.000 | 0.000 | 0.000 | 
| -0.000 | -0.001 | -0.001 | 28.483 | 0.000 | 0.000 | 
| -0.001 | -0.000 | -0.001 | 0.000 | 28.483 | 0.000 | 
| -0.001 | -0.001 | -0.000 | 0.000 | -0.000 | 28.483 | 
| 185.699 | 107.800 | 107.800 | -0.000 | 0.000 | 0.000 | 
| 107.800 | 185.699 | 107.800 | -0.000 | -0.000 | -0.000 | 
| 107.800 | 107.800 | 185.699 | -0.000 | -0.000 | -0.000 | 
| 0.000 | 0.001 | 0.001 | 28.483 | -0.000 | -0.000 | 
| 0.001 | 0.000 | 0.001 | -0.000 | 28.483 | 0.000 | 
| 0.001 | 0.001 | 0.000 | -0.000 | -0.000 | 28.483 | 
| 4326343.753 | 4326288.119 | 4326288.119 | -0.005 | -0.004 | 0.000 | 
| 4326288.119 | 4326343.753 | 4326288.119 | -0.004 | -0.005 | 0.000 | 
| 4326288.139 | 4326288.139 | 4326343.773 | -0.003 | -0.003 | -0.001 | 
| -71.269 | -71.355 | -71.269 | 4326437.156 | -0.004 | -0.000 | 
| -71.355 | -71.269 | -71.269 | -0.004 | 4326437.156 | -0.000 | 
| -71.354 | -71.268 | -71.268 | -0.005 | -0.001 | 4326437.157 | 
| 4326486.331 | 4326430.524 | 4326430.524 | 0.004 | -0.002 | -0.000 | 
| 4326430.524 | 4326486.331 | 4326430.524 | -0.002 | 0.004 | -0.000 | 
| 4326430.523 | 4326430.523 | 4326486.329 | 0.003 | 0.003 | 0.001 | 
| 71.268 | 71.355 | 71.268 | 4326437.161 | 0.004 | -0.000 | 
| 71.355 | 71.268 | 71.268 | 0.004 | 4326437.161 | -0.000 | 
| 71.355 | 71.269 | 71.269 | 0.003 | 0.004 | 4326437.157 | 
| 4325702.049 | 4325647.191 | 4325647.191 | -0.000 | -0.000 | -0.000 | 
| 4325647.191 | 4325702.049 | 4325647.191 | -0.000 | -0.000 | -0.000 | 
| 4325647.192 | 4325647.192 | 4325702.050 | -0.000 | -0.000 | 0.000 | 
| -712.595 | -713.460 | -712.594 | 4326437.170 | -0.000 | 0.000 | 
| -713.460 | -712.595 | -712.594 | -0.000 | 4326437.170 | 0.000 | 
| -713.460 | -712.594 | -712.595 | -0.000 | -0.000 | 4326437.170 | 
| 4327128.100 | 4327071.517 | 4327071.517 | 0.000 | 0.001 | -0.000 | 
| 4327071.517 | 4327128.100 | 4327071.517 | 0.001 | 0.000 | -0.000 | 
| 4327071.518 | 4327071.518 | 4327128.101 | 0.000 | 0.000 | -0.000 | 
| 712.595 | 713.459 | 712.594 | 4326437.171 | 0.000 | -0.000 | 
| 713.459 | 712.595 | 712.594 | 0.000 | 4326437.171 | 0.000 | 
| 713.459 | 712.594 | 712.595 | 0.000 | 0.000 | 4326437.170 | 
| 4319284.821 | 4319237.717 | 4319237.717 | -0.000 | 0.000 | 0.000 | 
| 4319237.717 | 4319284.821 | 4319237.717 | 0.000 | -0.000 | 0.000 | 
| 4319237.717 | 4319237.717 | 4319284.821 | -0.000 | -0.000 | -0.000 | 
| -7125.892 | -7134.594 | -7125.942 | 4326005.328 | -0.000 | -0.000 | 
| -7134.594 | -7125.892 | -7125.942 | -0.000 | 4326005.328 | 0.000 | 
| -7134.594 | -7125.942 | -7125.892 | -0.000 | -0.000 | 4326005.328 | 
| 4333545.341 | 4333480.976 | 4333480.976 | 0.000 | -0.000 | -0.000 | 
| 4333480.976 | 4333545.341 | 4333480.976 | -0.000 | 0.000 | -0.000 | 
| 4333480.976 | 4333480.976 | 4333545.341 | 0.000 | 0.000 | -0.000 | 
| 7125.892 | 7134.594 | 7125.942 | 4326005.331 | 0.000 | 0.000 | 
| 7134.594 | 7125.892 | 7125.942 | 0.000 | 4326005.330 | -0.000 | 
| 7134.594 | 7125.942 | 7125.892 | 0.000 | 0.000 | 4326005.331 | 
| 22435350.953 | 5135961.714 | 5135961.749 | 0.000 | 0.009 | -0.002 | 
| 5135961.714 | 22435350.953 | 5135961.749 | 0.009 | 0.000 | -0.002 | 
| 5135961.699 | 5135961.699 | 22435350.899 | 0.002 | 0.002 | -0.004 | 
| -35.129 | -63.734 | -63.794 | 3176522.793 | -0.000 | -0.005 | 
| -63.734 | -35.129 | -63.794 | -0.000 | 3176522.793 | -0.005 | 
| -63.721 | -63.741 | -35.142 | -0.008 | -0.010 | 3176522.795 | 
| 22437205.866 | 5136192.437 | 5136192.470 | -0.003 | 0.008 | 0.002 | 
| 5136192.437 | 22437205.866 | 5136192.470 | 0.008 | -0.003 | 0.002 | 
| 5136192.422 | 5136192.422 | 22437205.836 | -0.001 | -0.001 | -0.001 | 
| 35.117 | 63.716 | 63.786 | 3176522.793 | 0.003 | 0.003 | 
| 63.716 | 35.117 | 63.786 | 0.003 | 3176522.791 | 0.003 | 
| 63.710 | 63.740 | 35.141 | 0.012 | 0.002 | 3176522.799 | 
| 22427003.582 | 5134923.144 | 5134923.149 | -0.001 | -0.000 | -0.000 | 
| 5134923.144 | 22427003.582 | 5134923.149 | -0.000 | -0.001 | -0.000 | 
| 5134923.143 | 5134923.143 | 22427003.577 | -0.000 | -0.000 | -0.001 | 
| -362.596 | -631.579 | -631.822 | 3145511.937 | -0.001 | -0.000 | 
| -631.579 | -362.596 | -631.822 | -0.001 | 3145511.937 | -0.000 | 
| -631.579 | -631.818 | -362.605 | -0.000 | 0.001 | 3145511.938 | 
| 22445553.029 | 5137230.949 | 5137230.945 | -0.000 | 0.001 | 0.000 | 
| 5137230.949 | 22445553.029 | 5137230.945 | 0.001 | -0.000 | 0.000 | 
| 5137230.952 | 5137230.952 | 22445553.036 | 0.000 | 0.000 | 0.000 | 
| 362.596 | 631.578 | 631.823 | 3145511.935 | 0.001 | 0.000 | 
| 631.578 | 362.596 | 631.823 | 0.001 | 3145511.935 | 0.000 | 
| 631.579 | 631.817 | 362.605 | 0.000 | -0.001 | 3145511.938 | 
| 22343530.976 | 5124537.959 | 5124537.959 | -0.000 | 0.000 | -0.000 | 
| 5124537.959 | 22343530.976 | 5124537.959 | 0.000 | -0.000 | -0.000 | 
| 5124537.959 | 5124537.959 | 22343530.975 | -0.000 | -0.000 | -0.000 | 
| -3625.823 | -6315.926 | -6318.286 | 3145555.932 | 0.000 | -0.000 | 
| -6315.926 | -3625.823 | -6318.286 | 0.000 | 3145555.932 | -0.000 | 
| -6315.927 | -6318.286 | -3625.823 | 0.000 | 0.000 | 3145555.932 | 
| 22529025.481 | 5147616.073 | 5147616.073 | 0.000 | -0.000 | 0.000 | 
| 5147616.073 | 22529025.481 | 5147616.073 | -0.000 | 0.000 | 0.000 | 
| 5147616.073 | 5147616.073 | 22529025.481 | 0.000 | 0.000 | 0.000 | 
| 3625.823 | 6315.926 | 6318.286 | 3145555.940 | -0.000 | 0.000 | 
| 6315.926 | 3625.823 | 6318.286 | -0.000 | 3145555.940 | 0.000 | 
| 6315.927 | 6318.286 | 3625.823 | -0.000 | -0.000 | 3145555.939 | 
| 204.032 | 116.574 | 116.574 | -0.000 | -0.000 | 0.000 | 
| 116.574 | 204.032 | 116.574 | -0.000 | -0.000 | 0.000 | 
| 116.574 | 116.574 | 204.032 | -0.000 | -0.000 | 0.000 | 
| 0.000 | 0.000 | -0.000 | 32.622 | -0.000 | -0.000 | 
| -0.000 | 0.000 | -0.000 | -0.000 | 32.622 | -0.000 | 
| 0.000 | 0.000 | -0.000 | -0.000 | -0.000 | 32.622 | 
| 204.032 | 116.574 | 116.574 | 0.000 | 0.000 | -0.000 | 
| 116.574 | 204.032 | 116.574 | 0.000 | 0.000 | -0.000 | 
| 116.574 | 116.574 | 204.032 | 0.000 | 0.000 | -0.000 | 
| -0.000 | 0.000 | 0.000 | 32.622 | 0.000 | 0.000 | 
| 0.000 | -0.000 | 0.000 | 0.000 | 32.622 | -0.000 | 
| 0.000 | -0.000 | 0.000 | 0.000 | 0.000 | 32.622 | 
| 204.033 | 116.574 | 116.574 | -0.000 | -0.000 | 0.000 | 
| 116.574 | 204.033 | 116.574 | -0.000 | -0.000 | 0.000 | 
| 116.574 | 116.574 | 204.033 | -0.000 | -0.000 | 0.000 | 
| -0.000 | -0.000 | -0.000 | 32.622 | -0.000 | 0.000 | 
| -0.000 | -0.000 | -0.000 | -0.000 | 32.622 | 0.000 | 
| -0.000 | -0.000 | -0.000 | -0.000 | -0.000 | 32.622 | 
| 204.032 | 116.574 | 116.574 | 0.000 | 0.000 | -0.000 | 
| 116.574 | 204.032 | 116.574 | 0.000 | 0.000 | -0.000 | 
| 116.574 | 116.574 | 204.032 | 0.000 | 0.000 | -0.000 | 
| 0.000 | 0.000 | 0.000 | 32.622 | 0.000 | 0.000 | 
| 0.000 | 0.000 | 0.000 | 0.000 | 32.622 | -0.000 | 
| 0.000 | 0.000 | 0.000 | 0.000 | 0.000 | 32.622 | 
| 204.038 | 116.574 | 116.574 | -0.000 | -0.000 | 0.000 | 
| 116.574 | 204.038 | 116.574 | -0.000 | -0.000 | 0.000 | 
| 116.574 | 116.574 | 204.038 | -0.000 | -0.000 | 0.000 | 
| -0.000 | -0.000 | -0.000 | 32.622 | -0.000 | 0.000 | 
| -0.000 | -0.000 | -0.000 | -0.000 | 32.622 | 0.000 | 
| -0.000 | -0.000 | -0.000 | -0.000 | -0.000 | 32.622 | 
| 204.026 | 116.574 | 116.574 | 0.000 | 0.000 | -0.000 | 
| 116.574 | 204.026 | 116.574 | 0.000 | 0.000 | -0.000 | 
| 116.574 | 116.574 | 204.026 | 0.000 | 0.000 | -0.000 | 
| 0.000 | 0.000 | 0.000 | 32.622 | 0.000 | -0.000 | 
| 0.000 | 0.000 | 0.000 | 0.000 | 32.622 | -0.000 | 
| 0.000 | 0.000 | 0.000 | 0.000 | 0.000 | 32.622 | 
| 4.366 | 4.366 | 4.366 | -0.000 | 0.000 | -0.000 | 
| 4.366 | 4.366 | 4.366 | 0.000 | -0.000 | -0.000 | 
| 4.366 | 4.366 | 4.366 | -0.000 | -0.000 | 0.000 | 
| 0.000 | 0.000 | 0.000 | 1.734 | 0.000 | -0.000 | 
| 0.000 | 0.000 | 0.000 | 0.000 | 1.734 | -0.000 | 
| 0.000 | 0.000 | 0.000 | 0.000 | -0.000 | 1.734 | 
| 4.366 | 4.366 | 4.366 | 0.000 | -0.000 | 0.000 | 
| 4.366 | 4.366 | 4.366 | -0.000 | 0.000 | 0.000 | 
| 4.366 | 4.366 | 4.366 | 0.000 | 0.000 | 0.000 | 
| -0.000 | -0.000 | -0.000 | 1.734 | -0.000 | -0.000 | 
| -0.000 | -0.000 | -0.000 | -0.000 | 1.734 | -0.000 | 
| -0.000 | -0.000 | -0.000 | 0.000 | 0.000 | 1.734 | 
| 4.367 | 4.367 | 4.367 | -0.000 | 0.000 | -0.000 | 
| 4.367 | 4.367 | 4.367 | 0.000 | -0.000 | -0.000 | 
| 4.367 | 4.367 | 4.367 | -0.000 | -0.000 | -0.000 | 
| 0.000 | 0.000 | 0.000 | 0.273 | -0.000 | 0.000 | 
| 0.000 | 0.000 | 0.000 | -0.000 | 0.273 | 0.000 | 
| 0.000 | 0.000 | 0.000 | -0.000 | 0.000 | 0.273 | 
| 4.365 | 4.365 | 4.365 | 0.000 | -0.000 | 0.000 | 
| 4.365 | 4.365 | 4.365 | -0.000 | 0.000 | 0.000 | 
| 4.365 | 4.365 | 4.365 | 0.000 | 0.000 | 0.000 | 
| -0.000 | -0.000 | -0.000 | 0.273 | 0.000 | 0.000 | 
| -0.000 | -0.000 | -0.000 | 0.000 | 0.273 | 0.000 | 
| -0.000 | -0.000 | -0.000 | -0.000 | 0.000 | 0.273 | 
| 4.377 | 4.377 | 4.377 | -0.000 | 0.000 | -0.000 | 
| 4.377 | 4.377 | 4.377 | 0.000 | -0.000 | -0.000 | 
| 4.377 | 4.377 | 4.377 | -0.000 | -0.000 | 0.000 | 
| -0.000 | -0.000 | -0.000 | 0.017 | -0.000 | 0.000 | 
| -0.000 | -0.000 | -0.000 | -0.000 | 0.017 | 0.000 | 
| -0.000 | -0.000 | -0.000 | -0.000 | -0.000 | 0.017 | 
| 4.356 | 4.355 | 4.355 | 0.000 | -0.000 | -0.000 | 
| 4.355 | 4.356 | 4.355 | -0.000 | 0.000 | -0.000 | 
| 4.355 | 4.355 | 4.356 | 0.000 | 0.000 | 0.000 | 
| 0.000 | 0.000 | 0.000 | 0.017 | -0.000 | -0.000 | 
| 0.000 | 0.000 | 0.000 | -0.000 | 0.017 | -0.000 | 
| 0.000 | 0.000 | 0.000 | 0.000 | -0.000 | 0.017 | 
| 1877708.492 | 938932.953 | 938932.949 | -0.001 | -0.005 | 0.000 | 
| 938932.953 | 1877708.492 | 938932.949 | -0.005 | -0.001 | 0.000 | 
| 938932.952 | 938932.952 | 1877708.486 | -0.001 | -0.001 | 0.000 | 
| 12.602 | 22.043 | 22.053 | 938819.877 | -0.001 | -0.000 | 
| 22.043 | 12.602 | 22.053 | -0.001 | 938819.877 | -0.000 | 
| 22.045 | 22.057 | 12.600 | -0.002 | -0.003 | 938819.880 | 
| 1877569.838 | 938888.820 | 938888.824 | 0.001 | 0.005 | -0.000 | 
| 938888.820 | 1877569.838 | 938888.824 | 0.005 | 0.001 | -0.000 | 
| 938888.819 | 938888.819 | 1877569.840 | 0.001 | 0.001 | 0.000 | 
| -12.604 | -22.047 | -22.055 | 938819.882 | 0.001 | 0.000 | 
| -22.047 | -12.604 | -22.055 | 0.001 | 938819.882 | 0.000 | 
| -22.045 | -22.057 | -12.599 | 0.001 | 0.002 | 938819.880 | 
| 1878332.553 | 939131.648 | 939131.647 | -0.000 | -0.000 | -0.000 | 
| 939131.648 | 1878332.553 | 939131.647 | -0.000 | -0.000 | -0.000 | 
| 939131.647 | 939131.647 | 1878332.552 | -0.000 | -0.000 | 0.000 | 
| 126.072 | 220.474 | 220.615 | 938819.879 | -0.000 | 0.000 | 
| 220.474 | 126.072 | 220.615 | -0.000 | 938819.879 | 0.000 | 
| 220.474 | 220.615 | 126.072 | -0.000 | -0.000 | 938819.879 | 
| 1876945.802 | 938690.136 | 938690.137 | 0.000 | 0.001 | 0.000 | 
| 938690.136 | 1876945.802 | 938690.137 | 0.001 | 0.000 | 0.000 | 
| 938690.137 | 938690.137 | 1876945.803 | 0.000 | 0.000 | 0.000 | 
| -126.072 | -220.474 | -220.615 | 938819.879 | 0.000 | 0.000 | 
| -220.474 | -126.072 | -220.615 | 0.000 | 938819.879 | 0.000 | 
| -220.474 | -220.615 | -126.072 | 0.000 | 0.000 | 938819.879 | 
| 1884572.939 | 941118.457 | 941118.457 | -0.000 | -0.000 | -0.000 | 
| 941118.457 | 1884572.939 | 941118.457 | -0.000 | -0.000 | -0.000 | 
| 941118.457 | 941118.457 | 1884572.939 | -0.000 | -0.000 | -0.000 | 
| 1260.727 | 2204.747 | 2206.155 | 938819.876 | -0.000 | -0.000 | 
| 2204.747 | 1260.727 | 2206.155 | -0.000 | 938819.876 | -0.000 | 
| 2204.747 | 2206.155 | 1260.727 | -0.000 | -0.000 | 938819.876 | 
| 1870705.414 | 936703.332 | 936703.332 | 0.000 | 0.000 | 0.000 | 
| 936703.332 | 1870705.414 | 936703.332 | 0.000 | 0.000 | 0.000 | 
| 936703.332 | 936703.332 | 1870705.414 | 0.000 | 0.000 | 0.000 | 
| -1260.727 | -2204.747 | -2206.155 | 938819.876 | 0.000 | 0.000 | 
| -2204.747 | -1260.727 | -2206.155 | 0.000 | 938819.876 | 0.000 | 
| -2204.747 | -2206.155 | -1260.727 | 0.000 | 0.000 | 938819.876 | 
| 88.451 | 131.271 | 131.271 | -0.000 | 0.000 | 0.000 | 
| 131.271 | 88.451 | 131.271 | -0.000 | -0.000 | -0.000 | 
| 131.271 | 131.271 | 88.451 | -0.000 | -0.000 | -0.000 | 
| -0.000 | -0.000 | -0.000 | 39.093 | -0.000 | 0.000 | 
| -0.000 | -0.000 | -0.000 | -0.000 | 39.093 | 0.000 | 
| -0.000 | -0.000 | -0.000 | -0.000 | -0.000 | 39.093 | 
| 88.451 | 131.271 | 131.271 | 0.000 | 0.000 | -0.000 | 
| 131.271 | 88.451 | 131.271 | 0.000 | -0.000 | -0.000 | 
| 131.271 | 131.271 | 88.451 | 0.000 | 0.000 | -0.000 | 
| 0.000 | 0.000 | 0.000 | 39.093 | 0.000 | 0.000 | 
| 0.000 | 0.000 | 0.000 | 0.000 | 39.093 | -0.000 | 
| 0.000 | 0.000 | 0.000 | 0.000 | -0.000 | 39.093 | 
| 88.451 | 131.271 | 131.271 | -0.000 | -0.000 | -0.000 | 
| 131.271 | 88.451 | 131.271 | -0.000 | -0.000 | -0.000 | 
| 131.271 | 131.271 | 88.451 | -0.000 | -0.000 | -0.000 | 
| -0.000 | -0.000 | -0.000 | 39.093 | -0.000 | -0.000 | 
| -0.000 | 0.000 | -0.000 | -0.000 | 39.093 | 0.000 | 
| -0.000 | -0.000 | -0.000 | -0.000 | -0.000 | 39.093 | 
| 88.451 | 131.271 | 131.271 | 0.000 | -0.000 | -0.000 | 
| 131.271 | 88.451 | 131.271 | -0.000 | -0.000 | -0.000 | 
| 131.271 | 131.271 | 88.451 | 0.000 | 0.000 | 0.000 | 
| -0.000 | 0.000 | 0.000 | 39.093 | 0.000 | -0.000 | 
| 0.000 | -0.000 | 0.000 | 0.000 | 39.093 | -0.000 | 
| 0.000 | 0.000 | 0.000 | 0.000 | 0.000 | 39.093 | 
| 88.449 | 131.271 | 131.271 | -0.000 | 0.000 | 0.000 | 
| 131.271 | 88.449 | 131.271 | -0.000 | -0.000 | 0.000 | 
| 131.271 | 131.271 | 88.449 | -0.000 | -0.000 | 0.000 | 
| 0.000 | -0.000 | -0.000 | 39.093 | -0.000 | 0.000 | 
| -0.000 | 0.000 | -0.000 | -0.000 | 39.093 | 0.000 | 
| -0.000 | -0.000 | 0.000 | -0.000 | 0.000 | 39.093 | 
| 88.453 | 131.271 | 131.271 | 0.000 | -0.000 | -0.000 | 
| 131.271 | 88.453 | 131.271 | 0.000 | -0.000 | -0.000 | 
| 131.271 | 131.271 | 88.453 | 0.000 | 0.000 | -0.000 | 
| -0.000 | 0.000 | 0.000 | 39.093 | -0.000 | 0.000 | 
| 0.000 | -0.000 | 0.000 | 0.000 | 39.093 | -0.000 | 
| 0.000 | 0.000 | -0.000 | 0.000 | 0.000 | 39.093 | 
| 10.695 | 5.348 | 5.348 | -0.000 | -0.000 | -0.000 | 
| 5.348 | 10.695 | 5.348 | -0.000 | -0.000 | -0.000 | 
| 5.348 | 5.348 | 10.695 | -0.000 | -0.000 | -0.000 | 
| -0.000 | 0.000 | 0.000 | 5.347 | -0.000 | -0.000 | 
| 0.000 | -0.000 | 0.000 | -0.000 | 5.347 | -0.000 | 
| 0.000 | 0.000 | -0.000 | -0.000 | -0.000 | 5.347 | 
| 10.695 | 5.347 | 5.347 | 0.000 | -0.000 | 0.000 | 
| 5.347 | 10.695 | 5.347 | -0.000 | 0.000 | 0.000 | 
| 5.347 | 5.347 | 10.695 | 0.000 | 0.000 | 0.000 | 
| 0.000 | -0.000 | -0.000 | 5.347 | 0.000 | 0.000 | 
| -0.000 | 0.000 | -0.000 | 0.000 | 5.347 | 0.000 | 
| -0.000 | -0.000 | 0.000 | 0.000 | 0.000 | 5.347 | 
| 10.699 | 5.349 | 5.349 | -0.000 | -0.000 | -0.000 | 
| 5.349 | 10.699 | 5.349 | -0.000 | -0.000 | -0.000 | 
| 5.349 | 5.349 | 10.699 | -0.000 | -0.000 | -0.000 | 
| -0.000 | 0.002 | 0.002 | 5.347 | -0.000 | -0.000 | 
| 0.002 | -0.000 | 0.002 | -0.000 | 5.347 | -0.000 | 
| 0.002 | 0.002 | -0.000 | -0.000 | -0.000 | 5.347 | 
| 10.691 | 5.346 | 5.346 | 0.000 | 0.000 | 0.000 | 
| 5.346 | 10.691 | 5.346 | 0.000 | 0.000 | 0.000 | 
| 5.346 | 5.346 | 10.691 | 0.000 | 0.000 | 0.000 | 
| 0.000 | -0.002 | -0.002 | 5.347 | 0.000 | 0.000 | 
| -0.002 | 0.000 | -0.002 | 0.000 | 5.347 | 0.000 | 
| -0.002 | -0.002 | 0.000 | 0.000 | 0.000 | 5.347 | 
| 10.734 | 5.367 | 5.367 | -0.000 | 0.000 | -0.000 | 
| 5.367 | 10.734 | 5.367 | 0.000 | -0.000 | -0.000 | 
| 5.367 | 5.367 | 10.734 | -0.000 | -0.000 | -0.000 | 
| -0.000 | 0.020 | 0.020 | 5.347 | -0.000 | -0.000 | 
| 0.020 | -0.000 | 0.020 | -0.000 | 5.347 | -0.000 | 
| 0.020 | 0.020 | -0.000 | -0.000 | -0.000 | 5.347 | 
| 10.656 | 5.328 | 5.328 | 0.000 | -0.000 | 0.000 | 
| 5.328 | 10.656 | 5.328 | -0.000 | 0.000 | 0.000 | 
| 5.328 | 5.328 | 10.656 | 0.000 | 0.000 | 0.000 | 
| 0.000 | -0.020 | -0.020 | 5.347 | 0.000 | 0.000 | 
| -0.020 | 0.000 | -0.020 | 0.000 | 5.347 | 0.000 | 
| -0.020 | -0.020 | 0.000 | 0.000 | 0.000 | 5.347 | 
| 198.950 | 114.947 | 127.786 | 0.000 | -0.000 | -0.000 | 
| 115.234 | 204.936 | 136.308 | 0.000 | -0.000 | -0.000 | 
| 260.815 | 389.609 | 500.737 | 0.000 | 0.000 | -0.000 | 
| 0.000 | 0.000 | 0.000 | 43.303 | 0.000 | -0.000 | 
| 0.000 | -0.000 | 0.000 | 0.000 | 32.694 | -0.000 | 
| -0.000 | -0.000 | 0.000 | 0.000 | 0.000 | 18.571 | 
| 198.950 | 114.947 | 127.786 | -0.000 | -0.000 | 0.000 | 
| -33.250 | -77.193 | -231.562 | 0.000 | 0.000 | 0.000 | 
| -19.568 | -146.181 | -208.066 | -0.000 | -0.000 | 0.000 | 
| -0.000 | -0.000 | -0.000 | 43.303 | -0.000 | 0.000 | 
| -0.000 | 0.000 | -0.000 | -0.000 | 32.694 | 0.000 | 
| 0.000 | 0.000 | -0.000 | -0.000 | -0.000 | 18.571 | 
| 198.949 | 114.947 | 127.786 | -0.000 | 0.000 | -0.000 | 
| 119.703 | 214.902 | 154.239 | -0.000 | 0.000 | -0.000 | 
| 128.533 | 136.768 | 166.046 | 0.000 | -0.000 | -0.000 | 
| -0.000 | 0.000 | 0.000 | 43.303 | 0.000 | -0.000 | 
| 0.000 | 0.000 | 0.000 | 0.000 | 32.694 | -0.000 | 
| -0.000 | -0.000 | 0.000 | -0.000 | 0.000 | 18.571 | 
| 198.951 | 114.947 | 127.786 | 0.000 | 0.000 | 0.000 | 
| 115.234 | 204.936 | 136.307 | -0.000 | -0.000 | 0.000 | 
| 128.533 | 136.767 | 166.045 | 0.000 | -0.000 | 0.000 | 
| 0.000 | -0.000 | -0.000 | 43.303 | -0.000 | 0.000 | 
| -0.000 | -0.000 | -0.000 | 0.000 | 32.694 | 0.000 | 
| 0.000 | 0.000 | -0.000 | -0.000 | -0.000 | 18.571 | 
| 198.940 | 114.947 | 127.787 | -0.000 | -0.000 | -0.000 | 
| 110.286 | 196.543 | 128.737 | -0.000 | 0.000 | -0.000 | 
| 122.030 | 124.401 | 149.895 | -0.000 | -0.000 | -0.000 | 
| 2.638 | 5.043 | 6.673 | 40.982 | -0.000 | -0.000 | 
| 0.001 | 0.000 | 0.001 | 0.000 | 32.694 | -0.000 | 
| -0.000 | -0.001 | 0.000 | 0.000 | 0.000 | 18.571 | 
| 198.961 | 114.947 | 127.785 | 0.000 | 0.000 | 0.000 | 
| 107.186 | 190.816 | 121.814 | 0.000 | -0.000 | 0.000 | 
| 128.532 | 136.766 | 166.040 | -0.000 | -0.000 | 0.000 | 
| -2.638 | -5.043 | -6.673 | 40.982 | 0.000 | 0.000 | 
| -0.001 | -0.000 | -0.001 | -0.000 | 32.694 | 0.000 | 
| 0.000 | 0.001 | -0.000 | -0.000 | -0.000 | 18.571 | 
| 49.174 | 147.840 | 147.840 | 0.000 | 0.000 | -0.000 | 
| 147.840 | 49.174 | 147.840 | 0.000 | 0.000 | -0.000 | 
| 147.840 | 147.840 | 49.174 | 0.000 | 0.000 | -0.000 | 
| 0.000 | 0.000 | -0.000 | 98.377 | -0.000 | -0.000 | 
| 0.000 | 0.000 | 0.000 | 0.000 | 98.377 | -0.000 | 
| 0.000 | 0.000 | 0.000 | -0.000 | 0.000 | 98.377 | 
| 49.174 | 147.840 | 147.840 | -0.000 | -0.000 | 0.000 | 
| 147.840 | 49.174 | 147.840 | -0.000 | -0.000 | -0.000 | 
| 147.840 | 147.840 | 49.174 | -0.000 | -0.000 | 0.000 | 
| -0.000 | -0.000 | 0.000 | 98.377 | 0.000 | 0.000 | 
| -0.000 | -0.000 | -0.000 | -0.000 | 98.377 | 0.000 | 
| -0.000 | -0.000 | 0.000 | -0.000 | -0.000 | 98.377 | 
| 49.174 | 147.840 | 147.840 | 0.000 | 0.000 | -0.000 | 
| 147.840 | 49.174 | 147.840 | 0.000 | 0.000 | -0.000 | 
| 147.840 | 147.840 | 49.174 | 0.000 | 0.000 | -0.000 | 
| 0.000 | 0.000 | 0.000 | 98.785 | -0.000 | -0.000 | 
| 0.000 | 0.000 | 0.000 | -0.000 | 98.785 | -0.000 | 
| 0.000 | 0.000 | 0.000 | 0.000 | 0.000 | 98.785 | 
| 49.174 | 147.840 | 147.840 | -0.000 | -0.000 | -0.000 | 
| 147.840 | 49.174 | 147.840 | -0.000 | -0.000 | 0.000 | 
| 147.840 | 147.840 | 49.174 | -0.000 | 0.000 | 0.000 | 
| -0.000 | -0.000 | -0.000 | 98.785 | 0.000 | -0.000 | 
| -0.000 | -0.000 | -0.000 | -0.000 | 98.785 | 0.000 | 
| -0.000 | -0.000 | -0.000 | -0.000 | -0.000 | 98.785 | 
| 49.174 | 147.840 | 147.840 | 0.000 | 0.000 | -0.000 | 
| 147.840 | 49.174 | 147.840 | 0.000 | 0.000 | -0.000 | 
| 147.840 | 147.840 | 49.174 | 0.000 | 0.000 | -0.000 | 
| 0.000 | 0.000 | 0.000 | 98.377 | -0.000 | -0.000 | 
| 0.000 | 0.000 | 0.000 | 0.000 | 98.377 | -0.000 | 
| 0.000 | 0.000 | 0.000 | 0.000 | 0.000 | 98.377 | 
| 49.175 | 147.839 | 147.839 | -0.000 | -0.000 | -0.000 | 
| 147.839 | 49.175 | 147.839 | -0.000 | -0.000 | 0.000 | 
| 147.839 | 147.839 | 49.175 | -0.000 | 0.000 | -0.000 | 
| -0.000 | -0.000 | -0.000 | 98.377 | 0.000 | 0.000 | 
| -0.000 | -0.000 | -0.000 | -0.000 | 98.377 | 0.000 | 
| -0.000 | -0.000 | -0.000 | -0.000 | -0.000 | 98.377 | 
| 147979.143 | 33947.165 | 33947.165 | -0.000 | -0.000 | -0.000 | 
| 33947.165 | 147979.143 | 33947.165 | -0.000 | -0.000 | -0.000 | 
| 33947.165 | 33947.165 | 147979.143 | -0.000 | -0.000 | -0.000 | 
| -0.434 | -1.463 | -1.463 | 33884.017 | -0.000 | -0.000 | 
| -1.463 | -0.434 | -1.463 | 0.000 | 33884.017 | -0.000 | 
| -1.463 | -1.463 | -0.434 | 0.000 | -0.000 | 33884.018 | 
| 148002.637 | 33950.089 | 33950.088 | 0.000 | 0.000 | 0.000 | 
| 33950.089 | 148002.637 | 33950.088 | 0.000 | 0.000 | 0.000 | 
| 33950.089 | 33950.089 | 148002.636 | 0.000 | 0.000 | -0.000 | 
| 0.434 | 1.463 | 1.463 | 33884.018 | 0.000 | 0.000 | 
| 1.463 | 0.434 | 1.463 | 0.000 | 33884.018 | 0.000 | 
| 1.463 | 1.463 | 0.434 | -0.000 | 0.000 | 33884.018 | 
| 147873.421 | 33934.008 | 33934.008 | -0.000 | 0.000 | -0.000 | 
| 33934.008 | 147873.421 | 33934.008 | 0.000 | -0.000 | 0.000 | 
| 33934.008 | 33934.008 | 147873.422 | -0.000 | -0.000 | -0.000 | 
| -4.560 | -8.010 | -8.012 | 20820.028 | -0.000 | -0.000 | 
| -8.010 | -4.560 | -8.012 | -0.000 | 20820.028 | -0.000 | 
| -8.010 | -8.012 | -4.560 | -0.000 | -0.000 | 20820.028 | 
| 148108.360 | 33963.246 | 33963.246 | 0.000 | 0.000 | -0.000 | 
| 33963.246 | 148108.360 | 33963.246 | 0.000 | 0.000 | -0.000 | 
| 33963.246 | 33963.246 | 148108.360 | 0.000 | 0.000 | 0.000 | 
| 4.560 | 8.010 | 8.012 | 20820.028 | 0.000 | -0.000 | 
| 8.010 | 4.560 | 8.012 | 0.000 | 20820.028 | -0.000 | 
| 8.010 | 8.012 | 4.560 | 0.000 | 0.000 | 20820.028 | 
| 146816.196 | 33802.438 | 33802.438 | -0.000 | -0.000 | -0.000 | 
| 33802.438 | 146816.196 | 33802.438 | -0.000 | -0.000 | -0.000 | 
| 33802.438 | 33802.438 | 146816.196 | -0.000 | -0.000 | -0.000 | 
| -45.718 | -80.043 | -80.058 | 20803.155 | -0.000 | 0.000 | 
| -80.043 | -45.718 | -80.058 | -0.000 | 20803.155 | 0.000 | 
| -80.043 | -80.058 | -45.718 | -0.000 | -0.000 | 20803.155 | 
| 149165.583 | 34094.816 | 34094.816 | 0.000 | 0.000 | 0.000 | 
| 34094.816 | 149165.583 | 34094.816 | 0.000 | 0.000 | 0.000 | 
| 34094.816 | 34094.816 | 149165.583 | 0.000 | 0.000 | -0.000 | 
| 45.718 | 80.043 | 80.058 | 20803.155 | 0.000 | 0.000 | 
| 80.043 | 45.718 | 80.058 | 0.000 | 20803.155 | 0.000 | 
| 80.043 | 80.058 | 45.718 | 0.000 | 0.000 | 20803.155 | 
| 26.100 | 0.000 | 0.000 | 0.000 | 0.000 | 0.000 | 
| -0.000 | 0.000 | 0.000 | 0.000 | 0.000 | 0.000 | 
| -0.000 | 0.000 | 0.000 | 0.000 | 0.000 | 0.000 | 
| -0.000 | 0.000 | 0.000 | 0.000 | 0.000 | 0.000 | 
| -0.000 | 0.000 | 0.000 | 0.000 | 0.000 | 0.000 | 
| -0.000 | 0.000 | 0.000 | 0.000 | 0.000 | 0.000 | 
| 26.100 | -0.000 | -0.000 | -0.000 | -0.000 | -0.000 | 
| 0.000 | -0.000 | -0.000 | -0.000 | -0.000 | -0.000 | 
| 0.000 | -0.000 | -0.000 | -0.000 | -0.000 | -0.000 | 
| 0.000 | -0.000 | -0.000 | -0.000 | -0.000 | -0.000 | 
| 0.000 | -0.000 | -0.000 | -0.000 | -0.000 | -0.000 | 
| 0.000 | -0.000 | -0.000 | -0.000 | -0.000 | -0.000 | 
| 26.100 | 0.000 | 0.000 | 0.000 | 0.000 | 0.000 | 
| -0.000 | 0.000 | 0.000 | 0.000 | 0.000 | 0.000 | 
| -0.000 | 0.000 | 0.000 | 0.000 | 0.000 | 0.000 | 
| -0.000 | 0.000 | 0.000 | 0.000 | 0.000 | 0.000 | 
| -0.000 | 0.000 | 0.000 | 0.000 | 0.000 | 0.000 | 
| -0.000 | 0.000 | 0.000 | 0.000 | 0.000 | 0.000 | 
| 26.100 | -0.000 | -0.000 | -0.000 | -0.000 | -0.000 | 
| 0.000 | -0.000 | -0.000 | -0.000 | -0.000 | -0.000 | 
| 0.000 | -0.000 | -0.000 | -0.000 | -0.000 | -0.000 | 
| 0.000 | -0.000 | -0.000 | -0.000 | -0.000 | -0.000 | 
| 0.000 | -0.000 | -0.000 | -0.000 | -0.000 | -0.000 | 
| 0.000 | -0.000 | -0.000 | -0.000 | -0.000 | -0.000 | 
| 26.101 | 0.000 | 0.000 | 0.000 | 0.000 | 0.000 | 
| -0.000 | 0.000 | 0.000 | 0.000 | 0.000 | 0.000 | 
| -0.000 | 0.000 | 0.000 | 0.000 | 0.000 | 0.000 | 
| -0.000 | 0.000 | 0.000 | 0.000 | 0.000 | 0.000 | 
| -0.000 | 0.000 | 0.000 | 0.000 | 0.000 | 0.000 | 
| -0.000 | 0.000 | 0.000 | 0.000 | 0.000 | 0.000 | 
| 26.099 | -0.000 | -0.000 | -0.000 | -0.000 | -0.000 | 
| 0.000 | -0.000 | -0.000 | -0.000 | -0.000 | -0.000 | 
| 0.000 | -0.000 | -0.000 | -0.000 | -0.000 | -0.000 | 
| 0.000 | -0.000 | -0.000 | -0.000 | -0.000 | -0.000 | 
| 0.000 | -0.000 | -0.000 | -0.000 | -0.000 | -0.000 | 
| 0.000 | -0.000 | -0.000 | -0.000 | -0.000 | -0.000 | 
| 2801.450 | -6257.550 | -1486.917 | -0.000 | 0.000 | -0.000 | 
| 153.344 | 322.110 | 109.318 | 0.000 | 0.000 | 0.000 | 
| 3240.041 | -5890.107 | -1399.645 | 0.000 | 0.000 | -0.000 | 
| 0.000 | 0.000 | 0.000 | 42.963 | 0.000 | 0.000 | 
| 0.000 | 0.000 | 0.000 | 0.000 | 10.917 | 0.000 | 
| 3140.263 | -5988.051 | -1476.851 | -0.000 | 0.000 | 26.272 | 
| -2690.422 | 6457.732 | 1591.491 | 0.000 | -0.000 | 0.000 | 
| -2682.710 | 6392.170 | 1580.265 | -0.000 | -0.000 | 0.000 | 
| 97.926 | 114.451 | 127.831 | -0.000 | -0.000 | -0.000 | 
| -0.000 | -0.000 | 0.000 | 42.963 | -0.000 | -0.000 | 
| -0.000 | -0.000 | 0.000 | -0.000 | 10.917 | -0.000 | 
| -3140.263 | 5988.051 | 1476.851 | 0.000 | -0.000 | 26.272 | 
| 431.175 | -435.322 | -70.751 | -0.000 | 0.000 | -0.000 | 
| 473.387 | -454.641 | -64.180 | -0.000 | 0.000 | -0.000 | 
| 97.925 | 114.451 | 127.831 | 0.000 | 0.000 | 0.000 | 
| 271.614 | -628.988 | -152.290 | 9.366 | 0.000 | -0.000 | 
| 275.212 | -637.321 | -154.307 | 0.000 | 5.827 | -0.000 | 
| -0.000 | 0.000 | -0.000 | 0.000 | 0.000 | 76.295 | 
| -179.178 | 787.596 | 228.503 | 0.000 | -0.000 | 0.000 | 
| -163.140 | 606.753 | 179.384 | 0.000 | -0.000 | -0.000 | 
| -220.505 | 673.473 | 215.171 | 0.000 | -0.000 | 0.000 | 
| -271.614 | 628.988 | 152.290 | 9.366 | -0.000 | 0.000 | 
| -275.212 | 637.321 | 154.307 | -0.000 | 5.827 | 0.000 | 
| 0.000 | -0.000 | 0.000 | -0.000 | -0.000 | 76.295 | 
| 177.432 | 151.049 | 90.496 | -0.000 | 0.000 | 0.000 | 
| 199.389 | 87.311 | 69.970 | -0.000 | 0.000 | -0.000 | 
| 122.389 | 21.033 | 49.842 | 0.000 | 0.000 | -0.000 | 
| 17.375 | -40.241 | -9.743 | 21.471 | 0.000 | 0.000 | 
| -0.001 | -0.001 | -0.001 | 0.000 | 10.918 | 0.000 | 
| -3367464.934 | 2684269.529 | -6960670.845 | 80.872 | 1174.005 | -9248118.320 | 
| 89.768 | 223.138 | 89.885 | -0.000 | -0.000 | 0.000 | 
| 119.287 | 236.125 | 88.923 | -0.000 | -0.000 | -0.000 | 
| 50.886 | 155.878 | 85.448 | -0.000 | -0.000 | 0.000 | 
| -17.375 | 40.241 | 9.743 | 21.471 | -0.000 | -0.000 | 
| 0.001 | 0.001 | 0.001 | -0.000 | 10.918 | -0.000 | 
| 3717113.234 | -2498872.703 | 6932131.628 | -363.234 | 3185.509 | -9316963.004 | 
| 385.970 | 49.547 | 49.547 | 0.000 | 0.000 | -0.000 | 
| 49.547 | 385.970 | 49.547 | 0.000 | 0.000 | -0.000 | 
| 49.547 | 49.547 | 385.970 | 0.000 | 0.000 | -0.000 | 
| 0.000 | 0.000 | -0.000 | -5.404 | 0.000 | -0.000 | 
| 0.000 | 0.000 | 0.000 | 0.000 | -5.404 | -0.000 | 
| 0.000 | 0.000 | -0.000 | 0.000 | 0.000 | -5.404 | 
| 385.970 | 49.547 | 49.547 | -0.000 | -0.000 | -0.000 | 
| 49.547 | 385.970 | 49.547 | -0.000 | -0.000 | 0.000 | 
| 49.547 | 49.547 | 385.970 | -0.000 | -0.000 | -0.000 | 
| -0.000 | 0.000 | 0.000 | -5.404 | 0.000 | -0.000 | 
| -0.000 | -0.000 | -0.000 | -0.000 | -5.404 | 0.000 | 
| -0.000 | -0.000 | 0.000 | -0.000 | -0.000 | -5.404 | 
| 385.970 | 49.547 | 49.547 | 0.000 | 0.000 | 0.000 | 
| 49.547 | 385.970 | 49.547 | 0.000 | 0.000 | -0.000 | 
| 49.547 | 49.547 | 385.970 | 0.000 | 0.000 | 0.000 | 
| 0.000 | -0.000 | -0.000 | -5.404 | 0.000 | -0.000 | 
| -0.000 | 0.000 | -0.000 | 0.000 | -5.404 | -0.000 | 
| -0.000 | -0.000 | 0.000 | -0.000 | 0.000 | -5.404 | 
| 385.969 | 49.547 | 49.547 | -0.000 | -0.000 | -0.000 | 
| 49.547 | 385.969 | 49.547 | -0.000 | -0.000 | 0.000 | 
| 49.547 | 49.547 | 385.969 | -0.000 | 0.000 | 0.000 | 
| -0.000 | 0.000 | 0.000 | -5.404 | -0.000 | 0.000 | 
| 0.000 | -0.000 | 0.000 | -0.000 | -5.404 | 0.000 | 
| 0.000 | 0.000 | -0.000 | 0.000 | -0.000 | -5.404 | 
| 385.972 | 49.547 | 49.547 | -0.000 | 0.000 | -0.000 | 
| 49.547 | 385.972 | 49.547 | 0.000 | 0.000 | 0.000 | 
| 49.547 | 49.547 | 385.972 | 0.000 | 0.000 | -0.000 | 
| 0.000 | -0.000 | -0.000 | -5.404 | 0.000 | -0.000 | 
| -0.000 | 0.000 | -0.000 | 0.000 | -5.404 | -0.000 | 
| -0.000 | -0.000 | 0.000 | 0.000 | 0.000 | -5.404 | 
| 385.967 | 49.548 | 49.548 | -0.000 | -0.000 | 0.000 | 
| 49.548 | 385.967 | 49.548 | -0.000 | -0.000 | 0.000 | 
| 49.548 | 49.548 | 385.967 | -0.000 | -0.000 | 0.000 | 
| -0.000 | 0.000 | 0.000 | -5.404 | -0.000 | -0.000 | 
| 0.000 | -0.000 | 0.000 | -0.000 | -5.404 | 0.000 | 
| 0.000 | 0.000 | -0.000 | -0.000 | -0.000 | -5.404 | 
| 175.131 | 188.283 | 188.283 | 0.000 | -0.000 | 0.000 | 
| 188.283 | 175.131 | 188.283 | 0.000 | -0.000 | -0.000 | 
| 188.283 | 188.283 | 175.131 | 0.000 | -0.000 | -0.000 | 
| 0.000 | 0.000 | 0.000 | 132.655 | -0.000 | -0.000 | 
| 0.000 | 0.000 | 0.000 | 0.000 | 132.655 | -0.000 | 
| 0.000 | 0.000 | 0.000 | 0.000 | 0.000 | 132.655 | 
| 175.131 | 188.283 | 188.283 | 0.000 | 0.000 | 0.000 | 
| 188.283 | 175.131 | 188.283 | -0.000 | 0.000 | 0.000 | 
| 188.283 | 188.283 | 175.131 | -0.000 | -0.000 | -0.000 | 
| -0.000 | -0.000 | -0.000 | 132.655 | -0.000 | -0.000 | 
| -0.000 | -0.000 | -0.000 | -0.000 | 132.655 | 0.000 | 
| -0.000 | -0.000 | -0.000 | -0.000 | 0.000 | 132.655 | 
| 175.131 | 188.283 | 188.283 | 0.000 | -0.000 | -0.000 | 
| 188.283 | 175.131 | 188.283 | 0.000 | -0.000 | 0.000 | 
| 188.283 | 188.283 | 175.131 | 0.000 | -0.000 | -0.000 | 
| 0.000 | 0.000 | 0.000 | 132.655 | -0.000 | -0.000 | 
| 0.000 | 0.000 | 0.000 | 0.000 | 132.655 | -0.000 | 
| 0.000 | 0.000 | 0.000 | 0.000 | -0.000 | 132.655 | 
| 175.131 | 188.283 | 188.283 | -0.000 | 0.000 | 0.000 | 
| 188.283 | 175.131 | 188.283 | -0.000 | 0.000 | 0.000 | 
| 188.283 | 188.283 | 175.131 | -0.000 | 0.000 | -0.000 | 
| -0.000 | -0.000 | -0.000 | 132.655 | 0.000 | 0.000 | 
| -0.000 | -0.000 | -0.000 | -0.000 | 132.655 | 0.000 | 
| -0.000 | -0.000 | -0.000 | -0.000 | 0.000 | 132.655 | 
| 175.132 | 188.284 | 188.284 | 0.000 | -0.000 | -0.000 | 
| 188.284 | 175.132 | 188.284 | 0.000 | -0.000 | -0.000 | 
| 188.284 | 188.284 | 175.132 | -0.000 | -0.000 | -0.000 | 
| 0.000 | 0.000 | 0.001 | 132.655 | -0.000 | -0.000 | 
| 0.000 | 0.000 | 0.001 | 0.000 | 132.655 | 0.000 | 
| 0.000 | 0.001 | 0.000 | 0.000 | -0.000 | 132.655 | 
| 175.131 | 188.282 | 188.282 | -0.000 | -0.000 | 0.000 | 
| 188.282 | 175.131 | 188.282 | 0.000 | 0.000 | 0.000 | 
| 188.282 | 188.282 | 175.131 | -0.000 | 0.000 | 0.000 | 
| -0.000 | -0.000 | -0.001 | 132.655 | 0.000 | 0.000 | 
| -0.000 | -0.000 | -0.001 | 0.000 | 132.655 | -0.000 | 
| -0.000 | -0.001 | -0.000 | -0.000 | -0.000 | 132.655 | 
| 42438.248 | 42563.659 | 42563.659 | 0.000 | 0.000 | 0.000 | 
| 42563.659 | 42438.248 | 42563.659 | 0.000 | 0.000 | 0.000 | 
| 42563.658 | 42563.658 | 42438.247 | 0.000 | 0.000 | 0.000 | 
| 30434203927.044 | 27882437273.535 | 27995356057.394 | 541373610.817 | 103313575.728 | -156403145.931 | 
| 28154742364.603 | 30340801525.428 | 28117443042.616 | -61077230.233 | 486367627.745 | -51340884.168 | 
| 27897686392.683 | 27843049684.081 | 30001538556.430 | -9754394.351 | -25819736.703 | 348152489.756 | 
| 42438.212 | 42563.621 | 42563.621 | -0.000 | -0.000 | -0.000 | 
| 42563.621 | 42438.212 | 42563.621 | -0.000 | 0.000 | 0.000 | 
| 42563.621 | 42563.621 | 42438.212 | -0.000 | -0.000 | -0.000 | 
| -30039868267.422 | -28019742716.435 | -28066465385.758 | 406573147.762 | 45842721.522 | -44996239.811 | 
| -27740388988.874 | -30371130567.879 | -27807448333.067 | -27065037.642 | 375332812.423 | -186052551.093 | 
| -27840100159.031 | -27824608420.356 | -30385677518.970 | -135489068.579 | -133456349.225 | 441969427.691 | 
| 42438.415 | 42563.829 | 42563.829 | -0.000 | 0.000 | -0.000 | 
| 42563.829 | 42438.415 | 42563.829 | 0.000 | -0.000 | -0.000 | 
| 42563.829 | 42563.829 | 42438.415 | 0.000 | 0.000 | -0.000 | 
| 3011887429.708 | 2832670361.941 | 2807883697.191 | 36449053.555 | -7093807.214 | 5442848.121 | 
| 2843207328.598 | 3012597245.574 | 2838319486.848 | -2492301.195 | 52774752.288 | 2122020.878 | 
| 2815354267.986 | 2825888588.668 | 3039352943.628 | -9632591.981 | 7532941.141 | 47559510.647 | 
| 42438.044 | 42563.450 | 42563.450 | 0.000 | -0.000 | -0.000 | 
| 42563.450 | 42438.044 | 42563.450 | -0.000 | 0.000 | 0.000 | 
| 42563.450 | 42563.450 | 42438.044 | -0.000 | -0.000 | 0.000 | 
| -3069176000.824 | -2789609235.299 | -2826937059.051 | 59666039.099 | 8014011.666 | -4738467.856 | 
| -2779698897.461 | -3054697834.498 | -2789955724.531 | 1965398.574 | 46240461.359 | 6204812.388 | 
| -2804320000.666 | -2795217677.178 | -3028761147.030 | -7144591.146 | -17183521.468 | 35057621.480 | 
| 42440.084 | 42565.536 | 42565.536 | 0.000 | 0.000 | 0.000 | 
| 42565.536 | 42440.084 | 42565.536 | 0.000 | -0.000 | 0.000 | 
| 42565.536 | 42565.536 | 42440.084 | 0.000 | 0.000 | 0.000 | 
| 307164890.278 | 276161555.806 | 277311946.416 | 4382636.333 | -421264.956 | 378370.864 | 
| 278151448.562 | 308130450.704 | 277541939.374 | 947163.536 | 5113164.817 | -1249304.487 | 
| 283493926.426 | 282991623.508 | 305350045.656 | -727278.203 | 1684800.074 | 4855639.098 | 
| 42436.376 | 42561.743 | 42561.743 | 0.000 | -0.000 | -0.000 | 
| 42561.743 | 42436.376 | 42561.743 | -0.000 | 0.000 | -0.000 | 
| 42561.743 | 42561.743 | 42436.376 | -0.000 | 0.000 | 0.000 | 
| -302840837.667 | -280418311.658 | -281532737.010 | 3920846.145 | 1530611.572 | 2391919.167 | 
| -279216171.133 | -310123427.122 | -277644619.588 | 667387.192 | 5567229.125 | -775093.642 | 
| -280976483.116 | -280834027.816 | -305360154.153 | 1020115.236 | 689900.287 | 5785492.922 | 
| 80.006 | 103.136 | 103.136 | -0.000 | -0.000 | -0.000 | 
| 103.136 | 80.006 | 103.136 | -0.000 | -0.000 | -0.000 | 
| 103.136 | 103.136 | 80.006 | -0.000 | -0.000 | -0.000 | 
| 0.000 | 0.000 | -0.000 | -33.380 | -0.000 | -0.000 | 
| 0.000 | 0.000 | -0.000 | -0.000 | -33.380 | -0.000 | 
| 0.000 | 0.000 | -0.000 | -0.000 | -0.000 | -33.380 | 
| 80.006 | 103.136 | 103.136 | 0.000 | 0.000 | 0.000 | 
| 103.136 | 80.006 | 103.136 | 0.000 | 0.000 | 0.000 | 
| 103.136 | 103.136 | 80.006 | 0.000 | 0.000 | 0.000 | 
| -0.000 | -0.000 | 0.000 | -33.380 | 0.000 | 0.000 | 
| -0.000 | -0.000 | 0.000 | 0.000 | -33.380 | 0.000 | 
| -0.000 | -0.000 | 0.000 | 0.000 | 0.000 | -33.380 | 
| 80.006 | 103.136 | 103.136 | -0.000 | -0.000 | -0.000 | 
| 103.136 | 80.006 | 103.136 | -0.000 | -0.000 | -0.000 | 
| 103.136 | 103.136 | 80.006 | -0.000 | -0.000 | -0.000 | 
| 0.000 | -0.000 | 0.000 | 56.055 | 0.000 | -0.000 | 
| -0.000 | 0.000 | 0.000 | 0.000 | 56.055 | -0.000 | 
| -0.000 | 0.000 | 0.000 | 0.000 | -0.000 | 56.055 | 
| 80.006 | 103.136 | 103.136 | 0.000 | 0.000 | 0.000 | 
| 103.136 | 80.006 | 103.136 | 0.000 | 0.000 | 0.000 | 
| 103.136 | 103.136 | 80.006 | 0.000 | 0.000 | 0.000 | 
| -0.000 | 0.000 | -0.000 | 56.055 | -0.000 | 0.000 | 
| 0.000 | -0.000 | -0.000 | -0.000 | 56.055 | 0.000 | 
| 0.000 | -0.000 | -0.000 | -0.000 | -0.000 | 56.055 | 
| 80.007 | 103.137 | 103.137 | -0.000 | -0.000 | -0.000 | 
| 103.137 | 80.007 | 103.137 | -0.000 | -0.000 | -0.000 | 
| 103.137 | 103.137 | 80.007 | -0.000 | -0.000 | -0.000 | 
| -0.000 | -0.000 | -0.000 | -33.380 | -0.000 | -0.000 | 
| -0.000 | -0.000 | -0.000 | -0.000 | -33.380 | -0.000 | 
| -0.000 | -0.000 | -0.000 | -0.000 | -0.000 | -33.380 | 
| 80.006 | 103.136 | 103.136 | 0.000 | 0.000 | 0.000 | 
| 103.136 | 80.006 | 103.136 | 0.000 | 0.000 | 0.000 | 
| 103.136 | 103.136 | 80.006 | 0.000 | 0.000 | 0.000 | 
| 0.000 | 0.000 | 0.000 | -33.380 | 0.000 | 0.000 | 
| 0.000 | 0.000 | 0.000 | 0.000 | -33.380 | 0.000 | 
| 0.000 | 0.000 | 0.000 | 0.000 | 0.000 | -33.380 | 
| 252.452 | 109.292 | 190.849 | -0.000 | 0.000 | -0.000 | 
| 109.292 | 252.452 | 190.849 | 0.000 | 0.000 | -0.000 | 
| 190.849 | 190.849 | 352.025 | -0.000 | -0.000 | 0.000 | 
| -0.000 | -0.000 | -0.000 | 146.025 | -0.000 | -0.000 | 
| -0.000 | -0.000 | -0.000 | -0.000 | 146.025 | -0.000 | 
| 0.000 | -0.000 | -0.000 | -0.000 | 0.000 | 64.628 | 
| 252.452 | 109.292 | 190.849 | 0.000 | -0.000 | 0.000 | 
| 109.292 | 252.452 | 190.849 | -0.000 | 0.000 | 0.000 | 
| 190.849 | 190.849 | 352.025 | 0.000 | -0.000 | 0.000 | 
| 0.000 | 0.000 | 0.000 | 146.025 | 0.000 | -0.000 | 
| 0.000 | 0.000 | 0.000 | 0.000 | 146.025 | 0.000 | 
| 0.000 | 0.000 | 0.000 | 0.000 | 0.000 | 64.628 | 
| 252.452 | 109.292 | 190.849 | -0.000 | -0.000 | -0.000 | 
| 109.292 | 252.452 | 190.849 | 0.000 | -0.000 | -0.000 | 
| 190.849 | 190.849 | 352.025 | -0.000 | -0.000 | -0.000 | 
| -0.000 | -0.000 | -0.000 | 146.025 | -0.000 | -0.000 | 
| -0.000 | -0.000 | -0.000 | -0.000 | 146.025 | -0.000 | 
| -0.000 | -0.000 | -0.000 | 0.000 | -0.000 | 64.628 | 
| 252.451 | 109.292 | 190.849 | 0.000 | -0.000 | 0.000 | 
| 109.292 | 252.451 | 190.849 | 0.000 | 0.000 | 0.000 | 
| 190.849 | 190.849 | 352.025 | -0.000 | -0.000 | 0.000 | 
| 0.000 | 0.000 | 0.000 | 146.025 | 0.000 | -0.000 | 
| 0.000 | 0.000 | 0.000 | 0.000 | 146.025 | -0.000 | 
| 0.000 | 0.000 | 0.000 | 0.000 | -0.000 | 64.628 | 
| 252.452 | 109.292 | 190.848 | -0.000 | -0.000 | 0.000 | 
| 109.292 | 252.452 | 190.848 | -0.000 | 0.000 | 0.000 | 
| 190.848 | 190.848 | 352.023 | -0.000 | -0.000 | 0.000 | 
| -0.000 | -0.000 | -0.001 | 146.025 | -0.000 | -0.000 | 
| -0.000 | -0.000 | -0.001 | -0.000 | 146.025 | -0.000 | 
| -0.000 | -0.000 | -0.000 | -0.000 | -0.000 | 64.628 | 
| 252.451 | 109.293 | 190.849 | 0.000 | -0.000 | 0.000 | 
| 109.293 | 252.451 | 190.849 | -0.000 | -0.000 | 0.000 | 
| 190.850 | 190.850 | 352.028 | 0.000 | -0.000 | -0.000 | 
| 0.000 | 0.000 | 0.001 | 146.025 | 0.000 | 0.000 | 
| 0.000 | 0.000 | 0.001 | 0.000 | 146.025 | -0.000 | 
| 0.000 | 0.000 | 0.000 | 0.000 | 0.000 | 64.628 | 
| 148.478 | 106.332 | 129.868 | -0.000 | 0.000 | 0.000 | 
| 106.332 | 148.478 | 129.868 | 0.000 | 0.000 | -0.000 | 
| 129.868 | 129.868 | 400.053 | -0.000 | 0.000 | -0.000 | 
| -0.000 | 0.000 | 0.000 | 78.931 | 0.000 | -0.000 | 
| -0.000 | 0.000 | 0.000 | -0.000 | 78.931 | -0.000 | 
| -0.000 | 0.000 | 0.000 | -0.000 | -0.000 | 40.056 | 
| 148.478 | 106.332 | 129.868 | -0.000 | 0.000 | 0.000 | 
| 87.349 | 167.460 | 129.868 | 0.000 | 0.000 | -0.000 | 
| 129.868 | 129.868 | 400.053 | 0.000 | -0.000 | 0.000 | 
| -0.000 | -0.000 | -0.000 | 78.931 | -0.000 | 0.000 | 
| 0.000 | -0.000 | -0.000 | -0.000 | 78.931 | 0.000 | 
| 0.000 | -0.000 | -0.000 | 0.000 | 0.000 | 40.056 | 
| 148.478 | 106.332 | 129.868 | 0.000 | 0.000 | -0.000 | 
| 106.332 | 148.478 | 129.868 | 0.000 | 0.000 | 0.000 | 
| 129.868 | 129.868 | 400.053 | 0.000 | 0.000 | -0.000 | 
| 0.000 | 0.000 | 0.000 | 78.931 | -0.000 | -0.000 | 
| 0.000 | 0.000 | 0.000 | -0.000 | 78.931 | -0.000 | 
| -0.000 | 0.000 | -0.000 | 0.000 | 0.000 | 21.073 | 
| 148.478 | 106.332 | 129.868 | -0.000 | -0.000 | 0.000 | 
| 106.332 | 148.478 | 129.868 | -0.000 | 0.000 | 0.000 | 
| 129.868 | 129.868 | 400.053 | -0.000 | 0.000 | 0.000 | 
| -0.000 | -0.000 | -0.000 | 78.931 | 0.000 | 0.000 | 
| -0.000 | -0.000 | -0.000 | 0.000 | 78.931 | 0.000 | 
| 0.000 | -0.000 | 0.000 | -0.000 | -0.000 | 21.073 | 
| 148.478 | 106.331 | 129.868 | 0.000 | 0.000 | -0.000 | 
| 106.332 | 148.478 | 129.868 | -0.000 | 0.000 | -0.000 | 
| 129.869 | 129.869 | 400.055 | -0.000 | -0.000 | -0.000 | 
| 0.000 | -0.000 | 0.000 | 78.931 | 0.000 | -0.000 | 
| 0.000 | 0.000 | 0.000 | -0.000 | 78.931 | -0.000 | 
| -0.000 | 0.000 | 0.000 | -0.000 | -0.000 | 40.056 | 
| 148.478 | 106.332 | 129.868 | -0.000 | -0.000 | 0.000 | 
| 87.349 | 167.460 | 129.868 | 0.000 | 0.000 | 0.000 | 
| 129.868 | 129.868 | 400.051 | 0.000 | -0.000 | 0.000 | 
| -0.000 | 0.000 | -0.000 | 78.931 | 0.000 | 0.000 | 
| -0.000 | -0.000 | -0.000 | 0.000 | 78.931 | 0.000 | 
| 0.000 | -0.000 | -0.000 | 0.000 | 0.000 | 40.056 | 
| 288.812 | 102.108 | 119.690 | 0.000 | 0.000 | 0.000 | 
| 102.108 | 225.835 | 171.183 | 0.000 | 0.000 | -0.000 | 
| 113.116 | 167.013 | 391.226 | 0.000 | 0.000 | -0.000 | 
| -0.000 | -0.000 | 0.000 | 105.684 | 0.000 | -0.000 | 
| 0.000 | -0.000 | 0.000 | 0.000 | 54.968 | -0.000 | 
| 0.000 | 0.000 | 0.000 | -0.000 | 0.000 | 85.585 | 
| 288.812 | 102.108 | 119.690 | -0.000 | -0.000 | 0.000 | 
| 107.941 | 229.410 | 167.129 | 0.000 | -0.000 | -0.000 | 
| 113.116 | 167.013 | 391.226 | -0.000 | -0.000 | -0.000 | 
| 0.000 | 0.000 | -0.000 | 105.684 | -0.000 | 0.000 | 
| -0.000 | 0.000 | -0.000 | -0.000 | 54.968 | 0.000 | 
| -0.000 | -0.000 | -0.000 | -0.000 | -0.000 | 85.585 | 
| 288.812 | 102.108 | 119.690 | 0.000 | 0.000 | -0.000 | 
| 102.108 | 225.835 | 171.183 | 0.000 | 0.000 | -0.000 | 
| 112.830 | 166.972 | 394.929 | 0.000 | 0.000 | -0.000 | 
| 0.000 | 0.000 | 0.000 | 105.644 | -0.000 | 0.000 | 
| 0.000 | 0.000 | -0.000 | 0.000 | 53.782 | -0.000 | 
| 0.000 | 0.000 | 0.000 | 0.000 | 0.000 | 85.585 | 
| 288.812 | 102.108 | 119.690 | -0.000 | 0.000 | 0.000 | 
| 107.941 | 229.410 | 167.129 | -0.000 | -0.000 | 0.000 | 
| 119.690 | 171.183 | 390.332 | -0.000 | -0.000 | 0.000 | 
| -0.000 | -0.000 | -0.000 | 105.644 | 0.000 | 0.000 | 
| -0.000 | -0.000 | 0.000 | -0.000 | 53.782 | -0.000 | 
| -0.000 | -0.000 | -0.000 | 0.000 | -0.000 | 85.585 | 
| 288.813 | 102.109 | 119.690 | 0.000 | 0.000 | -0.000 | 
| 102.108 | 225.836 | 171.183 | 0.000 | 0.000 | 0.000 | 
| 113.117 | 167.014 | 391.227 | -0.000 | 0.000 | -0.000 | 
| 0.000 | 0.000 | 0.001 | 105.644 | -0.000 | -0.000 | 
| 0.000 | 0.000 | -0.000 | 0.000 | 53.782 | -0.000 | 
| 0.000 | 0.000 | 0.000 | 0.000 | 0.000 | 85.585 | 
| 288.811 | 102.108 | 119.689 | -0.000 | 0.000 | 0.000 | 
| 102.108 | 225.834 | 171.182 | -0.000 | -0.000 | 0.000 | 
| 119.689 | 171.182 | 390.331 | -0.000 | 0.000 | 0.000 | 
| -0.000 | -0.000 | -0.001 | 105.644 | 0.000 | 0.000 | 
| -0.000 | -0.000 | 0.000 | -0.000 | 53.782 | 0.000 | 
| -0.000 | -0.000 | -0.000 | -0.000 | -0.000 | 85.585 | 
| 285.078 | 101.373 | 118.092 | -0.000 | 0.000 | 0.000 | 
| 101.059 | 234.982 | 172.775 | -0.000 | -0.000 | 0.000 | 
| 110.060 | 167.674 | 388.560 | -0.000 | 0.000 | 0.000 | 
| -0.153 | -0.106 | -0.222 | 106.701 | -0.000 | 0.000 | 
| -0.042 | -0.029 | -0.060 | -0.000 | 52.105 | 0.000 | 
| -0.039 | -0.027 | -0.057 | 0.000 | -0.000 | 84.301 | 
| 285.290 | 101.511 | 118.179 | -0.000 | -0.000 | -0.000 | 
| 107.356 | 238.801 | 168.599 | 0.000 | 0.000 | -0.000 | 
| 109.868 | 167.707 | 392.442 | -0.000 | 0.000 | -0.000 | 
| 0.153 | 0.106 | 0.222 | 106.701 | 0.000 | -0.000 | 
| 0.042 | 0.029 | 0.060 | 0.000 | 52.105 | -0.000 | 
| 0.039 | 0.027 | 0.057 | -0.000 | 0.000 | 84.301 | 
| 285.174 | 101.435 | 118.131 | -0.000 | 0.000 | 0.000 | 
| 101.155 | 235.041 | 172.814 | -0.000 | -0.000 | 0.000 | 
| 110.098 | 167.699 | 388.602 | -0.000 | -0.000 | 0.000 | 
| 0.010 | 0.008 | 0.046 | 106.642 | 0.000 | 0.000 | 
| -0.010 | -0.007 | -0.003 | 0.000 | 50.701 | 0.000 | 
| -0.004 | -0.003 | -0.006 | -0.000 | -0.000 | 84.301 | 
| 285.195 | 101.449 | 118.140 | 0.000 | -0.000 | -0.000 | 
| 131.026 | 253.775 | 168.386 | 0.000 | 0.000 | -0.000 | 
| 110.106 | 167.705 | 388.611 | 0.000 | 0.000 | -0.000 | 
| -0.010 | -0.008 | -0.046 | 106.642 | -0.000 | -0.000 | 
| 0.010 | 0.007 | 0.003 | 0.000 | 50.701 | -0.000 | 
| 0.004 | 0.003 | 0.006 | 0.000 | 0.000 | 84.301 | 
| 285.184 | 101.442 | 118.135 | -0.000 | 0.000 | 0.000 | 
| 101.164 | 235.021 | 172.818 | -0.000 | -0.000 | 0.000 | 
| 117.179 | 172.139 | 387.555 | -0.000 | 0.000 | 0.000 | 
| 0.001 | 0.001 | 0.005 | 106.642 | 0.000 | 0.000 | 
| -0.001 | -0.001 | -0.000 | 0.000 | 50.701 | 0.000 | 
| -0.000 | -0.000 | -0.001 | -0.000 | -0.000 | 84.301 | 
| 285.185 | 101.443 | 118.136 | 0.000 | 0.000 | -0.000 | 
| 101.166 | 235.081 | 172.818 | -0.000 | -0.000 | -0.000 | 
| 109.868 | 167.707 | 392.441 | 0.000 | 0.000 | -0.000 | 
| -0.001 | -0.001 | -0.005 | 106.642 | -0.000 | -0.000 | 
| 0.001 | 0.001 | 0.000 | 0.000 | 50.701 | -0.000 | 
| 0.000 | 0.000 | 0.001 | 0.000 | 0.000 | 84.301 | 
| 160.567 | 80.670 | 47.817 | -0.000 | 0.000 | 0.000 | 
| 80.670 | 160.567 | 47.817 | -0.000 | -0.000 | 0.000 | 
| 47.817 | 47.817 | 312.971 | -0.000 | 0.000 | 0.000 | 
| 0.000 | -0.000 | -0.000 | -5.321 | -0.000 | 0.000 | 
| 0.000 | -0.000 | -0.000 | -0.000 | -5.321 | 0.000 | 
| 0.000 | -0.000 | -0.000 | -0.000 | -0.000 | 39.948 | 
| 160.567 | 80.670 | 47.817 | -0.000 | 0.000 | -0.000 | 
| 132.805 | 108.431 | 47.817 | 0.000 | -0.000 | -0.000 | 
| 47.817 | 47.817 | 312.971 | 0.000 | 0.000 | -0.000 | 
| -0.000 | 0.000 | 0.000 | -5.321 | 0.000 | -0.000 | 
| -0.000 | 0.000 | 0.000 | 0.000 | -5.321 | -0.000 | 
| -0.000 | 0.000 | 0.000 | 0.000 | 0.000 | 39.948 | 
| 160.567 | 80.670 | 47.817 | -0.000 | 0.000 | 0.000 | 
| 80.670 | 160.567 | 47.817 | -0.000 | -0.000 | 0.000 | 
| 47.817 | 47.817 | 312.971 | 0.000 | -0.000 | 0.000 | 
| 0.000 | 0.000 | -0.000 | -5.321 | -0.000 | 0.000 | 
| 0.000 | 0.000 | -0.000 | -0.000 | -5.321 | 0.000 | 
| -0.000 | -0.000 | -0.000 | -0.000 | 0.000 | -12.187 | 
| 108.431 | 132.805 | 47.817 | 0.000 | -0.000 | -0.000 | 
| 133.905 | 107.331 | 47.817 | 0.000 | 0.000 | 0.000 | 
| 47.817 | 47.817 | 312.971 | 0.000 | -0.000 | -0.000 | 
| -0.000 | -0.000 | 0.000 | -5.321 | 0.000 | -0.000 | 
| -0.000 | -0.000 | 0.000 | 0.000 | -5.321 | -0.000 | 
| 0.000 | 0.000 | 0.000 | -0.000 | -0.000 | -12.187 | 
| 108.431 | 132.805 | 47.817 | 0.000 | 0.000 | 0.000 | 
| 132.802 | 108.434 | 47.817 | 0.000 | 0.000 | 0.000 | 
| 47.817 | 47.817 | 312.972 | -0.000 | -0.000 | 0.000 | 
| 0.000 | 0.000 | -0.000 | -5.321 | -0.000 | 0.000 | 
| 0.000 | 0.000 | -0.000 | -0.000 | -5.321 | 0.000 | 
| -0.000 | -0.000 | -0.000 | -0.000 | 0.000 | -12.187 | 
| 108.431 | 132.805 | 47.817 | 0.000 | -0.000 | 0.000 | 
| 132.808 | 108.428 | 47.817 | 0.000 | -0.000 | -0.000 | 
| 47.817 | 47.817 | 312.971 | 0.000 | -0.000 | -0.000 | 
| -0.000 | -0.000 | 0.000 | -5.321 | 0.000 | -0.000 | 
| -0.000 | -0.000 | 0.000 | 0.000 | -5.321 | -0.000 | 
| 0.000 | 0.000 | 0.000 | -0.000 | -0.000 | -12.187 | 
| 168.354 | 87.223 | 129.673 | -40.417 | 0.000 | 0.000 | 
| 87.223 | 168.354 | 129.673 | 40.417 | -0.000 | 0.000 | 
| 129.673 | 129.673 | 393.262 | 0.000 | 0.000 | 0.000 | 
| -40.417 | 40.417 | -0.000 | 79.571 | -0.000 | 0.000 | 
| 0.000 | 0.000 | 0.000 | 0.000 | 79.571 | -40.417 | 
| 0.000 | -0.000 | 0.000 | 0.000 | -40.417 | 40.565 | 
| 168.354 | 87.223 | 129.673 | -40.417 | 0.000 | -0.000 | 
| 87.223 | 168.354 | 129.673 | 40.417 | -0.000 | -0.000 | 
| 129.673 | 129.673 | 393.262 | 0.000 | 0.000 | -0.000 | 
| -40.417 | 40.417 | -0.000 | 79.571 | 0.000 | -0.000 | 
| -0.000 | -0.000 | -0.000 | -0.000 | 79.571 | -40.417 | 
| -0.000 | 0.000 | -0.000 | 0.000 | -40.417 | 40.565 | 
| 168.354 | 87.223 | 129.673 | -40.417 | -0.000 | -0.000 | 
| 87.223 | 168.354 | 129.673 | 40.417 | -0.000 | 0.000 | 
| 129.673 | 129.673 | 393.262 | 0.000 | -0.000 | 0.000 | 
| -40.417 | 40.417 | -0.000 | 79.571 | 0.000 | 0.000 | 
| -0.000 | -0.000 | -0.000 | 0.000 | 79.571 | -40.417 | 
| -0.000 | 0.000 | 0.000 | -0.000 | -40.417 | 40.565 | 
| 168.354 | 87.223 | 129.673 | -40.417 | 0.000 | -0.000 | 
| 87.223 | 168.354 | 129.673 | 40.417 | 0.000 | -0.000 | 
| 129.673 | 129.673 | 393.263 | 0.000 | -0.000 | -0.000 | 
| -40.417 | 40.417 | 0.000 | 79.571 | -0.000 | -0.000 | 
| 0.000 | 0.000 | 0.000 | -0.000 | 79.571 | -40.417 | 
| 0.000 | -0.000 | 0.000 | 0.000 | -40.417 | 40.565 | 
| 168.354 | 87.223 | 129.673 | -40.417 | -0.000 | -0.000 | 
| 87.223 | 168.354 | 129.673 | 40.417 | -0.000 | 0.000 | 
| 129.673 | 129.673 | 393.260 | 0.000 | 0.000 | 0.000 | 
| -40.417 | 40.417 | -0.000 | 79.571 | 0.000 | 0.000 | 
| -0.000 | -0.000 | -0.000 | 0.000 | 79.571 | -40.417 | 
| -0.000 | 0.000 | -0.000 | -0.000 | -40.417 | 40.565 | 
| 168.354 | 87.223 | 129.673 | -40.417 | 0.000 | -0.000 | 
| 87.223 | 168.354 | 129.673 | 40.417 | 0.000 | -0.000 | 
| 129.673 | 129.673 | 393.265 | 0.000 | -0.000 | 0.000 | 
| -40.417 | 40.417 | 0.000 | 79.571 | -0.000 | 0.000 | 
| 0.000 | 0.000 | 0.000 | -0.000 | 79.571 | -40.417 | 
| 0.000 | -0.000 | 0.000 | 0.000 | -40.417 | 40.565 | 
| 394.377 | 170.745 | -97.070 | -0.000 | -0.000 | -0.000 | 
| 141.479 | 335.118 | 94.488 | -0.000 | -0.000 | 0.000 | 
| 84.994 | 94.489 | 239.742 | -0.000 | 0.000 | 0.000 | 
| -0.000 | 0.000 | 0.000 | 48.723 | 0.000 | 0.000 | 
| 167.062 | 47.523 | -171.613 | -0.000 | 42.943 | 0.000 | 
| 180.123 | -119.991 | -349.909 | -0.000 | -0.000 | 82.718 | 
| 60.252 | 75.706 | 246.171 | 0.000 | -0.000 | -0.000 | 
| -43.245 | 236.312 | 239.342 | 0.000 | 0.000 | 0.000 | 
| -91.962 | 20.888 | 395.226 | 0.000 | -0.000 | -0.000 | 
| -0.000 | -0.000 | -0.000 | 48.723 | -0.000 | -0.000 | 
| -167.062 | -47.523 | 171.613 | 0.000 | 42.943 | -0.000 | 
| -180.123 | 119.991 | 349.909 | 0.000 | 0.000 | 82.718 | 
| 243.994 | 127.889 | 57.280 | -0.000 | -0.000 | -0.000 | 
| 141.479 | 335.118 | 94.489 | -0.000 | -0.000 | 0.000 | 
| 84.994 | 94.489 | 239.742 | 0.000 | -0.000 | 0.000 | 
| 0.000 | 0.000 | 0.000 | 48.723 | -0.000 | 0.000 | 
| 16.719 | 4.756 | -17.175 | -0.000 | 42.942 | 0.000 | 
| 16.660 | 4.739 | -17.114 | -0.000 | -0.000 | 81.852 | 
| 195.090 | 122.337 | 100.815 | 0.000 | -0.000 | -0.000 | 
| 107.525 | 280.401 | 85.629 | -0.000 | 0.000 | -0.000 | 
| 84.994 | 94.489 | 239.742 | 0.000 | -0.000 | -0.000 | 
| -0.000 | -0.000 | -0.000 | 48.723 | 0.000 | 0.000 | 
| -16.719 | -4.756 | 17.175 | 0.000 | 42.942 | -0.000 | 
| -16.660 | -4.739 | 17.114 | 0.000 | 0.000 | 81.852 | 
| 221.724 | 121.227 | 70.229 | -0.000 | -0.000 | 0.000 | 
| 129.000 | 264.766 | 65.132 | -0.000 | -0.000 | 0.000 | 
| 76.162 | 68.363 | 222.127 | -0.000 | -0.000 | 0.000 | 
| 0.000 | 0.000 | 0.000 | 48.723 | 0.000 | -0.000 | 
| 1.790 | 0.509 | -1.839 | 0.000 | 42.839 | -0.000 | 
| -0.000 | 0.000 | 0.000 | -0.000 | -0.000 | 94.541 | 
| 216.581 | 123.087 | 77.804 | 0.000 | -0.000 | -0.000 | 
| 122.249 | 284.885 | 70.790 | 0.000 | 0.000 | 0.000 | 
| 84.994 | 94.488 | 239.741 | -0.000 | 0.000 | -0.000 | 
| -0.000 | -0.000 | -0.000 | 48.723 | 0.000 | -0.000 | 
| -1.790 | -0.509 | 1.839 | 0.000 | 42.839 | -0.000 | 
| 0.000 | -0.000 | -0.000 | 0.000 | 0.000 | 94.541 | 
| 562.339 | 1213.305 | 452.290 | -0.000 | -0.000 | 0.000 | 
| 493.974 | 1366.921 | 443.708 | -0.000 | 0.000 | 0.000 | 
| 436.835 | 1147.063 | 571.127 | -0.000 | 0.000 | 0.000 | 
| 171.744 | 1957.184 | 634.626 | 24.227 | 0.000 | 0.000 | 
| 361.742 | 1076.998 | 377.342 | -0.000 | 40.813 | 0.000 | 
| 361.743 | 1077.003 | 377.344 | -0.000 | 0.000 | 87.643 | 
| -161.140 | -940.690 | -302.394 | 0.000 | -0.000 | -0.000 | 
| -47.733 | -1702.509 | -581.808 | 0.000 | -0.000 | -0.000 | 
| -286.654 | -1006.948 | -183.565 | 0.000 | -0.000 | -0.000 | 
| -171.744 | -1957.184 | -634.626 | 24.227 | -0.000 | -0.000 | 
| -361.742 | -1076.998 | -377.342 | 0.000 | 40.813 | -0.000 | 
| -361.744 | -1077.003 | -377.344 | -0.000 | -0.000 | 87.643 | 
| 236.751 | 244.006 | 112.676 | 0.000 | -0.000 | 0.000 | 
| 168.572 | 398.090 | 104.281 | -0.000 | -0.000 | 0.000 | 
| 35.767 | 317.048 | 269.809 | 0.000 | 0.000 | 0.000 | 
| 17.159 | 195.785 | 63.482 | 24.221 | 0.000 | 0.000 | 
| 36.176 | 107.705 | 37.736 | 0.000 | 40.813 | 0.000 | 
| -32.931 | 242.338 | 78.399 | 0.000 | 0.000 | 77.022 | 
| 174.957 | -65.258 | 8.772 | -0.000 | -0.000 | -0.000 | 
| 106.700 | 59.007 | -10.662 | 0.000 | -0.000 | -0.000 | 
| 80.661 | 84.771 | 201.049 | -0.000 | 0.000 | -0.000 | 
| -17.159 | -195.785 | -63.482 | 24.221 | 0.000 | -0.000 | 
| -36.176 | -107.705 | -37.736 | -0.000 | 40.813 | -0.000 | 
| 32.931 | -242.338 | -78.399 | -0.000 | -0.000 | 77.022 | 
| 188.470 | 161.744 | 84.036 | -0.000 | 0.000 | 0.000 | 
| 128.543 | 283.671 | 62.949 | -0.000 | 0.000 | 0.000 | 
| 80.662 | 84.772 | 201.053 | 0.000 | 0.000 | 0.000 | 
| 1.579 | 20.050 | 6.483 | 23.782 | 0.000 | 0.000 | 
| 3.635 | 10.823 | 3.793 | 0.000 | 40.812 | 0.000 | 
