Plots of the potential energy vs interatomic spacing, r, are shown below for all diatom sets associated with the interatomic potential. This calculation provides insights into the functional form of the potential's two-body interactions. A system consisting of only two atoms is created, and the potential energy is evaluated for the atoms separated by 0.02 Å <= r <= 6.0> Å in intervals of 0.02 Å. Two plots are shown: one for the "standard" interaction distance range, and one for small values of r. The small r plot is useful for determining whether the potential is suitable for radiation studies.
The calculation method used is available as the iprPy diatom_scan calculation method.
Clicking on the image of a plot will open an interactive version of it in a new tab. The underlying data for the plots can be downloaded by clicking on the links above each plot.
Notes and Disclaimers:
Version Information:
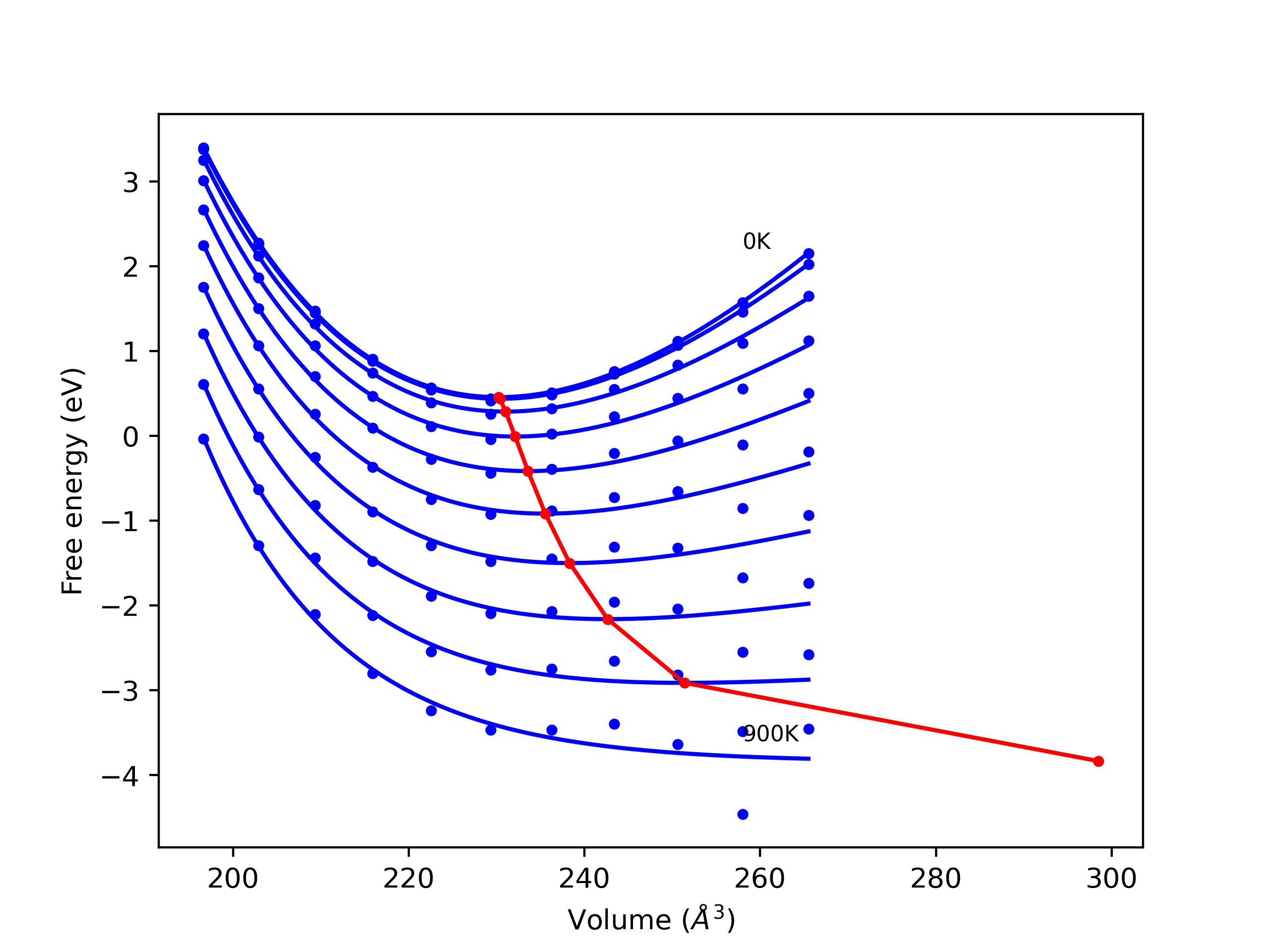
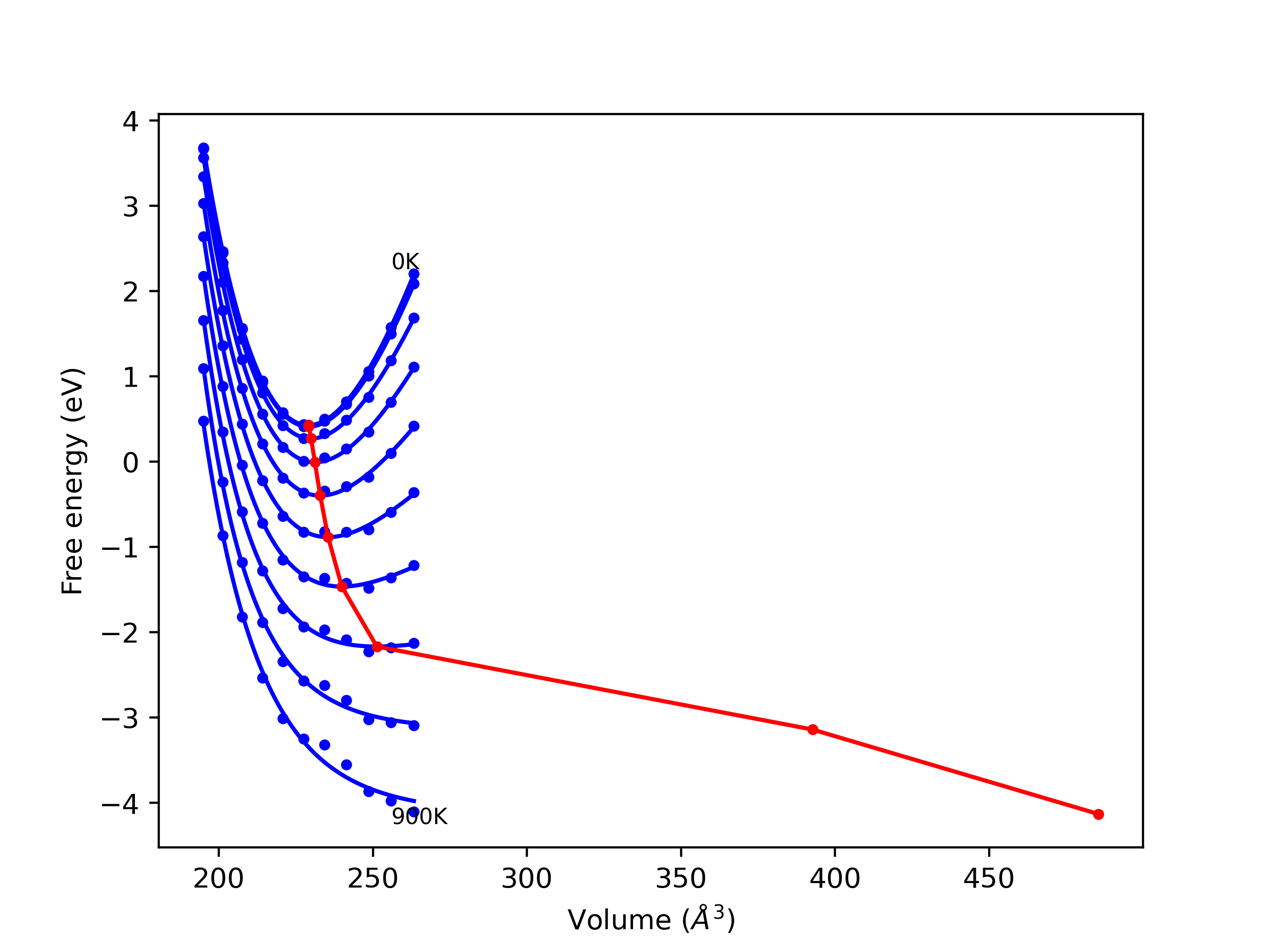
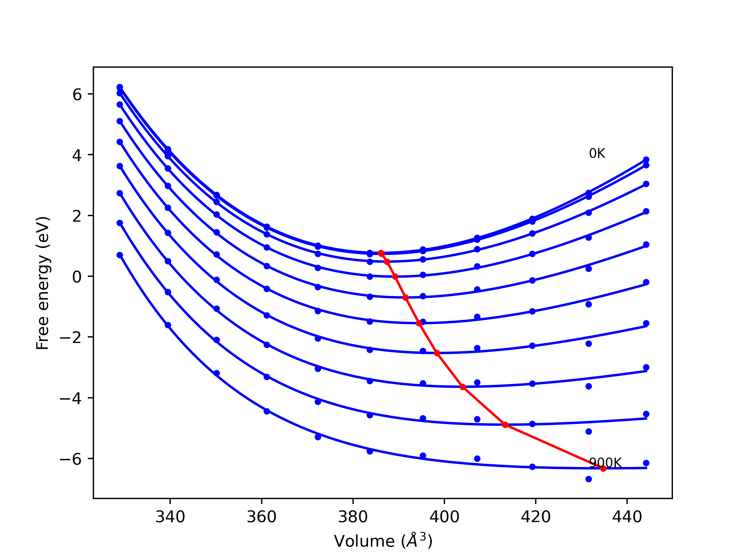
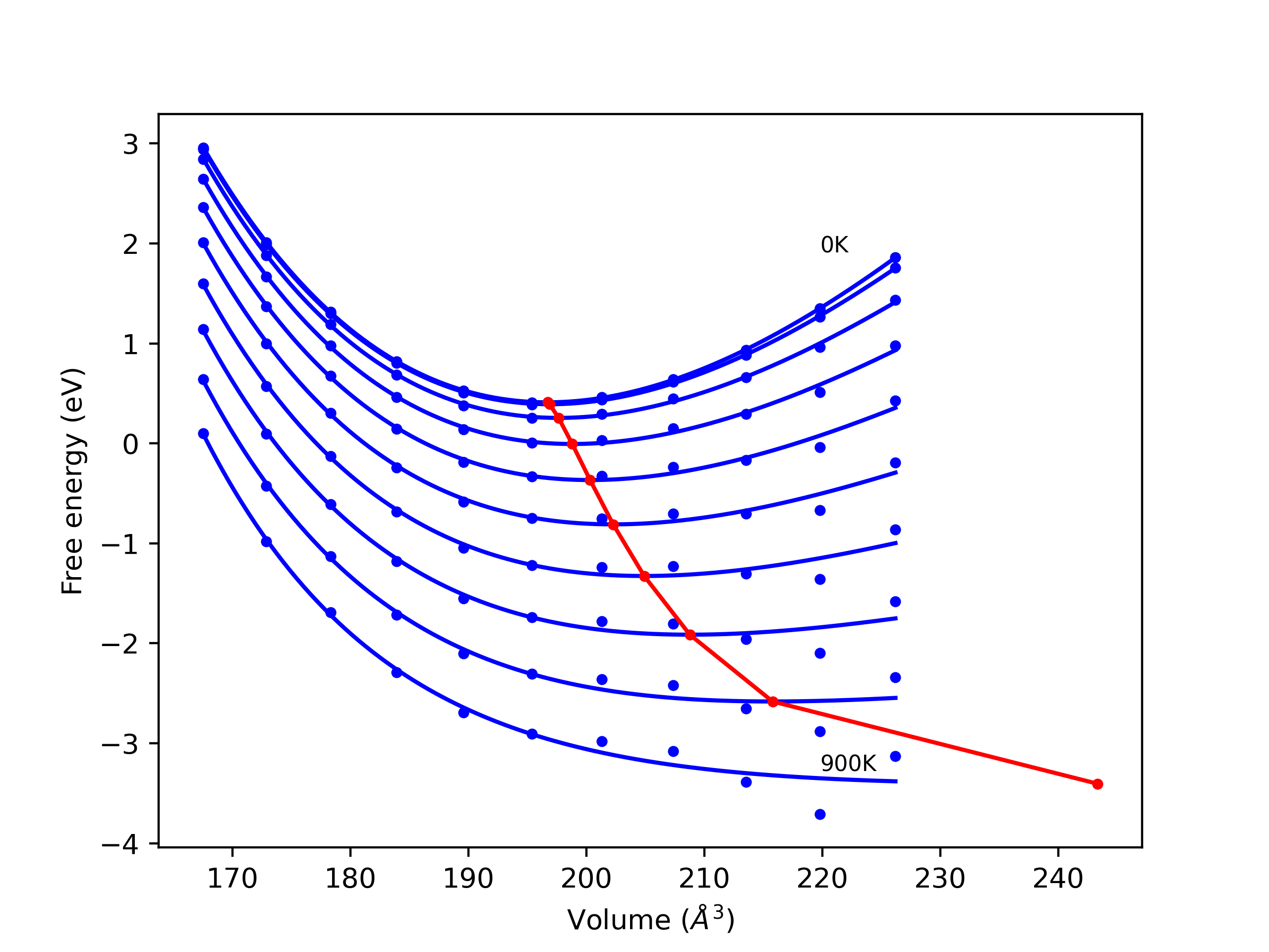
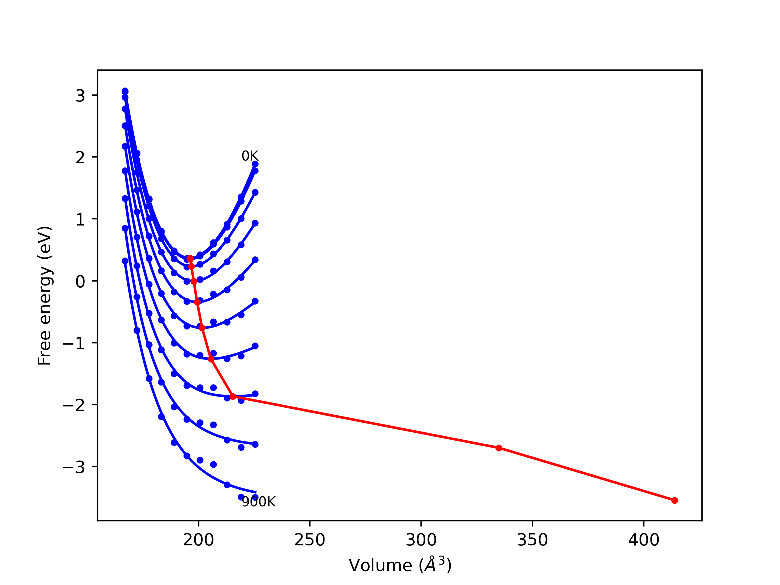
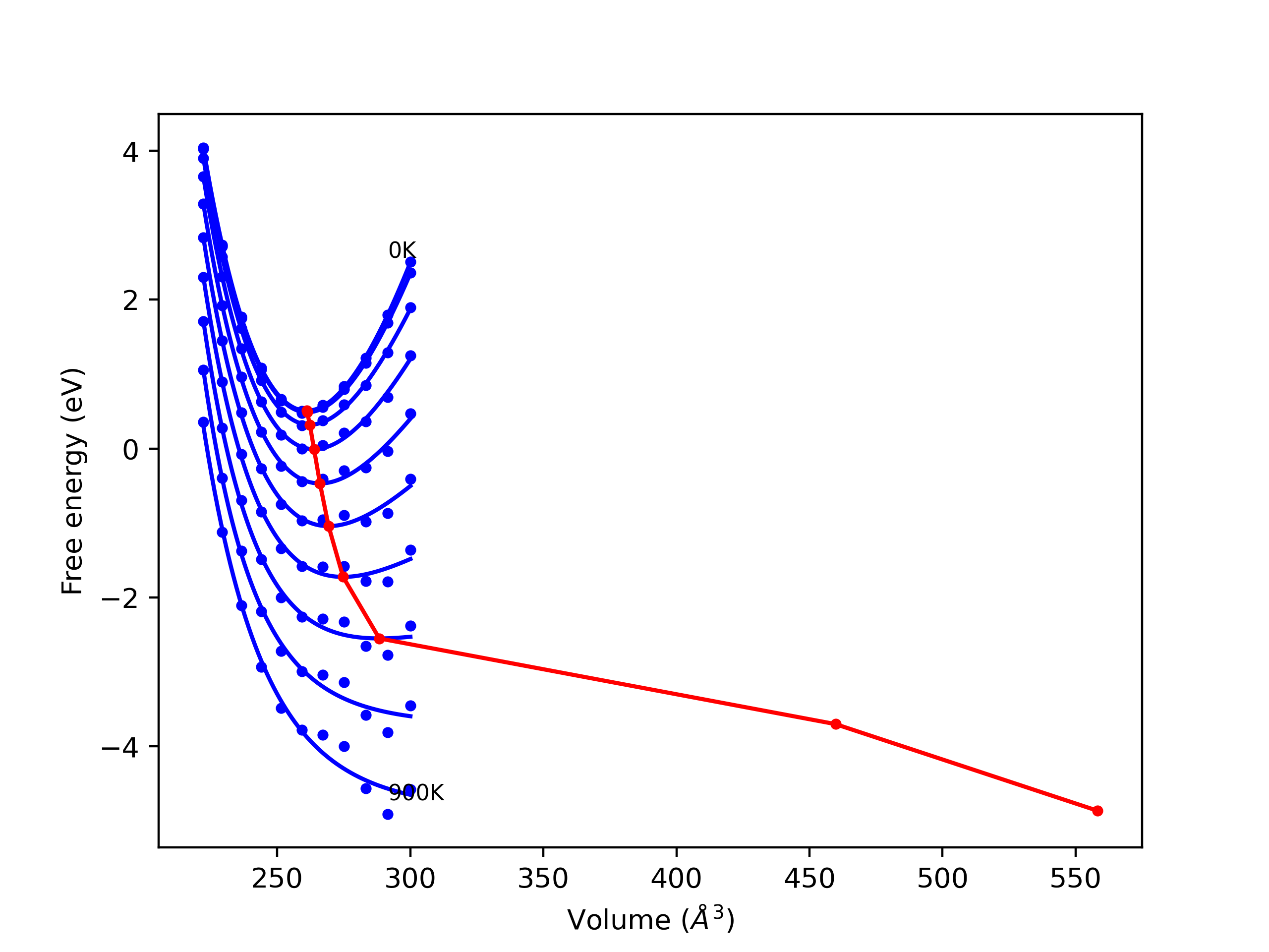
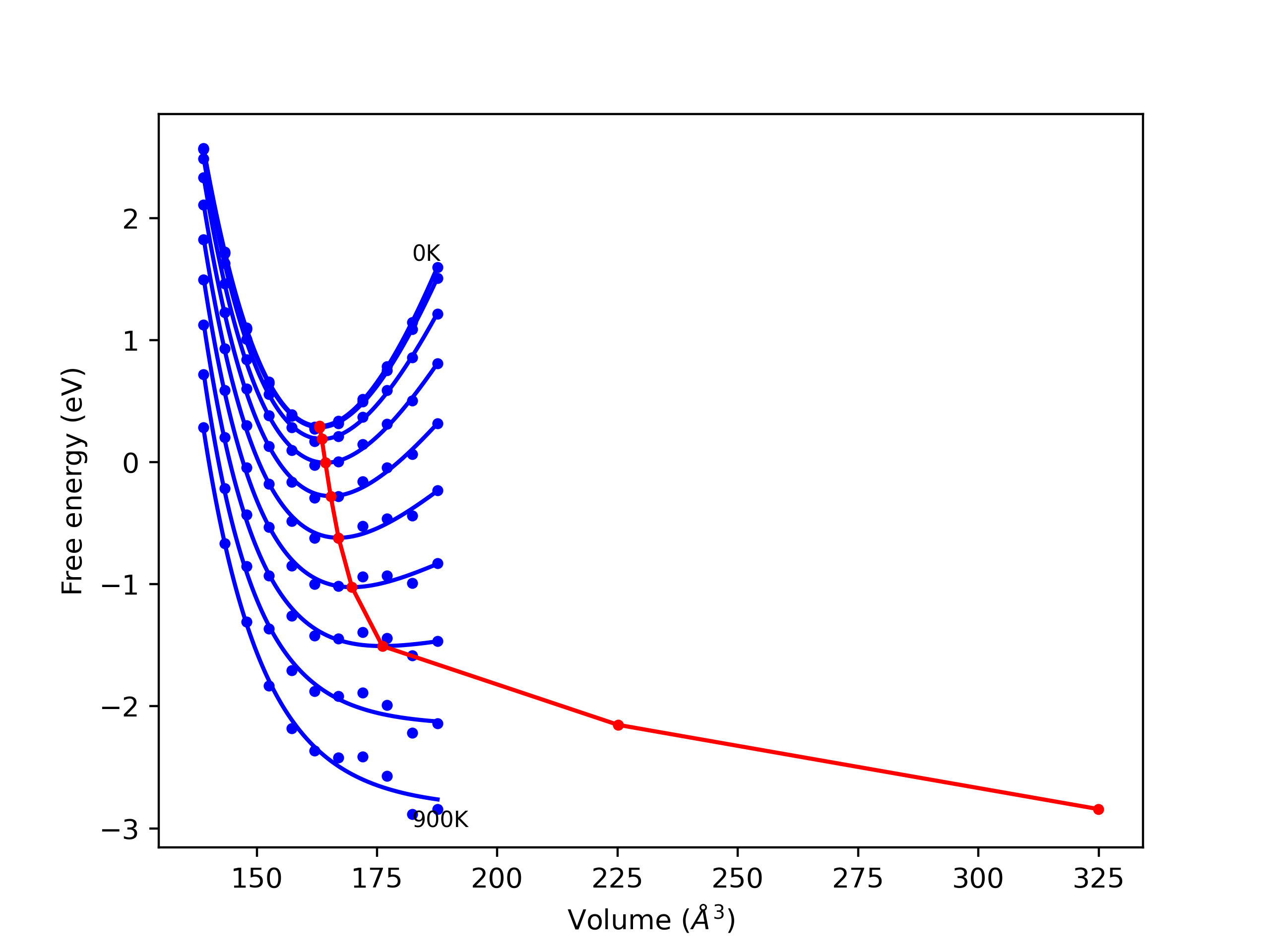
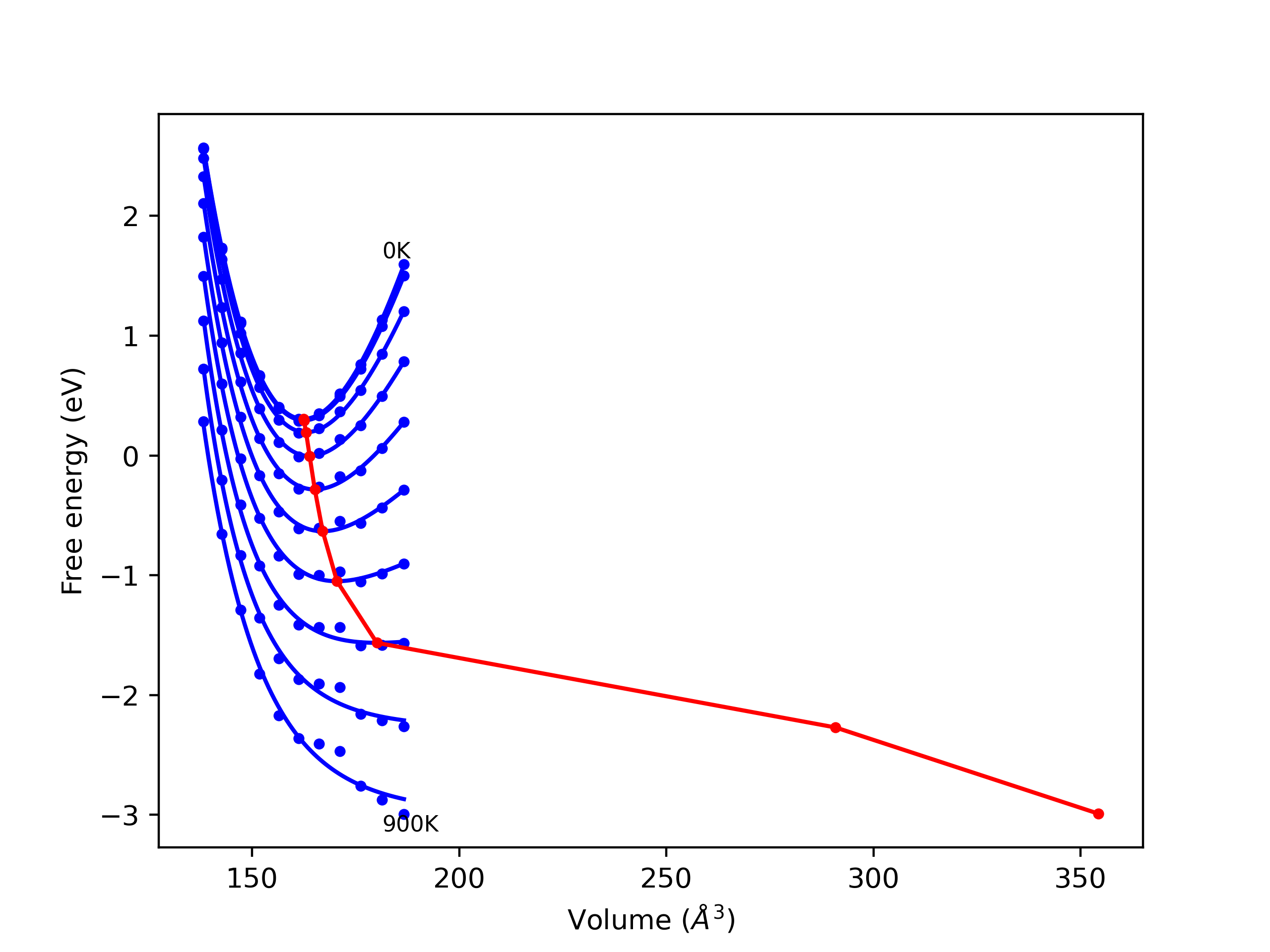
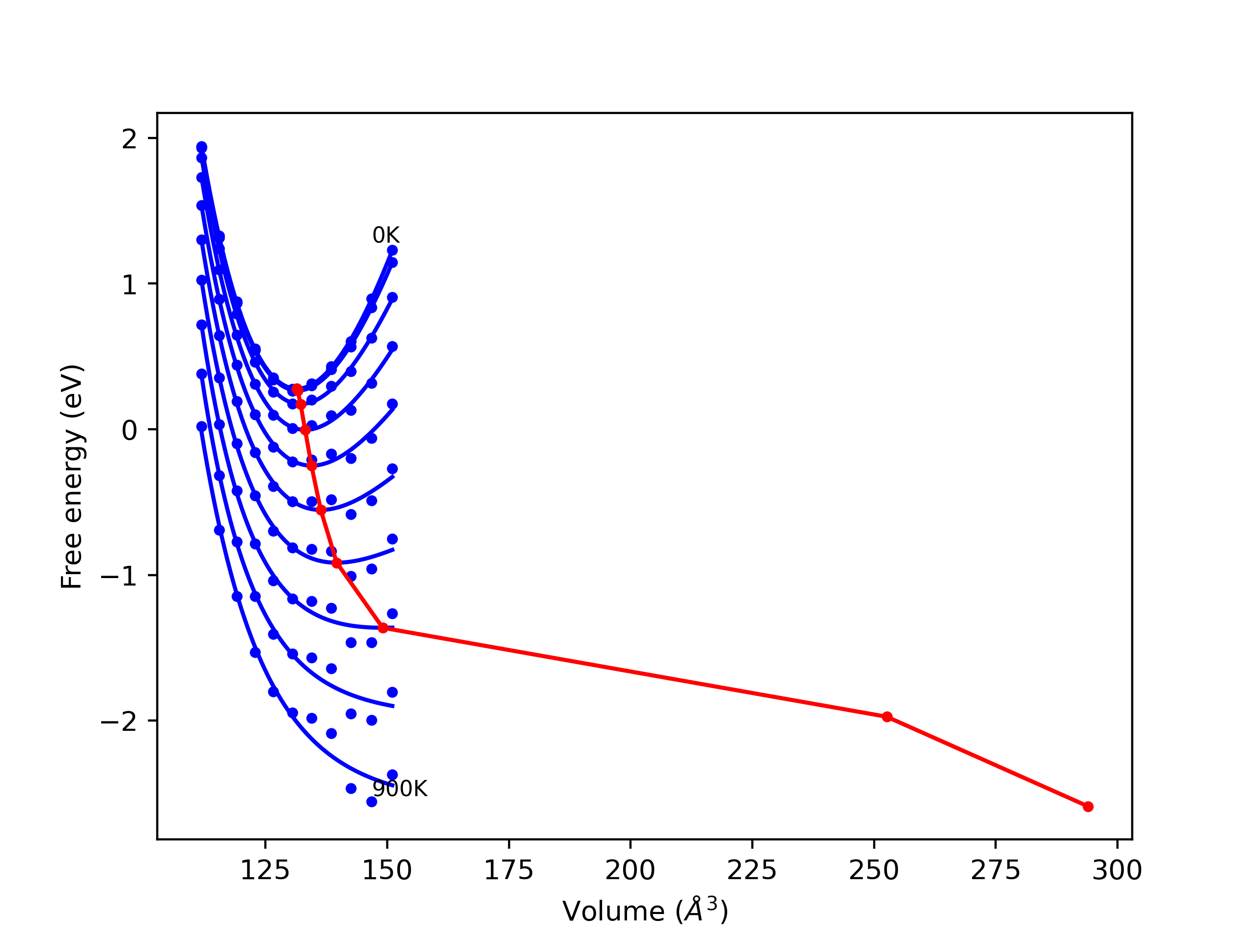
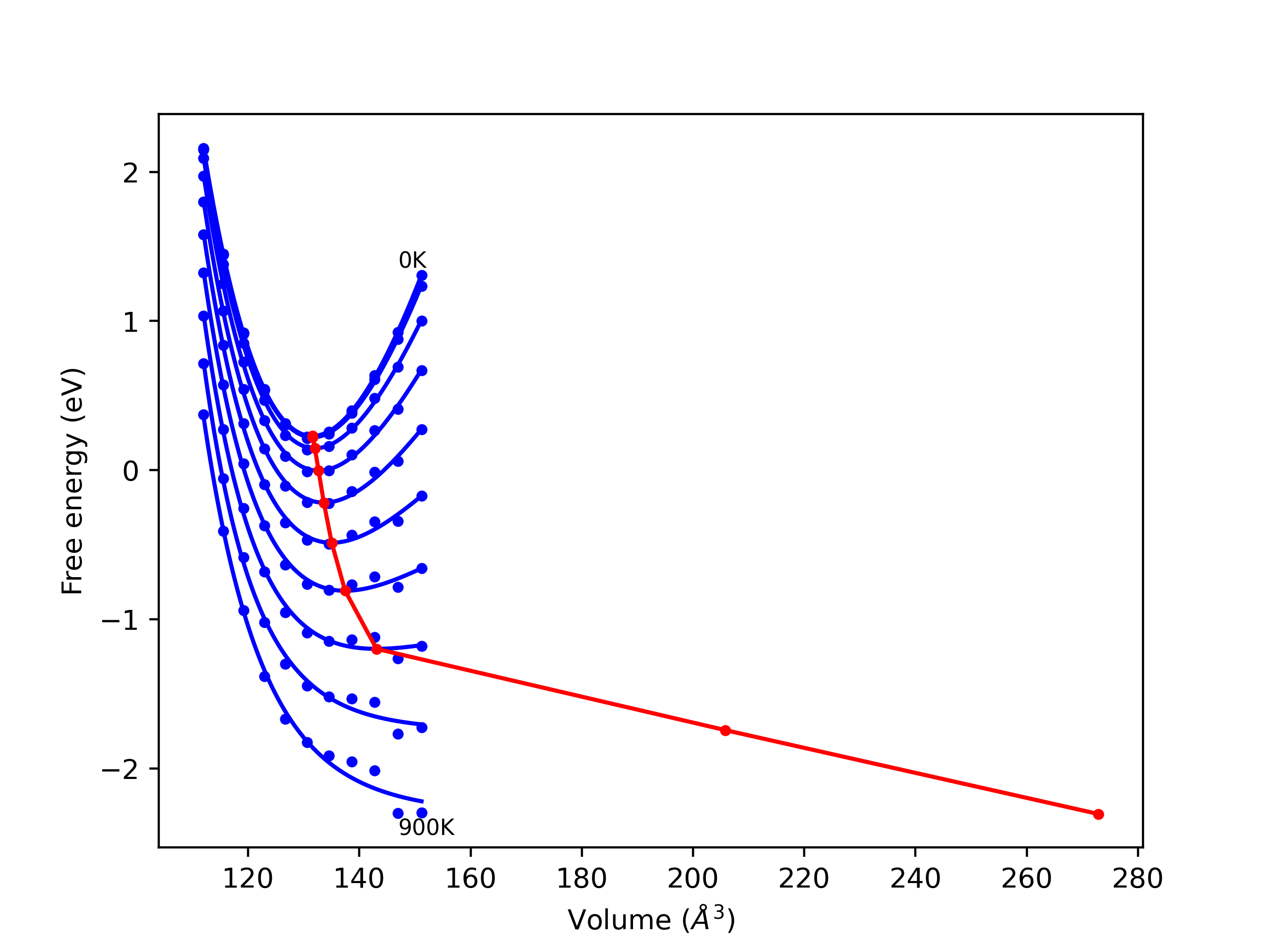
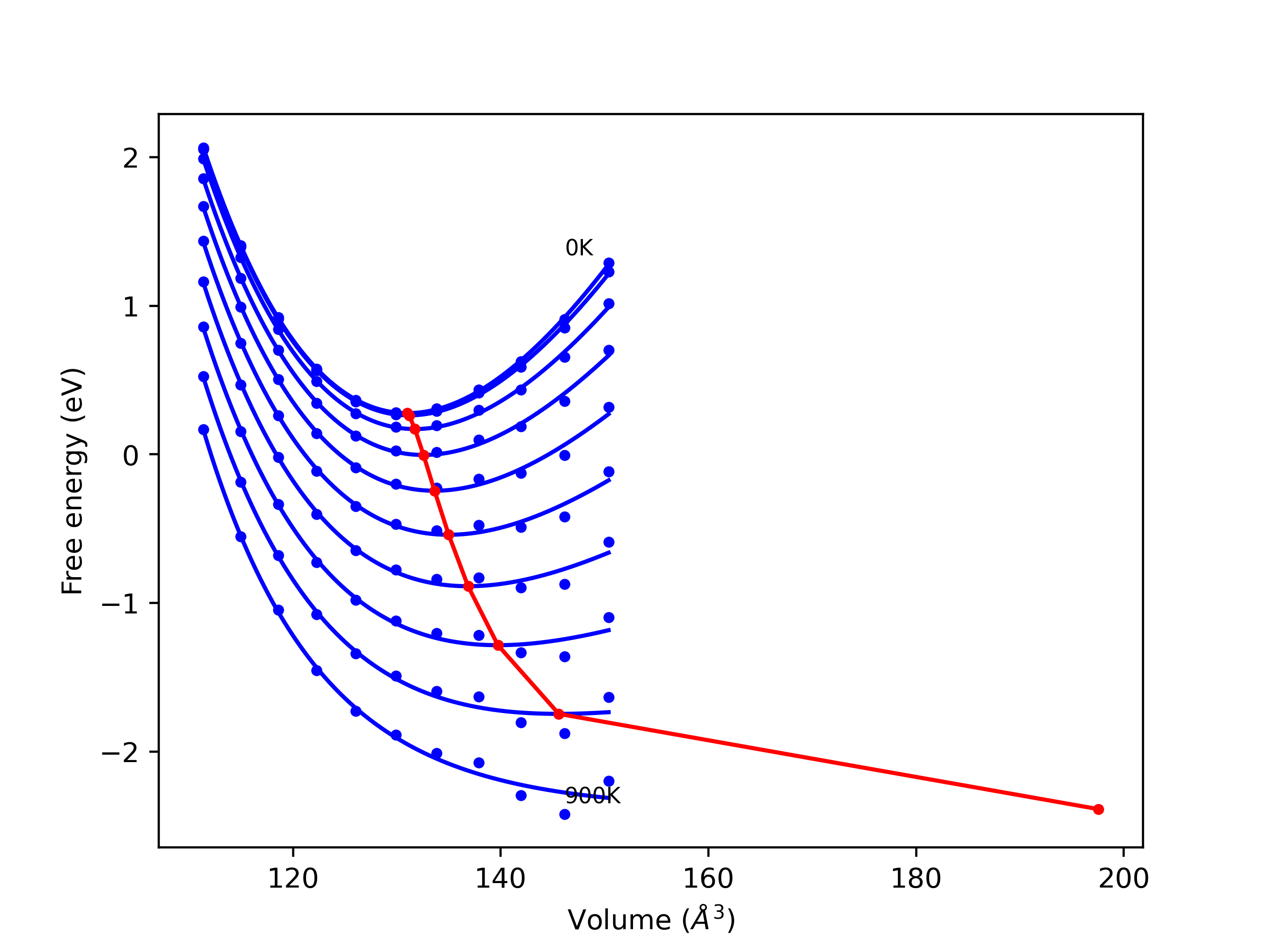
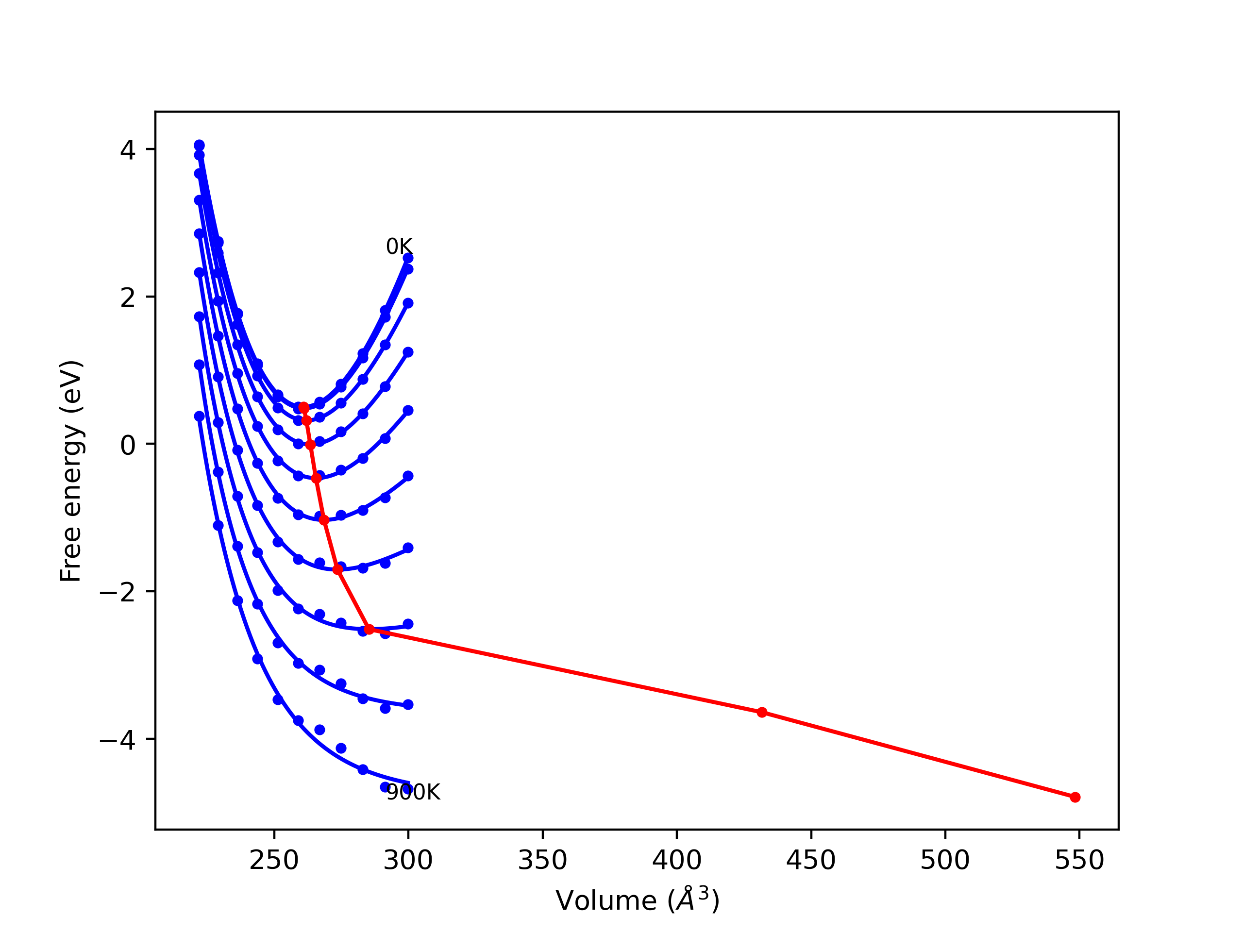
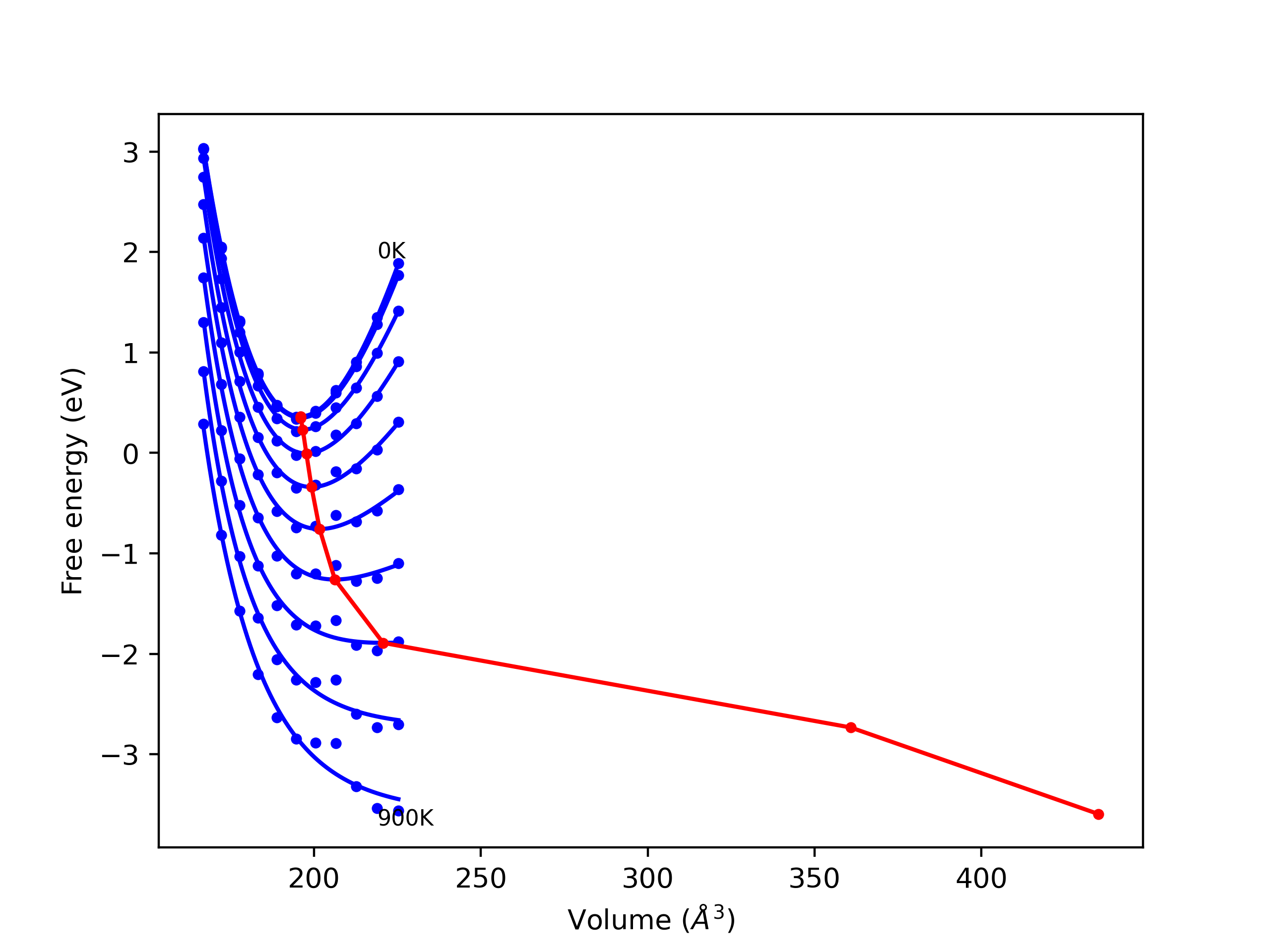
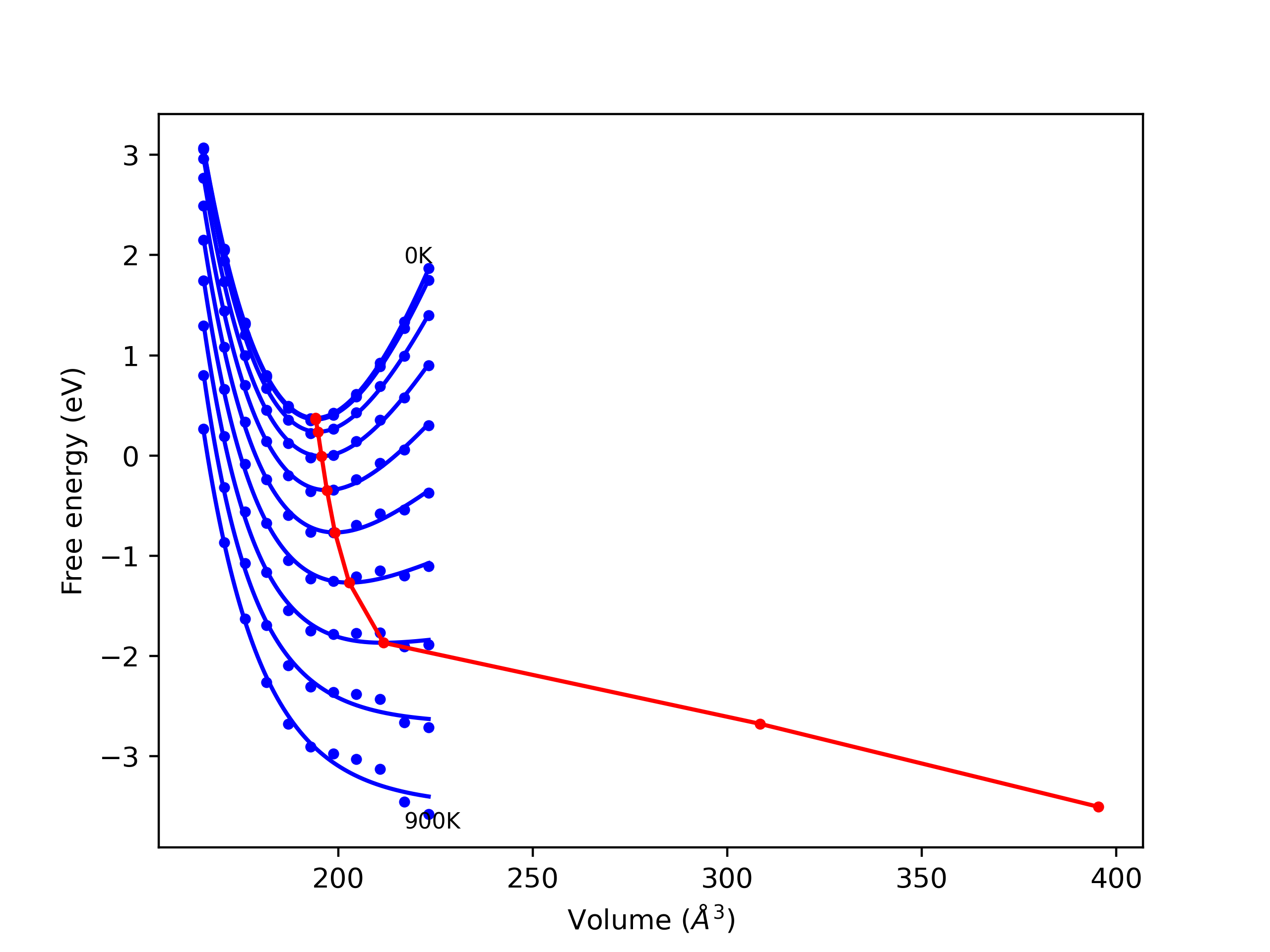
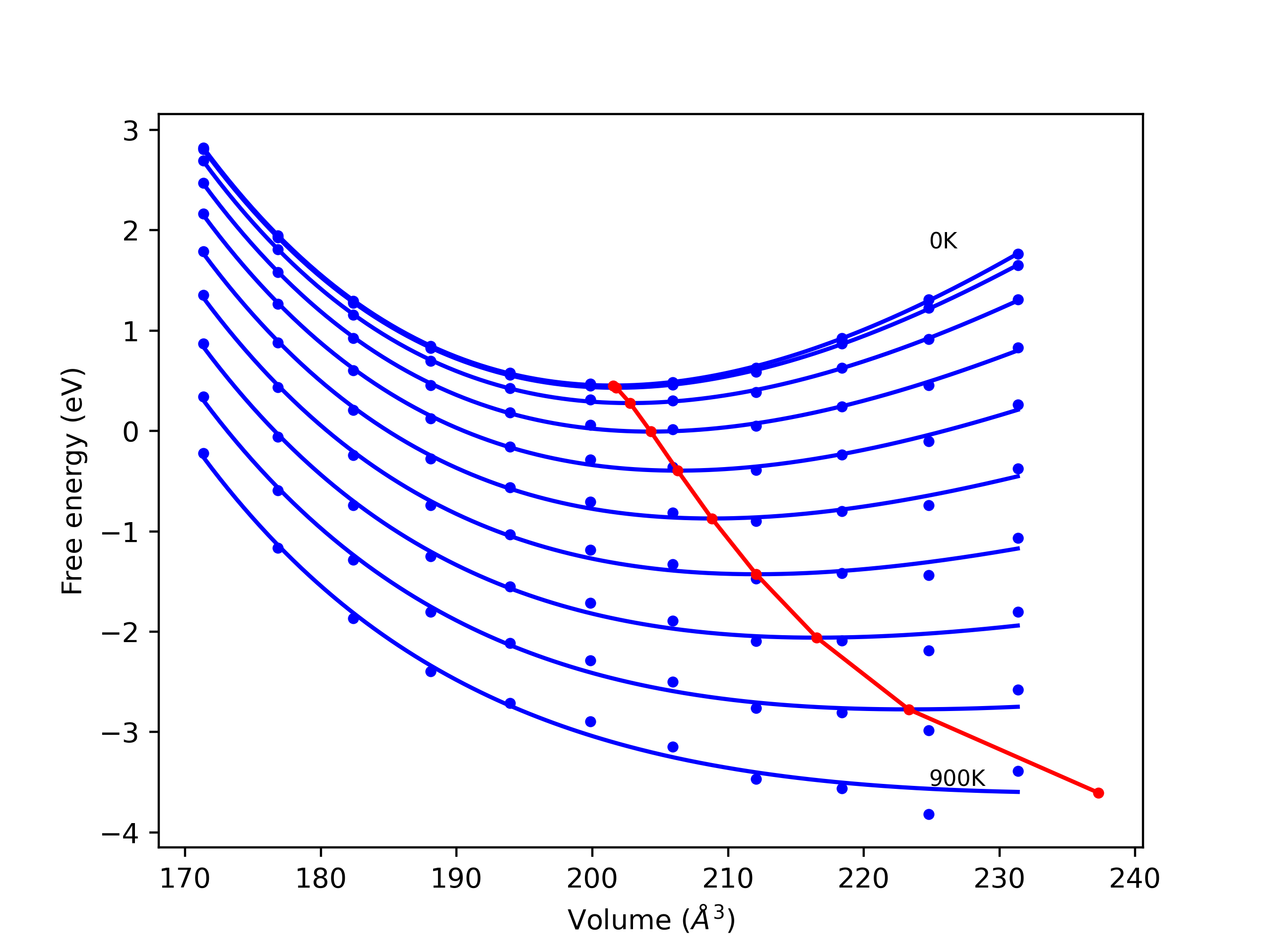
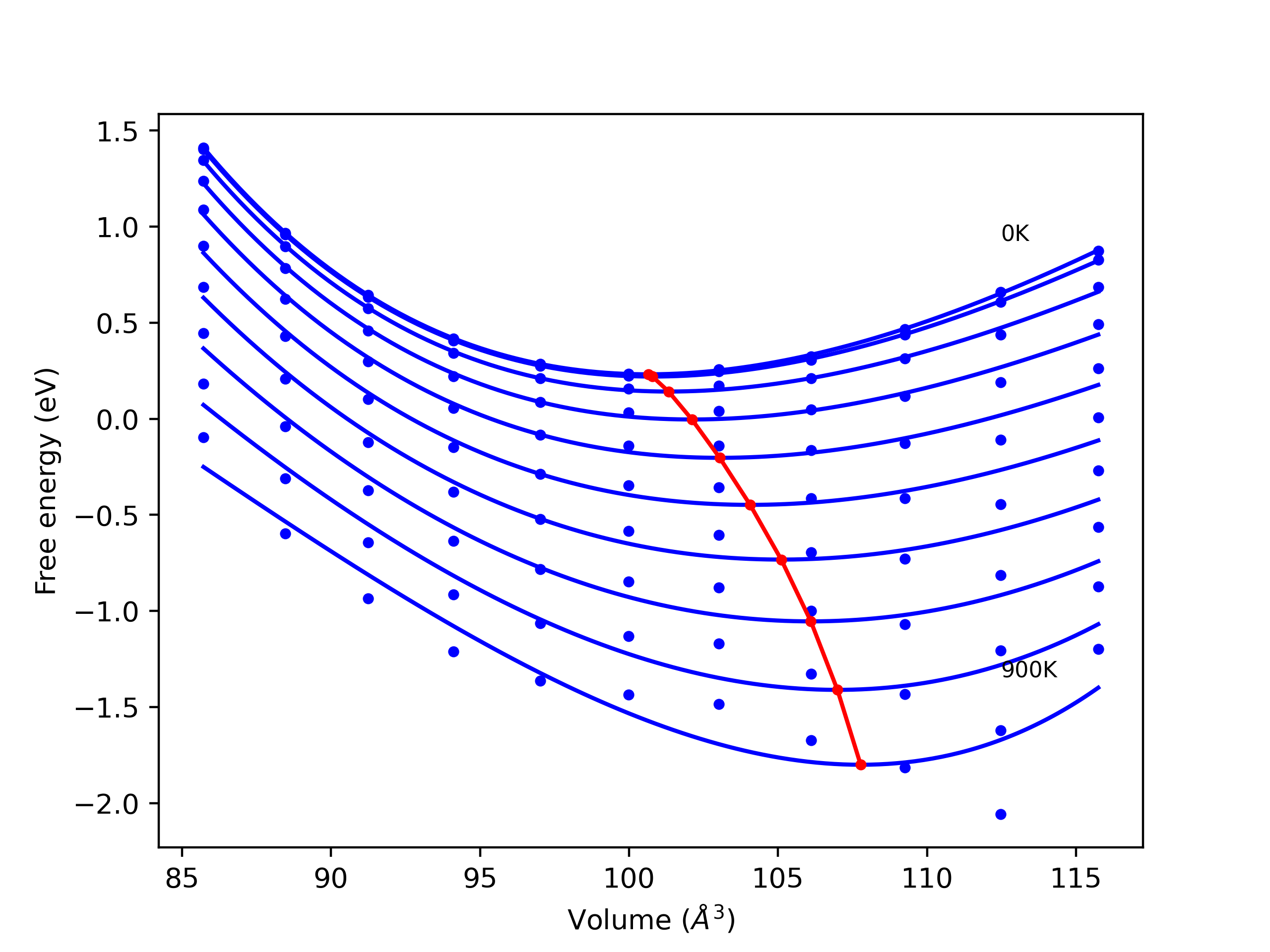
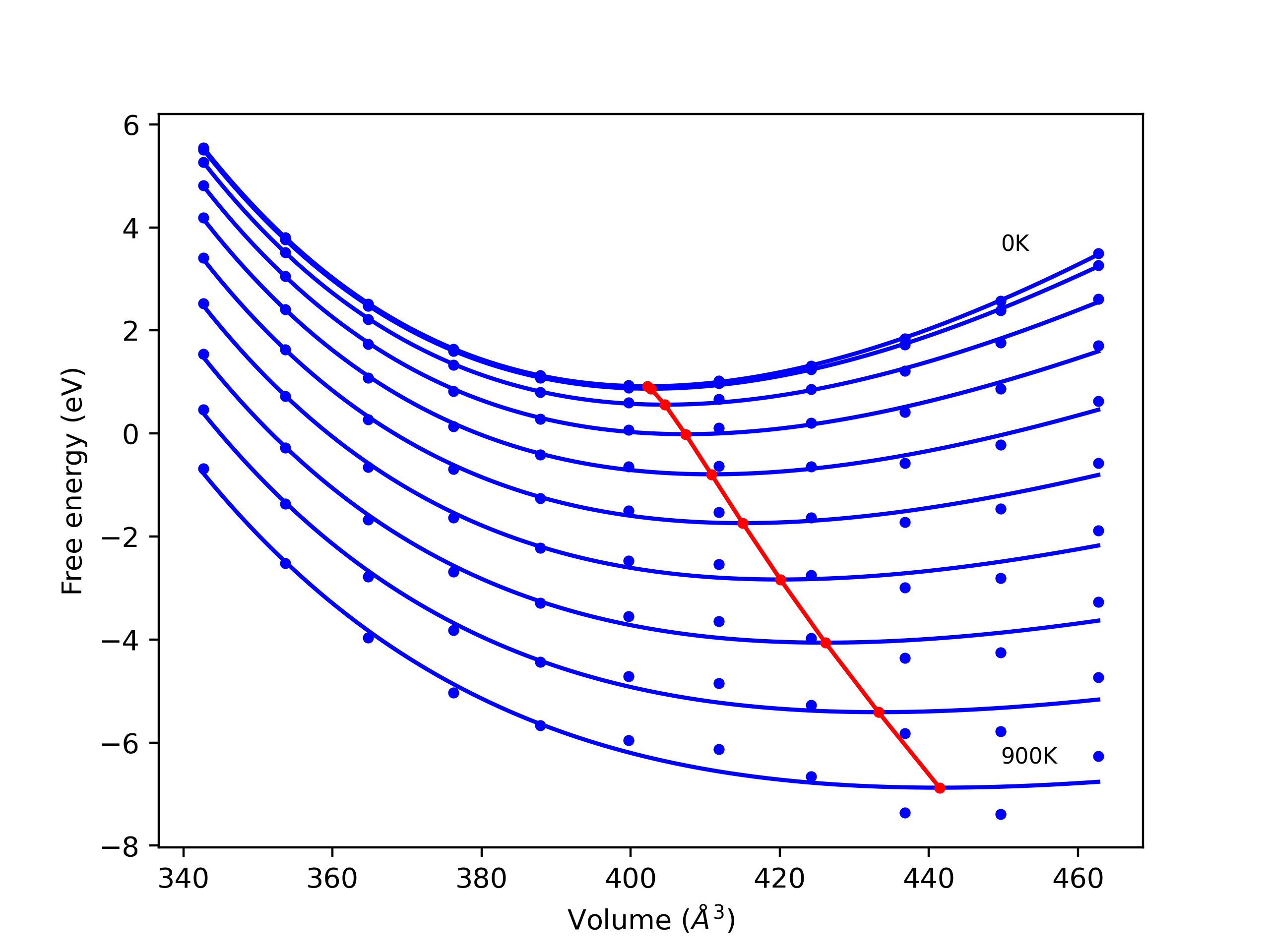
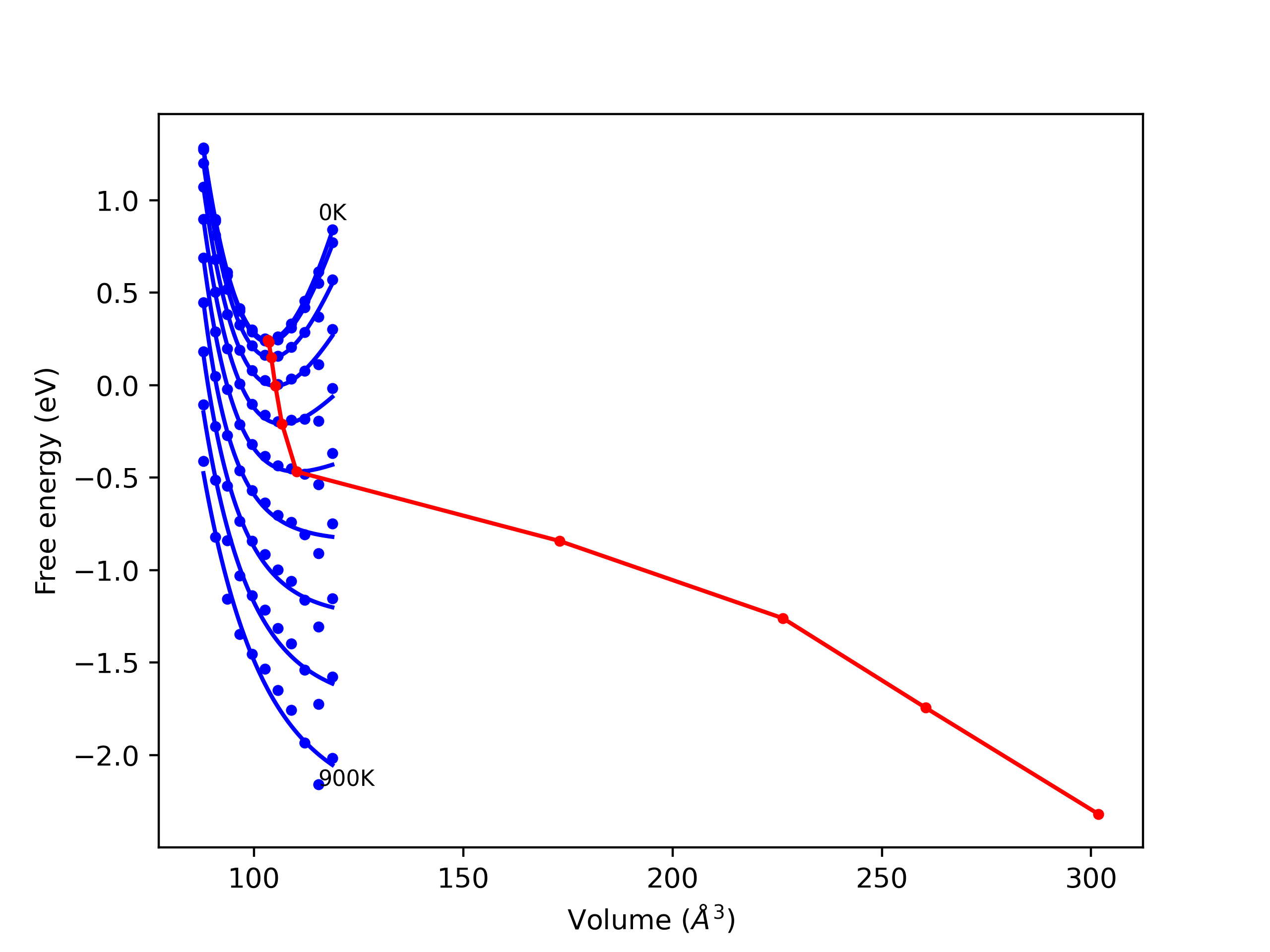
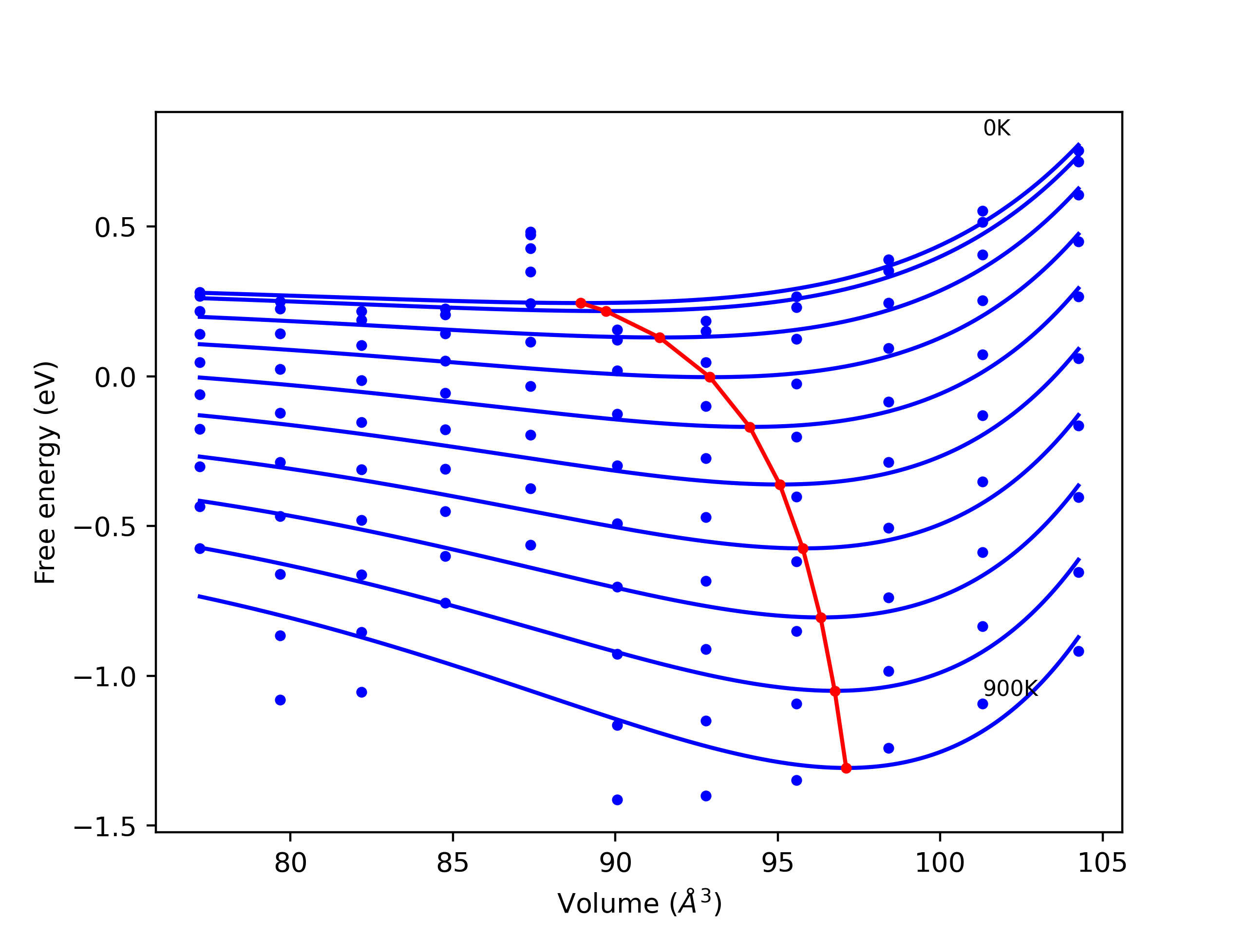
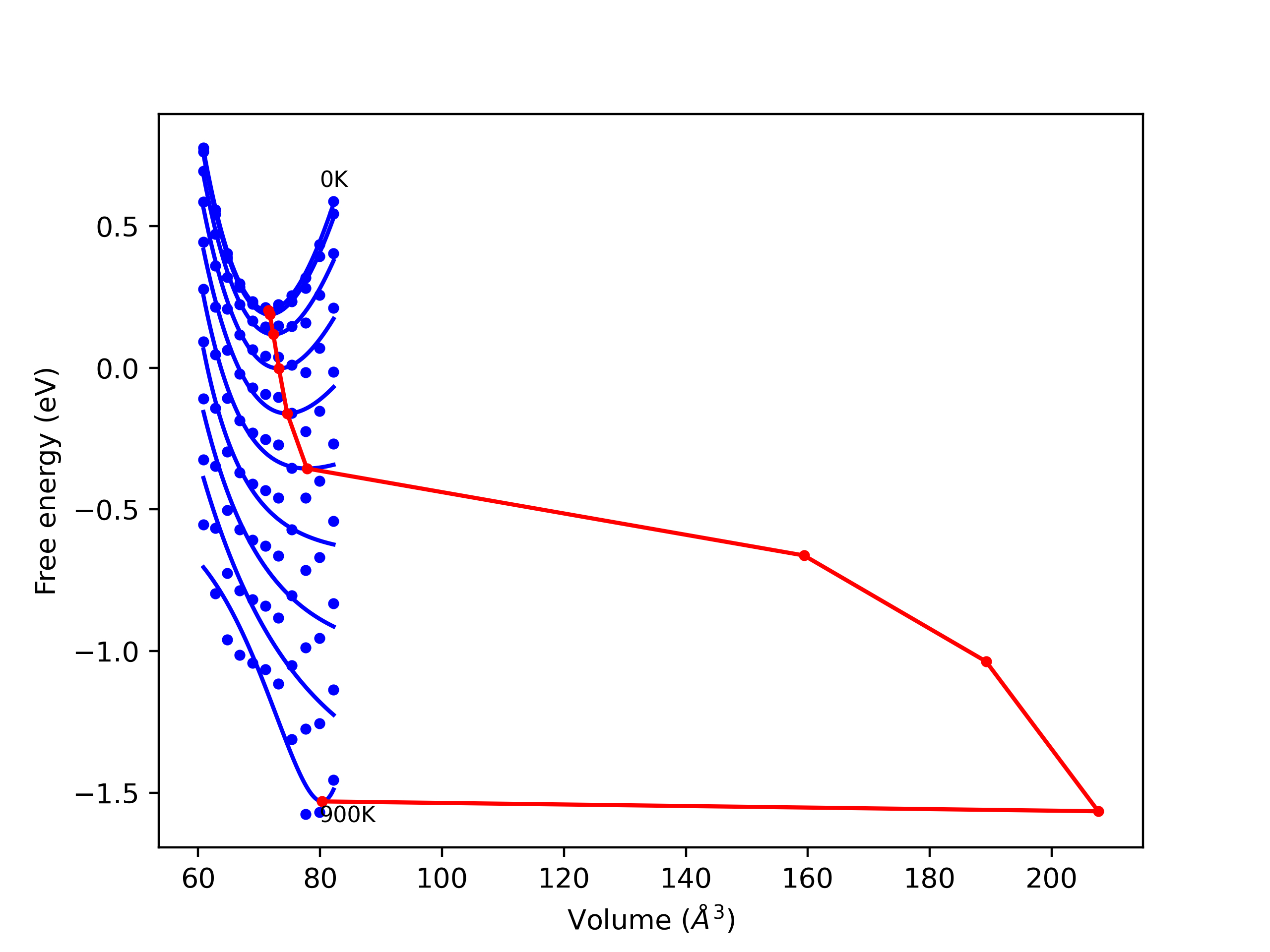
Plots of potential energy vs interatomic spacing, r, are shown below for a number of crystal structures. The structures are generated based on the ideal atomic positions and b/a and c/a lattice parameter ratios for a given crystal prototype. The size of the system is then uniformly scaled, and the energy calculated without relaxing the system. To obtain these plots, values of r are evaluated every 0.02 Å up to 6 Å.
The calculation method used is available as the iprPy E_vs_r_scan calculation method.
Clicking on the image of a plot will open an interactive version of it in a new tab. The underlying data for the plots can be downloaded by clicking on the links above each plot.
Notes and Disclaimers:
Version Information:
Computed lattice constants and cohesive/potential energies are displayed for a variety of crystal structures. The values displayed here are obtained using the following process.
The calculation methods used are implemented into iprPy as the following calculation styles
Notes and Disclaimers:
Version Information:
Download raw data (including filtered results)
Reference structure matches:
A1--Cu--fcc = mp-134, oqmd-8100, oqmd-1214503
A15--beta-W = oqmd-1214948, oqmd-1280406
A2--W--bcc = mp-998860, oqmd-1215126
A3'--alpha-La--double-hcp = mp-1183144, oqmd-1215394
A3--Mg--hcp = oqmd-1215215, oqmd-1215304
A4--C--dc = oqmd-1215483
A5--beta-Sn = oqmd-1215572
A6--In--bct = oqmd-1215661
| prototype | method | Ecoh (eV/atom) | Epot (eV/atom) | a0 (Å) | b0 (Å) | c0 (Å) | α (degrees) | β (degrees) | γ (degrees) |
|---|---|---|---|---|---|---|---|---|---|
| A1--Cu--fcc | dynamic | -3.2063 | -3.2063 | 3.8693 | 3.8693 | 3.8693 | 90.0 | 90.0 | 90.0 |
| A3'--alpha-La--double-hcp | dynamic | -3.2022 | -3.2022 | 2.739 | 2.739 | 8.8787 | 90.0 | 90.0 | 120.0 |
| oqmd-1216017 | dynamic | -3.201 | -3.201 | 2.7399 | 2.7399 | 19.9386 | 90.0 | 90.0 | 120.0 |
| oqmd-1216017 | static | -3.2009 | -3.2009 | 2.74 | 2.74 | 19.9366 | 90.0 | 90.0 | 120.0 |
| A3--Mg--hcp | dynamic | -3.1985 | -3.1985 | 2.7417 | 2.7417 | 4.414 | 90.0 | 90.0 | 120.0 |
| mp-1244953 | dynamic | -3.1702 | -3.1702 | 11.221 | 11.6063 | 11.8598 | 80.4 | 81.9 | 76.6 |
| mp-1245067 | dynamic | -3.1632 | -3.1632 | 10.7236 | 11.5796 | 12.1444 | 103.2 | 91.8 | 92.6 |
| A2--W--bcc | static | -3.1334 | -3.1334 | 3.0646 | 3.0646 | 3.0646 | 90.0 | 90.0 | 90.0 |
| oqmd-1214859 | dynamic | -3.1243 | -3.1243 | 6.6689 | 6.6689 | 6.6689 | 90.0 | 90.0 | 90.0 |
| oqmd-1214859 | box | -3.1239 | -3.1239 | 6.6588 | 6.6588 | 6.6588 | 90.0 | 90.0 | 90.0 |
| oqmd-1214770 | dynamic | -3.1198 | -3.1198 | 9.5218 | 9.5218 | 9.5218 | 90.0 | 90.0 | 90.0 |
| mp-1245129 | dynamic | -3.1187 | -3.1187 | 11.2781 | 11.4509 | 11.5724 | 84.2 | 89.3 | 89.0 |
| oqmd-1214770 | box | -3.1187 | -3.1187 | 9.5215 | 9.5215 | 9.5215 | 90.0 | 90.0 | 90.0 |
| mp-1245307 | dynamic | -3.1113 | -3.1113 | 11.4192 | 11.4263 | 11.5139 | 88.5 | 85.3 | 85.0 |
| mp-1245129 | static | -3.0986 | -3.0986 | 11.0627 | 11.3204 | 12.121 | 83.1 | 86.5 | 86.4 |
| mp-1244953 | static | -3.0942 | -3.0942 | 11.0416 | 11.759 | 11.8366 | 89.3 | 78.8 | 85.8 |
| mp-1245152 | static | -3.091 | -3.091 | 11.1868 | 11.4721 | 11.8128 | 87.8 | 89.3 | 83.7 |
| A15--beta-W | static | -3.0888 | -3.0888 | 4.936 | 4.936 | 4.936 | 90.0 | 90.0 | 90.0 |
| mp-1245307 | static | -3.0778 | -3.0778 | 11.3973 | 11.4257 | 11.6852 | 92.6 | 92.7 | 93.4 |
| mp-1245129 | box | -3.0706 | -3.0706 | 11.1828 | 11.5537 | 11.8763 | 94.0 | 92.4 | 96.3 |
| mp-1245067 | static | -3.0653 | -3.0653 | 11.2353 | 11.6127 | 11.8681 | 96.2 | 97.3 | 90.2 |
| mp-1244953 | box | -3.0632 | -3.0632 | 11.4854 | 11.5299 | 11.7124 | 86.1 | 80.4 | 87.1 |
| mp-1245152 | box | -3.0612 | -3.0612 | 11.374 | 11.5343 | 11.7034 | 92.0 | 91.8 | 95.9 |
| mp-1245307 | box | -3.0495 | -3.0495 | 11.4435 | 11.5977 | 11.6049 | 90.7 | 92.4 | 94.0 |
| oqmd-1215037 | box | -3.0459 | -3.0459 | 2.7128 | 4.585 | 9.8636 | 90.0 | 90.0 | 90.0 |
| mp-1245067 | box | -3.0375 | -3.0375 | 11.4323 | 11.6999 | 11.7128 | 92.6 | 97.7 | 93.9 |
| A5--beta-Sn | static | -2.8852 | -2.8852 | 5.0268 | 5.0268 | 2.5806 | 90.0 | 90.0 | 90.0 |
| Ah--alpha-Po--sc | static | -2.8038 | -2.8038 | 2.5721 | 2.5721 | 2.5721 | 90.0 | 90.0 | 90.0 |
| oqmd-1214681 | box | -2.7881 | -2.7881 | 4.1526 | 7.9825 | 4.1901 | 90.0 | 90.0 | 90.0 |
| mp-1239196 | static | -2.4853 | -2.4853 | 3.5784 | 3.5784 | 12.799 | 90.0 | 90.0 | 90.0 |
| mp-1239196 | box | -2.4728 | -2.4728 | 3.6154 | 3.6154 | 12.7484 | 90.0 | 90.0 | 90.0 |
| A7--alpha-As | box | -2.3873 | -2.3873 | 3.3841 | 3.3841 | 11.7222 | 90.0 | 90.0 | 120.0 |
| oqmd-1215928 | box | -2.384 | -2.384 | 4.3061 | 4.3061 | 4.8512 | 90.0 | 90.0 | 120.0 |
| A4--C--dc | static | -2.0992 | -2.0992 | 5.698 | 5.698 | 5.698 | 90.0 | 90.0 | 90.0 |
Download raw data (including filtered results)
Reference structure matches:
| prototype | method | Ecoh (eV/atom) | Epot (eV/atom) | a0 (Å) | b0 (Å) | c0 (Å) | α (degrees) | β (degrees) | γ (degrees) |
|---|---|---|---|---|---|---|---|---|---|
| mp-1217111 | dynamic | -4.0271 | -4.0271 | 3.9434 | 3.9434 | 16.1177 | 90.0 | 90.0 | 90.0 |
| mp-1217111 | box | -4.0098 | -4.0098 | 3.9438 | 3.9438 | 16.2046 | 90.0 | 90.0 | 90.0 |
Download raw data (including filtered results)
Reference structure matches:
| prototype | method | Ecoh (eV/atom) | Epot (eV/atom) | a0 (Å) | b0 (Å) | c0 (Å) | α (degrees) | β (degrees) | γ (degrees) |
|---|---|---|---|---|---|---|---|---|---|
| C1--CaF2--fluorite | static | -13.6754 | -13.6754 | 4.3409 | 4.3409 | 4.3409 | 90.0 | 90.0 | 90.0 |
| C1--CaF2--fluorite | static | -5.2921 | -5.2921 | 5.7274 | 5.7274 | 5.7274 | 90.0 | 90.0 | 90.0 |
| C1--CaF2--fluorite | static | -4.6853 | -4.6853 | 5.9084 | 5.9084 | 5.9084 | 90.0 | 90.0 | 90.0 |
| C1--CaF2--fluorite | static | -0.1915 | -0.1915 | 10.9624 | 10.9624 | 10.9624 | 90.0 | 90.0 | 90.0 |
| C1--CaF2--fluorite | box | -0.0001 | -0.0001 | 11.0563 | 11.0563 | 11.0563 | 90.0 | 90.0 | 90.0 |
| C1--CaF2--fluorite | box | 0.0 | 0.0 | 11.111 | 11.111 | 11.111 | 90.0 | 90.0 | 90.0 |
Download raw data (including filtered results)
Reference structure matches:
| prototype | method | Ecoh (eV/atom) | Epot (eV/atom) | a0 (Å) | b0 (Å) | c0 (Å) | α (degrees) | β (degrees) | γ (degrees) |
|---|---|---|---|---|---|---|---|---|---|
| L2_1--AlCu2Mn--heusler | dynamic | -5.598 | -5.598 | 6.5654 | 6.5654 | 6.5654 | 90.0 | 90.0 | 90.0 |
| L2_1--AlCu2Mn--heusler | static | -5.0536 | -5.0536 | 5.7274 | 5.7274 | 5.7274 | 90.0 | 90.0 | 90.0 |
| L2_1--AlCu2Mn--heusler | static | -4.9404 | -4.9404 | 4.6893 | 4.6893 | 4.6893 | 90.0 | 90.0 | 90.0 |
| L2_1--AlCu2Mn--heusler | box | -3.6914 | -3.6914 | 5.1136 | 5.1136 | 5.1136 | 90.0 | 90.0 | 90.0 |
| L2_1--AlCu2Mn--heusler | box | -0.0462 | -0.0462 | 11.9811 | 11.9811 | 11.9811 | 90.0 | 90.0 | 90.0 |
Download raw data (including filtered results)
Reference structure matches:
| prototype | method | Ecoh (eV/atom) | Epot (eV/atom) | a0 (Å) | b0 (Å) | c0 (Å) | α (degrees) | β (degrees) | γ (degrees) |
|---|---|---|---|---|---|---|---|---|---|
| mp-1208228 | box | -5.2071 | -5.2071 | 4.6128 | 4.6128 | 5.5723 | 90.0 | 90.0 | 120.0 |
Download raw data (including filtered results)
Reference structure matches:
| prototype | method | Ecoh (eV/atom) | Epot (eV/atom) | a0 (Å) | b0 (Å) | c0 (Å) | α (degrees) | β (degrees) | γ (degrees) |
|---|---|---|---|---|---|---|---|---|---|
| mp-11809 | dynamic | -4.0767 | -4.0767 | 3.945 | 11.8523 | 4.0227 | 90.0 | 90.0 | 90.0 |
| mp-567705 | dynamic | -4.0758 | -4.0758 | 3.9825 | 3.9825 | 23.7253 | 90.0 | 90.0 | 90.0 |
| mp-567705 | static | -4.0758 | -4.0758 | 3.9825 | 3.9825 | 23.7256 | 90.0 | 90.0 | 90.0 |
| oqmd-18195 | box | -4.045 | -4.045 | 3.9618 | 12.1145 | 3.9901 | 90.0 | 90.0 | 90.0 |
| mp-11809 | box | -4.0444 | -4.0444 | 3.9639 | 12.105 | 3.9896 | 90.0 | 90.0 | 90.0 |
| oqmd-18487 | box | -4.0418 | -4.0418 | 3.9748 | 3.9748 | 24.28 | 90.0 | 90.0 | 90.0 |
| mp-567705 | box | -4.0412 | -4.0412 | 3.9756 | 3.9756 | 24.2636 | 90.0 | 90.0 | 90.0 |
| C1--CaF2--fluorite | static | -3.4675 | -3.4675 | 6.2283 | 6.2283 | 6.2283 | 90.0 | 90.0 | 90.0 |
| oqmd-1231523 | box | -3.0384 | -3.0384 | 5.4805 | 5.4805 | 4.7209 | 90.0 | 90.0 | 90.0 |
Download raw data (including filtered results)
Reference structure matches:
| prototype | method | Ecoh (eV/atom) | Epot (eV/atom) | a0 (Å) | b0 (Å) | c0 (Å) | α (degrees) | β (degrees) | γ (degrees) |
|---|---|---|---|---|---|---|---|---|---|
| oqmd-425601 | static | -4.1403 | -4.1403 | 4.8111 | 4.8111 | 28.0782 | 90.0 | 90.0 | 120.0 |
| oqmd-425601 | box | -4.1344 | -4.1344 | 4.8102 | 4.8102 | 28.1995 | 90.0 | 90.0 | 120.0 |
Download raw data (including filtered results)
Reference structure matches:
| prototype | method | Ecoh (eV/atom) | Epot (eV/atom) | a0 (Å) | b0 (Å) | c0 (Å) | α (degrees) | β (degrees) | γ (degrees) |
|---|---|---|---|---|---|---|---|---|---|
| A15--Cr3Si | static | -7.1275 | -7.1275 | 3.494 | 3.494 | 3.494 | 90.0 | 90.0 | 90.0 |
| L1_2--AuCu3 | static | -6.8685 | -6.8685 | 2.7644 | 2.7644 | 2.7644 | 90.0 | 90.0 | 90.0 |
| D0_3--BiF3 | static | -6.1809 | -6.1809 | 4.4652 | 4.4652 | 4.4652 | 90.0 | 90.0 | 90.0 |
| L1_2--AuCu3 | static | -5.3257 | -5.3257 | 3.8758 | 3.8758 | 3.8758 | 90.0 | 90.0 | 90.0 |
| D0_3--BiF3 | static | -5.1125 | -5.1125 | 5.7274 | 5.7274 | 5.7274 | 90.0 | 90.0 | 90.0 |
| A15--Cr3Si | static | -4.9979 | -4.9979 | 4.9413 | 4.9413 | 4.9413 | 90.0 | 90.0 | 90.0 |
| mp-1842 | dynamic | -4.9813 | -4.9813 | 4.1673 | 4.1673 | 6.8945 | 90.0 | 90.0 | 90.0 |
| D0_3--BiF3 | static | -4.9812 | -4.9812 | 6.203 | 6.203 | 6.203 | 90.0 | 90.0 | 90.0 |
| mp-1842 | box | -4.9806 | -4.9806 | 4.2554 | 4.2554 | 6.6066 | 90.0 | 90.0 | 90.0 |
| mp-1842 | static | -4.9691 | -4.9691 | 3.8841 | 3.8841 | 7.721 | 90.0 | 90.0 | 90.0 |
| L1_2--AuCu3 | dynamic | -4.8928 | -4.8928 | 3.9256 | 3.9256 | 3.9256 | 90.0 | 90.0 | 90.0 |
| D0_3--BiF3 | static | -4.7952 | -4.7952 | 5.4814 | 5.4814 | 5.4814 | 90.0 | 90.0 | 90.0 |
| A15--Cr3Si | static | -4.0951 | -4.0951 | 4.1434 | 4.1434 | 4.1434 | 90.0 | 90.0 | 90.0 |
| D0_3--BiF3 | box | -4.0335 | -4.0335 | 4.9745 | 4.9745 | 4.9745 | 90.0 | 90.0 | 90.0 |
| A15--Cr3Si | box | -3.741 | -3.741 | 3.9147 | 3.9147 | 3.9147 | 90.0 | 90.0 | 90.0 |
| A15--Cr3Si | static | -0.362 | -0.362 | 8.4564 | 8.4564 | 8.4564 | 90.0 | 90.0 | 90.0 |
| L1_2--AuCu3 | box | -0.3137 | -0.3137 | 6.6593 | 6.6593 | 6.6593 | 90.0 | 90.0 | 90.0 |
| D0_3--BiF3 | box | -0.2111 | -0.2111 | 10.8332 | 10.8332 | 10.8332 | 90.0 | 90.0 | 90.0 |
Download raw data (including filtered results)
Reference structure matches:
D0_3--BiF3 = oqmd-312158
L1_2--AuCu3 = mp-998981, oqmd-21316
| prototype | method | Ecoh (eV/atom) | Epot (eV/atom) | a0 (Å) | b0 (Å) | c0 (Å) | α (degrees) | β (degrees) | γ (degrees) |
|---|---|---|---|---|---|---|---|---|---|
| L1_2--AuCu3 | dynamic | -3.9156 | -3.9156 | 3.9602 | 3.9602 | 3.9602 | 90.0 | 90.0 | 90.0 |
| oqmd-323620 | dynamic | -3.8938 | -3.8938 | 5.5943 | 5.5943 | 4.5869 | 90.0 | 90.0 | 120.0 |
| oqmd-323620 | box | -3.8936 | -3.8936 | 5.5949 | 5.5949 | 4.5815 | 90.0 | 90.0 | 120.0 |
| mp-542915 | dynamic | -3.8772 | -3.8772 | 3.9387 | 3.9387 | 8.0549 | 90.0 | 90.0 | 90.0 |
| mp-1217027 | dynamic | -3.8306 | -3.8306 | 2.7583 | 4.6034 | 4.8957 | 90.0 | 90.0 | 90.0 |
| mp-1217027 | box | -3.8301 | -3.8301 | 2.767 | 4.6064 | 4.8839 | 90.0 | 90.0 | 90.0 |
| A15--Cr3Si | static | -3.7739 | -3.7739 | 5.048 | 5.048 | 5.048 | 90.0 | 90.0 | 90.0 |
| D0_3--BiF3 | static | -3.7368 | -3.7368 | 6.3302 | 6.3302 | 6.3302 | 90.0 | 90.0 | 90.0 |
Download raw data (including filtered results)
Reference structure matches:
| prototype | method | Ecoh (eV/atom) | Epot (eV/atom) | a0 (Å) | b0 (Å) | c0 (Å) | α (degrees) | β (degrees) | γ (degrees) |
|---|---|---|---|---|---|---|---|---|---|
| mp-1208324 | static | -3.944 | -3.944 | 6.1144 | 6.1144 | 18.1122 | 90.0 | 90.0 | 90.0 |
Download raw data (including filtered results)
Reference structure matches:
| prototype | method | Ecoh (eV/atom) | Epot (eV/atom) | a0 (Å) | b0 (Å) | c0 (Å) | α (degrees) | β (degrees) | γ (degrees) |
|---|---|---|---|---|---|---|---|---|---|
| oqmd-753883 | static | -4.4317 | -4.4317 | 7.5181 | 7.5181 | 4.6473 | 90.0 | 90.0 | 120.0 |
| oqmd-753883 | dynamic | -4.4317 | -4.4317 | 7.518 | 7.518 | 4.6474 | 90.0 | 90.0 | 120.0 |
| oqmd-753883 | box | -4.3968 | -4.3968 | 7.6532 | 7.6532 | 4.5895 | 90.0 | 90.0 | 120.0 |
| oqmd-753871 | dynamic | -4.3859 | -4.3859 | 7.5156 | 7.5156 | 4.6883 | 90.0 | 90.0 | 120.0 |
| oqmd-753871 | box | -4.3756 | -4.3756 | 7.5232 | 7.5232 | 4.686 | 90.0 | 90.0 | 120.0 |
Download raw data (including filtered results)
Reference structure matches:
| prototype | method | Ecoh (eV/atom) | Epot (eV/atom) | a0 (Å) | b0 (Å) | c0 (Å) | α (degrees) | β (degrees) | γ (degrees) |
|---|---|---|---|---|---|---|---|---|---|
| mp-1217081 | dynamic | -4.1566 | -4.1566 | 3.9368 | 3.9368 | 8.1256 | 90.0 | 90.0 | 90.0 |
| mp-1217081 | box | -4.1565 | -4.1565 | 3.9365 | 3.9365 | 8.131 | 90.0 | 90.0 | 90.0 |
| mp-1217092 | dynamic | -4.1564 | -4.1564 | 3.9388 | 4.0547 | 7.8808 | 90.0 | 90.0 | 90.0 |
| mp-1217092 | box | -4.1285 | -4.1285 | 3.9422 | 4.0481 | 7.9924 | 90.0 | 90.0 | 90.0 |
Download raw data (including filtered results)
Reference structure matches:
| prototype | method | Ecoh (eV/atom) | Epot (eV/atom) | a0 (Å) | b0 (Å) | c0 (Å) | α (degrees) | β (degrees) | γ (degrees) |
|---|---|---|---|---|---|---|---|---|---|
| mp-1208235 | static | -5.1039 | -5.1039 | 6.3623 | 6.3623 | 7.0606 | 90.0 | 90.0 | 90.0 |
Download raw data (including filtered results)
Reference structure matches:
| prototype | method | Ecoh (eV/atom) | Epot (eV/atom) | a0 (Å) | b0 (Å) | c0 (Å) | α (degrees) | β (degrees) | γ (degrees) |
|---|---|---|---|---|---|---|---|---|---|
| B1--NaCl--rock-salt | static | -13.772 | -13.772 | 3.939 | 3.939 | 3.939 | 90.0 | 90.0 | 90.0 |
| B3--ZnS--cubic-zinc-blende | static | -13.7646 | -13.7646 | 4.2309 | 4.2309 | 4.2309 | 90.0 | 90.0 | 90.0 |
| B2--CsCl | static | -12.5256 | -12.5256 | 2.3951 | 2.3951 | 2.3951 | 90.0 | 90.0 | 90.0 |
| B2--CsCl | static | -6.896 | -6.896 | 2.8637 | 2.8637 | 2.8637 | 90.0 | 90.0 | 90.0 |
| L1_0--AuCu | box | -6.7304 | -6.7304 | 2.7183 | 2.7183 | 4.0397 | 90.0 | 90.0 | 90.0 |
| L1_0--AuCu | static | -6.6756 | -6.6756 | 2.7156 | 2.7156 | 4.0476 | 90.0 | 90.0 | 90.0 |
| B2--CsCl | dynamic | -6.2125 | -6.2125 | 3.1888 | 3.1888 | 3.1888 | 90.0 | 90.0 | 90.0 |
| L1_0--AuCu | static | -0.3689 | -0.3689 | 4.4907 | 4.4907 | 7.0567 | 90.0 | 90.0 | 90.0 |
| B2--CsCl | static | -0.2866 | -0.2866 | 5.4812 | 5.4812 | 5.4812 | 90.0 | 90.0 | 90.0 |
| B1--NaCl--rock-salt | static | -0.2145 | -0.2145 | 9.4937 | 9.4937 | 9.4937 | 90.0 | 90.0 | 90.0 |
| B3--ZnS--cubic-zinc-blende | static | -0.143 | -0.143 | 10.9624 | 10.9624 | 10.9624 | 90.0 | 90.0 | 90.0 |
| L1_0--AuCu | static | -0.0829 | -0.0829 | 4.4905 | 4.4905 | 7.172 | 90.0 | 90.0 | 90.0 |
| B2--CsCl | static | -0.0001 | -0.0001 | 5.5291 | 5.5291 | 5.5291 | 90.0 | 90.0 | 90.0 |
| B1--NaCl--rock-salt | dynamic | 0.0 | 0.0 | 10.0846 | 10.0846 | 10.0846 | 90.0 | 90.0 | 90.0 |
| B2--CsCl | dynamic | 0.0 | 0.0 | 7.3835 | 7.3835 | 7.3835 | 90.0 | 90.0 | 90.0 |
| B2--CsCl | box | 0.0 | 0.0 | 5.5555 | 5.5555 | 5.5555 | 90.0 | 90.0 | 90.0 |
Download raw data (including filtered results)
Reference structure matches:
| prototype | method | Ecoh (eV/atom) | Epot (eV/atom) | a0 (Å) | b0 (Å) | c0 (Å) | α (degrees) | β (degrees) | γ (degrees) |
|---|---|---|---|---|---|---|---|---|---|
| C1--CaF2--fluorite | static | -10.4086 | -10.4086 | 4.7141 | 4.7141 | 4.7141 | 90.0 | 90.0 | 90.0 |
| mp-18427 | box | -7.0753 | -7.0753 | 9.9233 | 9.9233 | 4.9983 | 90.0 | 90.0 | 90.0 |
| mp-18427 | static | -6.9993 | -6.9993 | 10.0094 | 10.0094 | 4.9749 | 90.0 | 90.0 | 90.0 |
| C1--CaF2--fluorite | static | -6.6211 | -6.6211 | 5.7274 | 5.7274 | 5.7274 | 90.0 | 90.0 | 90.0 |
| C1--CaF2--fluorite | static | -0.1907 | -0.1907 | 10.9624 | 10.9624 | 10.9624 | 90.0 | 90.0 | 90.0 |
Download raw data (including filtered results)
Reference structure matches:
| prototype | method | Ecoh (eV/atom) | Epot (eV/atom) | a0 (Å) | b0 (Å) | c0 (Å) | α (degrees) | β (degrees) | γ (degrees) |
|---|---|---|---|---|---|---|---|---|---|
| L2_1--AlCu2Mn--heusler | static | -6.0791 | -6.0791 | 5.7274 | 5.7274 | 5.7274 | 90.0 | 90.0 | 90.0 |
| L2_1--AlCu2Mn--heusler | static | -6.0671 | -6.0671 | 6.3878 | 6.3878 | 6.3878 | 90.0 | 90.0 | 90.0 |
Download raw data (including filtered results)
Reference structure matches:
A15--Cr3Si = mp-796
| prototype | method | Ecoh (eV/atom) | Epot (eV/atom) | a0 (Å) | b0 (Å) | c0 (Å) | α (degrees) | β (degrees) | γ (degrees) |
|---|---|---|---|---|---|---|---|---|---|
| A15--Cr3Si | dynamic | -7.3023 | -7.3023 | 5.1261 | 5.1261 | 5.1261 | 90.0 | 90.0 | 90.0 |
| L1_2--AuCu3 | static | -7.2178 | -7.2178 | 3.8758 | 3.8758 | 3.8758 | 90.0 | 90.0 | 90.0 |
| D0_3--BiF3 | dynamic | -7.1261 | -7.1261 | 6.4528 | 6.4528 | 6.4528 | 90.0 | 90.0 | 90.0 |
| L1_2--AuCu3 | static | -6.9002 | -6.9002 | 4.0543 | 4.0543 | 4.0543 | 90.0 | 90.0 | 90.0 |
| D0_3--BiF3 | static | -6.7763 | -6.7763 | 5.7274 | 5.7274 | 5.7274 | 90.0 | 90.0 | 90.0 |
| D0_3--BiF3 | static | -6.2867 | -6.2867 | 5.4836 | 5.4836 | 5.4836 | 90.0 | 90.0 | 90.0 |
| A15--Cr3Si | static | -5.3433 | -5.3433 | 4.1435 | 4.1435 | 4.1435 | 90.0 | 90.0 | 90.0 |
| L1_2--AuCu3 | static | -0.2145 | -0.2145 | 6.7131 | 6.7131 | 6.7131 | 90.0 | 90.0 | 90.0 |
| D0_3--BiF3 | static | -0.143 | -0.143 | 10.9624 | 10.9624 | 10.9624 | 90.0 | 90.0 | 90.0 |
| L1_2--AuCu3 | dynamic | 0.0 | 0.0 | 7.3125 | 7.3125 | 7.3125 | 90.0 | 90.0 | 90.0 |
Download raw data (including filtered results)
Reference structure matches:
| prototype | method | Ecoh (eV/atom) | Epot (eV/atom) | a0 (Å) | b0 (Å) | c0 (Å) | α (degrees) | β (degrees) | γ (degrees) |
|---|---|---|---|---|---|---|---|---|---|
| mp-1220481 | dynamic | -7.0767 | -7.0767 | 3.3286 | 4.6695 | 21.8252 | 90.0 | 90.0 | 90.0 |
| mp-1220481 | static | -7.0767 | -7.0767 | 3.3286 | 4.6695 | 21.8259 | 90.0 | 90.0 | 90.0 |
| mp-1220481 | box | -7.0704 | -7.0704 | 3.3089 | 4.6536 | 22.1699 | 90.0 | 90.0 | 90.0 |
Download raw data (including filtered results)
Reference structure matches:
| prototype | method | Ecoh (eV/atom) | Epot (eV/atom) | a0 (Å) | b0 (Å) | c0 (Å) | α (degrees) | β (degrees) | γ (degrees) |
|---|---|---|---|---|---|---|---|---|---|
| mp-1217093 | static | -5.7457 | -5.7457 | 5.6886 | 9.485 | 4.7119 | 90.0 | 90.0 | 90.0 |
| mp-1217093 | box | -5.4697 | -5.4697 | 6.5232 | 9.1935 | 4.4531 | 90.0 | 90.0 | 90.0 |
| L2_1--AlCu2Mn--heusler | static | -5.3262 | -5.3262 | 6.4537 | 6.4537 | 6.4537 | 90.0 | 90.0 | 90.0 |
| L2_1--AlCu2Mn--heusler | static | -5.0426 | -5.0426 | 7.0593 | 7.0593 | 7.0593 | 90.0 | 90.0 | 90.0 |
| mp-1097622 | static | -2.3327 | -2.3327 | 10.3788 | 10.6729 | 14.6231 | 90.0 | 90.0 | 90.0 |
| mp-1097622 | dynamic | -2.3327 | -2.3327 | 10.3788 | 10.7483 | 14.7263 | 90.0 | 90.0 | 90.0 |
Download raw data (including filtered results)
Reference structure matches:
B1--NaCl--rock-salt = oqmd-1105682
B2--CsCl = mp-1061123, oqmd-306497
B3--ZnS--cubic-zinc-blende = oqmd-1218357
L1_0--AuCu = mp-1953, oqmd-18721
| prototype | method | Ecoh (eV/atom) | Epot (eV/atom) | a0 (Å) | b0 (Å) | c0 (Å) | α (degrees) | β (degrees) | γ (degrees) |
|---|---|---|---|---|---|---|---|---|---|
| L1_0--AuCu | dynamic | -4.3993 | -4.3993 | 2.7623 | 2.7623 | 4.1521 | 90.0 | 90.0 | 90.0 |
| oqmd-1217571 | dynamic | -4.3819 | -4.3819 | 4.6271 | 2.7698 | 4.9718 | 90.0 | 90.0 | 90.0 |
| oqmd-1217571 | box | -4.3809 | -4.3809 | 4.6389 | 2.7774 | 4.9585 | 90.0 | 90.0 | 90.0 |
| oqmd-753881 | dynamic | -4.3203 | -4.3203 | 4.9863 | 4.652 | 5.6298 | 90.0 | 90.0 | 90.0 |
| oqmd-753881 | box | -4.3027 | -4.3027 | 5.0945 | 4.649 | 5.5881 | 90.0 | 90.0 | 90.0 |
| oqmd-753875 | static | -4.295 | -4.295 | 4.6617 | 14.1204 | 4.9236 | 90.0 | 90.0 | 90.0 |
| oqmd-753875 | dynamic | -4.295 | -4.295 | 4.6616 | 14.1202 | 4.9236 | 90.0 | 90.0 | 90.0 |
| oqmd-753878 | dynamic | -4.2944 | -4.2944 | 4.6549 | 14.1013 | 4.9124 | 90.0 | 90.0 | 90.0 |
| oqmd-753888 | dynamic | -4.2878 | -4.2878 | 5.7159 | 4.845 | 4.691 | 90.0 | 90.0 | 90.0 |
| oqmd-753868 | dynamic | -4.2874 | -4.2874 | 5.6713 | 14.5497 | 4.6495 | 90.0 | 90.0 | 90.0 |
| oqmd-753889 | dynamic | -4.2866 | -4.2866 | 4.6457 | 11.3206 | 4.9246 | 90.0 | 90.0 | 90.0 |
| oqmd-753874 | dynamic | -4.2859 | -4.2859 | 4.6549 | 11.3743 | 4.8955 | 90.0 | 90.0 | 90.0 |
| oqmd-753872 | dynamic | -4.284 | -4.284 | 4.6535 | 8.5263 | 4.9079 | 90.0 | 90.0 | 90.0 |
| oqmd-753874 | box | -4.2827 | -4.2827 | 4.6495 | 11.3937 | 4.8873 | 90.0 | 90.0 | 90.0 |
| oqmd-753894 | dynamic | -4.2818 | -4.2818 | 4.6523 | 8.5378 | 4.8991 | 90.0 | 90.0 | 90.0 |
| oqmd-753878 | box | -4.2797 | -4.2797 | 4.6685 | 14.0936 | 4.8914 | 90.0 | 90.0 | 90.0 |
| oqmd-753888 | box | -4.2796 | -4.2796 | 5.7448 | 4.8186 | 4.6879 | 90.0 | 90.0 | 90.0 |
| oqmd-753875 | box | -4.2783 | -4.2783 | 4.6472 | 14.1402 | 4.9738 | 90.0 | 90.0 | 90.0 |
| oqmd-753873 | dynamic | -4.2782 | -4.2782 | 4.6563 | 5.6288 | 9.8484 | 90.0 | 90.0 | 90.0 |
| oqmd-753897 | dynamic | -4.273 | -4.273 | 5.644 | 4.6635 | 7.4587 | 90.0 | 100.8 | 90.0 |
| B2--CsCl | static | -4.2718 | -4.2718 | 3.2398 | 3.2398 | 3.2398 | 90.0 | 90.0 | 90.0 |
| oqmd-753876 | dynamic | -4.2704 | -4.2704 | 5.6442 | 4.6627 | 7.4725 | 90.0 | 100.7 | 90.0 |
| oqmd-753876 | box | -4.2669 | -4.2669 | 5.6303 | 4.6597 | 7.4783 | 90.0 | 100.2 | 90.0 |
| mp-1217008 | dynamic | -4.2628 | -4.2628 | 2.8388 | 2.8388 | 4.6471 | 90.0 | 90.0 | 120.0 |
| oqmd-753872 | box | -4.2626 | -4.2626 | 4.6226 | 8.5277 | 5.0092 | 90.0 | 90.0 | 90.0 |
| oqmd-753889 | box | -4.26 | -4.26 | 4.5273 | 11.1366 | 5.2071 | 90.0 | 90.0 | 90.0 |
| oqmd-327581 | dynamic | -4.2599 | -4.2599 | 2.8317 | 2.8317 | 13.9889 | 90.0 | 90.0 | 120.0 |
| oqmd-753873 | box | -4.2573 | -4.2573 | 4.6727 | 5.58 | 9.9782 | 90.0 | 90.0 | 90.0 |
| oqmd-753870 | dynamic | -4.2552 | -4.2552 | 5.7211 | 4.6725 | 7.4485 | 90.0 | 101.1 | 90.0 |
| oqmd-753897 | box | -4.2538 | -4.2538 | 5.577 | 4.6951 | 7.5205 | 90.0 | 100.6 | 90.0 |
| oqmd-753880 | dynamic | -4.2516 | -4.2516 | 5.6836 | 5.6836 | 4.6642 | 90.0 | 90.0 | 120.0 |
| oqmd-753880 | box | -4.2513 | -4.2513 | 5.6853 | 5.6853 | 4.6644 | 90.0 | 90.0 | 120.0 |
| oqmd-753870 | box | -4.2434 | -4.2434 | 5.8122 | 4.6865 | 7.3731 | 90.0 | 101.3 | 90.0 |
| oqmd-753898 | box | -4.2401 | -4.2401 | 4.6545 | 6.244 | 4.6551 | 90.0 | 90.0 | 90.0 |
| oqmd-753868 | box | -4.2397 | -4.2397 | 5.7943 | 14.4023 | 4.7424 | 90.0 | 90.0 | 90.0 |
| oqmd-753882 | dynamic | -4.2385 | -4.2385 | 2.8103 | 4.6534 | 9.7342 | 90.0 | 90.0 | 90.0 |
| oqmd-753882 | box | -4.2321 | -4.2321 | 2.7786 | 4.6399 | 9.8243 | 90.0 | 90.0 | 90.0 |
| oqmd-753894 | box | -4.2262 | -4.2262 | 4.6496 | 8.5643 | 4.9828 | 90.0 | 90.0 | 90.0 |
| B1--NaCl--rock-salt | static | -3.9386 | -3.9386 | 5.4306 | 5.4306 | 5.4306 | 90.0 | 90.0 | 90.0 |
| oqmd-1224551 | box | -3.3591 | -3.3591 | 4.6482 | 4.6482 | 5.4112 | 90.0 | 90.0 | 120.0 |
| B3--ZnS--cubic-zinc-blende | static | -2.9867 | -2.9867 | 5.9982 | 5.9982 | 5.9982 | 90.0 | 90.0 | 90.0 |
| B3--ZnS--cubic-zinc-blende | static | 3.6098 | 3.6098 | 3.8196 | 3.8196 | 3.8196 | 90.0 | 90.0 | 90.0 |
Download raw data (including filtered results)
Reference structure matches:
| prototype | method | Ecoh (eV/atom) | Epot (eV/atom) | a0 (Å) | b0 (Å) | c0 (Å) | α (degrees) | β (degrees) | γ (degrees) |
|---|---|---|---|---|---|---|---|---|---|
| oqmd-753885 | box | -4.5401 | -4.5401 | 2.7944 | 4.6478 | 14.9703 | 90.0 | 90.0 | 90.0 |
| oqmd-753879 | dynamic | -4.5317 | -4.5317 | 8.7776 | 4.8866 | 4.6781 | 90.0 | 90.0 | 90.0 |
| oqmd-753879 | box | -4.5248 | -4.5248 | 8.9642 | 4.8168 | 4.6835 | 90.0 | 90.0 | 90.0 |
| oqmd-753892 | dynamic | -4.5135 | -4.5135 | 4.9791 | 4.9791 | 4.6569 | 90.0 | 90.0 | 120.0 |
| oqmd-753869 | dynamic | -4.512 | -4.512 | 4.671 | 8.6157 | 4.9659 | 90.0 | 90.0 | 90.0 |
| oqmd-753893 | dynamic | -4.4985 | -4.4985 | 7.5473 | 4.6951 | 11.4841 | 90.0 | 100.8 | 90.0 |
| oqmd-753893 | box | -4.4949 | -4.4949 | 7.5016 | 4.6819 | 11.5276 | 90.0 | 100.8 | 90.0 |
| oqmd-753869 | box | -4.4832 | -4.4832 | 4.5879 | 8.7644 | 5.0591 | 90.0 | 90.0 | 90.0 |
| oqmd-753892 | box | -4.4489 | -4.4489 | 5.0573 | 5.0573 | 4.678 | 90.0 | 90.0 | 120.0 |
| C1--CaF2--fluorite | static | -3.9722 | -3.9722 | 6.2588 | 6.2588 | 6.2588 | 90.0 | 90.0 | 90.0 |
| mp-1008753 | static | -3.9573 | -3.9573 | 6.2323 | 6.2323 | 6.2323 | 90.0 | 90.0 | 90.0 |
Download raw data (including filtered results)
Reference structure matches:
D0_3--BiF3 = mp-999027, oqmd-313078
L1_2--AuCu3 = oqmd-347186
| prototype | method | Ecoh (eV/atom) | Epot (eV/atom) | a0 (Å) | b0 (Å) | c0 (Å) | α (degrees) | β (degrees) | γ (degrees) |
|---|---|---|---|---|---|---|---|---|---|
| oqmd-753887 | dynamic | -4.6759 | -4.6759 | 5.7297 | 5.7297 | 4.6621 | 90.0 | 90.0 | 120.0 |
| L1_2--AuCu3 | dynamic | -4.6712 | -4.6712 | 4.0451 | 4.0451 | 4.0451 | 90.0 | 90.0 | 90.0 |
| oqmd-10598 | box | -4.6634 | -4.6634 | 5.7242 | 5.7242 | 4.6826 | 90.0 | 90.0 | 120.0 |
| oqmd-753887 | box | -4.6634 | -4.6634 | 5.7242 | 5.7242 | 4.6827 | 90.0 | 90.0 | 120.0 |
| mp-1823 | box | -4.6601 | -4.6601 | 5.7237 | 5.7237 | 4.6854 | 90.0 | 90.0 | 120.0 |
| oqmd-753899 | dynamic | -4.6518 | -4.6518 | 4.6694 | 5.6852 | 5.0457 | 90.0 | 90.0 | 90.0 |
| oqmd-753899 | box | -4.6474 | -4.6474 | 4.6797 | 5.6754 | 5.0536 | 90.0 | 90.0 | 90.0 |
| oqmd-302536 | dynamic | -4.6436 | -4.6436 | 4.0065 | 4.0065 | 8.3354 | 90.0 | 90.0 | 90.0 |
| D0_3--BiF3 | static | -4.5815 | -4.5815 | 6.4961 | 6.4961 | 6.4961 | 90.0 | 90.0 | 90.0 |
| mp-1217072 | dynamic | -4.5686 | -4.5686 | 2.9095 | 2.9095 | 9.2634 | 90.0 | 90.0 | 120.0 |
| mp-1217072 | box | -4.5679 | -4.5679 | 2.91 | 2.91 | 9.2432 | 90.0 | 90.0 | 120.0 |
| A15--Cr3Si | static | -4.5428 | -4.5428 | 5.1397 | 5.1397 | 5.1397 | 90.0 | 90.0 | 90.0 |
Download raw data (including filtered results)
Reference structure matches:
| prototype | method | Ecoh (eV/atom) | Epot (eV/atom) | a0 (Å) | b0 (Å) | c0 (Å) | α (degrees) | β (degrees) | γ (degrees) |
|---|---|---|---|---|---|---|---|---|---|
| oqmd-753884 | dynamic | -4.7045 | -4.7045 | 5.0325 | 5.0325 | 4.6751 | 90.0 | 90.0 | 120.0 |
| oqmd-753884 | box | -4.6993 | -4.6993 | 5.0314 | 5.0314 | 4.688 | 90.0 | 90.0 | 120.0 |
Download raw data (including filtered results)
Reference structure matches:
A1--Cu--fcc = mp-8636, oqmd-676151, oqmd-1214547
A15--beta-W = oqmd-1214992, oqmd-1280310
A2--W--bcc = mp-75, oqmd-677905, oqmd-685533, oqmd-1215170
A3'--alpha-La--double-hcp = oqmd-1215438
A3--Mg--hcp = oqmd-1215348
A4--C--dc = oqmd-1215527
A5--beta-Sn = oqmd-1215616
A6--In--bct = oqmd-1215705
| prototype | method | Ecoh (eV/atom) | Epot (eV/atom) | a0 (Å) | b0 (Å) | c0 (Å) | α (degrees) | β (degrees) | γ (degrees) |
|---|---|---|---|---|---|---|---|---|---|
| A2--W--bcc | dynamic | -7.4654 | -7.4654 | 3.3001 | 3.3001 | 3.3001 | 90.0 | 90.0 | 90.0 |
| mp-1104341 | box | -7.4644 | -7.4644 | 2.8579 | 4.6667 | 9.7615 | 103.8 | 95.6 | 90.0 |
| A15--beta-W | dynamic | -7.4059 | -7.4059 | 5.2728 | 5.2728 | 5.2728 | 90.0 | 90.0 | 90.0 |
| A6--In--bct | static | -7.3935 | -7.3935 | 2.5869 | 2.5869 | 5.18 | 90.0 | 90.0 | 90.0 |
| oqmd-1214814 | static | -7.3486 | -7.3486 | 10.1975 | 10.1975 | 10.1975 | 90.0 | 90.0 | 90.0 |
| oqmd-1214814 | box | -7.34 | -7.34 | 10.1977 | 10.1977 | 10.1977 | 90.0 | 90.0 | 90.0 |
| oqmd-1215259 | box | -7.3341 | -7.3341 | 2.6521 | 5.6397 | 4.7235 | 90.0 | 90.0 | 90.0 |
| mp-1094120 | box | -7.316 | -7.316 | 5.3965 | 6.5568 | 7.3359 | 108.0 | 109.7 | 101.6 |
| oqmd-1214903 | box | -7.259 | -7.259 | 7.1711 | 7.1711 | 7.1711 | 90.0 | 90.0 | 90.0 |
| A1--Cu--fcc | static | -7.2582 | -7.2582 | 4.1497 | 4.1497 | 4.1497 | 90.0 | 90.0 | 90.0 |
| A3'--alpha-La--double-hcp | static | -7.2582 | -7.2582 | 2.9343 | 2.9343 | 9.5833 | 90.0 | 90.0 | 120.0 |
| A3--Mg--hcp | box | -7.2582 | -7.2582 | 2.9343 | 2.9343 | 4.7916 | 90.0 | 90.0 | 120.0 |
| oqmd-1216064 | box | -7.2581 | -7.2581 | 2.9343 | 2.9343 | 21.5629 | 90.0 | 90.0 | 120.0 |
| A5--beta-Sn | static | -7.164 | -7.164 | 4.7356 | 4.7356 | 3.002 | 90.0 | 90.0 | 90.0 |
| oqmd-1215081 | box | -7.1222 | -7.1222 | 3.1434 | 4.7731 | 9.4127 | 90.0 | 90.0 | 90.0 |
| oqmd-1214725 | box | -7.0843 | -7.0843 | 3.1534 | 4.8028 | 9.4169 | 90.0 | 90.0 | 90.0 |
| Ah--alpha-Po--sc | dynamic | -6.954 | -6.954 | 2.5223 | 2.5223 | 2.5223 | 90.0 | 90.0 | 90.0 |
| A7--alpha-As | box | -6.6918 | -6.6918 | 3.5478 | 3.5478 | 9.7872 | 90.0 | 90.0 | 120.0 |
| oqmd-1215972 | box | -6.6777 | -6.6777 | 4.3052 | 4.3052 | 4.7548 | 90.0 | 90.0 | 120.0 |
| A4--C--dc | static | -5.6613 | -5.6613 | 5.538 | 5.538 | 5.538 | 90.0 | 90.0 | 90.0 |
| A4--C--dc | static | -0.7766 | -0.7766 | 9.7405 | 9.7405 | 9.7405 | 90.0 | 90.0 | 90.0 |
| A15--beta-W | static | -0.5857 | -0.5857 | 8.1785 | 8.1785 | 8.1785 | 90.0 | 90.0 | 90.0 |
Download raw data (including filtered results)
Reference structure matches:
| prototype | method | Ecoh (eV/atom) | Epot (eV/atom) | a0 (Å) | b0 (Å) | c0 (Å) | α (degrees) | β (degrees) | γ (degrees) |
|---|---|---|---|---|---|---|---|---|---|
| C1--CaF2--fluorite | static | -5.6637 | -5.6637 | 6.0383 | 6.0383 | 6.0383 | 90.0 | 90.0 | 90.0 |
| C1--CaF2--fluorite | static | -5.1464 | -5.1464 | 7.0594 | 7.0594 | 7.0594 | 90.0 | 90.0 | 90.0 |
Download raw data (including filtered results)
Reference structure matches:
| prototype | method | Ecoh (eV/atom) | Epot (eV/atom) | a0 (Å) | b0 (Å) | c0 (Å) | α (degrees) | β (degrees) | γ (degrees) |
|---|---|---|---|---|---|---|---|---|---|
| A15--Cr3Si | static | -7.4306 | -7.4306 | 5.3976 | 5.3976 | 5.3976 | 90.0 | 90.0 | 90.0 |
| L1_2--AuCu3 | static | -7.3085 | -7.3085 | 4.1217 | 4.1217 | 4.1217 | 90.0 | 90.0 | 90.0 |
| D0_3--BiF3 | dynamic | -7.1389 | -7.1389 | 7.1152 | 7.1152 | 7.1152 | 90.0 | 90.0 | 90.0 |
| D0_3--BiF3 | static | -7.1205 | -7.1205 | 6.8982 | 6.8982 | 6.8982 | 90.0 | 90.0 | 90.0 |
Download raw data (including filtered results)
Reference structure matches:
| prototype | method | Ecoh (eV/atom) | Epot (eV/atom) | a0 (Å) | b0 (Å) | c0 (Å) | α (degrees) | β (degrees) | γ (degrees) |
|---|---|---|---|---|---|---|---|---|---|
| mp-1216634 | dynamic | -9.5775 | -9.5775 | 2.5526 | 4.2984 | 5.74 | 90.0 | 90.0 | 90.0 |
| L1_0--AuCu | static | -9.3571 | -9.3571 | 2.398 | 2.398 | 5.7911 | 90.0 | 90.0 | 90.0 |
| L1_0--AuCu | static | -6.6706 | -6.6706 | 3.1713 | 3.1713 | 6.0311 | 90.0 | 90.0 | 90.0 |
| B2--CsCl | static | -6.0352 | -6.0352 | 3.7397 | 3.7397 | 3.7397 | 90.0 | 90.0 | 90.0 |
| B2--CsCl | static | -5.8265 | -5.8265 | 3.3135 | 3.3135 | 3.3135 | 90.0 | 90.0 | 90.0 |
| B1--NaCl--rock-salt | static | -5.5376 | -5.5376 | 5.3723 | 5.3723 | 5.3723 | 90.0 | 90.0 | 90.0 |
| B1--NaCl--rock-salt | static | -5.4978 | -5.4978 | 5.0737 | 5.0737 | 5.0737 | 90.0 | 90.0 | 90.0 |
| B3--ZnS--cubic-zinc-blende | static | -4.7888 | -4.7888 | 5.4411 | 5.4411 | 5.4411 | 90.0 | 90.0 | 90.0 |
| B3--ZnS--cubic-zinc-blende | static | -3.5452 | -3.5452 | 7.1923 | 7.1923 | 7.1923 | 90.0 | 90.0 | 90.0 |
Download raw data (including filtered results)
Reference structure matches:
| prototype | method | Ecoh (eV/atom) | Epot (eV/atom) | a0 (Å) | b0 (Å) | c0 (Å) | α (degrees) | β (degrees) | γ (degrees) |
|---|---|---|---|---|---|---|---|---|---|
| C1--CaF2--fluorite | static | -4.863 | -4.863 | 5.9856 | 5.9856 | 5.9856 | 90.0 | 90.0 | 90.0 |
| C1--CaF2--fluorite | static | -4.5701 | -4.5701 | 7.3609 | 7.3609 | 7.3609 | 90.0 | 90.0 | 90.0 |
Download raw data (including filtered results)
Reference structure matches:
L1_2--AuCu3 = mp-980945
| prototype | method | Ecoh (eV/atom) | Epot (eV/atom) | a0 (Å) | b0 (Å) | c0 (Å) | α (degrees) | β (degrees) | γ (degrees) |
|---|---|---|---|---|---|---|---|---|---|
| mp-1217091 | dynamic | -7.1857 | -7.1857 | 9.5105 | 2.6216 | 4.9419 | 90.0 | 90.0 | 90.0 |
| mp-1217091 | static | -7.1707 | -7.1707 | 9.4325 | 2.6677 | 4.8358 | 90.0 | 90.0 | 90.0 |
| mp-1217091 | box | -7.0514 | -7.0514 | 9.6376 | 2.7185 | 4.683 | 90.0 | 90.0 | 90.0 |
| mp-981232 | static | -6.1678 | -6.1678 | 3.913 | 3.913 | 10.0346 | 90.0 | 90.0 | 90.0 |
| L1_2--AuCu3 | static | -6.0936 | -6.0936 | 4.1157 | 4.1157 | 4.1157 | 90.0 | 90.0 | 90.0 |
| A15--Cr3Si | static | -6.0529 | -6.0529 | 5.5745 | 5.5745 | 5.5745 | 90.0 | 90.0 | 90.0 |
| D0_3--BiF3 | static | -5.9582 | -5.9582 | 7.3185 | 7.3185 | 7.3185 | 90.0 | 90.0 | 90.0 |
| mp-1187514 | box | -5.9374 | -5.9374 | 5.7283 | 5.7283 | 4.9035 | 90.0 | 90.0 | 120.0 |
| L1_2--AuCu3 | static | -5.5311 | -5.5311 | 4.7791 | 4.7791 | 4.7791 | 90.0 | 90.0 | 90.0 |
| A15--Cr3Si | dynamic | -0.013 | -0.013 | 10.9465 | 10.9465 | 10.9465 | 90.0 | 90.0 | 90.0 |
Download raw data (including filtered results)
Reference structure matches:
A1--Cu--fcc = mp-6985, oqmd-676147
A15--beta-W = oqmd-1215024
A2--W--bcc = mp-73, oqmd-8390
A3'--alpha-La--double-hcp = oqmd-1215470
A3--Mg--hcp = mp-46, oqmd-8079, oqmd-755820, oqmd-755821, oqmd-755822, oqmd-755823, oqmd-755827, oqmd-755834, oqmd-755836, oqmd-755845
A4--C--dc = oqmd-1215559
A5--beta-Sn = oqmd-1215648
A6--In--bct = oqmd-1215737
| prototype | method | Ecoh (eV/atom) | Epot (eV/atom) | a0 (Å) | b0 (Å) | c0 (Å) | α (degrees) | β (degrees) | γ (degrees) |
|---|---|---|---|---|---|---|---|---|---|
| A3--Mg--hcp | dynamic | -4.85 | -4.85 | 2.951 | 2.951 | 4.6862 | 90.0 | 90.0 | 120.0 |
| A3--Mg--hcp | box | -4.85 | -4.85 | 2.9508 | 2.9508 | 4.6862 | 90.0 | 90.0 | 120.0 |
| A3--Mg--hcp | box | -4.85 | -4.85 | 2.9509 | 2.9509 | 4.6862 | 90.0 | 90.0 | 120.0 |
| oqmd-1215291 | box | -4.8492 | -4.8492 | 2.9359 | 5.1373 | 4.686 | 90.0 | 90.0 | 90.0 |
| oqmd-1216096 | dynamic | -4.8417 | -4.8417 | 2.9442 | 2.9442 | 21.2516 | 90.0 | 90.0 | 120.0 |
| A2--W--bcc | dynamic | -4.8399 | -4.8399 | 3.2841 | 3.2841 | 3.2841 | 90.0 | 90.0 | 90.0 |
| A3'--alpha-La--double-hcp | dynamic | -4.8376 | -4.8376 | 2.9409 | 2.9409 | 9.4811 | 90.0 | 90.0 | 120.0 |
| A1--Cu--fcc | dynamic | -4.8274 | -4.8274 | 4.1475 | 4.1475 | 4.1475 | 90.0 | 90.0 | 90.0 |
| oqmd-1215915 | box | -4.8274 | -4.8274 | 2.9327 | 2.9327 | 7.1837 | 90.0 | 90.0 | 120.0 |
| mp-1245164 | dynamic | -4.81 | -4.81 | 11.823 | 12.4743 | 12.6313 | 82.2 | 76.4 | 81.8 |
| mp-72 | static | -4.8082 | -4.8082 | 4.6287 | 4.6287 | 2.8665 | 90.0 | 90.0 | 120.0 |
| oqmd-9315 | box | -4.8082 | -4.8082 | 4.6286 | 4.6286 | 2.8665 | 90.0 | 90.0 | 120.0 |
| mp-1245170 | dynamic | -4.804 | -4.804 | 11.7023 | 11.7243 | 13.372 | 99.7 | 96.1 | 91.2 |
| mp-1245320 | dynamic | -4.7907 | -4.7907 | 11.8915 | 12.1121 | 12.5614 | 90.6 | 91.8 | 93.3 |
| mp-1244924 | dynamic | -4.7874 | -4.7874 | 11.9366 | 11.9892 | 12.5953 | 85.8 | 87.4 | 88.7 |
| oqmd-1215113 | static | -4.7844 | -4.7844 | 2.9164 | 4.8334 | 10.1622 | 90.0 | 90.0 | 90.0 |
| mp-1245006 | dynamic | -4.7771 | -4.7771 | 11.5321 | 12.4349 | 12.67 | 82.9 | 87.4 | 89.6 |
| oqmd-1215113 | box | -4.7691 | -4.7691 | 2.9376 | 4.8191 | 10.1663 | 90.0 | 90.0 | 90.0 |
| mp-1245006 | static | -4.7577 | -4.7577 | 11.8304 | 12.3108 | 12.4681 | 93.5 | 91.8 | 92.7 |
| mp-1245164 | static | -4.7537 | -4.7537 | 12.1203 | 12.2994 | 12.4978 | 80.2 | 83.8 | 81.1 |
| oqmd-1214935 | dynamic | -4.7447 | -4.7447 | 7.0572 | 7.0572 | 7.0572 | 90.0 | 90.0 | 90.0 |
| oqmd-1214846 | static | -4.7443 | -4.7443 | 10.0135 | 10.0135 | 10.0135 | 90.0 | 90.0 | 90.0 |
| mp-1245320 | static | -4.7434 | -4.7434 | 11.9987 | 12.0699 | 12.5687 | 90.9 | 92.4 | 93.1 |
| A5--beta-Sn | static | -4.7407 | -4.7407 | 5.1065 | 5.1065 | 2.7645 | 90.0 | 90.0 | 90.0 |
| mp-1244924 | static | -4.7314 | -4.7314 | 11.9415 | 12.0709 | 12.6305 | 92.4 | 91.3 | 93.0 |
| mp-1245170 | static | -4.7287 | -4.7287 | 11.6232 | 12.1462 | 12.8976 | 85.9 | 89.7 | 88.9 |
| mp-1245006 | box | -4.7115 | -4.7115 | 11.8571 | 12.3071 | 12.5498 | 93.1 | 91.7 | 91.7 |
| mp-1245164 | box | -4.7085 | -4.7085 | 12.1655 | 12.3081 | 12.5145 | 81.0 | 83.5 | 82.5 |
| oqmd-1214935 | box | -4.6996 | -4.6996 | 7.1272 | 7.1272 | 7.1272 | 90.0 | 90.0 | 90.0 |
| mp-1245320 | box | -4.6991 | -4.6991 | 11.9936 | 12.1809 | 12.5845 | 90.2 | 90.1 | 90.9 |
| mp-1245170 | box | -4.6846 | -4.6846 | 12.0318 | 12.0533 | 12.6698 | 93.7 | 90.9 | 90.5 |
| mp-1244924 | box | -4.6766 | -4.6766 | 11.7896 | 12.3744 | 12.6499 | 92.4 | 92.1 | 93.2 |
| A15--beta-W | static | -4.6753 | -4.6753 | 5.2236 | 5.2236 | 5.2236 | 90.0 | 90.0 | 90.0 |
| oqmd-1214757 | box | -4.6561 | -4.6561 | 3.1206 | 4.6964 | 10.1641 | 90.0 | 90.0 | 90.0 |
| Ah--alpha-Po--sc | static | -4.5461 | -4.5461 | 2.6194 | 2.6194 | 2.6194 | 90.0 | 90.0 | 90.0 |
| oqmd-1216004 | box | -4.1238 | -4.1238 | 4.4909 | 4.4909 | 4.9916 | 90.0 | 90.0 | 120.0 |
| A4--C--dc | static | -3.6024 | -3.6024 | 5.5416 | 5.5416 | 5.5416 | 90.0 | 90.0 | 90.0 |
Static elastic constants are displayed for the unique structures identified in Crystal Structure Predictions above. The values displayed here are obtained by measuring the change in virial stresses due to applying small strains to the relaxed crystals. The initial structure and the strained states are all relaxed using force minimization.