| 3.798 | 11.308 | 3.962 | -0.000 | 0.000 | 87.264 | 
| 196.756 | 124.924 | 70.955 | -0.000 | 0.000 | -0.000 | 
| 125.881 | 271.616 | 59.520 | 0.000 | -0.000 | -0.000 | 
| 71.039 | 58.108 | 189.466 | 0.000 | 0.000 | -0.000 | 
| -1.579 | -20.050 | -6.483 | 23.782 | -0.000 | -0.000 | 
| -3.635 | -10.823 | -3.793 | 0.000 | 40.812 | -0.000 | 
| -3.798 | -11.308 | -3.962 | -0.000 | -0.000 | 87.264 | 
| 185.838 | -3.825 | 6.728 | -0.000 | 152.848 | 0.000 | 
| 84.667 | 254.011 | 98.836 | 0.000 | -0.355 | -0.000 | 
| 131.797 | 98.835 | 306.262 | 0.000 | -1.449 | 0.000 | 
| -19.235 | -84.993 | -114.534 | 37.498 | 141.433 | -0.124 | 
| -0.119 | -0.355 | -1.449 | 0.000 | 79.058 | 0.000 | 
| 212.870 | -59.909 | -23.065 | -1.079 | 52.113 | 20.404 | 
| 224.031 | 166.136 | 235.592 | 0.000 | -130.269 | -0.000 | 
| 84.667 | 254.011 | 98.836 | -0.000 | -0.355 | -0.000 | 
| 131.797 | 98.835 | 306.262 | -0.000 | -1.449 | 0.000 | 
| 19.235 | 84.993 | 114.534 | 37.498 | -141.433 | -0.124 | 
| -0.119 | -0.355 | -1.449 | -0.000 | 79.058 | -0.000 | 
| -212.870 | 59.909 | 23.065 | -1.079 | -52.113 | 20.404 | 
| 204.903 | 70.331 | 106.304 | -0.000 | 17.938 | 0.000 | 
| 84.667 | 254.011 | 98.836 | -0.000 | -0.355 | -0.000 | 
| 131.797 | 98.835 | 306.262 | 0.000 | -1.449 | 0.000 | 
| 11.003 | -7.886 | -6.808 | 33.563 | 6.427 | -0.624 | 
| 11.182 | -10.188 | -9.989 | -0.000 | 65.755 | -0.000 | 
| 10.673 | -7.919 | -6.949 | -0.611 | 6.652 | 20.549 | 
| 179.346 | 84.345 | 115.597 | 0.000 | 2.650 | -0.000 | 
| 84.667 | 254.011 | 98.836 | -0.000 | -0.355 | -0.000 | 
| 119.026 | 93.946 | 263.173 | 0.000 | -17.891 | -0.000 | 
| -11.003 | 7.886 | 6.808 | 33.563 | -6.427 | -0.624 | 
| -0.119 | -0.355 | -1.449 | -0.000 | 79.058 | -0.000 | 
| -10.673 | 7.919 | 6.949 | -0.611 | -6.652 | 20.549 | 
| 201.551 | 77.485 | 114.613 | -0.000 | 14.644 | 0.000 | 
| 79.244 | 224.736 | 78.245 | -0.000 | -1.660 | -0.000 | 
| 131.798 | 98.835 | 306.262 | 0.000 | -1.449 | 0.000 | 
| -0.000 | 0.000 | -0.000 | 46.148 | 0.000 | -0.416 | 
| -0.119 | -0.355 | -1.448 | 0.000 | 79.058 | 0.000 | 
| 1.358 | -0.511 | -0.249 | -0.792 | 0.079 | 21.740 | 
| 192.268 | 78.187 | 113.355 | -0.000 | 10.644 | 0.000 | 
| 78.229 | 224.768 | 78.510 | 0.000 | -1.680 | -0.000 | 
| 131.797 | 98.835 | 306.261 | -0.000 | -1.449 | -0.000 | 
| 0.000 | -0.000 | 0.000 | 46.148 | -0.000 | -0.416 | 
| -3.141 | -0.125 | -0.628 | 0.000 | 55.218 | -0.000 | 
| -1.358 | 0.511 | 0.249 | -0.792 | -0.079 | 21.740 | 
| 177.950 | 86.894 | 138.247 | 0.000 | 16.547 | -0.000 | 
| 86.287 | 244.973 | 96.857 | 0.000 | -0.090 | -0.000 | 
| -1957.888 | -3419.111 | -2991.661 | -0.000 | 112.902 | -0.000 | 
| -3256.909 | -5069.189 | -5290.361 | 30.475 | 628.042 | -0.742 | 
| -3014.577 | -5073.132 | -4718.696 | -0.000 | 882.396 | -0.000 | 
| 0.000 | 0.000 | 0.000 | -0.065 | 0.000 | 38.968 | 
| 177.950 | 86.894 | 138.247 | -0.000 | 16.547 | 0.000 | 
| 2155.798 | 3718.348 | 3328.473 | 0.000 | -113.208 | 0.000 | 
| 3445.995 | 4763.071 | 5691.231 | 0.000 | 137.532 | 0.000 | 
| 3256.909 | 5069.189 | 5290.361 | 30.475 | -628.042 | -0.742 | 
| 2074.360 | 3493.673 | 3243.841 | 0.000 | -42.994 | 0.000 | 
| -0.000 | -0.000 | 0.000 | -0.065 | 0.000 | 38.968 | 
| -169.956 | -425.262 | -403.258 | -0.000 | 72.096 | -0.000 | 
| -127.821 | -125.883 | -242.182 | -0.000 | 11.692 | -0.000 | 
| -89.630 | -273.950 | -70.808 | -0.000 | 10.722 | -0.000 | 
| -325.753 | -507.003 | -529.139 | 30.474 | 62.807 | -0.742 | 
| -209.207 | -350.462 | -326.722 | -0.000 | 81.850 | -0.000 | 
| -207.639 | -349.538 | -324.663 | 0.219 | 11.357 | 29.520 | 
| 490.993 | 550.838 | 668.796 | 0.000 | 24.040 | 0.000 | 
| 410.068 | 682.200 | 619.600 | 0.000 | 11.666 | 0.000 | 
| 455.283 | 548.782 | 790.754 | 0.000 | 9.500 | 0.000 | 
| 325.753 | 507.003 | 529.139 | 30.474 | -62.807 | -0.742 | 
| 0.213 | -0.007 | -1.854 | -0.000 | 82.542 | 0.000 | 
| 207.639 | 349.538 | 324.663 | 0.219 | -11.357 | 29.520 | 
| 140.595 | 42.190 | 86.977 | -0.000 | 14.116 | -0.000 | 
| 58.742 | 188.069 | 49.482 | -0.000 | 1.489 | -0.000 | 
| 91.340 | 23.215 | 193.740 | -0.000 | 3.383 | -0.000 | 
| -33.168 | -51.501 | -53.903 | 30.327 | 6.309 | -0.761 | 
| -22.252 | -35.683 | -34.326 | -0.000 | 71.268 | -0.000 | 
| -29.744 | -50.212 | -46.510 | -0.640 | 8.111 | 21.897 | 
| 177.947 | 86.894 | 138.247 | -0.000 | 16.547 | 0.000 | 
| 101.241 | 259.206 | 115.768 | 0.000 | -0.832 | 0.000 | 
| 152.402 | 122.003 | 288.666 | -0.000 | -4.270 | 0.000 | 
| 33.168 | 51.501 | 53.903 | 30.327 | -6.309 | -0.761 | 
| 19.233 | 34.004 | 30.355 | 0.000 | 69.871 | 0.000 | 
| 29.744 | 50.212 | 46.510 | -0.640 | -8.111 | 21.897 | 
| 295.752 | 113.272 | 102.301 | -0.000 | 0.000 | -0.000 | 
| 86.355 | 213.878 | 107.524 | 0.000 | 0.008 | -0.000 | 
| 87.807 | 91.191 | 199.471 | 0.000 | 0.004 | -0.000 | 
| -9.130 | -15.336 | 4.735 | 34.526 | -0.003 | 0.000 | 
| 0.000 | 0.000 | 0.000 | 0.000 | 56.360 | 0.000 | 
| -8.767 | -14.655 | 4.370 | -0.000 | -0.003 | 51.590 | 
| 295.752 | 113.272 | 102.301 | 0.000 | -0.000 | 0.000 | 
| 114.796 | 276.540 | 102.926 | -0.000 | -0.000 | -0.000 | 
| 96.034 | 105.137 | 194.764 | -0.000 | -0.004 | 0.000 | 
| 9.130 | 15.336 | -4.735 | 34.526 | 0.003 | 0.000 | 
| -0.000 | -0.000 | -0.000 | -0.000 | 56.360 | 0.000 | 
| 8.767 | 14.655 | -4.370 | -0.000 | 0.003 | 51.590 | 
| 261.661 | 101.040 | 87.782 | 0.000 | 0.000 | -0.000 | 
| 104.193 | 240.492 | 97.200 | 0.000 | 0.000 | -0.000 | 
| 98.335 | 107.020 | 180.974 | 0.000 | 0.001 | -0.000 | 
| 0.000 | -0.000 | 0.000 | 56.218 | -0.000 | 0.000 | 
| 0.000 | 0.000 | 0.000 | 0.000 | 56.360 | 0.000 | 
| 0.000 | -0.000 | 0.000 | -0.000 | 0.000 | 61.581 | 
| 263.827 | 102.968 | 87.527 | -0.000 | -0.000 | 0.000 | 
| 100.350 | 235.833 | 102.775 | 0.000 | 0.001 | -0.000 | 
| 95.145 | 103.185 | 186.318 | 0.000 | 0.000 | -0.000 | 
| -0.000 | 0.000 | -0.000 | 56.218 | 0.000 | 0.000 | 
| -0.000 | -0.000 | -0.000 | -0.000 | 56.360 | -0.000 | 
| -0.000 | 0.000 | -0.000 | -0.000 | -0.000 | 61.581 | 
| 262.657 | 101.927 | 87.663 | 0.000 | 0.000 | -0.000 | 
| 114.796 | 276.541 | 102.926 | -0.000 | 0.000 | -0.000 | 
| 105.613 | 104.714 | 229.758 | 0.000 | -0.000 | -0.000 | 
| 0.000 | -0.000 | 0.000 | 56.218 | -0.000 | -0.000 | 
| -0.119 | -0.197 | 0.034 | 0.000 | 45.507 | -0.000 | 
| -0.085 | -0.138 | 0.034 | 0.000 | 0.000 | 52.397 | 
| 295.751 | 113.272 | 102.301 | -0.000 | -0.000 | 0.000 | 
| 104.839 | 242.169 | 96.920 | -0.000 | -0.000 | 0.000 | 
| 94.250 | 101.798 | 186.544 | 0.000 | 0.000 | 0.000 | 
| -0.000 | 0.000 | -0.000 | 56.218 | -0.000 | 0.000 | 
| -0.000 | -0.000 | -0.000 | -0.000 | 56.360 | 0.000 | 
| 0.085 | 0.138 | -0.034 | -0.000 | -0.000 | 52.397 | 
| 298.699 | 113.161 | 99.969 | 0.000 | -0.000 | 0.000 | 
| 113.161 | 281.956 | 123.530 | 0.000 | -0.000 | 0.000 | 
| 99.969 | 123.530 | 253.017 | 0.000 | -0.000 | 0.000 | 
| 22.684 | -17.606 | -73.679 | 50.746 | -0.000 | 0.000 | 
| -8.161 | -35.343 | -54.607 | 0.000 | 39.622 | 0.000 | 
| -8.173 | -35.395 | -54.687 | 0.000 | -0.000 | 51.017 | 
| 228.746 | 114.405 | 167.068 | -0.000 | 0.000 | -0.000 | 
| 51.676 | 225.042 | 202.569 | -0.000 | 0.000 | -0.000 | 
| 99.969 | 123.530 | 253.017 | -0.000 | 0.000 | -0.000 | 
| -22.684 | 17.606 | 73.679 | 50.746 | 0.000 | -0.000 | 
| 8.161 | 35.343 | 54.607 | -0.000 | 39.622 | -0.000 | 
| 8.173 | 35.395 | 54.687 | -0.000 | 0.000 | 51.017 | 
| 268.524 | 100.918 | 83.088 | 0.000 | -0.000 | 0.000 | 
| 113.161 | 281.956 | 123.530 | 0.000 | -0.000 | 0.000 | 
| 99.969 | 123.530 | 253.017 | 0.000 | -0.000 | 0.000 | 
| 3.522 | 0.216 | -6.977 | 46.768 | -0.000 | 0.000 | 
| 4.352 | 1.270 | -6.584 | 0.000 | 38.909 | 0.000 | 
| 1.487 | -2.035 | -6.543 | 0.000 | -0.000 | 51.594 | 
| 298.699 | 113.161 | 99.969 | -0.000 | 0.000 | -0.000 | 
| 113.161 | 281.956 | 123.530 | -0.000 | 0.000 | -0.000 | 
| 85.055 | 126.648 | 230.214 | -0.000 | 0.000 | -0.000 | 
| -3.522 | -0.216 | 6.977 | 46.768 | 0.000 | -0.000 | 
| -4.352 | -1.270 | 6.584 | -0.000 | 38.909 | -0.000 | 
| -1.487 | 2.035 | 6.543 | -0.000 | 0.000 | 51.594 | 
| 271.077 | 104.755 | 85.155 | 0.000 | 0.000 | 0.000 | 
| 105.190 | 250.790 | 119.792 | 0.000 | -0.000 | 0.000 | 
| 91.026 | 128.794 | 221.788 | 0.000 | -0.000 | 0.000 | 
| 0.499 | 0.156 | -0.694 | 47.022 | -0.000 | 0.000 | 
| -0.065 | -0.284 | -0.439 | 0.000 | 41.677 | 0.000 | 
| 0.271 | -0.045 | -0.655 | 0.000 | -0.000 | 51.872 | 
| 298.698 | 113.161 | 99.969 | -0.000 | -0.000 | -0.000 | 
| 97.529 | 240.640 | 129.658 | -0.000 | -0.000 | -0.000 | 
| 89.282 | 121.464 | 232.440 | -0.000 | 0.000 | -0.000 | 
| -0.499 | -0.156 | 0.694 | 47.022 | 0.000 | -0.000 | 
| 0.065 | 0.284 | 0.439 | -0.000 | 41.677 | -0.000 | 
| -0.271 | 0.045 | 0.655 | -0.000 | 0.000 | 51.872 | 
| 284.867 | 96.896 | 104.448 | -0.000 | -0.000 | -0.000 | 
| 90.507 | 266.154 | 113.659 | -0.000 | -0.000 | -0.000 | 
| 98.846 | 111.321 | 230.259 | -0.000 | -0.000 | -0.000 | 
| 8.618 | -0.789 | 14.401 | 57.383 | 0.000 | -0.000 | 
| 6.449 | -3.896 | 12.861 | -0.000 | 38.729 | -0.000 | 
| 8.655 | -1.588 | 14.693 | 0.000 | 0.000 | 42.941 | 
| 284.867 | 96.896 | 104.448 | 0.000 | -0.000 | 0.000 | 
| 96.896 | 285.567 | 122.345 | 0.000 | -0.000 | 0.000 | 
| 82.442 | 114.300 | 204.179 | 0.000 | 0.000 | 0.000 | 
| -8.618 | 0.789 | -14.401 | 57.383 | -0.000 | 0.000 | 
| -6.449 | 3.896 | -12.861 | 0.000 | 38.729 | 0.000 | 
| -8.655 | 1.588 | -14.693 | 0.000 | 0.000 | 42.941 | 
| 284.867 | 96.896 | 104.448 | -0.000 | -0.000 | -0.000 | 
| 85.824 | 265.073 | 117.491 | -0.000 | 0.000 | -0.000 | 
| 93.758 | 111.292 | 223.156 | -0.000 | -0.000 | -0.000 | 
| 0.751 | -0.418 | 1.426 | 51.708 | -0.000 | -0.000 | 
| 0.518 | 0.029 | 0.844 | -0.000 | 43.404 | -0.000 | 
| 0.809 | -0.129 | 1.368 | -0.000 | 0.000 | 43.204 | 
| 284.867 | 96.896 | 104.448 | 0.000 | 0.000 | 0.000 | 
| 96.896 | 285.567 | 122.345 | 0.000 | -0.000 | 0.000 | 
| 104.448 | 122.344 | 263.177 | 0.000 | -0.000 | 0.000 | 
| -0.751 | 0.418 | -1.426 | 51.708 | 0.000 | 0.000 | 
| -0.518 | -0.029 | -0.844 | 0.000 | 43.404 | 0.000 | 
| -0.809 | 0.129 | -1.368 | 0.000 | -0.000 | 43.204 | 
| 264.795 | 88.017 | 91.172 | -0.000 | -0.000 | -0.000 | 
| 84.153 | 265.907 | 113.992 | 0.000 | 0.000 | -0.000 | 
| 93.257 | 111.123 | 222.036 | -0.000 | -0.000 | -0.000 | 
| 0.079 | -0.046 | 0.153 | 51.741 | -0.000 | -0.000 | 
| 0.023 | -0.086 | 0.076 | -0.000 | 33.498 | -0.000 | 
| 0.000 | -0.000 | -0.000 | -0.000 | 0.000 | 51.239 | 
| 284.866 | 96.896 | 104.448 | 0.000 | -0.000 | 0.000 | 
| 84.019 | 266.000 | 113.726 | 0.000 | -0.000 | 0.000 | 
| 93.138 | 111.078 | 221.758 | 0.000 | -0.000 | 0.000 | 
| -0.079 | 0.046 | -0.153 | 51.741 | 0.000 | 0.000 | 
| -0.023 | 0.086 | -0.076 | 0.000 | 33.498 | 0.000 | 
| -0.000 | 0.000 | 0.000 | 0.000 | -0.000 | 51.239 | 
| 271.510 | 71.709 | 108.934 | -0.000 | 0.000 | -0.000 | 
| 92.734 | 297.784 | 114.231 | -0.000 | 0.000 | -0.000 | 
| 108.676 | 95.459 | 213.935 | -0.000 | 0.000 | -0.000 | 
| 0.000 | -0.000 | 0.000 | 68.116 | 0.000 | -0.000 | 
| 25.431 | -4.810 | 24.836 | -0.000 | 40.438 | -0.000 | 
| 26.263 | -4.967 | 25.648 | -0.000 | 0.000 | 37.888 | 
| 274.978 | 94.628 | 103.448 | -0.000 | -0.000 | 0.000 | 
| 92.734 | 297.784 | 114.231 | -0.000 | -0.000 | 0.000 | 
| 65.986 | 114.177 | 173.113 | -0.000 | -0.000 | 0.000 | 
| -0.000 | 0.000 | -0.000 | 68.116 | -0.000 | 0.000 | 
| -25.431 | 4.810 | -24.836 | 0.000 | 40.438 | 0.000 | 
| -26.263 | 4.967 | -25.648 | 0.000 | -0.000 | 37.888 | 
| 255.301 | 84.580 | 89.414 | -0.000 | 0.000 | -0.000 | 
| 83.574 | 281.924 | 100.025 | -0.000 | 0.000 | -0.000 | 
| 104.214 | 116.890 | 254.399 | 0.000 | 0.000 | -0.000 | 
| 0.000 | -0.000 | 0.000 | 68.116 | 0.000 | -0.000 | 
| 0.000 | -0.000 | 0.000 | -0.000 | 57.279 | -0.000 | 
| 0.000 | -0.000 | -0.000 | 0.000 | 0.000 | 45.679 | 
| 274.978 | 94.627 | 103.448 | 0.000 | -0.000 | 0.000 | 
| 78.872 | 281.268 | 102.889 | 0.000 | -0.000 | 0.000 | 
| 89.650 | 105.904 | 210.259 | 0.000 | -0.000 | 0.000 | 
| -0.000 | 0.000 | -0.000 | 68.116 | -0.000 | 0.000 | 
| -0.000 | 0.000 | -0.000 | 0.000 | 57.279 | 0.000 | 
| -0.000 | 0.000 | 0.000 | -0.000 | -0.000 | 45.679 | 
| 274.980 | 94.628 | 103.449 | -0.000 | 0.000 | -0.000 | 
| 82.046 | 283.100 | 98.797 | -0.000 | 0.000 | -0.000 | 
| 91.590 | 105.736 | 212.589 | -0.000 | 0.000 | -0.000 | 
| -0.000 | -0.000 | 0.000 | 68.116 | 0.000 | -0.000 | 
| 0.000 | -0.000 | 0.000 | -0.000 | 57.279 | -0.000 | 
| 0.000 | -0.000 | -0.000 | -0.000 | 0.000 | 45.679 | 
| 274.977 | 94.627 | 103.448 | 0.000 | -0.000 | 0.000 | 
| 92.734 | 297.782 | 114.231 | 0.000 | -0.000 | 0.000 | 
| 91.260 | 105.782 | 212.232 | 0.000 | -0.000 | 0.000 | 
| 0.000 | 0.000 | -0.000 | 68.116 | -0.000 | 0.000 | 
| -0.000 | 0.000 | -0.000 | 0.000 | 57.279 | 0.000 | 
| -0.000 | 0.000 | 0.000 | 0.000 | -0.000 | 45.679 | 
| -2117.073 | -2537.165 | -1276.529 | 0.000 | 0.000 | 0.000 | 
| -2574.593 | -1772.529 | -1725.429 | -0.000 | 0.000 | 0.000 | 
| -2563.923 | -1895.214 | -1622.170 | -0.000 | 0.000 | 0.000 | 
| -1858.498 | -2582.847 | -764.334 | 50.747 | 0.000 | 0.000 | 
| -1705.059 | -2388.261 | -568.354 | 0.000 | 25.764 | 0.000 | 
| -2635.934 | -2000.576 | -1820.138 | -0.000 | 0.000 | 24.723 | 
| 281.956 | 106.921 | 96.194 | 0.000 | -0.000 | -0.000 | 
| 107.356 | 319.367 | 125.019 | 0.000 | 0.000 | -0.000 | 
| 96.242 | 124.632 | 237.127 | -0.000 | -0.000 | -0.000 | 
| 1858.498 | 2582.847 | 764.334 | 50.747 | 0.000 | -0.000 | 
| 1705.059 | 2388.261 | 568.354 | 0.000 | 25.764 | -0.000 | 
| 2635.934 | 2000.576 | 1820.138 | 0.000 | 0.000 | 24.723 | 
| -22.560 | -125.898 | -112.633 | -0.000 | 0.000 | 0.000 | 
| -97.203 | 16.036 | 60.727 | 0.000 | 0.000 | 0.000 | 
| -168.960 | -144.228 | 58.299 | 0.000 | 0.000 | 0.000 | 
| -261.274 | -198.297 | -180.412 | 35.409 | -0.000 | 0.000 | 
| -263.744 | -200.172 | -182.118 | 0.000 | 33.162 | 0.000 | 
| -260.620 | -197.801 | -179.961 | 0.000 | 0.000 | 25.075 | 
| 281.956 | 106.921 | 96.194 | -0.000 | -0.000 | -0.000 | 
| 321.999 | 428.231 | 274.635 | 0.000 | -0.000 | -0.000 | 
| 96.242 | 124.632 | 237.127 | 0.000 | 0.000 | -0.000 | 
| 261.274 | 198.297 | 180.412 | 35.409 | -0.000 | -0.000 | 
| 263.744 | 200.172 | 182.118 | -0.000 | 33.162 | -0.000 | 
| 260.620 | 197.801 | 179.961 | 0.000 | 0.000 | 25.075 | 
| 223.027 | 60.849 | 56.645 | 0.000 | 0.000 | 0.000 | 
| 52.019 | 241.436 | 90.236 | -0.000 | -0.000 | 0.000 | 
| 49.277 | 88.294 | 187.007 | -0.000 | 0.000 | 0.000 | 
| -17.345 | -13.164 | -11.977 | 48.030 | -0.000 | 0.000 | 
| 0.000 | -0.000 | -0.000 | -0.000 | 46.687 | 0.000 | 
| -15.330 | -11.635 | -10.586 | -0.000 | 0.000 | 37.774 | 
| 265.407 | 98.350 | 81.350 | 0.000 | -0.000 | -0.000 | 
| 98.936 | 287.291 | 123.364 | -0.000 | -0.000 | -0.000 | 
| 89.216 | 118.417 | 209.778 | -0.000 | -0.000 | -0.000 | 
| 17.345 | 13.164 | 11.977 | 48.030 | -0.000 | -0.000 | 
| -0.000 | 0.000 | 0.000 | -0.000 | 46.687 | -0.000 | 
| 15.330 | 11.635 | 10.586 | -0.000 | -0.000 | 37.774 | 
| -2292.112 | 875.250 | -1933.206 | 0.000 | -0.000 | 0.000 | 
| -2466.746 | 1064.170 | -1906.402 | -0.000 | -0.000 | 0.000 | 
| -3519.587 | -470.170 | -2792.465 | -0.000 | -0.000 | 0.000 | 
| -2540.603 | 790.865 | -2007.981 | 50.689 | -0.000 | 0.000 | 
| 0.000 | 0.000 | 0.000 | -0.000 | 46.658 | 0.000 | 
| -3589.611 | -577.616 | -2993.703 | -0.000 | -0.000 | 48.196 | 
| 2789.182 | -706.429 | 2082.816 | -0.000 | 0.000 | -0.000 | 
| 3679.933 | 799.505 | 3434.219 | -0.000 | 0.000 | -0.000 | 
| 2614.496 | -680.646 | 2218.097 | -0.000 | 0.000 | -0.000 | 
| 2540.603 | -790.865 | 2007.981 | 50.689 | 0.000 | 0.000 | 
| -0.000 | -0.000 | -0.000 | -0.000 | 46.658 | -0.000 | 
| 3589.611 | 577.616 | 2993.703 | 0.000 | 0.000 | 48.196 | 
| -110.083 | 24.652 | -224.703 | -0.000 | -0.000 | 0.000 | 
| -281.151 | 211.904 | -220.720 | -0.000 | -0.000 | -0.000 | 
| -240.997 | 123.619 | -128.507 | 0.000 | -0.000 | 0.000 | 
| -253.835 | 79.016 | -200.620 | 50.708 | -0.000 | -0.000 | 
| 0.000 | 0.000 | 0.000 | 0.000 | 46.658 | -0.000 | 
| -253.604 | 78.944 | -200.438 | 0.000 | -0.000 | 36.953 | 
| 280.234 | 106.250 | 96.160 | -0.000 | 0.000 | -0.000 | 
| 329.234 | 196.085 | 303.294 | -0.000 | 0.000 | -0.000 | 
| 429.083 | 165.386 | 500.657 | 0.000 | 0.000 | -0.000 | 
| 253.835 | -79.016 | 200.620 | 50.708 | 0.000 | -0.000 | 
| -0.000 | -0.000 | -0.000 | 0.000 | 46.658 | -0.000 | 
| 253.604 | -78.944 | 200.438 | -0.000 | 0.000 | 36.953 | 
| 209.543 | 72.314 | 38.793 | -0.000 | -0.000 | 0.000 | 
| 43.370 | 265.506 | 77.529 | 0.000 | -0.000 | 0.000 | 
| 31.784 | 100.525 | 165.116 | -0.000 | -0.000 | 0.000 | 
| -23.808 | 7.411 | -18.817 | 52.025 | -0.000 | -0.000 | 
| -26.949 | 8.389 | -21.299 | 0.000 | 38.542 | 0.000 | 
| 0.000 | -0.000 | 0.000 | -0.000 | -0.000 | 54.453 | 
| 280.232 | 106.250 | 96.159 | -0.000 | 0.000 | -0.000 | 
| 106.251 | 321.123 | 124.020 | 0.000 | 0.000 | -0.000 | 
| 105.899 | 112.971 | 230.299 | -0.000 | 0.000 | -0.000 | 
| 23.808 | -7.411 | 18.817 | 52.025 | 0.000 | -0.000 | 
| 26.949 | -8.389 | 21.299 | -0.000 | 38.542 | 0.000 | 
| -0.000 | 0.000 | -0.000 | 0.000 | -0.000 | 54.453 | 
| 278.699 | 115.851 | 192.656 | 0.000 | -0.000 | -0.000 | 
| 112.355 | 295.483 | 121.010 | -0.000 | -0.000 | -0.000 | 
| 96.770 | 122.149 | 270.269 | 0.000 | -0.000 | -0.000 | 
| 0.000 | 0.000 | 0.000 | 72.795 | -0.000 | -0.000 | 
| 0.000 | 0.000 | 0.000 | 0.000 | 48.306 | -0.000 | 
| 0.000 | 0.000 | 0.000 | -0.000 | -0.000 | 60.150 | 
| 242.870 | 76.036 | -23.213 | 0.000 | 0.000 | 0.000 | 
| 112.355 | 295.483 | 121.010 | 0.000 | 0.000 | -0.000 | 
| 96.770 | 122.149 | 270.269 | -0.000 | 0.000 | 0.000 | 
| -0.000 | -0.000 | -0.000 | 72.795 | 0.000 | 0.000 | 
| -0.000 | -0.000 | -0.000 | -0.000 | 48.306 | 0.000 | 
| -0.000 | -0.000 | -0.000 | -0.000 | 0.000 | 60.150 | 
| 279.083 | 111.296 | 94.573 | 0.000 | -0.000 | -0.000 | 
| 95.719 | 266.619 | 121.049 | 0.000 | -0.000 | -0.000 | 
| 85.354 | 111.821 | 261.647 | -0.000 | -0.000 | 0.000 | 
| 0.000 | -0.000 | 0.000 | 72.795 | -0.000 | -0.000 | 
| 0.000 | 0.000 | -0.000 | 0.000 | 48.306 | 0.000 | 
| -7.636 | -0.098 | 9.137 | 0.000 | -0.000 | 47.060 | 
| 258.514 | 93.472 | 72.067 | 0.000 | 0.000 | 0.000 | 
| 112.355 | 295.483 | 121.010 | -0.000 | 0.000 | 0.000 | 
| 100.640 | 116.480 | 231.629 | -0.000 | 0.000 | 0.000 | 
| -0.000 | 0.000 | -0.000 | 72.795 | 0.000 | 0.000 | 
| -0.000 | -0.000 | 0.000 | -0.000 | 48.306 | 0.000 | 
| 7.636 | 0.098 | -9.137 | 0.000 | 0.000 | 47.060 | 
| 246.769 | 84.139 | 76.259 | 0.000 | -0.000 | -0.000 | 
| 87.897 | 254.673 | 105.688 | -0.000 | -0.000 | -0.000 | 
| 82.071 | 108.420 | 248.144 | -0.000 | -0.000 | -0.000 | 
| 0.000 | -0.000 | 0.000 | 72.795 | -0.000 | -0.000 | 
| 0.000 | -0.000 | -0.000 | 0.000 | 48.306 | -0.000 | 
| 0.000 | -0.000 | -0.000 | 0.000 | -0.000 | 60.150 | 
| 279.082 | 111.296 | 94.573 | 0.000 | 0.000 | 0.000 | 
| 112.354 | 295.481 | 121.010 | 0.000 | 0.000 | 0.000 | 
| 82.926 | 109.143 | 247.518 | 0.000 | 0.000 | 0.000 | 
| -0.000 | 0.000 | -0.000 | 72.795 | 0.000 | 0.000 | 
| -0.000 | 0.000 | 0.000 | 0.000 | 48.306 | 0.000 | 
| -0.000 | 0.000 | 0.000 | 0.000 | 0.000 | 60.150 | 
| 280.072 | 110.493 | 93.074 | -0.000 | 0.000 | 0.000 | 
| 49.564 | 223.079 | 112.052 | 0.000 | 0.000 | -0.000 | 
| 93.075 | 130.759 | 279.193 | 0.000 | 0.000 | 0.000 | 
| -0.000 | 0.000 | -0.000 | 79.848 | 0.000 | -0.000 | 
| -19.764 | -6.621 | 9.669 | 0.000 | 18.288 | -0.000 | 
| -19.865 | -6.655 | 9.718 | 0.000 | 0.000 | 40.044 | 
| 250.424 | 77.040 | 56.555 | -0.000 | -0.000 | -0.000 | 
| 133.035 | 265.122 | 143.840 | 0.000 | -0.000 | -0.000 | 
| 93.075 | 130.759 | 279.193 | 0.000 | -0.000 | -0.000 | 
| 0.000 | -0.000 | 0.000 | 79.848 | -0.000 | 0.000 | 
| 19.764 | 6.621 | -9.669 | -0.000 | 18.288 | -0.000 | 
| 19.865 | 6.655 | -9.718 | 0.000 | -0.000 | 40.044 | 
| 280.072 | 110.494 | 93.074 | 0.000 | 0.000 | 0.000 | 
| 110.493 | 300.162 | 130.758 | -0.000 | 0.000 | -0.000 | 
| 76.417 | 115.723 | 255.361 | 0.000 | 0.000 | -0.000 | 
| -0.000 | -0.000 | 0.000 | 79.848 | 0.000 | 0.000 | 
| 0.000 | -0.000 | 0.000 | 0.000 | 44.738 | 0.000 | 
| 0.000 | -0.000 | -0.000 | -0.000 | 0.000 | 59.481 | 
| 280.072 | 110.493 | 93.074 | -0.000 | -0.000 | -0.000 | 
| 90.230 | 257.896 | 123.642 | 0.000 | 0.000 | 0.000 | 
| 80.572 | 118.512 | 258.055 | -0.000 | -0.000 | -0.000 | 
| 0.000 | 0.000 | -0.000 | 79.848 | -0.000 | 0.000 | 
| -0.000 | 0.000 | -0.000 | -0.000 | 44.738 | -0.000 | 
| -0.000 | 0.000 | 0.000 | -0.000 | -0.000 | 59.481 | 
| 280.073 | 110.494 | 93.074 | 0.000 | 0.000 | -0.000 | 
| 110.493 | 300.163 | 130.758 | -0.000 | 0.000 | -0.000 | 
| 79.830 | 118.378 | 258.803 | -0.000 | 0.000 | 0.000 | 
| 0.000 | -0.000 | 0.000 | 79.848 | 0.000 | 0.000 | 
| 0.000 | -0.000 | 0.000 | -0.000 | 44.738 | 0.000 | 
| 0.000 | -0.000 | -0.000 | -0.000 | -0.000 | 59.481 | 
| 280.071 | 110.493 | 93.073 | -0.000 | -0.000 | -0.000 | 
| 86.417 | 258.103 | 121.033 | -0.000 | 0.000 | -0.000 | 
| 93.075 | 130.759 | 279.192 | -0.000 | 0.000 | -0.000 | 
| -0.000 | 0.000 | -0.000 | 79.848 | -0.000 | 0.000 | 
| -0.000 | 0.000 | -0.000 | 0.000 | 44.738 | -0.000 | 
| -0.000 | 0.000 | 0.000 | 0.000 | -0.000 | 59.481 | 
| 195.814 | -97.699 | 88.553 | -0.000 | 130.138 | -0.000 | 
| 80.252 | 238.479 | 96.412 | -0.000 | -0.785 | -0.000 | 
| 87.866 | -44.766 | 205.042 | 0.000 | 122.605 | -0.000 | 
| 0.000 | 0.000 | 0.000 | 48.254 | 0.000 | 0.402 | 
| -32.233 | -165.852 | -32.544 | 0.000 | 193.133 | -0.000 | 
| -0.000 | 0.000 | -0.000 | -0.157 | 0.000 | 36.729 | 
| 255.489 | 177.544 | 158.083 | -0.000 | -119.956 | 0.000 | 
| 92.469 | 324.486 | 111.098 | -0.000 | -128.667 | 0.000 | 
| 135.277 | 96.706 | 319.132 | -0.000 | -10.458 | 0.000 | 
| -0.000 | -0.000 | -0.000 | 48.254 | -0.000 | 0.402 | 
| 24.725 | 111.712 | 38.862 | 0.000 | -58.747 | 0.000 | 
| 0.000 | -0.000 | 0.000 | -0.157 | -0.000 | 36.729 | 
| 222.063 | 54.971 | 118.104 | 0.000 | 26.093 | -0.000 | 
| 80.252 | 238.479 | 96.413 | -0.000 | -0.785 | -0.000 | 
| 135.277 | 96.706 | 319.132 | -0.000 | -10.458 | -0.000 | 
| -0.000 | 0.000 | -0.000 | 48.254 | 0.000 | 0.402 | 
| -1.169 | -0.226 | -10.458 | -0.000 | 86.268 | -0.000 | 
| -2.477 | -10.904 | -4.740 | -0.287 | 13.122 | 34.317 | 
| 245.101 | 80.039 | 132.934 | 0.000 | 13.190 | 0.000 | 
| 70.039 | 226.972 | 57.634 | 0.000 | -11.027 | 0.000 | 
| 135.277 | 96.706 | 319.132 | 0.000 | -10.458 | 0.000 | 
| 0.000 | -0.000 | 0.000 | 48.254 | -0.000 | 0.402 | 
| 2.199 | 12.723 | -4.222 | 0.000 | 61.255 | 0.000 | 
| 2.477 | 10.904 | 4.740 | -0.287 | -13.122 | 34.317 | 
| 225.119 | 69.115 | 115.930 | 0.000 | 11.466 | -0.000 | 
| 80.253 | 238.481 | 96.413 | 0.000 | -0.785 | -0.000 | 
| 113.191 | 59.771 | 242.714 | -0.000 | -11.146 | -0.000 | 
| -0.000 | 0.000 | -0.000 | 48.254 | -0.000 | 0.402 | 
| -1.169 | -0.226 | -10.457 | -0.000 | 86.268 | -0.000 | 
| -0.187 | -1.550 | 0.368 | -0.413 | 1.664 | 34.646 | 
| 226.237 | 71.670 | 114.823 | -0.000 | 8.584 | 0.000 | 
| 80.252 | 238.478 | 96.412 | 0.000 | -0.785 | 0.000 | 
| 117.506 | 61.723 | 236.555 | 0.000 | -13.684 | 0.000 | 
| 0.000 | -0.000 | 0.000 | 48.254 | 0.000 | 0.402 | 
| -0.071 | 3.067 | -8.528 | 0.000 | 74.555 | 0.000 | 
| 0.187 | 1.550 | -0.368 | -0.413 | -1.664 | 34.646 | 
| 572.429 | 1433.734 | 253.521 | -0.000 | -2066.605 | -0.000 | 
| 575.639 | 1379.749 | 606.601 | -0.000 | -893.342 | 0.000 | 
| 461.045 | 1421.533 | 369.978 | -0.000 | -2089.448 | -0.000 | 
| 383.154 | 1117.420 | -445.331 | 27.046 | -2048.054 | -0.458 | 
| 349.277 | 1369.870 | 138.233 | -0.000 | -2005.648 | -0.000 | 
| 351.979 | 1368.096 | 146.234 | -0.390 | -2077.771 | 34.170 | 
| -131.525 | -1302.435 | -38.950 | 0.000 | 2088.885 | 0.000 | 
| -438.633 | -947.000 | -478.638 | 0.000 | 895.617 | -0.000 | 
| -222.045 | -1043.397 | 737.827 | 0.000 | 2125.121 | 0.000 | 
| -383.154 | -1117.420 | 445.331 | 27.046 | 2048.054 | -0.458 | 
| -354.686 | -1366.334 | -154.239 | 0.000 | 2149.885 | 0.000 | 
| -351.979 | -1368.096 | -146.234 | -0.390 | 2077.771 | 34.170 | 
| 279.199 | 187.533 | 167.956 | -0.000 | -79.453 | -0.000 | 
| 119.038 | 332.408 | 117.729 | -0.000 | -88.328 | -0.000 | 
| 143.769 | 189.082 | 237.107 | -0.000 | -218.632 | -0.000 | 
| 24.709 | 113.992 | -43.089 | 35.822 | -204.571 | -0.522 | 
| 22.686 | 115.165 | -53.772 | -0.000 | -134.321 | -0.000 | 
| 35.184 | 136.771 | 14.611 | -0.390 | -207.735 | 34.171 | 
| 188.785 | -38.618 | 172.344 | 0.000 | 225.749 | 0.000 | 
| 30.254 | 70.851 | 36.961 | 0.000 | 207.655 | 0.000 | 
| 74.687 | -81.694 | 211.535 | 0.000 | 195.320 | 0.000 | 
| -24.709 | -113.992 | 43.089 | 35.822 | 204.571 | -0.522 | 
| -49.607 | -108.887 | -55.933 | 0.000 | 158.751 | 0.000 | 
| -35.184 | -136.771 | -14.611 | -0.390 | 207.735 | 34.171 | 
| 242.284 | 80.460 | 135.551 | -0.000 | 14.547 | -0.000 | 
| 69.510 | 220.943 | 56.041 | -0.000 | -17.203 | -0.000 | 
| 114.981 | 67.954 | 234.379 | -0.000 | -27.949 | -0.000 | 
| 2.910 | 12.510 | 0.716 | 28.184 | -20.294 | -0.399 | 
| 1.906 | 12.984 | -13.826 | -0.000 | 50.025 | 0.000 | 
| 4.999 | 11.467 | 5.349 | -0.448 | -8.817 | 34.726 | 
| 242.283 | 80.460 | 135.551 | 0.000 | 14.547 | 0.000 | 
| 63.646 | 197.795 | 55.241 | 0.000 | 20.056 | 0.000 | 
| 111.561 | 56.392 | 254.460 | 0.000 | 3.879 | 0.000 | 
| -2.910 | -12.510 | -0.716 | 28.184 | 20.294 | -0.399 | 
| -4.704 | -9.910 | -4.698 | 0.000 | 91.654 | 0.000 | 
| -4.999 | -11.467 | -5.349 | -0.448 | 8.817 | 34.726 | 
| 274.536 | 109.724 | 88.444 | -0.000 | -0.000 | 0.000 | 
| 298.813 | 333.215 | 383.969 | 0.000 | -0.000 | -0.000 | 
| 88.444 | 130.250 | 269.658 | -0.000 | 0.000 | -0.000 | 
| 0.000 | -0.000 | 0.000 | 79.913 | -0.000 | 0.000 | 
| 0.000 | -0.000 | 0.000 | -0.000 | 42.009 | -0.000 | 
| 199.708 | -44.908 | 277.551 | -0.000 | -0.000 | 44.462 | 
| 274.536 | 109.724 | 88.444 | -0.000 | -0.000 | 0.000 | 
| -100.543 | 320.007 | -146.996 | 0.000 | -0.000 | 0.000 | 
| 88.444 | 130.250 | 269.658 | -0.000 | 0.000 | -0.000 | 
| -0.000 | 0.000 | -0.000 | 79.913 | -0.000 | -0.000 | 
| -0.000 | 0.000 | -0.000 | 0.000 | 42.009 | -0.000 | 
| -199.708 | 44.908 | -277.551 | 0.000 | -0.000 | 44.462 | 
| 274.536 | 109.724 | 88.444 | 0.000 | -0.000 | 0.000 | 
| 120.193 | 281.643 | 155.513 | -0.000 | -0.000 | -0.000 | 
| 88.444 | 130.250 | 269.658 | 0.000 | -0.000 | 0.000 | 
| 19.660 | 5.113 | 25.422 | 59.389 | -0.000 | 0.000 | 
| 20.124 | -2.453 | 27.555 | -0.000 | 36.679 | -0.000 | 
| 20.158 | 5.243 | 26.067 | -0.000 | -0.000 | 47.854 | 
| 274.536 | 109.724 | 88.444 | 0.000 | 0.000 | -0.000 | 
| 109.724 | 302.749 | 130.250 | -0.000 | -0.000 | -0.000 | 
| 88.444 | 130.250 | 269.658 | -0.000 | -0.000 | 0.000 | 
| -19.660 | -5.113 | -25.422 | 59.389 | 0.000 | 0.000 | 
| -20.124 | 2.453 | -27.555 | 0.000 | 36.679 | -0.000 | 
| -20.158 | -5.243 | -26.067 | 0.000 | 0.000 | 47.854 | 
| 255.286 | 98.202 | 79.644 | 0.000 | -0.000 | 0.000 | 
| 98.734 | 279.045 | 126.298 | -0.000 | -0.000 | 0.000 | 
| 88.444 | 130.251 | 269.659 | 0.000 | 0.000 | 0.000 | 
| 2.000 | 0.520 | 2.587 | 59.032 | -0.000 | -0.000 | 
| 0.000 | -0.000 | -0.000 | -0.000 | 42.009 | 0.000 | 
| 0.000 | -0.000 | -0.000 | 0.000 | -0.000 | 59.796 | 
| 252.039 | 97.590 | 74.871 | -0.000 | -0.000 | 0.000 | 
| 91.319 | 271.723 | 131.144 | -0.000 | 0.000 | -0.000 | 
| 88.445 | 130.250 | 269.658 | -0.000 | -0.000 | -0.000 | 
| -2.000 | -0.520 | -2.587 | 59.032 | 0.000 | -0.000 | 
| -0.000 | 0.000 | 0.000 | -0.000 | 42.009 | 0.000 | 
| -0.000 | 0.000 | 0.000 | -0.000 | 0.000 | 59.796 | 
| 272.926 | 109.240 | 87.308 | -0.000 | 0.000 | 0.000 | 
| -1189.787 | -977.857 | -1129.478 | -0.000 | -0.000 | 0.000 | 
| -1382.913 | -1067.897 | -934.660 | -0.000 | -0.000 | 0.000 | 
| -1055.918 | -1176.951 | -1191.909 | 65.775 | -0.000 | 0.000 | 
| 0.000 | -0.000 | -0.000 | -0.000 | 39.882 | 0.000 | 
| -1055.919 | -1176.952 | -1191.911 | -0.000 | -0.000 | 50.037 | 
| 272.926 | 109.240 | 87.308 | 0.000 | 0.000 | -0.000 | 
| 1556.096 | 1480.300 | 1315.902 | 0.000 | 0.000 | -0.000 | 
| 1366.027 | 1392.775 | 1510.922 | 0.000 | 0.000 | -0.000 | 
| 1055.918 | 1176.951 | 1191.909 | 65.775 | 0.000 | -0.000 | 
| -0.000 | 0.000 | 0.000 | 0.000 | 39.882 | -0.000 | 
| 1055.919 | 1176.952 | 1191.911 | 0.000 | 0.000 | 50.037 | 
| 272.926 | 109.240 | 87.308 | -0.000 | -0.000 | 0.000 | 
| 108.467 | 304.949 | 133.990 | -0.000 | -0.000 | 0.000 | 
| 86.134 | 133.589 | 270.981 | -0.000 | -0.000 | 0.000 | 
| 0.000 | -0.000 | 0.000 | 82.404 | -0.000 | 0.000 | 
| -105.562 | -117.662 | -119.157 | -0.000 | 34.292 | 0.000 | 
| -105.765 | -117.888 | -119.386 | -0.000 | -0.000 | 50.022 | 
| 361.262 | 216.341 | 196.081 | 0.000 | 0.000 | -0.000 | 
| 205.469 | 406.158 | 248.653 | 0.000 | 0.000 | -0.000 | 
| 86.134 | 133.589 | 270.981 | 0.000 | 0.000 | -0.000 | 
| -0.000 | 0.000 | -0.000 | 82.404 | 0.000 | -0.000 | 
| 105.562 | 117.662 | 119.157 | 0.000 | 34.292 | -0.000 | 
| 105.765 | 117.888 | 119.386 | 0.000 | 0.000 | 50.022 | 
| 243.015 | 85.809 | 63.935 | -0.000 | -0.000 | 0.000 | 
| 87.793 | 274.617 | 116.103 | -0.000 | -0.000 | 0.000 | 
| 66.138 | 116.263 | 240.589 | -0.000 | -0.000 | 0.000 | 
| -14.995 | -13.708 | -13.578 | 57.794 | -0.000 | 0.000 | 
| 0.000 | 0.000 | 0.000 | -0.000 | 39.882 | 0.000 | 
| 0.000 | 0.000 | 0.000 | -0.000 | -0.000 | 59.124 | 
| 272.924 | 109.240 | 87.307 | 0.000 | -0.000 | -0.000 | 
| 110.691 | 297.798 | 143.700 | 0.000 | 0.000 | -0.000 | 
| 86.134 | 133.589 | 270.981 | 0.000 | 0.000 | -0.000 | 
| 14.995 | 13.708 | 13.578 | 57.794 | 0.000 | -0.000 | 
| -0.000 | -0.000 | -0.000 | 0.000 | 39.882 | -0.000 | 
| -0.000 | -0.000 | -0.000 | 0.000 | 0.000 | 59.124 | 
| 246.150 | 125.492 | 88.578 | -0.000 | -0.000 | 0.000 | 
| 127.731 | 241.482 | 86.349 | -0.000 | -0.000 | 0.000 | 
| 91.158 | 91.158 | 251.731 | -0.000 | -0.000 | 0.000 | 
| 0.106 | 0.106 | 0.195 | 30.715 | -0.000 | 0.000 | 
| 0.123 | 0.123 | 0.220 | -0.000 | 30.866 | 0.000 | 
| 0.100 | 0.100 | 0.179 | -0.000 | -0.000 | 59.840 | 
| 246.000 | 125.287 | 88.264 | 0.000 | 0.000 | -0.000 | 
| 120.613 | 259.178 | 96.674 | -0.000 | 0.000 | -0.000 | 
| 96.674 | 96.674 | 268.045 | -0.000 | 0.000 | -0.000 | 
| -0.106 | -0.106 | -0.195 | 30.715 | 0.000 | -0.000 | 
| -0.123 | -0.123 | -0.220 | 0.000 | 30.866 | -0.000 | 
| -0.100 | -0.100 | -0.179 | 0.000 | 0.000 | 59.840 | 
| 246.083 | 125.399 | 88.436 | -0.000 | -0.000 | 0.000 | 
| 132.705 | 239.709 | 89.698 | -0.000 | -0.000 | 0.000 | 
| 89.416 | 89.416 | 250.060 | -0.000 | -0.000 | 0.000 | 
| 0.011 | 0.011 | 0.020 | 30.714 | -0.000 | 0.000 | 
| 0.011 | 0.011 | 0.020 | -0.000 | 30.714 | 0.000 | 
| 0.015 | 0.015 | 0.028 | -0.000 | -0.000 | 54.033 | 
| 239.691 | 132.688 | 89.666 | 0.000 | -0.000 | -0.000 | 
| 120.613 | 259.178 | 96.674 | -0.000 | 0.000 | -0.000 | 
| 89.399 | 89.399 | 250.028 | 0.000 | 0.000 | -0.000 | 
| -0.011 | -0.011 | -0.020 | 30.714 | 0.000 | -0.000 | 
| -0.011 | -0.011 | -0.020 | -0.000 | 30.714 | -0.000 | 
| -0.015 | -0.015 | -0.028 | 0.000 | 0.000 | 54.033 | 
| 246.077 | 125.390 | 88.422 | 0.000 | -0.000 | 0.000 | 
| 125.390 | 246.077 | 88.422 | -0.000 | -0.000 | 0.000 | 
| 91.072 | 91.072 | 251.553 | -0.000 | -0.000 | 0.000 | 
| 0.001 | 0.001 | 0.002 | 30.865 | -0.000 | 0.000 | 
| 0.001 | 0.001 | 0.002 | -0.000 | 30.865 | 0.000 | 
| 0.001 | 0.001 | 0.001 | -0.000 | -0.000 | 53.530 | 
| 259.177 | 120.613 | 96.674 | -0.000 | 0.000 | -0.000 | 
| 120.613 | 259.177 | 96.674 | -0.000 | 0.000 | -0.000 | 
| 96.674 | 96.674 | 268.043 | 0.000 | 0.000 | -0.000 | 
| -0.001 | -0.001 | -0.002 | 30.865 | 0.000 | -0.000 | 
| -0.001 | -0.001 | -0.002 | 0.000 | 30.865 | -0.000 | 
| -0.001 | -0.001 | -0.001 | 0.000 | 0.000 | 53.530 | 
| 258.744 | 120.535 | 96.784 | -0.000 | -0.000 | -0.000 | 
| 120.535 | 258.744 | 96.784 | 0.000 | -0.000 | -0.000 | 
| 96.734 | 96.734 | 267.541 | 0.000 | 0.000 | -0.000 | 
| 0.825 | 0.825 | 1.599 | 30.872 | 0.000 | -0.000 | 
| 0.825 | 0.825 | 1.599 | -0.000 | 30.872 | -0.000 | 
| -0.000 | 0.000 | 0.000 | -0.000 | 0.000 | 69.104 | 
| 245.071 | 124.601 | 87.320 | 0.000 | -0.000 | 0.000 | 
| 124.601 | 245.071 | 87.320 | 0.000 | -0.000 | 0.000 | 
| 90.508 | 90.508 | 249.835 | 0.000 | 0.000 | 0.000 | 
| -0.825 | -0.825 | -1.599 | 30.872 | -0.000 | 0.000 | 
| -0.825 | -0.825 | -1.599 | -0.000 | 30.872 | 0.000 | 
| 0.000 | -0.000 | 0.000 | 0.000 | -0.000 | 69.104 | 
| 240.999 | 127.539 | 86.355 | -0.000 | 0.000 | -0.000 | 
| 120.535 | 258.744 | 96.784 | 0.000 | -0.000 | -0.000 | 
| 91.134 | 91.134 | 251.184 | -0.000 | 0.000 | -0.000 | 
| 0.071 | 0.071 | 0.136 | 30.669 | 0.000 | -0.000 | 
| 0.083 | 0.083 | 0.161 | 0.000 | 30.818 | -0.000 | 
| 0.067 | 0.067 | 0.131 | 0.000 | -0.000 | 59.633 | 
| 245.515 | 125.213 | 88.342 | 0.000 | 0.000 | 0.000 | 
| 120.535 | 258.744 | 96.784 | 0.000 | 0.000 | 0.000 | 
| 91.021 | 91.021 | 250.940 | 0.000 | -0.000 | 0.000 | 
| -0.071 | -0.071 | -0.136 | 30.669 | -0.000 | 0.000 | 
| -0.083 | -0.083 | -0.161 | -0.000 | 30.818 | 0.000 | 
| -0.067 | -0.067 | -0.131 | 0.000 | -0.000 | 59.633 | 
| 258.745 | 120.535 | 96.784 | -0.000 | -0.000 | -0.000 | 
| 125.289 | 245.570 | 88.468 | 0.000 | 0.000 | -0.000 | 
| 96.735 | 96.735 | 267.543 | -0.000 | -0.000 | -0.000 | 
| 0.008 | 0.008 | 0.016 | 30.818 | 0.000 | -0.000 | 
| 0.000 | 0.000 | 0.000 | 0.000 | 44.668 | -0.000 | 
| 0.005 | 0.005 | 0.010 | 0.000 | 0.000 | 53.337 | 
| 245.558 | 125.275 | 88.445 | 0.000 | -0.000 | 0.000 | 
| 125.275 | 245.558 | 88.445 | -0.000 | -0.000 | 0.000 | 
| 96.734 | 96.734 | 267.539 | -0.000 | -0.000 | 0.000 | 
| -0.008 | -0.008 | -0.016 | 30.818 | 0.000 | 0.000 | 
| -0.000 | -0.000 | -0.000 | 0.000 | 44.668 | 0.000 | 
| -0.005 | -0.005 | -0.010 | -0.000 | -0.000 | 53.337 | 
| 246.810 | 132.590 | 116.873 | -0.000 | 0.000 | -0.000 | 
| 397.100 | 184.102 | 2.659 | -0.000 | -0.000 | -0.000 | 
| 350.137 | -28.048 | 286.165 | -0.000 | 0.000 | -0.000 | 
| 0.000 | 0.000 | -0.000 | 48.558 | 0.000 | 0.000 | 
| 289.737 | -53.955 | -133.738 | 0.000 | 42.623 | -0.000 | 
| 267.728 | -112.964 | -110.376 | -0.000 | -0.000 | 75.143 | 
| -0.956 | 271.814 | 216.039 | 0.000 | 0.000 | 0.000 | 
| 132.590 | 328.794 | 103.786 | -0.000 | 0.000 | 0.000 | 
| -101.227 | 246.824 | 469.434 | 0.000 | -0.000 | 0.000 | 
| -0.000 | 0.000 | 0.000 | 48.558 | -0.000 | -0.000 | 
| -289.737 | 53.955 | 133.738 | 0.000 | 42.623 | 0.000 | 
| -267.728 | 112.964 | 110.376 | -0.000 | 0.000 | 75.143 | 
| 251.300 | 120.263 | 114.054 | 0.000 | 0.000 | -0.000 | 
| 132.590 | 328.794 | 103.786 | -0.000 | -0.000 | -0.000 | 
| 116.873 | 103.786 | 382.179 | -0.000 | -0.000 | -0.000 | 
| 22.155 | -13.495 | -8.995 | 36.155 | 0.000 | -0.000 | 
| 22.556 | -13.739 | -9.158 | 0.000 | 47.558 | -0.000 | 
| 20.614 | -12.556 | -8.370 | 0.000 | 0.000 | 66.041 | 
| 193.417 | 134.173 | 139.937 | -0.000 | 0.000 | 0.000 | 
| 99.492 | 292.260 | 129.350 | -0.000 | 0.000 | 0.000 | 
| 116.873 | 103.786 | 382.179 | 0.000 | -0.000 | 0.000 | 
| -22.155 | 13.495 | 8.995 | 36.155 | 0.000 | 0.000 | 
| -22.556 | 13.739 | 9.158 | 0.000 | 47.558 | 0.000 | 
| -20.614 | 12.556 | 8.370 | 0.000 | -0.000 | 66.041 | 
| 246.811 | 132.590 | 116.874 | 0.000 | -0.000 | -0.000 | 
| 131.527 | 286.519 | 114.517 | -0.000 | -0.000 | 0.000 | 
| 129.889 | 115.140 | 374.047 | 0.000 | -0.000 | 0.000 | 
| 2.540 | -1.072 | -1.047 | 38.251 | 0.000 | 0.000 | 
| 2.948 | -0.198 | -1.461 | -0.000 | 39.007 | -0.000 | 
| 3.368 | -0.143 | -1.585 | -0.000 | -0.000 | 69.449 | 
| 246.809 | 132.591 | 116.873 | -0.000 | 0.000 | -0.000 | 
| 126.857 | 287.334 | 116.767 | 0.000 | 0.000 | -0.000 | 
| 123.551 | 115.854 | 377.015 | -0.000 | 0.000 | -0.000 | 
| -2.540 | 1.072 | 1.047 | 38.251 | -0.000 | 0.000 | 
| -2.948 | 0.198 | 1.461 | -0.000 | 39.007 | 0.000 | 
| -3.368 | 0.143 | 1.585 | -0.000 | 0.000 | 69.449 | 
| 175.931 | 136.692 | 101.945 | 0.000 | -0.000 | -0.000 | 
| 133.266 | 317.038 | 104.495 | 0.000 | -0.000 | 0.000 | 
| 100.279 | 116.424 | 386.071 | 0.000 | -0.000 | -0.000 | 
| 0.000 | 0.000 | 0.000 | 43.897 | -0.000 | 0.000 | 
| -2.825 | 4.542 | -1.129 | 0.000 | 31.898 | -0.000 | 
| -1.175 | 1.890 | -0.470 | 0.000 | -0.000 | 74.200 | 
| 201.912 | 134.892 | 99.129 | -0.000 | 0.000 | -0.000 | 
| 133.266 | 317.038 | 104.495 | -0.000 | 0.000 | -0.000 | 
| 101.898 | 104.477 | 389.593 | -0.000 | 0.000 | 0.000 | 
| -0.000 | -0.000 | -0.000 | 43.897 | 0.000 | -0.000 | 
| 2.825 | -4.542 | 1.129 | -0.000 | 31.898 | 0.000 | 
| 1.175 | -1.890 | 0.470 | -0.000 | 0.000 | 74.200 | 
| 171.826 | 133.078 | 103.677 | 0.000 | -0.000 | -0.000 | 
| 133.267 | 317.039 | 104.495 | 0.000 | -0.000 | -0.000 | 
| 101.198 | 110.528 | 387.762 | 0.000 | 0.000 | -0.000 | 
| 0.000 | 0.000 | -0.000 | 43.897 | -0.000 | 0.000 | 
| 0.000 | 0.000 | -0.000 | 0.000 | 39.799 | 0.000 | 
| -0.186 | 1.031 | -0.280 | 0.000 | -0.000 | 72.148 | 
| 165.495 | 127.624 | 105.101 | -0.000 | 0.000 | -0.000 | 
| 133.266 | 317.038 | 104.495 | -0.000 | 0.000 | -0.000 | 
| 101.863 | 109.243 | 388.146 | -0.000 | -0.000 | 0.000 | 
| -0.000 | -0.000 | 0.000 | 43.897 | 0.000 | -0.000 | 
| -0.000 | -0.000 | 0.000 | -0.000 | 39.799 | -0.000 | 
| 0.186 | -1.031 | 0.280 | -0.000 | 0.000 | 72.148 | 
| 201.913 | 134.892 | 99.130 | 0.000 | -0.000 | 0.000 | 
| 129.939 | 282.093 | 112.730 | 0.000 | 0.000 | -0.000 | 
| 101.549 | 110.007 | 387.881 | 0.000 | 0.000 | -0.000 | 
| -0.020 | 0.033 | -0.008 | 35.679 | -0.000 | -0.000 | 
| -0.042 | 0.067 | -0.017 | 0.000 | 28.132 | -0.000 | 
| -0.000 | 0.000 | 0.000 | 0.000 | -0.000 | 79.375 | 
| 171.190 | 132.506 | 103.948 | -0.000 | 0.000 | 0.000 | 
| 120.732 | 279.555 | 112.823 | -0.000 | 0.000 | -0.000 | 
| 95.397 | 102.389 | 395.056 | -0.000 | 0.000 | -0.000 | 
| 0.020 | -0.033 | 0.008 | 35.679 | 0.000 | 0.000 | 
| 0.042 | -0.067 | 0.017 | -0.000 | 28.132 | 0.000 | 
| 0.000 | -0.000 | -0.000 | -0.000 | 0.000 | 79.375 | 
| 181.739 | 90.274 | 104.340 | -0.000 | 0.000 | -0.000 | 
| 90.348 | 248.670 | 68.251 | -0.000 | -0.000 | 0.000 | 
| 111.346 | 88.674 | 230.778 | -0.000 | -0.000 | 0.000 | 
| 3.908 | 10.118 | -6.933 | 26.100 | -0.000 | 0.000 | 
| 0.000 | 0.000 | 0.000 | 0.000 | 80.884 | 0.000 | 
| 0.000 | 0.000 | 0.000 | 0.000 | -0.000 | 56.287 | 
| 182.935 | 85.441 | 95.027 | 0.000 | 0.000 | -0.000 | 
| 80.824 | 237.053 | 59.392 | 0.000 | 0.000 | -0.000 | 
| 101.791 | 70.819 | 237.794 | 0.000 | -0.000 | -0.000 | 
| -3.908 | -10.118 | 6.933 | 26.100 | 0.000 | 0.000 | 
| -0.000 | -0.000 | -0.000 | -0.000 | 80.884 | 0.000 | 
| -0.000 | -0.000 | -0.000 | -0.000 | 0.000 | 56.287 | 
| 175.861 | 79.122 | 109.414 | -0.000 | -0.000 | 0.000 | 
| 80.591 | 232.789 | 79.570 | 0.000 | -0.000 | -0.000 | 
| 131.620 | 91.744 | 297.475 | 0.000 | -0.000 | 0.000 | 
| 0.674 | 1.281 | -0.259 | 23.436 | -0.000 | 0.000 | 
| 0.800 | 1.662 | 0.394 | 0.000 | 51.702 | -0.000 | 
| -0.000 | -0.000 | 0.000 | 0.000 | -0.000 | 56.287 | 
| 206.084 | 103.792 | 129.862 | -0.000 | 0.000 | 0.000 | 
| 80.635 | 231.836 | 79.950 | -0.000 | 0.000 | -0.000 | 
| 131.620 | 91.744 | 297.475 | -0.000 | 0.000 | -0.000 | 
| -0.674 | -1.281 | 0.259 | 23.436 | 0.000 | -0.000 | 
| -0.800 | -1.662 | -0.394 | -0.000 | 51.702 | -0.000 | 
| 0.000 | 0.000 | -0.000 | -0.000 | -0.000 | 56.287 | 
| 175.465 | 78.130 | 109.782 | -0.000 | -0.000 | 0.000 | 
| 80.613 | 232.358 | 79.724 | 0.000 | 0.000 | -0.000 | 
| 107.439 | 78.897 | 234.317 | -0.000 | 0.000 | -0.000 | 
| 0.040 | 0.103 | -0.022 | 29.576 | 0.000 | 0.000 | 
| -0.000 | 0.000 | 0.000 | 0.000 | 80.884 | 0.000 | 
| -0.000 | -0.000 | 0.000 | 0.000 | -0.000 | 56.287 | 
| 186.173 | 89.450 | 97.925 | 0.000 | -0.000 | 0.000 | 
| 80.616 | 232.260 | 79.762 | -0.000 | -0.000 | -0.000 | 
| 102.895 | 72.943 | 237.930 | 0.000 | 0.000 | 0.000 | 
| -0.040 | -0.103 | 0.022 | 29.576 | -0.000 | -0.000 | 
| 0.000 | -0.000 | -0.000 | -0.000 | 80.884 | -0.000 | 
| 0.000 | 0.000 | -0.000 | -0.000 | -0.000 | 56.287 | 
| 2042.862 | 1433.385 | 1085.677 | -0.000 | 0.000 | -0.000 | 
| 102.921 | 251.367 | 86.973 | -0.000 | 0.000 | -0.000 | 
| 1997.750 | 1438.119 | 1207.491 | -0.000 | -0.000 | -0.000 | 
| 1185.182 | 809.454 | 1807.431 | 28.051 | -0.000 | -0.000 | 
| 1185.317 | 809.546 | 1807.637 | 0.000 | 69.107 | -0.000 | 
| 0.000 | 0.000 | 0.000 | -0.000 | 0.000 | 57.312 | 
| -1006.883 | -719.547 | -1701.471 | -0.000 | 0.000 | 0.000 | 
| -1095.965 | -569.447 | -1740.538 | -0.000 | -0.000 | 0.000 | 
| 135.935 | 86.973 | 304.767 | 0.000 | -0.000 | 0.000 | 
| -1185.182 | -809.454 | -1807.431 | 28.051 | 0.000 | 0.000 | 
| -1185.317 | -809.546 | -1807.637 | -0.000 | 69.107 | 0.000 | 
| -0.000 | -0.000 | -0.000 | 0.000 | 0.000 | 57.312 | 
| 297.047 | 170.991 | 286.980 | 0.000 | -0.000 | -0.000 | 
| 267.596 | 369.845 | 165.878 | 0.000 | -0.000 | -0.000 | 
| 316.243 | 238.660 | 322.438 | -0.000 | -0.000 | -0.000 | 
| -0.000 | 0.000 | -0.000 | 36.919 | 0.000 | -0.000 | 
| 198.692 | 156.872 | 82.675 | -0.000 | 64.360 | -0.000 | 
| 118.523 | 80.948 | 180.750 | 0.000 | -0.000 | 57.312 | 
| 196.622 | 102.921 | 135.935 | -0.000 | 0.000 | 0.000 | 
| -114.216 | 85.267 | -16.048 | -0.000 | 0.000 | 0.000 | 
| -74.213 | -65.245 | 154.565 | -0.000 | 0.000 | 0.000 | 
| 0.000 | -0.000 | 0.000 | 36.919 | -0.000 | 0.000 | 
| -198.692 | -156.872 | -82.675 | 0.000 | 64.360 | 0.000 | 
| -118.523 | -80.948 | -180.750 | -0.000 | 0.000 | 57.312 | 
| 196.622 | 102.921 | 135.935 | -0.000 | 0.000 | -0.000 | 
| 102.921 | 251.368 | 86.974 | -0.000 | 0.000 | -0.000 | 
| 134.606 | 93.226 | 249.791 | -0.000 | -0.000 | -0.000 | 
| 10.200 | 6.967 | 15.555 | 29.287 | -0.000 | -0.000 | 
| 20.365 | 15.971 | 8.239 | -0.000 | 59.749 | -0.000 | 
| 19.883 | 15.899 | 8.090 | -0.000 | -0.000 | 57.312 | 
| 145.623 | 61.013 | 109.325 | 0.000 | 0.000 | 0.000 | 
| 76.037 | 231.009 | 46.791 | -0.000 | 0.000 | -0.000 | 
| 98.127 | 64.434 | 233.053 | -0.000 | 0.000 | 0.000 | 
| -10.200 | -6.967 | -15.555 | 29.287 | 0.000 | 0.000 | 
| -20.365 | -15.971 | -8.239 | 0.000 | 59.749 | 0.000 | 
| -19.883 | -15.899 | -8.090 | 0.000 | 0.000 | 57.312 | 
| 338.285 | 111.431 | 88.070 | -0.000 | -0.000 | -0.000 | 
| 111.762 | 217.769 | 48.179 | -0.000 | -0.000 | -0.000 | 
| 57.546 | 55.003 | 167.396 | -0.000 | 0.000 | -0.000 | 
| 0.000 | 0.000 | 0.000 | 23.430 | -0.000 | -0.000 | 
| 0.000 | 0.000 | 0.000 | 0.000 | 64.332 | -0.000 | 
| 0.000 | 0.000 | 0.000 | 0.000 | 0.000 | 79.952 | 
| 365.452 | 132.450 | 116.082 | -0.000 | -0.000 | 0.000 | 
| 111.201 | 216.594 | 47.483 | 0.000 | -0.000 | 0.000 | 
| 82.580 | 42.405 | 202.106 | 0.000 | -0.000 | 0.000 | 
| -0.000 | -0.000 | -0.000 | 23.430 | 0.000 | 0.000 | 
| -0.000 | -0.000 | -0.000 | -0.000 | 64.332 | 0.000 | 
| -0.000 | -0.000 | -0.000 | -0.000 | 0.000 | 79.952 | 
| 338.292 | 111.119 | 88.027 | -0.000 | -0.000 | -0.000 | 
| 111.512 | 217.243 | 47.868 | -0.000 | 0.000 | -0.000 | 
| 82.287 | 42.596 | 201.808 | -0.000 | -0.000 | 0.000 | 
| 0.017 | 0.066 | 0.020 | 15.774 | 0.000 | -0.000 | 
| 0.018 | 0.043 | 0.023 | -0.000 | 49.557 | -0.000 | 
| 0.000 | 0.000 | 0.000 | 0.000 | -0.000 | 79.952 | 
| 338.291 | 111.049 | 88.016 | 0.000 | -0.000 | 0.000 | 
| 111.456 | 217.126 | 47.798 | 0.000 | -0.000 | 0.000 | 
| 116.082 | 71.052 | 240.610 | -0.000 | 0.000 | 0.000 | 
| -0.017 | -0.066 | -0.020 | 15.774 | 0.000 | 0.000 | 
| -0.018 | -0.043 | -0.023 | 0.000 | 49.557 | 0.000 | 
| -0.000 | -0.000 | -0.000 | -0.000 | -0.000 | 79.952 | 
| 338.294 | 111.088 | 88.022 | -0.000 | 0.000 | -0.000 | 
| 116.638 | 216.274 | 54.004 | -0.000 | 0.000 | 0.000 | 
| 58.158 | 54.315 | 168.230 | -0.000 | 0.000 | -0.000 | 
| 0.001 | 0.004 | 0.002 | 16.746 | 0.000 | -0.000 | 
| 0.001 | 0.009 | 0.001 | 0.000 | 44.222 | -0.000 | 
| 0.000 | 0.001 | 0.000 | 0.000 | -0.000 | 79.952 | 
| 317.178 | 116.671 | 58.086 | 0.000 | -0.000 | 0.000 | 
| 112.905 | 216.869 | 48.826 | -0.000 | -0.000 | 0.000 | 
| 58.135 | 54.285 | 168.234 | 0.000 | -0.000 | 0.000 | 
| -0.001 | -0.004 | -0.002 | 16.746 | 0.000 | 0.000 | 
| -0.001 | -0.009 | -0.001 | -0.000 | 44.222 | 0.000 | 
| -0.000 | -0.001 | -0.000 | -0.000 | 0.000 | 79.952 | 
| 296.013 | 135.799 | 71.870 | -0.000 | -0.000 | -0.000 | 
| 135.187 | 246.647 | 70.510 | 0.000 | 0.000 | -0.000 | 
| 116.915 | 71.036 | 240.903 | -0.000 | -0.000 | -0.000 | 
| 15.151 | 18.712 | 18.288 | 16.530 | 0.000 | -0.000 | 
| 0.000 | 0.000 | 0.000 | -0.000 | 66.345 | 0.000 | 
| 11.407 | 14.771 | 14.816 | -0.000 | -0.000 | 60.825 | 
| 339.987 | 136.681 | 117.883 | -0.000 | 0.000 | 0.000 | 
| 135.187 | 246.647 | 70.510 | -0.000 | -0.000 | 0.000 | 
| 116.915 | 71.036 | 240.903 | -0.000 | -0.000 | 0.000 | 
| -15.151 | -18.712 | -18.288 | 16.530 | -0.000 | 0.000 | 
| -0.000 | -0.000 | -0.000 | 0.000 | 66.345 | 0.000 | 
| -11.407 | -14.771 | -14.816 | 0.000 | 0.000 | 60.825 | 
| 339.988 | 136.681 | 117.883 | 0.000 | -0.000 | -0.000 | 
| 112.687 | 223.294 | 49.134 | -0.000 | 0.000 | -0.000 | 
| 80.693 | 43.743 | 204.363 | -0.000 | 0.000 | -0.000 | 
| 0.000 | 0.000 | 0.000 | 23.002 | 0.000 | -0.000 | 
| -0.000 | 0.000 | 0.000 | -0.000 | 66.345 | 0.000 | 
| 1.017 | 1.317 | 1.321 | -0.000 | -0.000 | 63.245 | 
| 303.279 | 110.661 | 85.901 | 0.000 | -0.000 | 0.000 | 
| 114.392 | 218.607 | 51.480 | 0.000 | 0.000 | 0.000 | 
| 79.183 | 40.792 | 201.868 | 0.000 | -0.000 | 0.000 | 
| -0.000 | -0.000 | -0.000 | 23.002 | -0.000 | 0.000 | 
| 0.000 | -0.000 | -0.000 | -0.000 | 66.345 | 0.000 | 
| -1.017 | -1.317 | -1.321 | 0.000 | -0.000 | 63.245 | 
| 305.161 | 112.884 | 88.188 | -0.000 | 0.000 | -0.000 | 
| 113.128 | 221.132 | 49.014 | 0.000 | 0.000 | -0.000 | 
| 56.458 | 53.798 | 169.674 | -0.000 | -0.000 | -0.000 | 
| 0.000 | 0.000 | 0.000 | 23.002 | 0.000 | -0.000 | 
| -0.000 | 0.000 | 0.000 | 0.000 | 66.345 | 0.000 | 
| -0.000 | 0.000 | 0.000 | 0.000 | 0.000 | 83.196 | 
| 339.981 | 136.681 | 117.883 | -0.000 | -0.000 | 0.000 | 
| 110.926 | 221.071 | 46.926 | 0.000 | -0.000 | 0.000 | 
| 116.915 | 71.035 | 240.901 | 0.000 | -0.000 | 0.000 | 
| -0.000 | -0.000 | -0.000 | 23.002 | -0.000 | 0.000 | 
| 0.000 | -0.000 | -0.000 | -0.000 | 66.345 | 0.000 | 
| 0.000 | -0.000 | -0.000 | -0.000 | -0.000 | 83.196 | 
| 759.612 | -225.964 | 65.975 | -0.000 | -0.010 | -0.000 | 
| 107.060 | 326.787 | 89.836 | -0.000 | -0.000 | -0.000 | 
| 125.290 | 93.844 | 197.772 | -0.000 | -0.000 | -0.000 | 
| 485.124 | -330.809 | -49.342 | 27.586 | -0.010 | -0.000 | 
| 586.948 | -2.645 | -529.293 | -0.000 | 61.181 | -0.000 | 
| 567.833 | 148.488 | -598.453 | -0.000 | -0.005 | 45.028 | 
| -317.188 | 105.766 | 655.404 | 0.000 | -0.001 | 0.000 | 
| -484.909 | 304.224 | 626.928 | 0.000 | -0.001 | 0.000 | 
| -454.678 | 102.864 | 640.800 | 0.000 | -0.001 | 0.000 | 
| -566.982 | -143.730 | 618.402 | 22.808 | -0.000 | -0.000 | 
| -586.948 | 2.645 | 529.294 | 0.000 | 61.180 | 0.000 | 
| -567.833 | -148.488 | 598.453 | 0.000 | 0.005 | 45.028 | 
| 284.675 | 106.187 | 120.409 | 0.000 | -0.000 | -0.000 | 
| 160.661 | 302.177 | 44.746 | -0.000 | 0.000 | -0.000 | 
| 172.861 | 58.509 | 120.931 | -0.000 | -0.001 | -0.000 | 
| 56.853 | 14.171 | -61.495 | 22.887 | -0.000 | -0.000 | 
| 56.727 | 14.677 | -61.743 | -0.000 | 62.314 | -0.000 | 
| 58.689 | -0.360 | -52.811 | -0.000 | 0.000 | 44.807 | 
| 211.278 | 103.294 | 179.019 | 0.000 | -0.000 | 0.000 | 
| 107.060 | 326.786 | 89.836 | -0.000 | 0.000 | 0.000 | 
| 77.761 | 123.889 | 143.798 | 0.000 | 0.001 | 0.000 | 
| -56.853 | -14.171 | 61.495 | 22.887 | 0.000 | 0.000 | 
| -56.726 | -14.678 | 61.750 | 0.000 | 62.314 | 0.000 | 
| -58.689 | 0.360 | 52.811 | 0.000 | -0.000 | 44.807 | 
| 284.676 | 106.187 | 120.410 | -0.000 | -0.000 | -0.000 | 
| 107.060 | 326.789 | 89.837 | -0.000 | -0.000 | 0.000 | 
| 168.862 | 115.672 | 28.835 | -0.000 | -0.001 | -0.000 | 
| 5.897 | 1.200 | -6.206 | 21.898 | -0.000 | -0.000 | 
| 5.743 | 1.378 | -6.080 | -0.000 | 61.844 | -0.000 | 
| 5.721 | -0.477 | -4.626 | -0.000 | -0.000 | 44.826 | 
| 264.502 | 101.884 | 142.261 | 0.000 | 0.000 | -0.000 | 
| 97.544 | 305.089 | 106.089 | -0.000 | -0.000 | 0.000 | 
| 159.013 | 111.206 | 36.322 | 0.000 | 0.000 | 0.000 | 
| -5.897 | -1.200 | 6.206 | 21.898 | 0.000 | 0.000 | 
| -5.743 | -1.378 | 6.080 | 0.000 | 61.844 | -0.000 | 
| -5.721 | 0.477 | 4.626 | 0.000 | 0.000 | 44.826 | 
| 269.233 | 109.959 | 95.772 | -0.000 | 0.000 | 0.000 | 
| 104.500 | 315.569 | 125.046 | 0.000 | 0.000 | 0.000 | 
| 103.528 | 125.045 | 259.061 | -0.000 | 0.000 | 0.000 | 
| -0.603 | 6.160 | -2.885 | 54.721 | 0.000 | 0.000 | 
| 4.218 | 9.869 | 2.127 | 0.000 | 44.097 | 0.000 | 
| -0.000 | 0.000 | -0.000 | -0.000 | 0.000 | 52.885 | 
| 261.686 | 94.666 | 95.927 | 0.000 | -0.000 | -0.000 | 
| 104.500 | 315.569 | 125.046 | -0.000 | -0.000 | -0.000 | 
| 103.528 | 125.045 | 259.061 | 0.000 | -0.000 | -0.000 | 
| 0.603 | -6.160 | 2.885 | 54.721 | -0.000 | -0.000 | 
| -4.218 | -9.869 | -2.127 | -0.000 | 44.097 | -0.000 | 
| 0.000 | -0.000 | 0.000 | -0.000 | -0.000 | 52.885 | 
| 265.710 | 104.709 | 98.166 | -0.000 | 0.000 | 0.000 | 
| 104.500 | 315.570 | 125.046 | 0.000 | 0.000 | 0.000 | 
| 103.528 | 125.045 | 259.061 | -0.000 | -0.000 | 0.000 | 
| -0.000 | -0.000 | 0.000 | 73.102 | 0.000 | 0.000 | 
| 0.000 | -0.000 | -0.000 | 0.000 | 53.719 | 0.000 | 
| -0.050 | 0.515 | -0.241 | 0.000 | 0.000 | 47.038 | 
| 280.712 | 104.500 | 103.529 | -0.000 | -0.000 | -0.000 | 
| 105.087 | 300.541 | 132.203 | -0.000 | -0.000 | -0.000 | 
| 97.056 | 135.082 | 226.339 | -0.000 | -0.000 | -0.000 | 
| 0.000 | 0.000 | -0.000 | 73.102 | 0.000 | -0.000 | 
| -0.000 | 0.000 | 0.000 | 0.000 | 53.719 | -0.000 | 
| 0.050 | -0.515 | 0.241 | -0.000 | -0.000 | 47.038 | 
| 265.495 | 103.848 | 98.089 | 0.000 | 0.000 | 0.000 | 
| 103.220 | 292.451 | 142.723 | 0.000 | 0.000 | 0.000 | 
| 96.436 | 131.322 | 234.895 | 0.000 | 0.000 | 0.000 | 
| -0.000 | -0.000 | 0.000 | 73.102 | 0.000 | 0.000 | 
| 0.000 | -0.000 | -0.000 | 0.000 | 53.719 | 0.000 | 
| 0.004 | 0.119 | -0.052 | 0.000 | 0.000 | 45.053 | 
| 265.447 | 103.655 | 98.072 | -0.000 | -0.000 | -0.000 | 
| 102.027 | 293.227 | 139.751 | -0.000 | -0.000 | -0.000 | 
| 103.528 | 125.044 | 259.061 | 0.000 | -0.000 | -0.000 | 
| 0.000 | 0.000 | -0.000 | 73.102 | -0.000 | -0.000 | 
| -0.000 | 0.000 | 0.000 | 0.000 | 53.719 | -0.000 | 
| -0.004 | -0.119 | 0.052 | -0.000 | -0.000 | 45.053 | 
| 286.082 | 111.399 | 97.663 | -0.000 | -0.000 | 0.000 | 
| 99.244 | 243.207 | 119.416 | -0.000 | -0.000 | -0.000 | 
| 82.932 | 123.156 | 209.479 | 0.000 | -0.000 | -0.000 | 
| -0.877 | 2.368 | -1.902 | 33.105 | -0.000 | 0.000 | 
| -0.195 | 1.206 | -0.401 | -0.000 | 44.171 | 0.000 | 
| -0.278 | 1.724 | -0.574 | -0.000 | -0.000 | 45.156 | 
| 260.924 | 101.961 | 82.534 | -0.000 | 0.000 | -0.000 | 
| 112.588 | 273.090 | 112.638 | 0.000 | 0.000 | -0.000 | 
| 86.224 | 111.790 | 221.527 | -0.000 | 0.000 | -0.000 | 
| 0.877 | -2.368 | 1.902 | 33.105 | 0.000 | -0.000 | 
| 0.195 | -1.206 | 0.401 | 0.000 | 44.171 | -0.000 | 
| 0.278 | -1.724 | 0.574 | 0.000 | 0.000 | 45.156 | 
| 259.353 | 103.706 | 81.070 | 0.000 | -0.000 | 0.000 | 
| 112.588 | 273.090 | 112.638 | -0.000 | -0.000 | 0.000 | 
| 83.779 | 120.842 | 211.377 | 0.000 | -0.000 | 0.000 | 
| 0.000 | -0.000 | 0.000 | 63.692 | -0.000 | 0.000 | 
| 0.000 | 0.000 | -0.000 | -0.000 | 49.136 | -0.000 | 
| -0.028 | 0.172 | -0.057 | 0.000 | -0.000 | 45.182 | 
| 259.637 | 103.372 | 81.339 | 0.000 | 0.000 | -0.000 | 
| 105.129 | 249.086 | 112.477 | 0.000 | 0.000 | -0.000 | 
| 84.934 | 113.281 | 219.174 | 0.000 | 0.000 | -0.000 | 
| -0.000 | 0.000 | -0.000 | 63.692 | 0.000 | 0.000 | 
| -0.000 | -0.000 | 0.000 | 0.000 | 49.136 | -0.000 | 