The calculation method used is available as the iprPy elastic_constants_static calculation method.
Notes and Disclaimers:
Version Information:
| 180.955 | 123.553 | 123.553 | 0.000 | -0.000 | -0.000 |
| 123.553 | 180.955 | 123.553 | -0.000 | -0.000 | -0.000 |
| 123.553 | 123.553 | 180.955 | 0.000 | -0.000 | -0.000 |
| -0.000 | 0.000 | 0.000 | 50.790 | -0.000 | -0.000 |
| 0.000 | -0.000 | 0.000 | -0.000 | 50.790 | -0.000 |
| 0.000 | 0.000 | -0.000 | 0.000 | -0.000 | 50.790 |
| 180.955 | 123.553 | 123.553 | -0.000 | 0.000 | 0.000 |
| 123.553 | 180.955 | 123.553 | -0.000 | -0.000 | -0.000 |
| 123.553 | 123.553 | 180.955 | -0.000 | 0.000 | 0.000 |
| 0.000 | -0.000 | -0.000 | 50.790 | 0.000 | 0.000 |
| -0.000 | 0.000 | -0.000 | -0.000 | 50.790 | 0.000 |
| -0.000 | -0.000 | 0.000 | -0.000 | 0.000 | 50.790 |
| 180.955 | 123.553 | 123.553 | 0.000 | -0.000 | -0.000 |
| 123.553 | 180.955 | 123.553 | 0.000 | -0.000 | -0.000 |
| 123.553 | 123.553 | 180.955 | 0.000 | -0.000 | -0.000 |
| 0.000 | 0.000 | 0.000 | 50.790 | -0.000 | -0.000 |
| 0.000 | 0.000 | 0.000 | 0.000 | 50.790 | -0.000 |
| 0.000 | 0.000 | 0.000 | 0.000 | -0.000 | 50.790 |
| 180.955 | 123.553 | 123.553 | -0.000 | 0.000 | 0.000 |
| 123.553 | 180.955 | 123.553 | -0.000 | -0.000 | 0.000 |
| 123.553 | 123.553 | 180.955 | 0.000 | 0.000 | 0.000 |
| -0.000 | -0.000 | -0.000 | 50.790 | 0.000 | -0.000 |
| -0.000 | -0.000 | -0.000 | 0.000 | 50.790 | 0.000 |
| -0.000 | -0.000 | -0.000 | -0.000 | -0.000 | 50.790 |
| 180.956 | 123.554 | 123.554 | 0.000 | -0.000 | -0.000 |
| 123.554 | 180.956 | 123.554 | -0.000 | -0.000 | -0.000 |
| 123.554 | 123.554 | 180.956 | 0.000 | 0.000 | -0.000 |
| 0.000 | 0.000 | 0.000 | 50.790 | -0.000 | -0.000 |
| 0.000 | 0.000 | 0.000 | 0.000 | 50.790 | -0.000 |
| 0.000 | 0.000 | 0.000 | 0.000 | -0.000 | 50.790 |
| 180.954 | 123.552 | 123.552 | -0.000 | 0.000 | 0.000 |
| 123.552 | 180.954 | 123.552 | -0.000 | 0.000 | 0.000 |
| 123.552 | 123.552 | 180.954 | -0.000 | 0.000 | -0.000 |
| -0.000 | -0.000 | -0.000 | 50.790 | 0.000 | 0.000 |
| -0.000 | -0.000 | -0.000 | 0.000 | 50.790 | 0.000 |
| -0.000 | -0.000 | -0.000 | -0.000 | 0.000 | 50.790 |
| 268.820 | 96.558 | 96.558 | -0.000 | -0.000 | -0.000 |
| 96.558 | 268.820 | 96.558 | -0.000 | -0.000 | -0.000 |
| 96.558 | 96.558 | 268.820 | -0.000 | -0.000 | -0.000 |
| 0.000 | 0.000 | 0.000 | -24.225 | -0.000 | 0.000 |
| 0.000 | 0.000 | 0.000 | -0.000 | -24.225 | 0.000 |
| 0.000 | 0.000 | 0.000 | -0.000 | -0.000 | -24.225 |
| 267.601 | 97.168 | 97.168 | 0.000 | 0.000 | -0.000 |
| 97.168 | 267.601 | 97.168 | 0.000 | 0.000 | -0.000 |
| 97.168 | 97.168 | 267.601 | 0.000 | 0.000 | 0.000 |
| 0.000 | -0.000 | -0.000 | -24.225 | 0.000 | -0.000 |
| -0.000 | -0.000 | 0.000 | 0.000 | -24.225 | -0.000 |
| -0.000 | -0.000 | 0.000 | 0.000 | 0.000 | -24.225 |
| 268.820 | 96.558 | 96.558 | -0.000 | 0.000 | 0.000 |
| 96.558 | 268.820 | 96.558 | -0.000 | -0.000 | 0.000 |
| 96.558 | 96.558 | 268.820 | -0.000 | -0.000 | -0.000 |
| -0.001 | 0.001 | -0.000 | -56.554 | -0.000 | 0.000 |
| 0.001 | -0.001 | 0.001 | -0.000 | -56.554 | -0.000 |
| 0.001 | -0.000 | -0.001 | -0.000 | -0.000 | -56.554 |
| 268.819 | 96.558 | 96.558 | 0.000 | 0.000 | -0.000 |
| 96.558 | 268.819 | 96.558 | 0.000 | 0.000 | 0.000 |
| 96.558 | 96.558 | 268.819 | 0.000 | 0.000 | 0.000 |
| 0.001 | -0.001 | 0.000 | -56.554 | 0.000 | 0.000 |
| -0.001 | 0.001 | -0.000 | 0.000 | -56.554 | -0.000 |
| -0.001 | 0.000 | 0.001 | 0.000 | 0.000 | -56.554 |
| 267.602 | 97.168 | 97.168 | -0.000 | -0.000 | 0.000 |
| 97.168 | 267.602 | 97.168 | -0.000 | -0.000 | 0.000 |
| 97.168 | 97.168 | 267.602 | 0.000 | -0.000 | -0.000 |
| 0.000 | 0.000 | 0.000 | 14.586 | -0.000 | 0.000 |
| 0.000 | 0.000 | 0.000 | -0.000 | 14.586 | 0.000 |
| 0.000 | 0.000 | 0.000 | -0.000 | -0.000 | 14.586 |
| 267.599 | 97.167 | 97.167 | 0.000 | 0.000 | 0.000 |
| 97.167 | 267.599 | 97.167 | 0.000 | 0.000 | 0.000 |
| 97.167 | 97.167 | 267.599 | 0.000 | 0.000 | -0.000 |
| -0.000 | -0.000 | -0.000 | 14.586 | 0.000 | 0.000 |
| -0.000 | -0.000 | -0.000 | 0.000 | 14.586 | -0.000 |
| -0.000 | -0.000 | -0.000 | 0.000 | 0.000 | 14.586 |
| 146.054 | 164.171 | 164.171 | -0.000 | 0.000 | 0.000 |
| 164.171 | 146.054 | 164.171 | 0.000 | 0.000 | 0.000 |
| 164.171 | 164.171 | 146.054 | 0.000 | 0.000 | 0.000 |
| 0.000 | -0.000 | 0.000 | 90.397 | 0.000 | 0.000 |
| -0.000 | 0.000 | 0.000 | 0.000 | 90.397 | 0.000 |
| -0.000 | 0.000 | 0.000 | -0.000 | 0.000 | 90.397 |
| 146.054 | 164.171 | 164.171 | -0.000 | -0.000 | -0.000 |
| 164.171 | 146.054 | 164.171 | -0.000 | -0.000 | -0.000 |
| 164.171 | 164.171 | 146.054 | -0.000 | -0.000 | -0.000 |
| -0.000 | 0.000 | -0.000 | 90.397 | 0.000 | -0.000 |
| 0.000 | -0.000 | -0.000 | 0.000 | 90.397 | -0.000 |
| 0.000 | -0.000 | -0.000 | -0.000 | -0.000 | 90.397 |
| 146.054 | 164.171 | 164.171 | -0.000 | -0.000 | -0.000 |
| 164.171 | 146.054 | 164.171 | -0.000 | -0.000 | 0.000 |
| 164.171 | 164.171 | 146.054 | -0.000 | 0.000 | -0.000 |
| 0.000 | 0.000 | 0.000 | 90.397 | 0.000 | 0.000 |
| 0.000 | 0.000 | 0.000 | -0.000 | 90.397 | 0.000 |
| 0.000 | 0.000 | 0.000 | -0.000 | 0.000 | 90.397 |
| 146.054 | 164.171 | 164.171 | -0.000 | -0.000 | -0.000 |
| 164.171 | 146.054 | 164.171 | -0.000 | -0.000 | -0.000 |
| 164.171 | 164.171 | 146.054 | 0.000 | -0.000 | -0.000 |
| -0.000 | -0.000 | -0.000 | 90.397 | 0.000 | -0.000 |
| -0.000 | -0.000 | -0.000 | 0.000 | 90.397 | -0.000 |
| -0.000 | -0.000 | -0.000 | 0.000 | 0.000 | 90.397 |
| 146.055 | 164.171 | 164.171 | 0.000 | 0.000 | 0.000 |
| 164.171 | 146.055 | 164.171 | 0.000 | 0.000 | 0.000 |
| 164.171 | 164.171 | 146.055 | -0.000 | 0.000 | 0.000 |
| 0.000 | 0.000 | 0.000 | 90.397 | 0.000 | 0.000 |
| 0.000 | 0.000 | 0.000 | 0.000 | 90.397 | 0.000 |
| 0.000 | 0.000 | 0.000 | -0.000 | 0.000 | 90.397 |
| 146.053 | 164.170 | 164.170 | -0.000 | -0.000 | -0.000 |
| 164.170 | 146.053 | 164.170 | -0.000 | -0.000 | 0.000 |
| 164.170 | 164.170 | 146.053 | 0.000 | -0.000 | -0.000 |
| -0.000 | -0.000 | -0.000 | 90.397 | 0.000 | -0.000 |
| -0.000 | -0.000 | -0.000 | 0.000 | 90.397 | -0.000 |
| -0.000 | -0.000 | -0.000 | -0.000 | -0.000 | 90.397 |
| 197.596 | 120.210 | 114.260 | -0.000 | -0.000 | 0.000 |
| 120.210 | 197.596 | 114.260 | 0.000 | -0.000 | 0.000 |
| 114.260 | 114.260 | 231.150 | -0.000 | -0.000 | 0.000 |
| 0.000 | -0.000 | 0.000 | 41.647 | -0.000 | 0.000 |
| 0.000 | -0.000 | 0.000 | -0.000 | 41.647 | 0.000 |
| 0.000 | 0.000 | -0.000 | 0.000 | -0.000 | 43.612 |
| 197.596 | 120.210 | 114.260 | 0.000 | 0.000 | -0.000 |
| 115.291 | 202.515 | 114.260 | 0.000 | 0.000 | -0.000 |
| 114.260 | 114.260 | 231.150 | 0.000 | 0.000 | -0.000 |
| 0.000 | 0.000 | -0.000 | 41.647 | 0.000 | -0.000 |
| -0.000 | 0.000 | -0.000 | 0.000 | 41.647 | -0.000 |
| -0.000 | -0.000 | 0.000 | 0.000 | 0.000 | 43.612 |
| 197.597 | 120.210 | 114.260 | -0.000 | -0.000 | 0.000 |
| 115.291 | 202.515 | 114.260 | 0.000 | 0.000 | 0.000 |
| 114.260 | 114.260 | 231.150 | -0.000 | 0.000 | 0.000 |
| 0.000 | 0.000 | 0.000 | 41.647 | -0.000 | 0.000 |
| 0.000 | 0.000 | 0.000 | -0.000 | 41.647 | 0.000 |
| 0.000 | 0.000 | 0.000 | -0.000 | -0.000 | 43.612 |
| 202.515 | 115.291 | 114.260 | 0.000 | 0.000 | -0.000 |
| 120.210 | 197.596 | 114.260 | 0.000 | 0.000 | -0.000 |
| 114.260 | 114.260 | 231.150 | 0.000 | 0.000 | -0.000 |
| -0.000 | -0.000 | -0.000 | 41.647 | -0.000 | -0.000 |
| -0.000 | -0.000 | -0.000 | 0.000 | 41.647 | 0.000 |
| -0.000 | -0.000 | -0.000 | 0.000 | 0.000 | 43.612 |
| 197.598 | 120.210 | 114.260 | -0.000 | -0.000 | 0.000 |
| 120.211 | 197.598 | 114.260 | -0.000 | -0.000 | 0.000 |
| 114.260 | 114.260 | 231.152 | -0.000 | -0.000 | 0.000 |
| 0.000 | 0.000 | 0.000 | 41.647 | -0.000 | 0.000 |
| 0.000 | 0.000 | 0.000 | 0.000 | 41.647 | 0.000 |
| 0.000 | 0.000 | 0.000 | -0.000 | -0.000 | 43.612 |
| 197.594 | 120.210 | 114.260 | 0.000 | 0.000 | -0.000 |
| 115.291 | 202.513 | 114.259 | -0.000 | 0.000 | -0.000 |
| 114.259 | 114.259 | 231.149 | 0.000 | 0.000 | -0.000 |
| -0.000 | -0.000 | -0.000 | 41.647 | 0.000 | -0.000 |
| -0.000 | -0.000 | -0.000 | -0.000 | 41.647 | -0.000 |
| -0.000 | -0.000 | -0.000 | 0.000 | 0.000 | 43.612 |
| 195.210 | 121.494 | 118.776 | -0.000 | 0.000 | 0.000 |
| 121.494 | 195.210 | 118.776 | -0.000 | -0.000 | 0.000 |
| 118.776 | 118.776 | 248.470 | -0.000 | 0.000 | 0.000 |
| -0.000 | 0.000 | 0.000 | 46.622 | -0.000 | 0.000 |
| -0.000 | 0.000 | 0.000 | 0.000 | 46.622 | 0.000 |
| -0.000 | 0.000 | 0.000 | -0.000 | -0.000 | 36.858 |
| 195.210 | 121.494 | 118.776 | -0.000 | -0.000 | -0.000 |
| 121.494 | 195.210 | 118.776 | 0.000 | 0.000 | -0.000 |
| 118.776 | 118.776 | 248.470 | 0.000 | -0.000 | -0.000 |
| 0.000 | -0.000 | -0.000 | 46.622 | 0.000 | -0.000 |
| 0.000 | -0.000 | -0.000 | 0.000 | 46.622 | -0.000 |
| 0.000 | -0.000 | -0.000 | 0.000 | 0.000 | 36.858 |
| 195.211 | 121.494 | 118.776 | -0.000 | -0.000 | 0.000 |
| 121.494 | 195.211 | 118.776 | -0.000 | -0.000 | 0.000 |
| 118.776 | 118.776 | 248.470 | -0.000 | -0.000 | 0.000 |
| 0.000 | 0.000 | 0.000 | 46.622 | -0.000 | 0.000 |
| 0.000 | 0.000 | 0.000 | 0.000 | 46.622 | 0.000 |
| 0.000 | 0.000 | -0.000 | -0.000 | 0.000 | 36.858 |
| 195.210 | 121.494 | 118.776 | 0.000 | -0.000 | -0.000 |
| 121.494 | 195.210 | 118.776 | 0.000 | 0.000 | -0.000 |
| 118.776 | 118.776 | 248.470 | -0.000 | 0.000 | -0.000 |
| -0.000 | -0.000 | -0.000 | 46.622 | -0.000 | -0.000 |
| -0.000 | -0.000 | -0.000 | -0.000 | 46.622 | -0.000 |
| -0.000 | -0.000 | 0.000 | 0.000 | -0.000 | 36.858 |
| 202.207 | 114.500 | 118.776 | -0.000 | 0.000 | 0.000 |
| 114.500 | 202.207 | 118.776 | -0.000 | 0.000 | 0.000 |
| 118.776 | 118.776 | 248.471 | -0.000 | 0.000 | 0.000 |
| 0.000 | 0.000 | 0.000 | 46.622 | -0.000 | 0.000 |
| 0.000 | 0.000 | 0.000 | 0.000 | 46.622 | -0.000 |
| 0.000 | 0.000 | 0.000 | -0.000 | -0.000 | 43.853 |
| 195.209 | 121.493 | 118.775 | 0.000 | -0.000 | -0.000 |
| 121.493 | 195.209 | 118.775 | 0.000 | 0.000 | -0.000 |
| 118.775 | 118.775 | 248.468 | -0.000 | -0.000 | -0.000 |
| -0.000 | -0.000 | -0.000 | 46.622 | 0.000 | 0.000 |
| -0.000 | -0.000 | -0.000 | -0.000 | 46.622 | 0.000 |
| -0.000 | -0.000 | -0.000 | 0.000 | -0.000 | 43.853 |
| 54.042 | 77.203 | 77.203 | 0.000 | 0.000 | 0.000 |
| 77.203 | 54.042 | 77.203 | 0.000 | 0.000 | 0.000 |
| 77.203 | 77.203 | 54.042 | 0.000 | 0.000 | 0.000 |
| -0.000 | -0.000 | -0.000 | -31.800 | 0.000 | 0.000 |
| -0.000 | -0.000 | -0.000 | 0.000 | -31.800 | 0.000 |
| -0.000 | -0.000 | -0.000 | 0.000 | 0.000 | -31.800 |
| 54.042 | 77.203 | 77.203 | -0.000 | -0.000 | -0.000 |
| 77.203 | 54.042 | 77.203 | -0.000 | -0.000 | -0.000 |
| 77.203 | 77.203 | 54.042 | -0.000 | -0.000 | -0.000 |
| 0.000 | 0.000 | 0.000 | -31.800 | -0.000 | -0.000 |
| 0.000 | 0.000 | 0.000 | -0.000 | -31.800 | -0.000 |
| 0.000 | 0.000 | 0.000 | -0.000 | -0.000 | -31.800 |
| 54.042 | 77.203 | 77.203 | 0.000 | 0.000 | 0.000 |
| 77.203 | 54.042 | 77.203 | 0.000 | 0.000 | 0.000 |
| 77.203 | 77.203 | 54.042 | 0.000 | 0.000 | 0.000 |
| -0.000 | -0.000 | -0.000 | -31.800 | 0.000 | 0.000 |
| -0.000 | -0.000 | -0.000 | 0.000 | -31.800 | 0.000 |
| -0.000 | -0.000 | -0.000 | 0.000 | 0.000 | -31.800 |
| 54.042 | 77.203 | 77.203 | -0.000 | -0.000 | -0.000 |
| 77.203 | 54.042 | 77.203 | -0.000 | -0.000 | -0.000 |
| 77.203 | 77.203 | 54.042 | -0.000 | -0.000 | -0.000 |
| 0.000 | 0.000 | 0.000 | -31.800 | -0.000 | -0.000 |
| 0.000 | 0.000 | 0.000 | -0.000 | -31.800 | -0.000 |
| 0.000 | 0.000 | 0.000 | -0.000 | -0.000 | -31.800 |
| 54.042 | 77.203 | 77.203 | 0.000 | 0.000 | 0.000 |
| 77.203 | 54.042 | 77.203 | 0.000 | 0.000 | 0.000 |
| 77.203 | 77.203 | 54.042 | 0.000 | 0.000 | 0.000 |
| -0.000 | -0.000 | -0.000 | -31.800 | 0.000 | 0.000 |
| -0.000 | -0.000 | -0.000 | 0.000 | -31.800 | 0.000 |
| -0.000 | -0.000 | -0.000 | 0.000 | 0.000 | -31.800 |
| 54.041 | 77.202 | 77.202 | -0.000 | -0.000 | -0.000 |
| 77.202 | 54.041 | 77.202 | -0.000 | -0.000 | -0.000 |
| 77.202 | 77.202 | 54.041 | -0.000 | -0.000 | -0.000 |
| 0.000 | 0.000 | 0.000 | -31.800 | -0.000 | -0.000 |
| 0.000 | 0.000 | 0.000 | -0.000 | -31.800 | -0.000 |
| 0.000 | 0.000 | 0.000 | -0.000 | -0.000 | -31.800 |
| 317.353 | 85.153 | 94.106 | -0.000 | -0.000 | -0.000 |
| 85.153 | 317.353 | 94.106 | -0.000 | -0.000 | -0.000 |
| 94.106 | 94.106 | 330.131 | 0.000 | -0.000 | -0.000 |
| -0.000 | 0.000 | -0.000 | -21.514 | 0.000 | 0.000 |
| -0.000 | 0.000 | -0.000 | 0.000 | -21.514 | -0.000 |
| -0.000 | -0.000 | -0.000 | -0.000 | 0.000 | -7.030 |
| 317.353 | 85.153 | 94.106 | 0.000 | -0.000 | 0.000 |
| 85.153 | 317.353 | 94.106 | -0.000 | -0.000 | 0.000 |
| 94.106 | 94.106 | 330.131 | -0.000 | -0.000 | 0.000 |
| 0.000 | -0.000 | 0.000 | -21.514 | -0.000 | 0.000 |
| 0.000 | -0.000 | 0.000 | -0.000 | -21.514 | 0.000 |
| 0.000 | 0.000 | 0.000 | -0.000 | -0.000 | -7.030 |
| 317.353 | 85.153 | 94.106 | 0.000 | -0.000 | 0.000 |
| 85.153 | 317.353 | 94.106 | -0.000 | 0.000 | -0.000 |
| 94.106 | 94.106 | 330.132 | -0.000 | -0.000 | -0.000 |
| -0.000 | 0.000 | -0.000 | -21.514 | -0.000 | 0.000 |
| 0.000 | -0.000 | -0.000 | 0.000 | -21.514 | -0.000 |
| -0.000 | -0.000 | -0.000 | 0.000 | 0.000 | -7.030 |
| 317.353 | 85.153 | 94.106 | 0.000 | -0.000 | -0.000 |
| 85.153 | 317.353 | 94.106 | -0.000 | -0.000 | 0.000 |
| 94.106 | 94.106 | 330.131 | -0.000 | 0.000 | 0.000 |
| 0.000 | -0.000 | 0.000 | -21.514 | -0.000 | 0.000 |
| -0.000 | 0.000 | 0.000 | -0.000 | -21.514 | 0.000 |
| 0.000 | 0.000 | 0.000 | -0.000 | -0.000 | -7.030 |
| -976.055 | 1378.559 | 94.114 | -0.000 | -0.000 | -0.000 |
| 1378.563 | -976.059 | 94.114 | -0.000 | 0.000 | -0.000 |
| 94.106 | 94.106 | 330.134 | 0.000 | 0.000 | -0.000 |
| -0.000 | 0.000 | -0.000 | -21.514 | -0.000 | -0.000 |
| 0.000 | -0.000 | -0.000 | 0.000 | -21.514 | -0.000 |
| 0.000 | -0.000 | 0.000 | -0.000 | -0.000 | -7.030 |
| -976.203 | 1378.711 | 94.099 | 0.000 | -0.000 | 0.000 |
| 1378.709 | -976.201 | 94.099 | -0.000 | -0.000 | 0.000 |
| 94.106 | 94.106 | 330.129 | 0.000 | 0.000 | 0.000 |
| 0.000 | -0.000 | 0.000 | -21.514 | -0.000 | -0.000 |
| -0.000 | 0.000 | 0.000 | -0.000 | -21.514 | 0.000 |
| -0.000 | 0.000 | -0.000 | -0.000 | -0.000 | -7.030 |
| -43.889 | -14.282 | 15.834 | -2.380 | 0.000 | -0.000 |
| -14.282 | -43.889 | 15.834 | 2.380 | -0.000 | -0.000 |
| 15.130 | 15.129 | 53.105 | 0.000 | -0.000 | 0.000 |
| -2.380 | 2.380 | 0.000 | 11.767 | -0.000 | 0.000 |
| 0.000 | -0.000 | 0.000 | -0.000 | 11.767 | -2.380 |
| 0.000 | -0.000 | 0.000 | -0.000 | -2.380 | -14.804 |
| -43.889 | -14.282 | 15.834 | -2.380 | 0.000 | 0.000 |
| -14.282 | -43.889 | 15.834 | 2.380 | 0.000 | 0.000 |
| 15.129 | 15.129 | 53.106 | -0.000 | -0.000 | -0.000 |
| -2.380 | 2.380 | -0.000 | 11.767 | 0.000 | -0.000 |
| -0.000 | 0.000 | -0.000 | 0.000 | 11.767 | -2.380 |
| -0.000 | 0.000 | -0.000 | 0.000 | -2.380 | -14.804 |
| -43.889 | -14.282 | 15.834 | -2.380 | -0.000 | -0.000 |
| -14.282 | -43.889 | 15.834 | 2.380 | -0.000 | -0.000 |
| 15.129 | 15.129 | 53.106 | 0.000 | 0.000 | -0.000 |
| -2.380 | 2.380 | 0.000 | 11.767 | -0.000 | 0.000 |
| 0.000 | -0.000 | 0.000 | -0.000 | 11.767 | -2.380 |
| 0.000 | -0.000 | 0.000 | -0.000 | -2.380 | -14.804 |
| -43.889 | -14.282 | 15.834 | -2.380 | -0.000 | 0.000 |
| -14.282 | -43.889 | 15.834 | 2.380 | 0.000 | -0.000 |
| 15.129 | 15.129 | 53.105 | 0.000 | -0.000 | 0.000 |
| -2.380 | 2.380 | -0.000 | 11.767 | -0.000 | -0.000 |
| -0.000 | 0.000 | -0.000 | 0.000 | 11.767 | -2.380 |
| -0.000 | -0.000 | -0.000 | 0.000 | -2.380 | -14.804 |
| -43.888 | -14.282 | 15.834 | -2.380 | 0.000 | 0.000 |
| -14.282 | -43.888 | 15.834 | 2.380 | 0.000 | 0.000 |
| 15.130 | 15.130 | 53.106 | 0.000 | 0.000 | 0.000 |
| -2.380 | 2.380 | 0.000 | 11.768 | -0.000 | -0.000 |
| 0.000 | 0.000 | 0.000 | -0.000 | 11.767 | -2.380 |
| 0.000 | 0.000 | 0.000 | -0.000 | -2.380 | -14.804 |
| -43.890 | -14.282 | 15.834 | -2.380 | 0.000 | -0.000 |
| -14.282 | -43.890 | 15.834 | 2.380 | -0.000 | -0.000 |
| 15.129 | 15.129 | 53.105 | -0.000 | -0.000 | 0.000 |
| -2.380 | 2.380 | -0.000 | 11.767 | -0.000 | -0.000 |
| -0.000 | -0.000 | -0.000 | 0.000 | 11.767 | -2.380 |
| -0.000 | -0.000 | -0.000 | 0.000 | -2.380 | -14.804 |
| 369.677 | 98.279 | 98.279 | 0.000 | -0.000 | -0.000 |
| 98.279 | 369.677 | 98.279 | 0.000 | -0.000 | 0.000 |
| 98.279 | 98.279 | 369.677 | 0.000 | -0.000 | -0.000 |
| -0.000 | -0.000 | -0.000 | -9.348 | -0.000 | -0.000 |
| -0.000 | -0.000 | -0.000 | 0.000 | -9.348 | -0.000 |
| -0.000 | -0.000 | -0.000 | 0.000 | 0.000 | -9.348 |
| 369.677 | 98.279 | 98.279 | -0.000 | 0.000 | 0.000 |
| 98.279 | 369.677 | 98.279 | -0.000 | -0.000 | 0.000 |
| 98.279 | 98.279 | 369.677 | 0.000 | 0.000 | 0.000 |
| 0.000 | 0.000 | 0.000 | -9.348 | 0.000 | -0.000 |
| 0.000 | 0.000 | 0.000 | -0.000 | -9.348 | 0.000 |
| 0.000 | 0.000 | 0.000 | -0.000 | 0.000 | -9.348 |
| 369.677 | 98.279 | 98.279 | 0.000 | -0.000 | -0.000 |
| 98.279 | 369.677 | 98.279 | -0.000 | -0.000 | -0.000 |
| 98.279 | 98.279 | 369.677 | -0.000 | -0.000 | -0.000 |
| 0.000 | 0.000 | -0.000 | -9.348 | -0.000 | -0.000 |
| 0.000 | 0.000 | -0.000 | 0.000 | -9.348 | -0.000 |
| 0.000 | -0.000 | 0.000 | 0.000 | 0.000 | -9.348 |
| 369.676 | 98.279 | 98.279 | -0.000 | 0.000 | 0.000 |
| 98.279 | 369.676 | 98.279 | -0.000 | 0.000 | 0.000 |
| 98.279 | 98.279 | 369.676 | -0.000 | 0.000 | 0.000 |
| -0.000 | -0.000 | 0.000 | -9.348 | 0.000 | 0.000 |
| -0.000 | -0.000 | 0.000 | -0.000 | -9.348 | 0.000 |
| -0.000 | 0.000 | -0.000 | -0.000 | 0.000 | -9.348 |
| 369.678 | 98.278 | 98.278 | 0.000 | 0.000 | -0.000 |
| 98.278 | 369.678 | 98.278 | 0.000 | -0.000 | -0.000 |
| 98.278 | 98.278 | 369.678 | 0.000 | 0.000 | -0.000 |
| 0.000 | 0.000 | -0.000 | -9.348 | 0.000 | -0.000 |
| 0.000 | 0.000 | -0.000 | 0.000 | -9.348 | -0.000 |
| 0.000 | -0.000 | 0.000 | 0.000 | 0.000 | -9.348 |
| 369.675 | 98.279 | 98.279 | -0.000 | -0.000 | 0.000 |
| 98.279 | 369.675 | 98.279 | -0.000 | -0.000 | 0.000 |
| 98.279 | 98.279 | 369.675 | -0.000 | 0.000 | 0.000 |
| -0.000 | -0.000 | 0.000 | -9.348 | 0.000 | -0.000 |
| -0.000 | -0.000 | 0.000 | -0.000 | -9.348 | 0.000 |
| -0.000 | 0.000 | -0.000 | -0.000 | -0.000 | -9.348 |
| 99.074 | 99.691 | 69.944 | -0.000 | -0.000 | -0.000 |
| 99.691 | 99.074 | 69.944 | -0.000 | 0.000 | -0.000 |
| 68.549 | 68.549 | 187.095 | -0.000 | -0.000 | -0.000 |
| 0.000 | 0.000 | -0.000 | 35.918 | 0.000 | -0.000 |
| 0.000 | 0.000 | 0.000 | -0.000 | 35.918 | 0.000 |
| -0.000 | -0.000 | 0.000 | -0.000 | -0.000 | 65.871 |
| 77.010 | 132.219 | 69.575 | 0.000 | -0.000 | -0.000 |
| 132.219 | 77.010 | 69.575 | 0.000 | 0.000 | -0.000 |
| 68.549 | 68.549 | 187.095 | 0.000 | -0.000 | 0.000 |
| -0.000 | -0.000 | 0.000 | 35.918 | 0.000 | -0.000 |
| -0.000 | -0.000 | -0.000 | 0.000 | 35.918 | -0.000 |
| 0.000 | 0.000 | -0.000 | 0.000 | -0.000 | 65.871 |
| 99.074 | 99.691 | 69.944 | -0.000 | -0.000 | 0.000 |
| 99.691 | 99.074 | 69.944 | -0.000 | 0.000 | 0.000 |
| 68.549 | 68.549 | 187.096 | -0.000 | 0.000 | -0.000 |
| -0.000 | -0.000 | -0.000 | -22.202 | 0.000 | 0.000 |
| -0.000 | -0.000 | -0.000 | -0.000 | -22.202 | 0.000 |
| 0.000 | 0.000 | -0.000 | -0.000 | 0.000 | 65.871 |
| 128.487 | 109.869 | 68.549 | -0.000 | 0.000 | 0.000 |
| 109.869 | 128.487 | 68.549 | 0.000 | -0.000 | -0.000 |
| 68.549 | 68.549 | 187.095 | 0.000 | -0.000 | 0.000 |
| 0.000 | 0.000 | 0.000 | -22.202 | -0.000 | -0.000 |
| 0.000 | 0.000 | 0.000 | 0.000 | -22.202 | -0.000 |
| -0.000 | -0.000 | 0.000 | 0.000 | -0.000 | 65.871 |
| 77.011 | 132.220 | 69.575 | -0.000 | 0.000 | 0.000 |
| 132.220 | 77.011 | 69.575 | 0.000 | -0.000 | 0.000 |
| 69.576 | 69.576 | 187.024 | -0.000 | 0.000 | 0.000 |
| 0.000 | -0.000 | -0.000 | -22.202 | 0.000 | 0.000 |
| -0.000 | 0.000 | -0.000 | -0.000 | -22.202 | -0.000 |
| 0.000 | 0.000 | -0.000 | -0.000 | 0.000 | 65.871 |
| 77.009 | 132.218 | 69.575 | 0.000 | -0.000 | -0.000 |
| 132.218 | 77.009 | 69.575 | 0.000 | 0.000 | -0.000 |
| 68.548 | 68.548 | 187.095 | 0.000 | 0.000 | -0.000 |
| -0.000 | 0.000 | 0.000 | -22.202 | -0.000 | -0.000 |
| 0.000 | -0.000 | 0.000 | 0.000 | -22.202 | 0.000 |
| -0.000 | -0.000 | 0.000 | 0.000 | 0.000 | 65.871 |
| 120.434 | 98.156 | 67.007 | -0.000 | -0.000 | -0.000 |
| 98.156 | 120.434 | 67.007 | -0.000 | -0.000 | -0.000 |
| 65.906 | 65.906 | 177.022 | -0.000 | 0.000 | -0.000 |
| -0.001 | -0.001 | 0.000 | 20.205 | -0.000 | -0.000 |
| -0.001 | -0.001 | 0.000 | -0.000 | 20.205 | -0.000 |
| -0.001 | -0.001 | 0.000 | -0.000 | -0.000 | 56.353 |
| 120.434 | 98.156 | 67.007 | 0.000 | 0.000 | 0.000 |
| 98.156 | 120.434 | 67.007 | 0.000 | 0.000 | 0.000 |
| 65.906 | 65.906 | 177.022 | 0.000 | 0.000 | 0.000 |
| 0.001 | 0.001 | -0.000 | 20.205 | 0.000 | 0.000 |
| 0.001 | 0.001 | -0.000 | 0.000 | 20.205 | 0.000 |
| 0.001 | 0.001 | -0.000 | 0.000 | 0.000 | 56.353 |
| 72.133 | 115.256 | 67.286 | -0.000 | -0.000 | -0.000 |
| 115.256 | 72.133 | 67.286 | -0.000 | -0.000 | -0.000 |
| 65.906 | 65.906 | 177.022 | -0.000 | -0.000 | -0.000 |
| -0.000 | 0.000 | 0.000 | 35.423 | -0.000 | -0.000 |
| 0.000 | -0.000 | 0.000 | -0.000 | 35.423 | -0.000 |
| -0.000 | -0.000 | -0.000 | -0.000 | -0.000 | 56.353 |
| 72.133 | 115.256 | 67.286 | 0.000 | 0.000 | 0.000 |
| 115.256 | 72.133 | 67.286 | -0.000 | 0.000 | 0.000 |
| 66.185 | 66.185 | 177.017 | 0.000 | 0.000 | 0.000 |
| 0.000 | -0.000 | -0.000 | 35.423 | 0.000 | 0.000 |
| -0.000 | 0.000 | -0.000 | -0.000 | 35.423 | 0.000 |
| 0.000 | 0.000 | 0.000 | 0.000 | 0.000 | 56.353 |
| 72.133 | 115.256 | 67.286 | -0.000 | -0.000 | -0.000 |
| 115.256 | 72.133 | 67.286 | -0.000 | -0.000 | -0.000 |
| 65.906 | 65.906 | 177.023 | -0.000 | -0.000 | -0.000 |
| -0.000 | 0.000 | 0.000 | 35.423 | -0.000 | -0.000 |
| 0.000 | -0.000 | 0.000 | -0.000 | 35.423 | -0.000 |
| 0.000 | 0.000 | -0.000 | -0.000 | -0.000 | 56.353 |
| 72.132 | 115.255 | 67.285 | 0.000 | 0.000 | 0.000 |
| 115.255 | 72.132 | 67.285 | 0.000 | 0.000 | 0.000 |
| 65.905 | 65.905 | 177.021 | 0.000 | 0.000 | 0.000 |
| 0.000 | -0.000 | -0.000 | 35.423 | 0.000 | 0.000 |
| -0.000 | 0.000 | -0.000 | -0.000 | 35.423 | 0.000 |
| -0.000 | -0.000 | 0.000 | 0.000 | 0.000 | 56.353 |
| 182.529 | 94.848 | 125.054 | 33.016 | 11.486 | -43.885 |
| 125.863 | 201.370 | 99.078 | 7.258 | -10.220 | -23.572 |
| 97.195 | 77.737 | 188.145 | 15.212 | 11.441 | 2.934 |
| 8.025 | -1.177 | 7.346 | 36.238 | 6.914 | -12.917 |
| 11.446 | -11.148 | 8.139 | 5.912 | 35.916 | 11.477 |
| -28.234 | -23.671 | 4.780 | -11.832 | 9.275 | 53.638 |
| 201.110 | 141.854 | 97.646 | 6.736 | 6.439 | -39.047 |
| 129.969 | 210.726 | 95.498 | 2.870 | -11.283 | -23.241 |
| 112.254 | 126.524 | 153.261 | -7.224 | 4.315 | 1.030 |
| 11.328 | 9.724 | 3.833 | 32.591 | 5.912 | -12.760 |
| 15.191 | -0.227 | 4.460 | 1.392 | 34.238 | 11.472 |
| -28.234 | -23.671 | 4.780 | -11.832 | 9.275 | 53.638 |
| 198.703 | 130.603 | 101.035 | 10.687 | 7.448 | -39.394 |
| 125.863 | 201.370 | 99.078 | 7.258 | -10.220 | -23.572 |
| 103.971 | 99.694 | 172.454 | 5.113 | 8.234 | 2.074 |
| 11.381 | 7.562 | 5.753 | 32.097 | 6.311 | -12.972 |
| 11.446 | -11.148 | 8.139 | 5.912 | 35.916 | 11.477 |
| -28.513 | -25.459 | 6.848 | -11.016 | 9.599 | 51.652 |
| 198.703 | 130.602 | 101.035 | 10.687 | 7.448 | -39.394 |
| 126.555 | 200.904 | 98.614 | 6.877 | -10.323 | -23.338 |
| 104.490 | 102.093 | 173.296 | 3.833 | 8.139 | 1.681 |
| 11.328 | 9.724 | 3.833 | 32.591 | 5.912 | -12.760 |
| 11.776 | -10.053 | 7.576 | 5.401 | 35.197 | 11.375 |
| -28.234 | -23.671 | 4.780 | -11.832 | 9.275 | 53.638 |
| 197.205 | 130.839 | 101.149 | 11.263 | 7.520 | -39.143 |
| 126.184 | 199.436 | 98.980 | 7.384 | -10.204 | -23.313 |
| 104.488 | 101.858 | 172.056 | 3.933 | 7.925 | 1.650 |
| 11.328 | 9.725 | 3.833 | 32.591 | 5.912 | -12.760 |
| 11.446 | -11.148 | 8.139 | 5.912 | 35.916 | 11.477 |
| -28.234 | -23.671 | 4.780 | -11.832 | 9.275 | 53.638 |
| 197.293 | 131.065 | 101.075 | 11.166 | 7.498 | -39.143 |
| 126.355 | 198.450 | 99.038 | 7.692 | -10.310 | -22.825 |
| 104.785 | 102.360 | 170.687 | 3.883 | 7.865 | 1.966 |
| 11.328 | 9.724 | 3.833 | 32.591 | 5.912 | -12.760 |
| 11.446 | -11.148 | 8.139 | 5.912 | 35.916 | 11.477 |
| -28.234 | -23.671 | 4.780 | -11.832 | 9.275 | 53.638 |
| 272.544 | -83.579 | 53.151 | 261.213 | 104.503 | -201.054 |
| 73.915 | 239.760 | 29.225 | 120.432 | 56.000 | -28.274 |
| 1153.883 | -870.506 | 5.099 | 779.190 | 195.734 | -1167.393 |
| -47.931 | -52.051 | -62.710 | 209.447 | 42.417 | -47.697 |
| -43.850 | 44.658 | -85.217 | 121.718 | 89.728 | -34.552 |
| -43.006 | 51.692 | -78.643 | 113.697 | 58.489 | 5.781 |
| 209.611 | 73.162 | 193.125 | -119.391 | -54.107 | 37.703 |
| 166.237 | 143.097 | 196.778 | -111.637 | -63.386 | 35.064 |
| 106.843 | 112.501 | 181.785 | -4.900 | -2.097 | 5.895 |
| -3.438 | 3.072 | -4.900 | 38.943 | 5.218 | -2.583 |
| 2.182 | -3.103 | -2.097 | 5.218 | 35.253 | -2.912 |
| 49.322 | -44.985 | 88.913 | -118.371 | -60.896 | 69.120 |
| 171.138 | 117.945 | 106.789 | -3.284 | 6.172 | 6.358 |
| 118.863 | 178.346 | 110.486 | 22.271 | -0.626 | -0.874 |
| 104.703 | 119.757 | 166.775 | 6.806 | 4.543 | 2.483 |
| -3.438 | 3.072 | -4.900 | 38.943 | 5.218 | -2.583 |
| 2.182 | -3.103 | -2.097 | 5.218 | 35.253 | -2.912 |
| -1.466 | 8.196 | -3.256 | 9.285 | 4.774 | 34.267 |
| 160.999 | 130.359 | 117.000 | -21.200 | 1.892 | 10.566 |
| 124.673 | 186.644 | 121.379 | -7.232 | -9.671 | 6.564 |
| 113.977 | 110.094 | 183.499 | -16.444 | -7.412 | 8.826 |
| -3.438 | 3.072 | -4.901 | 38.943 | 5.218 | -2.583 |
| 7.281 | 1.329 | 4.897 | -11.921 | 22.556 | 1.512 |
| -6.883 | 24.285 | 7.924 | -28.411 | -11.564 | 42.022 |
| 151.095 | 126.160 | 111.208 | -0.557 | 6.291 | 5.534 |
| 124.049 | 180.464 | 116.960 | 6.181 | -4.127 | 3.284 |
| 109.042 | 115.705 | 173.561 | -3.480 | -0.688 | 5.269 |
| -3.791 | 2.640 | -5.426 | 31.873 | 6.386 | -2.775 |
| 2.182 | -3.103 | -2.097 | 5.218 | 35.253 | -2.912 |
| 2.651 | 3.960 | 4.173 | -1.001 | -0.567 | 36.383 |
| 162.747 | 121.513 | 110.718 | -4.702 | 4.806 | 6.346 |
| 116.529 | 198.554 | 110.641 | 4.479 | -3.185 | 2.843 |
| 111.943 | 119.569 | 167.993 | -6.814 | -1.100 | 5.234 |
| -2.895 | 4.004 | -4.363 | 28.025 | 5.744 | -1.855 |
| 2.819 | -4.228 | -0.504 | 4.447 | 29.166 | -2.538 |
| 3.090 | 2.814 | 5.357 | -2.665 | -0.958 | 43.258 |
| 205.017 | 125.299 | 121.633 | 2.199 | 6.014 | -2.063 |
| 125.309 | 211.358 | 116.338 | 2.724 | 5.742 | -2.380 |
| 62.048 | 297.099 | 123.401 | 43.688 | 137.512 | 117.320 |
| 1.123 | -1.350 | 4.499 | 41.765 | 2.324 | 3.475 |
| 1.714 | 4.606 | 9.575 | 2.324 | 46.601 | 0.644 |
| -74.808 | 168.120 | -41.407 | 44.208 | 130.545 | 145.244 |
| 179.393 | -114.500 | 892.636 | -173.577 | -687.622 | 13.867 |
| 206.819 | 15.491 | 170.211 | -41.117 | -120.229 | -117.760 |
| 201.253 | -44.808 | 213.774 | -37.371 | -119.056 | -111.831 |
| 185.815 | -226.082 | -204.059 | -126.654 | 144.288 | -12.691 |
| 71.781 | -164.269 | 54.221 | -36.184 | -98.444 | -114.518 |
| 179.235 | -226.141 | -205.661 | -156.662 | 144.470 | 24.251 |
| 175.002 | 152.823 | 147.180 | 17.927 | -7.872 | -0.728 |
| 111.875 | 222.424 | 141.330 | 17.666 | -8.129 | -0.496 |
| 144.166 | 177.233 | 32.659 | 48.343 | 107.176 | -9.074 |
| 1.123 | -1.350 | 4.499 | 41.765 | 2.324 | 3.475 |
| 2.128 | 46.736 | -109.097 | 40.016 | 111.676 | -39.738 |
| -6.583 | -2.295 | 2.951 | 4.610 | 4.137 | 48.344 |
| 150.747 | 106.648 | 254.605 | -45.501 | -95.464 | 12.819 |
| 125.309 | 211.358 | 116.338 | 2.724 | 5.742 | -2.380 |
| 122.083 | 117.309 | 191.250 | 4.499 | 9.575 | 1.879 |
| 1.123 | -1.350 | 4.499 | 41.765 | 2.324 | 3.475 |
| 1.714 | 4.606 | 9.575 | 2.324 | 46.601 | 0.644 |
| -6.583 | -2.295 | 2.951 | 4.610 | 4.137 | 48.344 |
| 191.565 | 132.729 | 128.515 | 3.488 | 4.800 | -2.144 |
| 136.639 | 187.959 | 124.612 | -0.246 | 9.418 | -2.108 |
| 143.476 | 124.474 | 140.819 | 6.846 | 21.385 | 5.356 |
| -1.157 | 0.350 | 6.287 | 35.515 | 1.652 | 3.227 |
| -0.545 | 13.938 | -0.035 | 11.343 | 25.300 | -1.518 |
| -6.583 | -2.294 | 2.951 | 4.610 | 4.137 | 48.344 |
| 194.690 | 128.416 | 124.507 | 0.153 | 7.722 | -2.483 |
| 137.605 | 185.302 | 125.342 | -0.880 | 6.662 | -4.285 |
| 128.660 | 119.164 | 178.491 | 2.537 | 11.043 | 1.369 |
| 5.584 | -7.811 | 4.211 | 12.200 | 2.094 | 1.066 |
| 1.713 | 4.606 | 9.575 | 2.324 | 46.601 | 0.644 |
| -3.904 | -4.256 | 0.428 | 2.597 | 4.654 | 39.575 |
| 236.833 | -6.277 | 179.493 | -63.036 | 62.582 | -129.935 |
| 123.546 | 226.493 | 123.881 | -5.303 | 0.426 | 0.389 |
| 123.745 | 124.023 | 219.565 | 1.492 | 1.313 | -3.276 |
| -83.718 | -143.348 | 88.474 | -17.398 | 117.015 | 56.705 |
| 0.249 | 0.118 | 1.313 | -3.249 | 46.274 | 1.038 |
| 1.754 | 0.377 | -3.396 | 0.300 | -3.400 | 46.045 |
| 223.493 | 123.604 | 124.069 | 1.002 | 0.131 | -2.785 |
| 123.546 | 226.493 | 123.881 | -5.303 | 0.426 | 0.389 |
| 103.836 | 263.039 | 157.701 | 65.786 | -59.386 | 124.146 |
| 84.889 | 142.767 | -83.250 | 70.108 | -123.857 | -54.056 |
| -24.764 | 132.794 | -47.227 | 59.816 | -24.875 | 128.823 |
| 1.754 | 0.377 | -3.396 | 0.300 | -3.400 | 46.045 |
| 152.900 | 129.044 | 160.972 | -19.156 | 7.527 | 9.853 |
| 123.546 | 226.493 | 123.881 | -5.303 | 0.426 | 0.389 |
| 132.954 | 115.017 | 211.399 | -3.898 | 7.703 | -16.196 |
| 0.997 | -0.854 | 1.492 | 46.453 | -3.249 | -0.007 |
| 4.346 | -15.226 | 6.482 | -9.866 | 42.207 | -11.513 |
| -33.604 | -7.433 | 14.465 | -19.081 | 3.680 | 33.944 |
| 207.792 | 141.724 | 125.746 | 6.653 | -4.515 | 10.404 |
| 125.711 | 229.067 | 123.364 | 2.135 | -7.565 | 13.081 |
| 127.653 | 141.944 | 201.636 | 8.779 | -4.502 | 9.337 |
| -2.254 | 12.861 | -2.453 | 43.866 | -9.648 | 13.418 |
| 0.249 | 0.118 | 1.313 | -3.249 | 46.274 | 1.038 |
| -1.504 | 14.097 | -8.509 | 7.362 | -8.366 | 49.354 |
| 193.010 | 132.623 | 140.718 | 0.099 | 4.273 | -1.655 |
| 128.671 | 214.114 | 128.794 | -4.861 | -0.836 | -1.024 |
| 137.273 | 138.179 | 181.157 | -2.174 | 1.403 | -1.097 |
| 0.998 | -0.854 | 1.492 | 46.453 | -3.249 | -0.007 |
| 2.009 | -3.198 | 2.107 | -4.188 | 36.463 | -0.056 |
| -0.771 | -0.758 | -2.138 | 1.256 | 0.758 | 27.286 |
| 193.227 | 135.646 | 140.773 | 3.994 | 3.327 | -3.707 |
| 123.546 | 226.491 | 123.881 | -5.303 | 0.426 | 0.389 |
| 123.745 | 124.023 | 219.565 | 1.492 | 1.313 | -3.276 |
| 0.088 | 0.799 | 1.981 | 37.690 | -4.191 | 2.005 |
| 3.894 | -1.748 | 0.522 | -3.051 | 25.227 | 1.471 |
| 2.302 | 0.858 | -3.235 | 4.221 | -0.384 | 22.531 |
| 217.992 | 118.310 | 116.186 | -2.166 | -0.465 | 2.759 |
| 499.058 | -667.349 | 178.768 | -251.961 | -349.474 | 795.882 |
| 234.764 | 17.162 | -211.379 | -232.817 | -214.368 | 4.676 |
| 1693.772 | -2096.566 | -608.079 | -791.531 | -1493.118 | 1983.959 |
| 1293.172 | -1729.169 | -404.685 | -503.970 | -1168.828 | 1774.712 |
| 101.646 | 68.059 | -281.170 | -76.840 | -25.177 | 24.718 |
| 217.992 | 118.310 | 116.186 | -2.166 | -0.465 | 2.759 |
| 19.415 | 287.793 | 494.319 | 223.327 | 210.000 | 0.818 |
| 16.551 | 226.189 | 536.590 | 223.396 | 205.927 | -1.640 |
| -1.618 | -4.546 | -4.528 | 40.703 | 0.805 | 0.339 |
| -105.584 | -64.235 | 277.727 | 77.359 | 63.894 | 10.939 |
| -4.876 | 163.888 | 236.412 | 15.210 | 376.824 | -163.959 |
| 209.906 | 117.790 | 86.347 | -26.213 | -23.295 | 0.933 |
| 118.675 | 203.589 | 113.235 | -4.170 | -0.423 | 3.824 |
| 136.546 | 111.202 | 125.270 | -27.520 | -25.236 | 1.833 |
| 8.183 | 1.865 | -32.673 | 26.610 | -1.875 | -1.071 |
| -1.253 | -0.142 | -4.574 | 0.805 | 43.235 | -0.841 |
| 63.514 | -138.753 | 11.946 | -41.816 | -70.689 | 145.662 |
| 136.256 | 257.814 | 117.100 | 31.401 | 43.001 | -110.532 |
| 131.555 | 192.929 | 146.261 | -3.857 | 37.340 | -14.444 |
| 110.993 | 110.922 | 203.081 | 3.236 | -1.780 | 2.414 |
| -12.577 | -10.995 | 23.765 | 41.947 | 3.346 | 1.218 |
| -13.592 | 10.648 | 33.105 | 23.787 | 50.564 | -0.273 |
| -13.585 | 14.463 | 38.683 | 22.451 | 22.215 | 28.073 |
| 193.811 | 129.582 | 122.938 | -3.075 | -6.629 | 1.811 |
| 131.819 | 175.344 | 120.488 | -5.536 | -3.836 | 6.363 |
| 118.168 | 114.502 | 183.130 | -4.528 | -4.574 | 0.970 |
| -2.461 | -6.729 | -7.426 | 22.470 | -2.163 | 2.254 |
| -0.756 | 0.715 | -7.286 | -0.052 | 37.376 | -0.608 |
| -1.574 | 2.962 | -2.434 | -2.614 | -0.899 | 28.769 |
| 198.097 | 129.193 | 127.375 | -1.122 | -0.172 | 0.606 |
| 118.675 | 203.587 | 113.235 | -4.170 | -0.423 | 3.824 |
| 127.311 | 125.495 | 157.909 | -4.990 | -0.271 | -0.171 |
| -5.051 | 4.503 | -5.393 | 19.562 | 5.801 | -6.331 |
| -1.254 | -0.142 | -4.574 | 0.805 | 43.235 | -0.841 |
| -3.198 | 3.115 | 3.843 | 0.563 | 1.192 | 36.192 |
| 97.953 | 66.442 | 84.607 | -122.054 | 96.331 | 11.065 |
| 50.849 | 209.101 | 227.347 | -176.370 | 974.961 | -506.793 |
| -12.397 | 86.896 | 111.639 | -143.643 | 158.694 | -63.540 |
| -2.276 | 2.955 | 5.482 | 31.415 | -8.486 | -3.380 |
| -115.216 | -14.752 | -70.032 | -158.357 | 185.868 | -59.096 |
| 3.154 | 1.237 | -8.593 | -2.197 | -3.117 | 40.321 |
| 244.425 | 169.542 | 90.927 | 100.787 | -54.548 | 7.785 |
| 109.135 | 174.944 | 99.935 | 6.144 | -0.498 | 1.211 |
| 148.028 | 161.270 | 176.334 | 108.127 | -62.884 | -6.517 |
| 36.190 | 64.760 | -11.656 | 132.255 | -75.748 | -1.947 |
| 47.379 | 60.729 | -13.029 | 93.902 | -29.983 | -1.872 |
| 3.154 | 1.237 | -8.593 | -2.197 | -3.117 | 40.321 |
| 185.286 | 106.587 | 101.988 | -19.007 | 26.718 | -1.565 |
| 97.651 | 163.529 | 95.287 | -10.045 | 16.394 | -6.367 |
| 108.738 | 98.649 | 195.588 | 5.482 | 4.539 | -8.382 |
| -17.132 | 0.194 | -3.284 | 8.050 | 4.789 | -10.984 |
| 8.521 | -1.682 | 4.539 | -8.486 | 38.584 | -3.701 |
| -8.004 | -3.722 | -10.812 | -15.072 | 5.368 | 37.512 |
| 210.958 | 109.167 | 110.594 | 19.536 | -35.623 | 26.640 |
| 113.150 | 179.176 | 98.730 | 16.077 | -6.912 | 1.025 |
| 120.002 | 103.884 | 192.807 | 16.992 | -5.068 | -8.762 |
| 1.141 | 8.849 | 3.688 | 39.789 | -15.531 | -3.606 |
| 18.742 | 3.033 | 5.755 | 2.563 | 26.212 | -4.163 |
| 6.813 | 7.091 | -10.284 | 7.665 | -9.849 | 39.091 |
| 205.046 | 106.791 | 108.157 | -3.007 | 13.036 | 5.916 |
| 108.369 | 169.997 | 100.818 | 4.217 | 0.949 | 0.391 |
| 108.698 | 98.527 | 193.509 | 4.339 | 4.694 | -8.378 |
| -5.897 | 1.543 | 3.344 | 21.850 | -9.209 | -5.788 |
| 8.521 | -1.682 | 4.540 | -8.486 | 38.584 | -3.701 |
| 2.322 | -1.398 | -3.108 | -5.425 | 17.655 | 20.226 |
| 205.864 | 108.049 | 107.805 | -0.915 | 11.681 | 5.958 |
| 109.653 | 173.552 | 100.272 | 6.836 | -0.894 | 0.852 |
| 110.589 | 100.206 | 190.532 | 6.236 | 2.476 | -8.250 |
| -2.366 | 3.260 | 5.219 | 30.527 | -9.522 | -3.777 |
| 9.289 | -0.650 | 3.579 | -8.220 | 33.609 | -3.649 |
| 3.581 | 0.803 | -8.188 | -1.922 | -3.913 | 36.898 |
| 691.935 | -370.343 | 621.077 | -0.000 | -0.000 | 0.000 |
| 130.104 | 311.792 | 136.671 | -0.000 | -0.000 | 0.000 |
| 582.808 | -358.568 | 693.804 | -0.000 | -0.000 | -0.000 |
| 0.000 | 0.000 | 0.000 | 57.882 | 0.000 | 0.000 |
| 508.840 | -549.547 | 543.803 | 0.000 | 27.189 | -0.000 |
| 1161.661 | -1289.568 | 1439.115 | -0.000 | -0.000 | -224.296 |
| -326.131 | 729.173 | -466.972 | 0.000 | 0.000 | -0.000 |
| 130.104 | 311.792 | 136.671 | -0.000 | 0.000 | -0.000 |
| -435.013 | 740.682 | -393.971 | 0.000 | 0.000 | -0.000 |
| -0.000 | -0.000 | -0.000 | 57.882 | 0.000 | -0.000 |
| -508.840 | 549.547 | -543.803 | 0.000 | 27.189 | 0.000 |
| -1161.661 | 1289.568 | -1439.115 | 0.000 | 0.000 | -224.296 |
| 264.980 | 89.914 | 169.615 | -0.000 | -0.000 | -0.000 |
| 327.120 | 93.653 | 377.526 | -0.000 | -0.000 | -0.000 |
| 112.724 | 149.229 | 190.823 | -0.000 | 0.000 | 0.000 |
| 104.765 | -115.970 | 127.921 | -25.918 | 0.000 | -0.000 |
| 51.832 | -55.978 | 55.393 | -0.000 | 27.128 | -0.000 |
| 62.534 | -67.536 | 66.830 | -0.000 | 0.000 | 7.186 |
| 27.152 | 352.922 | -119.333 | 0.000 | 0.000 | 0.000 |
| 130.104 | 311.792 | 136.671 | 0.000 | 0.000 | -0.000 |
| 112.723 | 149.228 | 190.823 | 0.000 | 0.000 | -0.000 |
| -104.765 | 115.970 | -127.921 | -25.918 | 0.000 | 0.000 |
| -51.832 | 55.978 | -55.393 | 0.000 | 27.128 | -0.000 |
| -62.534 | 67.536 | -66.830 | 0.000 | 0.000 | 7.186 |
| 184.583 | 177.626 | 78.714 | 0.000 | -0.000 | 0.000 |
| 219.507 | 213.161 | 243.970 | -0.000 | -0.000 | -0.000 |
| 40.992 | 228.407 | 104.517 | -0.000 | -0.000 | -0.000 |
| 7.094 | -7.756 | 8.114 | -18.068 | -0.000 | -0.000 |
| 11.958 | -13.279 | 14.840 | -0.000 | 25.283 | -0.000 |
| 13.263 | -14.325 | 14.175 | -0.000 | -0.000 | -28.592 |
| 134.765 | 233.415 | 14.224 | 0.000 | 0.000 | 0.000 |
| 195.588 | 239.714 | 214.286 | 0.000 | 0.000 | 0.000 |
| 17.074 | 254.965 | 74.833 | 0.000 | 0.000 | 0.000 |
| -7.094 | 7.756 | -8.114 | -18.068 | 0.000 | 0.000 |
| -11.958 | 13.279 | -14.840 | 0.000 | 25.283 | 0.000 |
| -13.263 | 14.325 | -14.175 | 0.000 | 0.000 | -28.592 |
| 291.658 | 204.051 | 204.051 | -0.000 | -0.000 | -0.000 |
| 204.051 | 291.658 | 204.051 | -0.000 | -0.000 | -0.000 |
| 204.051 | 204.051 | 291.658 | -0.000 | -0.000 | -0.000 |
| 80.349 | 80.349 | 80.349 | 18.751 | -0.000 | -0.000 |
| 80.349 | 80.349 | 80.349 | -0.000 | 18.751 | -0.000 |
| 80.349 | 80.349 | 80.349 | -0.000 | 0.000 | 18.751 |
| 230.200 | 114.928 | 114.928 | -0.000 | -0.000 | -0.000 |
| 114.928 | 230.200 | 114.928 | -0.000 | -0.000 | -0.000 |
| 114.928 | 114.928 | 230.200 | -0.000 | -0.000 | -0.000 |
| -80.349 | -80.349 | -80.349 | 18.751 | 0.000 | 0.000 |
| -80.349 | -80.349 | -80.349 | 0.000 | 18.751 | 0.000 |
| -80.349 | -80.349 | -80.349 | 0.000 | 0.000 | 18.751 |
| 219.487 | 131.660 | 131.660 | -0.000 | -0.000 | -0.000 |
| 131.660 | 219.487 | 131.660 | -0.000 | 0.000 | -0.000 |
| 131.660 | 131.660 | 219.487 | -0.000 | -0.000 | -0.000 |
| 8.008 | 8.008 | 8.008 | 18.808 | 0.000 | -0.000 |
| 8.008 | 8.008 | 8.008 | -0.000 | 18.808 | -0.000 |
| 8.008 | 8.008 | 8.008 | -0.000 | 0.000 | 18.808 |
| 203.125 | 115.743 | 115.743 | 0.000 | 0.000 | 0.000 |
| 115.743 | 203.125 | 115.743 | 0.000 | 0.000 | 0.000 |
| 115.743 | 115.743 | 203.125 | 0.000 | 0.000 | 0.000 |
| -8.008 | -8.008 | -8.008 | 18.808 | 0.000 | 0.000 |
| -8.008 | -8.008 | -8.008 | 0.000 | 18.808 | 0.000 |
| -8.008 | -8.008 | -8.008 | 0.000 | 0.000 | 18.808 |
| 213.112 | 124.068 | 124.068 | -0.000 | -0.000 | -0.000 |
| 124.068 | 213.112 | 124.068 | -0.000 | -0.000 | -0.000 |
| 124.068 | 124.068 | 213.112 | -0.000 | -0.000 | -0.000 |
| 0.710 | 0.710 | 0.710 | 20.723 | 0.000 | -0.000 |
| 0.710 | 0.710 | 0.710 | -0.000 | 20.723 | -0.000 |
| 0.710 | 0.710 | 0.710 | -0.000 | 0.000 | 20.723 |
| 205.025 | 122.894 | 122.894 | 0.000 | 0.000 | 0.000 |
| 122.894 | 205.025 | 122.894 | 0.000 | 0.000 | 0.000 |
| 122.894 | 122.894 | 205.025 | 0.000 | 0.000 | 0.000 |
| -0.710 | -0.710 | -0.710 | 20.723 | 0.000 | 0.000 |
| -0.710 | -0.710 | -0.710 | 0.000 | 20.723 | 0.000 |
| -0.710 | -0.710 | -0.710 | 0.000 | 0.000 | 20.723 |
| 133.064 | 71.317 | 71.317 | 0.000 | 0.000 | 0.000 |
| 71.317 | 133.064 | 71.317 | 0.000 | 0.000 | 0.000 |
| 71.317 | 71.317 | 133.064 | 0.000 | 0.000 | 0.000 |
| -0.000 | 0.000 | 0.000 | 35.577 | -0.000 | 0.000 |
| 0.000 | 0.000 | 0.000 | -0.000 | 35.577 | 0.000 |
| 0.000 | 0.000 | 0.000 | -0.000 | 0.000 | 35.577 |
| 254.076 | 191.699 | 191.699 | -0.000 | -0.000 | -0.000 |
| 191.699 | 254.076 | 191.699 | -0.000 | -0.000 | -0.000 |
| 191.699 | 191.699 | 254.076 | -0.000 | -0.000 | -0.000 |
| 0.000 | -0.000 | -0.000 | 35.577 | 0.000 | -0.000 |
| -0.000 | -0.000 | -0.000 | 0.000 | 35.577 | 0.000 |
| -0.000 | -0.000 | -0.000 | 0.000 | 0.000 | 35.577 |
| 230.083 | 114.897 | 114.897 | -0.000 | -0.000 | -0.000 |
| 114.897 | 230.083 | 114.897 | -0.000 | -0.000 | 0.000 |
| 114.897 | 114.897 | 230.083 | 0.000 | -0.000 | -0.000 |
| 0.000 | 0.000 | 0.000 | 35.577 | -0.000 | 0.000 |
| 0.000 | 0.000 | 0.000 | -0.000 | 35.577 | 0.000 |
| 0.000 | 0.000 | 0.000 | -0.000 | 0.000 | 35.577 |
| 203.834 | 134.935 | 134.935 | -0.000 | -0.000 | -0.000 |
| 134.935 | 203.834 | 134.935 | -0.000 | -0.000 | -0.000 |
| 134.935 | 134.935 | 203.834 | -0.000 | -0.000 | -0.000 |
| -0.000 | -0.000 | -0.000 | 35.577 | 0.000 | -0.000 |
| -0.000 | -0.000 | -0.000 | 0.000 | 35.577 | -0.000 |
| -0.000 | -0.000 | -0.000 | 0.000 | -0.000 | 35.577 |
| 209.900 | 123.884 | 123.884 | 0.000 | 0.000 | 0.000 |
| 123.884 | 209.900 | 123.884 | 0.000 | 0.000 | 0.000 |
| 123.884 | 123.884 | 209.900 | 0.000 | 0.000 | 0.000 |
| -1.066 | -1.066 | -1.066 | 15.661 | 0.000 | 0.000 |
| -1.066 | -1.066 | -1.066 | 0.000 | 15.661 | 0.000 |
| -1.066 | -1.066 | -1.066 | 0.000 | 0.000 | 15.661 |
| 212.157 | 123.755 | 123.755 | -0.000 | -0.000 | -0.000 |
| 123.755 | 212.157 | 123.755 | -0.000 | -0.000 | -0.000 |
| 123.755 | 123.755 | 212.157 | -0.000 | -0.000 | -0.000 |
| 1.066 | 1.066 | 1.066 | 15.661 | -0.000 | -0.000 |
| 1.066 | 1.066 | 1.066 | -0.000 | 15.661 | -0.000 |
| 1.066 | 1.066 | 1.066 | -0.000 | -0.000 | 15.661 |
| 113.418 | 108.250 | 108.250 | 0.013 | 0.013 | 0.013 |
| 108.250 | 113.418 | 108.250 | 0.013 | 0.013 | 0.013 |
| 108.250 | 108.250 | 113.418 | 0.013 | 0.013 | 0.013 |
| 0.000 | -0.000 | 0.000 | 44.848 | -0.000 | 0.000 |
| 0.000 | 0.000 | 0.000 | -0.000 | 44.848 | -0.000 |
| 0.000 | -0.000 | 0.000 | -0.000 | 0.000 | 44.848 |
| 183.587 | 121.282 | 121.282 | 0.000 | 0.000 | 0.000 |
| 121.282 | 183.587 | 121.282 | 0.000 | 0.000 | 0.000 |
| 121.282 | 121.282 | 183.587 | 0.000 | 0.000 | 0.000 |
| -0.000 | -0.000 | -0.000 | 44.848 | -0.000 | -0.000 |
| -0.000 | 0.000 | 0.000 | -0.000 | 44.848 | -0.000 |
| -0.000 | -0.000 | -0.000 | -0.000 | 0.000 | 44.848 |
| 183.587 | 121.282 | 121.282 | -0.000 | -0.000 | -0.000 |
| 121.282 | 183.587 | 121.282 | 0.000 | -0.000 | 0.000 |
| 121.282 | 121.282 | 183.587 | 0.000 | -0.000 | -0.000 |
| -0.800 | -0.800 | -0.800 | 23.106 | 0.000 | 0.000 |
| -0.800 | -0.801 | -0.800 | 0.000 | 23.106 | 0.000 |
| -0.800 | -0.800 | -0.801 | 0.000 | 0.000 | 23.106 |
| 171.342 | 124.951 | 124.951 | -0.000 | -0.000 | -0.000 |
| 124.951 | 171.342 | 124.951 | -0.000 | -0.000 | -0.000 |
| 124.951 | 124.951 | 171.342 | -0.000 | -0.000 | -0.000 |
| 0.800 | 0.800 | 0.800 | 23.106 | -0.000 | -0.000 |
| 0.800 | 0.800 | 0.800 | -0.000 | 23.106 | -0.000 |
| 0.800 | 0.800 | 0.800 | -0.000 | -0.000 | 23.106 |
| 133.165 | 115.412 | 115.412 | 0.000 | 0.000 | 0.000 |
| 115.412 | 133.165 | 115.412 | 0.000 | 0.000 | 0.000 |
| 115.412 | 115.412 | 133.165 | 0.000 | 0.000 | 0.000 |
| -0.220 | -0.220 | -0.220 | 19.430 | 0.000 | 0.000 |
| -0.220 | -0.220 | -0.220 | 0.000 | 19.430 | 0.000 |
| -0.220 | -0.220 | -0.220 | 0.000 | 0.000 | 19.430 |
| 169.657 | 124.613 | 124.613 | -0.000 | -0.000 | -0.000 |
| 124.613 | 169.657 | 124.613 | -0.000 | -0.000 | -0.000 |
| 124.613 | 124.613 | 169.657 | -0.000 | -0.000 | -0.000 |
| 0.220 | 0.220 | 0.220 | 19.430 | -0.000 | -0.000 |
| 0.220 | 0.220 | 0.220 | -0.000 | 19.430 | -0.000 |
| 0.220 | 0.220 | 0.220 | -0.000 | -0.000 | 19.430 |
| 92.941 | 95.112 | 95.113 | -0.002 | -0.001 | -0.002 |
| 95.112 | 92.941 | 95.113 | -0.002 | -0.001 | -0.002 |
| 95.113 | 95.112 | 92.942 | -0.002 | -0.001 | -0.002 |
| 0.000 | 0.000 | 0.000 | 41.664 | -0.000 | 0.000 |
| 0.000 | 0.000 | 0.000 | -0.000 | 41.664 | -0.000 |
| 0.000 | 0.000 | 0.000 | -0.000 | 0.000 | 41.664 |
| 175.012 | 117.584 | 117.584 | -0.000 | -0.000 | 0.000 |
| 117.584 | 175.012 | 117.584 | -0.000 | -0.000 | 0.000 |
| 117.584 | 117.584 | 175.012 | -0.000 | -0.000 | -0.000 |
| -0.000 | -0.000 | -0.000 | 41.664 | -0.000 | 0.000 |
| -0.000 | -0.000 | -0.000 | -0.000 | 41.664 | -0.000 |
| -0.000 | -0.000 | -0.000 | -0.000 | 0.000 | 41.664 |
| 158.058 | 120.288 | 120.288 | -0.000 | -0.000 | -0.000 |
| 120.288 | 158.058 | 120.288 | -0.000 | -0.000 | -0.000 |
| 120.288 | 120.288 | 158.058 | -0.000 | -0.000 | -0.000 |
| 0.000 | 0.000 | 0.000 | 41.664 | -0.000 | -0.000 |
| 0.000 | 0.000 | 0.000 | -0.000 | 41.664 | 0.000 |
| 0.000 | 0.000 | 0.000 | -0.000 | -0.000 | 41.664 |
| 107.298 | 105.205 | 105.205 | 0.000 | 0.000 | 0.000 |
| 105.205 | 107.298 | 105.205 | 0.000 | 0.000 | 0.000 |
| 105.205 | 105.205 | 107.298 | 0.000 | 0.000 | 0.000 |
| -0.000 | -0.000 | -0.000 | 41.664 | -0.000 | 0.000 |
| -0.000 | -0.000 | -0.000 | -0.000 | 41.664 | -0.000 |
| -0.000 | -0.000 | -0.000 | -0.000 | -0.000 | 41.664 |
| 105.992 | 104.285 | 104.285 | -0.000 | -0.000 | -0.000 |
| 104.285 | 105.992 | 104.285 | -0.000 | -0.000 | -0.000 |
| 104.285 | 104.285 | 105.992 | -0.000 | -0.000 | -0.000 |
| -0.065 | -0.061 | -0.061 | 10.267 | -0.000 | -0.000 |
| -0.061 | -0.065 | -0.061 | -0.000 | 10.267 | -0.000 |
| -0.061 | -0.061 | -0.065 | -0.000 | -0.000 | 10.267 |
| 158.289 | 120.353 | 120.353 | 0.000 | 0.000 | 0.000 |
| 120.353 | 158.289 | 120.353 | 0.000 | 0.000 | 0.000 |
| 120.353 | 120.353 | 158.289 | 0.000 | 0.000 | 0.000 |
| 0.065 | 0.061 | 0.061 | 10.267 | 0.000 | 0.000 |
| 0.061 | 0.065 | 0.061 | 0.000 | 10.267 | 0.000 |
| 0.061 | 0.061 | 0.065 | 0.000 | 0.000 | 10.267 |
| -1534.751 | -111.542 | 259.648 | 0.000 | 0.000 | -0.000 |
| -1599.401 | -18.205 | 206.506 | -0.000 | 0.000 | -0.000 |
| 105.209 | 53.002 | 241.961 | 0.000 | 0.000 | 0.000 |
| -1742.459 | -254.576 | 153.347 | -26.928 | 0.000 | -0.000 |
| -1742.458 | -254.576 | 153.347 | -0.000 | -49.231 | -0.000 |
| -1742.459 | -254.576 | 153.347 | -0.000 | 0.000 | 61.691 |
| 1950.166 | 397.610 | -47.046 | -0.000 | -0.000 | -0.000 |
| 1885.516 | 490.946 | -100.187 | 0.000 | -0.000 | -0.000 |
| 1848.788 | 307.741 | 88.516 | 0.000 | -0.000 | 0.000 |
| 1742.459 | 254.576 | -153.347 | -26.928 | -0.000 | -0.000 |
| 1742.458 | 254.576 | -153.347 | 0.000 | -49.231 | 0.000 |
| 1742.459 | 254.576 | -153.347 | -0.000 | -0.000 | 61.691 |
| 33.462 | 117.577 | 121.635 | -0.000 | 0.000 | 0.000 |
| -31.189 | 210.913 | 68.494 | -0.000 | 0.000 | -0.000 |
| -67.917 | 27.708 | 257.198 | 0.000 | 0.000 | -0.000 |
| -174.252 | -25.458 | 15.335 | -27.477 | 0.000 | -0.000 |
| -174.246 | -25.458 | 15.335 | -0.000 | -49.231 | -0.000 |
| -174.246 | -25.458 | 15.335 | -0.000 | 0.000 | 61.691 |
| 381.953 | 168.492 | 90.966 | 0.000 | -0.000 | 0.000 |
| 317.303 | 261.828 | 37.825 | 0.000 | -0.000 | 0.000 |
| 105.209 | 53.002 | 241.961 | -0.000 | -0.000 | 0.000 |
| 174.252 | 25.458 | -15.335 | -27.477 | -0.000 | 0.000 |
| 174.246 | 25.458 | -15.335 | 0.000 | -49.231 | 0.000 |
| 174.246 | 25.458 | -15.335 | 0.000 | -0.000 | 61.691 |
| 190.284 | 140.489 | 107.834 | -0.000 | 0.000 | -0.000 |
| 125.633 | 233.826 | 54.693 | -0.000 | 0.000 | 0.000 |
| 88.905 | 50.619 | 243.398 | -0.000 | 0.000 | -0.000 |
| -17.450 | -2.549 | 1.536 | -26.929 | 0.000 | -0.000 |
| -17.425 | -2.546 | 1.533 | -0.000 | -49.231 | -0.000 |
| 0.000 | 0.001 | 0.000 | -0.000 | 0.000 | 61.691 |
| 225.130 | 145.580 | 104.767 | -0.000 | -0.000 | 0.000 |
| 160.481 | 238.915 | 51.626 | 0.000 | -0.000 | -0.000 |
| 123.754 | 55.711 | 240.328 | -0.000 | 0.000 | 0.000 |
| 17.450 | 2.549 | -1.536 | -26.929 | -0.000 | 0.000 |
| 17.425 | 2.546 | -1.533 | 0.000 | -49.231 | 0.000 |
| -0.000 | -0.001 | -0.000 | 0.000 | -0.000 | 61.691 |
| 156.524 | 70.023 | -8.822 | 0.000 | 0.000 | -0.000 |
| 153.297 | 73.249 | -8.822 | 0.000 | 0.000 | -0.000 |
| -8.822 | -8.822 | 168.790 | 0.000 | 0.000 | -0.000 |
| -0.000 | 0.000 | -0.000 | -34.636 | 0.000 | -0.000 |
| -0.000 | 0.000 | -0.000 | 0.000 | -34.636 | -0.000 |
| -0.000 | 0.000 | -0.000 | -0.000 | 0.000 | -40.024 |
| 73.249 | 153.297 | -8.822 | 0.000 | -0.000 | 0.000 |
| 153.297 | 73.249 | -8.822 | -0.000 | -0.000 | 0.000 |
| -8.822 | -8.822 | 168.790 | 0.000 | -0.000 | 0.000 |
| 0.000 | -0.000 | 0.000 | -34.636 | -0.000 | 0.000 |
| 0.000 | -0.000 | 0.000 | -0.000 | -34.636 | 0.000 |
| 0.000 | -0.000 | 0.000 | 0.000 | -0.000 | -40.024 |
| 72.410 | 154.136 | -8.822 | -0.000 | -0.000 | -0.000 |
| 153.298 | 73.249 | -8.822 | -0.000 | 0.000 | -0.000 |
| -8.822 | -8.822 | 168.790 | -0.000 | 0.000 | -0.000 |
| 0.000 | 0.000 | -0.000 | -34.636 | 0.000 | -0.000 |
| 0.000 | 0.000 | -0.000 | 0.000 | -34.636 | -0.000 |
| 0.000 | -0.000 | -0.000 | -0.000 | -0.000 | -40.863 |
| 73.249 | 153.297 | -8.822 | -0.000 | -0.000 | 0.000 |
| 153.297 | 73.250 | -8.822 | -0.000 | -0.000 | 0.000 |
| -8.822 | -8.822 | 168.789 | -0.000 | -0.000 | 0.000 |
| -0.000 | -0.000 | 0.000 | -34.636 | -0.000 | 0.000 |
| -0.000 | -0.000 | 0.000 | -0.000 | -34.636 | 0.000 |
| -0.000 | 0.000 | 0.000 | 0.000 | 0.000 | -40.863 |
| 73.220 | 153.327 | -8.822 | 0.000 | 0.000 | -0.000 |
| 70.023 | 156.525 | -8.822 | 0.000 | 0.000 | -0.000 |
| -8.822 | -8.822 | 168.791 | 0.000 | 0.000 | -0.000 |
| 0.000 | 0.000 | -0.000 | -34.636 | 0.000 | -0.000 |
| 0.000 | 0.000 | -0.000 | -0.000 | -34.636 | -0.000 |
| -0.000 | 0.000 | -0.000 | -0.000 | 0.000 | -40.024 |
| 4003040.446 | 4072945.778 | 4221904.923 | -10781.437 | 23198.377 | -29411.044 |
| 153.292 | 73.253 | -8.822 | 0.000 | -0.000 | 0.000 |
| -8.822 | -8.822 | 168.788 | -0.000 | -0.000 | 0.000 |
| -0.000 | -0.000 | 0.000 | -34.636 | -0.000 | 0.000 |
| -0.000 | -0.000 | 0.000 | 0.000 | -34.636 | 0.000 |
| 0.000 | -0.000 | 0.000 | 0.000 | -0.000 | -40.024 |
| 202.369 | 114.999 | 115.764 | 3.622 | -0.000 | 0.000 |
| 120.152 | 197.164 | 115.693 | -4.308 | -0.000 | -0.000 |
| 115.693 | 115.693 | 236.817 | -0.000 | -0.000 | -0.000 |
| 3.622 | -3.622 | 0.000 | 43.319 | 0.000 | -0.000 |
| 0.001 | 0.001 | 0.002 | 0.000 | 43.228 | 4.308 |
| 0.000 | 0.000 | 0.000 | -0.000 | 3.622 | 43.685 |
| 202.369 | 114.999 | 115.764 | 3.622 | 0.000 | 0.000 |
| 114.999 | 202.369 | 115.764 | -3.622 | -0.000 | -0.000 |
| 115.764 | 115.764 | 237.011 | 0.000 | 0.000 | 0.000 |
| 3.622 | -3.622 | -0.000 | 43.319 | 0.000 | 0.000 |
| -0.001 | -0.001 | -0.002 | -0.000 | 43.228 | 4.308 |
| -0.000 | -0.000 | -0.000 | 0.000 | 3.622 | 43.685 |
| 197.558 | 119.569 | 115.433 | 4.243 | 0.000 | -0.000 |
| 119.569 | 197.558 | 115.433 | -4.243 | 0.000 | -0.000 |
| 115.764 | 115.764 | 237.011 | -0.000 | 0.000 | -0.000 |
| 3.622 | -3.622 | 0.000 | 43.319 | 0.000 | 0.000 |
| 0.000 | 0.000 | 0.000 | 0.000 | 43.319 | 3.622 |
| 0.000 | 0.000 | 0.000 | 0.000 | 3.622 | 43.685 |
| 202.369 | 114.999 | 115.764 | 3.622 | 0.000 | -0.000 |
| 114.999 | 202.369 | 115.764 | -3.622 | 0.000 | 0.000 |
| 115.764 | 115.764 | 237.011 | -0.000 | 0.000 | 0.000 |
| 3.622 | -3.622 | -0.000 | 43.319 | -0.000 | 0.000 |
| -0.000 | -0.000 | -0.000 | -0.000 | 43.319 | 3.622 |
| -0.000 | -0.000 | -0.000 | -0.000 | 3.622 | 43.685 |
| 202.371 | 114.999 | 115.764 | 3.622 | -0.000 | 0.000 |
| 114.999 | 202.371 | 115.764 | -3.622 | -0.000 | 0.000 |
| 115.693 | 115.693 | 236.818 | 0.000 | -0.000 | 0.000 |
| 4.308 | -4.308 | 0.000 | 43.228 | -0.000 | -0.000 |
| 0.000 | 0.000 | 0.000 | 0.000 | 43.228 | 4.308 |
| 0.000 | 0.000 | 0.000 | 0.000 | 3.622 | 43.685 |
| 197.556 | 119.568 | 115.433 | 4.243 | 0.000 | -0.000 |
| 114.998 | 202.368 | 115.764 | -3.622 | 0.000 | 0.000 |
| 115.763 | 115.763 | 237.010 | 0.000 | -0.000 | 0.000 |
| 3.622 | -3.622 | -0.000 | 43.319 | 0.000 | -0.000 |
| -0.000 | -0.000 | -0.000 | -0.000 | 43.228 | 4.308 |
| -0.000 | -0.000 | -0.000 | -0.000 | 3.622 | 43.685 |
| 209.409 | 132.461 | 149.501 | 4.316 | 0.000 | 0.000 |
| 128.283 | 213.590 | 149.505 | -3.764 | 0.000 | -0.000 |
| 128.087 | 128.087 | 270.776 | 0.000 | 0.000 | -0.000 |
| 3.631 | -3.631 | 0.000 | 43.373 | 0.000 | 0.000 |
| 0.000 | 0.000 | 0.000 | 0.000 | 43.373 | 3.631 |
| 0.000 | 0.000 | 0.000 | 0.000 | 3.631 | 43.663 |
| 184.756 | 107.808 | 82.049 | 4.316 | -0.000 | 0.000 |
| 103.626 | 188.934 | 82.045 | -3.764 | -0.000 | -0.000 |
| 103.434 | 103.434 | 203.324 | 0.000 | -0.000 | -0.000 |
| 3.631 | -3.631 | -0.000 | 43.373 | 0.000 | 0.000 |
| -0.000 | -0.000 | -0.000 | -0.000 | 43.373 | 3.631 |
| -0.000 | -0.000 | 0.000 | -0.000 | 3.631 | 43.663 |
| 198.315 | 121.367 | 119.148 | 4.316 | 0.000 | -0.000 |
| 117.219 | 202.498 | 119.195 | -3.766 | -0.000 | -0.000 |
| 116.993 | 116.993 | 240.423 | -0.000 | 0.000 | -0.000 |
| 3.631 | -3.631 | 0.000 | 43.373 | 0.000 | 0.000 |
| 0.000 | 0.000 | 0.000 | 0.000 | 43.373 | 3.631 |
| 1.250 | 1.250 | 3.419 | 0.000 | 3.766 | 42.640 |
| 202.297 | 114.971 | 115.846 | 3.631 | -0.000 | -0.000 |
| 114.718 | 199.999 | 112.357 | -3.766 | -0.000 | -0.000 |
| 115.831 | 115.831 | 237.244 | -0.000 | -0.000 | 0.000 |
| 3.631 | -3.631 | -0.000 | 43.373 | -0.000 | -0.000 |
| -0.000 | -0.000 | -0.000 | -0.000 | 43.373 | 3.631 |
| -1.250 | -1.250 | -3.419 | -0.000 | 3.766 | 42.640 |
| 200.068 | 117.678 | 116.498 | 3.957 | 0.000 | 0.000 |
| 117.678 | 200.068 | 116.498 | -3.957 | -0.000 | -0.000 |
| 115.832 | 115.832 | 237.246 | -0.000 | 0.000 | -0.000 |
| 3.894 | -3.641 | 0.346 | 43.355 | 0.000 | 0.000 |
| 0.000 | 0.000 | 0.000 | 0.000 | 43.373 | 3.631 |
| 0.251 | 0.252 | 0.687 | 0.000 | 3.903 | 41.606 |
| 200.244 | 116.493 | 115.123 | 3.867 | -0.000 | -0.000 |
| 114.970 | 202.296 | 115.846 | -3.631 | -0.000 | -0.000 |
| 115.636 | 115.636 | 236.711 | 0.000 | -0.000 | 0.000 |
| 3.631 | -3.631 | -0.000 | 43.373 | -0.000 | 0.000 |
| -0.000 | -0.000 | -0.000 | -0.000 | 43.373 | 3.631 |
| -0.251 | -0.252 | -0.687 | -0.000 | 3.903 | 41.606 |
| 278.823 | 166.161 | 173.129 | 0.000 | 0.000 | -0.000 |
| 166.161 | 278.823 | 173.129 | -0.000 | 0.000 | -0.000 |
| 194.762 | 194.762 | 317.033 | 0.000 | 0.000 | -0.000 |
| 0.000 | 0.000 | 0.000 | 114.293 | 0.000 | -0.000 |
| 0.000 | 0.000 | 0.000 | -0.000 | 114.293 | -0.000 |
| 24.694 | 24.694 | 42.600 | -0.000 | 0.000 | 107.016 |
| 278.823 | 166.161 | 173.129 | -0.000 | -0.000 | 0.000 |
| 166.161 | 278.823 | 173.129 | 0.000 | -0.000 | 0.000 |
| 173.129 | 173.129 | 281.189 | 0.000 | -0.000 | 0.000 |
| -0.000 | -0.000 | -0.000 | 114.293 | -0.000 | -0.000 |
| -0.000 | -0.000 | -0.000 | 0.000 | 114.293 | 0.000 |
| -24.694 | -24.694 | -42.600 | 0.000 | 0.000 | 107.016 |
| 278.823 | 166.161 | 173.129 | -0.000 | 0.000 | 0.000 |
| 166.161 | 278.823 | 173.129 | -0.000 | 0.000 | -0.000 |
| 169.416 | 169.416 | 272.014 | 0.000 | 0.000 | -0.000 |
| -0.000 | 0.000 | 0.000 | 114.293 | 0.000 | 0.000 |
| 0.000 | -0.000 | 0.000 | -0.000 | 114.293 | 0.000 |
| 0.000 | 0.000 | -0.000 | -0.000 | 0.000 | 107.016 |
| 272.840 | 164.336 | 165.804 | 0.000 | 0.000 | -0.000 |
| 164.336 | 272.840 | 165.804 | -0.000 | 0.000 | 0.000 |
| 167.753 | 167.753 | 270.555 | 0.000 | 0.000 | 0.000 |
| 0.000 | -0.000 | -0.000 | 114.293 | -0.000 | 0.000 |
| -0.000 | 0.000 | -0.000 | 0.000 | 114.293 | 0.000 |
| -0.000 | -0.000 | 0.000 | 0.000 | -0.000 | 107.016 |
| 278.823 | 166.161 | 173.129 | 0.000 | 0.000 | -0.000 |
| 166.161 | 278.823 | 173.129 | 0.000 | 0.000 | -0.000 |
| 168.815 | 168.815 | 271.393 | 0.000 | 0.000 | -0.000 |
| -0.000 | 0.000 | 0.000 | 114.293 | -0.000 | -0.000 |
| 0.000 | -0.000 | 0.000 | -0.000 | 114.293 | 0.000 |
| 0.247 | 0.247 | 0.426 | 0.000 | -0.000 | 107.016 |
| 274.159 | 166.561 | 168.733 | -0.000 | -0.000 | 0.000 |
| 166.561 | 274.159 | 168.733 | -0.000 | 0.000 | 0.000 |
| 169.429 | 169.429 | 273.282 | -0.000 | -0.000 | 0.000 |
| 0.000 | -0.000 | -0.000 | 114.293 | -0.000 | -0.000 |
| -0.000 | 0.000 | -0.000 | 0.000 | 114.293 | 0.000 |
| -0.247 | -0.247 | -0.426 | -0.000 | -0.000 | 107.016 |
| 285.300 | 193.098 | 224.890 | -0.000 | 0.000 | 0.000 |
| 193.098 | 285.300 | 224.890 | -0.000 | 0.000 | -0.000 |
| 182.049 | 182.049 | 320.395 | -0.000 | 0.000 | 0.000 |
| 0.000 | 0.000 | 0.000 | 110.980 | -0.000 | 0.000 |
| 0.000 | 0.000 | 0.000 | 0.000 | 110.980 | -0.000 |
| 33.888 | 33.888 | 87.136 | 0.000 | 0.000 | 106.687 |
| 231.306 | 128.784 | 64.917 | -0.000 | 0.000 | 0.000 |
| 128.784 | 231.306 | 64.917 | -0.000 | 0.000 | 0.000 |
| 128.374 | 128.374 | 180.133 | 0.000 | -0.000 | 0.000 |
| -0.000 | -0.000 | -0.000 | 110.980 | 0.000 | -0.000 |
| -0.000 | -0.000 | -0.000 | -0.000 | 110.980 | 0.000 |
| -33.888 | -33.888 | -87.136 | 0.000 | 0.000 | 106.687 |
| 270.084 | 170.977 | 173.308 | 0.000 | 0.000 | 0.000 |
| 170.977 | 270.084 | 173.308 | -0.000 | -0.000 | -0.000 |
| 163.854 | 163.854 | 269.145 | -0.000 | 0.000 | 0.000 |
| 2.593 | 2.593 | 6.774 | 98.372 | 0.000 | -0.000 |
| 2.593 | 2.593 | 6.774 | -0.000 | 98.372 | 0.000 |
| 3.389 | 3.389 | 8.714 | -0.000 | -0.000 | 106.687 |
| 257.486 | 163.612 | 149.663 | 0.000 | -0.000 | -0.000 |
| 163.612 | 257.486 | 149.663 | 0.000 | -0.000 | 0.000 |
| 168.132 | 168.132 | 277.404 | -0.000 | -0.000 | -0.000 |
| -2.593 | -2.593 | -6.774 | 98.372 | -0.000 | 0.000 |
| -2.593 | -2.593 | -6.774 | 0.000 | 98.372 | -0.000 |
| -3.389 | -3.389 | -8.714 | 0.000 | -0.000 | 106.687 |
| 267.180 | 165.372 | 162.848 | -0.000 | 0.000 | 0.000 |
| 165.372 | 267.180 | 162.848 | -0.000 | 0.000 | -0.000 |
| 168.133 | 168.133 | 277.405 | 0.000 | 0.000 | -0.000 |
| 0.174 | 0.174 | 0.455 | 102.508 | 0.000 | -0.000 |
| 0.174 | 0.174 | 0.455 | -0.000 | 102.508 | 0.000 |
| 0.339 | 0.339 | 0.871 | -0.000 | 0.000 | 106.687 |
| 266.291 | 166.423 | 162.570 | -0.000 | -0.000 | -0.000 |
| 166.423 | 266.291 | 162.570 | 0.000 | 0.000 | -0.000 |
| 168.132 | 168.132 | 277.403 | -0.000 | 0.000 | -0.000 |
| -0.174 | -0.174 | -0.455 | 102.508 | -0.000 | 0.000 |
| -0.174 | -0.174 | -0.455 | 0.000 | 102.508 | 0.000 |
| -0.339 | -0.339 | -0.871 | 0.000 | -0.000 | 106.687 |
| 144115.848 | 142186.271 | 142186.271 | -0.000 | -0.000 | 0.000 |
| 142186.271 | 144115.848 | 142186.271 | 0.000 | -0.000 | 0.000 |
| 142186.271 | 142186.271 | 144115.848 | -0.000 | -0.000 | -0.000 |
| 0.000 | 0.000 | 0.000 | -411.258 | -0.000 | -0.000 |
| 0.000 | 0.000 | 0.000 | 0.000 | -411.258 | 0.000 |
| 0.000 | 0.000 | 0.000 | -0.000 | -0.000 | -411.258 |
| 144115.726 | 142186.145 | 142186.145 | 0.000 | 0.000 | -0.000 |
| 142186.145 | 144115.726 | 142186.145 | 0.000 | 0.000 | 0.000 |
| 142186.144 | 142186.144 | 144115.726 | 0.000 | 0.000 | 0.000 |
| -0.000 | -0.000 | 0.000 | -411.258 | 0.000 | 0.000 |
| -0.000 | -0.000 | 0.000 | 0.000 | -411.258 | -0.000 |
| -0.000 | 0.000 | -0.000 | 0.000 | 0.000 | -411.258 |
| 144116.396 | 142186.841 | 142186.841 | -0.000 | -0.000 | 0.000 |
| 142186.841 | 144116.396 | 142186.841 | 0.000 | -0.000 | 0.000 |
| 142186.841 | 142186.841 | 144116.396 | 0.000 | -0.000 | -0.000 |
| 0.010 | 0.009 | 0.009 | -411.258 | -0.000 | -0.000 |
| 0.009 | 0.010 | 0.009 | -0.000 | -411.258 | 0.000 |
| 0.009 | 0.009 | 0.010 | -0.000 | -0.000 | -411.258 |
| 144115.178 | 142185.575 | 142185.575 | -0.000 | 0.000 | 0.000 |
| 142185.575 | 144115.178 | 142185.575 | 0.000 | -0.000 | -0.000 |
| 142185.575 | 142185.575 | 144115.178 | 0.000 | 0.000 | -0.000 |
| -0.010 | -0.009 | -0.009 | -411.258 | 0.000 | -0.000 |
| -0.009 | -0.010 | -0.009 | 0.000 | -411.258 | -0.000 |
| -0.009 | -0.009 | -0.010 | 0.000 | 0.000 | -411.258 |
| 144121.877 | 142192.539 | 142192.539 | -0.000 | -0.000 | 0.000 |
| 142192.539 | 144121.877 | 142192.539 | 0.000 | -0.000 | 0.000 |
| 142192.539 | 142192.539 | 144121.877 | 0.000 | -0.000 | 0.000 |
| 0.099 | 0.093 | 0.091 | -411.258 | 0.000 | -0.000 |
| 0.093 | 0.099 | 0.091 | 0.000 | -411.258 | 0.000 |
| 0.093 | 0.091 | 0.099 | -0.000 | -0.000 | -411.258 |
| 144109.697 | 142179.877 | 142179.877 | -0.000 | -0.000 | -0.000 |
| 142179.877 | 144109.697 | 142179.877 | -0.000 | -0.000 | -0.000 |
| 142179.877 | 142179.877 | 144109.697 | 0.000 | 0.000 | -0.000 |
| -0.099 | -0.093 | -0.091 | -411.258 | 0.000 | -0.000 |
| -0.093 | -0.099 | -0.091 | 0.000 | -411.258 | -0.000 |
| -0.093 | -0.091 | -0.099 | -0.000 | 0.000 | -411.258 |
| 22053541.971 | 5048555.720 | 5048555.742 | -0.003 | -0.003 | -0.003 |
| 5048555.720 | 22053541.971 | 5048555.742 | -0.003 | -0.003 | -0.003 |
| 5048555.711 | 5048555.711 | 22053541.984 | -0.003 | -0.003 | 0.000 |
| -36.303 | -63.176 | -63.190 | 3092128.941 | 0.004 | 0.003 |
| -63.176 | -36.303 | -63.190 | 0.003 | 3092128.941 | 0.003 |
| -63.176 | -63.195 | -36.277 | 0.001 | -0.002 | 3092128.944 |
| 22055396.960 | 5048786.505 | 5048786.494 | 0.001 | 0.002 | -0.000 |
| 5048786.505 | 22055396.960 | 5048786.494 | 0.002 | 0.001 | -0.000 |
| 5048786.503 | 5048786.503 | 22055396.936 | 0.002 | 0.002 | 0.006 |
| 36.300 | 63.175 | 63.187 | 3092128.942 | -0.002 | 0.004 |
| 63.176 | 36.300 | 63.187 | -0.002 | 3092128.942 | 0.004 |
| 63.175 | 63.191 | 36.272 | -0.001 | 0.002 | 3092128.941 |
| 22045194.610 | 5047517.174 | 5047517.175 | 0.000 | -0.000 | -0.000 |
| 5047517.174 | 22045194.610 | 5047517.175 | -0.000 | 0.000 | -0.000 |
| 5047517.174 | 5047517.174 | 22045194.612 | -0.000 | -0.000 | -0.000 |
| -362.569 | -631.591 | -631.818 | 3092130.204 | -0.000 | 0.000 |
| -631.591 | -362.569 | -631.818 | -0.000 | 3092130.204 | 0.000 |
| -631.591 | -631.823 | -362.569 | 0.000 | -0.000 | 3092130.204 |
| 22063744.173 | 5049825.022 | 5049825.020 | 0.000 | 0.000 | 0.000 |
| 5049825.022 | 22063744.173 | 5049825.020 | 0.000 | 0.000 | 0.000 |
| 5049825.023 | 5049825.023 | 22063744.171 | 0.000 | 0.000 | -0.000 |
| 362.569 | 631.592 | 631.818 | 3092130.205 | 0.000 | 0.001 |
| 631.592 | 362.569 | 631.818 | 0.000 | 3092130.205 | 0.001 |
| 631.592 | 631.823 | 362.569 | 0.000 | 0.000 | 3092130.204 |
| 21961721.568 | 5037131.822 | 5037131.822 | -0.000 | -0.000 | 0.000 |
| 5037131.822 | 21961721.568 | 5037131.822 | -0.000 | -0.000 | 0.000 |
| 5037131.822 | 5037131.822 | 21961721.568 | -0.000 | -0.000 | -0.000 |
| -3625.713 | -6315.873 | -6318.192 | 3092130.372 | -0.000 | -0.000 |
| -6315.873 | -3625.713 | -6318.192 | -0.000 | 3092130.372 | -0.000 |
| -6315.873 | -6318.192 | -3625.713 | -0.000 | -0.000 | 3092130.372 |
| 22147217.103 | 5060210.322 | 5060210.322 | 0.000 | -0.000 | 0.000 |
| 5060210.322 | 22147217.103 | 5060210.322 | -0.000 | 0.000 | 0.000 |
| 5060210.322 | 5060210.322 | 22147217.103 | 0.000 | 0.000 | 0.000 |
| 3625.713 | 6315.873 | 6318.191 | 3092130.372 | 0.000 | -0.000 |
| 6315.873 | 3625.713 | 6318.191 | 0.000 | 3092130.372 | -0.000 |
| 6315.873 | 6318.192 | 3625.713 | 0.000 | -0.000 | 3092130.372 |
| 85.525 | 68.406 | 68.406 | -0.000 | -0.000 | -0.000 |
| 68.406 | 85.525 | 68.406 | -0.000 | -0.000 | -0.000 |
| 68.406 | 68.406 | 85.525 | -0.000 | -0.000 | -0.000 |
| -0.000 | -0.000 | -0.000 | 8.752 | -0.000 | -0.000 |
| -0.000 | -0.000 | -0.000 | -0.000 | 8.752 | -0.000 |
| -0.000 | -0.000 | 0.000 | -0.000 | 0.000 | 8.752 |
| 85.525 | 68.406 | 68.406 | 0.000 | 0.000 | 0.000 |
| 68.406 | 85.525 | 68.406 | 0.000 | 0.000 | 0.000 |
| 68.406 | 68.406 | 85.525 | 0.000 | 0.000 | 0.000 |
| 0.000 | 0.000 | -0.000 | 8.752 | 0.000 | 0.000 |
| 0.000 | 0.000 | -0.000 | 0.000 | 8.752 | 0.000 |
| 0.000 | 0.000 | -0.000 | 0.000 | -0.000 | 8.752 |
| 85.526 | 68.406 | 68.406 | -0.000 | -0.000 | -0.000 |
| 68.406 | 85.526 | 68.406 | -0.000 | -0.000 | -0.000 |
| 68.406 | 68.406 | 85.526 | -0.000 | -0.000 | -0.000 |
| 0.000 | 0.000 | 0.000 | 8.752 | -0.000 | -0.000 |
| 0.000 | 0.000 | 0.000 | -0.000 | 8.752 | -0.000 |
| 0.000 | 0.000 | 0.000 | -0.000 | -0.000 | 8.752 |
| 85.525 | 68.406 | 68.406 | 0.000 | 0.000 | -0.000 |
| 68.406 | 85.525 | 68.406 | 0.000 | 0.000 | 0.000 |
| 68.406 | 68.406 | 85.525 | 0.000 | 0.000 | -0.000 |
| -0.000 | -0.000 | -0.000 | 8.752 | 0.000 | 0.000 |
| -0.000 | -0.000 | -0.000 | 0.000 | 8.752 | 0.000 |
| -0.000 | -0.000 | -0.000 | 0.000 | 0.000 | 8.752 |
| 85.527 | 68.407 | 68.407 | -0.000 | -0.000 | -0.000 |
| 68.407 | 85.527 | 68.407 | -0.000 | -0.000 | -0.000 |
| 68.407 | 68.407 | 85.527 | -0.000 | -0.000 | -0.000 |
| 0.000 | 0.000 | 0.000 | 8.752 | -0.000 | -0.000 |
| 0.000 | 0.000 | 0.000 | -0.000 | 8.752 | -0.000 |
| 0.000 | 0.000 | 0.000 | -0.000 | -0.000 | 8.752 |
| 85.524 | 68.405 | 68.405 | 0.000 | 0.000 | 0.000 |
| 68.405 | 85.524 | 68.405 | 0.000 | 0.000 | 0.000 |
| 68.405 | 68.405 | 85.524 | 0.000 | 0.000 | 0.000 |
| -0.000 | -0.000 | -0.000 | 8.752 | 0.000 | 0.000 |
| -0.000 | -0.000 | -0.000 | 0.000 | 8.752 | 0.000 |
| -0.000 | -0.000 | -0.000 | 0.000 | 0.000 | 8.752 |
| 20.194 | 24.621 | 24.621 | 0.000 | 0.000 | -0.000 |
| 24.621 | 20.194 | 24.621 | -0.000 | 0.000 | -0.000 |
| 24.621 | 24.621 | 20.194 | 0.000 | 0.000 | 0.000 |
| -0.000 | -0.000 | -0.000 | -5.333 | -0.000 | 0.000 |
| -0.000 | -0.000 | -0.000 | -0.000 | -5.333 | 0.000 |
| -0.000 | -0.000 | -0.000 | -0.000 | 0.000 | -5.333 |
| 20.194 | 24.621 | 24.621 | 0.000 | -0.000 | -0.000 |
| 24.621 | 20.194 | 24.621 | -0.000 | -0.000 | -0.000 |
| 24.621 | 24.621 | 20.194 | 0.000 | -0.000 | -0.000 |
| 0.000 | 0.000 | 0.000 | -5.333 | 0.000 | -0.000 |
| 0.000 | 0.000 | 0.000 | 0.000 | -5.333 | -0.000 |
| 0.000 | 0.000 | 0.000 | 0.000 | -0.000 | -5.333 |
| 20.193 | 24.621 | 24.621 | -0.000 | 0.000 | 0.000 |
| 24.621 | 20.193 | 24.621 | 0.000 | -0.000 | 0.000 |
| 24.621 | 24.621 | 20.193 | 0.000 | 0.000 | -0.000 |
| -0.000 | -0.000 | -0.000 | -5.333 | 0.000 | 0.000 |
| -0.000 | -0.000 | -0.000 | 0.000 | -5.333 | 0.000 |
| -0.000 | -0.000 | -0.000 | 0.000 | 0.000 | -5.333 |
| 20.194 | 24.622 | 24.622 | -0.000 | -0.000 | -0.000 |
| 24.622 | 20.194 | 24.622 | -0.000 | -0.000 | -0.000 |
| 24.622 | 24.622 | 20.194 | -0.000 | -0.000 | -0.000 |
| 0.000 | 0.000 | 0.000 | -5.333 | -0.000 | 0.000 |
| 0.000 | 0.000 | 0.000 | -0.000 | -5.333 | 0.000 |
| 0.000 | 0.000 | 0.000 | 0.000 | 0.000 | -5.333 |
| 20.188 | 24.615 | 24.615 | 0.000 | 0.000 | 0.000 |
| 24.615 | 20.188 | 24.615 | 0.000 | 0.000 | 0.000 |
| 24.615 | 24.615 | 20.188 | 0.000 | 0.000 | 0.000 |
| -0.000 | -0.000 | -0.000 | -5.333 | 0.000 | 0.000 |
| -0.000 | -0.000 | -0.000 | 0.000 | -5.333 | 0.000 |
| -0.000 | -0.000 | -0.000 | 0.000 | 0.000 | -5.333 |
| 20.200 | 24.627 | 24.627 | -0.000 | -0.000 | -0.000 |
| 24.627 | 20.200 | 24.627 | -0.000 | -0.000 | -0.000 |
| 24.627 | 24.627 | 20.200 | 0.000 | 0.000 | -0.000 |
| 0.000 | 0.000 | 0.000 | -5.333 | -0.000 | -0.000 |
| 0.000 | 0.000 | 0.000 | -0.000 | -5.333 | -0.000 |
| 0.000 | 0.000 | 0.000 | -0.000 | -0.000 | -5.333 |
| -0.684 | 0.000 | 0.000 | -0.000 | -0.000 | 0.000 |
| 0.000 | -0.684 | 0.000 | -0.000 | -0.000 | -0.000 |
| -0.000 | -0.000 | -0.684 | -0.000 | -0.000 | 0.000 |
| 0.000 | 0.000 | 0.000 | 0.000 | 0.000 | -0.000 |
| 0.000 | 0.000 | 0.000 | 0.000 | 0.000 | -0.000 |
| 0.000 | 0.000 | 0.000 | 0.000 | -0.000 | 0.000 |
| -0.684 | -0.000 | -0.000 | 0.000 | 0.000 | 0.000 |
| -0.000 | -0.684 | -0.000 | 0.000 | 0.000 | -0.000 |
| -0.000 | -0.000 | -0.684 | 0.000 | 0.000 | 0.000 |
| -0.000 | 0.000 | -0.000 | 0.000 | -0.000 | 0.000 |
| 0.000 | -0.000 | -0.000 | -0.000 | 0.000 | 0.000 |
| 0.000 | -0.000 | -0.000 | -0.000 | 0.000 | 0.000 |
| -0.684 | 0.000 | 0.000 | -0.000 | -0.000 | -0.000 |
| 0.000 | -0.684 | 0.000 | -0.000 | -0.000 | -0.000 |
| 0.000 | 0.000 | -0.684 | -0.000 | 0.000 | -0.000 |
| 0.000 | -0.000 | 0.000 | -0.000 | -0.000 | -0.000 |
| -0.000 | 0.000 | 0.000 | -0.000 | -0.000 | -0.000 |
| -0.000 | 0.000 | 0.000 | 0.000 | 0.000 | -0.000 |
| -0.683 | -0.000 | -0.000 | 0.000 | 0.000 | 0.000 |
| -0.000 | -0.683 | -0.000 | 0.000 | 0.000 | -0.000 |
| -0.000 | -0.000 | -0.683 | -0.000 | -0.000 | 0.000 |
| -0.000 | 0.000 | -0.000 | -0.000 | 0.000 | 0.000 |
| 0.000 | -0.000 | -0.000 | 0.000 | -0.000 | 0.000 |
| 0.000 | -0.000 | -0.000 | -0.000 | 0.000 | -0.000 |
| -0.689 | -0.000 | -0.000 | -0.000 | -0.000 | -0.000 |
| -0.000 | -0.689 | -0.000 | -0.000 | -0.000 | 0.000 |
| -0.000 | -0.000 | -0.689 | -0.000 | 0.000 | -0.000 |
| 0.000 | -0.000 | 0.000 | -0.000 | 0.000 | -0.000 |
| -0.000 | 0.000 | 0.000 | 0.000 | -0.000 | -0.000 |
| -0.000 | 0.000 | 0.000 | 0.000 | -0.000 | -0.000 |
| -0.678 | -0.000 | -0.000 | 0.000 | -0.000 | 0.000 |
| -0.000 | -0.678 | -0.000 | 0.000 | 0.000 | -0.000 |
| -0.000 | -0.000 | -0.678 | 0.000 | -0.000 | 0.000 |
| -0.000 | 0.000 | -0.000 | -0.000 | -0.000 | 0.000 |
| 0.000 | -0.000 | -0.000 | -0.000 | -0.000 | 0.000 |
| 0.000 | -0.000 | -0.000 | -0.000 | -0.000 | -0.000 |
| 69323.357 | 67984.422 | 67984.422 | -0.000 | -0.000 | -0.000 |
| 67984.422 | 69323.357 | 67984.422 | -0.000 | -0.000 | 0.000 |
| 67984.422 | 67984.422 | 69323.357 | -0.000 | 0.000 | -0.000 |
| 0.007 | 0.007 | 0.007 | -3054.268 | -0.000 | -0.000 |
| 0.007 | 0.007 | 0.007 | -0.000 | -3054.268 | -0.000 |
| 0.007 | 0.007 | 0.007 | -0.000 | -0.000 | -3054.268 |
| 69323.267 | 67984.331 | 67984.332 | 0.000 | 0.000 | 0.000 |
| 67984.331 | 69323.267 | 67984.331 | 0.000 | 0.000 | 0.000 |
| 67984.330 | 67984.330 | 69323.267 | 0.000 | -0.000 | 0.000 |
| -0.007 | -0.007 | -0.007 | -3054.267 | 0.000 | 0.000 |
| -0.007 | -0.008 | -0.007 | 0.000 | -3054.267 | 0.000 |
| -0.007 | -0.007 | -0.008 | 0.001 | 0.001 | -3054.267 |
| 69323.727 | 67984.797 | 67984.797 | -0.000 | -0.000 | -0.000 |
| 67984.797 | 69323.727 | 67984.797 | -0.000 | -0.000 | -0.000 |
| 67984.797 | 67984.797 | 69323.727 | -0.000 | -0.000 | -0.000 |
| 0.063 | 0.058 | 0.058 | -3054.267 | -0.000 | -0.000 |
| 0.058 | 0.063 | 0.058 | -0.000 | -3054.267 | -0.000 |
| 0.058 | 0.058 | 0.063 | -0.000 | -0.000 | -3054.267 |
| 69322.896 | 67983.955 | 67983.955 | 0.000 | 0.000 | 0.000 |
| 67983.955 | 69322.896 | 67983.955 | 0.000 | 0.000 | 0.000 |
| 67983.955 | 67983.955 | 69322.896 | 0.000 | -0.000 | 0.000 |
| -0.063 | -0.058 | -0.058 | -3054.267 | 0.000 | 0.000 |
| -0.058 | -0.063 | -0.058 | 0.000 | -3054.267 | 0.000 |
| -0.058 | -0.058 | -0.063 | 0.000 | 0.000 | -3054.267 |
| 69327.460 | 67988.587 | 67988.587 | -0.000 | 0.000 | -0.000 |
| 67988.587 | 69327.460 | 67988.587 | 0.000 | -0.000 | -0.000 |
| 67988.587 | 67988.587 | 69327.460 | 0.000 | 0.000 | -0.000 |
| 0.628 | 0.582 | 0.575 | -3054.457 | -0.000 | -0.000 |
| 0.582 | 0.628 | 0.575 | -0.000 | -3054.457 | -0.000 |
| 0.582 | 0.575 | 0.628 | -0.000 | -0.000 | -3054.457 |
| 69319.163 | 67980.165 | 67980.165 | 0.000 | 0.000 | 0.000 |
| 67980.165 | 69319.163 | 67980.165 | 0.000 | 0.000 | 0.000 |
| 67980.165 | 67980.165 | 69319.163 | 0.000 | 0.000 | 0.000 |
| -0.628 | -0.582 | -0.575 | -3054.457 | 0.000 | 0.000 |
| -0.582 | -0.628 | -0.575 | 0.000 | -3054.457 | 0.000 |
| -0.582 | -0.575 | -0.628 | 0.000 | 0.000 | -3054.457 |
| -242.827 | -569.837 | -569.837 | 0.000 | 0.000 | 0.000 |
| -569.837 | -242.827 | -569.837 | 0.000 | 0.000 | 0.000 |
| -569.837 | -569.837 | -242.827 | 0.000 | 0.000 | 0.000 |
| -0.000 | -0.000 | -0.001 | -1241.980 | 0.000 | 0.000 |
| -0.000 | -0.000 | -0.001 | 0.000 | -1241.980 | 0.000 |
| -0.000 | -0.000 | -0.000 | 0.000 | 0.000 | -1241.980 |
| -242.833 | -569.842 | -569.842 | -0.000 | -0.000 | -0.000 |
| -569.842 | -242.832 | -569.842 | -0.000 | -0.000 | -0.000 |
| -569.842 | -569.842 | -242.832 | -0.000 | -0.000 | -0.000 |
| 0.000 | 0.000 | 0.001 | -1241.981 | -0.000 | -0.000 |
| 0.000 | 0.000 | 0.001 | -0.000 | -1241.981 | -0.000 |
| 0.000 | 0.000 | 0.001 | -0.000 | -0.000 | -1241.981 |
| -242.804 | -569.815 | -569.815 | 0.000 | 0.000 | 0.000 |
| -569.815 | -242.804 | -569.815 | 0.000 | 0.000 | 0.000 |
| -569.815 | -569.815 | -242.804 | 0.000 | 0.000 | 0.000 |
| -0.004 | -0.005 | -0.005 | -1241.980 | 0.000 | 0.000 |
| -0.005 | -0.004 | -0.005 | 0.000 | -1241.980 | 0.000 |
| -0.005 | -0.005 | -0.004 | 0.000 | 0.000 | -1241.980 |
| -242.856 | -569.864 | -569.864 | -0.000 | -0.000 | -0.000 |
| -569.864 | -242.855 | -569.864 | -0.000 | -0.000 | -0.000 |
| -569.864 | -569.864 | -242.855 | -0.000 | -0.000 | -0.000 |
| 0.004 | 0.005 | 0.005 | -1241.981 | -0.000 | -0.000 |
| 0.005 | 0.004 | 0.005 | -0.000 | -1241.981 | -0.000 |
| 0.005 | 0.005 | 0.004 | -0.000 | -0.000 | -1241.981 |
| -242.573 | -569.592 | -569.592 | 0.000 | 0.000 | 0.000 |
| -569.592 | -242.573 | -569.592 | 0.000 | 0.000 | 0.000 |
| -569.592 | -569.592 | -242.573 | 0.000 | 0.000 | 0.000 |
| -0.037 | -0.045 | -0.048 | -1241.980 | 0.000 | 0.000 |
| -0.045 | -0.037 | -0.048 | 0.000 | -1241.980 | 0.000 |
| -0.045 | -0.048 | -0.037 | 0.000 | 0.000 | -1241.980 |
| -243.090 | -570.088 | -570.088 | -0.000 | -0.000 | -0.000 |
| -570.088 | -243.090 | -570.088 | -0.000 | -0.000 | -0.000 |
| -570.088 | -570.088 | -243.090 | -0.000 | -0.000 | -0.000 |
| 0.037 | 0.045 | 0.048 | -1241.980 | -0.000 | -0.000 |
| 0.045 | 0.037 | 0.048 | -0.000 | -1241.980 | -0.000 |
| 0.045 | 0.048 | 0.037 | -0.000 | -0.000 | -1241.980 |
| 22464880.659 | 5142686.461 | 5142686.468 | -0.002 | -0.002 | 0.000 |
| 5142686.461 | 22464880.659 | 5142686.468 | -0.002 | -0.002 | 0.000 |
| 5142686.454 | 5142686.454 | 22464880.638 | -0.002 | -0.002 | 0.002 |
| -36.197 | -63.043 | -63.043 | 3149640.914 | -0.001 | 0.001 |
| -63.042 | -36.196 | -63.043 | -0.001 | 3149640.914 | 0.002 |
| -63.044 | -63.050 | -36.177 | -0.003 | -0.002 | 3149640.919 |
| 22466735.570 | 5142917.240 | 5142917.233 | 0.001 | 0.002 | -0.001 |
| 5142917.240 | 22466735.570 | 5142917.233 | 0.002 | 0.001 | -0.001 |
| 5142917.241 | 5142917.241 | 22466735.592 | 0.002 | 0.002 | -0.002 |
| 36.197 | 63.042 | 63.043 | 3149640.907 | 0.001 | -0.001 |
| 63.043 | 36.198 | 63.043 | 0.001 | 3149640.907 | -0.001 |
| 63.041 | 63.055 | 36.176 | 0.002 | 0.004 | 3149640.919 |
| 22456533.380 | 5141647.942 | 5141647.941 | -0.000 | -0.000 | 0.000 |
| 5141647.942 | 22456533.380 | 5141647.941 | -0.000 | -0.000 | 0.000 |
| 5141647.941 | 5141647.941 | 22456533.378 | -0.000 | -0.000 | -0.000 |
| -361.374 | -632.193 | -632.427 | 3153026.887 | -0.000 | 0.000 |
| -632.193 | -361.374 | -632.427 | -0.000 | 3153026.887 | -0.000 |
| -632.193 | -632.428 | -361.373 | -0.000 | -0.000 | 3153026.885 |
| 22475082.815 | 5143955.749 | 5143955.748 | 0.000 | 0.000 | -0.000 |
| 5143955.749 | 22475082.815 | 5143955.748 | 0.000 | 0.000 | -0.000 |
| 5143955.748 | 5143955.748 | 22475082.816 | 0.000 | 0.000 | -0.000 |
| 361.374 | 632.193 | 632.427 | 3153027.048 | 0.000 | -0.000 |
| 632.193 | 361.374 | 632.427 | 0.000 | 3153027.048 | -0.000 |
| 632.193 | 632.428 | 361.373 | 0.000 | -0.000 | 3153027.049 |
| 22373060.797 | 5131262.756 | 5131262.756 | -0.000 | -0.000 | 0.000 |
| 5131262.756 | 22373060.797 | 5131262.756 | -0.000 | -0.000 | 0.000 |
| 5131262.756 | 5131262.756 | 22373060.797 | -0.000 | -0.000 | 0.000 |
| -3624.870 | -6316.407 | -6318.769 | 3149973.190 | -0.000 | -0.000 |
| -6316.407 | -3624.870 | -6318.769 | -0.000 | 3149973.190 | -0.000 |
| -6316.407 | -6318.769 | -3624.870 | -0.000 | -0.000 | 3149973.190 |
| 22558555.262 | 5154340.879 | 5154340.878 | 0.000 | 0.000 | -0.000 |
| 5154340.879 | 22558555.262 | 5154340.878 | 0.000 | 0.000 | -0.000 |
| 5154340.878 | 5154340.878 | 22558555.261 | 0.000 | 0.000 | -0.000 |
| 3624.870 | 6316.407 | 6318.769 | 3149973.207 | 0.000 | -0.000 |
| 6316.407 | 3624.870 | 6318.769 | 0.000 | 3149973.207 | -0.000 |
| 6316.407 | 6318.769 | 3624.870 | 0.000 | 0.000 | 3149973.208 |
| 175.557 | 102.272 | 102.272 | 0.000 | 0.000 | -0.000 |
| 102.272 | 175.557 | 102.272 | 0.000 | -0.000 | -0.000 |
| 102.272 | 102.272 | 175.557 | 0.000 | -0.000 | -0.000 |
| 0.000 | -0.000 | -0.000 | 10.138 | -0.000 | -0.000 |
| -0.000 | 0.000 | -0.000 | -0.000 | 10.138 | -0.000 |
| 0.000 | -0.000 | 0.000 | 0.000 | -0.000 | 10.138 |
| 175.557 | 102.272 | 102.272 | 0.000 | 0.000 | 0.000 |
| 102.272 | 175.557 | 102.272 | -0.000 | 0.000 | 0.000 |
| 102.272 | 102.272 | 175.557 | 0.000 | 0.000 | 0.000 |
| -0.000 | 0.000 | 0.000 | 10.138 | 0.000 | 0.000 |
| 0.000 | -0.000 | 0.000 | 0.000 | 10.138 | 0.000 |
| 0.000 | 0.000 | -0.000 | 0.000 | 0.000 | 10.138 |
| 175.557 | 102.272 | 102.272 | 0.000 | -0.000 | -0.000 |
| 102.272 | 175.557 | 102.272 | 0.000 | 0.000 | -0.000 |
| 102.272 | 102.272 | 175.557 | -0.000 | -0.000 | -0.000 |
| -0.000 | -0.000 | -0.000 | 10.138 | -0.000 | 0.000 |
| -0.000 | -0.000 | -0.000 | -0.000 | 10.138 | -0.000 |
| -0.000 | -0.000 | -0.000 | -0.000 | -0.000 | 10.138 |
| 175.557 | 102.272 | 102.272 | -0.000 | 0.000 | 0.000 |
| 102.272 | 175.557 | 102.272 | 0.000 | -0.000 | 0.000 |
| 102.272 | 102.272 | 175.557 | 0.000 | 0.000 | 0.000 |
| 0.000 | 0.000 | 0.000 | 10.138 | -0.000 | 0.000 |
| 0.000 | 0.000 | 0.000 | 0.000 | 10.138 | 0.000 |
| 0.000 | 0.000 | 0.000 | 0.000 | 0.000 | 10.138 |
| 175.557 | 102.272 | 102.272 | -0.000 | -0.000 | -0.000 |
| 102.272 | 175.557 | 102.272 | -0.000 | -0.000 | -0.000 |
| 102.272 | 102.272 | 175.557 | 0.000 | -0.000 | -0.000 |
| -0.000 | -0.000 | -0.000 | 10.138 | -0.000 | -0.000 |
| -0.000 | -0.000 | -0.000 | -0.000 | 10.138 | 0.000 |
| -0.000 | -0.000 | -0.000 | -0.000 | -0.000 | 10.138 |
| 175.556 | 102.272 | 102.272 | 0.000 | 0.000 | 0.000 |
| 102.272 | 175.556 | 102.272 | 0.000 | 0.000 | -0.000 |
| 102.272 | 102.272 | 175.556 | -0.000 | -0.000 | -0.000 |
| 0.000 | 0.000 | 0.000 | 10.138 | 0.000 | 0.000 |
| 0.000 | 0.000 | 0.000 | 0.000 | 10.138 | 0.000 |
| 0.000 | 0.000 | 0.000 | -0.000 | 0.000 | 10.138 |
| 9.434 | -1.369 | -1.369 | -0.000 | -0.000 | -0.000 |
| -1.369 | 9.434 | -1.369 | -0.000 | -0.000 | -0.000 |
| -1.369 | -1.369 | 9.434 | 0.000 | -0.000 | -0.000 |
| -0.000 | 0.000 | -0.000 | -2.212 | 0.000 | -0.000 |
| 0.000 | -0.000 | -0.000 | 0.000 | -2.212 | -0.000 |
| 0.000 | -0.000 | 0.000 | -0.000 | -0.000 | -2.212 |
| 9.434 | -1.369 | -1.369 | -0.000 | -0.000 | 0.000 |
| -1.369 | 9.434 | -1.369 | -0.000 | -0.000 | 0.000 |
| -1.369 | -1.369 | 9.434 | -0.000 | 0.000 | 0.000 |
| 0.000 | -0.000 | 0.000 | -2.212 | -0.000 | 0.000 |
| -0.000 | 0.000 | 0.000 | -0.000 | -2.212 | 0.000 |
| -0.000 | 0.000 | -0.000 | 0.000 | 0.000 | -2.212 |
| 9.434 | -1.369 | -1.369 | -0.000 | 0.000 | 0.000 |
| -1.369 | 9.434 | -1.369 | 0.000 | -0.000 | -0.000 |
| -1.369 | -1.369 | 9.434 | 0.000 | 0.000 | 0.000 |
| 0.000 | 0.000 | -0.000 | -2.212 | 0.000 | -0.000 |
| 0.000 | 0.000 | -0.000 | 0.000 | -2.212 | -0.000 |
| 0.000 | -0.000 | 0.000 | -0.000 | -0.000 | -2.212 |
| 9.434 | -1.369 | -1.369 | 0.000 | 0.000 | 0.000 |
| -1.369 | 9.434 | -1.369 | 0.000 | 0.000 | 0.000 |
| -1.369 | -1.369 | 9.434 | 0.000 | 0.000 | -0.000 |
| -0.000 | -0.000 | 0.000 | -2.212 | -0.000 | 0.000 |
| -0.000 | -0.000 | 0.000 | -0.000 | -2.212 | 0.000 |
| -0.000 | 0.000 | -0.000 | 0.000 | 0.000 | -2.212 |
| 9.434 | -1.369 | -1.369 | -0.000 | -0.000 | -0.000 |
| -1.369 | 9.434 | -1.369 | -0.000 | -0.000 | -0.000 |
| -1.369 | -1.369 | 9.434 | 0.000 | 0.000 | -0.000 |
| 154321.550 | 720122.921 | 729077.287 | -1145850.242 | -5115.103 | 5280.714 |
| 82836.813 | -286144.573 | 23920.587 | 2714.887 | -526823.127 | 4711.334 |
| -139843.417 | -168768.523 | 20064.141 | -3528.511 | 634.718 | 98480.375 |
| 9.434 | -1.369 | -1.369 | 0.000 | 0.000 | 0.000 |
| -1.369 | 9.434 | -1.369 | 0.000 | 0.000 | 0.000 |
| -1.369 | -1.369 | 9.434 | 0.000 | 0.000 | 0.000 |
| 15839.212 | 232857.627 | 173663.529 | 36712.896 | 1944.746 | 919.569 |
| 103868.886 | 219167.385 | 214011.633 | 15893.560 | -196740.470 | 15973.182 |
| -19239.228 | 86623.270 | 172378.573 | 2647.222 | 614.515 | -308202.655 |
| -199.473 | -216.033 | -1051.298 | -26.805 | -0.000 | -0.000 |
| -143.129 | -100.160 | -1074.067 | 16.770 | -0.000 | -0.000 |
| -210.903 | -210.903 | -689.538 | 0.000 | -0.000 | -0.000 |
| -209.867 | -176.328 | -1134.503 | 4.147 | -0.000 | -0.000 |
| 0.000 | 0.000 | -0.000 | -0.000 | 6.863 | -14.302 |
| 0.000 | 0.000 | 0.000 | -0.000 | -14.302 | 24.623 |
| 99.359 | 50.112 | 62.040 | -14.302 | 0.000 | 0.000 |
| 293.985 | 313.930 | 1184.661 | 25.519 | 0.000 | 0.000 |
| 47.830 | 47.830 | 441.459 | -0.000 | 0.000 | 0.000 |
| 243.994 | 281.593 | 1116.205 | -2.194 | 0.000 | 0.000 |
| -0.000 | -0.000 | -0.000 | 0.000 | 6.863 | -14.302 |
| 0.000 | -0.000 | 0.000 | 0.000 | -14.302 | 24.623 |
| 99.359 | 50.112 | 62.040 | -14.302 | -0.000 | -0.000 |
| 50.112 | 99.359 | 62.040 | 14.302 | -0.000 | 0.000 |
| 25.765 | 25.765 | 315.014 | 0.000 | -0.000 | -0.000 |
| -14.302 | 14.302 | -0.000 | 6.863 | -0.000 | -0.000 |
| -19.341 | -19.341 | -113.635 | -0.000 | 4.143 | -16.774 |
| 0.000 | -0.000 | -0.000 | -0.000 | -14.302 | 24.623 |
| 99.359 | 50.112 | 62.040 | -14.302 | 0.000 | 0.000 |
| 50.112 | 99.359 | 62.040 | 14.302 | 0.000 | 0.000 |
| 47.830 | 47.830 | 441.459 | -0.000 | 0.000 | -0.000 |
| 6.829 | 44.580 | 111.768 | -1.880 | 0.000 | 0.000 |
| 19.341 | 19.341 | 113.635 | 0.000 | 4.143 | -16.774 |
| -0.000 | 0.000 | 0.000 | 0.000 | -14.302 | 24.623 |
| 88.727 | 47.506 | 45.758 | -17.458 | -0.000 | -0.000 |
| 47.506 | 88.727 | 45.758 | 17.458 | -0.000 | -0.000 |
| 49.432 | 49.432 | 415.474 | 0.000 | -0.000 | -0.000 |
| -14.302 | 14.302 | -0.000 | 6.863 | 0.000 | -0.000 |
| -2.142 | -2.142 | -11.064 | -0.000 | -0.680 | -20.507 |
| 0.000 | -0.000 | -0.000 | -0.000 | -14.302 | 24.623 |
| 75.910 | 47.804 | 73.842 | -22.408 | -0.000 | 0.000 |
| 34.424 | 70.254 | 77.428 | 18.817 | 0.000 | -0.000 |
| 54.691 | 54.691 | 437.791 | -0.000 | 0.000 | 0.000 |
| -18.365 | 22.650 | 11.065 | -0.680 | 0.000 | 0.000 |
| 0.000 | 0.000 | 0.000 | 0.000 | 6.863 | -14.302 |
| -0.000 | 0.000 | 0.000 | 0.000 | -14.302 | 24.623 |
| 75.709 | 136.436 | 136.436 | -0.000 | -0.000 | 0.000 |
| 136.436 | 75.709 | 136.436 | 0.000 | -0.000 | -0.000 |
| 136.436 | 136.436 | 75.709 | 0.000 | 0.000 | -0.000 |
| 0.000 | 0.000 | 0.000 | -79.157 | -0.000 | -0.000 |
| 0.000 | 0.000 | 0.000 | 0.000 | -79.157 | -0.000 |
| 0.000 | 0.000 | 0.000 | 0.000 | -0.000 | -79.157 |
| 75.709 | 136.436 | 136.436 | 0.000 | 0.000 | 0.000 |
| 136.436 | 75.709 | 136.436 | 0.000 | 0.000 | 0.000 |
| 136.436 | 136.436 | 75.709 | 0.000 | 0.000 | 0.000 |
| -0.000 | -0.000 | -0.000 | -79.157 | -0.000 | -0.000 |
| -0.000 | -0.000 | -0.000 | -0.000 | -79.157 | 0.000 |
| -0.000 | -0.000 | -0.000 | -0.000 | -0.000 | -79.157 |
| 75.709 | 136.436 | 136.436 | -0.000 | -0.000 | 0.000 |
| 136.436 | 75.709 | 136.436 | -0.000 | -0.000 | -0.000 |
| 136.436 | 136.436 | 75.709 | 0.000 | 0.000 | -0.000 |
| 0.000 | 0.000 | 0.000 | -79.157 | -0.000 | -0.000 |
| 0.000 | 0.000 | 0.000 | -0.000 | -79.157 | -0.000 |
| 0.000 | 0.000 | 0.000 | 0.000 | -0.000 | -79.157 |
| 75.708 | 136.435 | 136.435 | 0.000 | -0.000 | 0.000 |
| 136.435 | 75.708 | 136.435 | -0.000 | 0.000 | -0.000 |
| 136.435 | 136.435 | 75.708 | 0.000 | 0.000 | 0.000 |
| -0.000 | -0.000 | -0.000 | -79.157 | 0.000 | 0.000 |
| -0.000 | -0.000 | -0.000 | 0.000 | -79.157 | 0.000 |
| -0.000 | -0.000 | -0.000 | -0.000 | 0.000 | -79.157 |
| 75.716 | 136.437 | 136.437 | 0.000 | -0.000 | -0.000 |
| 136.437 | 75.716 | 136.437 | -0.000 | 0.000 | 0.000 |
| 136.437 | 136.437 | 75.716 | 0.000 | 0.000 | 0.000 |
| 0.001 | 0.001 | 0.001 | 68.701 | -0.000 | -0.000 |
| 0.001 | 0.001 | 0.001 | -0.000 | 68.701 | -0.000 |
| 0.001 | 0.001 | 0.001 | -0.000 | 0.000 | 68.701 |
| 75.702 | 136.434 | 136.434 | 0.000 | -0.000 | 0.000 |
| 136.434 | 75.702 | 136.434 | -0.000 | 0.000 | -0.000 |
| 136.434 | 136.434 | 75.702 | -0.000 | -0.000 | 0.000 |
| -0.001 | -0.001 | -0.001 | 68.701 | 0.000 | -0.000 |
| -0.001 | -0.001 | -0.001 | 0.000 | 68.701 | 0.000 |
| -0.001 | -0.001 | -0.001 | 0.000 | 0.000 | 68.701 |
| 281.182 | 161.052 | 181.814 | -0.000 | -0.000 | 0.000 |
| 161.052 | 272.232 | 179.159 | -0.000 | -0.000 | 0.000 |
| 181.814 | 179.159 | 294.648 | -0.000 | 0.000 | 0.000 |
| -0.000 | -0.000 | -0.000 | 118.235 | -0.000 | 0.000 |
| -0.000 | -0.000 | -0.000 | -0.000 | 121.791 | 0.000 |
| -1.896 | -1.713 | 0.266 | -0.000 | 0.000 | 89.124 |
| 275.203 | 149.551 | 174.836 | -0.000 | -0.000 | -0.000 |
| 148.640 | 244.721 | 160.012 | 0.000 | -0.000 | 0.000 |
| 176.476 | 160.022 | 277.051 | -0.000 | -0.000 | -0.000 |
| 0.000 | 0.000 | 0.000 | 118.235 | 0.000 | -0.000 |
| 0.000 | 0.000 | 0.000 | 0.000 | 121.791 | -0.000 |
| 1.896 | 1.713 | -0.266 | 0.000 | -0.000 | 89.124 |
| 281.182 | 161.052 | 181.814 | 0.000 | 0.000 | 0.000 |
| 147.276 | 246.325 | 163.838 | 0.000 | 0.000 | 0.000 |
| 181.814 | 179.159 | 294.648 | 0.000 | 0.000 | 0.000 |
| -0.000 | 0.000 | 0.000 | 118.235 | -0.000 | 0.000 |
| -0.000 | -0.000 | 0.000 | -0.000 | 121.791 | 0.000 |
| 0.000 | 0.000 | -0.000 | -0.000 | -0.000 | 99.209 |
| 281.182 | 161.052 | 181.814 | 0.000 | 0.000 | -0.000 |
| 148.343 | 243.357 | 158.649 | 0.000 | -0.000 | -0.000 |
| 175.153 | 158.802 | 277.204 | 0.000 | -0.000 | -0.000 |
| 0.000 | -0.000 | -0.000 | 118.235 | 0.000 | -0.000 |
| 0.000 | 0.000 | -0.000 | 0.000 | 121.791 | -0.000 |
| -0.000 | -0.000 | 0.000 | 0.000 | -0.000 | 99.209 |
| 281.182 | 161.053 | 181.814 | -0.000 | -0.000 | 0.000 |
| 148.182 | 243.209 | 158.669 | -0.000 | 0.000 | 0.000 |
| 174.992 | 158.653 | 277.223 | 0.000 | 0.000 | 0.000 |
| -0.000 | 0.000 | 0.000 | 118.235 | 0.000 | 0.000 |
| -0.014 | -0.010 | 0.004 | -0.000 | 121.791 | 0.000 |
| 0.000 | 0.000 | -0.000 | -0.000 | 0.000 | 99.209 |
| 273.747 | 148.209 | 175.004 | 0.000 | -0.000 | -0.000 |
| 161.052 | 272.232 | 179.158 | -0.000 | -0.000 | -0.000 |
| 181.813 | 179.159 | 294.647 | -0.000 | 0.000 | -0.000 |
| 0.000 | -0.000 | -0.000 | 118.235 | -0.000 | -0.000 |
| 0.014 | 0.010 | -0.004 | -0.000 | 121.791 | -0.000 |
| -0.000 | -0.000 | 0.000 | 0.000 | 0.000 | 99.209 |
| 263.713 | 137.618 | 179.680 | 0.000 | 0.000 | -0.000 |
| 139.278 | 247.227 | 164.397 | 0.000 | 0.000 | 0.000 |
| 178.625 | 161.683 | 276.966 | 0.000 | -0.000 | 0.000 |
| 0.659 | 1.764 | 1.196 | 99.007 | 0.000 | -0.000 |
| 1.499 | 4.015 | 2.722 | 0.000 | 121.936 | -0.000 |
| 0.000 | 0.000 | 0.000 | 0.000 | 0.000 | 84.171 |
| 256.605 | 126.178 | 175.055 | -0.000 | 0.000 | -0.000 |
| 139.278 | 247.227 | 164.397 | -0.000 | -0.000 | -0.000 |
| 178.625 | 161.683 | 276.966 | -0.000 | -0.000 | 0.000 |
| -0.659 | -1.764 | -1.196 | 99.007 | -0.000 | 0.000 |
| -1.499 | -4.015 | -2.722 | -0.000 | 121.936 | 0.000 |
| -0.000 | -0.000 | -0.000 | -0.000 | 0.000 | 84.171 |
| 256.669 | 123.520 | 172.088 | 0.000 | 0.000 | 0.000 |
| 124.925 | 210.796 | 140.536 | 0.000 | -0.000 | -0.000 |
| 173.298 | 141.368 | 260.709 | 0.000 | -0.000 | -0.000 |
| 0.065 | 0.174 | 0.118 | 99.113 | 0.000 | 0.000 |
| 0.150 | 0.402 | 0.272 | 0.000 | 121.936 | -0.000 |
| 0.000 | 0.000 | -0.000 | 0.000 | -0.000 | 84.171 |
| 257.947 | 129.025 | 176.677 | 0.000 | -0.000 | -0.000 |
| 139.278 | 247.227 | 164.396 | -0.000 | -0.000 | 0.000 |
| 178.625 | 161.683 | 276.965 | -0.000 | 0.000 | 0.000 |
| -0.065 | -0.174 | -0.118 | 99.113 | -0.000 | 0.000 |
| -0.150 | -0.402 | -0.272 | -0.000 | 121.936 | 0.000 |
| -0.000 | -0.000 | 0.000 | -0.000 | 0.000 | 84.171 |
| 258.101 | 129.346 | 176.858 | -0.000 | -0.000 | -0.000 |
| 139.278 | 247.227 | 164.397 | 0.000 | 0.000 | -0.000 |
| 173.159 | 140.976 | 260.436 | 0.000 | 0.000 | -0.000 |
| 0.006 | 0.018 | 0.012 | 99.114 | 0.000 | 0.000 |
| 0.015 | 0.040 | 0.028 | 0.000 | 121.936 | -0.000 |
| 0.000 | 0.000 | -0.000 | 0.000 | 0.000 | 84.171 |
| 258.072 | 129.288 | 176.824 | -0.000 | 0.000 | 0.000 |
| 124.766 | 210.356 | 140.232 | -0.000 | -0.000 | -0.000 |
| 178.625 | 161.682 | 276.965 | -0.000 | -0.000 | 0.000 |
| -0.006 | -0.018 | -0.012 | 99.114 | -0.000 | -0.000 |
| -0.015 | -0.040 | -0.028 | -0.000 | 121.936 | 0.000 |
| -0.000 | -0.000 | 0.000 | -0.000 | 0.000 | 84.171 |
| 241.877 | 158.374 | 123.505 | 0.000 | -0.000 | -0.000 |
| 158.374 | 241.877 | 123.505 | 0.000 | -0.000 | 0.000 |
| 119.325 | 119.325 | 206.588 | 0.000 | -0.000 | 0.000 |
| -21.932 | -21.932 | -21.218 | 89.452 | -0.000 | -0.000 |
| -21.932 | -21.932 | -21.218 | 0.000 | 89.452 | -0.000 |
| -22.197 | -22.197 | -21.748 | 0.000 | -0.000 | 122.371 |
| 274.241 | 190.543 | 144.263 | -0.000 | 0.000 | -0.000 |
| 190.543 | 274.241 | 144.263 | -0.000 | 0.000 | 0.000 |
| 150.647 | 150.647 | 245.654 | -0.000 | 0.000 | -0.000 |
| 21.932 | 21.932 | 21.218 | 89.452 | -0.000 | 0.000 |
| 21.932 | 21.932 | 21.218 | -0.000 | 89.452 | 0.000 |
| 22.197 | 22.197 | 21.748 | -0.000 | 0.000 | 122.371 |
| 255.981 | 172.755 | 132.122 | 0.000 | -0.000 | 0.000 |
| 172.755 | 255.981 | 132.122 | 0.000 | 0.000 | 0.000 |
| 130.155 | 130.155 | 208.674 | 0.000 | -0.000 | 0.000 |
| -2.237 | -2.237 | -2.101 | 88.718 | -0.000 | 0.000 |
| -2.237 | -2.237 | -2.101 | -0.000 | 88.718 | 0.000 |
| -2.724 | -2.724 | -3.155 | 0.000 | -0.000 | 122.371 |
| 260.116 | 174.734 | 133.662 | 0.000 | 0.000 | -0.000 |
| 174.734 | 260.116 | 133.662 | -0.000 | 0.000 | 0.000 |
| 150.647 | 150.647 | 245.654 | -0.000 | -0.000 | 0.000 |
| 2.237 | 2.237 | 2.101 | 88.718 | 0.000 | -0.000 |
| 2.237 | 2.237 | 2.101 | -0.000 | 88.718 | -0.000 |
| 2.724 | 2.724 | 3.155 | -0.000 | 0.000 | 122.371 |
| 258.472 | 174.680 | 134.375 | 0.000 | -0.000 | -0.000 |
| 174.680 | 258.472 | 134.375 | 0.000 | -0.000 | 0.000 |
| 130.689 | 130.689 | 207.425 | 0.000 | -0.000 | 0.000 |
| -0.093 | -0.093 | -0.059 | 89.772 | -0.000 | 0.000 |
| -0.093 | -0.093 | -0.059 | 0.000 | 89.772 | -0.000 |
| 0.000 | 0.000 | -0.000 | 0.000 | 0.000 | 122.371 |
| 268.921 | 178.987 | 148.292 | -0.000 | -0.000 | 0.000 |
| 175.144 | 259.173 | 135.100 | -0.000 | 0.000 | -0.000 |
| 131.343 | 131.343 | 208.178 | -0.000 | -0.000 | -0.000 |
| 0.093 | 0.093 | 0.059 | 89.772 | 0.000 | -0.000 |
| 0.093 | 0.093 | 0.059 | -0.000 | 89.772 | 0.000 |
| -0.000 | -0.000 | 0.000 | -0.000 | 0.000 | 122.371 |
| 285.137 | 180.553 | 169.245 | -0.000 | 0.000 | 0.000 |
| 180.553 | 285.137 | 169.245 | 0.000 | 0.000 | 0.000 |
| 169.245 | 169.245 | 272.728 | 0.000 | 0.000 | 0.000 |
| -2.848 | -2.849 | 0.557 | 101.955 | 0.000 | -0.000 |
| -2.848 | -2.849 | 0.557 | -0.000 | 101.955 | -0.000 |
| -2.849 | -2.849 | 0.557 | -0.000 | 0.000 | 120.799 |
| 645.767 | 546.754 | 823.718 | 0.000 | -0.000 | 0.000 |
| 546.754 | 645.767 | 823.718 | -0.000 | -0.000 | 0.000 |
| 164.870 | 164.870 | 259.593 | 0.000 | -0.000 | 0.000 |
| 2.848 | 2.849 | -0.557 | 101.955 | -0.000 | -0.000 |
| 2.848 | 2.849 | -0.557 | -0.000 | 101.955 | 0.000 |
| 2.849 | 2.849 | -0.557 | -0.000 | -0.000 | 120.799 |
| 234.592 | 135.607 | 84.434 | 0.000 | 0.000 | -0.000 |
| 135.607 | 234.592 | 84.434 | 0.000 | 0.000 | -0.000 |
| 114.498 | 114.498 | 175.442 | -0.000 | 0.000 | 0.000 |
| -0.000 | 0.000 | 0.000 | 108.162 | 0.000 | 0.000 |
| 0.000 | -0.000 | 0.000 | -0.000 | 108.162 | 0.000 |
| 0.000 | 0.000 | -0.000 | -0.000 | 0.000 | 120.799 |
| 285.137 | 180.553 | 169.245 | 0.000 | -0.000 | -0.000 |
| 180.553 | 285.137 | 169.245 | -0.000 | -0.000 | -0.000 |
| 189.268 | 189.268 | 309.838 | -0.000 | -0.000 | -0.000 |
| 0.000 | -0.000 | -0.000 | 108.162 | -0.000 | 0.000 |
| -0.000 | 0.000 | -0.000 | 0.000 | 108.162 | -0.000 |
| -0.000 | -0.000 | 0.000 | -0.000 | -0.000 | 120.799 |
| 285.137 | 180.553 | 169.245 | -0.000 | 0.000 | -0.000 |
| 180.553 | 285.137 | 169.245 | -0.000 | 0.000 | -0.000 |
| 156.423 | 156.423 | 250.465 | -0.000 | 0.000 | 0.000 |
| -0.000 | 0.000 | 0.000 | 108.162 | 0.000 | 0.000 |
| 0.000 | -0.000 | 0.000 | 0.000 | 108.162 | 0.000 |
| 0.000 | 0.000 | -0.000 | 0.000 | 0.000 | 120.799 |
| 285.137 | 180.552 | 169.244 | 0.000 | -0.000 | -0.000 |
| 180.552 | 285.137 | 169.244 | -0.000 | -0.000 | 0.000 |
| 156.022 | 156.022 | 250.112 | -0.000 | -0.000 | 0.000 |
| 0.000 | -0.000 | -0.000 | 108.162 | -0.000 | -0.000 |
| -0.000 | 0.000 | -0.000 | 0.000 | 108.162 | 0.000 |
| -0.000 | -0.000 | 0.000 | 0.000 | -0.000 | 120.799 |
| 27.634 | 82.351 | 49.380 | 0.000 | -0.000 | 0.000 |
| 82.351 | 27.634 | 49.380 | 0.000 | 0.000 | 0.000 |
| 50.625 | 50.625 | 214.237 | -0.000 | -0.000 | -0.000 |
| -0.007 | -0.007 | 0.050 | -24.898 | -0.000 | 0.000 |
| -0.007 | -0.007 | 0.050 | -0.000 | -24.898 | 0.000 |
| -0.003 | -0.003 | 0.019 | -0.000 | -0.000 | 61.665 |
| 26.641 | 81.621 | 55.108 | 0.000 | 0.000 | -0.000 |
| 81.621 | 26.641 | 55.108 | 0.000 | 0.000 | 0.000 |
| 55.539 | 55.539 | 181.555 | 0.000 | 0.000 | -0.000 |
| 0.007 | 0.007 | -0.050 | -24.898 | 0.000 | 0.000 |
| 0.007 | 0.007 | -0.050 | -0.000 | -24.898 | -0.000 |
| 0.003 | 0.003 | -0.019 | -0.000 | 0.000 | 61.665 |
| 23.738 | 84.003 | 56.844 | 0.000 | 0.000 | 0.000 |
| 84.003 | 23.738 | 56.844 | 0.000 | 0.000 | 0.000 |
| 55.536 | 55.536 | 181.577 | -0.000 | -0.000 | 0.000 |
| -0.001 | -0.001 | 0.005 | -24.898 | 0.000 | 0.000 |
| -0.001 | -0.001 | 0.005 | 0.000 | -24.898 | -0.000 |
| -0.000 | -0.000 | 0.002 | 0.000 | -0.000 | 61.665 |
| 26.638 | 81.619 | 55.122 | -0.000 | 0.000 | 0.000 |
| 81.619 | 26.638 | 55.122 | -0.000 | 0.000 | 0.000 |
| 55.536 | 55.536 | 181.572 | -0.000 | 0.000 | 0.000 |
| 0.001 | 0.001 | -0.005 | -24.898 | 0.000 | -0.000 |
| 0.001 | 0.001 | -0.005 | -0.000 | -24.898 | -0.000 |
| 0.000 | 0.000 | -0.002 | -0.000 | 0.000 | 61.665 |
| 26.643 | 81.624 | 55.128 | -0.000 | -0.000 | -0.000 |
| 81.624 | 26.643 | 55.128 | 0.000 | -0.000 | 0.000 |
| 55.541 | 55.541 | 181.587 | -0.000 | -0.000 | -0.000 |
| -0.000 | 0.000 | 0.000 | -24.898 | -0.000 | 0.000 |
| 0.000 | -0.000 | 0.000 | -0.000 | -24.898 | 0.000 |
| 0.002 | 0.002 | 0.002 | -0.000 | -0.000 | 61.665 |
| 2988750.088 | 3075681.318 | 2367661.135 | 10166.804 | 7522.965 | 51207.563 |
| 3158816.749 | 3056108.144 | 2522965.556 | -46808.534 | -24173.678 | 89095.150 |
| 55.530 | 55.530 | 181.567 | -0.000 | 0.000 | 0.000 |
| 0.000 | -0.000 | -0.000 | -24.898 | 0.000 | -0.000 |
| -0.000 | 0.000 | -0.000 | -0.000 | -24.898 | -0.000 |
| -0.002 | -0.002 | -0.002 | -0.000 | 0.000 | 61.665 |
| 264.605 | 139.108 | 179.810 | 0.000 | -0.000 | -0.000 |
| 126.234 | 217.077 | 146.384 | -0.000 | -0.000 | -0.000 |
| 174.386 | 143.993 | 263.031 | 0.000 | -0.000 | -0.000 |
| 0.000 | 0.000 | 0.000 | 106.035 | -0.000 | -0.000 |
| 0.699 | 1.740 | 1.134 | 0.000 | 122.100 | -0.000 |
| 0.000 | 0.000 | 0.000 | 0.000 | -0.000 | 85.285 |
| 256.715 | 122.948 | 170.847 | -0.000 | 0.000 | 0.000 |
| 125.679 | 210.510 | 139.764 | -0.000 | 0.000 | 0.000 |
| 172.892 | 139.991 | 260.295 | -0.000 | 0.000 | 0.000 |
| -0.000 | -0.000 | -0.000 | 106.035 | 0.000 | -0.000 |
| -0.699 | -1.740 | -1.134 | -0.000 | 122.100 | 0.000 |
| -0.000 | -0.000 | -0.000 | -0.000 | 0.000 | 85.285 |
| 257.436 | 124.867 | 172.154 | 0.000 | 0.000 | -0.000 |
| 126.399 | 212.429 | 141.071 | 0.000 | 0.000 | 0.000 |
| 171.207 | 138.591 | 260.643 | 0.000 | 0.000 | -0.000 |
| 0.055 | 0.145 | 0.098 | 98.575 | -0.000 | 0.000 |
| 0.000 | -0.000 | 0.000 | 0.000 | 122.100 | -0.000 |
| 0.028 | 0.069 | 0.045 | 0.000 | -0.000 | 80.527 |
| 257.304 | 124.518 | 171.916 | -0.000 | -0.000 | 0.000 |
| 125.428 | 215.109 | 145.118 | 0.000 | 0.000 | 0.000 |
| 178.917 | 162.180 | 278.004 | -0.000 | 0.000 | -0.000 |
| -0.055 | -0.145 | -0.098 | 98.575 | 0.000 | -0.000 |
| -0.000 | 0.000 | -0.000 | 0.000 | 122.100 | 0.000 |
| -0.028 | -0.069 | -0.045 | -0.000 | 0.000 | 80.527 |
| 264.606 | 139.108 | 179.811 | 0.000 | -0.000 | -0.000 |
| 126.341 | 212.273 | 140.965 | -0.000 | 0.000 | -0.000 |
| 171.148 | 138.435 | 260.537 | -0.000 | 0.000 | -0.000 |
| 0.003 | 0.008 | 0.006 | 99.417 | -0.000 | -0.000 |
| 0.007 | 0.017 | 0.012 | -0.000 | 122.100 | -0.000 |
| 0.000 | 0.000 | -0.000 | 0.000 | -0.000 | 85.285 |
| 264.604 | 139.107 | 179.810 | -0.000 | 0.000 | -0.000 |
| 125.493 | 215.269 | 145.221 | -0.000 | 0.000 | 0.000 |
| 173.635 | 141.968 | 261.641 | 0.000 | 0.000 | 0.000 |
| -0.003 | -0.008 | -0.006 | 99.417 | 0.000 | 0.000 |
| -0.007 | -0.017 | -0.012 | 0.000 | 122.100 | 0.000 |
| -0.000 | -0.000 | 0.000 | -0.000 | 0.000 | 85.285 |
| 269.451 | 179.035 | 149.004 | 0.000 | 0.000 | -0.000 |
| 179.035 | 269.451 | 149.004 | 0.000 | -0.000 | -0.000 |
| 154.996 | 154.996 | 148.436 | -0.000 | 0.000 | -0.000 |
| 0.000 | 0.000 | 0.000 | 95.769 | 0.000 | -0.000 |
| 0.000 | 0.000 | 0.000 | -0.000 | 95.769 | -0.000 |
| -61.791 | -61.791 | -249.066 | -0.000 | 0.000 | 122.345 |
| 269.451 | 179.035 | 149.004 | -0.000 | -0.000 | 0.000 |
| 179.035 | 269.451 | 149.004 | 0.000 | 0.000 | 0.000 |
| 151.267 | 151.267 | 246.651 | -0.000 | -0.000 | 0.000 |
| -0.000 | -0.000 | -0.000 | 95.769 | 0.000 | 0.000 |
| -0.000 | -0.000 | -0.000 | -0.000 | 95.769 | 0.000 |
| 61.791 | 61.791 | 249.066 | -0.000 | -0.000 | 122.345 |
| 269.451 | 179.035 | 149.004 | 0.000 | 0.000 | -0.000 |
| 179.035 | 269.451 | 149.004 | -0.000 | 0.000 | -0.000 |
| 151.267 | 151.267 | 246.651 | 0.000 | 0.000 | -0.000 |
| 1.541 | 1.541 | -7.455 | 87.845 | 0.000 | -0.000 |
| 1.541 | 1.541 | -7.455 | 0.000 | 87.845 | -0.000 |
| 0.000 | 0.000 | -0.000 | 0.000 | 0.000 | 122.345 |
| 269.451 | 179.035 | 149.004 | 0.000 | -0.000 | 0.000 |
| 179.035 | 269.451 | 149.004 | 0.000 | -0.000 | 0.000 |
| 151.267 | 151.267 | 246.651 | -0.000 | -0.000 | 0.000 |
| -1.541 | -1.541 | 7.455 | 87.845 | -0.000 | 0.000 |
| -1.541 | -1.541 | 7.455 | -0.000 | 87.845 | 0.000 |
| -0.000 | -0.000 | 0.000 | -0.000 | -0.000 | 122.345 |
| 269.452 | 179.035 | 149.005 | 0.000 | -0.000 | -0.000 |
| 179.035 | 269.452 | 149.005 | 0.000 | -0.000 | -0.000 |
| 131.060 | 131.060 | 206.676 | -0.000 | 0.000 | -0.000 |
| -0.000 | 0.000 | 0.000 | 95.769 | -0.000 | -0.000 |
| 0.000 | -0.000 | 0.000 | 0.000 | 95.769 | -0.000 |
| 0.155 | 0.155 | -0.750 | 0.000 | -0.000 | 122.345 |
| 258.328 | 172.531 | 133.749 | -0.000 | -0.000 | 0.000 |
| 172.531 | 258.328 | 133.749 | 0.000 | -0.000 | 0.000 |
| 151.266 | 151.266 | 246.650 | -0.000 | 0.000 | 0.000 |
| 0.000 | -0.000 | -0.000 | 95.769 | 0.000 | 0.000 |
| -0.000 | 0.000 | -0.000 | -0.000 | 95.769 | 0.000 |
| -0.155 | -0.155 | 0.750 | -0.000 | -0.000 | 122.345 |
| -945.013 | -974.812 | -3377.443 | -1.878 | -0.000 | 0.000 |
| -1690.780 | -1644.352 | -6167.030 | 1.079 | -0.000 | -0.000 |
| 94.710 | 94.710 | 276.100 | 0.000 | -0.000 | -0.000 |
| -1775.261 | -1773.104 | -6259.185 | 44.348 | -0.000 | -0.000 |
| -1776.260 | -1776.260 | -6266.513 | 0.000 | 44.343 | -1.081 |
| -1774.183 | -1774.183 | -6259.185 | 0.000 | -1.079 | 23.214 |
| 1187.188 | 1157.389 | 3558.411 | -1.878 | 0.000 | 0.000 |
| 78.852 | 135.357 | 93.978 | -0.757 | 0.000 | 0.000 |
| 94.710 | 94.710 | 276.100 | -0.000 | 0.000 | 0.000 |
| 0.757 | -0.757 | -0.000 | 48.191 | 0.000 | -0.000 |
| 1776.260 | 1776.260 | 6266.513 | -0.000 | 44.343 | -1.081 |
| 0.000 | 0.000 | -0.000 | -0.000 | 0.757 | 28.253 |
| 14.490 | -15.303 | -256.243 | -1.878 | -0.000 | 0.000 |
| 78.852 | 135.356 | 93.978 | -0.757 | -0.000 | -0.000 |
| -15.394 | -15.394 | -84.046 | 0.000 | -0.000 | -0.000 |
| -178.710 | -176.549 | -626.663 | 44.343 | -0.000 | -0.000 |
| -177.629 | -177.629 | -626.663 | 0.000 | 44.343 | -1.081 |
| -177.631 | -177.630 | -626.666 | -0.000 | -1.081 | 23.208 |
| 227.682 | 197.885 | 437.212 | -1.878 | 0.000 | 0.000 |
| 197.219 | 228.041 | 436.657 | -6.959 | 0.000 | 0.000 |
| 270.545 | 270.545 | 896.034 | -0.000 | 0.000 | 0.000 |
| 104.725 | 108.481 | 346.767 | 37.577 | 0.000 | 0.000 |
| 177.629 | 177.629 | 626.663 | -0.000 | 44.343 | -1.081 |
| 177.631 | 177.630 | 626.666 | 0.000 | -1.081 | 23.208 |
| 135.343 | 78.847 | 93.978 | 0.757 | -0.000 | 0.000 |
| 81.003 | 110.360 | 56.463 | 1.897 | -0.000 | -0.000 |
| 75.122 | 75.122 | 206.603 | 0.000 | -0.000 | -0.000 |
| 0.757 | -0.757 | -0.000 | 48.191 | -0.000 | -0.000 |
| -10.595 | -10.595 | -34.421 | 0.000 | 37.519 | -1.884 |
| -0.005 | -0.002 | -0.000 | -0.000 | 0.757 | 28.253 |
| 131.450 | 101.966 | 124.559 | -1.894 | 0.000 | 0.000 |
| 101.228 | 147.600 | 154.902 | 1.093 | 0.000 | 0.000 |
| 110.707 | 110.707 | 332.130 | -0.000 | 0.000 | 0.000 |
| 8.710 | 12.480 | 34.421 | 37.519 | 0.000 | 0.000 |
| 10.595 | 10.595 | 34.421 | -0.000 | 37.519 | -1.884 |
| 0.005 | 0.002 | 0.000 | 0.000 | 0.757 | 28.253 |
| 135605.778 | 131874.762 | 131874.762 | 0.000 | 0.000 | 0.000 |
| 131874.762 | 135605.778 | 131874.762 | 0.000 | 0.000 | 0.000 |
| 131874.762 | 131874.762 | 135605.779 | 0.000 | 0.000 | 0.000 |
| -0.002 | -0.002 | -0.002 | 85.806 | -0.000 | 0.000 |
| -0.002 | -0.002 | -0.002 | -0.000 | 85.806 | 0.000 |
| -0.002 | -0.002 | -0.002 | -0.000 | 0.000 | 85.806 |
| 136247.923 | 131553.454 | 131553.454 | -0.000 | -0.000 | -0.000 |
| 131553.453 | 136247.923 | 131553.453 | -0.000 | 0.000 | -0.000 |
| 131553.452 | 131553.452 | 136247.921 | 0.000 | -0.000 | -0.000 |
| 0.003 | 0.003 | 0.003 | 85.806 | 0.000 | -0.000 |
| 0.002 | 0.003 | 0.002 | 0.000 | 85.806 | -0.000 |
| 0.002 | 0.002 | 0.002 | 0.000 | 0.000 | 85.806 |
| 135606.552 | 131875.468 | 131875.468 | -0.000 | 0.000 | 0.000 |
| 131875.468 | 135606.552 | 131875.468 | 0.000 | 0.000 | 0.000 |
| 131554.310 | 131554.310 | 136248.859 | 0.000 | -0.000 | 0.000 |
| 5116839516.091 | 5307053671.553 | 5300968848.217 | -282045602.834 | -2078592.618 | -5403080.391 |
| 4867612321.847 | 4634868165.016 | 4850906073.981 | -4484539.995 | -327138719.541 | -216771.285 |
| 4688086004.213 | 4659120856.932 | 4491722764.071 | -1072225.718 | -4489495.573 | -366552710.491 |
| 135604.839 | 131873.904 | 131873.904 | -0.000 | 0.000 | -0.000 |
| 131873.904 | 135604.839 | 131873.904 | -0.000 | 0.000 | -0.000 |
| 131873.904 | 131873.904 | 135604.839 | -0.000 | -0.000 | -0.000 |
| -4790096872.604 | -4966133180.441 | -5000224780.401 | -331865347.349 | -17722426.892 | -1577684.158 |
| -4523597244.180 | -4372526450.311 | -4512125169.172 | -954742.896 | -389676536.156 | 3570411.317 |
| -4887968315.986 | -4925490885.727 | -4701492504.089 | 23998596.627 | -13738542.513 | -348162292.820 |
| 135625.860 | 131876.711 | 131876.711 | 0.000 | -0.000 | 0.000 |
| 131882.484 | 135614.316 | 131882.484 | 0.000 | 0.000 | 0.000 |
| 131876.711 | 131876.711 | 135625.860 | 0.000 | 0.000 | 0.000 |
| 500125624.121 | 505342226.365 | 507615711.790 | -29546259.535 | -276873.380 | -1576644.185 |
| 603503105.127 | 588249239.702 | 599930351.444 | -1328272.240 | -19299172.633 | -398905.478 |
| 530524672.116 | 533633400.605 | 520966313.148 | -3442197.134 | -873836.075 | -28099077.811 |
| 135597.127 | 131866.862 | 131866.862 | 0.000 | -0.000 | -0.000 |
| 131866.862 | 135597.127 | 131866.862 | -0.000 | -0.000 | -0.000 |
| 131866.862 | 131866.862 | 135597.127 | -0.000 | -0.000 | -0.000 |
| -478314808.248 | -486172688.417 | -486423924.423 | -32966247.419 | -1597973.582 | 1073039.852 |
| -513056284.513 | -501111043.636 | -516002179.155 | -2275311.658 | -33406684.143 | -684504.432 |
| -506793320.072 | -508225260.849 | -499028696.869 | 872825.096 | -24972.376 | -29969546.425 |
| -485.784 | -1011.500 | -1011.500 | -0.000 | -0.000 | -0.000 |
| -1011.500 | -485.784 | -1011.500 | -0.000 | -0.000 | -0.000 |
| -1011.500 | -1011.500 | -485.784 | -0.000 | -0.000 | -0.000 |
| 11931570863.010 | 12674961654.647 | 12917959970.184 | -1885075723.372 | -183436308.104 | 426543041.006 |
| 15723627211.476 | 16198962610.011 | 16095158132.415 | 238190212.247 | -2101608184.181 | -104222083.158 |
| 15704766988.577 | 15163874614.956 | 15870794644.924 | 410353160.941 | -22015812.422 | -2038466711.798 |
| -485.785 | -1011.502 | -1011.502 | 0.000 | 0.000 | 0.000 |
| -1011.502 | -485.784 | -1011.502 | 0.000 | 0.000 | 0.000 |
| -1011.502 | -1011.502 | -485.785 | -0.000 | 0.000 | 0.000 |
| -13904380325.224 | -13594113174.237 | -13542911339.062 | -1913970069.792 | -172871983.003 | 499251063.700 |
| -13477784044.740 | -13657291336.506 | -13214669254.754 | -211173344.506 | -1831529042.381 | -567076999.111 |
| -14828896301.389 | -14825439213.929 | -15275960781.657 | 14203622.332 | -148813183.305 | -2006978758.271 |
| -436.745 | -1036.011 | -1036.011 | -0.000 | -0.000 | -0.000 |
| -1036.011 | -436.745 | -1036.011 | -0.000 | -0.000 | -0.000 |
| -1036.011 | -1036.011 | -436.745 | -0.000 | -0.000 | -0.000 |
| 1502331087.959 | 1490503413.151 | 1495278056.429 | -223894807.423 | -2316262.223 | 4881700.096 |
| 1366473356.770 | 1354294529.474 | 1350653146.398 | -13970466.298 | -204888235.463 | -40575339.704 |
| 1554299873.108 | 1570574480.497 | 1623590872.574 | 46263174.412 | -12094456.410 | -234492790.288 |
| -485.788 | -1011.509 | -1011.509 | 0.000 | 0.000 | 0.000 |
| -1011.509 | -485.788 | -1011.509 | 0.000 | 0.000 | 0.000 |
| -1011.509 | -1011.509 | -485.788 | -0.000 | 0.000 | 0.000 |
| -1698303050.138 | -1624647295.617 | -1575721023.112 | -168057457.550 | 5621888.775 | -13299014.029 |
| -1480793868.665 | -1442653924.255 | -1440216690.013 | -38288222.645 | -190570046.136 | -32536903.764 |
| -1621163153.466 | -1610654877.079 | -1667159480.339 | 9686520.207 | -3334293.467 | -195760826.003 |
| -436.707 | -1035.943 | -1035.943 | -0.000 | -0.000 | -0.000 |
| -1035.943 | -436.707 | -1035.943 | -0.000 | -0.000 | -0.000 |
| -1035.943 | -1035.943 | -436.707 | -0.000 | -0.000 | -0.000 |
| 165953779.587 | 158651407.212 | 163401693.910 | -21371555.585 | -261739.031 | 211060.437 |
| 161376057.078 | 169702405.893 | 164797015.492 | -2869947.797 | -25706112.814 | 1171656.469 |
| 149441243.370 | 151474237.677 | 155513022.830 | -326060.203 | 1145186.402 | -23956767.005 |
| -436.791 | -1036.094 | -1036.094 | 0.000 | 0.000 | 0.000 |
| -1036.094 | -436.791 | -1036.094 | 0.000 | 0.000 | 0.000 |
| -1036.094 | -1036.094 | -436.791 | 0.000 | 0.000 | 0.000 |
| -186634965.200 | -183078642.161 | -181328419.551 | -25074641.730 | 76235.513 | 797994.454 |
| -131837787.060 | -128805618.266 | -130415522.312 | 2642488.642 | -22980669.029 | -2256057.164 |
| -169586333.342 | -165035504.997 | -178708703.591 | 699145.588 | 93135.396 | -23371960.531 |
| 2662664.274 | 1530000.999 | 1530000.999 | 0.000 | 0.000 | -0.001 |
| 1530001.003 | 2662664.275 | 1530000.994 | -0.001 | 0.000 | 0.000 |
| 1530001.005 | 1530001.008 | 2662664.259 | -0.000 | -0.001 | 0.000 |
| 9.360 | 27.645 | 27.650 | 996634.809 | -0.000 | -0.000 |
| 27.644 | 9.358 | 27.650 | -0.000 | 996634.809 | 0.000 |
| 27.646 | 27.657 | 9.356 | -0.000 | 0.000 | 996634.809 |
| 2662503.895 | 1529911.729 | 1529911.731 | 0.000 | -0.000 | 0.000 |
| 1529911.725 | 2662503.894 | 1529911.730 | 0.000 | -0.000 | -0.000 |
| 1529911.723 | 1529911.720 | 2662503.907 | -0.000 | -0.001 | -0.000 |
| -9.359 | -27.643 | -27.648 | 996634.809 | 0.000 | 0.000 |
| -27.645 | -9.360 | -27.649 | 0.000 | 996634.810 | -0.000 |
| -27.644 | -27.655 | -9.353 | 0.000 | 0.000 | 996634.810 |
| 2663405.102 | 1530393.214 | 1530393.213 | -0.000 | 0.001 | -0.000 |
| 1530393.215 | 2663405.099 | 1530393.215 | -0.000 | 0.000 | 0.000 |
| 1530393.215 | 1530393.215 | 2663405.098 | 0.000 | 0.000 | -0.000 |
| 1010720917.525 | 267049240.337 | 267049215.201 | -125631251.707 | -0.002 | -0.000 |
| 267049241.879 | 1010720914.026 | 267049216.757 | -0.000 | -125631250.072 | -0.000 |
| 267049241.019 | 267049215.872 | 1010720915.669 | -0.001 | -0.013 | -125631250.923 |
| 2666794.400 | 1527003.646 | 1527003.647 | 0.000 | 0.000 | 0.000 |
| 1527003.645 | 2666794.400 | 1527003.647 | 0.000 | 0.000 | -0.000 |
| 1527003.646 | 1527003.646 | 2666794.401 | -0.000 | 0.000 | 0.000 |
| -1010720916.207 | -267049241.738 | -267049216.557 | -125631250.637 | -0.001 | 0.001 |
| -267049241.078 | -1010720917.263 | -267049215.956 | -0.001 | -125631251.224 | -0.001 |
| -267049240.742 | -267049215.575 | -1010720919.397 | 0.006 | 0.016 | -125631251.887 |
| 2670829.649 | 1534307.094 | 1534307.094 | -0.000 | 0.000 | 0.000 |
| 1534307.094 | 2670829.649 | 1534307.094 | 0.000 | -0.000 | -0.000 |
| 1534307.094 | 1534307.094 | 2670829.649 | 0.000 | 0.000 | -0.000 |
| 101036899.450 | 26711596.941 | 26711573.304 | -11805504.340 | -0.004 | 0.003 |
| 26711596.944 | 101036899.260 | 26711573.316 | 0.000 | -11805504.295 | 0.000 |
| 26711597.005 | 26711573.362 | 101036899.161 | 0.000 | -0.000 | -11805504.243 |
| 2654739.692 | 1525404.755 | 1525404.755 | -0.000 | 0.000 | -0.000 |
| 1525404.755 | 2654739.692 | 1525404.755 | -0.000 | 0.000 | 0.000 |
| 1525404.755 | 1525404.755 | 2654739.692 | 0.000 | -0.000 | 0.000 |
| -101036899.418 | -26711596.960 | -26711573.319 | -11805504.323 | -0.000 | -0.000 |
| -26711596.931 | -101036899.358 | -26711573.297 | 0.000 | -11805504.325 | 0.000 |
| -26711596.993 | -26711573.347 | -101036899.451 | -0.000 | -0.000 | -11805504.313 |
| 188.029 | 52.966 | 52.966 | 0.000 | -0.000 | 0.000 |
| 52.966 | 188.029 | 52.966 | 0.000 | 0.000 | -0.000 |
| 52.966 | 52.966 | 188.029 | 0.000 | 0.000 | -0.000 |
| 0.000 | 0.000 | 0.000 | -60.767 | 0.000 | -0.000 |
| 0.000 | -0.000 | 0.000 | 0.000 | -60.767 | 0.000 |
| 0.000 | 0.000 | 0.000 | 0.000 | 0.000 | -60.767 |
| 188.438 | 52.762 | 52.762 | -0.000 | 0.000 | -0.000 |
| 52.762 | 188.438 | 52.762 | -0.000 | -0.000 | 0.000 |
| 52.762 | 52.762 | 188.438 | -0.000 | -0.000 | -0.000 |
| 0.000 | -0.000 | -0.000 | -60.767 | 0.000 | 0.000 |
| -0.000 | -0.000 | 0.000 | -0.000 | -60.767 | -0.000 |
| -0.000 | -0.000 | 0.000 | -0.000 | 0.000 | -60.767 |
| 188.029 | 52.966 | 52.966 | 0.000 | 0.000 | -0.000 |
| 52.966 | 188.029 | 52.966 | 0.000 | -0.000 | 0.000 |
| 52.966 | 52.966 | 188.029 | 0.000 | 0.000 | 0.000 |
| 0.000 | 0.000 | 0.000 | -32.359 | 0.000 | 0.000 |
| 0.000 | 0.000 | 0.000 | 0.000 | -32.359 | 0.000 |
| 0.000 | 0.000 | 0.000 | 0.000 | 0.000 | -32.359 |
| 188.438 | 52.762 | 52.762 | -0.000 | -0.000 | 0.000 |
| 52.762 | 188.438 | 52.762 | -0.000 | -0.000 | 0.000 |
| 52.762 | 52.762 | 188.438 | -0.000 | 0.000 | -0.000 |
| -0.000 | -0.000 | -0.000 | -32.359 | -0.000 | -0.000 |
| -0.000 | -0.000 | -0.000 | -0.000 | -32.359 | 0.000 |
| -0.000 | -0.000 | -0.000 | -0.000 | 0.000 | -32.359 |
| 188.031 | 52.967 | 52.967 | 0.000 | -0.000 | 0.000 |
| 52.967 | 188.031 | 52.967 | 0.000 | 0.000 | 0.000 |
| 52.967 | 52.967 | 188.031 | 0.000 | 0.000 | 0.000 |
| 0.000 | 0.001 | 0.000 | -17.997 | 0.000 | 0.000 |
| 0.001 | 0.000 | 0.000 | 0.000 | -17.997 | -0.000 |
| 0.001 | 0.000 | 0.000 | 0.000 | -0.000 | -17.997 |
| 188.436 | 52.761 | 52.761 | -0.000 | -0.000 | -0.000 |
| 52.761 | 188.436 | 52.761 | -0.000 | -0.000 | 0.000 |
| 52.761 | 52.761 | 188.436 | -0.000 | -0.000 | -0.000 |
| -0.000 | -0.001 | -0.000 | -17.997 | 0.000 | 0.000 |
| -0.001 | -0.000 | -0.000 | -0.000 | -17.997 | 0.000 |
| -0.001 | -0.000 | -0.000 | 0.000 | 0.000 | -17.997 |
| 24.187 | 39.918 | 39.918 | -0.000 | -0.000 | -0.000 |
| 39.918 | 24.187 | 39.918 | -0.000 | -0.000 | 0.000 |
| 39.918 | 39.918 | 24.187 | -0.000 | -0.000 | 0.000 |
| -0.000 | -0.000 | -0.000 | -3.245 | -0.000 | 0.000 |
| -0.000 | -0.000 | -0.000 | -0.000 | -3.245 | 0.000 |
| -0.000 | -0.000 | -0.000 | 0.000 | -0.000 | -3.245 |
| -42.473 | 73.248 | 73.248 | -0.000 | 0.000 | 0.000 |
| 73.248 | -42.473 | 73.248 | 0.000 | 0.000 | 0.000 |
| 116.664 | 116.664 | -129.306 | 0.000 | 0.000 | -0.000 |
| 0.000 | 0.000 | 0.000 | -3.245 | 0.000 | 0.000 |
| 0.000 | 0.000 | 0.000 | 0.000 | -3.245 | -0.000 |
| 0.000 | 0.000 | 0.000 | 0.000 | 0.000 | -3.245 |
| -3154583.622 | 1842102.629 | 1847398.327 | -10.891 | 1343.898 | -3051.263 |
| 1842436.170 | -3417810.031 | 1849773.534 | 12043.112 | -15.397 | -15529.871 |
| 1765429.588 | 1762338.482 | -2994972.883 | 1867.684 | 8030.569 | -0.229 |
| -0.000 | 0.000 | -0.000 | -3.245 | -0.000 | 0.000 |
| 0.000 | -0.000 | -0.000 | -0.000 | -3.245 | 0.000 |
| 0.000 | -0.000 | -0.000 | -0.000 | -0.000 | -3.245 |
| -3246876.131 | 1494144.874 | 1447687.846 | -11459.815 | 20.416 | 10.001 |
| 1565258.394 | -3231274.334 | 1539813.179 | 9.237 | -5400.517 | 11.269 |
| 1631024.547 | 1608541.545 | -3282994.156 | -1.489 | -2.381 | 681.639 |
| 0.000 | -0.000 | 0.000 | -3.245 | 0.000 | -0.000 |
| -0.000 | 0.000 | 0.000 | -0.000 | -3.245 | 0.000 |
| -0.000 | 0.000 | 0.000 | 0.000 | 0.000 | -3.245 |
| -357379.479 | 189147.695 | 187956.464 | 0.063 | 46.777 | 102.746 |
| 184993.793 | -308346.962 | 184873.281 | -282.743 | -0.129 | 18.659 |
| 172130.297 | 172006.989 | -288845.161 | -254.018 | -19.194 | 0.182 |
| -0.000 | 0.000 | -0.000 | -3.245 | -0.000 | 0.000 |
| 0.000 | -0.000 | -0.000 | -0.000 | -3.245 | 0.000 |
| 0.000 | -0.000 | -0.000 | -0.000 | -0.000 | -3.245 |
| -290336.893 | 115249.942 | 115791.996 | -1416.148 | 0.682 | 1.360 |
| 134325.174 | -331658.302 | 135624.704 | 1.062 | -1471.100 | 0.062 |
| 105001.160 | 105976.551 | -261216.534 | 0.161 | 0.488 | -2151.557 |
| 0.000 | -0.000 | 0.000 | -3.245 | 0.000 | -0.000 |
| -0.000 | 0.000 | 0.000 | 0.000 | -3.245 | -0.000 |
| -0.000 | 0.000 | 0.000 | 0.000 | 0.000 | -3.245 |
| 92934.025 | 92936.346 | 92936.346 | -0.001 | -0.001 | 0.000 |
| 92936.347 | 92934.025 | 92936.346 | -0.000 | -0.001 | -0.000 |
| 92936.347 | 92936.347 | 92934.025 | -0.000 | -0.000 | 0.000 |
| 0.002 | 0.002 | 0.001 | -3022.353 | -0.001 | 0.000 |
| 0.002 | 0.002 | 0.001 | -0.001 | -3022.353 | -0.000 |
| 0.002 | 0.001 | 0.002 | -0.000 | -0.001 | -3022.352 |
| 92933.918 | 92936.239 | 92936.239 | 0.001 | 0.001 | 0.000 |
| 92936.238 | 92933.918 | 92936.239 | 0.000 | 0.001 | -0.000 |
| 92936.239 | 92936.239 | 92933.920 | 0.000 | 0.000 | 0.000 |
| -0.002 | -0.002 | -0.002 | -3022.352 | 0.000 | -0.000 |
| -0.002 | -0.002 | -0.002 | 0.000 | -3022.352 | -0.000 |
| -0.002 | -0.002 | -0.002 | 0.000 | 0.000 | -3022.352 |
| 92934.497 | 92936.830 | 92936.830 | -0.000 | -0.000 | 0.000 |
| 92936.830 | 92934.497 | 92936.830 | -0.000 | -0.000 | 0.000 |
| 92936.830 | 92936.830 | 92934.497 | -0.000 | -0.000 | 0.000 |
| 0.003 | 0.003 | 0.003 | 494.764 | -0.000 | 0.000 |
| 0.003 | 0.003 | 0.003 | -0.000 | 494.764 | -0.000 |
| 0.003 | 0.003 | 0.003 | -0.000 | -0.000 | 494.765 |
| 92933.447 | 92935.756 | 92935.756 | 0.000 | 0.000 | -0.000 |
| 92935.756 | 92933.448 | 92935.756 | 0.000 | 0.000 | -0.000 |
| 92935.756 | 92935.756 | 92933.448 | 0.000 | 0.000 | -0.000 |
| -0.003 | -0.003 | -0.003 | 494.765 | 0.000 | 0.000 |
| -0.003 | -0.003 | -0.003 | 0.000 | 494.765 | -0.000 |
| -0.003 | -0.003 | -0.003 | 0.000 | 0.000 | 494.765 |
| 92939.220 | 92941.663 | 92941.663 | -0.000 | -0.000 | -0.000 |
| 92941.663 | 92939.220 | 92941.663 | -0.000 | -0.000 | 0.000 |
| 92941.663 | 92941.663 | 92939.220 | -0.000 | -0.000 | 0.000 |
| 0.275 | 0.267 | 0.261 | -3020.302 | -0.000 | 0.000 |
| 0.267 | 0.275 | 0.261 | -0.000 | -3020.302 | -0.000 |
| 0.267 | 0.261 | 0.275 | -0.000 | -0.000 | -3022.378 |
| 92928.725 | 92930.923 | 92930.923 | 0.000 | 0.000 | -0.000 |
| 92930.923 | 92928.725 | 92930.923 | 0.000 | 0.000 | -0.000 |
| 92930.923 | 92930.923 | 92928.725 | 0.000 | 0.000 | -0.000 |
| -0.275 | -0.267 | -0.261 | -3020.302 | 0.000 | -0.000 |
| -0.267 | -0.275 | -0.261 | 0.000 | -3020.302 | -0.000 |
| -0.267 | -0.261 | -0.275 | 0.000 | 0.000 | -3022.378 |
| -514.517 | -707.046 | -707.046 | -0.000 | -0.000 | -0.000 |
| -707.047 | -514.517 | -707.046 | -0.000 | -0.000 | 0.000 |
| -707.047 | -707.046 | -514.517 | -0.000 | 0.000 | -0.000 |
| 0.000 | -0.000 | 0.000 | 314.649 | -0.000 | 0.000 |
| -0.000 | 0.000 | -0.000 | -0.000 | 314.649 | 0.000 |
| -0.000 | -0.000 | -0.000 | -0.000 | -0.000 | 314.649 |
| -514.519 | -707.048 | -707.048 | 0.000 | 0.000 | -0.000 |
| -707.048 | -514.519 | -707.048 | 0.000 | 0.000 | -0.000 |
| -707.048 | -707.048 | -514.519 | 0.000 | 0.000 | 0.000 |
| 0.000 | 0.000 | 0.000 | 314.649 | 0.000 | 0.000 |
| 0.000 | -0.000 | 0.000 | -0.000 | 314.649 | -0.000 |
| 0.000 | 0.000 | 0.000 | 0.000 | -0.000 | 314.649 |
| -514.504 | -707.037 | -707.037 | -0.000 | -0.000 | -0.000 |
| -707.037 | -514.504 | -707.037 | -0.000 | -0.000 | -0.000 |
| -707.037 | -707.037 | -514.504 | -0.000 | -0.000 | -0.000 |
| -0.000 | -0.000 | -0.000 | 314.649 | -0.000 | 0.000 |
| -0.000 | -0.000 | -0.000 | -0.000 | 314.649 | -0.000 |
| -0.000 | -0.000 | -0.000 | -0.000 | -0.000 | 314.649 |
| -514.533 | -707.058 | -707.058 | 0.000 | 0.000 | 0.000 |
| -707.058 | -514.533 | -707.058 | 0.000 | 0.000 | 0.000 |
| -707.058 | -707.058 | -514.533 | 0.000 | 0.000 | -0.000 |
| 0.000 | 0.000 | 0.000 | 314.649 | -0.000 | 0.000 |
| 0.000 | 0.000 | 0.000 | -0.000 | 314.649 | 0.000 |
| 0.000 | 0.000 | 0.000 | 0.000 | 0.000 | 314.649 |
| -514.371 | -706.942 | -706.942 | -0.000 | -0.000 | -0.000 |
| -706.942 | -514.371 | -706.942 | -0.000 | -0.000 | 0.000 |
| -706.942 | -706.942 | -514.371 | -0.000 | -0.000 | 0.000 |
| -0.022 | -0.024 | -0.026 | -820.205 | 0.000 | 0.000 |
| -0.024 | -0.022 | -0.026 | -0.000 | -820.205 | -0.000 |
| -0.024 | -0.026 | -0.022 | -0.000 | -0.000 | -820.205 |
| -514.665 | -707.153 | -707.153 | 0.000 | 0.000 | 0.000 |
| -707.153 | -514.665 | -707.153 | 0.000 | 0.000 | 0.000 |
| -707.153 | -707.153 | -514.665 | 0.000 | 0.000 | 0.000 |
| 0.022 | 0.024 | 0.026 | -820.205 | 0.000 | -0.000 |
| 0.024 | 0.022 | 0.026 | 0.000 | -820.205 | 0.000 |
| 0.024 | 0.026 | 0.022 | 0.000 | 0.000 | -820.205 |
| 349847.170 | 349793.830 | 349793.830 | 0.000 | 0.000 | 0.000 |
| 349793.830 | 349847.170 | 349793.830 | -0.000 | 0.000 | 0.000 |
| 349793.830 | 349793.830 | 349847.170 | -0.000 | -0.000 | 0.000 |
| 11.888 | 11.881 | 11.888 | 349803.911 | 0.000 | 0.000 |
| 11.881 | 11.888 | 11.888 | 0.000 | 349803.911 | 0.000 |
| 11.881 | 11.888 | 11.888 | 0.000 | 0.000 | 349803.911 |
| 349823.400 | 349770.046 | 349770.046 | 0.000 | -0.000 | -0.000 |
| 349770.046 | 349823.400 | 349770.046 | -0.000 | 0.000 | -0.000 |
| 349770.046 | 349770.046 | 349823.400 | -0.000 | -0.000 | 0.000 |
| -11.888 | -11.881 | -11.888 | 349803.916 | -0.000 | -0.000 |
| -11.881 | -11.888 | -11.888 | -0.000 | 349803.916 | -0.000 |
| -11.881 | -11.888 | -11.888 | -0.000 | -0.000 | 349803.916 |
| 349954.113 | 349900.836 | 349900.836 | -0.000 | -0.000 | -0.000 |
| 349900.836 | 349954.113 | 349900.836 | -0.000 | -0.000 | -0.000 |
| 349900.836 | 349900.836 | 349954.113 | -0.000 | -0.000 | -0.000 |
| 118.861 | 118.791 | 118.861 | 349937.732 | 0.000 | 0.000 |
| 118.791 | 118.861 | 118.861 | 0.000 | 349937.732 | 0.000 |
| 118.791 | 118.861 | 118.861 | 0.000 | 0.000 | 349937.732 |
| 349716.461 | 349663.044 | 349663.044 | 0.000 | -0.000 | -0.000 |
| 349663.044 | 349716.461 | 349663.044 | -0.000 | 0.000 | -0.000 |
| 349663.044 | 349663.044 | 349716.461 | -0.000 | -0.000 | 0.000 |
| -118.861 | -118.791 | -118.861 | 349937.732 | -0.000 | -0.000 |
| -118.791 | -118.861 | -118.861 | -0.000 | 349937.732 | -0.000 |
| -118.791 | -118.861 | -118.861 | -0.000 | -0.000 | 349937.732 |
| 351023.544 | 350970.898 | 350970.898 | 0.000 | -0.000 | -0.000 |
| 350970.898 | 351023.544 | 350970.898 | -0.000 | 0.000 | -0.000 |
| 350970.898 | 350970.898 | 351023.544 | 0.000 | 0.000 | -0.000 |
| 1188.613 | 1187.912 | 1188.612 | 349803.733 | 0.000 | 0.000 |
| 1187.912 | 1188.613 | 1188.612 | 0.000 | 349803.733 | 0.000 |
| 1187.912 | 1188.612 | 1188.613 | 0.000 | 0.000 | 349803.733 |
| 348647.027 | 348592.984 | 348592.984 | 0.000 | -0.000 | -0.000 |
| 348592.984 | 348647.027 | 348592.984 | -0.000 | 0.000 | -0.000 |
| 348592.984 | 348592.984 | 348647.027 | -0.000 | -0.000 | 0.000 |
| -1188.613 | -1187.912 | -1188.612 | 349803.733 | 0.000 | -0.000 |
| -1187.912 | -1188.613 | -1188.612 | 0.000 | 349803.733 | -0.000 |
| -1187.912 | -1188.612 | -1188.613 | -0.000 | -0.000 | 349803.733 |
| 22291966.806 | 5103171.941 | 5103171.964 | -0.001 | -0.002 | -0.001 |
| 5103171.941 | 22291966.806 | 5103171.964 | -0.002 | -0.001 | -0.001 |
| 5103171.940 | 5103171.940 | 22291966.830 | -0.003 | -0.003 | -0.001 |
| -35.233 | -63.838 | -63.824 | 3156475.588 | 0.002 | -0.000 |
| -63.838 | -35.233 | -63.824 | 0.002 | 3156475.589 | -0.000 |
| -63.840 | -63.845 | -35.205 | -0.001 | -0.001 | 3156475.573 |
| 22293821.908 | 5103402.847 | 5103402.816 | 0.003 | 0.000 | -0.000 |
| 5103402.847 | 22293821.908 | 5103402.816 | 0.000 | 0.003 | -0.000 |
| 5103402.849 | 5103402.849 | 22293821.882 | -0.000 | -0.000 | -0.000 |
| 35.221 | 63.824 | 63.811 | 3156475.717 | -0.000 | 0.001 |
| 63.824 | 35.221 | 63.812 | -0.000 | 3156475.717 | 0.001 |
| 63.824 | 63.830 | 35.198 | -0.002 | 0.000 | 3156475.703 |
| 22283619.559 | 5102133.479 | 5102133.480 | -0.000 | -0.000 | 0.000 |
| 5102133.479 | 22283619.559 | 5102133.480 | -0.000 | -0.000 | 0.000 |
| 5102133.479 | 5102133.479 | 22283619.561 | 0.000 | 0.000 | 0.000 |
| -362.601 | -631.598 | -631.828 | 3125523.364 | -0.000 | -0.000 |
| -631.598 | -362.601 | -631.828 | -0.000 | 3125523.364 | -0.000 |
| -631.598 | -631.830 | -362.597 | -0.000 | -0.000 | 3125523.365 |
| 22302169.067 | 5104441.320 | 5104441.318 | 0.000 | 0.000 | 0.000 |
| 5104441.320 | 22302169.067 | 5104441.318 | 0.000 | 0.000 | 0.000 |
| 5104441.319 | 5104441.319 | 22302169.064 | 0.000 | 0.000 | 0.000 |
| 362.601 | 631.599 | 631.828 | 3125523.365 | -0.000 | -0.000 |
| 631.599 | 362.601 | 631.828 | -0.000 | 3125523.365 | -0.000 |
| 631.598 | 631.830 | 362.597 | 0.000 | 0.000 | 3125523.364 |
| 22200146.778 | 5091748.228 | 5091748.228 | -0.000 | -0.000 | -0.000 |
| 5091748.228 | 22200146.778 | 5091748.228 | -0.000 | -0.000 | -0.000 |
| 5091748.228 | 5091748.228 | 22200146.779 | -0.000 | -0.000 | 0.000 |
| -3625.892 | -6315.851 | -6318.194 | 3125523.529 | -0.000 | 0.000 |
| -6315.851 | -3625.892 | -6318.194 | -0.000 | 3125523.529 | 0.000 |
| -6315.851 | -6318.194 | -3625.892 | -0.000 | -0.000 | 3125523.529 |
| 22385641.694 | 5114826.508 | 5114826.508 | 0.000 | 0.000 | 0.000 |
| 5114826.508 | 22385641.694 | 5114826.508 | 0.000 | 0.000 | 0.000 |
| 5114826.508 | 5114826.508 | 22385641.694 | 0.000 | 0.000 | -0.000 |
| 3625.892 | 6315.851 | 6318.194 | 3125523.529 | 0.000 | 0.000 |
| 6315.851 | 3625.892 | 6318.194 | 0.000 | 3125523.529 | 0.000 |
| 6315.851 | 6318.194 | 3625.892 | -0.000 | -0.000 | 3125523.529 |
| 115.435 | 108.932 | 108.932 | 0.000 | 0.000 | 0.000 |
| 108.932 | 115.435 | 108.932 | 0.000 | 0.000 | -0.000 |
| 108.932 | 108.932 | 115.435 | -0.000 | -0.000 | 0.000 |
| 0.000 | 0.000 | 0.000 | 42.922 | -0.000 | 0.000 |
| 0.000 | 0.000 | 0.000 | -0.000 | 42.922 | -0.000 |
| 0.000 | 0.000 | 0.000 | -0.000 | -0.000 | 42.922 |
| 115.435 | 108.932 | 108.932 | -0.000 | -0.000 | -0.000 |
| 108.932 | 115.435 | 108.932 | -0.000 | -0.000 | -0.000 |
| 108.932 | 108.932 | 115.435 | -0.000 | -0.000 | -0.000 |
| -0.000 | -0.000 | -0.000 | 42.922 | 0.000 | -0.000 |
| -0.000 | 0.000 | -0.000 | 0.000 | 42.922 | 0.000 |
| -0.000 | -0.000 | -0.000 | -0.000 | -0.000 | 42.922 |
| 115.435 | 108.932 | 108.932 | 0.000 | -0.000 | 0.000 |
| 108.932 | 115.435 | 108.932 | 0.000 | 0.000 | 0.000 |
| 108.932 | 108.932 | 115.435 | -0.000 | -0.000 | 0.000 |
| 0.000 | 0.000 | 0.000 | 42.922 | 0.000 | 0.000 |
| 0.000 | 0.000 | 0.000 | -0.000 | 42.922 | -0.000 |
| 0.000 | 0.000 | 0.000 | -0.000 | -0.000 | 42.922 |
| 115.435 | 108.932 | 108.932 | -0.000 | -0.000 | -0.000 |
| 108.932 | 115.435 | 108.932 | -0.000 | -0.000 | -0.000 |
| 108.932 | 108.932 | 115.435 | 0.000 | 0.000 | -0.000 |
| -0.000 | -0.000 | -0.000 | 42.922 | 0.000 | -0.000 |
| -0.000 | -0.000 | -0.000 | -0.000 | 42.922 | 0.000 |
| -0.000 | -0.000 | -0.000 | 0.000 | 0.000 | 42.922 |
| 115.435 | 108.932 | 108.932 | 0.000 | 0.000 | 0.000 |
| 108.932 | 115.435 | 108.932 | 0.000 | 0.000 | -0.000 |
| 108.932 | 108.932 | 115.435 | 0.000 | 0.000 | 0.000 |
| 0.000 | 0.000 | 0.000 | 42.922 | -0.000 | 0.000 |
| 0.000 | 0.000 | 0.000 | -0.000 | 42.922 | -0.000 |
| 0.000 | 0.000 | 0.000 | -0.000 | -0.000 | 42.922 |
| 115.435 | 108.932 | 108.932 | -0.000 | -0.000 | -0.000 |
| 108.932 | 115.435 | 108.932 | -0.000 | -0.000 | -0.000 |
| 108.932 | 108.932 | 115.435 | -0.000 | -0.000 | -0.000 |
| -0.000 | -0.000 | -0.000 | 42.922 | 0.000 | -0.000 |
| -0.000 | -0.000 | -0.000 | 0.000 | 42.922 | -0.000 |
| -0.000 | -0.000 | -0.000 | 0.000 | 0.000 | 42.922 |
| 6.338 | 9.905 | 9.905 | 0.000 | 0.000 | 0.000 |
| 9.905 | 6.338 | 9.905 | 0.000 | 0.000 | 0.000 |
| 9.905 | 9.905 | 6.338 | -0.000 | 0.000 | 0.000 |
| 0.000 | 0.000 | -0.000 | -92.081 | 0.000 | 0.000 |
| 0.000 | 0.000 | -0.000 | -0.000 | -92.081 | 0.000 |
| 0.000 | -0.000 | 0.000 | -0.000 | -0.000 | -92.081 |
| 6.338 | 9.905 | 9.905 | 0.000 | 0.000 | -0.000 |
| 9.905 | 6.338 | 9.905 | 0.000 | 0.000 | -0.000 |
| 9.905 | 9.905 | 6.338 | 0.000 | -0.000 | -0.000 |
| -0.000 | -0.000 | 0.000 | -92.081 | -0.000 | -0.000 |
| -0.000 | -0.000 | 0.000 | -0.000 | -92.081 | -0.000 |
| -0.000 | 0.000 | -0.000 | 0.000 | 0.000 | -92.081 |
| 6.338 | 9.905 | 9.905 | 0.000 | 0.000 | 0.000 |
| 9.905 | 6.338 | 9.905 | 0.000 | 0.000 | -0.000 |
| 9.905 | 9.905 | 6.338 | 0.000 | 0.000 | 0.000 |
| 0.000 | 0.000 | -0.000 | -92.081 | 0.000 | 0.000 |
| 0.000 | 0.000 | -0.000 | 0.000 | -92.081 | 0.000 |
| 0.000 | -0.000 | 0.000 | -0.000 | 0.000 | -92.081 |
| 6.338 | 9.905 | 9.905 | 0.000 | 0.000 | -0.000 |
| 9.905 | 6.338 | 9.905 | 0.000 | 0.000 | -0.000 |
| 9.905 | 9.905 | 6.338 | 0.000 | -0.000 | -0.000 |
| -0.000 | -0.000 | 0.000 | -92.081 | 0.000 | -0.000 |
| -0.000 | -0.000 | 0.000 | 0.000 | -92.081 | -0.000 |
| -0.000 | 0.000 | -0.000 | 0.000 | -0.000 | -92.081 |
| 6.338 | 9.905 | 9.905 | -0.000 | 0.000 | 0.000 |
| 9.905 | 6.338 | 9.905 | -0.000 | -0.000 | 0.000 |
| 9.905 | 9.905 | 6.338 | 0.000 | -0.000 | 0.000 |
| 0.000 | 0.000 | -0.000 | -119.767 | 0.000 | 0.000 |
| 0.000 | 0.000 | -0.000 | 0.000 | -119.767 | 0.000 |
| 0.000 | -0.000 | 0.000 | -0.000 | 0.000 | -119.767 |
| 6.338 | 9.905 | 9.905 | 0.000 | -0.000 | -0.000 |
| 9.905 | 6.338 | 9.905 | -0.000 | -0.000 | -0.000 |
| 9.905 | 9.905 | 6.338 | -0.000 | -0.000 | -0.000 |
| -0.000 | -0.000 | 0.000 | -114.707 | -0.000 | 0.000 |
| -0.000 | -0.000 | 0.000 | 0.000 | -114.707 | -0.000 |
| -0.000 | 0.000 | -0.000 | 0.000 | -0.000 | -119.767 |
| 151773.765 | 119526.487 | 119526.487 | -0.000 | -0.000 | 0.000 |
| 119526.487 | 151773.765 | 119526.487 | 0.000 | -0.000 | 0.000 |
| 119526.487 | 119526.487 | 151773.765 | 0.000 | 0.000 | -0.000 |
| 0.001 | 0.002 | 0.002 | 427.244 | 0.000 | -0.000 |
| 0.002 | 0.001 | 0.002 | -0.000 | 427.244 | 0.000 |
| 0.002 | 0.001 | 0.001 | -0.000 | 0.000 | 427.244 |
| 151773.541 | 119526.326 | 119526.326 | -0.000 | -0.000 | -0.000 |
| 119526.326 | 151773.541 | 119526.326 | -0.000 | -0.000 | -0.000 |
| 119526.326 | 119526.326 | 151773.541 | -0.000 | -0.000 | -0.000 |
| -0.002 | -0.003 | -0.003 | 427.244 | -0.000 | 0.000 |
| -0.002 | -0.002 | -0.002 | -0.000 | 427.244 | -0.000 |
| -0.002 | -0.002 | -0.002 | -0.000 | -0.000 | 427.244 |
| 151774.766 | 119527.202 | 119527.202 | 0.000 | 0.000 | 0.000 |
| 119527.202 | 151774.766 | 119527.202 | 0.000 | 0.000 | 0.000 |
| 119527.202 | 119527.202 | 151774.766 | 0.000 | 0.000 | 0.000 |
| 0.000 | 0.009 | 0.007 | 427.244 | -0.000 | -0.000 |
| 0.009 | 0.000 | 0.007 | 0.000 | 427.244 | -0.000 |
| 0.009 | 0.007 | 0.000 | -0.000 | -0.000 | 427.244 |
| 151772.540 | 119525.610 | 119525.610 | 0.000 | -0.000 | -0.000 |
| 119525.610 | 151772.540 | 119525.610 | -0.000 | -0.000 | -0.000 |
| 119525.610 | 119525.610 | 151772.540 | -0.000 | -0.000 | -0.000 |
| -0.000 | -0.009 | -0.007 | 427.244 | -0.000 | 0.000 |
| -0.009 | -0.000 | -0.007 | -0.000 | 427.244 | 0.000 |
| -0.009 | -0.007 | -0.000 | -0.000 | -0.000 | 427.244 |
| 151784.786 | 119534.362 | 119534.362 | 0.000 | 0.000 | -0.000 |
| 119534.362 | 151784.786 | 119534.362 | 0.000 | 0.000 | 0.000 |
| 119534.362 | 119534.362 | 151784.786 | 0.000 | 0.000 | 0.000 |
| -0.001 | 0.084 | 0.068 | 427.244 | 0.000 | 0.000 |
| 0.084 | -0.001 | 0.068 | 0.000 | 427.244 | 0.000 |
| 0.084 | 0.068 | -0.001 | -0.000 | -0.000 | 427.244 |
| 151762.520 | 119518.450 | 119518.450 | -0.000 | -0.000 | -0.000 |
| 119518.450 | 151762.520 | 119518.450 | -0.000 | -0.000 | -0.000 |
| 119518.450 | 119518.450 | 151762.520 | -0.000 | -0.000 | -0.000 |
| 0.001 | -0.084 | -0.068 | 427.244 | -0.000 | -0.000 |
| -0.084 | 0.001 | -0.068 | 0.000 | 427.244 | -0.000 |
| -0.084 | -0.068 | 0.001 | -0.000 | -0.000 | 427.244 |
| 1967821.764 | 983940.132 | 983940.133 | 0.000 | 0.000 | 0.000 |
| 983940.132 | 1967821.764 | 983940.133 | 0.000 | 0.000 | 0.000 |
| 983940.136 | 983940.136 | 1967821.766 | 0.000 | 0.000 | 0.000 |
| 12.608 | 22.049 | 22.063 | 983857.591 | 0.000 | 0.001 |
| 22.049 | 12.608 | 22.063 | 0.000 | 983857.591 | 0.001 |
| 22.048 | 22.062 | 12.608 | 0.000 | 0.000 | 983857.591 |
| 1967683.077 | 983895.975 | 983895.974 | -0.000 | -0.000 | -0.001 |
| 983895.975 | 1967683.077 | 983895.974 | -0.000 | -0.000 | -0.001 |
| 983895.970 | 983895.970 | 1967683.074 | -0.000 | -0.000 | -0.000 |
| -12.607 | -22.048 | -22.061 | 983857.591 | -0.000 | -0.000 |
| -22.048 | -12.607 | -22.061 | -0.000 | 983857.591 | -0.000 |
| -22.048 | -22.061 | -12.607 | -0.000 | -0.000 | 983857.590 |
| 1968445.795 | 984138.813 | 984138.813 | 0.000 | 0.000 | 0.000 |
| 984138.813 | 1968445.795 | 984138.813 | 0.000 | 0.000 | 0.000 |
| 984138.813 | 984138.813 | 1968445.794 | 0.000 | 0.000 | 0.000 |
| 126.074 | 220.470 | 220.617 | 983857.591 | 0.000 | 0.000 |
| 220.470 | 126.074 | 220.617 | 0.000 | 983857.591 | 0.000 |
| 220.469 | 220.617 | 126.074 | 0.000 | 0.000 | 983857.591 |
| 1967059.030 | 983697.284 | 983697.284 | -0.000 | -0.000 | -0.000 |
| 983697.284 | 1967059.030 | 983697.284 | -0.000 | -0.000 | -0.000 |
| 983697.283 | 983697.283 | 1967059.030 | -0.000 | -0.000 | -0.000 |
| -126.074 | -220.470 | -220.617 | 983857.591 | -0.000 | -0.000 |
| -220.470 | -126.074 | -220.617 | -0.000 | 983857.591 | -0.000 |
| -220.469 | -220.617 | -126.074 | -0.000 | -0.000 | 983857.591 |
| 987686.919 | 739375.377 | 739375.376 | 0.000 | 0.000 | 0.000 |
| 739375.377 | 987686.919 | 739375.376 | 0.000 | 0.000 | 0.000 |
| 739375.376 | 739375.376 | 987686.919 | 0.000 | 0.000 | 0.000 |
| -25601.511 | -64950.948 | -64949.333 | 930133.154 | 0.000 | 0.000 |
| -64950.948 | -25601.511 | -64949.333 | 0.000 | 930133.154 | 0.000 |
| -64950.948 | -64949.333 | -25601.511 | 0.000 | 0.000 | 930133.154 |
| 1960818.721 | 981710.405 | 981710.405 | -0.000 | -0.000 | -0.000 |
| 981710.405 | 1960818.721 | 981710.405 | -0.000 | -0.000 | -0.000 |
| 981710.405 | 981710.405 | 1960818.721 | -0.000 | -0.000 | -0.000 |
| 25601.511 | 64950.948 | 64949.333 | 930133.154 | -0.000 | -0.000 |
| 64950.948 | 25601.511 | 64949.333 | -0.000 | 930133.154 | -0.000 |
| 64950.948 | 64949.333 | 25601.511 | -0.000 | -0.000 | 930133.154 |
| 109.905 | 100.354 | 100.354 | -0.000 | 0.000 | -0.000 |
| 100.354 | 109.905 | 100.354 | 0.000 | -0.000 | -0.000 |
| 100.354 | 100.354 | 109.905 | -0.000 | -0.000 | -0.000 |
| -0.000 | 0.000 | 0.000 | 34.222 | -0.000 | -0.000 |
| 0.000 | -0.000 | 0.000 | -0.000 | 34.222 | -0.000 |
| 0.000 | 0.000 | -0.000 | -0.000 | -0.000 | 34.222 |
| 109.905 | 100.354 | 100.354 | 0.000 | 0.000 | 0.000 |
| 100.354 | 109.905 | 100.354 | 0.000 | 0.000 | 0.000 |
| 100.354 | 100.354 | 109.905 | -0.000 | -0.000 | 0.000 |
| 0.000 | -0.000 | -0.000 | 34.222 | 0.000 | 0.000 |
| -0.000 | 0.000 | -0.000 | 0.000 | 34.222 | 0.000 |
| -0.000 | -0.000 | 0.000 | 0.000 | 0.000 | 34.222 |
| 109.905 | 100.354 | 100.354 | -0.000 | -0.000 | -0.000 |
| 100.354 | 109.905 | 100.354 | 0.000 | -0.000 | -0.000 |
| 100.354 | 100.354 | 109.905 | -0.000 | -0.000 | -0.000 |
| -0.000 | 0.000 | 0.000 | 34.222 | -0.000 | -0.000 |
| 0.000 | -0.000 | 0.000 | -0.000 | 34.222 | -0.000 |
| 0.000 | 0.000 | -0.000 | -0.000 | -0.000 | 34.222 |
| 109.904 | 100.354 | 100.354 | 0.000 | -0.000 | 0.000 |
| 100.354 | 109.904 | 100.354 | -0.000 | 0.000 | 0.000 |
| 100.354 | 100.354 | 109.904 | 0.000 | 0.000 | 0.000 |
| 0.000 | -0.000 | -0.000 | 34.222 | 0.000 | 0.000 |
| -0.000 | 0.000 | -0.000 | 0.000 | 34.222 | 0.000 |
| -0.000 | -0.000 | 0.000 | 0.000 | 0.000 | 34.222 |
| 109.909 | 100.356 | 100.356 | -0.000 | -0.000 | -0.000 |
| 100.356 | 109.909 | 100.356 | -0.000 | -0.000 | -0.000 |
| 100.356 | 100.356 | 109.909 | -0.000 | -0.000 | -0.000 |
| -0.000 | 0.002 | 0.002 | 34.222 | -0.000 | -0.000 |
| 0.002 | -0.000 | 0.002 | -0.000 | 34.222 | -0.000 |
| 0.002 | 0.002 | -0.000 | -0.000 | -0.000 | 34.222 |
| 109.900 | 100.352 | 100.352 | 0.000 | -0.000 | 0.000 |
| 100.352 | 109.900 | 100.352 | -0.000 | 0.000 | 0.000 |
| 100.352 | 100.352 | 109.900 | -0.000 | -0.000 | 0.000 |
| 0.000 | -0.002 | -0.002 | 34.222 | 0.000 | 0.000 |
| -0.002 | 0.000 | -0.002 | 0.000 | 34.222 | 0.000 |
| -0.002 | -0.002 | 0.000 | 0.000 | 0.000 | 34.222 |
| 23.594 | 12.458 | 12.458 | -0.000 | 0.000 | -0.000 |
| 12.458 | 23.594 | 12.458 | 0.000 | -0.000 | 0.000 |
| 12.458 | 12.458 | 23.594 | 0.000 | 0.000 | -0.000 |
| -0.000 | -0.000 | -0.000 | 11.317 | 0.000 | -0.000 |
| -0.000 | -0.000 | -0.000 | -0.000 | 11.317 | 0.000 |
| -0.000 | -0.000 | 0.000 | -0.000 | 0.000 | 11.317 |
| 23.594 | 12.458 | 12.458 | 0.000 | -0.000 | 0.000 |
| 12.458 | 23.594 | 12.458 | -0.000 | -0.000 | 0.000 |
| 12.458 | 12.458 | 23.594 | 0.000 | 0.000 | 0.000 |
| 0.000 | 0.000 | -0.000 | 11.317 | -0.000 | -0.000 |
| 0.000 | 0.000 | -0.000 | -0.000 | 11.317 | 0.000 |
| 0.000 | -0.000 | -0.000 | 0.000 | -0.000 | 11.317 |
| 23.594 | 12.458 | 12.458 | 0.000 | 0.000 | -0.000 |
| 12.458 | 23.594 | 12.458 | -0.000 | 0.000 | -0.000 |
| 12.458 | 12.458 | 23.594 | -0.000 | -0.000 | -0.000 |
| 0.000 | -0.000 | -0.000 | 11.317 | 0.000 | -0.000 |
| -0.000 | 0.000 | -0.000 | 0.000 | 11.317 | -0.000 |
| -0.000 | -0.000 | 0.000 | 0.000 | 0.000 | 11.317 |
| 23.594 | 12.458 | 12.458 | 0.000 | -0.000 | -0.000 |
| 12.458 | 23.594 | 12.458 | -0.000 | -0.000 | 0.000 |
| 12.458 | 12.458 | 23.594 | 0.000 | 0.000 | 0.000 |
| -0.000 | 0.000 | 0.000 | 11.317 | -0.000 | -0.000 |
| 0.000 | -0.000 | 0.000 | -0.000 | 11.317 | 0.000 |
| 0.000 | 0.000 | -0.000 | -0.000 | 0.000 | 11.317 |
| 23.594 | 12.457 | 12.457 | -0.000 | -0.000 | -0.000 |
| 12.457 | 23.594 | 12.457 | -0.000 | -0.000 | -0.000 |
| 12.457 | 12.457 | 23.594 | -0.000 | -0.000 | -0.000 |
| 0.000 | -0.000 | -0.000 | 11.317 | 0.000 | 0.000 |
| -0.000 | 0.000 | -0.000 | 0.000 | 11.317 | -0.000 |
| -0.000 | -0.000 | 0.000 | 0.000 | 0.000 | 11.317 |
| 23.594 | 12.458 | 12.458 | 0.000 | -0.000 | -0.000 |
| 12.458 | 23.594 | 12.458 | -0.000 | 0.000 | 0.000 |
| 12.458 | 12.458 | 23.594 | -0.000 | -0.000 | 0.000 |
| -0.000 | 0.000 | 0.000 | 11.317 | -0.000 | -0.000 |
| 0.000 | -0.000 | 0.000 | -0.000 | 11.317 | 0.000 |
| 0.000 | 0.000 | -0.000 | -0.000 | -0.000 | 11.317 |
| 1360212.973 | 1359923.925 | 537462.878 | 0.000 | 0.000 | -0.000 |
| 1359923.925 | 1360212.973 | 537462.878 | 0.000 | 0.000 | -0.000 |
| 537454.963 | 537454.963 | 212458.202 | 0.000 | 0.000 | -0.000 |
| 13.244 | 3.487 | 3.307 | 343995.056 | -0.000 | -0.000 |
| 3.487 | 13.244 | 3.307 | -0.000 | 343995.056 | -0.000 |
| 21.171 | 21.185 | 8.371 | 0.000 | 0.000 | 870391.183 |
| 1360146.823 | 1359857.665 | 537436.707 | 0.000 | -0.000 | 0.001 |
| 1359857.665 | 1360146.823 | 537436.707 | -0.000 | 0.000 | 0.001 |
| 537444.622 | 537444.622 | 212454.125 | -0.000 | -0.000 | 0.000 |
| -13.244 | -3.486 | -3.307 | 343995.057 | -0.000 | 0.000 |
| -3.486 | -13.244 | -3.307 | -0.000 | 343995.057 | 0.000 |
| -21.170 | -21.186 | -8.371 | -0.000 | -0.000 | 870391.184 |
| 1360526.931 | 1360205.862 | 537580.652 | 0.000 | 0.000 | -0.000 |
| 1360205.862 | 1360526.931 | 537580.652 | 0.000 | 0.000 | -0.000 |
| 537501.525 | 537501.525 | 212476.562 | 0.000 | 0.000 | -0.000 |
| 25457336.340 | 28795175.308 | 10721690.837 | -458495.229 | -0.000 | -0.001 |
| -3700131.562 | -7254966.257 | -1968313.982 | -2361790.270 | -2807112.872 | 639825.875 |
| 211.730 | 211.870 | 83.722 | 0.000 | 0.000 | 870391.183 |
| 1359865.367 | 1359543.225 | 537318.933 | -0.000 | 0.000 | 0.000 |
| 1359543.225 | 1359865.367 | 537318.933 | 0.000 | -0.000 | 0.000 |
| 537398.062 | 537398.062 | 212435.766 | -0.000 | -0.000 | 0.000 |
| -9608666.062 | -9778614.092 | -4023690.583 | 6979383.195 | -40241.699 | -27460.939 |
| -11652326.837 | -10829287.598 | -4632563.087 | 21198.359 | 6116482.924 | -193959.689 |
| -211.731 | -211.869 | -83.722 | -0.000 | -0.000 | 870391.183 |
| 3279881.423 | 2269196.959 | 1104345.517 | -0.002 | 0.000 | -0.000 |
| 2274027.860 | 3281089.101 | 1105528.357 | 0.000 | -0.000 | -0.000 |
| 537967.111 | 537967.111 | 212660.144 | 0.000 | 0.000 | -0.000 |
| 2545897.893 | 2879400.165 | 1072176.225 | -45646.457 | -0.000 | -0.000 |
| 2879400.143 | 2545897.995 | 1072176.241 | -0.000 | -45646.403 | -0.000 |
| 2117.133 | 2118.872 | 837.218 | 0.000 | 0.000 | 870391.181 |
| -2272001.134 | -3280261.842 | -1104847.320 | -0.000 | -0.000 | -0.000 |
| -3280235.030 | -2271893.880 | -1104821.060 | 0.052 | -0.000 | 0.000 |
| 536932.475 | 536932.475 | 212252.183 | -0.000 | -0.000 | 0.000 |
| -866698.762 | -1188312.013 | -413215.666 | 619142.626 | -9350.520 | 4091.381 |
| -1010922.428 | -481592.147 | -302079.222 | -11745.692 | 677543.124 | -4333.689 |
| -2117.133 | -2118.872 | -837.218 | -0.000 | -0.000 | 870391.181 |
| 373.492 | 114.271 | 114.271 | -0.000 | -0.000 | 0.000 |
| 114.271 | 373.492 | 114.271 | -0.000 | 0.000 | -0.000 |
| 114.271 | 114.271 | 373.492 | -0.000 | -0.000 | -0.000 |
| -0.000 | -0.000 | 0.000 | 0.642 | -0.000 | -0.000 |
| -0.000 | 0.000 | -0.000 | -0.000 | 0.642 | -0.000 |
| 0.000 | 0.000 | -0.000 | -0.000 | -0.000 | 0.642 |
| 365.060 | 118.487 | 118.487 | -0.000 | -0.000 | 0.000 |
| 118.487 | 365.060 | 118.487 | 0.000 | 0.000 | 0.000 |
| 118.487 | 118.487 | 365.060 | -0.000 | -0.000 | 0.000 |
| 0.000 | 0.000 | 0.000 | 0.642 | 0.000 | 0.000 |
| 0.000 | -0.000 | 0.000 | 0.000 | 0.642 | 0.000 |
| -0.000 | 0.000 | 0.000 | -0.000 | 0.000 | 0.642 |
| 365.060 | 118.487 | 118.487 | -0.000 | -0.000 | 0.000 |
| 118.487 | 365.060 | 118.487 | 0.000 | 0.000 | -0.000 |
| 118.487 | 118.487 | 365.060 | 0.000 | -0.000 | -0.000 |
| 0.000 | -0.000 | -0.000 | 46.458 | -0.000 | -0.000 |
| -0.000 | 0.000 | -0.000 | 0.000 | 46.458 | -0.000 |
| -0.000 | -0.000 | 0.000 | -0.000 | -0.000 | 46.458 |
| 373.492 | 114.271 | 114.271 | 0.000 | -0.000 | 0.000 |
| 114.271 | 373.492 | 114.271 | 0.000 | -0.000 | 0.000 |
| 114.271 | 114.271 | 373.492 | 0.000 | 0.000 | 0.000 |
| -0.000 | 0.000 | 0.000 | 46.458 | 0.000 | 0.000 |
| 0.000 | -0.000 | 0.000 | 0.000 | 46.458 | 0.000 |
| 0.000 | 0.000 | -0.000 | -0.000 | 0.000 | 46.458 |
| 365.061 | 118.487 | 118.487 | 0.000 | 0.000 | -0.000 |
| 118.487 | 365.061 | 118.487 | -0.000 | 0.000 | -0.000 |
| 118.487 | 118.487 | 365.061 | 0.000 | 0.000 | -0.000 |
| -0.000 | -0.000 | -0.000 | 0.642 | -0.000 | -0.000 |
| -0.000 | -0.000 | -0.000 | 0.000 | 0.642 | -0.000 |
| -0.000 | -0.000 | -0.000 | 0.000 | -0.000 | 0.642 |
| 373.491 | 114.271 | 114.271 | 0.000 | 0.000 | 0.000 |
| 114.271 | 373.491 | 114.271 | 0.000 | 0.000 | 0.000 |
| 114.271 | 114.271 | 373.491 | 0.000 | 0.000 | -0.000 |
| 0.000 | 0.000 | 0.000 | 0.642 | 0.000 | 0.000 |
| 0.000 | 0.000 | 0.000 | -0.000 | 0.642 | 0.000 |
| 0.000 | 0.000 | 0.000 | -0.000 | 0.000 | 0.642 |
| 44.871 | 149.147 | 149.147 | -0.000 | -0.000 | 0.000 |
| 149.147 | 44.871 | 149.147 | 0.000 | -0.000 | 0.000 |
| 149.147 | 149.147 | 44.871 | -0.000 | -0.000 | 0.000 |
| 0.000 | 0.000 | 0.000 | 81.726 | 0.000 | -0.000 |
| 0.000 | 0.000 | 0.000 | 0.000 | 81.726 | 0.000 |
| 0.000 | 0.000 | 0.000 | 0.000 | -0.000 | 81.726 |
| 44.871 | 149.147 | 149.147 | 0.000 | 0.000 | 0.000 |
| 149.147 | 44.871 | 149.147 | 0.000 | 0.000 | 0.000 |
| 149.147 | 149.147 | 44.871 | 0.000 | 0.000 | 0.000 |
| -0.000 | -0.000 | -0.000 | 81.726 | 0.000 | 0.000 |
| -0.000 | -0.000 | -0.000 | 0.000 | 81.726 | -0.000 |
| -0.000 | -0.000 | -0.000 | -0.000 | 0.000 | 81.726 |
| 44.871 | 149.147 | 149.147 | -0.000 | -0.000 | 0.000 |
| 149.147 | 44.871 | 149.147 | -0.000 | -0.000 | -0.000 |
| 149.147 | 149.147 | 44.871 | -0.000 | -0.000 | -0.000 |
| 0.000 | 0.000 | 0.000 | 39.246 | -0.000 | 0.000 |
| 0.000 | 0.000 | 0.000 | -0.000 | 39.246 | 0.000 |
| 0.000 | 0.000 | 0.000 | 0.000 | -0.000 | 39.246 |
| 44.871 | 149.147 | 149.147 | 0.000 | 0.000 | -0.000 |
| 149.147 | 44.871 | 149.147 | 0.000 | 0.000 | -0.000 |
| 149.147 | 149.147 | 44.871 | 0.000 | 0.000 | 0.000 |
| -0.000 | -0.000 | -0.000 | 39.246 | -0.000 | -0.000 |
| -0.000 | -0.000 | -0.000 | -0.000 | 39.246 | 0.000 |
| -0.000 | -0.000 | -0.000 | -0.000 | -0.000 | 39.246 |
| 44.873 | 149.148 | 149.148 | -0.000 | -0.000 | 0.000 |
| 149.148 | 44.873 | 149.148 | -0.000 | -0.000 | -0.000 |
| 149.148 | 149.148 | 44.873 | -0.000 | -0.000 | -0.000 |
| 0.000 | 0.000 | 0.001 | 81.726 | -0.000 | -0.000 |
| 0.000 | 0.000 | 0.001 | 0.000 | 81.726 | 0.000 |
| 0.000 | 0.001 | 0.000 | 0.000 | -0.000 | 81.726 |
| 44.869 | 149.147 | 149.147 | 0.000 | 0.000 | 0.000 |
| 149.147 | 44.869 | 149.147 | -0.000 | 0.000 | 0.000 |
| 149.147 | 149.147 | 44.869 | 0.000 | 0.000 | 0.000 |
| -0.000 | -0.000 | -0.001 | 81.726 | -0.000 | -0.000 |
| -0.000 | -0.000 | -0.001 | -0.000 | 81.726 | 0.000 |
| -0.000 | -0.001 | -0.000 | -0.000 | 0.000 | 81.726 |
| 290.439 | 175.300 | 175.300 | 0.000 | 0.000 | 0.000 |
| 175.300 | 290.439 | 175.300 | 0.000 | 0.000 | -0.000 |
| 175.300 | 175.300 | 290.439 | 0.000 | 0.000 | 0.000 |
| 0.000 | 0.000 | 0.000 | 113.625 | 0.000 | 0.000 |
| 0.000 | 0.000 | 0.000 | 0.000 | 113.625 | 0.000 |
| 0.000 | 0.000 | 0.000 | -0.000 | -0.000 | 113.625 |
| 290.439 | 175.300 | 175.300 | -0.000 | 0.000 | 0.000 |
| 175.300 | 290.439 | 175.300 | -0.000 | 0.000 | -0.000 |
| 175.300 | 175.300 | 290.439 | 0.000 | 0.000 | -0.000 |
| -0.000 | -0.000 | -0.000 | 113.625 | -0.000 | 0.000 |
| -0.000 | -0.000 | -0.000 | -0.000 | 113.625 | -0.000 |
| -0.000 | -0.000 | -0.000 | -0.000 | 0.000 | 113.625 |
| 290.440 | 175.300 | 175.300 | 0.000 | -0.000 | 0.000 |
| 175.300 | 290.440 | 175.300 | 0.000 | 0.000 | 0.000 |
| 175.300 | 175.300 | 290.440 | 0.000 | 0.000 | -0.000 |
| -0.000 | 0.000 | 0.000 | 113.625 | -0.000 | 0.000 |
| 0.000 | -0.000 | 0.000 | -0.000 | 113.625 | -0.000 |
| 0.000 | 0.000 | -0.000 | -0.000 | -0.000 | 113.625 |
| 290.439 | 175.299 | 175.299 | -0.000 | 0.000 | 0.000 |
| 175.299 | 290.439 | 175.299 | 0.000 | 0.000 | 0.000 |
| 175.299 | 175.299 | 290.439 | 0.000 | 0.000 | 0.000 |
| 0.000 | -0.000 | -0.000 | 113.625 | -0.000 | -0.000 |
| -0.000 | 0.000 | -0.000 | -0.000 | 113.625 | 0.000 |
| -0.000 | -0.000 | 0.000 | -0.000 | 0.000 | 113.625 |
| 290.440 | 175.300 | 175.300 | 0.000 | 0.000 | 0.000 |
| 175.300 | 290.440 | 175.300 | 0.000 | 0.000 | 0.000 |
| 175.300 | 175.300 | 290.440 | -0.000 | -0.000 | 0.000 |
| -0.000 | 0.000 | 0.000 | 113.625 | -0.000 | -0.000 |
| 0.000 | -0.000 | 0.000 | -0.000 | 113.625 | -0.000 |
| 0.000 | 0.000 | -0.000 | -0.000 | -0.000 | 113.625 |
| 290.439 | 175.299 | 175.299 | 0.000 | -0.000 | 0.000 |
| 175.299 | 290.439 | 175.299 | 0.000 | 0.000 | 0.000 |
| 175.299 | 175.299 | 290.439 | -0.000 | -0.000 | 0.000 |
| 0.000 | -0.000 | -0.000 | 113.625 | 0.000 | 0.000 |
| -0.000 | 0.000 | -0.000 | 0.000 | 113.625 | 0.000 |
| -0.000 | -0.000 | 0.000 | -0.000 | 0.000 | 113.625 |
| 207.453 | 110.556 | 157.579 | -0.000 | 0.000 | 0.000 |
| 114.467 | 275.720 | 114.279 | -0.000 | 0.000 | 0.000 |
| 156.488 | 111.205 | 304.191 | -0.000 | 0.000 | 0.000 |
| 0.000 | 0.000 | -0.000 | 58.619 | 0.000 | 0.000 |
| -0.000 | 0.000 | 0.000 | -0.000 | 76.866 | 0.000 |
| -0.000 | 0.000 | 0.000 | -0.000 | 0.000 | 54.620 |
| 207.453 | 110.556 | 157.578 | 0.000 | -0.000 | -0.000 |
| 114.467 | 275.720 | 114.279 | 0.000 | -0.000 | -0.000 |
| 156.488 | 111.205 | 304.191 | 0.000 | -0.000 | -0.000 |
| -0.000 | -0.000 | 0.000 | 58.619 | -0.000 | 0.000 |
| 0.000 | -0.000 | -0.000 | 0.000 | 76.866 | -0.000 |
| 0.000 | -0.000 | -0.000 | 0.000 | -0.000 | 54.620 |
| 206.893 | 113.657 | 160.219 | -0.000 | 0.000 | 0.000 |
| 114.164 | 275.662 | 114.610 | -0.000 | 0.000 | 0.000 |
| 154.529 | 116.133 | 309.071 | -0.000 | 0.000 | 0.000 |
| 0.000 | 0.000 | 0.000 | 34.260 | 0.000 | 0.000 |
| -0.000 | 0.000 | 0.000 | -0.000 | 71.207 | 0.000 |
| -0.000 | 0.000 | 0.000 | -0.000 | 0.000 | 54.620 |
| 206.893 | 113.657 | 160.219 | 0.000 | -0.000 | -0.000 |
| 120.016 | 299.840 | 124.636 | 0.000 | -0.000 | -0.000 |
| 154.529 | 116.133 | 309.071 | 0.000 | -0.000 | -0.000 |
| -0.000 | -0.000 | -0.000 | 34.260 | -0.000 | 0.000 |
| 0.000 | -0.000 | -0.000 | 0.000 | 71.207 | -0.000 |
| 0.000 | -0.000 | -0.000 | 0.000 | -0.000 | 54.620 |
| 206.895 | 113.657 | 160.219 | -0.000 | 0.000 | 0.000 |
| 114.164 | 275.663 | 114.611 | -0.000 | 0.000 | 0.000 |
| 156.488 | 111.205 | 304.192 | -0.000 | 0.000 | 0.000 |
| 0.000 | 0.000 | 0.000 | 37.908 | 0.000 | -0.000 |
| -0.001 | -0.000 | 0.001 | -0.000 | 71.207 | 0.000 |
| -0.000 | 0.000 | 0.000 | -0.000 | 0.000 | 54.620 |
| 206.891 | 113.656 | 160.218 | 0.000 | -0.000 | -0.000 |
| 114.466 | 275.718 | 114.279 | 0.000 | -0.000 | -0.000 |
| 160.218 | 115.105 | 302.930 | 0.000 | -0.000 | -0.000 |
| -0.000 | -0.000 | -0.000 | 37.908 | -0.000 | -0.000 |
| 0.001 | 0.000 | -0.001 | 0.000 | 71.207 | -0.000 |
| 0.000 | -0.000 | -0.000 | 0.000 | -0.000 | 54.620 |
| 99.280 | 46.085 | 219.667 | 0.000 | -0.000 | -0.000 |
| 31.262 | 181.607 | 136.901 | -0.000 | 0.000 | 0.000 |
| 60.981 | 46.610 | 360.656 | 0.000 | -0.000 | -0.000 |
| -99.753 | -66.896 | 58.255 | 31.596 | -0.000 | -0.000 |
| -100.206 | -67.223 | 58.490 | 0.000 | 75.848 | -0.000 |
| -99.950 | -67.172 | 58.262 | 0.000 | -0.000 | 54.459 |
| 288.166 | 202.624 | 129.531 | 0.000 | 0.000 | 0.000 |
| 213.143 | 340.914 | 55.930 | -0.000 | 0.000 | 0.000 |
| 151.397 | 123.346 | 318.757 | 0.000 | 0.000 | 0.000 |
| 99.753 | 66.896 | -58.255 | 31.596 | 0.000 | -0.000 |
| 100.206 | 67.223 | -58.490 | -0.000 | 75.848 | -0.000 |
| 99.950 | 67.172 | -58.262 | 0.000 | 0.000 | 54.459 |
| 189.235 | 106.540 | 167.231 | 0.000 | -0.000 | 0.000 |
| 106.624 | 265.997 | 115.715 | 0.000 | -0.000 | -0.000 |
| 151.397 | 123.346 | 318.757 | -0.000 | -0.000 | -0.000 |
| -7.602 | -8.006 | 2.480 | 33.081 | -0.000 | -0.000 |
| -10.089 | -5.282 | 6.879 | -0.000 | 72.564 | 0.000 |
| -9.995 | -6.717 | 5.826 | 0.000 | -0.000 | 54.459 |
| 212.377 | 119.342 | 151.871 | 0.000 | 0.000 | -0.000 |
| 123.188 | 280.460 | 108.366 | 0.000 | 0.000 | -0.000 |
| 170.926 | 120.499 | 296.567 | -0.000 | 0.000 | 0.000 |
| 7.602 | 8.006 | -2.480 | 33.081 | 0.000 | -0.000 |
| 10.089 | 5.282 | -6.879 | 0.000 | 72.564 | -0.000 |
| 9.995 | 6.717 | -5.826 | -0.000 | 0.000 | 54.459 |
| 198.232 | 112.585 | 161.988 | 0.000 | -0.000 | 0.000 |
| 112.194 | 273.072 | 114.776 | 0.000 | -0.000 | 0.000 |
| 159.932 | 113.110 | 302.977 | -0.000 | -0.000 | 0.000 |
| -0.950 | -0.640 | 0.553 | 33.082 | 0.000 | -0.000 |
| -1.023 | -0.678 | 0.603 | -0.000 | 72.489 | 0.000 |
| -0.674 | -0.724 | 0.237 | 0.000 | -0.000 | 54.459 |
| 200.228 | 113.928 | 160.822 | -0.000 | 0.000 | -0.000 |
| 114.271 | 274.419 | 113.533 | 0.000 | 0.000 | 0.000 |
| 158.178 | 110.242 | 302.866 | -0.000 | 0.000 | -0.000 |
| 0.950 | 0.640 | -0.553 | 33.082 | -0.000 | -0.000 |
| 1.023 | 0.678 | -0.603 | 0.000 | 72.489 | -0.000 |
| 0.674 | 0.724 | -0.237 | -0.000 | 0.000 | 54.459 |
| 279.742 | 182.403 | 157.063 | -0.000 | -0.000 | 0.000 |
| 182.403 | 279.742 | 157.063 | 0.000 | -0.000 | 0.000 |
| 157.063 | 157.063 | 232.436 | 0.000 | 0.000 | 0.000 |
| -0.000 | 0.000 | 0.000 | 94.496 | -0.000 | -0.000 |
| 0.000 | -0.000 | 0.000 | -0.000 | 94.496 | 0.000 |
| 0.000 | 0.000 | -0.000 | -0.000 | -0.000 | 118.524 |
| 266.147 | 195.998 | 157.063 | -0.000 | -0.000 | -0.000 |
| 195.998 | 266.147 | 157.063 | -0.000 | -0.000 | -0.000 |
| 157.063 | 157.063 | 232.436 | -0.000 | -0.000 | -0.000 |
| 0.000 | -0.000 | -0.000 | 94.496 | -0.000 | -0.000 |
| 0.000 | 0.000 | -0.000 | -0.000 | 94.496 | -0.000 |
| -0.000 | -0.000 | 0.000 | 0.000 | 0.000 | 118.524 |
| 266.147 | 195.998 | 157.063 | 0.000 | -0.000 | 0.000 |
| 195.998 | 266.147 | 157.063 | 0.000 | -0.000 | 0.000 |
| 157.063 | 157.063 | 232.436 | 0.000 | -0.000 | 0.000 |
| -0.000 | 0.000 | 0.000 | 81.593 | -0.000 | 0.000 |
| 0.000 | -0.000 | 0.000 | -0.000 | 81.593 | 0.000 |
| 0.000 | 0.000 | -0.000 | -0.000 | -0.000 | 118.524 |
| 266.147 | 195.998 | 157.063 | -0.000 | 0.000 | -0.000 |
| 195.998 | 266.147 | 157.063 | 0.000 | -0.000 | -0.000 |
| 157.063 | 157.063 | 232.436 | -0.000 | -0.000 | -0.000 |
| 0.000 | -0.000 | -0.000 | 81.593 | -0.000 | -0.000 |
| -0.000 | 0.000 | -0.000 | -0.000 | 81.593 | -0.000 |
| -0.000 | -0.000 | 0.000 | 0.000 | 0.000 | 118.524 |
| 266.148 | 195.998 | 157.063 | 0.000 | -0.000 | 0.000 |
| 195.998 | 266.148 | 157.063 | 0.000 | 0.000 | 0.000 |
| 157.063 | 157.063 | 232.436 | 0.000 | 0.000 | 0.000 |
| -0.000 | 0.000 | 0.000 | 81.593 | 0.000 | 0.000 |
| 0.000 | -0.000 | 0.000 | 0.000 | 81.593 | 0.000 |
| 0.000 | 0.000 | -0.000 | 0.000 | 0.000 | 118.524 |
| 279.742 | 182.402 | 157.063 | 0.000 | 0.000 | -0.000 |
| 182.402 | 279.742 | 157.063 | -0.000 | 0.000 | -0.000 |
| 157.063 | 157.063 | 232.436 | 0.000 | 0.000 | -0.000 |
| 0.000 | -0.000 | -0.000 | 81.593 | -0.000 | -0.000 |
| -0.000 | 0.000 | -0.000 | 0.000 | 81.593 | -0.000 |
| -0.000 | -0.000 | 0.000 | -0.000 | -0.000 | 118.524 |
| 346.704 | 157.001 | 127.535 | 0.000 | 0.000 | -0.000 |
| 157.001 | 346.704 | 127.535 | 0.000 | 0.000 | -0.000 |
| 119.024 | 119.024 | 278.768 | -0.000 | -0.000 | -0.000 |
| 0.073 | 0.073 | 0.229 | 41.004 | -0.000 | -0.000 |
| 0.073 | 0.073 | 0.229 | 0.000 | 41.004 | -0.000 |
| -0.000 | 0.000 | 0.000 | 0.000 | 0.000 | 94.852 |
| 346.704 | 157.001 | 127.535 | -0.000 | -0.000 | 0.000 |
| 157.001 | 346.704 | 127.535 | 0.000 | -0.000 | -0.000 |
| 127.535 | 127.535 | 305.412 | -0.000 | -0.000 | 0.000 |
| -0.073 | -0.073 | -0.229 | 41.004 | -0.000 | 0.000 |
| -0.073 | -0.073 | -0.229 | -0.000 | 41.004 | -0.000 |
| 0.000 | -0.000 | -0.000 | -0.000 | -0.000 | 94.852 |
| 335.869 | 160.071 | 115.380 | -0.000 | -0.000 | 0.000 |
| 160.071 | 335.869 | 115.380 | -0.000 | -0.000 | 0.000 |
| 118.991 | 118.991 | 278.664 | -0.000 | -0.000 | -0.000 |
| 0.007 | 0.007 | 0.023 | 41.003 | -0.000 | -0.000 |
| 0.000 | 0.000 | 0.000 | 0.000 | 63.695 | 0.000 |
| 0.000 | 0.000 | 0.000 | -0.000 | 0.000 | 94.852 |
| 346.704 | 157.001 | 127.535 | -0.000 | -0.000 | 0.000 |
| 157.001 | 346.704 | 127.535 | -0.000 | -0.000 | -0.000 |
| 118.983 | 118.983 | 278.640 | 0.000 | 0.000 | -0.000 |
| -0.007 | -0.007 | -0.023 | 41.003 | 0.000 | -0.000 |
| -0.000 | -0.000 | -0.000 | -0.000 | 63.695 | 0.000 |
| -0.000 | -0.000 | -0.000 | 0.000 | -0.000 | 94.852 |
| 338.975 | 159.025 | 118.601 | 0.000 | -0.000 | -0.000 |
| 157.002 | 346.706 | 127.535 | 0.000 | 0.000 | 0.000 |
| 127.535 | 127.535 | 305.413 | -0.000 | -0.000 | -0.000 |
| 0.000 | 0.000 | 0.000 | 63.695 | 0.000 | -0.000 |
| 0.000 | 0.000 | 0.000 | -0.000 | 63.695 | 0.000 |
| 0.000 | 0.001 | 0.001 | 0.000 | -0.000 | 89.841 |
| 338.969 | 159.024 | 118.599 | 0.000 | 0.000 | 0.000 |
| 157.000 | 346.702 | 127.535 | -0.000 | -0.000 | 0.000 |
| 118.986 | 118.986 | 278.650 | 0.000 | 0.000 | -0.000 |
| -0.000 | -0.000 | -0.000 | 63.695 | -0.000 | 0.000 |
| -0.000 | -0.000 | -0.000 | 0.000 | 63.695 | 0.000 |
| -0.000 | -0.001 | -0.001 | 0.000 | -0.000 | 89.841 |
| 346.565 | 156.771 | 128.424 | -0.000 | 0.000 | 0.000 |
| 156.771 | 346.565 | 128.424 | -0.000 | 0.000 | 0.000 |
| 128.207 | 128.207 | 308.047 | -0.000 | 0.000 | 0.000 |
| -0.000 | -0.000 | 0.000 | 64.394 | 0.000 | 0.000 |
| 0.003 | 0.003 | 0.010 | 0.000 | 41.754 | -0.000 |
| 0.002 | 0.002 | 0.006 | 0.000 | 0.000 | 89.742 |
| 335.594 | 160.168 | 116.336 | -0.000 | -0.000 | 0.000 |
| 160.168 | 335.594 | 116.336 | -0.000 | -0.000 | 0.000 |
| 128.207 | 128.207 | 308.047 | -0.000 | -0.000 | -0.000 |
| -0.003 | -0.003 | -0.010 | 41.754 | 0.000 | 0.000 |
| -0.003 | -0.003 | -0.010 | -0.000 | 41.754 | 0.000 |
| -0.002 | -0.002 | -0.006 | -0.000 | -0.000 | 89.742 |
| 338.780 | 159.011 | 119.574 | 0.000 | 0.000 | -0.000 |
| 159.011 | 338.780 | 119.574 | 0.000 | 0.000 | -0.000 |
| 119.778 | 119.778 | 281.143 | -0.000 | 0.000 | -0.000 |
| 0.000 | 0.000 | 0.000 | 64.394 | 0.000 | 0.000 |
| 0.000 | 0.000 | 0.001 | 0.000 | 41.754 | -0.000 |
| 0.000 | 0.000 | 0.001 | 0.000 | 0.000 | 89.742 |
| 346.565 | 156.771 | 128.424 | 0.000 | -0.000 | -0.000 |
| 159.010 | 338.780 | 119.573 | -0.000 | -0.000 | 0.000 |
| 128.207 | 128.207 | 308.047 | 0.000 | -0.000 | -0.000 |
| -0.000 | -0.000 | -0.000 | 64.394 | -0.000 | -0.000 |
| -0.000 | -0.000 | -0.001 | -0.000 | 41.754 | 0.000 |
| -0.000 | -0.000 | -0.001 | -0.000 | -0.000 | 89.742 |
| 346.568 | 156.772 | 128.425 | -0.000 | 0.000 | 0.000 |
| 156.772 | 346.568 | 128.425 | 0.000 | 0.000 | 0.000 |
| 119.778 | 119.778 | 281.144 | 0.000 | 0.000 | -0.000 |
| 0.000 | 0.000 | 0.000 | 64.394 | 0.000 | 0.000 |
| 0.000 | 0.000 | 0.000 | -0.000 | 64.394 | -0.000 |
| 0.000 | 0.001 | 0.000 | 0.000 | 0.000 | 89.742 |
| 346.563 | 156.771 | 128.424 | 0.000 | -0.000 | -0.000 |