| 0.028 | -0.172 | 0.057 | -0.000 | 0.000 | 45.182 | 
| 259.481 | 103.556 | 81.192 | -0.000 | -0.000 | -0.000 | 
| 105.101 | 249.315 | 112.408 | 0.000 | -0.000 | 0.000 | 
| 86.149 | 122.388 | 209.155 | -0.000 | -0.000 | 0.000 | 
| -0.003 | 0.018 | -0.006 | 38.369 | -0.000 | 0.000 | 
| 0.000 | 0.000 | -0.000 | -0.000 | 49.136 | -0.000 | 
| 0.000 | 0.000 | 0.000 | -0.000 | -0.000 | 59.350 | 
| 286.080 | 111.399 | 97.663 | 0.000 | 0.000 | -0.000 | 
| 112.588 | 273.089 | 112.638 | 0.000 | 0.000 | -0.000 | 
| 99.892 | 113.677 | 245.630 | -0.000 | 0.000 | -0.000 | 
| 0.003 | -0.018 | 0.006 | 38.369 | 0.000 | -0.000 | 
| -0.000 | -0.000 | 0.000 | 0.000 | 49.136 | 0.000 | 
| -0.000 | -0.000 | -0.000 | 0.000 | 0.000 | 59.350 | 
| 227.869 | 89.621 | -7.988 | -0.000 | -0.000 | -0.000 | 
| 112.510 | 279.619 | 122.833 | -0.000 | 0.000 | 0.000 | 
| 98.025 | 122.833 | 246.901 | -0.000 | 0.000 | 0.000 | 
| 0.000 | -0.000 | 0.000 | 71.275 | 0.000 | 0.000 | 
| 0.000 | 0.000 | 0.000 | -0.000 | 47.548 | 0.000 | 
| 0.000 | 0.000 | 0.000 | -0.000 | 0.000 | 60.567 | 
| 297.239 | 112.510 | 98.025 | 0.000 | -0.000 | 0.000 | 
| 157.793 | 275.165 | 216.087 | 0.000 | 0.000 | 0.000 | 
| 98.025 | 122.833 | 246.901 | -0.000 | -0.000 | -0.000 | 
| 0.000 | 0.000 | -0.000 | 71.275 | -0.000 | -0.000 | 
| -0.000 | 0.000 | 0.000 | 0.000 | 47.548 | 0.000 | 
| -0.000 | -0.000 | 0.000 | 0.000 | -0.000 | 60.567 | 
| 297.239 | 112.510 | 98.025 | -0.000 | 0.000 | 0.000 | 
| 101.332 | 251.327 | 112.154 | -0.000 | -0.000 | -0.000 | 
| 79.702 | 129.457 | 199.529 | -0.000 | -0.000 | 0.000 | 
| -5.290 | -1.923 | -9.869 | 47.059 | -0.000 | 0.000 | 
| -4.475 | -1.627 | -8.348 | -0.000 | 42.349 | -0.000 | 
| 0.000 | -0.000 | 0.000 | -0.000 | 0.000 | 60.567 | 
| 297.239 | 112.510 | 98.025 | 0.000 | -0.000 | 0.000 | 
| 112.510 | 279.619 | 122.833 | 0.000 | -0.000 | 0.000 | 
| 98.025 | 122.833 | 246.901 | 0.000 | -0.000 | 0.000 | 
| 5.290 | 1.923 | 9.869 | 47.059 | 0.000 | 0.000 | 
| 4.475 | 1.627 | 8.349 | 0.000 | 42.349 | -0.000 | 
| -0.000 | 0.000 | -0.000 | 0.000 | -0.000 | 60.567 | 
| 267.009 | 103.084 | 85.371 | -0.000 | -0.000 | 0.000 | 
| 106.050 | 251.055 | 121.788 | -0.000 | -0.000 | -0.000 | 
| 86.698 | 131.397 | 209.025 | -0.000 | 0.000 | 0.000 | 
| 0.000 | -0.000 | 0.000 | 71.275 | 0.000 | -0.000 | 
| -0.393 | -0.143 | -0.733 | -0.000 | 42.982 | -0.000 | 
| -0.552 | -0.201 | -1.030 | -0.000 | -0.000 | 47.087 | 
| 297.238 | 112.510 | 98.024 | -0.000 | -0.000 | -0.000 | 
| 112.510 | 279.619 | 122.833 | 0.000 | -0.000 | 0.000 | 
| 98.025 | 122.833 | 246.901 | 0.000 | -0.000 | 0.000 | 
| -0.000 | 0.000 | -0.000 | 71.275 | -0.000 | -0.000 | 
| 0.393 | 0.143 | 0.733 | 0.000 | 42.982 | -0.000 | 
| 0.552 | 0.201 | 1.030 | 0.000 | 0.000 | 47.087 | 
| 415.536 | -445.050 | -817.951 | -0.000 | -436.469 | 0.000 | 
| 78.461 | 231.054 | 96.001 | -0.000 | -0.501 | 0.000 | 
| 7.283 | -284.110 | -294.201 | 0.000 | -412.072 | 0.000 | 
| -104.675 | -344.923 | -533.977 | 30.607 | -406.296 | -0.955 | 
| -81.027 | -631.749 | -976.317 | -0.000 | -339.184 | 0.000 | 
| -104.683 | -344.948 | -534.016 | -0.980 | -406.326 | 27.252 | 
| 347.270 | 405.978 | 644.418 | 0.000 | 418.557 | -0.000 | 
| 167.109 | 550.051 | 594.893 | 0.000 | 405.287 | -0.000 | 
| 189.710 | 693.442 | 1209.699 | 0.000 | 407.479 | -0.000 | 
| 104.675 | 344.923 | 533.977 | 30.607 | 406.296 | -0.955 | 
| -180.853 | 505.747 | 923.967 | 0.000 | 515.922 | -0.000 | 
| 104.683 | 344.948 | 534.016 | -0.980 | 406.326 | 27.252 | 
| 232.451 | 26.822 | 57.427 | -0.000 | -28.390 | 0.000 | 
| 51.546 | 170.046 | 6.754 | -0.000 | -41.448 | 0.000 | 
| 101.384 | 26.637 | 186.532 | -0.000 | -45.423 | 0.000 | 
| -10.413 | -34.312 | -53.118 | 30.691 | -40.417 | -0.952 | 
| -0.952 | -0.476 | -4.129 | -0.000 | 84.127 | 0.000 | 
| -7.835 | -63.321 | -97.301 | -0.734 | -41.172 | 23.323 | 
| 252.747 | 95.248 | 163.392 | 0.000 | 52.838 | -0.000 | 
| 73.350 | 240.280 | 115.180 | 0.000 | 39.481 | -0.000 | 
| 135.896 | 96.030 | 316.154 | -0.000 | -4.129 | -0.000 | 
| 10.413 | 34.312 | 53.118 | 30.691 | 40.417 | -0.952 | 
| 5.316 | 66.626 | 96.650 | 0.000 | 115.806 | -0.000 | 
| 7.835 | 63.321 | 97.301 | -0.734 | 41.172 | 23.323 | 
| 258.444 | 75.956 | 132.680 | -0.000 | 14.711 | 0.000 | 
| 61.089 | 198.376 | 55.796 | -0.000 | -3.986 | 0.000 | 
| 114.077 | 56.038 | 229.979 | -0.000 | -10.296 | 0.000 | 
| -0.894 | -2.945 | -4.559 | 32.975 | -3.469 | -0.876 | 
| -0.214 | -5.468 | -15.318 | -0.000 | 63.845 | 0.000 | 
| -0.000 | 0.000 | 0.000 | -0.440 | -0.000 | 32.331 | 
| 258.443 | 75.956 | 132.680 | -0.000 | 14.711 | -0.000 | 
| 78.460 | 231.052 | 96.000 | 0.000 | -0.501 | -0.000 | 
| 118.473 | 72.539 | 262.806 | -0.000 | -0.852 | -0.000 | 
| 0.894 | 2.945 | 4.559 | 32.975 | 3.469 | -0.876 | 
| -0.839 | 2.578 | -0.133 | 0.000 | 77.579 | -0.000 | 
| 0.000 | -0.000 | -0.000 | -0.440 | 0.000 | 32.331 | 
| -290.416 | -515.132 | -501.025 | 0.000 | 209.049 | -0.000 | 
| -447.724 | -363.614 | -547.757 | 0.000 | 194.984 | -0.000 | 
| -395.715 | -510.609 | -356.799 | 0.000 | 191.205 | -0.000 | 
| -517.330 | -582.899 | -619.508 | 34.158 | 194.857 | -1.009 | 
| -519.091 | -583.527 | -623.792 | 0.000 | 271.773 | -0.000 | 
| -0.000 | 0.000 | 0.000 | -0.565 | -0.000 | 37.079 | 
| 744.342 | 650.761 | 738.118 | -0.000 | -180.651 | 0.000 | 
| 1585.323 | 1081.937 | 772.358 | -0.000 | 44.044 | 0.000 | 
| 638.903 | 655.128 | 882.096 | -0.000 | -198.504 | 0.000 | 
| 517.330 | 582.899 | 619.508 | 34.158 | -194.857 | -1.009 | 
| -0.420 | -0.589 | -3.600 | -0.000 | 88.273 | 0.000 | 
| 0.000 | -0.000 | -0.000 | -0.565 | 0.000 | 37.079 | 
| 242.373 | 82.601 | 138.587 | 0.000 | 16.479 | -0.000 | 
| 17.840 | 160.957 | 9.760 | 0.000 | 19.625 | -0.000 | 
| 70.108 | 14.319 | 201.387 | 0.000 | 15.813 | -0.000 | 
| -51.703 | -58.257 | -61.915 | 34.165 | 19.475 | -1.009 | 
| -157.627 | -89.524 | -77.527 | 0.000 | 70.727 | -0.000 | 
| -151.821 | -87.487 | -70.764 | -0.804 | -4.474 | 26.492 | 
| 279.151 | 126.540 | 181.090 | -0.000 | -5.217 | 0.000 | 
| 82.715 | 240.899 | 98.960 | -0.000 | -0.589 | 0.000 | 
| 269.524 | 150.667 | 311.615 | -0.000 | -2.920 | 0.000 | 
| 51.703 | 58.257 | 61.915 | 34.165 | -19.475 | -1.009 | 
| 49.942 | 57.605 | 57.617 | -0.000 | 57.623 | 0.000 | 
| 151.821 | 87.487 | 70.764 | -0.804 | 4.474 | 26.492 | 
| 202.075 | 54.891 | 112.662 | 0.000 | 12.695 | -0.000 | 
| 52.030 | 206.233 | 66.770 | -0.000 | 0.339 | -0.000 | 
| 117.629 | 68.283 | 260.626 | 0.000 | -1.670 | -0.000 | 
| -17.449 | -3.820 | -0.601 | 27.268 | -2.865 | -0.598 | 
| -6.350 | -5.777 | -9.765 | -0.000 | 78.460 | -0.000 | 
| -5.454 | -6.145 | -6.531 | -1.033 | 2.054 | 31.953 | 
| 235.097 | 76.571 | 128.540 | -0.000 | 12.420 | 0.000 | 
| 82.284 | 213.613 | 67.466 | -0.000 | 1.968 | 0.000 | 
| 126.742 | 78.299 | 270.141 | 0.000 | -5.352 | 0.000 | 
| 17.449 | 3.820 | 0.601 | 27.268 | 2.865 | -0.598 | 
| -0.420 | -0.589 | -3.601 | 0.000 | 88.273 | 0.000 | 
| 5.454 | 6.145 | 6.531 | -1.033 | -2.054 | 31.953 | 
| -1785.408 | -1004.894 | 332.668 | -0.000 | 0.000 | 0.000 | 
| -1853.649 | -1060.131 | 418.252 | -0.000 | 0.000 | 0.000 | 
| -1916.120 | -981.739 | 513.411 | -0.000 | 0.000 | 0.000 | 
| -1957.726 | -1108.684 | 290.514 | 75.623 | 0.000 | 0.000 | 
| -1957.397 | -1108.245 | 290.918 | -0.000 | 1.743 | 0.000 | 
| -1957.407 | -1108.266 | 290.882 | -0.000 | 0.000 | 71.956 | 
| 2129.098 | 1211.329 | -249.284 | 0.000 | -0.000 | -0.000 | 
| 2060.699 | 1155.921 | -163.822 | 0.000 | -0.000 | -0.000 | 
| 1998.401 | 1234.495 | -68.544 | 0.000 | -0.000 | -0.000 | 
| 1957.726 | 1108.685 | -290.513 | 75.624 | -0.000 | -0.000 | 
| 1957.397 | 1108.245 | -290.918 | 0.000 | 1.743 | -0.000 | 
| 1957.407 | 1108.266 | -290.882 | 0.000 | 0.000 | 71.956 | 
| -22.431 | -5.912 | 72.200 | 0.000 | 0.000 | 0.000 | 
| -90.596 | -61.058 | 157.828 | 0.000 | 0.000 | 0.000 | 
| -151.972 | 17.653 | 252.581 | 0.000 | 0.000 | 0.000 | 
| -195.689 | -110.773 | 29.121 | 76.262 | 0.000 | 0.000 | 
| -195.685 | -110.567 | 29.429 | 0.000 | 1.909 | 0.000 | 
| -195.619 | -110.688 | 29.201 | 0.000 | -0.000 | 72.358 | 
| 368.762 | 215.411 | 13.752 | -0.000 | 0.000 | -0.000 | 
| 300.494 | 160.149 | 99.330 | -0.000 | -0.000 | -0.000 | 
| 237.922 | 238.415 | 194.368 | -0.000 | -0.000 | -0.000 | 
| 195.689 | 110.773 | -29.121 | 76.262 | -0.000 | -0.000 | 
| 195.685 | 110.567 | -29.429 | -0.000 | 1.909 | -0.000 | 
| 195.619 | 110.688 | -29.201 | -0.000 | -0.000 | 72.358 | 
| 153.633 | 93.696 | 45.897 | 0.000 | 0.000 | 0.000 | 
| 85.344 | 38.425 | 131.476 | 0.000 | 0.000 | 0.000 | 
| 33.332 | 121.463 | 224.017 | 0.000 | 0.000 | 0.000 | 
| -19.560 | -11.070 | 2.921 | 76.298 | 0.000 | 0.000 | 
| -1025206.569 | -200037.135 | -2222135.475 | -669885.956 | 26644.000 | 800152.410 | 
| -19.560 | -11.068 | 2.920 | 0.000 | 0.000 | 72.360 | 
| 192.717 | 115.813 | 40.053 | 0.000 | -0.000 | -0.000 | 
| 124.458 | 60.555 | 125.631 | -0.000 | -0.000 | -0.000 | 
| 61.881 | 138.818 | 220.669 | -0.000 | -0.000 | -0.000 | 
| 19.560 | 11.070 | -2.921 | 76.298 | -0.000 | -0.000 | 
| 1660147.872 | 132820.961 | 1592736.370 | 743027.859 | -34606.034 | -578327.389 | 
| 19.560 | 11.068 | -2.920 | -0.000 | 0.000 | 72.360 | 
| 31.428 | 119.621 | 119.621 | -0.000 | -0.000 | 0.000 | 
| 119.621 | 31.428 | 119.621 | -0.000 | -0.000 | -0.000 | 
| 119.621 | 119.621 | 31.428 | -0.000 | -0.000 | 0.000 | 
| -0.000 | -0.000 | -0.000 | -65.759 | -0.000 | 0.000 | 
| 0.000 | -0.000 | -0.000 | -0.000 | -65.759 | 0.000 | 
| 0.000 | -0.000 | -0.000 | -0.000 | -0.000 | -65.759 | 
| 31.428 | 119.621 | 119.621 | 0.000 | -0.000 | -0.000 | 
| 119.621 | 31.428 | 119.621 | 0.000 | 0.000 | -0.000 | 
| 119.621 | 119.621 | 31.428 | 0.000 | 0.000 | -0.000 | 
| 0.000 | 0.000 | 0.000 | -65.759 | 0.000 | 0.000 | 
| -0.000 | 0.000 | 0.000 | 0.000 | -65.759 | -0.000 | 
| -0.000 | 0.000 | 0.000 | 0.000 | 0.000 | -65.759 | 
| 31.428 | 119.621 | 119.621 | -0.000 | -0.000 | 0.000 | 
| 119.621 | 31.428 | 119.621 | -0.000 | -0.000 | 0.000 | 
| 119.621 | 119.621 | 31.428 | -0.000 | -0.000 | 0.000 | 
| 0.000 | 0.000 | 0.000 | 80.081 | -0.000 | 0.000 | 
| 0.000 | 0.000 | 0.000 | -0.000 | 80.081 | 0.000 | 
| 0.000 | 0.000 | 0.000 | -0.000 | -0.000 | 80.081 | 
| 31.428 | 119.621 | 119.621 | 0.000 | 0.000 | 0.000 | 
| 119.621 | 31.428 | 119.621 | 0.000 | 0.000 | 0.000 | 
| 119.621 | 119.621 | 31.428 | 0.000 | -0.000 | -0.000 | 
| -0.000 | -0.000 | -0.000 | 80.081 | 0.000 | -0.000 | 
| -0.000 | -0.000 | -0.000 | 0.000 | 80.081 | -0.000 | 
| -0.000 | -0.000 | -0.000 | 0.000 | 0.000 | 80.081 | 
| 31.428 | 119.621 | 119.621 | -0.000 | -0.000 | 0.000 | 
| 119.621 | 31.428 | 119.621 | -0.000 | -0.000 | 0.000 | 
| 119.621 | 119.621 | 31.428 | -0.000 | -0.000 | 0.000 | 
| -0.002 | 0.000 | 0.000 | -65.759 | -0.000 | -0.000 | 
| 0.000 | -0.002 | 0.000 | -0.000 | -65.759 | 0.000 | 
| 0.000 | 0.000 | -0.002 | -0.000 | -0.000 | -65.759 | 
| 31.429 | 119.620 | 119.620 | 0.000 | 0.000 | -0.000 | 
| 119.620 | 31.429 | 119.620 | 0.000 | 0.000 | -0.000 | 
| 119.620 | 119.620 | 31.429 | -0.000 | 0.000 | -0.000 | 
| 0.002 | -0.000 | -0.000 | -65.759 | 0.000 | -0.000 | 
| -0.000 | 0.002 | -0.000 | 0.000 | -65.759 | -0.000 | 
| -0.000 | -0.000 | 0.002 | 0.000 | 0.000 | -65.759 | 
| 70.900 | 105.963 | 105.963 | -0.000 | -0.000 | 0.000 | 
| 105.963 | 70.900 | 105.963 | -0.000 | -0.000 | -0.000 | 
| 105.963 | 105.963 | 70.900 | -0.000 | 0.000 | 0.000 | 
| 0.000 | 0.000 | -0.000 | -31.892 | -0.000 | 0.000 | 
| 0.000 | 0.000 | 0.000 | -0.000 | -31.892 | 0.000 | 
| 0.000 | 0.000 | 0.000 | -0.000 | -0.000 | -31.892 | 
| 70.900 | 105.963 | 105.963 | 0.000 | -0.000 | -0.000 | 
| 105.963 | 70.900 | 105.963 | 0.000 | 0.000 | -0.000 | 
| 105.963 | 105.963 | 70.900 | 0.000 | 0.000 | -0.000 | 
| -0.000 | -0.000 | 0.000 | -31.892 | -0.000 | -0.000 | 
| -0.000 | -0.000 | 0.000 | 0.000 | -31.892 | -0.000 | 
| -0.000 | 0.000 | -0.000 | 0.000 | 0.000 | -31.892 | 
| 70.901 | 105.963 | 105.963 | -0.000 | 0.000 | 0.000 | 
| 105.963 | 70.901 | 105.963 | -0.000 | -0.000 | 0.000 | 
| 105.963 | 105.963 | 70.901 | -0.000 | 0.000 | -0.000 | 
| 0.000 | 0.000 | 0.000 | -12.872 | 0.000 | 0.000 | 
| 0.000 | 0.000 | 0.000 | -0.000 | -12.872 | 0.000 | 
| 0.000 | 0.000 | 0.000 | -0.000 | -0.000 | -12.872 | 
| 70.900 | 105.963 | 105.963 | 0.000 | 0.000 | -0.000 | 
| 105.963 | 70.900 | 105.963 | 0.000 | 0.000 | -0.000 | 
| 105.963 | 105.963 | 70.900 | 0.000 | 0.000 | -0.000 | 
| -0.000 | -0.000 | -0.000 | -12.872 | 0.000 | -0.000 | 
| -0.000 | -0.000 | -0.000 | 0.000 | -12.872 | -0.000 | 
| -0.000 | -0.000 | -0.000 | 0.000 | 0.000 | -12.872 | 
| 70.902 | 105.963 | 105.963 | -0.000 | -0.000 | 0.000 | 
| 105.963 | 70.902 | 105.963 | -0.000 | -0.000 | 0.000 | 
| 105.963 | 105.963 | 70.902 | -0.000 | -0.000 | 0.000 | 
| 0.001 | 0.000 | 0.000 | -31.900 | -0.000 | 0.000 | 
| 0.000 | 0.001 | 0.000 | -0.000 | -31.900 | 0.000 | 
| 0.000 | 0.000 | 0.001 | -0.000 | -0.000 | -31.900 | 
| 70.899 | 105.962 | 105.962 | 0.000 | 0.000 | -0.000 | 
| 105.962 | 70.899 | 105.962 | 0.000 | 0.000 | -0.000 | 
| 105.962 | 105.962 | 70.899 | -0.000 | -0.000 | 0.000 | 
| -0.001 | -0.000 | -0.000 | -31.900 | 0.000 | -0.000 | 
| -0.000 | -0.001 | -0.000 | 0.000 | -31.900 | -0.000 | 
| -0.000 | -0.000 | -0.001 | 0.000 | 0.000 | -31.900 | 
| 325.512 | 271.348 | -1455.659 | 0.000 | -0.000 | -0.000 | 
| 274.490 | 373.161 | -1650.641 | -0.000 | -0.000 | -0.000 | 
| 173.631 | 265.146 | -1399.961 | -0.000 | -0.000 | -0.000 | 
| 0.000 | 0.000 | 0.000 | 49.929 | 0.000 | 0.000 | 
| 0.000 | 0.000 | 0.000 | 0.000 | 67.620 | 0.000 | 
| 171.662 | 235.065 | -1742.781 | 0.000 | -0.000 | 52.023 | 
| 179.463 | -80.483 | 1658.249 | 0.000 | 0.000 | 0.000 | 
| 26.933 | -35.094 | 1648.038 | -0.000 | 0.000 | 0.000 | 
| 27.701 | -86.721 | 1714.210 | -0.000 | 0.000 | 0.000 | 
| -0.000 | -0.000 | -0.000 | 49.929 | -0.000 | 0.000 | 
| -0.000 | -0.000 | -0.000 | -0.000 | 67.620 | -0.000 | 
| -171.662 | -235.065 | 1742.781 | -0.000 | 0.000 | 52.023 | 
| 260.275 | 112.882 | -53.806 | 0.000 | -0.000 | -0.000 | 
| 107.189 | 158.635 | -65.260 | -0.000 | -0.000 | -0.000 | 
| 110.935 | 86.812 | 208.927 | -0.000 | 0.000 | 0.000 | 
| 7.324 | 17.655 | -156.253 | 38.716 | -0.000 | -0.000 | 
| 12.774 | 28.277 | -207.148 | -0.000 | 59.944 | 0.000 | 
| 0.000 | 0.000 | 0.000 | -0.000 | 0.000 | 55.662 | 
| 235.627 | 75.464 | 272.762 | -0.000 | -0.000 | -0.000 | 
| 96.659 | 151.793 | 86.438 | 0.000 | -0.000 | -0.000 | 
| 110.935 | 86.812 | 208.927 | -0.000 | -0.000 | -0.000 | 
| -7.324 | -17.655 | 156.253 | 38.716 | 0.000 | 0.000 | 
| -12.774 | -28.277 | 207.148 | -0.000 | 59.944 | -0.000 | 
| -0.000 | -0.000 | -0.000 | 0.000 | -0.000 | 55.662 | 
| 267.307 | 92.650 | 106.552 | 0.000 | -0.000 | 0.000 | 
| 101.215 | 141.869 | 71.513 | 0.000 | -0.000 | -0.000 | 
| 106.691 | 99.128 | 109.756 | -0.000 | -0.000 | -0.000 | 
| 2.526 | 2.916 | -19.818 | 32.625 | 0.000 | 0.000 | 
| 0.000 | 0.000 | 0.000 | -0.000 | 67.620 | 0.000 | 
| 0.669 | 1.612 | -14.268 | -0.000 | -0.000 | 51.994 | 
| 251.733 | 94.277 | 111.849 | -0.000 | 0.000 | 0.000 | 
| 102.264 | 133.641 | 111.830 | -0.000 | -0.000 | -0.000 | 
| 101.511 | 92.880 | 151.180 | 0.000 | -0.000 | -0.000 | 
| -2.526 | -2.916 | 19.818 | 32.625 | -0.000 | -0.000 | 
| -0.000 | -0.000 | -0.000 | 0.000 | 67.620 | -0.000 | 
| -0.669 | -1.612 | 14.268 | -0.000 | 0.000 | 51.994 | 
| 731.941 | -29.244 | -167.400 | 0.000 | 0.000 | 0.000 | 
| 591.670 | 102.186 | -238.611 | 0.000 | 0.000 | 0.000 | 
| 463.640 | 193.163 | -380.390 | -0.000 | 0.000 | -0.000 | 
| -0.000 | 0.000 | 0.000 | 73.936 | 0.000 | 0.000 | 
| -0.000 | 0.000 | 0.000 | -0.000 | 59.308 | -0.000 | 
| -0.000 | -0.000 | 0.000 | 0.000 | 0.000 | 44.596 | 
| -223.499 | 203.091 | 352.963 | -0.000 | -0.000 | 0.000 | 
| 81.708 | 204.593 | 112.797 | -0.000 | -0.000 | -0.000 | 
| -384.195 | 230.873 | 505.504 | -0.000 | -0.000 | -0.000 | 
| -0.000 | -0.000 | -0.000 | 73.936 | 0.000 | -0.000 | 
| -0.000 | -0.000 | -0.000 | 0.000 | 59.308 | 0.000 | 
| 0.000 | 0.000 | -0.000 | 0.000 | -0.000 | 44.596 | 
| 263.001 | 81.708 | 98.987 | 0.000 | 0.000 | 0.000 | 
| 138.525 | 179.447 | 83.864 | -0.000 | 0.000 | -0.000 | 
| 98.987 | 112.797 | 264.531 | -0.000 | 0.000 | -0.000 | 
| -0.000 | 0.000 | 0.000 | 73.936 | 0.000 | 0.000 | 
| 47.775 | -11.618 | -26.020 | -0.000 | 53.610 | -0.000 | 
| -0.000 | -0.000 | -0.000 | -0.000 | 0.000 | 44.596 | 
| 203.009 | 97.709 | 127.488 | 0.000 | -0.000 | -0.000 | 
| 81.708 | 204.593 | 112.797 | -0.000 | -0.000 | 0.000 | 
| 45.726 | 126.322 | 271.575 | 0.000 | -0.000 | 0.000 | 
| 0.000 | -0.000 | -0.000 | 73.936 | -0.000 | -0.000 | 
| -47.775 | 11.618 | 26.020 | -0.000 | 53.610 | -0.000 | 
| 0.000 | 0.000 | 0.000 | -0.000 | -0.000 | 44.596 | 
| 263.001 | 81.708 | 98.987 | 0.000 | 0.000 | 0.000 | 
| 81.707 | 204.594 | 112.797 | 0.000 | 0.000 | -0.000 | 
| 92.583 | 128.332 | 226.485 | 0.000 | 0.000 | -0.000 | 
| 2.965 | 1.784 | -8.163 | 57.507 | 0.000 | -0.000 | 
| 4.800 | -1.167 | -2.615 | 0.000 | 53.582 | 0.000 | 
| 5.023 | -1.222 | -2.736 | 0.000 | 0.000 | 41.190 | 
| 249.192 | 88.151 | 95.505 | 0.000 | -0.000 | -0.000 | 
| 81.708 | 204.593 | 112.797 | -0.000 | -0.000 | -0.000 | 
| 85.388 | 125.157 | 239.991 | -0.000 | -0.000 | -0.000 | 
| -2.965 | -1.784 | 8.163 | 57.507 | -0.000 | -0.000 | 
| -4.800 | 1.167 | 2.615 | -0.000 | 53.582 | -0.000 | 
| -5.023 | 1.222 | 2.736 | -0.000 | -0.000 | 41.190 | 
| 175.932 | 127.533 | 115.088 | 0.000 | 0.000 | 0.000 | 
| 122.516 | 237.283 | 72.086 | 0.000 | 0.000 | -0.000 | 
| 95.803 | 68.523 | 259.137 | 0.000 | -0.000 | 0.000 | 
| 0.000 | 0.000 | 0.000 | 34.980 | -0.000 | 0.000 | 
| -0.477 | 1.400 | -0.231 | 0.000 | 69.391 | 0.000 | 
| -2.415 | 1.284 | -3.001 | 0.000 | 0.000 | 70.408 | 
| 160.502 | 119.655 | 100.474 | -0.000 | -0.000 | -0.000 | 
| 126.706 | 231.564 | 78.384 | -0.000 | 0.000 | -0.000 | 
| 85.800 | 74.311 | 250.586 | -0.000 | -0.000 | -0.000 | 
| -0.000 | 0.000 | -0.000 | 34.980 | 0.000 | 0.000 | 
| 0.477 | -1.400 | 0.231 | -0.000 | 69.391 | -0.000 | 
| 2.415 | -1.284 | 3.001 | -0.000 | -0.000 | 70.408 | 
| 157.372 | 120.026 | 97.774 | 0.000 | -0.000 | 0.000 | 
| 122.252 | 237.367 | 69.859 | 0.000 | 0.000 | 0.000 | 
| 115.088 | 75.047 | 281.308 | 0.000 | 0.000 | 0.000 | 
| -0.000 | -0.000 | 0.000 | 34.980 | -0.000 | 0.000 | 
| -0.000 | -0.000 | 0.000 | 0.000 | 75.000 | 0.000 | 
| -0.050 | 0.146 | -0.024 | 0.000 | -0.000 | 73.171 | 
| 148.221 | 128.130 | 89.179 | -0.000 | -0.000 | 0.000 | 
| 127.534 | 245.620 | 75.047 | -0.000 | 0.000 | -0.000 | 
| 115.088 | 75.047 | 281.307 | 0.000 | 0.000 | 0.000 | 
| 0.000 | 0.000 | -0.000 | 34.980 | 0.000 | -0.000 | 
| 0.000 | 0.000 | -0.000 | -0.000 | 75.000 | 0.000 | 
| 0.050 | -0.146 | 0.024 | -0.000 | 0.000 | 73.171 | 
| 157.665 | 119.989 | 98.022 | -0.000 | 0.000 | -0.000 | 
| 124.221 | 234.683 | 74.775 | 0.000 | 0.000 | -0.000 | 
| 79.584 | 82.853 | 240.065 | 0.000 | -0.000 | 0.000 | 
| -0.000 | -0.000 | 0.000 | 34.980 | 0.000 | 0.000 | 
| -0.000 | -0.000 | 0.000 | 0.000 | 75.000 | 0.000 | 
| -0.005 | 0.015 | -0.002 | 0.000 | 0.000 | 73.172 | 
| 157.718 | 119.981 | 98.077 | 0.000 | -0.000 | 0.000 | 
| 122.273 | 237.223 | 69.860 | 0.000 | -0.000 | -0.000 | 
| 80.618 | 77.339 | 244.892 | -0.000 | -0.000 | 0.000 | 
| 0.000 | 0.000 | -0.000 | 34.980 | -0.000 | -0.000 | 
| 0.000 | 0.000 | -0.000 | -0.000 | 75.000 | 0.000 | 
| 0.005 | -0.015 | 0.002 | 0.000 | -0.000 | 73.172 | 
| 145.344 | 138.360 | 121.866 | 0.000 | 0.000 | -0.000 | 
| 137.194 | 249.963 | 73.948 | 0.000 | 0.000 | -0.000 | 
| 101.482 | 81.811 | 255.762 | 0.000 | 0.000 | -0.000 | 
| 7.895 | 4.079 | 7.438 | 21.640 | 0.000 | -0.000 | 
| 5.501 | 3.497 | 4.937 | 0.000 | 74.197 | -0.000 | 
| -0.000 | 0.000 | -0.000 | 0.000 | 0.000 | 93.319 | 
| 145.344 | 138.360 | 121.866 | -0.000 | -0.000 | 0.000 | 
| 128.512 | 236.597 | 64.866 | -0.000 | -0.000 | 0.000 | 
| 103.394 | 63.672 | 257.817 | -0.000 | -0.000 | 0.000 | 
| -7.895 | -4.079 | -7.438 | 21.640 | -0.000 | 0.000 | 
| -5.501 | -3.497 | -4.937 | -0.000 | 74.197 | 0.000 | 
| 0.000 | -0.000 | -0.000 | -0.000 | -0.000 | 93.319 | 
| 131.362 | 132.267 | 105.848 | 0.000 | 0.000 | -0.000 | 
| 133.962 | 241.034 | 68.633 | 0.000 | 0.000 | -0.000 | 
| 121.914 | 75.163 | 280.100 | 0.000 | 0.000 | -0.000 | 
| 0.000 | 0.000 | 0.000 | 31.128 | 0.000 | -0.000 | 
| -0.000 | 0.000 | 0.000 | 0.000 | 79.624 | -0.000 | 
| -0.000 | 0.000 | 0.000 | 0.000 | 0.000 | 93.319 | 
| 130.110 | 131.420 | 104.787 | -0.000 | -0.000 | 0.000 | 
| 134.116 | 238.035 | 70.541 | -0.000 | -0.000 | 0.000 | 
| 121.914 | 75.163 | 280.100 | -0.000 | -0.000 | 0.000 | 
| -0.000 | -0.000 | -0.000 | 31.128 | -0.000 | 0.000 | 
| 0.000 | -0.000 | -0.000 | -0.000 | 79.624 | 0.000 | 
| 0.000 | -0.000 | -0.000 | -0.000 | -0.000 | 93.319 | 
| 145.344 | 138.359 | 121.865 | 0.000 | 0.000 | -0.000 | 
| 133.558 | 240.739 | 68.257 | 0.000 | 0.000 | -0.000 | 
| 95.466 | 73.496 | 251.408 | 0.000 | 0.000 | -0.000 | 
| 0.000 | 0.000 | 0.000 | 31.128 | 0.000 | -0.000 | 
| 0.053 | 0.034 | 0.048 | 0.000 | 74.414 | -0.000 | 
| 0.053 | 0.034 | 0.048 | 0.000 | 0.000 | 79.821 | 
| 145.344 | 138.360 | 121.866 | -0.000 | -0.000 | -0.000 | 
| 143.615 | 235.047 | 80.313 | -0.000 | -0.000 | 0.000 | 
| 121.914 | 75.163 | 280.099 | -0.000 | -0.000 | -0.000 | 
| -0.000 | -0.000 | -0.000 | 31.128 | -0.000 | 0.000 | 
| -0.053 | -0.034 | -0.048 | -0.000 | 74.414 | 0.000 | 
| -0.053 | -0.034 | -0.048 | -0.000 | -0.000 | 79.821 | 
| 481.466 | 666.488 | 108.359 | -0.000 | 0.000 | -0.000 | 
| 520.619 | 1111.989 | -389.083 | -0.000 | -0.000 | -0.000 | 
| 1007.385 | 1418.262 | -65.442 | -0.000 | 0.000 | -0.000 | 
| 0.000 | 0.000 | -0.000 | 48.990 | 0.000 | 0.000 | 
| 308.765 | 577.003 | 10.878 | -0.000 | 66.676 | -0.000 | 
| 442.972 | 850.008 | -473.294 | -0.000 | -0.000 | 63.077 | 
| -136.050 | -487.480 | 86.593 | 0.000 | -0.000 | 0.000 | 
| -365.587 | -588.323 | 557.486 | 0.000 | -0.000 | 0.000 | 
| -207.290 | -492.766 | 228.206 | 0.000 | -0.000 | 0.000 | 
| -0.000 | -0.000 | -0.000 | 48.990 | 0.000 | 0.000 | 
| -308.765 | -577.003 | -10.878 | 0.000 | 66.676 | 0.000 | 
| -442.972 | -850.008 | 473.294 | 0.000 | -0.000 | 63.077 | 
| 189.094 | 101.697 | 117.746 | -0.000 | -0.000 | -0.000 | 
| 120.221 | 335.187 | 79.159 | -0.000 | 0.000 | -0.000 | 
| 130.659 | 141.282 | 236.578 | -0.000 | 0.000 | -0.000 | 
| 44.310 | 84.989 | -46.529 | 46.451 | 0.000 | -0.000 | 
| -0.000 | 0.000 | 0.000 | -0.000 | 81.274 | -0.000 | 
| 0.000 | 0.000 | 0.000 | -0.000 | -0.000 | 63.077 | 
| 141.660 | 31.581 | 96.278 | 0.000 | 0.000 | 0.000 | 
| 101.462 | 290.147 | 86.492 | 0.000 | -0.000 | 0.000 | 
| 119.227 | 88.208 | 280.880 | 0.000 | -0.000 | 0.000 | 
| -44.310 | -84.989 | 46.529 | 46.451 | -0.000 | -0.000 | 
| 0.000 | -0.000 | -0.000 | 0.000 | 81.274 | 0.000 | 
| -0.000 | -0.000 | -0.000 | 0.000 | -0.000 | 63.077 | 
| 189.095 | 101.697 | 117.746 | -0.000 | 0.000 | -0.000 | 
| 87.048 | 279.327 | 73.082 | -0.000 | -0.000 | -0.000 | 
| 99.778 | 85.178 | 233.226 | -0.000 | 0.000 | -0.000 | 
| 0.000 | 0.000 | -0.000 | 48.990 | 0.000 | 0.000 | 
| 4.202 | 8.083 | -4.897 | -0.000 | 53.065 | -0.000 | 
| 0.000 | 0.001 | 0.000 | -0.000 | -0.000 | 63.077 | 
| 189.093 | 101.696 | 117.746 | 0.000 | 0.000 | -0.000 | 
| 66.149 | 246.316 | 86.008 | 0.000 | -0.000 | 0.000 | 
| 95.995 | 75.631 | 239.461 | 0.000 | 0.000 | 0.000 | 
| -0.000 | -0.000 | 0.000 | 48.990 | -0.000 | 0.000 | 
| -4.202 | -8.083 | 4.897 | 0.000 | 53.065 | 0.000 | 
| -0.000 | -0.001 | -0.000 | 0.000 | -0.000 | 63.077 | 
| 209.726 | 94.845 | 102.250 | 0.000 | 0.000 | 0.000 | 
| 112.102 | 191.391 | 100.331 | -0.000 | -0.000 | 0.000 | 
| 100.736 | 100.736 | 314.556 | -0.000 | 0.000 | 0.000 | 
| -0.008 | -0.008 | -0.028 | 60.039 | -0.000 | 0.000 | 
| -0.000 | 0.000 | 0.000 | -0.000 | 62.420 | 0.000 | 
| 0.000 | -0.000 | 0.000 | 0.000 | 0.000 | 57.440 | 
| 209.726 | 94.845 | 102.250 | -0.000 | 0.000 | -0.000 | 
| 94.845 | 209.726 | 102.250 | -0.000 | -0.000 | -0.000 | 
| 100.754 | 100.754 | 314.620 | 0.000 | -0.000 | 0.000 | 
| 0.008 | 0.008 | 0.028 | 60.039 | 0.000 | -0.000 | 
| -0.000 | 0.000 | -0.000 | -0.000 | 62.420 | -0.000 | 
| -0.000 | 0.000 | -0.000 | 0.000 | -0.000 | 57.440 | 
| 209.726 | 94.845 | 102.250 | 0.000 | 0.000 | 0.000 | 
| 116.929 | 186.562 | 100.328 | 0.000 | 0.000 | -0.000 | 
| 100.744 | 100.744 | 314.585 | -0.000 | 0.000 | 0.000 | 
| -0.001 | -0.001 | -0.003 | 60.039 | -0.000 | -0.000 | 
| -0.001 | -0.001 | -0.003 | -0.000 | 60.039 | 0.000 | 
| -0.001 | -0.001 | -0.004 | -0.000 | -0.000 | 34.667 | 
| 191.397 | 112.120 | 100.375 | -0.000 | -0.000 | -0.000 | 
| 112.120 | 191.397 | 100.375 | -0.000 | 0.000 | -0.000 | 
| 100.746 | 100.746 | 314.591 | 0.000 | -0.000 | -0.000 | 
| 0.001 | 0.001 | 0.003 | 60.039 | 0.000 | -0.000 | 
| 0.001 | 0.001 | 0.003 | -0.000 | 60.039 | -0.000 | 
| 0.001 | 0.001 | 0.004 | -0.000 | 0.000 | 34.667 | 
| 209.726 | 94.845 | 102.250 | 0.000 | 0.000 | -0.000 | 
| 116.930 | 186.563 | 100.331 | -0.000 | -0.000 | 0.000 | 
| 100.745 | 100.745 | 314.589 | -0.000 | -0.000 | 0.000 | 
| 0.000 | -0.000 | 0.000 | 62.420 | -0.000 | -0.000 | 
| -0.000 | 0.000 | 0.000 | -0.000 | 62.420 | 0.000 | 
| 0.000 | -0.000 | 0.000 | 0.000 | 0.000 | 57.440 | 
| 191.396 | 112.118 | 100.371 | 0.000 | -0.000 | -0.000 | 
| 94.845 | 209.725 | 102.250 | -0.000 | -0.000 | -0.000 | 
| 100.745 | 100.745 | 314.587 | 0.000 | 0.000 | -0.000 | 
| -0.000 | 0.000 | -0.000 | 62.420 | 0.000 | -0.000 | 
| 0.000 | -0.000 | -0.000 | -0.000 | 62.420 | -0.000 | 
| -0.000 | 0.000 | -0.000 | 0.000 | -0.000 | 57.440 | 
| 168.381 | 82.922 | 102.141 | -0.000 | -0.000 | 0.000 | 
| 82.922 | 168.381 | 102.141 | -0.000 | -0.000 | 0.000 | 
| 101.698 | 101.698 | 291.189 | -0.000 | -0.000 | 0.000 | 
| -0.000 | -0.000 | -0.000 | 58.983 | -0.000 | -0.000 | 
| 0.000 | -0.000 | 0.000 | -0.000 | 58.983 | 0.000 | 
| 0.000 | -0.000 | 0.000 | -0.000 | -0.000 | 42.730 | 
| 172.726 | 101.176 | 134.220 | -0.000 | -0.000 | 0.000 | 
| 82.922 | 168.381 | 102.141 | 0.000 | -0.000 | -0.000 | 
| 111.900 | 111.900 | 320.152 | -0.000 | -0.000 | -0.000 | 
| 0.000 | 0.000 | -0.000 | 58.983 | 0.000 | -0.000 | 
| -0.000 | 0.000 | -0.000 | 0.000 | 58.983 | -0.000 | 
| -0.000 | 0.000 | -0.000 | 0.000 | 0.000 | 42.730 | 
| 152.299 | 95.401 | 97.027 | -0.000 | -0.000 | 0.000 | 
| 82.922 | 168.381 | 102.141 | -0.000 | 0.000 | 0.000 | 
| 99.065 | 99.065 | 283.712 | -0.000 | -0.000 | -0.000 | 
| -1.167 | -1.167 | -3.313 | 57.092 | -0.000 | 0.000 | 
| 0.000 | -0.000 | 0.000 | -0.000 | 58.983 | 0.000 | 
| -1.768 | -1.768 | -5.019 | 0.000 | 0.000 | 32.330 | 
| 157.661 | 95.886 | 105.326 | 0.000 | 0.000 | -0.000 | 
| 82.922 | 168.381 | 102.141 | 0.000 | 0.000 | -0.000 | 
| 101.399 | 101.399 | 290.337 | 0.000 | -0.000 | -0.000 | 
| 1.167 | 1.167 | 3.313 | 57.092 | 0.000 | 0.000 | 
| -0.000 | 0.000 | -0.000 | -0.000 | 58.983 | -0.000 | 
| 1.768 | 1.768 | 5.019 | 0.000 | 0.000 | 32.330 | 
| 168.383 | 82.922 | 102.142 | -0.000 | 0.000 | 0.000 | 
| 93.714 | 155.397 | 99.027 | 0.000 | -0.000 | 0.000 | 
| 100.116 | 100.116 | 286.695 | 0.000 | -0.000 | 0.000 | 
| -0.100 | -0.100 | -0.284 | 57.089 | -0.000 | 0.000 | 
| -0.117 | -0.117 | -0.331 | -0.000 | 57.092 | 0.000 | 
| 0.001 | 0.000 | 0.000 | -0.000 | -0.000 | 42.730 | 
| 155.168 | 94.678 | 100.076 | -0.000 | 0.000 | -0.000 | 
| 97.109 | 153.212 | 100.749 | -0.000 | -0.000 | 0.000 | 
| 100.348 | 100.348 | 287.354 | -0.000 | 0.000 | 0.000 | 
| 0.100 | 0.100 | 0.284 | 57.089 | 0.000 | -0.000 | 
| 0.117 | 0.117 | 0.331 | 0.000 | 57.092 | 0.000 | 
| -0.001 | -0.000 | -0.000 | 0.000 | 0.000 | 42.730 | 
| 2028.059 | 702.900 | 925.306 | 0.000 | -50.794 | -0.000 | 
| 80.774 | 243.492 | 80.974 | 0.000 | -0.084 | -0.000 | 
| 107.286 | 81.700 | 229.396 | 0.000 | 3.225 | 0.000 | 
| 2340.828 | 1337.657 | 1734.928 | 35.029 | 168.420 | -0.008 | 
| 1832.576 | 645.136 | 839.258 | 0.000 | 1.166 | -0.000 | 
| 2340.791 | 1337.636 | 1734.901 | 0.005 | 168.417 | 34.376 | 
| 239.529 | 80.555 | 106.971 | -0.000 | 7.977 | 0.000 | 
| 80.774 | 243.492 | 80.974 | -0.000 | -0.084 | 0.000 | 
| -2246.089 | -1271.293 | -1538.243 | 0.000 | -167.255 | 0.000 | 
| -2340.828 | -1337.657 | -1734.928 | 35.029 | -168.420 | -0.008 | 
| -2345.132 | -1337.726 | -1733.525 | 0.000 | -113.149 | 0.000 | 
| -2340.791 | -1337.636 | -1734.901 | 0.005 | -168.417 | 34.376 | 
| 436.449 | 196.810 | 266.170 | -0.000 | 22.599 | -0.000 | 
| 80.774 | 243.492 | 80.974 | 0.000 | -0.084 | -0.000 | 
| 328.740 | 199.930 | 369.677 | -0.000 | 17.979 | -0.000 | 
| 159.135 | 44.046 | 36.579 | 30.572 | 49.344 | 0.086 | 
| 229.732 | 133.669 | 174.855 | -0.000 | 72.072 | -0.000 | 
| 184.326 | 64.937 | 84.196 | -0.565 | -5.330 | 33.983 | 
| -30.868 | -70.348 | -80.583 | -0.000 | -11.038 | 0.000 | 
| 80.774 | 243.492 | 80.974 | -0.000 | -0.084 | 0.000 | 
| -111.821 | -41.855 | 83.991 | -0.000 | -16.125 | 0.000 | 
| -159.135 | -44.046 | -36.579 | 30.572 | -49.344 | 0.086 | 
| -194.725 | -69.087 | -86.820 | -0.000 | 59.682 | 0.000 | 
| -184.326 | -64.937 | -84.196 | -0.565 | 5.330 | 33.983 | 
| 200.073 | 56.803 | 93.597 | 0.000 | 8.116 | -0.000 | 
| 80.775 | 243.493 | 80.974 | -0.000 | -0.084 | 0.000 | 
| 107.286 | 81.700 | 229.396 | 0.000 | 3.224 | -0.000 | 
| 22.633 | 12.934 | 16.775 | 35.366 | 1.628 | -0.018 | 
| 18.555 | 12.992 | 18.331 | -0.000 | 56.836 | -0.000 | 
| 23.121 | 13.213 | 17.136 | 0.002 | 1.664 | 34.469 | 
| 168.235 | 47.783 | 75.624 | -0.000 | 3.180 | 0.000 | 
| 80.774 | 243.491 | 80.974 | -0.000 | -0.084 | -0.000 | 
| 70.985 | 53.489 | 181.084 | 0.000 | -0.445 | 0.000 | 
| -22.633 | -12.934 | -16.775 | 35.366 | -1.628 | -0.018 | 
| -28.533 | -10.348 | -10.934 | -0.000 | 54.066 | 0.000 | 
| -23.121 | -13.213 | -17.136 | 0.002 | -1.664 | 34.469 | 
| -119.075 | -44.290 | 22.952 | 0.000 | -73.866 | 0.000 | 
| 81.221 | 239.327 | 79.531 | -0.000 | 0.105 | 0.000 | 
| -224.286 | -44.536 | 125.006 | 0.000 | -82.509 | 0.000 | 
| -0.000 | 0.000 | -0.000 | 42.423 | -0.000 | -0.124 | 
| -3.333 | 0.106 | 0.264 | -0.000 | 65.355 | -0.000 | 
| -285.505 | -57.632 | -187.323 | -0.490 | 13.725 | 34.782 | 
| 239.772 | 81.241 | 105.696 | 0.000 | 9.153 | 0.000 | 
| 363.423 | 313.879 | 116.699 | -0.000 | 79.756 | -0.000 | 
| 389.899 | 156.674 | 245.892 | -0.000 | 77.097 | 0.000 | 
| 0.000 | -0.000 | 0.000 | 42.423 | 0.000 | -0.124 | 
| 304.010 | 100.641 | 57.967 | -0.000 | 129.771 | -0.000 | 
| 285.505 | 57.632 | 187.323 | -0.490 | -13.725 | 34.782 | 
| 159.908 | 47.426 | 78.313 | -0.000 | -1.810 | -0.000 | 
| 25.443 | 197.995 | 24.423 | -0.000 | 4.593 | -0.000 | 
| 105.644 | 79.530 | 233.000 | -0.000 | 0.264 | -0.000 | 
| -0.000 | 0.000 | -0.000 | 42.423 | 0.000 | -0.124 | 
| -33.500 | -9.886 | -8.259 | 0.000 | 42.637 | 0.000 | 
| -0.000 | 0.000 | -0.000 | -0.125 | 0.000 | 42.732 | 
| 239.772 | 81.241 | 105.696 | 0.000 | 9.153 | 0.000 | 
| 86.598 | 223.077 | 62.150 | -0.000 | 7.863 | 0.000 | 
| 111.076 | 56.359 | 201.997 | -0.000 | -3.931 | 0.000 | 
| 0.000 | -0.000 | 0.000 | 42.423 | -0.000 | -0.124 | 
| -3.333 | 0.106 | 0.264 | 0.000 | 65.355 | 0.000 | 
| 0.000 | -0.000 | 0.000 | -0.125 | -0.000 | 42.732 | 
| 195.911 | 60.601 | 87.500 | -0.000 | 5.777 | -0.000 | 
| 57.949 | 217.120 | 60.025 | -0.000 | -0.791 | -0.000 | 
| 105.644 | 79.530 | 233.001 | -0.000 | 0.264 | -0.000 | 
| -2.083 | -0.682 | -0.409 | 34.012 | -0.541 | 0.047 | 
| -3.333 | 0.106 | 0.264 | -0.000 | 65.355 | -0.000 | 
| -3.359 | -0.708 | -2.095 | -0.505 | 0.088 | 33.266 | 
| 239.772 | 81.241 | 105.695 | 0.000 | 9.153 | 0.000 | 
| 81.220 | 239.326 | 79.531 | 0.000 | 0.105 | 0.000 | 
| 90.682 | 54.598 | 186.056 | -0.000 | -2.829 | 0.000 | 
| 2.083 | 0.682 | 0.409 | 34.012 | 0.541 | 0.047 | 
| -2.686 | -0.720 | -1.631 | -0.000 | 49.491 | 0.000 | 
| 3.359 | 0.708 | 2.095 | -0.505 | -0.088 | 33.266 | 
| 203.452 | 48.315 | 48.315 | 0.000 | -0.000 | -0.000 | 
| 48.315 | 203.452 | 48.315 | 0.000 | 0.000 | -0.000 | 
| 48.315 | 48.315 | 203.452 | 0.000 | 0.000 | 0.000 | 
| -0.000 | 0.000 | 0.000 | -9.555 | -0.000 | -0.000 | 
| -0.000 | 0.000 | 0.000 | 0.000 | -9.555 | -0.000 | 
| -0.000 | 0.000 | 0.000 | -0.000 | -0.000 | -9.555 | 
| 203.452 | 48.315 | 48.315 | 0.000 | 0.000 | 0.000 | 
| 48.315 | 203.452 | 48.315 | -0.000 | 0.000 | 0.000 | 
| 48.315 | 48.315 | 203.452 | -0.000 | -0.000 | 0.000 | 
| 0.000 | -0.000 | -0.000 | -9.555 | 0.000 | 0.000 | 
| 0.000 | -0.000 | -0.000 | 0.000 | -9.555 | 0.000 | 
| -0.000 | -0.000 | -0.000 | 0.000 | 0.000 | -9.555 | 
| 211.362 | 44.360 | 44.360 | 0.000 | -0.000 | -0.000 | 
| 44.360 | 211.362 | 44.360 | 0.000 | -0.000 | -0.000 | 
| 44.360 | 44.360 | 211.362 | -0.000 | 0.000 | -0.000 | 
| 0.000 | 0.000 | 0.000 | -9.555 | -0.000 | -0.000 | 
| 0.000 | 0.000 | 0.000 | 0.000 | -9.555 | -0.000 | 
| 0.000 | 0.000 | 0.000 | 0.000 | -0.000 | -9.555 | 
| 203.452 | 48.315 | 48.315 | 0.000 | 0.000 | 0.000 | 
| 48.315 | 203.452 | 48.315 | -0.000 | 0.000 | 0.000 | 
| 48.315 | 48.315 | 203.452 | 0.000 | 0.000 | 0.000 | 
| -0.000 | -0.000 | -0.000 | -9.555 | 0.000 | 0.000 | 
| -0.000 | -0.000 | -0.000 | -0.000 | -9.555 | 0.000 | 
| -0.000 | -0.000 | -0.000 | 0.000 | 0.000 | -9.555 | 
| 203.453 | 48.315 | 48.315 | -0.000 | -0.000 | -0.000 | 
| 48.315 | 203.453 | 48.315 | 0.000 | -0.000 | -0.000 | 
| 48.315 | 48.315 | 203.453 | 0.000 | -0.000 | -0.000 | 
| 0.000 | 0.000 | 0.000 | -9.555 | -0.000 | -0.000 | 
| 0.000 | 0.000 | 0.000 | 0.000 | -9.555 | -0.000 | 
| 0.000 | 0.000 | 0.000 | 0.000 | -0.000 | -9.555 | 
| 211.362 | 44.360 | 44.360 | -0.000 | -0.000 | 0.000 | 
| 44.360 | 211.362 | 44.360 | -0.000 | 0.000 | 0.000 | 
| 44.360 | 44.360 | 211.362 | -0.000 | -0.000 | -0.000 | 
| -0.000 | -0.000 | -0.000 | -9.555 | 0.000 | 0.000 | 
| -0.000 | -0.000 | -0.000 | -0.000 | -9.555 | 0.000 | 
| -0.000 | -0.000 | -0.000 | -0.000 | 0.000 | -9.555 | 
| 139.249 | 134.887 | 134.887 | 0.000 | 0.000 | 0.000 | 
| 134.887 | 139.249 | 134.887 | 0.000 | -0.000 | 0.000 | 
| 134.887 | 134.887 | 139.249 | 0.000 | 0.000 | 0.000 | 
| 0.000 | -0.000 | 0.000 | 96.388 | 0.000 | 0.000 | 
| -0.000 | 0.000 | 0.000 | 0.000 | 96.388 | 0.000 | 
| 0.000 | -0.000 | 0.000 | 0.000 | 0.000 | 96.388 | 
| 139.249 | 134.887 | 134.887 | -0.000 | -0.000 | -0.000 | 
| 134.887 | 139.249 | 134.887 | -0.000 | -0.000 | -0.000 | 
| 134.887 | 134.887 | 139.248 | -0.000 | 0.000 | 0.000 | 
| -0.000 | 0.000 | -0.000 | 96.387 | -0.000 | -0.000 | 
| -0.000 | -0.000 | -0.000 | -0.000 | 96.387 | -0.000 | 
| -0.000 | -0.000 | -0.000 | -0.000 | -0.000 | 96.387 | 
| 139.248 | 134.887 | 134.887 | 0.000 | -0.000 | 0.000 | 
| 134.887 | 139.248 | 134.887 | -0.000 | 0.000 | 0.000 | 
| 134.887 | 134.887 | 139.248 | 0.000 | 0.000 | 0.000 | 
| 0.000 | -0.000 | 0.000 | 96.387 | 0.000 | 0.000 | 
| -0.000 | 0.000 | 0.000 | 0.000 | 96.387 | 0.000 | 
| -0.000 | 0.000 | 0.000 | 0.000 | 0.000 | 96.387 | 
| 139.249 | 134.887 | 134.887 | 0.000 | 0.000 | -0.000 | 
| 134.887 | 139.249 | 134.887 | 0.000 | 0.000 | -0.000 | 
| 134.887 | 134.887 | 139.249 | -0.000 | -0.000 | 0.000 | 
| -0.000 | 0.000 | -0.000 | 96.387 | -0.000 | 0.000 | 
| 0.000 | -0.000 | -0.000 | -0.000 | 96.387 | -0.000 | 
| 0.000 | -0.000 | -0.000 | -0.000 | -0.000 | 96.387 | 
| 139.247 | 134.887 | 134.887 | 0.000 | 0.000 | 0.000 | 
| 134.887 | 139.247 | 134.887 | 0.000 | -0.000 | -0.000 | 
| 134.887 | 134.887 | 139.247 | 0.000 | 0.000 | 0.000 | 
| 0.000 | -0.000 | 0.000 | 96.387 | 0.000 | 0.000 | 
| -0.000 | 0.000 | 0.000 | 0.000 | 96.387 | 0.000 | 
| -0.000 | 0.000 | 0.000 | 0.000 | 0.000 | 96.387 | 
| 139.250 | 134.887 | 134.887 | -0.000 | 0.000 | -0.000 | 
| 134.887 | 139.250 | 134.887 | 0.000 | -0.000 | 0.000 | 
| 134.887 | 134.887 | 139.250 | -0.000 | 0.000 | 0.000 | 
| -0.000 | 0.000 | -0.000 | 96.387 | -0.000 | -0.000 | 
| 0.000 | -0.000 | -0.000 | -0.000 | 96.387 | -0.000 | 
| 0.000 | -0.000 | -0.000 | -0.000 | -0.000 | 96.387 | 
| 184.028 | 114.294 | 114.294 | -0.000 | -0.000 | -0.000 | 
| 114.294 | 184.028 | 114.294 | 0.000 | -0.000 | 0.000 | 
| 114.294 | 114.294 | 184.028 | 0.000 | -0.000 | -0.000 | 
| -0.000 | -0.000 | 0.000 | 90.245 | 0.000 | -0.000 | 
| -0.000 | -0.000 | 0.000 | 0.000 | 90.245 | -0.000 | 
| -0.000 | 0.000 | 0.000 | 0.000 | -0.000 | 90.245 | 
| 184.028 | 114.294 | 114.294 | -0.000 | 0.000 | 0.000 | 
| 114.294 | 184.028 | 114.294 | -0.000 | 0.000 | 0.000 | 
| 114.294 | 114.294 | 184.028 | -0.000 | -0.000 | 0.000 | 
| 0.000 | 0.000 | -0.000 | 90.245 | -0.000 | -0.000 | 
| 0.000 | 0.000 | -0.000 | -0.000 | 90.245 | 0.000 | 
| 0.000 | -0.000 | -0.000 | -0.000 | 0.000 | 90.245 | 
| 184.028 | 114.294 | 114.294 | 0.000 | 0.000 | -0.000 | 
| 114.294 | 184.028 | 114.294 | 0.000 | -0.000 | -0.000 | 
| 114.294 | 114.294 | 184.028 | 0.000 | -0.000 | 0.000 | 
| -0.000 | -0.000 | -0.000 | 90.245 | -0.000 | -0.000 | 
| -0.000 | -0.000 | -0.000 | 0.000 | 90.245 | -0.000 | 
| -0.000 | -0.000 | -0.000 | 0.000 | -0.000 | 90.245 | 
| 184.028 | 114.294 | 114.294 | 0.000 | 0.000 | 0.000 | 
| 114.294 | 184.028 | 114.294 | -0.000 | 0.000 | 0.000 | 
| 114.294 | 114.294 | 184.028 | -0.000 | 0.000 | 0.000 | 
| 0.000 | 0.000 | 0.000 | 90.245 | 0.000 | 0.000 | 
| 0.000 | 0.000 | 0.000 | -0.000 | 90.245 | 0.000 | 
| 0.000 | 0.000 | 0.000 | -0.000 | 0.000 | 90.245 | 
| 184.027 | 114.294 | 114.294 | -0.000 | -0.000 | -0.000 | 
| 114.294 | 184.027 | 114.294 | 0.000 | -0.000 | -0.000 | 
| 114.294 | 114.294 | 184.027 | 0.000 | -0.000 | 0.000 | 
| -0.000 | -0.000 | -0.000 | 90.245 | 0.000 | 0.000 | 
| -0.000 | -0.000 | -0.000 | 0.000 | 90.245 | -0.000 | 
| -0.000 | -0.000 | -0.000 | -0.000 | -0.000 | 90.245 | 
| 184.028 | 114.295 | 114.295 | -0.000 | 0.000 | -0.000 | 
| 114.295 | 184.028 | 114.295 | -0.000 | 0.000 | -0.000 | 
| 114.295 | 114.295 | 184.028 | -0.000 | 0.000 | 0.000 | 
| 0.000 | 0.000 | 0.000 | 90.245 | 0.000 | 0.000 | 
| 0.000 | 0.000 | 0.000 | -0.000 | 90.245 | 0.000 | 
| 0.000 | 0.000 | 0.000 | -0.000 | 0.000 | 90.245 | 
| 261.041 | 179.459 | 445.190 | -0.000 | -0.000 | 0.000 | 
| 179.459 | 261.041 | 445.190 | -0.000 | -0.000 | 0.000 | 
| 188.279 | 188.279 | 643.729 | 0.000 | 0.000 | 0.000 | 
| -0.000 | 0.000 | 0.000 | 62.486 | 0.000 | 0.000 | 
| 0.000 | 0.000 | 0.000 | -0.000 | 62.486 | 0.000 | 
| -0.000 | 0.000 | 0.000 | -0.000 | -0.000 | 46.908 | 
| 70.640 | -10.943 | -258.831 | -0.000 | -0.000 | -0.000 | 
| -10.943 | 70.640 | -258.831 | 0.000 | -0.000 | -0.000 | 
| -1.937 | -1.937 | -59.607 | 0.000 | 0.000 | -0.000 | 
| -0.000 | -0.000 | -0.000 | 62.486 | 0.000 | -0.000 | 
| 0.000 | -0.000 | -0.000 | 0.000 | 62.486 | -0.000 | 
| 0.000 | -0.000 | 0.000 | -0.000 | 0.000 | 46.908 | 
| 174.301 | 80.484 | 101.843 | -0.000 | 0.000 | 0.000 | 
| 95.818 | 175.518 | 132.443 | -0.000 | -0.000 | 0.000 | 
| 101.843 | 101.843 | 324.127 | -0.000 | 0.000 | 0.000 | 
| 9.710 | 9.710 | 35.904 | 61.448 | -0.000 | 0.000 | 
| 9.710 | 9.710 | 35.904 | -0.000 | 61.448 | 0.000 | 
| -0.000 | 0.000 | 0.000 | 0.000 | -0.000 | 46.908 | 
| 155.249 | 74.393 | 55.360 | 0.000 | 0.000 | -0.000 | 
| 80.484 | 174.301 | 101.843 | -0.000 | -0.000 | -0.000 | 
| 101.843 | 101.843 | 324.127 | 0.000 | 0.000 | 0.000 | 
| -9.710 | -9.710 | -35.904 | 61.448 | -0.000 | -0.000 | 
| -9.710 | -9.710 | -35.904 | 0.000 | 61.448 | -0.000 | 
| 0.000 | -0.000 | -0.000 | -0.000 | -0.000 | 46.908 | 
| 174.300 | 80.484 | 101.843 | -0.000 | 0.000 | 0.000 | 
| 90.768 | 157.936 | 90.603 | 0.000 | -0.000 | 0.000 | 
| 94.122 | 94.122 | 295.579 | 0.000 | -0.000 | 0.000 | 
| 0.000 | 0.000 | 0.000 | 62.486 | -0.000 | 0.000 | 
| 0.000 | 0.000 | 0.000 | 0.000 | 62.486 | 0.000 | 
| -0.000 | 0.000 | 0.000 | -0.000 | 0.000 | 46.908 | 
| 174.301 | 80.484 | 101.843 | 0.000 | -0.000 | -0.000 | 
| 93.892 | 154.299 | 89.653 | -0.000 | -0.000 | -0.000 | 
| 92.219 | 92.219 | 288.541 | -0.000 | -0.000 | -0.000 | 
| -0.000 | -0.000 | -0.000 | 62.486 | -0.000 | -0.000 | 
| -0.000 | -0.000 | -0.000 | -0.000 | 62.486 | -0.000 | 
| 0.000 | -0.000 | -0.000 | 0.000 | -0.000 | 46.908 | 
| 174.133 | 80.444 | 103.092 | -0.000 | -0.000 | -0.000 | 
| 87.322 | 158.753 | 87.474 | -0.000 | -0.000 | -0.000 | 
| 102.643 | 102.643 | 326.866 | -0.000 | -0.000 | -0.000 | 
| -0.000 | 0.000 | 0.000 | 62.715 | -0.000 | -0.000 | 
| -0.000 | 0.000 | 0.000 | -0.000 | 62.715 | -0.000 | 
| -0.000 | 0.000 | 0.000 | -0.000 | -0.000 | 46.845 | 
| 158.753 | 87.322 | 87.474 | 0.000 | 0.000 | 0.000 | 
| 87.322 | 158.753 | 87.474 | 0.000 | -0.000 | 0.000 | 
| 93.986 | 93.986 | 295.063 | 0.000 | 0.000 | 0.000 | 
| -0.000 | 0.000 | -0.000 | 62.715 | 0.000 | 0.000 | 
| -0.000 | -0.000 | -0.000 | 0.000 | 62.715 | 0.000 | 
| 0.000 | -0.000 | -0.000 | 0.000 | 0.000 | 46.845 | 
| 174.133 | 80.444 | 103.092 | -0.000 | -0.000 | -0.000 | 
| 80.444 | 174.133 | 103.092 | -0.000 | -0.000 | -0.000 | 
| 102.643 | 102.643 | 326.866 | -0.000 | -0.000 | -0.000 | 
| -0.000 | -0.000 | 0.000 | 62.715 | -0.000 | -0.000 | 
| -0.000 | -0.000 | -0.000 | -0.000 | 57.458 | -0.000 | 
| -0.000 | -0.000 | -0.000 | -0.000 | -0.000 | 30.781 | 
| 174.133 | 80.444 | 103.092 | 0.000 | 0.000 | 0.000 | 
| 87.322 | 158.753 | 87.474 | 0.000 | 0.000 | 0.000 | 
| 102.643 | 102.643 | 326.866 | 0.000 | 0.000 | 0.000 | 
| 0.000 | 0.000 | -0.000 | 62.715 | 0.000 | 0.000 | 
| 0.000 | 0.000 | 0.000 | 0.000 | 57.458 | 0.000 | 
| 0.000 | 0.000 | 0.000 | 0.000 | 0.000 | 30.781 | 
| 155.447 | 94.563 | 94.705 | -0.000 | -0.000 | -0.000 | 
| 87.322 | 158.751 | 87.474 | -0.000 | -0.000 | -0.000 | 
| 102.644 | 102.644 | 326.868 | -0.000 | -0.000 | -0.000 | 
| -0.000 | -0.000 | 0.000 | 62.715 | -0.000 | -0.000 | 
| -0.001 | -0.000 | -0.001 | -0.000 | 57.458 | -0.000 | 
| -0.000 | -0.000 | -0.000 | -0.000 | -0.000 | 46.845 | 
| 158.754 | 87.323 | 87.475 | -0.000 | 0.000 | 0.000 | 
| 80.444 | 174.134 | 103.092 | 0.000 | 0.000 | 0.000 | 
| 93.987 | 93.987 | 295.063 | 0.000 | 0.000 | 0.000 | 
| 0.000 | 0.000 | -0.000 | 62.715 | 0.000 | 0.000 | 
| 0.001 | 0.000 | 0.001 | 0.000 | 57.458 | 0.000 | 
| 0.000 | 0.000 | 0.000 | 0.000 | 0.000 | 46.845 | 
| 245.468 | 98.712 | 84.110 | -0.000 | -0.000 | 0.000 | 
| 98.712 | 245.468 | 84.110 | 0.000 | -0.000 | 0.000 | 
| 85.187 | 85.187 | 284.030 | -0.000 | 0.000 | 0.000 | 
| 0.010 | 0.010 | -0.237 | 56.917 | -0.000 | 0.000 | 
| -0.000 | 0.000 | 0.000 | 0.000 | 60.708 | -0.000 | 
| -0.000 | 0.000 | 0.000 | 0.000 | -0.000 | 73.378 | 
| 235.981 | 108.127 | 84.919 | 0.000 | -0.000 | -0.000 | 
| 98.712 | 245.468 | 84.110 | 0.000 | 0.000 | -0.000 | 
| 85.187 | 85.187 | 284.030 | 0.000 | 0.000 | -0.000 | 
| -0.010 | -0.010 | 0.237 | 56.917 | 0.000 | -0.000 | 
| 0.000 | -0.000 | -0.000 | 0.000 | 60.708 | -0.000 | 
| 0.000 | -0.000 | -0.000 | -0.000 | 0.000 | 73.378 | 
| 245.468 | 98.712 | 84.110 | 0.000 | -0.000 | 0.000 | 
| 98.712 | 245.468 | 84.110 | -0.000 | -0.000 | 0.000 | 
| 85.329 | 85.329 | 280.775 | -0.000 | -0.000 | 0.000 | 
| 0.001 | 0.001 | -0.024 | 56.908 | 0.000 | 0.000 | 
| 0.001 | 0.001 | -0.024 | 0.000 | 56.908 | 0.000 | 
| -0.000 | 0.000 | 0.000 | -0.000 | -0.000 | 73.378 | 
| 235.907 | 108.229 | 84.605 | -0.000 | 0.000 | -0.000 | 
| 108.229 | 235.907 | 84.605 | -0.000 | -0.000 | -0.000 | 
| 85.328 | 85.328 | 280.797 | -0.000 | -0.000 | -0.000 | 
| -0.001 | -0.001 | 0.024 | 56.908 | -0.000 | -0.000 | 
| -0.001 | -0.001 | 0.024 | -0.000 | 56.908 | -0.000 | 
| 0.000 | -0.000 | -0.000 | 0.000 | 0.000 | 73.378 | 
| 245.468 | 98.712 | 84.110 | 0.000 | -0.000 | 0.000 | 
| 98.713 | 245.468 | 84.110 | -0.000 | -0.000 | 0.000 | 
| 85.329 | 85.329 | 280.786 | 0.000 | -0.000 | 0.000 | 
| 0.000 | 0.000 | -0.002 | 56.908 | -0.000 | 0.000 | 
| -0.000 | 0.000 | 0.000 | 0.000 | 60.708 | 0.000 | 
| -0.000 | 0.000 | 0.000 | -0.000 | -0.000 | 73.378 | 
| 245.467 | 98.712 | 84.110 | 0.000 | 0.000 | -0.000 | 
| 98.712 | 245.467 | 84.110 | 0.000 | 0.000 | -0.000 | 
| 85.329 | 85.329 | 280.786 | 0.000 | -0.000 | -0.000 | 
| -0.000 | -0.000 | 0.002 | 56.908 | 0.000 | -0.000 | 
| 0.000 | -0.000 | -0.000 | 0.000 | 60.708 | -0.000 | 
| 0.000 | -0.000 | -0.000 | 0.000 | 0.000 | 73.378 | 
| 245.458 | 98.683 | 84.265 | 0.000 | 0.000 | 0.000 | 
| 98.683 | 245.458 | 84.265 | 0.000 | 0.000 | 0.000 | 
| 85.297 | 85.297 | 284.405 | -0.000 | -0.000 | 0.000 | 
| -0.066 | -0.066 | 1.488 | 57.375 | -0.000 | 0.000 | 
| -0.034 | -0.034 | 0.768 | 0.000 | 57.010 | 0.000 | 
| -0.098 | -0.098 | 2.205 | 0.000 | 0.000 | 64.875 | 
| 234.763 | 109.472 | 83.205 | 0.000 | -0.000 | -0.000 | 
| 98.683 | 245.458 | 84.265 | -0.000 | -0.000 | -0.000 | 
| 85.475 | 85.475 | 280.391 | -0.000 | -0.000 | -0.000 | 
| 0.066 | 0.066 | -1.488 | 57.375 | -0.000 | 0.000 | 
| 0.034 | 0.034 | -0.768 | -0.000 | 57.010 | -0.000 | 
| 0.098 | 0.098 | -2.205 | -0.000 | -0.000 | 64.875 | 
| 245.458 | 98.683 | 84.265 | 0.000 | -0.000 | -0.000 | 
| 98.683 | 245.458 | 84.265 | -0.000 | 0.000 | 0.000 | 
| 85.297 | 85.297 | 284.405 | -0.000 | 0.000 | 0.000 | 
| -0.007 | -0.007 | 0.164 | 57.014 | -0.000 | -0.000 | 
| -0.003 | -0.003 | 0.077 | -0.000 | 57.010 | 0.000 | 
| -0.011 | -0.011 | 0.249 | -0.000 | -0.000 | 63.786 | 
| 235.843 | 108.278 | 84.483 | -0.000 | -0.000 | -0.000 | 
| 108.278 | 235.843 | 84.483 | -0.000 | -0.000 | -0.000 | 
| 85.297 | 85.297 | 284.405 | -0.000 | -0.000 | -0.000 | 
| 0.007 | 0.007 | -0.164 | 57.014 | 0.000 | -0.000 | 
| 0.003 | 0.003 | -0.077 | 0.000 | 57.010 | -0.000 | 
| 0.011 | 0.011 | -0.249 | 0.000 | -0.000 | 63.786 | 
| 235.873 | 108.225 | 84.755 | -0.000 | 0.000 | 0.000 | 
| 108.225 | 235.873 | 84.755 | -0.000 | 0.000 | 0.000 | 
| 85.297 | 85.297 | 284.406 | -0.000 | 0.000 | 0.000 | 
| -0.001 | -0.001 | 0.017 | 57.010 | -0.000 | 0.000 | 
| -0.001 | -0.001 | 0.017 | -0.000 | 57.010 | 0.000 | 
| -0.001 | -0.001 | 0.025 | -0.000 | 0.000 | 63.773 | 
| 245.457 | 98.683 | 84.265 | 0.000 | -0.000 | -0.000 | 
| 108.237 | 235.865 | 84.706 | 0.000 | -0.000 | -0.000 | 
| 85.296 | 85.296 | 284.404 | 0.000 | -0.000 | -0.000 | 
| 0.001 | 0.001 | -0.017 | 57.010 | -0.000 | -0.000 | 
| 0.001 | 0.001 | -0.017 | 0.000 | 57.010 | 0.000 | 
| 0.001 | 0.001 | -0.025 | 0.000 | 0.000 | 63.773 | 
| 233.674 | 109.329 | 86.872 | 0.000 | 0.000 | -0.000 | 
| 107.823 | 235.166 | 87.049 | 0.000 | 0.000 | -0.000 | 
| 86.609 | 86.609 | 288.876 | 0.000 | 0.000 | -0.000 | 
| -0.000 | -0.000 | 0.003 | 57.765 | 0.000 | -0.000 | 
| -0.000 | -0.000 | 0.003 | 0.000 | 57.765 | -0.000 | 
| -0.000 | -0.000 | 0.003 | 0.000 | 0.000 | 62.164 | 
| 233.673 | 109.329 | 86.866 | -0.000 | -0.000 | 0.000 | 
| 107.825 | 235.165 | 87.039 | -0.000 | 0.000 | 0.000 | 
| 86.609 | 86.609 | 288.876 | -0.000 | -0.000 | 0.000 | 
| 0.000 | 0.000 | -0.003 | 57.765 | -0.000 | 0.000 | 
| 0.000 | 0.000 | -0.003 | -0.000 | 57.765 | 0.000 | 
| 0.000 | 0.000 | -0.003 | -0.000 | -0.000 | 62.164 | 
| 235.166 | 107.824 | 87.045 | 0.000 | -0.000 | -0.000 | 
| 97.902 | 245.121 | 86.609 | 0.000 | 0.000 | -0.000 | 
| 86.748 | 86.748 | 285.217 | -0.000 | -0.000 | -0.000 | 
| -0.000 | -0.000 | 0.000 | 57.765 | 0.000 | -0.000 | 
| -0.000 | -0.000 | 0.000 | 0.000 | 57.765 | -0.000 | 
| -0.000 | 0.000 | 0.000 | 0.000 | 0.000 | 73.610 | 
| 235.165 | 107.824 | 87.044 | -0.000 | 0.000 | 0.000 | 
| 97.902 | 245.121 | 86.609 | -0.000 | 0.000 | 0.000 | 
| 86.609 | 86.609 | 288.876 | -0.000 | -0.000 | 0.000 | 
| 0.000 | 0.000 | -0.000 | 57.765 | -0.000 | 0.000 | 
| 0.000 | 0.000 | -0.000 | -0.000 | 57.765 | 0.000 | 
| 0.000 | -0.000 | -0.000 | 0.000 | -0.000 | 73.610 | 
| 235.166 | 107.823 | 87.044 | 0.000 | 0.000 | -0.000 | 
| 97.902 | 245.121 | 86.609 | 0.000 | 0.000 | -0.000 | 
| 86.609 | 86.609 | 288.877 | 0.000 | 0.000 | -0.000 | 
| 0.000 | -0.000 | 0.000 | 57.765 | 0.000 | -0.000 | 
| -0.000 | 0.000 | 0.000 | 0.000 | 57.765 | -0.000 | 
| -0.000 | 0.000 | 0.000 | 0.000 | -0.000 | 73.610 | 
| 245.120 | 97.902 | 86.609 | -0.000 | -0.000 | 0.000 | 
| 97.901 | 245.121 | 86.609 | -0.000 | -0.000 | 0.000 | 
| 86.609 | 86.609 | 288.874 | -0.000 | -0.000 | 0.000 | 
| -0.000 | 0.000 | -0.000 | 57.765 | -0.000 | 0.000 | 
| 0.000 | -0.000 | -0.000 | -0.000 | 57.765 | 0.000 | 
| 0.000 | -0.000 | -0.000 | 0.000 | -0.000 | 73.610 | 
| 171.972 | 126.987 | 108.230 | 0.000 | -0.000 | 0.000 | 
| 126.987 | 171.972 | 108.230 | 0.000 | -0.000 | 0.000 | 
| 108.230 | 108.230 | 193.600 | -0.000 | -0.000 | 0.000 | 
| 0.000 | 0.000 | 0.000 | 80.189 | -0.000 | -0.000 | 
| 0.000 | -0.000 | 0.000 | -0.000 | 80.189 | 0.000 | 
| 0.000 | 0.000 | -0.000 | -0.000 | -0.000 | 98.703 | 
| 170.685 | 128.274 | 108.230 | 0.000 | 0.000 | -0.000 | 
| 128.274 | 170.685 | 108.230 | 0.000 | 0.000 | -0.000 | 
| 108.230 | 108.230 | 193.600 | 0.000 | 0.000 | 0.000 | 
| -0.000 | -0.000 | -0.000 | 80.189 | 0.000 | -0.000 | 
| -0.000 | 0.000 | -0.000 | 0.000 | 80.189 | -0.000 | 
| -0.000 | -0.000 | 0.000 | 0.000 | 0.000 | 98.703 | 
| 170.685 | 128.274 | 108.230 | -0.000 | -0.000 | 0.000 | 
| 128.274 | 170.685 | 108.230 | 0.000 | -0.000 | 0.000 | 
| 108.230 | 108.230 | 193.600 | -0.000 | -0.000 | -0.000 | 
| -0.000 | 0.000 | 0.000 | 79.252 | -0.000 | 0.000 | 
| 0.000 | -0.000 | 0.000 | -0.000 | 79.252 | 0.000 | 
| 0.000 | 0.000 | -0.000 | -0.000 | -0.000 | 98.703 | 
| 171.972 | 126.987 | 108.230 | 0.000 | 0.000 | -0.000 | 
| 126.987 | 171.972 | 108.230 | 0.000 | 0.000 | -0.000 | 
| 108.230 | 108.230 | 193.600 | 0.000 | 0.000 | -0.000 | 
| 0.000 | -0.000 | -0.000 | 79.252 | 0.000 | -0.000 | 
| -0.000 | 0.000 | -0.000 | 0.000 | 79.252 | -0.000 | 
| -0.000 | -0.000 | 0.000 | 0.000 | 0.000 | 98.703 | 
| 170.685 | 128.275 | 108.230 | -0.000 | -0.000 | 0.000 | 
| 128.275 | 170.685 | 108.230 | -0.000 | -0.000 | 0.000 | 
| 108.231 | 108.231 | 193.601 | -0.000 | -0.000 | 0.000 | 
| -0.000 | 0.000 | 0.001 | 79.252 | -0.000 | 0.000 | 
| 0.000 | -0.000 | 0.001 | -0.000 | 79.252 | 0.000 | 
| 0.000 | 0.000 | -0.000 | -0.000 | -0.000 | 98.703 | 
| 170.685 | 128.274 | 108.229 | -0.000 | 0.000 | -0.000 | 
| 128.274 | 170.685 | 108.229 | -0.000 | 0.000 | -0.000 | 
| 108.229 | 108.229 | 193.599 | 0.000 | 0.000 | -0.000 | 
| 0.000 | -0.000 | -0.001 | 79.252 | 0.000 | 0.000 | 
| -0.000 | 0.000 | -0.001 | 0.000 | 79.252 | -0.000 | 
| -0.000 | -0.000 | 0.000 | 0.000 | 0.000 | 98.703 | 
| 466.475 | 341.514 | -5137.151 | 0.000 | 0.000 | -0.000 | 
| 340.690 | 467.335 | -5137.559 | 0.000 | 0.000 | -0.000 | 
| 317.369 | 317.369 | -4940.639 | -0.000 | 0.000 | -0.000 | 
| 231.916 | 231.916 | -5221.270 | 59.026 | 0.000 | -0.000 | 
| 231.916 | 231.916 | -5221.270 | -0.000 | 59.026 | 0.000 | 
| 231.916 | 231.916 | -5221.271 | -0.000 | 0.000 | 70.423 | 
| 10.574 | -130.271 | 5305.666 | 0.000 | -0.000 | 0.000 | 
| -130.346 | 10.497 | 5307.373 | 0.000 | -0.000 | 0.000 | 
| -146.484 | -146.484 | 5502.397 | 0.000 | -0.000 | 0.000 | 
| -231.916 | -231.916 | 5221.270 | 59.026 | -0.000 | 0.000 | 
| -231.916 | -231.916 | 5221.270 | 0.000 | 59.026 | 0.000 | 
| -231.916 | -231.916 | 5221.271 | 0.000 | -0.000 | 70.423 | 
| 265.682 | 124.836 | -437.744 | -0.000 | 0.000 | -0.000 | 
| 132.081 | 258.452 | -437.905 | -0.000 | 0.000 | -0.000 | 
| 108.623 | 108.623 | -240.999 | -0.000 | 0.000 | -0.000 | 
| 23.199 | 23.199 | -522.303 | 59.025 | 0.000 | -0.000 | 
| 23.192 | 23.192 | -522.133 | -0.000 | 59.026 | -0.000 | 
| 23.193 | 23.193 | -522.153 | 0.000 | 0.000 | 62.484 | 
| 212.060 | 85.687 | 606.560 | 0.000 | -0.000 | 0.000 | 
| 78.452 | 219.297 | 606.535 | 0.000 | 0.000 | 0.000 | 
| 62.240 | 62.240 | 803.254 | -0.000 | -0.000 | -0.000 | 
| -23.199 | -23.199 | 522.303 | 59.025 | -0.000 | -0.000 | 
| -23.192 | -23.192 | 522.133 | -0.000 | 59.026 | 0.000 | 