| 156.771 | 346.563 | 128.424 | -0.000 | -0.000 | -0.000 |
| 128.206 | 128.206 | 308.045 | -0.000 | -0.000 | -0.000 |
| -0.000 | -0.000 | -0.000 | 64.394 | -0.000 | -0.000 |
| -0.000 | -0.000 | -0.000 | 0.000 | 64.394 | -0.000 |
| -0.000 | -0.001 | -0.000 | -0.000 | -0.000 | 89.742 |
| -45588855.678 | -45149633.943 | -167896744.968 | 4264743.572 | 5325964.244 | 1020565.164 |
| -41793068.383 | -43624892.115 | -158857628.911 | 3111929.106 | 4697992.007 | 134758.670 |
| -39900806.482 | -43925216.682 | -152669178.087 | 3025435.009 | 4253871.484 | 456931.706 |
| -46189851.743 | -44551703.761 | -169067286.202 | 4311045.534 | 6791924.680 | 544366.993 |
| -44712213.773 | -44505756.309 | -165703210.359 | 3464656.947 | 6193202.753 | 68021.520 |
| -20135399.605 | -33612205.876 | -101806624.711 | 1789231.765 | 2140503.459 | -332462.398 |
| 46822204.449 | 45692208.070 | 169176036.497 | -3839722.711 | -6237256.619 | -918217.181 |
| 41045322.634 | 43890315.762 | 156182603.435 | -3148922.685 | -4453604.849 | -331268.893 |
| 45223772.690 | 44681660.595 | 167678028.785 | -3961768.955 | -5986202.658 | -1583547.067 |
| 43603631.221 | 45284497.545 | 165595842.212 | -3200143.120 | -6082731.848 | -302166.236 |
| 43865237.522 | 44247919.344 | 164338216.527 | -3239840.201 | -5688316.162 | -60951.709 |
| 45756080.737 | 44250913.351 | 168288711.841 | -3988897.660 | -6905057.222 | -795650.439 |
| -4426404.658 | -4645002.125 | -17022333.921 | 367429.512 | 653113.851 | 186547.136 |
| -4504532.138 | -4462866.655 | -16543663.720 | 301879.916 | 565750.823 | 38189.155 |
| -4520395.005 | -4548306.343 | -16855461.842 | 333796.097 | 574845.821 | 125399.506 |
| -4660003.000 | -4618613.524 | -17332362.903 | 466516.169 | 739965.159 | 245958.712 |
| -4463862.206 | -4460329.627 | -16663110.488 | 412876.281 | 733221.684 | 41176.416 |
| -4457413.315 | -4577603.625 | -16626593.356 | 421888.426 | 622580.761 | 72065.459 |
| 4561533.861 | 4511330.825 | 16854398.239 | -414899.867 | -656283.455 | -31801.291 |
| 3631760.098 | 4329175.489 | 14073350.405 | -233970.525 | -333510.613 | -49244.403 |
| 4482487.343 | 4454553.456 | 16659999.217 | -342532.031 | -651247.869 | -38139.326 |
| 4578212.871 | 4623942.368 | 17286581.928 | -395675.381 | -621962.480 | -207498.209 |
| 4539570.042 | 4383805.738 | 16709604.656 | -433658.082 | -694548.454 | -85172.197 |
| 4608905.047 | 4453804.761 | 16750286.828 | -428444.264 | -664302.462 | -51800.822 |
| -438014.029 | -448898.466 | -1644589.981 | 33725.631 | 59862.085 | -1519.675 |
| -444936.438 | -447695.725 | -1659837.304 | 32604.315 | 59477.598 | 3194.030 |
| -467890.652 | -449996.235 | -1688536.738 | 42071.032 | 70527.004 | 10093.815 |
| -437831.105 | -441947.993 | -1657201.441 | 31443.062 | 63279.998 | 1816.931 |
| -450085.685 | -444621.183 | -1666203.646 | 38129.339 | 64083.201 | 4427.235 |
| -433308.984 | -433616.244 | -1630965.263 | 29810.217 | 58387.368 | 584.137 |
| 464160.558 | 447564.872 | 1685100.522 | -42757.105 | -69755.243 | -10575.861 |
| 433212.775 | 454909.978 | 1651283.641 | -32002.039 | -60825.920 | 2085.783 |
| 446946.461 | 443705.621 | 1667833.361 | -34198.779 | -64642.526 | -4916.749 |
| 456075.928 | 451645.970 | 1683784.321 | -30690.846 | -62873.631 | -3055.707 |
| 457058.024 | 436791.688 | 1679726.716 | -43709.616 | -67190.179 | -7119.140 |
| 434860.512 | 439763.143 | 1646116.756 | -28269.300 | -60765.523 | 1930.195 |
| -605.006 | -732.475 | -533.852 | -0.000 | -0.000 | -0.000 |
| -722.105 | -597.525 | -530.092 | 0.000 | -0.000 | -0.000 |
| -770.131 | -770.131 | -376.796 | 0.000 | -0.000 | -0.000 |
| 0.000 | 0.000 | 0.000 | 40.571 | -0.000 | 0.000 |
| -0.000 | 0.000 | 0.000 | 0.000 | 40.571 | -0.000 |
| 0.000 | 0.000 | -0.000 | -0.000 | 0.000 | 76.310 |
| 1046.419 | 918.880 | 627.455 | 0.000 | -0.000 | -0.000 |
| 123.175 | 275.795 | 83.771 | 0.000 | 0.000 | -0.000 |
| 83.771 | 83.771 | 233.015 | -0.000 | 0.000 | 0.000 |
| -0.000 | -0.000 | -0.000 | 40.571 | 0.000 | 0.000 |
| -0.000 | 0.000 | -0.000 | 0.000 | 40.571 | -0.000 |
| -0.000 | -0.000 | -0.000 | 0.000 | 0.000 | 76.310 |
| 137.978 | 10.878 | -11.090 | 0.000 | 0.000 | -0.000 |
| 17.616 | 142.469 | -6.278 | -0.000 | -0.000 | -0.000 |
| 83.771 | 83.771 | 233.015 | 0.000 | -0.000 | -0.000 |
| -0.000 | -0.000 | 0.000 | 40.571 | -0.000 | -0.000 |
| -0.000 | -0.000 | 0.000 | 0.000 | 40.571 | -0.000 |
| -81.869 | -81.869 | -57.957 | 0.000 | -0.000 | 62.326 |
| 275.795 | 123.175 | 83.771 | 0.000 | 0.000 | 0.000 |
| 182.089 | 306.010 | 109.641 | 0.000 | 0.000 | 0.000 |
| 134.231 | 134.231 | 263.292 | 0.000 | -0.000 | 0.000 |
| 0.000 | 0.000 | -0.000 | 40.571 | 0.000 | -0.000 |
| 0.000 | 0.000 | -0.000 | 0.000 | 40.571 | -0.000 |
| 81.869 | 81.869 | 57.957 | -0.000 | 0.000 | 62.326 |
| 275.796 | 123.176 | 83.771 | -0.000 | -0.000 | -0.000 |
| 123.176 | 275.796 | 83.771 | -0.000 | -0.000 | -0.000 |
| 41.304 | 41.304 | 197.452 | -0.000 | -0.000 | -0.000 |
| -8.155 | -8.155 | -5.773 | 28.822 | 0.000 | 0.000 |
| -8.155 | -8.155 | -5.773 | -0.000 | 28.822 | -0.000 |
| -7.480 | -7.480 | -5.295 | 0.000 | 0.000 | 63.534 |
| 275.794 | 123.175 | 83.771 | -0.000 | 0.000 | 0.000 |
| 106.682 | 230.945 | 56.449 | 0.000 | 0.000 | 0.000 |
| 83.771 | 83.771 | 233.013 | -0.000 | 0.000 | 0.000 |
| 8.155 | 8.155 | 5.773 | 28.822 | 0.000 | -0.000 |
| 8.155 | 8.155 | 5.773 | -0.000 | 28.822 | 0.000 |
| -0.000 | -0.000 | 0.000 | 0.000 | -0.000 | 76.310 |
| 3634.704 | 3509.324 | 2751.099 | 0.000 | 0.000 | -0.000 |
| 3787.815 | 3912.989 | 2966.705 | -0.000 | 0.000 | -0.000 |
| 84.051 | 84.051 | 233.436 | 0.000 | 0.000 | 0.000 |
| 3410.178 | 3410.178 | 2698.067 | 29.319 | -0.000 | -0.000 |
| 3410.178 | 3410.178 | 2698.067 | 0.000 | 29.319 | -0.000 |
| 0.000 | -0.000 | -0.000 | 0.000 | 0.000 | 75.802 |
| -3185.569 | -3310.948 | -2644.970 | -0.000 | 0.000 | -0.000 |
| 122.458 | 274.062 | 84.350 | -0.000 | -0.000 | 0.000 |
| 84.051 | 84.051 | 233.436 | 0.000 | -0.000 | -0.000 |
| -3410.178 | -3410.178 | -2698.067 | 29.319 | -0.000 | 0.000 |
| -3410.178 | -3410.178 | -2698.067 | 0.000 | 29.319 | 0.000 |
| 0.000 | 0.000 | 0.000 | -0.000 | -0.000 | 75.802 |
| 274.062 | 122.458 | 84.350 | 0.000 | 0.000 | -0.000 |
| 453.593 | 571.825 | 327.579 | 0.000 | 0.000 | 0.000 |
| 394.036 | 394.036 | 475.966 | -0.000 | -0.000 | -0.000 |
| 341.053 | 341.053 | 269.834 | 29.318 | -0.000 | 0.000 |
| 341.053 | 341.053 | 269.834 | 0.000 | 29.318 | -0.000 |
| 0.000 | 0.000 | -0.000 | 0.000 | 0.000 | 75.802 |
| 274.062 | 122.458 | 84.350 | -0.000 | -0.000 | 0.000 |
| 122.458 | 274.062 | 84.350 | -0.000 | -0.000 | 0.000 |
| -288.505 | -288.505 | -64.047 | 0.000 | -0.000 | 0.000 |
| -341.053 | -341.053 | -269.834 | 29.318 | -0.000 | -0.000 |
| -341.053 | -341.053 | -269.834 | 0.000 | 29.318 | 0.000 |
| -0.000 | -0.000 | 0.000 | -0.000 | -0.000 | 75.802 |
| 251.170 | 129.374 | 73.921 | 0.000 | 0.000 | -0.000 |
| 134.532 | 257.088 | 79.641 | 0.000 | 0.000 | -0.000 |
| 84.051 | 84.051 | 233.437 | 0.000 | 0.000 | 0.000 |
| 34.148 | 34.148 | 26.571 | 20.254 | -0.000 | 0.000 |
| -0.000 | -0.000 | 0.000 | -0.000 | 40.667 | -0.000 |
| 0.000 | 0.000 | -0.000 | -0.000 | 0.000 | 75.802 |
| 188.940 | 64.062 | 25.028 | -0.000 | -0.000 | 0.000 |
| 122.458 | 274.061 | 84.350 | -0.000 | -0.000 | 0.000 |
| 16.839 | 16.839 | 177.459 | 0.000 | 0.000 | 0.000 |
| -34.388 | -34.388 | -27.207 | 29.224 | -0.000 | -0.000 |
| 0.000 | 0.000 | -0.000 | -0.000 | 40.667 | 0.000 |
| -0.000 | -0.000 | 0.000 | 0.000 | -0.000 | 75.802 |
| -351.034 | -489.228 | -1668.137 | 0.000 | -0.000 | -0.000 |
| 123.001 | 281.796 | 102.153 | -0.000 | -0.000 | -0.000 |
| 102.156 | 102.156 | 298.296 | -0.000 | -0.000 | -0.000 |
| -602.214 | -602.214 | -1764.998 | 55.499 | 0.000 | -0.000 |
| -602.214 | -602.214 | -1764.998 | -0.000 | 55.499 | 0.000 |
| -1047.902 | -1047.900 | -2174.155 | 0.000 | -0.000 | 66.930 |
| 853.485 | 715.229 | 1861.877 | 0.000 | 0.000 | -0.002 |
| 123.001 | 281.796 | 102.153 | -0.000 | 0.000 | 0.000 |
| 699.798 | 699.798 | 2051.436 | -0.000 | 0.000 | -0.000 |
| 602.214 | 602.214 | 1764.998 | 55.499 | 0.000 | -0.000 |
| 602.214 | 602.214 | 1764.998 | -0.000 | 55.499 | -0.000 |
| 1047.963 | 1047.962 | 2174.335 | -0.000 | 0.000 | 66.931 |
| 190.773 | 52.687 | -79.721 | 0.000 | -0.000 | 0.001 |
| 19.895 | 141.889 | -121.130 | 0.000 | -0.000 | 0.008 |
| -6.513 | -6.513 | 67.398 | 0.000 | -0.000 | -0.000 |
| -60.222 | -60.222 | -176.500 | 55.499 | 0.000 | -0.000 |
| -60.228 | -60.228 | -176.518 | -0.000 | 55.499 | 0.000 |
| 0.000 | -0.000 | -0.000 | -0.000 | -0.000 | 79.398 |
| 281.796 | 123.001 | 102.153 | 0.000 | 0.000 | 0.000 |
| 123.001 | 281.796 | 102.153 | 0.000 | 0.000 | 0.000 |
| 194.472 | 194.472 | 506.243 | -0.000 | 0.000 | -0.000 |
| 60.228 | 60.228 | 176.518 | 55.499 | 0.000 | 0.000 |
| 60.228 | 60.228 | 176.518 | -0.000 | 55.499 | -0.000 |
| 60.254 | 60.249 | 176.541 | -0.000 | -0.000 | 69.117 |
| 281.750 | 122.988 | 102.153 | -0.000 | -0.000 | 0.002 |
| 106.046 | 242.575 | 78.445 | 0.000 | -0.000 | 0.000 |
| 102.157 | 102.157 | 298.296 | 0.000 | -0.000 | -0.000 |
| -10.877 | -10.878 | -22.129 | 55.353 | -0.000 | -0.000 |
| -6.024 | -6.024 | -17.656 | -0.000 | 55.497 | 0.000 |
| -6.116 | -6.111 | -17.870 | 0.000 | -0.000 | 68.981 |
| 252.489 | 122.929 | 124.654 | 0.000 | 0.000 | -0.000 |
| 122.928 | 252.486 | 124.657 | 0.000 | 0.000 | 0.000 |
| 102.156 | 102.156 | 298.295 | 0.000 | 0.000 | 0.000 |
| 10.877 | 10.878 | 22.129 | 55.353 | -0.000 | 0.000 |
| 6.024 | 6.024 | 17.656 | -0.000 | 55.497 | -0.000 |
| 6.117 | 6.112 | 17.873 | -0.000 | 0.000 | 68.989 |
| 236.454 | 104.628 | 110.235 | -0.000 | 0.000 | 0.000 |
| 109.209 | 214.115 | 104.300 | -0.000 | 0.000 | -0.000 |
| 106.095 | 106.095 | 291.553 | -0.000 | 0.000 | -0.000 |
| 0.000 | 0.000 | 0.000 | 63.338 | 0.000 | 0.000 |
| -0.000 | 0.000 | 0.000 | -0.000 | 63.338 | -0.000 |
| 0.000 | 0.000 | 0.000 | -0.000 | 0.000 | 65.913 |
| 168.699 | 80.004 | 105.538 | 0.000 | -0.000 | 0.000 |
| 104.628 | 236.454 | 110.235 | 0.000 | -0.000 | 0.000 |
| 106.095 | 106.095 | 291.553 | 0.000 | 0.000 | -0.000 |
| -0.000 | -0.000 | -0.000 | 63.338 | -0.000 | 0.000 |
| 0.000 | -0.000 | -0.000 | 0.000 | 63.338 | 0.000 |
| -0.000 | -0.000 | -0.000 | 0.000 | -0.000 | 65.913 |
| 236.454 | 104.628 | 110.235 | -0.000 | 0.000 | -0.000 |
| 99.234 | 198.035 | 104.612 | -0.000 | -0.000 | -0.000 |
| 106.095 | 106.095 | 291.553 | -0.000 | 0.000 | 0.000 |
| 0.000 | 0.000 | 0.000 | 63.338 | -0.000 | 0.000 |
| 0.000 | 0.000 | 0.000 | -0.000 | 63.338 | 0.000 |
| 0.000 | 0.000 | 0.000 | -0.000 | -0.000 | 65.913 |
| 192.649 | 96.223 | 104.603 | 0.000 | 0.000 | 0.000 |
| 89.233 | 179.683 | 109.269 | 0.000 | -0.000 | 0.000 |
| 100.495 | 100.495 | 278.363 | 0.000 | 0.000 | -0.000 |
| -0.000 | -0.000 | -0.000 | 63.338 | -0.000 | -0.000 |
| -0.000 | -0.000 | -0.000 | 0.000 | 63.338 | 0.000 |
| -0.000 | -0.000 | -0.000 | 0.000 | -0.000 | 65.913 |
| 195.660 | 97.924 | 104.602 | -0.000 | 0.000 | -0.000 |
| 97.924 | 195.660 | 104.602 | -0.000 | 0.000 | -0.000 |
| 106.096 | 106.096 | 291.554 | -0.000 | 0.000 | 0.000 |
| 0.000 | 0.000 | 0.000 | 63.338 | 0.000 | 0.000 |
| 0.000 | 0.000 | 0.000 | -0.000 | 63.338 | -0.000 |
| 0.115 | 0.115 | -0.017 | -0.000 | 0.000 | 50.473 |
| 236.453 | 104.627 | 110.235 | 0.000 | 0.000 | 0.000 |
| 104.627 | 236.452 | 110.235 | 0.000 | -0.000 | 0.000 |
| 106.095 | 106.095 | 291.552 | 0.000 | -0.000 | -0.000 |
| -0.000 | -0.000 | -0.000 | 63.338 | 0.000 | -0.000 |
| -0.000 | -0.000 | -0.000 | 0.000 | 63.338 | 0.000 |
| -0.000 | -0.000 | -0.000 | 0.000 | 0.000 | 65.913 |
| 264.274 | 151.677 | 169.166 | 0.000 | 0.000 | 0.000 |
| 151.677 | 264.274 | 169.166 | 0.000 | 0.000 | 0.000 |
| 177.103 | 177.103 | 294.202 | 0.000 | 0.000 | -0.000 |
| -0.000 | 0.000 | 0.000 | 122.257 | 0.000 | 0.000 |
| 0.000 | -0.000 | 0.000 | -0.000 | 122.257 | 0.000 |
| -0.414 | -0.414 | -0.856 | 0.000 | 0.000 | 97.950 |
| 265.077 | 152.523 | 170.869 | -0.000 | -0.000 | -0.000 |
| 152.523 | 265.077 | 170.869 | -0.000 | -0.000 | -0.000 |
| 170.891 | 170.891 | 281.370 | -0.000 | -0.000 | -0.000 |
| 0.000 | -0.000 | -0.000 | 122.257 | 0.000 | 0.000 |
| -0.000 | 0.000 | -0.000 | -0.000 | 122.257 | -0.000 |
| 0.414 | 0.414 | 0.856 | -0.000 | -0.000 | 97.950 |
| 270.374 | 153.010 | 176.842 | 0.000 | 0.000 | 0.000 |
| 153.010 | 270.374 | 176.842 | 0.000 | 0.000 | -0.000 |
| 170.435 | 170.435 | 280.429 | 0.000 | 0.000 | 0.000 |
| -0.075 | -0.075 | -0.155 | 112.909 | 0.000 | 0.000 |
| -0.075 | -0.075 | -0.155 | 0.000 | 112.909 | 0.000 |
| -0.041 | -0.041 | -0.086 | 0.000 | 0.000 | 97.950 |
| 264.716 | 152.141 | 170.101 | 0.000 | -0.000 | -0.000 |
| 152.141 | 264.716 | 170.101 | -0.000 | -0.000 | 0.000 |
| 177.103 | 177.103 | 294.202 | -0.000 | -0.000 | 0.000 |
| 0.075 | 0.075 | 0.155 | 112.909 | -0.000 | -0.000 |
| 0.075 | 0.075 | 0.155 | -0.000 | 112.909 | 0.000 |
| 0.041 | 0.041 | 0.086 | -0.000 | -0.000 | 97.950 |
| 264.665 | 152.295 | 170.207 | -0.000 | 0.000 | 0.000 |
| 152.295 | 264.665 | 170.207 | -0.000 | 0.000 | 0.000 |
| 170.473 | 170.473 | 280.506 | 0.000 | 0.000 | 0.000 |
| -0.008 | -0.007 | -0.015 | 112.908 | 0.000 | 0.000 |
| -0.007 | -0.008 | -0.015 | 0.000 | 112.908 | 0.000 |
| -0.004 | -0.004 | -0.009 | 0.000 | 0.000 | 97.950 |
| 264.672 | 152.302 | 170.223 | 0.000 | -0.000 | -0.000 |
| 152.302 | 264.672 | 170.223 | 0.000 | -0.000 | -0.000 |
| 170.481 | 170.481 | 280.523 | -0.000 | -0.000 | -0.000 |
| 0.008 | 0.007 | 0.015 | 112.908 | -0.000 | -0.000 |
| 0.007 | 0.008 | 0.015 | 0.000 | 112.908 | -0.000 |
| 0.004 | 0.004 | 0.009 | -0.000 | -0.000 | 97.950 |
| 757.206 | 642.755 | 1184.825 | -0.000 | -0.000 | -0.000 |
| 642.755 | 757.206 | 1184.825 | -0.000 | 0.000 | 0.000 |
| 662.769 | 662.769 | 1294.299 | -0.000 | -0.000 | 0.000 |
| 490.478 | 490.478 | 1012.532 | 112.684 | -0.000 | 0.000 |
| 490.478 | 490.478 | 1012.532 | -0.000 | 112.684 | -0.000 |
| 0.000 | 0.000 | -0.000 | -0.000 | 0.000 | 97.620 |
| -223.754 | -338.206 | -840.247 | 0.000 | 0.000 | -0.000 |
| -338.206 | -223.754 | -840.247 | 0.000 | 0.000 | -0.000 |
| 178.733 | 178.733 | 295.068 | 0.000 | -0.000 | -0.000 |
| -490.478 | -490.478 | -1012.532 | 112.684 | 0.000 | -0.000 |
| -490.478 | -490.478 | -1012.532 | 0.000 | 112.684 | 0.000 |
| -0.000 | -0.000 | -0.000 | 0.000 | -0.000 | 97.620 |
| 315.597 | 201.501 | 273.545 | -0.000 | -0.000 | -0.000 |
| 201.501 | 315.597 | 273.545 | -0.000 | 0.000 | -0.000 |
| 221.337 | 221.337 | 383.019 | -0.000 | -0.000 | 0.000 |
| 49.039 | 49.039 | 101.235 | 112.684 | 0.000 | 0.000 |
| 49.039 | 49.039 | 101.235 | -0.000 | 112.684 | 0.000 |
| 0.000 | 0.000 | -0.000 | -0.000 | 0.000 | 97.620 |
| 217.668 | 103.217 | 71.016 | 0.000 | 0.000 | -0.000 |
| 103.217 | 217.668 | 71.016 | 0.000 | 0.000 | 0.000 |
| 123.241 | 123.241 | 180.512 | 0.000 | 0.000 | -0.000 |
| -49.039 | -49.039 | -101.235 | 112.684 | -0.000 | -0.000 |
| -49.039 | -49.039 | -101.235 | 0.000 | 112.684 | 0.000 |
| -0.000 | -0.000 | 0.000 | -0.000 | -0.000 | 97.620 |
| 272.228 | 153.017 | 178.734 | -0.000 | 0.000 | 0.000 |
| 153.017 | 272.228 | 178.734 | 0.000 | 0.000 | 0.000 |
| 178.734 | 178.734 | 295.068 | -0.000 | -0.000 | 0.000 |
| 5.970 | 5.970 | 12.324 | 117.005 | -0.000 | 0.000 |
| 5.970 | 5.970 | 12.324 | -0.000 | 117.005 | 0.000 |
| 0.000 | 0.000 | -0.000 | -0.000 | -0.000 | 97.620 |
| 272.226 | 153.015 | 178.732 | 0.000 | 0.000 | -0.000 |
| 153.015 | 272.226 | 178.732 | -0.000 | 0.000 | -0.000 |
| 167.384 | 167.384 | 271.639 | 0.000 | -0.000 | -0.000 |
| -5.970 | -5.970 | -12.324 | 117.005 | 0.000 | 0.000 |
| -5.970 | -5.970 | -12.324 | 0.000 | 117.005 | -0.000 |
| -0.000 | -0.000 | 0.000 | 0.000 | -0.000 | 97.620 |
| 274.982 | 182.437 | 153.113 | -0.000 | 0.000 | 0.000 |
| 182.437 | 301.106 | 181.210 | -0.000 | -0.000 | 0.000 |
| 146.572 | 170.501 | 254.132 | -0.000 | -0.000 | 0.000 |
| -0.004 | -0.000 | -0.004 | 118.519 | -0.000 | 0.000 |
| -0.006 | 0.000 | -0.006 | -0.000 | 86.577 | 0.000 |
| -0.004 | -0.000 | -0.004 | -0.000 | -0.000 | 125.827 |
| 269.692 | 181.035 | 147.266 | 0.000 | 0.000 | 0.000 |
| 179.931 | 290.487 | 170.225 | 0.000 | -0.000 | -0.000 |
| 145.472 | 173.194 | 255.379 | -0.000 | 0.000 | -0.000 |
| 0.004 | 0.000 | 0.004 | 118.519 | 0.000 | 0.000 |
| 0.006 | -0.000 | 0.006 | -0.000 | 86.577 | -0.000 |
| 0.004 | 0.000 | 0.004 | 0.000 | 0.000 | 125.827 |
| 269.688 | 181.035 | 147.262 | -0.000 | -0.000 | 0.000 |
| 180.264 | 290.463 | 170.501 | 0.000 | -0.000 | 0.000 |
| 145.468 | 173.196 | 255.378 | 0.000 | -0.000 | 0.000 |
| -0.001 | -0.000 | -0.001 | 115.957 | -0.000 | 0.000 |
| 0.000 | -0.000 | 0.000 | -0.000 | 94.635 | 0.000 |
| -0.000 | -0.000 | -0.000 | 0.000 | -0.000 | 125.827 |
| 269.689 | 181.035 | 147.263 | 0.000 | 0.000 | -0.000 |
| 182.437 | 301.106 | 181.210 | 0.000 | 0.000 | -0.000 |
| 145.469 | 173.196 | 255.378 | 0.000 | -0.000 | -0.000 |
| 0.001 | 0.000 | 0.001 | 115.957 | 0.000 | -0.000 |
| -0.000 | 0.000 | -0.000 | 0.000 | 94.635 | -0.000 |
| 0.000 | 0.000 | 0.000 | 0.000 | 0.000 | 125.827 |
| 274.983 | 182.437 | 153.113 | -0.000 | -0.000 | 0.000 |
| 180.265 | 290.463 | 170.501 | -0.000 | 0.000 | 0.000 |
| 153.113 | 181.210 | 268.767 | -0.000 | -0.000 | 0.000 |
| -0.000 | -0.000 | 0.000 | 115.957 | -0.000 | -0.000 |
| 0.000 | -0.000 | 0.000 | -0.000 | 86.577 | 0.000 |
| -0.000 | 0.000 | -0.000 | 0.000 | 0.000 | 125.827 |
| 269.630 | 180.264 | 146.575 | -0.000 | 0.000 | -0.000 |
| 182.437 | 301.106 | 181.210 | -0.000 | 0.000 | -0.000 |
| 146.575 | 170.501 | 254.135 | 0.000 | 0.000 | -0.000 |
| 0.000 | 0.000 | -0.000 | 115.957 | 0.000 | -0.000 |
| -0.000 | 0.000 | -0.000 | 0.000 | 86.577 | -0.000 |
| 0.000 | -0.000 | 0.000 | 0.000 | 0.000 | 125.827 |
| 263.710 | 180.181 | 140.592 | 0.000 | -0.000 | -0.000 |
| 177.505 | 278.323 | 155.685 | 0.000 | -0.000 | -0.000 |
| 134.508 | 160.145 | 237.947 | 0.000 | 0.000 | -0.000 |
| 0.054 | 0.048 | 0.092 | 107.285 | -0.000 | -0.000 |
| 0.000 | 0.000 | 0.000 | 0.000 | 87.203 | -0.000 |
| 0.037 | 0.024 | 0.055 | 0.000 | 0.000 | 125.706 |
| 263.710 | 180.181 | 140.592 | -0.000 | 0.000 | 0.000 |
| 180.243 | 289.126 | 167.552 | -0.000 | 0.000 | 0.000 |
| 141.966 | 168.864 | 252.404 | -0.000 | -0.000 | 0.000 |
| -0.054 | -0.048 | -0.092 | 107.285 | 0.000 | 0.000 |
| -0.000 | -0.000 | -0.000 | 0.000 | 87.203 | 0.000 |
| -0.037 | -0.024 | -0.055 | -0.000 | 0.000 | 125.706 |
| 263.710 | 180.181 | 140.592 | -0.000 | 0.000 | -0.000 |
| 180.243 | 289.126 | 167.552 | 0.000 | 0.000 | -0.000 |
| 135.560 | 157.263 | 236.439 | 0.000 | -0.000 | -0.000 |
| 0.003 | 0.002 | 0.005 | 109.946 | 0.000 | -0.000 |
| 0.000 | -0.000 | 0.000 | -0.000 | 87.203 | -0.000 |
| 0.004 | 0.002 | 0.006 | 0.000 | -0.000 | 125.706 |
| 259.028 | 177.789 | 134.176 | -0.000 | -0.000 | 0.000 |
| 177.851 | 278.247 | 155.940 | -0.000 | 0.000 | 0.000 |
| 141.966 | 168.864 | 252.404 | -0.000 | 0.000 | 0.000 |
| -0.003 | -0.002 | -0.005 | 109.946 | -0.000 | 0.000 |
| -0.000 | 0.000 | -0.000 | -0.000 | 87.203 | 0.000 |
| -0.004 | -0.002 | -0.006 | -0.000 | 0.000 | 125.706 |
| 259.034 | 177.794 | 134.184 | 0.000 | 0.000 | -0.000 |
| 177.855 | 278.251 | 155.948 | 0.000 | 0.000 | -0.000 |
| 135.558 | 157.260 | 236.434 | 0.000 | -0.000 | -0.000 |
| 0.000 | 0.000 | 0.001 | 107.284 | 0.000 | -0.000 |
| 0.000 | -0.000 | 0.000 | 0.000 | 87.203 | -0.000 |
| 0.000 | 0.000 | -0.000 | 0.000 | 0.000 | 125.706 |
| 259.102 | 178.651 | 134.989 | -0.000 | 0.000 | 0.000 |
| 180.242 | 289.126 | 167.551 | -0.000 | -0.000 | 0.000 |
| 134.470 | 160.125 | 237.895 | -0.000 | 0.000 | 0.000 |
| -0.000 | -0.000 | -0.001 | 107.284 | -0.000 | 0.000 |
| -0.000 | 0.000 | -0.000 | 0.000 | 87.203 | 0.000 |
| -0.000 | -0.000 | 0.000 | -0.000 | 0.000 | 125.706 |
| 113150.184 | 113511.771 | 113511.771 | 0.000 | -0.000 | -0.000 |
| 113511.771 | 113150.184 | 113511.771 | 0.000 | 0.000 | -0.000 |
| 113511.770 | 113511.770 | 113150.184 | -0.000 | -0.000 | 0.000 |
| -0.000 | -0.000 | -0.000 | 174.433 | 0.000 | -0.000 |
| -0.000 | -0.000 | -0.000 | 0.000 | 174.433 | -0.000 |
| -0.000 | -0.000 | -0.000 | 0.000 | 0.000 | 174.433 |
| 113150.070 | 113511.670 | 113511.670 | 0.000 | 0.000 | 0.000 |
| 113511.669 | 113150.070 | 113511.669 | 0.000 | 0.000 | 0.000 |
| 113511.669 | 113511.669 | 113150.070 | 0.000 | 0.000 | 0.000 |
| 0.001 | 0.000 | 0.000 | 174.433 | 0.000 | -0.000 |
| 0.001 | 0.001 | 0.001 | -0.000 | 174.433 | 0.000 |
| 0.001 | 0.001 | 0.001 | -0.000 | -0.000 | 174.433 |
| 113150.701 | 113512.232 | 113512.232 | 0.000 | -0.000 | -0.000 |
| 113512.232 | 113150.701 | 113512.232 | -0.000 | -0.000 | -0.000 |
| 113512.232 | 113512.232 | 113150.701 | 0.000 | 0.000 | -0.000 |
| -0.004 | -0.002 | -0.002 | 174.433 | -0.000 | 0.000 |
| -0.002 | -0.004 | -0.002 | -0.000 | 174.433 | -0.000 |
| -0.002 | -0.002 | -0.004 | -0.000 | -0.000 | 174.433 |
| 113149.553 | 113511.209 | 113511.209 | 0.000 | 0.000 | 0.000 |
| 113511.209 | 113149.553 | 113511.209 | 0.000 | 0.000 | 0.000 |
| 113511.209 | 113511.209 | 113149.553 | 0.000 | 0.000 | 0.000 |
| 0.004 | 0.002 | 0.002 | 174.433 | 0.000 | -0.000 |
| 0.002 | 0.004 | 0.002 | -0.000 | 174.433 | -0.000 |
| 0.002 | 0.002 | 0.004 | -0.000 | 0.000 | 174.433 |
| 113155.867 | 113516.833 | 113516.833 | -0.000 | -0.000 | -0.000 |
| 113516.833 | 113155.867 | 113516.833 | -0.000 | -0.000 | 0.000 |
| 113516.833 | 113516.833 | 113155.867 | 0.000 | 0.000 | -0.000 |
| -0.036 | -0.021 | -0.021 | 174.433 | -0.000 | -0.000 |
| -0.021 | -0.036 | -0.021 | 0.000 | 174.433 | -0.000 |
| -0.021 | -0.021 | -0.036 | 0.000 | -0.000 | 174.433 |
| 113144.388 | 113506.608 | 113506.608 | 0.000 | 0.000 | 0.000 |
| 113506.608 | 113144.388 | 113506.608 | 0.000 | 0.000 | 0.000 |
| 113506.608 | 113506.608 | 113144.388 | 0.000 | 0.000 | 0.000 |
| 0.036 | 0.021 | 0.021 | 174.433 | 0.000 | -0.000 |
| 0.021 | 0.036 | 0.021 | -0.000 | 174.433 | -0.000 |
| 0.021 | 0.021 | 0.036 | -0.000 | 0.000 | 174.433 |
| 122564.774 | 120924.980 | 120924.980 | 0.000 | 0.000 | 0.000 |
| 120924.980 | 122564.774 | 120924.979 | -0.000 | -0.000 | 0.000 |
| 120924.980 | 120924.980 | 122564.774 | 0.000 | 0.000 | 0.000 |
| 0.003 | 0.003 | 0.003 | -282.407 | -0.000 | 0.000 |
| 0.003 | 0.003 | 0.003 | -0.000 | -282.407 | 0.000 |
| 0.003 | 0.003 | 0.003 | -0.000 | -0.000 | -282.407 |
| 122564.655 | 120924.858 | 120924.858 | 0.000 | -0.000 | -0.000 |
| 120924.858 | 122564.655 | 120924.858 | 0.000 | -0.000 | -0.000 |
| 120924.857 | 120924.857 | 122564.655 | -0.000 | -0.000 | -0.000 |
| -0.003 | -0.003 | -0.003 | -282.407 | 0.000 | -0.000 |
| -0.003 | -0.003 | -0.003 | -0.000 | -282.407 | 0.000 |
| -0.003 | -0.003 | -0.003 | -0.000 | 0.000 | -282.407 |
| 122565.285 | 120925.504 | 120925.504 | 0.000 | -0.000 | 0.000 |
| 120925.504 | 122565.285 | 120925.504 | 0.000 | -0.000 | 0.000 |
| 120925.504 | 120925.504 | 122565.285 | 0.000 | 0.000 | -0.000 |
| 0.008 | 0.008 | 0.008 | -282.407 | 0.000 | -0.000 |
| 0.008 | 0.008 | 0.008 | 0.000 | -282.407 | 0.000 |
| 0.008 | 0.008 | 0.008 | 0.000 | -0.000 | -282.407 |
| 122564.145 | 120924.333 | 120924.333 | -0.000 | -0.000 | -0.000 |
| 120924.333 | 122564.145 | 120924.333 | -0.000 | -0.000 | -0.000 |
| 120924.333 | 120924.333 | 122564.145 | -0.000 | -0.000 | -0.000 |
| -0.008 | -0.008 | -0.008 | -282.407 | 0.000 | -0.000 |
| -0.008 | -0.008 | -0.008 | 0.000 | -282.407 | -0.000 |
| -0.008 | -0.008 | -0.008 | 0.000 | 0.000 | -282.407 |
| 122570.413 | 120930.772 | 120930.772 | 0.000 | -0.000 | -0.000 |
| 120930.772 | 122570.413 | 120930.772 | -0.000 | 0.000 | 0.000 |
| 120930.772 | 120930.772 | 122570.413 | -0.000 | 0.000 | -0.000 |
| 0.081 | 0.081 | 0.080 | -282.407 | -0.000 | 0.000 |
| 0.081 | 0.081 | 0.080 | -0.000 | -282.407 | 0.000 |
| 0.081 | 0.080 | 0.081 | -0.000 | -0.000 | -282.407 |
| 122559.017 | 120919.065 | 120919.065 | 0.000 | 0.000 | 0.000 |
| 120919.065 | 122559.017 | 120919.065 | 0.000 | 0.000 | 0.000 |
| 120919.065 | 120919.065 | 122559.017 | 0.000 | 0.000 | 0.000 |
| -0.081 | -0.081 | -0.080 | -282.407 | 0.000 | -0.000 |
| -0.081 | -0.081 | -0.080 | 0.000 | -282.407 | -0.000 |
| -0.081 | -0.080 | -0.081 | -0.000 | 0.000 | -282.407 |
| 44087402.813 | 10092378.581 | 10092378.586 | -0.000 | 0.002 | -0.003 |
| 10092378.581 | 44087402.813 | 10092378.586 | 0.002 | -0.000 | -0.003 |
| 10092378.553 | 10092378.553 | 44087402.798 | 0.001 | 0.001 | 0.002 |
| -68.623 | -231.139 | -231.114 | 10092737.482 | -0.001 | -0.004 |
| -231.139 | -68.623 | -231.114 | -0.001 | 10092737.482 | -0.004 |
| -231.137 | -231.166 | -68.599 | 0.001 | -0.000 | 10092737.483 |
| 44091112.775 | 10092840.307 | 10092840.292 | 0.006 | 0.001 | -0.001 |
| 10092840.307 | 44091112.775 | 10092840.292 | 0.001 | 0.006 | -0.001 |
| 10092840.321 | 10092840.321 | 44091112.821 | 0.001 | 0.001 | 0.004 |
| 68.619 | 231.119 | 231.126 | 10092737.489 | 0.000 | 0.001 |
| 231.119 | 68.619 | 231.126 | 0.000 | 10092737.489 | 0.001 |
| 231.122 | 231.185 | 68.591 | 0.002 | 0.003 | 10092737.489 |
| 44070708.600 | 10090301.655 | 10090301.654 | -0.000 | -0.000 | -0.000 |
| 10090301.655 | 44070708.600 | 10090301.654 | -0.000 | -0.000 | -0.000 |
| 10090301.651 | 10090301.651 | 44070708.598 | 0.000 | 0.000 | -0.000 |
| -685.409 | -2310.885 | -2310.568 | 10092737.486 | -0.000 | 0.000 |
| -2310.885 | -685.409 | -2310.568 | -0.000 | 10092737.486 | 0.000 |
| -2310.885 | -2310.572 | -685.409 | -0.000 | 0.000 | 10092737.486 |
| 44107807.717 | 10094917.370 | 10094917.370 | 0.000 | 0.000 | -0.000 |
| 10094917.370 | 44107807.717 | 10094917.370 | 0.000 | 0.000 | -0.000 |
| 10094917.370 | 10094917.370 | 44107807.719 | -0.000 | -0.000 | 0.000 |
| 685.406 | 2310.881 | 2310.564 | 10092737.486 | -0.000 | -0.000 |
| 2310.881 | 685.406 | 2310.564 | -0.000 | 10092737.486 | -0.000 |
| 2310.882 | 2310.566 | 685.406 | -0.000 | 0.000 | 10092737.486 |
| 43903762.444 | 10069530.941 | 10069530.941 | -0.000 | 0.000 | -0.000 |
| 10069530.941 | 43903762.444 | 10069530.941 | 0.000 | -0.000 | -0.000 |
| 10069530.941 | 10069530.941 | 43903762.444 | -0.000 | -0.000 | -0.000 |
| -6854.014 | -23108.788 | -23105.601 | 10092737.517 | -0.000 | -0.000 |
| -23108.788 | -6854.014 | -23105.601 | -0.000 | 10092737.517 | -0.000 |
| -23108.788 | -23105.601 | -6854.014 | -0.000 | 0.000 | 10092737.517 |
| 44274753.556 | 10115687.960 | 10115687.960 | 0.000 | -0.000 | -0.000 |
| 10115687.960 | 44274753.556 | 10115687.960 | -0.000 | 0.000 | -0.000 |
| 10115687.960 | 10115687.960 | 44274753.556 | -0.000 | -0.000 | 0.000 |
| 6854.014 | 23108.788 | 23105.601 | 10092737.517 | 0.000 | 0.000 |
| 23108.788 | 6854.014 | 23105.601 | 0.000 | 10092737.517 | 0.000 |
| 23108.788 | 23105.602 | 6854.014 | -0.000 | -0.000 | 10092737.517 |
| 134.635 | 87.501 | 87.501 | -0.000 | -0.000 | -0.000 |
| 87.501 | 134.635 | 87.501 | -0.000 | -0.000 | -0.000 |
| 87.501 | 87.501 | 134.635 | -0.000 | 0.000 | -0.000 |
| 0.000 | 0.000 | 0.000 | 32.720 | 0.000 | -0.000 |
| 0.000 | 0.000 | 0.000 | -0.000 | 32.720 | -0.000 |
| 0.000 | 0.000 | 0.000 | -0.000 | 0.000 | 32.720 |
| 134.635 | 87.501 | 87.501 | 0.000 | -0.000 | 0.000 |
| 87.501 | 134.635 | 87.501 | 0.000 | 0.000 | -0.000 |
| 87.501 | 87.501 | 134.635 | -0.000 | -0.000 | 0.000 |
| -0.000 | -0.000 | -0.000 | 32.720 | -0.000 | 0.000 |
| -0.000 | -0.000 | -0.000 | 0.000 | 32.720 | 0.000 |
| -0.000 | -0.000 | -0.000 | 0.000 | -0.000 | 32.720 |
| 134.635 | 87.501 | 87.501 | -0.000 | 0.000 | -0.000 |
| 87.501 | 134.635 | 87.501 | -0.000 | -0.000 | 0.000 |
| 87.501 | 87.501 | 134.635 | -0.000 | 0.000 | -0.000 |
| 0.000 | -0.000 | 0.000 | 32.720 | 0.000 | 0.000 |
| -0.000 | 0.000 | 0.000 | -0.000 | 32.720 | -0.000 |
| -0.000 | 0.000 | 0.000 | -0.000 | 0.000 | 32.720 |
| 134.635 | 87.501 | 87.501 | 0.000 | 0.000 | 0.000 |
| 87.501 | 134.635 | 87.501 | 0.000 | 0.000 | 0.000 |
| 87.501 | 87.501 | 134.635 | 0.000 | 0.000 | 0.000 |
| -0.000 | 0.000 | -0.000 | 32.720 | -0.000 | -0.000 |
| 0.000 | -0.000 | -0.000 | 0.000 | 32.720 | 0.000 |
| 0.000 | -0.000 | -0.000 | 0.000 | -0.000 | 32.720 |
| 134.633 | 87.502 | 87.502 | -0.000 | 0.000 | -0.000 |
| 87.502 | 134.633 | 87.502 | -0.000 | -0.000 | -0.000 |
| 87.502 | 87.502 | 134.633 | -0.000 | 0.000 | -0.000 |
| 0.000 | -0.000 | 0.000 | 32.720 | 0.000 | -0.000 |
| -0.000 | 0.000 | 0.000 | -0.000 | 32.720 | -0.000 |
| -0.000 | 0.000 | 0.000 | 0.000 | 0.000 | 32.720 |
| 134.637 | 87.501 | 87.501 | 0.000 | -0.000 | 0.000 |
| 87.501 | 134.637 | 87.501 | 0.000 | -0.000 | 0.000 |
| 87.501 | 87.501 | 134.637 | -0.000 | -0.000 | 0.000 |
| -0.000 | 0.000 | -0.000 | 32.720 | -0.000 | -0.000 |
| 0.000 | -0.000 | -0.000 | 0.000 | 32.720 | 0.000 |
| 0.000 | -0.000 | -0.000 | -0.000 | -0.000 | 32.720 |
| 33.256 | 37.692 | 37.692 | 0.000 | 0.000 | -0.000 |
| 37.692 | 33.256 | 37.692 | 0.000 | 0.000 | -0.000 |
| 37.692 | 37.692 | 33.256 | 0.000 | 0.000 | 0.000 |
| 0.000 | 0.000 | 0.000 | 37.691 | 0.000 | 0.000 |
| 0.000 | 0.000 | 0.000 | 0.000 | 37.691 | 0.000 |
| 0.000 | 0.000 | 0.000 | 0.000 | 0.000 | 37.691 |
| 33.256 | 37.692 | 37.692 | -0.000 | -0.000 | 0.000 |
| 37.692 | 33.256 | 37.692 | -0.000 | -0.000 | 0.000 |
| 37.692 | 37.692 | 33.256 | -0.000 | -0.000 | -0.000 |
| -0.000 | -0.000 | -0.000 | 37.691 | -0.000 | 0.000 |
| -0.000 | -0.000 | -0.000 | -0.000 | 37.691 | 0.000 |
| -0.000 | -0.000 | -0.000 | -0.000 | -0.000 | 37.691 |
| 33.258 | 37.694 | 37.694 | 0.000 | 0.000 | 0.000 |
| 37.694 | 33.258 | 37.694 | 0.000 | 0.000 | 0.000 |
| 37.694 | 37.694 | 33.258 | 0.000 | 0.000 | 0.000 |
| 0.002 | 0.002 | 0.002 | 37.691 | 0.000 | 0.000 |
| 0.002 | 0.002 | 0.002 | 0.000 | 37.691 | 0.000 |
| 0.002 | 0.002 | 0.002 | 0.000 | 0.000 | 37.691 |
| 33.254 | 37.690 | 37.690 | -0.000 | 0.000 | 0.000 |
| 37.690 | 33.254 | 37.690 | 0.000 | -0.000 | 0.000 |
| 37.690 | 37.690 | 33.254 | -0.000 | -0.000 | -0.000 |
| -0.002 | -0.002 | -0.002 | 37.691 | -0.000 | -0.000 |
| -0.002 | -0.002 | -0.002 | -0.000 | 37.691 | -0.000 |
| -0.002 | -0.002 | -0.002 | -0.000 | -0.000 | 37.691 |
| 33.275 | 37.711 | 37.711 | 0.000 | 0.000 | 0.000 |
| 37.711 | 33.275 | 37.711 | 0.000 | 0.000 | 0.000 |
| 37.711 | 37.711 | 33.275 | 0.000 | 0.000 | 0.000 |
| 0.019 | 0.019 | 0.019 | 37.691 | 0.000 | -0.000 |
| 0.019 | 0.019 | 0.019 | 0.000 | 37.691 | -0.000 |
| 0.019 | 0.019 | 0.019 | 0.000 | 0.000 | 37.691 |
| 33.237 | 37.673 | 37.673 | -0.000 | -0.000 | -0.000 |
| 37.673 | 33.237 | 37.673 | -0.000 | -0.000 | -0.000 |
| 37.673 | 37.673 | 33.237 | -0.000 | -0.000 | -0.000 |
| -0.019 | -0.019 | -0.019 | 37.691 | -0.000 | -0.000 |
| -0.019 | -0.019 | -0.019 | -0.000 | 37.691 | -0.000 |
| -0.019 | -0.019 | -0.019 | -0.000 | -0.000 | 37.691 |
| -0.684 | -0.000 | -0.000 | -0.000 | -0.000 | 0.000 |
| -0.000 | -0.684 | -0.000 | -0.000 | -0.000 | -0.000 |
| -0.000 | -0.000 | -0.684 | -0.000 | -0.000 | 0.000 |
| 0.000 | -0.000 | 0.000 | 0.000 | -0.000 | -0.000 |
| -0.000 | 0.000 | 0.000 | -0.000 | 0.000 | -0.000 |
| -0.000 | 0.000 | 0.000 | -0.000 | -0.000 | 0.000 |
| -0.684 | -0.000 | -0.000 | 0.000 | -0.000 | -0.000 |
| -0.000 | -0.684 | -0.000 | 0.000 | 0.000 | 0.000 |
| -0.000 | -0.000 | -0.684 | 0.000 | -0.000 | -0.000 |
| -0.000 | 0.000 | -0.000 | 0.000 | 0.000 | -0.000 |
| 0.000 | -0.000 | -0.000 | 0.000 | 0.000 | -0.000 |
| 0.000 | -0.000 | -0.000 | 0.000 | 0.000 | 0.000 |
| -0.684 | -0.000 | -0.000 | -0.000 | 0.000 | -0.000 |
| -0.000 | -0.684 | -0.000 | -0.000 | -0.000 | -0.000 |
| -0.000 | -0.000 | -0.684 | 0.000 | 0.000 | 0.000 |
| 0.000 | -0.000 | 0.000 | -0.000 | -0.000 | -0.000 |
| -0.000 | 0.000 | 0.000 | -0.000 | -0.000 | 0.000 |
| -0.000 | 0.000 | 0.000 | -0.000 | -0.000 | -0.000 |
| -0.683 | -0.000 | -0.000 | 0.000 | -0.000 | -0.000 |
| -0.000 | -0.683 | -0.000 | 0.000 | 0.000 | 0.000 |
| -0.000 | -0.000 | -0.683 | -0.000 | -0.000 | -0.000 |
| -0.000 | 0.000 | -0.000 | -0.000 | 0.000 | -0.000 |
| 0.000 | -0.000 | -0.000 | 0.000 | -0.000 | -0.000 |
| 0.000 | -0.000 | -0.000 | 0.000 | 0.000 | -0.000 |
| -0.689 | -0.000 | -0.000 | -0.000 | -0.000 | -0.000 |
| -0.000 | -0.689 | -0.000 | -0.000 | -0.000 | -0.000 |
| -0.000 | -0.000 | -0.689 | 0.000 | 0.000 | 0.000 |
| 0.000 | -0.000 | 0.000 | -0.000 | -0.000 | -0.000 |
| -0.000 | 0.000 | 0.000 | -0.000 | -0.000 | -0.000 |
| -0.000 | 0.000 | 0.000 | -0.000 | -0.000 | -0.000 |
| -0.678 | -0.000 | -0.000 | 0.000 | 0.000 | 0.000 |
| -0.000 | -0.678 | -0.000 | 0.000 | 0.000 | -0.000 |
| -0.000 | -0.000 | -0.678 | -0.000 | 0.000 | 0.000 |
| -0.000 | 0.000 | -0.000 | -0.000 | 0.000 | 0.000 |
| 0.000 | -0.000 | -0.000 | 0.000 | -0.000 | -0.000 |
| 0.000 | -0.000 | -0.000 | 0.000 | 0.000 | -0.000 |
| 94984.232 | 95093.004 | 95093.004 | 0.000 | 0.000 | 0.000 |
| 95093.004 | 94984.232 | 95093.004 | 0.000 | -0.000 | -0.000 |
| 95093.004 | 95093.004 | 94984.232 | -0.000 | -0.000 | -0.000 |
| 0.001 | 0.001 | 0.001 | 35.902 | 0.000 | 0.000 |
| 0.001 | 0.001 | 0.001 | 0.000 | 35.902 | 0.000 |
| 0.001 | 0.001 | 0.001 | 0.000 | 0.000 | 35.902 |
| 94984.154 | 95092.923 | 95092.923 | -0.000 | -0.000 | -0.000 |
| 95092.923 | 94984.154 | 95092.923 | -0.000 | 0.000 | -0.000 |
| 95092.922 | 95092.922 | 94984.154 | -0.000 | -0.000 | -0.000 |
| -0.001 | -0.001 | -0.001 | 35.902 | -0.000 | -0.000 |
| -0.001 | -0.001 | -0.001 | -0.000 | 35.902 | 0.000 |
| -0.001 | -0.001 | -0.001 | 0.000 | 0.000 | 35.902 |
| 94984.584 | 95093.371 | 95093.371 | 0.000 | 0.000 | -0.000 |
| 95093.371 | 94984.584 | 95093.371 | 0.000 | 0.000 | 0.000 |
| 95093.371 | 95093.371 | 94984.584 | 0.000 | 0.000 | 0.000 |
| 108931995.668 | 90181494.562 | 91895438.791 | -10308345.495 | 1736155.502 | 1241143.445 |
| 92272312.958 | 110980098.951 | 93698430.789 | 414744.750 | -10574934.849 | -143400.736 |
| 94199532.404 | 93808164.594 | 111758098.002 | -3202712.771 | -1713618.648 | -11128275.392 |
| 94983.802 | 95092.556 | 95092.556 | -0.000 | -0.000 | -0.000 |
| 95092.556 | 94983.802 | 95092.556 | -0.000 | -0.000 | -0.000 |
| 95092.556 | 95092.556 | 94983.802 | -0.000 | -0.000 | -0.000 |
| -109705990.301 | -90067878.809 | -91020581.073 | -10162124.645 | -54477.980 | 872272.116 |
| -85733608.216 | -105844035.652 | -87188086.708 | -252599.201 | -9779097.159 | 242635.383 |
| -94201021.390 | -95192345.469 | -116120315.427 | -1209144.641 | 737032.786 | -10060796.936 |
| 94988.101 | 95097.041 | 95097.041 | 0.000 | 0.000 | 0.000 |
| 95097.041 | 94988.101 | 95097.041 | 0.000 | 0.000 | 0.000 |
| 95097.041 | 95097.041 | 94988.101 | 0.000 | 0.000 | 0.000 |
| 8153702.177 | 6259222.954 | 7112606.606 | -693294.535 | -29201.042 | -130869.304 |
| 10166263.220 | 11679413.789 | 10057737.113 | -1518.957 | -273998.272 | 42166.339 |
| 8152496.028 | 8066059.235 | 9907145.789 | 78243.625 | -103553.396 | -829498.682 |
| 94980.284 | 95088.886 | 95088.886 | -0.000 | -0.000 | -0.000 |
| 95088.886 | 94980.284 | 95088.886 | -0.000 | -0.000 | -0.000 |
| 95088.886 | 95088.886 | 94980.284 | -0.000 | -0.000 | -0.000 |
| -11572338.202 | -10028863.714 | -10146043.279 | -345799.949 | 115360.424 | 166.284 |
| -10884016.472 | -12274419.536 | -11010455.887 | 36308.953 | -237031.020 | -69933.129 |
| -8420953.135 | -9039499.309 | -9767432.959 | 29522.828 | -71088.525 | -376482.405 |
| 27817726.454 | 6106479.462 | 7492454.017 | 0.002 | 0.000 | 0.006 |
| 6106479.462 | 27817726.454 | 7492454.017 | 0.000 | 0.002 | 0.006 |
| 7492647.225 | 7492647.225 | 3309668.857 | 0.004 | 0.004 | 0.012 |
| -57.875 | -264.366 | -71.136 | 7492649.700 | 0.003 | 0.006 |
| -264.366 | -57.875 | -71.136 | 0.003 | 7492649.700 | 0.006 |
| -131.337 | -131.309 | -57.980 | -0.001 | -0.002 | 6106511.853 |
| 27819858.194 | 6106741.758 | 7492982.510 | -0.002 | -0.000 | -0.003 |
| 6106741.758 | 27819858.194 | 7492982.510 | -0.000 | -0.002 | -0.003 |
| 7492789.308 | 7492789.308 | 3309731.748 | -0.003 | -0.003 | -0.003 |
| 57.850 | 264.365 | 71.130 | 7492649.699 | -0.001 | -0.005 |
| 264.365 | 57.850 | 71.130 | -0.001 | 7492649.699 | -0.005 |
| 131.359 | 131.335 | 57.991 | 0.001 | -0.003 | 6106511.846 |
| 27808131.708 | 6105297.175 | 7490074.940 | 0.000 | 0.000 | 0.000 |
| 6105297.175 | 27808131.708 | 7490074.940 | 0.000 | 0.000 | 0.000 |
| 7492006.644 | 7492006.644 | 3309385.310 | 0.000 | 0.000 | 0.000 |
| -580.694 | -2645.617 | -712.222 | 7492649.714 | 0.000 | 0.000 |
| -2645.617 | -580.694 | -712.222 | 0.000 | 7492649.714 | 0.000 |
| -1315.342 | -1315.204 | -580.705 | -0.000 | 0.000 | 6106511.873 |
| 27829453.304 | 6107924.186 | 7495361.698 | 0.000 | 0.000 | -0.000 |
| 6107924.186 | 27829453.304 | 7495361.698 | 0.000 | 0.000 | -0.000 |
| 7493429.985 | 7493429.985 | 3310015.337 | -0.000 | -0.000 | -0.000 |
| 580.693 | 2645.616 | 712.222 | 7492649.714 | -0.000 | -0.001 |
| 2645.616 | 580.693 | 712.222 | -0.000 | 7492649.714 | -0.001 |
| 1315.341 | 1315.205 | 580.705 | 0.000 | -0.000 | 6106511.872 |
| 27712184.291 | 6093475.379 | 7466284.376 | 0.000 | 0.000 | 0.000 |
| 6093475.379 | 27712184.291 | 7466284.376 | 0.000 | 0.000 | 0.000 |
| 7485601.420 | 7485601.420 | 3306550.113 | 0.000 | 0.000 | 0.000 |
| -5807.126 | -26456.361 | -7122.306 | 7492649.713 | 0.000 | 0.000 |
| -26456.361 | -5807.126 | -7122.306 | 0.000 | 7492649.713 | 0.000 |
| -13153.595 | -13152.238 | -5807.128 | 0.000 | 0.000 | 6106511.891 |
| 27925400.604 | 6119745.919 | 7519152.129 | -0.000 | 0.000 | -0.000 |
| 6119745.919 | 27925400.604 | 7519152.129 | 0.000 | -0.000 | -0.000 |
| 7499835.205 | 7499835.205 | 3312850.545 | -0.000 | -0.000 | -0.000 |
| 5807.126 | 26456.361 | 7122.306 | 7492649.713 | 0.000 | -0.000 |
| 26456.361 | 5807.126 | 7122.306 | 0.000 | 7492649.713 | -0.000 |
| 13153.595 | 13152.238 | 5807.128 | -0.000 | -0.000 | 6106511.891 |
| 562.518 | 16.440 | 11.379 | -0.000 | -0.000 | -0.000 |
| 16.440 | 562.518 | 11.379 | -0.000 | -0.000 | 0.000 |
| 11.379 | 11.379 | 29.027 | 0.000 | 0.000 | 0.000 |
| 0.000 | 0.000 | 0.000 | 11.379 | 0.000 | -0.000 |
| 0.000 | 0.000 | 0.000 | 0.000 | 11.379 | 0.000 |
| 0.000 | 0.000 | 0.000 | 0.000 | 0.000 | 4.461 |
| 562.518 | 16.440 | 11.379 | -0.000 | -0.000 | -0.000 |
| 16.440 | 562.518 | 11.379 | -0.000 | -0.000 | 0.000 |
| 11.378 | 11.378 | 29.025 | -0.000 | -0.000 | 0.000 |
| -0.000 | -0.000 | -0.000 | 11.379 | -0.000 | -0.000 |
| -0.000 | -0.000 | -0.000 | -0.000 | 11.379 | 0.000 |
| -0.000 | -0.000 | -0.000 | -0.000 | -0.000 | 4.461 |
| 562.518 | 16.440 | 11.381 | -0.000 | -0.000 | -0.000 |
| 16.440 | 562.518 | 11.381 | -0.000 | -0.000 | -0.000 |
| 11.383 | 11.383 | 29.038 | 0.000 | 0.000 | -0.000 |
| 0.002 | 0.002 | 0.005 | 11.379 | 0.000 | -0.000 |
| 0.002 | 0.002 | 0.005 | 0.000 | 11.379 | 0.000 |
| 0.001 | 0.001 | 0.002 | 0.000 | 0.000 | 4.461 |
| 562.517 | 16.439 | 11.377 | -0.000 | -0.000 | 0.000 |
| 16.439 | 562.517 | 11.377 | -0.000 | -0.000 | 0.000 |
| 11.374 | 11.374 | 29.014 | -0.000 | -0.000 | 0.000 |
| -0.002 | -0.002 | -0.005 | 11.379 | -0.000 | -0.000 |
| -0.002 | -0.002 | -0.005 | -0.000 | 11.379 | 0.000 |
| -0.001 | -0.001 | -0.002 | -0.000 | -0.000 | 4.461 |
| 562.519 | 16.448 | 11.397 | 0.000 | 0.000 | 0.000 |
| 16.448 | 562.519 | 11.397 | 0.000 | 0.000 | -0.000 |
| 11.426 | 11.426 | 29.145 | -0.000 | -0.000 | -0.000 |
| 0.018 | 0.018 | 0.047 | 11.379 | 0.000 | 0.000 |
| 0.018 | 0.018 | 0.047 | 0.000 | 11.379 | 0.000 |
| 0.007 | 0.007 | 0.018 | 0.000 | -0.000 | 4.461 |
| 562.516 | 16.432 | 11.360 | 0.000 | 0.000 | -0.000 |
| 16.432 | 562.516 | 11.360 | 0.000 | 0.000 | -0.000 |
| 11.332 | 11.332 | 28.906 | -0.000 | -0.000 | 0.000 |
| -0.018 | -0.018 | -0.047 | 11.379 | -0.000 | 0.000 |
| -0.018 | -0.018 | -0.047 | -0.000 | 11.379 | 0.000 |
| -0.007 | -0.007 | -0.018 | -0.000 | -0.000 | 4.461 |
| 64277.247 | 63017.537 | 63017.537 | 0.000 | 0.000 | 0.000 |
| 63017.537 | 64277.246 | 63017.537 | 0.000 | -0.000 | 0.000 |
| 63017.536 | 63017.537 | 64277.246 | 0.000 | 0.000 | -0.000 |
| 0.001 | 0.001 | 0.001 | -213.259 | -0.000 | 0.000 |
| 0.001 | 0.001 | 0.001 | 0.000 | -213.259 | 0.000 |
| 0.001 | 0.001 | 0.001 | 0.000 | -0.000 | -213.259 |
| 64277.176 | 63017.467 | 63017.468 | -0.000 | 0.000 | -0.000 |
| 63017.468 | 64277.177 | 63017.468 | -0.000 | 0.000 | -0.000 |
| 63017.468 | 63017.468 | 64277.177 | -0.000 | 0.000 | -0.000 |
| -0.001 | -0.001 | -0.001 | -213.260 | -0.000 | 0.000 |
| -0.001 | -0.001 | -0.001 | -0.000 | -213.260 | -0.000 |
| -0.001 | -0.001 | -0.001 | -0.000 | -0.000 | -213.259 |
| 64277.551 | 63017.837 | 63017.837 | 0.000 | -0.000 | 0.000 |
| 63017.837 | 64277.551 | 63017.837 | 0.000 | 0.000 | 0.000 |
| 63017.837 | 63017.837 | 64277.551 | -0.000 | 0.000 | 0.000 |
| 0.005 | 0.006 | 0.006 | -213.259 | -0.000 | -0.000 |
| 0.006 | 0.005 | 0.006 | 0.000 | -213.259 | 0.000 |
| 0.006 | 0.006 | 0.005 | 0.000 | 0.000 | -213.259 |
| 64276.871 | 63017.167 | 63017.167 | -0.000 | -0.000 | -0.000 |
| 63017.167 | 64276.871 | 63017.167 | -0.000 | -0.000 | 0.000 |
| 63017.167 | 63017.167 | 64276.871 | -0.000 | 0.000 | -0.000 |
| -0.005 | -0.006 | -0.006 | -213.259 | 0.000 | -0.000 |
| -0.006 | -0.005 | -0.006 | -0.000 | -213.259 | 0.000 |
| -0.006 | -0.006 | -0.005 | -0.000 | 0.000 | -213.259 |
| 64280.608 | 63020.851 | 63020.851 | 0.000 | 0.000 | -0.000 |
| 63020.851 | 64280.608 | 63020.851 | 0.000 | 0.000 | 0.000 |
| 63020.851 | 63020.851 | 64280.608 | 0.000 | 0.000 | 0.000 |
| 0.048 | 0.055 | 0.054 | -213.259 | 0.000 | 0.000 |
| 0.055 | 0.048 | 0.054 | 0.000 | -213.259 | 0.000 |
| 0.055 | 0.054 | 0.048 | 0.000 | -0.000 | -213.259 |
| 64273.814 | 63014.152 | 63014.152 | -0.000 | -0.000 | 0.000 |
| 63014.152 | 64273.814 | 63014.152 | 0.000 | 0.000 | -0.000 |
| 63014.152 | 63014.152 | 64273.814 | -0.000 | -0.000 | 0.000 |
| -0.048 | -0.055 | -0.054 | -213.259 | -0.000 | -0.000 |
| -0.055 | -0.048 | -0.054 | -0.000 | -213.259 | 0.000 |
| -0.055 | -0.054 | -0.048 | -0.000 | 0.000 | -213.259 |
| 21993696.305 | 5034788.250 | 5034788.255 | 0.001 | 0.002 | 0.000 |
| 5034788.250 | 21993696.305 | 5034788.255 | 0.002 | 0.001 | 0.000 |
| 5034788.254 | 5034788.254 | 21993696.324 | 0.002 | 0.002 | 0.001 |
| -36.114 | -63.204 | -63.240 | 3087314.056 | -0.003 | -0.001 |
| -63.204 | -36.114 | -63.240 | -0.003 | 3087314.057 | -0.001 |
| -63.655 | -63.679 | -35.209 | -0.001 | -0.001 | 3111674.952 |
| 21995551.240 | 5035018.975 | 5035018.975 | -0.001 | -0.003 | -0.000 |
| 5035018.975 | 21995551.240 | 5035018.975 | -0.003 | -0.001 | -0.000 |
| 5035018.970 | 5035018.970 | 21995551.217 | -0.002 | -0.002 | 0.002 |
| 36.118 | 63.212 | 63.242 | 3087313.991 | 0.002 | 0.001 |
| 63.211 | 36.117 | 63.242 | 0.002 | 3087313.988 | 0.001 |
| 63.661 | 63.678 | 35.202 | 0.002 | 0.001 | 3111674.409 |
| 21985349.005 | 5033749.681 | 5033749.681 | -0.000 | 0.000 | -0.000 |
| 5033749.681 | 21985349.005 | 5033749.681 | 0.000 | -0.000 | -0.000 |
| 5033749.680 | 5033749.680 | 21985349.007 | 0.000 | 0.000 | -0.000 |
| -362.574 | -631.577 | -631.810 | 3083689.844 | -0.000 | -0.000 |
| -631.577 | -362.574 | -631.810 | -0.000 | 3083689.844 | -0.000 |
| -631.577 | -631.812 | -362.577 | -0.000 | -0.000 | 3083689.845 |
| 22003898.573 | 5036057.532 | 5036057.530 | 0.000 | -0.000 | -0.000 |
| 5036057.532 | 22003898.573 | 5036057.530 | -0.000 | 0.000 | -0.000 |
| 5036057.532 | 5036057.532 | 22003898.572 | -0.000 | -0.000 | 0.000 |
| 362.575 | 631.576 | 631.810 | 3083689.843 | 0.000 | -0.000 |
| 631.576 | 362.575 | 631.810 | 0.000 | 3083689.843 | -0.000 |
| 631.577 | 631.812 | 362.577 | 0.000 | 0.000 | 3083689.844 |
| 21901875.866 | 5023364.295 | 5023364.295 | -0.000 | 0.000 | 0.000 |
| 5023364.295 | 21901875.866 | 5023364.295 | 0.000 | -0.000 | 0.000 |
| 5023364.295 | 5023364.295 | 21901875.866 | 0.000 | 0.000 | -0.000 |
| -3625.807 | -6315.810 | -6318.122 | 3083690.024 | -0.000 | -0.000 |
| -6315.810 | -3625.807 | -6318.122 | -0.000 | 3083690.024 | -0.000 |
| -6315.810 | -6318.122 | -3625.807 | -0.000 | -0.000 | 3083690.024 |
| 22087371.553 | 5046442.855 | 5046442.855 | -0.000 | -0.000 | -0.000 |
| 5046442.855 | 22087371.553 | 5046442.855 | -0.000 | -0.000 | -0.000 |
| 5046442.855 | 5046442.855 | 22087371.553 | -0.000 | -0.000 | -0.000 |
| 3625.807 | 6315.810 | 6318.122 | 3083690.024 | 0.000 | -0.000 |
| 6315.810 | 3625.807 | 6318.122 | 0.000 | 3083690.024 | -0.000 |
| 6315.810 | 6318.122 | 3625.807 | 0.000 | 0.000 | 3083690.024 |
| 869991.497 | 24478.036 | -2698871.564 | -146095.906 | -145879.101 | 1692804.370 |
| -5169634.243 | -5168735.847 | -889260.530 | -364903.673 | -379167.915 | 2351825.184 |
| -7408426.711 | -7404301.726 | -3087886.273 | -100879.505 | -100745.220 | 527353.676 |
| 1090.441 | 1070.533 | 579.292 | 800695.766 | 27.188 | 652.913 |
| 1058.482 | 1079.518 | 573.116 | 27.564 | 800698.154 | 645.785 |
| 69832.938 | 69869.940 | 37910.486 | -2354.098 | -2350.972 | 795030.773 |
| 6037530.093 | 6035910.023 | 2015781.474 | 150376.221 | 150171.814 | 1099913.601 |
| 1985246.788 | 1984144.926 | 638854.208 | 160292.109 | 160095.609 | -919616.835 |
| 3794967.938 | 3793755.368 | 1846935.931 | 151642.675 | 151470.787 | -976631.873 |
| -2447.161 | -2434.852 | -1318.293 | 800578.536 | 142.220 | -1497.566 |
| -2449.586 | -2464.468 | -1326.915 | 142.858 | 800576.210 | -1507.503 |
| 4494762.857 | 4493560.148 | 2141333.448 | 150215.590 | 149979.976 | -953361.158 |
| 403266.013 | 404048.930 | 55961.517 | -15385.930 | -16178.429 | 238677.354 |
| 194958.143 | 195185.722 | -2279.283 | -380.156 | -369.760 | 190433.305 |
| -662855.618 | -662735.796 | -305775.605 | -14575.365 | -14555.018 | 61390.148 |
| 16302.986 | 16161.936 | 8815.577 | 771257.539 | -509.869 | 10175.378 |
| 16166.700 | 16325.260 | 8822.981 | -511.103 | 771232.847 | 10183.804 |
| -447426.249 | -447307.287 | -174543.069 | -11495.864 | -11472.166 | 87946.703 |
| -130237.720 | -108114.712 | -63099.616 | -22976.762 | -23768.358 | -140036.711 |
| 1365004.830 | 1365439.363 | 578826.015 | 14842.761 | 14821.530 | -103205.750 |
| 1132253.998 | 1132133.487 | 487109.137 | 15858.999 | 15833.402 | -70793.405 |
| -18028.705 | -17896.823 | -9763.740 | 769263.302 | 671.923 | -11254.465 |
| -17915.562 | -18066.840 | -9779.297 | 673.726 | 769210.867 | -11272.231 |
| 303113.021 | 302993.003 | 21242.555 | 3633.664 | 3629.502 | -2425645.692 |
| -37602.763 | -37684.912 | -18107.826 | -1504.167 | -1502.032 | 9358.430 |
| -252933.379 | -252838.250 | -120822.314 | -3606.466 | -3565.962 | 72907.145 |
| -40929.435 | -40917.254 | -13969.814 | -1482.850 | -1480.816 | 10185.856 |
| -281924.481 | 12311.916 | -55851.258 | -2454.554 | -1943.966 | -3285.081 |
| -19830.008 | -19817.976 | -6296.809 | -1487.046 | 2522.918 | 9143.469 |
| -35978.142 | -35966.081 | -15990.695 | -1210.240 | -1208.750 | 9561.193 |
| 34752.280 | 34640.393 | 16339.773 | 1624.919 | 1625.498 | -9574.916 |
| 35111.021 | 35198.939 | 15211.722 | 1501.324 | 1499.791 | -9391.366 |
| -1258.867 | -1271.874 | 3971.258 | 1426.350 | 1424.369 | -9385.174 |
| 69940.985 | 70008.054 | 53203.805 | 1593.889 | 1643.857 | -29987.684 |
| 5920.658 | 6914.925 | -2444.411 | 1576.306 | 1689.795 | -7067.053 |
| 50683.267 | 50671.216 | 22744.735 | 1515.823 | 1513.802 | -8509.529 |
| 22288049.928 | 5102222.442 | 5102222.492 | -0.001 | 0.001 | 0.001 |
| 5102222.442 | 22288049.928 | 5102222.492 | 0.001 | -0.001 | 0.002 |
| 5102222.441 | 5102222.441 | 22288049.941 | 0.000 | 0.000 | -0.001 |
| -35.185 | -63.805 | -63.781 | 3156841.006 | -0.002 | -0.000 |
| -63.805 | -35.185 | -63.782 | -0.002 | 3156841.005 | -0.001 |
| -63.805 | -63.852 | -35.117 | -0.000 | -0.001 | 3156840.992 |
| 22289904.812 | 5102453.261 | 5102453.212 | 0.001 | 0.000 | -0.001 |
| 5102453.261 | 22289904.812 | 5102453.212 | 0.000 | 0.001 | -0.001 |
| 5102453.258 | 5102453.258 | 22289904.765 | -0.000 | -0.000 | 0.001 |
| 35.181 | 63.803 | 63.777 | 3156841.085 | 0.001 | -0.002 |
| 63.803 | 35.181 | 63.777 | 0.001 | 3156841.085 | -0.002 |
| 63.803 | 63.848 | 35.116 | 0.002 | -0.000 | 3156841.047 |
| 22279702.730 | 5101183.971 | 5101183.976 | -0.000 | 0.000 | 0.000 |
| 5101183.971 | 22279702.730 | 5101183.976 | 0.000 | -0.000 | 0.000 |
| 5101183.971 | 5101183.971 | 22279702.734 | -0.000 | -0.000 | -0.000 |
| -353.248 | -636.348 | -636.572 | 3150652.201 | -0.000 | -0.000 |
| -636.348 | -353.248 | -636.572 | -0.000 | 3150652.201 | -0.000 |
| -636.348 | -636.579 | -353.243 | -0.000 | 0.000 | 3150652.201 |
| 22298252.217 | 5103491.803 | 5103491.799 | 0.000 | 0.000 | 0.000 |
| 5103491.803 | 22298252.217 | 5103491.799 | 0.000 | 0.000 | 0.000 |
| 5103491.803 | 5103491.803 | 22298252.215 | 0.000 | 0.000 | 0.000 |
| 353.248 | 636.348 | 636.572 | 3150652.202 | 0.000 | -0.000 |
| 636.348 | 353.248 | 636.571 | 0.000 | 3150652.202 | -0.000 |
| 636.347 | 636.579 | 353.243 | 0.000 | 0.000 | 3150652.202 |
| 22196229.946 | 5090798.717 | 5090798.717 | -0.000 | 0.000 | 0.000 |
| 5090798.717 | 22196229.946 | 5090798.717 | 0.000 | -0.000 | 0.000 |
| 5090798.716 | 5090798.716 | 22196229.946 | 0.000 | 0.000 | -0.000 |
| -3624.960 | -6316.317 | -6318.660 | 3125092.509 | -0.000 | 0.000 |
| -6316.317 | -3624.960 | -6318.660 | -0.000 | 3125092.509 | 0.000 |
| -6316.317 | -6318.661 | -3624.960 | -0.000 | 0.000 | 3125092.509 |
| 22381724.870 | 5113877.004 | 5113877.004 | -0.000 | 0.000 | -0.000 |
| 5113877.004 | 22381724.870 | 5113877.004 | 0.000 | -0.000 | -0.000 |
| 5113877.004 | 5113877.004 | 22381724.870 | -0.000 | -0.000 | -0.000 |
| 3624.960 | 6316.317 | 6318.660 | 3125092.510 | 0.000 | 0.000 |
| 6316.317 | 3624.960 | 6318.660 | 0.000 | 3125092.510 | 0.000 |
| 6316.317 | 6318.661 | 3624.960 | 0.000 | 0.000 | 3125092.510 |
| 49.593 | 126.152 | 126.152 | -0.000 | -0.000 | -0.000 |
| 126.152 | 49.593 | 126.152 | -0.000 | -0.000 | 0.000 |
| 126.152 | 126.152 | 49.593 | -0.000 | -0.000 | -0.000 |
| 0.000 | 0.000 | 0.000 | 9.782 | -0.000 | -0.000 |
| 0.000 | 0.000 | 0.000 | -0.000 | 9.782 | -0.000 |
| 0.000 | 0.000 | 0.000 | -0.000 | -0.000 | 9.782 |
| 49.593 | 126.152 | 126.152 | 0.000 | 0.000 | 0.000 |
| 126.152 | 49.593 | 126.152 | 0.000 | 0.000 | 0.000 |
| 126.152 | 126.152 | 49.593 | 0.000 | 0.000 | 0.000 |
| -0.000 | -0.000 | -0.000 | 9.782 | 0.000 | 0.000 |
| -0.000 | -0.000 | -0.000 | 0.000 | 9.782 | 0.000 |
| -0.000 | -0.000 | -0.000 | 0.000 | 0.000 | 9.782 |
| 49.593 | 126.152 | 126.152 | -0.000 | -0.000 | -0.000 |
| 126.152 | 49.593 | 126.152 | -0.000 | -0.000 | 0.000 |
| 126.152 | 126.152 | 49.593 | -0.000 | 0.000 | -0.000 |
| 0.000 | 0.000 | 0.000 | 9.782 | -0.000 | -0.000 |
| 0.000 | 0.000 | 0.000 | -0.000 | 9.782 | -0.000 |
| 0.000 | 0.000 | 0.000 | -0.000 | -0.000 | 9.782 |
| 49.592 | 126.152 | 126.152 | 0.000 | 0.000 | 0.000 |
| 126.152 | 49.592 | 126.152 | 0.000 | 0.000 | 0.000 |
| 126.152 | 126.152 | 49.592 | 0.000 | 0.000 | -0.000 |
| -0.000 | -0.000 | -0.000 | 9.782 | 0.000 | 0.000 |
| -0.000 | -0.000 | -0.000 | 0.000 | 9.782 | -0.000 |
| -0.000 | -0.000 | -0.000 | 0.000 | 0.000 | 9.782 |
| 49.596 | 126.153 | 126.153 | -0.000 | -0.000 | -0.000 |
| 126.153 | 49.596 | 126.153 | -0.000 | -0.000 | 0.000 |
| 126.153 | 126.153 | 49.596 | -0.000 | -0.000 | -0.000 |
| 0.001 | 0.000 | 0.000 | 9.782 | -0.000 | 0.000 |
| 0.000 | 0.001 | 0.000 | -0.000 | 9.782 | -0.000 |
| 0.000 | 0.000 | 0.001 | -0.000 | -0.000 | 9.782 |
| 49.590 | 126.152 | 126.152 | 0.000 | 0.000 | 0.000 |
| 126.152 | 49.590 | 126.152 | 0.000 | -0.000 | 0.000 |
| 126.152 | 126.152 | 49.590 | 0.000 | 0.000 | 0.000 |
| -0.001 | -0.000 | -0.000 | 9.782 | 0.000 | 0.000 |
| -0.000 | -0.001 | -0.000 | 0.000 | 9.782 | -0.000 |
| -0.000 | -0.000 | -0.001 | 0.000 | 0.000 | 9.782 |
| 2445633.203 | 1394563.677 | 1394563.679 | 0.000 | -0.000 | -0.001 |
| 1394563.675 | 2445633.207 | 1394563.681 | 0.000 | 0.000 | 0.001 |
| 1394563.681 | 1394563.679 | 2445633.201 | 0.000 | -0.001 | 0.000 |
| 9.845 | 27.397 | 27.403 | 910954.656 | -0.000 | 0.000 |
| 27.397 | 9.845 | 27.401 | -0.000 | 910954.652 | 0.000 |
| 27.398 | 27.402 | 9.844 | 0.000 | 0.000 | 910954.583 |
| 2445473.106 | 1394474.180 | 1394474.187 | 0.000 | -0.000 | -0.001 |
| 1394474.183 | 2445473.106 | 1394474.183 | -0.000 | 0.001 | -0.000 |
| 1394474.180 | 1394474.186 | 2445473.103 | -0.001 | -0.000 | 0.000 |
| -9.845 | -27.394 | -27.399 | 910954.618 | -0.000 | -0.000 |
| -27.393 | -9.845 | -27.400 | 0.000 | 910954.666 | -0.000 |
| -27.396 | -27.400 | -9.846 | -0.000 | -0.000 | 910954.548 |
| 2446213.406 | 1395036.578 | 1395036.578 | 0.001 | -0.001 | 0.000 |
| 1395036.582 | 2446213.399 | 1395036.582 | -0.002 | 0.001 | 0.002 |
| 1395098.313 | 1395098.313 | 2446089.924 | -0.000 | 0.000 | -0.000 |
| 1410697326.111 | 443067669.911 | 443067638.947 | -155441582.684 | 0.014 | -0.013 |
| 443067669.823 | 1410697324.896 | 443067638.732 | -0.000 | -155441582.509 | -0.001 |
| 443067669.328 | 443067638.282 | 1410697327.085 | 0.006 | -0.003 | -155441583.248 |
| 2444598.133 | 1394148.685 | 1394148.685 | 0.000 | -0.000 | 0.000 |
| 1394148.685 | 2444598.133 | 1394148.685 | 0.001 | 0.000 | -0.001 |
| 1394148.685 | 1394148.685 | 2444598.133 | -0.000 | 0.001 | -0.000 |
| -1410697326.232 | -443067669.429 | -443067638.540 | -155441582.962 | -0.003 | -0.001 |
| -443067669.234 | -1410697324.778 | -443067638.401 | 0.002 | -155441582.746 | -0.000 |
| -443067670.078 | -443067639.289 | -1410697323.944 | -0.001 | 0.001 | -155441582.073 |
| 348661377.668 | 93101701.473 | 93101701.472 | -0.000 | 0.000 | -0.000 |
| 93101701.396 | 348661377.178 | 93101701.396 | -0.000 | 0.000 | -0.000 |
| 93101701.373 | 93101701.372 | 348661377.027 | -0.000 | 0.000 | 0.000 |
| 141027608.970 | 44313546.956 | 44313517.245 | -14848720.358 | -0.001 | -0.001 |
| 44313547.004 | 141027609.145 | 44313517.275 | -0.000 | -14848720.373 | 0.000 |
| 44313546.937 | 44313517.243 | 141027608.934 | -0.000 | 0.000 | -14848720.356 |
| -159921639.628 | -187410949.883 | -187410949.884 | -0.000 | 0.000 | 0.000 |
| -187410949.476 | -159921639.436 | -187410949.476 | -0.000 | 0.000 | 0.000 |
| -187410949.428 | -187410949.427 | -159921639.413 | 0.000 | 0.000 | 0.000 |
| -141027608.667 | -44313546.933 | -44313517.199 | -14848720.313 | 0.000 | 0.000 |
| -44313546.950 | -141027608.839 | -44313517.243 | -0.000 | -14848720.332 | -0.000 |
| -44313546.903 | -44313517.187 | -141027608.961 | 0.002 | 0.002 | -14848720.388 |
| 186.376 | 107.455 | 107.455 | -0.000 | -0.000 | -0.000 |
| 107.455 | 186.376 | 107.455 | -0.000 | -0.000 | 0.000 |
| 107.455 | 107.455 | 186.376 | -0.000 | -0.000 | 0.000 |
| -0.000 | -0.000 | -0.000 | 28.483 | -0.000 | 0.000 |
| -0.000 | -0.000 | -0.000 | -0.000 | 28.483 | -0.000 |
| -0.000 | -0.000 | -0.000 | -0.000 | -0.000 | 28.483 |
| 186.376 | 107.455 | 107.455 | 0.000 | 0.000 | 0.000 |
| 107.455 | 186.376 | 107.455 | 0.000 | 0.000 | 0.000 |
| 107.455 | 107.455 | 186.376 | 0.000 | 0.000 | -0.000 |
| 0.000 | 0.000 | 0.000 | 28.483 | 0.000 | -0.000 |
| 0.000 | 0.000 | 0.000 | -0.000 | 28.483 | 0.000 |
| 0.000 | 0.000 | 0.000 | -0.000 | 0.000 | 28.483 |
| 186.376 | 107.455 | 107.455 | -0.000 | -0.000 | -0.000 |
| 107.455 | 186.376 | 107.455 | -0.000 | -0.000 | -0.000 |
| 107.455 | 107.455 | 186.376 | -0.000 | -0.000 | -0.000 |
| -0.000 | -0.000 | -0.000 | 28.417 | -0.000 | 0.000 |
| -0.000 | -0.000 | -0.000 | 0.000 | 28.417 | 0.000 |
| -0.000 | -0.000 | -0.000 | 0.000 | -0.000 | 28.417 |
| 186.377 | 107.455 | 107.455 | 0.000 | 0.000 | -0.000 |
| 107.455 | 186.377 | 107.455 | -0.000 | 0.000 | 0.000 |
| 107.455 | 107.455 | 186.377 | 0.000 | 0.000 | 0.000 |
| 0.000 | 0.000 | 0.000 | 28.417 | 0.000 | -0.000 |
| 0.000 | 0.000 | 0.000 | 0.000 | 28.417 | -0.000 |
| 0.000 | 0.000 | 0.000 | 0.000 | 0.000 | 28.417 |
| 186.372 | 107.451 | 107.451 | 0.000 | -0.000 | -0.000 |
| 107.451 | 186.372 | 107.451 | -0.000 | -0.000 | -0.000 |
| 107.451 | 107.451 | 186.372 | -0.000 | -0.000 | 0.000 |
| -0.000 | -0.001 | -0.001 | 28.483 | 0.000 | -0.000 |
| -0.001 | -0.000 | -0.001 | -0.000 | 28.483 | 0.000 |
| -0.001 | -0.001 | -0.000 | 0.000 | 0.000 | 28.483 |
| 185.699 | 107.800 | 107.800 | -0.000 | 0.000 | -0.000 |
| 107.800 | 185.699 | 107.800 | -0.000 | 0.000 | -0.000 |
| 107.800 | 107.800 | 185.699 | -0.000 | 0.000 | -0.000 |
| 0.000 | 0.001 | 0.001 | 28.483 | -0.000 | -0.000 |
| 0.001 | 0.000 | 0.001 | -0.000 | 28.483 | -0.000 |
| 0.001 | 0.001 | 0.000 | -0.000 | 0.000 | 28.483 |
| 4326343.760 | 4326288.126 | 4326288.126 | -0.000 | -0.000 | 0.001 |
| 4326288.126 | 4326343.760 | 4326288.126 | -0.000 | -0.000 | 0.001 |
| 4326288.149 | 4326288.149 | 4326343.783 | 0.000 | 0.000 | -0.000 |
| -71.234 | -71.320 | -71.234 | 4326437.171 | 0.000 | -0.000 |
| -71.320 | -71.234 | -71.234 | 0.000 | 4326437.171 | -0.000 |
| -71.321 | -71.235 | -71.235 | 0.000 | -0.000 | 4326437.169 |
| 4326486.361 | 4326430.554 | 4326430.554 | -0.000 | -0.000 | -0.000 |
| 4326430.554 | 4326486.361 | 4326430.554 | -0.000 | -0.000 | -0.000 |
| 4326430.530 | 4326430.530 | 4326486.336 | 0.000 | 0.000 | -0.000 |
| 71.235 | 71.321 | 71.235 | 4326437.172 | -0.000 | -0.000 |
| 71.321 | 71.235 | 71.235 | -0.000 | 4326437.172 | -0.000 |
| 71.322 | 71.236 | 71.236 | -0.000 | -0.000 | 4326437.170 |
| 4325702.048 | 4325647.191 | 4325647.191 | 0.000 | 0.000 | 0.000 |
| 4325647.191 | 4325702.048 | 4325647.191 | 0.000 | 0.000 | 0.000 |
| 4325647.190 | 4325647.190 | 4325702.048 | 0.000 | 0.000 | -0.000 |
| -712.591 | -713.456 | -712.590 | 4326437.169 | 0.000 | -0.000 |
| -713.456 | -712.591 | -712.590 | 0.000 | 4326437.169 | -0.000 |
| -713.455 | -712.590 | -712.591 | -0.000 | 0.000 | 4326437.169 |
| 4327128.099 | 4327071.515 | 4327071.515 | 0.000 | 0.000 | 0.000 |
| 4327071.515 | 4327128.099 | 4327071.515 | 0.000 | 0.000 | 0.000 |
| 4327071.516 | 4327071.516 | 4327128.099 | 0.000 | 0.000 | -0.000 |
| 712.591 | 713.456 | 712.590 | 4326437.169 | -0.000 | 0.000 |
| 713.456 | 712.591 | 712.590 | -0.000 | 4326437.169 | 0.000 |
| 713.456 | 712.590 | 712.591 | -0.000 | -0.000 | 4326437.169 |
| 4319284.821 | 4319237.717 | 4319237.717 | 0.000 | 0.000 | -0.000 |
| 4319237.717 | 4319284.821 | 4319237.717 | 0.000 | 0.000 | -0.000 |
| 4319237.717 | 4319237.717 | 4319284.821 | 0.000 | 0.000 | 0.000 |
| -7125.892 | -7134.593 | -7125.941 | 4326005.330 | -0.000 | -0.000 |
| -7134.593 | -7125.892 | -7125.941 | -0.000 | 4326005.330 | -0.000 |
| -7134.593 | -7125.941 | -7125.892 | -0.000 | -0.000 | 4326005.330 |
| 4333545.341 | 4333480.976 | 4333480.976 | -0.000 | -0.000 | -0.000 |
| 4333480.976 | 4333545.341 | 4333480.976 | -0.000 | -0.000 | -0.000 |
| 4333480.976 | 4333480.976 | 4333545.340 | 0.000 | 0.000 | 0.000 |
| 7125.892 | 7134.593 | 7125.941 | 4326005.330 | 0.000 | -0.000 |
| 7134.593 | 7125.892 | 7125.941 | 0.000 | 4326005.330 | -0.000 |
| 7134.593 | 7125.941 | 7125.892 | -0.000 | -0.000 | 4326005.330 |
| 22435350.960 | 5135961.731 | 5135961.725 | -0.002 | -0.002 | 0.001 |
| 5135961.731 | 22435350.960 | 5135961.725 | -0.002 | -0.002 | 0.001 |
| 5135961.728 | 5135961.728 | 22435350.947 | -0.002 | -0.002 | 0.000 |
| -35.101 | -63.712 | -63.742 | 3176522.809 | -0.002 | 0.003 |
| -63.712 | -35.101 | -63.741 | -0.002 | 3176522.807 | 0.003 |
| -63.713 | -63.731 | -35.114 | -0.004 | -0.004 | 3176522.809 |
| 22437205.845 | 5136192.460 | 5136192.476 | 0.000 | 0.002 | 0.000 |
| 5136192.460 | 22437205.845 | 5136192.476 | 0.002 | 0.000 | 0.000 |
| 5136192.459 | 5136192.459 | 22437205.871 | 0.004 | 0.004 | 0.001 |
| 35.095 | 63.705 | 63.738 | 3176522.826 | 0.004 | -0.002 |
| 63.705 | 35.095 | 63.738 | 0.005 | 3176522.825 | -0.002 |
| 63.710 | 63.733 | 35.112 | 0.003 | 0.002 | 3176522.805 |
| 22427003.583 | 5134923.147 | 5134923.147 | -0.000 | 0.000 | 0.000 |
| 5134923.147 | 22427003.583 | 5134923.147 | 0.000 | -0.000 | 0.000 |
| 5134923.148 | 5134923.148 | 22427003.582 | 0.000 | 0.000 | -0.000 |
| -362.594 | -631.577 | -631.814 | 3145511.937 | -0.000 | 0.000 |
| -631.577 | -362.594 | -631.814 | -0.000 | 3145511.937 | 0.000 |
| -631.577 | -631.813 | -362.596 | -0.001 | -0.001 | 3145511.938 |
| 22445553.031 | 5137230.948 | 5137230.948 | 0.000 | 0.000 | 0.000 |
| 5137230.948 | 22445553.031 | 5137230.948 | 0.000 | 0.000 | 0.000 |
| 5137230.948 | 5137230.948 | 22445553.031 | 0.000 | 0.000 | -0.001 |
| 362.594 | 631.578 | 631.814 | 3145511.938 | 0.001 | -0.000 |
| 631.578 | 362.594 | 631.814 | 0.001 | 3145511.938 | -0.000 |
| 631.578 | 631.813 | 362.597 | 0.000 | 0.000 | 3145511.938 |
| 22343530.976 | 5124537.960 | 5124537.959 | -0.000 | -0.000 | 0.000 |
| 5124537.960 | 22343530.976 | 5124537.959 | -0.000 | -0.000 | 0.000 |
| 5124537.960 | 5124537.960 | 22343530.975 | -0.000 | -0.000 | 0.000 |
| -3625.823 | -6315.926 | -6318.286 | 3145555.934 | -0.000 | 0.000 |
| -6315.926 | -3625.823 | -6318.286 | -0.000 | 3145555.934 | 0.000 |
| -6315.926 | -6318.285 | -3625.823 | -0.000 | -0.000 | 3145555.934 |
| 22529025.481 | 5147616.073 | 5147616.073 | 0.000 | 0.000 | -0.000 |
| 5147616.073 | 22529025.481 | 5147616.073 | 0.000 | 0.000 | -0.000 |
| 5147616.073 | 5147616.073 | 22529025.481 | 0.000 | 0.000 | 0.000 |
| 3625.823 | 6315.926 | 6318.286 | 3145555.937 | 0.000 | -0.000 |
| 6315.926 | 3625.823 | 6318.286 | 0.000 | 3145555.937 | -0.000 |
| 6315.926 | 6318.285 | 3625.823 | 0.000 | 0.000 | 3145555.937 |
| 204.033 | 116.574 | 116.574 | 0.000 | -0.000 | -0.000 |
| 116.574 | 204.033 | 116.574 | 0.000 | -0.000 | -0.000 |
| 116.574 | 116.574 | 204.033 | 0.000 | 0.000 | 0.000 |
| -0.000 | -0.000 | -0.000 | 33.713 | 0.000 | -0.000 |
| -0.000 | -0.000 | -0.000 | 0.000 | 33.713 | 0.000 |
| -0.000 | -0.000 | -0.000 | 0.000 | 0.000 | 33.713 |
| 204.033 | 116.574 | 116.574 | -0.000 | 0.000 | 0.000 |
| 116.574 | 204.033 | 116.574 | 0.000 | -0.000 | 0.000 |
| 116.574 | 116.574 | 204.033 | -0.000 | -0.000 | -0.000 |
| 0.000 | 0.000 | 0.000 | 33.713 | 0.000 | 0.000 |
| 0.000 | 0.000 | 0.000 | -0.000 | 33.713 | -0.000 |
| 0.000 | 0.000 | 0.000 | -0.000 | -0.000 | 33.713 |
| 204.034 | 116.574 | 116.574 | 0.000 | 0.000 | 0.000 |
| 116.574 | 204.034 | 116.574 | 0.000 | -0.000 | -0.000 |
| 116.574 | 116.574 | 204.034 | -0.000 | -0.000 | 0.000 |
| -0.000 | -0.000 | -0.000 | 32.621 | -0.000 | 0.000 |
| -0.000 | -0.000 | -0.000 | 0.000 | 32.621 | -0.000 |
| -0.000 | -0.000 | -0.000 | -0.000 | -0.000 | 32.621 |
| 204.032 | 116.574 | 116.574 | -0.000 | -0.000 | 0.000 |
| 116.574 | 204.032 | 116.574 | -0.000 | 0.000 | -0.000 |
| 116.574 | 116.574 | 204.032 | -0.000 | 0.000 | -0.000 |
| 0.000 | 0.000 | 0.000 | 32.621 | 0.000 | 0.000 |
| 0.000 | 0.000 | 0.000 | -0.000 | 32.621 | 0.000 |
| 0.000 | 0.000 | 0.000 | 0.000 | 0.000 | 32.621 |
| 204.039 | 116.574 | 116.574 | 0.000 | 0.000 | 0.000 |
| 116.574 | 204.039 | 116.574 | 0.000 | -0.000 | -0.000 |
| 116.574 | 116.574 | 204.039 | 0.000 | -0.000 | -0.000 |
| -0.000 | -0.000 | -0.000 | 32.621 | -0.000 | -0.000 |
| -0.000 | -0.000 | -0.000 | 0.000 | 32.621 | 0.000 |
| -0.000 | -0.000 | -0.000 | -0.000 | -0.000 | 32.621 |
| 204.027 | 116.574 | 116.574 | -0.000 | -0.000 | 0.000 |
| 116.574 | 204.027 | 116.574 | -0.000 | -0.000 | -0.000 |
| 116.574 | 116.574 | 204.027 | 0.000 | 0.000 | -0.000 |
| 0.000 | 0.000 | 0.000 | 32.621 | 0.000 | 0.000 |
| 0.000 | 0.000 | 0.000 | -0.000 | 32.621 | 0.000 |
| 0.000 | 0.000 | 0.000 | -0.000 | 0.000 | 32.621 |
| 1877708.499 | 938932.961 | 938932.959 | -0.000 | 0.000 | 0.000 |
| 938932.961 | 1877708.499 | 938932.959 | 0.000 | -0.000 | 0.000 |
| 938932.964 | 938932.964 | 1877708.500 | 0.000 | 0.000 | -0.000 |
| 12.606 | 22.047 | 22.058 | 938819.880 | -0.000 | 0.000 |
| 22.047 | 12.606 | 22.058 | -0.000 | 938819.880 | 0.000 |
| 22.047 | 22.060 | 12.604 | -0.000 | 0.000 | 938819.881 |
| 1877569.834 | 938888.813 | 938888.815 | -0.000 | -0.000 | -0.000 |
| 938888.813 | 1877569.834 | 938888.815 | -0.000 | -0.000 | -0.000 |
| 938888.810 | 938888.810 | 1877569.834 | -0.000 | -0.000 | -0.000 |
| -12.607 | -22.047 | -22.058 | 938819.880 | -0.000 | -0.000 |
| -22.047 | -12.607 | -22.058 | -0.000 | 938819.880 | -0.000 |
| -22.047 | -22.060 | -12.605 | -0.000 | -0.000 | 938819.880 |
| 1878332.553 | 939131.648 | 939131.648 | 0.000 | -0.000 | 0.000 |
| 939131.648 | 1878332.553 | 939131.648 | -0.000 | 0.000 | 0.000 |
| 939131.648 | 939131.648 | 1878332.553 | 0.000 | 0.000 | 0.000 |
| 126.073 | 220.475 | 220.615 | 938819.879 | 0.000 | 0.000 |
| 220.475 | 126.073 | 220.615 | 0.000 | 938819.879 | 0.000 |
| 220.475 | 220.615 | 126.073 | 0.000 | 0.000 | 938819.879 |
| 1876945.801 | 938690.136 | 938690.136 | -0.000 | -0.000 | -0.000 |
| 938690.136 | 1876945.801 | 938690.136 | -0.000 | -0.000 | -0.000 |
| 938690.135 | 938690.135 | 1876945.801 | -0.000 | -0.000 | -0.000 |
| -126.073 | -220.474 | -220.615 | 938819.879 | -0.000 | -0.000 |
| -220.474 | -126.073 | -220.615 | -0.000 | 938819.879 | -0.000 |
| -220.474 | -220.615 | -126.072 | -0.000 | 0.000 | 938819.879 |
| 1884572.939 | 941118.457 | 941118.457 | 0.000 | 0.000 | 0.000 |
| 941118.457 | 1884572.939 | 941118.457 | 0.000 | 0.000 | 0.000 |
| 941118.457 | 941118.457 | 1884572.939 | 0.000 | 0.000 | -0.000 |
| 1260.727 | 2204.747 | 2206.155 | 938819.876 | 0.000 | -0.000 |
| 2204.747 | 1260.727 | 2206.155 | 0.000 | 938819.876 | -0.000 |
| 2204.747 | 2206.155 | 1260.727 | 0.000 | 0.000 | 938819.876 |
| 1870705.414 | 936703.332 | 936703.332 | -0.000 | -0.000 | -0.000 |
| 936703.332 | 1870705.414 | 936703.332 | -0.000 | -0.000 | -0.000 |
| 936703.332 | 936703.332 | 1870705.414 | -0.000 | -0.000 | -0.000 |
| -1260.727 | -2204.747 | -2206.155 | 938819.876 | -0.000 | -0.000 |
| -2204.747 | -1260.727 | -2206.155 | -0.000 | 938819.876 | -0.000 |
| -2204.747 | -2206.155 | -1260.727 | -0.000 | -0.000 | 938819.876 |
| 88.451 | 131.271 | 131.271 | 0.000 | 0.000 | -0.000 |
| 131.271 | 88.451 | 131.271 | 0.000 | -0.000 | 0.000 |
| 131.271 | 131.271 | 88.451 | 0.000 | 0.000 | -0.000 |
| 0.000 | -0.000 | -0.000 | 39.093 | 0.000 | 0.000 |
| -0.000 | -0.000 | -0.000 | 0.000 | 39.093 | 0.000 |
| -0.000 | -0.000 | -0.000 | 0.000 | 0.000 | 39.093 |
| 88.451 | 131.271 | 131.271 | -0.000 | -0.000 | -0.000 |
| 131.271 | 88.451 | 131.271 | -0.000 | -0.000 | -0.000 |
| 131.271 | 131.271 | 88.451 | -0.000 | -0.000 | -0.000 |
| 0.000 | 0.000 | 0.000 | 39.093 | -0.000 | 0.000 |
| 0.000 | 0.000 | 0.000 | -0.000 | 39.093 | -0.000 |
| 0.000 | 0.000 | 0.000 | -0.000 | -0.000 | 39.093 |
| 88.451 | 131.271 | 131.271 | 0.000 | -0.000 | 0.000 |
| 131.271 | 88.451 | 131.271 | 0.000 | 0.000 | -0.000 |
| 131.271 | 131.271 | 88.451 | -0.000 | -0.000 | 0.000 |
| 0.000 | -0.000 | -0.000 | 39.093 | 0.000 | -0.000 |
| -0.000 | 0.000 | -0.000 | 0.000 | 39.093 | 0.000 |
| -0.000 | -0.000 | 0.000 | 0.000 | -0.000 | 39.093 |
| 88.451 | 131.271 | 131.271 | -0.000 | -0.000 | -0.000 |
| 131.271 | 88.451 | 131.271 | -0.000 | 0.000 | -0.000 |
| 131.271 | 131.271 | 88.451 | -0.000 | -0.000 | -0.000 |
| -0.000 | 0.000 | 0.000 | 39.093 | -0.000 | -0.000 |
| 0.000 | -0.000 | 0.000 | -0.000 | 39.093 | 0.000 |
| 0.000 | 0.000 | -0.000 | -0.000 | -0.000 | 39.093 |
| 88.449 | 131.271 | 131.271 | 0.000 | -0.000 | 0.000 |
| 131.271 | 88.449 | 131.271 | 0.000 | 0.000 | 0.000 |
| 131.271 | 131.271 | 88.449 | 0.000 | 0.000 | 0.000 |
| 0.000 | -0.000 | -0.000 | 39.093 | 0.000 | 0.000 |
| -0.000 | 0.000 | -0.000 | 0.000 | 39.093 | 0.000 |
| -0.000 | -0.000 | 0.000 | 0.000 | -0.000 | 39.093 |
| 88.453 | 131.271 | 131.271 | -0.000 | -0.000 | -0.000 |
| 131.271 | 88.453 | 131.271 | -0.000 | -0.000 | 0.000 |
| 131.271 | 131.271 | 88.453 | 0.000 | 0.000 | 0.000 |
| -0.000 | 0.000 | 0.000 | 39.093 | 0.000 | 0.000 |
| 0.000 | -0.000 | 0.000 | -0.000 | 39.093 | -0.000 |
| 0.000 | 0.000 | -0.000 | -0.000 | 0.000 | 39.093 |
| 198.950 | 114.947 | 127.786 | 0.000 | -0.000 | 0.000 |
| 115.234 | 204.936 | 136.308 | 0.000 | 0.000 | 0.000 |
| 128.533 | 136.767 | 166.046 | 0.000 | -0.000 | -0.000 |
| 0.000 | 0.000 | 0.000 | 43.303 | 0.000 | 0.000 |
| 0.000 | 0.000 | 0.000 | -0.000 | 32.694 | 0.000 |
| -0.000 | -0.000 | 0.000 | -0.000 | -0.000 | 18.571 |
| 198.950 | 114.947 | 127.786 | -0.000 | 0.000 | -0.000 |
| -33.250 | -77.193 | -231.562 | 0.000 | -0.000 | -0.000 |
| -19.568 | -146.181 | -208.066 | 0.000 | -0.000 | -0.000 |
| -0.000 | -0.000 | -0.000 | 43.303 | -0.000 | 0.000 |
| -0.000 | -0.000 | -0.000 | 0.000 | 32.694 | -0.000 |
| 0.000 | 0.000 | -0.000 | 0.000 | -0.000 | 18.571 |
| 198.949 | 114.947 | 127.786 | 0.000 | -0.000 | -0.000 |
| 119.703 | 214.902 | 154.239 | -0.000 | 0.000 | 0.000 |
| 128.533 | 136.768 | 166.046 | 0.000 | 0.000 | 0.000 |
| -0.000 | 0.000 | 0.000 | 43.303 | 0.000 | 0.000 |
| 0.000 | 0.000 | 0.000 | 0.000 | 32.694 | 0.000 |
| -0.000 | -0.000 | 0.000 | 0.000 | -0.000 | 18.571 |
| 198.951 | 114.947 | 127.786 | 0.000 | -0.000 | -0.000 |
| 115.234 | 204.936 | 136.307 | 0.000 | 0.000 | -0.000 |
| 128.533 | 136.767 | 166.045 | 0.000 | 0.000 | -0.000 |
| -14.211 | -27.157 | -35.926 | 42.053 | -0.000 | -0.000 |
| -0.000 | -0.000 | -0.000 | 0.000 | 32.694 | -0.000 |
| 0.000 | 0.000 | -0.000 | 0.000 | -0.000 | 18.571 |
| 198.940 | 114.947 | 127.787 | 0.000 | -0.000 | 0.000 |
| 110.286 | 196.543 | 128.737 | 0.000 | 0.000 | -0.000 |
| 122.245 | 124.679 | 149.816 | -0.000 | -0.000 | 0.000 |
| 2.638 | 5.043 | 6.673 | 40.982 | 0.000 | 0.000 |
| 1.326 | 2.587 | 3.608 | 0.000 | 32.648 | 0.000 |
| -0.000 | -0.001 | 0.000 | -0.000 | 0.000 | 18.571 |
| 198.961 | 114.947 | 127.785 | 0.000 | -0.000 | -0.000 |
| 107.186 | 190.816 | 121.814 | -0.000 | -0.000 | -0.000 |
| 128.532 | 136.766 | 166.040 | 0.000 | -0.000 | -0.000 |
| -2.638 | -5.043 | -6.673 | 40.982 | -0.000 | -0.000 |
| -1.326 | -2.587 | -3.608 | -0.000 | 32.648 | -0.000 |
| 0.000 | 0.001 | -0.000 | 0.000 | 0.000 | 18.571 |
| -1337.549 | -3435.587 | -3699.945 | -0.000 | -0.000 | -0.000 |
| -1362.763 | -3370.359 | -4244.267 | -0.000 | 0.000 | 0.000 |
| -1347.666 | -3438.957 | -4230.060 | -0.000 | -0.000 | 0.000 |
| 0.000 | -0.000 | -0.000 | 44.638 | -0.000 | 0.000 |
| -1463.488 | -3554.884 | -4361.218 | -0.000 | 31.034 | -0.000 |
| -1464.396 | -3556.939 | -4363.308 | 0.000 | 0.000 | 17.358 |
| 1727.517 | 3641.666 | 3941.016 | 0.000 | -0.000 | -0.000 |
| 1564.223 | 3739.404 | 4478.080 | -0.000 | 0.000 | 0.000 |
| 1579.737 | 3671.782 | 4493.375 | 0.000 | -0.000 | -0.000 |
| -0.000 | 0.000 | 0.000 | 44.638 | -0.000 | -0.000 |
| 1463.488 | 3554.884 | 4361.218 | 0.000 | 31.034 | -0.000 |
| 1464.396 | 3556.939 | 4363.308 | 0.000 | -0.000 | 17.358 |
| 47.852 | -254.853 | -319.961 | -0.000 | -0.000 | -0.000 |
| -45.618 | -170.966 | -319.221 | -0.000 | -0.000 | -0.000 |
| -37.752 | -238.248 | -249.948 | -0.000 | 0.000 | 0.000 |
| -146.358 | -355.518 | -436.182 | 42.498 | 0.000 | -0.000 |
| -146.351 | -355.497 | -436.138 | -0.000 | 31.033 | 0.000 |
| -146.391 | -355.585 | -436.221 | -0.000 | 0.000 | 17.358 |
| 347.778 | 455.846 | 501.460 | 0.000 | -0.000 | 0.000 |
| 247.079 | 540.010 | 553.021 | 0.000 | 0.000 | 0.000 |
| 262.682 | 472.579 | 568.482 | 0.000 | 0.000 | 0.000 |
| 146.358 | 355.518 | 436.182 | 42.498 | -0.000 | -0.000 |
| 146.351 | 355.497 | 436.138 | 0.000 | 31.033 | -0.000 |
| 146.391 | 355.585 | 436.221 | 0.000 | -0.000 | 17.358 |
| 179.609 | 65.184 | 72.640 | -0.000 | 0.000 | 0.000 |
| 86.098 | 148.975 | 73.293 | -0.000 | 0.000 | -0.000 |
| 101.617 | 81.354 | 88.558 | -0.000 | 0.000 | 0.000 |
| -14.726 | -35.852 | -44.209 | 42.451 | 0.000 | -0.000 |
| -14.660 | -35.630 | -43.770 | -0.000 | 31.030 | 0.000 |
| -15.330 | -35.397 | -38.215 | 0.000 | 0.000 | 17.358 |
| 209.753 | 137.202 | 157.610 | 0.000 | -0.000 | -0.000 |
| 115.944 | 220.943 | 160.063 | 0.000 | -0.000 | -0.000 |
| 130.881 | 152.443 | 175.761 | 0.000 | -0.000 | 0.000 |
| 14.726 | 35.852 | 44.209 | 42.451 | -0.000 | -0.000 |
| 14.660 | 35.630 | 43.770 | 0.000 | 31.030 | 0.000 |
| 15.330 | 35.397 | 38.215 | 0.000 | -0.000 | 17.358 |
| 49.174 | 147.840 | 147.840 | 0.000 | 0.000 | 0.000 |
| 147.840 | 49.174 | 147.840 | 0.000 | 0.000 | 0.000 |
| 147.840 | 147.840 | 49.174 | 0.000 | 0.000 | 0.000 |
| 0.000 | 0.000 | 0.000 | 98.377 | 0.000 | 0.000 |
| 0.000 | 0.000 | 0.000 | 0.000 | 98.377 | -0.000 |
| -0.000 | 0.000 | 0.000 | 0.000 | 0.000 | 98.377 |
| 49.174 | 147.840 | 147.840 | -0.000 | -0.000 | -0.000 |
| 147.840 | 49.174 | 147.840 | 0.000 | -0.000 | 0.000 |
| 147.840 | 147.840 | 49.174 | 0.000 | -0.000 | 0.000 |
| -0.000 | 0.000 | -0.000 | 98.377 | -0.000 | 0.000 |
| -0.000 | -0.000 | -0.000 | -0.000 | 98.377 | 0.000 |
| -0.000 | -0.000 | -0.000 | 0.000 | 0.000 | 98.377 |
| 49.174 | 147.840 | 147.840 | 0.000 | 0.000 | -0.000 |
| 147.840 | 49.174 | 147.840 | 0.000 | 0.000 | -0.000 |
| 147.840 | 147.840 | 49.174 | 0.000 | -0.000 | -0.000 |
| 0.000 | 0.000 | 0.000 | 98.785 | 0.000 | -0.000 |
| 0.000 | 0.000 | 0.000 | 0.000 | 98.377 | 0.000 |
| 0.000 | 0.000 | 0.000 | 0.000 | 0.000 | 98.377 |
| 49.174 | 147.840 | 147.840 | -0.000 | -0.000 | 0.000 |
| 147.840 | 49.174 | 147.840 | -0.000 | -0.000 | -0.000 |
| 147.840 | 147.840 | 49.174 | -0.000 | -0.000 | -0.000 |
| -0.000 | -0.000 | -0.000 | 98.785 | -0.000 | -0.000 |
| -0.000 | -0.000 | -0.000 | -0.000 | 98.377 | -0.000 |
| -0.000 | -0.000 | -0.000 | 0.000 | 0.000 | 98.377 |
| 49.174 | 147.840 | 147.840 | 0.000 | 0.000 | -0.000 |
| 147.840 | 49.174 | 147.840 | 0.000 | 0.000 | -0.000 |
| 147.840 | 147.840 | 49.174 | 0.000 | 0.000 | -0.000 |
| 0.000 | 0.000 | 0.000 | 98.377 | 0.000 | 0.000 |
| 0.000 | 0.000 | 0.000 | 0.000 | 98.377 | -0.000 |
| 0.000 | 0.000 | 0.000 | 0.000 | 0.000 | 98.377 |
| 49.175 | 147.839 | 147.839 | -0.000 | -0.000 | -0.000 |
| 147.839 | 49.175 | 147.839 | -0.000 | -0.000 | -0.000 |
| 147.839 | 147.839 | 49.175 | -0.000 | -0.000 | -0.000 |
| -0.000 | -0.000 | -0.000 | 98.377 | -0.000 | 0.000 |
| -0.000 | -0.000 | -0.000 | -0.000 | 98.377 | -0.000 |
| -0.000 | -0.000 | -0.000 | -0.000 | -0.000 | 98.377 |
| 147979.142 | 33947.165 | 33947.165 | 0.000 | -0.000 | -0.000 |
| 33947.165 | 147979.142 | 33947.165 | -0.000 | 0.000 | -0.000 |
| 33947.165 | 33947.165 | 147979.142 | -0.000 | -0.000 | -0.000 |
| -0.434 | -1.463 | -1.463 | 33884.018 | -0.000 | 0.000 |
| -1.463 | -0.434 | -1.463 | -0.000 | 33884.018 | 0.000 |
| -1.463 | -1.463 | -0.434 | -0.000 | -0.000 | 33884.018 |
| 148002.637 | 33950.089 | 33950.089 | 0.000 | 0.000 | -0.000 |
| 33950.089 | 148002.637 | 33950.089 | 0.000 | 0.000 | -0.000 |
| 33950.089 | 33950.089 | 148002.637 | 0.000 | 0.000 | 0.000 |
| 0.434 | 1.463 | 1.463 | 33884.018 | 0.000 | -0.000 |
| 1.463 | 0.434 | 1.463 | 0.000 | 33884.018 | -0.000 |
| 1.463 | 1.463 | 0.434 | 0.000 | 0.000 | 33884.018 |
| 147873.421 | 33934.008 | 33934.008 | -0.000 | -0.000 | -0.000 |
| 33934.008 | 147873.421 | 33934.008 | -0.000 | -0.000 | -0.000 |
| 33934.008 | 33934.008 | 147873.421 | 0.000 | 0.000 | -0.000 |
| -4.560 | -8.010 | -8.012 | 20820.028 | -0.000 | -0.000 |
| -8.010 | -4.560 | -8.012 | -0.000 | 20820.028 | -0.000 |
| -8.010 | -8.012 | -4.560 | -0.000 | 0.000 | 20820.028 |
| 148108.360 | 33963.246 | 33963.246 | -0.000 | 0.000 | 0.000 |
| 33963.246 | 148108.360 | 33963.246 | 0.000 | -0.000 | 0.000 |
| 33963.246 | 33963.246 | 148108.360 | 0.000 | 0.000 | 0.000 |
| 4.560 | 8.010 | 8.012 | 20820.028 | 0.000 | 0.000 |
| 8.010 | 4.560 | 8.012 | 0.000 | 20820.028 | 0.000 |
| 8.010 | 8.012 | 4.560 | -0.000 | 0.000 | 20820.028 |
| 146816.196 | 33802.438 | 33802.438 | -0.000 | -0.000 | -0.000 |
| 33802.438 | 146816.196 | 33802.438 | -0.000 | -0.000 | -0.000 |
| 33802.438 | 33802.438 | 146816.196 | -0.000 | -0.000 | 0.000 |
| -45.718 | -80.043 | -80.058 | 20803.155 | -0.000 | -0.000 |
| -80.043 | -45.718 | -80.058 | -0.000 | 20803.155 | -0.000 |
| -80.043 | -80.058 | -45.718 | -0.000 | -0.000 | 20803.155 |
| 149165.583 | 34094.816 | 34094.816 | 0.000 | 0.000 | 0.000 |
| 34094.816 | 149165.583 | 34094.816 | 0.000 | 0.000 | 0.000 |
| 34094.816 | 34094.816 | 149165.583 | 0.000 | 0.000 | 0.000 |
| 45.718 | 80.043 | 80.058 | 20803.155 | 0.000 | 0.000 |
| 80.043 | 45.718 | 80.058 | 0.000 | 20803.155 | 0.000 |
| 80.043 | 80.058 | 45.718 | -0.000 | -0.000 | 20803.155 |
| 26.100 | 0.000 | 0.000 | 0.000 | 0.000 | 0.000 |
| 0.000 | 0.000 | 0.000 | 0.000 | 0.000 | 0.000 |
| 0.000 | 0.000 | 0.000 | 0.000 | 0.000 | 0.000 |
| 0.000 | 0.000 | 0.000 | 0.000 | 0.000 | 0.000 |
| 0.000 | 0.000 | 0.000 | 0.000 | 0.000 | 0.000 |
| 0.000 | 0.000 | 0.000 | 0.000 | 0.000 | 0.000 |
| 26.100 | -0.000 | -0.000 | -0.000 | -0.000 | -0.000 |
| -0.000 | -0.000 | -0.000 | -0.000 | -0.000 | -0.000 |
| -0.000 | -0.000 | -0.000 | -0.000 | -0.000 | -0.000 |
| -0.000 | -0.000 | -0.000 | -0.000 | -0.000 | -0.000 |
| -0.000 | -0.000 | -0.000 | -0.000 | -0.000 | -0.000 |
| -0.000 | -0.000 | -0.000 | -0.000 | -0.000 | -0.000 |
| 26.100 | 0.000 | 0.000 | 0.000 | 0.000 | 0.000 |
| 0.000 | 0.000 | 0.000 | 0.000 | 0.000 | 0.000 |
| 0.000 | 0.000 | 0.000 | 0.000 | 0.000 | 0.000 |
| 0.000 | 0.000 | 0.000 | 0.000 | 0.000 | 0.000 |
| 0.000 | 0.000 | 0.000 | 0.000 | 0.000 | 0.000 |
| 0.000 | 0.000 | 0.000 | 0.000 | 0.000 | 0.000 |
| 26.100 | -0.000 | -0.000 | -0.000 | -0.000 | -0.000 |
| -0.000 | -0.000 | -0.000 | -0.000 | -0.000 | -0.000 |
| -0.000 | -0.000 | -0.000 | -0.000 | -0.000 | -0.000 |
| -0.000 | -0.000 | -0.000 | -0.000 | -0.000 | -0.000 |
| -0.000 | -0.000 | -0.000 | -0.000 | -0.000 | -0.000 |
| -0.000 | -0.000 | -0.000 | -0.000 | -0.000 | -0.000 |
| 26.101 | 0.000 | 0.000 | 0.000 | 0.000 | 0.000 |
| 0.000 | 0.000 | 0.000 | 0.000 | 0.000 | 0.000 |
| 0.000 | 0.000 | 0.000 | 0.000 | 0.000 | 0.000 |
| 0.000 | 0.000 | 0.000 | 0.000 | 0.000 | 0.000 |
| 0.000 | 0.000 | 0.000 | 0.000 | 0.000 | 0.000 |
| 0.000 | 0.000 | 0.000 | 0.000 | 0.000 | 0.000 |
| 26.099 | -0.000 | -0.000 | -0.000 | -0.000 | -0.000 |
| -0.000 | -0.000 | -0.000 | -0.000 | -0.000 | -0.000 |
| -0.000 | -0.000 | -0.000 | -0.000 | -0.000 | -0.000 |
| -0.000 | -0.000 | -0.000 | -0.000 | -0.000 | -0.000 |
| -0.000 | -0.000 | -0.000 | -0.000 | -0.000 | -0.000 |
| -0.000 | -0.000 | -0.000 | -0.000 | -0.000 | -0.000 |
| 167.415 | 47.635 | 141.095 | -0.000 | 0.000 | -0.000 |
| 153.344 | 322.111 | 109.319 | 0.000 | 0.000 | 0.000 |
| 97.926 | 114.452 | 127.831 | 0.000 | 0.000 | 0.000 |
| 0.000 | 0.000 | 0.000 | 42.964 | -0.000 | 0.000 |
| 0.000 | 0.000 | -0.000 | 0.000 | 10.917 | 0.000 |
| 0.000 | 0.000 | 0.000 | 0.000 | 0.000 | 76.295 |
| 177.433 | 151.049 | 90.497 | 0.000 | -0.000 | -0.000 |
| 153.344 | 322.111 | 109.319 | -0.000 | -0.000 | -0.000 |
| 97.926 | 114.452 | 127.831 | 0.000 | -0.000 | -0.000 |
| -0.000 | -0.000 | -0.000 | 42.964 | -0.000 | -0.000 |
| -0.000 | -0.000 | 0.000 | -0.000 | 10.917 | 0.000 |
| -0.000 | -0.000 | 0.000 | -0.000 | -0.000 | 76.295 |
| 177.433 | 151.049 | 90.497 | 0.000 | 0.000 | 0.000 |
| 153.344 | 322.111 | 109.318 | -0.000 | 0.000 | 0.000 |
| 97.926 | 114.452 | 127.831 | 0.000 | 0.000 | 0.000 |
| -0.000 | 0.000 | 0.000 | 42.964 | 0.000 | 0.000 |
| -0.000 | -0.000 | -0.000 | 0.000 | 10.917 | 0.000 |
| -36578187.987 | 25635391.165 | -70249998.697 | 53946.148 | 38731.425 | -93910503.029 |
| 177.433 | 151.049 | 90.497 | -0.000 | -0.000 | -0.000 |
| 153.344 | 322.111 | 109.319 | -0.000 | -0.000 | -0.000 |
| 97.926 | 114.452 | 127.831 | -0.000 | -0.000 | -0.000 |
| -0.000 | -0.000 | -0.000 | 42.964 | -0.000 | -0.000 |
| 0.000 | 0.000 | 0.000 | -0.000 | 10.917 | -0.000 |
| 39512580.488 | -20128043.870 | 70423165.389 | -574218.006 | 98633.710 | -95690049.780 |
| 177.432 | 151.049 | 90.496 | 0.000 | 0.000 | 0.000 |
| 164.192 | 147.173 | 81.941 | 0.000 | 0.000 | -0.000 |
| 97.925 | 114.452 | 127.831 | 0.000 | 0.000 | 0.000 |
| -0.000 | -0.000 | 0.000 | 42.964 | 0.000 | 0.000 |
| -0.000 | -0.000 | -0.000 | -0.000 | 10.917 | -0.000 |
| -3530270.279 | 2614926.065 | -6977052.984 | -5438.325 | -1399.929 | -9314319.042 |
| 120.402 | 168.142 | 76.992 | -0.000 | -0.000 | 0.000 |
| 169.002 | 147.729 | 84.803 | 0.000 | -0.000 | 0.000 |
| 97.926 | 114.452 | 127.831 | -0.000 | -0.000 | -0.000 |
| 0.000 | 0.000 | -0.000 | 42.964 | 0.000 | -0.000 |
| 0.000 | 0.000 | 0.000 | -0.000 | 10.917 | -0.000 |
| 3492385.329 | -2634045.800 | 6971415.922 | -1066.728 | -566.551 | -9283748.696 |
| 385.970 | 49.547 | 49.547 | -0.000 | -0.000 | -0.000 |
| 49.547 | 385.970 | 49.547 | -0.000 | -0.000 | -0.000 |
| 49.547 | 49.547 | 385.970 | -0.000 | 0.000 | -0.000 |
| 0.000 | 0.000 | 0.000 | -5.404 | -0.000 | 0.000 |
| 0.000 | 0.000 | 0.000 | -0.000 | -5.404 | -0.000 |
| 0.000 | 0.000 | 0.000 | -0.000 | -0.000 | -5.404 |
| 385.970 | 49.547 | 49.547 | 0.000 | 0.000 | 0.000 |
| 49.547 | 385.970 | 49.547 | 0.000 | 0.000 | 0.000 |
| 49.547 | 49.547 | 385.970 | 0.000 | 0.000 | 0.000 |
| -0.000 | -0.000 | -0.000 | -5.404 | 0.000 | 0.000 |
| -0.000 | -0.000 | -0.000 | 0.000 | -5.404 | 0.000 |
| -0.000 | -0.000 | -0.000 | 0.000 | 0.000 | -5.404 |
| 385.970 | 49.547 | 49.547 | -0.000 | -0.000 | -0.000 |
| 49.547 | 385.970 | 49.547 | -0.000 | -0.000 | -0.000 |
| 49.547 | 49.547 | 385.970 | -0.000 | -0.000 | -0.000 |
| 0.000 | -0.000 | -0.000 | -5.404 | -0.000 | -0.000 |
| -0.000 | 0.000 | -0.000 | -0.000 | -5.404 | -0.000 |
| -0.000 | -0.000 | 0.000 | -0.000 | -0.000 | -5.404 |
| 385.969 | 49.547 | 49.547 | -0.000 | 0.000 | -0.000 |
| 49.547 | 385.969 | 49.547 | 0.000 | 0.000 | 0.000 |
| 49.547 | 49.547 | 385.969 | 0.000 | 0.000 | 0.000 |
| -0.000 | 0.000 | 0.000 | -5.404 | 0.000 | 0.000 |
| 0.000 | -0.000 | 0.000 | 0.000 | -5.404 | 0.000 |
| 0.000 | 0.000 | -0.000 | 0.000 | -0.000 | -5.404 |
| 385.972 | 49.547 | 49.547 | -0.000 | -0.000 | -0.000 |
| 49.547 | 385.972 | 49.547 | -0.000 | -0.000 | -0.000 |
| 49.547 | 49.547 | 385.972 | -0.000 | -0.000 | -0.000 |
| 0.000 | -0.000 | -0.000 | -5.404 | -0.000 | -0.000 |
| -0.000 | 0.000 | -0.000 | -0.000 | -5.404 | -0.000 |
| -0.000 | -0.000 | 0.000 | -0.000 | -0.000 | -5.404 |
| 385.967 | 49.548 | 49.548 | 0.000 | 0.000 | 0.000 |
| 49.548 | 385.967 | 49.548 | 0.000 | 0.000 | 0.000 |
| 49.548 | 49.548 | 385.967 | 0.000 | 0.000 | 0.000 |
| -0.000 | 0.000 | 0.000 | -5.404 | 0.000 | 0.000 |
| 0.000 | -0.000 | 0.000 | 0.000 | -5.404 | 0.000 |
| 0.000 | 0.000 | -0.000 | 0.000 | 0.000 | -5.404 |
| 175.131 | 188.283 | 188.283 | 0.000 | -0.000 | 0.000 |
| 188.283 | 175.131 | 188.283 | -0.000 | -0.000 | 0.000 |
| 188.283 | 188.283 | 175.131 | -0.000 | -0.000 | 0.000 |
| 0.000 | -0.000 | 0.000 | 132.655 | -0.000 | 0.000 |
| -0.000 | 0.000 | 0.000 | 0.000 | 132.655 | -0.000 |
| -0.000 | 0.000 | 0.000 | -0.000 | -0.000 | 132.655 |
| 175.131 | 188.283 | 188.283 | -0.000 | -0.000 | -0.000 |
| 188.283 | 175.131 | 188.283 | -0.000 | -0.000 | 0.000 |
| 188.283 | 188.283 | 175.131 | 0.000 | 0.000 | 0.000 |
| -0.000 | 0.000 | -0.000 | 132.655 | -0.000 | -0.000 |
| 0.000 | -0.000 | -0.000 | 0.000 | 132.655 | 0.000 |
| 0.000 | -0.000 | -0.000 | 0.000 | 0.000 | 132.655 |
| 175.131 | 188.283 | 188.283 | 0.000 | 0.000 | -0.000 |
| 188.283 | 175.131 | 188.283 | 0.000 | 0.000 | 0.000 |
| 188.283 | 188.283 | 175.131 | -0.000 | 0.000 | 0.000 |
| 0.000 | 0.000 | 0.000 | 132.655 | 0.000 | 0.000 |
| 0.000 | 0.000 | 0.000 | 0.000 | 132.655 | 0.000 |
| 0.000 | 0.000 | 0.000 | -0.000 | -0.000 | 132.655 |
| 175.131 | 188.283 | 188.283 | -0.000 | 0.000 | -0.000 |
| 188.283 | 175.131 | 188.283 | 0.000 | 0.000 | -0.000 |
| 188.283 | 188.283 | 175.131 | 0.000 | 0.000 | 0.000 |
| -0.000 | -0.000 | -0.000 | 132.655 | 0.000 | -0.000 |
| -0.000 | -0.000 | -0.000 | 0.000 | 132.655 | -0.000 |
| -0.000 | -0.000 | -0.000 | -0.000 | -0.000 | 132.655 |
| 175.132 | 188.284 | 188.284 | 0.000 | 0.000 | -0.000 |
| 188.284 | 175.132 | 188.284 | 0.000 | 0.000 | 0.000 |
| 188.284 | 188.284 | 175.132 | -0.000 | -0.000 | 0.000 |
| 0.000 | 0.000 | 0.001 | 132.655 | -0.000 | 0.000 |
| 0.000 | 0.000 | 0.001 | -0.000 | 132.655 | 0.000 |
| 0.000 | 0.001 | 0.000 | 0.000 | -0.000 | 132.655 |
| 175.131 | 188.282 | 188.282 | -0.000 | -0.000 | 0.000 |
| 188.282 | 175.131 | 188.282 | -0.000 | -0.000 | 0.000 |
| 188.282 | 188.282 | 175.131 | 0.000 | 0.000 | -0.000 |
| -0.000 | -0.000 | -0.001 | 132.655 | -0.000 | 0.000 |
| -0.000 | -0.000 | -0.001 | -0.000 | 132.655 | 0.000 |
| -0.000 | -0.001 | -0.000 | -0.000 | 0.000 | 132.655 |
| 42438.134 | 42563.543 | 42563.543 | 0.000 | 0.000 | -0.000 |
| 42563.543 | 42438.134 | 42563.543 | 0.000 | 0.000 | 0.000 |
| 42563.544 | 42563.544 | 42438.135 | -0.000 | 0.000 | 0.000 |
| 30734133520.914 | 27679405050.060 | 27771514999.028 | 438998690.403 | 43827932.081 | 158541979.328 |
| 27859148632.928 | 30956095326.797 | 27801184579.880 | -88692094.404 | 408305610.605 | 116112261.733 |
| 28089077836.354 | 28135467688.940 | 30534493503.446 | -62174683.284 | 165209915.446 | 405549428.391 |
| 42438.097 | 42563.505 | 42563.505 | -0.000 | -0.000 | -0.000 |
| 42563.505 | 42438.097 | 42563.505 | -0.000 | -0.000 | 0.000 |
| 42563.504 | 42563.504 | 42438.097 | -0.000 | -0.000 | -0.000 |
| -31048791337.199 | -27957269955.094 | -27803899563.882 | 507951691.449 | 31552963.062 | -111527615.499 |
| -27541047422.557 | -30991826172.570 | -27831596681.205 | -121032553.193 | 512025236.631 | -851529.636 |
| -27871102664.999 | -27870462440.054 | -30768273376.892 | 72826166.739 | 116378266.631 | 366362115.349 |
| 42438.301 | 42563.714 | 42563.714 | 0.000 | 0.000 | 0.000 |
| 42563.714 | 42438.301 | 42563.714 | 0.000 | 0.000 | 0.000 |
| 42563.714 | 42563.714 | 42438.301 | -0.000 | 0.000 | 0.000 |
| 3117079745.985 | 2706415451.393 | 2714608021.113 | 44349358.732 | 7091641.786 | 3997919.060 |
| 2733039012.719 | 3139279341.544 | 2740756551.676 | 19486593.687 | 53058193.306 | -3072629.738 |
| 2780036425.363 | 2780399858.690 | 3064216345.684 | 5039028.636 | 15501047.250 | 43311238.033 |
| 42437.930 | 42563.334 | 42563.334 | -0.000 | -0.000 | -0.000 |
| 42563.334 | 42437.930 | 42563.334 | -0.000 | -0.000 | -0.000 |
| 42563.334 | 42563.334 | 42437.930 | 0.000 | -0.000 | -0.000 |
| -3088114539.210 | -2717800620.466 | -2739460593.227 | 46667988.180 | 27506749.487 | 27267081.705 |
| -2782332736.087 | -3100098351.717 | -2755185468.570 | 2165984.919 | 51005194.935 | 9433045.573 |
| -2777764867.574 | -2761917977.971 | -3104493015.125 | 16458433.801 | 17661646.124 | 46725223.231 |
| 42439.969 | 42565.420 | 42565.420 | -0.000 | 0.000 | -0.000 |
| 42565.420 | 42439.969 | 42565.420 | 0.000 | -0.000 | 0.000 |
| 42565.420 | 42565.420 | 42439.969 | -0.000 | 0.000 | -0.000 |
| 309122985.683 | 272855592.500 | 272888345.421 | 3755384.411 | -131688.998 | 969123.484 |
| 275726414.555 | 306182989.681 | 276580463.408 | -1161558.689 | 3327045.295 | 1405488.814 |
| 273801082.602 | 274684667.088 | 310111569.709 | -671698.598 | -469275.151 | 4436709.133 |
| 42436.262 | 42561.628 | 42561.628 | -0.000 | -0.000 | 0.000 |
| 42561.628 | 42436.262 | 42561.628 | 0.000 | -0.000 | -0.000 |
| 42561.628 | 42561.628 | 42436.262 | -0.000 | -0.000 | -0.000 |
| -310344531.331 | -276990800.834 | -271890925.294 | 3961055.756 | 2724784.931 | 2386298.670 |
| -280219636.736 | -306620042.029 | -277337861.975 | -202796.340 | 4202752.959 | -2050471.344 |
| -272811777.070 | -273239604.636 | -311882748.976 | 364305.725 | -158303.830 | 4342602.880 |
| 80.006 | 103.136 | 103.136 | 0.000 | 0.000 | 0.000 |
| 103.136 | 80.006 | 103.136 | 0.000 | 0.000 | 0.000 |
| 103.136 | 103.136 | 80.006 | 0.000 | 0.000 | 0.000 |
| -0.000 | -0.000 | -0.000 | -33.380 | 0.000 | 0.000 |
| -0.000 | 0.000 | -0.000 | 0.000 | -33.380 | 0.000 |
| -0.000 | -0.000 | 0.000 | 0.000 | 0.000 | -33.380 |
| 80.006 | 103.136 | 103.136 | -0.000 | -0.000 | -0.000 |
| 103.136 | 80.006 | 103.136 | -0.000 | -0.000 | -0.000 |
| 103.136 | 103.136 | 80.006 | -0.000 | -0.000 | -0.000 |
| 0.000 | 0.000 | 0.000 | -33.380 | -0.000 | -0.000 |
| 0.000 | 0.000 | 0.000 | -0.000 | -33.380 | -0.000 |
| 0.000 | 0.000 | 0.000 | -0.000 | -0.000 | -33.380 |
| 80.006 | 103.136 | 103.136 | 0.000 | 0.000 | 0.000 |
| 103.136 | 80.006 | 103.136 | 0.000 | 0.000 | 0.000 |
| 103.136 | 103.136 | 80.006 | 0.000 | 0.000 | 0.000 |
| 0.000 | -0.000 | 0.000 | 56.055 | 0.000 | 0.000 |
| -0.000 | 0.000 | 0.000 | 0.000 | 56.055 | 0.000 |
| -0.000 | 0.000 | 0.000 | 0.000 | -0.000 | 56.055 |
| 80.006 | 103.136 | 103.136 | -0.000 | -0.000 | -0.000 |
| 103.136 | 80.006 | 103.136 | -0.000 | -0.000 | -0.000 |
| 103.136 | 103.136 | 80.006 | -0.000 | -0.000 | -0.000 |
| -0.000 | 0.000 | -0.000 | 56.055 | 0.000 | -0.000 |
| 0.000 | -0.000 | -0.000 | 0.000 | 56.055 | 0.000 |
| 0.000 | -0.000 | -0.000 | 0.000 | 0.000 | 56.055 |
| 80.007 | 103.137 | 103.137 | 0.000 | 0.000 | 0.000 |
| 103.137 | 80.007 | 103.137 | 0.000 | 0.000 | 0.000 |
| 103.137 | 103.137 | 80.007 | 0.000 | 0.000 | 0.000 |
| -0.000 | -0.000 | -0.000 | -33.380 | 0.000 | 0.000 |
| -0.000 | -0.000 | -0.000 | 0.000 | -33.380 | 0.000 |
| -0.000 | -0.000 | -0.000 | 0.000 | 0.000 | -33.380 |
| 80.006 | 103.136 | 103.136 | -0.000 | -0.000 | -0.000 |
| 103.136 | 80.006 | 103.136 | -0.000 | -0.000 | -0.000 |
| 103.136 | 103.136 | 80.006 | -0.000 | -0.000 | -0.000 |
| 0.000 | 0.000 | 0.000 | -33.380 | -0.000 | -0.000 |
| 0.000 | 0.000 | 0.000 | -0.000 | -33.380 | -0.000 |
| 0.000 | 0.000 | 0.000 | -0.000 | -0.000 | -33.380 |
| 252.452 | 109.292 | 190.849 | -0.000 | -0.000 | -0.000 |
| 109.292 | 252.452 | 190.849 | -0.000 | -0.000 | -0.000 |
| 190.849 | 190.849 | 352.025 | -0.000 | -0.000 | -0.000 |
| 0.000 | -0.000 | -0.000 | 146.025 | -0.000 | -0.000 |
| -0.000 | -0.000 | -0.000 | -0.000 | 146.025 | -0.000 |
| 0.000 | 0.000 | -0.000 | -0.000 | -0.000 | 64.628 |
| 252.452 | 109.292 | 190.849 | 0.000 | 0.000 | 0.000 |
| 109.292 | 252.452 | 190.849 | 0.000 | 0.000 | 0.000 |
| 190.849 | 190.849 | 352.025 | 0.000 | 0.000 | 0.000 |
| -0.000 | 0.000 | 0.000 | 146.025 | 0.000 | 0.000 |
| 0.000 | 0.000 | 0.000 | 0.000 | 146.025 | 0.000 |
| -0.000 | -0.000 | 0.000 | 0.000 | 0.000 | 64.628 |
| 252.452 | 109.292 | 190.849 | -0.000 | -0.000 | -0.000 |
| 109.292 | 252.452 | 190.849 | -0.000 | -0.000 | -0.000 |
| 190.849 | 190.849 | 352.025 | -0.000 | -0.000 | -0.000 |
| -0.000 | -0.000 | -0.000 | 146.025 | -0.000 | -0.000 |
| -0.000 | -0.000 | -0.000 | -0.000 | 146.025 | -0.000 |
| -0.000 | -0.000 | -0.000 | -0.000 | -0.000 | 64.628 |
| 252.451 | 109.292 | 190.849 | 0.000 | 0.000 | 0.000 |
| 109.292 | 252.451 | 190.849 | 0.000 | 0.000 | 0.000 |
| 190.849 | 190.849 | 352.025 | 0.000 | -0.000 | 0.000 |
| 0.000 | 0.000 | 0.000 | 146.025 | -0.000 | 0.000 |
| 0.000 | 0.000 | 0.000 | 0.000 | 146.025 | 0.000 |
| 0.000 | 0.000 | 0.000 | 0.000 | 0.000 | 64.628 |
| 252.452 | 109.292 | 190.848 | -0.000 | -0.000 | -0.000 |
| 109.292 | 252.452 | 190.848 | -0.000 | 0.000 | -0.000 |
| 190.848 | 190.848 | 352.023 | -0.000 | 0.000 | -0.000 |
| -0.000 | -0.000 | -0.001 | 146.025 | -0.000 | -0.000 |
| -0.000 | -0.000 | -0.001 | -0.000 | 146.025 | -0.000 |
| -0.000 | -0.000 | -0.000 | -0.000 | 0.000 | 64.628 |
| 252.451 | 109.293 | 190.849 | 0.000 | 0.000 | 0.000 |
| 109.293 | 252.451 | 190.849 | 0.000 | -0.000 | 0.000 |
| 190.850 | 190.850 | 352.028 | 0.000 | 0.000 | 0.000 |
| 0.000 | 0.000 | 0.001 | 146.025 | -0.000 | 0.000 |
| 0.000 | 0.000 | 0.001 | 0.000 | 146.025 | 0.000 |
| 0.000 | 0.000 | 0.000 | 0.000 | -0.000 | 64.628 |
| 148.478 | 106.332 | 129.868 | 0.000 | -0.000 | -0.000 |
| 87.349 | 167.460 | 129.868 | 0.000 | -0.000 | -0.000 |
| 129.868 | 129.868 | 400.053 | -0.000 | -0.000 | -0.000 |
| 0.000 | -0.000 | 0.000 | 78.931 | -0.000 | -0.000 |
| 0.000 | -0.000 | 0.000 | -0.000 | 78.931 | -0.000 |
| -0.000 | 0.000 | -0.000 | 0.000 | -0.000 | 40.056 |
| 148.478 | 106.332 | 129.868 | -0.000 | 0.000 | 0.000 |
| 87.349 | 167.460 | 129.868 | -0.000 | 0.000 | 0.000 |
| 129.868 | 129.868 | 400.053 | 0.000 | 0.000 | 0.000 |
| 0.000 | -0.000 | -0.000 | 78.931 | 0.000 | 0.000 |
| 0.000 | -0.000 | -0.000 | 0.000 | 78.931 | 0.000 |
| 0.000 | -0.000 | 0.000 | -0.000 | 0.000 | 40.056 |
| 148.478 | 106.332 | 129.868 | -0.000 | -0.000 | -0.000 |
| 106.332 | 148.478 | 129.868 | -0.000 | -0.000 | -0.000 |
| 129.868 | 129.868 | 400.053 | -0.000 | -0.000 | -0.000 |
| 0.000 | 0.000 | 0.000 | 78.931 | -0.000 | -0.000 |
| 0.000 | 0.000 | 0.000 | -0.000 | 78.931 | 0.000 |
| -0.000 | 0.000 | -0.000 | 0.000 | -0.000 | 21.073 |
| 148.478 | 106.332 | 129.868 | -0.000 | 0.000 | 0.000 |
| 106.332 | 148.478 | 129.868 | -0.000 | 0.000 | 0.000 |
| 129.868 | 129.868 | 400.053 | 0.000 | 0.000 | 0.000 |
| -0.000 | -0.000 | -0.000 | 78.931 | 0.000 | 0.000 |
| -0.000 | -0.000 | -0.000 | 0.000 | 78.931 | 0.000 |
| 0.000 | -0.000 | 0.000 | -0.000 | 0.000 | 21.073 |
| 148.478 | 106.331 | 129.868 | -0.000 | -0.000 | -0.000 |
| 106.332 | 148.478 | 129.868 | -0.000 | -0.000 | -0.000 |
| 129.869 | 129.869 | 400.055 | -0.000 | -0.000 | -0.000 |
| 0.000 | -0.000 | 0.000 | 78.931 | -0.000 | -0.000 |
| 0.000 | 0.000 | 0.000 | 0.000 | 78.931 | -0.000 |
| -0.000 | 0.000 | 0.000 | 0.000 | -0.000 | 40.056 |
| 148.478 | 106.332 | 129.868 | 0.000 | 0.000 | 0.000 |
| 87.349 | 167.460 | 129.868 | 0.000 | 0.000 | 0.000 |
| 129.868 | 129.868 | 400.051 | 0.000 | 0.000 | 0.000 |
| -0.000 | 0.000 | -0.000 | 78.931 | 0.000 | 0.000 |
| -0.000 | -0.000 | -0.000 | -0.000 | 78.931 | -0.000 |
| 0.000 | -0.000 | -0.000 | 0.000 | 0.000 | 40.056 |
| 288.812 | 102.108 | 119.690 | -0.000 | 0.000 | 0.000 |
| 107.941 | 229.410 | 167.129 | -0.000 | 0.000 | 0.000 |
| 113.116 | 167.013 | 391.226 | -0.000 | 0.000 | -0.000 |
| 0.000 | 0.000 | 0.000 | 120.143 | -0.000 | -0.000 |
| -0.000 | -0.000 | -0.000 | -0.000 | 54.968 | -0.000 |
| 0.000 | 0.000 | -0.000 | -0.000 | 0.000 | 85.585 |
| 295.902 | 106.424 | 114.002 | 0.000 | -0.000 | -0.000 |
| 132.783 | 245.293 | 166.972 | 0.000 | 0.000 | -0.000 |
| 113.116 | 167.013 | 391.226 | 0.000 | -0.000 | 0.000 |
| -0.000 | -0.000 | -0.000 | 120.143 | 0.000 | 0.000 |
| -0.000 | 0.000 | 0.000 | 0.000 | 54.968 | -0.000 |
| -0.000 | -0.000 | -0.000 | 0.000 | -0.000 | 85.585 |
| 288.812 | 102.108 | 119.690 | -0.000 | 0.000 | 0.000 |
| 102.108 | 225.835 | 171.183 | -0.000 | 0.000 | 0.000 |
| 119.690 | 171.183 | 390.332 | -0.000 | -0.000 | -0.000 |
| -0.000 | -0.000 | 0.000 | 105.684 | 0.000 | 0.000 |
| 0.000 | 0.000 | -0.000 | -0.000 | 53.782 | -0.000 |
| 0.000 | 0.000 | 0.000 | -0.000 | 0.000 | 85.585 |
| 288.812 | 102.108 | 119.690 | 0.000 | -0.000 | 0.000 |
| 102.108 | 225.835 | 171.183 | 0.000 | -0.000 | -0.000 |
| 112.830 | 166.972 | 394.929 | 0.000 | 0.000 | -0.000 |
| 0.000 | 0.000 | -0.000 | 105.684 | -0.000 | 0.000 |
| -0.000 | -0.000 | 0.000 | 0.000 | 53.782 | -0.000 |
| -0.000 | -0.000 | -0.000 | 0.000 | -0.000 | 85.585 |
| 288.813 | 102.109 | 119.690 | -0.000 | 0.000 | -0.000 |
| 102.108 | 225.836 | 171.183 | -0.000 | 0.000 | -0.000 |
| 119.690 | 171.184 | 390.334 | -0.000 | -0.000 | 0.000 |
| 0.000 | 0.000 | 0.001 | 105.644 | -0.000 | -0.000 |
| 0.000 | 0.000 | -0.000 | -0.000 | 53.782 | -0.000 |
| 0.000 | 0.000 | 0.000 | -0.000 | 0.000 | 85.585 |
| 288.811 | 102.108 | 119.689 | 0.000 | -0.000 | -0.000 |
| 102.108 | 225.834 | 171.182 | -0.000 | -0.000 | 0.000 |
| 119.689 | 171.182 | 390.331 | 0.000 | 0.000 | -0.000 |
| -0.000 | -0.000 | -0.001 | 105.644 | 0.000 | 0.000 |
| -0.000 | -0.000 | 0.000 | 0.000 | 53.782 | -0.000 |
| -0.000 | -0.000 | -0.000 | 0.000 | -0.000 | 85.585 |
| 285.078 | 101.373 | 118.092 | 0.000 | -0.000 | -0.000 |
| 101.059 | 234.982 | 172.775 | -0.000 | -0.000 | -0.000 |
| 110.060 | 167.674 | 388.560 | -0.000 | 0.000 | 0.000 |
| -0.153 | -0.106 | -0.222 | 106.701 | -0.000 | -0.000 |
| -0.042 | -0.029 | -0.060 | 0.000 | 52.105 | 0.000 |
| -0.039 | -0.027 | -0.057 | 0.000 | -0.000 | 84.301 |
| 285.290 | 101.511 | 118.179 | 0.000 | 0.000 | 0.000 |
| 107.356 | 238.801 | 168.599 | -0.000 | 0.000 | 0.000 |
| 110.144 | 167.731 | 388.652 | -0.000 | -0.000 | 0.000 |
| 0.153 | 0.106 | 0.222 | 106.701 | 0.000 | 0.000 |
| 0.042 | 0.029 | 0.060 | 0.000 | 52.105 | 0.000 |
| 0.039 | 0.027 | 0.057 | -0.000 | 0.000 | 84.301 |
| 285.174 | 101.435 | 118.131 | 0.000 | -0.000 | -0.000 |
| 101.155 | 235.041 | 172.814 | 0.000 | -0.000 | -0.000 |
| 110.098 | 167.699 | 388.602 | 0.000 | 0.000 | -0.000 |
| 0.010 | 0.008 | 0.046 | 106.642 | 0.000 | -0.000 |
| -0.010 | -0.007 | -0.003 | -0.000 | 50.701 | -0.000 |
| -0.004 | -0.003 | -0.006 | 0.000 | 0.000 | 84.301 |
| 285.195 | 101.449 | 118.140 | -0.000 | 0.000 | 0.000 |
| 131.026 | 253.775 | 168.386 | -0.000 | -0.000 | 0.000 |
| 110.106 | 167.705 | 388.611 | -0.000 | -0.000 | 0.000 |
| -0.010 | -0.008 | -0.046 | 106.642 | -0.000 | 0.000 |
| 0.010 | 0.007 | 0.003 | -0.000 | 50.701 | 0.000 |
| 0.004 | 0.003 | 0.006 | 0.000 | -0.000 | 84.301 |
| 285.184 | 101.442 | 118.135 | 0.000 | -0.000 | -0.000 |
| 101.164 | 235.021 | 172.818 | 0.000 | -0.000 | -0.000 |
| 117.179 | 172.139 | 387.555 | -0.000 | -0.000 | -0.000 |
| 0.001 | 0.001 | 0.005 | 106.642 | 0.000 | -0.000 |
| 0.000 | -0.000 | -0.000 | -0.000 | 61.359 | -0.000 |
| -0.000 | -0.000 | -0.001 | -0.000 | -0.000 | 84.301 |
| 285.185 | 101.443 | 118.136 | -0.000 | 0.000 | 0.000 |
| 101.166 | 235.081 | 172.818 | 0.000 | 0.000 | 0.000 |
| 109.868 | 167.707 | 392.441 | -0.000 | -0.000 | 0.000 |
| -0.001 | -0.001 | -0.005 | 106.642 | -0.000 | 0.000 |
| -0.000 | 0.000 | 0.000 | -0.000 | 61.359 | 0.000 |
| 0.000 | 0.000 | 0.001 | -0.000 | 0.000 | 84.301 |
| 160.567 | 80.670 | 47.817 | -0.000 | -0.000 | 0.000 |
| 80.670 | 160.567 | 47.817 | -0.000 | -0.000 | 0.000 |
| 47.817 | 47.817 | 312.971 | -0.000 | -0.000 | 0.000 |
| 0.000 | -0.000 | -0.000 | -5.321 | 0.000 | 0.000 |
| 0.000 | -0.000 | -0.000 | -0.000 | -5.321 | 0.000 |
| -0.000 | -0.000 | 0.000 | -0.000 | -0.000 | 39.948 |
| 160.567 | 80.670 | 47.817 | 0.000 | 0.000 | -0.000 |
| 80.670 | 160.567 | 47.817 | 0.000 | 0.000 | -0.000 |
| 47.817 | 47.817 | 312.971 | 0.000 | 0.000 | -0.000 |
| -0.000 | -0.000 | 0.000 | -5.321 | -0.000 | -0.000 |
| -0.000 | 0.000 | 0.000 | 0.000 | -5.321 | 0.000 |
| 0.000 | 0.000 | -0.000 | 0.000 | 0.000 | 39.948 |
| 160.567 | 80.670 | 47.817 | -0.000 | -0.000 | 0.000 |
| 80.670 | 160.567 | 47.817 | -0.000 | -0.000 | 0.000 |
| 47.817 | 47.817 | 312.971 | -0.000 | -0.000 | -0.000 |
| 0.000 | 0.000 | -0.000 | -5.321 | 0.000 | 0.000 |
| 0.000 | 0.000 | -0.000 | -0.000 | -5.321 | 0.000 |
| -0.000 | -0.000 | -0.000 | -0.000 | 0.000 | -12.187 |
| 108.431 | 132.805 | 47.817 | -0.000 | -0.000 | 0.000 |
| 133.905 | 107.331 | 47.817 | 0.000 | 0.000 | 0.000 |
| 47.817 | 47.817 | 312.971 | -0.000 | -0.000 | -0.000 |
| -0.000 | -0.000 | 0.000 | -5.321 | -0.000 | -0.000 |
| -0.000 | -0.000 | 0.000 | 0.000 | -5.321 | 0.000 |
| 0.000 | 0.000 | 0.000 | 0.000 | -0.000 | -12.187 |
| 108.431 | 132.805 | 47.817 | 0.000 | 0.000 | -0.000 |
| 132.802 | 108.434 | 47.817 | 0.000 | 0.000 | 0.000 |
| 47.817 | 47.817 | 312.972 | -0.000 | -0.000 | 0.000 |
| 0.000 | 0.000 | -0.000 | -5.321 | -0.000 | -0.000 |
| 0.000 | 0.000 | -0.000 | -0.000 | -5.321 | -0.000 |
| -0.000 | -0.000 | -0.000 | 0.000 | 0.000 | -12.187 |
| 108.431 | 132.805 | 47.817 | -0.000 | -0.000 | -0.000 |
| 80.670 | 160.567 | 47.817 | 0.000 | 0.000 | -0.000 |
| 47.817 | 47.817 | 312.971 | -0.000 | -0.000 | -0.000 |
| -0.000 | -0.000 | 0.000 | -5.321 | 0.000 | 0.000 |
| -0.000 | -0.000 | 0.000 | 0.000 | -5.321 | 0.000 |
| 0.000 | 0.000 | 0.000 | 0.000 | -0.000 | -12.187 |
| 168.354 | 87.223 | 129.673 | -40.417 | 0.000 | -0.000 |
| 87.223 | 168.354 | 129.673 | 40.417 | -0.000 | -0.000 |
| 129.673 | 129.673 | 393.262 | -0.000 | -0.000 | -0.000 |
| -40.417 | 40.417 | -0.000 | 79.571 | 0.000 | -0.000 |
| -0.000 | 0.000 | -0.000 | -0.000 | 79.571 | -40.417 |
| 0.000 | 0.000 | 0.000 | -0.000 | -40.417 | 40.565 |
| 168.354 | 87.223 | 129.673 | -40.417 | 0.000 | 0.000 |
| 87.223 | 168.354 | 129.673 | 40.417 | 0.000 | 0.000 |
| 129.673 | 129.673 | 393.262 | -0.000 | -0.000 | 0.000 |
| -40.417 | 40.417 | 0.000 | 79.571 | -0.000 | 0.000 |
| 0.000 | -0.000 | 0.000 | 0.000 | 79.571 | -40.417 |
| 0.000 | -0.000 | -0.000 | 0.000 | -40.417 | 40.565 |
| 168.354 | 87.223 | 129.673 | -40.417 | -0.000 | -0.000 |
| 87.223 | 168.354 | 129.673 | 40.417 | 0.000 | -0.000 |
| 129.673 | 129.673 | 393.262 | -0.000 | 0.000 | -0.000 |
| -40.417 | 40.417 | -0.000 | 79.571 | -0.000 | -0.000 |
| -0.000 | -0.000 | -0.000 | 0.000 | 79.571 | -40.417 |
| -0.000 | 0.000 | -0.000 | -0.000 | -40.417 | 40.565 |
| 168.354 | 87.223 | 129.673 | -40.417 | -0.000 | 0.000 |
| 87.223 | 168.354 | 129.673 | 40.417 | 0.000 | 0.000 |
| 129.673 | 129.673 | 393.263 | -0.000 | 0.000 | 0.000 |
| -40.417 | 40.417 | 0.000 | 79.571 | 0.000 | 0.000 |
| 0.000 | 0.000 | 0.000 | -0.000 | 79.571 | -40.417 |
| 0.000 | -0.000 | 0.000 | 0.000 | -40.417 | 40.565 |
| 168.354 | 87.223 | 129.673 | -40.417 | -0.000 | -0.000 |
| 87.223 | 168.354 | 129.673 | 40.417 | 0.000 | -0.000 |
| 129.673 | 129.673 | 393.260 | 0.000 | -0.000 | -0.000 |
| -40.417 | 40.417 | -0.000 | 79.571 | 0.000 | -0.000 |
| -0.000 | -0.000 | -0.000 | 0.000 | 79.571 | -40.417 |
| -0.000 | 0.000 | -0.000 | -0.000 | -40.417 | 40.565 |
| 168.354 | 87.223 | 129.673 | -40.417 | -0.000 | 0.000 |
| 87.223 | 168.354 | 129.673 | 40.417 | 0.000 | 0.000 |
| 129.673 | 129.673 | 393.265 | 0.000 | 0.000 | 0.000 |
| -40.417 | 40.417 | 0.000 | 79.571 | 0.000 | 0.000 |
| 0.000 | 0.000 | 0.000 | -0.000 | 79.571 | -40.417 |
| 0.000 | -0.000 | 0.000 | 0.000 | -40.417 | 40.565 |
| 23.692 | -215.940 | -147.475 | 0.000 | -0.000 | -0.000 |
| 141.480 | 335.119 | 94.489 | 0.000 | -0.000 | 0.000 |
| 84.994 | 94.489 | 239.742 | 0.000 | -0.000 | 0.000 |
| -150.215 | -317.468 | -207.892 | 33.318 | 0.000 | 0.000 |
| -172.862 | -409.398 | -243.840 | 0.000 | 43.056 | -0.000 |
| -172.842 | -409.350 | -243.812 | 0.000 | 0.000 | 82.803 |
| 401.842 | 535.678 | 320.228 | -0.000 | 0.000 | 0.000 |
| 322.503 | 614.788 | 287.004 | -0.000 | 0.000 | -0.000 |
| 84.994 | 94.489 | 239.742 | 0.000 | 0.000 | -0.000 |
| 150.215 | 317.468 | 207.892 | 33.318 | -0.000 | -0.000 |
| 172.862 | 409.398 | 243.840 | -0.000 | 43.056 | 0.000 |
| 172.842 | 409.350 | 243.812 | -0.000 | 0.000 | 82.803 |
| 240.664 | 141.481 | 84.995 | 0.000 | 0.000 | 0.000 |
| 141.480 | 335.119 | 94.489 | 0.000 | -0.000 | 0.000 |
| 84.994 | 94.489 | 239.742 | -0.000 | 0.000 | 0.000 |
| -14.884 | -31.371 | -20.590 | 33.319 | 0.000 | 0.000 |
| -17.364 | -41.125 | -24.494 | 0.000 | 43.050 | -0.000 |
| -17.173 | -40.672 | -24.225 | 0.000 | -0.000 | 82.879 |
| 233.716 | 153.090 | 94.281 | -0.000 | 0.000 | -0.000 |
| 141.480 | 335.119 | 94.489 | -0.000 | 0.000 | -0.000 |
| 93.288 | 112.477 | 250.425 | -0.000 | -0.000 | 0.000 |
| 14.884 | 31.371 | 20.590 | 33.319 | 0.000 | -0.000 |
| 17.364 | 41.125 | 24.494 | -0.000 | 43.050 | -0.000 |
| 17.173 | 40.672 | 24.225 | -0.000 | -0.000 | 82.879 |
| 240.666 | 141.481 | 84.995 | 0.000 | -0.000 | 0.000 |
| 141.481 | 335.121 | 94.489 | -0.000 | -0.000 | 0.000 |
| 74.345 | 67.824 | 223.834 | 0.000 | -0.000 | -0.000 |
| 0.000 | 0.000 | 0.000 | 48.723 | -0.000 | 0.000 |
| -0.000 | 0.000 | 0.000 | -0.000 | 44.397 | -0.000 |
| -0.000 | 0.000 | 0.000 | -0.000 | -0.000 | 94.541 |
| 224.831 | 122.480 | 74.341 | -0.000 | 0.000 | 0.000 |
| 123.922 | 284.597 | 69.164 | -0.000 | 0.000 | 0.000 |
| 76.901 | 73.741 | 227.355 | -0.000 | 0.000 | 0.000 |
| -0.000 | -0.000 | -0.000 | 48.723 | -0.000 | -0.000 |
| 0.000 | -0.000 | -0.000 | -0.000 | 44.397 | -0.000 |
| 0.000 | -0.000 | -0.000 | 0.000 | 0.000 | 94.541 |
| 198.654 | 156.352 | 75.554 | 0.000 | -0.000 | 0.000 |
| 127.709 | 293.756 | 60.534 | 0.000 | 0.000 | 0.000 |
| 80.661 | 84.772 | 201.050 | 0.000 | -0.000 | -0.000 |
| -0.000 | 0.000 | -0.000 | 37.266 | -0.000 | -0.000 |
| 5.244 | 30.312 | 5.282 | 0.000 | 40.514 | -0.000 |
| -0.000 | 0.000 | -0.000 | 0.000 | -0.000 | 95.239 |
| 185.835 | 46.570 | 62.006 | -0.000 | 0.000 | 0.000 |
| 145.304 | 325.697 | 81.153 | -0.000 | 0.000 | 0.000 |
| 80.661 | 84.772 | 201.050 | -0.000 | 0.000 | -0.000 |
| 0.000 | -0.000 | 0.000 | 37.266 | 0.000 | 0.000 |
| -5.244 | -30.312 | -5.282 | -0.000 | 40.514 | -0.000 |
| 0.000 | -0.000 | 0.000 | -0.000 | 0.000 | 95.239 |
| 208.822 | 148.496 | 80.234 | 0.000 | -0.000 | -0.000 |
| 126.370 | 275.381 | 59.627 | -0.000 | -0.000 | 0.000 |
| 80.661 | 84.772 | 201.050 | 0.000 | -0.000 | -0.000 |
| 0.595 | 3.437 | 0.599 | 26.472 | -0.000 | 0.000 |
| 0.556 | 3.215 | 0.560 | 0.000 | 40.473 | 0.000 |
| -0.000 | 0.000 | 0.000 | 0.000 | -0.000 | 95.239 |
| 196.394 | 127.906 | 71.994 | -0.000 | 0.000 | -0.000 |
| 145.304 | 325.697 | 81.153 | -0.000 | 0.000 | -0.000 |
| 80.661 | 84.772 | 201.049 | -0.000 | 0.000 | 0.000 |
| -0.595 | -3.437 | -0.599 | 26.472 | 0.000 | -0.000 |
| -0.556 | -3.215 | -0.560 | -0.000 | 40.473 | -0.000 |
| 0.000 | -0.000 | -0.000 | -0.000 | 0.000 | 95.239 |
| 208.824 | 148.496 | 80.234 | -0.000 | -0.000 | -0.000 |
| 128.129 | 264.583 | 57.044 | 0.000 | -0.000 | -0.000 |
| 80.662 | 84.773 | 201.054 | 0.000 | -0.000 | -0.000 |
| 0.000 | 0.000 | 0.001 | 37.266 | -0.000 | -0.000 |
| 0.000 | 0.000 | 0.001 | -0.000 | 41.192 | -0.000 |
| -0.000 | 0.000 | 0.000 | 0.000 | -0.000 | 95.239 |
| 196.491 | 129.661 | 72.192 | -0.000 | 0.000 | -0.000 |
| 145.304 | 325.695 | 81.153 | -0.000 | 0.000 | 0.000 |
| 80.660 | 84.771 | 201.046 | -0.000 | 0.000 | 0.000 |
| -0.000 | -0.000 | -0.001 | 37.266 | 0.000 | 0.000 |
| -0.000 | -0.000 | -0.001 | -0.000 | 41.192 | -0.000 |
| -0.024 | -0.527 | -0.094 | -0.000 | 0.000 | 78.418 |
| 214.834 | 84.596 | 131.512 | 0.000 | 15.388 | 0.000 |
| 788.824 | 194.797 | 1074.365 | 0.000 | 294.123 | -0.000 |
| 131.796 | 98.835 | 306.259 | 0.000 | -1.449 | -0.000 |
| 709.348 | -31.035 | 992.942 | 35.463 | 295.589 | -0.484 |
| 327.533 | -111.517 | 328.844 | 0.000 | 464.510 | -0.000 |
| -0.000 | 0.000 | -0.000 | -0.415 | 0.000 | 36.614 |
| 214.834 | 84.596 | 131.512 | -0.000 | 15.388 | -0.000 |
| -246.544 | 349.538 | -240.539 | -0.000 | -393.680 | 0.000 |
| -593.553 | 110.654 | -754.221 | -0.000 | -298.406 | 0.000 |
| -709.348 | 31.035 | -992.942 | 35.463 | -295.589 | -0.484 |
| -326.528 | 111.120 | -329.181 | -0.000 | -322.053 | 0.000 |
| 0.000 | -0.000 | 0.000 | -0.415 | -0.000 | 36.614 |
| 214.834 | 84.596 | 131.512 | 0.000 | 15.388 | -0.000 |
| 158.257 | 206.618 | 161.508 | 0.000 | 44.686 | -0.000 |
| 186.260 | 76.236 | 336.679 | 0.000 | 26.602 | -0.000 |
| 32.732 | -11.142 | 32.930 | 39.163 | 39.365 | -0.180 |
| 33.312 | -11.359 | 32.853 | 0.000 | 110.511 | -0.000 |
| 71.054 | -3.078 | 99.502 | -0.485 | 29.528 | 23.523 |
| 122.185 | 88.482 | 7.292 | -0.000 | -28.004 | 0.000 |
| 47.601 | 249.194 | 55.309 | -0.000 | -39.870 | 0.000 |
| 86.609 | 99.997 | 231.762 | -0.000 | -42.446 | 0.000 |
| 0.000 | -0.000 | 0.000 | 46.148 | -0.000 | -0.415 |
| -73.542 | 1.516 | -103.877 | -0.000 | 34.983 | 0.000 |
| -72.727 | 9.287 | -108.204 | -0.802 | -38.347 | 21.997 |
| 203.396 | 76.871 | 123.227 | 0.000 | 13.775 | -0.000 |
| 83.998 | 234.801 | 91.209 | 0.000 | 4.484 | -0.000 |
| 124.055 | 85.735 | 266.341 | 0.000 | 4.011 | -0.000 |
| -0.000 | 0.000 | -0.000 | 46.148 | 0.000 | -0.415 |
| 6.379 | -2.723 | 9.331 | 0.000 | 62.745 | -0.000 |
| 7.344 | -0.910 | 10.913 | -0.796 | 3.827 | 21.900 |
| 186.870 | 80.496 | 105.352 | -0.000 | 6.148 | 0.000 |
| 75.449 | 234.924 | 81.613 | -0.000 | -4.987 | 0.000 |
| 109.270 | 80.816 | 232.022 | 0.000 | -5.254 | 0.000 |
| 0.000 | -0.000 | 0.000 | 46.148 | -0.000 | -0.415 |
| -11.575 | -2.135 | -17.466 | 0.000 | 57.900 | 0.000 |
| 0.000 | -0.000 | 0.000 | -0.415 | 0.000 | 36.614 |
| -3164.264 | -4600.122 | -5319.947 | -0.000 | -132.292 | 0.000 |
| 86.287 | 244.973 | 96.857 | -0.000 | -0.090 | -0.000 |
| -1957.888 | -3419.111 | -2991.661 | -0.000 | 112.902 | 0.000 |
| -3256.909 | -5069.189 | -5290.361 | 30.475 | 628.042 | -0.742 |
| -3014.577 | -5073.132 | -4718.696 | -0.000 | 882.396 | 0.000 |
| -2075.976 | -3494.687 | -3245.987 | 0.219 | 113.544 | 29.522 |
| 177.950 | 86.894 | 138.247 | 0.000 | 16.547 | 0.000 |
| 2155.798 | 3718.348 | 3328.473 | -0.000 | -113.208 | -0.000 |
| 3445.993 | 4763.070 | 5691.227 | -0.000 | 137.532 | -0.000 |
| 3256.909 | 5069.189 | 5290.361 | 30.475 | -628.042 | -0.742 |
| 2074.360 | 3493.673 | 3243.841 | 0.000 | -42.994 | -0.000 |
| 2075.976 | 3494.687 | 3245.987 | 0.219 | -113.544 | 29.522 |
| -169.956 | -425.262 | -403.258 | -0.000 | 72.096 | 0.000 |
| -127.821 | -125.883 | -242.182 | -0.000 | 11.692 | 0.000 |
| -89.630 | -273.950 | -70.808 | -0.000 | 10.722 | 0.000 |
| -301.240 | -507.371 | -471.690 | 28.856 | 82.315 | -0.580 |
| -209.207 | -350.462 | -326.722 | 0.000 | 81.850 | 0.000 |
| -207.639 | -349.538 | -324.663 | 0.219 | 11.357 | 29.520 |
| 490.993 | 550.838 | 668.796 | -0.000 | 24.040 | 0.000 |
| 410.068 | 682.200 | 619.600 | 0.000 | 11.666 | 0.000 |
| 455.283 | 548.782 | 790.754 | -0.000 | 9.500 | 0.000 |
| 301.240 | 507.371 | 471.690 | 28.856 | -82.315 | -0.580 |
| 0.213 | -0.007 | -1.854 | -0.000 | 82.542 | -0.000 |
| 207.639 | 349.538 | 324.663 | 0.219 | -11.357 | 29.520 |
| 140.595 | 42.190 | 86.977 | -0.000 | 14.116 | 0.000 |
| 58.742 | 188.069 | 49.482 | -0.000 | 1.489 | -0.000 |
| 91.340 | 23.215 | 193.740 | 0.000 | 3.383 | -0.000 |
| -33.168 | -51.501 | -53.903 | 30.327 | 6.309 | -0.761 |
| -22.252 | -35.683 | -34.326 | -0.000 | 71.268 | -0.000 |
| -29.744 | -50.212 | -46.510 | -0.640 | 8.111 | 21.897 |
| 177.947 | 86.894 | 138.247 | -0.000 | 16.547 | 0.000 |
| 111.504 | 260.212 | 130.057 | 0.000 | -1.315 | 0.000 |
| 152.402 | 122.003 | 288.666 | 0.000 | -4.270 | 0.000 |
| 33.168 | 51.501 | 53.903 | 30.327 | -6.309 | -0.761 |
| 19.233 | 34.004 | 30.355 | 0.000 | 69.871 | -0.000 |
| 29.744 | 50.212 | 46.510 | -0.640 | -8.111 | 21.897 |
| 295.752 | 113.272 | 102.301 | -0.000 | -0.000 | 0.000 |
| 114.796 | 276.540 | 102.926 | -0.000 | -0.000 | 0.000 |
| 87.818 | 91.207 | 199.475 | 0.000 | 0.005 | 0.000 |
| -9.105 | -15.314 | 4.747 | 34.525 | -0.003 | 0.000 |
| 0.000 | 0.000 | 0.000 | -0.000 | 56.360 | 0.000 |
| 0.000 | 0.000 | 0.000 | -0.000 | -0.000 | 61.581 |
| 295.752 | 113.272 | 102.301 | 0.000 | 0.000 | 0.000 |
| 114.796 | 276.540 | 102.926 | 0.000 | 0.000 | -0.000 |
| 96.021 | 105.120 | 194.757 | -0.000 | -0.004 | -0.000 |
| 9.105 | 15.314 | -4.747 | 34.525 | 0.003 | -0.000 |
| -0.000 | -0.000 | -0.000 | 0.000 | 56.360 | 0.000 |
| -0.000 | -0.000 | -0.000 | 0.000 | 0.000 | 61.581 |
| 295.752 | 113.272 | 102.301 | 0.000 | -0.000 | -0.000 |
| 97.769 | 231.599 | 103.798 | -0.000 | -0.001 | -0.000 |
| 92.725 | 98.332 | 199.564 | 0.000 | 0.000 | 0.000 |
| -1.045 | -1.643 | 0.307 | 34.477 | 0.001 | 0.000 |
| 0.000 | 0.000 | 0.000 | -0.000 | 56.360 | 0.000 |
| 0.000 | -0.000 | 0.000 | -0.000 | -0.000 | 61.581 |
| 263.825 | 102.966 | 87.526 | -0.000 | -0.000 | -0.000 |
| 100.347 | 235.831 | 102.774 | 0.000 | 0.001 | 0.000 |
| 95.143 | 103.183 | 186.318 | 0.000 | 0.000 | 0.000 |
| -0.000 | 0.000 | -0.000 | 56.218 | 0.000 | 0.000 |
| -0.000 | -0.000 | -0.000 | -0.000 | 56.360 | 0.000 |
| -0.000 | 0.000 | -0.000 | 0.000 | 0.000 | 61.581 |
| 295.753 | 113.272 | 102.302 | -0.000 | 0.000 | 0.000 |
| 98.116 | 232.565 | 104.507 | 0.000 | 0.000 | 0.000 |
| 105.613 | 104.714 | 229.758 | -0.000 | -0.000 | 0.000 |
| 0.000 | -0.000 | 0.000 | 56.218 | -0.000 | -0.000 |
| -0.020 | -0.040 | 0.025 | 0.000 | 47.903 | 0.000 |
| -0.085 | -0.138 | 0.034 | 0.000 | 0.000 | 52.397 |
| 295.751 | 113.272 | 102.301 | 0.000 | -0.000 | 0.000 |
| 104.839 | 242.169 | 96.920 | -0.000 | -0.000 | -0.000 |
| 94.249 | 101.798 | 186.544 | 0.000 | 0.000 | 0.000 |
| -0.000 | 0.000 | -0.000 | 56.218 | 0.000 | -0.000 |
| 0.020 | 0.040 | -0.025 | -0.000 | 47.903 | -0.000 |
| 0.085 | 0.138 | -0.034 | -0.000 | -0.000 | 52.397 |
| 403.855 | 1067.253 | -803.546 | -0.000 | 0.000 | -0.000 |
| 113.161 | 281.956 | 123.530 | 0.000 | -0.000 | -0.000 |
| 602.807 | 1583.375 | -1128.044 | 0.000 | 0.000 | -0.000 |
| 122.785 | 961.148 | -896.457 | 57.166 | 0.000 | -0.000 |
| 815.804 | 1581.805 | -820.719 | 0.000 | 39.456 | -0.000 |
| 122.781 | 961.111 | -896.422 | 0.000 | 0.000 | 53.569 |
| 158.207 | -855.093 | 989.357 | -0.000 | -0.000 | 0.000 |
| -656.348 | -1183.898 | 1235.377 | -0.000 | -0.000 | 0.000 |
| -31.897 | -840.505 | 1132.757 | -0.000 | -0.000 | -0.000 |
| -122.785 | -961.148 | 896.457 | 57.166 | -0.000 | -0.000 |
| -815.804 | -1581.805 | 820.719 | -0.000 | 39.456 | 0.000 |
| -122.781 | -961.111 | 896.422 | -0.000 | -0.000 | 53.569 |
| 337.543 | 245.141 | -22.050 | 0.000 | 0.000 | -0.000 |
| 120.312 | 357.528 | 32.886 | -0.000 | 0.000 | -0.000 |
| 103.264 | 216.911 | 146.684 | 0.000 | 0.000 | -0.000 |
| 81.699 | 158.276 | -82.048 | 49.979 | 0.000 | -0.000 |
| 12.280 | 96.127 | -89.657 | 0.000 | 42.203 | 0.000 |
| 55.692 | 138.381 | -134.030 | 0.000 | 0.000 | 51.958 |
| 186.318 | -52.883 | 169.369 | -0.000 | -0.000 | 0.000 |
| 22.557 | 89.027 | 204.109 | -0.000 | -0.000 | 0.000 |
| 15.554 | -13.329 | 334.845 | 0.000 | -0.000 | 0.000 |
| -81.699 | -158.276 | 82.048 | 49.979 | -0.000 | -0.000 |
| -12.280 | -96.127 | 89.657 | -0.000 | 42.203 | 0.000 |
| -55.692 | -138.381 | 134.030 | -0.000 | -0.000 | 51.958 |
| 268.102 | 119.393 | 76.618 | 0.000 | -0.000 | 0.000 |
| 109.011 | 270.982 | 111.641 | 0.000 | 0.000 | -0.000 |
| 96.861 | 141.999 | 213.073 | 0.000 | 0.000 | -0.000 |
| 9.059 | 16.487 | -7.962 | 49.273 | 0.000 | -0.000 |
| 1.242 | 9.720 | -9.065 | 0.000 | 42.115 | -0.000 |
| 1.253 | 9.805 | -9.145 | -0.000 | 0.000 | 53.413 |
| 258.308 | 87.911 | 95.764 | 0.000 | -0.000 | -0.000 |
| 94.791 | 231.012 | 130.394 | -0.000 | -0.000 | 0.000 |
| 87.571 | 109.413 | 242.580 | 0.000 | -0.000 | 0.000 |
| -9.059 | -16.487 | 7.962 | 49.273 | -0.000 | -0.000 |
| -7.327 | -14.134 | 10.846 | -0.000 | 39.026 | -0.000 |
| -1.253 | -9.805 | 9.145 | 0.000 | -0.000 | 53.413 |
| -194.560 | -661.098 | -1001.844 | 0.000 | -0.000 | 0.000 |
| -363.862 | -477.526 | -982.038 | 0.000 | -0.000 | 0.000 |
| -281.240 | -539.916 | -339.349 | -0.000 | -0.000 | -0.000 |
| -326.758 | -608.191 | -559.723 | 55.779 | -0.000 | -0.000 |
| -370.939 | -652.372 | -551.843 | -0.000 | 40.907 | -0.000 |
| -449.569 | -747.438 | -1090.264 | 0.000 | -0.000 | 41.426 |
| 585.245 | 693.448 | 647.878 | -0.000 | -0.000 | 0.000 |
| 439.896 | 887.620 | 669.787 | -0.000 | -0.000 | -0.000 |
| 542.480 | 865.076 | 1298.295 | -0.000 | 0.000 | 0.000 |
| 371.184 | 652.715 | 553.052 | 63.005 | 0.000 | -0.000 |
| 370.939 | 652.372 | 551.843 | 0.000 | 40.907 | -0.000 |
| 449.569 | 747.438 | 1090.264 | -0.000 | 0.000 | 41.426 |
| 284.867 | 96.895 | 104.449 | -0.000 | -0.000 | -0.000 |
| 96.895 | 285.580 | 122.341 | 0.000 | -0.000 | -0.000 |
| 50.494 | 44.158 | 110.719 | 0.000 | -0.000 | -0.000 |
| -38.811 | -67.675 | -63.407 | 60.756 | -0.000 | 0.000 |
| 0.000 | -0.000 | -0.000 | -0.000 | 55.900 | 0.000 |
| -37.017 | -65.112 | -54.980 | -0.000 | 0.000 | 42.055 |
| 298.019 | 159.133 | 194.579 | -0.000 | 0.000 | 0.000 |
| 120.414 | 327.795 | 170.675 | -0.000 | 0.000 | -0.000 |
| 127.388 | 178.322 | 270.806 | 0.000 | -0.000 | 0.000 |
| 38.811 | 67.675 | 63.407 | 60.756 | 0.000 | 0.000 |
| -0.000 | 0.000 | 0.000 | 0.000 | 55.900 | -0.000 |
| 37.017 | 65.112 | 54.980 | 0.000 | 0.000 | 42.055 |
| 259.855 | 82.108 | 82.445 | 0.000 | -0.000 | -0.000 |
| 83.036 | 259.479 | 110.542 | 0.000 | -0.000 | -0.000 |
| 87.003 | 106.303 | 210.798 | 0.000 | -0.000 | -0.000 |
| -4.635 | -7.975 | -8.616 | 54.928 | -0.000 | 0.000 |
| -4.006 | -7.071 | -5.710 | -0.000 | 39.707 | 0.000 |
| -3.881 | -6.453 | -9.413 | 0.000 | -0.000 | 42.766 |
| 284.866 | 96.895 | 104.448 | -0.000 | 0.000 | 0.000 |
| 86.934 | 272.047 | 111.634 | -0.000 | 0.000 | 0.000 |
| 94.895 | 114.484 | 224.950 | -0.000 | 0.000 | -0.000 |
| 4.635 | 7.975 | 8.616 | 54.928 | 0.000 | 0.000 |
| 4.006 | 7.071 | 5.710 | 0.000 | 39.707 | 0.000 |
| 3.881 | 6.453 | 9.413 | -0.000 | 0.000 | 42.766 |
| 271.509 | 71.706 | 108.930 | -0.000 | 0.000 | -0.000 |
| 106.453 | 274.724 | 121.506 | -0.000 | 0.000 | 0.000 |
| 108.676 | 95.457 | 213.933 | -0.000 | 0.000 | 0.000 |
| 0.000 | 0.000 | 0.000 | 68.116 | -0.000 | 0.000 |
| 25.431 | -4.812 | 24.833 | -0.000 | 40.438 | 0.000 |
| 26.262 | -4.970 | 25.645 | -0.000 | 0.000 | 37.888 |
| 274.978 | 94.628 | 103.448 | -0.000 | -0.000 | -0.000 |
| 92.734 | 297.784 | 114.231 | -0.000 | -0.000 | -0.000 |
| 65.985 | 114.180 | 173.114 | -0.000 | -0.000 | -0.000 |
| -0.000 | -0.000 | -0.000 | 68.116 | 0.000 | 0.000 |
| -25.431 | 4.812 | -24.833 | 0.000 | 40.438 | -0.000 |
| -26.262 | 4.970 | -25.645 | 0.000 | -0.000 | 37.888 |
| 274.978 | 94.628 | 103.448 | 0.000 | -0.000 | -0.000 |
| 83.574 | 281.924 | 100.025 | -0.000 | 0.000 | 0.000 |
| 104.214 | 116.890 | 254.399 | 0.000 | -0.000 | 0.000 |
| 0.000 | -0.000 | 0.000 | 68.116 | 0.000 | 0.000 |
| 0.000 | -0.000 | 0.000 | 0.000 | 57.279 | -0.000 |
| 0.000 | -0.000 | -0.000 | 0.000 | -0.000 | 45.679 |
| 274.978 | 94.627 | 103.448 | -0.000 | -0.000 | -0.000 |
| 80.060 | 284.043 | 97.028 | 0.000 | -0.000 | -0.000 |
| 89.650 | 105.904 | 210.259 | 0.000 | -0.000 | -0.000 |
| -0.000 | 0.000 | -0.000 | 68.116 | -0.000 | 0.000 |
| -0.000 | 0.000 | -0.000 | -0.000 | 57.279 | 0.000 |
| -0.000 | 0.000 | 0.000 | -0.000 | -0.000 | 45.679 |
| 254.992 | 85.573 | 88.760 | -0.000 | 0.000 | 0.000 |
| 92.734 | 297.785 | 114.231 | 0.000 | -0.000 | 0.000 |
| 91.590 | 105.736 | 212.589 | -0.000 | 0.000 | 0.000 |
| -0.000 | -0.000 | 0.000 | 68.116 | 0.000 | 0.000 |
| 0.000 | -0.000 | 0.000 | 0.000 | 57.279 | -0.000 |
| 0.226 | -0.043 | 0.220 | -0.000 | 0.000 | 38.979 |
| 274.977 | 94.627 | 103.448 | -0.000 | 0.000 | -0.000 |
| 92.734 | 297.782 | 114.231 | -0.000 | -0.000 | -0.000 |
| 86.168 | 110.663 | 204.264 | -0.000 | -0.000 | -0.000 |
| 0.000 | 0.000 | -0.000 | 68.116 | -0.000 | -0.000 |
| -0.000 | 0.000 | -0.000 | -0.000 | 57.279 | 0.000 |
| -0.226 | 0.043 | -0.220 | 0.000 | -0.000 | 38.979 |
| -2117.073 | -2537.165 | -1276.529 | -0.000 | 0.000 | 0.000 |
| 107.356 | 319.367 | 125.019 | -0.000 | -0.000 | 0.000 |
| -2563.923 | -1895.214 | -1622.170 | 0.000 | -0.000 | -0.000 |
| -2636.000 | -2000.626 | -1820.184 | 35.074 | 0.000 | -0.000 |
| -1847.995 | -2533.763 | -781.494 | 0.000 | 28.302 | -0.000 |
| -1858.656 | -2583.142 | -764.505 | 0.000 | 0.000 | 45.892 |
| 2608.216 | 2727.476 | 1400.836 | 0.000 | -0.000 | -0.000 |
| 107.356 | 319.367 | 125.019 | 0.000 | -0.000 | 0.000 |
| 96.242 | 124.632 | 237.127 | 0.000 | -0.000 | -0.000 |
| 2636.000 | 2000.626 | 1820.184 | 35.074 | 0.000 | 0.000 |
| 2636.251 | 2000.817 | 1820.358 | -0.000 | 33.169 | 0.000 |
| 1858.656 | 2583.142 | 764.505 | -0.000 | 0.000 | 45.892 |
| -22.560 | -125.898 | -112.633 | -0.000 | -0.000 | -0.000 |
| -97.203 | 16.036 | 60.727 | 0.000 | 0.000 | 0.000 |
| -190.414 | -93.782 | 17.466 | 0.000 | 0.000 | -0.000 |
| -261.274 | -198.297 | -180.412 | 35.409 | -0.000 | -0.000 |
| -263.744 | -200.172 | -182.118 | 0.000 | 33.162 | -0.000 |
| -260.620 | -197.801 | -179.961 | 0.000 | 0.000 | 25.075 |
| 500.503 | 270.988 | 248.631 | -0.000 | 0.000 | 0.000 |
| 321.999 | 428.231 | 274.635 | 0.000 | 0.000 | 0.000 |
| 96.242 | 124.632 | 237.127 | 0.000 | 0.000 | 0.000 |
| 261.274 | 198.297 | 180.412 | 35.409 | -0.000 | -0.000 |
| 263.744 | 200.172 | 182.118 | -0.000 | 33.162 | 0.000 |
| 260.620 | 197.801 | 179.961 | -0.000 | -0.000 | 25.075 |
| 223.027 | 60.849 | 56.645 | 0.000 | 0.000 | -0.000 |
| 52.019 | 241.436 | 90.236 | -0.000 | -0.000 | -0.000 |
| 49.277 | 88.294 | 187.007 | 0.000 | 0.000 | -0.000 |
| -17.345 | -13.164 | -11.977 | 48.030 | -0.000 | -0.000 |
| -27.350 | -20.758 | -18.886 | 0.000 | 32.662 | -0.000 |
| -18.608 | -27.037 | -6.520 | 0.000 | -0.000 | 42.766 |
| 265.407 | 98.350 | 81.350 | -0.000 | -0.000 | 0.000 |
| 100.427 | 287.405 | 120.098 | 0.000 | -0.000 | 0.000 |
| 89.216 | 118.417 | 209.778 | -0.000 | 0.000 | 0.000 |
| 17.345 | 13.164 | 11.977 | 48.030 | 0.000 | 0.000 |
| 27.350 | 20.758 | 18.886 | -0.000 | 32.662 | 0.000 |
| 18.608 | 27.037 | 6.520 | -0.000 | 0.000 | 42.766 |
| -1396.143 | -1496.293 | -1826.132 | 0.000 | -0.000 | -0.000 |
| -1169.451 | -2144.840 | -437.732 | 0.000 | -0.000 | 0.000 |
| -2102.909 | -2008.048 | -1595.404 | 0.000 | -0.000 | -0.000 |
| -1635.851 | -1571.010 | -1854.898 | 44.889 | -0.000 | 0.000 |
| -1257.473 | -2424.298 | -548.925 | 0.000 | 39.065 | 0.000 |
| 0.000 | -0.000 | -0.000 | -0.000 | 0.000 | 54.451 |
| 2416.177 | 2189.232 | 1865.596 | -0.000 | -0.000 | 0.000 |
| 1876.489 | 2174.915 | 2084.523 | -0.000 | 0.000 | -0.000 |
| 1330.492 | 2524.969 | 760.042 | -0.000 | -0.000 | -0.000 |
| 0.000 | 0.000 | -0.000 | 71.919 | -0.000 | 0.000 |
| 1257.473 | 2424.298 | 548.925 | -0.000 | 39.065 | -0.000 |
| -0.000 | 0.000 | 0.000 | 0.000 | -0.000 | 54.451 |
| 29.480 | -134.268 | -105.562 | 0.000 | -0.000 | -0.000 |
| -37.551 | 37.543 | 56.511 | 0.000 | 0.000 | 0.000 |
| -53.672 | -142.709 | 155.108 | 0.000 | 0.000 | 0.000 |
| -125.560 | -242.068 | -54.811 | 50.882 | 0.000 | 0.000 |
| -217.080 | -211.246 | -179.310 | 0.000 | 30.053 | -0.000 |
| -216.528 | -212.468 | -178.136 | 0.000 | -0.000 | 49.950 |
| 375.900 | 322.123 | 131.677 | -0.000 | -0.000 | -0.000 |
| 297.136 | 476.125 | 291.307 | -0.000 | 0.000 | 0.000 |
| 199.551 | 343.967 | 266.879 | -0.000 | -0.000 | -0.000 |
| 216.903 | 211.903 | 178.826 | 53.342 | -0.000 | 0.000 |
| 217.080 | 211.246 | 179.310 | -0.000 | 30.053 | 0.000 |
| 216.528 | 212.468 | 178.136 | -0.000 | -0.000 | 49.950 |
| 225.727 | 56.101 | 56.673 | 0.000 | -0.000 | -0.000 |
| 59.150 | 248.056 | 91.946 | 0.000 | 0.000 | -0.000 |
| 96.160 | 124.019 | 238.529 | 0.000 | 0.000 | -0.000 |
| -19.980 | -18.940 | -19.578 | 46.565 | -0.000 | -0.000 |
| 0.000 | 0.000 | 0.000 | -0.000 | 46.659 | -0.000 |
| -20.500 | -24.525 | -15.067 | 0.000 | -0.000 | 44.714 |
| 260.687 | 97.292 | 83.393 | -0.000 | 0.000 | 0.000 |
| 94.292 | 290.293 | 112.996 | -0.000 | -0.000 | -0.000 |
| 90.820 | 132.232 | 221.135 | -0.000 | -0.000 | -0.000 |
| 19.980 | 18.940 | 19.578 | 46.565 | 0.000 | -0.000 |
| 17.470 | 18.968 | 19.269 | -0.000 | 28.301 | -0.000 |
| 20.469 | 19.399 | 19.427 | -0.000 | 0.000 | 41.516 |
| 278.699 | 115.851 | 192.656 | -0.000 | 0.000 | -0.000 |
| 112.355 | 295.483 | 121.010 | 0.000 | 0.000 | -0.000 |
| 96.770 | 122.149 | 270.269 | -0.000 | 0.000 | 0.000 |
| -121.981 | -31.009 | 125.309 | 52.126 | 0.000 | -0.000 |
| 0.000 | 0.000 | 0.000 | -0.000 | 48.306 | 0.000 |
| 0.000 | 0.000 | 0.000 | -0.000 | 0.000 | 60.150 |
| 242.870 | 76.036 | -23.213 | 0.000 | -0.000 | 0.000 |
| 112.355 | 295.483 | 121.010 | 0.000 | -0.000 | 0.000 |
| 96.770 | 122.149 | 270.269 | 0.000 | -0.000 | 0.000 |
| -0.000 | -0.000 | -0.000 | 72.795 | -0.000 | 0.000 |
| -0.000 | -0.000 | -0.000 | 0.000 | 48.306 | -0.000 |
| -0.000 | -0.000 | -0.000 | 0.000 | -0.000 | 60.150 |
| 279.083 | 111.296 | 94.573 | -0.000 | 0.000 | -0.000 |
| 95.719 | 266.619 | 121.049 | 0.000 | -0.000 | -0.000 |
| 85.354 | 111.821 | 261.647 | -0.000 | -0.000 | -0.000 |
| 0.000 | -0.000 | 0.000 | 72.795 | 0.000 | 0.000 |
| 0.000 | 0.000 | -0.000 | -0.000 | 48.306 | -0.000 |
| -7.636 | -0.098 | 9.137 | -0.000 | 0.000 | 47.060 |
| 258.514 | 93.472 | 72.067 | 0.000 | -0.000 | -0.000 |
| 112.355 | 295.483 | 121.010 | 0.000 | -0.000 | 0.000 |
| 100.640 | 116.480 | 231.629 | 0.000 | 0.000 | 0.000 |
| -0.000 | 0.000 | -0.000 | 72.795 | -0.000 | 0.000 |
| -0.000 | -0.000 | 0.000 | 0.000 | 48.306 | -0.000 |
| 7.636 | 0.098 | -9.137 | 0.000 | -0.000 | 47.060 |
| 246.769 | 84.139 | 76.259 | -0.000 | -0.000 | -0.000 |
| 87.897 | 254.673 | 105.688 | -0.000 | -0.000 | -0.000 |
| 82.071 | 108.420 | 248.144 | -0.000 | -0.000 | -0.000 |
| 0.000 | -0.000 | 0.000 | 72.795 | 0.000 | -0.000 |
| 0.000 | -0.000 | -0.000 | -0.000 | 48.306 | 0.000 |
| 0.000 | -0.000 | -0.000 | -0.000 | 0.000 | 60.150 |
| 279.082 | 111.296 | 94.573 | 0.000 | -0.000 | -0.000 |
| 112.354 | 295.481 | 121.010 | 0.000 | -0.000 | 0.000 |
| 82.926 | 109.143 | 247.518 | 0.000 | 0.000 | 0.000 |
| -0.000 | 0.000 | -0.000 | 72.795 | -0.000 | -0.000 |
| -0.000 | 0.000 | 0.000 | 0.000 | 48.306 | -0.000 |
| -0.000 | 0.000 | 0.000 | 0.000 | -0.000 | 60.150 |
| 280.073 | 110.494 | 93.074 | -0.000 | 0.000 | -0.000 |
| -339.046 | -83.398 | -149.314 | 0.000 | -0.000 | 0.000 |
| -350.057 | -232.873 | -8.480 | 0.000 | -0.000 | -0.000 |
| -430.069 | -351.341 | -267.162 | 64.624 | -0.000 | 0.000 |
| -282.267 | -497.277 | -237.644 | 0.000 | 30.705 | 0.000 |
| -430.070 | -351.342 | -267.163 | 0.000 | -0.000 | 51.218 |
| 688.312 | 443.658 | 347.405 | -0.000 | 0.000 | 0.000 |
| 110.494 | 300.162 | 130.758 | 0.000 | -0.000 | -0.000 |
| 226.448 | 548.547 | 502.176 | -0.000 | 0.000 | -0.000 |
| 430.069 | 351.341 | 267.162 | 64.624 | 0.000 | 0.000 |
| 282.267 | 497.277 | 237.644 | -0.000 | 30.705 | 0.000 |
| 430.070 | 351.342 | 267.163 | -0.000 | 0.000 | 51.218 |
| 215.368 | 57.296 | 53.597 | 0.000 | -0.000 | -0.000 |
| 47.599 | 232.209 | 90.860 | 0.000 | -0.000 | 0.000 |
| 37.016 | 83.349 | 232.025 | 0.000 | -0.000 | -0.000 |
| -18.199 | -47.948 | -21.447 | 59.775 | -0.000 | 0.000 |
| -28.330 | -49.805 | -23.827 | 0.000 | 30.680 | 0.000 |
| -43.028 | -35.152 | -26.730 | -0.000 | -0.000 | 51.214 |
| 280.073 | 110.494 | 93.074 | 0.000 | 0.000 | 0.000 |
| 113.710 | 310.020 | 142.021 | -0.000 | 0.000 | 0.000 |
| 93.075 | 130.759 | 279.192 | 0.000 | -0.000 | 0.000 |
| 18.199 | 47.948 | 21.447 | 59.775 | 0.000 | 0.000 |
| 28.330 | 49.805 | 23.827 | 0.000 | 30.680 | -0.000 |
| 43.028 | 35.152 | 26.730 | 0.000 | 0.000 | 51.214 |
| 251.978 | 87.185 | 76.382 | 0.000 | -0.000 | -0.000 |
| 110.494 | 300.162 | 130.758 | -0.000 | 0.000 | -0.000 |
| 75.913 | 115.160 | 256.451 | 0.000 | -0.000 | 0.000 |
| 0.000 | -0.000 | 0.000 | 79.848 | 0.000 | 0.000 |
| 0.000 | -0.000 | 0.000 | -0.000 | 44.738 | 0.000 |
| 0.000 | -0.000 | -0.000 | -0.000 | 0.000 | 59.481 |
| 247.992 | 88.346 | 82.839 | -0.000 | 0.000 | 0.000 |
| 94.618 | 269.376 | 120.007 | -0.000 | 0.000 | -0.000 |
| 93.075 | 130.759 | 279.192 | 0.000 | -0.000 | 0.000 |
| -0.000 | 0.000 | -0.000 | 79.848 | -0.000 | 0.000 |
| -0.000 | 0.000 | -0.000 | 0.000 | 44.738 | 0.000 |
| -0.000 | 0.000 | 0.000 | 0.000 | -0.000 | 59.481 |
| 205.619 | -41.835 | 62.676 | 0.000 | 143.999 | 0.000 |
| 80.252 | 238.479 | 96.412 | 0.000 | -0.785 | 0.000 |
| 87.866 | -44.766 | 205.042 | 0.000 | 122.605 | 0.000 |
| 0.000 | 0.000 | 0.000 | 48.254 | 0.000 | 0.402 |
| -32.233 | -165.852 | -32.544 | -0.000 | 193.133 | -0.000 |
| 0.000 | 0.000 | 0.000 | -0.157 | 0.000 | 36.729 |
| 255.489 | 177.544 | 158.083 | 0.000 | -119.956 | -0.000 |
| 92.469 | 324.486 | 111.098 | 0.000 | -128.667 | -0.000 |
| 135.277 | 96.706 | 319.132 | -0.000 | -10.458 | 0.000 |
| -0.000 | -0.000 | -0.000 | 48.254 | -0.000 | 0.402 |
| 24.725 | 111.712 | 38.862 | 0.000 | -58.747 | 0.000 |
| -0.000 | -0.000 | -0.000 | -0.157 | -0.000 | 36.729 |
| 222.063 | 54.971 | 118.104 | 0.000 | 26.093 | -0.000 |
| 80.252 | 238.479 | 96.413 | 0.000 | -0.785 | 0.000 |
| 135.277 | 96.706 | 319.132 | 0.000 | -10.458 | -0.000 |
| -0.000 | 0.000 | -0.000 | 48.254 | 0.000 | 0.402 |
| -1.169 | -0.226 | -10.458 | -0.000 | 86.268 | -0.000 |
| -2.477 | -10.904 | -4.740 | -0.287 | 13.122 | 34.317 |
| 245.101 | 80.039 | 132.934 | -0.000 | 13.190 | 0.000 |
| 70.039 | 226.972 | 57.634 | -0.000 | -11.027 | -0.000 |
| 135.277 | 96.706 | 319.132 | -0.000 | -10.458 | 0.000 |
| 0.000 | -0.000 | 0.000 | 48.254 | -0.000 | 0.402 |
| 2.199 | 12.723 | -4.222 | -0.000 | 61.255 | 0.000 |
| 2.477 | 10.904 | 4.740 | -0.287 | -13.122 | 34.317 |
| 225.119 | 69.115 | 115.930 | 0.000 | 11.466 | -0.000 |
| 67.884 | 215.188 | 64.346 | 0.000 | 3.676 | -0.000 |
| 112.599 | 63.355 | 252.631 | 0.000 | -7.088 | -0.000 |
| -0.000 | 0.000 | -0.000 | 48.254 | -0.000 | 0.402 |
| -1.169 | -0.226 | -10.457 | -0.000 | 86.268 | -0.000 |
| -0.280 | -1.597 | -0.117 | -0.293 | 1.025 | 34.571 |
| 245.100 | 80.039 | 132.934 | -0.000 | 13.190 | 0.000 |
| 80.252 | 238.478 | 96.412 | 0.000 | -0.785 | 0.000 |
| 117.506 | 61.723 | 236.555 | -0.000 | -13.684 | 0.000 |
| 0.000 | -0.000 | 0.000 | 48.254 | 0.000 | 0.402 |
| -0.071 | 3.067 | -8.528 | 0.000 | 74.555 | 0.000 |
| 0.280 | 1.597 | 0.117 | -0.293 | -1.025 | 34.571 |
| 242.282 | 80.461 | 135.552 | 0.000 | 14.547 | 0.000 |
| 80.562 | 237.782 | 95.882 | 0.000 | -0.543 | 0.000 |
| 3.327 | 121.664 | 547.023 | -0.000 | 118.721 | 0.000 |
| -153.294 | 106.797 | 325.116 | 29.190 | 85.572 | -0.513 |
| -1.941 | -0.542 | -5.129 | -0.000 | 87.383 | 0.000 |
| -66.620 | 113.031 | 400.926 | -0.259 | 116.267 | 30.464 |
| 267.625 | -58.167 | -303.003 | 0.000 | -100.608 | -0.000 |
| 111.560 | 67.370 | -378.442 | 0.000 | -105.099 | 0.000 |
| 136.518 | 95.882 | 319.181 | -0.000 | -5.129 | -0.000 |
| 153.294 | -106.797 | -325.116 | 29.190 | -85.572 | -0.513 |
| -1.941 | -0.542 | -5.129 | -0.000 | 87.383 | -0.000 |
| 150.430 | -104.856 | -332.617 | -0.546 | -102.549 | 35.672 |
| 202.989 | 62.104 | 117.705 | -0.000 | 20.063 | 0.000 |
| 57.693 | 209.343 | 69.277 | -0.000 | 10.573 | 0.000 |
| 108.133 | 64.037 | 260.734 | -0.000 | 1.010 | 0.000 |
| -13.816 | 10.094 | 36.133 | 29.453 | 10.897 | -0.366 |
| -1.941 | -0.542 | -5.129 | 0.000 | 87.383 | 0.000 |
| -13.802 | 9.868 | 35.335 | -0.374 | 10.671 | 34.827 |
| 242.282 | 80.461 | 135.552 | -0.000 | 14.547 | -0.000 |
| 80.562 | 237.781 | 95.882 | 0.000 | -0.543 | -0.000 |
| 123.313 | 46.805 | 200.910 | 0.000 | -18.415 | -0.000 |
| 13.816 | -10.094 | -36.133 | 29.453 | -10.897 | -0.366 |
| -1.941 | -0.542 | -5.130 | -0.000 | 87.383 | -0.000 |
| 13.802 | -9.868 | -35.335 | -0.374 | -10.671 | 34.827 |
| 225.642 | 67.366 | 112.080 | -0.000 | 12.937 | 0.000 |
| 80.563 | 237.783 | 95.883 | 0.000 | -0.543 | 0.000 |
| 114.556 | 61.738 | 247.083 | -0.000 | -6.636 | 0.000 |
| -0.000 | 0.000 | -0.000 | 47.194 | -0.000 | -0.556 |
| -2.808 | 3.622 | -4.331 | -0.000 | 71.664 | 0.000 |
| -0.219 | 0.371 | 1.316 | -0.459 | 0.382 | 34.985 |
| 242.281 | 80.461 | 135.552 | 0.000 | 14.547 | -0.000 |
| 68.485 | 215.107 | 63.133 | 0.000 | 2.049 | -0.000 |
| 136.518 | 95.881 | 319.179 | -0.000 | -5.129 | -0.000 |
| 0.000 | -0.000 | 0.000 | 47.194 | 0.000 | -0.556 |
| -1.059 | 1.522 | -5.360 | 0.000 | 75.780 | -0.000 |
| 0.219 | -0.371 | -1.316 | -0.459 | -0.382 | 34.985 |
| -200.509 | -1251.772 | -2516.512 | -0.000 | -0.000 | -0.000 |
| 643.268 | 143.871 | -3135.701 | 0.000 | -0.000 | -0.000 |
| 88.446 | 130.248 | 269.657 | -0.000 | -0.000 | -0.000 |
| -857.694 | -1871.139 | -2475.490 | 60.486 | -0.000 | -0.000 |
| -0.000 | -0.000 | -0.000 | -0.000 | 42.011 | -0.000 |
| -857.759 | -1871.282 | -2475.678 | -0.000 | -0.000 | 48.772 |
| 1113.617 | 1971.663 | 2555.878 | 0.000 | 0.000 | -0.000 |
| 546.847 | 1625.499 | 2729.050 | -0.000 | -0.000 | -0.000 |
| 935.929 | 1996.190 | 2725.425 | 0.000 | 0.000 | 0.000 |
| 857.694 | 1871.139 | 2475.490 | 60.486 | 0.000 | 0.000 |
| -0.000 | 0.000 | 0.000 | 0.000 | 42.011 | 0.000 |
| 857.759 | 1871.282 | 2475.678 | 0.000 | 0.000 | 48.772 |
| 170.304 | -86.579 | -167.187 | -0.000 | -0.000 | 0.000 |
| 14.217 | 98.148 | -119.703 | -0.000 | -0.000 | -0.000 |
| 88.446 | 130.248 | 269.657 | -0.000 | -0.000 | -0.000 |
| 14.504 | -56.896 | -283.412 | 51.525 | -0.000 | -0.000 |
| 0.000 | -0.000 | -0.000 | -0.000 | 42.011 | -0.000 |
| 0.000 | -0.000 | -0.000 | -0.000 | -0.000 | 59.796 |
| 341.550 | 287.610 | 327.938 | 0.000 | 0.000 | 0.000 |
| 141.095 | 411.659 | 391.392 | -0.000 | 0.000 | 0.000 |
| 163.998 | 312.194 | 497.489 | 0.000 | 0.000 | 0.000 |
| -14.504 | 56.896 | 283.412 | 51.525 | 0.000 | 0.000 |
| -0.000 | 0.000 | 0.000 | 0.000 | 42.011 | 0.000 |
| -0.000 | 0.000 | 0.000 | 0.000 | 0.000 | 59.796 |
| 248.070 | 81.643 | 55.181 | -0.000 | -0.000 | -0.000 |
| 94.520 | 267.420 | 103.470 | -0.000 | -0.000 | -0.000 |
| 88.446 | 130.248 | 269.657 | -0.000 | -0.000 | -0.000 |
| -8.686 | -18.949 | -25.068 | 60.240 | -0.000 | -0.000 |
| 0.000 | -0.000 | -0.000 | -0.000 | 42.011 | -0.000 |
| 0.000 | -0.000 | -0.000 | -0.000 | -0.000 | 59.796 |
| 274.536 | 109.724 | 88.445 | 0.000 | -0.000 | 0.000 |
| 99.201 | 286.720 | 159.636 | 0.000 | -0.000 | 0.000 |
| 88.446 | 130.247 | 269.656 | 0.000 | 0.000 | 0.000 |
| -1.319 | 5.992 | 28.802 | 51.157 | 0.000 | -0.000 |
| -0.000 | 0.000 | 0.000 | 0.000 | 42.011 | 0.000 |
| -0.000 | 0.000 | 0.000 | 0.000 | 0.000 | 59.796 |
| 272.926 | 109.240 | 87.308 | 0.000 | 0.000 | -0.000 |
| -1189.796 | -977.867 | -1129.489 | 0.000 | 0.000 | 0.000 |
| -1382.913 | -1067.897 | -934.660 | 0.000 | 0.000 | -0.000 |
| -1055.918 | -1176.951 | -1191.909 | 65.775 | 0.000 | 0.000 |
| 0.000 | 0.000 | -0.000 | 0.000 | 39.882 | -0.000 |
| -1056.019 | -1177.064 | -1192.024 | -0.000 | 0.000 | 50.036 |
| 272.926 | 109.240 | 87.308 | -0.000 | -0.000 | 0.000 |
| 1556.096 | 1480.300 | 1315.902 | -0.000 | -0.000 | -0.000 |
| 1366.027 | 1392.775 | 1510.922 | -0.000 | -0.000 | -0.000 |
| 1055.918 | 1176.951 | 1191.909 | 65.775 | -0.000 | -0.000 |
| -0.000 | -0.000 | 0.000 | -0.000 | 39.882 | 0.000 |
| 1056.019 | 1177.064 | 1192.024 | 0.000 | -0.000 | 50.036 |
| 272.926 | 109.240 | 87.308 | 0.000 | -0.000 | -0.000 |
| 108.467 | 304.949 | 133.990 | 0.000 | 0.000 | -0.000 |
| 86.134 | 133.589 | 270.981 | 0.000 | 0.000 | 0.000 |
| 0.000 | -0.000 | 0.000 | 82.404 | 0.000 | 0.000 |
| -105.562 | -117.662 | -119.157 | 0.000 | 34.292 | -0.000 |
| 0.000 | 0.000 | 0.000 | 0.000 | 0.000 | 59.124 |
| 361.262 | 216.341 | 196.081 | -0.000 | -0.000 | 0.000 |
| 205.469 | 406.158 | 248.653 | -0.000 | -0.000 | -0.000 |
| 86.134 | 133.589 | 270.981 | 0.000 | -0.000 | 0.000 |
| -0.000 | 0.000 | -0.000 | 82.404 | -0.000 | -0.000 |
| 105.562 | 117.662 | 119.157 | -0.000 | 34.292 | 0.000 |
| -0.000 | -0.000 | -0.000 | -0.000 | -0.000 | 59.124 |
| 228.189 | 76.145 | 74.359 | 0.000 | 0.000 | 0.000 |
| 87.793 | 274.617 | 116.103 | 0.000 | 0.000 | 0.000 |
| 66.138 | 116.263 | 240.589 | 0.000 | 0.000 | 0.000 |
| -14.995 | -13.708 | -13.578 | 57.794 | 0.000 | -0.000 |
| 0.000 | 0.000 | 0.000 | -0.000 | 39.882 | -0.000 |
| 0.000 | 0.000 | 0.000 | 0.000 | -0.000 | 59.124 |
| 272.924 | 109.240 | 87.307 | -0.000 | -0.000 | 0.000 |
| 110.691 | 297.798 | 143.700 | -0.000 | -0.000 | 0.000 |
| 86.134 | 133.589 | 270.981 | -0.000 | -0.000 | -0.000 |
| 14.995 | 13.708 | 13.578 | 57.794 | -0.000 | 0.000 |
| -0.000 | -0.000 | -0.000 | 0.000 | 39.882 | -0.000 |
| -0.000 | -0.000 | -0.000 | -0.000 | -0.000 | 59.124 |
| 2515.313 | 2394.136 | 6612.636 | -0.000 | 0.000 | -0.000 |
| 120.613 | 259.178 | 96.674 | 0.000 | 0.000 | 0.000 |
| 1612.787 | 1612.787 | 5782.644 | 0.000 | 0.000 | 0.000 |
| 1521.479 | 1521.479 | 5530.786 | 38.542 | 0.000 | 0.000 |
| 1521.427 | 1521.427 | 5530.599 | -0.000 | 38.542 | 0.000 |
| 2268.570 | 2268.570 | 6523.228 | 0.000 | 0.000 | 60.589 |
| 259.178 | 120.613 | 96.674 | 0.000 | -0.000 | -0.000 |
| 120.613 | 259.178 | 96.674 | 0.000 | -0.000 | -0.000 |
| -1430.064 | -1430.064 | -5278.540 | 0.000 | -0.000 | -0.000 |
| -1521.479 | -1521.479 | -5530.786 | 38.542 | -0.000 | -0.000 |
| -1521.427 | -1521.427 | -5530.599 | -0.000 | 38.542 | 0.000 |
| -1521.589 | -1521.589 | -5531.185 | -0.000 | -0.000 | 64.082 |
| 473.649 | 352.476 | 741.839 | -0.000 | 0.000 | -0.000 |
| 274.921 | 403.126 | 642.762 | 0.000 | 0.000 | 0.000 |
| 243.526 | 243.526 | 805.181 | 0.000 | 0.000 | 0.000 |
| 152.165 | 152.165 | 553.141 | 38.541 | 0.000 | 0.000 |
| 152.165 | 152.165 | 553.141 | -0.000 | 38.541 | 0.000 |
| 152.158 | 152.158 | 553.115 | -0.000 | 0.000 | 64.082 |
| 98.749 | -29.372 | -463.506 | 0.000 | -0.000 | -0.000 |
| -29.388 | 98.732 | -463.566 | -0.000 | -0.000 | -0.000 |
| -60.788 | -60.788 | -301.020 | -0.000 | -0.000 | -0.000 |
| -152.165 | -152.165 | -553.141 | 38.541 | -0.000 | -0.000 |
| -152.165 | -152.165 | -553.141 | 0.000 | 38.541 | -0.000 |
| -152.158 | -152.158 | -553.115 | -0.000 | -0.000 | 64.082 |
| 266.552 | 138.085 | 145.717 | -0.000 | 0.000 | 0.000 |
| 152.027 | 267.299 | 155.914 | -0.000 | -0.000 | 0.000 |
| 106.662 | 106.662 | 307.536 | 0.000 | 0.000 | 0.000 |
| 0.000 | -0.000 | 0.000 | 44.765 | 0.000 | 0.000 |
| -0.000 | 0.000 | 0.000 | -0.000 | 44.765 | -0.000 |
| 15.365 | 15.366 | 55.855 | 0.000 | 0.000 | 64.031 |
| 235.222 | 107.568 | 33.625 | -0.000 | -0.000 | -0.000 |
| 107.568 | 235.223 | 33.625 | 0.000 | -0.000 | -0.000 |
| 96.674 | 96.674 | 268.045 | 0.000 | -0.000 | -0.000 |
| -0.000 | 0.000 | -0.000 | 44.765 | -0.000 | 0.000 |
| 0.000 | -0.000 | -0.000 | 0.000 | 44.765 | -0.000 |
| -15.365 | -15.366 | -55.855 | 0.000 | -0.000 | 64.031 |
| 258.744 | 120.535 | 96.784 | -0.000 | -0.000 | 0.000 |
| 128.575 | 241.095 | 87.435 | -0.000 | -0.000 | 0.000 |
| 96.734 | 96.734 | 267.541 | -0.000 | -0.000 | 0.000 |
| 0.825 | 0.825 | 1.599 | 30.872 | 0.000 | 0.000 |
| 0.825 | 0.825 | 1.599 | -0.000 | 30.872 | 0.000 |
| 1.011 | 1.011 | 1.940 | 0.000 | 0.000 | 53.986 |
| 245.071 | 124.601 | 87.320 | -0.000 | 0.000 | -0.000 |
| 124.601 | 245.071 | 87.320 | 0.000 | -0.000 | -0.000 |
| 90.508 | 90.508 | 249.835 | -0.000 | 0.000 | -0.000 |
| 0.000 | -0.000 | -0.000 | 44.668 | 0.000 | -0.000 |
| -0.825 | -0.825 | -1.599 | 0.000 | 30.872 | -0.000 |
| -1.011 | -1.011 | -1.940 | -0.000 | 0.000 | 53.986 |
| 240.999 | 127.539 | 86.355 | 0.000 | -0.000 | 0.000 |
| 120.535 | 258.744 | 96.784 | -0.000 | -0.000 | 0.000 |
| 91.134 | 91.134 | 251.184 | 0.000 | -0.000 | 0.000 |
| 0.071 | 0.071 | 0.136 | 30.669 | 0.000 | -0.000 |
| 0.083 | 0.083 | 0.161 | 0.000 | 30.818 | 0.000 |
| -0.000 | 0.000 | 0.000 | -0.000 | 0.000 | 69.104 |
| 245.515 | 125.213 | 88.342 | 0.000 | -0.000 | -0.000 |
| 120.535 | 258.744 | 96.784 | -0.000 | 0.000 | -0.000 |
| 91.021 | 91.021 | 250.940 | -0.000 | 0.000 | -0.000 |
| -0.071 | -0.071 | -0.136 | 30.669 | -0.000 | -0.000 |
| -0.083 | -0.083 | -0.161 | -0.000 | 30.818 | -0.000 |
| 0.000 | -0.000 | -0.000 | 0.000 | 0.000 | 69.104 |
| 258.745 | 120.535 | 96.784 | 0.000 | -0.000 | 0.000 |
| 125.289 | 245.570 | 88.468 | -0.000 | -0.000 | 0.000 |
| 96.735 | 96.735 | 267.543 | -0.000 | 0.000 | 0.000 |
| 0.008 | 0.008 | 0.016 | 30.818 | -0.000 | 0.000 |
| 0.000 | 0.000 | 0.000 | 0.000 | 44.668 | -0.000 |
| 0.005 | 0.005 | 0.010 | -0.000 | 0.000 | 53.359 |
| 245.558 | 125.275 | 88.445 | 0.000 | 0.000 | -0.000 |
| 125.275 | 245.558 | 88.445 | -0.000 | 0.000 | -0.000 |
| 96.734 | 96.734 | 267.539 | -0.000 | -0.000 | -0.000 |
| -0.008 | -0.008 | -0.016 | 30.818 | 0.000 | -0.000 |
| -0.000 | -0.000 | -0.000 | 0.000 | 44.668 | -0.000 |
| -0.005 | -0.005 | -0.010 | 0.000 | 0.000 | 53.359 |
| 223.719 | 72.564 | 144.244 | 0.000 | -0.000 | -0.000 |
| 144.317 | 249.949 | 124.789 | 0.000 | -0.000 | 0.000 |
| 116.873 | 103.786 | 382.179 | 0.000 | -0.000 | 0.000 |
| 3.869 | -49.957 | 15.264 | 37.455 | -0.000 | 0.000 |
| 9.063 | -36.450 | 10.613 | -0.000 | 44.538 | 0.000 |
| 8.104 | -32.592 | 9.490 | 0.000 | -0.000 | 63.993 |
| 246.810 | 132.590 | 116.873 | 0.000 | 0.000 | -0.000 |
| 126.815 | 338.690 | 99.468 | -0.000 | 0.000 | -0.000 |
| 116.874 | 103.786 | 382.179 | 0.000 | 0.000 | -0.000 |
| -3.869 | 49.957 | -15.264 | 37.455 | 0.000 | -0.000 |
| -9.063 | 36.450 | -10.613 | -0.000 | 44.538 | -0.000 |
| -8.104 | 32.592 | -9.490 | 0.000 | 0.000 | 63.993 |
| 246.810 | 132.590 | 116.874 | 0.000 | -0.000 | 0.000 |
| 135.044 | 282.978 | 114.909 | 0.000 | 0.000 | 0.000 |
| 126.373 | 107.578 | 378.177 | 0.000 | -0.000 | 0.000 |
| 0.399 | -4.369 | 1.330 | 38.157 | -0.000 | 0.000 |
| 0.000 | -0.000 | -0.000 | -0.000 | 62.183 | 0.000 |
| -0.000 | 0.000 | -0.000 | 0.000 | -0.000 | 77.394 |
| 224.849 | 136.546 | 123.077 | -0.000 | 0.000 | -0.000 |
| 128.301 | 292.812 | 114.126 | -0.000 | 0.000 | -0.000 |
| 126.854 | 121.570 | 373.518 | -0.000 | 0.000 | 0.000 |
| -0.399 | 4.369 | -1.330 | 38.157 | 0.000 | -0.000 |
| -0.000 | 0.000 | 0.000 | -0.000 | 62.183 | -0.000 |
| 0.000 | -0.000 | 0.000 | 0.000 | 0.000 | 77.394 |
| 222.623 | 127.647 | 126.832 | 0.000 | -0.000 | -0.000 |
| 129.025 | 286.593 | 115.755 | 0.000 | -0.000 | 0.000 |
| 126.651 | 115.449 | 375.569 | -0.000 | -0.000 | 0.000 |
| 0.060 | -0.243 | 0.071 | 38.414 | -0.000 | 0.000 |
| 0.048 | -0.698 | 0.214 | 0.000 | 39.773 | -0.000 |
| 0.033 | -0.132 | 0.039 | 0.000 | -0.000 | 71.936 |
| 246.809 | 132.590 | 116.873 | -0.000 | 0.000 | -0.000 |
| 128.819 | 287.740 | 115.474 | 0.000 | 0.000 | 0.000 |
| 127.871 | 114.119 | 375.406 | -0.000 | -0.000 | -0.000 |
| -0.060 | 0.243 | -0.071 | 38.414 | 0.000 | -0.000 |
| -0.048 | 0.698 | -0.214 | -0.000 | 39.773 | 0.000 |
| -0.033 | 0.132 | -0.039 | -0.000 | 0.000 | 71.936 |
| 165.988 | 134.611 | 103.158 | 0.000 | -0.000 | -0.000 |
| 133.266 | 317.038 | 104.495 | 0.000 | -0.000 | 0.000 |
| 100.279 | 116.424 | 386.071 | 0.000 | -0.000 | -0.000 |
| 0.000 | 0.000 | -0.000 | 43.897 | -0.000 | 0.000 |
| -2.825 | 4.542 | -1.129 | 0.000 | 31.898 | -0.000 |
| -1.175 | 1.890 | -0.470 | -0.000 | -0.000 | 74.200 |
| 201.912 | 134.892 | 99.129 | 0.000 | -0.000 | -0.000 |
| 133.266 | 317.038 | 104.495 | -0.000 | 0.000 | 0.000 |
| 101.898 | 104.477 | 389.593 | -0.000 | 0.000 | 0.000 |
| -0.000 | -0.000 | 0.000 | 43.897 | 0.000 | 0.000 |
| 2.825 | -4.542 | 1.129 | 0.000 | 31.898 | 0.000 |
| 1.175 | -1.890 | 0.470 | -0.000 | 0.000 | 74.200 |
| 165.588 | 129.009 | 104.738 | 0.000 | -0.000 | -0.000 |
| 133.267 | 317.039 | 104.495 | 0.000 | -0.000 | -0.000 |
| 101.198 | 110.528 | 387.762 | -0.000 | -0.000 | -0.000 |
| 0.000 | 0.000 | -0.000 | 43.897 | -0.000 | -0.000 |
| 0.000 | 0.000 | -0.000 | 0.000 | 39.799 | 0.000 |
| -0.186 | 1.031 | -0.280 | -0.000 | -0.000 | 72.148 |
| 165.495 | 127.624 | 105.101 | 0.000 | 0.000 | -0.000 |
| 133.266 | 317.038 | 104.495 | 0.000 | 0.000 | -0.000 |
| 101.863 | 109.243 | 388.146 | 0.000 | 0.000 | 0.000 |
| -0.000 | -0.000 | 0.000 | 43.897 | 0.000 | 0.000 |
| -0.000 | -0.000 | 0.000 | 0.000 | 39.799 | -0.000 |
| 0.186 | -1.031 | 0.280 | -0.000 | 0.000 | 72.148 |
| 201.913 | 134.892 | 99.130 | -0.000 | -0.000 | -0.000 |
| 129.939 | 282.093 | 112.730 | -0.000 | -0.000 | -0.000 |
| 101.549 | 110.007 | 387.881 | -0.000 | -0.000 | -0.000 |
| -0.020 | 0.033 | -0.008 | 35.679 | -0.000 | -0.000 |
| -0.042 | 0.067 | -0.017 | 0.000 | 28.132 | -0.000 |
| -0.000 | 0.000 | 0.000 | 0.000 | -0.000 | 79.375 |
| 171.190 | 132.506 | 103.948 | -0.000 | 0.000 | 0.000 |
| 120.732 | 279.555 | 112.823 | 0.000 | -0.000 | -0.000 |
| 95.397 | 102.389 | 395.056 | -0.000 | 0.000 | -0.000 |
| 0.020 | -0.033 | 0.008 | 35.679 | 0.000 | 0.000 |
| 0.042 | -0.067 | 0.017 | -0.000 | 28.132 | 0.000 |
| 0.000 | -0.000 | -0.000 | -0.000 | 0.000 | 79.375 |
| 181.739 | 90.274 | 104.340 | -0.000 | 0.000 | -0.000 |
| 90.348 | 248.670 | 68.251 | -0.000 | -0.000 | -0.000 |
| 111.346 | 88.674 | 230.778 | -0.000 | -0.000 | -0.000 |
| 2.973 | 7.622 | -1.729 | 31.583 | -0.000 | 0.000 |
| 0.000 | 0.000 | 0.000 | 0.000 | 80.884 | 0.000 |
| 3.185 | 7.747 | -0.925 | 0.000 | -0.000 | 56.287 |
| 182.935 | 85.441 | 95.027 | 0.000 | 0.000 | 0.000 |
| 77.522 | 224.226 | 82.860 | 0.000 | 0.000 | 0.000 |
| 101.791 | 70.819 | 237.794 | 0.000 | -0.000 | 0.000 |
| -2.973 | -7.622 | 1.729 | 31.583 | -0.000 | 0.000 |
| -0.000 | -0.000 | -0.000 | -0.000 | 80.884 | 0.000 |
| -3.185 | -7.747 | 0.925 | -0.000 | 0.000 | 56.287 |
| 175.861 | 79.122 | 109.414 | -0.000 | -0.000 | -0.000 |
| 104.097 | 258.737 | 90.290 | -0.000 | -0.000 | -0.000 |
| 131.620 | 91.744 | 297.475 | 0.000 | -0.000 | 0.000 |
| 0.674 | 1.281 | -0.259 | 23.436 | -0.000 | -0.000 |
| -0.000 | 0.000 | 0.000 | 0.000 | 80.884 | -0.000 |
| -0.000 | -0.000 | 0.000 | 0.000 | -0.000 | 56.287 |
| 185.974 | 89.170 | 97.791 | 0.000 | 0.000 | 0.000 |
| 80.635 | 231.836 | 79.950 | -0.000 | 0.000 | 0.000 |
| 131.620 | 91.744 | 297.475 | -0.000 | 0.000 | 0.000 |
| -0.674 | -1.281 | 0.259 | 23.436 | 0.000 | -0.000 |
| 0.000 | -0.000 | -0.000 | -0.000 | 80.884 | -0.000 |
| 0.000 | 0.000 | -0.000 | -0.000 | 0.000 | 56.287 |
| 175.465 | 78.130 | 109.782 | -0.000 | -0.000 | 0.000 |
| 80.613 | 232.358 | 79.724 | 0.000 | -0.000 | 0.000 |
| 107.439 | 78.897 | 234.317 | -0.000 | -0.000 | 0.000 |
| 0.040 | 0.103 | -0.022 | 29.576 | -0.000 | -0.000 |
| -0.000 | 0.000 | 0.000 | 0.000 | 80.884 | 0.000 |
| -0.000 | -0.000 | 0.000 | 0.000 | -0.000 | 56.287 |
| 186.173 | 89.450 | 97.925 | 0.000 | 0.000 | 0.000 |
| 80.616 | 232.260 | 79.762 | -0.000 | 0.000 | 0.000 |
| 102.895 | 72.943 | 237.930 | 0.000 | 0.000 | 0.000 |
| -0.040 | -0.103 | 0.022 | 29.576 | 0.000 | -0.000 |
| 0.000 | -0.000 | -0.000 | -0.000 | 80.884 | -0.000 |
| 0.000 | 0.000 | -0.000 | -0.000 | -0.000 | 56.287 |
| 165.886 | 77.864 | 117.829 | 0.000 | -0.000 | 0.000 |
| 79.860 | 226.565 | 79.089 | 0.000 | -0.000 | 0.000 |
| 108.809 | 69.660 | 247.548 | 0.000 | -0.000 | 0.000 |
| 0.000 | 0.000 | -0.000 | 36.918 | -0.000 | -0.000 |
| -0.000 | 0.000 | 0.000 | -0.000 | 85.350 | 0.000 |
| 0.440 | 0.383 | 0.901 | -0.000 | -0.000 | 57.312 |
| 165.200 | 76.674 | 116.666 | -0.000 | 0.000 | -0.000 |
| 79.683 | 226.031 | 77.516 | -0.000 | 0.000 | 0.000 |
| 135.936 | 86.973 | 304.767 | 0.000 | -0.000 | -0.000 |
| 0.000 | -0.000 | 0.000 | 36.918 | 0.000 | -0.000 |
| 0.000 | -0.000 | -0.000 | -0.000 | 85.350 | 0.000 |
| -0.440 | -0.383 | -0.901 | 0.000 | 0.000 | 57.312 |
| 177.611 | 89.499 | 105.153 | 0.000 | -0.000 | 0.000 |
| 102.921 | 251.367 | 86.973 | -0.000 | 0.000 | 0.000 |
| 135.936 | 86.973 | 304.767 | 0.000 | 0.000 | -0.000 |
| 0.035 | 0.031 | 0.072 | 30.032 | -0.000 | 0.000 |
| -0.000 | 0.000 | 0.000 | -0.000 | 85.350 | -0.000 |
| 0.044 | 0.038 | 0.090 | -0.000 | -0.000 | 57.312 |
| 196.622 | 102.921 | 135.936 | 0.000 | 0.000 | -0.000 |
| 79.764 | 226.268 | 78.222 | -0.000 | 0.000 | 0.000 |
| 108.458 | 69.343 | 246.831 | 0.000 | 0.000 | 0.000 |
| -0.035 | -0.031 | -0.072 | 30.032 | 0.000 | 0.000 |
| 0.000 | -0.000 | -0.000 | 0.000 | 85.350 | -0.000 |
| -0.044 | -0.038 | -0.090 | -0.000 | 0.000 | 57.312 |
| 167.172 | 79.408 | 115.519 | 0.000 | -0.000 | -0.000 |
| 79.774 | 226.298 | 78.309 | -0.000 | -0.000 | 0.000 |
| 108.494 | 69.375 | 246.905 | 0.000 | -0.000 | 0.000 |
| -0.000 | 0.000 | -0.000 | 36.918 | 0.000 | -0.000 |
| 0.007 | 0.006 | 0.014 | 0.000 | 61.311 | -0.000 |
| 0.004 | 0.004 | 0.009 | 0.000 | -0.000 | 57.312 |
| 167.163 | 79.395 | 115.507 | 0.000 | 0.000 | 0.000 |
| 102.921 | 251.366 | 86.973 | 0.000 | 0.000 | 0.000 |
| 112.656 | 75.373 | 243.327 | 0.000 | 0.000 | 0.000 |
| 0.000 | -0.000 | 0.000 | 36.918 | -0.000 | 0.000 |
| -0.007 | -0.006 | -0.014 | -0.000 | 61.311 | -0.000 |
| -0.004 | -0.004 | -0.009 | -0.000 | 0.000 | 57.312 |
| 365.456 | 132.448 | 116.083 | 0.000 | -0.000 | 0.000 |
| -144.783 | -98.039 | -237.962 | 0.000 | 0.000 | -0.000 |
| -182.510 | -265.757 | -94.040 | 0.000 | -0.000 | -0.000 |
| -267.325 | -313.734 | -297.137 | 17.557 | -0.000 | -0.000 |
| 0.000 | 0.000 | 0.000 | 0.000 | 64.333 | 0.000 |
| -257.140 | -299.732 | -283.895 | 0.000 | 0.000 | 54.340 |
| 365.456 | 132.448 | 116.083 | -0.000 | 0.000 | -0.000 |
| 380.059 | 530.930 | 345.950 | -0.000 | -0.000 | 0.000 |
| 116.083 | 71.055 | 240.619 | 0.000 | 0.000 | -0.000 |
| 267.325 | 313.734 | 297.137 | 17.557 | -0.000 | 0.000 |
| -0.000 | -0.000 | -0.000 | -0.000 | 64.333 | -0.000 |
| 257.140 | 299.732 | 283.895 | -0.000 | -0.000 | 54.340 |
| 308.090 | 79.087 | 49.928 | 0.000 | -0.000 | -0.000 |
| 86.054 | 185.447 | 18.976 | 0.000 | -0.000 | -0.000 |
| 116.083 | 71.055 | 240.619 | 0.000 | -0.000 | 0.000 |
| 0.000 | 0.000 | 0.000 | 23.434 | 0.000 | -0.000 |
| 0.000 | 0.000 | 0.000 | 0.000 | 64.333 | 0.000 |
| -26.317 | -31.467 | -29.245 | 0.000 | 0.000 | 53.916 |
| 365.455 | 132.448 | 116.083 | -0.000 | 0.000 | -0.000 |
| 132.448 | 241.897 | 71.055 | -0.000 | 0.000 | -0.000 |
| 115.346 | 80.962 | 238.329 | -0.000 | -0.000 | 0.000 |
| -0.000 | -0.000 | -0.000 | 23.434 | 0.000 | -0.000 |
| -0.000 | -0.000 | -0.000 | -0.000 | 64.333 | 0.000 |
| 26.317 | 31.467 | 29.245 | -0.000 | 0.000 | 53.916 |
| 314.617 | 113.380 | 55.222 | 0.000 | -0.000 | -0.000 |
| 108.813 | 214.072 | 44.889 | 0.000 | 0.000 | -0.000 |
| 116.084 | 71.056 | 240.621 | 0.000 | -0.000 | 0.000 |
| 0.000 | 0.000 | 0.000 | 23.434 | -0.000 | 0.000 |
| 0.000 | 0.000 | 0.001 | 0.000 | 64.333 | -0.000 |
| -2.596 | -3.123 | -2.872 | 0.000 | -0.000 | 53.954 |
| 365.453 | 132.448 | 116.083 | -0.000 | 0.000 | 0.000 |
| 115.496 | 219.981 | 51.735 | -0.000 | 0.000 | 0.000 |
| 60.656 | 57.417 | 171.073 | -0.000 | 0.000 | 0.000 |
| -0.000 | -0.000 | -0.000 | 23.434 | 0.000 | 0.000 |
| -0.000 | -0.000 | -0.001 | -0.000 | 64.333 | -0.000 |
| 2.596 | 3.123 | 2.872 | -0.000 | -0.000 | 53.954 |
| 296.013 | 135.799 | 71.870 | 0.000 | -0.000 | -0.000 |
| 135.187 | 246.647 | 70.510 | 0.000 | 0.000 | 0.000 |
| 116.915 | 71.036 | 240.903 | -0.000 | -0.000 | 0.000 |
| 15.151 | 18.712 | 18.288 | 16.530 | -0.000 | -0.000 |
| -0.000 | 0.000 | 0.000 | -0.000 | 66.345 | 0.000 |
| 11.407 | 14.771 | 14.816 | 0.000 | 0.000 | 60.825 |
| 339.987 | 136.681 | 117.883 | -0.000 | 0.000 | -0.000 |
| 135.187 | 246.647 | 70.510 | -0.000 | 0.000 | -0.000 |
| 116.915 | 71.036 | 240.903 | -0.000 | 0.000 | -0.000 |
| -15.151 | -18.712 | -18.288 | 16.530 | -0.000 | 0.000 |
| 0.000 | -0.000 | -0.000 | -0.000 | 66.345 | 0.000 |
| -11.407 | -14.771 | -14.816 | -0.000 | -0.000 | 60.825 |
| 339.988 | 136.681 | 117.883 | 0.000 | -0.000 | 0.000 |
| 112.687 | 223.294 | 49.134 | 0.000 | 0.000 | 0.000 |
| 80.693 | 43.743 | 204.363 | 0.000 | 0.000 | -0.000 |
| 0.000 | 0.000 | 0.000 | 23.002 | -0.000 | -0.000 |
| -0.000 | 0.000 | 0.000 | 0.000 | 66.345 | 0.000 |
| 1.017 | 1.317 | 1.321 | 0.000 | 0.000 | 63.245 |
| 303.279 | 110.661 | 85.901 | -0.000 | -0.000 | 0.000 |
| 109.568 | 219.337 | 45.193 | -0.000 | -0.000 | 0.000 |
| 79.183 | 40.792 | 201.868 | 0.000 | -0.000 | 0.000 |
| -0.000 | -0.000 | -0.000 | 23.002 | 0.000 | -0.000 |
| 0.000 | -0.000 | -0.000 | -0.000 | 66.345 | 0.000 |
| -1.017 | -1.317 | -1.321 | -0.000 | -0.000 | 63.245 |
| 305.161 | 112.884 | 88.188 | 0.000 | 0.000 | -0.000 |
| 113.128 | 221.132 | 49.014 | -0.000 | -0.000 | -0.000 |
| 56.480 | 53.766 | 169.668 | 0.000 | -0.000 | -0.000 |
| 0.000 | 0.000 | 0.000 | 23.002 | -0.000 | 0.000 |
| -0.000 | 0.000 | 0.000 | 0.000 | 66.345 | 0.000 |
| 0.221 | 0.269 | 0.260 | 0.000 | -0.000 | 57.477 |
| 339.981 | 136.681 | 117.883 | -0.000 | -0.000 | -0.000 |
| 110.926 | 221.071 | 46.926 | -0.000 | -0.000 | -0.000 |
| 116.915 | 71.035 | 240.901 | 0.000 | 0.000 | -0.000 |
| -0.000 | -0.000 | -0.000 | 23.002 | 0.000 | -0.000 |
| 0.000 | -0.000 | -0.000 | -0.000 | 66.345 | 0.000 |
| -0.221 | -0.269 | -0.260 | -0.000 | 0.000 | 57.477 |
| 318.938 | 123.756 | -26.153 | -0.001 | -0.005 | 0.000 |
| 164.955 | 323.568 | -75.225 | -0.003 | -0.010 | 0.000 |
| 126.683 | 98.475 | 90.677 | -0.004 | -0.015 | 0.000 |
| 58.077 | 24.558 | -188.000 | 10.400 | -0.012 | 0.000 |
| 9.629 | 5.460 | -47.287 | -0.006 | 62.009 | 0.000 |
| 65.939 | 27.725 | -181.537 | -0.000 | -0.004 | 41.098 |
| 252.366 | 100.037 | 165.025 | 0.006 | 0.024 | -0.000 |
| 68.007 | 268.847 | 202.129 | -0.000 | -0.004 | -0.000 |
| 125.290 | 93.844 | 197.772 | 0.000 | 0.000 | 0.000 |
| -58.074 | -24.558 | 188.033 | 10.413 | 0.012 | -0.000 |
| -9.663 | -5.479 | 47.452 | 0.006 | 62.012 | -0.000 |
| -66.068 | -25.527 | 203.642 | 0.001 | 0.003 | 45.123 |
| 284.675 | 106.187 | 120.409 | -0.000 | -0.000 | 0.000 |
| 107.570 | 311.914 | 87.883 | -0.000 | -0.001 | 0.000 |
| 121.674 | 94.703 | 139.581 | -0.000 | -0.001 | 0.000 |
| 5.232 | 1.943 | -15.325 | 20.706 | -0.001 | 0.000 |
| 5.674 | 2.147 | -16.906 | -0.000 | 59.022 | 0.000 |
| 6.768 | 2.549 | -20.257 | -0.000 | -0.001 | 45.172 |
| 284.674 | 106.187 | 120.409 | 0.000 | 0.000 | -0.000 |