| -23.193 | -23.193 | 522.153 | -0.000 | -0.000 | 62.484 | 
| 244.808 | 103.976 | 32.055 | -0.000 | 0.000 | -0.000 | 
| 103.978 | 244.807 | 32.038 | -0.000 | 0.000 | -0.000 | 
| 87.751 | 87.751 | 228.916 | -0.000 | 0.000 | -0.000 | 
| 0.000 | -0.000 | 0.000 | 60.798 | 0.000 | -0.000 | 
| -0.000 | 0.000 | 0.000 | -0.000 | 60.798 | -0.000 | 
| 2.320 | 2.320 | -52.236 | -0.000 | 0.000 | 63.186 | 
| 240.155 | 99.327 | 136.752 | 0.000 | 0.000 | 0.000 | 
| 99.327 | 240.156 | 136.752 | 0.000 | -0.000 | 0.000 | 
| 83.111 | 83.111 | 333.354 | 0.000 | -0.000 | 0.000 | 
| -0.000 | 0.000 | -0.000 | 60.798 | -0.000 | 0.000 | 
| 0.000 | -0.000 | -0.000 | -0.000 | 60.798 | -0.000 | 
| -2.320 | -2.320 | 52.236 | 0.000 | -0.000 | 63.186 | 
| 289.161 | 84.794 | 93.756 | -0.000 | 0.000 | -0.000 | 
| 84.794 | 248.505 | 84.835 | -0.000 | 0.000 | -0.000 | 
| 99.909 | 94.189 | 212.419 | -0.000 | 0.000 | -0.000 | 
| -0.000 | -0.000 | 0.000 | 56.558 | -0.000 | -0.000 | 
| -0.000 | -0.000 | -0.000 | -0.000 | 64.953 | -0.000 | 
| 5.987 | 5.482 | 19.469 | -0.000 | -0.000 | 52.935 | 
| 272.654 | 81.652 | 82.722 | 0.000 | -0.000 | 0.000 | 
| 79.283 | 232.440 | 69.746 | 0.000 | 0.000 | 0.000 | 
| 93.756 | 84.835 | 206.081 | 0.000 | -0.000 | 0.000 | 
| 0.000 | 0.000 | -0.000 | 56.558 | 0.000 | 0.000 | 
| 0.000 | 0.000 | 0.000 | 0.000 | 64.953 | 0.000 | 
| -5.987 | -5.482 | -19.469 | 0.000 | -0.000 | 52.935 | 
| 289.161 | 84.794 | 93.756 | -0.000 | 0.000 | -0.000 | 
| 86.607 | 239.262 | 86.377 | -0.000 | 0.000 | -0.000 | 
| 95.029 | 91.801 | 192.733 | -0.000 | 0.000 | -0.000 | 
| 0.504 | 0.582 | 2.044 | 43.842 | 0.000 | -0.000 | 
| 0.471 | 0.475 | 1.678 | -0.000 | 58.806 | -0.000 | 
| -0.000 | -0.000 | -0.000 | -0.000 | 0.000 | 56.096 | 
| 289.161 | 84.794 | 93.756 | 0.000 | 0.000 | 0.000 | 
| 84.794 | 248.505 | 84.835 | 0.000 | -0.000 | 0.000 | 
| 97.299 | 84.519 | 193.369 | 0.000 | -0.000 | 0.000 | 
| -0.504 | -0.582 | -2.044 | 43.842 | -0.000 | 0.000 | 
| -0.471 | -0.475 | -1.678 | 0.000 | 58.806 | 0.000 | 
| 0.000 | 0.000 | 0.000 | 0.000 | -0.000 | 56.096 | 
| 282.976 | 85.631 | 94.635 | -0.000 | -0.000 | -0.000 | 
| 84.794 | 248.504 | 84.835 | -0.000 | 0.000 | -0.000 | 
| 97.182 | 84.877 | 195.918 | -0.000 | 0.000 | -0.000 | 
| 0.032 | 0.010 | 0.165 | 38.350 | -0.000 | -0.000 | 
| -0.000 | -0.000 | -0.000 | -0.000 | 64.953 | -0.000 | 
| -0.000 | -0.000 | -0.000 | -0.000 | 0.000 | 56.096 | 
| 282.895 | 85.025 | 94.771 | 0.000 | -0.000 | 0.000 | 
| 84.478 | 235.376 | 90.412 | 0.000 | -0.000 | 0.000 | 
| 97.201 | 84.817 | 195.497 | 0.000 | -0.000 | 0.000 | 
| -0.032 | -0.010 | -0.165 | 38.350 | 0.000 | 0.000 | 
| 0.000 | 0.000 | 0.000 | 0.000 | 64.953 | 0.000 | 
| 0.000 | 0.000 | 0.000 | 0.000 | -0.000 | 56.096 | 
| 279.404 | 84.705 | 96.192 | 0.000 | 0.000 | -0.000 | 
| 83.355 | 249.507 | 83.353 | 0.000 | -0.000 | -0.000 | 
| 93.058 | 83.776 | 203.836 | -0.000 | -0.000 | -0.000 | 
| -2.198 | -0.254 | -0.336 | 37.373 | 0.000 | 0.000 | 
| -2.086 | -0.167 | 0.284 | 0.000 | 59.214 | -0.000 | 
| -1.475 | -0.118 | 0.200 | 0.000 | -0.000 | 51.374 | 
| 282.122 | 84.868 | 95.737 | 0.000 | -0.000 | 0.000 | 
| 83.355 | 249.507 | 83.353 | 0.000 | -0.000 | 0.000 | 
| 93.058 | 83.776 | 203.836 | 0.000 | 0.000 | 0.000 | 
| 2.198 | 0.254 | 0.336 | 37.373 | -0.000 | 0.000 | 
| 2.086 | 0.167 | -0.284 | 0.000 | 59.214 | 0.000 | 
| 1.475 | 0.118 | -0.200 | 0.000 | 0.000 | 51.374 | 
| 286.395 | 84.053 | 93.332 | 0.000 | -0.000 | -0.000 | 
| 83.355 | 249.507 | 83.353 | 0.000 | 0.000 | -0.000 | 
| 93.576 | 89.104 | 185.780 | 0.000 | 0.000 | -0.000 | 
| 0.000 | -0.000 | 0.000 | 54.939 | 0.000 | -0.000 | 
| -0.221 | -0.018 | 0.030 | 0.000 | 58.888 | -0.000 | 
| -0.148 | -0.012 | 0.020 | 0.000 | 0.000 | 51.359 | 
| 280.617 | 84.568 | 94.006 | 0.000 | 0.000 | 0.000 | 
| 83.355 | 249.507 | 83.353 | 0.000 | -0.000 | 0.000 | 
| 93.058 | 83.776 | 203.836 | -0.000 | 0.000 | 0.000 | 
| -0.000 | 0.000 | -0.000 | 54.939 | -0.000 | 0.000 | 
| 0.221 | 0.018 | -0.030 | -0.000 | 58.888 | 0.000 | 
| 0.148 | 0.012 | -0.020 | -0.000 | -0.000 | 51.359 | 
| 280.470 | 84.572 | 93.987 | -0.000 | -0.000 | -0.000 | 
| 82.965 | 236.739 | 88.023 | 0.000 | -0.000 | -0.000 | 
| 96.512 | 82.897 | 191.274 | 0.000 | -0.000 | -0.000 | 
| -0.032 | -0.002 | 0.005 | 42.478 | 0.000 | -0.000 | 
| -0.022 | -0.002 | 0.003 | 0.000 | 58.885 | -0.000 | 
| -0.015 | -0.001 | 0.002 | 0.000 | 0.000 | 51.359 | 
| 286.394 | 84.052 | 93.332 | -0.000 | -0.000 | 0.000 | 
| 83.001 | 236.730 | 88.021 | 0.000 | -0.000 | 0.000 | 
| 93.732 | 89.118 | 185.804 | -0.000 | -0.000 | 0.000 | 
| 0.032 | 0.002 | -0.005 | 42.478 | -0.000 | 0.000 | 
| 0.022 | 0.002 | -0.003 | -0.000 | 58.885 | 0.000 | 
| 0.015 | 0.001 | -0.002 | -0.000 | -0.000 | 51.359 | 
| 183.568 | 93.227 | 77.915 | -0.000 | -0.000 | 0.000 | 
| 93.227 | 183.568 | 77.915 | -0.000 | -0.000 | 0.000 | 
| 80.000 | 80.000 | 247.438 | -0.000 | -0.000 | -0.000 | 
| 0.000 | 0.000 | 0.000 | 55.414 | -0.000 | -0.000 | 
| -0.000 | 0.000 | 0.000 | -0.000 | 55.414 | 0.000 | 
| 0.000 | 0.000 | -0.000 | 0.000 | -0.000 | 42.139 | 
| 181.026 | 96.651 | 79.376 | 0.000 | 0.000 | -0.000 | 
| 82.372 | 196.086 | 80.671 | 0.000 | 0.000 | -0.000 | 
| 80.000 | 80.000 | 247.438 | 0.000 | 0.000 | -0.000 | 
| -0.000 | -0.000 | -0.000 | 55.414 | 0.000 | -0.000 | 
| -0.000 | -0.000 | -0.000 | 0.000 | 55.414 | -0.000 | 
| -0.000 | -0.000 | 0.000 | 0.000 | 0.000 | 42.139 | 
| 181.026 | 96.651 | 79.376 | -0.000 | -0.000 | 0.000 | 
| 93.227 | 183.569 | 77.915 | 0.000 | -0.000 | 0.000 | 
| 80.000 | 80.000 | 247.438 | -0.000 | -0.000 | -0.000 | 
| 0.000 | -0.000 | 0.000 | 55.414 | -0.000 | 0.000 | 
| -0.000 | 0.000 | 0.000 | -0.000 | 53.263 | 0.000 | 
| 0.000 | 0.000 | 0.000 | -0.000 | -0.000 | 56.857 | 
| 196.086 | 82.372 | 80.671 | 0.000 | 0.000 | 0.000 | 
| 82.372 | 196.086 | 80.671 | 0.000 | 0.000 | -0.000 | 
| 80.000 | 80.000 | 247.438 | 0.000 | 0.000 | -0.000 | 
| -0.000 | 0.000 | -0.000 | 55.414 | 0.000 | -0.000 | 
| 0.000 | -0.000 | -0.000 | 0.000 | 53.263 | -0.000 | 
| -0.000 | -0.000 | -0.000 | 0.000 | 0.000 | 56.857 | 
| 183.570 | 93.228 | 77.915 | -0.000 | 0.000 | 0.000 | 
| 93.227 | 183.571 | 77.915 | -0.000 | -0.000 | 0.000 | 
| 81.162 | 81.162 | 251.291 | 0.000 | -0.000 | -0.000 | 
| 0.000 | -0.000 | 0.000 | 53.263 | -0.000 | 0.000 | 
| -0.000 | 0.000 | 0.000 | -0.000 | 53.263 | 0.000 | 
| 0.001 | 0.000 | 0.000 | -0.000 | -0.000 | 56.857 | 
| 196.084 | 82.372 | 80.671 | 0.000 | 0.000 | -0.000 | 
| 93.227 | 183.566 | 77.915 | 0.000 | 0.000 | 0.000 | 
| 80.000 | 80.000 | 247.436 | 0.000 | 0.000 | -0.000 | 
| -0.000 | 0.000 | -0.000 | 53.263 | 0.000 | 0.000 | 
| 0.000 | -0.000 | -0.000 | 0.000 | 53.263 | -0.000 | 
| -0.001 | -0.000 | -0.000 | 0.000 | 0.000 | 56.857 | 
| 194.247 | 81.416 | 81.283 | 0.000 | -0.000 | -0.000 | 
| 95.455 | 178.524 | 78.326 | 0.000 | 0.000 | 0.000 | 
| 81.283 | 81.283 | 252.208 | 0.000 | 0.000 | 0.000 | 
| -0.509 | -0.509 | -1.786 | 53.270 | 0.000 | -0.000 | 
| -0.000 | 0.000 | 0.000 | -0.000 | 55.494 | 0.000 | 
| -1.023 | -1.023 | -3.591 | -0.000 | -0.000 | 45.267 | 
| 181.593 | 94.706 | 82.401 | 0.000 | -0.000 | 0.000 | 
| 81.416 | 194.246 | 81.283 | -0.000 | -0.000 | 0.000 | 
| 80.559 | 80.559 | 249.663 | 0.000 | 0.000 | 0.000 | 
| 0.509 | 0.509 | 1.786 | 53.270 | -0.000 | 0.000 | 
| -0.000 | 0.000 | -0.000 | -0.000 | 55.494 | 0.000 | 
| 1.023 | 1.023 | 3.591 | 0.000 | -0.000 | 45.267 | 
| 194.247 | 81.416 | 81.283 | 0.000 | -0.000 | 0.000 | 
| 81.416 | 194.247 | 81.283 | 0.000 | 0.000 | 0.000 | 
| 81.283 | 81.283 | 252.208 | 0.000 | 0.000 | -0.000 | 
| -0.000 | -0.000 | 0.000 | 55.494 | -0.000 | 0.000 | 
| -0.000 | -0.000 | 0.000 | 0.000 | 55.494 | 0.000 | 
| -0.120 | -0.120 | -0.423 | -0.000 | 0.000 | 43.284 | 
| 194.246 | 81.416 | 81.283 | -0.000 | -0.000 | 0.000 | 
| 96.038 | 178.950 | 80.099 | 0.000 | -0.000 | -0.000 | 
| 80.144 | 80.144 | 248.206 | -0.000 | 0.000 | 0.000 | 
| 0.000 | 0.000 | -0.000 | 55.494 | 0.000 | 0.000 | 
| 0.000 | 0.000 | -0.000 | -0.000 | 55.494 | -0.000 | 
| 0.120 | 0.120 | 0.423 | 0.000 | 0.000 | 43.284 | 
| 181.526 | 92.517 | 78.434 | 0.000 | -0.000 | 0.000 | 
| 92.516 | 181.526 | 78.434 | -0.000 | 0.000 | 0.000 | 
| 80.094 | 80.094 | 248.029 | -0.000 | 0.000 | 0.000 | 
| -0.000 | -0.000 | 0.000 | 55.494 | 0.000 | -0.000 | 
| -0.000 | -0.000 | 0.000 | 0.000 | 55.494 | 0.000 | 
| -0.011 | -0.012 | -0.042 | -0.000 | -0.000 | 43.258 | 
| 181.483 | 92.590 | 78.497 | 0.000 | 0.000 | 0.000 | 
| 92.591 | 181.482 | 78.497 | 0.000 | 0.000 | 0.000 | 
| 81.283 | 81.283 | 252.207 | -0.000 | -0.000 | -0.000 | 
| 0.000 | 0.000 | -0.000 | 55.494 | 0.000 | -0.000 | 
| 0.000 | 0.000 | -0.000 | -0.000 | 55.494 | 0.000 | 
| 0.011 | 0.012 | 0.042 | 0.000 | 0.000 | 43.258 | 
| 84.208 | 151.445 | 151.445 | -0.000 | 0.000 | 0.000 | 
| 151.445 | 84.208 | 151.445 | -0.000 | 0.000 | 0.000 | 
| 151.445 | 151.445 | 84.208 | 0.000 | 0.000 | 0.000 | 
| 0.000 | 0.000 | 0.000 | 35.647 | -0.000 | 0.000 | 
| 0.000 | -0.000 | 0.000 | 0.000 | 35.647 | 0.000 | 
| 0.000 | 0.000 | -0.000 | -0.000 | 0.000 | 35.647 | 
| 84.208 | 151.445 | 151.445 | 0.000 | 0.000 | 0.000 | 
| 151.445 | 84.208 | 151.445 | 0.000 | 0.000 | 0.000 | 
| 151.445 | 151.445 | 84.208 | 0.000 | 0.000 | 0.000 | 
| -0.000 | -0.000 | -0.000 | 35.647 | 0.000 | -0.000 | 
| -0.000 | 0.000 | -0.000 | 0.000 | 35.647 | 0.000 | 
| -0.000 | -0.000 | 0.000 | 0.000 | 0.000 | 35.647 | 
| 84.211 | 151.445 | 151.445 | -0.000 | -0.000 | -0.000 | 
| 151.445 | 84.211 | 151.445 | -0.000 | -0.000 | -0.000 | 
| 151.445 | 151.445 | 84.211 | 0.000 | -0.000 | -0.000 | 
| 0.000 | 0.000 | 0.000 | 35.647 | -0.000 | 0.000 | 
| 0.000 | 0.000 | 0.000 | -0.000 | 35.647 | 0.000 | 
| 0.000 | 0.000 | 0.000 | -0.000 | 0.000 | 35.647 | 
| 84.205 | 151.445 | 151.445 | 0.000 | 0.000 | -0.000 | 
| 151.445 | 84.205 | 151.445 | 0.000 | -0.000 | -0.000 | 
| 151.445 | 151.445 | 84.205 | 0.000 | 0.000 | -0.000 | 
| -0.000 | -0.000 | -0.000 | 35.647 | 0.000 | -0.000 | 
| -0.000 | -0.000 | -0.000 | 0.000 | 35.647 | -0.000 | 
| -0.000 | -0.000 | -0.000 | 0.000 | 0.000 | 35.647 | 
| 84.238 | 151.448 | 151.448 | -0.000 | 0.000 | 0.000 | 
| 151.448 | 84.238 | 151.448 | -0.000 | -0.000 | 0.000 | 
| 151.448 | 151.448 | 84.238 | 0.000 | 0.000 | 0.000 | 
| 0.000 | 0.001 | 0.001 | 35.647 | -0.000 | -0.000 | 
| 0.001 | 0.000 | 0.001 | -0.000 | 35.647 | 0.000 | 
| 0.001 | 0.001 | 0.000 | -0.000 | -0.000 | 35.647 | 
| 84.178 | 151.442 | 151.442 | 0.000 | 0.000 | -0.000 | 
| 151.442 | 84.178 | 151.442 | 0.000 | 0.000 | -0.000 | 
| 151.442 | 151.442 | 84.178 | 0.000 | 0.000 | -0.000 | 
| -0.000 | -0.001 | -0.001 | 35.647 | 0.000 | -0.000 | 
| -0.001 | -0.000 | -0.001 | 0.000 | 35.647 | -0.000 | 
| -0.001 | -0.001 | -0.000 | 0.000 | 0.000 | 35.647 | 
| 210.938 | 134.558 | 134.558 | -0.000 | -0.000 | -0.000 | 
| 134.558 | 210.938 | 134.558 | -0.000 | -0.000 | -0.000 | 
| 134.558 | 134.558 | 210.938 | 0.000 | -0.000 | 0.000 | 
| 0.000 | -0.000 | -0.000 | 34.544 | -0.000 | -0.000 | 
| -0.000 | 0.000 | -0.000 | -0.000 | 34.544 | 0.000 | 
| -0.000 | -0.000 | -0.000 | -0.000 | -0.000 | 34.544 | 
| 210.938 | 134.558 | 134.558 | 0.000 | 0.000 | 0.000 | 
| 134.558 | 210.938 | 134.558 | 0.000 | 0.000 | -0.000 | 
| 134.558 | 134.558 | 210.938 | 0.000 | 0.000 | 0.000 | 
| -0.000 | 0.000 | 0.000 | 34.544 | 0.000 | -0.000 | 
| 0.000 | -0.000 | 0.000 | 0.000 | 34.544 | -0.000 | 
| 0.000 | 0.000 | -0.000 | 0.000 | 0.000 | 34.544 | 
| 210.937 | 134.557 | 134.557 | -0.000 | -0.000 | -0.000 | 
| 134.557 | 210.937 | 134.557 | -0.000 | -0.000 | 0.000 | 
| 134.557 | 134.557 | 210.937 | -0.000 | -0.000 | 0.000 | 
| 0.000 | -0.000 | -0.000 | 34.544 | -0.000 | 0.000 | 
| -0.000 | 0.000 | -0.000 | -0.000 | 34.544 | 0.000 | 
| -0.000 | -0.000 | 0.000 | -0.000 | -0.000 | 34.544 | 
| 210.746 | 134.655 | 134.655 | 0.000 | -0.000 | -0.000 | 
| 134.655 | 210.746 | 134.655 | 0.000 | 0.000 | 0.000 | 
| 134.655 | 134.655 | 210.746 | 0.000 | 0.000 | -0.000 | 
| -0.000 | 0.000 | 0.000 | 34.544 | 0.000 | 0.000 | 
| 0.000 | -0.000 | 0.000 | 0.000 | 34.544 | -0.000 | 
| 0.000 | 0.000 | -0.000 | 0.000 | 0.000 | 34.544 | 
| 210.928 | 134.554 | 134.554 | -0.000 | -0.000 | 0.000 | 
| 134.554 | 210.928 | 134.554 | -0.000 | -0.000 | 0.000 | 
| 134.554 | 134.554 | 210.928 | -0.000 | -0.000 | 0.000 | 
| 0.000 | -0.001 | -0.001 | 35.167 | -0.000 | 0.000 | 
| -0.001 | 0.000 | -0.001 | -0.000 | 35.167 | -0.000 | 
| -0.001 | -0.001 | 0.000 | -0.000 | -0.000 | 35.167 | 
| 210.948 | 134.562 | 134.562 | 0.000 | 0.000 | -0.000 | 
| 134.562 | 210.948 | 134.562 | 0.000 | 0.000 | 0.000 | 
| 134.562 | 134.562 | 210.948 | 0.000 | 0.000 | -0.000 | 
| -0.000 | 0.001 | 0.001 | 35.167 | 0.000 | 0.000 | 
| 0.001 | -0.000 | 0.001 | 0.000 | 35.167 | 0.000 | 
| 0.001 | 0.001 | -0.000 | 0.000 | 0.000 | 35.167 | 
| 243.365 | 129.639 | 129.639 | 0.000 | 0.000 | 0.000 | 
| 129.639 | 243.365 | 129.639 | 0.000 | 0.000 | 0.000 | 
| 129.639 | 129.639 | 243.365 | 0.000 | 0.000 | 0.000 | 
| 0.000 | 0.000 | 0.000 | 27.575 | 0.000 | 0.000 | 
| 0.000 | 0.000 | 0.000 | 0.000 | 27.575 | 0.000 | 
| 0.000 | 0.000 | 0.000 | 0.000 | 0.000 | 27.575 | 
| 243.365 | 129.639 | 129.639 | -0.000 | -0.000 | -0.000 | 
| 129.639 | 243.365 | 129.639 | -0.000 | -0.000 | -0.000 | 
| 129.639 | 129.639 | 243.365 | -0.000 | -0.000 | -0.000 | 
| -0.000 | -0.000 | -0.000 | 27.575 | -0.000 | 0.000 | 
| -0.000 | -0.000 | -0.000 | -0.000 | 27.575 | -0.000 | 
| -0.000 | -0.000 | -0.000 | -0.000 | -0.000 | 27.575 | 
| 243.366 | 129.639 | 129.639 | 0.000 | 0.000 | 0.000 | 
| 129.639 | 243.366 | 129.639 | 0.000 | 0.000 | 0.000 | 
| 129.639 | 129.639 | 243.366 | 0.000 | 0.000 | 0.000 | 
| 0.000 | 0.000 | 0.000 | 27.575 | 0.000 | 0.000 | 
| 0.000 | 0.000 | 0.000 | 0.000 | 27.575 | 0.000 | 
| 0.000 | 0.000 | 0.000 | 0.000 | 0.000 | 27.575 | 
| 243.364 | 129.639 | 129.639 | -0.000 | -0.000 | -0.000 | 
| 129.639 | 243.364 | 129.639 | -0.000 | -0.000 | -0.000 | 
| 129.639 | 129.639 | 243.364 | -0.000 | -0.000 | -0.000 | 
| -0.000 | -0.000 | -0.000 | 27.575 | -0.000 | 0.000 | 
| -0.000 | -0.000 | -0.000 | -0.000 | 27.575 | -0.000 | 
| -0.000 | -0.000 | -0.000 | -0.000 | -0.000 | 27.575 | 
| 243.374 | 129.637 | 129.637 | 0.000 | 0.000 | 0.000 | 
| 129.637 | 243.374 | 129.637 | 0.000 | 0.000 | 0.000 | 
| 129.637 | 129.637 | 243.374 | 0.000 | 0.000 | 0.000 | 
| 0.001 | 0.001 | 0.001 | 27.575 | 0.000 | 0.000 | 
| 0.001 | 0.001 | 0.001 | 0.000 | 27.575 | 0.000 | 
| 0.001 | 0.001 | 0.001 | 0.000 | 0.000 | 27.575 | 
| 243.356 | 129.640 | 129.640 | -0.000 | -0.000 | -0.000 | 
| 129.640 | 243.356 | 129.640 | -0.000 | -0.000 | -0.000 | 
| 129.640 | 129.640 | 243.356 | -0.000 | -0.000 | -0.000 | 
| -0.001 | -0.001 | -0.001 | 27.575 | -0.000 | 0.000 | 
| -0.001 | -0.001 | -0.001 | -0.000 | 27.575 | -0.000 | 
| -0.001 | -0.001 | -0.001 | -0.000 | -0.000 | 27.575 | 
| 112.047 | 169.778 | 105.266 | 0.000 | 0.000 | -0.000 | 
| 128.355 | 153.470 | 105.266 | 0.000 | 0.000 | -0.000 | 
| 105.266 | 105.266 | 176.560 | -0.000 | -0.000 | 0.000 | 
| 0.000 | 0.000 | 0.000 | -10.531 | 0.000 | -0.000 | 
| 0.000 | 0.000 | 0.000 | -0.000 | -10.531 | 0.000 | 
| 0.000 | 0.000 | 0.000 | 0.000 | 0.000 | 12.558 | 
| 112.046 | 169.778 | 105.265 | -0.000 | -0.000 | 0.000 | 
| 169.778 | 112.046 | 105.265 | -0.000 | -0.000 | -0.000 | 
| 105.265 | 105.265 | 176.560 | -0.000 | -0.000 | -0.000 | 
| -0.000 | -0.000 | -0.000 | -10.531 | -0.000 | -0.000 | 
| -0.000 | -0.000 | -0.000 | -0.000 | -10.531 | -0.000 | 
| -0.000 | -0.000 | -0.000 | -0.000 | -0.000 | 12.558 | 
| 29.798 | 252.040 | 105.273 | 0.000 | 0.000 | 0.000 | 
| 252.028 | 29.810 | 105.273 | 0.000 | 0.000 | -0.000 | 
| 105.266 | 105.266 | 176.561 | 0.000 | 0.000 | 0.000 | 
| 0.000 | 0.000 | 0.000 | -10.531 | 0.000 | -0.000 | 
| 0.000 | 0.000 | 0.000 | 0.000 | -10.531 | -0.000 | 
| 0.000 | 0.000 | 0.000 | 0.000 | 0.000 | 12.558 | 
| 112.044 | 169.777 | 105.264 | 0.000 | -0.000 | 0.000 | 
| 252.039 | 29.772 | 105.258 | -0.000 | -0.000 | 0.000 | 
| 105.265 | 105.265 | 176.559 | -0.000 | -0.000 | -0.000 | 
| -0.000 | -0.000 | -0.000 | -10.531 | -0.000 | 0.000 | 
| -0.000 | -0.000 | -0.000 | -0.000 | -10.531 | 0.000 | 
| -0.000 | -0.000 | -0.000 | -0.000 | -0.000 | 12.558 | 
| 153.482 | 128.359 | 105.272 | -0.000 | 0.000 | -0.000 | 
| 190.325 | 91.555 | 105.292 | 0.000 | 0.000 | -0.000 | 
| 105.271 | 105.271 | 176.568 | 0.000 | 0.000 | 0.000 | 
| -0.001 | 0.007 | 0.004 | -10.531 | 0.000 | -0.000 | 
| 0.005 | 0.002 | 0.004 | 0.000 | -10.531 | -0.000 | 
| -4666449.801 | 5292399.000 | -4231849.634 | 0.000 | 0.000 | -8624607.934 | 
| -10271636.093 | 9646050.434 | 4232007.095 | -0.000 | -0.000 | 0.000 | 
| 2912512.915 | -4011271.999 | 26837.045 | 2970.975 | 2189.397 | -425521.730 | 
| 105.260 | 105.260 | 176.552 | -0.000 | -0.000 | 0.000 | 
| 0.001 | -0.007 | -0.004 | -10.531 | -0.000 | 0.000 | 
| -0.005 | -0.002 | -0.004 | 0.000 | -10.531 | 0.000 | 
| 4666449.801 | -5292399.000 | 4231849.634 | 0.000 | -0.000 | -8624607.934 | 
| 70.632 | 211.199 | 105.268 | 0.000 | 0.000 | -0.000 | 
| 128.357 | 153.474 | 105.268 | -0.000 | -0.000 | 0.000 | 
| 105.268 | 105.268 | 176.563 | 0.000 | 0.000 | -0.000 | 
| 0.000 | 0.000 | 0.000 | -10.530 | 0.000 | -0.000 | 
| 0.000 | -0.000 | 0.000 | 0.000 | -10.530 | -0.000 | 
| 0.001 | 0.000 | 0.000 | 0.000 | 0.000 | -70.284 | 
| 153.474 | 128.356 | 105.268 | 0.000 | 0.000 | -0.000 | 
| 128.356 | 153.474 | 105.268 | 0.000 | 0.000 | -0.000 | 
| 105.268 | 105.268 | 176.563 | -0.000 | -0.000 | 0.000 | 
| 0.000 | -0.000 | -0.000 | -10.530 | -0.000 | 0.000 | 
| -0.000 | 0.000 | -0.000 | -0.000 | -10.530 | -0.000 | 
| -0.001 | -0.000 | -0.000 | -0.000 | -0.000 | -70.284 | 
| 70.636 | 211.202 | 105.272 | 0.000 | 0.000 | -0.000 | 
| 211.199 | 70.640 | 105.272 | 0.000 | 0.000 | -0.000 | 
| 105.268 | 105.268 | 176.563 | -0.000 | 0.000 | -0.000 | 
| 0.000 | 0.000 | 0.000 | -10.530 | 0.000 | 0.000 | 
| 0.000 | 0.000 | 0.000 | 0.000 | -10.530 | 0.000 | 
| 0.005 | 0.001 | 0.003 | 0.000 | 0.000 | -70.284 | 
| 70.627 | 211.196 | 105.264 | -0.000 | -0.000 | 0.000 | 
| 128.356 | 153.473 | 105.267 | 0.000 | -0.000 | 0.000 | 
| 105.267 | 105.267 | 176.562 | 0.000 | -0.000 | -0.000 | 
| -0.000 | -0.000 | -0.000 | -10.530 | -0.000 | -0.000 | 
| -0.000 | -0.000 | -0.000 | -0.000 | -10.530 | -0.000 | 
| -0.005 | -0.001 | -0.003 | -0.000 | -0.000 | -70.284 | 
| -5944656.559 | 6661921.471 | -1108783.366 | -0.000 | 0.000 | -0.045 | 
| 10271996.306 | -9645652.932 | -4231676.170 | 0.000 | 0.000 | 0.000 | 
| 105.273 | 105.273 | 176.571 | 0.000 | 0.000 | -0.000 | 
| 0.002 | 0.005 | 0.004 | -10.530 | 0.000 | 0.000 | 
| 0.005 | 0.002 | 0.004 | -0.000 | -10.530 | -0.000 | 
| -4666438.375 | 5292408.415 | -4231836.720 | 0.000 | 0.000 | -8624606.191 | 
| -10271644.501 | 9646038.002 | 4231994.180 | 0.000 | -0.000 | -0.000 | 
| 2247346.852 | -4143911.392 | 504780.567 | -0.000 | 0.000 | -75856.930 | 
| 105.262 | 105.262 | 176.555 | -0.000 | -0.000 | -0.000 | 
| -0.002 | -0.005 | -0.004 | -10.530 | -0.000 | 0.000 | 
| -0.005 | -0.002 | -0.004 | -0.000 | -10.530 | 0.000 | 
| 4666438.375 | -5292408.415 | 4231836.720 | -0.000 | 0.000 | -8624606.191 | 
| 88.564 | 133.897 | 133.897 | -0.000 | -0.000 | -0.000 | 
| 133.897 | 88.564 | 133.897 | -0.000 | -0.000 | -0.000 | 
| 133.897 | 133.897 | 88.564 | -0.000 | -0.000 | -0.000 | 
| 0.000 | 0.000 | 0.000 | -72.552 | -0.000 | -0.000 | 
| 0.000 | -0.000 | 0.000 | -0.000 | -72.552 | -0.000 | 
| 0.000 | 0.000 | -0.000 | -0.000 | -0.000 | -72.552 | 
| 88.563 | 133.897 | 133.897 | 0.000 | 0.000 | 0.000 | 
| 133.897 | 88.563 | 133.897 | 0.000 | 0.000 | 0.000 | 
| 133.897 | 133.897 | 88.563 | 0.000 | 0.000 | 0.000 | 
| -0.000 | -0.000 | -0.000 | -72.552 | 0.000 | 0.000 | 
| -0.000 | 0.000 | -0.000 | 0.000 | -72.552 | 0.000 | 
| -0.000 | -0.000 | 0.000 | 0.000 | 0.000 | -72.552 | 
| 88.566 | 133.899 | 133.899 | -0.000 | -0.000 | -0.000 | 
| 133.899 | 88.566 | 133.899 | -0.000 | 0.000 | -0.000 | 
| 133.899 | 133.899 | 88.566 | -0.000 | -0.000 | -0.000 | 
| -0.000 | 0.000 | 0.000 | -72.552 | -0.000 | -0.000 | 
| 0.000 | -0.000 | 0.000 | -0.000 | -72.552 | -0.000 | 
| 0.000 | 0.000 | -0.000 | -0.000 | -0.000 | -72.552 | 
| 88.561 | 133.895 | 133.895 | 0.000 | -0.000 | 0.000 | 
| 133.895 | 88.561 | 133.895 | 0.000 | 0.000 | 0.000 | 
| 133.895 | 133.895 | 88.561 | 0.000 | 0.000 | 0.000 | 
| 0.000 | -0.000 | -0.000 | -72.552 | 0.000 | 0.000 | 
| -0.000 | 0.000 | -0.000 | 0.000 | -72.552 | 0.000 | 
| -0.000 | -0.000 | 0.000 | 0.000 | 0.000 | -72.552 | 
| 88.587 | 133.916 | 133.916 | -0.000 | -0.000 | -0.000 | 
| 133.916 | 88.587 | 133.916 | -0.000 | -0.000 | -0.000 | 
| 133.916 | 133.916 | 88.587 | -0.000 | -0.000 | -0.000 | 
| -0.000 | 0.005 | 0.005 | -72.552 | -0.000 | -0.000 | 
| 0.005 | -0.000 | 0.005 | -0.000 | -72.552 | -0.000 | 
| 0.005 | 0.005 | -0.000 | -0.000 | -0.000 | -72.552 | 
| 88.540 | 133.878 | 133.878 | 0.000 | 0.000 | 0.000 | 
| 133.878 | 88.540 | 133.878 | 0.000 | 0.000 | 0.000 | 
| 133.878 | 133.878 | 88.540 | 0.000 | 0.000 | 0.000 | 
| 0.000 | -0.005 | -0.005 | -72.552 | 0.000 | 0.000 | 
| -0.005 | 0.000 | -0.005 | 0.000 | -72.552 | 0.000 | 
| -0.005 | -0.005 | 0.000 | 0.000 | 0.000 | -72.552 | 
| 363.570 | 363.570 | 363.570 | -0.000 | -0.000 | -0.000 | 
| 363.570 | 363.570 | 363.570 | -0.000 | -0.000 | -0.000 | 
| 363.570 | 363.570 | 363.570 | -0.000 | -0.000 | -0.000 | 
| 0.000 | 0.000 | 0.000 | -1.722 | 0.000 | -0.000 | 
| 0.000 | 0.000 | 0.000 | 0.000 | -1.722 | -0.000 | 
| 0.000 | 0.000 | 0.000 | 0.000 | -0.000 | -1.722 | 
| 363.570 | 363.570 | 363.570 | 0.000 | 0.000 | 0.000 | 
| 363.570 | 363.570 | 363.570 | 0.000 | 0.000 | 0.000 | 
| 363.570 | 363.570 | 363.570 | 0.000 | 0.000 | 0.000 | 
| -0.000 | -0.000 | -0.000 | -1.722 | 0.000 | 0.000 | 
| -0.000 | -0.000 | -0.000 | 0.000 | -1.722 | 0.000 | 
| -0.000 | -0.000 | -0.000 | 0.000 | 0.000 | -1.722 | 
| 363.567 | 363.567 | 363.567 | 0.000 | -0.000 | -0.000 | 
| 363.567 | 363.567 | 363.567 | -0.000 | 0.000 | -0.000 | 
| 363.567 | 363.567 | 363.567 | -0.000 | -0.000 | 0.000 | 
| 0.000 | 0.000 | 0.000 | -1.116 | -0.000 | -0.000 | 
| 0.000 | 0.000 | 0.000 | -0.000 | -1.116 | -0.000 | 
| 0.000 | 0.000 | 0.000 | -0.000 | -0.000 | -1.116 | 
| 363.573 | 363.573 | 363.573 | 0.000 | 0.000 | 0.000 | 
| 363.573 | 363.573 | 363.573 | 0.000 | 0.000 | 0.000 | 
| 363.573 | 363.573 | 363.573 | 0.000 | 0.000 | 0.000 | 
| -0.000 | -0.000 | -0.000 | -1.116 | 0.000 | 0.000 | 
| -0.000 | -0.000 | -0.000 | 0.000 | -1.116 | 0.000 | 
| -0.000 | -0.000 | -0.000 | 0.000 | 0.000 | -1.116 | 
| 363.540 | 363.540 | 363.540 | -0.000 | -0.000 | -0.000 | 
| 363.540 | 363.540 | 363.540 | -0.000 | -0.000 | -0.000 | 
| 363.540 | 363.540 | 363.540 | -0.000 | -0.000 | -0.000 | 
| 1109.086 | -142.573 | 619.660 | -217.436 | -350.801 | -208.987 | 
| -304.088 | -223.241 | -621.998 | 1736.859 | -1290.670 | 1476.585 | 
| 2740.833 | 3683.441 | 3566.370 | 136.980 | 10.705 | 322.001 | 
| 363.600 | 363.599 | 363.599 | 0.000 | 0.000 | 0.000 | 
| 363.599 | 363.600 | 363.599 | 0.000 | 0.000 | 0.000 | 
| 363.599 | 363.599 | 363.600 | 0.000 | 0.000 | 0.000 | 
| -470.703 | -343.415 | 131.621 | -176.567 | -124.643 | 16.775 | 
| -1303.735 | -1710.764 | -1090.637 | -170.556 | -313.423 | -558.142 | 
| 2233.778 | 345.219 | 788.878 | 622.642 | 604.182 | 407.752 | 
| 353.509 | 82.817 | 117.589 | 0.000 | 0.000 | 0.000 | 
| 82.817 | 353.509 | 117.589 | 0.000 | 0.000 | 0.000 | 
| 117.589 | 117.589 | 198.092 | 0.000 | -0.000 | 0.000 | 
| 0.000 | -0.000 | -0.000 | 12.750 | 0.000 | 0.000 | 
| -0.000 | 0.000 | -0.000 | -0.000 | 12.750 | 0.000 | 
| 0.000 | 0.000 | 0.000 | -0.000 | 0.000 | -92.756 | 
| 353.509 | 82.816 | 117.589 | -0.000 | -0.000 | -0.000 | 
| 82.816 | 353.509 | 117.589 | -0.000 | -0.000 | -0.000 | 
| 117.589 | 117.589 | 198.092 | -0.000 | -0.000 | -0.000 | 
| -0.000 | 0.000 | 0.000 | 12.750 | 0.000 | -0.000 | 
| 0.000 | -0.000 | 0.000 | -0.000 | 12.750 | 0.000 | 
| -0.000 | -0.000 | -0.000 | -0.000 | -0.000 | -92.756 | 
| 375.801 | 60.529 | 117.589 | 0.000 | -0.000 | 0.000 | 
| 60.529 | 375.801 | 117.589 | 0.000 | -0.000 | -0.000 | 
| 117.589 | 117.589 | 198.091 | -0.000 | -0.000 | -0.000 | 
| 0.000 | -0.001 | -0.001 | 12.750 | 0.000 | 0.000 | 
| -0.001 | 0.000 | -0.001 | 0.000 | 12.750 | 0.000 | 
| 0.000 | 0.000 | 0.000 | -0.000 | 0.000 | -92.756 | 
| 353.510 | 82.814 | 117.589 | -0.000 | 0.000 | 0.000 | 
| 82.814 | 353.510 | 117.589 | -0.000 | -0.000 | 0.000 | 
| 117.588 | 117.588 | 198.093 | 0.000 | 0.000 | -0.000 | 
| -0.000 | 0.001 | 0.001 | 12.750 | -0.000 | 0.000 | 
| 0.001 | -0.000 | 0.001 | -0.000 | 12.750 | -0.000 | 
| -0.000 | -0.000 | -0.000 | 0.000 | -0.000 | -92.756 | 
| 353.503 | 82.846 | 117.583 | 0.000 | -0.000 | -0.000 | 
| 82.846 | 353.503 | 117.583 | 0.000 | 0.000 | 0.000 | 
| 117.592 | 117.592 | 198.081 | 0.000 | -0.000 | -0.000 | 
| 0.002 | -0.007 | -0.007 | 12.750 | 0.000 | 0.000 | 
| -0.007 | 0.002 | -0.007 | 0.000 | 12.750 | 0.000 | 
| 0.003 | 0.003 | 0.001 | 0.000 | -0.000 | -92.756 | 
| 353.516 | 82.788 | 117.594 | -0.000 | -0.000 | -0.000 | 
| 82.788 | 353.516 | 117.594 | -0.000 | -0.000 | -0.000 | 
| 117.585 | 117.585 | 198.104 | -0.000 | -0.000 | 0.000 | 
| -0.002 | 0.007 | 0.007 | 12.750 | -0.000 | 0.000 | 
| 0.007 | -0.002 | 0.007 | -0.000 | 12.750 | 0.000 | 
| -0.003 | -0.003 | -0.001 | -0.000 | 0.000 | -92.756 | 
| 244.070 | 120.807 | 154.713 | 0.000 | 0.000 | -0.000 | 
| 120.807 | 244.070 | 154.713 | 0.000 | 0.000 | 0.000 | 
| 154.713 | 154.713 | 285.737 | 0.000 | 0.000 | -0.000 | 
| 0.000 | 0.000 | 0.000 | 56.888 | 0.000 | -0.000 | 
| 0.000 | 0.000 | 0.000 | 0.000 | 56.888 | -0.000 | 
| -0.000 | -0.000 | 0.000 | 0.000 | 0.000 | -45.209 | 
| 244.071 | 120.808 | 154.714 | -0.000 | -0.000 | -0.000 | 
| 120.808 | 244.071 | 154.714 | -0.000 | -0.000 | -0.000 | 
| 154.713 | 154.713 | 285.737 | -0.000 | -0.000 | -0.000 | 
| -0.000 | -0.000 | -0.000 | 56.888 | -0.000 | -0.000 | 
| -0.000 | -0.000 | -0.000 | -0.000 | 56.888 | 0.000 | 
| 0.000 | 0.000 | -0.000 | -0.000 | -0.000 | -45.209 | 
| 244.069 | 120.806 | 154.713 | 0.000 | 0.000 | -0.000 | 
| 120.806 | 244.069 | 154.713 | 0.000 | 0.000 | -0.000 | 
| 154.714 | 154.714 | 285.738 | 0.000 | 0.000 | -0.000 | 
| 0.000 | 0.000 | 0.000 | 56.888 | 0.000 | 0.000 | 
| 0.000 | 0.000 | 0.000 | 0.000 | 56.888 | 0.000 | 
| -0.001 | -0.001 | 0.000 | 0.000 | 0.000 | -45.209 | 
| 244.072 | 120.809 | 154.714 | -0.000 | -0.000 | 0.000 | 
| 120.809 | 244.072 | 154.714 | -0.000 | -0.000 | 0.000 | 
| 154.713 | 154.713 | 285.736 | -0.000 | -0.000 | 0.000 | 
| -0.000 | -0.000 | -0.000 | 56.888 | -0.000 | 0.000 | 
| -0.000 | -0.000 | -0.000 | -0.000 | 56.888 | 0.000 | 
| 0.001 | 0.001 | -0.000 | -0.000 | 0.000 | -45.209 | 
| 244.058 | 120.793 | 154.710 | 0.000 | 0.000 | -0.000 | 
| 120.793 | 244.058 | 154.710 | 0.000 | 0.000 | -0.000 | 
| 154.714 | 154.714 | 285.748 | 0.000 | 0.000 | -0.000 | 
| 0.001 | 0.001 | 0.003 | 56.888 | 0.000 | -0.000 | 
| 0.001 | 0.001 | 0.003 | -0.000 | 56.888 | -0.000 | 
| -0.007 | -0.008 | 0.001 | 0.000 | 0.000 | -45.209 | 
| 244.083 | 120.823 | 154.717 | -0.000 | -0.000 | 0.000 | 
| 120.823 | 244.083 | 154.717 | -0.000 | -0.000 | -0.000 | 
| 154.713 | 154.713 | 285.726 | -0.000 | -0.000 | 0.000 | 
| -0.001 | -0.001 | -0.003 | 56.888 | -0.000 | 0.000 | 
| -0.001 | -0.001 | -0.003 | -0.000 | 56.888 | 0.000 | 
| 0.007 | 0.008 | -0.001 | -0.000 | -0.000 | -45.209 | 
| 294.065 | 162.041 | 132.200 | -58.064 | 0.000 | -0.000 | 
| 162.041 | 294.065 | 132.200 | 58.063 | 0.000 | -0.000 | 
| 124.388 | 124.389 | 37.137 | -0.000 | 0.000 | -0.000 | 
| -58.064 | 58.064 | 0.000 | -2.325 | 0.000 | -0.000 | 
| 0.000 | 0.000 | 0.000 | 0.000 | -2.325 | -58.064 | 
| 0.000 | 0.000 | 0.000 | 0.000 | -58.064 | 66.012 | 
| 294.065 | 162.041 | 132.200 | -58.063 | -0.000 | 0.000 | 
| 162.041 | 294.065 | 132.200 | 58.064 | -0.000 | 0.000 | 
| 124.388 | 124.388 | 37.136 | 0.000 | -0.000 | 0.000 | 
| -58.064 | 58.064 | -0.000 | -2.325 | -0.000 | 0.000 | 
| -0.000 | -0.000 | -0.000 | -0.000 | -2.325 | -58.063 | 
| -0.000 | -0.000 | -0.000 | -0.000 | -58.064 | 66.012 | 
| 294.067 | 162.042 | 132.202 | -58.064 | 0.000 | -0.000 | 
| 162.042 | 294.067 | 132.202 | 58.063 | 0.000 | -0.000 | 
| 124.390 | 124.390 | 37.142 | -0.000 | 0.000 | -0.000 | 
| -58.063 | 58.064 | 0.001 | -2.325 | 0.000 | -0.000 | 
| 0.000 | 0.000 | 0.001 | 0.000 | -2.325 | -58.064 | 
| 0.000 | 0.000 | 0.000 | 0.000 | -58.064 | 66.012 | 
| 294.063 | 162.040 | 132.199 | -58.064 | -0.000 | 0.000 | 
| 162.040 | 294.063 | 132.199 | 58.064 | -0.000 | 0.000 | 
| 124.386 | 124.386 | 37.131 | 0.000 | -0.000 | 0.000 | 
| -58.064 | 58.063 | -0.001 | -2.325 | -0.000 | 0.000 | 
| -0.000 | -0.000 | -0.001 | -0.000 | -2.325 | -58.063 | 
| -0.000 | -0.000 | -0.000 | -0.000 | -58.064 | 66.012 | 
| 294.085 | 162.051 | 132.214 | -58.064 | 0.000 | -0.000 | 
| 162.051 | 294.084 | 132.214 | 58.063 | 0.000 | -0.000 | 
| 124.408 | 124.408 | 37.188 | -0.000 | 0.000 | -0.000 | 
| -58.062 | 58.068 | 0.009 | -2.326 | 0.000 | -0.000 | 
| 0.005 | 0.002 | 0.009 | 0.002 | -2.325 | -58.064 | 
| 0.002 | 0.003 | 0.002 | 0.000 | -58.064 | 66.012 | 
| 294.045 | 162.031 | 132.187 | -58.063 | -0.000 | 0.000 | 
| 162.031 | 294.046 | 132.187 | 58.064 | -0.000 | 0.000 | 
| 124.369 | 124.369 | 37.085 | 0.000 | -0.000 | 0.000 | 
| -58.065 | 58.059 | -0.009 | -2.323 | -0.000 | 0.000 | 
| -0.005 | -0.002 | -0.009 | -0.002 | -2.325 | -58.064 | 
| -0.002 | -0.003 | -0.002 | -0.000 | -58.064 | 66.012 | 
| 675.177 | 239.715 | 239.715 | -0.000 | -0.000 | -0.000 | 
| 239.715 | 675.177 | 239.715 | -0.000 | -0.000 | -0.000 | 
| 239.715 | 239.715 | 675.177 | -0.000 | -0.000 | -0.000 | 
| -0.000 | -0.000 | -0.000 | 62.436 | -0.000 | -0.000 | 
| -0.000 | -0.000 | -0.000 | -0.000 | 62.436 | -0.000 | 
| -0.000 | -0.000 | -0.000 | -0.000 | -0.000 | 62.436 | 
| 675.177 | 239.715 | 239.715 | 0.000 | 0.000 | 0.000 | 
| 239.715 | 675.177 | 239.715 | 0.000 | 0.000 | 0.000 | 
| 239.715 | 239.715 | 675.177 | 0.000 | 0.000 | 0.000 | 
| 0.000 | 0.000 | 0.000 | 62.436 | 0.000 | 0.000 | 
| 0.000 | 0.000 | 0.000 | 0.000 | 62.436 | 0.000 | 
| 0.000 | 0.000 | 0.000 | 0.000 | 0.000 | 62.436 | 
| 675.177 | 239.716 | 239.716 | -0.000 | -0.000 | -0.000 | 
| 239.716 | 675.177 | 239.716 | -0.000 | -0.000 | -0.000 | 
| 239.716 | 239.716 | 675.177 | -0.000 | -0.000 | -0.000 | 
| -0.000 | -0.000 | -0.000 | 62.436 | -0.000 | -0.000 | 
| -0.000 | -0.000 | -0.000 | -0.000 | 62.436 | -0.000 | 
| -0.000 | -0.000 | -0.000 | -0.000 | -0.000 | 62.436 | 
| 675.177 | 239.715 | 239.715 | 0.000 | 0.000 | 0.000 | 
| 239.715 | 675.177 | 239.715 | 0.000 | 0.000 | 0.000 | 
| 239.715 | 239.715 | 675.177 | 0.000 | 0.000 | 0.000 | 
| 0.000 | 0.000 | 0.000 | 62.436 | 0.000 | 0.000 | 
| 0.000 | 0.000 | 0.000 | 0.000 | 62.436 | 0.000 | 
| 0.000 | 0.000 | 0.000 | 0.000 | 0.000 | 62.436 | 
| 675.179 | 239.722 | 239.722 | -0.000 | -0.000 | -0.000 | 
| 239.722 | 675.179 | 239.722 | -0.000 | -0.000 | -0.000 | 
| 239.722 | 239.722 | 675.179 | -0.000 | -0.000 | -0.000 | 
| -0.002 | -0.003 | -0.003 | 62.436 | -0.000 | -0.000 | 
| -0.003 | -0.002 | -0.003 | -0.000 | 62.436 | -0.000 | 
| -0.003 | -0.003 | -0.002 | -0.000 | -0.000 | 62.436 | 
| 675.175 | 239.708 | 239.708 | 0.000 | 0.000 | 0.000 | 
| 239.708 | 675.175 | 239.708 | 0.000 | 0.000 | 0.000 | 
| 239.708 | 239.708 | 675.175 | 0.000 | 0.000 | 0.000 | 
| 0.002 | 0.003 | 0.003 | 62.436 | 0.000 | 0.000 | 
| 0.003 | 0.002 | 0.003 | 0.000 | 62.436 | 0.000 | 
| 0.003 | 0.003 | 0.002 | 0.000 | 0.000 | 62.436 | 
| 164.725 | 239.999 | -143.607 | -189.192 | 34.619 | -186.753 | 
| 553.495 | 698.021 | 15.706 | 157.396 | 151.154 | -252.476 | 
| 588.030 | 808.431 | 249.437 | 66.027 | 286.440 | -225.461 | 
| -12.941 | 111.965 | -258.721 | -151.727 | 16.665 | -186.959 | 
| 5.455 | 4.661 | 2.897 | -1.549 | 42.654 | 0.322 | 
| -21.906 | 112.972 | -263.590 | -190.195 | 36.391 | -151.401 | 
| -44.726 | -284.576 | 300.104 | -70.381 | -89.315 | 247.625 | 
| -333.504 | -500.435 | 69.853 | -56.420 | -282.490 | 225.044 | 
| -79.657 | -273.776 | 355.542 | -64.524 | -103.690 | 247.675 | 
| -211.148 | -415.639 | 170.691 | -33.847 | -111.011 | 251.951 | 
| 8.165 | -122.817 | 260.256 | 183.450 | 12.465 | 187.087 | 
| -9.061 | -3.274 | -2.472 | 2.281 | 19.433 | 43.804 | 
| 205.950 | 173.654 | 121.526 | 9.836 | 29.064 | -27.250 | 
| 156.443 | 207.058 | 150.065 | 18.980 | 4.157 | -4.114 | 
| 138.711 | 146.544 | 208.334 | 8.170 | 2.897 | -4.020 | 
| 47.522 | 63.864 | 10.548 | 40.378 | 24.386 | -20.954 | 
| 56.348 | 64.144 | -17.068 | 7.010 | 51.596 | -20.645 | 
| 37.881 | 67.274 | 7.716 | 5.103 | 44.405 | 14.434 | 
| 118.749 | 69.941 | 154.619 | -16.593 | -0.936 | 23.464 | 
| 72.085 | 116.491 | 155.806 | -5.312 | -22.436 | 23.919 | 
| 138.711 | 146.544 | 208.335 | 8.170 | 2.897 | -4.020 | 
| 4.171 | 0.558 | 8.170 | 41.332 | -1.549 | 2.786 | 
| -3.505 | -17.380 | 23.794 | 13.839 | 32.287 | 17.925 | 
| -8.017 | -16.013 | 24.695 | 16.427 | 11.765 | 54.643 | 
| 168.035 | 127.825 | 130.231 | -3.434 | 17.087 | -3.781 | 
| 125.869 | 178.639 | 139.010 | 10.822 | -1.412 | -2.904 | 
| 126.683 | 136.014 | 192.831 | 3.668 | -0.226 | -3.499 | 
| 5.550 | 2.795 | 4.625 | 35.816 | -1.506 | -1.011 | 
| -0.839 | 2.944 | -0.475 | -3.849 | 36.830 | -1.800 | 
| -8.398 | 2.949 | -1.958 | 0.744 | 17.477 | 36.280 | 
| 160.256 | 117.527 | 133.562 | -4.606 | 13.912 | 0.506 | 
| 156.442 | 207.059 | 150.065 | 18.982 | 4.157 | -4.115 | 
| 138.710 | 146.543 | 208.338 | 8.171 | 2.898 | -4.020 | 
| -7.550 | -11.344 | 8.457 | 34.325 | -6.664 | 3.829 | 
| -1.373 | -2.878 | 4.703 | -2.676 | 35.885 | 1.939 | 
| -9.061 | -3.273 | -2.472 | 2.282 | 19.433 | 43.803 | 
| 204.073 | 150.124 | 147.381 | 0.247 | 4.651 | 0.645 | 
| 148.823 | 213.865 | 139.123 | 8.968 | 13.703 | 4.722 | 
| 148.793 | 139.127 | 213.599 | -0.105 | -13.958 | 0.501 | 
| 0.190 | -0.294 | -0.110 | 37.413 | 0.433 | 13.605 | 
| -0.123 | 13.545 | -13.979 | 0.439 | 47.059 | 0.250 | 
| 0.514 | 4.691 | -2.998 | 13.713 | 11.859 | 47.078 | 
| 204.122 | 150.233 | 147.431 | 0.236 | 4.659 | 0.585 | 
| 148.872 | 213.974 | 139.173 | 8.957 | 13.711 | 4.663 | 
| 148.842 | 139.235 | 213.648 | -0.115 | -13.950 | 0.441 | 
| 0.215 | -0.239 | -0.085 | 37.407 | 0.437 | 13.575 | 
| -0.074 | 13.655 | -13.929 | 0.427 | 47.068 | 0.190 | 
| 0.514 | 4.691 | -2.998 | 13.713 | 11.859 | 47.078 | 
| 204.095 | 150.172 | 147.403 | 0.242 | 4.654 | 0.618 | 
| 148.845 | 213.914 | 139.145 | 8.962 | 13.707 | 4.695 | 
| 148.815 | 139.175 | 213.621 | -0.109 | -13.955 | 0.474 | 
| 0.190 | -0.294 | -0.110 | 37.413 | 0.433 | 13.605 | 
| -0.099 | 13.600 | -13.954 | 0.433 | 47.063 | 0.220 | 
| 0.512 | 4.686 | -3.000 | 13.713 | 11.859 | 47.081 | 
| 204.099 | 150.183 | 147.408 | 0.241 | 4.655 | 0.612 | 
| 148.847 | 213.919 | 139.148 | 8.962 | 13.707 | 4.693 | 
| 148.820 | 139.187 | 213.625 | -0.110 | -13.954 | 0.468 | 
| 0.193 | -0.289 | -0.108 | 37.413 | 0.434 | 13.602 | 
| -0.096 | 13.605 | -13.952 | 0.433 | 47.064 | 0.217 | 
| 0.514 | 4.691 | -2.998 | 13.713 | 11.859 | 47.078 | 
| 204.101 | 150.175 | 147.404 | 0.241 | 4.655 | 0.615 | 
| 148.846 | 213.920 | 139.147 | 8.962 | 13.707 | 4.691 | 
| 148.817 | 139.179 | 213.628 | -0.110 | -13.955 | 0.471 | 
| 0.191 | -0.293 | -0.110 | 37.413 | 0.433 | 13.605 | 
| -0.098 | 13.600 | -13.952 | 0.433 | 47.063 | 0.220 | 
| 0.514 | 4.692 | -2.997 | 13.712 | 11.859 | 47.077 | 
| 204.094 | 150.180 | 147.408 | 0.242 | 4.655 | 0.615 | 
| 148.849 | 213.918 | 139.149 | 8.962 | 13.708 | 4.694 | 
| 148.818 | 139.183 | 213.618 | -0.110 | -13.953 | 0.471 | 
| 0.190 | -0.295 | -0.110 | 37.413 | 0.433 | 13.606 | 
| -0.100 | 13.599 | -13.956 | 0.433 | 47.064 | 0.220 | 
| 0.514 | 4.691 | -2.998 | 13.713 | 11.859 | 47.078 | 
| 166.821 | 98.598 | 123.307 | 0.000 | -0.000 | 0.000 | 
| 100.256 | 179.140 | 135.111 | -0.000 | -0.000 | 0.000 | 
| 113.438 | 134.996 | 354.659 | 0.000 | 0.000 | 0.000 | 
| 0.000 | 0.001 | 0.001 | -435.285 | -0.000 | 0.000 | 
| -0.000 | 0.000 | 0.000 | -0.000 | -27.550 | 0.000 | 
| -0.000 | 0.000 | 0.000 | 0.000 | -0.000 | 30.325 | 
| 167.345 | 99.314 | 115.466 | 0.000 | 0.000 | -0.000 | 
| 100.256 | 179.140 | 135.111 | -0.000 | -0.000 | -0.000 | 
| 113.438 | 134.996 | 354.660 | 0.000 | 0.000 | -0.000 | 
| -0.000 | -0.001 | -0.001 | -435.285 | 0.000 | -0.000 | 
| 0.000 | -0.000 | -0.000 | 0.000 | -27.550 | -0.000 | 
| -0.000 | -0.000 | -0.000 | -0.000 | 0.000 | 30.325 | 
| 167.345 | 99.314 | 115.466 | -0.000 | -0.000 | 0.000 | 
| 99.541 | 178.164 | 145.807 | -0.000 | -0.000 | 0.000 | 
| 113.438 | 134.996 | 354.656 | 0.000 | -0.000 | 0.000 | 
| 0.000 | 0.000 | 0.000 | -12.824 | -0.000 | -0.000 | 
| -0.000 | 0.000 | -0.000 | 0.000 | -27.550 | 0.000 | 
| 0.000 | 0.000 | 0.000 | 0.000 | -0.000 | 30.325 | 
| 166.822 | 98.598 | 123.307 | -0.000 | 0.000 | -0.000 | 
| 100.256 | 179.140 | 135.110 | 0.000 | 0.000 | -0.000 | 
| 113.438 | 134.996 | 354.663 | -0.000 | 0.000 | -0.000 | 
| -0.000 | -0.000 | -0.000 | -12.824 | 0.000 | -0.000 | 
| 0.000 | -0.000 | 0.000 | -0.000 | -27.550 | -0.000 | 
| -0.000 | -0.000 | -0.000 | -0.000 | 0.000 | 30.325 | 
| 166.815 | 98.599 | 123.307 | 0.000 | -0.000 | 0.000 | 
| 100.257 | 179.139 | 135.112 | 0.000 | -0.000 | 0.000 | 
| 113.441 | 134.996 | 354.624 | 0.000 | -0.000 | 0.000 | 
| 120244.233 | 607902.050 | -779536.706 | -5539783.088 | 0.000 | -0.000 | 
| 2427122.612 | 830813.455 | -6041659.357 | 0.000 | -8644314.715 | 0.000 | 
| 0.000 | 0.000 | 0.001 | 0.000 | -0.000 | 30.325 | 
| 167.351 | 99.313 | 115.467 | -0.000 | 0.000 | -0.000 | 
| 99.539 | 178.163 | 145.808 | -0.000 | -0.000 | -0.000 | 
| 113.435 | 134.996 | 354.696 | -0.000 | 0.000 | -0.000 | 
| -120244.233 | -607902.050 | 779536.706 | -5539783.088 | -0.000 | -0.000 | 
| -2427122.612 | -830813.455 | 6041659.357 | -0.000 | -8644314.715 | -0.000 | 
| -0.000 | -0.000 | -0.001 | 0.000 | 0.000 | 30.325 | 
| 205.951 | 137.376 | 137.376 | 0.000 | -0.000 | 0.000 | 
| 137.376 | 205.951 | 137.376 | -0.000 | -0.000 | 0.000 | 
| 137.376 | 137.376 | 205.951 | 0.000 | -0.000 | 0.000 | 
| 2.346 | 2.346 | 2.346 | 27.384 | -0.000 | 0.000 | 
| 2.346 | 2.346 | 2.346 | -0.000 | 27.384 | 0.000 | 
| 2.346 | 2.346 | 2.346 | -0.000 | -0.000 | 27.384 | 
| 200.376 | 133.587 | 133.587 | 0.000 | 0.000 | -0.000 | 
| 133.587 | 200.376 | 133.587 | -0.000 | 0.000 | -0.000 | 
| 133.587 | 133.587 | 200.376 | 0.000 | 0.000 | -0.000 | 
| -2.346 | -2.346 | -2.346 | 27.384 | 0.000 | -0.000 | 
| -2.346 | -2.346 | -2.346 | 0.000 | 27.384 | -0.000 | 
| -2.346 | -2.346 | -2.346 | -0.000 | 0.000 | 27.384 | 
| 201.567 | 135.574 | 135.574 | -0.000 | -0.000 | 0.000 | 
| 135.574 | 201.567 | 135.574 | -0.000 | 0.000 | 0.000 | 
| 135.574 | 135.574 | 201.567 | -0.000 | -0.000 | 0.000 | 
| 13.830 | 13.658 | 13.657 | -933.870 | -0.000 | 0.000 | 
| 13.658 | 13.830 | 13.657 | -0.000 | -933.870 | 0.000 | 
| 13.658 | 13.657 | 13.830 | 0.000 | -0.000 | -933.870 | 
| 205.950 | 137.375 | 137.375 | 0.000 | 0.000 | -0.000 | 
| 137.375 | 205.950 | 137.375 | 0.000 | 0.000 | -0.000 | 
| 137.375 | 137.375 | 205.950 | 0.000 | 0.000 | -0.000 | 
| -13.830 | -13.658 | -13.657 | -933.870 | 0.000 | -0.000 | 
| -13.658 | -13.830 | -13.657 | 0.000 | -933.870 | -0.000 | 
| -13.658 | -13.657 | -13.830 | 0.000 | 0.000 | -933.870 | 
| 205.961 | 137.379 | 137.379 | -0.000 | -0.000 | 0.000 | 
| 137.379 | 205.961 | 137.379 | -0.000 | 0.000 | 0.000 | 
| 137.379 | 137.379 | 205.961 | 0.000 | -0.000 | 0.000 | 
| 0.000 | 0.000 | 0.000 | 29.874 | -0.000 | 0.000 | 
| 0.000 | 0.000 | 0.000 | -0.000 | 29.874 | 0.000 | 
| 0.000 | 0.000 | 0.000 | -0.000 | -0.000 | 29.874 | 
| 198.364 | 133.913 | 133.913 | 0.000 | 0.000 | -0.000 | 
| 133.913 | 198.364 | 133.913 | 0.000 | 0.000 | -0.000 | 
| 133.913 | 133.913 | 198.364 | 0.000 | 0.000 | -0.000 | 
| -0.000 | -0.000 | -0.000 | 29.874 | 0.000 | -0.000 | 
| -0.000 | -0.000 | -0.000 | 0.000 | 29.874 | -0.000 | 
| -0.000 | -0.000 | -0.000 | 0.000 | 0.000 | 29.874 | 
| -938.768 | -154.460 | -154.460 | 0.000 | -0.001 | -0.000 | 
| -154.460 | -938.768 | -154.460 | 0.000 | -0.001 | -0.000 | 
| -154.460 | -154.460 | -938.768 | 0.000 | -0.001 | -0.000 | 
| -1014.925 | -1014.925 | -1014.925 | 7.798 | -0.000 | 0.000 | 
| -1014.925 | -1014.925 | -1014.925 | 0.000 | 7.798 | -0.000 | 
| -1014.925 | -1014.925 | -1014.925 | 0.000 | -0.000 | 7.798 | 
| 607.736 | 678.290 | 678.290 | -0.000 | 0.000 | 0.000 | 
| 678.290 | 607.736 | 678.290 | -0.000 | 0.000 | 0.000 | 
| 678.290 | 678.290 | 607.736 | -0.000 | 0.000 | -0.000 | 
| 1014.925 | 1014.925 | 1014.925 | 7.798 | 0.000 | 0.000 | 
| 1014.925 | 1014.925 | 1014.925 | -0.000 | 7.798 | 0.000 | 
| 1014.925 | 1014.925 | 1014.925 | -0.000 | 0.000 | 7.798 | 
| 19.546 | 90.550 | 90.550 | 0.000 | -0.000 | -0.000 | 
| 90.550 | 19.546 | 90.550 | 0.000 | -0.000 | -0.000 | 
| 90.550 | 90.550 | 19.546 | 0.000 | -0.000 | -0.000 | 
| -101.809 | -101.809 | -101.809 | 7.752 | -0.000 | 0.000 | 
| -101.809 | -101.809 | -101.809 | 0.000 | 7.752 | 0.000 | 
| -101.809 | -101.809 | -101.809 | 0.000 | -0.000 | 7.752 | 
| 173.318 | 233.105 | 233.105 | -0.000 | 0.000 | 0.000 | 
| 233.105 | 173.318 | 233.105 | -0.000 | 0.000 | 0.000 | 
| 233.105 | 233.105 | 173.318 | -0.000 | 0.000 | -0.000 | 
| 101.809 | 101.809 | 101.809 | 7.752 | 0.000 | -0.000 | 
| 101.809 | 101.809 | 101.809 | -0.000 | 7.752 | -0.000 | 
| 101.809 | 101.809 | 101.809 | -0.000 | 0.000 | 7.752 | 
| -1901637.291 | -1782928.572 | -1826573.638 | 1697.896 | -12017.274 | -7988.267 | 
| -1718649.066 | -1983354.978 | -1781118.663 | -31246.270 | 16125.581 | -6095.193 | 
| -1701701.863 | -1794898.696 | -1988221.639 | -39397.741 | 12785.946 | 9549.490 | 
| -1194611.586 | -2175755.939 | -2165160.671 | -35748.840 | 21714.928 | 8312.358 | 
| -2120904.383 | -1273971.075 | -2212607.013 | 7943.841 | -62825.275 | 17000.097 | 
| -2025046.208 | -2185187.249 | -1271925.085 | -13535.023 | -3712.104 | -47802.446 | 
| 1385767.733 | 2046157.924 | 1992986.376 | -28410.404 | 20730.550 | 15221.962 | 
| 1976299.031 | 1442148.911 | 1997386.388 | -5619.213 | -43862.957 | -2742.682 | 
| 2011489.006 | 2032416.826 | 1389656.087 | 4130.899 | -31701.351 | 18248.121 | 
| 1202094.876 | 2196975.757 | 2123348.178 | -80230.757 | -992.083 | 8976.558 | 
| 2107933.955 | 1296338.390 | 2149798.564 | -2166.967 | -93699.430 | -9134.880 | 
| 2096409.581 | 2190694.897 | 1209063.673 | -27916.847 | -16188.980 | -75544.585 | 
| 178.569 | 109.916 | 127.079 | 0.000 | -0.000 | 0.000 | 
| 110.272 | 192.449 | 154.927 | -0.000 | 0.000 | 0.000 | 
| 122.787 | 145.152 | 371.871 | 0.000 | 0.000 | -0.000 | 
| 1.089 | 1.406 | -22.993 | -399.882 | 0.000 | 0.000 | 
| -0.000 | -0.000 | -0.000 | 0.000 | -25.045 | 0.000 | 
| -0.000 | -0.000 | -0.000 | -0.000 | -0.000 | 32.701 | 
| 178.249 | 109.503 | 133.836 | 0.000 | 0.000 | -0.000 | 
| 110.181 | 192.331 | 156.853 | -0.000 | -0.000 | -0.000 | 
| 116.947 | 137.611 | 495.026 | -0.000 | 0.000 | -0.000 | 
| -1.089 | -1.406 | 22.993 | -399.882 | -0.000 | -0.000 | 
| 0.000 | 0.000 | 0.000 | -0.000 | -25.045 | -0.000 | 
| 0.000 | 0.000 | 0.000 | 0.000 | 0.000 | 32.701 | 
| 178.298 | 109.567 | 132.777 | -0.000 | -0.000 | 0.000 | 
| 110.581 | 192.848 | 148.406 | -0.000 | 0.000 | 0.000 | 
| 122.746 | 145.098 | 372.741 | 0.000 | 0.000 | 0.000 | 
| -0.000 | -0.000 | -0.000 | -9.499 | -0.000 | 0.000 | 
| 27034427.142 | 12066880.943 | -56722711.794 | -0.000 | -85184228.305 | 0.000 | 
| -0.000 | -0.000 | -0.000 | 0.000 | 0.000 | 32.701 | 
| 178.291 | 109.556 | 132.970 | -0.000 | 0.000 | -0.000 | 
| 110.581 | 192.848 | 148.408 | -0.000 | -0.000 | -0.000 | 
| 122.737 | 145.087 | 372.927 | -0.000 | 0.000 | -0.000 | 
| 0.000 | 0.000 | 0.000 | -9.499 | 0.000 | -0.000 | 
| -27034427.142 | -12066880.943 | 56722711.794 | 0.000 | -85184228.305 | -0.000 | 
| 0.000 | 0.000 | 0.000 | -0.000 | -0.000 | 32.701 | 
| 178.282 | 109.559 | 132.860 | -0.000 | 0.000 | 0.000 | 
| 110.578 | 192.845 | 148.398 | -0.000 | 0.000 | 0.000 | 
| 122.740 | 145.089 | 372.856 | -0.000 | 0.000 | 0.000 | 
| 195001.161 | 733242.125 | -603212.837 | -5024804.832 | 0.000 | -0.000 | 
| 2703482.406 | 1206705.800 | -5672293.189 | 0.000 | -8518383.667 | 0.000 | 
| 0.000 | 0.000 | -0.010 | 0.000 | 0.000 | 32.701 | 
| 178.306 | 109.564 | 132.887 | -0.000 | -0.000 | -0.000 | 
| 110.584 | 192.851 | 148.416 | -0.000 | 0.000 | -0.000 | 
| 122.743 | 145.097 | 372.812 | -0.000 | 0.000 | -0.000 | 
| -195001.161 | -733242.125 | 603212.837 | -5024804.832 | -0.000 | -0.000 | 
| -2703482.406 | -1206705.800 | 5672293.189 | 0.000 | -8518383.667 | -0.000 | 
| -0.000 | -0.000 | 0.010 | -0.000 | -0.000 | 32.701 | 
| 180.245 | 134.869 | 103.121 | 0.000 | -0.000 | -0.000 | 
| 130.903 | 234.476 | 134.998 | 0.000 | 0.000 | -0.000 | 
| 91.909 | 135.611 | 209.564 | 0.000 | -0.000 | 0.000 | 
| 0.000 | 0.000 | 0.000 | 41.556 | -0.000 | 0.000 | 
| -4.256 | -1.259 | -4.100 | 0.000 | -26.763 | -0.000 | 
| 0.000 | 0.000 | 0.000 | 0.000 | -0.000 | 28.913 | 
| 177.335 | 134.008 | 100.316 | -0.000 | 0.000 | -0.000 | 
| 133.038 | 235.108 | 137.055 | -0.000 | 0.000 | -0.000 | 
| 103.070 | 138.914 | 220.317 | -0.000 | 0.000 | -0.000 | 
| -0.000 | -0.000 | -0.000 | 41.556 | 0.000 | -0.000 | 
| 4.256 | 1.259 | 4.100 | -0.000 | -26.763 | -0.000 | 
| -0.000 | -0.000 | -0.000 | -0.000 | 0.000 | 28.913 | 
| 172.654 | 132.623 | 95.806 | 0.000 | -0.000 | 0.000 | 
| 130.903 | 234.476 | 134.998 | 0.000 | -0.000 | 0.000 | 
| 95.740 | 136.745 | 213.256 | 0.000 | -0.000 | 0.000 | 
| -0.214 | -0.063 | -0.206 | 24.994 | -0.000 | 0.000 | 
| -0.425 | -0.126 | -0.410 | 0.000 | -26.763 | -0.000 | 
| 0.000 | 0.000 | 0.000 | 0.000 | -0.000 | 28.913 | 
| 180.245 | 134.869 | 103.120 | -0.000 | 0.000 | -0.000 | 
| 129.208 | 233.975 | 133.365 | -0.000 | 0.000 | -0.000 | 
| 96.590 | 136.996 | 214.073 | -0.000 | 0.000 | -0.000 | 
| 0.214 | 0.063 | 0.206 | 24.994 | 0.000 | -0.000 | 
| 0.425 | 0.126 | 0.410 | -0.000 | -26.763 | -0.000 | 
| -0.000 | -0.000 | -0.000 | -0.000 | 0.000 | 28.913 | 
| 173.037 | 132.738 | 96.179 | 0.000 | -0.000 | 0.000 | 
| 128.741 | 233.837 | 132.916 | 0.000 | -0.000 | 0.000 | 
| 103.073 | 138.917 | 220.327 | 0.000 | -0.000 | 0.000 | 
| -0.021 | -0.005 | -0.016 | 25.001 | -0.000 | -0.000 | 
| 0.001 | 0.000 | 0.001 | 0.000 | -26.763 | -0.000 | 
| 3655010.640 | -123519.944 | 1664362.818 | 0.000 | -0.000 | -4532772.956 | 
| 180.246 | 134.868 | 103.118 | -0.000 | 0.000 | -0.000 | 
| 128.824 | 233.861 | 132.994 | -0.000 | 0.000 | -0.000 | 
| 96.203 | 136.879 | 213.693 | -0.000 | 0.000 | -0.000 | 
| 0.021 | 0.005 | 0.016 | 25.001 | 0.000 | -0.000 | 
| -0.001 | -0.000 | -0.001 | -0.000 | -26.763 | -0.000 | 
| -3655010.640 | 123519.944 | -1664362.818 | -0.000 | -0.000 | -4532772.956 | 
| 216.714 | 155.526 | 175.240 | 0.000 | 0.000 | -0.000 | 
| 155.526 | 216.714 | 175.240 | 0.000 | 0.000 | -0.000 | 
| 175.240 | 175.240 | 492.539 | 0.000 | 0.000 | -0.000 | 
| 0.000 | 0.000 | 0.000 | 73.263 | 0.000 | -0.000 | 
| 0.000 | 0.000 | 0.000 | 0.000 | 73.263 | -0.000 | 
| 0.000 | 0.000 | 0.000 | 0.000 | 0.000 | -10.637 | 
| 183.151 | 189.089 | 175.240 | -0.000 | -0.000 | 0.000 | 
| 196.757 | 175.484 | 175.240 | -0.000 | -0.000 | 0.000 | 
| 175.240 | 175.240 | 492.538 | -0.000 | -0.000 | 0.000 | 
| -0.000 | -0.000 | -0.000 | 73.263 | -0.000 | 0.000 | 
| -0.000 | -0.000 | -0.000 | -0.000 | 73.263 | 0.000 | 
| -0.000 | -0.000 | -0.000 | -0.000 | -0.000 | -10.637 | 
| 183.151 | 189.089 | 175.240 | 0.000 | 0.000 | -0.000 | 
| 155.526 | 216.714 | 175.240 | 0.000 | 0.000 | -0.000 | 
| 175.240 | 175.240 | 492.539 | 0.000 | 0.000 | -0.000 | 
| 0.000 | 0.000 | 0.001 | 73.263 | 0.000 | -0.000 | 
| 0.001 | 0.000 | 0.001 | 0.000 | 73.263 | 0.000 | 
| 0.000 | 0.000 | 0.000 | 0.000 | 0.000 | 30.594 | 
| 216.714 | 155.526 | 175.239 | -0.000 | -0.000 | 0.000 | 
| 189.090 | 183.150 | 175.239 | -0.000 | -0.000 | 0.000 | 
| 175.239 | 175.239 | 492.538 | -0.000 | -0.000 | 0.000 | 
| -0.000 | -0.000 | -0.001 | 73.263 | -0.000 | 0.000 | 
| -0.001 | -0.000 | -0.001 | -0.000 | 73.263 | 0.000 | 
| -0.000 | -0.000 | -0.000 | -0.000 | -0.000 | 30.594 | 
| 183.155 | 189.084 | 175.244 | 0.000 | 0.000 | -0.000 | 
| 155.522 | 216.715 | 175.243 | 0.000 | 0.000 | -0.000 | 
| 175.246 | 175.246 | 492.546 | 0.000 | 0.000 | -0.000 | 
| 0.000 | 0.005 | 0.005 | 73.263 | 0.000 | -0.000 | 
| 0.004 | 0.001 | 0.005 | 0.000 | 73.263 | -0.000 | 
| 0.003 | 0.002 | 0.003 | 0.000 | 0.000 | -2.969 | 
| 216.713 | 155.531 | 175.237 | -0.000 | -0.000 | 0.000 | 
| 189.100 | 183.141 | 175.236 | -0.000 | -0.000 | 0.000 | 
| 175.234 | 175.234 | 492.531 | 0.000 | -0.000 | 0.000 | 
| -0.000 | -0.005 | -0.005 | 73.263 | -0.000 | 0.000 | 
| -0.004 | -0.001 | -0.005 | -0.000 | 73.263 | 0.000 | 
| -0.003 | -0.002 | -0.003 | -0.000 | -0.000 | -2.969 | 
| -49.202 | 330.500 | 104.965 | 10.916 | 0.000 | -0.000 | 
| 813.444 | -532.116 | 104.982 | -10.919 | 0.000 | -0.000 | 
| 104.965 | 104.965 | 176.125 | -0.000 | 0.000 | -0.000 | 
| 10.916 | -10.916 | 0.000 | -10.732 | 0.000 | -0.000 | 
| 0.000 | 0.000 | 0.000 | -0.000 | -10.732 | 10.916 | 
| 0.000 | 0.000 | -0.000 | -0.000 | 10.916 | 12.471 | 
| -532.166 | 813.428 | 104.944 | 10.919 | -0.000 | 0.000 | 
| 128.176 | 153.118 | 104.963 | -10.916 | -0.000 | 0.000 | 
| 104.965 | 104.965 | 176.125 | -0.000 | -0.000 | 0.000 | 
| 10.916 | -10.916 | -0.000 | -10.732 | -0.000 | 0.000 | 
| -0.000 | -0.000 | -0.000 | 0.000 | -10.732 | 10.916 | 
| -0.000 | -0.000 | 0.000 | 0.000 | 10.916 | 12.471 | 
| 97.569 | 183.730 | 104.965 | 10.916 | -0.000 | -0.000 | 
| 128.176 | 153.120 | 104.963 | -10.916 | -0.000 | -0.000 | 
| 104.965 | 104.965 | 176.126 | -0.000 | 0.000 | -0.000 | 
| 10.916 | -10.916 | 0.000 | -10.732 | 0.000 | -0.000 | 
| 0.000 | 0.000 | 0.000 | -0.000 | -10.732 | 10.916 | 
| 0.000 | 0.000 | 0.000 | -0.000 | 10.916 | 12.471 | 
| 153.117 | 128.176 | 104.962 | 10.916 | -0.000 | 0.000 | 
| 183.729 | 97.560 | 104.960 | -10.916 | -0.000 | 0.000 | 
| 104.964 | 104.964 | 176.124 | -0.000 | 0.000 | 0.000 | 
| 10.916 | -10.917 | -0.000 | -10.732 | 0.000 | 0.000 | 
| -0.000 | -0.000 | -0.000 | 0.000 | -10.732 | 10.916 | 
| -0.000 | -0.000 | -0.000 | 0.000 | 10.916 | 12.471 | 
| -3080980.964 | 3197311.767 | -1465079.953 | 1157760.406 | 127498.759 | 30776.375 | 
| 8184807.162 | -7431880.404 | -2344178.231 | -2786167.059 | 0.000 | -0.000 | 
| 104.970 | 104.970 | 176.133 | -0.000 | 0.000 | -0.000 | 
| 10.915 | -10.908 | 0.004 | -10.732 | 0.000 | -0.000 | 
| 0.008 | -0.001 | 0.004 | -0.001 | -10.732 | 10.916 | 
| -598053.468 | 3188592.929 | -2204932.348 | 658745.361 | -1681280.212 | -1555702.208 | 
| -8184515.086 | 7432136.003 | 2344386.615 | 2786142.465 | 0.000 | -0.000 | 
| 2961096.693 | -3183675.665 | 1478083.079 | -1141474.382 | -184982.440 | -4599.853 | 
| 104.959 | 104.959 | 176.117 | 0.000 | -0.000 | 0.000 | 
| 10.915 | -10.921 | -0.004 | -10.733 | 0.000 | 0.000 | 
| -0.008 | 0.001 | -0.004 | 0.001 | -10.732 | 10.916 | 
| 733625.899 | -2568579.592 | 1771192.913 | -502441.577 | -1192988.442 | -1031477.203 | 
| 22.448 | 143.868 | 143.868 | -0.000 | -0.000 | 0.000 | 
| 143.868 | 22.448 | 143.868 | -0.000 | -0.000 | 0.000 | 
| 143.868 | 143.868 | 22.448 | -0.000 | 0.000 | 0.000 | 
| -0.000 | -0.000 | -0.000 | -146.806 | 0.000 | 0.000 | 
| -0.000 | -0.000 | 0.000 | 0.000 | -146.806 | 0.000 | 
| -0.000 | -0.000 | -0.000 | 0.000 | 0.000 | -146.806 | 
| 22.449 | 143.869 | 143.869 | 0.000 | 0.000 | -0.000 | 
| 143.869 | 22.449 | 143.869 | 0.000 | 0.000 | -0.000 | 
| 143.869 | 143.869 | 22.449 | 0.000 | 0.000 | -0.000 | 
| 0.000 | 0.000 | 0.000 | -146.806 | -0.000 | -0.000 | 
| 0.000 | 0.000 | 0.000 | -0.000 | -146.806 | -0.000 | 
| 0.000 | 0.000 | 0.000 | -0.000 | -0.000 | -146.806 | 
| 22.446 | 143.868 | 143.868 | -0.000 | 0.000 | 0.000 | 
| 143.868 | 22.446 | 143.868 | -0.000 | 0.000 | 0.000 | 
| 143.868 | 143.868 | 22.446 | -0.000 | 0.000 | 0.000 | 
| -0.003 | -0.000 | -0.000 | -146.806 | -0.000 | 0.000 | 
| -0.000 | -0.003 | -0.000 | 0.000 | -146.806 | 0.000 | 
| -0.000 | -0.000 | -0.003 | 0.000 | 0.000 | -146.806 | 
| 22.451 | 143.869 | 143.869 | -0.000 | -0.000 | -0.000 | 
| 143.869 | 22.451 | 143.869 | -0.000 | -0.000 | -0.000 | 
| 143.869 | 143.869 | 22.451 | -0.000 | -0.000 | -0.000 | 
| 0.003 | 0.000 | 0.000 | -146.806 | -0.000 | -0.000 | 
| 0.000 | 0.003 | 0.000 | -0.000 | -146.806 | -0.000 | 
| 0.000 | 0.000 | 0.003 | -0.000 | -0.000 | -146.806 | 
| 22.425 | 143.862 | 143.862 | 0.000 | 0.000 | 0.000 | 
| 143.862 | 22.425 | 143.862 | -0.000 | 0.000 | 0.000 | 
| 143.862 | 143.862 | 22.425 | 0.000 | -0.000 | 0.000 | 
| -0.027 | -0.002 | -0.002 | -146.806 | 0.000 | 0.000 | 
| -0.002 | -0.027 | -0.002 | 0.000 | -146.806 | 0.000 | 
| -0.002 | -0.002 | -0.027 | 0.000 | 0.000 | -146.806 | 
| 22.472 | 143.875 | 143.875 | 0.000 | 0.000 | -0.000 | 
| 143.875 | 22.472 | 143.875 | 0.000 | 0.000 | -0.000 | 
| 143.875 | 143.875 | 22.472 | 0.000 | 0.000 | -0.000 | 
| 0.027 | 0.002 | 0.002 | -146.806 | -0.000 | 0.000 | 
| 0.002 | 0.027 | 0.002 | -0.000 | -146.806 | -0.000 | 
| 0.002 | 0.002 | 0.027 | -0.000 | 0.000 | -146.806 | 
| 188899.345 | 43274.351 | 43274.351 | -0.000 | -0.000 | 0.000 | 
| 43274.351 | 188899.345 | 43274.351 | -0.000 | -0.000 | 0.000 | 
| 43274.351 | 43274.351 | 188899.345 | -0.000 | -0.000 | -0.000 | 
| -0.434 | -1.463 | -1.463 | 43239.891 | 0.000 | -0.000 | 
| -1.463 | -0.434 | -1.463 | -0.000 | 43239.891 | -0.000 | 
| -1.463 | -1.463 | -0.434 | 0.000 | 0.000 | 43239.891 | 
| 188922.838 | 43277.274 | 43277.274 | 0.000 | 0.000 | 0.000 | 
| 43277.274 | 188922.838 | 43277.274 | 0.000 | 0.000 | 0.000 | 
| 43277.274 | 43277.274 | 188922.838 | 0.000 | 0.000 | -0.000 | 
| 0.434 | 1.463 | 1.463 | 43239.891 | -0.000 | 0.000 | 
| 1.463 | 0.434 | 1.463 | 0.000 | 43239.891 | 0.000 | 
| 1.463 | 1.463 | 0.434 | 0.000 | -0.000 | 43239.891 | 
| 188793.624 | 43261.195 | 43261.195 | -0.000 | 0.000 | -0.000 | 
| 43261.195 | 188793.624 | 43261.195 | 0.000 | -0.000 | -0.000 | 
| 43261.195 | 43261.195 | 188793.624 | -0.000 | -0.000 | -0.000 | 
| -4.562 | -8.011 | -8.013 | 26554.237 | 0.000 | -0.000 | 
| -8.011 | -4.562 | -8.013 | 0.000 | 26554.237 | -0.000 | 
| -8.011 | -8.013 | -4.562 | 0.000 | 0.000 | 26554.237 | 
| 189028.555 | 43290.429 | 43290.429 | 0.000 | 0.000 | 0.000 | 
| 43290.429 | 189028.555 | 43290.429 | 0.000 | 0.000 | 0.000 | 
| 43290.429 | 43290.429 | 189028.555 | 0.000 | 0.000 | -0.000 | 
| 4.562 | 8.011 | 8.013 | 26554.237 | -0.000 | 0.000 | 
| 8.011 | 4.562 | 8.013 | -0.000 | 26554.237 | 0.000 | 
| 8.011 | 8.013 | 4.562 | -0.000 | -0.000 | 26554.237 | 
| 187736.434 | 43129.641 | 43129.641 | -0.000 | 0.000 | -0.000 | 
| 43129.641 | 187736.434 | 43129.641 | 0.000 | -0.000 | -0.000 | 
| 43129.641 | 43129.641 | 187736.434 | -0.000 | -0.000 | -0.000 | 
| -45.618 | -80.110 | -80.129 | 26554.245 | 0.000 | 0.000 | 
| -80.110 | -45.618 | -80.129 | 0.000 | 26554.245 | 0.000 | 
| -80.110 | -80.129 | -45.618 | 0.000 | 0.000 | 26554.245 | 
| 190085.743 | 43421.982 | 43421.982 | 0.000 | -0.000 | 0.000 | 
| 43421.982 | 190085.743 | 43421.982 | -0.000 | 0.000 | 0.000 | 
| 43421.982 | 43421.982 | 190085.743 | 0.000 | 0.000 | 0.000 | 
| 45.618 | 80.110 | 80.129 | 26554.245 | -0.000 | 0.000 | 
| 80.110 | 45.618 | 80.129 | -0.000 | 26554.245 | 0.000 | 
| 80.110 | 80.129 | 45.618 | -0.000 | -0.000 | 26554.245 | 
| -3.699 | -3.699 | -3.699 | 0.000 | -0.000 | -0.000 | 
| -3.699 | -3.699 | -3.699 | -0.000 | 0.000 | -0.000 | 
| -3.699 | -3.699 | -3.699 | -0.000 | -0.000 | 0.000 | 
| -0.000 | -0.000 | -0.000 | -1.399 | -0.000 | -0.000 | 
| -0.000 | -0.000 | -0.000 | -0.000 | -1.399 | -0.000 | 
| -0.000 | -0.000 | -0.000 | -0.000 | 0.000 | -1.399 | 
| -3.699 | -3.699 | -3.699 | 0.000 | -0.000 | 0.000 | 
| -3.699 | -3.699 | -3.699 | -0.000 | 0.000 | 0.000 | 
| -3.699 | -3.699 | -3.699 | 0.000 | 0.000 | 0.000 | 
| 0.000 | 0.000 | 0.000 | -1.399 | 0.000 | 0.000 | 
| 0.000 | 0.000 | 0.000 | 0.000 | -1.399 | 0.000 | 
| 0.000 | 0.000 | 0.000 | 0.000 | 0.000 | -1.399 | 
| -3.699 | -3.699 | -3.699 | -0.000 | -0.000 | -0.000 | 
| -3.699 | -3.699 | -3.699 | -0.000 | -0.000 | -0.000 | 
| -3.699 | -3.699 | -3.699 | -0.000 | -0.000 | 0.000 | 
| -0.000 | -0.000 | -0.000 | -1.716 | -0.000 | -0.000 | 
| -0.000 | -0.000 | -0.000 | -0.000 | -1.716 | -0.000 | 
| -0.000 | -0.000 | -0.000 | -0.000 | -0.000 | -1.716 | 
| -3.699 | -3.699 | -3.699 | 0.000 | 0.000 | 0.000 | 
| -3.699 | -3.699 | -3.699 | 0.000 | 0.000 | 0.000 | 
| -3.699 | -3.699 | -3.699 | 0.000 | 0.000 | 0.000 | 
| 0.000 | 0.000 | 0.000 | -1.716 | 0.000 | 0.000 | 
| 0.000 | 0.000 | 0.000 | 0.000 | -1.716 | 0.000 | 
| 0.000 | 0.000 | 0.000 | 0.000 | 0.000 | -1.716 | 
| -3.699 | -3.699 | -3.699 | -0.000 | -0.000 | -0.000 | 
| -3.699 | -3.699 | -3.699 | -0.000 | -0.000 | -0.000 | 
| -3.699 | -3.699 | -3.699 | -0.000 | -0.000 | -0.000 | 
| -22419.125 | -104215.595 | -98313.345 | 11567.761 | 983.298 | -433.401 | 
| -99580.172 | -17887.205 | -104928.615 | -2111.772 | 10130.813 | -1152.783 | 
| -99037.678 | -109466.575 | -21852.063 | 314.926 | -4585.916 | 10321.063 | 
| -3.699 | -3.699 | -3.699 | 0.000 | -0.000 | 0.000 | 
| -3.699 | -3.699 | -3.699 | -0.000 | 0.000 | 0.000 | 
| -3.699 | -3.699 | -3.699 | 0.000 | 0.000 | -0.000 | 
| 15204.599 | 105504.702 | 109524.703 | 8956.447 | -2233.153 | -2093.722 | 
| 104513.134 | 18452.639 | 102858.323 | -2693.653 | 7128.982 | -1752.614 | 
| 100335.308 | 106598.484 | 20044.741 | -1555.952 | -2193.957 | 9107.522 | 
| 148.762 | 112.275 | 112.275 | -0.000 | -0.000 | 0.000 | 
| 112.275 | 148.762 | 112.275 | -0.000 | -0.000 | -0.000 | 
| 112.275 | 112.275 | 148.762 | -0.000 | -0.000 | -0.000 | 
| -0.000 | -0.000 | -0.000 | 21.527 | -0.000 | -0.000 | 
| -0.000 | -0.000 | -0.000 | 0.000 | 21.527 | -0.000 | 
| -0.000 | -0.000 | -0.000 | 0.000 | -0.000 | 21.527 | 
| 148.762 | 112.275 | 112.275 | -0.000 | 0.000 | 0.000 | 
| 112.275 | 148.762 | 112.275 | 0.000 | 0.000 | -0.000 | 
| 112.275 | 112.275 | 148.762 | -0.000 | 0.000 | 0.000 | 
| 0.000 | 0.000 | 0.000 | 21.527 | 0.000 | -0.000 | 
| -0.000 | 0.000 | 0.000 | -0.000 | 21.527 | 0.000 | 
| -0.000 | 0.000 | 0.000 | -0.000 | 0.000 | 21.527 | 
| 148.762 | 112.274 | 112.274 | -0.000 | -0.000 | -0.000 | 
| 112.274 | 148.762 | 112.274 | -0.000 | -0.000 | -0.000 | 
| 112.274 | 112.274 | 148.762 | -0.000 | -0.000 | -0.000 | 
| -0.000 | -0.000 | -0.000 | 15.438 | -0.000 | 0.000 | 
| -0.000 | -0.000 | -0.000 | -0.000 | 15.438 | 0.000 | 
| -0.000 | -0.000 | -0.000 | -0.000 | -0.000 | 15.438 | 
| 148.763 | 112.275 | 112.275 | -0.000 | 0.000 | -0.000 | 
| 112.275 | 148.763 | 112.275 | -0.000 | 0.000 | 0.000 | 
| 112.275 | 112.275 | 148.763 | 0.000 | 0.000 | 0.000 | 
| 0.000 | 0.000 | 0.000 | 15.438 | 0.000 | 0.000 | 
| 0.000 | 0.000 | 0.000 | -0.000 | 15.438 | -0.000 | 
| 0.000 | 0.000 | 0.000 | 0.000 | 0.000 | 15.438 | 
| 148.761 | 112.272 | 112.272 | -0.000 | -0.000 | -0.000 | 
| 112.272 | 148.761 | 112.272 | -0.000 | -0.000 | -0.000 | 
| 112.272 | 112.272 | 148.761 | 0.000 | -0.000 | -0.000 | 
| -0.000 | -0.000 | -0.000 | 21.527 | -0.000 | -0.000 | 
| -0.000 | -0.000 | -0.000 | 0.000 | 21.527 | -0.000 | 
| -0.000 | -0.000 | -0.000 | 0.000 | -0.000 | 21.527 | 
| 178.573 | 97.369 | 97.369 | 0.000 | 0.000 | 0.000 | 
| 97.369 | 178.573 | 97.369 | -0.000 | 0.000 | 0.000 | 
| 97.369 | 97.369 | 178.573 | -0.000 | 0.000 | 0.000 | 
| 0.000 | 0.000 | 0.000 | 21.527 | 0.000 | 0.000 | 
| 0.000 | 0.000 | 0.000 | -0.000 | 21.527 | 0.000 | 
| 0.000 | 0.000 | 0.000 | -0.000 | 0.000 | 21.527 | 
| 79.555 | 71.459 | 71.459 | -0.000 | 0.000 | -0.000 | 
| 71.459 | 79.555 | 71.459 | 0.000 | 0.000 | -0.000 | 
| 71.459 | 71.459 | 79.555 | -0.000 | -0.000 | -0.000 | 
| 0.000 | 0.000 | -0.000 | -1.576 | 0.000 | -0.000 | 
| 0.000 | 0.000 | -0.000 | 0.000 | -1.576 | -0.000 | 
| 0.000 | 0.000 | -0.000 | -0.000 | 0.000 | -1.576 | 
| 79.555 | 71.459 | 71.459 | 0.000 | -0.000 | 0.000 | 
| 71.459 | 79.555 | 71.459 | 0.000 | -0.000 | 0.000 | 
| 71.459 | 71.459 | 79.555 | 0.000 | -0.000 | 0.000 | 
| -0.000 | -0.000 | 0.000 | -1.576 | -0.000 | 0.000 | 
| -0.000 | -0.000 | 0.000 | -0.000 | -1.576 | 0.000 | 
| -0.000 | -0.000 | 0.000 | 0.000 | 0.000 | -1.576 | 
| 79.555 | 71.459 | 71.459 | -0.000 | 0.000 | -0.000 | 
| 71.459 | 79.555 | 71.459 | -0.000 | 0.000 | -0.000 | 
| 71.459 | 71.459 | 79.555 | -0.000 | 0.000 | -0.000 | 
| 0.000 | -0.000 | -0.000 | -1.576 | 0.000 | -0.000 | 
| -0.000 | 0.000 | -0.000 | 0.000 | -1.576 | -0.000 | 
| -0.000 | -0.000 | -0.000 | -0.000 | 0.000 | -1.576 | 
| 79.556 | 71.459 | 71.459 | 0.000 | -0.000 | 0.000 | 
| 71.459 | 79.556 | 71.459 | 0.000 | -0.000 | -0.000 | 
| 71.459 | 71.459 | 79.556 | 0.000 | -0.000 | 0.000 | 
| -0.000 | 0.000 | 0.000 | -1.576 | -0.000 | -0.000 | 
| 0.000 | -0.000 | 0.000 | -0.000 | -1.576 | 0.000 | 
| 0.000 | 0.000 | 0.000 | 0.000 | -0.000 | -1.576 | 
| 79.551 | 71.459 | 71.459 | 0.000 | 0.000 | -0.000 | 
| 71.459 | 79.551 | 71.459 | -0.000 | 0.000 | -0.000 | 
| 71.459 | 71.459 | 79.551 | -0.000 | 0.000 | -0.000 | 
| -0.001 | -0.000 | -0.000 | -26.323 | 0.000 | -0.000 | 
| -0.000 | -0.001 | -0.000 | -0.000 | -26.323 | -0.000 | 
| -0.000 | -0.000 | -0.001 | -0.000 | 0.000 | -26.323 | 
| 79.559 | 71.459 | 71.459 | 0.000 | -0.000 | 0.000 | 
| 71.459 | 79.559 | 71.459 | 0.000 | -0.000 | 0.000 | 
| 71.459 | 71.459 | 79.559 | 0.000 | -0.000 | -0.000 | 
| 0.001 | 0.000 | 0.000 | -26.323 | -0.000 | 0.000 | 
| 0.000 | 0.001 | 0.000 | 0.000 | -26.323 | 0.000 | 
| 0.000 | 0.000 | 0.001 | 0.000 | 0.000 | -26.323 | 
| 184.783 | 83.401 | 83.401 | 0.000 | 0.000 | -0.000 | 
| 83.401 | 184.783 | 83.401 | 0.000 | 0.000 | -0.000 | 
| 83.401 | 83.401 | 184.783 | 0.000 | -0.000 | -0.000 | 
| -0.000 | -0.000 | -0.000 | 24.368 | -0.000 | -0.000 | 
| -0.000 | -0.000 | -0.000 | -0.000 | 24.368 | -0.000 | 
| -0.000 | -0.000 | -0.000 | 0.000 | 0.000 | 24.368 | 
| 184.783 | 83.401 | 83.401 | 0.000 | 0.000 | 0.000 | 
| 83.401 | 184.783 | 83.401 | -0.000 | 0.000 | 0.000 | 
| 83.401 | 83.401 | 184.783 | -0.000 | -0.000 | 0.000 | 
| 0.000 | 0.000 | 0.000 | 24.368 | 0.000 | 0.000 | 
| 0.000 | 0.000 | 0.000 | 0.000 | 24.368 | 0.000 | 
| 0.000 | 0.000 | 0.000 | -0.000 | -0.000 | 24.368 | 
| 184.782 | 83.401 | 83.401 | 0.000 | 0.000 | -0.000 | 
| 83.401 | 184.782 | 83.401 | -0.000 | 0.000 | -0.000 | 
| 83.401 | 83.401 | 184.782 | -0.000 | 0.000 | -0.000 | 
| -0.000 | -0.000 | -0.000 | 24.368 | -0.000 | -0.000 | 
| -0.000 | -0.000 | -0.000 | -0.000 | 24.368 | -0.000 | 
| -0.000 | -0.000 | -0.000 | 0.000 | 0.000 | 24.368 | 
| 184.783 | 83.401 | 83.401 | -0.000 | -0.000 | 0.000 | 
| 83.401 | 184.783 | 83.401 | -0.000 | -0.000 | 0.000 | 
| 83.401 | 83.401 | 184.783 | 0.000 | 0.000 | 0.000 | 
| 0.000 | 0.000 | 0.000 | 24.368 | 0.000 | 0.000 | 
| 0.000 | 0.000 | 0.000 | 0.000 | 24.368 | 0.000 | 
| 0.000 | 0.000 | 0.000 | -0.000 | -0.000 | 24.368 | 
| 184.778 | 83.401 | 83.401 | -0.000 | -0.000 | -0.000 | 
| 83.401 | 184.778 | 83.401 | -0.000 | 0.000 | -0.000 | 
| 83.401 | 83.401 | 184.778 | -0.000 | -0.000 | -0.000 | 
| -0.000 | -0.000 | -0.000 | 24.368 | -0.000 | -0.000 | 
| -0.000 | -0.000 | -0.000 | -0.000 | 24.368 | -0.000 | 
| -0.000 | -0.000 | -0.000 | 0.000 | 0.000 | 24.368 | 
| 184.787 | 83.401 | 83.401 | -0.000 | 0.000 | 0.000 | 
| 83.401 | 184.787 | 83.401 | 0.000 | -0.000 | -0.000 | 
| 83.401 | 83.401 | 184.787 | -0.000 | -0.000 | 0.000 | 
| 0.000 | 0.000 | 0.000 | 24.368 | 0.000 | 0.000 | 
| 0.000 | 0.000 | 0.000 | 0.000 | 24.368 | 0.000 | 
| 0.000 | 0.000 | 0.000 | -0.000 | -0.000 | 24.368 | 
| 70.837 | 131.703 | 131.703 | 0.000 | 0.000 | 0.000 | 
| 131.703 | 70.837 | 131.703 | 0.000 | 0.000 | 0.000 | 
| 131.703 | 131.703 | 70.837 | 0.000 | 0.000 | 0.000 | 
| 0.000 | -0.000 | -0.000 | 28.548 | 0.000 | 0.000 | 
| -0.000 | -0.000 | -0.000 | 0.000 | 28.548 | 0.000 | 
| -0.000 | -0.000 | 0.000 | 0.000 | 0.000 | 28.548 | 
| 70.838 | 131.703 | 131.703 | -0.000 | -0.000 | -0.000 | 
| 131.703 | 70.838 | 131.703 | -0.000 | -0.000 | -0.000 | 
| 131.703 | 131.703 | 70.838 | -0.000 | -0.000 | -0.000 | 
| -0.000 | 0.000 | 0.000 | 28.548 | -0.000 | -0.000 | 
| 0.000 | 0.000 | 0.000 | -0.000 | 28.548 | -0.000 | 
| 0.000 | 0.000 | -0.000 | -0.000 | -0.000 | 28.548 | 
| 70.836 | 131.703 | 131.703 | 0.000 | 0.000 | 0.000 | 
| 131.703 | 70.836 | 131.703 | 0.000 | 0.000 | 0.000 | 
| 131.703 | 131.703 | 70.836 | 0.000 | 0.000 | 0.000 | 
| 0.000 | -0.000 | -0.000 | 28.548 | 0.000 | 0.000 | 
| -0.000 | 0.000 | -0.000 | 0.000 | 28.548 | 0.000 | 
| -0.000 | -0.000 | 0.000 | 0.000 | 0.000 | 28.548 | 
| 70.838 | 131.703 | 131.703 | -0.000 | -0.000 | -0.000 | 
| 131.703 | 70.838 | 131.703 | -0.000 | -0.000 | -0.000 | 
| 131.703 | 131.703 | 70.838 | -0.000 | -0.000 | -0.000 | 
| -0.000 | 0.000 | 0.000 | 28.548 | -0.000 | -0.000 | 
| 0.000 | -0.000 | 0.000 | -0.000 | 28.548 | -0.000 | 
| 0.000 | 0.000 | -0.000 | -0.000 | -0.000 | 28.548 | 
| 70.826 | 131.706 | 131.706 | 0.000 | 0.000 | 0.000 | 
| 131.706 | 70.826 | 131.706 | 0.000 | 0.000 | 0.000 | 
| 131.706 | 131.706 | 70.826 | 0.000 | 0.000 | 0.000 | 
| 0.000 | -0.001 | -0.001 | 28.548 | 0.000 | 0.000 | 
| -0.001 | 0.000 | -0.001 | 0.000 | 28.548 | 0.000 | 
| -0.001 | -0.001 | 0.000 | 0.000 | 0.000 | 28.548 | 
| 70.848 | 131.700 | 131.700 | -0.000 | -0.000 | -0.000 | 
| 131.700 | 70.848 | 131.700 | -0.000 | -0.000 | -0.000 | 
| 131.700 | 131.700 | 70.848 | -0.000 | -0.000 | -0.000 | 
| -0.000 | 0.001 | 0.001 | 28.548 | -0.000 | -0.000 | 
| 0.001 | -0.000 | 0.001 | -0.000 | 28.548 | -0.000 | 
| 0.001 | 0.001 | -0.000 | -0.000 | -0.000 | 28.548 | 
| 459.432 | 144.744 | 144.744 | -0.000 | -0.000 | -0.000 | 
| 144.744 | 459.432 | 144.744 | -0.000 | -0.000 | -0.000 | 
| 144.744 | 144.744 | 459.432 | 0.000 | -0.000 | -0.000 | 
| -0.000 | 0.000 | -0.000 | 21.567 | -0.000 | -0.000 | 
| -0.000 | -0.000 | -0.000 | 0.000 | 21.567 | -0.000 | 
| -0.000 | 0.000 | -0.000 | -0.000 | -0.000 | 21.567 | 
| 459.432 | 144.744 | 144.744 | 0.000 | 0.000 | 0.000 | 
| 144.744 | 459.432 | 144.744 | -0.000 | 0.000 | 0.000 | 
| 144.744 | 144.744 | 459.432 | -0.000 | 0.000 | 0.000 | 
| 0.000 | -0.000 | 0.000 | 21.567 | 0.000 | 0.000 | 
| 0.000 | 0.000 | 0.000 | 0.000 | 21.567 | 0.000 | 
| 0.000 | -0.000 | 0.000 | -0.000 | 0.000 | 21.567 | 
| 459.433 | 144.745 | 144.745 | 0.000 | -0.000 | -0.000 | 
| 144.745 | 459.433 | 144.745 | 0.000 | -0.000 | -0.000 | 
| 144.745 | 144.745 | 459.433 | 0.000 | 0.000 | -0.000 | 
| -0.000 | 0.000 | 0.000 | 21.567 | -0.000 | -0.000 | 
| 0.000 | -0.000 | 0.000 | 0.000 | 21.567 | -0.000 | 
| 0.000 | 0.000 | -0.000 | 0.000 | -0.000 | 21.567 | 
| 459.431 | 144.743 | 144.743 | -0.000 | 0.000 | 0.000 | 
| 144.743 | 459.431 | 144.743 | -0.000 | 0.000 | 0.000 | 
| 144.743 | 144.743 | 459.431 | -0.000 | 0.000 | 0.000 | 
| 0.000 | -0.000 | -0.000 | 21.567 | 0.000 | -0.000 | 
| -0.000 | 0.000 | -0.000 | 0.000 | 21.567 | 0.000 | 
| -0.000 | -0.000 | 0.000 | 0.000 | 0.000 | 21.567 | 
| 459.443 | 144.751 | 144.751 | 0.000 | -0.000 | -0.000 | 
| 144.751 | 459.443 | 144.751 | 0.000 | -0.000 | -0.000 | 
| 144.751 | 144.751 | 459.443 | -0.000 | -0.000 | -0.000 | 
| -0.000 | 0.003 | 0.003 | 21.567 | -0.000 | -0.000 | 
| 0.003 | -0.000 | 0.003 | 0.000 | 21.567 | -0.000 | 
| 0.003 | 0.003 | -0.000 | 0.000 | -0.000 | 21.567 | 
| 459.422 | 144.737 | 144.737 | -0.000 | 0.000 | 0.000 | 
| 144.737 | 459.422 | 144.737 | -0.000 | 0.000 | 0.000 | 
| 144.737 | 144.737 | 459.422 | -0.000 | -0.000 | 0.000 | 
| 0.000 | -0.003 | -0.003 | 21.567 | 0.000 | 0.000 | 
| -0.003 | 0.000 | -0.003 | 0.000 | 21.567 | 0.000 | 
| -0.003 | -0.003 | 0.000 | -0.000 | 0.000 | 21.567 | 
| 276.775 | -11.850 | -11.850 | -0.000 | -0.000 | -0.000 | 
| -11.850 | 276.775 | -11.850 | -0.000 | -0.000 | -0.000 | 
| -11.849 | -11.850 | 276.775 | 0.000 | -0.000 | -0.000 | 
| 0.000 | 0.000 | 0.000 | -72.124 | -0.000 | -0.000 | 
| 0.000 | 0.000 | 0.000 | -0.000 | -72.124 | -0.000 | 
| 0.000 | 0.000 | 0.000 | 0.000 | -0.000 | -72.124 | 
| 276.775 | -11.850 | -11.850 | 0.000 | 0.000 | 0.000 | 
| -11.850 | 276.775 | -11.850 | 0.000 | 0.000 | 0.000 | 
| -11.850 | -11.850 | 276.775 | -0.000 | -0.000 | 0.000 | 
| -0.000 | -0.000 | -0.000 | -72.124 | 0.000 | 0.000 | 
| -0.000 | -0.000 | -0.000 | 0.000 | -72.123 | 0.000 | 
| -0.000 | -0.000 | -0.000 | -0.000 | 0.000 | -72.123 | 
| 276.775 | -11.850 | -11.850 | -0.000 | -0.000 | -0.000 | 
| -11.850 | 276.775 | -11.850 | -0.000 | -0.000 | -0.000 | 
| -11.850 | -11.850 | 276.775 | 0.000 | -0.000 | -0.000 | 
| 0.000 | -0.000 | -0.000 | -72.124 | -0.000 | -0.000 | 
| -0.000 | -0.000 | -0.000 | -0.000 | -72.124 | -0.000 | 
| -0.000 | -0.000 | -0.000 | 0.000 | -0.000 | -72.124 | 
| 276.775 | -11.849 | -11.849 | 0.000 | -0.000 | 0.000 | 
| -11.849 | 276.775 | -11.849 | -0.000 | 0.000 | 0.000 | 
| -11.849 | -11.849 | 276.775 | 0.000 | 0.000 | 0.000 | 
| -0.000 | 0.000 | 0.000 | -72.124 | 0.000 | 0.000 | 
| 0.000 | 0.000 | 0.000 | 0.000 | -72.124 | 0.000 | 
| 0.000 | 0.000 | 0.000 | -0.000 | 0.000 | -72.124 | 
| 276.775 | -11.850 | -11.850 | 0.000 | -0.000 | -0.000 | 
| -11.850 | 276.775 | -11.850 | 0.000 | -0.000 | -0.000 | 
| -11.850 | -11.850 | 276.775 | 0.000 | -0.000 | -0.000 | 
| -0.000 | -0.001 | -0.001 | -72.124 | -0.000 | -0.000 | 
| -0.001 | -0.000 | -0.001 | -0.000 | -72.124 | -0.000 | 
| -0.001 | -0.001 | -0.000 | 0.000 | -0.000 | -72.124 | 
| 276.775 | -11.849 | -11.849 | 0.000 | -0.000 | 0.000 | 
| -11.849 | 276.775 | -11.849 | 0.000 | 0.000 | 0.000 | 
| -11.849 | -11.849 | 276.775 | 0.000 | 0.000 | 0.000 | 
| 0.000 | 0.001 | 0.001 | -72.124 | 0.000 | 0.000 | 
| 0.001 | 0.000 | 0.001 | 0.000 | -72.124 | 0.000 | 
| 0.001 | 0.001 | 0.000 | 0.000 | 0.000 | -72.124 | 
| -107.814 | 88.130 | 88.130 | 0.000 | -0.000 | -0.000 | 
| 88.130 | -107.814 | 88.130 | -0.000 | 0.000 | 0.000 | 
| 88.130 | 88.130 | -107.814 | 0.000 | -0.000 | 0.000 | 
| -0.000 | -0.000 | -0.000 | 27.815 | -0.000 | 0.000 | 
| -0.000 | -0.000 | 0.000 | -0.000 | 27.815 | 0.000 | 
| -0.000 | -0.000 | 0.000 | -0.000 | -0.000 | 27.815 | 
| -107.814 | 88.130 | 88.130 | -0.000 | -0.000 | -0.000 | 
| 88.130 | -107.814 | 88.130 | -0.000 | -0.000 | -0.000 | 
| 88.130 | 88.130 | -107.814 | -0.000 | -0.000 | 0.000 | 
| 0.000 | 0.000 | 0.000 | 27.815 | 0.000 | -0.000 | 
| 0.000 | 0.000 | -0.000 | -0.000 | 27.815 | -0.000 | 
| 0.000 | 0.000 | -0.000 | 0.000 | 0.000 | 27.815 | 
| -107.814 | 88.130 | 88.130 | -0.000 | 0.000 | 0.000 | 
| 88.130 | -107.814 | 88.130 | 0.000 | -0.000 | -0.000 | 
| 88.130 | 88.130 | -107.814 | 0.000 | 0.000 | 0.000 | 
| 0.000 | 0.000 | 0.000 | 27.815 | -0.000 | -0.000 | 
| 0.000 | 0.000 | 0.000 | -0.000 | 27.815 | 0.000 | 
| 0.000 | 0.000 | 0.000 | -0.000 | -0.000 | 27.815 | 
| -107.813 | 88.130 | 88.130 | 0.000 | 0.000 | 0.000 | 
| 88.130 | -107.813 | 88.130 | 0.000 | 0.000 | -0.000 | 
| 88.130 | 88.130 | -107.813 | -0.000 | -0.000 | 0.000 | 
| -0.000 | -0.000 | -0.000 | 27.815 | 0.000 | -0.000 | 
| -0.000 | -0.000 | -0.000 | 0.000 | 27.815 | -0.000 | 
| -0.000 | -0.000 | -0.000 | 0.000 | 0.000 | 27.815 | 
| -107.819 | 88.130 | 88.130 | 0.000 | -0.000 | 0.000 | 
| 88.130 | -107.819 | 88.130 | 0.000 | -0.000 | 0.000 | 
| 88.130 | 88.130 | -107.819 | 0.000 | -0.000 | 0.000 | 
| 0.000 | 0.000 | 0.000 | 27.815 | -0.000 | 0.000 | 
| 0.000 | 0.000 | 0.000 | -0.000 | 27.815 | 0.000 | 
| 0.000 | 0.000 | 0.000 | 0.000 | -0.000 | 27.815 | 
| -107.809 | 88.130 | 88.130 | -0.000 | 0.000 | -0.000 | 
| 88.130 | -107.809 | 88.130 | 0.000 | -0.000 | -0.000 | 
| 88.130 | 88.130 | -107.809 | 0.000 | 0.000 | 0.000 | 
| -0.000 | -0.000 | -0.000 | 27.815 | -0.000 | 0.000 | 
| -0.000 | -0.000 | -0.000 | 0.000 | 27.815 | 0.000 | 
| -0.000 | -0.000 | -0.000 | 0.000 | 0.000 | 27.815 | 
| 30.051 | 82.212 | 82.212 | -0.000 | -0.000 | -0.000 | 
| 82.212 | 30.051 | 82.212 | -0.000 | 0.000 | -0.000 | 
| 82.212 | 82.212 | 30.051 | -0.000 | -0.000 | 0.000 | 
| 0.000 | 0.000 | -0.000 | 36.821 | 0.000 | -0.000 | 
| 0.000 | 0.000 | -0.000 | -0.000 | 36.821 | -0.000 | 
| 0.000 | 0.000 | -0.000 | -0.000 | 0.000 | 36.821 | 
| 30.051 | 82.212 | 82.212 | 0.000 | -0.000 | -0.000 | 
| 82.212 | 30.051 | 82.212 | -0.000 | 0.000 | -0.000 | 
| 82.212 | 82.212 | 30.051 | 0.000 | -0.000 | 0.000 | 
| -0.000 | -0.000 | 0.000 | 36.821 | -0.000 | -0.000 | 
| -0.000 | -0.000 | 0.000 | 0.000 | 36.821 | 0.000 | 
| -0.000 | -0.000 | 0.000 | 0.000 | 0.000 | 36.821 | 
| 30.052 | 82.212 | 82.212 | -0.000 | 0.000 | 0.000 | 
| 82.212 | 30.052 | 82.212 | 0.000 | -0.000 | 0.000 | 
| 82.212 | 82.212 | 30.052 | -0.000 | 0.000 | -0.000 | 
| 0.000 | 0.000 | 0.000 | 36.821 | 0.000 | 0.000 | 
| 0.000 | 0.000 | 0.000 | -0.000 | 36.821 | -0.000 | 
| 0.000 | 0.000 | 0.000 | 0.000 | -0.000 | 36.821 | 
| 30.050 | 82.212 | 82.212 | 0.000 | -0.000 | -0.000 | 
| 82.212 | 30.050 | 82.212 | 0.000 | -0.000 | -0.000 | 
| 82.212 | 82.212 | 30.050 | 0.000 | 0.000 | -0.000 | 
| -0.000 | -0.000 | -0.000 | 36.821 | 0.000 | 0.000 | 
| -0.000 | -0.000 | -0.000 | 0.000 | 36.821 | -0.000 | 
| -0.000 | -0.000 | -0.000 | 0.000 | -0.000 | 36.821 | 
| 30.061 | 82.212 | 82.212 | -0.000 | -0.000 | -0.000 | 
| 82.212 | 30.061 | 82.212 | -0.000 | -0.000 | -0.000 | 
| 82.212 | 82.212 | 30.061 | -0.000 | -0.000 | -0.000 | 
| 0.000 | 0.000 | 0.000 | 36.821 | -0.000 | 0.000 | 
| 0.000 | 0.000 | 0.000 | -0.000 | 36.821 | -0.000 | 
| 0.000 | 0.000 | 0.000 | -0.000 | 0.000 | 36.821 | 
| 30.041 | 82.212 | 82.212 | 0.000 | -0.000 | 0.000 | 
| 82.212 | 30.041 | 82.212 | 0.000 | -0.000 | -0.000 | 
| 82.212 | 82.212 | 30.041 | 0.000 | -0.000 | -0.000 | 
| -0.000 | -0.000 | -0.000 | 36.821 | 0.000 | 0.000 | 
| -0.000 | -0.000 | -0.000 | 0.000 | 36.821 | -0.000 | 
| -0.000 | -0.000 | -0.000 | 0.000 | -0.000 | 36.821 | 
| 286.347 | 199.625 | 199.625 | 0.000 | -0.000 | 0.000 | 
| 199.625 | 286.347 | 199.625 | 0.000 | 0.000 | 0.000 | 
| 199.625 | 199.625 | 286.347 | 0.000 | 0.000 | 0.000 | 
| 0.000 | 0.000 | 0.000 | -0.457 | -0.000 | -0.000 | 
| 0.000 | 0.000 | 0.000 | -0.000 | -0.457 | 0.000 | 
| 0.000 | 0.000 | 0.000 | -0.000 | -0.000 | -0.457 | 
| 286.347 | 199.625 | 199.625 | 0.000 | 0.000 | 0.000 | 
| 199.625 | 286.347 | 199.625 | 0.000 | 0.000 | -0.000 | 
| 199.625 | 199.625 | 286.347 | 0.000 | 0.000 | -0.000 | 
| -0.000 | -0.000 | -0.000 | -0.457 | 0.000 | -0.000 | 
| -0.000 | -0.000 | -0.000 | -0.000 | -0.457 | 0.000 | 
| -0.000 | -0.000 | -0.000 | 0.000 | 0.000 | -0.457 | 
| 286.349 | 199.625 | 199.625 | -0.000 | -0.000 | 0.000 | 
| 199.625 | 286.349 | 199.625 | -0.000 | -0.000 | 0.000 | 
| 199.625 | 199.625 | 286.349 | -0.000 | -0.000 | -0.000 | 
| 0.001 | 0.001 | 0.001 | -0.457 | -0.000 | 0.000 | 
| 0.001 | 0.001 | 0.001 | -0.000 | -0.457 | 0.000 | 
| 0.001 | 0.001 | 0.001 | -0.000 | -0.000 | -0.457 | 
| 286.344 | 199.625 | 199.625 | -0.000 | 0.000 | 0.000 | 
| 199.625 | 286.344 | 199.625 | -0.000 | 0.000 | 0.000 | 
| 199.625 | 199.625 | 286.344 | -0.000 | 0.000 | -0.000 | 
| -0.001 | -0.001 | -0.001 | -0.457 | 0.000 | -0.000 | 
| -0.001 | -0.001 | -0.001 | 0.000 | -0.457 | -0.000 | 
| -0.001 | -0.001 | -0.001 | 0.000 | 0.000 | -0.457 | 
| 286.372 | 199.626 | 199.626 | 0.000 | -0.000 | 0.000 | 
| 199.626 | 286.372 | 199.626 | 0.000 | 0.000 | 0.000 | 
| 199.626 | 199.626 | 286.372 | -0.000 | -0.000 | 0.000 | 
| 0.001 | 0.003 | 0.003 | 108.109 | -0.000 | 0.000 | 
| 0.003 | 0.001 | 0.003 | -0.000 | 108.109 | -0.000 | 
| 0.003 | 0.003 | 0.001 | -0.000 | -0.000 | 108.109 | 
| 286.321 | 199.623 | 199.623 | -0.000 | -0.000 | -0.000 | 
| 199.623 | 286.321 | 199.623 | 0.000 | 0.000 | 0.000 | 
| 199.623 | 199.623 | 286.321 | 0.000 | 0.000 | -0.000 | 
| -0.001 | -0.003 | -0.003 | 108.109 | 0.000 | -0.000 | 
| -0.003 | -0.001 | -0.003 | 0.000 | 108.109 | 0.000 | 
| -0.003 | -0.003 | -0.001 | 0.000 | 0.000 | 108.109 | 
| 6.427 | 9.437 | 9.437 | 0.000 | 0.000 | -0.000 | 
| 9.437 | 6.427 | 9.437 | -0.000 | 0.000 | -0.000 | 
| 9.437 | 9.437 | 6.427 | -0.000 | -0.000 | 0.000 | 
| -0.000 | -0.000 | -0.000 | -20.730 | -0.000 | -0.000 | 
| -0.000 | -0.000 | -0.000 | -0.000 | -20.730 | -0.000 | 
| -0.000 | -0.000 | -0.000 | -0.000 | -0.000 | -20.730 | 
| 6.427 | 9.437 | 9.437 | 0.000 | 0.000 | -0.000 | 
| 9.437 | 6.427 | 9.437 | 0.000 | 0.000 | 0.000 | 
| 9.437 | 9.437 | 6.427 | 0.000 | 0.000 | 0.000 | 
| 0.000 | 0.000 | 0.000 | -20.730 | 0.000 | 0.000 | 
| 0.000 | 0.000 | 0.000 | 0.000 | -20.730 | 0.000 | 
| 0.000 | 0.000 | 0.000 | 0.000 | 0.000 | -20.730 | 
| 6.427 | 9.437 | 9.437 | -0.000 | -0.000 | -0.000 | 
| 9.437 | 6.427 | 9.437 | -0.000 | -0.000 | -0.000 | 
| 9.437 | 9.437 | 6.427 | -0.000 | -0.000 | -0.000 | 
| -0.000 | -0.000 | -0.000 | -7.597 | -0.000 | -0.000 | 
| -0.000 | -0.000 | -0.000 | -0.000 | -7.597 | -0.000 | 
| -0.000 | -0.000 | -0.000 | -0.000 | -0.000 | -7.597 | 
| 6.427 | 9.437 | 9.437 | 0.000 | 0.000 | 0.000 | 
| 9.437 | 6.427 | 9.437 | 0.000 | 0.000 | 0.000 | 
| 9.437 | 9.437 | 6.427 | 0.000 | 0.000 | 0.000 | 
| 0.000 | 0.000 | 0.000 | -7.597 | 0.000 | 0.000 | 
| 0.000 | 0.000 | 0.000 | 0.000 | -7.597 | 0.000 | 
| 0.000 | 0.000 | 0.000 | 0.000 | 0.000 | -7.597 | 
| 6.427 | 9.437 | 9.437 | -0.000 | -0.000 | -0.000 | 
| 9.437 | 6.427 | 9.437 | -0.000 | -0.000 | -0.000 | 
| 9.437 | 9.437 | 6.427 | -0.000 | -0.000 | -0.000 | 
| 569736.242 | 36588.056 | 36587.549 | -253675.516 | -0.004 | -0.004 | 
| 36588.056 | 569736.242 | 36587.549 | -0.004 | -253675.516 | -0.004 | 
| 36588.056 | 36587.549 | 569736.242 | -0.004 | -0.004 | -253675.516 | 
| 6.427 | 9.437 | 9.437 | 0.000 | 0.000 | 0.000 | 
| 9.437 | 6.427 | 9.437 | 0.000 | 0.000 | 0.000 | 
| 9.437 | 9.437 | 6.427 | 0.000 | -0.000 | 0.000 | 
| -569736.239 | -36588.056 | -36587.548 | -253675.515 | 0.002 | 0.002 | 
| -36588.056 | -569736.239 | -36587.548 | 0.002 | -253675.515 | 0.002 | 
| -36588.056 | -36587.548 | -569736.239 | 0.002 | 0.002 | -253675.515 | 
| 92928.393 | 92651.926 | 59952.292 | -0.000 | 0.000 | -0.000 | 
| 92651.926 | 92928.393 | 59952.292 | 0.000 | -0.000 | -0.000 | 
| 59952.985 | 59952.985 | 39233.258 | -0.000 | -0.000 | -0.000 | 
| -1.971 | -1.972 | -1.277 | 59881.526 | -0.000 | -0.000 | 
| -1.972 | -1.971 | -1.277 | -0.000 | 59881.526 | -0.000 | 
| -3.044 | -3.042 | -1.971 | 0.000 | 0.000 | 92464.046 | 
| 92934.478 | 92658.007 | 59956.233 | 0.000 | -0.000 | -0.000 | 
| 92658.007 | 92934.478 | 59956.233 | -0.000 | 0.000 | -0.000 | 
| 59955.539 | 59955.539 | 39234.914 | 0.000 | 0.000 | -0.000 | 
| 1.971 | 1.972 | 1.277 | 59881.526 | 0.000 | 0.000 | 
| 1.972 | 1.971 | 1.277 | 0.000 | 59881.526 | 0.000 | 
| 3.044 | 3.042 | 1.971 | 0.000 | 0.000 | 92464.047 | 
| 92901.008 | 92624.557 | 59934.556 | -0.000 | 0.000 | -0.000 | 
| 92624.557 | 92901.008 | 59934.556 | 0.000 | -0.000 | -0.000 | 
| 59941.493 | 59941.493 | 39225.804 | -0.000 | -0.000 | 0.000 | 
| -19.713 | -19.725 | -12.774 | 59881.526 | -0.000 | -0.000 | 
| -19.725 | -19.713 | -12.774 | -0.000 | 59881.526 | -0.000 | 
| -30.438 | -30.420 | -19.713 | 0.000 | 0.000 | 92464.046 | 
| 92961.863 | 92685.376 | 59973.968 | 0.000 | -0.000 | 0.000 | 
| 92685.376 | 92961.863 | 59973.968 | -0.000 | 0.000 | 0.000 | 
| 59967.031 | 59967.031 | 39242.368 | 0.000 | 0.000 | 0.000 | 
| 19.713 | 19.725 | 12.774 | 59881.526 | 0.000 | -0.000 | 
| 19.725 | 19.713 | 12.774 | 0.000 | 59881.526 | -0.000 | 
| 30.438 | 30.420 | 19.713 | 0.000 | -0.000 | 92464.046 | 
| 92627.160 | 92350.872 | 59757.201 | -0.000 | -0.000 | -0.000 | 
| 92350.872 | 92627.160 | 59757.201 | -0.000 | -0.000 | -0.000 | 
| 59826.572 | 59826.572 | 39151.263 | -0.000 | -0.000 | -0.000 | 
| -197.126 | -197.245 | -127.741 | 59881.526 | -0.000 | -0.000 | 
| -197.245 | -197.126 | -127.741 | -0.000 | 59881.526 | -0.000 | 
| -304.384 | -304.199 | -197.126 | 0.000 | 0.000 | 92464.047 | 
| 93235.711 | 92959.059 | 60151.323 | 0.000 | -0.000 | 0.000 | 
| 92959.059 | 93235.711 | 60151.323 | -0.000 | 0.000 | 0.000 | 
| 60081.952 | 60081.952 | 39316.909 | 0.000 | 0.000 | -0.000 | 
| 197.126 | 197.245 | 127.741 | 59881.526 | 0.000 | 0.000 | 
| 197.245 | 197.126 | 127.741 | 0.000 | 59881.526 | 0.000 | 
| 304.384 | 304.199 | 197.126 | 0.000 | -0.000 | 92464.047 | 
| 442.759 | 335.892 | 170.187 | 0.000 | -0.000 | -0.000 | 
| 335.892 | 384.274 | 149.488 | 0.000 | -0.000 | -0.000 | 
| 170.187 | 149.488 | 609.719 | -0.000 | -0.000 | 0.000 | 
| -0.000 | 0.000 | -0.000 | 59.957 | -0.000 | 0.000 | 
| -0.000 | -0.000 | -0.000 | 0.000 | 84.062 | -0.000 | 
| -0.000 | -0.000 | -0.000 | 0.000 | -0.000 | 127.051 | 
| 442.759 | 335.892 | 170.187 | -0.000 | 0.000 | 0.000 | 
| 335.892 | 384.274 | 149.488 | -0.000 | 0.000 | -0.000 | 
| 170.187 | 149.488 | 609.719 | -0.000 | 0.000 | 0.000 | 
| 0.000 | 0.000 | 0.000 | 59.957 | 0.000 | -0.000 | 
| 0.000 | -0.000 | 0.000 | -0.000 | 84.062 | -0.000 | 
| 0.000 | 0.000 | 0.000 | -0.000 | 0.000 | 127.051 | 
| 442.759 | 335.891 | 170.187 | 0.000 | -0.000 | -0.000 | 
| 335.891 | 384.274 | 149.488 | 0.000 | 0.000 | -0.000 | 
| 170.187 | 149.488 | 609.719 | 0.000 | -0.000 | 0.000 | 
| -0.000 | -0.000 | -0.000 | 59.957 | -0.000 | 0.000 | 
| -0.000 | -0.000 | -0.000 | 0.000 | 84.062 | 0.000 | 
| -0.000 | -0.000 | -0.000 | 0.000 | -0.000 | 127.051 | 
| 442.760 | 335.892 | 170.187 | -0.000 | 0.000 | -0.000 | 
| 335.892 | 384.274 | 149.488 | -0.000 | 0.000 | -0.000 | 
| 170.187 | 149.488 | 609.719 | 0.000 | 0.000 | -0.000 | 
| 0.000 | 0.000 | 0.000 | 59.957 | 0.000 | 0.000 | 
| 0.000 | 0.000 | 0.000 | -0.000 | 84.062 | 0.000 | 
| 0.000 | 0.000 | 0.000 | -0.000 | 0.000 | 127.051 | 
| 442.757 | 335.885 | 170.186 | 0.000 | -0.000 | -0.000 | 
| 335.884 | 384.274 | 149.486 | 0.000 | -0.000 | 0.000 | 
| 170.187 | 149.487 | 609.720 | 0.000 | -0.000 | 0.000 | 
| -0.000 | -0.000 | -0.000 | 59.957 | -0.000 | 0.000 | 
| -0.000 | 0.000 | -0.000 | 0.000 | 84.062 | -0.000 | 
| -0.003 | -0.003 | 0.000 | 0.000 | -0.000 | 127.051 | 
| 442.762 | 335.898 | 170.189 | -0.000 | 0.000 | 0.000 | 
| 335.899 | 384.273 | 149.489 | -0.000 | -0.000 | 0.000 | 
| 170.187 | 149.488 | 609.718 | -0.000 | 0.000 | -0.000 | 
| 0.000 | 0.000 | 0.000 | 59.957 | 0.000 | -0.000 | 
| 0.000 | -0.000 | 0.000 | -0.000 | 84.062 | -0.000 | 
| 0.003 | 0.003 | -0.000 | -0.000 | 0.000 | 127.051 | 
| 7.290 | 135.274 | 135.274 | -0.000 | 0.000 | -0.000 | 
| 135.274 | 7.290 | 135.274 | 0.000 | 0.000 | -0.000 | 
| 135.274 | 135.274 | 7.290 | -0.000 | 0.000 | -0.000 | 
| -0.000 | -0.000 | 0.000 | 57.804 | 0.000 | -0.000 | 
| -0.000 | -0.000 | -0.000 | 0.000 | 57.804 | -0.000 | 
| -0.000 | -0.000 | -0.000 | 0.000 | 0.000 | 57.804 | 
| 7.290 | 135.274 | 135.274 | 0.000 | -0.000 | 0.000 | 
| 135.274 | 7.290 | 135.274 | 0.000 | 0.000 | 0.000 | 
| 135.274 | 135.274 | 7.290 | 0.000 | 0.000 | 0.000 | 
| 0.000 | 0.000 | -0.000 | 57.804 | -0.000 | 0.000 | 
| 0.000 | 0.000 | 0.000 | -0.000 | 57.804 | 0.000 | 
| 0.000 | 0.000 | 0.000 | -0.000 | -0.000 | 57.804 | 
| 7.291 | 135.274 | 135.274 | 0.000 | 0.000 | -0.000 | 
| 135.274 | 7.291 | 135.274 | 0.000 | 0.000 | -0.000 | 
| 135.274 | 135.274 | 7.291 | -0.000 | 0.000 | -0.000 | 
| 0.000 | -0.000 | -0.000 | 57.804 | 0.000 | -0.000 | 
| -0.000 | 0.000 | -0.000 | 0.000 | 57.804 | -0.000 | 
| -0.000 | -0.000 | 0.000 | 0.000 | 0.000 | 57.804 | 
| 7.290 | 135.273 | 135.273 | 0.000 | 0.000 | 0.000 | 
| 135.273 | 7.290 | 135.273 | -0.000 | -0.000 | 0.000 | 
| 135.273 | 135.273 | 7.290 | 0.000 | -0.000 | 0.000 | 
| -0.000 | 0.000 | 0.000 | 57.804 | -0.000 | 0.000 | 
| 0.000 | -0.000 | 0.000 | 0.000 | 57.804 | 0.000 | 
| 0.000 | 0.000 | -0.000 | -0.000 | -0.000 | 57.804 | 
| 7.292 | 135.274 | 135.274 | -0.000 | 0.000 | -0.000 | 
| 135.274 | 7.292 | 135.274 | -0.000 | 0.000 | -0.000 | 
| 135.274 | 135.274 | 7.292 | 0.000 | 0.000 | -0.000 | 
| 0.006 | -0.001 | -0.001 | -156.792 | 0.000 | -0.000 | 
| -0.001 | 0.006 | -0.001 | 0.000 | -156.792 | -0.000 | 
| -0.001 | -0.001 | 0.006 | 0.000 | 0.000 | -156.792 | 
| 7.288 | 135.273 | 135.273 | -0.000 | -0.000 | 0.000 | 
| 135.273 | 7.288 | 135.273 | -0.000 | 0.000 | 0.000 | 
| 135.273 | 135.273 | 7.288 | 0.000 | -0.000 | 0.000 | 
| -0.006 | 0.001 | 0.001 | -156.792 | -0.000 | -0.000 | 
| 0.001 | -0.006 | 0.001 | 0.000 | -156.792 | 0.000 | 
| 0.001 | 0.001 | -0.006 | -0.000 | -0.000 | -156.792 | 
| 18.363 | 39.829 | 39.829 | -0.000 | 0.000 | 0.000 | 
| 39.829 | 18.363 | 39.829 | -0.000 | 0.000 | 0.000 | 
| 39.829 | 39.829 | 18.363 | -0.000 | 0.000 | -0.000 | 
| -0.000 | -0.000 | -0.000 | -8.503 | 0.000 | 0.000 | 
| -0.000 | -0.000 | 0.000 | -0.000 | -8.503 | 0.000 | 
| -0.000 | -0.000 | -0.000 | -0.000 | 0.000 | -8.503 | 
| 18.363 | 39.829 | 39.829 | -0.000 | -0.000 | -0.000 | 
| 39.829 | 18.363 | 39.829 | 0.000 | -0.000 | -0.000 | 
| 39.829 | 39.829 | 18.363 | 0.000 | -0.000 | -0.000 | 
| 0.000 | 0.000 | 0.000 | -8.503 | -0.000 | -0.000 | 
| 0.000 | 0.000 | 0.000 | 0.000 | -8.504 | -0.000 | 
| 0.000 | 0.000 | 0.000 | 0.000 | -0.000 | -8.504 | 
| 18.363 | 39.829 | 39.829 | -0.000 | 0.000 | 0.000 | 
| 39.829 | 18.363 | 39.829 | -0.000 | 0.000 | 0.000 | 
| 39.829 | 39.829 | 18.363 | -0.000 | 0.000 | -0.000 | 
| -0.000 | -0.000 | -0.000 | 1.964 | 0.000 | 0.000 | 
| -0.000 | -0.000 | -0.000 | -0.000 | 1.964 | 0.000 | 
| -0.000 | -0.000 | -0.000 | -0.000 | 0.000 | 1.964 | 
| 18.363 | 39.829 | 39.829 | 0.000 | -0.000 | -0.000 | 
| 39.829 | 18.363 | 39.829 | 0.000 | 0.000 | 0.000 | 
| 39.829 | 39.829 | 18.363 | 0.000 | -0.000 | 0.000 | 
| 0.000 | 0.000 | 0.000 | 1.964 | -0.000 | -0.000 | 
| 0.000 | 0.000 | 0.000 | 0.000 | 1.964 | -0.000 | 
| 0.000 | 0.000 | 0.000 | 0.000 | -0.000 | 1.964 | 
| 18.362 | 39.829 | 39.829 | -0.000 | 0.000 | 0.000 | 
| 39.829 | 18.362 | 39.829 | 0.000 | -0.000 | 0.000 | 
| 39.829 | 39.829 | 18.362 | 0.000 | 0.000 | -0.000 | 
| -0.004 | -0.001 | -0.001 | -20.555 | -0.000 | 0.000 | 
| -0.001 | -0.004 | -0.001 | -0.000 | -20.555 | 0.000 | 
| -0.001 | -0.001 | -0.004 | 0.000 | 0.000 | -20.555 | 
| 18.363 | 39.829 | 39.829 | 0.000 | -0.000 | 0.000 | 
| 39.829 | 18.363 | 39.829 | 0.000 | -0.000 | -0.000 | 
| 39.829 | 39.829 | 18.363 | 0.000 | -0.000 | 0.000 | 
| 0.004 | 0.001 | 0.001 | -20.555 | 0.000 | 0.000 | 
| 0.001 | 0.004 | 0.001 | 0.000 | -20.555 | -0.000 | 
| 0.001 | 0.001 | 0.004 | -0.000 | -0.000 | -20.555 | 
| 127.631 | 56.116 | 56.116 | 0.000 | 0.000 | -0.000 | 
| 56.116 | 127.631 | 56.116 | 0.000 | -0.000 | -0.000 | 
| 56.116 | 56.116 | 127.631 | -0.000 | 0.000 | -0.000 | 
| -0.000 | -0.000 | -0.000 | 3.224 | -0.000 | -0.000 | 
| -0.000 | -0.000 | -0.000 | 0.000 | 3.224 | -0.000 | 
| -0.000 | -0.000 | 0.000 | -0.000 | 0.000 | 3.224 | 
| 109.919 | 64.972 | 64.972 | -0.000 | -0.000 | 0.000 | 
| 64.972 | 109.919 | 64.972 | -0.000 | -0.000 | -0.000 | 
| 64.972 | 64.972 | 109.919 | -0.000 | -0.000 | -0.000 | 
| 0.000 | 0.000 | 0.000 | 3.224 | -0.000 | -0.000 | 
| 0.000 | 0.000 | 0.000 | -0.000 | 3.224 | 0.000 | 
| 0.000 | 0.000 | -0.000 | 0.000 | 0.000 | 3.224 | 
| 109.919 | 64.972 | 64.972 | 0.000 | 0.000 | -0.000 | 
| 64.972 | 109.919 | 64.972 | 0.000 | -0.000 | 0.000 | 
| 64.972 | 64.972 | 109.919 | 0.000 | -0.000 | 0.000 | 
| -0.000 | -0.000 | -0.000 | -57.318 | 0.000 | -0.000 | 
| -0.000 | -0.000 | -0.000 | 0.000 | -57.318 | -0.000 | 
| -0.000 | -0.000 | -0.000 | 0.000 | 0.000 | -57.318 | 
| 127.631 | 56.116 | 56.116 | 0.000 | 0.000 | 0.000 | 
| 56.116 | 127.631 | 56.116 | -0.000 | -0.000 | -0.000 | 
| 56.116 | 56.116 | 127.631 | -0.000 | 0.000 | 0.000 | 
| 0.000 | 0.000 | 0.000 | -57.318 | -0.000 | -0.000 | 
| 0.000 | 0.000 | 0.000 | -0.000 | -57.318 | 0.000 | 
| 0.000 | 0.000 | 0.000 | -0.000 | -0.000 | -57.318 | 
| 109.918 | 64.971 | 64.971 | 0.000 | 0.000 | -0.000 | 
| 64.971 | 109.918 | 64.971 | 0.000 | -0.000 | -0.000 | 
| 64.971 | 64.971 | 109.918 | 0.000 | 0.000 | 0.000 | 
| -0.001 | -0.002 | -0.002 | -57.318 | -0.000 | -0.000 | 
| -0.002 | -0.001 | -0.002 | 0.000 | -57.318 | -0.000 | 
| -0.002 | -0.002 | -0.001 | -0.000 | -0.000 | -57.318 | 
| 109.921 | 64.972 | 64.972 | -0.000 | -0.000 | -0.000 | 
| 64.972 | 109.921 | 64.972 | -0.000 | -0.000 | 0.000 | 
| 64.972 | 64.972 | 109.921 | -0.000 | -0.000 | -0.000 | 
| 0.001 | 0.002 | 0.002 | -57.318 | 0.000 | 0.000 | 
| 0.002 | 0.001 | 0.002 | 0.000 | -57.318 | 0.000 | 
| 0.002 | 0.002 | 0.001 | 0.000 | -0.000 | -57.318 | 
| 5.438 | 1.258 | 1.258 | 0.000 | 0.000 | -0.000 | 
| 1.258 | 5.438 | 1.258 | 0.000 | 0.000 | 0.000 | 
| 1.258 | 1.258 | 5.438 | 0.000 | 0.000 | 0.000 | 
| 0.000 | 0.000 | 0.000 | 0.818 | 0.000 | 0.000 | 
| 0.000 | 0.000 | 0.000 | 0.000 | 0.818 | 0.000 | 
| 0.000 | 0.000 | 0.000 | 0.000 | 0.000 | 0.818 | 
| 5.438 | 1.258 | 1.258 | -0.000 | -0.000 | -0.000 | 
| 1.258 | 5.438 | 1.258 | -0.000 | -0.000 | -0.000 | 
| 1.258 | 1.258 | 5.438 | -0.000 | -0.000 | -0.000 | 
| -0.000 | -0.000 | -0.000 | 0.818 | -0.000 | 0.000 | 
| -0.000 | -0.000 | -0.000 | -0.000 | 0.818 | -0.000 | 
| -0.000 | -0.000 | -0.000 | -0.000 | -0.000 | 0.818 | 
| 4.722 | 1.616 | 1.616 | 0.000 | 0.000 | -0.000 | 
| 1.800 | 4.353 | 1.800 | 0.000 | 0.000 | -0.000 | 
| 1.616 | 1.616 | 4.722 | 0.000 | 0.000 | -0.000 | 
| 0.000 | -0.000 | -0.000 | 0.272 | 0.000 | 0.000 | 
| -0.000 | 0.000 | -0.000 | 0.000 | 0.272 | -0.000 | 
| -0.000 | -0.000 | 0.000 | 0.000 | 0.000 | 0.272 | 
| 5.438 | 1.258 | 1.258 | -0.000 | -0.000 | 0.000 | 
| 1.258 | 5.438 | 1.258 | -0.000 | -0.000 | 0.000 | 
| 1.258 | 1.258 | 5.438 | -0.000 | -0.000 | 0.000 | 
| -0.000 | 0.000 | 0.000 | 0.272 | -0.000 | 0.000 | 
| 0.000 | -0.000 | 0.000 | -0.000 | 0.272 | 0.000 | 
| 0.000 | 0.000 | -0.000 | -0.000 | -0.000 | 0.272 | 
| 4.105 | 1.924 | 1.924 | 0.000 | 0.000 | 0.000 | 
| 1.924 | 4.105 | 1.924 | 0.000 | 0.000 | -0.000 | 
| 1.924 | 1.924 | 4.105 | 0.000 | 0.000 | -0.000 | 
| -0.000 | -0.000 | -0.000 | 0.129 | 0.000 | 0.000 | 
| -0.000 | -0.000 | -0.000 | 0.000 | 0.129 | -0.000 | 
| -0.000 | -0.000 | -0.000 | 0.000 | 0.000 | 0.129 | 
| 4.064 | 1.944 | 1.944 | -0.000 | -0.000 | -0.000 | 
| 1.944 | 4.064 | 1.944 | -0.000 | -0.000 | 0.000 | 
| 1.944 | 1.944 | 4.064 | -0.000 | -0.000 | 0.000 | 
| 0.000 | 0.000 | 0.000 | 0.129 | -0.000 | -0.000 | 
| 0.000 | 0.000 | 0.000 | -0.000 | 0.129 | 0.000 | 
| 0.000 | 0.000 | 0.000 | -0.000 | -0.000 | 0.129 | 
| 106.095 | 59.313 | 59.313 | -0.000 | 0.000 | 0.000 | 
| 59.313 | 106.095 | 59.313 | -0.000 | -0.000 | 0.000 | 
| 59.313 | 59.313 | 106.095 | -0.000 | -0.000 | 0.000 | 
| 0.000 | -0.000 | 0.000 | 15.068 | 0.000 | 0.000 | 
| 0.000 | 0.000 | 0.000 | -0.000 | 15.068 | 0.000 | 
| -0.000 | -0.000 | 0.000 | -0.000 | 0.000 | 15.068 | 
| 106.095 | 59.313 | 59.313 | 0.000 | -0.000 | -0.000 | 
| 59.313 | 106.095 | 59.313 | 0.000 | 0.000 | 0.000 | 
| 59.313 | 59.313 | 106.095 | 0.000 | -0.000 | 0.000 | 
| -0.000 | 0.000 | -0.000 | 15.068 | -0.000 | -0.000 | 
| 0.000 | 0.000 | -0.000 | 0.000 | 15.068 | -0.000 | 
| 0.000 | -0.000 | -0.000 | 0.000 | -0.000 | 15.068 | 
| 106.095 | 59.313 | 59.313 | -0.000 | -0.000 | 0.000 | 
| 59.313 | 106.095 | 59.313 | -0.000 | -0.000 | 0.000 | 
| 59.313 | 59.313 | 106.095 | -0.000 | -0.000 | 0.000 | 
| -0.000 | -0.000 | -0.000 | 15.068 | 0.000 | 0.000 | 
| -0.000 | -0.000 | -0.000 | -0.000 | 15.068 | 0.000 | 
| -0.000 | -0.000 | -0.000 | -0.000 | -0.000 | 15.068 | 
| 106.095 | 59.313 | 59.313 | 0.000 | 0.000 | -0.000 | 
| 59.313 | 106.095 | 59.313 | 0.000 | -0.000 | -0.000 | 
| 59.313 | 59.313 | 106.095 | 0.000 | -0.000 | 0.000 | 
| 0.000 | 0.000 | 0.000 | 15.068 | -0.000 | 0.000 | 
| 0.000 | 0.000 | 0.000 | 0.000 | 15.068 | -0.000 | 
| 0.000 | 0.000 | 0.000 | 0.000 | 0.000 | 15.068 | 
| 106.094 | 59.313 | 59.313 | -0.000 | -0.000 | 0.000 | 
| 59.313 | 106.094 | 59.313 | -0.000 | -0.000 | 0.000 | 
| 59.313 | 59.313 | 106.094 | -0.000 | 0.000 | 0.000 | 
| -0.000 | 0.001 | 0.001 | -39.222 | 0.000 | -0.000 | 
| 0.001 | -0.000 | 0.001 | -0.000 | -39.222 | 0.000 | 
| 0.001 | 0.001 | -0.000 | -0.000 | 0.000 | -39.222 | 
| 106.096 | 59.313 | 59.313 | 0.000 | -0.000 | -0.000 | 
| 59.313 | 106.096 | 59.313 | 0.000 | 0.000 | 0.000 | 
| 59.313 | 59.313 | 106.096 | 0.000 | 0.000 | -0.000 | 
| 0.000 | -0.001 | -0.001 | -39.222 | -0.000 | -0.000 | 
| -0.001 | 0.000 | -0.001 | 0.000 | -39.222 | -0.000 | 
| -0.001 | -0.001 | 0.000 | 0.000 | 0.000 | -39.222 | 
| 91.525 | 96.040 | 96.040 | -0.000 | -0.000 | 0.000 | 
| 96.040 | 91.525 | 96.040 | 0.000 | -0.000 | 0.000 | 
| 96.040 | 96.040 | 91.525 | -0.000 | -0.000 | 0.000 | 
| 0.000 | -0.000 | 0.000 | 48.592 | -0.000 | 0.000 | 
| 0.000 | -0.000 | 0.000 | 0.000 | 48.592 | 0.000 | 
| 0.000 | -0.000 | 0.000 | 0.000 | -0.000 | 48.592 | 
| 91.525 | 96.040 | 96.040 | -0.000 | -0.000 | -0.000 | 
| 96.040 | 91.525 | 96.040 | -0.000 | 0.000 | -0.000 | 
| 96.040 | 96.040 | 91.525 | 0.000 | 0.000 | 0.000 | 
| -0.000 | 0.000 | -0.000 | 48.592 | 0.000 | -0.000 | 
| -0.000 | 0.000 | -0.000 | -0.000 | 48.592 | -0.000 | 
| -0.000 | 0.000 | -0.000 | 0.000 | 0.000 | 48.592 | 
| 91.525 | 96.040 | 96.040 | -0.000 | -0.000 | 0.000 | 
| 96.040 | 91.525 | 96.040 | 0.000 | -0.000 | 0.000 | 
| 96.040 | 96.040 | 91.525 | 0.000 | -0.000 | 0.000 | 
| 0.000 | 0.000 | 0.000 | 48.592 | 0.000 | -0.000 | 
| 0.000 | -0.000 | 0.000 | -0.000 | 48.592 | 0.000 | 
| 0.000 | 0.000 | 0.000 | -0.000 | -0.000 | 48.592 | 
| 91.525 | 96.040 | 96.040 | -0.000 | -0.000 | -0.000 | 
| 96.040 | 91.525 | 96.040 | -0.000 | 0.000 | -0.000 | 
| 96.040 | 96.040 | 91.525 | -0.000 | 0.000 | -0.000 | 
| -0.000 | -0.000 | -0.000 | 48.592 | 0.000 | -0.000 | 
| -0.000 | 0.000 | -0.000 | 0.000 | 48.592 | -0.000 | 
| -0.000 | -0.000 | -0.000 | 0.000 | 0.000 | 48.592 | 
| 91.525 | 96.041 | 96.041 | 0.000 | -0.000 | 0.000 | 
| 96.041 | 91.525 | 96.041 | 0.000 | 0.000 | 0.000 | 
| 96.041 | 96.041 | 91.525 | 0.000 | 0.000 | 0.000 | 
| 0.000 | 0.000 | 0.000 | 48.592 | -0.000 | 0.000 | 
| 0.000 | 0.000 | 0.000 | 0.000 | 48.592 | 0.000 | 
| 0.000 | 0.000 | 0.000 | 0.000 | -0.000 | 48.592 | 
| 91.525 | 96.040 | 96.040 | -0.000 | -0.000 | -0.000 | 
| 96.040 | 91.525 | 96.040 | -0.000 | 0.000 | -0.000 | 
| 96.040 | 96.040 | 91.525 | -0.000 | 0.000 | -0.000 | 
| -0.000 | -0.000 | -0.000 | 48.592 | 0.000 | -0.000 | 
| -0.000 | -0.000 | -0.000 | -0.000 | 48.592 | -0.000 | 
| -0.000 | -0.000 | -0.000 | 0.000 | 0.000 | 48.592 | 
| 73290.093 | 36685.221 | 36685.221 | -0.000 | 0.000 | -0.000 | 
| 36685.221 | 73290.093 | 36685.221 | 0.000 | -0.000 | -0.000 | 
| 36685.220 | 36685.220 | 73290.093 | -0.000 | -0.000 | -0.000 | 
| -0.957 | -1.676 | -1.675 | 36646.705 | 0.000 | -0.000 | 
| -1.676 | -0.957 | -1.675 | 0.000 | 36646.705 | -0.000 | 
| -1.676 | -1.675 | -0.957 | 0.000 | 0.000 | 36646.705 | 
| 73300.624 | 36688.570 | 36688.570 | -0.000 | -0.000 | -0.000 | 
| 36688.570 | 73300.624 | 36688.570 | -0.000 | -0.000 | -0.000 | 
| 36688.570 | 36688.570 | 73300.624 | 0.000 | 0.000 | 0.000 | 
| 0.957 | 1.676 | 1.675 | 36646.705 | -0.000 | 0.000 | 
| 1.676 | 0.957 | 1.675 | -0.000 | 36646.705 | 0.000 | 
| 1.676 | 1.675 | 0.957 | -0.000 | -0.000 | 36646.705 | 
| 73242.700 | 36670.146 | 36670.146 | 0.000 | 0.000 | 0.000 | 
| 36670.146 | 73242.700 | 36670.146 | 0.000 | 0.000 | 0.000 | 
| 36670.146 | 36670.146 | 73242.700 | 0.000 | 0.000 | -0.000 | 
| -9.574 | -16.761 | -16.755 | 36646.705 | -0.000 | -0.000 | 
| -16.761 | -9.574 | -16.755 | -0.000 | 36646.705 | -0.000 | 
| -16.761 | -16.755 | -9.574 | 0.000 | 0.000 | 36646.705 | 
| 73348.018 | 36703.645 | 36703.645 | -0.000 | 0.000 | 0.000 | 
| 36703.645 | 73348.018 | 36703.645 | 0.000 | -0.000 | 0.000 | 
| 36703.645 | 36703.645 | 73348.018 | -0.000 | -0.000 | 0.000 | 
| 9.574 | 16.761 | 16.755 | 36646.705 | -0.000 | -0.000 | 
| 16.761 | 9.574 | 16.755 | -0.000 | 36646.705 | -0.000 | 
| 16.761 | 16.755 | 9.574 | -0.000 | -0.000 | 36646.705 | 
| 72768.765 | 36519.396 | 36519.396 | -0.000 | 0.000 | 0.000 | 
| 36519.396 | 72768.765 | 36519.396 | 0.000 | -0.000 | 0.000 | 
| 36519.396 | 36519.396 | 72768.765 | 0.000 | 0.000 | -0.000 | 
| -95.743 | -167.609 | -167.554 | 36646.705 | 0.000 | -0.000 | 
| -167.609 | -95.743 | -167.554 | 0.000 | 36646.705 | -0.000 | 
| -167.609 | -167.554 | -95.743 | 0.000 | 0.000 | 36646.705 | 
| 73821.953 | 36854.394 | 36854.394 | -0.000 | -0.000 | 0.000 | 
| 36854.394 | 73821.953 | 36854.394 | -0.000 | -0.000 | 0.000 | 
| 36854.394 | 36854.394 | 73821.953 | -0.000 | -0.000 | 0.000 | 
| 95.743 | 167.609 | 167.554 | 36646.705 | -0.000 | 0.000 | 
| 167.609 | 95.743 | 167.554 | -0.000 | 36646.705 | 0.000 | 
| 167.609 | 167.554 | 95.743 | -0.000 | -0.000 | 36646.705 | 
| -1019056817.196 | -308471243.702 | -33105310.364 | -5543474.038 | 195478.471 | -7123368.758 | 
| 133.494 | 176.997 | 64.773 | -0.000 | 0.000 | -0.000 | 
| 74.390 | 74.390 | 84.638 | -0.000 | 0.000 | 0.000 | 
| 18.044 | 18.044 | 6.636 | -13.217 | -0.000 | -0.000 | 
| -0.000 | 0.000 | 0.000 | -0.000 | -13.136 | -0.000 | 
| -0.000 | 0.000 | 0.000 | -0.000 | 0.000 | 21.751 | 
| 176.997 | 133.494 | 64.773 | 0.000 | -0.000 | 0.000 | 
| 133.494 | 176.997 | 64.773 | 0.000 | -0.000 | 0.000 | 
| 41.277 | 41.277 | 72.461 | -0.000 | -0.000 | 0.000 | 
| -18.044 | -18.044 | -6.636 | -13.217 | -0.000 | 0.000 | 
| 0.000 | -0.000 | -0.000 | 0.000 | -13.136 | -0.000 | 
| 0.000 | -0.000 | -0.000 | 0.000 | -0.000 | 21.751 | 
| 176.997 | 133.494 | 64.773 | -0.000 | 0.000 | -0.000 | 
| -24644076.012 | -43726943.483 | -25296523.931 | -2129.781 | -70701.880 | 790343.775 | 
| 60.949 | 60.949 | 79.695 | -0.000 | 0.000 | 0.000 | 
| 3.199 | 3.200 | 1.177 | -13.279 | 0.000 | -0.000 | 
| 3.200 | 3.199 | 1.177 | -0.000 | -13.279 | 0.000 | 
| -0.000 | 0.000 | 0.000 | -0.000 | 0.000 | 21.751 | 
| 114.650 | 90.696 | 45.440 | 0.000 | -0.000 | -0.000 | 
| 90.697 | 114.653 | 45.440 | 0.000 | -0.000 | 0.000 | 
| 57.373 | 57.373 | 78.380 | 0.000 | -0.000 | 0.000 | 
| -3.199 | -3.200 | -1.177 | -13.279 | -0.000 | 0.000 | 
| -3.200 | -3.199 | -1.177 | 0.000 | -13.279 | 0.000 | 
| 0.000 | -0.000 | -0.000 | 0.000 | -0.000 | 21.751 | 
| -10586591.794 | -3417665.798 | -918396.730 | -166224.097 | 843.121 | 145423.440 | 
| -2213903.901 | -4006729.822 | -2887810.488 | 10874.464 | 45788.165 | -12874.159 | 
| 59.340 | 59.340 | 79.104 | -0.000 | 0.000 | -0.000 | 
| 1.268 | 1.268 | 0.467 | -13.703 | 0.000 | 0.000 | 
| 1.268 | 1.268 | 0.467 | -0.000 | -13.703 | 0.000 | 
| 2391165.067 | 2658399.844 | -9644688.310 | -1461.649 | 2638.531 | -191772.890 | 
| -172381.084 | 950372.727 | 5094614.830 | 259.439 | 12293.942 | 155612.155 | 
| 10103505.042 | 3068687.174 | 383806.119 | -12870.526 | 9510.095 | -799.658 | 
| 58.982 | 58.982 | 78.971 | 0.000 | -0.000 | 0.000 | 
| -1.268 | -1.268 | -0.467 | -13.703 | 0.000 | -0.000 | 
| -1.268 | -1.268 | -0.467 | 0.000 | -13.703 | -0.000 | 
| -2410920.563 | -2601653.807 | 9508667.591 | -27339.249 | 15860.509 | -213347.853 | 
| 203.463 | 135.557 | 123.531 | -0.000 | 0.009 | 0.000 | 
| 134.901 | 266.439 | 173.011 | -0.000 | 0.020 | 0.000 | 
| 106.031 | 228.316 | 168.209 | -0.000 | -0.054 | 0.000 | 
| -0.998 | -0.298 | -1.721 | 12.712 | 0.088 | 0.000 | 
| 0.216 | -0.117 | -0.281 | -0.000 | 7.376 | 0.000 | 
| 0.217 | -0.117 | -0.282 | -0.000 | 0.008 | 17.593 | 
| 203.356 | 135.676 | 123.968 | 0.000 | -0.008 | -0.000 | 
| 143.663 | 183.706 | 250.159 | 0.000 | -0.001 | -0.000 | 
| 107.022 | 243.627 | 160.882 | 0.000 | -0.026 | -0.000 | 
| 0.998 | 0.298 | 1.721 | 12.712 | -0.088 | -0.000 | 
| -0.227 | 0.122 | 0.295 | 0.000 | 7.343 | -0.000 | 
| -0.217 | 0.117 | 0.282 | 0.000 | -0.008 | 17.593 | 
| 203.410 | 135.614 | 123.740 | -0.000 | 0.001 | 0.000 | 
| 131.300 | 271.348 | 172.351 | -0.000 | 0.000 | 0.000 | 
| 117.523 | 170.744 | 230.857 | -0.000 | 0.000 | 0.000 | 
| 0.000 | 0.000 | 0.000 | 38.040 | 0.000 | 0.000 | 
| -0.192 | -0.049 | -0.290 | -0.000 | 4.516 | 0.000 | 
| 0.038 | -0.021 | -0.050 | -0.000 | 0.001 | 17.591 | 
| 200.817 | 137.520 | 118.406 | 0.000 | -0.008 | -0.000 | 
| 141.478 | 178.937 | 249.859 | 0.000 | -0.003 | -0.000 | 
| 120.694 | 171.933 | 225.460 | 0.000 | -0.002 | -0.000 | 
| -0.000 | -0.000 | -0.000 | 38.040 | -0.000 | -0.000 | 
| 0.192 | 0.049 | 0.290 | 0.000 | 4.508 | -0.000 | 
| -0.038 | 0.021 | 0.050 | 0.000 | -0.001 | 17.591 | 
| 203.409 | 135.621 | 123.761 | -0.000 | 0.000 | 0.000 | 
| 141.601 | 178.860 | 250.016 | -0.000 | 0.001 | 0.000 | 
| 107.632 | 248.312 | 157.652 | -0.000 | -0.000 | 0.000 | 
| 0.000 | 0.000 | 0.001 | 38.040 | 0.000 | 0.000 | 
| 0.001 | -0.004 | -0.004 | -0.000 | 4.497 | 0.000 | 
| -0.011 | -0.004 | -0.021 | -0.000 | 0.000 | 17.534 | 
| 206.889 | 134.337 | 122.169 | 0.000 | -0.000 | -0.000 | 
| 141.611 | 178.886 | 250.017 | 0.000 | -0.001 | -0.000 | 
| 117.521 | 170.740 | 230.852 | 0.000 | -0.000 | -0.000 | 
| -0.000 | -0.000 | -0.001 | 38.040 | -0.000 | -0.000 | 
| -0.001 | 0.004 | 0.004 | 0.000 | 4.496 | -0.000 | 
| 0.011 | 0.004 | 0.021 | 0.000 | -0.000 | 17.534 | 
| 32.245 | 180.016 | 57.330 | 0.000 | 0.000 | 0.000 | 
| 180.016 | 32.245 | 57.330 | -0.000 | 0.000 | 0.000 | 
| 57.330 | 57.330 | 121.635 | 0.000 | 0.000 | 0.000 | 
| -0.000 | 0.000 | -0.000 | 6.603 | 0.000 | 0.000 | 
| 0.000 | 0.000 | -0.000 | -0.000 | 6.603 | 0.000 | 
| -0.000 | 0.000 | -0.000 | -0.000 | 0.000 | 73.468 | 
| 74.063 | 138.198 | 57.330 | 0.000 | -0.000 | -0.000 | 
| 138.198 | 74.063 | 57.330 | -0.000 | 0.000 | -0.000 | 
| 57.330 | 57.330 | 121.635 | -0.000 | -0.000 | -0.000 | 
| 0.000 | -0.000 | 0.000 | 6.603 | -0.000 | -0.000 | 
| 0.000 | -0.000 | 0.000 | -0.000 | 6.603 | -0.000 | 
| 0.000 | -0.000 | 0.000 | 0.000 | -0.000 | 73.468 | 
| 32.245 | 180.016 | 57.330 | 0.000 | 0.000 | 0.000 | 
| 180.016 | 32.245 | 57.330 | 0.000 | 0.000 | 0.000 | 
| 57.330 | 57.330 | 121.635 | 0.000 | 0.000 | 0.000 | 
| -0.000 | 0.000 | 0.000 | -8.856 | 0.000 | 0.000 | 
| 0.000 | 0.000 | 0.000 | 0.000 | -8.856 | 0.000 | 
| 0.000 | 0.000 | 0.000 | 0.000 | 0.000 | 73.468 | 
| 32.246 | 180.016 | 57.330 | -0.000 | -0.000 | -0.000 | 
| 180.016 | 32.246 | 57.330 | -0.000 | -0.000 | -0.000 | 
| 57.330 | 57.330 | 121.635 | -0.000 | -0.000 | -0.000 | 
| 0.000 | -0.000 | -0.000 | -8.856 | -0.000 | -0.000 | 
| -0.000 | -0.000 | -0.000 | 0.000 | -8.856 | -0.000 | 
| -0.000 | -0.000 | -0.000 | -0.000 | -0.000 | 73.468 | 
| 74.057 | 138.198 | 57.330 | -0.000 | 0.000 | 0.000 | 
| 138.198 | 74.057 | 57.330 | -0.000 | 0.000 | 0.000 | 
| 57.330 | 57.330 | 121.635 | 0.000 | 0.000 | 0.000 | 
| 0.000 | 0.000 | 0.000 | -8.856 | 0.000 | 0.000 | 
| 0.000 | 0.000 | 0.000 | 0.000 | -8.856 | 0.000 | 
| 0.000 | 0.000 | 0.000 | 0.000 | 0.000 | 73.468 | 
| 32.251 | 180.016 | 57.330 | -0.000 | -0.000 | -0.000 | 
| 180.016 | 32.251 | 57.330 | -0.000 | -0.000 | -0.000 | 
| 57.330 | 57.330 | 121.635 | -0.000 | -0.000 | -0.000 | 
| -0.000 | -0.000 | -0.000 | -8.856 | -0.000 | -0.000 | 
| -0.000 | -0.000 | -0.000 | -0.000 | -8.856 | -0.000 | 
| -0.000 | -0.000 | -0.000 | -0.000 | -0.000 | 73.468 | 
| 132.638 | 94.488 | 94.488 | -0.000 | -0.000 | -0.000 | 
| 94.488 | 132.638 | 94.488 | -0.000 | -0.000 | -0.000 | 
| 94.488 | 94.488 | 132.638 | -0.000 | -0.000 | -0.000 | 
| -0.000 | 0.000 | -0.000 | 74.036 | -0.000 | -0.000 | 
| -0.000 | 0.000 | -0.000 | -0.000 | 74.036 | -0.000 | 
| -0.000 | 0.000 | 0.000 | -0.000 | -0.000 | 74.036 | 
| 132.638 | 94.488 | 94.488 | 0.000 | 0.000 | -0.000 | 
| 94.488 | 132.638 | 94.488 | 0.000 | 0.000 | -0.000 | 
| 94.488 | 94.488 | 132.638 | 0.000 | 0.000 | 0.000 | 
| 0.000 | 0.000 | -0.000 | 74.036 | 0.000 | 0.000 | 
| 0.000 | -0.000 | -0.000 | 0.000 | 74.036 | 0.000 | 
| 0.000 | -0.000 | -0.000 | 0.000 | 0.000 | 74.036 | 
| 132.638 | 94.488 | 94.488 | -0.000 | -0.000 | 0.000 | 
| 94.488 | 132.638 | 94.488 | -0.000 | -0.000 | 0.000 | 
| 94.488 | 94.488 | 132.638 | -0.000 | 0.000 | -0.000 | 
| -0.000 | -0.000 | -0.000 | 74.036 | 0.000 | 0.000 | 
| -0.000 | -0.000 | -0.000 | 0.000 | 74.036 | -0.000 | 
| -0.000 | -0.000 | -0.000 | -0.000 | -0.000 | 74.036 | 
| 132.638 | 94.488 | 94.488 | 0.000 | 0.000 | 0.000 | 
| 94.488 | 132.638 | 94.488 | 0.000 | 0.000 | -0.000 | 
| 94.488 | 94.488 | 132.638 | 0.000 | 0.000 | -0.000 | 
| 0.000 | 0.000 | 0.000 | 74.036 | -0.000 | 0.000 | 
| 0.000 | 0.000 | 0.000 | 0.000 | 74.036 | 0.000 | 
| 0.000 | 0.000 | 0.000 | 0.000 | 0.000 | 74.036 | 
| 132.638 | 94.488 | 94.488 | -0.000 | -0.000 | -0.000 | 
| 94.488 | 132.638 | 94.488 | -0.000 | -0.000 | -0.000 | 
| 94.488 | 94.488 | 132.638 | -0.000 | 0.000 | -0.000 | 
| -0.000 | -0.000 | -0.000 | 74.036 | -0.000 | 0.000 | 
| -0.000 | -0.000 | -0.000 | 0.000 | 74.036 | -0.000 | 
| -0.000 | -0.000 | -0.000 | -0.000 | -0.000 | 74.036 | 
| 132.639 | 94.488 | 94.488 | 0.000 | -0.000 | 0.000 | 
| 94.488 | 132.639 | 94.488 | 0.000 | 0.000 | -0.000 | 
| 94.488 | 94.488 | 132.639 | -0.000 | 0.000 | 0.000 | 
| 0.000 | 0.000 | 0.000 | 74.036 | 0.000 | 0.000 | 
| 0.000 | 0.000 | 0.000 | 0.000 | 74.036 | 0.000 | 
| 0.000 | 0.000 | 0.000 | 0.000 | 0.000 | 74.036 | 
| 82.104 | -6.138 | -6.138 | -0.000 | 0.000 | -0.000 | 
| -6.138 | 82.104 | -6.138 | -0.000 | -0.000 | -0.000 | 
| -6.138 | -6.138 | 82.104 | -0.000 | 0.000 | -0.000 | 
| -0.000 | 0.000 | 0.000 | -40.067 | -0.000 | -0.000 | 
| 0.000 | -0.000 | 0.000 | -0.000 | -40.067 | -0.000 | 
| 0.000 | 0.000 | 0.000 | -0.000 | -0.000 | -40.067 | 
| 82.104 | -6.138 | -6.138 | 0.000 | 0.000 | 0.000 | 
| -6.138 | 82.104 | -6.138 | 0.000 | 0.000 | 0.000 | 
| -6.138 | -6.138 | 82.104 | 0.000 | 0.000 | 0.000 | 
| 0.000 | -0.000 | -0.000 | -40.067 | 0.000 | 0.000 | 
| -0.000 | 0.000 | -0.000 | 0.000 | -40.067 | 0.000 | 
| -0.000 | -0.000 | -0.000 | 0.000 | 0.000 | -40.067 | 
| 82.104 | -6.138 | -6.138 | -0.000 | 0.000 | -0.000 | 
| -6.138 | 82.104 | -6.138 | -0.000 | -0.000 | 0.000 | 
| -6.138 | -6.138 | 82.104 | -0.000 | 0.000 | -0.000 | 
| 0.000 | 0.000 | 0.000 | -40.067 | -0.000 | -0.000 | 
| 0.000 | 0.000 | 0.000 | -0.000 | -40.067 | -0.000 | 
| 0.000 | 0.000 | 0.000 | -0.000 | -0.000 | -40.067 | 
| 84.791 | -7.481 | -7.481 | 0.000 | -0.000 | 0.000 | 
| -7.481 | 84.791 | -7.481 | 0.000 | -0.000 | 0.000 | 
| -7.481 | -7.481 | 84.791 | 0.000 | 0.000 | 0.000 | 
| -0.000 | -0.000 | -0.000 | -40.067 | 0.000 | 0.000 | 
| -0.000 | -0.000 | -0.000 | 0.000 | -40.067 | 0.000 | 
| -0.000 | -0.000 | -0.000 | 0.000 | -0.000 | -40.067 | 
| 84.791 | -7.481 | -7.481 | -0.000 | 0.000 | -0.000 | 
| -7.481 | 84.791 | -7.481 | -0.000 | 0.000 | -0.000 | 
| -7.481 | -7.481 | 84.791 | -0.000 | -0.000 | -0.000 | 
| 0.000 | 0.001 | 0.001 | -40.067 | -0.000 | -0.000 | 
| 0.001 | 0.000 | 0.001 | -0.000 | -40.067 | -0.000 | 
| 0.001 | 0.001 | 0.000 | -0.000 | -0.000 | -40.067 | 
| 84.791 | -7.481 | -7.481 | 0.000 | 0.000 | 0.000 | 
| -7.481 | 84.791 | -7.481 | 0.000 | -0.000 | 0.000 | 
| -7.481 | -7.481 | 84.791 | 0.000 | 0.000 | -0.000 | 
| -0.000 | -0.001 | -0.001 | -40.067 | 0.000 | 0.000 | 
| -0.001 | -0.000 | -0.001 | 0.000 | -40.067 | 0.000 | 
| -0.001 | -0.001 | -0.000 | 0.000 | -0.000 | -40.067 | 
| 100.508 | 76.371 | 76.371 | 0.000 | -0.000 | 0.000 | 
| 76.371 | 100.508 | 76.371 | 0.000 | -0.000 | 0.000 | 
| 76.371 | 76.371 | 100.508 | 0.000 | 0.000 | 0.000 | 
| -0.000 | -0.000 | 0.000 | 58.591 | 0.000 | 0.000 | 
| -0.000 | -0.000 | -0.000 | 0.000 | 58.591 | -0.000 | 
| -0.000 | -0.000 | 0.000 | 0.000 | -0.000 | 58.591 | 
| 100.508 | 76.371 | 76.371 | -0.000 | -0.000 | 0.000 | 
| 76.371 | 100.508 | 76.371 | -0.000 | 0.000 | 0.000 | 
| 76.371 | 76.371 | 100.508 | -0.000 | 0.000 | -0.000 | 
| 0.000 | 0.000 | -0.000 | 58.591 | -0.000 | -0.000 | 
| 0.000 | 0.000 | 0.000 | -0.000 | 58.591 | -0.000 | 
| 0.000 | 0.000 | 0.000 | -0.000 | -0.000 | 58.591 | 
| 100.508 | 76.371 | 76.371 | -0.000 | -0.000 | -0.000 | 
| 76.371 | 100.508 | 76.371 | 0.000 | 0.000 | -0.000 | 
| 76.371 | 76.371 | 100.508 | 0.000 | -0.000 | 0.000 | 
| -0.000 | -0.000 | -0.000 | 58.591 | 0.000 | 0.000 | 
| -0.000 | -0.000 | -0.000 | 0.000 | 58.591 | -0.000 | 
| -0.000 | -0.000 | -0.000 | 0.000 | 0.000 | 58.591 | 
| 100.508 | 76.371 | 76.371 | -0.000 | -0.000 | -0.000 | 
| 76.371 | 100.508 | 76.371 | -0.000 | 0.000 | -0.000 | 
| 76.371 | 76.371 | 100.508 | -0.000 | -0.000 | 0.000 | 
| 0.000 | 0.000 | 0.000 | 58.591 | -0.000 | -0.000 | 
| 0.000 | 0.000 | 0.000 | 0.000 | 58.591 | 0.000 | 
| 0.000 | 0.000 | 0.000 | -0.000 | 0.000 | 58.591 | 
| 100.509 | 76.371 | 76.371 | 0.000 | 0.000 | 0.000 | 
| 76.371 | 100.509 | 76.371 | 0.000 | 0.000 | -0.000 | 
| 76.371 | 76.371 | 100.509 | 0.000 | 0.000 | -0.000 | 
| -0.000 | -0.000 | -0.000 | 58.591 | -0.000 | 0.000 | 
| -0.000 | -0.000 | -0.000 | 0.000 | 58.591 | -0.000 | 
| -0.000 | -0.000 | -0.000 | 0.000 | -0.000 | 58.591 | 
| 100.508 | 76.371 | 76.371 | -0.000 | -0.000 | -0.000 | 
| 76.371 | 100.508 | 76.371 | 0.000 | 0.000 | -0.000 | 
| 76.371 | 76.371 | 100.508 | -0.000 | 0.000 | 0.000 | 
| 0.000 | 0.000 | 0.000 | 58.591 | 0.000 | 0.000 | 
| 0.000 | 0.000 | 0.000 | -0.000 | 58.591 | -0.000 | 
| 0.000 | 0.000 | 0.000 | -0.000 | 0.000 | 58.591 | 
| 188.212 | 75.140 | 62.157 | -0.000 | -0.000 | -0.000 | 
| 92.818 | 170.535 | 62.157 | 0.000 | 0.000 | -0.000 | 
| 62.157 | 62.157 | 191.528 | 0.000 | 0.000 | -0.000 | 
| -0.000 | -0.000 | 0.000 | 43.122 | 0.000 | -0.000 | 
| -0.000 | -0.000 | 0.000 | -0.000 | 43.122 | -0.000 | 
| 0.000 | -0.000 | 0.000 | 0.000 | 0.000 | 38.859 | 
| 188.212 | 75.140 | 62.157 | 0.000 | 0.000 | -0.000 | 
| 75.140 | 188.212 | 62.157 | 0.000 | 0.000 | 0.000 | 
| 62.157 | 62.157 | 191.528 | -0.000 | -0.000 | 0.000 | 
| -0.000 | 0.000 | -0.000 | 43.122 | 0.000 | 0.000 | 
| 0.000 | -0.000 | -0.000 | -0.000 | 43.122 | -0.000 | 
| -0.000 | 0.000 | -0.000 | -0.000 | -0.000 | 38.859 | 
| 188.212 | 75.140 | 62.157 | 0.000 | 0.000 | -0.000 | 
| 92.818 | 170.535 | 62.157 | 0.000 | 0.000 | -0.000 | 
| 62.157 | 62.157 | 191.528 | 0.000 | 0.000 | -0.000 | 
| -0.000 | -0.000 | 0.000 | 43.122 | 0.000 | -0.000 | 
| -0.000 | -0.000 | 0.000 | -0.000 | 43.122 | 0.000 | 
| -0.000 | -0.000 | -0.000 | 0.000 | -0.000 | 56.536 | 
| 188.212 | 75.140 | 62.157 | -0.000 | -0.000 | 0.000 | 
| 92.818 | 170.535 | 62.157 | -0.000 | -0.000 | 0.000 | 
| 62.157 | 62.157 | 191.527 | 0.000 | -0.000 | -0.000 | 
| 0.000 | 0.000 | -0.000 | 43.122 | -0.000 | 0.000 | 
| 0.000 | 0.000 | -0.000 | -0.000 | 43.122 | 0.000 | 
| 0.000 | 0.000 | 0.000 | 0.000 | 0.000 | 56.536 | 
| 188.212 | 75.140 | 62.157 | -0.000 | 0.000 | -0.000 | 
| 92.818 | 170.535 | 62.157 | -0.000 | 0.000 | -0.000 | 
| 62.157 | 62.157 | 191.528 | -0.000 | 0.000 | -0.000 | 
| -0.000 | -0.000 | 0.000 | 43.122 | 0.000 | -0.000 | 
| -0.000 | -0.000 | 0.000 | 0.000 | 43.122 | -0.000 | 
| 0.000 | -0.000 | -0.000 | 0.000 | 0.000 | 38.859 | 
| 188.212 | 75.140 | 62.157 | 0.000 | -0.000 | -0.000 | 
| 92.818 | 170.535 | 62.157 | -0.000 | -0.000 | 0.000 | 
| 62.157 | 62.157 | 191.527 | -0.000 | -0.000 | 0.000 | 
| 0.000 | 0.000 | -0.000 | 43.122 | -0.000 | 0.000 | 
| 0.000 | 0.000 | -0.000 | 0.000 | 43.122 | 0.000 | 
| -0.000 | 0.000 | 0.000 | -0.000 | -0.000 | 38.859 | 
| 189.000 | 74.171 | 67.959 | 0.000 | -0.000 | -0.000 | 
| 91.288 | 171.884 | 67.959 | -0.000 | -0.000 | -0.000 | 
| 67.967 | 67.967 | 192.395 | -0.000 | 0.000 | -0.000 | 
| -0.000 | 0.000 | 0.000 | 50.422 | -0.000 | -0.000 | 
| -0.000 | 0.000 | 0.000 | 0.000 | 50.422 | -0.000 | 
| -0.000 | 0.000 | -0.000 | 0.000 | 0.000 | 57.414 | 
| 171.884 | 91.288 | 67.959 | 0.000 | 0.000 | 0.000 | 
| 74.171 | 189.000 | 67.959 | -0.000 | 0.000 | -0.000 | 
| 67.967 | 67.967 | 192.395 | 0.000 | 0.000 | 0.000 | 
| 0.000 | -0.000 | -0.000 | 50.422 | 0.000 | 0.000 | 
| 0.000 | -0.000 | -0.000 | -0.000 | 50.422 | 0.000 | 
| 0.000 | -0.000 | 0.000 | -0.000 | 0.000 | 57.414 | 
| 189.000 | 74.171 | 67.959 | -0.000 | -0.000 | -0.000 | 
| 91.288 | 171.884 | 67.959 | 0.000 | 0.000 | -0.000 | 
| 67.967 | 67.967 | 192.395 | 0.000 | -0.000 | -0.000 | 
| 0.000 | -0.000 | 0.000 | 50.422 | 0.000 | -0.000 | 
| -0.000 | 0.000 | 0.000 | -0.000 | 50.422 | 0.000 | 
| 0.000 | 0.000 | -0.000 | 0.000 | -0.000 | 40.298 | 
| 189.000 | 74.171 | 67.959 | 0.000 | 0.000 | 0.000 | 
| 91.288 | 171.884 | 67.959 | 0.000 | 0.000 | 0.000 | 
| 67.967 | 67.967 | 192.394 | 0.000 | -0.000 | 0.000 | 
| -0.000 | 0.000 | -0.000 | 50.422 | -0.000 | 0.000 | 
| 0.000 | -0.000 | -0.000 | 0.000 | 50.422 | 0.000 | 
| -0.000 | -0.000 | 0.000 | -0.000 | 0.000 | 40.298 | 
| 189.001 | 74.172 | 67.960 | 0.000 | -0.000 | 0.000 | 
| 91.288 | 171.885 | 67.960 | 0.000 | -0.000 | -0.000 | 
| 67.968 | 67.968 | 192.397 | 0.000 | 0.000 | -0.000 | 
| 0.000 | -0.000 | 0.000 | 50.422 | 0.000 | -0.000 | 
| -0.000 | -0.000 | 0.000 | 0.000 | 50.422 | -0.000 | 
| 0.000 | 0.000 | -0.000 | 0.000 | -0.000 | 40.298 | 
| 189.000 | 74.171 | 67.959 | 0.000 | 0.000 | 0.000 | 
| 91.288 | 171.883 | 67.959 | 0.000 | -0.000 | 0.000 | 
| 67.966 | 67.966 | 192.393 | 0.000 | 0.000 | 0.000 | 
| -0.000 | 0.000 | -0.000 | 50.422 | -0.000 | 0.000 | 
| 0.000 | 0.000 | -0.000 | 0.000 | 50.422 | 0.000 | 
| -0.000 | -0.000 | 0.000 | 0.000 | 0.000 | 40.298 | 
| 188.979 | 74.155 | 67.949 | -0.000 | -0.000 | 0.000 | 
| 91.276 | 171.858 | 67.949 | 0.000 | -0.000 | 0.000 | 
| 67.955 | 67.955 | 192.358 | 0.000 | 0.000 | 0.000 | 
| 0.000 | -0.000 | 0.000 | 50.422 | 0.000 | 0.000 | 
| 0.000 | -0.000 | 0.000 | 0.000 | 50.422 | 0.000 | 
| 0.000 | 0.000 | -0.000 | -0.000 | 0.000 | 57.412 | 
| 188.979 | 74.155 | 67.949 | 0.000 | -0.000 | 0.000 | 
| 91.276 | 171.858 | 67.949 | -0.000 | -0.000 | -0.000 | 
| 67.955 | 67.955 | 192.358 | -0.000 | 0.000 | -0.000 | 
| -0.000 | 0.000 | -0.000 | 50.422 | -0.000 | -0.000 | 
| -0.000 | 0.000 | -0.000 | -0.000 | 50.422 | 0.000 | 
| -0.000 | -0.000 | 0.000 | -0.000 | 0.000 | 57.412 | 
| 188.979 | 74.155 | 67.949 | 0.000 | 0.000 | 0.000 | 
| 74.155 | 188.979 | 67.949 | 0.000 | -0.000 | 0.000 | 
| 67.955 | 67.955 | 192.358 | -0.000 | -0.000 | 0.000 | 
| 0.000 | -0.000 | 0.000 | 50.422 | 0.000 | 0.000 | 
| -0.000 | 0.000 | 0.000 | -0.000 | 50.422 | 0.000 | 
| -0.000 | 0.000 | -0.000 | -0.000 | -0.000 | 57.412 | 
| 171.858 | 91.276 | 67.949 | -0.000 | -0.000 | -0.000 | 
| 91.276 | 171.858 | 67.949 | -0.000 | -0.000 | -0.000 | 
| 67.955 | 67.955 | 192.358 | 0.000 | 0.000 | -0.000 | 
| -0.000 | 0.000 | -0.000 | 50.422 | -0.000 | -0.000 | 
| 0.000 | -0.000 | -0.000 | 0.000 | 50.422 | -0.000 | 
| 0.000 | -0.000 | 0.000 | 0.000 | 0.000 | 57.412 | 
| 171.859 | 91.276 | 67.949 | 0.000 | -0.000 | 0.000 | 
| 91.276 | 171.859 | 67.949 | 0.000 | 0.000 | 0.000 | 
| 67.956 | 67.956 | 192.360 | 0.000 | 0.000 | 0.000 | 
| -0.000 | -0.000 | 0.000 | 50.422 | 0.000 | 0.000 | 
| -0.000 | 0.000 | 0.000 | 0.000 | 50.422 | 0.000 | 
| 0.000 | 0.000 | -0.000 | -0.000 | -0.000 | 40.291 | 
| 171.857 | 91.276 | 67.949 | -0.000 | -0.000 | -0.000 | 
| 91.276 | 171.857 | 67.949 | -0.000 | 0.000 | -0.000 | 
| 67.954 | 67.954 | 192.356 | -0.000 | 0.000 | -0.000 | 
| 0.000 | 0.000 | -0.000 | 50.422 | -0.000 | -0.000 | 
| 0.000 | -0.000 | -0.000 | 0.000 | 50.422 | -0.000 | 
| -0.000 | -0.000 | 0.000 | -0.000 | 0.000 | 40.291 | 
| 188.859 | 74.091 | 67.892 | -0.000 | -0.000 | -0.000 | 
| 91.219 | 171.730 | 67.892 | -0.000 | -0.000 | 0.000 | 
| 67.892 | 67.892 | 192.225 | -0.000 | -0.000 | -0.000 | 
| 0.000 | 0.000 | 0.000 | 50.389 | -0.000 | 0.000 | 
| -0.000 | 0.000 | 0.000 | -0.000 | 50.389 | 0.000 | 
| -0.000 | 0.000 | 0.000 | -0.000 | -0.000 | 40.255 | 
| 171.730 | 91.219 | 67.892 | 0.000 | 0.000 | -0.000 | 
| 91.219 | 171.730 | 67.892 | 0.000 | 0.000 | -0.000 | 
| 67.892 | 67.892 | 192.225 | 0.000 | 0.000 | 0.000 | 
| 0.000 | -0.000 | -0.000 | 50.389 | 0.000 | 0.000 | 
| 0.000 | -0.000 | -0.000 | 0.000 | 50.389 | 0.000 | 
| 0.000 | -0.000 | -0.000 | 0.000 | 0.000 | 40.255 | 
| 171.730 | 91.219 | 67.892 | -0.000 | -0.000 | 0.000 | 
| 91.219 | 171.730 | 67.892 | -0.000 | -0.000 | 0.000 | 
| 67.892 | 67.892 | 192.225 | -0.000 | -0.000 | 0.000 | 
| 0.000 | 0.000 | 0.000 | 50.389 | -0.000 | 0.000 | 
| -0.000 | 0.000 | 0.000 | -0.000 | 50.389 | -0.000 | 
| 0.000 | 0.000 | 0.000 | -0.000 | -0.000 | 40.255 | 
| 188.859 | 74.091 | 67.892 | 0.000 | 0.000 | 0.000 | 
| 91.219 | 171.730 | 67.892 | 0.000 | 0.000 | -0.000 | 
| 67.892 | 67.892 | 192.225 | 0.000 | 0.000 | 0.000 | 
| -0.000 | -0.000 | -0.000 | 50.389 | 0.000 | -0.000 | 
| 0.000 | -0.000 | -0.000 | 0.000 | 50.389 | -0.000 | 
| -0.000 | -0.000 | -0.000 | 0.000 | 0.000 | 40.255 | 
| 188.859 | 74.091 | 67.892 | -0.000 | -0.000 | -0.000 | 
| 74.091 | 188.859 | 67.892 | -0.000 | -0.000 | -0.000 | 
| 67.892 | 67.892 | 192.227 | -0.000 | -0.000 | 0.000 | 
| 0.000 | -0.000 | 0.000 | 50.389 | -0.000 | 0.000 | 
| -0.000 | 0.000 | 0.000 | -0.000 | 50.389 | 0.000 | 
| 0.000 | 0.000 | 0.000 | -0.000 | -0.000 | 40.255 | 
| 171.730 | 91.220 | 67.892 | 0.000 | 0.000 | -0.000 | 
| 91.219 | 171.730 | 67.892 | 0.000 | 0.000 | -0.000 | 
| 67.892 | 67.892 | 192.223 | 0.000 | 0.000 | 0.000 | 
| -0.000 | 0.000 | -0.000 | 50.389 | 0.000 | -0.000 | 
| 0.000 | -0.000 | -0.000 | 0.000 | 50.389 | -0.000 | 
| -0.000 | -0.000 | -0.000 | 0.000 | 0.000 | 40.255 | 
| -8.531 | 35.176 | 35.176 | -0.000 | -0.000 | 0.000 | 
| 35.176 | -8.531 | 35.176 | -0.000 | -0.000 | 0.000 | 
| 35.176 | 35.176 | -8.531 | -0.000 | -0.000 | 0.000 | 
| 0.000 | 0.000 | 0.000 | -129.490 | -0.000 | 0.000 | 
| 0.000 | 0.000 | -0.000 | -0.000 | -129.490 | 0.000 | 
| 0.000 | -0.000 | -0.000 | -0.000 | 0.000 | -129.490 | 
| -8.531 | 35.176 | 35.176 | 0.000 | 0.000 | -0.000 | 
| 35.176 | -8.531 | 35.176 | 0.000 | 0.000 | -0.000 | 
| 35.176 | 35.176 | -8.531 | 0.000 | 0.000 | -0.000 | 
| -0.000 | -0.000 | 0.000 | -129.490 | -0.000 | -0.000 | 
| -0.000 | 0.000 | 0.000 | 0.000 | -129.490 | -0.000 | 
| -0.000 | 0.000 | 0.000 | 0.000 | -0.000 | -129.490 | 
| -8.531 | 35.176 | 35.176 | -0.000 | 0.000 | 0.000 | 
| 35.176 | -8.531 | 35.176 | -0.000 | 0.000 | 0.000 | 
| 35.176 | 35.176 | -8.531 | -0.000 | 0.000 | 0.000 | 
| -0.000 | 0.000 | -0.000 | -129.490 | -0.000 | 0.000 | 
| 0.000 | -0.000 | -0.000 | -0.000 | -129.490 | 0.000 | 
| 0.000 | -0.000 | -0.000 | -0.000 | 0.000 | -129.490 | 
| -8.531 | 35.176 | 35.176 | 0.000 | -0.000 | -0.000 | 
| 35.176 | -8.531 | 35.176 | 0.000 | 0.000 | -0.000 | 
| 35.176 | 35.176 | -8.531 | 0.000 | 0.000 | -0.000 | 
| 0.000 | -0.000 | 0.000 | -129.490 | 0.000 | -0.000 | 
| -0.000 | 0.000 | 0.000 | -0.000 | -129.490 | -0.000 | 
| -0.000 | 0.000 | 0.000 | 0.000 | 0.000 | -129.490 | 
| -8.530 | 35.176 | 35.176 | -0.000 | -0.000 | 0.000 | 
| 35.176 | -8.530 | 35.176 | -0.000 | -0.000 | 0.000 | 
| 35.176 | 35.176 | -8.530 | -0.000 | -0.000 | 0.000 | 
| -0.000 | 0.000 | -0.000 | -129.490 | -0.000 | 0.000 | 
| 0.000 | -0.000 | -0.000 | -0.000 | -129.490 | 0.000 | 
| 0.000 | -0.000 | -0.000 | -0.000 | -0.000 | -129.490 | 
| -8.531 | 35.176 | 35.176 | 0.000 | 0.000 | -0.000 | 
| 35.176 | -8.531 | 35.176 | 0.000 | 0.000 | -0.000 | 
| 35.176 | 35.176 | -8.531 | 0.000 | 0.000 | -0.000 | 
| 0.000 | -0.000 | 0.000 | -129.490 | 0.000 | -0.000 | 
| -0.000 | 0.000 | 0.000 | 0.000 | -129.490 | -0.000 | 
| -0.000 | 0.000 | 0.000 | 0.000 | -0.000 | -129.490 | 
| 209.097 | 21.651 | 39.814 | -0.000 | 0.000 | 0.000 | 
| 21.651 | 209.097 | 39.814 | -0.000 | -0.000 | 0.000 | 
| 39.814 | 39.814 | 230.008 | 0.000 | -0.000 | 0.000 | 
| 0.000 | -0.000 | 0.000 | 13.050 | -0.000 | 0.000 | 
| -0.000 | 0.000 | 0.000 | -0.000 | 13.050 | 0.000 | 
| 0.000 | -0.000 | -0.000 | 0.000 | -0.000 | 1.176 | 
| 69.611 | 161.137 | 39.814 | -0.000 | -0.000 | -0.000 | 
| 161.137 | 69.611 | 39.814 | -0.000 | -0.000 | -0.000 | 
| 39.814 | 39.814 | 230.008 | 0.000 | -0.000 | -0.000 | 
| -0.000 | 0.000 | -0.000 | 13.050 | 0.000 | -0.000 | 
| 0.000 | -0.000 | -0.000 | 0.000 | 13.050 | -0.000 | 
| -0.000 | 0.000 | -0.000 | -0.000 | 0.000 | 1.176 | 
| 209.097 | 21.651 | 39.814 | -0.000 | -0.000 | 0.000 | 
| 21.651 | 209.097 | 39.814 | -0.000 | -0.000 | 0.000 | 
| 39.814 | 39.814 | 230.008 | -0.000 | 0.000 | 0.000 | 
| -0.000 | -0.000 | -0.000 | 19.524 | -0.000 | 0.000 | 
| -0.000 | -0.000 | -0.000 | -0.000 | 19.524 | 0.000 | 
| -0.000 | -0.000 | -0.000 | 0.000 | -0.000 | 1.176 | 
| 209.097 | 21.651 | 39.814 | 0.000 | 0.000 | -0.000 | 
| 21.651 | 209.097 | 39.814 | 0.000 | -0.000 | -0.000 | 
| 39.814 | 39.814 | 230.008 | 0.000 | 0.000 | -0.000 | 
| 0.000 | 0.000 | 0.000 | 19.524 | 0.000 | -0.000 | 
| 0.000 | 0.000 | 0.000 | 0.000 | 19.524 | -0.000 | 
| 0.000 | 0.000 | 0.000 | -0.000 | 0.000 | 1.176 | 
| 444662.789 | -2392993.662 | -1311058.019 | 371504.415 | 42753.879 | -36706.650 | 
| -2494638.419 | 254418.943 | -1676435.071 | 46935.227 | -805786.621 | -694.979 | 
| 39.814 | 39.814 | 230.009 | -0.000 | 0.000 | 0.000 | 
| 0.000 | -0.000 | -0.000 | 13.050 | -0.000 | 0.000 | 
| -0.000 | 0.000 | -0.000 | -0.000 | 13.050 | 0.000 | 
| -0.000 | -0.000 | -0.000 | -0.000 | 0.000 | 1.176 | 
| 2940471.436 | -409317.443 | 1433959.817 | -60387.928 | 627845.087 | 56062.805 | 
| -358179.307 | 2779427.055 | 1863383.877 | -45910.027 | 32154.096 | 24602.171 | 
| 39.813 | 39.813 | 230.008 | 0.000 | 0.000 | -0.000 | 
| -0.000 | 0.000 | 0.000 | 13.050 | 0.000 | -0.000 | 
| 0.000 | -0.000 | 0.000 | 0.000 | 13.050 | -0.000 | 
| 0.000 | 0.000 | 0.000 | 0.000 | -0.000 | 1.176 | 
| 231.617 | 6.133 | 6.133 | -0.000 | 0.000 | 0.000 | 
| 6.133 | 231.617 | 6.133 | 0.000 | -0.000 | -0.000 | 
| 6.133 | 6.133 | 231.617 | -0.000 | -0.000 | 0.000 | 
| -0.000 | 0.000 | 0.000 | -21.488 | 0.000 | -0.000 | 
| 0.000 | -0.000 | -0.000 | 0.000 | -21.488 | 0.000 | 
| 0.000 | -0.000 | -0.000 | 0.000 | 0.000 | -21.488 | 
| 231.617 | 6.133 | 6.133 | -0.000 | 0.000 | 0.000 | 
| 6.133 | 231.617 | 6.133 | -0.000 | -0.000 | -0.000 | 
| 6.133 | 6.133 | 231.617 | -0.000 | 0.000 | -0.000 | 
| 0.000 | -0.000 | 0.000 | -21.488 | -0.000 | -0.000 | 
| -0.000 | 0.000 | 0.000 | -0.000 | -21.488 | 0.000 | 
| -0.000 | -0.000 | 0.000 | -0.000 | -0.000 | -21.488 | 
| 231.617 | 6.133 | 6.133 | 0.000 | -0.000 | -0.000 | 
| 6.133 | 231.617 | 6.133 | 0.000 | 0.000 | 0.000 | 
| 6.133 | 6.133 | 231.617 | -0.000 | -0.000 | 0.000 | 
| -0.000 | 0.000 | 0.000 | -21.488 | 0.000 | 0.000 | 
| 0.000 | -0.000 | 0.000 | 0.000 | -21.488 | 0.000 | 
| 0.000 | 0.000 | -0.000 | 0.000 | 0.000 | -21.488 | 
| 231.617 | 6.133 | 6.133 | -0.000 | 0.000 | 0.000 | 
| 6.133 | 231.617 | 6.133 | -0.000 | 0.000 | -0.000 | 
| 6.133 | 6.133 | 231.617 | -0.000 | -0.000 | 0.000 | 
| 0.000 | -0.000 | -0.000 | -21.488 | -0.000 | 0.000 | 
| -0.000 | 0.000 | -0.000 | -0.000 | -21.488 | -0.000 | 
| -0.000 | -0.000 | 0.000 | -0.000 | -0.000 | -21.488 | 
| 231.618 | 6.134 | 6.134 | 0.000 | -0.000 | -0.000 | 
| 6.134 | 231.618 | 6.134 | -0.000 | 0.000 | 0.000 | 
| 6.134 | 6.134 | 231.618 | 0.000 | 0.000 | 0.000 | 
| -0.000 | 0.000 | 0.000 | -21.488 | 0.000 | 0.000 | 
| 0.000 | -0.000 | 0.000 | 0.000 | -21.488 | -0.000 | 
| 0.000 | 0.000 | -0.000 | 0.000 | 0.000 | -21.488 | 
| 231.616 | 6.133 | 6.133 | -0.000 | -0.000 | -0.000 | 
| 6.133 | 231.616 | 6.133 | 0.000 | -0.000 | 0.000 | 
| 6.133 | 6.133 | 231.616 | -0.000 | 0.000 | -0.000 | 
| 0.000 | -0.000 | -0.000 | -21.488 | -0.000 | -0.000 | 
| -0.000 | 0.000 | -0.000 | -0.000 | -21.488 | 0.000 | 
| -0.000 | -0.000 | 0.000 | -0.000 | -0.000 | -21.488 | 
| 208.549 | -247.690 | -56.872 | 192.092 | -0.818 | -111.079 | 
| 148.060 | -188.086 | -61.007 | 195.790 | 3.226 | -112.163 | 
| 64.337 | 60.709 | 135.325 | 5.603 | -1.715 | 2.681 | 
| 81.074 | -312.608 | -114.491 | 223.835 | 2.353 | -108.653 | 
| -1.758 | 3.311 | -1.715 | 2.765 | 41.484 | -1.584 | 
| -24.636 | -627.327 | 388.169 | 346.139 | -12.746 | -301.822 | 
| 44.626 | 380.791 | 184.673 | -192.741 | 0.438 | 112.513 | 
| -15.870 | 440.400 | 180.538 | -189.042 | 4.482 | 111.429 | 
| -17.378 | 375.247 | 245.853 | -186.312 | -1.452 | 114.500 | 
| -17.529 | 558.829 | -65.818 | -308.858 | 12.779 | 249.648 | 
| -18.845 | 560.545 | -74.946 | -332.496 | 41.569 | 246.076 | 
| -1.486 | -0.240 | 2.704 | 3.326 | 0.253 | 40.387 | 
| 67.793 | 5.113 | 145.362 | 30.637 | 5.110 | -37.952 | 
| 74.298 | 94.691 | 47.684 | 22.624 | 3.791 | -11.550 | 
| 64.077 | 0.106 | 148.784 | 42.167 | -3.185 | -31.593 | 
| -1.346 | 0.674 | 5.603 | 37.214 | 2.765 | 2.863 | 
| -0.875 | -52.160 | 5.177 | 36.692 | 30.979 | -25.303 | 
| -1.486 | -0.240 | 2.704 | 3.326 | 0.253 | 40.387 | 
| 117.463 | 124.288 | 57.313 | -34.202 | 0.343 | 25.806 | 
| 57.893 | 157.617 | 71.847 | -15.876 | 3.916 | 10.817 | 
| 56.389 | 92.446 | 137.083 | -13.141 | -2.020 | 13.889 | 
| -9.089 | 33.068 | 18.364 | 12.159 | 3.044 | 14.327 | 
| -4.138 | 59.259 | -9.406 | -30.443 | 32.892 | 24.050 | 
| -9.253 | 31.028 | 14.669 | -15.600 | 0.559 | 46.366 | 
| 126.699 | 63.349 | 62.662 | 1.727 | -0.249 | -0.439 | 
| 66.992 | 122.431 | 58.533 | 5.379 | 3.852 | -1.515 | 
| 65.436 | 57.710 | 124.158 | 8.100 | -2.075 | 1.534 | 
| -0.036 | -1.601 | 5.043 | 33.315 | 2.978 | 1.992 | 
| -8.752 | -3.748 | 11.315 | 8.848 | 20.411 | -5.473 | 
| -0.187 | -3.644 | 1.340 | 5.644 | 0.504 | 33.730 | 
| 125.604 | 69.859 | 65.171 | -2.336 | -0.192 | 1.892 | 
| 75.598 | 109.614 | 55.908 | 1.180 | 3.555 | 4.599 | 
| 78.401 | 69.611 | 77.291 | 2.035 | -3.181 | 5.736 | 
| -1.346 | 0.674 | 5.603 | 37.214 | 2.765 | 2.863 | 
| -3.085 | 6.605 | -0.851 | 1.013 | 36.109 | 0.051 | 
| -0.524 | 5.275 | 1.345 | 0.060 | 0.875 | 33.039 | 
| 137.961 | 64.785 | 62.099 | 1.883 | 7.418 | 0.765 | 
| 66.099 | 141.180 | 55.134 | 8.934 | -3.945 | -2.609 | 
| 25.010 | 237.578 | 148.618 | -95.074 | 226.485 | -9.352 | 
| 1.951 | 7.262 | -8.781 | 32.566 | 3.600 | -3.295 | 
| 96.419 | 1034.968 | 669.140 | -369.264 | 1544.548 | 104.668 | 
| -0.047 | -2.637 | 3.353 | -3.449 | 4.237 | 41.842 | 
| 137.961 | 64.785 | 62.099 | 1.883 | 7.418 | 0.765 | 
| 66.099 | 141.180 | 55.134 | 8.934 | -3.945 | -2.609 | 
| 63.076 | 55.591 | 137.684 | -8.781 | -3.226 | 3.459 | 
| -225.321 | -1102.245 | -972.025 | 434.841 | -1925.778 | -241.802 | 
| 6.869 | -3.792 | -3.226 | 3.600 | 38.959 | 2.076 | 
| -0.047 | -2.637 | 3.353 | -3.449 | 4.237 | 41.842 | 
| 125.355 | 73.445 | 61.815 | -3.019 | 16.232 | -1.784 | 
| 42.943 | 212.868 | 202.346 | -121.593 | 264.628 | 97.599 | 
| 63.076 | 55.591 | 137.684 | -8.781 | -3.226 | 3.459 | 
| 1.951 | 7.262 | -8.781 | 32.566 | 3.600 | -3.295 | 
| 3.885 | 4.651 | -5.116 | -0.984 | 42.545 | -0.555 | 
| 7.541 | 89.390 | 64.719 | -33.373 | 148.711 | 4.412 | 
| 137.961 | 64.785 | 62.099 | 1.883 | 7.418 | 0.765 | 
| 66.099 | 141.180 | 55.134 | 8.934 | -3.945 | -2.609 | 
| 69.876 | 37.815 | 113.683 | 1.140 | -28.530 | 3.971 | 
| 5.850 | -12.313 | -10.839 | 29.783 | -18.543 | -0.783 | 
| 10.150 | -22.137 | -8.371 | 13.455 | 3.613 | 2.470 | 
| -16.678 | -117.029 | -87.391 | 42.945 | -177.140 | 0.399 | 
| 97.240 | 76.464 | 75.163 | -0.623 | 11.790 | -0.250 | 
| 72.266 | 99.298 | 59.940 | 3.320 | 2.786 | -5.963 | 
| 72.908 | 62.490 | 101.249 | -8.082 | -0.642 | 1.951 | 
| 1.628 | 7.727 | -4.321 | 8.551 | 11.580 | -0.036 | 
| 6.377 | -2.936 | -4.410 | 3.303 | 34.142 | 1.468 | 
| -0.442 | -1.906 | 4.412 | -1.919 | 8.841 | 16.836 | 
| 98.153 | 65.351 | 69.098 | 2.723 | -6.209 | -0.226 | 
| 69.216 | 85.522 | 52.861 | 8.138 | -19.001 | -8.675 | 
| 70.027 | 54.064 | 100.562 | -5.079 | -11.291 | 1.596 | 
| 1.951 | 7.262 | -8.781 | 32.565 | 3.600 | -3.295 | 
| 6.088 | -22.776 | -15.942 | 19.534 | -10.247 | -14.270 | 
| 2.769 | -16.437 | -14.143 | 18.380 | -34.851 | 6.923 | 
| 142.389 | 41.501 | 67.133 | 5.948 | -11.763 | 0.381 | 
| 57.545 | 100.343 | -43.060 | 71.092 | 73.415 | 39.513 | 
| 69.229 | 63.447 | 124.926 | -18.626 | 7.363 | 3.742 | 
| 23.973 | -32.086 | -127.307 | 100.514 | 80.271 | 40.002 | 
| 18.009 | -46.311 | -101.000 | 67.548 | 118.923 | 49.467 | 
| 21.678 | -47.543 | -105.623 | 60.012 | 77.705 | 56.263 | 
| 119.789 | 85.244 | 175.627 | -58.072 | -86.650 | -42.294 | 
| -64.311 | 296.280 | 269.256 | -204.910 | -256.172 | -186.185 | 
| 51.293 | 107.244 | 229.204 | -82.351 | -68.773 | -39.310 | 
| -11.656 | 55.407 | 90.071 | -26.889 | -72.578 | -46.469 | 
| -0.800 | -3.049 | 7.363 | 3.889 | 44.857 | 6.347 | 
| -13.951 | 39.950 | 111.755 | -67.390 | -75.143 | -30.210 | 
| 142.389 | 41.501 | 67.133 | 5.948 | -11.763 | 0.381 | 
| 39.600 | 147.661 | 65.605 | 6.583 | -3.502 | -3.641 | 
| 69.229 | 63.447 | 124.926 | -18.626 | 7.363 | 3.742 | 
| 16.454 | -3.541 | -38.483 | 55.809 | 29.128 | 14.881 | 
| -0.800 | -3.049 | 7.363 | 3.889 | 44.857 | 6.347 | 
| 14.694 | -19.594 | -17.271 | 17.458 | 26.470 | 29.311 | 
| 142.389 | 41.501 | 67.133 | 5.948 | -11.763 | 0.381 | 
| 37.948 | 148.475 | 76.502 | 1.016 | -10.657 | -8.047 | 
| 67.326 | 67.872 | 131.386 | -25.021 | 0.009 | -0.398 | 
| 4.376 | 16.038 | -7.748 | 30.436 | -3.797 | -7.558 | 
| -9.155 | 13.609 | 28.068 | -17.685 | 14.166 | -12.581 | 
| -6.476 | 11.900 | 23.233 | -25.172 | -24.234 | -7.202 | 
| 133.496 | 41.645 | 65.426 | 7.564 | -5.552 | 3.600 | 
| 42.735 | 136.918 | 64.753 | 10.437 | -0.074 | -1.881 | 
| 70.583 | 63.369 | 112.286 | -14.668 | 12.542 | 6.646 | 
| 6.497 | 11.074 | -18.626 | 38.689 | 3.889 | -3.058 | 
| -0.800 | -3.049 | 7.363 | 3.889 | 44.857 | 6.347 | 
| 4.038 | -4.234 | 1.968 | -3.044 | 2.047 | 13.501 | 
| 142.389 | 41.501 | 67.133 | 5.948 | -11.763 | 0.381 | 
| 45.619 | 137.081 | 71.474 | 3.857 | -12.471 | -8.400 | 
| 69.229 | 63.447 | 124.925 | -18.626 | 7.363 | 3.742 | 
| 4.793 | 15.011 | -14.683 | 29.632 | -1.560 | -6.831 | 
| 0.521 | -0.530 | 9.836 | 1.499 | 36.678 | 3.802 | 
| 3.691 | -3.363 | 4.163 | -4.334 | 0.519 | 12.530 | 
| -260.161 | -191.820 | -936.514 | -682.641 | -398.308 | -583.648 | 
| 65.022 | 135.407 | 57.322 | -9.764 | 1.598 | -8.089 | 
| -79.645 | -246.023 | 56.482 | -0.629 | -183.956 | -82.257 | 
| -170.523 | -389.401 | -428.939 | -347.889 | -452.638 | -444.074 | 
| -98.673 | -410.748 | -67.089 | -152.250 | -437.409 | -265.508 | 
| -82.311 | -421.863 | -78.010 | -155.865 | -466.861 | -227.752 | 
| 218.067 | 477.717 | 133.569 | 148.910 | 451.720 | 263.943 | 
| 200.062 | 429.444 | 135.634 | 3.721 | 195.086 | 74.143 | 
| 224.284 | 445.320 | 560.592 | 376.977 | 466.821 | 441.823 | 
| 129.809 | 298.433 | 90.906 | 43.410 | 195.050 | 82.203 | 
| 128.176 | 305.108 | 88.152 | 14.497 | 219.182 | 76.843 | 
| 172.258 | 376.685 | 440.022 | 363.460 | 449.553 | 470.633 | 
| 141.357 | 63.975 | 53.489 | -4.617 | -8.767 | 2.301 | 
| 51.112 | 95.387 | 48.733 | -10.087 | -17.370 | -16.542 | 
| 45.784 | 21.239 | 75.337 | -24.262 | -36.510 | -44.837 | 
| -4.811 | -5.368 | 11.183 | 36.147 | 1.399 | -0.064 | 
| -7.943 | 1.076 | 8.203 | 1.399 | 31.089 | -5.512 | 
| 0.519 | -50.130 | -8.997 | -15.912 | -54.433 | 6.231 | 
| 141.357 | 63.975 | 53.489 | -4.617 | -8.767 | 2.301 | 
| 75.309 | 157.819 | 65.181 | 8.092 | 48.433 | 17.696 | 
| 67.593 | 99.736 | 135.396 | 27.902 | 55.203 | 25.357 | 
| -4.811 | -5.368 | 11.183 | 36.147 | 1.399 | -0.064 | 
| -7.943 | 1.076 | 8.203 | 1.399 | 31.089 | -5.512 | 
| 9.539 | -8.254 | -0.022 | 0.458 | -10.008 | 42.216 | 
| 124.849 | 60.565 | 56.200 | -8.214 | -11.117 | 1.357 | 
| 65.022 | 135.407 | 57.322 | -9.764 | 1.598 | -8.089 | 
| 55.039 | 58.238 | 143.628 | 11.183 | 8.203 | 0.568 | 
| -7.642 | -9.012 | 11.688 | 22.487 | -1.446 | -3.334 | 
| -8.577 | -1.647 | 8.384 | 1.839 | 23.910 | -6.434 | 
| 9.539 | -8.254 | -0.022 | 0.458 | -10.008 | 42.216 | 
| 126.971 | 68.846 | 57.676 | -5.012 | -1.909 | 6.587 | 
| 66.029 | 128.504 | 57.418 | -8.667 | 3.941 | -7.460 | 
| 57.159 | 60.747 | 136.074 | 12.069 | 11.175 | 1.011 | 
| -4.811 | -5.368 | 11.182 | 36.147 | 1.399 | -0.064 | 
| -7.943 | 1.076 | 8.203 | 1.399 | 31.090 | -5.512 | 
| 10.959 | -5.510 | 0.236 | 0.347 | -7.414 | 38.295 | 
| 119.209 | 43.420 | 79.492 | -34.586 | 20.102 | -13.638 | 
| 67.506 | 110.650 | 74.526 | -1.088 | 9.334 | -16.903 | 
| 52.357 | 54.221 | 143.516 | -16.750 | 0.201 | -12.110 | 
| -5.288 | 6.755 | -7.316 | 43.627 | 0.755 | -0.977 | 
| 0.784 | -13.233 | -1.136 | -8.773 | 36.714 | -16.263 | 
| -4.975 | -33.787 | 21.003 | -29.862 | 11.052 | 31.346 | 
| 136.963 | 71.046 | 55.216 | -5.758 | 4.888 | -4.749 | 
| 73.769 | 138.030 | 60.210 | 17.133 | -7.687 | 5.642 | 
| 55.084 | 67.533 | 143.404 | -7.316 | -8.239 | -0.853 | 
| -2.706 | 34.579 | -29.783 | 64.712 | -15.079 | 7.551 | 
| 6.321 | 30.532 | -30.303 | 29.125 | 9.267 | 3.257 | 
| -2.649 | -5.143 | -0.266 | -0.576 | -2.472 | 46.805 | 
| 121.308 | 68.622 | 59.650 | -8.017 | 6.874 | -6.094 | 
| 70.476 | 131.737 | 67.043 | 8.612 | -0.180 | -5.169 | 
| 57.165 | 66.784 | 131.361 | -10.857 | -6.828 | -2.242 | 
| -5.288 | 6.755 | -7.316 | 43.627 | 0.755 | -0.977 | 
| 3.692 | -0.581 | -8.239 | 0.755 | 31.667 | -4.514 | 
| -3.236 | -8.602 | 1.301 | -3.343 | -2.108 | 39.104 | 
| 136.963 | 71.046 | 55.216 | -5.758 | 4.888 | -4.749 | 
| 70.972 | 125.539 | 66.627 | 8.960 | -0.037 | -4.462 | 
| 55.834 | 69.329 | 135.222 | -6.721 | -9.188 | 0.324 | 
| -0.707 | 27.298 | -16.513 | 37.616 | -9.540 | -2.150 | 
| 3.692 | -0.581 | -8.239 | 0.755 | 31.667 | -4.514 | 
| -2.755 | -4.104 | -1.021 | 0.103 | -4.085 | 44.382 | 
| 118.669 | 70.045 | 58.556 | -4.401 | 5.640 | -5.031 | 
| 70.113 | 107.974 | 71.817 | 8.892 | 5.169 | -7.636 | 
| 58.281 | 70.572 | 126.525 | -9.308 | -8.203 | -2.039 | 
| -5.369 | 5.995 | -7.747 | 37.973 | 0.221 | -1.509 | 
| 4.386 | 2.186 | -8.036 | -0.813 | 24.292 | -5.115 | 
| -3.034 | -6.218 | -0.637 | -0.775 | -3.391 | 39.615 | 
| 136.963 | 71.046 | 55.216 | -5.758 | 4.888 | -4.749 | 
| 70.212 | 111.394 | 70.520 | 9.905 | 3.980 | -7.455 | 
| 58.357 | 72.411 | 125.648 | -7.821 | -9.079 | -2.283 | 
| -2.851 | 9.225 | -9.158 | 33.411 | -0.737 | -0.777 | 
| 4.443 | 2.859 | -8.488 | -0.254 | 23.691 | -5.006 | 
| -2.669 | -6.303 | -2.127 | 0.489 | -3.741 | 37.445 | 
| -835.378 | 3503.607 | -2200.007 | -432.930 | -1204.553 | 1066.226 | 
| 62.469 | 129.509 | 64.650 | -3.066 | -1.687 | -7.507 | 
| 61.769 | 63.697 | 137.055 | -0.094 | 1.806 | 1.335 | 
| -298.457 | 195.360 | 85.954 | 106.163 | -173.723 | -73.028 | 
| -297.526 | 197.297 | 86.960 | 73.305 | -144.119 | -74.434 | 
| -300.547 | 191.596 | 87.438 | 70.420 | -177.489 | -39.221 | 
| 146.663 | 61.370 | 61.761 | -2.505 | -1.583 | -3.402 | 
| 358.786 | -80.889 | -20.554 | -74.121 | 174.630 | 66.062 | 
| 357.714 | -133.489 | 39.658 | -71.389 | 176.608 | 73.943 | 
| 294.015 | -201.148 | -86.469 | -36.109 | 178.042 | 72.323 | 
| 422.388 | -620.030 | -39.981 | -72.074 | 317.886 | 67.230 | 
| 291.925 | -204.912 | -84.985 | -71.852 | 174.276 | 106.129 | 
| 146.663 | 61.370 | 61.761 | -2.505 | -1.583 | -3.402 | 
| -18.108 | 432.267 | -202.921 | -59.622 | -129.393 | 141.585 | 
| 61.769 | 63.697 | 137.055 | -0.094 | 1.806 | 1.335 | 
| -44.346 | 59.730 | 3.518 | 37.601 | -26.463 | -6.370 | 
| -44.021 | 62.150 | 4.528 | 10.120 | -2.002 | -8.349 | 
| -4.119 | -7.510 | 1.295 | -0.991 | -1.858 | 39.033 | 
| 174.400 | 0.510 | 58.756 | -9.478 | 26.790 | 3.263 | 
| 106.128 | 44.402 | 64.915 | -9.915 | 28.885 | 1.615 | 
| 61.769 | 63.697 | 137.055 | -0.094 | 1.806 | 1.335 | 
| -2.391 | -3.035 | -0.094 | 39.936 | 1.864 | -0.627 | 
| 40.780 | -61.884 | -3.564 | -4.825 | 56.165 | 5.392 | 
| -4.119 | -7.510 | 1.295 | -0.991 | -1.858 | 39.033 | 
| 100.616 | 101.012 | 39.838 | -12.217 | -12.322 | 10.214 | 
| 59.509 | 119.573 | 66.528 | -2.256 | -3.063 | -7.372 | 
| 58.446 | 66.823 | 126.377 | 0.468 | -1.105 | 0.523 | 
| -5.219 | -0.883 | 0.613 | 35.659 | 0.383 | -1.084 | 
| -4.291 | 1.053 | 1.607 | 2.893 | 29.920 | -2.490 | 
| -8.319 | 0.702 | 2.184 | 0.844 | -4.216 | 27.685 | 
| 116.166 | 38.184 | 85.451 | -2.302 | 9.374 | -12.143 | 
| 62.469 | 129.509 | 64.650 | -3.066 | -1.687 | -7.507 | 
| 61.769 | 63.697 | 137.055 | -0.094 | 1.806 | 1.335 | 
| 0.266 | -35.555 | 30.060 | 25.395 | 16.166 | -11.711 | 
| 1.704 | -2.960 | -0.135 | 1.453 | 33.494 | -1.020 | 
| -4.119 | -7.510 | 1.295 | -0.991 | -1.858 | 39.033 | 
| 79.820 | 63.319 | 37.552 | 0.000 | 0.000 | -0.000 | 
| 63.319 | 79.820 | 37.552 | -0.000 | 0.000 | -0.000 | 
| 37.552 | 37.552 | 184.724 | 0.000 | 0.000 | -0.000 | 
| -0.000 | -0.000 | 0.000 | 16.169 | 0.000 | -0.000 | 
| -0.000 | -0.000 | 0.000 | 0.000 | 16.169 | -0.000 | 
| -0.000 | -0.000 | 0.000 | 0.000 | 0.000 | 24.407 | 
| 95.977 | 47.162 | 37.552 | -0.000 | -0.000 | -0.000 | 
| 63.319 | 79.820 | 37.552 | -0.000 | -0.000 | 0.000 | 
| 37.552 | 37.552 | 184.724 | -0.000 | -0.000 | 0.000 | 
| 0.000 | 0.000 | -0.000 | 16.169 | -0.000 | -0.000 | 
| 0.000 | 0.000 | 0.000 | -0.000 | 16.169 | 0.000 | 
| 0.000 | 0.000 | -0.000 | -0.000 | -0.000 | 24.407 | 
| 95.977 | 47.162 | 37.552 | -0.000 | 0.000 | -0.000 | 
| 47.162 | 95.977 | 37.552 | 0.000 | 0.000 | 0.000 | 
| 37.552 | 37.552 | 184.724 | 0.000 | 0.000 | -0.000 | 
| -0.000 | -0.000 | -0.000 | 16.169 | 0.000 | -0.000 | 
| -0.000 | -0.000 | -0.000 | 0.000 | 16.169 | -0.000 | 
| -0.000 | -0.000 | -0.000 | 0.000 | 0.000 | 8.250 | 
| 95.977 | 47.162 | 37.552 | -0.000 | -0.000 | -0.000 | 
| 47.162 | 95.977 | 37.552 | 0.000 | -0.000 | -0.000 | 
| 37.552 | 37.552 | 184.724 | -0.000 | -0.000 | 0.000 | 
| 0.000 | 0.000 | 0.000 | 16.169 | -0.000 | -0.000 | 
| 0.000 | 0.000 | 0.000 | -0.000 | 16.169 | 0.000 | 
| 0.000 | 0.000 | 0.000 | -0.000 | -0.000 | 8.250 | 
| 79.819 | 63.319 | 37.551 | 0.000 | 0.000 | -0.000 | 
| 63.319 | 79.819 | 37.551 | -0.000 | 0.000 | -0.000 | 
| 37.552 | 37.552 | 184.724 | -0.000 | 0.000 | -0.000 | 
| -0.000 | -0.000 | -0.000 | 16.169 | 0.000 | -0.000 | 
| -0.000 | -0.000 | -0.000 | 0.000 | 16.169 | -0.000 | 
| -0.001 | -0.000 | -0.000 | 0.000 | 0.000 | 8.250 | 
| 79.820 | 63.319 | 37.552 | -0.000 | -0.000 | 0.000 | 
| 63.319 | 79.820 | 37.552 | -0.000 | -0.000 | 0.000 | 
| 37.552 | 37.552 | 184.723 | -0.000 | -0.000 | 0.000 | 
| 0.000 | 0.000 | 0.000 | 16.169 | -0.000 | 0.000 | 
| 0.000 | 0.000 | 0.000 | -0.000 | 16.169 | 0.000 | 
| 0.001 | 0.000 | 0.000 | -0.000 | -0.000 | 8.250 | 
| -84.207 | -133.944 | -133.944 | -0.000 | -0.000 | -0.000 | 
| -133.944 | -84.207 | -133.944 | -0.000 | -0.000 | -0.000 | 
| -133.944 | -133.944 | -84.207 | -0.000 | -0.000 | -0.000 | 
| -200.367 | -200.367 | -200.367 | 28.562 | -0.000 | -0.000 | 
| -200.367 | -200.367 | -200.367 | -0.000 | 28.562 | -0.000 | 
| -200.367 | -200.367 | -200.367 | -0.000 | -0.000 | 28.562 | 
| 120.266 | 65.577 | 65.577 | 0.000 | 0.000 | 0.000 | 
| 65.577 | 120.266 | 65.577 | 0.000 | 0.000 | 0.000 | 
| 65.577 | 65.577 | 120.266 | 0.000 | 0.000 | 0.000 | 
| 200.367 | 200.367 | 200.367 | 28.562 | 0.000 | 0.000 | 
| 200.367 | 200.367 | 200.367 | 0.000 | 28.562 | 0.000 | 
| 200.367 | 200.367 | 200.367 | 0.000 | 0.000 | 28.562 | 
| 120.266 | 65.577 | 65.577 | -0.000 | -0.000 | -0.000 | 
| 65.577 | 120.266 | 65.577 | -0.000 | -0.000 | -0.000 | 
| 65.577 | 65.577 | 120.266 | 0.000 | -0.000 | -0.000 | 
| -20.045 | -20.045 | -20.045 | 28.560 | -0.000 | -0.000 | 
| -20.045 | -20.045 | -20.045 | -0.000 | 28.560 | -0.000 | 
| -20.045 | -20.045 | -20.045 | -0.000 | -0.000 | 28.560 | 
| 120.266 | 65.577 | 65.577 | -0.000 | 0.000 | 0.000 | 
| 65.577 | 120.266 | 65.577 | 0.000 | 0.000 | 0.000 | 
| 65.577 | 65.577 | 120.266 | 0.000 | 0.000 | 0.000 | 
| 20.045 | 20.045 | 20.045 | 28.560 | 0.000 | 0.000 | 
| 20.045 | 20.045 | 20.045 | 0.000 | 28.560 | 0.000 | 
| 20.045 | 20.045 | 20.045 | 0.000 | 0.000 | 28.560 | 
| 113.624 | 64.575 | 64.575 | -0.000 | -0.000 | -0.000 | 
| 64.575 | 113.624 | 64.575 | -0.000 | -0.000 | -0.000 | 
| 64.575 | 64.575 | 113.624 | -0.000 | -0.000 | -0.000 | 
| -5.728 | -5.728 | -5.728 | 25.145 | -0.000 | -0.000 | 
| -5.728 | -5.728 | -5.728 | -0.000 | 25.145 | -0.000 | 
| -5.728 | -5.728 | -5.728 | -0.000 | -0.000 | 25.145 | 
| 118.663 | 68.334 | 68.334 | 0.000 | 0.000 | 0.000 | 
| 68.334 | 118.663 | 68.334 | 0.000 | 0.000 | 0.000 | 
| 68.334 | 68.334 | 118.663 | 0.000 | -0.000 | 0.000 | 
| 5.728 | 5.728 | 5.728 | 25.145 | 0.000 | 0.000 | 
| 5.728 | 5.728 | 5.728 | 0.000 | 25.145 | 0.000 | 
| 5.728 | 5.728 | 5.728 | 0.000 | 0.000 | 25.145 | 
| 83.082 | 50.987 | 50.987 | 0.000 | -0.000 | 0.000 | 
| 50.987 | 83.082 | 50.987 | 0.000 | -0.000 | 0.000 | 
| 50.987 | 50.987 | 83.082 | -0.000 | -0.000 | -0.000 | 
| 0.000 | 0.000 | 0.000 | 23.741 | -0.000 | 0.000 | 
| 0.000 | 0.000 | 0.000 | 0.000 | 23.740 | 0.000 | 
| 0.000 | 0.000 | 0.000 | 0.000 | -0.000 | 23.741 | 
| -585.508 | -591.399 | -591.399 | -0.000 | 0.000 | 0.000 | 
| -591.399 | -585.508 | -591.399 | 0.000 | 0.000 | -0.000 | 
| -591.399 | -591.399 | -585.508 | -0.000 | 0.000 | -0.000 | 
| -0.000 | -0.000 | -0.000 | 23.740 | 0.000 | -0.000 | 
| -0.000 | -0.000 | -0.000 | -0.000 | 23.741 | -0.000 | 
| -0.000 | -0.000 | -0.000 | 0.000 | 0.000 | 23.740 | 
| 120.203 | 101.143 | 101.143 | 0.000 | -0.000 | 0.000 | 
| 101.143 | 120.203 | 101.143 | 0.000 | -0.000 | 0.000 | 
| 101.143 | 101.143 | 120.203 | 0.000 | -0.000 | -0.000 | 
| 50.245 | 50.245 | 50.245 | 16.458 | -0.000 | 0.000 | 
| 50.245 | 50.245 | 50.245 | -0.000 | 16.458 | 0.000 | 
| 50.245 | 50.245 | 50.245 | -0.000 | -0.000 | 16.458 | 
| 83.081 | 50.987 | 50.987 | -0.000 | 0.000 | -0.000 | 
| 50.987 | 83.081 | 50.987 | 0.000 | 0.000 | -0.000 | 
| 50.987 | 50.987 | 83.081 | -0.000 | 0.000 | -0.000 | 
| -50.245 | -50.245 | -50.245 | 16.458 | 0.000 | -0.000 | 
| -50.245 | -50.245 | -50.245 | 0.000 | 16.458 | -0.000 | 
| -50.245 | -50.245 | -50.245 | 0.000 | 0.000 | 16.458 | 
| 83.083 | 50.987 | 50.987 | 0.000 | -0.000 | 0.000 | 
| 50.987 | 83.083 | 50.987 | -0.000 | -0.000 | 0.000 | 
| 50.987 | 50.987 | 83.083 | -0.000 | -0.000 | 0.000 | 
| 3.948 | 3.948 | 3.948 | 15.794 | -0.000 | 0.000 | 
| 3.948 | 3.948 | 3.948 | -0.000 | 15.794 | 0.000 | 
| 3.948 | 3.948 | 3.948 | 0.000 | -0.000 | 15.794 | 
| 55.349 | 44.937 | 44.937 | 0.000 | -0.000 | -0.000 | 
| 44.937 | 55.349 | 44.937 | 0.000 | -0.000 | -0.000 | 
| 44.937 | 44.937 | 55.349 | -0.000 | 0.000 | -0.000 | 
| -3.948 | -3.948 | -3.948 | 15.794 | 0.000 | -0.000 | 
| -3.948 | -3.948 | -3.948 | -0.000 | 15.794 | -0.000 | 
| -3.948 | -3.948 | -3.948 | -0.000 | 0.000 | 15.794 | 
| 167.178 | 71.400 | 33.092 | -0.000 | 0.000 | -0.000 | 
| 72.535 | 150.312 | 18.733 | -0.000 | -0.000 | -0.000 | 
| 34.101 | 18.607 | 237.758 | 0.000 | -0.000 | -0.000 | 
| 1.127 | -0.061 | 0.071 | 0.326 | 0.000 | -0.000 | 
| -0.000 | -0.000 | -0.000 | -0.000 | 14.856 | -0.000 | 
| -0.000 | -0.000 | 0.000 | -0.000 | -0.000 | 52.974 | 
| 165.024 | 71.517 | 32.956 | 0.000 | 0.000 | 0.000 | 
| 70.382 | 150.430 | 18.597 | 0.000 | 0.000 | 0.000 | 
| 31.947 | 18.724 | 237.622 | -0.000 | 0.000 | 0.000 | 
| -1.127 | 0.061 | -0.071 | 0.326 | -0.000 | 0.000 | 
| 0.000 | 0.000 | -0.000 | 0.000 | 14.856 | 0.000 | 
| 0.000 | 0.000 | -0.000 | -0.000 | 0.000 | 52.974 | 
| 168.516 | 71.327 | 33.177 | 0.000 | -0.000 | -0.000 | 
| 71.566 | 150.365 | 18.672 | -0.000 | -0.000 | -0.000 | 
| 33.132 | 18.659 | 237.697 | 0.000 | -0.000 | -0.000 | 
| 0.000 | 0.000 | 0.000 | 0.349 | -0.000 | -0.000 | 
| 0.108 | -0.006 | 0.007 | -0.000 | -5.005 | -0.000 | 
| 0.108 | -0.006 | 0.007 | -0.000 | -0.000 | 52.974 | 
| 165.993 | 71.464 | 33.017 | 0.000 | 0.000 | 0.000 | 
| 71.351 | 150.377 | 18.658 | 0.000 | 0.000 | 0.000 | 
| 32.916 | 18.671 | 237.683 | 0.000 | 0.000 | 0.000 | 
| -0.000 | -0.000 | -0.000 | 0.349 | 0.000 | 0.000 | 
| -0.108 | 0.006 | -0.007 | 0.000 | -5.005 | 0.000 | 
| -0.108 | 0.006 | -0.007 | 0.000 | 0.000 | 52.974 | 
| 166.111 | 71.458 | 33.025 | -0.000 | 0.000 | -0.000 | 
| 71.470 | 150.371 | 18.666 | -0.000 | -0.000 | -0.000 | 
| 33.177 | 18.657 | 237.701 | -0.000 | -0.000 | -0.000 | 
| 0.000 | 0.000 | 0.000 | 0.349 | -0.000 | -0.000 | 
| 0.097 | -0.005 | 0.006 | 0.000 | -5.001 | -0.000 | 
| 0.010 | -0.000 | 0.001 | -0.000 | -0.000 | 52.974 | 
| 166.090 | 71.459 | 33.023 | 0.000 | 0.000 | 0.000 | 
| 71.447 | 150.371 | 18.664 | 0.000 | 0.000 | 0.000 | 
| 33.176 | 18.657 | 237.699 | 0.000 | 0.000 | 0.000 | 
| -0.000 | -0.000 | -0.000 | 0.349 | 0.000 | 0.000 | 
| -0.097 | 0.005 | -0.006 | 0.000 | -5.001 | 0.000 | 
| -0.010 | 0.000 | -0.001 | 0.000 | 0.000 | 52.974 | 
| 173.535 | 73.877 | 31.941 | -0.000 | 0.000 | 0.000 | 
| 72.937 | 149.169 | 17.508 | 0.000 | -0.000 | 0.000 | 
| 31.323 | 17.688 | 235.013 | -0.000 | -0.000 | 0.000 | 
| 0.132 | -0.006 | 0.007 | 0.550 | -0.000 | 0.000 | 
| 0.100 | -0.005 | 0.005 | -0.000 | -6.345 | 0.000 | 
| -0.000 | 0.000 | -0.000 | 0.000 | -0.000 | 56.715 | 
| 173.511 | 73.878 | 31.940 | 0.000 | 0.000 | -0.000 | 
| 72.800 | 149.175 | 17.501 | -0.000 | 0.000 | -0.000 | 
| 31.323 | 17.688 | 235.013 | 0.000 | 0.000 | -0.000 | 
| -0.132 | 0.006 | -0.007 | 0.550 | 0.000 | -0.000 | 
| -0.100 | 0.005 | -0.005 | 0.000 | -6.345 | -0.000 | 
| 0.000 | -0.000 | -0.000 | -0.000 | 0.000 | 56.714 | 
| 176.292 | 73.751 | 32.088 | -0.000 | -0.000 | -0.000 | 
| 72.800 | 149.175 | 17.501 | 0.000 | 0.000 | 0.000 | 
| 31.323 | 17.688 | 235.013 | -0.000 | -0.000 | 0.000 | 
| 0.013 | -0.001 | 0.001 | 0.550 | -0.000 | 0.000 | 
| -0.000 | 0.000 | -0.000 | 0.000 | 15.518 | 0.000 | 
| -0.000 | 0.000 | 0.000 | 0.000 | -0.000 | 56.715 | 
| 173.522 | 73.877 | 31.940 | 0.000 | -0.000 | -0.000 | 
| 72.924 | 149.169 | 17.508 | -0.000 | 0.000 | -0.000 | 
| 31.175 | 17.695 | 235.005 | 0.000 | -0.000 | -0.000 | 
| -0.013 | 0.001 | -0.001 | 0.550 | 0.000 | -0.000 | 
| 0.000 | -0.000 | 0.000 | -0.000 | 15.518 | -0.000 | 
| 0.000 | -0.000 | -0.000 | 0.000 | 0.000 | 56.715 | 
| 176.292 | 73.751 | 32.088 | 0.000 | -0.000 | 0.000 | 
| 72.926 | 149.170 | 17.508 | 0.000 | -0.000 | 0.000 | 
| 31.176 | 17.695 | 235.004 | -0.000 | -0.000 | 0.000 | 
| 0.000 | 0.000 | 0.000 | 0.766 | -0.000 | 0.000 | 
| 0.001 | 0.000 | -0.000 | -0.000 | -6.349 | 0.000 | 
| -0.000 | 0.000 | 0.000 | 0.000 | -0.000 | 56.715 | 
| 173.523 | 73.877 | 31.940 | 0.000 | 0.000 | -0.000 | 
| 72.799 | 149.174 | 17.501 | -0.000 | 0.000 | 0.000 | 
| 31.323 | 17.688 | 235.014 | 0.000 | -0.000 | -0.000 | 
| -0.000 | -0.000 | -0.000 | 0.766 | 0.000 | -0.000 | 
| -0.001 | -0.000 | 0.000 | 0.000 | -6.349 | -0.000 | 
| 0.000 | -0.000 | -0.000 | -0.000 | 0.000 | 56.715 | 
| 170.559 | 84.720 | 66.635 | -0.000 | -0.000 | 0.000 | 
| 85.023 | 160.413 | 68.916 | -0.000 | -0.000 | 0.000 | 
| 66.807 | 68.785 | 191.862 | -0.000 | -0.000 | 0.000 | 
| -0.000 | 0.000 | -0.000 | 51.186 | 0.000 | 0.000 | 
| -0.262 | 0.260 | -0.004 | -0.000 | 49.337 | 0.000 | 
| -0.273 | 0.272 | -0.005 | -0.000 | -0.000 | 34.420 | 
| 187.552 | 67.815 | 66.916 | -0.000 | -0.000 | -0.000 | 
| 68.640 | 176.712 | 68.646 | 0.000 | 0.000 | -0.000 | 
| 67.332 | 68.263 | 191.871 | 0.000 | 0.000 | -0.000 | 
| 0.000 | 0.000 | 0.000 | 51.186 | 0.000 | -0.000 | 
| 0.262 | -0.260 | 0.004 | 0.000 | 49.337 | -0.000 | 
| 0.273 | -0.272 | 0.005 | 0.000 | -0.000 | 34.420 | 
| 170.795 | 84.486 | 66.639 | -0.000 | -0.000 | 0.000 | 
| 85.259 | 160.179 | 68.920 | -0.000 | 0.000 | 0.000 | 
| 67.043 | 68.551 | 191.866 | -0.000 | -0.000 | 0.000 | 
| -0.006 | 0.006 | -0.000 | 51.185 | 0.000 | 0.000 | 
| -0.026 | 0.026 | -0.000 | -0.000 | 49.337 | 0.000 | 
| -0.027 | 0.027 | -0.000 | -0.000 | -0.000 | 34.420 | 
| 170.847 | 84.434 | 66.640 | 0.000 | -0.000 | -0.000 | 
| 85.311 | 160.127 | 68.921 | 0.000 | -0.000 | -0.000 | 
| 67.095 | 68.499 | 191.867 | 0.000 | 0.000 | 0.000 | 
| 0.006 | -0.006 | 0.000 | 51.185 | 0.000 | 0.000 | 
| 0.026 | -0.026 | 0.000 | 0.000 | 49.337 | -0.000 | 
| 0.027 | -0.027 | 0.000 | 0.000 | 0.000 | 34.420 | 
| 170.819 | 84.463 | 66.640 | -0.000 | 0.000 | 0.000 | 
| 85.283 | 160.158 | 68.921 | -0.000 | -0.000 | 0.000 | 
| 67.067 | 68.528 | 191.866 | -0.000 | -0.000 | 0.000 | 
| -0.001 | 0.001 | -0.000 | 51.185 | 0.000 | 0.000 | 
| -0.003 | 0.003 | -0.000 | -0.000 | 49.337 | -0.000 | 
| -0.003 | 0.004 | -0.000 | -0.000 | 0.000 | 34.420 | 
| 170.822 | 84.457 | 66.639 | 0.000 | -0.000 | 0.000 | 
| 85.286 | 160.148 | 68.920 | 0.000 | -0.000 | -0.000 | 
| 67.345 | 68.250 | 191.872 | -0.000 | 0.000 | -0.000 | 
| 0.001 | -0.001 | 0.000 | 51.185 | -0.000 | -0.000 | 
| 0.003 | -0.003 | 0.000 | 0.000 | 49.337 | -0.000 | 
| 0.003 | -0.004 | 0.000 | 0.000 | 0.000 | 34.420 | 
| 187.596 | 76.166 | 57.845 | -25.908 | 0.000 | -0.000 | 
| 76.166 | 187.596 | 57.845 | 25.908 | -0.000 | 0.000 | 
| 57.846 | 57.846 | 205.922 | 0.000 | -0.000 | 0.000 | 
| -25.908 | 25.908 | 0.000 | 37.395 | -0.000 | 0.000 | 
| -0.000 | -0.000 | 0.000 | 0.000 | 37.395 | -25.908 | 
| -0.000 | -0.000 | 0.000 | 0.000 | -25.908 | 55.715 | 
| 187.596 | 76.166 | 57.845 | -25.908 | -0.000 | 0.000 | 
| 76.166 | 187.596 | 57.845 | 25.908 | -0.000 | 0.000 | 
| 57.846 | 57.846 | 205.922 | -0.000 | -0.000 | -0.000 | 
| -25.908 | 25.908 | -0.000 | 37.395 | -0.000 | -0.000 | 
| 0.000 | 0.000 | -0.000 | -0.000 | 37.395 | -25.908 | 
| 0.000 | 0.000 | -0.000 | -0.000 | -25.908 | 55.715 | 
| 187.596 | 76.166 | 57.845 | -25.908 | 0.000 | 0.000 | 
| 76.166 | 187.596 | 57.845 | 25.908 | 0.000 | -0.000 | 
| 57.846 | 57.846 | 205.922 | 0.000 | -0.000 | -0.000 | 
| -25.908 | 25.908 | -0.000 | 37.395 | 0.000 | 0.000 | 
| -0.000 | -0.000 | -0.000 | -0.000 | 37.395 | -25.908 | 
| -0.000 | -0.000 | -0.000 | 0.000 | -25.908 | 55.715 | 
| 187.596 | 76.166 | 57.845 | -25.908 | 0.000 | -0.000 | 
| 76.166 | 187.596 | 57.845 | 25.908 | -0.000 | -0.000 | 
| 57.846 | 57.846 | 205.922 | -0.000 | 0.000 | -0.000 | 
| -25.908 | 25.908 | 0.000 | 37.395 | 0.000 | 0.000 | 
| 0.000 | 0.000 | 0.000 | 0.000 | 37.395 | -25.908 | 
| 0.000 | 0.000 | 0.000 | -0.000 | -25.908 | 55.715 | 
| 187.595 | 76.166 | 57.845 | -25.908 | 0.000 | 0.000 | 
| 76.166 | 187.595 | 57.845 | 25.908 | 0.000 | 0.000 | 
| 57.846 | 57.846 | 205.921 | 0.000 | 0.000 | -0.000 | 
| -25.908 | 25.908 | -0.000 | 37.395 | 0.000 | 0.000 | 
| -0.000 | -0.000 | -0.000 | -0.000 | 37.395 | -25.908 | 
| -0.000 | -0.000 | -0.000 | 0.000 | -25.908 | 55.715 | 
| 187.597 | 76.167 | 57.846 | -25.908 | -0.000 | -0.000 | 
| 76.166 | 187.597 | 57.846 | 25.908 | -0.000 | -0.000 | 
| 57.846 | 57.846 | 205.923 | -0.000 | 0.000 | -0.000 | 
| -25.908 | 25.908 | 0.000 | 37.395 | 0.000 | -0.000 | 
| 0.000 | 0.000 | 0.000 | 0.000 | 37.395 | -25.908 | 
| 0.000 | 0.000 | 0.000 | -0.000 | -25.908 | 55.715 | 
| 81.375 | 52.324 | 27.300 | 0.000 | 0.000 | 0.000 | 
| 52.324 | 81.375 | 27.300 | 0.000 | 0.000 | 0.000 | 
| 27.300 | 27.300 | 103.759 | 0.000 | 0.000 | -0.000 | 
| -0.000 | -0.000 | -0.000 | 4.014 | 0.000 | -0.000 | 
| -0.000 | -0.000 | -0.000 | 0.000 | 4.014 | -0.000 | 
| -0.000 | 0.000 | -0.000 | 0.000 | 0.000 | -20.433 | 
| 81.375 | 52.324 | 27.300 | -0.000 | -0.000 | -0.000 | 
| 52.324 | 81.375 | 27.300 | -0.000 | -0.000 | 0.000 | 
| 27.300 | 27.300 | 103.759 | -0.000 | -0.000 | 0.000 | 
| 0.000 | 0.000 | 0.000 | 4.014 | -0.000 | -0.000 | 
| 0.000 | -0.000 | 0.000 | -0.000 | 4.014 | 0.000 | 
| 0.000 | 0.000 | 0.000 | -0.000 | -0.000 | -20.433 | 
| 35.726 | 97.973 | 27.300 | 0.000 | 0.000 | 0.000 | 
| 97.973 | 35.726 | 27.300 | 0.000 | 0.000 | 0.000 | 
| 27.300 | 27.300 | 103.759 | 0.000 | 0.000 | -0.000 | 
| -0.000 | -0.000 | -0.000 | 4.014 | 0.000 | 0.000 | 
| -0.000 | -0.000 | -0.000 | 0.000 | 4.014 | 0.000 | 
| 0.000 | 0.000 | -0.000 | 0.000 | 0.000 | 14.525 | 
| 46.417 | 87.282 | 27.300 | -0.000 | -0.000 | -0.000 | 
| 52.324 | 81.375 | 27.300 | -0.000 | -0.000 | -0.000 | 
| 27.300 | 27.300 | 103.759 | -0.000 | -0.000 | 0.000 | 
| 0.000 | 0.000 | 0.000 | 4.014 | -0.000 | 0.000 | 
| 0.000 | 0.000 | 0.000 | -0.000 | 4.014 | -0.000 | 
| -0.000 | -0.000 | 0.000 | -0.000 | -0.000 | 14.525 | 
| 81.375 | 52.324 | 27.300 | 0.000 | 0.000 | 0.000 | 
| 97.974 | 35.724 | 27.299 | 0.000 | 0.000 | 0.000 | 
| 27.300 | 27.300 | 103.757 | 0.000 | 0.000 | -0.000 | 
| -0.000 | -0.000 | -0.000 | 4.014 | 0.000 | 0.000 | 
| -0.000 | -0.000 | -0.000 | 0.000 | 4.014 | 0.000 | 
| 0.000 | 0.000 | -0.000 | 0.000 | 0.000 | 14.525 | 
| 46.416 | 87.282 | 27.300 | -0.000 | -0.000 | -0.000 | 
| 97.972 | 35.727 | 27.300 | -0.000 | -0.000 | 0.000 | 
| 27.300 | 27.300 | 103.760 | -0.000 | -0.000 | 0.000 | 
| 0.000 | 0.000 | 0.000 | 4.014 | -0.000 | 0.000 | 
| 0.000 | 0.000 | 0.000 | -0.000 | 4.014 | -0.000 | 
| -0.000 | -0.000 | 0.000 | -0.000 | -0.000 | 14.525 | 
| 79.808 | 63.333 | 37.547 | -0.000 | -0.000 | 0.000 | 
| 63.333 | 79.808 | 37.547 | -0.000 | -0.000 | 0.000 | 
| 37.548 | 37.548 | 184.721 | -0.000 | -0.000 | 0.000 | 
| -0.000 | -0.000 | -0.000 | 16.162 | -0.000 | 0.000 | 
| -0.000 | 0.000 | -0.000 | -0.000 | 16.162 | 0.000 | 
| -0.000 | 0.000 | -0.000 | -0.000 | -0.000 | 8.238 | 
| 95.975 | 47.165 | 37.547 | 0.000 | 0.000 | -0.000 | 
| 47.165 | 95.975 | 37.547 | -0.000 | 0.000 | -0.000 | 
| 37.548 | 37.548 | 184.721 | -0.000 | 0.000 | -0.000 | 
| 0.000 | 0.000 | 0.000 | 16.162 | 0.000 | -0.000 | 
| 0.000 | -0.000 | 0.000 | 0.000 | 16.162 | -0.000 | 
| 0.000 | 0.000 | 0.000 | 0.000 | 0.000 | 8.238 | 
| 95.975 | 47.165 | 37.547 | -0.000 | -0.000 | 0.000 | 
| 63.333 | 79.808 | 37.547 | -0.000 | -0.000 | 0.000 | 
| 37.548 | 37.548 | 184.721 | 0.000 | -0.000 | 0.000 | 
| -0.000 | -0.000 | -0.000 | 16.162 | -0.000 | 0.000 | 
| -0.000 | -0.000 | -0.000 | -0.000 | 16.162 | 0.000 | 
| -0.000 | -0.000 | -0.000 | -0.000 | -0.000 | 8.238 | 
| 79.808 | 63.333 | 37.547 | 0.000 | 0.000 | -0.000 | 
| 63.333 | 79.808 | 37.547 | 0.000 | 0.000 | -0.000 | 
| 37.548 | 37.548 | 184.721 | -0.000 | 0.000 | -0.000 | 
| 0.000 | 0.000 | 0.000 | 16.162 | 0.000 | -0.000 | 
| 0.000 | 0.000 | 0.000 | 0.000 | 16.162 | -0.000 | 
| 0.000 | 0.000 | 0.000 | 0.000 | 0.000 | 8.238 | 
| 95.975 | 47.165 | 37.547 | 0.000 | -0.000 | 0.000 | 
| 63.333 | 79.807 | 37.547 | -0.000 | -0.000 | 0.000 | 
| 37.548 | 37.548 | 184.722 | -0.000 | -0.000 | 0.000 | 
| -0.000 | -0.000 | -0.000 | 16.162 | -0.000 | 0.000 | 
| -0.000 | -0.000 | -0.000 | -0.000 | 16.162 | 0.000 | 
| -0.001 | -0.000 | -0.000 | -0.000 | -0.000 | 8.238 | 
| 95.975 | 47.165 | 37.547 | -0.000 | 0.000 | -0.000 | 
| 47.165 | 95.975 | 37.547 | -0.000 | 0.000 | -0.000 | 
| 37.548 | 37.548 | 184.721 | -0.000 | 0.000 | -0.000 | 
| 0.000 | 0.000 | 0.000 | 16.162 | 0.000 | -0.000 | 
| 0.000 | 0.000 | 0.000 | -0.000 | 16.162 | -0.000 | 
| 0.001 | 0.000 | 0.000 | 0.000 | 0.000 | 8.238 | 
Phonon band structures and crystal properties estimated from quasi-harmonic approximation (QHA) calculations are displayed for select crystals. The calculations were performed using phonopy and LAMMPS. For the phonon calculations, 3x3 supercells of the potential-specific relaxed crystals were used. The QHA calculations were based on 11 strain states ranging from -0.05 to 0.05.
The calculation method used is available as the iprPy phonon calculation method.
Notes and Disclaimers:
Version Information:


























































































































































































































































Static free surface formation energies are displayed for select crystals. The values displayed here are obtained by taking a perfect periodic bulk crystal, slicing along a crystallographic plane, and using force minimization to statically relax the surfaces. The free surface formation energy is computed by comparing the energy of the defect system to the bulk system and dividing by the total surface area created by the cut.
The calculation method used is available as the iprPy surface_energy_static calculation method.
Notes and Disclaimers:
Version Information:
| Surface | γfs (mJ/m2) | 
|---|---|
| (111) | 1438.70 | 
| (100) | 1527.44 | 
| (332) | 1547.33 | 
| (322) | 1556.35 | 
| (221) | 1590.56 | 
| (211) | 1605.44 | 
| (331) | 1620.85 | 
| (110) | 1624.99 | 
| (311) | 1628.07 | 
| (321) | 1654.24 | 
| (310) | 1663.84 | 
| (320) | 1674.41 | 
| (210) | 1675.57 | 
| Surface | γfs (mJ/m2) | 
|---|---|
| (0001) | 1426.42 | 
| (1012) 2 | 1491.02 | 
| (2021) 1 | 1527.42 | 
| (1011) 1 | 1529.76 | 
| (2021) 2 | 1601.18 | 
| (1120) | 1615.38 | 
| (2131) 1 | 1640.27 | 
| (2241) | 1643.55 | 
| (2132) 2 | 1646.05 | 
| (1010) | 1650.25 | 
| (2132) 1 | 1659.12 | 
| (1121) | 1662.24 | 
| (2130) | 1670.24 | 
| (2112) | 1673.80 | 
| (1012) 1 | 1678.90 | 
| (1011) 2 | 1687.72 | 
| (2131) 2 | 1690.56 | 
| Surface | γfs (mJ/m2) | 
|---|---|
| (0001) | 1416.13 | 
| (1011) 2 | 1484.15 | 
| (1010) 1 | 1488.12 | 
| (2021) 1 | 1526.59 | 
| (1012) 1 | 1583.08 | 
| (1120) | 1607.28 | 
| (2130) 1 | 1611.16 | 
| (2112) | 1612.21 | 
| (1012) 2 | 1633.42 | 
| (2132) 1 | 1639.67 | 
| (2131) 2 | 1642.12 | 
| (2132) 2 | 1647.17 | 
| (2241) | 1657.62 | 
| (2131) 1 | 1668.93 | 
| (1121) | 1672.48 | 
| (2021) 2 | 1681.72 | 
| (2130) 2 | 1715.52 | 
| (1010) 2 | 1807.87 | 
| (1011) 1 | 1870.66 | 
| Surface | γfs (mJ/m2) | 
|---|---|
| (210) | 1861.18 | 
| (100) | 1931.03 | 
| (211) 2 | 1936.98 | 
| (332) 1 | 1951.23 | 
| (311) | 1954.32 | 
| (321) 1 | 1972.72 | 
| (322) | 1973.90 | 
| (310) | 1974.92 | 
| (331) | 1982.26 | 
| (110) | 1982.31 | 
| (320) | 1986.93 | 
| (321) 2 | 1989.57 | 
| (111) | 1990.41 | 
| (221) | 2004.29 | 
| (332) 2 | 2015.44 | 
| (211) 1 | 2057.61 | 
| Surface | γfs (mJ/m2) | 
|---|---|
| (110) | 1826.21 | 
| (320) | 1966.26 | 
| (321) | 2026.32 | 
| (331) | 2029.91 | 
| (210) | 2059.57 | 
| (211) | 2076.93 | 
| (100) | 2079.98 | 
| (310) | 2095.30 | 
| (221) | 2107.54 | 
| (311) | 2123.44 | 
| (322) | 2160.45 | 
| (332) | 2162.91 | 
| (111) | 2218.61 | 
| Surface | γfs (mJ/m2) | 
|---|---|
| (332) | -17184.42 | 
| (331) | -15952.18 | 
| (321) | -15027.33 | 
| (322) | -14641.23 | 
| (320) | -12888.00 | 
| (311) | -11982.44 | 
| (221) | -11771.95 | 
| (310) | -11643.86 | 
| (211) | -9310.98 | 
| (210) | -8161.37 | 
| (100) | 1132.41 | 
| (111) | 1341.04 | 
| (110) | 1394.34 | 
| Surface | γfs (mJ/m2) | 
|---|---|
| (111) | 793.85 | 
| (332) | 899.33 | 
| (100) | 902.08 | 
| (322) | 906.74 | 
| (221) | 947.82 | 
| (211) | 965.74 | 
| (331) | 989.77 | 
| (311) | 1018.77 | 
| (321) | 1038.23 | 
| (110) | 1039.56 | 
| (310) | 1050.19 | 
| (320) | 1085.17 | 
| (210) | 1097.98 | 
| Surface | γfs (mJ/m2) | 
|---|---|
| (110) | 846.19 | 
| (320) | 939.87 | 
| (211) | 983.93 | 
| (210) | 984.57 | 
| (321) | 986.80 | 
| (310) | 996.84 | 
| (331) | 1004.21 | 
| (100) | 1050.22 | 
| (221) | 1064.04 | 
| (311) | 1067.87 | 
| (332) | 1084.53 | 
| (322) | 1099.38 | 
| (111) | 1150.92 | 
| Surface | γfs (mJ/m2) | 
|---|---|
| (0001) | 808.25 | 
| (1012) 2 | 861.85 | 
| (2021) 1 | 894.26 | 
| (1011) 1 | 907.83 | 
| (2021) 2 | 985.97 | 
| (1011) 2 | 1041.40 | 
| (2131) 1 | 1041.53 | 
| (1120) | 1047.00 | 
| (1012) 1 | 1050.87 | 
| (1010) | 1052.51 | 
| (2132) 2 | 1054.02 | 
| (2132) 1 | 1055.31 | 
| (2241) | 1066.41 | 
| (1121) | 1079.56 | 
| (2112) | 1089.13 | 
| (2130) | 1091.82 | 
| (2131) 2 | 1112.61 | 
| Surface | γfs (mJ/m2) | 
|---|---|
| (0001) | 829.84 | 
| (1011) 2 | 873.04 | 
| (1010) 1 | 899.75 | 
| (2021) 1 | 910.69 | 
| (1012) 1 | 1010.43 | 
| (2130) 1 | 1029.51 | 
| (1012) 2 | 1030.45 | 
| (2112) | 1035.06 | 
| (2132) 2 | 1035.49 | 
| (2132) 1 | 1051.05 | 
| (1120) | 1054.68 | 
| (2131) 2 | 1062.68 | 
| (2131) 1 | 1070.60 | 
| (2021) 2 | 1076.97 | 
| (2241) | 1087.83 | 
| (1121) | 1094.61 | 
| (2130) 2 | 1177.94 | 
| (1010) 2 | 1242.14 | 
| (1011) 1 | 1273.57 | 
Stacking fault energy plots and maps are displayed for select crystals. The values are computed by
The calculation method used is available as the iprPy stacking_fault_map_2D calculation method.
Notes and Disclaimers:
Version Information:
| E_usf a/2 [0 -1 1] | 514.45 | 
| τ_ideal a/2 [0 -1 1] | 7.25 | 




| E_isf | 40.22 | 
| E_usf a/2 [0 -1 1] | 186.09 | 
| τ_ideal a/2 [0 -1 1] | 3.30 | 




| E_isf | -36.92 | 
| E_usf a/3 [-2 1 1 0] | 148.95 | 
| τ_ideal a/3 [-2 1 1 0] | 3.27 | 




| E_usf a/3 [-1 2 -1 0] | 390.69 | 
| τ_ideal a/3 [-1 2 -1 0] | 5.07 | 




| E_usf a/3 [-1 2 -1 0] | 434.82 | 
| E_usf a/3 [-2 1 1 3] | 563.06 | 
| τ_ideal a/3 [-1 2 -1 0] | 6.18 | 
| τ_ideal a/3 [-2 1 1 3] | 7.54 | 





| E_usf a/3 [-2 1 1 3] | 988.05 | 
| τ_ideal a/3 [-2 1 1 3] | 9.81 | 




| E_usf a/2 [-1 1 -1] | 582.05 | 
| τ_ideal a/2 [-1 1 -1] | 8.02 | 




| E_usf a/2 [-1 -1 1] | 686.08 | 
| τ_ideal a/2 [-1 -1 1] | 9.29 | 




| E_usf a/2 [0 -1 1] | 523.54 | 
| τ_ideal a/2 [0 -1 1] | 5.21 | 




| E_isf | -89.76 | 
| E_usf a/2 [0 -1 1] | 65.66 | 
| τ_ideal a/2 [0 -1 1] | 2.52 | 




| E_usf a/2 [-1 1 -1] | 298.39 | 
| τ_ideal a/2 [-1 1 -1] | 4.03 | 




| E_usf a/2 [-1 -1 1] | 295.47 | 
| τ_ideal a/2 [-1 -1 1] | 3.85 | 




| E_usf a/2 [-1 -1 1] | 307.93 | 
| τ_ideal a/2 [-1 -1 1] | 3.96 | 




| E_isf | 103.72 | 
| E_usf a/3 [-2 1 1 0] | 174.44 | 
| τ_ideal a/3 [-2 1 1 0] | 2.74 | 




| E_usf a/3 [-1 2 -1 0] | 161.44 | 
| τ_ideal a/3 [-1 2 -1 0] | 2.20 | 




| E_usf a/3 [-1 2 -1 0] | 427.29 | 
| E_usf a/3 [-2 1 1 3] | 617.82 | 
| τ_ideal a/3 [-1 2 -1 0] | 4.68 | 
| τ_ideal a/3 [-2 1 1 3] | 4.89 | 





| E_usf a/3 [-2 1 1 3] | 993.59 | 
| τ_ideal a/3 [-2 1 1 3] | 7.38 | 




Static point defect formation energies, Ef, and elastic dipole tensors, pij, are displayed for select crystals. Relaxed defect configurations are obtained by taking a 12x12x12 supercell of a perfect periodic bulk crystal, inserting the point defect, and using force minimization to statically relax the atomic positions while keeping the system dimensions constant. Ef is computed by comparing the energy of the defect system to the same number of atoms in a perfect bulk crystal. pij is estimated as the difference in the system's global pressure with and without the defect multiplied by the system's volume.
Simple structural comparisons of the unrelaxed and relaxed defect configurations are used to help determine if the defect structure has relaxed to a different configuration. Relaxed structures that are identified as no longer consistent with the ideal defect definition are excluded from the table below. The only exception to this is if the lowest energy interstitial configuration does not coincide with a known ideal defect, its energies and pressure tensor are included under the listing "relaxed interstitial". The full list of calculation results including the transformed structures and the structural comparison values is included in the csv file available from the "Download raw data" link.
The calculation method used is available as the iprPy point_defect_static calculation method.
Notes and Disclaimers:
| Point Defect | Ef (eV) | p11 (eV) | p22 (eV) | p33 (eV) | p12 (eV) | p13 (eV) | p23 (eV) | 
|---|---|---|---|---|---|---|---|
| vacancy | 1.169 | -5.380 | -5.380 | -5.380 | 0.000 | 0.000 | -0.000 | 
| 1nn divacancy | 2.289 | -11.965 | -10.277 | -10.277 | 0.000 | 0.000 | 0.013 | 
| 2nn divacancy | 2.310 | -11.057 | -11.057 | -10.889 | -0.000 | -0.000 | -0.000 | 
| 100 dumbbell | 3.492 | 30.236 | 30.236 | 28.378 | 0.000 | 0.000 | -0.000 | 
| 110 dumbbell | 3.791 | 33.823 | 30.054 | 30.054 | 0.000 | 0.000 | 13.192 | 
| crowdion interstitial | 3.793 | 29.949 | 29.949 | 33.604 | 13.135 | -0.000 | -0.000 | 
| Point Defect | Ef (eV) | p11 (eV) | p22 (eV) | p33 (eV) | p12 (eV) | p13 (eV) | p23 (eV) | 
|---|---|---|---|---|---|---|---|
| vacancy | 1.114 | -5.223 | -5.223 | -5.589 | -0.000 | 0.000 | -0.000 | 
| 0001 dumbbell | 4.251 | 32.580 | 32.580 | 35.742 | 0.000 | 0.000 | 0.000 | 
| Point Defect | Ef (eV) | p11 (eV) | p22 (eV) | p33 (eV) | p12 (eV) | p13 (eV) | p23 (eV) | 
|---|---|---|---|---|---|---|---|
| relaxed interstitial | -197161558.020 | -394323567.908 | -394323567.908 | -394323567.908 | -394323399.672 | -394323399.672 | -394323399.672 | 
| octahedral interstitial | 2.172 | 14.894 | 10.083 | 10.083 | -0.000 | -0.000 | -0.000 | 
| 110 dumbbell | 2.212 | 16.533 | 17.679 | 17.679 | 0.000 | 0.000 | 1.609 | 
| 100 dumbbell | 2.313 | 11.498 | 11.498 | 15.163 | 0.000 | -0.000 | 0.000 | 
| vacancy | 2.770 | -6.636 | -6.636 | -6.636 | -0.000 | 0.000 | 0.000 | 
| 1nn divacancy | 5.221 | -11.649 | -11.649 | -11.649 | 0.162 | 0.162 | 0.162 | 
| 2nn divacancy | 5.273 | -13.883 | -13.883 | -14.526 | 0.000 | 0.000 | 0.000 | 
| Point Defect | Ef (eV) | p11 (eV) | p22 (eV) | p33 (eV) | p12 (eV) | p13 (eV) | p23 (eV) | 
|---|---|---|---|---|---|---|---|
| vacancy | 1.526 | -1.493 | -1.493 | -1.493 | 0.000 | -0.000 | 0.000 | 
| relaxed interstitial | 1.951 | 10.249 | 10.244 | 14.664 | 1.644 | 0.000 | 0.000 | 
| 110 dumbbell | 1.958 | 14.949 | 10.421 | 10.421 | 0.000 | -0.000 | 1.641 | 
| 100 dumbbell | 2.184 | 11.816 | 11.816 | 9.832 | 0.000 | -0.000 | -0.000 | 
| tetrahedral interstitial | 2.307 | 10.037 | 10.037 | 10.037 | 0.000 | -0.000 | 0.000 | 
| octahedral interstitial | 2.363 | 12.144 | 12.144 | 12.144 | 0.000 | -0.000 | 0.000 | 
| 1nn divacancy | 2.790 | -3.093 | -2.989 | -2.989 | 0.000 | 0.000 | -0.396 | 
| 2nn divacancy | 3.038 | -3.491 | -3.491 | -3.828 | 0.000 | 0.000 | 0.000 | 
| Point Defect | Ef (eV) | p11 (eV) | p22 (eV) | p33 (eV) | p12 (eV) | p13 (eV) | p23 (eV) | 
|---|---|---|---|---|---|---|---|
| vacancy | 1.358 | -4.148 | -4.148 | -4.148 | -0.000 | -0.000 | 0.000 | 
| 111 dumbbell | 1.752 | 10.786 | 10.786 | 10.786 | 2.285 | 2.285 | 2.285 | 
| crowdion interstitial | 1.754 | 11.002 | 11.002 | 11.002 | 2.272 | 2.272 | 2.272 | 
| tetrahedral interstitial | 1.758 | 11.797 | 10.153 | 11.797 | -0.000 | 0.000 | 0.000 | 
| 110 dumbbell | 1.785 | 12.377 | 10.272 | 10.272 | -0.000 | 0.000 | 0.184 | 
| 100 dumbbell | 1.826 | 15.026 | 15.026 | 15.483 | -0.000 | -0.000 | -0.000 | 
| octahedral interstitial | 1.854 | 14.892 | 14.895 | 14.895 | 0.000 | -0.000 | -0.000 | 
| 2nn divacancy | 2.498 | -8.462 | -8.462 | -11.509 | -0.000 | -0.000 | -0.000 | 
| 1nn divacancy | 2.666 | -5.596 | -5.596 | -5.596 | 0.920 | 0.920 | 0.920 | 
| Point Defect | Ef (eV) | p11 (eV) | p22 (eV) | p33 (eV) | p12 (eV) | p13 (eV) | p23 (eV) | 
|---|---|---|---|---|---|---|---|
| vacancy | 1.532 | -1.115 | -1.115 | -1.660 | -0.000 | 0.000 | -0.000 | 
| relaxed interstitial | 2.192 | 10.802 | 15.610 | 11.280 | -0.000 | 0.000 | -0.000 | 
| 0001 dumbbell | 2.784 | 12.484 | 12.484 | 12.644 | -0.000 | -0.000 | 0.000 | 
Plots of the atomic structure of dislocation cores are shown here. The dislocations were constructed using dislocation monopole configurations in which a straight dislocation is created in the center of the system using anisotropic elasticity and the elastic constants computed above. A cylindrical region centered around the dislocation is allowed to relax while the remaining atoms are held fixed. The relaxation consists of 1 million NVT steps at 10 K followed by an energy/force minimization. The final plots show the atomic configuration near the center of the monopole system, and display differential displacement arrows and Nye tensor color maps that are both taken with respect to the Burgers vector direction.
These plots show a wide range of final structures, some corresponding to expected dislocation structures and others not. While the characterizations are dislocation-type dependent, some general classification guidelines are listed here.
The calculation method used is available as the iprPy dislocation_monopole calculation method.
Links are provided above the images allowing for users to download the final defect configuration and a corresponding defect-free configuration if they wish to further analyze the structures or use them for subsequent simulations.
Notes and Disclaimers:
Version Information:
Plots of lattice and elastic constants are shown as a function of temperature. The 0K points were taken from the Crystal Structure Predictions and the Elastic Constants Predictions sections above for the unique crystal structures relaxed with the "dynamic" method. Starting from the 0 K relaxed crystal unit cells, supercell systems are created by replicating all three dimensions by the same multiplier to achieve at least 4000 atoms. The systems are then relaxed at 50 K and zero pressure using 1 million NPT steps. Lattice constants are estimated by averaging the measured box dimensions. Temperatures are iteratively increased by 50 K, with each subsequent relaxation calculation starting from the final atomic configuration at the previous temperature and relaxing for another 1 million steps.
The elastic constants are calculated using the deformation–fluctuation hybrid method. Starting from the final atomic configurations of the dynamic relaxations, the system is allowed to evolve at constant volume with a Langevin thermostat. The Born matrix is computed during this run by evaluating how the atomic forces would vary due to applied linear strain fields. The elastic constants can then be estimated using the averaged Born matrix values and the averaged stresses on the system.
The calculation methods used are available as the iprPy relax_dynamic and elastic_constants_dynamic calculation methods.
Clicking on the image of a plot will open an interactive version of it in a new tab. The underlying data for the plots can be downloaded by clicking on the links above each plot.
Notes and Disclaimers:
Version Information:
Plots of radial distribution functions at different temperatures and the temperature-dependent diffusion and viscosity are shown here for elemental liquids. Melt phases are constructed by starting with a 10x10x10 fcc super cell and relaxing with 50,000 NPT steps at zero pressure and a high melting temperature (3000 K for most potentials and elements). Following the melt, liquid structures are relaxed by running NPT for 10,000 steps over which the temperature is dropped by 50 K, then 50,000 NPT at the target temperature to estimate the equilibrium volume, followed by 20,000 NVT steps at the averaged equilibrium volume and target temperature. Structures from the NVT run are sampled to compute the radial distribution function of the liquid at the corresponding temperature.
The final relaxed configurations at each temperature explored are used as the initial configurations for the diffusion and viscosity calculations. For diffusion, the system is integrated for 100 runs of 2,000 NVT steps during which both the mean squared displacement (MSD) and the velocity auto correlation function (VACF) are computed. From these simulations, three estimates of diffusion are computed: one from the MSD of the full 200,000 step run, one in which the MSD is reset for each short run and then averaged, and one from the VACF computed for each short run and averaged. For viscosity, the Green-Kubo method is used which is evaluated during a 1 million step NVT run.
The calculation methods used are available as the iprPy relax_liquid_redo, diffusion_liquid, and viscosity_green_kubo calculation methods.
Clicking on the image of a plot will open an interactive version of it in a new tab. The underlying data for the plots can be downloaded by clicking on the links above each plot.
Notes and Disclaimers:
Version Information:
Estimated melting temperatures are tabulated below. The melting temperature is computed here using a two-phase solid-liquid atomic configuration. The two-phase configuration is created by starting with a crystalline system in which the c box vector is roughly twice the length of the other two box vectors. Based on some input temperature Tinit, an NPH plus a Berensen thermostat simulation is performed for 10,000 steps in which half the system is subjected to a temperature of 1.25*Tinit and the other half to a temperature of 0.5*Tinit. This is then followed by 10,000 steps during which the temperature of the two regions are both scaled to Tinit. The system is then ran for 200,000 NPH steps to equilibrate the system. For the second half of the final NPH run, the average temperature of the system is calculated and the polyhedral template matching algorithm is used to estimate the number of solid and liquid atoms for a number of configuration snapshots. If the averaged fraction of solid atoms is found to be between 0.25-0.75, then the averaged temperature provides an estimate of the melting temperature.
This calculation is iteratively performed where the Tinit value is adjusted up or down if the fraction of solid atoms is outside the range 0.25-0.75. Iterations are repeated until 10 calculations are performed that produce solid fractions in the target range, or 30 total calculations are performed.
The calculation method used is available as the iprPy melting_temperature calculation method.
Notes and Disclaimers:
Version Information:
| prototype | Tmelt | stderr | 
|---|---|---|
| A1--Cu--fcc | 1354.19 | 1.35 | 
| A3--Mg--hcp | 1334.28 | 3.59 | 
| prototype | Tmelt | stderr | 
|---|---|---|
| A2--W--bcc | 2146.66 | 1.39 | 
| prototype | Tmelt | stderr | 
|---|---|---|
| A3--Mg--hcp | 837.67 | 10.23 | 
Plots of internal energy, Gibbs free energy, entropy, heat capacity and volume are shown here as a function of temperature for various crystal structures and liquid phases. The included crystal structures correspond to those in the Solid Structures vs. Temperature section, and the liquid phases to those in the Liquid Properties section. Internal energy and volume are taken from the associated structure relaxations mentioned in those previous sections. Constant pressure heat capacity is estimated using 3-point numerical derivatives of enthalpy versus temperature. Note that since all simulations done here are at 0 pressure, internal energy and enthalpy are equivalent.
The Gibbs energies of the phases are estimated using thermodynamic integration between the interatomic potential in question and a simpler model with known Gibbs free energy values. For solids, the reference model is an Einstein solid, while for liquids it is the Uhlenbeck-Ford potential. Besides a short run at the start of the solid calculations to estimate Einstein model spring constants, the two calculations proceed similarly. Starting with the final relaxation configurations, the systems are stabilized for 25,000 steps. Then, over the next 50,000 steps the potential is swapped out for the reference potential. The system is then stabilized for another 25,000 steps with the reference model before a reverse swap of 50,000 steps is performed. The simulation ends with one final 25,000 step stabilization period. From the simulation, the irreversible work of transformation is estimated and used to compute the absolute Gibbs free energy of the target phase and potential relative to the reference potential. Entropy is estimated as the difference in enthalpy and Gibbs free energy and divided by temperature.
The calculation methods used are available as the iprPy relax_dynamic, relax_liquid_redo, free_energy, and free_energy_liquid calculation methods.
Clicking on the image of a plot will open an interactive version of it in a new tab. The underlying data for the plots can be downloaded by clicking on the links above each plot.
Notes and Disclaimers:
Version Information:
            
            