| 107.060 | 326.786 | 89.836 | 0.000 | 0.000 | -0.000 |
| 120.976 | 94.095 | 148.556 | 0.000 | 0.001 | -0.000 |
| -5.232 | -1.943 | 15.325 | 20.706 | 0.001 | -0.000 |
| -5.674 | -2.147 | 16.906 | 0.000 | 59.023 | -0.000 |
| -0.440 | -0.250 | 2.163 | 0.000 | 0.001 | 46.048 |
| 284.676 | 106.187 | 120.410 | 0.000 | -0.000 | 0.000 |
| 104.778 | 307.382 | 93.330 | -0.000 | -0.000 | 0.000 |
| 165.234 | 113.035 | 28.810 | 0.000 | 0.000 | 0.000 |
| 0.233 | 0.102 | -0.704 | 21.357 | -0.000 | 0.000 |
| 0.158 | 0.069 | -0.493 | 0.000 | 62.704 | 0.000 |
| 0.042 | 0.024 | -0.206 | -0.000 | -0.000 | 46.190 |
| 274.795 | 106.158 | 116.696 | 0.000 | 0.000 | -0.000 |
| 102.499 | 305.796 | 102.010 | -0.000 | -0.000 | -0.000 |
| 121.274 | 94.357 | 144.654 | 0.000 | 0.000 | -0.000 |
| -0.233 | -0.102 | 0.704 | 21.357 | 0.000 | -0.000 |
| -0.158 | -0.069 | 0.493 | -0.000 | 62.704 | -0.000 |
| -0.042 | -0.024 | 0.206 | 0.000 | 0.000 | 46.190 |
| 280.713 | 104.500 | 103.529 | -0.000 | -0.000 | 0.000 |
| 104.500 | 315.572 | 125.045 | -0.000 | -0.000 | 0.000 |
| 103.529 | 125.044 | 259.062 | -0.000 | -0.000 | 0.000 |
| -0.000 | -0.000 | 0.000 | 73.102 | -0.000 | -0.000 |
| -24.845 | -17.052 | 26.327 | -0.000 | 48.297 | -0.000 |
| -24.340 | -16.705 | 25.791 | -0.000 | -0.000 | 45.687 |
| 280.713 | 104.500 | 103.529 | 0.000 | 0.000 | -0.000 |
| 104.500 | 315.572 | 125.045 | 0.000 | 0.000 | -0.000 |
| 117.752 | 152.910 | 189.705 | 0.000 | 0.000 | 0.000 |
| 0.000 | -0.000 | -0.000 | 73.102 | 0.000 | -0.000 |
| 24.845 | 17.052 | -26.327 | 0.000 | 48.297 | 0.000 |
| 24.340 | 16.705 | -25.791 | 0.000 | 0.000 | 45.687 |
| 280.713 | 104.500 | 103.529 | 0.000 | -0.000 | 0.000 |
| 104.500 | 315.572 | 125.045 | -0.000 | -0.000 | 0.000 |
| 93.715 | 135.348 | 228.161 | -0.000 | -0.000 | 0.000 |
| -2.346 | -1.610 | 2.486 | 54.876 | -0.000 | -0.000 |
| 0.000 | -0.000 | -0.000 | 0.000 | 53.720 | 0.000 |
| -2.904 | -1.749 | 4.182 | -0.000 | -0.000 | 45.864 |
| 280.713 | 104.500 | 103.529 | -0.000 | 0.000 | -0.000 |
| 104.500 | 315.572 | 125.045 | -0.000 | 0.000 | -0.000 |
| 103.529 | 125.044 | 259.062 | 0.000 | 0.000 | -0.000 |
| 2.346 | 1.610 | -2.486 | 54.876 | 0.000 | 0.000 |
| -0.000 | 0.000 | 0.000 | -0.000 | 53.720 | 0.000 |
| 2.904 | 1.749 | -4.182 | 0.000 | 0.000 | 45.864 |
| 267.460 | 104.762 | 97.412 | -0.000 | -0.000 | -0.000 |
| 104.726 | 301.433 | 131.988 | -0.000 | -0.000 | -0.000 |
| 96.925 | 141.650 | 222.436 | -0.000 | -0.000 | -0.000 |
| -0.000 | -0.000 | 0.000 | 73.102 | -0.000 | 0.000 |
| 0.000 | -0.000 | -0.000 | -0.000 | 53.720 | -0.000 |
| 0.000 | -0.000 | -0.000 | -0.000 | -0.000 | 52.885 |
| 267.903 | 105.082 | 96.908 | 0.000 | 0.000 | 0.000 |
| 102.418 | 293.370 | 139.442 | 0.000 | -0.000 | 0.000 |
| 96.631 | 131.498 | 234.399 | 0.000 | 0.000 | 0.000 |
| 0.000 | 0.000 | -0.000 | 73.102 | 0.000 | -0.000 |
| 0.543 | 0.372 | -0.575 | 0.000 | 41.874 | 0.000 |
| -0.000 | 0.000 | 0.000 | -0.000 | -0.000 | 52.885 |
| 286.082 | 111.399 | 97.663 | -0.000 | -0.000 | 0.000 |
| 99.244 | 243.207 | 119.416 | -0.000 | -0.000 | -0.000 |
| 82.932 | 123.156 | 209.479 | -0.000 | 0.000 | 0.000 |
| -0.877 | 2.368 | -1.902 | 33.105 | 0.000 | -0.000 |
| -0.195 | 1.206 | -0.401 | -0.000 | 44.171 | -0.000 |
| -0.278 | 1.724 | -0.574 | -0.000 | -0.000 | 45.156 |
| 260.924 | 101.961 | 82.534 | 0.000 | 0.000 | -0.000 |
| 112.588 | 273.090 | 112.638 | 0.000 | 0.000 | -0.000 |
| 86.224 | 111.790 | 221.527 | -0.000 | 0.000 | -0.000 |
| 0.877 | -2.368 | 1.902 | 33.105 | -0.000 | 0.000 |
| 0.195 | -1.206 | 0.401 | 0.000 | 44.171 | -0.000 |
| 0.278 | -1.724 | 0.574 | 0.000 | 0.000 | 45.156 |
| 259.353 | 103.706 | 81.070 | -0.000 | -0.000 | -0.000 |
| 112.588 | 273.090 | 112.638 | -0.000 | -0.000 | 0.000 |
| 83.779 | 120.842 | 211.377 | 0.000 | 0.000 | 0.000 |
| 0.000 | -0.000 | 0.000 | 63.692 | 0.000 | 0.000 |
| 0.000 | 0.000 | -0.000 | 0.000 | 49.136 | -0.000 |
| -0.028 | 0.172 | -0.057 | -0.000 | -0.000 | 45.182 |
| 259.637 | 103.372 | 81.339 | -0.000 | 0.000 | -0.000 |
| 105.129 | 249.086 | 112.477 | 0.000 | 0.000 | -0.000 |
| 84.934 | 113.281 | 219.174 | 0.000 | 0.000 | -0.000 |
| -0.000 | 0.000 | -0.000 | 63.692 | 0.000 | -0.000 |
| -0.000 | -0.000 | 0.000 | 0.000 | 49.136 | -0.000 |
| 0.028 | -0.172 | 0.057 | 0.000 | 0.000 | 45.182 |
| 259.481 | 103.556 | 81.192 | -0.000 | -0.000 | -0.000 |
| 105.101 | 249.315 | 112.408 | -0.000 | -0.000 | 0.000 |
| 86.149 | 122.388 | 209.155 | -0.000 | -0.000 | 0.000 |
| -0.003 | 0.018 | -0.006 | 38.369 | -0.000 | 0.000 |
| 0.000 | 0.000 | -0.000 | -0.000 | 49.136 | 0.000 |
| 0.000 | 0.000 | 0.000 | -0.000 | 0.000 | 59.350 |
| 286.080 | 111.399 | 97.663 | 0.000 | -0.000 | -0.000 |
| 112.588 | 273.089 | 112.638 | 0.000 | 0.000 | -0.000 |
| 99.892 | 113.677 | 245.630 | 0.000 | 0.000 | -0.000 |
| 0.003 | -0.018 | 0.006 | 38.369 | 0.000 | -0.000 |
| -0.000 | -0.000 | 0.000 | -0.000 | 49.136 | 0.000 |
| -0.000 | -0.000 | -0.000 | 0.000 | 0.000 | 59.350 |
| -103.957 | 30.443 | -366.003 | 0.000 | 0.000 | 0.000 |
| -178.291 | 209.976 | -240.890 | -0.000 | -0.000 | -0.000 |
| -200.250 | 77.598 | -141.400 | 0.000 | -0.000 | 0.000 |
| -285.484 | -45.423 | -363.398 | 46.872 | -0.000 | 0.000 |
| -285.438 | -45.415 | -363.339 | 0.000 | 41.353 | 0.000 |
| -368.442 | -74.335 | -448.667 | 0.000 | 0.000 | 42.626 |
| 297.233 | 112.509 | 98.022 | 0.000 | -0.000 | -0.000 |
| 112.510 | 279.615 | 122.836 | 0.000 | -0.000 | -0.000 |
| 98.022 | 122.836 | 246.896 | 0.000 | -0.000 | -0.000 |
| 285.484 | 45.423 | 363.398 | 46.872 | 0.000 | 0.000 |
| 285.438 | 45.415 | 363.339 | -0.000 | 41.353 | 0.000 |
| 368.442 | 74.335 | 448.667 | 0.000 | -0.000 | 42.626 |
| 297.233 | 112.509 | 98.022 | -0.000 | -0.000 | -0.000 |
| 112.510 | 279.615 | 122.836 | -0.000 | 0.000 | 0.000 |
| 98.022 | 122.836 | 246.896 | -0.000 | -0.000 | 0.000 |
| 0.000 | -0.000 | 0.000 | 71.277 | 0.000 | 0.000 |
| -28.171 | -4.482 | -35.859 | 0.000 | 41.434 | -0.000 |
| 0.000 | -0.000 | 0.000 | 0.000 | 0.000 | 60.567 |
| 297.233 | 112.509 | 98.022 | 0.000 | 0.000 | -0.000 |
| 136.369 | 259.790 | 159.715 | -0.000 | 0.000 | 0.000 |
| 113.919 | 127.686 | 258.117 | -0.000 | 0.000 | -0.000 |
| -0.000 | 0.000 | -0.000 | 71.277 | -0.000 | -0.000 |
| 28.171 | 4.482 | 35.859 | -0.000 | 41.434 | -0.000 |
| -0.000 | 0.000 | -0.000 | -0.000 | -0.000 | 60.567 |
| 297.234 | 112.510 | 98.023 | 0.000 | -0.000 | 0.000 |
| 103.372 | 250.902 | 118.714 | 0.000 | -0.000 | 0.000 |
| 81.429 | 130.108 | 206.418 | 0.000 | -0.000 | -0.000 |
| 0.000 | -0.000 | 0.000 | 71.277 | 0.000 | 0.000 |
| -3.868 | -1.812 | -4.234 | -0.000 | 42.811 | 0.000 |
| 0.000 | -0.000 | 0.000 | 0.000 | 0.000 | 60.567 |
| 297.232 | 112.509 | 98.022 | 0.000 | -0.000 | 0.000 |
| 110.046 | 252.037 | 127.189 | -0.000 | 0.000 | -0.000 |
| 86.410 | 123.455 | 222.534 | 0.000 | 0.000 | -0.000 |
| -0.000 | 0.000 | -0.000 | 71.277 | -0.000 | 0.000 |
| 3.868 | 1.812 | 4.234 | -0.000 | 42.811 | 0.000 |
| -0.000 | 0.000 | -0.000 | -0.000 | -0.000 | 60.567 |
| 415.538 | -445.042 | -817.939 | -0.000 | -436.462 | 0.000 |
| 78.461 | 231.054 | 96.001 | -0.000 | -0.501 | -0.000 |
| 7.283 | -284.110 | -294.201 | -0.000 | -412.072 | -0.000 |
| -104.675 | -344.923 | -533.977 | 30.607 | -406.296 | -0.955 |
| -81.027 | -631.749 | -976.317 | -0.000 | -339.184 | 0.000 |
| -104.683 | -344.948 | -534.016 | -0.980 | -406.326 | 27.252 |
| 347.270 | 405.978 | 644.418 | 0.000 | 418.557 | -0.000 |
| 167.109 | 550.051 | 594.893 | 0.000 | 405.287 | -0.000 |
| 189.710 | 693.442 | 1209.699 | 0.000 | 407.479 | 0.000 |
| 104.675 | 344.923 | 533.977 | 30.607 | 406.296 | -0.955 |
| 103.189 | 346.375 | 531.828 | 0.000 | 478.745 | 0.000 |
| 104.683 | 344.948 | 534.016 | -0.980 | 406.326 | 27.252 |
| 232.451 | 26.822 | 57.427 | -0.000 | -28.390 | -0.000 |
| 51.546 | 170.046 | 6.754 | -0.000 | -41.448 | -0.000 |
| 101.383 | 26.636 | 186.532 | -0.000 | -45.423 | -0.000 |
| -10.413 | -34.312 | -53.118 | 30.691 | -40.417 | -0.952 |
| -0.952 | -0.476 | -4.129 | -0.000 | 84.127 | -0.000 |
| 3.465 | -60.609 | -99.387 | -0.512 | -53.474 | 23.352 |
| 252.747 | 95.248 | 163.392 | 0.000 | 52.838 | -0.000 |
| 73.350 | 240.280 | 115.180 | 0.000 | 39.481 | -0.000 |
| 135.896 | 96.030 | 316.154 | 0.000 | -4.129 | 0.000 |
| 10.413 | 34.312 | 53.118 | 30.691 | 40.417 | -0.952 |
| 8.893 | 35.745 | 50.915 | 0.000 | 112.499 | 0.000 |
| -3.465 | 60.609 | 99.387 | -0.512 | 53.474 | 23.352 |
| 237.646 | 54.532 | 103.632 | -0.000 | 6.212 | -0.000 |
| 61.089 | 198.376 | 55.796 | -0.000 | -3.986 | 0.000 |
| 114.499 | 63.609 | 246.896 | -0.000 | -7.569 | 0.000 |
| -0.000 | 0.000 | 0.000 | 46.815 | -0.000 | -0.415 |
| -0.214 | -5.468 | -15.318 | -0.000 | 63.845 | 0.000 |
| -0.000 | 0.000 | 0.000 | -0.440 | -0.000 | 32.331 |
| 258.443 | 75.956 | 132.680 | 0.000 | 14.711 | 0.000 |
| 78.460 | 231.052 | 96.000 | 0.000 | -0.501 | -0.000 |
| 118.473 | 72.539 | 262.806 | 0.000 | -0.852 | -0.000 |
| 0.000 | -0.000 | -0.000 | 46.815 | 0.000 | -0.415 |
| -0.839 | 2.578 | -0.133 | 0.000 | 77.579 | -0.000 |
| 0.000 | -0.000 | -0.000 | -0.440 | 0.000 | 32.331 |
| 242.373 | 82.603 | 138.587 | -0.000 | 16.479 | 0.000 |
| 82.716 | 240.906 | 98.962 | -0.000 | -0.589 | 0.000 |
| 139.276 | 98.961 | 321.401 | 0.000 | -3.600 | 0.000 |
| 0.000 | 0.000 | 0.000 | 47.798 | 0.000 | -0.565 |
| -0.420 | -0.589 | -3.600 | 0.000 | 88.273 | 0.000 |
| 0.000 | 0.000 | 0.000 | -0.565 | -0.000 | 37.080 |
| 215.376 | -120.125 | -233.402 | 0.000 | 81.663 | -0.000 |
| 82.716 | 240.905 | 98.962 | 0.000 | -0.589 | -0.000 |
| 100.255 | -59.873 | -15.781 | 0.000 | 15.485 | -0.000 |
| -0.000 | -0.000 | -0.000 | 47.798 | 0.000 | -0.565 |
| -0.420 | -0.589 | -3.600 | -0.000 | 88.273 | -0.000 |
| -0.000 | -0.000 | -0.000 | -0.565 | 0.000 | 37.080 |
| 219.192 | 86.200 | 159.074 | -0.000 | 4.417 | 0.000 |
| 82.716 | 240.906 | 98.962 | 0.000 | -0.589 | 0.000 |
| 123.173 | 85.045 | 290.210 | -0.000 | -5.401 | 0.000 |
| 2.099 | 13.112 | 27.688 | 34.452 | -1.883 | -1.000 |
| -0.420 | -0.589 | -3.600 | 0.000 | 88.273 | 0.000 |
| -0.598 | 15.821 | 30.011 | -0.797 | -5.979 | 28.974 |
| 227.002 | 57.191 | 93.887 | 0.000 | 15.561 | -0.000 |
| 82.716 | 240.905 | 98.962 | 0.000 | -0.589 | -0.000 |
| 120.811 | 51.390 | 221.897 | 0.000 | 0.623 | -0.000 |
| -2.099 | -13.112 | -27.688 | 34.452 | 1.883 | -1.000 |
| -0.950 | -16.525 | -36.165 | 0.000 | 83.156 | -0.000 |
| 0.598 | -15.821 | -30.011 | -0.797 | 5.979 | 28.974 |
| 225.622 | 68.251 | 119.740 | -0.000 | 12.700 | 0.000 |
| 68.295 | 218.245 | 71.718 | -0.000 | 0.008 | 0.000 |
| 122.706 | 75.048 | 269.248 | -0.000 | -3.656 | 0.000 |
| -0.289 | 2.209 | 3.966 | 28.628 | -1.078 | -0.695 |
| -0.420 | -0.589 | -3.600 | 0.000 | 88.273 | 0.000 |
| -0.000 | 0.000 | 0.000 | -0.565 | -0.000 | 37.080 |
| 226.680 | 66.574 | 115.145 | 0.000 | 13.478 | -0.000 |
| 66.817 | 211.626 | 66.410 | 0.000 | 0.149 | -0.000 |
| 120.682 | 66.819 | 251.590 | 0.000 | -4.553 | -0.000 |
| 0.289 | -2.209 | -3.966 | 28.628 | 1.078 | -0.695 |
| -0.420 | -0.589 | -3.601 | -0.000 | 88.273 | -0.000 |
| 0.000 | -0.000 | -0.000 | -0.565 | 0.000 | 37.080 |
| 208.280 | 130.337 | 54.040 | 0.666 | 8.769 | 12.710 |
| 133.481 | 167.805 | 102.395 | -5.699 | -0.415 | -3.608 |
| 58.683 | 106.944 | 180.627 | 5.397 | 7.868 | -0.211 |
| -0.119 | -6.511 | 5.723 | 58.245 | -6.183 | 5.157 |
| 9.433 | -1.420 | 8.243 | -4.770 | 5.413 | -4.367 |
| 9.868 | -2.337 | -2.336 | 0.354 | -3.115 | 69.396 |
| 208.377 | 130.745 | 54.288 | 0.970 | 8.958 | 12.575 |
| 133.872 | 169.715 | 103.849 | -4.604 | 0.145 | -3.907 |
| 58.823 | 108.648 | 182.043 | 6.391 | 8.349 | -0.458 |
| -0.999 | -3.087 | 9.146 | 66.731 | -3.326 | 0.426 |
| 9.316 | -0.811 | 8.515 | -4.384 | 5.767 | -4.433 |
| 9.767 | -2.182 | -2.293 | 0.547 | -3.001 | 69.328 |
| 202.789 | 131.807 | 54.123 | -3.523 | 8.519 | 15.719 |
| 131.573 | 166.825 | 102.720 | -9.229 | -1.984 | -2.521 |
| 54.901 | 103.587 | 175.080 | 1.311 | 9.602 | 1.097 |
| -4.252 | -11.136 | 0.694 | 52.609 | -6.806 | 7.814 |
| 8.324 | -1.448 | 9.926 | -6.865 | 1.017 | -5.863 |
| 13.872 | -1.995 | 0.949 | 7.893 | -5.950 | 60.883 |
| 202.847 | 131.938 | 54.191 | -3.592 | 8.584 | 15.703 |
| 131.321 | 166.506 | 102.043 | -9.824 | -1.620 | -2.352 |
| 55.055 | 103.400 | 174.508 | 0.820 | 9.805 | 0.933 |
| -4.351 | -10.653 | 0.874 | 51.904 | -7.080 | 7.626 |
| 8.398 | -1.370 | 10.090 | -6.865 | 1.048 | -5.946 |
| 14.037 | -3.077 | 0.243 | 7.348 | -5.936 | 61.009 |
| 202.767 | 132.075 | 54.325 | -3.457 | 8.409 | 15.537 |
| 131.443 | 166.500 | 102.048 | -9.742 | -1.789 | -2.580 |
| 55.025 | 103.345 | 174.614 | 0.767 | 9.831 | 1.120 |
| -4.158 | -11.017 | 0.794 | 52.073 | -6.991 | 7.603 |
| 8.363 | -1.795 | 9.908 | -6.954 | 0.944 | -5.857 |
| 13.932 | -2.584 | 0.304 | 7.668 | -5.838 | 60.658 |
| 202.772 | 132.086 | 54.326 | -3.478 | 8.418 | 15.531 |
| 131.459 | 166.500 | 102.020 | -9.780 | -1.775 | -2.586 |
| 55.033 | 103.331 | 174.578 | 0.717 | 9.840 | 1.116 |
| -4.145 | -11.019 | 0.764 | 52.030 | -6.980 | 7.599 |
| 8.364 | -1.807 | 9.869 | -7.005 | 0.954 | -5.856 |
| 13.937 | -2.604 | 0.259 | 7.609 | -5.829 | 60.651 |
| 31.428 | 119.621 | 119.621 | -0.000 | -0.000 | -0.000 |
| 119.621 | 31.428 | 119.621 | -0.000 | -0.000 | -0.000 |
| 119.621 | 119.621 | 31.428 | -0.000 | -0.000 | -0.000 |
| -0.000 | 0.000 | 0.000 | -65.759 | 0.000 | 0.000 |
| 0.000 | -0.000 | 0.000 | 0.000 | -65.759 | 0.000 |
| 0.000 | 0.000 | -0.000 | -0.000 | -0.000 | -65.759 |
| 31.428 | 119.621 | 119.621 | 0.000 | 0.000 | -0.000 |
| 119.621 | 31.428 | 119.621 | 0.000 | 0.000 | -0.000 |
| 119.621 | 119.621 | 31.428 | -0.000 | -0.000 | 0.000 |
| 0.000 | -0.000 | -0.000 | -65.759 | -0.000 | -0.000 |
| -0.000 | 0.000 | -0.000 | 0.000 | -65.759 | -0.000 |
| -0.000 | 0.000 | 0.000 | 0.000 | 0.000 | -65.759 |
| 31.428 | 119.621 | 119.621 | -0.000 | -0.000 | -0.000 |
| 119.621 | 31.428 | 119.621 | -0.000 | -0.000 | -0.000 |
| 119.621 | 119.621 | 31.428 | -0.000 | 0.000 | -0.000 |
| 0.000 | 0.000 | 0.000 | 80.081 | 0.000 | 0.000 |
| 0.000 | 0.000 | 0.000 | 0.000 | 80.081 | -0.000 |
| 0.000 | 0.000 | 0.000 | 0.000 | -0.000 | 80.081 |
| 31.428 | 119.621 | 119.621 | 0.000 | 0.000 | 0.000 |
| 119.621 | 31.428 | 119.621 | 0.000 | 0.000 | -0.000 |
| 119.621 | 119.621 | 31.428 | -0.000 | -0.000 | 0.000 |
| -0.000 | -0.000 | -0.000 | 80.081 | -0.000 | -0.000 |
| -0.000 | -0.000 | -0.000 | -0.000 | 80.081 | -0.000 |
| -0.000 | -0.000 | -0.000 | 0.000 | 0.000 | 80.081 |
| 31.428 | 119.621 | 119.621 | 0.000 | 0.000 | -0.000 |
| 119.621 | 31.428 | 119.621 | -0.000 | 0.000 | -0.000 |
| 119.621 | 119.621 | 31.428 | -0.000 | 0.000 | -0.000 |
| -0.002 | 0.000 | 0.000 | -65.759 | 0.000 | -0.000 |
| 0.000 | -0.002 | 0.000 | 0.000 | -65.759 | -0.000 |
| 0.000 | 0.000 | -0.002 | 0.000 | -0.000 | -65.759 |
| 31.429 | 119.620 | 119.620 | -0.000 | 0.000 | 0.000 |
| 119.620 | 31.429 | 119.620 | 0.000 | -0.000 | -0.000 |
| 119.620 | 119.620 | 31.429 | -0.000 | -0.000 | 0.000 |
| 0.002 | -0.000 | -0.000 | -65.759 | 0.000 | -0.000 |
| -0.000 | 0.002 | -0.000 | 0.000 | -65.759 | 0.000 |
| -0.000 | -0.000 | 0.002 | 0.000 | 0.000 | -65.759 |
| 70.900 | 105.963 | 105.963 | -0.000 | -0.000 | -0.000 |
| 105.963 | 70.900 | 105.963 | -0.000 | -0.000 | -0.000 |
| 105.963 | 105.963 | 70.900 | -0.000 | -0.000 | -0.000 |
| 0.000 | 0.000 | 0.000 | -31.892 | -0.000 | -0.000 |
| 0.000 | 0.000 | 0.000 | -0.000 | -31.892 | -0.000 |
| 0.000 | 0.000 | 0.000 | -0.000 | -0.000 | -31.892 |
| 70.900 | 105.963 | 105.963 | 0.000 | 0.000 | 0.000 |
| 105.963 | 70.900 | 105.963 | 0.000 | 0.000 | 0.000 |
| 105.963 | 105.963 | 70.900 | 0.000 | 0.000 | 0.000 |
| -0.000 | -0.000 | -0.000 | -31.892 | 0.000 | 0.000 |
| -0.000 | -0.000 | -0.000 | 0.000 | -31.892 | 0.000 |
| -0.000 | -0.000 | -0.000 | 0.000 | 0.000 | -31.892 |
| 70.901 | 105.963 | 105.963 | -0.000 | -0.000 | -0.000 |
| 105.963 | 70.901 | 105.963 | -0.000 | -0.000 | -0.000 |
| 105.963 | 105.963 | 70.901 | -0.000 | -0.000 | -0.000 |
| 0.000 | 0.000 | 0.000 | 52.597 | 0.000 | 0.000 |
| 0.000 | 0.000 | 0.000 | 0.000 | 52.597 | 0.000 |
| 0.000 | 0.000 | 0.000 | 0.000 | 0.000 | 52.597 |
| 70.900 | 105.963 | 105.963 | 0.000 | 0.000 | 0.000 |
| 105.963 | 70.900 | 105.963 | 0.000 | 0.000 | 0.000 |
| 105.963 | 105.963 | 70.900 | 0.000 | 0.000 | 0.000 |
| -0.000 | -0.000 | -0.000 | -31.892 | 0.000 | 0.000 |
| -0.000 | -0.000 | -0.000 | 0.000 | -31.892 | 0.000 |
| -0.000 | -0.000 | -0.000 | 0.000 | 0.000 | -31.892 |
| 70.902 | 105.963 | 105.963 | -0.000 | -0.000 | -0.000 |
| 105.963 | 70.902 | 105.963 | -0.000 | -0.000 | -0.000 |
| 105.963 | 105.963 | 70.902 | -0.000 | -0.000 | -0.000 |
| 0.000 | 0.000 | 0.000 | -12.878 | -0.000 | -0.000 |
| 0.000 | 0.000 | 0.000 | -0.000 | -12.878 | -0.000 |
| 0.000 | 0.000 | 0.000 | -0.000 | -0.000 | -12.878 |
| 70.899 | 105.962 | 105.962 | 0.000 | 0.000 | 0.000 |
| 105.962 | 70.899 | 105.962 | 0.000 | 0.000 | 0.000 |
| 105.962 | 105.962 | 70.899 | 0.000 | 0.000 | 0.000 |
| -0.000 | -0.000 | -0.000 | -12.878 | 0.000 | 0.000 |
| -0.000 | -0.000 | -0.000 | 0.000 | -12.878 | 0.000 |
| -0.000 | -0.000 | -0.000 | 0.000 | 0.000 | -12.878 |
| 325.512 | 271.348 | -1455.659 | -0.000 | -0.000 | -0.000 |
| 172.885 | 316.811 | -1466.117 | 0.000 | -0.000 | -0.000 |
| 173.631 | 265.146 | -1399.961 | -0.000 | -0.000 | -0.000 |
| 0.000 | 0.000 | 0.000 | 49.929 | 0.000 | -0.000 |
| 0.000 | 0.000 | -0.000 | 0.000 | 67.620 | -0.000 |
| 171.662 | 235.065 | -1742.781 | -0.000 | -0.000 | 52.023 |
| 179.463 | -80.483 | 1658.249 | 0.000 | 0.000 | 0.000 |
| 26.933 | -35.094 | 1648.038 | -0.000 | 0.000 | 0.000 |
| 27.701 | -86.721 | 1714.210 | 0.000 | 0.000 | 0.000 |
| -171.682 | -235.080 | 1742.849 | 35.685 | 0.000 | 0.000 |
| -0.000 | -0.000 | 0.000 | -0.000 | 67.620 | 0.000 |
| -171.662 | -235.065 | 1742.781 | 0.000 | 0.000 | 52.023 |
| 267.306 | 92.650 | 106.552 | -0.000 | 0.000 | -0.000 |
| 107.189 | 158.635 | -65.260 | -0.000 | -0.000 | -0.000 |
| 110.935 | 86.812 | 208.927 | 0.000 | 0.000 | 0.000 |
| 7.324 | 17.655 | -156.253 | 38.716 | -0.000 | -0.000 |
| 7.245 | 17.466 | -154.580 | -0.000 | 57.201 | -0.000 |
| 0.000 | 0.000 | 0.000 | -0.000 | 0.000 | 55.662 |
| 235.627 | 75.464 | 272.762 | 0.000 | -0.000 | 0.000 |
| 96.659 | 151.793 | 86.438 | -0.000 | 0.000 | 0.000 |
| 110.935 | 86.812 | 208.927 | -0.000 | 0.000 | -0.000 |
| -7.324 | -17.655 | 156.253 | 38.716 | 0.000 | 0.000 |
| -7.245 | -17.466 | 154.580 | 0.000 | 57.201 | 0.000 |
| -0.000 | -0.000 | -0.000 | -0.000 | 0.000 | 55.662 |
| 267.307 | 92.650 | 106.552 | 0.000 | 0.000 | -0.000 |
| 101.215 | 141.869 | 71.513 | -0.000 | -0.000 | -0.000 |
| 106.691 | 99.128 | 109.756 | 0.000 | -0.000 | -0.000 |
| 2.526 | 2.916 | -19.818 | 32.625 | 0.000 | 0.000 |
| 0.000 | 0.000 | 0.000 | 0.000 | 67.620 | 0.000 |
| 0.669 | 1.612 | -14.268 | 0.000 | -0.000 | 51.994 |
| 251.733 | 94.277 | 111.849 | 0.000 | 0.000 | 0.000 |
| 102.264 | 133.641 | 111.830 | -0.000 | -0.000 | 0.000 |
| 101.511 | 92.880 | 151.180 | 0.000 | -0.000 | -0.000 |
| -2.526 | -2.916 | 19.818 | 32.625 | -0.000 | -0.000 |
| -0.000 | -0.000 | -0.000 | -0.000 | 67.620 | 0.000 |
| -0.669 | -1.612 | 14.268 | -0.000 | 0.000 | 51.994 |
| 521.583 | -29.951 | -163.614 | -0.000 | 0.000 | -0.000 |
| 353.624 | 77.394 | -143.070 | -0.000 | 0.000 | -0.000 |
| 435.372 | -28.314 | -40.870 | -0.000 | 0.000 | -0.000 |
| 268.644 | -70.044 | -411.528 | 60.972 | 0.000 | -0.000 |
| 267.033 | -116.544 | -257.553 | -0.000 | 54.209 | 0.000 |
| -0.000 | -0.000 | 0.000 | -0.000 | -0.000 | 44.596 |
| 263.001 | 81.708 | 98.987 | 0.000 | -0.000 | 0.000 |
| -180.482 | 310.508 | 372.068 | 0.000 | -0.000 | 0.000 |
| -173.558 | 231.214 | 505.240 | 0.000 | -0.000 | -0.000 |
| -268.644 | 70.044 | 411.528 | 60.972 | -0.000 | 0.000 |
| -267.033 | 116.544 | 257.553 | 0.000 | 54.209 | 0.000 |
| 0.000 | 0.000 | -0.000 | 0.000 | 0.000 | 44.596 |
| 287.507 | 74.298 | 63.004 | -0.000 | 0.000 | -0.000 |
| 81.708 | 204.593 | 112.797 | -0.000 | 0.000 | 0.000 |
| 127.645 | 103.374 | 211.328 | -0.000 | 0.000 | -0.000 |
| 26.840 | -11.714 | -25.887 | 67.680 | 0.000 | -0.000 |
| 34.220 | -14.610 | -28.179 | -0.000 | 52.977 | -0.000 |
| -0.000 | -0.000 | -0.000 | -0.000 | -0.000 | 44.596 |
| 219.188 | 103.295 | 119.903 | -0.000 | -0.000 | -0.000 |
| 59.669 | 205.672 | 140.461 | 0.000 | -0.000 | 0.000 |
| 66.544 | 126.419 | 273.460 | 0.000 | -0.000 | 0.000 |
| -26.840 | 11.714 | 25.887 | 67.680 | -0.000 | -0.000 |
| -34.220 | 14.610 | 28.179 | 0.000 | 52.977 | 0.000 |
| 0.000 | 0.000 | 0.000 | 0.000 | -0.000 | 44.596 |
| 257.280 | 85.476 | 90.487 | 0.000 | 0.000 | 0.000 |
| 91.573 | 188.912 | 111.817 | -0.000 | 0.000 | -0.000 |
| 95.811 | 113.574 | 242.183 | -0.000 | 0.000 | -0.000 |
| 4.220 | -1.775 | -3.086 | 60.032 | 0.000 | -0.000 |
| 0.000 | -0.000 | -0.000 | -0.000 | 59.308 | -0.000 |
| -0.000 | -0.000 | -0.000 | -0.000 | -0.000 | 44.596 |
| 263.001 | 81.708 | 98.986 | 0.000 | 0.000 | 0.000 |
| 81.708 | 204.593 | 112.796 | 0.000 | 0.000 | 0.000 |
| 88.615 | 116.642 | 246.197 | 0.000 | -0.000 | 0.000 |
| -4.220 | 1.775 | 3.086 | 60.032 | -0.000 | 0.000 |
| -0.000 | 0.000 | 0.000 | 0.000 | 59.308 | 0.000 |
| 0.000 | 0.000 | 0.000 | 0.000 | 0.000 | 44.596 |
| 175.875 | 127.545 | 115.092 | 0.000 | 0.000 | 0.000 |
| 127.545 | 245.627 | 75.044 | 0.000 | -0.000 | 0.000 |
| 115.093 | 75.044 | 281.304 | 0.000 | 0.000 | 0.000 |
| 0.000 | -0.000 | 0.000 | 34.977 | 0.000 | 0.000 |
| -0.000 | 0.000 | 0.000 | 0.000 | 75.005 | -0.000 |
| -0.000 | 0.000 | 0.000 | 0.000 | 0.000 | 87.316 |
| 175.875 | 127.545 | 115.092 | -0.000 | -0.000 | 0.000 |
| 122.238 | 237.148 | 69.774 | -0.000 | 0.000 | -0.000 |
| 99.895 | 68.271 | 263.491 | -0.000 | -0.000 | -0.000 |
| -0.000 | 0.000 | -0.000 | 34.977 | -0.000 | -0.000 |
| 0.000 | -0.000 | -0.000 | -0.000 | 75.005 | -0.000 |
| 0.000 | -0.000 | -0.000 | -0.000 | -0.000 | 87.316 |
| 157.602 | 119.998 | 98.047 | 0.000 | 0.000 | 0.000 |
| 127.545 | 245.627 | 75.044 | 0.000 | 0.000 | 0.000 |
| 115.093 | 75.044 | 281.304 | 0.000 | 0.000 | -0.000 |
| -0.000 | -0.000 | 0.000 | 34.977 | 0.000 | 0.000 |
| 0.008 | 0.018 | 0.015 | 0.000 | 69.453 | 0.000 |
| -0.006 | 0.005 | -0.010 | -0.000 | 0.000 | 70.623 |
| 157.631 | 119.978 | 98.060 | -0.000 | -0.000 | -0.000 |
| 127.545 | 245.627 | 75.044 | -0.000 | -0.000 | -0.000 |
| 99.733 | 68.327 | 263.343 | -0.000 | -0.000 | -0.000 |
| 0.000 | 0.000 | -0.000 | 34.977 | -0.000 | -0.000 |
| -0.008 | -0.018 | -0.015 | -0.000 | 69.453 | -0.000 |
| 0.006 | -0.005 | 0.010 | 0.000 | -0.000 | 70.623 |
| 175.878 | 127.545 | 115.092 | 0.000 | 0.000 | 0.000 |
| 124.239 | 234.662 | 74.802 | 0.000 | 0.000 | 0.000 |
| 115.093 | 75.044 | 281.305 | 0.000 | 0.000 | 0.000 |
| 0.000 | 0.002 | 0.001 | 23.877 | 0.000 | 0.000 |
| -0.000 | -0.000 | 0.000 | 0.000 | 75.005 | 0.000 |
| -0.000 | 0.000 | -0.000 | 0.000 | 0.000 | 87.316 |
| 142.694 | 132.237 | 79.627 | -0.000 | 0.000 | -0.000 |
| 122.273 | 237.240 | 69.856 | -0.000 | -0.000 | -0.000 |
| 99.716 | 68.333 | 263.327 | -0.000 | -0.000 | -0.000 |
| -0.000 | -0.002 | -0.001 | 23.877 | 0.000 | -0.000 |
| 0.000 | 0.000 | -0.000 | -0.000 | 75.005 | -0.000 |
| 0.000 | -0.000 | 0.000 | -0.000 | -0.000 | 87.316 |
| 145.344 | 138.360 | 121.866 | -0.000 | -0.000 | -0.000 |
| 137.194 | 249.963 | 73.948 | -0.000 | 0.000 | 0.000 |
| 121.914 | 75.163 | 280.100 | -0.000 | 0.000 | 0.000 |
| 4.037 | 2.567 | 3.623 | 23.136 | -0.000 | 0.000 |
| 5.501 | 3.497 | 4.937 | 0.000 | 74.197 | 0.000 |
| -0.000 | 0.000 | 0.000 | -0.000 | 0.000 | 93.319 |
| 145.344 | 138.360 | 121.866 | 0.000 | -0.000 | -0.000 |
| 128.512 | 236.597 | 64.866 | -0.000 | 0.000 | -0.000 |
| 103.394 | 63.672 | 257.817 | -0.000 | -0.000 | -0.000 |
| -4.037 | -2.567 | -3.623 | 23.136 | 0.000 | -0.000 |
| -5.501 | -3.497 | -4.937 | -0.000 | 74.197 | 0.000 |
| 0.000 | -0.000 | -0.000 | 0.000 | -0.000 | 93.319 |
| 131.362 | 132.267 | 105.848 | 0.000 | 0.000 | -0.000 |
| 133.962 | 241.034 | 68.633 | 0.000 | 0.000 | 0.000 |
| 121.914 | 75.163 | 280.100 | -0.000 | 0.000 | 0.000 |
| 0.000 | 0.000 | 0.000 | 31.128 | 0.000 | 0.000 |
| -0.000 | 0.000 | 0.000 | -0.000 | 79.624 | 0.000 |
| -0.000 | 0.000 | 0.000 | -0.000 | 0.000 | 93.319 |
| 130.110 | 131.420 | 104.787 | -0.000 | -0.000 | -0.000 |
| 134.116 | 238.035 | 70.541 | 0.000 | 0.000 | 0.000 |
| 121.914 | 75.163 | 280.100 | 0.000 | -0.000 | 0.000 |
| -0.000 | -0.000 | -0.000 | 31.128 | -0.000 | -0.000 |
| 0.000 | -0.000 | -0.000 | 0.000 | 79.624 | 0.000 |
| 0.000 | -0.000 | -0.000 | 0.000 | 0.000 | 93.319 |
| 130.790 | 131.880 | 105.362 | 0.000 | -0.000 | 0.000 |
| 133.558 | 240.739 | 68.257 | 0.000 | -0.000 | 0.000 |
| 95.466 | 73.496 | 251.408 | 0.000 | 0.000 | 0.000 |
| 0.000 | 0.000 | 0.000 | 31.128 | 0.000 | -0.000 |
| 0.053 | 0.034 | 0.048 | 0.000 | 74.414 | 0.000 |
| 0.053 | 0.034 | 0.048 | 0.000 | 0.000 | 79.821 |
| 145.344 | 138.360 | 121.866 | 0.000 | -0.000 | -0.000 |
| 133.468 | 240.673 | 68.174 | -0.000 | -0.000 | -0.000 |
| 90.447 | 81.635 | 244.614 | 0.000 | 0.000 | -0.000 |
| -0.000 | -0.000 | -0.000 | 31.128 | -0.000 | 0.000 |
| -0.053 | -0.034 | -0.048 | -0.000 | 74.414 | 0.000 |
| -0.053 | -0.034 | -0.048 | -0.000 | -0.000 | 79.821 |
| 481.466 | 666.487 | 108.359 | -0.000 | 0.000 | -0.000 |
| 520.619 | 1111.989 | -389.083 | -0.000 | 0.000 | -0.000 |
| 1007.385 | 1418.262 | -65.442 | -0.000 | 0.000 | -0.000 |
| 308.714 | 576.906 | 10.877 | 38.253 | 0.000 | -0.000 |
| 308.765 | 577.003 | 10.878 | -0.000 | 66.676 | 0.000 |
| 308.753 | 576.980 | 10.878 | -0.000 | 0.000 | 63.077 |
| -136.050 | -487.480 | 86.593 | 0.000 | -0.000 | 0.000 |
| -365.587 | -588.323 | 557.486 | 0.000 | -0.000 | 0.000 |
| -207.290 | -492.766 | 228.206 | 0.000 | -0.000 | -0.000 |
| -308.714 | -576.906 | -10.877 | 38.253 | -0.000 | 0.000 |
| -308.765 | -577.003 | -10.878 | 0.000 | 66.676 | 0.000 |
| -308.753 | -576.980 | -10.878 | 0.000 | 0.000 | 63.077 |
| 189.094 | 101.697 | 117.746 | -0.000 | 0.000 | -0.000 |
| 120.221 | 335.187 | 79.159 | -0.000 | 0.000 | 0.000 |
| 130.659 | 141.282 | 236.578 | -0.000 | 0.000 | 0.000 |
| 30.579 | 57.144 | 1.077 | 38.355 | 0.000 | 0.000 |
| -0.000 | 0.000 | 0.000 | -0.000 | 81.274 | 0.000 |
| 30.875 | 57.698 | 1.088 | -0.000 | -0.000 | 63.077 |
| 141.660 | 31.581 | 96.278 | 0.000 | -0.000 | -0.000 |
| 58.038 | 219.134 | 76.847 | 0.000 | -0.000 | 0.000 |
| 119.227 | 88.208 | 280.880 | 0.000 | -0.000 | 0.000 |
| -30.579 | -57.144 | -1.077 | 38.355 | -0.000 | 0.000 |
| 0.000 | -0.000 | -0.000 | 0.000 | 81.274 | 0.000 |
| -30.875 | -57.698 | -1.088 | 0.000 | -0.000 | 63.077 |
| 170.069 | 89.070 | 94.735 | -0.000 | 0.000 | -0.000 |
| 87.048 | 279.327 | 73.082 | -0.000 | 0.000 | -0.000 |
| 109.371 | 96.698 | 234.970 | -0.000 | 0.000 | -0.000 |
| 0.000 | 0.000 | -0.000 | 48.990 | 0.000 | 0.000 |
| 4.202 | 8.083 | -4.897 | -0.000 | 53.065 | -0.000 |
| 4.430 | 8.501 | -4.733 | -0.000 | 0.000 | 63.077 |
| 189.093 | 101.696 | 117.746 | 0.000 | -0.000 | 0.000 |
| 66.149 | 246.316 | 86.008 | 0.000 | -0.000 | 0.000 |
| 95.995 | 75.631 | 239.461 | 0.000 | -0.000 | -0.000 |
| -0.000 | -0.000 | 0.000 | 48.990 | -0.000 | 0.000 |
| -4.202 | -8.083 | 4.897 | 0.000 | 53.064 | 0.000 |
| -4.430 | -8.501 | 4.733 | 0.000 | -0.000 | 63.077 |
| 209.726 | 94.845 | 102.250 | 0.000 | -0.000 | -0.000 |
| 18.437 | 86.590 | -252.857 | 0.000 | -0.000 | -0.000 |
| 1.396 | 1.396 | -39.012 | -0.000 | -0.000 | -0.000 |
| -99.347 | -99.347 | -353.595 | 59.687 | 0.000 | -0.000 |
| -0.000 | 0.000 | 0.000 | 0.000 | 62.420 | -0.000 |
| -0.000 | 0.000 | 0.000 | 0.000 | -0.000 | 57.440 |
| 290.030 | 212.420 | 454.395 | -0.000 | -0.000 | 0.000 |
| 94.845 | 209.726 | 102.250 | -0.000 | 0.000 | 0.000 |
| 200.094 | 200.094 | 668.189 | -0.000 | 0.000 | 0.000 |
| 99.347 | 99.347 | 353.595 | 59.687 | -0.000 | 0.000 |
| 0.000 | -0.000 | -0.000 | -0.000 | 62.420 | 0.000 |
| 0.000 | -0.000 | 0.000 | -0.000 | 0.000 | 57.440 |
| 209.726 | 94.845 | 102.250 | 0.000 | 0.000 | -0.000 |
| 107.850 | 176.001 | 65.377 | 0.000 | -0.000 | -0.000 |
| 102.250 | 102.250 | 319.946 | -0.000 | -0.000 | -0.000 |
| 0.000 | -0.000 | 0.000 | 62.420 | -0.000 | 0.000 |
| -9.935 | -9.935 | -35.360 | 0.000 | 60.039 | -0.000 |
| 0.000 | -0.000 | 0.000 | -0.000 | 0.000 | 57.440 |
| 204.920 | 118.922 | 136.544 | -0.000 | -0.000 | 0.000 |
| 94.845 | 209.726 | 102.250 | -0.000 | 0.000 | 0.000 |
| 102.250 | 102.250 | 319.946 | -0.000 | 0.000 | 0.000 |
| -0.000 | 0.000 | -0.000 | 62.420 | 0.000 | -0.000 |
| 9.935 | 9.935 | 35.360 | -0.000 | 60.039 | 0.000 |
| -0.000 | 0.000 | -0.000 | 0.000 | 0.000 | 57.440 |
| 209.726 | 94.845 | 102.250 | 0.000 | -0.000 | -0.000 |
| 94.845 | 209.727 | 102.250 | 0.000 | -0.000 | -0.000 |
| 99.752 | 99.752 | 311.054 | 0.000 | 0.000 | -0.000 |
| 0.000 | -0.000 | 0.000 | 62.420 | 0.000 | -0.000 |
| -0.920 | -0.920 | -3.275 | 0.000 | 59.889 | -0.000 |
| 0.000 | -0.000 | 0.000 | 0.000 | -0.000 | 57.440 |
| 209.726 | 94.845 | 102.250 | 0.000 | 0.000 | 0.000 |
| 94.845 | 209.725 | 102.250 | -0.000 | 0.000 | 0.000 |
| 102.250 | 102.250 | 319.944 | 0.000 | 0.000 | 0.000 |
| -0.000 | 0.000 | -0.000 | 62.420 | 0.000 | -0.000 |
| 0.920 | 0.920 | 3.275 | -0.000 | 59.889 | 0.000 |
| -0.000 | 0.000 | -0.000 | -0.000 | 0.000 | 57.440 |
| 168.381 | 82.922 | 102.141 | 0.000 | 0.000 | -0.000 |
| 82.922 | 168.381 | 102.141 | 0.000 | 0.000 | -0.000 |
| 88.563 | 88.563 | 253.897 | 0.000 | 0.000 | -0.000 |
| 0.000 | -0.000 | -0.000 | 58.983 | 0.000 | -0.000 |
| 0.000 | 0.000 | -0.000 | -0.000 | 58.983 | 0.000 |
| -0.000 | -0.000 | -0.000 | 0.000 | 0.000 | 42.730 |
| 172.726 | 101.176 | 134.220 | -0.000 | -0.000 | 0.000 |
| 82.922 | 168.381 | 102.141 | -0.000 | -0.000 | -0.000 |
| 111.900 | 111.900 | 320.152 | -0.000 | -0.000 | 0.000 |
| -0.000 | 0.000 | 0.000 | 58.983 | -0.000 | -0.000 |
| 0.000 | -0.000 | -0.000 | -0.000 | 58.983 | -0.000 |
| 0.000 | -0.000 | 0.000 | -0.000 | -0.000 | 42.730 |
| 152.299 | 95.401 | 97.027 | 0.000 | 0.000 | -0.000 |
| 82.922 | 168.381 | 102.141 | 0.000 | 0.000 | -0.000 |
| 99.065 | 99.065 | 283.712 | 0.000 | 0.000 | -0.000 |
| -1.167 | -1.167 | -3.313 | 57.092 | 0.000 | -0.000 |
| 0.000 | 0.000 | 0.000 | 0.000 | 58.983 | -0.000 |
| -1.768 | -1.768 | -5.019 | 0.000 | 0.000 | 32.330 |
| 157.661 | 95.886 | 105.326 | -0.000 | -0.000 | 0.000 |
| 82.922 | 168.381 | 102.141 | -0.000 | -0.000 | 0.000 |
| 101.698 | 101.698 | 291.189 | -0.000 | -0.000 | 0.000 |
| 1.167 | 1.167 | 3.313 | 57.092 | -0.000 | 0.000 |
| -0.000 | -0.000 | -0.000 | -0.000 | 58.983 | 0.000 |
| 1.768 | 1.768 | 5.019 | -0.000 | -0.000 | 32.330 |
| 168.383 | 82.922 | 102.142 | 0.000 | 0.000 | 0.000 |
| 93.714 | 155.397 | 99.027 | 0.000 | 0.000 | -0.000 |
| 100.116 | 100.116 | 286.695 | 0.000 | 0.000 | 0.000 |
| -0.100 | -0.100 | -0.284 | 57.089 | 0.000 | -0.000 |
| -0.117 | -0.117 | -0.331 | 0.000 | 57.092 | -0.000 |
| 0.001 | 0.000 | 0.000 | 0.000 | 0.000 | 42.730 |
| 155.168 | 94.678 | 100.076 | -0.000 | -0.000 | 0.000 |
| 97.109 | 153.212 | 100.749 | -0.000 | -0.000 | 0.000 |
| 100.348 | 100.348 | 287.354 | -0.000 | -0.000 | 0.000 |
| 0.100 | 0.100 | 0.284 | 57.089 | -0.000 | 0.000 |
| 0.117 | 0.117 | 0.331 | 0.000 | 57.092 | 0.000 |
| -0.001 | -0.000 | -0.000 | -0.000 | -0.000 | 42.730 |
| 2028.059 | 702.900 | 925.306 | -0.000 | -50.794 | 0.000 |
| 80.774 | 243.492 | 80.974 | -0.000 | -0.084 | 0.000 |
| 107.286 | 81.700 | 229.396 | -0.000 | 3.225 | 0.000 |
| 2340.828 | 1337.657 | 1734.928 | 35.029 | 168.420 | -0.008 |
| 1832.576 | 645.136 | 839.258 | -0.000 | 1.166 | -0.000 |
| 2340.834 | 1337.660 | 1734.932 | 0.005 | 168.420 | 34.376 |
| 239.529 | 80.555 | 106.971 | 0.000 | 7.977 | -0.000 |
| 80.774 | 243.492 | 80.974 | 0.000 | -0.084 | -0.000 |
| -2246.089 | -1271.293 | -1538.243 | 0.000 | -167.255 | -0.000 |
| -2340.828 | -1337.657 | -1734.928 | 35.029 | -168.420 | -0.008 |
| -2345.132 | -1337.726 | -1733.525 | 0.000 | -113.149 | 0.000 |
| -2340.834 | -1337.660 | -1734.932 | 0.005 | -168.420 | 34.376 |
| 436.449 | 196.810 | 266.170 | -0.000 | 22.599 | -0.000 |
| 80.774 | 243.492 | 80.974 | -0.000 | -0.084 | -0.000 |
| 328.740 | 199.930 | 369.677 | -0.000 | 17.979 | -0.000 |
| 159.135 | 44.046 | 36.579 | 30.572 | 49.344 | 0.086 |
| 229.732 | 133.669 | 174.855 | -0.000 | 72.072 | -0.000 |
| 184.326 | 64.937 | 84.196 | -0.565 | -5.330 | 33.983 |
| -30.868 | -70.348 | -80.583 | 0.000 | -11.038 | 0.000 |
| 80.774 | 243.492 | 80.974 | 0.000 | -0.084 | -0.000 |
| -111.821 | -41.855 | 83.991 | 0.000 | -16.125 | 0.000 |
| -159.135 | -44.046 | -36.579 | 30.572 | -49.344 | 0.086 |
| -194.724 | -69.086 | -86.819 | 0.000 | 59.682 | -0.000 |
| -234.053 | -133.748 | -173.470 | 0.005 | -16.840 | 34.377 |
| 219.625 | 73.511 | 107.620 | -0.000 | 7.072 | -0.000 |
| 80.775 | 243.493 | 80.974 | -0.000 | -0.084 | -0.000 |
| 107.286 | 81.700 | 229.396 | -0.000 | 3.224 | 0.000 |
| 22.633 | 12.934 | 16.775 | 35.366 | 1.628 | -0.018 |
| 18.555 | 12.992 | 18.331 | -0.000 | 56.836 | 0.000 |
| 23.121 | 13.213 | 17.136 | 0.002 | 1.664 | 34.469 |
| 168.235 | 47.783 | 75.624 | 0.000 | 3.180 | -0.000 |
| 80.774 | 243.491 | 80.974 | 0.000 | -0.084 | -0.000 |
| 70.985 | 53.489 | 181.084 | 0.000 | -0.445 | -0.000 |
| -22.633 | -12.934 | -16.775 | 35.366 | -1.628 | -0.018 |
| -28.533 | -10.348 | -10.934 | 0.000 | 54.066 | -0.000 |
| -23.121 | -13.213 | -17.136 | 0.002 | -1.664 | 34.469 |
| 239.771 | 81.240 | 105.698 | -0.000 | 9.154 | 0.000 |
| -229.002 | 159.022 | -369.484 | -0.000 | -440.506 | -0.000 |
| 105.647 | 79.530 | 233.000 | -0.000 | 0.264 | 0.000 |
| 0.000 | 0.000 | -0.000 | 42.423 | 0.000 | -0.126 |
| -738.746 | -112.999 | -666.768 | -0.000 | 37.033 | -0.000 |
| 0.000 | 0.000 | -0.000 | -0.126 | -0.000 | 42.731 |
| 239.771 | 81.240 | 105.698 | 0.000 | 9.154 | -0.000 |
| 345.600 | 272.406 | 486.565 | 0.000 | 440.184 | 0.000 |
| 105.647 | 79.530 | 233.000 | 0.000 | 0.264 | -0.000 |
| -0.000 | -0.000 | 0.000 | 42.423 | 0.000 | -0.126 |
| -127.677 | -44.569 | 606.046 | -0.000 | -124.172 | 0.000 |
| -0.000 | -0.000 | 0.000 | -0.126 | 0.000 | 42.731 |
| 101.333 | 35.960 | 15.563 | 0.000 | 3.432 | 0.000 |
| 29.686 | 210.112 | 15.883 | -0.000 | -44.096 | -0.000 |
| 76.095 | 49.497 | 114.022 | -0.000 | 4.698 | -0.000 |
| -0.000 | 0.000 | -0.000 | 42.423 | 0.000 | -0.126 |
| -78.150 | -12.886 | -69.422 | 0.000 | 44.015 | -0.000 |
| -0.000 | 0.000 | -0.000 | -0.126 | 0.000 | 42.731 |
| 232.589 | 50.772 | 141.303 | -0.000 | 3.260 | 0.000 |
| 115.944 | 209.093 | 105.453 | -0.000 | -0.619 | 0.000 |
| 105.647 | 79.530 | 233.000 | -0.000 | 0.264 | -0.000 |
| 0.000 | -0.000 | 0.000 | 42.423 | -0.000 | -0.126 |
| -3.333 | 0.105 | 0.264 | -0.000 | 65.357 | -0.000 |
| 0.000 | -0.000 | 0.000 | -0.126 | -0.000 | 42.731 |
| 239.771 | 81.240 | 105.698 | -0.000 | 9.154 | 0.000 |
| 81.220 | 239.329 | 79.531 | 0.000 | 0.104 | -0.000 |
| 85.810 | 60.852 | 192.190 | -0.000 | -5.739 | -0.000 |
| -0.000 | 0.000 | -0.000 | 42.423 | 0.000 | -0.126 |
| -5.678 | -0.477 | -4.467 | -0.000 | 52.528 | -0.000 |
| -0.000 | 0.000 | -0.000 | -0.126 | 0.000 | 42.731 |
| 200.839 | 61.899 | 91.690 | -0.000 | 10.205 | 0.000 |
| 62.779 | 218.129 | 64.159 | 0.000 | 3.907 | 0.000 |
| 105.647 | 79.530 | 233.000 | -0.000 | 0.264 | -0.000 |
| 0.000 | -0.000 | 0.000 | 42.423 | -0.000 | -0.126 |
| -3.333 | 0.105 | 0.264 | 0.000 | 65.357 | -0.000 |
| 0.000 | -0.000 | 0.000 | -0.126 | -0.000 | 42.731 |
| 203.452 | 48.315 | 48.315 | 0.000 | 0.000 | -0.000 |
| 48.315 | 203.452 | 48.315 | -0.000 | -0.000 | 0.000 |
| 48.315 | 48.315 | 203.452 | -0.000 | -0.000 | 0.000 |
| 0.000 | 0.000 | 0.000 | -9.555 | 0.000 | 0.000 |
| 0.000 | 0.000 | 0.000 | -0.000 | -9.555 | -0.000 |
| 0.000 | 0.000 | 0.000 | -0.000 | -0.000 | -9.555 |
| 203.452 | 48.315 | 48.315 | 0.000 | 0.000 | 0.000 |
| 48.315 | 203.452 | 48.315 | -0.000 | -0.000 | 0.000 |
| 48.315 | 48.315 | 203.452 | 0.000 | -0.000 | 0.000 |
| -0.000 | -0.000 | -0.000 | -9.555 | 0.000 | 0.000 |
| -0.000 | -0.000 | -0.000 | 0.000 | -9.555 | 0.000 |
| -0.000 | -0.000 | -0.000 | 0.000 | 0.000 | -9.555 |
| 211.362 | 44.360 | 44.360 | -0.000 | 0.000 | -0.000 |
| 44.360 | 211.362 | 44.360 | 0.000 | 0.000 | -0.000 |
| 44.360 | 44.360 | 211.362 | -0.000 | -0.000 | -0.000 |
| 0.000 | 0.000 | 0.000 | -9.555 | -0.000 | -0.000 |
| 0.000 | 0.000 | 0.000 | -0.000 | -9.555 | -0.000 |
| 0.000 | 0.000 | 0.000 | -0.000 | -0.000 | -9.555 |
| 203.452 | 48.315 | 48.315 | 0.000 | -0.000 | 0.000 |
| 48.315 | 203.452 | 48.315 | 0.000 | 0.000 | 0.000 |
| 48.315 | 48.315 | 203.452 | -0.000 | -0.000 | 0.000 |
| -0.000 | -0.000 | -0.000 | -9.555 | 0.000 | 0.000 |
| -0.000 | -0.000 | -0.000 | -0.000 | -9.555 | 0.000 |
| -0.000 | -0.000 | -0.000 | -0.000 | -0.000 | -9.555 |
| 203.453 | 48.315 | 48.315 | 0.000 | 0.000 | -0.000 |
| 48.315 | 203.453 | 48.315 | -0.000 | -0.000 | -0.000 |
| 48.315 | 48.315 | 203.453 | -0.000 | 0.000 | -0.000 |
| 0.000 | 0.000 | 0.000 | -9.555 | 0.000 | -0.000 |
| 0.000 | 0.000 | 0.000 | 0.000 | -9.555 | -0.000 |
| 0.000 | 0.000 | 0.000 | 0.000 | 0.000 | -9.555 |
| 211.362 | 44.360 | 44.360 | -0.000 | -0.000 | 0.000 |
| 44.360 | 211.362 | 44.360 | -0.000 | 0.000 | 0.000 |
| 44.360 | 44.360 | 211.362 | -0.000 | -0.000 | 0.000 |
| -0.000 | -0.000 | -0.000 | -9.555 | -0.000 | -0.000 |
| -0.000 | -0.000 | -0.000 | -0.000 | -9.555 | 0.000 |
| -0.000 | -0.000 | -0.000 | 0.000 | 0.000 | 14.152 |
| 139.249 | 134.887 | 134.887 | -0.000 | -0.000 | -0.000 |
| 134.887 | 139.249 | 134.887 | -0.000 | -0.000 | 0.000 |
| 134.887 | 134.887 | 139.249 | -0.000 | -0.000 | -0.000 |
| -0.000 | -0.000 | -0.000 | 83.056 | -0.000 | 0.000 |
| -0.000 | -0.000 | -0.000 | -0.000 | 83.056 | 0.000 |
| -0.000 | 0.000 | -0.000 | -0.000 | -0.000 | 83.056 |
| 139.249 | 134.887 | 134.887 | 0.000 | 0.000 | 0.000 |
| 134.887 | 139.249 | 134.887 | 0.000 | 0.000 | -0.000 |
| 134.887 | 134.887 | 139.249 | 0.000 | 0.000 | 0.000 |
| 0.000 | 0.000 | 0.000 | 83.056 | -0.000 | 0.000 |
| 0.000 | 0.000 | 0.000 | 0.000 | 83.056 | 0.000 |
| 0.000 | 0.000 | 0.000 | -0.000 | 0.000 | 83.056 |
| 139.248 | 134.887 | 134.887 | -0.000 | -0.000 | -0.000 |
| 134.887 | 139.248 | 134.887 | -0.000 | -0.000 | 0.000 |
| 134.887 | 134.887 | 139.248 | -0.000 | -0.000 | -0.000 |
| 0.000 | -0.000 | 0.000 | 96.387 | -0.000 | 0.000 |
| -0.000 | 0.000 | 0.000 | -0.000 | 96.387 | -0.000 |
| -0.000 | 0.000 | 0.000 | -0.000 | -0.000 | 96.387 |
| 139.249 | 134.887 | 134.887 | 0.000 | 0.000 | 0.000 |
| 134.887 | 139.249 | 134.887 | 0.000 | 0.000 | 0.000 |
| 134.887 | 134.887 | 139.249 | 0.000 | 0.000 | 0.000 |
| -0.000 | 0.000 | -0.000 | 96.387 | 0.000 | 0.000 |
| 0.000 | -0.000 | -0.000 | 0.000 | 96.387 | 0.000 |
| 0.000 | -0.000 | -0.000 | 0.000 | 0.000 | 96.387 |
| 139.247 | 134.887 | 134.887 | -0.000 | -0.000 | -0.000 |
| 134.887 | 139.247 | 134.887 | -0.000 | -0.000 | 0.000 |
| 134.887 | 134.887 | 139.247 | 0.000 | 0.000 | -0.000 |
| -0.000 | -0.000 | 0.000 | 83.056 | 0.000 | -0.000 |
| -0.000 | -0.000 | 0.000 | -0.000 | 83.056 | -0.000 |
| -0.000 | 0.000 | -0.000 | -0.000 | -0.000 | 83.056 |
| 139.250 | 134.887 | 134.887 | 0.000 | 0.000 | 0.000 |
| 134.887 | 139.250 | 134.887 | 0.000 | 0.000 | 0.000 |
| 134.887 | 134.887 | 139.250 | 0.000 | 0.000 | 0.000 |
| 0.000 | 0.000 | -0.000 | 83.056 | 0.000 | 0.000 |
| 0.000 | 0.000 | -0.000 | 0.000 | 83.056 | 0.000 |
| 0.000 | -0.000 | 0.000 | 0.000 | 0.000 | 83.056 |
| 184.028 | 114.294 | 114.294 | -0.000 | 0.000 | -0.000 |
| 114.294 | 184.028 | 114.294 | 0.000 | -0.000 | -0.000 |
| 114.294 | 114.294 | 184.028 | -0.000 | -0.000 | -0.000 |
| -0.000 | -0.000 | 0.000 | 90.245 | 0.000 | -0.000 |
| -0.000 | -0.000 | 0.000 | -0.000 | 90.245 | -0.000 |
| -0.000 | 0.000 | -0.000 | -0.000 | -0.000 | 90.245 |
| 184.028 | 114.294 | 114.294 | 0.000 | -0.000 | 0.000 |
| 114.294 | 184.028 | 114.294 | -0.000 | 0.000 | 0.000 |
| 114.294 | 114.294 | 184.028 | -0.000 | -0.000 | 0.000 |
| 0.000 | 0.000 | -0.000 | 90.245 | 0.000 | -0.000 |
| 0.000 | 0.000 | -0.000 | 0.000 | 90.245 | 0.000 |
| 0.000 | -0.000 | 0.000 | 0.000 | 0.000 | 90.245 |
| 184.028 | 114.294 | 114.294 | -0.000 | 0.000 | -0.000 |
| 114.294 | 184.028 | 114.294 | 0.000 | -0.000 | 0.000 |
| 114.294 | 114.294 | 184.028 | 0.000 | 0.000 | -0.000 |
| -0.000 | -0.000 | -0.000 | 90.245 | -0.000 | -0.000 |
| -0.000 | -0.000 | -0.000 | -0.000 | 90.245 | -0.000 |
| -0.000 | -0.000 | -0.000 | -0.000 | -0.000 | 90.245 |
| 184.028 | 114.294 | 114.294 | 0.000 | -0.000 | -0.000 |
| 114.294 | 184.028 | 114.294 | -0.000 | 0.000 | -0.000 |
| 114.294 | 114.294 | 184.028 | 0.000 | 0.000 | 0.000 |
| 0.000 | 0.000 | 0.000 | 90.245 | 0.000 | -0.000 |
| 0.000 | 0.000 | 0.000 | 0.000 | 90.245 | 0.000 |
| 0.000 | 0.000 | 0.000 | 0.000 | 0.000 | 90.245 |
| 184.027 | 114.294 | 114.294 | -0.000 | -0.000 | -0.000 |
| 114.294 | 184.027 | 114.294 | 0.000 | -0.000 | 0.000 |
| 114.294 | 114.294 | 184.027 | 0.000 | -0.000 | -0.000 |
| -0.000 | -0.000 | -0.000 | 90.245 | -0.000 | 0.000 |
| -0.000 | -0.000 | -0.000 | -0.000 | 90.245 | -0.000 |
| -0.000 | -0.000 | -0.000 | 0.000 | -0.000 | 90.245 |
| 184.028 | 114.295 | 114.295 | 0.000 | 0.000 | 0.000 |
| 114.295 | 184.028 | 114.295 | 0.000 | 0.000 | 0.000 |
| 114.295 | 114.295 | 184.028 | 0.000 | 0.000 | 0.000 |
| 0.000 | 0.000 | 0.000 | 90.245 | 0.000 | 0.000 |
| 0.000 | 0.000 | 0.000 | -0.000 | 90.245 | 0.000 |
| 0.000 | 0.000 | 0.000 | 0.000 | 0.000 | 90.245 |
| 159.084 | 87.260 | 86.238 | 0.000 | 0.000 | -0.000 |
| 80.484 | 174.301 | 101.843 | 0.000 | 0.000 | -0.000 |
| 93.171 | 93.171 | 292.061 | 0.000 | 0.000 | -0.000 |
| 0.000 | 0.000 | 0.000 | 62.486 | 0.000 | -0.000 |
| 0.000 | 0.000 | 0.000 | 0.000 | 62.486 | -0.000 |
| -0.000 | 0.000 | 0.000 | -0.000 | 0.000 | 46.908 |
| 159.084 | 87.260 | 86.238 | -0.000 | -0.000 | 0.000 |
| 80.484 | 174.301 | 101.843 | 0.000 | -0.000 | -0.000 |
| 93.171 | 93.171 | 292.061 | -0.000 | -0.000 | 0.000 |
| -0.000 | -0.000 | -0.000 | 62.486 | -0.000 | -0.000 |
| -0.000 | -0.000 | -0.000 | 0.000 | 62.486 | -0.000 |
| 0.000 | -0.000 | -0.000 | 0.000 | -0.000 | 46.908 |
| 159.083 | 87.260 | 86.238 | 0.000 | 0.000 | -0.000 |
| 87.260 | 159.083 | 86.238 | 0.000 | 0.000 | -0.000 |
| 93.171 | 93.171 | 292.061 | 0.000 | 0.000 | -0.000 |
| 0.000 | 0.000 | 0.000 | 62.486 | 0.000 | 0.000 |
| 0.000 | 0.000 | 0.000 | 0.000 | 62.486 | -0.000 |
| -0.000 | 0.000 | 0.000 | 0.000 | 0.000 | 46.908 |
| 155.251 | 94.843 | 93.171 | -0.000 | -0.000 | 0.000 |
| 80.484 | 174.301 | 101.843 | 0.000 | -0.000 | -0.000 |
| 101.843 | 101.843 | 324.127 | -0.000 | -0.000 | -0.000 |
| -0.000 | 0.000 | 0.000 | 57.428 | -0.000 | 0.000 |
| -0.000 | -0.000 | -0.000 | -0.000 | 62.486 | -0.000 |
| 0.000 | -0.000 | -0.000 | -0.000 | -0.000 | 46.908 |
| 155.833 | 94.403 | 93.436 | -0.000 | 0.000 | -0.000 |
| 80.484 | 174.300 | 101.843 | 0.000 | 0.000 | -0.000 |
| 101.844 | 101.844 | 324.129 | 0.000 | 0.000 | 0.000 |
| 0.000 | 0.000 | 0.000 | 62.486 | 0.000 | -0.000 |
| 0.000 | 0.000 | 0.000 | 0.000 | 62.486 | -0.000 |
| -0.000 | 0.000 | 0.000 | -0.000 | 0.000 | 46.908 |
| 155.834 | 94.404 | 93.436 | -0.000 | -0.000 | 0.000 |
| 80.484 | 174.301 | 101.843 | 0.000 | -0.000 | -0.000 |
| 101.842 | 101.842 | 324.125 | -0.000 | -0.000 | 0.000 |
| -0.000 | -0.000 | -0.000 | 62.486 | -0.000 | -0.000 |
| -0.000 | -0.000 | -0.000 | 0.000 | 62.486 | -0.000 |
| 0.000 | -0.000 | -0.000 | 0.000 | -0.000 | 46.908 |
| 181.612 | 100.866 | 154.342 | -0.000 | 0.000 | -0.000 |
| 100.866 | 181.612 | 154.342 | -0.000 | 0.000 | -0.000 |
| 109.640 | 109.640 | 352.571 | -0.000 | -0.000 | 0.000 |
| 15.780 | 15.780 | 57.974 | 61.654 | -0.000 | 0.000 |
| -0.000 | 0.000 | 0.000 | -0.000 | 62.715 | -0.000 |
| -0.000 | 0.000 | -0.000 | 0.000 | 0.000 | 46.845 |
| 174.133 | 80.444 | 103.092 | 0.000 | 0.000 | 0.000 |
| 68.281 | 149.298 | 35.131 | 0.000 | 0.000 | -0.000 |
| 78.333 | 78.333 | 237.554 | 0.000 | -0.000 | 0.000 |
| -15.780 | -15.780 | -57.974 | 61.654 | 0.000 | -0.000 |
| 0.000 | -0.000 | -0.000 | 0.000 | 62.715 | -0.000 |
| 0.000 | -0.000 | 0.000 | 0.000 | -0.000 | 46.845 |
| 174.133 | 80.444 | 103.092 | -0.000 | -0.000 | 0.000 |
| 93.578 | 157.135 | 95.995 | -0.000 | -0.000 | -0.000 |
| 102.643 | 102.643 | 326.866 | -0.000 | 0.000 | 0.000 |
| 1.565 | 1.565 | 5.751 | 57.458 | 0.000 | -0.000 |
| 1.565 | 1.565 | 5.751 | 0.000 | 57.458 | 0.000 |
| -0.000 | -0.000 | -0.000 | 0.000 | 0.000 | 46.845 |
| 159.733 | 83.651 | 82.531 | 0.000 | 0.000 | 0.000 |
| 83.651 | 159.733 | 82.531 | 0.000 | 0.000 | 0.000 |
| 102.643 | 102.643 | 326.865 | 0.000 | -0.000 | -0.000 |
| -1.565 | -1.565 | -5.751 | 57.458 | 0.000 | 0.000 |
| -1.565 | -1.565 | -5.751 | 0.000 | 57.458 | 0.000 |
| 0.000 | 0.000 | 0.000 | -0.000 | -0.000 | 46.845 |
| 158.574 | 87.823 | 88.067 | -0.000 | -0.000 | -0.000 |
| 80.444 | 174.133 | 103.092 | -0.000 | 0.000 | 0.000 |
| 102.644 | 102.644 | 326.868 | -0.000 | 0.000 | 0.000 |
| 0.752 | 0.751 | 2.762 | 57.655 | -0.000 | -0.000 |
| 0.751 | 0.752 | 2.762 | -0.000 | 57.655 | -0.000 |
| -0.442 | -0.442 | -1.624 | -0.000 | 0.000 | 30.196 |
| 155.288 | 94.402 | 94.115 | 0.000 | -0.000 | 0.000 |
| 94.869 | 154.682 | 93.859 | 0.000 | 0.000 | 0.000 |
| 102.642 | 102.642 | 326.864 | 0.000 | -0.000 | -0.000 |
| -0.752 | -0.751 | -2.762 | 57.655 | -0.000 | 0.000 |
| -0.751 | -0.752 | -2.762 | 0.000 | 57.655 | 0.000 |
| 0.442 | 0.442 | 1.624 | 0.000 | -0.000 | 30.196 |
| 245.468 | 98.712 | 84.110 | 0.000 | 0.000 | 0.000 |
| 98.712 | 245.468 | 84.110 | 0.000 | -0.000 | 0.000 |
| 85.187 | 85.187 | 284.030 | 0.000 | 0.000 | 0.000 |
| 0.010 | 0.010 | -0.237 | 56.917 | -0.000 | -0.000 |
| -0.000 | -0.000 | -0.000 | 0.000 | 60.708 | -0.000 |
| -0.000 | 0.000 | -0.000 | 0.000 | -0.000 | 73.378 |
| 235.981 | 108.127 | 84.919 | -0.000 | 0.000 | 0.000 |
| 98.712 | 245.468 | 84.110 | -0.000 | 0.000 | -0.000 |
| 85.187 | 85.187 | 284.030 | 0.000 | -0.000 | -0.000 |
| -0.010 | -0.010 | 0.237 | 56.917 | 0.000 | 0.000 |
| 0.000 | 0.000 | 0.000 | -0.000 | 60.708 | -0.000 |
| 0.000 | -0.000 | 0.000 | -0.000 | 0.000 | 73.378 |
| 245.468 | 98.712 | 84.110 | 0.000 | -0.000 | 0.000 |
| 98.712 | 245.468 | 84.110 | 0.000 | -0.000 | 0.000 |
| 85.329 | 85.329 | 280.775 | 0.000 | -0.000 | -0.000 |
| 0.000 | -0.000 | 0.000 | 60.708 | -0.000 | 0.000 |
| 0.001 | 0.001 | -0.024 | -0.000 | 56.908 | 0.000 |
| -0.000 | 0.000 | -0.000 | 0.000 | -0.000 | 73.378 |
| 235.907 | 108.229 | 84.605 | -0.000 | 0.000 | 0.000 |
| 108.229 | 235.907 | 84.605 | -0.000 | 0.000 | 0.000 |
| 85.328 | 85.328 | 280.797 | -0.000 | 0.000 | 0.000 |
| -0.001 | -0.001 | 0.024 | 56.908 | 0.000 | -0.000 |
| -0.001 | -0.001 | 0.024 | 0.000 | 56.908 | 0.000 |
| 0.000 | -0.000 | 0.000 | -0.000 | 0.000 | 73.378 |
| 245.468 | 98.712 | 84.110 | 0.000 | -0.000 | 0.000 |
| 98.713 | 245.468 | 84.110 | 0.000 | 0.000 | 0.000 |
| 85.329 | 85.329 | 280.786 | 0.000 | -0.000 | -0.000 |
| 0.000 | 0.000 | -0.002 | 56.908 | -0.000 | -0.000 |
| -0.000 | 0.000 | 0.000 | 0.000 | 60.708 | 0.000 |
| -0.000 | 0.000 | 0.000 | 0.000 | -0.000 | 73.378 |
| 245.467 | 98.712 | 84.110 | -0.000 | 0.000 | -0.000 |
| 98.712 | 245.467 | 84.110 | -0.000 | 0.000 | 0.000 |
| 85.329 | 85.329 | 280.786 | -0.000 | 0.000 | 0.000 |
| -0.000 | -0.000 | 0.002 | 56.908 | -0.000 | 0.000 |
| 0.000 | -0.000 | -0.000 | -0.000 | 60.708 | 0.000 |
| 0.000 | -0.000 | -0.000 | -0.000 | 0.000 | 73.378 |
| 245.458 | 98.683 | 84.265 | -0.000 | -0.000 | -0.000 |
| 98.683 | 245.458 | 84.265 | -0.000 | -0.000 | -0.000 |
| 85.297 | 85.297 | 284.405 | -0.000 | -0.000 | -0.000 |
| -0.066 | -0.066 | 1.488 | 57.375 | 0.000 | -0.000 |
| -0.034 | -0.034 | 0.768 | -0.000 | 57.010 | -0.000 |
| -0.098 | -0.098 | 2.205 | -0.000 | -0.000 | 64.875 |
| 234.763 | 109.472 | 83.205 | 0.000 | 0.000 | 0.000 |
| 98.683 | 245.458 | 84.265 | 0.000 | 0.000 | 0.000 |
| 85.475 | 85.475 | 280.391 | 0.000 | 0.000 | 0.000 |
| 0.066 | 0.066 | -1.488 | 57.375 | 0.000 | 0.000 |
| 0.034 | 0.034 | -0.768 | 0.000 | 57.010 | -0.000 |
| 0.098 | 0.098 | -2.205 | 0.000 | -0.000 | 64.875 |
| 245.458 | 98.683 | 84.265 | -0.000 | -0.000 | -0.000 |
| 98.683 | 245.458 | 84.265 | -0.000 | -0.000 | -0.000 |
| 85.297 | 85.297 | 284.405 | -0.000 | 0.000 | -0.000 |
| -0.007 | -0.007 | 0.164 | 57.014 | 0.000 | -0.000 |
| -0.000 | -0.000 | 0.000 | -0.000 | 60.805 | -0.000 |
| -0.011 | -0.011 | 0.249 | -0.000 | -0.000 | 63.786 |
| 235.843 | 108.278 | 84.483 | 0.000 | 0.000 | 0.000 |
| 108.278 | 235.843 | 84.483 | 0.000 | 0.000 | 0.000 |
| 85.297 | 85.297 | 284.405 | 0.000 | -0.000 | 0.000 |
| 0.007 | 0.007 | -0.164 | 57.014 | 0.000 | 0.000 |
| 0.000 | 0.000 | -0.000 | 0.000 | 60.805 | -0.000 |
| 0.011 | 0.011 | -0.249 | 0.000 | -0.000 | 63.786 |
| 235.873 | 108.225 | 84.755 | -0.000 | -0.000 | -0.000 |
| 108.225 | 235.873 | 84.755 | -0.000 | -0.000 | -0.000 |
| 85.297 | 85.297 | 284.406 | -0.000 | -0.000 | 0.000 |
| -0.001 | -0.001 | 0.017 | 57.010 | -0.000 | -0.000 |
| -0.001 | -0.001 | 0.017 | -0.000 | 57.010 | 0.000 |
| -0.001 | -0.001 | 0.025 | -0.000 | -0.000 | 63.773 |
| 245.457 | 98.683 | 84.265 | 0.000 | -0.000 | 0.000 |
| 108.237 | 235.865 | 84.706 | -0.000 | 0.000 | 0.000 |
| 85.296 | 85.296 | 284.404 | 0.000 | 0.000 | 0.000 |
| 0.001 | 0.001 | -0.017 | 57.010 | -0.000 | 0.000 |
| 0.001 | 0.001 | -0.017 | 0.000 | 57.010 | 0.000 |
| 0.001 | 0.001 | -0.025 | 0.000 | -0.000 | 63.773 |
| 171.972 | 126.987 | 108.230 | -0.000 | 0.000 | -0.000 |
| 126.987 | 171.972 | 108.230 | -0.000 | 0.000 | 0.000 |
| 108.230 | 108.230 | 193.600 | 0.000 | 0.000 | 0.000 |
| -0.000 | 0.000 | 0.000 | 80.189 | 0.000 | 0.000 |
| 0.000 | -0.000 | 0.000 | -0.000 | 80.189 | 0.000 |
| 0.000 | 0.000 | -0.000 | -0.000 | 0.000 | 98.702 |
| 171.972 | 126.987 | 108.230 | 0.000 | 0.000 | -0.000 |
| 126.987 | 171.972 | 108.230 | 0.000 | 0.000 | 0.000 |
| 108.230 | 108.230 | 193.600 | 0.000 | 0.000 | -0.000 |
| 0.000 | -0.000 | -0.000 | 80.189 | -0.000 | -0.000 |
| -0.000 | 0.000 | -0.000 | -0.000 | 80.189 | -0.000 |
| -0.000 | -0.000 | 0.000 | 0.000 | -0.000 | 98.702 |
| 171.972 | 126.987 | 108.230 | -0.000 | -0.000 | 0.000 |
| 126.987 | 171.972 | 108.230 | 0.000 | -0.000 | 0.000 |
| 108.230 | 108.230 | 193.600 | 0.000 | 0.000 | 0.000 |
| -0.000 | 0.000 | 0.000 | 79.252 | -0.000 | 0.000 |
| 0.000 | -0.000 | 0.000 | -0.000 | 79.252 | 0.000 |
| 0.000 | 0.000 | -0.000 | -0.000 | 0.000 | 98.702 |
| 171.972 | 126.987 | 108.230 | 0.000 | 0.000 | -0.000 |
| 126.987 | 171.972 | 108.230 | 0.000 | 0.000 | -0.000 |
| 108.230 | 108.230 | 193.600 | 0.000 | 0.000 | -0.000 |
| 0.000 | -0.000 | -0.000 | 79.252 | -0.000 | -0.000 |
| -0.000 | 0.000 | -0.000 | 0.000 | 79.252 | -0.000 |
| -0.000 | -0.000 | 0.000 | 0.000 | 0.000 | 98.702 |
| 171.973 | 126.988 | 108.230 | -0.000 | 0.000 | 0.000 |
| 126.988 | 171.973 | 108.230 | -0.000 | 0.000 | 0.000 |
| 108.231 | 108.231 | 193.601 | -0.000 | 0.000 | 0.000 |
| -0.000 | 0.000 | 0.001 | 79.252 | -0.000 | 0.000 |
| 0.000 | -0.000 | 0.001 | -0.000 | 79.252 | 0.000 |
| 0.000 | 0.000 | -0.000 | -0.000 | -0.000 | 98.702 |
| 171.972 | 126.987 | 108.229 | 0.000 | -0.000 | -0.000 |
| 126.987 | 171.972 | 108.229 | 0.000 | 0.000 | 0.000 |
| 108.229 | 108.229 | 193.599 | -0.000 | -0.000 | -0.000 |
| 0.000 | -0.000 | -0.001 | 79.252 | -0.000 | -0.000 |
| -0.000 | 0.000 | -0.001 | -0.000 | 79.252 | -0.000 |
| -0.000 | -0.000 | 0.000 | 0.000 | -0.000 | 98.702 |
| 245.460 | 98.686 | 84.251 | -0.000 | -0.000 | 0.000 |
| 107.827 | 236.197 | 85.623 | 0.000 | 0.000 | 0.000 |
| 85.418 | 85.418 | 281.425 | 0.000 | 0.000 | 0.000 |
| -0.028 | -0.028 | 0.627 | 57.066 | 0.000 | 0.000 |
| -0.028 | -0.028 | 0.627 | 0.000 | 57.066 | 0.000 |
| -0.042 | -0.042 | 0.946 | 0.000 | 0.000 | 63.967 |
| 245.460 | 98.686 | 84.251 | 0.000 | 0.000 | -0.000 |
| 98.686 | 245.460 | 84.251 | -0.000 | -0.000 | -0.000 |
| 85.445 | 85.445 | 280.829 | -0.000 | -0.000 | -0.000 |
| 0.028 | 0.028 | -0.627 | 57.066 | -0.000 | -0.000 |
| 0.028 | 0.028 | -0.627 | -0.000 | 57.066 | 0.000 |
| 0.042 | 0.042 | -0.946 | -0.000 | -0.000 | 63.967 |
| 245.460 | 98.686 | 84.251 | -0.000 | 0.000 | -0.000 |
| 98.686 | 245.460 | 84.251 | -0.000 | -0.000 | 0.000 |
| 85.430 | 85.430 | 281.157 | -0.000 | 0.000 | 0.000 |
| 0.000 | -0.000 | 0.000 | 60.797 | -0.000 | -0.000 |
| -0.000 | -0.000 | 0.000 | -0.000 | 60.797 | -0.000 |
| -0.003 | -0.002 | 0.057 | 0.000 | 0.000 | 62.488 |
| 245.460 | 98.686 | 84.251 | 0.000 | -0.000 | -0.000 |
| 109.569 | 234.558 | 84.468 | -0.000 | 0.000 | -0.000 |
| 85.433 | 85.433 | 281.097 | 0.000 | 0.000 | -0.000 |
| 0.000 | 0.000 | -0.000 | 60.797 | 0.000 | -0.000 |
| 0.000 | 0.000 | -0.000 | 0.000 | 60.797 | -0.000 |
| 0.003 | 0.002 | -0.057 | -0.000 | 0.000 | 62.488 |
| 245.461 | 98.686 | 84.251 | 0.000 | 0.000 | 0.000 |
| 98.687 | 245.461 | 84.251 | 0.000 | -0.000 | 0.000 |
| 85.432 | 85.432 | 281.131 | -0.000 | 0.000 | 0.000 |
| -0.000 | -0.000 | 0.000 | 60.797 | 0.000 | 0.000 |
| -0.000 | -0.000 | 0.007 | -0.000 | 57.001 | 0.000 |
| -0.000 | -0.000 | 0.006 | 0.000 | -0.000 | 62.488 |
| 234.559 | 109.563 | 84.519 | 0.000 | -0.000 | -0.000 |
| 109.563 | 234.560 | 84.519 | 0.000 | -0.000 | -0.000 |
| 85.287 | 85.287 | 284.372 | -0.000 | -0.000 | -0.000 |
| 0.000 | 0.000 | -0.000 | 60.797 | -0.000 | -0.000 |
| 0.000 | 0.000 | -0.007 | 0.000 | 57.001 | -0.000 |
| 0.000 | 0.000 | -0.006 | -0.000 | -0.000 | 62.488 |
| 217.528 | 76.657 | 729.073 | -0.000 | -0.000 | 0.000 |
| 97.901 | 245.121 | 86.609 | -0.000 | -0.000 | 0.000 |
| 86.609 | 86.609 | 288.876 | 0.000 | 0.000 | 0.000 |
| -0.000 | 0.000 | 0.000 | 61.938 | -0.000 | 0.000 |
| -24.413 | -24.413 | 642.319 | 0.000 | 59.953 | 0.000 |
| -24.413 | -24.413 | 642.325 | 0.000 | 0.000 | 70.435 |
| 245.121 | 97.901 | 86.609 | 0.000 | -0.000 | -0.000 |
| 97.901 | 245.121 | 86.609 | -0.000 | 0.000 | 0.000 |
| 86.609 | 86.609 | 288.876 | 0.000 | 0.000 | -0.000 |
| 24.413 | 24.413 | -642.325 | 57.765 | 0.000 | -0.000 |
| 24.413 | 24.413 | -642.319 | 0.000 | 59.953 | -0.000 |
| 24.413 | 24.413 | -642.325 | -0.000 | 0.000 | 70.435 |
| 245.121 | 97.901 | 86.609 | -0.000 | 0.000 | 0.000 |
| 98.630 | 239.489 | 151.102 | -0.000 | -0.000 | 0.000 |
| 84.307 | 84.307 | 349.449 | -0.000 | 0.000 | 0.000 |
| -2.444 | -2.444 | 64.291 | 59.951 | 0.000 | 0.000 |
| -2.444 | -2.444 | 64.291 | -0.000 | 59.951 | -0.000 |
| -0.000 | 0.000 | 0.000 | 0.000 | -0.000 | 73.610 |
| 244.381 | 103.522 | 22.393 | 0.000 | 0.000 | -0.000 |
| 97.901 | 245.121 | 86.609 | 0.000 | 0.000 | -0.000 |
| 89.189 | 89.189 | 220.986 | 0.000 | 0.000 | -0.000 |
| 2.444 | 2.444 | -64.291 | 59.951 | -0.000 | -0.000 |
| 2.444 | 2.444 | -64.291 | -0.000 | 59.951 | -0.000 |
| 0.000 | -0.000 | -0.000 | -0.000 | -0.000 | 73.610 |
| 241.118 | 101.321 | 94.282 | -0.000 | -0.000 | 0.000 |
| 101.322 | 241.118 | 94.282 | -0.000 | -0.000 | 0.000 |
| 86.504 | 86.504 | 291.642 | 0.000 | 0.000 | 0.000 |
| -0.244 | -0.244 | 6.423 | 57.765 | -0.000 | 0.000 |
| -0.265 | -0.265 | 6.971 | -0.000 | 59.783 | -0.000 |
| -0.287 | -0.287 | 7.554 | -0.000 | 0.000 | 69.876 |
| 245.120 | 97.902 | 86.609 | 0.000 | 0.000 | 0.000 |
| 101.940 | 241.647 | 79.173 | 0.000 | 0.000 | -0.000 |
| 86.992 | 86.992 | 278.793 | -0.000 | -0.000 | -0.000 |
| 0.265 | 0.265 | -6.971 | 59.783 | -0.000 | -0.000 |
| 0.265 | 0.265 | -6.971 | 0.000 | 59.783 | -0.000 |
| 0.287 | 0.287 | -7.554 | 0.000 | 0.000 | 69.876 |
| 289.160 | 84.794 | 93.756 | 0.000 | -0.000 | -0.000 |
| -78.629 | 51.513 | 371.175 | -0.000 | 0.000 | -0.000 |
| -64.017 | -99.885 | 473.398 | -0.000 | 0.000 | -0.000 |
| -0.000 | -0.000 | 0.000 | 56.558 | 0.000 | -0.000 |
| -0.000 | 0.000 | -0.000 | -0.000 | 64.953 | -0.000 |
| -160.022 | -181.441 | 277.837 | 0.000 | 0.000 | 50.801 |
| 289.160 | 84.794 | 93.756 | -0.000 | 0.000 | 0.000 |
| 148.171 | 623.836 | -252.124 | -0.000 | 0.000 | 0.000 |
| 256.108 | 263.286 | -82.190 | 0.000 | -0.000 | 0.000 |
| 0.000 | 0.000 | -0.000 | 56.558 | -0.000 | -0.000 |
| 0.000 | 0.000 | 0.000 | 0.000 | 64.953 | 0.000 |
| 160.022 | 181.441 | -277.837 | -0.000 | -0.000 | 50.801 |
| 289.160 | 84.794 | 93.756 | 0.000 | -0.000 | -0.000 |
| 77.841 | 196.512 | 120.413 | 0.000 | -0.000 | -0.000 |
| 93.756 | 84.835 | 206.081 | -0.000 | 0.000 | -0.000 |
| -16.336 | -18.523 | 28.364 | 46.840 | 0.000 | -0.000 |
| -6.176 | -38.613 | 33.172 | 0.000 | 58.532 | -0.000 |
| -7.112 | -38.116 | 29.826 | 0.000 | -0.000 | 51.550 |
| 288.989 | 123.810 | 63.414 | -0.000 | 0.000 | 0.000 |
| 84.794 | 248.504 | 84.834 | -0.000 | -0.000 | -0.000 |
| 101.467 | 130.495 | 158.710 | -0.000 | 0.000 | 0.000 |
| 16.336 | 18.523 | -28.364 | 46.840 | -0.000 | 0.000 |
| 6.176 | 38.613 | -33.172 | -0.000 | 58.532 | 0.000 |
| 7.112 | 38.116 | -29.826 | -0.000 | 0.000 | 51.550 |
| 282.342 | 84.601 | 97.827 | 0.000 | 0.000 | -0.000 |
| 85.042 | 231.293 | 94.473 | 0.000 | 0.000 | 0.000 |
| 93.422 | 86.143 | 194.861 | -0.000 | -0.000 | -0.000 |
| -0.640 | -3.983 | 3.615 | 38.419 | 0.000 | 0.000 |
| -0.420 | -3.604 | 2.804 | 0.000 | 58.778 | -0.000 |
| -1.052 | -1.193 | 1.826 | 0.000 | 0.000 | 52.616 |
| 283.531 | 86.640 | 95.051 | -0.000 | -0.000 | 0.000 |
| 86.854 | 243.157 | 82.965 | -0.000 | -0.000 | 0.000 |
| 98.449 | 86.124 | 193.357 | -0.000 | -0.000 | 0.000 |
| 0.640 | 3.983 | -3.615 | 38.419 | 0.000 | 0.000 |
| 0.420 | 3.604 | -2.804 | -0.000 | 58.778 | 0.000 |
| 1.052 | 1.193 | -1.826 | -0.000 | -0.000 | 52.616 |
| 279.404 | 84.705 | 96.192 | 0.000 | -0.000 | -0.000 |
| 83.355 | 249.507 | 83.353 | 0.000 | -0.000 | 0.000 |
| 93.058 | 83.776 | 203.836 | 0.000 | -0.000 | 0.000 |
| -2.198 | -0.254 | -0.336 | 37.373 | -0.000 | 0.000 |
| -2.086 | -0.167 | 0.284 | 0.000 | 59.214 | -0.000 |
| -1.475 | -0.118 | 0.200 | 0.000 | 0.000 | 51.374 |
| 286.395 | 84.053 | 93.332 | -0.000 | 0.000 | 0.000 |
| 83.355 | 249.507 | 83.353 | 0.000 | 0.000 | 0.000 |
| 93.058 | 83.776 | 203.836 | -0.000 | 0.000 | -0.000 |
| 2.198 | 0.254 | 0.336 | 37.373 | 0.000 | -0.000 |
| 2.086 | 0.167 | -0.284 | -0.000 | 59.214 | -0.000 |
| 1.475 | 0.118 | -0.200 | -0.000 | -0.000 | 51.374 |
| 286.395 | 84.053 | 93.332 | 0.000 | 0.000 | -0.000 |
| 83.355 | 249.507 | 83.353 | 0.000 | -0.000 | -0.000 |
| 93.058 | 83.776 | 203.836 | 0.000 | -0.000 | -0.000 |
| 0.000 | -0.000 | 0.000 | 54.939 | -0.000 | 0.000 |
| -0.221 | -0.018 | 0.030 | 0.000 | 58.888 | 0.000 |
| -0.148 | -0.012 | 0.020 | 0.000 | 0.000 | 51.359 |
| 280.617 | 84.568 | 94.006 | -0.000 | 0.000 | -0.000 |
| 83.355 | 249.507 | 83.353 | -0.000 | 0.000 | 0.000 |
| 93.058 | 83.776 | 203.836 | 0.000 | 0.000 | 0.000 |
| -0.000 | 0.000 | -0.000 | 54.939 | 0.000 | 0.000 |
| 0.221 | 0.018 | -0.030 | -0.000 | 58.888 | -0.000 |
| 0.148 | 0.012 | -0.020 | -0.000 | -0.000 | 51.359 |
| 280.470 | 84.572 | 93.987 | 0.000 | -0.000 | 0.000 |
| 82.965 | 236.739 | 88.023 | 0.000 | -0.000 | 0.000 |
| 96.512 | 82.897 | 191.274 | 0.000 | 0.000 | 0.000 |
| -0.032 | -0.002 | 0.005 | 42.478 | 0.000 | 0.000 |
| -0.022 | -0.002 | 0.003 | 0.000 | 58.885 | 0.000 |
| -0.015 | -0.001 | 0.002 | 0.000 | 0.000 | 51.359 |
| 286.394 | 84.052 | 93.332 | -0.000 | 0.000 | 0.000 |
| 83.001 | 236.730 | 88.021 | -0.000 | 0.000 | -0.000 |
| 93.628 | 89.401 | 185.765 | 0.000 | 0.000 | -0.000 |
| 0.032 | 0.002 | -0.005 | 42.478 | -0.000 | -0.000 |
| 0.022 | 0.002 | -0.003 | -0.000 | 58.885 | -0.000 |
| 0.015 | 0.001 | -0.002 | -0.000 | -0.000 | 51.359 |
| 183.568 | 93.227 | 77.915 | 0.000 | 0.000 | -0.000 |
| 93.227 | 183.568 | 77.915 | 0.000 | -0.000 | -0.000 |
| 80.000 | 80.000 | 247.438 | 0.000 | -0.000 | -0.000 |
| 0.000 | -0.000 | 0.000 | 55.414 | 0.000 | -0.000 |
| -0.000 | 0.000 | 0.000 | 0.000 | 55.414 | -0.000 |
| 0.000 | 0.000 | 0.000 | 0.000 | -0.000 | 42.139 |
| 181.026 | 96.651 | 79.376 | -0.000 | -0.000 | 0.000 |
| 82.372 | 196.086 | 80.671 | -0.000 | -0.000 | 0.000 |
| 80.000 | 80.000 | 247.438 | -0.000 | -0.000 | 0.000 |
| -0.000 | 0.000 | -0.000 | 55.414 | -0.000 | -0.000 |
| -0.000 | 0.000 | -0.000 | -0.000 | 55.414 | 0.000 |
| -0.000 | -0.000 | -0.000 | -0.000 | 0.000 | 42.139 |
| 181.026 | 96.651 | 79.376 | 0.000 | -0.000 | -0.000 |
| 93.227 | 183.569 | 77.915 | 0.000 | -0.000 | -0.000 |
| 80.000 | 80.000 | 247.438 | -0.000 | -0.000 | -0.000 |
| 0.000 | -0.000 | 0.000 | 55.414 | 0.000 | -0.000 |
| -0.000 | 0.000 | 0.000 | 0.000 | 53.263 | -0.000 |
| 0.000 | 0.000 | 0.000 | 0.000 | 0.000 | 56.857 |
| 196.086 | 82.372 | 80.671 | -0.000 | 0.000 | 0.000 |
| 82.372 | 196.086 | 80.671 | -0.000 | 0.000 | 0.000 |
| 80.000 | 80.000 | 247.438 | -0.000 | 0.000 | 0.000 |
| -0.000 | 0.000 | -0.000 | 55.414 | 0.000 | -0.000 |
| 0.000 | -0.000 | -0.000 | -0.000 | 53.263 | 0.000 |
| -0.000 | -0.000 | -0.000 | -0.000 | -0.000 | 56.857 |
| 183.570 | 93.228 | 77.915 | 0.000 | -0.000 | -0.000 |
| 93.227 | 183.571 | 77.915 | 0.000 | -0.000 | -0.000 |
| 81.162 | 81.162 | 251.291 | 0.000 | -0.000 | -0.000 |
| 0.000 | -0.000 | 0.000 | 53.263 | -0.000 | 0.000 |
| -0.000 | 0.000 | 0.000 | 0.000 | 53.263 | -0.000 |
| 0.001 | 0.000 | 0.000 | 0.000 | 0.000 | 56.857 |
| 183.567 | 93.227 | 77.915 | -0.000 | 0.000 | 0.000 |
| 93.227 | 183.566 | 77.915 | -0.000 | -0.000 | 0.000 |
| 80.000 | 80.000 | 247.436 | -0.000 | 0.000 | 0.000 |
| -0.000 | 0.000 | -0.000 | 53.263 | 0.000 | 0.000 |
| 0.000 | -0.000 | -0.000 | -0.000 | 53.263 | 0.000 |
| -0.001 | -0.000 | -0.000 | -0.000 | -0.000 | 56.857 |
| 194.247 | 81.416 | 81.283 | -0.000 | -0.000 | 0.000 |
| 81.416 | 194.247 | 81.283 | -0.000 | -0.000 | 0.000 |
| 318.648 | 318.648 | 1085.907 | -0.000 | -0.000 | 0.000 |
| -0.000 | -0.000 | 0.000 | 55.494 | -0.000 | 0.000 |
| -0.000 | 0.000 | 0.000 | -0.000 | 55.494 | 0.000 |
| 0.000 | 0.000 | -0.000 | -0.000 | -0.000 | 56.415 |
| 194.247 | 81.416 | 81.283 | 0.000 | 0.000 | -0.000 |
| -152.453 | -49.667 | -757.780 | -0.000 | -0.000 | -0.000 |
| -158.452 | -158.452 | -589.817 | 0.000 | 0.000 | -0.000 |
| 0.000 | 0.000 | -0.000 | 55.494 | -0.000 | 0.000 |
| -0.000 | 0.000 | -0.000 | -0.000 | 55.494 | -0.000 |
| -0.000 | -0.000 | -0.000 | -0.000 | 0.000 | 56.415 |
| 202.928 | 119.774 | 163.891 | -0.000 | -0.000 | 0.000 |
| 81.416 | 194.247 | 81.283 | 0.000 | -0.000 | 0.000 |
| 103.955 | 103.955 | 331.839 | 0.000 | -0.000 | 0.000 |
| -0.000 | -0.000 | 0.000 | 55.494 | 0.000 | -0.000 |
| 23.861 | 23.861 | 83.808 | 0.000 | 53.479 | 0.000 |
| 23.899 | 23.899 | 83.940 | -0.000 | -0.000 | 51.384 |
| 164.980 | 62.211 | -3.840 | 0.000 | -0.000 | -0.000 |
| 81.416 | 194.246 | 81.283 | 0.000 | 0.000 | -0.000 |
| 81.283 | 81.283 | 252.207 | -0.000 | -0.000 | -0.000 |
| 0.000 | 0.000 | -0.000 | 55.494 | 0.000 | -0.000 |
| -23.855 | -23.855 | -83.786 | -0.000 | 53.195 | -0.000 |
| -23.899 | -23.899 | -83.940 | 0.000 | 0.000 | 51.384 |
| 181.472 | 98.333 | 88.553 | -0.000 | 0.000 | 0.000 |
| 90.016 | 190.632 | 90.033 | 0.000 | -0.000 | 0.000 |
| 81.283 | 81.283 | 252.208 | 0.000 | -0.000 | 0.000 |
| 2.386 | 2.385 | 8.379 | 53.195 | -0.000 | 0.000 |
| 2.385 | 2.386 | 8.379 | 0.000 | 53.195 | 0.000 |
| 2.781 | 2.780 | 9.764 | 0.000 | -0.000 | 50.563 |
| 185.493 | 84.013 | 70.476 | -0.000 | 0.000 | -0.000 |
| 93.783 | 176.436 | 71.730 | 0.000 | -0.000 | -0.000 |
| 81.283 | 81.283 | 252.207 | 0.000 | -0.000 | -0.000 |
| -2.386 | -2.385 | -8.379 | 53.195 | 0.000 | -0.000 |
| -2.417 | -2.417 | -8.491 | -0.000 | 53.452 | -0.000 |
| -2.781 | -2.780 | -9.764 | -0.000 | 0.000 | 50.563 |
| 84.208 | 151.445 | 151.445 | -0.000 | -0.000 | 0.000 |
| 151.445 | 84.208 | 151.445 | 0.000 | 0.000 | 0.000 |
| 151.445 | 151.445 | 84.208 | -0.000 | 0.000 | 0.000 |
| 0.000 | 0.000 | 0.000 | 35.647 | -0.000 | 0.000 |
| 0.000 | 0.000 | 0.000 | -0.000 | 35.647 | -0.000 |
| 0.000 | 0.000 | 0.000 | -0.000 | 0.000 | 35.647 |
| 84.208 | 151.445 | 151.445 | -0.000 | -0.000 | 0.000 |
| 151.445 | 84.208 | 151.445 | -0.000 | 0.000 | 0.000 |
| 151.445 | 151.445 | 84.208 | 0.000 | 0.000 | -0.000 |
| -0.000 | -0.000 | -0.000 | 35.647 | 0.000 | 0.000 |
| -0.000 | -0.000 | -0.000 | 0.000 | 35.647 | -0.000 |
| -0.000 | -0.000 | -0.000 | -0.000 | 0.000 | 35.647 |
| 84.211 | 151.445 | 151.445 | -0.000 | -0.000 | -0.000 |
| 151.445 | 84.211 | 151.445 | -0.000 | 0.000 | -0.000 |
| 151.445 | 151.445 | 84.211 | -0.000 | -0.000 | 0.000 |
| 0.000 | 0.000 | 0.000 | 35.647 | -0.000 | -0.000 |
| 0.000 | 0.000 | 0.000 | -0.000 | 35.647 | 0.000 |
| 0.000 | 0.000 | 0.000 | -0.000 | 0.000 | 35.647 |
| 84.205 | 151.445 | 151.445 | -0.000 | 0.000 | -0.000 |
| 151.445 | 84.205 | 151.445 | 0.000 | 0.000 | -0.000 |
| 151.445 | 151.445 | 84.205 | 0.000 | 0.000 | -0.000 |
| -0.000 | -0.000 | -0.000 | 35.647 | 0.000 | -0.000 |
| -0.000 | -0.000 | -0.000 | 0.000 | 35.647 | -0.000 |
| -0.000 | -0.000 | -0.000 | -0.000 | -0.000 | 35.647 |
| 84.238 | 151.448 | 151.448 | -0.000 | 0.000 | 0.000 |
| 151.448 | 84.238 | 151.448 | -0.000 | 0.000 | 0.000 |
| 151.448 | 151.448 | 84.238 | -0.000 | -0.000 | 0.000 |
| 0.000 | 0.001 | 0.001 | 35.647 | -0.000 | -0.000 |
| 0.001 | 0.000 | 0.001 | -0.000 | 35.647 | -0.000 |
| 0.001 | 0.001 | 0.000 | 0.000 | 0.000 | 35.647 |
| 84.178 | 151.442 | 151.442 | -0.000 | -0.000 | 0.000 |
| 151.442 | 84.178 | 151.442 | 0.000 | 0.000 | 0.000 |
| 151.442 | 151.442 | 84.178 | 0.000 | 0.000 | -0.000 |
| -0.000 | -0.001 | -0.001 | 35.647 | 0.000 | 0.000 |
| -0.001 | -0.000 | -0.001 | -0.000 | 35.647 | 0.000 |
| -0.001 | -0.001 | -0.000 | 0.000 | -0.000 | 35.647 |
| 210.745 | 134.654 | 134.654 | 0.000 | 0.000 | 0.000 |
| 134.654 | 210.745 | 134.654 | -0.000 | -0.000 | 0.000 |
| 134.654 | 134.654 | 210.745 | 0.000 | 0.000 | 0.000 |
| 0.000 | -0.000 | -0.000 | 34.544 | 0.000 | 0.000 |
| -0.000 | 0.000 | -0.000 | -0.000 | 34.544 | 0.000 |
| -0.000 | -0.000 | 0.000 | 0.000 | 0.000 | 34.544 |
| 210.938 | 134.558 | 134.558 | -0.000 | -0.000 | -0.000 |
| 134.558 | 210.938 | 134.558 | -0.000 | -0.000 | -0.000 |
| 134.558 | 134.558 | 210.938 | 0.000 | -0.000 | -0.000 |
| -0.000 | 0.000 | 0.000 | 34.544 | -0.000 | -0.000 |
| 0.000 | -0.000 | 0.000 | 0.000 | 34.544 | -0.000 |
| 0.000 | 0.000 | -0.000 | 0.000 | 0.000 | 34.544 |
| 210.937 | 134.557 | 134.557 | 0.000 | 0.000 | 0.000 |
| 134.557 | 210.937 | 134.557 | -0.000 | 0.000 | 0.000 |
| 134.557 | 134.557 | 210.937 | 0.000 | 0.000 | 0.000 |
| 0.000 | -0.000 | -0.000 | 34.544 | -0.000 | 0.000 |
| -0.000 | 0.000 | -0.000 | -0.000 | 34.544 | 0.000 |
| -0.000 | -0.000 | 0.000 | 0.000 | 0.000 | 34.544 |
| 210.746 | 134.655 | 134.655 | -0.000 | 0.000 | -0.000 |
| 134.655 | 210.746 | 134.655 | -0.000 | 0.000 | -0.000 |
| 134.655 | 134.655 | 210.746 | -0.000 | -0.000 | -0.000 |
| -0.000 | 0.000 | 0.000 | 34.544 | -0.000 | -0.000 |
| 0.000 | -0.000 | 0.000 | -0.000 | 34.544 | -0.000 |
| 0.000 | 0.000 | -0.000 | 0.000 | -0.000 | 34.544 |
| 210.735 | 134.650 | 134.650 | -0.000 | 0.000 | 0.000 |
| 134.650 | 210.735 | 134.650 | -0.000 | 0.000 | 0.000 |
| 134.650 | 134.650 | 210.735 | 0.000 | 0.000 | 0.000 |
| 0.000 | -0.001 | -0.001 | 35.167 | 0.000 | 0.000 |
| -0.001 | 0.000 | -0.001 | 0.000 | 35.167 | 0.000 |
| -0.001 | -0.001 | 0.000 | 0.000 | 0.000 | 35.167 |
| 210.948 | 134.562 | 134.562 | -0.000 | -0.000 | -0.000 |
| 134.562 | 210.948 | 134.562 | -0.000 | -0.000 | -0.000 |
| 134.562 | 134.562 | 210.948 | 0.000 | -0.000 | -0.000 |
| -0.000 | 0.001 | 0.001 | 35.167 | -0.000 | -0.000 |
| 0.001 | -0.000 | 0.001 | -0.000 | 35.167 | -0.000 |
| 0.001 | 0.001 | -0.000 | -0.000 | -0.000 | 35.167 |
| 243.365 | 129.639 | 129.639 | 0.000 | 0.000 | -0.000 |
| 129.639 | 243.365 | 129.639 | 0.000 | 0.000 | -0.000 |
| 129.639 | 129.639 | 243.365 | 0.000 | 0.000 | -0.000 |
| 0.000 | 0.000 | 0.000 | 27.575 | 0.000 | -0.000 |
| 0.000 | 0.000 | 0.000 | 0.000 | 27.575 | -0.000 |
| 0.000 | 0.000 | 0.000 | 0.000 | 0.000 | 27.575 |
| 243.365 | 129.639 | 129.639 | -0.000 | -0.000 | -0.000 |
| 129.639 | 243.365 | 129.639 | -0.000 | -0.000 | -0.000 |
| 129.639 | 129.639 | 243.365 | -0.000 | -0.000 | -0.000 |
| -0.000 | -0.000 | -0.000 | 27.575 | -0.000 | 0.000 |
| -0.000 | -0.000 | -0.000 | -0.000 | 27.575 | -0.000 |
| -0.000 | -0.000 | -0.000 | -0.000 | -0.000 | 27.575 |
| 243.366 | 129.639 | 129.639 | 0.000 | 0.000 | 0.000 |
| 129.639 | 243.366 | 129.639 | 0.000 | 0.000 | 0.000 |
| 129.639 | 129.639 | 243.366 | 0.000 | 0.000 | -0.000 |
| 0.000 | 0.000 | 0.000 | 27.575 | 0.000 | 0.000 |
| 0.000 | 0.000 | 0.000 | 0.000 | 27.575 | 0.000 |
| 0.000 | 0.000 | 0.000 | 0.000 | 0.000 | 27.575 |
| 243.364 | 129.639 | 129.639 | -0.000 | -0.000 | -0.000 |
| 129.639 | 243.364 | 129.639 | -0.000 | -0.000 | 0.000 |
| 129.639 | 129.639 | 243.364 | -0.000 | -0.000 | -0.000 |
| -0.000 | -0.000 | -0.000 | 27.575 | -0.000 | -0.000 |
| -0.000 | -0.000 | -0.000 | -0.000 | 27.575 | 0.000 |
| -0.000 | -0.000 | -0.000 | -0.000 | -0.000 | 27.575 |
| 243.374 | 129.637 | 129.637 | 0.000 | 0.000 | -0.000 |
| 129.637 | 243.374 | 129.637 | 0.000 | 0.000 | -0.000 |
| 129.637 | 129.637 | 243.374 | 0.000 | 0.000 | -0.000 |
| 0.001 | 0.001 | 0.001 | 27.575 | 0.000 | 0.000 |
| 0.001 | 0.001 | 0.001 | 0.000 | 27.575 | -0.000 |
| 0.001 | 0.001 | 0.001 | 0.000 | 0.000 | 27.575 |
| 243.356 | 129.640 | 129.640 | -0.000 | -0.000 | 0.000 |
| 129.640 | 243.356 | 129.640 | -0.000 | -0.000 | 0.000 |
| 129.640 | 129.640 | 243.356 | -0.000 | -0.000 | 0.000 |
| -0.001 | -0.001 | -0.001 | 27.575 | -0.000 | 0.000 |
| -0.001 | -0.001 | -0.001 | -0.000 | 27.575 | -0.000 |
| -0.001 | -0.001 | -0.001 | -0.000 | -0.000 | 27.575 |
| 112.047 | 169.778 | 105.266 | -0.000 | -0.000 | 0.000 |
| 128.355 | 153.470 | 105.266 | -0.000 | 0.000 | -0.000 |
| 105.265 | 105.266 | 176.560 | -0.000 | 0.000 | 0.000 |
| 0.000 | 0.000 | 0.000 | -10.531 | 0.000 | 0.000 |
| 0.000 | 0.000 | 0.000 | -0.000 | -10.531 | 0.000 |
| 0.000 | 0.000 | 0.000 | -0.000 | -0.000 | 12.558 |
| 112.046 | 169.778 | 105.265 | 0.000 | 0.000 | -0.000 |
| 169.778 | 112.046 | 105.265 | 0.000 | 0.000 | -0.000 |
| 105.265 | 105.265 | 176.560 | -0.000 | 0.000 | -0.000 |
| -0.000 | -0.000 | -0.000 | -10.531 | 0.000 | -0.000 |
| -0.000 | -0.000 | -0.000 | -0.000 | -10.531 | 0.000 |
| -0.000 | -0.000 | -0.000 | 0.000 | 0.000 | 12.558 |
| 29.798 | 252.040 | 105.273 | -0.000 | -0.000 | 0.000 |
| 252.028 | 29.810 | 105.273 | -0.000 | 0.000 | 0.000 |
| 105.266 | 105.266 | 176.561 | 0.000 | 0.000 | 0.000 |
| 0.000 | 0.000 | 0.000 | -10.531 | -0.000 | -0.000 |
| 0.000 | 0.000 | 0.000 | -0.000 | -10.531 | 0.000 |
| 0.011 | 0.002 | 0.007 | -0.000 | 0.000 | -111.121 |
| 112.044 | 169.777 | 105.264 | -0.000 | -0.000 | -0.000 |
| 252.039 | 29.772 | 105.258 | 0.000 | -0.000 | -0.000 |
| 105.265 | 105.265 | 176.559 | 0.000 | -0.000 | -0.000 |
| -0.000 | -0.000 | -0.000 | -10.531 | -0.000 | 0.000 |
| -0.000 | -0.000 | -0.000 | 0.000 | -10.531 | 0.000 |
| -0.000 | -0.000 | -0.000 | -0.000 | -0.000 | 12.558 |
| 153.482 | 128.359 | 105.272 | -0.000 | 0.000 | -0.000 |
| 200.360 | 81.530 | 105.298 | -0.000 | -0.000 | 0.000 |
| 105.271 | 105.271 | 176.568 | 0.000 | -0.000 | 0.000 |
| -0.001 | 0.007 | 0.004 | -10.531 | 0.000 | 0.000 |
| 0.005 | 0.002 | 0.004 | -0.000 | -10.531 | 0.000 |
| -4666449.801 | 5292399.000 | -4231849.634 | 0.000 | 0.000 | -8624607.934 |
| -10271636.093 | 9646050.434 | 4232007.095 | -0.000 | -0.000 | 0.000 |
| 3248381.305 | -3940425.891 | -176761.258 | 0.000 | -0.000 | 72930.513 |
| 105.260 | 105.260 | 176.552 | -0.000 | 0.000 | -0.000 |
| 0.001 | -0.007 | -0.004 | -10.531 | 0.000 | -0.000 |
| -0.005 | -0.002 | -0.004 | 0.000 | -10.531 | 0.000 |
| 4666449.801 | -5292399.000 | 4231849.634 | 0.000 | 0.000 | -8624607.934 |
| 70.632 | 211.199 | 105.268 | 0.000 | 0.000 | -0.000 |
| 128.357 | 153.474 | 105.268 | -0.000 | -0.000 | 0.000 |
| 105.268 | 105.268 | 176.563 | 0.000 | -0.000 | -0.000 |
| 0.000 | 0.000 | 0.000 | -10.530 | -0.000 | -0.000 |
| 0.000 | 0.000 | 0.000 | 0.000 | -10.530 | -0.000 |
| 0.001 | 0.000 | 0.000 | 0.000 | -0.000 | -70.284 |
| 153.474 | 128.356 | 105.268 | -0.000 | 0.000 | 0.000 |
| 128.356 | 153.474 | 105.268 | -0.000 | 0.000 | -0.000 |
| 105.268 | 105.268 | 176.563 | -0.000 | 0.000 | 0.000 |
| 0.000 | -0.000 | -0.000 | -10.530 | 0.000 | 0.000 |
| -0.000 | -0.000 | -0.000 | -0.000 | -10.530 | -0.000 |
| -0.001 | -0.000 | -0.000 | -0.000 | 0.000 | -70.284 |
| 70.636 | 211.202 | 105.272 | 0.000 | -0.000 | -0.000 |
| 211.199 | 70.640 | 105.272 | 0.000 | -0.000 | -0.000 |
| 105.268 | 105.268 | 176.563 | 0.000 | -0.000 | -0.000 |
| 0.000 | 0.000 | 0.000 | -10.530 | -0.000 | -0.000 |
| 0.001 | -0.000 | 0.000 | 0.000 | -10.530 | 0.000 |
| 0.000 | 0.000 | 0.000 | 0.000 | -0.000 | 12.559 |
| 70.627 | 211.196 | 105.264 | -0.000 | 0.000 | 0.000 |
| 128.356 | 153.473 | 105.267 | -0.000 | 0.000 | 0.000 |
| 105.267 | 105.267 | 176.562 | -0.000 | 0.000 | 0.000 |
| -0.000 | -0.000 | -0.000 | -10.530 | 0.000 | 0.000 |
| -0.001 | 0.000 | -0.000 | -0.000 | -10.530 | 0.000 |
| -0.000 | -0.000 | -0.000 | -0.000 | 0.000 | 12.559 |
| -5944656.559 | 6661921.471 | -1108783.366 | -0.000 | -0.000 | -0.017 |
| 10271996.306 | -9645652.932 | -4231676.170 | 0.000 | 0.000 | 0.000 |
| 105.273 | 105.273 | 176.571 | 0.000 | -0.000 | -0.000 |
| 0.002 | 0.005 | 0.004 | -10.530 | -0.000 | -0.000 |
| 0.005 | 0.002 | 0.004 | 0.000 | -10.530 | 0.000 |
| -4666438.375 | 5292408.415 | -4231836.720 | 0.000 | -0.000 | -8624606.191 |
| -10271644.501 | 9646038.002 | 4231994.180 | 0.000 | 0.000 | -0.000 |
| 2175418.865 | -4131584.116 | 455954.607 | 0.002 | 0.000 | -249070.594 |
| 105.262 | 105.262 | 176.555 | -0.000 | 0.000 | 0.000 |
| -0.002 | -0.005 | -0.004 | -10.530 | 0.000 | 0.000 |
| -0.005 | -0.002 | -0.004 | -0.000 | -10.530 | 0.000 |
| 4666438.375 | -5292408.415 | 4231836.720 | 0.000 | 0.000 | -8624606.191 |
| 88.564 | 133.897 | 133.897 | -0.000 | -0.000 | -0.000 |
| 133.897 | 88.564 | 133.897 | -0.000 | -0.000 | -0.000 |
| 133.897 | 133.897 | 88.564 | -0.000 | -0.000 | -0.000 |
| -0.000 | 0.000 | 0.000 | -72.552 | -0.000 | -0.000 |
| 0.000 | -0.000 | 0.000 | -0.000 | -72.552 | -0.000 |
| 0.000 | 0.000 | -0.000 | -0.000 | -0.000 | -72.552 |
| 88.563 | 133.897 | 133.897 | 0.000 | 0.000 | 0.000 |
| 133.897 | 88.563 | 133.897 | 0.000 | 0.000 | 0.000 |
| 133.897 | 133.897 | 88.563 | 0.000 | 0.000 | 0.000 |
| 0.000 | -0.000 | -0.000 | -72.552 | 0.000 | 0.000 |
| -0.000 | 0.000 | -0.000 | 0.000 | -72.552 | 0.000 |
| -0.000 | -0.000 | 0.000 | 0.000 | 0.000 | -72.552 |
| 88.566 | 133.899 | 133.899 | -0.000 | -0.000 | -0.000 |
| 133.899 | 88.566 | 133.899 | -0.000 | -0.000 | -0.000 |
| 133.899 | 133.899 | 88.566 | -0.000 | -0.000 | -0.000 |
| -0.000 | 0.000 | 0.000 | -72.552 | -0.000 | -0.000 |
| 0.000 | -0.000 | 0.000 | -0.000 | -72.552 | -0.000 |
| 0.000 | 0.000 | -0.000 | -0.000 | -0.000 | -72.552 |
| 88.561 | 133.895 | 133.895 | 0.000 | 0.000 | 0.000 |
| 133.895 | 88.561 | 133.895 | 0.000 | 0.000 | 0.000 |
| 133.895 | 133.895 | 88.561 | 0.000 | 0.000 | 0.000 |
| 0.000 | -0.000 | -0.000 | -72.552 | 0.000 | 0.000 |
| -0.000 | 0.000 | -0.000 | 0.000 | -72.552 | 0.000 |
| -0.000 | -0.000 | 0.000 | 0.000 | 0.000 | -72.552 |
| 88.587 | 133.916 | 133.916 | -0.000 | -0.000 | -0.000 |
| 133.916 | 88.587 | 133.916 | -0.000 | -0.000 | -0.000 |
| 133.916 | 133.916 | 88.587 | -0.000 | -0.000 | -0.000 |
| -0.000 | 0.005 | 0.005 | -72.552 | -0.000 | -0.000 |
| 0.005 | -0.000 | 0.005 | -0.000 | -72.552 | -0.000 |
| 0.005 | 0.005 | -0.000 | -0.000 | -0.000 | -72.552 |
| 88.540 | 133.878 | 133.878 | 0.000 | 0.000 | 0.000 |
| 133.878 | 88.540 | 133.878 | 0.000 | 0.000 | 0.000 |
| 133.878 | 133.878 | 88.540 | 0.000 | 0.000 | 0.000 |
| 0.000 | -0.005 | -0.005 | -72.552 | 0.000 | 0.000 |
| -0.005 | 0.000 | -0.005 | 0.000 | -72.552 | 0.000 |
| -0.005 | -0.005 | 0.000 | 0.000 | 0.000 | -72.552 |
| 363.570 | 363.570 | 363.570 | -0.000 | -0.000 | -0.000 |
| 363.570 | 363.570 | 363.570 | -0.000 | -0.000 | -0.000 |
| 363.570 | 363.570 | 363.570 | -0.000 | -0.000 | -0.000 |
| 0.000 | 0.000 | 0.000 | -1.722 | -0.000 | -0.000 |
| 0.000 | 0.000 | 0.000 | -0.000 | -1.722 | -0.000 |
| 0.000 | 0.000 | 0.000 | -0.000 | -0.000 | -1.722 |
| 363.570 | 363.570 | 363.570 | 0.000 | 0.000 | 0.000 |
| 363.570 | 363.570 | 363.570 | 0.000 | 0.000 | 0.000 |
| 363.570 | 363.570 | 363.570 | 0.000 | 0.000 | 0.000 |
| -0.000 | -0.000 | -0.000 | -1.722 | 0.000 | 0.000 |
| -0.000 | -0.000 | -0.000 | 0.000 | -1.722 | 0.000 |
| -0.000 | -0.000 | -0.000 | 0.000 | 0.000 | -1.722 |
| 363.567 | 363.567 | 363.567 | 0.000 | -0.000 | -0.000 |
| 363.567 | 363.567 | 363.567 | -0.000 | 0.000 | -0.000 |
| 363.567 | 363.567 | 363.567 | -0.000 | -0.000 | 0.000 |
| 0.000 | 0.000 | 0.000 | -1.116 | -0.000 | -0.000 |
| 0.000 | 0.000 | 0.000 | -0.000 | -1.116 | -0.000 |
| 0.000 | 0.000 | 0.000 | -0.000 | -0.000 | -1.116 |
| 363.573 | 363.573 | 363.573 | 0.000 | 0.000 | 0.000 |
| 363.573 | 363.573 | 363.573 | 0.000 | 0.000 | 0.000 |
| 363.573 | 363.573 | 363.573 | 0.000 | 0.000 | 0.000 |
| -0.000 | -0.000 | -0.000 | -1.116 | 0.000 | 0.000 |
| -0.000 | -0.000 | -0.000 | 0.000 | -1.116 | 0.000 |
| -0.000 | -0.000 | -0.000 | 0.000 | 0.000 | -1.116 |
| 363.540 | 363.540 | 363.540 | -0.000 | -0.000 | -0.000 |
| 363.540 | 363.540 | 363.540 | -0.000 | -0.000 | -0.000 |
| 363.540 | 363.540 | 363.540 | -0.000 | -0.000 | -0.000 |
| 0.001 | 0.001 | 0.001 | 0.000 | -0.000 | 0.000 |
| 0.005 | 0.005 | 0.005 | 0.000 | 0.000 | 0.000 |
| -0.000 | -0.000 | -0.000 | -0.000 | -0.000 | -0.000 |
| 363.600 | 363.599 | 363.599 | 0.000 | 0.000 | 0.000 |
| 363.599 | 363.600 | 363.599 | 0.000 | 0.000 | 0.000 |
| 363.599 | 363.599 | 363.600 | 0.000 | 0.000 | 0.000 |
| -5022.967 | -5220.202 | -4189.485 | 585.470 | -795.168 | 637.847 |
| -6535.345 | -7831.938 | -6678.896 | -914.295 | -225.928 | 939.987 |
| -5327.445 | -5235.764 | -4238.100 | 290.938 | 133.436 | 225.212 |
| 353.511 | 82.816 | 117.589 | -0.000 | -0.000 | 0.000 |
| 82.816 | 353.511 | 117.589 | 0.000 | 0.000 | 0.000 |
| 117.589 | 117.589 | 198.094 | -0.000 | -0.000 | -0.000 |
| 0.000 | -0.000 | -0.000 | 12.750 | -0.000 | -0.000 |
| -0.000 | 0.000 | -0.000 | 0.000 | 12.750 | 0.000 |
| 0.000 | 0.000 | 0.000 | 0.000 | 0.000 | -92.755 |
| 353.511 | 82.816 | 117.589 | 0.000 | -0.000 | 0.000 |
| 82.816 | 353.511 | 117.589 | 0.000 | 0.000 | -0.000 |
| 117.589 | 117.589 | 198.094 | 0.000 | -0.000 | -0.000 |
| -0.000 | 0.000 | 0.000 | 12.750 | 0.000 | -0.000 |
| 0.000 | -0.000 | 0.000 | 0.000 | 12.750 | -0.000 |
| -0.000 | -0.000 | -0.000 | 0.000 | 0.000 | -92.755 |
| 353.510 | 82.819 | 117.588 | -0.000 | 0.000 | 0.000 |
| 82.819 | 353.510 | 117.588 | -0.000 | -0.000 | 0.000 |
| 117.589 | 117.589 | 198.093 | -0.000 | 0.000 | 0.000 |
| 0.000 | -0.001 | -0.001 | 12.750 | 0.000 | 0.000 |
| -0.001 | 0.000 | -0.001 | 0.000 | 12.750 | 0.000 |
| 0.000 | 0.000 | 0.000 | 0.000 | -0.000 | -92.755 |
| 353.511 | 82.813 | 117.590 | 0.000 | 0.000 | -0.000 |
| 82.813 | 353.511 | 117.590 | 0.000 | -0.000 | -0.000 |
| 117.589 | 117.589 | 198.095 | 0.000 | -0.000 | -0.000 |
| -0.000 | 0.001 | 0.001 | 12.750 | -0.000 | 0.000 |
| 0.001 | -0.000 | 0.001 | 0.000 | 12.750 | -0.000 |
| -0.000 | -0.000 | -0.000 | -0.000 | 0.000 | -92.755 |
| 353.504 | 82.845 | 117.583 | -0.000 | 0.000 | 0.000 |
| 82.845 | 353.504 | 117.583 | -0.000 | -0.000 | 0.000 |
| 117.592 | 117.592 | 198.082 | -0.000 | 0.000 | -0.000 |
| 0.002 | -0.007 | -0.007 | 12.750 | 0.000 | 0.000 |
| -0.007 | 0.002 | -0.007 | -0.000 | 12.750 | 0.000 |
| 0.003 | 0.003 | 0.001 | -0.000 | 0.000 | -92.755 |
| 353.517 | 82.787 | 117.595 | 0.000 | 0.000 | -0.000 |
| 82.787 | 353.517 | 117.595 | 0.000 | 0.000 | -0.000 |
| 117.586 | 117.586 | 198.105 | 0.000 | -0.000 | -0.000 |
| -0.002 | 0.007 | 0.007 | 12.750 | 0.000 | -0.000 |
| 0.007 | -0.002 | 0.007 | -0.000 | 12.750 | -0.000 |
| -0.003 | -0.003 | -0.001 | -0.000 | 0.000 | -92.755 |
| 244.070 | 120.807 | 154.713 | -0.000 | -0.000 | -0.000 |
| 120.807 | 244.070 | 154.713 | 0.000 | -0.000 | 0.000 |
| 154.713 | 154.713 | 285.737 | -0.000 | -0.000 | 0.000 |
| 0.000 | 0.000 | 0.000 | 56.888 | -0.000 | 0.000 |
| 0.000 | 0.000 | 0.000 | -0.000 | 56.888 | 0.000 |
| -0.000 | -0.000 | 0.000 | -0.000 | 0.000 | -45.209 |
| 244.071 | 120.808 | 154.714 | 0.000 | 0.000 | -0.000 |
| 120.808 | 244.071 | 154.714 | 0.000 | 0.000 | 0.000 |
| 154.713 | 154.713 | 285.737 | 0.000 | 0.000 | 0.000 |
| -0.000 | -0.000 | -0.000 | 56.888 | 0.000 | -0.000 |
| -0.000 | -0.000 | -0.000 | 0.000 | 56.888 | 0.000 |
| 0.000 | 0.000 | -0.000 | 0.000 | 0.000 | -45.209 |
| 244.069 | 120.806 | 154.713 | -0.000 | -0.000 | 0.000 |
| 120.806 | 244.069 | 154.713 | -0.000 | -0.000 | 0.000 |
| 154.714 | 154.714 | 285.738 | -0.000 | -0.000 | 0.000 |
| 0.000 | 0.000 | 0.000 | 56.888 | -0.000 | 0.000 |
| 0.000 | 0.000 | 0.000 | -0.000 | 56.888 | -0.000 |
| -0.001 | -0.001 | 0.000 | 0.000 | -0.000 | -45.209 |
| 244.072 | 120.809 | 154.714 | 0.000 | -0.000 | -0.000 |
| 120.809 | 244.072 | 154.714 | 0.000 | 0.000 | 0.000 |
| 154.713 | 154.713 | 285.736 | -0.000 | 0.000 | 0.000 |
| -0.000 | -0.000 | -0.000 | 56.888 | 0.000 | 0.000 |
| -0.000 | -0.000 | -0.000 | 0.000 | 56.888 | -0.000 |
| 0.001 | 0.001 | -0.000 | 0.000 | 0.000 | -45.209 |
| 244.058 | 120.793 | 154.710 | -0.000 | -0.000 | -0.000 |
| 120.793 | 244.058 | 154.710 | -0.000 | -0.000 | 0.000 |
| 154.714 | 154.714 | 285.748 | -0.000 | -0.000 | -0.000 |
| 0.001 | 0.001 | 0.003 | 56.888 | -0.000 | 0.000 |
| 0.001 | 0.001 | 0.003 | -0.000 | 56.888 | 0.000 |
| -0.007 | -0.008 | 0.001 | -0.000 | -0.000 | -45.209 |
| 244.083 | 120.823 | 154.717 | 0.000 | 0.000 | 0.000 |
| 120.823 | 244.083 | 154.717 | 0.000 | 0.000 | -0.000 |
| 154.713 | 154.713 | 285.726 | 0.000 | 0.000 | 0.000 |
| -0.001 | -0.001 | -0.003 | 56.888 | 0.000 | 0.000 |
| -0.001 | -0.001 | -0.003 | 0.000 | 56.888 | 0.000 |
| 0.007 | 0.008 | -0.001 | 0.000 | -0.000 | -45.209 |
| 294.065 | 162.041 | 132.200 | -58.064 | 0.000 | 0.000 |
| 162.041 | 294.065 | 132.200 | 58.064 | 0.000 | 0.000 |
| 124.389 | 124.388 | 37.137 | 0.000 | 0.000 | 0.000 |
| -58.063 | 58.063 | 0.000 | -2.325 | 0.000 | 0.000 |
| 0.000 | -0.000 | 0.000 | 0.000 | -2.325 | -58.063 |
| 0.000 | -0.000 | 0.000 | -0.000 | -58.064 | 66.012 |
| 294.065 | 162.041 | 132.200 | -58.064 | -0.000 | -0.000 |
| 162.041 | 294.065 | 132.200 | 58.064 | -0.000 | 0.000 |
| 124.388 | 124.388 | 37.136 | -0.000 | -0.000 | -0.000 |
| -58.064 | 58.064 | -0.000 | -2.325 | -0.000 | -0.000 |
| -0.000 | 0.000 | -0.000 | -0.000 | -2.325 | -58.064 |
| -0.000 | 0.000 | -0.000 | 0.000 | -58.064 | 66.012 |
| 294.067 | 162.042 | 132.202 | -58.064 | 0.000 | 0.000 |
| 162.042 | 294.067 | 132.202 | 58.063 | 0.000 | -0.000 |
| 124.390 | 124.390 | 37.142 | -0.000 | -0.000 | 0.000 |
| -58.063 | 58.064 | 0.001 | -2.325 | 0.000 | 0.000 |
| 0.000 | 0.000 | 0.001 | 0.000 | -2.325 | -58.064 |
| 0.000 | 0.000 | 0.000 | 0.000 | -58.064 | 66.012 |
| 294.063 | 162.040 | 132.199 | -58.064 | -0.000 | -0.000 |
| 162.040 | 294.063 | 132.199 | 58.064 | -0.000 | -0.000 |
| 124.386 | 124.386 | 37.131 | -0.000 | -0.000 | -0.000 |
| -58.064 | 58.063 | -0.001 | -2.325 | -0.000 | -0.000 |
| -0.000 | -0.000 | -0.001 | -0.000 | -2.325 | -58.064 |
| -0.000 | -0.000 | -0.000 | -0.000 | -58.064 | 66.012 |
| 294.085 | 162.051 | 132.214 | -58.064 | 0.000 | 0.000 |
| 162.051 | 294.084 | 132.214 | 58.063 | -0.000 | 0.000 |
| 124.408 | 124.408 | 37.188 | 0.000 | 0.000 | 0.000 |
| -58.062 | 58.068 | 0.009 | -2.326 | -0.000 | 0.000 |
| 0.005 | 0.002 | 0.009 | 0.002 | -2.325 | -58.064 |
| 0.002 | 0.003 | 0.002 | 0.000 | -58.064 | 66.012 |
| 294.045 | 162.031 | 132.187 | -58.063 | -0.000 | -0.000 |
| 162.031 | 294.046 | 132.187 | 58.064 | -0.000 | -0.000 |
| 124.369 | 124.369 | 37.085 | -0.000 | -0.000 | -0.000 |
| -58.065 | 58.059 | -0.009 | -2.323 | -0.000 | -0.000 |
| -0.005 | -0.002 | -0.009 | -0.002 | -2.325 | -58.064 |
| -0.002 | -0.003 | -0.002 | -0.000 | -58.064 | 66.012 |
| 675.177 | 239.715 | 239.715 | 0.000 | 0.000 | 0.000 |
| 239.715 | 675.177 | 239.715 | 0.000 | -0.000 | 0.000 |
| 239.715 | 239.715 | 675.177 | 0.000 | -0.000 | -0.000 |
| -0.000 | -0.000 | -0.000 | 62.436 | 0.000 | 0.000 |
| -0.000 | -0.000 | -0.000 | 0.000 | 62.436 | 0.000 |
| -0.000 | -0.000 | -0.000 | 0.000 | 0.000 | 62.436 |
| 675.177 | 239.715 | 239.715 | -0.000 | -0.000 | 0.000 |
| 239.715 | 675.177 | 239.715 | -0.000 | -0.000 | -0.000 |
| 239.715 | 239.715 | 675.177 | -0.000 | -0.000 | -0.000 |
| 0.000 | 0.000 | 0.000 | 62.436 | -0.000 | -0.000 |
| 0.000 | 0.000 | 0.000 | -0.000 | 62.436 | 0.000 |
| 0.000 | 0.000 | 0.000 | -0.000 | -0.000 | 62.436 |
| 675.177 | 239.716 | 239.716 | 0.000 | -0.000 | 0.000 |
| 239.716 | 675.177 | 239.716 | 0.000 | 0.000 | 0.000 |
| 239.716 | 239.716 | 675.177 | 0.000 | 0.000 | -0.000 |
| -0.000 | -0.000 | -0.000 | 62.436 | 0.000 | 0.000 |
| -0.000 | -0.000 | -0.000 | 0.000 | 62.436 | 0.000 |
| -0.000 | -0.000 | -0.000 | 0.000 | 0.000 | 62.436 |
| 675.177 | 239.715 | 239.715 | -0.000 | -0.000 | -0.000 |
| 239.715 | 675.177 | 239.715 | -0.000 | -0.000 | -0.000 |
| 239.715 | 239.715 | 675.177 | -0.000 | -0.000 | -0.000 |
| 0.000 | 0.000 | 0.000 | 62.436 | -0.000 | -0.000 |
| 0.000 | 0.000 | 0.000 | -0.000 | 62.436 | -0.000 |
| 0.000 | 0.000 | 0.000 | -0.000 | -0.000 | 62.436 |
| 675.179 | 239.722 | 239.722 | 0.000 | 0.000 | 0.000 |
| 239.722 | 675.179 | 239.722 | 0.000 | 0.000 | 0.000 |
| 239.722 | 239.722 | 675.179 | 0.000 | 0.000 | 0.000 |
| -0.002 | -0.003 | -0.003 | 62.436 | 0.000 | 0.000 |
| -0.003 | -0.002 | -0.003 | 0.000 | 62.436 | 0.000 |
| -0.003 | -0.003 | -0.002 | 0.000 | 0.000 | 62.436 |
| 675.175 | 239.708 | 239.708 | -0.000 | -0.000 | -0.000 |
| 239.708 | 675.175 | 239.708 | -0.000 | -0.000 | -0.000 |
| 239.708 | 239.708 | 675.175 | -0.000 | -0.000 | -0.000 |
| 0.002 | 0.003 | 0.003 | 62.436 | -0.000 | -0.000 |
| 0.003 | 0.002 | 0.003 | -0.000 | 62.436 | -0.000 |
| 0.003 | 0.003 | 0.002 | -0.000 | -0.000 | 62.436 |
| 630.130 | 800.172 | 191.401 | 59.698 | 299.903 | -226.378 |
| 587.412 | 848.536 | 198.396 | 73.038 | 281.772 | -224.898 |
| 588.030 | 808.431 | 249.437 | 66.027 | 286.440 | -225.461 |
| -12.941 | 111.965 | -258.721 | -151.727 | 16.665 | -186.959 |
| 5.455 | 4.661 | 2.897 | -1.549 | 42.654 | 0.322 |
| 200.727 | 411.265 | -166.239 | 69.610 | 124.393 | -209.450 |
| -44.726 | -284.576 | 300.104 | -70.381 | -89.315 | 247.625 |
| -333.504 | -500.435 | 69.853 | -56.420 | -282.490 | 225.044 |
| -319.803 | -370.095 | 474.126 | -98.750 | -130.253 | 224.872 |
| -211.148 | -415.639 | 170.691 | -33.847 | -111.011 | 251.951 |
| 8.165 | -122.817 | 260.256 | 183.450 | 12.465 | 187.087 |
| -222.547 | -412.724 | 165.862 | -68.013 | -90.266 | 288.975 |
| 205.950 | 173.654 | 121.526 | 9.836 | 29.064 | -27.250 |
| 156.443 | 207.058 | 150.065 | 18.980 | 4.157 | -4.114 |
| 138.711 | 146.544 | 208.334 | 8.170 | 2.897 | -4.020 |
| 47.522 | 63.864 | 10.548 | 40.378 | 24.386 | -20.954 |
| 19.515 | 41.797 | -14.125 | 2.716 | 47.256 | -24.245 |
| 37.881 | 67.274 | 7.716 | 5.103 | 44.405 | 14.434 |
| 118.749 | 69.941 | 154.619 | -16.593 | -0.936 | 23.464 |
| 124.428 | 160.216 | 153.007 | 30.651 | -10.458 | 18.411 |
| 138.711 | 146.544 | 208.335 | 8.170 | 2.897 | -4.020 |
| 4.171 | 0.558 | 8.170 | 41.332 | -1.549 | 2.786 |
| -46.563 | -50.520 | 29.223 | -15.330 | 23.987 | 22.476 |
| -8.017 | -16.012 | 24.693 | 16.426 | 11.765 | 54.642 |
| 176.929 | 132.156 | 124.626 | -0.319 | 18.849 | -2.259 |
| 123.640 | 177.799 | 138.751 | 10.418 | -1.327 | -2.688 |
| 126.683 | 136.014 | 192.831 | 3.668 | -0.226 | -3.499 |
| 5.550 | 2.795 | 4.625 | 35.816 | -1.506 | -1.011 |
| -0.252 | -0.125 | -1.982 | -4.830 | 38.348 | -1.716 |
| -3.820 | 5.065 | 1.336 | -0.248 | 18.725 | 35.364 |
| 160.256 | 117.527 | 133.562 | -4.606 | 13.912 | 0.506 |
| 156.442 | 207.059 | 150.065 | 18.982 | 4.157 | -4.115 |
| 138.710 | 146.543 | 208.338 | 8.171 | 2.898 | -4.020 |
| -7.550 | -11.344 | 8.457 | 34.325 | -6.664 | 3.829 |
| -1.373 | -2.878 | 4.703 | -2.676 | 35.885 | 1.939 |
| -9.061 | -3.273 | -2.472 | 2.282 | 19.433 | 43.803 |
| 204.073 | 150.124 | 147.381 | 0.247 | 4.651 | 0.645 |
| 148.823 | 213.865 | 139.123 | 8.968 | 13.703 | 4.722 |
| 148.793 | 139.127 | 213.599 | -0.105 | -13.958 | 0.501 |
| 0.190 | -0.294 | -0.110 | 37.413 | 0.433 | 13.605 |
| -0.123 | 13.545 | -13.979 | 0.439 | 47.059 | 0.250 |
| 0.514 | 4.691 | -2.998 | 13.713 | 11.859 | 47.078 |
| 204.122 | 150.233 | 147.431 | 0.236 | 4.659 | 0.585 |
| 148.872 | 213.974 | 139.173 | 8.957 | 13.711 | 4.663 |
| 148.842 | 139.235 | 213.648 | -0.115 | -13.950 | 0.441 |
| 0.215 | -0.239 | -0.085 | 37.407 | 0.437 | 13.575 |
| -0.074 | 13.655 | -13.929 | 0.427 | 47.068 | 0.190 |
| 0.514 | 4.691 | -2.998 | 13.713 | 11.859 | 47.078 |
| 204.095 | 150.172 | 147.403 | 0.242 | 4.654 | 0.618 |
| 148.845 | 213.914 | 139.145 | 8.962 | 13.707 | 4.695 |
| 148.815 | 139.175 | 213.621 | -0.109 | -13.955 | 0.474 |
| 0.188 | -0.298 | -0.112 | 37.413 | 0.432 | 13.608 |
| -0.101 | 13.595 | -13.956 | 0.434 | 47.063 | 0.223 |
| 0.514 | 4.691 | -2.998 | 13.713 | 11.859 | 47.078 |
| 204.099 | 150.183 | 147.408 | 0.241 | 4.655 | 0.612 |
| 148.847 | 213.919 | 139.148 | 8.962 | 13.707 | 4.693 |
| 148.820 | 139.186 | 213.625 | -0.110 | -13.953 | 0.468 |
| 0.193 | -0.289 | -0.108 | 37.413 | 0.434 | 13.602 |
| -0.096 | 13.605 | -13.952 | 0.433 | 47.064 | 0.217 |
| 0.514 | 4.691 | -2.998 | 13.713 | 11.859 | 47.078 |
| 204.101 | 150.175 | 147.404 | 0.241 | 4.655 | 0.615 |
| 148.846 | 213.920 | 139.147 | 8.962 | 13.707 | 4.691 |
| 148.817 | 139.179 | 213.628 | -0.110 | -13.955 | 0.471 |
| 0.191 | -0.293 | -0.110 | 37.413 | 0.433 | 13.605 |
| -0.098 | 13.600 | -13.952 | 0.433 | 47.063 | 0.220 |
| 0.514 | 4.692 | -2.997 | 13.712 | 11.859 | 47.077 |
| 204.094 | 150.180 | 147.408 | 0.242 | 4.655 | 0.615 |
| 148.849 | 213.918 | 139.149 | 8.962 | 13.708 | 4.694 |
| 148.818 | 139.183 | 213.619 | -0.110 | -13.953 | 0.471 |
| 0.190 | -0.295 | -0.110 | 37.413 | 0.433 | 13.606 |
| -0.100 | 13.599 | -13.956 | 0.433 | 47.064 | 0.220 |
| 0.514 | 4.691 | -2.998 | 13.713 | 11.859 | 47.078 |
| 166.821 | 98.598 | 123.307 | 0.000 | -0.000 | -0.000 |
| 100.256 | 179.140 | 135.111 | 0.000 | 0.000 | -0.000 |
| 113.438 | 134.996 | 354.659 | 0.000 | -0.000 | -0.000 |
| 0.000 | 0.001 | 0.001 | -435.285 | 0.000 | -0.000 |
| 0.000 | 0.000 | 0.000 | 0.000 | -27.550 | -0.000 |
| 0.000 | 0.000 | 0.000 | 0.000 | 0.000 | 30.325 |
| 167.345 | 99.314 | 115.466 | -0.000 | -0.000 | 0.000 |
| 100.256 | 179.140 | 135.111 | 0.000 | -0.000 | 0.000 |
| 113.438 | 134.996 | 354.660 | -0.000 | -0.000 | -0.000 |
| -0.000 | -0.001 | -0.001 | -435.285 | -0.000 | 0.000 |
| -0.000 | -0.000 | -0.000 | 0.000 | -27.550 | 0.000 |
| -0.000 | -0.000 | -0.000 | 0.000 | -0.000 | 30.325 |
| 167.345 | 99.314 | 115.466 | 0.000 | -0.000 | -0.000 |
| 99.541 | 178.164 | 145.807 | -0.000 | -0.000 | 0.000 |
| 113.438 | 134.996 | 354.656 | -0.000 | -0.000 | 0.000 |
| 0.000 | 0.000 | 0.000 | -12.824 | -0.000 | -0.000 |
| 24270850.812 | 8307988.879 | -60416361.208 | 0.000 | -86443587.139 | -0.000 |
| 0.000 | 0.000 | 0.000 | -0.000 | -0.000 | 30.325 |
| 167.346 | 99.314 | 115.467 | -0.000 | 0.000 | 0.000 |
| 100.256 | 179.140 | 135.110 | 0.000 | 0.000 | 0.000 |
| 113.438 | 134.996 | 354.663 | -0.000 | 0.000 | 0.000 |
| -0.000 | -0.000 | -0.000 | -12.824 | -0.000 | 0.000 |
| -24270850.812 | -8307988.879 | 60416361.208 | -0.000 | -86443587.139 | 0.000 |
| -0.000 | -0.000 | -0.000 | -0.000 | 0.000 | 30.325 |
| 166.815 | 98.599 | 123.307 | -0.000 | -0.000 | -0.000 |
| 99.542 | 178.164 | 145.806 | 0.000 | -0.000 | -0.000 |
| 113.441 | 134.996 | 354.624 | 0.000 | -0.000 | -0.000 |
| 120244.233 | 607902.050 | -779536.706 | -5539783.088 | 0.000 | -0.000 |
| 2427122.612 | 830813.455 | -6041659.357 | -0.000 | -8644314.715 | -0.000 |
| 0.000 | 0.000 | 0.001 | -0.000 | 0.000 | 30.325 |
| 167.351 | 99.313 | 115.467 | -0.000 | -0.000 | 0.000 |
| 100.255 | 179.140 | 135.109 | -0.000 | -0.000 | 0.000 |
| 113.435 | 134.996 | 354.696 | -0.000 | 0.000 | 0.000 |
| -120244.233 | -607902.050 | 779536.706 | -5539783.088 | -0.000 | -0.000 |
| -2427122.612 | -830813.455 | 6041659.357 | -0.000 | -8644314.715 | 0.000 |
| -0.000 | -0.000 | -0.001 | -0.000 | 0.000 | 30.325 |
| 204.968 | 138.235 | 138.235 | 0.000 | -0.000 | -0.000 |
| 138.235 | 204.968 | 138.235 | -0.000 | -0.000 | 0.000 |
| 138.235 | 138.235 | 204.968 | -0.000 | -0.000 | 0.000 |
| 2.346 | 2.346 | 2.346 | 27.384 | -0.000 | -0.000 |
| 2.346 | 2.346 | 2.346 | -0.000 | 27.384 | -0.000 |
| 2.346 | 2.346 | 2.346 | -0.000 | -0.000 | 27.384 |
| 200.376 | 133.587 | 133.587 | 0.000 | 0.000 | 0.000 |
| 133.587 | 200.376 | 133.587 | 0.000 | 0.000 | 0.000 |
| 133.587 | 133.587 | 200.376 | 0.000 | 0.000 | -0.000 |
| -2.346 | -2.346 | -2.346 | 27.384 | 0.000 | 0.000 |
| -2.346 | -2.346 | -2.346 | 0.000 | 27.384 | 0.000 |
| -2.346 | -2.346 | -2.346 | 0.000 | 0.000 | 27.384 |
| 201.567 | 135.574 | 135.574 | -0.000 | -0.000 | -0.000 |
| 135.574 | 201.567 | 135.574 | -0.000 | -0.000 | -0.000 |
| 135.574 | 135.574 | 201.567 | 0.000 | -0.000 | -0.000 |
| 0.000 | 0.000 | 0.000 | 29.874 | -0.000 | -0.000 |
| 0.000 | 0.000 | 0.000 | -0.000 | 29.874 | -0.000 |
| 0.000 | 0.000 | 0.000 | 0.000 | -0.000 | 29.874 |
| 205.950 | 137.375 | 137.375 | 0.000 | 0.000 | 0.000 |
| 137.375 | 205.950 | 137.375 | 0.000 | 0.000 | -0.000 |
| 137.375 | 137.375 | 205.950 | 0.000 | 0.000 | 0.000 |
| -0.000 | -0.000 | -0.000 | 29.874 | 0.000 | 0.000 |
| -0.000 | -0.000 | -0.000 | 0.000 | 29.874 | 0.000 |
| -0.000 | -0.000 | -0.000 | 0.000 | 0.000 | 29.874 |
| 205.961 | 137.379 | 137.379 | -0.000 | -0.000 | -0.000 |
| 137.379 | 205.961 | 137.379 | -0.000 | -0.000 | -0.000 |
| 137.379 | 137.379 | 205.961 | -0.000 | -0.000 | -0.000 |
| 0.000 | 0.000 | 0.000 | 29.874 | -0.000 | -0.000 |
| 0.000 | 0.000 | 0.000 | -0.000 | 29.874 | -0.000 |
| 0.000 | 0.000 | 0.000 | -0.000 | -0.000 | 29.874 |
| 198.364 | 133.913 | 133.913 | 0.000 | 0.000 | -0.000 |
| 133.913 | 198.364 | 133.913 | 0.000 | 0.000 | 0.000 |
| 133.913 | 133.913 | 198.364 | 0.000 | 0.000 | 0.000 |
| -0.000 | -0.000 | -0.000 | 29.874 | 0.000 | 0.000 |
| -0.000 | -0.000 | -0.000 | 0.000 | 29.874 | 0.000 |
| -0.000 | -0.000 | -0.000 | 0.000 | 0.000 | 29.874 |
| -938.768 | -154.460 | -154.460 | -0.002 | -0.001 | -0.000 |
| -369.401 | -506.554 | -369.401 | -0.000 | -0.000 | -0.000 |
| -154.460 | -154.460 | -938.768 | -0.002 | -0.001 | -0.000 |
| -1014.925 | -1014.925 | -1014.925 | 7.798 | -0.000 | -0.000 |
| -1014.925 | -1014.925 | -1014.925 | -0.000 | 7.798 | -0.000 |
| -1014.925 | -1014.925 | -1014.925 | -0.000 | -0.000 | 7.798 |
| 607.736 | 678.290 | 678.290 | 0.000 | 0.000 | 0.000 |
| 678.307 | 607.754 | 678.307 | 0.000 | 0.000 | 0.000 |
| 678.290 | 678.290 | 607.736 | 0.000 | 0.000 | 0.000 |
| 1014.925 | 1014.925 | 1014.925 | 7.798 | 0.000 | 0.000 |
| 1014.925 | 1014.925 | 1014.925 | 0.000 | 7.798 | 0.000 |
| 1014.925 | 1014.925 | 1014.925 | 0.000 | 0.000 | 7.798 |
| 19.546 | 90.550 | 90.550 | -0.000 | -0.000 | -0.000 |
| 90.550 | 19.546 | 90.550 | -0.000 | -0.000 | -0.000 |
| 90.550 | 90.550 | 19.546 | -0.000 | -0.000 | -0.000 |
| -101.809 | -101.809 | -101.809 | 7.752 | -0.000 | -0.000 |
| -101.809 | -101.809 | -101.809 | -0.000 | 7.752 | -0.000 |
| -101.809 | -101.809 | -101.809 | -0.000 | -0.000 | 7.752 |
| 173.318 | 233.105 | 233.105 | 0.000 | 0.000 | 0.000 |
| 233.105 | 173.318 | 233.105 | 0.000 | 0.000 | 0.000 |
| 233.105 | 233.105 | 173.318 | 0.000 | 0.000 | 0.000 |
| 101.809 | 101.809 | 101.809 | 7.752 | 0.000 | 0.000 |
| 101.809 | 101.809 | 101.809 | 0.000 | 7.752 | 0.000 |
| 101.809 | 101.809 | 101.809 | 0.000 | 0.000 | 7.752 |
| -1961201.503 | -1841718.375 | -1746224.766 | 24300.062 | -2897.954 | 46648.095 |
| -1866038.234 | -2026785.309 | -1744808.550 | -32651.081 | -18772.256 | 35662.444 |
| -1774698.339 | -1830120.556 | -1922062.904 | 37926.753 | -67018.496 | 53804.452 |
| -1203753.891 | -2126329.642 | -2125607.968 | -32702.844 | -27207.414 | -18453.529 |
| -2165097.374 | -1273615.532 | -2111702.186 | 35705.559 | -151860.239 | 8325.590 |
| -2050552.423 | -2196666.351 | -1352274.847 | -49624.974 | 22446.078 | -106459.910 |
| 1494460.692 | 2018056.277 | 2040184.924 | 1143.978 | 17783.767 | 33021.171 |
| 2032707.871 | 1503072.944 | 2029128.631 | -43286.759 | 42322.014 | -40065.014 |
| 1961558.157 | 2129062.143 | 1519626.566 | 10058.609 | 35616.611 | 21239.402 |
| 1238686.997 | 2082888.656 | 2173793.703 | -70085.591 | 9484.736 | 19191.017 |
| 2190819.393 | 1276918.800 | 2153207.732 | -94544.893 | -58455.357 | -86179.777 |
| 2075522.524 | 2168884.910 | 1339998.484 | -1118.483 | -16351.734 | -120786.809 |
| 178.569 | 109.916 | 127.079 | -0.000 | 0.000 | -0.000 |
| 110.272 | 192.449 | 154.927 | -0.000 | 0.000 | -0.000 |
| 116.947 | 137.610 | 495.026 | -0.000 | 0.000 | -0.000 |
| 1.089 | 1.406 | -22.993 | -399.882 | 0.000 | -0.000 |
| -0.000 | -0.000 | -0.000 | -0.000 | -25.045 | -0.000 |
| -0.000 | 0.000 | -0.000 | -0.000 | 0.000 | 32.701 |
| 178.249 | 109.503 | 133.837 | 0.000 | -0.000 | -0.000 |
| 110.181 | 192.331 | 156.853 | 0.000 | -0.000 | 0.000 |
| 116.947 | 137.610 | 495.026 | 0.000 | -0.000 | -0.000 |
| -1.089 | -1.406 | 22.993 | -399.882 | -0.000 | -0.000 |
| 0.000 | 0.000 | 0.000 | 0.000 | -25.045 | 0.000 |
| -0.000 | -0.000 | 0.000 | 0.000 | -0.000 | 32.701 |
| 178.298 | 109.567 | 132.777 | -0.000 | 0.000 | -0.000 |
| 110.581 | 192.848 | 148.406 | -0.000 | 0.000 | -0.000 |
| 122.746 | 145.098 | 372.741 | -0.000 | 0.000 | -0.000 |
| -0.000 | -0.000 | -0.000 | -9.499 | 0.000 | 0.000 |
| 27034427.142 | 12066880.943 | -56722711.794 | -0.000 | -85184228.305 | -0.000 |
| -0.000 | -0.000 | -0.000 | -0.000 | 0.000 | 32.701 |
| 178.291 | 109.556 | 132.970 | 0.000 | -0.000 | -0.000 |
| 110.581 | 192.848 | 148.408 | 0.000 | -0.000 | 0.000 |
| 122.737 | 145.087 | 372.927 | 0.000 | -0.000 | -0.000 |
| 0.000 | 0.000 | 0.000 | -9.499 | -0.000 | -0.000 |
| -27034427.142 | -12066880.943 | 56722711.794 | 0.000 | -85184228.305 | 0.000 |
| 0.000 | 0.000 | 0.000 | 0.000 | -0.000 | 32.701 |
| 178.282 | 109.559 | 132.860 | -0.000 | 0.000 | -0.000 |
| 110.578 | 192.845 | 148.398 | -0.000 | 0.000 | -0.000 |
| 122.740 | 145.089 | 372.856 | -0.000 | 0.000 | 0.000 |
| 195001.161 | 733242.124 | -603212.845 | -5024804.833 | 0.000 | -0.000 |
| 2703482.406 | 1206705.800 | -5672293.189 | -0.000 | -8518383.667 | 0.000 |
| 0.000 | 0.000 | -0.010 | -0.000 | 0.000 | 32.701 |
| 178.306 | 109.564 | 132.887 | 0.000 | -0.000 | 0.000 |
| 110.584 | 192.851 | 148.416 | 0.000 | -0.000 | -0.000 |
| 122.743 | 145.097 | 372.812 | 0.000 | -0.000 | 0.000 |
| -195001.161 | -733242.124 | 603212.845 | -5024804.833 | -0.000 | -0.000 |
| -2703482.406 | -1206705.800 | 5672293.189 | 0.000 | -8518383.667 | 0.000 |
| -0.000 | -0.000 | 0.010 | 0.000 | -0.000 | 32.701 |
| 180.245 | 134.869 | 103.121 | 0.000 | -0.000 | 0.000 |
| 130.903 | 234.476 | 134.998 | 0.000 | -0.000 | -0.000 |
| 91.909 | 135.611 | 209.564 | 0.000 | -0.000 | 0.000 |
| -2.222 | -0.658 | -2.141 | 24.393 | 0.000 | 0.000 |
| -4.256 | -1.259 | -4.100 | 0.000 | -26.763 | -0.000 |
| 0.000 | 0.000 | 0.000 | 0.000 | 0.000 | 28.913 |
| 177.335 | 134.008 | 100.316 | -0.000 | 0.000 | -0.000 |
| 133.038 | 235.108 | 137.055 | -0.000 | 0.000 | -0.000 |
| 103.070 | 138.914 | 220.317 | -0.000 | -0.000 | 0.000 |
| 2.222 | 0.658 | 2.141 | 24.393 | 0.000 | -0.000 |
| 4.256 | 1.259 | 4.100 | -0.000 | -26.763 | -0.000 |
| -0.000 | -0.000 | -0.000 | -0.000 | 0.000 | 28.913 |
| 172.654 | 132.623 | 95.806 | 0.000 | -0.000 | 0.000 |
| 130.903 | 234.476 | 134.998 | 0.000 | -0.000 | -0.000 |
| 95.740 | 136.745 | 213.256 | 0.000 | -0.000 | 0.000 |
| -0.214 | -0.063 | -0.206 | 24.994 | -0.000 | 0.000 |
| -0.425 | -0.126 | -0.410 | 0.000 | -26.763 | 0.000 |
| 0.000 | 0.000 | 0.000 | 0.000 | -0.000 | 28.913 |
| 180.245 | 134.869 | 103.120 | -0.000 | 0.000 | 0.000 |
| 129.208 | 233.975 | 133.365 | -0.000 | 0.000 | -0.000 |
| 96.590 | 136.996 | 214.073 | 0.000 | 0.000 | -0.000 |
| 0.214 | 0.063 | 0.206 | 24.994 | 0.000 | -0.000 |
| 0.425 | 0.126 | 0.410 | -0.000 | -26.763 | -0.000 |
| -0.000 | -0.000 | -0.000 | -0.000 | 0.000 | 28.913 |
| 173.037 | 132.738 | 96.179 | 0.000 | -0.000 | 0.000 |
| 128.741 | 233.837 | 132.916 | 0.000 | 0.000 | 0.000 |
| 103.073 | 138.917 | 220.327 | -0.000 | 0.000 | -0.000 |
| -0.021 | -0.005 | -0.016 | 25.001 | -0.000 | 0.000 |
| 0.001 | 0.000 | 0.001 | 0.000 | -26.763 | 0.000 |
| 3655010.640 | -123519.944 | 1664362.818 | -0.000 | 0.000 | -4532772.956 |
| 180.246 | 134.868 | 103.118 | -0.000 | 0.000 | 0.000 |
| 128.824 | 233.861 | 132.994 | -0.000 | -0.000 | -0.000 |
| 96.203 | 136.879 | 213.693 | -0.000 | 0.000 | -0.000 |
| 0.021 | 0.005 | 0.016 | 25.001 | 0.000 | -0.000 |
| -0.001 | -0.000 | -0.001 | -0.000 | -26.763 | 0.000 |
| -3655010.640 | 123519.944 | -1664362.818 | 0.000 | 0.000 | -4532772.956 |
| 216.714 | 155.526 | 175.240 | -0.000 | -0.000 | -0.000 |
| 189.089 | 183.151 | 175.240 | 0.000 | 0.000 | -0.000 |
| 175.240 | 175.240 | 492.539 | 0.000 | 0.000 | -0.000 |
| 0.000 | 0.000 | 0.000 | 73.263 | -0.000 | -0.000 |
| 0.000 | 0.000 | 0.000 | -0.000 | 73.263 | -0.000 |
| 0.000 | 0.000 | 0.000 | -0.000 | -0.000 | -10.637 |
| 183.151 | 189.089 | 175.240 | 0.000 | 0.000 | 0.000 |
| 155.526 | 216.714 | 175.240 | 0.000 | 0.000 | 0.000 |
| 175.240 | 175.240 | 492.538 | 0.000 | 0.000 | 0.000 |
| -0.000 | -0.000 | -0.000 | 73.263 | 0.000 | 0.000 |
| -0.000 | -0.000 | -0.000 | 0.000 | 73.263 | 0.000 |
| -0.000 | -0.000 | -0.000 | 0.000 | 0.000 | -10.637 |
| 183.151 | 189.089 | 175.240 | -0.000 | -0.000 | -0.000 |
| 155.526 | 216.714 | 175.240 | 0.000 | -0.000 | -0.000 |
| 175.240 | 175.240 | 492.539 | 0.000 | 0.000 | -0.000 |
| 0.000 | 0.001 | 0.001 | 73.263 | -0.000 | -0.000 |
| 0.001 | 0.000 | 0.001 | -0.000 | 73.263 | 0.000 |
| 0.000 | 0.000 | 0.000 | 0.000 | -0.000 | 30.594 |
| 216.714 | 155.526 | 175.239 | 0.000 | 0.000 | 0.000 |
| 189.090 | 183.150 | 175.239 | 0.000 | 0.000 | 0.000 |
| 175.239 | 175.239 | 492.538 | 0.000 | 0.000 | 0.000 |
| -0.000 | -0.001 | -0.001 | 73.263 | 0.000 | 0.000 |
| -0.001 | -0.000 | -0.001 | 0.000 | 73.263 | 0.000 |
| -0.000 | -0.000 | -0.000 | -0.000 | 0.000 | 30.594 |
| 175.518 | 196.723 | 175.245 | -0.000 | -0.000 | -0.000 |
| 155.522 | 216.715 | 175.243 | -0.000 | -0.000 | -0.000 |
| 175.246 | 175.246 | 492.546 | -0.000 | -0.000 | -0.000 |
| 0.000 | 0.005 | 0.005 | 73.263 | -0.000 | -0.000 |
| 0.004 | 0.001 | 0.005 | -0.000 | 73.263 | -0.000 |
| 0.003 | 0.002 | 0.003 | -0.000 | 0.000 | -2.969 |
| 216.713 | 155.531 | 175.237 | 0.000 | 0.000 | 0.000 |
| 189.100 | 183.141 | 175.236 | 0.000 | -0.000 | 0.000 |
| 175.234 | 175.234 | 492.531 | -0.000 | 0.000 | 0.000 |
| -0.000 | -0.005 | -0.005 | 73.263 | 0.000 | 0.000 |
| -0.004 | -0.001 | -0.005 | 0.000 | 73.263 | 0.000 |
| -0.003 | -0.002 | -0.003 | 0.000 | -0.000 | -2.969 |
| -49.202 | 330.500 | 104.965 | 10.916 | 0.000 | 0.000 |
| 183.729 | 97.566 | 104.963 | -10.916 | -0.000 | -0.000 |
| 104.965 | 104.965 | 176.125 | -0.000 | -0.000 | -0.000 |
| 10.916 | -10.916 | 0.000 | -10.732 | 0.000 | 0.000 |
| 0.000 | 0.000 | 0.000 | -0.000 | -10.732 | 10.916 |
| 0.000 | 0.000 | 0.000 | -0.000 | 10.916 | 12.471 |
| 97.566 | 183.728 | 104.963 | 10.916 | 0.000 | -0.000 |
| 128.176 | 153.118 | 104.963 | -10.916 | 0.000 | -0.000 |
| 104.965 | 104.965 | 176.125 | -0.000 | 0.000 | 0.000 |
| 10.916 | -10.916 | -0.000 | -10.732 | -0.000 | -0.000 |
| -0.000 | -0.000 | -0.000 | 0.000 | -10.732 | 10.916 |
| -0.000 | -0.000 | -0.000 | 0.000 | 10.916 | 12.471 |
| 97.569 | 183.730 | 104.965 | 10.916 | -0.000 | -0.000 |
| 128.176 | 153.120 | 104.963 | -10.916 | 0.000 | 0.000 |
| 104.965 | 104.965 | 176.126 | -0.000 | -0.000 | 0.000 |
| 10.916 | -10.916 | 0.000 | -10.732 | 0.000 | -0.000 |
| 0.000 | 0.000 | 0.000 | -0.000 | -10.732 | 10.916 |
| 0.000 | 0.000 | 0.000 | -0.000 | 10.916 | 12.471 |
| 153.117 | 128.176 | 104.962 | 10.916 | 0.000 | 0.000 |
| 183.729 | 97.560 | 104.960 | -10.916 | -0.000 | -0.000 |
| 104.964 | 104.964 | 176.124 | -0.000 | 0.000 | -0.000 |
| 10.916 | -10.917 | -0.000 | -10.732 | -0.000 | 0.000 |
| -0.000 | -0.000 | -0.000 | 0.000 | -10.732 | 10.916 |
| -0.000 | -0.000 | -0.000 | 0.000 | 10.916 | 12.471 |
| -2387709.584 | 3002738.130 | -1482715.782 | 929658.057 | -309953.815 | -461396.898 |
| 8184807.162 | -7431880.404 | -2344178.231 | -2786167.059 | -0.000 | 0.000 |
| 104.970 | 104.970 | 176.133 | -0.000 | 0.000 | -0.000 |
| 10.915 | -10.908 | 0.004 | -10.732 | -0.000 | -0.000 |
| 0.008 | -0.001 | 0.004 | -0.001 | -10.732 | 10.916 |
| 0.004 | 0.002 | 0.003 | -0.000 | 10.916 | 5.527 |
| -8184515.080 | 7432135.987 | 2344386.607 | 2786142.441 | 0.000 | -0.000 |
| 2408789.659 | -3045650.928 | 1536894.170 | -973785.451 | 386643.164 | 499628.910 |
| 104.959 | 104.959 | 176.117 | 0.000 | -0.000 | 0.000 |
| 10.915 | -10.921 | -0.004 | -10.733 | -0.000 | 0.000 |
| -0.008 | 0.001 | -0.004 | 0.001 | -10.732 | 10.916 |
| -0.004 | -0.002 | -0.003 | 0.000 | 10.916 | 5.527 |
| 22.448 | 143.868 | 143.868 | -0.000 | -0.000 | 0.000 |
| 143.868 | 22.448 | 143.868 | -0.000 | -0.000 | 0.000 |
| 143.868 | 143.868 | 22.448 | -0.000 | 0.000 | 0.000 |
| -0.000 | -0.000 | -0.000 | -146.806 | -0.000 | 0.000 |
| -0.000 | -0.000 | -0.000 | -0.000 | -146.806 | 0.000 |
| -0.000 | -0.000 | -0.000 | 0.000 | 0.000 | -146.806 |
| 22.449 | 143.869 | 143.869 | 0.000 | 0.000 | -0.000 |
| 143.869 | 22.449 | 143.869 | 0.000 | 0.000 | -0.000 |
| 143.869 | 143.869 | 22.449 | 0.000 | -0.000 | -0.000 |
| 0.000 | 0.000 | 0.000 | -146.806 | 0.000 | -0.000 |
| 0.000 | 0.000 | 0.000 | 0.000 | -146.806 | -0.000 |
| 0.000 | 0.000 | 0.000 | -0.000 | -0.000 | -146.806 |
| 22.446 | 143.868 | 143.868 | -0.000 | -0.000 | 0.000 |
| 143.868 | 22.446 | 143.868 | -0.000 | -0.000 | 0.000 |
| 143.868 | 143.868 | 22.446 | -0.000 | 0.000 | 0.000 |
| -0.003 | -0.000 | -0.000 | -146.806 | 0.000 | 0.000 |
| -0.000 | -0.003 | -0.000 | 0.000 | -146.806 | 0.000 |
| -0.000 | -0.000 | -0.003 | 0.000 | 0.000 | -146.806 |
| 22.451 | 143.869 | 143.869 | 0.000 | 0.000 | -0.000 |
| 143.869 | 22.451 | 143.869 | -0.000 | -0.000 | -0.000 |
| 143.869 | 143.869 | 22.451 | 0.000 | -0.000 | -0.000 |
| 0.003 | 0.000 | 0.000 | -146.806 | -0.000 | -0.000 |
| 0.000 | 0.003 | 0.000 | 0.000 | -146.806 | -0.000 |
| 0.000 | 0.000 | 0.003 | 0.000 | -0.000 | -146.806 |
| 22.425 | 143.862 | 143.862 | -0.000 | -0.000 | 0.000 |
| 143.862 | 22.425 | 143.862 | -0.000 | -0.000 | 0.000 |
| 143.862 | 143.862 | 22.425 | -0.000 | 0.000 | 0.000 |
| -0.027 | -0.002 | -0.002 | -146.806 | -0.000 | 0.000 |
| -0.002 | -0.027 | -0.002 | -0.000 | -146.806 | 0.000 |
| -0.002 | -0.002 | -0.027 | -0.000 | 0.000 | -146.806 |
| 22.472 | 143.875 | 143.875 | 0.000 | 0.000 | -0.000 |
| 143.875 | 22.472 | 143.875 | 0.000 | 0.000 | -0.000 |
| 143.875 | 143.875 | 22.472 | 0.000 | 0.000 | -0.000 |
| 0.027 | 0.002 | 0.002 | -146.806 | -0.000 | -0.000 |
| 0.002 | 0.027 | 0.002 | 0.000 | -146.806 | 0.000 |
| 0.002 | 0.002 | 0.027 | -0.000 | -0.000 | -146.806 |
| 188899.345 | 43274.351 | 43274.351 | 0.000 | 0.000 | 0.000 |
| 43274.351 | 188899.345 | 43274.351 | 0.000 | -0.000 | 0.000 |
| 43274.351 | 43274.351 | 188899.345 | 0.000 | 0.000 | 0.000 |
| -0.456 | -0.801 | -0.801 | 26554.225 | 0.000 | 0.000 |
| -0.801 | -0.456 | -0.801 | 0.000 | 26554.225 | 0.000 |
| -0.801 | -0.801 | -0.456 | 0.000 | 0.000 | 26554.225 |
| 188922.838 | 43277.274 | 43277.274 | -0.000 | -0.000 | -0.000 |
| 43277.274 | 188922.838 | 43277.274 | -0.000 | -0.000 | -0.000 |
| 43277.274 | 43277.274 | 188922.838 | -0.000 | -0.000 | -0.000 |
| 0.456 | 0.801 | 0.801 | 26554.225 | -0.000 | -0.000 |
| 0.801 | 0.456 | 0.801 | -0.000 | 26554.225 | -0.000 |
| 0.801 | 0.801 | 0.456 | 0.000 | 0.000 | 26554.225 |
| 188793.624 | 43261.195 | 43261.195 | 0.000 | 0.000 | 0.000 |
| 43261.195 | 188793.624 | 43261.195 | 0.000 | 0.000 | 0.000 |
| 43261.195 | 43261.195 | 188793.624 | 0.000 | 0.000 | 0.000 |
| -4.557 | -8.013 | -8.015 | 26562.306 | 0.000 | -0.000 |
| -8.013 | -4.557 | -8.015 | 0.000 | 26562.306 | -0.000 |
| -8.013 | -8.015 | -4.557 | 0.000 | 0.000 | 26562.306 |
| 189028.555 | 43290.429 | 43290.429 | -0.000 | -0.000 | -0.000 |
| 43290.429 | 189028.555 | 43290.429 | -0.000 | -0.000 | -0.000 |
| 43290.429 | 43290.429 | 189028.555 | -0.000 | -0.000 | -0.000 |
| 4.557 | 8.013 | 8.015 | 26562.306 | 0.000 | -0.000 |
| 8.013 | 4.557 | 8.015 | 0.000 | 26562.306 | -0.000 |
| 8.013 | 8.015 | 4.557 | 0.000 | 0.000 | 26562.306 |
| 187736.434 | 43129.641 | 43129.641 | 0.000 | 0.000 | 0.000 |
| 43129.641 | 187736.434 | 43129.641 | 0.000 | 0.000 | 0.000 |
| 43129.641 | 43129.641 | 187736.434 | 0.000 | 0.000 | 0.000 |
| -45.618 | -80.110 | -80.129 | 26554.245 | 0.000 | 0.000 |
| -80.110 | -45.618 | -80.129 | 0.000 | 26554.245 | 0.000 |
| -80.110 | -80.129 | -45.618 | 0.000 | 0.000 | 26554.245 |
| 190085.743 | 43421.982 | 43421.982 | -0.000 | -0.000 | -0.000 |
| 43421.982 | 190085.743 | 43421.982 | -0.000 | -0.000 | -0.000 |
| 43421.982 | 43421.982 | 190085.743 | -0.000 | -0.000 | -0.000 |
| 45.618 | 80.110 | 80.129 | 26554.245 | -0.000 | -0.000 |
| 80.110 | 45.618 | 80.129 | -0.000 | 26554.245 | -0.000 |
| 80.110 | 80.129 | 45.618 | -0.000 | -0.000 | 26554.245 |
| 178.573 | 97.369 | 97.369 | 0.000 | -0.000 | -0.000 |
| 97.369 | 178.573 | 97.369 | 0.000 | 0.000 | -0.000 |
| 97.369 | 97.369 | 178.573 | -0.000 | -0.000 | -0.000 |
| -0.000 | -0.000 | -0.000 | 15.438 | -0.000 | -0.000 |
| -0.000 | -0.000 | -0.000 | 0.000 | 15.438 | -0.000 |
| -0.000 | -0.000 | -0.000 | -0.000 | -0.000 | 15.438 |
| 148.762 | 112.275 | 112.275 | 0.000 | 0.000 | -0.000 |
| 112.275 | 148.762 | 112.275 | 0.000 | 0.000 | -0.000 |
| 112.275 | 112.275 | 148.762 | -0.000 | -0.000 | -0.000 |
| 0.000 | 0.000 | 0.000 | 15.438 | 0.000 | 0.000 |
| 0.000 | 0.000 | 0.000 | 0.000 | 15.438 | 0.000 |
| 0.000 | 0.000 | 0.000 | 0.000 | 0.000 | 15.438 |
| 148.762 | 112.274 | 112.274 | 0.000 | -0.000 | 0.000 |
| 112.274 | 148.762 | 112.274 | -0.000 | -0.000 | 0.000 |
| 112.274 | 112.274 | 148.762 | -0.000 | -0.000 | 0.000 |
| -0.000 | -0.000 | -0.000 | 21.527 | -0.000 | 0.000 |
| -0.000 | -0.000 | -0.000 | -0.000 | 21.527 | -0.000 |
| -0.000 | -0.000 | -0.000 | -0.000 | -0.000 | 21.527 |
| 148.763 | 112.275 | 112.275 | 0.000 | 0.000 | 0.000 |
| 112.275 | 148.763 | 112.275 | -0.000 | 0.000 | 0.000 |
| 112.275 | 112.275 | 148.763 | 0.000 | 0.000 | 0.000 |
| 0.000 | 0.000 | 0.000 | 21.527 | 0.000 | -0.000 |
| 0.000 | 0.000 | 0.000 | 0.000 | 21.527 | 0.000 |
| 0.000 | 0.000 | 0.000 | 0.000 | 0.000 | 21.527 |
| 148.761 | 112.272 | 112.272 | 0.000 | -0.000 | -0.000 |
| 112.272 | 148.761 | 112.272 | -0.000 | -0.000 | 0.000 |
| 112.272 | 112.272 | 148.761 | -0.000 | -0.000 | 0.000 |
| -0.000 | -0.000 | -0.000 | 15.438 | 0.000 | -0.000 |
| -0.000 | -0.000 | -0.000 | -0.000 | 15.438 | 0.000 |
| -0.000 | -0.000 | -0.000 | -0.000 | -0.000 | 15.438 |
| 148.764 | 112.277 | 112.277 | 0.000 | 0.000 | -0.000 |
| 112.277 | 148.764 | 112.277 | -0.000 | 0.000 | 0.000 |
| 112.277 | 112.277 | 148.764 | 0.000 | 0.000 | 0.000 |
| 0.000 | 0.000 | 0.000 | 15.438 | 0.000 | 0.000 |
| 0.000 | 0.000 | 0.000 | 0.000 | 15.438 | 0.000 |
| 0.000 | 0.000 | 0.000 | -0.000 | 0.000 | 15.438 |
| 79.555 | 71.459 | 71.459 | 0.000 | 0.000 | 0.000 |
| 71.459 | 79.555 | 71.459 | 0.000 | 0.000 | -0.000 |
| 71.459 | 71.459 | 79.555 | 0.000 | 0.000 | -0.000 |
| -0.000 | -0.000 | 0.000 | -1.576 | 0.000 | 0.000 |
| -0.000 | -0.000 | 0.000 | 0.000 | -1.576 | -0.000 |
| -0.000 | -0.000 | 0.000 | 0.000 | 0.000 | -1.576 |
| 79.555 | 71.459 | 71.459 | -0.000 | -0.000 | 0.000 |
| 71.459 | 79.555 | 71.459 | -0.000 | -0.000 | 0.000 |
| 71.459 | 71.459 | 79.555 | -0.000 | 0.000 | 0.000 |
| 0.000 | 0.000 | -0.000 | -1.576 | -0.000 | 0.000 |
| 0.000 | -0.000 | 0.000 | -0.000 | -1.576 | -0.000 |
| 0.000 | 0.000 | -0.000 | -0.000 | -0.000 | -1.576 |
| 79.555 | 71.459 | 71.459 | -0.000 | -0.000 | -0.000 |
| 71.459 | 79.555 | 71.459 | -0.000 | 0.000 | -0.000 |
| 71.459 | 71.459 | 79.555 | 0.000 | 0.000 | -0.000 |
| 0.000 | -0.000 | -0.000 | -1.576 | 0.000 | -0.000 |
| -0.000 | 0.000 | -0.000 | 0.000 | -1.576 | 0.000 |
| -0.000 | -0.000 | 0.000 | 0.000 | 0.000 | -1.576 |
| 79.556 | 71.459 | 71.459 | -0.000 | -0.000 | 0.000 |
| 71.459 | 79.556 | 71.459 | -0.000 | -0.000 | 0.000 |
| 71.459 | 71.459 | 79.556 | -0.000 | 0.000 | 0.000 |
| -0.000 | 0.000 | 0.000 | -1.576 | -0.000 | 0.000 |
| 0.000 | -0.000 | 0.000 | -0.000 | -1.576 | 0.000 |
| 0.000 | 0.000 | -0.000 | -0.000 | -0.000 | -1.576 |
| 79.551 | 71.459 | 71.459 | 0.000 | 0.000 | -0.000 |
| 71.459 | 79.551 | 71.459 | 0.000 | 0.000 | -0.000 |
| 71.459 | 71.459 | 79.551 | 0.000 | 0.000 | 0.000 |
| -0.001 | -0.000 | -0.000 | -26.323 | 0.000 | 0.000 |
| -0.000 | -0.001 | -0.000 | 0.000 | -26.323 | 0.000 |
| -0.000 | -0.000 | -0.001 | 0.000 | 0.000 | -26.323 |
| 79.559 | 71.459 | 71.459 | -0.000 | -0.000 | 0.000 |
| 71.459 | 79.559 | 71.459 | -0.000 | -0.000 | -0.000 |
| 71.459 | 71.459 | 79.559 | -0.000 | 0.000 | 0.000 |
| 0.001 | 0.000 | 0.000 | -26.323 | -0.000 | 0.000 |
| 0.000 | 0.001 | 0.000 | -0.000 | -26.323 | 0.000 |
| 0.000 | 0.000 | 0.001 | -0.000 | -0.000 | -26.323 |
| 184.783 | 83.401 | 83.401 | -0.000 | -0.000 | -0.000 |
| 83.401 | 184.783 | 83.401 | -0.000 | -0.000 | -0.000 |
| 83.401 | 83.401 | 184.783 | -0.000 | -0.000 | -0.000 |
| -0.000 | -0.000 | -0.000 | 24.368 | -0.000 | -0.000 |
| -0.000 | -0.000 | -0.000 | -0.000 | 24.368 | -0.000 |
| -0.000 | -0.000 | -0.000 | -0.000 | -0.000 | 24.368 |
| 184.783 | 83.401 | 83.401 | 0.000 | 0.000 | 0.000 |
| 83.401 | 184.783 | 83.401 | 0.000 | 0.000 | 0.000 |
| 83.401 | 83.401 | 184.783 | 0.000 | 0.000 | 0.000 |
| 0.000 | 0.000 | 0.000 | 24.368 | 0.000 | 0.000 |
| 0.000 | 0.000 | 0.000 | 0.000 | 24.368 | 0.000 |
| 0.000 | 0.000 | 0.000 | 0.000 | 0.000 | 24.368 |
| 184.782 | 83.401 | 83.401 | -0.000 | -0.000 | -0.000 |
| 83.401 | 184.782 | 83.401 | -0.000 | -0.000 | -0.000 |
| 83.401 | 83.401 | 184.782 | -0.000 | -0.000 | -0.000 |
| -0.000 | -0.000 | -0.000 | 24.368 | -0.000 | -0.000 |
| -0.000 | -0.000 | -0.000 | -0.000 | 24.368 | 0.000 |
| -0.000 | -0.000 | -0.000 | -0.000 | -0.000 | 24.368 |
| 184.783 | 83.401 | 83.401 | 0.000 | 0.000 | 0.000 |
| 83.401 | 184.783 | 83.401 | 0.000 | 0.000 | 0.000 |
| 83.401 | 83.401 | 184.783 | 0.000 | 0.000 | 0.000 |
| 0.000 | 0.000 | 0.000 | 24.368 | 0.000 | 0.000 |
| 0.000 | 0.000 | 0.000 | 0.000 | 24.368 | 0.000 |
| 0.000 | 0.000 | 0.000 | 0.000 | 0.000 | 24.368 |
| 184.778 | 83.401 | 83.401 | -0.000 | -0.000 | -0.000 |
| 83.401 | 184.778 | 83.401 | -0.000 | -0.000 | -0.000 |
| 83.401 | 83.401 | 184.778 | -0.000 | -0.000 | -0.000 |
| -0.000 | -0.000 | -0.000 | 24.368 | -0.000 | -0.000 |
| -0.000 | -0.000 | -0.000 | -0.000 | 24.368 | 0.000 |
| -0.000 | -0.000 | -0.000 | -0.000 | -0.000 | 24.368 |
| 184.787 | 83.401 | 83.401 | 0.000 | 0.000 | 0.000 |
| 83.401 | 184.787 | 83.401 | 0.000 | 0.000 | -0.000 |
| 83.401 | 83.401 | 184.787 | -0.000 | -0.000 | 0.000 |
| 0.000 | 0.000 | 0.000 | 24.368 | 0.000 | 0.000 |
| 0.000 | 0.000 | 0.000 | 0.000 | 24.368 | 0.000 |
| 0.000 | 0.000 | 0.000 | 0.000 | 0.000 | 24.368 |
| 70.837 | 131.703 | 131.703 | -0.000 | -0.000 | 0.000 |
| 131.703 | 70.837 | 131.703 | -0.000 | -0.000 | 0.000 |
| 131.703 | 131.703 | 70.837 | -0.000 | -0.000 | -0.000 |
| -0.000 | -0.000 | -0.000 | 28.548 | -0.000 | -0.000 |
| -0.000 | -0.000 | -0.000 | -0.000 | 28.548 | -0.000 |
| -0.000 | -0.000 | 0.000 | -0.000 | -0.000 | 28.548 |
| 70.838 | 131.703 | 131.703 | 0.000 | 0.000 | -0.000 |
| 131.703 | 70.838 | 131.703 | 0.000 | 0.000 | 0.000 |
| 131.703 | 131.703 | 70.838 | 0.000 | 0.000 | 0.000 |
| 0.000 | 0.000 | 0.000 | 28.548 | 0.000 | 0.000 |
| 0.000 | 0.000 | 0.000 | 0.000 | 28.548 | 0.000 |
| 0.000 | 0.000 | -0.000 | 0.000 | 0.000 | 28.548 |
| 70.836 | 131.703 | 131.703 | -0.000 | -0.000 | 0.000 |
| 131.703 | 70.836 | 131.703 | -0.000 | -0.000 | 0.000 |
| 131.703 | 131.703 | 70.836 | -0.000 | -0.000 | 0.000 |
| 0.000 | -0.000 | -0.000 | 28.548 | -0.000 | -0.000 |
| -0.000 | 0.000 | -0.000 | -0.000 | 28.548 | 0.000 |
| -0.000 | -0.000 | 0.000 | -0.000 | -0.000 | 28.548 |
| 70.838 | 131.703 | 131.703 | 0.000 | 0.000 | 0.000 |
| 131.703 | 70.838 | 131.703 | 0.000 | 0.000 | 0.000 |
| 131.703 | 131.703 | 70.838 | 0.000 | 0.000 | -0.000 |
| -0.000 | 0.000 | 0.000 | 28.548 | 0.000 | -0.000 |
| 0.000 | -0.000 | 0.000 | 0.000 | 28.548 | 0.000 |
| 0.000 | 0.000 | -0.000 | 0.000 | 0.000 | 28.548 |
| 70.826 | 131.706 | 131.706 | -0.000 | -0.000 | 0.000 |
| 131.706 | 70.826 | 131.706 | -0.000 | -0.000 | 0.000 |
| 131.706 | 131.706 | 70.826 | -0.000 | -0.000 | 0.000 |
| 0.000 | -0.001 | -0.001 | 28.548 | -0.000 | -0.000 |
| -0.001 | 0.000 | -0.001 | -0.000 | 28.548 | 0.000 |
| -0.001 | -0.001 | 0.000 | -0.000 | -0.000 | 28.548 |
| 70.848 | 131.700 | 131.700 | 0.000 | 0.000 | -0.000 |
| 131.700 | 70.848 | 131.700 | 0.000 | 0.000 | -0.000 |
| 131.700 | 131.700 | 70.848 | 0.000 | 0.000 | -0.000 |
| -0.000 | 0.001 | 0.001 | 28.548 | 0.000 | 0.000 |
| 0.001 | -0.000 | 0.001 | 0.000 | 28.548 | -0.000 |
| 0.001 | 0.001 | -0.000 | 0.000 | 0.000 | 28.548 |
| 459.432 | 144.744 | 144.744 | 0.000 | 0.000 | 0.000 |
| 144.744 | 459.432 | 144.744 | -0.000 | 0.000 | -0.000 |
| 144.744 | 144.744 | 459.432 | 0.000 | 0.000 | 0.000 |
| 0.000 | 0.000 | 0.000 | 21.567 | 0.000 | 0.000 |
| 0.000 | 0.000 | 0.000 | 0.000 | 21.567 | 0.000 |
| 0.000 | 0.000 | 0.000 | -0.000 | 0.000 | 21.567 |
| 459.432 | 144.744 | 144.744 | -0.000 | -0.000 | -0.000 |
| 144.744 | 459.432 | 144.744 | -0.000 | -0.000 | -0.000 |
| 144.744 | 144.744 | 459.432 | -0.000 | -0.000 | -0.000 |
| -0.000 | -0.000 | -0.000 | 21.567 | -0.000 | -0.000 |
| -0.000 | -0.000 | -0.000 | -0.000 | 21.567 | -0.000 |
| -0.000 | -0.000 | -0.000 | 0.000 | -0.000 | 21.567 |
| 459.433 | 144.745 | 144.745 | 0.000 | 0.000 | 0.000 |
| 144.745 | 459.433 | 144.745 | 0.000 | 0.000 | 0.000 |
| 144.745 | 144.745 | 459.433 | 0.000 | 0.000 | -0.000 |
| 0.000 | 0.000 | 0.000 | 21.567 | 0.000 | 0.000 |
| 0.000 | -0.000 | 0.000 | 0.000 | 21.567 | 0.000 |
| 0.000 | 0.000 | -0.000 | -0.000 | 0.000 | 21.567 |
| 459.431 | 144.743 | 144.743 | -0.000 | -0.000 | -0.000 |
| 144.743 | 459.431 | 144.743 | -0.000 | -0.000 | -0.000 |
| 144.743 | 144.743 | 459.431 | -0.000 | -0.000 | -0.000 |
| -0.000 | -0.000 | -0.000 | 21.567 | -0.000 | -0.000 |
| -0.000 | 0.000 | -0.000 | 0.000 | 21.567 | -0.000 |
| -0.000 | -0.000 | 0.000 | -0.000 | -0.000 | 21.567 |
| 459.443 | 144.751 | 144.751 | 0.000 | 0.000 | 0.000 |
| 144.751 | 459.443 | 144.751 | 0.000 | 0.000 | 0.000 |
| 144.751 | 144.751 | 459.443 | -0.000 | 0.000 | 0.000 |
| -0.000 | 0.003 | 0.003 | 21.567 | 0.000 | 0.000 |
| 0.003 | -0.000 | 0.003 | 0.000 | 21.567 | 0.000 |
| 0.003 | 0.003 | -0.000 | -0.000 | 0.000 | 21.567 |
| 459.422 | 144.737 | 144.737 | -0.000 | -0.000 | 0.000 |
| 144.737 | 459.422 | 144.737 | -0.000 | -0.000 | -0.000 |
| 144.737 | 144.737 | 459.422 | -0.000 | -0.000 | -0.000 |
| 0.000 | -0.003 | -0.003 | 21.567 | -0.000 | -0.000 |
| -0.003 | 0.000 | -0.003 | 0.000 | 21.567 | -0.000 |
| -0.003 | -0.003 | 0.000 | -0.000 | -0.000 | 21.567 |
| 276.775 | -11.850 | -11.850 | 0.000 | -0.000 | -0.000 |
| -11.850 | 276.775 | -11.850 | 0.000 | 0.000 | -0.000 |
| -11.850 | -11.850 | 276.775 | -0.000 | 0.000 | -0.000 |
| 0.000 | -0.000 | -0.000 | -72.124 | 0.000 | -0.000 |
| -0.000 | 0.000 | -0.000 | 0.000 | -72.124 | -0.000 |
| 0.000 | -0.000 | -0.000 | 0.000 | 0.000 | -72.124 |
| 276.775 | -11.850 | -11.850 | -0.000 | -0.000 | 0.000 |
| -11.850 | 276.775 | -11.850 | -0.000 | 0.000 | 0.000 |
| -11.850 | -11.850 | 276.775 | -0.000 | 0.000 | 0.000 |
| -0.000 | 0.000 | 0.000 | -72.124 | -0.000 | 0.000 |
| -0.000 | -0.000 | 0.000 | -0.000 | -72.124 | 0.000 |
| -0.000 | 0.000 | 0.000 | -0.000 | -0.000 | -72.124 |
| 276.775 | -11.850 | -11.850 | 0.000 | -0.000 | -0.000 |
| -11.850 | 276.775 | -11.850 | 0.000 | 0.000 | -0.000 |
| -11.850 | -11.850 | 276.775 | 0.000 | 0.000 | -0.000 |
| -0.000 | -0.000 | -0.000 | -72.124 | 0.000 | -0.000 |
| -0.000 | -0.000 | -0.000 | 0.000 | -72.124 | -0.000 |
| -0.000 | -0.000 | -0.000 | 0.000 | 0.000 | -72.124 |
| 276.775 | -11.849 | -11.849 | -0.000 | -0.000 | 0.000 |
| -11.849 | 276.775 | -11.849 | -0.000 | -0.000 | 0.000 |
| -11.849 | -11.849 | 276.775 | -0.000 | -0.000 | 0.000 |
| 0.000 | 0.000 | 0.000 | -72.124 | -0.000 | 0.000 |
| 0.000 | 0.000 | 0.000 | -0.000 | -72.124 | 0.000 |
| 0.000 | 0.000 | 0.000 | -0.000 | -0.000 | -72.124 |
| 276.775 | -11.850 | -11.850 | 0.000 | 0.000 | -0.000 |
| -11.850 | 276.775 | -11.850 | 0.000 | 0.000 | -0.000 |
| -11.850 | -11.850 | 276.775 | -0.000 | 0.000 | -0.000 |
| -0.000 | -0.001 | -0.001 | -72.124 | 0.000 | -0.000 |
| -0.001 | -0.000 | -0.001 | 0.000 | -72.124 | -0.000 |
| -0.001 | -0.001 | -0.000 | 0.000 | 0.000 | -72.124 |
| 276.775 | -11.849 | -11.849 | -0.000 | -0.000 | 0.000 |
| -11.849 | 276.775 | -11.849 | -0.000 | -0.000 | 0.000 |
| -11.849 | -11.849 | 276.775 | -0.000 | -0.000 | 0.000 |
| 0.000 | 0.001 | 0.001 | -72.124 | -0.000 | 0.000 |
| 0.001 | 0.000 | 0.001 | -0.000 | -72.124 | 0.000 |
| 0.001 | 0.001 | 0.000 | -0.000 | -0.000 | -72.124 |
| -107.814 | 88.130 | 88.130 | -0.000 | -0.000 | -0.000 |
| 88.130 | -107.814 | 88.130 | -0.000 | -0.000 | 0.000 |
| 88.130 | 88.130 | -107.814 | -0.000 | -0.000 | 0.000 |
| 0.000 | 0.000 | 0.000 | 27.815 | -0.000 | -0.000 |
| 0.000 | 0.000 | 0.000 | -0.000 | 27.815 | -0.000 |
| 0.000 | 0.000 | 0.000 | -0.000 | -0.000 | 27.815 |
| -107.814 | 88.130 | 88.130 | 0.000 | 0.000 | 0.000 |
| 88.130 | -107.814 | 88.130 | 0.000 | 0.000 | 0.000 |
| 88.130 | 88.130 | -107.814 | 0.000 | 0.000 | -0.000 |
| -0.000 | -0.000 | -0.000 | 27.815 | 0.000 | 0.000 |
| -0.000 | -0.000 | -0.000 | 0.000 | 27.815 | -0.000 |
| -0.000 | -0.000 | -0.000 | 0.000 | 0.000 | 27.815 |
| -107.814 | 88.130 | 88.130 | -0.000 | -0.000 | -0.000 |
| 88.130 | -107.814 | 88.130 | -0.000 | -0.000 | 0.000 |
| 88.130 | 88.130 | -107.814 | 0.000 | -0.000 | -0.000 |
| 0.000 | 0.000 | 0.000 | 27.815 | -0.000 | -0.000 |
| 0.000 | 0.000 | 0.000 | -0.000 | 27.815 | -0.000 |
| 0.000 | 0.000 | 0.000 | 0.000 | -0.000 | 27.815 |
| -107.813 | 88.130 | 88.130 | 0.000 | 0.000 | -0.000 |
| 88.130 | -107.813 | 88.130 | 0.000 | 0.000 | -0.000 |
| 88.130 | 88.130 | -107.813 | 0.000 | 0.000 | 0.000 |
| -0.000 | -0.000 | -0.000 | 27.815 | 0.000 | 0.000 |
| -0.000 | -0.000 | -0.000 | 0.000 | 27.815 | 0.000 |
| -0.000 | -0.000 | -0.000 | 0.000 | 0.000 | 27.815 |
| -107.819 | 88.130 | 88.130 | -0.000 | -0.000 | -0.000 |
| 88.130 | -107.819 | 88.130 | -0.000 | -0.000 | 0.000 |
| 88.130 | 88.130 | -107.819 | 0.000 | -0.000 | -0.000 |
| 0.000 | 0.000 | 0.000 | 27.815 | -0.000 | 0.000 |
| 0.000 | 0.000 | 0.000 | -0.000 | 27.815 | 0.000 |
| 0.000 | 0.000 | 0.000 | 0.000 | -0.000 | 27.815 |
| -107.809 | 88.130 | 88.130 | -0.000 | 0.000 | -0.000 |
| 88.130 | -107.809 | 88.130 | 0.000 | 0.000 | 0.000 |
| 88.130 | 88.130 | -107.809 | -0.000 | 0.000 | -0.000 |
| -0.000 | -0.000 | -0.000 | 27.815 | 0.000 | 0.000 |
| -0.000 | -0.000 | -0.000 | 0.000 | 27.815 | -0.000 |
| -0.000 | -0.000 | -0.000 | 0.000 | 0.000 | 27.815 |
| 30.051 | 82.212 | 82.212 | -0.000 | -0.000 | 0.000 |
| 82.212 | 30.051 | 82.212 | -0.000 | 0.000 | 0.000 |
| 82.212 | 82.212 | 30.051 | 0.000 | 0.000 | 0.000 |
| 0.000 | 0.000 | 0.000 | 36.821 | 0.000 | 0.000 |
| 0.000 | 0.000 | 0.000 | 0.000 | 36.821 | 0.000 |
| 0.000 | 0.000 | 0.000 | -0.000 | 0.000 | 36.821 |
| 30.051 | 82.212 | 82.212 | 0.000 | 0.000 | -0.000 |
| 82.212 | 30.051 | 82.212 | 0.000 | 0.000 | 0.000 |
| 82.212 | 82.212 | 30.051 | 0.000 | 0.000 | -0.000 |
| -0.000 | -0.000 | -0.000 | 36.821 | -0.000 | -0.000 |
| -0.000 | -0.000 | -0.000 | 0.000 | 36.821 | -0.000 |
| -0.000 | -0.000 | -0.000 | 0.000 | 0.000 | 36.821 |
| 30.052 | 82.212 | 82.212 | -0.000 | -0.000 | -0.000 |
| 82.212 | 30.052 | 82.212 | -0.000 | -0.000 | -0.000 |
| 82.212 | 82.212 | 30.052 | -0.000 | 0.000 | -0.000 |
| 0.000 | 0.000 | 0.000 | 36.821 | 0.000 | 0.000 |
| 0.000 | 0.000 | 0.000 | -0.000 | 36.821 | -0.000 |
| 0.000 | 0.000 | 0.000 | -0.000 | -0.000 | 36.821 |
| 30.050 | 82.212 | 82.212 | 0.000 | -0.000 | -0.000 |
| 82.212 | 30.050 | 82.212 | 0.000 | -0.000 | -0.000 |
| 82.212 | 82.212 | 30.050 | -0.000 | -0.000 | -0.000 |
| -0.000 | -0.000 | -0.000 | 36.821 | 0.000 | 0.000 |
| -0.000 | -0.000 | -0.000 | 0.000 | 36.821 | -0.000 |
| -0.000 | -0.000 | -0.000 | 0.000 | -0.000 | 36.821 |
| 30.061 | 82.212 | 82.212 | -0.000 | -0.000 | 0.000 |
| 82.212 | 30.061 | 82.212 | -0.000 | -0.000 | 0.000 |
| 82.212 | 82.212 | 30.061 | -0.000 | 0.000 | 0.000 |
| 0.000 | 0.000 | 0.000 | 36.821 | -0.000 | 0.000 |
| 0.000 | 0.000 | 0.000 | -0.000 | 36.821 | -0.000 |
| 0.000 | 0.000 | 0.000 | 0.000 | -0.000 | 36.821 |
| 30.041 | 82.212 | 82.212 | -0.000 | 0.000 | -0.000 |
| 82.212 | 30.041 | 82.212 | 0.000 | -0.000 | 0.000 |
| 82.212 | 82.212 | 30.041 | 0.000 | 0.000 | -0.000 |
| -0.000 | -0.000 | -0.000 | 36.821 | -0.000 | 0.000 |
| -0.000 | -0.000 | -0.000 | 0.000 | 36.821 | -0.000 |
| -0.000 | -0.000 | -0.000 | -0.000 | 0.000 | 36.821 |
| 286.347 | 199.625 | 199.625 | -0.000 | -0.000 | -0.000 |
| 199.625 | 286.347 | 199.625 | -0.000 | -0.000 | -0.000 |
| 199.625 | 199.625 | 286.347 | -0.000 | -0.000 | -0.000 |
| 0.000 | 0.000 | 0.000 | -0.457 | -0.000 | -0.000 |
| 0.000 | 0.000 | 0.000 | -0.000 | -0.457 | -0.000 |
| 0.000 | 0.000 | 0.000 | -0.000 | -0.000 | -0.457 |
| 286.347 | 199.625 | 199.625 | 0.000 | 0.000 | 0.000 |
| 199.625 | 286.347 | 199.625 | 0.000 | 0.000 | 0.000 |
| 199.625 | 199.625 | 286.347 | 0.000 | 0.000 | 0.000 |
| -0.000 | -0.000 | -0.000 | -0.457 | 0.000 | 0.000 |
| -0.000 | -0.000 | -0.000 | 0.000 | -0.457 | 0.000 |
| -0.000 | -0.000 | -0.000 | 0.000 | 0.000 | -0.457 |
| 286.349 | 199.625 | 199.625 | -0.000 | -0.000 | -0.000 |
| 199.625 | 286.349 | 199.625 | -0.000 | -0.000 | -0.000 |
| 199.625 | 199.625 | 286.349 | -0.000 | -0.000 | -0.000 |
| 0.001 | 0.001 | 0.001 | -0.457 | -0.000 | -0.000 |
| 0.001 | 0.001 | 0.001 | -0.000 | -0.457 | -0.000 |
| 0.001 | 0.001 | 0.001 | -0.000 | -0.000 | -0.457 |
| 286.344 | 199.625 | 199.625 | 0.000 | 0.000 | 0.000 |
| 199.625 | 286.344 | 199.625 | 0.000 | 0.000 | 0.000 |
| 199.625 | 199.625 | 286.344 | 0.000 | 0.000 | 0.000 |
| -0.001 | -0.001 | -0.001 | -0.457 | 0.000 | 0.000 |
| -0.001 | -0.001 | -0.001 | 0.000 | -0.457 | 0.000 |
| -0.001 | -0.001 | -0.001 | 0.000 | 0.000 | -0.457 |
| 286.372 | 199.626 | 199.626 | -0.000 | -0.000 | -0.000 |
| 199.626 | 286.372 | 199.626 | -0.000 | -0.000 | -0.000 |
| 199.626 | 199.626 | 286.372 | -0.000 | -0.000 | -0.000 |
| 0.001 | 0.003 | 0.003 | 108.109 | 0.000 | -0.000 |
| 0.003 | 0.001 | 0.003 | 0.000 | 108.109 | 0.000 |
| 0.003 | 0.003 | 0.001 | 0.000 | 0.000 | 108.109 |
| 286.321 | 199.623 | 199.623 | 0.000 | 0.000 | 0.000 |
| 199.623 | 286.321 | 199.623 | 0.000 | 0.000 | 0.000 |
| 199.623 | 199.623 | 286.321 | 0.000 | 0.000 | 0.000 |
| -0.001 | -0.003 | -0.003 | 108.109 | -0.000 | -0.000 |
| -0.003 | -0.001 | -0.003 | -0.000 | 108.109 | -0.000 |
| -0.003 | -0.003 | -0.001 | 0.000 | 0.000 | 108.109 |
| 6.427 | 9.437 | 9.437 | 0.000 | 0.000 | 0.000 |
| 9.437 | 6.427 | 9.437 | 0.000 | 0.000 | -0.000 |
| 9.437 | 9.437 | 6.427 | 0.000 | 0.000 | -0.000 |
| -0.000 | -0.000 | -0.000 | -4.625 | 0.000 | -0.000 |
| -0.000 | -0.000 | -0.000 | 0.000 | -4.625 | -0.000 |
| -0.000 | -0.000 | 0.000 | -0.000 | -0.000 | -4.625 |
| 6.427 | 9.437 | 9.437 | 0.000 | -0.000 | 0.000 |
| 9.437 | 6.427 | 9.437 | 0.000 | -0.000 | 0.000 |
| 9.437 | 9.437 | 6.427 | 0.000 | 0.000 | 0.000 |
| 0.000 | 0.000 | 0.000 | -4.625 | -0.000 | 0.000 |
| 0.000 | 0.000 | 0.000 | -0.000 | -4.625 | -0.000 |
| 0.000 | 0.000 | 0.000 | 0.000 | 0.000 | -4.625 |
| 6.427 | 9.437 | 9.437 | -0.000 | -0.000 | -0.000 |
| 9.437 | 6.427 | 9.437 | -0.000 | -0.000 | -0.000 |
| 9.437 | 9.437 | 6.427 | 0.000 | -0.000 | -0.000 |
| -0.000 | -0.000 | -0.000 | -7.597 | 0.000 | -0.000 |
| -0.000 | -0.000 | -0.000 | -0.000 | -7.597 | -0.000 |
| -0.000 | -0.000 | -0.000 | 0.000 | 0.000 | -7.597 |
| 6.427 | 9.437 | 9.437 | 0.000 | 0.000 | 0.000 |
| 9.437 | 6.427 | 9.437 | 0.000 | 0.000 | 0.000 |
| 9.437 | 9.437 | 6.427 | 0.000 | 0.000 | 0.000 |
| 0.000 | 0.000 | 0.000 | -4.625 | -0.000 | 0.000 |
| 0.000 | 0.000 | 0.000 | -0.000 | -4.625 | 0.000 |
| 0.000 | 0.000 | 0.000 | -0.000 | 0.000 | -4.625 |
| 6.427 | 9.437 | 9.437 | -0.000 | 0.000 | 0.000 |
| 9.437 | 6.427 | 9.437 | 0.000 | 0.000 | -0.000 |
| 9.437 | 9.437 | 6.427 | -0.000 | -0.000 | -0.000 |
| 569736.241 | 36588.056 | 36587.549 | -253675.516 | 0.001 | -0.001 |
| 36588.056 | 569736.241 | 36587.549 | 0.001 | -253675.516 | -0.001 |
| 36588.054 | 36587.547 | 569736.226 | 0.002 | -0.000 | -253675.514 |
| 6.427 | 9.437 | 9.437 | -0.000 | -0.000 | 0.000 |
| 9.437 | 6.427 | 9.437 | -0.000 | -0.000 | 0.000 |
| 9.437 | 9.437 | 6.427 | -0.000 | -0.000 | 0.000 |
| -569736.209 | -36588.052 | -36587.545 | -253675.512 | 0.008 | 0.010 |
| -36588.052 | -569736.209 | -36587.545 | 0.008 | -253675.512 | 0.010 |
| -36588.054 | -36587.546 | -569736.221 | -0.017 | -0.017 | -253675.513 |
| 92929.054 | 92652.587 | 59952.719 | -0.000 | -0.000 | -0.000 |
| 92652.587 | 92929.054 | 59952.719 | -0.000 | -0.000 | -0.000 |
| 59953.413 | 59953.413 | 39233.534 | -0.000 | -0.000 | -0.000 |
| -1.971 | -1.973 | -1.278 | 59881.954 | -0.000 | -0.000 |
| -1.973 | -1.971 | -1.278 | -0.000 | 59881.954 | -0.000 |
| -3.044 | -3.042 | -1.971 | -0.000 | -0.000 | 92464.709 |
| 92935.140 | 92658.669 | 59956.661 | 0.000 | 0.000 | 0.000 |
| 92658.669 | 92935.140 | 59956.661 | 0.000 | 0.000 | 0.000 |
| 59955.967 | 59955.967 | 39235.191 | 0.000 | 0.000 | 0.000 |
| 1.971 | 1.973 | 1.277 | 59881.954 | 0.000 | 0.000 |
| 1.973 | 1.971 | 1.277 | 0.000 | 59881.954 | 0.000 |
| 3.044 | 3.042 | 1.971 | 0.000 | 0.000 | 92464.709 |
| 92901.670 | 92625.219 | 59934.984 | 0.000 | 0.000 | -0.000 |
| 92625.219 | 92901.670 | 59934.984 | 0.000 | 0.000 | -0.000 |
| 59941.921 | 59941.921 | 39226.080 | -0.000 | -0.000 | -0.000 |
| -19.713 | -19.725 | -12.774 | 59881.954 | 0.000 | -0.000 |
| -19.725 | -19.713 | -12.774 | 0.000 | 59881.954 | -0.000 |
| -30.438 | -30.420 | -19.713 | 0.000 | 0.000 | 92464.709 |
| 92962.525 | 92686.038 | 59974.396 | 0.000 | 0.000 | 0.000 |
| 92686.038 | 92962.525 | 59974.396 | 0.000 | 0.000 | 0.000 |
| 59967.459 | 59967.459 | 39242.645 | 0.000 | 0.000 | 0.000 |
| 19.713 | 19.725 | 12.774 | 59881.954 | 0.000 | 0.000 |
| 19.725 | 19.713 | 12.774 | 0.000 | 59881.954 | 0.000 |
| 30.438 | 30.420 | 19.713 | -0.000 | 0.000 | 92464.709 |
| 92627.822 | 92351.534 | 59757.629 | 0.000 | 0.000 | -0.000 |
| 92351.534 | 92627.822 | 59757.629 | 0.000 | 0.000 | -0.000 |
| 59827.000 | 59827.000 | 39151.539 | -0.000 | -0.000 | -0.000 |
| -197.126 | -197.245 | -127.741 | 59881.954 | -0.000 | -0.000 |
| -197.245 | -197.126 | -127.741 | -0.000 | 59881.954 | -0.000 |
| -304.384 | -304.199 | -197.126 | -0.000 | -0.000 | 92464.709 |
| 93236.373 | 92959.721 | 60151.751 | 0.000 | 0.000 | 0.000 |
| 92959.721 | 93236.373 | 60151.751 | 0.000 | 0.000 | 0.000 |
| 60082.380 | 60082.380 | 39317.186 | 0.000 | 0.000 | 0.000 |
| 197.126 | 197.245 | 127.741 | 59881.954 | 0.000 | 0.000 |
| 197.245 | 197.126 | 127.741 | 0.000 | 59881.954 | 0.000 |
| 304.384 | 304.199 | 197.126 | 0.000 | 0.000 | 92464.709 |
| 442.759 | 335.892 | 170.187 | -0.000 | -0.000 | 0.000 |
| 335.892 | 384.274 | 149.488 | -0.000 | -0.000 | 0.000 |
| 170.187 | 149.488 | 609.719 | -0.000 | 0.000 | 0.000 |
| 0.000 | 0.000 | -0.000 | 59.957 | 0.000 | -0.000 |
| -0.000 | 0.000 | -0.000 | -0.000 | 84.062 | 0.000 |
| -0.000 | -0.000 | -0.000 | -0.000 | -0.000 | 127.051 |
| 442.759 | 335.892 | 170.187 | 0.000 | 0.000 | -0.000 |
| 335.892 | 384.274 | 149.488 | 0.000 | 0.000 | -0.000 |
| 170.187 | 149.488 | 609.719 | -0.000 | -0.000 | -0.000 |
| -0.000 | -0.000 | 0.000 | 59.957 | -0.000 | -0.000 |
| 0.000 | -0.000 | 0.000 | 0.000 | 84.062 | -0.000 |
| 0.000 | 0.000 | 0.000 | 0.000 | 0.000 | 127.051 |
| 442.759 | 335.891 | 170.187 | -0.000 | 0.000 | 0.000 |
| 335.891 | 384.274 | 149.488 | -0.000 | 0.000 | 0.000 |
| 170.187 | 149.488 | 609.719 | -0.000 | -0.000 | 0.000 |
| -0.000 | -0.000 | -0.000 | 59.957 | -0.000 | 0.000 |
| -0.000 | 0.000 | -0.000 | -0.000 | 84.062 | 0.000 |
| -0.000 | -0.000 | 0.000 | 0.000 | -0.000 | 127.051 |
| 442.760 | 335.892 | 170.187 | 0.000 | -0.000 | -0.000 |
| 335.892 | 384.274 | 149.488 | 0.000 | 0.000 | -0.000 |
| 170.187 | 149.488 | 609.719 | 0.000 | 0.000 | -0.000 |
| 0.000 | 0.000 | 0.000 | 59.957 | 0.000 | -0.000 |
| 0.000 | -0.000 | 0.000 | 0.000 | 84.062 | -0.000 |
| 0.000 | 0.000 | -0.000 | 0.000 | -0.000 | 127.051 |
| 442.757 | 335.885 | 170.186 | -0.000 | 0.000 | 0.000 |
| 335.885 | 384.274 | 149.486 | -0.000 | -0.000 | 0.000 |
| 170.187 | 149.487 | 609.720 | -0.000 | 0.000 | 0.000 |
| -0.000 | -0.000 | -0.000 | 59.957 | -0.000 | 0.000 |
| -0.000 | 0.000 | -0.000 | -0.000 | 84.062 | 0.000 |
| -0.003 | -0.003 | 0.000 | -0.000 | 0.000 | 127.051 |
| 442.762 | 335.898 | 170.189 | 0.000 | -0.000 | -0.000 |
| 335.899 | 384.273 | 149.489 | 0.000 | 0.000 | -0.000 |
| 170.187 | 149.488 | 609.718 | 0.000 | -0.000 | -0.000 |
| 0.000 | 0.000 | 0.000 | 59.957 | -0.000 | -0.000 |
| 0.000 | -0.000 | 0.000 | 0.000 | 84.062 | -0.000 |
| 0.003 | 0.003 | -0.000 | 0.000 | 0.000 | 127.051 |
| 7.290 | 135.274 | 135.274 | 0.000 | -0.000 | -0.000 |
| 135.274 | 7.290 | 135.274 | -0.000 | -0.000 | -0.000 |
| 135.274 | 135.274 | 7.290 | -0.000 | -0.000 | 0.000 |
| -0.000 | -0.000 | -0.000 | 57.804 | -0.000 | -0.000 |
| -0.000 | -0.000 | -0.000 | 0.000 | 57.804 | -0.000 |
| -0.000 | -0.000 | -0.000 | 0.000 | -0.000 | 57.804 |
| 7.290 | 135.274 | 135.274 | -0.000 | 0.000 | -0.000 |
| 135.274 | 7.290 | 135.274 | -0.000 | 0.000 | -0.000 |
| 135.274 | 135.274 | 7.290 | -0.000 | 0.000 | -0.000 |
| 0.000 | 0.000 | 0.000 | 57.804 | 0.000 | -0.000 |
| 0.000 | 0.000 | 0.000 | 0.000 | 57.804 | 0.000 |
| 0.000 | 0.000 | 0.000 | 0.000 | 0.000 | 57.804 |
| 7.291 | 135.274 | 135.274 | 0.000 | -0.000 | -0.000 |
| 135.274 | 7.291 | 135.274 | -0.000 | -0.000 | -0.000 |
| 135.274 | 135.274 | 7.291 | 0.000 | -0.000 | 0.000 |
| 0.000 | -0.000 | -0.000 | 57.804 | -0.000 | -0.000 |
| -0.000 | 0.000 | -0.000 | -0.000 | 57.804 | -0.000 |
| -0.000 | -0.000 | 0.000 | 0.000 | -0.000 | 57.804 |
| 7.290 | 135.273 | 135.273 | -0.000 | 0.000 | 0.000 |
| 135.273 | 7.290 | 135.273 | -0.000 | 0.000 | -0.000 |
| 135.273 | 135.273 | 7.290 | -0.000 | -0.000 | -0.000 |
| -0.000 | 0.000 | 0.000 | 57.804 | -0.000 | 0.000 |
| 0.000 | -0.000 | 0.000 | -0.000 | 57.804 | 0.000 |
| 0.000 | 0.000 | -0.000 | 0.000 | 0.000 | 57.804 |
| 7.292 | 135.274 | 135.274 | -0.000 | -0.000 | -0.000 |
| 135.274 | 7.292 | 135.274 | -0.000 | -0.000 | -0.000 |
| 135.274 | 135.274 | 7.292 | -0.000 | -0.000 | -0.000 |
| 0.006 | -0.001 | -0.001 | -156.792 | -0.000 | -0.000 |
| -0.001 | 0.006 | -0.001 | -0.000 | -156.792 | -0.000 |
| -0.001 | -0.001 | 0.006 | 0.000 | -0.000 | -156.792 |
| 7.288 | 135.273 | 135.273 | -0.000 | 0.000 | 0.000 |
| 135.273 | 7.288 | 135.273 | 0.000 | -0.000 | -0.000 |
| 135.273 | 135.273 | 7.288 | -0.000 | 0.000 | -0.000 |
| -0.006 | 0.001 | 0.001 | -156.792 | 0.000 | 0.000 |
| 0.001 | -0.006 | 0.001 | 0.000 | -156.792 | 0.000 |
| 0.001 | 0.001 | -0.006 | 0.000 | -0.000 | -156.792 |
| 18.363 | 39.829 | 39.829 | 0.000 | 0.000 | -0.000 |
| 39.829 | 18.363 | 39.829 | -0.000 | 0.000 | 0.000 |
| 39.829 | 39.829 | 18.363 | -0.000 | 0.000 | 0.000 |
| -0.000 | 0.000 | -0.000 | 1.964 | 0.000 | -0.000 |
| -0.000 | -0.000 | -0.000 | 0.000 | 1.964 | -0.000 |
| -0.000 | 0.000 | -0.000 | -0.000 | -0.000 | 1.964 |
| 18.363 | 39.829 | 39.829 | 0.000 | -0.000 | 0.000 |
| 39.829 | 18.363 | 39.829 | 0.000 | 0.000 | -0.000 |
| 39.829 | 39.829 | 18.363 | -0.000 | -0.000 | 0.000 |
| 0.000 | 0.000 | 0.000 | 1.964 | -0.000 | 0.000 |
| 0.000 | 0.000 | 0.000 | 0.000 | 1.964 | -0.000 |
| 0.000 | -0.000 | 0.000 | 0.000 | -0.000 | 1.964 |
| 18.363 | 39.829 | 39.829 | -0.000 | 0.000 | 0.000 |
| 39.829 | 18.363 | 39.829 | 0.000 | 0.000 | -0.000 |
| 39.829 | 39.829 | 18.363 | 0.000 | 0.000 | -0.000 |
| -0.000 | -0.000 | -0.000 | 1.964 | -0.000 | -0.000 |
| -0.000 | -0.000 | -0.000 | -0.000 | 1.964 | -0.000 |
| -0.000 | -0.000 | -0.000 | -0.000 | 0.000 | 1.964 |
| 18.363 | 39.829 | 39.829 | 0.000 | -0.000 | 0.000 |
| 39.829 | 18.363 | 39.829 | -0.000 | -0.000 | 0.000 |
| 39.829 | 39.829 | 18.363 | 0.000 | 0.000 | 0.000 |
| 0.000 | 0.000 | 0.000 | 1.964 | 0.000 | 0.000 |
| 0.000 | 0.000 | 0.000 | -0.000 | 1.964 | 0.000 |
| 0.000 | 0.000 | 0.000 | 0.000 | -0.000 | 1.964 |
| 18.362 | 39.829 | 39.829 | -0.000 | 0.000 | -0.000 |
| 39.829 | 18.362 | 39.829 | -0.000 | -0.000 | 0.000 |
| 39.829 | 39.829 | 18.362 | 0.000 | 0.000 | -0.000 |
| -0.000 | -0.000 | -0.000 | 1.964 | 0.000 | -0.000 |
| -0.000 | -0.000 | -0.000 | -0.000 | 1.964 | -0.000 |
| -0.000 | -0.000 | -0.000 | 0.000 | 0.000 | 1.964 |
| 18.363 | 39.829 | 39.829 | -0.000 | 0.000 | 0.000 |
| 39.829 | 18.363 | 39.829 | 0.000 | -0.000 | 0.000 |
| 39.829 | 39.829 | 18.363 | -0.000 | -0.000 | -0.000 |
| 0.000 | 0.000 | 0.000 | 1.964 | -0.000 | 0.000 |
| 0.000 | 0.000 | 0.000 | -0.000 | 1.964 | 0.000 |
| 0.000 | 0.000 | 0.000 | -0.000 | -0.000 | 1.964 |
| 127.631 | 56.116 | 56.116 | 0.000 | 0.000 | -0.000 |
| 56.116 | 127.631 | 56.116 | -0.000 | 0.000 | 0.000 |
| 56.116 | 56.116 | 127.631 | -0.000 | 0.000 | -0.000 |
| 0.000 | -0.000 | -0.000 | 3.224 | 0.000 | -0.000 |
| -0.000 | -0.000 | -0.000 | -0.000 | 3.224 | -0.000 |
| -0.000 | -0.000 | -0.000 | 0.000 | 0.000 | 3.224 |
| 109.919 | 64.972 | 64.972 | 0.000 | 0.000 | -0.000 |
| 64.972 | 109.919 | 64.972 | -0.000 | -0.000 | 0.000 |
| 64.972 | 64.972 | 109.919 | -0.000 | -0.000 | 0.000 |
| -0.000 | 0.000 | 0.000 | 3.224 | 0.000 | -0.000 |
| 0.000 | 0.000 | 0.000 | 0.000 | 3.224 | 0.000 |
| 0.000 | 0.000 | 0.000 | 0.000 | -0.000 | 3.224 |
| 109.919 | 64.972 | 64.972 | 0.000 | -0.000 | -0.000 |
| 64.972 | 109.919 | 64.972 | -0.000 | -0.000 | 0.000 |
| 64.972 | 64.972 | 109.919 | 0.000 | 0.000 | 0.000 |
| -0.000 | -0.000 | -0.000 | -57.318 | -0.000 | -0.000 |
| -0.000 | -0.000 | -0.000 | -0.000 | -57.318 | 0.000 |
| -0.000 | -0.000 | -0.000 | -0.000 | 0.000 | -57.318 |
| 127.631 | 56.116 | 56.116 | -0.000 | 0.000 | -0.000 |
| 56.116 | 127.631 | 56.116 | -0.000 | 0.000 | 0.000 |
| 56.116 | 56.116 | 127.631 | 0.000 | 0.000 | -0.000 |
| 0.000 | 0.000 | 0.000 | -57.318 | -0.000 | -0.000 |
| 0.000 | 0.000 | 0.000 | 0.000 | -57.318 | 0.000 |
| 0.000 | 0.000 | 0.000 | -0.000 | -0.000 | -57.318 |
| 109.918 | 64.971 | 64.971 | -0.000 | 0.000 | 0.000 |
| 64.971 | 109.918 | 64.971 | 0.000 | 0.000 | -0.000 |
| 64.971 | 64.971 | 109.918 | 0.000 | 0.000 | -0.000 |
| -0.001 | -0.002 | -0.002 | -57.318 | 0.000 | -0.000 |
| -0.002 | -0.001 | -0.002 | -0.000 | -57.318 | -0.000 |
| -0.002 | -0.002 | -0.001 | 0.000 | 0.000 | -57.318 |
| 109.921 | 64.972 | 64.972 | 0.000 | -0.000 | -0.000 |
| 64.972 | 109.921 | 64.972 | -0.000 | 0.000 | 0.000 |
| 64.972 | 64.972 | 109.921 | -0.000 | 0.000 | 0.000 |
| 0.001 | 0.002 | 0.002 | -57.318 | -0.000 | 0.000 |
| 0.002 | 0.001 | 0.002 | 0.000 | -57.318 | 0.000 |
| 0.002 | 0.002 | 0.001 | -0.000 | -0.000 | -57.318 |
| 5.438 | 1.258 | 1.258 | -0.000 | -0.000 | -0.000 |
| 1.258 | 5.438 | 1.258 | -0.000 | -0.000 | 0.000 |
| 1.258 | 1.258 | 5.438 | 0.000 | -0.000 | -0.000 |
| 0.000 | 0.000 | 0.000 | 0.818 | -0.000 | 0.000 |
| 0.000 | 0.000 | 0.000 | -0.000 | 0.818 | -0.000 |
| 0.000 | 0.000 | -0.000 | -0.000 | 0.000 | 0.818 |
| 5.438 | 1.258 | 1.258 | 0.000 | 0.000 | 0.000 |
| 1.258 | 5.438 | 1.258 | 0.000 | 0.000 | -0.000 |
| 1.258 | 1.258 | 5.438 | -0.000 | -0.000 | 0.000 |
| -0.000 | -0.000 | -0.000 | 0.818 | 0.000 | -0.000 |
| -0.000 | -0.000 | -0.000 | -0.000 | 0.818 | 0.000 |
| -0.000 | -0.000 | -0.000 | 0.000 | 0.000 | 0.818 |
| 4.722 | 1.616 | 1.616 | -0.000 | -0.000 | -0.000 |
| 1.800 | 4.353 | 1.800 | -0.000 | -0.000 | -0.000 |
| 1.800 | 1.800 | 4.353 | -0.000 | -0.000 | -0.000 |
| 0.000 | -0.000 | -0.000 | 0.272 | -0.000 | -0.000 |
| -0.000 | 0.000 | -0.000 | -0.000 | 0.272 | -0.000 |
| -0.000 | -0.000 | 0.000 | -0.000 | -0.000 | 0.272 |
| 5.438 | 1.258 | 1.258 | 0.000 | 0.000 | 0.000 |
| 1.258 | 5.438 | 1.258 | 0.000 | 0.000 | 0.000 |
| 1.258 | 1.258 | 5.438 | 0.000 | 0.000 | 0.000 |
| -0.000 | 0.000 | 0.000 | 0.272 | 0.000 | -0.000 |
| 0.000 | -0.000 | 0.000 | 0.000 | 0.272 | -0.000 |
| 0.000 | 0.000 | -0.000 | 0.000 | 0.000 | 0.272 |
| 4.105 | 1.924 | 1.924 | 0.000 | 0.000 | -0.000 |
| 1.924 | 4.105 | 1.924 | -0.000 | -0.000 | 0.000 |
| 1.924 | 1.924 | 4.105 | 0.000 | -0.000 | 0.000 |
| -0.000 | -0.000 | -0.000 | 0.129 | -0.000 | -0.000 |
| -0.000 | -0.000 | -0.000 | 0.000 | 0.129 | 0.000 |
| -0.000 | -0.000 | -0.000 | -0.000 | -0.000 | 0.129 |
| 4.064 | 1.944 | 1.944 | -0.000 | 0.000 | 0.000 |
| 1.944 | 4.064 | 1.944 | 0.000 | 0.000 | -0.000 |
| 1.944 | 1.944 | 4.064 | -0.000 | 0.000 | -0.000 |
| 0.000 | 0.000 | 0.000 | 0.129 | -0.000 | 0.000 |
| 0.000 | 0.000 | 0.000 | -0.000 | 0.129 | 0.000 |
| 0.000 | 0.000 | 0.000 | 0.000 | 0.000 | 0.129 |
| 106.095 | 59.313 | 59.313 | 0.000 | -0.000 | -0.000 |
| 59.313 | 106.095 | 59.313 | -0.000 | -0.000 | 0.000 |
| 59.313 | 59.313 | 106.095 | 0.000 | 0.000 | 0.000 |
| -0.000 | -0.000 | -0.000 | 15.068 | -0.000 | 0.000 |
| -0.000 | -0.000 | -0.000 | -0.000 | 15.068 | 0.000 |
| -0.000 | -0.000 | -0.000 | 0.000 | 0.000 | 15.068 |
| 106.095 | 59.313 | 59.313 | -0.000 | -0.000 | -0.000 |
| 59.313 | 106.095 | 59.313 | -0.000 | -0.000 | 0.000 |
| 59.313 | 59.313 | 106.095 | 0.000 | 0.000 | -0.000 |
| 0.000 | 0.000 | 0.000 | 15.068 | -0.000 | -0.000 |
| 0.000 | 0.000 | 0.000 | -0.000 | 15.068 | -0.000 |
| 0.000 | 0.000 | 0.000 | -0.000 | 0.000 | 15.068 |
| 106.095 | 59.313 | 59.313 | -0.000 | 0.000 | 0.000 |
| 59.313 | 106.095 | 59.313 | 0.000 | -0.000 | 0.000 |
| 59.313 | 59.313 | 106.095 | 0.000 | -0.000 | 0.000 |
| -0.000 | -0.000 | -0.000 | 15.068 | 0.000 | 0.000 |
| -0.000 | -0.000 | -0.000 | 0.000 | 15.068 | 0.000 |
| -0.000 | -0.000 | -0.000 | -0.000 | -0.000 | 15.068 |
| 106.095 | 59.313 | 59.313 | 0.000 | 0.000 | -0.000 |
| 59.313 | 106.095 | 59.313 | 0.000 | 0.000 | -0.000 |
| 59.313 | 59.313 | 106.095 | -0.000 | 0.000 | 0.000 |
| 0.000 | 0.000 | 0.000 | 15.068 | 0.000 | -0.000 |
| 0.000 | 0.000 | 0.000 | 0.000 | 15.068 | -0.000 |
| 0.000 | 0.000 | 0.000 | 0.000 | 0.000 | 15.068 |
| 106.094 | 59.313 | 59.313 | -0.000 | -0.000 | -0.000 |
| 59.313 | 106.094 | 59.313 | -0.000 | -0.000 | 0.000 |
| 59.313 | 59.313 | 106.094 | -0.000 | -0.000 | -0.000 |
| -0.000 | 0.001 | 0.001 | -39.222 | -0.000 | 0.000 |
| 0.001 | -0.000 | 0.001 | 0.000 | -39.222 | 0.000 |
| 0.001 | 0.001 | -0.000 | -0.000 | -0.000 | -39.222 |
| 106.096 | 59.313 | 59.313 | -0.000 | 0.000 | -0.000 |
| 59.313 | 106.096 | 59.313 | 0.000 | 0.000 | 0.000 |
| 59.313 | 59.313 | 106.096 | 0.000 | 0.000 | -0.000 |
| 0.000 | -0.001 | -0.001 | -39.222 | 0.000 | -0.000 |
| -0.001 | 0.000 | -0.001 | 0.000 | -39.222 | -0.000 |
| -0.001 | -0.001 | 0.000 | -0.000 | 0.000 | -39.222 |
| 91.525 | 96.040 | 96.040 | 0.000 | 0.000 | 0.000 |
| 96.040 | 91.525 | 96.040 | 0.000 | 0.000 | 0.000 |
| 96.040 | 96.040 | 91.525 | 0.000 | 0.000 | 0.000 |
| 0.000 | 0.000 | 0.000 | 48.592 | 0.000 | 0.000 |
| 0.000 | 0.000 | 0.000 | 0.000 | 48.592 | 0.000 |
| 0.000 | 0.000 | 0.000 | 0.000 | 0.000 | 48.592 |
| 91.525 | 96.040 | 96.040 | -0.000 | -0.000 | -0.000 |
| 96.040 | 91.525 | 96.040 | -0.000 | 0.000 | -0.000 |
| 96.040 | 96.040 | 91.525 | -0.000 | 0.000 | -0.000 |
| -0.000 | -0.000 | -0.000 | 48.592 | -0.000 | -0.000 |
| -0.000 | -0.000 | -0.000 | -0.000 | 48.592 | 0.000 |
| -0.000 | -0.000 | -0.000 | -0.000 | -0.000 | 48.592 |
| 91.525 | 96.040 | 96.040 | 0.000 | -0.000 | 0.000 |
| 96.040 | 91.525 | 96.040 | 0.000 | 0.000 | 0.000 |
| 96.040 | 96.040 | 91.525 | -0.000 | -0.000 | 0.000 |
| 0.000 | 0.000 | 0.000 | 48.592 | 0.000 | 0.000 |
| 0.000 | 0.000 | 0.000 | 0.000 | 48.592 | 0.000 |
| 0.000 | 0.000 | 0.000 | 0.000 | 0.000 | 48.592 |
| 91.525 | 96.040 | 96.040 | -0.000 | -0.000 | -0.000 |
| 96.040 | 91.525 | 96.040 | -0.000 | -0.000 | -0.000 |
| 96.040 | 96.040 | 91.525 | -0.000 | -0.000 | -0.000 |
| -0.000 | -0.000 | -0.000 | 48.592 | -0.000 | -0.000 |
| -0.000 | -0.000 | -0.000 | -0.000 | 48.592 | -0.000 |
| -0.000 | -0.000 | -0.000 | -0.000 | -0.000 | 48.592 |
| 91.525 | 96.041 | 96.041 | -0.000 | -0.000 | 0.000 |
| 96.041 | 91.525 | 96.041 | -0.000 | -0.000 | 0.000 |
| 96.041 | 96.041 | 91.525 | -0.000 | -0.000 | 0.000 |
| 0.000 | 0.000 | 0.000 | 48.592 | 0.000 | 0.000 |
| 0.000 | 0.000 | 0.000 | 0.000 | 48.592 | 0.000 |
| 0.000 | 0.000 | 0.000 | 0.000 | 0.000 | 48.592 |
| 91.525 | 96.040 | 96.040 | -0.000 | -0.000 | -0.000 |
| 96.040 | 91.525 | 96.040 | -0.000 | -0.000 | -0.000 |
| 96.040 | 96.040 | 91.525 | -0.000 | -0.000 | -0.000 |
| -0.000 | -0.000 | -0.000 | 48.592 | -0.000 | -0.000 |
| -0.000 | -0.000 | -0.000 | -0.000 | 48.592 | -0.000 |
| -0.000 | -0.000 | -0.000 | -0.000 | -0.000 | 48.592 |
| 73290.093 | 36685.221 | 36685.220 | 0.000 | 0.000 | 0.000 |
| 36685.221 | 73290.093 | 36685.220 | 0.000 | 0.000 | 0.000 |
| 36685.221 | 36685.221 | 73290.093 | 0.000 | 0.000 | 0.000 |
| -0.957 | -1.676 | -1.675 | 36646.705 | 0.000 | 0.000 |
| -1.676 | -0.957 | -1.675 | 0.000 | 36646.705 | 0.000 |
| -1.676 | -1.675 | -0.957 | 0.000 | 0.000 | 36646.705 |
| 73300.624 | 36688.570 | 36688.570 | -0.000 | -0.000 | -0.000 |
| 36688.570 | 73300.624 | 36688.570 | -0.000 | -0.000 | -0.000 |
| 36688.570 | 36688.570 | 73300.624 | -0.000 | -0.000 | -0.000 |
| 0.957 | 1.676 | 1.675 | 36646.705 | -0.000 | -0.000 |
| 1.676 | 0.957 | 1.675 | -0.000 | 36646.705 | -0.000 |
| 1.676 | 1.675 | 0.957 | -0.000 | -0.000 | 36646.705 |
| 73242.700 | 36670.146 | 36670.146 | 0.000 | 0.000 | 0.000 |
| 36670.146 | 73242.700 | 36670.146 | 0.000 | 0.000 | 0.000 |
| 36670.146 | 36670.146 | 73242.700 | 0.000 | 0.000 | -0.000 |
| -9.574 | -16.761 | -16.755 | 36646.705 | 0.000 | 0.000 |
| -16.761 | -9.574 | -16.755 | 0.000 | 36646.705 | 0.000 |
| -16.761 | -16.755 | -9.574 | -0.000 | 0.000 | 36646.705 |
| 73348.018 | 36703.645 | 36703.645 | -0.000 | -0.000 | 0.000 |
| 36703.645 | 73348.018 | 36703.645 | -0.000 | -0.000 | 0.000 |
| 36703.645 | 36703.645 | 73348.018 | -0.000 | -0.000 | -0.000 |
| 9.574 | 16.761 | 16.755 | 36646.705 | -0.000 | -0.000 |
| 16.761 | 9.574 | 16.755 | -0.000 | 36646.705 | -0.000 |
| 16.761 | 16.755 | 9.574 | -0.000 | -0.000 | 36646.705 |
| 72768.765 | 36519.396 | 36519.396 | 0.000 | 0.000 | 0.000 |
| 36519.396 | 72768.765 | 36519.396 | 0.000 | 0.000 | 0.000 |
| 36519.396 | 36519.396 | 72768.765 | 0.000 | 0.000 | -0.000 |
| -95.743 | -167.609 | -167.554 | 36646.705 | 0.000 | 0.000 |
| -167.609 | -95.743 | -167.554 | 0.000 | 36646.705 | 0.000 |
| -167.609 | -167.554 | -95.743 | 0.000 | 0.000 | 36646.705 |
| 73821.953 | 36854.394 | 36854.394 | -0.000 | -0.000 | -0.000 |
| 36854.394 | 73821.953 | 36854.394 | -0.000 | -0.000 | -0.000 |
| 36854.394 | 36854.394 | 73821.953 | -0.000 | -0.000 | -0.000 |
| 95.743 | 167.609 | 167.554 | 36646.705 | -0.000 | -0.000 |
| 167.609 | 95.743 | 167.554 | -0.000 | 36646.705 | -0.000 |
| 167.609 | 167.554 | 95.743 | 0.000 | -0.000 | 36646.705 |
| -1037325187.208 | -308271809.351 | -36367526.410 | -3890999.973 | -471355.413 | 2442561.582 |
| 133.494 | 176.997 | 64.773 | -0.000 | 0.000 | 0.000 |
| 74.390 | 74.390 | 84.638 | -0.000 | 0.000 | 0.000 |
| 0.000 | 0.000 | 0.000 | -13.136 | -0.000 | 0.000 |
| -0.000 | 0.000 | 0.000 | 0.000 | -13.136 | 0.000 |
| -0.000 | 0.000 | 0.000 | -0.000 | 0.000 | 21.751 |
| 102.035 | 76.417 | 40.495 | 0.000 | -0.000 | -0.000 |
| 1032142659.569 | 350811197.660 | 23419734.667 | -596312.604 | -627847.117 | 4518994.930 |
| 41.277 | 41.277 | 72.461 | 0.000 | -0.000 | -0.000 |
| 0.000 | -0.000 | -0.000 | -13.136 | -0.000 | -0.000 |
| 0.000 | -0.000 | -0.000 | -0.000 | -13.136 | -0.000 |
| 0.000 | -0.000 | -0.000 | 0.000 | -0.000 | 21.751 |
| 176.997 | 133.494 | 64.773 | -0.000 | 0.000 | 0.000 |
| -24215687.971 | -41900970.016 | -24429665.431 | 496556.066 | -81071.912 | 1005576.021 |
| 60.949 | 60.949 | 79.695 | -0.000 | 0.000 | 0.000 |
| 3.199 | 3.200 | 1.177 | -13.279 | 0.000 | 0.000 |
| 3.200 | 3.199 | 1.177 | 0.000 | -13.279 | 0.000 |
| -0.000 | 0.000 | 0.000 | 0.000 | 0.000 | 21.751 |
| 176.997 | 133.494 | 64.773 | 0.000 | 0.000 | -0.000 |
| 90.697 | 114.653 | 45.440 | 0.000 | -0.000 | -0.000 |
| 57.373 | 57.373 | 78.380 | 0.000 | -0.000 | -0.000 |
| -3.199 | -3.200 | -1.177 | -13.279 | -0.000 | -0.000 |
| -3.200 | -3.199 | -1.177 | 0.000 | -13.279 | -0.000 |
| 0.000 | -0.000 | -0.000 | 0.000 | 0.000 | 21.751 |
| -9559649.154 | -2932457.469 | -1058941.741 | -783.312 | 35589.035 | 57305.707 |
| 1970391.677 | 792276.481 | -6403304.547 | 36015.204 | -18432.806 | -55000.172 |
| 59.340 | 59.340 | 79.104 | -0.000 | 0.000 | 0.000 |
| 1.268 | 1.268 | 0.467 | -13.703 | 0.000 | 0.000 |
| 1.268 | 1.268 | 0.467 | -0.000 | -13.703 | 0.000 |
| 2337252.403 | 2582145.626 | -9709792.430 | -6000.061 | -2560.903 | -202651.839 |
| -279953.623 | 1011532.886 | 5599106.951 | -50583.826 | -6361.350 | -46291.333 |
| 10179007.694 | 2987583.890 | 778779.387 | 50539.149 | 23639.821 | -93341.214 |
| 58.982 | 58.982 | 78.971 | -0.000 | -0.000 | -0.000 |
| -1.268 | -1.268 | -0.467 | -13.703 | -0.000 | -0.000 |
| -1.268 | -1.268 | -0.467 | 0.000 | -13.703 | -0.000 |
| -2321757.343 | -2575750.552 | 9565501.892 | 5649.831 | -16146.056 | -211625.095 |
| 203.387 | 135.482 | 123.840 | -0.000 | -0.098 | -0.000 |
| 140.544 | 173.988 | 252.529 | -0.003 | -0.352 | -0.000 |
| 107.495 | 235.717 | 165.954 | -0.002 | -0.447 | -0.000 |
| -0.167 | -2.396 | 1.463 | 12.647 | -0.180 | -0.000 |
| 0.004 | -0.139 | 0.064 | -0.000 | 7.271 | -0.000 |
| 0.005 | -0.147 | 0.067 | -0.000 | -0.098 | 17.593 |
| 203.420 | 135.758 | 123.686 | 0.000 | 0.097 | 0.000 |
| 140.610 | 190.579 | 240.894 | 0.003 | 0.350 | 0.000 |
| 106.304 | 253.299 | 151.907 | 0.002 | 0.446 | 0.000 |
| 0.167 | 2.396 | -1.463 | 12.649 | 0.180 | 0.000 |
| -0.005 | 0.156 | -0.072 | 0.000 | 7.424 | 0.000 |
| -0.005 | 0.147 | -0.067 | 0.000 | 0.098 | 17.593 |
| 200.162 | 143.613 | 113.096 | -0.000 | -0.033 | -0.000 |
| 141.512 | 178.064 | 250.448 | -0.000 | -0.046 | -0.000 |
| 107.623 | 246.571 | 158.848 | -0.000 | -0.040 | -0.000 |
| 0.004 | -0.407 | 0.290 | 10.041 | -0.031 | -0.000 |
| -0.023 | -0.466 | 0.294 | -0.000 | 4.513 | -0.000 |
| 0.001 | -0.019 | 0.009 | -0.000 | -0.013 | 17.592 |
| 200.061 | 145.287 | 111.773 | 0.000 | 0.033 | 0.000 |
| 141.415 | 179.704 | 249.156 | 0.000 | 0.045 | 0.000 |
| 120.724 | 171.931 | 225.412 | 0.000 | 0.020 | 0.000 |
| -0.004 | 0.407 | -0.290 | 10.041 | 0.031 | 0.000 |
| 0.023 | 0.466 | -0.294 | 0.000 | 4.567 | 0.000 |
| -0.001 | 0.019 | -0.009 | 0.000 | 0.013 | 17.592 |
| 200.872 | 137.494 | 118.413 | -0.000 | -0.015 | -0.000 |
| 141.613 | 178.787 | 250.094 | -0.000 | -0.003 | -0.000 |
| 107.637 | 248.245 | 157.736 | -0.000 | -0.002 | -0.000 |
| 0.002 | -0.049 | 0.037 | 10.235 | -0.002 | -0.000 |
| 0.006 | -0.065 | 0.053 | -0.000 | 4.494 | -0.000 |
| -0.001 | -0.034 | 0.021 | -0.000 | -0.002 | 17.533 |
| 203.405 | 135.619 | 123.758 | 0.000 | 0.001 | 0.000 |
| 141.598 | 178.967 | 249.938 | 0.000 | 0.003 | 0.000 |
| 109.577 | 223.296 | 183.059 | 0.000 | -0.157 | 0.000 |
| -0.002 | 0.049 | -0.037 | 10.235 | 0.002 | 0.000 |
| -0.006 | 0.065 | -0.053 | 0.000 | 4.500 | 0.000 |
| 0.001 | 0.034 | -0.021 | 0.000 | 0.002 | 17.533 |
| 32.245 | 180.016 | 57.330 | -0.000 | -0.000 | -0.000 |
| 180.016 | 32.245 | 57.330 | 0.000 | 0.000 | -0.000 |
| 57.330 | 57.330 | 121.635 | 0.000 | 0.000 | -0.000 |
| -0.000 | 0.000 | 0.000 | 6.603 | -0.000 | 0.000 |
| 0.000 | -0.000 | 0.000 | 0.000 | 6.603 | -0.000 |
| 0.000 | 0.000 | 0.000 | -0.000 | -0.000 | 73.468 |
| 74.063 | 138.198 | 57.330 | 0.000 | 0.000 | 0.000 |
| 138.198 | 74.063 | 57.330 | 0.000 | 0.000 | 0.000 |
| 57.330 | 57.330 | 121.635 | -0.000 | -0.000 | -0.000 |
| 0.000 | -0.000 | -0.000 | 6.603 | -0.000 | -0.000 |
| -0.000 | 0.000 | -0.000 | 0.000 | 6.603 | 0.000 |
| -0.000 | -0.000 | -0.000 | 0.000 | 0.000 | 73.468 |
| 32.245 | 180.016 | 57.330 | -0.000 | -0.000 | 0.000 |
| 180.016 | 32.245 | 57.330 | -0.000 | -0.000 | 0.000 |
| 57.330 | 57.330 | 121.635 | -0.000 | 0.000 | -0.000 |
| 0.000 | 0.000 | 0.000 | -8.856 | -0.000 | 0.000 |
| 0.000 | 0.000 | 0.000 | -0.000 | -8.856 | 0.000 |
| 0.000 | 0.000 | 0.000 | -0.000 | -0.000 | 73.468 |
| 32.246 | 180.016 | 57.330 | 0.000 | 0.000 | 0.000 |
| 180.016 | 32.246 | 57.330 | -0.000 | 0.000 | 0.000 |
| 57.330 | 57.330 | 121.635 | 0.000 | 0.000 | -0.000 |
| -0.000 | -0.000 | -0.000 | -8.856 | 0.000 | -0.000 |
| -0.000 | -0.000 | -0.000 | 0.000 | -8.856 | -0.000 |
| -0.000 | -0.000 | -0.000 | 0.000 | 0.000 | 73.468 |
| 74.057 | 138.198 | 57.330 | -0.000 | -0.000 | 0.000 |
| 138.198 | 74.057 | 57.330 | -0.000 | 0.000 | -0.000 |
| 57.330 | 57.330 | 121.635 | 0.000 | -0.000 | 0.000 |
| 0.000 | 0.000 | 0.000 | -8.856 | -0.000 | 0.000 |
| 0.000 | 0.000 | 0.000 | -0.000 | -8.856 | 0.000 |
| 0.000 | 0.000 | 0.000 | -0.000 | -0.000 | 73.468 |
| 32.251 | 180.016 | 57.330 | 0.000 | 0.000 | 0.000 |
| 180.016 | 32.251 | 57.330 | -0.000 | -0.000 | -0.000 |
| 57.330 | 57.330 | 121.635 | 0.000 | 0.000 | -0.000 |
| -0.000 | -0.000 | -0.000 | -8.856 | 0.000 | 0.000 |
| -0.000 | -0.000 | -0.000 | -0.000 | -8.856 | -0.000 |
| -0.000 | -0.000 | -0.000 | 0.000 | 0.000 | 73.468 |
| 132.638 | 94.488 | 94.488 | 0.000 | -0.000 | 0.000 |
| 94.488 | 132.638 | 94.488 | -0.000 | -0.000 | -0.000 |
| 94.488 | 94.488 | 132.638 | 0.000 | 0.000 | 0.000 |
| -0.000 | -0.000 | -0.000 | 74.036 | -0.000 | 0.000 |
| -0.000 | -0.000 | -0.000 | -0.000 | 74.036 | -0.000 |
| -0.000 | -0.000 | -0.000 | 0.000 | -0.000 | 74.036 |
| 132.638 | 94.488 | 94.488 | 0.000 | 0.000 | 0.000 |
| 94.488 | 132.638 | 94.488 | 0.000 | 0.000 | 0.000 |
| 94.488 | 94.488 | 132.638 | 0.000 | 0.000 | -0.000 |
| 0.000 | 0.000 | 0.000 | 74.036 | 0.000 | 0.000 |
| 0.000 | 0.000 | 0.000 | 0.000 | 74.036 | 0.000 |
| 0.000 | 0.000 | 0.000 | -0.000 | 0.000 | 74.036 |
| 132.638 | 94.488 | 94.488 | -0.000 | -0.000 | 0.000 |
| 94.488 | 132.638 | 94.488 | -0.000 | -0.000 | -0.000 |
| 94.488 | 94.488 | 132.638 | -0.000 | -0.000 | -0.000 |
| -0.000 | -0.000 | -0.000 | 74.036 | -0.000 | 0.000 |
| -0.000 | -0.000 | -0.000 | 0.000 | 74.036 | -0.000 |
| -0.000 | -0.000 | -0.000 | 0.000 | -0.000 | 74.036 |
| 132.638 | 94.488 | 94.488 | -0.000 | -0.000 | -0.000 |
| 94.488 | 132.638 | 94.488 | -0.000 | 0.000 | 0.000 |
| 94.488 | 94.488 | 132.638 | 0.000 | 0.000 | 0.000 |
| 0.000 | 0.000 | 0.000 | 74.036 | 0.000 | 0.000 |
| 0.000 | 0.000 | 0.000 | 0.000 | 74.036 | 0.000 |
| 0.000 | 0.000 | 0.000 | -0.000 | 0.000 | 74.036 |
| 132.638 | 94.488 | 94.488 | 0.000 | -0.000 | -0.000 |
| 94.488 | 132.638 | 94.488 | 0.000 | -0.000 | 0.000 |
| 94.488 | 94.488 | 132.638 | -0.000 | -0.000 | -0.000 |
| -0.000 | -0.000 | -0.000 | 74.036 | 0.000 | -0.000 |
| -0.000 | -0.000 | -0.000 | 0.000 | 74.036 | -0.000 |
| -0.000 | -0.000 | -0.000 | 0.000 | -0.000 | 74.036 |
| 132.639 | 94.488 | 94.488 | -0.000 | 0.000 | -0.000 |
| 94.488 | 132.639 | 94.488 | 0.000 | 0.000 | 0.000 |
| 94.488 | 94.488 | 132.639 | 0.000 | 0.000 | 0.000 |
| 0.000 | 0.000 | 0.000 | 74.036 | -0.000 | -0.000 |
| 0.000 | 0.000 | 0.000 | -0.000 | 74.036 | -0.000 |
| 0.000 | 0.000 | 0.000 | -0.000 | 0.000 | 74.036 |
| 84.791 | -7.481 | -7.481 | 0.000 | 0.000 | 0.000 |
| -7.481 | 84.791 | -7.481 | -0.000 | -0.000 | 0.000 |
| -7.481 | -7.481 | 84.791 | -0.000 | 0.000 | 0.000 |
| 0.000 | 0.000 | 0.000 | -40.067 | 0.000 | 0.000 |
| 0.000 | 0.000 | 0.000 | 0.000 | -40.067 | 0.000 |
| 0.000 | 0.000 | 0.000 | 0.000 | 0.000 | -40.067 |
| 82.104 | -6.138 | -6.138 | -0.000 | -0.000 | -0.000 |
| -6.138 | 82.104 | -6.138 | -0.000 | -0.000 | -0.000 |
| -6.138 | -6.138 | 82.104 | 0.000 | -0.000 | -0.000 |
| -0.000 | -0.000 | -0.000 | -40.067 | -0.000 | -0.000 |
| -0.000 | -0.000 | -0.000 | 0.000 | -40.067 | -0.000 |
| -0.000 | -0.000 | -0.000 | -0.000 | -0.000 | -40.067 |
| 82.104 | -6.138 | -6.138 | 0.000 | 0.000 | 0.000 |
| -6.138 | 82.104 | -6.138 | 0.000 | 0.000 | 0.000 |
| -6.138 | -6.138 | 82.104 | -0.000 | 0.000 | 0.000 |
| 0.000 | 0.000 | 0.000 | -40.067 | 0.000 | 0.000 |
| 0.000 | 0.000 | 0.000 | -0.000 | -40.067 | 0.000 |
| 0.000 | 0.000 | 0.000 | 0.000 | 0.000 | -40.067 |
| 82.104 | -6.138 | -6.138 | -0.000 | -0.000 | -0.000 |
| -6.138 | 82.104 | -6.138 | -0.000 | -0.000 | -0.000 |
| -6.138 | -6.138 | 82.104 | -0.000 | -0.000 | -0.000 |
| -0.000 | -0.000 | -0.000 | -40.067 | -0.000 | -0.000 |
| -0.000 | -0.000 | -0.000 | 0.000 | -40.067 | -0.000 |
| -0.000 | -0.000 | -0.000 | -0.000 | -0.000 | -40.067 |
| 82.104 | -6.138 | -6.138 | 0.000 | 0.000 | 0.000 |
| -6.138 | 82.104 | -6.138 | 0.000 | 0.000 | 0.000 |
| -6.138 | -6.138 | 82.104 | -0.000 | 0.000 | 0.000 |
| 0.000 | 0.000 | 0.000 | -24.474 | 0.000 | 0.000 |
| 0.000 | 0.000 | 0.000 | 0.000 | -24.474 | 0.000 |
| 0.000 | 0.000 | 0.000 | 0.000 | 0.000 | -24.474 |
| 84.791 | -7.481 | -7.481 | -0.000 | -0.000 | -0.000 |
| -7.481 | 84.791 | -7.481 | 0.000 | -0.000 | -0.000 |
| -7.481 | -7.481 | 84.791 | -0.000 | -0.000 | -0.000 |
| -0.000 | -0.000 | -0.000 | -24.474 | 0.000 | -0.000 |
| -0.000 | -0.000 | -0.000 | 0.000 | -24.474 | -0.000 |
| -0.000 | -0.000 | -0.000 | -0.000 | -0.000 | -24.474 |
| 100.508 | 76.371 | 76.371 | -0.000 | -0.000 | -0.000 |
| 76.371 | 100.508 | 76.371 | -0.000 | -0.000 | 0.000 |
| 76.371 | 76.371 | 100.508 | -0.000 | -0.000 | -0.000 |
| -0.000 | -0.000 | -0.000 | 58.591 | -0.000 | -0.000 |
| -0.000 | -0.000 | -0.000 | -0.000 | 58.591 | -0.000 |
| -0.000 | -0.000 | -0.000 | -0.000 | -0.000 | 58.591 |
| 100.508 | 76.371 | 76.371 | 0.000 | 0.000 | 0.000 |
| 76.371 | 100.508 | 76.371 | 0.000 | 0.000 | 0.000 |
| 76.371 | 76.371 | 100.508 | 0.000 | 0.000 | 0.000 |
| 0.000 | 0.000 | 0.000 | 58.591 | 0.000 | 0.000 |
| 0.000 | 0.000 | 0.000 | 0.000 | 58.591 | -0.000 |
| 0.000 | 0.000 | 0.000 | 0.000 | 0.000 | 58.591 |
| 100.508 | 76.371 | 76.371 | -0.000 | -0.000 | -0.000 |
| 76.371 | 100.508 | 76.371 | -0.000 | -0.000 | -0.000 |
| 76.371 | 76.371 | 100.508 | -0.000 | -0.000 | -0.000 |
| -0.000 | -0.000 | -0.000 | 58.591 | -0.000 | -0.000 |
| -0.000 | -0.000 | -0.000 | -0.000 | 58.591 | -0.000 |
| -0.000 | -0.000 | -0.000 | 0.000 | 0.000 | 58.591 |
| 100.508 | 76.371 | 76.371 | 0.000 | 0.000 | 0.000 |
| 76.371 | 100.508 | 76.371 | 0.000 | 0.000 | 0.000 |
| 76.371 | 76.371 | 100.508 | 0.000 | 0.000 | 0.000 |
| 0.000 | 0.000 | 0.000 | 58.591 | -0.000 | 0.000 |
| 0.000 | 0.000 | 0.000 | 0.000 | 58.591 | 0.000 |
| 0.000 | 0.000 | 0.000 | 0.000 | 0.000 | 58.591 |
| 100.509 | 76.371 | 76.371 | 0.000 | -0.000 | -0.000 |
| 76.371 | 100.509 | 76.371 | -0.000 | -0.000 | -0.000 |
| 76.371 | 76.371 | 100.509 | -0.000 | -0.000 | -0.000 |
| -0.000 | -0.000 | -0.000 | 58.591 | -0.000 | -0.000 |
| -0.000 | -0.000 | -0.000 | -0.000 | 58.591 | -0.000 |
| -0.000 | -0.000 | -0.000 | -0.000 | -0.000 | 58.591 |
| 100.508 | 76.371 | 76.371 | 0.000 | 0.000 | 0.000 |
| 76.371 | 100.508 | 76.371 | 0.000 | 0.000 | 0.000 |
| 76.371 | 76.371 | 100.508 | 0.000 | 0.000 | 0.000 |
| 0.000 | 0.000 | 0.000 | 58.591 | -0.000 | 0.000 |
| 0.000 | 0.000 | 0.000 | 0.000 | 58.591 | 0.000 |
| 0.000 | 0.000 | 0.000 | 0.000 | 0.000 | 58.591 |
| 170.535 | 92.818 | 62.157 | -0.000 | 0.000 | -0.000 |
| 92.818 | 170.535 | 62.157 | 0.000 | -0.000 | -0.000 |
| 62.157 | 62.157 | 191.528 | -0.000 | 0.000 | -0.000 |
| -0.000 | -0.000 | 0.000 | 43.122 | -0.000 | 0.000 |
| -0.000 | 0.000 | 0.000 | 0.000 | 43.122 | -0.000 |
| -0.000 | 0.000 | 0.000 | 0.000 | -0.000 | 56.536 |
| 170.535 | 92.818 | 62.157 | 0.000 | 0.000 | 0.000 |
| 75.140 | 188.212 | 62.157 | -0.000 | 0.000 | -0.000 |
| 62.157 | 62.157 | 191.528 | -0.000 | 0.000 | 0.000 |
| 0.000 | 0.000 | -0.000 | 43.122 | 0.000 | -0.000 |
| 0.000 | -0.000 | -0.000 | 0.000 | 43.122 | 0.000 |
| 0.000 | -0.000 | 0.000 | 0.000 | 0.000 | 56.536 |
| 188.212 | 75.140 | 62.157 | -0.000 | -0.000 | 0.000 |
| 75.140 | 188.212 | 62.157 | -0.000 | -0.000 | -0.000 |
| 62.157 | 62.157 | 191.528 | -0.000 | -0.000 | -0.000 |
| -0.000 | -0.000 | 0.000 | 43.122 | 0.000 | -0.000 |
| -0.000 | -0.000 | 0.000 | -0.000 | 43.122 | 0.000 |
| 0.000 | -0.000 | -0.000 | -0.000 | -0.000 | 38.859 |
| 188.212 | 75.140 | 62.157 | 0.000 | 0.000 | -0.000 |
| 92.818 | 170.535 | 62.157 | -0.000 | 0.000 | 0.000 |
| 62.157 | 62.157 | 191.527 | 0.000 | 0.000 | -0.000 |
| 0.000 | 0.000 | -0.000 | 43.122 | -0.000 | 0.000 |
| 0.000 | 0.000 | -0.000 | -0.000 | 43.122 | -0.000 |
| -0.000 | 0.000 | 0.000 | -0.000 | -0.000 | 38.859 |
| 170.535 | 92.818 | 62.157 | -0.000 | -0.000 | -0.000 |
| 92.818 | 170.535 | 62.157 | 0.000 | -0.000 | -0.000 |
| 62.157 | 62.157 | 191.528 | 0.000 | 0.000 | -0.000 |
| -0.000 | -0.000 | 0.000 | 43.122 | -0.000 | -0.000 |
| -0.000 | -0.000 | 0.000 | 0.000 | 43.122 | -0.000 |
| -0.000 | -0.000 | -0.000 | -0.000 | 0.000 | 56.536 |
| 170.535 | 92.818 | 62.157 | 0.000 | 0.000 | 0.000 |
| 75.140 | 188.212 | 62.157 | 0.000 | 0.000 | -0.000 |
| 62.157 | 62.157 | 191.527 | 0.000 | -0.000 | -0.000 |
| 0.000 | 0.000 | -0.000 | 43.122 | -0.000 | 0.000 |
| 0.000 | 0.000 | -0.000 | 0.000 | 43.122 | 0.000 |
| 0.000 | 0.000 | 0.000 | 0.000 | 0.000 | 56.536 |
| 189.000 | 74.171 | 67.959 | 0.000 | 0.000 | 0.000 |
| 74.171 | 189.000 | 67.959 | 0.000 | 0.000 | 0.000 |
| 67.967 | 67.967 | 192.395 | 0.000 | 0.000 | -0.000 |
| -0.000 | 0.000 | 0.000 | 50.422 | 0.000 | -0.000 |
| -0.000 | 0.000 | 0.000 | 0.000 | 50.422 | -0.000 |
| -0.000 | 0.000 | 0.000 | 0.000 | 0.000 | 57.414 |
| 171.884 | 91.288 | 67.959 | -0.000 | -0.000 | 0.000 |
| 74.171 | 189.000 | 67.959 | -0.000 | -0.000 | -0.000 |
| 67.967 | 67.967 | 192.395 | -0.000 | -0.000 | 0.000 |
| 0.000 | -0.000 | -0.000 | 50.422 | -0.000 | 0.000 |
| 0.000 | -0.000 | -0.000 | -0.000 | 50.422 | 0.000 |
| 0.000 | -0.000 | -0.000 | -0.000 | -0.000 | 57.414 |
| 189.000 | 74.171 | 67.959 | 0.000 | 0.000 | -0.000 |
| 91.288 | 171.884 | 67.959 | 0.000 | 0.000 | -0.000 |
| 67.967 | 67.967 | 192.395 | 0.000 | 0.000 | -0.000 |
| 0.000 | -0.000 | 0.000 | 50.422 | 0.000 | -0.000 |
| -0.000 | 0.000 | 0.000 | 0.000 | 50.422 | 0.000 |
| 0.000 | 0.000 | -0.000 | 0.000 | 0.000 | 40.298 |
| 189.000 | 74.171 | 67.959 | -0.000 | -0.000 | -0.000 |
| 91.288 | 171.884 | 67.959 | -0.000 | -0.000 | 0.000 |
| 67.967 | 67.967 | 192.394 | -0.000 | -0.000 | 0.000 |
| -0.000 | 0.000 | -0.000 | 50.422 | -0.000 | 0.000 |
| 0.000 | -0.000 | -0.000 | -0.000 | 50.422 | 0.000 |
| -0.000 | -0.000 | 0.000 | -0.000 | -0.000 | 40.298 |
| 189.001 | 74.172 | 67.960 | 0.000 | 0.000 | 0.000 |
| 91.288 | 171.885 | 67.960 | 0.000 | 0.000 | -0.000 |
| 67.968 | 67.968 | 192.397 | 0.000 | 0.000 | -0.000 |
| 0.000 | -0.000 | 0.000 | 50.422 | 0.000 | -0.000 |
| -0.000 | -0.000 | 0.000 | 0.000 | 50.422 | -0.000 |
| 0.000 | 0.000 | -0.000 | 0.000 | 0.000 | 40.298 |
| 189.000 | 74.171 | 67.959 | -0.000 | -0.000 | -0.000 |
| 91.288 | 171.883 | 67.959 | -0.000 | -0.000 | 0.000 |
| 67.966 | 67.966 | 192.393 | -0.000 | -0.000 | 0.000 |
| -0.000 | 0.000 | -0.000 | 50.422 | -0.000 | 0.000 |
| 0.000 | 0.000 | -0.000 | -0.000 | 50.422 | 0.000 |
| -0.000 | -0.000 | 0.000 | -0.000 | -0.000 | 40.298 |
| 188.979 | 74.155 | 67.949 | 0.000 | -0.000 | 0.000 |
| 74.155 | 188.979 | 67.949 | -0.000 | -0.000 | 0.000 |
| 67.955 | 67.955 | 192.358 | 0.000 | 0.000 | 0.000 |
| 0.000 | -0.000 | 0.000 | 50.422 | 0.000 | 0.000 |
| 0.000 | -0.000 | 0.000 | 0.000 | 50.422 | 0.000 |
| -0.000 | 0.000 | -0.000 | 0.000 | -0.000 | 57.412 |
| 188.979 | 74.155 | 67.949 | -0.000 | -0.000 | -0.000 |
| 91.276 | 171.858 | 67.949 | 0.000 | -0.000 | -0.000 |
| 67.955 | 67.955 | 192.358 | -0.000 | 0.000 | -0.000 |
| -0.000 | 0.000 | -0.000 | 50.422 | -0.000 | -0.000 |
| -0.000 | 0.000 | -0.000 | -0.000 | 50.422 | 0.000 |
| 0.000 | -0.000 | 0.000 | -0.000 | -0.000 | 57.412 |
| 188.979 | 74.155 | 67.949 | 0.000 | -0.000 | 0.000 |
| 74.155 | 188.979 | 67.949 | -0.000 | -0.000 | 0.000 |
| 67.955 | 67.955 | 192.358 | 0.000 | -0.000 | 0.000 |
| 0.000 | -0.000 | 0.000 | 50.422 | -0.000 | 0.000 |
| -0.000 | 0.000 | 0.000 | -0.000 | 50.422 | -0.000 |
| -0.000 | 0.000 | -0.000 | -0.000 | 0.000 | 57.412 |
| 171.858 | 91.276 | 67.949 | 0.000 | 0.000 | -0.000 |
| 91.276 | 171.858 | 67.949 | -0.000 | -0.000 | -0.000 |
| 67.955 | 67.955 | 192.358 | 0.000 | 0.000 | -0.000 |
| -0.000 | 0.000 | -0.000 | 50.422 | 0.000 | -0.000 |
| 0.000 | -0.000 | -0.000 | 0.000 | 50.422 | -0.000 |
| 0.000 | -0.000 | 0.000 | 0.000 | -0.000 | 57.412 |
| 171.859 | 91.276 | 67.949 | -0.000 | 0.000 | 0.000 |
| 91.276 | 171.859 | 67.949 | 0.000 | -0.000 | 0.000 |
| 67.956 | 67.956 | 192.360 | 0.000 | -0.000 | 0.000 |
| -0.000 | -0.000 | 0.000 | 50.422 | -0.000 | 0.000 |
| -0.000 | 0.000 | 0.000 | 0.000 | 50.422 | 0.000 |
| 0.000 | 0.000 | -0.000 | 0.000 | -0.000 | 40.291 |
| 171.857 | 91.276 | 67.949 | 0.000 | 0.000 | -0.000 |
| 91.276 | 171.857 | 67.949 | 0.000 | 0.000 | -0.000 |
| 67.954 | 67.954 | 192.356 | -0.000 | -0.000 | -0.000 |
| 0.000 | 0.000 | -0.000 | 50.422 | 0.000 | -0.000 |
| 0.000 | -0.000 | -0.000 | -0.000 | 50.422 | -0.000 |
| -0.000 | -0.000 | 0.000 | -0.000 | 0.000 | 40.291 |
| 188.859 | 74.091 | 67.892 | 0.000 | 0.000 | -0.000 |
| 91.220 | 171.730 | 67.892 | 0.000 | 0.000 | 0.000 |
| 67.892 | 67.892 | 192.225 | 0.000 | -0.000 | 0.000 |
| 0.000 | -0.000 | 0.000 | 50.389 | 0.000 | 0.000 |
| 0.000 | -0.000 | 0.000 | 0.000 | 50.389 | 0.000 |
| 0.000 | -0.000 | 0.000 | 0.000 | -0.000 | 40.255 |
| 188.859 | 74.091 | 67.892 | -0.000 | -0.000 | -0.000 |
| 91.219 | 171.730 | 67.892 | -0.000 | -0.000 | -0.000 |
| 67.892 | 67.892 | 192.225 | -0.000 | -0.000 | -0.000 |
| -0.000 | 0.000 | -0.000 | 50.389 | -0.000 | -0.000 |
| -0.000 | 0.000 | -0.000 | -0.000 | 50.389 | 0.000 |
| -0.000 | 0.000 | -0.000 | -0.000 | 0.000 | 40.255 |
| 188.859 | 74.091 | 67.892 | 0.000 | 0.000 | -0.000 |
| 91.219 | 171.730 | 67.892 | 0.000 | 0.000 | 0.000 |
| 67.892 | 67.892 | 192.225 | 0.000 | -0.000 | 0.000 |
| 0.000 | -0.000 | 0.000 | 50.389 | 0.000 | 0.000 |
| 0.000 | 0.000 | 0.000 | 0.000 | 50.389 | -0.000 |
| 0.000 | 0.000 | 0.000 | 0.000 | -0.000 | 40.255 |
| 188.859 | 74.091 | 67.892 | -0.000 | 0.000 | -0.000 |
| 74.091 | 188.859 | 67.892 | -0.000 | -0.000 | -0.000 |
| 67.892 | 67.892 | 192.225 | -0.000 | -0.000 | -0.000 |
| -0.000 | 0.000 | -0.000 | 50.389 | -0.000 | -0.000 |
| -0.000 | -0.000 | -0.000 | -0.000 | 50.389 | -0.000 |
| -0.000 | -0.000 | -0.000 | -0.000 | 0.000 | 40.255 |
| 188.859 | 74.091 | 67.892 | 0.000 | 0.000 | 0.000 |
| 74.091 | 188.859 | 67.892 | 0.000 | -0.000 | -0.000 |
| 67.892 | 67.892 | 192.227 | 0.000 | 0.000 | 0.000 |
| 0.000 | -0.000 | 0.000 | 50.389 | 0.000 | 0.000 |
| -0.000 | 0.000 | 0.000 | 0.000 | 50.389 | 0.000 |
| 0.000 | 0.000 | 0.000 | 0.000 | 0.000 | 40.255 |
| 171.730 | 91.220 | 67.892 | -0.000 | 0.000 | -0.000 |
| 91.219 | 171.730 | 67.892 | -0.000 | 0.000 | -0.000 |
| 67.892 | 67.892 | 192.223 | -0.000 | -0.000 | -0.000 |
| -0.000 | 0.000 | -0.000 | 50.389 | -0.000 | -0.000 |
| 0.000 | -0.000 | -0.000 | -0.000 | 50.389 | -0.000 |
| -0.000 | -0.000 | -0.000 | -0.000 | -0.000 | 40.255 |
| -8.531 | 35.176 | 35.176 | -0.000 | -0.000 | -0.000 |
| 35.176 | -8.531 | 35.176 | -0.000 | -0.000 | -0.000 |
| 35.176 | 35.176 | -8.531 | -0.000 | -0.000 | -0.000 |
| -0.000 | 0.000 | -0.000 | -129.490 | -0.000 | -0.000 |
| 0.000 | -0.000 | -0.000 | -0.000 | -129.490 | -0.000 |
| 0.000 | -0.000 | -0.000 | -0.000 | -0.000 | -129.490 |
| -8.531 | 35.176 | 35.176 | 0.000 | 0.000 | 0.000 |
| 35.176 | -8.531 | 35.176 | 0.000 | 0.000 | 0.000 |
| 35.176 | 35.176 | -8.531 | 0.000 | 0.000 | 0.000 |
| 0.000 | -0.000 | 0.000 | -129.490 | 0.000 | 0.000 |
| -0.000 | 0.000 | 0.000 | 0.000 | -129.490 | 0.000 |
| -0.000 | 0.000 | 0.000 | 0.000 | 0.000 | -129.490 |
| -8.531 | 35.176 | 35.176 | -0.000 | -0.000 | -0.000 |
| 35.176 | -8.531 | 35.176 | -0.000 | -0.000 | -0.000 |
| 35.176 | 35.176 | -8.531 | -0.000 | -0.000 | -0.000 |
| -0.000 | 0.000 | -0.000 | -129.490 | -0.000 | -0.000 |
| 0.000 | -0.000 | -0.000 | -0.000 | -129.490 | -0.000 |
| 0.000 | -0.000 | -0.000 | -0.000 | -0.000 | -129.490 |
| -8.531 | 35.176 | 35.176 | 0.000 | 0.000 | 0.000 |
| 35.176 | -8.531 | 35.176 | 0.000 | 0.000 | 0.000 |
| 35.176 | 35.176 | -8.531 | 0.000 | 0.000 | 0.000 |
| 0.000 | -0.000 | 0.000 | -129.490 | 0.000 | 0.000 |
| -0.000 | 0.000 | 0.000 | 0.000 | -129.490 | 0.000 |
| -0.000 | 0.000 | 0.000 | 0.000 | 0.000 | -129.490 |
| -8.530 | 35.176 | 35.176 | -0.000 | -0.000 | -0.000 |
| 35.176 | -8.530 | 35.176 | -0.000 | -0.000 | -0.000 |
| 35.176 | 35.176 | -8.530 | -0.000 | -0.000 | -0.000 |
| -0.000 | 0.000 | -0.000 | -129.490 | -0.000 | -0.000 |
| 0.000 | -0.000 | -0.000 | -0.000 | -129.490 | -0.000 |
| 0.000 | -0.000 | -0.000 | -0.000 | -0.000 | -129.490 |
| -8.531 | 35.176 | 35.176 | 0.000 | 0.000 | 0.000 |
| 35.176 | -8.531 | 35.176 | 0.000 | 0.000 | 0.000 |
| 35.176 | 35.176 | -8.531 | 0.000 | 0.000 | 0.000 |
| 0.000 | -0.000 | 0.000 | -129.490 | 0.000 | 0.000 |
| -0.000 | 0.000 | 0.000 | 0.000 | -129.490 | 0.000 |
| -0.000 | 0.000 | 0.000 | 0.000 | 0.000 | -129.490 |
| 209.097 | 21.651 | 39.814 | 0.000 | 0.000 | -0.000 |
| 21.651 | 209.097 | 39.814 | 0.000 | 0.000 | -0.000 |
| 39.814 | 39.814 | 230.008 | 0.000 | -0.000 | -0.000 |
| 0.000 | -0.000 | -0.000 | 13.050 | -0.000 | -0.000 |
| -0.000 | 0.000 | -0.000 | 0.000 | 13.050 | -0.000 |
| -0.000 | -0.000 | -0.000 | 0.000 | -0.000 | 1.176 |
| 142.722 | 88.026 | 39.814 | -0.000 | -0.000 | 0.000 |
| 21.651 | 209.097 | 39.814 | -0.000 | 0.000 | 0.000 |
| 39.814 | 39.814 | 230.008 | -0.000 | -0.000 | 0.000 |
| -0.000 | 0.000 | 0.000 | 13.050 | 0.000 | -0.000 |
| 0.000 | -0.000 | 0.000 | -0.000 | 13.050 | 0.000 |
| 0.000 | 0.000 | 0.000 | -0.000 | 0.000 | 1.176 |
| 209.097 | 21.651 | 39.814 | 0.000 | 0.000 | -0.000 |
| 21.651 | 209.097 | 39.814 | -0.000 | -0.000 | -0.000 |
| 39.814 | 39.814 | 230.008 | -0.000 | -0.000 | -0.000 |
| 0.000 | -0.000 | -0.000 | 13.050 | 0.000 | -0.000 |
| -0.000 | 0.000 | -0.000 | 0.000 | 13.050 | -0.000 |
| -0.000 | -0.000 | -0.000 | 0.000 | 0.000 | 1.176 |
| 142.722 | 88.026 | 39.814 | -0.000 | -0.000 | 0.000 |
| 88.026 | 142.722 | 39.814 | -0.000 | -0.000 | 0.000 |
| 39.814 | 39.814 | 230.008 | -0.000 | 0.000 | 0.000 |
| -0.000 | 0.000 | 0.000 | 13.050 | -0.000 | 0.000 |
| 0.000 | -0.000 | 0.000 | -0.000 | 13.050 | 0.000 |
| 0.000 | 0.000 | 0.000 | -0.000 | 0.000 | 1.176 |
| 909543.981 | -2020378.026 | -2263076.638 | -98788.225 | -13438.872 | -326857.563 |
| -1162259.162 | 150937.770 | -1709106.296 | 14517.832 | 99632.020 | -144469.147 |
| 39.814 | 39.814 | 230.009 | -0.000 | 0.000 | -0.000 |
| 0.000 | -0.000 | -0.000 | 13.050 | 0.000 | -0.000 |
| -0.000 | 0.000 | -0.000 | 0.000 | 13.050 | -0.000 |
| -0.000 | -0.000 | -0.000 | 0.000 | 0.000 | 1.176 |
| 1585012.677 | -567368.576 | 1863603.076 | -24590.368 | 66931.306 | 11282.587 |
| 46579.894 | 2549922.066 | 1114234.441 | 618571.483 | -134578.803 | 200533.773 |
| 39.813 | 39.813 | 230.008 | -0.000 | -0.000 | 0.000 |
| -0.000 | 0.000 | 0.000 | 13.050 | 0.000 | 0.000 |
| 0.000 | -0.000 | 0.000 | -0.000 | 13.050 | 0.000 |
| 0.000 | 0.000 | 0.000 | -0.000 | -0.000 | 1.176 |
| 231.617 | 6.133 | 6.133 | 0.000 | 0.000 | 0.000 |
| 6.133 | 231.617 | 6.133 | 0.000 | 0.000 | 0.000 |
| 6.133 | 6.133 | 231.617 | 0.000 | 0.000 | -0.000 |
| 0.000 | 0.000 | 0.000 | -21.488 | 0.000 | 0.000 |
| 0.000 | 0.000 | 0.000 | 0.000 | -21.488 | 0.000 |
| 0.000 | 0.000 | 0.000 | 0.000 | 0.000 | -21.488 |
| 231.617 | 6.133 | 6.133 | -0.000 | -0.000 | -0.000 |
| 6.133 | 231.617 | 6.133 | 0.000 | -0.000 | -0.000 |
| 6.133 | 6.133 | 231.617 | -0.000 | -0.000 | -0.000 |
| 0.000 | -0.000 | -0.000 | -21.488 | -0.000 | -0.000 |
| -0.000 | -0.000 | -0.000 | -0.000 | -21.488 | -0.000 |
| -0.000 | -0.000 | 0.000 | 0.000 | -0.000 | -21.488 |
| 231.617 | 6.133 | 6.133 | 0.000 | 0.000 | 0.000 |
| 6.133 | 231.617 | 6.133 | 0.000 | 0.000 | 0.000 |
| 6.133 | 6.133 | 231.617 | 0.000 | 0.000 | 0.000 |
| -0.000 | 0.000 | 0.000 | -21.488 | 0.000 | 0.000 |
| 0.000 | -0.000 | 0.000 | 0.000 | -21.488 | -0.000 |
| 0.000 | 0.000 | -0.000 | 0.000 | 0.000 | -21.488 |
| 231.617 | 6.133 | 6.133 | -0.000 | -0.000 | -0.000 |
| 6.133 | 231.617 | 6.133 | 0.000 | -0.000 | -0.000 |
| 6.133 | 6.133 | 231.617 | -0.000 | -0.000 | -0.000 |
| 0.000 | -0.000 | -0.000 | -21.488 | -0.000 | 0.000 |
| -0.000 | 0.000 | -0.000 | -0.000 | -21.488 | 0.000 |
| -0.000 | -0.000 | 0.000 | -0.000 | -0.000 | -21.488 |
| 231.618 | 6.134 | 6.134 | 0.000 | -0.000 | 0.000 |
| 6.134 | 231.618 | 6.134 | -0.000 | 0.000 | 0.000 |
| 6.134 | 6.134 | 231.618 | 0.000 | 0.000 | 0.000 |
| -0.000 | 0.000 | 0.000 | -21.488 | 0.000 | -0.000 |
| 0.000 | -0.000 | 0.000 | 0.000 | -21.488 | 0.000 |
| 0.000 | 0.000 | -0.000 | 0.000 | 0.000 | -21.488 |
| 231.616 | 6.133 | 6.133 | -0.000 | -0.000 | -0.000 |
| 6.133 | 231.616 | 6.133 | -0.000 | -0.000 | 0.000 |
| 6.133 | 6.133 | 231.616 | -0.000 | -0.000 | -0.000 |
| 0.000 | -0.000 | -0.000 | -21.488 | 0.000 | -0.000 |
| -0.000 | 0.000 | -0.000 | -0.000 | -21.488 | -0.000 |
| -0.000 | -0.000 | 0.000 | -0.000 | -0.000 | -21.488 |
| 138.430 | 12.003 | 86.885 | -6.242 | 19.824 | -33.584 |
| 77.286 | 72.286 | 82.747 | -2.542 | 23.810 | -34.639 |
| 64.336 | 60.709 | 135.324 | 5.605 | -1.715 | 2.681 |
| 10.398 | -53.128 | 29.207 | 25.985 | 22.962 | -31.261 |
| 9.092 | -51.234 | 20.911 | -2.854 | 56.544 | -35.480 |
| 10.199 | -54.945 | 25.603 | -2.244 | 20.469 | 1.169 |
| 115.829 | 121.239 | 40.940 | 5.402 | -20.142 | 35.112 |
| 54.696 | 181.500 | 36.803 | 9.103 | -16.154 | 34.056 |
| 64.336 | 60.709 | 135.324 | 5.605 | -1.715 | 2.681 |
| -1.345 | 0.675 | 5.605 | 37.215 | 2.765 | 2.863 |
| -1.759 | 3.311 | -1.715 | 2.765 | 41.484 | -1.583 |
| -1.486 | -0.239 | 2.704 | 3.326 | 0.254 | 40.387 |
| 135.783 | 65.622 | 63.645 | -0.885 | 0.463 | 0.598 |
| 67.125 | 121.423 | 62.088 | 2.692 | 5.840 | -3.750 |
| 64.336 | 60.709 | 135.324 | 5.605 | -1.715 | 2.681 |
| -1.387 | -4.480 | 17.204 | 4.726 | 7.892 | -7.341 |
| -1.071 | -2.108 | 0.247 | 2.384 | 38.550 | -4.583 |
| -1.486 | -0.239 | 2.704 | 3.326 | 0.254 | 40.387 |
| 125.877 | 72.142 | 61.600 | 0.173 | -2.182 | 4.230 |
| 64.871 | 132.239 | 57.462 | 3.878 | 1.816 | 3.167 |
| 66.226 | 71.557 | 87.843 | 17.320 | -6.130 | 9.391 |
| -1.345 | 0.675 | 5.605 | 37.215 | 2.765 | 2.863 |
| -1.759 | 3.311 | -1.715 | 2.765 | 41.484 | -1.583 |
| -3.771 | 4.927 | -3.943 | 6.871 | -2.921 | 34.328 |
| 135.784 | 65.622 | 63.645 | -0.885 | 0.463 | 0.598 |
| 70.922 | 110.882 | 62.312 | 3.183 | 4.486 | -0.743 |
| 64.831 | 60.098 | 123.888 | 6.279 | -1.888 | 2.190 |
| -0.627 | 1.064 | 6.703 | 30.128 | 3.287 | 2.734 |
| -2.177 | 2.705 | -1.858 | 2.947 | 35.535 | -1.453 |
| -1.486 | -0.239 | 2.704 | 3.326 | 0.254 | 40.387 |
| 114.632 | 70.569 | 64.294 | -0.711 | -1.185 | 2.182 |
| 65.008 | 135.582 | 59.731 | 2.668 | 3.774 | -0.259 |
| 64.559 | 61.425 | 123.228 | 6.427 | -2.377 | 3.023 |
| -1.345 | 0.675 | 5.605 | 37.215 | 2.765 | 2.863 |
| -2.967 | 4.032 | -2.538 | 3.535 | 29.742 | 0.187 |
| -1.131 | 0.371 | 2.304 | 3.731 | 0.292 | 34.519 |
| 915.645 | -842.174 | -591.791 | 632.112 | 232.804 | 751.789 |
| 4558.987 | -3363.578 | -3430.311 | 366.772 | -15.865 | 2509.705 |
| 4549.738 | -3396.398 | -3387.416 | 364.931 | -17.997 | 2521.527 |
| 2.259 | 4.623 | -3.391 | 38.438 | 4.066 | -0.737 |
| -124.086 | -114.616 | -145.506 | 41.197 | 169.139 | 46.893 |
| 2462.819 | -2124.316 | -1615.518 | 1114.986 | 134.429 | 1703.030 |
| 251.991 | 180.235 | 204.583 | -34.392 | -138.888 | -41.209 |
| -2389.071 | 2214.765 | 1683.913 | -1113.353 | -130.905 | -1685.894 |
| -162.072 | 323.684 | 303.711 | -303.198 | -94.860 | -360.779 |
| 128.118 | 118.476 | 141.014 | -3.794 | -133.655 | -45.245 |
| -1335.066 | 1510.016 | 1069.183 | -985.882 | -261.331 | -1248.884 |
| 4.325 | -6.308 | 4.104 | -0.718 | 1.709 | 42.785 |
| 134.167 | 43.689 | 43.318 | 32.264 | 10.117 | 39.411 |
| 65.431 | 133.041 | 60.714 | 4.786 | -0.655 | -6.308 |
| 145.635 | -27.568 | 44.716 | 59.838 | 22.791 | 80.388 |
| -10.061 | -6.726 | -18.114 | 36.603 | 18.262 | 4.022 |
| 24.715 | -26.888 | -19.135 | 35.037 | 30.608 | 38.872 |
| -8.249 | -17.761 | -10.097 | 3.231 | 15.703 | 42.014 |
| 138.901 | 77.806 | 74.394 | -1.351 | -14.595 | -0.902 |
| -8.003 | 187.431 | 129.631 | -59.945 | -23.430 | -80.027 |
| 72.592 | 72.304 | 144.376 | -7.351 | -14.648 | -0.152 |
| 15.066 | 16.041 | 10.820 | 29.237 | -9.360 | -4.936 |
| 1.059 | -0.674 | -1.064 | 4.066 | 37.139 | 1.917 |
| 16.877 | 5.005 | 18.840 | -4.111 | -11.921 | 33.030 |
| 125.267 | 65.237 | 58.433 | 2.694 | 0.615 | 4.036 |
| 65.431 | 133.041 | 60.714 | 4.786 | -0.655 | -6.308 |
| 59.580 | 60.845 | 137.950 | -3.391 | -1.064 | 4.099 |
| 10.593 | -6.534 | -9.999 | 24.866 | 8.209 | 7.874 |
| 1.059 | -0.674 | -1.064 | 4.066 | 37.139 | 1.917 |
| 4.325 | -6.308 | 4.104 | -0.718 | 1.709 | 42.785 |
| 50.372 | 107.882 | 95.891 | -3.997 | 2.612 | -27.302 |
| 29.797 | 126.159 | 97.358 | -3.719 | -1.967 | -30.299 |
| 19.823 | 94.826 | 141.418 | -5.737 | -3.736 | -18.895 |
| 3.781 | 5.810 | -2.192 | 32.369 | 3.066 | -0.901 |
| 1.059 | -0.674 | -1.064 | 4.066 | 37.139 | 1.917 |
| 5.583 | -5.230 | 5.843 | -0.801 | 0.502 | 36.878 |
| 137.963 | 64.785 | 62.099 | 1.882 | 7.419 | 0.764 |
| 66.100 | 141.180 | 55.135 | 8.934 | -3.945 | -2.610 |
| 63.076 | 55.592 | 137.685 | -8.782 | -3.225 | 3.459 |
| -72.484 | 5.480 | -11.454 | 54.663 | -27.432 | -35.374 |
| -67.688 | -5.142 | -6.895 | 31.039 | 2.524 | -30.676 |
| -74.487 | -4.792 | 0.443 | 24.121 | -27.602 | 4.919 |
| 203.191 | 66.255 | 65.291 | -25.467 | 38.290 | 32.926 |
| 140.690 | 131.148 | 57.199 | -19.086 | 27.299 | 29.022 |
| 138.010 | 56.306 | 130.622 | -36.041 | 27.019 | 35.701 |
| 76.190 | 8.139 | -6.099 | 0.168 | 35.000 | 29.424 |
| 6.870 | -3.792 | -3.225 | 3.600 | 38.960 | 2.076 |
| -0.047 | -2.638 | 3.353 | -3.448 | 4.237 | 41.842 |
| 137.963 | 64.785 | 62.099 | 1.882 | 7.419 | 0.764 |
| 62.448 | 126.614 | 63.650 | 19.413 | -29.652 | -17.371 |
| 56.215 | 54.846 | 127.717 | -6.062 | -7.323 | 0.053 |
| -5.594 | 6.676 | -9.045 | 30.144 | 0.657 | -6.220 |
| -4.187 | 25.412 | 0.125 | 20.360 | -6.276 | -11.068 |
| -7.596 | -3.596 | 2.852 | -0.396 | 0.487 | 34.069 |
| 136.260 | 65.060 | 62.885 | -0.953 | 10.203 | 3.774 |
| 73.818 | 129.779 | 54.781 | 5.414 | -0.783 | -0.136 |
| 69.446 | 22.133 | 127.176 | -33.081 | 43.139 | 24.826 |
| 1.951 | 7.261 | -8.782 | 32.566 | 3.600 | -3.295 |
| 18.437 | -16.927 | -12.072 | -2.818 | 36.197 | 6.690 |
| -0.047 | -2.638 | 3.353 | -3.448 | 4.237 | 41.842 |
| 115.532 | 67.916 | 64.998 | 2.370 | 5.239 | -0.095 |
| 67.067 | 115.209 | 55.731 | 7.498 | -4.871 | -4.882 |
| 63.076 | 55.592 | 137.686 | -8.782 | -3.225 | 3.459 |
| 1.951 | 7.262 | -8.782 | 32.566 | 3.600 | -3.295 |
| 6.870 | -3.792 | -3.225 | 3.600 | 38.960 | 2.076 |
| -0.993 | -3.568 | 3.065 | -2.786 | 3.197 | 36.460 |
| 110.951 | 67.066 | 66.948 | 0.617 | 7.599 | 1.061 |
| 69.295 | 111.314 | 54.670 | 6.103 | -2.801 | -4.062 |
| 70.880 | 54.782 | 108.837 | -8.592 | -3.455 | 3.354 |
| 1.951 | 7.261 | -8.782 | 32.566 | 3.600 | -3.295 |
| 6.869 | -3.792 | -3.225 | 3.600 | 38.960 | 2.076 |
| 0.970 | -5.925 | 1.942 | -2.773 | 3.700 | 30.634 |
| 142.432 | 41.478 | 67.131 | 5.886 | -11.774 | 0.290 |
| 39.594 | 147.734 | 65.625 | 6.565 | -3.454 | -3.590 |
| 28.628 | 92.572 | 99.923 | 6.918 | -41.219 | -77.565 |
| 237.840 | 264.761 | -190.045 | 137.875 | -848.561 | -122.297 |
| -40.291 | 26.549 | -12.925 | 29.540 | -6.321 | -75.358 |
| 3.578 | -3.590 | 2.915 | -3.459 | 1.068 | 14.901 |
| 63.052 | -165.215 | -7.267 | -69.395 | 220.728 | 64.436 |
| 80.213 | 115.137 | 86.210 | -18.297 | 45.871 | 77.860 |
| 0.880 | -143.614 | 40.881 | -92.893 | 236.155 | 66.521 |
| 6.443 | 11.062 | -18.693 | 38.703 | 3.915 | -2.998 |
| -66.982 | -210.414 | -66.945 | -70.753 | 267.774 | 68.411 |
| -107.169 | -333.138 | 107.561 | -67.404 | 597.647 | 79.697 |
| 138.713 | 64.004 | 74.855 | 12.696 | -30.700 | -4.559 |
| 39.594 | 147.734 | 65.625 | 6.565 | -3.454 | -3.590 |
| 69.228 | 63.464 | 124.791 | -18.693 | 7.326 | 3.759 |
| 12.630 | 33.089 | -10.831 | 41.716 | -19.023 | -9.574 |
| -3.858 | 0.391 | 5.551 | 6.465 | 37.628 | -1.994 |
| 3.578 | -3.590 | 2.915 | -3.459 | 1.068 | 14.901 |
| 142.432 | 41.478 | 67.131 | 5.886 | -11.774 | 0.290 |
| 39.594 | 147.734 | 65.625 | 6.565 | -3.454 | -3.590 |
| 69.228 | 63.464 | 124.791 | -18.693 | 7.326 | 3.759 |
| -64.326 | 41.517 | -35.203 | 43.065 | 141.078 | -6.463 |
| -0.807 | -2.994 | 7.326 | 3.915 | 44.862 | 6.291 |
| -2.753 | -24.719 | -4.515 | -11.211 | 24.008 | 17.142 |
| 133.058 | 45.093 | 68.098 | 5.996 | -10.291 | 1.028 |
| 42.403 | 140.341 | 67.638 | 9.052 | -4.929 | -4.351 |
| 69.229 | 63.464 | 124.791 | -18.693 | 7.326 | 3.759 |
| 6.929 | 15.620 | -18.915 | 33.629 | -2.376 | -3.958 |
| -0.807 | -2.994 | 7.326 | 3.915 | 44.862 | 6.291 |
| 4.800 | -1.805 | 3.694 | -3.003 | -1.120 | 10.299 |
| 137.865 | 41.168 | 67.120 | 5.285 | -9.637 | 1.743 |
| 39.594 | 147.734 | 65.625 | 6.565 | -3.454 | -3.590 |
| 69.228 | 63.464 | 124.790 | -18.693 | 7.326 | 3.759 |
| 6.510 | 11.345 | -18.507 | 36.581 | 4.389 | -2.333 |
| -0.249 | -4.812 | 9.370 | 2.146 | 44.806 | 5.013 |
| 3.436 | -5.951 | 2.206 | -4.489 | 3.423 | 11.499 |
| 141.357 | 63.975 | 53.489 | -4.617 | -8.767 | 2.301 |
| -70.740 | -177.999 | -22.438 | -21.367 | -191.183 | -90.739 |
| -33.579 | -354.653 | 50.949 | -143.131 | -448.898 | -260.656 |
| -170.504 | -389.442 | -429.009 | -347.868 | -452.635 | -444.077 |
| -142.626 | -302.336 | -69.920 | -10.589 | -167.088 | -88.038 |
| -125.815 | -312.353 | -79.638 | -12.316 | -202.511 | -44.976 |
| 218.018 | 477.762 | 133.594 | 148.891 | 451.742 | 263.960 |
| 65.022 | 135.407 | 57.322 | -9.764 | 1.598 | -8.089 |
| 150.390 | 471.517 | 204.378 | 167.839 | 467.654 | 259.356 |
| 129.800 | 298.498 | 90.978 | 43.396 | 195.044 | 82.206 |
| -7.943 | 1.076 | 8.203 | 1.399 | 31.089 | -5.512 |
| 377.273 | 251.037 | 1000.879 | 670.036 | 385.815 | 612.672 |
| 116.815 | 23.367 | 49.220 | -22.149 | -52.364 | -22.047 |
| 65.022 | 135.407 | 57.322 | -9.764 | 1.598 | -8.089 |
| 49.223 | 17.125 | 119.926 | -3.192 | -36.448 | -26.658 |
| -4.811 | -5.368 | 11.183 | 36.147 | 1.399 | -0.064 |
| -20.770 | -28.961 | 1.245 | 0.694 | 6.717 | -13.842 |
| -3.961 | -38.979 | -8.475 | -1.034 | -28.695 | 29.214 |
| 141.357 | 63.975 | 53.489 | -4.617 | -8.767 | 2.301 |
| 65.022 | 135.407 | 57.322 | -9.764 | 1.598 | -8.089 |
| 69.303 | 88.049 | 143.383 | 13.176 | 28.499 | 8.427 |
| 7.948 | 25.125 | 19.814 | 32.121 | 21.230 | 8.010 |
| 6.310 | 31.798 | 17.058 | 3.200 | 45.371 | 2.650 |
| 18.919 | 32.478 | 6.343 | 15.188 | 37.214 | 58.243 |
| 132.285 | 60.437 | 53.368 | -5.535 | -9.465 | 2.275 |
| 66.604 | 106.003 | 54.418 | -9.113 | -0.928 | -12.311 |
| 55.039 | 58.238 | 143.628 | 11.183 | 8.203 | 0.568 |
| -16.058 | -1.780 | -1.878 | -8.288 | 4.384 | -8.392 |
| -8.076 | -0.360 | 5.089 | 1.454 | 11.763 | -10.066 |
| 9.539 | -8.254 | -0.022 | 0.458 | -10.008 | 42.216 |
| 120.859 | 70.379 | 64.363 | -4.533 | -1.448 | 8.893 |
| 67.087 | 120.083 | 58.318 | -5.817 | 7.226 | -5.701 |
| 59.226 | 62.587 | 128.913 | 13.902 | 13.975 | 2.021 |
| -4.811 | -5.368 | 11.182 | 36.147 | 1.399 | -0.064 |
| -5.691 | 6.460 | 10.396 | 4.881 | 25.152 | -2.902 |
| 10.629 | -4.715 | -0.554 | 1.202 | -4.056 | 34.934 |
| 93.715 | -480.078 | 80.306 | -471.250 | 53.586 | 166.768 |
| 70.476 | 131.737 | 67.043 | 8.612 | -0.180 | -5.169 |
| 81.219 | 71.114 | 194.744 | -3.390 | -21.394 | -18.220 |
| 20.360 | 9.572 | 51.441 | 44.026 | -12.807 | -18.570 |
| 29.604 | 3.754 | 50.835 | 4.590 | 14.732 | -22.392 |
| -31.532 | -556.023 | 20.944 | -468.123 | 49.930 | 205.958 |
| 115.771 | 645.795 | 9.328 | 517.650 | -51.906 | -245.694 |
| 129.777 | 582.500 | 99.659 | 366.073 | -8.710 | -82.013 |
| 123.973 | 570.699 | 137.366 | 346.747 | -27.528 | -75.169 |
| 26.061 | 555.278 | -30.814 | 500.381 | -48.390 | -172.314 |
| 50.108 | 433.939 | 43.619 | 277.738 | 15.036 | -0.826 |
| 59.186 | 483.498 | 20.846 | 357.507 | -19.936 | -42.975 |
| 131.387 | 71.571 | 61.606 | -5.359 | 3.750 | -7.020 |
| 73.264 | 123.748 | 73.386 | 8.401 | -0.391 | -7.424 |
| 58.136 | 68.236 | 141.449 | -7.270 | -9.622 | -2.623 |
| -4.780 | -46.293 | -7.185 | -13.166 | 7.073 | 15.671 |
| 6.512 | 0.874 | -2.366 | 0.713 | 26.496 | -6.794 |
| -8.921 | -57.561 | -4.639 | -33.792 | 0.155 | 36.765 |
| 117.290 | 76.429 | 56.855 | -3.634 | 7.806 | -1.546 |
| 68.252 | 113.228 | 77.978 | 24.844 | 12.242 | -7.427 |
| 68.105 | 126.382 | 115.969 | 25.902 | -11.203 | -11.157 |
| -7.041 | 12.302 | -9.446 | 35.746 | 1.475 | 3.015 |
| 1.369 | 0.231 | -14.216 | -0.150 | 29.123 | -3.319 |
| -5.678 | -5.867 | -6.193 | -1.289 | -1.953 | 44.676 |
| 127.587 | 71.325 | 56.450 | -5.747 | 4.943 | -5.582 |
| 71.025 | 121.605 | 68.208 | 7.874 | 1.022 | -5.994 |
| 58.229 | 69.585 | 129.226 | -8.110 | -8.453 | -1.922 |
| -2.999 | 0.555 | -7.915 | 25.746 | 1.030 | 1.493 |
| 4.173 | 3.291 | -8.412 | -2.395 | 20.038 | -4.300 |
| -2.917 | -9.436 | -1.881 | -1.004 | -3.088 | 35.729 |
| 116.573 | 72.350 | 58.644 | -2.213 | 5.426 | -4.986 |
| 70.395 | 122.280 | 66.764 | 7.829 | 1.234 | -5.535 |
| 55.285 | 67.900 | 134.341 | -7.776 | -8.157 | -0.680 |
| -2.732 | 10.141 | -8.848 | 33.706 | -0.862 | -0.053 |
| 4.596 | 7.945 | -8.560 | 0.471 | 19.598 | -4.047 |
| -2.084 | -2.354 | -0.777 | 3.651 | -2.799 | 32.109 |
| 146.664 | 61.370 | 61.761 | -2.505 | -1.583 | -3.402 |
| 62.469 | 129.509 | 64.650 | -3.066 | -1.687 | -7.508 |
| 191.908 | -55.472 | -15.062 | -28.605 | 84.694 | 184.633 |
| 70.342 | 11.833 | -317.208 | -23.415 | 177.280 | 357.387 |
| 70.715 | 14.259 | -316.182 | -51.231 | 202.081 | 355.476 |
| -457.501 | 2151.311 | -2836.396 | -295.303 | -167.762 | 1673.211 |
| 146.664 | 61.370 | 61.761 | -2.505 | -1.583 | -3.402 |
| -8.515 | 93.207 | 385.846 | 51.449 | -175.029 | -362.407 |
| -68.823 | 184.899 | 266.746 | 28.070 | -83.162 | -182.004 |
| -132.569 | 117.279 | 140.637 | 63.367 | -81.758 | -183.663 |
| -0.892 | -1.322 | 1.806 | 1.864 | 36.643 | -2.019 |
| -76.404 | -19.501 | 318.592 | 54.014 | -176.063 | -328.527 |
| 146.664 | 61.370 | 61.761 | -2.505 | -1.583 | -3.402 |
| 70.966 | 108.947 | 37.422 | -7.801 | 17.080 | 30.174 |
| 61.680 | 100.236 | 35.471 | 3.293 | 6.691 | 69.501 |
| 5.298 | -0.935 | -32.162 | 25.066 | 20.086 | 36.165 |
| 11.742 | -12.970 | -13.330 | -0.664 | 40.163 | 16.560 |
| -4.119 | -7.511 | 1.295 | -0.991 | -1.858 | 39.033 |
| 124.341 | 35.190 | 127.954 | -7.240 | -8.638 | -70.222 |
| 62.469 | 129.509 | 64.650 | -3.066 | -1.687 | -7.508 |
| 48.502 | 76.734 | 139.957 | 2.568 | -7.628 | -17.024 |
| -15.243 | 9.115 | 13.829 | 37.864 | -6.225 | -18.680 |
| 35.061 | -110.279 | 150.332 | -7.731 | 7.784 | -128.072 |
| 57.246 | -281.505 | 352.764 | 54.885 | 15.376 | -172.922 |
| 139.733 | 60.089 | 60.021 | -2.604 | -1.125 | -1.797 |
| 63.735 | 116.251 | 64.281 | -3.240 | -0.484 | -4.809 |
| 62.869 | 63.529 | 123.861 | -0.566 | 1.577 | 3.194 |
| -0.870 | -4.129 | -1.705 | 34.633 | 3.032 | 1.531 |
| -0.846 | 0.231 | -2.665 | 2.100 | 29.008 | 2.145 |
| -3.019 | -7.851 | -0.186 | -0.996 | -0.772 | 35.269 |
| 137.424 | 62.546 | 62.911 | -2.033 | -2.822 | -5.529 |
| 70.165 | 73.520 | 88.165 | -2.212 | 0.262 | -13.398 |
| 61.769 | 63.697 | 137.055 | -0.094 | 1.806 | 1.335 |
| -2.605 | -17.166 | 19.473 | 16.487 | 3.991 | -9.692 |
| -2.275 | -0.079 | 3.737 | 3.160 | 25.792 | -5.026 |
| -4.196 | -7.125 | 8.024 | 0.384 | -1.993 | 16.956 |
| 95.977 | 47.162 | 37.552 | 0.000 | 0.000 | -0.000 |
| 63.319 | 79.820 | 37.552 | 0.000 | -0.000 | -0.000 |
| 37.552 | 37.552 | 184.724 | 0.000 | -0.000 | -0.000 |
| 0.000 | -0.000 | -0.000 | 16.169 | 0.000 | -0.000 |
| 0.000 | -0.000 | -0.000 | -0.000 | 16.169 | -0.000 |
| -0.000 | -0.000 | -0.000 | 0.000 | 0.000 | 24.407 |
| 95.977 | 47.162 | 37.552 | -0.000 | -0.000 | -0.000 |
| 47.162 | 95.977 | 37.552 | -0.000 | -0.000 | -0.000 |
| 37.552 | 37.552 | 184.724 | -0.000 | 0.000 | 0.000 |
| -0.000 | 0.000 | 0.000 | 16.169 | -0.000 | 0.000 |
| -0.000 | 0.000 | 0.000 | 0.000 | 16.169 | 0.000 |
| 0.000 | 0.000 | 0.000 | 0.000 | -0.000 | 24.407 |
| 95.977 | 47.162 | 37.552 | 0.000 | 0.000 | -0.000 |
| 47.162 | 95.977 | 37.552 | -0.000 | -0.000 | 0.000 |
| 37.552 | 37.552 | 184.724 | 0.000 | -0.000 | -0.000 |
| -0.000 | -0.000 | -0.000 | 16.169 | -0.000 | -0.000 |
| -0.000 | -0.000 | -0.000 | 0.000 | 16.169 | -0.000 |
| -0.000 | -0.000 | -0.000 | 0.000 | -0.000 | 8.250 |
| 79.820 | 63.319 | 37.552 | -0.000 | 0.000 | 0.000 |
| 47.162 | 95.977 | 37.552 | -0.000 | -0.000 | -0.000 |
| 37.552 | 37.552 | 184.724 | -0.000 | -0.000 | 0.000 |
| 0.000 | 0.000 | 0.000 | 16.169 | -0.000 | 0.000 |
| 0.000 | 0.000 | 0.000 | -0.000 | 16.169 | 0.000 |
| 0.000 | 0.000 | 0.000 | -0.000 | 0.000 | 8.250 |
| 79.820 | 63.319 | 37.552 | 0.000 | -0.000 | -0.000 |
| 47.162 | 95.977 | 37.552 | 0.000 | 0.000 | 0.000 |
| 37.552 | 37.552 | 184.724 | 0.000 | -0.000 | -0.000 |
| -0.000 | -0.000 | -0.000 | 16.169 | 0.000 | -0.000 |
| -0.000 | -0.000 | -0.000 | 0.000 | 16.169 | -0.000 |
| -0.001 | -0.000 | -0.000 | 0.000 | -0.000 | 8.250 |
| 95.977 | 47.162 | 37.552 | -0.000 | 0.000 | -0.000 |
| 63.318 | 79.821 | 37.552 | -0.000 | 0.000 | 0.000 |
| 37.552 | 37.552 | 184.723 | -0.000 | 0.000 | 0.000 |
| 0.000 | 0.000 | 0.000 | 16.169 | -0.000 | 0.000 |
| 0.000 | 0.000 | 0.000 | -0.000 | 16.169 | 0.000 |
| 0.001 | 0.000 | 0.000 | -0.000 | 0.000 | 8.250 |
| 83.286 | 88.436 | 37.413 | 0.000 | 0.000 | -0.000 |
| 84.779 | 150.172 | 27.002 | -0.000 | 0.000 | 0.000 |
| 34.460 | 27.628 | 230.014 | 0.000 | 0.000 | 0.000 |
| 0.060 | 0.003 | 0.002 | 3.467 | -0.000 | -0.000 |
| -0.000 | 0.000 | 0.000 | -0.000 | 15.920 | 0.000 |
| 0.060 | 0.003 | 0.002 | -0.000 | 0.000 | 65.310 |
| 83.166 | 88.429 | 37.410 | 0.000 | -0.000 | 0.000 |
| 84.659 | 150.166 | 26.999 | -0.000 | -0.000 | 0.000 |
| 34.460 | 27.628 | 230.014 | -0.000 | 0.000 | -0.000 |
| -0.060 | -0.003 | -0.002 | 3.467 | -0.000 | -0.000 |
| 0.000 | -0.000 | -0.000 | -0.000 | 15.920 | -0.000 |
| -0.060 | -0.003 | -0.002 | 0.000 | -0.000 | 65.310 |
| 83.232 | 88.433 | 37.412 | -0.000 | 0.000 | 0.000 |
| 84.725 | 150.169 | 27.001 | -0.000 | 0.000 | 0.000 |
| 34.322 | 27.620 | 230.010 | -0.000 | 0.000 | 0.000 |
| 0.006 | 0.000 | 0.000 | 3.467 | 0.000 | -0.000 |
| -0.000 | 0.000 | -0.000 | -0.000 | 15.920 | 0.000 |
| 0.006 | 0.000 | 0.000 | -0.000 | 0.000 | 65.310 |
| 88.912 | 88.754 | 37.555 | 0.000 | -0.000 | 0.000 |
| 84.713 | 150.169 | 27.001 | 0.000 | 0.000 | -0.000 |
| 34.310 | 27.619 | 230.010 | 0.000 | -0.000 | -0.000 |
| -0.006 | -0.000 | -0.000 | 3.467 | -0.000 | 0.000 |
| 0.000 | -0.000 | 0.000 | -0.000 | 15.920 | -0.000 |
| -0.006 | -0.000 | -0.000 | 0.000 | -0.000 | 65.310 |
| 88.913 | 88.754 | 37.555 | -0.000 | 0.000 | 0.000 |
| 84.719 | 150.169 | 27.001 | -0.000 | 0.000 | -0.000 |
| 34.460 | 27.628 | 230.012 | -0.000 | 0.000 | 0.000 |
| 0.001 | 0.000 | -0.000 | 3.467 | -0.000 | -0.000 |
| 0.005 | 0.000 | -0.000 | 0.000 | -21.781 | 0.000 |
| 0.000 | 0.000 | 0.000 | -0.000 | -0.000 | 65.310 |
| 88.912 | 88.754 | 37.555 | 0.000 | -0.000 | -0.000 |
| 84.718 | 150.169 | 27.001 | 0.000 | -0.000 | 0.000 |
| 34.315 | 27.620 | 230.012 | 0.000 | -0.000 | -0.000 |
| -0.001 | -0.000 | 0.000 | 3.467 | 0.000 | -0.000 |
| -0.005 | -0.000 | 0.000 | 0.000 | -21.781 | 0.000 |
| -0.000 | -0.000 | -0.000 | 0.000 | -0.000 | 65.310 |
| 148.166 | 101.631 | 101.631 | 0.000 | -0.000 | -0.000 |
| 101.631 | 148.166 | 101.631 | 0.000 | -0.000 | -0.000 |
| 101.631 | 101.631 | 148.166 | 0.000 | -0.000 | -0.000 |
| 0.000 | 0.000 | 0.000 | 32.123 | 0.000 | 0.000 |
| 0.000 | 0.000 | 0.000 | 0.000 | 32.123 | 0.000 |
| 0.000 | 0.000 | 0.000 | 0.000 | -0.000 | 32.123 |
| 102.229 | 53.301 | 53.301 | -0.000 | 0.000 | 0.000 |
| 53.301 | 102.229 | 53.301 | -0.000 | 0.000 | 0.000 |
| 53.301 | 53.301 | 102.229 | -0.000 | 0.000 | 0.000 |
| -0.000 | -0.000 | -0.000 | 32.123 | -0.000 | 0.000 |
| -0.000 | -0.000 | -0.000 | -0.000 | 32.123 | 0.000 |
| -0.000 | -0.000 | -0.000 | -0.000 | 0.000 | 32.123 |
| 117.532 | 69.455 | 69.455 | 0.000 | -0.000 | -0.000 |
| 69.455 | 117.532 | 69.455 | 0.000 | -0.000 | -0.000 |
| 69.455 | 69.455 | 117.532 | 0.000 | -0.000 | -0.000 |
| 0.000 | 0.000 | 0.000 | 32.123 | 0.000 | 0.000 |
| 0.000 | 0.000 | 0.000 | 0.000 | 32.123 | -0.000 |
| 0.000 | 0.000 | 0.000 | 0.000 | -0.000 | 32.123 |
| 120.276 | 65.582 | 65.582 | -0.000 | -0.000 | 0.000 |
| 65.582 | 120.276 | 65.582 | 0.000 | 0.000 | -0.000 |
| 65.582 | 65.582 | 120.276 | -0.000 | -0.000 | 0.000 |
| -0.000 | -0.000 | -0.000 | 32.123 | -0.000 | -0.000 |
| -0.000 | -0.000 | -0.000 | -0.000 | 32.123 | 0.000 |
| -0.000 | -0.000 | -0.000 | -0.000 | 0.000 | 32.123 |
| 116.367 | 66.894 | 66.894 | 0.000 | -0.000 | -0.000 |
| 66.894 | 116.367 | 66.894 | 0.000 | -0.000 | -0.000 |
| 66.894 | 66.894 | 116.367 | 0.000 | -0.000 | -0.000 |
| 0.000 | 0.000 | 0.000 | 32.123 | 0.000 | 0.000 |
| 0.000 | 0.000 | 0.000 | 0.000 | 32.123 | -0.000 |
| 0.000 | 0.000 | 0.000 | 0.000 | -0.000 | 32.123 |
| 120.275 | 65.582 | 65.582 | -0.000 | 0.000 | 0.000 |
| 65.582 | 120.275 | 65.582 | -0.000 | 0.000 | -0.000 |
| 65.582 | 65.582 | 120.275 | -0.000 | 0.000 | -0.000 |
| -0.000 | -0.000 | -0.000 | 32.123 | -0.000 | 0.000 |
| -0.000 | -0.000 | -0.000 | -0.000 | 32.123 | 0.000 |
| -0.000 | -0.000 | -0.000 | -0.000 | 0.000 | 32.123 |
| 83.082 | 50.987 | 50.987 | -0.000 | -0.000 | 0.000 |
| 50.987 | 83.082 | 50.987 | -0.000 | -0.000 | 0.000 |
| 50.987 | 50.987 | 83.082 | -0.000 | -0.000 | 0.000 |
| -0.000 | 0.000 | 0.000 | 23.740 | -0.000 | 0.000 |
| 0.000 | 0.000 | 0.000 | -0.000 | 23.740 | 0.000 |
| 0.000 | 0.000 | 0.000 | -0.000 | -0.000 | 23.741 |
| -585.508 | -591.399 | -591.399 | 0.000 | 0.000 | 0.000 |
| -591.399 | -585.508 | -591.399 | 0.000 | 0.000 | 0.000 |
| -591.399 | -591.399 | -585.508 | 0.000 | 0.000 | 0.000 |
| -0.000 | -0.000 | -0.000 | 23.741 | 0.000 | -0.000 |
| -0.000 | 0.000 | -0.000 | 0.000 | 23.741 | -0.000 |
| -0.000 | -0.000 | -0.000 | 0.000 | 0.000 | 23.740 |
| 120.203 | 101.143 | 101.143 | -0.000 | -0.000 | -0.000 |
| 101.143 | 120.203 | 101.143 | -0.000 | -0.000 | 0.000 |
| 101.143 | 101.143 | 120.203 | -0.000 | -0.000 | 0.000 |
| 50.245 | 50.245 | 50.245 | 16.458 | -0.000 | -0.000 |
| 50.245 | 50.245 | 50.245 | -0.000 | 16.458 | 0.000 |
| 50.245 | 50.245 | 50.245 | -0.000 | -0.000 | 16.458 |
| 83.081 | 50.987 | 50.987 | 0.000 | 0.000 | -0.000 |
| 50.987 | 83.081 | 50.987 | 0.000 | 0.000 | -0.000 |
| 50.987 | 50.987 | 83.081 | 0.000 | 0.000 | -0.000 |
| -50.245 | -50.245 | -50.245 | 16.458 | 0.000 | 0.000 |
| -50.245 | -50.245 | -50.245 | 0.000 | 16.458 | -0.000 |
| -50.245 | -50.245 | -50.245 | 0.000 | 0.000 | 16.458 |
| 83.083 | 50.987 | 50.987 | -0.000 | -0.000 | 0.000 |
| 50.987 | 83.083 | 50.987 | -0.000 | -0.000 | 0.000 |
| 50.987 | 50.987 | 83.083 | -0.000 | -0.000 | 0.000 |
| 3.948 | 3.948 | 3.948 | 15.794 | -0.000 | -0.000 |
| 3.948 | 3.948 | 3.948 | -0.000 | 15.794 | -0.000 |
| 3.948 | 3.948 | 3.948 | -0.000 | -0.000 | 15.794 |
| 55.349 | 44.937 | 44.937 | 0.000 | 0.000 | -0.000 |
| 44.937 | 55.349 | 44.937 | 0.000 | 0.000 | -0.000 |
| 44.937 | 44.937 | 55.349 | 0.000 | 0.000 | -0.000 |
| -3.948 | -3.948 | -3.948 | 15.794 | 0.000 | 0.000 |
| -3.948 | -3.948 | -3.948 | 0.000 | 15.794 | -0.000 |
| -3.948 | -3.948 | -3.948 | 0.000 | 0.000 | 15.794 |
| 168.516 | 71.327 | 33.176 | 0.000 | 0.000 | -0.000 |
| 72.217 | 150.329 | 18.713 | -0.000 | -0.000 | -0.000 |
| 33.176 | 18.657 | 237.699 | -0.000 | -0.000 | 0.000 |
| 0.830 | -0.045 | 0.052 | 0.325 | -0.000 | -0.000 |
| 3.834 | -0.209 | 0.242 | -0.000 | 3.645 | 0.000 |
| -0.000 | 0.000 | 0.000 | -0.000 | -0.000 | 52.974 |
| 165.342 | 71.500 | 32.976 | 0.000 | 0.000 | -0.000 |
| 70.699 | 150.412 | 18.617 | 0.000 | 0.000 | -0.000 |
| 32.265 | 18.706 | 237.641 | 0.000 | 0.000 | -0.000 |
| -0.830 | 0.045 | -0.052 | 0.325 | 0.000 | -0.000 |
| -3.834 | 0.209 | -0.242 | 0.000 | 3.645 | -0.000 |
| 0.000 | -0.000 | -0.000 | 0.000 | 0.000 | 52.974 |
| 168.516 | 71.327 | 33.176 | -0.000 | -0.000 | 0.000 |
| 71.327 | 150.378 | 18.657 | -0.000 | -0.000 | 0.000 |
| 33.100 | 18.661 | 237.694 | -0.000 | 0.000 | 0.000 |
| 0.781 | -0.043 | 0.049 | 0.120 | -0.000 | -0.000 |
| -0.000 | 0.000 | 0.000 | -0.000 | 14.856 | 0.000 |
| -0.000 | 0.000 | 0.000 | -0.000 | 0.000 | 52.974 |
| 166.025 | 71.462 | 33.019 | 0.000 | 0.000 | 0.000 |
| 71.327 | 150.378 | 18.656 | 0.000 | 0.000 | 0.000 |
| 32.948 | 18.669 | 237.684 | 0.000 | 0.000 | -0.000 |
| -0.781 | 0.043 | -0.049 | 0.120 | 0.000 | -0.000 |
| 0.000 | -0.000 | -0.000 | 0.000 | 14.856 | -0.000 |
| 0.000 | -0.000 | -0.000 | 0.000 | 0.000 | 52.974 |
| 168.516 | 71.327 | 33.176 | -0.000 | 0.000 | 0.000 |
| 71.327 | 150.378 | 18.657 | -0.000 | -0.000 | 0.000 |
| 33.177 | 18.657 | 237.700 | -0.000 | -0.000 | 0.000 |
| 0.000 | 0.000 | 0.000 | 0.349 | -0.000 | 0.000 |
| 0.068 | -0.004 | 0.004 | -0.000 | -5.003 | -0.000 |
| -0.000 | 0.000 | 0.000 | -0.000 | 0.000 | 52.974 |
| 168.516 | 71.327 | 33.176 | 0.000 | 0.000 | 0.000 |
| 71.450 | 150.370 | 18.664 | 0.000 | 0.000 | 0.000 |
| 33.016 | 18.665 | 237.688 | 0.000 | 0.000 | 0.000 |
| -0.000 | -0.000 | -0.000 | 0.349 | 0.000 | 0.000 |
| -0.068 | 0.004 | -0.004 | 0.000 | -5.003 | 0.000 |
| 0.000 | -0.000 | -0.000 | 0.000 | 0.000 | 52.974 |
| 173.535 | 73.877 | 31.941 | 0.000 | 0.000 | -0.000 |
| 72.937 | 149.169 | 17.508 | 0.000 | 0.000 | -0.000 |
| 31.323 | 17.688 | 235.013 | -0.000 | -0.000 | -0.000 |
| 0.132 | -0.006 | 0.007 | 0.550 | 0.000 | -0.000 |
| 0.100 | -0.005 | 0.005 | 0.000 | -6.345 | -0.000 |
| 0.000 | 0.000 | 0.000 | 0.000 | 0.000 | 56.715 |
| 173.511 | 73.878 | 31.940 | -0.000 | 0.000 | 0.000 |
| 72.914 | 149.170 | 17.507 | 0.000 | -0.000 | 0.000 |
| 31.323 | 17.688 | 235.013 | -0.000 | -0.000 | -0.000 |
| -0.132 | 0.006 | -0.007 | 0.550 | 0.000 | 0.000 |
| -0.100 | 0.005 | -0.005 | -0.000 | -6.345 | 0.000 |
| -0.000 | -0.000 | -0.000 | -0.000 | 0.000 | 56.715 |
| 176.292 | 73.751 | 32.088 | 0.000 | -0.000 | -0.000 |
| 72.800 | 149.175 | 17.501 | -0.000 | -0.000 | -0.000 |
| 31.323 | 17.688 | 235.013 | 0.000 | 0.000 | -0.000 |
| 0.013 | -0.001 | 0.001 | 0.550 | 0.000 | -0.000 |
| -0.000 | 0.000 | -0.000 | 0.000 | 15.518 | 0.000 |
| -0.000 | 0.000 | 0.000 | 0.000 | 0.000 | 56.715 |
| 176.292 | 73.751 | 32.088 | -0.000 | 0.000 | 0.000 |
| 72.924 | 149.169 | 17.508 | -0.000 | 0.000 | -0.000 |
| 31.175 | 17.695 | 235.005 | -0.000 | -0.000 | 0.000 |
| -0.013 | 0.001 | -0.001 | 0.550 | 0.000 | 0.000 |
| 0.000 | -0.000 | 0.000 | 0.000 | 15.518 | 0.000 |
| 0.000 | -0.000 | -0.000 | -0.000 | -0.000 | 56.715 |
| 176.292 | 73.751 | 32.088 | 0.000 | 0.000 | 0.000 |
| 72.926 | 149.170 | 17.508 | 0.000 | 0.000 | -0.000 |
| 31.176 | 17.695 | 235.004 | 0.000 | 0.000 | -0.000 |
| 0.000 | 0.000 | 0.000 | 0.766 | 0.000 | 0.000 |
| 0.001 | 0.000 | -0.000 | 0.000 | -6.349 | -0.000 |
| -0.000 | 0.000 | 0.000 | -0.000 | 0.000 | 56.715 |
| 173.523 | 73.877 | 31.940 | -0.000 | -0.000 | -0.000 |
| 72.799 | 149.174 | 17.501 | 0.000 | 0.000 | 0.000 |
| 31.323 | 17.688 | 235.014 | -0.000 | -0.000 | 0.000 |
| -0.000 | -0.000 | -0.000 | 0.766 | -0.000 | 0.000 |
| -0.001 | -0.000 | 0.000 | -0.000 | -6.349 | -0.000 |
| 0.000 | -0.000 | -0.000 | -0.000 | -0.000 | 56.715 |
| 170.559 | 84.720 | 66.635 | -0.000 | -0.000 | 0.000 |
| 85.023 | 160.413 | 68.916 | -0.000 | 0.000 | 0.000 |
| 66.807 | 68.785 | 191.862 | -0.000 | 0.000 | 0.000 |
| -0.000 | 0.000 | -0.000 | 51.186 | 0.000 | 0.000 |
| -0.262 | 0.260 | -0.004 | -0.000 | 49.337 | 0.000 |
| -0.273 | 0.272 | -0.005 | -0.000 | -0.000 | 34.420 |
| 171.082 | 84.200 | 66.644 | 0.000 | -0.000 | -0.000 |
| 85.547 | 159.892 | 68.925 | 0.000 | -0.000 | -0.000 |
| 67.332 | 68.263 | 191.871 | 0.000 | -0.000 | -0.000 |
| 0.097 | -0.097 | 0.002 | 51.185 | -0.000 | -0.000 |
| 0.262 | -0.260 | 0.004 | 0.000 | 49.337 | -0.000 |
| 0.273 | -0.272 | 0.005 | 0.000 | -0.000 | 34.420 |
| 170.795 | 84.486 | 66.639 | -0.000 | 0.000 | 0.000 |
| 85.259 | 160.179 | 68.920 | -0.000 | 0.000 | 0.000 |
| 67.043 | 68.551 | 191.866 | -0.000 | 0.000 | 0.000 |
| -0.006 | 0.006 | -0.000 | 51.185 | 0.000 | 0.000 |
| -0.026 | 0.026 | -0.000 | -0.000 | 49.337 | -0.000 |
| -0.027 | 0.027 | -0.000 | -0.000 | 0.000 | 34.420 |
| 187.552 | 67.815 | 66.916 | -0.000 | -0.000 | -0.000 |
| 68.640 | 176.711 | 68.646 | -0.000 | -0.000 | -0.000 |
| 67.095 | 68.499 | 191.867 | 0.000 | -0.000 | -0.000 |
| 0.006 | -0.006 | 0.000 | 51.185 | -0.000 | -0.000 |
| 0.026 | -0.026 | 0.000 | 0.000 | 49.337 | -0.000 |
| 0.027 | -0.027 | 0.000 | 0.000 | -0.000 | 34.420 |
| 170.819 | 84.463 | 66.640 | -0.000 | 0.000 | 0.000 |
| 85.283 | 160.158 | 68.921 | -0.000 | 0.000 | 0.000 |
| 67.067 | 68.528 | 191.866 | -0.000 | -0.000 | 0.000 |
| -0.001 | 0.001 | -0.000 | 51.185 | 0.000 | 0.000 |
| -0.003 | 0.003 | -0.000 | -0.000 | 49.337 | 0.000 |
| -0.003 | 0.004 | -0.000 | -0.000 | 0.000 | 34.420 |
| 170.822 | 84.457 | 66.639 | 0.000 | -0.000 | -0.000 |
| 85.286 | 160.148 | 68.920 | 0.000 | -0.000 | -0.000 |
| 67.345 | 68.250 | 191.872 | -0.000 | -0.000 | -0.000 |
| 0.001 | -0.001 | 0.000 | 51.185 | -0.000 | -0.000 |
| 0.003 | -0.003 | 0.000 | 0.000 | 49.337 | -0.000 |
| 0.003 | -0.004 | 0.000 | 0.000 | -0.000 | 34.420 |
| 187.596 | 76.166 | 57.845 | -25.908 | 0.000 | 0.000 |
| 76.166 | 187.596 | 57.845 | 25.908 | -0.000 | 0.000 |
| 57.846 | 57.846 | 205.922 | 0.000 | -0.000 | 0.000 |
| -25.908 | 25.908 | -0.000 | 37.395 | -0.000 | 0.000 |
| -0.000 | -0.000 | -0.000 | -0.000 | 37.395 | -25.908 |
| -0.000 | -0.000 | -0.000 | 0.000 | -25.908 | 55.715 |
| 187.596 | 76.166 | 57.845 | -25.908 | -0.000 | -0.000 |
| 76.166 | 187.596 | 57.845 | 25.908 | -0.000 | 0.000 |
| 57.846 | 57.846 | 205.922 | -0.000 | 0.000 | 0.000 |
| -25.908 | 25.908 | 0.000 | 37.395 | -0.000 | 0.000 |
| 0.000 | 0.000 | 0.000 | 0.000 | 37.395 | -25.908 |
| 0.000 | 0.000 | 0.000 | -0.000 | -25.908 | 55.715 |
| 187.596 | 76.166 | 57.845 | -25.908 | 0.000 | 0.000 |
| 76.166 | 187.596 | 57.845 | 25.908 | -0.000 | -0.000 |
| 57.846 | 57.846 | 205.922 | 0.000 | 0.000 | 0.000 |
| -25.908 | 25.908 | -0.000 | 37.395 | 0.000 | 0.000 |
| -0.000 | -0.000 | -0.000 | -0.000 | 37.395 | -25.908 |
| -0.000 | -0.000 | -0.000 | 0.000 | -25.908 | 55.715 |
| 187.596 | 76.166 | 57.845 | -25.908 | -0.000 | -0.000 |
| 76.166 | 187.596 | 57.845 | 25.908 | -0.000 | -0.000 |
| 57.846 | 57.846 | 205.922 | 0.000 | -0.000 | 0.000 |
| -25.908 | 25.908 | 0.000 | 37.395 | -0.000 | 0.000 |
| 0.000 | 0.000 | 0.000 | 0.000 | 37.395 | -25.908 |
| 0.000 | 0.000 | 0.000 | -0.000 | -25.908 | 55.715 |
| 187.595 | 76.166 | 57.845 | -25.908 | -0.000 | 0.000 |
| 76.166 | 187.595 | 57.845 | 25.908 | 0.000 | 0.000 |
| 57.846 | 57.846 | 205.921 | -0.000 | -0.000 | -0.000 |
| -25.908 | 25.908 | -0.000 | 37.395 | -0.000 | -0.000 |
| -0.000 | -0.000 | -0.000 | -0.000 | 37.395 | -25.908 |
| -0.000 | -0.000 | -0.000 | 0.000 | -25.908 | 55.715 |
| 187.597 | 76.167 | 57.846 | -25.908 | -0.000 | -0.000 |
| 76.166 | 187.597 | 57.846 | 25.908 | 0.000 | 0.000 |
| 57.846 | 57.846 | 205.923 | -0.000 | 0.000 | -0.000 |
| -25.908 | 25.908 | 0.000 | 37.395 | 0.000 | 0.000 |
| 0.000 | 0.000 | 0.000 | 0.000 | 37.395 | -25.908 |
| 0.000 | 0.000 | 0.000 | -0.000 | -25.908 | 55.715 |
| 81.375 | 52.324 | 27.300 | 0.000 | 0.000 | 0.000 |
| 52.324 | 81.375 | 27.300 | 0.000 | 0.000 | 0.000 |
| 27.300 | 27.300 | 103.759 | 0.000 | 0.000 | 0.000 |
| -0.000 | -0.000 | -0.000 | 4.014 | 0.000 | 0.000 |
| -0.000 | 0.000 | -0.000 | 0.000 | 4.014 | 0.000 |
| -0.000 | 0.000 | -0.000 | 0.000 | -0.000 | -20.433 |
| 81.375 | 52.324 | 27.300 | -0.000 | -0.000 | -0.000 |
| 52.324 | 81.375 | 27.300 | -0.000 | -0.000 | -0.000 |
| 27.300 | 27.300 | 103.759 | -0.000 | 0.000 | -0.000 |
| 0.000 | 0.000 | 0.000 | 4.014 | -0.000 | -0.000 |
| 0.000 | -0.000 | 0.000 | -0.000 | 4.014 | -0.000 |
| 0.000 | 0.000 | 0.000 | -0.000 | -0.000 | -20.433 |
| 35.726 | 97.973 | 27.300 | -0.000 | -0.000 | 0.000 |
| 97.973 | 35.726 | 27.300 | -0.000 | -0.000 | 0.000 |
| 27.300 | 27.300 | 103.759 | 0.000 | -0.000 | 0.000 |
| -0.000 | -0.000 | -0.000 | 4.014 | 0.000 | 0.000 |
| -0.000 | -0.000 | -0.000 | 0.000 | 4.014 | 0.000 |
| 0.000 | 0.000 | -0.000 | 0.000 | 0.000 | 14.525 |
| 46.417 | 87.282 | 27.300 | -0.000 | -0.000 | -0.000 |
| 52.324 | 81.375 | 27.300 | -0.000 | -0.000 | -0.000 |
| 27.300 | 27.300 | 103.759 | -0.000 | -0.000 | -0.000 |
| 0.000 | 0.000 | 0.000 | 4.014 | -0.000 | -0.000 |
| 0.000 | 0.000 | 0.000 | -0.000 | 4.014 | -0.000 |
| -0.000 | -0.000 | 0.000 | -0.000 | -0.000 | 14.525 |
| 81.375 | 52.324 | 27.300 | 0.000 | 0.000 | 0.000 |
| 52.324 | 81.375 | 27.300 | 0.000 | 0.000 | 0.000 |
| 27.300 | 27.300 | 103.757 | 0.000 | 0.000 | 0.000 |
| -0.000 | -0.000 | -0.000 | 4.014 | 0.000 | 0.000 |
| -0.000 | -0.000 | -0.000 | 0.000 | 4.014 | -0.000 |
| 0.000 | 0.000 | -0.000 | 0.000 | 0.000 | 14.525 |
| 46.416 | 87.282 | 27.300 | -0.000 | -0.000 | -0.000 |
| 97.972 | 35.727 | 27.300 | 0.000 | 0.000 | -0.000 |
| 27.300 | 27.300 | 103.760 | -0.000 | -0.000 | -0.000 |
| 0.000 | 0.000 | 0.000 | 4.014 | -0.000 | -0.000 |
| 0.000 | 0.000 | 0.000 | -0.000 | 4.014 | -0.000 |
| -0.000 | -0.000 | 0.000 | -0.000 | -0.000 | 14.525 |
| 188.838 | 74.918 | 64.035 | 9.005 | 0.000 | -0.000 |
| 95.638 | 179.643 | 62.568 | -10.673 | 0.000 | -0.000 |
| 64.035 | 64.035 | 191.563 | 0.000 | -0.000 | 0.000 |
| 15.177 | -3.571 | -1.477 | 45.473 | 0.000 | 0.000 |
| 5.803 | 5.803 | -1.477 | -0.000 | 45.473 | 9.374 |
| -0.000 | 0.000 | 0.000 | 0.000 | 9.005 | 56.960 |
| 179.657 | 72.381 | 65.526 | 9.375 | -0.000 | 0.000 |
| 74.918 | 188.838 | 64.035 | -9.005 | -0.000 | 0.000 |
| 58.242 | 58.242 | 193.038 | 0.000 | 0.000 | -0.000 |
| 9.005 | -9.005 | -0.000 | 45.514 | 0.000 | 0.000 |
| -5.803 | -5.803 | 1.477 | -0.000 | 45.473 | 9.374 |
| 0.000 | -0.000 | 0.000 | -0.000 | 9.005 | 56.960 |
| 185.191 | 79.988 | 63.853 | 9.491 | 0.000 | -0.000 |
| 74.918 | 188.838 | 64.035 | -9.005 | 0.000 | -0.000 |
| 64.035 | 64.035 | 191.563 | 0.000 | 0.000 | 0.000 |
| 9.005 | -9.005 | 0.000 | 45.514 | 0.000 | 0.000 |
| 0.580 | 0.580 | -0.148 | 0.000 | 45.328 | 10.673 |
| 0.741 | 0.741 | -0.189 | 0.000 | 9.477 | 52.728 |
| 188.838 | 74.918 | 64.035 | 9.005 | 0.000 | 0.000 |
| 74.918 | 188.838 | 64.035 | -9.005 | -0.000 | 0.000 |
| 64.035 | 64.035 | 191.563 | 0.000 | 0.000 | 0.000 |
| 8.793 | -9.958 | 0.148 | 45.473 | -0.000 | 0.000 |
| -0.580 | -0.580 | 0.148 | -0.000 | 45.328 | 10.673 |
| -0.741 | -0.741 | 0.189 | -0.000 | 9.477 | 52.728 |
| 174.102 | 89.820 | 64.013 | 10.657 | -0.000 | -0.000 |
| 89.894 | 173.899 | 64.030 | -10.673 | 0.000 | -0.000 |
| 64.103 | 64.103 | 191.547 | 0.000 | 0.000 | -0.000 |
| 10.731 | -10.615 | -0.015 | 45.328 | -0.000 | 0.000 |
| 0.058 | 0.058 | -0.015 | 0.000 | 45.328 | 10.673 |
| 0.241 | 0.241 | -0.061 | -0.000 | 10.537 | 43.218 |
| 176.405 | 86.641 | 64.125 | 10.352 | 0.000 | 0.000 |
| 86.640 | 176.405 | 64.125 | -10.352 | -0.000 | 0.000 |
| 63.986 | 63.986 | 191.574 | -0.000 | 0.000 | 0.000 |
| 9.421 | -9.577 | 0.020 | 45.459 | 0.000 | -0.000 |
| -0.058 | -0.058 | 0.015 | -0.000 | 45.328 | 10.673 |
| -0.241 | -0.241 | 0.061 | 0.000 | 10.537 | 43.218 |
| 79.808 | 63.333 | 37.547 | 0.000 | -0.000 | -0.000 |
| 63.333 | 79.808 | 37.547 | 0.000 | -0.000 | -0.000 |
| 37.548 | 37.548 | 184.721 | 0.000 | -0.000 | -0.000 |
| -0.000 | 0.000 | -0.000 | 16.162 | -0.000 | -0.000 |
| -0.000 | 0.000 | -0.000 | 0.000 | 16.162 | -0.000 |
| -0.000 | 0.000 | -0.000 | 0.000 | 0.000 | 8.238 |
| 95.975 | 47.165 | 37.547 | -0.000 | 0.000 | 0.000 |
| 47.165 | 95.975 | 37.547 | -0.000 | 0.000 | -0.000 |
| 37.548 | 37.548 | 184.721 | -0.000 | -0.000 | 0.000 |
| 0.000 | -0.000 | 0.000 | 16.162 | 0.000 | 0.000 |
| 0.000 | -0.000 | 0.000 | -0.000 | 16.162 | -0.000 |
| 0.000 | -0.000 | 0.000 | -0.000 | 0.000 | 8.238 |
| 95.975 | 47.165 | 37.547 | 0.000 | -0.000 | -0.000 |
| 63.333 | 79.808 | 37.547 | -0.000 | -0.000 | 0.000 |
| 37.548 | 37.548 | 184.721 | 0.000 | -0.000 | -0.000 |
| -0.000 | -0.000 | -0.000 | 16.162 | -0.000 | 0.000 |
| -0.000 | -0.000 | -0.000 | 0.000 | 16.162 | 0.000 |
| -0.000 | -0.000 | -0.000 | 0.000 | -0.000 | 8.238 |
| 79.808 | 63.333 | 37.547 | -0.000 | -0.000 | 0.000 |
| 47.165 | 95.975 | 37.547 | -0.000 | 0.000 | 0.000 |
| 37.548 | 37.548 | 184.721 | -0.000 | -0.000 | 0.000 |
| 0.000 | 0.000 | 0.000 | 16.162 | 0.000 | -0.000 |
| 0.000 | 0.000 | 0.000 | -0.000 | 16.162 | -0.000 |
| 0.000 | 0.000 | 0.000 | -0.000 | 0.000 | 8.238 |
| 95.975 | 47.165 | 37.547 | 0.000 | 0.000 | -0.000 |
| 63.333 | 79.807 | 37.547 | 0.000 | -0.000 | 0.000 |
| 37.548 | 37.548 | 184.722 | 0.000 | -0.000 | -0.000 |
| -0.000 | -0.000 | -0.000 | 16.162 | 0.000 | 0.000 |
| -0.000 | -0.000 | -0.000 | 0.000 | 16.162 | -0.000 |
| -0.001 | -0.000 | -0.000 | -0.000 | -0.000 | 8.238 |
| 95.975 | 47.165 | 37.547 | -0.000 | -0.000 | -0.000 |
| 47.165 | 95.975 | 37.547 | -0.000 | -0.000 | 0.000 |
| 37.548 | 37.548 | 184.721 | -0.000 | -0.000 | 0.000 |
| 0.000 | 0.000 | 0.000 | 16.162 | -0.000 | 0.000 |
| 0.000 | 0.000 | 0.000 | -0.000 | 16.162 | 0.000 |
| 0.001 | 0.000 | 0.000 | 0.000 | 0.000 | 8.238 |
Phonon band structures and crystal properties estimated from quasi-harmonic approximation (QHA) calculations are displayed for select crystals. The calculations were performed using phonopy and LAMMPS. For the phonon calculations, 3x3 supercells of the potential-specific relaxed crystals were used. The QHA calculations were based on 11 strain states ranging from -0.05 to 0.05.
The calculation method used is available as the iprPy phonon calculation method.
Notes and Disclaimers:
Version Information:









































































































































































































































































Static free surface formation energies are displayed for select crystals. The values displayed here are obtained by taking a perfect periodic bulk crystal, slicing along a crystallographic plane, and using force minimization to statically relax the surfaces. The free surface formation energy is computed by comparing the energy of the defect system to the bulk system and dividing by the total surface area created by the cut.
The calculation method used is available as the iprPy surface_energy_static calculation method.
Notes and Disclaimers:
Version Information:
| Surface | γfs (mJ/m2) |
|---|---|
| (111) | 1438.70 |
| (100) | 1527.44 |
| (332) | 1547.33 |
| (322) | 1556.35 |
| (221) | 1590.56 |
| (211) | 1605.44 |
| (331) | 1620.85 |
| (110) | 1624.99 |
| (311) | 1628.07 |
| (321) | 1654.24 |
| (310) | 1663.84 |
| (320) | 1674.41 |
| (210) | 1675.57 |
| Surface | γfs (mJ/m2) |
|---|---|
| (0001) | 1426.42 |
| (1012) 2 | 1491.02 |
| (2021) 1 | 1527.42 |
| (1011) 1 | 1529.76 |
| (2021) 2 | 1601.18 |
| (1120) | 1615.38 |
| (2131) 1 | 1640.27 |
| (2241) | 1643.55 |
| (2132) 2 | 1646.05 |
| (1010) | 1650.25 |
| (2132) 1 | 1659.12 |
| (1121) | 1662.24 |
| (2130) | 1670.24 |
| (2112) | 1673.80 |
| (1012) 1 | 1678.90 |
| (1011) 2 | 1687.72 |
| (2131) 2 | 1690.56 |
| Surface | γfs (mJ/m2) |
|---|---|
| (0001) | 1416.13 |
| (1011) 2 | 1484.15 |
| (1010) 1 | 1488.12 |
| (2021) 1 | 1526.59 |
| (1012) 1 | 1583.08 |
| (1120) | 1607.28 |
| (2130) 1 | 1611.16 |
| (2112) | 1612.21 |
| (1012) 2 | 1633.42 |
| (2132) 1 | 1639.67 |
| (2131) 2 | 1642.12 |
| (2132) 2 | 1647.17 |
| (2241) | 1657.62 |
| (2131) 1 | 1668.93 |
| (1121) | 1672.48 |
| (2021) 2 | 1681.72 |
| (2130) 2 | 1715.52 |
| (1010) 2 | 1807.87 |
| (1011) 1 | 1870.66 |
| Surface | γfs (mJ/m2) |
|---|---|
| (210) | 1861.18 |
| (100) | 1931.03 |
| (211) 2 | 1936.98 |
| (332) 1 | 1951.23 |
| (321) 1 | 1972.72 |
| (322) | 1973.90 |
| (310) | 1974.92 |
| (331) | 1982.26 |
| (110) | 1982.29 |
| (111) | 1983.32 |
| (320) | 1986.93 |
| (321) 2 | 1989.57 |
| (221) | 2004.29 |
| (332) 2 | 2015.44 |
| (211) 1 | 2057.61 |
| Surface | γfs (mJ/m2) |
|---|---|
| (110) | 1826.21 |
| (320) | 1966.26 |
| (321) | 2026.32 |
| (331) | 2029.91 |
| (210) | 2059.57 |
| (211) | 2076.93 |
| (100) | 2079.98 |
| (310) | 2095.30 |
| (221) | 2107.54 |
| (311) | 2123.44 |
| (322) | 2160.45 |
| (332) | 2162.70 |
| (111) | 2218.61 |
| Surface | γfs (mJ/m2) |
|---|---|
| (332) | -17184.42 |
| (331) | -15952.18 |
| (321) | -15000.67 |
| (322) | -14670.46 |
| (320) | -13299.31 |
| (311) | -12158.65 |
| (221) | -11771.95 |
| (310) | -11270.37 |
| (211) | -9311.43 |
| (210) | -8157.83 |
| (100) | 1132.41 |
| (111) | 1341.04 |
| (110) | 1394.34 |
| Surface | γfs (mJ/m2) |
|---|---|
| (111) | 793.85 |
| (332) | 899.33 |
| (100) | 902.08 |
| (322) | 906.74 |
| (221) | 947.82 |
| (211) | 965.74 |
| (331) | 989.77 |
| (311) | 1018.77 |
| (321) | 1038.23 |
| (110) | 1039.56 |
| (310) | 1050.19 |
| (320) | 1085.17 |
| (210) | 1097.98 |
| Surface | γfs (mJ/m2) |
|---|---|
| (110) | 846.19 |
| (320) | 939.87 |
| (211) | 983.93 |
| (210) | 984.57 |
| (321) | 986.80 |
| (310) | 996.84 |
| (331) | 1004.21 |
| (100) | 1050.22 |
| (221) | 1064.04 |
| (311) | 1067.87 |
| (332) | 1084.53 |
| (322) | 1099.38 |
| (111) | 1150.92 |
| Surface | γfs (mJ/m2) |
|---|---|
| (0001) | 808.25 |
| (1012) 2 | 861.85 |
| (2021) 1 | 894.26 |
| (1011) 1 | 907.83 |
| (2021) 2 | 985.97 |
| (1011) 2 | 1041.40 |
| (2131) 1 | 1041.53 |
| (1120) | 1047.00 |
| (1012) 1 | 1050.87 |
| (1010) | 1052.51 |
| (2132) 2 | 1054.02 |
| (2132) 1 | 1055.31 |
| (2241) | 1066.41 |
| (1121) | 1079.56 |
| (2112) | 1089.13 |
| (2130) | 1091.82 |
| (2131) 2 | 1112.61 |
| Surface | γfs (mJ/m2) |
|---|---|
| (0001) | 829.84 |
| (1011) 2 | 873.04 |
| (1010) 1 | 899.75 |
| (2021) 1 | 910.69 |
| (1012) 1 | 1010.43 |
| (2130) 1 | 1029.51 |
| (1012) 2 | 1030.45 |
| (2112) | 1035.06 |
| (2132) 2 | 1035.49 |
| (2132) 1 | 1051.05 |
| (1120) | 1054.68 |
| (2131) 2 | 1062.68 |
| (2131) 1 | 1070.60 |
| (2021) 2 | 1076.97 |
| (2241) | 1087.83 |
| (1121) | 1094.61 |
| (2130) 2 | 1177.94 |
| (1010) 2 | 1242.14 |
| (1011) 1 | 1273.57 |
Static point defect formation energies, Ef, and elastic dipole tensors, pij, are displayed for select crystals. Relaxed defect configurations are obtained by taking a 12x12x12 supercell of a perfect periodic bulk crystal, inserting the point defect, and using force minimization to statically relax the atomic positions while keeping the system dimensions constant. Ef is computed by comparing the energy of the defect system to the same number of atoms in a perfect bulk crystal. pij is estimated as the difference in the system's global pressure with and without the defect multiplied by the system's volume.
Simple structural comparisons of the unrelaxed and relaxed defect configurations are used to help determine if the defect structure has relaxed to a different configuration. Relaxed structures that are identified as no longer consistent with the ideal defect definition are excluded from the table below. The only exception to this is if the lowest energy interstitial configuration does not coincide with a known ideal defect, its energies and pressure tensor are included under the listing "relaxed interstitial". The full list of calculation results including the transformed structures and the structural comparison values is included in the csv file available from the "Download raw data" link.
The calculation method used is available as the iprPy point_defect_static calculation method.
Notes and Disclaimers:
| Point Defect | Ef (eV) | p11 (eV) | p22 (eV) | p33 (eV) | p12 (eV) | p13 (eV) | p23 (eV) |
|---|---|---|---|---|---|---|---|
| vacancy | 1.169 | -5.380 | -5.380 | -5.380 | -0.000 | -0.000 | 0.000 |
| 1nn divacancy | 2.289 | -11.965 | -10.277 | -10.277 | -0.000 | -0.000 | 0.013 |
| 2nn divacancy | 2.310 | -11.057 | -11.057 | -10.889 | 0.000 | -0.000 | -0.000 |
| 100 dumbbell | 3.492 | 30.236 | 30.236 | 28.378 | -0.000 | -0.000 | 0.000 |
| 110 dumbbell | 3.791 | 33.823 | 30.054 | 30.054 | 0.000 | 0.000 | 13.192 |
| crowdion interstitial | 3.793 | 29.949 | 29.949 | 33.604 | 13.135 | 0.000 | 0.000 |
| Point Defect | Ef (eV) | p11 (eV) | p22 (eV) | p33 (eV) | p12 (eV) | p13 (eV) | p23 (eV) |
|---|---|---|---|---|---|---|---|
| vacancy | 1.114 | -5.223 | -5.223 | -5.589 | -0.000 | -0.000 | -0.000 |
| Point Defect | Ef (eV) | p11 (eV) | p22 (eV) | p33 (eV) | p12 (eV) | p13 (eV) | p23 (eV) |
|---|---|---|---|---|---|---|---|
| octahedral interstitial | 2.172 | 14.894 | 10.083 | 10.083 | -0.000 | 0.000 | 0.000 |
| 110 dumbbell | 2.212 | 16.533 | 17.679 | 17.679 | 0.000 | 0.000 | 1.609 |
| 100 dumbbell | 2.313 | 11.498 | 11.498 | 15.163 | -0.000 | 0.000 | 0.000 |
| 111 dumbbell | 2.338 | 15.368 | 15.368 | 15.368 | 0.738 | 0.738 | 0.738 |
| vacancy | 2.770 | -6.636 | -6.636 | -6.636 | -0.000 | 0.000 | 0.000 |
| 1nn divacancy | 5.221 | -11.649 | -11.649 | -11.649 | 0.162 | 0.162 | 0.162 |
| 2nn divacancy | 5.273 | -13.883 | -13.883 | -14.526 | -0.000 | 0.000 | 0.000 |
| Point Defect | Ef (eV) | p11 (eV) | p22 (eV) | p33 (eV) | p12 (eV) | p13 (eV) | p23 (eV) |
|---|---|---|---|---|---|---|---|
| vacancy | 1.526 | -1.493 | -1.493 | -1.493 | -0.000 | -0.000 | -0.000 |
| relaxed interstitial | 1.951 | 10.249 | 14.664 | 10.244 | -0.000 | 1.644 | -0.000 |
| 110 dumbbell | 1.958 | 14.949 | 10.421 | 10.421 | -0.000 | -0.000 | 1.641 |
| crowdion interstitial | 1.961 | 10.488 | 10.488 | 14.948 | 1.571 | -0.000 | -0.000 |
| 100 dumbbell | 2.184 | 11.816 | 11.816 | 9.832 | 0.000 | -0.000 | -0.000 |
| tetrahedral interstitial | 2.307 | 10.037 | 10.037 | 10.037 | 0.000 | 0.000 | 0.000 |
| octahedral interstitial | 2.363 | 12.144 | 12.144 | 12.144 | 0.000 | 0.000 | 0.000 |
| 1nn divacancy | 2.790 | -3.093 | -2.989 | -2.989 | -0.000 | -0.000 | -0.396 |
| 2nn divacancy | 3.038 | -3.491 | -3.491 | -3.828 | -0.000 | -0.000 | -0.000 |
| Point Defect | Ef (eV) | p11 (eV) | p22 (eV) | p33 (eV) | p12 (eV) | p13 (eV) | p23 (eV) |
|---|---|---|---|---|---|---|---|
| vacancy | 1.358 | -4.148 | -4.148 | -4.148 | -0.000 | 0.000 | 0.000 |
| 111 dumbbell | 1.752 | 10.786 | 10.786 | 10.786 | 2.285 | 2.285 | 2.285 |
| crowdion interstitial | 1.754 | 11.002 | 11.002 | 11.002 | 2.272 | 2.272 | 2.272 |
| tetrahedral interstitial | 1.758 | 11.797 | 10.153 | 11.797 | -0.000 | 0.000 | 0.000 |
| 110 dumbbell | 1.785 | 12.377 | 10.272 | 10.272 | -0.000 | 0.000 | 0.184 |
| 100 dumbbell | 1.826 | 15.026 | 15.026 | 15.483 | -0.000 | 0.000 | -0.000 |
| octahedral interstitial | 1.854 | 14.892 | 14.895 | 14.895 | -0.000 | 0.000 | 0.000 |
| 2nn divacancy | 2.498 | -8.462 | -8.462 | -11.509 | -0.000 | 0.000 | -0.000 |
| 1nn divacancy | 2.666 | -5.596 | -5.596 | -5.596 | 0.920 | 0.920 | 0.920 |
| Point Defect | Ef (eV) | p11 (eV) | p22 (eV) | p33 (eV) | p12 (eV) | p13 (eV) | p23 (eV) |
|---|---|---|---|---|---|---|---|
| vacancy | 1.532 | -1.115 | -1.115 | -1.660 | -0.000 | 0.000 | -0.000 |
| relaxed interstitial | 2.192 | 10.802 | 15.610 | 11.280 | -0.000 | -0.000 | 0.000 |
| 0001 dumbbell | 2.784 | 12.484 | 12.484 | 12.644 | -0.000 | 0.000 | 0.000 |
Plots of the atomic structure of dislocation cores are shown here. The dislocations were constructed using dislocation monopole configurations in which a straight dislocation is created in the center of the system using anisotropic elasticity and the elastic constants computed above. A cylindrical region centered around the dislocation is allowed to relax while the remaining atoms are held fixed. The relaxation consists of 1 million NVT steps at 10 K followed by an energy/force minimization. The final plots show the atomic configuration near the center of the monopole system, and display differential displacement arrows and Nye tensor color maps that are both taken with respect to the Burgers vector direction.
These plots show a wide range of final structures, some corresponding to expected dislocation structures and others not. While the characterizations are dislocation-type dependent, some general classification guidelines are listed here.
The calculation method used is available as the iprPy dislocation_monopole calculation method.
Links are provided above the images allowing for users to download the final defect configuration and a corresponding defect-free configuration if they wish to further analyze the structures or use them for subsequent simulations.
Notes and Disclaimers:
Version Information:
Plots of lattice and elastic constants are shown as a function of temperature. The 0K points were taken from the Crystal Structure Predictions and the Elastic Constants Predictions sections above for the unique crystal structures relaxed with the "dynamic" method. Starting from the 0 K relaxed crystal unit cells, supercell systems are created by replicating all three dimensions by the same multiplier to achieve at least 4000 atoms. The systems are then relaxed at 50 K and zero pressure using 1 million NPT steps. Lattice constants are estimated by averaging the measured box dimensions. Temperatures are iteratively increased by 50 K, with each subsequent relaxation calculation starting from the final atomic configuration at the previous temperature and relaxing for another 1 million steps.
The elastic constants are calculated using the deformation–fluctuation hybrid method. Starting from the final atomic configurations of the dynamic relaxations, the system is allowed to evolve at constant volume with a Langevin thermostat. The Born matrix is computed during this run by evaluating how the atomic forces would vary due to applied linear strain fields. The elastic constants can then be estimated using the averaged Born matrix values and the averaged stresses on the system.
The calculation methods used are available as the iprPy relax_dynamic and elastic_constants_dynamic calculation methods.
Clicking on the image of a plot will open an interactive version of it in a new tab. The underlying data for the plots can be downloaded by clicking on the links above each plot.
Notes and Disclaimers:
Version Information:
Plots of radial distribution functions at different temperatures and the temperature-dependent diffusion and viscosity are shown here for elemental liquids. Melt phases are constructed by starting with a 10x10x10 fcc super cell and relaxing with 50,000 NPT steps at zero pressure and a high melting temperature (3000 K for most potentials and elements). Following the melt, liquid structures are relaxed by running NPT for 10,000 steps over which the temperature is dropped by 50 K, then 50,000 NPT at the target temperature to estimate the equilibrium volume, followed by 20,000 NVT steps at the averaged equilibrium volume and target temperature. Structures from the NVT run are sampled to compute the radial distribution function of the liquid at the corresponding temperature.
The final relaxed configurations at each temperature explored are used as the initial configurations for the diffusion and viscosity calculations. For diffusion, the system is integrated for 100 runs of 2,000 NVT steps during which both the mean squared displacement (MSD) and the velocity auto correlation function (VACF) are computed. From these simulations, three estimates of diffusion are computed: one from the MSD of the full 200,000 step run, one in which the MSD is reset for each short run and then averaged, and one from the VACF computed for each short run and averaged. For viscosity, the Green-Kubo method is used which is evaluated during a 1 million step NVT run.
The calculation methods used are available as the iprPy relax_liquid_redo, diffusion_liquid, and viscosity_green_kubo calculation methods.
Clicking on the image of a plot will open an interactive version of it in a new tab. The underlying data for the plots can be downloaded by clicking on the links above each plot.
Notes and Disclaimers:
Version Information:
Plots of internal energy, Gibbs free energy, entropy, heat capacity and volume are shown here as a function of temperature for various crystal structures and liquid phases. The included crystal structures correspond to those in the Solid Structures vs. Temperature section, and the liquid phases to those in the Liquid Properties section. Internal energy and volume are taken from the associated structure relaxations mentioned in those previous sections. Constant pressure heat capacity is estimated using 3-point numerical derivatives of enthalpy versus temperature. Note that since all simulations done here are at 0 pressure, internal energy and enthalpy are equivalent.
The Gibbs energies of the phases are estimated using thermodynamic integration between the interatomic potential in question and a simpler model with known Gibbs free energy values. For solids, the reference model is an Einstein solid, while for liquids it is the Uhlenbeck-Ford potential. Besides a short run at the start of the solid calculations to estimate Einstein model spring constants, the two calculations proceed similarly. Starting with the final relaxation configurations, the systems are stabilized for 25,000 steps. Then, over the next 50,000 steps the potential is swapped out for the reference potential. The system is then stabilized for another 25,000 steps with the reference model before a reverse swap of 50,000 steps is performed. The simulation ends with one final 25,000 step stabilization period. From the simulation, the irreversible work of transformation is estimated and used to compute the absolute Gibbs free energy of the target phase and potential relative to the reference potential. Entropy is estimated as the difference in enthalpy and Gibbs free energy and divided by temperature.
The calculation methods used are available as the iprPy relax_dynamic, relax_liquid_redo, free_energy, and free_energy_liquid calculation methods.
Clicking on the image of a plot will open an interactive version of it in a new tab. The underlying data for the plots can be downloaded by clicking on the links above each plot.
Notes and Disclaimers:
Version Information:






