Plots of the potential energy vs interatomic spacing, r, are shown below for all diatom sets associated with the interatomic potential. This calculation provides insights into the functional form of the potential's two-body interactions. A system consisting of only two atoms is created, and the potential energy is evaluated for the atoms separated by 0.02 Å <= r <= 6.0> Å in intervals of 0.02 Å. Two plots are shown: one for the "standard" interaction distance range, and one for small values of r. The small r plot is useful for determining whether the potential is suitable for radiation studies.
The calculation method used is available as the iprPy diatom_scan calculation method.
Clicking on the image of a plot will open an interactive version of it in a new tab. The underlying data for the plots can be downloaded by clicking on the links above each plot.
Notes and Disclaimers:
Version Information:
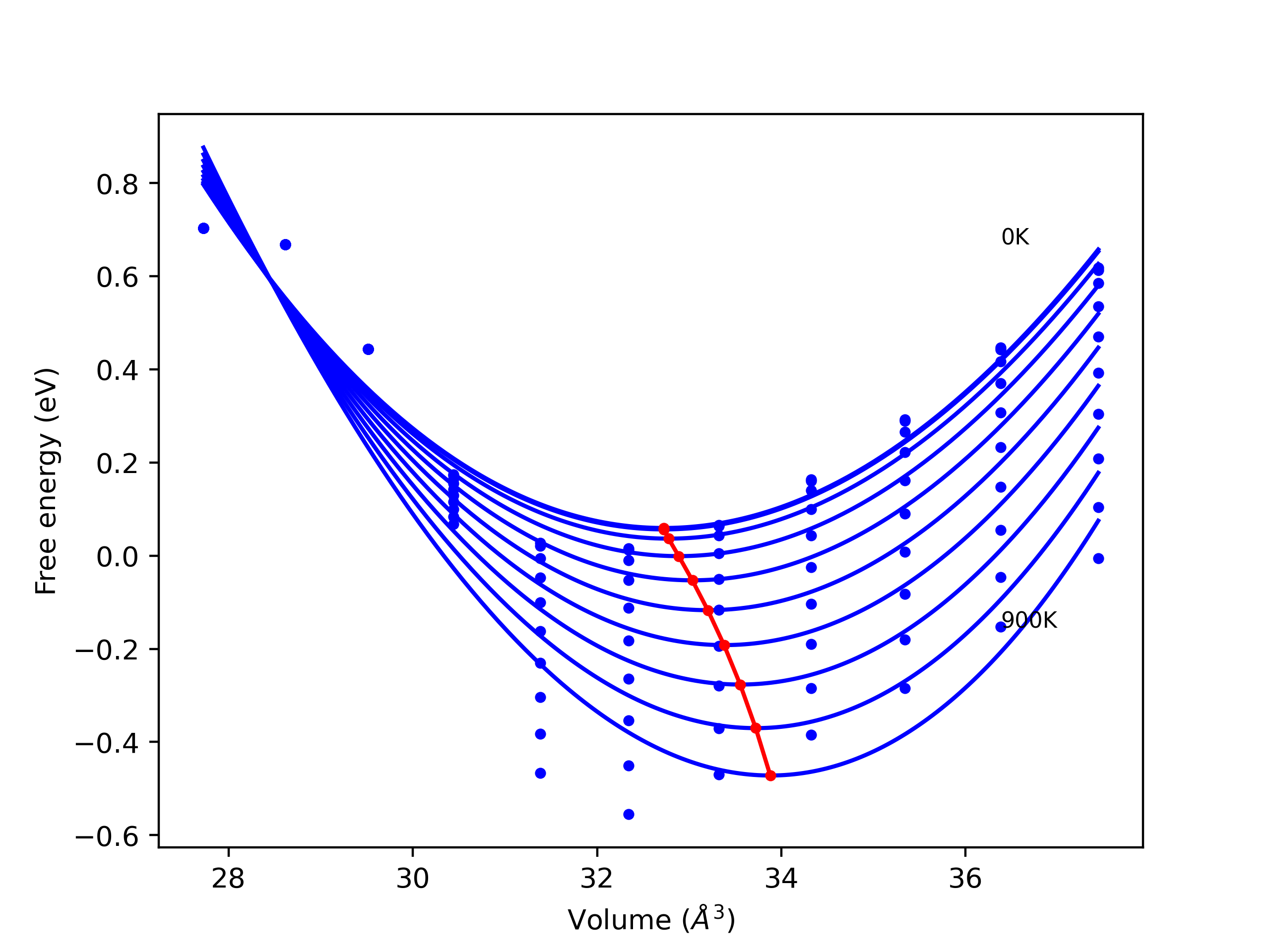
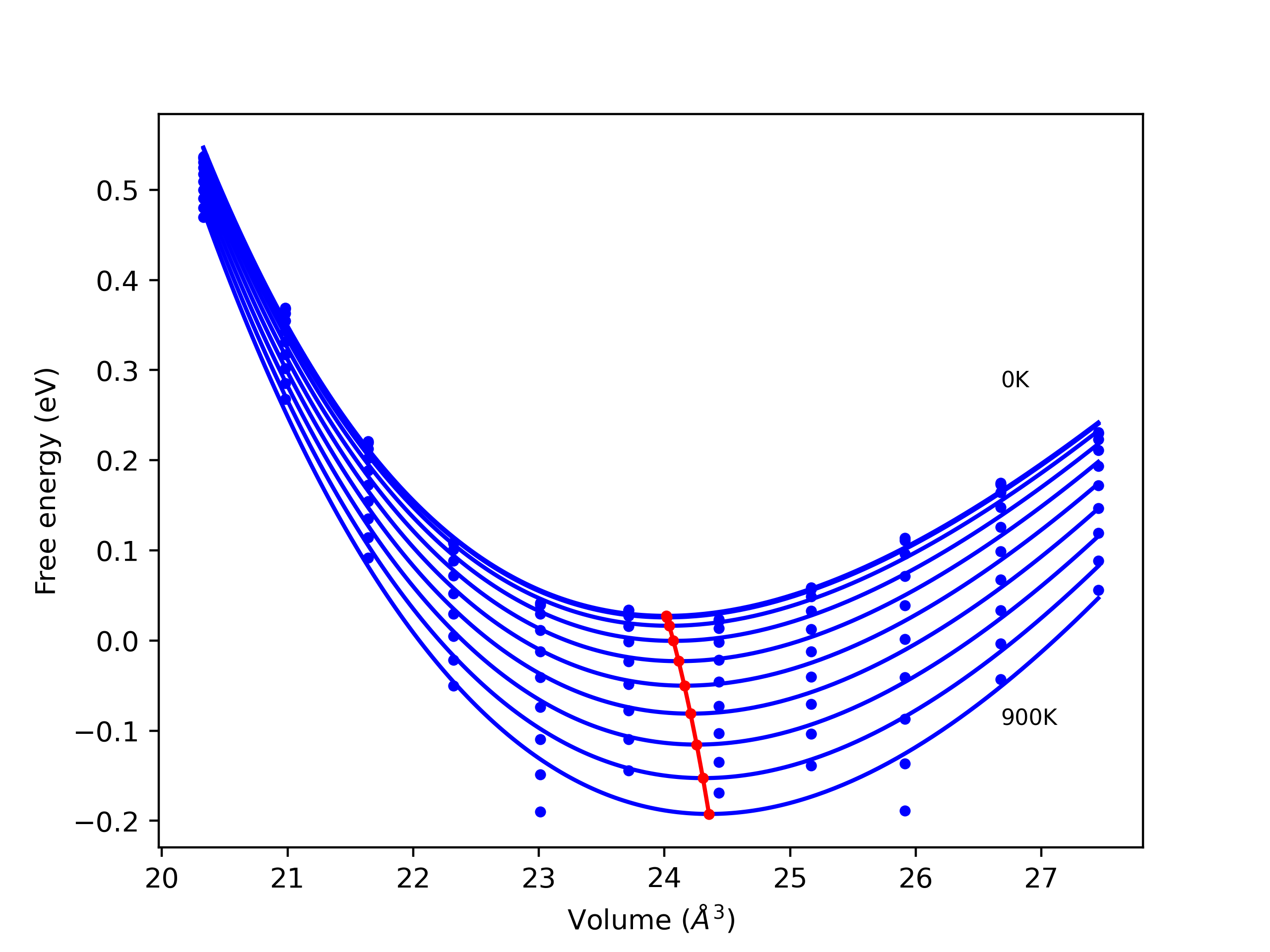
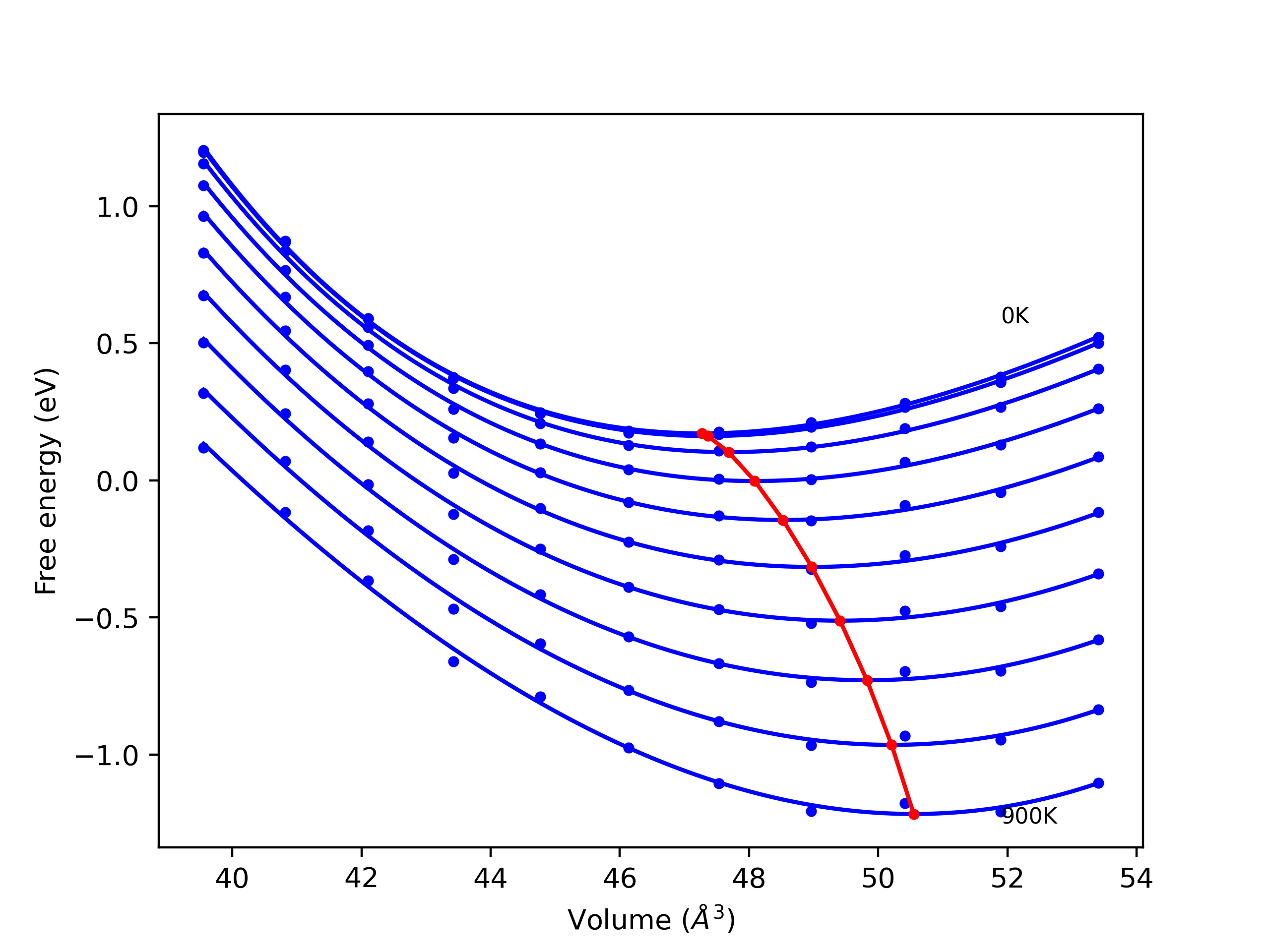
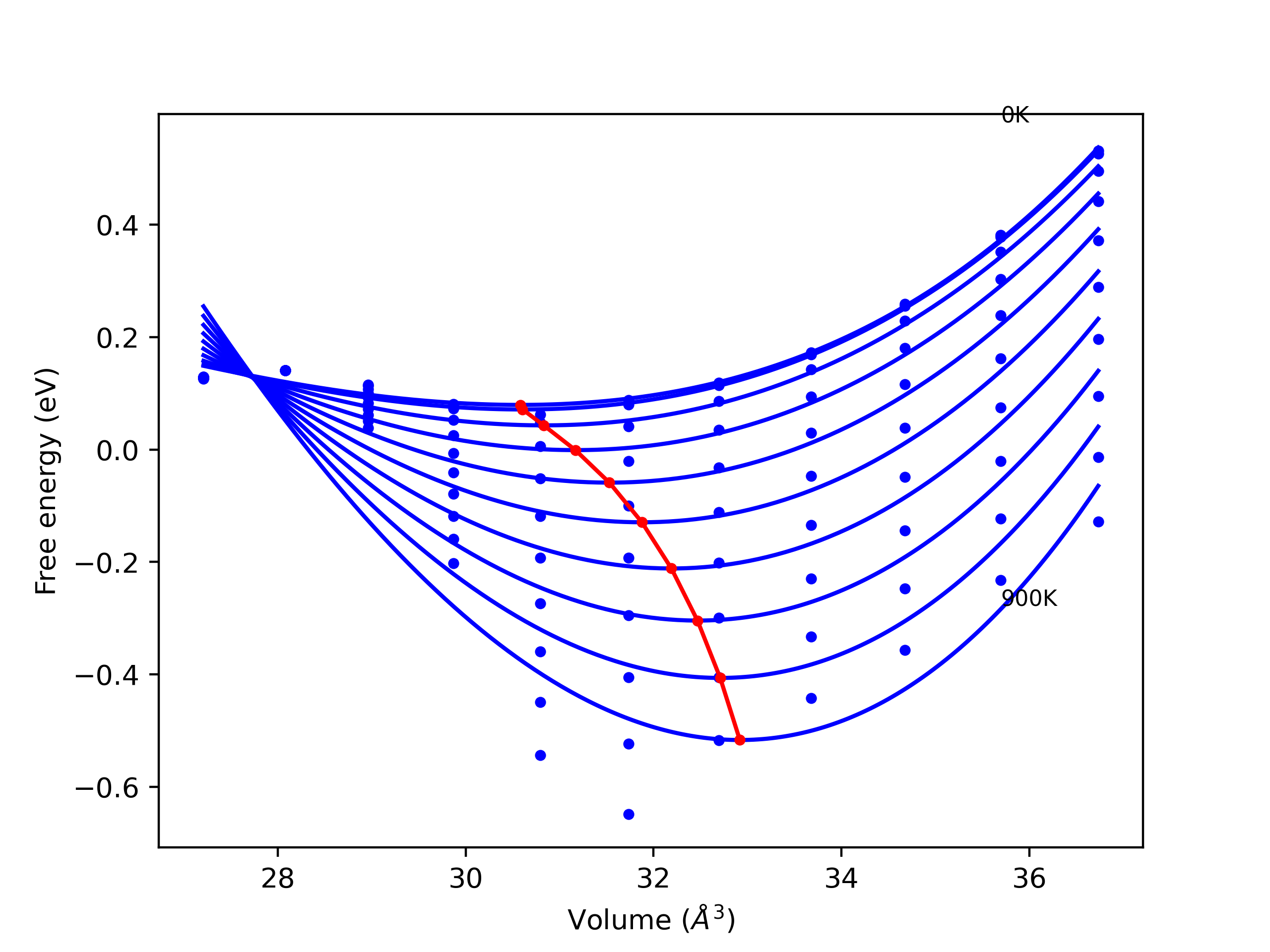
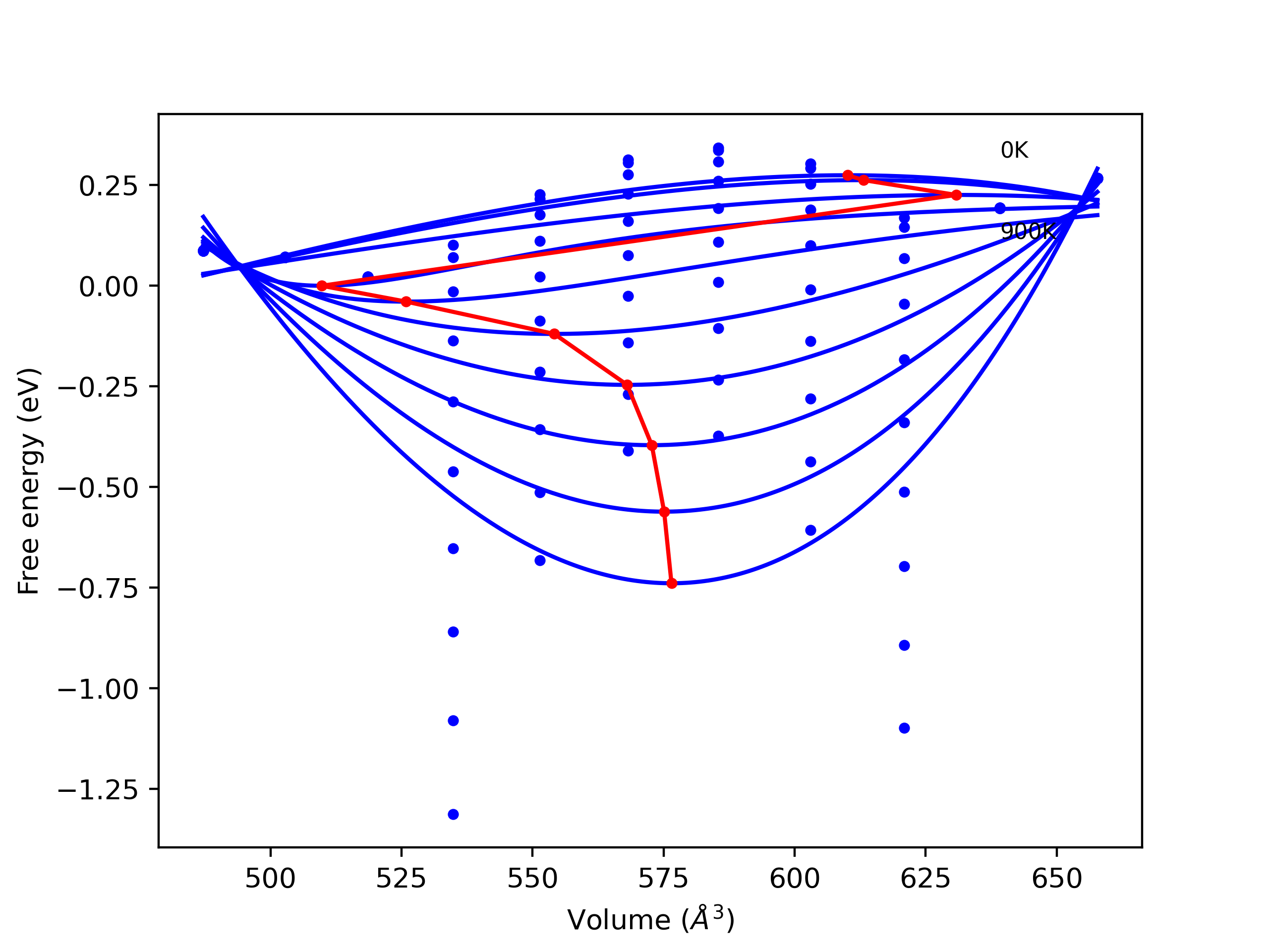
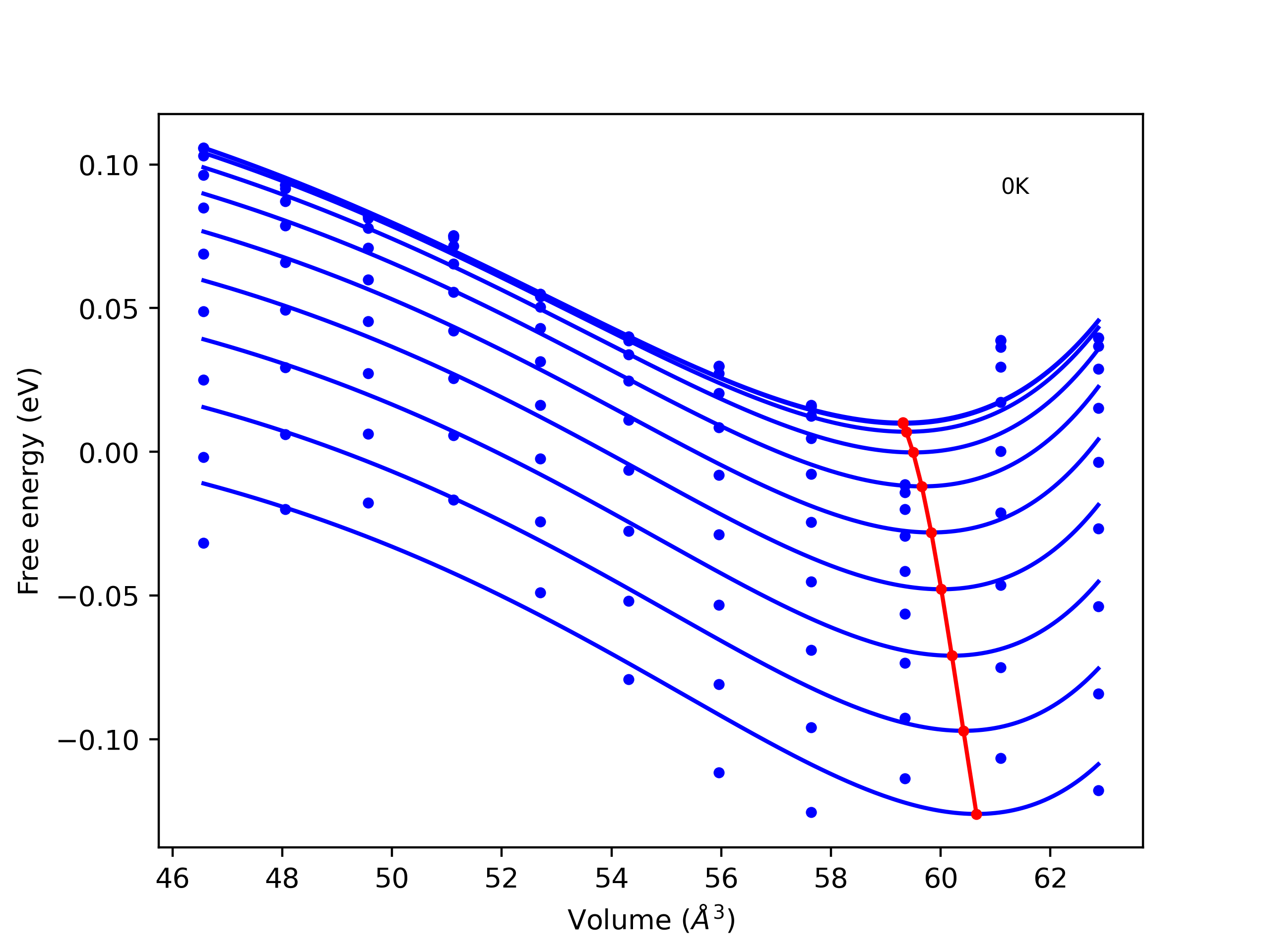
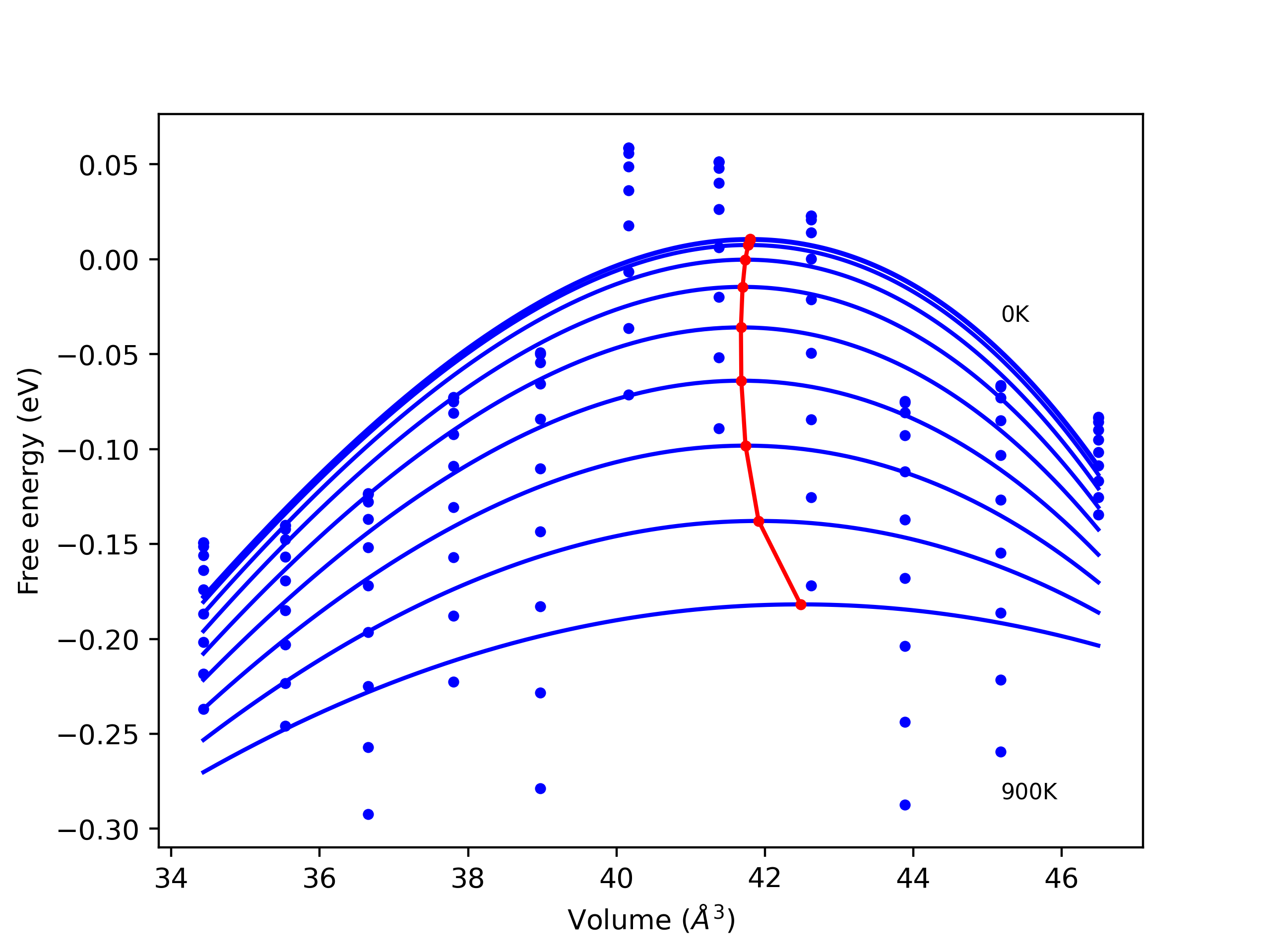
Plots of potential energy vs interatomic spacing, r, are shown below for a number of crystal structures. The structures are generated based on the ideal atomic positions and b/a and c/a lattice parameter ratios for a given crystal prototype. The size of the system is then uniformly scaled, and the energy calculated without relaxing the system. To obtain these plots, values of r are evaluated every 0.02 Å up to 6 Å.
The calculation method used is available as the iprPy E_vs_r_scan calculation method.
Clicking on the image of a plot will open an interactive version of it in a new tab. The underlying data for the plots can be downloaded by clicking on the links above each plot.
Notes and Disclaimers:
Version Information:
Computed lattice constants and cohesive/potential energies are displayed for a variety of crystal structures. The values displayed here are obtained using the following process.
The calculation methods used are implemented into iprPy as the following calculation styles
Notes and Disclaimers:
Version Information:
Download raw data (including filtered results)
Reference structure matches:
A1--Cu--fcc = mp-8633, oqmd-592135, oqmd-1214518
A15--beta-W = mp-17, oqmd-620565, oqmd-691761, oqmd-1214963, oqmd-1280318
A2--W--bcc = mp-90, oqmd-676284, oqmd-676532, oqmd-677049, oqmd-685486, oqmd-690214, oqmd-691769, oqmd-1215141
A3'--alpha-La--double-hcp = oqmd-1215409
A3--Mg--hcp = mp-89, oqmd-592444, oqmd-622452, oqmd-1215319
A4--C--dc = oqmd-1215498
A5--beta-Sn = oqmd-1215587
A6--In--bct = oqmd-1215676
A7--alpha-As = oqmd-1215765
| prototype | method | Ecoh (eV/atom) | Epot (eV/atom) | a0 (Å) | b0 (Å) | c0 (Å) | α (degrees) | β (degrees) | γ (degrees) |
|---|---|---|---|---|---|---|---|---|---|
| A2--W--bcc | dynamic | -4.0899 | -4.0899 | 2.8355 | 2.8355 | 2.8355 | 90.0 | 90.0 | 90.0 |
| A15--beta-W | dynamic | -3.9112 | -3.9112 | 4.4673 | 4.4673 | 4.4673 | 90.0 | 90.0 | 90.0 |
| oqmd-1214785 | dynamic | -3.8868 | -3.8868 | 8.7976 | 8.7976 | 8.7976 | 90.0 | 90.0 | 90.0 |
| oqmd-1214785 | static | -3.8861 | -3.8861 | 8.7862 | 8.7862 | 8.7862 | 90.0 | 90.0 | 90.0 |
| oqmd-1214785 | box | -3.8671 | -3.8671 | 8.7658 | 8.7658 | 8.7658 | 90.0 | 90.0 | 90.0 |
| oqmd-691775 | dynamic | -3.8657 | -3.8657 | 2.5845 | 2.5845 | 6.0154 | 90.0 | 90.0 | 120.0 |
| mp-1059289 | box | -3.8212 | -3.8212 | 2.3615 | 4.7377 | 4.0118 | 90.0 | 90.0 | 90.0 |
| oqmd-1215230 | box | -3.8034 | -3.8034 | 2.343 | 4.7469 | 4.0314 | 90.0 | 90.0 | 90.0 |
| mp-1192789 | dynamic | -3.7907 | -3.7907 | 8.4786 | 8.4786 | 4.5388 | 90.0 | 90.0 | 90.0 |
| oqmd-1214874 | dynamic | -3.7904 | -3.7904 | 6.1658 | 6.1658 | 6.1658 | 90.0 | 90.0 | 90.0 |
| oqmd-631035 | static | -3.7893 | -3.7893 | 8.3537 | 8.3537 | 4.6554 | 90.0 | 90.0 | 90.0 |
| mp-1192789 | static | -3.788 | -3.788 | 8.4384 | 8.4384 | 4.5777 | 90.0 | 90.0 | 90.0 |
| A1--Cu--fcc | dynamic | -3.7877 | -3.7877 | 3.9831 | 3.9831 | 3.9831 | 90.0 | 90.0 | 90.0 |
| oqmd-1214874 | static | -3.7857 | -3.7857 | 6.1475 | 6.1475 | 6.1475 | 90.0 | 90.0 | 90.0 |
| mp-1192789 | box | -3.7841 | -3.7841 | 8.4515 | 8.4515 | 4.5736 | 90.0 | 90.0 | 90.0 |
| oqmd-1214874 | box | -3.7816 | -3.7816 | 6.1491 | 6.1491 | 6.1491 | 90.0 | 90.0 | 90.0 |
| oqmd-631035 | box | -3.7788 | -3.7788 | 8.3766 | 8.3766 | 4.6431 | 90.0 | 90.0 | 90.0 |
| A3--Mg--hcp | dynamic | -3.7547 | -3.7547 | 2.7544 | 2.7544 | 4.101 | 90.0 | 90.0 | 120.0 |
| A6--In--bct | static | -3.7502 | -3.7502 | 2.3227 | 2.3227 | 4.1169 | 90.0 | 90.0 | 90.0 |
| A3'--alpha-La--double-hcp | dynamic | -3.7492 | -3.7492 | 2.8086 | 2.8086 | 9.4014 | 90.0 | 90.0 | 120.0 |
| A3--Mg--hcp | box | -3.7372 | -3.7372 | 2.5283 | 2.5283 | 4.075 | 90.0 | 90.0 | 120.0 |
| A3--Mg--hcp | dynamic | -3.7333 | -3.7333 | 2.7973 | 2.7973 | 4.7725 | 90.0 | 90.0 | 120.0 |
| A3'--alpha-La--double-hcp | static | -3.7195 | -3.7195 | 2.7723 | 2.7723 | 8.0175 | 90.0 | 90.0 | 120.0 |
| oqmd-1214696 | static | -3.7184 | -3.7184 | 2.8084 | 3.9354 | 8.5087 | 90.0 | 90.0 | 90.0 |
| A3'--alpha-La--double-hcp | box | -3.706 | -3.706 | 2.5269 | 2.5269 | 8.1455 | 90.0 | 90.0 | 120.0 |
| oqmd-1215052 | box | -3.7026 | -3.7026 | 3.9343 | 8.5183 | 2.8029 | 90.0 | 90.0 | 90.0 |
| A6--In--bct | static | -3.6938 | -3.6938 | 2.5294 | 2.5294 | 3.9846 | 90.0 | 90.0 | 90.0 |
| oqmd-1214696 | box | -3.6779 | -3.6779 | 2.8017 | 3.9352 | 8.5484 | 90.0 | 90.0 | 90.0 |
| A7--alpha-As | box | -3.6748 | -3.6748 | 2.5151 | 2.5151 | 12.3204 | 90.0 | 90.0 | 120.0 |
| A1--Cu--fcc | static | -3.6748 | -3.6748 | 3.5567 | 3.5567 | 3.5567 | 90.0 | 90.0 | 90.0 |
| A1--Cu--fcc | static | -3.6699 | -3.6699 | 3.6581 | 3.6581 | 3.6581 | 90.0 | 90.0 | 90.0 |
| A6--In--bct | dynamic | -3.5692 | -3.5692 | 2.0572 | 2.0572 | 4.4248 | 90.0 | 90.0 | 90.0 |
| A5--beta-Sn | dynamic | -3.4928 | -3.4928 | 3.8368 | 3.8368 | 2.594 | 90.0 | 90.0 | 90.0 |
| A5--beta-Sn | static | -3.4181 | -3.4181 | 4.4937 | 4.4937 | 2.4295 | 90.0 | 90.0 | 90.0 |
| A1--Cu--fcc | box | -3.3909 | -3.3909 | 3.7815 | 3.7815 | 3.7815 | 90.0 | 90.0 | 90.0 |
| oqmd-1215943 | dynamic | -3.2605 | -3.2605 | 3.7484 | 3.7484 | 3.772 | 90.0 | 90.0 | 120.0 |
| A1--Cu--fcc | static | -3.2135 | -3.2135 | 3.2929 | 3.2929 | 3.2929 | 90.0 | 90.0 | 90.0 |
| A3'--alpha-La--double-hcp | static | -3.2086 | -3.2086 | 2.2998 | 2.2998 | 7.7392 | 90.0 | 90.0 | 120.0 |
| Ah--alpha-Po--sc | static | -3.1745 | -3.1745 | 2.146 | 2.146 | 2.146 | 90.0 | 90.0 | 90.0 |
| A3--Mg--hcp | box | -3.1501 | -3.1501 | 2.3137 | 2.3137 | 3.9567 | 90.0 | 90.0 | 120.0 |
| A2--W--bcc | static | -3.1351 | -3.1351 | 2.5702 | 2.5702 | 2.5702 | 90.0 | 90.0 | 90.0 |
| Ah--alpha-Po--sc | static | -3.1341 | -3.1341 | 2.3469 | 2.3469 | 2.3469 | 90.0 | 90.0 | 90.0 |
| A7--alpha-As | box | -3.062 | -3.062 | 3.3539 | 3.3539 | 8.2209 | 90.0 | 90.0 | 120.0 |
| A7--alpha-As | box | -2.6793 | -2.6793 | 2.6695 | 2.6695 | 9.5974 | 90.0 | 90.0 | 120.0 |
| A3--Mg--hcp | dynamic | -2.4875 | -2.4875 | 3.6652 | 3.6652 | 5.9831 | 90.0 | 90.0 | 120.0 |
| A4--C--dc | static | -2.4789 | -2.4789 | 4.9851 | 4.9851 | 4.9851 | 90.0 | 90.0 | 90.0 |
| A3'--alpha-La--double-hcp | dynamic | -2.4613 | -2.4613 | 3.6651 | 3.6651 | 11.9676 | 90.0 | 90.0 | 120.0 |
| A4--C--dc | static | -2.4399 | -2.4399 | 5.5861 | 5.5861 | 5.5861 | 90.0 | 90.0 | 90.0 |
| A1--Cu--fcc | dynamic | -2.435 | -2.435 | 5.183 | 5.183 | 5.183 | 90.0 | 90.0 | 90.0 |
| A4--C--dc | static | -2.2975 | -2.2975 | 4.5527 | 4.5527 | 4.5527 | 90.0 | 90.0 | 90.0 |
| Ah--alpha-Po--sc | dynamic | -2.0521 | -2.0521 | 2.873 | 2.873 | 2.873 | 90.0 | 90.0 | 90.0 |
| A4--C--dc | dynamic | -1.8041 | -1.8041 | 6.9021 | 6.9021 | 6.9021 | 90.0 | 90.0 | 90.0 |
| A5--beta-Sn | static | -1.7426 | -1.7426 | 5.9665 | 5.9665 | 3.0778 | 90.0 | 90.0 | 90.0 |
| A7--alpha-As | dynamic | -1.5365 | -1.5365 | 4.9178 | 4.9178 | 11.9264 | 90.0 | 90.0 | 120.0 |
| A2--W--bcc | dynamic | -1.1316 | -1.1316 | 4.1885 | 4.1885 | 4.1885 | 90.0 | 90.0 | 90.0 |
| A15--beta-W | box | -1.0078 | -1.0078 | 6.5511 | 6.5511 | 6.5511 | 90.0 | 90.0 | 90.0 |
| A1--Cu--fcc | dynamic | -0.6884 | -0.6884 | 6.9462 | 6.9462 | 6.9462 | 90.0 | 90.0 | 90.0 |
| A3--Mg--hcp | dynamic | -0.6884 | -0.6884 | 4.9117 | 4.9117 | 8.0207 | 90.0 | 90.0 | 120.0 |
| A3'--alpha-La--double-hcp | dynamic | -0.6884 | -0.6884 | 4.9117 | 4.9117 | 16.0415 | 90.0 | 90.0 | 120.0 |
| A2--W--bcc | dynamic | -0.5408 | -0.5408 | 5.6375 | 5.6375 | 5.6375 | 90.0 | 90.0 | 90.0 |
| A15--beta-W | static | -0.4623 | -0.4623 | 8.1407 | 8.1407 | 8.1407 | 90.0 | 90.0 | 90.0 |
| A2--W--bcc | dynamic | -0.4528 | -0.4528 | 4.8512 | 4.8512 | 4.8512 | 90.0 | 90.0 | 90.0 |
| A15--beta-W | box | -0.4241 | -0.4241 | 8.8462 | 8.8462 | 8.8462 | 90.0 | 90.0 | 90.0 |
| A5--beta-Sn | box | -0.3908 | -0.3908 | 7.2394 | 7.2394 | 3.0279 | 90.0 | 90.0 | 90.0 |
| Ah--alpha-Po--sc | dynamic | -0.3623 | -0.3623 | 4.9126 | 4.9126 | 4.9126 | 90.0 | 90.0 | 90.0 |
| A5--beta-Sn | static | -0.352 | -0.352 | 9.5324 | 9.5324 | 4.9221 | 90.0 | 90.0 | 90.0 |
| A5--beta-Sn | static | -0.3231 | -0.3231 | 7.6877 | 7.6877 | 4.0788 | 90.0 | 90.0 | 90.0 |
| A5--beta-Sn | box | -0.2747 | -0.2747 | 9.4231 | 9.4231 | 5.5635 | 90.0 | 90.0 | 90.0 |
| A4--C--dc | dynamic | -0.2456 | -0.2456 | 11.3457 | 11.3457 | 11.3457 | 90.0 | 90.0 | 90.0 |
| A1--Cu--fcc | dynamic | -0.2404 | -0.2404 | 5.7398 | 5.7398 | 5.7398 | 90.0 | 90.0 | 90.0 |
| A3'--alpha-La--double-hcp | dynamic | -0.2404 | -0.2404 | 4.0586 | 4.0586 | 13.2554 | 90.0 | 90.0 | 120.0 |
| A3--Mg--hcp | dynamic | -0.2404 | -0.2404 | 4.0586 | 4.0586 | 6.6277 | 90.0 | 90.0 | 120.0 |
| A7--alpha-As | dynamic | -0.237 | -0.237 | 6.2016 | 6.2016 | 16.0849 | 90.0 | 90.0 | 120.0 |
| A7--alpha-As | static | -0.237 | -0.237 | 6.2203 | 6.2203 | 15.9919 | 90.0 | 90.0 | 120.0 |
| Ah--alpha-Po--sc | dynamic | -0.2151 | -0.2151 | 3.9969 | 3.9969 | 3.9969 | 90.0 | 90.0 | 90.0 |
| A7--alpha-As | dynamic | -0.1846 | -0.1846 | 8.1543 | 8.1543 | 16.2995 | 90.0 | 90.0 | 120.0 |
| A3--Mg--hcp | dynamic | -0.1843 | -0.1843 | 5.5647 | 5.5647 | 9.0871 | 90.0 | 90.0 | 120.0 |
| A3'--alpha-La--double-hcp | dynamic | -0.1843 | -0.1843 | 5.5647 | 5.5647 | 18.1743 | 90.0 | 90.0 | 120.0 |
| A1--Cu--fcc | dynamic | -0.1843 | -0.1843 | 7.8697 | 7.8697 | 7.8697 | 90.0 | 90.0 | 90.0 |
| A15--beta-W | dynamic | -0.172 | -0.172 | 9.9537 | 9.9537 | 9.9537 | 90.0 | 90.0 | 90.0 |
| A6--In--bct | box | -0.1617 | -0.1617 | 5.3475 | 5.3475 | 8.1629 | 90.0 | 90.0 | 90.0 |
| A2--W--bcc | dynamic | -0.1243 | -0.1243 | 6.4252 | 6.4252 | 6.4252 | 90.0 | 90.0 | 90.0 |
| Ah--alpha-Po--sc | dynamic | -0.0938 | -0.0938 | 5.5642 | 5.5642 | 5.5642 | 90.0 | 90.0 | 90.0 |
| A5--beta-Sn | dynamic | -0.0938 | -0.0938 | 10.7744 | 10.7744 | 5.5647 | 90.0 | 90.0 | 90.0 |
| A4--C--dc | dynamic | -0.0709 | -0.0709 | 9.474 | 9.474 | 9.474 | 90.0 | 90.0 | 90.0 |
| A4--C--dc | dynamic | -0.0629 | -0.0629 | 12.8495 | 12.8495 | 12.8495 | 90.0 | 90.0 | 90.0 |
| A5--beta-Sn | box | -0.0559 | -0.0559 | 10.7241 | 10.7241 | 5.9586 | 90.0 | 90.0 | 90.0 |
| A15--beta-W | dynamic | -0.0234 | -0.0234 | 11.1337 | 11.1337 | 11.1337 | 90.0 | 90.0 | 90.0 |
| A4--C--dc | dynamic | 0.0069 | 0.0069 | 8.4043 | 8.4043 | 8.4043 | 90.0 | 90.0 | 90.0 |
| A6--In--bct | box | 0.1077 | 0.1077 | 3.707 | 3.707 | 6.992 | 90.0 | 90.0 | 90.0 |
| A2--W--bcc | static | 577.9097 | 577.9097 | 1.8706 | 1.8706 | 1.8706 | 90.0 | 90.0 | 90.0 |
| A15--beta-W | static | 588.5331 | 588.5331 | 2.16 | 2.16 | 2.16 | 90.0 | 90.0 | 90.0 |
| A7--alpha-As | static | 590.1169 | 590.1169 | 1.5239 | 1.5239 | 4.2318 | 90.0 | 90.0 | 120.0 |
Download raw data (including filtered results)
Reference structure matches:
| prototype | method | Ecoh (eV/atom) | Epot (eV/atom) | a0 (Å) | b0 (Å) | c0 (Å) | α (degrees) | β (degrees) | γ (degrees) |
|---|---|---|---|---|---|---|---|---|---|
| mp-1077708 | dynamic | -3.8892 | -3.8892 | 6.8797 | 6.8797 | 6.8797 | 90.0 | 90.0 | 90.0 |
| C1--CaF2--fluorite | dynamic | -3.461 | -3.461 | 5.6515 | 5.6515 | 5.6515 | 90.0 | 90.0 | 90.0 |
| oqmd-1232501 | static | -3.3143 | -3.3143 | 5.5518 | 5.5518 | 2.6654 | 90.0 | 90.0 | 90.0 |
| oqmd-1232501 | box | -3.1516 | -3.1516 | 4.9918 | 4.9918 | 3.3889 | 90.0 | 90.0 | 90.0 |
| oqmd-1240427 | static | -1.9719 | -1.9719 | 9.5654 | 9.5654 | 9.5654 | 90.0 | 90.0 | 90.0 |
| C1--CaF2--fluorite | dynamic | -0.4371 | -0.4371 | 11.3443 | 11.3443 | 11.3443 | 90.0 | 90.0 | 90.0 |
| C1--CaF2--fluorite | static | -0.3394 | -0.3394 | 9.7188 | 9.7188 | 9.7188 | 90.0 | 90.0 | 90.0 |
| C1--CaF2--fluorite | dynamic | -0.1504 | -0.1504 | 12.9141 | 12.9141 | 12.9141 | 90.0 | 90.0 | 90.0 |
Download raw data (including filtered results)
Reference structure matches:
| prototype | method | Ecoh (eV/atom) | Epot (eV/atom) | a0 (Å) | b0 (Å) | c0 (Å) | α (degrees) | β (degrees) | γ (degrees) |
|---|---|---|---|---|---|---|---|---|---|
| oqmd-426579 | static | -4.0418 | -4.0418 | 7.0492 | 7.0492 | 8.4047 | 90.0 | 90.0 | 120.0 |
Download raw data (including filtered results)
Reference structure matches:
| prototype | method | Ecoh (eV/atom) | Epot (eV/atom) | a0 (Å) | b0 (Å) | c0 (Å) | α (degrees) | β (degrees) | γ (degrees) |
|---|---|---|---|---|---|---|---|---|---|
| L2_1--AlCu2Mn--heusler | static | -3.1174 | -3.3349 | 5.6644 | 5.6644 | 5.6644 | 90.0 | 90.0 | 90.0 |
| L2_1--AlCu2Mn--heusler | dynamic | -0.4895 | -0.707 | 11.3799 | 11.3799 | 11.3799 | 90.0 | 90.0 | 90.0 |
| L2_1--AlCu2Mn--heusler | static | -0.4163 | -0.6338 | 9.7257 | 9.7257 | 9.7257 | 90.0 | 90.0 | 90.0 |
| L2_1--AlCu2Mn--heusler | dynamic | -0.1534 | -0.3709 | 12.8706 | 12.8706 | 12.8706 | 90.0 | 90.0 | 90.0 |
Download raw data (including filtered results)
Reference structure matches:
| prototype | method | Ecoh (eV/atom) | Epot (eV/atom) | a0 (Å) | b0 (Å) | c0 (Å) | α (degrees) | β (degrees) | γ (degrees) |
|---|---|---|---|---|---|---|---|---|---|
| C1--CaF2--fluorite | static | -2.9085 | -3.1985 | 4.7285 | 4.7285 | 4.7285 | 90.0 | 90.0 | 90.0 |
| C1--CaF2--fluorite | static | -2.8849 | -3.1749 | 4.345 | 4.345 | 4.345 | 90.0 | 90.0 | 90.0 |
| C1--CaF2--fluorite | static | -2.1254 | -2.4154 | 5.7465 | 5.7465 | 5.7465 | 90.0 | 90.0 | 90.0 |
| C1--CaF2--fluorite | dynamic | -0.3418 | -0.6318 | 9.8018 | 9.8018 | 9.8018 | 90.0 | 90.0 | 90.0 |
| C1--CaF2--fluorite | dynamic | -0.2303 | -0.5203 | 11.2229 | 11.2229 | 11.2229 | 90.0 | 90.0 | 90.0 |
| C1--CaF2--fluorite | box | -0.0877 | -0.3777 | 7.8414 | 7.8414 | 7.8414 | 90.0 | 90.0 | 90.0 |
Download raw data (including filtered results)
Reference structure matches:
D0_3--BiF3 = mp-1008282, oqmd-310984
L1_2--AuCu3 = mp-1008285, oqmd-343214
| prototype | method | Ecoh (eV/atom) | Epot (eV/atom) | a0 (Å) | b0 (Å) | c0 (Å) | α (degrees) | β (degrees) | γ (degrees) |
|---|---|---|---|---|---|---|---|---|---|
| D0_3--BiF3 | dynamic | -4.1075 | -4.1075 | 5.6933 | 5.6933 | 5.6933 | 90.0 | 90.0 | 90.0 |
| A15--Cr3Si | static | -3.9593 | -3.9593 | 4.4423 | 4.4423 | 4.4423 | 90.0 | 90.0 | 90.0 |
| mp-1017511 | static | -3.8648 | -3.8648 | 3.2749 | 3.2749 | 8.1064 | 90.0 | 90.0 | 90.0 |
| mp-1017511 | box | -3.8297 | -3.8297 | 3.4445 | 3.4445 | 8.0518 | 90.0 | 90.0 | 90.0 |
| L1_2--AuCu3 | static | -3.8247 | -3.8247 | 3.5587 | 3.5587 | 3.5587 | 90.0 | 90.0 | 90.0 |
| oqmd-300442 | box | -3.8237 | -3.8237 | 3.4484 | 3.4484 | 7.6172 | 90.0 | 90.0 | 90.0 |
| oqmd-318728 | static | -3.7876 | -3.7876 | 4.9814 | 4.9814 | 4.3678 | 90.0 | 90.0 | 120.0 |
| L1_2--AuCu3 | dynamic | -3.7257 | -3.7257 | 3.9811 | 3.9811 | 3.9811 | 90.0 | 90.0 | 90.0 |
| L1_2--AuCu3 | dynamic | -0.784 | -0.784 | 6.9722 | 6.9722 | 6.9722 | 90.0 | 90.0 | 90.0 |
| D0_3--BiF3 | dynamic | -0.6378 | -0.6378 | 11.3121 | 11.3121 | 11.3121 | 90.0 | 90.0 | 90.0 |
| A15--Cr3Si | box | -0.5274 | -0.5274 | 8.9119 | 8.9119 | 8.9119 | 90.0 | 90.0 | 90.0 |
| A15--Cr3Si | static | -0.5209 | -0.5209 | 8.1215 | 8.1215 | 8.1215 | 90.0 | 90.0 | 90.0 |
| D0_3--BiF3 | box | -0.5137 | -0.5137 | 9.7596 | 9.7596 | 9.7596 | 90.0 | 90.0 | 90.0 |
| D0_3--BiF3 | static | -0.4904 | -0.4904 | 8.3148 | 8.3148 | 8.3148 | 90.0 | 90.0 | 90.0 |
| L1_2--AuCu3 | static | -0.3373 | -0.3373 | 5.2393 | 5.2393 | 5.2393 | 90.0 | 90.0 | 90.0 |
| L1_2--AuCu3 | dynamic | -0.3321 | -0.3321 | 5.7368 | 5.7368 | 5.7368 | 90.0 | 90.0 | 90.0 |
| L1_2--AuCu3 | dynamic | -0.2583 | -0.2583 | 7.8886 | 7.8886 | 7.8886 | 90.0 | 90.0 | 90.0 |
| A15--Cr3Si | dynamic | -0.2466 | -0.2466 | 9.9854 | 9.9854 | 9.9854 | 90.0 | 90.0 | 90.0 |
| D0_3--BiF3 | dynamic | -0.1743 | -0.1743 | 12.8796 | 12.8796 | 12.8796 | 90.0 | 90.0 | 90.0 |
| A15--Cr3Si | dynamic | -0.0234 | -0.0234 | 11.1337 | 11.1337 | 11.1337 | 90.0 | 90.0 | 90.0 |
Download raw data (including filtered results)
Reference structure matches:
| prototype | method | Ecoh (eV/atom) | Epot (eV/atom) | a0 (Å) | b0 (Å) | c0 (Å) | α (degrees) | β (degrees) | γ (degrees) |
|---|---|---|---|---|---|---|---|---|---|
| A15--Cr3Si | static | -3.1457 | -3.3632 | 4.2899 | 4.2899 | 4.2899 | 90.0 | 90.0 | 90.0 |
| D0_3--BiF3 | static | -3.0508 | -3.2683 | 5.6739 | 5.6739 | 5.6739 | 90.0 | 90.0 | 90.0 |
| L1_2--AuCu3 | static | -2.8863 | -3.1038 | 3.3913 | 3.3913 | 3.3913 | 90.0 | 90.0 | 90.0 |
| L1_2--AuCu3 | static | -2.6799 | -2.8974 | 3.1601 | 3.1601 | 3.1601 | 90.0 | 90.0 | 90.0 |
| L1_2--AuCu3 | static | -2.5244 | -2.7419 | 4.0463 | 4.0463 | 4.0463 | 90.0 | 90.0 | 90.0 |
| L1_2--AuCu3 | dynamic | -0.5499 | -0.7674 | 6.9526 | 6.9526 | 6.9526 | 90.0 | 90.0 | 90.0 |
| A15--Cr3Si | static | -0.4809 | -0.6984 | 8.0591 | 8.0591 | 8.0591 | 90.0 | 90.0 | 90.0 |
| D0_3--BiF3 | dynamic | -0.4335 | -0.651 | 11.2768 | 11.2768 | 11.2768 | 90.0 | 90.0 | 90.0 |
| D0_3--BiF3 | dynamic | -0.4011 | -0.6186 | 9.7302 | 9.7302 | 9.7302 | 90.0 | 90.0 | 90.0 |
| A15--Cr3Si | static | -0.2892 | -0.5067 | 8.999 | 8.999 | 8.999 | 90.0 | 90.0 | 90.0 |
| L1_2--AuCu3 | dynamic | -0.239 | -0.4565 | 5.766 | 5.766 | 5.766 | 90.0 | 90.0 | 90.0 |
| L1_2--AuCu3 | dynamic | -0.1553 | -0.3728 | 7.8517 | 7.8517 | 7.8517 | 90.0 | 90.0 | 90.0 |
| A15--Cr3Si | static | -0.1427 | -0.3602 | 9.9094 | 9.9094 | 9.9094 | 90.0 | 90.0 | 90.0 |
| D0_3--BiF3 | dynamic | -0.1042 | -0.3217 | 12.8189 | 12.8189 | 12.8189 | 90.0 | 90.0 | 90.0 |
| A15--Cr3Si | static | -0.0907 | -0.3082 | 6.5566 | 6.5566 | 6.5566 | 90.0 | 90.0 | 90.0 |
| L1_2--AuCu3 | static | -0.0259 | -0.2434 | 5.2096 | 5.2096 | 5.2096 | 90.0 | 90.0 | 90.0 |
| A15--Cr3Si | dynamic | -0.0234 | -0.2409 | 11.1337 | 11.1337 | 11.1337 | 90.0 | 90.0 | 90.0 |
| D0_3--BiF3 | box | -0.0101 | -0.2276 | 8.3574 | 8.3574 | 8.3574 | 90.0 | 90.0 | 90.0 |
| A15--Cr3Si | static | 461.7114 | 461.4939 | 2.0 | 2.0 | 2.0 | 90.0 | 90.0 | 90.0 |
Download raw data (including filtered results)
Reference structure matches:
B1--NaCl--rock-salt = oqmd-1105105
B2--CsCl = oqmd-305920
B3--ZnS--cubic-zinc-blende = oqmd-1219336
L1_0--AuCu = oqmd-337462
| prototype | method | Ecoh (eV/atom) | Epot (eV/atom) | a0 (Å) | b0 (Å) | c0 (Å) | α (degrees) | β (degrees) | γ (degrees) |
|---|---|---|---|---|---|---|---|---|---|
| mp-1226211 | dynamic | -4.2957 | -4.2957 | 2.7219 | 4.0663 | 4.0189 | 90.0 | 90.0 | 90.0 |
| oqmd-1229015 | dynamic | -4.2264 | -4.2264 | 2.5182 | 2.5182 | 4.0726 | 90.0 | 90.0 | 120.0 |
| oqmd-327004 | static | -4.1869 | -4.1869 | 2.5019 | 2.5019 | 12.7107 | 90.0 | 90.0 | 120.0 |
| B2--CsCl | dynamic | -4.0564 | -4.0564 | 2.8332 | 2.8332 | 2.8332 | 90.0 | 90.0 | 90.0 |
| L1_0--AuCu | box | -4.0183 | -4.0183 | 2.0936 | 2.0936 | 4.0849 | 90.0 | 90.0 | 90.0 |
| L1_0--AuCu | static | -3.9716 | -3.9716 | 2.5059 | 2.5059 | 3.5748 | 90.0 | 90.0 | 90.0 |
| L1_0--AuCu | box | -3.9355 | -3.9355 | 2.3758 | 2.3758 | 3.6207 | 90.0 | 90.0 | 90.0 |
| L1_0--AuCu | box | -3.9107 | -3.9107 | 2.5655 | 2.5655 | 3.3517 | 90.0 | 90.0 | 90.0 |
| oqmd-1219850 | box | -3.872 | -3.872 | 4.953 | 2.4944 | 4.3291 | 90.0 | 90.0 | 90.0 |
| L1_0--AuCu | dynamic | -3.8116 | -3.8116 | 2.8085 | 2.8085 | 4.0231 | 90.0 | 90.0 | 90.0 |
| L1_0--AuCu | box | -3.7662 | -3.7662 | 2.8504 | 2.8504 | 3.7382 | 90.0 | 90.0 | 90.0 |
| B1--NaCl--rock-salt | static | -3.5536 | -3.5536 | 4.5606 | 4.5606 | 4.5606 | 90.0 | 90.0 | 90.0 |
| B2--CsCl | static | -3.4848 | -3.4848 | 3.3347 | 3.3347 | 3.3347 | 90.0 | 90.0 | 90.0 |
| B1--NaCl--rock-salt | dynamic | -3.0333 | -3.0333 | 4.1281 | 4.1281 | 4.1281 | 90.0 | 90.0 | 90.0 |
| B4--ZnS--wurtzite | box | -2.6623 | -2.6623 | 3.6736 | 3.6736 | 5.8952 | 90.0 | 90.0 | 120.0 |
| B3--ZnS--cubic-zinc-blende | static | -2.6445 | -2.6445 | 4.7645 | 4.7645 | 4.7645 | 90.0 | 90.0 | 90.0 |
| B3--ZnS--cubic-zinc-blende | static | -2.6394 | -2.6394 | 5.1615 | 5.1615 | 5.1615 | 90.0 | 90.0 | 90.0 |
| B4--ZnS--wurtzite | box | -2.6226 | -2.6226 | 3.8568 | 3.8568 | 6.3851 | 90.0 | 90.0 | 120.0 |
| B4--ZnS--wurtzite | box | -2.5886 | -2.5886 | 3.5244 | 3.5244 | 5.6771 | 90.0 | 90.0 | 120.0 |
| B3--ZnS--cubic-zinc-blende | box | -2.5791 | -2.5791 | 4.9732 | 4.9732 | 4.9732 | 90.0 | 90.0 | 90.0 |
| B1--NaCl--rock-salt | dynamic | -2.3808 | -2.3808 | 5.8111 | 5.8111 | 5.8111 | 90.0 | 90.0 | 90.0 |
| B3--ZnS--cubic-zinc-blende | static | -2.3241 | -2.3241 | 4.3347 | 4.3347 | 4.3347 | 90.0 | 90.0 | 90.0 |
| B3--ZnS--cubic-zinc-blende | box | -2.2727 | -2.2727 | 4.4862 | 4.4862 | 4.4862 | 90.0 | 90.0 | 90.0 |
| B4--ZnS--wurtzite | static | -2.2215 | -2.2215 | 3.0252 | 3.0252 | 5.2155 | 90.0 | 90.0 | 120.0 |
| B4--ZnS--wurtzite | static | -2.2171 | -2.2171 | 3.0314 | 3.0314 | 5.2086 | 90.0 | 90.0 | 120.0 |
| oqmd-1225529 | box | -2.1953 | -2.1953 | 3.0698 | 3.0698 | 5.306 | 90.0 | 90.0 | 120.0 |
| B3--ZnS--cubic-zinc-blende | dynamic | -2.1396 | -2.1396 | 6.8952 | 6.8952 | 6.8952 | 90.0 | 90.0 | 90.0 |
| B4--ZnS--wurtzite | dynamic | -2.1371 | -2.1371 | 4.8715 | 4.8715 | 8.0272 | 90.0 | 90.0 | 120.0 |
| B4--ZnS--wurtzite | box | -2.1343 | -2.1343 | 4.8751 | 4.8751 | 8.0157 | 90.0 | 90.0 | 120.0 |
| L1_0--AuCu | dynamic | -0.8662 | -0.8662 | 4.9399 | 4.9399 | 7.0038 | 90.0 | 90.0 | 90.0 |
| B2--CsCl | dynamic | -0.7179 | -0.7179 | 5.7052 | 5.7052 | 5.7052 | 90.0 | 90.0 | 90.0 |
| L1_0--AuCu | box | -0.6735 | -0.6735 | 5.4518 | 5.4518 | 6.1746 | 90.0 | 90.0 | 90.0 |
| B2--CsCl | box | -0.5615 | -0.5615 | 4.8997 | 4.8997 | 4.8997 | 90.0 | 90.0 | 90.0 |
| B1--NaCl--rock-salt | dynamic | -0.4454 | -0.4454 | 9.8937 | 9.8937 | 9.8937 | 90.0 | 90.0 | 90.0 |
| B1--NaCl--rock-salt | dynamic | -0.4083 | -0.4083 | 8.0547 | 8.0547 | 8.0547 | 90.0 | 90.0 | 90.0 |
| L1_0--AuCu | dynamic | -0.3849 | -0.3849 | 4.117 | 4.117 | 5.6567 | 90.0 | 90.0 | 90.0 |
| L1_0--AuCu | static | -0.3095 | -0.3095 | 5.6239 | 5.6239 | 7.862 | 90.0 | 90.0 | 90.0 |
| B3--ZnS--cubic-zinc-blende | dynamic | -0.2978 | -0.2978 | 11.4246 | 11.4246 | 11.4246 | 90.0 | 90.0 | 90.0 |
| B4--ZnS--wurtzite | static | -0.2978 | -0.2978 | 8.0775 | 8.0775 | 13.1952 | 90.0 | 90.0 | 120.0 |
| B4--ZnS--wurtzite | dynamic | -0.2978 | -0.2978 | 8.0771 | 8.0771 | 13.1964 | 90.0 | 90.0 | 120.0 |
| B4--ZnS--wurtzite | dynamic | -0.2978 | -0.2978 | 8.0769 | 8.0769 | 13.197 | 90.0 | 90.0 | 120.0 |
| B4--ZnS--wurtzite | static | -0.2978 | -0.2978 | 8.0765 | 8.0765 | 13.1984 | 90.0 | 90.0 | 120.0 |
| B4--ZnS--wurtzite | box | -0.2978 | -0.2978 | 8.0763 | 8.0763 | 13.199 | 90.0 | 90.0 | 120.0 |
| B2--CsCl | dynamic | -0.2253 | -0.2253 | 6.4568 | 6.4568 | 6.4568 | 90.0 | 90.0 | 90.0 |
| B1--NaCl--rock-salt | dynamic | -0.1691 | -0.1691 | 11.1837 | 11.1837 | 11.1837 | 90.0 | 90.0 | 90.0 |
| B3--ZnS--cubic-zinc-blende | dynamic | -0.1128 | -0.1128 | 12.9141 | 12.9141 | 12.9141 | 90.0 | 90.0 | 90.0 |
| B4--ZnS--wurtzite | static | -0.1128 | -0.1128 | 9.1312 | 9.1312 | 14.9135 | 90.0 | 90.0 | 120.0 |
| B4--ZnS--wurtzite | static | -0.1128 | -0.1128 | 9.1311 | 9.1311 | 14.9137 | 90.0 | 90.0 | 120.0 |
| B4--ZnS--wurtzite | dynamic | -0.1128 | -0.1128 | 9.1308 | 9.1308 | 14.9147 | 90.0 | 90.0 | 120.0 |
| B4--ZnS--wurtzite | dynamic | -0.1128 | -0.1128 | 9.1307 | 9.1307 | 14.9151 | 90.0 | 90.0 | 120.0 |
| B4--ZnS--wurtzite | box | -0.1128 | -0.1128 | 9.1292 | 9.1292 | 14.9199 | 90.0 | 90.0 | 120.0 |
| B3--ZnS--cubic-zinc-blende | dynamic | -0.102 | -0.102 | 9.3779 | 9.3779 | 9.3779 | 90.0 | 90.0 | 90.0 |
| B4--ZnS--wurtzite | dynamic | -0.102 | -0.102 | 6.6312 | 6.6312 | 10.8286 | 90.0 | 90.0 | 120.0 |
| B4--ZnS--wurtzite | static | -0.102 | -0.102 | 6.6311 | 6.6311 | 10.8289 | 90.0 | 90.0 | 120.0 |
| B4--ZnS--wurtzite | static | -0.102 | -0.102 | 6.631 | 6.631 | 10.8292 | 90.0 | 90.0 | 120.0 |
| B4--ZnS--wurtzite | box | -0.102 | -0.102 | 6.6294 | 6.6294 | 10.8345 | 90.0 | 90.0 | 120.0 |
Download raw data (including filtered results)
Reference structure matches:
| prototype | method | Ecoh (eV/atom) | Epot (eV/atom) | a0 (Å) | b0 (Å) | c0 (Å) | α (degrees) | β (degrees) | γ (degrees) |
|---|---|---|---|---|---|---|---|---|---|
| C1--CaF2--fluorite | dynamic | -3.466 | -3.466 | 5.6334 | 5.6334 | 5.6334 | 90.0 | 90.0 | 90.0 |
| C1--CaF2--fluorite | static | -3.4242 | -3.4242 | 5.3367 | 5.3367 | 5.3367 | 90.0 | 90.0 | 90.0 |
| C1--CaF2--fluorite | box | -3.4242 | -3.4242 | 5.3348 | 5.3348 | 5.3348 | 90.0 | 90.0 | 90.0 |
| C1--CaF2--fluorite | dynamic | -2.8959 | -2.8959 | 6.7753 | 6.7753 | 6.7753 | 90.0 | 90.0 | 90.0 |
| oqmd-1240426 | static | -2.339 | -2.339 | 10.3042 | 10.3042 | 10.3042 | 90.0 | 90.0 | 90.0 |
| oqmd-1240426 | box | -0.8015 | -0.8015 | 12.7976 | 12.7976 | 12.7976 | 90.0 | 90.0 | 90.0 |
| C1--CaF2--fluorite | dynamic | -0.5311 | -0.5311 | 11.4702 | 11.4702 | 11.4702 | 90.0 | 90.0 | 90.0 |
| C1--CaF2--fluorite | box | -0.4178 | -0.4178 | 9.9109 | 9.9109 | 9.9109 | 90.0 | 90.0 | 90.0 |
| C1--CaF2--fluorite | dynamic | -0.1502 | -0.1502 | 12.9136 | 12.9136 | 12.9136 | 90.0 | 90.0 | 90.0 |
Download raw data (including filtered results)
Reference structure matches:
| prototype | method | Ecoh (eV/atom) | Epot (eV/atom) | a0 (Å) | b0 (Å) | c0 (Å) | α (degrees) | β (degrees) | γ (degrees) |
|---|---|---|---|---|---|---|---|---|---|
| L2_1--AlCu2Mn--heusler | static | -3.0537 | -3.2712 | 5.1739 | 5.1739 | 5.1739 | 90.0 | 90.0 | 90.0 |
| L2_1--AlCu2Mn--heusler | static | -3.0474 | -3.2649 | 5.8745 | 5.8745 | 5.8745 | 90.0 | 90.0 | 90.0 |
| L2_1--AlCu2Mn--heusler | static | -2.4755 | -2.693 | 6.7043 | 6.7043 | 6.7043 | 90.0 | 90.0 | 90.0 |
| L2_1--AlCu2Mn--heusler | static | -0.5491 | -0.7666 | 9.881 | 9.881 | 9.881 | 90.0 | 90.0 | 90.0 |
| L2_1--AlCu2Mn--heusler | dynamic | -0.5348 | -0.7523 | 11.4369 | 11.4369 | 11.4369 | 90.0 | 90.0 | 90.0 |
| L2_1--AlCu2Mn--heusler | static | -0.1456 | -0.3631 | 12.9717 | 12.9717 | 12.9717 | 90.0 | 90.0 | 90.0 |
Download raw data (including filtered results)
Reference structure matches:
D0_3--BiF3 = mp-1018067, oqmd-308186
L1_2--AuCu3 = mp-1018081, oqmd-346012
| prototype | method | Ecoh (eV/atom) | Epot (eV/atom) | a0 (Å) | b0 (Å) | c0 (Å) | α (degrees) | β (degrees) | γ (degrees) |
|---|---|---|---|---|---|---|---|---|---|
| D0_3--BiF3 | dynamic | -4.2501 | -4.2501 | 5.6884 | 5.6884 | 5.6884 | 90.0 | 90.0 | 90.0 |
| oqmd-297657 | dynamic | -4.1754 | -4.1754 | 3.5672 | 3.5672 | 7.1089 | 90.0 | 90.0 | 90.0 |
| A15--Cr3Si | dynamic | -4.1711 | -4.1711 | 4.2801 | 4.2801 | 4.2801 | 90.0 | 90.0 | 90.0 |
| A15--Cr3Si | static | -4.155 | -4.155 | 4.4356 | 4.4356 | 4.4356 | 90.0 | 90.0 | 90.0 |
| L1_2--AuCu3 | static | -4.1196 | -4.1196 | 3.5555 | 3.5555 | 3.5555 | 90.0 | 90.0 | 90.0 |
| oqmd-321526 | static | -4.0895 | -4.0895 | 4.9794 | 4.9794 | 4.4264 | 90.0 | 90.0 | 120.0 |
| L1_2--AuCu3 | static | -4.0518 | -4.0518 | 3.3549 | 3.3549 | 3.3549 | 90.0 | 90.0 | 90.0 |
| oqmd-321526 | box | -4.0314 | -4.0314 | 4.7016 | 4.7016 | 3.9963 | 90.0 | 90.0 | 120.0 |
| L1_2--AuCu3 | dynamic | -3.9302 | -3.9302 | 3.9724 | 3.9724 | 3.9724 | 90.0 | 90.0 | 90.0 |
| L1_2--AuCu3 | dynamic | -0.9341 | -0.9341 | 7.0107 | 7.0107 | 7.0107 | 90.0 | 90.0 | 90.0 |
| D0_3--BiF3 | dynamic | -0.7923 | -0.7923 | 11.4248 | 11.4248 | 11.4248 | 90.0 | 90.0 | 90.0 |
| A15--Cr3Si | static | -0.7196 | -0.7196 | 8.5503 | 8.5503 | 8.5503 | 90.0 | 90.0 | 90.0 |
| D0_3--BiF3 | static | -0.6569 | -0.6569 | 9.9527 | 9.9527 | 9.9527 | 90.0 | 90.0 | 90.0 |
| L1_2--AuCu3 | dynamic | -0.4042 | -0.4042 | 5.8427 | 5.8427 | 5.8427 | 90.0 | 90.0 | 90.0 |
| A15--Cr3Si | box | -0.3924 | -0.3924 | 7.1978 | 7.1978 | 7.1978 | 90.0 | 90.0 | 90.0 |
| L1_2--AuCu3 | static | -0.3432 | -0.3432 | 7.9946 | 7.9946 | 7.9946 | 90.0 | 90.0 | 90.0 |
| D0_3--BiF3 | box | -0.2311 | -0.2311 | 13.0508 | 13.0508 | 13.0508 | 90.0 | 90.0 | 90.0 |
| A15--Cr3Si | dynamic | -0.0503 | -0.0503 | 11.6552 | 11.6552 | 11.6552 | 90.0 | 90.0 | 90.0 |
Download raw data (including filtered results)
Reference structure matches:
| prototype | method | Ecoh (eV/atom) | Epot (eV/atom) | a0 (Å) | b0 (Å) | c0 (Å) | α (degrees) | β (degrees) | γ (degrees) |
|---|---|---|---|---|---|---|---|---|---|
| mp-1226230 | dynamic | -4.325 | -4.325 | 2.7872 | 4.0131 | 19.937 | 90.0 | 90.0 | 90.0 |
| mp-1226230 | static | -4.3246 | -4.3246 | 2.7866 | 4.0091 | 19.9618 | 90.0 | 90.0 | 90.0 |
| mp-1226230 | box | -4.3226 | -4.3226 | 2.7866 | 4.0024 | 20.0043 | 90.0 | 90.0 | 90.0 |
Download raw data (including filtered results)
Reference structure matches:
| prototype | method | Ecoh (eV/atom) | Epot (eV/atom) | a0 (Å) | b0 (Å) | c0 (Å) | α (degrees) | β (degrees) | γ (degrees) |
|---|---|---|---|---|---|---|---|---|---|
| L2_1--AlCu2Mn--heusler | static | -2.9612 | -3.3962 | 4.6364 | 4.6364 | 4.6364 | 90.0 | 90.0 | 90.0 |
| L2_1--AlCu2Mn--heusler | static | -2.6046 | -3.0396 | 4.2637 | 4.2637 | 4.2637 | 90.0 | 90.0 | 90.0 |
| L2_1--AlCu2Mn--heusler | static | -2.2834 | -2.7184 | 5.7344 | 5.7344 | 5.7344 | 90.0 | 90.0 | 90.0 |
| L2_1--AlCu2Mn--heusler | static | -0.4595 | -0.8945 | 9.8674 | 9.8674 | 9.8674 | 90.0 | 90.0 | 90.0 |
| L2_1--AlCu2Mn--heusler | dynamic | -0.3299 | -0.7649 | 11.2969 | 11.2969 | 11.2969 | 90.0 | 90.0 | 90.0 |
| L2_1--AlCu2Mn--heusler | dynamic | -0.0737 | -0.5087 | 13.2729 | 13.2729 | 13.2729 | 90.0 | 90.0 | 90.0 |
Download raw data (including filtered results)
Reference structure matches:
| prototype | method | Ecoh (eV/atom) | Epot (eV/atom) | a0 (Å) | b0 (Å) | c0 (Å) | α (degrees) | β (degrees) | γ (degrees) |
|---|---|---|---|---|---|---|---|---|---|
| B3--ZnS--cubic-zinc-blende | dynamic | -3.379 | -3.814 | 4.0098 | 4.0098 | 4.0098 | 90.0 | 90.0 | 90.0 |
| B4--ZnS--wurtzite | dynamic | -3.3441 | -3.7791 | 2.8159 | 2.8159 | 4.7596 | 90.0 | 90.0 | 120.0 |
| B4--ZnS--wurtzite | box | -3.3413 | -3.7763 | 2.8241 | 2.8241 | 4.7198 | 90.0 | 90.0 | 120.0 |
| B1--NaCl--rock-salt | dynamic | -3.3211 | -3.7561 | 3.915 | 3.915 | 3.915 | 90.0 | 90.0 | 90.0 |
| B2--CsCl | static | -2.7984 | -3.2334 | 2.3853 | 2.3853 | 2.3853 | 90.0 | 90.0 | 90.0 |
| L1_0--AuCu | static | -2.7063 | -3.1413 | 2.1358 | 2.1358 | 2.3512 | 90.0 | 90.0 | 90.0 |
| B2--CsCl | static | -2.7026 | -3.1376 | 2.2037 | 2.2037 | 2.2037 | 90.0 | 90.0 | 90.0 |
| B2--CsCl | static | -2.216 | -2.651 | 2.8551 | 2.8551 | 2.8551 | 90.0 | 90.0 | 90.0 |
| L1_0--AuCu | box | -1.9503 | -2.3853 | 1.971 | 1.971 | 5.4801 | 90.0 | 90.0 | 90.0 |
| L1_0--AuCu | static | -1.468 | -1.903 | 2.8824 | 2.8824 | 4.0608 | 90.0 | 90.0 | 90.0 |
| L1_0--AuCu | box | -0.9728 | -1.4078 | 4.8262 | 4.8262 | 2.294 | 90.0 | 90.0 | 90.0 |
| B3--ZnS--cubic-zinc-blende | static | -0.9275 | -1.3625 | 5.6652 | 5.6652 | 5.6652 | 90.0 | 90.0 | 90.0 |
| B4--ZnS--wurtzite | static | -0.9274 | -1.3624 | 3.9842 | 3.9842 | 6.538 | 90.0 | 90.0 | 120.0 |
| B4--ZnS--wurtzite | static | -0.9274 | -1.3624 | 3.9841 | 3.9841 | 6.5382 | 90.0 | 90.0 | 120.0 |
| B4--ZnS--wurtzite | box | -0.9246 | -1.3596 | 4.0018 | 4.0018 | 6.4774 | 90.0 | 90.0 | 120.0 |
| B4--ZnS--wurtzite | dynamic | -0.7099 | -1.1449 | 4.9132 | 4.9132 | 8.0545 | 90.0 | 90.0 | 120.0 |
| B4--ZnS--wurtzite | box | -0.7096 | -1.1446 | 4.9173 | 4.9173 | 8.046 | 90.0 | 90.0 | 120.0 |
| B3--ZnS--cubic-zinc-blende | dynamic | -0.6961 | -1.1311 | 6.9509 | 6.9509 | 6.9509 | 90.0 | 90.0 | 90.0 |
| B1--NaCl--rock-salt | static | -0.6476 | -1.0826 | 5.905 | 5.905 | 5.905 | 90.0 | 90.0 | 90.0 |
| L1_0--AuCu | static | -0.4018 | -0.8368 | 4.909 | 4.909 | 6.9936 | 90.0 | 90.0 | 90.0 |
| B2--CsCl | dynamic | -0.356 | -0.791 | 4.886 | 4.886 | 4.886 | 90.0 | 90.0 | 90.0 |
| B2--CsCl | dynamic | -0.3046 | -0.7396 | 5.6454 | 5.6454 | 5.6454 | 90.0 | 90.0 | 90.0 |
| L1_0--AuCu | dynamic | -0.2385 | -0.6735 | 4.0626 | 4.0626 | 6.0997 | 90.0 | 90.0 | 90.0 |
| L1_0--AuCu | box | -0.2267 | -0.6617 | 4.3106 | 4.3106 | 5.618 | 90.0 | 90.0 | 90.0 |
| B1--NaCl--rock-salt | dynamic | -0.1996 | -0.6346 | 9.8532 | 9.8532 | 9.8532 | 90.0 | 90.0 | 90.0 |
| B1--NaCl--rock-salt | dynamic | -0.1603 | -0.5953 | 8.0602 | 8.0602 | 8.0602 | 90.0 | 90.0 | 90.0 |
| B3--ZnS--cubic-zinc-blende | dynamic | -0.1331 | -0.5681 | 11.3773 | 11.3773 | 11.3773 | 90.0 | 90.0 | 90.0 |
| B4--ZnS--wurtzite | dynamic | -0.1331 | -0.5681 | 8.0432 | 8.0432 | 13.1434 | 90.0 | 90.0 | 120.0 |
| B4--ZnS--wurtzite | static | -0.1331 | -0.5681 | 8.0429 | 8.0429 | 13.1441 | 90.0 | 90.0 | 120.0 |
| B4--ZnS--wurtzite | static | -0.1331 | -0.5681 | 8.0429 | 8.0429 | 13.1443 | 90.0 | 90.0 | 120.0 |
| B4--ZnS--wurtzite | dynamic | -0.083 | -0.518 | 6.827 | 6.827 | 11.1484 | 90.0 | 90.0 | 120.0 |
| B3--ZnS--cubic-zinc-blende | dynamic | -0.083 | -0.518 | 9.6548 | 9.6548 | 9.6548 | 90.0 | 90.0 | 90.0 |
| B4--ZnS--wurtzite | static | -0.083 | -0.518 | 6.8264 | 6.8264 | 11.1501 | 90.0 | 90.0 | 120.0 |
| B4--ZnS--wurtzite | static | -0.083 | -0.518 | 6.8255 | 6.8255 | 11.153 | 90.0 | 90.0 | 120.0 |
| B4--ZnS--wurtzite | box | -0.083 | -0.518 | 6.8251 | 6.8251 | 11.1543 | 90.0 | 90.0 | 120.0 |
Download raw data (including filtered results)
Reference structure matches:
| prototype | method | Ecoh (eV/atom) | Epot (eV/atom) | a0 (Å) | b0 (Å) | c0 (Å) | α (degrees) | β (degrees) | γ (degrees) |
|---|---|---|---|---|---|---|---|---|---|
| C1--CaF2--fluorite | dynamic | -3.0783 | -3.6583 | 4.1105 | 4.1105 | 4.1105 | 90.0 | 90.0 | 90.0 |
| C1--CaF2--fluorite | dynamic | -0.6861 | -1.2661 | 6.9315 | 6.9315 | 6.9315 | 90.0 | 90.0 | 90.0 |
| C1--CaF2--fluorite | static | -0.1833 | -0.7633 | 11.4268 | 11.4268 | 11.4268 | 90.0 | 90.0 | 90.0 |
| C1--CaF2--fluorite | box | -0.1465 | -0.7265 | 9.5716 | 9.5716 | 9.5716 | 90.0 | 90.0 | 90.0 |
Download raw data (including filtered results)
Reference structure matches:
| prototype | method | Ecoh (eV/atom) | Epot (eV/atom) | a0 (Å) | b0 (Å) | c0 (Å) | α (degrees) | β (degrees) | γ (degrees) |
|---|---|---|---|---|---|---|---|---|---|
| L1_2--AuCu3 | dynamic | -2.696 | -3.3485 | 2.7601 | 2.7601 | 2.7601 | 90.0 | 90.0 | 90.0 |
| D0_3--BiF3 | static | -2.622 | -3.2745 | 4.2104 | 4.2104 | 4.2104 | 90.0 | 90.0 | 90.0 |
| A15--Cr3Si | static | -2.6129 | -3.2654 | 3.4219 | 3.4219 | 3.4219 | 90.0 | 90.0 | 90.0 |
| A15--Cr3Si | dynamic | -0.7845 | -1.437 | 5.5041 | 5.5041 | 5.5041 | 90.0 | 90.0 | 90.0 |
| L1_2--AuCu3 | static | -0.7817 | -1.4342 | 4.1014 | 4.1014 | 4.1014 | 90.0 | 90.0 | 90.0 |
| D0_3--BiF3 | static | -0.2744 | -0.9269 | 9.8255 | 9.8255 | 9.8255 | 90.0 | 90.0 | 90.0 |
| L1_2--AuCu3 | static | -0.2499 | -0.9024 | 6.9591 | 6.9591 | 6.9591 | 90.0 | 90.0 | 90.0 |
| A15--Cr3Si | dynamic | -0.2493 | -0.9018 | 8.6983 | 8.6983 | 8.6983 | 90.0 | 90.0 | 90.0 |
| L1_2--AuCu3 | static | -0.2316 | -0.8841 | 5.9397 | 5.9397 | 5.9397 | 90.0 | 90.0 | 90.0 |
| A15--Cr3Si | static | -0.2025 | -0.855 | 7.3759 | 7.3759 | 7.3759 | 90.0 | 90.0 | 90.0 |
| D0_3--BiF3 | static | -0.1956 | -0.8481 | 11.3025 | 11.3025 | 11.3025 | 90.0 | 90.0 | 90.0 |
| A15--Cr3Si | dynamic | -0.0048 | -0.6573 | 11.7691 | 11.7691 | 11.7691 | 90.0 | 90.0 | 90.0 |
Download raw data (including filtered results)
Reference structure matches:
A1--Cu--fcc = mp-150, oqmd-7505, oqmd-1214525
A15--beta-W = oqmd-1214970
A2--W--bcc = mp-13, oqmd-8568, oqmd-22514, oqmd-1215148
A3'--alpha-La--double-hcp = oqmd-1215416
A3--Mg--hcp = mp-136, oqmd-30158, oqmd-51781, oqmd-1215326, oqmd-1215391
A4--C--dc = oqmd-1215505
A5--beta-Sn = oqmd-1215594
A6--In--bct = oqmd-1215683
Ah--alpha-Po--sc = mp-568345
| prototype | method | Ecoh (eV/atom) | Epot (eV/atom) | a0 (Å) | b0 (Å) | c0 (Å) | α (degrees) | β (degrees) | γ (degrees) |
|---|---|---|---|---|---|---|---|---|---|
| A2--W--bcc | dynamic | -4.3756 | -4.3756 | 2.8296 | 2.8296 | 2.8296 | 90.0 | 90.0 | 90.0 |
| A15--beta-W | dynamic | -4.2965 | -4.2965 | 4.451 | 4.451 | 4.451 | 90.0 | 90.0 | 90.0 |
| oqmd-1214792 | dynamic | -4.2852 | -4.2852 | 8.6761 | 8.6761 | 8.6761 | 90.0 | 90.0 | 90.0 |
| A1--Cu--fcc | static | -4.2836 | -4.2836 | 3.5225 | 3.5225 | 3.5225 | 90.0 | 90.0 | 90.0 |
| A6--In--bct | box | -4.2835 | -4.2835 | 2.5074 | 2.5074 | 3.4665 | 90.0 | 90.0 | 90.0 |
| oqmd-1214792 | box | -4.2793 | -4.2793 | 8.6742 | 8.6742 | 8.6742 | 90.0 | 90.0 | 90.0 |
| A3'--alpha-La--double-hcp | static | -4.2652 | -4.2652 | 2.493 | 2.493 | 8.2453 | 90.0 | 90.0 | 120.0 |
| oqmd-1216039 | static | -4.2561 | -4.2561 | 2.4897 | 2.4897 | 18.5838 | 90.0 | 90.0 | 120.0 |
| A3--Mg--hcp | box | -4.2498 | -4.2498 | 2.5023 | 2.5023 | 4.1938 | 90.0 | 90.0 | 120.0 |
| oqmd-1214881 | static | -4.2306 | -4.2306 | 6.1564 | 6.1564 | 6.1564 | 90.0 | 90.0 | 90.0 |
| oqmd-1214881 | box | -4.2288 | -4.2288 | 6.1577 | 6.1577 | 6.1577 | 90.0 | 90.0 | 90.0 |
| mp-1245108 | dynamic | -4.2065 | -4.2065 | 10.175 | 10.2152 | 10.8841 | 90.8 | 91.8 | 92.9 |
| mp-1194030 | dynamic | -4.1998 | -4.1998 | 8.4685 | 8.4685 | 4.4929 | 90.0 | 90.0 | 90.0 |
| oqmd-21053 | static | -4.1809 | -4.1809 | 8.4213 | 8.4213 | 4.5121 | 90.0 | 90.0 | 90.0 |
| oqmd-21053 | box | -4.1797 | -4.1797 | 8.4246 | 8.4246 | 4.5098 | 90.0 | 90.0 | 90.0 |
| mp-1194030 | static | -4.1717 | -4.1717 | 8.4214 | 8.4214 | 4.5124 | 90.0 | 90.0 | 90.0 |
| mp-1194030 | box | -4.1707 | -4.1707 | 8.4239 | 8.4239 | 4.511 | 90.0 | 90.0 | 90.0 |
| mp-1245108 | static | -4.1478 | -4.1478 | 10.2992 | 10.3491 | 10.7261 | 90.8 | 91.7 | 91.9 |
| mp-1245108 | box | -4.1389 | -4.1389 | 10.3165 | 10.3603 | 10.7182 | 90.9 | 91.5 | 91.8 |
| oqmd-1215059 | box | -4.0837 | -4.0837 | 2.7374 | 3.9151 | 8.7489 | 90.0 | 90.0 | 90.0 |
| oqmd-1214703 | static | -4.0186 | -4.0186 | 2.8483 | 3.873 | 8.9764 | 90.0 | 90.0 | 90.0 |
| A5--beta-Sn | static | -3.9441 | -3.9441 | 4.4457 | 4.4457 | 2.4427 | 90.0 | 90.0 | 90.0 |
| mp-1096950 | box | -3.9089 | -3.9089 | 2.4322 | 2.4322 | 2.2743 | 90.0 | 90.0 | 120.0 |
| Ah--alpha-Po--sc | static | -3.7773 | -3.7773 | 2.2835 | 2.2835 | 2.2835 | 90.0 | 90.0 | 90.0 |
| oqmd-21731 | box | -3.7772 | -3.7772 | 2.2835 | 2.2835 | 6.8505 | 90.0 | 90.0 | 90.0 |
| oqmd-1215950 | static | -3.4458 | -3.4458 | 3.9263 | 4.235 | 3.94 | 90.0 | 119.7 | 90.0 |
| oqmd-1215950 | box | -3.4458 | -3.4458 | 3.9266 | 4.235 | 3.94 | 90.0 | 119.7 | 90.0 |
| A4--C--dc | static | -3.0607 | -3.0607 | 5.2882 | 5.2882 | 5.2882 | 90.0 | 90.0 | 90.0 |
| Ah--alpha-Po--sc | static | -2.5651 | -2.5651 | 2.861 | 2.861 | 2.861 | 90.0 | 90.0 | 90.0 |
| A4--C--dc | dynamic | -2.2407 | -2.2407 | 6.9632 | 6.9632 | 6.9632 | 90.0 | 90.0 | 90.0 |
| A4--C--dc | static | -1.8671 | -1.8671 | 3.9491 | 3.9491 | 3.9491 | 90.0 | 90.0 | 90.0 |
| Ah--alpha-Po--sc | static | -1.6647 | -1.6647 | 3.3495 | 3.3495 | 3.3495 | 90.0 | 90.0 | 90.0 |
| A1--Cu--fcc | dynamic | -0.9882 | -0.9882 | 7.0323 | 7.0323 | 7.0323 | 90.0 | 90.0 | 90.0 |
| A3--Mg--hcp | dynamic | -0.9882 | -0.9882 | 4.9726 | 4.9726 | 8.1202 | 90.0 | 90.0 | 120.0 |
| A3'--alpha-La--double-hcp | dynamic | -0.9882 | -0.9882 | 4.9726 | 4.9726 | 16.2404 | 90.0 | 90.0 | 120.0 |
| A6--In--bct | dynamic | -0.8744 | -0.8744 | 4.1527 | 4.1527 | 8.0261 | 90.0 | 90.0 | 90.0 |
| A2--W--bcc | dynamic | -0.8696 | -0.8696 | 5.7646 | 5.7646 | 5.7646 | 90.0 | 90.0 | 90.0 |
| A15--beta-W | static | -0.7572 | -0.7572 | 8.527 | 8.527 | 8.527 | 90.0 | 90.0 | 90.0 |
| A2--W--bcc | dynamic | -0.7496 | -0.7496 | 5.0153 | 5.0153 | 5.0153 | 90.0 | 90.0 | 90.0 |
| A5--beta-Sn | static | -0.6847 | -0.6847 | 7.6653 | 7.6653 | 4.3186 | 90.0 | 90.0 | 90.0 |
| A5--beta-Sn | dynamic | -0.5566 | -0.5566 | 9.4313 | 9.4313 | 4.868 | 90.0 | 90.0 | 90.0 |
| Ah--alpha-Po--sc | static | -0.5338 | -0.5338 | 4.1322 | 4.1322 | 4.1322 | 90.0 | 90.0 | 90.0 |
| Ah--alpha-Po--sc | dynamic | -0.4941 | -0.4941 | 4.9726 | 4.9726 | 4.9726 | 90.0 | 90.0 | 90.0 |
| A3--Mg--hcp | dynamic | -0.4505 | -0.4505 | 4.1917 | 4.1917 | 6.845 | 90.0 | 90.0 | 120.0 |
| A3'--alpha-La--double-hcp | dynamic | -0.4505 | -0.4505 | 4.1917 | 4.1917 | 13.69 | 90.0 | 90.0 | 120.0 |
| A1--Cu--fcc | dynamic | -0.4505 | -0.4505 | 5.9279 | 5.9279 | 5.9279 | 90.0 | 90.0 | 90.0 |
| A5--beta-Sn | box | -0.4491 | -0.4491 | 7.1986 | 7.1986 | 5.597 | 90.0 | 90.0 | 90.0 |
| A3--Mg--hcp | dynamic | -0.4323 | -0.4323 | 5.8077 | 5.8077 | 9.484 | 90.0 | 90.0 | 120.0 |
| A3'--alpha-La--double-hcp | dynamic | -0.4323 | -0.4323 | 5.8077 | 5.8077 | 18.968 | 90.0 | 90.0 | 120.0 |
| A1--Cu--fcc | dynamic | -0.4323 | -0.4323 | 8.2134 | 8.2134 | 8.2134 | 90.0 | 90.0 | 90.0 |
| A7--alpha-As | dynamic | -0.354 | -0.354 | 8.0687 | 8.0687 | 15.6328 | 90.0 | 90.0 | 120.0 |
| A7--alpha-As | static | -0.354 | -0.354 | 7.9057 | 7.9057 | 16.7072 | 90.0 | 90.0 | 120.0 |
| A4--C--dc | dynamic | -0.3294 | -0.3294 | 11.4837 | 11.4837 | 11.4837 | 90.0 | 90.0 | 90.0 |
| A15--beta-W | dynamic | -0.3131 | -0.3131 | 10.2892 | 10.2892 | 10.2892 | 90.0 | 90.0 | 90.0 |
| A2--W--bcc | dynamic | -0.2882 | -0.2882 | 6.7062 | 6.7062 | 6.7062 | 90.0 | 90.0 | 90.0 |
| Ah--alpha-Po--sc | dynamic | -0.2161 | -0.2161 | 5.8077 | 5.8077 | 5.8077 | 90.0 | 90.0 | 90.0 |
| A1--Cu--fcc | box | -0.1854 | -0.1854 | 5.4865 | 5.4865 | 5.4865 | 90.0 | 90.0 | 90.0 |
| A4--C--dc | dynamic | -0.1441 | -0.1441 | 13.4124 | 13.4124 | 13.4124 | 90.0 | 90.0 | 90.0 |
| A7--alpha-As | dynamic | -0.1075 | -0.1075 | 8.4059 | 8.4059 | 25.644 | 90.0 | 90.0 | 120.0 |
| A7--alpha-As | static | -0.1075 | -0.1075 | 8.4059 | 8.4059 | 26.1794 | 90.0 | 90.0 | 120.0 |
| A15--beta-W | dynamic | -0.0503 | -0.0503 | 11.6552 | 11.6552 | 11.6552 | 90.0 | 90.0 | 90.0 |
| A3--Mg--hcp | static | 442.9318 | 442.9318 | 1.62 | 1.62 | 2.6454 | 90.0 | 90.0 | 120.0 |
| A3'--alpha-La--double-hcp | static | 442.9903 | 442.9903 | 1.64 | 1.64 | 5.3562 | 90.0 | 90.0 | 120.0 |
| A2--W--bcc | static | 443.1527 | 443.1527 | 1.7321 | 1.7321 | 1.7321 | 90.0 | 90.0 | 90.0 |
| A15--beta-W | static | 444.6164 | 444.6164 | 2.52 | 2.52 | 2.52 | 90.0 | 90.0 | 90.0 |
| A7--alpha-As | static | 447.6058 | 447.6058 | 1.7331 | 1.7331 | 4.8127 | 90.0 | 90.0 | 120.0 |
Download raw data (including filtered results)
Reference structure matches:
| prototype | method | Ecoh (eV/atom) | Epot (eV/atom) | a0 (Å) | b0 (Å) | c0 (Å) | α (degrees) | β (degrees) | γ (degrees) |
|---|---|---|---|---|---|---|---|---|---|
| C1--CaF2--fluorite | dynamic | -3.3362 | -3.6262 | 4.5874 | 4.5874 | 4.5874 | 90.0 | 90.0 | 90.0 |
| C1--CaF2--fluorite | dynamic | -0.5108 | -0.8008 | 9.9273 | 9.9273 | 9.9273 | 90.0 | 90.0 | 90.0 |
| C1--CaF2--fluorite | static | -0.4512 | -0.7412 | 8.2262 | 8.2262 | 8.2262 | 90.0 | 90.0 | 90.0 |
| C1--CaF2--fluorite | dynamic | -0.295 | -0.585 | 11.5594 | 11.5594 | 11.5594 | 90.0 | 90.0 | 90.0 |
| C1--CaF2--fluorite | dynamic | -0.0726 | -0.3626 | 13.5038 | 13.5038 | 13.5038 | 90.0 | 90.0 | 90.0 |
Download raw data (including filtered results)
Reference structure matches:
| prototype | method | Ecoh (eV/atom) | Epot (eV/atom) | a0 (Å) | b0 (Å) | c0 (Å) | α (degrees) | β (degrees) | γ (degrees) |
|---|---|---|---|---|---|---|---|---|---|
| L1_2--AuCu3 | static | -3.3352 | -3.5527 | 3.2819 | 3.2819 | 3.2819 | 90.0 | 90.0 | 90.0 |
| A15--Cr3Si | static | -3.3158 | -3.5333 | 4.3468 | 4.3468 | 4.3468 | 90.0 | 90.0 | 90.0 |
| D0_3--BiF3 | static | -3.2931 | -3.5106 | 5.372 | 5.372 | 5.372 | 90.0 | 90.0 | 90.0 |
| D0_3--BiF3 | static | -3.2853 | -3.5028 | 5.7237 | 5.7237 | 5.7237 | 90.0 | 90.0 | 90.0 |
| L1_2--AuCu3 | static | -2.879 | -3.0965 | 3.9877 | 3.9877 | 3.9877 | 90.0 | 90.0 | 90.0 |
| A15--Cr3Si | static | -0.6725 | -0.89 | 8.1031 | 8.1031 | 8.1031 | 90.0 | 90.0 | 90.0 |
| L1_2--AuCu3 | dynamic | -0.667 | -0.8845 | 7.0237 | 7.0237 | 7.0237 | 90.0 | 90.0 | 90.0 |
| D0_3--BiF3 | dynamic | -0.5946 | -0.8121 | 9.9858 | 9.9858 | 9.9858 | 90.0 | 90.0 | 90.0 |
| D0_3--BiF3 | dynamic | -0.5869 | -0.8044 | 11.5399 | 11.5399 | 11.5399 | 90.0 | 90.0 | 90.0 |
| L1_2--AuCu3 | dynamic | -0.4736 | -0.6911 | 5.9104 | 5.9104 | 5.9104 | 90.0 | 90.0 | 90.0 |
| A15--Cr3Si | static | -0.4009 | -0.6184 | 9.4616 | 9.4616 | 9.4616 | 90.0 | 90.0 | 90.0 |
| L1_2--AuCu3 | dynamic | -0.2924 | -0.5099 | 8.2375 | 8.2375 | 8.2375 | 90.0 | 90.0 | 90.0 |
| D0_3--BiF3 | dynamic | -0.1978 | -0.4153 | 13.4436 | 13.4436 | 13.4436 | 90.0 | 90.0 | 90.0 |
| A15--Cr3Si | static | -0.1733 | -0.3908 | 10.2375 | 10.2375 | 10.2375 | 90.0 | 90.0 | 90.0 |
| A15--Cr3Si | dynamic | -0.0503 | -0.2678 | 11.6552 | 11.6552 | 11.6552 | 90.0 | 90.0 | 90.0 |
| A15--Cr3Si | static | 342.6519 | 342.4344 | 2.52 | 2.52 | 2.52 | 90.0 | 90.0 | 90.0 |
Download raw data (including filtered results)
Reference structure matches:
| prototype | method | Ecoh (eV/atom) | Epot (eV/atom) | a0 (Å) | b0 (Å) | c0 (Å) | α (degrees) | β (degrees) | γ (degrees) |
|---|---|---|---|---|---|---|---|---|---|
| B1--NaCl--rock-salt | dynamic | -3.4335 | -3.8685 | 3.7746 | 3.7746 | 3.7746 | 90.0 | 90.0 | 90.0 |
| B4--ZnS--wurtzite | dynamic | -3.4031 | -3.8381 | 2.8141 | 2.8141 | 4.3496 | 90.0 | 90.0 | 120.0 |
| B4--ZnS--wurtzite | box | -3.4004 | -3.8354 | 2.8005 | 2.8005 | 4.3937 | 90.0 | 90.0 | 120.0 |
| B3--ZnS--cubic-zinc-blende | dynamic | -3.3861 | -3.8211 | 3.9456 | 3.9456 | 3.9456 | 90.0 | 90.0 | 90.0 |
| B2--CsCl | dynamic | -3.1089 | -3.5439 | 2.3065 | 2.3065 | 2.3065 | 90.0 | 90.0 | 90.0 |
| B2--CsCl | static | -1.361 | -1.796 | 3.4349 | 3.4349 | 3.4349 | 90.0 | 90.0 | 90.0 |
| B4--ZnS--wurtzite | box | -0.9335 | -1.3685 | 4.2281 | 4.2281 | 6.4909 | 90.0 | 90.0 | 120.0 |
| B3--ZnS--cubic-zinc-blende | static | -0.9101 | -1.3451 | 5.885 | 5.885 | 5.885 | 90.0 | 90.0 | 90.0 |
| B3--ZnS--cubic-zinc-blende | dynamic | -0.8577 | -1.2927 | 7.0431 | 7.0431 | 7.0431 | 90.0 | 90.0 | 90.0 |
| B4--ZnS--wurtzite | dynamic | -0.8447 | -1.2797 | 4.9801 | 4.9801 | 8.0912 | 90.0 | 90.0 | 120.0 |
| B4--ZnS--wurtzite | box | -0.8437 | -1.2787 | 4.9848 | 4.9848 | 8.0951 | 90.0 | 90.0 | 120.0 |
| L1_0--AuCu | box | -0.7992 | -1.2342 | 3.1012 | 3.1012 | 5.8979 | 90.0 | 90.0 | 90.0 |
| B1--NaCl--rock-salt | dynamic | -0.7441 | -1.1791 | 6.8523 | 6.8523 | 6.8523 | 90.0 | 90.0 | 90.0 |
| B1--NaCl--rock-salt | static | -0.7434 | -1.1784 | 5.8938 | 5.8938 | 5.8938 | 90.0 | 90.0 | 90.0 |
| B2--CsCl | dynamic | -0.5446 | -0.9796 | 4.9573 | 4.9573 | 4.9573 | 90.0 | 90.0 | 90.0 |
| B2--CsCl | static | -0.4567 | -0.8917 | 4.1023 | 4.1023 | 4.1023 | 90.0 | 90.0 | 90.0 |
| B1--NaCl--rock-salt | dynamic | -0.4204 | -0.8554 | 8.2691 | 8.2691 | 8.2691 | 90.0 | 90.0 | 90.0 |
| L1_0--AuCu | static | -0.413 | -0.848 | 4.9696 | 4.9696 | 6.9507 | 90.0 | 90.0 | 90.0 |
| L1_0--AuCu | dynamic | -0.4098 | -0.8448 | 4.4266 | 4.4266 | 5.8366 | 90.0 | 90.0 | 90.0 |
| B4--ZnS--wurtzite | dynamic | -0.3813 | -0.8163 | 5.7878 | 5.7878 | 9.4613 | 90.0 | 90.0 | 120.0 |
| B2--CsCl | dynamic | -0.343 | -0.778 | 5.7742 | 5.7742 | 5.7742 | 90.0 | 90.0 | 90.0 |
| B4--ZnS--wurtzite | box | -0.314 | -0.749 | 5.7853 | 5.7853 | 9.4028 | 90.0 | 90.0 | 120.0 |
| B3--ZnS--cubic-zinc-blende | static | -0.3008 | -0.7358 | 8.1758 | 8.1758 | 8.1758 | 90.0 | 90.0 | 90.0 |
| L1_0--AuCu | dynamic | -0.184 | -0.619 | 5.8289 | 5.8289 | 8.2951 | 90.0 | 90.0 | 90.0 |
| B1--NaCl--rock-salt | dynamic | -0.174 | -0.609 | 9.8841 | 9.8841 | 9.8841 | 90.0 | 90.0 | 90.0 |
| B4--ZnS--wurtzite | dynamic | -0.1368 | -0.5718 | 6.9708 | 6.9708 | 11.3832 | 90.0 | 90.0 | 120.0 |
| B3--ZnS--cubic-zinc-blende | dynamic | -0.1368 | -0.5718 | 9.8582 | 9.8582 | 9.8582 | 90.0 | 90.0 | 90.0 |
| B4--ZnS--wurtzite | static | -0.1368 | -0.5718 | 6.9695 | 6.9695 | 11.3873 | 90.0 | 90.0 | 120.0 |
| B4--ZnS--wurtzite | box | -0.1368 | -0.5718 | 6.9689 | 6.9689 | 11.3893 | 90.0 | 90.0 | 120.0 |
| B3--ZnS--cubic-zinc-blende | dynamic | -0.116 | -0.551 | 11.4132 | 11.4132 | 11.4132 | 90.0 | 90.0 | 90.0 |
| B4--ZnS--wurtzite | dynamic | -0.116 | -0.551 | 8.0695 | 8.0695 | 13.1816 | 90.0 | 90.0 | 120.0 |
| B4--ZnS--wurtzite | static | -0.116 | -0.551 | 8.069 | 8.069 | 13.1834 | 90.0 | 90.0 | 120.0 |
| B4--ZnS--wurtzite | box | -0.116 | -0.551 | 8.0682 | 8.0682 | 13.1859 | 90.0 | 90.0 | 120.0 |
| B2--CsCl | dynamic | -0.109 | -0.544 | 6.7519 | 6.7519 | 6.7519 | 90.0 | 90.0 | 90.0 |
| B1--NaCl--rock-salt | dynamic | -0.0817 | -0.5167 | 11.6946 | 11.6946 | 11.6946 | 90.0 | 90.0 | 90.0 |
| B3--ZnS--cubic-zinc-blende | dynamic | -0.0545 | -0.4895 | 13.5038 | 13.5038 | 13.5038 | 90.0 | 90.0 | 90.0 |
| B4--ZnS--wurtzite | dynamic | -0.0545 | -0.4895 | 9.5467 | 9.5467 | 15.5992 | 90.0 | 90.0 | 120.0 |
| B4--ZnS--wurtzite | dynamic | -0.0545 | -0.4895 | 9.5466 | 9.5466 | 15.5994 | 90.0 | 90.0 | 120.0 |
| B4--ZnS--wurtzite | static | -0.0545 | -0.4895 | 9.5461 | 9.5461 | 15.601 | 90.0 | 90.0 | 120.0 |
| B4--ZnS--wurtzite | box | -0.0545 | -0.4895 | 9.5461 | 9.5461 | 15.6012 | 90.0 | 90.0 | 120.0 |
Download raw data (including filtered results)
Reference structure matches:
| prototype | method | Ecoh (eV/atom) | Epot (eV/atom) | a0 (Å) | b0 (Å) | c0 (Å) | α (degrees) | β (degrees) | γ (degrees) |
|---|---|---|---|---|---|---|---|---|---|
| C1--CaF2--fluorite | dynamic | -2.9894 | -3.5694 | 4.0597 | 4.0597 | 4.0597 | 90.0 | 90.0 | 90.0 |
| C1--CaF2--fluorite | static | -1.1191 | -1.6991 | 5.826 | 5.826 | 5.826 | 90.0 | 90.0 | 90.0 |
| C1--CaF2--fluorite | dynamic | -0.7933 | -1.3733 | 7.0349 | 7.0349 | 7.0349 | 90.0 | 90.0 | 90.0 |
| C1--CaF2--fluorite | static | -0.3137 | -0.8937 | 8.1924 | 8.1924 | 8.1924 | 90.0 | 90.0 | 90.0 |
| C1--CaF2--fluorite | static | -0.2162 | -0.7962 | 9.8395 | 9.8395 | 9.8395 | 90.0 | 90.0 | 90.0 |
| C1--CaF2--fluorite | dynamic | -0.1624 | -0.7424 | 11.5175 | 11.5175 | 11.5175 | 90.0 | 90.0 | 90.0 |
| C1--CaF2--fluorite | dynamic | -0.0726 | -0.6526 | 13.5038 | 13.5038 | 13.5038 | 90.0 | 90.0 | 90.0 |
Download raw data (including filtered results)
Reference structure matches:
| prototype | method | Ecoh (eV/atom) | Epot (eV/atom) | a0 (Å) | b0 (Å) | c0 (Å) | α (degrees) | β (degrees) | γ (degrees) |
|---|---|---|---|---|---|---|---|---|---|
| L1_2--AuCu3 | static | -2.557 | -3.2095 | 2.7919 | 2.7919 | 2.7919 | 90.0 | 90.0 | 90.0 |
| A15--Cr3Si | static | -2.55 | -3.2025 | 3.2751 | 3.2751 | 3.2751 | 90.0 | 90.0 | 90.0 |
| D0_3--BiF3 | static | -2.5053 | -3.1578 | 4.1812 | 4.1812 | 4.1812 | 90.0 | 90.0 | 90.0 |
| D0_3--BiF3 | static | -1.2795 | -1.932 | 5.7941 | 5.7941 | 5.7941 | 90.0 | 90.0 | 90.0 |
| L1_2--AuCu3 | static | -0.8826 | -1.5351 | 4.0853 | 4.0853 | 4.0853 | 90.0 | 90.0 | 90.0 |
| D0_3--BiF3 | static | -0.7214 | -1.3739 | 6.9709 | 6.9709 | 6.9709 | 90.0 | 90.0 | 90.0 |
| L1_2--AuCu3 | dynamic | -0.4791 | -1.1316 | 4.7755 | 4.7755 | 4.7755 | 90.0 | 90.0 | 90.0 |
| L1_2--AuCu3 | dynamic | -0.3581 | -1.0106 | 5.9202 | 5.9202 | 5.9202 | 90.0 | 90.0 | 90.0 |
| D0_3--BiF3 | dynamic | -0.3205 | -0.973 | 9.8876 | 9.8876 | 9.8876 | 90.0 | 90.0 | 90.0 |
| D0_3--BiF3 | static | -0.3088 | -0.9613 | 8.2445 | 8.2445 | 8.2445 | 90.0 | 90.0 | 90.0 |
| A15--Cr3Si | static | -0.2753 | -0.9278 | 7.5325 | 7.5325 | 7.5325 | 90.0 | 90.0 | 90.0 |
| A15--Cr3Si | static | -0.2665 | -0.919 | 6.3912 | 6.3912 | 6.3912 | 90.0 | 90.0 | 90.0 |
| A15--Cr3Si | static | -0.23 | -0.8825 | 6.9198 | 6.9198 | 6.9198 | 90.0 | 90.0 | 90.0 |
| A15--Cr3Si | dynamic | -0.2281 | -0.8806 | 8.5889 | 8.5889 | 8.5889 | 90.0 | 90.0 | 90.0 |
| L1_2--AuCu3 | static | -0.2245 | -0.877 | 6.9746 | 6.9746 | 6.9746 | 90.0 | 90.0 | 90.0 |
| D0_3--BiF3 | dynamic | -0.1943 | -0.8468 | 11.6164 | 11.6164 | 11.6164 | 90.0 | 90.0 | 90.0 |
| L1_2--AuCu3 | dynamic | -0.1008 | -0.7533 | 8.2826 | 8.2826 | 8.2826 | 90.0 | 90.0 | 90.0 |
| A15--Cr3Si | dynamic | -0.092 | -0.7445 | 10.4454 | 10.4454 | 10.4454 | 90.0 | 90.0 | 90.0 |
| D0_3--BiF3 | dynamic | -0.0673 | -0.7198 | 13.5252 | 13.5252 | 13.5252 | 90.0 | 90.0 | 90.0 |
| A15--Cr3Si | dynamic | -0.0048 | -0.6573 | 11.7691 | 11.7691 | 11.7691 | 90.0 | 90.0 | 90.0 |
Download raw data (including filtered results)
Reference structure matches:
A1--Cu--fcc = mp-634659, oqmd-5497, oqmd-5499, oqmd-1214529
A15--beta-W = oqmd-1214974
A2--W--bcc = mp-632250, oqmd-5517, oqmd-1215152
A3'--alpha-La--double-hcp = oqmd-1215420
A3--Mg--hcp = mp-23907, mp-570752, oqmd-40867, oqmd-676625, oqmd-1215330
A4--C--dc = oqmd-1215509
A5--beta-Sn = oqmd-1215598
A6--In--bct = oqmd-1215687
A7--alpha-As = oqmd-1215776
| prototype | method | Ecoh (eV/atom) | Epot (eV/atom) | a0 (Å) | b0 (Å) | c0 (Å) | α (degrees) | β (degrees) | γ (degrees) |
|---|---|---|---|---|---|---|---|---|---|
| oqmd-1215063 | static | -2.2791 | -3.1491 | 4.0835 | 4.1505 | 3.0752 | 90.0 | 90.0 | 90.0 |
| mp-1188177 | static | -2.2775 | -3.1475 | 4.1908 | 6.1186 | 4.196 | 90.0 | 90.0 | 90.0 |
| oqmd-675624 | static | -2.2744 | -3.1444 | 3.0571 | 3.0571 | 3.0533 | 90.0 | 90.0 | 90.0 |
| mp-24504 | static | -2.2267 | -3.0967 | 4.0956 | 4.0956 | 2.882 | 90.0 | 90.0 | 120.0 |
| oqmd-11544 | static | -2.2232 | -3.0932 | 4.0109 | 4.0109 | 2.971 | 90.0 | 90.0 | 120.0 |
| mp-1066989 | static | -2.1908 | -3.0608 | 2.5955 | 4.4239 | 4.8113 | 90.0 | 90.0 | 90.0 |
| oqmd-1215063 | box | -2.1585 | -3.0285 | 4.012 | 4.0812 | 2.9899 | 90.0 | 90.0 | 90.0 |
| oqmd-1214796 | static | -2.0788 | -2.9488 | 7.3943 | 7.3943 | 7.3943 | 90.0 | 90.0 | 90.0 |
| mp-632172 | dynamic | -2.0687 | -2.9387 | 4.5278 | 4.5278 | 2.6037 | 90.0 | 90.0 | 90.0 |
| oqmd-5539 | box | -2.0207 | -2.8907 | 2.9945 | 2.9945 | 2.9213 | 90.0 | 90.0 | 90.0 |
| oqmd-57238 | dynamic | -2.0104 | -2.8804 | 3.5933 | 2.0735 | 1.9706 | 90.0 | 90.0 | 90.0 |
| mp-754417 | static | -2.009 | -2.879 | 2.0737 | 2.0737 | 0.9875 | 90.0 | 90.0 | 120.0 |
| oqmd-11544 | box | -2.0048 | -2.8748 | 2.6235 | 2.6235 | 4.2108 | 90.0 | 90.0 | 120.0 |
| oqmd-57242 | static | -2.0002 | -2.8702 | 1.0223 | 3.6078 | 2.1491 | 90.0 | 103.3 | 90.0 |
| mp-1096977 | static | -1.9198 | -2.7898 | 2.4053 | 2.4053 | 0.9484 | 90.0 | 90.0 | 90.0 |
| A5--beta-Sn | static | -1.8949 | -2.7649 | 4.7833 | 4.7833 | 0.9626 | 90.0 | 90.0 | 90.0 |
| oqmd-1214796 | box | -1.8889 | -2.7589 | 6.6467 | 6.6467 | 6.6467 | 90.0 | 90.0 | 90.0 |
| oqmd-1215954 | static | -1.8737 | -2.7437 | 2.0142 | 2.0142 | 3.5327 | 90.0 | 90.0 | 120.0 |
| A5--beta-Sn | static | -1.8694 | -2.7394 | 3.6016 | 3.6016 | 1.0444 | 90.0 | 90.0 | 90.0 |
| A7--alpha-As | dynamic | -1.8691 | -2.7391 | 2.0114 | 2.0114 | 5.3204 | 90.0 | 90.0 | 120.0 |
| A7--alpha-As | static | -1.8691 | -2.7391 | 2.0112 | 2.0112 | 5.3231 | 90.0 | 90.0 | 120.0 |
| A7--alpha-As | static | -1.8686 | -2.7386 | 2.0137 | 2.0137 | 5.3064 | 90.0 | 90.0 | 120.0 |
| A4--C--dc | static | -1.832 | -2.702 | 2.8884 | 2.8884 | 2.8884 | 90.0 | 90.0 | 90.0 |
| oqmd-57244 | static | -1.7081 | -2.5781 | 1.7405 | 1.9286 | 3.5377 | 90.0 | 90.0 | 90.0 |
| A6--In--bct | static | -1.7011 | -2.5711 | 1.2989 | 1.2989 | 3.5367 | 90.0 | 90.0 | 90.0 |
| A5--beta-Sn | box | -1.6794 | -2.5494 | 4.1169 | 4.1169 | 1.0041 | 90.0 | 90.0 | 90.0 |
| A3--Mg--hcp | static | -1.579 | -2.449 | 2.1648 | 2.1648 | 1.5464 | 90.0 | 90.0 | 120.0 |
| mp-1096977 | box | -1.5444 | -2.4144 | 2.9258 | 2.9258 | 1.0309 | 90.0 | 90.0 | 90.0 |
| oqmd-1215954 | box | -1.5382 | -2.4082 | 2.0273 | 2.0273 | 4.3283 | 90.0 | 90.0 | 120.0 |
| A7--alpha-As | box | -1.5352 | -2.4052 | 2.0446 | 2.0446 | 6.4765 | 90.0 | 90.0 | 120.0 |
| A3'--alpha-La--double-hcp | static | -1.53 | -2.4 | 1.9937 | 1.9937 | 3.3716 | 90.0 | 90.0 | 120.0 |
| Ah--alpha-Po--sc | box | -1.5076 | -2.3776 | 1.4119 | 1.4119 | 1.4119 | 90.0 | 90.0 | 90.0 |
| A5--beta-Sn | box | -1.4235 | -2.2935 | 2.6894 | 2.6894 | 1.5794 | 90.0 | 90.0 | 90.0 |
| mp-1181265 | static | -1.3735 | -2.2435 | 5.12 | 7.034 | 8.2123 | 89.8 | 84.5 | 90.0 |
| A15--beta-W | static | -1.3644 | -2.2344 | 2.9625 | 2.9625 | 2.9625 | 90.0 | 90.0 | 90.0 |
| A15--beta-W | box | -1.3644 | -2.2344 | 2.9642 | 2.9642 | 2.9642 | 90.0 | 90.0 | 90.0 |
| A2--W--bcc | static | -1.3443 | -2.2143 | 1.7696 | 1.7696 | 1.7696 | 90.0 | 90.0 | 90.0 |
| A3'--alpha-La--double-hcp | static | -1.3442 | -2.2142 | 1.6973 | 1.6973 | 4.8675 | 90.0 | 90.0 | 120.0 |
| Ah--alpha-Po--sc | static | -1.3307 | -2.2007 | 1.7533 | 1.7533 | 1.7533 | 90.0 | 90.0 | 90.0 |
| A3--Mg--hcp | box | -1.327 | -2.197 | 1.6553 | 1.6553 | 2.7285 | 90.0 | 90.0 | 120.0 |
| A1--Cu--fcc | static | -1.3268 | -2.1968 | 2.3798 | 2.3798 | 2.3798 | 90.0 | 90.0 | 90.0 |
| A2--W--bcc | static | -1.3266 | -2.1966 | 1.9831 | 1.9831 | 1.9831 | 90.0 | 90.0 | 90.0 |
| A6--In--bct | box | -1.3188 | -2.1888 | 1.5934 | 1.5934 | 2.4571 | 90.0 | 90.0 | 90.0 |
| A3'--alpha-La--double-hcp | box | -1.3134 | -2.1834 | 1.662 | 1.662 | 5.4664 | 90.0 | 90.0 | 120.0 |
| oqmd-5498 | box | -1.2055 | -2.0755 | 1.66 | 2.7426 | 4.733 | 90.0 | 90.0 | 90.0 |
| A1--Cu--fcc | static | -1.1251 | -1.9951 | 2.7012 | 2.7012 | 2.7012 | 90.0 | 90.0 | 90.0 |
| A6--In--bct | static | -0.9281 | -1.7981 | 2.3202 | 2.3202 | 3.7617 | 90.0 | 90.0 | 90.0 |
| A2--W--bcc | dynamic | -0.9259 | -1.7959 | 2.6484 | 2.6484 | 2.6484 | 90.0 | 90.0 | 90.0 |
| A2--W--bcc | dynamic | -0.9114 | -1.7814 | 2.408 | 2.408 | 2.408 | 90.0 | 90.0 | 90.0 |
| A3--Mg--hcp | static | -0.9047 | -1.7747 | 2.437 | 2.437 | 3.4012 | 90.0 | 90.0 | 120.0 |
| A3--Mg--hcp | dynamic | -0.8974 | -1.7674 | 2.4461 | 2.4461 | 3.8559 | 90.0 | 90.0 | 120.0 |
| A3'--alpha-La--double-hcp | dynamic | -0.8968 | -1.7668 | 2.4204 | 2.4204 | 7.7049 | 90.0 | 90.0 | 120.0 |
| oqmd-1216043 | dynamic | -0.8967 | -1.7667 | 2.4294 | 2.4294 | 17.361 | 90.0 | 90.0 | 120.0 |
| A15--beta-W | dynamic | -0.8943 | -1.7643 | 4.4078 | 4.4078 | 4.4078 | 90.0 | 90.0 | 90.0 |
| A1--Cu--fcc | dynamic | -0.8926 | -1.7626 | 3.3949 | 3.3949 | 3.3949 | 90.0 | 90.0 | 90.0 |
| A6--In--bct | box | -0.8923 | -1.7623 | 2.3846 | 2.3846 | 3.4559 | 90.0 | 90.0 | 90.0 |
| A15--beta-W | static | -0.8679 | -1.7379 | 3.7729 | 3.7729 | 3.7729 | 90.0 | 90.0 | 90.0 |
| Ah--alpha-Po--sc | dynamic | -0.4654 | -1.3354 | 2.3696 | 2.3696 | 2.3696 | 90.0 | 90.0 | 90.0 |
| A4--C--dc | dynamic | -0.4271 | -1.2971 | 5.932 | 5.932 | 5.932 | 90.0 | 90.0 | 90.0 |
| A5--beta-Sn | box | -0.3765 | -1.2465 | 5.2946 | 5.2946 | 2.4649 | 90.0 | 90.0 | 90.0 |
| A5--beta-Sn | static | -0.3448 | -1.2148 | 5.1141 | 5.1141 | 4.3563 | 90.0 | 90.0 | 90.0 |
| A7--alpha-As | static | -0.3429 | -1.2129 | 4.1385 | 4.1385 | 10.2681 | 90.0 | 90.0 | 120.0 |
| A4--C--dc | static | -0.3293 | -1.1993 | 4.8206 | 4.8206 | 4.8206 | 90.0 | 90.0 | 90.0 |
| Ah--alpha-Po--sc | static | -0.3151 | -1.1851 | 2.6009 | 2.6009 | 2.6009 | 90.0 | 90.0 | 90.0 |
| A7--alpha-As | box | -0.305 | -1.175 | 4.1224 | 4.1224 | 10.4903 | 90.0 | 90.0 | 120.0 |
| oqmd-675624 | box | -0.2979 | -1.1679 | 3.7283 | 3.7283 | 5.9645 | 90.0 | 90.0 | 90.0 |
| Ah--alpha-Po--sc | static | -0.2841 | -1.1541 | 2.9456 | 2.9456 | 2.9456 | 90.0 | 90.0 | 90.0 |
| A5--beta-Sn | dynamic | -0.2838 | -1.1538 | 5.228 | 5.228 | 2.9388 | 90.0 | 90.0 | 90.0 |
| A7--alpha-As | box | -0.2502 | -1.1202 | 3.7549 | 3.7549 | 10.1754 | 90.0 | 90.0 | 120.0 |
| A1--Cu--fcc | dynamic | -0.2241 | -1.0941 | 6.0115 | 6.0115 | 6.0115 | 90.0 | 90.0 | 90.0 |
| A3'--alpha-La--double-hcp | dynamic | -0.2241 | -1.0941 | 4.2507 | 4.2507 | 13.8829 | 90.0 | 90.0 | 120.0 |
| A3--Mg--hcp | dynamic | -0.2241 | -1.0941 | 4.2507 | 4.2507 | 6.9414 | 90.0 | 90.0 | 120.0 |
| A6--In--bct | dynamic | -0.2235 | -1.0935 | 4.2158 | 4.2158 | 6.2514 | 90.0 | 90.0 | 90.0 |
| A2--W--bcc | static | -0.1943 | -1.0643 | 4.9863 | 4.9863 | 4.9863 | 90.0 | 90.0 | 90.0 |
| A15--beta-W | static | -0.1761 | -1.0461 | 7.4998 | 7.4998 | 7.4998 | 90.0 | 90.0 | 90.0 |
| A5--beta-Sn | dynamic | -0.145 | -1.015 | 7.8933 | 7.8933 | 4.2724 | 90.0 | 90.0 | 90.0 |
| Ah--alpha-Po--sc | dynamic | -0.1376 | -1.0076 | 4.1883 | 4.1883 | 4.1883 | 90.0 | 90.0 | 90.0 |
| A4--C--dc | static | -0.1234 | -0.9934 | 7.0514 | 7.0514 | 7.0514 | 90.0 | 90.0 | 90.0 |
| A5--beta-Sn | box | -0.1043 | -0.9743 | 6.6237 | 6.6237 | 3.5893 | 90.0 | 90.0 | 90.0 |
| A3--Mg--hcp | box | -0.0903 | -0.9603 | 3.2178 | 3.2178 | 7.5655 | 90.0 | 90.0 | 120.0 |
| A2--W--bcc | dynamic | -0.0859 | -0.9559 | 5.8636 | 5.8636 | 5.8636 | 90.0 | 90.0 | 90.0 |
| A3--Mg--hcp | box | -0.0852 | -0.9552 | 4.7213 | 4.7213 | 3.4828 | 90.0 | 90.0 | 120.0 |
| A2--W--bcc | static | -0.0844 | -0.9544 | 4.2031 | 4.2031 | 4.2031 | 90.0 | 90.0 | 90.0 |
| A7--alpha-As | static | -0.079 | -0.949 | 6.3385 | 6.3385 | 17.2195 | 90.0 | 90.0 | 120.0 |
| A4--C--dc | dynamic | -0.072 | -0.942 | 9.976 | 9.976 | 9.976 | 90.0 | 90.0 | 90.0 |
| A1--Cu--fcc | dynamic | -0.07 | -0.94 | 4.7872 | 4.7872 | 4.7872 | 90.0 | 90.0 | 90.0 |
| A3'--alpha-La--double-hcp | dynamic | -0.0615 | -0.9315 | 3.3892 | 3.3892 | 10.9546 | 90.0 | 90.0 | 120.0 |
| A6--In--bct | box | -0.0474 | -0.9174 | 3.1864 | 3.1864 | 4.9632 | 90.0 | 90.0 | 90.0 |
| A3--Mg--hcp | dynamic | -0.0392 | -0.9092 | 5.8816 | 5.8816 | 9.6046 | 90.0 | 90.0 | 120.0 |
| A1--Cu--fcc | dynamic | -0.0392 | -0.9092 | 8.3178 | 8.3178 | 8.3178 | 90.0 | 90.0 | 90.0 |
| A3'--alpha-La--double-hcp | dynamic | -0.0392 | -0.9092 | 5.8816 | 5.8816 | 19.2092 | 90.0 | 90.0 | 120.0 |
| A15--beta-W | static | -0.0294 | -0.8994 | 10.4794 | 10.4794 | 10.4794 | 90.0 | 90.0 | 90.0 |
| A2--W--bcc | dynamic | -0.0261 | -0.8961 | 6.7915 | 6.7915 | 6.7915 | 90.0 | 90.0 | 90.0 |
| Ah--alpha-Po--sc | dynamic | -0.0196 | -0.8896 | 5.8816 | 5.8816 | 5.8816 | 90.0 | 90.0 | 90.0 |
| A5--beta-Sn | box | -0.0196 | -0.8896 | 11.3891 | 11.3891 | 5.8821 | 90.0 | 90.0 | 90.0 |
| A4--C--dc | dynamic | -0.0131 | -0.8831 | 13.5829 | 13.5829 | 13.5829 | 90.0 | 90.0 | 90.0 |
| A4--C--dc | static | -0.0122 | -0.8822 | 8.3189 | 8.3189 | 8.3189 | 90.0 | 90.0 | 90.0 |
| A15--beta-W | dynamic | -0.0048 | -0.8748 | 11.7691 | 11.7691 | 11.7691 | 90.0 | 90.0 | 90.0 |
| A1--Cu--fcc | box | 0.0318 | -0.8382 | 5.1189 | 5.1189 | 5.1189 | 90.0 | 90.0 | 90.0 |
Static elastic constants are displayed for the unique structures identified in Crystal Structure Predictions above. The values displayed here are obtained by measuring the change in virial stresses due to applying small strains to the relaxed crystals. The initial structure and the strained states are all relaxed using force minimization.
The calculation method used is available as the iprPy elastic_constants_static calculation method.
Notes and Disclaimers:
Version Information:
| 5287.586 | 5332.025 | 5332.025 | 0.000 | -0.000 | -0.000 |
| 5332.025 | 5287.586 | 5332.025 | 0.000 | 0.000 | -0.000 |
| 5332.025 | 5332.025 | 5287.586 | 0.000 | 0.000 | -0.000 |
| -0.000 | -0.000 | -0.000 | 151.758 | -0.000 | -0.000 |
| -0.000 | -0.000 | -0.000 | 0.000 | 151.758 | -0.000 |
| -0.000 | -0.000 | -0.000 | -0.000 | 0.000 | 151.758 |
| 5287.782 | 5332.221 | 5332.221 | -0.000 | 0.000 | 0.000 |
| 5332.221 | 5287.782 | 5332.221 | 0.000 | -0.000 | 0.000 |
| 5332.221 | 5332.221 | 5287.782 | 0.000 | -0.000 | 0.000 |
| 0.000 | 0.000 | 0.000 | 151.758 | -0.000 | 0.000 |
| 0.000 | 0.000 | 0.000 | -0.000 | 151.758 | 0.000 |
| 0.000 | 0.000 | 0.000 | -0.000 | -0.000 | 151.758 |
| 5286.706 | 5331.143 | 5331.143 | 0.000 | 0.000 | -0.000 |
| 5331.143 | 5286.706 | 5331.143 | 0.000 | -0.000 | -0.000 |
| 5331.143 | 5331.143 | 5286.706 | 0.000 | 0.000 | -0.000 |
| -0.000 | -0.000 | -0.000 | 151.758 | 0.000 | -0.000 |
| -0.000 | -0.000 | -0.000 | 0.000 | 151.758 | -0.000 |
| -0.000 | -0.000 | -0.000 | 0.000 | -0.000 | 151.758 |
| 5288.663 | 5333.103 | 5333.103 | -0.000 | 0.000 | 0.000 |
| 5333.103 | 5288.663 | 5333.103 | -0.000 | -0.000 | 0.000 |
| 5333.103 | 5333.103 | 5288.663 | -0.000 | -0.000 | 0.000 |
| 0.000 | 0.000 | 0.000 | 151.758 | -0.000 | 0.000 |
| 0.000 | 0.000 | 0.000 | -0.000 | 151.758 | 0.000 |
| 0.000 | 0.000 | 0.000 | -0.000 | 0.000 | 151.758 |
| 5277.899 | 5322.323 | 5322.323 | 0.000 | 0.000 | -0.000 |
| 5322.323 | 5277.899 | 5322.323 | 0.000 | 0.000 | -0.000 |
| 5322.323 | 5322.323 | 5277.899 | 0.000 | -0.000 | -0.000 |
| -0.004 | -0.003 | -0.003 | 151.758 | 0.000 | -0.000 |
| -0.003 | -0.004 | -0.003 | 0.000 | 151.758 | -0.000 |
| -0.003 | -0.003 | -0.004 | 0.000 | 0.000 | 151.758 |
| 5297.469 | 5341.923 | 5341.923 | -0.000 | 0.000 | 0.000 |
| 5341.923 | 5297.469 | 5341.923 | -0.000 | -0.000 | 0.000 |
| 5341.923 | 5341.923 | 5297.469 | -0.000 | -0.000 | 0.000 |
| 0.004 | 0.003 | 0.003 | 151.758 | -0.000 | 0.000 |
| 0.003 | 0.004 | 0.003 | -0.000 | 151.758 | 0.000 |
| 0.003 | 0.003 | 0.004 | -0.000 | -0.000 | 151.758 |
| 431.445 | 551.769 | 551.769 | -0.000 | -0.000 | 0.000 |
| 551.769 | 431.445 | 551.769 | 0.000 | -0.000 | 0.000 |
| 551.769 | 551.769 | 431.445 | 0.000 | -0.000 | 0.000 |
| -0.000 | 0.000 | 0.000 | 18.088 | 0.000 | 0.000 |
| -0.000 | -0.000 | 0.000 | 0.000 | 18.088 | 0.000 |
| -0.000 | 0.000 | -0.000 | -0.000 | -0.000 | 18.088 |
| 431.446 | 551.770 | 551.770 | 0.000 | -0.000 | -0.000 |
| 551.770 | 431.446 | 551.770 | 0.000 | 0.000 | -0.000 |
| 551.770 | 551.770 | 431.446 | -0.000 | 0.000 | -0.000 |
| 0.000 | 0.000 | -0.000 | 18.088 | -0.000 | -0.000 |
| 0.000 | 0.000 | -0.000 | -0.000 | 18.088 | 0.000 |
| 0.000 | -0.000 | 0.000 | -0.000 | 0.000 | 18.088 |
| 431.443 | 551.767 | 551.767 | 0.000 | -0.000 | -0.000 |
| 551.767 | 431.443 | 551.767 | 0.000 | 0.000 | -0.000 |
| 551.767 | 551.767 | 431.443 | -0.000 | -0.000 | -0.000 |
| -0.000 | 0.000 | 0.000 | 18.088 | -0.000 | -0.000 |
| 0.000 | -0.000 | 0.000 | 0.000 | 18.088 | 0.000 |
| 0.000 | 0.000 | -0.000 | 0.000 | -0.000 | 18.088 |
| 431.448 | 551.772 | 551.772 | 0.000 | -0.000 | -0.000 |
| 551.772 | 431.448 | 551.772 | 0.000 | -0.000 | 0.000 |
| 551.772 | 551.772 | 431.448 | -0.000 | 0.000 | -0.000 |
| 0.000 | -0.000 | -0.000 | 18.088 | -0.000 | 0.000 |
| -0.000 | 0.000 | -0.000 | -0.000 | 18.088 | -0.000 |
| -0.000 | -0.000 | 0.000 | 0.000 | 0.000 | 18.088 |
| 431.420 | 551.745 | 551.745 | 0.000 | -0.000 | 0.000 |
| 551.745 | 431.420 | 551.745 | 0.000 | -0.000 | 0.000 |
| 551.745 | 551.745 | 431.420 | 0.000 | -0.000 | 0.000 |
| -0.000 | 0.000 | 0.000 | 18.088 | -0.000 | 0.000 |
| 0.000 | -0.000 | 0.000 | 0.000 | 18.088 | -0.000 |
| 0.000 | 0.000 | -0.000 | 0.000 | -0.000 | 18.088 |
| 431.471 | 551.794 | 551.794 | -0.000 | 0.000 | 0.000 |
| 551.794 | 431.471 | 551.794 | -0.000 | -0.000 | 0.000 |
| 551.794 | 551.794 | 431.471 | 0.000 | -0.000 | -0.000 |
| 0.000 | -0.000 | -0.000 | 18.088 | -0.000 | -0.000 |
| -0.000 | 0.000 | -0.000 | -0.000 | 18.088 | 0.000 |
| -0.000 | -0.000 | 0.000 | 0.000 | 0.000 | 18.088 |
| -846.091 | -737.474 | -737.474 | 0.000 | -0.000 | 0.000 |
| -737.474 | -846.091 | -737.474 | 0.000 | -0.000 | 0.000 |
| -737.474 | -737.474 | -846.091 | 0.000 | -0.000 | -0.000 |
| -0.000 | -0.000 | -0.000 | 2.962 | -0.000 | -0.000 |
| -0.000 | -0.000 | -0.000 | 0.000 | 2.962 | -0.000 |
| -0.000 | -0.000 | -0.000 | -0.000 | -0.000 | 2.962 |
| -846.093 | -737.476 | -737.476 | 0.000 | 0.000 | -0.000 |
| -737.476 | -846.093 | -737.476 | -0.000 | 0.000 | -0.000 |
| -737.476 | -737.476 | -846.093 | -0.000 | 0.000 | 0.000 |
| 0.000 | 0.000 | 0.000 | 2.962 | 0.000 | 0.000 |
| 0.000 | 0.000 | 0.000 | -0.000 | 2.962 | 0.000 |
| 0.000 | 0.000 | 0.000 | -0.000 | 0.000 | 2.962 |
| -846.081 | -737.464 | -737.464 | 0.000 | 0.000 | -0.000 |
| -737.464 | -846.081 | -737.464 | 0.000 | -0.000 | -0.000 |
| -737.464 | -737.464 | -846.081 | 0.000 | -0.000 | -0.000 |
| -0.000 | -0.000 | -0.000 | 2.962 | -0.000 | -0.000 |
| -0.000 | -0.000 | -0.000 | -0.000 | 2.962 | -0.000 |
| -0.000 | -0.000 | -0.000 | 0.000 | -0.000 | 2.962 |
| -846.103 | -737.486 | -737.486 | 0.000 | 0.000 | 0.000 |
| -737.486 | -846.103 | -737.486 | -0.000 | 0.000 | 0.000 |
| -737.486 | -737.486 | -846.103 | -0.000 | 0.000 | 0.000 |
| 0.000 | 0.000 | 0.000 | 2.962 | 0.000 | 0.000 |
| 0.000 | 0.000 | 0.000 | -0.000 | 2.962 | 0.000 |
| 0.000 | 0.000 | 0.000 | -0.000 | 0.000 | 2.962 |
| -845.980 | -737.361 | -737.361 | 0.000 | -0.000 | -0.000 |
| -737.361 | -845.980 | -737.361 | 0.000 | -0.000 | -0.000 |
| -737.361 | -737.361 | -845.980 | 0.000 | -0.000 | -0.000 |
| -0.001 | -0.001 | -0.001 | 2.962 | -0.000 | 0.000 |
| -0.001 | -0.001 | -0.001 | 0.000 | 2.962 | -0.000 |
| -0.001 | -0.001 | -0.001 | 0.000 | -0.000 | 2.962 |
| -846.204 | -737.589 | -737.589 | 0.000 | 0.000 | 0.000 |
| -737.589 | -846.204 | -737.589 | -0.000 | 0.000 | -0.000 |
| -737.589 | -737.589 | -846.204 | -0.000 | 0.000 | 0.000 |
| 0.001 | 0.001 | 0.001 | 2.962 | 0.000 | 0.000 |
| 0.001 | 0.001 | 0.001 | -0.000 | 2.962 | 0.000 |
| 0.001 | 0.001 | 0.001 | -0.000 | 0.000 | 2.962 |
| 3146.411 | 3276.840 | 3276.840 | 0.000 | -0.000 | -0.000 |
| 3276.840 | 3146.411 | 3276.840 | -0.000 | -0.000 | -0.000 |
| 3276.840 | 3276.840 | 3146.411 | -0.000 | -0.000 | -0.000 |
| 0.000 | 0.000 | 0.000 | -5.547 | -0.000 | -0.000 |
| 0.000 | 0.000 | 0.000 | -0.000 | -5.547 | -0.000 |
| 0.000 | 0.000 | 0.000 | -0.000 | -0.000 | -5.547 |
| 3146.375 | 3276.805 | 3276.805 | -0.000 | -0.000 | 0.000 |
| 3276.805 | 3146.375 | 3276.805 | -0.000 | 0.000 | 0.000 |
| 3276.805 | 3276.805 | 3146.375 | 0.000 | 0.000 | 0.000 |
| -0.000 | -0.000 | -0.000 | -5.547 | 0.000 | 0.000 |
| -0.000 | -0.000 | -0.000 | 0.000 | -5.547 | 0.000 |
| -0.000 | -0.000 | -0.000 | 0.000 | 0.000 | -5.547 |
| 3146.570 | 3276.997 | 3276.997 | -0.000 | -0.000 | -0.000 |
| 3276.997 | 3146.570 | 3276.997 | -0.000 | -0.000 | -0.000 |
| 3276.997 | 3276.997 | 3146.570 | -0.000 | -0.000 | -0.000 |
| 0.001 | 0.001 | 0.001 | -5.547 | -0.000 | -0.000 |
| 0.001 | 0.001 | 0.001 | -0.000 | -5.547 | -0.000 |
| 0.001 | 0.001 | 0.001 | 0.000 | -0.000 | -5.547 |
| 3146.216 | 3276.647 | 3276.647 | 0.000 | -0.000 | 0.000 |
| 3276.647 | 3146.216 | 3276.647 | -0.000 | 0.000 | 0.000 |
| 3276.647 | 3276.647 | 3146.216 | 0.000 | 0.000 | 0.000 |
| -0.001 | -0.001 | -0.001 | -5.547 | 0.000 | 0.000 |
| -0.001 | -0.001 | -0.001 | 0.000 | -5.547 | 0.000 |
| -0.001 | -0.001 | -0.001 | -0.000 | 0.000 | -5.547 |
| 3148.166 | 3278.571 | 3278.571 | -0.000 | -0.000 | -0.000 |
| 3278.571 | 3148.166 | 3278.571 | -0.000 | -0.000 | -0.000 |
| 3278.571 | 3278.571 | 3148.166 | -0.000 | -0.000 | -0.000 |
| 0.006 | 0.006 | 0.006 | -5.547 | -0.000 | -0.000 |
| 0.006 | 0.006 | 0.006 | -0.000 | -5.547 | -0.000 |
| 0.006 | 0.006 | 0.006 | -0.000 | -0.000 | -5.547 |
| 3144.621 | 3275.073 | 3275.073 | 0.000 | 0.000 | 0.000 |
| 3275.073 | 3144.621 | 3275.073 | 0.000 | 0.000 | 0.000 |
| 3275.073 | 3275.073 | 3144.621 | 0.000 | 0.000 | 0.000 |
| -0.006 | -0.006 | -0.006 | -5.547 | 0.000 | 0.000 |
| -0.006 | -0.006 | -0.006 | 0.000 | -5.547 | 0.000 |
| -0.006 | -0.006 | -0.006 | 0.000 | 0.000 | -5.547 |
| -2430.274 | -891.208 | -891.208 | -0.000 | 0.000 | 0.000 |
| -891.208 | -2430.274 | -891.208 | -0.000 | -0.000 | 0.000 |
| -891.208 | -891.208 | -2430.274 | -0.000 | 0.000 | 0.000 |
| -0.000 | -0.000 | -0.000 | -800.002 | -0.000 | 0.000 |
| -0.000 | 0.000 | -0.000 | -0.000 | -800.002 | -0.000 |
| -0.000 | -0.000 | 0.000 | -0.000 | -0.000 | -800.002 |
| -2430.274 | -891.208 | -891.208 | 0.000 | 0.000 | 0.000 |
| -891.208 | -2430.274 | -891.208 | 0.000 | 0.000 | 0.000 |
| -891.208 | -891.208 | -2430.274 | 0.000 | 0.000 | 0.000 |
| 0.000 | 0.000 | 0.000 | -800.002 | 0.000 | -0.000 |
| 0.000 | -0.000 | 0.000 | 0.000 | -800.002 | 0.000 |
| 0.000 | 0.000 | -0.000 | -0.000 | 0.000 | -800.002 |
| -2430.277 | -891.208 | -891.208 | -0.000 | -0.000 | 0.000 |
| -891.208 | -2430.277 | -891.208 | -0.000 | 0.000 | -0.000 |
| -891.208 | -891.208 | -2430.277 | -0.000 | -0.000 | -0.000 |
| 0.000 | -0.000 | -0.000 | -800.002 | -0.000 | -0.000 |
| -0.000 | 0.000 | -0.000 | -0.000 | -800.002 | -0.000 |
| -0.000 | -0.000 | 0.000 | -0.000 | -0.000 | -800.002 |
| -2430.272 | -891.207 | -891.207 | 0.000 | 0.000 | 0.000 |
| -891.207 | -2430.272 | -891.207 | 0.000 | 0.000 | -0.000 |
| -891.207 | -891.207 | -2430.272 | 0.000 | 0.000 | 0.000 |
| -0.000 | 0.000 | 0.000 | -800.002 | 0.000 | 0.000 |
| 0.000 | -0.000 | 0.000 | 0.000 | -800.002 | 0.000 |
| 0.000 | 0.000 | -0.000 | 0.000 | -0.000 | -800.002 |
| -2430.299 | -891.211 | -891.211 | -0.000 | -0.000 | -0.000 |
| -891.211 | -2430.299 | -891.211 | -0.000 | -0.000 | -0.000 |
| -891.211 | -891.211 | -2430.299 | -0.000 | -0.000 | 0.000 |
| 0.001 | -0.002 | -0.003 | -800.002 | 0.000 | 0.000 |
| -0.002 | 0.001 | -0.003 | -0.000 | -800.002 | 0.000 |
| -0.002 | -0.003 | 0.001 | -0.000 | -0.000 | -800.002 |
| -2430.249 | -891.205 | -891.205 | 0.000 | -0.000 | 0.000 |
| -891.205 | -2430.249 | -891.205 | 0.000 | 0.000 | -0.000 |
| -891.205 | -891.205 | -2430.249 | 0.000 | 0.000 | -0.000 |
| -0.001 | 0.002 | 0.003 | -800.002 | -0.000 | -0.000 |
| 0.002 | -0.001 | 0.003 | 0.000 | -800.002 | 0.000 |
| 0.002 | 0.003 | -0.001 | 0.000 | 0.000 | -800.002 |
| 677.767 | 331.984 | 331.984 | 0.000 | 0.000 | 0.000 |
| 331.984 | 677.767 | 331.984 | 0.000 | 0.000 | 0.000 |
| 331.984 | 331.984 | 677.767 | 0.000 | 0.000 | 0.000 |
| 0.000 | 0.000 | 0.000 | 191.698 | 0.000 | 0.000 |
| 0.000 | 0.000 | 0.000 | 0.000 | 191.698 | 0.000 |
| 0.000 | 0.000 | 0.000 | 0.000 | 0.000 | 191.698 |
| 677.767 | 331.984 | 331.984 | -0.000 | -0.000 | -0.000 |
| 331.984 | 677.767 | 331.984 | -0.000 | -0.000 | -0.000 |
| 331.984 | 331.984 | 677.766 | -0.000 | -0.000 | -0.000 |
| -0.000 | -0.000 | -0.000 | 191.698 | -0.000 | -0.000 |
| -0.000 | -0.000 | -0.000 | -0.000 | 191.698 | -0.000 |
| -0.000 | -0.000 | -0.000 | -0.000 | -0.000 | 191.698 |
| 677.767 | 331.984 | 331.984 | 0.000 | 0.000 | 0.000 |
| 331.984 | 677.767 | 331.984 | 0.000 | 0.000 | 0.000 |
| 331.984 | 331.984 | 677.767 | 0.000 | 0.000 | 0.000 |
| 0.000 | -0.000 | 0.000 | 191.698 | 0.000 | 0.000 |
| -0.000 | 0.000 | 0.000 | 0.000 | 191.698 | 0.000 |
| -0.000 | 0.000 | 0.000 | 0.000 | 0.000 | 191.698 |
| 677.766 | 331.984 | 331.984 | -0.000 | -0.000 | -0.000 |
| 331.984 | 677.766 | 331.984 | -0.000 | -0.000 | -0.000 |
| 331.984 | 331.984 | 677.766 | -0.000 | -0.000 | -0.000 |
| -0.000 | 0.000 | -0.000 | 191.698 | -0.000 | -0.000 |
| 0.000 | -0.000 | -0.000 | -0.000 | 191.698 | -0.000 |
| 0.000 | -0.000 | -0.000 | -0.000 | -0.000 | 191.698 |
| 677.769 | 331.987 | 331.987 | 0.000 | 0.000 | 0.000 |
| 331.987 | 677.769 | 331.987 | 0.000 | 0.000 | 0.000 |
| 331.987 | 331.987 | 677.769 | 0.000 | 0.000 | 0.000 |
| 0.000 | -0.000 | 0.000 | 191.698 | 0.000 | 0.000 |
| -0.000 | 0.000 | 0.000 | 0.000 | 191.698 | 0.000 |
| -0.000 | 0.000 | 0.000 | 0.000 | 0.000 | 191.698 |
| 677.764 | 331.981 | 331.981 | -0.000 | -0.000 | -0.000 |
| 331.981 | 677.764 | 331.981 | -0.000 | -0.000 | -0.000 |
| 331.981 | 331.981 | 677.764 | -0.000 | -0.000 | -0.000 |
| -0.000 | 0.000 | -0.000 | 191.698 | -0.000 | -0.000 |
| 0.000 | -0.000 | -0.000 | -0.000 | 191.698 | -0.000 |
| 0.000 | -0.000 | -0.000 | -0.000 | -0.000 | 191.698 |
| 3478.585 | 1057.483 | 1057.483 | -0.000 | -0.000 | 0.000 |
| 1057.483 | 3478.585 | 1057.483 | -0.000 | 0.000 | 0.000 |
| 1057.483 | 1057.483 | 3478.585 | -0.000 | 0.000 | 0.000 |
| -0.000 | 0.000 | 0.000 | 1061.308 | 0.000 | 0.000 |
| -0.000 | -0.000 | 0.000 | -0.000 | 1061.308 | 0.000 |
| -0.000 | 0.000 | 0.000 | -0.000 | -0.000 | 1061.308 |
| 3478.586 | 1057.483 | 1057.483 | 0.000 | 0.000 | -0.000 |
| 1057.483 | 3478.586 | 1057.483 | 0.000 | -0.000 | -0.000 |
| 1057.483 | 1057.483 | 3478.586 | 0.000 | -0.000 | 0.000 |
| 0.000 | -0.000 | -0.000 | 1061.308 | -0.000 | -0.000 |
| 0.000 | 0.000 | -0.000 | 0.000 | 1061.308 | -0.000 |
| 0.000 | -0.000 | -0.000 | 0.000 | -0.000 | 1061.308 |
| 3478.581 | 1057.484 | 1057.484 | -0.000 | -0.000 | -0.000 |
| 1057.484 | 3478.581 | 1057.484 | -0.000 | -0.000 | 0.000 |
| 1057.484 | 1057.484 | 3478.581 | -0.000 | -0.000 | 0.000 |
| -0.000 | 0.000 | 0.000 | 1061.308 | 0.000 | 0.000 |
| 0.000 | -0.000 | 0.000 | -0.000 | 1061.308 | 0.000 |
| 0.000 | 0.000 | -0.000 | -0.000 | 0.000 | 1061.308 |
| 3478.591 | 1057.483 | 1057.483 | 0.000 | -0.000 | -0.000 |
| 1057.483 | 3478.591 | 1057.483 | 0.000 | -0.000 | -0.000 |
| 1057.483 | 1057.483 | 3478.591 | 0.000 | -0.000 | -0.000 |
| 0.000 | -0.000 | -0.000 | 1061.308 | -0.000 | -0.000 |
| -0.000 | 0.000 | -0.000 | 0.000 | 1061.308 | -0.000 |
| -0.000 | -0.000 | 0.000 | 0.000 | -0.000 | 1061.308 |
| 3478.535 | 1057.488 | 1057.488 | -0.000 | 0.000 | -0.000 |
| 1057.488 | 3478.535 | 1057.488 | -0.000 | -0.000 | -0.000 |
| 1057.488 | 1057.488 | 3478.535 | -0.000 | 0.000 | 0.000 |
| -0.001 | 0.002 | 0.002 | 1061.308 | 0.000 | 0.000 |
| 0.002 | -0.001 | 0.002 | -0.000 | 1061.308 | 0.000 |
| 0.002 | 0.002 | -0.001 | -0.000 | -0.000 | 1061.308 |
| 3478.636 | 1057.479 | 1057.479 | 0.000 | -0.000 | -0.000 |
| 1057.479 | 3478.636 | 1057.479 | 0.000 | 0.000 | 0.000 |
| 1057.479 | 1057.479 | 3478.636 | 0.000 | 0.000 | -0.000 |
| 0.001 | -0.002 | -0.002 | 1061.308 | -0.000 | -0.000 |
| -0.002 | 0.001 | -0.002 | 0.000 | 1061.308 | -0.000 |
| -0.002 | -0.002 | 0.001 | 0.000 | -0.000 | 1061.308 |
| 166.468 | 79.972 | 79.972 | -0.000 | 0.000 | 0.000 |
| 79.972 | 166.468 | 79.972 | 0.000 | -0.000 | 0.000 |
| 79.972 | 79.972 | 166.468 | -0.000 | -0.000 | 0.000 |
| 0.000 | 0.000 | 0.000 | 79.835 | 0.000 | 0.000 |
| 0.000 | 0.000 | 0.000 | 0.000 | 79.835 | 0.000 |
| 0.000 | 0.000 | 0.000 | 0.000 | -0.000 | 79.835 |
| 166.467 | 79.972 | 79.972 | 0.000 | 0.000 | -0.000 |
| 79.972 | 166.467 | 79.972 | 0.000 | 0.000 | -0.000 |
| 79.972 | 79.972 | 166.467 | -0.000 | -0.000 | -0.000 |
| -0.000 | -0.000 | -0.000 | 79.835 | 0.000 | -0.000 |
| -0.000 | -0.000 | -0.000 | 0.000 | 79.835 | -0.000 |
| -0.000 | -0.000 | -0.000 | 0.000 | -0.000 | 79.835 |
| 166.468 | 79.972 | 79.972 | -0.000 | -0.000 | 0.000 |
| 79.972 | 166.468 | 79.972 | -0.000 | 0.000 | 0.000 |
| 79.972 | 79.972 | 166.468 | 0.000 | 0.000 | 0.000 |
| -0.000 | 0.000 | 0.000 | 79.835 | -0.000 | 0.000 |
| 0.000 | -0.000 | 0.000 | -0.000 | 79.835 | 0.000 |
| 0.000 | 0.000 | -0.000 | -0.000 | -0.000 | 79.835 |
| 166.467 | 79.972 | 79.972 | 0.000 | 0.000 | -0.000 |
| 79.972 | 166.467 | 79.972 | 0.000 | -0.000 | -0.000 |
| 79.972 | 79.972 | 166.467 | 0.000 | 0.000 | -0.000 |
| 0.000 | -0.000 | -0.000 | 79.835 | 0.000 | -0.000 |
| -0.000 | 0.000 | -0.000 | -0.000 | 79.835 | -0.000 |
| -0.000 | -0.000 | 0.000 | 0.000 | -0.000 | 79.835 |
| 166.471 | 79.973 | 79.973 | 0.000 | -0.000 | 0.000 |
| 79.973 | 166.471 | 79.973 | -0.000 | 0.000 | 0.000 |
| 79.973 | 79.973 | 166.471 | 0.000 | 0.000 | 0.000 |
| -0.000 | 0.000 | 0.000 | 79.835 | -0.000 | 0.000 |
| 0.000 | -0.000 | 0.000 | 0.000 | 79.835 | 0.000 |
| 0.000 | 0.000 | -0.000 | -0.000 | -0.000 | 79.835 |
| 166.464 | 79.972 | 79.972 | 0.000 | 0.000 | -0.000 |
| 79.972 | 166.464 | 79.972 | 0.000 | 0.000 | -0.000 |
| 79.972 | 79.972 | 166.464 | 0.000 | 0.000 | -0.000 |
| 0.000 | -0.000 | -0.000 | 79.835 | 0.000 | -0.000 |
| -0.000 | 0.000 | -0.000 | 0.000 | 79.835 | -0.000 |
| -0.000 | -0.000 | 0.000 | 0.000 | 0.000 | 79.835 |
| 112.008 | 55.764 | 55.764 | 0.000 | 0.000 | 0.000 |
| 55.764 | 112.008 | 55.764 | 0.000 | 0.000 | 0.000 |
| 55.764 | 55.764 | 112.008 | 0.000 | 0.000 | 0.000 |
| 0.000 | -0.000 | -0.000 | 56.251 | 0.000 | 0.000 |
| -0.000 | 0.000 | -0.000 | 0.000 | 56.251 | 0.000 |
| -0.000 | -0.000 | 0.000 | 0.000 | 0.000 | 56.251 |
| 112.008 | 55.764 | 55.764 | -0.000 | -0.000 | -0.000 |
| 55.764 | 112.008 | 55.764 | -0.000 | -0.000 | -0.000 |
| 55.764 | 55.764 | 112.008 | -0.000 | -0.000 | -0.000 |
| -0.000 | 0.000 | 0.000 | 56.251 | -0.000 | -0.000 |
| 0.000 | -0.000 | 0.000 | -0.000 | 56.251 | -0.000 |
| 0.000 | 0.000 | -0.000 | -0.000 | -0.000 | 56.251 |
| 112.008 | 55.764 | 55.764 | 0.000 | -0.000 | -0.000 |
| 55.764 | 112.008 | 55.764 | -0.000 | 0.000 | 0.000 |
| 55.764 | 55.764 | 112.008 | 0.000 | 0.000 | 0.000 |
| -0.000 | -0.000 | -0.000 | 56.251 | 0.000 | 0.000 |
| -0.000 | -0.000 | -0.000 | 0.000 | 56.251 | 0.000 |
| -0.000 | -0.000 | -0.000 | 0.000 | 0.000 | 56.251 |
| 112.008 | 55.764 | 55.764 | -0.000 | -0.000 | -0.000 |
| 55.764 | 112.008 | 55.764 | -0.000 | -0.000 | -0.000 |
| 55.764 | 55.764 | 112.008 | -0.000 | -0.000 | -0.000 |
| 0.000 | 0.000 | 0.000 | 56.251 | -0.000 | -0.000 |
| 0.000 | 0.000 | 0.000 | -0.000 | 56.251 | -0.000 |
| 0.000 | 0.000 | 0.000 | -0.000 | -0.000 | 56.251 |
| 112.007 | 55.763 | 55.763 | 0.000 | -0.000 | -0.000 |
| 55.763 | 112.007 | 55.763 | 0.000 | 0.000 | 0.000 |
| 55.763 | 55.763 | 112.007 | 0.000 | 0.000 | 0.000 |
| -0.000 | -0.000 | -0.000 | 56.251 | 0.000 | 0.000 |
| -0.000 | -0.000 | -0.000 | 0.000 | 56.251 | 0.000 |
| -0.000 | -0.000 | -0.000 | 0.000 | 0.000 | 56.251 |
| 112.009 | 55.764 | 55.764 | -0.000 | -0.000 | -0.000 |
| 55.764 | 112.009 | 55.764 | -0.000 | -0.000 | -0.000 |
| 55.764 | 55.764 | 112.009 | -0.000 | -0.000 | -0.000 |
| 0.000 | 0.000 | 0.000 | 56.251 | -0.000 | -0.000 |
| 0.000 | 0.000 | 0.000 | -0.000 | 56.251 | -0.000 |
| 0.000 | 0.000 | 0.000 | -0.000 | -0.000 | 56.251 |
| 58.074 | 28.853 | 28.853 | -0.000 | -0.000 | -0.000 |
| 28.853 | 58.074 | 28.853 | -0.000 | -0.000 | -0.000 |
| 28.853 | 28.853 | 58.074 | -0.000 | -0.000 | -0.000 |
| -0.000 | -0.000 | -0.000 | 29.696 | 0.000 | 0.000 |
| -0.000 | -0.000 | -0.000 | 0.000 | 29.696 | 0.000 |
| -0.000 | -0.000 | -0.000 | 0.000 | 0.000 | 29.696 |
| 58.074 | 28.853 | 28.853 | -0.000 | 0.000 | 0.000 |
| 28.853 | 58.074 | 28.853 | 0.000 | 0.000 | 0.000 |
| 28.853 | 28.853 | 58.074 | -0.000 | 0.000 | 0.000 |
| 0.000 | 0.000 | 0.000 | 29.696 | -0.000 | -0.000 |
| 0.000 | 0.000 | 0.000 | -0.000 | 29.696 | 0.000 |
| 0.000 | 0.000 | 0.000 | -0.000 | 0.000 | 29.696 |
| 58.073 | 28.853 | 28.853 | 0.000 | -0.000 | -0.000 |
| 28.853 | 58.073 | 28.853 | -0.000 | -0.000 | -0.000 |
| 28.853 | 28.853 | 58.073 | -0.000 | -0.000 | -0.000 |
| -0.000 | -0.000 | -0.000 | 29.696 | 0.000 | 0.000 |
| -0.000 | -0.000 | -0.000 | 0.000 | 29.696 | 0.000 |
| -0.000 | -0.000 | -0.000 | 0.000 | 0.000 | 29.696 |
| 58.074 | 28.853 | 28.853 | -0.000 | -0.000 | -0.000 |
| 28.853 | 58.074 | 28.853 | -0.000 | -0.000 | -0.000 |
| 28.853 | 28.853 | 58.074 | -0.000 | -0.000 | -0.000 |
| 0.000 | 0.000 | 0.000 | 29.696 | -0.000 | -0.000 |
| 0.000 | 0.000 | 0.000 | -0.000 | 29.696 | -0.000 |
| 0.000 | 0.000 | 0.000 | -0.000 | -0.000 | 29.696 |
| 58.073 | 28.853 | 28.853 | -0.000 | -0.000 | -0.000 |
| 28.853 | 58.073 | 28.853 | 0.000 | -0.000 | -0.000 |
| 28.853 | 28.853 | 58.073 | -0.000 | -0.000 | -0.000 |
| -0.000 | -0.000 | -0.000 | 29.696 | -0.000 | 0.000 |
| -0.000 | -0.000 | -0.000 | 0.000 | 29.696 | 0.000 |
| -0.000 | -0.000 | -0.000 | 0.000 | 0.000 | 29.696 |
| 58.074 | 28.854 | 28.854 | 0.000 | -0.000 | -0.000 |
| 28.854 | 58.074 | 28.854 | -0.000 | 0.000 | 0.000 |
| 28.854 | 28.854 | 58.074 | 0.000 | 0.000 | 0.000 |
| 0.000 | 0.000 | 0.000 | 29.696 | -0.000 | -0.000 |
| 0.000 | 0.000 | 0.000 | -0.000 | 29.696 | -0.000 |
| 0.000 | 0.000 | 0.000 | -0.000 | -0.000 | 29.696 |
| -34430769.991 | 19474200.006 | 19472729.983 | 806.025 | 1066.108 | 326.406 |
| 19208199.997 | -33900679.990 | 19208649.986 | 794.470 | 1051.715 | 322.087 |
| 19472700.009 | 19474630.017 | -34431170.014 | 806.268 | 1066.615 | 326.441 |
| 0.000 | 10.011 | 0.000 | -590558.093 | -1.912 | 0.026 |
| 0.000 | 10.011 | 0.000 | -0.351 | -590559.715 | 0.131 |
| 0.000 | 10.011 | 0.000 | -0.549 | -0.050 | -590557.057 |
| -2774310.007 | 3645429.994 | 3645590.006 | -80.687 | -106.205 | -32.797 |
| 3645639.987 | -2774520.015 | 3645590.006 | -77.923 | -107.228 | -32.725 |
| 3645639.987 | 3645429.994 | -2774359.988 | -79.074 | -104.912 | -32.682 |
| -0.000 | -0.000 | -0.000 | -590556.082 | 1.633 | 0.007 |
| -0.000 | -10.011 | -0.000 | 0.935 | -590556.255 | -0.008 |
| -0.000 | -10.011 | -0.000 | 1.063 | 0.879 | -590556.929 |
| 834049.000 | 1841329.000 | 1841327.998 | -0.167 | -0.087 | -0.005 |
| 1841328.002 | 834050.001 | 1841327.998 | -0.112 | 0.022 | 0.000 |
| 1841328.002 | 1841329.000 | 834049.000 | -0.112 | -0.095 | 0.006 |
| -3.998 | 3.000 | -2.002 | -1755674.697 | 3.048 | 0.960 |
| -3.998 | 2.001 | -2.002 | 2.220 | -1755674.006 | 0.962 |
| -3.998 | 3.000 | -3.000 | 2.349 | 3.031 | -1755676.048 |
| -3623092.001 | 4069930.999 | 4069950.001 | -10.004 | -13.278 | -4.130 |
| 4069953.999 | -3623113.001 | 4069948.003 | -10.117 | -13.423 | -4.125 |
| 4069956.998 | 4069931.999 | -3623099.998 | -10.098 | -13.351 | -4.132 |
| 3.998 | -3.000 | 2.002 | -1755679.197 | -2.903 | -0.966 |
| 3.000 | -2.001 | 2.002 | -2.232 | -1755680.118 | -0.969 |
| 3.998 | -3.000 | 3.000 | -2.267 | -3.100 | -1755677.982 |
| 197110.000 | 2159794.600 | 2159794.300 | 0.124 | 0.185 | 0.057 |
| 2159794.400 | 197110.000 | 2159794.500 | 0.127 | 0.183 | 0.058 |
| 2159795.100 | 2159795.500 | 197108.300 | 0.141 | 0.173 | 0.058 |
| -4.900 | -0.600 | -2.500 | -1246933.698 | 0.167 | 0.054 |
| -1.000 | -4.400 | -2.500 | 0.118 | -1246933.878 | 0.054 |
| -1.000 | -2.200 | -4.800 | 0.108 | 0.179 | -1246933.583 |
| 768920.100 | 1873888.800 | 1873888.900 | -0.002 | -0.017 | -0.006 |
| 1873888.900 | 768920.000 | 1873888.900 | -0.017 | -0.020 | -0.005 |
| 1873888.900 | 1873888.800 | 768920.100 | -0.004 | -0.007 | -0.006 |
| 4.900 | 0.600 | 2.500 | -1246934.091 | -0.154 | -0.055 |
| 1.100 | 4.500 | 2.500 | -0.127 | -1248894.332 | -0.055 |
| 1.000 | 2.200 | 4.800 | -0.139 | -0.179 | -1246933.658 |
| 614.549 | 457.566 | 457.566 | 0.000 | 0.000 | -0.000 |
| 457.566 | 614.549 | 457.566 | 0.000 | -0.000 | -0.000 |
| 457.566 | 457.566 | 614.549 | -0.000 | 0.000 | 0.000 |
| 0.000 | 0.000 | 0.000 | 67.676 | -0.000 | 0.000 |
| 0.000 | 0.000 | 0.000 | 0.000 | 67.676 | -0.000 |
| 0.000 | 0.000 | 0.000 | -0.000 | -0.000 | 67.676 |
| 613.446 | 458.117 | 458.117 | 0.000 | -0.000 | -0.000 |
| 458.117 | 613.446 | 458.117 | 0.000 | -0.000 | 0.000 |
| 458.117 | 458.117 | 613.446 | -0.000 | 0.000 | 0.000 |
| -0.000 | -0.000 | -0.000 | 67.676 | -0.000 | 0.000 |
| -0.000 | -0.000 | -0.000 | -0.000 | 67.676 | 0.000 |
| -0.000 | -0.000 | -0.000 | 0.000 | -0.000 | 67.676 |
| 613.449 | 458.120 | 458.120 | 0.000 | -0.000 | 0.000 |
| 458.120 | 613.449 | 458.120 | -0.000 | 0.000 | -0.000 |
| 458.120 | 458.120 | 613.449 | 0.000 | -0.000 | 0.000 |
| 0.000 | 0.000 | 0.000 | 63.582 | -0.000 | 0.000 |
| 0.000 | 0.000 | 0.000 | 0.000 | 63.582 | 0.000 |
| 0.000 | 0.000 | 0.000 | -0.000 | 0.000 | 63.582 |
| 613.443 | 458.115 | 458.115 | -0.000 | -0.000 | 0.000 |
| 458.115 | 613.443 | 458.115 | 0.000 | 0.000 | 0.000 |
| 458.115 | 458.115 | 613.443 | -0.000 | -0.000 | 0.000 |
| -0.000 | -0.000 | -0.000 | 63.582 | 0.000 | -0.000 |
| -0.000 | -0.000 | -0.000 | -0.000 | 63.582 | -0.000 |
| -0.000 | -0.000 | -0.000 | -0.000 | -0.000 | 63.582 |
| 613.479 | 458.146 | 458.146 | -0.000 | -0.000 | -0.000 |
| 458.146 | 613.479 | 458.146 | 0.000 | -0.000 | 0.000 |
| 458.146 | 458.146 | 613.479 | 0.000 | -0.000 | -0.000 |
| 0.000 | 0.001 | 0.001 | 63.582 | -0.000 | -0.000 |
| 0.001 | 0.000 | 0.001 | -0.000 | 63.582 | -0.000 |
| 0.001 | 0.001 | 0.000 | -0.000 | 0.000 | 63.582 |
| 613.413 | 458.089 | 458.089 | 0.000 | -0.000 | -0.000 |
| 458.089 | 613.413 | 458.089 | -0.000 | 0.000 | -0.000 |
| 458.089 | 458.089 | 613.413 | -0.000 | -0.000 | 0.000 |
| -0.000 | -0.001 | -0.001 | 63.582 | -0.000 | -0.000 |
| -0.001 | -0.000 | -0.001 | -0.000 | 63.582 | 0.000 |
| -0.001 | -0.001 | -0.000 | 0.000 | -0.000 | 63.582 |
| 920.556 | 552.302 | 552.302 | 0.000 | 0.000 | -0.000 |
| 552.302 | 920.556 | 552.302 | 0.000 | 0.000 | -0.000 |
| 552.302 | 552.302 | 920.556 | 0.000 | -0.000 | -0.000 |
| -0.000 | 0.000 | 0.000 | 259.272 | 0.000 | -0.000 |
| 0.000 | -0.000 | 0.000 | 0.000 | 259.272 | -0.000 |
| 0.000 | 0.000 | -0.000 | 0.000 | 0.000 | 259.272 |
| 920.556 | 552.302 | 552.302 | -0.000 | -0.000 | 0.000 |
| 552.302 | 920.556 | 552.302 | 0.000 | -0.000 | 0.000 |
| 552.302 | 552.302 | 920.556 | -0.000 | -0.000 | 0.000 |
| 0.000 | -0.000 | -0.000 | 259.272 | -0.000 | 0.000 |
| -0.000 | 0.000 | -0.000 | -0.000 | 259.272 | 0.000 |
| -0.000 | -0.000 | 0.000 | -0.000 | -0.000 | 259.272 |
| 920.555 | 552.302 | 552.302 | 0.000 | 0.000 | -0.000 |
| 552.302 | 920.555 | 552.302 | 0.000 | -0.000 | -0.000 |
| 552.302 | 552.302 | 920.555 | 0.000 | 0.000 | -0.000 |
| -0.000 | -0.000 | 0.000 | 259.272 | 0.000 | -0.000 |
| -0.000 | -0.000 | 0.000 | 0.000 | 259.272 | -0.000 |
| -0.000 | 0.000 | -0.000 | 0.000 | 0.000 | 259.272 |
| 1099.804 | 462.678 | 462.678 | -0.000 | -0.000 | 0.000 |
| 462.678 | 1099.804 | 462.678 | -0.000 | -0.000 | 0.000 |
| 462.678 | 462.678 | 1099.804 | -0.000 | -0.000 | 0.000 |
| 0.000 | 0.000 | -0.000 | 259.272 | -0.000 | 0.000 |
| 0.000 | 0.000 | -0.000 | -0.000 | 259.272 | 0.000 |
| 0.000 | -0.000 | 0.000 | -0.000 | -0.000 | 259.272 |
| 920.550 | 552.305 | 552.305 | 0.000 | 0.000 | -0.000 |
| 552.305 | 920.550 | 552.305 | 0.000 | 0.000 | -0.000 |
| 552.305 | 552.305 | 920.550 | 0.000 | 0.000 | -0.000 |
| -0.002 | -0.000 | 0.000 | 259.272 | 0.000 | -0.000 |
| -0.000 | -0.002 | 0.000 | 0.000 | 259.272 | -0.000 |
| -0.000 | 0.000 | -0.002 | 0.000 | 0.000 | 259.272 |
| 920.562 | 552.299 | 552.299 | 0.000 | -0.000 | 0.000 |
| 552.299 | 920.562 | 552.299 | -0.000 | -0.000 | 0.000 |
| 552.299 | 552.299 | 920.562 | -0.000 | -0.000 | 0.000 |
| 0.002 | 0.000 | -0.000 | 259.272 | -0.000 | 0.000 |
| 0.000 | 0.002 | -0.000 | -0.000 | 259.272 | 0.000 |
| 0.000 | -0.000 | 0.002 | 0.000 | -0.000 | 259.272 |
| 51.804 | 33.688 | 33.688 | 0.000 | 0.000 | 0.000 |
| 33.688 | 51.804 | 33.688 | 0.000 | 0.000 | 0.000 |
| 33.688 | 33.688 | 51.804 | 0.000 | -0.000 | 0.000 |
| 0.000 | -0.000 | -0.000 | 6.054 | 0.000 | 0.000 |
| -0.000 | 0.000 | -0.000 | 0.000 | 6.054 | 0.000 |
| -0.000 | -0.000 | 0.000 | 0.000 | -0.000 | 6.054 |
| 51.804 | 33.688 | 33.688 | -0.000 | -0.000 | -0.000 |
| 33.688 | 51.804 | 33.688 | 0.000 | -0.000 | -0.000 |
| 33.688 | 33.688 | 51.804 | 0.000 | -0.000 | -0.000 |
| -0.000 | 0.000 | 0.000 | 6.054 | 0.000 | -0.000 |
| 0.000 | -0.000 | 0.000 | -0.000 | 6.054 | -0.000 |
| 0.000 | 0.000 | -0.000 | -0.000 | -0.000 | 6.054 |
| 51.804 | 33.688 | 33.688 | 0.000 | -0.000 | 0.000 |
| 33.688 | 51.804 | 33.688 | 0.000 | 0.000 | 0.000 |
| 33.688 | 33.688 | 51.804 | 0.000 | 0.000 | 0.000 |
| 0.000 | -0.000 | -0.000 | 6.054 | -0.000 | 0.000 |
| -0.000 | 0.000 | -0.000 | -0.000 | 6.054 | 0.000 |
| -0.000 | -0.000 | 0.000 | 0.000 | 0.000 | 6.054 |
| 51.804 | 33.688 | 33.688 | -0.000 | 0.000 | -0.000 |
| 33.688 | 51.804 | 33.688 | -0.000 | -0.000 | -0.000 |
| 33.688 | 33.688 | 51.804 | -0.000 | -0.000 | -0.000 |
| -0.000 | 0.000 | 0.000 | 6.054 | 0.000 | -0.000 |
| 0.000 | -0.000 | 0.000 | 0.000 | 6.054 | -0.000 |
| 0.000 | 0.000 | -0.000 | -0.000 | -0.000 | 6.054 |
| 51.805 | 33.689 | 33.689 | 0.000 | 0.000 | 0.000 |
| 33.689 | 51.805 | 33.689 | 0.000 | 0.000 | 0.000 |
| 33.689 | 33.689 | 51.805 | 0.000 | -0.000 | 0.000 |
| 0.000 | -0.000 | -0.000 | 6.054 | 0.000 | 0.000 |
| -0.000 | 0.000 | -0.000 | 0.000 | 6.054 | 0.000 |
| -0.000 | -0.000 | 0.000 | 0.000 | 0.000 | 6.054 |
| 51.804 | 33.688 | 33.688 | -0.000 | -0.000 | -0.000 |
| 33.688 | 51.804 | 33.688 | -0.000 | -0.000 | -0.000 |
| 33.688 | 33.688 | 51.804 | 0.000 | -0.000 | -0.000 |
| -0.000 | 0.000 | 0.000 | 6.054 | -0.000 | -0.000 |
| 0.000 | -0.000 | 0.000 | -0.000 | 6.054 | -0.000 |
| 0.000 | 0.000 | -0.000 | -0.000 | -0.000 | 6.054 |
| 65.474 | 14.294 | 14.294 | -0.000 | -0.000 | 0.000 |
| 14.294 | 65.474 | 14.294 | -0.000 | -0.000 | -0.000 |
| 14.294 | 14.294 | 65.474 | -0.000 | -0.000 | -0.000 |
| -0.000 | -0.000 | -0.000 | -36.754 | -0.000 | -0.000 |
| -0.000 | -0.000 | -0.000 | -0.000 | -36.754 | -0.000 |
| -0.000 | -0.000 | -0.000 | -0.000 | -0.000 | -36.754 |
| 65.474 | 14.294 | 14.294 | -0.000 | 0.000 | 0.000 |
| 14.294 | 65.474 | 14.294 | 0.000 | 0.000 | 0.000 |
| 14.294 | 14.294 | 65.474 | -0.000 | 0.000 | 0.000 |
| 0.000 | 0.000 | 0.000 | -36.754 | 0.000 | 0.000 |
| 0.000 | 0.000 | 0.000 | 0.000 | -36.754 | 0.000 |
| 0.000 | 0.000 | 0.000 | 0.000 | 0.000 | -36.754 |
| -16351401.679 | 249194.194 | 195305.080 | 15279.258 | 112404.460 | 178599.124 |
| 271718.548 | -16240209.411 | 81797.295 | 249338.439 | -52896.753 | 37067.633 |
| 191896.723 | 80895.202 | -16367647.186 | 99638.446 | 181910.197 | 36357.015 |
| -0.000 | -0.000 | -0.000 | -36.754 | -0.000 | -0.000 |
| -0.000 | -0.000 | -0.000 | -0.000 | -36.754 | -0.000 |
| -0.000 | -0.000 | -0.000 | -0.000 | -0.000 | -36.754 |
| 308249.401 | 9126376.565 | 9839858.022 | 38945.555 | 78967.162 | 82327.427 |
| 9494337.352 | 697473.080 | 8925386.412 | 119438.362 | 19420.770 | 69717.925 |
| 9189676.500 | 9846611.287 | 737067.834 | -17243.111 | -3234.331 | -21606.136 |
| 0.000 | 0.000 | 0.000 | -36.754 | 0.000 | 0.000 |
| 0.000 | 0.000 | 0.000 | 0.000 | -36.754 | 0.000 |
| 0.000 | 0.000 | 0.000 | 0.000 | 0.000 | -36.754 |
| -1209328.841 | 352620.177 | 259900.790 | -6.388 | -7885.626 | 5728.512 |
| 320458.547 | -1159443.423 | 369677.781 | 4329.110 | -1151.994 | -762.220 |
| 341379.100 | 278467.178 | -1193745.708 | -864.841 | 2804.959 | -2311.214 |
| -0.001 | -0.002 | -0.002 | -36.754 | -0.000 | -0.000 |
| -0.002 | -0.001 | -0.002 | -0.000 | -36.754 | -0.000 |
| -0.002 | -0.002 | -0.001 | -0.000 | -0.000 | -36.754 |
| 147002.172 | 923673.349 | 915456.592 | -17903.161 | -629.315 | 15772.760 |
| 1062241.990 | -791497.898 | 1062241.991 | 0.000 | -0.000 | -0.000 |
| 942938.201 | 964030.960 | 114052.793 | 1729.198 | 3603.229 | -23565.930 |
| 0.001 | 0.002 | 0.002 | -36.754 | 0.000 | 0.000 |
| 0.002 | 0.001 | 0.002 | -0.000 | -36.754 | 0.000 |
| 0.002 | 0.002 | 0.001 | 0.000 | 0.000 | -36.754 |
| 62.047 | 10.996 | 10.996 | 0.000 | -0.000 | 0.000 |
| 10.996 | 62.047 | 10.996 | 0.000 | -0.000 | -0.000 |
| 10.996 | 10.996 | 62.047 | 0.000 | -0.000 | 0.000 |
| -0.000 | -0.000 | -0.000 | 4.528 | -0.000 | 0.000 |
| -0.000 | -0.000 | -0.000 | 0.000 | 4.528 | 0.000 |
| -0.000 | -0.000 | -0.000 | 0.000 | -0.000 | 4.528 |
| 62.047 | 10.996 | 10.996 | -0.000 | 0.000 | 0.000 |
| 10.996 | 62.047 | 10.996 | -0.000 | 0.000 | 0.000 |
| 10.996 | 10.996 | 62.047 | -0.000 | 0.000 | -0.000 |
| 0.000 | 0.000 | 0.000 | 4.528 | 0.000 | 0.000 |
| 0.000 | 0.000 | 0.000 | -0.000 | 4.528 | -0.000 |
| 0.000 | 0.000 | 0.000 | -0.000 | 0.000 | 4.528 |
| 62.046 | 10.996 | 10.996 | 0.000 | -0.000 | 0.000 |
| 10.996 | 62.046 | 10.996 | -0.000 | -0.000 | -0.000 |
| 10.996 | 10.996 | 62.046 | 0.000 | 0.000 | -0.000 |
| -0.000 | -0.000 | -0.000 | 4.528 | 0.000 | -0.000 |
| -0.000 | -0.000 | -0.000 | -0.000 | 4.528 | 0.000 |
| -0.000 | -0.000 | -0.000 | 0.000 | 0.000 | 4.528 |
| 62.047 | 10.996 | 10.996 | -0.000 | 0.000 | 0.000 |
| 10.996 | 62.047 | 10.996 | -0.000 | 0.000 | 0.000 |
| 10.996 | 10.996 | 62.047 | -0.000 | 0.000 | 0.000 |
| 0.000 | 0.000 | 0.000 | 4.528 | -0.000 | -0.000 |
| 0.000 | 0.000 | 0.000 | -0.000 | 4.528 | -0.000 |
| 0.000 | 0.000 | 0.000 | -0.000 | -0.000 | 4.528 |
| 62.046 | 10.996 | 10.996 | 0.000 | -0.000 | -0.000 |
| 10.996 | 62.046 | 10.996 | 0.000 | -0.000 | 0.000 |
| 10.996 | 10.996 | 62.046 | 0.000 | -0.000 | -0.000 |
| -0.000 | -0.000 | -0.000 | 4.528 | 0.000 | 0.000 |
| -0.000 | -0.000 | -0.000 | 0.000 | 4.528 | 0.000 |
| -0.000 | -0.000 | -0.000 | 0.000 | -0.000 | 4.528 |
| 62.047 | 10.996 | 10.996 | -0.000 | 0.000 | -0.000 |
| 10.996 | 62.047 | 10.996 | -0.000 | 0.000 | -0.000 |
| 10.996 | 10.996 | 62.047 | -0.000 | 0.000 | 0.000 |
| 0.000 | 0.000 | 0.000 | 4.528 | -0.000 | 0.000 |
| 0.000 | 0.000 | 0.000 | -0.000 | 4.528 | -0.000 |
| 0.000 | 0.000 | 0.000 | -0.000 | -0.000 | 4.528 |
| 11.091 | -0.000 | -0.000 | -0.000 | -0.000 | -0.000 |
| -0.000 | 11.091 | -0.000 | -0.000 | -0.000 | -0.000 |
| -0.000 | -0.000 | 11.091 | -0.000 | 0.000 | -0.000 |
| -0.000 | -0.000 | -0.000 | -0.000 | -0.000 | -0.000 |
| -0.000 | -0.000 | -0.000 | 0.000 | -0.000 | 0.000 |
| -0.000 | -0.000 | -0.000 | 0.000 | -0.000 | -0.000 |
| 11.091 | 0.000 | 0.000 | -0.000 | 0.000 | 0.000 |
| 0.000 | 11.091 | 0.000 | -0.000 | 0.000 | -0.000 |
| 0.000 | 0.000 | 11.091 | -0.000 | -0.000 | 0.000 |
| 0.000 | 0.000 | 0.000 | -0.000 | 0.000 | 0.000 |
| 0.000 | 0.000 | 0.000 | -0.000 | -0.000 | 0.000 |
| 0.000 | 0.000 | 0.000 | -0.000 | 0.000 | -0.000 |
| 11.091 | -0.000 | -0.000 | 0.000 | 0.000 | 0.000 |
| -0.000 | 11.091 | -0.000 | -0.000 | -0.000 | -0.000 |
| -0.000 | -0.000 | 11.091 | 0.000 | -0.000 | -0.000 |
| -0.000 | -0.000 | -0.000 | 0.000 | 0.000 | 0.000 |
| -0.000 | -0.000 | -0.000 | 0.000 | 0.000 | -0.000 |
| -0.000 | -0.000 | -0.000 | 0.000 | -0.000 | 0.000 |
| 11.091 | 0.000 | 0.000 | 0.000 | 0.000 | -0.000 |
| 0.000 | 11.091 | 0.000 | 0.000 | 0.000 | -0.000 |
| 0.000 | 0.000 | 11.091 | -0.000 | 0.000 | 0.000 |
| 0.000 | 0.000 | 0.000 | 0.000 | -0.000 | 0.000 |
| 0.000 | 0.000 | 0.000 | -0.000 | 0.000 | 0.000 |
| 0.000 | 0.000 | 0.000 | -0.000 | 0.000 | 0.000 |
| 11.090 | 0.000 | 0.000 | -0.000 | -0.000 | -0.000 |
| 0.000 | 11.090 | 0.000 | -0.000 | -0.000 | 0.000 |
| 0.000 | 0.000 | 11.090 | 0.000 | 0.000 | 0.000 |
| -0.000 | -0.000 | -0.000 | 0.000 | -0.000 | 0.000 |
| -0.000 | -0.000 | -0.000 | 0.000 | 0.000 | -0.000 |
| -0.000 | -0.000 | -0.000 | 0.000 | 0.000 | 0.000 |
| 11.091 | 0.000 | 0.000 | -0.000 | 0.000 | 0.000 |
| 0.000 | 11.091 | 0.000 | -0.000 | 0.000 | -0.000 |
| 0.000 | 0.000 | 11.091 | -0.000 | -0.000 | 0.000 |
| 0.000 | 0.000 | 0.000 | 0.000 | 0.000 | -0.000 |
| 0.000 | 0.000 | 0.000 | -0.000 | 0.000 | 0.000 |
| 0.000 | 0.000 | 0.000 | -0.000 | 0.000 | 0.000 |
| -1860285.201 | -221531.099 | -221531.300 | 0.036 | -0.202 | -0.012 |
| -221531.300 | -1860285.101 | -221531.200 | -0.008 | -0.136 | 0.006 |
| -221531.200 | -221531.200 | -1860285.201 | 0.113 | -0.087 | 0.017 |
| 0.000 | 0.100 | 0.000 | -405068.295 | -0.212 | -0.006 |
| 0.000 | 0.100 | 0.000 | 0.015 | -405068.424 | -0.020 |
| 0.000 | 0.100 | 0.000 | 0.017 | -0.110 | -405068.372 |
| -1860285.199 | -221531.300 | -221531.200 | -0.028 | 0.125 | -0.003 |
| -221531.300 | -1860285.399 | -221531.300 | -0.054 | 0.030 | -0.001 |
| -221531.200 | -221531.300 | -1860285.299 | -0.054 | 0.060 | 0.001 |
| -0.000 | -0.100 | -0.000 | -405068.376 | 0.105 | 0.001 |
| -0.000 | -0.000 | -0.000 | -0.001 | -405068.208 | 0.010 |
| 0.100 | -0.100 | -0.000 | -0.004 | 0.095 | -405068.350 |
| -1860284.910 | -221531.570 | -221531.570 | 0.065 | 0.045 | 0.054 |
| -221531.570 | -1860284.900 | -221531.580 | 0.058 | 0.048 | 0.054 |
| -221531.570 | -221531.560 | -1860284.910 | 0.064 | 0.043 | 0.057 |
| -0.400 | -0.200 | -0.180 | -405068.304 | 0.039 | 0.044 |
| -0.210 | -0.390 | -0.180 | 0.057 | -405068.317 | 0.045 |
| -0.210 | -0.170 | -0.390 | 0.056 | 0.037 | -405068.311 |
| -1860286.290 | -221531.410 | -221531.410 | -0.002 | 0.010 | 0.002 |
| -221531.400 | -1860286.310 | -221531.400 | -0.003 | 0.015 | 0.002 |
| -221531.410 | -221531.420 | -1860286.300 | -0.007 | 0.011 | 0.003 |
| 0.360 | 0.010 | 0.140 | -405068.399 | -0.034 | -0.039 |
| 0.020 | 0.350 | 0.150 | -0.052 | -405068.382 | -0.040 |
| 0.010 | 0.130 | 0.350 | -0.050 | -0.028 | -405068.393 |
| -1860276.123 | -221530.321 | -221530.321 | 0.094 | 0.098 | 0.102 |
| -221530.314 | -1860276.119 | -221530.314 | 0.097 | 0.091 | 0.100 |
| -221530.341 | -221530.342 | -1860276.110 | 0.103 | 0.100 | 0.099 |
| 0.584 | 2.705 | 2.698 | -405068.341 | 0.004 | 0.004 |
| 2.709 | 0.592 | 2.704 | 0.005 | -405068.342 | 0.004 |
| 2.709 | 2.703 | 0.591 | 0.005 | 0.003 | -405068.341 |
| -1860295.489 | -221533.014 | -221533.013 | 0.000 | -0.000 | 0.000 |
| -221533.013 | -1860295.490 | -221533.013 | -0.001 | 0.001 | 0.000 |
| -221533.013 | -221533.013 | -1860295.489 | -0.000 | 0.001 | 0.000 |
| -0.590 | -2.694 | -2.704 | -405068.352 | -0.004 | -0.005 |
| -2.693 | -0.592 | -2.705 | -0.006 | -405068.351 | -0.005 |
| -2.694 | -2.705 | -0.591 | -0.005 | -0.004 | -405068.352 |
| 7234.731 | 7326.597 | 7326.597 | 0.000 | -0.000 | -0.000 |
| 7326.597 | 7234.731 | 7326.597 | -0.000 | -0.000 | -0.000 |
| 7326.597 | 7326.597 | 7234.731 | -0.000 | 0.000 | 0.000 |
| -0.000 | -0.000 | -0.000 | -57.133 | -0.000 | 0.000 |
| -0.000 | -0.000 | -0.000 | -0.000 | -57.133 | -0.000 |
| -0.000 | -0.000 | -0.000 | 0.000 | -0.000 | -57.133 |
| 7234.687 | 7326.554 | 7326.554 | 0.000 | 0.000 | -0.000 |
| 7326.554 | 7234.687 | 7326.554 | 0.000 | 0.000 | 0.000 |
| 7326.554 | 7326.554 | 7234.687 | -0.000 | -0.000 | -0.000 |
| 0.000 | 0.000 | 0.000 | -57.133 | 0.000 | 0.000 |
| 0.000 | 0.000 | 0.000 | 0.000 | -57.133 | 0.000 |
| 0.000 | 0.000 | 0.000 | 0.000 | 0.000 | -57.133 |
| 7234.930 | 7326.795 | 7326.795 | 0.000 | -0.000 | -0.000 |
| 7326.795 | 7234.930 | 7326.795 | -0.000 | -0.000 | 0.000 |
| 7326.795 | 7326.795 | 7234.930 | -0.000 | -0.000 | 0.000 |
| 0.000 | 0.000 | 0.000 | -57.133 | -0.000 | 0.000 |
| 0.000 | 0.000 | 0.000 | 0.000 | -57.133 | 0.000 |
| 0.000 | 0.000 | 0.000 | -0.000 | -0.000 | -57.133 |
| 7234.488 | 7326.355 | 7326.355 | -0.000 | 0.000 | 0.000 |
| 7326.355 | 7234.488 | 7326.355 | 0.000 | 0.000 | 0.000 |
| 7326.355 | 7326.355 | 7234.488 | -0.000 | 0.000 | 0.000 |
| -0.000 | -0.000 | -0.000 | -57.133 | 0.000 | 0.000 |
| -0.000 | -0.000 | -0.000 | 0.000 | -57.133 | -0.000 |
| -0.000 | -0.000 | -0.000 | 0.000 | 0.000 | -57.133 |
| 7236.917 | 7328.775 | 7328.775 | -0.000 | -0.000 | 0.000 |
| 7328.775 | 7236.917 | 7328.775 | -0.000 | -0.000 | -0.000 |
| 7328.775 | 7328.775 | 7236.917 | 0.000 | -0.000 | 0.000 |
| 0.001 | 0.001 | 0.000 | -57.133 | -0.000 | 0.000 |
| 0.001 | 0.001 | 0.000 | -0.000 | -57.133 | -0.000 |
| 0.001 | 0.000 | 0.001 | 0.000 | -0.000 | -57.133 |
| 7232.500 | 7324.376 | 7324.376 | -0.000 | 0.000 | -0.000 |
| 7324.376 | 7232.500 | 7324.376 | -0.000 | 0.000 | -0.000 |
| 7324.376 | 7324.376 | 7232.500 | 0.000 | 0.000 | 0.000 |
| -0.001 | -0.001 | -0.000 | -57.133 | 0.000 | 0.000 |
| -0.001 | -0.001 | -0.000 | 0.000 | -57.133 | -0.000 |
| -0.001 | -0.000 | -0.001 | 0.000 | 0.000 | -57.133 |
| 462.885 | 84.728 | 84.728 | -0.000 | -0.000 | -0.000 |
| 84.728 | 462.885 | 84.728 | -0.000 | -0.000 | -0.000 |
| 84.728 | 84.728 | 462.885 | 0.000 | -0.000 | -0.000 |
| 0.000 | 0.000 | 0.000 | 110.478 | -0.000 | -0.000 |
| 0.000 | 0.000 | -0.000 | -0.000 | 110.478 | -0.000 |
| 0.000 | 0.000 | -0.000 | -0.000 | -0.000 | 110.478 |
| 462.885 | 84.728 | 84.728 | 0.000 | 0.000 | 0.000 |
| 84.728 | 462.885 | 84.728 | -0.000 | 0.000 | 0.000 |
| 84.728 | 84.728 | 462.885 | 0.000 | 0.000 | 0.000 |
| -0.000 | -0.000 | -0.000 | 110.478 | 0.000 | -0.000 |
| -0.000 | -0.000 | 0.000 | 0.000 | 110.478 | 0.000 |
| -0.000 | -0.000 | -0.000 | 0.000 | 0.000 | 110.478 |
| 462.886 | 84.728 | 84.728 | -0.000 | -0.000 | -0.000 |
| 84.728 | 462.886 | 84.728 | -0.000 | -0.000 | -0.000 |
| 84.728 | 84.728 | 462.886 | 0.000 | -0.000 | -0.000 |
| 0.000 | 0.000 | 0.000 | 110.478 | 0.000 | -0.000 |
| 0.000 | 0.000 | 0.000 | -0.000 | 110.478 | -0.000 |
| 0.000 | 0.000 | 0.000 | -0.000 | -0.000 | 110.478 |
| 462.885 | 84.728 | 84.728 | 0.000 | 0.000 | 0.000 |
| 84.728 | 462.885 | 84.728 | -0.000 | 0.000 | 0.000 |
| 84.728 | 84.728 | 462.885 | -0.000 | -0.000 | 0.000 |
| -0.000 | -0.000 | -0.000 | 110.478 | -0.000 | 0.000 |
| -0.000 | -0.000 | -0.000 | -0.000 | 110.478 | -0.000 |
| -0.000 | -0.000 | -0.000 | 0.000 | 0.000 | 110.478 |
| 462.887 | 84.728 | 84.728 | -0.000 | -0.000 | 0.000 |
| 84.728 | 462.887 | 84.728 | -0.000 | 0.000 | -0.000 |
| 84.728 | 84.728 | 462.887 | 0.000 | -0.000 | -0.000 |
| 0.000 | 0.000 | 0.000 | 110.478 | -0.000 | -0.000 |
| 0.000 | 0.000 | 0.000 | -0.000 | 110.478 | -0.000 |
| 0.000 | 0.000 | 0.000 | -0.000 | -0.000 | 110.478 |
| 462.883 | 84.727 | 84.727 | 0.000 | 0.000 | 0.000 |
| 84.727 | 462.883 | 84.727 | 0.000 | 0.000 | 0.000 |
| 84.727 | 84.727 | 462.883 | 0.000 | -0.000 | -0.000 |
| -0.000 | -0.000 | -0.000 | 110.478 | 0.000 | -0.000 |
| -0.000 | -0.000 | -0.000 | 0.000 | 110.478 | 0.000 |
| -0.000 | -0.000 | -0.000 | 0.000 | 0.000 | 110.478 |
| 1153.523 | 1079.945 | 1079.945 | 0.000 | 0.000 | 0.000 |
| 1079.945 | 1153.523 | 1079.945 | 0.000 | 0.000 | 0.000 |
| 1079.945 | 1079.945 | 1153.523 | 0.000 | 0.000 | 0.000 |
| 0.000 | 0.000 | 0.000 | 1083.788 | 0.000 | 0.000 |
| 0.000 | 0.000 | 0.000 | 0.000 | 1083.788 | -0.000 |
| 0.000 | 0.000 | 0.000 | 0.000 | 0.000 | 1083.788 |
| 1153.523 | 1079.944 | 1079.944 | -0.000 | -0.000 | -0.000 |
| 1079.944 | 1153.523 | 1079.944 | -0.000 | -0.000 | -0.000 |
| 1079.944 | 1079.944 | 1153.523 | -0.000 | -0.000 | -0.000 |
| -0.000 | -0.000 | -0.000 | 1083.788 | -0.000 | -0.000 |
| -0.000 | -0.000 | -0.000 | -0.000 | 1083.788 | -0.000 |
| -0.000 | -0.000 | -0.000 | -0.000 | -0.000 | 1083.788 |
| 1153.523 | 1079.945 | 1079.945 | 0.000 | 0.000 | 0.000 |
| 1079.945 | 1153.523 | 1079.945 | 0.000 | 0.000 | 0.000 |
| 1079.945 | 1079.945 | 1153.523 | 0.000 | 0.000 | 0.000 |
| 0.000 | 0.000 | 0.001 | 1083.788 | 0.000 | 0.000 |
| 0.000 | 0.000 | 0.001 | 0.000 | 1083.788 | 0.000 |
| 0.000 | 0.001 | 0.000 | 0.000 | 0.000 | 1083.788 |
| 1153.524 | 1079.944 | 1079.944 | -0.000 | -0.000 | -0.000 |
| 1079.944 | 1153.524 | 1079.944 | -0.000 | -0.000 | -0.000 |
| 1079.944 | 1079.944 | 1153.524 | -0.000 | -0.000 | -0.000 |
| -0.000 | -0.000 | -0.001 | 1083.788 | -0.000 | 0.000 |
| -0.000 | -0.000 | -0.001 | -0.000 | 1083.788 | -0.000 |
| -0.000 | -0.001 | -0.000 | -0.000 | -0.000 | 1083.788 |
| 1153.518 | 1079.950 | 1079.950 | 0.000 | 0.000 | 0.000 |
| 1079.950 | 1153.518 | 1079.950 | 0.000 | 0.000 | 0.000 |
| 1079.950 | 1079.950 | 1153.518 | 0.000 | 0.000 | -0.000 |
| 0.001 | 0.003 | 0.005 | 1083.788 | 0.000 | 0.000 |
| 0.003 | 0.001 | 0.005 | 0.000 | 1083.788 | 0.000 |
| 0.003 | 0.005 | 0.001 | 0.000 | 0.000 | 1083.788 |
| 1153.528 | 1079.939 | 1079.939 | -0.000 | -0.000 | -0.000 |
| 1079.939 | 1153.528 | 1079.939 | -0.000 | -0.000 | -0.000 |
| 1079.939 | 1079.939 | 1153.528 | -0.000 | -0.000 | -0.000 |
| -0.001 | -0.003 | -0.005 | 1083.788 | -0.000 | -0.000 |
| -0.003 | -0.001 | -0.005 | -0.000 | 1083.788 | -0.000 |
| -0.003 | -0.005 | -0.001 | -0.000 | -0.000 | 1083.788 |
| 136.338 | 6.000 | 6.000 | -0.000 | -0.000 | 0.000 |
| 6.000 | 136.338 | 6.000 | 0.000 | -0.000 | -0.000 |
| 6.000 | 6.000 | 136.338 | 0.000 | -0.000 | 0.000 |
| 0.000 | 0.000 | 0.000 | 6.003 | -0.000 | 0.000 |
| 0.000 | 0.000 | 0.000 | -0.000 | 6.003 | 0.000 |
| 0.000 | 0.000 | 0.000 | -0.000 | -0.000 | 6.003 |
| 136.338 | 6.000 | 6.000 | -0.000 | 0.000 | -0.000 |
| 6.000 | 136.338 | 6.000 | 0.000 | 0.000 | -0.000 |
| 6.000 | 6.000 | 136.338 | 0.000 | 0.000 | 0.000 |
| -0.000 | -0.000 | -0.000 | 6.003 | 0.000 | 0.000 |
| -0.000 | -0.000 | -0.000 | 0.000 | 6.003 | -0.000 |
| -0.000 | -0.000 | -0.000 | -0.000 | 0.000 | 6.003 |
| 136.337 | 6.000 | 6.000 | -0.000 | -0.000 | 0.000 |
| 6.000 | 136.337 | 6.000 | 0.000 | -0.000 | 0.000 |
| 6.000 | 6.000 | 136.337 | 0.000 | -0.000 | 0.000 |
| 0.000 | 0.000 | 0.000 | 6.003 | -0.000 | 0.000 |
| 0.000 | 0.000 | 0.000 | -0.000 | 6.003 | 0.000 |
| 0.000 | 0.000 | 0.000 | 0.000 | -0.000 | 6.003 |
| 136.338 | 6.000 | 6.000 | 0.000 | 0.000 | 0.000 |
| 6.000 | 136.338 | 6.000 | 0.000 | 0.000 | -0.000 |
| 6.000 | 6.000 | 136.338 | -0.000 | 0.000 | -0.000 |
| -0.000 | -0.000 | -0.000 | 6.003 | 0.000 | 0.000 |
| -0.000 | -0.000 | -0.000 | -0.000 | 6.003 | -0.000 |
| -0.000 | -0.000 | -0.000 | -0.000 | 0.000 | 6.003 |
| 136.336 | 6.000 | 6.000 | 0.000 | -0.000 | 0.000 |
| 6.000 | 136.336 | 6.000 | 0.000 | -0.000 | 0.000 |
| 6.000 | 6.000 | 136.336 | -0.000 | -0.000 | 0.000 |
| 0.000 | 0.000 | 0.000 | 6.003 | -0.000 | -0.000 |
| 0.000 | 0.000 | 0.000 | -0.000 | 6.003 | 0.000 |
| 0.000 | 0.000 | 0.000 | -0.000 | -0.000 | 6.003 |
| 136.339 | 6.000 | 6.000 | -0.000 | 0.000 | -0.000 |
| 6.000 | 136.339 | 6.000 | -0.000 | 0.000 | -0.000 |
| 6.000 | 6.000 | 136.339 | 0.000 | 0.000 | -0.000 |
| -0.000 | -0.000 | -0.000 | 6.003 | 0.000 | -0.000 |
| -0.000 | -0.000 | -0.000 | 0.000 | 6.003 | -0.000 |
| -0.000 | -0.000 | -0.000 | 0.000 | 0.000 | 6.003 |
| 90.983 | 41.458 | 41.458 | -0.000 | -0.000 | -0.000 |
| 41.458 | 90.983 | 41.458 | -0.000 | -0.000 | -0.000 |
| 41.458 | 41.458 | 90.983 | -0.000 | -0.000 | -0.000 |
| -0.000 | -0.000 | -0.000 | 42.179 | -0.000 | -0.000 |
| -0.000 | -0.000 | -0.000 | -0.000 | 42.179 | -0.000 |
| -0.000 | -0.000 | -0.000 | -0.000 | -0.000 | 42.179 |
| 90.983 | 41.458 | 41.458 | 0.000 | 0.000 | 0.000 |
| 41.458 | 90.983 | 41.458 | 0.000 | 0.000 | -0.000 |
| 41.458 | 41.458 | 90.983 | 0.000 | 0.000 | 0.000 |
| 0.000 | 0.000 | 0.000 | 42.179 | 0.000 | -0.000 |
| 0.000 | 0.000 | 0.000 | 0.000 | 42.179 | -0.000 |
| 0.000 | 0.000 | 0.000 | 0.000 | 0.000 | 42.179 |
| 90.983 | 41.458 | 41.458 | -0.000 | -0.000 | 0.000 |
| 41.458 | 90.983 | 41.458 | -0.000 | -0.000 | -0.000 |
| 41.458 | 41.458 | 90.983 | -0.000 | -0.000 | -0.000 |
| -0.000 | -0.000 | -0.000 | 42.179 | -0.000 | 0.000 |
| -0.000 | -0.000 | -0.000 | -0.000 | 42.179 | 0.000 |
| -0.000 | -0.000 | -0.000 | -0.000 | -0.000 | 42.179 |
| 90.983 | 41.458 | 41.458 | 0.000 | 0.000 | 0.000 |
| 41.458 | 90.983 | 41.458 | 0.000 | 0.000 | 0.000 |
| 41.458 | 41.458 | 90.983 | 0.000 | 0.000 | -0.000 |
| 0.000 | 0.000 | 0.000 | 42.179 | 0.000 | -0.000 |
| 0.000 | 0.000 | 0.000 | 0.000 | 42.179 | -0.000 |
| 0.000 | 0.000 | 0.000 | 0.000 | 0.000 | 42.179 |
| 90.984 | 41.458 | 41.458 | -0.000 | -0.000 | 0.000 |
| 41.458 | 90.984 | 41.458 | -0.000 | -0.000 | -0.000 |
| 41.458 | 41.458 | 90.984 | -0.000 | -0.000 | 0.000 |
| -0.000 | -0.000 | -0.000 | 42.179 | -0.000 | -0.000 |
| -0.000 | -0.000 | -0.000 | -0.000 | 42.179 | -0.000 |
| -0.000 | -0.000 | -0.000 | -0.000 | -0.000 | 42.179 |
| 90.982 | 41.458 | 41.458 | 0.000 | 0.000 | -0.000 |
| 41.458 | 90.982 | 41.458 | 0.000 | 0.000 | 0.000 |
| 41.458 | 41.458 | 90.982 | 0.000 | 0.000 | 0.000 |
| 0.000 | 0.000 | 0.000 | 42.179 | 0.000 | 0.000 |
| 0.000 | 0.000 | 0.000 | 0.000 | 42.179 | 0.000 |
| 0.000 | 0.000 | 0.000 | 0.000 | 0.000 | 42.179 |
| 23.968 | 23.958 | 23.958 | -0.000 | 0.000 | -0.000 |
| 23.958 | 23.968 | 23.958 | 0.000 | -0.000 | -0.000 |
| 23.958 | 23.958 | 23.968 | -0.000 | -0.000 | -0.000 |
| -0.000 | -0.000 | -0.000 | 24.546 | -0.000 | -0.000 |
| -0.000 | -0.000 | -0.000 | -0.000 | 24.546 | -0.000 |
| -0.000 | -0.000 | -0.000 | -0.000 | 0.000 | 24.546 |
| 23.968 | 23.958 | 23.958 | 0.000 | -0.000 | 0.000 |
| 23.958 | 23.968 | 23.958 | -0.000 | 0.000 | 0.000 |
| 23.958 | 23.958 | 23.968 | 0.000 | 0.000 | 0.000 |
| 0.000 | 0.000 | 0.000 | 24.546 | 0.000 | 0.000 |
| 0.000 | 0.000 | 0.000 | 0.000 | 24.546 | 0.000 |
| 0.000 | 0.000 | 0.000 | 0.000 | -0.000 | 24.546 |
| 23.968 | 23.958 | 23.958 | -0.000 | 0.000 | -0.000 |
| 23.958 | 23.968 | 23.958 | 0.000 | -0.000 | -0.000 |
| 23.958 | 23.958 | 23.968 | -0.000 | -0.000 | -0.000 |
| -0.000 | -0.000 | -0.000 | 24.546 | -0.000 | -0.000 |
| -0.000 | -0.000 | -0.000 | -0.000 | 24.546 | -0.000 |
| -0.000 | -0.000 | -0.000 | -0.000 | 0.000 | 24.546 |
| 23.968 | 23.958 | 23.958 | 0.000 | 0.000 | -0.000 |
| 23.958 | 23.968 | 23.958 | 0.000 | 0.000 | -0.000 |
| 23.958 | 23.958 | 23.968 | 0.000 | 0.000 | 0.000 |
| 0.000 | 0.000 | 0.000 | 24.546 | 0.000 | 0.000 |
| 0.000 | 0.000 | 0.000 | 0.000 | 24.546 | 0.000 |
| 0.000 | 0.000 | 0.000 | 0.000 | -0.000 | 24.546 |
| 23.967 | 23.958 | 23.958 | -0.000 | -0.000 | -0.000 |
| 23.958 | 23.967 | 23.958 | -0.000 | -0.000 | -0.000 |
| 23.958 | 23.958 | 23.967 | -0.000 | -0.000 | -0.000 |
| -0.000 | -0.000 | -0.000 | 24.546 | -0.000 | -0.000 |
| -0.000 | -0.000 | -0.000 | -0.000 | 24.546 | -0.000 |
| -0.000 | -0.000 | -0.000 | -0.000 | 0.000 | 24.546 |
| 23.968 | 23.958 | 23.958 | 0.000 | 0.000 | 0.000 |
| 23.958 | 23.968 | 23.958 | 0.000 | 0.000 | 0.000 |
| 23.958 | 23.958 | 23.968 | 0.000 | 0.000 | 0.000 |
| 0.000 | 0.000 | 0.000 | 24.546 | 0.000 | 0.000 |
| 0.000 | 0.000 | 0.000 | 0.000 | 24.546 | 0.000 |
| 0.000 | 0.000 | 0.000 | -0.000 | -0.000 | 24.546 |
| 3430.625 | 3160.202 | 2806.744 | -0.000 | 0.000 | 0.000 |
| 3160.202 | 3430.625 | 2806.744 | -0.000 | 0.000 | 0.000 |
| 2806.744 | 2806.744 | 2826.760 | -0.000 | 0.000 | 0.000 |
| 0.000 | 0.000 | -0.000 | 35.769 | 0.000 | 0.000 |
| 0.000 | 0.000 | -0.000 | -0.000 | 35.769 | 0.000 |
| 0.000 | 0.000 | -0.000 | -0.000 | 0.000 | 135.212 |
| 3430.624 | 3160.200 | 2806.743 | 0.000 | -0.000 | -0.000 |
| 3160.200 | 3430.624 | 2806.743 | 0.000 | -0.000 | -0.000 |
| 2806.743 | 2806.743 | 2826.759 | -0.000 | -0.000 | -0.000 |
| -0.000 | -0.000 | 0.000 | 35.769 | -0.000 | -0.000 |
| -0.000 | 0.000 | 0.000 | 0.000 | 35.769 | -0.000 |
| -0.000 | -0.000 | 0.000 | 0.000 | -0.000 | 135.212 |
| 3241.216 | 3349.623 | 2806.750 | -0.000 | 0.000 | 0.000 |
| 3349.621 | 3241.218 | 2806.750 | 0.000 | 0.000 | 0.000 |
| 2806.750 | 2806.750 | 2826.767 | -0.000 | 0.000 | 0.000 |
| -0.000 | 0.000 | -0.000 | 35.769 | 0.000 | 0.000 |
| 0.000 | -0.000 | -0.000 | -0.000 | 35.769 | 0.000 |
| 0.001 | 0.000 | 0.000 | -0.000 | 0.000 | -54.203 |
| 3430.619 | 3160.195 | 2806.738 | 0.000 | -0.000 | -0.000 |
| 3160.195 | 3430.619 | 2806.738 | 0.000 | -0.000 | -0.000 |
| 2806.737 | 2806.737 | 2826.752 | 0.000 | -0.000 | -0.000 |
| 0.000 | -0.000 | 0.000 | 35.769 | -0.000 | -0.000 |
| -0.000 | 0.000 | 0.000 | 0.000 | 35.769 | -0.000 |
| -0.001 | -0.000 | -0.000 | 0.000 | -0.000 | -54.203 |
| 3241.273 | 3349.685 | 2806.804 | -0.000 | 0.000 | 0.000 |
| 3349.665 | 3241.293 | 2806.804 | -0.000 | 0.000 | 0.000 |
| 2806.806 | 2806.806 | 2826.833 | -0.000 | 0.000 | 0.000 |
| -0.001 | 0.001 | -0.000 | 35.769 | 0.000 | 0.000 |
| 0.001 | -0.001 | -0.000 | -0.000 | 35.769 | 0.000 |
| 0.006 | 0.001 | 0.002 | -0.000 | 0.000 | -54.203 |
| 3241.147 | 3349.547 | 2806.683 | 0.000 | -0.000 | -0.000 |
| 3349.567 | 3241.126 | 2806.683 | 0.000 | -0.000 | -0.000 |
| 2806.681 | 2806.681 | 2826.686 | 0.000 | -0.000 | -0.000 |
| 0.001 | -0.001 | 0.000 | 35.769 | -0.000 | -0.000 |
| -0.001 | 0.001 | 0.000 | 0.000 | 35.769 | -0.000 |
| -0.006 | -0.001 | -0.002 | 0.000 | -0.000 | -54.203 |
| -219950464.031 | 1928119423.223 | -34777389.929 | -197592.822 | -1258526.105 | 207852697.210 |
| 601.945 | 421.495 | 436.025 | -0.000 | 0.000 | -0.000 |
| 436.025 | 436.025 | 535.861 | -0.000 | 0.000 | -0.000 |
| -0.000 | 0.000 | 0.000 | -27.490 | 0.000 | -0.000 |
| -0.000 | 0.000 | -0.000 | -0.000 | -27.490 | 0.000 |
| -0.000 | 0.000 | -0.000 | -0.000 | 0.000 | -90.225 |
| 509.701 | 513.742 | 436.027 | 0.000 | -0.000 | 0.000 |
| 513.742 | 509.701 | 436.027 | 0.000 | -0.000 | -0.000 |
| 436.027 | 436.027 | 535.862 | 0.000 | 0.000 | 0.000 |
| 0.000 | -0.000 | 0.000 | -27.490 | -0.000 | 0.000 |
| 0.000 | -0.000 | 0.000 | 0.000 | -27.490 | 0.000 |
| 0.000 | -0.000 | 0.000 | 0.000 | -0.000 | -90.225 |
| 509.692 | 513.733 | 436.018 | -0.000 | 0.000 | 0.000 |
| 513.733 | 509.692 | 436.018 | 0.000 | 0.000 | -0.000 |
| 436.018 | 436.018 | 535.854 | -0.000 | 0.000 | -0.000 |
| 0.000 | -0.000 | -0.000 | -27.490 | 0.000 | -0.000 |
| -0.000 | 0.000 | -0.000 | -0.000 | -27.490 | -0.000 |
| 77259431.747 | 68406481.305 | -19013378.562 | 15169.692 | 82489.870 | -29569969.623 |
| -128602888.427 | -34043863.385 | 13630436.391 | -773627.465 | -397665.977 | -72492836.895 |
| 601.954 | 421.503 | 436.034 | 0.000 | -0.000 | 0.000 |
| 436.033 | 436.033 | 535.869 | 0.000 | -0.000 | 0.000 |
| -0.000 | 0.000 | 0.000 | -27.490 | -0.000 | 0.000 |
| 0.000 | -0.000 | 0.000 | 0.000 | -27.490 | 0.000 |
| 32231146.493 | -189080431.662 | 18771335.846 | 2.909 | -1.371 | -12238431.913 |
| -1820169.044 | 19109218.399 | 579460.356 | 83.769 | -151.345 | 1548793.682 |
| 513.664 | 509.623 | 435.950 | -0.000 | 0.000 | 0.000 |
| 435.952 | 435.952 | 535.788 | -0.000 | -0.000 | -0.000 |
| 0.000 | -0.001 | -0.000 | -27.490 | 0.000 | -0.000 |
| -0.001 | 0.000 | -0.000 | -0.000 | -27.490 | 0.000 |
| 9287443.571 | 5272630.367 | -1732267.535 | -24276.084 | -24616.604 | -4977073.597 |
| -10114378.930 | -6106592.895 | 883414.468 | -27499.971 | -9948.708 | -10414671.610 |
| 1722830.501 | -19015311.661 | -777034.451 | 6.683 | -0.951 | -462439.640 |
| 436.100 | 436.100 | 535.935 | 0.000 | 0.000 | 0.000 |
| -0.000 | 0.001 | 0.000 | -27.490 | -0.000 | 0.000 |
| 0.001 | -0.000 | 0.000 | 0.000 | -27.490 | 0.000 |
| -12335327.661 | -5836802.906 | 1038128.228 | -47.161 | -36.575 | -8932145.318 |
| 195.178 | 16.554 | -75.331 | -0.000 | -0.000 | 0.000 |
| 16.554 | 195.178 | -75.331 | 0.000 | -0.000 | -0.000 |
| -75.331 | -75.331 | 742.426 | -0.000 | -0.000 | -0.000 |
| 0.000 | 0.000 | 0.000 | 19.243 | -0.000 | -0.000 |
| -0.000 | 0.000 | 0.000 | 0.000 | 19.243 | -0.000 |
| -0.000 | -0.000 | -0.000 | -0.000 | -0.000 | 89.312 |
| 195.178 | 16.554 | -75.331 | 0.000 | 0.000 | 0.000 |
| 16.554 | 195.178 | -75.331 | 0.000 | -0.000 | 0.000 |
| -75.331 | -75.331 | 742.427 | -0.000 | 0.000 | 0.000 |
| 0.000 | -0.000 | -0.000 | 19.243 | 0.000 | 0.000 |
| 0.000 | -0.000 | -0.000 | -0.000 | 19.243 | 0.000 |
| 0.000 | 0.000 | 0.000 | 0.000 | 0.000 | 89.312 |
| 195.178 | 16.554 | -75.331 | 0.000 | 0.000 | -0.000 |
| 36.204 | 175.527 | -75.331 | 0.000 | -0.000 | -0.000 |
| -75.331 | -75.331 | 742.425 | 0.000 | -0.000 | -0.000 |
| -0.000 | -0.000 | 0.000 | 19.243 | -0.000 | -0.000 |
| -0.000 | -0.000 | 0.000 | -0.000 | 19.243 | -0.000 |
| -0.000 | -0.000 | 0.000 | -0.000 | -0.000 | 89.312 |
| 177.360 | 34.373 | -75.332 | -0.000 | 0.000 | 0.000 |
| 29.504 | 182.229 | -75.331 | 0.000 | 0.000 | 0.000 |
| -75.332 | -75.332 | 742.428 | -0.000 | 0.000 | 0.000 |
| 0.000 | 0.000 | -0.000 | 19.243 | 0.000 | 0.000 |
| 0.000 | 0.000 | -0.000 | -0.000 | 19.243 | 0.000 |
| 0.000 | 0.000 | -0.000 | -0.000 | 0.000 | 89.312 |
| 195.174 | 16.553 | -75.331 | 0.000 | -0.000 | -0.000 |
| 29.503 | 182.223 | -75.330 | 0.000 | -0.000 | -0.000 |
| -75.325 | -75.325 | 742.415 | -0.000 | 0.000 | -0.000 |
| -0.000 | -0.000 | 0.002 | 19.243 | -0.000 | -0.000 |
| -0.000 | 0.000 | 0.002 | 0.000 | 19.243 | -0.000 |
| -0.001 | -0.001 | 0.001 | 0.000 | -0.000 | 82.837 |
| 182.234 | 29.504 | -75.333 | -0.000 | 0.000 | -0.000 |
| 16.555 | 195.183 | -75.332 | 0.000 | 0.000 | 0.000 |
| -75.338 | -75.338 | 742.438 | 0.000 | 0.000 | 0.000 |
| 0.000 | 0.000 | -0.002 | 19.243 | 0.000 | -0.000 |
| 0.000 | -0.000 | -0.002 | -0.000 | 19.243 | 0.000 |
| 0.001 | 0.001 | -0.001 | -0.000 | 0.000 | 82.837 |
| 693.934 | 322.467 | 373.850 | 0.000 | 0.000 | 0.000 |
| 322.286 | 694.115 | 373.850 | 0.000 | 0.000 | -0.000 |
| 373.850 | 373.850 | 818.251 | 0.000 | 0.000 | -0.000 |
| 0.000 | -0.000 | 0.000 | 186.583 | 0.000 | -0.000 |
| -0.000 | 0.000 | 0.000 | 0.000 | 186.583 | 0.000 |
| -0.000 | 0.000 | 0.000 | 0.000 | 0.000 | 185.915 |
| 693.934 | 322.467 | 373.850 | -0.000 | -0.000 | -0.000 |
| 322.467 | 693.934 | 373.850 | -0.000 | -0.000 | -0.000 |
| 373.850 | 373.850 | 818.251 | -0.000 | -0.000 | 0.000 |
| -0.000 | 0.000 | -0.000 | 186.583 | -0.000 | -0.000 |
| 0.000 | -0.000 | -0.000 | -0.000 | 186.583 | 0.000 |
| 0.000 | -0.000 | -0.000 | -0.000 | -0.000 | 185.915 |
| 693.934 | 322.467 | 373.850 | 0.000 | 0.000 | -0.000 |
| 322.467 | 693.934 | 373.850 | 0.000 | 0.000 | 0.000 |
| 373.850 | 373.850 | 818.251 | 0.000 | 0.000 | -0.000 |
| 0.000 | -0.000 | -0.000 | 186.583 | 0.000 | 0.000 |
| -0.000 | 0.000 | -0.000 | 0.000 | 186.583 | -0.000 |
| -0.000 | 0.000 | 0.000 | 0.000 | 0.000 | 185.915 |
| 693.934 | 322.467 | 373.849 | -0.000 | -0.000 | 0.000 |
| 322.467 | 693.934 | 373.849 | -0.000 | -0.000 | -0.000 |
| 373.849 | 373.849 | 818.251 | -0.000 | -0.000 | -0.000 |
| -0.000 | 0.000 | 0.000 | 186.583 | -0.000 | -0.000 |
| 0.000 | -0.000 | 0.000 | -0.000 | 186.583 | -0.000 |
| 0.000 | -0.000 | -0.000 | -0.000 | -0.000 | 185.915 |
| 694.118 | 322.288 | 373.853 | -0.000 | 0.000 | 0.000 |
| 322.470 | 693.937 | 373.853 | 0.000 | 0.000 | -0.000 |
| 373.852 | 373.852 | 818.251 | 0.000 | 0.000 | -0.000 |
| 0.000 | -0.000 | -0.000 | 186.583 | 0.000 | 0.000 |
| -0.000 | 0.000 | -0.000 | 0.000 | 186.583 | 0.000 |
| -0.000 | 0.000 | 0.000 | 0.000 | 0.000 | 185.915 |
| 693.931 | 322.465 | 373.847 | -0.000 | -0.000 | 0.000 |
| 322.464 | 693.932 | 373.847 | -0.000 | -0.000 | -0.000 |
| 373.847 | 373.847 | 818.251 | -0.000 | -0.000 | -0.000 |
| -0.000 | 0.000 | 0.000 | 186.583 | -0.000 | -0.000 |
| 0.000 | -0.000 | 0.000 | -0.000 | 186.583 | -0.000 |
| 0.000 | -0.000 | -0.000 | -0.000 | -0.000 | 185.915 |
| 3346.672 | 1118.699 | 1165.090 | -0.000 | -0.000 | -0.000 |
| 1118.699 | 3346.672 | 1165.090 | -0.000 | -0.000 | -0.000 |
| 1165.090 | 1165.090 | 3828.433 | 0.000 | -0.000 | -0.000 |
| -0.000 | -0.000 | 0.000 | 1168.925 | -0.000 | 0.000 |
| -0.000 | 0.000 | 0.000 | -0.000 | 1168.925 | 0.000 |
| -0.000 | 0.000 | 0.000 | 0.000 | -0.000 | 1113.986 |
| 3350.891 | 1114.481 | 1165.090 | 0.000 | 0.000 | -0.000 |
| 1118.699 | 3346.672 | 1165.090 | 0.000 | 0.000 | -0.000 |
| 1165.090 | 1165.090 | 3828.432 | 0.000 | 0.000 | 0.000 |
| 0.000 | 0.000 | -0.000 | 1168.925 | 0.000 | 0.000 |
| 0.000 | -0.000 | -0.000 | 0.000 | 1168.925 | 0.000 |
| 0.000 | -0.000 | -0.000 | 0.000 | 0.000 | 1113.986 |
| 3346.672 | 1118.699 | 1165.089 | -0.000 | 0.000 | 0.000 |
| 1114.481 | 3350.890 | 1165.089 | -0.000 | -0.000 | 0.000 |
| 1165.090 | 1165.090 | 3828.434 | -0.000 | -0.000 | -0.000 |
| -0.000 | -0.001 | -0.000 | 1168.925 | 0.000 | 0.000 |
| -0.001 | -0.000 | -0.000 | 0.000 | 1168.925 | 0.000 |
| -0.000 | 0.000 | -0.000 | -0.000 | -0.000 | 1113.986 |
| 3346.672 | 1118.700 | 1165.090 | -0.000 | 0.000 | 0.000 |
| 1118.699 | 3346.673 | 1165.090 | 0.000 | 0.000 | -0.000 |
| 1165.090 | 1165.090 | 3828.431 | 0.000 | 0.000 | 0.000 |
| 0.000 | 0.001 | 0.000 | 1168.925 | 0.000 | 0.000 |
| 0.001 | 0.000 | 0.000 | 0.000 | 1168.925 | -0.000 |
| 0.000 | -0.000 | 0.000 | 0.000 | 0.000 | 1113.986 |
| 3346.673 | 1118.697 | 1165.083 | -0.000 | -0.000 | 0.000 |
| 1118.704 | 3346.665 | 1165.083 | -0.000 | 0.000 | 0.000 |
| 1165.088 | 1165.088 | 3828.451 | -0.000 | -0.000 | -0.000 |
| -0.003 | -0.010 | -0.004 | 1168.925 | -0.000 | 0.000 |
| -0.010 | -0.003 | -0.004 | -0.000 | 1168.925 | 0.000 |
| -0.005 | 0.002 | -0.002 | -0.000 | -0.000 | 1113.986 |
| 3350.892 | 1114.483 | 1165.097 | 0.000 | 0.000 | -0.000 |
| 1118.697 | 3346.677 | 1165.096 | 0.000 | 0.000 | -0.000 |
| 1165.092 | 1165.092 | 3828.414 | 0.000 | 0.000 | -0.000 |
| 0.003 | 0.010 | 0.004 | 1168.925 | -0.000 | -0.000 |
| 0.010 | 0.003 | 0.004 | 0.000 | 1168.925 | -0.000 |
| 0.005 | -0.002 | 0.002 | 0.000 | 0.000 | 1113.986 |
| 197.576 | 73.256 | 55.581 | 0.000 | -0.000 | -0.000 |
| 67.845 | 202.986 | 55.581 | -0.000 | -0.000 | -0.000 |
| 55.581 | 55.581 | 215.250 | -0.000 | 0.000 | -0.000 |
| 0.000 | 0.000 | 0.000 | 55.372 | -0.000 | -0.000 |
| 0.000 | 0.000 | 0.000 | 0.000 | 55.372 | -0.000 |
| 0.000 | 0.000 | 0.000 | 0.000 | -0.000 | 67.570 |
| 202.986 | 67.845 | 55.581 | -0.000 | 0.000 | 0.000 |
| 73.256 | 197.576 | 55.581 | -0.000 | 0.000 | 0.000 |
| 55.581 | 55.581 | 215.250 | -0.000 | 0.000 | 0.000 |
| -0.000 | -0.000 | -0.000 | 55.372 | 0.000 | 0.000 |
| -0.000 | -0.000 | -0.000 | -0.000 | 55.372 | 0.000 |
| -0.000 | -0.000 | -0.000 | 0.000 | 0.000 | 67.570 |
| 197.576 | 73.256 | 55.581 | 0.000 | -0.000 | -0.000 |
| 73.256 | 197.576 | 55.581 | 0.000 | -0.000 | -0.000 |
| 55.581 | 55.581 | 215.251 | 0.000 | -0.000 | -0.000 |
| 0.000 | 0.000 | 0.000 | 55.372 | -0.000 | -0.000 |
| 0.000 | 0.000 | 0.000 | 0.000 | 55.372 | -0.000 |
| 0.000 | 0.000 | 0.000 | 0.000 | -0.000 | 67.570 |
| 197.575 | 73.256 | 55.581 | -0.000 | 0.000 | 0.000 |
| 73.256 | 197.575 | 55.581 | -0.000 | 0.000 | 0.000 |
| 55.581 | 55.581 | 215.250 | 0.000 | 0.000 | 0.000 |
| -0.000 | -0.000 | -0.000 | 55.372 | 0.000 | 0.000 |
| -0.000 | -0.000 | -0.000 | 0.000 | 55.372 | 0.000 |
| -0.000 | -0.000 | -0.000 | -0.000 | 0.000 | 67.570 |
| 197.579 | 73.256 | 55.582 | 0.000 | -0.000 | -0.000 |
| 73.256 | 197.579 | 55.582 | 0.000 | -0.000 | -0.000 |
| 55.582 | 55.582 | 215.252 | 0.000 | -0.000 | -0.000 |
| 0.000 | 0.001 | 0.001 | 55.372 | -0.000 | -0.000 |
| 0.001 | 0.000 | 0.001 | 0.000 | 55.372 | -0.000 |
| 0.001 | 0.001 | 0.000 | 0.000 | -0.000 | 62.160 |
| 197.572 | 73.255 | 55.580 | -0.000 | 0.000 | 0.000 |
| 73.255 | 197.572 | 55.580 | -0.000 | 0.000 | 0.000 |
| 55.580 | 55.580 | 215.248 | -0.000 | 0.000 | 0.000 |
| -0.000 | -0.001 | -0.001 | 55.372 | 0.000 | 0.000 |
| -0.001 | -0.000 | -0.001 | -0.000 | 55.372 | 0.000 |
| -0.001 | -0.001 | -0.000 | -0.000 | 0.000 | 62.160 |
| 135.448 | 51.076 | 37.011 | 0.000 | -0.000 | 0.000 |
| 46.389 | 140.135 | 37.011 | 0.000 | 0.000 | 0.000 |
| 37.011 | 37.011 | 149.513 | 0.000 | 0.000 | 0.000 |
| 0.000 | -0.000 | -0.000 | 37.494 | 0.000 | 0.000 |
| -0.000 | -0.000 | -0.000 | 0.000 | 37.494 | 0.000 |
| -0.000 | -0.000 | -0.000 | 0.000 | 0.000 | 46.873 |
| 135.448 | 51.076 | 37.011 | -0.000 | 0.000 | -0.000 |
| 51.076 | 135.448 | 37.011 | -0.000 | -0.000 | -0.000 |
| 37.011 | 37.011 | 149.513 | -0.000 | -0.000 | -0.000 |
| -0.000 | 0.000 | 0.000 | 37.494 | -0.000 | -0.000 |
| 0.000 | 0.000 | 0.000 | -0.000 | 37.494 | -0.000 |
| 0.000 | 0.000 | 0.000 | -0.000 | -0.000 | 46.873 |
| 135.448 | 51.076 | 37.011 | 0.000 | 0.000 | 0.000 |
| 51.076 | 135.448 | 37.011 | 0.000 | 0.000 | 0.000 |
| 37.011 | 37.011 | 149.513 | 0.000 | 0.000 | 0.000 |
| -0.000 | -0.000 | -0.000 | 37.494 | 0.000 | 0.000 |
| -0.000 | -0.000 | -0.000 | -0.000 | 37.494 | 0.000 |
| -0.000 | -0.000 | -0.000 | 0.000 | 0.000 | 42.186 |
| 135.448 | 51.076 | 37.011 | -0.000 | -0.000 | -0.000 |
| 46.389 | 140.135 | 37.011 | -0.000 | -0.000 | -0.000 |
| 37.011 | 37.011 | 149.513 | -0.000 | -0.000 | -0.000 |
| 0.000 | 0.000 | 0.000 | 37.494 | -0.000 | -0.000 |
| 0.000 | 0.000 | 0.000 | 0.000 | 37.494 | -0.000 |
| 0.000 | 0.000 | 0.000 | -0.000 | -0.000 | 42.186 |
| 140.133 | 46.389 | 37.011 | 0.000 | 0.000 | 0.000 |
| 46.389 | 140.134 | 37.011 | 0.000 | 0.000 | 0.000 |
| 37.011 | 37.011 | 149.511 | -0.000 | 0.000 | 0.000 |
| -0.000 | -0.000 | -0.000 | 37.494 | 0.000 | 0.000 |
| -0.000 | -0.000 | -0.000 | 0.000 | 37.494 | 0.000 |
| -0.000 | -0.000 | -0.000 | 0.000 | 0.000 | 46.873 |
| 135.450 | 51.076 | 37.011 | -0.000 | -0.000 | -0.000 |
| 46.389 | 140.136 | 37.011 | -0.000 | -0.000 | -0.000 |
| 37.011 | 37.011 | 149.514 | -0.000 | -0.000 | -0.000 |
| 0.000 | 0.000 | 0.000 | 37.494 | -0.000 | -0.000 |
| 0.000 | 0.000 | 0.000 | -0.000 | 37.494 | -0.000 |
| 0.000 | 0.000 | 0.000 | -0.000 | 0.000 | 46.873 |
| 73.138 | 23.847 | 18.796 | 0.000 | 0.000 | -0.000 |
| 23.847 | 73.138 | 18.796 | 0.000 | 0.000 | -0.000 |
| 18.796 | 18.796 | 78.188 | 0.000 | 0.000 | 0.000 |
| -0.000 | -0.000 | -0.000 | 19.612 | 0.000 | 0.000 |
| -0.000 | -0.000 | -0.000 | 0.000 | 19.612 | -0.000 |
| -0.000 | -0.000 | -0.000 | 0.000 | 0.000 | 22.092 |
| 70.584 | 26.400 | 18.796 | -0.000 | -0.000 | -0.000 |
| 23.847 | 73.138 | 18.796 | -0.000 | -0.000 | 0.000 |
| 18.796 | 18.796 | 78.188 | -0.000 | -0.000 | -0.000 |
| 0.000 | 0.000 | 0.000 | 19.612 | -0.000 | -0.000 |
| 0.000 | 0.000 | 0.000 | -0.000 | 19.612 | -0.000 |
| 0.000 | 0.000 | 0.000 | -0.000 | -0.000 | 22.092 |
| 73.137 | 23.847 | 18.796 | 0.000 | 0.000 | -0.000 |
| 26.400 | 70.584 | 18.796 | 0.000 | 0.000 | 0.000 |
| 18.796 | 18.796 | 78.188 | 0.000 | 0.000 | 0.000 |
| -0.000 | -0.000 | -0.000 | 19.612 | -0.000 | 0.000 |
| -0.000 | -0.000 | -0.000 | 0.000 | 19.612 | 0.000 |
| -0.000 | -0.000 | -0.000 | 0.000 | 0.000 | 22.092 |
| 70.584 | 26.400 | 18.796 | -0.000 | -0.000 | -0.000 |
| 23.847 | 73.138 | 18.796 | -0.000 | -0.000 | 0.000 |
| 18.796 | 18.796 | 78.188 | 0.000 | -0.000 | -0.000 |
| 0.000 | 0.000 | 0.000 | 19.612 | 0.000 | -0.000 |
| 0.000 | 0.000 | 0.000 | -0.000 | 19.612 | 0.000 |
| 0.000 | 0.000 | 0.000 | -0.000 | -0.000 | 22.092 |
| 70.582 | 26.400 | 18.796 | 0.000 | 0.000 | 0.000 |
| 26.400 | 70.582 | 18.796 | 0.000 | 0.000 | 0.000 |
| 18.796 | 18.796 | 78.187 | 0.000 | 0.000 | 0.000 |
| -0.000 | -0.000 | -0.000 | 19.612 | 0.000 | 0.000 |
| -0.000 | -0.000 | -0.000 | 0.000 | 19.612 | 0.000 |
| -0.000 | -0.000 | -0.000 | 0.000 | 0.000 | 22.092 |
| 70.585 | 26.401 | 18.796 | -0.000 | -0.000 | -0.000 |
| 26.401 | 70.585 | 18.796 | -0.000 | -0.000 | -0.000 |
| 18.796 | 18.796 | 78.190 | 0.000 | -0.000 | -0.000 |
| 0.000 | 0.000 | 0.000 | 19.612 | -0.000 | -0.000 |
| 0.000 | 0.000 | 0.000 | -0.000 | 19.612 | -0.000 |
| 0.000 | 0.000 | 0.000 | -0.000 | -0.000 | 22.092 |
| -7167.634 | -5685.104 | -5369.139 | -0.000 | -0.000 | 0.000 |
| -6480.672 | -6372.067 | -5369.140 | -0.000 | 0.000 | 0.000 |
| -5369.140 | -5369.140 | -4001.653 | -0.000 | -0.000 | 0.000 |
| 0.000 | 0.000 | 0.000 | -43.817 | -0.000 | 0.000 |
| 0.000 | 0.000 | 0.000 | -0.000 | -43.817 | 0.000 |
| 0.001 | 0.000 | 0.000 | -0.000 | -0.000 | -741.264 |
| -6372.074 | -6480.678 | -5369.145 | 0.000 | -0.000 | -0.000 |
| -5685.113 | -7167.641 | -5369.145 | 0.000 | 0.000 | -0.000 |
| -5369.145 | -5369.145 | -4001.656 | 0.000 | -0.000 | -0.000 |
| -0.000 | -0.000 | -0.000 | -43.817 | -0.000 | -0.000 |
| -0.000 | -0.000 | -0.000 | 0.000 | -43.817 | -0.000 |
| -0.001 | -0.000 | -0.000 | 0.000 | -0.000 | -741.264 |
| -6372.036 | -6480.642 | -5369.115 | -0.000 | 0.000 | 0.000 |
| -6480.642 | -6372.036 | -5369.115 | -0.000 | -0.000 | 0.000 |
| -5369.121 | -5369.121 | -4001.638 | -0.000 | -0.000 | 0.000 |
| 0.000 | 0.000 | 0.000 | -43.817 | 0.000 | 0.000 |
| 0.000 | 0.000 | 0.000 | -0.000 | -43.817 | 0.000 |
| 0.000 | 0.000 | 0.000 | -0.000 | -0.000 | 54.302 |
| -6372.105 | -6480.708 | -5369.170 | 0.000 | 0.000 | -0.000 |
| -5209.724 | -7643.117 | -5369.178 | 0.000 | 0.000 | -0.000 |
| -5369.164 | -5369.164 | -4001.671 | 0.000 | 0.000 | -0.000 |
| -0.000 | -0.000 | -0.000 | -43.817 | -0.000 | -0.000 |
| -0.000 | -0.000 | -0.000 | 0.000 | -43.817 | -0.000 |
| -0.000 | -0.000 | -0.000 | 0.000 | 0.000 | 54.302 |
| 43127788.214 | 44721240.331 | 32260685.077 | 134936.735 | 51977.954 | -249749.424 |
| -5684.683 | -7167.304 | -5368.846 | -0.000 | 0.000 | 0.000 |
| -5368.927 | -5368.927 | -4001.489 | -0.000 | -0.000 | 0.000 |
| 0.002 | 0.003 | 0.002 | -43.817 | -0.000 | 0.000 |
| 0.003 | 0.002 | 0.002 | -0.000 | -43.817 | 0.000 |
| 0.327 | -0.047 | 0.087 | -0.000 | 0.000 | -1216.674 |
| -45451315.229 | -41210758.750 | -34498389.602 | 28267.950 | 131449.670 | -264956.230 |
| -42545041.507 | -44127607.759 | -31614239.231 | 226535.912 | -5186.679 | -216544.149 |
| -5369.358 | -5369.358 | -4001.820 | 0.000 | -0.000 | -0.000 |
| -0.002 | -0.003 | -0.002 | -43.817 | -0.000 | -0.000 |
| -0.003 | -0.002 | -0.002 | -0.000 | -43.817 | -0.000 |
| -0.327 | 0.047 | -0.087 | 0.000 | 0.000 | -1216.674 |
| -269364408.722 | 1843811138.173 | -84842611.253 | 0.000 | -0.000 | 261987466.585 |
| 552.871 | 547.071 | 349.519 | 0.000 | -0.000 | 0.000 |
| 349.519 | 349.519 | 510.947 | 0.000 | -0.000 | -0.000 |
| 0.000 | -0.000 | -0.000 | -33.701 | -0.000 | -0.000 |
| 0.000 | -0.000 | -0.000 | 0.000 | -33.701 | -0.000 |
| -0.000 | 0.000 | -0.000 | 0.000 | -0.000 | -2.900 |
| 547.073 | 552.873 | 349.520 | 0.000 | 0.000 | -0.000 |
| 552.873 | 547.073 | 349.520 | 0.000 | 0.000 | 0.000 |
| 349.520 | 349.520 | 510.947 | -0.000 | 0.000 | 0.000 |
| -0.000 | 0.000 | 0.000 | -33.701 | 0.000 | 0.000 |
| -0.000 | 0.000 | 0.000 | -0.000 | -33.701 | -0.000 |
| 0.000 | -0.000 | -0.000 | 0.000 | 0.000 | -2.900 |
| -26936128.819 | 184381306.848 | -8484143.102 | 0.000 | -0.000 | 26198761.248 |
| 382940751.041 | -57719800.435 | 29546091.474 | 0.001 | -0.000 | -0.005 |
| 349.515 | 349.515 | 510.945 | -0.000 | -0.000 | -0.000 |
| 0.000 | -0.000 | -0.000 | -33.701 | -0.000 | -0.000 |
| -0.000 | 0.000 | -0.000 | 0.000 | -33.701 | -0.000 |
| 52444940.488 | 272775245.702 | 29545852.200 | 0.000 | 0.000 | -190811578.713 |
| -382939974.779 | 57720541.369 | -29545581.594 | -0.001 | -0.000 | 0.005 |
| 552.882 | 547.082 | 349.526 | -0.000 | 0.000 | 0.000 |
| 349.524 | 349.524 | 510.950 | -0.000 | 0.000 | 0.000 |
| -0.000 | 0.000 | 0.000 | -33.701 | 0.000 | 0.000 |
| 0.000 | -0.000 | 0.000 | -0.000 | -33.701 | -0.000 |
| -52444940.522 | -272775246.019 | -29545852.171 | -0.000 | 0.000 | -190811578.956 |
| -2693300.811 | 18438323.716 | -848296.320 | -0.000 | 0.000 | 2619890.739 |
| 38294532.149 | -5771730.641 | 2954734.606 | 0.000 | -0.000 | -0.000 |
| 349.478 | 349.478 | 510.921 | 0.000 | -0.000 | -0.000 |
| 0.001 | -0.001 | -0.000 | -33.701 | -0.000 | -0.000 |
| 0.000 | 0.000 | -0.000 | 0.000 | -33.701 | -0.000 |
| 5244438.344 | 27277601.127 | 2954495.152 | -0.000 | -0.000 | -19081215.826 |
| -38293755.896 | 5772471.546 | -2954224.742 | -0.003 | 0.000 | 0.000 |
| 2693840.895 | -18437581.512 | 848604.378 | 0.000 | 0.000 | -2619852.684 |
| 349.561 | 349.561 | 510.974 | 0.000 | 0.000 | 0.000 |
| -0.001 | 0.001 | 0.000 | -33.701 | 0.000 | 0.000 |
| -0.000 | -0.000 | 0.000 | -0.000 | -33.701 | -0.000 |
| -5244438.345 | -27277601.129 | -2954495.151 | 0.000 | -0.000 | -19081215.828 |
| 239.662 | 52.922 | -58.687 | -0.000 | -0.000 | 0.000 |
| 52.922 | 239.662 | -58.687 | -0.000 | -0.000 | 0.000 |
| -58.687 | -58.687 | 497.281 | -0.000 | -0.000 | 0.000 |
| 0.000 | -0.000 | -0.000 | 65.453 | 0.000 | 0.000 |
| -0.000 | -0.000 | -0.000 | 0.000 | 65.453 | -0.000 |
| -0.000 | -0.000 | 0.000 | -0.000 | 0.000 | 93.370 |
| 239.662 | 52.922 | -58.687 | 0.000 | -0.000 | 0.000 |
| 64.695 | 227.888 | -58.687 | -0.000 | -0.000 | 0.000 |
| -58.687 | -58.687 | 497.281 | -0.000 | -0.000 | 0.000 |
| 0.000 | 0.000 | 0.000 | 65.453 | -0.000 | 0.000 |
| 0.000 | 0.000 | 0.000 | 0.000 | 65.453 | -0.000 |
| 0.000 | 0.000 | -0.000 | 0.000 | 0.000 | 93.370 |
| 227.888 | 64.695 | -58.687 | 0.000 | -0.000 | -0.000 |
| 52.922 | 239.661 | -58.687 | -0.000 | -0.000 | 0.000 |
| -58.686 | -58.686 | 497.279 | -0.000 | -0.000 | -0.000 |
| -0.000 | -0.000 | -0.000 | 65.453 | -0.000 | 0.000 |
| -0.000 | -0.000 | -0.000 | 0.000 | 65.453 | 0.000 |
| -0.000 | -0.000 | 0.000 | -0.000 | -0.000 | 81.597 |
| 239.662 | 52.922 | -58.687 | 0.000 | 0.000 | -0.000 |
| 64.695 | 227.889 | -58.687 | -0.000 | 0.000 | 0.000 |
| -58.687 | -58.687 | 497.283 | -0.000 | -0.000 | -0.000 |
| 0.000 | 0.000 | 0.000 | 65.453 | 0.000 | 0.000 |
| 0.000 | 0.000 | 0.000 | -0.000 | 65.453 | 0.000 |
| 0.000 | 0.000 | -0.000 | -0.000 | -0.000 | 81.597 |
| 239.658 | 52.921 | -58.687 | -0.000 | 0.000 | -0.000 |
| 64.695 | 227.884 | -58.688 | 0.000 | -0.000 | -0.000 |
| -58.681 | -58.681 | 497.259 | -0.000 | -0.000 | 0.000 |
| -0.000 | -0.001 | -0.001 | 65.453 | -0.000 | -0.000 |
| -0.001 | -0.000 | -0.001 | -0.000 | 65.453 | -0.000 |
| -0.001 | -0.001 | 0.000 | -0.000 | -0.000 | 81.597 |
| 239.665 | 52.923 | -58.686 | 0.000 | 0.000 | 0.000 |
| 64.696 | 227.893 | -58.686 | -0.000 | 0.000 | 0.000 |
| -58.692 | -58.692 | 497.304 | 0.000 | -0.000 | -0.000 |
| 0.000 | 0.001 | 0.001 | 65.453 | 0.000 | -0.000 |
| 0.001 | 0.000 | 0.001 | 0.000 | 65.453 | -0.000 |
| 0.001 | 0.001 | -0.000 | 0.000 | -0.000 | 81.597 |
| 664.393 | 305.064 | 446.121 | 0.000 | 0.000 | -0.000 |
| 304.879 | 664.578 | 446.121 | -0.000 | 0.000 | 0.000 |
| 446.121 | 446.121 | 1150.474 | 0.000 | 0.000 | 0.000 |
| 0.000 | -0.000 | 0.000 | 204.696 | -0.000 | -0.000 |
| -0.000 | 0.000 | 0.000 | 0.000 | 204.696 | -0.000 |
| -0.000 | 0.000 | 0.000 | -0.000 | 0.000 | 179.850 |
| 664.393 | 305.064 | 446.121 | -0.000 | -0.000 | -0.000 |
| 304.879 | 664.578 | 446.121 | 0.000 | 0.000 | 0.000 |
| 446.121 | 446.121 | 1150.474 | -0.000 | -0.000 | -0.000 |
| -0.000 | 0.000 | -0.000 | 204.696 | -0.000 | -0.000 |
| 0.000 | -0.000 | -0.000 | -0.000 | 204.696 | 0.000 |
| 0.000 | -0.000 | -0.000 | 0.000 | 0.000 | 179.850 |
| 664.579 | 304.879 | 446.121 | -0.000 | 0.000 | -0.000 |
| 304.879 | 664.579 | 446.121 | -0.000 | -0.000 | -0.000 |
| 446.122 | 446.122 | 1150.475 | 0.000 | 0.000 | -0.000 |
| 0.000 | -0.000 | 0.000 | 204.696 | 0.000 | -0.000 |
| -0.000 | 0.000 | 0.000 | -0.000 | 204.696 | 0.000 |
| -0.000 | 0.000 | 0.000 | -0.000 | 0.000 | 179.850 |
| 664.392 | 305.064 | 446.120 | -0.000 | -0.000 | 0.000 |
| 305.064 | 664.392 | 446.120 | -0.000 | -0.000 | -0.000 |
| 446.120 | 446.120 | 1150.473 | 0.000 | 0.000 | -0.000 |
| -0.000 | 0.000 | -0.000 | 204.696 | 0.000 | -0.000 |
| 0.000 | -0.000 | -0.000 | -0.000 | 204.696 | -0.000 |
| 0.000 | -0.000 | -0.000 | 0.000 | 0.000 | 179.850 |
| 664.397 | 305.068 | 446.127 | 0.000 | 0.000 | -0.000 |
| 304.883 | 664.582 | 446.127 | -0.000 | 0.000 | 0.000 |
| 446.129 | 446.129 | 1150.484 | -0.000 | 0.000 | 0.000 |
| 0.000 | -0.000 | 0.000 | 204.696 | 0.000 | -0.000 |
| -0.000 | 0.000 | 0.000 | 0.000 | 204.696 | 0.000 |
| -0.000 | 0.000 | 0.000 | 0.000 | 0.000 | 179.664 |
| 664.574 | 304.875 | 446.115 | 0.000 | 0.000 | 0.000 |
| 304.875 | 664.575 | 446.115 | 0.000 | 0.000 | 0.000 |
| 446.112 | 446.112 | 1150.464 | -0.000 | -0.000 | 0.000 |
| -0.000 | 0.000 | -0.000 | 204.696 | -0.000 | 0.000 |
| 0.000 | -0.000 | -0.000 | -0.000 | 204.696 | -0.000 |
| 0.000 | -0.000 | -0.000 | -0.000 | -0.000 | 179.664 |
| 135.449 | 51.075 | 37.011 | 0.000 | -0.000 | 0.000 |
| 51.075 | 135.449 | 37.011 | 0.000 | 0.000 | 0.000 |
| 37.011 | 37.011 | 149.513 | 0.000 | -0.000 | 0.000 |
| -0.000 | -0.000 | -0.000 | 37.491 | -0.000 | 0.000 |
| -0.000 | 0.000 | -0.000 | 0.000 | 37.491 | 0.000 |
| -0.000 | -0.000 | -0.000 | 0.000 | 0.000 | 42.187 |
| 135.449 | 51.075 | 37.011 | -0.000 | -0.000 | -0.000 |
| 46.391 | 140.133 | 37.011 | -0.000 | 0.000 | -0.000 |
| 37.011 | 37.011 | 149.513 | -0.000 | 0.000 | -0.000 |
| 0.000 | -0.000 | 0.000 | 37.491 | 0.000 | -0.000 |
| 0.000 | -0.000 | 0.000 | -0.000 | 37.491 | -0.000 |
| 0.000 | 0.000 | 0.000 | -0.000 | -0.000 | 42.187 |
| 135.449 | 51.075 | 37.011 | 0.000 | -0.000 | 0.000 |
| 46.391 | 140.133 | 37.011 | 0.000 | -0.000 | -0.000 |
| 37.011 | 37.011 | 149.513 | 0.000 | -0.000 | 0.000 |
| -0.000 | -0.000 | -0.000 | 37.491 | -0.000 | 0.000 |
| -0.000 | -0.000 | -0.000 | 0.000 | 37.491 | 0.000 |
| -0.000 | -0.000 | -0.000 | 0.000 | 0.000 | 46.871 |
| 140.133 | 46.391 | 37.011 | -0.000 | -0.000 | 0.000 |
| 46.391 | 140.133 | 37.011 | -0.000 | 0.000 | 0.000 |
| 37.011 | 37.011 | 149.513 | -0.000 | 0.000 | -0.000 |
| 0.000 | 0.000 | 0.000 | 37.491 | 0.000 | -0.000 |
| 0.000 | 0.000 | 0.000 | -0.000 | 37.491 | -0.000 |
| 0.000 | 0.000 | 0.000 | -0.000 | -0.000 | 46.871 |
| 135.448 | 51.075 | 37.011 | 0.000 | 0.000 | 0.000 |
| 51.074 | 135.448 | 37.011 | 0.000 | 0.000 | 0.000 |
| 37.011 | 37.011 | 149.511 | 0.000 | -0.000 | 0.000 |
| -0.000 | -0.000 | -0.000 | 37.491 | 0.000 | 0.000 |
| -0.000 | -0.000 | -0.000 | 0.000 | 37.491 | 0.000 |
| -0.000 | -0.000 | -0.000 | 0.000 | 0.000 | 42.187 |
| 135.450 | 51.075 | 37.011 | -0.000 | -0.000 | -0.000 |
| 51.075 | 135.450 | 37.011 | -0.000 | -0.000 | -0.000 |
| 37.011 | 37.011 | 149.514 | -0.000 | 0.000 | -0.000 |
| 0.000 | 0.000 | 0.000 | 37.491 | -0.000 | -0.000 |
| 0.000 | 0.000 | 0.000 | -0.000 | 37.491 | -0.000 |
| 0.000 | 0.000 | 0.000 | -0.000 | -0.000 | 42.187 |
| 70.583 | 26.401 | 18.796 | 0.000 | 0.000 | 0.000 |
| 26.401 | 70.583 | 18.796 | 0.000 | 0.000 | 0.000 |
| 18.796 | 18.796 | 78.188 | 0.000 | 0.000 | 0.000 |
| -0.000 | -0.000 | -0.000 | 19.585 | 0.000 | 0.000 |
| -0.000 | -0.000 | -0.000 | 0.000 | 19.585 | 0.000 |
| -0.000 | -0.000 | -0.000 | -0.000 | 0.000 | 22.091 |
| 70.583 | 26.401 | 18.796 | -0.000 | -0.000 | -0.000 |
| 26.401 | 70.583 | 18.796 | -0.000 | -0.000 | -0.000 |
| 18.796 | 18.796 | 78.188 | -0.000 | -0.000 | -0.000 |
| 0.000 | 0.000 | 0.000 | 19.585 | -0.000 | -0.000 |
| 0.000 | 0.000 | 0.000 | 0.000 | 19.585 | 0.000 |
| 0.000 | 0.000 | 0.000 | -0.000 | -0.000 | 22.091 |
| 70.583 | 26.401 | 18.796 | 0.000 | 0.000 | 0.000 |
| 26.401 | 70.583 | 18.796 | -0.000 | 0.000 | 0.000 |
| 18.796 | 18.796 | 78.188 | 0.000 | 0.000 | 0.000 |
| -0.000 | -0.000 | -0.000 | 19.585 | 0.000 | 0.000 |
| -0.000 | -0.000 | -0.000 | 0.000 | 19.585 | 0.000 |
| -0.000 | -0.000 | -0.000 | 0.000 | 0.000 | 22.091 |
| 70.583 | 26.401 | 18.796 | -0.000 | -0.000 | -0.000 |
| 26.401 | 70.583 | 18.796 | -0.000 | -0.000 | -0.000 |
| 18.796 | 18.796 | 78.188 | -0.000 | -0.000 | -0.000 |
| 0.000 | 0.000 | 0.000 | 19.585 | -0.000 | -0.000 |
| 0.000 | 0.000 | 0.000 | -0.000 | 19.585 | -0.000 |
| 0.000 | 0.000 | 0.000 | -0.000 | -0.000 | 22.091 |
| 70.582 | 26.401 | 18.796 | 0.000 | 0.000 | 0.000 |
| 26.401 | 70.582 | 18.796 | 0.000 | 0.000 | 0.000 |
| 18.796 | 18.796 | 78.187 | 0.000 | 0.000 | 0.000 |
| -0.000 | -0.000 | -0.000 | 19.585 | 0.000 | 0.000 |
| -0.000 | -0.000 | -0.000 | 0.000 | 19.585 | 0.000 |
| -0.000 | -0.000 | -0.000 | 0.000 | 0.000 | 22.091 |
| 70.585 | 26.401 | 18.796 | -0.000 | -0.000 | -0.000 |
| 26.401 | 70.585 | 18.796 | -0.000 | -0.000 | -0.000 |
| 18.796 | 18.796 | 78.190 | -0.000 | -0.000 | -0.000 |
| 0.000 | 0.000 | 0.000 | 19.585 | -0.000 | -0.000 |
| 0.000 | 0.000 | 0.000 | -0.000 | 19.585 | -0.000 |
| 0.000 | 0.000 | 0.000 | -0.000 | -0.000 | 22.091 |
| 526.888 | 489.210 | 489.210 | 0.000 | -0.000 | -0.000 |
| 489.210 | 526.888 | 489.210 | 0.000 | 0.000 | 0.000 |
| 489.210 | 489.210 | 526.888 | 0.000 | 0.000 | 0.000 |
| -0.000 | 0.000 | -0.000 | 49.094 | 0.000 | 0.000 |
| -0.000 | 0.000 | -0.000 | 0.000 | 49.094 | -0.000 |
| -0.000 | 0.000 | -0.000 | 0.000 | 0.000 | 49.094 |
| 526.888 | 489.210 | 489.210 | -0.000 | -0.000 | 0.000 |
| 489.210 | 526.888 | 489.210 | -0.000 | -0.000 | 0.000 |
| 489.210 | 489.210 | 526.888 | -0.000 | -0.000 | 0.000 |
| -0.000 | -0.000 | 0.000 | 49.094 | -0.000 | 0.000 |
| 0.000 | 0.000 | 0.000 | -0.000 | 49.094 | 0.000 |
| 0.000 | 0.000 | 0.000 | 0.000 | -0.000 | 49.094 |
| 526.888 | 489.210 | 489.210 | 0.000 | 0.000 | 0.000 |
| 489.210 | 526.888 | 489.210 | 0.000 | 0.000 | 0.000 |
| 489.210 | 489.210 | 526.888 | 0.000 | -0.000 | 0.000 |
| -0.000 | -0.000 | -0.000 | -85.679 | 0.000 | -0.000 |
| -0.000 | -0.000 | -0.000 | 0.000 | -85.679 | 0.000 |
| -0.000 | -0.000 | -0.000 | 0.000 | 0.000 | -85.679 |
| 526.888 | 489.210 | 489.210 | -0.000 | -0.000 | -0.000 |
| 489.210 | 526.888 | 489.210 | -0.000 | -0.000 | -0.000 |
| 489.210 | 489.210 | 526.888 | -0.000 | -0.000 | 0.000 |
| 0.000 | 0.000 | 0.000 | -85.679 | -0.000 | -0.000 |
| 0.000 | 0.000 | 0.000 | -0.000 | -85.679 | 0.000 |
| 0.000 | 0.000 | 0.000 | -0.000 | -0.000 | -85.679 |
| 526.887 | 489.213 | 489.213 | 0.000 | -0.000 | 0.000 |
| 489.213 | 526.887 | 489.213 | 0.000 | -0.000 | -0.000 |
| 489.213 | 489.213 | 526.887 | 0.000 | 0.000 | -0.000 |
| -0.002 | -0.001 | -0.002 | -85.679 | 0.000 | 0.000 |
| -0.001 | -0.002 | -0.002 | 0.000 | -85.679 | 0.000 |
| -0.001 | -0.002 | -0.002 | 0.000 | 0.000 | -85.679 |
| 526.889 | 489.207 | 489.207 | -0.000 | -0.000 | -0.000 |
| 489.207 | 526.889 | 489.207 | -0.000 | -0.000 | -0.000 |
| 489.207 | 489.207 | 526.889 | -0.000 | -0.000 | -0.000 |
| 0.002 | 0.001 | 0.002 | -85.679 | -0.000 | 0.000 |
| 0.001 | 0.002 | 0.002 | -0.000 | -85.679 | -0.000 |
| 0.001 | 0.002 | 0.002 | -0.000 | -0.000 | -85.679 |
| 67.701 | 165.906 | 165.906 | 0.000 | 0.000 | 0.000 |
| 165.906 | 67.701 | 165.906 | 0.000 | 0.000 | 0.000 |
| 165.906 | 165.906 | 67.701 | 0.000 | 0.000 | 0.000 |
| 0.000 | 0.000 | 0.000 | 5.592 | 0.000 | 0.000 |
| 0.000 | 0.000 | 0.000 | 0.000 | 5.592 | 0.000 |
| 0.000 | 0.000 | 0.000 | 0.000 | 0.000 | 5.592 |
| 67.701 | 165.907 | 165.907 | -0.000 | -0.000 | -0.000 |
| 165.907 | 67.701 | 165.907 | -0.000 | -0.000 | -0.000 |
| 165.907 | 165.907 | 67.701 | -0.000 | 0.000 | -0.000 |
| -0.000 | -0.000 | -0.000 | 5.592 | -0.000 | -0.000 |
| -0.000 | -0.000 | -0.000 | -0.000 | 5.592 | -0.000 |
| -0.000 | -0.000 | -0.000 | -0.000 | -0.000 | 5.592 |
| 67.699 | 165.904 | 165.904 | 0.000 | 0.000 | 0.000 |
| 165.904 | 67.699 | 165.904 | 0.000 | 0.000 | 0.000 |
| 165.904 | 165.904 | 67.699 | 0.000 | -0.000 | 0.000 |
| 0.000 | 0.000 | 0.000 | -87.556 | -0.000 | 0.000 |
| 0.000 | 0.000 | 0.000 | 0.000 | -87.556 | 0.000 |
| 0.000 | 0.000 | 0.000 | 0.000 | 0.000 | -87.556 |
| 67.703 | 165.908 | 165.908 | -0.000 | -0.000 | -0.000 |
| 165.908 | 67.703 | 165.908 | -0.000 | 0.000 | -0.000 |
| 165.908 | 165.908 | 67.703 | -0.000 | -0.000 | -0.000 |
| -0.000 | -0.000 | -0.000 | -87.556 | 0.000 | -0.000 |
| -0.000 | -0.000 | -0.000 | -0.000 | -87.556 | -0.000 |
| -0.000 | -0.000 | -0.000 | -0.000 | -0.000 | -87.556 |
| 67.682 | 165.886 | 165.886 | 0.000 | -0.000 | 0.000 |
| 165.886 | 67.682 | 165.886 | 0.000 | -0.000 | 0.000 |
| 165.886 | 165.886 | 67.682 | 0.000 | -0.000 | 0.000 |
| 0.001 | 0.001 | 0.000 | -87.556 | 0.000 | 0.000 |
| 0.001 | 0.001 | 0.000 | 0.000 | -87.556 | 0.000 |
| 0.001 | 0.000 | 0.001 | 0.000 | 0.000 | -87.556 |
| 67.720 | 165.926 | 165.926 | -0.000 | 0.000 | -0.000 |
| 165.926 | 67.720 | 165.926 | -0.000 | 0.000 | -0.000 |
| 165.926 | 165.926 | 67.720 | -0.000 | 0.000 | -0.000 |
| -0.001 | -0.001 | -0.000 | -87.556 | 0.000 | -0.000 |
| -0.001 | -0.001 | -0.000 | -0.000 | -87.556 | -0.000 |
| -0.001 | -0.000 | -0.001 | -0.000 | 0.000 | -87.556 |
| 116.739 | 33.479 | 33.479 | -0.000 | 0.000 | -0.000 |
| 33.479 | 116.739 | 33.479 | 0.000 | 0.000 | 0.000 |
| 33.479 | 33.479 | 116.739 | 0.000 | 0.000 | -0.000 |
| 0.000 | -0.000 | -0.000 | 30.698 | 0.000 | -0.000 |
| -0.000 | -0.000 | -0.000 | -0.000 | 30.698 | 0.000 |
| 0.000 | -0.000 | -0.000 | -0.000 | 0.000 | 30.698 |
| 116.739 | 33.479 | 33.479 | 0.000 | -0.000 | 0.000 |
| 33.479 | 116.739 | 33.479 | -0.000 | -0.000 | 0.000 |
| 33.479 | 33.479 | 116.739 | -0.000 | -0.000 | 0.000 |
| -0.000 | 0.000 | 0.000 | 30.698 | -0.000 | -0.000 |
| 0.000 | -0.000 | 0.000 | -0.000 | 30.698 | 0.000 |
| 0.000 | 0.000 | 0.000 | 0.000 | -0.000 | 30.698 |
| 116.739 | 33.479 | 33.479 | -0.000 | 0.000 | -0.000 |
| 33.479 | 116.739 | 33.479 | 0.000 | 0.000 | 0.000 |
| 33.479 | 33.479 | 116.739 | 0.000 | -0.000 | -0.000 |
| -0.000 | -0.000 | -0.000 | 30.698 | 0.000 | 0.000 |
| -0.000 | -0.000 | -0.000 | -0.000 | 30.698 | 0.000 |
| -0.000 | -0.000 | -0.000 | -0.000 | 0.000 | 30.698 |
| 116.739 | 33.479 | 33.479 | 0.000 | 0.000 | -0.000 |
| 33.479 | 116.739 | 33.479 | 0.000 | 0.000 | -0.000 |
| 33.479 | 33.479 | 116.739 | 0.000 | -0.000 | 0.000 |
| 0.000 | 0.000 | 0.000 | 30.698 | -0.000 | -0.000 |
| 0.000 | 0.000 | 0.000 | -0.000 | 30.698 | -0.000 |
| 0.000 | 0.000 | 0.000 | -0.000 | -0.000 | 30.698 |
| 116.740 | 33.478 | 33.478 | 0.000 | 0.000 | 0.000 |
| 33.478 | 116.740 | 33.478 | 0.000 | 0.000 | -0.000 |
| 33.478 | 33.478 | 116.740 | 0.000 | 0.000 | 0.000 |
| -0.000 | -0.000 | -0.000 | 30.698 | 0.000 | 0.000 |
| -0.000 | -0.000 | -0.000 | 0.000 | 30.698 | 0.000 |
| -0.000 | -0.000 | -0.000 | 0.000 | 0.000 | 30.698 |
| 116.739 | 33.479 | 33.479 | -0.000 | -0.000 | -0.000 |
| 33.479 | 116.739 | 33.479 | -0.000 | -0.000 | -0.000 |
| 33.479 | 33.479 | 116.739 | -0.000 | -0.000 | 0.000 |
| 0.000 | 0.000 | 0.000 | 30.698 | -0.000 | 0.000 |
| 0.000 | 0.000 | 0.000 | -0.000 | 30.698 | -0.000 |
| 0.000 | 0.000 | 0.000 | 0.000 | -0.000 | 30.698 |
| 282.805 | 157.334 | 157.334 | 0.000 | 0.000 | 0.000 |
| 157.334 | 282.805 | 157.334 | 0.000 | 0.000 | 0.000 |
| 157.334 | 157.334 | 282.805 | 0.000 | 0.000 | 0.000 |
| 0.000 | 0.000 | 0.000 | 114.579 | 0.000 | 0.000 |
| -0.000 | 0.000 | 0.000 | 0.000 | 114.579 | 0.000 |
| -0.000 | 0.000 | 0.000 | 0.000 | 0.000 | 114.579 |
| 282.805 | 157.334 | 157.334 | -0.000 | -0.000 | -0.000 |
| 157.335 | 282.805 | 157.334 | -0.000 | -0.000 | -0.000 |
| 157.335 | 157.334 | 282.805 | -0.000 | -0.000 | -0.000 |
| -0.000 | -0.000 | -0.000 | 114.579 | -0.000 | -0.000 |
| 0.000 | -0.000 | -0.000 | -0.000 | 114.579 | -0.000 |
| 0.000 | -0.000 | -0.000 | -0.000 | -0.000 | 114.579 |
| 282.805 | 157.334 | 157.334 | 0.000 | 0.000 | 0.000 |
| 157.334 | 282.805 | 157.334 | 0.000 | 0.000 | 0.000 |
| 157.334 | 157.334 | 282.805 | 0.000 | 0.000 | 0.000 |
| -0.000 | -0.000 | -0.000 | 158.545 | 0.000 | 0.000 |
| -0.000 | -0.000 | -0.000 | 0.000 | 158.545 | 0.000 |
| -0.000 | -0.000 | -0.000 | 0.000 | 0.000 | 158.545 |
| 282.805 | 157.335 | 157.335 | -0.000 | -0.000 | -0.000 |
| 157.335 | 282.805 | 157.335 | -0.000 | -0.000 | -0.000 |
| 157.335 | 157.335 | 282.805 | -0.000 | -0.000 | -0.000 |
| 0.000 | 0.000 | 0.000 | 158.545 | -0.000 | -0.000 |
| 0.000 | 0.000 | 0.000 | -0.000 | 158.545 | -0.000 |
| 0.000 | 0.000 | 0.000 | -0.000 | -0.000 | 158.545 |
| 282.807 | 157.334 | 157.334 | 0.000 | 0.000 | 0.000 |
| 157.334 | 282.807 | 157.334 | 0.000 | 0.000 | 0.000 |
| 157.334 | 157.334 | 282.807 | 0.000 | 0.000 | 0.000 |
| 0.001 | -0.000 | 0.000 | 114.579 | 0.000 | 0.000 |
| -0.000 | 0.001 | 0.000 | 0.000 | 114.579 | 0.000 |
| -0.000 | 0.000 | 0.001 | 0.000 | 0.000 | 114.579 |
| 282.803 | 157.335 | 157.335 | -0.000 | -0.000 | -0.000 |
| 157.335 | 282.803 | 157.335 | -0.000 | -0.000 | -0.000 |
| 157.335 | 157.335 | 282.803 | -0.000 | -0.000 | -0.000 |
| -0.001 | 0.000 | -0.000 | 114.579 | -0.000 | -0.000 |
| 0.000 | -0.001 | -0.000 | -0.000 | 114.579 | -0.000 |
| 0.000 | -0.000 | -0.001 | -0.000 | -0.000 | 114.579 |
| 124.181 | 76.452 | 76.452 | -0.000 | -0.000 | 0.000 |
| 76.452 | 124.181 | 76.452 | -0.000 | 0.000 | 0.000 |
| 76.452 | 76.452 | 124.181 | -0.000 | 0.000 | 0.000 |
| -0.000 | 0.000 | 0.000 | 48.997 | 0.000 | -0.000 |
| 0.000 | -0.000 | 0.000 | 0.000 | 48.997 | 0.000 |
| 0.000 | 0.000 | -0.000 | 0.000 | 0.000 | 48.997 |
| 124.181 | 76.452 | 76.452 | -0.000 | 0.000 | -0.000 |
| 76.452 | 124.181 | 76.452 | 0.000 | -0.000 | -0.000 |
| 76.452 | 76.452 | 124.181 | -0.000 | 0.000 | -0.000 |
| 0.000 | -0.000 | -0.000 | 48.997 | 0.000 | -0.000 |
| -0.000 | -0.000 | -0.000 | -0.000 | 48.997 | -0.000 |
| -0.000 | -0.000 | 0.000 | -0.000 | 0.000 | 48.997 |
| 124.181 | 76.452 | 76.452 | -0.000 | 0.000 | 0.000 |
| 76.452 | 124.181 | 76.452 | -0.000 | 0.000 | 0.000 |
| 76.452 | 76.452 | 124.181 | -0.000 | 0.000 | 0.000 |
| -0.000 | 0.000 | 0.000 | 48.997 | 0.000 | 0.000 |
| 0.000 | -0.000 | 0.000 | 0.000 | 48.997 | 0.000 |
| 0.000 | 0.000 | -0.000 | 0.000 | -0.000 | 48.997 |
| 124.181 | 76.452 | 76.452 | -0.000 | -0.000 | -0.000 |
| 76.452 | 124.181 | 76.452 | -0.000 | -0.000 | -0.000 |
| 76.452 | 76.452 | 124.181 | 0.000 | -0.000 | -0.000 |
| 0.000 | -0.000 | -0.000 | 48.997 | 0.000 | -0.000 |
| -0.000 | 0.000 | -0.000 | -0.000 | 48.997 | -0.000 |
| -0.000 | -0.000 | 0.000 | -0.000 | 0.000 | 48.997 |
| 124.182 | 76.453 | 76.453 | 0.000 | -0.000 | 0.000 |
| 76.453 | 124.182 | 76.453 | -0.000 | 0.000 | 0.000 |
| 76.453 | 76.453 | 124.182 | -0.000 | -0.000 | 0.000 |
| -0.000 | 0.000 | 0.000 | 48.997 | 0.000 | -0.000 |
| 0.000 | -0.000 | 0.000 | 0.000 | 48.997 | 0.000 |
| 0.000 | 0.000 | -0.000 | 0.000 | -0.000 | 48.997 |
| 124.180 | 76.451 | 76.451 | 0.000 | 0.000 | -0.000 |
| 76.451 | 124.180 | 76.451 | 0.000 | -0.000 | -0.000 |
| 76.451 | 76.451 | 124.180 | -0.000 | 0.000 | -0.000 |
| 0.000 | -0.000 | -0.000 | 48.997 | -0.000 | -0.000 |
| -0.000 | 0.000 | -0.000 | -0.000 | 48.997 | -0.000 |
| -0.000 | -0.000 | 0.000 | -0.000 | 0.000 | 48.997 |
| 11.919 | 11.912 | 11.912 | 0.000 | 0.000 | 0.000 |
| 11.912 | 11.919 | 11.912 | 0.000 | 0.000 | 0.000 |
| 11.912 | 11.912 | 11.919 | 0.000 | 0.000 | 0.000 |
| -0.000 | -0.000 | -0.000 | 0.011 | 0.000 | 0.000 |
| -0.000 | -0.000 | -0.000 | 0.000 | 0.011 | 0.000 |
| -0.000 | -0.000 | -0.000 | 0.000 | 0.000 | 0.011 |
| 11.919 | 11.912 | 11.912 | -0.000 | -0.000 | -0.000 |
| 11.912 | 11.919 | 11.912 | -0.000 | -0.000 | -0.000 |
| 11.912 | 11.912 | 11.919 | -0.000 | -0.000 | -0.000 |
| 0.000 | 0.000 | 0.000 | 0.011 | -0.000 | -0.000 |
| 0.000 | 0.000 | 0.000 | -0.000 | 0.011 | -0.000 |
| 0.000 | 0.000 | 0.000 | -0.000 | -0.000 | 0.011 |
| 11.919 | 11.912 | 11.912 | 0.000 | 0.000 | 0.000 |
| 11.912 | 11.919 | 11.912 | 0.000 | 0.000 | 0.000 |
| 11.912 | 11.912 | 11.919 | 0.000 | 0.000 | 0.000 |
| -0.000 | -0.000 | -0.000 | 0.011 | 0.000 | 0.000 |
| -0.000 | -0.000 | -0.000 | 0.000 | 0.011 | 0.000 |
| -0.000 | -0.000 | -0.000 | 0.000 | 0.000 | 0.011 |
| 11.919 | 11.912 | 11.912 | -0.000 | -0.000 | -0.000 |
| 11.912 | 11.919 | 11.912 | -0.000 | -0.000 | -0.000 |
| 11.912 | 11.912 | 11.919 | -0.000 | -0.000 | -0.000 |
| 0.000 | 0.000 | 0.000 | 0.011 | -0.000 | -0.000 |
| 0.000 | 0.000 | 0.000 | -0.000 | 0.011 | -0.000 |
| 0.000 | 0.000 | 0.000 | -0.000 | -0.000 | 0.011 |
| 11.919 | 11.912 | 11.912 | 0.000 | 0.000 | 0.000 |
| 11.912 | 11.919 | 11.912 | 0.000 | 0.000 | 0.000 |
| 11.912 | 11.912 | 11.919 | 0.000 | 0.000 | 0.000 |
| -0.000 | -0.000 | -0.000 | 0.011 | 0.000 | 0.000 |
| -0.000 | -0.000 | -0.000 | 0.000 | 0.011 | 0.000 |
| -0.000 | -0.000 | -0.000 | 0.000 | 0.000 | 0.011 |
| 11.919 | 11.912 | 11.912 | -0.000 | -0.000 | -0.000 |
| 11.912 | 11.919 | 11.912 | -0.000 | -0.000 | -0.000 |
| 11.912 | 11.912 | 11.919 | -0.000 | -0.000 | -0.000 |
| 0.000 | 0.000 | 0.000 | 0.011 | -0.000 | -0.000 |
| 0.000 | 0.000 | 0.000 | -0.000 | 0.011 | -0.000 |
| 0.000 | 0.000 | 0.000 | -0.000 | -0.000 | 0.011 |
| 6.073 | 6.072 | 6.072 | 0.000 | 0.000 | 0.000 |
| 6.072 | 6.073 | 6.072 | 0.000 | 0.000 | 0.000 |
| 6.072 | 6.072 | 6.073 | 0.000 | 0.000 | 0.000 |
| -0.000 | -0.000 | -0.000 | 0.001 | 0.000 | 0.000 |
| -0.000 | -0.000 | -0.000 | 0.000 | 0.001 | 0.000 |
| -0.000 | -0.000 | -0.000 | 0.000 | 0.000 | 0.001 |
| 6.073 | 6.072 | 6.072 | -0.000 | -0.000 | -0.000 |
| 6.072 | 6.073 | 6.072 | -0.000 | -0.000 | -0.000 |
| 6.072 | 6.072 | 6.073 | -0.000 | -0.000 | -0.000 |
| 0.000 | 0.000 | 0.000 | 0.001 | -0.000 | -0.000 |
| 0.000 | 0.000 | 0.000 | -0.000 | 0.001 | -0.000 |
| 0.000 | 0.000 | 0.000 | -0.000 | -0.000 | 0.001 |
| 6.073 | 6.072 | 6.072 | 0.000 | 0.000 | 0.000 |
| 6.072 | 6.073 | 6.072 | 0.000 | 0.000 | 0.000 |
| 6.072 | 6.072 | 6.073 | 0.000 | 0.000 | 0.000 |
| -0.000 | -0.000 | -0.000 | 0.001 | 0.000 | 0.000 |
| -0.000 | -0.000 | -0.000 | 0.000 | 0.001 | 0.000 |
| -0.000 | -0.000 | -0.000 | 0.000 | 0.000 | 0.001 |
| 6.073 | 6.072 | 6.072 | -0.000 | -0.000 | -0.000 |
| 6.072 | 6.073 | 6.072 | -0.000 | -0.000 | -0.000 |
| 6.072 | 6.072 | 6.073 | -0.000 | -0.000 | -0.000 |
| 0.000 | 0.000 | 0.000 | 0.001 | -0.000 | -0.000 |
| 0.000 | 0.000 | 0.000 | -0.000 | 0.001 | -0.000 |
| 0.000 | 0.000 | 0.000 | -0.000 | -0.000 | 0.001 |
| 6.073 | 6.072 | 6.072 | 0.000 | 0.000 | 0.000 |
| 6.072 | 6.073 | 6.072 | 0.000 | 0.000 | 0.000 |
| 6.072 | 6.072 | 6.073 | 0.000 | 0.000 | 0.000 |
| -0.000 | -0.000 | -0.000 | 0.001 | 0.000 | 0.000 |
| -0.000 | -0.000 | -0.000 | 0.000 | 0.001 | 0.000 |
| -0.000 | -0.000 | -0.000 | 0.000 | 0.000 | 0.001 |
| 6.073 | 6.072 | 6.072 | -0.000 | -0.000 | -0.000 |
| 6.072 | 6.073 | 6.072 | -0.000 | -0.000 | -0.000 |
| 6.072 | 6.072 | 6.073 | -0.000 | -0.000 | -0.000 |
| 0.000 | 0.000 | 0.000 | 0.001 | -0.000 | -0.000 |
| 0.000 | 0.000 | 0.000 | -0.000 | 0.001 | -0.000 |
| 0.000 | 0.000 | 0.000 | -0.000 | -0.000 | 0.001 |
| 619.815 | 137.094 | 223.974 | 0.000 | 0.000 | -0.000 |
| 137.094 | 619.815 | 223.974 | 0.000 | 0.000 | 0.000 |
| 223.974 | 223.974 | 521.530 | 0.000 | 0.000 | 0.000 |
| 0.000 | 0.000 | 0.000 | 196.389 | 0.000 | 0.000 |
| 0.000 | 0.000 | 0.000 | 0.000 | 196.389 | -0.000 |
| 0.000 | 0.000 | 0.000 | 0.000 | 0.000 | 68.906 |
| 619.815 | 137.094 | 223.974 | -0.000 | -0.000 | 0.000 |
| 137.094 | 619.815 | 223.974 | 0.000 | -0.000 | 0.000 |
| 223.974 | 223.974 | 521.530 | -0.000 | -0.000 | -0.000 |
| -0.000 | -0.000 | -0.000 | 196.389 | -0.000 | 0.000 |
| -0.000 | -0.000 | -0.000 | 0.000 | 196.389 | 0.000 |
| -0.000 | 0.000 | -0.000 | -0.000 | -0.000 | 68.906 |
| 619.816 | 137.094 | 223.974 | 0.000 | 0.000 | 0.000 |
| 137.094 | 619.816 | 223.974 | 0.000 | 0.000 | -0.000 |
| 223.974 | 223.974 | 521.529 | 0.000 | 0.000 | -0.000 |
| 0.000 | 0.000 | 0.000 | 189.894 | 0.000 | 0.000 |
| 0.000 | 0.000 | 0.000 | 0.000 | 189.894 | -0.000 |
| 0.000 | 0.000 | 0.000 | 0.000 | 0.000 | 68.906 |
| 619.815 | 137.094 | 223.974 | -0.000 | -0.000 | 0.000 |
| 137.094 | 619.815 | 223.974 | -0.000 | -0.000 | 0.000 |
| 223.974 | 223.974 | 521.530 | -0.000 | -0.000 | -0.000 |
| -0.000 | -0.000 | -0.000 | 189.894 | -0.000 | 0.000 |
| -0.000 | -0.000 | -0.000 | -0.000 | 189.894 | 0.000 |
| -0.000 | -0.000 | -0.000 | -0.000 | -0.000 | 68.906 |
| 619.817 | 137.096 | 223.975 | 0.000 | 0.000 | -0.000 |
| 137.096 | 619.817 | 223.975 | 0.000 | 0.000 | -0.000 |
| 223.975 | 223.975 | 521.528 | 0.000 | 0.000 | -0.000 |
| 0.001 | 0.001 | 0.000 | 189.894 | 0.000 | 0.000 |
| 0.001 | 0.001 | 0.000 | 0.000 | 189.894 | -0.000 |
| 0.001 | 0.001 | 0.000 | 0.000 | 0.000 | 68.906 |
| 619.813 | 137.092 | 223.972 | -0.000 | -0.000 | -0.000 |
| 137.092 | 619.813 | 223.972 | 0.000 | -0.000 | -0.000 |
| 223.973 | 223.973 | 521.531 | -0.000 | -0.000 | -0.000 |
| -0.001 | -0.001 | -0.000 | 189.894 | -0.000 | 0.000 |
| -0.001 | -0.001 | -0.000 | 0.000 | 189.894 | -0.000 |
| -0.001 | -0.001 | -0.000 | 0.000 | -0.000 | 68.906 |
| 481.473 | 345.628 | 246.002 | -0.000 | 0.000 | -0.000 |
| 345.628 | 481.473 | 246.002 | 0.000 | -0.000 | -0.000 |
| 246.002 | 246.002 | 415.259 | -0.000 | 0.000 | -0.000 |
| 0.000 | 0.000 | 0.000 | 31.472 | -0.000 | 0.000 |
| 0.000 | 0.000 | 0.000 | -0.000 | 31.472 | -0.000 |
| 0.000 | 0.000 | 0.000 | 0.000 | 0.000 | -91.790 |
| 481.475 | 345.629 | 246.003 | -0.000 | 0.000 | 0.000 |
| 345.629 | 481.475 | 246.003 | -0.000 | -0.000 | 0.000 |
| 246.003 | 246.003 | 415.259 | -0.000 | 0.000 | 0.000 |
| -0.000 | -0.000 | -0.000 | 31.472 | 0.000 | 0.000 |
| -0.000 | -0.000 | -0.000 | -0.000 | 31.472 | 0.000 |
| -0.000 | -0.000 | -0.000 | -0.000 | -0.000 | -91.790 |
| 481.467 | 345.622 | 246.000 | 0.000 | -0.000 | -0.000 |
| 345.622 | 481.467 | 246.000 | 0.000 | 0.000 | -0.000 |
| 246.002 | 246.002 | 415.259 | -0.000 | -0.000 | -0.000 |
| 0.000 | 0.000 | 0.000 | 31.472 | 0.000 | -0.000 |
| 0.000 | 0.000 | 0.000 | 0.000 | 31.472 | -0.000 |
| 0.000 | 0.000 | 0.000 | 0.000 | -0.000 | -91.790 |
| 481.481 | 345.635 | 246.005 | -0.000 | 0.000 | 0.000 |
| 345.635 | 481.481 | 246.005 | -0.000 | 0.000 | 0.000 |
| 246.003 | 246.003 | 415.260 | 0.000 | -0.000 | 0.000 |
| -0.000 | -0.000 | -0.000 | 31.472 | -0.000 | 0.000 |
| -0.000 | -0.000 | -0.000 | -0.000 | 31.472 | 0.000 |
| -0.000 | -0.000 | -0.000 | -0.000 | 0.000 | -91.790 |
| 481.407 | 345.561 | 245.977 | 0.000 | 0.000 | 0.000 |
| 345.561 | 481.407 | 245.977 | 0.000 | 0.000 | -0.000 |
| 245.993 | 245.993 | 415.259 | 0.000 | 0.000 | -0.000 |
| 0.001 | 0.000 | 0.000 | 31.472 | -0.000 | -0.000 |
| 0.000 | 0.001 | 0.000 | 0.000 | 31.472 | -0.000 |
| 0.002 | 0.002 | 0.000 | 0.000 | -0.000 | -91.790 |
| 481.541 | 345.696 | 246.028 | -0.000 | 0.000 | 0.000 |
| 345.696 | 481.541 | 246.028 | -0.000 | -0.000 | 0.000 |
| 246.012 | 246.012 | 415.260 | -0.000 | 0.000 | 0.000 |
| -0.001 | -0.000 | -0.000 | 31.472 | 0.000 | 0.000 |
| -0.000 | -0.001 | -0.000 | -0.000 | 31.472 | 0.000 |
| -0.002 | -0.002 | -0.000 | -0.000 | -0.000 | -91.790 |
| -378730995.943 | 95590642.528 | 25176460.355 | -31286055.381 | -4388381.030 | 4919906.572 |
| 110462564.390 | -241165631.304 | 111619673.363 | -7299399.863 | -1238162.267 | 23345732.091 |
| -107.208 | -107.209 | 191.683 | 0.000 | 0.000 | -0.000 |
| 23790242.876 | -215010016.516 | -97310286.346 | 1535604.933 | 2522439.890 | -315829.367 |
| -226571292.563 | -37095363.889 | -181581826.565 | 509267.777 | -3201265.632 | -504305.058 |
| 0.000 | -0.000 | -0.000 | 0.000 | 0.000 | -162.798 |
| -45202012.636 | 294548437.701 | 138754727.550 | -3307900.689 | 4980032.401 | 3096372.329 |
| 160016939.867 | -138792568.822 | -77222333.843 | -10451647.528 | -5438614.827 | 16459318.836 |
| -107.209 | -107.209 | 191.683 | -0.000 | 0.000 | 0.000 |
| 1085261.650 | 195906507.005 | 170797090.288 | 1791480.077 | -3849570.386 | -2050861.771 |
| 233028095.969 | 29309044.916 | 52963221.646 | -10418362.438 | -18578617.846 | -10730266.998 |
| -0.000 | 0.000 | 0.000 | -0.000 | -0.000 | -162.798 |
| -45692126.527 | 43579215.087 | 18435781.047 | 349766.592 | -164975.088 | 1050467.342 |
| 5082526.141 | -41473651.625 | -8093561.007 | -164408.277 | -84964.189 | -1050504.261 |
| -107.208 | -107.209 | 191.683 | 0.000 | 0.000 | 0.000 |
| 8088811.443 | -23903166.141 | -14604129.292 | 112309.624 | -293637.254 | -170775.197 |
| -21478187.066 | 5359771.516 | -16916571.154 | -744246.666 | 1944331.471 | 217855.900 |
| -0.000 | -0.000 | -0.000 | 0.000 | 0.000 | -162.798 |
| -11034268.545 | 48666000.530 | -124520.684 | 1169072.499 | -317455.082 | -1518547.470 |
| 39278058.850 | -4634194.717 | 14147620.823 | 248452.473 | 279825.141 | -507430.197 |
| -107.209 | -107.209 | 191.684 | -0.000 | -0.000 | 0.000 |
| -10178853.611 | 21580249.114 | 12751761.643 | 1828834.957 | -65262.299 | 296821.282 |
| 20696209.416 | -6561749.311 | 17041082.031 | -427880.798 | 184003.164 | 1223160.508 |
| 0.000 | 0.000 | 0.000 | -0.000 | -0.000 | -162.798 |
| -4505825.203 | 4111175.682 | 2183677.624 | -39205.794 | 56847.607 | 47903.380 |
| 262341.433 | -2631922.098 | -1221635.983 | 124580.033 | -74754.294 | 54710.030 |
| -107.208 | -107.208 | 191.676 | 0.000 | 0.000 | -0.000 |
| -77552.830 | -2488881.159 | -1556563.791 | 297098.908 | 35137.453 | -9062.396 |
| -2066221.557 | -580706.134 | -2353984.597 | -87266.160 | -12349.884 | -138298.006 |
| -0.002 | -0.002 | -0.000 | 0.000 | 0.000 | -162.798 |
| -742440.971 | 4157989.797 | 1189608.167 | 15495.914 | 83696.290 | 89310.297 |
| 2719048.333 | -466097.946 | 1444349.979 | -75564.393 | 28608.360 | -154218.100 |
| -107.209 | -107.209 | 191.691 | -0.000 | -0.000 | -0.000 |
| 768915.810 | 2457264.167 | 698378.082 | -22341.224 | 49111.525 | 48677.381 |
| 1634381.675 | 269452.476 | 2490151.422 | -59636.479 | -97177.664 | -18274.680 |
| 0.002 | 0.002 | 0.000 | -0.000 | 0.000 | -162.798 |
| 132.836 | -28.334 | 39.760 | 0.000 | -0.000 | 0.000 |
| -28.334 | 132.836 | 39.760 | -0.000 | -0.000 | 0.000 |
| 39.760 | 39.760 | 157.914 | 0.000 | -0.000 | 0.000 |
| 0.000 | -0.000 | -0.000 | 36.246 | -0.000 | 0.000 |
| -0.000 | 0.000 | -0.000 | 0.000 | 36.246 | 0.000 |
| 0.000 | 0.000 | 0.000 | 0.000 | -0.000 | -34.365 |
| 132.836 | -28.334 | 39.760 | 0.000 | 0.000 | -0.000 |
| -28.334 | 132.836 | 39.760 | -0.000 | 0.000 | -0.000 |
| 39.760 | 39.760 | 157.914 | -0.000 | 0.000 | -0.000 |
| -0.000 | 0.000 | 0.000 | 36.246 | 0.000 | -0.000 |
| 0.000 | -0.000 | 0.000 | -0.000 | 36.246 | -0.000 |
| -0.000 | -0.000 | -0.000 | -0.000 | 0.000 | -34.365 |
| 132.836 | -28.334 | 39.760 | 0.000 | -0.000 | 0.000 |
| -28.334 | 132.836 | 39.760 | 0.000 | -0.000 | 0.000 |
| 39.760 | 39.760 | 157.914 | -0.000 | -0.000 | 0.000 |
| 0.000 | -0.000 | -0.000 | 36.246 | -0.000 | 0.000 |
| -0.000 | 0.000 | -0.000 | 0.000 | 36.246 | 0.000 |
| 0.000 | 0.000 | 0.000 | 0.000 | -0.000 | -34.365 |
| 132.836 | -28.334 | 39.760 | 0.000 | 0.000 | -0.000 |
| -28.334 | 132.836 | 39.760 | -0.000 | 0.000 | -0.000 |
| 39.760 | 39.760 | 157.914 | -0.000 | 0.000 | -0.000 |
| -0.000 | 0.000 | 0.000 | 36.246 | 0.000 | -0.000 |
| 0.000 | -0.000 | 0.000 | -0.000 | 36.246 | -0.000 |
| -0.000 | -0.000 | -0.000 | -0.000 | 0.000 | -34.365 |
| 132.835 | -28.334 | 39.760 | 0.000 | -0.000 | 0.000 |
| -28.334 | 132.835 | 39.760 | 0.000 | -0.000 | 0.000 |
| 39.760 | 39.760 | 157.915 | 0.000 | -0.000 | 0.000 |
| 0.000 | -0.000 | -0.000 | 36.246 | -0.000 | 0.000 |
| -0.000 | 0.000 | -0.000 | 0.000 | 36.246 | 0.000 |
| 0.001 | 0.001 | 0.000 | 0.000 | -0.000 | -34.365 |
| 132.837 | -28.335 | 39.760 | -0.000 | 0.000 | -0.000 |
| -28.335 | 132.837 | 39.760 | -0.000 | 0.000 | -0.000 |
| 39.760 | 39.760 | 157.913 | -0.000 | 0.000 | -0.000 |
| -0.000 | 0.000 | 0.000 | 36.246 | 0.000 | -0.000 |
| 0.000 | -0.000 | 0.000 | -0.000 | 36.246 | -0.000 |
| -0.001 | -0.001 | -0.000 | -0.000 | 0.000 | -34.365 |
| 36.296 | 36.126 | 6.492 | -0.000 | 0.000 | 0.000 |
| 36.126 | 36.296 | 6.492 | 0.000 | -0.000 | 0.000 |
| 6.492 | 6.492 | 57.816 | -0.000 | -0.000 | 0.000 |
| -0.000 | 0.000 | 0.000 | 0.009 | -0.000 | 0.000 |
| -0.000 | 0.000 | 0.000 | -0.000 | 0.009 | 0.000 |
| -0.000 | 0.000 | 0.000 | -0.000 | -0.000 | 0.009 |
| 36.296 | 36.126 | 6.492 | 0.000 | -0.000 | -0.000 |
| 36.126 | 36.296 | 6.492 | -0.000 | 0.000 | -0.000 |
| 6.492 | 6.492 | 57.816 | 0.000 | 0.000 | 0.000 |
| 0.000 | -0.000 | -0.000 | 0.009 | 0.000 | 0.000 |
| 0.000 | -0.000 | -0.000 | 0.000 | 0.009 | 0.000 |
| 0.000 | -0.000 | -0.000 | 0.000 | -0.000 | 0.009 |
| 36.296 | 36.126 | 6.492 | -0.000 | -0.000 | 0.000 |
| 36.126 | 36.296 | 6.492 | -0.000 | -0.000 | 0.000 |
| 6.492 | 6.492 | 57.816 | -0.000 | 0.000 | -0.000 |
| -0.000 | 0.000 | -0.000 | 0.009 | -0.000 | 0.000 |
| 0.000 | -0.000 | -0.000 | -0.000 | 0.009 | 0.000 |
| -0.000 | -0.000 | -0.000 | 0.000 | 0.000 | 0.009 |
| 36.296 | 36.126 | 6.492 | 0.000 | -0.000 | -0.000 |
| 36.126 | 36.296 | 6.492 | -0.000 | 0.000 | -0.000 |
| 6.492 | 6.492 | 57.817 | -0.000 | -0.000 | 0.000 |
| 0.000 | -0.000 | 0.000 | 0.009 | 0.000 | 0.000 |
| -0.000 | 0.000 | 0.000 | 0.000 | 0.009 | 0.000 |
| 0.000 | 0.000 | 0.000 | -0.000 | 0.000 | 0.009 |
| 36.296 | 36.126 | 6.492 | -0.000 | 0.000 | 0.000 |
| 36.126 | 36.296 | 6.492 | 0.000 | -0.000 | 0.000 |
| 6.492 | 6.492 | 57.815 | -0.000 | 0.000 | 0.000 |
| -0.000 | 0.000 | -0.000 | 0.009 | -0.000 | 0.000 |
| 0.000 | -0.000 | -0.000 | -0.000 | 0.009 | 0.000 |
| -0.000 | -0.000 | -0.000 | -0.000 | 0.000 | 0.009 |
| 36.297 | 36.126 | 6.492 | 0.000 | 0.000 | -0.000 |
| 36.126 | 36.297 | 6.492 | 0.000 | 0.000 | -0.000 |
| 6.492 | 6.492 | 57.818 | 0.000 | 0.000 | -0.000 |
| 0.000 | -0.000 | 0.000 | 0.009 | 0.000 | 0.000 |
| -0.000 | 0.000 | 0.000 | 0.000 | 0.009 | 0.000 |
| 0.000 | 0.000 | 0.000 | 0.000 | -0.000 | 0.009 |
| 80.018 | -0.196 | 2.377 | 0.000 | 0.000 | 0.000 |
| -0.196 | 80.018 | 2.377 | 0.000 | -0.000 | 0.000 |
| 2.377 | 2.377 | 93.787 | 0.000 | 0.000 | 0.000 |
| 0.000 | -0.000 | -0.000 | -6.003 | -0.000 | -0.000 |
| -0.000 | 0.000 | -0.000 | 0.000 | -6.003 | 0.000 |
| 0.000 | -0.000 | -0.000 | -0.000 | 0.000 | 0.010 |
| -3.519 | 83.341 | 2.378 | -0.000 | 0.000 | -0.000 |
| 83.341 | -3.519 | 2.378 | 0.000 | 0.000 | 0.000 |
| 2.377 | 2.377 | 93.787 | -0.000 | 0.000 | -0.000 |
| -0.000 | 0.000 | 0.000 | -6.003 | 0.000 | -0.000 |
| 0.000 | -0.000 | 0.000 | -0.000 | -6.003 | -0.000 |
| -0.000 | 0.000 | 0.000 | 0.000 | 0.000 | 0.010 |
| -35.480 | 115.300 | 2.377 | -0.000 | -0.000 | -0.000 |
| 115.300 | -35.480 | 2.377 | -0.000 | -0.000 | 0.000 |
| 2.377 | 2.377 | 93.786 | 0.000 | -0.000 | 0.000 |
| 0.000 | -0.000 | -0.000 | -6.003 | 0.000 | -0.000 |
| -0.000 | 0.000 | -0.000 | 0.000 | -6.003 | 0.000 |
| -0.000 | -0.000 | -0.000 | 0.000 | -0.000 | 0.010 |
| -3.519 | 83.341 | 2.378 | -0.000 | 0.000 | 0.000 |
| 83.341 | -3.519 | 2.378 | -0.000 | 0.000 | -0.000 |
| 2.378 | 2.378 | 93.787 | -0.000 | 0.000 | 0.000 |
| -0.000 | 0.000 | 0.000 | -6.003 | -0.000 | -0.000 |
| 0.000 | -0.000 | 0.000 | -0.000 | -6.003 | -0.000 |
| 0.000 | 0.000 | 0.000 | -0.000 | -0.000 | 0.010 |
| -55.290 | 135.100 | 2.372 | 0.000 | 0.000 | 0.000 |
| 135.099 | -55.290 | 2.372 | 0.000 | 0.000 | 0.000 |
| 2.377 | 2.377 | 93.785 | 0.000 | -0.000 | 0.000 |
| 0.000 | -0.000 | -0.000 | -6.003 | -0.000 | 0.000 |
| -0.000 | 0.000 | -0.000 | 0.000 | -6.003 | -0.000 |
| -0.000 | 0.000 | -0.000 | 0.000 | 0.000 | 0.010 |
| -52.368 | 132.201 | 2.383 | 0.000 | -0.000 | -0.000 |
| 133.990 | -54.156 | 2.383 | 0.000 | -0.000 | -0.000 |
| 2.378 | 2.378 | 93.788 | -0.000 | 0.000 | -0.000 |
| -0.000 | 0.000 | 0.000 | -6.003 | 0.000 | 0.000 |
| 0.000 | -0.000 | 0.000 | 0.000 | -6.003 | 0.000 |
| 0.000 | -0.000 | 0.000 | -0.000 | -0.000 | 0.010 |
| 20.937 | 16.180 | 2.900 | 0.000 | -0.000 | -0.000 |
| 16.181 | 20.937 | 2.900 | -0.000 | 0.000 | -0.000 |
| 2.900 | 2.900 | -23.286 | 0.000 | 0.000 | 0.000 |
| 0.000 | -0.000 | 0.000 | -0.000 | 0.000 | -0.000 |
| 0.000 | -0.000 | 0.000 | 0.000 | -0.000 | -0.000 |
| 0.000 | -0.000 | 0.000 | 0.000 | -0.000 | 0.002 |
| 37.484 | -0.366 | 2.900 | -0.000 | -0.000 | -0.000 |
| -0.366 | 37.484 | 2.900 | -0.000 | -0.000 | -0.000 |
| 2.900 | 2.900 | -23.286 | -0.000 | -0.000 | 0.000 |
| -0.000 | 0.000 | -0.000 | -0.000 | -0.000 | -0.000 |
| -0.000 | 0.000 | -0.000 | -0.000 | -0.000 | -0.000 |
| -0.000 | 0.000 | -0.000 | -0.000 | 0.000 | 0.002 |
| 18.850 | 18.267 | 2.900 | -0.000 | -0.000 | 0.000 |
| 16.180 | 20.937 | 2.900 | 0.000 | 0.000 | -0.000 |
| 2.900 | 2.900 | -23.286 | 0.000 | 0.000 | -0.000 |
| -0.000 | 0.000 | 0.000 | -0.000 | 0.000 | -0.000 |
| 0.000 | -0.000 | 0.000 | 0.000 | -0.000 | -0.000 |
| -0.000 | -0.000 | -0.000 | 0.000 | 0.000 | 0.002 |
| 18.850 | 18.267 | 2.900 | 0.000 | -0.000 | 0.000 |
| 18.267 | 18.850 | 2.900 | -0.000 | 0.000 | 0.000 |
| 2.900 | 2.900 | -23.286 | -0.000 | -0.000 | 0.000 |
| 0.000 | -0.000 | -0.000 | -0.000 | -0.000 | -0.000 |
| -0.000 | 0.000 | -0.000 | -0.000 | -0.000 | -0.000 |
| 0.000 | 0.000 | 0.000 | -0.000 | -0.000 | 0.002 |
| 18.587 | 18.530 | 2.900 | 0.000 | -0.000 | 0.000 |
| 18.530 | 18.587 | 2.900 | -0.000 | 0.000 | -0.000 |
| 2.900 | 2.900 | -23.286 | 0.000 | 0.000 | 0.000 |
| -0.000 | 0.000 | 0.000 | -0.000 | 0.000 | -0.000 |
| 0.000 | -0.000 | 0.000 | 0.000 | -0.000 | -0.000 |
| -0.000 | -0.000 | -0.000 | 0.000 | 0.000 | 0.002 |
| 18.588 | 18.531 | 2.900 | -0.000 | -0.000 | 0.000 |
| 18.531 | 18.588 | 2.900 | -0.000 | -0.000 | 0.000 |
| 2.900 | 2.900 | -23.285 | -0.000 | -0.000 | -0.000 |
| 0.000 | -0.000 | -0.000 | -0.000 | -0.000 | -0.000 |
| -0.000 | 0.000 | -0.000 | -0.000 | -0.000 | -0.000 |
| 0.000 | 0.000 | 0.000 | -0.000 | 0.000 | 0.002 |
| 24.780 | 14.547 | 2.301 | 0.000 | 0.000 | 0.000 |
| 14.547 | 24.780 | 2.301 | 0.000 | 0.000 | 0.000 |
| 2.301 | 2.301 | 45.939 | 0.000 | 0.000 | -0.000 |
| 0.000 | -0.000 | -0.000 | 0.002 | 0.000 | -0.000 |
| 0.000 | -0.000 | 0.000 | 0.000 | 0.002 | -0.000 |
| 0.000 | -0.000 | 0.000 | 0.000 | 0.000 | 0.002 |
| 24.780 | 14.547 | 2.301 | -0.000 | -0.000 | -0.000 |
| 14.547 | 24.780 | 2.301 | -0.000 | -0.000 | 0.000 |
| 2.301 | 2.301 | 45.939 | -0.000 | -0.000 | 0.000 |
| -0.000 | 0.000 | 0.000 | 0.002 | -0.000 | -0.000 |
| -0.000 | 0.000 | 0.000 | -0.000 | 0.002 | -0.000 |
| -0.000 | 0.000 | -0.000 | -0.000 | -0.000 | 0.002 |
| 20.971 | 18.355 | 2.301 | -0.000 | -0.000 | -0.000 |
| 18.355 | 20.971 | 2.301 | -0.000 | -0.000 | 0.000 |
| 2.301 | 2.301 | 45.939 | 0.000 | 0.000 | 0.000 |
| -0.000 | 0.000 | -0.000 | 0.002 | 0.000 | -0.000 |
| 0.000 | -0.000 | -0.000 | 0.000 | 0.002 | -0.000 |
| -0.000 | -0.000 | -0.000 | 0.000 | -0.000 | 0.002 |
| 20.001 | 19.326 | 2.301 | -0.000 | -0.000 | -0.000 |
| 19.326 | 20.001 | 2.301 | -0.000 | -0.000 | 0.000 |
| 2.301 | 2.301 | 45.939 | -0.000 | -0.000 | -0.000 |
| 0.000 | -0.000 | 0.000 | 0.002 | -0.000 | -0.000 |
| -0.000 | 0.000 | 0.000 | -0.000 | 0.002 | -0.000 |
| 0.000 | 0.000 | 0.000 | -0.000 | -0.000 | 0.002 |
| 19.690 | 19.636 | 2.301 | 0.000 | 0.000 | 0.000 |
| 19.636 | 19.690 | 2.301 | 0.000 | 0.000 | 0.000 |
| 2.301 | 2.301 | 45.938 | 0.000 | 0.000 | 0.000 |
| -0.000 | 0.000 | -0.000 | 0.002 | 0.000 | -0.000 |
| 0.000 | -0.000 | -0.000 | 0.000 | 0.002 | -0.000 |
| -0.000 | -0.000 | -0.000 | 0.000 | 0.000 | 0.002 |
| 19.754 | 19.573 | 2.301 | 0.000 | 0.000 | -0.000 |
| 19.636 | 19.691 | 2.301 | -0.000 | -0.000 | 0.000 |
| 2.301 | 2.301 | 45.940 | -0.000 | -0.000 | 0.000 |
| 0.000 | -0.000 | 0.000 | 0.002 | -0.000 | -0.000 |
| -0.000 | 0.000 | 0.000 | -0.000 | 0.002 | -0.000 |
| 0.000 | 0.000 | 0.000 | -0.000 | -0.000 | 0.002 |
| 3544.794 | 2947.071 | 1611.283 | 0.000 | -0.000 | -0.000 |
| 2947.071 | 3544.794 | 1611.283 | -0.000 | -0.000 | -0.000 |
| 1611.280 | 1611.280 | 1219.186 | -0.000 | -0.000 | -0.000 |
| 0.000 | -0.000 | -0.000 | 257.777 | -0.000 | -0.000 |
| -0.000 | 0.000 | -0.000 | 0.000 | 257.777 | -0.000 |
| -0.000 | -0.000 | -0.000 | 0.000 | -0.000 | 251.154 |
| 3544.764 | 2947.041 | 1611.268 | -0.000 | 0.000 | 0.000 |
| 2947.041 | 3544.764 | 1611.268 | 0.000 | 0.000 | 0.000 |
| 1611.271 | 1611.271 | 1219.181 | -0.000 | 0.000 | 0.000 |
| 0.000 | 0.000 | 0.000 | 257.777 | -0.000 | 0.000 |
| 0.000 | 0.000 | 0.000 | -0.000 | 257.777 | 0.000 |
| 0.000 | 0.000 | 0.000 | 0.000 | 0.000 | 251.154 |
| 3544.929 | 2947.207 | 1611.354 | 0.000 | -0.000 | 0.000 |
| 2947.207 | 3544.929 | 1611.354 | -0.000 | 0.000 | -0.000 |
| 1611.318 | 1611.318 | 1219.206 | 0.000 | -0.000 | -0.000 |
| -0.000 | -0.000 | -0.000 | 257.777 | -0.000 | -0.000 |
| -0.000 | -0.000 | -0.000 | -0.000 | 257.777 | -0.000 |
| -0.000 | -0.000 | -0.000 | -0.000 | -0.000 | 251.154 |
| 3544.630 | 2946.905 | 1611.197 | -0.000 | 0.000 | 0.000 |
| 2946.905 | 3544.630 | 1611.197 | 0.000 | 0.000 | 0.000 |
| 1611.233 | 1611.233 | 1219.161 | -0.000 | 0.000 | 0.000 |
| 0.000 | 0.000 | 0.000 | 257.777 | -0.000 | 0.000 |
| 0.000 | 0.000 | 0.000 | 0.000 | 257.777 | 0.000 |
| 0.000 | 0.000 | 0.000 | -0.000 | 0.000 | 251.154 |
| 3546.276 | 2948.567 | 1612.061 | 0.000 | -0.000 | -0.000 |
| 2948.567 | 3546.276 | 1612.061 | -0.000 | -0.000 | -0.000 |
| 1611.698 | 1611.698 | 1219.410 | 0.000 | -0.000 | 0.000 |
| -0.001 | -0.001 | -0.001 | 257.777 | -0.000 | 0.000 |
| -0.001 | -0.001 | -0.001 | 0.000 | 257.777 | -0.000 |
| -0.003 | -0.002 | -0.002 | 0.000 | -0.000 | 251.154 |
| 3543.283 | 2945.545 | 1610.490 | 0.000 | 0.000 | 0.000 |
| 2945.545 | 3543.283 | 1610.490 | 0.000 | 0.000 | 0.000 |
| 1610.853 | 1610.853 | 1218.957 | -0.000 | 0.000 | 0.000 |
| 0.001 | 0.001 | 0.001 | 257.777 | 0.000 | 0.000 |
| 0.001 | 0.001 | 0.001 | -0.000 | 257.777 | 0.000 |
| 0.003 | 0.002 | 0.002 | 0.000 | 0.000 | 251.154 |
| 548.330 | 542.895 | 399.554 | -0.000 | -0.000 | 0.000 |
| 542.895 | 548.330 | 399.554 | 0.000 | -0.000 | 0.000 |
| 399.554 | 399.554 | 542.270 | -0.000 | -0.000 | 0.000 |
| 0.000 | 0.000 | 0.000 | 132.942 | 0.000 | 0.000 |
| 0.000 | 0.000 | 0.000 | -0.000 | 132.942 | 0.000 |
| 0.000 | 0.000 | 0.000 | -0.000 | 0.000 | -161.200 |
| 548.333 | 542.898 | 399.555 | 0.000 | 0.000 | -0.000 |
| 542.898 | 548.333 | 399.555 | -0.000 | 0.000 | -0.000 |
| 399.555 | 399.555 | 542.270 | 0.000 | -0.000 | -0.000 |
| -0.000 | -0.000 | -0.000 | 132.942 | 0.000 | -0.000 |
| -0.000 | -0.000 | -0.000 | 0.000 | 132.942 | -0.000 |
| -0.000 | -0.000 | -0.000 | -0.000 | 0.000 | -161.200 |
| 548.315 | 542.880 | 399.547 | 0.000 | -0.000 | 0.000 |
| 542.880 | 548.315 | 399.547 | -0.000 | -0.000 | 0.000 |
| 399.551 | 399.551 | 542.269 | -0.000 | 0.000 | 0.000 |
| 0.000 | 0.000 | 0.000 | 132.942 | 0.000 | 0.000 |
| 0.000 | 0.000 | 0.000 | -0.000 | 132.942 | 0.000 |
| 0.000 | 0.000 | 0.000 | -0.000 | -0.000 | -161.200 |
| 548.348 | 542.913 | 399.561 | -0.000 | 0.000 | -0.000 |
| 542.913 | 548.348 | 399.561 | 0.000 | -0.000 | -0.000 |
| 399.557 | 399.557 | 542.271 | 0.000 | 0.000 | -0.000 |
| -0.000 | -0.000 | -0.000 | 132.942 | 0.000 | -0.000 |
| -0.000 | -0.000 | -0.000 | 0.000 | 132.942 | -0.000 |
| -0.000 | -0.000 | -0.000 | 0.000 | 0.000 | -161.200 |
| 548.170 | 542.732 | 399.484 | -0.000 | -0.000 | 0.000 |
| 542.732 | 548.170 | 399.484 | -0.000 | 0.000 | 0.000 |
| 399.526 | 399.526 | 542.260 | -0.000 | -0.000 | 0.000 |
| 0.001 | 0.001 | 0.000 | 132.942 | -0.000 | 0.000 |
| 0.001 | 0.001 | 0.000 | 0.000 | 132.942 | 0.000 |
| 0.002 | 0.002 | 0.001 | -0.000 | -0.000 | -161.200 |
| 548.493 | 543.062 | 399.624 | 0.000 | -0.000 | -0.000 |
| 543.062 | 548.493 | 399.624 | -0.000 | -0.000 | -0.000 |
| 399.583 | 399.583 | 542.281 | 0.000 | 0.000 | -0.000 |
| -0.001 | -0.001 | -0.000 | 132.942 | -0.000 | -0.000 |
| -0.001 | -0.001 | -0.000 | 0.000 | 132.942 | -0.000 |
| -0.002 | -0.002 | -0.001 | 0.000 | -0.000 | -161.200 |
| 434.142 | 350.815 | 20.040 | -0.000 | 0.000 | 0.000 |
| 350.815 | 434.142 | 20.040 | 0.000 | -0.000 | -0.000 |
| 20.039 | 20.039 | 196.869 | 0.000 | -0.000 | -0.000 |
| 0.000 | 0.000 | -0.000 | 68.090 | -0.000 | -0.000 |
| 0.000 | 0.000 | -0.000 | 0.000 | 68.090 | -0.000 |
| 0.000 | 0.000 | -0.000 | -0.000 | -0.000 | -52.186 |
| 434.124 | 350.796 | 20.037 | 0.000 | -0.000 | -0.000 |
| 350.796 | 434.124 | 20.037 | -0.000 | -0.000 | 0.000 |
| 20.038 | 20.038 | 196.869 | -0.000 | 0.000 | 0.000 |
| -0.000 | -0.000 | 0.000 | 68.090 | -0.000 | 0.000 |
| -0.000 | -0.000 | 0.000 | -0.000 | 68.090 | 0.000 |
| -0.000 | -0.000 | -0.000 | -0.000 | 0.000 | -52.186 |
| 434.226 | 350.899 | 20.055 | -0.000 | -0.000 | -0.000 |
| 350.899 | 434.226 | 20.055 | -0.000 | 0.000 | -0.000 |
| 20.042 | 20.042 | 196.869 | -0.000 | 0.000 | 0.000 |
| 0.000 | 0.000 | -0.000 | 68.090 | 0.000 | -0.000 |
| 0.000 | 0.000 | -0.000 | -0.000 | 68.090 | -0.000 |
| 0.000 | 0.000 | -0.000 | -0.000 | -0.000 | -52.186 |
| 434.040 | 350.712 | 20.021 | 0.000 | 0.000 | -0.000 |
| 350.712 | 434.040 | 20.021 | -0.000 | -0.000 | -0.000 |
| 20.035 | 20.035 | 196.869 | -0.000 | -0.000 | 0.000 |
| -0.000 | -0.000 | 0.000 | 68.090 | 0.000 | 0.000 |
| -0.000 | -0.000 | 0.000 | -0.000 | 68.090 | -0.000 |
| -0.000 | -0.000 | 0.000 | -0.000 | 0.000 | -52.186 |
| 435.066 | 351.736 | 20.208 | 0.000 | -0.000 | -0.000 |
| 351.736 | 435.066 | 20.208 | -0.000 | 0.000 | 0.000 |
| 20.070 | 20.070 | 196.873 | 0.000 | -0.000 | 0.000 |
| 0.001 | 0.001 | -0.001 | 68.090 | -0.000 | 0.000 |
| 0.001 | 0.001 | -0.001 | 0.000 | 68.090 | -0.000 |
| 0.000 | 0.000 | -0.000 | 0.000 | -0.000 | -52.186 |
| 433.200 | 349.875 | 19.869 | 0.000 | 0.000 | 0.000 |
| 349.875 | 433.200 | 19.869 | -0.000 | -0.000 | 0.000 |
| 20.006 | 20.006 | 196.865 | 0.000 | 0.000 | -0.000 |
| -0.001 | -0.001 | 0.001 | 68.090 | 0.000 | -0.000 |
| -0.001 | -0.001 | 0.001 | 0.000 | 68.090 | 0.000 |
| -0.000 | -0.000 | 0.000 | -0.000 | 0.000 | -52.186 |
| -192.456 | -92.523 | -33.778 | 0.000 | -0.000 | -0.000 |
| -92.523 | -192.456 | -33.778 | 0.000 | -0.000 | -0.000 |
| -33.778 | -33.778 | -116.037 | 0.000 | -0.000 | -0.000 |
| -0.000 | 0.000 | -0.000 | -30.842 | -0.000 | -0.000 |
| 0.000 | -0.000 | -0.000 | -0.000 | -30.842 | -0.000 |
| 0.000 | 0.000 | 0.000 | 0.000 | -0.000 | -89.698 |
| -192.456 | -92.523 | -33.778 | -0.000 | -0.000 | -0.000 |
| -92.523 | -192.456 | -33.778 | -0.000 | 0.000 | 0.000 |
| -33.778 | -33.778 | -116.037 | 0.000 | 0.000 | 0.000 |
| -0.000 | -0.000 | 0.000 | -30.842 | -0.000 | 0.000 |
| -0.000 | 0.000 | 0.000 | 0.000 | -30.842 | 0.000 |
| -0.000 | -0.000 | -0.000 | 0.000 | -0.000 | -89.698 |
| -192.456 | -92.523 | -33.778 | 0.000 | 0.000 | -0.000 |
| -92.523 | -192.456 | -33.778 | 0.000 | -0.000 | -0.000 |
| -33.778 | -33.778 | -116.037 | -0.000 | -0.000 | -0.000 |
| 0.000 | 0.000 | -0.000 | -30.842 | -0.000 | -0.000 |
| 0.000 | 0.000 | -0.000 | 0.000 | -30.842 | -0.000 |
| 0.000 | 0.000 | 0.000 | 0.000 | -0.000 | -89.698 |
| -192.456 | -92.523 | -33.778 | -0.000 | 0.000 | 0.000 |
| -92.523 | -192.456 | -33.778 | 0.000 | 0.000 | 0.000 |
| -33.778 | -33.778 | -116.037 | -0.000 | 0.000 | 0.000 |
| -0.000 | -0.000 | 0.000 | -30.842 | 0.000 | 0.000 |
| -0.000 | -0.000 | 0.000 | -0.000 | -30.842 | 0.000 |
| -0.000 | -0.000 | -0.000 | 0.000 | 0.000 | -89.698 |
| -192.456 | -92.522 | -33.778 | -0.000 | -0.000 | -0.000 |
| -92.522 | -192.456 | -33.778 | -0.000 | -0.000 | -0.000 |
| -33.778 | -33.778 | -116.036 | -0.000 | -0.000 | -0.000 |
| 0.000 | 0.000 | -0.000 | -30.842 | -0.000 | -0.000 |
| 0.000 | 0.000 | -0.000 | -0.000 | -30.842 | -0.000 |
| 0.001 | 0.001 | 0.000 | -0.000 | -0.000 | -89.698 |
| -192.456 | -92.524 | -33.778 | -0.000 | -0.000 | 0.000 |
| -92.524 | -192.456 | -33.778 | -0.000 | -0.000 | 0.000 |
| -33.778 | -33.778 | -116.037 | 0.000 | 0.000 | 0.000 |
| -0.000 | -0.000 | 0.000 | -30.842 | 0.000 | 0.000 |
| -0.000 | -0.000 | 0.000 | -0.000 | -30.842 | 0.000 |
| -0.001 | -0.001 | -0.000 | -0.000 | 0.000 | -89.698 |
| -44.046 | 12.483 | 29.839 | -0.000 | 0.000 | -0.000 |
| 12.483 | -44.046 | 29.839 | 0.000 | -0.000 | -0.000 |
| 29.839 | 29.839 | 70.010 | 0.000 | 0.000 | -0.000 |
| -0.000 | -0.000 | -0.000 | 30.538 | -0.000 | 0.000 |
| -0.000 | -0.000 | -0.000 | -0.000 | 30.538 | 0.000 |
| -0.000 | -0.000 | -0.000 | -0.000 | 0.000 | 12.833 |
| -44.046 | 12.483 | 29.839 | 0.000 | -0.000 | -0.000 |
| 12.483 | -44.046 | 29.839 | -0.000 | 0.000 | -0.000 |
| 29.839 | 29.839 | 70.010 | 0.000 | 0.000 | 0.000 |
| 0.000 | 0.000 | 0.000 | 30.538 | 0.000 | -0.000 |
| 0.000 | 0.000 | 0.000 | 0.000 | 30.538 | -0.000 |
| 0.000 | 0.000 | 0.000 | 0.000 | 0.000 | 12.833 |
| -44.046 | 12.483 | 29.839 | -0.000 | -0.000 | -0.000 |
| 12.483 | -44.046 | 29.839 | -0.000 | -0.000 | -0.000 |
| 29.839 | 29.839 | 70.010 | 0.000 | 0.000 | -0.000 |
| -0.000 | -0.000 | -0.000 | 30.538 | -0.000 | -0.000 |
| -0.000 | -0.000 | -0.000 | -0.000 | 30.538 | -0.000 |
| -0.000 | -0.000 | -0.000 | -0.000 | 0.000 | 12.833 |
| -44.045 | 12.483 | 29.839 | -0.000 | 0.000 | 0.000 |
| 12.483 | -44.045 | 29.839 | 0.000 | -0.000 | 0.000 |
| 29.839 | 29.839 | 70.010 | -0.000 | -0.000 | -0.000 |
| 0.000 | 0.000 | 0.000 | 30.538 | 0.000 | -0.000 |
| 0.000 | 0.000 | 0.000 | 0.000 | 30.538 | -0.000 |
| 0.000 | 0.000 | 0.000 | 0.000 | -0.000 | 12.833 |
| -44.047 | 12.483 | 29.839 | -0.000 | 0.000 | 0.000 |
| 12.483 | -44.047 | 29.839 | 0.000 | -0.000 | 0.000 |
| 29.838 | 29.838 | 70.009 | 0.000 | 0.000 | 0.000 |
| -0.000 | -0.000 | -0.000 | 30.538 | -0.000 | -0.000 |
| -0.000 | -0.000 | -0.000 | -0.000 | 30.538 | -0.000 |
| -0.000 | -0.000 | -0.000 | -0.000 | -0.000 | 12.833 |
| -44.044 | 12.483 | 29.839 | 0.000 | 0.000 | -0.000 |
| 12.483 | -44.044 | 29.839 | 0.000 | 0.000 | -0.000 |
| 29.839 | 29.839 | 70.011 | 0.000 | 0.000 | 0.000 |
| 0.000 | 0.000 | 0.000 | 30.538 | 0.000 | 0.000 |
| 0.000 | 0.000 | 0.000 | 0.000 | 30.538 | 0.000 |
| 0.000 | 0.000 | 0.000 | -0.000 | 0.000 | 12.833 |
| 2449880.000 | 2010051.012 | 3135156.996 | -292082.516 | -0.848 | 1.243 |
| 2010044.994 | 2449876.007 | 3135153.994 | 292085.840 | 1.155 | 0.896 |
| 3239482.990 | 3239499.995 | 5074865.999 | 3.551 | -7.098 | 1.599 |
| -292077.996 | 292090.994 | 3.993 | 1531142.059 | -3.707 | 0.686 |
| 1.996 | 0.991 | 0.991 | 1.364 | 1531139.168 | -292080.748 |
| 2.987 | 2.011 | 0.000 | -0.370 | -292081.118 | 219912.819 |
| 2449769.007 | 2009945.994 | 3134829.001 | -292082.511 | 0.587 | -1.795 |
| 2009538.991 | 2449348.001 | 3133546.996 | 292075.894 | 0.731 | -1.580 |
| 3239382.008 | 3239376.995 | 5074536.999 | -6.002 | 1.167 | -1.260 |
| -292490.011 | 291661.012 | -1281.990 | 1531136.717 | 1.066 | -0.068 |
| -1.005 | -0.000 | -0.000 | -1.772 | 1531143.637 | -292082.209 |
| -2.987 | 1.996 | -0.991 | -0.072 | -292078.139 | 219912.674 |
| 2449776.701 | 2009945.000 | 3134831.899 | -292081.042 | -0.146 | 0.186 |
| 2009946.399 | 2449776.699 | 3134831.800 | 292082.357 | -0.295 | 0.140 |
| 3239483.101 | 3239484.699 | 5074860.399 | 0.298 | -0.521 | 0.145 |
| -291999.399 | 292162.000 | 255.799 | 1531140.379 | 0.283 | 0.181 |
| -0.599 | -0.101 | -0.200 | -0.107 | 1531139.930 | -292080.893 |
| 0.101 | 1.800 | 0.000 | -0.259 | -292081.000 | 219913.742 |
| 2449757.900 | 2009933.700 | 3134799.301 | -292080.908 | 0.197 | -0.011 |
| 2009932.699 | 2449756.500 | 3134799.400 | 292079.600 | -0.051 | -0.037 |
| 3239483.500 | 3239483.101 | 5074862.400 | 0.025 | 0.063 | -0.131 |
| -292080.801 | 292080.301 | 0.300 | 1531139.649 | 0.079 | -0.040 |
| 1.100 | -0.000 | 0.300 | 0.232 | 1531140.218 | -292080.908 |
| -0.500 | -1.601 | 0.101 | 0.142 | -292080.511 | 219913.728 |
| 2449816.200 | 2009948.370 | 3134831.100 | -292086.613 | -0.013 | 0.015 |
| 2009961.160 | 2449803.530 | 3134831.090 | 292089.898 | -0.017 | 0.010 |
| 3239480.450 | 3239480.500 | 5074848.600 | -0.013 | -0.039 | 0.010 |
| -292082.960 | 292073.370 | -8.020 | 1531141.778 | 0.014 | 0.011 |
| -7.720 | -1.970 | -8.040 | -1.887 | 1531139.840 | -292080.935 |
| 0.270 | 13.270 | -2.040 | -1.864 | -292080.954 | 219913.695 |
| 2449718.770 | 2009931.790 | 3134803.500 | -292075.285 | 0.068 | -0.016 |
| 2009927.250 | 2449739.610 | 3134829.130 | 292072.019 | 0.026 | -0.019 |
| 3239486.400 | 3239486.300 | 5074873.660 | -0.024 | 0.065 | 0.003 |
| -292078.920 | 292088.540 | 8.030 | 1531137.933 | 0.009 | -0.010 |
| 7.720 | 1.980 | 8.040 | 1.874 | 1531139.914 | -292080.951 |
| -0.250 | -13.250 | 2.040 | 1.878 | -292080.892 | 219913.667 |
| 502.766 | 520.420 | 488.500 | -36.581 | -0.000 | 0.000 |
| 520.420 | 502.766 | 488.500 | 36.581 | -0.000 | 0.000 |
| 488.528 | 488.528 | 510.685 | 0.000 | 0.000 | 0.000 |
| -36.581 | 36.581 | 0.000 | -35.185 | -0.000 | 0.000 |
| -0.000 | 0.000 | 0.000 | -0.000 | -35.185 | -36.581 |
| -0.000 | 0.000 | 0.000 | -0.000 | -36.581 | -8.827 |
| -1831.673 | -1809.338 | -1739.050 | -41.670 | -1.846 | -0.849 |
| -1809.790 | -1831.221 | -1739.050 | 40.687 | -1.846 | -0.849 |
| -1839.115 | -1838.663 | -1712.394 | -0.491 | -1.846 | -0.849 |
| -36.581 | 36.581 | -0.000 | -35.185 | 0.000 | -0.000 |
| 0.000 | 0.000 | -0.000 | 0.000 | -35.185 | -36.581 |
| 0.000 | -0.000 | -0.000 | 0.000 | -36.581 | -8.827 |
| 23804403.737 | 44452595.327 | 83282813.075 | -4452484.739 | 832759.793 | 1048787.568 |
| 21847388.232 | 102654984.618 | 49108126.451 | 4835649.571 | -2026160.471 | 2254492.934 |
| 488.518 | 488.518 | 510.675 | 0.000 | 0.000 | 0.000 |
| -36.581 | 36.581 | 0.000 | -35.185 | -0.000 | 0.000 |
| -0.000 | -0.000 | 0.000 | -0.000 | -35.185 | -36.581 |
| -0.000 | 0.000 | -0.000 | 0.000 | -36.581 | -8.827 |
| -32776812.986 | -69115189.496 | -63951589.584 | -4656568.911 | 3525544.874 | -1373607.685 |
| -779.977 | -814.368 | -761.593 | 54.776 | -0.738 | -0.340 |
| -801.605 | -801.424 | -721.525 | -0.197 | -0.738 | -0.340 |
| -36.581 | 36.581 | -0.000 | -35.185 | -0.000 | -0.000 |
| 0.000 | 0.000 | -0.000 | 0.000 | -35.185 | -36.581 |
| 0.000 | -0.000 | 0.000 | -0.000 | -36.581 | -8.827 |
| 5895813.165 | 6205524.301 | 5109374.322 | 439881.446 | -744261.186 | 718263.333 |
| 4988391.793 | 4684172.256 | 6484009.324 | 3688.870 | -236677.597 | 1256228.247 |
| 488.416 | 488.416 | 510.573 | 0.000 | 0.000 | -0.000 |
| 2114682.591 | 6711747.184 | 6413365.688 | 427614.626 | -689331.077 | -491879.829 |
| 6776526.528 | 657295.242 | 7353096.612 | -1180371.952 | 558853.411 | 754277.648 |
| 7554091.845 | 1264828.956 | 5498621.395 | -1486558.479 | 111353.088 | 2027387.697 |
| -7414875.979 | -3920085.852 | -4819896.097 | 774648.386 | 810560.360 | -1450707.608 |
| -2857494.770 | -7081580.919 | -5851180.343 | -398961.575 | 675743.522 | -461135.535 |
| 0.324 | 0.342 | 44.370 | -0.020 | -0.074 | -0.034 |
| -5271791.014 | -6081707.553 | -5491094.002 | -771352.101 | 379603.796 | -1334801.027 |
| -5709209.485 | -840721.270 | -7895167.387 | 555435.374 | 24497.797 | 24486.820 |
| -6423001.045 | -2255188.765 | -6961080.881 | 579742.156 | 118439.998 | -631305.524 |
| 1064.775 | 667.794 | 725.054 | -137.713 | -0.001 | -0.000 |
| 667.794 | 1064.773 | 725.054 | 137.713 | -0.001 | -0.000 |
| 687.203 | 687.202 | 360.852 | 0.000 | -0.000 | -0.000 |
| -137.713 | 137.712 | 0.000 | -37.496 | -0.002 | -0.000 |
| 0.000 | -0.000 | 0.000 | -0.000 | -37.496 | -137.713 |
| 0.000 | -0.001 | 0.000 | -0.000 | -137.714 | 198.490 |
| 1064.775 | 667.796 | 725.055 | -137.713 | 0.001 | 0.000 |
| 667.795 | 1064.776 | 725.055 | 137.713 | 0.001 | 0.000 |
| 687.205 | 687.206 | 360.854 | 0.000 | 0.001 | 0.000 |
| -137.714 | 137.714 | -0.000 | -37.496 | 0.001 | 0.000 |
| -0.000 | 0.000 | -0.000 | 0.000 | -37.495 | -137.713 |
| -0.000 | 0.001 | -0.000 | 0.000 | -137.712 | 198.490 |
| 1064.770 | 667.790 | 725.048 | -137.713 | -0.000 | -0.000 |
| 667.790 | 1064.770 | 725.048 | 137.713 | -0.000 | -0.000 |
| 687.196 | 687.196 | 360.842 | -0.000 | -0.000 | -0.000 |
| -137.713 | 137.713 | 0.000 | -37.496 | -0.000 | -0.000 |
| -0.000 | -0.000 | 0.000 | -0.000 | -37.496 | -137.713 |
| -0.000 | -0.000 | 0.000 | -0.000 | -137.713 | 198.490 |
| 1064.780 | 667.800 | 725.061 | -137.713 | 0.000 | 0.000 |
| 667.800 | 1064.780 | 725.061 | 137.713 | 0.000 | 0.000 |
| 687.213 | 687.213 | 360.863 | -0.000 | 0.000 | 0.000 |
| -137.713 | 137.713 | -0.000 | -37.496 | 0.000 | 0.000 |
| 0.000 | 0.000 | -0.000 | 0.000 | -37.496 | -137.713 |
| 0.000 | 0.000 | -0.000 | 0.000 | -137.713 | 198.490 |
| 1064.724 | 667.747 | 724.992 | -137.714 | -0.000 | -0.000 |
| 667.747 | 1064.724 | 724.992 | 137.715 | -0.000 | -0.000 |
| 687.121 | 687.121 | 360.747 | -0.000 | -0.000 | -0.000 |
| -137.713 | 137.712 | 0.000 | -37.495 | -0.000 | -0.000 |
| -0.001 | 0.000 | 0.000 | -0.000 | -37.496 | -137.713 |
| -0.001 | -0.000 | 0.000 | -0.000 | -137.713 | 198.490 |
| 1064.825 | 667.843 | 725.118 | -137.712 | 0.000 | 0.000 |
| 667.843 | 1064.826 | 725.118 | 137.711 | 0.000 | 0.000 |
| 687.287 | 687.287 | 360.958 | -0.000 | 0.000 | 0.000 |
| -137.713 | 137.714 | -0.000 | -37.496 | 0.000 | 0.000 |
| 0.001 | -0.000 | -0.000 | 0.000 | -37.496 | -137.713 |
| 0.001 | 0.000 | -0.000 | 0.000 | -137.713 | 198.490 |
| 10726447.153 | -69196914.073 | -35533831.605 | -87365532.757 | 34038483.737 | -9444460.907 |
| 10738903.225 | -69178963.508 | -35521382.528 | -87366943.894 | 34035705.582 | -9451938.282 |
| 10733071.735 | -69184538.057 | -35525439.262 | -87372434.105 | 34042996.729 | -9464408.298 |
| 10733393.703 | -69189193.775 | -35533255.085 | -87366808.188 | 34046452.813 | -9458791.839 |
| 10724413.798 | -69197911.431 | -35538122.425 | -87369939.140 | 34052141.902 | -9465057.305 |
| 10731216.686 | -69191371.811 | -35533524.756 | -87367381.564 | 34046385.758 | -9459037.522 |
| -10719096.329 | 69198283.059 | 35540127.291 | 87378283.922 | -34062308.987 | 9481672.197 |
| -10718555.520 | 69210998.732 | 35547017.304 | 87371578.802 | -34060562.523 | 9468809.907 |
| -10722288.461 | 69206132.893 | 35545109.225 | 87371999.682 | -34060330.162 | 9468888.278 |
| -10731386.270 | 69193857.951 | 35530824.510 | 87370769.164 | -34046320.789 | 9458859.182 |
| -10737510.436 | 69183364.603 | 35526252.349 | 87367384.735 | -34040320.305 | 9452739.249 |
| -10732865.950 | 69188992.352 | 35530059.071 | 87370035.743 | -34045953.257 | 9458925.721 |
| 1067671.205 | -6892778.783 | -3533910.047 | -8713104.039 | 3397695.463 | -945429.336 |
| 1078847.589 | -6905165.034 | -3545144.292 | -8735481.834 | 3395477.781 | -943466.003 |
| 1070302.152 | -6911144.745 | -3551910.769 | -8740222.933 | 3390373.856 | -941723.094 |
| 1110189.954 | -6866985.911 | -3538615.828 | -8736660.839 | 3414882.929 | -974111.421 |
| 1066840.969 | -6927914.212 | -3559091.039 | -8736435.211 | 3407211.536 | -945631.144 |
| 1070488.611 | -6913523.817 | -3555071.237 | -8734441.067 | 3411472.817 | -959339.725 |
| -1084971.547 | 6871834.249 | 3534348.581 | 8722362.496 | -3385740.041 | 974390.337 |
| -1093260.102 | 6888051.287 | 3550219.660 | 8747468.703 | -3413024.483 | 958950.302 |
| -1102977.850 | 6870479.804 | 3539187.807 | 8745614.984 | -3414210.329 | 966599.438 |
| -1064956.664 | 6923431.542 | 3558347.145 | 8743472.963 | -3396973.460 | 941606.364 |
| -1077121.827 | 6912270.150 | 3549516.231 | 8737678.251 | -3402158.858 | 947803.696 |
| -1064002.826 | 6927314.460 | 3562146.060 | 8743819.467 | -3402072.413 | 942711.367 |
| 167386.872 | -636296.281 | -355164.475 | -888668.873 | 351953.710 | -137155.301 |
| 110828.218 | -690098.900 | -347502.344 | -879517.945 | 337840.260 | -88702.383 |
| 111538.964 | -682941.518 | -362520.960 | -864095.982 | 335730.369 | -88956.394 |
| 90278.846 | -676771.111 | -367008.181 | -871815.576 | 334516.185 | -95754.763 |
| 104234.507 | -690697.672 | -354025.756 | -871982.280 | 340614.978 | -94895.941 |
| 88101.140 | -692824.174 | -374584.158 | -872597.550 | 341895.363 | -101423.214 |
| -115084.044 | 672923.879 | 350063.418 | 868274.698 | -344253.464 | 114205.926 |
| -114080.949 | 667009.332 | 349435.390 | 860655.003 | -330019.896 | 94786.596 |
| -109361.442 | 676132.714 | 360868.834 | 869391.474 | -336663.009 | 94093.426 |
| -114068.111 | 691929.441 | 358561.712 | 863745.114 | -334799.659 | 94955.359 |
| -107667.699 | 673709.814 | 359983.738 | 863861.888 | -335680.412 | 92066.308 |
| -108910.524 | 694739.715 | 360027.430 | 864004.127 | -341542.086 | 95770.446 |
| 389.962 | 179.696 | 111.447 | -0.333 | 0.000 | 0.000 |
| 147.143 | 442.546 | 117.156 | 21.767 | -0.000 | 0.000 |
| 117.156 | 117.156 | 432.100 | -0.000 | 0.000 | 0.000 |
| -1.974 | 1.974 | -0.000 | 106.665 | 0.000 | 0.000 |
| -0.000 | -0.000 | -0.000 | -0.000 | 106.665 | -1.974 |
| -0.000 | -0.000 | -0.000 | -0.000 | -1.974 | 108.393 |
| 387.772 | 170.987 | 108.341 | -1.974 | -0.000 | -0.000 |
| 179.696 | 389.962 | 111.447 | 0.333 | -0.000 | -0.000 |
| 117.156 | 117.156 | 432.100 | -0.000 | -0.000 | -0.000 |
| -1.974 | 1.974 | 0.000 | 106.665 | -0.000 | -0.000 |
| 0.000 | 0.000 | 0.000 | 0.000 | 106.665 | -1.974 |
| 0.000 | 0.000 | 0.000 | 0.000 | -1.974 | 108.393 |
| 442.546 | 147.143 | 117.156 | -21.767 | 0.000 | 0.000 |
| 179.695 | 389.963 | 111.447 | 0.333 | 0.000 | 0.000 |
| 117.156 | 117.156 | 432.100 | 0.000 | 0.000 | 0.000 |
| -1.974 | 1.974 | -0.000 | 106.665 | 0.000 | 0.000 |
| -0.000 | -0.000 | -0.000 | -0.000 | 116.632 | -21.767 |
| 0.000 | -0.000 | 0.000 | -0.000 | -1.974 | 108.393 |
| 442.547 | 147.143 | 117.156 | -21.767 | -0.000 | -0.000 |
| 147.143 | 442.547 | 117.156 | 21.767 | -0.000 | -0.000 |
| 108.341 | 108.341 | 427.076 | -0.000 | -0.000 | -0.000 |
| -21.767 | 21.767 | 0.000 | 116.632 | -0.000 | -0.000 |
| 0.000 | 0.000 | 0.000 | 0.000 | 116.632 | -21.767 |
| -0.000 | 0.000 | -0.000 | 0.000 | -1.974 | 108.393 |
| 389.962 | 179.695 | 111.448 | -0.333 | 0.000 | 0.000 |
| 170.982 | 387.780 | 108.343 | 1.977 | -0.000 | -0.000 |
| 117.156 | 117.156 | 432.100 | -0.000 | -0.000 | 0.000 |
| -1.975 | 1.975 | -0.000 | 106.666 | 0.000 | 0.000 |
| -0.000 | -0.000 | -0.000 | -0.000 | 106.665 | -1.974 |
| 0.001 | -0.001 | 0.000 | -0.000 | -1.974 | 108.393 |
| 389.967 | 179.693 | 111.447 | -0.334 | 0.000 | -0.000 |
| 170.992 | 387.764 | 108.340 | 1.971 | 0.000 | 0.000 |
| 108.341 | 108.341 | 427.076 | -0.000 | 0.000 | -0.000 |
| -1.973 | 1.973 | 0.000 | 106.664 | -0.000 | -0.000 |
| 0.000 | 0.000 | 0.000 | 0.000 | 106.665 | -1.974 |
| -0.001 | 0.001 | -0.000 | 0.000 | -1.974 | 108.393 |
| 0.014 | 0.009 | -0.000 | -0.000 | -0.000 | 0.000 |
| 0.009 | 0.014 | -0.000 | -0.000 | -0.000 | 0.000 |
| 3.874 | 3.874 | 0.686 | 0.000 | -0.000 | 0.000 |
| -6.516 | 6.516 | -0.000 | 3.880 | -0.000 | 0.000 |
| -0.000 | -0.000 | -0.000 | -0.000 | -0.000 | 0.000 |
| -0.000 | -0.000 | -0.000 | -0.000 | -0.000 | 0.002 |
| 13.940 | 19.918 | 2.999 | 1.781 | 0.000 | -0.000 |
| 0.010 | 0.014 | 0.000 | 0.000 | 0.000 | -0.000 |
| 0.004 | 0.004 | 0.000 | 0.000 | 0.000 | -0.000 |
| 0.000 | 0.000 | 0.000 | 0.000 | 0.000 | -0.000 |
| 0.000 | 0.000 | 0.000 | 0.000 | 0.000 | -0.000 |
| 0.000 | 0.000 | 0.000 | 0.000 | 0.000 | 0.002 |
| 0.014 | 0.010 | -0.000 | 0.000 | -0.000 | 0.000 |
| 0.010 | 0.014 | 0.000 | 0.000 | -0.000 | 0.000 |
| 0.004 | 0.004 | -0.000 | -0.000 | -0.000 | 0.000 |
| -0.000 | 0.000 | -0.000 | 0.000 | -0.000 | 0.000 |
| -0.000 | -0.000 | -0.000 | -0.000 | -0.000 | 0.000 |
| 0.000 | -0.000 | -0.000 | -0.000 | -0.000 | 0.002 |
| 0.014 | 0.010 | 0.000 | -0.000 | 0.000 | -0.000 |
| 19.918 | 13.940 | 2.999 | -1.781 | 0.000 | -0.000 |
| 3.874 | 3.874 | 0.686 | -0.000 | 0.000 | -0.000 |
| 0.000 | -0.000 | 0.000 | -0.000 | 0.000 | -0.000 |
| 0.000 | 0.000 | 0.000 | 0.000 | 0.000 | -0.000 |
| -0.000 | 0.000 | 0.000 | 0.000 | 0.000 | 0.002 |
| 0.014 | 0.010 | 0.000 | 0.000 | -0.000 | 0.000 |
| 0.009 | 0.015 | 0.000 | 0.000 | -0.000 | 0.000 |
| 0.004 | 0.004 | 0.000 | -0.000 | -0.000 | 0.000 |
| -0.000 | 0.000 | 0.000 | 0.000 | -0.000 | 0.000 |
| 0.000 | -0.000 | 0.000 | -0.000 | -0.000 | 0.000 |
| 0.000 | -0.000 | -0.000 | -0.000 | -0.000 | 0.002 |
| 0.014 | 0.009 | -0.000 | -0.000 | 0.000 | -0.000 |
| 0.010 | 0.013 | -0.000 | -0.000 | 0.000 | -0.000 |
| 0.004 | 0.004 | -0.000 | 0.000 | 0.000 | -0.000 |
| 0.000 | -0.000 | -0.000 | -0.000 | 0.000 | -0.000 |
| -0.000 | 0.000 | -0.000 | 0.000 | 0.000 | -0.000 |
| -0.000 | 0.000 | 0.000 | 0.000 | 0.000 | 0.002 |
| 997.942 | 626.754 | 626.754 | -0.000 | -0.000 | 0.000 |
| 626.754 | 997.942 | 626.754 | 0.000 | 0.000 | -0.000 |
| 626.754 | 626.754 | 997.942 | -0.000 | -0.000 | 0.000 |
| -0.000 | -0.000 | -0.000 | 127.964 | 0.000 | -0.000 |
| -0.000 | -0.000 | -0.000 | -0.000 | 127.964 | 0.000 |
| -0.000 | -0.000 | -0.000 | 0.000 | 0.000 | 127.964 |
| 997.941 | 626.754 | 626.754 | 0.000 | 0.000 | 0.000 |
| 626.754 | 997.941 | 626.754 | 0.000 | -0.000 | -0.000 |
| 626.754 | 626.754 | 997.941 | 0.000 | 0.000 | 0.000 |
| 0.000 | 0.000 | 0.000 | 127.964 | 0.000 | -0.000 |
| 0.000 | 0.000 | 0.000 | 0.000 | 127.964 | 0.000 |
| 0.000 | 0.000 | 0.000 | 0.000 | 0.000 | 127.964 |
| 997.942 | 626.755 | 626.755 | -0.000 | 0.000 | 0.000 |
| 626.755 | 997.942 | 626.755 | 0.000 | -0.000 | 0.000 |
| 626.755 | 626.755 | 997.942 | 0.000 | 0.000 | 0.000 |
| -0.000 | 0.000 | 0.000 | 127.964 | 0.000 | -0.000 |
| 0.000 | -0.000 | 0.000 | -0.000 | 127.964 | 0.000 |
| 0.000 | 0.000 | -0.000 | 0.000 | 0.000 | 127.964 |
| 997.941 | 626.753 | 626.753 | 0.000 | -0.000 | 0.000 |
| 626.753 | 997.941 | 626.753 | 0.000 | 0.000 | 0.000 |
| 626.753 | 626.753 | 997.941 | 0.000 | -0.000 | 0.000 |
| 0.000 | -0.000 | -0.000 | 127.964 | -0.000 | -0.000 |
| -0.000 | 0.000 | -0.000 | 0.000 | 127.964 | -0.000 |
| -0.000 | -0.000 | 0.000 | -0.000 | -0.000 | 127.964 |
| 997.950 | 626.761 | 626.761 | -0.000 | -0.000 | -0.000 |
| 626.761 | 997.950 | 626.761 | -0.000 | 0.000 | -0.000 |
| 626.761 | 626.761 | 997.950 | -0.000 | 0.000 | -0.000 |
| -0.000 | 0.000 | 0.000 | 127.964 | 0.000 | -0.000 |
| 0.000 | -0.000 | 0.000 | 0.000 | 127.964 | 0.000 |
| 0.000 | 0.000 | -0.000 | -0.000 | -0.000 | 127.964 |
| 997.933 | 626.747 | 626.747 | -0.000 | -0.000 | -0.000 |
| 626.747 | 997.933 | 626.747 | 0.000 | 0.000 | -0.000 |
| 626.747 | 626.747 | 997.933 | 0.000 | 0.000 | 0.000 |
| 0.000 | -0.000 | -0.000 | 127.964 | 0.000 | -0.000 |
| -0.000 | 0.000 | -0.000 | 0.000 | 127.964 | -0.000 |
| -0.000 | -0.000 | 0.000 | 0.000 | -0.000 | 127.964 |
| 732.499 | 646.622 | 646.622 | -0.000 | -0.000 | 0.000 |
| 646.622 | 732.499 | 646.622 | -0.000 | 0.000 | 0.000 |
| 646.622 | 646.622 | 732.499 | -0.000 | -0.000 | 0.000 |
| -0.000 | -0.000 | -0.000 | -52.026 | -0.000 | 0.000 |
| -0.000 | -0.000 | -0.000 | -0.000 | -52.026 | 0.000 |
| -0.000 | -0.000 | -0.000 | -0.000 | -0.000 | -52.026 |
| 732.495 | 646.618 | 646.618 | 0.000 | 0.000 | -0.000 |
| 646.618 | 732.495 | 646.618 | 0.000 | -0.000 | -0.000 |
| 646.618 | 646.618 | 732.495 | 0.000 | -0.000 | -0.000 |
| 0.000 | 0.000 | 0.000 | -52.026 | 0.000 | -0.000 |
| 0.000 | 0.000 | 0.000 | 0.000 | -52.026 | -0.000 |
| 0.000 | 0.000 | 0.000 | 0.000 | 0.000 | -52.026 |
| 732.516 | 646.640 | 646.640 | -0.000 | -0.000 | 0.000 |
| 646.640 | 732.516 | 646.640 | -0.000 | 0.000 | 0.000 |
| 646.640 | 646.640 | 732.516 | -0.000 | 0.000 | 0.000 |
| -0.000 | -0.000 | -0.000 | -52.026 | 0.000 | 0.000 |
| -0.000 | -0.000 | -0.000 | -0.000 | -52.026 | 0.000 |
| -0.000 | -0.000 | -0.000 | -0.000 | -0.000 | -52.026 |
| 732.477 | 646.601 | 646.601 | 0.000 | -0.000 | -0.000 |
| 646.601 | 732.477 | 646.601 | 0.000 | 0.000 | -0.000 |
| 646.601 | 646.601 | 732.477 | 0.000 | -0.000 | -0.000 |
| 0.000 | 0.000 | 0.000 | -52.026 | 0.000 | -0.000 |
| 0.000 | 0.000 | 0.000 | 0.000 | -52.026 | -0.000 |
| 0.000 | 0.000 | 0.000 | 0.000 | -0.000 | -52.026 |
| 732.693 | 646.815 | 646.815 | -0.000 | -0.000 | 0.000 |
| 646.815 | 732.693 | 646.815 | -0.000 | -0.000 | 0.000 |
| 646.815 | 646.815 | 732.693 | -0.000 | -0.000 | 0.000 |
| -0.000 | -0.000 | -0.000 | -52.026 | -0.000 | 0.000 |
| -0.000 | -0.000 | -0.000 | -0.000 | -52.026 | 0.000 |
| -0.000 | -0.000 | -0.000 | -0.000 | -0.000 | -52.026 |
| 732.301 | 646.426 | 646.426 | 0.000 | 0.000 | -0.000 |
| 646.426 | 732.301 | 646.426 | 0.000 | -0.000 | -0.000 |
| 646.426 | 646.426 | 732.301 | 0.000 | 0.000 | -0.000 |
| 0.000 | 0.000 | 0.000 | -52.026 | -0.000 | -0.000 |
| 0.000 | 0.000 | 0.000 | 0.000 | -52.026 | -0.000 |
| 0.000 | 0.000 | 0.000 | 0.000 | 0.000 | -52.026 |
| 1283.928 | 1234.636 | 1234.636 | 0.000 | 0.000 | -0.000 |
| 1234.636 | 1283.928 | 1234.636 | -0.000 | -0.000 | -0.000 |
| 1234.636 | 1234.636 | 1283.928 | -0.000 | -0.000 | -0.000 |
| 0.000 | 0.000 | 0.000 | 250.098 | -0.000 | -0.000 |
| 0.000 | 0.000 | 0.000 | -0.000 | 250.098 | -0.000 |
| 0.000 | 0.000 | 0.000 | -0.000 | -0.000 | 250.098 |
| 1283.929 | 1234.637 | 1234.637 | 0.000 | 0.000 | 0.000 |
| 1234.637 | 1283.929 | 1234.637 | 0.000 | 0.000 | 0.000 |
| 1234.637 | 1234.637 | 1283.929 | 0.000 | 0.000 | 0.000 |
| -0.000 | -0.000 | -0.000 | 250.098 | 0.000 | 0.000 |
| -0.000 | -0.000 | -0.000 | 0.000 | 250.098 | -0.000 |
| -0.000 | -0.000 | -0.000 | 0.000 | 0.000 | 250.098 |
| 1283.922 | 1234.631 | 1234.631 | -0.000 | -0.000 | -0.000 |
| 1234.631 | 1283.922 | 1234.631 | -0.000 | -0.000 | -0.000 |
| 1234.631 | 1234.631 | 1283.922 | -0.000 | -0.000 | -0.000 |
| 0.001 | 0.001 | 0.001 | 250.098 | -0.000 | -0.000 |
| 0.001 | 0.001 | 0.001 | -0.000 | 250.098 | -0.000 |
| 0.001 | 0.001 | 0.001 | -0.000 | -0.000 | 250.098 |
| 1283.935 | 1234.642 | 1234.642 | 0.000 | 0.000 | 0.000 |
| 1234.642 | 1283.935 | 1234.642 | 0.000 | 0.000 | 0.000 |
| 1234.642 | 1234.642 | 1283.935 | 0.000 | 0.000 | 0.000 |
| -0.001 | -0.001 | -0.001 | 250.098 | 0.000 | 0.000 |
| -0.001 | -0.001 | -0.001 | 0.000 | 250.098 | 0.000 |
| -0.001 | -0.001 | -0.001 | 0.000 | 0.000 | 250.098 |
| 1283.863 | 1234.582 | 1234.582 | -0.000 | -0.000 | -0.000 |
| 1234.582 | 1283.863 | 1234.582 | -0.000 | -0.000 | -0.000 |
| 1234.582 | 1234.582 | 1283.863 | -0.000 | -0.000 | -0.000 |
| 0.011 | 0.011 | 0.012 | 250.098 | -0.000 | -0.000 |
| 0.011 | 0.011 | 0.012 | -0.000 | 250.098 | -0.000 |
| 0.011 | 0.012 | 0.011 | -0.000 | -0.000 | 250.098 |
| 1283.995 | 1234.691 | 1234.691 | 0.000 | 0.000 | 0.000 |
| 1234.691 | 1283.995 | 1234.691 | 0.000 | 0.000 | 0.000 |
| 1234.691 | 1234.691 | 1283.995 | 0.000 | 0.000 | 0.000 |
| -0.011 | -0.011 | -0.012 | 250.098 | 0.000 | 0.000 |
| -0.011 | -0.011 | -0.012 | 0.000 | 250.098 | 0.000 |
| -0.011 | -0.012 | -0.011 | 0.000 | 0.000 | 250.098 |
| 198.333 | 32.192 | 32.192 | -0.000 | 0.000 | 0.000 |
| 32.192 | 198.333 | 32.192 | -0.000 | -0.000 | 0.000 |
| 32.192 | 32.192 | 198.333 | 0.000 | 0.000 | 0.000 |
| -0.000 | 0.000 | 0.000 | 33.256 | 0.000 | 0.000 |
| 0.000 | 0.000 | 0.000 | -0.000 | 33.256 | 0.000 |
| 0.000 | 0.000 | -0.000 | 0.000 | 0.000 | 33.256 |
| 198.333 | 32.192 | 32.192 | 0.000 | -0.000 | -0.000 |
| 32.192 | 198.333 | 32.192 | 0.000 | -0.000 | -0.000 |
| 32.192 | 32.192 | 198.333 | 0.000 | 0.000 | -0.000 |
| 0.000 | -0.000 | -0.000 | 33.256 | 0.000 | -0.000 |
| -0.000 | 0.000 | -0.000 | 0.000 | 33.256 | -0.000 |
| -0.000 | -0.000 | 0.000 | 0.000 | 0.000 | 33.256 |
| 198.333 | 32.192 | 32.192 | -0.000 | -0.000 | 0.000 |
| 32.192 | 198.333 | 32.192 | -0.000 | -0.000 | 0.000 |
| 32.192 | 32.192 | 198.333 | 0.000 | 0.000 | 0.000 |
| -0.000 | 0.000 | 0.000 | 33.256 | 0.000 | 0.000 |
| 0.000 | -0.000 | 0.000 | -0.000 | 33.256 | 0.000 |
| 0.000 | 0.000 | -0.000 | 0.000 | 0.000 | 33.256 |
| 198.333 | 32.192 | 32.192 | 0.000 | -0.000 | -0.000 |
| 32.192 | 198.333 | 32.192 | 0.000 | 0.000 | -0.000 |
| 32.192 | 32.192 | 198.333 | -0.000 | -0.000 | -0.000 |
| 0.000 | -0.000 | -0.000 | 33.256 | -0.000 | -0.000 |
| -0.000 | 0.000 | -0.000 | -0.000 | 33.256 | -0.000 |
| -0.000 | -0.000 | 0.000 | -0.000 | -0.000 | 33.256 |
| 198.333 | 32.193 | 32.193 | -0.000 | -0.000 | 0.000 |
| 32.193 | 198.333 | 32.193 | -0.000 | 0.000 | 0.000 |
| 32.193 | 32.193 | 198.333 | -0.000 | 0.000 | 0.000 |
| -0.000 | 0.000 | 0.000 | 33.256 | 0.000 | 0.000 |
| 0.000 | -0.000 | 0.000 | 0.000 | 33.256 | 0.000 |
| 0.000 | 0.000 | -0.000 | -0.000 | 0.000 | 33.256 |
| 198.334 | 32.192 | 32.192 | 0.000 | -0.000 | -0.000 |
| 32.192 | 198.334 | 32.192 | 0.000 | -0.000 | -0.000 |
| 32.192 | 32.192 | 198.334 | -0.000 | -0.000 | -0.000 |
| 0.000 | -0.000 | -0.000 | 33.256 | -0.000 | -0.000 |
| -0.000 | 0.000 | -0.000 | -0.000 | 33.256 | -0.000 |
| -0.000 | -0.000 | 0.000 | 0.000 | 0.000 | 33.256 |
| 87.452 | -0.113 | -0.113 | 0.000 | 0.000 | 0.000 |
| -0.113 | 87.452 | -0.113 | 0.000 | -0.000 | 0.000 |
| -0.113 | -0.113 | 87.452 | -0.000 | -0.000 | -0.000 |
| -0.000 | 0.000 | -0.000 | 0.011 | 0.000 | -0.000 |
| 0.000 | -0.000 | -0.000 | 0.000 | 0.011 | -0.000 |
| 0.000 | -0.000 | -0.000 | 0.000 | 0.000 | 0.011 |
| 87.452 | -0.113 | -0.113 | -0.000 | 0.000 | 0.000 |
| -0.113 | 87.452 | -0.113 | -0.000 | -0.000 | 0.000 |
| -0.113 | -0.113 | 87.452 | 0.000 | 0.000 | -0.000 |
| 0.000 | -0.000 | 0.000 | 0.011 | -0.000 | 0.000 |
| -0.000 | 0.000 | 0.000 | -0.000 | 0.011 | 0.000 |
| -0.000 | 0.000 | 0.000 | -0.000 | 0.000 | 0.011 |
| 87.452 | -0.113 | -0.113 | -0.000 | -0.000 | -0.000 |
| -0.113 | 87.452 | -0.113 | -0.000 | -0.000 | -0.000 |
| -0.113 | -0.113 | 87.452 | 0.000 | 0.000 | -0.000 |
| 0.000 | 0.000 | -0.000 | 0.011 | 0.000 | 0.000 |
| 0.000 | 0.000 | -0.000 | 0.000 | 0.011 | -0.000 |
| 0.000 | -0.000 | 0.000 | 0.000 | 0.000 | 0.011 |
| 87.452 | -0.113 | -0.113 | -0.000 | 0.000 | 0.000 |
| -0.113 | 87.452 | -0.113 | 0.000 | -0.000 | -0.000 |
| -0.113 | -0.113 | 87.452 | -0.000 | -0.000 | 0.000 |
| -0.000 | -0.000 | 0.000 | 0.011 | -0.000 | 0.000 |
| -0.000 | -0.000 | 0.000 | -0.000 | 0.011 | -0.000 |
| -0.000 | 0.000 | -0.000 | -0.000 | -0.000 | 0.011 |
| 87.451 | -0.113 | -0.113 | -0.000 | -0.000 | -0.000 |
| -0.113 | 87.451 | -0.113 | -0.000 | -0.000 | -0.000 |
| -0.113 | -0.113 | 87.451 | 0.000 | 0.000 | -0.000 |
| 0.000 | 0.000 | -0.000 | 0.011 | 0.000 | 0.000 |
| 0.000 | 0.000 | -0.000 | 0.000 | 0.011 | -0.000 |
| 0.000 | -0.000 | 0.000 | 0.000 | 0.000 | 0.011 |
| 87.453 | -0.113 | -0.113 | 0.000 | 0.000 | -0.000 |
| -0.113 | 87.453 | -0.113 | 0.000 | 0.000 | -0.000 |
| -0.113 | -0.113 | 87.453 | -0.000 | -0.000 | -0.000 |
| -0.000 | -0.000 | 0.000 | 0.011 | -0.000 | 0.000 |
| -0.000 | -0.000 | 0.000 | -0.000 | 0.011 | 0.000 |
| -0.000 | 0.000 | -0.000 | -0.000 | 0.000 | 0.011 |
| 42.599 | -0.406 | -0.406 | -0.000 | -0.000 | 0.000 |
| -0.406 | 42.599 | -0.406 | -0.000 | -0.000 | -0.000 |
| -0.406 | -0.406 | 42.599 | -0.000 | -0.000 | -0.000 |
| 0.000 | 0.000 | -0.000 | 0.002 | 0.000 | -0.000 |
| 0.000 | 0.000 | -0.000 | 0.000 | 0.002 | 0.000 |
| 0.000 | -0.000 | 0.000 | 0.000 | 0.000 | 0.002 |
| 42.599 | -0.406 | -0.406 | 0.000 | 0.000 | -0.000 |
| -0.406 | 42.599 | -0.406 | 0.000 | 0.000 | 0.000 |
| -0.406 | -0.406 | 42.599 | 0.000 | 0.000 | 0.000 |
| -0.000 | -0.000 | 0.000 | 0.002 | 0.000 | 0.000 |
| -0.000 | -0.000 | 0.000 | 0.000 | 0.002 | -0.000 |
| -0.000 | 0.000 | -0.000 | -0.000 | -0.000 | 0.002 |
| 42.598 | -0.406 | -0.406 | -0.000 | -0.000 | -0.000 |
| -0.406 | 42.598 | -0.406 | 0.000 | -0.000 | 0.000 |
| -0.406 | -0.406 | 42.598 | 0.000 | 0.000 | -0.000 |
| 0.000 | 0.000 | -0.000 | 0.002 | -0.000 | -0.000 |
| 0.000 | 0.000 | -0.000 | -0.000 | 0.002 | 0.000 |
| 0.000 | -0.000 | 0.000 | 0.000 | 0.000 | 0.002 |
| 42.599 | -0.406 | -0.406 | -0.000 | 0.000 | 0.000 |
| -0.406 | 42.599 | -0.406 | 0.000 | 0.000 | -0.000 |
| -0.406 | -0.406 | 42.599 | -0.000 | -0.000 | -0.000 |
| -0.000 | -0.000 | 0.000 | 0.002 | 0.000 | -0.000 |
| -0.000 | -0.000 | 0.000 | 0.000 | 0.002 | -0.000 |
| -0.000 | 0.000 | -0.000 | -0.000 | -0.000 | 0.002 |
| 42.598 | -0.406 | -0.406 | -0.000 | -0.000 | -0.000 |
| -0.406 | 42.598 | -0.406 | 0.000 | -0.000 | -0.000 |
| -0.406 | -0.406 | 42.598 | 0.000 | 0.000 | -0.000 |
| 0.000 | 0.000 | -0.000 | 0.002 | 0.000 | -0.000 |
| 0.000 | 0.000 | -0.000 | 0.000 | 0.002 | 0.000 |
| 0.000 | -0.000 | 0.000 | 0.000 | 0.000 | 0.002 |
| 42.600 | -0.406 | -0.406 | -0.000 | 0.000 | -0.000 |
| -0.406 | 42.600 | -0.406 | 0.000 | -0.000 | 0.000 |
| -0.406 | -0.406 | 42.600 | -0.000 | -0.000 | 0.000 |
| -0.000 | -0.000 | 0.000 | 0.002 | -0.000 | 0.000 |
| -0.000 | -0.000 | 0.000 | -0.000 | 0.002 | -0.000 |
| -0.000 | 0.000 | -0.000 | 0.000 | -0.000 | 0.002 |
| 452.544 | 374.787 | 324.076 | 0.000 | -0.000 | 0.000 |
| -48.350 | 295.471 | 202.726 | -0.000 | 0.000 | -0.000 |
| -63.024 | 9.139 | 476.128 | -0.000 | 0.000 | -0.000 |
| -382.047 | -253.946 | -58.366 | 17.342 | 0.000 | -0.000 |
| -382.047 | -253.946 | -58.366 | -0.000 | -32.461 | 0.000 |
| -413.334 | -274.742 | -63.146 | -0.000 | 0.000 | -25.500 |
| 452.545 | 374.788 | 324.078 | -0.000 | -0.000 | 0.000 |
| 715.744 | 803.363 | 319.458 | 0.000 | -0.000 | 0.000 |
| 329.182 | 269.838 | 536.046 | -0.000 | -0.000 | -0.000 |
| 382.047 | 253.946 | 58.366 | 17.342 | -0.000 | 0.000 |
| 382.047 | 253.946 | 58.366 | 0.000 | -32.461 | 0.000 |
| 413.334 | 274.742 | 63.146 | 0.000 | -0.000 | -25.500 |
| 452.536 | 374.783 | 324.071 | -0.000 | 0.000 | -0.000 |
| 295.492 | 524.022 | 255.255 | -0.000 | -0.000 | -0.000 |
| 280.816 | 237.689 | 528.656 | -0.000 | 0.000 | -0.000 |
| -38.205 | -25.395 | -5.837 | 17.341 | 0.000 | -0.000 |
| -38.205 | -25.395 | -5.837 | -0.000 | -32.461 | -0.000 |
| 0.000 | -0.000 | 0.000 | 0.000 | 0.000 | 89.896 |
| 452.552 | 374.792 | 324.083 | -0.000 | 0.000 | 0.000 |
| 371.902 | 574.812 | 266.929 | 0.000 | -0.000 | 0.000 |
| 357.231 | 288.481 | 540.333 | 0.000 | -0.000 | 0.000 |
| 38.205 | 25.395 | 5.837 | 17.341 | -0.000 | 0.000 |
| 38.205 | 25.395 | 5.837 | 0.000 | -32.461 | -0.000 |
| -0.000 | 0.000 | -0.000 | -0.000 | 0.000 | 89.896 |
| 382.197 | 328.033 | 313.306 | -0.000 | -0.000 | -0.000 |
| 329.871 | 546.875 | 260.502 | -0.000 | -0.000 | -0.000 |
| 315.177 | 260.533 | 533.890 | -0.000 | 0.000 | -0.000 |
| -3.820 | -2.539 | -0.583 | 17.341 | 0.000 | -0.000 |
| -3.820 | -2.539 | -0.584 | -0.000 | -32.461 | -0.000 |
| 13700092.462 | 7269046.018 | 3956681.761 | -0.000 | 0.000 | -25587822.839 |
| 389.895 | 333.139 | 314.532 | 0.000 | -0.000 | 0.000 |
| 377.922 | 578.811 | 267.860 | -0.000 | 0.000 | -0.000 |
| 322.870 | 265.638 | 535.098 | 0.000 | 0.000 | 0.000 |
| 3.820 | 2.539 | 0.583 | 17.341 | -0.000 | 0.000 |
| 3.820 | 2.539 | 0.584 | 0.000 | -32.461 | 0.000 |
| -13700092.462 | -7269046.018 | -3956681.761 | 0.000 | -0.000 | -25587822.839 |
| 1238.770 | 1096.674 | 724.767 | 0.000 | -0.000 | -0.000 |
| 1096.675 | 1238.770 | 724.767 | 0.000 | -0.000 | -0.000 |
| 1079.956 | 1079.956 | 792.786 | -0.000 | -0.000 | -0.000 |
| 2456.711 | 2456.709 | 1552.346 | 67.108 | -0.000 | -0.000 |
| 2456.711 | 2456.709 | 1552.346 | 0.000 | 67.108 | -0.000 |
| 2319.279 | 2319.278 | 1167.895 | -0.000 | 0.000 | 61.215 |
| 371.921 | 223.405 | 196.847 | 0.000 | 0.000 | 0.000 |
| 223.405 | 371.921 | 196.847 | -0.000 | 0.000 | 0.000 |
| 198.088 | 198.088 | 263.315 | -0.000 | 0.000 | 0.000 |
| -2456.711 | -2456.709 | -1552.346 | 67.108 | 0.000 | 0.000 |
| -2456.711 | -2456.709 | -1552.346 | -0.000 | 67.108 | 0.000 |
| -2319.279 | -2319.278 | -1167.895 | -0.000 | 0.000 | 61.215 |
| 432.324 | 289.987 | 236.389 | 0.000 | -0.000 | -0.000 |
| 289.987 | 432.324 | 236.389 | 0.000 | 0.000 | -0.000 |
| 272.991 | 272.991 | 304.297 | 0.000 | -0.000 | -0.000 |
| 89.728 | 89.728 | 54.326 | 68.169 | -0.000 | -0.000 |
| 89.728 | 89.728 | 54.326 | -0.000 | 68.169 | -0.000 |
| -0.000 | -0.000 | -0.000 | 0.000 | -0.000 | 77.807 |
| 371.924 | 223.408 | 196.852 | 0.000 | 0.000 | 0.000 |
| 223.408 | 371.924 | 196.852 | -0.000 | 0.000 | 0.000 |
| 198.095 | 198.095 | 263.326 | -0.000 | 0.000 | 0.000 |
| -89.728 | -89.728 | -54.326 | 68.169 | 0.000 | 0.000 |
| -89.728 | -89.728 | -54.326 | 0.000 | 68.169 | 0.000 |
| 0.000 | 0.000 | 0.000 | -0.000 | 0.000 | 77.807 |
| 371.884 | 223.369 | 196.793 | -0.000 | -0.000 | -0.000 |
| 223.369 | 371.884 | 196.793 | 0.000 | -0.000 | -0.000 |
| 198.008 | 198.008 | 263.196 | 0.000 | -0.000 | -0.000 |
| -0.001 | -0.001 | -0.001 | 69.913 | -0.000 | -0.000 |
| -0.001 | -0.001 | -0.001 | 0.000 | 69.913 | -0.000 |
| -0.002 | -0.002 | -0.003 | 0.000 | -0.000 | 77.807 |
| 371.957 | 223.441 | 196.900 | -0.000 | 0.000 | 0.000 |
| 223.441 | 371.957 | 196.900 | -0.000 | 0.000 | 0.000 |
| 198.166 | 198.166 | 263.432 | 0.000 | 0.000 | 0.000 |
| 0.001 | 0.001 | 0.001 | 69.913 | 0.000 | 0.000 |
| 0.001 | 0.001 | 0.001 | 0.000 | 69.913 | 0.000 |
| 0.002 | 0.002 | 0.003 | -0.000 | 0.000 | 77.807 |
| 1669.845 | 1527.299 | 1146.555 | 0.000 | -0.000 | 0.001 |
| 1527.299 | 1669.845 | 1146.555 | 0.000 | -0.000 | 0.001 |
| 1532.208 | 1532.208 | 1248.864 | 0.000 | -0.000 | 0.001 |
| 1254.329 | 1254.329 | 868.287 | 68.761 | -0.000 | 0.001 |
| -365.701 | -365.701 | 485.319 | 0.000 | 67.060 | -0.009 |
| 1254.321 | 1254.321 | 868.281 | -0.000 | -0.000 | 69.551 |
| 225.402 | 87.671 | -229.344 | -0.000 | -0.000 | 0.000 |
| 87.671 | 225.402 | -229.344 | -0.000 | 0.000 | 0.000 |
| -976.419 | -976.419 | -487.666 | -0.000 | -0.000 | -0.001 |
| 365.701 | 365.701 | -485.319 | 67.060 | -0.000 | 0.009 |
| 365.724 | 365.724 | -485.311 | 0.000 | 67.060 | 0.009 |
| -1254.321 | -1254.321 | -868.281 | -0.000 | 0.000 | 69.549 |
| 418.148 | 280.603 | 323.026 | -0.000 | -0.000 | -0.000 |
| 280.603 | 418.148 | 323.026 | -0.000 | 0.000 | -0.000 |
| 403.167 | 403.167 | 467.201 | -0.000 | -0.000 | 0.000 |
| 3.849 | 3.849 | 42.280 | 67.328 | -0.000 | 0.000 |
| 3.849 | 3.849 | 42.280 | 0.000 | 67.328 | 0.000 |
| -0.000 | -0.000 | -0.000 | 0.000 | -0.000 | 81.054 |
| 384.116 | 246.243 | 222.921 | 0.000 | -0.000 | -0.000 |
| 246.243 | 384.116 | 222.921 | -0.000 | 0.000 | -0.000 |
| 152.616 | 152.616 | 293.982 | -0.000 | 0.000 | -0.000 |
| -3.849 | -3.849 | -42.280 | 67.328 | 0.000 | -0.000 |
| -3.849 | -3.849 | -42.280 | 0.000 | 67.328 | -0.000 |
| 0.000 | 0.000 | 0.000 | -0.000 | -0.000 | 81.054 |
| 401.496 | 265.118 | 278.311 | 0.000 | 0.000 | -0.000 |
| 265.118 | 401.496 | 278.311 | 0.000 | -0.000 | -0.000 |
| 276.443 | 276.443 | 379.087 | 0.000 | -0.000 | 0.000 |
| -4.496 | -4.496 | 4.366 | 67.113 | 0.000 | 0.000 |
| -4.496 | -4.496 | 4.366 | -0.000 | 67.113 | 0.000 |
| -0.002 | -0.002 | -0.003 | 0.000 | -0.000 | 81.054 |
| 405.486 | 261.518 | 270.180 | -0.000 | 0.000 | -0.000 |
| 261.518 | 405.486 | 270.180 | 0.000 | 0.000 | -0.000 |
| 274.909 | 274.909 | 370.278 | -0.000 | -0.000 | -0.000 |
| 4.496 | 4.496 | -4.366 | 67.113 | 0.000 | -0.000 |
| 4.496 | 4.496 | -4.366 | -0.000 | 67.113 | -0.000 |
| 0.002 | 0.002 | 0.003 | -0.000 | -0.000 | 81.054 |
| 407.864 | 269.036 | 282.539 | -0.000 | 0.000 | 0.000 |
| 269.036 | 407.864 | 282.539 | -0.000 | 0.000 | 0.000 |
| -1615.100 | -1615.100 | -1216.337 | -0.000 | 0.000 | 0.000 |
| -1892.963 | -1892.963 | -1614.591 | 69.290 | 0.000 | 0.000 |
| -1892.963 | -1892.963 | -1614.591 | -0.000 | 69.290 | -0.000 |
| -1895.936 | -1895.936 | -1621.400 | 0.000 | 0.000 | 73.332 |
| 2293.030 | 2156.270 | 1892.472 | 0.000 | -0.000 | -0.000 |
| 2156.270 | 2293.030 | 1892.472 | -0.000 | -0.000 | -0.000 |
| 2177.626 | 2177.626 | 2028.486 | 0.000 | -0.000 | 0.000 |
| 1892.963 | 1892.963 | 1614.591 | 69.290 | 0.000 | -0.000 |
| 1892.963 | 1892.963 | 1614.591 | 0.000 | 69.290 | -0.000 |
| 1895.936 | 1895.936 | 1621.400 | 0.000 | -0.000 | 73.332 |
| 278.668 | 141.339 | 166.176 | 0.000 | 0.000 | -0.000 |
| 141.339 | 278.668 | 166.176 | 0.000 | 0.000 | 0.000 |
| 88.568 | 88.568 | 236.798 | -0.000 | 0.000 | 0.000 |
| 0.000 | 0.000 | 0.000 | 69.951 | 0.000 | -0.000 |
| 0.000 | 0.000 | 0.000 | -0.000 | 69.951 | 0.000 |
| -189.297 | -189.297 | -161.459 | -0.000 | 0.000 | 73.348 |
| 590.024 | 453.294 | 441.019 | 0.000 | -0.000 | -0.000 |
| 453.294 | 590.024 | 441.019 | 0.000 | -0.000 | -0.000 |
| 467.157 | 467.157 | 559.710 | 0.000 | -0.000 | -0.000 |
| -0.000 | -0.000 | -0.000 | 69.951 | 0.000 | -0.000 |
| -0.000 | -0.000 | -0.000 | 0.000 | 69.951 | 0.000 |
| 189.297 | 189.297 | 161.459 | 0.000 | -0.000 | 73.348 |
| 378.308 | 190.097 | 249.730 | -0.000 | 0.000 | 0.000 |
| 190.097 | 378.308 | 249.730 | -0.000 | 0.000 | 0.000 |
| 282.570 | 282.570 | 402.813 | -0.000 | 0.000 | 0.000 |
| 0.000 | 0.000 | 0.001 | 69.951 | 0.000 | 0.000 |
| 0.000 | 0.000 | 0.001 | -0.000 | 69.951 | 0.000 |
| -13.430 | -13.430 | -13.280 | 0.000 | 0.000 | 73.861 |
| 416.374 | 279.509 | 292.863 | 0.000 | -0.000 | -0.000 |
| 279.509 | 416.374 | 292.863 | -0.000 | -0.000 | -0.000 |
| 296.775 | 296.775 | 414.365 | 0.000 | -0.000 | -0.000 |
| -0.000 | -0.000 | -0.001 | 69.951 | 0.000 | -0.000 |
| -0.000 | -0.000 | -0.001 | 0.000 | 69.951 | -0.000 |
| 13.430 | 13.430 | 13.280 | 0.000 | -0.000 | 73.861 |
| 420.133 | 201.578 | 177.907 | 0.000 | -0.000 | -0.000 |
| 196.608 | 468.643 | 228.182 | -0.000 | 0.000 | -0.000 |
| 176.260 | 229.976 | 602.183 | -0.000 | -0.000 | -0.000 |
| 0.000 | -0.000 | 0.000 | 128.827 | 0.000 | -0.000 |
| 0.000 | 0.000 | 0.000 | -0.000 | 47.932 | -0.000 |
| 0.000 | 0.000 | 0.000 | 0.000 | 0.000 | 71.420 |
| 420.133 | 201.578 | 177.907 | 0.000 | -0.000 | 0.000 |
| 196.633 | 468.668 | 228.200 | -0.000 | -0.000 | 0.000 |
| 176.285 | 230.001 | 602.201 | -0.000 | 0.000 | 0.000 |
| -0.000 | -0.000 | -0.000 | 128.827 | -0.000 | 0.000 |
| -0.000 | -0.000 | 0.000 | 0.000 | 47.932 | 0.000 |
| -0.000 | -0.000 | -0.000 | 0.000 | -0.000 | 71.421 |
| 414.250 | 195.844 | 173.699 | -0.000 | 0.000 | -0.000 |
| 196.619 | 468.654 | 228.189 | -0.000 | -0.000 | 0.000 |
| 180.478 | 234.088 | 605.200 | -0.000 | -0.000 | -0.000 |
| -0.007 | -0.007 | -0.005 | -3.973 | 0.000 | -0.000 |
| -0.007 | -0.006 | -0.005 | -0.000 | -175.107 | -0.000 |
| 0.000 | 0.000 | 0.000 | -0.000 | 0.000 | 71.421 |
| 420.133 | 201.579 | 177.907 | 0.000 | -0.000 | 0.000 |
| 202.353 | 474.244 | 232.292 | 0.000 | 0.000 | 0.000 |
| 176.274 | 229.990 | 602.194 | 0.000 | 0.000 | 0.000 |
| 0.007 | 0.007 | 0.005 | -3.973 | -0.000 | 0.000 |
| 0.007 | 0.006 | 0.005 | 0.000 | -175.107 | 0.000 |
| -0.000 | -0.000 | -0.000 | 0.000 | 0.000 | 71.421 |
| 414.252 | 195.844 | 173.697 | -0.000 | 0.000 | -0.000 |
| 196.618 | 468.655 | 228.186 | -0.000 | 0.000 | -0.000 |
| 176.266 | 229.982 | 602.184 | -0.000 | -0.000 | -0.000 |
| -0.001 | -0.001 | -0.000 | -3.973 | 0.000 | -0.000 |
| -0.001 | -0.000 | -0.001 | -0.000 | -175.108 | -0.000 |
| 0.000 | 0.001 | 0.000 | -0.000 | -0.000 | 71.421 |
| 414.251 | 195.847 | 173.703 | -0.000 | 0.000 | 0.000 |
| 202.358 | 474.247 | 232.299 | -0.000 | 0.000 | 0.000 |
| 176.278 | 229.995 | 602.200 | 0.000 | -0.000 | 0.000 |
| 0.001 | 0.001 | 0.000 | -3.973 | -0.000 | 0.000 |
| 0.001 | 0.000 | 0.001 | 0.000 | -175.108 | 0.000 |
| -0.000 | -0.001 | -0.000 | 0.000 | -0.000 | 71.421 |
| 407.808 | 190.454 | 176.928 | 0.000 | 0.000 | -0.000 |
| 193.935 | 474.730 | 243.011 | 0.000 | 0.000 | -0.000 |
| 176.929 | 240.055 | 622.044 | -0.000 | 0.000 | -0.000 |
| 0.000 | 0.000 | -0.000 | 135.734 | 0.000 | -0.000 |
| 0.000 | 0.000 | -0.000 | 0.000 | 50.695 | -0.000 |
| 0.004 | 0.004 | 0.003 | 0.000 | -0.000 | 72.798 |
| 407.800 | 190.447 | 176.921 | -0.000 | 0.000 | 0.000 |
| 193.935 | 474.730 | 243.011 | -0.000 | -0.000 | 0.000 |
| 176.920 | 240.048 | 622.036 | -0.000 | -0.000 | 0.000 |
| -0.000 | 0.000 | 0.000 | 135.734 | -0.000 | 0.000 |
| -0.000 | -0.000 | 0.000 | -0.000 | 50.695 | 0.000 |
| -0.004 | -0.004 | -0.003 | -0.000 | -0.000 | 72.798 |
| 411.809 | 193.936 | 180.328 | 0.000 | -0.000 | -0.000 |
| 193.936 | 474.732 | 243.013 | 0.000 | 0.000 | -0.000 |
| 176.927 | 240.054 | 622.043 | 0.000 | -0.000 | -0.000 |
| 0.000 | 0.000 | 0.000 | 135.734 | 0.000 | -0.000 |
| 0.000 | 0.000 | 0.000 | -0.000 | 50.695 | -0.000 |
| 0.000 | 0.000 | 0.000 | 0.000 | 0.000 | 72.798 |
| 407.803 | 190.449 | 176.923 | -0.000 | -0.000 | 0.000 |
| 193.933 | 474.728 | 243.009 | -0.000 | 0.000 | 0.000 |
| 176.923 | 240.049 | 622.037 | -0.000 | -0.000 | 0.000 |
| -0.000 | -0.000 | -0.000 | 135.734 | 0.000 | 0.000 |
| -0.000 | -0.000 | -0.000 | -0.000 | 50.695 | 0.000 |
| -0.000 | -0.000 | -0.000 | -0.000 | 0.000 | 72.798 |
| 407.818 | 190.463 | 176.939 | 0.000 | -0.000 | -0.000 |
| 193.946 | 474.746 | 243.029 | -0.000 | 0.000 | -0.000 |
| 176.939 | 240.070 | 622.068 | 0.000 | 0.000 | -0.000 |
| 0.000 | 0.000 | 0.001 | 135.734 | -0.000 | -0.000 |
| 0.000 | 0.000 | 0.000 | 0.000 | 50.695 | -0.000 |
| 0.000 | 0.001 | 0.000 | 0.000 | 0.000 | 72.798 |
| 407.794 | 190.442 | 176.914 | 0.000 | -0.000 | 0.000 |
| 193.923 | 474.714 | 242.993 | -0.000 | -0.000 | 0.000 |
| 176.905 | 240.028 | 622.008 | -0.000 | -0.000 | 0.000 |
| -0.000 | -0.000 | -0.001 | 135.734 | -0.000 | 0.000 |
| -0.000 | -0.000 | -0.000 | 0.000 | 50.695 | 0.000 |
| -0.000 | -0.001 | -0.000 | -0.000 | 0.000 | 72.798 |
| -376.080 | -522.996 | -522.996 | -0.000 | -0.000 | -0.000 |
| -522.996 | -376.080 | -522.996 | -0.000 | -0.000 | -0.000 |
| -522.996 | -522.996 | -376.080 | -0.000 | -0.000 | -0.000 |
| -843.446 | -843.446 | -843.446 | 79.936 | -0.000 | -0.000 |
| -843.446 | -843.446 | -843.446 | -0.000 | 79.936 | -0.000 |
| -843.446 | -843.446 | -843.446 | -0.000 | -0.000 | 79.936 |
| 546.487 | 389.633 | 389.633 | 0.000 | -0.000 | -0.000 |
| 389.633 | 546.487 | 389.633 | 0.000 | -0.000 | 0.000 |
| 389.633 | 389.633 | 546.487 | -0.000 | -0.000 | 0.000 |
| 843.446 | 843.446 | 843.446 | 79.936 | 0.000 | 0.000 |
| 843.446 | 843.446 | 843.446 | 0.000 | 79.936 | 0.000 |
| 843.446 | 843.446 | 843.446 | 0.000 | 0.000 | 79.936 |
| 296.924 | 149.986 | 149.986 | -0.000 | 0.000 | 0.000 |
| 149.986 | 296.924 | 149.986 | 0.000 | 0.000 | -0.000 |
| 149.986 | 149.986 | 296.924 | -0.000 | -0.000 | -0.000 |
| -134.012 | -134.012 | -134.012 | 80.328 | -0.000 | -0.000 |
| -134.012 | -134.012 | -134.012 | 0.000 | 80.328 | -0.000 |
| -134.012 | -134.012 | -134.012 | 0.000 | -0.000 | 80.328 |
| 546.477 | 389.624 | 389.624 | 0.000 | -0.000 | 0.000 |
| 389.624 | 546.477 | 389.624 | 0.000 | -0.000 | 0.000 |
| 389.624 | 389.624 | 546.477 | 0.000 | -0.000 | 0.000 |
| 134.012 | 134.012 | 134.012 | 80.328 | -0.000 | 0.000 |
| 134.012 | 134.012 | 134.012 | 0.000 | 80.328 | 0.000 |
| 134.012 | 134.012 | 134.012 | 0.000 | -0.000 | 80.328 |
| 440.876 | 296.768 | 296.768 | -0.000 | -0.000 | -0.000 |
| 296.768 | 440.876 | 296.768 | -0.000 | 0.000 | -0.000 |
| 296.768 | 296.768 | 440.876 | -0.000 | -0.000 | -0.000 |
| 0.001 | 0.001 | 0.001 | 98.645 | -0.000 | -0.000 |
| 0.001 | 0.001 | 0.001 | -0.000 | 98.645 | -0.000 |
| 0.001 | 0.001 | 0.001 | -0.000 | 0.000 | 98.645 |
| 482.028 | 337.482 | 337.482 | 0.000 | 0.000 | 0.000 |
| 337.482 | 482.028 | 337.482 | 0.000 | 0.000 | 0.000 |
| 337.482 | 337.482 | 482.028 | 0.000 | 0.000 | 0.000 |
| -0.001 | -0.001 | -0.001 | 98.645 | 0.000 | 0.000 |
| -0.001 | -0.001 | -0.001 | 0.000 | 98.645 | 0.000 |
| -0.001 | -0.001 | -0.001 | 0.000 | -0.000 | 98.645 |
| 554.438 | 400.870 | 400.870 | 0.000 | 0.000 | 0.000 |
| 400.870 | 554.438 | 400.870 | 0.000 | 0.000 | -0.000 |
| 400.870 | 400.870 | 554.438 | -0.000 | 0.000 | 0.000 |
| 104.512 | 104.512 | 104.512 | 82.985 | 0.000 | -0.000 |
| 104.512 | 104.512 | 104.512 | 0.000 | 82.985 | -0.000 |
| 104.512 | 104.512 | 104.512 | -0.000 | 0.000 | 82.985 |
| 274.297 | 126.026 | 126.026 | 0.000 | -0.000 | 0.000 |
| 126.026 | 274.297 | 126.026 | 0.000 | -0.000 | 0.000 |
| 126.026 | 126.026 | 274.297 | -0.000 | -0.000 | -0.000 |
| -104.512 | -104.512 | -104.512 | 82.985 | -0.000 | 0.000 |
| -104.512 | -104.512 | -104.512 | -0.000 | 82.985 | 0.000 |
| -104.512 | -104.512 | -104.512 | 0.000 | -0.000 | 82.985 |
| 464.157 | 306.689 | 306.689 | -0.000 | 0.000 | -0.000 |
| 306.689 | 464.157 | 306.689 | -0.000 | 0.000 | -0.000 |
| 306.689 | 306.689 | 464.157 | 0.000 | 0.000 | 0.000 |
| 13.224 | 13.224 | 13.224 | 90.657 | 0.000 | -0.000 |
| 13.224 | 13.224 | 13.224 | -0.000 | 90.657 | -0.000 |
| 13.224 | 13.224 | 13.224 | -0.000 | 0.000 | 90.657 |
| 407.559 | 254.501 | 254.501 | 0.000 | -0.000 | -0.000 |
| 254.501 | 407.559 | 254.501 | 0.000 | -0.000 | 0.000 |
| 254.501 | 254.501 | 407.559 | 0.000 | -0.000 | 0.000 |
| -13.224 | -13.224 | -13.224 | 90.657 | -0.000 | 0.000 |
| -13.224 | -13.224 | -13.224 | 0.000 | 90.657 | 0.000 |
| -13.224 | -13.224 | -13.224 | -0.000 | -0.000 | 90.657 |
| 384.793 | 235.917 | 235.917 | -0.000 | 0.000 | -0.000 |
| 235.917 | 384.793 | 235.917 | 0.000 | 0.000 | -0.000 |
| 235.917 | 235.917 | 384.793 | 0.000 | 0.000 | -0.000 |
| -0.000 | -0.000 | -0.000 | 96.832 | 0.000 | -0.000 |
| -0.000 | -0.000 | -0.000 | 0.000 | 96.832 | -0.000 |
| -0.000 | -0.000 | -0.000 | -0.000 | 0.000 | 96.832 |
| 370.913 | 223.232 | 223.232 | -0.000 | -0.000 | 0.000 |
| 223.232 | 370.913 | 223.232 | 0.000 | -0.000 | 0.000 |
| 223.232 | 223.232 | 370.913 | -0.000 | -0.000 | -0.000 |
| 0.000 | 0.000 | 0.000 | 96.832 | -0.000 | -0.000 |
| 0.000 | 0.000 | 0.000 | 0.000 | 96.832 | 0.000 |
| 0.000 | 0.000 | 0.000 | 0.000 | -0.000 | 96.832 |
| 214.398 | 140.253 | 140.253 | -0.000 | -0.000 | 0.000 |
| 140.253 | 214.398 | 140.253 | 0.000 | -0.000 | 0.000 |
| 140.253 | 140.253 | 214.398 | -0.000 | -0.000 | 0.000 |
| 0.000 | 0.000 | 0.000 | 46.100 | 0.000 | 0.000 |
| 0.000 | 0.000 | 0.000 | -0.000 | 46.100 | -0.000 |
| 0.000 | 0.000 | 0.000 | -0.000 | -0.000 | 46.100 |
| 214.398 | 140.253 | 140.253 | 0.000 | 0.000 | 0.000 |
| 140.253 | 214.398 | 140.253 | 0.000 | 0.000 | -0.000 |
| 140.253 | 140.253 | 214.398 | 0.000 | -0.000 | -0.000 |
| -0.000 | -0.000 | -0.000 | 46.100 | 0.000 | 0.000 |
| -0.000 | -0.000 | -0.000 | 0.000 | 46.100 | -0.000 |
| -0.000 | -0.000 | -0.000 | 0.000 | 0.000 | 46.100 |
| 214.396 | 140.251 | 140.251 | -0.000 | -0.000 | -0.000 |
| 140.251 | 214.396 | 140.251 | 0.000 | 0.000 | -0.000 |
| 140.251 | 140.251 | 214.396 | -0.000 | 0.000 | 0.000 |
| 0.000 | 0.000 | 0.000 | 46.100 | -0.000 | -0.000 |
| 0.000 | 0.000 | 0.000 | -0.000 | 46.100 | -0.000 |
| 0.000 | 0.000 | 0.000 | -0.000 | -0.000 | 46.100 |
| 192.171 | 130.149 | 130.149 | 0.000 | -0.000 | 0.000 |
| 130.149 | 192.171 | 130.149 | 0.000 | 0.000 | -0.000 |
| 130.149 | 130.149 | 192.171 | 0.000 | 0.000 | 0.000 |
| -0.000 | -0.000 | -0.000 | 46.100 | 0.000 | -0.000 |
| -0.000 | -0.000 | -0.000 | -0.000 | 46.100 | -0.000 |
| -0.000 | -0.000 | -0.000 | 0.000 | 0.000 | 46.100 |
| 214.377 | 140.230 | 140.230 | -0.000 | -0.000 | -0.000 |
| 140.230 | 214.377 | 140.230 | -0.000 | -0.000 | 0.000 |
| 140.230 | 140.230 | 214.377 | -0.000 | 0.000 | 0.000 |
| 0.010 | 0.011 | 0.011 | 34.980 | 0.000 | -0.000 |
| 0.011 | 0.010 | 0.011 | -0.000 | 34.980 | 0.000 |
| 0.011 | 0.011 | 0.010 | -0.000 | 0.000 | 34.980 |
| 176.429 | 119.460 | 119.460 | -0.000 | 0.000 | 0.000 |
| 119.460 | 176.429 | 119.460 | 0.000 | 0.000 | -0.000 |
| 119.460 | 119.460 | 176.429 | 0.000 | 0.000 | -0.000 |
| -0.010 | -0.011 | -0.011 | 34.980 | 0.000 | -0.000 |
| -0.011 | -0.010 | -0.011 | 0.000 | 34.980 | -0.000 |
| -0.011 | -0.011 | -0.010 | 0.000 | 0.000 | 34.980 |
| 229.155 | 166.173 | 166.173 | 0.000 | -0.000 | 0.000 |
| 166.173 | 229.155 | 166.173 | 0.000 | -0.000 | -0.000 |
| 166.173 | 166.173 | 229.155 | 0.000 | -0.000 | -0.000 |
| 0.000 | 0.000 | 0.000 | 38.917 | 0.000 | -0.000 |
| 0.000 | 0.000 | 0.000 | 0.000 | 38.917 | -0.000 |
| 0.000 | 0.000 | 0.000 | -0.000 | -0.000 | 38.917 |
| 268.072 | 184.257 | 184.257 | -0.000 | 0.000 | 0.000 |
| 184.257 | 268.072 | 184.257 | -0.000 | 0.000 | -0.000 |
| 184.257 | 184.257 | 268.072 | -0.000 | 0.000 | 0.000 |
| -0.000 | -0.000 | -0.000 | 38.917 | 0.000 | 0.000 |
| -0.000 | -0.000 | -0.000 | 0.000 | 38.917 | 0.000 |
| -0.000 | -0.000 | -0.000 | -0.000 | 0.000 | 38.917 |
| 268.073 | 184.255 | 184.255 | 0.000 | -0.000 | -0.000 |
| 184.255 | 268.073 | 184.255 | -0.000 | -0.000 | -0.000 |
| 184.255 | 184.255 | 268.073 | 0.000 | 0.000 | -0.000 |
| 0.000 | 0.001 | 0.001 | 38.917 | 0.000 | -0.000 |
| 0.001 | 0.000 | 0.001 | -0.000 | 38.917 | -0.000 |
| 0.001 | 0.001 | 0.000 | 0.000 | -0.000 | 38.917 |
| 238.604 | 172.992 | 172.992 | 0.000 | 0.000 | 0.000 |
| 172.992 | 238.604 | 172.992 | 0.000 | 0.000 | 0.000 |
| 172.992 | 172.992 | 238.604 | 0.000 | 0.000 | 0.000 |
| -0.000 | -0.001 | -0.001 | 38.917 | 0.000 | 0.000 |
| -0.001 | -0.000 | -0.001 | -0.000 | 38.917 | 0.000 |
| -0.001 | -0.001 | -0.000 | -0.000 | 0.000 | 38.917 |
| 229.146 | 166.153 | 166.153 | 0.000 | -0.000 | -0.000 |
| 166.153 | 229.146 | 166.153 | 0.000 | -0.000 | -0.000 |
| 166.153 | 166.153 | 229.146 | 0.000 | -0.000 | 0.000 |
| 0.001 | 0.006 | 0.006 | 50.450 | 0.000 | -0.000 |
| 0.006 | 0.001 | 0.006 | 0.000 | 50.450 | -0.000 |
| 0.006 | 0.006 | 0.001 | 0.000 | -0.000 | 50.450 |
| 229.164 | 166.192 | 166.192 | -0.000 | 0.000 | -0.000 |
| 166.192 | 229.164 | 166.192 | 0.000 | 0.000 | 0.000 |
| 166.192 | 166.192 | 229.164 | -0.000 | 0.000 | 0.000 |
| -0.001 | -0.006 | -0.006 | 50.450 | 0.000 | 0.000 |
| -0.006 | -0.001 | -0.006 | -0.000 | 50.450 | 0.000 |
| -0.006 | -0.006 | -0.001 | -0.000 | -0.000 | 50.450 |
| 350.646 | 120.514 | 56.944 | 0.000 | -0.000 | 0.000 |
| 115.131 | 505.398 | 41.527 | 0.000 | -0.000 | 0.000 |
| -470.874 | -457.412 | -315.543 | 0.000 | -0.000 | 0.000 |
| -130.748 | -125.057 | -143.524 | -183.490 | -0.000 | -0.000 |
| -130.657 | -124.970 | -143.424 | 0.000 | 73.093 | -0.000 |
| 0.000 | 0.000 | 0.000 | -0.000 | -0.000 | 135.239 |
| 611.913 | 370.409 | 343.740 | 0.000 | 0.000 | -0.000 |
| 376.412 | 755.306 | 328.338 | 0.000 | -0.000 | 0.000 |
| 330.326 | 308.951 | 564.073 | -0.000 | 0.000 | -0.000 |
| 130.748 | 125.057 | 143.524 | -183.490 | 0.000 | -0.000 |
| 130.657 | 124.970 | 143.424 | -0.000 | 73.093 | -0.000 |
| -0.000 | -0.000 | -0.000 | -0.000 | 0.000 | 135.239 |
| 468.182 | 232.934 | 185.964 | -0.000 | -0.000 | -0.000 |
| 250.154 | 634.546 | 189.744 | -0.000 | -0.000 | 0.000 |
| 186.715 | 171.591 | 406.429 | 0.000 | -0.000 | 0.000 |
| -13.054 | -12.486 | -14.330 | -176.526 | 0.000 | -0.000 |
| 0.000 | 0.000 | 0.000 | 0.000 | 73.093 | 0.000 |
| -65.705 | -62.848 | -72.137 | -0.000 | -0.000 | 10.083 |
| 494.225 | 257.843 | 214.553 | -0.000 | 0.000 | -0.000 |
| 250.149 | 634.540 | 189.740 | 0.000 | 0.000 | -0.000 |
| 212.862 | 196.600 | 435.131 | 0.000 | 0.000 | -0.000 |
| 13.054 | 12.486 | 14.330 | -176.526 | -0.000 | -0.000 |
| -0.000 | -0.000 | -0.000 | 0.000 | 73.093 | -0.000 |
| 65.705 | 62.848 | 72.137 | 0.000 | 0.000 | 10.083 |
| 479.877 | 244.121 | 198.797 | -0.000 | -0.000 | 0.000 |
| 244.587 | 629.228 | 183.626 | -0.000 | -0.000 | 0.000 |
| 191.705 | 176.365 | 411.906 | 0.000 | -0.000 | -0.000 |
| -1.298 | -1.241 | -1.426 | -178.341 | -0.000 | 0.000 |
| 0.001 | 0.000 | 0.000 | 0.000 | 73.093 | 0.000 |
| -6.968 | -6.665 | -7.650 | 0.000 | -0.000 | 2.518 |
| 482.462 | 246.592 | 201.646 | 0.000 | 0.000 | -0.000 |
| 247.167 | 631.679 | 186.470 | 0.000 | 0.000 | -0.000 |
| 201.088 | 185.337 | 422.207 | 0.000 | 0.000 | -0.000 |
| 1.298 | 1.241 | 1.426 | -178.341 | 0.000 | 0.000 |
| -0.001 | -0.000 | -0.000 | 0.000 | 73.093 | -0.000 |
| 6.968 | 6.665 | 7.650 | 0.000 | 0.000 | 2.518 |
| 453.371 | 375.271 | 324.267 | -0.000 | 0.000 | -0.000 |
| 378.372 | 578.644 | 267.691 | -0.000 | 0.000 | -0.000 |
| 329.429 | 269.753 | 535.214 | -0.000 | 0.000 | -0.000 |
| -46.949 | -31.164 | -7.125 | 17.051 | 0.000 | 0.000 |
| -46.949 | -31.164 | -7.125 | -0.000 | -32.368 | -0.000 |
| -252.009 | -167.280 | -38.247 | 0.000 | 0.000 | -483.487 |
| 433.975 | 362.396 | 321.324 | 0.000 | -0.000 | -0.000 |
| 381.282 | 580.575 | 268.133 | 0.000 | -0.000 | -0.000 |
| 366.310 | 294.234 | 540.812 | 0.000 | -0.000 | -0.000 |
| 46.949 | 31.164 | 7.125 | 17.051 | -0.000 | -0.000 |
| 46.949 | 31.164 | 7.125 | 0.000 | -32.368 | -0.000 |
| 252.009 | 167.280 | 38.247 | -0.000 | -0.000 | -483.487 |
| 453.364 | 375.267 | 324.262 | -0.000 | 0.000 | -0.000 |
| 329.637 | 546.294 | 260.295 | -0.000 | 0.000 | 0.000 |
| 314.663 | 259.952 | 532.972 | 0.000 | 0.000 | 0.000 |
| 0.000 | 0.000 | 0.000 | 77.011 | 0.000 | -0.000 |
| 0.000 | 0.000 | 0.000 | -0.000 | -32.368 | -0.000 |
| 0.000 | -0.000 | 0.000 | -0.000 | 0.000 | 89.790 |
| 453.380 | 375.276 | 324.273 | 0.000 | -0.000 | 0.000 |
| 339.028 | 552.528 | 261.721 | 0.000 | -0.000 | -0.000 |
| 324.058 | 266.187 | 534.401 | -0.000 | -0.000 | -0.000 |
| -0.000 | -0.000 | -0.000 | 77.011 | -0.000 | 0.000 |
| -0.000 | -0.000 | -0.000 | 0.000 | -32.368 | 0.000 |
| -0.000 | 0.000 | -0.000 | 0.000 | -0.000 | 89.790 |
| 386.528 | 330.907 | 314.097 | -0.000 | 0.000 | 0.000 |
| 333.857 | 549.097 | 260.930 | -0.000 | 0.000 | 0.000 |
| 318.865 | 262.745 | 533.594 | 0.000 | 0.000 | 0.000 |
| -0.469 | -0.311 | -0.071 | 17.051 | 0.000 | 0.000 |
| -0.469 | -0.312 | -0.071 | 0.000 | -32.368 | 0.000 |
| 13736047.446 | 7277427.212 | 3967165.639 | -0.000 | 0.000 | -25585077.224 |
| 387.524 | 331.557 | 314.299 | 0.000 | -0.000 | -0.000 |
| 334.808 | 549.725 | 261.085 | 0.000 | -0.000 | 0.000 |
| 319.857 | 263.394 | 533.779 | 0.000 | -0.000 | -0.000 |
| 0.469 | 0.311 | 0.071 | 17.051 | -0.000 | -0.000 |
| 0.469 | 0.312 | 0.071 | 0.000 | -32.368 | -0.000 |
| -13736047.446 | -7277427.212 | -3967165.639 | 0.000 | -0.000 | -25585077.224 |
| 582.904 | 434.035 | 381.104 | 0.000 | -0.000 | -0.000 |
| 397.388 | 619.551 | 381.104 | -0.000 | -0.000 | -0.000 |
| 381.104 | 381.104 | 824.343 | -0.000 | 0.000 | -0.000 |
| 0.000 | 0.000 | 0.000 | 157.476 | 0.000 | -0.000 |
| 0.000 | 0.000 | 0.000 | 0.000 | 157.476 | -0.000 |
| 0.000 | 0.000 | 0.000 | 0.000 | 0.000 | 111.082 |
| 619.551 | 397.388 | 381.104 | -0.000 | -0.000 | 0.000 |
| 397.388 | 619.551 | 381.104 | -0.000 | -0.000 | 0.000 |
| 381.104 | 381.104 | 824.343 | -0.000 | -0.000 | 0.000 |
| -0.000 | -0.000 | -0.000 | 157.476 | 0.000 | 0.000 |
| -0.000 | -0.000 | -0.000 | -0.000 | 157.476 | 0.000 |
| -0.000 | -0.000 | -0.000 | -0.000 | -0.000 | 111.082 |
| 619.552 | 397.388 | 381.104 | -0.000 | 0.000 | -0.000 |
| 434.036 | 582.905 | 381.104 | 0.000 | -0.000 | -0.000 |
| 381.104 | 381.104 | 824.343 | 0.000 | 0.000 | -0.000 |
| 0.000 | 0.000 | 0.000 | 157.476 | -0.000 | -0.000 |
| 0.000 | 0.000 | 0.000 | 0.000 | 157.476 | -0.000 |
| 0.000 | 0.000 | 0.000 | -0.000 | 0.000 | 98.992 |
| 582.903 | 434.034 | 381.103 | 0.000 | 0.000 | 0.000 |
| 434.035 | 582.903 | 381.103 | 0.000 | 0.000 | 0.000 |
| 381.103 | 381.103 | 824.343 | -0.000 | -0.000 | 0.000 |
| -0.000 | -0.000 | -0.000 | 157.476 | -0.000 | 0.000 |
| -0.000 | -0.000 | -0.000 | 0.000 | 157.476 | 0.000 |
| -0.000 | -0.000 | -0.000 | 0.000 | 0.000 | 98.992 |
| 582.912 | 434.043 | 381.108 | -0.000 | -0.000 | -0.000 |
| 397.394 | 619.562 | 381.108 | 0.000 | 0.000 | -0.000 |
| 381.108 | 381.108 | 824.339 | -0.000 | -0.000 | -0.000 |
| 0.001 | 0.002 | 0.000 | 157.476 | 0.000 | -0.000 |
| 0.002 | 0.001 | 0.000 | 0.000 | 157.476 | -0.000 |
| 0.001 | 0.001 | 0.000 | 0.000 | -0.000 | 98.992 |
| 607.452 | 409.471 | 381.099 | -0.000 | 0.000 | 0.000 |
| 397.382 | 619.541 | 381.099 | -0.000 | -0.000 | 0.000 |
| 381.099 | 381.099 | 824.347 | 0.000 | 0.000 | 0.000 |
| -0.001 | -0.002 | -0.000 | 157.476 | 0.000 | 0.000 |
| -0.002 | -0.001 | -0.000 | -0.000 | 157.476 | -0.000 |
| -0.001 | -0.001 | -0.000 | -0.000 | 0.000 | 98.992 |
| 392.920 | 256.806 | 168.983 | 0.000 | -0.000 | 0.000 |
| 256.806 | 392.920 | 168.983 | 0.000 | 0.000 | -0.000 |
| -410.888 | -410.888 | 147.532 | -0.000 | -0.000 | -0.000 |
| 0.000 | -0.000 | -0.000 | 47.185 | -0.000 | -0.000 |
| -0.000 | 0.000 | -0.000 | 0.000 | 47.185 | -0.000 |
| 0.000 | 0.000 | 0.000 | -0.000 | -0.000 | 111.147 |
| 392.919 | 256.806 | 168.983 | -0.000 | 0.000 | -0.000 |
| 256.806 | 392.919 | 168.983 | -0.000 | 0.000 | 0.000 |
| 167.663 | 167.663 | 300.830 | -0.000 | 0.000 | -0.000 |
| -0.000 | 0.000 | 0.000 | 47.185 | 0.000 | -0.000 |
| 0.000 | -0.000 | 0.000 | -0.000 | 47.185 | 0.000 |
| -0.000 | -0.000 | -0.000 | -0.000 | 0.000 | 111.147 |
| 263.475 | 140.020 | 141.451 | 0.000 | -0.000 | 0.000 |
| 140.020 | 263.475 | 141.451 | 0.000 | -0.000 | -0.000 |
| 167.664 | 167.664 | 300.828 | 0.000 | -0.000 | -0.000 |
| -57.344 | -57.344 | -10.822 | 15.707 | -0.000 | -0.000 |
| -57.344 | -57.344 | -10.822 | 0.000 | 15.707 | -0.000 |
| -51.274 | -51.274 | -5.643 | 0.000 | -0.000 | 100.823 |
| 392.917 | 256.804 | 168.981 | -0.000 | 0.000 | 0.000 |
| 256.804 | 392.917 | 168.981 | -0.000 | 0.000 | 0.000 |
| 167.662 | 167.662 | 300.831 | -0.000 | 0.000 | -0.000 |
| 57.344 | 57.344 | 10.822 | 15.707 | 0.000 | 0.000 |
| 57.344 | 57.344 | 10.822 | -0.000 | 15.707 | 0.000 |
| 51.274 | 51.274 | 5.643 | -0.000 | 0.000 | 100.823 |
| 392.942 | 256.828 | 168.999 | 0.000 | -0.000 | -0.000 |
| 256.828 | 392.942 | 168.999 | 0.000 | -0.000 | -0.000 |
| 136.334 | 136.334 | 266.071 | 0.000 | -0.000 | -0.000 |
| 0.000 | -0.002 | -0.005 | 47.185 | -0.000 | -0.000 |
| -0.002 | 0.000 | -0.005 | 0.000 | 47.185 | -0.000 |
| 0.001 | 0.001 | 0.001 | 0.000 | -0.000 | 111.147 |
| 308.312 | 196.847 | 149.576 | -0.000 | 0.000 | 0.000 |
| 196.847 | 308.312 | 149.576 | -0.000 | 0.000 | 0.000 |
| 167.650 | 167.650 | 300.841 | 0.000 | -0.000 | 0.000 |
| -0.000 | 0.002 | 0.005 | 47.185 | 0.000 | -0.000 |
| 0.002 | -0.000 | 0.005 | -0.000 | 47.185 | 0.000 |
| -0.001 | -0.001 | -0.001 | -0.000 | 0.000 | 111.147 |
| -481.078 | -597.123 | -839.246 | -0.000 | -0.000 | -0.000 |
| -597.123 | -481.078 | -839.246 | -0.000 | -0.000 | -0.000 |
| -999.279 | -999.279 | -190.854 | -0.000 | -0.000 | 0.000 |
| -305.346 | -305.346 | -1060.828 | 20.648 | -0.000 | -0.000 |
| -305.346 | -305.346 | -1060.828 | 0.000 | 20.648 | 0.000 |
| 0.000 | 0.000 | 0.000 | -0.000 | -0.000 | 109.280 |
| 549.780 | 442.626 | 1191.561 | -0.000 | 0.000 | -0.000 |
| 442.626 | 549.780 | 1191.561 | 0.000 | 0.000 | 0.000 |
| 436.128 | 436.128 | 1296.980 | 0.000 | -0.000 | -0.000 |
| 305.346 | 305.346 | 1060.828 | 20.648 | 0.000 | -0.000 |
| 305.346 | 305.346 | 1060.828 | 0.000 | 20.648 | 0.000 |
| -0.000 | -0.000 | 0.000 | 0.000 | -0.000 | 109.280 |
| 215.793 | 108.581 | 27.592 | -0.000 | 0.000 | -0.000 |
| 108.581 | 215.793 | 27.592 | -0.000 | 0.000 | 0.000 |
| 186.292 | 186.292 | 315.757 | -0.000 | 0.000 | 0.000 |
| -0.000 | -0.000 | -0.000 | 48.047 | -0.000 | 0.000 |
| -0.000 | -0.000 | -0.000 | -0.000 | 48.047 | 0.000 |
| -30.485 | -30.485 | -105.869 | -0.000 | -0.000 | 93.819 |
| 279.152 | 170.793 | 237.697 | -0.000 | 0.000 | 0.000 |
| 170.793 | 279.152 | 237.697 | 0.000 | 0.000 | 0.000 |
| 186.293 | 186.293 | 315.761 | -0.000 | 0.000 | -0.000 |
| 0.000 | 0.000 | 0.000 | 48.047 | 0.000 | 0.000 |
| 0.000 | 0.000 | 0.000 | 0.000 | 48.047 | -0.000 |
| 30.485 | 30.485 | 105.869 | 0.000 | -0.000 | 93.819 |
| 310.216 | 180.647 | 151.527 | 0.000 | 0.000 | 0.000 |
| 180.647 | 310.216 | 151.527 | -0.000 | 0.000 | 0.000 |
| 186.287 | 186.287 | 315.740 | 0.000 | -0.000 | 0.000 |
| -14.108 | -14.110 | -5.709 | 36.525 | 0.000 | -0.000 |
| -14.110 | -14.108 | -5.709 | -0.000 | 36.525 | -0.000 |
| -10.831 | -10.831 | -4.380 | -0.000 | -0.000 | 99.292 |
| 309.303 | 182.383 | 152.115 | -0.000 | 0.000 | 0.000 |
| 182.383 | 309.303 | 152.115 | -0.000 | 0.000 | 0.000 |
| 149.109 | 149.109 | 266.498 | 0.000 | 0.000 | -0.000 |
| 14.108 | 14.110 | 5.709 | 36.525 | 0.000 | -0.000 |
| 14.110 | 14.108 | 5.709 | 0.000 | 36.525 | -0.000 |
| 10.831 | 10.831 | 4.380 | 0.000 | 0.000 | 99.292 |
| 478.487 | 319.553 | 307.562 | 0.000 | -0.000 | 0.000 |
| 326.713 | 471.327 | 307.562 | -0.000 | -0.000 | -0.000 |
| 307.562 | 307.562 | 356.489 | 0.000 | 0.000 | -0.000 |
| -0.000 | 0.000 | -0.000 | 72.792 | -0.000 | -0.000 |
| -0.000 | 0.000 | -0.000 | 0.000 | 72.792 | -0.000 |
| -0.000 | -0.000 | 0.000 | -0.000 | -0.000 | 72.307 |
| 478.486 | 319.552 | 307.561 | -0.000 | 0.000 | 0.000 |
| 319.552 | 478.486 | 307.561 | -0.000 | 0.000 | -0.000 |
| 307.561 | 307.561 | 356.488 | 0.000 | 0.000 | 0.000 |
| 0.000 | -0.000 | 0.000 | 72.792 | 0.000 | 0.000 |
| 0.000 | -0.000 | 0.000 | -0.000 | 72.792 | 0.000 |
| 0.000 | -0.000 | -0.000 | -0.000 | 0.000 | 72.307 |
| 471.330 | 326.716 | 307.565 | 0.000 | -0.000 | -0.000 |
| 319.556 | 478.490 | 307.565 | 0.000 | -0.000 | -0.000 |
| 307.565 | 307.565 | 356.492 | -0.000 | -0.000 | -0.000 |
| -0.000 | -0.000 | -0.000 | 72.792 | -0.000 | 0.000 |
| -0.000 | -0.000 | -0.000 | 0.000 | 72.792 | -0.000 |
| -0.000 | -0.000 | 0.000 | -0.000 | -0.000 | 72.307 |
| 478.483 | 319.549 | 307.558 | 0.000 | 0.000 | -0.000 |
| 326.709 | 471.323 | 307.558 | -0.000 | 0.000 | 0.000 |
| 307.558 | 307.558 | 356.485 | -0.000 | 0.000 | 0.000 |
| 0.000 | 0.000 | 0.000 | 72.792 | 0.000 | 0.000 |
| 0.000 | 0.000 | 0.000 | 0.000 | 72.792 | 0.000 |
| 0.000 | 0.000 | -0.000 | 0.000 | 0.000 | 72.307 |
| 471.360 | 326.746 | 307.595 | 0.000 | 0.000 | 0.000 |
| 326.746 | 471.360 | 307.595 | 0.000 | -0.000 | -0.000 |
| 307.594 | 307.594 | 356.525 | -0.000 | -0.000 | -0.000 |
| -0.000 | -0.000 | -0.000 | 80.337 | -0.000 | -0.000 |
| -0.000 | -0.000 | -0.000 | 0.000 | 80.337 | -0.000 |
| 0.000 | -0.000 | 0.000 | -0.000 | -0.000 | 79.467 |
| 471.293 | 326.679 | 307.529 | -0.000 | 0.000 | 0.000 |
| 319.519 | 478.453 | 307.529 | 0.000 | 0.000 | 0.000 |
| 307.529 | 307.529 | 356.452 | -0.000 | 0.000 | 0.000 |
| 0.000 | 0.000 | 0.000 | 80.337 | 0.000 | 0.000 |
| 0.000 | 0.000 | 0.000 | 0.000 | 80.337 | 0.000 |
| -0.000 | 0.000 | -0.000 | -0.000 | 0.000 | 79.467 |
| 405.908 | 204.551 | 204.551 | 0.000 | -0.000 | -0.000 |
| 204.551 | 405.908 | 204.551 | 0.000 | 0.000 | -0.000 |
| 204.551 | 204.551 | 405.908 | -0.000 | -0.000 | -0.000 |
| -0.000 | -0.000 | -0.000 | 198.647 | -0.000 | -0.000 |
| -0.000 | -0.000 | -0.000 | -0.000 | 198.647 | -0.000 |
| -0.000 | -0.000 | -0.000 | -0.000 | -0.000 | 198.647 |
| 405.908 | 204.551 | 204.551 | 0.000 | 0.000 | 0.000 |
| 204.551 | 405.908 | 204.551 | -0.000 | 0.000 | 0.000 |
| 204.551 | 204.551 | 405.908 | 0.000 | 0.000 | 0.000 |
| 0.000 | 0.000 | 0.000 | 198.647 | 0.000 | 0.000 |
| 0.000 | 0.000 | 0.000 | -0.000 | 198.647 | 0.000 |
| 0.000 | 0.000 | 0.000 | 0.000 | 0.000 | 198.647 |
| 405.907 | 204.550 | 204.550 | 0.000 | -0.000 | -0.000 |
| 204.550 | 405.907 | 204.550 | -0.000 | 0.000 | -0.000 |
| 204.550 | 204.550 | 405.907 | 0.000 | -0.000 | -0.000 |
| -0.000 | -0.000 | -0.000 | 198.647 | -0.000 | -0.000 |
| -0.000 | -0.000 | -0.000 | 0.000 | 198.647 | -0.000 |
| -0.000 | -0.000 | -0.000 | -0.000 | -0.000 | 198.647 |
| 405.908 | 204.551 | 204.551 | -0.000 | -0.000 | -0.000 |
| 204.551 | 405.908 | 204.551 | -0.000 | 0.000 | 0.000 |
| 204.551 | 204.551 | 405.908 | 0.000 | 0.000 | -0.000 |
| 0.000 | 0.000 | 0.000 | 198.647 | 0.000 | 0.000 |
| 0.000 | 0.000 | 0.000 | 0.000 | 198.647 | 0.000 |
| 0.000 | 0.000 | 0.000 | -0.000 | 0.000 | 198.647 |
| 405.902 | 204.546 | 204.546 | -0.000 | -0.000 | -0.000 |
| 204.546 | 405.902 | 204.546 | 0.000 | -0.000 | -0.000 |
| 204.546 | 204.546 | 405.902 | 0.000 | -0.000 | -0.000 |
| -0.000 | -0.002 | -0.001 | 163.992 | -0.000 | -0.000 |
| -0.002 | -0.000 | -0.001 | -0.000 | 163.992 | -0.000 |
| -0.002 | -0.001 | -0.000 | -0.000 | -0.000 | 163.992 |
| 405.913 | 204.556 | 204.556 | -0.000 | 0.000 | 0.000 |
| 204.556 | 405.913 | 204.556 | -0.000 | 0.000 | -0.000 |
| 204.556 | 204.556 | 405.913 | -0.000 | 0.000 | 0.000 |
| 0.000 | 0.002 | 0.001 | 163.992 | 0.000 | 0.000 |
| 0.002 | 0.000 | 0.001 | -0.000 | 163.992 | 0.000 |
| 0.002 | 0.001 | 0.000 | 0.000 | 0.000 | 163.992 |
| 64.882 | -4.222 | -4.222 | 0.000 | 0.000 | -0.000 |
| -4.222 | 64.882 | -4.222 | 0.000 | 0.000 | -0.000 |
| -4.222 | -4.222 | 64.882 | -0.000 | -0.000 | -0.000 |
| 0.000 | 0.000 | 0.000 | -2.042 | -0.000 | -0.000 |
| 0.000 | 0.000 | 0.000 | -0.000 | -2.042 | 0.000 |
| 0.000 | -0.000 | 0.000 | -0.000 | -0.000 | -2.042 |
| 64.882 | -4.222 | -4.222 | -0.000 | -0.000 | 0.000 |
| -4.222 | 64.882 | -4.222 | -0.000 | -0.000 | 0.000 |
| -4.222 | -4.222 | 64.882 | 0.000 | 0.000 | 0.000 |
| -0.000 | -0.000 | 0.000 | -2.042 | 0.000 | 0.000 |
| -0.000 | -0.000 | 0.000 | 0.000 | -2.042 | 0.000 |
| -0.000 | 0.000 | -0.000 | 0.000 | 0.000 | -2.042 |
| 64.882 | -4.222 | -4.222 | 0.000 | 0.000 | -0.000 |
| -4.222 | 64.882 | -4.222 | 0.000 | 0.000 | -0.000 |
| -4.222 | -4.222 | 64.882 | -0.000 | -0.000 | -0.000 |
| 0.000 | 0.000 | 0.000 | -2.042 | 0.000 | -0.000 |
| 0.000 | 0.000 | 0.000 | 0.000 | -2.042 | -0.000 |
| 0.000 | 0.000 | 0.000 | -0.000 | -0.000 | -2.042 |
| 64.882 | -4.222 | -4.222 | -0.000 | -0.000 | 0.000 |
| -4.222 | 64.882 | -4.222 | -0.000 | -0.000 | 0.000 |
| -4.222 | -4.222 | 64.882 | 0.000 | -0.000 | 0.000 |
| -0.000 | -0.000 | -0.000 | -2.042 | -0.000 | 0.000 |
| -0.000 | -0.000 | -0.000 | 0.000 | -2.042 | 0.000 |
| -0.000 | -0.000 | -0.000 | 0.000 | 0.000 | -2.042 |
| 64.881 | -4.222 | -4.222 | 0.000 | 0.000 | -0.000 |
| -4.222 | 64.881 | -4.222 | 0.000 | 0.000 | -0.000 |
| -4.222 | -4.222 | 64.881 | -0.000 | -0.000 | -0.000 |
| 0.000 | 0.000 | 0.000 | -2.042 | -0.000 | -0.000 |
| 0.000 | 0.000 | 0.000 | -0.000 | -2.042 | -0.000 |
| 0.000 | 0.000 | 0.000 | -0.000 | -0.000 | -2.042 |
| 64.883 | -4.223 | -4.223 | -0.000 | -0.000 | 0.000 |
| -4.223 | 64.883 | -4.223 | -0.000 | -0.000 | 0.000 |
| -4.223 | -4.223 | 64.883 | 0.000 | -0.000 | 0.000 |
| -0.000 | -0.000 | -0.000 | -2.042 | 0.000 | -0.000 |
| -0.000 | -0.000 | -0.000 | 0.000 | -2.042 | 0.000 |
| -0.000 | -0.000 | -0.000 | -0.000 | 0.000 | -2.042 |
| 43.511 | 25.097 | 25.097 | 0.000 | 0.000 | -0.000 |
| 25.097 | 43.511 | 25.097 | 0.000 | -0.000 | 0.000 |
| 25.097 | 25.097 | 43.511 | 0.000 | -0.000 | 0.000 |
| 0.000 | -0.000 | 0.000 | 10.877 | -0.000 | -0.000 |
| -0.000 | 0.000 | 0.000 | -0.000 | 10.877 | -0.000 |
| -0.000 | -0.000 | 0.000 | 0.000 | -0.000 | 10.877 |
| 43.511 | 25.097 | 25.097 | -0.000 | 0.000 | 0.000 |
| 25.097 | 43.511 | 25.097 | -0.000 | -0.000 | 0.000 |
| 25.097 | 25.097 | 43.511 | 0.000 | 0.000 | -0.000 |
| -0.000 | 0.000 | -0.000 | 10.877 | 0.000 | -0.000 |
| 0.000 | -0.000 | -0.000 | -0.000 | 10.877 | -0.000 |
| 0.000 | 0.000 | -0.000 | 0.000 | 0.000 | 10.877 |
| 43.511 | 25.097 | 25.097 | 0.000 | 0.000 | -0.000 |
| 25.097 | 43.511 | 25.097 | 0.000 | -0.000 | -0.000 |
| 25.097 | 25.097 | 43.511 | 0.000 | -0.000 | 0.000 |
| 0.000 | -0.000 | -0.000 | 10.877 | -0.000 | -0.000 |
| -0.000 | 0.000 | -0.000 | 0.000 | 10.877 | -0.000 |
| -0.000 | -0.000 | 0.000 | 0.000 | -0.000 | 10.877 |
| 43.511 | 25.097 | 25.097 | 0.000 | 0.000 | 0.000 |
| 25.097 | 43.511 | 25.097 | -0.000 | 0.000 | -0.000 |
| 25.097 | 25.097 | 43.511 | 0.000 | 0.000 | 0.000 |
| -0.000 | 0.000 | 0.000 | 10.877 | 0.000 | 0.000 |
| 0.000 | -0.000 | 0.000 | -0.000 | 10.877 | -0.000 |
| 0.000 | 0.000 | -0.000 | -0.000 | 0.000 | 10.877 |
| 43.511 | 25.097 | 25.097 | 0.000 | 0.000 | 0.000 |
| 25.097 | 43.511 | 25.097 | 0.000 | -0.000 | 0.000 |
| 25.097 | 25.097 | 43.511 | 0.000 | -0.000 | -0.000 |
| 0.000 | -0.000 | -0.000 | 10.877 | -0.000 | 0.000 |
| -0.000 | 0.000 | -0.000 | 0.000 | 10.877 | -0.000 |
| -0.000 | -0.000 | 0.000 | 0.000 | -0.000 | 10.877 |
| 43.510 | 25.097 | 25.097 | 0.000 | 0.000 | -0.000 |
| 25.097 | 43.510 | 25.097 | -0.000 | 0.000 | -0.000 |
| 25.097 | 25.097 | 43.510 | 0.000 | 0.000 | -0.000 |
| -0.000 | 0.000 | 0.000 | 10.877 | 0.000 | 0.000 |
| 0.000 | -0.000 | 0.000 | -0.000 | 10.877 | 0.000 |
| 0.000 | 0.000 | -0.000 | -0.000 | 0.000 | 10.877 |
| 11.063 | 11.052 | 11.052 | -0.000 | 0.000 | -0.000 |
| 11.052 | 11.063 | 11.052 | 0.000 | -0.000 | -0.000 |
| 11.052 | 11.052 | 11.063 | 0.000 | 0.000 | -0.000 |
| 0.000 | 0.000 | 0.000 | 0.008 | 0.000 | 0.000 |
| 0.000 | 0.000 | 0.000 | 0.000 | 0.008 | 0.000 |
| 0.000 | 0.000 | 0.000 | 0.000 | 0.000 | 0.008 |
| 11.063 | 11.052 | 11.052 | 0.000 | -0.000 | 0.000 |
| 11.052 | 11.063 | 11.052 | -0.000 | 0.000 | 0.000 |
| 11.052 | 11.052 | 11.063 | 0.000 | 0.000 | 0.000 |
| -0.000 | -0.000 | -0.000 | 0.008 | -0.000 | -0.000 |
| -0.000 | -0.000 | -0.000 | -0.000 | 0.008 | -0.000 |
| -0.000 | -0.000 | -0.000 | -0.000 | -0.000 | 0.008 |
| 11.063 | 11.052 | 11.052 | 0.000 | -0.000 | -0.000 |
| 11.052 | 11.063 | 11.052 | -0.000 | 0.000 | -0.000 |
| 11.052 | 11.052 | 11.063 | -0.000 | -0.000 | -0.000 |
| -0.000 | -0.000 | -0.000 | 0.008 | 0.000 | 0.000 |
| -0.000 | -0.000 | -0.000 | 0.000 | 0.008 | 0.000 |
| -0.000 | -0.000 | -0.000 | 0.000 | 0.000 | 0.008 |
| 11.063 | 11.052 | 11.052 | 0.000 | -0.000 | -0.000 |
| 11.052 | 11.063 | 11.052 | -0.000 | 0.000 | -0.000 |
| 11.052 | 11.052 | 11.063 | 0.000 | 0.000 | 0.000 |
| 0.000 | 0.000 | 0.000 | 0.008 | -0.000 | -0.000 |
| 0.000 | 0.000 | 0.000 | -0.000 | 0.008 | -0.000 |
| 0.000 | 0.000 | 0.000 | -0.000 | -0.000 | 0.008 |
| 11.062 | 11.052 | 11.052 | 0.000 | 0.000 | -0.000 |
| 11.052 | 11.062 | 11.052 | 0.000 | 0.000 | -0.000 |
| 11.052 | 11.052 | 11.062 | 0.000 | 0.000 | -0.000 |
| -0.000 | -0.000 | -0.000 | 0.008 | 0.000 | 0.000 |
| -0.000 | -0.000 | -0.000 | 0.000 | 0.008 | 0.000 |
| -0.000 | -0.000 | -0.000 | 0.000 | 0.000 | 0.008 |
| 11.063 | 11.052 | 11.052 | 0.000 | -0.000 | 0.000 |
| 11.052 | 11.063 | 11.052 | -0.000 | 0.000 | 0.000 |
| 11.052 | 11.052 | 11.063 | 0.000 | 0.000 | -0.000 |
| 0.000 | 0.000 | 0.000 | 0.008 | -0.000 | 0.000 |
| 0.000 | 0.000 | 0.000 | -0.000 | 0.008 | 0.000 |
| 0.000 | 0.000 | 0.000 | -0.000 | -0.000 | 0.008 |
| -2542.724 | -2101.881 | -2101.881 | 0.000 | 0.000 | 0.000 |
| -2101.881 | -2542.724 | -2101.881 | 0.000 | 0.000 | 0.000 |
| -2101.881 | -2101.881 | -2542.724 | 0.000 | 0.000 | 0.000 |
| 0.000 | 0.000 | 0.000 | -454.169 | 0.000 | 0.000 |
| 0.000 | 0.000 | 0.000 | 0.000 | -454.169 | 0.000 |
| 0.000 | 0.000 | 0.000 | -0.000 | 0.000 | -454.169 |
| -2542.724 | -2101.881 | -2101.881 | -0.000 | -0.000 | -0.000 |
| -2101.881 | -2542.724 | -2101.881 | -0.000 | -0.000 | -0.000 |
| -2101.881 | -2101.881 | -2542.724 | 0.000 | -0.000 | -0.000 |
| -0.000 | -0.000 | -0.000 | -454.169 | -0.000 | -0.000 |
| -0.000 | -0.000 | -0.000 | -0.000 | -454.169 | -0.000 |
| -0.000 | -0.000 | -0.000 | -0.000 | 0.000 | -454.169 |
| -2542.722 | -2101.879 | -2101.879 | -0.000 | 0.000 | 0.000 |
| -2101.879 | -2542.722 | -2101.879 | 0.000 | -0.000 | 0.000 |
| -2101.879 | -2101.879 | -2542.722 | 0.000 | -0.000 | 0.000 |
| 178219315.104 | 180376590.123 | 181221541.860 | 1476630.189 | 463846.431 | -303033.408 |
| 184707097.337 | 183419612.756 | 185911382.707 | 648111.846 | 2632815.648 | 2095434.312 |
| 188181605.993 | 186001475.967 | 187953882.824 | 360794.346 | 761605.863 | -306185.817 |
| -189155210.478 | -187343088.317 | -186920343.249 | 1335075.311 | -1170619.384 | 2242710.287 |
| -185153297.746 | -185680518.646 | -186473963.555 | 520878.580 | 492724.674 | 1478176.931 |
| -191630672.327 | -188728496.660 | -190818903.620 | 549922.037 | 957978.917 | 4141424.565 |
| -184358006.258 | -184882836.631 | -184736312.229 | 728688.842 | -194711.551 | -4816.487 |
| -184320304.397 | -182253528.605 | -184348905.221 | -164044.603 | 1347303.085 | 746337.657 |
| -187124789.596 | -188578369.960 | -186991000.815 | -1273809.400 | 561432.376 | 2979018.075 |
| 19056224.942 | 19028809.047 | 18796154.656 | -22838.748 | -149081.623 | -133916.624 |
| 18920764.689 | 18965604.123 | 18804732.884 | -127449.465 | 3329.868 | -21640.380 |
| 18722218.237 | 18931259.808 | 18768060.443 | 96635.322 | -43585.763 | -180428.821 |
| 17921452.634 | 18228730.587 | 18327160.125 | 68062.141 | -152368.153 | 15291.288 |
| 18927914.135 | 18574051.126 | 18801958.881 | -21241.201 | 163422.437 | 98237.250 |
| 18405849.957 | 18368290.758 | 17945444.623 | 41920.287 | 60436.354 | -213835.564 |
| -18769049.228 | -18846477.261 | -18643279.168 | 89121.745 | 60851.375 | 267363.432 |
| -18814785.295 | -18901752.434 | -18951034.454 | 39064.770 | 94513.242 | 179048.234 |
| -18502368.667 | -18501100.563 | -18596180.993 | 71138.781 | 264899.930 | 49532.804 |
| -18323459.533 | -18598525.317 | -18456966.461 | 185417.816 | -20664.468 | 50196.315 |
| -18642657.349 | -18413038.408 | -18763017.472 | 74236.234 | 73898.370 | -84014.896 |
| -18617293.777 | -18406445.808 | -18258489.604 | -6030.633 | 122491.261 | 113153.349 |
| 320.351 | 152.990 | 152.990 | -0.000 | 0.000 | -0.000 |
| 152.990 | 320.351 | 152.990 | 0.000 | 0.000 | -0.000 |
| 152.990 | 152.990 | 320.351 | -0.000 | 0.000 | -0.000 |
| -0.000 | -0.000 | -0.000 | 174.733 | 0.000 | -0.000 |
| -0.000 | -0.000 | -0.000 | 0.000 | 174.733 | -0.000 |
| -0.000 | -0.000 | -0.000 | 0.000 | 0.000 | 174.733 |
| 320.350 | 152.989 | 152.989 | -0.000 | -0.000 | 0.000 |
| 152.989 | 320.350 | 152.989 | -0.000 | -0.000 | 0.000 |
| 152.989 | 152.989 | 320.350 | 0.000 | -0.000 | 0.000 |
| 0.000 | 0.000 | 0.000 | 174.733 | -0.000 | 0.000 |
| 0.000 | 0.000 | 0.000 | 0.000 | 174.733 | 0.000 |
| 0.000 | 0.000 | 0.000 | 0.000 | -0.000 | 174.733 |
| 320.355 | 152.994 | 152.994 | 0.000 | 0.000 | -0.000 |
| 152.994 | 320.355 | 152.994 | -0.000 | 0.000 | -0.000 |
| 152.994 | 152.994 | 320.355 | 0.000 | 0.000 | -0.000 |
| -0.000 | -0.000 | -0.000 | 174.733 | 0.000 | -0.000 |
| -0.000 | -0.000 | -0.000 | 0.000 | 174.733 | -0.000 |
| -0.000 | -0.000 | -0.000 | 0.000 | 0.000 | 174.733 |
| 320.347 | 152.985 | 152.985 | 0.000 | -0.000 | 0.000 |
| 152.985 | 320.347 | 152.985 | -0.000 | -0.000 | 0.000 |
| 152.985 | 152.985 | 320.347 | 0.000 | -0.000 | 0.000 |
| 0.000 | 0.000 | 0.000 | 174.733 | -0.000 | 0.000 |
| 0.000 | 0.000 | 0.000 | -0.000 | 174.733 | 0.000 |
| 0.000 | 0.000 | 0.000 | 0.000 | -0.000 | 174.733 |
| 320.392 | 153.035 | 153.035 | 0.000 | 0.000 | -0.000 |
| 153.035 | 320.392 | 153.035 | 0.000 | 0.000 | -0.000 |
| 153.035 | 153.035 | 320.392 | -0.000 | 0.000 | -0.000 |
| -0.004 | -0.004 | -0.004 | 174.733 | 0.000 | -0.000 |
| -0.004 | -0.004 | -0.004 | 0.000 | 174.733 | -0.000 |
| -0.004 | -0.004 | -0.004 | 0.000 | 0.000 | 174.733 |
| 320.309 | 152.945 | 152.945 | -0.000 | -0.000 | 0.000 |
| 152.945 | 320.309 | 152.945 | -0.000 | -0.000 | 0.000 |
| 152.945 | 152.945 | 320.309 | -0.000 | -0.000 | 0.000 |
| 0.004 | 0.004 | 0.004 | 174.733 | -0.000 | 0.000 |
| 0.004 | 0.004 | 0.004 | -0.000 | 174.733 | 0.000 |
| 0.004 | 0.004 | 0.004 | 0.000 | -0.000 | 174.733 |
| 146.766 | 81.455 | 147.184 | 0.000 | -0.000 | -0.000 |
| 81.455 | 146.766 | 147.184 | 0.000 | -0.000 | -0.000 |
| 150.159 | 150.159 | 50.695 | -0.000 | -0.000 | -0.000 |
| 0.000 | 0.000 | 0.000 | 125.795 | -0.000 | -0.000 |
| 0.000 | 0.000 | 0.000 | 0.000 | 125.795 | -0.000 |
| -0.000 | -0.000 | -0.000 | -0.000 | -0.000 | 76.710 |
| 146.767 | 81.457 | 147.186 | 0.000 | 0.000 | 0.000 |
| 81.457 | 146.767 | 147.186 | -0.000 | 0.000 | 0.000 |
| 150.161 | 150.161 | 50.698 | -0.000 | 0.000 | 0.000 |
| -0.000 | -0.000 | -0.000 | 125.795 | 0.000 | 0.000 |
| -0.000 | -0.000 | -0.000 | 0.000 | 125.795 | 0.000 |
| 0.000 | 0.000 | 0.000 | -0.000 | 0.000 | 76.710 |
| -128450684.444 | -122560450.625 | -70831712.734 | 2121208.381 | 870012.598 | -234817.341 |
| -123310610.887 | -126969701.006 | -72733344.424 | -1183242.509 | -1898420.148 | -140508.250 |
| 144.503 | 144.503 | 19.095 | 0.000 | -0.000 | -0.000 |
| 0.000 | -0.000 | -0.000 | 96.285 | -0.000 | -0.000 |
| -0.000 | 0.000 | -0.000 | -0.000 | 96.285 | -0.000 |
| -0.000 | -0.000 | -0.001 | -0.000 | -0.000 | 76.710 |
| 122693619.040 | 125937033.085 | 72124266.549 | 229210.258 | 151648.152 | -665787.215 |
| 130050859.743 | 123287296.167 | 70924389.479 | -740496.031 | -890862.438 | -1337807.900 |
| 150.170 | 150.170 | 50.710 | -0.000 | 0.000 | 0.000 |
| -0.000 | 0.000 | 0.000 | 96.285 | 0.000 | 0.000 |
| 0.000 | -0.000 | 0.000 | -0.000 | 96.285 | 0.000 |
| 0.000 | 0.000 | 0.001 | -0.000 | 0.000 | 76.710 |
| -12962365.080 | -12532764.518 | -7417241.523 | 180420.746 | 72905.962 | -43559.067 |
| -12249043.066 | -12636092.664 | -7103629.330 | -162373.815 | -238.316 | -48991.271 |
| 144.404 | 144.404 | 18.958 | -0.000 | -0.000 | -0.000 |
| 0.000 | -0.000 | -0.000 | 96.285 | -0.000 | -0.000 |
| -0.000 | 0.000 | -0.000 | -0.000 | 96.285 | -0.000 |
| -0.003 | -0.003 | -0.007 | -0.000 | -0.000 | 76.710 |
| 12419529.655 | 12640538.308 | 7428504.607 | 119624.166 | 153439.381 | -48366.741 |
| 12851558.440 | 12242122.415 | 7476501.923 | 62647.373 | -23540.955 | 93054.312 |
| 144.625 | 144.625 | 19.262 | 0.000 | 0.000 | 0.000 |
| -0.000 | 0.000 | 0.000 | 96.285 | 0.000 | 0.000 |
| 0.000 | -0.000 | 0.000 | -0.000 | 96.285 | 0.000 |
| 0.003 | 0.003 | 0.007 | 0.000 | 0.000 | 76.710 |
| 262.628 | 285.684 | 285.684 | -0.000 | 0.000 | -0.000 |
| 285.684 | 262.628 | 285.684 | -0.000 | 0.000 | -0.000 |
| 285.684 | 285.684 | 262.628 | -0.000 | -0.000 | -0.000 |
| -0.000 | 0.000 | 0.000 | 61.339 | 0.000 | 0.000 |
| 0.000 | 0.000 | 0.000 | -0.000 | 61.339 | -0.000 |
| 0.000 | 0.000 | 0.000 | -0.000 | 0.000 | 61.339 |
| 262.627 | 285.682 | 285.682 | 0.000 | -0.000 | 0.000 |
| 285.682 | 262.627 | 285.682 | 0.000 | -0.000 | 0.000 |
| 285.682 | 285.682 | 262.627 | 0.000 | -0.000 | 0.000 |
| 0.000 | -0.000 | -0.000 | 61.339 | -0.000 | 0.000 |
| -0.000 | -0.000 | -0.000 | -0.000 | 61.339 | 0.000 |
| -0.000 | -0.000 | -0.000 | -0.000 | -0.000 | 61.339 |
| 262.636 | 285.692 | 285.692 | -0.000 | -0.000 | -0.000 |
| 285.692 | 262.636 | 285.692 | -0.000 | -0.000 | -0.000 |
| 285.692 | 285.692 | 262.636 | -0.000 | 0.000 | -0.000 |
| 0.000 | 0.000 | 0.000 | 61.339 | 0.000 | 0.000 |
| 0.000 | 0.000 | 0.000 | -0.000 | 61.339 | 0.000 |
| 0.000 | 0.000 | 0.000 | -0.000 | 0.000 | 61.339 |
| 262.619 | 285.675 | 285.675 | 0.000 | -0.000 | 0.000 |
| 285.675 | 262.619 | 285.675 | 0.000 | -0.000 | 0.000 |
| 285.675 | 285.675 | 262.619 | 0.000 | -0.000 | -0.000 |
| -0.000 | -0.000 | -0.000 | 61.339 | -0.000 | 0.000 |
| -0.000 | -0.000 | -0.000 | -0.000 | 61.339 | -0.000 |
| -0.000 | -0.000 | -0.000 | -0.000 | -0.000 | 61.339 |
| 262.712 | 285.767 | 285.767 | -0.000 | 0.000 | -0.000 |
| 285.767 | 262.712 | 285.767 | -0.000 | 0.000 | -0.000 |
| 285.767 | 285.767 | 262.712 | -0.000 | -0.000 | -0.000 |
| 0.000 | 0.000 | 0.000 | -32.952 | 0.000 | -0.000 |
| 0.000 | 0.000 | 0.000 | -0.000 | -32.952 | -0.000 |
| 0.000 | 0.000 | 0.000 | -0.000 | 0.000 | -32.952 |
| 262.543 | 285.600 | 285.600 | 0.000 | 0.000 | 0.000 |
| 285.600 | 262.543 | 285.600 | 0.000 | 0.000 | 0.000 |
| 285.600 | 285.600 | 262.543 | 0.000 | -0.000 | 0.000 |
| -0.000 | -0.000 | -0.000 | -32.952 | -0.000 | 0.000 |
| -0.000 | -0.000 | -0.000 | 0.000 | -32.952 | 0.000 |
| -0.000 | -0.000 | -0.000 | 0.000 | -0.000 | -32.952 |
| 474.015 | 192.543 | 192.543 | -0.000 | 0.000 | -0.000 |
| 192.543 | 474.015 | 192.543 | 0.000 | -0.000 | -0.000 |
| 192.543 | 192.543 | 474.015 | -0.000 | -0.000 | -0.000 |
| -0.000 | -0.000 | -0.000 | 145.132 | 0.000 | -0.000 |
| -0.000 | -0.000 | -0.000 | -0.000 | 145.132 | -0.000 |
| -0.000 | -0.000 | -0.000 | -0.000 | -0.000 | 145.132 |
| 474.015 | 192.543 | 192.543 | -0.000 | -0.000 | -0.000 |
| 192.543 | 474.015 | 192.543 | -0.000 | -0.000 | -0.000 |
| 192.543 | 192.543 | 474.015 | -0.000 | -0.000 | 0.000 |
| 0.000 | 0.000 | 0.000 | 145.132 | 0.000 | 0.000 |
| 0.000 | 0.000 | 0.000 | -0.000 | 145.132 | 0.000 |
| 0.000 | 0.000 | 0.000 | 0.000 | 0.000 | 145.132 |
| 474.015 | 192.543 | 192.543 | -0.000 | 0.000 | -0.000 |
| 192.543 | 474.015 | 192.543 | -0.000 | -0.000 | 0.000 |
| 192.543 | 192.543 | 474.015 | 0.000 | -0.000 | -0.000 |
| -0.000 | -0.000 | -0.000 | 145.132 | -0.000 | 0.000 |
| -0.000 | -0.000 | -0.000 | 0.000 | 145.132 | -0.000 |
| -0.000 | -0.000 | -0.000 | -0.000 | -0.000 | 145.132 |
| 474.014 | 192.542 | 192.542 | 0.000 | -0.000 | 0.000 |
| 192.542 | 474.014 | 192.542 | -0.000 | 0.000 | 0.000 |
| 192.542 | 192.542 | 474.014 | -0.000 | -0.000 | 0.000 |
| 0.000 | 0.000 | 0.000 | 145.132 | 0.000 | 0.000 |
| 0.000 | 0.000 | 0.000 | 0.000 | 145.132 | 0.000 |
| 0.000 | 0.000 | 0.000 | 0.000 | 0.000 | 145.132 |
| 474.017 | 192.546 | 192.546 | -0.000 | 0.000 | -0.000 |
| 192.546 | 474.017 | 192.546 | 0.000 | 0.000 | -0.000 |
| 192.546 | 192.546 | 474.017 | 0.000 | 0.000 | -0.000 |
| -0.001 | -0.002 | -0.002 | 209.636 | -0.000 | -0.000 |
| -0.002 | -0.001 | -0.002 | -0.000 | 209.636 | -0.000 |
| -0.002 | -0.002 | -0.001 | 0.000 | 0.000 | 209.636 |
| 474.012 | 192.539 | 192.539 | -0.000 | 0.000 | 0.000 |
| 192.539 | 474.012 | 192.539 | -0.000 | 0.000 | 0.000 |
| 192.539 | 192.539 | 474.012 | 0.000 | 0.000 | 0.000 |
| 0.001 | 0.002 | 0.002 | 209.636 | 0.000 | 0.000 |
| 0.002 | 0.001 | 0.002 | -0.000 | 209.636 | 0.000 |
| 0.002 | 0.002 | 0.001 | -0.000 | 0.000 | 209.636 |
| 76.430 | -0.692 | -0.692 | -0.000 | -0.000 | -0.000 |
| -0.692 | 76.430 | -0.692 | -0.000 | -0.000 | 0.000 |
| -0.692 | -0.692 | 76.430 | -0.000 | 0.000 | -0.000 |
| 0.000 | -0.000 | -0.000 | 0.685 | 0.000 | -0.000 |
| -0.000 | 0.000 | -0.000 | 0.000 | 0.685 | -0.000 |
| 0.000 | 0.000 | -0.000 | -0.000 | -0.000 | 0.685 |
| 76.430 | -0.692 | -0.692 | 0.000 | 0.000 | 0.000 |
| -0.692 | 76.430 | -0.692 | 0.000 | 0.000 | -0.000 |
| -0.692 | -0.692 | 76.430 | -0.000 | -0.000 | 0.000 |
| -0.000 | -0.000 | 0.000 | 0.685 | -0.000 | -0.000 |
| -0.000 | -0.000 | 0.000 | -0.000 | 0.685 | 0.000 |
| -0.000 | -0.000 | 0.000 | 0.000 | 0.000 | 0.685 |
| 76.430 | -0.692 | -0.692 | -0.000 | -0.000 | -0.000 |
| -0.692 | 76.430 | -0.692 | -0.000 | 0.000 | -0.000 |
| -0.692 | -0.692 | 76.430 | -0.000 | -0.000 | -0.000 |
| 0.000 | 0.000 | 0.000 | 1.307 | 0.000 | -0.000 |
| 0.000 | 0.000 | 0.000 | -0.000 | 1.307 | -0.000 |
| 0.000 | 0.000 | 0.000 | -0.000 | -0.000 | 1.307 |
| 76.430 | -0.692 | -0.692 | 0.000 | 0.000 | 0.000 |
| -0.692 | 76.430 | -0.692 | 0.000 | 0.000 | 0.000 |
| -0.692 | -0.692 | 76.430 | -0.000 | -0.000 | 0.000 |
| -0.000 | -0.000 | -0.000 | 1.307 | -0.000 | -0.000 |
| -0.000 | -0.000 | -0.000 | 0.000 | 1.307 | 0.000 |
| -0.000 | -0.000 | -0.000 | 0.000 | 0.000 | 1.307 |
| 76.429 | -0.692 | -0.692 | -0.000 | -0.000 | -0.000 |
| -0.692 | 76.429 | -0.692 | -0.000 | -0.000 | -0.000 |
| -0.692 | -0.692 | 76.429 | -0.000 | -0.000 | -0.000 |
| 0.000 | 0.000 | 0.000 | 1.307 | -0.000 | -0.000 |
| 0.000 | 0.000 | 0.000 | -0.000 | 1.307 | -0.000 |
| 0.000 | 0.000 | 0.000 | -0.000 | -0.000 | 1.307 |
| 76.431 | -0.692 | -0.692 | 0.000 | 0.000 | 0.000 |
| -0.692 | 76.431 | -0.692 | 0.000 | 0.000 | 0.000 |
| -0.692 | -0.692 | 76.431 | 0.000 | 0.000 | 0.000 |
| -0.000 | -0.000 | -0.000 | 1.307 | 0.000 | 0.000 |
| -0.000 | -0.000 | -0.000 | 0.000 | 1.307 | 0.000 |
| -0.000 | -0.000 | -0.000 | 0.000 | 0.000 | 1.307 |
| 48.402 | 37.222 | 37.222 | 0.000 | 0.000 | -0.000 |
| 37.222 | 48.402 | 37.222 | 0.000 | 0.000 | -0.000 |
| 37.222 | 37.222 | 48.402 | -0.000 | -0.000 | -0.000 |
| -0.000 | -0.000 | -0.000 | 31.426 | -0.000 | -0.000 |
| -0.000 | -0.000 | -0.000 | -0.000 | 31.426 | -0.000 |
| -0.000 | -0.000 | -0.000 | -0.000 | -0.000 | 31.426 |
| 48.402 | 37.222 | 37.222 | 0.000 | -0.000 | 0.000 |
| 37.222 | 48.402 | 37.222 | -0.000 | -0.000 | 0.000 |
| 37.222 | 37.222 | 48.402 | 0.000 | 0.000 | 0.000 |
| 0.000 | 0.000 | 0.000 | 31.426 | 0.000 | 0.000 |
| 0.000 | 0.000 | 0.000 | 0.000 | 31.426 | 0.000 |
| 0.000 | 0.000 | 0.000 | 0.000 | 0.000 | 31.426 |
| 48.402 | 37.222 | 37.222 | 0.000 | 0.000 | -0.000 |
| 37.222 | 48.402 | 37.222 | -0.000 | 0.000 | -0.000 |
| 37.222 | 37.222 | 48.402 | -0.000 | -0.000 | -0.000 |
| -0.000 | -0.000 | -0.000 | 31.426 | -0.000 | -0.000 |
| -0.000 | -0.000 | -0.000 | -0.000 | 31.426 | -0.000 |
| -0.000 | -0.000 | -0.000 | -0.000 | -0.000 | 31.426 |
| 48.402 | 37.222 | 37.222 | -0.000 | -0.000 | 0.000 |
| 37.222 | 48.402 | 37.222 | -0.000 | -0.000 | 0.000 |
| 37.222 | 37.222 | 48.402 | 0.000 | 0.000 | -0.000 |
| 0.000 | 0.000 | 0.000 | 31.426 | 0.000 | 0.000 |
| 0.000 | 0.000 | 0.000 | 0.000 | 31.426 | 0.000 |
| 0.000 | 0.000 | 0.000 | 0.000 | 0.000 | 31.426 |
| 48.402 | 37.222 | 37.222 | 0.000 | 0.000 | -0.000 |
| 37.222 | 48.402 | 37.222 | 0.000 | 0.000 | -0.000 |
| 37.222 | 37.222 | 48.402 | -0.000 | -0.000 | -0.000 |
| -0.000 | -0.000 | -0.000 | 31.426 | -0.000 | -0.000 |
| -0.000 | -0.000 | -0.000 | -0.000 | 31.426 | -0.000 |
| -0.000 | -0.000 | -0.000 | -0.000 | -0.000 | 31.426 |
| 48.402 | 37.222 | 37.222 | 0.000 | -0.000 | 0.000 |
| 37.222 | 48.402 | 37.222 | -0.000 | 0.000 | 0.000 |
| 37.222 | 37.222 | 48.402 | 0.000 | 0.000 | 0.000 |
| 0.000 | 0.000 | 0.000 | 31.426 | 0.000 | 0.000 |
| 0.000 | 0.000 | 0.000 | 0.000 | 31.426 | 0.000 |
| 0.000 | 0.000 | 0.000 | 0.000 | 0.000 | 31.426 |
| 12.980 | 12.969 | 12.969 | -0.000 | 0.000 | 0.000 |
| 12.969 | 12.980 | 12.969 | 0.000 | -0.000 | -0.000 |
| 12.969 | 12.969 | 12.980 | -0.000 | -0.000 | 0.000 |
| 0.000 | 0.000 | 0.000 | 8.105 | 0.000 | 0.000 |
| 0.000 | 0.000 | 0.000 | 0.000 | 8.105 | 0.000 |
| 0.000 | 0.000 | 0.000 | 0.000 | 0.000 | 8.105 |
| 12.980 | 12.969 | 12.969 | 0.000 | -0.000 | 0.000 |
| 12.969 | 12.980 | 12.969 | -0.000 | 0.000 | 0.000 |
| 12.969 | 12.969 | 12.980 | 0.000 | 0.000 | 0.000 |
| -0.000 | -0.000 | -0.000 | 8.105 | -0.000 | 0.000 |
| -0.000 | -0.000 | -0.000 | -0.000 | 8.105 | 0.000 |
| -0.000 | -0.000 | -0.000 | -0.000 | -0.000 | 8.105 |
| 12.980 | 12.969 | 12.969 | -0.000 | -0.000 | 0.000 |
| 12.969 | 12.980 | 12.969 | -0.000 | -0.000 | 0.000 |
| 12.969 | 12.969 | 12.980 | -0.000 | -0.000 | 0.000 |
| 0.000 | -0.000 | 0.000 | 8.105 | 0.000 | 0.000 |
| -0.000 | 0.000 | 0.000 | 0.000 | 8.105 | 0.000 |
| -0.000 | 0.000 | 0.000 | 0.000 | 0.000 | 8.105 |
| 12.980 | 12.969 | 12.969 | 0.000 | -0.000 | 0.000 |
| 12.969 | 12.980 | 12.969 | -0.000 | 0.000 | 0.000 |
| 12.969 | 12.969 | 12.980 | 0.000 | 0.000 | 0.000 |
| -0.000 | 0.000 | -0.000 | 8.105 | -0.000 | -0.000 |
| 0.000 | -0.000 | -0.000 | -0.000 | 8.105 | -0.000 |
| 0.000 | -0.000 | -0.000 | -0.000 | -0.000 | 8.105 |
| 12.980 | 12.969 | 12.969 | -0.000 | 0.000 | -0.000 |
| 12.969 | 12.980 | 12.969 | 0.000 | -0.000 | -0.000 |
| 12.969 | 12.969 | 12.980 | -0.000 | -0.000 | 0.000 |
| 0.000 | -0.000 | 0.000 | 8.105 | 0.000 | 0.000 |
| -0.000 | 0.000 | 0.000 | 0.000 | 8.105 | 0.000 |
| -0.000 | 0.000 | 0.000 | 0.000 | 0.000 | 8.105 |
| 12.980 | 12.969 | 12.969 | 0.000 | -0.000 | 0.000 |
| 12.969 | 12.980 | 12.969 | -0.000 | 0.000 | 0.000 |
| 12.969 | 12.969 | 12.980 | 0.000 | 0.000 | 0.000 |
| -0.000 | 0.000 | -0.000 | 8.105 | -0.000 | -0.000 |
| 0.000 | -0.000 | -0.000 | -0.000 | 8.105 | 0.000 |
| 0.000 | -0.000 | -0.000 | -0.000 | -0.000 | 8.105 |
| 989.906 | 754.445 | 754.445 | 0.000 | 0.000 | 0.000 |
| 754.445 | 989.906 | 754.445 | 0.000 | -0.000 | -0.000 |
| 754.445 | 754.445 | 989.906 | -0.000 | -0.000 | -0.000 |
| 0.000 | 0.000 | 0.000 | 14.012 | -0.000 | 0.000 |
| 0.000 | 0.000 | 0.000 | 0.000 | 14.012 | 0.000 |
| 0.000 | 0.000 | 0.000 | 0.000 | -0.000 | 14.012 |
| 989.906 | 754.444 | 754.444 | -0.000 | 0.000 | 0.000 |
| 754.444 | 989.906 | 754.444 | -0.000 | 0.000 | -0.000 |
| 754.444 | 754.444 | 989.906 | -0.000 | 0.000 | -0.000 |
| -0.000 | -0.000 | -0.000 | 14.012 | -0.000 | -0.000 |
| -0.000 | -0.000 | -0.000 | -0.000 | 14.012 | -0.000 |
| -0.000 | -0.000 | -0.000 | -0.000 | -0.000 | 14.012 |
| 989.908 | 754.445 | 754.445 | 0.000 | 0.000 | 0.000 |
| 754.445 | 989.908 | 754.445 | 0.000 | 0.000 | 0.000 |
| 754.445 | 754.445 | 989.908 | 0.000 | 0.000 | 0.000 |
| 0.000 | 0.000 | 0.000 | -6.060 | 0.000 | 0.000 |
| 0.000 | -0.000 | 0.000 | 0.000 | -6.060 | 0.000 |
| 0.000 | 0.000 | -0.000 | 0.000 | 0.000 | -6.060 |
| 989.904 | 754.444 | 754.444 | 0.000 | 0.000 | 0.000 |
| 754.444 | 989.904 | 754.444 | 0.000 | -0.000 | -0.000 |
| 754.444 | 754.444 | 989.904 | 0.000 | -0.000 | 0.000 |
| -0.000 | -0.000 | -0.000 | -6.060 | -0.000 | 0.000 |
| -0.000 | 0.000 | -0.000 | -0.000 | -6.060 | -0.000 |
| -0.000 | -0.000 | 0.000 | -0.000 | 0.000 | -6.060 |
| 989.924 | 754.452 | 754.452 | 0.000 | -0.000 | -0.000 |
| 754.452 | 989.924 | 754.452 | -0.000 | -0.000 | 0.000 |
| 754.452 | 754.452 | 989.924 | -0.000 | 0.000 | 0.000 |
| -0.000 | 0.003 | 0.003 | 14.012 | 0.000 | -0.000 |
| 0.003 | -0.000 | 0.003 | 0.000 | 14.012 | 0.000 |
| 0.003 | 0.003 | -0.000 | 0.000 | 0.000 | 14.012 |
| 989.887 | 754.437 | 754.437 | -0.000 | -0.000 | -0.000 |
| 754.437 | 989.887 | 754.437 | -0.000 | 0.000 | -0.000 |
| 754.437 | 754.437 | 989.887 | -0.000 | 0.000 | -0.000 |
| 0.000 | -0.003 | -0.003 | 14.012 | 0.000 | 0.000 |
| -0.003 | 0.000 | -0.003 | -0.000 | 14.012 | -0.000 |
| -0.003 | -0.003 | 0.000 | -0.000 | -0.000 | 14.012 |
| 1489.227 | 1395.440 | 1395.440 | -0.000 | -0.000 | 0.000 |
| 1395.440 | 1489.227 | 1395.440 | -0.000 | 0.000 | -0.000 |
| 1395.440 | 1395.440 | 1489.227 | -0.000 | 0.000 | 0.000 |
| 0.000 | 0.000 | 0.000 | -33.096 | 0.000 | -0.000 |
| 0.000 | 0.000 | 0.000 | -0.000 | -33.096 | -0.000 |
| 0.000 | 0.000 | 0.000 | -0.000 | 0.000 | -33.096 |
| 1489.200 | 1395.413 | 1395.413 | 0.000 | 0.000 | 0.000 |
| 1395.413 | 1489.200 | 1395.413 | 0.000 | -0.000 | 0.000 |
| 1395.413 | 1395.413 | 1489.200 | 0.000 | -0.000 | -0.000 |
| -0.000 | -0.000 | -0.000 | -33.096 | -0.000 | 0.000 |
| -0.000 | -0.000 | -0.000 | 0.000 | -33.096 | 0.000 |
| -0.000 | -0.000 | -0.000 | 0.000 | -0.000 | -33.096 |
| 1489.347 | 1395.559 | 1395.559 | -0.000 | -0.000 | 0.000 |
| 1395.559 | 1489.346 | 1395.559 | -0.000 | 0.000 | -0.000 |
| 1395.559 | 1395.559 | 1489.347 | -0.000 | -0.000 | -0.000 |
| 0.000 | 0.000 | 0.000 | -33.096 | -0.000 | -0.000 |
| 0.000 | 0.000 | 0.000 | -0.000 | -33.096 | -0.000 |
| 0.000 | 0.000 | 0.000 | -0.000 | 0.000 | -33.096 |
| 1489.080 | 1395.295 | 1395.295 | 0.000 | 0.000 | -0.000 |
| 1395.295 | 1489.080 | 1395.295 | 0.000 | -0.000 | 0.000 |
| 1395.295 | 1395.295 | 1489.080 | 0.000 | -0.000 | 0.000 |
| -0.000 | -0.000 | -0.000 | -33.096 | 0.000 | 0.000 |
| -0.000 | -0.000 | -0.000 | 0.000 | -33.096 | 0.000 |
| -0.000 | -0.000 | -0.000 | 0.000 | -0.000 | -33.096 |
| 1490.544 | 1396.748 | 1396.748 | -0.000 | 0.000 | 0.000 |
| 1396.748 | 1490.544 | 1396.748 | -0.000 | 0.000 | 0.000 |
| 1396.748 | 1396.748 | 1490.544 | 0.000 | 0.000 | -0.000 |
| 0.001 | 0.001 | 0.001 | -28.874 | 0.000 | 0.000 |
| 0.001 | 0.001 | 0.001 | 0.000 | -28.874 | -0.000 |
| 0.001 | 0.001 | 0.001 | -0.000 | 0.000 | -28.874 |
| 1487.883 | 1394.105 | 1394.105 | 0.000 | 0.000 | 0.000 |
| 1394.105 | 1487.883 | 1394.105 | 0.000 | 0.000 | -0.000 |
| 1394.105 | 1394.105 | 1487.883 | 0.000 | 0.000 | 0.000 |
| -0.001 | -0.001 | -0.001 | -28.874 | -0.000 | 0.000 |
| -0.001 | -0.001 | -0.001 | 0.000 | -28.874 | -0.000 |
| -0.001 | -0.001 | -0.001 | 0.000 | -0.000 | -28.874 |
| 338.805 | 315.701 | 315.701 | 0.000 | -0.000 | 0.000 |
| 315.701 | 338.805 | 315.701 | 0.000 | 0.000 | -0.000 |
| 315.701 | 315.701 | 338.805 | 0.000 | -0.000 | 0.000 |
| -0.000 | 0.000 | 0.000 | 289.142 | -0.000 | 0.000 |
| 0.000 | -0.000 | 0.000 | 0.000 | 289.142 | 0.000 |
| 0.000 | 0.000 | -0.000 | 0.000 | -0.000 | 289.142 |
| 338.805 | 315.701 | 315.701 | 0.000 | -0.000 | -0.000 |
| 315.701 | 338.805 | 315.701 | -0.000 | 0.000 | 0.000 |
| 315.701 | 315.701 | 338.805 | -0.000 | 0.000 | -0.000 |
| 0.000 | -0.000 | -0.000 | 289.142 | 0.000 | -0.000 |
| -0.000 | 0.000 | -0.000 | -0.000 | 289.142 | -0.000 |
| -0.000 | -0.000 | 0.000 | -0.000 | 0.000 | 289.142 |
| 338.805 | 315.701 | 315.701 | 0.000 | 0.000 | 0.000 |
| 315.701 | 338.805 | 315.701 | 0.000 | 0.000 | 0.000 |
| 315.701 | 315.701 | 338.805 | 0.000 | 0.000 | 0.000 |
| -0.001 | 0.000 | 0.000 | 289.142 | -0.000 | 0.000 |
| 0.000 | -0.001 | 0.000 | 0.000 | 289.142 | 0.000 |
| 0.000 | 0.000 | -0.001 | 0.000 | -0.000 | 289.142 |
| 338.805 | 315.701 | 315.701 | -0.000 | -0.000 | -0.000 |
| 315.701 | 338.805 | 315.701 | -0.000 | 0.000 | -0.000 |
| 315.701 | 315.701 | 338.805 | -0.000 | -0.000 | 0.000 |
| 0.001 | -0.000 | -0.000 | 289.142 | 0.000 | -0.000 |
| -0.000 | 0.001 | -0.000 | -0.000 | 289.142 | -0.000 |
| -0.000 | -0.000 | 0.001 | -0.000 | 0.000 | 289.142 |
| 338.806 | 315.704 | 315.704 | -0.000 | -0.000 | 0.000 |
| 315.704 | 338.806 | 315.704 | 0.000 | -0.000 | 0.000 |
| 315.704 | 315.704 | 338.806 | -0.000 | -0.000 | 0.000 |
| 0.001 | 0.002 | 0.002 | 310.598 | 0.000 | -0.000 |
| 0.002 | 0.001 | 0.002 | 0.000 | 310.598 | 0.000 |
| 0.002 | 0.002 | 0.001 | 0.000 | 0.000 | 310.598 |
| 338.804 | 315.698 | 315.698 | -0.000 | -0.000 | -0.000 |
| 315.698 | 338.804 | 315.698 | -0.000 | -0.000 | 0.000 |
| 315.698 | 315.698 | 338.804 | -0.000 | -0.000 | 0.000 |
| -0.001 | -0.002 | -0.002 | 310.598 | -0.000 | -0.000 |
| -0.002 | -0.001 | -0.002 | -0.000 | 310.598 | -0.000 |
| -0.002 | -0.002 | -0.001 | -0.000 | -0.000 | 310.598 |
| 125.366 | 9.520 | 9.520 | 0.000 | -0.000 | 0.000 |
| 9.520 | 125.366 | 9.520 | 0.000 | 0.000 | 0.000 |
| 9.520 | 9.520 | 125.366 | 0.000 | -0.000 | 0.000 |
| -0.000 | -0.000 | -0.000 | -33.700 | -0.000 | 0.000 |
| -0.000 | -0.000 | -0.000 | 0.000 | -33.700 | 0.000 |
| -0.000 | -0.000 | -0.000 | 0.000 | -0.000 | -33.700 |
| 125.366 | 9.520 | 9.520 | 0.000 | 0.000 | -0.000 |
| 9.520 | 125.366 | 9.520 | -0.000 | 0.000 | -0.000 |
| 9.520 | 9.520 | 125.366 | 0.000 | -0.000 | -0.000 |
| 0.000 | 0.000 | 0.000 | -33.700 | -0.000 | -0.000 |
| 0.000 | 0.000 | 0.000 | -0.000 | -33.700 | -0.000 |
| 0.000 | 0.000 | 0.000 | -0.000 | -0.000 | -33.700 |
| 125.366 | 9.520 | 9.520 | 0.000 | -0.000 | 0.000 |
| 9.520 | 125.366 | 9.520 | 0.000 | -0.000 | 0.000 |
| 9.520 | 9.520 | 125.366 | 0.000 | -0.000 | 0.000 |
| -0.000 | -0.000 | -0.000 | -33.700 | -0.000 | 0.000 |
| -0.000 | -0.000 | -0.000 | -0.000 | -33.700 | 0.000 |
| -0.000 | -0.000 | -0.000 | 0.000 | 0.000 | -33.700 |
| 125.367 | 9.520 | 9.520 | 0.000 | 0.000 | -0.000 |
| 9.520 | 125.367 | 9.520 | 0.000 | 0.000 | -0.000 |
| 9.520 | 9.520 | 125.367 | -0.000 | -0.000 | -0.000 |
| 0.000 | 0.000 | 0.000 | -33.700 | 0.000 | -0.000 |
| 0.000 | 0.000 | 0.000 | -0.000 | -33.700 | -0.000 |
| 0.000 | 0.000 | 0.000 | -0.000 | 0.000 | -33.700 |
| 125.363 | 9.519 | 9.519 | -0.000 | -0.000 | 0.000 |
| 9.519 | 125.363 | 9.519 | 0.000 | -0.000 | 0.000 |
| 9.519 | 9.519 | 125.363 | 0.000 | 0.000 | 0.000 |
| -0.003 | -0.001 | -0.001 | -33.700 | -0.000 | 0.000 |
| -0.001 | -0.003 | -0.001 | -0.000 | -33.700 | 0.000 |
| -0.001 | -0.001 | -0.003 | 0.000 | 0.000 | -33.700 |
| 125.370 | 9.521 | 9.521 | -0.000 | 0.000 | -0.000 |
| 9.521 | 125.370 | 9.521 | -0.000 | 0.000 | -0.000 |
| 9.521 | 9.521 | 125.370 | -0.000 | 0.000 | -0.000 |
| 0.003 | 0.001 | 0.001 | -33.700 | 0.000 | -0.000 |
| 0.001 | 0.003 | 0.001 | -0.000 | -33.700 | -0.000 |
| 0.001 | 0.001 | 0.003 | -0.000 | 0.000 | -33.700 |
| 82.971 | 1.824 | 1.824 | -0.000 | -0.000 | 0.000 |
| 1.824 | 82.971 | 1.824 | -0.000 | -0.000 | 0.000 |
| 1.824 | 1.824 | 82.971 | -0.000 | -0.000 | -0.000 |
| -0.000 | 0.000 | -0.000 | 2.164 | -0.000 | 0.000 |
| 0.000 | -0.000 | -0.000 | -0.000 | 2.164 | -0.000 |
| 0.000 | -0.000 | -0.000 | -0.000 | -0.000 | 2.164 |
| 82.971 | 1.824 | 1.824 | 0.000 | 0.000 | 0.000 |
| 1.824 | 82.971 | 1.824 | 0.000 | 0.000 | 0.000 |
| 1.824 | 1.824 | 82.971 | -0.000 | -0.000 | 0.000 |
| 0.000 | -0.000 | 0.000 | 2.164 | 0.000 | 0.000 |
| -0.000 | 0.000 | 0.000 | 0.000 | 2.164 | 0.000 |
| -0.000 | 0.000 | 0.000 | 0.000 | 0.000 | 2.164 |
| 82.971 | 1.824 | 1.824 | -0.000 | 0.000 | 0.000 |
| 1.824 | 82.971 | 1.824 | -0.000 | -0.000 | 0.000 |
| 1.824 | 1.824 | 82.971 | -0.000 | -0.000 | -0.000 |
| 0.000 | 0.000 | -0.000 | 2.164 | 0.000 | 0.000 |
| 0.000 | 0.000 | -0.000 | -0.000 | 2.164 | 0.000 |
| 0.000 | -0.000 | 0.000 | -0.000 | 0.000 | 2.164 |
| 82.971 | 1.824 | 1.824 | 0.000 | 0.000 | 0.000 |
| 1.824 | 82.971 | 1.824 | 0.000 | -0.000 | -0.000 |
| 1.824 | 1.824 | 82.971 | -0.000 | -0.000 | 0.000 |
| -0.000 | -0.000 | 0.000 | 2.164 | -0.000 | 0.000 |
| -0.000 | -0.000 | 0.000 | 0.000 | 2.164 | 0.000 |
| -0.000 | 0.000 | -0.000 | -0.000 | -0.000 | 2.164 |
| 82.970 | 1.825 | 1.825 | -0.000 | -0.000 | 0.000 |
| 1.825 | 82.970 | 1.825 | -0.000 | -0.000 | 0.000 |
| 1.825 | 1.825 | 82.970 | -0.000 | -0.000 | -0.000 |
| 0.000 | 0.000 | 0.000 | 2.164 | -0.000 | 0.000 |
| 0.000 | 0.000 | 0.000 | -0.000 | 2.164 | 0.000 |
| 0.000 | 0.000 | 0.000 | -0.000 | -0.000 | 2.164 |
| 82.972 | 1.824 | 1.824 | 0.000 | -0.000 | -0.000 |
| 1.824 | 82.972 | 1.824 | 0.000 | -0.000 | -0.000 |
| 1.824 | 1.824 | 82.972 | 0.000 | 0.000 | 0.000 |
| -0.000 | -0.000 | -0.000 | 2.164 | 0.000 | 0.000 |
| -0.000 | -0.000 | -0.000 | 0.000 | 2.164 | 0.000 |
| -0.000 | -0.000 | -0.000 | 0.000 | -0.000 | 2.164 |
| 41.101 | 6.143 | 6.143 | 0.000 | 0.000 | 0.000 |
| 6.143 | 41.101 | 6.143 | 0.000 | 0.000 | 0.000 |
| 6.143 | 6.143 | 41.101 | -0.000 | 0.000 | 0.000 |
| 0.000 | 0.000 | -0.000 | 5.433 | 0.000 | 0.000 |
| 0.000 | 0.000 | -0.000 | -0.000 | 5.433 | 0.000 |
| 0.000 | 0.000 | -0.000 | -0.000 | 0.000 | 5.433 |
| 41.101 | 6.143 | 6.143 | -0.000 | -0.000 | -0.000 |
| 6.143 | 41.101 | 6.143 | -0.000 | -0.000 | -0.000 |
| 6.143 | 6.143 | 41.101 | 0.000 | 0.000 | -0.000 |
| -0.000 | -0.000 | 0.000 | 5.433 | -0.000 | 0.000 |
| -0.000 | -0.000 | 0.000 | 0.000 | 5.433 | -0.000 |
| -0.000 | -0.000 | 0.000 | 0.000 | -0.000 | 5.433 |
| 41.101 | 6.143 | 6.143 | 0.000 | 0.000 | 0.000 |
| 6.143 | 41.101 | 6.143 | 0.000 | 0.000 | 0.000 |
| 6.143 | 6.143 | 41.101 | -0.000 | 0.000 | 0.000 |
| -0.000 | -0.000 | -0.000 | 5.433 | 0.000 | 0.000 |
| -0.000 | -0.000 | -0.000 | 0.000 | 5.433 | 0.000 |
| -0.000 | -0.000 | -0.000 | -0.000 | 0.000 | 5.433 |
| 41.101 | 6.143 | 6.143 | -0.000 | -0.000 | -0.000 |
| 6.143 | 41.101 | 6.143 | -0.000 | -0.000 | 0.000 |
| 6.143 | 6.143 | 41.101 | -0.000 | -0.000 | -0.000 |
| 0.000 | 0.000 | 0.000 | 5.433 | -0.000 | -0.000 |
| 0.000 | 0.000 | 0.000 | 0.000 | 5.433 | -0.000 |
| 0.000 | 0.000 | 0.000 | 0.000 | -0.000 | 5.433 |
| 41.102 | 6.143 | 6.143 | 0.000 | 0.000 | 0.000 |
| 6.143 | 41.102 | 6.143 | 0.000 | 0.000 | -0.000 |
| 6.143 | 6.143 | 41.102 | -0.000 | -0.000 | 0.000 |
| -0.000 | -0.000 | -0.000 | 5.433 | 0.000 | 0.000 |
| -0.000 | -0.000 | -0.000 | -0.000 | 5.433 | 0.000 |
| -0.000 | -0.000 | -0.000 | -0.000 | 0.000 | 5.433 |
| 41.100 | 6.143 | 6.143 | -0.000 | -0.000 | -0.000 |
| 6.143 | 41.100 | 6.143 | -0.000 | -0.000 | 0.000 |
| 6.143 | 6.143 | 41.100 | -0.000 | -0.000 | -0.000 |
| 0.000 | 0.000 | 0.000 | 5.433 | -0.000 | 0.000 |
| 0.000 | 0.000 | 0.000 | -0.000 | 5.433 | -0.000 |
| 0.000 | 0.000 | 0.000 | 0.000 | -0.000 | 5.433 |
| 459.696 | 388.475 | 388.475 | 0.000 | 0.000 | 0.000 |
| 388.475 | 459.696 | 388.475 | 0.000 | -0.000 | 0.000 |
| 388.475 | 388.475 | 459.696 | 0.000 | -0.000 | 0.000 |
| -0.000 | -0.000 | -0.000 | -142.536 | 0.000 | 0.000 |
| -0.000 | -0.000 | -0.000 | 0.000 | -142.536 | 0.000 |
| -0.000 | -0.000 | -0.000 | -0.000 | -0.000 | -142.536 |
| 360.402 | 438.115 | 438.115 | 0.000 | 0.000 | -0.000 |
| 438.115 | 360.402 | 438.115 | 0.000 | 0.000 | -0.000 |
| 438.115 | 438.115 | 360.402 | -0.000 | 0.000 | -0.000 |
| 0.000 | 0.000 | 0.000 | -142.536 | 0.000 | -0.000 |
| 0.000 | 0.000 | 0.000 | 0.000 | -142.536 | -0.000 |
| 0.000 | 0.000 | 0.000 | 0.000 | 0.000 | -142.536 |
| 360.429 | 438.141 | 438.141 | -0.000 | -0.000 | 0.000 |
| 438.141 | 360.429 | 438.141 | 0.000 | -0.000 | 0.000 |
| 438.141 | 438.141 | 360.429 | 0.000 | 0.000 | 0.000 |
| -0.000 | -0.000 | -0.000 | -142.536 | 0.000 | 0.000 |
| -0.000 | -0.000 | -0.000 | -0.000 | -142.536 | 0.000 |
| -0.000 | -0.000 | -0.000 | -0.000 | 0.000 | -142.536 |
| 459.669 | 388.450 | 388.450 | -0.000 | -0.000 | -0.000 |
| 388.450 | 459.669 | 388.450 | -0.000 | -0.000 | -0.000 |
| 388.450 | 388.450 | 459.669 | -0.000 | 0.000 | -0.000 |
| 0.000 | 0.000 | 0.000 | -142.536 | -0.000 | -0.000 |
| 0.000 | 0.000 | 0.000 | 0.000 | -142.536 | -0.000 |
| 0.000 | 0.000 | 0.000 | 0.000 | 0.000 | -142.536 |
| 360.650 | 438.350 | 438.350 | -0.000 | -0.000 | 0.000 |
| 438.350 | 360.650 | 438.350 | -0.000 | -0.000 | 0.000 |
| 438.350 | 438.350 | 360.650 | 0.000 | 0.000 | 0.000 |
| -0.000 | -0.001 | -0.001 | -142.536 | -0.000 | 0.000 |
| -0.001 | -0.000 | -0.001 | 0.000 | -142.536 | 0.000 |
| -0.001 | -0.001 | -0.000 | -0.000 | 0.000 | -142.536 |
| 360.160 | 437.884 | 437.884 | 0.000 | -0.000 | -0.000 |
| 437.884 | 360.160 | 437.884 | 0.000 | 0.000 | -0.000 |
| 437.884 | 437.884 | 360.160 | 0.000 | -0.000 | -0.000 |
| 0.000 | 0.001 | 0.001 | -142.536 | 0.000 | -0.000 |
| 0.001 | 0.000 | 0.001 | 0.000 | -142.536 | -0.000 |
| 0.001 | 0.001 | 0.000 | 0.000 | -0.000 | -142.536 |
| 70.442 | 38.450 | 38.450 | 0.000 | -0.000 | 0.000 |
| 38.450 | 70.442 | 38.450 | 0.000 | -0.000 | 0.000 |
| 38.450 | 38.450 | 70.442 | 0.000 | -0.000 | 0.000 |
| 0.000 | 0.000 | 0.000 | 14.785 | -0.000 | 0.000 |
| 0.000 | 0.000 | 0.000 | 0.000 | 14.785 | 0.000 |
| 0.000 | 0.000 | 0.000 | 0.000 | -0.000 | 14.785 |
| 70.442 | 38.450 | 38.450 | -0.000 | -0.000 | -0.000 |
| 38.450 | 70.442 | 38.450 | -0.000 | 0.000 | -0.000 |
| 38.450 | 38.450 | 70.442 | -0.000 | 0.000 | -0.000 |
| -0.000 | -0.000 | -0.000 | 14.785 | 0.000 | -0.000 |
| -0.000 | -0.000 | -0.000 | -0.000 | 14.785 | -0.000 |
| -0.000 | -0.000 | -0.000 | -0.000 | 0.000 | 14.785 |
| 70.442 | 38.450 | 38.450 | 0.000 | -0.000 | 0.000 |
| 38.450 | 70.442 | 38.450 | 0.000 | -0.000 | 0.000 |
| 38.450 | 38.450 | 70.442 | 0.000 | -0.000 | 0.000 |
| 0.000 | 0.000 | 0.000 | 14.785 | -0.000 | 0.000 |
| 0.000 | 0.000 | 0.000 | 0.000 | 14.785 | 0.000 |
| 0.000 | 0.000 | 0.000 | 0.000 | -0.000 | 14.785 |
| 70.441 | 38.450 | 38.450 | -0.000 | 0.000 | -0.000 |
| 38.450 | 70.441 | 38.450 | -0.000 | 0.000 | -0.000 |
| 38.450 | 38.450 | 70.441 | -0.000 | 0.000 | -0.000 |
| -0.000 | -0.000 | -0.000 | 14.785 | -0.000 | -0.000 |
| -0.000 | -0.000 | -0.000 | -0.000 | 14.785 | -0.000 |
| -0.000 | -0.000 | -0.000 | -0.000 | 0.000 | 14.785 |
| 70.443 | 38.450 | 38.450 | 0.000 | -0.000 | 0.000 |
| 38.450 | 70.443 | 38.450 | 0.000 | 0.000 | 0.000 |
| 38.450 | 38.450 | 70.443 | 0.000 | -0.000 | 0.000 |
| 0.000 | 0.000 | 0.000 | 14.785 | -0.000 | 0.000 |
| 0.000 | 0.000 | 0.000 | 0.000 | 14.785 | 0.000 |
| 0.000 | 0.000 | 0.000 | 0.000 | -0.000 | 14.785 |
| 70.441 | 38.449 | 38.449 | -0.000 | -0.000 | -0.000 |
| 38.449 | 70.441 | 38.449 | -0.000 | -0.000 | -0.000 |
| 38.449 | 38.449 | 70.441 | -0.000 | -0.000 | -0.000 |
| -0.000 | -0.000 | -0.000 | 14.785 | 0.000 | -0.000 |
| -0.000 | -0.000 | -0.000 | -0.000 | 14.785 | -0.000 |
| -0.000 | -0.000 | -0.000 | -0.000 | 0.000 | 14.785 |
| 78.959 | 20.820 | 20.820 | 0.000 | -0.000 | -0.000 |
| 20.820 | 78.959 | 20.820 | 0.000 | -0.000 | -0.000 |
| 20.820 | 20.820 | 78.959 | -0.000 | -0.000 | -0.000 |
| -0.000 | -0.000 | -0.000 | 2.342 | -0.000 | -0.000 |
| -0.000 | -0.000 | -0.000 | -0.000 | 2.342 | -0.000 |
| -0.000 | -0.000 | -0.000 | 0.000 | -0.000 | 2.342 |
| 78.959 | 20.820 | 20.820 | -0.000 | 0.000 | 0.000 |
| 20.820 | 78.959 | 20.820 | -0.000 | 0.000 | 0.000 |
| 20.820 | 20.820 | 78.959 | -0.000 | 0.000 | 0.000 |
| 0.000 | 0.000 | 0.000 | 2.342 | 0.000 | 0.000 |
| 0.000 | 0.000 | 0.000 | 0.000 | 2.342 | 0.000 |
| 0.000 | 0.000 | 0.000 | -0.000 | 0.000 | 2.342 |
| -19815330.715 | -1271851.996 | -1085396.335 | 32028.467 | 68172.567 | -76870.995 |
| -1311173.227 | -19035269.469 | -1419237.739 | -138379.623 | 11111.733 | -51264.531 |
| 3076458.320 | 3076458.310 | -22283251.954 | -0.000 | -0.001 | 0.000 |
| -0.000 | -0.000 | -0.000 | 2.342 | -0.000 | -0.000 |
| -0.000 | -0.000 | -0.000 | 0.000 | 2.342 | -0.000 |
| -0.000 | -0.000 | -0.000 | -0.000 | -0.000 | 2.342 |
| 2217923.490 | 10619073.947 | 10403625.301 | -110638.315 | 81811.085 | 115438.197 |
| 8561444.558 | -7109761.718 | 8561444.452 | 0.000 | 0.000 | 0.000 |
| 10799833.765 | 10736412.414 | 1077570.289 | 21092.827 | -40404.274 | -39744.528 |
| 0.000 | 0.000 | 0.000 | 2.342 | 0.000 | 0.000 |
| 0.000 | 0.000 | 0.000 | -0.000 | 2.342 | 0.000 |
| 0.000 | 0.000 | 0.000 | 0.000 | 0.000 | 2.342 |
| -2228360.576 | 307656.054 | 307656.054 | 0.000 | 0.000 | 0.000 |
| 307656.054 | -2228360.576 | 307656.054 | 0.000 | -0.000 | 0.000 |
| 307656.054 | 307656.054 | -2228360.576 | -0.000 | 0.000 | -0.000 |
| -0.000 | -0.001 | -0.001 | 2.342 | -0.000 | -0.000 |
| -0.001 | -0.000 | -0.001 | 0.000 | 2.342 | -0.000 |
| -0.001 | -0.001 | -0.000 | 0.000 | -0.000 | 2.342 |
| -710876.337 | 856165.206 | 856165.205 | -0.000 | 0.000 | 0.000 |
| 856165.206 | -710876.337 | 856165.205 | 0.000 | 0.000 | -0.000 |
| 856165.205 | 856165.206 | -710876.337 | -0.000 | 0.000 | -0.000 |
| 0.000 | 0.001 | 0.001 | 2.342 | 0.000 | 0.000 |
| 0.001 | 0.000 | 0.001 | -0.000 | 2.342 | 0.000 |
| 0.001 | 0.001 | 0.000 | -0.000 | 0.000 | 2.342 |
| 59.010 | 11.551 | 11.551 | 0.000 | 0.000 | 0.000 |
| 11.551 | 59.010 | 11.551 | 0.000 | 0.000 | 0.000 |
| 11.551 | 11.551 | 59.010 | 0.000 | 0.000 | 0.000 |
| -0.000 | -0.000 | -0.000 | 7.650 | 0.000 | 0.000 |
| -0.000 | -0.000 | -0.000 | 0.000 | 7.650 | 0.000 |
| -0.000 | -0.000 | -0.000 | 0.000 | 0.000 | 7.650 |
| 59.010 | 11.551 | 11.551 | -0.000 | -0.000 | -0.000 |
| 11.551 | 59.010 | 11.551 | -0.000 | -0.000 | 0.000 |
| 11.551 | 11.551 | 59.010 | -0.000 | -0.000 | 0.000 |
| 0.000 | 0.000 | 0.000 | 7.650 | -0.000 | -0.000 |
| 0.000 | 0.000 | 0.000 | -0.000 | 7.650 | -0.000 |
| 0.000 | 0.000 | 0.000 | -0.000 | -0.000 | 7.650 |
| 59.010 | 11.551 | 11.551 | 0.000 | 0.000 | 0.000 |
| 11.551 | 59.010 | 11.551 | 0.000 | 0.000 | 0.000 |
| 11.551 | 11.551 | 59.010 | 0.000 | 0.000 | 0.000 |
| -0.000 | -0.000 | -0.000 | 7.650 | 0.000 | 0.000 |
| -0.000 | -0.000 | -0.000 | 0.000 | 7.650 | 0.000 |
| -0.000 | -0.000 | -0.000 | -0.000 | 0.000 | 7.650 |
| 59.010 | 11.551 | 11.551 | -0.000 | -0.000 | -0.000 |
| 11.551 | 59.010 | 11.551 | -0.000 | -0.000 | -0.000 |
| 11.551 | 11.551 | 59.010 | -0.000 | 0.000 | -0.000 |
| 0.000 | 0.000 | 0.000 | 7.650 | -0.000 | -0.000 |
| 0.000 | 0.000 | 0.000 | -0.000 | 7.650 | 0.000 |
| 0.000 | 0.000 | 0.000 | 0.000 | -0.000 | 7.650 |
| 59.010 | 11.551 | 11.551 | 0.000 | 0.000 | 0.000 |
| 11.551 | 59.010 | 11.551 | 0.000 | -0.000 | 0.000 |
| 11.551 | 11.551 | 59.010 | -0.000 | 0.000 | -0.000 |
| -0.000 | -0.000 | -0.000 | 7.650 | 0.000 | -0.000 |
| -0.000 | -0.000 | -0.000 | 0.000 | 7.650 | 0.000 |
| -0.000 | -0.000 | -0.000 | 0.000 | 0.000 | 7.650 |
| 59.010 | 11.551 | 11.551 | -0.000 | -0.000 | -0.000 |
| 11.551 | 59.010 | 11.551 | -0.000 | -0.000 | -0.000 |
| 11.551 | 11.551 | 59.010 | -0.000 | -0.000 | 0.000 |
| 0.000 | 0.000 | 0.000 | 7.650 | -0.000 | -0.000 |
| 0.000 | 0.000 | 0.000 | -0.000 | 7.650 | -0.000 |
| 0.000 | 0.000 | 0.000 | -0.000 | -0.000 | 7.650 |
| 11.091 | -0.000 | -0.000 | -0.000 | -0.000 | -0.000 |
| -0.000 | 11.091 | -0.000 | -0.000 | -0.000 | -0.000 |
| -0.000 | -0.000 | 11.091 | -0.000 | 0.000 | -0.000 |
| -0.000 | -0.000 | -0.000 | -0.000 | -0.000 | -0.000 |
| -0.000 | -0.000 | -0.000 | 0.000 | -0.000 | 0.000 |
| -0.000 | -0.000 | -0.000 | 0.000 | -0.000 | -0.000 |
| 11.091 | 0.000 | 0.000 | -0.000 | 0.000 | 0.000 |
| 0.000 | 11.091 | 0.000 | -0.000 | 0.000 | -0.000 |
| 0.000 | 0.000 | 11.091 | -0.000 | -0.000 | 0.000 |
| 0.000 | 0.000 | 0.000 | -0.000 | 0.000 | 0.000 |
| 0.000 | 0.000 | 0.000 | -0.000 | -0.000 | 0.000 |
| 0.000 | 0.000 | 0.000 | -0.000 | 0.000 | -0.000 |
| 11.091 | -0.000 | -0.000 | 0.000 | 0.000 | 0.000 |
| -0.000 | 11.091 | -0.000 | -0.000 | -0.000 | -0.000 |
| -0.000 | -0.000 | 11.091 | 0.000 | -0.000 | -0.000 |
| -0.000 | -0.000 | -0.000 | 0.000 | 0.000 | 0.000 |
| -0.000 | -0.000 | -0.000 | 0.000 | 0.000 | -0.000 |
| -0.000 | -0.000 | -0.000 | 0.000 | -0.000 | 0.000 |
| 11.091 | 0.000 | 0.000 | 0.000 | 0.000 | -0.000 |
| 0.000 | 11.091 | 0.000 | 0.000 | 0.000 | -0.000 |
| 0.000 | 0.000 | 11.091 | -0.000 | 0.000 | 0.000 |
| 0.000 | 0.000 | 0.000 | 0.000 | -0.000 | 0.000 |
| 0.000 | 0.000 | 0.000 | -0.000 | 0.000 | 0.000 |
| 0.000 | 0.000 | 0.000 | -0.000 | 0.000 | 0.000 |
| 11.090 | 0.000 | 0.000 | -0.000 | -0.000 | -0.000 |
| 0.000 | 11.090 | 0.000 | -0.000 | -0.000 | 0.000 |
| 0.000 | 0.000 | 11.090 | 0.000 | 0.000 | 0.000 |
| -0.000 | -0.000 | -0.000 | 0.000 | -0.000 | 0.000 |
| -0.000 | -0.000 | -0.000 | 0.000 | 0.000 | -0.000 |
| -0.000 | -0.000 | -0.000 | 0.000 | 0.000 | 0.000 |
| 11.091 | 0.000 | 0.000 | -0.000 | 0.000 | 0.000 |
| 0.000 | 11.091 | 0.000 | -0.000 | 0.000 | -0.000 |
| 0.000 | 0.000 | 11.091 | -0.000 | -0.000 | 0.000 |
| 0.000 | 0.000 | 0.000 | 0.000 | 0.000 | -0.000 |
| 0.000 | 0.000 | 0.000 | -0.000 | 0.000 | 0.000 |
| 0.000 | 0.000 | 0.000 | -0.000 | 0.000 | 0.000 |
| 328.792 | 71.423 | 71.423 | 0.000 | 0.000 | -0.000 |
| 71.423 | 328.792 | 71.423 | -0.000 | -0.000 | 0.000 |
| 71.423 | 71.423 | 328.792 | -0.000 | 0.000 | 0.000 |
| -0.000 | 0.000 | 0.000 | 84.565 | 0.000 | 0.000 |
| 0.000 | 0.000 | 0.000 | -0.000 | 84.565 | -0.000 |
| 0.000 | 0.000 | -0.000 | -0.000 | 0.000 | 84.565 |
| 328.792 | 71.423 | 71.423 | 0.000 | -0.000 | 0.000 |
| 71.423 | 328.792 | 71.423 | -0.000 | -0.000 | 0.000 |
| 71.423 | 71.423 | 328.792 | 0.000 | -0.000 | -0.000 |
| 0.000 | -0.000 | -0.000 | 84.565 | -0.000 | -0.000 |
| -0.000 | -0.000 | -0.000 | -0.000 | 84.565 | 0.000 |
| -0.000 | -0.000 | 0.000 | 0.000 | -0.000 | 84.565 |
| 328.792 | 71.423 | 71.423 | 0.000 | -0.000 | 0.000 |
| 71.423 | 328.792 | 71.423 | 0.000 | 0.000 | 0.000 |
| 71.423 | 71.423 | 328.792 | 0.000 | 0.000 | -0.000 |
| 0.000 | 0.000 | 0.000 | 84.565 | 0.000 | 0.000 |
| 0.000 | 0.000 | 0.000 | 0.000 | 84.565 | -0.000 |
| 0.000 | 0.000 | 0.000 | -0.000 | 0.000 | 84.565 |
| 328.792 | 71.423 | 71.423 | -0.000 | -0.000 | 0.000 |
| 71.423 | 328.792 | 71.423 | -0.000 | -0.000 | 0.000 |
| 71.423 | 71.423 | 328.792 | 0.000 | -0.000 | 0.000 |
| -0.000 | -0.000 | -0.000 | 84.565 | -0.000 | 0.000 |
| -0.000 | -0.000 | -0.000 | 0.000 | 84.565 | 0.000 |
| -0.000 | -0.000 | -0.000 | 0.000 | -0.000 | 84.565 |
| 328.794 | 71.424 | 71.424 | -0.000 | 0.000 | -0.000 |
| 71.424 | 328.794 | 71.424 | 0.000 | 0.000 | -0.000 |
| 71.424 | 71.424 | 328.794 | -0.000 | 0.000 | -0.000 |
| 0.000 | 0.000 | 0.000 | 84.565 | 0.000 | -0.000 |
| 0.000 | 0.000 | 0.000 | 0.000 | 84.565 | -0.000 |
| 0.000 | 0.000 | 0.000 | 0.000 | 0.000 | 84.565 |
| 328.790 | 71.421 | 71.421 | -0.000 | -0.000 | -0.000 |
| 71.421 | 328.790 | 71.421 | -0.000 | -0.000 | 0.000 |
| 71.421 | 71.421 | 328.790 | -0.000 | -0.000 | 0.000 |
| -0.000 | -0.000 | -0.000 | 84.565 | -0.000 | 0.000 |
| -0.000 | -0.000 | -0.000 | -0.000 | 84.565 | 0.000 |
| -0.000 | -0.000 | -0.000 | -0.000 | -0.000 | 84.565 |
| 507.563 | 305.376 | 305.376 | 0.000 | 0.000 | -0.000 |
| 305.376 | 507.563 | 305.376 | 0.000 | 0.000 | -0.000 |
| 305.376 | 305.376 | 507.563 | 0.000 | 0.000 | -0.000 |
| -0.000 | -0.000 | -0.000 | 8.082 | 0.000 | -0.000 |
| -0.000 | -0.000 | -0.000 | 0.000 | 8.082 | -0.000 |
| -0.000 | -0.000 | -0.000 | 0.000 | 0.000 | 8.082 |
| 507.563 | 305.376 | 305.376 | -0.000 | -0.000 | 0.000 |
| 305.376 | 507.563 | 305.376 | -0.000 | 0.000 | 0.000 |
| 305.376 | 305.376 | 507.563 | -0.000 | 0.000 | 0.000 |
| 0.000 | 0.000 | 0.000 | 8.082 | -0.000 | 0.000 |
| 0.000 | 0.000 | 0.000 | -0.000 | 8.082 | 0.000 |
| 0.000 | 0.000 | 0.000 | -0.000 | -0.000 | 8.082 |
| 507.562 | 305.376 | 305.376 | 0.000 | 0.000 | -0.000 |
| 305.376 | 507.562 | 305.376 | -0.000 | 0.000 | -0.000 |
| 305.376 | 305.376 | 507.562 | 0.000 | 0.000 | -0.000 |
| -0.000 | -0.000 | -0.000 | 8.082 | -0.000 | -0.000 |
| -0.000 | -0.000 | -0.000 | 0.000 | 8.082 | -0.000 |
| -0.000 | -0.000 | -0.000 | 0.000 | 0.000 | 8.082 |
| 507.563 | 305.377 | 305.377 | -0.000 | -0.000 | 0.000 |
| 305.377 | 507.563 | 305.377 | -0.000 | -0.000 | 0.000 |
| 305.377 | 305.377 | 507.563 | -0.000 | -0.000 | 0.000 |
| 0.000 | 0.000 | 0.000 | 8.082 | -0.000 | 0.000 |
| 0.000 | 0.000 | 0.000 | -0.000 | 8.082 | 0.000 |
| 0.000 | 0.000 | 0.000 | -0.000 | -0.000 | 8.082 |
| 507.555 | 305.371 | 305.371 | 0.000 | 0.000 | -0.000 |
| 305.371 | 507.555 | 305.371 | 0.000 | 0.000 | -0.000 |
| 305.371 | 305.371 | 507.555 | 0.000 | 0.000 | -0.000 |
| -0.001 | -0.004 | -0.004 | 8.082 | 0.000 | -0.000 |
| -0.004 | -0.001 | -0.004 | 0.000 | 8.082 | -0.000 |
| -0.004 | -0.004 | -0.001 | 0.000 | 0.000 | 8.082 |
| 507.570 | 305.382 | 305.382 | -0.000 | 0.000 | 0.000 |
| 305.382 | 507.570 | 305.382 | -0.000 | -0.000 | 0.000 |
| 305.382 | 305.382 | 507.570 | -0.000 | -0.000 | 0.000 |
| 0.001 | 0.004 | 0.004 | 8.082 | 0.000 | 0.000 |
| 0.004 | 0.001 | 0.004 | -0.000 | 8.082 | 0.000 |
| 0.004 | 0.004 | 0.001 | -0.000 | -0.000 | 8.082 |
| 136.308 | -8.589 | -8.590 | -0.000 | -0.000 | -0.000 |
| -8.589 | 136.308 | -8.590 | -0.000 | -0.000 | 0.000 |
| -8.589 | -8.589 | 136.308 | -0.000 | 0.000 | -0.000 |
| -0.000 | 0.000 | -0.000 | -6.502 | 0.000 | -0.000 |
| 0.000 | -0.000 | -0.000 | -0.000 | -6.502 | -0.000 |
| -0.000 | -0.000 | -0.000 | -0.000 | -0.000 | -6.502 |
| 136.308 | -8.589 | -8.589 | 0.000 | 0.000 | 0.000 |
| -8.589 | 136.308 | -8.589 | 0.000 | 0.000 | 0.000 |
| -8.589 | -8.589 | 136.308 | 0.000 | 0.000 | 0.000 |
| 0.000 | 0.000 | 0.000 | -6.502 | -0.000 | 0.000 |
| 0.000 | 0.000 | 0.000 | 0.000 | -6.502 | 0.000 |
| 0.000 | 0.000 | 0.000 | 0.000 | -0.000 | -6.502 |
| 136.308 | -8.589 | -8.589 | -0.000 | -0.000 | -0.000 |
| -8.589 | 136.308 | -8.589 | -0.000 | -0.000 | -0.000 |
| -8.589 | -8.589 | 136.308 | -0.000 | 0.000 | -0.000 |
| 0.000 | 0.000 | 0.000 | -6.502 | 0.000 | -0.000 |
| 0.000 | 0.000 | 0.000 | -0.000 | -6.502 | -0.000 |
| 0.000 | 0.000 | 0.000 | -0.000 | -0.000 | -6.502 |
| 136.308 | -8.590 | -8.590 | 0.000 | 0.000 | 0.000 |
| -8.590 | 136.308 | -8.590 | 0.000 | 0.000 | 0.000 |
| -8.590 | -8.590 | 136.308 | 0.000 | 0.000 | 0.000 |
| -0.000 | -0.000 | -0.000 | -6.502 | -0.000 | 0.000 |
| -0.000 | -0.000 | -0.000 | 0.000 | -6.502 | 0.000 |
| -0.000 | -0.000 | -0.000 | 0.000 | 0.000 | -6.502 |
| 136.306 | -8.589 | -8.589 | -0.000 | 0.000 | -0.000 |
| -8.589 | 136.306 | -8.589 | -0.000 | -0.000 | -0.000 |
| -8.589 | -8.589 | 136.306 | -0.000 | -0.000 | -0.000 |
| 0.000 | 0.000 | 0.000 | -6.502 | 0.000 | -0.000 |
| 0.000 | 0.000 | 0.000 | -0.000 | -6.502 | -0.000 |
| 0.000 | 0.000 | 0.000 | -0.000 | -0.000 | -6.502 |
| 136.310 | -8.590 | -8.590 | 0.000 | 0.000 | 0.000 |
| -8.590 | 136.310 | -8.590 | 0.000 | 0.000 | 0.000 |
| -8.590 | -8.590 | 136.310 | -0.000 | -0.000 | 0.000 |
| -0.000 | -0.000 | -0.000 | -6.502 | -0.000 | 0.000 |
| -0.000 | -0.000 | -0.000 | -0.000 | -6.502 | 0.000 |
| -0.000 | -0.000 | -0.000 | 0.000 | 0.000 | -6.502 |
| 104.617 | 45.358 | 45.358 | 0.000 | -0.000 | -0.000 |
| 45.358 | 104.617 | 45.358 | -0.000 | -0.000 | -0.000 |
| 45.358 | 45.358 | 104.617 | -0.000 | -0.000 | -0.000 |
| -0.000 | -0.000 | 0.000 | 45.655 | -0.000 | -0.000 |
| -0.000 | -0.000 | 0.000 | 0.000 | 45.655 | -0.000 |
| -0.000 | -0.000 | 0.000 | 0.000 | -0.000 | 45.655 |
| 104.617 | 45.358 | 45.358 | -0.000 | 0.000 | 0.000 |
| 45.358 | 104.617 | 45.358 | 0.000 | 0.000 | 0.000 |
| 45.358 | 45.358 | 104.617 | 0.000 | 0.000 | 0.000 |
| 0.000 | 0.000 | -0.000 | 45.655 | 0.000 | 0.000 |
| 0.000 | 0.000 | -0.000 | -0.000 | 45.655 | 0.000 |
| 0.000 | 0.000 | -0.000 | -0.000 | 0.000 | 45.655 |
| 104.618 | 45.358 | 45.358 | 0.000 | -0.000 | -0.000 |
| 45.358 | 104.618 | 45.358 | 0.000 | -0.000 | -0.000 |
| 45.358 | 45.358 | 104.618 | -0.000 | -0.000 | -0.000 |
| -0.000 | -0.000 | -0.000 | 45.655 | -0.000 | -0.000 |
| -0.000 | -0.000 | -0.000 | 0.000 | 45.655 | -0.000 |
| -0.000 | -0.000 | -0.000 | -0.000 | -0.000 | 45.655 |
| 104.617 | 45.358 | 45.358 | 0.000 | 0.000 | 0.000 |
| 45.358 | 104.617 | 45.358 | -0.000 | -0.000 | 0.000 |
| 45.358 | 45.358 | 104.617 | 0.000 | 0.000 | 0.000 |
| 0.000 | 0.000 | 0.000 | 45.655 | 0.000 | 0.000 |
| 0.000 | 0.000 | 0.000 | -0.000 | 45.655 | 0.000 |
| 0.000 | 0.000 | 0.000 | -0.000 | 0.000 | 45.655 |
| 104.619 | 45.357 | 45.357 | 0.000 | -0.000 | -0.000 |
| 45.357 | 104.619 | 45.357 | -0.000 | -0.000 | -0.000 |
| 45.357 | 45.357 | 104.619 | -0.000 | -0.000 | -0.000 |
| -0.000 | -0.000 | -0.000 | 45.655 | -0.000 | -0.000 |
| -0.000 | -0.000 | -0.000 | 0.000 | 45.655 | -0.000 |
| -0.000 | -0.000 | -0.000 | 0.000 | -0.000 | 45.655 |
| 104.616 | 45.358 | 45.358 | -0.000 | 0.000 | -0.000 |
| 45.358 | 104.616 | 45.358 | -0.000 | 0.000 | 0.000 |
| 45.358 | 45.358 | 104.616 | 0.000 | 0.000 | 0.000 |
| 0.000 | 0.000 | 0.000 | 45.655 | 0.000 | 0.000 |
| 0.000 | 0.000 | 0.000 | -0.000 | 45.655 | 0.000 |
| 0.000 | 0.000 | 0.000 | -0.000 | 0.000 | 45.655 |
| 23.483 | 23.473 | 23.473 | -0.000 | -0.000 | -0.000 |
| 23.473 | 23.483 | 23.473 | -0.000 | -0.000 | -0.000 |
| 23.473 | 23.473 | 23.483 | -0.000 | -0.000 | -0.000 |
| 0.000 | -0.000 | 0.000 | 23.609 | -0.000 | -0.000 |
| -0.000 | 0.000 | 0.000 | -0.000 | 23.609 | -0.000 |
| -0.000 | 0.000 | 0.000 | -0.000 | -0.000 | 23.609 |
| 23.483 | 23.473 | 23.473 | 0.000 | 0.000 | -0.000 |
| 23.473 | 23.483 | 23.473 | 0.000 | 0.000 | -0.000 |
| 23.473 | 23.473 | 23.483 | 0.000 | 0.000 | 0.000 |
| -0.000 | 0.000 | -0.000 | 23.609 | 0.000 | 0.000 |
| 0.000 | -0.000 | -0.000 | 0.000 | 23.609 | 0.000 |
| 0.000 | -0.000 | -0.000 | 0.000 | -0.000 | 23.609 |
| 23.483 | 23.473 | 23.473 | -0.000 | -0.000 | -0.000 |
| 23.473 | 23.483 | 23.473 | -0.000 | -0.000 | -0.000 |
| 23.473 | 23.473 | 23.483 | -0.000 | -0.000 | -0.000 |
| 0.000 | 0.000 | 0.000 | 23.609 | -0.000 | -0.000 |
| 0.000 | 0.000 | 0.000 | -0.000 | 23.609 | -0.000 |
| 0.000 | 0.000 | 0.000 | -0.000 | -0.000 | 23.609 |
| 23.483 | 23.473 | 23.473 | 0.000 | -0.000 | 0.000 |
| 23.473 | 23.483 | 23.473 | -0.000 | 0.000 | 0.000 |
| 23.473 | 23.473 | 23.483 | 0.000 | 0.000 | -0.000 |
| -0.000 | -0.000 | -0.000 | 23.609 | 0.000 | 0.000 |
| -0.000 | -0.000 | -0.000 | 0.000 | 23.609 | 0.000 |
| -0.000 | -0.000 | -0.000 | 0.000 | 0.000 | 23.609 |
| 23.483 | 23.473 | 23.473 | -0.000 | 0.000 | -0.000 |
| 23.473 | 23.483 | 23.473 | 0.000 | -0.000 | -0.000 |
| 23.473 | 23.473 | 23.483 | -0.000 | -0.000 | -0.000 |
| 0.000 | 0.000 | 0.000 | 23.609 | -0.000 | -0.000 |
| 0.000 | 0.000 | 0.000 | -0.000 | 23.609 | -0.000 |
| 0.000 | 0.000 | 0.000 | -0.000 | -0.000 | 23.609 |
| 23.483 | 23.473 | 23.473 | 0.000 | 0.000 | 0.000 |
| 23.473 | 23.483 | 23.473 | 0.000 | 0.000 | 0.000 |
| 23.473 | 23.473 | 23.483 | 0.000 | 0.000 | 0.000 |
| -0.000 | -0.000 | -0.000 | 23.609 | 0.000 | 0.000 |
| -0.000 | -0.000 | -0.000 | 0.000 | 23.609 | 0.000 |
| -0.000 | -0.000 | -0.000 | 0.000 | 0.000 | 23.609 |
| 957.194 | 494.897 | 494.897 | 0.000 | 0.000 | -0.000 |
| 494.897 | 957.194 | 494.897 | 0.000 | 0.000 | 0.000 |
| 494.897 | 494.897 | 957.194 | -0.000 | 0.000 | 0.000 |
| -0.000 | -0.000 | -0.000 | 99.191 | 0.000 | 0.000 |
| -0.000 | -0.000 | -0.000 | -0.000 | 99.191 | -0.000 |
| -0.000 | -0.000 | -0.000 | 0.000 | 0.000 | 99.191 |
| 957.202 | 494.905 | 494.905 | -0.000 | -0.000 | -0.000 |
| 494.905 | 957.202 | 494.905 | -0.000 | -0.000 | -0.000 |
| 494.905 | 494.905 | 957.202 | -0.000 | 0.000 | 0.000 |
| 0.000 | 0.000 | 0.000 | 99.191 | 0.000 | 0.000 |
| 0.000 | 0.000 | 0.000 | -0.000 | 99.191 | 0.000 |
| 0.000 | 0.000 | 0.000 | 0.000 | 0.000 | 99.191 |
| 957.156 | 494.862 | 494.862 | 0.000 | 0.000 | 0.000 |
| 494.862 | 957.156 | 494.862 | 0.000 | 0.000 | -0.000 |
| 494.862 | 494.862 | 957.156 | 0.000 | -0.000 | 0.000 |
| -0.000 | -0.000 | -0.000 | 99.191 | 0.000 | -0.000 |
| -0.000 | -0.000 | -0.000 | 0.000 | 99.191 | -0.000 |
| -0.000 | -0.000 | -0.000 | 0.000 | 0.000 | 99.191 |
| 957.240 | 494.940 | 494.940 | -0.000 | -0.000 | 0.000 |
| 494.940 | 957.240 | 494.940 | -0.000 | 0.000 | -0.000 |
| 494.940 | 494.940 | 957.240 | 0.000 | -0.000 | -0.000 |
| 0.000 | 0.000 | 0.000 | 99.191 | 0.000 | 0.000 |
| 0.000 | 0.000 | 0.000 | 0.000 | 99.191 | -0.000 |
| 0.000 | 0.000 | 0.000 | -0.000 | 0.000 | 99.191 |
| 956.775 | 494.511 | 494.511 | 0.000 | 0.000 | -0.000 |
| 494.511 | 956.775 | 494.511 | 0.000 | -0.000 | 0.000 |
| 494.511 | 494.511 | 956.775 | 0.000 | -0.000 | -0.000 |
| -0.001 | -0.001 | -0.001 | 99.191 | 0.000 | -0.000 |
| -0.001 | -0.001 | -0.001 | 0.000 | 99.191 | -0.000 |
| -0.001 | -0.001 | -0.001 | -0.000 | 0.000 | 99.191 |
| 957.621 | 495.292 | 495.292 | -0.000 | -0.000 | -0.000 |
| 495.292 | 957.621 | 495.292 | -0.000 | -0.000 | -0.000 |
| 495.292 | 495.292 | 957.621 | -0.000 | -0.000 | -0.000 |
| 0.001 | 0.001 | 0.001 | 99.191 | -0.000 | 0.000 |
| 0.001 | 0.001 | 0.001 | -0.000 | 99.191 | -0.000 |
| 0.001 | 0.001 | 0.001 | 0.000 | -0.000 | 99.191 |
| 440.606 | 236.446 | 236.446 | -0.000 | -0.000 | -0.000 |
| 236.446 | 440.606 | 236.446 | -0.000 | -0.000 | -0.000 |
| 236.446 | 236.446 | 440.606 | -0.000 | -0.000 | 0.000 |
| -0.000 | -0.000 | -0.000 | 100.293 | -0.000 | -0.000 |
| -0.000 | -0.000 | -0.000 | -0.000 | 100.293 | 0.000 |
| -0.000 | -0.000 | -0.000 | -0.000 | -0.000 | 100.293 |
| 440.606 | 236.447 | 236.447 | 0.000 | -0.000 | -0.000 |
| 236.447 | 440.606 | 236.447 | 0.000 | 0.000 | -0.000 |
| 236.447 | 236.447 | 440.606 | 0.000 | 0.000 | -0.000 |
| 0.000 | 0.000 | 0.000 | 100.293 | 0.000 | 0.000 |
| 0.000 | 0.000 | 0.000 | 0.000 | 100.293 | 0.000 |
| 0.000 | 0.000 | 0.000 | 0.000 | 0.000 | 100.293 |
| 440.604 | 236.445 | 236.445 | -0.000 | -0.000 | 0.000 |
| 236.445 | 440.604 | 236.445 | -0.000 | -0.000 | -0.000 |
| 236.445 | 236.445 | 440.604 | -0.000 | -0.000 | -0.000 |
| -0.000 | -0.000 | -0.000 | 100.293 | -0.000 | 0.000 |
| -0.000 | -0.000 | -0.000 | -0.000 | 100.293 | 0.000 |
| -0.000 | -0.000 | -0.000 | -0.000 | -0.000 | 100.293 |
| 440.608 | 236.449 | 236.449 | 0.000 | 0.000 | -0.000 |
| 236.449 | 440.608 | 236.449 | 0.000 | 0.000 | 0.000 |
| 236.449 | 236.449 | 440.608 | 0.000 | 0.000 | -0.000 |
| 0.000 | 0.000 | 0.000 | 100.293 | 0.000 | -0.000 |
| 0.000 | 0.000 | 0.000 | 0.000 | 100.293 | 0.000 |
| 0.000 | 0.000 | 0.000 | 0.000 | 0.000 | 100.293 |
| 440.584 | 236.427 | 236.427 | -0.000 | -0.000 | -0.000 |
| 236.427 | 440.584 | 236.427 | -0.000 | -0.000 | -0.000 |
| 236.427 | 236.427 | 440.584 | -0.000 | -0.000 | 0.000 |
| -0.000 | -0.001 | -0.001 | 100.293 | -0.000 | -0.000 |
| -0.001 | -0.000 | -0.001 | -0.000 | 100.293 | 0.000 |
| -0.001 | -0.001 | -0.000 | -0.000 | -0.000 | 100.293 |
| 440.628 | 236.467 | 236.467 | 0.000 | 0.000 | 0.000 |
| 236.467 | 440.628 | 236.467 | 0.000 | 0.000 | 0.000 |
| 236.467 | 236.467 | 440.628 | 0.000 | 0.000 | -0.000 |
| 0.000 | 0.001 | 0.001 | 100.293 | 0.000 | -0.000 |
| 0.001 | 0.000 | 0.001 | 0.000 | 100.293 | -0.000 |
| 0.001 | 0.001 | 0.000 | 0.000 | 0.000 | 100.293 |
| 957.124 | 198.008 | 198.008 | 0.000 | -0.000 | -0.000 |
| 198.008 | 957.124 | 198.008 | -0.000 | 0.000 | 0.000 |
| 198.008 | 198.008 | 957.124 | 0.000 | 0.000 | 0.000 |
| -0.000 | 0.000 | 0.000 | 176.353 | 0.000 | -0.000 |
| 0.000 | -0.000 | 0.000 | 0.000 | 176.353 | 0.000 |
| 0.000 | 0.000 | -0.000 | 0.000 | 0.000 | 176.353 |
| 957.124 | 198.008 | 198.008 | 0.000 | 0.000 | -0.000 |
| 198.008 | 957.124 | 198.008 | 0.000 | -0.000 | -0.000 |
| 198.008 | 198.008 | 957.124 | -0.000 | -0.000 | -0.000 |
| 0.000 | -0.000 | -0.000 | 176.353 | -0.000 | -0.000 |
| -0.000 | 0.000 | -0.000 | -0.000 | 176.353 | -0.000 |
| -0.000 | -0.000 | 0.000 | -0.000 | -0.000 | 176.353 |
| 957.123 | 198.008 | 198.008 | -0.000 | -0.000 | 0.000 |
| 198.008 | 957.123 | 198.008 | -0.000 | 0.000 | -0.000 |
| 198.008 | 198.008 | 957.123 | 0.000 | 0.000 | 0.000 |
| -0.000 | 0.000 | 0.000 | 176.353 | 0.000 | -0.000 |
| 0.000 | -0.000 | 0.000 | 0.000 | 176.353 | 0.000 |
| 0.000 | 0.000 | -0.000 | -0.000 | -0.000 | 176.353 |
| 957.126 | 198.008 | 198.008 | 0.000 | -0.000 | -0.000 |
| 198.008 | 957.126 | 198.008 | 0.000 | 0.000 | -0.000 |
| 198.008 | 198.008 | 957.126 | -0.000 | -0.000 | 0.000 |
| 0.000 | -0.000 | -0.000 | 176.353 | -0.000 | -0.000 |
| -0.000 | 0.000 | -0.000 | -0.000 | 176.353 | -0.000 |
| -0.000 | -0.000 | 0.000 | 0.000 | -0.000 | 176.353 |
| 957.110 | 198.009 | 198.009 | -0.000 | 0.000 | -0.000 |
| 198.009 | 957.110 | 198.009 | 0.000 | 0.000 | -0.000 |
| 198.009 | 198.009 | 957.110 | 0.000 | 0.000 | -0.000 |
| -0.000 | 0.001 | 0.001 | 176.353 | 0.000 | -0.000 |
| 0.001 | -0.000 | 0.001 | 0.000 | 176.353 | 0.000 |
| 0.001 | 0.001 | -0.000 | 0.000 | -0.000 | 176.353 |
| 957.139 | 198.007 | 198.007 | -0.000 | -0.000 | -0.000 |
| 198.007 | 957.139 | 198.007 | -0.000 | -0.000 | -0.000 |
| 198.007 | 198.007 | 957.139 | -0.000 | -0.000 | -0.000 |
| 0.000 | -0.001 | -0.001 | 176.353 | -0.000 | -0.000 |
| -0.001 | 0.000 | -0.001 | -0.000 | 176.353 | -0.000 |
| -0.001 | -0.001 | 0.000 | 0.000 | -0.000 | 176.353 |
| 160.287 | 66.441 | 66.441 | -0.000 | -0.000 | -0.000 |
| 66.441 | 160.287 | 66.441 | -0.000 | -0.000 | -0.000 |
| 66.441 | 66.441 | 160.287 | -0.000 | -0.000 | -0.000 |
| -0.000 | 0.000 | 0.000 | 70.138 | -0.000 | -0.000 |
| 0.000 | -0.000 | 0.000 | -0.000 | 70.138 | -0.000 |
| 0.000 | 0.000 | -0.000 | -0.000 | -0.000 | 70.138 |
| 160.287 | 66.441 | 66.441 | 0.000 | 0.000 | 0.000 |
| 66.441 | 160.287 | 66.441 | 0.000 | 0.000 | 0.000 |
| 66.441 | 66.441 | 160.287 | 0.000 | 0.000 | 0.000 |
| 0.000 | -0.000 | -0.000 | 70.138 | 0.000 | 0.000 |
| -0.000 | 0.000 | -0.000 | 0.000 | 70.138 | 0.000 |
| -0.000 | -0.000 | 0.000 | 0.000 | 0.000 | 70.138 |
| 160.287 | 66.442 | 66.442 | -0.000 | -0.000 | -0.000 |
| 66.442 | 160.287 | 66.442 | -0.000 | -0.000 | -0.000 |
| 66.442 | 66.442 | 160.287 | -0.000 | -0.000 | -0.000 |
| -0.000 | 0.000 | 0.000 | 70.138 | -0.000 | -0.000 |
| 0.000 | -0.000 | 0.000 | -0.000 | 70.138 | -0.000 |
| 0.000 | 0.000 | -0.000 | -0.000 | -0.000 | 70.138 |
| 160.286 | 66.441 | 66.441 | 0.000 | 0.000 | 0.000 |
| 66.441 | 160.286 | 66.441 | 0.000 | 0.000 | 0.000 |
| 66.441 | 66.441 | 160.286 | 0.000 | 0.000 | 0.000 |
| 0.000 | -0.000 | -0.000 | 70.138 | 0.000 | -0.000 |
| -0.000 | 0.000 | -0.000 | -0.000 | 70.138 | 0.000 |
| -0.000 | -0.000 | 0.000 | 0.000 | 0.000 | 70.138 |
| 160.289 | 66.442 | 66.442 | 0.000 | -0.000 | -0.000 |
| 66.442 | 160.289 | 66.442 | -0.000 | -0.000 | -0.000 |
| 66.442 | 66.442 | 160.289 | -0.000 | -0.000 | -0.000 |
| -0.000 | 0.000 | 0.000 | 70.138 | -0.000 | -0.000 |
| 0.000 | -0.000 | 0.000 | -0.000 | 70.138 | -0.000 |
| 0.000 | 0.000 | -0.000 | -0.000 | -0.000 | 70.138 |
| 160.285 | 66.441 | 66.441 | 0.000 | 0.000 | 0.000 |
| 66.441 | 160.285 | 66.441 | -0.000 | 0.000 | -0.000 |
| 66.441 | 66.441 | 160.285 | 0.000 | 0.000 | 0.000 |
| 0.000 | -0.000 | -0.000 | 70.138 | -0.000 | 0.000 |
| -0.000 | 0.000 | -0.000 | 0.000 | 70.138 | 0.000 |
| -0.000 | -0.000 | 0.000 | 0.000 | 0.000 | 70.138 |
| 128.728 | 64.303 | 64.303 | 0.000 | 0.000 | -0.000 |
| 64.303 | 128.728 | 64.303 | -0.000 | 0.000 | 0.000 |
| 64.303 | 64.303 | 128.728 | 0.000 | 0.000 | 0.000 |
| -0.000 | -0.000 | -0.000 | 64.458 | 0.000 | 0.000 |
| -0.000 | -0.000 | -0.000 | 0.000 | 64.458 | -0.000 |
| -0.000 | -0.000 | -0.000 | 0.000 | -0.000 | 64.458 |
| 128.728 | 64.303 | 64.303 | -0.000 | 0.000 | 0.000 |
| 64.303 | 128.728 | 64.303 | 0.000 | -0.000 | -0.000 |
| 64.303 | 64.303 | 128.728 | -0.000 | -0.000 | -0.000 |
| 0.000 | 0.000 | 0.000 | 64.458 | -0.000 | -0.000 |
| 0.000 | 0.000 | 0.000 | -0.000 | 64.458 | 0.000 |
| 0.000 | 0.000 | 0.000 | -0.000 | 0.000 | 64.458 |
| 128.728 | 64.303 | 64.303 | 0.000 | -0.000 | -0.000 |
| 64.303 | 128.728 | 64.303 | -0.000 | 0.000 | 0.000 |
| 64.303 | 64.303 | 128.728 | 0.000 | 0.000 | 0.000 |
| -0.000 | -0.000 | -0.000 | 64.458 | 0.000 | 0.000 |
| -0.000 | -0.000 | -0.000 | 0.000 | 64.458 | -0.000 |
| -0.000 | -0.000 | -0.000 | -0.000 | -0.000 | 64.458 |
| 128.728 | 64.303 | 64.303 | -0.000 | 0.000 | 0.000 |
| 64.303 | 128.728 | 64.303 | 0.000 | -0.000 | -0.000 |
| 64.303 | 64.303 | 128.728 | -0.000 | -0.000 | -0.000 |
| 0.000 | 0.000 | 0.000 | 64.458 | -0.000 | -0.000 |
| 0.000 | 0.000 | 0.000 | -0.000 | 64.458 | 0.000 |
| 0.000 | 0.000 | 0.000 | 0.000 | 0.000 | 64.458 |
| 128.727 | 64.303 | 64.303 | 0.000 | -0.000 | -0.000 |
| 64.303 | 128.727 | 64.303 | -0.000 | 0.000 | 0.000 |
| 64.303 | 64.303 | 128.727 | 0.000 | 0.000 | 0.000 |
| -0.000 | -0.001 | -0.000 | 64.458 | 0.000 | 0.000 |
| -0.001 | -0.000 | -0.000 | 0.000 | 64.458 | -0.000 |
| -0.001 | -0.000 | -0.000 | -0.000 | -0.000 | 64.458 |
| 128.729 | 64.303 | 64.303 | -0.000 | -0.000 | 0.000 |
| 64.303 | 128.729 | 64.303 | -0.000 | -0.000 | -0.000 |
| 64.303 | 64.303 | 128.729 | -0.000 | -0.000 | -0.000 |
| 0.000 | 0.001 | 0.000 | 64.458 | -0.000 | -0.000 |
| 0.001 | 0.000 | 0.000 | -0.000 | 64.458 | 0.000 |
| 0.001 | 0.000 | 0.000 | -0.000 | 0.000 | 64.458 |
| 57.084 | 28.413 | 28.413 | 0.000 | 0.000 | 0.000 |
| 28.413 | 57.084 | 28.413 | 0.000 | 0.000 | -0.000 |
| 28.413 | 28.413 | 57.084 | 0.000 | 0.000 | -0.000 |
| -0.000 | 0.000 | 0.000 | 28.871 | 0.000 | 0.000 |
| 0.000 | -0.000 | 0.000 | 0.000 | 28.871 | 0.000 |
| 0.000 | 0.000 | -0.000 | 0.000 | 0.000 | 28.871 |
| 57.084 | 28.413 | 28.413 | -0.000 | 0.000 | 0.000 |
| 28.413 | 57.084 | 28.413 | 0.000 | -0.000 | 0.000 |
| 28.413 | 28.413 | 57.084 | -0.000 | -0.000 | 0.000 |
| 0.000 | -0.000 | -0.000 | 28.871 | -0.000 | -0.000 |
| -0.000 | 0.000 | -0.000 | -0.000 | 28.871 | 0.000 |
| -0.000 | -0.000 | 0.000 | -0.000 | 0.000 | 28.871 |
| 57.084 | 28.413 | 28.413 | 0.000 | 0.000 | 0.000 |
| 28.413 | 57.084 | 28.413 | 0.000 | 0.000 | 0.000 |
| 28.413 | 28.413 | 57.084 | -0.000 | -0.000 | 0.000 |
| -0.000 | 0.000 | 0.000 | 28.871 | 0.000 | 0.000 |
| 0.000 | -0.000 | 0.000 | 0.000 | 28.871 | 0.000 |
| 0.000 | 0.000 | -0.000 | 0.000 | 0.000 | 28.871 |
| 57.084 | 28.413 | 28.413 | -0.000 | -0.000 | -0.000 |
| 28.413 | 57.084 | 28.413 | -0.000 | -0.000 | -0.000 |
| 28.413 | 28.413 | 57.084 | 0.000 | 0.000 | 0.000 |
| 0.000 | -0.000 | -0.000 | 28.871 | -0.000 | 0.000 |
| -0.000 | 0.000 | -0.000 | -0.000 | 28.871 | -0.000 |
| -0.000 | -0.000 | 0.000 | -0.000 | -0.000 | 28.871 |
| 57.084 | 28.413 | 28.413 | 0.000 | -0.000 | -0.000 |
| 28.413 | 57.084 | 28.413 | -0.000 | 0.000 | 0.000 |
| 28.413 | 28.413 | 57.084 | 0.000 | 0.000 | -0.000 |
| -0.000 | 0.000 | 0.000 | 28.871 | 0.000 | 0.000 |
| 0.000 | -0.000 | 0.000 | 0.000 | 28.871 | 0.000 |
| 0.000 | 0.000 | -0.000 | 0.000 | 0.000 | 28.871 |
| 57.083 | 28.413 | 28.413 | -0.000 | -0.000 | -0.000 |
| 28.413 | 57.083 | 28.413 | -0.000 | -0.000 | -0.000 |
| 28.413 | 28.413 | 57.083 | -0.000 | -0.000 | -0.000 |
| 0.000 | -0.000 | -0.000 | 28.871 | -0.000 | -0.000 |
| -0.000 | 0.000 | -0.000 | -0.000 | 28.871 | 0.000 |
| -0.000 | -0.000 | 0.000 | 0.000 | -0.000 | 28.871 |
| 1143.927 | 884.423 | 406.599 | 0.000 | -0.000 | -0.000 |
| 884.423 | 1143.927 | 406.599 | -0.000 | -0.000 | -0.000 |
| 406.600 | 406.600 | 329.892 | 0.000 | -0.000 | -0.000 |
| -0.000 | 0.000 | -0.000 | 191.342 | -0.000 | 0.000 |
| -0.000 | 0.000 | -0.000 | 0.000 | 191.342 | -0.000 |
| 0.000 | 0.000 | 0.000 | 0.000 | -0.000 | 318.870 |
| 1142.987 | 885.366 | 406.600 | -0.000 | 0.000 | 0.000 |
| 885.366 | 1142.987 | 406.600 | -0.000 | 0.000 | 0.000 |
| 406.600 | 406.600 | 329.892 | -0.000 | 0.000 | 0.000 |
| 0.000 | -0.000 | 0.000 | 191.342 | 0.000 | 0.000 |
| 0.000 | -0.000 | -0.000 | -0.000 | 191.342 | -0.000 |
| -0.000 | -0.000 | -0.000 | -0.000 | 0.000 | 318.870 |
| 1143.920 | 884.416 | 406.597 | 0.000 | -0.000 | 0.000 |
| 884.416 | 1143.920 | 406.597 | -0.000 | 0.000 | -0.000 |
| 406.599 | 406.599 | 329.892 | 0.000 | -0.000 | -0.000 |
| -0.000 | -0.000 | -0.000 | 191.342 | -0.000 | -0.000 |
| -0.000 | 0.000 | -0.000 | -0.000 | 191.342 | -0.000 |
| 0.000 | 0.000 | 0.000 | -0.000 | -0.000 | 318.870 |
| 1142.993 | 885.372 | 406.602 | -0.000 | 0.000 | 0.000 |
| 885.372 | 1142.993 | 406.602 | 0.000 | 0.000 | 0.000 |
| 406.600 | 406.600 | 329.892 | -0.000 | 0.000 | 0.000 |
| 0.000 | 0.000 | 0.000 | 191.342 | -0.000 | 0.000 |
| 0.000 | -0.000 | 0.000 | -0.000 | 191.342 | -0.000 |
| -0.000 | -0.000 | -0.000 | 0.000 | 0.000 | 318.870 |
| 1143.854 | 884.349 | 406.574 | 0.000 | -0.000 | -0.000 |
| 884.349 | 1143.854 | 406.574 | 0.000 | -0.000 | -0.000 |
| 406.594 | 406.594 | 329.891 | -0.000 | 0.000 | 0.000 |
| -0.000 | -0.000 | -0.001 | 190.970 | -0.000 | -0.000 |
| -0.000 | -0.000 | -0.001 | -0.000 | 190.970 | 0.000 |
| 0.002 | 0.003 | 0.000 | 0.000 | -0.000 | 318.870 |
| 1143.060 | 885.439 | 406.625 | -0.000 | 0.000 | 0.000 |
| 885.439 | 1143.060 | 406.625 | -0.000 | 0.000 | 0.000 |
| 406.605 | 406.605 | 329.892 | 0.000 | 0.000 | 0.000 |
| 0.000 | 0.000 | 0.001 | 190.970 | -0.000 | -0.000 |
| 0.000 | 0.000 | 0.001 | 0.000 | 190.970 | 0.000 |
| -0.002 | -0.003 | -0.000 | -0.000 | 0.000 | 318.870 |
| 947.598 | 508.219 | 552.861 | 0.000 | 0.000 | -0.000 |
| 508.219 | 947.598 | 552.861 | 0.000 | 0.000 | -0.000 |
| 552.861 | 552.861 | 1120.980 | 0.000 | 0.000 | -0.000 |
| -0.000 | -0.000 | -0.000 | 148.026 | 0.000 | -0.000 |
| -0.000 | -0.000 | -0.000 | 0.000 | 148.026 | -0.000 |
| -0.000 | -0.000 | -0.000 | 0.000 | 0.000 | 147.565 |
| 961.773 | 494.044 | 552.860 | -0.000 | -0.000 | 0.000 |
| 494.044 | 961.773 | 552.860 | 0.000 | 0.000 | 0.000 |
| 552.860 | 552.860 | 1120.979 | -0.000 | -0.000 | 0.000 |
| 0.000 | 0.000 | 0.000 | 148.026 | -0.000 | 0.000 |
| 0.000 | 0.000 | 0.000 | -0.000 | 148.026 | 0.000 |
| 0.000 | 0.000 | 0.000 | -0.000 | -0.000 | 147.565 |
| 947.596 | 508.218 | 552.863 | 0.000 | 0.000 | -0.000 |
| 508.218 | 947.596 | 552.863 | 0.000 | 0.000 | -0.000 |
| 552.866 | 552.866 | 1120.986 | 0.000 | 0.000 | -0.000 |
| -0.000 | -0.000 | -0.000 | 148.026 | 0.000 | -0.000 |
| -0.000 | -0.000 | -0.000 | 0.000 | 148.026 | -0.000 |
| -0.000 | -0.000 | -0.000 | 0.000 | 0.000 | 147.565 |
| 961.775 | 494.045 | 552.858 | -0.000 | -0.000 | 0.000 |
| 494.045 | 961.775 | 552.858 | -0.000 | -0.000 | 0.000 |
| 552.855 | 552.855 | 1120.973 | -0.000 | -0.000 | 0.000 |
| 0.000 | 0.000 | 0.000 | 148.026 | -0.000 | 0.000 |
| 0.000 | 0.000 | 0.000 | -0.000 | 148.026 | 0.000 |
| 0.000 | 0.000 | 0.000 | -0.000 | -0.000 | 147.565 |
| 947.578 | 508.210 | 552.884 | 0.000 | 0.000 | -0.000 |
| 508.210 | 947.578 | 552.884 | 0.000 | 0.000 | -0.000 |
| 552.914 | 552.914 | 1121.040 | 0.000 | 0.000 | -0.000 |
| -0.001 | -0.002 | -0.002 | 148.026 | 0.000 | -0.000 |
| -0.002 | -0.001 | -0.002 | 0.000 | 148.026 | -0.000 |
| -0.001 | -0.001 | -0.001 | 0.000 | 0.000 | 147.565 |
| 961.796 | 494.052 | 552.836 | -0.000 | -0.000 | 0.000 |
| 494.052 | 961.796 | 552.836 | -0.000 | 0.000 | 0.000 |
| 552.808 | 552.808 | 1120.918 | -0.000 | -0.000 | 0.000 |
| 0.001 | 0.002 | 0.002 | 148.026 | -0.000 | 0.000 |
| 0.002 | 0.001 | 0.002 | -0.000 | 148.026 | 0.000 |
| 0.001 | 0.001 | 0.001 | -0.000 | -0.000 | 147.565 |
| -28.401 | 320.795 | 279.631 | -0.000 | 0.000 | 0.000 |
| 320.795 | -28.401 | 279.631 | 0.000 | 0.000 | -0.000 |
| 279.631 | 279.631 | -180.666 | 0.000 | 0.000 | 0.000 |
| -0.000 | -0.000 | -0.000 | 16.766 | 0.000 | 0.000 |
| -0.000 | -0.000 | -0.000 | 0.000 | 16.766 | 0.000 |
| -0.000 | -0.000 | -0.000 | -0.000 | 0.000 | 97.721 |
| -23.034 | 315.433 | 279.633 | 0.000 | -0.000 | -0.000 |
| 315.433 | -23.034 | 279.633 | -0.000 | 0.000 | 0.000 |
| 279.633 | 279.633 | -180.665 | 0.000 | -0.000 | -0.000 |
| 0.000 | 0.000 | 0.000 | 16.766 | -0.000 | -0.000 |
| 0.000 | 0.000 | 0.000 | 0.000 | 16.766 | 0.000 |
| 0.000 | 0.000 | 0.000 | -0.000 | -0.000 | 97.721 |
| -28.411 | 320.786 | 279.624 | -0.000 | 0.000 | 0.000 |
| 320.786 | -28.411 | 279.624 | -0.000 | -0.000 | 0.000 |
| 279.625 | 279.625 | -180.673 | 0.000 | 0.000 | -0.000 |
| -0.000 | -0.000 | -0.000 | 16.766 | 0.000 | 0.000 |
| -0.000 | -0.000 | -0.000 | 0.000 | 16.766 | -0.000 |
| -0.000 | -0.000 | -0.000 | 0.000 | 0.000 | 97.721 |
| -28.389 | 320.806 | 279.641 | -0.000 | -0.000 | 0.000 |
| 320.806 | -28.389 | 279.641 | 0.000 | -0.000 | -0.000 |
| 279.639 | 279.639 | -180.658 | -0.000 | -0.000 | 0.000 |
| 0.000 | 0.000 | 0.000 | 16.766 | -0.000 | 0.000 |
| 0.000 | 0.000 | 0.000 | -0.000 | 16.766 | -0.000 |
| 0.000 | 0.000 | 0.000 | -0.000 | -0.000 | 97.721 |
| -23.146 | 315.333 | 279.548 | -0.000 | 0.000 | 0.000 |
| 315.333 | -23.146 | 279.548 | -0.000 | 0.000 | -0.000 |
| 279.560 | 279.560 | -180.739 | 0.000 | 0.000 | 0.000 |
| -0.001 | -0.002 | -0.002 | 16.766 | 0.000 | -0.000 |
| -0.002 | -0.001 | -0.002 | -0.000 | 16.766 | 0.000 |
| -0.002 | -0.002 | -0.002 | 0.000 | 0.000 | 97.721 |
| -1108606.290 | -893242.826 | -8410053.119 | 138977.902 | 83418.698 | -375969.443 |
| -921436.025 | -965804.790 | -8051833.471 | -38461.492 | 102775.637 | 1134176.363 |
| 279.704 | 279.704 | -180.592 | -0.000 | -0.000 | -0.000 |
| 0.001 | 0.002 | 0.002 | 16.766 | -0.000 | -0.000 |
| 0.002 | 0.001 | 0.002 | -0.000 | 16.766 | -0.000 |
| 0.002 | 0.002 | 0.002 | -0.000 | -0.000 | 97.721 |
| -380352.987 | 1721776.000 | 1721770.988 | -0.768 | 3.829 | -0.484 |
| 1721772.008 | -380352.011 | 1721769.997 | -0.410 | 2.234 | -0.301 |
| 1721771.002 | 1721776.991 | -380352.011 | -2.495 | 4.852 | -0.499 |
| 48.014 | -4.007 | -9.996 | -18955622.792 | -1.876 | -0.247 |
| -7.985 | 51.001 | -9.005 | -1.704 | -18955618.715 | -0.342 |
| -7.985 | -5.989 | 46.003 | -1.026 | -0.104 | -18955620.421 |
| -404190.996 | 1733689.992 | 1733696.010 | 0.019 | 2.297 | 0.197 |
| 1733691.988 | -404192.992 | 1733696.010 | -0.892 | -1.704 | 0.187 |
| 1733692.979 | 1733689.001 | -404188.985 | 0.020 | -3.120 | 0.516 |
| -49.005 | 5.989 | 9.996 | -18955618.343 | 0.716 | 0.335 |
| 6.994 | -50.010 | 8.014 | 1.973 | -18955621.985 | 0.205 |
| 11.002 | 7.009 | -46.994 | 3.142 | -1.800 | -18955619.748 |
| -404204.701 | 1733698.601 | 1733698.601 | 0.085 | 0.221 | -0.050 |
| 1733698.802 | -404204.701 | 1733698.200 | -0.025 | 0.512 | -0.009 |
| 1733698.500 | 1733698.601 | -404204.600 | -0.196 | -0.178 | -0.046 |
| 49.299 | -6.801 | -8.100 | -6352123.223 | 0.097 | -0.032 |
| -7.000 | 48.799 | -8.000 | -0.127 | -6352122.827 | -0.006 |
| -7.099 | -7.401 | 48.700 | -0.202 | 0.201 | -6352123.156 |
| -461030.600 | 1762114.300 | 1762114.902 | 0.079 | -0.186 | 0.043 |
| 1762114.300 | -461030.901 | 1762114.700 | 0.190 | -0.302 | 0.006 |
| 1762114.300 | 1762114.199 | -461030.500 | 0.020 | -0.006 | 0.018 |
| -49.101 | 6.702 | 8.100 | -6352123.090 | -0.239 | 0.017 |
| 6.901 | -48.900 | 8.000 | 0.201 | -6352123.291 | 0.039 |
| 7.000 | 7.401 | -48.700 | 0.169 | -0.056 | -6352123.123 |
| 66353.780 | 1498407.210 | 1498407.170 | 0.009 | -0.020 | -0.001 |
| 1498407.180 | 66353.800 | 1498407.170 | 0.001 | 0.038 | -0.002 |
| 1498407.190 | 1498407.230 | 66353.770 | -0.020 | 0.025 | -0.007 |
| 1.180 | 0.400 | -0.350 | -823207.725 | -0.026 | -0.003 |
| 0.380 | 1.190 | -0.350 | 0.004 | -823207.685 | -0.003 |
| 0.390 | -0.290 | 1.150 | -0.008 | 0.022 | -823207.708 |
| 66985.170 | 1498118.890 | 1498118.910 | 0.017 | -0.024 | 0.003 |
| 1498118.930 | 66985.200 | 1498118.900 | 0.012 | -0.027 | 0.007 |
| 1498118.880 | 1498118.870 | 66985.180 | 0.001 | -0.013 | 0.006 |
| -1.180 | -0.390 | 0.350 | -823207.692 | -0.010 | 0.002 |
| -0.370 | -1.190 | 0.330 | 0.011 | -823207.716 | 0.004 |
| -0.380 | 0.290 | -1.150 | 0.019 | -0.002 | -823207.704 |
| 636.434 | 416.832 | 416.832 | -0.000 | -0.000 | 0.000 |
| 416.832 | 636.434 | 416.832 | -0.000 | 0.000 | 0.000 |
| 416.832 | 416.832 | 636.434 | 0.000 | 0.000 | 0.000 |
| 0.000 | 0.000 | 0.000 | 102.443 | -0.000 | -0.000 |
| -0.000 | 0.000 | 0.000 | -0.000 | 102.443 | 0.000 |
| 0.000 | 0.000 | 0.000 | -0.000 | 0.000 | 102.443 |
| 632.547 | 418.776 | 418.776 | -0.000 | 0.000 | -0.000 |
| 418.776 | 632.547 | 418.776 | 0.000 | -0.000 | -0.000 |
| 418.776 | 418.776 | 632.547 | 0.000 | 0.000 | 0.000 |
| -0.000 | -0.000 | -0.000 | 102.443 | -0.000 | -0.000 |
| -0.000 | -0.000 | -0.000 | 0.000 | 102.443 | -0.000 |
| -0.000 | -0.000 | -0.000 | 0.000 | -0.000 | 102.443 |
| 636.430 | 416.830 | 416.830 | 0.000 | 0.000 | 0.000 |
| 416.830 | 636.430 | 416.830 | 0.000 | -0.000 | 0.000 |
| 416.830 | 416.830 | 636.430 | -0.000 | 0.000 | 0.000 |
| -0.000 | 0.000 | 0.000 | 39.172 | 0.000 | 0.000 |
| 0.000 | -0.000 | 0.000 | -0.000 | 39.172 | 0.000 |
| 0.000 | 0.000 | -0.000 | -0.000 | 0.000 | 39.172 |
| 632.551 | 418.779 | 418.779 | 0.000 | -0.000 | -0.000 |
| 418.779 | 632.551 | 418.779 | 0.000 | -0.000 | -0.000 |
| 418.779 | 418.779 | 632.551 | 0.000 | -0.000 | -0.000 |
| 0.000 | -0.000 | -0.000 | 39.172 | 0.000 | -0.000 |
| -0.000 | 0.000 | -0.000 | -0.000 | 39.172 | -0.000 |
| -0.000 | -0.000 | 0.000 | -0.000 | -0.000 | 39.172 |
| 636.393 | 416.806 | 416.806 | -0.000 | 0.000 | 0.000 |
| 416.806 | 636.393 | 416.806 | -0.000 | 0.000 | 0.000 |
| 416.806 | 416.806 | 636.393 | 0.000 | 0.000 | 0.000 |
| -0.000 | 0.000 | 0.000 | 39.172 | 0.000 | 0.000 |
| 0.000 | 0.000 | 0.000 | -0.000 | 102.443 | 0.000 |
| 0.000 | 0.000 | -0.000 | -0.000 | 0.000 | 39.172 |
| 636.475 | 416.859 | 416.859 | -0.000 | -0.000 | 0.000 |
| 416.859 | 636.475 | 416.859 | 0.000 | -0.000 | -0.000 |
| 416.859 | 416.859 | 636.475 | -0.000 | -0.000 | -0.000 |
| 0.000 | -0.000 | -0.000 | 39.172 | -0.000 | 0.000 |
| -0.000 | -0.000 | -0.000 | 0.000 | 102.443 | -0.000 |
| -0.000 | -0.000 | 0.000 | 0.000 | -0.000 | 39.172 |
| 53.839 | 93.835 | 93.835 | 0.000 | 0.000 | -0.000 |
| 93.835 | 53.839 | 93.835 | 0.000 | -0.000 | -0.000 |
| 93.835 | 93.835 | 53.839 | -0.000 | -0.000 | -0.000 |
| 0.000 | -0.000 | -0.000 | 39.886 | -0.000 | -0.000 |
| -0.000 | -0.000 | -0.000 | 0.000 | 39.886 | -0.000 |
| -0.000 | -0.000 | -0.000 | -0.000 | -0.000 | 39.886 |
| 53.839 | 93.835 | 93.835 | 0.000 | 0.000 | 0.000 |
| 93.835 | 53.839 | 93.835 | -0.000 | 0.000 | 0.000 |
| 93.835 | 93.835 | 53.839 | -0.000 | 0.000 | 0.000 |
| -0.000 | 0.000 | 0.000 | 39.886 | 0.000 | 0.000 |
| 0.000 | -0.000 | 0.000 | -0.000 | 39.886 | -0.000 |
| 0.000 | 0.000 | 0.000 | -0.000 | 0.000 | 39.886 |
| 53.839 | 93.835 | 93.835 | -0.000 | -0.000 | -0.000 |
| 93.835 | 53.839 | 93.835 | 0.000 | -0.000 | -0.000 |
| 93.835 | 93.835 | 53.839 | 0.000 | -0.000 | -0.000 |
| -0.000 | -0.000 | -0.000 | 39.886 | -0.000 | 0.000 |
| -0.000 | -0.000 | -0.000 | 0.000 | 39.886 | -0.000 |
| -0.000 | -0.000 | -0.000 | 0.000 | -0.000 | 39.886 |
| 53.839 | 93.835 | 93.835 | 0.000 | 0.000 | 0.000 |
| 93.835 | 53.839 | 93.835 | -0.000 | -0.000 | 0.000 |
| 93.835 | 93.835 | 53.839 | -0.000 | -0.000 | 0.000 |
| 0.000 | 0.000 | 0.000 | 39.886 | 0.000 | 0.000 |
| 0.000 | 0.000 | 0.000 | -0.000 | 39.886 | 0.000 |
| 0.000 | 0.000 | 0.000 | -0.000 | 0.000 | 39.886 |
| 53.838 | 93.836 | 93.836 | 0.000 | -0.000 | -0.000 |
| 93.836 | 53.838 | 93.836 | 0.000 | -0.000 | 0.000 |
| 93.836 | 93.836 | 53.838 | 0.000 | -0.000 | -0.000 |
| -0.000 | -0.001 | -0.001 | 39.886 | -0.000 | -0.000 |
| -0.001 | -0.000 | -0.001 | -0.000 | 39.886 | -0.000 |
| -0.001 | -0.001 | -0.000 | 0.000 | -0.000 | 39.886 |
| 53.840 | 93.835 | 93.835 | 0.000 | 0.000 | 0.000 |
| 93.835 | 53.840 | 93.835 | -0.000 | 0.000 | 0.000 |
| 93.835 | 93.835 | 53.840 | -0.000 | 0.000 | 0.000 |
| 0.000 | 0.001 | 0.001 | 39.886 | 0.000 | -0.000 |
| 0.001 | 0.000 | 0.001 | -0.000 | 39.886 | 0.000 |
| 0.001 | 0.001 | 0.000 | -0.000 | 0.000 | 39.886 |
| 90.841 | 43.628 | 43.628 | -0.000 | -0.000 | -0.000 |
| 43.628 | 90.841 | 43.628 | -0.000 | -0.000 | 0.000 |
| 43.628 | 43.628 | 90.841 | -0.000 | -0.000 | -0.000 |
| -0.000 | -0.000 | -0.000 | 21.024 | -0.000 | 0.000 |
| -0.000 | -0.000 | -0.000 | -0.000 | 21.024 | 0.000 |
| -0.000 | -0.000 | -0.000 | -0.000 | -0.000 | 21.024 |
| 90.841 | 43.628 | 43.628 | 0.000 | 0.000 | 0.000 |
| 43.628 | 90.841 | 43.628 | 0.000 | -0.000 | 0.000 |
| 43.628 | 43.628 | 90.841 | 0.000 | -0.000 | -0.000 |
| 0.000 | 0.000 | 0.000 | 21.024 | 0.000 | -0.000 |
| 0.000 | 0.000 | 0.000 | 0.000 | 21.024 | -0.000 |
| 0.000 | 0.000 | 0.000 | 0.000 | 0.000 | 21.024 |
| 90.841 | 43.628 | 43.628 | -0.000 | 0.000 | 0.000 |
| 43.628 | 90.841 | 43.628 | -0.000 | -0.000 | -0.000 |
| 43.628 | 43.628 | 90.841 | -0.000 | -0.000 | -0.000 |
| -0.000 | -0.000 | -0.000 | 21.024 | -0.000 | 0.000 |
| -0.000 | -0.000 | -0.000 | -0.000 | 21.024 | -0.000 |
| -0.000 | -0.000 | -0.000 | -0.000 | -0.000 | 21.024 |
| 90.841 | 43.628 | 43.628 | 0.000 | -0.000 | 0.000 |
| 43.628 | 90.841 | 43.628 | 0.000 | -0.000 | -0.000 |
| 43.628 | 43.628 | 90.841 | 0.000 | 0.000 | 0.000 |
| 0.000 | 0.000 | 0.000 | 21.024 | 0.000 | -0.000 |
| 0.000 | 0.000 | 0.000 | 0.000 | 21.024 | -0.000 |
| 0.000 | 0.000 | 0.000 | 0.000 | 0.000 | 21.024 |
| 90.841 | 43.628 | 43.628 | -0.000 | -0.000 | 0.000 |
| 43.628 | 90.841 | 43.628 | -0.000 | 0.000 | 0.000 |
| 43.628 | 43.628 | 90.841 | -0.000 | 0.000 | -0.000 |
| -0.000 | -0.000 | -0.000 | 21.024 | 0.000 | -0.000 |
| -0.000 | -0.000 | -0.000 | -0.000 | 21.024 | 0.000 |
| -0.000 | -0.000 | -0.000 | -0.000 | -0.000 | 21.024 |
| 90.841 | 43.628 | 43.628 | 0.000 | -0.000 | -0.000 |
| 43.628 | 90.841 | 43.628 | 0.000 | -0.000 | 0.000 |
| 43.628 | 43.628 | 90.841 | 0.000 | 0.000 | 0.000 |
| 0.000 | 0.000 | 0.000 | 21.024 | 0.000 | -0.000 |
| 0.000 | 0.000 | 0.000 | 0.000 | 21.024 | -0.000 |
| 0.000 | 0.000 | 0.000 | 0.000 | 0.000 | 21.024 |
| 32.117 | 14.609 | 14.609 | -0.000 | -0.000 | -0.000 |
| 14.609 | 32.117 | 14.609 | -0.000 | -0.000 | -0.000 |
| 14.609 | 14.609 | 32.117 | 0.000 | -0.000 | -0.000 |
| -0.000 | -0.000 | -0.000 | 14.761 | -0.000 | -0.000 |
| -0.000 | -0.000 | -0.000 | -0.000 | 14.761 | -0.000 |
| -0.000 | -0.000 | -0.000 | -0.000 | -0.000 | 14.761 |
| 32.117 | 14.609 | 14.609 | -0.000 | 0.000 | -0.000 |
| 14.609 | 32.117 | 14.609 | 0.000 | 0.000 | -0.000 |
| 14.609 | 14.609 | 32.117 | 0.000 | 0.000 | -0.000 |
| 0.000 | 0.000 | 0.000 | 14.761 | 0.000 | -0.000 |
| 0.000 | 0.000 | 0.000 | 0.000 | 14.761 | -0.000 |
| 0.000 | 0.000 | 0.000 | 0.000 | 0.000 | 14.761 |
| 32.117 | 14.609 | 14.609 | -0.000 | -0.000 | 0.000 |
| 14.609 | 32.117 | 14.609 | -0.000 | -0.000 | 0.000 |
| 14.609 | 14.609 | 32.117 | -0.000 | -0.000 | 0.000 |
| -0.000 | -0.000 | -0.000 | 14.761 | -0.000 | 0.000 |
| -0.000 | -0.000 | -0.000 | -0.000 | 14.761 | 0.000 |
| -0.000 | -0.000 | -0.000 | -0.000 | -0.000 | 14.761 |
| 32.117 | 14.609 | 14.609 | 0.000 | -0.000 | -0.000 |
| 14.609 | 32.117 | 14.609 | 0.000 | 0.000 | 0.000 |
| 14.609 | 14.609 | 32.117 | 0.000 | 0.000 | -0.000 |
| 0.000 | 0.000 | 0.000 | 14.761 | 0.000 | 0.000 |
| 0.000 | 0.000 | 0.000 | 0.000 | 14.761 | -0.000 |
| 0.000 | 0.000 | 0.000 | 0.000 | 0.000 | 14.761 |
| 32.117 | 14.608 | 14.608 | -0.000 | -0.000 | 0.000 |
| 14.608 | 32.117 | 14.608 | -0.000 | -0.000 | 0.000 |
| 14.608 | 14.608 | 32.117 | -0.000 | -0.000 | 0.000 |
| -0.000 | -0.000 | -0.000 | 14.761 | -0.000 | -0.000 |
| -0.000 | -0.000 | -0.000 | -0.000 | 14.761 | -0.000 |
| -0.000 | -0.000 | -0.000 | -0.000 | -0.000 | 14.761 |
| 728349.751 | 770011.102 | 770011.103 | 0.000 | -0.000 | 0.000 |
| 1139387.069 | 1384237.484 | 1132826.846 | -2010.530 | 382.798 | 524.240 |
| 1126838.325 | 1130648.014 | 1376702.598 | 6442.947 | -28.162 | -326.451 |
| 0.000 | 0.000 | 0.000 | 14.761 | 0.000 | -0.000 |
| 0.000 | 0.000 | 0.000 | 0.000 | 14.761 | -0.000 |
| 0.000 | 0.000 | 0.000 | 0.000 | 0.000 | 14.761 |
| 29.661 | 0.652 | 0.652 | 0.000 | 0.000 | 0.000 |
| 0.652 | 29.661 | 0.652 | 0.000 | 0.000 | 0.000 |
| 0.652 | 0.652 | 29.661 | 0.000 | 0.000 | 0.000 |
| -0.000 | -0.000 | -0.000 | 0.020 | 0.000 | 0.000 |
| -0.000 | -0.000 | -0.000 | 0.000 | 0.020 | 0.000 |
| -0.000 | -0.000 | -0.000 | 0.000 | 0.000 | 0.020 |
| 29.661 | 0.652 | 0.652 | -0.000 | -0.000 | -0.000 |
| 0.652 | 29.661 | 0.652 | -0.000 | -0.000 | -0.000 |
| 0.652 | 0.652 | 29.661 | -0.000 | -0.000 | -0.000 |
| 0.000 | 0.000 | 0.000 | 0.020 | -0.000 | -0.000 |
| 0.000 | 0.000 | 0.000 | -0.000 | 0.020 | -0.000 |
| 0.000 | 0.000 | 0.000 | -0.000 | -0.000 | 0.020 |
| 29.661 | 0.652 | 0.652 | 0.000 | 0.000 | 0.000 |
| 0.652 | 29.661 | 0.652 | 0.000 | 0.000 | 0.000 |
| 0.652 | 0.652 | 29.661 | 0.000 | 0.000 | 0.000 |
| 0.000 | -0.000 | -0.000 | -0.957 | 0.000 | 0.000 |
| -0.000 | 0.000 | -0.000 | 0.000 | -0.957 | 0.000 |
| -0.000 | -0.000 | 0.000 | 0.000 | 0.000 | -0.957 |
| 29.661 | 0.652 | 0.652 | -0.000 | -0.000 | -0.000 |
| 0.652 | 29.661 | 0.652 | -0.000 | -0.000 | -0.000 |
| 0.652 | 0.652 | 29.661 | -0.000 | -0.000 | -0.000 |
| -0.000 | 0.000 | 0.000 | -0.957 | -0.000 | -0.000 |
| 0.000 | -0.000 | 0.000 | -0.000 | -0.957 | -0.000 |
| 0.000 | 0.000 | -0.000 | -0.000 | -0.000 | -0.957 |
| 29.661 | 0.652 | 0.652 | 0.000 | 0.000 | 0.000 |
| 0.652 | 29.661 | 0.652 | 0.000 | 0.000 | 0.000 |
| 0.652 | 0.652 | 29.661 | -0.000 | 0.000 | 0.000 |
| -0.000 | -0.001 | -0.001 | -2.842 | 0.000 | 0.000 |
| -0.001 | -0.000 | -0.001 | 0.000 | -2.842 | 0.000 |
| -0.001 | -0.001 | -0.000 | 0.000 | 0.000 | -2.842 |
| 29.661 | 0.652 | 0.652 | 0.000 | -0.000 | -0.000 |
| 0.652 | 29.661 | 0.652 | -0.000 | 0.000 | -0.000 |
| 0.652 | 0.652 | 29.661 | -0.000 | -0.000 | -0.000 |
| 0.000 | 0.001 | 0.001 | -2.842 | -0.000 | -0.000 |
| 0.001 | 0.000 | 0.001 | -0.000 | -2.842 | -0.000 |
| 0.001 | 0.001 | 0.000 | -0.000 | -0.000 | -2.842 |
| 11.091 | -0.000 | -0.000 | -0.000 | -0.000 | -0.000 |
| -0.000 | 11.091 | -0.000 | -0.000 | -0.000 | -0.000 |
| -0.000 | -0.000 | 11.091 | -0.000 | 0.000 | -0.000 |
| -0.000 | -0.000 | -0.000 | -0.000 | -0.000 | -0.000 |
| -0.000 | -0.000 | -0.000 | 0.000 | -0.000 | 0.000 |
| -0.000 | -0.000 | -0.000 | 0.000 | -0.000 | -0.000 |
| 11.091 | 0.000 | 0.000 | -0.000 | 0.000 | 0.000 |
| 0.000 | 11.091 | 0.000 | -0.000 | 0.000 | -0.000 |
| 0.000 | 0.000 | 11.091 | -0.000 | -0.000 | 0.000 |
| 0.000 | 0.000 | 0.000 | -0.000 | 0.000 | 0.000 |
| 0.000 | 0.000 | 0.000 | -0.000 | -0.000 | 0.000 |
| 0.000 | 0.000 | 0.000 | -0.000 | 0.000 | -0.000 |
| 11.091 | -0.000 | -0.000 | 0.000 | 0.000 | 0.000 |
| -0.000 | 11.091 | -0.000 | -0.000 | -0.000 | -0.000 |
| -0.000 | -0.000 | 11.091 | 0.000 | -0.000 | -0.000 |
| -0.000 | -0.000 | -0.000 | 0.000 | 0.000 | 0.000 |
| -0.000 | -0.000 | -0.000 | 0.000 | 0.000 | -0.000 |
| -0.000 | -0.000 | -0.000 | 0.000 | -0.000 | 0.000 |
| 11.091 | 0.000 | 0.000 | 0.000 | 0.000 | -0.000 |
| 0.000 | 11.091 | 0.000 | 0.000 | 0.000 | -0.000 |
| 0.000 | 0.000 | 11.091 | -0.000 | 0.000 | 0.000 |
| 0.000 | 0.000 | 0.000 | 0.000 | -0.000 | 0.000 |
| 0.000 | 0.000 | 0.000 | -0.000 | 0.000 | 0.000 |
| 0.000 | 0.000 | 0.000 | -0.000 | 0.000 | 0.000 |
| 11.090 | 0.000 | 0.000 | -0.000 | -0.000 | -0.000 |
| 0.000 | 11.090 | 0.000 | -0.000 | -0.000 | 0.000 |
| 0.000 | 0.000 | 11.090 | 0.000 | 0.000 | 0.000 |
| -0.000 | -0.000 | -0.000 | 0.000 | -0.000 | 0.000 |
| -0.000 | -0.000 | -0.000 | 0.000 | 0.000 | -0.000 |
| -0.000 | -0.000 | -0.000 | 0.000 | 0.000 | 0.000 |
| 11.091 | 0.000 | 0.000 | -0.000 | 0.000 | 0.000 |
| 0.000 | 11.091 | 0.000 | -0.000 | 0.000 | -0.000 |
| 0.000 | 0.000 | 11.091 | -0.000 | -0.000 | 0.000 |
| 0.000 | 0.000 | 0.000 | 0.000 | 0.000 | -0.000 |
| 0.000 | 0.000 | 0.000 | -0.000 | 0.000 | 0.000 |
| 0.000 | 0.000 | 0.000 | -0.000 | 0.000 | 0.000 |
| 268.425 | 88.611 | 88.611 | 0.000 | 0.000 | 0.000 |
| 88.611 | 268.425 | 88.611 | -0.000 | -0.000 | -0.000 |
| 88.611 | 88.611 | 268.425 | 0.000 | -0.000 | 0.000 |
| -0.000 | -0.000 | -0.000 | 104.912 | -0.000 | 0.000 |
| -0.000 | -0.000 | -0.000 | 0.000 | 104.912 | -0.000 |
| -0.000 | -0.000 | -0.000 | 0.000 | -0.000 | 104.912 |
| 268.425 | 88.611 | 88.611 | -0.000 | -0.000 | 0.000 |
| 88.611 | 268.425 | 88.611 | 0.000 | 0.000 | 0.000 |
| 88.611 | 88.611 | 268.425 | 0.000 | 0.000 | 0.000 |
| 0.000 | 0.000 | 0.000 | 104.912 | 0.000 | -0.000 |
| 0.000 | 0.000 | 0.000 | -0.000 | 104.912 | -0.000 |
| 0.000 | 0.000 | 0.000 | -0.000 | 0.000 | 104.912 |
| 268.424 | 88.610 | 88.610 | -0.000 | -0.000 | -0.000 |
| 88.610 | 268.424 | 88.610 | -0.000 | 0.000 | -0.000 |
| 88.610 | 88.610 | 268.424 | 0.000 | 0.000 | -0.000 |
| -0.000 | -0.000 | -0.000 | 104.912 | 0.000 | 0.000 |
| -0.000 | -0.000 | -0.000 | 0.000 | 104.912 | 0.000 |
| -0.000 | -0.000 | -0.000 | 0.000 | -0.000 | 104.912 |
| 268.425 | 88.611 | 88.611 | 0.000 | -0.000 | -0.000 |
| 88.611 | 268.425 | 88.611 | -0.000 | 0.000 | 0.000 |
| 88.611 | 88.611 | 268.425 | -0.000 | -0.000 | -0.000 |
| 0.000 | 0.000 | 0.000 | 104.912 | 0.000 | 0.000 |
| 0.000 | 0.000 | 0.000 | -0.000 | 104.912 | 0.000 |
| 0.000 | 0.000 | 0.000 | -0.000 | -0.000 | 104.912 |
| 268.422 | 88.610 | 88.610 | 0.000 | 0.000 | 0.000 |
| 88.610 | 268.422 | 88.610 | 0.000 | 0.000 | 0.000 |
| 88.610 | 88.610 | 268.422 | -0.000 | -0.000 | -0.000 |
| -0.000 | -0.001 | -0.001 | 104.912 | -0.000 | 0.000 |
| -0.001 | -0.000 | -0.001 | 0.000 | 104.912 | -0.000 |
| -0.001 | -0.001 | -0.000 | 0.000 | 0.000 | 104.912 |
| 268.428 | 88.611 | 88.611 | 0.000 | 0.000 | -0.000 |
| 88.611 | 268.428 | 88.611 | 0.000 | -0.000 | 0.000 |
| 88.611 | 88.611 | 268.428 | 0.000 | -0.000 | 0.000 |
| 0.000 | 0.001 | 0.001 | 104.912 | -0.000 | 0.000 |
| 0.001 | 0.000 | 0.001 | -0.000 | 104.912 | -0.000 |
| 0.001 | 0.001 | 0.000 | -0.000 | -0.000 | 104.912 |
| 248.772 | 188.757 | 188.757 | -0.000 | -0.000 | -0.000 |
| 188.757 | 248.772 | 188.757 | -0.000 | -0.000 | -0.000 |
| 188.757 | 188.757 | 248.772 | -0.000 | -0.000 | 0.000 |
| -0.000 | 0.000 | 0.000 | -59.204 | -0.000 | 0.000 |
| 0.000 | -0.000 | 0.000 | -0.000 | -59.204 | 0.000 |
| 0.000 | 0.000 | -0.000 | 0.000 | -0.000 | -59.204 |
| 248.772 | 188.757 | 188.757 | 0.000 | -0.000 | -0.000 |
| 188.757 | 248.772 | 188.757 | 0.000 | 0.000 | -0.000 |
| 188.757 | 188.757 | 248.772 | -0.000 | 0.000 | 0.000 |
| 0.000 | -0.000 | -0.000 | -59.204 | -0.000 | -0.000 |
| -0.000 | 0.000 | -0.000 | -0.000 | -59.204 | -0.000 |
| -0.000 | -0.000 | 0.000 | -0.000 | -0.000 | -59.204 |
| 248.772 | 188.757 | 188.757 | 0.000 | -0.000 | 0.000 |
| 188.757 | 248.772 | 188.757 | -0.000 | 0.000 | 0.000 |
| 188.757 | 188.757 | 248.772 | 0.000 | 0.000 | 0.000 |
| -0.000 | 0.000 | 0.000 | -59.204 | 0.000 | 0.000 |
| 0.000 | -0.000 | 0.000 | -0.000 | -59.204 | 0.000 |
| 0.000 | 0.000 | -0.000 | -0.000 | 0.000 | -59.204 |
| 248.772 | 188.757 | 188.757 | 0.000 | 0.000 | 0.000 |
| 188.757 | 248.772 | 188.757 | 0.000 | 0.000 | 0.000 |
| 188.757 | 188.757 | 248.772 | 0.000 | 0.000 | 0.000 |
| 0.000 | -0.000 | -0.000 | -59.204 | 0.000 | -0.000 |
| -0.000 | 0.000 | -0.000 | 0.000 | -59.204 | -0.000 |
| -0.000 | -0.000 | 0.000 | -0.000 | 0.000 | -59.204 |
| 248.773 | 188.758 | 188.758 | 0.000 | 0.000 | 0.000 |
| 188.758 | 248.773 | 188.758 | 0.000 | 0.000 | 0.000 |
| 188.758 | 188.758 | 248.773 | 0.000 | 0.000 | 0.000 |
| -0.002 | 0.001 | 0.000 | -59.204 | 0.000 | 0.000 |
| 0.001 | -0.002 | 0.000 | -0.000 | -59.204 | 0.000 |
| 0.001 | 0.000 | -0.002 | 0.000 | -0.000 | -59.204 |
| 248.772 | 188.757 | 188.757 | 0.000 | 0.000 | -0.000 |
| 188.757 | 248.772 | 188.757 | 0.000 | 0.000 | -0.000 |
| 188.757 | 188.757 | 248.772 | 0.000 | 0.000 | 0.000 |
| 0.002 | -0.001 | -0.000 | -59.204 | 0.000 | -0.000 |
| -0.001 | 0.002 | -0.000 | 0.000 | -59.204 | -0.000 |
| -0.001 | -0.000 | 0.002 | -0.000 | -0.000 | -59.204 |
| 96.581 | 4.802 | 4.802 | -0.000 | -0.000 | -0.000 |
| 4.802 | 96.581 | 4.802 | -0.000 | -0.000 | -0.000 |
| 4.802 | 4.802 | 96.581 | 0.000 | 0.000 | -0.000 |
| 0.000 | 0.000 | -0.000 | 5.015 | -0.000 | 0.000 |
| 0.000 | 0.000 | -0.000 | 0.000 | 5.015 | -0.000 |
| 0.000 | 0.000 | -0.000 | -0.000 | -0.000 | 5.015 |
| 96.581 | 4.802 | 4.802 | 0.000 | 0.000 | 0.000 |
| 4.802 | 96.581 | 4.802 | 0.000 | 0.000 | 0.000 |
| 4.802 | 4.802 | 96.581 | 0.000 | 0.000 | 0.000 |
| -0.000 | -0.000 | 0.000 | 5.015 | -0.000 | 0.000 |
| -0.000 | -0.000 | 0.000 | -0.000 | 5.015 | 0.000 |
| -0.000 | -0.000 | 0.000 | 0.000 | 0.000 | 5.015 |
| 96.581 | 4.802 | 4.802 | -0.000 | -0.000 | -0.000 |
| 4.802 | 96.581 | 4.802 | -0.000 | -0.000 | -0.000 |
| 4.802 | 4.802 | 96.581 | 0.000 | -0.000 | -0.000 |
| 0.000 | 0.000 | 0.000 | 5.015 | -0.000 | -0.000 |
| 0.000 | 0.000 | 0.000 | -0.000 | 5.015 | -0.000 |
| 0.000 | 0.000 | 0.000 | -0.000 | -0.000 | 5.015 |
| 96.581 | 4.802 | 4.802 | 0.000 | 0.000 | 0.000 |
| 4.802 | 96.581 | 4.802 | 0.000 | 0.000 | 0.000 |
| 4.802 | 4.802 | 96.581 | -0.000 | 0.000 | 0.000 |
| -0.000 | -0.000 | -0.000 | 5.015 | 0.000 | 0.000 |
| -0.000 | -0.000 | -0.000 | 0.000 | 5.015 | 0.000 |
| -0.000 | -0.000 | -0.000 | 0.000 | 0.000 | 5.015 |
| 96.580 | 4.802 | 4.802 | -0.000 | -0.000 | -0.000 |
| 4.802 | 96.580 | 4.802 | -0.000 | -0.000 | -0.000 |
| 4.802 | 4.802 | 96.580 | 0.000 | 0.000 | -0.000 |
| 0.000 | 0.000 | 0.000 | 5.015 | -0.000 | -0.000 |
| 0.000 | 0.000 | 0.000 | -0.000 | 5.015 | -0.000 |
| 0.000 | 0.000 | 0.000 | 0.000 | -0.000 | 5.015 |
| 96.582 | 4.802 | 4.802 | 0.000 | 0.000 | 0.000 |
| 4.802 | 96.582 | 4.802 | 0.000 | 0.000 | 0.000 |
| 4.802 | 4.802 | 96.582 | -0.000 | 0.000 | 0.000 |
| -0.000 | -0.000 | -0.000 | 5.015 | 0.000 | 0.000 |
| -0.000 | -0.000 | -0.000 | -0.000 | 5.015 | 0.000 |
| -0.000 | -0.000 | -0.000 | 0.000 | 0.000 | 5.015 |
| 61.819 | 29.213 | 29.213 | 0.000 | -0.000 | 0.000 |
| 29.213 | 61.819 | 29.213 | -0.000 | 0.000 | 0.000 |
| 29.213 | 29.213 | 61.819 | -0.000 | -0.000 | 0.000 |
| -0.000 | -0.000 | -0.000 | 29.486 | -0.000 | -0.000 |
| -0.000 | -0.000 | -0.000 | 0.000 | 29.486 | -0.000 |
| -0.000 | -0.000 | -0.000 | -0.000 | -0.000 | 29.486 |
| 61.819 | 29.213 | 29.213 | -0.000 | -0.000 | -0.000 |
| 29.213 | 61.819 | 29.213 | -0.000 | 0.000 | -0.000 |
| 29.213 | 29.213 | 61.819 | -0.000 | 0.000 | 0.000 |
| 0.000 | 0.000 | 0.000 | 29.486 | -0.000 | -0.000 |
| 0.000 | 0.000 | 0.000 | -0.000 | 29.486 | 0.000 |
| 0.000 | 0.000 | 0.000 | 0.000 | 0.000 | 29.486 |
| 61.819 | 29.213 | 29.213 | -0.000 | -0.000 | 0.000 |
| 29.213 | 61.819 | 29.213 | -0.000 | -0.000 | 0.000 |
| 29.213 | 29.213 | 61.819 | 0.000 | -0.000 | 0.000 |
| -0.000 | -0.000 | -0.000 | 29.486 | 0.000 | 0.000 |
| -0.000 | -0.000 | -0.000 | 0.000 | 29.486 | -0.000 |
| -0.000 | -0.000 | -0.000 | -0.000 | -0.000 | 29.486 |
| 61.819 | 29.213 | 29.213 | -0.000 | -0.000 | 0.000 |
| 29.213 | 61.819 | 29.213 | -0.000 | -0.000 | -0.000 |
| 29.213 | 29.213 | 61.819 | -0.000 | -0.000 | 0.000 |
| 0.000 | 0.000 | 0.000 | 29.486 | 0.000 | -0.000 |
| 0.000 | 0.000 | 0.000 | -0.000 | 29.486 | -0.000 |
| 0.000 | 0.000 | 0.000 | 0.000 | 0.000 | 29.486 |
| 61.820 | 29.213 | 29.213 | -0.000 | -0.000 | 0.000 |
| 29.213 | 61.820 | 29.213 | -0.000 | -0.000 | 0.000 |
| 29.213 | 29.213 | 61.820 | 0.000 | -0.000 | -0.000 |
| -0.000 | -0.000 | -0.000 | 25.845 | -0.000 | -0.000 |
| -0.000 | -0.000 | -0.000 | -0.000 | 25.845 | 0.000 |
| -0.000 | -0.000 | -0.000 | 0.000 | -0.000 | 25.845 |
| 61.819 | 29.213 | 29.213 | -0.000 | 0.000 | -0.000 |
| 29.213 | 61.819 | 29.213 | -0.000 | -0.000 | 0.000 |
| 29.213 | 29.213 | 61.819 | 0.000 | 0.000 | -0.000 |
| 0.000 | 0.000 | 0.000 | 25.845 | 0.000 | -0.000 |
| 0.000 | 0.000 | 0.000 | -0.000 | 25.845 | -0.000 |
| 0.000 | 0.000 | 0.000 | -0.000 | 0.000 | 25.845 |
| 12.535 | 12.531 | 12.531 | -0.000 | -0.000 | 0.000 |
| 12.531 | 12.535 | 12.531 | -0.000 | -0.000 | 0.000 |
| 12.531 | 12.531 | 12.535 | -0.000 | -0.000 | 0.000 |
| -0.000 | -0.000 | -0.000 | 6.565 | -0.000 | 0.000 |
| -0.000 | -0.000 | -0.000 | -0.000 | 6.565 | 0.000 |
| -0.000 | -0.000 | -0.000 | -0.000 | -0.000 | 6.565 |
| 12.535 | 12.531 | 12.531 | 0.000 | 0.000 | -0.000 |
| 12.531 | 12.535 | 12.531 | 0.000 | 0.000 | -0.000 |
| 12.531 | 12.531 | 12.535 | 0.000 | 0.000 | -0.000 |
| 0.000 | 0.000 | 0.000 | 6.565 | 0.000 | -0.000 |
| 0.000 | 0.000 | 0.000 | 0.000 | 6.565 | -0.000 |
| 0.000 | 0.000 | 0.000 | 0.000 | 0.000 | 6.565 |
| 12.535 | 12.531 | 12.531 | -0.000 | -0.000 | 0.000 |
| 12.531 | 12.535 | 12.531 | -0.000 | -0.000 | 0.000 |
| 12.531 | 12.531 | 12.535 | -0.000 | -0.000 | -0.000 |
| -0.000 | -0.000 | -0.000 | 6.565 | -0.000 | 0.000 |
| -0.000 | -0.000 | -0.000 | -0.000 | 6.565 | 0.000 |
| -0.000 | -0.000 | -0.000 | -0.000 | -0.000 | 6.565 |
| 12.535 | 12.531 | 12.531 | 0.000 | 0.000 | -0.000 |
| 12.531 | 12.535 | 12.531 | 0.000 | 0.000 | -0.000 |
| 12.531 | 12.531 | 12.535 | 0.000 | 0.000 | 0.000 |
| 0.000 | 0.000 | 0.000 | 6.565 | 0.000 | -0.000 |
| 0.000 | 0.000 | 0.000 | 0.000 | 6.565 | -0.000 |
| 0.000 | 0.000 | 0.000 | 0.000 | 0.000 | 6.565 |
| 12.535 | 12.531 | 12.531 | -0.000 | -0.000 | 0.000 |
| 12.531 | 12.535 | 12.531 | -0.000 | -0.000 | 0.000 |
| 12.531 | 12.531 | 12.535 | -0.000 | -0.000 | 0.000 |
| -0.000 | -0.000 | -0.000 | 6.565 | -0.000 | 0.000 |
| -0.000 | -0.000 | -0.000 | -0.000 | 6.565 | 0.000 |
| -0.000 | -0.000 | -0.000 | -0.000 | -0.000 | 6.565 |
| 12.535 | 12.531 | 12.531 | 0.000 | 0.000 | -0.000 |
| 12.531 | 12.535 | 12.531 | 0.000 | 0.000 | -0.000 |
| 12.531 | 12.531 | 12.535 | 0.000 | 0.000 | -0.000 |
| 0.000 | 0.000 | 0.000 | 6.565 | 0.000 | -0.000 |
| 0.000 | 0.000 | 0.000 | 0.000 | 6.565 | -0.000 |
| 0.000 | 0.000 | 0.000 | 0.000 | 0.000 | 6.565 |
| 3896.571 | 2662.256 | 2662.256 | -0.000 | 0.000 | 0.000 |
| 2662.256 | 3896.571 | 2662.256 | 0.000 | -0.000 | 0.000 |
| 2662.256 | 2662.256 | 3896.571 | 0.000 | 0.000 | -0.000 |
| -0.000 | -0.000 | -0.000 | 112.614 | 0.000 | -0.000 |
| -0.000 | -0.000 | -0.000 | -0.000 | 112.614 | -0.000 |
| -0.000 | -0.000 | -0.000 | -0.000 | 0.000 | 112.614 |
| 3896.583 | 2662.262 | 2662.262 | 0.000 | -0.000 | 0.000 |
| 2662.262 | 3896.583 | 2662.262 | 0.000 | -0.000 | -0.000 |
| 2662.262 | 2662.262 | 3896.583 | 0.000 | -0.000 | -0.000 |
| 0.000 | 0.000 | 0.000 | 112.614 | -0.000 | 0.000 |
| 0.000 | 0.000 | 0.000 | 0.000 | 112.614 | 0.000 |
| 0.000 | 0.000 | 0.000 | 0.000 | -0.000 | 112.614 |
| 3896.515 | 2662.227 | 2662.227 | -0.000 | 0.000 | -0.000 |
| 2662.227 | 3896.515 | 2662.227 | -0.000 | -0.000 | 0.000 |
| 2662.227 | 2662.227 | 3896.515 | -0.000 | 0.000 | -0.000 |
| 0.000 | 0.000 | 0.000 | 112.614 | 0.000 | -0.000 |
| 0.000 | 0.000 | 0.000 | -0.000 | 112.614 | -0.000 |
| 0.000 | 0.000 | 0.000 | -0.000 | 0.000 | 112.614 |
| 3896.639 | 2662.292 | 2662.292 | 0.000 | -0.000 | 0.000 |
| 2662.292 | 3896.639 | 2662.292 | 0.000 | 0.000 | 0.000 |
| 2662.292 | 2662.292 | 3896.639 | -0.000 | -0.000 | 0.000 |
| -0.000 | -0.000 | -0.000 | 112.614 | -0.000 | -0.000 |
| -0.000 | -0.000 | -0.000 | 0.000 | 112.614 | 0.000 |
| -0.000 | -0.000 | -0.000 | 0.000 | -0.000 | 112.614 |
| 3895.958 | 2661.933 | 2661.933 | -0.000 | 0.000 | -0.000 |
| 2661.933 | 3895.958 | 2661.933 | -0.000 | 0.000 | -0.000 |
| 2661.933 | 2661.933 | 3895.958 | -0.000 | 0.000 | 0.000 |
| 0.003 | 0.003 | 0.002 | 112.614 | 0.000 | 0.000 |
| 0.003 | 0.003 | 0.002 | -0.000 | 112.614 | -0.000 |
| 0.003 | 0.002 | 0.003 | -0.000 | 0.000 | 112.614 |
| 3897.196 | 2662.585 | 2662.585 | -0.000 | 0.000 | 0.000 |
| 2662.585 | 3897.196 | 2662.585 | 0.000 | -0.000 | -0.000 |
| 2662.585 | 2662.585 | 3897.196 | 0.000 | 0.000 | -0.000 |
| -0.003 | -0.003 | -0.002 | 112.614 | 0.000 | -0.000 |
| -0.003 | -0.003 | -0.002 | 0.000 | 112.614 | 0.000 |
| -0.003 | -0.002 | -0.003 | 0.000 | -0.000 | 112.614 |
| 248.564 | 419.507 | 419.507 | 0.000 | 0.000 | -0.000 |
| 419.507 | 248.564 | 419.507 | 0.000 | 0.000 | 0.000 |
| 419.507 | 419.507 | 248.564 | 0.000 | 0.000 | -0.000 |
| 0.000 | -0.000 | 0.000 | 23.187 | 0.000 | 0.000 |
| -0.000 | 0.000 | 0.000 | 0.000 | 23.187 | 0.000 |
| -0.000 | 0.000 | 0.000 | 0.000 | 0.000 | 23.187 |
| 248.564 | 419.507 | 419.507 | -0.000 | -0.000 | -0.000 |
| 419.507 | 248.564 | 419.507 | -0.000 | -0.000 | -0.000 |
| 419.507 | 419.507 | 248.564 | -0.000 | -0.000 | -0.000 |
| -0.000 | -0.000 | -0.000 | 23.187 | 0.000 | 0.000 |
| 0.000 | -0.000 | -0.000 | -0.000 | 23.187 | -0.000 |
| 0.000 | -0.000 | -0.000 | -0.000 | -0.000 | 23.187 |
| 248.565 | 419.507 | 419.507 | 0.000 | 0.000 | 0.000 |
| 419.507 | 248.565 | 419.507 | 0.000 | 0.000 | 0.000 |
| 419.507 | 419.507 | 248.565 | 0.000 | 0.000 | 0.000 |
| 0.000 | 0.000 | 0.000 | 23.187 | -0.000 | -0.000 |
| 0.000 | 0.000 | 0.000 | 0.000 | 23.187 | -0.000 |
| 0.000 | 0.000 | 0.000 | 0.000 | 0.000 | 23.187 |
| 248.563 | 419.506 | 419.506 | -0.000 | -0.000 | 0.000 |
| 419.506 | 248.563 | 419.506 | -0.000 | -0.000 | 0.000 |
| 419.506 | 419.506 | 248.563 | -0.000 | -0.000 | -0.000 |
| -0.000 | -0.000 | -0.000 | 23.187 | -0.000 | 0.000 |
| -0.000 | -0.000 | -0.000 | -0.000 | 23.187 | -0.000 |
| -0.000 | -0.000 | -0.000 | -0.000 | -0.000 | 23.187 |
| 248.575 | 419.512 | 419.512 | 0.000 | 0.000 | 0.000 |
| 419.512 | 248.575 | 419.512 | 0.000 | 0.000 | -0.000 |
| 419.512 | 419.512 | 248.575 | 0.000 | 0.000 | 0.000 |
| 0.000 | 0.000 | 0.000 | 23.187 | 0.000 | -0.000 |
| 0.000 | 0.000 | 0.000 | 0.000 | 23.187 | 0.000 |
| 0.000 | 0.000 | 0.000 | 0.000 | 0.000 | 23.187 |
| 248.553 | 419.501 | 419.501 | -0.000 | -0.000 | -0.000 |
| 419.501 | 248.553 | 419.501 | -0.000 | -0.000 | 0.000 |
| 419.501 | 419.501 | 248.553 | -0.000 | -0.000 | 0.000 |
| -0.000 | -0.000 | -0.000 | 23.187 | -0.000 | -0.000 |
| -0.000 | -0.000 | -0.000 | -0.000 | 23.187 | -0.000 |
| -0.000 | -0.000 | -0.000 | -0.000 | -0.000 | 23.187 |
| 815.103 | 262.092 | 262.092 | 0.000 | -0.000 | 0.000 |
| 262.092 | 815.103 | 262.092 | 0.000 | 0.000 | 0.000 |
| 262.092 | 262.092 | 815.103 | 0.000 | 0.000 | 0.000 |
| 0.000 | 0.000 | 0.000 | 263.881 | -0.000 | 0.000 |
| 0.000 | 0.000 | 0.000 | 0.000 | 263.881 | 0.000 |
| 0.000 | 0.000 | 0.000 | 0.000 | 0.000 | 263.881 |
| 815.103 | 262.092 | 262.092 | -0.000 | 0.000 | -0.000 |
| 262.092 | 815.103 | 262.092 | 0.000 | 0.000 | -0.000 |
| 262.092 | 262.092 | 815.103 | -0.000 | -0.000 | -0.000 |
| -0.000 | -0.000 | -0.000 | 263.881 | 0.000 | -0.000 |
| -0.000 | -0.000 | -0.000 | -0.000 | 263.881 | 0.000 |
| -0.000 | -0.000 | -0.000 | -0.000 | -0.000 | 263.881 |
| 815.104 | 262.092 | 262.092 | -0.000 | 0.000 | 0.000 |
| 262.092 | 815.104 | 262.092 | -0.000 | 0.000 | 0.000 |
| 262.092 | 262.092 | 815.104 | 0.000 | -0.000 | 0.000 |
| 0.000 | 0.000 | 0.000 | 263.881 | -0.000 | 0.000 |
| 0.000 | 0.000 | 0.000 | 0.000 | 263.881 | 0.000 |
| 0.000 | 0.000 | 0.000 | 0.000 | 0.000 | 263.881 |
| 815.102 | 262.092 | 262.092 | -0.000 | 0.000 | -0.000 |
| 262.092 | 815.102 | 262.092 | -0.000 | 0.000 | -0.000 |
| 262.092 | 262.092 | 815.102 | -0.000 | -0.000 | -0.000 |
| -0.000 | -0.000 | -0.000 | 263.881 | 0.000 | -0.000 |
| -0.000 | -0.000 | -0.000 | -0.000 | 263.881 | 0.000 |
| -0.000 | -0.000 | -0.000 | 0.000 | 0.000 | 263.881 |
| 815.112 | 262.095 | 262.095 | -0.000 | -0.000 | 0.000 |
| 262.095 | 815.112 | 262.095 | -0.000 | -0.000 | 0.000 |
| 262.095 | 262.095 | 815.112 | -0.000 | 0.000 | -0.000 |
| 0.001 | 0.002 | 0.002 | 263.881 | 0.000 | 0.000 |
| 0.002 | 0.001 | 0.002 | 0.000 | 263.881 | 0.000 |
| 0.002 | 0.002 | 0.001 | -0.000 | -0.000 | 263.881 |
| 815.093 | 262.089 | 262.089 | 0.000 | 0.000 | 0.000 |
| 262.089 | 815.093 | 262.089 | 0.000 | -0.000 | -0.000 |
| 262.089 | 262.089 | 815.093 | -0.000 | -0.000 | -0.000 |
| -0.001 | -0.002 | -0.002 | 263.881 | -0.000 | -0.000 |
| -0.002 | -0.001 | -0.002 | -0.000 | 263.881 | -0.000 |
| -0.002 | -0.002 | -0.001 | -0.000 | 0.000 | 263.881 |
| 642.304 | 129.818 | 129.818 | -0.000 | -0.000 | 0.000 |
| 129.818 | 642.304 | 129.818 | -0.000 | -0.000 | -0.000 |
| 129.818 | 129.818 | 642.304 | -0.000 | 0.000 | 0.000 |
| 0.000 | 0.000 | 0.000 | 127.035 | 0.000 | 0.000 |
| 0.000 | 0.000 | 0.000 | -0.000 | 127.035 | 0.000 |
| 0.000 | 0.000 | 0.000 | -0.000 | 0.000 | 127.035 |
| 642.304 | 129.818 | 129.818 | -0.000 | -0.000 | -0.000 |
| 129.818 | 642.304 | 129.818 | -0.000 | -0.000 | -0.000 |
| 129.818 | 129.818 | 642.304 | -0.000 | -0.000 | -0.000 |
| -0.000 | -0.000 | -0.000 | 127.035 | 0.000 | 0.000 |
| -0.000 | -0.000 | -0.000 | 0.000 | 127.035 | -0.000 |
| -0.000 | -0.000 | -0.000 | -0.000 | -0.000 | 127.035 |
| 642.303 | 129.818 | 129.818 | -0.000 | 0.000 | 0.000 |
| 129.818 | 642.303 | 129.818 | 0.000 | 0.000 | 0.000 |
| 129.818 | 129.818 | 642.303 | 0.000 | 0.000 | -0.000 |
| -0.000 | 0.000 | 0.000 | 127.035 | 0.000 | -0.000 |
| 0.000 | -0.000 | 0.000 | -0.000 | 127.035 | 0.000 |
| 0.000 | 0.000 | -0.000 | 0.000 | 0.000 | 127.035 |
| 642.305 | 129.818 | 129.818 | -0.000 | -0.000 | -0.000 |
| 129.818 | 642.305 | 129.818 | 0.000 | -0.000 | -0.000 |
| 129.818 | 129.818 | 642.305 | 0.000 | -0.000 | -0.000 |
| 0.000 | -0.000 | -0.000 | 127.035 | -0.000 | -0.000 |
| -0.000 | 0.000 | -0.000 | -0.000 | 127.035 | -0.000 |
| -0.000 | -0.000 | 0.000 | 0.000 | -0.000 | 127.035 |
| 642.292 | 129.819 | 129.819 | 0.000 | 0.000 | 0.000 |
| 129.819 | 642.292 | 129.819 | 0.000 | 0.000 | -0.000 |
| 129.819 | 129.819 | 642.292 | 0.000 | 0.000 | 0.000 |
| -0.000 | 0.000 | 0.000 | 127.035 | -0.000 | 0.000 |
| 0.000 | -0.000 | 0.000 | -0.000 | 127.035 | 0.000 |
| 0.000 | 0.000 | -0.000 | 0.000 | 0.000 | 127.035 |
| 642.316 | 129.818 | 129.818 | 0.000 | -0.000 | -0.000 |
| 129.818 | 642.316 | 129.818 | -0.000 | -0.000 | -0.000 |
| 129.818 | 129.818 | 642.316 | -0.000 | -0.000 | -0.000 |
| 0.000 | -0.000 | -0.000 | 127.035 | -0.000 | 0.000 |
| -0.000 | 0.000 | -0.000 | 0.000 | 127.035 | -0.000 |
| -0.000 | -0.000 | 0.000 | -0.000 | -0.000 | 127.035 |
| 90.286 | 50.858 | 50.858 | 0.000 | 0.000 | -0.000 |
| 50.858 | 90.286 | 50.858 | 0.000 | 0.000 | 0.000 |
| 50.858 | 50.858 | 90.286 | 0.000 | 0.000 | -0.000 |
| 0.000 | 0.000 | 0.000 | 51.542 | 0.000 | 0.000 |
| 0.000 | -0.000 | 0.000 | 0.000 | 51.542 | 0.000 |
| 0.000 | 0.000 | 0.000 | 0.000 | 0.000 | 51.542 |
| 90.286 | 50.858 | 50.858 | -0.000 | -0.000 | -0.000 |
| 50.858 | 90.286 | 50.858 | -0.000 | -0.000 | 0.000 |
| 50.858 | 50.858 | 90.286 | -0.000 | -0.000 | 0.000 |
| -0.000 | -0.000 | -0.000 | 51.542 | 0.000 | -0.000 |
| -0.000 | 0.000 | -0.000 | -0.000 | 51.542 | 0.000 |
| -0.000 | -0.000 | -0.000 | -0.000 | -0.000 | 51.542 |
| 90.286 | 50.858 | 50.858 | 0.000 | -0.000 | 0.000 |
| 50.858 | 90.286 | 50.858 | 0.000 | -0.000 | 0.000 |
| 50.858 | 50.858 | 90.286 | 0.000 | 0.000 | -0.000 |
| -0.000 | 0.000 | 0.000 | 51.542 | 0.000 | 0.000 |
| 0.000 | -0.000 | 0.000 | 0.000 | 51.542 | -0.000 |
| 0.000 | 0.000 | -0.000 | 0.000 | 0.000 | 51.542 |
| 90.285 | 50.858 | 50.858 | -0.000 | -0.000 | -0.000 |
| 50.858 | 90.285 | 50.858 | -0.000 | -0.000 | 0.000 |
| 50.858 | 50.858 | 90.285 | -0.000 | -0.000 | 0.000 |
| 0.000 | -0.000 | -0.000 | 51.542 | -0.000 | -0.000 |
| -0.000 | 0.000 | -0.000 | -0.000 | 51.542 | 0.000 |
| -0.000 | -0.000 | 0.000 | -0.000 | -0.000 | 51.542 |
| 90.288 | 50.858 | 50.858 | 0.000 | 0.000 | -0.000 |
| 50.858 | 90.288 | 50.858 | 0.000 | -0.000 | -0.000 |
| 50.858 | 50.858 | 90.288 | 0.000 | -0.000 | -0.000 |
| -0.000 | 0.000 | 0.000 | 51.542 | 0.000 | -0.000 |
| 0.000 | -0.000 | 0.000 | 0.000 | 51.542 | -0.000 |
| 0.000 | 0.000 | -0.000 | 0.000 | 0.000 | 51.542 |
| 90.283 | 50.858 | 50.858 | -0.000 | -0.000 | -0.000 |
| 50.858 | 90.283 | 50.858 | -0.000 | -0.000 | 0.000 |
| 50.858 | 50.858 | 90.283 | -0.000 | -0.000 | -0.000 |
| 0.000 | -0.000 | -0.000 | 51.542 | -0.000 | -0.000 |
| -0.000 | 0.000 | -0.000 | -0.000 | 51.542 | -0.000 |
| -0.000 | -0.000 | 0.000 | -0.000 | -0.000 | 51.542 |
| 82.581 | 41.253 | 41.253 | 0.000 | -0.000 | -0.000 |
| 41.253 | 82.581 | 41.253 | -0.000 | 0.000 | -0.000 |
| 41.253 | 41.253 | 82.581 | -0.000 | -0.000 | -0.000 |
| -0.000 | -0.000 | -0.000 | 41.408 | 0.000 | -0.000 |
| -0.000 | -0.000 | -0.000 | 0.000 | 41.408 | -0.000 |
| -0.000 | -0.000 | -0.000 | 0.000 | -0.000 | 41.408 |
| 82.581 | 41.253 | 41.253 | -0.000 | 0.000 | 0.000 |
| 41.253 | 82.581 | 41.253 | 0.000 | 0.000 | 0.000 |
| 41.253 | 41.253 | 82.581 | 0.000 | 0.000 | 0.000 |
| 0.000 | 0.000 | 0.000 | 41.408 | -0.000 | 0.000 |
| 0.000 | 0.000 | 0.000 | -0.000 | 41.408 | 0.000 |
| 0.000 | 0.000 | 0.000 | -0.000 | 0.000 | 41.408 |
| 82.581 | 41.253 | 41.253 | 0.000 | -0.000 | -0.000 |
| 41.253 | 82.581 | 41.253 | -0.000 | -0.000 | -0.000 |
| 41.253 | 41.253 | 82.581 | -0.000 | -0.000 | -0.000 |
| -0.000 | -0.000 | -0.000 | 41.408 | -0.000 | -0.000 |
| -0.000 | -0.000 | -0.000 | -0.000 | 41.408 | -0.000 |
| -0.000 | -0.000 | -0.000 | -0.000 | -0.000 | 41.408 |
| 82.581 | 41.253 | 41.253 | -0.000 | 0.000 | 0.000 |
| 41.253 | 82.581 | 41.253 | 0.000 | -0.000 | 0.000 |
| 41.253 | 41.253 | 82.581 | 0.000 | 0.000 | 0.000 |
| 0.000 | 0.000 | 0.000 | 41.408 | 0.000 | 0.000 |
| 0.000 | 0.000 | 0.000 | 0.000 | 41.408 | 0.000 |
| 0.000 | 0.000 | 0.000 | 0.000 | 0.000 | 41.408 |
| 82.581 | 41.253 | 41.253 | 0.000 | -0.000 | -0.000 |
| 41.253 | 82.581 | 41.253 | -0.000 | 0.000 | -0.000 |
| 41.253 | 41.253 | 82.581 | 0.000 | -0.000 | -0.000 |
| -0.000 | -0.000 | -0.000 | 41.408 | -0.000 | -0.000 |
| -0.000 | -0.000 | -0.000 | -0.000 | 41.408 | -0.000 |
| -0.000 | -0.000 | -0.000 | -0.000 | -0.000 | 41.408 |
| 82.582 | 41.253 | 41.253 | -0.000 | -0.000 | 0.000 |
| 41.253 | 82.582 | 41.253 | -0.000 | -0.000 | 0.000 |
| 41.253 | 41.253 | 82.582 | -0.000 | 0.000 | 0.000 |
| 0.000 | 0.000 | 0.000 | 41.408 | 0.000 | 0.000 |
| 0.000 | 0.000 | 0.000 | 0.000 | 41.408 | 0.000 |
| 0.000 | 0.000 | 0.000 | 0.000 | 0.000 | 41.408 |
| 31.206 | 15.567 | 15.567 | 0.000 | -0.000 | -0.000 |
| 15.567 | 31.206 | 15.567 | -0.000 | -0.000 | -0.000 |
| 15.567 | 15.567 | 31.206 | 0.000 | 0.000 | -0.000 |
| -0.000 | -0.000 | -0.000 | 15.916 | 0.000 | 0.000 |
| -0.000 | -0.000 | -0.000 | 0.000 | 15.916 | -0.000 |
| -0.000 | -0.000 | -0.000 | -0.000 | -0.000 | 15.916 |
| 31.206 | 15.567 | 15.567 | -0.000 | 0.000 | 0.000 |
| 15.567 | 31.206 | 15.567 | 0.000 | 0.000 | -0.000 |
| 15.567 | 15.567 | 31.206 | -0.000 | 0.000 | 0.000 |
| 0.000 | 0.000 | 0.000 | 15.916 | -0.000 | 0.000 |
| 0.000 | 0.000 | 0.000 | -0.000 | 15.916 | 0.000 |
| 0.000 | 0.000 | 0.000 | -0.000 | 0.000 | 15.916 |
| 31.206 | 15.567 | 15.567 | -0.000 | -0.000 | -0.000 |
| 15.567 | 31.206 | 15.567 | -0.000 | -0.000 | -0.000 |
| 15.567 | 15.567 | 31.206 | 0.000 | -0.000 | -0.000 |
| -0.000 | -0.000 | -0.000 | 15.916 | -0.000 | 0.000 |
| -0.000 | -0.000 | -0.000 | 0.000 | 15.916 | -0.000 |
| -0.000 | -0.000 | -0.000 | 0.000 | -0.000 | 15.916 |
| 31.206 | 15.567 | 15.567 | 0.000 | 0.000 | 0.000 |
| 15.567 | 31.206 | 15.567 | 0.000 | 0.000 | -0.000 |
| 15.567 | 15.567 | 31.206 | -0.000 | 0.000 | 0.000 |
| 0.000 | 0.000 | 0.000 | 15.916 | 0.000 | 0.000 |
| 0.000 | 0.000 | 0.000 | -0.000 | 15.916 | 0.000 |
| 0.000 | 0.000 | 0.000 | 0.000 | 0.000 | 15.916 |
| 31.206 | 15.566 | 15.566 | 0.000 | -0.000 | -0.000 |
| 15.566 | 31.206 | 15.566 | -0.000 | -0.000 | 0.000 |
| 15.566 | 15.566 | 31.206 | 0.000 | -0.000 | -0.000 |
| -0.000 | -0.000 | -0.000 | 15.916 | -0.000 | -0.000 |
| -0.000 | -0.000 | -0.000 | 0.000 | 15.916 | -0.000 |
| -0.000 | -0.000 | -0.000 | -0.000 | -0.000 | 15.916 |
| 31.207 | 15.567 | 15.567 | -0.000 | -0.000 | -0.000 |
| 15.567 | 31.207 | 15.567 | -0.000 | 0.000 | -0.000 |
| 15.567 | 15.567 | 31.207 | -0.000 | -0.000 | 0.000 |
| 0.000 | 0.000 | 0.000 | 15.916 | -0.000 | -0.000 |
| 0.000 | 0.000 | 0.000 | -0.000 | 15.916 | 0.000 |
| 0.000 | 0.000 | 0.000 | -0.000 | 0.000 | 15.916 |
| 2816.751 | 1541.077 | 1541.077 | -0.000 | -0.000 | -0.000 |
| 1541.077 | 2816.751 | 1541.077 | -0.000 | -0.000 | -0.000 |
| 1541.077 | 1541.077 | 2816.751 | 0.000 | 0.000 | -0.000 |
| 0.002 | 0.003 | 0.003 | 779.031 | 0.000 | -0.000 |
| 0.003 | 0.002 | 0.003 | 0.000 | 779.031 | -0.000 |
| 0.003 | 0.003 | 0.002 | 0.000 | 0.000 | 779.030 |
| 2816.728 | 1541.071 | 1541.071 | 0.000 | -0.000 | 0.000 |
| 1541.071 | 2816.728 | 1541.071 | -0.000 | -0.000 | 0.000 |
| 1541.071 | 1541.071 | 2816.728 | 0.000 | -0.000 | 0.000 |
| -0.002 | -0.003 | -0.003 | 779.030 | -0.000 | 0.000 |
| -0.003 | -0.002 | -0.003 | 0.000 | 779.031 | 0.000 |
| -0.003 | -0.003 | -0.002 | -0.000 | -0.000 | 779.031 |
| 2816.855 | 1541.105 | 1541.105 | -0.000 | 0.000 | -0.000 |
| 1541.105 | 2816.855 | 1541.105 | 0.000 | 0.000 | -0.000 |
| 1541.105 | 1541.105 | 2816.855 | 0.000 | 0.000 | -0.000 |
| 0.018 | 0.031 | 0.031 | 779.031 | 0.000 | -0.000 |
| 0.031 | 0.018 | 0.031 | -0.000 | 779.031 | -0.000 |
| 0.031 | 0.031 | 0.018 | -0.000 | 0.000 | 779.031 |
| 2816.625 | 1541.043 | 1541.043 | -0.000 | 0.000 | 0.000 |
| 1541.043 | 2816.625 | 1541.043 | 0.000 | -0.000 | 0.000 |
| 1541.043 | 1541.043 | 2816.625 | 0.000 | -0.000 | 0.000 |
| -0.018 | -0.031 | -0.031 | 779.031 | -0.000 | 0.000 |
| -0.031 | -0.018 | -0.031 | -0.000 | 779.031 | 0.000 |
| -0.031 | -0.031 | -0.018 | -0.000 | -0.000 | 779.031 |
| 2817.888 | 1541.387 | 1541.387 | 0.000 | 0.000 | -0.000 |
| 1541.387 | 2817.888 | 1541.387 | 0.000 | 0.000 | -0.000 |
| 1541.387 | 1541.387 | 2817.888 | 0.000 | 0.000 | -0.000 |
| 0.175 | 0.306 | 0.307 | 779.031 | -0.000 | -0.000 |
| 0.306 | 0.175 | 0.307 | 0.000 | 779.031 | -0.000 |
| 0.306 | 0.307 | 0.175 | -0.000 | 0.000 | 779.031 |
| 2815.592 | 1540.761 | 1540.761 | 0.000 | 0.000 | 0.000 |
| 1540.761 | 2815.592 | 1540.761 | 0.000 | -0.000 | 0.000 |
| 1540.761 | 1540.761 | 2815.592 | -0.000 | -0.000 | 0.000 |
| -0.175 | -0.306 | -0.307 | 779.031 | -0.000 | 0.000 |
| -0.306 | -0.175 | -0.307 | 0.000 | 779.031 | 0.000 |
| -0.306 | -0.307 | -0.175 | 0.000 | -0.000 | 779.031 |
| 1615.057 | 847.133 | 847.133 | -0.000 | 0.000 | 0.000 |
| 847.133 | 1615.057 | 847.133 | -0.000 | -0.000 | 0.000 |
| 847.133 | 847.133 | 1615.057 | -0.000 | -0.000 | 0.000 |
| 0.000 | 0.000 | 0.000 | 81.321 | -0.000 | 0.000 |
| 0.000 | 0.000 | 0.000 | -0.000 | 81.321 | 0.000 |
| 0.000 | 0.000 | -0.000 | -0.000 | -0.000 | 81.321 |
| 1615.068 | 847.145 | 847.145 | -0.000 | 0.000 | -0.000 |
| 847.145 | 1615.068 | 847.145 | 0.000 | -0.000 | -0.000 |
| 847.145 | 847.145 | 1615.068 | -0.000 | -0.000 | -0.000 |
| -0.000 | -0.000 | 0.000 | 81.321 | 0.000 | -0.000 |
| -0.000 | -0.000 | 0.000 | 0.000 | 81.321 | -0.000 |
| -0.000 | -0.000 | 0.000 | 0.000 | -0.000 | 81.321 |
| 1615.004 | 847.080 | 847.080 | -0.000 | -0.000 | 0.000 |
| 847.080 | 1615.004 | 847.080 | -0.000 | -0.000 | 0.000 |
| 847.080 | 847.080 | 1615.004 | -0.000 | -0.000 | 0.000 |
| -0.000 | 0.000 | -0.000 | 81.321 | -0.000 | 0.000 |
| 0.000 | -0.000 | -0.000 | -0.000 | 81.321 | 0.000 |
| 0.000 | -0.000 | -0.000 | 0.000 | 0.000 | 81.321 |
| 1615.121 | 847.198 | 847.198 | -0.000 | 0.000 | -0.000 |
| 847.198 | 1615.121 | 847.198 | 0.000 | -0.000 | -0.000 |
| 847.198 | 847.198 | 1615.121 | -0.000 | -0.000 | -0.000 |
| 0.000 | -0.000 | 0.000 | 81.321 | 0.000 | -0.000 |
| -0.000 | 0.000 | 0.000 | 0.000 | 81.321 | -0.000 |
| -0.000 | 0.000 | 0.000 | 0.000 | 0.000 | 81.321 |
| 1614.479 | 846.549 | 846.549 | -0.000 | 0.000 | 0.000 |
| 846.549 | 1614.479 | 846.549 | -0.000 | -0.000 | 0.000 |
| 846.549 | 846.549 | 1614.479 | -0.000 | 0.000 | 0.000 |
| -0.001 | 0.000 | -0.000 | 81.321 | 0.000 | 0.000 |
| 0.000 | -0.001 | -0.000 | -0.000 | 81.321 | 0.000 |
| 0.000 | -0.000 | -0.001 | -0.000 | -0.000 | 81.321 |
| 1615.646 | 847.730 | 847.730 | 0.000 | 0.000 | -0.000 |
| 847.730 | 1615.646 | 847.730 | 0.000 | -0.000 | -0.000 |
| 847.730 | 847.730 | 1615.646 | 0.000 | -0.000 | -0.000 |
| 0.001 | -0.000 | 0.000 | 81.321 | -0.000 | -0.000 |
| -0.000 | 0.001 | 0.000 | 0.000 | 81.321 | -0.000 |
| -0.000 | 0.000 | 0.001 | 0.000 | -0.000 | 81.321 |
| 564.762 | 422.118 | 422.118 | -0.000 | -0.000 | 0.000 |
| 422.118 | 564.762 | 422.118 | -0.000 | -0.000 | 0.000 |
| 422.118 | 422.118 | 564.762 | 0.000 | -0.000 | 0.000 |
| 0.000 | 0.000 | 0.000 | 190.145 | 0.000 | 0.000 |
| 0.000 | 0.000 | 0.000 | 0.000 | 190.145 | 0.000 |
| 0.000 | 0.000 | 0.000 | 0.000 | -0.000 | 190.145 |
| 564.762 | 422.118 | 422.118 | 0.000 | 0.000 | -0.000 |
| 422.118 | 564.762 | 422.118 | 0.000 | 0.000 | -0.000 |
| 422.118 | 422.118 | 564.762 | 0.000 | -0.000 | -0.000 |
| -0.000 | -0.000 | -0.000 | 190.145 | -0.000 | -0.000 |
| -0.000 | -0.000 | -0.000 | -0.000 | 190.145 | -0.000 |
| -0.000 | -0.000 | -0.000 | -0.000 | -0.000 | 190.145 |
| 564.760 | 422.117 | 422.117 | -0.000 | 0.000 | 0.000 |
| 422.117 | 564.760 | 422.117 | -0.000 | -0.000 | 0.000 |
| 422.117 | 422.117 | 564.760 | 0.000 | 0.000 | 0.000 |
| 0.000 | 0.000 | 0.000 | 190.145 | 0.000 | 0.000 |
| 0.000 | 0.000 | 0.000 | -0.000 | 190.145 | 0.000 |
| 0.000 | 0.000 | 0.000 | -0.000 | -0.000 | 190.145 |
| 564.763 | 422.119 | 422.119 | 0.000 | 0.000 | -0.000 |
| 422.119 | 564.763 | 422.119 | 0.000 | 0.000 | -0.000 |
| 422.119 | 422.119 | 564.763 | -0.000 | -0.000 | -0.000 |
| -0.000 | -0.000 | -0.000 | 190.145 | 0.000 | -0.000 |
| -0.000 | -0.000 | -0.000 | -0.000 | 190.145 | -0.000 |
| -0.000 | -0.000 | -0.000 | 0.000 | 0.000 | 190.145 |
| 564.748 | 422.107 | 422.107 | -0.000 | -0.000 | 0.000 |
| 422.107 | 564.748 | 422.107 | -0.000 | -0.000 | 0.000 |
| 422.107 | 422.107 | 564.748 | 0.000 | 0.000 | 0.000 |
| 0.001 | 0.001 | 0.002 | 190.145 | 0.000 | 0.000 |
| 0.001 | 0.001 | 0.002 | 0.000 | 190.145 | 0.000 |
| 0.001 | 0.002 | 0.001 | -0.000 | -0.000 | 190.145 |
| 564.776 | 422.128 | 422.128 | 0.000 | 0.000 | -0.000 |
| 422.128 | 564.776 | 422.128 | 0.000 | 0.000 | -0.000 |
| 422.128 | 422.128 | 564.776 | -0.000 | 0.000 | -0.000 |
| -0.001 | -0.001 | -0.002 | 190.145 | -0.000 | -0.000 |
| -0.001 | -0.001 | -0.002 | 0.000 | 190.145 | -0.000 |
| -0.001 | -0.002 | -0.001 | 0.000 | 0.000 | 190.145 |
| 123.085 | 8.815 | 8.815 | -0.000 | -0.000 | 0.000 |
| 8.815 | 123.085 | 8.815 | -0.000 | -0.000 | 0.000 |
| 8.815 | 8.815 | 123.085 | -0.000 | -0.000 | -0.000 |
| 0.000 | -0.000 | -0.000 | 13.342 | -0.000 | 0.000 |
| -0.000 | 0.000 | -0.000 | -0.000 | 13.342 | -0.000 |
| -0.000 | -0.000 | 0.000 | -0.000 | -0.000 | 13.342 |
| 123.085 | 8.815 | 8.815 | 0.000 | 0.000 | -0.000 |
| 8.815 | 123.085 | 8.815 | 0.000 | 0.000 | -0.000 |
| 8.815 | 8.815 | 123.085 | -0.000 | 0.000 | -0.000 |
| -0.000 | 0.000 | 0.000 | 13.342 | 0.000 | -0.000 |
| 0.000 | -0.000 | 0.000 | 0.000 | 13.342 | -0.000 |
| 0.000 | -0.000 | 0.000 | 0.000 | 0.000 | 13.342 |
| 123.085 | 8.815 | 8.815 | -0.000 | -0.000 | 0.000 |
| 8.815 | 123.085 | 8.815 | -0.000 | -0.000 | 0.000 |
| 8.815 | 8.815 | 123.085 | -0.000 | -0.000 | -0.000 |
| -0.000 | -0.000 | -0.000 | 13.342 | -0.000 | 0.000 |
| -0.000 | -0.000 | -0.000 | -0.000 | 13.342 | 0.000 |
| -0.000 | -0.000 | -0.000 | -0.000 | -0.000 | 13.342 |
| 123.085 | 8.815 | 8.815 | 0.000 | 0.000 | 0.000 |
| 8.815 | 123.085 | 8.815 | 0.000 | 0.000 | 0.000 |
| 8.815 | 8.815 | 123.085 | 0.000 | 0.000 | 0.000 |
| 0.000 | 0.000 | 0.000 | 13.342 | 0.000 | -0.000 |
| 0.000 | 0.000 | 0.000 | 0.000 | 13.342 | -0.000 |
| 0.000 | 0.000 | 0.000 | 0.000 | 0.000 | 13.342 |
| 123.086 | 8.815 | 8.815 | -0.000 | -0.000 | 0.000 |
| 8.815 | 123.086 | 8.815 | -0.000 | -0.000 | -0.000 |
| 8.815 | 8.815 | 123.086 | -0.000 | -0.000 | -0.000 |
| -0.000 | -0.000 | -0.000 | 13.342 | -0.000 | 0.000 |
| -0.000 | -0.000 | -0.000 | -0.000 | 13.342 | 0.000 |
| -0.000 | -0.000 | -0.000 | -0.000 | -0.000 | 13.342 |
| 123.084 | 8.815 | 8.815 | 0.000 | 0.000 | 0.000 |
| 8.815 | 123.084 | 8.815 | 0.000 | 0.000 | 0.000 |
| 8.815 | 8.815 | 123.084 | 0.000 | 0.000 | 0.000 |
| 0.000 | 0.000 | 0.000 | 13.342 | 0.000 | -0.000 |
| 0.000 | 0.000 | 0.000 | 0.000 | 13.342 | -0.000 |
| 0.000 | 0.000 | 0.000 | 0.000 | 0.000 | 13.342 |
| 106.278 | -0.018 | -0.018 | 0.000 | -0.000 | -0.000 |
| -0.018 | 106.278 | -0.018 | -0.000 | 0.000 | 0.000 |
| -0.018 | -0.018 | 106.278 | 0.000 | 0.000 | 0.000 |
| 0.000 | 0.000 | -0.000 | 0.000 | 0.000 | 0.000 |
| 0.000 | 0.000 | -0.000 | -0.000 | 0.000 | 0.000 |
| 0.000 | -0.000 | 0.000 | -0.000 | -0.000 | 0.000 |
| 106.278 | -0.018 | -0.018 | -0.000 | -0.000 | -0.000 |
| -0.018 | 106.278 | -0.018 | -0.000 | -0.000 | -0.000 |
| -0.018 | -0.018 | 106.278 | -0.000 | -0.000 | -0.000 |
| -0.000 | -0.000 | 0.000 | 0.000 | -0.000 | -0.000 |
| -0.000 | -0.000 | 0.000 | 0.000 | 0.000 | -0.000 |
| -0.000 | 0.000 | -0.000 | 0.000 | 0.000 | 0.000 |
| 106.277 | -0.018 | -0.018 | 0.000 | 0.000 | 0.000 |
| -0.018 | 106.277 | -0.018 | 0.000 | 0.000 | -0.000 |
| -0.018 | -0.018 | 106.277 | -0.000 | -0.000 | 0.000 |
| 0.000 | 0.000 | -0.000 | 0.000 | 0.000 | 0.000 |
| 0.000 | 0.000 | -0.000 | 0.000 | 0.000 | 0.000 |
| 0.000 | -0.000 | 0.000 | -0.000 | -0.000 | 0.000 |
| 106.278 | -0.018 | -0.018 | -0.000 | 0.000 | -0.000 |
| -0.018 | 106.278 | -0.018 | 0.000 | -0.000 | 0.000 |
| -0.018 | -0.018 | 106.278 | 0.000 | 0.000 | -0.000 |
| -0.000 | -0.000 | 0.000 | 0.000 | 0.000 | -0.000 |
| -0.000 | -0.000 | 0.000 | 0.000 | 0.000 | 0.000 |
| -0.000 | 0.000 | -0.000 | 0.000 | 0.000 | 0.000 |
| 106.276 | -0.018 | -0.018 | -0.000 | -0.000 | 0.000 |
| -0.018 | 106.276 | -0.018 | 0.000 | -0.000 | -0.000 |
| -0.018 | -0.018 | 106.276 | -0.000 | -0.000 | -0.000 |
| 0.000 | 0.000 | -0.000 | 0.000 | 0.000 | 0.000 |
| 0.000 | 0.000 | -0.000 | 0.000 | 0.000 | 0.000 |
| 0.000 | -0.000 | 0.000 | 0.000 | -0.000 | 0.000 |
| 106.279 | -0.018 | -0.018 | 0.000 | -0.000 | -0.000 |
| -0.018 | 106.279 | -0.018 | -0.000 | 0.000 | -0.000 |
| -0.018 | -0.018 | 106.279 | -0.000 | -0.000 | 0.000 |
| -0.000 | -0.000 | 0.000 | 0.000 | 0.000 | -0.000 |
| -0.000 | -0.000 | 0.000 | 0.000 | 0.000 | -0.000 |
| -0.000 | 0.000 | -0.000 | 0.000 | 0.000 | 0.000 |
| 38.356 | 0.003 | 0.003 | -0.000 | -0.000 | -0.000 |
| 0.003 | 38.356 | 0.003 | -0.000 | -0.000 | -0.000 |
| 0.003 | 0.003 | 38.356 | -0.000 | -0.000 | -0.000 |
| -0.000 | -0.000 | -0.000 | 0.006 | -0.000 | 0.000 |
| -0.000 | -0.000 | -0.000 | -0.000 | 0.006 | -0.000 |
| -0.000 | -0.000 | -0.000 | -0.000 | 0.000 | 0.006 |
| 38.356 | 0.003 | 0.003 | -0.000 | 0.000 | 0.000 |
| 0.003 | 38.356 | 0.003 | 0.000 | -0.000 | -0.000 |
| 0.003 | 0.003 | 38.356 | 0.000 | 0.000 | 0.000 |
| 0.000 | 0.000 | 0.000 | 0.006 | 0.000 | 0.000 |
| 0.000 | 0.000 | 0.000 | 0.000 | 0.006 | -0.000 |
| 0.000 | 0.000 | 0.000 | -0.000 | 0.000 | 0.006 |
| 38.356 | 0.003 | 0.003 | -0.000 | -0.000 | -0.000 |
| 0.003 | 38.356 | 0.003 | -0.000 | -0.000 | -0.000 |
| 0.003 | 0.003 | 38.356 | -0.000 | -0.000 | 0.000 |
| -0.000 | -0.000 | -0.000 | 0.006 | -0.000 | 0.000 |
| -0.000 | -0.000 | -0.000 | -0.000 | 0.006 | 0.000 |
| -0.000 | -0.000 | -0.000 | 0.000 | 0.000 | 0.006 |
| 38.356 | 0.003 | 0.003 | 0.000 | -0.000 | -0.000 |
| 0.003 | 38.356 | 0.003 | -0.000 | 0.000 | -0.000 |
| 0.003 | 0.003 | 38.356 | -0.000 | -0.000 | -0.000 |
| 0.000 | 0.000 | 0.000 | 0.006 | -0.000 | -0.000 |
| 0.000 | 0.000 | 0.000 | -0.000 | 0.006 | 0.000 |
| 0.000 | 0.000 | 0.000 | 0.000 | 0.000 | 0.006 |
| 38.356 | 0.003 | 0.003 | -0.000 | 0.000 | 0.000 |
| 0.003 | 38.356 | 0.003 | 0.000 | 0.000 | 0.000 |
| 0.003 | 0.003 | 38.356 | -0.000 | -0.000 | 0.000 |
| -0.000 | -0.000 | -0.000 | 0.006 | 0.000 | 0.000 |
| -0.000 | -0.000 | -0.000 | 0.000 | 0.006 | -0.000 |
| -0.000 | -0.000 | -0.000 | -0.000 | 0.000 | 0.006 |
| 38.357 | 0.003 | 0.003 | -0.000 | -0.000 | -0.000 |
| 0.003 | 38.357 | 0.003 | -0.000 | -0.000 | -0.000 |
| 0.003 | 0.003 | 38.357 | -0.000 | -0.000 | 0.000 |
| 0.000 | 0.000 | 0.000 | 0.006 | -0.000 | -0.000 |
| 0.000 | 0.000 | 0.000 | -0.000 | 0.006 | 0.000 |
| 0.000 | 0.000 | 0.000 | 0.000 | -0.000 | 0.006 |
| 702.763 | 368.998 | 368.998 | -0.000 | -0.000 | -0.000 |
| 368.998 | 702.763 | 368.998 | -0.000 | -0.000 | -0.000 |
| 368.998 | 368.998 | 702.763 | -0.000 | 0.000 | 0.000 |
| -0.000 | -0.000 | -0.000 | 391.009 | 0.000 | -0.000 |
| -0.000 | -0.000 | -0.000 | -0.000 | 391.009 | -0.000 |
| -0.000 | -0.000 | -0.000 | -0.000 | 0.000 | 391.009 |
| 702.763 | 368.999 | 368.999 | -0.000 | -0.000 | 0.000 |
| 368.998 | 702.763 | 368.999 | 0.000 | -0.000 | -0.000 |
| 368.998 | 368.999 | 702.763 | 0.000 | 0.000 | 0.000 |
| 0.000 | 0.000 | 0.000 | 391.009 | -0.000 | -0.000 |
| 0.000 | 0.000 | 0.000 | 0.000 | 391.009 | 0.000 |
| 0.000 | 0.000 | 0.000 | 0.000 | -0.000 | 391.009 |
| 702.762 | 368.997 | 368.997 | -0.000 | 0.000 | -0.000 |
| 368.997 | 702.762 | 368.997 | -0.000 | -0.000 | 0.000 |
| 368.997 | 368.997 | 702.762 | -0.000 | 0.000 | -0.000 |
| -0.000 | -0.000 | -0.000 | 391.009 | 0.000 | 0.000 |
| -0.000 | -0.000 | -0.000 | -0.000 | 391.009 | -0.000 |
| -0.000 | -0.000 | -0.000 | 0.000 | 0.000 | 391.009 |
| 702.764 | 368.999 | 368.999 | -0.000 | 0.000 | -0.000 |
| 368.999 | 702.764 | 368.999 | -0.000 | -0.000 | -0.000 |
| 368.999 | 368.999 | 702.764 | 0.000 | 0.000 | 0.000 |
| 0.000 | 0.000 | 0.000 | 391.009 | -0.000 | 0.000 |
| 0.000 | 0.000 | 0.000 | 0.000 | 391.009 | 0.000 |
| 0.000 | 0.000 | 0.000 | -0.000 | 0.000 | 391.009 |
| 702.753 | 368.988 | 368.988 | -0.000 | -0.000 | 0.000 |
| 368.988 | 702.753 | 368.988 | 0.000 | 0.000 | -0.000 |
| 368.988 | 368.988 | 702.753 | -0.000 | -0.000 | -0.000 |
| -0.001 | -0.004 | -0.003 | 391.009 | -0.000 | -0.000 |
| -0.004 | -0.001 | -0.003 | -0.000 | 391.009 | -0.000 |
| -0.004 | -0.003 | -0.001 | -0.000 | -0.000 | 391.009 |
| 702.773 | 369.009 | 369.009 | -0.000 | 0.000 | -0.000 |
| 369.009 | 702.773 | 369.009 | 0.000 | 0.000 | -0.000 |
| 369.009 | 369.009 | 702.773 | 0.000 | -0.000 | 0.000 |
| 0.001 | 0.004 | 0.003 | 391.009 | -0.000 | -0.000 |
| 0.004 | 0.001 | 0.003 | -0.000 | 391.009 | 0.000 |
| 0.004 | 0.003 | 0.001 | 0.000 | 0.000 | 391.009 |
| 353.437 | 247.684 | 247.684 | 0.000 | 0.000 | 0.000 |
| 247.684 | 353.437 | 247.684 | -0.000 | -0.000 | 0.000 |
| 247.684 | 247.684 | 353.437 | 0.000 | -0.000 | 0.000 |
| -0.000 | -0.000 | -0.000 | 100.199 | 0.000 | -0.000 |
| -0.000 | -0.000 | -0.000 | 0.000 | 100.199 | -0.000 |
| -0.000 | -0.000 | -0.000 | 0.000 | 0.000 | 100.199 |
| 353.437 | 247.685 | 247.685 | -0.000 | 0.000 | 0.000 |
| 247.685 | 353.437 | 247.685 | -0.000 | -0.000 | 0.000 |
| 247.685 | 247.685 | 353.437 | -0.000 | -0.000 | 0.000 |
| 0.000 | 0.000 | 0.000 | 100.199 | -0.000 | 0.000 |
| 0.000 | 0.000 | 0.000 | -0.000 | 100.199 | 0.000 |
| 0.000 | 0.000 | 0.000 | -0.000 | -0.000 | 100.199 |
| 353.434 | 247.682 | 247.682 | 0.000 | -0.000 | -0.000 |
| 247.682 | 353.434 | 247.682 | 0.000 | -0.000 | -0.000 |
| 247.682 | 247.682 | 353.434 | 0.000 | -0.000 | 0.000 |
| -0.000 | -0.000 | -0.000 | 100.199 | -0.000 | 0.000 |
| -0.000 | -0.000 | -0.000 | 0.000 | 100.199 | -0.000 |
| -0.000 | -0.000 | -0.000 | 0.000 | -0.000 | 100.199 |
| 353.440 | 247.687 | 247.687 | -0.000 | 0.000 | 0.000 |
| 247.687 | 353.440 | 247.687 | -0.000 | -0.000 | -0.000 |
| 247.687 | 247.687 | 353.440 | -0.000 | 0.000 | 0.000 |
| 0.000 | 0.000 | 0.000 | 100.199 | -0.000 | -0.000 |
| 0.000 | 0.000 | 0.000 | -0.000 | 100.199 | 0.000 |
| 0.000 | 0.000 | 0.000 | -0.000 | 0.000 | 100.199 |
| 353.405 | 247.659 | 247.659 | -0.000 | -0.000 | -0.000 |
| 247.659 | 353.405 | 247.659 | 0.000 | -0.000 | 0.000 |
| 247.659 | 247.659 | 353.405 | 0.000 | 0.000 | -0.000 |
| -0.001 | -0.003 | -0.002 | 100.199 | -0.000 | -0.000 |
| -0.003 | -0.001 | -0.002 | 0.000 | 100.199 | 0.000 |
| -0.003 | -0.002 | -0.001 | -0.000 | 0.000 | 100.199 |
| 353.469 | 247.709 | 247.709 | -0.000 | 0.000 | -0.000 |
| 247.709 | 353.469 | 247.709 | -0.000 | -0.000 | -0.000 |
| 247.709 | 247.709 | 353.469 | 0.000 | 0.000 | -0.000 |
| 0.001 | 0.003 | 0.002 | 100.199 | 0.000 | -0.000 |
| 0.003 | 0.001 | 0.002 | -0.000 | 100.199 | -0.000 |
| 0.003 | 0.002 | 0.001 | 0.000 | 0.000 | 100.199 |
| 127.803 | -20.506 | -20.506 | 0.000 | 0.000 | 0.000 |
| -20.506 | 127.803 | -20.506 | 0.000 | 0.000 | -0.000 |
| -20.506 | -20.506 | 127.803 | 0.000 | 0.000 | 0.000 |
| 0.000 | 0.000 | 0.000 | -14.772 | 0.000 | 0.000 |
| 0.000 | 0.000 | 0.000 | 0.000 | -14.772 | 0.000 |
| 0.000 | 0.000 | 0.000 | 0.000 | 0.000 | -14.772 |
| 127.803 | -20.506 | -20.506 | -0.000 | -0.000 | -0.000 |
| -20.506 | 127.803 | -20.506 | -0.000 | -0.000 | -0.000 |
| -20.506 | -20.506 | 127.803 | -0.000 | -0.000 | -0.000 |
| -0.000 | -0.000 | -0.000 | -14.772 | -0.000 | 0.000 |
| -0.000 | -0.000 | -0.000 | 0.000 | -14.772 | -0.000 |
| -0.000 | -0.000 | -0.000 | -0.000 | -0.000 | -14.772 |
| 127.802 | -20.506 | -20.506 | 0.000 | 0.000 | 0.000 |
| -20.506 | 127.802 | -20.506 | 0.000 | 0.000 | 0.000 |
| -20.506 | -20.506 | 127.802 | 0.000 | 0.000 | 0.000 |
| 0.000 | 0.000 | 0.000 | -14.772 | 0.000 | 0.000 |
| 0.000 | 0.000 | 0.000 | 0.000 | -14.772 | -0.000 |
| 0.000 | 0.000 | 0.000 | 0.000 | 0.000 | -14.772 |
| 127.803 | -20.506 | -20.506 | -0.000 | -0.000 | -0.000 |
| -20.506 | 127.803 | -20.506 | -0.000 | -0.000 | -0.000 |
| -20.506 | -20.506 | 127.803 | -0.000 | -0.000 | -0.000 |
| -0.000 | -0.000 | -0.000 | -14.772 | -0.000 | -0.000 |
| -0.000 | -0.000 | -0.000 | -0.000 | -14.772 | 0.000 |
| -0.000 | -0.000 | -0.000 | -0.000 | -0.000 | -14.772 |
| 127.801 | -20.505 | -20.505 | 0.000 | 0.000 | 0.000 |
| -20.505 | 127.801 | -20.505 | 0.000 | 0.000 | -0.000 |
| -20.505 | -20.505 | 127.801 | 0.000 | 0.000 | 0.000 |
| 0.000 | 0.000 | 0.000 | -14.772 | 0.000 | 0.000 |
| 0.000 | 0.000 | 0.000 | 0.000 | -14.772 | 0.000 |
| 0.000 | 0.000 | 0.000 | 0.000 | 0.000 | -14.772 |
| 127.804 | -20.506 | -20.506 | -0.000 | -0.000 | 0.000 |
| -20.506 | 127.804 | -20.506 | -0.000 | -0.000 | -0.000 |
| -20.506 | -20.506 | 127.804 | -0.000 | -0.000 | 0.000 |
| -0.000 | -0.000 | -0.000 | -14.772 | -0.000 | 0.000 |
| -0.000 | -0.000 | -0.000 | 0.000 | -14.772 | -0.000 |
| -0.000 | -0.000 | -0.000 | -0.000 | -0.000 | -14.772 |
| 77.729 | 58.368 | 58.368 | -0.000 | -0.000 | 0.000 |
| 58.368 | 77.729 | 58.368 | -0.000 | -0.000 | 0.000 |
| 58.368 | 58.368 | 77.729 | -0.000 | -0.000 | 0.000 |
| -0.000 | -0.000 | -0.000 | 59.157 | -0.000 | 0.000 |
| -0.000 | -0.000 | -0.000 | -0.000 | 59.157 | 0.000 |
| -0.000 | -0.000 | -0.000 | -0.000 | -0.000 | 59.157 |
| 77.729 | 58.368 | 58.368 | 0.000 | -0.000 | -0.000 |
| 58.368 | 77.729 | 58.368 | -0.000 | 0.000 | -0.000 |
| 58.368 | 58.368 | 77.729 | 0.000 | 0.000 | -0.000 |
| 0.000 | 0.000 | 0.000 | 59.157 | 0.000 | -0.000 |
| 0.000 | 0.000 | 0.000 | -0.000 | 59.157 | -0.000 |
| 0.000 | 0.000 | 0.000 | 0.000 | 0.000 | 59.157 |
| 77.729 | 58.368 | 58.368 | -0.000 | -0.000 | 0.000 |
| 58.368 | 77.729 | 58.368 | -0.000 | -0.000 | 0.000 |
| 58.368 | 58.368 | 77.729 | -0.000 | -0.000 | 0.000 |
| -0.000 | -0.000 | -0.000 | 59.157 | -0.000 | 0.000 |
| -0.000 | -0.000 | -0.000 | -0.000 | 59.157 | 0.000 |
| -0.000 | -0.000 | -0.000 | -0.000 | -0.000 | 59.157 |
| 77.729 | 58.368 | 58.368 | 0.000 | 0.000 | -0.000 |
| 58.368 | 77.729 | 58.368 | 0.000 | 0.000 | -0.000 |
| 58.368 | 58.368 | 77.729 | 0.000 | 0.000 | -0.000 |
| 0.000 | 0.000 | 0.000 | 59.157 | 0.000 | -0.000 |
| 0.000 | 0.000 | 0.000 | 0.000 | 59.157 | -0.000 |
| 0.000 | 0.000 | 0.000 | 0.000 | 0.000 | 59.157 |
| 77.728 | 58.367 | 58.367 | -0.000 | 0.000 | 0.000 |
| 58.367 | 77.728 | 58.367 | 0.000 | -0.000 | 0.000 |
| 58.367 | 58.367 | 77.728 | -0.000 | -0.000 | 0.000 |
| -0.000 | -0.000 | -0.000 | 59.157 | -0.000 | 0.000 |
| -0.000 | -0.000 | -0.000 | -0.000 | 59.157 | 0.000 |
| -0.000 | -0.000 | -0.000 | -0.000 | -0.000 | 59.157 |
| 77.730 | 58.368 | 58.368 | 0.000 | 0.000 | -0.000 |
| 58.368 | 77.730 | 58.368 | 0.000 | 0.000 | -0.000 |
| 58.368 | 58.368 | 77.730 | 0.000 | 0.000 | -0.000 |
| 0.000 | 0.000 | 0.000 | 59.157 | 0.000 | -0.000 |
| 0.000 | 0.000 | 0.000 | 0.000 | 59.157 | -0.000 |
| 0.000 | 0.000 | 0.000 | 0.000 | 0.000 | 59.157 |
| 22.202 | 22.175 | 22.175 | -0.000 | -0.000 | -0.000 |
| 22.175 | 22.202 | 22.175 | -0.000 | -0.000 | -0.000 |
| 22.175 | 22.175 | 22.202 | -0.000 | -0.000 | -0.000 |
| -0.000 | -0.000 | -0.000 | 22.182 | -0.000 | -0.000 |
| -0.000 | -0.000 | -0.000 | -0.000 | 22.182 | -0.000 |
| -0.000 | -0.000 | -0.000 | -0.000 | -0.000 | 22.182 |
| 22.202 | 22.175 | 22.175 | 0.000 | 0.000 | 0.000 |
| 22.175 | 22.202 | 22.175 | 0.000 | 0.000 | 0.000 |
| 22.175 | 22.175 | 22.202 | 0.000 | 0.000 | -0.000 |
| 0.000 | 0.000 | 0.000 | 22.182 | 0.000 | 0.000 |
| 0.000 | 0.000 | 0.000 | 0.000 | 22.182 | 0.000 |
| 0.000 | 0.000 | 0.000 | 0.000 | 0.000 | 22.182 |
| 22.202 | 22.175 | 22.175 | -0.000 | -0.000 | -0.000 |
| 22.175 | 22.202 | 22.175 | -0.000 | -0.000 | -0.000 |
| 22.175 | 22.175 | 22.202 | -0.000 | -0.000 | -0.000 |
| -0.000 | -0.000 | -0.000 | 22.182 | -0.000 | -0.000 |
| -0.000 | -0.000 | -0.000 | -0.000 | 22.182 | -0.000 |
| -0.000 | -0.000 | -0.000 | -0.000 | -0.000 | 22.182 |
| 22.202 | 22.175 | 22.175 | 0.000 | 0.000 | 0.000 |
| 22.175 | 22.202 | 22.175 | 0.000 | 0.000 | 0.000 |
| 22.175 | 22.175 | 22.202 | 0.000 | 0.000 | 0.000 |
| 0.000 | 0.000 | 0.000 | 22.182 | 0.000 | 0.000 |
| 0.000 | 0.000 | 0.000 | 0.000 | 22.182 | 0.000 |
| 0.000 | 0.000 | 0.000 | 0.000 | 0.000 | 22.182 |
| 22.202 | 22.175 | 22.175 | -0.000 | -0.000 | 0.000 |
| 22.175 | 22.202 | 22.175 | -0.000 | -0.000 | 0.000 |
| 22.175 | 22.175 | 22.202 | -0.000 | -0.000 | -0.000 |
| -0.000 | -0.000 | -0.000 | 22.182 | -0.000 | -0.000 |
| -0.000 | -0.000 | -0.000 | -0.000 | 22.182 | -0.000 |
| -0.000 | -0.000 | -0.000 | -0.000 | -0.000 | 22.182 |
| 22.202 | 22.175 | 22.175 | 0.000 | 0.000 | 0.000 |
| 22.175 | 22.202 | 22.175 | 0.000 | 0.000 | 0.000 |
| 22.175 | 22.175 | 22.202 | 0.000 | 0.000 | 0.000 |
| 0.000 | 0.000 | 0.000 | 22.182 | 0.000 | 0.000 |
| 0.000 | 0.000 | 0.000 | 0.000 | 22.182 | 0.000 |
| 0.000 | 0.000 | 0.000 | 0.000 | 0.000 | 22.182 |
| 765.788 | 107.174 | 107.174 | -0.000 | -0.000 | -0.000 |
| 107.173 | 765.788 | 107.174 | -0.000 | -0.000 | -0.000 |
| 107.173 | 107.174 | 765.788 | -0.000 | -0.000 | 0.000 |
| -0.000 | -0.000 | -0.000 | 310.691 | -0.000 | -0.000 |
| -0.000 | -0.000 | 0.000 | 0.000 | 310.691 | -0.000 |
| -0.000 | 0.000 | 0.000 | 0.000 | -0.000 | 310.691 |
| 765.796 | 107.181 | 107.181 | 0.000 | 0.000 | 0.000 |
| 107.181 | 765.796 | 107.181 | 0.000 | 0.000 | 0.000 |
| 107.181 | 107.181 | 765.796 | 0.000 | 0.000 | 0.000 |
| 0.000 | 0.000 | -0.000 | 310.691 | 0.000 | 0.000 |
| 0.000 | 0.000 | 0.000 | -0.000 | 310.691 | 0.000 |
| 0.000 | -0.000 | -0.000 | 0.000 | 0.000 | 310.691 |
| 765.755 | 107.142 | 107.142 | 0.000 | -0.000 | 0.000 |
| 107.142 | 765.755 | 107.142 | -0.000 | -0.000 | -0.000 |
| 107.142 | 107.142 | 765.755 | -0.000 | -0.000 | -0.000 |
| -0.000 | -0.000 | -0.000 | 183.255 | -0.000 | 0.000 |
| -0.000 | -0.000 | -0.000 | -0.000 | 183.255 | -0.000 |
| -0.000 | -0.000 | -0.000 | -0.000 | -0.000 | 183.255 |
| 765.829 | 107.213 | 107.213 | 0.000 | 0.000 | -0.000 |
| 107.213 | 765.829 | 107.213 | 0.000 | 0.000 | 0.000 |
| 107.213 | 107.213 | 765.829 | 0.000 | 0.000 | 0.000 |
| 0.000 | 0.000 | 0.000 | 183.255 | 0.000 | 0.000 |
| 0.000 | 0.000 | 0.000 | 0.000 | 183.255 | 0.000 |
| 0.000 | 0.000 | 0.000 | 0.000 | 0.000 | 183.255 |
| 765.421 | 106.823 | 106.823 | -0.000 | -0.000 | -0.000 |
| 106.823 | 765.421 | 106.823 | -0.000 | -0.000 | -0.000 |
| 106.823 | 106.823 | 765.421 | -0.000 | -0.000 | -0.000 |
| -0.002 | -0.002 | -0.002 | 183.255 | -0.000 | -0.000 |
| -0.002 | -0.002 | -0.002 | -0.000 | 183.255 | -0.000 |
| -0.002 | -0.002 | -0.002 | -0.000 | -0.000 | 183.255 |
| 766.163 | 107.531 | 107.531 | 0.000 | 0.000 | 0.000 |
| 107.531 | 766.163 | 107.531 | 0.000 | 0.000 | 0.000 |
| 107.531 | 107.531 | 766.163 | 0.000 | 0.000 | 0.000 |
| 0.002 | 0.002 | 0.002 | 183.255 | 0.000 | -0.000 |
| 0.002 | 0.002 | 0.002 | 0.000 | 183.255 | 0.000 |
| 0.002 | 0.002 | 0.002 | 0.000 | 0.000 | 183.255 |
| -614.518 | -567.210 | -567.210 | 0.000 | 0.000 | 0.000 |
| -567.210 | -614.518 | -567.210 | 0.000 | 0.000 | 0.000 |
| -567.210 | -567.210 | -614.518 | 0.000 | 0.000 | 0.000 |
| 0.000 | 0.000 | 0.000 | -250.079 | 0.000 | 0.000 |
| 0.000 | 0.000 | 0.000 | 0.000 | -250.079 | 0.000 |
| 0.000 | 0.000 | 0.000 | 0.000 | 0.000 | -250.079 |
| -614.522 | -567.214 | -567.214 | -0.000 | -0.000 | -0.000 |
| -567.214 | -614.522 | -567.214 | -0.000 | -0.000 | -0.000 |
| -567.214 | -567.214 | -614.522 | 0.000 | -0.000 | -0.000 |
| -0.000 | -0.000 | -0.000 | -250.079 | -0.000 | -0.000 |
| -0.000 | -0.000 | -0.000 | 0.000 | -250.079 | -0.000 |
| -0.000 | -0.000 | -0.000 | 0.000 | -0.000 | -250.079 |
| -614.500 | -567.194 | -567.194 | -0.000 | 0.000 | 0.000 |
| -567.194 | -614.500 | -567.194 | 0.000 | 0.000 | 0.000 |
| -567.194 | -567.194 | -614.500 | 0.000 | 0.000 | 0.000 |
| 0.004 | 0.002 | 0.002 | -250.079 | 0.000 | 0.000 |
| 0.002 | 0.004 | 0.002 | 0.000 | -250.079 | 0.000 |
| 0.002 | 0.002 | 0.004 | -0.000 | 0.000 | -250.079 |
| -614.539 | -567.230 | -567.230 | 0.000 | -0.000 | -0.000 |
| -567.230 | -614.539 | -567.230 | 0.000 | -0.000 | -0.000 |
| -567.230 | -567.230 | -614.539 | 0.000 | -0.000 | -0.000 |
| -0.004 | -0.002 | -0.002 | -250.079 | -0.000 | -0.000 |
| -0.002 | -0.004 | -0.002 | 0.000 | -250.079 | -0.000 |
| -0.002 | -0.002 | -0.004 | -0.000 | -0.000 | -250.079 |
| -614.325 | -567.032 | -567.032 | 0.000 | 0.000 | 0.000 |
| -567.032 | -614.325 | -567.032 | -0.000 | 0.000 | 0.000 |
| -567.032 | -567.032 | -614.325 | 0.000 | 0.000 | 0.000 |
| 0.039 | 0.017 | 0.017 | -250.079 | 0.000 | 0.000 |
| 0.017 | 0.039 | 0.017 | -0.000 | -250.079 | 0.000 |
| 0.017 | 0.017 | 0.039 | 0.000 | 0.000 | -250.079 |
| -614.715 | -567.392 | -567.392 | -0.000 | -0.000 | -0.000 |
| -567.392 | -614.715 | -567.392 | -0.000 | -0.000 | -0.000 |
| -567.392 | -567.392 | -614.715 | 0.000 | -0.000 | -0.000 |
| -0.039 | -0.017 | -0.017 | -250.079 | -0.000 | -0.000 |
| -0.017 | -0.039 | -0.017 | -0.000 | -250.079 | -0.000 |
| -0.017 | -0.017 | -0.039 | -0.000 | -0.000 | -250.079 |
| 772.406 | 327.181 | 327.181 | 0.000 | 0.000 | -0.000 |
| 327.181 | 772.406 | 327.181 | 0.000 | 0.000 | -0.000 |
| 327.181 | 327.181 | 772.406 | 0.000 | 0.000 | 0.000 |
| -0.000 | 0.000 | -0.000 | 83.008 | 0.000 | 0.000 |
| 0.000 | 0.000 | 0.000 | 0.000 | 83.008 | 0.000 |
| 0.000 | 0.000 | -0.000 | -0.000 | 0.000 | 83.008 |
| 772.407 | 327.182 | 327.182 | -0.000 | 0.000 | -0.000 |
| 327.182 | 772.407 | 327.182 | 0.000 | -0.000 | -0.000 |
| 327.182 | 327.182 | 772.407 | -0.000 | -0.000 | 0.000 |
| -0.000 | -0.000 | 0.000 | 83.008 | -0.000 | -0.000 |
| -0.000 | 0.000 | 0.000 | -0.000 | 83.008 | -0.000 |
| -0.000 | -0.000 | 0.000 | -0.000 | -0.000 | 83.008 |
| 772.403 | 327.179 | 327.179 | 0.000 | -0.000 | 0.000 |
| 327.179 | 772.403 | 327.179 | 0.000 | -0.000 | 0.000 |
| 327.179 | 327.179 | 772.403 | 0.000 | 0.000 | -0.000 |
| -0.000 | -0.000 | -0.000 | 119.281 | 0.000 | -0.000 |
| -0.000 | -0.000 | -0.000 | 0.000 | 119.281 | 0.000 |
| -0.000 | -0.000 | -0.000 | 0.000 | 0.000 | 119.281 |
| 772.411 | 327.184 | 327.183 | 0.000 | -0.000 | -0.000 |
| 327.183 | 772.411 | 327.183 | -0.000 | 0.000 | 0.000 |
| 327.183 | 327.184 | 772.411 | -0.000 | -0.000 | -0.000 |
| 0.000 | 0.000 | 0.000 | 119.281 | -0.000 | 0.000 |
| 0.000 | 0.000 | 0.000 | 0.000 | 119.281 | 0.000 |
| 0.000 | 0.000 | 0.000 | -0.000 | -0.000 | 119.281 |
| 772.364 | 327.160 | 327.160 | 0.000 | 0.000 | 0.000 |
| 327.160 | 772.364 | 327.160 | 0.000 | 0.000 | -0.000 |
| 327.160 | 327.160 | 772.364 | 0.000 | 0.000 | 0.000 |
| -0.000 | -0.001 | -0.001 | 119.281 | 0.000 | -0.000 |
| -0.001 | -0.000 | -0.001 | 0.000 | 119.281 | -0.000 |
| -0.001 | -0.001 | -0.000 | 0.000 | 0.000 | 119.281 |
| 772.450 | 327.203 | 327.203 | -0.000 | -0.000 | -0.000 |
| 327.203 | 772.450 | 327.203 | 0.000 | -0.000 | -0.000 |
| 327.203 | 327.203 | 772.450 | -0.000 | -0.000 | -0.000 |
| 0.000 | 0.001 | 0.001 | 119.281 | -0.000 | 0.000 |
| 0.001 | 0.000 | 0.001 | -0.000 | 119.281 | 0.000 |
| 0.001 | 0.001 | 0.000 | -0.000 | -0.000 | 119.281 |
| -298.168 | -176.343 | -176.342 | 0.000 | 0.000 | -0.000 |
| -176.342 | -298.168 | -176.343 | -0.000 | 0.000 | 0.000 |
| -176.342 | -176.343 | -298.168 | 0.000 | 0.000 | -0.000 |
| 0.000 | 0.000 | 0.000 | -193.073 | -0.000 | -0.000 |
| 0.000 | 0.000 | 0.000 | -0.000 | -193.073 | -0.000 |
| 0.000 | 0.000 | 0.000 | -0.000 | 0.000 | -193.073 |
| -298.167 | -176.341 | -176.341 | 0.000 | 0.000 | 0.000 |
| -176.341 | -298.167 | -176.341 | 0.000 | -0.000 | -0.000 |
| -176.341 | -176.341 | -298.167 | -0.000 | -0.000 | 0.000 |
| -0.000 | -0.000 | -0.000 | -193.073 | -0.000 | 0.000 |
| -0.000 | -0.000 | -0.000 | 0.000 | -193.073 | 0.000 |
| -0.000 | -0.000 | -0.000 | 0.000 | 0.000 | -193.073 |
| -298.175 | -176.349 | -176.349 | -0.000 | -0.000 | -0.000 |
| -176.349 | -298.175 | -176.349 | -0.000 | -0.000 | -0.000 |
| -176.349 | -176.349 | -298.175 | -0.000 | -0.000 | -0.000 |
| 0.000 | 0.000 | -0.000 | -193.073 | 0.000 | -0.000 |
| 0.000 | 0.000 | -0.000 | -0.000 | -193.073 | -0.000 |
| 0.000 | -0.000 | 0.000 | -0.000 | 0.000 | -193.073 |
| -298.160 | -176.335 | -176.335 | 0.000 | -0.000 | 0.000 |
| -176.335 | -298.160 | -176.335 | 0.000 | -0.000 | -0.000 |
| -176.335 | -176.335 | -298.160 | -0.000 | -0.000 | 0.000 |
| -0.000 | -0.000 | 0.000 | -193.073 | -0.000 | 0.000 |
| -0.000 | -0.000 | 0.000 | 0.000 | -193.073 | 0.000 |
| -0.000 | 0.000 | -0.000 | -0.000 | 0.000 | -193.073 |
| -298.239 | -176.414 | -176.414 | -0.000 | -0.000 | -0.000 |
| -176.414 | -298.239 | -176.414 | -0.000 | 0.000 | 0.000 |
| -176.414 | -176.414 | -298.239 | 0.000 | 0.000 | -0.000 |
| 0.001 | 0.000 | -0.000 | -193.073 | 0.000 | -0.000 |
| 0.000 | 0.001 | -0.000 | -0.000 | -193.073 | -0.000 |
| 0.000 | -0.000 | 0.001 | -0.000 | 0.000 | -193.073 |
| -298.096 | -176.269 | -176.269 | 0.000 | -0.000 | 0.000 |
| -176.269 | -298.096 | -176.269 | 0.000 | -0.000 | 0.000 |
| -176.269 | -176.269 | -298.096 | 0.000 | 0.000 | 0.000 |
| -0.001 | -0.000 | 0.000 | -193.073 | 0.000 | 0.000 |
| -0.000 | -0.001 | 0.000 | 0.000 | -193.073 | 0.000 |
| -0.000 | 0.000 | -0.001 | 0.000 | -0.000 | -193.073 |
| 141.194 | 216.520 | 216.520 | -0.000 | -0.000 | -0.000 |
| 216.520 | 141.194 | 216.520 | -0.000 | -0.000 | -0.000 |
| 216.520 | 216.520 | 141.194 | -0.000 | -0.000 | -0.000 |
| -0.000 | -0.000 | -0.000 | -349.787 | -0.000 | -0.000 |
| -0.000 | -0.000 | -0.000 | -0.000 | -349.787 | -0.000 |
| -0.000 | -0.000 | -0.000 | -0.000 | -0.000 | -349.787 |
| 141.195 | 216.520 | 216.520 | 0.000 | 0.000 | 0.000 |
| 216.520 | 141.195 | 216.520 | 0.000 | 0.000 | 0.000 |
| 216.520 | 216.520 | 141.195 | 0.000 | 0.000 | 0.000 |
| 0.000 | 0.000 | 0.000 | -349.786 | 0.000 | 0.000 |
| 0.000 | 0.000 | 0.000 | 0.000 | -349.786 | 0.000 |
| 0.000 | 0.000 | 0.000 | 0.000 | 0.000 | -349.786 |
| 141.192 | 216.517 | 216.517 | -0.000 | -0.000 | -0.000 |
| 216.517 | 141.192 | 216.517 | -0.000 | -0.000 | -0.000 |
| 216.517 | 216.517 | 141.192 | -0.000 | -0.000 | -0.000 |
| -0.001 | -0.000 | -0.000 | -349.787 | -0.000 | -0.000 |
| -0.000 | -0.001 | -0.000 | -0.000 | -349.787 | -0.000 |
| -0.000 | -0.000 | -0.001 | -0.000 | -0.000 | -349.787 |
| 141.198 | 216.523 | 216.523 | 0.000 | 0.000 | 0.000 |
| 216.523 | 141.198 | 216.523 | 0.000 | 0.000 | 0.000 |
| 216.523 | 216.523 | 141.198 | 0.000 | 0.000 | 0.000 |
| 0.001 | 0.000 | 0.000 | -349.786 | 0.000 | 0.000 |
| 0.000 | 0.001 | 0.000 | 0.000 | -349.786 | 0.000 |
| 0.000 | 0.000 | 0.001 | 0.000 | 0.000 | -349.786 |
| 141.167 | 216.492 | 216.492 | -0.000 | -0.000 | -0.000 |
| 216.492 | 141.167 | 216.492 | -0.000 | -0.000 | -0.000 |
| 216.492 | 216.492 | 141.167 | -0.000 | -0.000 | -0.000 |
| -0.010 | -0.004 | -0.005 | -349.786 | -0.000 | -0.000 |
| -0.004 | -0.010 | -0.005 | -0.000 | -349.786 | -0.000 |
| -0.004 | -0.005 | -0.010 | -0.000 | -0.000 | -349.786 |
| 141.223 | 216.548 | 216.548 | 0.000 | 0.000 | 0.000 |
| 216.548 | 141.223 | 216.548 | 0.000 | 0.000 | 0.000 |
| 216.548 | 216.548 | 141.223 | 0.000 | 0.000 | 0.000 |
| 0.010 | 0.004 | 0.005 | -349.786 | 0.000 | 0.000 |
| 0.004 | 0.010 | 0.005 | 0.000 | -349.786 | 0.000 |
| 0.004 | 0.005 | 0.010 | 0.000 | 0.000 | -349.786 |
| 300.010 | 135.391 | 135.391 | 0.000 | 0.000 | 0.000 |
| 135.391 | 300.010 | 135.391 | 0.000 | 0.000 | 0.000 |
| 135.391 | 135.391 | 300.010 | 0.000 | 0.000 | 0.000 |
| 0.000 | -0.000 | -0.000 | 125.432 | 0.000 | 0.000 |
| -0.000 | 0.000 | -0.000 | 0.000 | 125.432 | 0.000 |
| -0.000 | 0.000 | 0.000 | 0.000 | 0.000 | 125.432 |
| 300.010 | 135.391 | 135.391 | -0.000 | -0.000 | -0.000 |
| 135.391 | 300.010 | 135.391 | -0.000 | -0.000 | 0.000 |
| 135.391 | 135.391 | 300.010 | -0.000 | -0.000 | -0.000 |
| 0.000 | -0.000 | 0.000 | 125.432 | -0.000 | -0.000 |
| 0.000 | -0.000 | 0.000 | -0.000 | 125.432 | -0.000 |
| 0.000 | -0.000 | -0.000 | -0.000 | -0.000 | 125.432 |
| 300.010 | 135.391 | 135.391 | 0.000 | 0.000 | 0.000 |
| 135.391 | 300.010 | 135.391 | 0.000 | 0.000 | 0.000 |
| 135.391 | 135.391 | 300.010 | 0.000 | 0.000 | 0.000 |
| -0.000 | -0.000 | -0.000 | 132.114 | 0.000 | 0.000 |
| -0.000 | -0.000 | -0.000 | 0.000 | 132.114 | 0.000 |
| -0.000 | -0.000 | -0.000 | 0.000 | 0.000 | 132.114 |
| 300.010 | 135.391 | 135.391 | -0.000 | -0.000 | -0.000 |
| 135.391 | 300.010 | 135.391 | -0.000 | -0.000 | -0.000 |
| 135.391 | 135.391 | 300.010 | -0.000 | -0.000 | -0.000 |
| 0.000 | 0.000 | 0.000 | 132.114 | -0.000 | -0.000 |
| 0.000 | 0.000 | 0.000 | -0.000 | 132.114 | -0.000 |
| 0.000 | 0.000 | 0.000 | -0.000 | -0.000 | 132.114 |
| 300.013 | 135.392 | 135.392 | 0.000 | 0.000 | 0.000 |
| 135.392 | 300.013 | 135.392 | 0.000 | 0.000 | 0.000 |
| 135.392 | 135.392 | 300.013 | 0.000 | 0.000 | 0.000 |
| 0.000 | -0.000 | -0.000 | 125.432 | 0.000 | 0.000 |
| -0.000 | 0.000 | -0.000 | 0.000 | 125.432 | 0.000 |
| -0.000 | -0.000 | 0.000 | 0.000 | 0.000 | 125.432 |
| 300.007 | 135.390 | 135.390 | 0.000 | -0.000 | -0.000 |
| 135.390 | 300.007 | 135.390 | -0.000 | 0.000 | -0.000 |
| 135.390 | 135.390 | 300.007 | -0.000 | -0.000 | -0.000 |
| -0.000 | 0.000 | 0.000 | 125.432 | -0.000 | -0.000 |
| 0.000 | -0.000 | 0.000 | -0.000 | 125.432 | -0.000 |
| 0.000 | 0.000 | -0.000 | -0.000 | -0.000 | 125.432 |
| 10.062 | 9.973 | 9.973 | -0.000 | 0.000 | 0.000 |
| 9.973 | 10.062 | 9.973 | 0.000 | -0.000 | 0.000 |
| 9.973 | 9.973 | 10.062 | 0.000 | 0.000 | -0.000 |
| -0.000 | -0.000 | -0.000 | 0.049 | -0.000 | 0.000 |
| -0.000 | -0.000 | -0.000 | -0.000 | 0.049 | 0.000 |
| -0.000 | -0.000 | -0.000 | -0.000 | 0.000 | 0.049 |
| 10.062 | 9.973 | 9.973 | -0.000 | -0.000 | -0.000 |
| 9.973 | 10.062 | 9.973 | -0.000 | -0.000 | -0.000 |
| 9.973 | 9.973 | 10.062 | -0.000 | -0.000 | 0.000 |
| 0.000 | 0.000 | 0.000 | 0.049 | 0.000 | -0.000 |
| 0.000 | 0.000 | 0.000 | 0.000 | 0.049 | -0.000 |
| 0.000 | 0.000 | 0.000 | 0.000 | -0.000 | 0.049 |
| 10.062 | 9.973 | 9.973 | 0.000 | 0.000 | 0.000 |
| 9.973 | 10.062 | 9.973 | 0.000 | 0.000 | 0.000 |
| 9.973 | 9.973 | 10.062 | 0.000 | 0.000 | 0.000 |
| -0.000 | -0.000 | -0.000 | 0.049 | -0.000 | 0.000 |
| -0.000 | -0.000 | -0.000 | -0.000 | 0.049 | 0.000 |
| -0.000 | -0.000 | -0.000 | -0.000 | 0.000 | 0.049 |
| 10.062 | 9.973 | 9.973 | 0.000 | -0.000 | -0.000 |
| 9.973 | 10.062 | 9.973 | -0.000 | 0.000 | -0.000 |
| 9.973 | 9.973 | 10.062 | -0.000 | -0.000 | 0.000 |
| 0.000 | 0.000 | 0.000 | 0.049 | 0.000 | -0.000 |
| 0.000 | 0.000 | 0.000 | 0.000 | 0.049 | -0.000 |
| 0.000 | 0.000 | 0.000 | 0.000 | -0.000 | 0.049 |
| 10.062 | 9.973 | 9.973 | -0.000 | 0.000 | 0.000 |
| 9.973 | 10.062 | 9.973 | 0.000 | -0.000 | 0.000 |
| 9.973 | 9.973 | 10.062 | 0.000 | 0.000 | -0.000 |
| -0.000 | -0.000 | -0.000 | 0.049 | -0.000 | 0.000 |
| -0.000 | -0.000 | -0.000 | -0.000 | 0.049 | 0.000 |
| -0.000 | -0.000 | -0.000 | -0.000 | 0.000 | 0.049 |
| 10.062 | 9.973 | 9.973 | -0.000 | -0.000 | -0.000 |
| 9.973 | 10.062 | 9.973 | -0.000 | -0.000 | -0.000 |
| 9.973 | 9.973 | 10.062 | -0.000 | -0.000 | -0.000 |
| 0.000 | 0.000 | 0.000 | 0.049 | -0.000 | -0.000 |
| 0.000 | 0.000 | 0.000 | -0.000 | 0.049 | -0.000 |
| 0.000 | 0.000 | 0.000 | -0.000 | -0.000 | 0.049 |
| 15.415 | 15.415 | 15.415 | -0.000 | -0.000 | -0.000 |
| 15.415 | 15.415 | 15.415 | -0.000 | -0.000 | -0.000 |
| 15.415 | 15.415 | 15.415 | -0.000 | -0.000 | -0.000 |
| -0.000 | -0.000 | -0.000 | 0.003 | -0.000 | -0.000 |
| -0.000 | -0.000 | -0.000 | -0.000 | 0.003 | -0.000 |
| -0.000 | -0.000 | -0.000 | -0.000 | -0.000 | 0.003 |
| 15.415 | 15.415 | 15.415 | 0.000 | 0.000 | 0.000 |
| 15.415 | 15.415 | 15.415 | 0.000 | 0.000 | 0.000 |
| 15.415 | 15.415 | 15.415 | 0.000 | 0.000 | 0.000 |
| 0.000 | 0.000 | 0.000 | 0.003 | 0.000 | 0.000 |
| 0.000 | 0.000 | 0.000 | 0.000 | 0.003 | 0.000 |
| 0.000 | 0.000 | 0.000 | 0.000 | 0.000 | 0.003 |
| 15.415 | 15.415 | 15.415 | -0.000 | -0.000 | -0.000 |
| 15.415 | 15.415 | 15.415 | -0.000 | -0.000 | -0.000 |
| 15.415 | 15.415 | 15.415 | -0.000 | -0.000 | -0.000 |
| -0.000 | -0.000 | -0.000 | 0.003 | -0.000 | -0.000 |
| -0.000 | -0.000 | -0.000 | -0.000 | 0.003 | -0.000 |
| -0.000 | -0.000 | -0.000 | -0.000 | -0.000 | 0.003 |
| 15.415 | 15.415 | 15.415 | 0.000 | 0.000 | 0.000 |
| 15.415 | 15.415 | 15.415 | 0.000 | 0.000 | 0.000 |
| 15.415 | 15.415 | 15.415 | 0.000 | 0.000 | 0.000 |
| 0.000 | 0.000 | 0.000 | 0.003 | 0.000 | 0.000 |
| 0.000 | 0.000 | 0.000 | 0.000 | 0.003 | 0.000 |
| 0.000 | 0.000 | 0.000 | 0.000 | 0.000 | 0.003 |
| 15.415 | 15.415 | 15.415 | -0.000 | -0.000 | -0.000 |
| 15.415 | 15.415 | 15.415 | -0.000 | -0.000 | -0.000 |
| 15.415 | 15.415 | 15.415 | -0.000 | -0.000 | -0.000 |
| -0.000 | -0.000 | -0.000 | 0.003 | -0.000 | -0.000 |
| -0.000 | -0.000 | -0.000 | -0.000 | 0.003 | -0.000 |
| -0.000 | -0.000 | -0.000 | -0.000 | -0.000 | 0.003 |
| 15.415 | 15.415 | 15.415 | 0.000 | 0.000 | 0.000 |
| 15.415 | 15.415 | 15.415 | 0.000 | 0.000 | 0.000 |
| 15.415 | 15.415 | 15.415 | 0.000 | 0.000 | 0.000 |
| 0.000 | 0.000 | 0.000 | 0.003 | 0.000 | 0.000 |
| 0.000 | 0.000 | 0.000 | 0.000 | 0.003 | 0.000 |
| 0.000 | 0.000 | 0.000 | 0.000 | 0.000 | 0.003 |
| 5.530 | 5.527 | 5.527 | -0.000 | -0.000 | -0.000 |
| 5.527 | 5.530 | 5.527 | -0.000 | -0.000 | -0.000 |
| 5.527 | 5.527 | 5.530 | -0.000 | -0.000 | -0.000 |
| -0.000 | -0.000 | -0.000 | 0.005 | -0.000 | -0.000 |
| -0.000 | -0.000 | -0.000 | -0.000 | 0.005 | -0.000 |
| -0.000 | -0.000 | -0.000 | -0.000 | -0.000 | 0.005 |
| 5.530 | 5.527 | 5.527 | 0.000 | 0.000 | 0.000 |
| 5.527 | 5.530 | 5.527 | 0.000 | 0.000 | 0.000 |
| 5.527 | 5.527 | 5.530 | 0.000 | 0.000 | 0.000 |
| 0.000 | 0.000 | 0.000 | 0.005 | 0.000 | 0.000 |
| 0.000 | 0.000 | 0.000 | 0.000 | 0.005 | 0.000 |
| 0.000 | 0.000 | 0.000 | 0.000 | 0.000 | 0.005 |
| 5.530 | 5.527 | 5.527 | -0.000 | -0.000 | -0.000 |
| 5.527 | 5.530 | 5.527 | -0.000 | -0.000 | -0.000 |
| 5.527 | 5.527 | 5.530 | -0.000 | -0.000 | -0.000 |
| -0.000 | -0.000 | -0.000 | 0.005 | -0.000 | -0.000 |
| -0.000 | -0.000 | -0.000 | -0.000 | 0.005 | -0.000 |
| -0.000 | -0.000 | -0.000 | -0.000 | -0.000 | 0.005 |
| 5.530 | 5.527 | 5.527 | 0.000 | 0.000 | 0.000 |
| 5.527 | 5.530 | 5.527 | 0.000 | 0.000 | 0.000 |
| 5.527 | 5.527 | 5.530 | 0.000 | 0.000 | 0.000 |
| 0.000 | 0.000 | 0.000 | 0.005 | 0.000 | 0.000 |
| 0.000 | 0.000 | 0.000 | 0.000 | 0.005 | 0.000 |
| 0.000 | 0.000 | 0.000 | 0.000 | 0.000 | 0.005 |
| 5.530 | 5.527 | 5.527 | -0.000 | -0.000 | -0.000 |
| 5.527 | 5.530 | 5.527 | -0.000 | -0.000 | -0.000 |
| 5.527 | 5.527 | 5.530 | -0.000 | -0.000 | -0.000 |
| -0.000 | -0.000 | -0.000 | 0.005 | -0.000 | -0.000 |
| -0.000 | -0.000 | -0.000 | -0.000 | 0.005 | -0.000 |
| -0.000 | -0.000 | -0.000 | -0.000 | -0.000 | 0.005 |
| 5.530 | 5.527 | 5.527 | 0.000 | 0.000 | 0.000 |
| 5.527 | 5.530 | 5.527 | 0.000 | 0.000 | 0.000 |
| 5.527 | 5.527 | 5.530 | 0.000 | 0.000 | 0.000 |
| 0.000 | 0.000 | 0.000 | 0.005 | 0.000 | 0.000 |
| 0.000 | 0.000 | 0.000 | 0.000 | 0.005 | 0.000 |
| 0.000 | 0.000 | 0.000 | 0.000 | 0.000 | 0.005 |
| 2334.762 | 375.040 | 825.081 | 0.000 | -0.000 | 0.000 |
| 375.040 | 2334.762 | 825.081 | 0.000 | 0.000 | 0.000 |
| 825.081 | 825.081 | 1090.646 | 0.000 | 0.000 | 0.000 |
| 0.000 | 0.000 | 0.000 | 239.603 | 0.000 | 0.000 |
| 0.000 | 0.000 | 0.000 | -0.000 | 239.603 | 0.000 |
| 0.000 | -0.000 | 0.000 | 0.000 | 0.000 | 62.211 |
| 2334.767 | 375.045 | 825.087 | 0.000 | -0.000 | -0.000 |
| 375.045 | 2334.767 | 825.087 | -0.000 | 0.000 | -0.000 |
| 825.087 | 825.087 | 1090.653 | -0.000 | -0.000 | -0.000 |
| -0.000 | -0.000 | -0.000 | 239.603 | -0.000 | 0.000 |
| -0.000 | -0.000 | -0.000 | -0.000 | 239.603 | -0.000 |
| -0.000 | -0.000 | -0.000 | 0.000 | -0.000 | 62.211 |
| 2334.744 | 375.018 | 825.057 | -0.000 | 0.000 | -0.000 |
| 375.018 | 2334.744 | 825.057 | 0.000 | -0.000 | 0.000 |
| 825.052 | 825.052 | 1090.614 | 0.000 | 0.000 | 0.000 |
| -0.000 | 0.000 | 0.000 | 239.603 | 0.000 | 0.000 |
| 0.000 | -0.000 | 0.000 | 0.000 | 239.603 | 0.000 |
| -0.000 | -0.000 | -0.000 | 0.000 | 0.000 | 62.211 |
| 2334.785 | 375.067 | 825.111 | -0.000 | -0.000 | -0.000 |
| 375.067 | 2334.785 | 825.111 | -0.000 | -0.000 | -0.000 |
| 825.116 | 825.116 | 1090.685 | -0.000 | 0.000 | -0.000 |
| 0.000 | -0.000 | -0.000 | 239.603 | -0.000 | 0.000 |
| -0.000 | 0.000 | -0.000 | -0.000 | 239.603 | -0.000 |
| 0.000 | 0.000 | 0.000 | -0.000 | -0.000 | 62.211 |
| 2334.556 | 374.798 | 824.810 | 0.000 | 0.000 | 0.000 |
| 374.798 | 2334.556 | 824.810 | -0.000 | 0.000 | 0.000 |
| 824.768 | 824.768 | 1090.291 | 0.000 | 0.000 | 0.000 |
| -0.001 | 0.003 | 0.001 | 239.603 | -0.000 | 0.000 |
| 0.003 | -0.001 | 0.001 | 0.000 | 239.603 | 0.000 |
| -0.001 | -0.002 | -0.001 | 0.000 | 0.000 | 62.211 |
| 2334.973 | 375.287 | 825.358 | -0.000 | -0.000 | -0.000 |
| 375.287 | 2334.973 | 825.358 | 0.000 | -0.000 | 0.000 |
| 825.400 | 825.400 | 1091.008 | -0.000 | -0.000 | -0.000 |
| 0.001 | -0.003 | -0.001 | 239.603 | -0.000 | -0.000 |
| -0.003 | 0.001 | -0.001 | -0.000 | 239.603 | -0.000 |
| 0.001 | 0.002 | 0.001 | -0.000 | -0.000 | 62.211 |
| -42.147 | -404.483 | -117.020 | 0.000 | 0.000 | 0.000 |
| -404.483 | -42.147 | -117.020 | 0.000 | -0.000 | 0.000 |
| -117.019 | -117.019 | 849.444 | 0.000 | 0.000 | 0.000 |
| 0.000 | 0.000 | 0.000 | -16.363 | -0.000 | 0.000 |
| 0.000 | 0.000 | 0.000 | -0.000 | -16.363 | 0.000 |
| 0.000 | 0.000 | 0.000 | -0.000 | 0.000 | -227.973 |
| -42.152 | -404.487 | -117.025 | 0.000 | 0.000 | -0.000 |
| -404.487 | -42.152 | -117.025 | -0.000 | -0.000 | -0.000 |
| -117.026 | -117.026 | 849.433 | -0.000 | -0.000 | -0.000 |
| -0.000 | -0.000 | -0.000 | -16.363 | -0.000 | -0.000 |
| -0.000 | -0.000 | -0.000 | -0.000 | -16.363 | -0.000 |
| -0.000 | -0.000 | -0.000 | -0.000 | -0.000 | -227.973 |
| -42.129 | -404.465 | -116.995 | -0.000 | 0.000 | 0.000 |
| -404.465 | -42.129 | -116.995 | 0.000 | 0.000 | 0.000 |
| -116.984 | -116.984 | 849.495 | 0.000 | 0.000 | 0.000 |
| 0.000 | 0.000 | 0.000 | -16.363 | 0.000 | 0.000 |
| 0.000 | 0.000 | 0.000 | -0.000 | -16.363 | 0.000 |
| 0.000 | 0.000 | 0.000 | 0.000 | -0.000 | -227.973 |
| -42.170 | -404.505 | -117.050 | 0.000 | -0.000 | -0.000 |
| -404.505 | -42.170 | -117.050 | -0.000 | -0.000 | -0.000 |
| -117.061 | -117.061 | 849.383 | -0.000 | -0.000 | -0.000 |
| -0.000 | -0.000 | -0.000 | -16.363 | 0.000 | -0.000 |
| -0.000 | -0.000 | -0.000 | -0.000 | -16.363 | -0.000 |
| -0.000 | -0.000 | -0.000 | -0.000 | 0.000 | -227.973 |
| -41.941 | -404.283 | -116.746 | 0.000 | 0.000 | 0.000 |
| -404.283 | -41.941 | -116.746 | 0.000 | 0.000 | 0.000 |
| -116.639 | -116.639 | 849.998 | 0.000 | 0.000 | 0.000 |
| 0.001 | 0.002 | 0.002 | -16.363 | 0.000 | 0.000 |
| 0.002 | 0.001 | 0.002 | 0.000 | -16.363 | 0.000 |
| 0.004 | 0.004 | 0.001 | 0.000 | -0.000 | -227.973 |
| -42.358 | -404.687 | -117.299 | 0.000 | -0.000 | -0.000 |
| -404.687 | -42.358 | -117.299 | -0.000 | 0.000 | -0.000 |
| -117.406 | -117.406 | 848.879 | -0.000 | -0.000 | 0.000 |
| -0.001 | -0.002 | -0.002 | -16.363 | 0.000 | -0.000 |
| -0.002 | -0.001 | -0.002 | 0.000 | -16.363 | -0.000 |
| -0.004 | -0.004 | -0.001 | -0.000 | -0.000 | -227.973 |
| 568.156 | 432.215 | 325.432 | 0.000 | -0.000 | 0.000 |
| 432.215 | 568.156 | 325.432 | 0.000 | 0.000 | 0.000 |
| 325.432 | 325.432 | 1454.880 | -0.000 | -0.000 | -0.000 |
| -0.000 | -0.000 | 0.000 | 93.006 | 0.000 | 0.000 |
| -0.000 | -0.000 | 0.000 | 0.000 | 93.006 | -0.000 |
| -0.000 | -0.000 | -0.000 | 0.000 | -0.000 | 202.370 |
| 568.158 | 432.217 | 325.433 | -0.000 | -0.000 | 0.000 |
| 432.217 | 568.158 | 325.433 | -0.000 | 0.000 | 0.000 |
| 325.433 | 325.433 | 1454.880 | -0.000 | 0.000 | -0.000 |
| 0.000 | 0.000 | -0.000 | 93.006 | 0.000 | -0.000 |
| 0.000 | 0.000 | -0.000 | 0.000 | 93.006 | -0.000 |
| 0.000 | 0.000 | 0.000 | -0.000 | 0.000 | 202.370 |
| 568.148 | 432.206 | 325.427 | 0.000 | 0.000 | 0.000 |
| 432.206 | 568.148 | 325.427 | 0.000 | -0.000 | 0.000 |
| 325.429 | 325.429 | 1454.879 | 0.000 | -0.000 | 0.000 |
| -0.000 | -0.000 | 0.000 | 93.006 | 0.000 | 0.000 |
| -0.000 | -0.000 | 0.000 | 0.000 | 93.006 | 0.000 |
| -0.000 | -0.000 | -0.000 | 0.000 | -0.000 | 202.370 |
| 568.167 | 432.226 | 325.439 | -0.000 | 0.000 | -0.000 |
| 432.226 | 568.167 | 325.439 | -0.000 | -0.000 | -0.000 |
| 325.437 | 325.437 | 1454.881 | -0.000 | 0.000 | -0.000 |
| 0.000 | 0.000 | -0.000 | 93.006 | 0.000 | -0.000 |
| 0.000 | 0.000 | -0.000 | -0.000 | 93.006 | 0.000 |
| 0.000 | 0.000 | 0.000 | -0.000 | 0.000 | 202.370 |
| 568.060 | 432.121 | 325.375 | 0.000 | -0.000 | -0.000 |
| 432.121 | 568.060 | 325.375 | 0.000 | -0.000 | 0.000 |
| 325.394 | 325.394 | 1454.869 | -0.000 | -0.000 | -0.000 |
| -0.000 | -0.002 | 0.001 | 93.006 | -0.000 | -0.000 |
| -0.002 | -0.000 | 0.001 | 0.000 | 93.006 | 0.000 |
| -0.003 | -0.003 | -0.000 | -0.000 | -0.000 | 202.370 |
| 568.255 | 432.311 | 325.491 | -0.000 | 0.000 | -0.000 |
| 432.311 | 568.255 | 325.491 | -0.000 | 0.000 | -0.000 |
| 325.471 | 325.471 | 1454.891 | -0.000 | 0.000 | -0.000 |
| 0.000 | 0.002 | -0.001 | 93.006 | -0.000 | -0.000 |
| 0.002 | 0.000 | -0.001 | -0.000 | 93.006 | -0.000 |
| 0.003 | 0.003 | 0.000 | -0.000 | 0.000 | 202.370 |
| 325.557 | 298.918 | 253.126 | 0.000 | 0.000 | -0.000 |
| 298.918 | 325.557 | 253.126 | -0.000 | 0.000 | -0.000 |
| 253.125 | 253.125 | -736.825 | 0.000 | 0.000 | -0.000 |
| 0.000 | -0.000 | 0.000 | 11.971 | 0.000 | -0.000 |
| -0.000 | 0.000 | 0.000 | -0.000 | 11.971 | -0.000 |
| 0.000 | 0.000 | 0.000 | 0.000 | 0.000 | 177.587 |
| 325.560 | 298.921 | 253.129 | -0.000 | -0.000 | 0.000 |
| 298.921 | 325.560 | 253.129 | -0.000 | -0.000 | 0.000 |
| 253.130 | 253.130 | -736.821 | 0.000 | -0.000 | -0.000 |
| -0.000 | 0.000 | -0.000 | 11.971 | -0.000 | -0.000 |
| 0.000 | -0.000 | -0.000 | -0.000 | 11.971 | 0.000 |
| -0.000 | -0.000 | -0.000 | -0.000 | -0.000 | 177.587 |
| 325.545 | 298.906 | 253.111 | 0.000 | -0.000 | 0.000 |
| 298.906 | 325.545 | 253.111 | -0.000 | -0.000 | -0.000 |
| 253.107 | 253.107 | -736.846 | 0.000 | 0.000 | 0.000 |
| 0.000 | -0.000 | 0.000 | 11.971 | -0.000 | -0.000 |
| -0.000 | 0.000 | 0.000 | 0.000 | 11.971 | -0.000 |
| 0.000 | 0.000 | 0.000 | 0.000 | 0.000 | 177.587 |
| 325.572 | 298.933 | 253.144 | -0.000 | -0.000 | -0.000 |
| 298.933 | 325.572 | 253.144 | -0.000 | -0.000 | 0.000 |
| 253.148 | 253.148 | -736.800 | -0.000 | -0.000 | 0.000 |
| -0.000 | 0.000 | -0.000 | 11.971 | -0.000 | -0.000 |
| 0.000 | -0.000 | -0.000 | -0.000 | 11.971 | -0.000 |
| -0.000 | -0.000 | -0.000 | -0.000 | -0.000 | 177.587 |
| 325.424 | 298.785 | 252.960 | 0.000 | 0.000 | -0.000 |
| 298.785 | 325.424 | 252.960 | 0.000 | 0.000 | -0.000 |
| 252.924 | 252.924 | -737.056 | 0.000 | 0.000 | -0.000 |
| 0.001 | -0.000 | 0.002 | 11.971 | 0.000 | 0.000 |
| -0.000 | 0.001 | 0.002 | 0.000 | 11.971 | 0.000 |
| 0.002 | 0.003 | 0.001 | 0.000 | 0.000 | 177.587 |
| 325.694 | 299.054 | 253.295 | -0.000 | -0.000 | 0.000 |
| 299.054 | 325.694 | 253.295 | -0.000 | -0.000 | 0.000 |
| 253.331 | 253.331 | -736.589 | -0.000 | -0.000 | 0.000 |
| -0.001 | 0.000 | -0.002 | 11.971 | -0.000 | 0.000 |
| 0.000 | -0.001 | -0.002 | -0.000 | 11.971 | -0.000 |
| -0.002 | -0.003 | -0.001 | -0.000 | -0.000 | 177.587 |
| 163.628 | 57.172 | 53.032 | 0.000 | 0.000 | 0.000 |
| 57.172 | 163.628 | 53.032 | -0.000 | 0.000 | 0.000 |
| 53.032 | 53.032 | 194.006 | 0.000 | 0.000 | 0.000 |
| -0.000 | -0.000 | -0.000 | 77.672 | 0.000 | 0.000 |
| -0.000 | -0.000 | -0.000 | 0.000 | 77.672 | 0.000 |
| -0.000 | -0.000 | -0.000 | 0.000 | 0.000 | 76.448 |
| 163.628 | 57.172 | 53.032 | 0.000 | -0.000 | -0.000 |
| 57.172 | 163.628 | 53.032 | 0.000 | -0.000 | -0.000 |
| 53.032 | 53.032 | 194.005 | -0.000 | -0.000 | -0.000 |
| 0.000 | 0.000 | 0.000 | 77.672 | 0.000 | -0.000 |
| 0.000 | 0.000 | 0.000 | 0.000 | 77.672 | -0.000 |
| 0.000 | 0.000 | 0.000 | -0.000 | -0.000 | 76.448 |
| 163.628 | 57.173 | 53.034 | -0.000 | 0.000 | 0.000 |
| 57.173 | 163.628 | 53.034 | -0.000 | 0.000 | 0.000 |
| 53.035 | 53.035 | 194.011 | -0.000 | 0.000 | 0.000 |
| -0.000 | -0.000 | -0.000 | 77.672 | 0.000 | 0.000 |
| -0.000 | -0.000 | -0.000 | 0.000 | 77.672 | 0.000 |
| -0.000 | -0.000 | -0.000 | -0.000 | 0.000 | 76.448 |
| 163.627 | 57.171 | 53.031 | -0.000 | -0.000 | -0.000 |
| 57.171 | 163.627 | 53.031 | -0.000 | -0.000 | -0.000 |
| 53.029 | 53.029 | 194.001 | 0.000 | -0.000 | -0.000 |
| 0.000 | 0.000 | 0.000 | 77.672 | -0.000 | 0.000 |
| 0.000 | 0.000 | 0.000 | 0.000 | 77.672 | -0.000 |
| 0.000 | 0.000 | 0.000 | 0.000 | -0.000 | 76.448 |
| 163.633 | 57.182 | 53.049 | -0.000 | 0.000 | 0.000 |
| 57.182 | 163.633 | 53.049 | 0.000 | 0.000 | 0.000 |
| 53.062 | 53.062 | 194.055 | 0.000 | 0.000 | 0.000 |
| -0.000 | -0.002 | -0.001 | 77.672 | 0.000 | 0.000 |
| -0.002 | -0.000 | -0.001 | 0.000 | 77.672 | 0.000 |
| -0.001 | -0.001 | -0.001 | 0.000 | 0.000 | 76.448 |
| 163.623 | 57.161 | 53.016 | 0.000 | -0.000 | -0.000 |
| 57.161 | 163.623 | 53.016 | 0.000 | -0.000 | -0.000 |
| 53.002 | 53.002 | 193.957 | -0.000 | 0.000 | -0.000 |
| 0.000 | 0.002 | 0.001 | 77.672 | -0.000 | -0.000 |
| 0.002 | 0.000 | 0.001 | 0.000 | 77.672 | -0.000 |
| 0.001 | 0.001 | 0.001 | -0.000 | -0.000 | 76.448 |
| 216.491 | 50.248 | -75.158 | -0.000 | -0.000 | 0.000 |
| 50.248 | 216.491 | -75.158 | -0.000 | -0.000 | 0.000 |
| -75.158 | -75.158 | -983.692 | -0.000 | -0.000 | 0.000 |
| -0.000 | -0.000 | -0.000 | -90.539 | -0.000 | 0.000 |
| -0.000 | -0.000 | -0.000 | 0.000 | -90.539 | 0.000 |
| -0.000 | -0.000 | -0.000 | -0.000 | -0.000 | 26.420 |
| 216.491 | 50.248 | -75.158 | -0.000 | 0.000 | -0.000 |
| 50.248 | 216.491 | -75.158 | -0.000 | 0.000 | -0.000 |
| -75.158 | -75.158 | -983.692 | -0.000 | 0.000 | -0.000 |
| 0.000 | 0.000 | 0.000 | -90.539 | -0.000 | -0.000 |
| 0.000 | 0.000 | 0.000 | 0.000 | -90.539 | -0.000 |
| 0.000 | 0.000 | 0.000 | 0.000 | 0.000 | 26.420 |
| 216.490 | 50.248 | -75.158 | -0.000 | -0.000 | 0.000 |
| 50.248 | 216.490 | -75.158 | 0.000 | -0.000 | 0.000 |
| -75.158 | -75.158 | -983.694 | 0.000 | -0.000 | 0.000 |
| -0.000 | -0.000 | -0.000 | -90.539 | -0.000 | 0.000 |
| -0.000 | -0.000 | -0.000 | 0.000 | -90.539 | 0.000 |
| -0.000 | -0.000 | -0.000 | 0.000 | -0.000 | 26.420 |
| 216.491 | 50.248 | -75.158 | -0.000 | 0.000 | -0.000 |
| 50.248 | 216.491 | -75.158 | 0.000 | 0.000 | -0.000 |
| -75.158 | -75.158 | -983.690 | 0.000 | 0.000 | -0.000 |
| 0.000 | 0.000 | 0.000 | -90.539 | 0.000 | -0.000 |
| 0.000 | 0.000 | 0.000 | 0.000 | -90.539 | -0.000 |
| 0.000 | 0.000 | 0.000 | -0.000 | 0.000 | 26.420 |
| 216.485 | 50.248 | -75.159 | -0.000 | -0.000 | 0.000 |
| 50.248 | 216.485 | -75.159 | 0.000 | -0.000 | 0.000 |
| -75.160 | -75.160 | -983.711 | -0.000 | -0.000 | 0.000 |
| -0.001 | -0.001 | -0.002 | -90.539 | -0.000 | 0.000 |
| -0.001 | -0.001 | -0.002 | -0.000 | -90.539 | 0.000 |
| -0.001 | -0.001 | -0.000 | 0.000 | -0.000 | 26.420 |
| 216.497 | 50.248 | -75.157 | -0.000 | 0.000 | -0.000 |
| 50.248 | 216.497 | -75.157 | -0.000 | 0.000 | -0.000 |
| -75.156 | -75.156 | -983.673 | 0.000 | 0.000 | -0.000 |
| 0.001 | 0.001 | 0.002 | -90.539 | 0.000 | -0.000 |
| 0.001 | 0.001 | 0.002 | 0.000 | -90.539 | -0.000 |
| 0.001 | 0.001 | 0.000 | 0.000 | 0.000 | 26.420 |
| 113.776 | 56.971 | 48.722 | 0.000 | 0.000 | -0.000 |
| 56.971 | 113.776 | 48.722 | -0.000 | 0.000 | 0.000 |
| 48.722 | 48.722 | 130.176 | 0.000 | 0.000 | -0.000 |
| 0.000 | 0.000 | 0.000 | 56.763 | 0.000 | -0.000 |
| 0.000 | 0.000 | 0.000 | 0.000 | 56.763 | -0.000 |
| -0.000 | -0.000 | 0.000 | 0.000 | 0.000 | 53.539 |
| 113.776 | 56.971 | 48.722 | -0.000 | -0.000 | 0.000 |
| 56.971 | 113.776 | 48.722 | -0.000 | -0.000 | 0.000 |
| 48.722 | 48.722 | 130.176 | -0.000 | -0.000 | 0.000 |
| -0.000 | -0.000 | -0.000 | 56.763 | -0.000 | 0.000 |
| -0.000 | -0.000 | -0.000 | -0.000 | 56.763 | 0.000 |
| 0.000 | 0.000 | -0.000 | -0.000 | -0.000 | 53.539 |
| 113.776 | 56.971 | 48.722 | 0.000 | 0.000 | -0.000 |
| 56.971 | 113.776 | 48.722 | 0.000 | 0.000 | -0.000 |
| 48.723 | 48.723 | 130.176 | 0.000 | 0.000 | -0.000 |
| 0.000 | 0.000 | 0.000 | 56.763 | 0.000 | -0.000 |
| 0.000 | 0.000 | 0.000 | 0.000 | 56.763 | -0.000 |
| -0.000 | -0.000 | 0.000 | 0.000 | 0.000 | 53.539 |
| 113.776 | 56.971 | 48.722 | -0.000 | -0.000 | 0.000 |
| 56.971 | 113.776 | 48.722 | -0.000 | -0.000 | -0.000 |
| 48.722 | 48.722 | 130.176 | -0.000 | -0.000 | 0.000 |
| -0.000 | -0.000 | -0.000 | 56.763 | -0.000 | 0.000 |
| -0.000 | -0.000 | -0.000 | -0.000 | 56.763 | 0.000 |
| 0.000 | 0.000 | -0.000 | -0.000 | -0.000 | 53.539 |
| 113.777 | 56.971 | 48.723 | 0.000 | 0.000 | -0.000 |
| 56.971 | 113.777 | 48.723 | 0.000 | 0.000 | -0.000 |
| 48.723 | 48.723 | 130.176 | 0.000 | 0.000 | -0.000 |
| 0.000 | 0.000 | 0.000 | 56.763 | 0.000 | -0.000 |
| 0.000 | 0.000 | 0.000 | 0.000 | 56.763 | -0.000 |
| -0.000 | -0.000 | 0.000 | 0.000 | 0.000 | 53.539 |
| 113.775 | 56.971 | 48.722 | -0.000 | -0.000 | 0.000 |
| 56.971 | 113.775 | 48.722 | -0.000 | -0.000 | 0.000 |
| 48.722 | 48.722 | 130.176 | -0.000 | -0.000 | 0.000 |
| -0.000 | -0.000 | -0.000 | 56.763 | -0.000 | 0.000 |
| -0.000 | -0.000 | -0.000 | -0.000 | 56.763 | 0.000 |
| 0.000 | 0.000 | -0.000 | -0.000 | -0.000 | 53.539 |
| 159.359 | 35.690 | 73.491 | -0.000 | -0.000 | 0.000 |
| 35.690 | 159.359 | 73.491 | -0.000 | -0.000 | 0.000 |
| 73.491 | 73.491 | 147.899 | -0.000 | -0.000 | 0.000 |
| -0.000 | -0.000 | -0.000 | 73.582 | -0.000 | 0.000 |
| -0.000 | -0.000 | -0.000 | -0.000 | 73.582 | 0.000 |
| -0.000 | -0.000 | -0.000 | -0.000 | -0.000 | 36.595 |
| 159.359 | 35.690 | 73.491 | 0.000 | 0.000 | -0.000 |
| 35.690 | 159.359 | 73.491 | 0.000 | 0.000 | -0.000 |
| 73.491 | 73.491 | 147.899 | 0.000 | 0.000 | -0.000 |
| 0.000 | 0.000 | 0.000 | 73.582 | 0.000 | -0.000 |
| 0.000 | 0.000 | 0.000 | 0.000 | 73.582 | -0.000 |
| 0.000 | 0.000 | 0.000 | 0.000 | 0.000 | 36.595 |
| 159.359 | 35.690 | 73.490 | -0.000 | -0.000 | 0.000 |
| 35.690 | 159.359 | 73.490 | -0.000 | -0.000 | 0.000 |
| 73.490 | 73.490 | 147.899 | -0.000 | -0.000 | 0.000 |
| -0.000 | -0.000 | -0.000 | 73.582 | -0.000 | 0.000 |
| -0.000 | -0.000 | -0.000 | -0.000 | 73.582 | 0.000 |
| -0.000 | -0.000 | -0.000 | -0.000 | -0.000 | 36.595 |
| 159.359 | 35.690 | 73.491 | 0.000 | 0.000 | -0.000 |
| 35.690 | 159.359 | 73.491 | 0.000 | 0.000 | -0.000 |
| 73.491 | 73.491 | 147.899 | 0.000 | 0.000 | -0.000 |
| 0.000 | 0.000 | 0.000 | 73.582 | 0.000 | -0.000 |
| 0.000 | 0.000 | 0.000 | 0.000 | 73.582 | -0.000 |
| 0.000 | 0.000 | 0.000 | 0.000 | 0.000 | 36.595 |
| 159.357 | 35.690 | 73.490 | -0.000 | -0.000 | 0.000 |
| 35.690 | 159.357 | 73.490 | -0.000 | -0.000 | 0.000 |
| 73.490 | 73.490 | 147.898 | -0.000 | -0.000 | 0.000 |
| -0.000 | -0.000 | -0.001 | 73.582 | -0.000 | 0.000 |
| -0.000 | -0.000 | -0.001 | -0.000 | 73.582 | 0.000 |
| -0.000 | -0.000 | -0.000 | -0.000 | -0.000 | 36.595 |
| 159.361 | 35.690 | 73.491 | 0.000 | 0.000 | -0.000 |
| 35.690 | 159.361 | 73.491 | 0.000 | 0.000 | -0.000 |
| 73.491 | 73.491 | 147.901 | 0.000 | 0.000 | -0.000 |
| 0.000 | 0.000 | 0.001 | 73.582 | 0.000 | -0.000 |
| 0.000 | 0.000 | 0.001 | 0.000 | 73.582 | -0.000 |
| 0.000 | 0.000 | 0.000 | 0.000 | 0.000 | 36.595 |
| 19.166 | 48.960 | 63.368 | -0.000 | 0.000 | 0.000 |
| 48.960 | 19.166 | 63.368 | 0.000 | -0.000 | 0.000 |
| 63.368 | 63.368 | -4.987 | -0.000 | -0.000 | 0.000 |
| -0.000 | -0.000 | -0.000 | 63.295 | -0.000 | 0.000 |
| -0.000 | -0.000 | -0.000 | -0.000 | 63.295 | 0.000 |
| -0.000 | -0.000 | -0.000 | -0.000 | 0.000 | 49.429 |
| 19.167 | 48.960 | 63.368 | 0.000 | 0.000 | -0.000 |
| 48.960 | 19.167 | 63.368 | 0.000 | 0.000 | -0.000 |
| 63.368 | 63.368 | -4.987 | 0.000 | 0.000 | 0.000 |
| 0.000 | 0.000 | 0.000 | 63.295 | 0.000 | -0.000 |
| 0.000 | 0.000 | 0.000 | 0.000 | 63.295 | -0.000 |
| 0.000 | 0.000 | 0.000 | 0.000 | -0.000 | 49.429 |
| 19.166 | 48.960 | 63.368 | -0.000 | 0.000 | 0.000 |
| 48.960 | 19.166 | 63.368 | -0.000 | -0.000 | 0.000 |
| 63.368 | 63.368 | -4.987 | -0.000 | 0.000 | 0.000 |
| -0.000 | -0.000 | -0.000 | 63.295 | -0.000 | 0.000 |
| -0.000 | -0.000 | -0.000 | -0.000 | 63.295 | 0.000 |
| -0.000 | -0.000 | -0.000 | -0.000 | 0.000 | 49.429 |
| 19.167 | 48.960 | 63.368 | 0.000 | 0.000 | -0.000 |
| 48.960 | 19.167 | 63.368 | 0.000 | 0.000 | -0.000 |
| 63.368 | 63.368 | -4.987 | 0.000 | 0.000 | -0.000 |
| 0.000 | 0.000 | 0.000 | 63.295 | 0.000 | -0.000 |
| 0.000 | 0.000 | 0.000 | 0.000 | 63.295 | -0.000 |
| 0.000 | 0.000 | 0.000 | 0.000 | 0.000 | 49.429 |
| 19.166 | 48.960 | 63.368 | -0.000 | -0.000 | 0.000 |
| 48.960 | 19.166 | 63.368 | -0.000 | -0.000 | 0.000 |
| 63.368 | 63.368 | -4.986 | -0.000 | -0.000 | 0.000 |
| -0.000 | -0.000 | -0.000 | 63.295 | -0.000 | 0.000 |
| -0.000 | -0.000 | -0.000 | 0.000 | 63.295 | -0.000 |
| -0.000 | -0.000 | -0.000 | -0.000 | 0.000 | 49.429 |
| 19.167 | 48.960 | 63.368 | 0.000 | -0.000 | -0.000 |
| 48.960 | 19.167 | 63.368 | -0.000 | 0.000 | -0.000 |
| 63.368 | 63.368 | -4.988 | 0.000 | 0.000 | -0.000 |
| 0.000 | 0.000 | 0.000 | 63.295 | 0.000 | -0.000 |
| 0.000 | 0.000 | 0.000 | 0.000 | 63.295 | -0.000 |
| 0.000 | 0.000 | 0.000 | 0.000 | -0.000 | 49.429 |
| 21.689 | 13.542 | 27.091 | -0.000 | 0.000 | 0.000 |
| 13.542 | 21.689 | 27.091 | 0.000 | -0.000 | 0.000 |
| 27.091 | 27.091 | 53.135 | -0.000 | -0.000 | 0.000 |
| -0.000 | -0.000 | -0.000 | 27.185 | -0.000 | 0.000 |
| -0.000 | -0.000 | -0.000 | -0.000 | 27.185 | 0.000 |
| -0.000 | -0.000 | -0.000 | -0.000 | -0.000 | 13.960 |
| 21.689 | 13.542 | 27.091 | 0.000 | 0.000 | -0.000 |
| 13.542 | 21.689 | 27.091 | 0.000 | 0.000 | 0.000 |
| 27.091 | 27.091 | 53.135 | 0.000 | 0.000 | -0.000 |
| 0.000 | 0.000 | 0.000 | 27.185 | 0.000 | 0.000 |
| 0.000 | 0.000 | 0.000 | 0.000 | 27.185 | -0.000 |
| 0.000 | 0.000 | 0.000 | 0.000 | 0.000 | 13.960 |
| 21.689 | 13.542 | 27.091 | -0.000 | -0.000 | 0.000 |
| 13.542 | 21.689 | 27.091 | -0.000 | -0.000 | 0.000 |
| 27.091 | 27.091 | 53.135 | -0.000 | -0.000 | 0.000 |
| -0.000 | -0.000 | -0.000 | 27.185 | -0.000 | 0.000 |
| -0.000 | -0.000 | -0.000 | -0.000 | 27.185 | 0.000 |
| -0.000 | -0.000 | -0.000 | -0.000 | -0.000 | 13.960 |
| 21.689 | 13.542 | 27.091 | 0.000 | 0.000 | -0.000 |
| 13.542 | 21.689 | 27.091 | 0.000 | 0.000 | 0.000 |
| 27.091 | 27.091 | 53.135 | 0.000 | 0.000 | 0.000 |
| 0.000 | 0.000 | 0.000 | 27.185 | 0.000 | -0.000 |
| 0.000 | 0.000 | 0.000 | 0.000 | 27.185 | -0.000 |
| 0.000 | 0.000 | 0.000 | 0.000 | 0.000 | 13.960 |
| 21.688 | 13.542 | 27.091 | -0.000 | -0.000 | 0.000 |
| 13.542 | 21.688 | 27.091 | -0.000 | -0.000 | -0.000 |
| 27.091 | 27.091 | 53.135 | -0.000 | -0.000 | 0.000 |
| -0.000 | -0.000 | -0.000 | 27.185 | -0.000 | 0.000 |
| -0.000 | -0.000 | -0.000 | -0.000 | 27.185 | 0.000 |
| -0.000 | -0.000 | -0.000 | -0.000 | -0.000 | 13.960 |
| 21.689 | 13.542 | 27.091 | 0.000 | 0.000 | -0.000 |
| 13.542 | 21.689 | 27.091 | 0.000 | 0.000 | 0.000 |
| 27.091 | 27.091 | 53.135 | 0.000 | 0.000 | -0.000 |
| 0.000 | 0.000 | 0.000 | 27.185 | 0.000 | -0.000 |
| 0.000 | 0.000 | 0.000 | 0.000 | 27.185 | -0.000 |
| 0.000 | 0.000 | 0.000 | 0.000 | 0.000 | 13.960 |
| 1185.623 | 316.985 | 338.525 | 0.000 | -0.000 | 0.000 |
| 316.985 | 377.159 | 140.882 | 0.000 | -0.000 | -0.000 |
| 338.525 | 140.882 | 1064.603 | 0.000 | 0.000 | 0.000 |
| -0.000 | 0.000 | -0.000 | 140.418 | 0.000 | 0.000 |
| -0.000 | -0.000 | 0.000 | 0.000 | 293.957 | 0.000 |
| -0.000 | -0.000 | -0.000 | 0.000 | 0.000 | 274.215 |
| 1185.624 | 316.985 | 338.525 | -0.000 | 0.000 | -0.000 |
| 316.985 | 377.159 | 140.882 | -0.000 | -0.000 | -0.000 |
| 338.525 | 140.882 | 1064.603 | 0.000 | 0.000 | 0.000 |
| 0.000 | -0.000 | -0.000 | 140.418 | -0.000 | -0.000 |
| 0.000 | 0.000 | -0.000 | 0.000 | 293.957 | 0.000 |
| 0.000 | 0.000 | 0.000 | -0.000 | 0.000 | 274.215 |
| 1185.621 | 316.985 | 338.525 | 0.000 | -0.000 | -0.000 |
| 316.984 | 377.159 | 140.882 | 0.000 | 0.000 | 0.000 |
| 338.525 | 140.883 | 1064.601 | 0.000 | -0.000 | -0.000 |
| -0.000 | 0.000 | -0.000 | 140.418 | 0.000 | -0.000 |
| -0.000 | -0.000 | -0.000 | 0.000 | 293.957 | -0.000 |
| -0.001 | -0.000 | -0.000 | 0.000 | 0.000 | 274.215 |
| 1185.626 | 316.985 | 338.526 | -0.000 | 0.000 | 0.000 |
| 316.986 | 377.159 | 140.883 | -0.000 | -0.000 | -0.000 |
| 338.526 | 140.882 | 1064.605 | -0.000 | 0.000 | -0.000 |
| 0.000 | -0.000 | 0.000 | 140.418 | 0.000 | -0.000 |
| 0.000 | 0.000 | 0.000 | -0.000 | 293.957 | 0.000 |
| 0.001 | 0.000 | 0.000 | -0.000 | 0.000 | 274.215 |
| 1185.600 | 316.981 | 338.519 | 0.000 | -0.000 | 0.000 |
| 316.977 | 377.160 | 140.879 | 0.000 | -0.000 | -0.000 |
| 338.520 | 140.887 | 1064.584 | 0.000 | -0.000 | 0.000 |
| -0.001 | 0.000 | -0.000 | 140.418 | -0.000 | -0.000 |
| -0.003 | -0.001 | -0.001 | -0.000 | 293.957 | -0.000 |
| -0.007 | -0.003 | -0.001 | 0.000 | 0.000 | 274.215 |
| 1185.647 | 316.989 | 338.532 | -0.000 | 0.000 | 0.000 |
| 316.993 | 377.159 | 140.885 | -0.000 | 0.000 | 0.000 |
| 338.530 | 140.878 | 1064.623 | -0.000 | 0.000 | -0.000 |
| 0.001 | -0.000 | 0.000 | 140.418 | -0.000 | 0.000 |
| 0.003 | 0.001 | 0.001 | -0.000 | 293.957 | -0.000 |
| 0.007 | 0.003 | 0.001 | -0.000 | 0.000 | 274.215 |
| 790.355 | 79.770 | 45.090 | 0.000 | 0.000 | 0.000 |
| 78.046 | 235.071 | 234.976 | 0.000 | 0.000 | 0.000 |
| 52.457 | 242.920 | 677.865 | 0.000 | 0.000 | 0.000 |
| 0.801 | 0.016 | -0.033 | 72.758 | 0.000 | 0.000 |
| 0.048 | 0.001 | -0.002 | 0.000 | 185.151 | 0.000 |
| 0.108 | 0.002 | -0.004 | 0.000 | -0.000 | 134.647 |
| 793.532 | 79.784 | 44.942 | -0.000 | -0.000 | -0.000 |
| 77.920 | 232.197 | 233.900 | -0.000 | -0.000 | -0.000 |
| 52.243 | 242.896 | 677.869 | -0.000 | -0.000 | -0.000 |
| -0.801 | -0.016 | 0.033 | 72.758 | -0.000 | -0.000 |
| -0.048 | -0.001 | 0.002 | -0.000 | 185.151 | -0.000 |
| -0.108 | -0.002 | 0.004 | -0.000 | -0.000 | 134.647 |
| 790.257 | 79.767 | 45.093 | 0.000 | -0.000 | 0.000 |
| 78.042 | 232.210 | 233.894 | 0.000 | -0.000 | 0.000 |
| 52.367 | 242.900 | 677.848 | 0.000 | 0.000 | 0.000 |
| 0.000 | 0.000 | 0.000 | 74.272 | -0.000 | 0.000 |
| 0.005 | 0.000 | -0.000 | 0.000 | 185.152 | 0.000 |
| 0.011 | 0.000 | -0.000 | 0.000 | -0.000 | 134.647 |
| 793.533 | 79.784 | 44.943 | -0.000 | 0.000 | -0.000 |
| 78.044 | 235.073 | 234.981 | -0.000 | -0.000 | -0.000 |
| 52.335 | 242.916 | 677.887 | -0.000 | 0.000 | -0.000 |
| -0.000 | -0.000 | -0.000 | 74.272 | 0.000 | -0.000 |
| -0.005 | -0.000 | 0.000 | -0.000 | 185.152 | -0.000 |
| -0.011 | -0.000 | 0.000 | -0.000 | -0.000 | 134.647 |
| 790.241 | 79.760 | 45.078 | 0.000 | 0.000 | 0.000 |
| 78.044 | 232.194 | 233.855 | 0.000 | -0.000 | 0.000 |
| 52.409 | 242.815 | 677.673 | 0.000 | 0.000 | 0.000 |
| 0.000 | 0.001 | 0.002 | 74.272 | -0.000 | -0.000 |
| -0.001 | 0.000 | 0.002 | 0.000 | 185.124 | 0.000 |
| 0.000 | 0.001 | 0.001 | 0.000 | -0.000 | 134.647 |
| 790.244 | 79.612 | 45.051 | -0.000 | 0.000 | -0.000 |
| 77.852 | 232.219 | 233.947 | -0.000 | 0.000 | -0.000 |
| 52.231 | 242.991 | 678.060 | -0.000 | 0.000 | -0.000 |
| -0.000 | -0.001 | -0.002 | 74.272 | 0.000 | -0.000 |
| 0.001 | -0.000 | -0.002 | -0.000 | 185.124 | -0.000 |
| -0.000 | -0.001 | -0.001 | -0.000 | -0.000 | 134.647 |
| -191.720 | -596.601 | -793.980 | 0.000 | 0.000 | -0.000 |
| -596.601 | -191.720 | -793.980 | 0.000 | -0.000 | -0.000 |
| -810.954 | -810.954 | -523.027 | -0.000 | -0.000 | -0.000 |
| -0.001 | -0.001 | -0.003 | 134.052 | 0.000 | -0.000 |
| -0.001 | -0.001 | -0.003 | 0.000 | 134.052 | -0.000 |
| -0.002 | -0.002 | -0.004 | 0.000 | -0.000 | 131.701 |
| -412.686 | -744.485 | -1320.400 | -0.000 | -0.000 | 0.000 |
| -596.594 | -191.714 | -793.973 | -0.000 | 0.000 | 0.000 |
| -1291.350 | -1291.350 | -1894.248 | 0.000 | 0.000 | 0.000 |
| 0.001 | 0.001 | 0.003 | 134.052 | -0.000 | 0.000 |
| 0.001 | 0.001 | 0.003 | -0.000 | 134.052 | 0.000 |
| 0.002 | 0.002 | 0.004 | -0.000 | 0.000 | 131.701 |
| -191.751 | -596.631 | -794.014 | 0.000 | 0.000 | -0.000 |
| -744.565 | -412.773 | -1320.533 | -0.000 | -0.000 | -0.000 |
| -1291.108 | -1291.108 | -1893.338 | -0.000 | -0.000 | -0.000 |
| -0.000 | -0.000 | -0.000 | 134.053 | 0.000 | -0.000 |
| -0.000 | -0.000 | -0.000 | 0.000 | 134.053 | -0.000 |
| -0.000 | -0.000 | -0.000 | 0.000 | -0.000 | 202.440 |
| -412.617 | -744.420 | -1320.293 | -0.000 | 0.000 | 0.000 |
| -596.565 | -191.683 | -793.940 | -0.000 | -0.000 | 0.000 |
| -1291.237 | -1291.237 | -1894.104 | -0.000 | 0.000 | 0.000 |
| 0.000 | 0.000 | 0.000 | 134.053 | 0.000 | 0.000 |
| 0.000 | 0.000 | 0.000 | -0.000 | 134.053 | 0.000 |
| 0.000 | 0.000 | 0.000 | -0.000 | 0.000 | 202.440 |
| -413.473 | -745.221 | -1321.612 | 0.000 | -0.000 | -0.000 |
| -745.221 | -413.476 | -1321.616 | 0.000 | -0.000 | -0.000 |
| -1293.492 | -1293.492 | -1898.357 | 0.000 | -0.000 | -0.000 |
| -0.000 | -0.001 | 0.001 | 134.053 | 0.000 | -0.000 |
| -0.002 | -0.001 | 0.000 | 0.000 | 134.534 | -0.000 |
| -0.002 | 0.001 | 0.004 | 0.000 | 0.000 | 131.702 |
| -412.505 | -744.158 | -1320.617 | -0.000 | -0.000 | 0.000 |
| -693.124 | -430.188 | -1272.984 | -0.000 | 0.000 | 0.000 |
| -1289.924 | -1289.924 | -1892.138 | -0.000 | 0.000 | 0.000 |
| 0.000 | 0.001 | -0.001 | 134.053 | 0.000 | 0.000 |
| 0.002 | 0.001 | -0.000 | -0.000 | 134.534 | 0.000 |
| 0.002 | -0.001 | -0.004 | -0.000 | 0.000 | 131.702 |
| 1062.924 | 581.375 | 248.639 | 0.000 | 0.000 | 0.000 |
| 581.375 | 1062.924 | 248.639 | 0.000 | 0.000 | -0.000 |
| 248.639 | 248.639 | 359.042 | -0.000 | -0.000 | -0.000 |
| -0.000 | -0.000 | -0.000 | 156.334 | 0.000 | -0.000 |
| -0.000 | -0.000 | -0.000 | -0.000 | 156.334 | -0.000 |
| -0.000 | -0.000 | -0.000 | 0.000 | -0.000 | 287.991 |
| 1062.923 | 581.374 | 248.637 | 0.000 | 0.000 | -0.000 |
| 581.374 | 1062.923 | 248.637 | -0.000 | -0.000 | -0.000 |
| 248.637 | 248.637 | 359.040 | -0.000 | -0.000 | 0.000 |
| 0.000 | 0.000 | 0.000 | 156.334 | 0.000 | -0.000 |
| 0.000 | 0.000 | 0.000 | 0.000 | 156.334 | -0.000 |
| 0.000 | 0.000 | 0.000 | -0.000 | 0.000 | 287.991 |
| 1110.146 | 534.165 | 248.644 | -0.000 | -0.000 | -0.000 |
| 581.382 | 1062.929 | 248.644 | 0.000 | -0.000 | 0.000 |
| 248.646 | 248.646 | 359.051 | -0.000 | -0.000 | -0.000 |
| -0.000 | -0.000 | -0.000 | 156.334 | 0.000 | 0.000 |
| -0.000 | -0.000 | -0.000 | -0.000 | 156.334 | 0.000 |
| -0.001 | -0.000 | -0.000 | 0.000 | 0.000 | 240.774 |
| 1110.134 | 534.151 | 248.632 | -0.000 | -0.000 | 0.000 |
| 534.151 | 1110.134 | 248.632 | -0.000 | 0.000 | 0.000 |
| 248.630 | 248.630 | 359.030 | 0.000 | -0.000 | -0.000 |
| 0.000 | 0.000 | 0.000 | 156.334 | -0.000 | -0.000 |
| 0.000 | 0.000 | 0.000 | 0.000 | 156.334 | 0.000 |
| 0.001 | 0.000 | 0.000 | -0.000 | -0.000 | 240.774 |
| 1062.981 | 581.446 | 248.701 | 0.000 | -0.000 | -0.000 |
| 581.452 | 1062.975 | 248.701 | 0.000 | -0.000 | 0.000 |
| 248.719 | 248.719 | 359.148 | 0.000 | 0.000 | -0.000 |
| -0.001 | -0.004 | -0.001 | 156.334 | 0.000 | 0.000 |
| -0.004 | -0.001 | -0.001 | 0.000 | 156.334 | 0.000 |
| -0.006 | -0.003 | -0.001 | 0.000 | 0.000 | 240.774 |
| 1110.081 | 534.087 | 248.575 | -0.000 | 0.000 | 0.000 |
| 581.299 | 1062.871 | 248.575 | -0.000 | -0.000 | -0.000 |
| 248.557 | 248.557 | 358.933 | 0.000 | -0.000 | 0.000 |
| 0.001 | 0.004 | 0.001 | 156.334 | 0.000 | -0.000 |
| 0.004 | 0.001 | 0.001 | -0.000 | 156.334 | -0.000 |
| 0.006 | 0.003 | 0.001 | -0.000 | 0.000 | 240.774 |
| 1090.510 | 513.447 | 306.502 | 112.368 | -0.000 | 0.000 |
| 513.447 | 1090.510 | 306.502 | -112.368 | 0.000 | 0.000 |
| 306.485 | 306.485 | 147.209 | 0.000 | 0.000 | 0.000 |
| 112.368 | -112.368 | -0.000 | 121.116 | 0.000 | 0.000 |
| -0.000 | -0.000 | -0.000 | -0.000 | 121.116 | 112.368 |
| -0.000 | -0.000 | -0.000 | 0.000 | 112.368 | 288.531 |
| 1090.510 | 513.447 | 306.503 | 112.368 | -0.000 | -0.000 |
| 513.447 | 1090.510 | 306.503 | -112.368 | 0.000 | 0.000 |
| 306.486 | 306.486 | 147.210 | 0.000 | -0.000 | -0.000 |
| 112.368 | -112.368 | 0.000 | 121.116 | -0.000 | -0.000 |
| 0.000 | 0.000 | 0.000 | 0.000 | 121.116 | 112.368 |
| 0.000 | 0.000 | 0.000 | -0.000 | 112.368 | 288.531 |
| 1090.508 | 513.447 | 306.500 | 112.368 | -0.000 | -0.000 |
| 513.447 | 1090.508 | 306.500 | -112.368 | 0.000 | 0.000 |
| 306.482 | 306.482 | 147.203 | -0.000 | 0.000 | 0.000 |
| 112.368 | -112.369 | -0.000 | 121.116 | 0.000 | 0.000 |
| -0.000 | -0.000 | -0.000 | -0.000 | 121.116 | 112.368 |
| -0.000 | -0.000 | -0.000 | 0.000 | 112.368 | 288.531 |
| 1090.512 | 513.448 | 306.505 | 112.368 | -0.000 | -0.000 |
| 513.448 | 1090.512 | 306.505 | -112.368 | -0.000 | 0.000 |
| 306.489 | 306.489 | 147.215 | -0.000 | 0.000 | 0.000 |
| 112.368 | -112.368 | 0.000 | 121.116 | -0.000 | 0.000 |
| 0.000 | 0.000 | 0.000 | 0.000 | 121.116 | 112.368 |
| 0.000 | 0.000 | 0.000 | -0.000 | 112.368 | 288.531 |
| 1090.493 | 513.441 | 306.480 | 112.368 | 0.000 | -0.000 |
| 513.443 | 1090.491 | 306.480 | -112.368 | 0.000 | -0.000 |
| 306.448 | 306.448 | 147.148 | 0.000 | 0.000 | -0.000 |
| 112.367 | -112.372 | -0.000 | 121.117 | 0.000 | 0.000 |
| -0.004 | -0.001 | -0.000 | -0.000 | 121.116 | 112.368 |
| -0.005 | -0.002 | -0.001 | 0.000 | 112.368 | 288.531 |
| 1090.528 | 513.454 | 306.524 | 112.368 | -0.000 | -0.000 |
| 513.452 | 1090.530 | 306.524 | -112.368 | -0.000 | -0.000 |
| 306.523 | 306.523 | 147.270 | 0.000 | -0.000 | -0.000 |
| 112.369 | -112.364 | 0.000 | 121.116 | -0.000 | 0.000 |
| 0.004 | 0.001 | 0.000 | 0.000 | 121.116 | 112.368 |
| 0.005 | 0.002 | 0.001 | -0.000 | 112.368 | 288.531 |
| -54.569 | -41.729 | -41.729 | -0.000 | -0.000 | 0.000 |
| -41.729 | -54.569 | -41.729 | 0.000 | -0.000 | 0.000 |
| -41.729 | -41.729 | -54.569 | -0.000 | -0.000 | 0.000 |
| 0.000 | 0.000 | 0.000 | -22.010 | -0.000 | 0.000 |
| 0.000 | 0.000 | 0.000 | 0.000 | -22.010 | 0.000 |
| 0.000 | 0.000 | -0.000 | -0.000 | -0.000 | -22.010 |
| -54.573 | -41.733 | -41.733 | -0.000 | 0.000 | -0.000 |
| -41.733 | -54.573 | -41.733 | -0.000 | 0.000 | -0.000 |
| -41.733 | -41.733 | -54.573 | -0.000 | -0.000 | -0.000 |
| -0.000 | -0.000 | -0.000 | -22.010 | 0.000 | -0.000 |
| -0.000 | -0.000 | -0.000 | -0.000 | -22.010 | -0.000 |
| -0.000 | -0.000 | 0.000 | -0.000 | 0.000 | -22.010 |
| -54.551 | -41.711 | -41.711 | 0.000 | -0.000 | 0.000 |
| -41.711 | -54.551 | -41.711 | 0.000 | -0.000 | 0.000 |
| -41.711 | -41.711 | -54.551 | 0.000 | 0.000 | -0.000 |
| 0.000 | 0.000 | 0.000 | 4.581 | -0.000 | 0.000 |
| 0.000 | 0.000 | 0.000 | 0.000 | 4.581 | 0.000 |
| 0.000 | 0.000 | 0.000 | 0.000 | -0.000 | 4.581 |
| -54.590 | -41.751 | -41.751 | -0.000 | 0.000 | -0.000 |
| -41.751 | -54.590 | -41.751 | -0.000 | 0.000 | -0.000 |
| -41.751 | -41.751 | -54.590 | -0.000 | 0.000 | -0.000 |
| -0.000 | -0.000 | -0.000 | 4.581 | 0.000 | -0.000 |
| -0.000 | -0.000 | -0.000 | -0.000 | 4.581 | -0.000 |
| -0.000 | -0.000 | -0.000 | -0.000 | 0.000 | 4.581 |
| -54.376 | -41.532 | -41.532 | 0.000 | -0.000 | 0.000 |
| -41.532 | -54.376 | -41.532 | -0.000 | -0.000 | 0.000 |
| -41.532 | -41.532 | -54.376 | -0.000 | -0.000 | -0.000 |
| 0.001 | 0.002 | 0.002 | 4.581 | -0.000 | -0.000 |
| 0.002 | 0.001 | 0.002 | -0.000 | 4.581 | 0.000 |
| 0.002 | 0.002 | 0.001 | 0.000 | -0.000 | 4.581 |
| -54.766 | -41.930 | -41.930 | 0.000 | 0.000 | -0.000 |
| -41.930 | -54.766 | -41.930 | -0.000 | 0.000 | -0.000 |
| -41.930 | -41.930 | -54.766 | -0.000 | 0.000 | -0.000 |
| -0.001 | -0.002 | -0.002 | 4.581 | 0.000 | 0.000 |
| -0.002 | -0.001 | -0.002 | -0.000 | 4.581 | -0.000 |
| -0.002 | -0.002 | -0.001 | 0.000 | 0.000 | 4.581 |
| 192.703 | 203.619 | 203.619 | 0.000 | -0.000 | -0.000 |
| 203.619 | 192.703 | 203.619 | 0.000 | -0.000 | -0.000 |
| 203.619 | 203.619 | 192.703 | -0.000 | -0.000 | 0.000 |
| 0.000 | 0.000 | 0.000 | -23.863 | -0.000 | -0.000 |
| 0.000 | 0.000 | 0.000 | -0.000 | -23.863 | -0.000 |
| 0.000 | 0.000 | 0.000 | 0.000 | -0.000 | -23.863 |
| 192.707 | 203.623 | 203.623 | -0.000 | -0.000 | 0.000 |
| 203.623 | 192.707 | 203.623 | -0.000 | 0.000 | 0.000 |
| 203.623 | 203.623 | 192.707 | -0.000 | 0.000 | 0.000 |
| -0.000 | -0.000 | -0.000 | -23.863 | 0.000 | 0.000 |
| -0.000 | 0.000 | -0.000 | -0.000 | -23.863 | -0.000 |
| -0.000 | -0.000 | -0.000 | 0.000 | 0.000 | -23.863 |
| 192.685 | 203.601 | 203.601 | 0.000 | -0.000 | -0.000 |
| 203.601 | 192.685 | 203.601 | 0.000 | -0.000 | -0.000 |
| 203.601 | 203.601 | 192.685 | -0.000 | -0.000 | -0.000 |
| 0.000 | 0.000 | 0.000 | 1.350 | -0.000 | -0.000 |
| 0.000 | 0.000 | 0.000 | -0.000 | 1.350 | -0.000 |
| 0.000 | 0.000 | 0.000 | -0.000 | -0.000 | 1.350 |
| 192.726 | 203.641 | 203.641 | -0.000 | -0.000 | 0.000 |
| 203.641 | 192.726 | 203.641 | -0.000 | 0.000 | 0.000 |
| 203.641 | 203.641 | 192.726 | 0.000 | 0.000 | 0.000 |
| -0.000 | -0.000 | -0.000 | 1.350 | 0.000 | 0.000 |
| -0.000 | -0.000 | -0.000 | 0.000 | 1.350 | 0.000 |
| -0.000 | -0.000 | -0.000 | 0.000 | 0.000 | 1.350 |
| 192.501 | 203.421 | 203.421 | 0.000 | -0.000 | -0.000 |
| 203.421 | 192.501 | 203.421 | 0.000 | -0.000 | -0.000 |
| 203.421 | 203.421 | 192.501 | 0.000 | -0.000 | 0.000 |
| 0.001 | 0.002 | 0.002 | 1.350 | -0.000 | -0.000 |
| 0.002 | 0.001 | 0.002 | -0.000 | 1.350 | -0.000 |
| 0.002 | 0.002 | 0.001 | -0.000 | -0.000 | 1.350 |
| 192.909 | 203.821 | 203.821 | -0.000 | 0.000 | 0.000 |
| 203.821 | 192.909 | 203.821 | -0.000 | 0.000 | -0.000 |
| 203.821 | 203.821 | 192.909 | 0.000 | 0.000 | 0.000 |
| -0.001 | -0.002 | -0.002 | 1.350 | 0.000 | -0.000 |
| -0.002 | -0.001 | -0.002 | 0.000 | 1.350 | 0.000 |
| -0.002 | -0.002 | -0.001 | 0.000 | 0.000 | 1.350 |
| 295.249 | 155.892 | 155.892 | 0.000 | 0.000 | 0.000 |
| 155.892 | 295.249 | 155.892 | 0.000 | -0.000 | 0.000 |
| 155.892 | 155.892 | 295.249 | 0.000 | 0.000 | 0.000 |
| -0.000 | -0.000 | -0.000 | 158.971 | 0.000 | 0.000 |
| -0.000 | 0.000 | -0.000 | 0.000 | 158.971 | 0.000 |
| -0.000 | -0.000 | 0.000 | 0.000 | -0.000 | 158.971 |
| 295.249 | 155.892 | 155.892 | -0.000 | 0.000 | -0.000 |
| 155.892 | 295.249 | 155.892 | -0.000 | -0.000 | -0.000 |
| 155.892 | 155.892 | 295.249 | -0.000 | -0.000 | -0.000 |
| 0.000 | 0.000 | 0.000 | 158.971 | 0.000 | -0.000 |
| 0.000 | 0.000 | 0.000 | 0.000 | 158.971 | -0.000 |
| 0.000 | 0.000 | -0.000 | 0.000 | 0.000 | 158.971 |
| 295.248 | 155.892 | 155.892 | 0.000 | 0.000 | -0.000 |
| 155.892 | 295.248 | 155.892 | 0.000 | 0.000 | 0.000 |
| 155.892 | 155.892 | 295.248 | -0.000 | -0.000 | 0.000 |
| -0.000 | -0.000 | -0.000 | 158.971 | -0.000 | -0.000 |
| -0.000 | -0.000 | -0.000 | 0.000 | 158.971 | 0.000 |
| -0.000 | -0.000 | -0.000 | 0.000 | -0.000 | 158.971 |
| 295.249 | 155.892 | 155.892 | 0.000 | -0.000 | -0.000 |
| 155.892 | 295.249 | 155.892 | -0.000 | -0.000 | -0.000 |
| 155.892 | 155.892 | 295.249 | -0.000 | -0.000 | -0.000 |
| 0.000 | 0.000 | 0.000 | 158.971 | 0.000 | 0.000 |
| 0.000 | 0.000 | 0.000 | 0.000 | 158.971 | -0.000 |
| 0.000 | 0.000 | 0.000 | -0.000 | -0.000 | 158.971 |
| 295.247 | 155.892 | 155.892 | 0.000 | -0.000 | 0.000 |
| 155.892 | 295.247 | 155.892 | 0.000 | 0.000 | 0.000 |
| 155.892 | 155.892 | 295.247 | 0.000 | 0.000 | 0.000 |
| -0.000 | -0.002 | -0.001 | 132.864 | -0.000 | 0.000 |
| -0.002 | -0.000 | -0.001 | 0.000 | 132.864 | 0.000 |
| -0.002 | -0.001 | -0.000 | 0.000 | 0.000 | 132.864 |
| 295.250 | 155.893 | 155.893 | -0.000 | -0.000 | -0.000 |
| 155.893 | 295.250 | 155.893 | -0.000 | -0.000 | -0.000 |
| 155.893 | 155.893 | 295.250 | -0.000 | -0.000 | -0.000 |
| 0.000 | 0.002 | 0.001 | 132.864 | 0.000 | -0.000 |
| 0.002 | 0.000 | 0.001 | -0.000 | 132.864 | -0.000 |
| 0.002 | 0.001 | 0.000 | -0.000 | -0.000 | 132.864 |
| 533.444 | 219.219 | 219.219 | -0.000 | 0.000 | -0.000 |
| 219.219 | 533.444 | 219.219 | 0.000 | 0.000 | -0.000 |
| 219.219 | 219.219 | 533.444 | -0.000 | 0.000 | -0.000 |
| -0.000 | -0.000 | -0.000 | 204.003 | 0.000 | -0.000 |
| -0.000 | -0.000 | -0.000 | -0.000 | 204.003 | -0.000 |
| -0.000 | -0.000 | -0.000 | -0.000 | 0.000 | 204.003 |
| 533.444 | 219.219 | 219.219 | 0.000 | -0.000 | 0.000 |
| 219.219 | 533.444 | 219.219 | 0.000 | -0.000 | 0.000 |
| 219.219 | 219.219 | 533.444 | 0.000 | -0.000 | 0.000 |
| 0.000 | 0.000 | 0.000 | 204.003 | -0.000 | -0.000 |
| 0.000 | 0.000 | 0.000 | -0.000 | 204.003 | 0.000 |
| 0.000 | 0.000 | 0.000 | 0.000 | -0.000 | 204.003 |
| 533.444 | 219.219 | 219.219 | 0.000 | 0.000 | -0.000 |
| 219.219 | 533.444 | 219.219 | 0.000 | 0.000 | -0.000 |
| 219.219 | 219.219 | 533.444 | 0.000 | 0.000 | -0.000 |
| -0.000 | -0.000 | -0.000 | 204.003 | 0.000 | -0.000 |
| -0.000 | -0.000 | -0.000 | -0.000 | 204.003 | -0.000 |
| -0.000 | -0.000 | -0.000 | -0.000 | 0.000 | 204.003 |
| 533.444 | 219.219 | 219.219 | 0.000 | 0.000 | 0.000 |
| 219.219 | 533.444 | 219.219 | 0.000 | -0.000 | 0.000 |
| 219.219 | 219.219 | 533.444 | -0.000 | -0.000 | 0.000 |
| 0.000 | 0.000 | 0.000 | 204.003 | -0.000 | 0.000 |
| 0.000 | 0.000 | 0.000 | -0.000 | 204.003 | 0.000 |
| 0.000 | 0.000 | 0.000 | -0.000 | -0.000 | 204.003 |
| 533.439 | 219.218 | 219.218 | 0.000 | -0.000 | -0.000 |
| 219.218 | 533.439 | 219.218 | -0.000 | 0.000 | 0.000 |
| 219.218 | 219.218 | 533.439 | -0.000 | 0.000 | -0.000 |
| -0.001 | -0.002 | -0.002 | 199.490 | 0.000 | -0.000 |
| -0.002 | -0.001 | -0.002 | -0.000 | 199.490 | -0.000 |
| -0.002 | -0.002 | -0.001 | -0.000 | 0.000 | 199.490 |
| 533.449 | 219.220 | 219.220 | 0.000 | 0.000 | 0.000 |
| 219.220 | 533.449 | 219.220 | 0.000 | -0.000 | 0.000 |
| 219.220 | 219.220 | 533.449 | -0.000 | -0.000 | 0.000 |
| 0.001 | 0.002 | 0.002 | 199.490 | -0.000 | 0.000 |
| 0.002 | 0.001 | 0.002 | 0.000 | 199.490 | 0.000 |
| 0.002 | 0.002 | 0.001 | 0.000 | -0.000 | 199.490 |
| 72.879 | -12.089 | -12.089 | -0.000 | -0.000 | -0.000 |
| -12.089 | 72.879 | -12.089 | -0.000 | -0.000 | 0.000 |
| -12.089 | -12.089 | 72.879 | -0.000 | -0.000 | -0.000 |
| 0.000 | 0.000 | 0.000 | -10.867 | -0.000 | 0.000 |
| 0.000 | 0.000 | 0.000 | -0.000 | -10.867 | -0.000 |
| 0.000 | -0.000 | 0.000 | -0.000 | -0.000 | -10.867 |
| 72.879 | -12.089 | -12.089 | 0.000 | 0.000 | 0.000 |
| -12.089 | 72.879 | -12.089 | 0.000 | 0.000 | 0.000 |
| -12.089 | -12.089 | 72.879 | -0.000 | -0.000 | 0.000 |
| -0.000 | -0.000 | -0.000 | -10.867 | 0.000 | 0.000 |
| -0.000 | -0.000 | -0.000 | 0.000 | -10.867 | 0.000 |
| -0.000 | 0.000 | -0.000 | 0.000 | 0.000 | -10.867 |
| 72.879 | -12.089 | -12.089 | -0.000 | -0.000 | -0.000 |
| -12.089 | 72.879 | -12.089 | -0.000 | -0.000 | -0.000 |
| -12.089 | -12.089 | 72.879 | -0.000 | -0.000 | -0.000 |
| 0.000 | 0.000 | -0.000 | -10.867 | -0.000 | -0.000 |
| 0.000 | 0.000 | -0.000 | -0.000 | -10.867 | 0.000 |
| 0.000 | -0.000 | 0.000 | -0.000 | -0.000 | -10.867 |
| 72.879 | -12.089 | -12.089 | 0.000 | 0.000 | 0.000 |
| -12.089 | 72.879 | -12.089 | 0.000 | 0.000 | 0.000 |
| -12.089 | -12.089 | 72.879 | -0.000 | -0.000 | 0.000 |
| -0.000 | -0.000 | 0.000 | -10.867 | 0.000 | 0.000 |
| -0.000 | -0.000 | 0.000 | 0.000 | -10.867 | -0.000 |
| -0.000 | 0.000 | -0.000 | 0.000 | 0.000 | -10.867 |
| 72.880 | -12.089 | -12.089 | -0.000 | -0.000 | -0.000 |
| -12.089 | 72.880 | -12.089 | -0.000 | -0.000 | -0.000 |
| -12.089 | -12.089 | 72.880 | -0.000 | -0.000 | -0.000 |
| 0.000 | 0.000 | -0.000 | -10.867 | -0.000 | -0.000 |
| 0.000 | 0.000 | -0.000 | -0.000 | -10.867 | -0.000 |
| 0.000 | -0.000 | 0.000 | -0.000 | -0.000 | -10.867 |
| 72.879 | -12.089 | -12.089 | 0.000 | 0.000 | -0.000 |
| -12.089 | 72.879 | -12.089 | 0.000 | 0.000 | 0.000 |
| -12.089 | -12.089 | 72.879 | 0.000 | 0.000 | -0.000 |
| -0.000 | -0.000 | 0.000 | -10.867 | 0.000 | 0.000 |
| -0.000 | -0.000 | 0.000 | 0.000 | -10.867 | 0.000 |
| -0.000 | 0.000 | -0.000 | 0.000 | 0.000 | -10.867 |
| 47.415 | 27.852 | 27.852 | -0.000 | -0.000 | -0.000 |
| 27.852 | 47.415 | 27.852 | -0.000 | -0.000 | -0.000 |
| 27.852 | 27.852 | 47.415 | -0.000 | 0.000 | -0.000 |
| -0.000 | 0.000 | -0.000 | 10.652 | 0.000 | -0.000 |
| 0.000 | -0.000 | -0.000 | 0.000 | 10.652 | -0.000 |
| -0.000 | 0.000 | -0.000 | 0.000 | 0.000 | 10.652 |
| 47.415 | 27.852 | 27.852 | 0.000 | 0.000 | 0.000 |
| 27.852 | 47.415 | 27.852 | 0.000 | 0.000 | 0.000 |
| 27.852 | 27.852 | 47.415 | -0.000 | -0.000 | 0.000 |
| 0.000 | 0.000 | 0.000 | 10.652 | -0.000 | 0.000 |
| 0.000 | 0.000 | 0.000 | 0.000 | 10.652 | 0.000 |
| 0.000 | -0.000 | 0.000 | -0.000 | -0.000 | 10.652 |
| 47.415 | 27.852 | 27.852 | 0.000 | 0.000 | 0.000 |
| 27.852 | 47.415 | 27.852 | 0.000 | 0.000 | -0.000 |
| 27.852 | 27.852 | 47.415 | -0.000 | -0.000 | -0.000 |
| -0.000 | -0.000 | -0.000 | 10.652 | -0.000 | -0.000 |
| -0.000 | -0.000 | -0.000 | -0.000 | 10.652 | -0.000 |
| -0.000 | -0.000 | -0.000 | 0.000 | -0.000 | 10.652 |
| 47.415 | 27.852 | 27.852 | -0.000 | -0.000 | 0.000 |
| 27.852 | 47.415 | 27.852 | -0.000 | 0.000 | 0.000 |
| 27.852 | 27.852 | 47.415 | 0.000 | 0.000 | 0.000 |
| 0.000 | 0.000 | 0.000 | 10.652 | -0.000 | 0.000 |
| 0.000 | 0.000 | 0.000 | -0.000 | 10.652 | 0.000 |
| 0.000 | 0.000 | 0.000 | 0.000 | -0.000 | 10.652 |
| 47.414 | 27.852 | 27.852 | 0.000 | 0.000 | -0.000 |
| 27.852 | 47.414 | 27.852 | 0.000 | 0.000 | -0.000 |
| 27.852 | 27.852 | 47.414 | 0.000 | 0.000 | -0.000 |
| -0.000 | -0.000 | -0.000 | 10.652 | 0.000 | -0.000 |
| -0.000 | -0.000 | -0.000 | 0.000 | 10.652 | -0.000 |
| -0.000 | -0.000 | -0.000 | 0.000 | -0.000 | 10.652 |
| 47.416 | 27.852 | 27.852 | 0.000 | 0.000 | 0.000 |
| 27.852 | 47.416 | 27.852 | 0.000 | 0.000 | 0.000 |
| 27.852 | 27.852 | 47.416 | -0.000 | -0.000 | 0.000 |
| 0.000 | 0.000 | 0.000 | 10.652 | 0.000 | 0.000 |
| 0.000 | 0.000 | 0.000 | -0.000 | 10.652 | 0.000 |
| 0.000 | 0.000 | 0.000 | -0.000 | -0.000 | 10.652 |
| 11.099 | 11.088 | 11.088 | 0.000 | 0.000 | 0.000 |
| 11.088 | 11.099 | 11.088 | 0.000 | 0.000 | 0.000 |
| 11.088 | 11.088 | 11.099 | 0.000 | 0.000 | -0.000 |
| -0.000 | -0.000 | -0.000 | 0.008 | -0.000 | -0.000 |
| -0.000 | -0.000 | -0.000 | -0.000 | 0.008 | -0.000 |
| -0.000 | -0.000 | -0.000 | -0.000 | -0.000 | 0.008 |
| 11.099 | 11.088 | 11.088 | -0.000 | -0.000 | 0.000 |
| 11.088 | 11.099 | 11.088 | -0.000 | -0.000 | 0.000 |
| 11.088 | 11.088 | 11.099 | -0.000 | -0.000 | -0.000 |
| 0.000 | 0.000 | 0.000 | 0.008 | 0.000 | -0.000 |
| 0.000 | 0.000 | 0.000 | 0.000 | 0.008 | -0.000 |
| 0.000 | 0.000 | 0.000 | 0.000 | -0.000 | 0.008 |
| 11.099 | 11.088 | 11.088 | 0.000 | 0.000 | -0.000 |
| 11.088 | 11.099 | 11.088 | 0.000 | 0.000 | -0.000 |
| 11.088 | 11.088 | 11.099 | 0.000 | 0.000 | 0.000 |
| -0.000 | -0.000 | -0.000 | 0.008 | -0.000 | -0.000 |
| -0.000 | -0.000 | -0.000 | -0.000 | 0.008 | -0.000 |
| -0.000 | -0.000 | -0.000 | 0.000 | -0.000 | 0.008 |
| 11.099 | 11.088 | 11.088 | -0.000 | -0.000 | 0.000 |
| 11.088 | 11.099 | 11.088 | -0.000 | -0.000 | 0.000 |
| 11.088 | 11.088 | 11.099 | -0.000 | -0.000 | 0.000 |
| 0.000 | 0.000 | 0.000 | 0.008 | 0.000 | 0.000 |
| 0.000 | 0.000 | 0.000 | 0.000 | 0.008 | 0.000 |
| 0.000 | 0.000 | 0.000 | 0.000 | -0.000 | 0.008 |
| 11.099 | 11.088 | 11.088 | 0.000 | 0.000 | -0.000 |
| 11.088 | 11.099 | 11.088 | 0.000 | 0.000 | -0.000 |
| 11.088 | 11.088 | 11.099 | 0.000 | 0.000 | 0.000 |
| -0.000 | -0.000 | -0.000 | 0.008 | -0.000 | 0.000 |
| -0.000 | -0.000 | -0.000 | -0.000 | 0.008 | 0.000 |
| -0.000 | -0.000 | -0.000 | -0.000 | -0.000 | 0.008 |
| 11.099 | 11.088 | 11.088 | -0.000 | 0.000 | 0.000 |
| 11.088 | 11.099 | 11.088 | 0.000 | -0.000 | 0.000 |
| 11.088 | 11.088 | 11.099 | -0.000 | -0.000 | -0.000 |
| 0.000 | 0.000 | 0.000 | 0.008 | 0.000 | -0.000 |
| 0.000 | 0.000 | 0.000 | 0.000 | 0.008 | -0.000 |
| 0.000 | 0.000 | 0.000 | 0.000 | -0.000 | 0.008 |
| 148.789 | 125.445 | 125.445 | 0.000 | 0.000 | 0.000 |
| 125.445 | 148.789 | 125.445 | 0.000 | 0.000 | 0.000 |
| 125.445 | 125.445 | 148.789 | 0.000 | 0.000 | 0.000 |
| -0.000 | -0.000 | -0.000 | 22.305 | 0.000 | 0.000 |
| -0.000 | -0.000 | -0.000 | 0.000 | 22.305 | 0.000 |
| -0.000 | -0.000 | -0.000 | 0.000 | 0.000 | 22.305 |
| 148.789 | 125.446 | 125.446 | -0.000 | -0.000 | -0.000 |
| 125.446 | 148.789 | 125.446 | -0.000 | -0.000 | -0.000 |
| 125.446 | 125.446 | 148.789 | -0.000 | -0.000 | -0.000 |
| 0.000 | 0.000 | 0.000 | 22.305 | -0.000 | -0.000 |
| 0.000 | 0.000 | 0.000 | -0.000 | 22.305 | -0.000 |
| 0.000 | 0.000 | 0.000 | -0.000 | -0.000 | 22.305 |
| 148.787 | 125.444 | 125.444 | 0.000 | 0.000 | 0.000 |
| 125.444 | 148.787 | 125.444 | 0.000 | 0.000 | 0.000 |
| 125.444 | 125.444 | 148.787 | 0.000 | 0.000 | 0.000 |
| -0.001 | -0.001 | -0.001 | 109.741 | 0.000 | 0.000 |
| -0.001 | -0.001 | -0.001 | 0.000 | 109.741 | 0.000 |
| -0.001 | -0.001 | -0.001 | 0.000 | 0.000 | 109.741 |
| 148.791 | 125.447 | 125.447 | -0.000 | -0.000 | -0.000 |
| 125.447 | 148.791 | 125.447 | -0.000 | -0.000 | -0.000 |
| 125.447 | 125.447 | 148.791 | -0.000 | -0.000 | -0.000 |
| 0.001 | 0.001 | 0.001 | 109.741 | -0.000 | -0.000 |
| 0.001 | 0.001 | 0.001 | -0.000 | 109.741 | -0.000 |
| 0.001 | 0.001 | 0.001 | -0.000 | -0.000 | 109.741 |
| 148.770 | 125.427 | 125.427 | 0.000 | 0.000 | 0.000 |
| 125.427 | 148.770 | 125.427 | 0.000 | 0.000 | 0.000 |
| 125.427 | 125.427 | 148.770 | 0.000 | 0.000 | 0.000 |
| -0.000 | -0.000 | -0.000 | 22.305 | 0.000 | 0.000 |
| -0.000 | -0.000 | -0.000 | 0.000 | 22.305 | 0.000 |
| -0.000 | -0.000 | -0.000 | 0.000 | 0.000 | 22.305 |
| 148.808 | 125.464 | 125.464 | -0.000 | -0.000 | -0.000 |
| 125.464 | 148.808 | 125.464 | -0.000 | -0.000 | -0.000 |
| 125.464 | 125.464 | 148.808 | -0.000 | -0.000 | -0.000 |
| 0.000 | 0.000 | 0.000 | 22.305 | -0.000 | -0.000 |
| 0.000 | 0.000 | 0.000 | -0.000 | 22.305 | -0.000 |
| 0.000 | 0.000 | 0.000 | -0.000 | -0.000 | 22.305 |
| -29.030 | -24.737 | -24.737 | 0.000 | -0.000 | -0.000 |
| -24.737 | -29.030 | -24.737 | -0.000 | 0.000 | -0.000 |
| -24.737 | -24.737 | -29.030 | -0.000 | -0.000 | 0.000 |
| -0.000 | -0.000 | -0.000 | -24.757 | -0.000 | -0.000 |
| -0.000 | -0.000 | -0.000 | -0.000 | -24.757 | -0.000 |
| -0.000 | -0.000 | -0.000 | -0.000 | -0.000 | -24.757 |
| -29.030 | -24.737 | -24.737 | -0.000 | 0.000 | 0.000 |
| -24.737 | -29.030 | -24.737 | 0.000 | -0.000 | 0.000 |
| -24.737 | -24.737 | -29.030 | 0.000 | 0.000 | -0.000 |
| 0.000 | 0.000 | 0.000 | -24.757 | -0.000 | 0.000 |
| 0.000 | 0.000 | 0.000 | -0.000 | -24.757 | 0.000 |
| 0.000 | 0.000 | 0.000 | -0.000 | 0.000 | -24.757 |
| -29.030 | -24.737 | -24.737 | -0.000 | -0.000 | -0.000 |
| -24.737 | -29.030 | -24.737 | -0.000 | -0.000 | -0.000 |
| -24.737 | -24.737 | -29.030 | -0.000 | -0.000 | -0.000 |
| -6017703.640 | -6185132.686 | -6187208.525 | -4730580.331 | -70774.973 | -68166.853 |
| -6190983.075 | -6028848.174 | -6201955.196 | -73211.026 | -4738061.101 | -60269.945 |
| -6095104.854 | -6108417.479 | -5892355.129 | -91018.920 | -114051.634 | -4772849.039 |
| -29.030 | -24.737 | -24.737 | 0.000 | 0.000 | 0.000 |
| -24.737 | -29.030 | -24.737 | 0.000 | 0.000 | 0.000 |
| -24.737 | -24.737 | -29.030 | 0.000 | 0.000 | 0.000 |
| 6213488.206 | 6413420.887 | 6384471.465 | -4623144.041 | 1798.355 | -31509.172 |
| 6421000.078 | 6198740.185 | 6388137.518 | 3755.408 | -4654480.067 | -21950.053 |
| 6333628.473 | 6335168.585 | 6117438.163 | -19332.922 | 10073.482 | -4652927.015 |
| -29.030 | -24.738 | -24.738 | -0.000 | -0.000 | -0.000 |
| -24.738 | -29.030 | -24.738 | -0.000 | -0.000 | -0.000 |
| -24.738 | -24.738 | -29.030 | -0.000 | -0.000 | -0.000 |
| -599436.331 | -612042.983 | -612154.793 | -476877.417 | -6925.684 | -3659.202 |
| -612714.989 | -599676.790 | -612414.032 | -7547.211 | -476826.052 | -3703.011 |
| -615391.359 | -614145.437 | -598920.718 | -4369.050 | -4992.252 | -479920.097 |
| -29.030 | -24.737 | -24.737 | 0.000 | 0.000 | 0.000 |
| -24.737 | -29.030 | -24.737 | 0.000 | 0.000 | 0.000 |
| -24.737 | -24.737 | -29.030 | 0.000 | 0.000 | 0.000 |
| 602829.232 | 619193.915 | 621151.508 | -470086.727 | -1512.578 | -926.638 |
| 622463.667 | 605962.747 | 626128.690 | -2407.229 | -468724.152 | 994.028 |
| 620761.336 | 620522.840 | 601689.320 | -4735.649 | -3964.432 | -469875.682 |
| 286.433 | 377.051 | 377.051 | 0.000 | 0.000 | -0.000 |
| 377.051 | 286.433 | 377.051 | 0.000 | 0.000 | -0.000 |
| 377.051 | 377.051 | 286.433 | 0.000 | 0.000 | -0.000 |
| -0.000 | -0.000 | -0.000 | 281.184 | 0.000 | -0.000 |
| -0.000 | -0.000 | -0.000 | 0.000 | 281.184 | -0.000 |
| -0.000 | -0.000 | -0.000 | 0.000 | 0.000 | 281.184 |
| 286.436 | 377.053 | 377.053 | -0.000 | -0.000 | 0.000 |
| 377.053 | 286.436 | 377.053 | -0.000 | -0.000 | 0.000 |
| 377.053 | 377.053 | 286.436 | -0.000 | -0.000 | 0.000 |
| 0.000 | 0.000 | 0.000 | 281.184 | -0.000 | 0.000 |
| 0.000 | 0.000 | 0.000 | -0.000 | 281.184 | 0.000 |
| 0.000 | 0.000 | 0.000 | -0.000 | -0.000 | 281.184 |
| 286.421 | 377.039 | 377.039 | 0.000 | 0.000 | -0.000 |
| 377.039 | 286.421 | 377.039 | 0.000 | 0.000 | -0.000 |
| 377.039 | 377.039 | 286.421 | 0.000 | 0.000 | -0.000 |
| -0.000 | -0.000 | -0.000 | -159.014 | 0.000 | -0.000 |
| -0.000 | -0.000 | -0.000 | -0.000 | -159.014 | -0.000 |
| -0.000 | -0.000 | -0.000 | 0.000 | 0.000 | -159.014 |
| 286.448 | 377.065 | 377.065 | -0.000 | -0.000 | 0.000 |
| 377.065 | 286.448 | 377.065 | -0.000 | -0.000 | 0.000 |
| 377.065 | 377.065 | 286.448 | -0.000 | -0.000 | 0.000 |
| 0.000 | 0.000 | 0.000 | -159.014 | -0.000 | 0.000 |
| 0.000 | 0.000 | 0.000 | -0.000 | -159.014 | 0.000 |
| 0.000 | 0.000 | 0.000 | -0.000 | -0.000 | -159.014 |
| 286.299 | 376.919 | 376.919 | 0.000 | 0.000 | -0.000 |
| 376.919 | 286.299 | 376.919 | 0.000 | 0.000 | -0.000 |
| 376.919 | 376.919 | 286.299 | 0.000 | 0.000 | -0.000 |
| -0.004 | -0.003 | -0.004 | -159.014 | 0.000 | -0.000 |
| -0.003 | -0.004 | -0.004 | 0.000 | -159.014 | -0.000 |
| -0.003 | -0.004 | -0.004 | 0.000 | 0.000 | -159.014 |
| 286.570 | 377.184 | 377.184 | -0.000 | -0.000 | 0.000 |
| 377.184 | 286.570 | 377.184 | -0.000 | -0.000 | 0.000 |
| 377.184 | 377.184 | 286.570 | -0.000 | -0.000 | 0.000 |
| 0.004 | 0.003 | 0.004 | -159.014 | -0.000 | 0.000 |
| 0.003 | 0.004 | 0.004 | 0.000 | -159.014 | 0.000 |
| 0.003 | 0.004 | 0.004 | -0.000 | -0.000 | -159.014 |
| 108.938 | 22.036 | 22.036 | 0.000 | 0.000 | 0.000 |
| 22.036 | 108.938 | 22.036 | 0.000 | -0.000 | 0.000 |
| 22.036 | 22.036 | 108.938 | 0.000 | -0.000 | 0.000 |
| -0.000 | 0.000 | -0.000 | -6.413 | -0.000 | 0.000 |
| -0.000 | 0.000 | -0.000 | 0.000 | -6.413 | 0.000 |
| -0.000 | 0.000 | -0.000 | 0.000 | -0.000 | -6.413 |
| 108.938 | 22.036 | 22.036 | -0.000 | 0.000 | -0.000 |
| 22.036 | 108.937 | 22.036 | 0.000 | 0.000 | -0.000 |
| 22.036 | 22.036 | 108.938 | 0.000 | 0.000 | -0.000 |
| 0.000 | -0.000 | 0.000 | -6.413 | 0.000 | -0.000 |
| 0.000 | -0.000 | 0.000 | -0.000 | -6.413 | -0.000 |
| 0.000 | -0.000 | 0.000 | -0.000 | 0.000 | -6.413 |
| 108.938 | 22.037 | 22.037 | 0.000 | 0.000 | 0.000 |
| 22.037 | 108.938 | 22.037 | 0.000 | 0.000 | -0.000 |
| 22.037 | 22.037 | 108.938 | 0.000 | -0.000 | 0.000 |
| -0.000 | -0.000 | -0.000 | -6.413 | 0.000 | 0.000 |
| -0.000 | -0.000 | -0.000 | 0.000 | -6.413 | 0.000 |
| -0.000 | -0.000 | -0.000 | 0.000 | -0.000 | -6.413 |
| 108.937 | 22.035 | 22.035 | -0.000 | 0.000 | -0.000 |
| 22.035 | 108.937 | 22.035 | -0.000 | 0.000 | -0.000 |
| 22.035 | 22.035 | 108.937 | -0.000 | -0.000 | -0.000 |
| 0.000 | 0.000 | 0.000 | -6.413 | -0.000 | -0.000 |
| 0.000 | 0.000 | 0.000 | -0.000 | -6.413 | -0.000 |
| 0.000 | 0.000 | 0.000 | -0.000 | -0.000 | -6.413 |
| 108.944 | 22.047 | 22.047 | 0.000 | 0.000 | 0.000 |
| 22.047 | 108.944 | 22.047 | 0.000 | 0.000 | 0.000 |
| 22.047 | 22.047 | 108.944 | 0.000 | -0.000 | 0.000 |
| 0.000 | 0.000 | 0.000 | 14.556 | -0.000 | -0.000 |
| 0.000 | 0.000 | 0.000 | 0.000 | 14.556 | 0.000 |
| 0.000 | 0.000 | 0.000 | 0.000 | -0.000 | 14.556 |
| 108.931 | 22.025 | 22.025 | -0.000 | -0.000 | -0.000 |
| 22.025 | 108.931 | 22.025 | -0.000 | -0.000 | 0.000 |
| 22.025 | 22.025 | 108.931 | -0.000 | -0.000 | -0.000 |
| -0.000 | -0.000 | -0.000 | 14.556 | -0.000 | -0.000 |
| -0.000 | -0.000 | -0.000 | -0.000 | 14.556 | -0.000 |
| -0.000 | -0.000 | -0.000 | -0.000 | -0.000 | 14.556 |
| 159.656 | 153.335 | 153.335 | 0.000 | 0.000 | 0.000 |
| 153.335 | 159.656 | 153.335 | 0.000 | 0.000 | 0.000 |
| 153.335 | 153.335 | 159.656 | 0.000 | 0.000 | 0.000 |
| -0.000 | -0.000 | -0.000 | 39.273 | 0.000 | 0.000 |
| -0.000 | -0.000 | -0.000 | 0.000 | 39.273 | 0.000 |
| -0.000 | -0.000 | -0.000 | 0.000 | 0.000 | 39.273 |
| 159.656 | 153.335 | 153.335 | -0.000 | -0.000 | -0.000 |
| 153.335 | 159.656 | 153.335 | -0.000 | -0.000 | -0.000 |
| 153.335 | 153.335 | 159.656 | -0.000 | -0.000 | -0.000 |
| 0.000 | 0.000 | 0.000 | 39.273 | -0.000 | -0.000 |
| 0.000 | 0.000 | 0.000 | -0.000 | 39.273 | -0.000 |
| 0.000 | 0.000 | 0.000 | -0.000 | -0.000 | 39.273 |
| 159.656 | 153.336 | 153.336 | 0.000 | 0.000 | 0.000 |
| 153.336 | 159.656 | 153.336 | 0.000 | 0.000 | 0.000 |
| 153.336 | 153.336 | 159.656 | 0.000 | 0.000 | 0.000 |
| -0.000 | -0.000 | -0.000 | 75.830 | 0.000 | 0.000 |
| -0.000 | -0.000 | -0.000 | 0.000 | 75.830 | 0.000 |
| -0.000 | -0.000 | -0.000 | 0.000 | 0.000 | 75.830 |
| 159.656 | 153.335 | 153.335 | -0.000 | -0.000 | -0.000 |
| 153.335 | 159.656 | 153.335 | -0.000 | -0.000 | -0.000 |
| 153.335 | 153.335 | 159.656 | -0.000 | -0.000 | -0.000 |
| 0.000 | 0.000 | 0.000 | 75.830 | -0.000 | -0.000 |
| 0.000 | 0.000 | 0.000 | -0.000 | 75.830 | -0.000 |
| 0.000 | 0.000 | 0.000 | -0.000 | -0.000 | 75.830 |
| 159.654 | 153.338 | 153.338 | 0.000 | 0.000 | 0.000 |
| 153.338 | 159.654 | 153.338 | 0.000 | 0.000 | 0.000 |
| 153.338 | 153.338 | 159.654 | 0.000 | 0.000 | 0.000 |
| -0.001 | -0.002 | -0.002 | 75.830 | 0.000 | 0.000 |
| -0.002 | -0.001 | -0.002 | 0.000 | 75.830 | 0.000 |
| -0.002 | -0.002 | -0.001 | 0.000 | 0.000 | 75.830 |
| 159.657 | 153.333 | 153.333 | -0.000 | -0.000 | -0.000 |
| 153.333 | 159.657 | 153.333 | -0.000 | -0.000 | -0.000 |
| 153.333 | 153.333 | 159.657 | -0.000 | -0.000 | -0.000 |
| 0.001 | 0.002 | 0.002 | 75.830 | -0.000 | -0.000 |
| 0.002 | 0.001 | 0.002 | -0.000 | 75.830 | -0.000 |
| 0.002 | 0.002 | 0.001 | -0.000 | -0.000 | 75.830 |
| 114.061 | -5.177 | -5.177 | -0.000 | -0.000 | -0.000 |
| -5.177 | 114.061 | -5.177 | -0.000 | -0.000 | -0.000 |
| -5.177 | -5.177 | 114.061 | -0.000 | -0.000 | -0.000 |
| -0.000 | 0.000 | 0.000 | -5.539 | -0.000 | -0.000 |
| 0.000 | -0.000 | 0.000 | -0.000 | -5.539 | -0.000 |
| 0.000 | 0.000 | 0.000 | -0.000 | -0.000 | -5.539 |
| 114.061 | -5.177 | -5.177 | 0.000 | 0.000 | 0.000 |
| -5.177 | 114.061 | -5.177 | 0.000 | 0.000 | 0.000 |
| -5.177 | -5.177 | 114.061 | 0.000 | 0.000 | 0.000 |
| 0.000 | -0.000 | -0.000 | -5.539 | 0.000 | 0.000 |
| -0.000 | 0.000 | -0.000 | 0.000 | -5.539 | 0.000 |
| -0.000 | -0.000 | -0.000 | 0.000 | 0.000 | -5.539 |
| 114.061 | -5.177 | -5.177 | -0.000 | -0.000 | -0.000 |
| -5.177 | 114.061 | -5.177 | -0.000 | -0.000 | -0.000 |
| -5.177 | -5.177 | 114.061 | -0.000 | -0.000 | -0.000 |
| 0.000 | 0.000 | -0.000 | -2.386 | -0.000 | -0.000 |
| 0.000 | 0.000 | -0.000 | -0.000 | -2.386 | -0.000 |
| 0.000 | -0.000 | 0.000 | -0.000 | -0.000 | -2.386 |
| 114.061 | -5.177 | -5.177 | 0.000 | 0.000 | 0.000 |
| -5.177 | 114.061 | -5.177 | 0.000 | 0.000 | 0.000 |
| -5.177 | -5.177 | 114.061 | 0.000 | 0.000 | 0.000 |
| -0.000 | -0.000 | 0.000 | -2.386 | 0.000 | 0.000 |
| -0.000 | -0.000 | 0.000 | 0.000 | -2.386 | 0.000 |
| -0.000 | 0.000 | -0.000 | 0.000 | 0.000 | -2.386 |
| 114.059 | -5.177 | -5.177 | -0.000 | -0.000 | -0.000 |
| -5.177 | 114.059 | -5.177 | -0.000 | -0.000 | -0.000 |
| -5.177 | -5.177 | 114.059 | -0.000 | -0.000 | -0.000 |
| 0.000 | 0.000 | -0.000 | -5.539 | -0.000 | -0.000 |
| 0.000 | 0.000 | -0.000 | -0.000 | -5.539 | -0.000 |
| 0.000 | -0.000 | 0.000 | -0.000 | -0.000 | -5.539 |
| 114.063 | -5.177 | -5.177 | 0.000 | 0.000 | 0.000 |
| -5.177 | 114.063 | -5.177 | 0.000 | 0.000 | 0.000 |
| -5.177 | -5.177 | 114.063 | 0.000 | 0.000 | 0.000 |
| -0.000 | -0.000 | 0.000 | -5.539 | 0.000 | 0.000 |
| -0.000 | -0.000 | 0.000 | 0.000 | -5.539 | 0.000 |
| -0.000 | 0.000 | -0.000 | 0.000 | 0.000 | -5.539 |
| 50.890 | 34.854 | 34.854 | -0.000 | -0.000 | -0.000 |
| 34.854 | 50.890 | 34.854 | 0.000 | -0.000 | -0.000 |
| 34.854 | 34.854 | 50.890 | -0.000 | -0.000 | 0.000 |
| -0.000 | 0.000 | 0.000 | 21.619 | -0.000 | -0.000 |
| 0.000 | -0.000 | 0.000 | -0.000 | 21.619 | 0.000 |
| 0.000 | 0.000 | -0.000 | 0.000 | -0.000 | 21.619 |
| 50.890 | 34.854 | 34.854 | 0.000 | 0.000 | 0.000 |
| 34.854 | 50.890 | 34.854 | 0.000 | 0.000 | -0.000 |
| 34.854 | 34.854 | 50.890 | -0.000 | -0.000 | 0.000 |
| 0.000 | -0.000 | -0.000 | 21.619 | 0.000 | 0.000 |
| -0.000 | 0.000 | -0.000 | 0.000 | 21.619 | 0.000 |
| -0.000 | -0.000 | 0.000 | 0.000 | 0.000 | 21.619 |
| 50.890 | 34.854 | 34.854 | -0.000 | 0.000 | 0.000 |
| 34.854 | 50.890 | 34.854 | 0.000 | -0.000 | 0.000 |
| 34.854 | 34.854 | 50.890 | 0.000 | -0.000 | -0.000 |
| -0.000 | 0.000 | 0.000 | 21.619 | -0.000 | -0.000 |
| 0.000 | -0.000 | 0.000 | -0.000 | 21.619 | -0.000 |
| 0.000 | 0.000 | -0.000 | -0.000 | -0.000 | 21.619 |
| 50.890 | 34.854 | 34.854 | 0.000 | 0.000 | 0.000 |
| 34.854 | 50.890 | 34.854 | 0.000 | 0.000 | 0.000 |
| 34.854 | 34.854 | 50.890 | 0.000 | 0.000 | 0.000 |
| 0.000 | -0.000 | -0.000 | 21.619 | 0.000 | -0.000 |
| -0.000 | 0.000 | -0.000 | 0.000 | 21.619 | -0.000 |
| -0.000 | -0.000 | 0.000 | 0.000 | 0.000 | 21.619 |
| 50.889 | 34.854 | 34.854 | -0.000 | -0.000 | 0.000 |
| 34.854 | 50.889 | 34.854 | -0.000 | -0.000 | 0.000 |
| 34.854 | 34.854 | 50.889 | 0.000 | -0.000 | 0.000 |
| -0.000 | 0.000 | 0.000 | 21.619 | -0.000 | -0.000 |
| 0.000 | -0.000 | 0.000 | 0.000 | 21.619 | 0.000 |
| 0.000 | 0.000 | -0.000 | 0.000 | -0.000 | 21.619 |
| 50.890 | 34.853 | 34.853 | 0.000 | 0.000 | -0.000 |
| 34.853 | 50.890 | 34.853 | 0.000 | 0.000 | -0.000 |
| 34.853 | 34.853 | 50.890 | -0.000 | 0.000 | 0.000 |
| 0.000 | -0.000 | -0.000 | 21.619 | 0.000 | -0.000 |
| -0.000 | 0.000 | -0.000 | 0.000 | 21.619 | 0.000 |
| -0.000 | -0.000 | 0.000 | -0.000 | 0.000 | 21.619 |
| 7.239 | 7.229 | 7.229 | 0.000 | 0.000 | -0.000 |
| 7.229 | 7.239 | 7.229 | 0.000 | 0.000 | -0.000 |
| 7.229 | 7.229 | 7.239 | 0.000 | 0.000 | -0.000 |
| -0.000 | -0.000 | -0.000 | 7.263 | 0.000 | -0.000 |
| -0.000 | -0.000 | -0.000 | 0.000 | 7.263 | -0.000 |
| -0.000 | -0.000 | -0.000 | 0.000 | 0.000 | 7.263 |
| 7.239 | 7.229 | 7.229 | -0.000 | -0.000 | -0.000 |
| 7.229 | 7.239 | 7.229 | -0.000 | -0.000 | -0.000 |
| 7.229 | 7.229 | 7.239 | -0.000 | -0.000 | -0.000 |
| 0.000 | 0.000 | 0.000 | 7.263 | -0.000 | 0.000 |
| 0.000 | 0.000 | 0.000 | 0.000 | 7.263 | 0.000 |
| 0.000 | 0.000 | 0.000 | -0.000 | -0.000 | 7.263 |
| 7.239 | 7.229 | 7.229 | 0.000 | 0.000 | -0.000 |
| 7.229 | 7.239 | 7.229 | 0.000 | 0.000 | -0.000 |
| 7.229 | 7.229 | 7.239 | 0.000 | 0.000 | -0.000 |
| -0.000 | -0.000 | -0.000 | -28.791 | 0.000 | -0.000 |
| -0.000 | -0.000 | -0.000 | 0.000 | -28.791 | -0.000 |
| -0.000 | -0.000 | -0.000 | 0.000 | 0.000 | -28.791 |
| 7.240 | 7.229 | 7.229 | -0.000 | -0.000 | -0.000 |
| 7.229 | 7.240 | 7.229 | -0.000 | -0.000 | -0.000 |
| 7.229 | 7.229 | 7.240 | -0.000 | -0.000 | 0.000 |
| 0.000 | 0.000 | 0.000 | -28.791 | -0.000 | -0.000 |
| 0.000 | 0.000 | 0.000 | -0.000 | -28.791 | -0.000 |
| 0.000 | 0.000 | 0.000 | -0.000 | -0.000 | -28.791 |
| 7.239 | 7.229 | 7.229 | 0.000 | 0.000 | -0.000 |
| 7.229 | 7.239 | 7.229 | 0.000 | 0.000 | -0.000 |
| 7.229 | 7.229 | 7.239 | 0.000 | 0.000 | 0.000 |
| -0.001 | -0.000 | -0.001 | -28.791 | 0.000 | 0.000 |
| -0.000 | -0.001 | -0.001 | 0.000 | -28.791 | 0.000 |
| -0.000 | -0.001 | -0.001 | 0.000 | 0.000 | -28.791 |
| 7.240 | 7.229 | 7.229 | -0.000 | -0.000 | 0.000 |
| 7.229 | 7.240 | 7.229 | -0.000 | -0.000 | -0.000 |
| 7.229 | 7.229 | 7.240 | -0.000 | -0.000 | 0.000 |
| 0.001 | 0.000 | 0.001 | -28.791 | -0.000 | 0.000 |
| 0.000 | 0.001 | 0.001 | -0.000 | -28.791 | 0.000 |
| 0.000 | 0.001 | 0.001 | -0.000 | -0.000 | -28.791 |
| 1123.084 | 69.795 | 69.795 | 0.000 | 0.000 | -0.000 |
| 69.795 | 1123.084 | 69.795 | 0.000 | 0.000 | -0.000 |
| 69.795 | 69.795 | 1123.084 | 0.000 | -0.000 | -0.000 |
| 0.000 | 0.000 | 0.000 | 249.887 | 0.000 | -0.000 |
| 0.000 | 0.000 | 0.000 | 0.000 | 249.887 | -0.000 |
| 0.000 | 0.000 | 0.000 | 0.000 | 0.000 | 249.887 |
| 1117.717 | 72.474 | 72.474 | -0.000 | -0.000 | 0.000 |
| 72.474 | 1117.717 | 72.474 | -0.000 | 0.000 | 0.000 |
| 72.474 | 72.474 | 1117.717 | -0.000 | -0.000 | 0.000 |
| -0.000 | -0.000 | -0.000 | 249.887 | -0.000 | 0.000 |
| -0.000 | -0.000 | -0.000 | -0.000 | 249.887 | 0.000 |
| -0.000 | -0.000 | -0.000 | -0.000 | -0.000 | 249.887 |
| 1123.099 | 69.808 | 69.808 | 0.000 | 0.000 | -0.000 |
| 69.808 | 1123.099 | 69.808 | 0.000 | 0.000 | -0.000 |
| 69.808 | 69.808 | 1123.099 | 0.000 | 0.000 | -0.000 |
| 0.000 | 0.000 | 0.000 | 249.887 | 0.000 | -0.000 |
| 0.000 | 0.000 | 0.000 | 0.000 | 249.887 | -0.000 |
| 0.000 | 0.000 | 0.000 | 0.000 | 0.000 | 249.887 |
| 1123.066 | 69.780 | 69.780 | -0.000 | -0.000 | 0.000 |
| 69.780 | 1123.066 | 69.780 | -0.000 | -0.000 | 0.000 |
| 69.780 | 69.780 | 1123.066 | -0.000 | -0.000 | 0.000 |
| -0.000 | -0.000 | -0.000 | 249.887 | -0.000 | 0.000 |
| -0.000 | -0.000 | -0.000 | -0.000 | 249.887 | 0.000 |
| -0.000 | -0.000 | -0.000 | -0.000 | -0.000 | 249.887 |
| 1117.882 | 72.616 | 72.616 | 0.000 | 0.000 | -0.000 |
| 72.616 | 1117.882 | 72.616 | 0.000 | 0.000 | -0.000 |
| 72.616 | 72.616 | 1117.882 | 0.000 | -0.000 | -0.000 |
| 0.001 | 0.002 | 0.002 | 226.694 | 0.000 | -0.000 |
| 0.002 | 0.001 | 0.002 | 0.000 | 226.694 | -0.000 |
| 0.002 | 0.002 | 0.001 | 0.000 | 0.000 | 226.694 |
| 1117.556 | 72.336 | 72.336 | -0.000 | -0.000 | 0.000 |
| 72.336 | 1117.556 | 72.336 | -0.000 | -0.000 | 0.000 |
| 72.336 | 72.336 | 1117.556 | -0.000 | -0.000 | 0.000 |
| -0.001 | -0.002 | -0.002 | 226.694 | 0.000 | 0.000 |
| -0.002 | -0.001 | -0.002 | -0.000 | 226.694 | 0.000 |
| -0.002 | -0.002 | -0.001 | -0.000 | -0.000 | 226.694 |
| 556.431 | 260.621 | 260.621 | 0.000 | 0.000 | 0.000 |
| 260.621 | 556.431 | 260.621 | 0.000 | 0.000 | 0.000 |
| 260.621 | 260.621 | 556.431 | 0.000 | -0.000 | 0.000 |
| -0.000 | -0.000 | -0.000 | -65.176 | -0.000 | 0.000 |
| -0.000 | -0.000 | 0.000 | 0.000 | -65.176 | 0.000 |
| -0.000 | -0.000 | 0.000 | 0.000 | -0.000 | -65.176 |
| 548.140 | 264.772 | 264.772 | -0.000 | 0.000 | -0.000 |
| 264.772 | 548.140 | 264.772 | -0.000 | 0.000 | -0.000 |
| 264.772 | 264.772 | 548.140 | -0.000 | 0.000 | -0.000 |
| 0.000 | 0.000 | 0.000 | -65.176 | 0.000 | -0.000 |
| 0.000 | 0.000 | -0.000 | -0.000 | -65.176 | -0.000 |
| 0.000 | 0.000 | -0.000 | -0.000 | 0.000 | -65.176 |
| 548.120 | 264.752 | 264.752 | 0.000 | -0.000 | -0.000 |
| 264.752 | 548.120 | 264.752 | 0.000 | -0.000 | -0.000 |
| 264.752 | 264.752 | 548.120 | 0.000 | -0.000 | 0.000 |
| -0.000 | -0.000 | -0.000 | -48.486 | -0.000 | 0.000 |
| -0.000 | -0.000 | -0.000 | 0.000 | -48.486 | 0.000 |
| -0.000 | -0.000 | -0.000 | 0.000 | -0.000 | -48.486 |
| 548.157 | 264.789 | 264.789 | -0.000 | 0.000 | -0.000 |
| 264.789 | 548.157 | 264.789 | -0.000 | 0.000 | -0.000 |
| 264.789 | 264.789 | 548.157 | -0.000 | 0.000 | -0.000 |
| 0.000 | 0.000 | 0.000 | -48.486 | 0.000 | -0.000 |
| 0.000 | 0.000 | 0.000 | -0.000 | -48.486 | -0.000 |
| 0.000 | 0.000 | 0.000 | -0.000 | 0.000 | -48.486 |
| 556.249 | 260.440 | 260.440 | 0.000 | -0.000 | 0.000 |
| 260.440 | 556.249 | 260.440 | 0.000 | -0.000 | 0.000 |
| 260.440 | 260.440 | 556.249 | 0.000 | -0.000 | 0.000 |
| -0.001 | -0.002 | -0.002 | -48.486 | -0.000 | -0.000 |
| -0.002 | -0.001 | -0.002 | 0.000 | -48.486 | 0.000 |
| -0.002 | -0.002 | -0.001 | 0.000 | -0.000 | -48.486 |
| 556.616 | 260.806 | 260.806 | -0.000 | 0.000 | -0.000 |
| 260.806 | 556.616 | 260.806 | -0.000 | 0.000 | -0.000 |
| 260.806 | 260.806 | 556.616 | -0.000 | 0.000 | -0.000 |
| 0.001 | 0.002 | 0.002 | -48.486 | 0.000 | -0.000 |
| 0.002 | 0.001 | 0.002 | -0.000 | -48.486 | -0.000 |
| 0.002 | 0.002 | 0.001 | -0.000 | 0.000 | -48.486 |
| -157608485.527 | -128942693.033 | -127768636.544 | 1516528.475 | -845981.625 | 142513.333 |
| -128752873.642 | -160742142.205 | -132910424.905 | -136894.837 | 1563750.515 | 36337.252 |
| -127266018.142 | -129356184.828 | -160553873.159 | 690144.743 | -471095.904 | 1623295.794 |
| 0.000 | 0.000 | 0.000 | 15.308 | -0.000 | -0.000 |
| 0.000 | 0.000 | 0.000 | 0.000 | 15.308 | 0.000 |
| 0.000 | 0.000 | 0.000 | 0.000 | -0.000 | 15.308 |
| 71.905 | 19.286 | 19.286 | -0.000 | -0.000 | 0.000 |
| 19.286 | 71.905 | 19.286 | -0.000 | 0.000 | 0.000 |
| 19.286 | 19.286 | 71.905 | -0.000 | 0.000 | 0.000 |
| -0.000 | -0.000 | -0.000 | 15.308 | 0.000 | 0.000 |
| -0.000 | -0.000 | -0.000 | -0.000 | 15.308 | -0.000 |
| -0.000 | -0.000 | -0.000 | -0.000 | 0.000 | 15.308 |
| -15813039.085 | -12055940.727 | -12171983.687 | -87501.110 | -79778.088 | 49896.148 |
| -11828215.320 | -15597471.606 | -12237518.922 | -73386.588 | 59273.996 | -256240.523 |
| -11833247.100 | -11787515.119 | -15454265.094 | -79550.762 | -199722.328 | 120573.036 |
| 0.000 | 0.000 | 0.000 | 15.308 | 0.000 | -0.000 |
| 0.000 | 0.000 | 0.000 | 0.000 | 15.308 | -0.000 |
| 0.000 | 0.000 | 0.000 | 0.000 | -0.000 | 15.308 |
| 4118842.439 | 13971547.760 | 14662655.187 | -137196.016 | 53979.768 | 19116.377 |
| 14651273.398 | 4259417.476 | 13619963.634 | -36712.719 | 11479.454 | 46089.067 |
| 13542685.111 | 14465296.207 | 4151154.958 | 24508.868 | -58585.556 | -63652.637 |
| -0.000 | -0.000 | -0.000 | 15.308 | -0.000 | 0.000 |
| -0.000 | -0.000 | -0.000 | -0.000 | 15.308 | -0.000 |
| -0.000 | -0.000 | -0.000 | -0.000 | 0.000 | 15.308 |
| -1607853.763 | -1230796.135 | -1177172.174 | -29743.569 | 7218.333 | -1215.170 |
| -1168584.137 | -1576412.601 | -1238650.835 | 2640.117 | 6135.886 | 847.730 |
| -1220774.852 | -1154137.030 | -1564089.953 | 4077.114 | -7881.322 | -4695.747 |
| 0.000 | 0.000 | 0.000 | 15.308 | 0.000 | -0.000 |
| 0.000 | 0.000 | 0.000 | 0.000 | 15.308 | -0.000 |
| 0.000 | 0.000 | 0.000 | 0.000 | -0.000 | 15.308 |
| 418292.775 | 1377340.095 | 1487741.700 | 10627.872 | -2179.753 | -9122.322 |
| 1489371.368 | 452214.538 | 1430175.959 | 11092.674 | 1346.130 | -7218.817 |
| 1387540.071 | 1435840.261 | 456116.982 | 4763.829 | -1822.945 | 3551.527 |
| -0.000 | -0.000 | -0.000 | 15.308 | 0.000 | -0.000 |
| -0.000 | -0.000 | -0.000 | -0.000 | 15.308 | -0.000 |
| -0.000 | -0.000 | -0.000 | -0.000 | 0.000 | 15.308 |
| 9.417 | 3.011 | 3.011 | 0.000 | 0.000 | -0.000 |
| 3.011 | 9.417 | 3.011 | 0.000 | -0.000 | -0.000 |
| 3.011 | 3.011 | 9.417 | -0.000 | 0.000 | 0.000 |
| 0.000 | 0.000 | 0.000 | 0.924 | -0.000 | -0.000 |
| 0.000 | 0.000 | 0.000 | -0.000 | 0.924 | -0.000 |
| 0.000 | 0.000 | 0.000 | -0.000 | -0.000 | 0.924 |
| 9.417 | 3.011 | 3.011 | -0.000 | 0.000 | -0.000 |
| 3.011 | 9.417 | 3.011 | 0.000 | -0.000 | 0.000 |
| 3.011 | 3.011 | 9.417 | 0.000 | 0.000 | 0.000 |
| -0.000 | -0.000 | -0.000 | 0.924 | 0.000 | -0.000 |
| -0.000 | -0.000 | -0.000 | 0.000 | 0.924 | 0.000 |
| -0.000 | -0.000 | -0.000 | 0.000 | 0.000 | 0.924 |
| 9.417 | 3.011 | 3.011 | -0.000 | -0.000 | -0.000 |
| 3.011 | 9.417 | 3.011 | -0.000 | 0.000 | -0.000 |
| 3.011 | 3.011 | 9.417 | 0.000 | 0.000 | -0.000 |
| 0.000 | 0.000 | 0.000 | -24.786 | 0.000 | -0.000 |
| 0.000 | 0.000 | 0.000 | 0.000 | -6.347 | -0.000 |
| 0.000 | 0.000 | 0.000 | 0.000 | 0.000 | -24.786 |
| 9.416 | 3.011 | 3.011 | 0.000 | -0.000 | 0.000 |
| 3.011 | 9.416 | 3.011 | 0.000 | 0.000 | 0.000 |
| 3.011 | 3.011 | 9.416 | 0.000 | -0.000 | 0.000 |
| -0.000 | -0.000 | -0.000 | -6.347 | 0.000 | -0.000 |
| -0.000 | -0.000 | -0.000 | -0.000 | -6.347 | 0.000 |
| -0.000 | -0.000 | -0.000 | 0.000 | 0.000 | -6.347 |
| 9.417 | 3.011 | 3.011 | -0.000 | -0.000 | -0.000 |
| 3.011 | 9.417 | 3.011 | -0.000 | -0.000 | -0.000 |
| 3.011 | 3.011 | 9.417 | -0.000 | -0.000 | -0.000 |
| -898694.873 | -736725.498 | -657646.390 | 2288.852 | -381.044 | 8375.400 |
| -662043.811 | -1020047.496 | -796295.575 | -18638.373 | 39145.227 | -11501.607 |
| -705561.949 | -618713.409 | -875121.319 | 11760.059 | -8853.562 | 6024.460 |
| 9.416 | 3.012 | 3.012 | 0.000 | -0.000 | 0.000 |
| 3.012 | 9.416 | 3.012 | 0.000 | -0.000 | 0.000 |
| 3.012 | 3.012 | 9.416 | 0.000 | 0.000 | 0.000 |
| 959880.348 | 727785.373 | 742237.255 | -21732.775 | -574.687 | 1005.514 |
| 684525.673 | 995378.762 | 642588.558 | 1461.450 | 12610.064 | -7649.412 |
| 709348.605 | 780260.511 | 979521.934 | -8889.411 | 24474.227 | 1777.078 |
| 11.711 | 0.000 | 0.000 | 0.000 | 0.000 | 0.000 |
| 0.000 | 11.711 | 0.000 | 0.000 | 0.000 | -0.000 |
| 0.000 | 0.000 | 11.711 | -0.000 | 0.000 | 0.000 |
| 0.000 | -0.000 | 0.000 | 0.000 | 0.000 | 0.000 |
| -0.000 | 0.000 | 0.000 | -0.000 | 0.000 | 0.000 |
| -0.000 | 0.000 | 0.000 | 0.000 | 0.000 | 0.000 |
| 11.711 | -0.000 | -0.000 | -0.000 | 0.000 | 0.000 |
| -0.000 | 11.711 | -0.000 | 0.000 | -0.000 | -0.000 |
| -0.000 | -0.000 | 11.711 | 0.000 | 0.000 | -0.000 |
| -0.000 | 0.000 | -0.000 | 0.000 | -0.000 | -0.000 |
| 0.000 | -0.000 | -0.000 | 0.000 | 0.000 | 0.000 |
| 0.000 | -0.000 | -0.000 | -0.000 | 0.000 | 0.000 |
| 11.711 | 0.000 | 0.000 | 0.000 | -0.000 | 0.000 |
| 0.000 | 11.711 | 0.000 | 0.000 | 0.000 | 0.000 |
| 0.000 | 0.000 | 11.711 | 0.000 | -0.000 | 0.000 |
| 0.000 | 0.000 | -0.000 | 0.000 | 0.000 | -0.000 |
| 0.000 | 0.000 | -0.000 | -0.000 | 0.000 | 0.000 |
| 0.000 | -0.000 | 0.000 | 0.000 | 0.000 | 0.000 |
| 11.711 | -0.000 | -0.000 | -0.000 | 0.000 | 0.000 |
| -0.000 | 11.711 | -0.000 | -0.000 | -0.000 | 0.000 |
| -0.000 | -0.000 | 11.711 | -0.000 | 0.000 | -0.000 |
| -0.000 | -0.000 | 0.000 | 0.000 | -0.000 | 0.000 |
| -0.000 | -0.000 | 0.000 | 0.000 | 0.000 | 0.000 |
| -0.000 | 0.000 | -0.000 | -0.000 | -0.000 | 0.000 |
| 11.710 | 0.000 | 0.000 | 0.000 | 0.000 | -0.000 |
| 0.000 | 11.710 | 0.000 | -0.000 | 0.000 | -0.000 |
| 0.000 | 0.000 | 11.710 | -0.000 | 0.000 | 0.000 |
| 0.000 | 0.000 | -0.000 | 0.000 | 0.000 | 0.000 |
| 0.000 | 0.000 | -0.000 | 0.000 | 0.000 | 0.000 |
| 0.000 | -0.000 | 0.000 | 0.000 | -0.000 | 0.000 |
| 11.711 | -0.000 | -0.000 | -0.000 | 0.000 | 0.000 |
| -0.000 | 11.711 | -0.000 | 0.000 | -0.000 | 0.000 |
| -0.000 | -0.000 | 11.711 | 0.000 | -0.000 | -0.000 |
| -0.000 | -0.000 | 0.000 | 0.000 | -0.000 | -0.000 |
| -0.000 | -0.000 | 0.000 | -0.000 | 0.000 | 0.000 |
| -0.000 | 0.000 | -0.000 | -0.000 | -0.000 | 0.000 |
| 255.234 | 110.431 | 110.431 | 0.000 | 0.000 | 0.000 |
| 110.431 | 255.234 | 110.431 | 0.000 | 0.000 | -0.000 |
| 110.431 | 110.431 | 255.234 | -0.000 | 0.000 | 0.000 |
| 0.000 | -0.000 | 0.000 | 111.282 | -0.000 | -0.000 |
| 0.000 | -0.000 | 0.000 | -0.000 | 111.282 | -0.000 |
| 0.000 | -0.000 | 0.000 | -0.000 | 0.000 | 111.282 |
| 255.234 | 110.431 | 110.431 | -0.000 | -0.000 | 0.000 |
| 110.431 | 255.234 | 110.431 | -0.000 | -0.000 | -0.000 |
| 110.431 | 110.431 | 255.234 | 0.000 | 0.000 | -0.000 |
| -0.000 | 0.000 | -0.000 | 111.282 | 0.000 | 0.000 |
| -0.000 | 0.000 | -0.000 | 0.000 | 111.282 | 0.000 |
| -0.000 | 0.000 | -0.000 | 0.000 | 0.000 | 111.282 |
| 255.234 | 110.431 | 110.431 | 0.000 | 0.000 | 0.000 |
| 110.431 | 255.234 | 110.431 | 0.000 | 0.000 | -0.000 |
| 110.431 | 110.431 | 255.234 | -0.000 | -0.000 | -0.000 |
| 0.000 | 0.000 | 0.000 | 110.921 | 0.000 | -0.000 |
| 0.000 | -0.000 | 0.000 | 0.000 | 110.921 | -0.000 |
| 0.000 | 0.000 | 0.000 | -0.000 | 0.000 | 110.921 |
| 255.234 | 110.431 | 110.431 | -0.000 | -0.000 | -0.000 |
| 110.431 | 255.234 | 110.431 | -0.000 | -0.000 | -0.000 |
| 110.431 | 110.431 | 255.234 | 0.000 | -0.000 | -0.000 |
| -0.000 | -0.000 | -0.000 | 110.921 | -0.000 | 0.000 |
| -0.000 | 0.000 | -0.000 | -0.000 | 110.921 | 0.000 |
| -0.000 | -0.000 | -0.000 | -0.000 | -0.000 | 110.921 |
| 255.234 | 110.431 | 110.431 | 0.000 | 0.000 | -0.000 |
| 110.431 | 255.234 | 110.431 | 0.000 | 0.000 | -0.000 |
| 110.431 | 110.431 | 255.234 | 0.000 | 0.000 | 0.000 |
| -0.000 | 0.000 | 0.000 | 110.921 | 0.000 | -0.000 |
| 0.000 | -0.000 | 0.000 | 0.000 | 110.921 | -0.000 |
| 0.000 | 0.000 | -0.000 | -0.000 | 0.000 | 110.921 |
| 255.234 | 110.432 | 110.432 | -0.000 | -0.000 | -0.000 |
| 110.432 | 255.234 | 110.432 | -0.000 | -0.000 | 0.000 |
| 110.432 | 110.432 | 255.234 | -0.000 | -0.000 | -0.000 |
| 0.000 | -0.000 | -0.000 | 110.921 | -0.000 | -0.000 |
| -0.000 | 0.000 | -0.000 | -0.000 | 110.921 | -0.000 |
| -0.000 | -0.000 | 0.000 | -0.000 | -0.000 | 110.921 |
| 168.023 | -3.992 | -3.992 | -0.000 | -0.000 | -0.000 |
| -3.992 | 168.023 | -3.992 | -0.000 | -0.000 | -0.000 |
| -3.992 | -3.992 | 168.023 | 0.000 | 0.000 | -0.000 |
| -0.000 | -0.000 | -0.000 | -1.763 | 0.000 | -0.000 |
| -0.000 | -0.000 | -0.000 | 0.000 | -1.763 | -0.000 |
| -0.000 | -0.000 | -0.000 | 0.000 | 0.000 | -1.763 |
| 168.023 | -3.992 | -3.992 | 0.000 | 0.000 | 0.000 |
| -3.992 | 168.023 | -3.992 | 0.000 | 0.000 | 0.000 |
| -3.992 | -3.992 | 168.023 | 0.000 | 0.000 | 0.000 |
| 0.000 | 0.000 | 0.000 | -1.763 | -0.000 | 0.000 |
| 0.000 | 0.000 | 0.000 | -0.000 | -1.763 | 0.000 |
| 0.000 | 0.000 | 0.000 | -0.000 | -0.000 | -1.763 |
| 168.023 | -3.992 | -3.992 | -0.000 | -0.000 | -0.000 |
| -3.992 | 168.023 | -3.992 | -0.000 | 0.000 | -0.000 |
| -3.992 | -3.992 | 168.023 | 0.000 | 0.000 | -0.000 |
| 0.000 | 0.000 | -0.000 | -6.891 | 0.000 | -0.000 |
| 0.000 | 0.000 | -0.000 | 0.000 | -6.891 | -0.000 |
| 0.000 | -0.000 | 0.000 | -0.000 | 0.000 | -6.891 |
| 168.023 | -3.992 | -3.992 | 0.000 | 0.000 | 0.000 |
| -3.992 | 168.023 | -3.992 | 0.000 | 0.000 | 0.000 |
| -3.992 | -3.992 | 168.023 | -0.000 | -0.000 | 0.000 |
| -0.000 | -0.000 | 0.000 | -6.891 | -0.000 | 0.000 |
| -0.000 | -0.000 | 0.000 | -0.000 | -6.891 | 0.000 |
| -0.000 | 0.000 | -0.000 | -0.000 | -0.000 | -6.891 |
| 168.025 | -3.992 | -3.992 | -0.000 | -0.000 | -0.000 |
| -3.992 | 168.025 | -3.992 | -0.000 | -0.000 | -0.000 |
| -3.992 | -3.992 | 168.025 | 0.000 | 0.000 | -0.000 |
| -0.000 | -0.000 | -0.000 | -1.763 | 0.000 | -0.000 |
| -0.000 | -0.000 | -0.000 | 0.000 | -1.763 | -0.000 |
| -0.000 | -0.000 | -0.000 | 0.000 | 0.000 | -1.763 |
| 168.021 | -3.992 | -3.992 | 0.000 | 0.000 | 0.000 |
| -3.992 | 168.021 | -3.992 | 0.000 | 0.000 | 0.000 |
| -3.992 | -3.992 | 168.021 | 0.000 | -0.000 | 0.000 |
| 0.000 | 0.000 | 0.000 | -1.763 | -0.000 | 0.000 |
| 0.000 | 0.000 | 0.000 | -0.000 | -1.763 | 0.000 |
| 0.000 | 0.000 | 0.000 | -0.000 | -0.000 | -1.763 |
| 87.925 | 53.807 | 53.807 | -0.000 | -0.000 | 0.000 |
| 53.807 | 87.925 | 53.807 | -0.000 | -0.000 | -0.000 |
| 53.807 | 53.807 | 87.925 | 0.000 | 0.000 | 0.000 |
| -0.000 | -0.000 | -0.000 | 54.850 | -0.000 | 0.000 |
| -0.000 | -0.000 | -0.000 | 0.000 | 54.850 | -0.000 |
| -0.000 | -0.000 | -0.000 | 0.000 | -0.000 | 54.850 |
| 87.925 | 53.807 | 53.807 | -0.000 | 0.000 | 0.000 |
| 53.807 | 87.925 | 53.807 | -0.000 | 0.000 | 0.000 |
| 53.807 | 53.807 | 87.925 | -0.000 | -0.000 | 0.000 |
| 0.000 | 0.000 | 0.000 | 54.850 | -0.000 | 0.000 |
| 0.000 | 0.000 | 0.000 | -0.000 | 54.850 | 0.000 |
| 0.000 | 0.000 | 0.000 | -0.000 | 0.000 | 54.850 |
| 87.925 | 53.807 | 53.807 | 0.000 | -0.000 | 0.000 |
| 53.807 | 87.925 | 53.807 | -0.000 | -0.000 | -0.000 |
| 53.807 | 53.807 | 87.925 | 0.000 | 0.000 | -0.000 |
| -0.000 | -0.000 | -0.000 | 54.850 | 0.000 | -0.000 |
| -0.000 | -0.000 | -0.000 | 0.000 | 54.850 | -0.000 |
| -0.000 | -0.000 | -0.000 | 0.000 | 0.000 | 54.850 |
| 87.925 | 53.807 | 53.807 | -0.000 | 0.000 | 0.000 |
| 53.807 | 87.925 | 53.807 | 0.000 | 0.000 | -0.000 |
| 53.807 | 53.807 | 87.925 | -0.000 | -0.000 | 0.000 |
| 0.000 | 0.000 | 0.000 | 54.850 | 0.000 | -0.000 |
| 0.000 | 0.000 | 0.000 | -0.000 | 54.850 | 0.000 |
| 0.000 | 0.000 | 0.000 | -0.000 | -0.000 | 54.850 |
| 87.925 | 53.807 | 53.807 | 0.000 | -0.000 | 0.000 |
| 53.807 | 87.925 | 53.807 | -0.000 | -0.000 | -0.000 |
| 53.807 | 53.807 | 87.925 | 0.000 | 0.000 | 0.000 |
| -0.000 | -0.000 | -0.000 | 54.850 | -0.000 | -0.000 |
| -0.000 | -0.000 | -0.000 | 0.000 | 54.850 | 0.000 |
| -0.000 | -0.000 | -0.000 | -0.000 | -0.000 | 54.850 |
| 87.926 | 53.807 | 53.807 | 0.000 | 0.000 | 0.000 |
| 53.807 | 87.926 | 53.807 | 0.000 | 0.000 | -0.000 |
| 53.807 | 53.807 | 87.926 | -0.000 | -0.000 | 0.000 |
| 0.000 | 0.000 | 0.000 | 54.850 | -0.000 | 0.000 |
| 0.000 | 0.000 | 0.000 | -0.000 | 54.850 | 0.000 |
| 0.000 | 0.000 | 0.000 | -0.000 | -0.000 | 54.850 |
| 8.659 | 8.542 | 8.542 | 0.000 | 0.000 | -0.000 |
| 8.542 | 8.659 | 8.542 | 0.000 | 0.000 | -0.000 |
| 8.542 | 8.542 | 8.659 | 0.000 | 0.000 | 0.000 |
| -0.000 | -0.000 | -0.000 | -13.436 | 0.000 | -0.000 |
| -0.000 | -0.000 | -0.000 | 0.000 | -13.436 | -0.000 |
| -0.000 | -0.000 | -0.000 | 0.000 | 0.000 | -13.436 |
| 8.659 | 8.542 | 8.542 | -0.000 | -0.000 | 0.000 |
| 8.542 | 8.659 | 8.542 | -0.000 | -0.000 | 0.000 |
| 8.542 | 8.542 | 8.659 | -0.000 | -0.000 | 0.000 |
| 0.000 | 0.000 | 0.000 | -13.436 | -0.000 | -0.000 |
| 0.000 | 0.000 | 0.000 | -0.000 | -13.436 | -0.000 |
| 0.000 | 0.000 | 0.000 | -0.000 | -0.000 | -13.436 |
| 8.659 | 8.542 | 8.542 | 0.000 | 0.000 | -0.000 |
| 8.542 | 8.659 | 8.542 | 0.000 | 0.000 | -0.000 |
| 8.542 | 8.542 | 8.659 | 0.000 | 0.000 | 0.000 |
| -0.000 | -0.000 | -0.000 | -13.436 | 0.000 | -0.000 |
| -0.000 | -0.000 | -0.000 | 0.000 | -13.436 | -0.000 |
| -0.000 | -0.000 | -0.000 | 0.000 | 0.000 | -13.436 |
| 8.659 | 8.542 | 8.542 | -0.000 | -0.000 | 0.000 |
| 8.542 | 8.659 | 8.542 | -0.000 | -0.000 | 0.000 |
| 8.542 | 8.542 | 8.659 | -0.000 | -0.000 | -0.000 |
| 0.000 | 0.000 | 0.000 | -13.436 | -0.000 | 0.000 |
| 0.000 | 0.000 | 0.000 | -0.000 | -13.436 | 0.000 |
| 0.000 | 0.000 | 0.000 | -0.000 | -0.000 | -13.436 |
| 8.659 | 8.542 | 8.542 | 0.000 | 0.000 | -0.000 |
| 8.542 | 8.659 | 8.542 | 0.000 | 0.000 | -0.000 |
| 8.542 | 8.542 | 8.659 | 0.000 | 0.000 | 0.000 |
| -0.001 | -0.001 | -0.001 | -13.436 | 0.000 | 0.000 |
| -0.001 | -0.001 | -0.001 | 0.000 | -13.436 | 0.000 |
| -0.001 | -0.001 | -0.001 | 0.000 | 0.000 | -13.436 |
| 8.659 | 8.542 | 8.542 | -0.000 | -0.000 | -0.000 |
| 8.542 | 8.659 | 8.542 | -0.000 | -0.000 | -0.000 |
| 8.542 | 8.542 | 8.659 | -0.000 | -0.000 | 0.000 |
| 0.001 | 0.001 | 0.001 | -13.436 | -0.000 | -0.000 |
| 0.001 | 0.001 | 0.001 | -0.000 | -13.436 | -0.000 |
| 0.001 | 0.001 | 0.001 | -0.000 | 0.000 | -13.436 |
| 124.230 | 174.314 | 174.314 | -0.000 | -0.000 | 0.000 |
| 174.314 | 124.230 | 174.314 | 0.000 | -0.000 | -0.000 |
| 174.314 | 174.314 | 124.230 | -0.000 | -0.000 | 0.000 |
| 0.000 | 0.000 | 0.000 | 186.233 | -0.000 | 0.000 |
| 0.000 | 0.000 | 0.000 | -0.000 | 186.233 | -0.000 |
| 0.000 | 0.000 | 0.000 | 0.000 | -0.000 | 186.233 |
| 124.235 | 174.319 | 174.319 | 0.000 | 0.000 | -0.000 |
| 174.319 | 124.235 | 174.319 | -0.000 | 0.000 | -0.000 |
| 174.319 | 174.319 | 124.235 | -0.000 | 0.000 | -0.000 |
| -0.000 | -0.000 | -0.000 | 186.233 | 0.000 | -0.000 |
| -0.000 | -0.000 | -0.000 | -0.000 | 186.233 | 0.000 |
| -0.000 | -0.000 | -0.000 | -0.000 | 0.000 | 186.233 |
| 124.208 | 174.292 | 174.292 | -0.000 | -0.000 | 0.000 |
| 174.292 | 124.208 | 174.292 | 0.000 | -0.000 | 0.000 |
| 174.292 | 174.292 | 124.208 | -0.000 | -0.000 | 0.000 |
| 0.000 | 0.000 | 0.000 | 186.233 | 0.000 | -0.000 |
| 0.000 | 0.000 | 0.000 | 0.000 | 186.233 | -0.000 |
| 0.000 | 0.000 | 0.000 | -0.000 | -0.000 | 186.233 |
| 124.256 | 174.341 | 174.341 | -0.000 | 0.000 | 0.000 |
| 174.341 | 124.256 | 174.341 | -0.000 | 0.000 | -0.000 |
| 174.341 | 174.341 | 124.256 | -0.000 | 0.000 | 0.000 |
| -0.000 | -0.000 | -0.000 | 186.233 | -0.000 | 0.000 |
| -0.000 | -0.000 | -0.000 | -0.000 | 186.233 | -0.000 |
| -0.000 | -0.000 | -0.000 | 0.000 | 0.000 | 186.233 |
| 123.990 | 174.076 | 174.076 | -0.000 | -0.000 | -0.000 |
| 174.076 | 123.990 | 174.076 | -0.000 | -0.000 | 0.000 |
| 174.076 | 174.076 | 123.990 | -0.000 | 0.000 | 0.000 |
| 0.001 | 0.002 | 0.002 | 186.233 | 0.000 | -0.000 |
| 0.002 | 0.001 | 0.002 | 0.000 | 186.233 | 0.000 |
| 0.002 | 0.002 | 0.001 | 0.000 | -0.000 | 186.233 |
| 124.474 | 174.557 | 174.557 | 0.000 | 0.000 | -0.000 |
| 174.557 | 124.474 | 174.557 | 0.000 | 0.000 | -0.000 |
| 174.557 | 174.557 | 124.474 | 0.000 | 0.000 | -0.000 |
| -0.001 | -0.002 | -0.002 | 186.233 | 0.000 | 0.000 |
| -0.002 | -0.001 | -0.002 | 0.000 | 186.233 | -0.000 |
| -0.002 | -0.002 | -0.001 | -0.000 | 0.000 | 186.233 |
| 525.768 | 29.609 | 29.609 | 0.000 | -0.000 | 0.000 |
| 29.609 | 525.768 | 29.609 | -0.000 | -0.000 | 0.000 |
| 29.609 | 29.609 | 525.768 | -0.000 | 0.000 | 0.000 |
| -0.000 | -0.000 | -0.000 | 54.198 | 0.000 | 0.000 |
| -0.000 | -0.000 | -0.000 | 0.000 | 54.198 | 0.000 |
| -0.000 | -0.000 | -0.000 | 0.000 | -0.000 | 54.198 |
| 525.770 | 29.610 | 29.610 | 0.000 | -0.000 | -0.000 |
| 29.610 | 525.770 | 29.610 | -0.000 | 0.000 | -0.000 |
| 29.610 | 29.610 | 525.770 | 0.000 | -0.000 | -0.000 |
| 0.000 | 0.000 | 0.000 | 54.198 | 0.000 | -0.000 |
| 0.000 | 0.000 | 0.000 | -0.000 | 54.198 | -0.000 |
| 0.000 | 0.000 | 0.000 | -0.000 | 0.000 | 54.198 |
| 525.759 | 29.602 | 29.602 | 0.000 | 0.000 | 0.000 |
| 29.602 | 525.759 | 29.602 | 0.000 | -0.000 | 0.000 |
| 29.602 | 29.602 | 525.759 | 0.000 | -0.000 | 0.000 |
| -0.000 | -0.000 | -0.000 | 54.198 | -0.000 | 0.000 |
| -0.000 | -0.000 | -0.000 | 0.000 | 54.198 | 0.000 |
| -0.000 | -0.000 | -0.000 | -0.000 | -0.000 | 54.198 |
| 525.779 | 29.617 | 29.617 | -0.000 | 0.000 | -0.000 |
| 29.617 | 525.779 | 29.617 | -0.000 | -0.000 | -0.000 |
| 29.617 | 29.617 | 525.779 | -0.000 | -0.000 | -0.000 |
| 0.000 | 0.000 | 0.000 | 54.198 | 0.000 | -0.000 |
| 0.000 | 0.000 | 0.000 | 0.000 | 54.198 | -0.000 |
| 0.000 | 0.000 | 0.000 | 0.000 | 0.000 | 54.198 |
| 525.669 | 29.535 | 29.535 | 0.000 | 0.000 | 0.000 |
| 29.535 | 525.669 | 29.535 | 0.000 | 0.000 | 0.000 |
| 29.535 | 29.535 | 525.669 | 0.000 | 0.000 | 0.000 |
| -0.001 | -0.001 | -0.001 | 54.198 | 0.000 | 0.000 |
| -0.001 | -0.001 | -0.001 | 0.000 | 54.198 | 0.000 |
| -0.001 | -0.001 | -0.001 | -0.000 | 0.000 | 54.198 |
| 525.869 | 29.684 | 29.684 | -0.000 | -0.000 | -0.000 |
| 29.684 | 525.869 | 29.684 | -0.000 | -0.000 | -0.000 |
| 29.684 | 29.684 | 525.869 | -0.000 | 0.000 | -0.000 |
| 0.001 | 0.001 | 0.001 | 54.198 | 0.000 | -0.000 |
| 0.001 | 0.001 | 0.001 | -0.000 | 54.198 | -0.000 |
| 0.001 | 0.001 | 0.001 | -0.000 | 0.000 | 54.198 |
| 220.216 | 106.741 | 106.741 | -0.000 | 0.000 | 0.000 |
| 106.741 | 220.216 | 106.741 | -0.000 | -0.000 | -0.000 |
| 106.741 | 106.741 | 220.216 | -0.000 | -0.000 | -0.000 |
| -0.000 | -0.000 | -0.000 | 52.322 | -0.000 | -0.000 |
| -0.000 | -0.000 | -0.000 | -0.000 | 52.322 | -0.000 |
| -0.000 | -0.000 | -0.000 | -0.000 | -0.000 | 52.322 |
| 220.216 | 106.741 | 106.741 | 0.000 | 0.000 | 0.000 |
| 106.741 | 220.216 | 106.741 | 0.000 | 0.000 | 0.000 |
| 106.741 | 106.741 | 220.216 | 0.000 | 0.000 | 0.000 |
| 0.000 | 0.000 | 0.000 | 52.322 | 0.000 | 0.000 |
| 0.000 | 0.000 | 0.000 | 0.000 | 52.322 | 0.000 |
| 0.000 | 0.000 | 0.000 | 0.000 | 0.000 | 52.322 |
| 220.215 | 106.740 | 106.740 | -0.000 | -0.000 | -0.000 |
| 106.740 | 220.215 | 106.740 | -0.000 | -0.000 | -0.000 |
| 106.740 | 106.740 | 220.215 | -0.000 | 0.000 | -0.000 |
| -0.000 | -0.000 | -0.000 | 52.322 | 0.000 | -0.000 |
| -0.000 | -0.000 | -0.000 | -0.000 | 52.322 | -0.000 |
| -0.000 | -0.000 | -0.000 | -0.000 | -0.000 | 52.322 |
| 220.217 | 106.742 | 106.742 | 0.000 | 0.000 | 0.000 |
| 106.742 | 220.217 | 106.742 | 0.000 | 0.000 | 0.000 |
| 106.742 | 106.742 | 220.217 | 0.000 | -0.000 | 0.000 |
| 0.000 | 0.000 | 0.000 | 52.322 | -0.000 | 0.000 |
| 0.000 | 0.000 | 0.000 | 0.000 | 52.322 | 0.000 |
| 0.000 | 0.000 | 0.000 | 0.000 | 0.000 | 52.322 |
| 220.203 | 106.732 | 106.732 | -0.000 | -0.000 | -0.000 |
| 106.732 | 220.203 | 106.732 | -0.000 | -0.000 | -0.000 |
| 106.732 | 106.732 | 220.203 | -0.000 | -0.000 | -0.000 |
| -0.000 | -0.002 | -0.002 | 52.322 | 0.000 | -0.000 |
| -0.002 | -0.000 | -0.002 | -0.000 | 52.322 | -0.000 |
| -0.002 | -0.002 | -0.000 | -0.000 | -0.000 | 52.322 |
| 220.229 | 106.750 | 106.750 | 0.000 | 0.000 | 0.000 |
| 106.750 | 220.229 | 106.750 | 0.000 | 0.000 | 0.000 |
| 106.750 | 106.750 | 220.229 | -0.000 | 0.000 | 0.000 |
| 0.000 | 0.002 | 0.002 | 52.322 | 0.000 | -0.000 |
| 0.002 | 0.000 | 0.002 | 0.000 | 52.322 | 0.000 |
| 0.002 | 0.002 | 0.000 | 0.000 | 0.000 | 52.322 |
| 162.629 | 7.783 | 7.783 | 0.000 | 0.000 | 0.000 |
| 7.783 | 162.629 | 7.783 | -0.000 | 0.000 | -0.000 |
| 7.783 | 7.783 | 162.629 | -0.000 | -0.000 | -0.000 |
| 0.000 | 0.000 | 0.000 | 17.023 | 0.000 | 0.000 |
| 0.000 | 0.000 | 0.000 | 0.000 | 17.023 | 0.000 |
| 0.000 | 0.000 | 0.000 | 0.000 | 0.000 | 17.023 |
| 162.629 | 7.783 | 7.783 | 0.000 | -0.000 | 0.000 |
| 7.783 | 162.629 | 7.783 | -0.000 | -0.000 | -0.000 |
| 7.783 | 7.783 | 162.629 | -0.000 | -0.000 | -0.000 |
| -0.000 | -0.000 | -0.000 | 17.023 | 0.000 | -0.000 |
| -0.000 | -0.000 | -0.000 | 0.000 | 17.023 | -0.000 |
| -0.000 | -0.000 | -0.000 | -0.000 | -0.000 | 17.023 |
| 162.629 | 7.783 | 7.783 | -0.000 | 0.000 | 0.000 |
| 7.783 | 162.629 | 7.783 | -0.000 | 0.000 | 0.000 |
| 7.783 | 7.783 | 162.629 | -0.000 | -0.000 | -0.000 |
| -0.000 | 0.000 | 0.000 | 17.023 | 0.000 | 0.000 |
| 0.000 | -0.000 | 0.000 | -0.000 | 17.023 | 0.000 |
| 0.000 | 0.000 | -0.000 | -0.000 | 0.000 | 17.023 |
| 162.630 | 7.783 | 7.783 | 0.000 | -0.000 | -0.000 |
| 7.783 | 162.630 | 7.783 | -0.000 | -0.000 | -0.000 |
| 7.783 | 7.783 | 162.630 | 0.000 | -0.000 | -0.000 |
| 0.000 | -0.000 | -0.000 | 17.023 | 0.000 | 0.000 |
| -0.000 | 0.000 | -0.000 | 0.000 | 17.023 | -0.000 |
| -0.000 | -0.000 | 0.000 | 0.000 | -0.000 | 17.023 |
| 162.627 | 7.783 | 7.783 | -0.000 | 0.000 | 0.000 |
| 7.783 | 162.627 | 7.783 | 0.000 | 0.000 | -0.000 |
| 7.783 | 7.783 | 162.627 | -0.000 | 0.000 | 0.000 |
| -0.000 | 0.000 | 0.000 | 17.023 | 0.000 | -0.000 |
| 0.000 | -0.000 | 0.000 | -0.000 | 17.023 | 0.000 |
| 0.000 | 0.000 | -0.000 | 0.000 | 0.000 | 17.023 |
| 162.632 | 7.783 | 7.783 | 0.000 | -0.000 | -0.000 |
| 7.783 | 162.632 | 7.783 | 0.000 | 0.000 | 0.000 |
| 7.783 | 7.783 | 162.632 | 0.000 | 0.000 | 0.000 |
| 0.000 | -0.000 | -0.000 | 17.023 | -0.000 | -0.000 |
| -0.000 | 0.000 | -0.000 | 0.000 | 17.023 | -0.000 |
| -0.000 | -0.000 | 0.000 | -0.000 | -0.000 | 17.023 |
| 130.647 | 64.964 | 64.964 | 0.000 | 0.000 | 0.000 |
| 64.964 | 130.647 | 64.964 | 0.000 | 0.000 | 0.000 |
| 64.964 | 64.964 | 130.647 | 0.000 | 0.000 | 0.000 |
| -0.000 | 0.000 | 0.000 | 66.288 | 0.000 | 0.000 |
| 0.000 | -0.000 | 0.000 | 0.000 | 66.288 | -0.000 |
| 0.000 | 0.000 | -0.000 | 0.000 | 0.000 | 66.288 |
| 130.647 | 64.964 | 64.964 | -0.000 | -0.000 | -0.000 |
| 64.964 | 130.647 | 64.964 | -0.000 | -0.000 | -0.000 |
| 64.964 | 64.964 | 130.647 | -0.000 | -0.000 | -0.000 |
| 0.000 | -0.000 | -0.000 | 66.288 | -0.000 | -0.000 |
| -0.000 | 0.000 | -0.000 | -0.000 | 66.288 | 0.000 |
| -0.000 | -0.000 | 0.000 | -0.000 | -0.000 | 66.288 |
| 130.647 | 64.964 | 64.964 | 0.000 | 0.000 | 0.000 |
| 64.964 | 130.647 | 64.964 | 0.000 | 0.000 | 0.000 |
| 64.964 | 64.964 | 130.647 | 0.000 | 0.000 | 0.000 |
| -0.000 | 0.000 | 0.000 | 66.288 | 0.000 | 0.000 |
| 0.000 | -0.000 | 0.000 | 0.000 | 66.288 | 0.000 |
| 0.000 | 0.000 | -0.000 | 0.000 | 0.000 | 66.288 |
| 130.647 | 64.964 | 64.964 | -0.000 | -0.000 | -0.000 |
| 64.964 | 130.647 | 64.964 | -0.000 | -0.000 | -0.000 |
| 64.964 | 64.964 | 130.647 | -0.000 | -0.000 | -0.000 |
| 0.000 | -0.000 | -0.000 | 66.288 | -0.000 | -0.000 |
| -0.000 | 0.000 | -0.000 | -0.000 | 66.288 | -0.000 |
| -0.000 | -0.000 | 0.000 | -0.000 | -0.000 | 66.288 |
| 130.648 | 64.965 | 64.965 | 0.000 | 0.000 | 0.000 |
| 64.965 | 130.648 | 64.965 | 0.000 | 0.000 | 0.000 |
| 64.965 | 64.965 | 130.648 | 0.000 | 0.000 | -0.000 |
| -0.000 | 0.000 | 0.000 | 66.288 | 0.000 | 0.000 |
| 0.000 | -0.000 | 0.000 | 0.000 | 66.288 | -0.000 |
| 0.000 | 0.000 | -0.000 | 0.000 | -0.000 | 66.288 |
| 130.646 | 64.964 | 64.964 | -0.000 | -0.000 | -0.000 |
| 64.964 | 130.646 | 64.964 | -0.000 | -0.000 | 0.000 |
| 64.964 | 64.964 | 130.646 | -0.000 | -0.000 | -0.000 |
| 0.000 | -0.000 | -0.000 | 66.288 | -0.000 | -0.000 |
| -0.000 | 0.000 | -0.000 | -0.000 | 66.288 | 0.000 |
| -0.000 | -0.000 | 0.000 | -0.000 | -0.000 | 66.288 |
| 20.938 | 10.473 | 10.473 | -0.000 | -0.000 | -0.000 |
| 10.473 | 20.938 | 10.473 | -0.000 | -0.000 | 0.000 |
| 10.473 | 10.473 | 20.938 | -0.000 | -0.000 | 0.000 |
| -0.000 | -0.000 | -0.000 | 10.536 | -0.000 | 0.000 |
| -0.000 | -0.000 | -0.000 | -0.000 | 10.536 | -0.000 |
| -0.000 | -0.000 | -0.000 | -0.000 | -0.000 | 10.536 |
| 20.938 | 10.473 | 10.473 | 0.000 | 0.000 | -0.000 |
| 10.473 | 20.938 | 10.473 | 0.000 | 0.000 | 0.000 |
| 10.473 | 10.473 | 20.938 | 0.000 | 0.000 | -0.000 |
| 0.000 | 0.000 | 0.000 | 10.536 | 0.000 | 0.000 |
| 0.000 | 0.000 | 0.000 | 0.000 | 10.536 | -0.000 |
| 0.000 | 0.000 | 0.000 | 0.000 | 0.000 | 10.536 |
| 20.938 | 10.473 | 10.473 | -0.000 | -0.000 | 0.000 |
| 10.473 | 20.938 | 10.473 | -0.000 | -0.000 | 0.000 |
| 10.473 | 10.473 | 20.938 | -0.000 | -0.000 | -0.000 |
| -0.000 | -0.000 | -0.000 | 10.536 | -0.000 | 0.000 |
| -0.000 | -0.000 | -0.000 | -0.000 | 10.536 | -0.000 |
| -0.000 | -0.000 | -0.000 | -0.000 | -0.000 | 10.536 |
| 20.938 | 10.473 | 10.473 | 0.000 | 0.000 | 0.000 |
| 10.473 | 20.938 | 10.473 | 0.000 | 0.000 | -0.000 |
| 10.473 | 10.473 | 20.938 | 0.000 | 0.000 | -0.000 |
| 0.000 | 0.000 | 0.000 | 10.536 | 0.000 | 0.000 |
| 0.000 | 0.000 | 0.000 | -0.000 | 10.536 | 0.000 |
| 0.000 | 0.000 | 0.000 | 0.000 | 0.000 | 10.536 |
| 20.938 | 10.473 | 10.473 | -0.000 | -0.000 | -0.000 |
| 10.473 | 20.938 | 10.473 | -0.000 | -0.000 | -0.000 |
| 10.473 | 10.473 | 20.938 | -0.000 | -0.000 | 0.000 |
| -0.000 | -0.000 | -0.000 | 10.536 | -0.000 | 0.000 |
| -0.000 | -0.000 | -0.000 | 0.000 | 10.536 | -0.000 |
| -0.000 | -0.000 | -0.000 | 0.000 | -0.000 | 10.536 |
| 20.938 | 10.473 | 10.473 | 0.000 | 0.000 | 0.000 |
| 10.473 | 20.938 | 10.473 | 0.000 | 0.000 | -0.000 |
| 10.473 | 10.473 | 20.938 | 0.000 | 0.000 | 0.000 |
| 0.000 | 0.000 | 0.000 | 10.536 | 0.000 | -0.000 |
| 0.000 | 0.000 | 0.000 | 0.000 | 10.536 | 0.000 |
| 0.000 | 0.000 | 0.000 | 0.000 | 0.000 | 10.536 |
| 875.079 | 267.845 | 298.121 | -0.000 | 0.000 | -0.000 |
| 267.845 | 875.079 | 298.121 | -0.000 | 0.000 | -0.000 |
| 298.121 | 298.121 | 1041.872 | -0.000 | 0.000 | -0.000 |
| -0.000 | -0.000 | -0.000 | 175.688 | 0.000 | -0.000 |
| -0.000 | -0.000 | -0.000 | -0.000 | 175.688 | -0.000 |
| -0.000 | -0.000 | -0.000 | -0.000 | 0.000 | 125.602 |
| 875.079 | 267.846 | 298.121 | 0.000 | -0.000 | 0.000 |
| 267.846 | 875.079 | 298.121 | 0.000 | -0.000 | 0.000 |
| 298.121 | 298.121 | 1041.872 | 0.000 | 0.000 | 0.000 |
| 0.000 | 0.000 | 0.000 | 175.688 | -0.000 | 0.000 |
| 0.000 | 0.000 | 0.000 | 0.000 | 175.688 | 0.000 |
| 0.000 | 0.000 | 0.000 | 0.000 | -0.000 | 125.602 |
| 875.075 | 267.842 | 298.120 | -0.000 | 0.000 | -0.000 |
| 267.842 | 875.075 | 298.120 | 0.000 | 0.000 | -0.000 |
| 298.122 | 298.122 | 1041.874 | -0.000 | 0.000 | -0.000 |
| -0.000 | -0.000 | -0.000 | 175.688 | 0.000 | -0.000 |
| -0.000 | -0.000 | -0.000 | -0.000 | 175.688 | -0.000 |
| 0.000 | 0.000 | -0.000 | -0.000 | 0.000 | 125.602 |
| 875.083 | 267.849 | 298.122 | 0.000 | -0.000 | 0.000 |
| 267.849 | 875.083 | 298.122 | 0.000 | -0.000 | 0.000 |
| 298.120 | 298.120 | 1041.870 | 0.000 | -0.000 | 0.000 |
| 0.000 | 0.000 | 0.000 | 175.688 | -0.000 | 0.000 |
| 0.000 | 0.000 | 0.000 | 0.000 | 175.688 | 0.000 |
| -0.000 | -0.000 | 0.000 | 0.000 | -0.000 | 125.602 |
| 875.042 | 267.809 | 298.112 | -0.000 | 0.000 | -0.000 |
| 267.809 | 875.042 | 298.112 | -0.000 | 0.000 | -0.000 |
| 298.133 | 298.133 | 1041.887 | -0.000 | -0.000 | -0.000 |
| -0.001 | -0.002 | -0.002 | 175.688 | 0.000 | -0.000 |
| -0.002 | -0.001 | -0.002 | -0.000 | 175.688 | -0.000 |
| 0.000 | 0.000 | -0.001 | -0.000 | 0.000 | 125.602 |
| 875.116 | 267.882 | 298.130 | 0.000 | -0.000 | 0.000 |
| 267.882 | 875.116 | 298.130 | 0.000 | -0.000 | 0.000 |
| 298.109 | 298.109 | 1041.857 | 0.000 | -0.000 | 0.000 |
| 0.001 | 0.002 | 0.002 | 175.688 | -0.000 | 0.000 |
| 0.002 | 0.001 | 0.002 | 0.000 | 175.688 | 0.000 |
| -0.000 | -0.000 | 0.001 | 0.000 | -0.000 | 125.602 |
| 79.090 | 497.679 | 216.548 | -0.000 | 0.000 | 0.000 |
| 497.678 | 79.090 | 216.548 | -0.000 | 0.000 | 0.000 |
| 272.396 | 272.396 | 1242.624 | -0.000 | -0.000 | 0.000 |
| -99.764 | -99.764 | -50.992 | 97.966 | 0.000 | 0.000 |
| 0.000 | 0.000 | 0.000 | -0.000 | 98.012 | 0.000 |
| -99.382 | -99.382 | -50.797 | -0.000 | 0.000 | -209.296 |
| 548.051 | 246.935 | 272.316 | -0.000 | 0.000 | -0.000 |
| 375.122 | 606.195 | 319.935 | -0.000 | -0.000 | -0.000 |
| 272.395 | 272.395 | 1242.624 | -0.000 | -0.000 | -0.000 |
| 99.764 | 99.764 | 50.992 | 97.966 | 0.000 | -0.000 |
| -0.000 | -0.000 | -0.000 | 0.000 | 98.012 | -0.000 |
| 99.382 | 99.382 | 50.797 | 0.000 | 0.000 | -209.296 |
| 548.056 | 246.939 | 272.319 | 0.000 | 0.000 | 0.000 |
| 270.295 | 459.930 | 255.767 | 0.000 | 0.000 | 0.000 |
| 272.398 | 272.398 | 1242.626 | 0.000 | -0.000 | 0.000 |
| -10.014 | -10.014 | -5.118 | 97.966 | 0.000 | 0.000 |
| -10.014 | -10.014 | -5.118 | -0.000 | 97.966 | 0.000 |
| -6.591 | -6.593 | -3.369 | -0.000 | -0.000 | -210.195 |
| 316.071 | 482.803 | 273.308 | 0.000 | 0.000 | -0.000 |
| 246.932 | 548.047 | 272.313 | 0.000 | 0.000 | -0.000 |
| 272.392 | 272.392 | 1242.622 | -0.000 | 0.000 | -0.000 |
| 10.014 | 10.014 | 5.118 | 97.966 | -0.000 | -0.000 |
| 10.014 | 10.014 | 5.118 | 0.000 | 97.966 | -0.000 |
| 6.591 | 6.593 | 3.369 | 0.000 | 0.000 | -210.195 |
| 548.096 | 246.972 | 272.348 | -0.000 | -0.000 | 0.000 |
| 310.342 | 426.233 | 257.400 | -0.000 | 0.000 | 0.000 |
| 272.426 | 272.426 | 1242.645 | -0.000 | -0.000 | 0.000 |
| -0.996 | -0.994 | -0.507 | 97.687 | 0.000 | 0.000 |
| 0.004 | 0.001 | 0.003 | -0.000 | 98.012 | 0.000 |
| 0.002 | 0.002 | 0.001 | 0.000 | -0.000 | 150.558 |
| 111.856 | 659.570 | 266.279 | -0.000 | 0.000 | -0.000 |
| 602.968 | 182.005 | 269.742 | 0.000 | 0.000 | -0.000 |
| 272.365 | 272.365 | 1242.604 | 0.000 | 0.000 | -0.000 |
| 0.996 | 0.994 | 0.507 | 97.687 | -0.000 | -0.000 |
| -0.004 | -0.001 | -0.003 | 0.000 | 98.012 | -0.000 |
| -0.002 | -0.002 | -0.001 | 0.000 | 0.000 | 150.558 |
| -594315102.022 | -150658516.876 | -915827915.306 | 0.007 | -0.000 | 8.828 |
| 123.284 | 384.499 | 151.165 | 0.000 | -0.000 | 0.000 |
| 347.892 | 347.892 | 472.797 | -0.000 | -0.000 | 0.000 |
| 0.000 | 0.000 | 0.000 | 135.268 | 0.000 | 0.000 |
| 195.820 | 195.820 | -59.332 | -0.000 | 135.192 | 0.000 |
| 0.000 | 0.000 | 0.000 | -0.000 | 0.000 | 130.607 |
| 148.466 | -39.316 | 211.558 | 0.000 | -0.000 | -0.000 |
| -39.316 | 148.466 | 211.558 | 0.000 | -0.000 | -0.000 |
| 151.117 | 151.117 | 532.410 | -0.000 | 0.000 | -0.000 |
| -0.000 | -0.000 | -0.000 | 135.268 | 0.000 | -0.000 |
| -195.820 | -195.820 | 59.332 | 0.000 | 135.192 | -0.000 |
| -0.000 | -0.000 | -0.000 | 0.000 | 0.000 | 130.607 |
| 384.504 | 123.287 | 151.171 | -0.000 | 0.000 | 0.000 |
| 123.286 | 384.505 | 151.171 | 0.000 | 0.000 | 0.000 |
| 151.125 | 151.125 | 532.423 | -0.000 | -0.000 | 0.000 |
| 19.591 | 19.593 | -5.931 | 135.192 | 0.000 | 0.000 |
| 0.004 | 0.001 | 0.005 | 0.000 | 135.268 | 0.000 |
| 18.829 | 18.829 | -5.705 | 0.000 | -0.000 | 5.136 |
| 384.493 | 123.281 | 151.159 | 0.000 | 0.000 | -0.000 |
| 138.975 | 317.596 | 158.919 | 0.000 | -0.000 | -0.000 |
| 132.483 | 132.483 | 538.048 | 0.000 | -0.000 | -0.000 |
| -19.591 | -19.593 | 5.931 | 135.192 | 0.000 | -0.000 |
| -0.004 | -0.001 | -0.005 | 0.000 | 135.268 | -0.000 |
| -18.829 | -18.829 | 5.705 | 0.000 | -0.000 | 5.136 |
| 384.554 | 123.314 | 151.224 | -0.000 | 0.000 | 0.000 |
| 214.166 | 287.622 | 152.129 | -0.000 | -0.000 | 0.000 |
| 151.191 | 151.191 | 532.534 | -0.000 | -0.000 | 0.000 |
| 2.051 | 2.069 | -0.569 | 135.189 | 0.000 | 0.000 |
| 0.035 | 0.012 | 0.049 | 0.000 | 135.268 | -0.000 |
| -4835319.468 | -2379422.809 | -11414648.793 | -0.000 | -0.000 | 2126969.353 |
| 384.443 | 123.254 | 151.105 | 0.000 | 0.000 | -0.000 |
| 186.795 | 300.388 | 154.234 | 0.000 | -0.000 | -0.000 |
| 150.044 | 150.044 | 532.594 | -0.000 | -0.000 | -0.000 |
| -2.051 | -2.069 | 0.569 | 135.189 | -0.000 | -0.000 |
| -0.035 | -0.012 | -0.049 | 0.000 | 135.268 | -0.000 |
| 4835319.468 | 2379422.809 | 11414648.793 | 0.000 | -0.000 | 2126969.353 |
| 387.302 | 183.275 | 245.904 | 0.000 | 0.000 | 0.000 |
| 214.425 | 525.817 | 276.736 | -0.000 | 0.000 | 0.000 |
| 179.965 | 206.885 | 590.917 | -0.000 | 0.000 | 0.000 |
| 4.932 | -27.020 | 66.973 | 193.321 | 0.000 | 0.000 |
| -0.000 | 0.000 | 0.000 | -0.000 | 169.298 | 0.000 |
| 5.408 | -24.412 | 64.089 | -0.000 | 0.000 | 189.286 |
| 382.536 | 210.812 | 178.624 | -0.000 | -0.000 | -0.000 |
| 204.574 | 579.760 | 143.011 | 0.000 | 0.000 | -0.000 |
| 179.965 | 206.885 | 590.917 | 0.000 | -0.000 | -0.000 |
| -4.932 | 27.020 | -66.973 | 193.321 | -0.000 | -0.000 |
| 0.000 | -0.000 | 0.000 | -0.000 | 169.298 | -0.000 |
| -5.408 | 24.412 | -64.090 | 0.000 | -0.000 | 189.286 |
| 382.535 | 210.812 | 178.623 | -0.000 | 0.000 | 0.000 |
| 210.112 | 556.882 | 204.843 | -0.000 | 0.000 | 0.000 |
| 181.371 | 210.287 | 590.108 | -0.000 | 0.000 | 0.000 |
| 0.502 | -2.640 | 6.619 | 173.401 | -0.000 | 0.000 |
| 0.498 | -2.728 | 6.762 | -0.000 | 169.001 | 0.000 |
| -0.000 | -0.000 | -0.000 | 0.000 | 0.000 | 189.286 |
| 382.536 | 210.812 | 178.624 | -0.000 | -0.000 | -0.000 |
| 210.112 | 556.880 | 204.843 | -0.000 | -0.000 | -0.000 |
| 179.966 | 206.885 | 590.918 | 0.000 | -0.000 | -0.000 |
| -0.502 | 2.640 | -6.619 | 173.401 | -0.000 | -0.000 |
| -0.498 | 2.728 | -6.762 | 0.000 | 169.001 | -0.000 |
| 0.000 | 0.000 | 0.000 | -0.000 | -0.000 | 189.286 |
| 382.379 | 209.479 | 180.432 | -0.000 | -0.000 | 0.000 |
| 208.775 | 548.482 | 214.876 | -0.000 | 0.000 | 0.000 |
| 179.960 | 206.886 | 590.908 | 0.000 | -0.000 | 0.000 |
| -0.000 | 0.001 | 0.001 | 199.017 | 0.000 | 0.000 |
| 0.084 | -0.466 | 1.153 | 0.000 | 168.791 | 0.000 |
| -0.002 | -0.001 | -0.000 | 0.000 | 0.000 | 189.286 |
| 382.538 | 210.812 | 178.628 | -0.000 | 0.000 | -0.000 |
| 208.665 | 548.958 | 213.588 | -0.000 | -0.000 | -0.000 |
| 179.970 | 206.884 | 590.926 | -0.000 | -0.000 | -0.000 |
| 0.000 | -0.001 | -0.001 | 199.017 | -0.000 | -0.000 |
| -0.084 | 0.466 | -1.153 | 0.000 | 168.791 | -0.000 |
| 0.002 | 0.001 | 0.000 | -0.000 | -0.000 | 189.286 |
| 377.074 | 211.191 | 169.877 | -0.000 | -0.000 | -0.000 |
| 210.918 | 551.920 | 207.910 | -0.000 | -0.000 | 0.000 |
| 226.287 | 542.560 | 273.427 | -0.000 | 0.000 | -0.000 |
| 56.037 | 322.270 | -280.422 | 189.713 | -0.000 | 0.000 |
| 56.029 | 322.227 | -280.384 | -0.000 | 164.193 | -0.000 |
| -0.000 | -0.000 | 0.000 | 0.000 | -0.000 | 189.059 |
| 377.074 | 211.191 | 169.877 | -0.000 | 0.000 | 0.000 |
| 169.335 | 80.983 | 682.862 | 0.000 | 0.000 | -0.000 |
| 114.252 | -102.021 | 834.380 | 0.000 | 0.000 | 0.000 |
| -56.037 | -322.270 | 280.422 | 189.713 | 0.000 | -0.000 |
| -56.029 | -322.227 | 280.384 | 0.000 | 164.193 | 0.000 |
| 0.000 | 0.000 | -0.000 | 0.000 | 0.000 | 189.059 |
| 382.539 | 244.171 | 140.742 | -0.000 | -0.000 | 0.000 |
| 216.360 | 575.488 | 189.577 | -0.000 | -0.000 | 0.000 |
| 175.750 | 252.980 | 525.105 | -0.000 | -0.000 | -0.000 |
| 4.143 | 47.292 | -47.748 | 184.285 | -0.000 | -0.000 |
| -0.000 | -0.000 | -0.000 | -0.000 | 164.599 | -0.000 |
| 5.603 | 32.223 | -28.038 | -0.000 | -0.000 | 189.059 |
| 377.074 | 211.191 | 169.877 | 0.000 | 0.000 | 0.000 |
| 205.262 | 510.422 | 246.543 | 0.000 | 0.000 | -0.000 |
| 165.929 | 170.943 | 603.674 | 0.000 | 0.000 | 0.000 |
| -4.143 | -47.292 | 47.748 | 184.285 | 0.000 | -0.000 |
| 0.000 | 0.000 | 0.000 | 0.000 | 164.599 | 0.000 |
| -5.603 | -32.223 | 28.038 | 0.000 | 0.000 | 189.059 |
| 377.366 | 215.883 | 164.945 | -0.000 | -0.000 | -0.000 |
| 210.915 | 551.920 | 207.910 | -0.000 | -0.000 | -0.000 |
| 170.210 | 221.851 | 551.988 | -0.000 | -0.000 | -0.000 |
| 0.289 | 6.766 | -7.322 | 177.045 | -0.000 | 0.000 |
| -0.001 | -0.000 | -0.001 | -0.000 | 164.599 | -0.000 |
| 0.559 | 3.222 | -2.804 | -0.000 | -0.000 | 189.059 |
| 377.072 | 211.193 | 169.874 | 0.000 | 0.000 | 0.000 |
| 210.609 | 539.780 | 221.385 | 0.000 | 0.000 | 0.000 |
| 169.607 | 211.601 | 562.812 | 0.000 | 0.000 | -0.000 |
| -0.289 | -6.766 | 7.322 | 177.045 | 0.000 | 0.000 |
| 0.001 | 0.000 | 0.001 | 0.000 | 164.599 | 0.000 |
| -0.559 | -3.222 | 2.804 | 0.000 | 0.000 | 189.059 |
| 387.986 | 214.880 | 184.925 | -0.000 | -0.000 | 0.000 |
| 213.955 | 550.897 | 213.474 | -0.000 | 0.000 | -0.000 |
| 187.404 | 221.016 | 576.779 | -0.000 | -0.000 | 0.000 |
| 0.920 | 3.178 | -1.768 | 172.315 | -0.000 | -0.000 |
| -0.000 | 0.000 | -0.000 | 0.000 | 162.638 | -0.000 |
| -0.000 | 0.000 | -0.000 | 0.000 | -0.000 | 190.238 |
| 385.543 | 206.659 | 189.422 | 0.000 | 0.000 | -0.000 |
| 213.955 | 550.897 | 213.474 | -0.000 | -0.000 | -0.000 |
| 185.747 | 213.473 | 581.633 | 0.000 | -0.000 | -0.000 |
| -0.920 | -3.178 | 1.768 | 172.315 | -0.000 | -0.000 |
| 0.000 | -0.000 | -0.000 | -0.000 | 162.638 | 0.000 |
| 0.000 | -0.000 | 0.000 | 0.000 | 0.000 | 190.238 |
| 386.983 | 211.839 | 186.465 | -0.000 | 0.000 | 0.000 |
| 213.954 | 550.897 | 213.474 | -0.000 | 0.000 | 0.000 |
| 185.748 | 213.474 | 581.634 | 0.000 | 0.000 | 0.000 |
| -0.000 | 0.000 | 0.000 | 200.501 | 0.000 | 0.000 |
| -0.000 | -0.000 | -0.000 | -0.000 | 162.638 | -0.000 |
| -0.000 | -0.000 | -0.000 | 0.000 | 0.000 | 190.238 |
| 386.662 | 210.773 | 187.043 | -0.000 | 0.000 | -0.000 |
| 213.955 | 550.897 | 213.474 | 0.000 | -0.000 | -0.000 |
| 186.329 | 216.866 | 579.246 | 0.000 | -0.000 | -0.000 |
| 0.000 | -0.000 | -0.000 | 200.501 | -0.000 | -0.000 |
| 0.000 | 0.000 | 0.000 | -0.000 | 162.638 | 0.000 |
| 0.000 | 0.000 | 0.000 | -0.000 | 0.000 | 190.238 |
| 386.836 | 211.353 | 186.727 | -0.000 | 0.000 | 0.000 |
| 213.952 | 550.896 | 213.473 | 0.000 | -0.000 | -0.000 |
| 185.753 | 213.475 | 581.640 | -0.000 | 0.000 | -0.000 |
| -0.000 | 0.001 | 0.001 | 200.501 | -0.000 | 0.000 |
| 0.016 | 0.064 | -0.038 | -0.000 | 162.119 | 0.000 |
| 0.009 | 0.039 | -0.023 | -0.000 | -0.000 | 190.238 |
| 387.963 | 213.956 | 185.744 | 0.000 | 0.000 | -0.000 |
| 211.544 | 542.067 | 218.567 | 0.000 | 0.000 | -0.000 |
| 186.406 | 217.191 | 579.041 | 0.000 | 0.000 | -0.000 |
| 0.000 | -0.001 | -0.001 | 200.501 | 0.000 | -0.000 |
| -0.016 | -0.064 | 0.038 | 0.000 | 162.119 | -0.000 |
| -0.009 | -0.039 | 0.023 | 0.000 | 0.000 | 190.238 |
| 790.859 | 924.863 | 924.863 | 0.000 | 0.000 | -0.000 |
| 924.863 | 790.859 | 924.863 | 0.000 | 0.000 | -0.000 |
| 924.863 | 924.863 | 790.859 | 0.000 | -0.000 | -0.000 |
| 0.000 | 0.000 | 0.000 | -45.943 | 0.000 | 0.000 |
| 0.000 | -0.000 | 0.000 | 0.000 | -45.943 | -0.000 |
| 0.000 | 0.000 | 0.000 | 0.000 | 0.000 | -45.943 |
| 790.858 | 924.862 | 924.862 | -0.000 | -0.000 | -0.000 |
| 924.862 | 790.858 | 924.862 | -0.000 | 0.000 | 0.000 |
| 924.862 | 924.862 | 790.858 | -0.000 | -0.000 | 0.000 |
| -0.000 | -0.000 | -0.000 | -45.943 | -0.000 | 0.000 |
| -0.000 | 0.000 | -0.000 | -0.000 | -45.943 | 0.000 |
| -0.000 | -0.000 | -0.000 | -0.000 | -0.000 | -45.943 |
| 790.864 | 924.867 | 924.867 | 0.000 | -0.000 | -0.000 |
| 924.867 | 790.864 | 924.867 | -0.000 | 0.000 | -0.000 |
| 924.867 | 924.867 | 790.864 | 0.000 | 0.000 | 0.000 |
| 0.000 | 0.000 | 0.000 | -15.739 | -0.000 | 0.000 |
| 0.000 | 0.000 | 0.000 | 0.000 | -15.739 | -0.000 |
| 0.000 | 0.000 | 0.000 | 0.000 | -0.000 | -15.739 |
| 790.853 | 924.858 | 924.858 | 0.000 | 0.000 | 0.000 |
| 924.858 | 790.853 | 924.858 | -0.000 | -0.000 | 0.000 |
| 924.858 | 924.858 | 790.853 | -0.000 | -0.000 | 0.000 |
| -0.000 | -0.000 | -0.000 | -15.739 | 0.000 | 0.000 |
| -0.000 | -0.000 | -0.000 | -0.000 | -15.739 | 0.000 |
| -0.000 | -0.000 | -0.000 | -0.000 | -0.000 | -15.739 |
| 790.911 | 924.904 | 924.904 | 0.000 | 0.000 | -0.000 |
| 924.904 | 790.911 | 924.904 | -0.000 | -0.000 | 0.000 |
| 924.904 | 924.904 | 790.911 | 0.000 | -0.000 | -0.000 |
| 0.001 | 0.002 | 0.002 | -45.943 | 0.000 | -0.000 |
| 0.002 | 0.001 | 0.002 | 0.000 | -45.943 | -0.000 |
| 0.002 | 0.002 | 0.001 | 0.000 | 0.000 | -45.943 |
| 790.805 | 924.821 | 924.821 | -0.000 | 0.000 | 0.000 |
| 924.821 | 790.805 | 924.821 | -0.000 | -0.000 | 0.000 |
| 924.821 | 924.821 | 790.805 | -0.000 | 0.000 | 0.000 |
| -0.001 | -0.002 | -0.002 | -45.943 | -0.000 | -0.000 |
| -0.002 | -0.001 | -0.002 | -0.000 | -45.943 | 0.000 |
| -0.002 | -0.002 | -0.001 | -0.000 | -0.000 | -45.943 |
| 1050.290 | 332.520 | 332.520 | -0.000 | -0.000 | 0.000 |
| 332.520 | 1050.290 | 332.520 | -0.000 | -0.000 | 0.000 |
| 332.520 | 332.520 | 1050.290 | -0.000 | -0.000 | 0.000 |
| 0.000 | 0.000 | 0.000 | 93.880 | -0.000 | 0.000 |
| 0.000 | 0.000 | 0.000 | -0.000 | 93.880 | 0.000 |
| 0.000 | 0.000 | 0.000 | -0.000 | -0.000 | 93.880 |
| 1050.299 | 332.529 | 332.529 | 0.000 | 0.000 | -0.000 |
| 332.529 | 1050.299 | 332.529 | 0.000 | 0.000 | -0.000 |
| 332.529 | 332.529 | 1050.299 | 0.000 | 0.000 | -0.000 |
| -0.000 | -0.000 | 0.000 | 93.880 | 0.000 | -0.000 |
| -0.000 | 0.000 | -0.000 | 0.000 | 93.881 | -0.000 |
| -0.000 | -0.000 | -0.000 | 0.000 | 0.000 | 93.880 |
| 1050.251 | 332.480 | 332.480 | -0.000 | -0.000 | 0.000 |
| 332.480 | 1050.251 | 332.480 | -0.000 | -0.000 | 0.000 |
| 332.480 | 332.480 | 1050.251 | -0.000 | -0.000 | 0.000 |
| 0.000 | 0.000 | 0.000 | 93.880 | -0.000 | 0.000 |
| 0.000 | 0.000 | 0.000 | -0.000 | 93.880 | 0.000 |
| 0.000 | 0.000 | 0.000 | -0.000 | -0.000 | 93.880 |
| 1050.338 | 332.569 | 332.569 | 0.000 | 0.000 | -0.000 |
| 332.569 | 1050.338 | 332.569 | 0.000 | 0.000 | -0.000 |
| 332.569 | 332.569 | 1050.338 | 0.000 | 0.000 | -0.000 |
| -0.000 | -0.000 | -0.000 | 93.880 | 0.000 | -0.000 |
| -0.000 | -0.000 | -0.000 | 0.000 | 93.880 | -0.000 |
| -0.000 | -0.000 | -0.000 | 0.000 | 0.000 | 93.880 |
| 1049.861 | 332.079 | 332.079 | -0.000 | -0.000 | 0.000 |
| 332.079 | 1049.861 | 332.079 | -0.000 | -0.000 | 0.000 |
| 332.079 | 332.079 | 1049.861 | -0.000 | -0.000 | 0.000 |
| 0.001 | 0.002 | 0.002 | 93.880 | -0.000 | 0.000 |
| 0.002 | 0.001 | 0.002 | -0.000 | 93.880 | 0.000 |
| 0.002 | 0.002 | 0.001 | -0.000 | -0.000 | 93.880 |
| 1050.728 | 332.969 | 332.969 | 0.000 | 0.000 | -0.000 |
| 332.969 | 1050.728 | 332.969 | 0.000 | 0.000 | -0.000 |
| 332.969 | 332.969 | 1050.728 | 0.000 | 0.000 | -0.000 |
| -0.001 | -0.002 | -0.002 | 93.880 | 0.000 | -0.000 |
| -0.002 | -0.001 | -0.002 | 0.000 | 93.880 | -0.000 |
| -0.002 | -0.002 | -0.001 | 0.000 | 0.000 | 93.880 |
| 217.082 | 148.126 | 148.126 | 0.000 | 0.000 | 0.000 |
| 148.126 | 217.082 | 148.126 | 0.000 | 0.000 | -0.000 |
| 148.126 | 148.126 | 217.082 | -0.000 | 0.000 | -0.000 |
| 0.000 | -0.000 | 0.000 | 127.803 | -0.000 | -0.000 |
| 0.000 | 0.000 | 0.000 | -0.000 | 127.803 | -0.000 |
| 0.000 | 0.000 | -0.000 | 0.000 | 0.000 | 127.803 |
| 217.083 | 148.126 | 148.126 | 0.000 | -0.000 | -0.000 |
| 148.126 | 217.083 | 148.126 | 0.000 | 0.000 | 0.000 |
| 148.126 | 148.126 | 217.083 | -0.000 | -0.000 | 0.000 |
| -0.000 | 0.000 | -0.000 | 127.803 | -0.000 | 0.000 |
| 0.000 | -0.000 | 0.000 | 0.000 | 127.803 | 0.000 |
| -0.000 | -0.000 | 0.000 | -0.000 | -0.000 | 127.803 |
| 217.082 | 148.126 | 148.126 | 0.000 | -0.000 | -0.000 |
| 148.126 | 217.082 | 148.126 | 0.000 | 0.000 | -0.000 |
| 148.126 | 148.126 | 217.082 | 0.000 | -0.000 | -0.000 |
| -95640913.441 | -83028727.440 | -83551700.742 | -2397128.680 | -167029.898 | -286779.719 |
| -85895963.601 | -97098800.110 | -86591363.901 | -44657.528 | -1213098.399 | -585906.667 |
| -87826483.214 | -88734849.039 | -100054510.142 | -187629.836 | -369263.792 | -774208.825 |
| 217.083 | 148.126 | 148.126 | -0.000 | -0.000 | 0.000 |
| 148.126 | 217.083 | 148.126 | -0.000 | -0.000 | 0.000 |
| 148.126 | 148.126 | 217.083 | 0.000 | -0.000 | -0.000 |
| 101512964.274 | 87283566.644 | 87812573.395 | -705496.079 | -93781.246 | 351248.921 |
| 87032335.385 | 98780659.005 | 87347131.096 | -258446.901 | -593815.887 | 87327.781 |
| 88522514.583 | 87913307.560 | 101510413.249 | -804535.132 | -76305.835 | -1119955.552 |
| 217.076 | 148.124 | 148.124 | 0.000 | 0.000 | -0.000 |
| 148.124 | 217.076 | 148.124 | -0.000 | 0.000 | -0.000 |
| 148.124 | 148.124 | 217.076 | -0.000 | 0.000 | -0.000 |
| -9931157.011 | -8729265.797 | -8726439.738 | -38897.189 | 12822.826 | -43104.334 |
| -8127345.901 | -9386164.924 | -8110135.658 | -9916.278 | -77484.031 | -77504.486 |
| -8202644.395 | -8193740.186 | -9455026.893 | 44257.516 | -46792.814 | -85026.311 |
| 217.090 | 148.128 | 148.128 | -0.000 | -0.000 | -0.000 |
| 148.128 | 217.090 | 148.128 | -0.000 | -0.000 | 0.000 |
| 148.128 | 148.128 | 217.090 | -0.000 | 0.000 | -0.000 |
| 10282076.521 | 8938261.979 | 9093099.844 | -161933.075 | 18786.004 | -13110.863 |
| 8675779.339 | 10272228.681 | 9000218.724 | -76057.257 | -203037.502 | 47636.545 |
| 8770383.551 | 8928524.514 | 10273449.648 | -49893.180 | -10398.178 | -146251.578 |
| 101.715 | 7.000 | 7.000 | -0.000 | -0.000 | 0.000 |
| 7.000 | 101.715 | 7.000 | -0.000 | -0.000 | -0.000 |
| 7.000 | 7.000 | 101.715 | -0.000 | 0.000 | 0.000 |
| 0.000 | -0.000 | 0.000 | 7.229 | -0.000 | 0.000 |
| 0.000 | 0.000 | 0.000 | -0.000 | 7.229 | 0.000 |
| -0.000 | -0.000 | 0.000 | -0.000 | -0.000 | 7.229 |
| 101.715 | 7.000 | 7.000 | 0.000 | 0.000 | -0.000 |
| 7.000 | 101.715 | 7.000 | 0.000 | 0.000 | -0.000 |
| 7.000 | 7.000 | 101.715 | 0.000 | 0.000 | -0.000 |
| -0.000 | 0.000 | -0.000 | 7.229 | 0.000 | -0.000 |
| 0.000 | -0.000 | -0.000 | 0.000 | 7.229 | -0.000 |
| 0.000 | 0.000 | -0.000 | 0.000 | 0.000 | 7.229 |
| 101.715 | 7.000 | 7.000 | -0.000 | -0.000 | 0.000 |
| 7.000 | 101.715 | 7.000 | -0.000 | -0.000 | 0.000 |
| 7.000 | 7.000 | 101.715 | 0.000 | -0.000 | 0.000 |
| 0.000 | 0.000 | -0.000 | 7.229 | -0.000 | 0.000 |
| 0.000 | 0.000 | -0.000 | 0.000 | 7.229 | 0.000 |
| 0.000 | -0.000 | 0.000 | -0.000 | -0.000 | 7.229 |
| 101.715 | 7.000 | 7.000 | 0.000 | 0.000 | -0.000 |
| 7.000 | 101.715 | 7.000 | 0.000 | 0.000 | -0.000 |
| 7.000 | 7.000 | 101.715 | 0.000 | 0.000 | -0.000 |
| -0.000 | -0.000 | 0.000 | 7.229 | 0.000 | -0.000 |
| -0.000 | -0.000 | 0.000 | 0.000 | 7.229 | -0.000 |
| -0.000 | 0.000 | -0.000 | 0.000 | 0.000 | 7.229 |
| 101.714 | 7.000 | 7.000 | -0.000 | -0.000 | 0.000 |
| 7.000 | 101.714 | 7.000 | -0.000 | -0.000 | 0.000 |
| 7.000 | 7.000 | 101.714 | -0.000 | -0.000 | 0.000 |
| 0.000 | 0.000 | 0.000 | -0.089 | -0.000 | 0.000 |
| 0.000 | 0.000 | 0.000 | -0.000 | -0.089 | 0.000 |
| 0.000 | 0.000 | 0.000 | -0.000 | -0.000 | -0.089 |
| 101.717 | 7.000 | 7.000 | 0.000 | 0.000 | -0.000 |
| 7.000 | 101.717 | 7.000 | 0.000 | 0.000 | -0.000 |
| 7.000 | 7.000 | 101.717 | 0.000 | 0.000 | -0.000 |
| -0.000 | -0.000 | -0.000 | -0.089 | 0.000 | -0.000 |
| -0.000 | -0.000 | -0.000 | 0.000 | -0.089 | -0.000 |
| -0.000 | -0.000 | -0.000 | 0.000 | 0.000 | -0.089 |
| 45.852 | 11.344 | 11.344 | -0.000 | -0.000 | 0.000 |
| 11.344 | 45.852 | 11.344 | -0.000 | -0.000 | 0.000 |
| 11.344 | 11.344 | 45.852 | -0.000 | -0.000 | 0.000 |
| -0.000 | -0.000 | -0.000 | 11.430 | 0.000 | 0.000 |
| -0.000 | -0.000 | -0.000 | 0.000 | 11.430 | 0.000 |
| -0.000 | -0.000 | -0.000 | -0.000 | 0.000 | 11.430 |
| 45.852 | 11.344 | 11.344 | 0.000 | 0.000 | -0.000 |
| 11.344 | 45.852 | 11.344 | 0.000 | 0.000 | -0.000 |
| 11.344 | 11.344 | 45.852 | 0.000 | 0.000 | -0.000 |
| 0.000 | 0.000 | 0.000 | 11.430 | 0.000 | -0.000 |
| 0.000 | 0.000 | 0.000 | 0.000 | 11.430 | -0.000 |
| 0.000 | 0.000 | 0.000 | -0.000 | 0.000 | 11.430 |
| 45.852 | 11.344 | 11.344 | 0.000 | -0.000 | 0.000 |
| 11.344 | 45.852 | 11.344 | 0.000 | -0.000 | -0.000 |
| 11.344 | 11.344 | 45.852 | -0.000 | -0.000 | 0.000 |
| -0.000 | -0.000 | -0.000 | 11.430 | -0.000 | 0.000 |
| -0.000 | -0.000 | -0.000 | -0.000 | 11.430 | 0.000 |
| -0.000 | -0.000 | -0.000 | -0.000 | 0.000 | 11.430 |
| 45.852 | 11.344 | 11.344 | 0.000 | 0.000 | -0.000 |
| 11.344 | 45.852 | 11.344 | 0.000 | 0.000 | -0.000 |
| 11.344 | 11.344 | 45.852 | 0.000 | 0.000 | -0.000 |
| 0.000 | 0.000 | 0.000 | 11.430 | 0.000 | -0.000 |
| 0.000 | 0.000 | 0.000 | 0.000 | 11.430 | -0.000 |
| 0.000 | 0.000 | 0.000 | -0.000 | 0.000 | 11.430 |
| 45.853 | 11.344 | 11.344 | -0.000 | -0.000 | 0.000 |
| 11.344 | 45.853 | 11.344 | -0.000 | -0.000 | 0.000 |
| 11.344 | 11.344 | 45.853 | -0.000 | -0.000 | 0.000 |
| -0.000 | -0.000 | -0.000 | 7.648 | -0.000 | 0.000 |
| -0.000 | -0.000 | -0.000 | -0.000 | 7.648 | 0.000 |
| -0.000 | -0.000 | -0.000 | -0.000 | -0.000 | 7.648 |
| 45.852 | 11.344 | 11.344 | 0.000 | 0.000 | -0.000 |
| 11.344 | 45.852 | 11.344 | 0.000 | 0.000 | -0.000 |
| 11.344 | 11.344 | 45.852 | -0.000 | -0.000 | -0.000 |
| 0.000 | 0.000 | 0.000 | 7.648 | 0.000 | -0.000 |
| 0.000 | 0.000 | 0.000 | 0.000 | 7.648 | -0.000 |
| 0.000 | 0.000 | 0.000 | 0.000 | 0.000 | 7.648 |
| 2.235 | 2.235 | 2.235 | 0.000 | -0.000 | 0.000 |
| 2.235 | 2.235 | 2.235 | -0.000 | -0.000 | 0.000 |
| 2.235 | 2.235 | 2.235 | -0.000 | -0.000 | 0.000 |
| -0.000 | -0.000 | -0.000 | 2.243 | -0.000 | 0.000 |
| -0.000 | -0.000 | -0.000 | -0.000 | 2.243 | 0.000 |
| -0.000 | -0.000 | -0.000 | -0.000 | -0.000 | 2.243 |
| 2.235 | 2.235 | 2.235 | 0.000 | 0.000 | -0.000 |
| 2.235 | 2.235 | 2.235 | -0.000 | -0.000 | -0.000 |
| 2.235 | 2.235 | 2.235 | -0.000 | -0.000 | -0.000 |
| 0.000 | 0.000 | 0.000 | 2.243 | 0.000 | -0.000 |
| 0.000 | 0.000 | 0.000 | -0.000 | 2.243 | -0.000 |
| 0.000 | 0.000 | 0.000 | -0.000 | 0.000 | 2.243 |
| 2.235 | 2.235 | 2.235 | 0.000 | 0.000 | 0.000 |
| 2.235 | 2.235 | 2.235 | 0.000 | 0.000 | 0.000 |
| 2.235 | 2.235 | 2.235 | 0.000 | 0.000 | 0.000 |
| 0.000 | -0.000 | -0.000 | 1.655 | -0.000 | 0.000 |
| -0.000 | 0.000 | -0.000 | 0.000 | 1.655 | 0.000 |
| -0.000 | -0.000 | 0.000 | -0.000 | -0.000 | 1.655 |
| 2.235 | 2.235 | 2.235 | 0.000 | 0.000 | -0.000 |
| 2.235 | 2.235 | 2.235 | 0.000 | 0.000 | -0.000 |
| 2.235 | 2.235 | 2.235 | -0.000 | -0.000 | -0.000 |
| -0.000 | 0.000 | -0.000 | 1.655 | -0.000 | 0.000 |
| 0.000 | -0.000 | 0.000 | 0.000 | 1.655 | -0.000 |
| 0.000 | -0.000 | -0.000 | -0.000 | 0.000 | 1.655 |
| 2.235 | 2.235 | 2.235 | -0.000 | -0.000 | 0.000 |
| 2.235 | 2.235 | 2.235 | -0.000 | -0.000 | 0.000 |
| 2.235 | 2.235 | 2.235 | 0.000 | -0.000 | 0.000 |
| -0.000 | -0.000 | -0.000 | 2.243 | 0.000 | 0.000 |
| -0.000 | -0.000 | -0.000 | 0.000 | 2.243 | 0.000 |
| -0.000 | -0.000 | -0.000 | 0.000 | -0.000 | 2.243 |
| 2.235 | 2.235 | 2.235 | 0.000 | 0.000 | -0.000 |
| 2.235 | 2.235 | 2.235 | 0.000 | 0.000 | -0.000 |
| 2.235 | 2.235 | 2.235 | -0.000 | 0.000 | -0.000 |
| 0.000 | 0.000 | 0.000 | 2.243 | 0.000 | -0.000 |
| 0.000 | 0.000 | 0.000 | -0.000 | 2.243 | -0.000 |
| 0.000 | 0.000 | 0.000 | -0.000 | 0.000 | 2.243 |
| 546.784 | 53.304 | 53.304 | -0.000 | 0.000 | 0.000 |
| 53.304 | 546.784 | 53.304 | -0.000 | 0.000 | 0.000 |
| 53.304 | 53.304 | 546.784 | 0.000 | -0.000 | 0.000 |
| 0.000 | -0.000 | -0.000 | 190.158 | 0.000 | 0.000 |
| -0.000 | -0.000 | -0.000 | 0.000 | 190.158 | 0.000 |
| -0.000 | -0.000 | -0.000 | 0.000 | 0.000 | 190.158 |
| 546.784 | 53.304 | 53.304 | 0.000 | -0.000 | -0.000 |
| 53.304 | 546.784 | 53.304 | -0.000 | -0.000 | -0.000 |
| 53.304 | 53.304 | 546.784 | -0.000 | -0.000 | -0.000 |
| -0.000 | 0.000 | 0.000 | 190.158 | 0.000 | -0.000 |
| 0.000 | 0.000 | 0.000 | -0.000 | 190.158 | -0.000 |
| 0.000 | 0.000 | -0.000 | -0.000 | -0.000 | 190.158 |
| 546.786 | 53.307 | 53.307 | 0.000 | 0.000 | 0.000 |
| 53.307 | 546.786 | 53.307 | -0.000 | 0.000 | 0.000 |
| 53.307 | 53.307 | 546.786 | 0.000 | 0.000 | 0.000 |
| -0.000 | -0.000 | -0.000 | 190.158 | 0.000 | 0.000 |
| -0.000 | -0.000 | -0.000 | 0.000 | 190.158 | 0.000 |
| -0.000 | -0.000 | -0.000 | 0.000 | -0.000 | 190.158 |
| 546.783 | 53.302 | 53.302 | 0.000 | -0.000 | -0.000 |
| 53.302 | 546.783 | 53.302 | -0.000 | -0.000 | -0.000 |
| 53.302 | 53.302 | 546.783 | -0.000 | -0.000 | -0.000 |
| 0.000 | 0.000 | 0.000 | 190.158 | -0.000 | -0.000 |
| 0.000 | 0.000 | 0.000 | -0.000 | 190.158 | -0.000 |
| 0.000 | 0.000 | 0.000 | 0.000 | -0.000 | 190.158 |
| 546.799 | 53.329 | 53.329 | -0.000 | -0.000 | 0.000 |
| 53.329 | 546.799 | 53.329 | -0.000 | 0.000 | 0.000 |
| 53.329 | 53.329 | 546.799 | 0.000 | 0.000 | 0.000 |
| -0.000 | -0.001 | -0.001 | 190.158 | 0.000 | 0.000 |
| -0.001 | -0.000 | -0.001 | 0.000 | 190.158 | 0.000 |
| -0.001 | -0.001 | -0.000 | -0.000 | 0.000 | 190.158 |
| 546.769 | 53.279 | 53.279 | -0.000 | -0.000 | -0.000 |
| 53.279 | 546.769 | 53.279 | -0.000 | 0.000 | -0.000 |
| 53.279 | 53.279 | 546.769 | 0.000 | -0.000 | -0.000 |
| 0.000 | 0.001 | 0.001 | 190.158 | -0.000 | -0.000 |
| 0.001 | 0.000 | 0.001 | 0.000 | 190.158 | -0.000 |
| 0.001 | 0.001 | 0.000 | 0.000 | -0.000 | 190.158 |
| 33.804 | 41.475 | 41.475 | -0.000 | -0.000 | 0.000 |
| 41.475 | 33.804 | 41.475 | -0.000 | 0.000 | 0.000 |
| 41.475 | 41.475 | 33.804 | -0.000 | 0.000 | 0.000 |
| -0.000 | 0.000 | 0.000 | 42.334 | -0.000 | 0.000 |
| 0.000 | -0.000 | 0.000 | -0.000 | 42.334 | 0.000 |
| 0.000 | 0.000 | -0.000 | 0.000 | -0.000 | 42.334 |
| 33.804 | 41.475 | 41.475 | -0.000 | -0.000 | -0.000 |
| 41.475 | 33.804 | 41.475 | -0.000 | -0.000 | -0.000 |
| 41.475 | 41.475 | 33.804 | -0.000 | -0.000 | -0.000 |
| 0.000 | -0.000 | -0.000 | 42.334 | 0.000 | -0.000 |
| -0.000 | 0.000 | -0.000 | -0.000 | 42.334 | -0.000 |
| -0.000 | -0.000 | 0.000 | -0.000 | 0.000 | 42.334 |
| 33.804 | 41.475 | 41.475 | -0.000 | -0.000 | 0.000 |
| 41.475 | 33.804 | 41.475 | -0.000 | -0.000 | 0.000 |
| 41.475 | 41.475 | 33.804 | -0.000 | 0.000 | 0.000 |
| 0.000 | 0.000 | 0.000 | 42.334 | -0.000 | 0.000 |
| 0.000 | 0.000 | 0.000 | -0.000 | 42.334 | 0.000 |
| 0.000 | 0.000 | 0.000 | -0.000 | -0.000 | 42.334 |
| 33.805 | 41.475 | 41.475 | -0.000 | -0.000 | -0.000 |
| 41.475 | 33.805 | 41.475 | -0.000 | -0.000 | -0.000 |
| 41.475 | 41.475 | 33.805 | 0.000 | -0.000 | -0.000 |
| -0.000 | -0.000 | -0.000 | 42.334 | -0.000 | -0.000 |
| -0.000 | -0.000 | -0.000 | -0.000 | 42.334 | -0.000 |
| -0.000 | -0.000 | -0.000 | 0.000 | -0.000 | 42.334 |
| 33.802 | 41.476 | 41.476 | -0.000 | -0.000 | 0.000 |
| 41.476 | 33.802 | 41.476 | -0.000 | -0.000 | 0.000 |
| 41.476 | 41.476 | 33.802 | 0.000 | 0.000 | 0.000 |
| 0.000 | 0.001 | 0.001 | 42.334 | 0.000 | 0.000 |
| 0.001 | 0.000 | 0.001 | -0.000 | 42.334 | 0.000 |
| 0.001 | 0.001 | 0.000 | -0.000 | 0.000 | 42.334 |
| 33.807 | 41.474 | 41.474 | 0.000 | -0.000 | -0.000 |
| 41.474 | 33.807 | 41.474 | -0.000 | 0.000 | -0.000 |
| 41.474 | 41.474 | 33.807 | -0.000 | -0.000 | -0.000 |
| -0.000 | -0.001 | -0.001 | 42.334 | 0.000 | -0.000 |
| -0.001 | -0.000 | -0.001 | 0.000 | 42.334 | -0.000 |
| -0.001 | -0.001 | -0.000 | 0.000 | 0.000 | 42.334 |
| 72.209 | 6.486 | 6.486 | -0.000 | -0.000 | -0.000 |
| 6.486 | 72.209 | 6.486 | -0.000 | -0.000 | -0.000 |
| 6.486 | 6.486 | 72.209 | 0.000 | 0.000 | -0.000 |
| -0.000 | 0.000 | 0.000 | 6.805 | -0.000 | -0.000 |
| 0.000 | 0.000 | 0.000 | -0.000 | 6.805 | -0.000 |
| 0.000 | 0.000 | -0.000 | -0.000 | -0.000 | 6.805 |
| 72.209 | 6.486 | 6.486 | 0.000 | 0.000 | 0.000 |
| 6.486 | 72.209 | 6.486 | 0.000 | 0.000 | 0.000 |
| 6.486 | 6.486 | 72.209 | -0.000 | -0.000 | 0.000 |
| 0.000 | -0.000 | -0.000 | 6.805 | -0.000 | 0.000 |
| -0.000 | -0.000 | -0.000 | 0.000 | 6.805 | 0.000 |
| -0.000 | -0.000 | 0.000 | -0.000 | 0.000 | 6.805 |
| 72.209 | 6.486 | 6.486 | -0.000 | -0.000 | -0.000 |
| 6.486 | 72.209 | 6.486 | -0.000 | -0.000 | -0.000 |
| 6.486 | 6.486 | 72.209 | 0.000 | -0.000 | -0.000 |
| -0.000 | 0.000 | 0.000 | 6.805 | -0.000 | -0.000 |
| 0.000 | -0.000 | 0.000 | -0.000 | 6.805 | -0.000 |
| 0.000 | 0.000 | -0.000 | -0.000 | -0.000 | 6.805 |
| 72.209 | 6.486 | 6.486 | 0.000 | 0.000 | 0.000 |
| 6.486 | 72.209 | 6.486 | 0.000 | 0.000 | 0.000 |
| 6.486 | 6.486 | 72.209 | 0.000 | 0.000 | 0.000 |
| 0.000 | -0.000 | -0.000 | 6.805 | 0.000 | 0.000 |
| -0.000 | 0.000 | -0.000 | 0.000 | 6.805 | 0.000 |
| -0.000 | -0.000 | 0.000 | 0.000 | -0.000 | 6.805 |
| 72.210 | 6.486 | 6.486 | -0.000 | -0.000 | -0.000 |
| 6.486 | 72.210 | 6.486 | -0.000 | -0.000 | -0.000 |
| 6.486 | 6.486 | 72.210 | -0.000 | -0.000 | -0.000 |
| -0.000 | 0.000 | 0.000 | 6.805 | -0.000 | -0.000 |
| 0.000 | -0.000 | 0.000 | -0.000 | 6.805 | -0.000 |
| 0.000 | 0.000 | -0.000 | -0.000 | -0.000 | 6.805 |
| 72.209 | 6.486 | 6.486 | 0.000 | 0.000 | 0.000 |
| 6.486 | 72.209 | 6.486 | 0.000 | 0.000 | 0.000 |
| 6.486 | 6.486 | 72.209 | -0.000 | -0.000 | 0.000 |
| 0.000 | -0.000 | -0.000 | 6.805 | -0.000 | 0.000 |
| -0.000 | 0.000 | -0.000 | -0.000 | 6.805 | 0.000 |
| -0.000 | -0.000 | 0.000 | 0.000 | 0.000 | 6.805 |
| 33.588 | -0.045 | -0.045 | 0.000 | 0.000 | 0.000 |
| -0.045 | 33.588 | -0.045 | 0.000 | 0.000 | -0.000 |
| -0.045 | -0.045 | 33.588 | -0.000 | -0.000 | 0.000 |
| 0.000 | 0.000 | -0.000 | 0.000 | 0.000 | 0.000 |
| 0.000 | 0.000 | -0.000 | -0.000 | 0.000 | -0.000 |
| 0.000 | -0.000 | 0.000 | -0.000 | 0.000 | 0.000 |
| 33.588 | -0.045 | -0.045 | -0.000 | -0.000 | -0.000 |
| -0.045 | 33.588 | -0.045 | -0.000 | -0.000 | -0.000 |
| -0.045 | -0.045 | 33.588 | 0.000 | 0.000 | -0.000 |
| -0.000 | 0.000 | 0.000 | 0.000 | -0.000 | 0.000 |
| 0.000 | -0.000 | 0.000 | -0.000 | 0.000 | 0.000 |
| 0.000 | 0.000 | -0.000 | 0.000 | 0.000 | 0.000 |
| 33.588 | -0.045 | -0.045 | -0.000 | -0.000 | -0.000 |
| -0.045 | 33.588 | -0.045 | -0.000 | 0.000 | -0.000 |
| -0.045 | -0.045 | 33.588 | -0.000 | -0.000 | 0.000 |
| 0.000 | 0.000 | -0.000 | 0.000 | -0.000 | -0.000 |
| 0.000 | 0.000 | -0.000 | 0.000 | 0.000 | 0.000 |
| 0.000 | -0.000 | 0.000 | -0.000 | 0.000 | 0.000 |
| 33.588 | -0.045 | -0.045 | 0.000 | 0.000 | 0.000 |
| -0.045 | 33.588 | -0.045 | 0.000 | 0.000 | -0.000 |
| -0.045 | -0.045 | 33.588 | 0.000 | 0.000 | -0.000 |
| -0.000 | -0.000 | 0.000 | 0.000 | 0.000 | 0.000 |
| -0.000 | -0.000 | 0.000 | 0.000 | 0.000 | 0.000 |
| -0.000 | 0.000 | -0.000 | 0.000 | 0.000 | 0.000 |
| 33.587 | -0.045 | -0.045 | -0.000 | 0.000 | -0.000 |
| -0.045 | 33.587 | -0.045 | 0.000 | 0.000 | -0.000 |
| -0.045 | -0.045 | 33.587 | 0.000 | 0.000 | 0.000 |
| 0.000 | 0.000 | -0.000 | 0.000 | 0.000 | -0.000 |
| 0.000 | 0.000 | -0.000 | 0.000 | 0.000 | 0.000 |
| 0.000 | -0.000 | 0.000 | -0.000 | 0.000 | 0.000 |
| 33.588 | -0.045 | -0.045 | 0.000 | 0.000 | -0.000 |
| -0.045 | 33.588 | -0.045 | -0.000 | 0.000 | 0.000 |
| -0.045 | -0.045 | 33.588 | -0.000 | -0.000 | -0.000 |
| -0.000 | -0.000 | 0.000 | 0.000 | 0.000 | -0.000 |
| -0.000 | -0.000 | 0.000 | -0.000 | 0.000 | 0.000 |
| -0.000 | 0.000 | -0.000 | 0.000 | 0.000 | 0.000 |
| 891.474 | 902.128 | 902.128 | -0.000 | -0.000 | -0.000 |
| 902.128 | 891.474 | 902.128 | -0.000 | -0.000 | -0.000 |
| 902.128 | 902.128 | 891.474 | -0.000 | -0.000 | -0.000 |
| 0.000 | -0.000 | 0.000 | -107.624 | -0.000 | -0.000 |
| 0.000 | -0.000 | -0.000 | -0.000 | -107.624 | -0.000 |
| 0.000 | 0.000 | -0.000 | -0.000 | -0.000 | -107.624 |
| 891.474 | 902.128 | 902.128 | 0.000 | 0.000 | 0.000 |
| 902.128 | 891.474 | 902.128 | 0.000 | 0.000 | 0.000 |
| 902.128 | 902.128 | 891.474 | -0.000 | 0.000 | 0.000 |
| 0.000 | -0.000 | -0.000 | -107.624 | 0.000 | 0.000 |
| -0.000 | 0.000 | 0.000 | -0.000 | -107.624 | 0.000 |
| -0.000 | 0.000 | 0.000 | -0.000 | 0.000 | -107.624 |
| 891.475 | 902.128 | 902.128 | -0.000 | -0.000 | -0.000 |
| 902.128 | 891.475 | 902.128 | 0.000 | -0.000 | -0.000 |
| 902.128 | 902.128 | 891.475 | 0.000 | -0.000 | -0.000 |
| -0.000 | -0.000 | -0.000 | -107.624 | -0.000 | -0.000 |
| -0.000 | -0.000 | -0.000 | -0.000 | -107.624 | -0.000 |
| -0.000 | -0.000 | -0.000 | 0.000 | -0.000 | -107.624 |
| 891.473 | 902.127 | 902.127 | 0.000 | 0.000 | 0.000 |
| 902.127 | 891.473 | 902.127 | 0.000 | 0.000 | 0.000 |
| 902.127 | 902.127 | 891.473 | -0.000 | 0.000 | 0.000 |
| 0.000 | 0.000 | 0.000 | -107.624 | 0.000 | 0.000 |
| 0.000 | 0.000 | 0.000 | -0.000 | -107.624 | 0.000 |
| 0.000 | 0.000 | 0.000 | 0.000 | 0.000 | -107.624 |
| 891.484 | 902.133 | 902.133 | 0.000 | -0.000 | -0.000 |
| 902.133 | 891.484 | 902.133 | -0.000 | -0.000 | -0.000 |
| 902.133 | 902.133 | 891.484 | -0.000 | -0.000 | -0.000 |
| -0.001 | -0.000 | -0.001 | -107.624 | -0.000 | -0.000 |
| -0.000 | -0.001 | -0.001 | 0.000 | -107.624 | -0.000 |
| -0.000 | -0.001 | -0.001 | 0.000 | -0.000 | -107.624 |
| 891.464 | 902.123 | 902.123 | 0.000 | 0.000 | 0.000 |
| 902.123 | 891.464 | 902.123 | -0.000 | 0.000 | 0.000 |
| 902.123 | 902.123 | 891.464 | 0.000 | -0.000 | 0.000 |
| 0.001 | 0.000 | 0.001 | -107.624 | 0.000 | 0.000 |
| 0.000 | 0.001 | 0.001 | 0.000 | -107.624 | 0.000 |
| 0.000 | 0.001 | 0.001 | 0.000 | 0.000 | -107.624 |
| 601.765 | 549.511 | 549.511 | 0.000 | -0.000 | 0.000 |
| 549.511 | 601.765 | 549.511 | 0.000 | 0.000 | 0.000 |
| 549.511 | 549.511 | 601.765 | 0.000 | 0.000 | 0.000 |
| 0.000 | 0.000 | 0.000 | -37.190 | 0.000 | 0.000 |
| 0.000 | 0.000 | 0.000 | 0.000 | -37.190 | 0.000 |
| 0.000 | 0.000 | 0.000 | 0.000 | 0.000 | -37.190 |
| 601.764 | 549.510 | 549.510 | -0.000 | 0.000 | -0.000 |
| 549.510 | 601.764 | 549.510 | -0.000 | -0.000 | -0.000 |
| 549.510 | 549.510 | 601.764 | -0.000 | 0.000 | -0.000 |
| -0.000 | -0.000 | -0.000 | -37.190 | -0.000 | -0.000 |
| -0.000 | -0.000 | -0.000 | -0.000 | -37.190 | -0.000 |
| -0.000 | -0.000 | -0.000 | -0.000 | 0.000 | -37.190 |
| 601.769 | 549.515 | 549.515 | 0.000 | 0.000 | 0.000 |
| 549.515 | 601.769 | 549.515 | 0.000 | 0.000 | 0.000 |
| 549.515 | 549.515 | 601.769 | 0.000 | 0.000 | 0.000 |
| 0.000 | 0.000 | 0.000 | -37.190 | 0.000 | 0.000 |
| 0.000 | 0.000 | 0.000 | 0.000 | -37.190 | -0.000 |
| 0.000 | 0.000 | 0.000 | 0.000 | 0.000 | -37.190 |
| 601.760 | 549.507 | 549.507 | -0.000 | -0.000 | -0.000 |
| 549.507 | 601.760 | 549.507 | -0.000 | -0.000 | -0.000 |
| 549.507 | 549.507 | 601.760 | -0.000 | -0.000 | -0.000 |
| -0.000 | -0.000 | -0.000 | -37.190 | -0.000 | -0.000 |
| -0.000 | -0.000 | -0.000 | -0.000 | -37.190 | -0.000 |
| -0.000 | -0.000 | -0.000 | -0.000 | -0.000 | -37.190 |
| 601.807 | 549.549 | 549.549 | 0.000 | 0.000 | 0.000 |
| 549.549 | 601.807 | 549.549 | 0.000 | 0.000 | 0.000 |
| 549.549 | 549.549 | 601.807 | -0.000 | -0.000 | 0.000 |
| 0.001 | 0.001 | 0.001 | -37.190 | -0.000 | 0.000 |
| 0.001 | 0.001 | 0.001 | 0.000 | -37.190 | 0.000 |
| 0.001 | 0.001 | 0.001 | 0.000 | 0.000 | -37.190 |
| 601.723 | 549.473 | 549.473 | -0.000 | -0.000 | -0.000 |
| 549.473 | 601.723 | 549.473 | -0.000 | -0.000 | 0.000 |
| 549.473 | 549.473 | 601.723 | -0.000 | 0.000 | -0.000 |
| -0.001 | -0.001 | -0.001 | -37.190 | 0.000 | -0.000 |
| -0.001 | -0.001 | -0.001 | -0.000 | -37.190 | -0.000 |
| -0.001 | -0.001 | -0.001 | -0.000 | -0.000 | -37.190 |
| 361.459 | 314.885 | 314.885 | 0.000 | 0.000 | 0.000 |
| 314.885 | 361.459 | 314.885 | 0.000 | 0.000 | 0.000 |
| 314.885 | 314.885 | 361.459 | 0.000 | 0.000 | -0.000 |
| -0.000 | -0.000 | 0.000 | 304.151 | 0.000 | 0.000 |
| -0.000 | -0.000 | 0.000 | 0.000 | 304.151 | 0.000 |
| -0.000 | 0.000 | -0.000 | 0.000 | 0.000 | 304.151 |
| 361.459 | 314.885 | 314.885 | -0.000 | -0.000 | -0.000 |
| 314.885 | 361.459 | 314.885 | -0.000 | -0.000 | -0.000 |
| 314.885 | 314.885 | 361.459 | -0.000 | -0.000 | -0.000 |
| 0.000 | 0.000 | -0.000 | 304.151 | -0.000 | -0.000 |
| 0.000 | 0.000 | -0.000 | -0.000 | 304.151 | -0.000 |
| 0.000 | -0.000 | -0.000 | -0.000 | -0.000 | 304.151 |
| 361.458 | 314.885 | 314.885 | 0.000 | 0.000 | 0.000 |
| 314.885 | 361.458 | 314.885 | 0.000 | 0.000 | 0.000 |
| 314.885 | 314.885 | 361.458 | 0.000 | 0.000 | 0.000 |
| -0.000 | -0.000 | 0.000 | 304.151 | 0.000 | 0.000 |
| -0.000 | -0.000 | 0.000 | 0.000 | 304.151 | 0.000 |
| -0.000 | 0.000 | -0.000 | 0.000 | 0.000 | 304.151 |
| 361.459 | 314.885 | 314.885 | -0.000 | -0.000 | 0.000 |
| 314.885 | 361.459 | 314.885 | -0.000 | -0.000 | -0.000 |
| 314.885 | 314.885 | 361.459 | 0.000 | -0.000 | -0.000 |
| 0.000 | 0.000 | -0.000 | 304.151 | -0.000 | -0.000 |
| 0.000 | 0.000 | -0.000 | -0.000 | 304.151 | -0.000 |
| 0.000 | -0.000 | 0.000 | -0.000 | -0.000 | 304.151 |
| 361.457 | 314.885 | 314.885 | 0.000 | 0.000 | 0.000 |
| 314.885 | 361.457 | 314.885 | 0.000 | 0.000 | 0.000 |
| 314.885 | 314.885 | 361.457 | 0.000 | 0.000 | 0.000 |
| -0.001 | -0.000 | 0.000 | 304.151 | 0.000 | 0.000 |
| -0.000 | -0.001 | 0.000 | -0.000 | 304.151 | 0.000 |
| -0.000 | 0.000 | -0.001 | 0.000 | 0.000 | 304.151 |
| 361.461 | 314.885 | 314.885 | -0.000 | -0.000 | -0.000 |
| 314.885 | 361.461 | 314.885 | -0.000 | -0.000 | -0.000 |
| 314.885 | 314.885 | 361.461 | -0.000 | -0.000 | -0.000 |
| 0.001 | 0.000 | -0.000 | 304.151 | -0.000 | -0.000 |
| 0.000 | 0.001 | -0.000 | -0.000 | 304.151 | -0.000 |
| 0.000 | -0.000 | 0.001 | -0.000 | -0.000 | 304.151 |
| 74.966 | 5.237 | 5.237 | -0.000 | -0.000 | 0.000 |
| 5.237 | 74.966 | 5.237 | -0.000 | -0.000 | 0.000 |
| 5.237 | 5.237 | 74.966 | -0.000 | -0.000 | 0.000 |
| 0.000 | 0.000 | 0.000 | 6.180 | 0.000 | 0.000 |
| 0.000 | 0.000 | 0.000 | 0.000 | 6.180 | 0.000 |
| 0.000 | 0.000 | 0.000 | -0.000 | -0.000 | 6.180 |
| 74.966 | 5.237 | 5.237 | 0.000 | 0.000 | -0.000 |
| 5.237 | 74.966 | 5.237 | 0.000 | 0.000 | -0.000 |
| 5.237 | 5.237 | 74.966 | -0.000 | -0.000 | -0.000 |
| -0.000 | -0.000 | -0.000 | 6.180 | 0.000 | -0.000 |
| -0.000 | -0.000 | -0.000 | 0.000 | 6.180 | -0.000 |
| -0.000 | -0.000 | -0.000 | 0.000 | 0.000 | 6.180 |
| 74.966 | 5.237 | 5.237 | 0.000 | 0.000 | 0.000 |
| 5.237 | 74.966 | 5.237 | 0.000 | 0.000 | 0.000 |
| 5.237 | 5.237 | 74.966 | 0.000 | 0.000 | 0.000 |
| 0.000 | 0.000 | 0.000 | 6.180 | -0.000 | 0.000 |
| 0.000 | 0.000 | 0.000 | 0.000 | 6.180 | 0.000 |
| 0.000 | 0.000 | 0.000 | -0.000 | -0.000 | 6.180 |
| 74.966 | 5.237 | 5.237 | 0.000 | 0.000 | -0.000 |
| 5.237 | 74.966 | 5.237 | 0.000 | 0.000 | -0.000 |
| 5.237 | 5.237 | 74.966 | 0.000 | 0.000 | -0.000 |
| -0.000 | -0.000 | -0.000 | 6.180 | 0.000 | -0.000 |
| -0.000 | -0.000 | -0.000 | 0.000 | 6.180 | -0.000 |
| -0.000 | -0.000 | -0.000 | -0.000 | 0.000 | 6.180 |
| 74.965 | 5.237 | 5.237 | 0.000 | -0.000 | 0.000 |
| 5.237 | 74.965 | 5.237 | -0.000 | 0.000 | 0.000 |
| 5.237 | 5.237 | 74.965 | -0.000 | -0.000 | 0.000 |
| 0.000 | 0.000 | 0.000 | 6.180 | 0.000 | 0.000 |
| 0.000 | 0.000 | 0.000 | -0.000 | 6.180 | 0.000 |
| 0.000 | 0.000 | 0.000 | -0.000 | -0.000 | 6.180 |
| 74.967 | 5.237 | 5.237 | -0.000 | -0.000 | -0.000 |
| 5.237 | 74.967 | 5.237 | -0.000 | -0.000 | -0.000 |
| 5.237 | 5.237 | 74.967 | 0.000 | 0.000 | -0.000 |
| -0.000 | -0.000 | -0.000 | 6.180 | 0.000 | -0.000 |
| -0.000 | -0.000 | -0.000 | -0.000 | 6.180 | -0.000 |
| -0.000 | -0.000 | -0.000 | 0.000 | 0.000 | 6.180 |
| 35.165 | 15.607 | 15.607 | 0.000 | 0.000 | -0.000 |
| 15.607 | 35.165 | 15.607 | 0.000 | 0.000 | 0.000 |
| 15.607 | 15.607 | 35.165 | 0.000 | 0.000 | 0.000 |
| -0.000 | -0.000 | -0.000 | 15.806 | 0.000 | 0.000 |
| -0.000 | -0.000 | -0.000 | 0.000 | 15.806 | -0.000 |
| -0.000 | -0.000 | -0.000 | 0.000 | 0.000 | 15.806 |
| 35.165 | 15.607 | 15.607 | -0.000 | -0.000 | -0.000 |
| 15.607 | 35.165 | 15.607 | -0.000 | -0.000 | 0.000 |
| 15.607 | 15.607 | 35.165 | -0.000 | -0.000 | 0.000 |
| 0.000 | 0.000 | 0.000 | 15.806 | -0.000 | 0.000 |
| 0.000 | 0.000 | 0.000 | -0.000 | 15.806 | -0.000 |
| 0.000 | 0.000 | 0.000 | -0.000 | -0.000 | 15.806 |
| 35.165 | 15.607 | 15.607 | 0.000 | 0.000 | -0.000 |
| 15.607 | 35.165 | 15.607 | 0.000 | 0.000 | 0.000 |
| 15.607 | 15.607 | 35.165 | 0.000 | 0.000 | -0.000 |
| -0.000 | -0.000 | -0.000 | 15.806 | 0.000 | 0.000 |
| -0.000 | -0.000 | -0.000 | 0.000 | 15.806 | 0.000 |
| -0.000 | -0.000 | -0.000 | 0.000 | 0.000 | 15.806 |
| 35.165 | 15.607 | 15.607 | -0.000 | -0.000 | 0.000 |
| 15.607 | 35.165 | 15.607 | -0.000 | -0.000 | 0.000 |
| 15.607 | 15.607 | 35.165 | -0.000 | -0.000 | -0.000 |
| 0.000 | 0.000 | 0.000 | 15.806 | -0.000 | -0.000 |
| 0.000 | 0.000 | 0.000 | -0.000 | 15.806 | 0.000 |
| 0.000 | 0.000 | 0.000 | -0.000 | -0.000 | 15.806 |
| 35.166 | 15.607 | 15.607 | 0.000 | 0.000 | 0.000 |
| 15.607 | 35.166 | 15.607 | 0.000 | 0.000 | -0.000 |
| 15.607 | 15.607 | 35.166 | 0.000 | 0.000 | 0.000 |
| -0.000 | -0.000 | -0.000 | 15.806 | 0.000 | 0.000 |
| -0.000 | -0.000 | -0.000 | 0.000 | 15.806 | 0.000 |
| -0.000 | -0.000 | -0.000 | 0.000 | 0.000 | 15.806 |
| 35.165 | 15.607 | 15.607 | -0.000 | -0.000 | -0.000 |
| 15.607 | 35.165 | 15.607 | -0.000 | -0.000 | -0.000 |
| 15.607 | 15.607 | 35.165 | -0.000 | -0.000 | -0.000 |
| 0.000 | 0.000 | 0.000 | 15.806 | -0.000 | -0.000 |
| 0.000 | 0.000 | 0.000 | -0.000 | 15.806 | 0.000 |
| 0.000 | 0.000 | 0.000 | -0.000 | -0.000 | 15.806 |
| 685.547 | 296.097 | 296.097 | -0.000 | -0.000 | -0.000 |
| 296.097 | 685.547 | 296.097 | -0.000 | -0.000 | -0.000 |
| 296.097 | 296.097 | 685.547 | -0.000 | -0.000 | -0.000 |
| -0.000 | 0.000 | -0.000 | 203.964 | -0.000 | -0.000 |
| -0.000 | -0.000 | 0.000 | -0.000 | 203.964 | -0.000 |
| -0.000 | -0.000 | -0.000 | -0.000 | -0.000 | 203.964 |
| 685.547 | 296.098 | 296.097 | 0.000 | 0.000 | 0.000 |
| 296.098 | 685.547 | 296.098 | 0.000 | 0.000 | 0.000 |
| 296.098 | 296.098 | 685.547 | 0.000 | 0.000 | 0.000 |
| 0.000 | 0.000 | 0.000 | 203.964 | 0.000 | 0.000 |
| 0.000 | -0.000 | -0.000 | 0.000 | 203.964 | 0.000 |
| 0.000 | 0.000 | 0.000 | 0.000 | 0.000 | 203.964 |
| 685.546 | 296.097 | 296.097 | -0.000 | -0.000 | -0.000 |
| 296.097 | 685.546 | 296.097 | -0.000 | -0.000 | -0.000 |
| 296.097 | 296.097 | 685.546 | -0.000 | -0.000 | -0.000 |
| -0.000 | -0.000 | -0.000 | 203.964 | -0.000 | -0.000 |
| -0.000 | -0.000 | -0.000 | -0.000 | 203.964 | -0.000 |
| -0.000 | -0.000 | -0.000 | -0.000 | -0.000 | 203.964 |
| 685.548 | 296.098 | 296.098 | 0.000 | 0.000 | 0.000 |
| 296.098 | 685.548 | 296.098 | 0.000 | 0.000 | 0.000 |
| 296.098 | 296.098 | 685.548 | 0.000 | 0.000 | 0.000 |
| 0.000 | 0.000 | 0.000 | 203.964 | -0.000 | 0.000 |
| 0.000 | 0.000 | 0.000 | 0.000 | 203.964 | 0.000 |
| 0.000 | 0.000 | 0.000 | 0.000 | 0.000 | 203.964 |
| 685.540 | 296.091 | 296.091 | -0.000 | -0.000 | -0.000 |
| 296.091 | 685.540 | 296.091 | -0.000 | -0.000 | -0.000 |
| 296.091 | 296.091 | 685.540 | -0.000 | -0.000 | -0.000 |
| -0.000 | -0.000 | -0.000 | 203.964 | -0.000 | -0.000 |
| -0.000 | -0.000 | -0.000 | -0.000 | 203.964 | -0.000 |
| -0.000 | -0.000 | -0.000 | -0.000 | -0.000 | 203.964 |
| 685.554 | 296.104 | 296.104 | 0.000 | 0.000 | 0.000 |
| 296.104 | 685.554 | 296.104 | 0.000 | 0.000 | 0.000 |
| 296.104 | 296.104 | 685.554 | 0.000 | 0.000 | 0.000 |
| 0.000 | 0.000 | 0.000 | 203.964 | 0.000 | 0.000 |
| 0.000 | 0.000 | 0.000 | 0.000 | 203.964 | 0.000 |
| 0.000 | 0.000 | 0.000 | 0.000 | 0.000 | 203.964 |
| 196.495 | 52.509 | 52.509 | 0.000 | 0.000 | 0.000 |
| 52.509 | 196.495 | 52.509 | 0.000 | 0.000 | 0.000 |
| 52.509 | 52.509 | 196.495 | 0.000 | 0.000 | 0.000 |
| 134434752.546 | 120116261.295 | 121268095.810 | -68571454.108 | -8044507.191 | -3175579.082 |
| 114686111.472 | 130739612.101 | 123613839.791 | -5475365.488 | -73496610.643 | -1890671.224 |
| 138738919.376 | 135308813.008 | 151693264.695 | -10046956.192 | -3481593.506 | -74046602.400 |
| 196.496 | 52.509 | 52.509 | -0.000 | -0.000 | -0.000 |
| 52.509 | 196.496 | 52.509 | -0.000 | -0.000 | -0.000 |
| 52.509 | 52.509 | 196.496 | -0.000 | -0.000 | -0.000 |
| 118874682.542 | 112366003.923 | 105369729.111 | -59450971.525 | 11340050.167 | -14835262.132 |
| 126089909.725 | 125857081.497 | 117895988.936 | 6116196.382 | -57933541.356 | -13788608.276 |
| 106157941.294 | 102159022.462 | 110573666.697 | 20957496.705 | -4498949.294 | -63010055.156 |
| 196.495 | 52.509 | 52.509 | 0.000 | 0.000 | 0.000 |
| 52.509 | 196.495 | 52.509 | 0.000 | 0.000 | 0.000 |
| 52.509 | 52.509 | 196.495 | 0.000 | 0.000 | 0.000 |
| 17861837.335 | 15831009.429 | 16828790.987 | -7426993.782 | -941321.516 | -1003705.987 |
| 16939146.485 | 18202310.228 | 17185125.663 | -1237753.220 | -7638898.474 | -1391201.837 |
| 15969127.717 | 15843141.255 | 17690011.050 | -515147.441 | -146885.966 | -6735931.639 |
| 196.496 | 52.509 | 52.509 | 0.000 | -0.000 | -0.000 |
| 52.509 | 196.496 | 52.509 | -0.000 | 0.000 | 0.000 |
| 52.509 | 52.509 | 196.496 | -0.000 | -0.000 | 0.000 |
| 13620400.716 | 11767816.136 | 10973592.875 | -4903792.957 | 582548.792 | -840033.089 |
| 13216340.111 | 14110828.502 | 12480802.879 | 1007570.889 | -5115645.095 | -895089.576 |
| 13768847.240 | 12883068.557 | 15948451.901 | 677871.281 | 140202.496 | -4926631.232 |
| 196.495 | 52.508 | 52.508 | -0.000 | 0.000 | 0.000 |
| 52.508 | 196.495 | 52.508 | 0.000 | -0.000 | 0.000 |
| 52.508 | 52.508 | 196.495 | 0.000 | 0.000 | -0.000 |
| 2566754.422 | 2559178.073 | 1647777.309 | -693006.168 | 98041.172 | -228137.937 |
| 2525966.624 | 2555221.420 | 1738094.544 | 63319.008 | -634866.117 | -198511.048 |
| 2448811.110 | 1143657.639 | 2391935.938 | 232346.555 | -274628.368 | -730351.765 |
| 196.496 | 52.510 | 52.510 | -0.000 | -0.000 | -0.000 |
| 52.510 | 196.496 | 52.510 | 0.000 | -0.000 | -0.000 |
| 52.510 | 52.510 | 196.496 | 0.000 | -0.000 | -0.000 |
| 1478605.791 | 1275030.180 | 1339793.818 | -515279.359 | 16680.778 | 21231.463 |
| 1264541.332 | 1506047.597 | 1215231.149 | -25940.102 | -592079.416 | 41300.133 |
| 1240348.646 | 1268693.032 | 1421468.069 | 4537.736 | -39657.343 | -630692.018 |
| 130.794 | 78.399 | 78.399 | 0.000 | 0.000 | -0.000 |
| 78.399 | 130.794 | 78.399 | 0.000 | 0.000 | -0.000 |
| 78.399 | 78.399 | 130.794 | 0.000 | 0.000 | -0.000 |
| 0.000 | -0.000 | -0.000 | 50.402 | 0.000 | -0.000 |
| -0.000 | 0.000 | -0.000 | 0.000 | 50.402 | -0.000 |
| -0.000 | -0.000 | 0.000 | 0.000 | 0.000 | 50.402 |
| 130.794 | 78.399 | 78.399 | -0.000 | -0.000 | 0.000 |
| 78.399 | 130.794 | 78.399 | -0.000 | -0.000 | 0.000 |
| 78.399 | 78.399 | 130.794 | -0.000 | -0.000 | 0.000 |
| -0.000 | 0.000 | 0.000 | 50.402 | -0.000 | 0.000 |
| 0.000 | -0.000 | 0.000 | -0.000 | 50.402 | 0.000 |
| 0.000 | -0.000 | -0.000 | -0.000 | -0.000 | 50.402 |
| 130.794 | 78.399 | 78.399 | 0.000 | 0.000 | -0.000 |
| 78.399 | 130.794 | 78.399 | 0.000 | 0.000 | -0.000 |
| 78.399 | 78.399 | 130.794 | 0.000 | 0.000 | -0.000 |
| 0.000 | -0.000 | -0.000 | 50.402 | 0.000 | -0.000 |
| -0.000 | 0.000 | -0.000 | 0.000 | 50.402 | -0.000 |
| -0.000 | -0.000 | 0.000 | 0.000 | 0.000 | 50.402 |
| 130.794 | 78.399 | 78.399 | -0.000 | -0.000 | 0.000 |
| 78.399 | 130.794 | 78.399 | -0.000 | -0.000 | 0.000 |
| 78.399 | 78.399 | 130.794 | -0.000 | -0.000 | 0.000 |
| -0.000 | 0.000 | 0.000 | 50.402 | -0.000 | 0.000 |
| 0.000 | -0.000 | 0.000 | -0.000 | 50.402 | 0.000 |
| 0.000 | 0.000 | -0.000 | -0.000 | -0.000 | 50.402 |
| 130.794 | 78.399 | 78.399 | 0.000 | 0.000 | -0.000 |
| 78.399 | 130.794 | 78.399 | 0.000 | 0.000 | -0.000 |
| 78.399 | 78.399 | 130.794 | 0.000 | 0.000 | -0.000 |
| 0.000 | -0.000 | -0.000 | 50.402 | 0.000 | -0.000 |
| -0.000 | 0.000 | -0.000 | 0.000 | 50.402 | -0.000 |
| -0.000 | -0.000 | 0.000 | 0.000 | 0.000 | 50.402 |
| 130.794 | 78.399 | 78.399 | -0.000 | -0.000 | 0.000 |
| 78.399 | 130.794 | 78.399 | -0.000 | -0.000 | 0.000 |
| 78.399 | 78.399 | 130.794 | -0.000 | -0.000 | 0.000 |
| -0.000 | 0.000 | 0.000 | 50.402 | -0.000 | 0.000 |
| 0.000 | -0.000 | 0.000 | -0.000 | 50.402 | 0.000 |
| 0.000 | 0.000 | -0.000 | -0.000 | -0.000 | 50.402 |
| 3.150 | 3.150 | 3.150 | -0.000 | -0.000 | -0.000 |
| 3.150 | 3.150 | 3.150 | -0.000 | -0.000 | -0.000 |
| 3.150 | 3.150 | 3.150 | -0.000 | -0.000 | -0.000 |
| -0.000 | -0.000 | -0.000 | 0.002 | -0.000 | -0.000 |
| -0.000 | -0.000 | -0.000 | -0.000 | 0.002 | -0.000 |
| -0.000 | -0.000 | -0.000 | -0.000 | -0.000 | 0.002 |
| 3.150 | 3.150 | 3.150 | 0.000 | 0.000 | 0.000 |
| 3.150 | 3.150 | 3.150 | 0.000 | 0.000 | 0.000 |
| 3.150 | 3.150 | 3.150 | 0.000 | 0.000 | 0.000 |
| -0.000 | -0.000 | -0.000 | 0.002 | 0.000 | 0.000 |
| -0.000 | -0.000 | -0.000 | 0.000 | 0.002 | 0.000 |
| 0.000 | 0.000 | 0.000 | 0.000 | 0.000 | 0.002 |
| 3.150 | 3.150 | 3.150 | 0.000 | -0.000 | -0.000 |
| 3.150 | 3.150 | 3.150 | -0.000 | 0.000 | -0.000 |
| 3.150 | 3.150 | 3.150 | -0.000 | -0.000 | 0.000 |
| -0.000 | -0.000 | -0.000 | 0.002 | -0.000 | -0.000 |
| -0.000 | -0.000 | -0.000 | -0.000 | 0.002 | -0.000 |
| -0.000 | -0.000 | -0.000 | -0.000 | -0.000 | 0.002 |
| 3.150 | 3.150 | 3.150 | 0.000 | 0.000 | 0.000 |
| 3.150 | 3.150 | 3.150 | 0.000 | 0.000 | 0.000 |
| 3.150 | 3.150 | 3.150 | 0.000 | 0.000 | 0.000 |
| 0.000 | 0.000 | 0.000 | 0.002 | 0.000 | 0.000 |
| 0.000 | 0.000 | 0.000 | 0.000 | 0.002 | 0.000 |
| 0.000 | 0.000 | 0.000 | 0.000 | 0.000 | 0.002 |
| 3.150 | 3.150 | 3.150 | -0.000 | -0.000 | -0.000 |
| 3.150 | 3.150 | 3.150 | -0.000 | -0.000 | -0.000 |
| 3.150 | 3.150 | 3.150 | -0.000 | -0.000 | 0.000 |
| -0.000 | -0.000 | -0.000 | 0.002 | -0.000 | -0.000 |
| -0.000 | -0.000 | -0.000 | -0.000 | 0.002 | -0.000 |
| -0.000 | -0.000 | -0.000 | -0.000 | -0.000 | 0.002 |
| 3.150 | 3.150 | 3.150 | 0.000 | 0.000 | 0.000 |
| 3.150 | 3.150 | 3.150 | 0.000 | 0.000 | 0.000 |
| 3.150 | 3.150 | 3.150 | 0.000 | 0.000 | 0.000 |
| 0.000 | 0.000 | 0.000 | 0.002 | 0.000 | 0.000 |
| 0.000 | 0.000 | 0.000 | 0.000 | 0.002 | 0.000 |
| 0.000 | 0.000 | 0.000 | 0.000 | 0.000 | 0.002 |
| 4.830 | 4.830 | 4.830 | 0.000 | 0.000 | 0.000 |
| 4.830 | 4.830 | 4.830 | 0.000 | 0.000 | 0.000 |
| 4.830 | 4.830 | 4.830 | 0.000 | 0.000 | 0.000 |
| -0.000 | -0.000 | -0.000 | 0.000 | 0.000 | 0.000 |
| -0.000 | -0.000 | -0.000 | 0.000 | 0.000 | 0.000 |
| -0.000 | -0.000 | -0.000 | 0.000 | 0.000 | 0.000 |
| 4.830 | 4.830 | 4.830 | -0.000 | -0.000 | -0.000 |
| 4.830 | 4.830 | 4.830 | -0.000 | -0.000 | -0.000 |
| 4.830 | 4.830 | 4.830 | -0.000 | -0.000 | -0.000 |
| 0.000 | 0.000 | 0.000 | 0.000 | -0.000 | -0.000 |
| 0.000 | 0.000 | 0.000 | -0.000 | 0.000 | -0.000 |
| 0.000 | 0.000 | 0.000 | -0.000 | -0.000 | 0.000 |
| 4.830 | 4.830 | 4.830 | 0.000 | 0.000 | 0.000 |
| 4.830 | 4.830 | 4.830 | 0.000 | 0.000 | 0.000 |
| 4.830 | 4.830 | 4.830 | 0.000 | 0.000 | 0.000 |
| -0.000 | -0.000 | -0.000 | 0.000 | 0.000 | 0.000 |
| -0.000 | -0.000 | -0.000 | 0.000 | 0.000 | 0.000 |
| -0.000 | -0.000 | -0.000 | 0.000 | 0.000 | 0.000 |
| 4.830 | 4.830 | 4.830 | -0.000 | -0.000 | -0.000 |
| 4.830 | 4.830 | 4.830 | -0.000 | -0.000 | -0.000 |
| 4.830 | 4.830 | 4.830 | -0.000 | -0.000 | -0.000 |
| 0.000 | 0.000 | 0.000 | 0.000 | -0.000 | -0.000 |
| 0.000 | 0.000 | 0.000 | -0.000 | 0.000 | -0.000 |
| 0.000 | 0.000 | 0.000 | -0.000 | -0.000 | 0.000 |
| 4.830 | 4.830 | 4.830 | 0.000 | 0.000 | 0.000 |
| 4.830 | 4.830 | 4.830 | 0.000 | 0.000 | 0.000 |
| 4.830 | 4.830 | 4.830 | 0.000 | 0.000 | 0.000 |
| -0.000 | -0.000 | -0.000 | 0.000 | 0.000 | 0.000 |
| -0.000 | -0.000 | -0.000 | 0.000 | 0.000 | 0.000 |
| -0.000 | -0.000 | -0.000 | 0.000 | 0.000 | 0.000 |
| 4.830 | 4.830 | 4.830 | -0.000 | -0.000 | -0.000 |
| 4.830 | 4.830 | 4.830 | -0.000 | -0.000 | -0.000 |
| 4.830 | 4.830 | 4.830 | -0.000 | -0.000 | -0.000 |
| 0.000 | 0.000 | 0.000 | 0.000 | -0.000 | -0.000 |
| 0.000 | 0.000 | 0.000 | -0.000 | 0.000 | -0.000 |
| 0.000 | 0.000 | 0.000 | -0.000 | -0.000 | 0.000 |
| 1900.065 | 1496.210 | 401.069 | 0.000 | 0.000 | -0.000 |
| 1496.210 | 1900.065 | 401.069 | -0.000 | 0.000 | 0.000 |
| 401.070 | 401.070 | 1540.883 | 0.000 | 0.000 | -0.000 |
| -0.000 | 0.000 | -0.000 | 353.195 | 0.000 | 0.000 |
| 0.000 | -0.000 | -0.000 | 0.000 | 353.195 | -0.000 |
| 0.000 | 0.000 | -0.000 | -0.000 | -0.000 | 183.070 |
| 1900.075 | 1496.221 | 401.070 | 0.000 | -0.000 | 0.000 |
| 1496.221 | 1900.075 | 401.070 | 0.000 | 0.000 | -0.000 |
| 401.070 | 401.070 | 1540.883 | -0.000 | 0.000 | -0.000 |
| 0.000 | -0.000 | 0.000 | 353.195 | -0.000 | 0.000 |
| -0.000 | 0.000 | 0.000 | 0.000 | 353.195 | 0.000 |
| -0.000 | -0.000 | 0.000 | 0.000 | -0.000 | 183.070 |
| 1900.018 | 1496.163 | 401.068 | 0.000 | -0.000 | -0.000 |
| 1496.163 | 1900.018 | 401.068 | -0.000 | 0.000 | 0.000 |
| 401.070 | 401.070 | 1540.881 | -0.000 | 0.000 | -0.000 |
| -0.000 | 0.000 | -0.000 | 353.195 | -0.000 | 0.000 |
| 0.000 | -0.000 | -0.000 | -0.000 | 353.195 | 0.000 |
| 0.000 | 0.000 | 0.000 | 0.000 | -0.000 | 183.070 |
| 1900.122 | 1496.267 | 401.072 | -0.000 | -0.000 | -0.000 |
| 1496.267 | 1900.122 | 401.072 | 0.000 | -0.000 | 0.000 |
| 401.070 | 401.070 | 1540.884 | 0.000 | 0.000 | -0.000 |
| 0.000 | -0.000 | 0.000 | 353.195 | 0.000 | 0.000 |
| -0.000 | 0.000 | 0.000 | 0.000 | 353.195 | 0.000 |
| -0.000 | -0.000 | -0.000 | 0.000 | 0.000 | 183.070 |
| 1899.550 | 1495.696 | 401.051 | -0.000 | 0.000 | 0.000 |
| 1495.696 | 1899.550 | 401.051 | -0.000 | 0.000 | -0.000 |
| 401.069 | 401.069 | 1540.869 | -0.000 | 0.000 | 0.000 |
| -0.000 | 0.001 | -0.001 | 353.195 | -0.000 | 0.000 |
| 0.001 | -0.000 | -0.001 | -0.000 | 353.195 | -0.000 |
| 0.002 | 0.002 | 0.000 | -0.000 | 0.000 | 183.070 |
| 1900.589 | 1496.735 | 401.089 | 0.000 | 0.000 | 0.000 |
| 1496.735 | 1900.589 | 401.089 | 0.000 | 0.000 | 0.000 |
| 401.071 | 401.071 | 1540.897 | 0.000 | -0.000 | 0.000 |
| 0.000 | -0.001 | 0.001 | 353.195 | -0.000 | -0.000 |
| -0.001 | 0.000 | 0.001 | 0.000 | 353.195 | -0.000 |
| -0.002 | -0.002 | -0.000 | 0.000 | 0.000 | 183.070 |
| 1223.503 | 1041.333 | 1061.716 | 0.000 | 0.000 | -0.000 |
| 1041.333 | 1223.503 | 1061.716 | 0.000 | 0.000 | -0.000 |
| 1061.716 | 1061.716 | 1278.496 | 0.000 | -0.000 | -0.000 |
| -0.000 | -0.000 | -0.000 | -29.546 | -0.000 | -0.000 |
| -0.000 | -0.000 | -0.000 | 0.000 | -29.546 | -0.000 |
| -0.000 | -0.000 | -0.000 | 0.000 | 0.000 | 116.846 |
| 1223.502 | 1041.333 | 1061.716 | -0.000 | 0.000 | 0.000 |
| 1041.333 | 1223.502 | 1061.716 | -0.000 | 0.000 | 0.000 |
| 1061.716 | 1061.716 | 1278.496 | -0.000 | -0.000 | 0.000 |
| 0.000 | 0.000 | 0.000 | -29.546 | 0.000 | 0.000 |
| 0.000 | 0.000 | 0.000 | -0.000 | -29.546 | 0.000 |
| 0.000 | 0.000 | 0.000 | -0.000 | 0.000 | 116.846 |
| 1223.504 | 1041.334 | 1061.718 | 0.000 | 0.000 | -0.000 |
| 1041.334 | 1223.504 | 1061.718 | 0.000 | 0.000 | -0.000 |
| 1061.717 | 1061.717 | 1278.496 | 0.000 | 0.000 | -0.000 |
| -0.000 | -0.000 | -0.000 | -29.546 | 0.000 | -0.000 |
| -0.000 | -0.000 | -0.000 | 0.000 | -29.546 | -0.000 |
| 0.000 | 0.000 | -0.000 | 0.000 | 0.000 | 116.846 |
| 1223.501 | 1041.332 | 1061.715 | -0.000 | 0.000 | 0.000 |
| 1041.332 | 1223.501 | 1061.715 | -0.000 | -0.000 | 0.000 |
| 1061.715 | 1061.715 | 1278.495 | -0.000 | -0.000 | -0.000 |
| 0.000 | 0.000 | 0.000 | -29.546 | -0.000 | -0.000 |
| 0.000 | 0.000 | 0.000 | -0.000 | -29.546 | 0.000 |
| -0.000 | -0.000 | 0.000 | 0.000 | -0.000 | 116.846 |
| 1223.516 | 1041.347 | 1061.729 | 0.000 | -0.000 | -0.000 |
| 1041.347 | 1223.516 | 1061.729 | 0.000 | 0.000 | -0.000 |
| 1061.728 | 1061.728 | 1278.499 | 0.000 | 0.000 | -0.000 |
| -0.001 | -0.001 | -0.002 | -29.546 | 0.000 | -0.000 |
| -0.001 | -0.001 | -0.002 | 0.000 | -29.546 | -0.000 |
| 0.001 | 0.002 | -0.000 | 0.000 | 0.000 | 116.846 |
| 1223.490 | 1041.319 | 1061.704 | -0.000 | -0.000 | 0.000 |
| 1041.319 | 1223.490 | 1061.704 | -0.000 | -0.000 | 0.000 |
| 1061.705 | 1061.705 | 1278.492 | -0.000 | 0.000 | 0.000 |
| 0.001 | 0.001 | 0.002 | -29.546 | -0.000 | 0.000 |
| 0.001 | 0.001 | 0.002 | -0.000 | -29.546 | 0.000 |
| -0.001 | -0.002 | 0.000 | -0.000 | -0.000 | 116.846 |
| 363.110 | 153.210 | 149.080 | 0.000 | 0.000 | 0.000 |
| 153.210 | 363.110 | 149.080 | 0.000 | 0.000 | 0.000 |
| 149.079 | 149.079 | 648.392 | 0.000 | 0.000 | 0.000 |
| 0.000 | 0.000 | 0.000 | 147.816 | -0.000 | 0.000 |
| 0.000 | 0.000 | 0.000 | 0.000 | 147.816 | 0.000 |
| 0.000 | 0.000 | 0.000 | 0.000 | -0.000 | 158.942 |
| 363.110 | 153.210 | 149.080 | -0.000 | 0.000 | -0.000 |
| 153.210 | 363.110 | 149.080 | -0.000 | -0.000 | -0.000 |
| 149.080 | 149.080 | 648.386 | -0.000 | -0.000 | -0.000 |
| -0.000 | -0.000 | -0.000 | 147.816 | -0.000 | -0.000 |
| -0.000 | -0.000 | -0.000 | -0.000 | 147.816 | -0.000 |
| -0.000 | -0.000 | -0.000 | -0.000 | -0.000 | 158.942 |
| 363.110 | 153.210 | 149.080 | 0.000 | 0.000 | 0.000 |
| 153.210 | 363.110 | 149.080 | 0.000 | 0.000 | 0.000 |
| 149.076 | 149.076 | 648.417 | 0.000 | -0.000 | 0.000 |
| 0.000 | 0.000 | 0.000 | 147.816 | 0.000 | 0.000 |
| 0.000 | 0.000 | 0.000 | 0.000 | 147.816 | 0.000 |
| 0.000 | 0.000 | 0.000 | 0.000 | 0.000 | 158.942 |
| 363.110 | 153.210 | 149.079 | -0.000 | -0.000 | -0.000 |
| 153.210 | 363.110 | 149.079 | -0.000 | 0.000 | -0.000 |
| 149.083 | 149.083 | 648.361 | -0.000 | -0.000 | -0.000 |
| -0.000 | -0.000 | -0.000 | 147.816 | 0.000 | -0.000 |
| -0.000 | -0.000 | -0.000 | -0.000 | 147.816 | -0.000 |
| -0.000 | -0.000 | -0.000 | -0.000 | -0.000 | 158.942 |
| 363.113 | 153.211 | 149.087 | 0.000 | -0.000 | 0.000 |
| 153.211 | 363.113 | 149.087 | 0.000 | -0.000 | 0.000 |
| 149.045 | 149.045 | 648.666 | 0.000 | 0.000 | 0.000 |
| 0.000 | 0.001 | 0.001 | 147.816 | -0.000 | 0.000 |
| 0.001 | 0.000 | 0.001 | 0.000 | 147.816 | 0.000 |
| 0.001 | 0.001 | 0.000 | 0.000 | 0.000 | 158.942 |
| 363.107 | 153.210 | 149.072 | -0.000 | 0.000 | -0.000 |
| 153.210 | 363.107 | 149.072 | -0.000 | -0.000 | -0.000 |
| 149.115 | 149.115 | 648.112 | -0.000 | 0.000 | -0.000 |
| -0.000 | -0.001 | -0.001 | 147.816 | -0.000 | -0.000 |
| -0.001 | -0.000 | -0.001 | -0.000 | 147.816 | -0.000 |
| -0.001 | -0.001 | -0.000 | -0.000 | -0.000 | 158.942 |
| 88.916 | 8.417 | 14.757 | 0.000 | 0.000 | 0.000 |
| 8.417 | 88.916 | 14.757 | 0.000 | -0.000 | -0.000 |
| 14.757 | 14.757 | 32.156 | 0.000 | 0.000 | -0.000 |
| 0.000 | 0.000 | 0.000 | 15.468 | -0.000 | -0.000 |
| 0.000 | 0.000 | 0.000 | 0.000 | 15.468 | -0.000 |
| 0.000 | 0.000 | 0.000 | 0.000 | 0.000 | 7.832 |
| 88.916 | 8.417 | 14.757 | -0.000 | -0.000 | 0.000 |
| 8.417 | 88.916 | 14.757 | -0.000 | -0.000 | 0.000 |
| 14.757 | 14.757 | 32.156 | -0.000 | -0.000 | 0.000 |
| -0.000 | -0.000 | -0.000 | 15.468 | 0.000 | 0.000 |
| -0.000 | -0.000 | -0.000 | -0.000 | 15.468 | 0.000 |
| -0.000 | -0.000 | -0.000 | -0.000 | -0.000 | 7.832 |
| 88.916 | 8.417 | 14.757 | -0.000 | -0.000 | -0.000 |
| 8.417 | 88.916 | 14.757 | -0.000 | -0.000 | -0.000 |
| 14.757 | 14.757 | 32.156 | 0.000 | -0.000 | -0.000 |
| 0.000 | 0.000 | 0.000 | 15.468 | 0.000 | -0.000 |
| 0.000 | 0.000 | 0.000 | 0.000 | 15.468 | -0.000 |
| 0.000 | 0.000 | 0.000 | 0.000 | 0.000 | 7.832 |
| 88.915 | 8.417 | 14.757 | -0.000 | -0.000 | 0.000 |
| 8.417 | 88.915 | 14.757 | -0.000 | -0.000 | -0.000 |
| 14.757 | 14.757 | 32.156 | -0.000 | -0.000 | 0.000 |
| -0.000 | -0.000 | -0.000 | 15.468 | 0.000 | 0.000 |
| -0.000 | -0.000 | -0.000 | -0.000 | 15.468 | 0.000 |
| -0.000 | -0.000 | -0.000 | -0.000 | -0.000 | 7.832 |
| 88.917 | 8.417 | 14.757 | 0.000 | 0.000 | -0.000 |
| 8.417 | 88.917 | 14.757 | 0.000 | 0.000 | 0.000 |
| 14.757 | 14.757 | 32.155 | 0.000 | -0.000 | -0.000 |
| 0.000 | 0.000 | 0.000 | 15.468 | 0.000 | -0.000 |
| 0.000 | 0.000 | 0.000 | 0.000 | 15.468 | -0.000 |
| 0.000 | 0.000 | 0.000 | 0.000 | 0.000 | 7.832 |
| 88.914 | 8.417 | 14.757 | -0.000 | -0.000 | 0.000 |
| 8.417 | 88.914 | 14.757 | -0.000 | 0.000 | 0.000 |
| 14.757 | 14.757 | 32.156 | 0.000 | 0.000 | 0.000 |
| -0.000 | -0.000 | -0.000 | 15.468 | 0.000 | 0.000 |
| -0.000 | -0.000 | -0.000 | -0.000 | 15.468 | 0.000 |
| -0.000 | -0.000 | -0.000 | 0.000 | -0.000 | 7.832 |
| -15.613 | 11.380 | 20.156 | -0.000 | 0.000 | 0.000 |
| 11.380 | -15.613 | 20.156 | 0.000 | 0.000 | -0.000 |
| 20.156 | 20.156 | 73.445 | 0.000 | 0.000 | 0.000 |
| 0.000 | 0.000 | 0.000 | 21.562 | 0.000 | 0.000 |
| 0.000 | 0.000 | 0.000 | 0.000 | 21.562 | 0.000 |
| -0.000 | -0.000 | 0.000 | -0.000 | 0.000 | 11.666 |
| -15.613 | 11.380 | 20.156 | 0.000 | -0.000 | -0.000 |
| 11.380 | -15.613 | 20.156 | 0.000 | 0.000 | -0.000 |
| 20.156 | 20.156 | 73.445 | -0.000 | -0.000 | -0.000 |
| -0.000 | -0.000 | -0.000 | 21.562 | -0.000 | -0.000 |
| -0.000 | -0.000 | -0.000 | 0.000 | 21.562 | -0.000 |
| 0.000 | 0.000 | -0.000 | -0.000 | 0.000 | 11.666 |
| -15.613 | 11.380 | 20.156 | -0.000 | 0.000 | 0.000 |
| 11.380 | -15.613 | 20.156 | 0.000 | 0.000 | 0.000 |
| 20.156 | 20.156 | 73.445 | 0.000 | 0.000 | 0.000 |
| 0.000 | 0.000 | 0.000 | 21.562 | 0.000 | 0.000 |
| 0.000 | 0.000 | 0.000 | -0.000 | 21.562 | 0.000 |
| -0.000 | -0.000 | 0.000 | -0.000 | -0.000 | 11.666 |
| -15.613 | 11.380 | 20.156 | 0.000 | -0.000 | -0.000 |
| 11.380 | -15.613 | 20.156 | 0.000 | 0.000 | -0.000 |
| 20.156 | 20.156 | 73.445 | 0.000 | -0.000 | -0.000 |
| -0.000 | -0.000 | -0.000 | 21.562 | 0.000 | -0.000 |
| -0.000 | -0.000 | -0.000 | -0.000 | 21.562 | -0.000 |
| 0.000 | 0.000 | -0.000 | -0.000 | -0.000 | 11.666 |
| -15.612 | 11.380 | 20.156 | 0.000 | 0.000 | 0.000 |
| 11.380 | -15.612 | 20.156 | 0.000 | 0.000 | 0.000 |
| 20.156 | 20.156 | 73.446 | 0.000 | 0.000 | 0.000 |
| 0.000 | 0.000 | 0.000 | 21.562 | 0.000 | 0.000 |
| 0.000 | 0.000 | 0.000 | -0.000 | 21.562 | 0.000 |
| -0.000 | -0.000 | 0.000 | -0.000 | 0.000 | 11.666 |
| -15.613 | 11.381 | 20.156 | -0.000 | -0.000 | -0.000 |
| 11.381 | -15.613 | 20.156 | -0.000 | -0.000 | -0.000 |
| 20.156 | 20.156 | 73.444 | -0.000 | -0.000 | 0.000 |
| -0.000 | -0.000 | -0.000 | 21.562 | 0.000 | -0.000 |
| -0.000 | -0.000 | -0.000 | -0.000 | 21.562 | -0.000 |
| 0.000 | 0.000 | -0.000 | -0.000 | -0.000 | 11.666 |
| -110.403 | -90.659 | -5.409 | 0.000 | 0.000 | -0.000 |
| -90.659 | -110.403 | -5.409 | -0.000 | 0.000 | -0.000 |
| -5.409 | -5.409 | 416.888 | 0.000 | 0.000 | -0.000 |
| -0.000 | -0.000 | -0.000 | 15.299 | 0.000 | -0.000 |
| -0.000 | -0.000 | -0.000 | 0.000 | 15.299 | -0.000 |
| -0.000 | -0.000 | -0.000 | 0.000 | 0.000 | -89.678 |
| -110.403 | -90.659 | -5.409 | -0.000 | -0.000 | 0.000 |
| -90.659 | -110.403 | -5.409 | -0.000 | -0.000 | -0.000 |
| -5.409 | -5.409 | 416.888 | -0.000 | -0.000 | 0.000 |
| 0.000 | 0.000 | 0.000 | 15.299 | -0.000 | 0.000 |
| 0.000 | 0.000 | 0.000 | 0.000 | 15.299 | 0.000 |
| 0.000 | 0.000 | 0.000 | 0.000 | -0.000 | -89.678 |
| -110.403 | -90.659 | -5.409 | -0.000 | 0.000 | -0.000 |
| -90.659 | -110.403 | -5.409 | 0.000 | 0.000 | -0.000 |
| -5.409 | -5.409 | 416.887 | 0.000 | 0.000 | -0.000 |
| -0.000 | -0.000 | -0.000 | 15.299 | 0.000 | -0.000 |
| -0.000 | -0.000 | -0.000 | -0.000 | 15.299 | -0.000 |
| -0.000 | -0.000 | -0.000 | 0.000 | 0.000 | -89.678 |
| -110.403 | -90.659 | -5.409 | -0.000 | -0.000 | 0.000 |
| -90.659 | -110.403 | -5.409 | -0.000 | -0.000 | 0.000 |
| -5.409 | -5.409 | 416.888 | -0.000 | -0.000 | 0.000 |
| 0.000 | 0.000 | 0.000 | 15.299 | -0.000 | 0.000 |
| 0.000 | 0.000 | 0.000 | -0.000 | 15.299 | 0.000 |
| 0.000 | 0.000 | 0.000 | 0.000 | -0.000 | -89.678 |
| -110.404 | -90.660 | -5.409 | 0.000 | 0.000 | -0.000 |
| -90.660 | -110.404 | -5.409 | -0.000 | 0.000 | -0.000 |
| -5.408 | -5.408 | 416.882 | 0.000 | 0.000 | 0.000 |
| -0.000 | -0.000 | -0.000 | 15.299 | 0.000 | -0.000 |
| -0.000 | -0.000 | -0.000 | -0.000 | 15.299 | -0.000 |
| -0.000 | -0.000 | -0.000 | -0.000 | 0.000 | -89.678 |
| -110.402 | -90.659 | -5.409 | 0.000 | -0.000 | 0.000 |
| -90.659 | -110.402 | -5.409 | 0.000 | -0.000 | 0.000 |
| -5.409 | -5.409 | 416.894 | -0.000 | -0.000 | 0.000 |
| 0.000 | 0.000 | 0.000 | 15.299 | -0.000 | -0.000 |
| 0.000 | 0.000 | 0.000 | 0.000 | 15.299 | 0.000 |
| 0.000 | 0.000 | 0.000 | 0.000 | 0.000 | -89.678 |
| 69.893 | 11.712 | 23.980 | 0.000 | 0.000 | 0.000 |
| 11.712 | 69.893 | 23.980 | 0.000 | 0.000 | 0.000 |
| 23.980 | 23.980 | 48.655 | 0.000 | 0.000 | 0.000 |
| -0.000 | -0.000 | -0.000 | 23.996 | 0.000 | -0.000 |
| -0.000 | -0.000 | -0.000 | 0.000 | 23.996 | -0.000 |
| -0.000 | -0.000 | -0.000 | 0.000 | 0.000 | 11.781 |
| 69.893 | 11.712 | 23.980 | -0.000 | -0.000 | -0.000 |
| 11.712 | 69.893 | 23.980 | -0.000 | -0.000 | -0.000 |
| 23.980 | 23.980 | 48.655 | -0.000 | -0.000 | -0.000 |
| 0.000 | 0.000 | 0.000 | 23.996 | -0.000 | -0.000 |
| 0.000 | 0.000 | 0.000 | -0.000 | 23.996 | -0.000 |
| 0.000 | 0.000 | 0.000 | -0.000 | -0.000 | 11.781 |
| 69.893 | 11.712 | 23.980 | 0.000 | 0.000 | -0.000 |
| 11.712 | 69.893 | 23.980 | 0.000 | 0.000 | -0.000 |
| 23.980 | 23.980 | 48.655 | 0.000 | 0.000 | 0.000 |
| -0.000 | -0.000 | -0.000 | 23.996 | 0.000 | -0.000 |
| -0.000 | -0.000 | -0.000 | 0.000 | 23.996 | -0.000 |
| -0.000 | -0.000 | -0.000 | 0.000 | -0.000 | 11.781 |
| 69.893 | 11.712 | 23.980 | -0.000 | -0.000 | -0.000 |
| 11.712 | 69.893 | 23.980 | -0.000 | -0.000 | -0.000 |
| 23.980 | 23.980 | 48.655 | -0.000 | -0.000 | -0.000 |
| 0.000 | 0.000 | 0.000 | 23.996 | -0.000 | 0.000 |
| 0.000 | 0.000 | 0.000 | -0.000 | 23.996 | 0.000 |
| 0.000 | 0.000 | 0.000 | -0.000 | -0.000 | 11.781 |
| 69.893 | 11.712 | 23.980 | 0.000 | 0.000 | -0.000 |
| 11.712 | 69.893 | 23.980 | 0.000 | 0.000 | -0.000 |
| 23.980 | 23.980 | 48.654 | 0.000 | 0.000 | 0.000 |
| -0.000 | -0.000 | -0.000 | 23.996 | 0.000 | 0.000 |
| -0.000 | -0.000 | -0.000 | 0.000 | 23.996 | 0.000 |
| -0.000 | -0.000 | -0.000 | 0.000 | 0.000 | 11.781 |
| 69.894 | 11.712 | 23.980 | -0.000 | -0.000 | 0.000 |
| 11.712 | 69.894 | 23.980 | -0.000 | -0.000 | 0.000 |
| 23.980 | 23.980 | 48.655 | -0.000 | -0.000 | 0.000 |
| 0.000 | 0.000 | 0.000 | 23.996 | -0.000 | -0.000 |
| 0.000 | 0.000 | 0.000 | -0.000 | 23.996 | -0.000 |
| 0.000 | 0.000 | 0.000 | -0.000 | 0.000 | 11.781 |
| 859.953 | 436.086 | 436.086 | 0.000 | 0.000 | -0.000 |
| 436.086 | 859.953 | 436.086 | 0.000 | -0.000 | -0.000 |
| 436.086 | 436.086 | 859.953 | 0.000 | -0.000 | -0.000 |
| 0.000 | -0.000 | 0.000 | 241.830 | 0.000 | -0.000 |
| 0.000 | -0.000 | 0.000 | 0.000 | 241.830 | -0.000 |
| 0.000 | -0.000 | 0.000 | 0.000 | 0.000 | 241.830 |
| 859.953 | 436.086 | 436.086 | -0.000 | -0.000 | 0.000 |
| 436.086 | 859.953 | 436.086 | -0.000 | 0.000 | 0.000 |
| 436.086 | 436.086 | 859.953 | -0.000 | 0.000 | 0.000 |
| -0.000 | 0.000 | -0.000 | 241.830 | -0.000 | 0.000 |
| -0.000 | 0.000 | -0.000 | -0.000 | 241.830 | 0.000 |
| -0.000 | 0.000 | -0.000 | -0.000 | -0.000 | 241.830 |
| 859.952 | 436.085 | 436.085 | 0.000 | 0.000 | -0.000 |
| 436.085 | 859.952 | 436.085 | 0.000 | -0.000 | -0.000 |
| 436.085 | 436.085 | 859.952 | 0.000 | -0.000 | -0.000 |
| -0.000 | -0.000 | 0.000 | 241.830 | 0.000 | -0.000 |
| -0.000 | -0.000 | 0.000 | 0.000 | 241.830 | -0.000 |
| -0.000 | 0.000 | -0.000 | 0.000 | 0.000 | 241.830 |
| 859.954 | 436.088 | 436.088 | 0.000 | -0.000 | 0.000 |
| 436.088 | 859.954 | 436.088 | -0.000 | 0.000 | 0.000 |
| 436.088 | 436.088 | 859.954 | -0.000 | -0.000 | 0.000 |
| 0.000 | 0.000 | -0.000 | 241.830 | -0.000 | 0.000 |
| 0.000 | 0.000 | -0.000 | -0.000 | 241.830 | 0.000 |
| 0.000 | -0.000 | 0.000 | -0.000 | -0.000 | 241.830 |
| 859.941 | 436.069 | 436.069 | 0.000 | -0.000 | -0.000 |
| 436.069 | 859.941 | 436.069 | 0.000 | -0.000 | -0.000 |
| 436.069 | 436.069 | 859.941 | -0.000 | -0.000 | -0.000 |
| -0.000 | -0.000 | 0.000 | 241.830 | 0.000 | 0.000 |
| -0.000 | -0.000 | 0.000 | 0.000 | 241.830 | -0.000 |
| -0.000 | 0.000 | -0.000 | 0.000 | 0.000 | 241.830 |
| 859.965 | 436.103 | 436.103 | -0.000 | 0.000 | 0.000 |
| 436.103 | 859.965 | 436.103 | -0.000 | -0.000 | 0.000 |
| 436.103 | 436.103 | 859.965 | -0.000 | -0.000 | 0.000 |
| 0.000 | 0.000 | -0.000 | 241.830 | -0.000 | 0.000 |
| 0.000 | 0.000 | -0.000 | -0.000 | 241.830 | 0.000 |
| 0.000 | -0.000 | 0.000 | -0.000 | -0.000 | 241.830 |
| 162.618 | 97.907 | 97.907 | 0.000 | -0.000 | -0.000 |
| 97.907 | 162.618 | 97.907 | 0.000 | -0.000 | -0.000 |
| 97.907 | 97.907 | 162.618 | -0.000 | -0.000 | -0.000 |
| 0.000 | 0.000 | 0.000 | 61.957 | 0.000 | -0.000 |
| 0.000 | 0.000 | 0.000 | 0.000 | 61.957 | -0.000 |
| 0.000 | 0.000 | 0.000 | -0.000 | -0.000 | 61.957 |
| 162.618 | 97.907 | 97.907 | -0.000 | -0.000 | 0.000 |
| 97.907 | 162.618 | 97.907 | -0.000 | 0.000 | 0.000 |
| 97.907 | 97.907 | 162.618 | 0.000 | 0.000 | 0.000 |
| -0.000 | -0.000 | -0.000 | 61.957 | -0.000 | -0.000 |
| -0.000 | -0.000 | -0.000 | -0.000 | 61.957 | 0.000 |
| -0.000 | -0.000 | -0.000 | -0.000 | 0.000 | 61.957 |
| 162.618 | 97.907 | 97.907 | 0.000 | -0.000 | -0.000 |
| 97.907 | 162.618 | 97.907 | -0.000 | 0.000 | -0.000 |
| 97.907 | 97.907 | 162.618 | -0.000 | 0.000 | -0.000 |
| -0.000 | -0.000 | -0.000 | 101.944 | 0.000 | -0.000 |
| -0.000 | -0.000 | -0.000 | 0.000 | 101.944 | -0.000 |
| -0.000 | -0.000 | -0.000 | -0.000 | -0.000 | 101.944 |
| 162.617 | 97.907 | 97.907 | -0.000 | 0.000 | 0.000 |
| 97.907 | 162.617 | 97.907 | 0.000 | -0.000 | 0.000 |
| 97.907 | 97.907 | 162.617 | -0.000 | -0.000 | 0.000 |
| 0.000 | 0.000 | 0.000 | 101.944 | -0.000 | 0.000 |
| 0.000 | 0.000 | 0.000 | 0.000 | 101.944 | 0.000 |
| 0.000 | 0.000 | 0.000 | 0.000 | 0.000 | 101.944 |
| 162.619 | 97.907 | 97.907 | 0.000 | -0.000 | -0.000 |
| 97.907 | 162.619 | 97.907 | 0.000 | -0.000 | -0.000 |
| 97.907 | 97.907 | 162.619 | -0.000 | 0.000 | -0.000 |
| 0.001 | 0.000 | 0.000 | 61.957 | -0.000 | 0.000 |
| 0.000 | 0.001 | 0.000 | 0.000 | 61.957 | -0.000 |
| 0.000 | 0.000 | 0.001 | 0.000 | 0.000 | 61.957 |
| 162.616 | 97.907 | 97.907 | -0.000 | 0.000 | 0.000 |
| 97.907 | 162.616 | 97.907 | -0.000 | -0.000 | 0.000 |
| 97.907 | 97.907 | 162.616 | -0.000 | -0.000 | 0.000 |
| -0.001 | -0.000 | -0.000 | 61.957 | -0.000 | -0.000 |
| -0.000 | -0.001 | -0.000 | -0.000 | 61.957 | 0.000 |
| -0.000 | -0.000 | -0.001 | -0.000 | 0.000 | 61.957 |
| 2.364 | 8.631 | 8.631 | -0.000 | -0.000 | -0.000 |
| 8.631 | 2.364 | 8.631 | -0.000 | -0.000 | -0.000 |
| 8.631 | 8.631 | 2.364 | 0.000 | 0.000 | -0.000 |
| 0.000 | 0.000 | 0.000 | -7.130 | 0.000 | -0.000 |
| 0.000 | 0.000 | 0.000 | -0.000 | -7.130 | -0.000 |
| 0.000 | 0.000 | 0.000 | -0.000 | 0.000 | -7.130 |
| 2.364 | 8.631 | 8.631 | 0.000 | -0.000 | 0.000 |
| 8.631 | 2.364 | 8.631 | 0.000 | 0.000 | 0.000 |
| 8.631 | 8.631 | 2.364 | -0.000 | -0.000 | 0.000 |
| -0.000 | -0.000 | -0.000 | -7.130 | -0.000 | 0.000 |
| -0.000 | -0.000 | -0.000 | 0.000 | -7.130 | 0.000 |
| -0.000 | -0.000 | -0.000 | 0.000 | -0.000 | -7.130 |
| 2.364 | 8.631 | 8.631 | 0.000 | 0.000 | 0.000 |
| 8.631 | 2.364 | 8.631 | 0.000 | 0.000 | -0.000 |
| 8.631 | 8.631 | 2.364 | 0.000 | -0.000 | -0.000 |
| 0.000 | -0.000 | -0.000 | -0.738 | 0.000 | -0.000 |
| -0.000 | 0.000 | -0.000 | -0.000 | -0.738 | -0.000 |
| -0.000 | -0.000 | 0.000 | -0.000 | 0.000 | -0.738 |
| 2.364 | 8.631 | 8.631 | -0.000 | -0.000 | 0.000 |
| 8.631 | 2.364 | 8.631 | 0.000 | -0.000 | 0.000 |
| 8.631 | 8.631 | 2.364 | 0.000 | -0.000 | 0.000 |
| -0.000 | 0.000 | 0.000 | -0.738 | -0.000 | 0.000 |
| 0.000 | -0.000 | 0.000 | 0.000 | -0.738 | 0.000 |
| 0.000 | 0.000 | -0.000 | -0.000 | -0.000 | -0.738 |
| 2.364 | 8.632 | 8.632 | 0.000 | -0.000 | 0.000 |
| 8.632 | 2.364 | 8.632 | 0.000 | 0.000 | -0.000 |
| 8.632 | 8.632 | 2.364 | -0.000 | -0.000 | -0.000 |
| 0.000 | 0.000 | 0.000 | -8.173 | 0.000 | -0.000 |
| 0.000 | 0.000 | 0.000 | -0.000 | -8.173 | -0.000 |
| 0.000 | 0.000 | 0.000 | 0.000 | 0.000 | -8.173 |
| 2.364 | 8.631 | 8.631 | 0.000 | -0.000 | 0.000 |
| 8.631 | 2.364 | 8.631 | -0.000 | 0.000 | 0.000 |
| 8.631 | 8.631 | 2.364 | -0.000 | -0.000 | 0.000 |
| -0.000 | -0.000 | -0.000 | -8.173 | 0.000 | 0.000 |
| -0.000 | -0.000 | -0.000 | 0.000 | -8.173 | 0.000 |
| -0.000 | -0.000 | -0.000 | 0.000 | -0.000 | -8.173 |
| 9.647 | 10.642 | 10.642 | 0.000 | 0.000 | -0.000 |
| 10.642 | 9.647 | 10.642 | 0.000 | 0.000 | 0.000 |
| 10.642 | 10.642 | 9.647 | 0.000 | 0.000 | -0.000 |
| -0.000 | 0.000 | 0.000 | -1.499 | 0.000 | -0.000 |
| -0.000 | -0.000 | 0.000 | 0.000 | -1.499 | -0.000 |
| -0.000 | -0.000 | -0.000 | 0.000 | 0.000 | -1.499 |
| 9.647 | 10.642 | 10.642 | -0.000 | -0.000 | 0.000 |
| 10.642 | 9.647 | 10.642 | -0.000 | -0.000 | 0.000 |
| 10.642 | 10.642 | 9.647 | -0.000 | -0.000 | 0.000 |
| 0.000 | 0.000 | -0.000 | -1.499 | -0.000 | 0.000 |
| 0.000 | 0.000 | 0.000 | 0.000 | -1.499 | 0.000 |
| 0.000 | 0.000 | 0.000 | -0.000 | -0.000 | -1.499 |
| 9.647 | 10.642 | 10.642 | 0.000 | 0.000 | -0.000 |
| 10.642 | 9.647 | 10.642 | 0.000 | 0.000 | -0.000 |
| 10.642 | 10.642 | 9.647 | 0.000 | 0.000 | -0.000 |
| -0.000 | -0.000 | -0.000 | 10.692 | 0.000 | -0.000 |
| -0.000 | -0.000 | -0.000 | 0.000 | 10.692 | 0.000 |
| -0.000 | -0.000 | -0.000 | 0.000 | 0.000 | 10.692 |
| 9.647 | 10.642 | 10.642 | -0.000 | -0.000 | 0.000 |
| 10.642 | 9.647 | 10.642 | -0.000 | -0.000 | 0.000 |
| 10.642 | 10.642 | 9.647 | -0.000 | -0.000 | 0.000 |
| 0.000 | 0.000 | 0.000 | 10.692 | -0.000 | 0.000 |
| 0.000 | 0.000 | 0.000 | -0.000 | 10.692 | -0.000 |
| 0.000 | 0.000 | 0.000 | -0.000 | -0.000 | 10.692 |
| 9.647 | 10.642 | 10.642 | 0.000 | 0.000 | -0.000 |
| 10.642 | 9.647 | 10.642 | 0.000 | 0.000 | -0.000 |
| 10.642 | 10.642 | 9.647 | 0.000 | 0.000 | -0.000 |
| -0.000 | -0.000 | -0.000 | -1.499 | 0.000 | -0.000 |
| -0.000 | -0.000 | -0.000 | 0.000 | -1.499 | 0.000 |
| -0.000 | -0.000 | -0.000 | 0.000 | 0.000 | -1.499 |
| 9.648 | 10.642 | 10.642 | -0.000 | -0.000 | 0.000 |
| 10.642 | 9.648 | 10.642 | -0.000 | -0.000 | 0.000 |
| 10.642 | 10.642 | 9.648 | -0.000 | -0.000 | 0.000 |
| 0.000 | 0.000 | 0.000 | -1.499 | -0.000 | 0.000 |
| 0.000 | 0.000 | 0.000 | -0.000 | -1.499 | 0.000 |
| 0.000 | 0.000 | 0.000 | -0.000 | -0.000 | -1.499 |
| 199.806 | 149.071 | 149.071 | 0.000 | -0.000 | -0.000 |
| 149.071 | 199.806 | 149.071 | 0.000 | 0.000 | -0.000 |
| 149.071 | 149.071 | 199.806 | -0.000 | 0.000 | -0.000 |
| 0.000 | -0.000 | -0.000 | 108.060 | -0.000 | -0.000 |
| -0.000 | -0.000 | -0.000 | -0.000 | 108.060 | -0.000 |
| -0.000 | -0.000 | -0.000 | 0.000 | -0.000 | 108.060 |
| 199.775 | 149.087 | 149.087 | 0.000 | 0.000 | 0.000 |
| 149.087 | 199.775 | 149.087 | -0.000 | -0.000 | 0.000 |
| 149.087 | 149.087 | 199.775 | 0.000 | -0.000 | 0.000 |
| -0.000 | 0.000 | 0.000 | 108.060 | -0.000 | 0.000 |
| 0.000 | 0.000 | 0.000 | -0.000 | 108.060 | 0.000 |
| 0.000 | 0.000 | 0.000 | -0.000 | -0.000 | 108.060 |
| 199.775 | 149.086 | 149.086 | 0.000 | -0.000 | -0.000 |
| 149.086 | 199.775 | 149.086 | 0.000 | 0.000 | -0.000 |
| 149.086 | 149.086 | 199.775 | 0.000 | 0.000 | -0.000 |
| -0.000 | -0.000 | -0.000 | 108.060 | 0.000 | -0.000 |
| -0.000 | -0.000 | -0.000 | -0.000 | 108.060 | -0.000 |
| -0.000 | -0.000 | -0.000 | -0.000 | -0.000 | 108.060 |
| 199.776 | 149.087 | 149.087 | 0.000 | 0.000 | 0.000 |
| 149.087 | 199.776 | 149.087 | -0.000 | -0.000 | 0.000 |
| 149.087 | 149.087 | 199.776 | -0.000 | -0.000 | 0.000 |
| 0.000 | 0.000 | 0.000 | 108.060 | -0.000 | 0.000 |
| 0.000 | 0.000 | 0.000 | 0.000 | 108.060 | 0.000 |
| 0.000 | 0.000 | 0.000 | 0.000 | 0.000 | 108.060 |
| 199.802 | 149.066 | 149.066 | -0.000 | 0.000 | -0.000 |
| 149.066 | 199.802 | 149.066 | -0.000 | -0.000 | -0.000 |
| 149.066 | 149.066 | 199.802 | -0.000 | 0.000 | -0.000 |
| -0.000 | -0.000 | -0.000 | 108.060 | 0.000 | -0.000 |
| -0.000 | -0.000 | -0.000 | -0.000 | 108.060 | -0.000 |
| -0.000 | -0.000 | -0.000 | -0.000 | -0.000 | 108.060 |
| 199.752 | 149.091 | 149.091 | -0.000 | 0.000 | 0.000 |
| 149.091 | 199.752 | 149.091 | 0.000 | 0.000 | 0.000 |
| 149.091 | 149.091 | 199.752 | -0.000 | -0.000 | 0.000 |
| 0.000 | 0.000 | 0.000 | 108.060 | 0.000 | 0.000 |
| 0.000 | 0.000 | 0.000 | 0.000 | 108.060 | 0.000 |
| 0.000 | 0.000 | 0.000 | -0.000 | 0.000 | 108.060 |
| 343.127 | 170.869 | 170.869 | 0.000 | -0.000 | 0.000 |
| 170.869 | 343.127 | 170.869 | 0.000 | 0.000 | 0.000 |
| 170.869 | 170.869 | 343.127 | -0.000 | 0.000 | 0.000 |
| -0.000 | -0.000 | -0.000 | 142.871 | 0.000 | 0.000 |
| -0.000 | -0.000 | -0.000 | -0.000 | 142.871 | 0.000 |
| -0.000 | -0.000 | -0.000 | 0.000 | 0.000 | 142.871 |
| 343.127 | 170.869 | 170.869 | -0.000 | 0.000 | -0.000 |
| 170.869 | 343.127 | 170.869 | -0.000 | -0.000 | -0.000 |
| 170.869 | 170.869 | 343.127 | -0.000 | 0.000 | -0.000 |
| 0.000 | 0.000 | 0.000 | 142.871 | -0.000 | -0.000 |
| 0.000 | 0.000 | 0.000 | -0.000 | 142.871 | -0.000 |
| 0.000 | 0.000 | 0.000 | 0.000 | -0.000 | 142.871 |
| 343.127 | 170.869 | 170.869 | 0.000 | -0.000 | 0.000 |
| 170.869 | 343.127 | 170.869 | -0.000 | -0.000 | 0.000 |
| 170.869 | 170.869 | 343.127 | 0.000 | 0.000 | 0.000 |
| -0.000 | 0.000 | 0.000 | 104.143 | 0.000 | 0.000 |
| 0.000 | -0.000 | 0.000 | 0.000 | 104.143 | 0.000 |
| 0.000 | 0.000 | -0.000 | 0.000 | -0.000 | 104.143 |
| 343.127 | 170.869 | 170.869 | -0.000 | -0.000 | -0.000 |
| 170.869 | 343.127 | 170.869 | -0.000 | -0.000 | -0.000 |
| 170.869 | 170.869 | 343.127 | -0.000 | -0.000 | -0.000 |
| 0.000 | -0.000 | -0.000 | 104.143 | 0.000 | -0.000 |
| -0.000 | 0.000 | -0.000 | -0.000 | 104.143 | -0.000 |
| -0.000 | -0.000 | 0.000 | -0.000 | -0.000 | 104.143 |
| 343.126 | 170.869 | 170.869 | 0.000 | -0.000 | 0.000 |
| 170.869 | 343.126 | 170.869 | 0.000 | 0.000 | 0.000 |
| 170.869 | 170.869 | 343.126 | 0.000 | 0.000 | 0.000 |
| -0.001 | 0.000 | 0.000 | 104.143 | -0.000 | 0.000 |
| 0.000 | -0.001 | 0.000 | 0.000 | 104.143 | 0.000 |
| 0.000 | 0.000 | -0.001 | 0.000 | -0.000 | 104.143 |
| 343.128 | 170.869 | 170.869 | -0.000 | -0.000 | -0.000 |
| 170.869 | 343.128 | 170.869 | -0.000 | -0.000 | -0.000 |
| 170.869 | 170.869 | 343.128 | -0.000 | 0.000 | -0.000 |
| 0.001 | -0.000 | -0.000 | 104.143 | 0.000 | -0.000 |
| -0.000 | 0.001 | -0.000 | -0.000 | 104.143 | -0.000 |
| -0.000 | -0.000 | 0.001 | -0.000 | -0.000 | 104.143 |
| 32.171 | 9.564 | 9.564 | -0.000 | -0.000 | -0.000 |
| 9.564 | 32.171 | 9.564 | -0.000 | -0.000 | -0.000 |
| 9.564 | 9.564 | 32.171 | -0.000 | -0.000 | -0.000 |
| 0.000 | 0.000 | 0.000 | 6.465 | 0.000 | -0.000 |
| 0.000 | 0.000 | 0.000 | -0.000 | 6.465 | -0.000 |
| 0.000 | 0.000 | 0.000 | -0.000 | -0.000 | 6.465 |
| -67514035.287 | -5469750.073 | -14202090.085 | -25130.625 | -511870.247 | 79587.630 |
| -14482814.990 | -66829731.768 | -5253652.664 | 9732.792 | 51715.743 | -510267.632 |
| -5095777.680 | -11835181.953 | -65151873.624 | -93044.448 | -146978.687 | -188276.117 |
| -0.000 | -0.000 | -0.000 | 6.465 | 0.000 | 0.000 |
| -0.000 | -0.000 | -0.000 | 0.000 | 6.465 | 0.000 |
| -0.000 | -0.000 | -0.000 | 0.000 | 0.000 | 6.465 |
| 11642.761 | 3857557.296 | 4727878.076 | -18027.915 | 28934.498 | -5539.416 |
| 4689274.605 | 159000.469 | 3824161.937 | -3208.446 | -59878.991 | -13849.303 |
| 4023560.045 | 4788430.729 | 386100.985 | -8613.072 | 585.840 | -73216.947 |
| 0.000 | 0.000 | 0.000 | 6.465 | -0.000 | -0.000 |
| 0.000 | 0.000 | 0.000 | -0.000 | 6.465 | -0.000 |
| 0.000 | 0.000 | 0.000 | -0.000 | -0.000 | 6.465 |
| 32.171 | 9.564 | 9.564 | 0.000 | 0.000 | 0.000 |
| 9.564 | 32.171 | 9.564 | 0.000 | 0.000 | 0.000 |
| 9.564 | 9.564 | 32.171 | 0.000 | 0.000 | 0.000 |
| -0.000 | -0.000 | -0.000 | 6.465 | 0.000 | 0.000 |
| -0.000 | -0.000 | -0.000 | -0.000 | 6.465 | 0.000 |
| -0.000 | -0.000 | -0.000 | 0.000 | 0.000 | 6.465 |
| -288573.952 | 320491.704 | 320491.724 | -0.000 | -0.000 | -0.000 |
| 461938.472 | -19066.935 | 404916.192 | -2843.589 | 1608.707 | 6163.885 |
| 383308.627 | 459159.721 | -28121.163 | 2990.149 | -1647.085 | -123.867 |
| 0.000 | 0.000 | 0.000 | 6.465 | -0.000 | -0.000 |
| 0.000 | 0.000 | 0.000 | -0.000 | 6.465 | -0.000 |
| 0.000 | 0.000 | 0.000 | -0.000 | -0.000 | 6.465 |
| -654105.892 | 98811.773 | 98811.727 | 0.000 | 0.000 | 0.000 |
| -126986.749 | -646391.757 | -74986.121 | -3692.629 | -1592.971 | -7501.525 |
| -77347.678 | -105711.956 | -659339.412 | -2143.141 | 984.169 | -2336.789 |
| -0.000 | -0.000 | -0.000 | 6.465 | 0.000 | 0.000 |
| -0.000 | -0.000 | -0.000 | 0.000 | 6.465 | 0.000 |
| -0.000 | -0.000 | -0.000 | 0.000 | 0.000 | 6.465 |
| 23.242 | 7.128 | 7.128 | -0.000 | 0.000 | -0.000 |
| 7.128 | 23.242 | 7.128 | -0.000 | 0.000 | -0.000 |
| 7.128 | 7.128 | 23.242 | -0.000 | 0.000 | -0.000 |
| 0.000 | 0.000 | 0.000 | 2.664 | 0.000 | -0.000 |
| 0.000 | 0.000 | 0.000 | -0.000 | 2.664 | -0.000 |
| 0.000 | 0.000 | 0.000 | -0.000 | 0.000 | 2.664 |
| 23.242 | 7.128 | 7.128 | -0.000 | -0.000 | 0.000 |
| 7.128 | 23.242 | 7.128 | 0.000 | -0.000 | 0.000 |
| 7.128 | 7.128 | 23.242 | 0.000 | -0.000 | 0.000 |
| -0.000 | -0.000 | -0.000 | 2.664 | -0.000 | 0.000 |
| -0.000 | -0.000 | -0.000 | 0.000 | 2.664 | 0.000 |
| -0.000 | -0.000 | -0.000 | 0.000 | -0.000 | 2.664 |
| 23.242 | 7.128 | 7.128 | -0.000 | 0.000 | -0.000 |
| 7.128 | 23.242 | 7.128 | -0.000 | 0.000 | -0.000 |
| 7.128 | 7.128 | 23.242 | -0.000 | 0.000 | -0.000 |
| 0.000 | 0.000 | 0.000 | 2.664 | 0.000 | -0.000 |
| 0.000 | 0.000 | 0.000 | -0.000 | 2.664 | -0.000 |
| 0.000 | 0.000 | 0.000 | -0.000 | 0.000 | 2.664 |
| 23.242 | 7.128 | 7.128 | 0.000 | -0.000 | 0.000 |
| 7.128 | 23.242 | 7.128 | 0.000 | -0.000 | 0.000 |
| 7.128 | 7.128 | 23.242 | 0.000 | -0.000 | 0.000 |
| -0.000 | -0.000 | -0.000 | 2.664 | -0.000 | 0.000 |
| -0.000 | -0.000 | -0.000 | 0.000 | 2.664 | 0.000 |
| -0.000 | -0.000 | -0.000 | 0.000 | -0.000 | 2.664 |
| 23.242 | 7.128 | 7.128 | 0.000 | 0.000 | -0.000 |
| 7.128 | 23.242 | 7.128 | -0.000 | 0.000 | -0.000 |
| 7.128 | 7.128 | 23.242 | -0.000 | 0.000 | -0.000 |
| 0.000 | 0.000 | 0.000 | 2.664 | 0.000 | -0.000 |
| 0.000 | 0.000 | 0.000 | -0.000 | 2.664 | -0.000 |
| 0.000 | 0.000 | 0.000 | -0.000 | 0.000 | 2.664 |
| 23.242 | 7.128 | 7.128 | 0.000 | -0.000 | 0.000 |
| 7.128 | 23.242 | 7.128 | 0.000 | -0.000 | 0.000 |
| 7.128 | 7.128 | 23.242 | 0.000 | -0.000 | 0.000 |
| -0.000 | -0.000 | -0.000 | 2.664 | -0.000 | 0.000 |
| -0.000 | -0.000 | -0.000 | 0.000 | 2.664 | 0.000 |
| -0.000 | -0.000 | -0.000 | -0.000 | -0.000 | 2.664 |
| 2.528 | -0.000 | -0.000 | 0.000 | 0.000 | 0.000 |
| -0.000 | 2.528 | -0.000 | -0.000 | 0.000 | 0.000 |
| -0.000 | -0.000 | 2.528 | -0.000 | 0.000 | -0.000 |
| 0.000 | -0.000 | 0.000 | 0.000 | 0.000 | 0.000 |
| -0.000 | 0.000 | 0.000 | 0.000 | 0.000 | -0.000 |
| -0.000 | 0.000 | 0.000 | 0.000 | 0.000 | 0.000 |
| 2.528 | 0.000 | 0.000 | 0.000 | -0.000 | -0.000 |
| 0.000 | 2.528 | 0.000 | 0.000 | -0.000 | -0.000 |
| 0.000 | 0.000 | 2.528 | 0.000 | 0.000 | 0.000 |
| -0.000 | 0.000 | -0.000 | 0.000 | -0.000 | -0.000 |
| 0.000 | -0.000 | -0.000 | -0.000 | 0.000 | -0.000 |
| 0.000 | -0.000 | -0.000 | -0.000 | -0.000 | 0.000 |
| 2.528 | -0.000 | -0.000 | 0.000 | -0.000 | 0.000 |
| -0.000 | 2.528 | -0.000 | 0.000 | 0.000 | 0.000 |
| -0.000 | -0.000 | 2.528 | 0.000 | -0.000 | -0.000 |
| 0.000 | -0.000 | -0.000 | 0.000 | 0.000 | -0.000 |
| -0.000 | 0.000 | -0.000 | 0.000 | 0.000 | -0.000 |
| -0.000 | -0.000 | 0.000 | 0.000 | -0.000 | 0.000 |
| 2.528 | -0.000 | -0.000 | 0.000 | -0.000 | -0.000 |
| -0.000 | 2.528 | -0.000 | -0.000 | -0.000 | 0.000 |
| -0.000 | -0.000 | 2.528 | 0.000 | 0.000 | 0.000 |
| -0.000 | 0.000 | 0.000 | 0.000 | -0.000 | -0.000 |
| 0.000 | -0.000 | 0.000 | -0.000 | 0.000 | -0.000 |
| 0.000 | 0.000 | -0.000 | -0.000 | -0.000 | 0.000 |
| 2.528 | -0.000 | -0.000 | 0.000 | 0.000 | -0.000 |
| -0.000 | 2.528 | -0.000 | 0.000 | 0.000 | 0.000 |
| -0.000 | -0.000 | 2.528 | 0.000 | 0.000 | -0.000 |
| 0.000 | -0.000 | -0.000 | 0.000 | 0.000 | 0.000 |
| -0.000 | 0.000 | -0.000 | 0.000 | 0.000 | 0.000 |
| -0.000 | -0.000 | 0.000 | 0.000 | 0.000 | 0.000 |
| 2.529 | -0.000 | -0.000 | 0.000 | -0.000 | 0.000 |
| -0.000 | 2.529 | -0.000 | 0.000 | -0.000 | -0.000 |
| -0.000 | -0.000 | 2.529 | -0.000 | -0.000 | 0.000 |
| -0.000 | 0.000 | 0.000 | 0.000 | -0.000 | -0.000 |
| 0.000 | -0.000 | 0.000 | -0.000 | 0.000 | 0.000 |
| 0.000 | 0.000 | -0.000 | -0.000 | -0.000 | 0.000 |
| 379.128 | 395.144 | 395.144 | 0.000 | 0.000 | 0.000 |
| 395.144 | 379.128 | 395.144 | 0.000 | 0.000 | 0.000 |
| 395.144 | 395.144 | 379.128 | 0.000 | 0.000 | 0.000 |
| 0.000 | 0.000 | -0.000 | 113.722 | 0.000 | 0.000 |
| 0.000 | 0.000 | -0.000 | 0.000 | 113.722 | -0.000 |
| 0.000 | 0.000 | -0.000 | 0.000 | 0.000 | 113.722 |
| 379.128 | 395.144 | 395.144 | -0.000 | -0.000 | -0.000 |
| 395.144 | 379.128 | 395.144 | -0.000 | -0.000 | 0.000 |
| 395.144 | 395.144 | 379.128 | -0.000 | -0.000 | -0.000 |
| -0.000 | -0.000 | 0.000 | 113.722 | -0.000 | 0.000 |
| -0.000 | -0.000 | 0.000 | -0.000 | 113.722 | 0.000 |
| -0.000 | -0.000 | 0.000 | -0.000 | -0.000 | 113.722 |
| 379.127 | 395.142 | 395.142 | 0.000 | 0.000 | -0.000 |
| 395.142 | 379.127 | 395.142 | 0.000 | 0.000 | 0.000 |
| 395.142 | 395.142 | 379.127 | 0.000 | 0.000 | 0.000 |
| 0.000 | 0.000 | 0.000 | 120.553 | 0.000 | 0.000 |
| 0.000 | 0.000 | 0.000 | 0.000 | 120.553 | -0.000 |
| 0.000 | 0.000 | 0.000 | 0.000 | 0.000 | 120.553 |
| 379.130 | 395.146 | 395.146 | -0.000 | -0.000 | -0.000 |
| 395.146 | 379.130 | 395.146 | -0.000 | -0.000 | 0.000 |
| 395.146 | 395.146 | 379.130 | -0.000 | -0.000 | -0.000 |
| -0.000 | -0.000 | -0.000 | 120.553 | -0.000 | -0.000 |
| -0.000 | -0.000 | -0.000 | 0.000 | 120.553 | -0.000 |
| -0.000 | -0.000 | -0.000 | -0.000 | -0.000 | 120.553 |
| 379.113 | 395.125 | 395.125 | 0.000 | 0.000 | 0.000 |
| 395.125 | 379.113 | 395.125 | 0.000 | 0.000 | 0.000 |
| 395.125 | 395.125 | 379.113 | 0.000 | 0.000 | 0.000 |
| 0.000 | 0.001 | 0.001 | 120.553 | 0.000 | -0.000 |
| 0.001 | 0.000 | 0.001 | 0.000 | 120.553 | 0.000 |
| 0.001 | 0.001 | 0.000 | 0.000 | 0.000 | 120.553 |
| 379.143 | 395.163 | 395.163 | -0.000 | -0.000 | 0.000 |
| 395.163 | 379.143 | 395.163 | -0.000 | -0.000 | 0.000 |
| 395.163 | 395.163 | 379.143 | -0.000 | -0.000 | -0.000 |
| -0.000 | -0.001 | -0.001 | 120.553 | -0.000 | 0.000 |
| -0.001 | -0.000 | -0.001 | -0.000 | 120.553 | 0.000 |
| -0.001 | -0.001 | -0.000 | -0.000 | -0.000 | 120.553 |
| 32.325 | 4.536 | 4.536 | -0.000 | -0.000 | 0.000 |
| 4.536 | 32.325 | 4.536 | -0.000 | 0.000 | 0.000 |
| 4.536 | 4.536 | 32.325 | -0.000 | 0.000 | 0.000 |
| 0.000 | 0.000 | 0.000 | 4.959 | 0.000 | 0.000 |
| 0.000 | 0.000 | 0.000 | -0.000 | 4.959 | 0.000 |
| 0.000 | 0.000 | 0.000 | -0.000 | -0.000 | 4.959 |
| 32.325 | 4.536 | 4.536 | 0.000 | 0.000 | -0.000 |
| 4.536 | 32.325 | 4.536 | 0.000 | 0.000 | -0.000 |
| 4.536 | 4.536 | 32.325 | 0.000 | -0.000 | -0.000 |
| -0.000 | -0.000 | -0.000 | 4.959 | -0.000 | -0.000 |
| -0.000 | -0.000 | -0.000 | 0.000 | 4.959 | -0.000 |
| -0.000 | -0.000 | -0.000 | 0.000 | 0.000 | 4.959 |
| 32.325 | 4.536 | 4.536 | -0.000 | -0.000 | 0.000 |
| 4.536 | 32.325 | 4.536 | -0.000 | -0.000 | 0.000 |
| 4.536 | 4.536 | 32.325 | -0.000 | 0.000 | 0.000 |
| 0.000 | 0.000 | 0.000 | 4.616 | 0.000 | 0.000 |
| 0.000 | 0.000 | 0.000 | -0.000 | 4.616 | 0.000 |
| 0.000 | 0.000 | 0.000 | 0.000 | 0.000 | 4.616 |
| 32.325 | 4.536 | 4.536 | 0.000 | 0.000 | -0.000 |
| 4.536 | 32.325 | 4.536 | 0.000 | 0.000 | -0.000 |
| 4.536 | 4.536 | 32.325 | 0.000 | -0.000 | -0.000 |
| -0.000 | -0.000 | -0.000 | 4.616 | -0.000 | -0.000 |
| -0.000 | -0.000 | -0.000 | 0.000 | 4.616 | -0.000 |
| -0.000 | -0.000 | -0.000 | 0.000 | -0.000 | 4.616 |
| 32.325 | 4.537 | 4.537 | -0.000 | -0.000 | 0.000 |
| 4.537 | 32.325 | 4.537 | -0.000 | -0.000 | 0.000 |
| 4.537 | 4.537 | 32.325 | -0.000 | 0.000 | 0.000 |
| 0.000 | 0.000 | 0.000 | 4.959 | 0.000 | 0.000 |
| 0.000 | 0.000 | 0.000 | -0.000 | 4.959 | 0.000 |
| 0.000 | 0.000 | 0.000 | -0.000 | 0.000 | 4.959 |
| 32.325 | 4.536 | 4.536 | 0.000 | 0.000 | -0.000 |
| 4.536 | 32.325 | 4.536 | 0.000 | -0.000 | -0.000 |
| 4.536 | 4.536 | 32.325 | 0.000 | 0.000 | -0.000 |
| -0.000 | -0.000 | -0.000 | 4.959 | -0.000 | -0.000 |
| -0.000 | -0.000 | -0.000 | 0.000 | 4.959 | -0.000 |
| -0.000 | -0.000 | -0.000 | 0.000 | 0.000 | 4.959 |
| 7.132 | 6.831 | 6.831 | -0.000 | -0.000 | 0.000 |
| 6.831 | 7.132 | 6.831 | -0.000 | -0.000 | -0.000 |
| 6.831 | 6.831 | 7.132 | 0.000 | -0.000 | 0.000 |
| -0.000 | 0.000 | -0.000 | -5.419 | -0.000 | 0.000 |
| 0.000 | -0.000 | -0.000 | -0.000 | -5.419 | 0.000 |
| 0.000 | 0.000 | -0.000 | -0.000 | -0.000 | -5.419 |
| 7.132 | 6.831 | 6.831 | 0.000 | -0.000 | -0.000 |
| 6.831 | 7.132 | 6.831 | 0.000 | 0.000 | -0.000 |
| 6.831 | 6.831 | 7.132 | 0.000 | 0.000 | -0.000 |
| 0.000 | -0.000 | 0.000 | -5.419 | 0.000 | 0.000 |
| -0.000 | 0.000 | 0.000 | 0.000 | -5.419 | -0.000 |
| -0.000 | -0.000 | 0.000 | 0.000 | 0.000 | -5.419 |
| 7.132 | 6.831 | 6.831 | -0.000 | -0.000 | -0.000 |
| 6.831 | 7.132 | 6.831 | -0.000 | -0.000 | -0.000 |
| 6.831 | 6.831 | 7.132 | -0.000 | -0.000 | -0.000 |
| -0.000 | -0.000 | -0.000 | 6.895 | -0.000 | 0.000 |
| -0.000 | -0.000 | -0.000 | 0.000 | 6.895 | 0.000 |
| -0.000 | -0.000 | -0.000 | 0.000 | -0.000 | 6.895 |
| 7.132 | 6.831 | 6.831 | 0.000 | 0.000 | -0.000 |
| 6.831 | 7.132 | 6.831 | 0.000 | 0.000 | -0.000 |
| 6.831 | 6.831 | 7.132 | 0.000 | 0.000 | -0.000 |
| 0.000 | 0.000 | 0.000 | 6.895 | 0.000 | -0.000 |
| 0.000 | 0.000 | 0.000 | 0.000 | 6.895 | -0.000 |
| 0.000 | 0.000 | 0.000 | -0.000 | 0.000 | 6.895 |
| 7.132 | 6.831 | 6.831 | -0.000 | -0.000 | -0.000 |
| 6.831 | 7.132 | 6.831 | -0.000 | -0.000 | 0.000 |
| 6.831 | 6.831 | 7.132 | -0.000 | -0.000 | -0.000 |
| -0.005 | -0.001 | -0.001 | -36.387 | -0.000 | 0.000 |
| -0.001 | -0.005 | -0.001 | -0.000 | -36.387 | 0.000 |
| -0.001 | -0.001 | -0.005 | -0.000 | -0.000 | -36.387 |
| 7.132 | 6.831 | 6.831 | 0.000 | 0.000 | -0.000 |
| 6.831 | 7.132 | 6.831 | 0.000 | -0.000 | -0.000 |
| 6.831 | 6.831 | 7.132 | -0.000 | -0.000 | 0.000 |
| 0.005 | 0.001 | 0.001 | -36.387 | 0.000 | -0.000 |
| 0.001 | 0.005 | 0.001 | 0.000 | -36.387 | -0.000 |
| 0.001 | 0.001 | 0.005 | 0.000 | 0.000 | -36.387 |
| 1525.707 | 1028.676 | 1028.676 | -0.000 | 0.000 | -0.000 |
| 1028.676 | 1525.707 | 1028.676 | -0.000 | -0.000 | -0.000 |
| 1028.676 | 1028.676 | 1525.707 | 0.000 | -0.000 | -0.000 |
| 0.000 | 0.000 | 0.000 | 220.936 | -0.000 | -0.000 |
| 0.000 | 0.000 | 0.000 | -0.000 | 220.936 | -0.000 |
| 0.000 | 0.000 | 0.000 | 0.000 | 0.000 | 220.936 |
| 1525.709 | 1028.677 | 1028.677 | 0.000 | 0.000 | 0.000 |
| 1028.677 | 1525.709 | 1028.677 | 0.000 | -0.000 | 0.000 |
| 1028.677 | 1028.677 | 1525.709 | -0.000 | -0.000 | -0.000 |
| -0.000 | -0.000 | -0.000 | 220.936 | -0.000 | 0.000 |
| -0.000 | -0.000 | -0.000 | -0.000 | 220.936 | 0.000 |
| -0.000 | -0.000 | -0.000 | -0.000 | 0.000 | 220.936 |
| 1525.701 | 1028.670 | 1028.670 | -0.000 | -0.000 | -0.000 |
| 1028.670 | 1525.701 | 1028.670 | -0.000 | 0.000 | -0.000 |
| 1028.670 | 1028.670 | 1525.701 | 0.000 | -0.000 | -0.000 |
| 0.000 | 0.000 | 0.000 | 220.936 | -0.000 | -0.000 |
| 0.000 | 0.000 | 0.000 | -0.000 | 220.936 | -0.000 |
| 0.000 | 0.000 | 0.000 | -0.000 | -0.000 | 220.936 |
| 1525.715 | 1028.683 | 1028.683 | 0.000 | -0.000 | 0.000 |
| 1028.683 | 1525.715 | 1028.683 | 0.000 | 0.000 | -0.000 |
| 1028.683 | 1028.683 | 1525.715 | 0.000 | 0.000 | -0.000 |
| -0.000 | -0.000 | -0.000 | 220.936 | -0.000 | 0.000 |
| -0.000 | -0.000 | -0.000 | 0.000 | 220.936 | 0.000 |
| -0.000 | -0.000 | -0.000 | -0.000 | -0.000 | 220.936 |
| 1525.637 | 1028.608 | 1028.608 | -0.000 | -0.000 | -0.000 |
| 1028.608 | 1525.637 | 1028.608 | -0.000 | -0.000 | -0.000 |
| 1028.608 | 1028.608 | 1525.637 | -0.000 | 0.000 | -0.000 |
| 0.001 | 0.001 | 0.001 | 220.936 | -0.000 | -0.000 |
| 0.001 | 0.001 | 0.001 | -0.000 | 220.936 | -0.000 |
| 0.001 | 0.001 | 0.001 | -0.000 | -0.000 | 220.936 |
| 1525.779 | 1028.745 | 1028.745 | -0.000 | 0.000 | -0.000 |
| 1028.745 | 1525.779 | 1028.745 | 0.000 | -0.000 | -0.000 |
| 1028.745 | 1028.745 | 1525.779 | 0.000 | 0.000 | 0.000 |
| -0.001 | -0.001 | -0.001 | 220.936 | 0.000 | 0.000 |
| -0.001 | -0.001 | -0.001 | -0.000 | 220.936 | 0.000 |
| -0.001 | -0.001 | -0.001 | 0.000 | -0.000 | 220.936 |
| 539.471 | -82.579 | -82.579 | 0.000 | -0.000 | 0.000 |
| -82.579 | 539.471 | -82.579 | 0.000 | -0.000 | 0.000 |
| -82.579 | -82.579 | 539.471 | -0.000 | 0.000 | 0.000 |
| 0.000 | 0.000 | -0.000 | 54.147 | 0.000 | 0.000 |
| -0.000 | 0.000 | -0.000 | 0.000 | 54.147 | 0.000 |
| -0.000 | -0.000 | 0.000 | 0.000 | -0.000 | 54.147 |
| 539.472 | -82.580 | -82.580 | -0.000 | 0.000 | -0.000 |
| -82.580 | 539.472 | -82.580 | 0.000 | -0.000 | -0.000 |
| -82.580 | -82.580 | 539.472 | 0.000 | 0.000 | -0.000 |
| -0.000 | -0.000 | 0.000 | 54.147 | 0.000 | -0.000 |
| 0.000 | -0.000 | 0.000 | 0.000 | 54.147 | -0.000 |
| 0.000 | 0.000 | -0.000 | -0.000 | -0.000 | 54.147 |
| 539.470 | -82.577 | -82.577 | 0.000 | 0.000 | 0.000 |
| -82.577 | 539.470 | -82.577 | 0.000 | -0.000 | 0.000 |
| -82.577 | -82.577 | 539.470 | -0.000 | 0.000 | 0.000 |
| 0.000 | -0.000 | -0.000 | 54.147 | 0.000 | -0.000 |
| -0.000 | 0.000 | -0.000 | 0.000 | 54.147 | -0.000 |
| -0.000 | -0.000 | 0.000 | -0.000 | 0.000 | 54.147 |
| 539.473 | -82.581 | -82.581 | -0.000 | 0.000 | -0.000 |
| -82.581 | 539.473 | -82.581 | 0.000 | 0.000 | -0.000 |
| -82.581 | -82.581 | 539.473 | -0.000 | -0.000 | -0.000 |
| -0.000 | 0.000 | 0.000 | 54.147 | 0.000 | -0.000 |
| 0.000 | -0.000 | 0.000 | -0.000 | 54.147 | -0.000 |
| 0.000 | 0.000 | -0.000 | 0.000 | -0.000 | 54.147 |
| 539.459 | -82.560 | -82.560 | -0.000 | 0.000 | 0.000 |
| -82.560 | 539.459 | -82.560 | -0.000 | 0.000 | -0.000 |
| -82.560 | -82.560 | 539.459 | -0.000 | -0.000 | 0.000 |
| 0.001 | -0.000 | -0.000 | 54.147 | 0.000 | 0.000 |
| -0.000 | 0.001 | -0.000 | 0.000 | 54.147 | 0.000 |
| -0.000 | -0.000 | 0.001 | 0.000 | 0.000 | 54.147 |
| 539.483 | -82.598 | -82.598 | -0.000 | 0.000 | -0.000 |
| -82.598 | 539.483 | -82.598 | 0.000 | -0.000 | -0.000 |
| -82.598 | -82.598 | 539.483 | -0.000 | -0.000 | -0.000 |
| -0.001 | 0.000 | 0.000 | 54.147 | 0.000 | 0.000 |
| 0.000 | -0.001 | 0.000 | -0.000 | 54.147 | -0.000 |
| 0.000 | 0.000 | -0.001 | 0.000 | -0.000 | 54.147 |
| 19.518 | 10.161 | 10.161 | -0.000 | -0.000 | -0.000 |
| 10.161 | 19.518 | 10.161 | 0.000 | -0.000 | -0.000 |
| 10.161 | 10.161 | 19.518 | 0.000 | 0.000 | -0.000 |
| 0.000 | 0.000 | 0.000 | 10.805 | -0.000 | -0.000 |
| 0.000 | 0.000 | 0.000 | -0.000 | 10.805 | -0.000 |
| 0.000 | 0.000 | 0.000 | 0.000 | 0.000 | 10.805 |
| 19.518 | 10.161 | 10.161 | -0.000 | 0.000 | 0.000 |
| 10.161 | 19.518 | 10.161 | 0.000 | 0.000 | 0.000 |
| 10.161 | 10.161 | 19.518 | -0.000 | -0.000 | 0.000 |
| -0.000 | -0.000 | -0.000 | 10.805 | -0.000 | 0.000 |
| -0.000 | -0.000 | -0.000 | -0.000 | 10.805 | 0.000 |
| -0.000 | -0.000 | -0.000 | 0.000 | 0.000 | 10.805 |
| 19.518 | 10.161 | 10.161 | -0.000 | -0.000 | -0.000 |
| 10.161 | 19.518 | 10.161 | -0.000 | -0.000 | -0.000 |
| 10.161 | 10.161 | 19.518 | 0.000 | -0.000 | -0.000 |
| -0.000 | 0.000 | 0.000 | 10.805 | -0.000 | -0.000 |
| 0.000 | -0.000 | 0.000 | 0.000 | 10.805 | 0.000 |
| 0.000 | 0.000 | -0.000 | 0.000 | 0.000 | 10.805 |
| 19.518 | 10.161 | 10.161 | -0.000 | -0.000 | 0.000 |
| 10.161 | 19.518 | 10.161 | -0.000 | -0.000 | 0.000 |
| 10.161 | 10.161 | 19.518 | -0.000 | 0.000 | 0.000 |
| 0.000 | -0.000 | -0.000 | 10.805 | -0.000 | 0.000 |
| -0.000 | 0.000 | -0.000 | -0.000 | 10.805 | 0.000 |
| -0.000 | -0.000 | 0.000 | -0.000 | -0.000 | 10.805 |
| 19.518 | 10.161 | 10.161 | -0.000 | -0.000 | -0.000 |
| 10.161 | 19.518 | 10.161 | 0.000 | -0.000 | -0.000 |
| 10.161 | 10.161 | 19.518 | 0.000 | -0.000 | -0.000 |
| -0.000 | 0.000 | 0.000 | 10.805 | -0.000 | -0.000 |
| 0.000 | -0.000 | 0.000 | 0.000 | 10.805 | -0.000 |
| 0.000 | 0.000 | -0.000 | -0.000 | -0.000 | 10.805 |
| 19.518 | 10.161 | 10.161 | 0.000 | 0.000 | 0.000 |
| 10.161 | 19.518 | 10.161 | -0.000 | 0.000 | 0.000 |
| 10.161 | 10.161 | 19.518 | -0.000 | -0.000 | 0.000 |
| 0.000 | -0.000 | -0.000 | 10.805 | 0.000 | 0.000 |
| -0.000 | 0.000 | -0.000 | 0.000 | 10.805 | 0.000 |
| -0.000 | -0.000 | 0.000 | -0.000 | 0.000 | 10.805 |
| 20.483 | 10.244 | 10.244 | -0.000 | 0.000 | -0.000 |
| 10.244 | 20.483 | 10.244 | 0.000 | -0.000 | -0.000 |
| 10.244 | 10.244 | 20.483 | -0.000 | -0.000 | -0.000 |
| -0.000 | -0.000 | -0.000 | 10.300 | -0.000 | -0.000 |
| -0.000 | -0.000 | -0.000 | 0.000 | 10.300 | -0.000 |
| -0.000 | -0.000 | -0.000 | -0.000 | -0.000 | 10.300 |
| 20.484 | 10.244 | 10.244 | 0.000 | 0.000 | 0.000 |
| 10.244 | 20.484 | 10.244 | 0.000 | 0.000 | 0.000 |
| 10.244 | 10.244 | 20.484 | 0.000 | 0.000 | 0.000 |
| 0.000 | 0.000 | 0.000 | 10.300 | 0.000 | 0.000 |
| 0.000 | 0.000 | 0.000 | -0.000 | 10.300 | 0.000 |
| 0.000 | 0.000 | 0.000 | 0.000 | 0.000 | 10.300 |
| 20.483 | 10.244 | 10.244 | -0.000 | -0.000 | -0.000 |
| 10.244 | 20.483 | 10.244 | -0.000 | -0.000 | -0.000 |
| 10.244 | 10.244 | 20.483 | -0.000 | -0.000 | -0.000 |
| -0.000 | -0.000 | -0.000 | 10.300 | 0.000 | -0.000 |
| -0.000 | -0.000 | -0.000 | 0.000 | 10.300 | -0.000 |
| -0.000 | -0.000 | -0.000 | -0.000 | -0.000 | 10.300 |
| 20.484 | 10.244 | 10.244 | 0.000 | 0.000 | 0.000 |
| 10.244 | 20.484 | 10.244 | 0.000 | 0.000 | 0.000 |
| 10.244 | 10.244 | 20.484 | 0.000 | 0.000 | 0.000 |
| 0.000 | 0.000 | 0.000 | 10.300 | -0.000 | 0.000 |
| 0.000 | 0.000 | 0.000 | -0.000 | 10.300 | 0.000 |
| 0.000 | 0.000 | 0.000 | -0.000 | 0.000 | 10.300 |
| 20.483 | 10.244 | 10.244 | 0.000 | -0.000 | -0.000 |
| 10.244 | 20.483 | 10.244 | -0.000 | 0.000 | -0.000 |
| 10.244 | 10.244 | 20.483 | 0.000 | 0.000 | -0.000 |
| -0.000 | -0.000 | -0.000 | 10.300 | 0.000 | -0.000 |
| -0.000 | -0.000 | -0.000 | 0.000 | 10.300 | -0.000 |
| -0.000 | -0.000 | -0.000 | 0.000 | 0.000 | 10.300 |
| 20.484 | 10.244 | 10.244 | 0.000 | 0.000 | 0.000 |
| 10.244 | 20.484 | 10.244 | 0.000 | 0.000 | 0.000 |
| 10.244 | 10.244 | 20.484 | 0.000 | 0.000 | 0.000 |
| 0.000 | 0.000 | 0.000 | 10.300 | 0.000 | 0.000 |
| 0.000 | 0.000 | 0.000 | -0.000 | 10.300 | 0.000 |
| 0.000 | 0.000 | 0.000 | 0.000 | 0.000 | 10.300 |
| 201.871 | 173.136 | 173.136 | -0.000 | -0.000 | -0.000 |
| 173.136 | 201.871 | 173.136 | -0.000 | -0.000 | 0.000 |
| 173.136 | 173.136 | 201.871 | -0.000 | -0.000 | -0.000 |
| 0.000 | -0.000 | 0.000 | 55.272 | -0.000 | -0.000 |
| -0.000 | -0.000 | 0.000 | -0.000 | 55.272 | 0.000 |
| -0.000 | -0.000 | 0.000 | -0.000 | 0.000 | 55.272 |
| 201.872 | 173.137 | 173.137 | 0.000 | 0.000 | -0.000 |
| 173.137 | 201.872 | 173.137 | 0.000 | -0.000 | 0.000 |
| 173.137 | 173.137 | 201.872 | -0.000 | -0.000 | 0.000 |
| -0.000 | 0.000 | -0.000 | 55.272 | -0.000 | -0.000 |
| 0.000 | 0.000 | -0.000 | 0.000 | 55.272 | -0.000 |
| 0.000 | 0.000 | -0.000 | 0.000 | 0.000 | 55.272 |
| 201.866 | 173.132 | 173.132 | 0.000 | -0.000 | -0.000 |
| 173.132 | 201.866 | 173.132 | -0.000 | -0.000 | -0.000 |
| 173.132 | 173.132 | 201.866 | -0.000 | -0.000 | -0.000 |
| 0.000 | -0.000 | -0.000 | 55.272 | 0.000 | 0.000 |
| -0.000 | 0.000 | -0.000 | -0.000 | 55.272 | 0.000 |
| -0.000 | -0.000 | 0.000 | -0.000 | 0.000 | 55.272 |
| 201.876 | 173.141 | 173.141 | 0.000 | 0.000 | 0.000 |
| 173.141 | 201.876 | 173.141 | 0.000 | -0.000 | 0.000 |
| 173.141 | 173.141 | 201.876 | 0.000 | 0.000 | 0.000 |
| -0.000 | 0.000 | 0.000 | 55.272 | 0.000 | 0.000 |
| 0.000 | -0.000 | 0.000 | 0.000 | 55.272 | 0.000 |
| 0.000 | 0.000 | -0.000 | 0.000 | 0.000 | 55.272 |
| 201.822 | 173.091 | 173.091 | -0.000 | -0.000 | -0.000 |
| 173.091 | 201.822 | 173.091 | -0.000 | -0.000 | -0.000 |
| 173.091 | 173.091 | 201.822 | -0.000 | -0.000 | -0.000 |
| 0.000 | -0.000 | -0.000 | 55.272 | -0.000 | -0.000 |
| -0.000 | 0.000 | -0.000 | 0.000 | 55.272 | -0.000 |
| -0.000 | -0.000 | 0.000 | -0.000 | -0.000 | 55.272 |
| 201.921 | 173.182 | 173.182 | 0.000 | 0.000 | 0.000 |
| 173.182 | 201.921 | 173.182 | 0.000 | -0.000 | -0.000 |
| 173.182 | 173.182 | 201.921 | 0.000 | 0.000 | -0.000 |
| -0.000 | 0.000 | 0.000 | 55.272 | 0.000 | 0.000 |
| 0.000 | -0.000 | 0.000 | 0.000 | 55.272 | 0.000 |
| 0.000 | 0.000 | -0.000 | 0.000 | 0.000 | 55.272 |
| -201.481 | -32.923 | -32.923 | 0.000 | 0.000 | 0.000 |
| -32.923 | -201.481 | -32.923 | 0.000 | -0.000 | 0.000 |
| -32.923 | -32.923 | -201.481 | -0.000 | -0.000 | 0.000 |
| -0.000 | -0.000 | -0.000 | -32.809 | 0.000 | -0.000 |
| -0.000 | -0.000 | -0.000 | 0.000 | -32.809 | -0.000 |
| -0.000 | -0.000 | -0.000 | 0.000 | -0.000 | -32.809 |
| -201.481 | -32.923 | -32.923 | 0.000 | 0.000 | -0.000 |
| -32.923 | -201.481 | -32.923 | -0.000 | 0.000 | -0.000 |
| -32.923 | -32.923 | -201.481 | -0.000 | 0.000 | 0.000 |
| 0.000 | 0.000 | 0.000 | -32.809 | 0.000 | -0.000 |
| 0.000 | 0.000 | 0.000 | -0.000 | -32.809 | 0.000 |
| 0.000 | 0.000 | 0.000 | -0.000 | 0.000 | -32.809 |
| -201.481 | -32.923 | -32.923 | 0.000 | -0.000 | 0.000 |
| -32.923 | -201.481 | -32.923 | -0.000 | -0.000 | 0.000 |
| -32.923 | -32.923 | -201.481 | 0.000 | 0.000 | 0.000 |
| 0.000 | -0.000 | -0.000 | -32.809 | -0.000 | 0.000 |
| -0.000 | 0.000 | -0.000 | 0.000 | -32.809 | -0.000 |
| -0.000 | -0.000 | 0.000 | 0.000 | -0.000 | -32.809 |
| -201.481 | -32.923 | -32.923 | -0.000 | 0.000 | -0.000 |
| -32.923 | -201.481 | -32.923 | -0.000 | 0.000 | -0.000 |
| -32.923 | -32.923 | -201.481 | -0.000 | -0.000 | -0.000 |
| -0.000 | 0.000 | 0.000 | -32.809 | -0.000 | -0.000 |
| 0.000 | -0.000 | 0.000 | 0.000 | -32.809 | 0.000 |
| 0.000 | 0.000 | -0.000 | -0.000 | 0.000 | -32.809 |
| -201.480 | -32.923 | -32.923 | 0.000 | -0.000 | 0.000 |
| -32.923 | -201.480 | -32.923 | -0.000 | 0.000 | 0.000 |
| -32.923 | -32.923 | -201.480 | 0.000 | 0.000 | 0.000 |
| 0.000 | -0.000 | -0.000 | -32.809 | 0.000 | 0.000 |
| -0.000 | 0.000 | -0.000 | 0.000 | -32.809 | 0.000 |
| -0.000 | -0.000 | 0.000 | 0.000 | -0.000 | -32.809 |
| -201.481 | -32.922 | -32.922 | -0.000 | -0.000 | 0.000 |
| -32.922 | -201.481 | -32.922 | -0.000 | -0.000 | 0.000 |
| -32.922 | -32.922 | -201.481 | 0.000 | 0.000 | -0.000 |
| -0.000 | 0.000 | 0.000 | -32.809 | -0.000 | -0.000 |
| 0.000 | -0.000 | 0.000 | -0.000 | -32.809 | 0.000 |
| 0.000 | 0.000 | -0.000 | -0.000 | 0.000 | -32.809 |
| 192.061 | -3.546 | -3.546 | 0.000 | 0.000 | -0.000 |
| -3.546 | 192.061 | -3.546 | 0.000 | -0.000 | 0.000 |
| -3.546 | -3.546 | 192.061 | 0.000 | 0.000 | -0.000 |
| -0.000 | -0.000 | 0.000 | 8.245 | 0.000 | -0.000 |
| -0.000 | -0.000 | 0.000 | 0.000 | 8.245 | -0.000 |
| -0.000 | -0.000 | 0.000 | 0.000 | -0.000 | 8.245 |
| 192.061 | -3.546 | -3.546 | -0.000 | 0.000 | 0.000 |
| -3.546 | 192.061 | -3.546 | -0.000 | 0.000 | 0.000 |
| -3.546 | -3.546 | 192.061 | -0.000 | -0.000 | 0.000 |
| 0.000 | 0.000 | -0.000 | 8.245 | -0.000 | 0.000 |
| 0.000 | 0.000 | -0.000 | -0.000 | 8.245 | 0.000 |
| 0.000 | 0.000 | -0.000 | -0.000 | 0.000 | 8.245 |
| 192.062 | -3.546 | -3.546 | 0.000 | 0.000 | 0.000 |
| -3.546 | 192.062 | -3.546 | 0.000 | -0.000 | -0.000 |
| -3.546 | -3.546 | 192.062 | 0.000 | 0.000 | -0.000 |
| -0.000 | -0.000 | -0.000 | 8.245 | -0.000 | -0.000 |
| -0.000 | -0.000 | -0.000 | 0.000 | 8.245 | -0.000 |
| -0.000 | -0.000 | -0.000 | 0.000 | -0.000 | 8.245 |
| 192.060 | -3.546 | -3.546 | -0.000 | -0.000 | 0.000 |
| -3.546 | 192.060 | -3.546 | -0.000 | 0.000 | 0.000 |
| -3.546 | -3.546 | 192.060 | -0.000 | 0.000 | 0.000 |
| 0.000 | 0.000 | 0.000 | 8.245 | 0.000 | 0.000 |
| 0.000 | 0.000 | 0.000 | -0.000 | 8.245 | 0.000 |
| 0.000 | 0.000 | 0.000 | -0.000 | 0.000 | 8.245 |
| 192.066 | -3.546 | -3.546 | 0.000 | -0.000 | -0.000 |
| -3.546 | 192.066 | -3.546 | 0.000 | -0.000 | -0.000 |
| -3.546 | -3.546 | 192.066 | 0.000 | 0.000 | -0.000 |
| -0.000 | -0.000 | -0.000 | 8.245 | 0.000 | -0.000 |
| -0.000 | -0.000 | -0.000 | 0.000 | 8.245 | -0.000 |
| -0.000 | -0.000 | -0.000 | -0.000 | -0.000 | 8.245 |
| 192.056 | -3.546 | -3.546 | -0.000 | 0.000 | 0.000 |
| -3.546 | 192.056 | -3.546 | -0.000 | 0.000 | 0.000 |
| -3.546 | -3.546 | 192.056 | -0.000 | -0.000 | 0.000 |
| 0.000 | 0.000 | 0.000 | 8.245 | 0.000 | 0.000 |
| 0.000 | 0.000 | 0.000 | -0.000 | 8.245 | 0.000 |
| 0.000 | 0.000 | 0.000 | 0.000 | 0.000 | 8.245 |
| 108.845 | 53.305 | 53.305 | 0.000 | -0.000 | -0.000 |
| 53.305 | 108.845 | 53.305 | 0.000 | 0.000 | 0.000 |
| 53.305 | 53.305 | 108.845 | 0.000 | 0.000 | 0.000 |
| -0.000 | 0.000 | 0.000 | 56.527 | 0.000 | 0.000 |
| 0.000 | -0.000 | 0.000 | 0.000 | 56.527 | -0.000 |
| 0.000 | 0.000 | -0.000 | 0.000 | -0.000 | 56.527 |
| 108.845 | 53.305 | 53.305 | -0.000 | -0.000 | -0.000 |
| 53.305 | 108.845 | 53.305 | -0.000 | -0.000 | -0.000 |
| 53.305 | 53.305 | 108.845 | -0.000 | -0.000 | -0.000 |
| 0.000 | -0.000 | -0.000 | 56.527 | -0.000 | -0.000 |
| -0.000 | 0.000 | -0.000 | -0.000 | 56.527 | -0.000 |
| -0.000 | -0.000 | 0.000 | -0.000 | -0.000 | 56.527 |
| 108.845 | 53.305 | 53.305 | 0.000 | -0.000 | -0.000 |
| 53.305 | 108.845 | 53.305 | -0.000 | 0.000 | -0.000 |
| 53.305 | 53.305 | 108.845 | 0.000 | 0.000 | 0.000 |
| -0.000 | 0.000 | 0.000 | 56.527 | 0.000 | -0.000 |
| 0.000 | -0.000 | 0.000 | 0.000 | 56.527 | -0.000 |
| 0.000 | 0.000 | -0.000 | 0.000 | -0.000 | 56.527 |
| 108.845 | 53.305 | 53.305 | -0.000 | -0.000 | 0.000 |
| 53.305 | 108.845 | 53.305 | -0.000 | -0.000 | -0.000 |
| 53.305 | 53.305 | 108.845 | -0.000 | -0.000 | -0.000 |
| 0.000 | -0.000 | -0.000 | 56.527 | -0.000 | -0.000 |
| -0.000 | 0.000 | -0.000 | -0.000 | 56.527 | 0.000 |
| -0.000 | -0.000 | 0.000 | -0.000 | 0.000 | 56.527 |
| 108.846 | 53.305 | 53.305 | 0.000 | 0.000 | 0.000 |
| 53.305 | 108.846 | 53.305 | 0.000 | 0.000 | -0.000 |
| 53.305 | 53.305 | 108.846 | 0.000 | 0.000 | 0.000 |
| -0.000 | 0.000 | 0.000 | 56.527 | 0.000 | 0.000 |
| 0.000 | -0.000 | 0.000 | 0.000 | 56.527 | -0.000 |
| 0.000 | 0.000 | -0.000 | 0.000 | 0.000 | 56.527 |
| 108.845 | 53.304 | 53.304 | -0.000 | 0.000 | 0.000 |
| 53.304 | 108.845 | 53.304 | 0.000 | -0.000 | -0.000 |
| 53.304 | 53.304 | 108.845 | -0.000 | -0.000 | -0.000 |
| 0.000 | -0.000 | -0.000 | 56.527 | -0.000 | -0.000 |
| -0.000 | 0.000 | -0.000 | -0.000 | 56.527 | 0.000 |
| -0.000 | -0.000 | 0.000 | -0.000 | 0.000 | 56.527 |
| 56.473 | 27.861 | 27.861 | 0.000 | 0.000 | 0.000 |
| 27.861 | 56.473 | 27.861 | 0.000 | 0.000 | 0.000 |
| 27.861 | 27.861 | 56.473 | 0.000 | 0.000 | 0.000 |
| 0.000 | -0.000 | -0.000 | 30.140 | 0.000 | 0.000 |
| -0.000 | 0.000 | -0.000 | 0.000 | 30.140 | 0.000 |
| -0.000 | -0.000 | 0.000 | 0.000 | 0.000 | 30.140 |
| 56.473 | 27.861 | 27.861 | -0.000 | -0.000 | -0.000 |
| 27.861 | 56.473 | 27.861 | -0.000 | -0.000 | -0.000 |
| 27.861 | 27.861 | 56.473 | -0.000 | -0.000 | -0.000 |
| -0.000 | 0.000 | 0.000 | 30.140 | -0.000 | -0.000 |
| 0.000 | -0.000 | 0.000 | -0.000 | 30.140 | -0.000 |
| 0.000 | 0.000 | -0.000 | -0.000 | -0.000 | 30.140 |
| 56.473 | 27.861 | 27.861 | 0.000 | 0.000 | 0.000 |
| 27.861 | 56.473 | 27.861 | 0.000 | 0.000 | 0.000 |
| 27.861 | 27.861 | 56.473 | 0.000 | 0.000 | 0.000 |
| -0.000 | -0.000 | -0.000 | 30.140 | 0.000 | 0.000 |
| -0.000 | -0.000 | -0.000 | 0.000 | 30.140 | 0.000 |
| -0.000 | -0.000 | -0.000 | 0.000 | 0.000 | 30.140 |
| 56.473 | 27.861 | 27.861 | -0.000 | -0.000 | -0.000 |
| 27.861 | 56.473 | 27.861 | -0.000 | -0.000 | -0.000 |
| 27.861 | 27.861 | 56.473 | -0.000 | -0.000 | -0.000 |
| 0.000 | 0.000 | 0.000 | 30.140 | -0.000 | -0.000 |
| 0.000 | 0.000 | 0.000 | -0.000 | 30.140 | -0.000 |
| 0.000 | 0.000 | 0.000 | -0.000 | -0.000 | 30.140 |
| 56.472 | 27.861 | 27.861 | 0.000 | -0.000 | -0.000 |
| 27.861 | 56.472 | 27.861 | 0.000 | 0.000 | 0.000 |
| 27.861 | 27.861 | 56.472 | 0.000 | 0.000 | 0.000 |
| -0.000 | -0.000 | -0.000 | 30.140 | 0.000 | 0.000 |
| -0.000 | -0.000 | -0.000 | 0.000 | 30.140 | 0.000 |
| -0.000 | -0.000 | -0.000 | 0.000 | 0.000 | 30.140 |
| 56.473 | 27.861 | 27.861 | -0.000 | -0.000 | -0.000 |
| 27.861 | 56.473 | 27.861 | -0.000 | -0.000 | -0.000 |
| 27.861 | 27.861 | 56.473 | -0.000 | -0.000 | -0.000 |
| 0.000 | 0.000 | 0.000 | 30.140 | -0.000 | -0.000 |
| 0.000 | 0.000 | 0.000 | -0.000 | 30.140 | -0.000 |
| 0.000 | 0.000 | 0.000 | -0.000 | -0.000 | 30.140 |
| 1297980.999 | 913043.999 | 913043.001 | 0.404 | 0.674 | 0.094 |
| 913043.001 | 1297980.999 | 913041.999 | 0.527 | 0.392 | 0.037 |
| 913043.001 | 913043.999 | 1297980.001 | 0.097 | -0.125 | -0.026 |
| 1.002 | 0.998 | 0.000 | -1330220.813 | 0.263 | -0.015 |
| 0.000 | 0.998 | 0.000 | 0.371 | -1330220.464 | 0.027 |
| 1.002 | 0.998 | 1.002 | 0.117 | 0.399 | -1330220.868 |
| 1297977.998 | 913041.999 | 913042.997 | -0.513 | -1.097 | 0.034 |
| 913043.999 | 1297976.999 | 913043.999 | 0.279 | -0.001 | 0.113 |
| 913043.999 | 913041.999 | 1297977.998 | -0.258 | -0.466 | 0.086 |
| -0.000 | -0.998 | -0.000 | -1330221.338 | 0.068 | 0.061 |
| -0.000 | -0.998 | -0.000 | 0.017 | -1330220.865 | 0.001 |
| -0.000 | -0.998 | -0.000 | -0.520 | -0.642 | -1330220.846 |
| 1297990.100 | 913037.100 | 913037.000 | 0.027 | 0.075 | 0.000 |
| 913037.000 | 1297990.200 | 913037.000 | 0.049 | 0.035 | 0.006 |
| 913037.000 | 913037.200 | 1297990.100 | 0.059 | 0.096 | 0.003 |
| 43.100 | -16.000 | -21.300 | -1330194.352 | -0.007 | 0.002 |
| -16.300 | 43.600 | -21.600 | 0.024 | -1330193.368 | 0.003 |
| -16.300 | -21.100 | 43.200 | 0.048 | 0.050 | -1330194.286 |
| 1345895.600 | 889085.500 | 889085.600 | -0.031 | -0.085 | -0.001 |
| 889085.600 | 1345895.500 | 889085.600 | -0.015 | 0.004 | 0.004 |
| 889085.600 | 889085.500 | 1345895.600 | -0.096 | -0.041 | 0.009 |
| -43.200 | 16.000 | 21.400 | -1330193.910 | 0.015 | -0.003 |
| 16.300 | -43.700 | 21.700 | -0.003 | -1330193.251 | -0.003 |
| 16.300 | 21.200 | -43.300 | -0.028 | -0.000 | -1330193.818 |
| 1298086.650 | 912982.580 | 912982.570 | 0.001 | -0.002 | -0.000 |
| 912982.570 | 1298086.660 | 912982.570 | -0.005 | 0.008 | 0.001 |
| 912982.570 | 912982.580 | 1298086.650 | 0.002 | -0.006 | -0.000 |
| -2.050 | -3.780 | -3.250 | 382392.525 | -0.004 | 0.001 |
| -3.790 | -2.040 | -3.250 | 0.002 | 382392.519 | 0.000 |
| -3.790 | -3.250 | -2.050 | 0.004 | 0.001 | 382392.520 |
| 1297898.470 | 913090.360 | 913090.370 | -0.006 | -0.004 | -0.000 |
| 913090.370 | 1297898.460 | 913090.370 | -0.006 | 0.000 | -0.000 |
| 913090.370 | 913090.360 | 1297898.470 | -0.005 | 0.005 | -0.000 |
| 2.050 | 3.780 | 3.250 | 382392.514 | -0.006 | -0.001 |
| 3.790 | 2.040 | 3.250 | -0.003 | 382392.522 | 0.000 |
| 3.790 | 3.250 | 2.050 | -0.006 | -0.003 | 382392.520 |
| 900.787 | 356.231 | 356.231 | 0.000 | 0.000 | -0.000 |
| 356.231 | 900.787 | 356.231 | -0.000 | 0.000 | -0.000 |
| 356.231 | 356.231 | 900.787 | -0.000 | -0.000 | -0.000 |
| -0.000 | 0.000 | -0.000 | 112.753 | 0.000 | -0.000 |
| 0.000 | -0.000 | -0.000 | 0.000 | 112.753 | -0.000 |
| 0.000 | 0.000 | 0.000 | -0.000 | 0.000 | 112.753 |
| 900.789 | 356.233 | 356.233 | 0.000 | 0.000 | 0.000 |
| 356.233 | 900.789 | 356.233 | -0.000 | -0.000 | 0.000 |
| 356.233 | 356.233 | 900.789 | 0.000 | -0.000 | 0.000 |
| -0.000 | -0.000 | -0.000 | 112.753 | -0.000 | 0.000 |
| -0.000 | 0.000 | 0.000 | -0.000 | 112.753 | 0.000 |
| -0.000 | -0.000 | -0.000 | -0.000 | 0.000 | 112.753 |
| 901.438 | 355.888 | 355.888 | 0.000 | 0.000 | -0.000 |
| 355.888 | 901.438 | 355.888 | -0.000 | 0.000 | -0.000 |
| 355.888 | 355.888 | 901.438 | -0.000 | -0.000 | -0.000 |
| -0.000 | 0.000 | 0.000 | 134.148 | -0.000 | -0.000 |
| 0.000 | -0.000 | 0.000 | 0.000 | 134.148 | -0.000 |
| 0.000 | 0.000 | -0.000 | 0.000 | 0.000 | 134.148 |
| 901.464 | 355.913 | 355.913 | 0.000 | 0.000 | 0.000 |
| 355.913 | 901.464 | 355.913 | 0.000 | 0.000 | 0.000 |
| 355.913 | 355.913 | 901.464 | -0.000 | -0.000 | 0.000 |
| 0.000 | -0.000 | -0.000 | 134.148 | -0.000 | 0.000 |
| -0.000 | 0.000 | -0.000 | -0.000 | 134.148 | 0.000 |
| -0.000 | -0.000 | 0.000 | -0.000 | -0.000 | 134.148 |
| 900.661 | 356.109 | 356.109 | 0.000 | 0.000 | -0.000 |
| 356.109 | 900.661 | 356.109 | -0.000 | -0.000 | -0.000 |
| 356.109 | 356.109 | 900.661 | 0.000 | -0.000 | -0.000 |
| -0.000 | 0.001 | 0.001 | 112.752 | -0.000 | -0.000 |
| 0.001 | -0.000 | 0.001 | -0.000 | 112.752 | -0.000 |
| 0.001 | 0.001 | -0.000 | -0.000 | 0.000 | 112.752 |
| 901.570 | 356.022 | 356.022 | 0.000 | -0.000 | 0.000 |
| 356.022 | 901.570 | 356.022 | -0.000 | -0.000 | 0.000 |
| 356.022 | 356.022 | 901.570 | 0.000 | -0.000 | 0.000 |
| 0.000 | -0.001 | -0.001 | 112.752 | 0.000 | 0.000 |
| -0.001 | 0.000 | -0.001 | -0.000 | 112.752 | 0.000 |
| -0.001 | -0.001 | 0.000 | 0.000 | -0.000 | 112.752 |
| 8.428 | -1.067 | -1.067 | -0.000 | -0.000 | 0.000 |
| -1.067 | 8.428 | -1.067 | -0.000 | -0.000 | 0.000 |
| -1.067 | -1.067 | 8.428 | -0.000 | -0.000 | 0.000 |
| 0.000 | 0.000 | 0.000 | -0.203 | -0.000 | -0.000 |
| 0.000 | -0.000 | 0.000 | -0.000 | -0.203 | 0.000 |
| 0.000 | 0.000 | -0.000 | -0.000 | -0.000 | -0.203 |
| 7.304 | -0.505 | -0.505 | 0.000 | 0.000 | -0.000 |
| -0.505 | 7.304 | -0.505 | 0.000 | 0.000 | -0.000 |
| -0.505 | -0.505 | 7.304 | 0.000 | 0.000 | -0.000 |
| -0.000 | -0.000 | -0.000 | -0.203 | 0.000 | -0.000 |
| -0.000 | -0.000 | -0.000 | 0.000 | -0.203 | -0.000 |
| -0.000 | -0.000 | 0.000 | 0.000 | 0.000 | -0.203 |
| 7.304 | -0.505 | -0.505 | -0.000 | -0.000 | 0.000 |
| -0.505 | 7.304 | -0.505 | -0.000 | -0.000 | 0.000 |
| -0.505 | -0.505 | 7.304 | -0.000 | -0.000 | 0.000 |
| 0.000 | -0.000 | -0.000 | 0.830 | -0.000 | 0.000 |
| -0.000 | 0.000 | -0.000 | -0.000 | 0.830 | 0.000 |
| -0.000 | -0.000 | 0.000 | -0.000 | -0.000 | 0.830 |
| 7.304 | -0.505 | -0.505 | 0.000 | 0.000 | -0.000 |
| -0.505 | 7.304 | -0.505 | 0.000 | 0.000 | -0.000 |
| -0.505 | -0.505 | 7.304 | 0.000 | 0.000 | -0.000 |
| -0.000 | 0.000 | 0.000 | 0.830 | 0.000 | 0.000 |
| 0.000 | -0.000 | 0.000 | 0.000 | 0.830 | -0.000 |
| 0.000 | 0.000 | -0.000 | 0.000 | 0.000 | 0.830 |
| 7.304 | -0.505 | -0.505 | -0.000 | -0.000 | 0.000 |
| -0.505 | 7.304 | -0.505 | -0.000 | -0.000 | 0.000 |
| -0.505 | -0.505 | 7.304 | -0.000 | -0.000 | 0.000 |
| 0.000 | 0.000 | 0.000 | -0.203 | -0.000 | -0.000 |
| 0.000 | 0.000 | 0.000 | -0.000 | -0.203 | 0.000 |
| 0.000 | 0.000 | 0.000 | -0.000 | -0.000 | -0.203 |
| 7.304 | -0.505 | -0.505 | 0.000 | 0.000 | -0.000 |
| -0.505 | 7.304 | -0.505 | 0.000 | 0.000 | -0.000 |
| -0.505 | -0.505 | 7.304 | 0.000 | 0.000 | -0.000 |
| -0.000 | -0.000 | -0.000 | -0.203 | 0.000 | -0.000 |
| -0.000 | -0.000 | -0.000 | 0.000 | -0.203 | -0.000 |
| -0.000 | -0.000 | -0.000 | 0.000 | 0.000 | -0.203 |
| 25.943 | 5.913 | 5.913 | -0.000 | -0.000 | -0.000 |
| 5.913 | 25.943 | 5.913 | -0.000 | -0.000 | 0.000 |
| 5.913 | 5.913 | 25.943 | 0.000 | -0.000 | -0.000 |
| 0.000 | 0.000 | 0.000 | 0.629 | -0.000 | -0.000 |
| 0.000 | -0.000 | 0.000 | -0.000 | 0.629 | -0.000 |
| 0.000 | -0.000 | -0.000 | -0.000 | -0.000 | 0.629 |
| 25.943 | 5.914 | 5.914 | 0.000 | 0.000 | -0.000 |
| 5.914 | 25.943 | 5.914 | 0.000 | -0.000 | 0.000 |
| 5.914 | 5.914 | 25.943 | 0.000 | 0.000 | -0.000 |
| -0.000 | -0.000 | 0.000 | 0.629 | 0.000 | -0.000 |
| -0.000 | 0.000 | -0.000 | 0.000 | 0.629 | -0.000 |
| -0.000 | 0.000 | 0.000 | 0.000 | 0.000 | 0.629 |
| 25.943 | 5.913 | 5.913 | -0.000 | 0.000 | -0.000 |
| 5.913 | 25.943 | 5.913 | -0.000 | -0.000 | 0.000 |
| 5.913 | 5.913 | 25.943 | 0.000 | 0.000 | 0.000 |
| -0.000 | 0.000 | 0.000 | 0.629 | -0.000 | -0.000 |
| 0.000 | -0.000 | 0.000 | -0.000 | 0.629 | -0.000 |
| 0.000 | 0.000 | -0.000 | 0.000 | -0.000 | 0.629 |
| 25.943 | 5.914 | 5.914 | 0.000 | -0.000 | -0.000 |
| 5.914 | 25.943 | 5.914 | 0.000 | -0.000 | 0.000 |
| 5.914 | 5.914 | 25.943 | 0.000 | 0.000 | -0.000 |
| 0.000 | -0.000 | -0.000 | 0.629 | -0.000 | -0.000 |
| -0.000 | 0.000 | -0.000 | -0.000 | 0.629 | 0.000 |
| -0.000 | -0.000 | 0.000 | -0.000 | 0.000 | 0.629 |
| 25.943 | 5.913 | 5.913 | -0.000 | -0.000 | -0.000 |
| 5.913 | 25.943 | 5.913 | -0.000 | 0.000 | 0.000 |
| 5.913 | 5.913 | 25.943 | -0.000 | -0.000 | -0.000 |
| -0.000 | 0.000 | 0.000 | 0.629 | 0.000 | -0.000 |
| 0.000 | -0.000 | 0.000 | -0.000 | 0.629 | -0.000 |
| 0.000 | 0.000 | -0.000 | 0.000 | -0.000 | 0.629 |
| 25.943 | 5.914 | 5.914 | 0.000 | 0.000 | 0.000 |
| 5.914 | 25.943 | 5.914 | 0.000 | -0.000 | 0.000 |
| 5.914 | 5.914 | 25.943 | 0.000 | 0.000 | -0.000 |
| 0.000 | -0.000 | -0.000 | 0.629 | -0.000 | -0.000 |
| -0.000 | 0.000 | -0.000 | -0.000 | 0.629 | 0.000 |
| -0.000 | -0.000 | 0.000 | 0.000 | 0.000 | 0.629 |
| 11.711 | 0.000 | 0.000 | 0.000 | 0.000 | 0.000 |
| 0.000 | 11.711 | 0.000 | 0.000 | 0.000 | -0.000 |
| 0.000 | 0.000 | 11.711 | -0.000 | 0.000 | 0.000 |
| 0.000 | -0.000 | 0.000 | 0.000 | 0.000 | 0.000 |
| -0.000 | 0.000 | 0.000 | -0.000 | 0.000 | 0.000 |
| -0.000 | 0.000 | 0.000 | 0.000 | 0.000 | 0.000 |
| 11.711 | -0.000 | -0.000 | -0.000 | 0.000 | 0.000 |
| -0.000 | 11.711 | -0.000 | 0.000 | -0.000 | -0.000 |
| -0.000 | -0.000 | 11.711 | 0.000 | 0.000 | -0.000 |
| -0.000 | 0.000 | -0.000 | 0.000 | -0.000 | -0.000 |
| 0.000 | -0.000 | -0.000 | 0.000 | 0.000 | 0.000 |
| 0.000 | -0.000 | -0.000 | -0.000 | 0.000 | 0.000 |
| 11.711 | 0.000 | 0.000 | 0.000 | -0.000 | 0.000 |
| 0.000 | 11.711 | 0.000 | 0.000 | 0.000 | 0.000 |
| 0.000 | 0.000 | 11.711 | 0.000 | -0.000 | 0.000 |
| 0.000 | 0.000 | -0.000 | 0.000 | 0.000 | -0.000 |
| 0.000 | 0.000 | -0.000 | -0.000 | 0.000 | 0.000 |
| 0.000 | -0.000 | 0.000 | 0.000 | 0.000 | 0.000 |
| 11.711 | -0.000 | -0.000 | -0.000 | 0.000 | 0.000 |
| -0.000 | 11.711 | -0.000 | -0.000 | -0.000 | 0.000 |
| -0.000 | -0.000 | 11.711 | -0.000 | 0.000 | -0.000 |
| -0.000 | -0.000 | 0.000 | 0.000 | -0.000 | 0.000 |
| -0.000 | -0.000 | 0.000 | 0.000 | 0.000 | 0.000 |
| -0.000 | 0.000 | -0.000 | -0.000 | -0.000 | 0.000 |
| 11.710 | 0.000 | 0.000 | 0.000 | 0.000 | -0.000 |
| 0.000 | 11.710 | 0.000 | -0.000 | 0.000 | -0.000 |
| 0.000 | 0.000 | 11.710 | -0.000 | 0.000 | 0.000 |
| 0.000 | 0.000 | -0.000 | 0.000 | 0.000 | 0.000 |
| 0.000 | 0.000 | -0.000 | 0.000 | 0.000 | 0.000 |
| 0.000 | -0.000 | 0.000 | 0.000 | -0.000 | 0.000 |
| 11.711 | -0.000 | -0.000 | -0.000 | 0.000 | 0.000 |
| -0.000 | 11.711 | -0.000 | 0.000 | -0.000 | 0.000 |
| -0.000 | -0.000 | 11.711 | 0.000 | -0.000 | -0.000 |
| -0.000 | -0.000 | 0.000 | 0.000 | -0.000 | -0.000 |
| -0.000 | -0.000 | 0.000 | -0.000 | 0.000 | 0.000 |
| -0.000 | 0.000 | -0.000 | -0.000 | -0.000 | 0.000 |
| 1760746.001 | 860177.001 | 860178.001 | -0.001 | 0.015 | 0.006 |
| 860177.001 | 1760746.001 | 860178.001 | -0.103 | -0.098 | -0.000 |
| 860177.001 | 860177.001 | 1760746.001 | 0.011 | -0.149 | 0.017 |
| -0.998 | -0.998 | -0.998 | 613805.312 | -0.206 | 0.035 |
| -0.998 | -0.998 | -0.998 | 0.007 | 613805.246 | 0.010 |
| -0.998 | -0.998 | -0.998 | 0.065 | -0.002 | 613805.333 |
| 1760747.999 | 860178.999 | 860178.999 | 0.049 | -0.044 | 0.004 |
| 860178.999 | 1760747.999 | 860178.999 | -0.103 | 0.065 | -0.014 |
| 860178.999 | 860178.999 | 1760747.999 | 0.039 | 0.105 | -0.011 |
| 0.998 | 0.998 | 0.998 | 613805.260 | 0.090 | -0.008 |
| 0.998 | 0.998 | 0.998 | 0.014 | 613805.362 | 0.013 |
| 0.998 | 0.998 | 0.998 | -0.068 | -0.013 | 613805.307 |
| 1760740.600 | 860173.800 | 860173.800 | 0.002 | -0.001 | 0.001 |
| 860173.800 | 1760740.600 | 860173.800 | -0.000 | 0.000 | 0.001 |
| 860173.800 | 860173.800 | 1760740.600 | 0.007 | 0.009 | 0.004 |
| -4.400 | -4.700 | -4.600 | 613805.325 | -0.016 | 0.003 |
| -4.700 | -4.400 | -4.600 | -0.002 | 613805.318 | 0.002 |
| -4.700 | -4.600 | -4.400 | 0.006 | 0.000 | 613805.326 |
| 1760753.000 | 860182.700 | 860182.700 | 0.001 | 0.015 | -0.003 |
| 860182.700 | 1760753.000 | 860182.700 | 0.001 | -0.003 | 0.001 |
| 860182.700 | 860182.700 | 1760753.000 | 0.006 | 0.018 | -0.001 |
| 4.400 | 4.700 | 4.600 | 613805.319 | -0.001 | -0.001 |
| 4.700 | 4.400 | 4.600 | 0.008 | 613805.333 | -0.001 |
| 4.700 | 4.600 | 4.400 | -0.002 | 0.013 | 613805.323 |
| 1760685.190 | 860134.080 | 860134.080 | 0.000 | 0.000 | 0.000 |
| 860134.080 | 1760685.190 | 860134.080 | 0.000 | -0.000 | 0.000 |
| 860134.080 | 860134.080 | 1760685.190 | 0.001 | -0.001 | -0.000 |
| -43.840 | -46.420 | -45.650 | 613805.324 | -0.001 | 0.000 |
| -46.420 | -43.840 | -45.650 | 0.001 | 613805.323 | 0.000 |
| -46.420 | -45.650 | -43.840 | -0.000 | -0.001 | 613805.324 |
| 1760808.400 | 860222.490 | 860222.490 | 0.001 | 0.000 | -0.000 |
| 860222.490 | 1760808.400 | 860222.490 | -0.001 | 0.001 | -0.000 |
| 860222.490 | 860222.490 | 1760808.400 | -0.001 | -0.000 | -0.000 |
| 43.840 | 46.420 | 45.650 | 613805.323 | 0.003 | 0.000 |
| 46.420 | 43.840 | 45.650 | 0.000 | 613805.325 | -0.000 |
| 46.420 | 45.650 | 43.840 | 0.000 | -0.001 | 613805.324 |
| 250.393 | 108.035 | 108.035 | -0.000 | 0.000 | 0.000 |
| 108.035 | 250.393 | 108.035 | -0.000 | 0.000 | -0.000 |
| 108.035 | 108.035 | 250.393 | -0.000 | 0.000 | -0.000 |
| -0.000 | 0.000 | 0.000 | 110.068 | -0.000 | -0.000 |
| 0.000 | 0.000 | 0.000 | -0.000 | 110.068 | -0.000 |
| 0.000 | 0.000 | 0.000 | -0.000 | -0.000 | 110.068 |
| 250.393 | 108.035 | 108.035 | 0.000 | -0.000 | 0.000 |
| 108.035 | 250.393 | 108.035 | 0.000 | 0.000 | -0.000 |
| 108.035 | 108.035 | 250.393 | 0.000 | -0.000 | -0.000 |
| -0.000 | -0.000 | -0.000 | 110.068 | 0.000 | 0.000 |
| -0.000 | -0.000 | -0.000 | 0.000 | 110.068 | 0.000 |
| -0.000 | -0.000 | -0.000 | 0.000 | -0.000 | 110.068 |
| 250.394 | 108.035 | 108.035 | -0.000 | 0.000 | 0.000 |
| 108.035 | 250.394 | 108.035 | 0.000 | 0.000 | -0.000 |
| 108.035 | 108.035 | 250.394 | -0.000 | -0.000 | -0.000 |
| 0.000 | 0.000 | 0.000 | 110.068 | -0.000 | 0.000 |
| 0.000 | 0.000 | 0.000 | 0.000 | 110.068 | -0.000 |
| 0.000 | 0.000 | 0.000 | -0.000 | -0.000 | 110.068 |
| 250.393 | 108.035 | 108.035 | 0.000 | -0.000 | 0.000 |
| 108.035 | 250.393 | 108.035 | -0.000 | -0.000 | 0.000 |
| 108.035 | 108.035 | 250.393 | -0.000 | -0.000 | 0.000 |
| -0.000 | -0.000 | -0.000 | 110.068 | -0.000 | -0.000 |
| -0.000 | -0.000 | -0.000 | 0.000 | 110.068 | 0.000 |
| -0.000 | -0.000 | -0.000 | 0.000 | -0.000 | 110.068 |
| 250.396 | 108.038 | 108.038 | -0.000 | -0.000 | -0.000 |
| 108.038 | 250.396 | 108.038 | -0.000 | -0.000 | 0.000 |
| 108.038 | 108.038 | 250.396 | 0.000 | 0.000 | -0.000 |
| 0.000 | 0.000 | 0.001 | 110.068 | -0.000 | -0.000 |
| 0.000 | 0.000 | 0.001 | -0.000 | 110.068 | -0.000 |
| 0.000 | 0.001 | 0.000 | -0.000 | -0.000 | 110.068 |
| 250.391 | 108.033 | 108.033 | 0.000 | -0.000 | -0.000 |
| 108.033 | 250.391 | 108.033 | -0.000 | -0.000 | 0.000 |
| 108.033 | 108.033 | 250.391 | -0.000 | -0.000 | 0.000 |
| -0.000 | -0.000 | -0.001 | 110.068 | -0.000 | 0.000 |
| -0.000 | -0.000 | -0.001 | -0.000 | 110.068 | 0.000 |
| -0.000 | -0.001 | -0.000 | 0.000 | -0.000 | 110.068 |
| 144.575 | 14.804 | 14.804 | 0.000 | -0.000 | -0.000 |
| 14.804 | 144.575 | 14.804 | 0.000 | 0.000 | -0.000 |
| 14.804 | 14.804 | 144.575 | -0.000 | -0.000 | -0.000 |
| -0.000 | -0.000 | 0.000 | 16.935 | 0.000 | -0.000 |
| -0.000 | -0.000 | 0.000 | 0.000 | 16.935 | -0.000 |
| 0.000 | -0.000 | -0.000 | 0.000 | 0.000 | 16.935 |
| 144.575 | 14.804 | 14.804 | -0.000 | -0.000 | 0.000 |
| 14.804 | 144.575 | 14.804 | -0.000 | -0.000 | 0.000 |
| 14.804 | 14.804 | 144.575 | 0.000 | -0.000 | 0.000 |
| 0.000 | -0.000 | -0.000 | 16.935 | 0.000 | 0.000 |
| -0.000 | 0.000 | -0.000 | -0.000 | 16.935 | 0.000 |
| 0.000 | 0.000 | -0.000 | -0.000 | -0.000 | 16.935 |
| 144.575 | 14.804 | 14.804 | 0.000 | -0.000 | -0.000 |
| 14.804 | 144.575 | 14.804 | 0.000 | -0.000 | -0.000 |
| 14.804 | 14.804 | 144.575 | 0.000 | -0.000 | -0.000 |
| 0.000 | 0.000 | 0.000 | 16.935 | 0.000 | -0.000 |
| 0.000 | 0.000 | 0.000 | 0.000 | 16.935 | -0.000 |
| 0.000 | 0.000 | 0.000 | 0.000 | 0.000 | 16.935 |
| 144.575 | 14.804 | 14.804 | -0.000 | -0.000 | 0.000 |
| 14.804 | 144.575 | 14.804 | -0.000 | -0.000 | 0.000 |
| 14.804 | 14.804 | 144.575 | -0.000 | 0.000 | 0.000 |
| -0.000 | -0.000 | -0.000 | 16.935 | 0.000 | 0.000 |
| -0.000 | -0.000 | -0.000 | -0.000 | 16.935 | 0.000 |
| -0.000 | -0.000 | -0.000 | -0.000 | -0.000 | 16.935 |
| 144.577 | 14.804 | 14.804 | 0.000 | 0.000 | -0.000 |
| 14.804 | 144.577 | 14.804 | 0.000 | -0.000 | -0.000 |
| 14.804 | 14.804 | 144.577 | -0.000 | -0.000 | -0.000 |
| 0.000 | 0.000 | 0.000 | 16.935 | 0.000 | 0.000 |
| 0.000 | 0.000 | 0.000 | 0.000 | 16.935 | -0.000 |
| 0.000 | 0.000 | 0.000 | 0.000 | -0.000 | 16.935 |
| 144.573 | 14.804 | 14.804 | -0.000 | 0.000 | -0.000 |
| 14.804 | 144.573 | 14.804 | -0.000 | 0.000 | 0.000 |
| 14.804 | 14.804 | 144.573 | -0.000 | -0.000 | 0.000 |
| -0.000 | -0.000 | -0.000 | 16.935 | -0.000 | 0.000 |
| -0.000 | -0.000 | -0.000 | -0.000 | 16.935 | 0.000 |
| -0.000 | -0.000 | -0.000 | -0.000 | -0.000 | 16.935 |
| 96.501 | 38.608 | 38.608 | -0.000 | 0.000 | 0.000 |
| 38.608 | 96.501 | 38.608 | -0.000 | 0.000 | 0.000 |
| 38.608 | 38.608 | 96.501 | 0.000 | 0.000 | 0.000 |
| 0.000 | 0.000 | 0.000 | 42.840 | 0.000 | 0.000 |
| 0.000 | 0.000 | 0.000 | -0.000 | 42.840 | 0.000 |
| 0.000 | 0.000 | 0.000 | -0.000 | 0.000 | 42.840 |
| 96.501 | 38.608 | 38.608 | 0.000 | -0.000 | -0.000 |
| 38.608 | 96.501 | 38.608 | -0.000 | -0.000 | -0.000 |
| 38.608 | 38.608 | 96.501 | 0.000 | -0.000 | -0.000 |
| -0.000 | -0.000 | -0.000 | 42.840 | -0.000 | -0.000 |
| -0.000 | -0.000 | -0.000 | -0.000 | 42.840 | -0.000 |
| -0.000 | -0.000 | -0.000 | -0.000 | -0.000 | 42.840 |
| 96.501 | 38.608 | 38.608 | -0.000 | 0.000 | 0.000 |
| 38.608 | 96.501 | 38.608 | -0.000 | 0.000 | 0.000 |
| 38.608 | 38.608 | 96.501 | -0.000 | 0.000 | 0.000 |
| 0.000 | 0.000 | 0.000 | 42.840 | 0.000 | 0.000 |
| 0.000 | 0.000 | 0.000 | -0.000 | 42.840 | 0.000 |
| 0.000 | 0.000 | 0.000 | 0.000 | 0.000 | 42.840 |
| 96.502 | 38.608 | 38.608 | 0.000 | -0.000 | -0.000 |
| 38.608 | 96.502 | 38.608 | -0.000 | -0.000 | -0.000 |
| 38.608 | 38.608 | 96.502 | 0.000 | -0.000 | -0.000 |
| -0.000 | -0.000 | -0.000 | 42.840 | 0.000 | -0.000 |
| -0.000 | -0.000 | -0.000 | 0.000 | 42.840 | -0.000 |
| -0.000 | -0.000 | -0.000 | 0.000 | -0.000 | 42.840 |
| 96.499 | 38.608 | 38.608 | -0.000 | 0.000 | 0.000 |
| 38.608 | 96.499 | 38.608 | 0.000 | 0.000 | 0.000 |
| 38.608 | 38.608 | 96.499 | -0.000 | 0.000 | 0.000 |
| 0.000 | 0.000 | 0.000 | 42.840 | 0.000 | 0.000 |
| 0.000 | 0.000 | 0.000 | -0.000 | 42.840 | 0.000 |
| 0.000 | 0.000 | 0.000 | -0.000 | 0.000 | 42.840 |
| 96.503 | 38.608 | 38.608 | 0.000 | -0.000 | -0.000 |
| 38.608 | 96.503 | 38.608 | -0.000 | -0.000 | -0.000 |
| 38.608 | 38.608 | 96.503 | 0.000 | 0.000 | -0.000 |
| -0.000 | -0.000 | -0.000 | 42.840 | -0.000 | -0.000 |
| -0.000 | -0.000 | -0.000 | 0.000 | 42.840 | -0.000 |
| -0.000 | -0.000 | -0.000 | -0.000 | -0.000 | 42.840 |
| 22.982 | 22.861 | 22.861 | 0.000 | 0.000 | 0.000 |
| 22.861 | 22.982 | 22.861 | 0.000 | 0.000 | 0.000 |
| 22.861 | 22.861 | 22.982 | 0.000 | 0.000 | 0.000 |
| -0.000 | -0.000 | -0.000 | 24.629 | 0.000 | 0.000 |
| -0.000 | -0.000 | -0.000 | 0.000 | 24.629 | 0.000 |
| -0.000 | -0.000 | -0.000 | 0.000 | 0.000 | 24.629 |
| 22.982 | 22.861 | 22.861 | -0.000 | -0.000 | 0.000 |
| 22.861 | 22.982 | 22.861 | -0.000 | -0.000 | 0.000 |
| 22.861 | 22.861 | 22.982 | -0.000 | -0.000 | -0.000 |
| 0.000 | 0.000 | 0.000 | 24.629 | -0.000 | -0.000 |
| 0.000 | 0.000 | 0.000 | -0.000 | 24.629 | -0.000 |
| 0.000 | 0.000 | 0.000 | -0.000 | -0.000 | 24.629 |
| 22.982 | 22.861 | 22.861 | 0.000 | 0.000 | 0.000 |
| 22.861 | 22.982 | 22.861 | 0.000 | 0.000 | 0.000 |
| 22.861 | 22.861 | 22.982 | 0.000 | 0.000 | 0.000 |
| -0.000 | -0.000 | -0.000 | 24.629 | 0.000 | 0.000 |
| -0.000 | -0.000 | -0.000 | 0.000 | 24.629 | 0.000 |
| -0.000 | -0.000 | -0.000 | 0.000 | 0.000 | 24.629 |
| 22.982 | 22.861 | 22.861 | -0.000 | -0.000 | 0.000 |
| 22.861 | 22.982 | 22.861 | -0.000 | -0.000 | 0.000 |
| 22.861 | 22.861 | 22.982 | -0.000 | -0.000 | -0.000 |
| 0.000 | 0.000 | 0.000 | 24.629 | -0.000 | 0.000 |
| 0.000 | 0.000 | 0.000 | -0.000 | 24.629 | 0.000 |
| 0.000 | 0.000 | 0.000 | -0.000 | 0.000 | 24.629 |
| 22.982 | 22.861 | 22.861 | 0.000 | 0.000 | 0.000 |
| 22.861 | 22.982 | 22.861 | 0.000 | 0.000 | 0.000 |
| 22.861 | 22.861 | 22.982 | 0.000 | 0.000 | 0.000 |
| -0.000 | -0.000 | -0.000 | 24.629 | 0.000 | -0.000 |
| -0.000 | -0.000 | -0.000 | 0.000 | 24.629 | -0.000 |
| -0.000 | -0.000 | -0.000 | 0.000 | -0.000 | 24.629 |
| 22.983 | 22.861 | 22.861 | -0.000 | -0.000 | -0.000 |
| 22.861 | 22.983 | 22.861 | -0.000 | -0.000 | -0.000 |
| 22.861 | 22.861 | 22.983 | -0.000 | -0.000 | -0.000 |
| 0.000 | 0.000 | 0.000 | 24.629 | -0.000 | -0.000 |
| 0.000 | 0.000 | 0.000 | -0.000 | 24.629 | -0.000 |
| 0.000 | 0.000 | 0.000 | -0.000 | -0.000 | 24.629 |
| -594124.401 | -75547.900 | 153116.500 | -0.032 | -0.044 | -0.016 |
| 12124.300 | -682221.599 | 153083.200 | -0.097 | 0.055 | -31.185 |
| 163017.499 | 163017.601 | 522076.700 | -0.012 | 0.017 | -0.028 |
| -0.100 | 0.100 | 0.100 | -8750.649 | 0.048 | -0.071 |
| -0.200 | 0.200 | -0.100 | -0.008 | -8750.544 | -0.045 |
| -0.100 | 0.100 | 0.000 | -0.011 | -0.014 | -259288.058 |
| -769250.500 | 101263.199 | 153248.600 | 0.204 | -0.075 | 61.443 |
| -75547.900 | -594124.000 | 153116.500 | 0.029 | 0.047 | 0.027 |
| 163017.601 | 163017.499 | 522076.700 | -0.032 | -0.051 | 0.036 |
| -0.000 | -0.100 | -0.000 | -8750.652 | -0.001 | 0.029 |
| -0.000 | -0.200 | -0.000 | -0.002 | -8750.657 | 0.042 |
| 0.100 | -0.100 | 0.100 | 0.005 | -0.028 | -259287.954 |
| -779985.850 | 110133.190 | 153103.310 | -0.018 | -0.003 | -6.145 |
| -50300.060 | -619376.750 | 153116.290 | -0.003 | 0.014 | -0.870 |
| 162881.060 | 163150.280 | 522076.480 | -0.011 | -0.003 | -0.920 |
| -0.020 | -0.010 | -0.050 | -8750.667 | 0.000 | -0.005 |
| -17.990 | 17.860 | -0.060 | -0.006 | -8750.666 | -0.124 |
| -67.880 | 66.480 | -0.070 | -0.006 | 0.015 | -272693.781 |
| -594122.970 | -75547.830 | 153116.560 | -0.002 | -0.003 | 0.002 |
| -75547.710 | -594123.110 | 153116.550 | 0.005 | -0.005 | 0.006 |
| 163994.100 | 162209.370 | 522089.880 | 0.022 | -0.008 | 6.144 |
| 0.020 | 0.010 | 0.050 | -8750.658 | -0.014 | 0.002 |
| 18.000 | -17.860 | 0.060 | 0.004 | -8750.674 | 0.123 |
| 68.320 | -66.870 | 0.080 | -0.003 | -0.005 | -272779.547 |
| -594179.790 | -75504.419 | 153116.540 | -0.000 | 0.001 | -0.000 |
| -74024.694 | -595659.480 | 153116.556 | -0.000 | 0.001 | -0.006 |
| 162919.868 | 163098.365 | 522075.952 | -0.002 | -0.000 | -0.615 |
| -98.632 | 81.483 | -1.821 | -8750.666 | 0.001 | -0.615 |
| -48.011 | 43.368 | -0.840 | -0.001 | -8750.661 | -0.313 |
| -14.312 | 9.149 | 0.128 | -0.000 | 0.002 | -283659.399 |
| -597035.127 | -72624.769 | 153116.524 | 0.001 | -0.001 | 0.011 |
| -28765.235 | -640887.494 | 153116.275 | -0.001 | -0.002 | 0.159 |
| 163115.285 | 162936.812 | 522077.519 | 0.002 | -0.001 | 0.614 |
| 48.312 | -43.741 | 0.835 | -8750.662 | -0.001 | 0.312 |
| 47.740 | -43.145 | 0.836 | 0.001 | -8750.662 | 0.315 |
| 7.120 | -3.354 | -0.039 | 0.001 | -0.001 | -271093.328 |
| 173.258 | 39.778 | 28.338 | 0.000 | -0.000 | -0.000 |
| 67.112 | 145.923 | 28.338 | -0.000 | 0.000 | 0.000 |
| 28.338 | 28.338 | 194.103 | 0.000 | 0.000 | -0.000 |
| -0.000 | -0.000 | -0.000 | 34.498 | 0.000 | -0.000 |
| -0.000 | -0.000 | -0.000 | 0.000 | 34.498 | 0.000 |
| -0.000 | -0.000 | -0.000 | 0.000 | 0.000 | 39.405 |
| 173.259 | 39.778 | 28.339 | -0.000 | -0.000 | -0.000 |
| 39.778 | 173.259 | 28.339 | -0.000 | -0.000 | -0.000 |
| 28.339 | 28.339 | 194.103 | -0.000 | -0.000 | -0.000 |
| 0.000 | 0.000 | 0.000 | 34.498 | -0.000 | -0.000 |
| 0.000 | 0.000 | -0.000 | -0.000 | 34.498 | 0.000 |
| 0.000 | 0.000 | 0.000 | 0.000 | -0.000 | 39.405 |
| 145.920 | 67.109 | 28.335 | 0.000 | 0.000 | 0.000 |
| 70.651 | 142.378 | 28.335 | 0.000 | 0.000 | -0.000 |
| 28.336 | 28.336 | 194.101 | 0.000 | 0.000 | -0.000 |
| 0.000 | -0.000 | -0.000 | 34.498 | 0.000 | 0.000 |
| -0.000 | -0.000 | -0.000 | -0.000 | 34.498 | -0.000 |
| 0.000 | 0.000 | -0.000 | 0.000 | 0.000 | 66.740 |
| 145.927 | 67.116 | 28.341 | -0.000 | -0.000 | 0.000 |
| 39.782 | 173.262 | 28.341 | -0.000 | -0.000 | 0.000 |
| 28.341 | 28.341 | 194.105 | 0.000 | -0.000 | 0.000 |
| -0.000 | 0.000 | 0.000 | 34.498 | -0.000 | 0.000 |
| 0.000 | 0.000 | 0.000 | 0.000 | 34.498 | 0.000 |
| -0.000 | -0.000 | 0.000 | -0.000 | -0.000 | 66.740 |
| 173.223 | 39.742 | 28.308 | -0.000 | 0.000 | -0.000 |
| 67.077 | 145.885 | 28.307 | 0.000 | 0.000 | 0.000 |
| 28.313 | 28.313 | 194.082 | 0.000 | 0.000 | 0.000 |
| -0.000 | -0.000 | -0.000 | 34.498 | 0.000 | -0.000 |
| -0.000 | -0.000 | -0.000 | 0.000 | 34.498 | -0.000 |
| 0.000 | 0.000 | -0.000 | 0.000 | 0.000 | 66.740 |
| 159.627 | 53.482 | 28.369 | -0.000 | -0.000 | 0.000 |
| 68.918 | 144.191 | 28.369 | -0.000 | -0.000 | 0.000 |
| 28.364 | 28.364 | 194.124 | -0.000 | -0.000 | -0.000 |
| 0.000 | 0.000 | 0.000 | 34.498 | -0.000 | 0.000 |
| 0.000 | 0.000 | 0.000 | -0.000 | 34.498 | 0.000 |
| -0.000 | -0.000 | 0.000 | 0.000 | -0.000 | 66.740 |
| 101.856 | 26.953 | 56.160 | -0.000 | 0.000 | -0.000 |
| 26.953 | 101.856 | 56.160 | -0.000 | 0.000 | -0.000 |
| 56.160 | 56.160 | 72.649 | -0.000 | 0.000 | -0.000 |
| 0.000 | 0.000 | -0.000 | 67.196 | 0.000 | -0.000 |
| 0.000 | 0.000 | -0.000 | -0.000 | 67.196 | -0.000 |
| -0.000 | 0.000 | -0.000 | -0.000 | 0.000 | 11.639 |
| 101.856 | 26.953 | 56.160 | 0.000 | -0.000 | 0.000 |
| 52.765 | 76.044 | 56.160 | 0.000 | -0.000 | 0.000 |
| 56.160 | 56.160 | 72.649 | 0.000 | -0.000 | 0.000 |
| -0.000 | -0.000 | -0.000 | 67.196 | -0.000 | 0.000 |
| -0.000 | -0.000 | -0.000 | 0.000 | 67.196 | 0.000 |
| 0.000 | -0.000 | 0.000 | 0.000 | -0.000 | 11.639 |
| 76.044 | 52.765 | 56.160 | -0.000 | -0.000 | -0.000 |
| 52.765 | 76.044 | 56.160 | -0.000 | 0.000 | -0.000 |
| 56.160 | 56.160 | 72.649 | -0.000 | 0.000 | -0.000 |
| 0.000 | 0.000 | 0.000 | 67.196 | -0.000 | -0.000 |
| 0.000 | 0.000 | 0.000 | -0.000 | 67.196 | -0.000 |
| -0.000 | -0.000 | -0.000 | -0.000 | -0.000 | 11.639 |
| 101.856 | 26.953 | 56.160 | 0.000 | -0.000 | 0.000 |
| 52.765 | 76.044 | 56.160 | 0.000 | 0.000 | 0.000 |
| 56.160 | 56.160 | 72.649 | 0.000 | -0.000 | 0.000 |
| -0.000 | -0.000 | -0.000 | 67.196 | 0.000 | 0.000 |
| -0.000 | -0.000 | -0.000 | 0.000 | 67.196 | 0.000 |
| 0.000 | 0.000 | 0.000 | 0.000 | -0.000 | 11.639 |
| 76.044 | 52.766 | 56.160 | -0.000 | 0.000 | -0.000 |
| 52.766 | 76.044 | 56.160 | -0.000 | 0.000 | -0.000 |
| 56.161 | 56.161 | 72.650 | -0.000 | 0.000 | -0.000 |
| 0.001 | 0.000 | 0.001 | 67.196 | 0.000 | -0.000 |
| 0.000 | 0.001 | 0.001 | -0.000 | 67.196 | -0.000 |
| -0.000 | -0.000 | -0.000 | -0.000 | 0.000 | 11.639 |
| 76.043 | 52.765 | 56.159 | 0.000 | -0.000 | 0.000 |
| 52.764 | 76.044 | 56.159 | 0.000 | -0.000 | 0.000 |
| 56.159 | 56.159 | 72.649 | 0.000 | -0.000 | 0.000 |
| -0.001 | -0.000 | -0.001 | 67.196 | -0.000 | 0.000 |
| -0.000 | -0.001 | -0.001 | 0.000 | 67.196 | 0.000 |
| 0.000 | 0.000 | 0.000 | 0.000 | -0.000 | 11.639 |
| 132.679 | 48.642 | 34.134 | 0.000 | -0.000 | -0.000 |
| 48.642 | 132.679 | 34.134 | 0.000 | -0.000 | -0.000 |
| 34.134 | 34.134 | 147.187 | 0.000 | -0.000 | -0.000 |
| 0.000 | 0.000 | 0.000 | 37.299 | -0.000 | -0.000 |
| 0.000 | 0.000 | 0.000 | 0.000 | 37.299 | 0.000 |
| 0.000 | 0.000 | -0.000 | 0.000 | -0.000 | 42.019 |
| 137.549 | 43.772 | 34.134 | -0.000 | 0.000 | 0.000 |
| 43.772 | 137.549 | 34.134 | -0.000 | 0.000 | 0.000 |
| 34.134 | 34.134 | 147.187 | -0.000 | 0.000 | 0.000 |
| 0.000 | -0.000 | -0.000 | 37.299 | 0.000 | 0.000 |
| 0.000 | -0.000 | -0.000 | -0.000 | 37.299 | 0.000 |
| -0.000 | -0.000 | 0.000 | -0.000 | 0.000 | 42.019 |
| 137.550 | 43.772 | 34.134 | 0.000 | -0.000 | -0.000 |
| 48.642 | 132.680 | 34.134 | 0.000 | -0.000 | -0.000 |
| 34.134 | 34.134 | 147.187 | 0.000 | -0.000 | -0.000 |
| 0.000 | 0.000 | 0.000 | 37.299 | -0.000 | -0.000 |
| 0.000 | 0.000 | 0.000 | -0.000 | 37.299 | 0.000 |
| 0.000 | 0.000 | -0.000 | 0.000 | -0.000 | 42.019 |
| 132.679 | 48.642 | 34.134 | -0.000 | 0.000 | 0.000 |
| 43.772 | 137.549 | 34.134 | -0.000 | 0.000 | 0.000 |
| 34.134 | 34.134 | 147.187 | -0.000 | 0.000 | 0.000 |
| -0.000 | -0.000 | -0.000 | 37.299 | 0.000 | 0.000 |
| -0.000 | -0.000 | -0.000 | 0.000 | 37.299 | 0.000 |
| -0.000 | -0.000 | 0.000 | -0.000 | 0.000 | 42.019 |
| 137.551 | 43.772 | 34.134 | 0.000 | -0.000 | -0.000 |
| 48.642 | 132.681 | 34.134 | 0.000 | -0.000 | -0.000 |
| 34.134 | 34.134 | 147.189 | 0.000 | -0.000 | -0.000 |
| 0.000 | -0.000 | 0.000 | 37.299 | -0.000 | -0.000 |
| -0.000 | 0.000 | 0.000 | 0.000 | 37.299 | -0.000 |
| 0.000 | 0.000 | -0.000 | 0.000 | -0.000 | 42.019 |
| 132.678 | 48.641 | 34.134 | -0.000 | 0.000 | 0.000 |
| 48.641 | 132.678 | 34.134 | -0.000 | 0.000 | 0.000 |
| 34.133 | 34.133 | 147.186 | -0.000 | 0.000 | 0.000 |
| -0.000 | 0.000 | -0.000 | 37.299 | 0.000 | 0.000 |
| 0.000 | -0.000 | -0.000 | -0.000 | 37.299 | 0.000 |
| -0.000 | -0.000 | 0.000 | -0.000 | 0.000 | 42.019 |
| 69.456 | 25.434 | 17.305 | -0.000 | 0.000 | 0.000 |
| 25.434 | 69.456 | 17.305 | 0.000 | 0.000 | 0.000 |
| 17.305 | 17.305 | 77.585 | 0.000 | 0.000 | 0.000 |
| -0.000 | -0.000 | -0.000 | 19.491 | -0.000 | -0.000 |
| -0.000 | -0.000 | -0.000 | 0.000 | 19.491 | -0.000 |
| -0.000 | -0.000 | -0.000 | 0.000 | 0.000 | 24.774 |
| 69.456 | 25.434 | 17.305 | 0.000 | -0.000 | -0.000 |
| 25.434 | 69.456 | 17.305 | 0.000 | -0.000 | -0.000 |
| 17.305 | 17.305 | 77.585 | -0.000 | -0.000 | -0.000 |
| 0.000 | 0.000 | 0.000 | 19.491 | -0.000 | 0.000 |
| 0.000 | 0.000 | 0.000 | -0.000 | 19.491 | -0.000 |
| 0.000 | 0.000 | 0.000 | -0.000 | -0.000 | 24.774 |
| 69.456 | 25.434 | 17.305 | -0.000 | 0.000 | 0.000 |
| 25.434 | 69.456 | 17.305 | 0.000 | 0.000 | 0.000 |
| 17.305 | 17.305 | 77.585 | 0.000 | 0.000 | 0.000 |
| -0.000 | -0.000 | -0.000 | 19.491 | 0.000 | 0.000 |
| -0.000 | -0.000 | -0.000 | 0.000 | 19.491 | -0.000 |
| -0.000 | -0.000 | -0.000 | -0.000 | 0.000 | 22.011 |
| 69.456 | 25.434 | 17.305 | -0.000 | -0.000 | -0.000 |
| 25.434 | 69.456 | 17.305 | 0.000 | -0.000 | -0.000 |
| 17.305 | 17.305 | 77.586 | 0.000 | -0.000 | -0.000 |
| 0.000 | 0.000 | 0.000 | 19.491 | -0.000 | -0.000 |
| 0.000 | 0.000 | 0.000 | -0.000 | 19.491 | -0.000 |
| 0.000 | 0.000 | 0.000 | 0.000 | -0.000 | 22.011 |
| 72.218 | 22.671 | 17.305 | 0.000 | 0.000 | -0.000 |
| 25.434 | 69.455 | 17.305 | -0.000 | 0.000 | 0.000 |
| 17.304 | 17.304 | 77.584 | -0.000 | 0.000 | 0.000 |
| -0.000 | -0.000 | -0.000 | 19.491 | 0.000 | 0.000 |
| -0.000 | -0.000 | -0.000 | 0.000 | 19.491 | 0.000 |
| -0.000 | -0.000 | -0.000 | 0.000 | 0.000 | 22.011 |
| 69.457 | 25.434 | 17.305 | -0.000 | -0.000 | -0.000 |
| 25.434 | 69.457 | 17.305 | 0.000 | -0.000 | -0.000 |
| 17.305 | 17.305 | 77.587 | 0.000 | -0.000 | -0.000 |
| 0.000 | 0.000 | 0.000 | 19.491 | -0.000 | -0.000 |
| 0.000 | 0.000 | 0.000 | -0.000 | 19.491 | -0.000 |
| 0.000 | 0.000 | 0.000 | -0.000 | -0.000 | 22.011 |
| -409629.499 | -16220.701 | 204814.499 | 0.281 | -0.359 | -0.041 |
| 45084.499 | -470934.401 | 204814.599 | 0.472 | -0.500 | 0.049 |
| 200174.200 | 200183.899 | 376970.101 | 0.369 | -0.302 | -0.107 |
| -0.301 | -0.401 | 0.000 | 18668.078 | -0.671 | -0.172 |
| -0.401 | -0.100 | 0.100 | 0.058 | 18667.309 | -0.080 |
| 0.000 | -0.100 | 0.000 | 0.086 | -0.405 | -258012.462 |
| -470934.098 | 45084.300 | 204814.499 | -0.357 | 0.509 | 0.014 |
| -16220.699 | -409629.099 | 204814.401 | -0.650 | 0.199 | 0.019 |
| 200179.300 | 200179.099 | 376970.301 | -0.487 | 0.111 | 0.126 |
| 0.301 | 0.200 | 0.100 | 18667.498 | 0.551 | 0.141 |
| 0.301 | 0.200 | -0.000 | 0.134 | 18668.232 | 0.139 |
| 0.501 | 0.200 | -0.100 | -0.104 | 0.440 | -258012.351 |
| -470936.180 | 45087.640 | 204814.710 | 0.028 | -0.042 | -0.002 |
| -16220.400 | -409628.440 | 204814.470 | 0.010 | -0.022 | 0.003 |
| 200178.640 | 200179.600 | 376969.230 | 0.030 | -0.031 | -0.005 |
| -0.140 | 0.020 | -0.160 | 18667.828 | -0.009 | -0.019 |
| -0.030 | -0.130 | -0.130 | 0.007 | 18667.766 | -0.005 |
| 0.380 | 0.210 | 0.190 | 0.050 | -0.029 | -258012.574 |
| -470938.250 | 45087.260 | 204814.340 | -0.041 | -0.004 | 0.007 |
| 44563.520 | -470414.430 | 204814.350 | 0.003 | 0.096 | 0.012 |
| 200179.930 | 200178.810 | 376971.160 | -0.044 | 0.039 | 0.010 |
| 0.140 | 0.010 | 0.130 | 18667.749 | 0.022 | 0.012 |
| -0.010 | 0.150 | 0.130 | -0.008 | 18667.811 | 0.009 |
| -0.390 | -0.210 | -0.190 | -0.037 | 0.018 | -258012.569 |
| -470896.630 | 45059.338 | 204816.332 | 0.004 | -0.004 | -0.001 |
| 45085.783 | -470923.076 | 204816.332 | 0.001 | -0.005 | -0.002 |
| 200178.183 | 200178.288 | 376960.604 | 0.004 | -0.002 | -0.000 |
| -0.681 | -0.223 | -1.418 | 18667.797 | -0.004 | -0.001 |
| -0.225 | -0.679 | -1.418 | 0.003 | 18667.792 | -0.001 |
| 1.644 | 1.836 | -0.219 | 0.004 | -0.006 | -196704.334 |
| -470656.326 | 44794.141 | 204812.718 | -0.005 | 0.005 | 0.002 |
| -16222.281 | -409636.954 | 204814.861 | -0.003 | 0.003 | -0.001 |
| 200180.317 | 200180.204 | 376979.781 | -0.003 | 0.004 | 0.001 |
| 0.681 | 0.225 | 1.418 | 18667.788 | 0.002 | 0.001 |
| 0.225 | 0.678 | 1.418 | -0.006 | 18667.796 | 0.001 |
| -1.646 | -1.836 | 0.219 | -0.004 | 0.004 | -196704.331 |
| 245.072 | 219.399 | 96.425 | -0.000 | 0.000 | 0.000 |
| 219.399 | 245.072 | 96.425 | -0.000 | 0.000 | 0.000 |
| 96.425 | 96.425 | 175.073 | -0.000 | 0.000 | 0.000 |
| 0.000 | -0.000 | 0.000 | 8.446 | 0.000 | -0.000 |
| 0.000 | 0.000 | 0.000 | -0.000 | 8.446 | 0.000 |
| 0.000 | 0.000 | 0.000 | 0.000 | 0.000 | 79.664 |
| 245.071 | 219.398 | 96.424 | 0.000 | -0.000 | -0.000 |
| 152.570 | 311.898 | 96.424 | -0.000 | -0.000 | -0.000 |
| 96.424 | 96.424 | 175.073 | 0.000 | -0.000 | 0.000 |
| -0.000 | -0.000 | -0.000 | 8.446 | -0.000 | -0.000 |
| -0.000 | -0.000 | -0.000 | 0.000 | 8.446 | -0.000 |
| -0.000 | -0.000 | -0.000 | 0.000 | -0.000 | 79.664 |
| 181.773 | 282.707 | 96.429 | -0.000 | 0.000 | 0.000 |
| 259.114 | 205.366 | 96.429 | -0.000 | 0.000 | 0.000 |
| 96.428 | 96.428 | 175.076 | -0.000 | 0.000 | 0.000 |
| 0.000 | -0.000 | 0.000 | 8.446 | 0.000 | 0.000 |
| -0.000 | 0.000 | 0.000 | -0.000 | 8.446 | 0.000 |
| 0.000 | 0.000 | 0.000 | 0.000 | 0.000 | 79.664 |
| 311.893 | 152.565 | 96.420 | -0.000 | -0.000 | -0.000 |
| 259.101 | 205.359 | 96.420 | 0.000 | -0.000 | -0.000 |
| 96.421 | 96.421 | 175.070 | -0.000 | -0.000 | -0.000 |
| -0.000 | 0.000 | -0.000 | 8.446 | -0.000 | -0.000 |
| 0.000 | -0.000 | -0.000 | 0.000 | 8.446 | -0.000 |
| -0.000 | -0.000 | -0.000 | -0.000 | -0.000 | 79.664 |
| 278.540 | 186.041 | 96.470 | -0.000 | 0.000 | 0.000 |
| 152.627 | 311.956 | 96.471 | -0.000 | 0.000 | 0.000 |
| 96.463 | 96.463 | 175.106 | -0.000 | -0.000 | 0.000 |
| 0.001 | -0.001 | 0.001 | 8.446 | 0.000 | 0.000 |
| 0.000 | -0.000 | 0.001 | -0.000 | 8.446 | 0.000 |
| 0.000 | 0.000 | 0.000 | -0.000 | 0.000 | 79.664 |
| 245.019 | 219.343 | 96.379 | 0.000 | -0.000 | -0.000 |
| 239.191 | 225.173 | 96.379 | 0.000 | -0.000 | -0.000 |
| 96.386 | 96.386 | 175.040 | 0.000 | -0.000 | -0.000 |
| -0.001 | 0.001 | -0.001 | 8.446 | -0.000 | -0.000 |
| -0.000 | 0.000 | -0.001 | -0.000 | 8.446 | -0.000 |
| -0.000 | -0.000 | -0.000 | -0.000 | -0.000 | 79.664 |
| 75.782 | 53.027 | 56.160 | -0.000 | 0.000 | 0.000 |
| 53.027 | 75.782 | 56.160 | -0.000 | -0.000 | 0.000 |
| 56.160 | 56.160 | 72.649 | -0.000 | -0.000 | 0.000 |
| 0.000 | 0.000 | 0.000 | 66.441 | -0.000 | 0.000 |
| 0.000 | 0.000 | 0.000 | -0.000 | 66.441 | -0.000 |
| -0.000 | 0.000 | -0.000 | -0.000 | -0.000 | 11.377 |
| 75.782 | 53.027 | 56.160 | 0.000 | 0.000 | -0.000 |
| 53.027 | 75.782 | 56.160 | 0.000 | -0.000 | 0.000 |
| 56.160 | 56.160 | 72.649 | -0.000 | -0.000 | -0.000 |
| -0.000 | -0.000 | -0.000 | 66.441 | -0.000 | -0.000 |
| -0.000 | -0.000 | -0.000 | 0.000 | 66.441 | -0.000 |
| 0.000 | 0.000 | 0.000 | 0.000 | 0.000 | 11.377 |
| 75.782 | 53.027 | 56.160 | -0.000 | 0.000 | 0.000 |
| 27.599 | 101.211 | 56.160 | -0.000 | 0.000 | 0.000 |
| 56.160 | 56.160 | 72.649 | -0.000 | 0.000 | 0.000 |
| 0.000 | 0.000 | 0.000 | 66.441 | -0.000 | -0.000 |
| 0.000 | 0.000 | 0.000 | -0.000 | 66.441 | 0.000 |
| -0.000 | -0.000 | -0.000 | -0.000 | -0.000 | 11.377 |
| 75.782 | 53.027 | 56.160 | 0.000 | 0.000 | 0.000 |
| 53.027 | 75.782 | 56.160 | 0.000 | -0.000 | 0.000 |
| 56.160 | 56.160 | 72.649 | 0.000 | 0.000 | -0.000 |
| -0.000 | -0.000 | -0.000 | 66.441 | 0.000 | -0.000 |
| -0.000 | -0.000 | -0.000 | 0.000 | 66.441 | -0.000 |
| 0.000 | 0.000 | 0.000 | 0.000 | 0.000 | 11.377 |
| 75.783 | 53.027 | 56.160 | -0.000 | -0.000 | 0.000 |
| 53.029 | 75.781 | 56.160 | -0.000 | -0.000 | 0.000 |
| 56.161 | 56.161 | 72.650 | -0.000 | -0.000 | 0.000 |
| 0.001 | 0.000 | 0.001 | 66.441 | -0.000 | -0.000 |
| 0.000 | 0.001 | 0.001 | -0.000 | 66.441 | -0.000 |
| -0.000 | -0.000 | -0.000 | -0.000 | -0.000 | 11.377 |
| 75.781 | 53.027 | 56.159 | 0.000 | 0.000 | 0.000 |
| 53.026 | 75.783 | 56.159 | 0.000 | 0.000 | -0.000 |
| 56.159 | 56.159 | 72.649 | 0.000 | 0.000 | -0.000 |
| -0.001 | -0.000 | -0.001 | 66.441 | 0.000 | -0.000 |
| -0.000 | -0.001 | -0.001 | 0.000 | 66.441 | -0.000 |
| 0.000 | 0.000 | 0.000 | 0.000 | 0.000 | 11.377 |
| 132.676 | 48.645 | 34.134 | -0.000 | 0.000 | 0.000 |
| 48.645 | 132.676 | 34.134 | 0.000 | 0.000 | 0.000 |
| 34.134 | 34.134 | 147.187 | -0.000 | 0.000 | -0.000 |
| 0.000 | -0.000 | 0.000 | 37.242 | 0.000 | -0.000 |
| 0.000 | 0.000 | 0.000 | 0.000 | 37.242 | -0.000 |
| -0.000 | 0.000 | -0.000 | 0.000 | 0.000 | 42.016 |
| 132.676 | 48.645 | 34.134 | 0.000 | -0.000 | 0.000 |
| 48.645 | 132.676 | 34.134 | 0.000 | -0.000 | -0.000 |
| 34.134 | 34.134 | 147.187 | 0.000 | -0.000 | 0.000 |
| -0.000 | 0.000 | -0.000 | 37.242 | -0.000 | 0.000 |
| -0.000 | -0.000 | -0.000 | -0.000 | 37.242 | 0.000 |
| 0.000 | -0.000 | 0.000 | -0.000 | -0.000 | 42.016 |
| 137.497 | 43.824 | 34.134 | -0.000 | 0.000 | -0.000 |
| 43.824 | 137.497 | 34.134 | 0.000 | 0.000 | -0.000 |
| 34.134 | 34.134 | 147.187 | -0.000 | 0.000 | -0.000 |
| 0.000 | 0.000 | 0.000 | 37.242 | 0.000 | -0.000 |
| 0.000 | 0.000 | 0.000 | 0.000 | 37.242 | -0.000 |
| 0.000 | 0.000 | -0.000 | 0.000 | 0.000 | 42.016 |
| 132.676 | 48.645 | 34.134 | -0.000 | -0.000 | 0.000 |
| 48.645 | 132.676 | 34.134 | -0.000 | -0.000 | 0.000 |
| 34.134 | 34.134 | 147.187 | 0.000 | -0.000 | 0.000 |
| -0.000 | -0.000 | -0.000 | 37.242 | -0.000 | 0.000 |
| -0.000 | -0.000 | -0.000 | -0.000 | 37.242 | -0.000 |
| -0.000 | -0.000 | 0.000 | -0.000 | -0.000 | 42.016 |
| 132.678 | 48.645 | 34.134 | -0.000 | 0.000 | -0.000 |
| 48.645 | 132.677 | 34.134 | 0.000 | 0.000 | -0.000 |
| 34.134 | 34.134 | 147.189 | 0.000 | 0.000 | -0.000 |
| 0.000 | -0.000 | 0.000 | 37.242 | 0.000 | 0.000 |
| -0.000 | 0.000 | 0.000 | 0.000 | 37.242 | -0.000 |
| 0.000 | 0.000 | -0.000 | 0.000 | 0.000 | 42.016 |
| 132.675 | 48.645 | 34.134 | 0.000 | -0.000 | 0.000 |
| 48.644 | 132.675 | 34.134 | -0.000 | -0.000 | 0.000 |
| 34.133 | 34.133 | 147.186 | -0.000 | -0.000 | 0.000 |
| -0.000 | 0.000 | -0.000 | 37.242 | -0.000 | 0.000 |
| 0.000 | -0.000 | -0.000 | -0.000 | 37.242 | 0.000 |
| -0.000 | -0.000 | 0.000 | -0.000 | -0.000 | 42.016 |
| 69.450 | 25.440 | 17.305 | 0.000 | 0.000 | 0.000 |
| 22.759 | 72.131 | 17.305 | 0.000 | 0.000 | 0.000 |
| 17.305 | 17.305 | 77.585 | -0.000 | 0.000 | 0.000 |
| -0.000 | -0.000 | -0.000 | 19.398 | -0.000 | 0.000 |
| -0.000 | -0.000 | -0.000 | 0.000 | 19.398 | 0.000 |
| -0.000 | -0.000 | 0.000 | 0.000 | 0.000 | 22.005 |
| 69.450 | 25.440 | 17.305 | -0.000 | 0.000 | -0.000 |
| 22.759 | 72.131 | 17.305 | -0.000 | 0.000 | -0.000 |
| 17.305 | 17.305 | 77.585 | 0.000 | 0.000 | -0.000 |
| 0.000 | 0.000 | 0.000 | 19.398 | 0.000 | -0.000 |
| 0.000 | 0.000 | 0.000 | -0.000 | 19.398 | -0.000 |
| 0.000 | 0.000 | -0.000 | -0.000 | -0.000 | 22.005 |
| 69.450 | 25.440 | 17.305 | -0.000 | 0.000 | 0.000 |
| 25.440 | 69.450 | 17.305 | 0.000 | 0.000 | 0.000 |
| 17.305 | 17.305 | 77.585 | 0.000 | -0.000 | 0.000 |
| -0.000 | -0.000 | -0.000 | 19.398 | 0.000 | 0.000 |
| -0.000 | -0.000 | -0.000 | 0.000 | 19.398 | 0.000 |
| -0.000 | -0.000 | -0.000 | 0.000 | 0.000 | 22.005 |
| 69.450 | 25.440 | 17.305 | -0.000 | -0.000 | -0.000 |
| 25.440 | 69.450 | 17.305 | -0.000 | -0.000 | -0.000 |
| 17.305 | 17.305 | 77.586 | 0.000 | 0.000 | -0.000 |
| 0.000 | 0.000 | 0.000 | 19.398 | -0.000 | -0.000 |
| 0.000 | 0.000 | 0.000 | -0.000 | 19.398 | -0.000 |
| 0.000 | 0.000 | 0.000 | -0.000 | -0.000 | 22.005 |
| 69.449 | 25.440 | 17.305 | -0.000 | 0.000 | 0.000 |
| 25.440 | 69.449 | 17.305 | -0.000 | 0.000 | 0.000 |
| 17.304 | 17.304 | 77.584 | -0.000 | -0.000 | 0.000 |
| -0.000 | -0.000 | -0.000 | 19.398 | 0.000 | 0.000 |
| -0.000 | -0.000 | -0.000 | 0.000 | 19.398 | 0.000 |
| -0.000 | -0.000 | -0.000 | 0.000 | 0.000 | 22.005 |
| 69.451 | 25.440 | 17.305 | -0.000 | -0.000 | -0.000 |
| 25.441 | 69.451 | 17.305 | -0.000 | -0.000 | -0.000 |
| 17.305 | 17.305 | 77.587 | -0.000 | 0.000 | -0.000 |
| 0.000 | 0.000 | 0.000 | 19.398 | -0.000 | -0.000 |
| 0.000 | 0.000 | 0.000 | -0.000 | 19.398 | -0.000 |
| 0.000 | 0.000 | 0.000 | -0.000 | 0.000 | 22.005 |
| 300.534 | 52.454 | 52.454 | 0.000 | 0.000 | 0.000 |
| 52.454 | 300.534 | 52.454 | 0.000 | 0.000 | 0.000 |
| 52.454 | 52.454 | 300.534 | 0.000 | 0.000 | 0.000 |
| -0.000 | 0.000 | -0.000 | 502.573 | 0.000 | 0.000 |
| -0.000 | 0.000 | -0.000 | 0.000 | 502.573 | 0.000 |
| -0.000 | 0.000 | -0.000 | 0.000 | 0.000 | 502.573 |
| 300.534 | 52.454 | 52.454 | -0.000 | -0.000 | -0.000 |
| 52.454 | 300.534 | 52.454 | -0.000 | -0.000 | -0.000 |
| 52.454 | 52.454 | 300.534 | -0.000 | -0.000 | -0.000 |
| 0.000 | -0.000 | 0.000 | 502.573 | -0.000 | -0.000 |
| 0.000 | -0.000 | 0.000 | -0.000 | 502.573 | -0.000 |
| 0.000 | -0.000 | 0.000 | -0.000 | -0.000 | 502.573 |
| 300.535 | 52.454 | 52.454 | -0.000 | 0.000 | 0.000 |
| 52.454 | 300.535 | 52.454 | 0.000 | -0.000 | 0.000 |
| 52.454 | 52.454 | 300.535 | 0.000 | 0.000 | -0.000 |
| 0.000 | 0.000 | 0.000 | 502.573 | 0.000 | 0.000 |
| 0.000 | 0.000 | 0.000 | 0.000 | 502.573 | 0.000 |
| 0.000 | 0.000 | 0.000 | 0.000 | 0.000 | 502.573 |
| 300.533 | 52.454 | 52.454 | 0.000 | -0.000 | -0.000 |
| 52.454 | 300.533 | 52.454 | -0.000 | 0.000 | -0.000 |
| 52.454 | 52.454 | 300.533 | -0.000 | -0.000 | 0.000 |
| -0.000 | -0.000 | -0.000 | 502.573 | -0.000 | -0.000 |
| -0.000 | -0.000 | -0.000 | -0.000 | 502.573 | -0.000 |
| -0.000 | -0.000 | -0.000 | -0.000 | -0.000 | 502.573 |
| 300.544 | 52.453 | 52.453 | 0.000 | 0.000 | -0.000 |
| 52.453 | 300.544 | 52.453 | 0.000 | 0.000 | 0.000 |
| 52.453 | 52.453 | 300.544 | 0.000 | 0.000 | -0.000 |
| -0.001 | 0.004 | 0.003 | -339.709 | -0.000 | -0.000 |
| 0.004 | -0.001 | 0.003 | -0.000 | -339.709 | -0.000 |
| 0.004 | 0.003 | -0.001 | -0.000 | 0.000 | -339.709 |
| 300.523 | 52.455 | 52.455 | -0.000 | -0.000 | -0.000 |
| 52.455 | 300.523 | 52.455 | -0.000 | -0.000 | -0.000 |
| 52.455 | 52.455 | 300.523 | -0.000 | -0.000 | 0.000 |
| 0.001 | -0.004 | -0.003 | -339.709 | -0.000 | -0.000 |
| -0.004 | 0.001 | -0.003 | -0.000 | -339.709 | -0.000 |
| -0.004 | -0.003 | 0.001 | -0.000 | -0.000 | -339.709 |
| 130.033 | 157.949 | 157.949 | -0.000 | -0.000 | -0.000 |
| 157.949 | 130.033 | 157.949 | -0.000 | -0.000 | -0.000 |
| 157.949 | 157.949 | 130.033 | 0.000 | -0.000 | -0.000 |
| -0.000 | -0.000 | -0.000 | 49.714 | -0.000 | -0.000 |
| -0.000 | -0.000 | -0.000 | -0.000 | 49.714 | -0.000 |
| 0.000 | -0.000 | -0.000 | -0.000 | -0.000 | 49.714 |
| 130.034 | 157.951 | 157.951 | 0.000 | 0.000 | 0.000 |
| 157.951 | 130.034 | 157.951 | 0.000 | 0.000 | 0.000 |
| 157.951 | 157.951 | 130.034 | -0.000 | 0.000 | 0.000 |
| 0.000 | 0.000 | 0.000 | 49.714 | 0.000 | 0.000 |
| 0.000 | 0.000 | 0.000 | 0.000 | 49.714 | 0.000 |
| 0.000 | 0.000 | 0.000 | 0.000 | 0.000 | 49.714 |
| 130.027 | 157.944 | 157.944 | -0.000 | -0.000 | -0.000 |
| 157.944 | 130.027 | 157.944 | -0.000 | -0.000 | -0.000 |
| 157.944 | 157.944 | 130.027 | -0.000 | -0.000 | -0.000 |
| -0.000 | -0.000 | -0.000 | -5.003 | -0.000 | -0.000 |
| -0.000 | -0.000 | -0.000 | -0.000 | -5.003 | -0.000 |
| -0.000 | -0.000 | -0.000 | -0.000 | -0.000 | -5.003 |
| 130.039 | 157.956 | 157.956 | 0.000 | 0.000 | 0.000 |
| 157.956 | 130.039 | 157.956 | 0.000 | 0.000 | 0.000 |
| 157.956 | 157.956 | 130.039 | 0.000 | 0.000 | 0.000 |
| 0.000 | 0.000 | 0.000 | -5.003 | 0.000 | 0.000 |
| 0.000 | 0.000 | 0.000 | 0.000 | -5.003 | 0.000 |
| 0.000 | 0.000 | 0.000 | 0.000 | 0.000 | -5.003 |
| 129.971 | 157.887 | 157.887 | -0.000 | -0.000 | -0.000 |
| 157.887 | 129.971 | 157.887 | -0.000 | -0.000 | -0.000 |
| 157.887 | 157.887 | 129.971 | -0.000 | -0.000 | -0.000 |
| -0.000 | -0.000 | -0.000 | -5.003 | -0.000 | -0.000 |
| -0.000 | -0.000 | -0.000 | 0.000 | -5.003 | -0.000 |
| -0.000 | -0.000 | -0.000 | -0.000 | -0.000 | -5.003 |
| 130.096 | 158.013 | 158.013 | 0.000 | 0.000 | 0.000 |
| 158.013 | 130.096 | 158.013 | 0.000 | 0.000 | 0.000 |
| 158.013 | 158.013 | 130.096 | 0.000 | 0.000 | 0.000 |
| 0.000 | 0.000 | 0.000 | -5.003 | 0.000 | 0.000 |
| 0.000 | 0.000 | 0.000 | 0.000 | -5.003 | 0.000 |
| 0.000 | 0.000 | 0.000 | 0.000 | 0.000 | -5.003 |
| 255.547 | 104.426 | 104.426 | 0.000 | -0.000 | 0.000 |
| 104.426 | 255.547 | 104.426 | 0.000 | 0.000 | 0.000 |
| 104.426 | 104.426 | 255.547 | 0.000 | 0.000 | 0.000 |
| 0.000 | -0.000 | -0.000 | 96.599 | 0.000 | 0.000 |
| -0.000 | 0.000 | -0.000 | 0.000 | 96.599 | 0.000 |
| -0.000 | -0.000 | 0.000 | 0.000 | 0.000 | 96.599 |
| 255.547 | 104.426 | 104.426 | -0.000 | -0.000 | -0.000 |
| 104.426 | 255.547 | 104.426 | -0.000 | -0.000 | -0.000 |
| 104.426 | 104.426 | 255.547 | -0.000 | -0.000 | -0.000 |
| -0.000 | 0.000 | 0.000 | 96.599 | -0.000 | 0.000 |
| 0.000 | -0.000 | 0.000 | -0.000 | 96.599 | -0.000 |
| 0.000 | 0.000 | -0.000 | -0.000 | -0.000 | 96.599 |
| 255.546 | 104.426 | 104.426 | 0.000 | 0.000 | 0.000 |
| 104.426 | 255.546 | 104.426 | 0.000 | -0.000 | 0.000 |
| 104.426 | 104.426 | 255.546 | 0.000 | -0.000 | 0.000 |
| -0.000 | -0.000 | -0.000 | 97.260 | 0.000 | 0.000 |
| -0.000 | -0.000 | -0.000 | 0.000 | 97.260 | 0.000 |
| -0.000 | -0.000 | -0.000 | 0.000 | 0.000 | 97.260 |
| 255.547 | 104.426 | 104.426 | -0.000 | -0.000 | -0.000 |
| 104.426 | 255.547 | 104.426 | -0.000 | -0.000 | -0.000 |
| 104.426 | 104.426 | 255.547 | -0.000 | -0.000 | -0.000 |
| 0.000 | 0.000 | 0.000 | 97.260 | -0.000 | -0.000 |
| 0.000 | 0.000 | 0.000 | -0.000 | 97.260 | -0.000 |
| 0.000 | 0.000 | 0.000 | -0.000 | -0.000 | 97.260 |
| 255.543 | 104.426 | 104.426 | 0.000 | 0.000 | 0.000 |
| 104.426 | 255.543 | 104.426 | 0.000 | 0.000 | 0.000 |
| 104.426 | 104.426 | 255.543 | 0.000 | 0.000 | 0.000 |
| -0.000 | -0.001 | -0.001 | 97.260 | 0.000 | 0.000 |
| -0.001 | -0.000 | -0.001 | 0.000 | 97.260 | 0.000 |
| -0.001 | -0.001 | -0.000 | 0.000 | 0.000 | 97.260 |
| 255.550 | 104.427 | 104.427 | -0.000 | -0.000 | -0.000 |
| 104.427 | 255.550 | 104.427 | -0.000 | -0.000 | 0.000 |
| 104.427 | 104.427 | 255.550 | -0.000 | 0.000 | -0.000 |
| 0.000 | 0.001 | 0.001 | 97.260 | -0.000 | -0.000 |
| 0.001 | 0.000 | 0.001 | -0.000 | 97.260 | -0.000 |
| 0.001 | 0.001 | 0.000 | -0.000 | -0.000 | 97.260 |
| 10.998 | 10.994 | 10.994 | -0.000 | -0.000 | 0.000 |
| 10.994 | 10.998 | 10.994 | -0.000 | -0.000 | 0.000 |
| 10.994 | 10.994 | 10.998 | -0.000 | -0.000 | -0.000 |
| -0.000 | -0.000 | -0.000 | 0.002 | 0.000 | 0.000 |
| -0.000 | -0.000 | -0.000 | 0.000 | 0.002 | 0.000 |
| -0.000 | -0.000 | -0.000 | 0.000 | 0.000 | 0.002 |
| 10.998 | 10.994 | 10.994 | 0.000 | -0.000 | -0.000 |
| 10.994 | 10.998 | 10.994 | -0.000 | 0.000 | -0.000 |
| 10.994 | 10.994 | 10.998 | -0.000 | -0.000 | 0.000 |
| 0.000 | 0.000 | 0.000 | 0.002 | -0.000 | -0.000 |
| 0.000 | 0.000 | 0.000 | -0.000 | 0.002 | -0.000 |
| 0.000 | 0.000 | 0.000 | -0.000 | -0.000 | 0.002 |
| 10.998 | 10.994 | 10.994 | 0.000 | 0.000 | 0.000 |
| 10.994 | 10.998 | 10.994 | 0.000 | 0.000 | 0.000 |
| 10.994 | 10.994 | 10.998 | 0.000 | 0.000 | 0.000 |
| -0.000 | -0.000 | -0.000 | 0.002 | 0.000 | 0.000 |
| -0.000 | -0.000 | -0.000 | 0.000 | 0.002 | 0.000 |
| -0.000 | -0.000 | -0.000 | 0.000 | 0.000 | 0.002 |
| 10.998 | 10.994 | 10.994 | 0.000 | 0.000 | -0.000 |
| 10.994 | 10.998 | 10.994 | 0.000 | 0.000 | -0.000 |
| 10.994 | 10.994 | 10.998 | 0.000 | 0.000 | 0.000 |
| 0.000 | 0.000 | 0.000 | 0.002 | -0.000 | -0.000 |
| 0.000 | 0.000 | 0.000 | -0.000 | 0.002 | -0.000 |
| 0.000 | 0.000 | 0.000 | -0.000 | -0.000 | 0.002 |
| 10.998 | 10.994 | 10.994 | -0.000 | 0.000 | 0.000 |
| 10.994 | 10.998 | 10.994 | 0.000 | -0.000 | 0.000 |
| 10.994 | 10.994 | 10.998 | 0.000 | 0.000 | -0.000 |
| -0.000 | -0.000 | -0.000 | 0.002 | 0.000 | 0.000 |
| -0.000 | -0.000 | -0.000 | 0.000 | 0.002 | 0.000 |
| -0.000 | -0.000 | -0.000 | 0.000 | 0.000 | 0.002 |
| 10.998 | 10.993 | 10.993 | -0.000 | -0.000 | -0.000 |
| 10.993 | 10.998 | 10.993 | -0.000 | -0.000 | -0.000 |
| 10.993 | 10.993 | 10.998 | -0.000 | -0.000 | -0.000 |
| 0.000 | 0.000 | 0.000 | 0.002 | -0.000 | -0.000 |
| 0.000 | 0.000 | 0.000 | -0.000 | 0.002 | -0.000 |
| 0.000 | 0.000 | 0.000 | -0.000 | -0.000 | 0.002 |
| 5.736 | 5.720 | 5.720 | 0.000 | 0.000 | 0.000 |
| 5.720 | 5.736 | 5.720 | 0.000 | 0.000 | 0.000 |
| 5.720 | 5.720 | 5.736 | 0.000 | 0.000 | 0.000 |
| -0.000 | -0.000 | -0.000 | 0.008 | 0.000 | 0.000 |
| -0.000 | -0.000 | -0.000 | 0.000 | 0.008 | 0.000 |
| -0.000 | -0.000 | -0.000 | 0.000 | 0.000 | 0.008 |
| 5.736 | 5.720 | 5.720 | -0.000 | -0.000 | -0.000 |
| 5.720 | 5.736 | 5.720 | -0.000 | -0.000 | -0.000 |
| 5.720 | 5.720 | 5.736 | -0.000 | -0.000 | -0.000 |
| 0.000 | 0.000 | 0.000 | 0.008 | -0.000 | -0.000 |
| 0.000 | 0.000 | 0.000 | -0.000 | 0.008 | -0.000 |
| 0.000 | 0.000 | 0.000 | -0.000 | -0.000 | 0.008 |
| 5.736 | 5.720 | 5.720 | 0.000 | 0.000 | 0.000 |
| 5.720 | 5.736 | 5.720 | 0.000 | 0.000 | 0.000 |
| 5.720 | 5.720 | 5.736 | 0.000 | 0.000 | 0.000 |
| -0.000 | -0.000 | -0.000 | 0.008 | 0.000 | 0.000 |
| -0.000 | -0.000 | -0.000 | 0.000 | 0.008 | 0.000 |
| -0.000 | -0.000 | -0.000 | 0.000 | 0.000 | 0.008 |
| 5.736 | 5.720 | 5.720 | -0.000 | -0.000 | -0.000 |
| 5.720 | 5.736 | 5.720 | -0.000 | -0.000 | -0.000 |
| 5.720 | 5.720 | 5.736 | -0.000 | -0.000 | -0.000 |
| 0.000 | 0.000 | 0.000 | 0.008 | -0.000 | -0.000 |
| 0.000 | 0.000 | 0.000 | -0.000 | 0.008 | -0.000 |
| 0.000 | 0.000 | 0.000 | -0.000 | -0.000 | 0.008 |
| 5.735 | 5.720 | 5.720 | 0.000 | 0.000 | 0.000 |
| 5.720 | 5.735 | 5.720 | 0.000 | 0.000 | 0.000 |
| 5.720 | 5.720 | 5.735 | 0.000 | 0.000 | 0.000 |
| -0.000 | -0.000 | -0.000 | 0.008 | 0.000 | 0.000 |
| -0.000 | -0.000 | -0.000 | 0.000 | 0.008 | 0.000 |
| -0.000 | -0.000 | -0.000 | 0.000 | 0.000 | 0.008 |
| 5.736 | 5.720 | 5.720 | -0.000 | -0.000 | -0.000 |
| 5.720 | 5.736 | 5.720 | -0.000 | -0.000 | -0.000 |
| 5.720 | 5.720 | 5.736 | -0.000 | -0.000 | -0.000 |
| 0.000 | 0.000 | 0.000 | 0.008 | -0.000 | -0.000 |
| 0.000 | 0.000 | 0.000 | -0.000 | 0.008 | -0.000 |
| 0.000 | 0.000 | 0.000 | -0.000 | -0.000 | 0.008 |
| 462.376 | 176.665 | 95.883 | -0.000 | -0.000 | -0.000 |
| 176.665 | 462.376 | 95.883 | -0.000 | 0.000 | -0.000 |
| 95.883 | 95.883 | 274.073 | -0.000 | 0.000 | -0.000 |
| -0.000 | 0.000 | 0.000 | 20.405 | 0.000 | -0.000 |
| 0.000 | 0.000 | 0.000 | 0.000 | 20.405 | 0.000 |
| 0.000 | 0.000 | 0.000 | -0.000 | 0.000 | 17.808 |
| 462.374 | 176.664 | 95.882 | -0.000 | -0.000 | -0.000 |
| 176.664 | 462.374 | 95.882 | -0.000 | -0.000 | -0.000 |
| 95.882 | 95.882 | 274.073 | -0.000 | -0.000 | 0.000 |
| 0.000 | -0.000 | -0.000 | 20.405 | -0.000 | -0.000 |
| -0.000 | -0.000 | -0.000 | -0.000 | 20.405 | 0.000 |
| -0.000 | -0.000 | -0.000 | 0.000 | -0.000 | 17.808 |
| 462.383 | 176.673 | 95.887 | 0.000 | 0.000 | 0.000 |
| 176.673 | 462.383 | 95.887 | -0.000 | 0.000 | 0.000 |
| 95.884 | 95.884 | 274.074 | -0.000 | -0.000 | -0.000 |
| -0.000 | 0.000 | 0.000 | 20.405 | 0.000 | -0.000 |
| 0.000 | -0.000 | 0.000 | -0.000 | 20.405 | 0.000 |
| 0.000 | 0.000 | 0.000 | 0.000 | -0.000 | 17.808 |
| 462.367 | 176.657 | 95.879 | 0.000 | -0.000 | -0.000 |
| 176.657 | 462.367 | 95.879 | 0.000 | -0.000 | 0.000 |
| 95.881 | 95.881 | 274.072 | -0.000 | 0.000 | 0.000 |
| 0.000 | -0.000 | -0.000 | 20.405 | -0.000 | -0.000 |
| -0.000 | 0.000 | -0.000 | 0.000 | 20.405 | 0.000 |
| -0.000 | -0.000 | -0.000 | 0.000 | -0.000 | 17.808 |
| 462.453 | 176.745 | 95.922 | 0.000 | -0.000 | 0.000 |
| 176.745 | 462.453 | 95.922 | -0.000 | 0.000 | 0.000 |
| 95.902 | 95.902 | 274.083 | -0.000 | 0.000 | -0.000 |
| -0.000 | 0.001 | 0.000 | 20.405 | 0.000 | -0.000 |
| 0.001 | -0.000 | 0.000 | -0.000 | 20.405 | 0.000 |
| 0.001 | 0.000 | 0.000 | -0.000 | 0.000 | 17.808 |
| 462.297 | 176.585 | 95.843 | -0.000 | 0.000 | 0.000 |
| 176.585 | 462.297 | 95.843 | 0.000 | -0.000 | 0.000 |
| 95.863 | 95.863 | 274.063 | -0.000 | -0.000 | 0.000 |
| 0.000 | -0.001 | -0.000 | 20.405 | -0.000 | -0.000 |
| -0.001 | 0.000 | -0.000 | 0.000 | 20.405 | 0.000 |
| -0.001 | -0.000 | -0.000 | -0.000 | 0.000 | 17.808 |
| 19.358 | 65.014 | 12.539 | -0.000 | -0.000 | -0.000 |
| 65.014 | 19.358 | 12.539 | -0.000 | -0.000 | -0.000 |
| 12.539 | 12.539 | -120.389 | 0.000 | -0.000 | -0.000 |
| 79335784.652 | -165971329.727 | -79688534.915 | 14.564 | 0.000 | -0.001 |
| -165971329.489 | 79335784.629 | -79688534.922 | 0.000 | 14.568 | 0.001 |
| 0.000 | -0.000 | -0.000 | 0.000 | -0.000 | 70.299 |
| 93970199.227 | 75202118.287 | 124238759.577 | -1633268.471 | 1100305.965 | 1010383.858 |
| 78674540.505 | 107657270.283 | 127290204.741 | -2197821.101 | -530599.854 | -959852.393 |
| 12.539 | 12.539 | -120.389 | -0.000 | -0.000 | -0.000 |
| -79335784.653 | 165971329.742 | 79688534.914 | 14.590 | 0.000 | 0.000 |
| 165971329.578 | -79335784.638 | 79688534.919 | -0.000 | 14.601 | 0.000 |
| -0.000 | 0.000 | 0.000 | 0.000 | -0.000 | 70.299 |
| -7712313.307 | -9810670.846 | -12093567.756 | -18631.422 | 46607.327 | -34936.428 |
| -9741496.557 | -7517046.455 | -12931909.069 | -64077.240 | 30087.075 | 172908.214 |
| 12.539 | 12.539 | -120.390 | 0.000 | -0.000 | 0.000 |
| 7933578.465 | -16597132.971 | -7968853.491 | 14.565 | -0.000 | 0.000 |
| -16597132.982 | 7933578.466 | -7968853.491 | -0.000 | 14.570 | -0.000 |
| -0.000 | -0.000 | -0.000 | -0.000 | -0.000 | 70.299 |
| 11279356.089 | 7777838.496 | 13882825.969 | -4095.487 | -167524.683 | 58052.840 |
| 8110143.932 | 9831054.949 | 12253974.412 | 36995.342 | 3500.959 | -175182.159 |
| 12.539 | 12.539 | -120.389 | -0.000 | 0.000 | -0.000 |
| -7933578.467 | 16597132.994 | 7968853.491 | 14.572 | 0.000 | -0.000 |
| 16597132.981 | -7933578.466 | 7968853.492 | -0.000 | 14.572 | 0.000 |
| 0.000 | 0.000 | 0.000 | 0.000 | 0.000 | 70.299 |
| -798359.677 | -923810.676 | -1171524.972 | 12404.596 | -764.587 | -2248.152 |
| -1024843.073 | -826871.240 | -1396797.497 | 366.194 | 67.435 | 10996.481 |
| 12.539 | 12.539 | -120.392 | -0.000 | -0.000 | 0.000 |
| 793357.847 | -1659713.300 | -796885.349 | 14.571 | -0.000 | -0.000 |
| -1659713.301 | 793357.847 | -796885.349 | 0.000 | 14.571 | 0.000 |
| -0.001 | -0.001 | -0.000 | 0.000 | -0.000 | 70.299 |
| 861282.920 | 723411.493 | 1232969.589 | 1810.132 | 3914.909 | 20107.236 |
| 822248.252 | 976190.582 | 1241056.595 | 7120.632 | -8591.239 | -5338.240 |
| 12.539 | 12.539 | -120.387 | -0.000 | 0.000 | 0.000 |
| -793357.846 | 1659713.297 | 796885.349 | 14.571 | -0.000 | -0.000 |
| 1659713.307 | -793357.847 | 796885.349 | 0.000 | 14.570 | 0.000 |
| 0.001 | 0.001 | 0.000 | -0.000 | -0.000 | 70.299 |
| 112.500 | 139.877 | 64.091 | 0.000 | -0.000 | -0.000 |
| 139.877 | 112.500 | 64.091 | -0.000 | 0.000 | -0.000 |
| 64.091 | 64.091 | 86.390 | -0.000 | -0.000 | -0.000 |
| 0.000 | -0.000 | -0.000 | 9.592 | -0.000 | -0.000 |
| -0.000 | -0.000 | -0.000 | -0.000 | 9.592 | 0.000 |
| -0.000 | -0.000 | -0.000 | -0.000 | 0.000 | 122.160 |
| 112.500 | 139.877 | 64.091 | -0.000 | 0.000 | 0.000 |
| 139.877 | 112.500 | 64.091 | 0.000 | -0.000 | -0.000 |
| 64.091 | 64.091 | 86.390 | 0.000 | 0.000 | -0.000 |
| -0.000 | 0.000 | 0.000 | 9.592 | 0.000 | 0.000 |
| 0.000 | 0.000 | 0.000 | 0.000 | 9.592 | 0.000 |
| 0.000 | 0.000 | 0.000 | 0.000 | -0.000 | 122.160 |
| 112.500 | 139.877 | 64.091 | 0.000 | -0.000 | 0.000 |
| 139.877 | 112.500 | 64.091 | -0.000 | 0.000 | 0.000 |
| 64.091 | 64.091 | 86.390 | -0.000 | -0.000 | 0.000 |
| -0.000 | -0.000 | -0.000 | 9.592 | -0.000 | -0.000 |
| -0.000 | -0.000 | -0.000 | -0.000 | 9.592 | 0.000 |
| -0.000 | -0.000 | -0.000 | -0.000 | 0.000 | 122.160 |
| 112.501 | 139.877 | 64.091 | -0.000 | -0.000 | 0.000 |
| 139.877 | 112.501 | 64.091 | -0.000 | -0.000 | -0.000 |
| 64.091 | 64.091 | 86.390 | 0.000 | 0.000 | -0.000 |
| 0.000 | 0.000 | 0.000 | 9.592 | 0.000 | 0.000 |
| 0.000 | 0.000 | 0.000 | 0.000 | 9.592 | -0.000 |
| 0.000 | 0.000 | 0.000 | 0.000 | -0.000 | 122.160 |
| 112.499 | 139.876 | 64.091 | 0.000 | 0.000 | 0.000 |
| 139.876 | 112.499 | 64.091 | -0.000 | 0.000 | 0.000 |
| 64.092 | 64.092 | 86.390 | -0.000 | -0.000 | -0.000 |
| -0.000 | -0.001 | -0.000 | 9.592 | -0.000 | -0.000 |
| -0.001 | -0.000 | -0.000 | -0.000 | 9.592 | 0.000 |
| -0.001 | -0.001 | -0.000 | 0.000 | -0.000 | 122.160 |
| 112.502 | 139.878 | 64.092 | -0.000 | -0.000 | 0.000 |
| 139.878 | 112.502 | 64.092 | -0.000 | -0.000 | 0.000 |
| 64.091 | 64.091 | 86.391 | 0.000 | 0.000 | -0.000 |
| 0.000 | 0.001 | 0.000 | 9.592 | 0.000 | 0.000 |
| 0.001 | 0.000 | 0.000 | 0.000 | 9.592 | 0.000 |
| 0.001 | 0.001 | 0.000 | 0.000 | 0.000 | 122.160 |
| 65.855 | 0.223 | 12.540 | -0.000 | -0.000 | -0.000 |
| 0.223 | 65.855 | 12.540 | -0.000 | -0.000 | 0.000 |
| 12.540 | 12.540 | 67.976 | -0.000 | -0.000 | 0.000 |
| 0.000 | 0.000 | 0.000 | 14.190 | -0.000 | -0.000 |
| 0.000 | 0.000 | 0.000 | -0.000 | 14.190 | -0.000 |
| 0.000 | -0.000 | -0.000 | -0.000 | -0.000 | 0.010 |
| 65.855 | 0.223 | 12.540 | 0.000 | 0.000 | -0.000 |
| 0.223 | 65.855 | 12.540 | 0.000 | -0.000 | 0.000 |
| 12.540 | 12.540 | 67.976 | 0.000 | 0.000 | -0.000 |
| -0.000 | -0.000 | -0.000 | 14.190 | 0.000 | -0.000 |
| -0.000 | -0.000 | -0.000 | 0.000 | 14.190 | 0.000 |
| 0.000 | 0.000 | 0.000 | -0.000 | 0.000 | 0.010 |
| 65.855 | 0.223 | 12.540 | -0.000 | 0.000 | 0.000 |
| 0.223 | 65.855 | 12.540 | -0.000 | -0.000 | -0.000 |
| 12.540 | 12.540 | 67.976 | -0.000 | -0.000 | 0.000 |
| -0.000 | 0.000 | 0.000 | 14.190 | -0.000 | -0.000 |
| 0.000 | -0.000 | 0.000 | -0.000 | 14.190 | -0.000 |
| -0.000 | -0.000 | -0.000 | -0.000 | -0.000 | 0.010 |
| 65.855 | 0.223 | 12.540 | -0.000 | -0.000 | 0.000 |
| 0.223 | 65.855 | 12.540 | 0.000 | -0.000 | 0.000 |
| 12.540 | 12.540 | 67.976 | 0.000 | 0.000 | -0.000 |
| 0.000 | -0.000 | -0.000 | 14.190 | 0.000 | -0.000 |
| -0.000 | 0.000 | -0.000 | 0.000 | 14.190 | 0.000 |
| 0.000 | 0.000 | 0.000 | 0.000 | 0.000 | 0.010 |
| 65.855 | 0.223 | 12.540 | -0.000 | -0.000 | -0.000 |
| 0.223 | 65.855 | 12.540 | -0.000 | -0.000 | -0.000 |
| 12.540 | 12.540 | 67.975 | -0.000 | -0.000 | -0.000 |
| -0.000 | 0.000 | 0.000 | 14.190 | 0.000 | -0.000 |
| 0.000 | -0.000 | 0.000 | -0.000 | 14.190 | -0.000 |
| -0.000 | -0.000 | -0.000 | -0.000 | -0.000 | 0.010 |
| 65.856 | 0.223 | 12.540 | 0.000 | 0.000 | -0.000 |
| 0.223 | 65.856 | 12.540 | 0.000 | 0.000 | 0.000 |
| 12.540 | 12.540 | 67.977 | 0.000 | 0.000 | -0.000 |
| 0.000 | -0.000 | -0.000 | 14.190 | -0.000 | 0.000 |
| -0.000 | 0.000 | -0.000 | 0.000 | 14.190 | 0.000 |
| 0.000 | 0.000 | 0.000 | 0.000 | 0.000 | 0.010 |
| 288.747 | 182.187 | 225.034 | -0.000 | -0.000 | -0.000 |
| 182.187 | 288.747 | 225.034 | 0.000 | 0.000 | -0.000 |
| 225.034 | 225.034 | 188.149 | 0.000 | 0.000 | -0.000 |
| -0.000 | -0.000 | -0.000 | 57.951 | -0.000 | -0.000 |
| -0.000 | -0.000 | -0.000 | -0.000 | 57.951 | -0.000 |
| -0.000 | -0.000 | 0.000 | 0.000 | -0.000 | 45.409 |
| 288.746 | 182.186 | 225.033 | 0.000 | -0.000 | 0.000 |
| 182.186 | 288.746 | 225.033 | 0.000 | -0.000 | 0.000 |
| 225.033 | 225.033 | 188.147 | 0.000 | -0.000 | -0.000 |
| 0.000 | 0.000 | 0.000 | 57.951 | 0.000 | 0.000 |
| 0.000 | 0.000 | -0.000 | 0.000 | 57.951 | 0.000 |
| 0.000 | 0.000 | -0.000 | -0.000 | 0.000 | 45.409 |
| 288.752 | 182.192 | 225.039 | 0.000 | -0.000 | -0.000 |
| 182.192 | 288.752 | 225.039 | 0.000 | -0.000 | -0.000 |
| 225.040 | 225.040 | 188.155 | 0.000 | -0.000 | -0.000 |
| -0.000 | 0.000 | 0.000 | 57.951 | -0.000 | -0.000 |
| 0.000 | -0.000 | 0.000 | -0.000 | 57.951 | -0.000 |
| -0.000 | -0.000 | 0.000 | 0.000 | -0.000 | 45.409 |
| 288.742 | 182.182 | 225.028 | -0.000 | -0.000 | 0.000 |
| 182.182 | 288.742 | 225.028 | 0.000 | -0.000 | 0.000 |
| 225.027 | 225.027 | 188.141 | -0.000 | 0.000 | 0.000 |
| 0.000 | -0.000 | -0.000 | 57.951 | 0.000 | 0.000 |
| -0.000 | 0.000 | -0.000 | 0.000 | 57.951 | 0.000 |
| 0.000 | 0.000 | -0.000 | -0.000 | 0.000 | 45.409 |
| 288.795 | 182.235 | 225.090 | -0.000 | -0.000 | -0.000 |
| 182.235 | 288.795 | 225.090 | -0.000 | -0.000 | -0.000 |
| 225.098 | 225.098 | 188.221 | -0.000 | -0.000 | -0.000 |
| -0.000 | 0.000 | 0.000 | 57.951 | -0.000 | -0.000 |
| 0.000 | -0.000 | 0.000 | -0.000 | 57.951 | -0.000 |
| -0.001 | -0.001 | 0.000 | -0.000 | -0.000 | 45.409 |
| 288.698 | 182.138 | 224.977 | -0.000 | -0.000 | 0.000 |
| 182.138 | 288.698 | 224.977 | -0.000 | -0.000 | 0.000 |
| 224.968 | 224.968 | 188.075 | 0.000 | 0.000 | 0.000 |
| 0.000 | -0.000 | -0.000 | 57.951 | 0.000 | 0.000 |
| -0.000 | 0.000 | -0.000 | 0.000 | 57.951 | 0.000 |
| 0.001 | 0.001 | -0.000 | 0.000 | 0.000 | 45.409 |
| 117.426 | 109.931 | 68.971 | 0.000 | 0.000 | 0.000 |
| 109.931 | 117.426 | 68.971 | 0.000 | 0.000 | 0.000 |
| 68.971 | 68.971 | 236.556 | 0.000 | 0.000 | 0.000 |
| 0.000 | 0.000 | 0.000 | 64.528 | 0.000 | 0.000 |
| 0.000 | 0.000 | 0.000 | 0.000 | 64.528 | 0.000 |
| -0.000 | -0.000 | 0.000 | 0.000 | 0.000 | 107.542 |
| 117.426 | 109.931 | 68.971 | -0.000 | -0.000 | -0.000 |
| 109.931 | 117.426 | 68.971 | -0.000 | -0.000 | -0.000 |
| 68.971 | 68.971 | 236.556 | -0.000 | -0.000 | -0.000 |
| -0.000 | -0.000 | -0.000 | 64.528 | -0.000 | -0.000 |
| -0.000 | -0.000 | -0.000 | -0.000 | 64.528 | -0.000 |
| 0.000 | 0.000 | -0.000 | -0.000 | -0.000 | 107.542 |
| 117.426 | 109.930 | 68.971 | 0.000 | 0.000 | 0.000 |
| 109.930 | 117.426 | 68.971 | 0.000 | 0.000 | 0.000 |
| 68.971 | 68.971 | 236.556 | 0.000 | 0.000 | 0.000 |
| 0.000 | -0.000 | 0.000 | 64.528 | 0.000 | 0.000 |
| -0.000 | 0.000 | 0.000 | 0.000 | 64.528 | 0.000 |
| -0.000 | -0.000 | 0.000 | 0.000 | 0.000 | 107.542 |
| 117.426 | 109.931 | 68.971 | -0.000 | -0.000 | -0.000 |
| 109.931 | 117.426 | 68.971 | -0.000 | -0.000 | -0.000 |
| 68.971 | 68.971 | 236.556 | -0.000 | -0.000 | -0.000 |
| -0.000 | 0.000 | -0.000 | 64.528 | -0.000 | -0.000 |
| 0.000 | -0.000 | -0.000 | -0.000 | 64.528 | -0.000 |
| 0.000 | 0.000 | -0.000 | -0.000 | -0.000 | 107.542 |
| 117.425 | 109.930 | 68.971 | 0.000 | -0.000 | 0.000 |
| 109.930 | 117.425 | 68.971 | 0.000 | 0.000 | 0.000 |
| 68.972 | 68.972 | 236.558 | 0.000 | 0.000 | 0.000 |
| 0.000 | -0.000 | 0.000 | 64.528 | 0.000 | 0.000 |
| -0.000 | 0.000 | 0.000 | 0.000 | 64.528 | 0.000 |
| -0.001 | -0.001 | 0.000 | 0.000 | 0.000 | 107.542 |
| 117.427 | 109.931 | 68.971 | -0.000 | -0.000 | 0.000 |
| 109.931 | 117.427 | 68.971 | -0.000 | -0.000 | -0.000 |
| 68.971 | 68.971 | 236.554 | -0.000 | -0.000 | -0.000 |
| -0.000 | 0.000 | -0.000 | 64.528 | -0.000 | -0.000 |
| 0.000 | -0.000 | -0.000 | -0.000 | 64.528 | -0.000 |
| 0.001 | 0.001 | -0.000 | -0.000 | -0.000 | 107.542 |
| 1303220.000 | 773020.998 | 551685.999 | -90504.101 | 6.622 | 0.232 |
| 773017.996 | 1303222.000 | 551685.999 | 90509.450 | 5.884 | 0.545 |
| 528958.996 | 528957.998 | -157584.001 | 0.807 | 8.259 | 0.342 |
| -90508.001 | 90508.999 | 0.000 | -1499.972 | 4.642 | -0.114 |
| -1.002 | 0.998 | 0.000 | -0.043 | -1497.531 | -90506.658 |
| -4.004 | -3.005 | -36.998 | 0.840 | -90502.485 | 265100.998 |
| 1303229.999 | 773026.003 | 551752.002 | -90507.867 | -4.834 | -0.578 |
| 773025.005 | 1303229.001 | 551752.002 | 90505.299 | -4.902 | 0.744 |
| 528960.002 | 528958.002 | -157586.001 | -1.902 | -2.653 | -0.185 |
| -90505.997 | 90505.003 | -0.000 | -1502.506 | -4.055 | -0.439 |
| -0.000 | -0.998 | -0.000 | -0.093 | -1507.345 | -90506.808 |
| 5.005 | 3.005 | 35.996 | -0.792 | -90511.425 | 265100.929 |
| 1303226.700 | 773025.999 | 551751.500 | -90506.668 | 0.371 | -0.024 |
| 773025.600 | 1303227.100 | 551751.500 | 90506.981 | 0.248 | 0.048 |
| 528958.600 | 528958.900 | -157588.500 | 0.090 | 0.467 | 0.013 |
| -90506.800 | 90506.600 | -0.500 | -1501.888 | 0.621 | 0.029 |
| -0.501 | -0.100 | -0.500 | 0.004 | -1501.595 | -90506.747 |
| -0.400 | -0.400 | -0.200 | -0.041 | -90506.276 | 265101.455 |
| 1303230.400 | 773026.000 | 551752.100 | -90506.793 | -0.325 | -0.030 |
| 773026.100 | 1303230.000 | 551752.200 | 90506.345 | -0.480 | -0.055 |
| 528960.900 | 528960.601 | -157570.000 | -0.064 | -0.480 | -0.011 |
| -90506.600 | 90507.100 | 0.400 | -1502.288 | -0.740 | -0.119 |
| 0.501 | 0.100 | 0.500 | -0.000 | -1502.572 | -90506.745 |
| 0.300 | 0.400 | 0.200 | 0.038 | -90507.269 | 265101.341 |
| 1303210.740 | 773024.000 | 551748.250 | -90507.618 | 0.082 | -0.003 |
| 773022.470 | 1303211.690 | 551745.620 | 90508.072 | 0.029 | 0.014 |
| 528954.570 | 528954.570 | -157613.250 | 0.003 | 0.048 | 0.002 |
| -90508.200 | 90502.340 | -4.910 | -1501.658 | 0.012 | -0.004 |
| -4.430 | -1.460 | -4.920 | -0.432 | -1502.059 | -90506.749 |
| -3.430 | -4.370 | -1.470 | -0.287 | -90506.706 | 265101.405 |
| 1303246.500 | 773027.620 | 551755.370 | -90505.885 | -0.014 | -0.007 |
| 773028.880 | 1303245.230 | 551755.370 | 90505.428 | -0.037 | -0.009 |
| 528963.470 | 528963.470 | -157557.930 | -0.027 | -0.063 | 0.004 |
| -90505.140 | 90511.300 | 6.220 | -1502.567 | -0.034 | -0.012 |
| 4.430 | 1.460 | 4.920 | 0.435 | -1502.171 | -90506.759 |
| 3.430 | 4.370 | 1.470 | 0.292 | -90506.801 | 265101.395 |
| 687.927 | -32.970 | -32.970 | -0.000 | 0.000 | -0.000 |
| -32.970 | 687.927 | -32.970 | 0.000 | -0.000 | -0.000 |
| -32.970 | -32.970 | 687.927 | 0.000 | 0.000 | -0.000 |
| -0.000 | 0.000 | -0.000 | 95.296 | 0.000 | -0.000 |
| -0.000 | 0.000 | -0.000 | 0.000 | 95.296 | -0.000 |
| -0.000 | -0.000 | -0.000 | 0.000 | -0.000 | 95.296 |
| 687.927 | -32.970 | -32.970 | -0.000 | -0.000 | 0.000 |
| -32.970 | 687.927 | -32.970 | -0.000 | -0.000 | 0.000 |
| -32.970 | -32.970 | 687.927 | -0.000 | -0.000 | 0.000 |
| 0.000 | -0.000 | 0.000 | 95.296 | -0.000 | 0.000 |
| 0.000 | -0.000 | 0.000 | -0.000 | 95.296 | 0.000 |
| 0.000 | 0.000 | 0.000 | 0.000 | -0.000 | 95.296 |
| 687.928 | -32.969 | -32.969 | 0.000 | -0.000 | -0.000 |
| -32.969 | 687.928 | -32.969 | -0.000 | 0.000 | -0.000 |
| -32.969 | -32.969 | 687.928 | 0.000 | 0.000 | -0.000 |
| 0.000 | 0.000 | 0.000 | 95.296 | 0.000 | -0.000 |
| 0.000 | 0.000 | 0.000 | -0.000 | 95.296 | -0.000 |
| 0.000 | 0.000 | 0.000 | -0.000 | 0.000 | 95.296 |
| 687.926 | -32.971 | -32.971 | -0.000 | -0.000 | 0.000 |
| -32.971 | 687.926 | -32.971 | -0.000 | -0.000 | 0.000 |
| -32.971 | -32.971 | 687.926 | -0.000 | -0.000 | 0.000 |
| -0.000 | -0.000 | -0.000 | 95.296 | 0.000 | 0.000 |
| -0.000 | -0.000 | -0.000 | -0.000 | 95.296 | 0.000 |
| -0.000 | -0.000 | -0.000 | 0.000 | -0.000 | 95.296 |
| 687.936 | -32.960 | -32.960 | -0.000 | 0.000 | -0.000 |
| -32.960 | 687.936 | -32.960 | 0.000 | 0.000 | 0.000 |
| -32.960 | -32.960 | 687.936 | 0.000 | 0.000 | 0.000 |
| 0.000 | 0.001 | 0.000 | 95.296 | 0.000 | -0.000 |
| 0.001 | 0.000 | 0.000 | 0.000 | 95.296 | -0.000 |
| 0.001 | 0.000 | 0.000 | -0.000 | 0.000 | 95.296 |
| 687.918 | -32.981 | -32.981 | -0.000 | -0.000 | 0.000 |
| -32.981 | 687.918 | -32.981 | -0.000 | -0.000 | 0.000 |
| -32.981 | -32.981 | 687.918 | -0.000 | 0.000 | 0.000 |
| -0.000 | -0.001 | -0.000 | 95.296 | 0.000 | 0.000 |
| -0.001 | -0.000 | -0.000 | -0.000 | 95.296 | 0.000 |
| -0.001 | -0.000 | -0.000 | 0.000 | -0.000 | 95.296 |
| 177.376 | 136.359 | 136.359 | 0.000 | 0.000 | -0.000 |
| 136.359 | 177.376 | 136.359 | 0.000 | -0.000 | -0.000 |
| 136.359 | 136.359 | 177.376 | 0.000 | -0.000 | -0.000 |
| 0.000 | 0.000 | 0.000 | 123.521 | 0.000 | -0.000 |
| 0.000 | 0.000 | 0.000 | 0.000 | 123.521 | -0.000 |
| 0.000 | 0.000 | 0.000 | -0.000 | 0.000 | 123.521 |
| 177.376 | 136.359 | 136.359 | 0.000 | -0.000 | 0.000 |
| 136.359 | 177.376 | 136.359 | 0.000 | -0.000 | -0.000 |
| 136.359 | 136.359 | 177.376 | 0.000 | 0.000 | -0.000 |
| -0.000 | -0.000 | -0.000 | 123.521 | 0.000 | -0.000 |
| -0.000 | -0.000 | -0.000 | 0.000 | 123.521 | 0.000 |
| -0.000 | -0.000 | -0.000 | 0.000 | -0.000 | 123.521 |
| 177.375 | 136.359 | 136.359 | -0.000 | 0.000 | -0.000 |
| 136.359 | 177.375 | 136.359 | 0.000 | -0.000 | 0.000 |
| 136.359 | 136.359 | 177.375 | -0.000 | -0.000 | 0.000 |
| 0.000 | 0.000 | 0.000 | 123.521 | 0.000 | -0.000 |
| 0.000 | 0.000 | 0.000 | 0.000 | 123.521 | 0.000 |
| 0.000 | 0.000 | 0.000 | 0.000 | 0.000 | 123.521 |
| 177.376 | 136.359 | 136.359 | -0.000 | -0.000 | 0.000 |
| 136.359 | 177.376 | 136.359 | 0.000 | -0.000 | -0.000 |
| 136.359 | 136.359 | 177.376 | -0.000 | 0.000 | -0.000 |
| -0.000 | -0.000 | -0.000 | 123.521 | -0.000 | 0.000 |
| -0.000 | -0.000 | -0.000 | 0.000 | 123.521 | 0.000 |
| -0.000 | -0.000 | -0.000 | 0.000 | 0.000 | 123.521 |
| 177.371 | 136.361 | 136.361 | -0.000 | 0.000 | -0.000 |
| 136.361 | 177.371 | 136.361 | 0.000 | -0.000 | 0.000 |
| 136.361 | 136.361 | 177.371 | 0.000 | 0.000 | -0.000 |
| 0.001 | 0.000 | 0.000 | 123.521 | 0.000 | -0.000 |
| 0.000 | 0.001 | 0.000 | 0.000 | 123.521 | -0.000 |
| 0.000 | 0.000 | 0.001 | -0.000 | 0.000 | 123.521 |
| 177.380 | 136.357 | 136.357 | 0.000 | -0.000 | -0.000 |
| 136.357 | 177.380 | 136.357 | -0.000 | 0.000 | 0.000 |
| 136.357 | 136.357 | 177.380 | 0.000 | 0.000 | -0.000 |
| -0.001 | -0.000 | -0.000 | 123.521 | -0.000 | 0.000 |
| -0.000 | -0.001 | -0.000 | -0.000 | 123.521 | 0.000 |
| -0.000 | -0.000 | -0.001 | -0.000 | -0.000 | 123.521 |
| 34.832 | 68.866 | 68.866 | 0.000 | -0.000 | -0.000 |
| 68.866 | 34.832 | 68.866 | 0.000 | -0.000 | -0.000 |
| 68.866 | 68.866 | 34.832 | -0.000 | -0.000 | -0.000 |
| -0.000 | -0.000 | -0.000 | 77.171 | -0.000 | -0.000 |
| -0.000 | -0.000 | -0.000 | 0.000 | 77.171 | -0.000 |
| -0.000 | -0.000 | -0.000 | -0.000 | -0.000 | 77.171 |
| 34.832 | 68.866 | 68.866 | -0.000 | 0.000 | 0.000 |
| 68.866 | 34.832 | 68.866 | 0.000 | 0.000 | 0.000 |
| 68.866 | 68.866 | 34.832 | -0.000 | 0.000 | 0.000 |
| 0.000 | 0.000 | 0.000 | 77.171 | -0.000 | 0.000 |
| 0.000 | 0.000 | 0.000 | 0.000 | 77.171 | 0.000 |
| 0.000 | 0.000 | 0.000 | -0.000 | 0.000 | 77.171 |
| 34.831 | 68.866 | 68.866 | 0.000 | 0.000 | -0.000 |
| 68.866 | 34.831 | 68.866 | 0.000 | 0.000 | -0.000 |
| 68.866 | 68.866 | 34.831 | 0.000 | 0.000 | -0.000 |
| -0.000 | -0.000 | -0.000 | 77.171 | 0.000 | -0.000 |
| -0.000 | -0.000 | -0.000 | 0.000 | 77.171 | -0.000 |
| -0.000 | -0.000 | -0.000 | 0.000 | -0.000 | 77.171 |
| 34.832 | 68.866 | 68.866 | 0.000 | 0.000 | 0.000 |
| 68.866 | 34.832 | 68.866 | 0.000 | -0.000 | 0.000 |
| 68.866 | 68.866 | 34.832 | -0.000 | -0.000 | 0.000 |
| 0.000 | 0.000 | 0.000 | 77.171 | 0.000 | 0.000 |
| 0.000 | 0.000 | 0.000 | 0.000 | 77.171 | 0.000 |
| 0.000 | 0.000 | 0.000 | 0.000 | 0.000 | 77.171 |
| 34.830 | 68.865 | 68.865 | 0.000 | -0.000 | -0.000 |
| 68.865 | 34.830 | 68.865 | 0.000 | 0.000 | -0.000 |
| 68.865 | 68.865 | 34.830 | 0.000 | 0.000 | -0.000 |
| -0.001 | -0.002 | -0.002 | 77.171 | 0.000 | -0.000 |
| -0.002 | -0.001 | -0.002 | 0.000 | 77.171 | -0.000 |
| -0.002 | -0.002 | -0.001 | -0.000 | -0.000 | 77.171 |
| 34.833 | 68.868 | 68.868 | 0.000 | -0.000 | 0.000 |
| 68.868 | 34.833 | 68.868 | -0.000 | -0.000 | 0.000 |
| 68.868 | 68.868 | 34.833 | -0.000 | 0.000 | 0.000 |
| 0.001 | 0.002 | 0.002 | 77.171 | -0.000 | 0.000 |
| 0.002 | 0.001 | 0.002 | 0.000 | 77.171 | 0.000 |
| 0.002 | 0.002 | 0.001 | 0.000 | -0.000 | 77.171 |
| 152.118 | 68.157 | 68.157 | 0.000 | 0.000 | 0.000 |
| 68.157 | 152.118 | 68.157 | 0.000 | 0.000 | 0.000 |
| 68.157 | 68.157 | 152.118 | -0.000 | 0.000 | 0.000 |
| 0.000 | -0.000 | -0.000 | 76.365 | 0.000 | -0.000 |
| -0.000 | 0.000 | -0.000 | -0.000 | 76.365 | -0.000 |
| -0.000 | -0.000 | 0.000 | 0.000 | -0.000 | 76.365 |
| 152.118 | 68.157 | 68.157 | -0.000 | -0.000 | -0.000 |
| 68.157 | 152.118 | 68.157 | 0.000 | -0.000 | 0.000 |
| 68.157 | 68.157 | 152.118 | 0.000 | 0.000 | -0.000 |
| -0.000 | 0.000 | 0.000 | 76.365 | 0.000 | -0.000 |
| 0.000 | -0.000 | 0.000 | -0.000 | 76.365 | -0.000 |
| 0.000 | 0.000 | -0.000 | -0.000 | 0.000 | 76.365 |
| 152.118 | 68.157 | 68.157 | 0.000 | 0.000 | 0.000 |
| 68.157 | 152.118 | 68.157 | 0.000 | 0.000 | -0.000 |
| 68.157 | 68.157 | 152.118 | 0.000 | -0.000 | 0.000 |
| -0.000 | -0.000 | -0.000 | 76.365 | -0.000 | 0.000 |
| -0.000 | -0.000 | -0.000 | -0.000 | 76.365 | 0.000 |
| -0.000 | -0.000 | -0.000 | -0.000 | -0.000 | 76.365 |
| 152.119 | 68.157 | 68.157 | 0.000 | 0.000 | -0.000 |
| 68.157 | 152.119 | 68.157 | -0.000 | 0.000 | -0.000 |
| 68.157 | 68.157 | 152.119 | -0.000 | 0.000 | 0.000 |
| 0.000 | 0.000 | 0.000 | 76.365 | 0.000 | -0.000 |
| 0.000 | 0.000 | 0.000 | 0.000 | 76.365 | 0.000 |
| 0.000 | 0.000 | 0.000 | 0.000 | 0.000 | 76.365 |
| 152.116 | 68.157 | 68.157 | 0.000 | -0.000 | 0.000 |
| 68.157 | 152.116 | 68.157 | -0.000 | -0.000 | -0.000 |
| 68.157 | 68.157 | 152.116 | -0.000 | -0.000 | 0.000 |
| -0.000 | -0.001 | -0.001 | 76.365 | -0.000 | 0.000 |
| -0.001 | -0.000 | -0.001 | 0.000 | 76.365 | -0.000 |
| -0.001 | -0.001 | -0.000 | 0.000 | -0.000 | 76.365 |
| 152.120 | 68.158 | 68.158 | -0.000 | 0.000 | 0.000 |
| 68.158 | 152.120 | 68.158 | 0.000 | 0.000 | -0.000 |
| 68.158 | 68.158 | 152.120 | 0.000 | -0.000 | 0.000 |
| 0.000 | 0.001 | 0.001 | 76.365 | -0.000 | -0.000 |
| 0.001 | 0.000 | 0.001 | 0.000 | 76.365 | 0.000 |
| 0.001 | 0.001 | 0.000 | -0.000 | 0.000 | 76.365 |
| 78.388 | -1.107 | -1.107 | 0.000 | -0.000 | 0.000 |
| -1.107 | 78.388 | -1.107 | -0.000 | 0.000 | -0.000 |
| -1.107 | -1.107 | 78.388 | -0.000 | -0.000 | 0.000 |
| 0.000 | -0.000 | -0.000 | 0.007 | -0.000 | -0.000 |
| -0.000 | 0.000 | -0.000 | 0.000 | 0.007 | 0.000 |
| -0.000 | -0.000 | 0.000 | -0.000 | -0.000 | 0.007 |
| 78.388 | -1.107 | -1.107 | -0.000 | 0.000 | -0.000 |
| -1.107 | 78.388 | -1.107 | 0.000 | -0.000 | 0.000 |
| -1.107 | -1.107 | 78.388 | 0.000 | 0.000 | 0.000 |
| -0.000 | -0.000 | 0.000 | 0.007 | -0.000 | 0.000 |
| -0.000 | -0.000 | 0.000 | -0.000 | 0.007 | -0.000 |
| -0.000 | 0.000 | -0.000 | 0.000 | 0.000 | 0.007 |
| 78.388 | -1.107 | -1.107 | -0.000 | -0.000 | -0.000 |
| -1.107 | 78.388 | -1.107 | -0.000 | -0.000 | -0.000 |
| -1.107 | -1.107 | 78.388 | 0.000 | 0.000 | -0.000 |
| 0.000 | 0.000 | -0.000 | 0.007 | -0.000 | 0.000 |
| 0.000 | 0.000 | -0.000 | -0.000 | 0.007 | 0.000 |
| 0.000 | -0.000 | 0.000 | -0.000 | -0.000 | 0.007 |
| 78.388 | -1.107 | -1.107 | -0.000 | 0.000 | 0.000 |
| -1.107 | 78.388 | -1.107 | 0.000 | -0.000 | 0.000 |
| -1.107 | -1.107 | 78.388 | 0.000 | 0.000 | -0.000 |
| -0.000 | -0.000 | 0.000 | 0.007 | -0.000 | 0.000 |
| -0.000 | -0.000 | 0.000 | 0.000 | 0.007 | -0.000 |
| -0.000 | 0.000 | -0.000 | 0.000 | 0.000 | 0.007 |
| 78.389 | -1.107 | -1.107 | -0.000 | -0.000 | -0.000 |
| -1.107 | 78.389 | -1.107 | -0.000 | -0.000 | 0.000 |
| -1.107 | -1.107 | 78.389 | 0.000 | 0.000 | 0.000 |
| 0.000 | 0.000 | -0.000 | 0.007 | 0.000 | 0.000 |
| 0.000 | 0.000 | -0.000 | 0.000 | 0.007 | 0.000 |
| 0.000 | -0.000 | 0.000 | -0.000 | 0.000 | 0.007 |
| 78.387 | -1.107 | -1.107 | 0.000 | 0.000 | -0.000 |
| -1.107 | 78.387 | -1.107 | 0.000 | 0.000 | -0.000 |
| -1.107 | -1.107 | 78.387 | -0.000 | -0.000 | 0.000 |
| -0.000 | -0.000 | 0.000 | 0.007 | 0.000 | -0.000 |
| -0.000 | -0.000 | 0.000 | 0.000 | 0.007 | -0.000 |
| -0.000 | 0.000 | -0.000 | 0.000 | 0.000 | 0.007 |
| 42.199 | -1.266 | -1.266 | 0.000 | -0.000 | 0.000 |
| -1.266 | 42.199 | -1.266 | -0.000 | 0.000 | -0.000 |
| -1.266 | -1.266 | 42.199 | -0.000 | -0.000 | 0.000 |
| 0.000 | -0.000 | 0.000 | 0.026 | 0.000 | 0.000 |
| -0.000 | 0.000 | 0.000 | -0.000 | 0.026 | 0.000 |
| -0.000 | 0.000 | -0.000 | 0.000 | 0.000 | 0.026 |
| 42.199 | -1.266 | -1.266 | -0.000 | 0.000 | 0.000 |
| -1.266 | 42.199 | -1.266 | 0.000 | -0.000 | -0.000 |
| -1.266 | -1.266 | 42.199 | -0.000 | -0.000 | 0.000 |
| -0.000 | 0.000 | -0.000 | 0.026 | -0.000 | 0.000 |
| 0.000 | -0.000 | -0.000 | 0.000 | 0.026 | -0.000 |
| 0.000 | -0.000 | -0.000 | 0.000 | 0.000 | 0.026 |
| 42.199 | -1.266 | -1.266 | -0.000 | -0.000 | -0.000 |
| -1.266 | 42.199 | -1.266 | -0.000 | -0.000 | 0.000 |
| -1.266 | -1.266 | 42.199 | 0.000 | 0.000 | -0.000 |
| 0.000 | 0.000 | -0.000 | 0.026 | 0.000 | -0.000 |
| 0.000 | 0.000 | -0.000 | 0.000 | 0.026 | 0.000 |
| 0.000 | -0.000 | 0.000 | 0.000 | 0.000 | 0.026 |
| 42.199 | -1.266 | -1.266 | -0.000 | 0.000 | 0.000 |
| -1.266 | 42.199 | -1.266 | 0.000 | -0.000 | -0.000 |
| -1.266 | -1.266 | 42.199 | 0.000 | 0.000 | -0.000 |
| -0.000 | -0.000 | 0.000 | 0.026 | 0.000 | 0.000 |
| -0.000 | -0.000 | 0.000 | 0.000 | 0.026 | -0.000 |
| -0.000 | 0.000 | -0.000 | -0.000 | 0.000 | 0.026 |
| 42.198 | -1.266 | -1.266 | 0.000 | -0.000 | -0.000 |
| -1.266 | 42.198 | -1.266 | -0.000 | 0.000 | -0.000 |
| -1.266 | -1.266 | 42.198 | -0.000 | -0.000 | 0.000 |
| 0.000 | 0.000 | -0.000 | 0.026 | 0.000 | -0.000 |
| 0.000 | 0.000 | -0.000 | 0.000 | 0.026 | -0.000 |
| 0.000 | -0.000 | 0.000 | 0.000 | -0.000 | 0.026 |
| 42.200 | -1.266 | -1.266 | -0.000 | -0.000 | -0.000 |
| -1.266 | 42.200 | -1.266 | -0.000 | -0.000 | -0.000 |
| -1.266 | -1.266 | 42.200 | -0.000 | -0.000 | -0.000 |
| -0.000 | -0.000 | 0.000 | 0.026 | 0.000 | 0.000 |
| -0.000 | -0.000 | 0.000 | 0.000 | 0.026 | 0.000 |
| -0.000 | 0.000 | -0.000 | 0.000 | 0.000 | 0.026 |
| 270.022 | 97.672 | 34.213 | -0.000 | 0.000 | 0.000 |
| 97.672 | 270.022 | 34.213 | -0.000 | -0.000 | 0.000 |
| 34.213 | 34.213 | -413.722 | 0.000 | -0.000 | -0.000 |
| -0.000 | 0.000 | -0.000 | -11.283 | 0.000 | 0.000 |
| 0.000 | -0.000 | -0.000 | 0.000 | -11.283 | 0.000 |
| -0.000 | 0.000 | 0.000 | -0.000 | 0.000 | 86.175 |
| 270.023 | 97.673 | 34.213 | 0.000 | 0.000 | -0.000 |
| 97.673 | 270.023 | 34.213 | -0.000 | 0.000 | -0.000 |
| 34.213 | 34.213 | -413.722 | 0.000 | -0.000 | -0.000 |
| 0.000 | -0.000 | 0.000 | -11.283 | 0.000 | -0.000 |
| -0.000 | 0.000 | 0.000 | 0.000 | -11.283 | -0.000 |
| 0.000 | -0.000 | -0.000 | 0.000 | -0.000 | 86.175 |
| 270.020 | 97.670 | 34.211 | 0.000 | 0.000 | 0.000 |
| 97.670 | 270.020 | 34.211 | -0.000 | 0.000 | 0.000 |
| 34.211 | 34.211 | -413.724 | 0.000 | -0.000 | 0.000 |
| -0.000 | 0.000 | -0.000 | -11.283 | 0.000 | -0.000 |
| 0.000 | -0.000 | -0.000 | -0.000 | -11.283 | 0.000 |
| -0.000 | 0.000 | 0.000 | 0.000 | -0.000 | 86.175 |
| 270.025 | 97.675 | 34.215 | -0.000 | -0.000 | -0.000 |
| 97.675 | 270.026 | 34.215 | 0.000 | -0.000 | -0.000 |
| 34.215 | 34.215 | -413.719 | 0.000 | -0.000 | -0.000 |
| 0.000 | -0.000 | 0.000 | -11.283 | -0.000 | -0.000 |
| -0.000 | 0.000 | 0.000 | 0.000 | -11.283 | -0.000 |
| 0.000 | -0.000 | -0.000 | 0.000 | 0.000 | 86.175 |
| 269.996 | 97.644 | 34.191 | -0.000 | 0.000 | 0.000 |
| 97.644 | 269.995 | 34.191 | -0.000 | 0.000 | 0.000 |
| 34.194 | 34.194 | -413.745 | 0.000 | 0.000 | 0.000 |
| -0.000 | 0.000 | -0.000 | -11.283 | -0.000 | -0.000 |
| 0.000 | -0.000 | -0.000 | -0.000 | -11.283 | 0.000 |
| -0.000 | 0.001 | 0.000 | -0.000 | 0.000 | 86.175 |
| 270.050 | 97.701 | 34.236 | 0.000 | -0.000 | -0.000 |
| 97.701 | 270.051 | 34.236 | 0.000 | -0.000 | -0.000 |
| 34.233 | 34.233 | -413.698 | -0.000 | -0.000 | -0.000 |
| 0.000 | -0.000 | 0.000 | -11.283 | 0.000 | -0.000 |
| -0.000 | 0.000 | 0.000 | 0.000 | -11.283 | -0.000 |
| 0.000 | -0.001 | -0.000 | 0.000 | -0.000 | 86.175 |
| 382.739 | 145.857 | 141.029 | 0.000 | -0.000 | 0.000 |
| 145.857 | 382.739 | 141.029 | -0.000 | -0.000 | 0.000 |
| 143.416 | 143.416 | 465.051 | 0.000 | -0.000 | -0.000 |
| 0.000 | 0.000 | 0.000 | 89.174 | -0.000 | 0.000 |
| 0.000 | 0.000 | 0.000 | 0.000 | 89.174 | 0.000 |
| 0.000 | 0.000 | 0.000 | 0.000 | 0.000 | 118.127 |
| 382.738 | 145.857 | 141.029 | -0.000 | 0.000 | -0.000 |
| 145.857 | 382.738 | 141.029 | -0.000 | -0.000 | -0.000 |
| 143.416 | 143.416 | 465.050 | -0.000 | -0.000 | 0.000 |
| -0.000 | -0.000 | -0.000 | 89.174 | -0.000 | -0.000 |
| -0.000 | -0.000 | -0.000 | -0.000 | 89.174 | -0.000 |
| -0.000 | -0.000 | -0.000 | -0.000 | -0.000 | 118.127 |
| 382.744 | 145.859 | 141.031 | 0.000 | -0.000 | 0.000 |
| 145.859 | 382.744 | 141.031 | 0.000 | 0.000 | 0.000 |
| 143.419 | 143.419 | 465.058 | 0.000 | -0.000 | 0.000 |
| 0.000 | 0.000 | 0.000 | 89.174 | 0.000 | 0.000 |
| 0.000 | 0.000 | 0.000 | 0.000 | 89.174 | 0.000 |
| 0.000 | 0.000 | 0.000 | 0.000 | 0.000 | 118.127 |
| 382.733 | 145.855 | 141.027 | 0.000 | -0.000 | -0.000 |
| 145.855 | 382.733 | 141.027 | -0.000 | 0.000 | -0.000 |
| 143.413 | 143.413 | 465.044 | -0.000 | 0.000 | -0.000 |
| -0.000 | -0.000 | -0.000 | 89.174 | -0.000 | -0.000 |
| -0.000 | -0.000 | -0.000 | 0.000 | 89.174 | -0.000 |
| -0.000 | -0.000 | -0.000 | -0.000 | 0.000 | 118.127 |
| 382.793 | 145.874 | 141.049 | 0.000 | -0.000 | 0.000 |
| 145.874 | 382.793 | 141.049 | 0.000 | -0.000 | 0.000 |
| 143.447 | 143.447 | 465.121 | 0.000 | 0.000 | 0.000 |
| 0.000 | 0.001 | 0.002 | 89.174 | -0.000 | 0.000 |
| 0.001 | 0.000 | 0.002 | 0.000 | 89.174 | 0.000 |
| 0.001 | 0.002 | 0.001 | -0.000 | -0.000 | 118.127 |
| 382.683 | 145.839 | 141.009 | -0.000 | 0.000 | -0.000 |
| 145.839 | 382.683 | 141.009 | 0.000 | -0.000 | -0.000 |
| 143.386 | 143.386 | 464.981 | 0.000 | -0.000 | -0.000 |
| -0.000 | -0.001 | -0.002 | 89.174 | -0.000 | -0.000 |
| -0.001 | -0.000 | -0.002 | 0.000 | 89.174 | -0.000 |
| -0.001 | -0.002 | -0.001 | -0.000 | -0.000 | 118.127 |
| 356.392 | 138.900 | 138.996 | -0.000 | -0.000 | -0.000 |
| 138.900 | 356.392 | 138.996 | -0.000 | -0.000 | -0.000 |
| 2782.336 | 2782.336 | -2601.205 | -0.000 | 0.000 | -0.000 |
| 3384.673 | 3384.673 | -1596.822 | 63.676 | 0.000 | -0.000 |
| 3384.673 | 3384.673 | -1596.822 | 0.000 | 63.676 | -0.000 |
| 3602.543 | 3602.543 | -1765.274 | -0.000 | -0.000 | 85.293 |
| 356.391 | 138.900 | 138.995 | 0.000 | 0.000 | 0.000 |
| 138.900 | 356.391 | 138.995 | 0.000 | -0.000 | 0.000 |
| -753.323 | -753.323 | 964.160 | 0.000 | -0.000 | 0.000 |
| -3384.673 | -3384.673 | 1596.822 | 63.676 | -0.000 | 0.000 |
| -3384.673 | -3384.673 | 1596.822 | -0.000 | 63.676 | 0.000 |
| -3602.543 | -3602.543 | 1765.274 | 0.000 | -0.000 | 85.293 |
| 356.397 | 138.901 | 138.998 | -0.000 | -0.000 | -0.000 |
| 138.901 | 356.397 | 138.998 | -0.000 | -0.000 | -0.000 |
| 141.229 | 141.229 | 476.039 | -0.000 | 0.000 | -0.000 |
| 0.000 | 0.000 | 0.000 | 89.830 | 0.000 | -0.000 |
| 0.000 | 0.000 | 0.000 | 0.000 | 89.830 | -0.000 |
| 338.570 | 338.570 | -157.281 | -0.000 | 0.000 | 69.602 |
| -65.007 | -67.506 | 420.660 | -0.000 | -0.000 | 0.000 |
| -67.506 | -65.007 | 420.660 | -0.000 | -0.000 | -0.000 |
| 141.223 | 141.223 | 476.025 | 0.000 | -0.000 | -0.000 |
| -0.000 | -0.000 | -0.000 | 89.830 | -0.000 | 0.000 |
| -0.000 | -0.000 | -0.000 | 0.000 | 89.830 | 0.000 |
| -338.570 | -338.570 | 157.281 | 0.000 | -0.000 | 69.602 |
| 289.300 | 189.638 | 109.886 | 0.000 | 0.000 | -0.000 |
| 189.638 | 289.300 | 109.886 | 0.000 | 0.000 | -0.000 |
| 141.257 | 141.257 | 476.103 | -0.000 | 0.000 | -0.000 |
| 0.000 | 0.001 | 0.002 | 89.830 | 0.000 | -0.000 |
| 0.001 | 0.000 | 0.002 | 0.000 | 89.830 | -0.000 |
| 15.380 | 15.381 | -17.412 | 0.000 | 0.000 | 60.065 |
| 227.264 | 167.421 | 144.807 | -0.000 | -0.000 | -0.000 |
| 167.421 | 227.264 | 144.807 | -0.000 | -0.000 | 0.000 |
| 97.531 | 97.531 | 459.370 | -0.000 | -0.000 | 0.000 |
| -0.000 | -0.001 | -0.002 | 89.830 | -0.000 | 0.000 |
| -0.001 | -0.000 | -0.002 | 0.000 | 89.830 | 0.000 |
| -15.380 | -15.381 | 17.412 | -0.000 | -0.000 | 60.065 |
| 177.296 | -1.940 | 164.343 | 0.000 | -0.000 | -0.000 |
| -1.940 | 177.296 | 164.343 | 0.000 | -0.000 | -0.000 |
| 112.317 | 112.317 | 439.449 | -0.000 | -0.000 | -0.000 |
| -0.000 | 0.000 | 0.000 | 94.405 | -0.000 | -0.000 |
| 0.000 | 0.000 | 0.000 | 0.000 | 94.405 | -0.000 |
| 0.000 | 0.000 | 0.000 | 0.000 | -0.000 | 109.278 |
| 338.604 | 123.198 | 112.317 | -0.000 | 0.000 | 0.000 |
| 123.198 | 338.604 | 112.317 | -0.000 | 0.000 | 0.000 |
| 201.823 | 201.823 | 433.112 | 0.000 | 0.000 | -0.000 |
| -0.000 | -0.000 | -0.000 | 94.405 | 0.000 | 0.000 |
| -0.000 | -0.000 | -0.000 | 0.000 | 94.405 | 0.000 |
| -0.000 | -0.000 | -0.000 | -0.000 | 0.000 | 109.278 |
| 288.693 | 123.399 | 101.789 | 0.000 | -0.000 | -0.000 |
| 123.399 | 288.693 | 101.789 | 0.000 | -0.000 | -0.000 |
| 112.323 | 112.323 | 439.460 | -0.000 | -0.000 | -0.000 |
| -12.156 | -12.156 | 6.133 | 83.993 | -0.000 | -0.000 |
| -12.156 | -12.156 | 6.133 | -0.000 | 83.993 | -0.000 |
| -11.785 | -11.785 | 5.946 | 0.000 | -0.000 | 82.536 |
| 338.600 | 123.195 | 112.312 | -0.000 | 0.000 | 0.000 |
| 123.195 | 338.600 | 112.312 | -0.000 | -0.000 | 0.000 |
| 113.115 | 113.115 | 412.659 | 0.000 | 0.000 | 0.000 |
| 12.156 | 12.156 | -6.133 | 83.993 | 0.000 | 0.000 |
| 12.156 | 12.156 | -6.133 | 0.000 | 83.993 | 0.000 |
| 11.785 | 11.785 | -5.946 | 0.000 | 0.000 | 82.536 |
| 278.698 | 144.023 | 100.593 | 0.000 | -0.000 | -0.000 |
| 144.023 | 278.698 | 100.593 | 0.000 | -0.000 | -0.000 |
| 102.979 | 102.979 | 411.164 | -0.000 | -0.000 | -0.000 |
| -1.380 | -1.380 | 0.698 | 82.581 | -0.000 | -0.000 |
| -1.380 | -1.380 | 0.698 | -0.000 | 82.581 | -0.000 |
| 0.002 | 0.002 | 0.002 | 0.000 | -0.000 | 109.278 |
| 305.836 | 119.721 | 105.024 | -0.000 | 0.000 | 0.000 |
| 119.721 | 305.836 | 105.024 | 0.000 | -0.000 | 0.000 |
| 112.248 | 112.248 | 439.322 | 0.000 | 0.000 | 0.000 |
| 1.380 | 1.380 | -0.698 | 82.581 | 0.000 | 0.000 |
| 1.380 | 1.380 | -0.698 | -0.000 | 82.581 | 0.000 |
| -0.002 | -0.002 | -0.002 | -0.000 | 0.000 | 109.278 |
| 291.842 | 114.753 | 117.909 | 0.504 | 2.982 | 7.223 |
| 115.061 | 292.314 | 116.245 | 1.669 | 1.613 | -6.942 |
| 117.322 | 116.334 | 277.969 | -5.923 | 6.217 | 7.416 |
| 0.260 | 0.422 | -5.923 | 78.921 | 6.015 | 0.893 |
| 0.381 | 1.522 | 6.217 | 6.015 | 79.699 | 0.386 |
| 3.112 | -6.932 | 7.514 | 0.985 | 1.641 | 80.405 |
| 291.842 | 114.753 | 117.909 | 0.504 | 2.982 | 7.223 |
| 115.061 | 292.314 | 116.245 | 1.669 | 1.613 | -6.942 |
| 117.322 | 116.334 | 277.969 | -5.923 | 6.217 | 7.416 |
| 0.260 | 0.422 | -5.923 | 78.921 | 6.015 | 0.893 |
| 0.381 | 1.522 | 6.217 | 6.015 | 79.699 | 0.386 |
| 3.112 | -6.932 | 7.514 | 0.985 | 1.641 | 80.405 |
| 291.842 | 114.753 | 117.909 | 0.504 | 2.982 | 7.223 |
| 115.061 | 292.315 | 116.245 | 1.669 | 1.613 | -6.942 |
| 117.323 | 116.335 | 277.970 | -5.924 | 6.217 | 7.416 |
| 0.260 | 0.422 | -5.923 | 78.921 | 6.015 | 0.893 |
| 0.381 | 1.522 | 6.217 | 6.015 | 79.699 | 0.386 |
| 3.112 | -6.932 | 7.514 | 0.985 | 1.641 | 80.406 |
| 291.841 | 114.753 | 117.909 | 0.504 | 2.982 | 7.223 |
| 115.061 | 292.314 | 116.245 | 1.669 | 1.613 | -6.942 |
| 117.322 | 116.334 | 277.968 | -5.923 | 6.217 | 7.416 |
| 0.260 | 0.422 | -5.924 | 78.921 | 6.015 | 0.893 |
| 0.381 | 1.522 | 6.217 | 6.015 | 79.699 | 0.386 |
| 3.112 | -6.932 | 7.514 | 0.984 | 1.641 | 80.405 |
| 291.845 | 114.753 | 117.909 | 0.504 | 2.984 | 7.222 |
| 115.061 | 292.317 | 116.247 | 1.671 | 1.615 | -6.942 |
| 117.324 | 116.337 | 277.978 | -5.924 | 6.218 | 7.415 |
| 0.260 | 0.422 | -5.923 | 78.921 | 6.015 | 0.893 |
| 0.381 | 1.522 | 6.217 | 6.015 | 79.700 | 0.386 |
| 3.112 | -6.931 | 7.514 | 0.985 | 1.641 | 80.406 |
| 291.839 | 114.753 | 117.908 | 0.503 | 2.981 | 7.223 |
| 115.060 | 292.312 | 116.243 | 1.668 | 1.612 | -6.941 |
| 117.321 | 116.332 | 277.960 | -5.923 | 6.216 | 7.416 |
| 0.260 | 0.421 | -5.924 | 78.921 | 6.015 | 0.893 |
| 0.381 | 1.522 | 6.217 | 6.015 | 79.699 | 0.386 |
| 3.111 | -6.932 | 7.514 | 0.984 | 1.641 | 80.405 |
| 275.174 | 111.925 | 119.809 | 10.909 | 19.067 | 1.294 |
| 114.227 | 226.831 | 102.422 | 4.706 | 4.715 | -8.888 |
| 120.127 | 100.903 | 263.651 | 2.287 | 3.974 | 2.168 |
| 9.745 | 1.549 | 2.287 | 66.704 | 1.707 | 1.094 |
| 15.305 | 4.140 | 3.974 | 1.707 | 86.820 | 5.795 |
| -1.297 | -8.841 | 2.204 | 1.669 | 7.136 | 81.506 |
| 275.174 | 111.926 | 119.809 | 10.909 | 19.067 | 1.294 |
| 114.228 | 226.832 | 102.422 | 4.706 | 4.715 | -8.888 |
| 120.127 | 100.903 | 263.651 | 2.287 | 3.974 | 2.168 |
| 9.745 | 1.549 | 2.287 | 66.704 | 1.707 | 1.094 |
| 15.305 | 4.140 | 3.974 | 1.707 | 86.820 | 5.795 |
| -1.297 | -8.841 | 2.204 | 1.669 | 7.136 | 81.506 |
| 275.173 | 111.925 | 119.808 | 10.909 | 19.067 | 1.295 |
| 114.227 | 226.831 | 102.421 | 4.705 | 4.715 | -8.888 |
| 120.126 | 100.902 | 263.651 | 2.287 | 3.974 | 2.168 |
| 9.745 | 1.549 | 2.287 | 66.704 | 1.707 | 1.094 |
| 15.305 | 4.140 | 3.974 | 1.707 | 86.820 | 5.795 |
| -1.297 | -8.841 | 2.204 | 1.669 | 7.136 | 81.506 |
| 275.175 | 111.926 | 119.809 | 10.909 | 19.067 | 1.294 |
| 114.228 | 226.832 | 102.423 | 4.706 | 4.715 | -8.889 |
| 120.127 | 100.904 | 263.652 | 2.287 | 3.974 | 2.167 |
| 9.745 | 1.549 | 2.287 | 66.704 | 1.707 | 1.094 |
| 15.305 | 4.140 | 3.974 | 1.707 | 86.820 | 5.795 |
| -1.297 | -8.841 | 2.204 | 1.669 | 7.136 | 81.506 |
| 275.165 | 111.919 | 119.802 | 10.908 | 19.067 | 1.295 |
| 114.222 | 226.827 | 102.416 | 4.703 | 4.714 | -8.888 |
| 120.120 | 100.897 | 263.646 | 2.285 | 3.974 | 2.168 |
| 9.745 | 1.549 | 2.287 | 66.703 | 1.707 | 1.094 |
| 15.305 | 4.139 | 3.974 | 1.707 | 86.820 | 5.795 |
| -1.297 | -8.841 | 2.204 | 1.669 | 7.136 | 81.506 |
| 275.183 | 111.932 | 119.816 | 10.910 | 19.067 | 1.294 |
| 114.233 | 226.836 | 102.428 | 4.708 | 4.715 | -8.889 |
| 120.133 | 100.910 | 263.656 | 2.289 | 3.975 | 2.167 |
| 9.745 | 1.549 | 2.287 | 66.704 | 1.707 | 1.094 |
| 15.305 | 4.140 | 3.974 | 1.707 | 86.820 | 5.795 |
| -1.297 | -8.842 | 2.204 | 1.669 | 7.136 | 81.506 |
| 478.089 | -438.751 | -64.480 | 67.349 | 6.366 | -90.755 |
| 105.387 | 225.424 | 98.861 | -9.465 | 4.953 | -5.141 |
| 110.797 | 99.750 | 213.800 | -5.651 | 3.955 | 1.807 |
| -1.383 | -9.764 | -5.651 | 71.066 | 1.573 | 2.158 |
| -3.653 | 4.772 | 3.955 | 1.573 | 81.145 | -2.502 |
| 245.625 | -545.053 | -171.309 | 70.138 | 7.821 | -40.888 |
| 207.366 | 263.015 | 175.675 | 99.482 | 8.339 | 53.247 |
| 105.387 | 225.424 | 98.861 | -9.465 | 4.953 | -5.141 |
| 61.501 | 258.482 | 260.654 | 97.051 | 13.488 | 47.748 |
| -49.617 | 151.713 | 65.068 | 160.702 | 12.734 | 50.496 |
| -52.823 | 164.265 | 71.712 | 102.998 | 78.885 | 45.585 |
| -45.726 | 155.377 | 68.316 | 103.325 | 9.115 | 114.183 |
| 279.850 | 102.983 | 107.766 | -1.704 | -1.219 | 5.220 |
| 110.415 | 188.514 | 90.883 | -18.250 | 3.543 | -9.332 |
| 110.798 | 99.751 | 213.801 | -5.651 | 3.955 | 1.807 |
| 4.377 | -24.189 | -9.925 | 50.534 | 1.787 | -1.810 |
| -0.893 | -35.196 | 16.244 | 9.260 | 44.138 | 7.302 |
| 2.560 | -5.098 | 1.760 | 2.339 | -1.166 | 78.022 |
| 279.860 | 102.994 | 107.783 | -1.704 | -1.218 | 5.222 |
| 81.080 | 242.329 | 114.885 | -14.012 | 3.693 | 6.004 |
| 110.833 | 99.791 | 213.854 | -5.651 | 3.959 | 1.811 |
| -5.437 | 7.828 | 3.745 | 70.465 | 3.791 | 7.714 |
| -8.646 | 20.362 | 10.369 | 12.819 | 69.919 | 2.797 |
| 2.560 | -5.098 | 1.760 | 2.339 | -1.166 | 78.022 |
| 279.858 | 102.990 | 107.774 | -1.705 | -1.219 | 5.219 |
| 107.633 | 182.029 | 96.097 | -6.464 | 4.670 | -4.707 |
| 105.282 | 90.929 | 147.481 | 9.778 | 4.698 | -3.331 |
| -1.383 | -9.763 | -5.651 | 71.066 | 1.573 | 2.158 |
| -3.653 | 4.772 | 3.956 | 1.573 | 81.145 | -2.502 |
| 7.436 | -9.369 | -2.231 | 3.903 | -0.233 | 55.454 |
| 253.223 | 104.896 | 108.285 | 0.471 | -1.543 | 6.275 |
| 105.017 | 206.329 | 98.524 | -7.122 | 4.651 | -4.046 |
| 110.113 | 100.323 | 191.988 | -1.899 | 3.629 | 0.628 |
| -1.901 | -1.359 | 1.147 | 49.004 | 4.122 | 3.829 |
| -4.264 | 6.045 | 4.250 | 3.961 | 68.073 | -1.409 |
| 2.411 | 1.743 | 1.198 | 2.432 | -0.431 | 57.383 |
| 209.796 | 61.855 | 7.271 | -0.000 | -0.000 | 0.000 |
| 91.205 | 238.366 | 47.390 | 0.000 | 0.000 | 0.000 |
| 5.344 | 47.500 | 124.080 | 0.000 | -0.000 | 0.000 |
| -0.082 | 0.020 | -0.001 | 34.824 | -0.000 | 0.000 |
| 0.000 | -0.000 | 0.000 | -0.000 | -23.363 | 0.000 |
| -0.848 | 0.208 | -0.011 | 0.000 | 0.000 | -71.945 |
| 88.852 | 91.551 | 5.749 | -0.000 | 0.000 | -0.000 |
| 62.079 | 245.517 | 47.023 | -0.000 | -0.000 | -0.000 |
| 6.957 | 47.104 | 124.100 | -0.000 | 0.000 | -0.000 |
| 0.082 | -0.020 | 0.001 | 34.824 | 0.000 | -0.000 |
| -0.000 | 0.000 | -0.000 | 0.000 | -23.363 | -0.000 |
| 0.848 | -0.208 | 0.011 | -0.000 | -0.000 | -71.945 |
| 88.040 | 91.755 | 5.742 | 0.000 | 0.000 | 0.000 |
| 62.082 | 245.520 | 47.025 | -0.000 | 0.000 | 0.000 |
| 7.456 | 46.984 | 124.108 | -0.000 | 0.000 | 0.000 |
| -0.008 | 0.002 | -0.000 | 34.824 | 0.000 | 0.000 |
| -0.044 | 0.011 | -0.001 | 0.000 | -23.363 | 0.000 |
| 0.000 | 0.000 | 0.000 | -0.000 | 0.000 | 67.826 |
| 209.793 | 61.852 | 7.269 | -0.000 | -0.000 | -0.000 |
| 62.077 | 245.515 | 47.021 | 0.000 | -0.000 | -0.000 |
| 5.998 | 47.337 | 124.087 | -0.000 | 0.000 | -0.000 |
| 0.008 | -0.002 | 0.000 | 34.824 | -0.000 | -0.000 |
| 0.044 | -0.011 | 0.001 | -0.000 | -23.363 | 0.000 |
| -0.000 | -0.000 | -0.000 | -0.000 | 0.000 | 67.826 |
| 209.822 | 61.880 | 7.292 | -0.000 | 0.000 | 0.000 |
| 91.979 | 238.206 | 47.418 | 0.000 | 0.000 | 0.000 |
| 5.935 | 47.375 | 124.102 | 0.000 | -0.000 | 0.000 |
| -0.001 | 0.001 | 0.001 | 34.824 | 0.000 | 0.000 |
| -0.006 | 0.001 | 0.000 | 0.000 | -23.363 | 0.000 |
| 1463965.102 | 5581589.386 | 1489490.183 | 0.000 | -0.000 | -8520873.717 |
| 88.079 | 91.701 | 5.714 | -0.000 | -0.000 | -0.000 |
| 62.054 | 245.490 | 47.003 | 0.000 | 0.000 | -0.000 |
| 5.912 | 47.340 | 124.072 | -0.000 | -0.000 | -0.000 |
| 0.001 | -0.001 | -0.001 | 34.824 | -0.000 | -0.000 |
| 0.006 | -0.001 | -0.000 | -0.000 | -23.363 | -0.000 |
| -1463965.102 | -5581589.386 | -1489490.183 | -0.000 | -0.000 | -8520873.717 |
| 7561603.540 | -150893.694 | 8312410.555 | -0.000 | 0.000 | -0.000 |
| 144.493 | 157.722 | 0.962 | 0.000 | 0.000 | -0.000 |
| 7561437.012 | -151034.445 | 8312628.892 | -0.000 | 0.000 | -0.000 |
| -383840606.789 | -575281690.753 | 235943278.619 | -146648893.340 | -30874964.688 | -69819042.263 |
| 3780980.017 | -75512.399 | 4156495.874 | -0.000 | 3908396.256 | -0.000 |
| 18.532 | 6.077 | 16.999 | 0.000 | 0.000 | 72.096 |
| 165.354 | 128.603 | 0.559 | 0.000 | -0.000 | -0.000 |
| 144.493 | 157.722 | 0.963 | 0.000 | 0.000 | -0.000 |
| 63.480 | 8.670 | 278.950 | -0.000 | -0.000 | 0.000 |
| 327668346.346 | 532791879.400 | -174205265.866 | -148020415.401 | 26213683.057 | -3250132.920 |
| -3780980.017 | 75512.399 | -4156495.874 | 0.000 | 3908396.256 | 0.000 |
| -18.532 | -6.077 | -16.999 | -0.000 | -0.000 | 72.096 |
| 756312.275 | -14970.243 | 831241.561 | -0.000 | 0.000 | -0.000 |
| 144.492 | 157.721 | 0.962 | -0.000 | 0.000 | -0.000 |
| 756145.746 | -15110.994 | 831459.899 | -0.000 | 0.000 | -0.000 |
| 0.000 | 0.000 | 0.000 | -45.328 | 0.000 | -0.000 |
| 377540.354 | -7732.885 | 415136.573 | -0.000 | 390948.144 | -0.000 |
| 0.000 | 0.000 | 0.000 | -0.000 | 0.000 | 72.096 |
| 232.073 | 150.483 | 61.762 | -0.000 | -0.000 | 0.000 |
| 126.838 | 151.933 | -15.232 | 0.000 | -0.000 | -0.000 |
| 17.424 | -6.433 | 236.702 | 0.000 | -0.000 | 0.000 |
| -0.000 | -0.000 | -0.000 | -45.328 | -0.000 | 0.000 |
| -377540.354 | 7732.885 | -415136.573 | 0.000 | 390948.144 | -0.000 |
| -0.000 | -0.000 | -0.000 | 0.000 | -0.000 | 72.096 |
| 75783.159 | -1377.901 | 83124.672 | -0.000 | 0.000 | -0.000 |
| 128.867 | 152.590 | -13.373 | -0.000 | 0.000 | -0.000 |
| 75616.631 | -1518.654 | 83343.012 | -0.000 | 0.000 | -0.000 |
| -3907419.089 | -5845767.290 | 1640510.172 | -1777149.336 | 257832.174 | 362811.753 |
| 37800.850 | -756.323 | 41554.892 | -0.000 | 39044.039 | -0.000 |
| -0.000 | 0.000 | 0.000 | 0.000 | 0.000 | 72.096 |
| 183.701 | 134.623 | 17.391 | -0.000 | -0.000 | -0.000 |
| 128.514 | 152.489 | -13.693 | 0.000 | -0.000 | 0.000 |
| 63.481 | 8.674 | 278.951 | -0.000 | -0.000 | -0.000 |
| 3501013.386 | 5855854.404 | -2069549.475 | -1536714.328 | -1073743.127 | 758497.867 |
| -37800.850 | 756.323 | -41554.892 | -0.000 | 39044.039 | 0.000 |
| 0.000 | -0.000 | -0.000 | -0.000 | -0.000 | 72.096 |
| 7401.890 | 7256.300 | 7256.300 | -0.000 | 0.000 | -0.000 |
| 7256.300 | 7401.890 | 7256.300 | -0.000 | 0.000 | -0.000 |
| 7256.300 | 7256.300 | 7401.890 | -0.000 | 0.000 | -0.000 |
| 6617.583 | 6617.583 | 6617.583 | 50.927 | 0.000 | -0.000 |
| 6617.583 | 6617.583 | 6617.583 | -0.000 | 50.927 | -0.000 |
| 6617.583 | 6617.583 | 6617.583 | -0.000 | 0.000 | 50.927 |
| -6370.181 | -6519.056 | -6519.056 | 0.000 | -0.000 | 0.000 |
| -6519.056 | -6370.181 | -6519.056 | 0.000 | -0.000 | 0.000 |
| -6519.056 | -6519.056 | -6370.181 | 0.000 | -0.000 | -0.000 |
| -6617.583 | -6617.583 | -6617.583 | 50.927 | -0.000 | 0.000 |
| -6617.583 | -6617.583 | -6617.583 | 0.000 | 50.927 | 0.000 |
| -6617.583 | -6617.583 | -6617.583 | -0.000 | -0.000 | 50.927 |
| 962.565 | 839.053 | 839.053 | -0.000 | 0.000 | 0.000 |
| 839.053 | 962.565 | 839.053 | -0.000 | 0.000 | -0.000 |
| 839.053 | 839.053 | 962.565 | -0.000 | 0.000 | -0.000 |
| 661.949 | 661.949 | 661.949 | 50.904 | 0.000 | 0.000 |
| 661.949 | 661.949 | 661.949 | -0.000 | 50.904 | -0.000 |
| 661.949 | 661.949 | 661.949 | -0.000 | 0.000 | 50.904 |
| -471.733 | -618.063 | -618.063 | 0.000 | -0.000 | 0.000 |
| -618.063 | -471.733 | -618.063 | 0.000 | -0.000 | 0.000 |
| -618.063 | -618.063 | -471.733 | 0.000 | -0.000 | 0.000 |
| -661.949 | -661.949 | -661.949 | 50.904 | -0.000 | 0.000 |
| -661.949 | -661.949 | -661.949 | 0.000 | 50.904 | 0.000 |
| -661.949 | -661.949 | -661.949 | -0.000 | -0.000 | 50.904 |
| 300.754 | 177.542 | 177.542 | -0.000 | 0.000 | 0.000 |
| 177.542 | 300.754 | 177.542 | 0.000 | 0.000 | -0.000 |
| 177.542 | 177.542 | 300.754 | -0.000 | 0.000 | 0.000 |
| 70.013 | 70.013 | 70.013 | 32.517 | 0.000 | -0.000 |
| 70.013 | 70.013 | 70.013 | 0.000 | 32.517 | -0.000 |
| 70.013 | 70.013 | 70.013 | -0.000 | 0.000 | 32.517 |
| 288.973 | 97.565 | 97.565 | -0.000 | -0.000 | 0.000 |
| 97.565 | 288.973 | 97.565 | 0.000 | -0.000 | 0.000 |
| 97.565 | 97.565 | 288.973 | 0.000 | -0.000 | 0.000 |
| -70.013 | -70.013 | -70.013 | 32.517 | -0.000 | 0.000 |
| -70.013 | -70.013 | -70.013 | -0.000 | 32.517 | 0.000 |
| -70.013 | -70.013 | -70.013 | 0.000 | -0.000 | 32.517 |
| 556.945 | 498.059 | 498.059 | 0.000 | -0.000 | 0.000 |
| 498.059 | 556.945 | 498.059 | 0.000 | -0.000 | 0.000 |
| 498.059 | 498.059 | 556.945 | 0.000 | -0.000 | 0.000 |
| 387.800 | 387.800 | 387.800 | -15.408 | 0.000 | 0.000 |
| 387.800 | 387.800 | 387.800 | 0.000 | -15.408 | 0.000 |
| 387.800 | 387.800 | 387.800 | 0.000 | -0.000 | -15.408 |
| -215.953 | -277.116 | -277.116 | -0.000 | 0.000 | -0.000 |
| -277.116 | -215.953 | -277.116 | -0.000 | -0.000 | -0.000 |
| -277.116 | -277.116 | -215.953 | -0.000 | -0.000 | -0.000 |
| -387.800 | -387.800 | -387.800 | -15.408 | 0.000 | -0.000 |
| -387.800 | -387.800 | -387.800 | -0.000 | -15.408 | -0.000 |
| -387.800 | -387.800 | -387.800 | -0.000 | 0.000 | -15.408 |
| 242.797 | 118.801 | 118.801 | 0.000 | -0.000 | 0.000 |
| 118.801 | 242.797 | 118.801 | 0.000 | 0.000 | 0.000 |
| 118.801 | 118.801 | 242.797 | 0.000 | 0.000 | 0.000 |
| 37.766 | 37.766 | 37.766 | 40.666 | -0.000 | 0.000 |
| 37.766 | 37.766 | 37.766 | 0.000 | 40.666 | 0.000 |
| 37.766 | 37.766 | 37.766 | 0.000 | -0.000 | 40.666 |
| 195.247 | 58.991 | 58.991 | -0.000 | 0.000 | -0.000 |
| 58.991 | 195.247 | 58.991 | -0.000 | 0.000 | -0.000 |
| 58.991 | 58.991 | 195.247 | -0.000 | -0.000 | -0.000 |
| -37.766 | -37.766 | -37.766 | 40.666 | -0.000 | -0.000 |
| -37.766 | -37.766 | -37.766 | -0.000 | 40.666 | -0.000 |
| -37.766 | -37.766 | -37.766 | -0.000 | -0.000 | 40.666 |
| 281.255 | 90.632 | 90.632 | 0.000 | -0.000 | 0.000 |
| 90.632 | 281.255 | 90.632 | -0.000 | -0.000 | 0.000 |
| 90.632 | 90.632 | 281.255 | 0.000 | -0.000 | 0.000 |
| -0.000 | -0.000 | -0.000 | 80.438 | 0.000 | 0.000 |
| -0.000 | -0.000 | -0.000 | 0.000 | 80.438 | 0.000 |
| -0.000 | -0.000 | -0.000 | 0.000 | -0.000 | 80.438 |
| 281.278 | 90.657 | 90.657 | -0.000 | 0.000 | -0.000 |
| 90.657 | 281.278 | 90.657 | -0.000 | 0.000 | -0.000 |
| 90.657 | 90.657 | 281.278 | -0.000 | 0.000 | -0.000 |
| 0.000 | 0.000 | 0.000 | 80.438 | -0.000 | -0.000 |
| 0.000 | 0.000 | 0.000 | -0.000 | 80.438 | -0.000 |
| 0.000 | 0.000 | 0.000 | -0.000 | 0.000 | 80.438 |
| 166.354 | 88.211 | 88.211 | -0.000 | -0.000 | -0.000 |
| 88.211 | 166.354 | 88.211 | -0.000 | -0.000 | -0.000 |
| 88.211 | 88.211 | 166.354 | -0.000 | -0.000 | -0.000 |
| 4.848 | 4.848 | 4.848 | 47.865 | 0.000 | -0.000 |
| 4.848 | 4.848 | 4.848 | 0.000 | 47.865 | -0.000 |
| 4.848 | 4.848 | 4.848 | 0.000 | -0.000 | 47.865 |
| 166.354 | 88.211 | 88.211 | 0.000 | 0.000 | -0.000 |
| 88.211 | 166.354 | 88.211 | 0.000 | 0.000 | -0.000 |
| 88.211 | 88.211 | 166.354 | 0.000 | 0.000 | -0.000 |
| -4.848 | -4.848 | -4.848 | 47.865 | -0.000 | 0.000 |
| -4.848 | -4.848 | -4.848 | -0.000 | 47.865 | 0.000 |
| -4.848 | -4.848 | -4.848 | -0.000 | -0.000 | 47.865 |
| 157.241 | 92.982 | 92.982 | 0.000 | -0.000 | -0.000 |
| 92.982 | 157.241 | 92.982 | 0.000 | -0.000 | -0.000 |
| 92.982 | 92.982 | 157.241 | 0.000 | -0.000 | -0.000 |
| -0.000 | -0.000 | 0.000 | 66.047 | -0.000 | -0.000 |
| -0.000 | -0.000 | 0.000 | -0.000 | 66.047 | 0.000 |
| -0.000 | 0.000 | -0.000 | -0.000 | -0.000 | 66.047 |
| 152.778 | 94.030 | 94.029 | -0.000 | 0.000 | 0.000 |
| 94.030 | 152.778 | 94.029 | -0.000 | 0.000 | 0.000 |
| 94.030 | 94.030 | 152.778 | -0.000 | 0.000 | 0.000 |
| 0.000 | 0.000 | -0.000 | 66.047 | 0.000 | -0.000 |
| 0.000 | 0.000 | -0.000 | 0.000 | 66.047 | -0.000 |
| 0.000 | -0.000 | 0.000 | 0.000 | 0.000 | 66.047 |
| 157.112 | 92.771 | 92.771 | 0.000 | -0.000 | -0.000 |
| 92.771 | 157.112 | 92.771 | 0.000 | -0.000 | -0.000 |
| 92.771 | 92.771 | 157.112 | 0.000 | -0.000 | -0.000 |
| 0.024 | 0.024 | 0.024 | 51.408 | -0.000 | -0.000 |
| 0.024 | 0.024 | 0.024 | 0.000 | 51.408 | -0.000 |
| 0.024 | 0.024 | 0.024 | 0.000 | -0.000 | 51.408 |
| 166.353 | 88.212 | 88.212 | 0.000 | -0.000 | -0.000 |
| 88.212 | 166.353 | 88.212 | 0.000 | 0.000 | 0.000 |
| 88.212 | 88.212 | 166.353 | -0.000 | 0.000 | -0.000 |
| -0.024 | -0.024 | -0.024 | 51.408 | 0.000 | 0.000 |
| -0.024 | -0.024 | -0.024 | -0.000 | 51.408 | 0.000 |
| -0.024 | -0.024 | -0.024 | -0.000 | 0.000 | 51.408 |
| 147.031 | 83.192 | 83.192 | 0.000 | 0.000 | -0.000 |
| 83.192 | 147.031 | 83.192 | 0.000 | -0.000 | -0.000 |
| 83.192 | 83.192 | 147.031 | 0.000 | 0.000 | -0.000 |
| 0.000 | -0.000 | -0.000 | 65.883 | -0.000 | -0.000 |
| -0.000 | -0.000 | 0.000 | 0.000 | 65.883 | -0.000 |
| -0.000 | -0.000 | -0.000 | 0.000 | -0.000 | 65.883 |
| 147.045 | 83.285 | 83.285 | -0.000 | -0.000 | 0.000 |
| 83.285 | 147.045 | 83.285 | -0.000 | 0.000 | 0.000 |
| 83.285 | 83.285 | 147.045 | -0.000 | 0.000 | 0.000 |
| 0.000 | 0.000 | 0.000 | 65.883 | 0.000 | -0.000 |
| -0.000 | 0.000 | 0.000 | -0.000 | 65.883 | 0.000 |
| 0.000 | 0.000 | 0.000 | -0.000 | 0.000 | 65.883 |
| 147.071 | 83.217 | 83.217 | 0.000 | -0.000 | -0.000 |
| 83.217 | 147.071 | 83.217 | 0.000 | 0.000 | -0.000 |
| 83.217 | 83.217 | 147.071 | 0.000 | 0.000 | -0.000 |
| -0.000 | -0.000 | -0.000 | 65.883 | -0.000 | -0.000 |
| -0.000 | -0.000 | -0.000 | 0.000 | 65.883 | -0.000 |
| -0.000 | -0.000 | -0.000 | 0.000 | -0.000 | 65.883 |
| 147.073 | 83.227 | 83.227 | -0.000 | 0.000 | 0.000 |
| 83.227 | 147.073 | 83.227 | -0.000 | 0.000 | 0.000 |
| 83.227 | 83.227 | 147.073 | -0.000 | -0.000 | 0.000 |
| 0.000 | 0.000 | 0.000 | 65.883 | 0.000 | 0.000 |
| 0.000 | 0.000 | 0.000 | -0.000 | 65.883 | 0.000 |
| 0.000 | 0.000 | 0.000 | -0.000 | 0.000 | 65.883 |
| 147.068 | 83.216 | 83.216 | 0.000 | -0.000 | -0.000 |
| 83.216 | 147.068 | 83.216 | 0.000 | -0.000 | -0.000 |
| 83.216 | 83.216 | 147.068 | 0.000 | -0.000 | -0.000 |
| -0.000 | -0.001 | -0.001 | 51.420 | 0.000 | -0.000 |
| -0.001 | -0.000 | -0.001 | 0.000 | 51.420 | -0.000 |
| -0.001 | -0.001 | -0.000 | 0.000 | 0.000 | 51.420 |
| 156.282 | 78.696 | 78.696 | -0.000 | 0.000 | 0.000 |
| 78.696 | 156.282 | 78.696 | -0.000 | 0.000 | 0.000 |
| 78.696 | 78.696 | 156.282 | -0.000 | 0.000 | 0.000 |
| 0.000 | 0.001 | 0.001 | 51.420 | 0.000 | 0.000 |
| 0.001 | 0.000 | 0.001 | -0.000 | 51.420 | 0.000 |
| 0.001 | 0.001 | 0.000 | -0.000 | 0.000 | 51.420 |
| 255.055 | 142.298 | 103.982 | 0.000 | -0.000 | -0.000 |
| 130.545 | 247.944 | 11.035 | 0.000 | -0.000 | 0.000 |
| 104.912 | 13.741 | 315.986 | 0.000 | -0.000 | -0.000 |
| 0.000 | 0.000 | 0.000 | -34.646 | -0.000 | 0.000 |
| -0.000 | 0.000 | -0.000 | 0.000 | -156.151 | -0.000 |
| 0.000 | 0.000 | 0.000 | 0.000 | -0.000 | 100.000 |
| 255.056 | 142.299 | 103.984 | -0.000 | 0.000 | 0.000 |
| 130.547 | 247.945 | 11.037 | -0.000 | 0.000 | 0.000 |
| 99.850 | 11.448 | 315.041 | -0.000 | 0.000 | 0.000 |
| -0.000 | -0.000 | -0.000 | -34.646 | 0.000 | 0.000 |
| 0.000 | -0.000 | -0.000 | -0.000 | -156.151 | 0.000 |
| -0.000 | -0.000 | 0.000 | -0.000 | 0.000 | 100.000 |
| 255.048 | 142.290 | 103.975 | 0.000 | 0.000 | -0.000 |
| 130.537 | 247.935 | 11.027 | 0.000 | 0.000 | 0.000 |
| 104.905 | 13.734 | 315.980 | 0.000 | 0.000 | -0.000 |
| 0.001 | 0.002 | 0.000 | -707.382 | 0.000 | -0.000 |
| -0.000 | 0.000 | -0.000 | 0.000 | -156.151 | -0.000 |
| 0.000 | 0.000 | 0.000 | 0.000 | -0.000 | 100.000 |
| 255.064 | 142.307 | 103.990 | -0.000 | -0.000 | 0.000 |
| 142.826 | 253.515 | 13.339 | -0.000 | 0.000 | -0.000 |
| 99.857 | 11.455 | 315.047 | -0.000 | 0.000 | 0.000 |
| -0.001 | -0.002 | -0.000 | -707.382 | -0.000 | 0.000 |
| 0.000 | -0.000 | 0.000 | -0.000 | -156.151 | 0.000 |
| -0.000 | -0.000 | -0.000 | -0.000 | -0.000 | 100.000 |
| 227.890 | 129.934 | 98.835 | 0.000 | 0.000 | -0.000 |
| 142.730 | 253.420 | 13.247 | 0.000 | -0.000 | -0.000 |
| 104.839 | 13.664 | 315.916 | 0.000 | 0.000 | 0.000 |
| 0.113 | 0.265 | 0.082 | -2357.341 | 0.000 | -0.000 |
| -0.002 | 0.001 | -0.001 | 0.000 | -156.151 | -0.000 |
| -0.000 | 0.001 | 0.000 | 0.000 | -0.000 | 100.000 |
| 228.077 | 130.122 | 99.004 | -0.000 | -0.000 | 0.000 |
| 142.903 | 253.592 | 13.414 | -0.000 | 0.000 | 0.000 |
| 104.986 | 13.819 | 316.058 | -0.000 | -0.000 | 0.000 |
| -0.113 | -0.265 | -0.082 | -2357.341 | -0.000 | 0.000 |
| 0.002 | -0.001 | 0.001 | -0.000 | -156.151 | 0.000 |
| 0.000 | -0.001 | -0.000 | -0.000 | 0.000 | 100.000 |
| 274.644 | 28.945 | 83.265 | -0.000 | 63.741 | -0.000 |
| -78.479 | 101.357 | 410.437 | 0.000 | 1055.180 | -0.000 |
| 179.652 | 107.458 | 155.970 | 0.000 | 1059.823 | -0.000 |
| -85.498 | -42.658 | 238.326 | 62.310 | 1058.141 | 3.796 |
| -33.390 | -19.170 | 131.205 | -0.000 | 855.911 | 0.000 |
| -42.305 | -22.445 | 121.149 | 3.403 | 832.669 | 69.730 |
| 341.396 | 62.455 | -103.302 | -0.000 | -809.755 | 0.000 |
| 66.506 | 174.086 | 5.348 | -0.000 | -829.485 | 0.000 |
| 42.911 | 55.435 | 498.093 | -0.000 | -992.414 | -0.000 |
| 85.498 | 42.658 | -238.326 | 62.310 | -1058.141 | 3.796 |
| 51.219 | 25.720 | -111.094 | -0.000 | -809.427 | -0.000 |
| 42.305 | 22.445 | -121.149 | 3.403 | -832.669 | 69.730 |
| 274.644 | 28.945 | 83.265 | 0.000 | 63.741 | -0.000 |
| 19.969 | 149.397 | 138.615 | 0.000 | 86.453 | -0.000 |
| 65.011 | 60.930 | 449.821 | 0.000 | 12.561 | -0.000 |
| -0.000 | -0.000 | -0.000 | 87.826 | 0.000 | 3.552 |
| 4.684 | 1.030 | 22.171 | -0.000 | 106.510 | -0.000 |
| -4.230 | -2.244 | 12.114 | 3.403 | 83.268 | 69.730 |
| 243.845 | 15.769 | 163.838 | -0.000 | -61.291 | -0.000 |
| 28.430 | 153.885 | 114.385 | -0.000 | -80.083 | 0.000 |
| 177.169 | 111.136 | 151.044 | -0.000 | -45.978 | 0.000 |
| 0.000 | 0.000 | 0.000 | 87.826 | -0.000 | 3.552 |
| 2.119 | 0.615 | 27.237 | 0.000 | -61.524 | 0.000 |
| 4.230 | 2.244 | -12.114 | 3.403 | -83.268 | 69.730 |
| 239.183 | 13.296 | 177.187 | -0.000 | 30.332 | 0.000 |
| 22.839 | 151.015 | 130.172 | 0.000 | 8.239 | 0.000 |
| 158.857 | 102.713 | 200.369 | 0.000 | 15.869 | -0.000 |
| -0.424 | -0.225 | 1.211 | 56.137 | 8.327 | 3.855 |
| 8.490 | 3.050 | 11.266 | 0.000 | 31.569 | -0.000 |
| -0.418 | -0.222 | 1.198 | 3.421 | 8.334 | 69.730 |
| 240.194 | 13.821 | 174.317 | -0.000 | 12.939 | 0.000 |
| 24.849 | 151.976 | 124.657 | -0.000 | -7.974 | 0.000 |
| 159.577 | 103.094 | 198.309 | 0.000 | 1.840 | -0.000 |
| 0.424 | 0.225 | -1.211 | 56.137 | -8.327 | 3.855 |
| 7.927 | 2.871 | 12.599 | -0.000 | 14.865 | 0.000 |
| 0.418 | 0.222 | -1.198 | 3.421 | -8.334 | 69.730 |
| 182.083 | -11.211 | 326.039 | -0.000 | -201.505 | 0.000 |
| -209.821 | 50.585 | 740.475 | 0.000 | -763.987 | -0.000 |
| 147.347 | 98.602 | 228.291 | 0.000 | -206.417 | 0.000 |
| -37.060 | -15.340 | 95.512 | 92.619 | -282.196 | 3.422 |
| -160.495 | -68.631 | 450.450 | -0.000 | -839.765 | -0.000 |
| 49.191 | 23.340 | -134.403 | 3.788 | -335.553 | 69.679 |
| 277.070 | 29.031 | 78.867 | 0.000 | 301.406 | -0.000 |
| 120.362 | 193.665 | -126.888 | 0.000 | 221.439 | -0.000 |
| 130.362 | 88.149 | 280.828 | -0.000 | 480.128 | 0.000 |
| 37.060 | 15.340 | -95.512 | 92.619 | 282.196 | 3.422 |
| 46.290 | 18.771 | -87.109 | -0.000 | 302.884 | 0.000 |
| -49.191 | -23.340 | 134.403 | 3.788 | 335.553 | 69.679 |
| 274.515 | 28.889 | 83.107 | -0.000 | 63.541 | -0.000 |
| 25.242 | 152.375 | 123.167 | 0.000 | -45.674 | 0.000 |
| 155.355 | 101.383 | 209.016 | -0.000 | -18.129 | 0.000 |
| -16.823 | -7.194 | 43.946 | 35.311 | -73.059 | 3.947 |
| 15.544 | 6.361 | -8.679 | -0.000 | -6.699 | 0.000 |
| -3.758 | -1.558 | 9.693 | 3.323 | -27.965 | 69.683 |
| 242.741 | 14.730 | 167.573 | -0.000 | 61.645 | -0.000 |
| -10.860 | 135.772 | 220.459 | -0.000 | 74.840 | -0.000 |
| 196.770 | 119.636 | 99.438 | 0.000 | 32.493 | -0.000 |
| 16.823 | 7.194 | -43.946 | 35.311 | 73.059 | 3.947 |
| 12.461 | 4.743 | 0.142 | -0.000 | 51.221 | 0.000 |
| 3.758 | 1.558 | -9.693 | 3.323 | 27.965 | 69.683 |
| 239.099 | 13.286 | 176.800 | 0.000 | 19.020 | 0.000 |
| 39.939 | 158.728 | 84.608 | 0.000 | 2.509 | 0.000 |
| 158.713 | 102.774 | 200.362 | 0.000 | 7.419 | 0.000 |
| -1.061 | -0.454 | 2.768 | 54.731 | -4.603 | 3.769 |
| 8.325 | 3.028 | 10.803 | -0.000 | 20.460 | -0.000 |
| 0.494 | 0.235 | -1.351 | 3.788 | -3.350 | 69.679 |
| 239.816 | 13.582 | 174.950 | -0.000 | 24.560 | -0.000 |
| 24.529 | 151.840 | 125.611 | 0.000 | 5.344 | -0.000 |
| 159.541 | 103.127 | 198.200 | 0.000 | 10.887 | 0.000 |
| 1.061 | 0.454 | -2.768 | 54.731 | 4.603 | 3.769 |
| 9.079 | 3.341 | 8.867 | 0.000 | 26.054 | 0.000 |
| -0.494 | -0.235 | 1.351 | 3.788 | 3.350 | 69.679 |
| 277.733 | 134.296 | 91.712 | 10.252 | -0.000 | 0.000 |
| 134.296 | 277.733 | 91.712 | -10.252 | -0.000 | 0.000 |
| 94.735 | 94.735 | 193.037 | 0.000 | -0.000 | 0.000 |
| 10.252 | -10.252 | 0.000 | 20.463 | -0.000 | 0.000 |
| -0.000 | 0.000 | -0.000 | 0.000 | 20.463 | 10.252 |
| 2.665 | 2.666 | -22.710 | 0.000 | 10.007 | 66.490 |
| 277.733 | 134.296 | 91.712 | 10.252 | 0.000 | -0.000 |
| 134.296 | 277.733 | 91.712 | -10.252 | 0.000 | -0.000 |
| 89.602 | 89.602 | 236.773 | -0.000 | 0.000 | -0.000 |
| 7.450 | -12.583 | 21.870 | 20.452 | 0.000 | 0.000 |
| 0.000 | -0.000 | 0.000 | 0.000 | 20.463 | 10.252 |
| -2.665 | -2.666 | 22.710 | 0.000 | 10.007 | 66.490 |
| 277.732 | 134.296 | 91.712 | 10.252 | -0.000 | 0.000 |
| 163.102 | 251.163 | 82.196 | -8.957 | -0.000 | -0.000 |
| 91.712 | 91.712 | 218.792 | 0.000 | -0.000 | 0.000 |
| 10.252 | -10.252 | -0.000 | 20.463 | -0.000 | 0.000 |
| 0.259 | 0.259 | -2.205 | 0.000 | 20.452 | 10.014 |
| 1.061 | 1.061 | -9.040 | 0.000 | 9.279 | 50.907 |
| 260.199 | 149.798 | 100.385 | 9.480 | 0.000 | -0.000 |
| 134.297 | 277.733 | 91.713 | -10.252 | 0.000 | -0.000 |
| 91.713 | 91.713 | 218.793 | -0.000 | 0.000 | 0.000 |
| 10.252 | -10.252 | 0.000 | 20.463 | 0.000 | -0.000 |
| -0.259 | -0.259 | 2.205 | -0.000 | 20.452 | 10.014 |
| -1.061 | -1.061 | 9.040 | -0.000 | 9.279 | 50.907 |
| 214.551 | 196.757 | 94.701 | 7.315 | -0.000 | 0.000 |
| 134.293 | 277.729 | 91.707 | -10.252 | -0.000 | 0.000 |
| 92.193 | 92.193 | 214.687 | -0.000 | -0.000 | 0.000 |
| 9.874 | -9.782 | -0.394 | 20.443 | -0.000 | 0.000 |
| 0.046 | 0.046 | -0.394 | 0.000 | 20.443 | 9.827 |
| 0.318 | 0.320 | -2.730 | -0.000 | 7.315 | 8.897 |
| 277.736 | 134.300 | 91.717 | 10.252 | 0.000 | -0.000 |
| 196.146 | 213.945 | 100.116 | -7.315 | 0.000 | -0.000 |
| 91.718 | 91.718 | 218.797 | -0.000 | 0.000 | -0.000 |
| 10.252 | -10.251 | 0.000 | 20.463 | 0.000 | -0.000 |
| -0.046 | -0.046 | 0.394 | -0.000 | 20.443 | 9.827 |
| -0.318 | -0.320 | 2.730 | 0.000 | 7.315 | 8.897 |
| 389.154 | 141.667 | 136.247 | 0.000 | -0.000 | -0.000 |
| 141.667 | 389.154 | 136.247 | -0.000 | -0.000 | -0.000 |
| 138.587 | 138.587 | 460.269 | -0.000 | -0.000 | -0.000 |
| -0.000 | -0.000 | 0.000 | 89.285 | -0.000 | -0.000 |
| -0.000 | -0.000 | 0.000 | -0.000 | 89.285 | -0.000 |
| 0.000 | 0.000 | -0.000 | -0.000 | -0.000 | 117.581 |
| 389.153 | 141.667 | 136.247 | 0.000 | 0.000 | 0.000 |
| 141.667 | 389.153 | 136.247 | 0.000 | 0.000 | 0.000 |
| 138.587 | 138.587 | 460.270 | 0.000 | 0.000 | 0.000 |
| 0.000 | -0.000 | -0.000 | 89.285 | 0.000 | 0.000 |
| 0.000 | 0.000 | -0.000 | 0.000 | 89.285 | 0.000 |
| -0.000 | -0.000 | 0.000 | 0.000 | 0.000 | 117.581 |
| 389.157 | 141.667 | 136.246 | 0.000 | -0.000 | -0.000 |
| 141.667 | 389.157 | 136.246 | -0.000 | -0.000 | -0.000 |
| 138.584 | 138.584 | 460.264 | -0.000 | -0.000 | -0.000 |
| -0.000 | 0.000 | 0.000 | 89.285 | -0.000 | -0.000 |
| 0.000 | -0.000 | 0.000 | -0.000 | 89.285 | -0.000 |
| 0.000 | 0.000 | -0.000 | -0.000 | -0.000 | 117.581 |
| 389.149 | 141.667 | 136.248 | 0.000 | 0.000 | 0.000 |
| 141.667 | 389.149 | 136.248 | -0.000 | 0.000 | 0.000 |
| 138.590 | 138.590 | 460.276 | -0.000 | -0.000 | 0.000 |
| 0.000 | -0.000 | -0.000 | 89.285 | 0.000 | 0.000 |
| -0.000 | 0.000 | -0.000 | -0.000 | 89.285 | 0.000 |
| -0.000 | -0.000 | 0.000 | 0.000 | 0.000 | 117.581 |
| 389.193 | 141.669 | 136.238 | -0.000 | -0.000 | -0.000 |
| 141.669 | 389.193 | 136.238 | 0.000 | -0.000 | -0.000 |
| 138.558 | 138.558 | 460.210 | -0.000 | -0.000 | -0.000 |
| -0.000 | 0.000 | 0.001 | 89.285 | -0.000 | -0.000 |
| 0.000 | -0.000 | 0.001 | -0.000 | 89.285 | -0.000 |
| 0.001 | 0.001 | -0.000 | -0.000 | -0.000 | 117.581 |
| 389.114 | 141.665 | 136.257 | 0.000 | 0.000 | 0.000 |
| 141.665 | 389.114 | 136.257 | 0.000 | 0.000 | 0.000 |
| 138.616 | 138.616 | 460.329 | 0.000 | 0.000 | 0.000 |
| 0.000 | -0.000 | -0.001 | 89.285 | 0.000 | 0.000 |
| -0.000 | 0.000 | -0.001 | 0.000 | 89.285 | 0.000 |
| -0.001 | -0.001 | 0.000 | -0.000 | 0.000 | 117.581 |
| 2790.944 | 2743.932 | -449.252 | -0.000 | -0.000 | 0.000 |
| 2743.932 | 2790.944 | -449.252 | -0.000 | -0.000 | 0.000 |
| 2039.387 | 2039.387 | -448.497 | -0.000 | -0.000 | 0.000 |
| 2536.486 | 2536.486 | -566.165 | 71.000 | -0.000 | 0.000 |
| 2536.486 | 2536.486 | -566.165 | -0.000 | 71.000 | 0.000 |
| 0.000 | 0.000 | -0.000 | -0.000 | -0.000 | 116.777 |
| 346.752 | 134.202 | 127.654 | 0.000 | 0.000 | 0.000 |
| 134.202 | 346.752 | 127.654 | 0.000 | 0.000 | -0.000 |
| 129.784 | 129.784 | 455.724 | 0.000 | 0.000 | -0.000 |
| -2536.486 | -2536.486 | 566.165 | 71.000 | 0.000 | -0.000 |
| -2536.486 | -2536.486 | 566.165 | 0.000 | 71.000 | -0.000 |
| -0.000 | -0.000 | 0.000 | 0.000 | 0.000 | 116.777 |
| 341.406 | 213.997 | 113.109 | -0.000 | -0.000 | 0.000 |
| 213.997 | 341.406 | 113.109 | -0.000 | -0.000 | 0.000 |
| 129.781 | 129.781 | 455.718 | -0.000 | -0.000 | 0.000 |
| 77.619 | 77.619 | -4.903 | 70.753 | 0.000 | 0.000 |
| 77.619 | 77.619 | -4.903 | -0.000 | 70.753 | 0.000 |
| 0.000 | 0.000 | -0.000 | -0.000 | -0.000 | 116.777 |
| 3.146 | 2.194 | 184.017 | 0.000 | -0.000 | -0.000 |
| 2.194 | 3.146 | 184.017 | 0.000 | 0.000 | -0.000 |
| 129.787 | 129.787 | 455.730 | 0.000 | 0.000 | -0.000 |
| -77.619 | -77.619 | 4.903 | 70.753 | 0.000 | -0.000 |
| -77.619 | -77.619 | 4.903 | 0.000 | 70.753 | -0.000 |
| -0.000 | -0.000 | 0.000 | 0.000 | 0.000 | 116.777 |
| 304.953 | 140.818 | 121.816 | -0.000 | 0.000 | 0.000 |
| 140.818 | 304.953 | 121.816 | -0.000 | 0.000 | 0.000 |
| 126.107 | 126.107 | 412.979 | -0.000 | -0.000 | 0.000 |
| 6.448 | 6.449 | -0.406 | 74.068 | -0.000 | 0.000 |
| 6.449 | 6.448 | -0.406 | -0.000 | 74.068 | 0.000 |
| 4.661 | 4.661 | -0.296 | -0.000 | -0.000 | 82.567 |
| 346.710 | 134.196 | 127.661 | 0.000 | 0.000 | -0.000 |
| 134.196 | 346.710 | 127.661 | 0.000 | 0.000 | -0.000 |
| 108.758 | 108.758 | 418.551 | 0.000 | 0.000 | -0.000 |
| -6.448 | -6.449 | 0.406 | 74.068 | 0.000 | -0.000 |
| -6.449 | -6.448 | 0.406 | 0.000 | 74.068 | -0.000 |
| -4.661 | -4.661 | 0.296 | 0.000 | 0.000 | 82.567 |
| 686.980 | -33.944 | -33.924 | -0.000 | 0.000 | 0.000 |
| -33.944 | 686.980 | -33.924 | -0.000 | 0.000 | 0.000 |
| -33.929 | -33.929 | 686.953 | -0.000 | 0.000 | 0.000 |
| 0.000 | 0.000 | -0.000 | 95.256 | 0.000 | 0.000 |
| -0.000 | 0.000 | -0.000 | -0.000 | 95.256 | 0.000 |
| 0.000 | 0.000 | 0.000 | -0.000 | 0.000 | 95.252 |
| 686.980 | -33.944 | -33.924 | -0.000 | -0.000 | -0.000 |
| -33.944 | 686.980 | -33.924 | 0.000 | -0.000 | -0.000 |
| -33.929 | -33.929 | 686.953 | 0.000 | -0.000 | -0.000 |
| 0.000 | -0.000 | -0.000 | 95.256 | -0.000 | -0.000 |
| -0.000 | -0.000 | 0.000 | 0.000 | 95.256 | -0.000 |
| 0.000 | -0.000 | -0.000 | 0.000 | -0.000 | 95.252 |
| 686.981 | -33.943 | -33.923 | -0.000 | 0.000 | 0.000 |
| -33.943 | 686.981 | -33.923 | -0.000 | 0.000 | 0.000 |
| -33.928 | -33.928 | 686.954 | -0.000 | -0.000 | 0.000 |
| 0.000 | 0.000 | 0.000 | 95.256 | 0.000 | 0.000 |
| 0.000 | 0.000 | 0.000 | -0.000 | 95.256 | 0.000 |
| 0.000 | 0.000 | 0.000 | -0.000 | 0.000 | 95.252 |
| 686.979 | -33.945 | -33.925 | 0.000 | -0.000 | -0.000 |
| -33.945 | 686.979 | -33.925 | 0.000 | -0.000 | -0.000 |
| -33.930 | -33.930 | 686.952 | 0.000 | -0.000 | -0.000 |
| -0.000 | -0.000 | -0.000 | 95.256 | 0.000 | -0.000 |
| -0.000 | -0.000 | -0.000 | 0.000 | 95.256 | -0.000 |
| -0.000 | -0.000 | -0.000 | 0.000 | -0.000 | 95.252 |
| 686.989 | -33.933 | -33.914 | -0.000 | 0.000 | 0.000 |
| -33.933 | 686.989 | -33.914 | -0.000 | 0.000 | 0.000 |
| -33.918 | -33.918 | 686.962 | -0.000 | 0.000 | 0.000 |
| 0.000 | 0.001 | 0.000 | 95.256 | 0.000 | 0.000 |
| 0.001 | 0.000 | 0.000 | -0.000 | 95.256 | 0.000 |
| 0.001 | 0.000 | 0.000 | -0.000 | 0.000 | 95.252 |
| 686.970 | -33.955 | -33.935 | 0.000 | -0.000 | -0.000 |
| -33.955 | 686.970 | -33.935 | -0.000 | -0.000 | -0.000 |
| -33.940 | -33.940 | 686.944 | 0.000 | -0.000 | -0.000 |
| -0.000 | -0.001 | -0.000 | 95.256 | -0.000 | -0.000 |
| -0.001 | -0.000 | -0.000 | 0.000 | 95.256 | -0.000 |
| -0.001 | -0.000 | -0.000 | 0.000 | -0.000 | 95.252 |
| 993.645 | 60.206 | 60.206 | -0.000 | -0.000 | -0.000 |
| 60.206 | 993.645 | 60.206 | -0.000 | -0.000 | -0.000 |
| 60.206 | 60.206 | 993.645 | -0.000 | 0.000 | -0.000 |
| 0.000 | 0.000 | 0.000 | 159.370 | -0.000 | 0.000 |
| -0.000 | 0.000 | 0.000 | 0.000 | 159.369 | -0.000 |
| -0.000 | 0.000 | 0.000 | 0.000 | 0.000 | 159.369 |
| 993.645 | 60.207 | 60.207 | 0.000 | 0.000 | 0.000 |
| 60.207 | 993.645 | 60.207 | 0.000 | 0.000 | 0.000 |
| 60.207 | 60.207 | 993.645 | 0.000 | 0.000 | 0.000 |
| -0.000 | -0.000 | -0.000 | 159.370 | -0.000 | 0.000 |
| 0.000 | -0.000 | -0.000 | -0.000 | 159.370 | 0.000 |
| 0.000 | -0.000 | -0.000 | -0.000 | 0.000 | 159.370 |
| 993.642 | 60.203 | 60.203 | -0.000 | -0.000 | -0.000 |
| 60.203 | 993.642 | 60.203 | -0.000 | -0.000 | -0.000 |
| 60.203 | 60.203 | 993.642 | -0.000 | -0.000 | -0.000 |
| 0.000 | 0.000 | 0.000 | 159.370 | 0.000 | -0.000 |
| 0.000 | 0.000 | 0.000 | -0.000 | 159.370 | -0.000 |
| 0.000 | 0.000 | 0.000 | 0.000 | -0.000 | 159.370 |
| 993.648 | 60.210 | 60.210 | 0.000 | 0.000 | -0.000 |
| 60.210 | 993.648 | 60.210 | 0.000 | -0.000 | 0.000 |
| 60.210 | 60.210 | 993.648 | 0.000 | 0.000 | 0.000 |
| -0.000 | -0.000 | -0.000 | 159.370 | 0.000 | 0.000 |
| -0.000 | -0.000 | -0.000 | 0.000 | 159.370 | 0.000 |
| -0.000 | -0.000 | -0.000 | 0.000 | 0.000 | 159.370 |
| 993.612 | 60.174 | 60.174 | -0.000 | -0.000 | -0.000 |
| 60.174 | 993.612 | 60.174 | 0.000 | -0.000 | -0.000 |
| 60.174 | 60.174 | 993.612 | -0.000 | -0.000 | -0.000 |
| 0.000 | 0.001 | 0.001 | 159.394 | -0.000 | -0.000 |
| 0.001 | 0.000 | 0.001 | -0.000 | 159.394 | -0.000 |
| 0.001 | 0.001 | 0.000 | -0.000 | -0.000 | 159.394 |
| 993.677 | 60.239 | 60.239 | 0.000 | 0.000 | 0.000 |
| 60.239 | 993.677 | 60.239 | 0.000 | -0.000 | 0.000 |
| 60.239 | 60.239 | 993.677 | 0.000 | 0.000 | 0.000 |
| -0.000 | -0.001 | -0.001 | 159.394 | 0.000 | 0.000 |
| -0.001 | -0.000 | -0.001 | 0.000 | 159.394 | 0.000 |
| -0.001 | -0.001 | -0.000 | 0.000 | 0.000 | 159.394 |
| 128.929 | 54.854 | 54.854 | -0.000 | -0.000 | -0.000 |
| 54.854 | 128.929 | 54.854 | -0.000 | -0.000 | -0.000 |
| 54.854 | 54.854 | 128.929 | -0.000 | -0.000 | -0.000 |
| 0.000 | -0.000 | -0.000 | 62.306 | -0.000 | -0.000 |
| -0.000 | 0.000 | -0.000 | -0.000 | 62.306 | -0.000 |
| -0.000 | -0.000 | 0.000 | 0.000 | -0.000 | 62.306 |
| 128.929 | 54.854 | 54.854 | 0.000 | 0.000 | 0.000 |
| 54.854 | 128.929 | 54.854 | 0.000 | 0.000 | 0.000 |
| 54.854 | 54.854 | 128.929 | 0.000 | 0.000 | 0.000 |
| -0.000 | 0.000 | 0.000 | 62.306 | 0.000 | 0.000 |
| 0.000 | -0.000 | 0.000 | -0.000 | 62.306 | 0.000 |
| 0.000 | 0.000 | -0.000 | -0.000 | 0.000 | 62.306 |
| 128.928 | 54.854 | 54.854 | -0.000 | -0.000 | -0.000 |
| 54.854 | 128.928 | 54.854 | -0.000 | -0.000 | -0.000 |
| 54.854 | 54.854 | 128.928 | -0.000 | -0.000 | -0.000 |
| 0.000 | -0.000 | -0.000 | 62.306 | -0.000 | -0.000 |
| -0.000 | 0.000 | -0.000 | 0.000 | 62.306 | -0.000 |
| -0.000 | -0.000 | 0.000 | 0.000 | -0.000 | 62.306 |
| 128.929 | 54.854 | 54.854 | 0.000 | 0.000 | 0.000 |
| 54.854 | 128.929 | 54.854 | 0.000 | 0.000 | 0.000 |
| 54.854 | 54.854 | 128.929 | 0.000 | 0.000 | 0.000 |
| -0.000 | 0.000 | 0.000 | 62.306 | 0.000 | 0.000 |
| 0.000 | -0.000 | 0.000 | -0.000 | 62.306 | 0.000 |
| 0.000 | 0.000 | -0.000 | -0.000 | 0.000 | 62.306 |
| 128.927 | 54.854 | 54.854 | -0.000 | -0.000 | -0.000 |
| 54.854 | 128.927 | 54.854 | -0.000 | -0.000 | -0.000 |
| 54.854 | 54.854 | 128.927 | 0.000 | -0.000 | -0.000 |
| -48375.735 | -1125959.548 | -1125959.395 | 76256.638 | 0.000 | -0.000 |
| -1125959.548 | -48375.735 | -1125959.395 | 0.000 | 76256.638 | -0.000 |
| -1125959.548 | -1125959.395 | -48375.735 | 0.000 | -0.000 | 76256.638 |
| 128.930 | 54.855 | 54.855 | 0.000 | -0.000 | 0.000 |
| 54.855 | 128.930 | 54.855 | -0.000 | 0.000 | 0.000 |
| 54.855 | 54.855 | 128.930 | 0.000 | 0.000 | 0.000 |
| 48375.734 | 1125959.548 | 1125959.396 | 76256.638 | -0.000 | -0.000 |
| 1125959.548 | 48375.734 | 1125959.396 | -0.000 | 76256.638 | -0.000 |
| 1125959.548 | 1125959.396 | 48375.734 | -0.000 | -0.000 | 76256.638 |
| 88.107 | 5.445 | 5.445 | 0.000 | 0.000 | 0.000 |
| 5.445 | 88.107 | 5.445 | 0.000 | 0.000 | 0.000 |
| 5.445 | 5.445 | 88.107 | 0.000 | 0.000 | 0.000 |
| 0.000 | 0.000 | 0.000 | 6.129 | 0.000 | 0.000 |
| 0.000 | 0.000 | 0.000 | 0.000 | 6.129 | -0.000 |
| 0.000 | 0.000 | 0.000 | 0.000 | 0.000 | 6.129 |
| 88.107 | 5.445 | 5.445 | -0.000 | -0.000 | -0.000 |
| 5.445 | 88.107 | 5.445 | -0.000 | -0.000 | 0.000 |
| 5.445 | 5.445 | 88.107 | -0.000 | -0.000 | -0.000 |
| -0.000 | -0.000 | -0.000 | 6.129 | -0.000 | -0.000 |
| -0.000 | -0.000 | -0.000 | -0.000 | 6.129 | 0.000 |
| -0.000 | -0.000 | -0.000 | -0.000 | -0.000 | 6.129 |
| 88.107 | 5.445 | 5.445 | 0.000 | 0.000 | 0.000 |
| 5.445 | 88.107 | 5.445 | 0.000 | 0.000 | 0.000 |
| 5.445 | 5.445 | 88.107 | 0.000 | 0.000 | 0.000 |
| -0.000 | -0.000 | -0.000 | 6.129 | 0.000 | -0.000 |
| -0.000 | -0.000 | -0.000 | 0.000 | 6.129 | 0.000 |
| -0.000 | -0.000 | -0.000 | 0.000 | 0.000 | 6.129 |
| 88.107 | 5.445 | 5.445 | -0.000 | -0.000 | -0.000 |
| 5.445 | 88.107 | 5.445 | -0.000 | -0.000 | 0.000 |
| 5.445 | 5.445 | 88.107 | -0.000 | -0.000 | 0.000 |
| 0.000 | 0.000 | 0.000 | 6.129 | -0.000 | -0.000 |
| 0.000 | 0.000 | 0.000 | -0.000 | 6.129 | -0.000 |
| 0.000 | 0.000 | 0.000 | -0.000 | -0.000 | 6.129 |
| 88.108 | 5.445 | 5.445 | 0.000 | 0.000 | 0.000 |
| 5.445 | 88.108 | 5.445 | 0.000 | 0.000 | -0.000 |
| 5.445 | 5.445 | 88.108 | -0.000 | -0.000 | 0.000 |
| -0.000 | -0.000 | -0.000 | 6.129 | 0.000 | -0.000 |
| -0.000 | -0.000 | -0.000 | 0.000 | 6.129 | -0.000 |
| -0.000 | -0.000 | -0.000 | 0.000 | 0.000 | 6.129 |
| 88.106 | 5.445 | 5.445 | -0.000 | -0.000 | -0.000 |
| 5.445 | 88.106 | 5.445 | -0.000 | -0.000 | -0.000 |
| 5.445 | 5.445 | 88.106 | -0.000 | -0.000 | 0.000 |
| 0.000 | 0.000 | 0.000 | 6.129 | -0.000 | 0.000 |
| 0.000 | 0.000 | 0.000 | -0.000 | 6.129 | -0.000 |
| 0.000 | 0.000 | 0.000 | -0.000 | -0.000 | 6.129 |
| 37.354 | 3.005 | 3.005 | 0.000 | 0.000 | -0.000 |
| 3.005 | 37.354 | 3.005 | 0.000 | 0.000 | 0.000 |
| 3.005 | 3.005 | 37.354 | 0.000 | 0.000 | -0.000 |
| -0.000 | 0.000 | 0.000 | 3.708 | -0.000 | 0.000 |
| -0.000 | -0.000 | -0.000 | 0.000 | 3.708 | 0.000 |
| 0.000 | 0.000 | -0.000 | 0.000 | 0.000 | 3.708 |
| 37.354 | 3.005 | 3.005 | -0.000 | -0.000 | -0.000 |
| 3.005 | 37.354 | 3.005 | -0.000 | -0.000 | -0.000 |
| 3.005 | 3.005 | 37.354 | -0.000 | -0.000 | -0.000 |
| 0.000 | -0.000 | -0.000 | 3.708 | 0.000 | -0.000 |
| -0.000 | 0.000 | -0.000 | -0.000 | 3.708 | -0.000 |
| -0.000 | -0.000 | 0.000 | -0.000 | -0.000 | 3.708 |
| 37.354 | 3.005 | 3.005 | 0.000 | 0.000 | -0.000 |
| 3.005 | 37.354 | 3.005 | 0.000 | -0.000 | 0.000 |
| 3.005 | 3.005 | 37.354 | 0.000 | 0.000 | 0.000 |
| -0.000 | 0.000 | -0.000 | 3.708 | 0.000 | 0.000 |
| 0.000 | -0.000 | -0.000 | 0.000 | 3.708 | -0.000 |
| 0.000 | -0.000 | -0.000 | 0.000 | 0.000 | 3.708 |
| 37.354 | 3.005 | 3.005 | -0.000 | 0.000 | 0.000 |
| 3.005 | 37.354 | 3.005 | -0.000 | -0.000 | -0.000 |
| 3.005 | 3.005 | 37.354 | -0.000 | -0.000 | 0.000 |
| 0.000 | -0.000 | 0.000 | 3.708 | -0.000 | 0.000 |
| -0.000 | 0.000 | 0.000 | -0.000 | 3.708 | 0.000 |
| -0.000 | 0.000 | 0.000 | -0.000 | -0.000 | 3.708 |
| 37.353 | 3.005 | 3.005 | 0.000 | 0.000 | -0.000 |
| 3.005 | 37.353 | 3.005 | 0.000 | 0.000 | -0.000 |
| 3.005 | 3.005 | 37.353 | 0.000 | 0.000 | 0.000 |
| 0.000 | 0.000 | -0.000 | 4.202 | -0.000 | -0.000 |
| 0.000 | 0.000 | -0.000 | 0.000 | 4.202 | 0.000 |
| 0.000 | -0.000 | 0.000 | -0.000 | 0.000 | 4.202 |
| 37.355 | 3.005 | 3.005 | -0.000 | 0.000 | -0.000 |
| 3.005 | 37.355 | 3.005 | -0.000 | 0.000 | -0.000 |
| 3.005 | 3.005 | 37.355 | -0.000 | -0.000 | -0.000 |
| -0.000 | -0.000 | 0.000 | 4.202 | 0.000 | -0.000 |
| -0.000 | -0.000 | 0.000 | -0.000 | 4.202 | -0.000 |
| -0.000 | 0.000 | -0.000 | -0.000 | -0.000 | 4.202 |
| 6.847 | 6.847 | 6.847 | 0.000 | 0.000 | -0.000 |
| 6.847 | 6.847 | 6.847 | 0.000 | 0.000 | -0.000 |
| 6.847 | 6.847 | 6.847 | 0.000 | 0.000 | 0.000 |
| -0.000 | -0.000 | -0.000 | 0.000 | 0.000 | 0.000 |
| -0.000 | -0.000 | -0.000 | 0.000 | 0.000 | 0.000 |
| -0.000 | -0.000 | -0.000 | 0.000 | 0.000 | 0.000 |
| 6.847 | 6.847 | 6.847 | -0.000 | -0.000 | -0.000 |
| 6.847 | 6.847 | 6.847 | -0.000 | -0.000 | -0.000 |
| 6.847 | 6.847 | 6.847 | -0.000 | -0.000 | -0.000 |
| 0.000 | 0.000 | 0.000 | 0.000 | -0.000 | -0.000 |
| 0.000 | 0.000 | 0.000 | -0.000 | 0.000 | -0.000 |
| 0.000 | 0.000 | 0.000 | -0.000 | -0.000 | 0.000 |
| 6.847 | 6.847 | 6.847 | 0.000 | 0.000 | 0.000 |
| 6.847 | 6.847 | 6.847 | 0.000 | 0.000 | 0.000 |
| 6.847 | 6.847 | 6.847 | 0.000 | 0.000 | 0.000 |
| -0.000 | -0.000 | -0.000 | 0.000 | 0.000 | 0.000 |
| -0.000 | -0.000 | -0.000 | 0.000 | 0.000 | 0.000 |
| -0.000 | -0.000 | -0.000 | 0.000 | 0.000 | 0.000 |
| 6.847 | 6.847 | 6.847 | -0.000 | -0.000 | -0.000 |
| 6.847 | 6.847 | 6.847 | -0.000 | -0.000 | -0.000 |
| 6.847 | 6.847 | 6.847 | -0.000 | -0.000 | -0.000 |
| 0.000 | 0.000 | 0.000 | 0.000 | -0.000 | -0.000 |
| 0.000 | 0.000 | 0.000 | -0.000 | 0.000 | -0.000 |
| 0.000 | 0.000 | 0.000 | -0.000 | -0.000 | 0.000 |
| 6.847 | 6.847 | 6.847 | 0.000 | 0.000 | -0.000 |
| 6.847 | 6.847 | 6.847 | 0.000 | 0.000 | -0.000 |
| 6.847 | 6.847 | 6.847 | 0.000 | 0.000 | 0.000 |
| -0.000 | -0.000 | -0.000 | 0.000 | 0.000 | 0.000 |
| -0.000 | -0.000 | -0.000 | 0.000 | 0.000 | 0.000 |
| -0.000 | -0.000 | -0.000 | 0.000 | 0.000 | 0.000 |
| 6.847 | 6.847 | 6.847 | -0.000 | -0.000 | 0.000 |
| 6.847 | 6.847 | 6.847 | -0.000 | -0.000 | 0.000 |
| 6.847 | 6.847 | 6.847 | -0.000 | -0.000 | -0.000 |
| 0.000 | 0.000 | 0.000 | 0.000 | -0.000 | -0.000 |
| 0.000 | 0.000 | 0.000 | -0.000 | 0.000 | -0.000 |
| 0.000 | 0.000 | 0.000 | -0.000 | -0.000 | 0.000 |
| 690129.001 | 564034.002 | 564034.002 | -0.001 | -0.336 | 0.001 |
| 564034.002 | 690128.002 | 564034.002 | -0.363 | -0.216 | -0.018 |
| 564034.002 | 564034.002 | 690128.002 | 0.311 | -0.268 | -0.021 |
| 491.001 | 368.001 | 368.001 | -47065346.471 | -0.146 | -0.018 |
| 368.001 | 492.001 | 368.001 | -0.283 | -47065340.867 | -0.018 |
| 368.001 | 368.999 | 491.001 | -0.315 | -0.274 | -47065345.515 |
| 694993.000 | 561601.998 | 561601.998 | 0.299 | 0.160 | 0.001 |
| 561601.998 | 694993.000 | 561601.000 | 0.220 | 0.116 | 0.030 |
| 561601.998 | 561601.000 | 694993.000 | 0.239 | -0.113 | 0.040 |
| -492.001 | -368.001 | -366.999 | -47065348.638 | 0.109 | 0.074 |
| -366.999 | -491.001 | -368.999 | 0.239 | -47065346.883 | 0.039 |
| -368.001 | -368.001 | -491.001 | 0.186 | 0.109 | -47065350.082 |
| 687092.100 | 565551.600 | 565551.600 | 0.004 | -0.033 | -0.007 |
| 565551.700 | 687092.000 | 565551.700 | -0.027 | -0.024 | -0.003 |
| 565551.600 | 565551.600 | 687092.100 | -0.072 | -0.006 | -0.003 |
| 53.700 | 37.600 | 36.900 | -4698040.456 | -0.030 | -0.003 |
| 37.500 | 53.700 | 36.900 | -0.008 | -4698040.441 | -0.002 |
| 37.500 | 36.900 | 53.700 | -0.038 | 0.001 | -4698040.451 |
| 701678.000 | 558259.600 | 558259.600 | 0.001 | -0.012 | 0.004 |
| 558259.600 | 701678.000 | 558259.600 | 0.029 | 0.015 | 0.001 |
| 558259.600 | 558259.500 | 701678.000 | 0.009 | -0.027 | 0.002 |
| -53.700 | -37.500 | -36.900 | -4698040.429 | 0.024 | 0.001 |
| -37.500 | -53.700 | -36.900 | 0.011 | -4698040.434 | 0.000 |
| -37.600 | -37.000 | -53.700 | 0.035 | 0.003 | -4698040.445 |
| 565210.460 | 626486.920 | 626486.920 | -0.002 | -0.000 | 0.000 |
| 626486.920 | 565210.470 | 626486.920 | -0.003 | -0.003 | -0.000 |
| 626486.920 | 626486.920 | 565210.470 | -0.002 | -0.003 | -0.000 |
| -1.570 | -2.650 | -2.280 | 236930.424 | -0.003 | 0.000 |
| -2.650 | -1.570 | -2.280 | -0.001 | 236930.424 | -0.000 |
| -2.650 | -2.280 | -1.570 | -0.001 | -0.001 | 236930.426 |
| 689984.330 | 564110.330 | 564110.340 | 0.004 | 0.000 | -0.000 |
| 564110.330 | 689984.320 | 564110.340 | 0.004 | 0.000 | 0.000 |
| 564110.340 | 564110.330 | 689984.320 | 0.002 | 0.001 | 0.000 |
| 1.570 | 2.650 | 2.280 | 236930.427 | 0.001 | 0.000 |
| 2.650 | 1.570 | 2.280 | 0.001 | 236930.425 | 0.000 |
| 2.650 | 2.280 | 1.570 | -0.000 | 0.002 | 236930.426 |
| 725.221 | 25.480 | 25.480 | -0.000 | -0.000 | -0.000 |
| 25.480 | 725.221 | 25.480 | -0.000 | -0.000 | -0.000 |
| 25.480 | 25.480 | 725.221 | 0.000 | 0.000 | -0.000 |
| -0.000 | 0.000 | -0.000 | 106.312 | 0.000 | -0.000 |
| 0.000 | -0.000 | -0.000 | -0.000 | 106.312 | -0.000 |
| 0.000 | 0.000 | -0.000 | 0.000 | 0.000 | 106.312 |
| 725.086 | 25.547 | 25.547 | 0.000 | 0.000 | 0.000 |
| 25.547 | 725.086 | 25.547 | -0.000 | -0.000 | 0.000 |
| 25.547 | 25.547 | 725.086 | 0.000 | 0.000 | 0.000 |
| 0.000 | -0.000 | 0.000 | 106.312 | -0.000 | 0.000 |
| -0.000 | 0.000 | 0.000 | 0.000 | 106.312 | 0.000 |
| -0.000 | -0.000 | 0.000 | -0.000 | -0.000 | 106.312 |
| 725.227 | 25.482 | 25.482 | -0.000 | -0.000 | -0.000 |
| 25.482 | 725.227 | 25.482 | -0.000 | -0.000 | -0.000 |
| 25.482 | 25.482 | 725.227 | 0.000 | 0.000 | -0.000 |
| -0.000 | 0.000 | 0.000 | 123.793 | -0.000 | -0.000 |
| 0.000 | -0.000 | 0.000 | -0.000 | 123.793 | -0.000 |
| 0.000 | 0.000 | -0.000 | -0.000 | -0.000 | 123.793 |
| 725.214 | 25.478 | 25.478 | 0.000 | -0.000 | 0.000 |
| 25.478 | 725.214 | 25.478 | -0.000 | 0.000 | 0.000 |
| 25.478 | 25.478 | 725.214 | -0.000 | 0.000 | 0.000 |
| 0.000 | -0.000 | -0.000 | 123.793 | 0.000 | 0.000 |
| -0.000 | 0.000 | -0.000 | 0.000 | 123.793 | 0.000 |
| -0.000 | -0.000 | 0.000 | 0.000 | 0.000 | 123.793 |
| 725.287 | 25.503 | 25.503 | -0.000 | -0.000 | -0.000 |
| 25.503 | 725.287 | 25.503 | -0.000 | 0.000 | -0.000 |
| 25.503 | 25.503 | 725.287 | 0.000 | 0.000 | -0.000 |
| -0.001 | 0.000 | 0.000 | 106.312 | 0.000 | -0.000 |
| 0.000 | -0.001 | 0.000 | -0.000 | 106.312 | -0.000 |
| 0.000 | 0.000 | -0.001 | 0.000 | 0.000 | 106.312 |
| 725.154 | 25.457 | 25.457 | 0.000 | 0.000 | 0.000 |
| 25.457 | 725.154 | 25.457 | 0.000 | 0.000 | 0.000 |
| 25.457 | 25.457 | 725.154 | -0.000 | 0.000 | 0.000 |
| 0.001 | -0.000 | -0.000 | 106.312 | -0.000 | 0.000 |
| -0.000 | 0.001 | -0.000 | -0.000 | 106.312 | 0.000 |
| -0.000 | -0.000 | 0.001 | 0.000 | -0.000 | 106.312 |
| 22.908 | 53.057 | 53.057 | -0.000 | 0.000 | 0.000 |
| 53.057 | 22.908 | 53.057 | 0.000 | 0.000 | -0.000 |
| 53.057 | 53.057 | 22.909 | 0.000 | 0.000 | -0.000 |
| 0.000 | 0.000 | 0.000 | 17.506 | 0.000 | -0.000 |
| 0.000 | 0.000 | 0.000 | -0.000 | 17.506 | -0.000 |
| 0.000 | 0.000 | 0.000 | 0.000 | -0.000 | 17.506 |
| 22.908 | 53.057 | 53.057 | -0.000 | -0.000 | 0.000 |
| 53.057 | 22.909 | 53.057 | -0.000 | -0.000 | 0.000 |
| 53.057 | 53.057 | 22.909 | 0.000 | -0.000 | 0.000 |
| -0.000 | -0.000 | -0.000 | 17.506 | 0.000 | -0.000 |
| -0.000 | -0.000 | -0.000 | 0.000 | 17.506 | 0.000 |
| -0.000 | -0.000 | -0.000 | -0.000 | -0.000 | 17.506 |
| 22.908 | 53.057 | 53.057 | -0.000 | 0.000 | -0.000 |
| 53.057 | 22.908 | 53.057 | 0.000 | 0.000 | -0.000 |
| 53.057 | 53.057 | 22.908 | -0.000 | 0.000 | -0.000 |
| 0.000 | 0.000 | 0.000 | 17.506 | 0.000 | 0.000 |
| 0.000 | 0.000 | 0.000 | -0.000 | 17.506 | -0.000 |
| 0.000 | 0.000 | 0.000 | 0.000 | 0.000 | 17.506 |
| 22.909 | 53.057 | 53.057 | 0.000 | 0.000 | -0.000 |
| 53.057 | 22.909 | 53.057 | -0.000 | -0.000 | 0.000 |
| 53.057 | 53.057 | 22.909 | 0.000 | -0.000 | 0.000 |
| -0.000 | -0.000 | -0.000 | 17.506 | 0.000 | 0.000 |
| -0.000 | -0.000 | -0.000 | 0.000 | 17.506 | 0.000 |
| -0.000 | -0.000 | -0.000 | -0.000 | -0.000 | 17.506 |
| 22.908 | 53.057 | 53.057 | -0.000 | 0.000 | -0.000 |
| 53.057 | 22.908 | 53.057 | 0.000 | -0.000 | -0.000 |
| 53.057 | 53.057 | 22.908 | -0.000 | 0.000 | -0.000 |
| 0.000 | 0.000 | 0.000 | 17.506 | 0.000 | 0.000 |
| 0.000 | 0.000 | 0.000 | 0.000 | 17.506 | -0.000 |
| 0.000 | 0.000 | 0.000 | -0.000 | 0.000 | 17.506 |
| 22.909 | 53.057 | 53.057 | 0.000 | 0.000 | 0.000 |
| 53.057 | 22.909 | 53.057 | -0.000 | -0.000 | -0.000 |
| 53.057 | 53.057 | 22.909 | 0.000 | -0.000 | 0.000 |
| -0.000 | -0.000 | -0.000 | 17.506 | -0.000 | 0.000 |
| -0.000 | -0.000 | -0.000 | 0.000 | 17.506 | 0.000 |
| -0.000 | -0.000 | -0.000 | -0.000 | -0.000 | 17.506 |
| 1.856 | 30.739 | 30.739 | 0.000 | 0.000 | 0.000 |
| 30.739 | 1.856 | 30.739 | 0.000 | 0.000 | -0.000 |
| 30.739 | 30.739 | 1.856 | -0.000 | 0.000 | -0.000 |
| -0.000 | -0.000 | -0.000 | 10.892 | -0.000 | -0.000 |
| -0.000 | -0.000 | -0.000 | -0.000 | 10.892 | 0.000 |
| -0.000 | -0.000 | -0.000 | 0.000 | -0.000 | 10.892 |
| 30.000 | 16.667 | 16.667 | -0.000 | 0.000 | 0.000 |
| 16.667 | 30.000 | 16.667 | 0.000 | -0.000 | -0.000 |
| 16.667 | 16.667 | 30.000 | 0.000 | -0.000 | 0.000 |
| 0.000 | 0.000 | 0.000 | 10.892 | 0.000 | -0.000 |
| 0.000 | 0.000 | 0.000 | -0.000 | 10.892 | 0.000 |
| 0.000 | 0.000 | 0.000 | -0.000 | -0.000 | 10.892 |
| 1.856 | 30.738 | 30.738 | 0.000 | 0.000 | 0.000 |
| 30.738 | 1.856 | 30.738 | 0.000 | 0.000 | 0.000 |
| 30.738 | 30.738 | 1.856 | 0.000 | 0.000 | -0.000 |
| -0.000 | -0.000 | -0.000 | 10.892 | -0.000 | 0.000 |
| -0.000 | -0.000 | -0.000 | -0.000 | 10.892 | -0.000 |
| -0.000 | -0.000 | -0.000 | 0.000 | 0.000 | 10.892 |
| 30.000 | 16.667 | 16.667 | -0.000 | 0.000 | -0.000 |
| 16.667 | 30.000 | 16.667 | -0.000 | -0.000 | -0.000 |
| 16.667 | 16.667 | 30.000 | -0.000 | 0.000 | -0.000 |
| 0.000 | 0.000 | 0.000 | 10.892 | -0.000 | -0.000 |
| 0.000 | 0.000 | 0.000 | 0.000 | 10.892 | 0.000 |
| 0.000 | 0.000 | 0.000 | -0.000 | 0.000 | 10.892 |
| 0.136 | 31.596 | 31.596 | 0.000 | 0.000 | -0.000 |
| 31.596 | 0.136 | 31.596 | 0.000 | 0.000 | -0.000 |
| 31.596 | 31.596 | 0.136 | 0.000 | 0.000 | 0.000 |
| -0.000 | -0.000 | -0.000 | 10.892 | -0.000 | 0.000 |
| -0.000 | -0.000 | -0.000 | 0.000 | 10.892 | -0.000 |
| -0.000 | -0.000 | -0.000 | 0.000 | -0.000 | 10.892 |
| 0.231 | 31.554 | 31.554 | 0.000 | 0.000 | 0.000 |
| 31.554 | 0.231 | 31.554 | 0.000 | 0.000 | 0.000 |
| 31.554 | 31.554 | 0.231 | 0.000 | 0.000 | 0.000 |
| 0.000 | 0.000 | 0.000 | 10.892 | 0.000 | -0.000 |
| 0.000 | 0.000 | 0.000 | 0.000 | 10.892 | 0.000 |
| 0.000 | 0.000 | 0.000 | 0.000 | 0.000 | 10.892 |
| 10.210 | 0.661 | 0.661 | 0.000 | 0.000 | 0.000 |
| 0.661 | 10.210 | 0.661 | 0.000 | 0.000 | 0.000 |
| 0.661 | 0.661 | 10.210 | -0.000 | 0.000 | 0.000 |
| -0.000 | -0.000 | -0.000 | 0.635 | 0.000 | 0.000 |
| -0.000 | -0.000 | -0.000 | -0.000 | 0.530 | 0.000 |
| -0.000 | -0.000 | 0.000 | 0.000 | 0.000 | 0.635 |
| 10.210 | 0.661 | 0.661 | -0.000 | 0.000 | -0.000 |
| 0.661 | 10.210 | 0.661 | -0.000 | -0.000 | -0.000 |
| 0.661 | 0.661 | 10.210 | -0.000 | 0.000 | -0.000 |
| 0.000 | 0.000 | 0.000 | 0.530 | -0.000 | 0.000 |
| 0.000 | 0.000 | 0.000 | -0.000 | 0.530 | -0.000 |
| 0.000 | 0.000 | -0.000 | 0.000 | -0.000 | 0.530 |
| 10.210 | 0.661 | 0.661 | 0.000 | 0.000 | 0.000 |
| 0.661 | 10.210 | 0.661 | 0.000 | 0.000 | 0.000 |
| 0.661 | 0.661 | 10.210 | -0.000 | 0.000 | 0.000 |
| -0.000 | -0.000 | -0.000 | 0.635 | 0.000 | -0.000 |
| -0.000 | -0.000 | -0.000 | 0.000 | 0.635 | 0.000 |
| -0.000 | -0.000 | -0.000 | 0.000 | 0.000 | 0.635 |
| 10.210 | 0.661 | 0.661 | -0.000 | 0.000 | -0.000 |
| 0.661 | 10.210 | 0.661 | -0.000 | -0.000 | 0.000 |
| 0.661 | 0.661 | 10.210 | -0.000 | -0.000 | -0.000 |
| 0.000 | 0.000 | 0.000 | 0.635 | -0.000 | -0.000 |
| 0.000 | 0.000 | 0.000 | -0.000 | 0.635 | -0.000 |
| 0.000 | 0.000 | 0.000 | -0.000 | -0.000 | 0.635 |
| 10.210 | 0.661 | 0.661 | 0.000 | 0.000 | 0.000 |
| 0.661 | 10.210 | 0.661 | 0.000 | 0.000 | 0.000 |
| 0.661 | 0.661 | 10.210 | -0.000 | -0.000 | 0.000 |
| 0.000 | -0.000 | -0.000 | 0.381 | 0.000 | -0.000 |
| 0.000 | -0.000 | 0.000 | 0.000 | 0.359 | 0.000 |
| -0.000 | -0.000 | 0.000 | 0.000 | 0.000 | 0.381 |
| 10.210 | 0.661 | 0.661 | -0.000 | -0.000 | -0.000 |
| 0.661 | 10.210 | 0.661 | 0.000 | -0.000 | -0.000 |
| 0.661 | 0.661 | 10.210 | -0.000 | -0.000 | -0.000 |
| -0.000 | 0.000 | 0.000 | 0.381 | 0.000 | -0.000 |
| -0.000 | 0.000 | -0.000 | -0.000 | 0.359 | -0.000 |
| 0.000 | 0.000 | -0.000 | -0.000 | -0.000 | 0.381 |
| 11.711 | 0.000 | 0.000 | 0.000 | 0.000 | 0.000 |
| 0.000 | 11.711 | 0.000 | 0.000 | 0.000 | -0.000 |
| 0.000 | 0.000 | 11.711 | -0.000 | 0.000 | 0.000 |
| 0.000 | -0.000 | 0.000 | 0.000 | 0.000 | 0.000 |
| -0.000 | 0.000 | 0.000 | -0.000 | 0.000 | 0.000 |
| -0.000 | 0.000 | 0.000 | 0.000 | 0.000 | 0.000 |
| 11.711 | -0.000 | -0.000 | -0.000 | 0.000 | 0.000 |
| -0.000 | 11.711 | -0.000 | 0.000 | -0.000 | -0.000 |
| -0.000 | -0.000 | 11.711 | 0.000 | 0.000 | -0.000 |
| -0.000 | 0.000 | -0.000 | 0.000 | -0.000 | -0.000 |
| 0.000 | -0.000 | -0.000 | 0.000 | 0.000 | 0.000 |
| 0.000 | -0.000 | -0.000 | -0.000 | 0.000 | 0.000 |
| 11.711 | 0.000 | 0.000 | 0.000 | -0.000 | 0.000 |
| 0.000 | 11.711 | 0.000 | 0.000 | 0.000 | 0.000 |
| 0.000 | 0.000 | 11.711 | 0.000 | -0.000 | 0.000 |
| 0.000 | 0.000 | -0.000 | 0.000 | 0.000 | -0.000 |
| 0.000 | 0.000 | -0.000 | -0.000 | 0.000 | 0.000 |
| 0.000 | -0.000 | 0.000 | 0.000 | 0.000 | 0.000 |
| 11.711 | -0.000 | -0.000 | -0.000 | 0.000 | 0.000 |
| -0.000 | 11.711 | -0.000 | -0.000 | -0.000 | 0.000 |
| -0.000 | -0.000 | 11.711 | -0.000 | 0.000 | -0.000 |
| -0.000 | -0.000 | 0.000 | 0.000 | -0.000 | 0.000 |
| -0.000 | -0.000 | 0.000 | 0.000 | 0.000 | 0.000 |
| -0.000 | 0.000 | -0.000 | -0.000 | -0.000 | 0.000 |
| 11.710 | 0.000 | 0.000 | 0.000 | 0.000 | -0.000 |
| 0.000 | 11.710 | 0.000 | -0.000 | 0.000 | -0.000 |
| 0.000 | 0.000 | 11.710 | -0.000 | 0.000 | 0.000 |
| 0.000 | 0.000 | -0.000 | 0.000 | 0.000 | 0.000 |
| 0.000 | 0.000 | -0.000 | 0.000 | 0.000 | 0.000 |
| 0.000 | -0.000 | 0.000 | 0.000 | -0.000 | 0.000 |
| 11.711 | -0.000 | -0.000 | -0.000 | 0.000 | 0.000 |
| -0.000 | 11.711 | -0.000 | 0.000 | -0.000 | 0.000 |
| -0.000 | -0.000 | 11.711 | 0.000 | -0.000 | -0.000 |
| -0.000 | -0.000 | 0.000 | 0.000 | -0.000 | -0.000 |
| -0.000 | -0.000 | 0.000 | -0.000 | 0.000 | 0.000 |
| -0.000 | 0.000 | -0.000 | -0.000 | -0.000 | 0.000 |
| 253.986 | 106.383 | 106.383 | 0.000 | -0.000 | -0.000 |
| 106.383 | 253.986 | 106.383 | 0.000 | -0.000 | -0.000 |
| 106.383 | 106.383 | 253.986 | 0.000 | 0.000 | 0.000 |
| -0.000 | -0.000 | 0.000 | 132.611 | -0.000 | 0.000 |
| -0.000 | -0.000 | 0.000 | 0.000 | 132.611 | -0.000 |
| -0.000 | 0.000 | -0.000 | 0.000 | -0.000 | 132.611 |
| 253.986 | 106.383 | 106.383 | -0.000 | -0.000 | 0.000 |
| 106.383 | 253.986 | 106.383 | -0.000 | 0.000 | -0.000 |
| 106.383 | 106.383 | 253.986 | 0.000 | 0.000 | 0.000 |
| 0.000 | 0.000 | -0.000 | 132.611 | 0.000 | 0.000 |
| 0.000 | 0.000 | -0.000 | -0.000 | 132.611 | 0.000 |
| 0.000 | -0.000 | 0.000 | -0.000 | 0.000 | 132.611 |
| 253.986 | 106.383 | 106.383 | 0.000 | -0.000 | 0.000 |
| 106.383 | 253.986 | 106.383 | -0.000 | 0.000 | 0.000 |
| 106.383 | 106.383 | 253.986 | 0.000 | 0.000 | -0.000 |
| -0.000 | -0.000 | 0.000 | 202.334 | -0.000 | -0.000 |
| -0.000 | -0.000 | 0.000 | -0.000 | 202.334 | -0.000 |
| -0.000 | 0.000 | -0.000 | 0.000 | -0.000 | 202.334 |
| 253.985 | 106.383 | 106.383 | -0.000 | 0.000 | -0.000 |
| 106.383 | 253.985 | 106.383 | -0.000 | 0.000 | -0.000 |
| 106.383 | 106.383 | 253.985 | -0.000 | -0.000 | 0.000 |
| 0.000 | 0.000 | -0.000 | 202.334 | 0.000 | 0.000 |
| 0.000 | 0.000 | -0.000 | 0.000 | 202.334 | 0.000 |
| 0.000 | -0.000 | 0.000 | 0.000 | 0.000 | 202.334 |
| 253.989 | 106.384 | 106.384 | 0.000 | -0.000 | 0.000 |
| 106.384 | 253.989 | 106.384 | -0.000 | -0.000 | -0.000 |
| 106.384 | 106.384 | 253.989 | 0.000 | 0.000 | -0.000 |
| -0.000 | -0.000 | 0.000 | 202.334 | -0.000 | -0.000 |
| -0.000 | -0.000 | 0.000 | -0.000 | 202.334 | 0.000 |
| -0.000 | 0.000 | -0.000 | 0.000 | -0.000 | 202.334 |
| 253.983 | 106.383 | 106.383 | -0.000 | 0.000 | -0.000 |
| 106.383 | 253.983 | 106.383 | -0.000 | 0.000 | 0.000 |
| 106.383 | 106.383 | 253.983 | -0.000 | 0.000 | 0.000 |
| 0.000 | 0.000 | -0.000 | 202.334 | 0.000 | 0.000 |
| 0.000 | 0.000 | -0.000 | 0.000 | 202.334 | 0.000 |
| 0.000 | -0.000 | 0.000 | 0.000 | 0.000 | 202.334 |
| 173.681 | 70.590 | 70.590 | -0.000 | -0.000 | -0.000 |
| 70.590 | 173.681 | 70.590 | -0.000 | -0.000 | -0.000 |
| 70.590 | 70.590 | 173.681 | -0.000 | -0.000 | -0.000 |
| -0.000 | -0.000 | -0.000 | 54.579 | -0.000 | -0.000 |
| -0.000 | -0.000 | -0.000 | -0.000 | 54.579 | -0.000 |
| -0.000 | -0.000 | -0.000 | -0.000 | 0.000 | 54.579 |
| 173.681 | 70.590 | 70.590 | 0.000 | -0.000 | 0.000 |
| 70.590 | 173.681 | 70.590 | 0.000 | 0.000 | 0.000 |
| 70.590 | 70.590 | 173.681 | 0.000 | -0.000 | 0.000 |
| 0.000 | 0.000 | 0.000 | 54.579 | 0.000 | 0.000 |
| 0.000 | 0.000 | 0.000 | 0.000 | 54.579 | 0.000 |
| 0.000 | 0.000 | 0.000 | 0.000 | -0.000 | 54.579 |
| 173.681 | 70.590 | 70.590 | -0.000 | -0.000 | -0.000 |
| 70.590 | 173.681 | 70.590 | 0.000 | 0.000 | -0.000 |
| 70.590 | 70.590 | 173.681 | 0.000 | 0.000 | -0.000 |
| 0.000 | -0.000 | -0.000 | 75.055 | 0.000 | 0.000 |
| -0.000 | 0.000 | -0.000 | -0.000 | 75.055 | -0.000 |
| -0.000 | -0.000 | 0.000 | -0.000 | 0.000 | 75.055 |
| 173.682 | 70.590 | 70.590 | 0.000 | -0.000 | -0.000 |
| 70.590 | 173.682 | 70.590 | 0.000 | -0.000 | 0.000 |
| 70.590 | 70.590 | 173.682 | 0.000 | 0.000 | -0.000 |
| -0.000 | 0.000 | 0.000 | 75.055 | -0.000 | 0.000 |
| 0.000 | -0.000 | 0.000 | 0.000 | 75.055 | 0.000 |
| 0.000 | 0.000 | -0.000 | 0.000 | -0.000 | 75.055 |
| 173.679 | 70.590 | 70.590 | 0.000 | -0.000 | -0.000 |
| 70.590 | 173.679 | 70.590 | -0.000 | -0.000 | -0.000 |
| 70.590 | 70.590 | 173.679 | -0.000 | 0.000 | 0.000 |
| -0.000 | -0.000 | -0.000 | 54.579 | 0.000 | 0.000 |
| -0.000 | -0.000 | -0.000 | -0.000 | 54.579 | -0.000 |
| -0.000 | -0.000 | -0.000 | -0.000 | 0.000 | 54.579 |
| 173.684 | 70.590 | 70.590 | 0.000 | -0.000 | 0.000 |
| 70.590 | 173.684 | 70.590 | 0.000 | -0.000 | 0.000 |
| 70.590 | 70.590 | 173.684 | -0.000 | -0.000 | 0.000 |
| 0.000 | 0.000 | 0.000 | 54.579 | -0.000 | 0.000 |
| 0.000 | 0.000 | 0.000 | 0.000 | 54.579 | 0.000 |
| 0.000 | 0.000 | 0.000 | 0.000 | 0.000 | 54.579 |
| 102.920 | 15.112 | 15.112 | -0.000 | 0.000 | 0.000 |
| 15.112 | 102.920 | 15.112 | -0.000 | 0.000 | 0.000 |
| 15.112 | 15.112 | 102.920 | -0.000 | 0.000 | 0.000 |
| 0.000 | -0.000 | -0.000 | 16.411 | -0.000 | 0.000 |
| -0.000 | 0.000 | -0.000 | -0.000 | 16.411 | 0.000 |
| -0.000 | -0.000 | 0.000 | -0.000 | -0.000 | 16.411 |
| 102.920 | 15.112 | 15.112 | 0.000 | -0.000 | -0.000 |
| 15.112 | 102.920 | 15.112 | 0.000 | 0.000 | -0.000 |
| 15.112 | 15.112 | 102.920 | 0.000 | -0.000 | -0.000 |
| -0.000 | 0.000 | 0.000 | 16.411 | 0.000 | -0.000 |
| 0.000 | -0.000 | 0.000 | 0.000 | 16.411 | -0.000 |
| 0.000 | 0.000 | -0.000 | 0.000 | -0.000 | 16.411 |
| 102.920 | 15.112 | 15.112 | 0.000 | 0.000 | 0.000 |
| 15.112 | 102.920 | 15.112 | 0.000 | -0.000 | 0.000 |
| 15.112 | 15.112 | 102.920 | -0.000 | -0.000 | 0.000 |
| 0.000 | 0.000 | -0.000 | 16.537 | -0.000 | -0.000 |
| 0.000 | 0.000 | -0.000 | -0.000 | 16.537 | 0.000 |
| 0.000 | -0.000 | 0.000 | -0.000 | -0.000 | 16.537 |
| 102.920 | 15.112 | 15.112 | -0.000 | -0.000 | -0.000 |
| 15.112 | 102.920 | 15.112 | 0.000 | -0.000 | -0.000 |
| 15.112 | 15.112 | 102.920 | 0.000 | -0.000 | -0.000 |
| -0.000 | -0.000 | 0.000 | 16.537 | -0.000 | -0.000 |
| -0.000 | -0.000 | 0.000 | 0.000 | 16.537 | -0.000 |
| -0.000 | 0.000 | -0.000 | 0.000 | 0.000 | 16.537 |
| 102.921 | 15.112 | 15.112 | -0.000 | 0.000 | 0.000 |
| 15.112 | 102.921 | 15.112 | -0.000 | -0.000 | -0.000 |
| 15.112 | 15.112 | 102.921 | -0.000 | -0.000 | 0.000 |
| 0.000 | 0.000 | -0.000 | 16.411 | -0.000 | 0.000 |
| 0.000 | 0.000 | -0.000 | -0.000 | 16.411 | 0.000 |
| 0.000 | -0.000 | 0.000 | -0.000 | 0.000 | 16.411 |
| 102.919 | 15.112 | 15.112 | 0.000 | 0.000 | -0.000 |
| 15.112 | 102.919 | 15.112 | 0.000 | 0.000 | -0.000 |
| 15.112 | 15.112 | 102.919 | 0.000 | 0.000 | -0.000 |
| -0.000 | -0.000 | 0.000 | 16.411 | 0.000 | -0.000 |
| -0.000 | -0.000 | 0.000 | 0.000 | 16.411 | -0.000 |
| -0.000 | 0.000 | -0.000 | 0.000 | 0.000 | 16.411 |
| 64.758 | 22.886 | 22.886 | -0.000 | 0.000 | 0.000 |
| 22.886 | 64.758 | 22.886 | 0.000 | 0.000 | 0.000 |
| 22.886 | 22.886 | 64.758 | 0.000 | -0.000 | 0.000 |
| -0.000 | -0.000 | 0.000 | 20.089 | 0.000 | 0.000 |
| -0.000 | -0.000 | 0.000 | -0.000 | 20.089 | 0.000 |
| -0.000 | -0.000 | -0.000 | 0.000 | 0.000 | 20.089 |
| 64.758 | 22.886 | 22.886 | -0.000 | -0.000 | -0.000 |
| 22.886 | 64.758 | 22.886 | -0.000 | 0.000 | -0.000 |
| 22.886 | 22.886 | 64.758 | -0.000 | -0.000 | -0.000 |
| 0.000 | 0.000 | -0.000 | 20.089 | -0.000 | -0.000 |
| 0.000 | 0.000 | -0.000 | -0.000 | 20.089 | -0.000 |
| 0.000 | 0.000 | 0.000 | -0.000 | -0.000 | 20.089 |
| 64.758 | 22.886 | 22.886 | -0.000 | 0.000 | 0.000 |
| 22.886 | 64.758 | 22.886 | -0.000 | 0.000 | 0.000 |
| 22.886 | 22.886 | 64.758 | 0.000 | 0.000 | 0.000 |
| -0.000 | 0.000 | 0.000 | 20.089 | 0.000 | 0.000 |
| 0.000 | -0.000 | 0.000 | 0.000 | 20.089 | 0.000 |
| 0.000 | 0.000 | -0.000 | 0.000 | 0.000 | 20.089 |
| 64.758 | 22.886 | 22.886 | 0.000 | -0.000 | -0.000 |
| 22.886 | 64.758 | 22.886 | 0.000 | 0.000 | -0.000 |
| 22.886 | 22.886 | 64.758 | -0.000 | -0.000 | -0.000 |
| 0.000 | -0.000 | -0.000 | 20.089 | -0.000 | 0.000 |
| -0.000 | 0.000 | -0.000 | -0.000 | 20.089 | -0.000 |
| -0.000 | -0.000 | 0.000 | -0.000 | -0.000 | 20.089 |
| 64.757 | 22.886 | 22.886 | -0.000 | 0.000 | 0.000 |
| 22.886 | 64.757 | 22.886 | -0.000 | 0.000 | 0.000 |
| 22.886 | 22.886 | 64.757 | -0.000 | 0.000 | 0.000 |
| -0.000 | 0.000 | 0.000 | 20.089 | 0.000 | 0.000 |
| 0.000 | -0.000 | 0.000 | -0.000 | 20.089 | 0.000 |
| 0.000 | 0.000 | -0.000 | 0.000 | 0.000 | 20.089 |
| 64.760 | 22.886 | 22.886 | -0.000 | -0.000 | -0.000 |
| 22.886 | 64.760 | 22.886 | 0.000 | 0.000 | -0.000 |
| 22.886 | 22.886 | 64.760 | 0.000 | 0.000 | -0.000 |
| 0.000 | -0.000 | -0.000 | 20.089 | -0.000 | -0.000 |
| -0.000 | 0.000 | -0.000 | -0.000 | 20.089 | -0.000 |
| -0.000 | -0.000 | 0.000 | -0.000 | -0.000 | 20.089 |
| 18.263 | 18.224 | 18.224 | 0.000 | 0.000 | -0.000 |
| 18.224 | 18.263 | 18.224 | 0.000 | 0.000 | -0.000 |
| 18.224 | 18.224 | 18.263 | 0.000 | 0.000 | 0.000 |
| -0.000 | -0.000 | -0.000 | 15.766 | 0.000 | -0.000 |
| -0.000 | -0.000 | -0.000 | 0.000 | 15.766 | -0.000 |
| -0.000 | -0.000 | -0.000 | 0.000 | 0.000 | 15.766 |
| 18.263 | 18.224 | 18.224 | -0.000 | -0.000 | -0.000 |
| 18.224 | 18.263 | 18.224 | -0.000 | -0.000 | -0.000 |
| 18.224 | 18.224 | 18.263 | -0.000 | -0.000 | -0.000 |
| 0.000 | 0.000 | 0.000 | 15.766 | -0.000 | -0.000 |
| 0.000 | 0.000 | 0.000 | -0.000 | 15.766 | -0.000 |
| 0.000 | 0.000 | 0.000 | -0.000 | -0.000 | 15.766 |
| 18.263 | 18.224 | 18.224 | 0.000 | 0.000 | 0.000 |
| 18.224 | 18.263 | 18.224 | 0.000 | 0.000 | 0.000 |
| 18.224 | 18.224 | 18.263 | 0.000 | 0.000 | -0.000 |
| -0.000 | -0.000 | -0.000 | 15.766 | 0.000 | 0.000 |
| -0.000 | -0.000 | -0.000 | 0.000 | 15.766 | 0.000 |
| -0.000 | -0.000 | -0.000 | 0.000 | 0.000 | 15.766 |
| 18.263 | 18.224 | 18.224 | -0.000 | -0.000 | -0.000 |
| 18.224 | 18.263 | 18.224 | -0.000 | -0.000 | -0.000 |
| 18.224 | 18.224 | 18.263 | -0.000 | -0.000 | -0.000 |
| 0.000 | 0.000 | 0.000 | 15.766 | -0.000 | 0.000 |
| 0.000 | 0.000 | 0.000 | -0.000 | 15.766 | 0.000 |
| 0.000 | 0.000 | 0.000 | -0.000 | -0.000 | 15.766 |
| 18.263 | 18.223 | 18.223 | 0.000 | 0.000 | 0.000 |
| 18.223 | 18.263 | 18.223 | 0.000 | 0.000 | 0.000 |
| 18.223 | 18.223 | 18.263 | 0.000 | 0.000 | 0.000 |
| -0.000 | -0.000 | -0.000 | 15.766 | 0.000 | -0.000 |
| -0.000 | -0.000 | -0.000 | 0.000 | 15.766 | -0.000 |
| -0.000 | -0.000 | -0.000 | 0.000 | 0.000 | 15.766 |
| 18.263 | 18.224 | 18.224 | -0.000 | -0.000 | -0.000 |
| 18.224 | 18.263 | 18.224 | -0.000 | -0.000 | -0.000 |
| 18.224 | 18.224 | 18.263 | -0.000 | -0.000 | 0.000 |
| 0.000 | 0.000 | 0.000 | 15.766 | -0.000 | 0.000 |
| 0.000 | 0.000 | 0.000 | -0.000 | 15.766 | 0.000 |
| 0.000 | 0.000 | 0.000 | -0.000 | -0.000 | 15.766 |
| 171.515 | 60.951 | 60.951 | 0.000 | 0.000 | 0.000 |
| 60.951 | 171.515 | 60.951 | 0.000 | 0.000 | 0.000 |
| 60.951 | 60.951 | 171.515 | 0.000 | 0.000 | 0.000 |
| 0.000 | 0.000 | 0.000 | 120.222 | 0.000 | 0.000 |
| 0.000 | 0.000 | 0.000 | 0.000 | 120.222 | 0.000 |
| 0.000 | 0.000 | 0.000 | 0.000 | 0.000 | 120.222 |
| 171.516 | 60.952 | 60.952 | -0.000 | -0.000 | -0.000 |
| 60.952 | 171.516 | 60.952 | -0.000 | -0.000 | -0.000 |
| 60.952 | 60.952 | 171.516 | -0.000 | -0.000 | -0.000 |
| -0.000 | -0.000 | -0.000 | 120.222 | -0.000 | -0.000 |
| -0.000 | -0.000 | -0.000 | -0.000 | 120.222 | -0.000 |
| -0.000 | -0.000 | -0.000 | -0.000 | -0.000 | 120.222 |
| 171.514 | 60.950 | 60.950 | 0.000 | 0.000 | 0.000 |
| 60.950 | 171.514 | 60.950 | 0.000 | 0.000 | 0.000 |
| 60.950 | 60.950 | 171.514 | 0.000 | 0.000 | 0.000 |
| 0.000 | 0.000 | 0.000 | 120.222 | 0.000 | 0.000 |
| 0.000 | 0.000 | 0.000 | 0.000 | 120.222 | 0.000 |
| 0.000 | 0.000 | 0.000 | 0.000 | 0.000 | 120.222 |
| 171.518 | 60.953 | 60.953 | -0.000 | -0.000 | -0.000 |
| 60.953 | 171.518 | 60.953 | -0.000 | -0.000 | -0.000 |
| 60.953 | 60.953 | 171.518 | -0.000 | -0.000 | -0.000 |
| -0.000 | -0.000 | -0.000 | 120.222 | -0.000 | -0.000 |
| -0.000 | -0.000 | -0.000 | -0.000 | 120.222 | -0.000 |
| -0.000 | -0.000 | -0.000 | -0.000 | -0.000 | 120.222 |
| 171.496 | 60.938 | 60.938 | 0.000 | 0.000 | 0.000 |
| 60.938 | 171.496 | 60.938 | 0.000 | 0.000 | 0.000 |
| 60.938 | 60.938 | 171.496 | 0.000 | 0.000 | 0.000 |
| 0.002 | 0.003 | 0.003 | 120.222 | 0.000 | 0.000 |
| 0.003 | 0.002 | 0.003 | 0.000 | 120.222 | 0.000 |
| 0.003 | 0.003 | 0.002 | 0.000 | 0.000 | 120.222 |
| 171.535 | 60.965 | 60.965 | -0.000 | -0.000 | -0.000 |
| 60.965 | 171.535 | 60.965 | -0.000 | -0.000 | -0.000 |
| 60.965 | 60.965 | 171.535 | -0.000 | -0.000 | -0.000 |
| -0.002 | -0.003 | -0.003 | 120.222 | -0.000 | -0.000 |
| -0.003 | -0.002 | -0.003 | -0.000 | 120.222 | -0.000 |
| -0.003 | -0.003 | -0.002 | -0.000 | -0.000 | 120.222 |
| 201.968 | 88.480 | 88.480 | 0.000 | -0.000 | -0.000 |
| 88.480 | 201.968 | 88.480 | 0.000 | 0.000 | -0.000 |
| 88.480 | 88.480 | 201.968 | 0.000 | 0.000 | -0.000 |
| -0.000 | -0.000 | -0.000 | 77.863 | -0.000 | -0.000 |
| -0.000 | -0.000 | -0.000 | 0.000 | 77.863 | -0.000 |
| -0.000 | -0.000 | -0.000 | 0.000 | 0.000 | 77.863 |
| 201.968 | 88.480 | 88.480 | -0.000 | 0.000 | -0.000 |
| 88.480 | 201.968 | 88.480 | 0.000 | 0.000 | 0.000 |
| 88.480 | 88.480 | 201.968 | -0.000 | 0.000 | 0.000 |
| 0.000 | 0.000 | 0.000 | 77.863 | -0.000 | 0.000 |
| 0.000 | 0.000 | 0.000 | 0.000 | 77.863 | -0.000 |
| 0.000 | 0.000 | 0.000 | -0.000 | -0.000 | 77.863 |
| 201.967 | 88.479 | 88.479 | 0.000 | -0.000 | 0.000 |
| 88.479 | 201.967 | 88.479 | 0.000 | 0.000 | -0.000 |
| 88.479 | 88.479 | 201.967 | 0.000 | 0.000 | 0.000 |
| -0.000 | -0.000 | -0.000 | 77.863 | 0.000 | -0.000 |
| -0.000 | -0.000 | -0.000 | 0.000 | 77.863 | -0.000 |
| -0.000 | -0.000 | -0.000 | 0.000 | 0.000 | 77.863 |
| 201.968 | 88.480 | 88.480 | -0.000 | 0.000 | 0.000 |
| 88.480 | 201.968 | 88.480 | 0.000 | -0.000 | 0.000 |
| 88.480 | 88.480 | 201.968 | -0.000 | -0.000 | -0.000 |
| 0.000 | 0.000 | 0.000 | 77.863 | -0.000 | 0.000 |
| 0.000 | 0.000 | 0.000 | 0.000 | 77.863 | 0.000 |
| 0.000 | 0.000 | 0.000 | -0.000 | -0.000 | 77.863 |
| 201.960 | 88.477 | 88.477 | 0.000 | 0.000 | -0.000 |
| 88.477 | 201.960 | 88.477 | 0.000 | -0.000 | -0.000 |
| 88.477 | 88.477 | 201.960 | -0.000 | -0.000 | -0.000 |
| -0.000 | -0.002 | -0.002 | 77.863 | 0.000 | -0.000 |
| -0.002 | -0.000 | -0.002 | 0.000 | 77.863 | -0.000 |
| -0.002 | -0.002 | -0.000 | 0.000 | -0.000 | 77.863 |
| 201.975 | 88.483 | 88.483 | -0.000 | -0.000 | 0.000 |
| 88.483 | 201.975 | 88.483 | -0.000 | -0.000 | 0.000 |
| 88.483 | 88.483 | 201.975 | -0.000 | 0.000 | 0.000 |
| 0.000 | 0.002 | 0.002 | 77.863 | 0.000 | 0.000 |
| 0.002 | 0.000 | 0.002 | -0.000 | 77.863 | 0.000 |
| 0.002 | 0.002 | 0.000 | -0.000 | 0.000 | 77.863 |
| 188.143 | 4.269 | 4.269 | 0.000 | 0.000 | -0.000 |
| 4.269 | 188.143 | 4.269 | 0.000 | 0.000 | 0.000 |
| 4.269 | 4.269 | 188.143 | 0.000 | 0.000 | 0.000 |
| 0.000 | -0.000 | -0.000 | 11.205 | 0.000 | 0.000 |
| 0.000 | 0.000 | -0.000 | 0.000 | 11.205 | -0.000 |
| 0.000 | 0.000 | -0.000 | 0.000 | 0.000 | 11.205 |
| 188.143 | 4.269 | 4.269 | -0.000 | -0.000 | 0.000 |
| 4.269 | 188.143 | 4.269 | -0.000 | -0.000 | 0.000 |
| 4.269 | 4.269 | 188.143 | 0.000 | 0.000 | 0.000 |
| -0.000 | 0.000 | 0.000 | 11.205 | -0.000 | -0.000 |
| -0.000 | -0.000 | 0.000 | -0.000 | 11.205 | 0.000 |
| -0.000 | -0.000 | 0.000 | -0.000 | -0.000 | 11.205 |
| 188.144 | 4.269 | 4.269 | 0.000 | 0.000 | 0.000 |
| 4.269 | 188.144 | 4.269 | 0.000 | 0.000 | -0.000 |
| 4.269 | 4.269 | 188.144 | 0.000 | 0.000 | -0.000 |
| -0.000 | -0.000 | -0.000 | 11.205 | 0.000 | -0.000 |
| -0.000 | -0.000 | -0.000 | 0.000 | 11.205 | 0.000 |
| -0.000 | -0.000 | -0.000 | 0.000 | 0.000 | 11.205 |
| 188.143 | 4.269 | 4.269 | -0.000 | -0.000 | 0.000 |
| 4.269 | 188.143 | 4.269 | -0.000 | -0.000 | -0.000 |
| 4.269 | 4.269 | 188.143 | -0.000 | -0.000 | 0.000 |
| 0.000 | 0.000 | 0.000 | 11.205 | -0.000 | -0.000 |
| 0.000 | 0.000 | 0.000 | -0.000 | 11.205 | 0.000 |
| 0.000 | 0.000 | 0.000 | -0.000 | -0.000 | 11.205 |
| 188.148 | 4.269 | 4.269 | 0.000 | 0.000 | -0.000 |
| 4.269 | 188.148 | 4.269 | 0.000 | 0.000 | -0.000 |
| 4.269 | 4.269 | 188.148 | 0.000 | 0.000 | 0.000 |
| -0.000 | -0.000 | -0.000 | 11.205 | 0.000 | -0.000 |
| -0.000 | -0.000 | -0.000 | 0.000 | 11.205 | 0.000 |
| -0.000 | -0.000 | -0.000 | 0.000 | 0.000 | 11.205 |
| 188.138 | 4.269 | 4.269 | -0.000 | -0.000 | 0.000 |
| 4.269 | 188.138 | 4.269 | -0.000 | -0.000 | 0.000 |
| 4.269 | 4.269 | 188.138 | -0.000 | -0.000 | 0.000 |
| 0.000 | 0.000 | 0.000 | 11.205 | -0.000 | -0.000 |
| 0.000 | 0.000 | 0.000 | -0.000 | 11.205 | 0.000 |
| 0.000 | 0.000 | 0.000 | -0.000 | -0.000 | 11.205 |
| 67.199 | 33.185 | 33.185 | -0.000 | -0.000 | -0.000 |
| 33.185 | 67.199 | 33.185 | -0.000 | -0.000 | -0.000 |
| 33.185 | 33.185 | 67.199 | -0.000 | -0.000 | -0.000 |
| -0.000 | 0.000 | 0.000 | 34.626 | -0.000 | -0.000 |
| 0.000 | -0.000 | 0.000 | -0.000 | 34.626 | -0.000 |
| 0.000 | 0.000 | -0.000 | -0.000 | -0.000 | 34.626 |
| 67.199 | 33.185 | 33.185 | 0.000 | -0.000 | -0.000 |
| 33.185 | 67.199 | 33.185 | -0.000 | 0.000 | 0.000 |
| 33.185 | 33.185 | 67.199 | 0.000 | 0.000 | 0.000 |
| 0.000 | -0.000 | -0.000 | 34.626 | 0.000 | 0.000 |
| -0.000 | 0.000 | -0.000 | 0.000 | 34.626 | 0.000 |
| -0.000 | -0.000 | 0.000 | 0.000 | 0.000 | 34.626 |
| 67.199 | 33.185 | 33.185 | -0.000 | -0.000 | -0.000 |
| 33.185 | 67.199 | 33.185 | -0.000 | -0.000 | -0.000 |
| 33.185 | 33.185 | 67.199 | -0.000 | -0.000 | -0.000 |
| -0.000 | 0.000 | 0.000 | 34.626 | -0.000 | -0.000 |
| 0.000 | -0.000 | 0.000 | -0.000 | 34.626 | -0.000 |
| 0.000 | 0.000 | -0.000 | -0.000 | -0.000 | 34.626 |
| 67.199 | 33.185 | 33.185 | 0.000 | 0.000 | 0.000 |
| 33.185 | 67.199 | 33.185 | 0.000 | 0.000 | 0.000 |
| 33.185 | 33.185 | 67.199 | 0.000 | 0.000 | 0.000 |
| 0.000 | -0.000 | -0.000 | 34.626 | 0.000 | 0.000 |
| -0.000 | 0.000 | -0.000 | 0.000 | 34.626 | 0.000 |
| -0.000 | -0.000 | 0.000 | 0.000 | 0.000 | 34.626 |
| 67.199 | 33.185 | 33.185 | -0.000 | -0.000 | -0.000 |
| 33.185 | 67.199 | 33.185 | -0.000 | -0.000 | -0.000 |
| 33.185 | 33.185 | 67.199 | -0.000 | -0.000 | -0.000 |
| -0.000 | 0.000 | 0.000 | 34.626 | -0.000 | -0.000 |
| 0.000 | -0.000 | 0.000 | -0.000 | 34.626 | -0.000 |
| 0.000 | 0.000 | -0.000 | -0.000 | -0.000 | 34.626 |
| 67.199 | 33.184 | 33.184 | 0.000 | 0.000 | 0.000 |
| 33.184 | 67.199 | 33.184 | 0.000 | 0.000 | 0.000 |
| 33.184 | 33.184 | 67.199 | 0.000 | 0.000 | 0.000 |
| 0.000 | -0.000 | -0.000 | 34.626 | 0.000 | 0.000 |
| -0.000 | 0.000 | -0.000 | 0.000 | 34.626 | 0.000 |
| -0.000 | -0.000 | 0.000 | 0.000 | 0.000 | 34.626 |
| 46.044 | 22.879 | 22.879 | -0.000 | 0.000 | 0.000 |
| 22.879 | 46.044 | 22.879 | 0.000 | 0.000 | -0.000 |
| 22.879 | 22.879 | 46.044 | -0.000 | -0.000 | 0.000 |
| 0.000 | -0.000 | -0.000 | 24.028 | 0.000 | -0.000 |
| -0.000 | 0.000 | -0.000 | -0.000 | 24.028 | -0.000 |
| -0.000 | -0.000 | 0.000 | -0.000 | -0.000 | 24.028 |
| 46.044 | 22.879 | 22.879 | 0.000 | 0.000 | 0.000 |
| 22.879 | 46.044 | 22.879 | 0.000 | -0.000 | 0.000 |
| 22.879 | 22.879 | 46.044 | -0.000 | -0.000 | 0.000 |
| -0.000 | 0.000 | 0.000 | 24.028 | -0.000 | -0.000 |
| 0.000 | -0.000 | 0.000 | 0.000 | 24.028 | 0.000 |
| 0.000 | 0.000 | -0.000 | 0.000 | 0.000 | 24.028 |
| 46.044 | 22.879 | 22.879 | -0.000 | 0.000 | 0.000 |
| 22.879 | 46.044 | 22.879 | 0.000 | 0.000 | -0.000 |
| 22.879 | 22.879 | 46.044 | 0.000 | 0.000 | -0.000 |
| -0.000 | -0.000 | -0.000 | 24.028 | 0.000 | -0.000 |
| -0.000 | -0.000 | -0.000 | 0.000 | 24.028 | -0.000 |
| -0.000 | -0.000 | -0.000 | -0.000 | -0.000 | 24.028 |
| 46.044 | 22.879 | 22.879 | 0.000 | -0.000 | -0.000 |
| 22.879 | 46.044 | 22.879 | -0.000 | -0.000 | 0.000 |
| 22.879 | 22.879 | 46.044 | 0.000 | -0.000 | 0.000 |
| 0.000 | 0.000 | 0.000 | 24.028 | -0.000 | -0.000 |
| 0.000 | 0.000 | 0.000 | -0.000 | 24.028 | 0.000 |
| 0.000 | 0.000 | 0.000 | 0.000 | 0.000 | 24.028 |
| 46.044 | 22.879 | 22.879 | -0.000 | -0.000 | -0.000 |
| 22.879 | 46.044 | 22.879 | -0.000 | 0.000 | -0.000 |
| 22.879 | 22.879 | 46.044 | -0.000 | -0.000 | -0.000 |
| -0.000 | -0.000 | -0.000 | 24.028 | 0.000 | -0.000 |
| -0.000 | -0.000 | -0.000 | -0.000 | 24.028 | -0.000 |
| -0.000 | -0.000 | -0.000 | -0.000 | -0.000 | 24.028 |
| 46.045 | 22.879 | 22.879 | 0.000 | 0.000 | 0.000 |
| 22.879 | 46.045 | 22.879 | 0.000 | -0.000 | 0.000 |
| 22.879 | 22.879 | 46.045 | 0.000 | 0.000 | 0.000 |
| 0.000 | 0.000 | 0.000 | 24.028 | -0.000 | 0.000 |
| 0.000 | 0.000 | 0.000 | 0.000 | 24.028 | -0.000 |
| 0.000 | 0.000 | 0.000 | 0.000 | -0.000 | 24.028 |
| 481.563 | 58.599 | 58.599 | -0.000 | -0.000 | 0.000 |
| 58.599 | 481.563 | 58.599 | -0.000 | -0.000 | -0.000 |
| 58.599 | 58.599 | 481.563 | 0.000 | -0.000 | -0.000 |
| -0.000 | -0.000 | -0.000 | 58.042 | -0.000 | -0.000 |
| -0.000 | 0.000 | -0.000 | -0.000 | 58.042 | -0.000 |
| -0.000 | -0.000 | -0.000 | -0.000 | -0.000 | 58.042 |
| 481.562 | 58.598 | 58.598 | 0.000 | 0.000 | -0.000 |
| 58.598 | 481.562 | 58.598 | 0.000 | 0.000 | -0.000 |
| 58.598 | 58.598 | 481.562 | -0.000 | 0.000 | -0.000 |
| 0.000 | 0.000 | 0.000 | 58.042 | 0.000 | -0.000 |
| 0.000 | 0.000 | 0.000 | 0.000 | 58.042 | -0.000 |
| 0.000 | 0.000 | 0.000 | 0.000 | 0.000 | 58.042 |
| 481.565 | 58.602 | 58.602 | -0.000 | -0.000 | 0.000 |
| 58.602 | 481.565 | 58.602 | -0.000 | -0.000 | -0.000 |
| 58.602 | 58.602 | 481.565 | -0.000 | -0.000 | 0.000 |
| 0.000 | 0.000 | 0.000 | 58.042 | -0.000 | 0.000 |
| 0.000 | 0.000 | 0.000 | -0.000 | 58.042 | 0.000 |
| 0.000 | 0.000 | 0.000 | -0.000 | -0.000 | 58.042 |
| 481.560 | 58.595 | 58.595 | 0.000 | 0.000 | 0.000 |
| 58.595 | 481.560 | 58.595 | 0.000 | 0.000 | -0.000 |
| 58.595 | 58.595 | 481.560 | -0.000 | 0.000 | -0.000 |
| -0.000 | -0.000 | -0.000 | 58.042 | 0.000 | -0.000 |
| -0.000 | -0.000 | -0.000 | 0.000 | 58.042 | 0.000 |
| -0.000 | -0.000 | -0.000 | 0.000 | 0.000 | 58.042 |
| 481.592 | 58.630 | 58.630 | -0.000 | -0.000 | -0.000 |
| 58.630 | 481.592 | 58.630 | -0.000 | -0.000 | 0.000 |
| 58.630 | 58.630 | 481.592 | -0.000 | -0.000 | -0.000 |
| 0.000 | 0.000 | 0.000 | 58.042 | -0.000 | 0.000 |
| 0.000 | 0.000 | 0.000 | -0.000 | 58.042 | 0.000 |
| 0.000 | 0.000 | 0.000 | 0.000 | -0.000 | 58.042 |
| 481.533 | 58.566 | 58.566 | 0.000 | 0.000 | 0.000 |
| 58.566 | 481.533 | 58.566 | -0.000 | 0.000 | 0.000 |
| 58.566 | 58.566 | 481.533 | 0.000 | 0.000 | -0.000 |
| -0.000 | -0.000 | -0.000 | 58.042 | 0.000 | 0.000 |
| -0.000 | -0.000 | -0.000 | 0.000 | 58.042 | -0.000 |
| -0.000 | -0.000 | -0.000 | -0.000 | 0.000 | 58.042 |
| 322.551 | 17.296 | 17.296 | -0.000 | 0.000 | 0.000 |
| 17.296 | 322.551 | 17.296 | 0.000 | -0.000 | 0.000 |
| 17.296 | 17.296 | 322.551 | -0.000 | -0.000 | 0.000 |
| 0.000 | 0.000 | 0.000 | 32.639 | 0.000 | 0.000 |
| 0.000 | 0.000 | 0.000 | -0.000 | 32.639 | 0.000 |
| 0.000 | 0.000 | 0.000 | -0.000 | 0.000 | 32.639 |
| 322.551 | 17.296 | 17.296 | -0.000 | 0.000 | -0.000 |
| 17.296 | 322.551 | 17.296 | 0.000 | -0.000 | 0.000 |
| 17.296 | 17.296 | 322.551 | -0.000 | -0.000 | -0.000 |
| -0.000 | -0.000 | -0.000 | 32.639 | 0.000 | -0.000 |
| -0.000 | -0.000 | -0.000 | -0.000 | 32.639 | -0.000 |
| -0.000 | -0.000 | -0.000 | -0.000 | -0.000 | 32.639 |
| 322.552 | 17.296 | 17.296 | -0.000 | -0.000 | 0.000 |
| 17.296 | 322.552 | 17.296 | -0.000 | 0.000 | 0.000 |
| 17.296 | 17.296 | 322.552 | 0.000 | 0.000 | 0.000 |
| 0.000 | -0.000 | -0.000 | 32.639 | 0.000 | 0.000 |
| -0.000 | 0.000 | -0.000 | 0.000 | 32.639 | 0.000 |
| -0.000 | -0.000 | 0.000 | -0.000 | -0.000 | 32.639 |
| 322.550 | 17.296 | 17.296 | -0.000 | -0.000 | -0.000 |
| 17.296 | 322.550 | 17.296 | -0.000 | -0.000 | -0.000 |
| 17.296 | 17.296 | 322.550 | 0.000 | -0.000 | -0.000 |
| -0.000 | 0.000 | 0.000 | 32.639 | -0.000 | 0.000 |
| 0.000 | -0.000 | 0.000 | 0.000 | 32.639 | -0.000 |
| 0.000 | 0.000 | -0.000 | -0.000 | 0.000 | 32.639 |
| 322.559 | 17.296 | 17.296 | 0.000 | 0.000 | 0.000 |
| 17.296 | 322.559 | 17.296 | 0.000 | 0.000 | 0.000 |
| 17.296 | 17.296 | 322.559 | 0.000 | 0.000 | 0.000 |
| 0.000 | -0.000 | -0.000 | 32.639 | 0.000 | 0.000 |
| -0.000 | 0.000 | -0.000 | -0.000 | 32.639 | -0.000 |
| -0.000 | -0.000 | 0.000 | 0.000 | -0.000 | 32.639 |
| 322.543 | 17.296 | 17.296 | 0.000 | 0.000 | -0.000 |
| 17.296 | 322.543 | 17.296 | 0.000 | -0.000 | -0.000 |
| 17.296 | 17.296 | 322.543 | -0.000 | -0.000 | -0.000 |
| -0.000 | 0.000 | 0.000 | 32.639 | -0.000 | -0.000 |
| 0.000 | -0.000 | 0.000 | -0.000 | 32.639 | -0.000 |
| 0.000 | 0.000 | -0.000 | -0.000 | -0.000 | 32.639 |
| 110.358 | 70.469 | 70.469 | 0.000 | -0.000 | 0.000 |
| 70.469 | 110.358 | 70.469 | -0.000 | 0.000 | 0.000 |
| 70.469 | 70.469 | 110.358 | 0.000 | 0.000 | 0.000 |
| 0.000 | -0.000 | 0.000 | 73.275 | 0.000 | -0.000 |
| -0.000 | 0.000 | 0.000 | 0.000 | 73.275 | -0.000 |
| -0.000 | -0.000 | 0.000 | -0.000 | -0.000 | 73.275 |
| 110.358 | 70.469 | 70.469 | -0.000 | -0.000 | 0.000 |
| 70.469 | 110.358 | 70.469 | -0.000 | -0.000 | 0.000 |
| 70.469 | 70.469 | 110.358 | -0.000 | -0.000 | -0.000 |
| -0.000 | 0.000 | -0.000 | 73.275 | -0.000 | 0.000 |
| 0.000 | -0.000 | -0.000 | -0.000 | 73.275 | 0.000 |
| 0.000 | 0.000 | -0.000 | -0.000 | 0.000 | 73.275 |
| 110.358 | 70.469 | 70.469 | 0.000 | 0.000 | -0.000 |
| 70.469 | 110.358 | 70.469 | 0.000 | 0.000 | -0.000 |
| 70.469 | 70.469 | 110.358 | 0.000 | 0.000 | 0.000 |
| 0.000 | -0.000 | 0.000 | 73.275 | 0.000 | 0.000 |
| -0.000 | 0.000 | 0.000 | 0.000 | 73.275 | -0.000 |
| -0.000 | 0.000 | 0.000 | 0.000 | -0.000 | 73.275 |
| 110.358 | 70.469 | 70.469 | -0.000 | 0.000 | 0.000 |
| 70.469 | 110.358 | 70.469 | 0.000 | -0.000 | 0.000 |
| 70.469 | 70.469 | 110.358 | -0.000 | -0.000 | 0.000 |
| -0.000 | 0.000 | -0.000 | 73.275 | -0.000 | 0.000 |
| 0.000 | -0.000 | -0.000 | -0.000 | 73.275 | 0.000 |
| 0.000 | -0.000 | -0.000 | -0.000 | 0.000 | 73.275 |
| 110.358 | 70.469 | 70.469 | 0.000 | -0.000 | 0.000 |
| 70.469 | 110.358 | 70.469 | -0.000 | 0.000 | -0.000 |
| 70.469 | 70.469 | 110.358 | 0.000 | 0.000 | 0.000 |
| 0.000 | -0.000 | 0.000 | 73.275 | 0.000 | -0.000 |
| -0.000 | 0.000 | 0.000 | 0.000 | 73.275 | -0.000 |
| -0.000 | 0.000 | 0.000 | 0.000 | -0.000 | 73.275 |
| 110.358 | 70.469 | 70.469 | -0.000 | 0.000 | 0.000 |
| 70.469 | 110.358 | 70.469 | -0.000 | -0.000 | -0.000 |
| 70.469 | 70.469 | 110.358 | -0.000 | -0.000 | 0.000 |
| -0.000 | 0.000 | -0.000 | 73.275 | -0.000 | -0.000 |
| 0.000 | -0.000 | -0.000 | -0.000 | 73.275 | 0.000 |
| 0.000 | -0.000 | -0.000 | 0.000 | 0.000 | 73.275 |
| 104.049 | 41.670 | 41.670 | 0.000 | 0.000 | 0.000 |
| 41.670 | 104.049 | 41.670 | 0.000 | 0.000 | 0.000 |
| 41.670 | 41.670 | 104.049 | -0.000 | 0.000 | 0.000 |
| 0.000 | -0.000 | -0.000 | 44.411 | 0.000 | 0.000 |
| -0.000 | 0.000 | -0.000 | 0.000 | 44.411 | 0.000 |
| -0.000 | -0.000 | -0.000 | 0.000 | 0.000 | 44.411 |
| 104.049 | 41.670 | 41.670 | -0.000 | -0.000 | -0.000 |
| 41.670 | 104.049 | 41.670 | -0.000 | -0.000 | 0.000 |
| 41.670 | 41.670 | 104.049 | 0.000 | 0.000 | -0.000 |
| -0.000 | 0.000 | 0.000 | 44.411 | -0.000 | -0.000 |
| 0.000 | -0.000 | 0.000 | -0.000 | 44.411 | -0.000 |
| 0.000 | 0.000 | 0.000 | -0.000 | -0.000 | 44.411 |
| 104.049 | 41.670 | 41.670 | 0.000 | 0.000 | 0.000 |
| 41.670 | 104.049 | 41.670 | 0.000 | 0.000 | 0.000 |
| 41.670 | 41.670 | 104.049 | 0.000 | 0.000 | 0.000 |
| -0.000 | -0.000 | -0.000 | 44.411 | 0.000 | 0.000 |
| -0.000 | -0.000 | -0.000 | 0.000 | 44.411 | 0.000 |
| -0.000 | -0.000 | -0.000 | 0.000 | 0.000 | 44.411 |
| 104.049 | 41.670 | 41.670 | -0.000 | -0.000 | -0.000 |
| 41.670 | 104.049 | 41.670 | -0.000 | -0.000 | 0.000 |
| 41.670 | 41.670 | 104.049 | -0.000 | -0.000 | -0.000 |
| 0.000 | 0.000 | 0.000 | 44.411 | -0.000 | -0.000 |
| 0.000 | 0.000 | 0.000 | -0.000 | 44.411 | -0.000 |
| 0.000 | 0.000 | 0.000 | -0.000 | -0.000 | 44.411 |
| 104.048 | 41.670 | 41.670 | 0.000 | 0.000 | 0.000 |
| 41.670 | 104.048 | 41.670 | 0.000 | 0.000 | -0.000 |
| 41.670 | 41.670 | 104.048 | -0.000 | -0.000 | 0.000 |
| -0.000 | -0.000 | -0.000 | 44.411 | 0.000 | 0.000 |
| -0.000 | -0.000 | -0.000 | -0.000 | 44.411 | 0.000 |
| -0.000 | -0.000 | -0.000 | 0.000 | 0.000 | 44.411 |
| 104.050 | 41.671 | 41.671 | -0.000 | -0.000 | -0.000 |
| 41.671 | 104.050 | 41.671 | -0.000 | -0.000 | -0.000 |
| 41.671 | 41.671 | 104.050 | -0.000 | -0.000 | -0.000 |
| 0.000 | 0.000 | 0.000 | 44.411 | -0.000 | -0.000 |
| 0.000 | 0.000 | 0.000 | -0.000 | 44.411 | -0.000 |
| 0.000 | 0.000 | 0.000 | -0.000 | -0.000 | 44.411 |
| 16.604 | -0.055 | -0.055 | -0.000 | -0.000 | -0.000 |
| -0.055 | 16.604 | -0.055 | -0.000 | -0.000 | 0.000 |
| -0.055 | -0.055 | 16.604 | 0.000 | 0.000 | 0.000 |
| -0.000 | -0.000 | -0.000 | 0.000 | 0.000 | -0.000 |
| -0.000 | -0.000 | -0.000 | 0.000 | 0.000 | -0.000 |
| -0.000 | -0.000 | -0.000 | 0.000 | 0.000 | 0.000 |
| 16.604 | -0.055 | -0.055 | -0.000 | 0.000 | -0.000 |
| -0.055 | 16.604 | -0.055 | 0.000 | -0.000 | -0.000 |
| -0.055 | -0.055 | 16.604 | -0.000 | -0.000 | 0.000 |
| 0.000 | 0.000 | 0.000 | 0.000 | -0.000 | 0.000 |
| 0.000 | 0.000 | 0.000 | 0.000 | 0.000 | 0.000 |
| 0.000 | 0.000 | 0.000 | -0.000 | 0.000 | 0.000 |
| 16.604 | -0.055 | -0.055 | -0.000 | -0.000 | 0.000 |
| -0.055 | 16.604 | -0.055 | -0.000 | -0.000 | -0.000 |
| -0.055 | -0.055 | 16.604 | 0.000 | 0.000 | -0.000 |
| -0.000 | -0.000 | -0.000 | 0.000 | -0.000 | 0.000 |
| -0.000 | -0.000 | -0.000 | 0.000 | 0.000 | 0.000 |
| -0.000 | -0.000 | -0.000 | 0.000 | -0.000 | 0.000 |
| 16.604 | -0.055 | -0.055 | 0.000 | 0.000 | -0.000 |
| -0.055 | 16.604 | -0.055 | 0.000 | 0.000 | -0.000 |
| -0.055 | -0.055 | 16.604 | -0.000 | -0.000 | 0.000 |
| 0.000 | 0.000 | 0.000 | 0.000 | -0.000 | 0.000 |
| 0.000 | 0.000 | 0.000 | -0.000 | 0.000 | -0.000 |
| 0.000 | 0.000 | 0.000 | -0.000 | -0.000 | 0.000 |
| 16.604 | -0.055 | -0.055 | 0.000 | -0.000 | -0.000 |
| -0.055 | 16.604 | -0.055 | -0.000 | 0.000 | -0.000 |
| -0.055 | -0.055 | 16.604 | 0.000 | 0.000 | -0.000 |
| 0.000 | 0.000 | -0.000 | 0.000 | 0.000 | 0.000 |
| 0.000 | 0.000 | -0.000 | 0.000 | 0.000 | -0.000 |
| 0.000 | -0.000 | 0.000 | -0.000 | -0.000 | 0.000 |
| 16.605 | -0.055 | -0.055 | -0.000 | 0.000 | 0.000 |
| -0.055 | 16.605 | -0.055 | 0.000 | -0.000 | 0.000 |
| -0.055 | -0.055 | 16.605 | 0.000 | 0.000 | 0.000 |
| -0.000 | -0.000 | 0.000 | 0.000 | 0.000 | 0.000 |
| -0.000 | -0.000 | 0.000 | 0.000 | 0.000 | -0.000 |
| -0.000 | 0.000 | -0.000 | -0.000 | -0.000 | 0.000 |
| 23.718 | -0.000 | -0.000 | 0.000 | 0.000 | 0.000 |
| -0.000 | 23.718 | -0.000 | 0.000 | 0.000 | 0.000 |
| -0.000 | -0.000 | 23.718 | 0.000 | 0.000 | 0.000 |
| -0.000 | -0.000 | -0.000 | 0.000 | 0.000 | 0.000 |
| -0.000 | -0.000 | -0.000 | 0.000 | 0.000 | -0.000 |
| -0.000 | -0.000 | -0.000 | 0.000 | 0.000 | 0.000 |
| 23.718 | -0.000 | -0.000 | -0.000 | -0.000 | -0.000 |
| -0.000 | 23.718 | -0.000 | -0.000 | -0.000 | -0.000 |
| -0.000 | -0.000 | 23.718 | -0.000 | -0.000 | 0.000 |
| 0.000 | -0.000 | 0.000 | 0.000 | -0.000 | 0.000 |
| -0.000 | 0.000 | 0.000 | -0.000 | 0.000 | 0.000 |
| -0.000 | 0.000 | 0.000 | -0.000 | -0.000 | 0.000 |
| 23.718 | -0.000 | -0.000 | 0.000 | 0.000 | 0.000 |
| -0.000 | 23.718 | -0.000 | 0.000 | 0.000 | 0.000 |
| -0.000 | -0.000 | 23.718 | 0.000 | 0.000 | -0.000 |
| -0.000 | 0.000 | -0.000 | 0.000 | 0.000 | 0.000 |
| 0.000 | -0.000 | -0.000 | 0.000 | 0.000 | -0.000 |
| 0.000 | -0.000 | -0.000 | 0.000 | 0.000 | 0.000 |
| 23.718 | -0.000 | -0.000 | -0.000 | -0.000 | -0.000 |
| -0.000 | 23.718 | -0.000 | -0.000 | -0.000 | 0.000 |
| -0.000 | -0.000 | 23.718 | 0.000 | 0.000 | 0.000 |
| 0.000 | -0.000 | 0.000 | 0.000 | -0.000 | -0.000 |
| -0.000 | 0.000 | 0.000 | -0.000 | 0.000 | -0.000 |
| -0.000 | 0.000 | 0.000 | -0.000 | -0.000 | 0.000 |
| 23.718 | -0.000 | -0.000 | 0.000 | 0.000 | 0.000 |
| -0.000 | 23.718 | -0.000 | 0.000 | 0.000 | -0.000 |
| -0.000 | -0.000 | 23.718 | -0.000 | -0.000 | 0.000 |
| -0.000 | 0.000 | -0.000 | 0.000 | 0.000 | -0.000 |
| 0.000 | -0.000 | -0.000 | 0.000 | 0.000 | -0.000 |
| 0.000 | -0.000 | -0.000 | 0.000 | 0.000 | 0.000 |
| 23.719 | -0.000 | -0.000 | -0.000 | -0.000 | -0.000 |
| -0.000 | 23.719 | -0.000 | -0.000 | -0.000 | -0.000 |
| -0.000 | -0.000 | 23.719 | -0.000 | -0.000 | -0.000 |
| 0.000 | -0.000 | 0.000 | 0.000 | -0.000 | -0.000 |
| -0.000 | 0.000 | 0.000 | -0.000 | 0.000 | -0.000 |
| -0.000 | 0.000 | 0.000 | -0.000 | -0.000 | 0.000 |
| 1187.163 | -22.379 | -22.379 | -0.000 | 0.000 | 0.000 |
| -22.379 | 1187.163 | -22.379 | -0.000 | 0.000 | 0.000 |
| -22.379 | -22.379 | 1187.163 | -0.000 | 0.000 | 0.000 |
| 0.000 | 0.000 | 0.000 | 218.824 | -0.000 | 0.000 |
| 0.000 | 0.000 | 0.000 | -0.000 | 218.824 | 0.000 |
| 0.000 | 0.000 | 0.000 | -0.000 | -0.000 | 218.824 |
| 1187.160 | -22.382 | -22.382 | 0.000 | 0.000 | -0.000 |
| -22.382 | 1187.160 | -22.382 | 0.000 | -0.000 | -0.000 |
| -22.382 | -22.382 | 1187.160 | 0.000 | -0.000 | -0.000 |
| -0.000 | -0.000 | -0.000 | 218.824 | 0.000 | -0.000 |
| -0.000 | -0.000 | -0.000 | 0.000 | 218.824 | -0.000 |
| -0.000 | -0.000 | -0.000 | 0.000 | -0.000 | 218.824 |
| 1187.175 | -22.367 | -22.367 | -0.000 | 0.000 | 0.000 |
| -22.367 | 1187.175 | -22.367 | -0.000 | 0.000 | 0.000 |
| -22.367 | -22.367 | 1187.175 | 0.000 | 0.000 | 0.000 |
| 0.000 | 0.000 | 0.000 | 218.824 | 0.000 | 0.000 |
| 0.000 | 0.000 | 0.000 | -0.000 | 218.824 | 0.000 |
| 0.000 | 0.000 | 0.000 | -0.000 | 0.000 | 218.824 |
| 1187.148 | -22.394 | -22.394 | -0.000 | -0.000 | -0.000 |
| -22.394 | 1187.148 | -22.394 | 0.000 | 0.000 | -0.000 |
| -22.394 | -22.394 | 1187.148 | -0.000 | -0.000 | 0.000 |
| -0.000 | -0.000 | -0.000 | 218.824 | 0.000 | 0.000 |
| -0.000 | -0.000 | -0.000 | 0.000 | 218.824 | -0.000 |
| -0.000 | -0.000 | -0.000 | 0.000 | -0.000 | 218.824 |
| 1187.300 | -22.248 | -22.248 | 0.000 | 0.000 | 0.000 |
| -22.248 | 1187.300 | -22.248 | 0.000 | 0.000 | 0.000 |
| -22.248 | -22.248 | 1187.300 | -0.000 | -0.000 | 0.000 |
| 0.001 | 0.002 | 0.002 | 218.824 | 0.000 | 0.000 |
| 0.002 | 0.001 | 0.002 | 0.000 | 218.824 | 0.000 |
| 0.002 | 0.002 | 0.001 | -0.000 | 0.000 | 218.824 |
| 1187.024 | -22.513 | -22.513 | 0.000 | -0.000 | -0.000 |
| -22.513 | 1187.024 | -22.513 | -0.000 | 0.000 | -0.000 |
| -22.513 | -22.513 | 1187.024 | 0.000 | -0.000 | 0.000 |
| -0.001 | -0.002 | -0.002 | 218.824 | -0.000 | 0.000 |
| -0.002 | -0.001 | -0.002 | 0.000 | 218.824 | -0.000 |
| -0.002 | -0.002 | -0.001 | -0.000 | -0.000 | 218.824 |
| 91.843 | 112.981 | 112.981 | 0.000 | -0.000 | 0.000 |
| 112.981 | 91.843 | 112.981 | 0.000 | -0.000 | 0.000 |
| 112.981 | 112.981 | 91.843 | -0.000 | -0.000 | 0.000 |
| 0.000 | -0.000 | -0.000 | 129.763 | -0.000 | 0.000 |
| -0.000 | 0.000 | -0.000 | -0.000 | 129.763 | 0.000 |
| -0.000 | -0.000 | 0.000 | 0.000 | -0.000 | 129.763 |
| 91.843 | 112.981 | 112.981 | -0.000 | 0.000 | 0.000 |
| 112.981 | 91.843 | 112.981 | -0.000 | 0.000 | -0.000 |
| 112.981 | 112.981 | 91.843 | 0.000 | 0.000 | -0.000 |
| -0.000 | 0.000 | 0.000 | 129.763 | 0.000 | -0.000 |
| 0.000 | -0.000 | 0.000 | 0.000 | 129.763 | -0.000 |
| 0.000 | 0.000 | -0.000 | -0.000 | 0.000 | 129.763 |
| 91.842 | 112.981 | 112.981 | 0.000 | -0.000 | 0.000 |
| 112.981 | 91.842 | 112.981 | -0.000 | -0.000 | 0.000 |
| 112.981 | 112.981 | 91.842 | 0.000 | -0.000 | 0.000 |
| 0.000 | -0.000 | -0.000 | 129.763 | -0.000 | 0.000 |
| -0.000 | 0.000 | -0.000 | -0.000 | 129.763 | 0.000 |
| -0.000 | -0.000 | 0.000 | 0.000 | -0.000 | 129.763 |
| 91.844 | 112.981 | 112.981 | -0.000 | -0.000 | -0.000 |
| 112.981 | 91.844 | 112.981 | -0.000 | 0.000 | -0.000 |
| 112.981 | 112.981 | 91.844 | 0.000 | 0.000 | -0.000 |
| -0.000 | 0.000 | 0.000 | 129.763 | 0.000 | 0.000 |
| 0.000 | -0.000 | 0.000 | 0.000 | 129.763 | -0.000 |
| 0.000 | 0.000 | -0.000 | 0.000 | 0.000 | 129.763 |
| 91.834 | 112.980 | 112.980 | -0.000 | -0.000 | 0.000 |
| 112.980 | 91.834 | 112.980 | 0.000 | -0.000 | 0.000 |
| 112.980 | 112.980 | 91.834 | 0.000 | -0.000 | 0.000 |
| 0.001 | -0.001 | -0.001 | 129.763 | -0.000 | 0.000 |
| -0.001 | 0.001 | -0.001 | -0.000 | 129.763 | 0.000 |
| -0.001 | -0.001 | 0.001 | -0.000 | -0.000 | 129.763 |
| 91.852 | 112.982 | 112.982 | 0.000 | -0.000 | -0.000 |
| 112.982 | 91.852 | 112.982 | -0.000 | 0.000 | 0.000 |
| 112.982 | 112.982 | 91.852 | 0.000 | 0.000 | -0.000 |
| -0.001 | 0.001 | 0.001 | 129.763 | 0.000 | -0.000 |
| 0.001 | -0.001 | 0.001 | 0.000 | 129.763 | -0.000 |
| 0.001 | 0.001 | -0.001 | -0.000 | 0.000 | 129.763 |
| 129.896 | 46.253 | 46.253 | -0.000 | -0.000 | 0.000 |
| 46.253 | 129.896 | 46.253 | 0.000 | -0.000 | 0.000 |
| 46.253 | 46.253 | 129.896 | -0.000 | -0.000 | 0.000 |
| 0.000 | -0.000 | -0.000 | 53.519 | -0.000 | 0.000 |
| -0.000 | 0.000 | -0.000 | -0.000 | 53.519 | 0.000 |
| -0.000 | -0.000 | 0.000 | -0.000 | -0.000 | 53.519 |
| 129.896 | 46.253 | 46.253 | -0.000 | 0.000 | -0.000 |
| 46.253 | 129.896 | 46.253 | 0.000 | 0.000 | -0.000 |
| 46.253 | 46.253 | 129.896 | -0.000 | 0.000 | -0.000 |
| -0.000 | 0.000 | 0.000 | 53.519 | 0.000 | -0.000 |
| 0.000 | -0.000 | 0.000 | 0.000 | 53.519 | -0.000 |
| 0.000 | 0.000 | -0.000 | -0.000 | 0.000 | 53.519 |
| 129.896 | 46.253 | 46.253 | -0.000 | -0.000 | 0.000 |
| 46.253 | 129.896 | 46.253 | -0.000 | -0.000 | 0.000 |
| 46.253 | 46.253 | 129.896 | -0.000 | -0.000 | 0.000 |
| 0.000 | -0.000 | -0.000 | 53.519 | -0.000 | 0.000 |
| -0.000 | 0.000 | -0.000 | -0.000 | 53.519 | 0.000 |
| -0.000 | -0.000 | 0.000 | -0.000 | -0.000 | 53.519 |
| 129.896 | 46.253 | 46.253 | -0.000 | 0.000 | -0.000 |
| 46.253 | 129.896 | 46.253 | 0.000 | 0.000 | -0.000 |
| 46.253 | 46.253 | 129.896 | 0.000 | 0.000 | -0.000 |
| -0.000 | 0.000 | 0.000 | 53.519 | 0.000 | -0.000 |
| 0.000 | -0.000 | 0.000 | 0.000 | 53.519 | -0.000 |
| 0.000 | 0.000 | -0.000 | 0.000 | 0.000 | 53.519 |
| 129.894 | 46.252 | 46.252 | -0.000 | -0.000 | 0.000 |
| 46.252 | 129.894 | 46.252 | 0.000 | -0.000 | 0.000 |
| 46.252 | 46.252 | 129.894 | -0.000 | -0.000 | 0.000 |
| 0.000 | -0.001 | -0.001 | 53.519 | -0.000 | 0.000 |
| -0.001 | 0.000 | -0.001 | -0.000 | 53.519 | 0.000 |
| -0.001 | -0.001 | 0.000 | -0.000 | -0.000 | 53.519 |
| 129.898 | 46.253 | 46.253 | 0.000 | 0.000 | -0.000 |
| 46.253 | 129.898 | 46.253 | 0.000 | 0.000 | -0.000 |
| 46.253 | 46.253 | 129.898 | 0.000 | 0.000 | -0.000 |
| -0.000 | 0.001 | 0.001 | 53.519 | 0.000 | -0.000 |
| 0.001 | -0.000 | 0.001 | 0.000 | 53.519 | -0.000 |
| 0.001 | 0.001 | -0.000 | 0.000 | -0.000 | 53.519 |
| 94.478 | 12.038 | 12.038 | 0.000 | 0.000 | 0.000 |
| 12.038 | 94.478 | 12.038 | 0.000 | 0.000 | -0.000 |
| 12.038 | 12.038 | 94.478 | -0.000 | -0.000 | 0.000 |
| 0.000 | 0.000 | -0.000 | 13.321 | 0.000 | -0.000 |
| 0.000 | 0.000 | -0.000 | 0.000 | 13.321 | -0.000 |
| 0.000 | -0.000 | 0.000 | 0.000 | -0.000 | 13.321 |
| 94.478 | 12.038 | 12.038 | -0.000 | -0.000 | -0.000 |
| 12.038 | 94.478 | 12.038 | -0.000 | 0.000 | -0.000 |
| 12.038 | 12.038 | 94.478 | -0.000 | -0.000 | 0.000 |
| -0.000 | -0.000 | 0.000 | 13.321 | -0.000 | 0.000 |
| -0.000 | -0.000 | 0.000 | 0.000 | 13.321 | -0.000 |
| -0.000 | 0.000 | -0.000 | -0.000 | -0.000 | 13.321 |
| 94.478 | 12.038 | 12.038 | 0.000 | 0.000 | 0.000 |
| 12.038 | 94.478 | 12.038 | 0.000 | -0.000 | -0.000 |
| 12.038 | 12.038 | 94.478 | 0.000 | 0.000 | 0.000 |
| 0.000 | -0.000 | -0.000 | 13.321 | 0.000 | -0.000 |
| -0.000 | 0.000 | -0.000 | -0.000 | 13.321 | -0.000 |
| -0.000 | -0.000 | 0.000 | 0.000 | -0.000 | 13.321 |
| 94.478 | 12.038 | 12.038 | -0.000 | -0.000 | 0.000 |
| 12.038 | 94.478 | 12.038 | -0.000 | -0.000 | 0.000 |
| 12.038 | 12.038 | 94.478 | -0.000 | -0.000 | -0.000 |
| -0.000 | 0.000 | 0.000 | 13.321 | 0.000 | 0.000 |
| 0.000 | -0.000 | 0.000 | -0.000 | 13.321 | 0.000 |
| 0.000 | 0.000 | -0.000 | -0.000 | -0.000 | 13.321 |
| 94.479 | 12.038 | 12.038 | 0.000 | 0.000 | -0.000 |
| 12.038 | 94.479 | 12.038 | 0.000 | 0.000 | 0.000 |
| 12.038 | 12.038 | 94.479 | 0.000 | 0.000 | -0.000 |
| 0.000 | -0.000 | -0.000 | 13.321 | 0.000 | -0.000 |
| -0.000 | 0.000 | -0.000 | 0.000 | 13.321 | -0.000 |
| -0.000 | -0.000 | 0.000 | 0.000 | -0.000 | 13.321 |
| 94.477 | 12.038 | 12.038 | -0.000 | -0.000 | 0.000 |
| 12.038 | 94.477 | 12.038 | -0.000 | -0.000 | -0.000 |
| 12.038 | 12.038 | 94.477 | -0.000 | -0.000 | -0.000 |
| -0.000 | 0.000 | 0.000 | 13.321 | -0.000 | 0.000 |
| 0.000 | -0.000 | 0.000 | -0.000 | 13.321 | -0.000 |
| 0.000 | 0.000 | -0.000 | -0.000 | 0.000 | 13.321 |
| 42.882 | 7.210 | 7.210 | -0.000 | 0.000 | -0.000 |
| 7.210 | 42.882 | 7.210 | 0.000 | -0.000 | -0.000 |
| 7.210 | 7.210 | 42.882 | 0.000 | 0.000 | -0.000 |
| 0.000 | -0.000 | -0.000 | 8.521 | 0.000 | -0.000 |
| -0.000 | 0.000 | -0.000 | -0.000 | 8.521 | -0.000 |
| -0.000 | 0.000 | -0.000 | -0.000 | -0.000 | 8.521 |
| 42.882 | 7.210 | 7.210 | 0.000 | -0.000 | 0.000 |
| 7.210 | 42.882 | 7.210 | -0.000 | 0.000 | 0.000 |
| 7.210 | 7.210 | 42.882 | -0.000 | -0.000 | 0.000 |
| -0.000 | 0.000 | -0.000 | 8.521 | -0.000 | 0.000 |
| 0.000 | -0.000 | 0.000 | -0.000 | 8.521 | 0.000 |
| 0.000 | -0.000 | 0.000 | 0.000 | 0.000 | 8.521 |
| 42.881 | 7.210 | 7.210 | -0.000 | -0.000 | -0.000 |
| 7.210 | 42.881 | 7.210 | -0.000 | -0.000 | -0.000 |
| 7.210 | 7.210 | 42.881 | 0.000 | 0.000 | -0.000 |
| 0.000 | 0.000 | -0.000 | 8.521 | 0.000 | -0.000 |
| 0.000 | 0.000 | -0.000 | 0.000 | 8.521 | -0.000 |
| 0.000 | 0.000 | 0.000 | -0.000 | -0.000 | 8.521 |
| 42.882 | 7.210 | 7.210 | 0.000 | 0.000 | 0.000 |
| 7.210 | 42.882 | 7.210 | 0.000 | 0.000 | 0.000 |
| 7.210 | 7.210 | 42.882 | -0.000 | -0.000 | 0.000 |
| -0.000 | -0.000 | 0.000 | 8.521 | -0.000 | 0.000 |
| -0.000 | -0.000 | 0.000 | -0.000 | 8.521 | 0.000 |
| -0.000 | -0.000 | -0.000 | -0.000 | 0.000 | 8.521 |
| 42.880 | 7.210 | 7.210 | -0.000 | 0.000 | -0.000 |
| 7.210 | 42.880 | 7.210 | 0.000 | -0.000 | -0.000 |
| 7.210 | 7.210 | 42.880 | 0.000 | 0.000 | -0.000 |
| 0.000 | 0.000 | 0.000 | 8.521 | 0.000 | -0.000 |
| 0.000 | 0.000 | 0.000 | 0.000 | 8.521 | -0.000 |
| 0.000 | 0.000 | 0.000 | 0.000 | -0.000 | 8.521 |
| 42.883 | 7.210 | 7.210 | 0.000 | 0.000 | 0.000 |
| 7.210 | 42.883 | 7.210 | 0.000 | 0.000 | 0.000 |
| 7.210 | 7.210 | 42.883 | -0.000 | -0.000 | 0.000 |
| -0.000 | -0.000 | -0.000 | 8.521 | 0.000 | 0.000 |
| -0.000 | -0.000 | -0.000 | 0.000 | 8.521 | 0.000 |
| -0.000 | -0.000 | -0.000 | 0.000 | 0.000 | 8.521 |
| 13.694 | 13.693 | 13.693 | -0.000 | 0.000 | -0.000 |
| 13.693 | 13.694 | 13.693 | 0.000 | -0.000 | -0.000 |
| 13.693 | 13.693 | 13.694 | -0.000 | -0.000 | -0.000 |
| -0.000 | -0.000 | -0.000 | 13.694 | -0.000 | -0.000 |
| -0.000 | -0.000 | -0.000 | -0.000 | 13.694 | -0.000 |
| -0.000 | -0.000 | -0.000 | -0.000 | -0.000 | 13.694 |
| 13.694 | 13.693 | 13.693 | 0.000 | -0.000 | 0.000 |
| 13.693 | 13.694 | 13.693 | -0.000 | 0.000 | 0.000 |
| 13.693 | 13.693 | 13.694 | 0.000 | 0.000 | 0.000 |
| 0.000 | 0.000 | 0.000 | 13.694 | 0.000 | 0.000 |
| 0.000 | 0.000 | 0.000 | 0.000 | 13.694 | 0.000 |
| 0.000 | 0.000 | 0.000 | -0.000 | 0.000 | 13.694 |
| 13.694 | 13.693 | 13.693 | -0.000 | 0.000 | -0.000 |
| 13.693 | 13.694 | 13.693 | 0.000 | -0.000 | -0.000 |
| 13.693 | 13.693 | 13.694 | -0.000 | -0.000 | -0.000 |
| -0.000 | -0.000 | -0.000 | 13.694 | -0.000 | -0.000 |
| -0.000 | -0.000 | -0.000 | -0.000 | 13.694 | -0.000 |
| -0.000 | -0.000 | -0.000 | 0.000 | 0.000 | 13.694 |
| 13.694 | 13.693 | 13.693 | 0.000 | 0.000 | 0.000 |
| 13.693 | 13.694 | 13.693 | 0.000 | 0.000 | 0.000 |
| 13.693 | 13.693 | 13.694 | 0.000 | 0.000 | 0.000 |
| 0.000 | 0.000 | 0.000 | 13.694 | 0.000 | 0.000 |
| 0.000 | 0.000 | 0.000 | 0.000 | 13.694 | 0.000 |
| 0.000 | 0.000 | 0.000 | 0.000 | -0.000 | 13.694 |
| 13.694 | 13.693 | 13.693 | -0.000 | -0.000 | -0.000 |
| 13.693 | 13.694 | 13.693 | -0.000 | -0.000 | -0.000 |
| 13.693 | 13.693 | 13.694 | -0.000 | -0.000 | -0.000 |
| -0.000 | -0.000 | -0.000 | 13.694 | -0.000 | -0.000 |
| -0.000 | -0.000 | -0.000 | -0.000 | 13.694 | -0.000 |
| -0.000 | -0.000 | -0.000 | 0.000 | 0.000 | 13.694 |
| 13.694 | 13.694 | 13.694 | -0.000 | -0.000 | 0.000 |
| 13.694 | 13.694 | 13.694 | -0.000 | -0.000 | 0.000 |
| 13.694 | 13.694 | 13.694 | 0.000 | 0.000 | -0.000 |
| 0.000 | 0.000 | 0.000 | 13.694 | -0.000 | 0.000 |
| 0.000 | 0.000 | 0.000 | -0.000 | 13.694 | 0.000 |
| 0.000 | 0.000 | 0.000 | -0.000 | -0.000 | 13.694 |
| 370.554 | 205.504 | 205.504 | 0.000 | 0.000 | 0.000 |
| 205.504 | 370.554 | 205.504 | 0.000 | -0.000 | 0.000 |
| 205.504 | 205.504 | 370.554 | 0.000 | 0.000 | 0.000 |
| -0.000 | -0.000 | 0.000 | 107.524 | 0.000 | 0.000 |
| -0.000 | -0.000 | -0.000 | 0.000 | 107.524 | 0.000 |
| -0.000 | -0.000 | 0.000 | 0.000 | 0.000 | 107.524 |
| 370.554 | 205.504 | 205.504 | -0.000 | -0.000 | -0.000 |
| 205.504 | 370.554 | 205.504 | -0.000 | -0.000 | -0.000 |
| 205.504 | 205.504 | 370.554 | -0.000 | -0.000 | -0.000 |
| 0.000 | 0.000 | 0.000 | 107.524 | -0.000 | -0.000 |
| 0.000 | 0.000 | 0.000 | -0.000 | 107.524 | -0.000 |
| 0.000 | 0.000 | -0.000 | -0.000 | -0.000 | 107.524 |
| 370.555 | 205.504 | 205.504 | 0.000 | 0.000 | 0.000 |
| 205.504 | 370.555 | 205.504 | 0.000 | 0.000 | 0.000 |
| 205.504 | 205.504 | 370.555 | 0.000 | 0.000 | 0.000 |
| -0.000 | -0.000 | -0.000 | 169.841 | 0.000 | 0.000 |
| -0.000 | -0.000 | -0.000 | 0.000 | 169.841 | 0.000 |
| -0.000 | -0.000 | -0.000 | 0.000 | 0.000 | 169.841 |
| 370.554 | 205.503 | 205.503 | -0.000 | -0.000 | -0.000 |
| 205.503 | 370.554 | 205.503 | -0.000 | 0.000 | -0.000 |
| 205.503 | 205.503 | 370.554 | -0.000 | -0.000 | -0.000 |
| 0.000 | 0.000 | 0.000 | 169.841 | -0.000 | -0.000 |
| 0.000 | 0.000 | 0.000 | -0.000 | 169.841 | -0.000 |
| 0.000 | 0.000 | 0.000 | -0.000 | -0.000 | 169.841 |
| 370.555 | 205.508 | 205.508 | 0.000 | 0.000 | 0.000 |
| 205.508 | 370.555 | 205.508 | 0.000 | 0.000 | 0.000 |
| 205.508 | 205.508 | 370.555 | 0.000 | 0.000 | 0.000 |
| -0.001 | -0.001 | -0.001 | 107.524 | 0.000 | -0.000 |
| -0.001 | -0.001 | -0.001 | 0.000 | 107.524 | -0.000 |
| -0.001 | -0.001 | -0.001 | 0.000 | 0.000 | 107.524 |
| 370.554 | 205.500 | 205.500 | -0.000 | 0.000 | 0.000 |
| 205.500 | 370.554 | 205.500 | -0.000 | -0.000 | -0.000 |
| 205.500 | 205.500 | 370.554 | -0.000 | -0.000 | -0.000 |
| 0.001 | 0.001 | 0.001 | 107.524 | -0.000 | -0.000 |
| 0.001 | 0.001 | 0.001 | -0.000 | 107.524 | -0.000 |
| 0.001 | 0.001 | 0.001 | -0.000 | -0.000 | 107.524 |
| 349.206 | 1.086 | 1.086 | -0.000 | 0.000 | 0.000 |
| 1.086 | 349.206 | 1.086 | 0.000 | -0.000 | 0.000 |
| 1.086 | 1.086 | 349.206 | 0.000 | 0.000 | -0.000 |
| 0.000 | -0.000 | -0.000 | 11.754 | 0.000 | -0.000 |
| -0.000 | -0.000 | -0.000 | 0.000 | 11.754 | -0.000 |
| -0.000 | -0.000 | -0.000 | 0.000 | -0.000 | 11.754 |
| 349.206 | 1.086 | 1.086 | 0.000 | -0.000 | -0.000 |
| 1.086 | 349.206 | 1.086 | -0.000 | 0.000 | -0.000 |
| 1.086 | 1.086 | 349.206 | -0.000 | -0.000 | 0.000 |
| -0.000 | 0.000 | 0.000 | 11.754 | 0.000 | 0.000 |
| 0.000 | -0.000 | 0.000 | 0.000 | 11.754 | 0.000 |
| 0.000 | 0.000 | 0.000 | 0.000 | 0.000 | 11.754 |
| 349.207 | 1.086 | 1.086 | 0.000 | 0.000 | 0.000 |
| 1.086 | 349.207 | 1.086 | 0.000 | 0.000 | 0.000 |
| 1.086 | 1.086 | 349.207 | 0.000 | 0.000 | 0.000 |
| -0.000 | -0.000 | -0.000 | -64.426 | 0.000 | 0.000 |
| -0.000 | -0.000 | -0.000 | 0.000 | -64.426 | 0.000 |
| -0.000 | -0.000 | -0.000 | 0.000 | 0.000 | -64.426 |
| 349.206 | 1.087 | 1.087 | -0.000 | -0.000 | -0.000 |
| 1.087 | 349.206 | 1.087 | -0.000 | -0.000 | -0.000 |
| 1.087 | 1.087 | 349.206 | -0.000 | -0.000 | -0.000 |
| 0.000 | 0.000 | 0.000 | -64.426 | -0.000 | -0.000 |
| 0.000 | 0.000 | 0.000 | -0.000 | -64.426 | -0.000 |
| 0.000 | 0.000 | 0.000 | -0.000 | -0.000 | -64.426 |
| 349.209 | 1.086 | 1.086 | 0.000 | 0.000 | 0.000 |
| 1.086 | 349.209 | 1.086 | 0.000 | 0.000 | 0.000 |
| 1.086 | 1.086 | 349.209 | 0.000 | 0.000 | 0.000 |
| -2328324.872 | -2359094.178 | -2419839.492 | -59278.561 | 64249.129 | 19685.131 |
| -2371391.689 | -2350763.162 | -2405624.904 | 20641.177 | -40601.183 | 19199.888 |
| -2088585.714 | -2087504.558 | -2172807.857 | 12113.715 | 32540.382 | -44395.488 |
| 349.204 | 1.087 | 1.087 | 0.000 | -0.000 | -0.000 |
| 1.087 | 349.204 | 1.087 | -0.000 | 0.000 | -0.000 |
| 1.087 | 1.087 | 349.204 | -0.000 | -0.000 | 0.000 |
| 2363531.636 | 2626168.471 | 2632010.829 | 168066.188 | -8943.161 | -11205.394 |
| 2573385.472 | 2379255.860 | 2578639.046 | 24765.407 | 221623.852 | 1404.562 |
| 2573801.786 | 2537831.914 | 2380184.480 | 13279.414 | -25088.254 | 196469.862 |
| 246.261 | 84.596 | 84.596 | 0.000 | 0.000 | 0.000 |
| 84.596 | 246.261 | 84.596 | 0.000 | 0.000 | 0.000 |
| 84.596 | 84.596 | 246.261 | 0.000 | 0.000 | 0.000 |
| -0.000 | -0.000 | -0.000 | 78.701 | 0.000 | 0.000 |
| -0.000 | -0.000 | -0.000 | 0.000 | 78.701 | 0.000 |
| -0.000 | -0.000 | -0.000 | 0.000 | 0.000 | 78.701 |
| 246.261 | 84.596 | 84.596 | -0.000 | -0.000 | -0.000 |
| 84.596 | 246.261 | 84.596 | -0.000 | -0.000 | -0.000 |
| 84.596 | 84.596 | 246.261 | -0.000 | -0.000 | -0.000 |
| 0.000 | 0.000 | 0.000 | 78.701 | -0.000 | -0.000 |
| 0.000 | 0.000 | 0.000 | -0.000 | 78.701 | -0.000 |
| 0.000 | 0.000 | 0.000 | -0.000 | -0.000 | 78.701 |
| 246.261 | 84.596 | 84.596 | 0.000 | 0.000 | 0.000 |
| 84.596 | 246.261 | 84.596 | 0.000 | 0.000 | 0.000 |
| 84.596 | 84.596 | 246.261 | 0.000 | 0.000 | 0.000 |
| -0.000 | -0.000 | -0.000 | 87.343 | -0.000 | -0.000 |
| -0.000 | -0.000 | -0.000 | -0.000 | 87.343 | -0.000 |
| -0.000 | -0.000 | -0.000 | -0.000 | -0.000 | 87.343 |
| 246.261 | 84.596 | 84.596 | -0.000 | -0.000 | -0.000 |
| 84.596 | 246.261 | 84.596 | -0.000 | -0.000 | -0.000 |
| 84.596 | 84.596 | 246.261 | -0.000 | -0.000 | -0.000 |
| 0.000 | 0.000 | 0.000 | 87.343 | 0.000 | 0.000 |
| 0.000 | 0.000 | 0.000 | 0.000 | 87.343 | 0.000 |
| 0.000 | 0.000 | 0.000 | 0.000 | 0.000 | 87.343 |
| 246.259 | 84.596 | 84.596 | 0.000 | 0.000 | 0.000 |
| 84.596 | 246.259 | 84.596 | 0.000 | 0.000 | 0.000 |
| 84.596 | 84.596 | 246.259 | 0.000 | 0.000 | 0.000 |
| -0.000 | -0.000 | -0.000 | 78.701 | 0.000 | 0.000 |
| -0.000 | -0.000 | -0.000 | 0.000 | 78.701 | 0.000 |
| -0.000 | -0.000 | -0.000 | 0.000 | 0.000 | 78.701 |
| 246.263 | 84.596 | 84.596 | -0.000 | -0.000 | -0.000 |
| 84.596 | 246.263 | 84.596 | -0.000 | -0.000 | -0.000 |
| 84.596 | 84.596 | 246.263 | -0.000 | -0.000 | -0.000 |
| 0.000 | 0.000 | 0.000 | 78.701 | -0.000 | -0.000 |
| 0.000 | 0.000 | 0.000 | -0.000 | 78.701 | -0.000 |
| 0.000 | 0.000 | 0.000 | -0.000 | -0.000 | 78.701 |
| 47.478 | 22.288 | 22.288 | 0.000 | -0.000 | -0.000 |
| 22.288 | 47.478 | 22.288 | 0.000 | -0.000 | -0.000 |
| 22.288 | 22.288 | 47.478 | 0.000 | -0.000 | -0.000 |
| 0.000 | -0.000 | -0.000 | 24.289 | -0.000 | -0.000 |
| -0.000 | 0.000 | -0.000 | 0.000 | 24.289 | -0.000 |
| -0.000 | -0.000 | -0.000 | 0.000 | -0.000 | 24.289 |
| 47.478 | 22.288 | 22.288 | -0.000 | 0.000 | 0.000 |
| 22.288 | 47.478 | 22.288 | -0.000 | 0.000 | 0.000 |
| 22.288 | 22.288 | 47.478 | -0.000 | 0.000 | 0.000 |
| -0.000 | 0.000 | 0.000 | 24.289 | 0.000 | 0.000 |
| 0.000 | -0.000 | 0.000 | -0.000 | 24.289 | 0.000 |
| 0.000 | 0.000 | 0.000 | 0.000 | 0.000 | 24.289 |
| 47.478 | 22.288 | 22.288 | 0.000 | 0.000 | -0.000 |
| 22.288 | 47.478 | 22.288 | 0.000 | 0.000 | -0.000 |
| 22.288 | 22.288 | 47.478 | 0.000 | 0.000 | 0.000 |
| 9652338.771 | 9122834.420 | 9122834.546 | 629897.029 | 0.000 | -0.001 |
| 9122834.420 | 9652338.771 | 9122834.546 | 0.000 | 629897.029 | -0.001 |
| 9122834.420 | 9122834.546 | 9652338.771 | 0.000 | -0.001 | 629897.029 |
| 47.478 | 22.288 | 22.288 | -0.000 | 0.000 | 0.000 |
| 22.288 | 47.478 | 22.288 | -0.000 | -0.000 | -0.000 |
| 22.288 | 22.288 | 47.478 | -0.000 | -0.000 | 0.000 |
| -9652338.770 | -9122834.420 | -9122834.545 | 629897.029 | -0.002 | -0.002 |
| -9122834.420 | -9652338.770 | -9122834.545 | -0.002 | 629897.029 | -0.002 |
| -9122834.420 | -9122834.545 | -9652338.770 | -0.002 | -0.002 | 629897.029 |
| 47.477 | 22.287 | 22.287 | 0.000 | -0.000 | -0.000 |
| 22.287 | 47.477 | 22.287 | -0.000 | -0.000 | -0.000 |
| 22.287 | 22.287 | 47.477 | 0.000 | 0.000 | 0.000 |
| 965225.144 | 912282.024 | 912282.150 | 63016.467 | 0.000 | -0.000 |
| 912282.024 | 965225.144 | 912282.150 | 0.000 | 63016.467 | -0.000 |
| 912282.024 | 912282.150 | 965225.144 | 0.000 | -0.000 | 63016.467 |
| 47.479 | 22.288 | 22.288 | -0.000 | 0.000 | 0.000 |
| 22.288 | 47.479 | 22.288 | -0.000 | -0.000 | 0.000 |
| 22.288 | 22.288 | 47.479 | -0.000 | 0.000 | 0.000 |
| -965225.144 | -912282.024 | -912282.150 | 63016.467 | -0.000 | -0.000 |
| -912282.024 | -965225.144 | -912282.150 | -0.000 | 63016.467 | -0.000 |
| -912282.024 | -912282.150 | -965225.144 | -0.000 | -0.000 | 63016.467 |
| 3.392 | 3.387 | 3.387 | -0.000 | -0.000 | 0.000 |
| 3.387 | 3.392 | 3.387 | -0.000 | -0.000 | 0.000 |
| 3.387 | 3.387 | 3.392 | -0.000 | -0.000 | 0.000 |
| -0.000 | -0.000 | -0.000 | 0.004 | -0.000 | -0.000 |
| -0.000 | -0.000 | -0.000 | -0.000 | 0.004 | -0.000 |
| -0.000 | -0.000 | -0.000 | -0.000 | -0.000 | 0.004 |
| 3.392 | 3.387 | 3.387 | 0.000 | 0.000 | -0.000 |
| 3.387 | 3.392 | 3.387 | 0.000 | 0.000 | -0.000 |
| 3.387 | 3.387 | 3.392 | 0.000 | 0.000 | 0.000 |
| 0.000 | 0.000 | 0.000 | 0.004 | 0.000 | 0.000 |
| 0.000 | 0.000 | 0.000 | 0.000 | 0.004 | 0.000 |
| -0.000 | -0.000 | -0.000 | 0.000 | 0.000 | 0.004 |
| 3.392 | 3.387 | 3.387 | -0.000 | -0.000 | 0.000 |
| 3.387 | 3.392 | 3.387 | -0.000 | -0.000 | 0.000 |
| 3.387 | 3.387 | 3.392 | -0.000 | -0.000 | -0.000 |
| -0.000 | -0.000 | -0.000 | 0.004 | -0.000 | -0.000 |
| -0.000 | -0.000 | -0.000 | -0.000 | 0.004 | -0.000 |
| -0.000 | -0.000 | -0.000 | -0.000 | -0.000 | 0.004 |
| 3.392 | 3.387 | 3.387 | 0.000 | 0.000 | -0.000 |
| 3.387 | 3.392 | 3.387 | 0.000 | 0.000 | -0.000 |
| 3.387 | 3.387 | 3.392 | 0.000 | 0.000 | 0.000 |
| 0.000 | 0.000 | 0.000 | 0.004 | 0.000 | 0.000 |
| 0.000 | 0.000 | 0.000 | 0.000 | 0.004 | 0.000 |
| 0.000 | 0.000 | 0.000 | 0.000 | 0.000 | 0.004 |
| 3.392 | 3.387 | 3.387 | -0.000 | -0.000 | 0.000 |
| 3.387 | 3.392 | 3.387 | -0.000 | -0.000 | 0.000 |
| 3.387 | 3.387 | 3.392 | -0.000 | -0.000 | 0.000 |
| -0.000 | -0.000 | -0.000 | 0.004 | -0.000 | -0.000 |
| -0.000 | -0.000 | -0.000 | -0.000 | 0.004 | -0.000 |
| -0.000 | -0.000 | -0.000 | -0.000 | -0.000 | 0.004 |
| 3.392 | 3.387 | 3.387 | 0.000 | 0.000 | -0.000 |
| 3.387 | 3.392 | 3.387 | 0.000 | 0.000 | -0.000 |
| 3.387 | 3.387 | 3.392 | 0.000 | 0.000 | 0.000 |
| 0.000 | 0.000 | 0.000 | 0.004 | 0.000 | 0.000 |
| 0.000 | 0.000 | 0.000 | 0.000 | 0.004 | 0.000 |
| 0.000 | 0.000 | 0.000 | 0.000 | 0.000 | 0.004 |
| 2.381 | 2.381 | 2.381 | -0.000 | -0.000 | -0.000 |
| 2.381 | 2.381 | 2.381 | -0.000 | -0.000 | -0.000 |
| 2.381 | 2.381 | 2.381 | -0.000 | -0.000 | -0.000 |
| -0.000 | -0.000 | -0.000 | 0.000 | -0.000 | -0.000 |
| -0.000 | -0.000 | -0.000 | -0.000 | 0.000 | -0.000 |
| -0.000 | -0.000 | -0.000 | -0.000 | -0.000 | 0.000 |
| 2.381 | 2.381 | 2.381 | 0.000 | 0.000 | 0.000 |
| 2.381 | 2.381 | 2.381 | 0.000 | 0.000 | 0.000 |
| 2.381 | 2.381 | 2.381 | 0.000 | 0.000 | 0.000 |
| 0.000 | 0.000 | 0.000 | 0.000 | 0.000 | 0.000 |
| 0.000 | 0.000 | 0.000 | 0.000 | 0.000 | 0.000 |
| 0.000 | 0.000 | 0.000 | 0.000 | 0.000 | 0.000 |
| 2.381 | 2.381 | 2.381 | -0.000 | -0.000 | -0.000 |
| 2.381 | 2.381 | 2.381 | -0.000 | -0.000 | -0.000 |
| 2.381 | 2.381 | 2.381 | -0.000 | -0.000 | -0.000 |
| -0.000 | -0.000 | -0.000 | 0.000 | -0.000 | -0.000 |
| -0.000 | -0.000 | -0.000 | -0.000 | 0.000 | -0.000 |
| -0.000 | -0.000 | -0.000 | -0.000 | -0.000 | 0.000 |
| 2.381 | 2.381 | 2.381 | 0.000 | 0.000 | 0.000 |
| 2.381 | 2.381 | 2.381 | 0.000 | 0.000 | 0.000 |
| 2.381 | 2.381 | 2.381 | 0.000 | 0.000 | 0.000 |
| 0.000 | 0.000 | 0.000 | 0.000 | 0.000 | 0.000 |
| 0.000 | 0.000 | 0.000 | 0.000 | 0.000 | 0.000 |
| 0.000 | 0.000 | 0.000 | 0.000 | 0.000 | 0.000 |
| 2.381 | 2.381 | 2.381 | -0.000 | -0.000 | -0.000 |
| 2.381 | 2.381 | 2.381 | -0.000 | -0.000 | -0.000 |
| 2.381 | 2.381 | 2.381 | -0.000 | -0.000 | -0.000 |
| -0.000 | -0.000 | -0.000 | 0.000 | -0.000 | -0.000 |
| -0.000 | -0.000 | -0.000 | -0.000 | 0.000 | -0.000 |
| -0.000 | -0.000 | -0.000 | -0.000 | -0.000 | 0.000 |
| 2.381 | 2.381 | 2.381 | 0.000 | 0.000 | 0.000 |
| 2.381 | 2.381 | 2.381 | 0.000 | 0.000 | 0.000 |
| 2.381 | 2.381 | 2.381 | 0.000 | 0.000 | 0.000 |
| 0.000 | 0.000 | 0.000 | 0.000 | 0.000 | 0.000 |
| 0.000 | 0.000 | 0.000 | 0.000 | 0.000 | 0.000 |
| 0.000 | 0.000 | 0.000 | 0.000 | 0.000 | 0.000 |
| 3.423 | 3.423 | 3.423 | -0.000 | -0.000 | -0.000 |
| 3.423 | 3.423 | 3.423 | -0.000 | -0.000 | -0.000 |
| 3.423 | 3.423 | 3.423 | -0.000 | -0.000 | -0.000 |
| -0.000 | -0.000 | -0.000 | 0.000 | -0.000 | -0.000 |
| -0.000 | -0.000 | -0.000 | -0.000 | 0.000 | -0.000 |
| -0.000 | -0.000 | -0.000 | -0.000 | -0.000 | 0.000 |
| 3.423 | 3.423 | 3.423 | 0.000 | 0.000 | 0.000 |
| 3.423 | 3.423 | 3.423 | 0.000 | 0.000 | 0.000 |
| 3.423 | 3.423 | 3.423 | 0.000 | 0.000 | 0.000 |
| 0.000 | 0.000 | 0.000 | 0.000 | 0.000 | 0.000 |
| 0.000 | 0.000 | 0.000 | 0.000 | 0.000 | 0.000 |
| 0.000 | 0.000 | 0.000 | 0.000 | 0.000 | 0.000 |
| 3.423 | 3.423 | 3.423 | -0.000 | -0.000 | -0.000 |
| 3.423 | 3.423 | 3.423 | -0.000 | -0.000 | -0.000 |
| 3.423 | 3.423 | 3.423 | -0.000 | -0.000 | -0.000 |
| -0.000 | -0.000 | -0.000 | 0.000 | -0.000 | -0.000 |
| -0.000 | -0.000 | -0.000 | -0.000 | 0.000 | -0.000 |
| -0.000 | -0.000 | -0.000 | -0.000 | -0.000 | 0.000 |
| 3.423 | 3.423 | 3.423 | -0.000 | 0.000 | 0.000 |
| 3.423 | 3.423 | 3.423 | 0.000 | -0.000 | 0.000 |
| 3.423 | 3.423 | 3.423 | 0.000 | 0.000 | -0.000 |
| 0.000 | 0.000 | 0.000 | 0.000 | 0.000 | 0.000 |
| 0.000 | 0.000 | 0.000 | 0.000 | 0.000 | 0.000 |
| 0.000 | 0.000 | 0.000 | 0.000 | 0.000 | 0.000 |
| 3.423 | 3.423 | 3.423 | -0.000 | -0.000 | -0.000 |
| 3.423 | 3.423 | 3.423 | -0.000 | -0.000 | -0.000 |
| 3.423 | 3.423 | 3.423 | -0.000 | -0.000 | -0.000 |
| -0.000 | -0.000 | -0.000 | 0.000 | -0.000 | -0.000 |
| -0.000 | -0.000 | -0.000 | -0.000 | 0.000 | -0.000 |
| -0.000 | -0.000 | -0.000 | -0.000 | -0.000 | 0.000 |
| 3.423 | 3.423 | 3.423 | -0.000 | 0.000 | 0.000 |
| 3.423 | 3.423 | 3.423 | 0.000 | -0.000 | 0.000 |
| 3.423 | 3.423 | 3.423 | 0.000 | 0.000 | -0.000 |
| 0.000 | 0.000 | 0.000 | 0.000 | 0.000 | 0.000 |
| 0.000 | 0.000 | 0.000 | 0.000 | 0.000 | 0.000 |
| 0.000 | 0.000 | 0.000 | 0.000 | 0.000 | 0.000 |
| 88.482 | 8.496 | -22.220 | -0.000 | 0.000 | -0.000 |
| 8.496 | 88.482 | -22.220 | -0.000 | -0.000 | -0.000 |
| -22.220 | -22.220 | 113.708 | -0.000 | -0.000 | -0.000 |
| -0.000 | -0.000 | -0.000 | -24.173 | 0.000 | -0.000 |
| -0.000 | -0.000 | -0.000 | -0.000 | -24.173 | -0.000 |
| -0.000 | -0.000 | -0.000 | 0.000 | -0.000 | 12.701 |
| 88.482 | 8.496 | -22.220 | 0.000 | 0.000 | -0.000 |
| 8.496 | 88.482 | -22.220 | 0.000 | -0.000 | 0.000 |
| -22.220 | -22.220 | 113.707 | 0.000 | 0.000 | 0.000 |
| 0.000 | 0.000 | 0.000 | -24.173 | 0.000 | -0.000 |
| 0.000 | 0.000 | 0.000 | 0.000 | -24.173 | -0.000 |
| 0.000 | 0.000 | 0.000 | 0.000 | 0.000 | 12.701 |
| 88.482 | 8.496 | -22.220 | -0.000 | -0.000 | -0.000 |
| 8.496 | 88.482 | -22.220 | -0.000 | -0.000 | -0.000 |
| -22.220 | -22.220 | 113.708 | -0.000 | -0.000 | -0.000 |
| -0.000 | -0.000 | -0.000 | -24.173 | 0.000 | 0.000 |
| -0.000 | -0.000 | -0.000 | -0.000 | -24.173 | -0.000 |
| -0.000 | -0.000 | -0.000 | -0.000 | -0.000 | 12.701 |
| 88.483 | 8.496 | -22.220 | 0.000 | 0.000 | -0.000 |
| 8.496 | 88.483 | -22.220 | 0.000 | 0.000 | 0.000 |
| -22.220 | -22.220 | 113.707 | 0.000 | 0.000 | 0.000 |
| 0.000 | 0.000 | 0.000 | -24.173 | -0.000 | 0.000 |
| 0.000 | 0.000 | 0.000 | 0.000 | -24.173 | 0.000 |
| 0.000 | 0.000 | 0.000 | 0.000 | -0.000 | 12.701 |
| 88.479 | 8.495 | -22.221 | -0.000 | -0.000 | -0.000 |
| 8.495 | 88.479 | -22.221 | -0.000 | -0.000 | -0.000 |
| -22.220 | -22.220 | 113.714 | -0.000 | -0.000 | -0.000 |
| -0.000 | -0.001 | -0.001 | -24.173 | -0.000 | -0.000 |
| -0.001 | -0.000 | -0.001 | -0.000 | -24.173 | -0.000 |
| -0.000 | -0.000 | -0.000 | -0.000 | -0.000 | 12.701 |
| 88.485 | 8.496 | -22.218 | 0.000 | 0.000 | 0.000 |
| 8.496 | 88.485 | -22.218 | -0.000 | 0.000 | -0.000 |
| -22.219 | -22.219 | 113.701 | 0.000 | 0.000 | -0.000 |
| 0.000 | 0.001 | 0.001 | -24.173 | 0.000 | 0.000 |
| 0.001 | 0.000 | 0.001 | 0.000 | -24.173 | 0.000 |
| 0.000 | 0.000 | 0.000 | 0.000 | 0.000 | 12.701 |
| 16.306 | 8.969 | 15.585 | 0.000 | 0.000 | 0.000 |
| 8.969 | 16.306 | 15.585 | 0.000 | -0.000 | 0.000 |
| 15.585 | 15.585 | 123.970 | 0.000 | -0.000 | 0.000 |
| 0.000 | -0.000 | 0.000 | 15.555 | -0.000 | 0.000 |
| -0.000 | 0.000 | 0.000 | 0.000 | 15.555 | 0.000 |
| -0.000 | -0.000 | 0.000 | 0.000 | -0.000 | 8.985 |
| 16.306 | 8.969 | 15.585 | 0.000 | 0.000 | -0.000 |
| 8.969 | 16.306 | 15.585 | -0.000 | 0.000 | -0.000 |
| 15.585 | 15.585 | 123.970 | -0.000 | -0.000 | -0.000 |
| -0.000 | 0.000 | -0.000 | 15.555 | -0.000 | -0.000 |
| 0.000 | -0.000 | -0.000 | -0.000 | 15.555 | -0.000 |
| 0.000 | 0.000 | -0.000 | 0.000 | 0.000 | 8.985 |
| 16.306 | 8.969 | 15.585 | 0.000 | 0.000 | 0.000 |
| 8.969 | 16.306 | 15.585 | 0.000 | -0.000 | 0.000 |
| 15.585 | 15.585 | 123.969 | -0.000 | 0.000 | 0.000 |
| 0.000 | -0.000 | -0.000 | 15.555 | 0.000 | 0.000 |
| -0.000 | 0.000 | -0.000 | -0.000 | 15.555 | 0.000 |
| -0.000 | 0.000 | 0.000 | 0.000 | -0.000 | 8.985 |
| 16.306 | 8.969 | 15.585 | 0.000 | 0.000 | -0.000 |
| 8.969 | 16.306 | 15.585 | -0.000 | 0.000 | -0.000 |
| 15.585 | 15.585 | 123.970 | 0.000 | 0.000 | -0.000 |
| -0.000 | 0.000 | 0.000 | 15.555 | 0.000 | -0.000 |
| 0.000 | -0.000 | 0.000 | -0.000 | 15.555 | -0.000 |
| 0.000 | -0.000 | -0.000 | 0.000 | 0.000 | 8.985 |
| 16.307 | 8.969 | 15.585 | -0.000 | -0.000 | 0.000 |
| 8.969 | 16.307 | 15.585 | 0.000 | -0.000 | 0.000 |
| 15.585 | 15.585 | 123.968 | -0.000 | -0.000 | -0.000 |
| 0.000 | -0.000 | -0.000 | 15.555 | -0.000 | 0.000 |
| -0.000 | 0.000 | -0.000 | -0.000 | 15.555 | 0.000 |
| -0.000 | 0.000 | 0.000 | 0.000 | -0.000 | 8.985 |
| 16.306 | 8.969 | 15.585 | 0.000 | 0.000 | -0.000 |
| 8.969 | 16.306 | 15.585 | 0.000 | 0.000 | -0.000 |
| 15.585 | 15.585 | 123.971 | 0.000 | 0.000 | -0.000 |
| -0.000 | 0.000 | 0.000 | 15.555 | 0.000 | -0.000 |
| 0.000 | -0.000 | 0.000 | 0.000 | 15.555 | -0.000 |
| 0.000 | -0.000 | -0.000 | -0.000 | 0.000 | 8.985 |
| 61.286 | 5.060 | 11.550 | -0.000 | 0.000 | -0.000 |
| 5.060 | 61.286 | 11.550 | 0.000 | -0.000 | -0.000 |
| 11.550 | 11.550 | 22.720 | 0.000 | 0.000 | 0.000 |
| -0.000 | -0.000 | -0.000 | 11.729 | -0.000 | -0.000 |
| -0.000 | -0.000 | -0.000 | -0.000 | 11.729 | -0.000 |
| -0.000 | -0.000 | -0.000 | 0.000 | -0.000 | 5.981 |
| 61.286 | 5.060 | 11.550 | 0.000 | -0.000 | 0.000 |
| 5.060 | 61.286 | 11.550 | -0.000 | 0.000 | 0.000 |
| 11.550 | 11.550 | 22.720 | 0.000 | 0.000 | 0.000 |
| 0.000 | 0.000 | 0.000 | 11.729 | 0.000 | 0.000 |
| 0.000 | 0.000 | 0.000 | 0.000 | 11.729 | 0.000 |
| 0.000 | 0.000 | 0.000 | -0.000 | -0.000 | 5.981 |
| 61.286 | 5.060 | 11.550 | -0.000 | -0.000 | -0.000 |
| 5.060 | 61.286 | 11.550 | -0.000 | 0.000 | -0.000 |
| 11.550 | 11.550 | 22.720 | -0.000 | -0.000 | -0.000 |
| -0.000 | -0.000 | -0.000 | 11.729 | -0.000 | -0.000 |
| -0.000 | -0.000 | -0.000 | -0.000 | 11.729 | -0.000 |
| -0.000 | -0.000 | -0.000 | 0.000 | 0.000 | 5.981 |
| 61.286 | 5.060 | 11.550 | 0.000 | 0.000 | 0.000 |
| 5.060 | 61.286 | 11.550 | 0.000 | 0.000 | 0.000 |
| 11.550 | 11.550 | 22.720 | 0.000 | -0.000 | 0.000 |
| 0.000 | 0.000 | 0.000 | 11.729 | 0.000 | 0.000 |
| 0.000 | 0.000 | 0.000 | 0.000 | 11.729 | 0.000 |
| 0.000 | 0.000 | 0.000 | 0.000 | -0.000 | 5.981 |
| 61.287 | 5.060 | 11.550 | -0.000 | -0.000 | -0.000 |
| 5.060 | 61.287 | 11.550 | -0.000 | -0.000 | -0.000 |
| 11.550 | 11.550 | 22.720 | -0.000 | -0.000 | -0.000 |
| -0.000 | -0.000 | -0.000 | 11.729 | 0.000 | 0.000 |
| -0.000 | -0.000 | -0.000 | 0.000 | 11.729 | -0.000 |
| -0.000 | -0.000 | -0.000 | 0.000 | 0.000 | 5.981 |
| 61.286 | 5.060 | 11.550 | -0.000 | -0.000 | 0.000 |
| 5.060 | 61.286 | 11.550 | 0.000 | -0.000 | 0.000 |
| 11.550 | 11.550 | 22.721 | 0.000 | -0.000 | -0.000 |
| 0.000 | 0.000 | 0.000 | 11.729 | 0.000 | 0.000 |
| 0.000 | 0.000 | 0.000 | 0.000 | 11.729 | 0.000 |
| 0.000 | 0.000 | 0.000 | -0.000 | -0.000 | 5.981 |
| 46.655 | 7.248 | 16.744 | 0.000 | 0.000 | 0.000 |
| 7.248 | 46.655 | 16.744 | 0.000 | 0.000 | 0.000 |
| 16.744 | 16.744 | 33.916 | 0.000 | 0.000 | 0.000 |
| -0.000 | -0.000 | -0.000 | 16.750 | 0.000 | 0.000 |
| -0.000 | -0.000 | -0.000 | 0.000 | 16.750 | 0.000 |
| -0.000 | -0.000 | -0.000 | 0.000 | -0.000 | 8.289 |
| 46.655 | 7.248 | 16.744 | -0.000 | -0.000 | -0.000 |
| 7.248 | 46.655 | 16.744 | -0.000 | -0.000 | -0.000 |
| 16.744 | 16.744 | 33.916 | -0.000 | -0.000 | -0.000 |
| 0.000 | 0.000 | 0.000 | 16.750 | -0.000 | 0.000 |
| 0.000 | 0.000 | 0.000 | -0.000 | 16.750 | 0.000 |
| 0.000 | 0.000 | 0.000 | -0.000 | -0.000 | 8.289 |
| 46.655 | 7.248 | 16.744 | 0.000 | 0.000 | 0.000 |
| 7.248 | 46.655 | 16.744 | 0.000 | 0.000 | 0.000 |
| 16.744 | 16.744 | 33.916 | 0.000 | 0.000 | 0.000 |
| -0.000 | -0.000 | -0.000 | 16.750 | 0.000 | 0.000 |
| -0.000 | -0.000 | -0.000 | 0.000 | 16.750 | 0.000 |
| -0.000 | -0.000 | -0.000 | 0.000 | 0.000 | 8.289 |
| 46.655 | 7.248 | 16.744 | -0.000 | -0.000 | -0.000 |
| 7.248 | 46.655 | 16.744 | -0.000 | -0.000 | -0.000 |
| 16.744 | 16.744 | 33.917 | -0.000 | -0.000 | -0.000 |
| 0.000 | 0.000 | 0.000 | 16.750 | -0.000 | -0.000 |
| 0.000 | 0.000 | 0.000 | -0.000 | 16.750 | -0.000 |
| 0.000 | 0.000 | 0.000 | -0.000 | -0.000 | 8.289 |
| 46.654 | 7.248 | 16.744 | 0.000 | -0.000 | -0.000 |
| 7.248 | 46.654 | 16.744 | -0.000 | 0.000 | -0.000 |
| 16.744 | 16.744 | 33.916 | 0.000 | 0.000 | 0.000 |
| -0.000 | -0.000 | -0.000 | 16.750 | 0.000 | 0.000 |
| -0.000 | -0.000 | -0.000 | 0.000 | 16.750 | 0.000 |
| -0.000 | -0.000 | -0.000 | 0.000 | -0.000 | 8.289 |
| 46.656 | 7.248 | 16.744 | -0.000 | -0.000 | -0.000 |
| 7.248 | 46.656 | 16.744 | -0.000 | -0.000 | -0.000 |
| 16.744 | 16.744 | 33.917 | -0.000 | -0.000 | -0.000 |
| 0.000 | 0.000 | 0.000 | 16.750 | -0.000 | -0.000 |
| 0.000 | 0.000 | 0.000 | -0.000 | 16.750 | -0.000 |
| 0.000 | 0.000 | 0.000 | -0.000 | -0.000 | 8.289 |
| 975.355 | 609.536 | 609.536 | 0.000 | 0.000 | 0.000 |
| 609.536 | 975.355 | 609.536 | 0.000 | -0.000 | 0.000 |
| 609.536 | 609.536 | 975.355 | 0.000 | 0.000 | 0.000 |
| -0.000 | 0.000 | 0.000 | 178.257 | -0.000 | -0.000 |
| 0.000 | 0.000 | 0.000 | -0.000 | 178.257 | 0.000 |
| 0.000 | 0.000 | -0.000 | 0.000 | 0.000 | 178.257 |
| 975.354 | 609.536 | 609.536 | 0.000 | 0.000 | 0.000 |
| 609.536 | 975.354 | 609.536 | 0.000 | 0.000 | -0.000 |
| 609.536 | 609.536 | 975.354 | 0.000 | -0.000 | -0.000 |
| 0.000 | -0.000 | -0.000 | 178.257 | 0.000 | -0.000 |
| -0.000 | -0.000 | -0.000 | -0.000 | 178.257 | 0.000 |
| -0.000 | -0.000 | 0.000 | -0.000 | -0.000 | 178.257 |
| 975.357 | 609.538 | 609.538 | -0.000 | 0.000 | -0.000 |
| 609.538 | 975.357 | 609.538 | -0.000 | -0.000 | -0.000 |
| 609.538 | 609.538 | 975.357 | -0.000 | -0.000 | 0.000 |
| -0.000 | 0.000 | 0.000 | 158.863 | 0.000 | 0.000 |
| 0.000 | -0.000 | 0.000 | -0.000 | 158.863 | 0.000 |
| 0.000 | 0.000 | -0.000 | 0.000 | 0.000 | 158.863 |
| 975.352 | 609.534 | 609.534 | -0.000 | -0.000 | 0.000 |
| 609.534 | 975.352 | 609.534 | 0.000 | -0.000 | 0.000 |
| 609.534 | 609.534 | 975.352 | -0.000 | -0.000 | 0.000 |
| 0.000 | -0.000 | -0.000 | 158.863 | -0.000 | 0.000 |
| -0.000 | 0.000 | -0.000 | -0.000 | 158.863 | 0.000 |
| -0.000 | -0.000 | 0.000 | 0.000 | 0.000 | 158.863 |
| 975.378 | 609.556 | 609.556 | 0.000 | -0.000 | -0.000 |
| 609.556 | 975.378 | 609.556 | 0.000 | 0.000 | -0.000 |
| 609.556 | 609.556 | 975.378 | -0.000 | -0.000 | -0.000 |
| -0.000 | 0.001 | 0.001 | 158.863 | 0.000 | 0.000 |
| 0.001 | -0.000 | 0.001 | -0.000 | 158.863 | 0.000 |
| 0.001 | 0.001 | -0.000 | 0.000 | 0.000 | 158.863 |
| 975.331 | 609.516 | 609.516 | 0.000 | 0.000 | 0.000 |
| 609.516 | 975.331 | 609.516 | -0.000 | -0.000 | -0.000 |
| 609.516 | 609.516 | 975.331 | -0.000 | 0.000 | 0.000 |
| 0.000 | -0.001 | -0.001 | 158.863 | 0.000 | -0.000 |
| -0.001 | 0.000 | -0.001 | 0.000 | 158.863 | -0.000 |
| -0.001 | -0.001 | 0.000 | -0.000 | -0.000 | 158.863 |
| 276.244 | 2.359 | 2.359 | 0.000 | 0.000 | 0.000 |
| 2.359 | 276.244 | 2.359 | 0.000 | 0.000 | 0.000 |
| 2.359 | 2.359 | 276.244 | 0.000 | 0.000 | 0.000 |
| -0.000 | -0.000 | -0.000 | -41.339 | 0.000 | 0.000 |
| -0.000 | -0.000 | -0.000 | 0.000 | -41.339 | 0.000 |
| -0.000 | -0.000 | -0.000 | 0.000 | 0.000 | -41.339 |
| 276.244 | 2.359 | 2.359 | -0.000 | -0.000 | -0.000 |
| 2.359 | 276.244 | 2.359 | -0.000 | -0.000 | -0.000 |
| 2.359 | 2.359 | 276.244 | -0.000 | -0.000 | -0.000 |
| 0.000 | 0.000 | 0.000 | -41.339 | -0.000 | 0.000 |
| 0.000 | 0.000 | 0.000 | -0.000 | -41.339 | -0.000 |
| 0.000 | 0.000 | 0.000 | 0.000 | 0.000 | -41.339 |
| 276.244 | 2.359 | 2.359 | 0.000 | 0.000 | 0.000 |
| 2.359 | 276.244 | 2.359 | 0.000 | 0.000 | -0.000 |
| 2.359 | 2.359 | 276.244 | -0.000 | -0.000 | 0.000 |
| -0.000 | -0.000 | -0.000 | 12.679 | 0.000 | -0.000 |
| -0.000 | -0.000 | -0.000 | -0.000 | 12.679 | 0.000 |
| -0.000 | -0.000 | -0.000 | 0.000 | 0.000 | 12.679 |
| 276.245 | 2.359 | 2.359 | -0.000 | -0.000 | -0.000 |
| 2.359 | 276.245 | 2.359 | -0.000 | -0.000 | 0.000 |
| 2.359 | 2.359 | 276.245 | 0.000 | 0.000 | -0.000 |
| 0.000 | 0.000 | 0.000 | 12.679 | -0.000 | -0.000 |
| 0.000 | 0.000 | 0.000 | -0.000 | 12.679 | -0.000 |
| 0.000 | 0.000 | 0.000 | 0.000 | -0.000 | 12.679 |
| 276.238 | 2.359 | 2.359 | 0.000 | 0.000 | 0.000 |
| 2.359 | 276.238 | 2.359 | -0.000 | -0.000 | 0.000 |
| 2.359 | 2.359 | 276.238 | 0.000 | 0.000 | 0.000 |
| -2878066.071 | -3115635.639 | -3135344.003 | -58055.147 | 31432.785 | -15369.381 |
| -3153030.811 | -2903410.306 | -3141027.712 | 12406.285 | -101605.246 | -14830.063 |
| -3109259.951 | -3103716.013 | -3381832.659 | 908.981 | -16663.727 | -75635.145 |
| 276.251 | 2.360 | 2.360 | -0.000 | -0.000 | -0.000 |
| 2.360 | 276.251 | 2.360 | -0.000 | -0.000 | -0.000 |
| 2.360 | 2.360 | 276.251 | -0.000 | -0.000 | -0.000 |
| 3242449.887 | 3153821.065 | 3056316.101 | -151246.733 | -10273.896 | -8065.242 |
| 3102546.925 | 3177121.570 | 3000652.622 | -14328.913 | -147158.587 | -11882.351 |
| 2997244.224 | 3001120.682 | 3479986.764 | 23680.407 | -3641.783 | -121564.411 |
| 366.640 | 106.019 | 106.019 | -0.000 | -0.000 | -0.000 |
| 106.019 | 366.640 | 106.019 | -0.000 | -0.000 | -0.000 |
| 106.019 | 106.019 | 366.640 | -0.000 | -0.000 | -0.000 |
| -0.000 | -0.000 | -0.000 | 87.525 | -0.000 | -0.000 |
| -0.000 | -0.000 | -0.000 | -0.000 | 87.525 | -0.000 |
| -0.000 | -0.000 | -0.000 | -0.000 | -0.000 | 87.525 |
| 366.640 | 106.019 | 106.019 | 0.000 | 0.000 | 0.000 |
| 106.019 | 366.640 | 106.019 | 0.000 | 0.000 | 0.000 |
| 106.019 | 106.019 | 366.640 | 0.000 | 0.000 | 0.000 |
| 0.000 | 0.000 | 0.000 | 87.525 | 0.000 | -0.000 |
| 0.000 | 0.000 | 0.000 | 0.000 | 87.525 | 0.000 |
| 0.000 | 0.000 | 0.000 | 0.000 | 0.000 | 87.525 |
| 366.640 | 106.019 | 106.019 | -0.000 | -0.000 | -0.000 |
| 106.019 | 366.640 | 106.019 | -0.000 | -0.000 | -0.000 |
| 106.019 | 106.019 | 366.640 | -0.000 | -0.000 | -0.000 |
| 0.000 | -0.000 | -0.000 | 87.525 | -0.000 | -0.000 |
| -0.000 | 0.000 | -0.000 | -0.000 | 87.525 | -0.000 |
| -0.000 | -0.000 | 0.000 | -0.000 | -0.000 | 87.525 |
| 366.641 | 106.019 | 106.019 | 0.000 | 0.000 | 0.000 |
| 106.019 | 366.641 | 106.019 | 0.000 | 0.000 | 0.000 |
| 106.019 | 106.019 | 366.641 | 0.000 | 0.000 | 0.000 |
| -0.000 | 0.000 | 0.000 | 87.525 | 0.000 | -0.000 |
| 0.000 | -0.000 | 0.000 | 0.000 | 87.525 | -0.000 |
| 0.000 | 0.000 | -0.000 | 0.000 | 0.000 | 87.525 |
| 366.636 | 106.019 | 106.019 | -0.000 | -0.000 | -0.000 |
| 106.019 | 366.636 | 106.019 | -0.000 | -0.000 | -0.000 |
| 106.019 | 106.019 | 366.636 | -0.000 | -0.000 | -0.000 |
| 0.000 | -0.000 | -0.000 | 87.525 | -0.000 | -0.000 |
| -0.000 | 0.000 | -0.000 | -0.000 | 87.525 | -0.000 |
| -0.000 | -0.000 | 0.000 | -0.000 | -0.000 | 87.525 |
| 366.645 | 106.020 | 106.020 | 0.000 | 0.000 | 0.000 |
| 106.020 | 366.645 | 106.020 | 0.000 | 0.000 | 0.000 |
| 106.020 | 106.020 | 366.645 | 0.000 | 0.000 | 0.000 |
| -0.000 | 0.000 | 0.000 | 87.525 | 0.000 | 0.000 |
| 0.000 | -0.000 | 0.000 | 0.000 | 87.525 | 0.000 |
| 0.000 | 0.000 | -0.000 | 0.000 | 0.000 | 87.525 |
| 71.483 | 25.244 | 25.244 | 0.000 | 0.000 | 0.000 |
| 25.244 | 71.483 | 25.244 | 0.000 | 0.000 | 0.000 |
| 25.244 | 25.244 | 71.483 | 0.000 | 0.000 | 0.000 |
| 0.000 | -0.000 | -0.000 | 25.357 | 0.000 | 0.000 |
| -0.000 | 0.000 | -0.000 | -0.000 | 25.357 | 0.000 |
| -0.000 | -0.000 | -0.000 | -0.000 | 0.000 | 25.357 |
| 71.483 | 25.244 | 25.244 | -0.000 | -0.000 | -0.000 |
| 25.244 | 71.483 | 25.244 | -0.000 | -0.000 | -0.000 |
| 25.244 | 25.244 | 71.483 | -0.000 | -0.000 | -0.000 |
| -0.000 | 0.000 | 0.000 | 25.357 | -0.000 | -0.000 |
| 0.000 | -0.000 | 0.000 | 0.000 | 25.357 | -0.000 |
| 0.000 | 0.000 | 0.000 | -0.000 | -0.000 | 25.357 |
| 71.483 | 25.243 | 25.243 | 0.000 | 0.000 | 0.000 |
| 25.243 | 71.483 | 25.243 | 0.000 | 0.000 | 0.000 |
| 25.243 | 25.243 | 71.483 | 0.000 | 0.000 | 0.000 |
| 0.000 | -0.000 | -0.000 | 25.357 | 0.000 | 0.000 |
| -0.000 | 0.000 | -0.000 | 0.000 | 25.357 | 0.000 |
| -0.000 | -0.000 | 0.000 | -0.000 | 0.000 | 25.357 |
| 71.483 | 25.244 | 25.244 | -0.000 | -0.000 | -0.000 |
| 25.244 | 71.483 | 25.244 | -0.000 | -0.000 | -0.000 |
| 25.244 | 25.244 | 71.483 | -0.000 | -0.000 | -0.000 |
| -0.000 | 0.000 | 0.000 | 25.357 | 0.000 | -0.000 |
| 0.000 | -0.000 | 0.000 | 0.000 | 25.357 | -0.000 |
| 0.000 | 0.000 | -0.000 | 0.000 | -0.000 | 25.357 |
| 71.482 | 25.243 | 25.243 | 0.000 | 0.000 | 0.000 |
| 25.243 | 71.482 | 25.243 | 0.000 | 0.000 | 0.000 |
| 25.243 | 25.243 | 71.482 | 0.000 | 0.000 | 0.000 |
| 0.000 | -0.000 | -0.000 | 25.357 | 0.000 | 0.000 |
| -0.000 | 0.000 | -0.000 | -0.000 | 25.357 | 0.000 |
| -0.000 | -0.000 | 0.000 | -0.000 | 0.000 | 25.357 |
| 71.483 | 25.244 | 25.244 | -0.000 | -0.000 | -0.000 |
| 25.244 | 71.483 | 25.244 | -0.000 | -0.000 | -0.000 |
| 25.244 | 25.244 | 71.483 | -0.000 | -0.000 | -0.000 |
| -0.000 | 0.000 | 0.000 | 25.357 | 0.000 | -0.000 |
| 0.000 | -0.000 | 0.000 | 0.000 | 25.357 | -0.000 |
| 0.000 | 0.000 | -0.000 | 0.000 | -0.000 | 25.357 |
| 3.169 | 6.779 | 6.779 | -0.000 | -0.000 | 0.000 |
| 6.779 | 3.169 | 6.779 | -0.000 | -0.000 | 0.000 |
| 6.779 | 6.779 | 3.169 | -0.000 | 0.000 | 0.000 |
| -0.000 | -0.000 | -0.000 | -2.324 | -0.000 | -0.000 |
| -0.000 | -0.000 | -0.000 | -0.000 | -2.324 | -0.000 |
| -0.000 | 0.000 | -0.000 | -0.000 | -0.000 | -2.324 |
| 3.169 | 6.779 | 6.779 | 0.000 | 0.000 | 0.000 |
| 6.779 | 3.169 | 6.779 | 0.000 | 0.000 | 0.000 |
| 6.779 | 6.779 | 3.169 | 0.000 | 0.000 | -0.000 |
| 0.000 | -0.000 | 0.000 | -2.324 | -0.000 | 0.000 |
| 0.000 | 0.000 | 0.000 | 0.000 | -2.324 | -0.000 |
| 0.000 | 0.000 | 0.000 | 0.000 | 0.000 | -2.324 |
| 3.169 | 6.779 | 6.779 | -0.000 | -0.000 | 0.000 |
| 6.779 | 3.169 | 6.779 | -0.000 | -0.000 | 0.000 |
| 6.779 | 6.779 | 3.169 | -0.000 | -0.000 | 0.000 |
| -0.000 | -0.000 | -0.000 | 1.115 | -0.000 | -0.000 |
| -0.000 | -0.000 | -0.000 | -0.000 | 1.115 | 0.000 |
| -0.000 | -0.000 | -0.000 | -0.000 | -0.000 | 1.115 |
| 3.169 | 6.779 | 6.779 | 0.000 | 0.000 | -0.000 |
| 6.779 | 3.169 | 6.779 | 0.000 | 0.000 | 0.000 |
| 6.779 | 6.779 | 3.169 | 0.000 | 0.000 | -0.000 |
| 0.000 | 0.000 | 0.000 | 1.115 | 0.000 | -0.000 |
| 0.000 | 0.000 | 0.000 | 0.000 | 1.115 | -0.000 |
| 0.000 | 0.000 | 0.000 | 0.000 | 0.000 | 1.115 |
| 3.169 | 6.779 | 6.779 | -0.000 | -0.000 | 0.000 |
| 6.779 | 3.169 | 6.779 | -0.000 | -0.000 | -0.000 |
| 6.779 | 6.779 | 3.169 | -0.000 | -0.000 | 0.000 |
| -0.000 | 0.000 | -0.000 | -4.400 | -0.000 | -0.000 |
| 0.000 | -0.000 | -0.000 | -0.000 | -4.400 | 0.000 |
| 0.000 | -0.000 | -0.000 | -0.000 | 0.000 | -4.400 |
| 3.169 | 6.779 | 6.779 | 0.000 | 0.000 | -0.000 |
| 6.779 | 3.169 | 6.779 | 0.000 | 0.000 | -0.000 |
| 6.779 | 6.779 | 3.169 | 0.000 | 0.000 | 0.000 |
| 0.000 | -0.000 | 0.000 | -4.400 | -0.000 | 0.000 |
| -0.000 | 0.000 | 0.000 | 0.000 | -4.400 | 0.000 |
| -0.000 | 0.000 | 0.000 | 0.000 | 0.000 | -4.400 |
| 6.382 | 4.289 | 4.289 | -0.000 | -0.000 | 0.000 |
| 4.289 | 6.382 | 4.289 | -0.000 | -0.000 | 0.000 |
| 4.289 | 4.289 | 6.382 | 0.000 | 0.000 | -0.000 |
| 0.000 | 0.000 | -0.000 | 4.374 | -0.000 | -0.000 |
| 0.000 | 0.000 | -0.000 | -0.000 | 4.374 | 0.000 |
| 0.000 | 0.000 | -0.000 | -0.000 | -0.000 | 4.374 |
| 6.382 | 4.289 | 4.289 | 0.000 | 0.000 | -0.000 |
| 4.289 | 6.382 | 4.289 | 0.000 | -0.000 | -0.000 |
| 4.289 | 4.289 | 6.382 | -0.000 | 0.000 | -0.000 |
| -0.000 | -0.000 | 0.000 | 4.374 | 0.000 | 0.000 |
| -0.000 | -0.000 | 0.000 | 0.000 | 4.374 | -0.000 |
| -0.000 | -0.000 | 0.000 | 0.000 | 0.000 | 4.374 |
| 6.382 | 4.289 | 4.289 | -0.000 | 0.000 | 0.000 |
| 4.289 | 6.382 | 4.289 | -0.000 | -0.000 | -0.000 |
| 4.289 | 4.289 | 6.382 | -0.000 | -0.000 | 0.000 |
| 0.000 | 0.000 | 0.000 | 4.374 | -0.000 | -0.000 |
| 0.000 | 0.000 | 0.000 | -0.000 | 4.374 | 0.000 |
| 0.000 | 0.000 | 0.000 | -0.000 | -0.000 | 4.374 |
| 6.382 | 4.289 | 4.289 | 0.000 | 0.000 | -0.000 |
| 4.289 | 6.382 | 4.289 | 0.000 | -0.000 | -0.000 |
| 4.289 | 4.289 | 6.382 | 0.000 | -0.000 | -0.000 |
| -0.000 | -0.000 | -0.000 | 4.374 | 0.000 | -0.000 |
| -0.000 | -0.000 | -0.000 | 0.000 | 4.374 | 0.000 |
| -0.000 | -0.000 | -0.000 | 0.000 | 0.000 | 4.374 |
| 6.382 | 4.289 | 4.289 | -0.000 | 0.000 | -0.000 |
| 4.289 | 6.382 | 4.289 | -0.000 | -0.000 | -0.000 |
| 4.289 | 4.289 | 6.382 | 0.000 | -0.000 | -0.000 |
| -0.000 | -0.000 | -0.000 | 1.611 | -0.000 | 0.000 |
| -0.000 | -0.000 | -0.000 | -0.000 | 1.611 | -0.000 |
| -0.000 | -0.000 | -0.000 | -0.000 | -0.000 | 1.611 |
| 6.382 | 4.289 | 4.289 | 0.000 | 0.000 | 0.000 |
| 4.289 | 6.382 | 4.289 | 0.000 | -0.000 | 0.000 |
| 4.289 | 4.289 | 6.382 | -0.000 | -0.000 | -0.000 |
| 0.000 | 0.000 | 0.000 | 1.611 | 0.000 | 0.000 |
| 0.000 | 0.000 | 0.000 | 0.000 | 1.611 | -0.000 |
| 0.000 | 0.000 | 0.000 | 0.000 | 0.000 | 1.611 |
| 6.847 | 6.847 | 6.847 | 0.000 | 0.000 | -0.000 |
| 6.847 | 6.847 | 6.847 | 0.000 | 0.000 | -0.000 |
| 6.847 | 6.847 | 6.847 | 0.000 | 0.000 | 0.000 |
| -0.000 | -0.000 | -0.000 | 0.000 | 0.000 | 0.000 |
| -0.000 | -0.000 | -0.000 | 0.000 | 0.000 | 0.000 |
| -0.000 | -0.000 | -0.000 | 0.000 | 0.000 | 0.000 |
| 6.847 | 6.847 | 6.847 | -0.000 | -0.000 | -0.000 |
| 6.847 | 6.847 | 6.847 | -0.000 | -0.000 | -0.000 |
| 6.847 | 6.847 | 6.847 | -0.000 | -0.000 | -0.000 |
| 0.000 | 0.000 | 0.000 | 0.000 | -0.000 | -0.000 |
| 0.000 | 0.000 | 0.000 | -0.000 | 0.000 | -0.000 |
| 0.000 | 0.000 | 0.000 | -0.000 | -0.000 | 0.000 |
| 6.847 | 6.847 | 6.847 | 0.000 | 0.000 | 0.000 |
| 6.847 | 6.847 | 6.847 | 0.000 | 0.000 | 0.000 |
| 6.847 | 6.847 | 6.847 | 0.000 | 0.000 | 0.000 |
| -0.000 | -0.000 | -0.000 | 0.000 | 0.000 | 0.000 |
| -0.000 | -0.000 | -0.000 | 0.000 | 0.000 | 0.000 |
| -0.000 | -0.000 | -0.000 | 0.000 | 0.000 | 0.000 |
| 6.847 | 6.847 | 6.847 | -0.000 | -0.000 | -0.000 |
| 6.847 | 6.847 | 6.847 | -0.000 | -0.000 | -0.000 |
| 6.847 | 6.847 | 6.847 | -0.000 | -0.000 | -0.000 |
| 0.000 | 0.000 | 0.000 | 0.000 | -0.000 | -0.000 |
| 0.000 | 0.000 | 0.000 | -0.000 | 0.000 | -0.000 |
| 0.000 | 0.000 | 0.000 | -0.000 | -0.000 | 0.000 |
| 6.847 | 6.847 | 6.847 | 0.000 | 0.000 | -0.000 |
| 6.847 | 6.847 | 6.847 | 0.000 | 0.000 | -0.000 |
| 6.847 | 6.847 | 6.847 | 0.000 | 0.000 | 0.000 |
| -0.000 | -0.000 | -0.000 | 0.000 | 0.000 | 0.000 |
| -0.000 | -0.000 | -0.000 | 0.000 | 0.000 | 0.000 |
| -0.000 | -0.000 | -0.000 | 0.000 | 0.000 | 0.000 |
| 6.847 | 6.847 | 6.847 | -0.000 | -0.000 | 0.000 |
| 6.847 | 6.847 | 6.847 | -0.000 | -0.000 | 0.000 |
| 6.847 | 6.847 | 6.847 | -0.000 | -0.000 | -0.000 |
| 0.000 | 0.000 | 0.000 | 0.000 | -0.000 | -0.000 |
| 0.000 | 0.000 | 0.000 | -0.000 | 0.000 | -0.000 |
| 0.000 | 0.000 | 0.000 | -0.000 | -0.000 | 0.000 |
| 788.137 | 322.987 | 322.987 | 0.000 | 0.000 | 0.000 |
| 322.987 | 788.137 | 322.987 | 0.000 | -0.000 | -0.000 |
| 322.987 | 322.987 | 788.137 | 0.000 | 0.000 | 0.000 |
| -0.000 | -0.000 | -0.000 | 148.687 | 0.000 | 0.000 |
| -0.000 | -0.000 | -0.000 | 0.000 | 148.687 | 0.000 |
| -0.000 | -0.000 | -0.000 | 0.000 | -0.000 | 148.687 |
| 788.138 | 322.987 | 322.987 | -0.000 | 0.000 | -0.000 |
| 322.987 | 788.138 | 322.987 | -0.000 | -0.000 | 0.000 |
| 322.987 | 322.987 | 788.138 | -0.000 | -0.000 | 0.000 |
| 0.000 | 0.000 | 0.000 | 148.687 | -0.000 | 0.000 |
| 0.000 | 0.000 | 0.000 | -0.000 | 148.687 | 0.000 |
| 0.000 | 0.000 | 0.000 | 0.000 | -0.000 | 148.687 |
| 788.135 | 322.985 | 322.985 | 0.000 | -0.000 | 0.000 |
| 322.985 | 788.135 | 322.985 | 0.000 | 0.000 | 0.000 |
| 322.985 | 322.985 | 788.135 | 0.000 | 0.000 | 0.000 |
| -0.000 | -0.000 | 0.000 | 148.687 | 0.000 | -0.000 |
| -0.000 | -0.000 | 0.000 | -0.000 | 148.687 | 0.000 |
| -0.000 | 0.000 | -0.000 | 0.000 | 0.000 | 148.687 |
| 786.599 | 323.760 | 323.760 | -0.000 | -0.000 | -0.000 |
| 323.760 | 786.599 | 323.760 | -0.000 | -0.000 | -0.000 |
| 323.760 | 323.760 | 786.599 | -0.000 | -0.000 | -0.000 |
| 0.000 | 0.000 | -0.000 | 148.687 | -0.000 | -0.000 |
| 0.000 | 0.000 | -0.000 | -0.000 | 148.687 | -0.000 |
| 0.000 | -0.000 | 0.000 | -0.000 | -0.000 | 148.687 |
| 788.114 | 322.966 | 322.966 | 0.000 | -0.000 | 0.000 |
| 322.966 | 788.114 | 322.966 | 0.000 | 0.000 | -0.000 |
| 322.966 | 322.966 | 788.114 | 0.000 | -0.000 | 0.000 |
| -0.000 | -0.000 | 0.000 | 150.228 | -0.000 | 0.000 |
| -0.000 | -0.000 | 0.000 | 0.000 | 150.228 | 0.000 |
| -0.000 | 0.000 | -0.000 | 0.000 | 0.000 | 150.228 |
| 788.160 | 323.008 | 323.008 | 0.000 | 0.000 | -0.000 |
| 323.008 | 788.160 | 323.008 | -0.000 | -0.000 | -0.000 |
| 323.008 | 323.008 | 788.160 | -0.000 | 0.000 | 0.000 |
| 0.000 | 0.000 | -0.000 | 150.228 | -0.000 | 0.000 |
| 0.000 | 0.000 | -0.000 | -0.000 | 150.228 | -0.000 |
| 0.000 | -0.000 | 0.000 | -0.000 | -0.000 | 150.228 |
| 14.543 | -0.513 | -0.513 | -0.000 | 0.000 | 0.000 |
| -0.513 | 14.543 | -0.513 | -0.000 | -0.000 | 0.000 |
| -0.513 | -0.513 | 14.543 | -0.000 | 0.000 | 0.000 |
| -0.000 | 0.000 | 0.000 | -6.956 | 0.000 | 0.000 |
| 0.000 | -0.000 | 0.000 | -0.000 | -6.956 | -0.000 |
| 0.000 | 0.000 | -0.000 | -0.000 | 0.000 | -6.956 |
| 14.543 | -0.513 | -0.513 | 0.000 | -0.000 | -0.000 |
| -0.513 | 14.543 | -0.513 | 0.000 | -0.000 | -0.000 |
| -0.513 | -0.513 | 14.543 | 0.000 | -0.000 | -0.000 |
| 0.000 | -0.000 | -0.000 | -6.956 | -0.000 | -0.000 |
| -0.000 | 0.000 | -0.000 | 0.000 | -6.956 | -0.000 |
| -0.000 | -0.000 | 0.000 | 0.000 | -0.000 | -6.956 |
| 5.288 | 4.115 | 4.115 | -0.000 | -0.000 | 0.000 |
| 4.115 | 5.288 | 4.115 | -0.000 | -0.000 | -0.000 |
| 4.115 | 4.115 | 5.288 | -0.000 | 0.000 | -0.000 |
| -0.000 | 0.000 | 0.000 | -6.956 | 0.000 | -0.000 |
| 0.000 | -0.000 | 0.000 | -0.000 | -6.956 | 0.000 |
| 0.000 | 0.000 | -0.000 | -0.000 | 0.000 | -6.956 |
| 14.543 | -0.513 | -0.513 | 0.000 | -0.000 | -0.000 |
| -0.513 | 14.543 | -0.513 | -0.000 | -0.000 | -0.000 |
| -0.513 | -0.513 | 14.543 | -0.000 | -0.000 | 0.000 |
| 0.000 | -0.000 | -0.000 | -6.956 | 0.000 | -0.000 |
| -0.000 | 0.000 | -0.000 | 0.000 | -6.956 | -0.000 |
| -0.000 | -0.000 | 0.000 | 0.000 | -0.000 | -6.956 |
| 1.874 | 5.822 | 5.822 | -0.000 | 0.000 | 0.000 |
| 5.822 | 1.874 | 5.822 | -0.000 | 0.000 | -0.000 |
| 5.822 | 5.822 | 1.874 | -0.000 | 0.000 | 0.000 |
| -1324386.938 | -1337744.912 | -1393474.181 | 73415.910 | -10222.642 | 20343.742 |
| -1412102.404 | -1341788.396 | -1446469.109 | -5128.581 | 7231.887 | -28730.982 |
| -1376688.031 | -1384812.789 | -1362484.958 | -6137.514 | -27167.850 | 43810.074 |
| 14.543 | -0.513 | -0.513 | 0.000 | -0.000 | 0.000 |
| -0.513 | 14.543 | -0.513 | 0.000 | -0.000 | -0.000 |
| -0.513 | -0.513 | 14.543 | -0.000 | -0.000 | -0.000 |
| 1271944.009 | 1341227.015 | 1331547.967 | 25758.648 | -3250.558 | -5860.112 |
| 1414878.820 | 1369797.636 | 1415343.145 | -16237.789 | 30168.779 | -3982.092 |
| 1323146.195 | 1353805.747 | 1288971.470 | -4346.800 | -13725.952 | 37804.552 |
| -5.156 | 11.012 | 11.012 | -0.000 | -0.000 | -0.000 |
| 11.012 | -5.156 | 11.012 | -0.000 | -0.000 | -0.000 |
| 11.012 | 11.012 | -5.156 | 0.000 | 0.000 | -0.000 |
| 0.000 | 0.000 | -0.000 | -1.573 | -0.000 | -0.000 |
| 0.000 | 0.000 | -0.000 | 0.000 | -1.573 | -0.000 |
| 0.000 | 0.000 | 0.000 | -0.000 | -0.000 | -1.573 |
| -5.156 | 11.012 | 11.012 | -0.000 | 0.000 | 0.000 |
| 11.012 | -5.156 | 11.012 | 0.000 | 0.000 | 0.000 |
| 11.012 | 11.012 | -5.156 | -0.000 | 0.000 | 0.000 |
| -0.000 | -0.000 | 0.000 | -1.573 | 0.000 | 0.000 |
| -0.000 | -0.000 | 0.000 | -0.000 | -1.573 | 0.000 |
| -0.000 | -0.000 | -0.000 | 0.000 | 0.000 | -1.573 |
| -5.156 | 11.012 | 11.012 | -0.000 | -0.000 | -0.000 |
| 11.012 | -5.156 | 11.012 | 0.000 | -0.000 | -0.000 |
| 11.012 | 11.012 | -5.156 | -0.000 | -0.000 | -0.000 |
| 0.000 | 0.000 | 0.000 | -1.573 | 0.000 | -0.000 |
| 0.000 | 0.000 | 0.000 | 0.000 | -1.573 | -0.000 |
| 0.000 | 0.000 | 0.000 | 0.000 | -0.000 | -1.573 |
| 3.462 | 6.703 | 6.703 | -0.000 | 0.000 | 0.000 |
| 6.703 | 3.462 | 6.703 | 0.000 | -0.000 | 0.000 |
| 6.703 | 6.703 | 3.462 | -0.000 | -0.000 | 0.000 |
| -0.000 | -0.000 | -0.000 | -1.573 | 0.000 | 0.000 |
| -0.000 | -0.000 | -0.000 | -0.000 | -1.573 | 0.000 |
| -0.000 | -0.000 | -0.000 | 0.000 | 0.000 | -1.573 |
| -5.156 | 11.012 | 11.012 | -0.000 | 0.000 | -0.000 |
| 11.012 | -5.156 | 11.012 | 0.000 | -0.000 | -0.000 |
| 11.012 | 11.012 | -5.156 | 0.000 | -0.000 | -0.000 |
| 0.000 | 0.000 | 0.000 | 8.367 | 0.000 | -0.000 |
| 0.000 | 0.000 | 0.000 | -0.000 | 8.367 | -0.000 |
| 0.000 | 0.000 | 0.000 | -0.000 | -0.000 | 8.367 |
| 3.462 | 6.703 | 6.703 | 0.000 | 0.000 | 0.000 |
| 6.703 | 3.462 | 6.703 | 0.000 | -0.000 | 0.000 |
| 6.703 | 6.703 | 3.462 | 0.000 | -0.000 | 0.000 |
| -0.000 | -0.000 | -0.000 | 8.367 | -0.000 | 0.000 |
| -0.000 | -0.000 | -0.000 | 0.000 | 8.367 | 0.000 |
| -0.000 | -0.000 | -0.000 | 0.000 | 0.000 | 8.367 |
| 14.878 | 4.109 | 4.109 | 0.000 | 0.000 | 0.000 |
| 7.128 | 8.840 | 7.128 | 0.000 | -0.000 | 0.000 |
| 7.128 | 7.128 | 8.840 | -0.000 | 0.000 | 0.000 |
| 0.000 | 0.000 | -0.000 | 4.241 | 0.000 | 0.000 |
| 0.000 | 0.000 | 0.000 | 0.000 | 4.241 | 0.000 |
| 0.000 | 0.000 | -0.000 | 0.000 | 0.000 | 4.241 |
| 18153725.046 | 33889562.398 | 31163905.641 | 315671.876 | -137220.573 | -220683.486 |
| 29915841.023 | 17667617.378 | 32626576.394 | -385341.826 | -171832.497 | -279150.534 |
| 32649472.415 | 30337256.787 | 17559885.395 | -170498.755 | -575548.054 | 234387.069 |
| -0.000 | -0.000 | 0.000 | 4.241 | -0.000 | -0.000 |
| -0.000 | -0.000 | -0.000 | -0.000 | 4.241 | -0.000 |
| -0.000 | -0.000 | 0.000 | -0.000 | -0.000 | 4.241 |
| 14.878 | 4.109 | 4.109 | 0.000 | 0.000 | 0.000 |
| 4.109 | 14.878 | 4.109 | 0.000 | 0.000 | 0.000 |
| 4.109 | 4.109 | 14.878 | 0.000 | 0.000 | 0.000 |
| 0.000 | 0.000 | 0.000 | -1.691 | 0.000 | 0.000 |
| 0.000 | 0.000 | 0.000 | 0.000 | -1.691 | 0.000 |
| 0.000 | 0.000 | 0.000 | 0.000 | 0.000 | -1.691 |
| 1201054.211 | 3192338.601 | 2915548.773 | 1283.080 | -45128.388 | -81103.609 |
| 2880875.876 | 1205085.631 | 3220754.138 | -112392.596 | -7334.097 | -31026.273 |
| 3219398.929 | 2901879.158 | 1106086.627 | -41488.983 | -59275.652 | -7013.109 |
| -0.000 | -0.000 | -0.000 | -1.691 | -0.000 | -0.000 |
| -0.000 | -0.000 | -0.000 | -0.000 | -1.691 | -0.000 |
| -0.000 | -0.000 | -0.000 | -0.000 | -0.000 | -1.691 |
| -445416.733 | 78061.599 | 83959.866 | 4523.454 | 4932.981 | 7249.333 |
| 104408.903 | -325318.708 | 104408.904 | 0.000 | -0.000 | -0.000 |
| 104408.904 | 104408.903 | -325318.708 | -0.000 | -0.000 | 0.000 |
| 0.000 | 0.000 | 0.000 | -1.691 | 0.000 | 0.000 |
| 0.000 | 0.000 | 0.000 | 0.000 | -1.691 | 0.000 |
| 0.000 | 0.000 | 0.000 | 0.000 | 0.000 | -1.691 |
| -599346.843 | 377542.252 | 377542.251 | 0.000 | -0.000 | 0.000 |
| 377542.251 | -599346.843 | 377542.252 | 0.000 | 0.000 | -0.000 |
| 377542.230 | 377542.230 | -599346.782 | -0.000 | 0.000 | 0.000 |
| -0.000 | -0.000 | -0.000 | -1.691 | -0.000 | -0.000 |
| -0.000 | -0.000 | -0.000 | -0.000 | -1.691 | -0.000 |
| -0.000 | -0.000 | -0.000 | -0.000 | -0.000 | -1.691 |
| 10.770 | 3.718 | 3.718 | -0.000 | -0.000 | -0.000 |
| 3.718 | 10.770 | 3.718 | -0.000 | 0.000 | -0.000 |
| 3.718 | 3.718 | 10.770 | -0.000 | 0.000 | -0.000 |
| -0.000 | -0.000 | -0.000 | 3.134 | 0.000 | -0.000 |
| -0.000 | -0.000 | -0.000 | -0.000 | 3.134 | -0.000 |
| -0.000 | -0.000 | -0.000 | -0.000 | 0.000 | 3.134 |
| 10.770 | 3.718 | 3.718 | 0.000 | -0.000 | 0.000 |
| 3.718 | 10.770 | 3.718 | 0.000 | -0.000 | -0.000 |
| 3.718 | 3.718 | 10.770 | 0.000 | 0.000 | 0.000 |
| 0.000 | 0.000 | 0.000 | 3.134 | -0.000 | 0.000 |
| 0.000 | 0.000 | 0.000 | 0.000 | 3.134 | -0.000 |
| 0.000 | 0.000 | 0.000 | 0.000 | -0.000 | 3.134 |
| 10.770 | 3.718 | 3.718 | -0.000 | 0.000 | -0.000 |
| 3.718 | 10.770 | 3.718 | -0.000 | 0.000 | -0.000 |
| 3.718 | 3.718 | 10.770 | -0.000 | 0.000 | -0.000 |
| -0.000 | -0.000 | -0.000 | 3.134 | 0.000 | -0.000 |
| -0.000 | -0.000 | -0.000 | -0.000 | 3.134 | -0.000 |
| -0.000 | -0.000 | -0.000 | -0.000 | 0.000 | 3.134 |
| 10.770 | 3.718 | 3.718 | -0.000 | 0.000 | 0.000 |
| 3.718 | 10.770 | 3.718 | 0.000 | -0.000 | 0.000 |
| 3.718 | 3.718 | 10.770 | 0.000 | -0.000 | 0.000 |
| 0.000 | 0.000 | 0.000 | 3.134 | -0.000 | 0.000 |
| 0.000 | 0.000 | 0.000 | 0.000 | 3.134 | 0.000 |
| 0.000 | 0.000 | 0.000 | 0.000 | -0.000 | 3.134 |
| 10.770 | 3.718 | 3.718 | -0.000 | 0.000 | -0.000 |
| 3.718 | 10.770 | 3.718 | -0.000 | -0.000 | -0.000 |
| 3.718 | 3.718 | 10.770 | -0.000 | -0.000 | -0.000 |
| -0.000 | -0.000 | -0.000 | 3.134 | 0.000 | -0.000 |
| -0.000 | -0.000 | -0.000 | -0.000 | 3.134 | -0.000 |
| -0.000 | -0.000 | -0.000 | -0.000 | 0.000 | 3.134 |
| 10.771 | 3.718 | 3.718 | 0.000 | 0.000 | 0.000 |
| 3.718 | 10.771 | 3.718 | 0.000 | -0.000 | 0.000 |
| 3.718 | 3.718 | 10.771 | 0.000 | -0.000 | 0.000 |
| 0.000 | 0.000 | 0.000 | 3.134 | -0.000 | -0.000 |
| 0.000 | 0.000 | 0.000 | 0.000 | 3.134 | -0.000 |
| 0.000 | 0.000 | 0.000 | 0.000 | -0.000 | 3.134 |
| 18.431 | 7.191 | 7.191 | 0.000 | 0.000 | -0.000 |
| 7.191 | 18.431 | 7.191 | -0.000 | 0.000 | 0.000 |
| 7.191 | 7.191 | 18.431 | -0.000 | 0.000 | 0.000 |
| -0.000 | 0.000 | 0.000 | 0.071 | 0.000 | 0.000 |
| 0.000 | -0.000 | 0.000 | 0.000 | 0.071 | -0.000 |
| 0.000 | 0.000 | -0.000 | 0.000 | 0.000 | 0.071 |
| 18.431 | 7.191 | 7.191 | -0.000 | -0.000 | 0.000 |
| 7.191 | 18.431 | 7.191 | 0.000 | -0.000 | -0.000 |
| 7.191 | 7.191 | 18.431 | -0.000 | -0.000 | -0.000 |
| 0.000 | -0.000 | -0.000 | 0.071 | -0.000 | -0.000 |
| -0.000 | 0.000 | -0.000 | -0.000 | 0.071 | -0.000 |
| -0.000 | -0.000 | 0.000 | -0.000 | -0.000 | 0.071 |
| 18.431 | 7.191 | 7.191 | 0.000 | 0.000 | 0.000 |
| 7.191 | 18.431 | 7.191 | 0.000 | 0.000 | 0.000 |
| 7.191 | 7.191 | 18.431 | 0.000 | 0.000 | 0.000 |
| -0.000 | 0.000 | 0.000 | 0.071 | 0.000 | 0.000 |
| 0.000 | -0.000 | 0.000 | 0.000 | 0.071 | -0.000 |
| 0.000 | 0.000 | -0.000 | 0.000 | 0.000 | 0.071 |
| 18.431 | 7.191 | 7.191 | -0.000 | -0.000 | -0.000 |
| 7.191 | 18.431 | 7.191 | -0.000 | -0.000 | -0.000 |
| 7.191 | 7.191 | 18.431 | -0.000 | -0.000 | -0.000 |
| 0.000 | -0.000 | -0.000 | 0.071 | -0.000 | -0.000 |
| -0.000 | 0.000 | -0.000 | -0.000 | 0.071 | 0.000 |
| -0.000 | -0.000 | 0.000 | -0.000 | -0.000 | 0.071 |
| 18.431 | 7.191 | 7.191 | 0.000 | -0.000 | -0.000 |
| 7.191 | 18.431 | 7.191 | -0.000 | 0.000 | 0.000 |
| 7.191 | 7.191 | 18.431 | 0.000 | 0.000 | 0.000 |
| -0.000 | 0.000 | 0.000 | 0.071 | 0.000 | 0.000 |
| 0.000 | -0.000 | 0.000 | -0.000 | 0.071 | 0.000 |
| 0.000 | 0.000 | -0.000 | 0.000 | 0.000 | 0.071 |
| 18.432 | 7.191 | 7.191 | -0.000 | -0.000 | -0.000 |
| 7.191 | 18.432 | 7.191 | 0.000 | -0.000 | -0.000 |
| 7.191 | 7.191 | 18.432 | -0.000 | -0.000 | -0.000 |
| 0.000 | -0.000 | -0.000 | 0.071 | -0.000 | -0.000 |
| -0.000 | 0.000 | -0.000 | -0.000 | 0.071 | -0.000 |
| -0.000 | -0.000 | 0.000 | -0.000 | -0.000 | 0.071 |
| 2.528 | -0.000 | -0.000 | 0.000 | 0.000 | 0.000 |
| -0.000 | 2.528 | -0.000 | -0.000 | 0.000 | 0.000 |
| -0.000 | -0.000 | 2.528 | -0.000 | 0.000 | -0.000 |
| 0.000 | -0.000 | 0.000 | 0.000 | 0.000 | 0.000 |
| -0.000 | 0.000 | 0.000 | 0.000 | 0.000 | -0.000 |
| -0.000 | 0.000 | 0.000 | 0.000 | 0.000 | 0.000 |
| 2.528 | 0.000 | 0.000 | 0.000 | -0.000 | -0.000 |
| 0.000 | 2.528 | 0.000 | 0.000 | -0.000 | -0.000 |
| 0.000 | 0.000 | 2.528 | 0.000 | 0.000 | 0.000 |
| -0.000 | 0.000 | -0.000 | 0.000 | -0.000 | -0.000 |
| 0.000 | -0.000 | -0.000 | -0.000 | 0.000 | -0.000 |
| 0.000 | -0.000 | -0.000 | -0.000 | -0.000 | 0.000 |
| 2.528 | -0.000 | -0.000 | 0.000 | -0.000 | 0.000 |
| -0.000 | 2.528 | -0.000 | 0.000 | 0.000 | 0.000 |
| -0.000 | -0.000 | 2.528 | 0.000 | -0.000 | -0.000 |
| 0.000 | -0.000 | -0.000 | 0.000 | 0.000 | -0.000 |
| -0.000 | 0.000 | -0.000 | 0.000 | 0.000 | -0.000 |
| -0.000 | -0.000 | 0.000 | 0.000 | -0.000 | 0.000 |
| 2.528 | -0.000 | -0.000 | 0.000 | -0.000 | -0.000 |
| -0.000 | 2.528 | -0.000 | -0.000 | -0.000 | 0.000 |
| -0.000 | -0.000 | 2.528 | 0.000 | 0.000 | 0.000 |
| -0.000 | 0.000 | 0.000 | 0.000 | -0.000 | -0.000 |
| 0.000 | -0.000 | 0.000 | -0.000 | 0.000 | -0.000 |
| 0.000 | 0.000 | -0.000 | -0.000 | -0.000 | 0.000 |
| 2.528 | -0.000 | -0.000 | 0.000 | 0.000 | -0.000 |
| -0.000 | 2.528 | -0.000 | 0.000 | 0.000 | 0.000 |
| -0.000 | -0.000 | 2.528 | 0.000 | 0.000 | -0.000 |
| 0.000 | -0.000 | -0.000 | 0.000 | 0.000 | 0.000 |
| -0.000 | 0.000 | -0.000 | 0.000 | 0.000 | 0.000 |
| -0.000 | -0.000 | 0.000 | 0.000 | 0.000 | 0.000 |
| 2.529 | -0.000 | -0.000 | 0.000 | -0.000 | 0.000 |
| -0.000 | 2.529 | -0.000 | 0.000 | -0.000 | -0.000 |
| -0.000 | -0.000 | 2.529 | -0.000 | -0.000 | 0.000 |
| -0.000 | 0.000 | 0.000 | 0.000 | -0.000 | -0.000 |
| 0.000 | -0.000 | 0.000 | -0.000 | 0.000 | 0.000 |
| 0.000 | 0.000 | -0.000 | -0.000 | -0.000 | 0.000 |
| 272.931 | 199.199 | 199.199 | 0.000 | 0.000 | -0.000 |
| 199.199 | 272.931 | 199.199 | -0.000 | 0.000 | 0.000 |
| 199.199 | 199.199 | 272.931 | -0.000 | 0.000 | 0.000 |
| 0.000 | 0.000 | 0.000 | 4.824 | 0.000 | -0.000 |
| 0.000 | 0.000 | 0.000 | -0.000 | 4.824 | 0.000 |
| 0.000 | 0.000 | 0.000 | 0.000 | 0.000 | 4.824 |
| 272.929 | 199.197 | 199.197 | 0.000 | -0.000 | 0.000 |
| 199.197 | 272.929 | 199.197 | -0.000 | -0.000 | -0.000 |
| 199.197 | 199.197 | 272.929 | 0.000 | 0.000 | 0.000 |
| -0.000 | -0.000 | -0.000 | 4.824 | -0.000 | -0.000 |
| -0.000 | -0.000 | -0.000 | 0.000 | 4.824 | -0.000 |
| -0.000 | -0.000 | -0.000 | 0.000 | -0.000 | 4.824 |
| 272.938 | 199.206 | 199.206 | 0.000 | 0.000 | 0.000 |
| 199.206 | 272.938 | 199.206 | -0.000 | 0.000 | 0.000 |
| 199.206 | 199.206 | 272.938 | -0.000 | -0.000 | 0.000 |
| 0.000 | 0.000 | 0.000 | 4.824 | -0.000 | 0.000 |
| 0.000 | 0.000 | 0.000 | -0.000 | 4.824 | 0.000 |
| 0.000 | 0.000 | 0.000 | -0.000 | 0.000 | 4.824 |
| 272.921 | 199.190 | 199.190 | -0.000 | -0.000 | -0.000 |
| 199.190 | 272.921 | 199.190 | -0.000 | -0.000 | -0.000 |
| 199.190 | 199.190 | 272.921 | 0.000 | -0.000 | -0.000 |
| -0.000 | -0.000 | -0.000 | 4.824 | -0.000 | 0.000 |
| -0.000 | -0.000 | -0.000 | 0.000 | 4.824 | -0.000 |
| -0.000 | -0.000 | -0.000 | -0.000 | -0.000 | 4.824 |
| 273.014 | 199.282 | 199.282 | 0.000 | 0.000 | 0.000 |
| 199.282 | 273.014 | 199.282 | 0.000 | 0.000 | 0.000 |
| 199.282 | 199.282 | 273.014 | -0.000 | -0.000 | -0.000 |
| 0.001 | 0.001 | 0.001 | 35.695 | 0.000 | 0.000 |
| 0.001 | 0.001 | 0.001 | -0.000 | 35.695 | 0.000 |
| 0.001 | 0.001 | 0.001 | -0.000 | 0.000 | 35.695 |
| 272.845 | 199.114 | 199.114 | -0.000 | -0.000 | -0.000 |
| 199.114 | 272.845 | 199.114 | 0.000 | -0.000 | 0.000 |
| 199.114 | 199.114 | 272.845 | 0.000 | -0.000 | 0.000 |
| -0.001 | -0.001 | -0.001 | 35.695 | -0.000 | -0.000 |
| -0.001 | -0.001 | -0.001 | 0.000 | 35.695 | -0.000 |
| -0.001 | -0.001 | -0.001 | 0.000 | -0.000 | 35.695 |
| 174.123 | 22.431 | 22.431 | 0.000 | 0.000 | 0.000 |
| 22.431 | 174.123 | 22.431 | -0.000 | 0.000 | -0.000 |
| 22.431 | 22.431 | 174.123 | -0.000 | 0.000 | -0.000 |
| -0.000 | -0.000 | -0.000 | 34.723 | 0.000 | -0.000 |
| -0.000 | -0.000 | -0.000 | 0.000 | 34.723 | -0.000 |
| -0.000 | -0.000 | -0.000 | 0.000 | 0.000 | 34.723 |
| 174.123 | 22.431 | 22.431 | -0.000 | -0.000 | -0.000 |
| 22.431 | 174.123 | 22.431 | -0.000 | -0.000 | 0.000 |
| 22.431 | 22.431 | 174.123 | -0.000 | -0.000 | -0.000 |
| 0.000 | 0.000 | 0.000 | 34.723 | -0.000 | -0.000 |
| 0.000 | -0.000 | 0.000 | -0.000 | 34.723 | 0.000 |
| 0.000 | 0.000 | 0.000 | 0.000 | -0.000 | 34.723 |
| 174.122 | 22.431 | 22.431 | 0.000 | 0.000 | -0.000 |
| 22.431 | 174.122 | 22.431 | 0.000 | 0.000 | 0.000 |
| 22.431 | 22.431 | 174.122 | 0.000 | 0.000 | -0.000 |
| -0.001 | -0.000 | -0.001 | -283.398 | 0.000 | -0.000 |
| -0.000 | -0.001 | -0.001 | 0.000 | -283.398 | -0.000 |
| -0.000 | -0.001 | -0.001 | 0.000 | 0.000 | -283.398 |
| 174.124 | 22.431 | 22.431 | 0.000 | -0.000 | 0.000 |
| 22.431 | 174.124 | 22.431 | -0.000 | -0.000 | 0.000 |
| 22.431 | 22.431 | 174.124 | 0.000 | 0.000 | 0.000 |
| 0.001 | 0.000 | 0.001 | -283.398 | -0.000 | 0.000 |
| 0.000 | 0.001 | 0.001 | -0.000 | -283.398 | 0.000 |
| 0.000 | 0.001 | 0.001 | -0.000 | -0.000 | -283.398 |
| 174.115 | 22.431 | 22.431 | 0.000 | 0.000 | 0.000 |
| 22.431 | 174.115 | 22.431 | 0.000 | 0.000 | -0.000 |
| 22.431 | 22.431 | 174.115 | -0.000 | 0.000 | -0.000 |
| -3719749.782 | -5405917.237 | -5481718.215 | -41101.146 | -14195.296 | 8437.539 |
| -5408254.980 | -3712027.624 | -5631778.798 | -8556.756 | -61251.721 | -1274.783 |
| -5303211.378 | -5511835.268 | -3476394.760 | 19197.969 | -12778.534 | 50313.779 |
| 174.132 | 22.432 | 22.432 | -0.000 | -0.000 | 0.000 |
| 22.432 | 174.132 | 22.432 | -0.000 | -0.000 | 0.000 |
| 22.432 | 22.432 | 174.132 | -0.000 | -0.000 | -0.000 |
| 3354833.280 | 4985225.369 | 4099216.812 | -82275.653 | 17848.961 | -31993.281 |
| 4852892.448 | 3341021.249 | 3958763.222 | 8950.071 | -100428.353 | -7453.862 |
| 4876403.866 | 3785978.278 | 3185824.445 | -57124.889 | 6577.364 | -29689.538 |
| 282.656 | 79.848 | 79.848 | 0.000 | 0.000 | -0.000 |
| 79.848 | 282.656 | 79.848 | 0.000 | 0.000 | -0.000 |
| 79.848 | 79.848 | 282.656 | 0.000 | 0.000 | -0.000 |
| 0.000 | -0.000 | -0.000 | 83.833 | 0.000 | 0.000 |
| -0.000 | 0.000 | -0.000 | 0.000 | 83.833 | 0.000 |
| -0.000 | -0.000 | 0.000 | 0.000 | 0.000 | 83.833 |
| 282.656 | 79.848 | 79.848 | -0.000 | -0.000 | -0.000 |
| 79.848 | 282.656 | 79.848 | -0.000 | -0.000 | 0.000 |
| 79.848 | 79.848 | 282.656 | -0.000 | -0.000 | -0.000 |
| -0.000 | 0.000 | 0.000 | 83.833 | -0.000 | -0.000 |
| 0.000 | -0.000 | 0.000 | -0.000 | 83.833 | -0.000 |
| 0.000 | 0.000 | -0.000 | -0.000 | -0.000 | 83.833 |
| 282.655 | 79.848 | 79.848 | 0.000 | 0.000 | 0.000 |
| 79.848 | 282.655 | 79.848 | 0.000 | 0.000 | 0.000 |
| 79.848 | 79.848 | 282.655 | 0.000 | 0.000 | -0.000 |
| 0.000 | -0.000 | -0.000 | 83.833 | 0.000 | 0.000 |
| -0.000 | 0.000 | -0.000 | 0.000 | 83.833 | -0.000 |
| -0.000 | -0.000 | 0.000 | 0.000 | 0.000 | 83.833 |
| 282.656 | 79.848 | 79.848 | -0.000 | -0.000 | 0.000 |
| 79.848 | 282.656 | 79.848 | -0.000 | -0.000 | -0.000 |
| 79.848 | 79.848 | 282.656 | -0.000 | -0.000 | -0.000 |
| -0.000 | 0.000 | 0.000 | 83.833 | -0.000 | -0.000 |
| 0.000 | -0.000 | 0.000 | -0.000 | 83.833 | -0.000 |
| 0.000 | 0.000 | -0.000 | -0.000 | -0.000 | 83.833 |
| 282.650 | 79.848 | 79.848 | 0.000 | 0.000 | 0.000 |
| 79.848 | 282.650 | 79.848 | 0.000 | 0.000 | 0.000 |
| 79.848 | 79.848 | 282.650 | 0.000 | 0.000 | 0.000 |
| 0.000 | -0.001 | -0.001 | 83.833 | 0.000 | 0.000 |
| -0.001 | 0.000 | -0.001 | 0.000 | 83.833 | 0.000 |
| -0.001 | -0.001 | 0.000 | 0.000 | 0.000 | 83.833 |
| 282.662 | 79.849 | 79.849 | -0.000 | -0.000 | -0.000 |
| 79.849 | 282.662 | 79.849 | -0.000 | -0.000 | 0.000 |
| 79.849 | 79.849 | 282.662 | -0.000 | -0.000 | -0.000 |
| -0.000 | 0.001 | 0.001 | 83.833 | -0.000 | -0.000 |
| 0.001 | -0.000 | 0.001 | -0.000 | 83.833 | -0.000 |
| 0.001 | 0.001 | -0.000 | -0.000 | -0.000 | 83.833 |
| 117.664 | 36.182 | 36.182 | -0.000 | 0.000 | -0.000 |
| 36.182 | 117.664 | 36.182 | -0.000 | 0.000 | -0.000 |
| 36.182 | 36.182 | 117.664 | -0.000 | 0.000 | -0.000 |
| 0.000 | -0.000 | -0.000 | 37.486 | 0.000 | -0.000 |
| -0.000 | -0.000 | -0.000 | 0.000 | 37.486 | -0.000 |
| -0.000 | -0.000 | 0.000 | 0.000 | 0.000 | 37.486 |
| 117.664 | 36.182 | 36.182 | 0.000 | -0.000 | 0.000 |
| 36.182 | 117.664 | 36.182 | 0.000 | -0.000 | -0.000 |
| 36.182 | 36.182 | 117.664 | -0.000 | -0.000 | -0.000 |
| -0.000 | 0.000 | 0.000 | 37.486 | -0.000 | 0.000 |
| 0.000 | 0.000 | 0.000 | 0.000 | 37.486 | 0.000 |
| 0.000 | 0.000 | -0.000 | -0.000 | -0.000 | 37.486 |
| 117.664 | 36.182 | 36.182 | -0.000 | 0.000 | -0.000 |
| 36.182 | 117.664 | 36.182 | -0.000 | -0.000 | -0.000 |
| 36.182 | 36.182 | 117.664 | 0.000 | 0.000 | -0.000 |
| 0.000 | -0.000 | -0.000 | 38.849 | 0.000 | -0.000 |
| -0.000 | 0.000 | -0.000 | -0.000 | 38.849 | -0.000 |
| -0.000 | -0.000 | 0.000 | 0.000 | 0.000 | 38.849 |
| 117.665 | 36.182 | 36.182 | 0.000 | 0.000 | 0.000 |
| 36.182 | 117.665 | 36.182 | 0.000 | -0.000 | 0.000 |
| 36.182 | 36.182 | 117.665 | -0.000 | -0.000 | 0.000 |
| -0.000 | 0.000 | 0.000 | 38.849 | -0.000 | 0.000 |
| 0.000 | -0.000 | 0.000 | -0.000 | 38.849 | 0.000 |
| 0.000 | 0.000 | -0.000 | -0.000 | -0.000 | 38.849 |
| 117.663 | 36.181 | 36.181 | -0.000 | 0.000 | -0.000 |
| 36.181 | 117.663 | 36.181 | -0.000 | 0.000 | -0.000 |
| 36.181 | 36.181 | 117.663 | 0.000 | 0.000 | -0.000 |
| 0.000 | -0.000 | -0.000 | 36.999 | 0.000 | -0.000 |
| -0.000 | 0.000 | -0.000 | -0.000 | 36.999 | -0.000 |
| -0.000 | -0.000 | 0.000 | 0.000 | 0.000 | 36.999 |
| 117.665 | 36.182 | 36.182 | 0.000 | -0.000 | 0.000 |
| 36.182 | 117.665 | 36.182 | 0.000 | -0.000 | -0.000 |
| 36.182 | 36.182 | 117.665 | 0.000 | -0.000 | 0.000 |
| -0.000 | 0.000 | 0.000 | 36.999 | -0.000 | 0.000 |
| 0.000 | -0.000 | 0.000 | -0.000 | 36.999 | 0.000 |
| 0.000 | 0.000 | -0.000 | -0.000 | -0.000 | 36.999 |
| 23.712 | 9.801 | 9.801 | -0.000 | 0.000 | -0.000 |
| 9.801 | 23.712 | 9.801 | 0.000 | -0.000 | -0.000 |
| 9.801 | 9.801 | 23.712 | 0.000 | -0.000 | -0.000 |
| -0.000 | -0.000 | -0.000 | 8.585 | 0.000 | -0.000 |
| -0.000 | -0.000 | -0.000 | 0.000 | 8.585 | -0.000 |
| -0.000 | -0.000 | -0.000 | 0.000 | 0.000 | 8.585 |
| 23.712 | 9.801 | 9.801 | 0.000 | -0.000 | 0.000 |
| 9.801 | 23.712 | 9.801 | -0.000 | 0.000 | -0.000 |
| 9.801 | 9.801 | 23.712 | 0.000 | 0.000 | 0.000 |
| 0.000 | 0.000 | 0.000 | 8.585 | -0.000 | 0.000 |
| 0.000 | 0.000 | 0.000 | -0.000 | 8.585 | 0.000 |
| 0.000 | 0.000 | 0.000 | -0.000 | -0.000 | 8.585 |
| 23.712 | 9.801 | 9.801 | -0.000 | 0.000 | -0.000 |
| 9.801 | 23.712 | 9.801 | 0.000 | -0.000 | -0.000 |
| 9.801 | 9.801 | 23.712 | 0.000 | -0.000 | -0.000 |
| -0.000 | -0.000 | -0.000 | 10.021 | 0.000 | -0.000 |
| -0.000 | -0.000 | -0.000 | 0.000 | 10.021 | -0.000 |
| -0.000 | -0.000 | -0.000 | 0.000 | 0.000 | 10.021 |
| 23.712 | 9.801 | 9.801 | 0.000 | 0.000 | 0.000 |
| 9.801 | 23.712 | 9.801 | 0.000 | 0.000 | 0.000 |
| 9.801 | 9.801 | 23.712 | -0.000 | 0.000 | 0.000 |
| 0.000 | 0.000 | 0.000 | 10.021 | -0.000 | 0.000 |
| 0.000 | 0.000 | 0.000 | -0.000 | 10.021 | 0.000 |
| 0.000 | 0.000 | 0.000 | -0.000 | -0.000 | 10.021 |
| 23.712 | 9.801 | 9.801 | -0.000 | 0.000 | -0.000 |
| 9.801 | 23.712 | 9.801 | 0.000 | -0.000 | -0.000 |
| 9.801 | 9.801 | 23.712 | 0.000 | -0.000 | -0.000 |
| -0.000 | -0.000 | -0.000 | 8.366 | 0.000 | -0.000 |
| -0.000 | -0.000 | -0.000 | 0.000 | 8.366 | -0.000 |
| -0.000 | -0.000 | -0.000 | 0.000 | 0.000 | 8.366 |
| 23.713 | 9.801 | 9.801 | 0.000 | 0.000 | 0.000 |
| 9.801 | 23.713 | 9.801 | 0.000 | 0.000 | 0.000 |
| 9.801 | 9.801 | 23.713 | -0.000 | -0.000 | 0.000 |
| 0.000 | 0.000 | 0.000 | 8.366 | -0.000 | -0.000 |
| 0.000 | 0.000 | 0.000 | -0.000 | 8.366 | 0.000 |
| 0.000 | 0.000 | 0.000 | -0.000 | 0.000 | 8.366 |
| 26.756 | 4.095 | 4.095 | 0.000 | -0.000 | 0.000 |
| 4.095 | 26.756 | 4.095 | 0.000 | 0.000 | 0.000 |
| 4.095 | 4.095 | 26.756 | -0.000 | -0.000 | 0.000 |
| -0.000 | -0.000 | -0.000 | 3.071 | 0.000 | -0.000 |
| -0.000 | -0.000 | -0.000 | 0.000 | 3.071 | 0.000 |
| -0.000 | -0.000 | -0.000 | 0.000 | -0.000 | 3.071 |
| 26.756 | 4.095 | 4.095 | -0.000 | 0.000 | -0.000 |
| 4.095 | 26.756 | 4.095 | -0.000 | -0.000 | -0.000 |
| 4.095 | 4.095 | 26.756 | 0.000 | -0.000 | -0.000 |
| 0.000 | 0.000 | 0.000 | 3.071 | -0.000 | -0.000 |
| 0.000 | 0.000 | 0.000 | -0.000 | 3.071 | -0.000 |
| 0.000 | 0.000 | 0.000 | -0.000 | 0.000 | 3.071 |
| 26.756 | 4.095 | 4.095 | 0.000 | 0.000 | 0.000 |
| 4.095 | 26.756 | 4.095 | 0.000 | -0.000 | -0.000 |
| 4.095 | 4.095 | 26.756 | -0.000 | 0.000 | 0.000 |
| -0.000 | -0.000 | -0.000 | 3.071 | -0.000 | 0.000 |
| -0.000 | -0.000 | -0.000 | 0.000 | 3.071 | 0.000 |
| -0.000 | -0.000 | -0.000 | 0.000 | -0.000 | 3.071 |
| 26.756 | 4.095 | 4.095 | -0.000 | 0.000 | -0.000 |
| 4.095 | 26.756 | 4.095 | -0.000 | 0.000 | -0.000 |
| 4.095 | 4.095 | 26.756 | -0.000 | 0.000 | -0.000 |
| 0.000 | 0.000 | 0.000 | 3.071 | 0.000 | -0.000 |
| 0.000 | 0.000 | 0.000 | -0.000 | 3.071 | -0.000 |
| 0.000 | 0.000 | 0.000 | -0.000 | 0.000 | 3.071 |
| 26.755 | 4.095 | 4.095 | 0.000 | 0.000 | 0.000 |
| 4.095 | 26.755 | 4.095 | 0.000 | 0.000 | -0.000 |
| 4.095 | 4.095 | 26.755 | 0.000 | -0.000 | 0.000 |
| -0.000 | -0.000 | -0.000 | 3.071 | 0.000 | 0.000 |
| -0.000 | -0.000 | -0.000 | 0.000 | 3.071 | 0.000 |
| -0.000 | -0.000 | -0.000 | 0.000 | -0.000 | 3.071 |
| 26.757 | 4.095 | 4.095 | -0.000 | -0.000 | -0.000 |
| 4.095 | 26.757 | 4.095 | -0.000 | 0.000 | -0.000 |
| 4.095 | 4.095 | 26.757 | -0.000 | 0.000 | -0.000 |
| 0.000 | 0.000 | 0.000 | 3.071 | -0.000 | -0.000 |
| 0.000 | 0.000 | 0.000 | -0.000 | 3.071 | -0.000 |
| 0.000 | 0.000 | 0.000 | -0.000 | -0.000 | 3.071 |
| 9.660 | 9.658 | 9.658 | 0.000 | 0.000 | 0.000 |
| 9.658 | 9.660 | 9.658 | 0.000 | 0.000 | 0.000 |
| 9.658 | 9.658 | 9.660 | 0.000 | 0.000 | 0.000 |
| -0.000 | -0.000 | -0.000 | 9.694 | 0.000 | 0.000 |
| -0.000 | -0.000 | -0.000 | 0.000 | 9.694 | 0.000 |
| -0.000 | -0.000 | -0.000 | 0.000 | 0.000 | 9.694 |
| 9.660 | 9.658 | 9.658 | -0.000 | -0.000 | -0.000 |
| 9.658 | 9.660 | 9.658 | -0.000 | -0.000 | -0.000 |
| 9.658 | 9.658 | 9.660 | -0.000 | -0.000 | -0.000 |
| 0.000 | 0.000 | 0.000 | 9.694 | -0.000 | -0.000 |
| 0.000 | 0.000 | 0.000 | -0.000 | 9.694 | -0.000 |
| 0.000 | 0.000 | 0.000 | -0.000 | -0.000 | 9.694 |
| 9.660 | 9.658 | 9.658 | 0.000 | 0.000 | 0.000 |
| 9.658 | 9.660 | 9.658 | 0.000 | 0.000 | 0.000 |
| 9.658 | 9.658 | 9.660 | 0.000 | 0.000 | 0.000 |
| -0.000 | -0.000 | -0.000 | 9.694 | 0.000 | 0.000 |
| -0.000 | -0.000 | -0.000 | 0.000 | 9.694 | 0.000 |
| -0.000 | -0.000 | -0.000 | 0.000 | 0.000 | 9.694 |
| 9.660 | 9.658 | 9.658 | -0.000 | -0.000 | -0.000 |
| 9.658 | 9.660 | 9.658 | -0.000 | -0.000 | -0.000 |
| 9.658 | 9.658 | 9.660 | -0.000 | -0.000 | -0.000 |
| 0.000 | 0.000 | 0.000 | 9.694 | -0.000 | -0.000 |
| 0.000 | 0.000 | 0.000 | -0.000 | 9.694 | -0.000 |
| 0.000 | 0.000 | 0.000 | -0.000 | -0.000 | 9.694 |
| 9.660 | 9.658 | 9.658 | 0.000 | 0.000 | 0.000 |
| 9.658 | 9.660 | 9.658 | 0.000 | 0.000 | 0.000 |
| 9.658 | 9.658 | 9.660 | 0.000 | 0.000 | 0.000 |
| -0.000 | -0.000 | -0.000 | 9.694 | 0.000 | -0.000 |
| -0.000 | -0.000 | -0.000 | 0.000 | 9.694 | -0.000 |
| -0.000 | -0.000 | -0.000 | 0.000 | 0.000 | 9.694 |
| 9.660 | 9.658 | 9.658 | -0.000 | -0.000 | -0.000 |
| 9.658 | 9.660 | 9.658 | -0.000 | -0.000 | -0.000 |
| 9.658 | 9.658 | 9.660 | -0.000 | -0.000 | -0.000 |
| 0.000 | 0.000 | 0.000 | 9.694 | -0.000 | -0.000 |
| 0.000 | 0.000 | 0.000 | -0.000 | 9.694 | -0.000 |
| 0.000 | 0.000 | 0.000 | -0.000 | -0.000 | 9.694 |
| 611.521 | 459.976 | 459.976 | 0.000 | -0.000 | -0.000 |
| 459.976 | 611.521 | 459.976 | 0.000 | 0.000 | 0.000 |
| 459.976 | 459.976 | 611.521 | 0.000 | 0.000 | 0.000 |
| -0.000 | 0.000 | -0.000 | 90.244 | 0.000 | 0.000 |
| 0.000 | -0.000 | -0.000 | 0.000 | 90.244 | 0.000 |
| 0.000 | 0.000 | -0.000 | 0.000 | 0.000 | 90.244 |
| 611.518 | 459.974 | 459.974 | -0.000 | 0.000 | 0.000 |
| 459.974 | 611.518 | 459.974 | -0.000 | -0.000 | -0.000 |
| 459.974 | 459.974 | 611.518 | -0.000 | -0.000 | 0.000 |
| 0.000 | -0.000 | -0.000 | 90.244 | -0.000 | -0.000 |
| -0.000 | 0.000 | -0.000 | -0.000 | 90.244 | 0.000 |
| -0.000 | -0.000 | 0.000 | -0.000 | -0.000 | 90.244 |
| 611.531 | 459.985 | 459.985 | 0.000 | 0.000 | -0.000 |
| 459.985 | 611.531 | 459.985 | 0.000 | 0.000 | 0.000 |
| 459.985 | 459.985 | 611.531 | 0.000 | 0.000 | -0.000 |
| -0.000 | 0.000 | 0.000 | 90.244 | 0.000 | 0.000 |
| 0.000 | -0.000 | 0.000 | 0.000 | 90.244 | -0.000 |
| 0.000 | 0.000 | -0.000 | 0.000 | 0.000 | 90.244 |
| 611.508 | 459.964 | 459.964 | -0.000 | -0.000 | 0.000 |
| 459.964 | 611.508 | 459.964 | -0.000 | -0.000 | -0.000 |
| 459.964 | 459.964 | 611.508 | -0.000 | -0.000 | -0.000 |
| 0.000 | -0.000 | -0.000 | 90.244 | -0.000 | -0.000 |
| -0.000 | 0.000 | -0.000 | -0.000 | 90.244 | 0.000 |
| -0.000 | -0.000 | 0.000 | -0.000 | -0.000 | 90.244 |
| 611.635 | 460.078 | 460.078 | 0.000 | 0.000 | 0.000 |
| 460.078 | 611.635 | 460.078 | 0.000 | 0.000 | 0.000 |
| 460.078 | 460.078 | 611.635 | 0.000 | 0.000 | -0.000 |
| -0.000 | 0.000 | 0.000 | 90.244 | 0.000 | 0.000 |
| 0.000 | -0.000 | 0.000 | 0.000 | 90.244 | 0.000 |
| 0.000 | 0.000 | -0.000 | 0.000 | 0.000 | 90.244 |
| 611.404 | 459.871 | 459.871 | -0.000 | -0.000 | 0.000 |
| 459.871 | 611.404 | 459.871 | -0.000 | -0.000 | -0.000 |
| 459.871 | 459.871 | 611.404 | -0.000 | -0.000 | 0.000 |
| 0.000 | -0.000 | -0.000 | 90.244 | -0.000 | -0.000 |
| -0.000 | 0.000 | -0.000 | -0.000 | 90.244 | 0.000 |
| -0.000 | -0.000 | 0.000 | -0.000 | -0.000 | 90.244 |
| 222.110 | 85.794 | 85.794 | 0.000 | 0.000 | -0.000 |
| 85.794 | 222.110 | 85.794 | 0.000 | 0.000 | 0.000 |
| 85.794 | 85.794 | 222.110 | 0.000 | 0.000 | 0.000 |
| -0.000 | -0.000 | -0.000 | 88.995 | -0.000 | 0.000 |
| -0.000 | -0.000 | -0.000 | 0.000 | 88.995 | -0.000 |
| -0.000 | -0.000 | -0.000 | 0.000 | -0.000 | 88.995 |
| 222.110 | 85.794 | 85.794 | -0.000 | 0.000 | -0.000 |
| 85.794 | 222.110 | 85.794 | -0.000 | -0.000 | -0.000 |
| 85.794 | 85.794 | 222.110 | -0.000 | 0.000 | 0.000 |
| -0.000 | 0.000 | 0.000 | 88.995 | -0.000 | -0.000 |
| 0.000 | -0.000 | 0.000 | -0.000 | 88.995 | -0.000 |
| 0.000 | 0.000 | -0.000 | -0.000 | 0.000 | 88.995 |
| 222.110 | 85.794 | 85.794 | 0.000 | -0.000 | 0.000 |
| 85.794 | 222.110 | 85.794 | 0.000 | 0.000 | -0.000 |
| 85.794 | 85.794 | 222.110 | 0.000 | -0.000 | 0.000 |
| -0.000 | -0.000 | -0.000 | 88.995 | -0.000 | -0.000 |
| -0.000 | -0.000 | -0.000 | 0.000 | 88.995 | 0.000 |
| -0.000 | -0.000 | -0.000 | 0.000 | -0.000 | 88.995 |
| 222.110 | 85.794 | 85.794 | -0.000 | -0.000 | -0.000 |
| 85.794 | 222.110 | 85.794 | -0.000 | 0.000 | -0.000 |
| 85.794 | 85.794 | 222.110 | -0.000 | 0.000 | -0.000 |
| 0.000 | 0.000 | 0.000 | 88.995 | -0.000 | 0.000 |
| 0.000 | 0.000 | 0.000 | -0.000 | 88.995 | 0.000 |
| 0.000 | 0.000 | 0.000 | -0.000 | 0.000 | 88.995 |
| 222.108 | 85.793 | 85.793 | 0.000 | -0.000 | -0.000 |
| 85.793 | 222.108 | 85.793 | 0.000 | 0.000 | -0.000 |
| 85.793 | 85.793 | 222.108 | 0.000 | -0.000 | 0.000 |
| -0.000 | -0.001 | -0.001 | 88.995 | -0.000 | 0.000 |
| -0.001 | -0.000 | -0.001 | 0.000 | 88.995 | 0.000 |
| -0.001 | -0.001 | -0.000 | 0.000 | 0.000 | 88.995 |
| 222.112 | 85.795 | 85.795 | -0.000 | 0.000 | -0.000 |
| 85.795 | 222.112 | 85.795 | -0.000 | -0.000 | -0.000 |
| 85.795 | 85.795 | 222.112 | -0.000 | 0.000 | -0.000 |
| 0.000 | 0.001 | 0.001 | 88.995 | 0.000 | -0.000 |
| 0.001 | 0.000 | 0.001 | -0.000 | 88.995 | -0.000 |
| 0.001 | 0.001 | 0.000 | -0.000 | 0.000 | 88.995 |
| 249.921 | 128.663 | 128.663 | -0.000 | -0.000 | 0.000 |
| 128.663 | 249.921 | 128.663 | -0.000 | -0.000 | 0.000 |
| 128.663 | 128.663 | 249.921 | -0.000 | -0.000 | 0.000 |
| -0.000 | -0.000 | -0.000 | 130.200 | -0.000 | 0.000 |
| -0.000 | -0.000 | -0.000 | -0.000 | 130.200 | 0.000 |
| -0.000 | -0.000 | -0.000 | -0.000 | -0.000 | 130.200 |
| 249.921 | 128.663 | 128.663 | 0.000 | -0.000 | -0.000 |
| 128.663 | 249.921 | 128.663 | -0.000 | 0.000 | -0.000 |
| 128.663 | 128.663 | 249.921 | 0.000 | 0.000 | -0.000 |
| 0.000 | 0.000 | 0.000 | 130.200 | 0.000 | -0.000 |
| 0.000 | 0.000 | 0.000 | 0.000 | 130.200 | -0.000 |
| 0.000 | 0.000 | 0.000 | 0.000 | 0.000 | 130.200 |
| 249.920 | 128.663 | 128.663 | -0.000 | -0.000 | 0.000 |
| 128.663 | 249.920 | 128.663 | -0.000 | -0.000 | 0.000 |
| 128.663 | 128.663 | 249.920 | -0.000 | -0.000 | 0.000 |
| -0.000 | -0.000 | -0.000 | 130.200 | -0.000 | 0.000 |
| -0.000 | -0.000 | -0.000 | -0.000 | 130.200 | 0.000 |
| -0.000 | -0.000 | -0.000 | -0.000 | -0.000 | 130.200 |
| 249.921 | 128.663 | 128.663 | 0.000 | 0.000 | -0.000 |
| 128.663 | 249.921 | 128.663 | -0.000 | 0.000 | -0.000 |
| 128.663 | 128.663 | 249.921 | 0.000 | 0.000 | -0.000 |
| 0.000 | 0.000 | 0.000 | 130.200 | 0.000 | -0.000 |
| 0.000 | 0.000 | 0.000 | -0.000 | 130.200 | -0.000 |
| 0.000 | 0.000 | 0.000 | -0.000 | 0.000 | 130.200 |
| 249.916 | 128.662 | 128.662 | -0.000 | -0.000 | 0.000 |
| 128.662 | 249.916 | 128.662 | 0.000 | -0.000 | 0.000 |
| 128.662 | 128.662 | 249.916 | -0.000 | -0.000 | 0.000 |
| -0.001 | -0.001 | -0.001 | 130.200 | -0.000 | 0.000 |
| -0.001 | -0.001 | -0.001 | -0.000 | 130.200 | 0.000 |
| -0.001 | -0.001 | -0.001 | -0.000 | -0.000 | 130.200 |
| 249.925 | 128.664 | 128.664 | 0.000 | -0.000 | -0.000 |
| 128.664 | 249.925 | 128.664 | -0.000 | 0.000 | -0.000 |
| 128.664 | 128.664 | 249.925 | 0.000 | 0.000 | -0.000 |
| 0.001 | 0.001 | 0.001 | 130.200 | 0.000 | -0.000 |
| 0.001 | 0.001 | 0.001 | 0.000 | 130.200 | -0.000 |
| 0.001 | 0.001 | 0.001 | 0.000 | 0.000 | 130.200 |
| 8.639 | 4.318 | 4.318 | 0.000 | 0.000 | 0.000 |
| 4.318 | 8.639 | 4.318 | 0.000 | 0.000 | 0.000 |
| 4.318 | 4.318 | 8.639 | 0.000 | 0.000 | 0.000 |
| -0.000 | -0.000 | -0.000 | 4.380 | -0.000 | 0.000 |
| -0.000 | -0.000 | -0.000 | -0.000 | 4.380 | 0.000 |
| -0.000 | -0.000 | -0.000 | -0.000 | 0.000 | 4.380 |
| 8.639 | 4.318 | 4.318 | 0.000 | -0.000 | -0.000 |
| 4.318 | 8.639 | 4.318 | -0.000 | -0.000 | -0.000 |
| 4.318 | 4.318 | 8.639 | -0.000 | -0.000 | -0.000 |
| 0.000 | 0.000 | 0.000 | 4.380 | 0.000 | -0.000 |
| 0.000 | 0.000 | 0.000 | 0.000 | 4.380 | -0.000 |
| 0.000 | 0.000 | 0.000 | 0.000 | 0.000 | 4.380 |
| 8.639 | 4.318 | 4.318 | -0.000 | 0.000 | 0.000 |
| 4.318 | 8.639 | 4.318 | 0.000 | -0.000 | 0.000 |
| 4.318 | 4.318 | 8.639 | -0.000 | 0.000 | 0.000 |
| -0.000 | -0.000 | -0.000 | 4.380 | -0.000 | 0.000 |
| -0.000 | -0.000 | -0.000 | -0.000 | 4.380 | 0.000 |
| -0.000 | -0.000 | -0.000 | -0.000 | 0.000 | 4.380 |
| 8.639 | 4.318 | 4.318 | -0.000 | -0.000 | -0.000 |
| 4.318 | 8.639 | 4.318 | -0.000 | -0.000 | -0.000 |
| 4.318 | 4.318 | 8.639 | -0.000 | -0.000 | -0.000 |
| 0.000 | 0.000 | 0.000 | 4.380 | 0.000 | -0.000 |
| 0.000 | 0.000 | 0.000 | 0.000 | 4.380 | -0.000 |
| 0.000 | 0.000 | 0.000 | 0.000 | -0.000 | 4.380 |
| 8.639 | 4.318 | 4.318 | 0.000 | -0.000 | 0.000 |
| 4.318 | 8.639 | 4.318 | -0.000 | 0.000 | 0.000 |
| 4.318 | 4.318 | 8.639 | -0.000 | -0.000 | 0.000 |
| -0.000 | -0.000 | -0.000 | 4.380 | 0.000 | 0.000 |
| -0.000 | -0.000 | -0.000 | 0.000 | 4.380 | 0.000 |
| -0.000 | -0.000 | -0.000 | -0.000 | 0.000 | 4.380 |
| 8.639 | 4.318 | 4.318 | 0.000 | -0.000 | -0.000 |
| 4.318 | 8.639 | 4.318 | -0.000 | -0.000 | 0.000 |
| 4.318 | 4.318 | 8.639 | -0.000 | -0.000 | 0.000 |
| 0.000 | 0.000 | 0.000 | 4.380 | 0.000 | -0.000 |
| 0.000 | 0.000 | 0.000 | 0.000 | 4.380 | -0.000 |
| 0.000 | 0.000 | 0.000 | -0.000 | -0.000 | 4.380 |
| 23.714 | 11.851 | 11.851 | -0.000 | -0.000 | -0.000 |
| 11.851 | 23.714 | 11.851 | -0.000 | -0.000 | -0.000 |
| 11.851 | 11.851 | 23.714 | 0.000 | -0.000 | -0.000 |
| -0.000 | -0.000 | -0.000 | 11.904 | -0.000 | -0.000 |
| -0.000 | -0.000 | -0.000 | -0.000 | 11.904 | -0.000 |
| -0.000 | -0.000 | -0.000 | -0.000 | -0.000 | 11.904 |
| 23.714 | 11.851 | 11.851 | 0.000 | 0.000 | 0.000 |
| 11.851 | 23.714 | 11.851 | 0.000 | 0.000 | 0.000 |
| 11.851 | 11.851 | 23.714 | -0.000 | -0.000 | 0.000 |
| 0.000 | 0.000 | 0.000 | 11.904 | 0.000 | 0.000 |
| 0.000 | 0.000 | 0.000 | 0.000 | 11.904 | 0.000 |
| 0.000 | 0.000 | -0.000 | 0.000 | 0.000 | 11.904 |
| 23.714 | 11.851 | 11.851 | -0.000 | -0.000 | -0.000 |
| 11.851 | 23.714 | 11.851 | -0.000 | -0.000 | -0.000 |
| 11.851 | 11.851 | 23.714 | 0.000 | -0.000 | -0.000 |
| -0.000 | -0.000 | -0.000 | 11.904 | -0.000 | -0.000 |
| -0.000 | -0.000 | -0.000 | -0.000 | 11.904 | -0.000 |
| -0.000 | -0.000 | -0.000 | -0.000 | -0.000 | 11.904 |
| 23.714 | 11.851 | 11.851 | 0.000 | 0.000 | 0.000 |
| 11.851 | 23.714 | 11.851 | 0.000 | 0.000 | 0.000 |
| 11.851 | 11.851 | 23.714 | 0.000 | 0.000 | 0.000 |
| 0.000 | 0.000 | 0.000 | 11.904 | 0.000 | 0.000 |
| 0.000 | 0.000 | 0.000 | -0.000 | 11.904 | 0.000 |
| 0.000 | 0.000 | 0.000 | 0.000 | 0.000 | 11.904 |
| 23.713 | 11.851 | 11.851 | -0.000 | -0.000 | -0.000 |
| 11.851 | 23.713 | 11.851 | -0.000 | -0.000 | -0.000 |
| 11.851 | 11.851 | 23.713 | -0.000 | -0.000 | -0.000 |
| -0.000 | -0.000 | -0.000 | 11.904 | -0.000 | -0.000 |
| -0.000 | -0.000 | -0.000 | -0.000 | 11.904 | -0.000 |
| -0.000 | -0.000 | -0.000 | -0.000 | -0.000 | 11.904 |
| 23.714 | 11.851 | 11.851 | 0.000 | 0.000 | 0.000 |
| 11.851 | 23.714 | 11.851 | 0.000 | 0.000 | 0.000 |
| 11.851 | 11.851 | 23.714 | 0.000 | 0.000 | 0.000 |
| 0.000 | 0.000 | 0.000 | 11.904 | 0.000 | 0.000 |
| 0.000 | 0.000 | 0.000 | 0.000 | 11.904 | 0.000 |
| 0.000 | 0.000 | 0.000 | 0.000 | 0.000 | 11.904 |
| 434.715 | 178.504 | 178.504 | -0.000 | 0.000 | 0.000 |
| 178.504 | 434.715 | 178.504 | 0.000 | 0.000 | 0.000 |
| 178.504 | 178.504 | 434.715 | -0.000 | 0.000 | 0.000 |
| -0.000 | -0.000 | -0.000 | 131.131 | 0.000 | 0.000 |
| -0.000 | -0.000 | -0.000 | 0.000 | 131.132 | 0.000 |
| -0.000 | -0.000 | -0.000 | -0.000 | 0.000 | 131.132 |
| 434.715 | 178.503 | 178.503 | 0.000 | -0.000 | -0.000 |
| 178.503 | 434.715 | 178.503 | 0.000 | 0.000 | -0.000 |
| 178.503 | 178.503 | 434.715 | 0.000 | -0.000 | -0.000 |
| 0.000 | 0.000 | 0.000 | 131.131 | -0.000 | -0.000 |
| 0.000 | 0.000 | 0.000 | 0.000 | 131.131 | -0.000 |
| 0.000 | 0.000 | 0.000 | 0.000 | -0.000 | 131.131 |
| 434.716 | 178.505 | 178.505 | -0.000 | 0.000 | 0.000 |
| 178.505 | 434.716 | 178.505 | 0.000 | -0.000 | 0.000 |
| 178.505 | 178.505 | 434.716 | 0.000 | 0.000 | 0.000 |
| -0.000 | -0.000 | -0.000 | 131.131 | 0.000 | 0.000 |
| -0.000 | -0.000 | -0.000 | -0.000 | 131.131 | 0.000 |
| -0.000 | -0.000 | -0.000 | -0.000 | 0.000 | 131.131 |
| 434.714 | 178.502 | 178.502 | 0.000 | 0.000 | -0.000 |
| 178.502 | 434.714 | 178.502 | 0.000 | -0.000 | -0.000 |
| 178.502 | 178.502 | 434.714 | 0.000 | -0.000 | -0.000 |
| 0.000 | 0.000 | 0.000 | 131.131 | -0.000 | -0.000 |
| 0.000 | 0.000 | 0.000 | -0.000 | 131.131 | -0.000 |
| 0.000 | 0.000 | 0.000 | 0.000 | -0.000 | 131.131 |
| 434.726 | 178.520 | 178.520 | -0.000 | -0.000 | 0.000 |
| 178.520 | 434.726 | 178.520 | -0.000 | 0.000 | 0.000 |
| 178.520 | 178.520 | 434.726 | -0.000 | -0.000 | 0.000 |
| -0.001 | -0.001 | -0.001 | 131.131 | 0.000 | 0.000 |
| -0.001 | -0.001 | -0.001 | -0.000 | 131.131 | 0.000 |
| -0.001 | -0.001 | -0.001 | -0.000 | 0.000 | 131.131 |
| 434.704 | 178.487 | 178.487 | 0.000 | -0.000 | -0.000 |
| 178.487 | 434.704 | 178.487 | 0.000 | -0.000 | -0.000 |
| 178.487 | 178.487 | 434.704 | 0.000 | -0.000 | -0.000 |
| 0.001 | 0.001 | 0.001 | 131.131 | 0.000 | -0.000 |
| 0.001 | 0.001 | 0.001 | 0.000 | 131.131 | -0.000 |
| 0.001 | 0.001 | 0.001 | 0.000 | -0.000 | 131.131 |
| 432.956 | 83.614 | 83.614 | -0.000 | 0.000 | -0.000 |
| 83.614 | 432.956 | 83.614 | -0.000 | 0.000 | -0.000 |
| 83.614 | 83.614 | 432.956 | -0.000 | 0.000 | 0.000 |
| -0.000 | -0.000 | -0.000 | 49.104 | -0.000 | -0.000 |
| -0.000 | -0.000 | -0.000 | -0.000 | 49.104 | 0.000 |
| -0.000 | -0.000 | -0.000 | -0.000 | 0.000 | 49.104 |
| 432.956 | 83.614 | 83.614 | 0.000 | 0.000 | -0.000 |
| 83.614 | 432.956 | 83.614 | 0.000 | -0.000 | 0.000 |
| 83.614 | 83.614 | 432.956 | 0.000 | -0.000 | 0.000 |
| 0.000 | 0.000 | 0.000 | 49.104 | 0.000 | -0.000 |
| 0.000 | 0.000 | 0.000 | 0.000 | 49.104 | -0.000 |
| 0.000 | 0.000 | 0.000 | 0.000 | -0.000 | 49.104 |
| 432.955 | 83.614 | 83.614 | -0.000 | 0.000 | 0.000 |
| 83.614 | 432.955 | 83.614 | -0.000 | -0.000 | -0.000 |
| 83.614 | 83.614 | 432.955 | -0.000 | 0.000 | -0.000 |
| -0.000 | -0.000 | -0.000 | 49.104 | 0.000 | -0.000 |
| -0.000 | -0.000 | -0.000 | -0.000 | 49.104 | -0.000 |
| -0.000 | -0.000 | -0.000 | -0.000 | -0.000 | 49.104 |
| 432.957 | 83.614 | 83.614 | -0.000 | 0.000 | 0.000 |
| 83.614 | 432.957 | 83.614 | 0.000 | -0.000 | 0.000 |
| 83.614 | 83.614 | 432.957 | 0.000 | -0.000 | 0.000 |
| 0.000 | 0.000 | 0.000 | 49.104 | -0.000 | 0.000 |
| 0.000 | 0.000 | 0.000 | 0.000 | 49.104 | 0.000 |
| 0.000 | 0.000 | 0.000 | 0.000 | 0.000 | 49.104 |
| 432.946 | 83.610 | 83.610 | -0.000 | 0.000 | -0.000 |
| 83.610 | 432.946 | 83.610 | -0.000 | 0.000 | -0.000 |
| 83.610 | 83.610 | 432.946 | -0.000 | 0.000 | -0.000 |
| -0.001 | -0.003 | -0.003 | 49.104 | -0.000 | -0.000 |
| -0.003 | -0.001 | -0.003 | -0.000 | 49.104 | -0.000 |
| -0.003 | -0.003 | -0.001 | 0.000 | 0.000 | 49.104 |
| 432.966 | 83.618 | 83.618 | 0.000 | -0.000 | 0.000 |
| 83.618 | 432.966 | 83.618 | 0.000 | -0.000 | -0.000 |
| 83.618 | 83.618 | 432.966 | -0.000 | 0.000 | -0.000 |
| 0.001 | 0.003 | 0.003 | 49.104 | -0.000 | 0.000 |
| 0.003 | 0.001 | 0.003 | 0.000 | 49.104 | 0.000 |
| 0.003 | 0.003 | 0.001 | 0.000 | -0.000 | 49.104 |
| 218.283 | 152.588 | 152.588 | -0.000 | 0.000 | -0.000 |
| 152.588 | 218.283 | 152.588 | -0.000 | -0.000 | 0.000 |
| 152.588 | 152.588 | 218.283 | -0.000 | -0.000 | -0.000 |
| -0.000 | -0.000 | -0.000 | 179.019 | 0.000 | -0.000 |
| -0.000 | -0.000 | -0.000 | -0.000 | 179.019 | -0.000 |
| -0.000 | 0.000 | -0.000 | -0.000 | -0.000 | 179.019 |
| 218.283 | 152.588 | 152.588 | -0.000 | -0.000 | 0.000 |
| 152.588 | 218.283 | 152.588 | 0.000 | 0.000 | -0.000 |
| 152.588 | 152.588 | 218.283 | -0.000 | 0.000 | -0.000 |
| 0.000 | 0.000 | -0.000 | 179.019 | -0.000 | -0.000 |
| 0.000 | 0.000 | 0.000 | 0.000 | 179.019 | 0.000 |
| 0.000 | -0.000 | 0.000 | 0.000 | 0.000 | 179.019 |
| 218.283 | 152.588 | 152.588 | 0.000 | -0.000 | 0.000 |
| 152.588 | 218.283 | 152.588 | -0.000 | -0.000 | 0.000 |
| 152.588 | 152.588 | 218.283 | 0.000 | -0.000 | -0.000 |
| -0.000 | -0.000 | -0.000 | 179.019 | -0.000 | 0.000 |
| -0.000 | -0.000 | -0.000 | -0.000 | 179.019 | -0.000 |
| -0.000 | -0.000 | -0.000 | -0.000 | -0.000 | 179.019 |
| 218.283 | 152.588 | 152.588 | 0.000 | 0.000 | 0.000 |
| 152.588 | 218.283 | 152.588 | -0.000 | -0.000 | 0.000 |
| 152.588 | 152.588 | 218.283 | 0.000 | 0.000 | 0.000 |
| 0.000 | 0.000 | 0.000 | 179.019 | 0.000 | -0.000 |
| 0.000 | 0.000 | 0.000 | 0.000 | 179.019 | -0.000 |
| 0.000 | 0.000 | 0.000 | 0.000 | 0.000 | 179.019 |
| 218.287 | 152.588 | 152.588 | 0.000 | 0.000 | -0.000 |
| 152.588 | 218.287 | 152.588 | -0.000 | -0.000 | 0.000 |
| 152.588 | 152.588 | 218.287 | 0.000 | -0.000 | 0.000 |
| -0.000 | -0.000 | -0.000 | 179.019 | -0.000 | 0.000 |
| -0.000 | -0.000 | -0.000 | -0.000 | 179.019 | -0.000 |
| -0.000 | -0.000 | -0.000 | 0.000 | -0.000 | 179.019 |
| 218.279 | 152.588 | 152.588 | 0.000 | 0.000 | 0.000 |
| 152.588 | 218.279 | 152.588 | 0.000 | -0.000 | 0.000 |
| 152.588 | 152.588 | 218.279 | 0.000 | 0.000 | 0.000 |
| 0.000 | 0.000 | 0.000 | 179.019 | 0.000 | 0.000 |
| 0.000 | 0.000 | 0.000 | 0.000 | 179.019 | -0.000 |
| 0.000 | 0.000 | 0.000 | -0.000 | 0.000 | 179.019 |
| 119.303 | 71.900 | 71.900 | 0.000 | -0.000 | 0.000 |
| 71.900 | 119.303 | 71.900 | -0.000 | -0.000 | 0.000 |
| 71.900 | 71.900 | 119.303 | -0.000 | -0.000 | 0.000 |
| -0.000 | -0.000 | -0.000 | 72.663 | 0.000 | 0.000 |
| -0.000 | -0.000 | -0.000 | -0.000 | 72.663 | 0.000 |
| -0.000 | -0.000 | -0.000 | 0.000 | 0.000 | 72.663 |
| 119.303 | 71.900 | 71.900 | 0.000 | -0.000 | -0.000 |
| 71.900 | 119.303 | 71.900 | -0.000 | 0.000 | -0.000 |
| 71.900 | 71.900 | 119.303 | -0.000 | 0.000 | -0.000 |
| 0.000 | 0.000 | 0.000 | 72.663 | -0.000 | -0.000 |
| 0.000 | 0.000 | 0.000 | -0.000 | 72.663 | 0.000 |
| 0.000 | 0.000 | 0.000 | -0.000 | -0.000 | 72.663 |
| 119.302 | 71.900 | 71.900 | -0.000 | 0.000 | 0.000 |
| 71.900 | 119.302 | 71.900 | 0.000 | 0.000 | 0.000 |
| 71.900 | 71.900 | 119.302 | -0.000 | 0.000 | 0.000 |
| -0.000 | -0.000 | -0.000 | 72.663 | -0.000 | -0.000 |
| -0.000 | -0.000 | -0.000 | -0.000 | 72.663 | 0.000 |
| -0.000 | -0.000 | -0.000 | -0.000 | -0.000 | 72.663 |
| 119.303 | 71.900 | 71.900 | 0.000 | 0.000 | -0.000 |
| 71.900 | 119.303 | 71.900 | -0.000 | -0.000 | -0.000 |
| 71.900 | 71.900 | 119.303 | 0.000 | -0.000 | -0.000 |
| 0.000 | 0.000 | 0.000 | 72.663 | 0.000 | -0.000 |
| 0.000 | 0.000 | 0.000 | 0.000 | 72.663 | -0.000 |
| 0.000 | 0.000 | 0.000 | 0.000 | 0.000 | 72.663 |
| 119.301 | 71.899 | 71.899 | 0.000 | 0.000 | 0.000 |
| 71.899 | 119.301 | 71.899 | 0.000 | 0.000 | 0.000 |
| 71.899 | 71.899 | 119.301 | -0.000 | 0.000 | 0.000 |
| -0.000 | -0.001 | -0.001 | 72.663 | -0.000 | 0.000 |
| -0.001 | -0.000 | -0.001 | -0.000 | 72.663 | 0.000 |
| -0.001 | -0.001 | -0.000 | 0.000 | 0.000 | 72.663 |
| 119.304 | 71.900 | 71.900 | 0.000 | -0.000 | -0.000 |
| 71.900 | 119.304 | 71.900 | -0.000 | -0.000 | -0.000 |
| 71.900 | 71.900 | 119.304 | 0.000 | 0.000 | -0.000 |
| 0.000 | 0.001 | 0.001 | 72.663 | 0.000 | -0.000 |
| 0.001 | 0.000 | 0.001 | 0.000 | 72.663 | 0.000 |
| 0.001 | 0.001 | 0.000 | -0.000 | 0.000 | 72.663 |
| -5.094 | -13.016 | -13.016 | -0.000 | -0.000 | -0.000 |
| -13.016 | -5.094 | -13.016 | -0.000 | -0.000 | -0.000 |
| -13.016 | -13.016 | -5.094 | 0.000 | -0.000 | -0.000 |
| 0.000 | 0.000 | 0.000 | -11.121 | -0.000 | -0.000 |
| 0.000 | -0.000 | 0.000 | -0.000 | -11.121 | -0.000 |
| 0.000 | 0.000 | -0.000 | -0.000 | -0.000 | -11.121 |
| -5.094 | -13.016 | -13.016 | 0.000 | 0.000 | -0.000 |
| -13.016 | -5.094 | -13.016 | -0.000 | 0.000 | 0.000 |
| -13.016 | -13.016 | -5.094 | 0.000 | 0.000 | 0.000 |
| 0.000 | -0.000 | -0.000 | -11.121 | 0.000 | 0.000 |
| -0.000 | 0.000 | -0.000 | 0.000 | -11.121 | 0.000 |
| -0.000 | -0.000 | 0.000 | 0.000 | 0.000 | -11.121 |
| -5.094 | -13.016 | -13.016 | -0.000 | -0.000 | -0.000 |
| -13.016 | -5.094 | -13.016 | 0.000 | -0.000 | -0.000 |
| -13.016 | -13.016 | -5.094 | 0.000 | 0.000 | -0.000 |
| 0.000 | 0.000 | 0.000 | -11.121 | -0.000 | -0.000 |
| 0.000 | 0.000 | 0.000 | -0.000 | -11.121 | -0.000 |
| 0.000 | 0.000 | 0.000 | 0.000 | -0.000 | -11.121 |
| -5.094 | -13.016 | -13.016 | 0.000 | -0.000 | -0.000 |
| -13.016 | -5.094 | -13.016 | -0.000 | 0.000 | 0.000 |
| -13.016 | -13.016 | -5.094 | -0.000 | 0.000 | 0.000 |
| -0.000 | -0.000 | -0.000 | -11.121 | 0.000 | 0.000 |
| -0.000 | -0.000 | -0.000 | -0.000 | -11.121 | 0.000 |
| -0.000 | -0.000 | -0.000 | -0.000 | 0.000 | -11.121 |
| -5.094 | -13.016 | -13.016 | -0.000 | 0.000 | -0.000 |
| -13.016 | -5.094 | -13.016 | 0.000 | -0.000 | -0.000 |
| -13.016 | -13.016 | -5.094 | -0.000 | -0.000 | -0.000 |
| 0.000 | 0.000 | 0.000 | -11.121 | -0.000 | -0.000 |
| 0.000 | 0.000 | 0.000 | -0.000 | -11.121 | -0.000 |
| 0.000 | 0.000 | 0.000 | -0.000 | -0.000 | -11.121 |
| -5.094 | -13.016 | -13.016 | 0.000 | 0.000 | 0.000 |
| -13.016 | -5.094 | -13.016 | -0.000 | 0.000 | 0.000 |
| -13.016 | -13.016 | -5.094 | 0.000 | 0.000 | 0.000 |
| -0.000 | -0.000 | -0.000 | -11.121 | 0.000 | 0.000 |
| -0.000 | -0.000 | -0.000 | 0.000 | -11.121 | 0.000 |
| -0.000 | -0.000 | -0.000 | -0.000 | 0.000 | -11.121 |
| 23.629 | 7.503 | 7.503 | 0.000 | 0.000 | 0.000 |
| 7.503 | 23.629 | 7.503 | -0.000 | -0.000 | 0.000 |
| 7.503 | 7.503 | 23.629 | 0.000 | -0.000 | 0.000 |
| 0.000 | 0.000 | 0.000 | 7.978 | -0.000 | 0.000 |
| 0.000 | 0.000 | 0.000 | 0.000 | 7.978 | 0.000 |
| 0.000 | 0.000 | 0.000 | -0.000 | 0.000 | 7.978 |
| 23.629 | 7.503 | 7.503 | 0.000 | -0.000 | -0.000 |
| 7.503 | 23.629 | 7.503 | 0.000 | -0.000 | -0.000 |
| 7.503 | 7.503 | 23.629 | 0.000 | -0.000 | -0.000 |
| -0.000 | -0.000 | -0.000 | 7.978 | -0.000 | 0.000 |
| -0.000 | -0.000 | 0.000 | 0.000 | 7.978 | -0.000 |
| -0.000 | -0.000 | -0.000 | -0.000 | -0.000 | 7.978 |
| 23.629 | 7.503 | 7.503 | 0.000 | 0.000 | 0.000 |
| 7.503 | 23.629 | 7.503 | 0.000 | -0.000 | 0.000 |
| 7.503 | 7.503 | 23.629 | -0.000 | -0.000 | 0.000 |
| -0.000 | -0.000 | -0.000 | 7.978 | 0.000 | -0.000 |
| -0.000 | -0.000 | -0.000 | -0.000 | 7.978 | 0.000 |
| -0.000 | -0.000 | -0.000 | 0.000 | 0.000 | 7.978 |
| 23.629 | 7.503 | 7.503 | 0.000 | -0.000 | -0.000 |
| 7.503 | 23.629 | 7.503 | -0.000 | 0.000 | -0.000 |
| 7.503 | 7.503 | 23.629 | -0.000 | -0.000 | -0.000 |
| 0.000 | 0.000 | 0.000 | 7.978 | -0.000 | -0.000 |
| 0.000 | 0.000 | 0.000 | -0.000 | 7.978 | -0.000 |
| 0.000 | 0.000 | 0.000 | 0.000 | 0.000 | 7.978 |
| 23.630 | 7.503 | 7.503 | 0.000 | 0.000 | 0.000 |
| 7.503 | 23.630 | 7.503 | -0.000 | 0.000 | 0.000 |
| 7.503 | 7.503 | 23.630 | 0.000 | 0.000 | 0.000 |
| -0.000 | -0.000 | -0.000 | 7.978 | 0.000 | 0.000 |
| -0.000 | -0.000 | -0.000 | 0.000 | 7.978 | 0.000 |
| -0.000 | -0.000 | -0.000 | 0.000 | -0.000 | 7.978 |
| 23.629 | 7.503 | 7.503 | -0.000 | -0.000 | -0.000 |
| 7.503 | 23.629 | 7.503 | -0.000 | 0.000 | -0.000 |
| 7.503 | 7.503 | 23.629 | 0.000 | -0.000 | -0.000 |
| 0.000 | 0.000 | 0.000 | 7.978 | -0.000 | -0.000 |
| 0.000 | 0.000 | 0.000 | -0.000 | 7.978 | -0.000 |
| 0.000 | 0.000 | 0.000 | -0.000 | -0.000 | 7.978 |
| 13.952 | 6.948 | 6.948 | 0.000 | -0.000 | -0.000 |
| 6.948 | 13.952 | 6.948 | -0.000 | 0.000 | 0.000 |
| 6.948 | 6.948 | 13.952 | 0.000 | 0.000 | 0.000 |
| 0.000 | -0.000 | -0.000 | 7.081 | 0.000 | 0.000 |
| -0.000 | 0.000 | -0.000 | 0.000 | 7.081 | -0.000 |
| -0.000 | -0.000 | 0.000 | 0.000 | -0.000 | 7.081 |
| 13.952 | 6.948 | 6.948 | -0.000 | -0.000 | -0.000 |
| 6.948 | 13.952 | 6.948 | 0.000 | -0.000 | -0.000 |
| 6.948 | 6.948 | 13.952 | -0.000 | -0.000 | -0.000 |
| -0.000 | 0.000 | 0.000 | 7.081 | -0.000 | -0.000 |
| 0.000 | -0.000 | 0.000 | -0.000 | 7.081 | -0.000 |
| 0.000 | 0.000 | -0.000 | -0.000 | 0.000 | 7.081 |
| 13.952 | 6.948 | 6.948 | 0.000 | -0.000 | -0.000 |
| 6.948 | 13.952 | 6.948 | -0.000 | 0.000 | 0.000 |
| 6.948 | 6.948 | 13.952 | 0.000 | 0.000 | 0.000 |
| -0.000 | -0.000 | -0.000 | 7.081 | 0.000 | 0.000 |
| -0.000 | -0.000 | -0.000 | 0.000 | 7.081 | -0.000 |
| -0.000 | -0.000 | -0.000 | -0.000 | -0.000 | 7.081 |
| 13.952 | 6.948 | 6.948 | -0.000 | 0.000 | 0.000 |
| 6.948 | 13.952 | 6.948 | 0.000 | -0.000 | -0.000 |
| 6.948 | 6.948 | 13.952 | -0.000 | -0.000 | -0.000 |
| 0.000 | 0.000 | 0.000 | 7.081 | -0.000 | -0.000 |
| 0.000 | 0.000 | 0.000 | -0.000 | 7.081 | 0.000 |
| 0.000 | 0.000 | 0.000 | -0.000 | 0.000 | 7.081 |
| 13.951 | 6.948 | 6.948 | 0.000 | -0.000 | -0.000 |
| 6.948 | 13.951 | 6.948 | -0.000 | 0.000 | 0.000 |
| 6.948 | 6.948 | 13.951 | 0.000 | 0.000 | 0.000 |
| -0.000 | -0.000 | -0.000 | 7.081 | 0.000 | 0.000 |
| -0.000 | -0.000 | -0.000 | 0.000 | 7.081 | -0.000 |
| -0.000 | -0.000 | -0.000 | 0.000 | -0.000 | 7.081 |
| 13.952 | 6.948 | 6.948 | -0.000 | -0.000 | -0.000 |
| 6.948 | 13.952 | 6.948 | 0.000 | -0.000 | -0.000 |
| 6.948 | 6.948 | 13.952 | -0.000 | -0.000 | -0.000 |
| 0.000 | 0.000 | 0.000 | 7.081 | -0.000 | -0.000 |
| 0.000 | 0.000 | 0.000 | -0.000 | 7.081 | 0.000 |
| 0.000 | 0.000 | 0.000 | -0.000 | 0.000 | 7.081 |
| 288.620 | 240.783 | 240.783 | -0.000 | 0.000 | 0.000 |
| 240.783 | 288.620 | 240.783 | -0.000 | 0.000 | 0.000 |
| 240.783 | 240.783 | 288.620 | -0.000 | 0.000 | 0.000 |
| 3102754795.386 | 3134775422.337 | 3184508918.719 | -8703659.485 | -11273549.670 | 2320206.121 |
| 3243136759.398 | 3203841940.394 | 3231686481.165 | 7504013.465 | -23752195.333 | 13701876.166 |
| 3185025053.308 | 3160075923.100 | 3084620423.455 | -25506575.954 | 1396950.563 | -22451320.228 |
| 86498851.679 | -3570376559.916 | -3570376559.897 | -0.000 | -0.000 | 0.000 |
| -3570376559.894 | 86498851.679 | -3570376559.919 | -0.000 | 0.000 | -0.000 |
| -3570376559.917 | -3570376559.896 | 86498851.679 | -0.000 | -0.000 | -0.000 |
| -3046466106.663 | -3108642619.105 | -3112206319.490 | -391515.362 | -16743177.472 | 24475604.479 |
| -3351454051.637 | -3333076369.443 | -3351387781.271 | 15740327.709 | -46368408.157 | -20764778.084 |
| -3126577555.072 | -3137447742.329 | -3133651776.830 | 7842922.798 | 17549685.066 | 37275640.900 |
| 117.449 | 326.369 | 326.369 | -0.000 | 0.000 | 0.000 |
| 326.369 | 117.449 | 326.369 | -0.000 | 0.000 | 0.000 |
| 326.369 | 326.369 | 117.449 | -0.000 | 0.000 | 0.000 |
| 333685294.476 | 335563788.089 | 337273897.545 | 1946166.530 | -72206.340 | -972245.690 |
| 311115977.416 | 304022865.984 | 310283248.448 | 1915155.166 | 3833563.344 | 473864.285 |
| 337366558.325 | 337676696.807 | 333350655.129 | 373378.041 | -1925317.268 | -2377851.413 |
| -3173589.625 | -3173638.523 | -3173638.523 | 0.000 | -0.000 | -0.000 |
| -3173638.523 | -3173589.625 | -3173638.523 | -0.000 | -0.000 | -0.000 |
| -3173638.523 | -3173638.523 | -3173589.625 | 0.000 | -0.000 | -0.000 |
| -327550066.752 | -324992366.687 | -324534891.725 | -1766434.649 | -2243814.440 | -214006.376 |
| -314769768.265 | -307521009.585 | -316191659.024 | 1276497.461 | 2906946.143 | -137422.765 |
| -322205037.683 | -319850260.393 | -323267200.133 | 601867.064 | 2392798.604 | -513688.161 |
| -112.593 | 441.396 | 441.396 | -0.000 | 0.000 | 0.000 |
| 441.029 | -111.859 | 441.029 | -0.000 | 0.000 | 0.000 |
| 441.029 | 441.029 | -111.859 | -0.000 | 0.000 | 0.000 |
| 32130805.683 | 32234201.574 | 31325163.766 | -130803.339 | 103268.689 | -156388.491 |
| 33141322.212 | 32636617.608 | 32101809.400 | 141522.266 | 170942.561 | 101323.589 |
| 31891918.778 | 30911206.543 | 31940123.236 | -9050.437 | 17213.313 | 68365.246 |
| -31581025.607 | -31549293.666 | -31828133.600 | 22874.296 | 241824.011 | 111894.179 |
| -31993786.751 | -31564591.846 | -31798240.081 | 126356.300 | -235764.747 | 181181.855 |
| -31015038.840 | -31245215.264 | -31277359.189 | 32398.169 | -86298.744 | 101620.081 |
| -32525310.392 | -32922764.489 | -31383968.030 | -6682.308 | -133562.487 | 167237.361 |
| -32630868.208 | -31887652.630 | -31455045.185 | -325827.303 | -166299.144 | -133212.164 |
| -32649305.038 | -31147643.587 | -32324297.900 | 60817.083 | -290035.545 | -2578.913 |
| 299.809 | 246.655 | 246.655 | -0.000 | -0.000 | -0.000 |
| 246.655 | 299.809 | 246.655 | -0.000 | 0.000 | -0.000 |
| 246.655 | 246.655 | 299.809 | 0.000 | 0.000 | -0.000 |
| -0.000 | -0.000 | -0.000 | 210.437 | 0.000 | 0.000 |
| -0.000 | -0.000 | -0.000 | 0.000 | 210.437 | -0.000 |
| -0.000 | -0.000 | 0.000 | -0.000 | 0.000 | 210.437 |
| 299.809 | 246.655 | 246.655 | -0.000 | -0.000 | 0.000 |
| 246.655 | 299.809 | 246.655 | -0.000 | -0.000 | 0.000 |
| 246.655 | 246.655 | 299.809 | -0.000 | -0.000 | 0.000 |
| 0.000 | 0.000 | 0.000 | 210.437 | -0.000 | 0.000 |
| 0.000 | 0.000 | 0.000 | -0.000 | 210.437 | 0.000 |
| 0.000 | 0.000 | -0.000 | -0.000 | -0.000 | 210.437 |
| 306376214.444 | 297284417.380 | 303499341.220 | 1714209.319 | 600768.533 | -59637.321 |
| 305658328.655 | 307037836.725 | 299841082.747 | -2756294.951 | -4175158.089 | 2290765.879 |
| 299750318.952 | 305334220.228 | 302687740.043 | 883056.188 | 1372845.068 | 2152232.898 |
| -0.000 | -0.000 | -0.000 | 210.437 | 0.000 | -0.000 |
| -0.000 | -0.000 | -0.000 | 0.000 | 210.437 | -0.000 |
| -0.000 | -0.000 | -0.000 | 0.000 | 0.000 | 210.437 |
| -326480493.126 | -321257640.235 | -317307940.807 | 2508706.612 | -412271.551 | -1287272.241 |
| -316669601.160 | -320512181.132 | -319837654.560 | -878735.501 | 429949.554 | 3306970.577 |
| -316034520.966 | -311233714.870 | -309394278.313 | 1998130.221 | -2323549.072 | 3250721.538 |
| 0.000 | 0.000 | 0.000 | 210.437 | -0.000 | 0.000 |
| 0.000 | 0.000 | 0.000 | -0.000 | 210.437 | 0.000 |
| 0.000 | 0.000 | 0.000 | -0.000 | -0.000 | 210.437 |
| 31170621.280 | 29533702.033 | 30409131.519 | -424374.519 | 162665.114 | 48016.398 |
| 30043850.653 | 30420399.107 | 28623388.985 | -201933.140 | -122134.271 | 59111.813 |
| 28513289.496 | 29989275.911 | 31020492.978 | -204554.783 | 33569.905 | -338817.655 |
| -0.001 | -0.002 | -0.001 | 198.634 | 0.000 | -0.000 |
| -0.002 | -0.001 | -0.001 | -0.000 | 198.634 | -0.000 |
| -0.002 | -0.001 | -0.001 | -0.000 | -0.000 | 198.634 |
| -32964977.527 | -32928121.139 | -32177977.444 | 1822.135 | 230970.110 | 47279.843 |
| -31061165.265 | -31587028.937 | -31800896.777 | 151768.324 | 10801.367 | -341294.248 |
| -31724716.239 | -31243663.669 | -31106013.719 | 43974.979 | -132956.440 | 141904.789 |
| 0.001 | 0.002 | 0.001 | 198.634 | -0.000 | 0.000 |
| 0.002 | 0.001 | 0.001 | -0.000 | 198.634 | 0.000 |
| 0.002 | 0.001 | 0.001 | 0.000 | -0.000 | 198.634 |
| 484.890 | 167.879 | 167.879 | -0.000 | -0.000 | 0.000 |
| 167.879 | 484.890 | 167.879 | 0.000 | -0.000 | -0.000 |
| 167.879 | 167.879 | 484.890 | -0.000 | 0.000 | -0.000 |
| -0.000 | -0.000 | -0.000 | 191.646 | -0.000 | -0.000 |
| -0.000 | -0.000 | -0.000 | -0.000 | 191.646 | 0.000 |
| -0.000 | -0.000 | -0.000 | -0.000 | -0.000 | 191.646 |
| 415.131 | 202.759 | 202.759 | 0.000 | -0.000 | 0.000 |
| 202.759 | 415.131 | 202.759 | 0.000 | -0.000 | 0.000 |
| 202.759 | 202.759 | 415.131 | 0.000 | -0.000 | 0.000 |
| 0.000 | 0.000 | 0.000 | 191.646 | 0.000 | -0.000 |
| 0.000 | 0.000 | 0.000 | 0.000 | 191.646 | 0.000 |
| 0.000 | 0.000 | 0.000 | 0.000 | -0.000 | 191.646 |
| 484.889 | 167.879 | 167.879 | -0.000 | 0.000 | -0.000 |
| 167.879 | 484.889 | 167.879 | -0.000 | -0.000 | -0.000 |
| 167.879 | 167.879 | 484.889 | -0.000 | -0.000 | 0.000 |
| -0.000 | -0.000 | -0.000 | 130.179 | 0.000 | -0.000 |
| -0.000 | -0.000 | -0.000 | -0.000 | 130.179 | -0.000 |
| -0.000 | -0.000 | -0.000 | -0.000 | -0.000 | 130.179 |
| -15080626.809 | -16610952.971 | -15979577.770 | -874076.361 | 904877.012 | -2184428.097 |
| -16402799.770 | -14722393.373 | -14825095.349 | 409987.665 | -989833.117 | 13595.400 |
| -16674235.343 | -15468194.345 | -9502384.842 | -1591355.437 | 127148.536 | 1314265.655 |
| 0.000 | 0.000 | 0.000 | 130.179 | -0.000 | 0.000 |
| 0.000 | 0.000 | 0.000 | 0.000 | 130.179 | 0.000 |
| 0.000 | 0.000 | 0.000 | 0.000 | -0.000 | 130.179 |
| 484.877 | 167.879 | 167.879 | 0.000 | -0.000 | -0.000 |
| 167.879 | 484.877 | 167.879 | -0.000 | -0.000 | -0.000 |
| 167.879 | 167.879 | 484.877 | -0.000 | -0.000 | -0.000 |
| -0.002 | -0.001 | -0.001 | 130.179 | -0.000 | -0.000 |
| -0.001 | -0.002 | -0.001 | -0.000 | 130.179 | -0.000 |
| -0.001 | -0.001 | -0.002 | -0.000 | -0.000 | 130.179 |
| -1380115.220 | -1665417.604 | -1560748.935 | 133266.748 | -84306.178 | -24060.803 |
| -1658953.804 | -1259078.674 | -1756206.647 | 6855.286 | 190053.818 | -3455.485 |
| -1691997.940 | -1567621.715 | -1508034.078 | -36329.401 | 111840.073 | -67317.537 |
| 0.002 | 0.001 | 0.001 | 130.179 | -0.000 | 0.000 |
| 0.001 | 0.002 | 0.001 | 0.000 | 130.179 | 0.000 |
| 0.001 | 0.001 | 0.002 | 0.000 | -0.000 | 130.179 |
| 527.124 | 167.379 | 167.379 | 0.000 | -0.000 | -0.000 |
| 167.379 | 527.124 | 167.379 | 0.000 | -0.000 | -0.000 |
| 167.379 | 167.379 | 527.124 | 0.000 | -0.000 | -0.000 |
| 0.000 | 0.000 | 0.000 | 181.033 | -0.000 | -0.000 |
| 0.000 | 0.000 | 0.000 | -0.000 | 181.033 | 0.000 |
| 0.000 | 0.000 | 0.000 | 0.000 | -0.000 | 181.033 |
| 527.124 | 167.379 | 167.379 | -0.000 | 0.000 | -0.000 |
| 167.379 | 527.124 | 167.379 | -0.000 | 0.000 | -0.000 |
| 167.379 | 167.379 | 527.124 | -0.000 | 0.000 | 0.000 |
| -0.000 | -0.000 | -0.000 | 181.033 | 0.000 | 0.000 |
| -0.000 | -0.000 | -0.000 | 0.000 | 181.033 | 0.000 |
| -0.000 | -0.000 | -0.000 | -0.000 | 0.000 | 181.033 |
| 492.959 | 184.462 | 184.462 | 0.000 | -0.000 | -0.000 |
| 184.462 | 492.959 | 184.462 | 0.000 | -0.000 | -0.000 |
| 184.462 | 184.462 | 492.959 | 0.000 | -0.000 | -0.000 |
| 0.000 | 0.000 | 0.000 | 207.418 | -0.000 | -0.000 |
| 0.000 | 0.000 | 0.000 | 0.000 | 207.418 | -0.000 |
| 0.000 | 0.000 | 0.000 | -0.000 | -0.000 | 207.418 |
| 527.124 | 167.379 | 167.379 | -0.000 | 0.000 | 0.000 |
| 167.379 | 527.124 | 167.379 | -0.000 | 0.000 | -0.000 |
| 167.379 | 167.379 | 527.124 | -0.000 | 0.000 | 0.000 |
| -0.000 | -0.000 | -0.000 | 207.418 | 0.000 | 0.000 |
| -0.000 | -0.000 | -0.000 | -0.000 | 207.418 | 0.000 |
| -0.000 | -0.000 | -0.000 | -0.000 | 0.000 | 207.418 |
| 492.964 | 184.463 | 184.463 | 0.000 | -0.000 | -0.000 |
| 184.463 | 492.964 | 184.463 | 0.000 | -0.000 | 0.000 |
| 184.463 | 184.463 | 492.964 | 0.000 | -0.000 | 0.000 |
| 0.000 | 0.001 | 0.001 | 207.418 | -0.000 | 0.000 |
| 0.001 | 0.000 | 0.001 | 0.000 | 207.418 | -0.000 |
| 0.001 | 0.001 | 0.000 | 0.000 | -0.000 | 207.418 |
| 492.952 | 184.461 | 184.461 | -0.000 | 0.000 | 0.000 |
| 184.461 | 492.952 | 184.461 | 0.000 | 0.000 | 0.000 |
| 184.461 | 184.461 | 492.952 | -0.000 | 0.000 | 0.000 |
| -0.000 | -0.001 | -0.001 | 207.418 | 0.000 | 0.000 |
| -0.001 | -0.000 | -0.001 | -0.000 | 207.418 | 0.000 |
| -0.001 | -0.001 | -0.000 | -0.000 | 0.000 | 207.418 |
| 5.788 | 2.324 | 2.324 | -0.000 | 0.000 | -0.000 |
| 2.324 | 5.788 | 2.324 | -0.000 | 0.000 | 0.000 |
| 2.324 | 2.324 | 5.788 | -0.000 | 0.000 | -0.000 |
| 0.000 | 0.000 | 0.000 | 0.975 | 0.000 | -0.000 |
| 0.000 | 0.000 | -0.000 | -0.000 | 0.975 | 0.000 |
| 0.000 | 0.000 | -0.000 | -0.000 | 0.000 | 0.975 |
| 3.991 | 3.222 | 3.222 | 0.000 | -0.000 | -0.000 |
| 3.222 | 3.991 | 3.222 | 0.000 | -0.000 | 0.000 |
| 3.222 | 3.222 | 3.991 | 0.000 | -0.000 | -0.000 |
| -0.000 | -0.000 | -0.000 | 0.975 | -0.000 | -0.000 |
| -0.000 | -0.000 | 0.000 | 0.000 | 0.975 | 0.000 |
| -0.000 | -0.000 | 0.000 | 0.000 | -0.000 | 0.975 |
| 3.991 | 3.222 | 3.222 | -0.000 | 0.000 | 0.000 |
| 3.222 | 3.991 | 3.222 | -0.000 | 0.000 | 0.000 |
| 3.222 | 3.222 | 3.991 | -0.000 | 0.000 | 0.000 |
| 0.000 | 0.000 | 0.000 | 2.672 | 0.000 | -0.000 |
| 0.000 | 0.000 | 0.000 | -0.000 | 2.672 | -0.000 |
| 0.000 | 0.000 | 0.000 | -0.000 | 0.000 | 2.672 |
| 5.788 | 2.324 | 2.324 | 0.000 | -0.000 | -0.000 |
| 2.324 | 5.788 | 2.324 | 0.000 | -0.000 | -0.000 |
| 2.324 | 2.324 | 5.788 | 0.000 | -0.000 | 0.000 |
| -0.000 | -0.000 | -0.000 | 2.672 | -0.000 | -0.000 |
| -0.000 | -0.000 | -0.000 | 0.000 | 2.672 | 0.000 |
| -0.000 | -0.000 | -0.000 | 0.000 | -0.000 | 2.672 |
| -94723.790 | 85558.110 | 85558.064 | 0.000 | 0.000 | -0.000 |
| 221650.686 | -158866.888 | 237474.051 | 863.126 | 4788.499 | -1593.450 |
| 242073.928 | 232148.909 | -163614.692 | 66.733 | -740.758 | 1556.959 |
| 0.000 | 0.000 | 0.000 | 2.672 | 0.000 | -0.000 |
| 0.000 | 0.000 | 0.000 | -0.000 | 2.672 | -0.000 |
| 0.000 | 0.000 | 0.000 | -0.000 | 0.000 | 2.672 |
| 5.788 | 2.324 | 2.324 | 0.000 | -0.000 | -0.000 |
| 2.324 | 5.788 | 2.324 | 0.000 | -0.000 | 0.000 |
| 2.324 | 2.324 | 5.788 | 0.000 | -0.000 | 0.000 |
| -0.000 | -0.000 | -0.000 | 2.672 | -0.000 | -0.000 |
| -0.000 | -0.000 | -0.000 | 0.000 | 2.672 | 0.000 |
| -0.000 | -0.000 | -0.000 | 0.000 | -0.000 | 2.672 |
| 8.777 | 2.268 | 2.268 | 0.000 | -0.000 | 0.000 |
| 2.268 | 8.777 | 2.268 | -0.000 | 0.000 | -0.000 |
| 2.268 | 2.268 | 8.777 | 0.000 | 0.000 | -0.000 |
| -0.000 | -0.000 | -0.000 | 0.950 | 0.000 | -0.000 |
| -0.000 | -0.000 | -0.000 | 0.000 | 0.950 | -0.000 |
| -0.000 | -0.000 | -0.000 | 0.000 | -0.000 | 0.950 |
| 8.777 | 2.268 | 2.268 | -0.000 | 0.000 | -0.000 |
| 2.268 | 8.777 | 2.268 | -0.000 | -0.000 | -0.000 |
| 2.268 | 2.268 | 8.777 | -0.000 | -0.000 | 0.000 |
| -0.000 | 0.000 | 0.000 | 0.950 | -0.000 | -0.000 |
| 0.000 | 0.000 | 0.000 | -0.000 | 0.950 | 0.000 |
| -0.000 | 0.000 | 0.000 | -0.000 | 0.000 | 0.950 |
| 8.777 | 2.268 | 2.268 | 0.000 | -0.000 | 0.000 |
| 2.268 | 8.777 | 2.268 | -0.000 | -0.000 | -0.000 |
| 2.268 | 2.268 | 8.777 | -0.000 | 0.000 | 0.000 |
| -0.000 | -0.000 | -0.000 | 1.884 | 0.000 | -0.000 |
| -0.000 | -0.000 | -0.000 | 0.000 | 1.884 | 0.000 |
| -0.000 | -0.000 | -0.000 | 0.000 | -0.000 | 1.884 |
| 8.777 | 2.268 | 2.268 | -0.000 | 0.000 | -0.000 |
| 2.268 | 8.777 | 2.268 | 0.000 | -0.000 | -0.000 |
| 2.268 | 2.268 | 8.777 | -0.000 | -0.000 | -0.000 |
| 0.000 | 0.000 | 0.000 | 1.884 | -0.000 | 0.000 |
| 0.000 | 0.000 | 0.000 | 0.000 | 1.884 | 0.000 |
| 0.000 | 0.000 | 0.000 | -0.000 | 0.000 | 1.884 |
| 8.777 | 2.268 | 2.268 | 0.000 | -0.000 | 0.000 |
| 2.268 | 8.777 | 2.268 | -0.000 | 0.000 | -0.000 |
| 2.268 | 2.268 | 8.777 | -0.000 | 0.000 | 0.000 |
| -0.000 | -0.000 | -0.000 | 0.281 | -0.000 | -0.000 |
| -0.000 | -0.000 | -0.000 | -0.000 | 0.281 | 0.000 |
| -0.000 | -0.000 | -0.000 | -0.000 | 0.000 | 0.281 |
| 8.777 | 2.268 | 2.268 | -0.000 | -0.000 | 0.000 |
| 2.268 | 8.777 | 2.268 | 0.000 | -0.000 | -0.000 |
| 2.268 | 2.268 | 8.777 | -0.000 | -0.000 | -0.000 |
| 0.000 | 0.000 | 0.000 | 0.281 | 0.000 | -0.000 |
| 0.000 | 0.000 | 0.000 | 0.000 | 0.281 | -0.000 |
| 0.000 | 0.000 | 0.000 | 0.000 | -0.000 | 0.281 |
| 2.528 | -0.000 | -0.000 | 0.000 | 0.000 | 0.000 |
| -0.000 | 2.528 | -0.000 | -0.000 | 0.000 | 0.000 |
| -0.000 | -0.000 | 2.528 | -0.000 | 0.000 | -0.000 |
| 0.000 | -0.000 | 0.000 | 0.000 | 0.000 | 0.000 |
| -0.000 | 0.000 | 0.000 | 0.000 | 0.000 | -0.000 |
| -0.000 | 0.000 | 0.000 | 0.000 | 0.000 | 0.000 |
| 2.528 | 0.000 | 0.000 | 0.000 | -0.000 | -0.000 |
| 0.000 | 2.528 | 0.000 | 0.000 | -0.000 | -0.000 |
| 0.000 | 0.000 | 2.528 | 0.000 | 0.000 | 0.000 |
| -0.000 | 0.000 | -0.000 | 0.000 | -0.000 | -0.000 |
| 0.000 | -0.000 | -0.000 | -0.000 | 0.000 | -0.000 |
| 0.000 | -0.000 | -0.000 | -0.000 | -0.000 | 0.000 |
| 2.528 | -0.000 | -0.000 | 0.000 | -0.000 | 0.000 |
| -0.000 | 2.528 | -0.000 | 0.000 | 0.000 | 0.000 |
| -0.000 | -0.000 | 2.528 | 0.000 | -0.000 | -0.000 |
| 0.000 | -0.000 | -0.000 | 0.000 | 0.000 | -0.000 |
| -0.000 | 0.000 | -0.000 | 0.000 | 0.000 | -0.000 |
| -0.000 | -0.000 | 0.000 | 0.000 | -0.000 | 0.000 |
| 2.528 | -0.000 | -0.000 | 0.000 | -0.000 | -0.000 |
| -0.000 | 2.528 | -0.000 | -0.000 | -0.000 | 0.000 |
| -0.000 | -0.000 | 2.528 | 0.000 | 0.000 | 0.000 |
| -0.000 | 0.000 | 0.000 | 0.000 | -0.000 | -0.000 |
| 0.000 | -0.000 | 0.000 | -0.000 | 0.000 | -0.000 |
| 0.000 | 0.000 | -0.000 | -0.000 | -0.000 | 0.000 |
| 2.528 | -0.000 | -0.000 | 0.000 | 0.000 | -0.000 |
| -0.000 | 2.528 | -0.000 | 0.000 | 0.000 | 0.000 |
| -0.000 | -0.000 | 2.528 | 0.000 | 0.000 | -0.000 |
| 0.000 | -0.000 | -0.000 | 0.000 | 0.000 | 0.000 |
| -0.000 | 0.000 | -0.000 | 0.000 | 0.000 | 0.000 |
| -0.000 | -0.000 | 0.000 | 0.000 | 0.000 | 0.000 |
| 2.529 | -0.000 | -0.000 | 0.000 | -0.000 | 0.000 |
| -0.000 | 2.529 | -0.000 | 0.000 | -0.000 | -0.000 |
| -0.000 | -0.000 | 2.529 | -0.000 | -0.000 | 0.000 |
| -0.000 | 0.000 | 0.000 | 0.000 | -0.000 | -0.000 |
| 0.000 | -0.000 | 0.000 | -0.000 | 0.000 | 0.000 |
| 0.000 | 0.000 | -0.000 | -0.000 | -0.000 | 0.000 |
| 773.350 | 502.492 | 502.492 | 0.000 | -0.000 | 0.000 |
| 502.492 | 773.350 | 502.492 | 0.000 | -0.000 | -0.000 |
| 502.492 | 502.492 | 773.350 | 0.000 | -0.000 | -0.000 |
| -0.000 | -0.000 | -0.000 | 88.420 | -0.000 | -0.000 |
| -0.000 | -0.000 | -0.000 | -0.000 | 88.420 | -0.000 |
| -0.000 | -0.000 | -0.000 | -0.000 | -0.000 | 88.420 |
| 773.350 | 502.492 | 502.492 | 0.000 | -0.000 | 0.000 |
| 502.492 | 773.350 | 502.492 | 0.000 | 0.000 | 0.000 |
| 502.492 | 502.492 | 773.350 | -0.000 | 0.000 | 0.000 |
| 0.000 | 0.000 | 0.000 | 88.420 | 0.000 | 0.000 |
| 0.000 | 0.000 | 0.000 | -0.000 | 88.420 | 0.000 |
| 0.000 | 0.000 | 0.000 | -0.000 | 0.000 | 88.420 |
| 773.348 | 502.490 | 502.490 | 0.000 | -0.000 | 0.000 |
| 502.490 | 773.348 | 502.490 | 0.000 | 0.000 | -0.000 |
| 502.490 | 502.490 | 773.348 | -0.000 | -0.000 | -0.000 |
| 0.000 | 0.000 | 0.000 | 88.420 | -0.000 | -0.000 |
| 0.000 | 0.000 | 0.000 | -0.000 | 88.420 | 0.000 |
| 0.000 | 0.000 | 0.000 | -0.000 | -0.000 | 88.420 |
| 773.352 | 502.494 | 502.494 | -0.000 | 0.000 | 0.000 |
| 502.494 | 773.352 | 502.494 | 0.000 | -0.000 | 0.000 |
| 502.494 | 502.494 | 773.352 | 0.000 | 0.000 | 0.000 |
| -0.000 | -0.000 | -0.000 | 88.420 | 0.000 | -0.000 |
| -0.000 | -0.000 | -0.000 | -0.000 | 88.420 | 0.000 |
| -0.000 | -0.000 | -0.000 | 0.000 | 0.000 | 88.420 |
| 773.333 | 502.469 | 502.469 | -0.000 | -0.000 | 0.000 |
| 502.469 | 773.333 | 502.469 | 0.000 | -0.000 | -0.000 |
| 502.469 | 502.469 | 773.333 | 0.000 | -0.000 | -0.000 |
| 0.001 | 0.001 | 0.001 | 88.420 | -0.000 | -0.000 |
| 0.001 | 0.001 | 0.001 | 0.000 | 88.420 | -0.000 |
| 0.001 | 0.001 | 0.001 | 0.000 | -0.000 | 88.420 |
| 773.366 | 502.515 | 502.515 | 0.000 | 0.000 | -0.000 |
| 502.515 | 773.366 | 502.515 | 0.000 | 0.000 | 0.000 |
| 502.515 | 502.515 | 773.366 | -0.000 | 0.000 | 0.000 |
| -0.001 | -0.001 | -0.001 | 88.420 | -0.000 | -0.000 |
| -0.001 | -0.001 | -0.001 | 0.000 | 88.420 | 0.000 |
| -0.001 | -0.001 | -0.001 | 0.000 | 0.000 | 88.420 |
| 923.019 | 315.816 | 315.816 | 0.000 | 0.000 | -0.000 |
| 315.816 | 923.019 | 315.816 | 0.000 | 0.000 | -0.000 |
| 315.816 | 315.816 | 923.019 | 0.000 | 0.000 | -0.000 |
| -0.000 | -0.000 | -0.000 | 161.477 | 0.000 | -0.000 |
| -0.000 | -0.000 | -0.000 | 0.000 | 161.477 | -0.000 |
| -0.000 | -0.000 | -0.000 | 0.000 | 0.000 | 161.477 |
| 923.019 | 315.816 | 315.816 | -0.000 | -0.000 | 0.000 |
| 315.816 | 923.019 | 315.816 | -0.000 | -0.000 | 0.000 |
| 315.816 | 315.816 | 923.019 | -0.000 | -0.000 | 0.000 |
| 0.000 | 0.000 | 0.000 | 161.477 | -0.000 | 0.000 |
| 0.000 | 0.000 | 0.000 | -0.000 | 161.477 | 0.000 |
| 0.000 | 0.000 | 0.000 | -0.000 | -0.000 | 161.477 |
| 923.019 | 315.816 | 315.816 | 0.000 | 0.000 | -0.000 |
| 315.816 | 923.019 | 315.816 | 0.000 | 0.000 | -0.000 |
| 315.816 | 315.816 | 923.019 | -0.000 | 0.000 | -0.000 |
| -0.000 | -0.000 | -0.000 | 161.477 | 0.000 | -0.000 |
| -0.000 | -0.000 | -0.000 | -0.000 | 161.477 | -0.000 |
| -0.000 | -0.000 | -0.000 | 0.000 | 0.000 | 161.477 |
| 923.020 | 315.816 | 315.816 | -0.000 | -0.000 | 0.000 |
| 315.816 | 923.020 | 315.816 | -0.000 | -0.000 | 0.000 |
| 315.816 | 315.816 | 923.020 | -0.000 | -0.000 | 0.000 |
| 0.000 | 0.000 | 0.000 | 161.477 | -0.000 | 0.000 |
| 0.000 | 0.000 | 0.000 | -0.000 | 161.477 | 0.000 |
| 0.000 | 0.000 | 0.000 | -0.000 | -0.000 | 161.477 |
| 923.014 | 315.817 | 315.817 | -0.000 | 0.000 | -0.000 |
| 315.817 | 923.014 | 315.817 | 0.000 | 0.000 | -0.000 |
| 315.817 | 315.817 | 923.014 | 0.000 | 0.000 | -0.000 |
| -0.001 | -0.003 | -0.003 | 161.477 | 0.000 | -0.000 |
| -0.003 | -0.001 | -0.003 | -0.000 | 161.477 | -0.000 |
| -0.003 | -0.003 | -0.001 | 0.000 | 0.000 | 161.477 |
| 923.025 | 315.816 | 315.816 | -0.000 | -0.000 | 0.000 |
| 315.816 | 923.025 | 315.816 | 0.000 | -0.000 | 0.000 |
| 315.816 | 315.816 | 923.025 | 0.000 | -0.000 | 0.000 |
| 0.001 | 0.003 | 0.003 | 161.477 | -0.000 | 0.000 |
| 0.003 | 0.001 | 0.003 | -0.000 | 161.477 | 0.000 |
| 0.003 | 0.003 | 0.001 | -0.000 | -0.000 | 161.477 |
| 827.616 | 387.406 | 387.406 | -0.000 | -0.000 | -0.000 |
| 387.406 | 827.616 | 387.406 | -0.000 | -0.000 | 0.000 |
| 387.406 | 387.406 | 827.616 | -0.000 | -0.000 | -0.000 |
| 0.000 | 0.000 | 0.000 | 409.745 | -0.000 | 0.000 |
| 0.000 | 0.000 | 0.000 | -0.000 | 409.745 | 0.000 |
| 0.000 | 0.000 | 0.000 | -0.000 | -0.000 | 409.745 |
| 827.616 | 387.406 | 387.406 | 0.000 | 0.000 | 0.000 |
| 387.406 | 827.616 | 387.406 | 0.000 | 0.000 | 0.000 |
| 387.406 | 387.406 | 827.616 | 0.000 | 0.000 | -0.000 |
| -0.000 | -0.000 | -0.000 | 409.745 | 0.000 | -0.000 |
| -0.000 | -0.000 | -0.000 | 0.000 | 409.745 | 0.000 |
| -0.000 | -0.000 | -0.000 | 0.000 | 0.000 | 409.745 |
| 827.617 | 387.407 | 387.407 | -0.000 | 0.000 | 0.000 |
| 387.407 | 827.617 | 387.407 | 0.000 | -0.000 | 0.000 |
| 387.407 | 387.407 | 827.617 | -0.000 | -0.000 | 0.000 |
| 0.000 | 0.000 | 0.000 | 409.745 | -0.000 | 0.000 |
| 0.000 | 0.000 | 0.000 | -0.000 | 409.745 | -0.000 |
| 0.000 | 0.000 | 0.000 | -0.000 | -0.000 | 409.745 |
| 827.615 | 387.406 | 387.406 | -0.000 | 0.000 | 0.000 |
| 387.406 | 827.615 | 387.406 | 0.000 | 0.000 | -0.000 |
| 387.406 | 387.406 | 827.615 | 0.000 | 0.000 | -0.000 |
| -0.000 | -0.000 | -0.000 | 409.745 | 0.000 | 0.000 |
| -0.000 | -0.000 | -0.000 | 0.000 | 409.745 | -0.000 |
| -0.000 | -0.000 | -0.000 | 0.000 | 0.000 | 409.745 |
| 827.626 | 387.410 | 387.410 | 0.000 | -0.000 | 0.000 |
| 387.410 | 827.626 | 387.410 | 0.000 | -0.000 | 0.000 |
| 387.410 | 387.410 | 827.626 | -0.000 | -0.000 | -0.000 |
| 0.002 | 0.003 | 0.003 | 409.745 | -0.000 | -0.000 |
| 0.003 | 0.002 | 0.003 | 0.000 | 409.745 | 0.000 |
| 0.003 | 0.003 | 0.002 | -0.000 | -0.000 | 409.745 |
| 827.607 | 387.402 | 387.402 | -0.000 | 0.000 | 0.000 |
| 387.402 | 827.607 | 387.402 | -0.000 | 0.000 | 0.000 |
| 387.402 | 387.402 | 827.607 | 0.000 | 0.000 | -0.000 |
| -0.002 | -0.003 | -0.003 | 409.745 | 0.000 | -0.000 |
| -0.003 | -0.002 | -0.003 | 0.000 | 409.745 | -0.000 |
| -0.003 | -0.003 | -0.002 | 0.000 | 0.000 | 409.745 |
| 685.134 | 116.061 | 116.061 | -0.000 | 0.000 | 0.000 |
| 116.061 | 685.134 | 116.061 | 0.000 | 0.000 | 0.000 |
| 116.061 | 116.061 | 685.134 | -0.000 | -0.000 | 0.000 |
| -0.000 | -0.000 | -0.000 | 159.431 | -0.000 | 0.000 |
| -0.000 | -0.000 | -0.000 | -0.000 | 159.431 | -0.000 |
| -0.000 | -0.000 | -0.000 | -0.000 | 0.000 | 159.431 |
| 685.133 | 116.061 | 116.061 | -0.000 | -0.000 | -0.000 |
| 116.061 | 685.133 | 116.061 | 0.000 | -0.000 | -0.000 |
| 116.061 | 116.061 | 685.133 | 0.000 | 0.000 | -0.000 |
| 0.000 | 0.000 | 0.000 | 159.431 | -0.000 | -0.000 |
| 0.000 | 0.000 | 0.000 | 0.000 | 159.431 | 0.000 |
| 0.000 | 0.000 | 0.000 | 0.000 | 0.000 | 159.431 |
| 685.134 | 116.061 | 116.061 | -0.000 | 0.000 | 0.000 |
| 116.061 | 685.134 | 116.061 | 0.000 | -0.000 | -0.000 |
| 116.061 | 116.061 | 685.134 | -0.000 | -0.000 | -0.000 |
| -0.000 | -0.000 | -0.000 | 159.431 | 0.000 | -0.000 |
| -0.000 | -0.000 | -0.000 | -0.000 | 159.431 | -0.000 |
| -0.000 | -0.000 | -0.000 | -0.000 | -0.000 | 159.431 |
| 685.133 | 116.061 | 116.061 | 0.000 | 0.000 | 0.000 |
| 116.061 | 685.133 | 116.061 | 0.000 | -0.000 | -0.000 |
| 116.061 | 116.061 | 685.133 | 0.000 | 0.000 | -0.000 |
| 0.000 | 0.000 | 0.000 | 159.431 | 0.000 | -0.000 |
| 0.000 | 0.000 | 0.000 | 0.000 | 159.431 | -0.000 |
| 0.000 | 0.000 | 0.000 | 0.000 | 0.000 | 159.431 |
| 685.143 | 116.060 | 116.060 | 0.000 | 0.000 | 0.000 |
| 116.060 | 685.143 | 116.060 | 0.000 | -0.000 | 0.000 |
| 116.060 | 116.060 | 685.143 | -0.000 | -0.000 | -0.000 |
| -0.000 | -0.001 | -0.001 | 159.431 | 0.000 | -0.000 |
| -0.001 | -0.000 | -0.001 | 0.000 | 159.431 | -0.000 |
| -0.001 | -0.001 | -0.000 | 0.000 | -0.000 | 159.431 |
| 685.124 | 116.061 | 116.061 | -0.000 | 0.000 | 0.000 |
| 116.061 | 685.124 | 116.061 | 0.000 | 0.000 | 0.000 |
| 116.061 | 116.061 | 685.124 | -0.000 | 0.000 | 0.000 |
| 0.000 | 0.001 | 0.001 | 159.431 | -0.000 | 0.000 |
| 0.001 | 0.000 | 0.001 | 0.000 | 159.431 | -0.000 |
| 0.001 | 0.001 | 0.000 | 0.000 | 0.000 | 159.431 |
| 47.359 | 4.872 | 4.872 | -0.000 | -0.000 | -0.000 |
| 4.872 | 47.359 | 4.872 | -0.000 | -0.000 | -0.000 |
| 4.872 | 4.872 | 47.359 | -0.000 | -0.000 | -0.000 |
| 0.000 | 0.000 | 0.000 | 5.361 | 0.000 | -0.000 |
| 0.000 | 0.000 | 0.000 | -0.000 | 5.361 | -0.000 |
| 0.000 | 0.000 | 0.000 | 0.000 | -0.000 | 5.361 |
| 47.359 | 4.872 | 4.872 | 0.000 | 0.000 | 0.000 |
| 4.872 | 47.359 | 4.872 | 0.000 | 0.000 | -0.000 |
| 4.872 | 4.872 | 47.359 | -0.000 | -0.000 | -0.000 |
| -0.000 | -0.000 | -0.000 | 5.361 | -0.000 | -0.000 |
| -0.000 | -0.000 | -0.000 | -0.000 | 5.361 | 0.000 |
| -0.000 | -0.000 | -0.000 | 0.000 | 0.000 | 5.361 |
| 47.359 | 4.872 | 4.872 | 0.000 | 0.000 | 0.000 |
| 4.872 | 47.359 | 4.872 | -0.000 | 0.000 | 0.000 |
| 4.872 | 4.872 | 47.359 | -0.000 | -0.000 | 0.000 |
| 0.000 | 0.000 | 0.000 | 5.361 | -0.000 | -0.000 |
| 0.000 | 0.000 | 0.000 | -0.000 | 5.361 | -0.000 |
| 0.000 | 0.000 | 0.000 | -0.000 | -0.000 | 5.361 |
| 47.359 | 4.872 | 4.872 | 0.000 | 0.000 | 0.000 |
| 4.872 | 47.359 | 4.872 | 0.000 | 0.000 | 0.000 |
| 4.872 | 4.872 | 47.359 | 0.000 | 0.000 | -0.000 |
| -0.000 | -0.000 | -0.000 | 5.361 | -0.000 | 0.000 |
| -0.000 | -0.000 | -0.000 | 0.000 | 5.361 | -0.000 |
| -0.000 | -0.000 | -0.000 | 0.000 | 0.000 | 5.361 |
| 47.359 | 4.872 | 4.872 | -0.000 | -0.000 | -0.000 |
| 4.872 | 47.359 | 4.872 | -0.000 | 0.000 | -0.000 |
| 4.872 | 4.872 | 47.359 | 0.000 | 0.000 | 0.000 |
| 0.000 | 0.000 | 0.000 | 5.361 | -0.000 | 0.000 |
| 0.000 | 0.000 | 0.000 | -0.000 | 5.361 | -0.000 |
| 0.000 | 0.000 | 0.000 | 0.000 | -0.000 | 5.361 |
| 47.358 | 4.872 | 4.872 | 0.000 | 0.000 | -0.000 |
| 4.872 | 47.358 | 4.872 | 0.000 | 0.000 | 0.000 |
| 4.872 | 4.872 | 47.358 | 0.000 | 0.000 | -0.000 |
| -0.000 | -0.000 | -0.000 | 5.361 | -0.000 | -0.000 |
| -0.000 | -0.000 | -0.000 | -0.000 | 5.361 | 0.000 |
| -0.000 | -0.000 | -0.000 | 0.000 | 0.000 | 5.361 |
| 4.763 | 6.600 | 6.600 | 0.000 | 0.000 | 0.000 |
| 6.600 | 4.763 | 6.600 | 0.000 | 0.000 | 0.000 |
| 6.600 | 6.600 | 4.763 | 0.000 | 0.000 | 0.000 |
| -0.000 | -0.000 | -0.000 | 6.632 | 0.000 | 0.000 |
| -0.000 | -0.000 | -0.000 | 0.000 | 6.632 | 0.000 |
| -0.000 | -0.000 | -0.000 | -0.000 | -0.000 | 6.632 |
| 4.763 | 6.600 | 6.600 | -0.000 | -0.000 | -0.000 |
| 6.600 | 4.763 | 6.600 | -0.000 | -0.000 | -0.000 |
| 6.600 | 6.600 | 4.763 | -0.000 | -0.000 | -0.000 |
| 0.000 | 0.000 | 0.000 | 6.632 | -0.000 | -0.000 |
| 0.000 | 0.000 | 0.000 | -0.000 | 6.632 | -0.000 |
| 0.000 | 0.000 | 0.000 | -0.000 | 0.000 | 6.632 |
| 4.763 | 6.600 | 6.600 | 0.000 | 0.000 | 0.000 |
| 6.600 | 4.763 | 6.600 | 0.000 | 0.000 | 0.000 |
| 6.600 | 6.600 | 4.763 | 0.000 | 0.000 | 0.000 |
| -0.000 | -0.000 | -0.000 | 6.632 | 0.000 | 0.000 |
| -0.000 | -0.000 | -0.000 | 0.000 | 6.632 | 0.000 |
| -0.000 | -0.000 | -0.000 | -0.000 | -0.000 | 6.632 |
| 4.763 | 6.600 | 6.600 | -0.000 | 0.000 | -0.000 |
| 6.600 | 4.763 | 6.600 | 0.000 | -0.000 | -0.000 |
| 6.600 | 6.600 | 4.763 | -0.000 | -0.000 | -0.000 |
| 0.000 | 0.000 | 0.000 | 6.632 | -0.000 | -0.000 |
| 0.000 | 0.000 | 0.000 | -0.000 | 6.632 | -0.000 |
| 0.000 | 0.000 | 0.000 | -0.000 | 0.000 | 6.632 |
| 4.763 | 6.600 | 6.600 | 0.000 | -0.000 | 0.000 |
| 6.600 | 4.763 | 6.600 | -0.000 | 0.000 | 0.000 |
| 6.600 | 6.600 | 4.763 | 0.000 | 0.000 | 0.000 |
| -0.000 | -0.000 | -0.000 | 6.632 | 0.000 | 0.000 |
| -0.000 | -0.000 | -0.000 | 0.000 | 6.632 | 0.000 |
| -0.000 | -0.000 | -0.000 | 0.000 | -0.000 | 6.632 |
| 4.764 | 6.599 | 6.599 | -0.000 | -0.000 | -0.000 |
| 6.599 | 4.764 | 6.599 | -0.000 | -0.000 | -0.000 |
| 6.599 | 6.599 | 4.764 | -0.000 | -0.000 | -0.000 |
| 0.000 | 0.000 | 0.000 | 6.632 | -0.000 | -0.000 |
| 0.000 | 0.000 | 0.000 | -0.000 | 6.632 | -0.000 |
| 0.000 | 0.000 | 0.000 | 0.000 | 0.000 | 6.632 |
| 20.029 | 2.331 | 2.331 | -0.000 | -0.000 | -0.000 |
| 2.331 | 20.029 | 2.331 | -0.000 | -0.000 | -0.000 |
| 2.331 | 2.331 | 20.029 | -0.000 | -0.000 | 0.000 |
| -0.000 | -0.000 | -0.000 | 2.466 | -0.000 | -0.000 |
| -0.000 | -0.000 | -0.000 | -0.000 | 2.466 | -0.000 |
| -0.000 | -0.000 | -0.000 | -0.000 | -0.000 | 2.466 |
| 20.029 | 2.331 | 2.331 | 0.000 | 0.000 | -0.000 |
| 2.331 | 20.029 | 2.331 | 0.000 | 0.000 | -0.000 |
| 2.331 | 2.331 | 20.029 | 0.000 | 0.000 | 0.000 |
| 0.000 | 0.000 | 0.000 | 2.466 | 0.000 | 0.000 |
| 0.000 | 0.000 | 0.000 | 0.000 | 2.466 | -0.000 |
| 0.000 | 0.000 | 0.000 | 0.000 | -0.000 | 2.466 |
| 20.029 | 2.331 | 2.331 | -0.000 | -0.000 | -0.000 |
| 2.331 | 20.029 | 2.331 | -0.000 | -0.000 | -0.000 |
| 2.331 | 2.331 | 20.029 | -0.000 | -0.000 | -0.000 |
| -0.000 | -0.000 | -0.000 | 2.466 | -0.000 | 0.000 |
| -0.000 | -0.000 | -0.000 | -0.000 | 2.466 | 0.000 |
| -0.000 | -0.000 | -0.000 | 0.000 | -0.000 | 2.466 |
| 20.029 | 2.331 | 2.331 | 0.000 | -0.000 | 0.000 |
| 2.331 | 20.029 | 2.331 | -0.000 | 0.000 | -0.000 |
| 2.331 | 2.331 | 20.029 | 0.000 | 0.000 | -0.000 |
| 0.000 | 0.000 | 0.000 | 2.466 | 0.000 | 0.000 |
| 0.000 | 0.000 | 0.000 | 0.000 | 2.466 | 0.000 |
| 0.000 | 0.000 | 0.000 | 0.000 | 0.000 | 2.466 |
| 20.029 | 2.331 | 2.331 | -0.000 | 0.000 | 0.000 |
| 2.331 | 20.029 | 2.331 | -0.000 | -0.000 | 0.000 |
| 2.331 | 2.331 | 20.029 | -0.000 | -0.000 | -0.000 |
| -0.000 | -0.000 | -0.000 | 2.466 | -0.000 | -0.000 |
| -0.000 | -0.000 | -0.000 | -0.000 | 2.466 | 0.000 |
| -0.000 | -0.000 | -0.000 | 0.000 | -0.000 | 2.466 |
| 20.029 | 2.331 | 2.331 | 0.000 | 0.000 | 0.000 |
| 2.331 | 20.029 | 2.331 | 0.000 | 0.000 | 0.000 |
| 2.331 | 2.331 | 20.029 | 0.000 | 0.000 | 0.000 |
| 0.000 | 0.000 | 0.000 | 2.466 | 0.000 | 0.000 |
| 0.000 | 0.000 | 0.000 | 0.000 | 2.466 | 0.000 |
| 0.000 | 0.000 | 0.000 | 0.000 | 0.000 | 2.466 |
| 5.686 | 5.684 | 5.684 | -0.000 | -0.000 | -0.000 |
| 5.684 | 5.686 | 5.684 | -0.000 | -0.000 | -0.000 |
| 5.684 | 5.684 | 5.686 | -0.000 | -0.000 | -0.000 |
| -0.000 | -0.000 | -0.000 | 5.778 | -0.000 | -0.000 |
| -0.000 | -0.000 | -0.000 | -0.000 | 5.778 | -0.000 |
| -0.000 | -0.000 | -0.000 | -0.000 | -0.000 | 5.778 |
| 5.686 | 5.684 | 5.684 | -0.000 | -0.000 | 0.000 |
| 5.684 | 5.686 | 5.684 | -0.000 | -0.000 | 0.000 |
| 5.684 | 5.684 | 5.686 | 0.000 | 0.000 | 0.000 |
| 0.000 | 0.000 | 0.000 | 5.778 | 0.000 | 0.000 |
| 0.000 | 0.000 | 0.000 | 0.000 | 5.778 | 0.000 |
| 0.000 | 0.000 | 0.000 | -0.000 | -0.000 | 5.778 |
| 5.686 | 5.684 | 5.684 | -0.000 | -0.000 | -0.000 |
| 5.684 | 5.686 | 5.684 | -0.000 | -0.000 | -0.000 |
| 5.684 | 5.684 | 5.686 | -0.000 | -0.000 | -0.000 |
| -0.000 | -0.000 | -0.000 | 5.778 | -0.000 | -0.000 |
| -0.000 | -0.000 | -0.000 | -0.000 | 5.778 | -0.000 |
| -0.000 | -0.000 | -0.000 | -0.000 | -0.000 | 5.778 |
| 5.686 | 5.684 | 5.684 | -0.000 | -0.000 | 0.000 |
| 5.684 | 5.686 | 5.684 | -0.000 | -0.000 | 0.000 |
| 5.684 | 5.684 | 5.686 | 0.000 | 0.000 | 0.000 |
| 0.000 | 0.000 | 0.000 | 5.778 | 0.000 | 0.000 |
| 0.000 | 0.000 | 0.000 | 0.000 | 5.778 | 0.000 |
| 0.000 | 0.000 | 0.000 | -0.000 | -0.000 | 5.778 |
| 5.686 | 5.684 | 5.684 | -0.000 | -0.000 | 0.000 |
| 5.684 | 5.686 | 5.684 | -0.000 | -0.000 | 0.000 |
| 5.684 | 5.684 | 5.686 | 0.000 | 0.000 | -0.000 |
| -0.000 | -0.000 | -0.000 | 5.778 | -0.000 | -0.000 |
| -0.000 | -0.000 | -0.000 | -0.000 | 5.778 | -0.000 |
| -0.000 | -0.000 | -0.000 | -0.000 | -0.000 | 5.778 |
| 5.686 | 5.684 | 5.684 | 0.000 | -0.000 | 0.000 |
| 5.684 | 5.686 | 5.684 | -0.000 | 0.000 | 0.000 |
| 5.684 | 5.684 | 5.686 | -0.000 | -0.000 | -0.000 |
| 0.000 | 0.000 | 0.000 | 5.778 | 0.000 | 0.000 |
| 0.000 | 0.000 | 0.000 | 0.000 | 5.778 | 0.000 |
| 0.000 | 0.000 | 0.000 | 0.000 | 0.000 | 5.778 |
| 280.164 | 26.066 | -56.888 | 0.000 | 0.000 | 0.000 |
| 30.602 | 275.628 | -56.888 | -0.000 | 0.000 | -0.000 |
| -56.888 | -56.888 | -483.718 | -0.000 | -0.000 | 0.000 |
| -0.000 | -0.000 | -0.000 | -61.271 | -0.000 | 0.000 |
| -0.000 | -0.000 | -0.000 | -0.000 | -61.271 | 0.000 |
| -0.000 | -0.000 | -0.000 | -0.000 | 0.000 | 122.513 |
| 280.164 | 26.066 | -56.888 | 0.000 | 0.000 | -0.000 |
| 30.602 | 275.628 | -56.888 | 0.000 | -0.000 | -0.000 |
| -56.888 | -56.888 | -483.718 | 0.000 | -0.000 | -0.000 |
| 0.000 | 0.000 | 0.000 | -61.271 | -0.000 | -0.000 |
| 0.000 | 0.000 | 0.000 | -0.000 | -61.271 | -0.000 |
| 0.000 | 0.000 | 0.000 | -0.000 | -0.000 | 122.513 |
| 258.506 | 47.723 | -56.888 | -0.000 | 0.000 | 0.000 |
| 47.723 | 258.506 | -56.888 | -0.000 | -0.000 | 0.000 |
| -56.888 | -56.888 | -483.718 | -0.000 | -0.000 | 0.000 |
| -0.000 | -0.000 | -0.000 | -61.271 | 0.000 | 0.000 |
| -0.000 | -0.000 | -0.000 | -0.000 | -61.271 | 0.000 |
| -0.000 | -0.000 | -0.000 | -0.000 | 0.000 | 105.392 |
| 280.164 | 26.066 | -56.888 | -0.000 | 0.000 | 0.000 |
| 26.066 | 280.164 | -56.888 | 0.000 | 0.000 | -0.000 |
| -56.888 | -56.888 | -483.718 | 0.000 | -0.000 | -0.000 |
| 0.000 | 0.000 | 0.000 | -61.271 | -0.000 | -0.000 |
| 0.000 | 0.000 | 0.000 | 0.000 | -61.271 | -0.000 |
| 0.000 | 0.000 | 0.000 | 0.000 | 0.000 | 105.392 |
| 280.160 | 26.070 | -56.885 | 0.000 | -0.000 | -0.000 |
| 30.605 | 275.625 | -56.885 | -0.000 | -0.000 | 0.000 |
| -56.887 | -56.887 | -483.719 | -0.000 | -0.000 | 0.000 |
| -0.001 | -0.002 | -0.003 | -61.271 | 0.000 | -0.000 |
| -0.002 | -0.001 | -0.003 | -0.000 | -61.271 | -0.000 |
| -0.002 | -0.002 | -0.001 | -0.000 | -0.000 | 127.049 |
| -29630242.083 | -25970287.260 | -24856378.146 | -106757.391 | -59942.907 | -28577.441 |
| 30.599 | 275.631 | -56.891 | 0.000 | 0.000 | -0.000 |
| -56.889 | -56.889 | -483.718 | 0.000 | 0.000 | -0.000 |
| 0.001 | 0.002 | 0.003 | -61.271 | -0.000 | -0.000 |
| 0.002 | 0.001 | 0.003 | 0.000 | -61.271 | -0.000 |
| 0.002 | 0.002 | 0.001 | 0.000 | 0.000 | 127.049 |
| 672.634 | 334.347 | 316.472 | 0.000 | -0.000 | 0.000 |
| 334.347 | 672.634 | 316.472 | 0.000 | -0.000 | -0.000 |
| 316.472 | 316.472 | 947.517 | 0.000 | -0.000 | -0.000 |
| 0.000 | -0.000 | -0.000 | 117.508 | -0.000 | -0.000 |
| 0.000 | -0.000 | -0.000 | 0.000 | 117.508 | -0.000 |
| 0.000 | -0.000 | -0.000 | 0.000 | -0.000 | 72.187 |
| -317.620 | 1324.602 | 316.473 | -0.000 | 0.000 | 0.000 |
| 431.304 | 575.678 | 316.473 | -0.000 | 0.000 | 0.000 |
| 316.472 | 316.473 | 947.518 | -0.000 | 0.000 | 0.000 |
| -0.000 | 0.000 | 0.000 | 117.508 | 0.000 | 0.000 |
| -0.000 | 0.000 | 0.000 | -0.000 | 117.508 | 0.000 |
| -0.000 | 0.000 | 0.000 | -0.000 | 0.000 | 72.187 |
| 672.631 | 334.345 | 316.470 | 0.000 | -0.000 | -0.000 |
| 334.345 | 672.631 | 316.470 | 0.000 | -0.000 | 0.000 |
| 316.471 | 316.471 | 947.515 | 0.000 | -0.000 | -0.000 |
| -0.000 | -0.000 | -0.000 | 117.508 | -0.000 | -0.000 |
| -0.000 | -0.000 | -0.000 | 0.000 | 117.508 | 0.000 |
| -0.000 | 0.000 | -0.000 | 0.000 | -0.000 | 169.143 |
| -488259523.789 | -504765895.680 | -414727030.249 | 2787903.130 | 1547420.766 | 23176777.219 |
| 431.306 | 575.680 | 316.474 | -0.000 | 0.000 | 0.000 |
| 316.474 | 316.474 | 947.520 | -0.000 | 0.000 | 0.000 |
| 0.000 | 0.000 | 0.000 | 117.508 | 0.000 | 0.000 |
| 0.000 | 0.000 | 0.000 | -0.000 | 117.508 | 0.000 |
| 0.000 | -0.000 | 0.000 | -0.000 | 0.000 | 169.143 |
| 48055751.698 | 53737480.721 | 54400333.379 | -627164.395 | 40330.547 | -137472.652 |
| 49724908.200 | 50065574.391 | 41302818.251 | 145364.822 | 11064.824 | -2116371.796 |
| 316.457 | 316.457 | 947.496 | 0.000 | -0.000 | -0.000 |
| -0.001 | -0.001 | -0.002 | 117.508 | -0.000 | -0.000 |
| -0.001 | -0.001 | -0.002 | 0.000 | 117.508 | -0.000 |
| 56329616.111 | 43377151.485 | 38065281.332 | 152288.890 | 92711.998 | 459.288 |
| 672.659 | 334.372 | 316.492 | -0.000 | 0.000 | 0.000 |
| -47786493.675 | -53498277.324 | -55090413.671 | -4875.592 | -129682.540 | 48364.511 |
| 316.488 | 316.488 | 947.539 | -0.000 | 0.000 | 0.000 |
| 0.001 | 0.001 | 0.002 | 117.508 | 0.000 | 0.000 |
| 0.001 | 0.001 | 0.002 | -0.000 | 117.508 | 0.000 |
| -54778192.878 | -44257742.611 | -38853733.777 | -312460.722 | -232157.744 | 227913.663 |
| 622.802 | 432.099 | 349.222 | -0.000 | -0.000 | -0.000 |
| 1039.436 | 15.465 | 349.222 | -0.000 | -0.000 | -0.000 |
| 349.222 | 349.222 | 746.354 | -0.000 | -0.000 | -0.000 |
| -0.000 | 0.000 | 0.000 | -118.556 | -0.000 | 0.000 |
| 0.000 | -0.000 | 0.000 | -0.000 | -118.556 | -0.000 |
| 0.000 | -0.000 | 0.000 | -0.000 | -0.000 | -511.986 |
| 15.465 | 1039.436 | 349.222 | 0.000 | 0.000 | 0.000 |
| 1603395873.125 | -4056302708.618 | -2534599476.474 | 0.000 | 0.000 | 0.000 |
| 349.222 | 349.222 | 746.355 | 0.000 | 0.000 | 0.000 |
| 0.000 | -0.000 | -0.000 | -118.556 | 0.000 | -0.000 |
| -0.000 | -0.000 | -0.000 | 0.000 | -118.556 | 0.000 |
| -0.000 | 0.000 | -0.000 | -0.000 | 0.000 | -511.985 |
| 15.467 | 1039.437 | 349.223 | 0.000 | -0.000 | -0.000 |
| 564437273.352 | 568769252.986 | 507574526.929 | -15153639.627 | -320323.484 | 442703.295 |
| 349.221 | 349.221 | 746.352 | -0.000 | -0.000 | -0.000 |
| -0.000 | -0.000 | 0.000 | -118.556 | -0.000 | 0.000 |
| -0.000 | -0.000 | 0.000 | -0.000 | -118.556 | -0.000 |
| 264137841.204 | -18846844.758 | 253460351.430 | -0.000 | -0.000 | -245071739.491 |
| -564351643.769 | -568729321.138 | -507732058.669 | 15081580.198 | 329156.485 | -528245.857 |
| 432.100 | 622.803 | 349.223 | 0.000 | 0.000 | 0.000 |
| 349.223 | 349.223 | 746.357 | -0.000 | 0.000 | 0.000 |
| 0.000 | 0.000 | -0.000 | -118.556 | 0.000 | 0.000 |
| 0.000 | 0.000 | -0.000 | -0.000 | -118.556 | 0.000 |
| -264137841.204 | 18846844.758 | -253460351.430 | 0.000 | 0.000 | -245071739.491 |
| 622.796 | 432.091 | 349.210 | 0.000 | -0.000 | 0.000 |
| 56428141.022 | 56848617.175 | 50830950.000 | -1511236.770 | -28118.415 | 47707.215 |
| 349.209 | 349.209 | 746.331 | -0.000 | -0.000 | -0.000 |
| -0.000 | -0.000 | 0.001 | -118.556 | -0.000 | -0.000 |
| -0.000 | -0.000 | 0.001 | -0.000 | -118.556 | -0.000 |
| 26413686.286 | -1884517.493 | 25346351.667 | -0.000 | -0.000 | -24506775.922 |
| -56423452.207 | -56855707.746 | -50794080.475 | 1507489.170 | 25110.959 | -50517.356 |
| 432.108 | 622.808 | 349.234 | 0.000 | 0.000 | 0.000 |
| 349.235 | 349.235 | 746.378 | 0.000 | 0.000 | 0.000 |
| 0.000 | 0.000 | -0.001 | -118.556 | 0.000 | 0.000 |
| 0.000 | 0.000 | -0.001 | 0.000 | -118.556 | 0.000 |
| -26413686.286 | 1884517.493 | -25346351.667 | 0.000 | 0.000 | -24506775.922 |
| 268.356 | 70.422 | -0.736 | 0.000 | 0.000 | 0.000 |
| 128.150 | 210.628 | -0.736 | 0.000 | 0.000 | 0.000 |
| -0.736 | -0.736 | 435.781 | 0.000 | 0.000 | 0.000 |
| 0.000 | 0.000 | 0.000 | 25.143 | -0.000 | 0.000 |
| 0.000 | 0.000 | 0.000 | 0.000 | 25.143 | 0.000 |
| 0.000 | 0.000 | 0.000 | 0.000 | -0.000 | 98.967 |
| 268.355 | 70.422 | -0.736 | -0.000 | 0.000 | -0.000 |
| 128.150 | 210.628 | -0.736 | -0.000 | 0.000 | -0.000 |
| -0.736 | -0.736 | 435.781 | -0.000 | 0.000 | -0.000 |
| -0.000 | -0.000 | -0.000 | 25.143 | -0.000 | -0.000 |
| -0.000 | -0.000 | -0.000 | -0.000 | 25.143 | -0.000 |
| -0.000 | -0.000 | -0.000 | -0.000 | 0.000 | 98.967 |
| 268.356 | 70.422 | -0.736 | 0.000 | 0.000 | 0.000 |
| 70.422 | 268.356 | -0.736 | 0.000 | 0.000 | 0.000 |
| -0.736 | -0.736 | 435.782 | 0.000 | -0.000 | 0.000 |
| 0.000 | 0.000 | 0.000 | 25.143 | -0.000 | 0.000 |
| 0.000 | 0.000 | 0.000 | 0.000 | 25.143 | 0.000 |
| 0.000 | 0.000 | 0.000 | 0.000 | -0.000 | 41.239 |
| 210.627 | 128.149 | -0.736 | -0.000 | 0.000 | -0.000 |
| 128.150 | 210.627 | -0.736 | -0.000 | 0.000 | -0.000 |
| -0.736 | -0.736 | 435.780 | -0.000 | 0.000 | -0.000 |
| -0.000 | -0.000 | -0.000 | 25.143 | 0.000 | -0.000 |
| -0.000 | -0.000 | -0.000 | -0.000 | 25.143 | -0.000 |
| -0.000 | -0.000 | -0.000 | -0.000 | 0.000 | 41.239 |
| 268.361 | 70.423 | -0.734 | 0.000 | -0.000 | 0.000 |
| 70.423 | 268.362 | -0.734 | 0.000 | -0.000 | 0.000 |
| -0.735 | -0.735 | 435.792 | 0.000 | 0.000 | 0.000 |
| 0.001 | 0.002 | 0.002 | 25.143 | 0.000 | 0.000 |
| 0.002 | 0.001 | 0.002 | 0.000 | 25.143 | 0.000 |
| 0.001 | 0.001 | 0.001 | 0.000 | -0.000 | 41.239 |
| 268.350 | 70.420 | -0.738 | -0.000 | -0.000 | -0.000 |
| 70.421 | 268.349 | -0.738 | -0.000 | 0.000 | 0.000 |
| -0.738 | -0.738 | 435.770 | -0.000 | 0.000 | -0.000 |
| -0.001 | -0.002 | -0.002 | 25.143 | 0.000 | -0.000 |
| -0.002 | -0.001 | -0.002 | -0.000 | 25.143 | -0.000 |
| -0.001 | -0.001 | -0.001 | -0.000 | 0.000 | 41.239 |
| 169.879 | 56.011 | 30.463 | -0.000 | -0.000 | -0.000 |
| 73.312 | 152.578 | 30.463 | -0.000 | -0.000 | -0.000 |
| 30.463 | 30.463 | 59.703 | 0.000 | 0.000 | 0.000 |
| -0.000 | -0.000 | -0.000 | 31.631 | 0.000 | 0.000 |
| -0.000 | -0.000 | -0.000 | -0.000 | 31.631 | 0.000 |
| -0.000 | -0.000 | -0.000 | 0.000 | -0.000 | 39.633 |
| 169.879 | 56.011 | 30.463 | 0.000 | 0.000 | -0.000 |
| 56.011 | 169.879 | 30.463 | -0.000 | -0.000 | -0.000 |
| 30.463 | 30.463 | 59.703 | 0.000 | -0.000 | -0.000 |
| 0.000 | 0.000 | 0.000 | 31.631 | -0.000 | -0.000 |
| 0.000 | 0.000 | 0.000 | 0.000 | 31.631 | 0.000 |
| 0.000 | 0.000 | 0.000 | -0.000 | 0.000 | 39.633 |
| 169.879 | 56.011 | 30.462 | 0.000 | -0.000 | 0.000 |
| 56.011 | 169.879 | 30.462 | -0.000 | -0.000 | 0.000 |
| 30.463 | 30.463 | 59.703 | -0.000 | 0.000 | 0.000 |
| -0.000 | -0.000 | -0.000 | 31.631 | -0.000 | -0.000 |
| -0.000 | -0.000 | -0.000 | 0.000 | 31.631 | -0.000 |
| -0.000 | -0.000 | -0.000 | -0.000 | -0.000 | 39.633 |
| 152.578 | 73.312 | 30.463 | 0.000 | -0.000 | 0.000 |
| 73.312 | 152.578 | 30.463 | -0.000 | 0.000 | 0.000 |
| 30.463 | 30.463 | 59.703 | 0.000 | -0.000 | -0.000 |
| 0.000 | 0.000 | 0.000 | 31.631 | 0.000 | 0.000 |
| 0.000 | 0.000 | 0.000 | 0.000 | 31.631 | 0.000 |
| 0.000 | 0.000 | 0.000 | -0.000 | 0.000 | 39.633 |
| 169.876 | 56.010 | 30.462 | -0.000 | 0.000 | 0.000 |
| 56.011 | 169.876 | 30.462 | 0.000 | 0.000 | 0.000 |
| 30.462 | 30.462 | 59.702 | -0.000 | -0.000 | 0.000 |
| -0.000 | -0.000 | -0.000 | 31.631 | -0.000 | -0.000 |
| -0.000 | -0.000 | -0.000 | 0.000 | 31.631 | 0.000 |
| -0.001 | -0.001 | -0.000 | -0.000 | -0.000 | 56.934 |
| 152.581 | 73.312 | 30.463 | -0.000 | 0.000 | 0.000 |
| 73.312 | 152.581 | 30.463 | -0.000 | 0.000 | 0.000 |
| 30.463 | 30.463 | 59.705 | -0.000 | -0.000 | -0.000 |
| 0.000 | 0.000 | 0.000 | 31.631 | 0.000 | 0.000 |
| 0.000 | 0.000 | 0.000 | 0.000 | 31.631 | 0.000 |
| 0.001 | 0.001 | 0.000 | -0.000 | 0.000 | 56.934 |
| 23.539 | 7.536 | 7.560 | -0.000 | -0.000 | 0.000 |
| 7.536 | 23.539 | 7.560 | -0.000 | -0.000 | 0.000 |
| 7.560 | 7.560 | 23.516 | 0.000 | -0.000 | 0.000 |
| 0.000 | 0.000 | 0.000 | 8.011 | -0.000 | 0.000 |
| 0.000 | 0.000 | 0.000 | -0.000 | 8.011 | 0.000 |
| 0.000 | 0.000 | 0.000 | -0.000 | -0.000 | 8.001 |
| 23.539 | 7.536 | 7.560 | 0.000 | 0.000 | -0.000 |
| 7.536 | 23.539 | 7.560 | 0.000 | 0.000 | -0.000 |
| 7.560 | 7.560 | 23.516 | 0.000 | 0.000 | -0.000 |
| -0.000 | -0.000 | -0.000 | 8.011 | 0.000 | -0.000 |
| -0.000 | -0.000 | -0.000 | -0.000 | 8.011 | -0.000 |
| -0.000 | -0.000 | -0.000 | 0.000 | 0.000 | 8.001 |
| 23.539 | 7.536 | 7.560 | 0.000 | -0.000 | -0.000 |
| 7.536 | 23.539 | 7.560 | -0.000 | -0.000 | 0.000 |
| 7.560 | 7.560 | 23.516 | -0.000 | -0.000 | 0.000 |
| 0.000 | 0.000 | 0.000 | 8.011 | -0.000 | 0.000 |
| 0.000 | 0.000 | 0.000 | 0.000 | 8.011 | 0.000 |
| 0.000 | 0.000 | 0.000 | -0.000 | -0.000 | 8.002 |
| 23.539 | 7.536 | 7.560 | 0.000 | 0.000 | 0.000 |
| 7.536 | 23.539 | 7.560 | 0.000 | 0.000 | -0.000 |
| 7.560 | 7.560 | 23.516 | 0.000 | 0.000 | -0.000 |
| -0.000 | -0.000 | -0.000 | 8.011 | 0.000 | -0.000 |
| -0.000 | -0.000 | -0.000 | 0.000 | 8.011 | -0.000 |
| -0.000 | -0.000 | -0.000 | 0.000 | 0.000 | 8.002 |
| 23.539 | 7.537 | 7.560 | -0.000 | -0.000 | 0.000 |
| 7.536 | 23.540 | 7.560 | -0.000 | -0.000 | 0.000 |
| 7.560 | 7.560 | 23.516 | -0.000 | -0.000 | 0.000 |
| 0.000 | 0.000 | 0.000 | 8.011 | -0.000 | 0.000 |
| 0.000 | 0.000 | 0.000 | 0.000 | 8.011 | -0.000 |
| 0.000 | 0.000 | 0.000 | -0.000 | -0.000 | 8.002 |
| 23.539 | 7.536 | 7.560 | 0.000 | 0.000 | -0.000 |
| 7.536 | 23.539 | 7.560 | 0.000 | 0.000 | -0.000 |
| 7.560 | 7.560 | 23.516 | 0.000 | 0.000 | -0.000 |
| -0.000 | -0.000 | -0.000 | 8.011 | 0.000 | 0.000 |
| -0.000 | -0.000 | -0.000 | 0.000 | 8.011 | -0.000 |
| -0.000 | -0.000 | -0.000 | 0.000 | 0.000 | 8.002 |
| 17.527 | 5.760 | 4.562 | -0.000 | 0.000 | -0.000 |
| 5.979 | 17.308 | 4.562 | -0.000 | 0.000 | 0.000 |
| 4.562 | 4.562 | 18.724 | -0.000 | 0.000 | -0.000 |
| 0.000 | -0.000 | -0.000 | 4.690 | 0.000 | -0.000 |
| -0.000 | -0.000 | -0.000 | -0.000 | 4.690 | 0.000 |
| -0.000 | -0.000 | -0.000 | 0.000 | 0.000 | 5.884 |
| 17.527 | 5.760 | 4.562 | 0.000 | -0.000 | 0.000 |
| 5.760 | 17.527 | 4.562 | -0.000 | -0.000 | -0.000 |
| 4.562 | 4.562 | 18.724 | 0.000 | -0.000 | -0.000 |
| 0.000 | 0.000 | 0.000 | 4.690 | -0.000 | 0.000 |
| 0.000 | 0.000 | 0.000 | 0.000 | 4.690 | 0.000 |
| 0.000 | 0.000 | 0.000 | 0.000 | 0.000 | 5.884 |
| 17.527 | 5.760 | 4.562 | -0.000 | 0.000 | -0.000 |
| 5.760 | 17.527 | 4.562 | -0.000 | 0.000 | -0.000 |
| 4.562 | 4.562 | 18.724 | -0.000 | 0.000 | -0.000 |
| -0.000 | -0.000 | -0.000 | 4.690 | 0.000 | -0.000 |
| -0.000 | -0.000 | -0.000 | -0.000 | 4.690 | -0.000 |
| -0.000 | -0.000 | -0.000 | -0.000 | 0.000 | 5.884 |
| 17.527 | 5.760 | 4.562 | 0.000 | -0.000 | 0.000 |
| 5.760 | 17.527 | 4.562 | 0.000 | -0.000 | 0.000 |
| 4.562 | 4.562 | 18.724 | 0.000 | -0.000 | 0.000 |
| 0.000 | 0.000 | 0.000 | 4.690 | -0.000 | 0.000 |
| 0.000 | 0.000 | 0.000 | 0.000 | 4.690 | -0.000 |
| 0.000 | 0.000 | 0.000 | 0.000 | 0.000 | 5.884 |
| 17.526 | 5.760 | 4.562 | -0.000 | 0.000 | 0.000 |
| 5.760 | 17.526 | 4.562 | -0.000 | 0.000 | -0.000 |
| 4.562 | 4.562 | 18.724 | -0.000 | 0.000 | -0.000 |
| -0.000 | -0.000 | -0.000 | 4.690 | 0.000 | -0.000 |
| -0.000 | -0.000 | -0.000 | -0.000 | 4.690 | -0.000 |
| -0.000 | -0.000 | -0.000 | -0.000 | 0.000 | 5.884 |
| 17.527 | 5.760 | 4.562 | 0.000 | -0.000 | -0.000 |
| 5.760 | 17.527 | 4.562 | -0.000 | -0.000 | 0.000 |
| 4.562 | 4.562 | 18.725 | 0.000 | -0.000 | 0.000 |
| 0.000 | 0.000 | 0.000 | 4.690 | -0.000 | 0.000 |
| 0.000 | 0.000 | 0.000 | 0.000 | 4.690 | -0.000 |
| 0.000 | 0.000 | 0.000 | 0.000 | -0.000 | 5.884 |
| 400.419 | 66.895 | 47.173 | -0.000 | -0.000 | 0.000 |
| 66.895 | 400.419 | 47.173 | -0.000 | -0.000 | -0.000 |
| 47.173 | 47.173 | -492.546 | 0.000 | 0.000 | -0.000 |
| 0.000 | -0.000 | -0.000 | 11.519 | -0.000 | -0.000 |
| -0.000 | 0.000 | -0.000 | 0.000 | 11.519 | -0.000 |
| -0.000 | -0.000 | -0.000 | 0.000 | -0.000 | 156.366 |
| 400.419 | 66.895 | 47.173 | -0.000 | -0.000 | 0.000 |
| 77.290 | 390.023 | 47.173 | -0.000 | 0.000 | 0.000 |
| 47.173 | 47.173 | -492.546 | 0.000 | 0.000 | -0.000 |
| 0.000 | 0.000 | 0.000 | 11.519 | 0.000 | -0.000 |
| 0.000 | -0.000 | 0.000 | -0.000 | 11.519 | 0.000 |
| 0.000 | 0.000 | 0.000 | -0.000 | 0.000 | 156.366 |
| 390.023 | 77.291 | 47.174 | 0.000 | -0.000 | -0.000 |
| 66.895 | 400.419 | 47.174 | -0.000 | -0.000 | -0.000 |
| 47.174 | 47.174 | -492.547 | 0.000 | -0.000 | 0.000 |
| 0.000 | -0.000 | -0.000 | 11.519 | -0.000 | -0.000 |
| -0.000 | -0.000 | -0.000 | -0.000 | 11.519 | 0.000 |
| -0.000 | -0.000 | -0.000 | 0.000 | -0.000 | 156.366 |
| 400.419 | 66.894 | 47.173 | 0.000 | 0.000 | -0.000 |
| 66.894 | 400.419 | 47.173 | 0.000 | 0.000 | -0.000 |
| 47.173 | 47.173 | -492.545 | -0.000 | -0.000 | -0.000 |
| -0.000 | 0.000 | 0.000 | 11.519 | 0.000 | 0.000 |
| 0.000 | 0.000 | 0.000 | -0.000 | 11.519 | 0.000 |
| 0.000 | 0.000 | 0.000 | -0.000 | 0.000 | 156.366 |
| 32623813.945 | 31593363.216 | 31253481.781 | 18185.221 | -90266.911 | -11794.901 |
| 66.900 | 400.420 | 47.177 | 0.000 | -0.000 | -0.000 |
| 47.175 | 47.175 | -492.553 | 0.000 | -0.000 | -0.000 |
| -0.000 | -0.001 | -0.002 | 11.519 | -0.000 | -0.000 |
| -0.001 | 0.000 | -0.002 | -0.000 | 11.519 | -0.000 |
| -0.001 | -0.001 | -0.000 | -0.000 | -0.000 | 166.762 |
| -30123325.554 | -30526356.019 | -28292100.669 | -73609.112 | -178543.498 | 238380.840 |
| 77.285 | 390.022 | 47.170 | -0.000 | 0.000 | 0.000 |
| 47.172 | 47.172 | -492.539 | -0.000 | -0.000 | 0.000 |
| -0.000 | 0.001 | 0.002 | 11.519 | 0.000 | 0.000 |
| 0.001 | -0.000 | 0.002 | -0.000 | 11.519 | 0.000 |
| 0.001 | 0.001 | 0.000 | -0.000 | 0.000 | 166.762 |
| 513.389 | 255.866 | 291.001 | 0.000 | 0.000 | -0.000 |
| 225.619 | 543.637 | 291.001 | -0.000 | 0.000 | -0.000 |
| 291.001 | 291.001 | 700.468 | -0.000 | 0.000 | -0.000 |
| -0.000 | -0.000 | -0.000 | 77.033 | 0.000 | -0.000 |
| -0.000 | -0.000 | -0.000 | -0.000 | 77.033 | -0.000 |
| -0.000 | -0.000 | 0.000 | 0.000 | 0.000 | 128.762 |
| 513.389 | 255.866 | 291.001 | -0.000 | -0.000 | 0.000 |
| 225.618 | 543.637 | 291.001 | -0.000 | -0.000 | 0.000 |
| 291.001 | 291.001 | 700.467 | -0.000 | -0.000 | 0.000 |
| 0.000 | 0.000 | 0.000 | 77.032 | -0.000 | 0.000 |
| 0.000 | 0.000 | 0.000 | 0.000 | 77.032 | 0.000 |
| 0.000 | -0.000 | -0.000 | 0.000 | -0.000 | 128.762 |
| 543.638 | 225.620 | 291.003 | -0.000 | 0.000 | -0.000 |
| 225.620 | 543.638 | 291.003 | 0.000 | 0.000 | 0.000 |
| 291.004 | 291.004 | 700.471 | 0.000 | 0.000 | -0.000 |
| -0.000 | -0.000 | -0.000 | 77.033 | 0.000 | -0.000 |
| -0.000 | -0.000 | -0.000 | 0.000 | 77.033 | -0.000 |
| -0.001 | -0.000 | -0.000 | 0.000 | 0.000 | 128.762 |
| 513.388 | 255.864 | 290.998 | -0.000 | -0.000 | 0.000 |
| 225.616 | 543.636 | 290.998 | -0.000 | -0.000 | 0.000 |
| 290.998 | 290.998 | 700.464 | 0.000 | -0.000 | 0.000 |
| 0.000 | 0.000 | 0.000 | 77.033 | -0.000 | 0.000 |
| 0.000 | 0.000 | 0.000 | -0.000 | 77.033 | 0.000 |
| 0.001 | 0.000 | 0.000 | -0.000 | -0.000 | 128.762 |
| 513.398 | 255.883 | 291.025 | 0.000 | 0.000 | -0.000 |
| 225.638 | 543.648 | 291.024 | -0.000 | 0.000 | -0.000 |
| 291.031 | 291.031 | 700.503 | -0.000 | 0.000 | -0.000 |
| -0.001 | -0.002 | -0.002 | 77.033 | 0.000 | -0.000 |
| -0.002 | -0.001 | -0.002 | 0.000 | 77.033 | -0.000 |
| -0.008 | -0.001 | -0.000 | 0.000 | 0.000 | 128.762 |
| 513.381 | 255.850 | 290.977 | -0.000 | -0.000 | 0.000 |
| 255.839 | 513.391 | 290.977 | -0.000 | -0.000 | 0.000 |
| 290.971 | 290.971 | 700.432 | 0.000 | -0.000 | 0.000 |
| 0.001 | 0.002 | 0.002 | 77.033 | -0.000 | 0.000 |
| 0.002 | 0.001 | 0.002 | 0.000 | 77.033 | 0.000 |
| 0.008 | 0.001 | 0.000 | -0.000 | -0.000 | 128.762 |
| -61.546 | -20.565 | 14.414 | 0.000 | -0.000 | -0.000 |
| -20.476 | -61.635 | 14.414 | 0.000 | 0.000 | 0.000 |
| 14.414 | 14.414 | 69.058 | 0.000 | -0.000 | -0.000 |
| 0.000 | 0.000 | 0.000 | 12.970 | 0.000 | 0.000 |
| 0.000 | 0.000 | 0.000 | -0.000 | 12.970 | 0.000 |
| 0.000 | 0.000 | 0.000 | 0.000 | -0.000 | -20.491 |
| -61.546 | -20.565 | 14.414 | 0.000 | 0.000 | -0.000 |
| -20.476 | -61.635 | 14.414 | 0.000 | -0.000 | -0.000 |
| 14.414 | 14.414 | 69.058 | -0.000 | 0.000 | -0.000 |
| -0.000 | -0.000 | -0.000 | 12.970 | -0.000 | -0.000 |
| -0.000 | -0.000 | -0.000 | 0.000 | 12.970 | -0.000 |
| -0.000 | -0.000 | -0.000 | 0.000 | -0.000 | -20.491 |
| -61.635 | -20.476 | 14.414 | -0.000 | 0.000 | 0.000 |
| -20.476 | -61.635 | 14.414 | -0.000 | 0.000 | 0.000 |
| 14.414 | 14.414 | 69.058 | 0.000 | 0.000 | 0.000 |
| 0.000 | 0.000 | 0.000 | 12.970 | 0.000 | 0.000 |
| 0.000 | 0.000 | 0.000 | -0.000 | 12.970 | 0.000 |
| 0.000 | 0.000 | 0.000 | -0.000 | -0.000 | -20.580 |
| -61.635 | -20.476 | 14.414 | 0.000 | -0.000 | 0.000 |
| -20.565 | -61.546 | 14.414 | -0.000 | 0.000 | -0.000 |
| 14.414 | 14.414 | 69.058 | -0.000 | 0.000 | -0.000 |
| -0.000 | -0.000 | -0.000 | 12.970 | 0.000 | 0.000 |
| -0.000 | -0.000 | -0.000 | -0.000 | 12.970 | -0.000 |
| -0.000 | -0.000 | -0.000 | 0.000 | 0.000 | -20.580 |
| -61.635 | -20.475 | 14.414 | -0.000 | 0.000 | -0.000 |
| -20.565 | -61.545 | 14.414 | 0.000 | -0.000 | -0.000 |
| 14.414 | 14.414 | 69.058 | 0.000 | -0.000 | 0.000 |
| 0.000 | 0.000 | 0.000 | 12.970 | 0.000 | 0.000 |
| 0.000 | 0.000 | 0.000 | 0.000 | 12.970 | -0.000 |
| 0.000 | 0.000 | 0.000 | 0.000 | -0.000 | -20.491 |
| -61.547 | -20.565 | 14.414 | -0.000 | 0.000 | 0.000 |
| -20.476 | -61.636 | 14.414 | -0.000 | -0.000 | -0.000 |
| 14.414 | 14.414 | 69.057 | -0.000 | 0.000 | -0.000 |
| -0.000 | -0.000 | -0.000 | 12.970 | -0.000 | 0.000 |
| -0.000 | -0.000 | -0.000 | -0.000 | 12.970 | 0.000 |
| -0.000 | -0.000 | -0.000 | -0.000 | 0.000 | -20.491 |
| 23.535 | 7.541 | 7.560 | -0.000 | 0.000 | -0.000 |
| 7.546 | 23.529 | 7.560 | -0.000 | 0.000 | 0.000 |
| 7.560 | 7.560 | 23.516 | -0.000 | -0.000 | 0.000 |
| 0.000 | 0.000 | 0.000 | 7.986 | 0.000 | -0.000 |
| 0.000 | 0.000 | 0.000 | -0.000 | 7.986 | -0.000 |
| 0.000 | 0.000 | 0.000 | -0.000 | 0.000 | 7.991 |
| 23.529 | 7.546 | 7.560 | 0.000 | -0.000 | 0.000 |
| 7.541 | 23.535 | 7.560 | 0.000 | -0.000 | -0.000 |
| 7.560 | 7.560 | 23.516 | -0.000 | -0.000 | -0.000 |
| -0.000 | -0.000 | -0.000 | 7.986 | -0.000 | -0.000 |
| -0.000 | -0.000 | -0.000 | 0.000 | 7.986 | 0.000 |
| -0.000 | -0.000 | -0.000 | 0.000 | -0.000 | 7.991 |
| 23.535 | 7.541 | 7.560 | 0.000 | 0.000 | -0.000 |
| 7.546 | 23.529 | 7.560 | -0.000 | 0.000 | -0.000 |
| 7.560 | 7.560 | 23.516 | -0.000 | 0.000 | 0.000 |
| 0.000 | 0.000 | 0.000 | 7.986 | 0.000 | -0.000 |
| 0.000 | 0.000 | 0.000 | -0.000 | 7.986 | 0.000 |
| 0.000 | 0.000 | 0.000 | -0.000 | 0.000 | 7.991 |
| 23.529 | 7.546 | 7.560 | -0.000 | -0.000 | 0.000 |
| 7.546 | 23.529 | 7.560 | 0.000 | -0.000 | -0.000 |
| 7.560 | 7.560 | 23.516 | 0.000 | -0.000 | 0.000 |
| -0.000 | -0.000 | -0.000 | 7.986 | -0.000 | -0.000 |
| -0.000 | -0.000 | -0.000 | 0.000 | 7.986 | 0.000 |
| -0.000 | -0.000 | -0.000 | 0.000 | -0.000 | 7.991 |
| 23.529 | 7.546 | 7.560 | 0.000 | 0.000 | -0.000 |
| 7.546 | 23.529 | 7.560 | -0.000 | 0.000 | -0.000 |
| 7.560 | 7.560 | 23.516 | -0.000 | 0.000 | 0.000 |
| 0.000 | 0.000 | 0.000 | 7.986 | 0.000 | 0.000 |
| 0.000 | 0.000 | 0.000 | -0.000 | 7.986 | -0.000 |
| 0.000 | 0.000 | 0.000 | -0.000 | 0.000 | 7.997 |
| 23.534 | 7.541 | 7.560 | -0.000 | -0.000 | 0.000 |
| 7.546 | 23.529 | 7.560 | 0.000 | -0.000 | 0.000 |
| 7.560 | 7.560 | 23.516 | 0.000 | 0.000 | 0.000 |
| -0.000 | -0.000 | -0.000 | 7.986 | -0.000 | 0.000 |
| -0.000 | -0.000 | -0.000 | 0.000 | 7.986 | 0.000 |
| -0.000 | -0.000 | -0.000 | 0.000 | -0.000 | 7.997 |
| 17.522 | 5.764 | 4.562 | 0.000 | 0.000 | 0.000 |
| 6.197 | 17.089 | 4.562 | 0.000 | -0.000 | 0.000 |
| 4.562 | 4.562 | 18.724 | 0.000 | -0.000 | 0.000 |
| 0.000 | -0.000 | -0.000 | 4.686 | -0.000 | 0.000 |
| -0.000 | -0.000 | -0.000 | 0.000 | 4.686 | -0.000 |
| -0.000 | -0.000 | -0.000 | 0.000 | -0.000 | 5.879 |
| 17.522 | 5.764 | 4.562 | -0.000 | -0.000 | -0.000 |
| 5.764 | 17.522 | 4.562 | -0.000 | -0.000 | -0.000 |
| 4.562 | 4.562 | 18.724 | -0.000 | 0.000 | -0.000 |
| 0.000 | 0.000 | 0.000 | 4.686 | 0.000 | -0.000 |
| 0.000 | 0.000 | 0.000 | -0.000 | 4.686 | -0.000 |
| 0.000 | 0.000 | 0.000 | -0.000 | 0.000 | 5.879 |
| 17.522 | 5.764 | 4.562 | 0.000 | 0.000 | -0.000 |
| 5.764 | 17.522 | 4.562 | -0.000 | 0.000 | 0.000 |
| 4.562 | 4.562 | 18.724 | -0.000 | -0.000 | 0.000 |
| -0.000 | -0.000 | -0.000 | 4.686 | 0.000 | 0.000 |
| -0.000 | -0.000 | -0.000 | 0.000 | 4.686 | -0.000 |
| -0.000 | -0.000 | -0.000 | 0.000 | -0.000 | 5.879 |
| 17.522 | 5.764 | 4.562 | -0.000 | -0.000 | 0.000 |
| 5.764 | 17.522 | 4.562 | -0.000 | -0.000 | -0.000 |
| 4.562 | 4.562 | 18.724 | -0.000 | 0.000 | -0.000 |
| 0.000 | 0.000 | 0.000 | 4.686 | -0.000 | -0.000 |
| 0.000 | 0.000 | 0.000 | -0.000 | 4.686 | -0.000 |
| 0.000 | 0.000 | 0.000 | -0.000 | 0.000 | 5.879 |
| 16.969 | 6.317 | 4.562 | -0.000 | -0.000 | 0.000 |
| 6.197 | 17.089 | 4.562 | -0.000 | -0.000 | 0.000 |
| 4.562 | 4.562 | 18.724 | 0.000 | -0.000 | 0.000 |
| -0.000 | -0.000 | -0.000 | 4.686 | -0.000 | 0.000 |
| -0.000 | -0.000 | -0.000 | -0.000 | 4.686 | -0.000 |
| -0.000 | -0.000 | -0.000 | 0.000 | -0.000 | 5.446 |
| 17.089 | 6.197 | 4.562 | 0.000 | 0.000 | -0.000 |
| 5.764 | 17.523 | 4.562 | -0.000 | -0.000 | -0.000 |
| 4.562 | 4.562 | 18.725 | -0.000 | 0.000 | -0.000 |
| 0.000 | 0.000 | 0.000 | 4.686 | -0.000 | -0.000 |
| 0.000 | 0.000 | 0.000 | -0.000 | 4.686 | -0.000 |
| 0.000 | 0.000 | 0.000 | -0.000 | -0.000 | 5.446 |
| 1043.270 | 630.636 | 630.636 | 0.000 | 0.000 | -0.000 |
| 630.636 | 1043.270 | 630.636 | -0.000 | 0.000 | -0.000 |
| 630.636 | 630.635 | 1043.270 | 0.000 | 0.000 | -0.000 |
| 0.000 | 0.000 | 0.000 | -71.822 | 0.000 | -0.000 |
| 0.000 | -0.000 | 0.000 | 0.000 | -71.822 | -0.000 |
| 0.000 | -0.000 | 0.000 | 0.000 | 0.000 | -71.822 |
| 1043.269 | 630.635 | 630.635 | -0.000 | -0.000 | 0.000 |
| 630.635 | 1043.269 | 630.635 | 0.000 | -0.000 | 0.000 |
| 630.635 | 630.635 | 1043.269 | -0.000 | -0.000 | 0.000 |
| -0.000 | 0.000 | -0.000 | -71.822 | -0.000 | 0.000 |
| -0.000 | -0.000 | -0.000 | -0.000 | -71.822 | 0.000 |
| -0.000 | 0.000 | -0.000 | -0.000 | -0.000 | -71.822 |
| 1043.272 | 630.638 | 630.638 | -0.000 | 0.000 | 0.000 |
| 630.638 | 1043.272 | 630.638 | -0.000 | 0.000 | -0.000 |
| 630.638 | 630.638 | 1043.272 | 0.000 | 0.000 | -0.000 |
| 0.000 | 0.000 | 0.000 | -108.380 | 0.000 | -0.000 |
| 0.000 | 0.000 | 0.000 | 0.000 | -108.380 | -0.000 |
| 0.000 | 0.000 | 0.000 | 0.000 | 0.000 | -108.380 |
| 1043.267 | 630.633 | 630.633 | -0.000 | -0.000 | -0.000 |
| 630.633 | 1043.267 | 630.633 | -0.000 | -0.000 | 0.000 |
| 630.633 | 630.633 | 1043.267 | -0.000 | -0.000 | 0.000 |
| -0.000 | -0.000 | -0.000 | -108.380 | -0.000 | 0.000 |
| -0.000 | -0.000 | -0.000 | -0.000 | -108.380 | 0.000 |
| -0.000 | -0.000 | -0.000 | -0.000 | -0.000 | -108.380 |
| 1043.298 | 630.660 | 630.660 | -0.000 | -0.000 | -0.000 |
| 630.660 | 1043.298 | 630.660 | -0.000 | 0.000 | -0.000 |
| 630.660 | 630.660 | 1043.298 | 0.000 | 0.000 | -0.000 |
| 0.003 | 0.003 | 0.003 | -108.380 | 0.000 | -0.000 |
| 0.003 | 0.003 | 0.003 | -0.000 | -108.380 | -0.000 |
| 0.003 | 0.003 | 0.003 | 0.000 | 0.000 | -108.380 |
| 1043.241 | 630.610 | 630.610 | -0.000 | -0.000 | 0.000 |
| 630.610 | 1043.241 | 630.610 | 0.000 | -0.000 | 0.000 |
| 630.610 | 630.610 | 1043.241 | 0.000 | -0.000 | 0.000 |
| -0.003 | -0.003 | -0.003 | -108.380 | -0.000 | -0.000 |
| -0.003 | -0.003 | -0.003 | -0.000 | -108.380 | 0.000 |
| -0.003 | -0.003 | -0.003 | -0.000 | -0.000 | -108.380 |
| 378.337 | 188.893 | 188.893 | -0.000 | -0.000 | -0.000 |
| 188.893 | 378.337 | 188.893 | -0.000 | -0.000 | -0.000 |
| 188.893 | 188.893 | 378.337 | -0.000 | -0.000 | -0.000 |
| -0.000 | 0.000 | 0.000 | 197.705 | -0.000 | 0.000 |
| -0.000 | 0.000 | 0.000 | -0.000 | 197.705 | -0.000 |
| -0.000 | 0.000 | 0.000 | -0.000 | -0.000 | 197.705 |
| 378.337 | 188.893 | 188.893 | 0.000 | 0.000 | 0.000 |
| 188.893 | 378.337 | 188.893 | 0.000 | 0.000 | 0.000 |
| 188.893 | 188.893 | 378.337 | 0.000 | 0.000 | -0.000 |
| 0.000 | -0.000 | -0.000 | 197.705 | 0.000 | -0.000 |
| 0.000 | -0.000 | -0.000 | 0.000 | 197.705 | 0.000 |
| 0.000 | -0.000 | -0.000 | 0.000 | 0.000 | 197.705 |
| 378.337 | 188.893 | 188.893 | -0.000 | -0.000 | -0.000 |
| 188.893 | 378.337 | 188.893 | -0.000 | -0.000 | -0.000 |
| 188.893 | 188.893 | 378.337 | -0.000 | -0.000 | -0.000 |
| 0.000 | 0.000 | 0.000 | 197.705 | -0.000 | -0.000 |
| 0.000 | 0.000 | 0.000 | -0.000 | 197.705 | -0.000 |
| 0.000 | 0.000 | 0.000 | -0.000 | -0.000 | 197.705 |
| 378.336 | 188.893 | 188.893 | 0.000 | 0.000 | 0.000 |
| 188.893 | 378.336 | 188.893 | 0.000 | 0.000 | 0.000 |
| 188.893 | 188.893 | 378.336 | 0.000 | 0.000 | -0.000 |
| -0.000 | -0.000 | -0.000 | 197.705 | 0.000 | 0.000 |
| -0.000 | -0.000 | -0.000 | 0.000 | 197.705 | 0.000 |
| -0.000 | -0.000 | -0.000 | 0.000 | 0.000 | 197.705 |
| 378.339 | 188.894 | 188.894 | -0.000 | -0.000 | 0.000 |
| 188.894 | 378.339 | 188.894 | -0.000 | -0.000 | -0.000 |
| 188.894 | 188.894 | 378.339 | -0.000 | -0.000 | -0.000 |
| -0.002 | 0.000 | 0.000 | 136.180 | -0.000 | -0.000 |
| 0.000 | -0.002 | 0.000 | -0.000 | 136.180 | -0.000 |
| 0.000 | 0.000 | -0.002 | -0.000 | -0.000 | 136.180 |
| 378.334 | 188.891 | 188.891 | 0.000 | 0.000 | 0.000 |
| 188.891 | 378.334 | 188.891 | 0.000 | 0.000 | 0.000 |
| 188.891 | 188.891 | 378.334 | 0.000 | 0.000 | 0.000 |
| 0.002 | -0.000 | -0.000 | 136.180 | 0.000 | 0.000 |
| -0.000 | 0.002 | -0.000 | 0.000 | 136.180 | 0.000 |
| -0.000 | -0.000 | 0.002 | 0.000 | 0.000 | 136.180 |
| 75.463 | 17.954 | 17.954 | -0.000 | -0.000 | -0.000 |
| 17.954 | 75.463 | 17.954 | -0.000 | -0.000 | -0.000 |
| 17.954 | 17.954 | 75.463 | -0.000 | -0.000 | -0.000 |
| -0.000 | -0.000 | -0.000 | 5.254 | 0.000 | -0.000 |
| -0.000 | -0.000 | -0.000 | 0.000 | 5.254 | 0.000 |
| -0.000 | -0.000 | -0.000 | 0.000 | 0.000 | 5.254 |
| 75.463 | 17.954 | 17.954 | 0.000 | 0.000 | 0.000 |
| 17.954 | 75.463 | 17.954 | 0.000 | 0.000 | 0.000 |
| 17.954 | 17.954 | 75.463 | 0.000 | 0.000 | 0.000 |
| 0.000 | 0.000 | 0.000 | 5.254 | 0.000 | -0.000 |
| 0.000 | 0.000 | 0.000 | 0.000 | 5.254 | 0.000 |
| 0.000 | 0.000 | 0.000 | -0.000 | -0.000 | 5.254 |
| 75.463 | 17.954 | 17.954 | -0.000 | -0.000 | -0.000 |
| 17.954 | 75.463 | 17.954 | -0.000 | -0.000 | -0.000 |
| 17.954 | 17.954 | 75.463 | -0.000 | -0.000 | -0.000 |
| 0.000 | -0.000 | -0.000 | 19.700 | -0.000 | -0.000 |
| -0.000 | -0.000 | -0.000 | -0.000 | 19.700 | -0.000 |
| -0.000 | -0.000 | -0.000 | -0.000 | -0.000 | 19.700 |
| 75.463 | 17.954 | 17.954 | 0.000 | 0.000 | 0.000 |
| 17.954 | 75.463 | 17.954 | 0.000 | 0.000 | 0.000 |
| 17.954 | 17.954 | 75.463 | 0.000 | 0.000 | 0.000 |
| -0.000 | 0.000 | 0.000 | 19.700 | 0.000 | 0.000 |
| 0.000 | 0.000 | 0.000 | 0.000 | 19.700 | 0.000 |
| 0.000 | 0.000 | 0.000 | 0.000 | 0.000 | 19.700 |
| 75.464 | 17.954 | 17.954 | -0.000 | -0.000 | -0.000 |
| 17.954 | 75.464 | 17.954 | -0.000 | -0.000 | -0.000 |
| 17.954 | 17.954 | 75.464 | -0.000 | -0.000 | -0.000 |
| -0.000 | -0.000 | -0.000 | 5.254 | 0.000 | 0.000 |
| -0.000 | -0.000 | -0.000 | 0.000 | 5.254 | 0.000 |
| -0.000 | -0.000 | -0.000 | 0.000 | 0.000 | 5.254 |
| 75.462 | 17.954 | 17.954 | 0.000 | 0.000 | 0.000 |
| 17.954 | 75.462 | 17.954 | 0.000 | 0.000 | 0.000 |
| 17.954 | 17.954 | 75.462 | 0.000 | 0.000 | 0.000 |
| 0.000 | 0.000 | 0.000 | 5.254 | -0.000 | -0.000 |
| 0.000 | 0.000 | 0.000 | -0.000 | 5.254 | -0.000 |
| 0.000 | 0.000 | 0.000 | -0.000 | -0.000 | 5.254 |
| 42.311 | 5.481 | 5.481 | -0.000 | 0.000 | 0.000 |
| 5.481 | 42.311 | 5.481 | -0.000 | -0.000 | 0.000 |
| 5.481 | 5.481 | 42.311 | -0.000 | -0.000 | -0.000 |
| 0.000 | -0.000 | -0.000 | 7.209 | -0.000 | -0.000 |
| -0.000 | -0.000 | -0.000 | -0.000 | 7.209 | -0.000 |
| -0.000 | -0.000 | -0.000 | -0.000 | 0.000 | 7.209 |
| 42.311 | 5.481 | 5.481 | 0.000 | -0.000 | -0.000 |
| 5.481 | 42.311 | 5.481 | 0.000 | -0.000 | -0.000 |
| 5.481 | 5.481 | 42.311 | 0.000 | 0.000 | -0.000 |
| 0.000 | 0.000 | 0.000 | 7.209 | -0.000 | 0.000 |
| 0.000 | 0.000 | 0.000 | -0.000 | 7.209 | 0.000 |
| 0.000 | 0.000 | 0.000 | -0.000 | 0.000 | 7.209 |
| 42.311 | 5.481 | 5.481 | -0.000 | -0.000 | 0.000 |
| 5.481 | 42.311 | 5.481 | -0.000 | 0.000 | -0.000 |
| 5.481 | 5.481 | 42.311 | -0.000 | 0.000 | 0.000 |
| -0.000 | -0.000 | -0.000 | 7.209 | 0.000 | -0.000 |
| -0.000 | -0.000 | -0.000 | -0.000 | 7.209 | -0.000 |
| -0.000 | -0.000 | -0.000 | -0.000 | 0.000 | 7.209 |
| 42.311 | 5.481 | 5.481 | 0.000 | -0.000 | -0.000 |
| 5.481 | 42.311 | 5.481 | 0.000 | 0.000 | -0.000 |
| 5.481 | 5.481 | 42.311 | 0.000 | 0.000 | 0.000 |
| 0.000 | 0.000 | 0.000 | 7.209 | 0.000 | 0.000 |
| 0.000 | 0.000 | 0.000 | 0.000 | 7.209 | 0.000 |
| 0.000 | 0.000 | 0.000 | 0.000 | -0.000 | 7.209 |
| 42.310 | 5.480 | 5.480 | -0.000 | 0.000 | 0.000 |
| 5.480 | 42.310 | 5.480 | -0.000 | -0.000 | 0.000 |
| 5.480 | 5.480 | 42.310 | 0.000 | 0.000 | 0.000 |
| -0.000 | -0.000 | -0.000 | -4.506 | 0.000 | 0.000 |
| -0.000 | -0.000 | -0.000 | 0.000 | -4.506 | 0.000 |
| -0.000 | -0.000 | -0.000 | 0.000 | 0.000 | -4.506 |
| 42.312 | 5.481 | 5.481 | 0.000 | -0.000 | -0.000 |
| 5.481 | 42.312 | 5.481 | 0.000 | 0.000 | 0.000 |
| 5.481 | 5.481 | 42.312 | 0.000 | 0.000 | 0.000 |
| 0.000 | 0.000 | 0.000 | -4.506 | -0.000 | -0.000 |
| 0.000 | 0.000 | 0.000 | -0.000 | -4.506 | -0.000 |
| 0.000 | 0.000 | 0.000 | -0.000 | -0.000 | -4.506 |
| 25.820 | 11.699 | 11.699 | -0.000 | 0.000 | 0.000 |
| 11.699 | 25.820 | 11.699 | 0.000 | -0.000 | 0.000 |
| 11.699 | 11.699 | 25.820 | 0.000 | 0.000 | -0.000 |
| 0.000 | -0.000 | -0.000 | 11.752 | 0.000 | 0.000 |
| -0.000 | 0.000 | -0.000 | 0.000 | 11.752 | 0.000 |
| -0.000 | -0.000 | 0.000 | 0.000 | 0.000 | 11.752 |
| 25.820 | 11.699 | 11.699 | -0.000 | -0.000 | -0.000 |
| 11.699 | 25.820 | 11.699 | -0.000 | -0.000 | -0.000 |
| 11.699 | 11.699 | 25.820 | 0.000 | 0.000 | 0.000 |
| -0.000 | 0.000 | 0.000 | 11.752 | -0.000 | -0.000 |
| 0.000 | -0.000 | 0.000 | -0.000 | 11.752 | -0.000 |
| 0.000 | 0.000 | -0.000 | -0.000 | -0.000 | 11.752 |
| 25.820 | 11.699 | 11.699 | -0.000 | -0.000 | -0.000 |
| 11.699 | 25.820 | 11.699 | -0.000 | -0.000 | -0.000 |
| 11.699 | 11.699 | 25.820 | -0.000 | -0.000 | -0.000 |
| 0.000 | -0.000 | -0.000 | 11.752 | 0.000 | 0.000 |
| -0.000 | 0.000 | -0.000 | 0.000 | 11.752 | 0.000 |
| -0.000 | -0.000 | 0.000 | 0.000 | 0.000 | 11.752 |
| 25.820 | 11.699 | 11.699 | 0.000 | 0.000 | 0.000 |
| 11.699 | 25.820 | 11.699 | 0.000 | 0.000 | 0.000 |
| 11.699 | 11.699 | 25.820 | 0.000 | 0.000 | 0.000 |
| -0.000 | 0.000 | 0.000 | 11.752 | -0.000 | -0.000 |
| 0.000 | -0.000 | 0.000 | -0.000 | 11.752 | -0.000 |
| 0.000 | 0.000 | -0.000 | -0.000 | -0.000 | 11.752 |
| 25.820 | 11.699 | 11.699 | -0.000 | -0.000 | -0.000 |
| 11.699 | 25.820 | 11.699 | -0.000 | -0.000 | -0.000 |
| 11.699 | 11.699 | 25.820 | -0.000 | -0.000 | -0.000 |
| -136659.430 | 23510.324 | 23510.324 | 69.457 | -0.011 | -0.011 |
| 23510.324 | -136659.430 | 23510.324 | -0.011 | 69.457 | -0.011 |
| 23510.324 | 23510.324 | -136659.430 | -0.011 | -0.011 | 69.457 |
| 25.821 | 11.699 | 11.699 | -0.000 | -0.000 | -0.000 |
| 11.699 | 25.821 | 11.699 | -0.000 | -0.000 | -0.000 |
| 11.699 | 11.699 | 25.821 | 0.000 | 0.000 | 0.000 |
| 136659.431 | -23510.326 | -23510.326 | 69.458 | -0.001 | 0.001 |
| -23510.326 | 136659.431 | -23510.326 | -0.001 | 69.458 | 0.001 |
| -23510.326 | -23510.326 | 136659.431 | -0.001 | 0.001 | 69.458 |
| 1.660 | 1.659 | 1.659 | -0.000 | 0.000 | 0.000 |
| 1.659 | 1.660 | 1.659 | 0.000 | -0.000 | 0.000 |
| 1.659 | 1.659 | 1.660 | 0.000 | 0.000 | -0.000 |
| 0.000 | -0.000 | 0.000 | 1.724 | 0.000 | -0.000 |
| -0.000 | 0.000 | 0.000 | 0.000 | 1.724 | -0.000 |
| -0.000 | 0.000 | 0.000 | 0.000 | 0.000 | 1.724 |
| 1.660 | 1.659 | 1.659 | 0.000 | 0.000 | 0.000 |
| 1.659 | 1.660 | 1.659 | 0.000 | 0.000 | 0.000 |
| 1.659 | 1.659 | 1.660 | 0.000 | 0.000 | 0.000 |
| -0.000 | 0.000 | -0.000 | 1.724 | 0.000 | -0.000 |
| 0.000 | -0.000 | -0.000 | 0.000 | 1.724 | -0.000 |
| 0.000 | -0.000 | -0.000 | 0.000 | -0.000 | 1.724 |
| 1.660 | 1.659 | 1.659 | 0.000 | 0.000 | 0.000 |
| 1.659 | 1.660 | 1.659 | 0.000 | 0.000 | 0.000 |
| 1.659 | 1.659 | 1.660 | -0.000 | -0.000 | 0.000 |
| -0.000 | -0.000 | -0.000 | 0.220 | -0.000 | -0.000 |
| -0.000 | -0.000 | -0.000 | -0.000 | 0.220 | -0.000 |
| -0.000 | -0.000 | -0.000 | -0.000 | -0.000 | 0.220 |
| 1.660 | 1.659 | 1.659 | 0.000 | 0.000 | -0.000 |
| 1.659 | 1.660 | 1.659 | 0.000 | 0.000 | -0.000 |
| 1.659 | 1.659 | 1.660 | -0.000 | -0.000 | 0.000 |
| 0.000 | 0.000 | 0.000 | 0.220 | 0.000 | 0.000 |
| 0.000 | 0.000 | 0.000 | 0.000 | 0.220 | 0.000 |
| 0.000 | 0.000 | 0.000 | 0.000 | 0.000 | 0.220 |
| 1.660 | 1.659 | 1.659 | -0.000 | -0.000 | -0.000 |
| 1.659 | 1.660 | 1.659 | -0.000 | -0.000 | -0.000 |
| 1.659 | 1.659 | 1.660 | -0.000 | -0.000 | -0.000 |
| -0.000 | -0.000 | -0.000 | 0.220 | -0.000 | -0.000 |
| -0.000 | -0.000 | -0.000 | -0.000 | 0.220 | -0.000 |
| -0.000 | -0.000 | -0.000 | -0.000 | -0.000 | 0.220 |
| 1.660 | 1.659 | 1.659 | -0.000 | -0.000 | -0.000 |
| 1.659 | 1.660 | 1.659 | -0.000 | -0.000 | -0.000 |
| 1.659 | 1.659 | 1.660 | -0.000 | -0.000 | -0.000 |
| 0.000 | 0.000 | 0.000 | 0.220 | 0.000 | 0.000 |
| 0.000 | 0.000 | 0.000 | 0.000 | 0.220 | 0.000 |
| 0.000 | 0.000 | 0.000 | 0.000 | 0.000 | 0.220 |
| 1.421 | 1.421 | 1.421 | 0.000 | 0.000 | 0.000 |
| 1.421 | 1.421 | 1.421 | 0.000 | 0.000 | 0.000 |
| 1.421 | 1.421 | 1.421 | 0.000 | 0.000 | 0.000 |
| -0.000 | -0.000 | -0.000 | 1.433 | 0.000 | 0.000 |
| -0.000 | -0.000 | -0.000 | 0.000 | 1.433 | 0.000 |
| -0.000 | -0.000 | -0.000 | 0.000 | 0.000 | 1.433 |
| 1.421 | 1.421 | 1.421 | -0.000 | -0.000 | -0.000 |
| 1.421 | 1.421 | 1.421 | -0.000 | -0.000 | -0.000 |
| 1.421 | 1.421 | 1.421 | -0.000 | -0.000 | -0.000 |
| 0.000 | 0.000 | 0.000 | 1.433 | -0.000 | -0.000 |
| 0.000 | 0.000 | 0.000 | -0.000 | 1.433 | -0.000 |
| 0.000 | 0.000 | 0.000 | -0.000 | -0.000 | 1.433 |
| 1.421 | 1.421 | 1.421 | 0.000 | 0.000 | 0.000 |
| 1.421 | 1.421 | 1.421 | 0.000 | 0.000 | 0.000 |
| 1.421 | 1.421 | 1.421 | 0.000 | 0.000 | 0.000 |
| -0.000 | -0.000 | -0.000 | 1.433 | 0.000 | 0.000 |
| -0.000 | -0.000 | -0.000 | 0.000 | 1.433 | 0.000 |
| -0.000 | -0.000 | -0.000 | 0.000 | 0.000 | 1.433 |
| 1.421 | 1.421 | 1.421 | -0.000 | -0.000 | -0.000 |
| 1.421 | 1.421 | 1.421 | -0.000 | -0.000 | -0.000 |
| 1.421 | 1.421 | 1.421 | -0.000 | -0.000 | -0.000 |
| 0.000 | 0.000 | 0.000 | 1.433 | -0.000 | -0.000 |
| 0.000 | 0.000 | 0.000 | -0.000 | 1.433 | -0.000 |
| 0.000 | 0.000 | 0.000 | -0.000 | -0.000 | 1.433 |
| 1.421 | 1.421 | 1.421 | 0.000 | 0.000 | 0.000 |
| 1.421 | 1.421 | 1.421 | 0.000 | 0.000 | 0.000 |
| 1.421 | 1.421 | 1.421 | 0.000 | 0.000 | 0.000 |
| -0.000 | -0.000 | -0.000 | 0.001 | 0.000 | 0.000 |
| -0.000 | -0.000 | -0.000 | 0.000 | 0.001 | 0.000 |
| -0.000 | -0.000 | -0.000 | 0.000 | 0.000 | 0.001 |
| 1.421 | 1.421 | 1.421 | -0.000 | -0.000 | -0.000 |
| 1.421 | 1.421 | 1.421 | -0.000 | -0.000 | -0.000 |
| 1.421 | 1.421 | 1.421 | -0.000 | -0.000 | -0.000 |
| 0.000 | 0.000 | 0.000 | 0.001 | -0.000 | -0.000 |
| 0.000 | 0.000 | 0.000 | -0.000 | 0.001 | -0.000 |
| 0.000 | 0.000 | 0.000 | -0.000 | -0.000 | 0.001 |
| -212.423 | 319.509 | 252.229 | 0.000 | 0.000 | -0.000 |
| 319.509 | -212.423 | 252.229 | 0.000 | 0.000 | -0.000 |
| 252.229 | 252.229 | -151.996 | 0.000 | 0.000 | -0.000 |
| 0.000 | 0.000 | 0.000 | -149.705 | 0.000 | -0.000 |
| 0.000 | 0.000 | 0.000 | 0.000 | -149.705 | -0.000 |
| 0.000 | 0.000 | 0.000 | -0.000 | 0.000 | 45.542 |
| -272.955 | 380.036 | 252.227 | 0.000 | -0.000 | 0.000 |
| 380.036 | -272.955 | 252.228 | 0.000 | -0.000 | 0.000 |
| 252.228 | 252.228 | -151.997 | 0.000 | -0.000 | 0.000 |
| -0.000 | -0.000 | -0.000 | -149.705 | 0.000 | 0.000 |
| -0.000 | -0.000 | -0.000 | -0.000 | -149.705 | 0.000 |
| -0.000 | -0.000 | -0.000 | -0.000 | -0.000 | 45.542 |
| -272.923 | 380.036 | 252.238 | 0.000 | 0.000 | -0.000 |
| 380.036 | -272.923 | 252.238 | -0.000 | 0.000 | -0.000 |
| 252.233 | 252.233 | -151.991 | 0.000 | 0.000 | -0.000 |
| 0.000 | 0.004 | 0.001 | -149.705 | 0.000 | -0.000 |
| 0.004 | 0.000 | 0.001 | -0.000 | -149.705 | -0.000 |
| 0.001 | 0.001 | 0.001 | -0.000 | 0.000 | 45.542 |
| -272.981 | 380.035 | 252.219 | -0.000 | -0.000 | 0.000 |
| 380.035 | -272.981 | 252.219 | -0.000 | -0.000 | 0.000 |
| 252.224 | 252.224 | -152.002 | -0.000 | -0.000 | 0.000 |
| -0.000 | -0.004 | -0.001 | -149.705 | -0.000 | 0.000 |
| -0.004 | -0.000 | -0.001 | 0.000 | -149.705 | 0.000 |
| -0.001 | -0.001 | -0.001 | -0.000 | -0.000 | 45.542 |
| -212.244 | 319.543 | 252.301 | 0.000 | -0.000 | -0.000 |
| 319.543 | -212.244 | 252.301 | 0.000 | 0.000 | -0.000 |
| 252.275 | 252.275 | -151.943 | 0.000 | -0.000 | -0.000 |
| 66551173.648 | 69728255.320 | 72922358.263 | -104663.391 | 346245.988 | -345802.114 |
| 69888441.571 | 67348957.912 | 72716910.471 | 138362.761 | 282480.774 | -697215.912 |
| 0.007 | 0.008 | 0.005 | 0.000 | 0.000 | 45.542 |
| -491.293 | 597.528 | 251.970 | 0.000 | -0.000 | 0.000 |
| -68091897.698 | -69740420.968 | -71252720.454 | -100396.879 | -544298.691 | 391756.805 |
| 252.182 | 252.182 | -152.050 | -0.000 | -0.000 | 0.000 |
| -65838810.051 | -70354997.306 | -74821089.234 | -437103.154 | -745578.738 | 406826.481 |
| -69808356.231 | -67169157.179 | -72855596.310 | -635184.436 | 214407.910 | -202427.251 |
| -0.007 | -0.008 | -0.005 | -0.000 | -0.000 | 45.542 |
| 1969.371 | -117.542 | 438.253 | 0.000 | -0.000 | 0.000 |
| -117.542 | 1969.371 | 438.253 | -0.000 | -0.000 | 0.000 |
| 438.253 | 438.253 | 1335.964 | -0.000 | -0.000 | 0.000 |
| -0.000 | 0.000 | 0.000 | -129.972 | -0.000 | 0.000 |
| 0.000 | -0.000 | 0.000 | 0.000 | -129.972 | 0.000 |
| 0.000 | 0.000 | 0.000 | 0.000 | -0.000 | 168.982 |
| 1969.371 | -117.542 | 438.253 | 0.000 | 0.000 | -0.000 |
| -117.542 | 1969.371 | 438.253 | 0.000 | 0.000 | -0.000 |
| 438.254 | 438.254 | 1335.966 | -0.000 | 0.000 | -0.000 |
| 0.000 | -0.000 | -0.000 | -129.972 | -0.000 | -0.000 |
| -0.000 | 0.000 | -0.000 | -0.000 | -129.972 | -0.000 |
| -0.000 | -0.000 | -0.000 | -0.000 | 0.000 | 168.982 |
| 1969.370 | -117.542 | 438.253 | 0.000 | -0.000 | 0.000 |
| -117.542 | 1969.370 | 438.253 | 0.000 | -0.000 | 0.000 |
| 438.251 | 438.251 | 1335.956 | -0.000 | -0.000 | 0.000 |
| -0.000 | 0.000 | -0.000 | -137.624 | -0.000 | 0.000 |
| 0.000 | -0.000 | -0.000 | -0.000 | -137.624 | 0.000 |
| 0.000 | 0.000 | -0.000 | 0.000 | -0.000 | 168.982 |
| 2103.841 | -252.012 | 438.254 | -0.000 | 0.000 | -0.000 |
| -252.012 | 2103.841 | 438.254 | -0.000 | 0.000 | -0.000 |
| 438.256 | 438.256 | 1335.975 | 0.000 | 0.000 | -0.000 |
| 0.000 | -0.000 | 0.000 | -137.624 | 0.000 | -0.000 |
| -0.000 | 0.000 | 0.000 | -0.000 | -137.624 | -0.000 |
| -0.000 | -0.000 | 0.000 | -0.000 | 0.000 | 168.982 |
| 4582634.053 | 13522838.433 | 6773795.900 | 0.032 | -0.003 | -0.304 |
| 13522838.456 | 4582633.789 | 6773795.792 | -0.023 | -0.027 | -1.429 |
| 438.225 | 438.225 | 1335.872 | 0.000 | -0.000 | 0.000 |
| -0.000 | 0.001 | -0.000 | -129.972 | -0.000 | 0.000 |
| 0.001 | -0.000 | -0.000 | 0.000 | -129.972 | 0.000 |
| 0.002 | 0.002 | -0.001 | 0.000 | -0.000 | 168.982 |
| -13526641.171 | -4573911.789 | -6759007.809 | 385.113 | 379.293 | -4349.392 |
| -4557077.147 | -13618732.010 | -6722151.195 | 258.194 | 135.883 | -7985.555 |
| 438.283 | 438.283 | 1336.058 | -0.000 | 0.000 | -0.000 |
| 0.000 | -0.001 | 0.000 | -129.972 | 0.000 | -0.000 |
| -0.001 | 0.000 | 0.000 | -0.000 | -129.972 | -0.000 |
| -0.002 | -0.002 | 0.001 | 0.000 | 0.000 | 168.982 |
| -787.305 | -268.751 | 149.662 | 0.000 | -0.000 | -0.000 |
| -268.751 | -787.305 | 149.662 | 0.000 | 0.000 | -0.000 |
| 149.662 | 149.662 | 1807.203 | -0.000 | -0.000 | -0.000 |
| 0.000 | 0.000 | 0.000 | -59.218 | -0.000 | -0.000 |
| 0.000 | -0.000 | 0.000 | 0.000 | -59.218 | -0.000 |
| 0.000 | 0.000 | 0.000 | 0.000 | -0.000 | -208.377 |
| -787.306 | -268.751 | 149.662 | -0.000 | 0.000 | 0.000 |
| -268.751 | -787.306 | 149.662 | -0.000 | -0.000 | 0.000 |
| 149.662 | 149.662 | 1807.205 | -0.000 | 0.000 | 0.000 |
| -0.000 | -0.000 | -0.000 | -59.218 | 0.000 | -0.000 |
| -0.000 | 0.000 | -0.000 | 0.000 | -59.218 | 0.000 |
| -0.000 | -0.000 | -0.000 | 0.000 | 0.000 | -208.377 |
| -616.531 | -439.524 | 149.662 | 0.000 | 0.000 | -0.000 |
| -439.524 | -616.531 | 149.662 | -0.000 | -0.000 | -0.000 |
| 149.661 | 149.661 | 1807.198 | 0.000 | -0.000 | -0.000 |
| -0.000 | 0.000 | 0.000 | -59.218 | -0.000 | 0.000 |
| 0.000 | -0.000 | 0.000 | 0.000 | -59.218 | -0.000 |
| 0.000 | 0.000 | 0.000 | -0.000 | -0.000 | -208.377 |
| -787.307 | -268.751 | 149.663 | 0.000 | 0.000 | 0.000 |
| -268.751 | -787.307 | 149.663 | 0.000 | 0.000 | 0.000 |
| 149.663 | 149.663 | 1807.210 | -0.000 | 0.000 | 0.000 |
| 0.000 | -0.000 | -0.000 | -59.218 | 0.000 | 0.000 |
| -0.000 | 0.000 | -0.000 | 0.000 | -59.218 | 0.000 |
| -0.000 | -0.000 | -0.000 | -0.000 | 0.000 | -208.377 |
| -787.289 | -268.747 | 149.661 | 0.000 | -0.000 | -0.000 |
| -268.747 | -787.289 | 149.661 | 0.000 | 0.000 | -0.000 |
| 149.654 | 149.654 | 1807.144 | 0.000 | -0.000 | -0.000 |
| -0.000 | 0.000 | 0.000 | -59.218 | 0.000 | -0.000 |
| 0.000 | -0.000 | 0.000 | 0.000 | -59.218 | -0.000 |
| 0.004 | 0.004 | 0.000 | -0.000 | -0.000 | -208.377 |
| -787.322 | -268.755 | 149.664 | -0.000 | 0.000 | 0.000 |
| -268.755 | -787.322 | 149.664 | 0.000 | -0.000 | 0.000 |
| 149.671 | 149.671 | 1807.264 | -0.000 | 0.000 | 0.000 |
| 0.000 | -0.000 | -0.000 | -59.218 | 0.000 | 0.000 |
| -0.000 | 0.000 | -0.000 | -0.000 | -59.218 | 0.000 |
| -0.004 | -0.004 | -0.000 | 0.000 | 0.000 | -208.377 |
| 190.263 | 190.774 | 31.910 | 0.000 | -0.000 | 0.000 |
| 190.774 | 190.263 | 31.910 | -0.000 | -0.000 | -0.000 |
| 31.920 | 31.920 | 832.227 | -0.000 | -0.000 | 0.000 |
| -0.000 | -0.000 | -0.000 | -73.307 | 0.000 | 0.000 |
| -0.000 | -0.000 | -0.000 | 0.000 | -73.307 | 0.000 |
| -0.000 | -0.000 | -0.000 | 0.000 | 0.000 | 82.618 |
| 298.541 | 82.497 | 31.910 | -0.000 | 0.000 | -0.000 |
| 82.497 | 298.541 | 31.910 | -0.000 | 0.000 | -0.000 |
| 31.920 | 31.920 | 832.224 | 0.000 | 0.000 | -0.000 |
| 0.000 | 0.000 | 0.000 | -73.307 | 0.000 | 0.000 |
| 0.000 | 0.000 | 0.000 | -0.000 | -73.307 | 0.000 |
| 0.000 | 0.000 | 0.000 | -0.000 | 0.000 | 82.618 |
| 190.263 | 190.773 | 31.909 | 0.000 | -0.000 | -0.000 |
| 190.773 | 190.263 | 31.909 | -0.000 | -0.000 | -0.000 |
| 31.920 | 31.920 | 832.241 | 0.000 | -0.000 | 0.000 |
| -0.000 | -0.000 | -0.000 | -73.307 | -0.000 | -0.000 |
| -0.000 | -0.000 | -0.000 | 0.000 | -73.307 | -0.000 |
| -0.000 | -0.000 | -0.000 | -0.000 | -0.000 | 82.618 |
| 298.541 | 82.497 | 31.910 | 0.000 | -0.000 | -0.000 |
| 82.497 | 298.541 | 31.910 | 0.000 | 0.000 | -0.000 |
| 31.920 | 31.920 | 832.209 | -0.000 | 0.000 | -0.000 |
| 0.000 | 0.000 | 0.000 | -73.307 | 0.000 | -0.000 |
| 0.000 | 0.000 | 0.000 | -0.000 | -73.307 | -0.000 |
| 0.000 | 0.000 | 0.000 | -0.000 | 0.000 | 82.618 |
| 190.264 | 190.765 | 31.907 | 0.000 | -0.000 | -0.000 |
| 190.765 | 190.264 | 31.907 | 0.000 | -0.000 | 0.000 |
| 31.919 | 31.919 | 832.387 | 0.000 | -0.000 | 0.000 |
| -0.002 | -0.002 | -0.002 | -73.307 | -0.000 | -0.000 |
| -0.002 | -0.002 | -0.002 | -0.000 | -73.307 | -0.000 |
| -0.002 | -0.002 | -0.002 | 0.000 | -0.000 | 82.618 |
| 298.549 | 82.499 | 31.913 | -0.000 | 0.000 | -0.000 |
| 82.499 | 298.549 | 31.913 | -0.000 | 0.000 | -0.000 |
| 31.920 | 31.920 | 832.063 | -0.000 | 0.000 | -0.000 |
| 0.002 | 0.002 | 0.002 | -73.307 | 0.000 | 0.000 |
| 0.002 | 0.002 | 0.002 | 0.000 | -73.307 | 0.000 |
| 0.002 | 0.002 | 0.002 | -0.000 | 0.000 | 82.618 |
| 79.300 | 51.080 | 21.500 | -0.000 | 0.000 | 0.000 |
| 51.080 | 79.300 | 21.500 | -0.000 | -0.000 | -0.000 |
| 21.500 | 21.500 | 88.188 | -0.000 | 0.000 | -0.000 |
| -0.000 | -0.000 | 0.000 | 9.336 | -0.000 | -0.000 |
| 0.000 | -0.000 | 0.000 | -0.000 | 9.336 | -0.000 |
| -0.000 | -0.000 | 0.000 | -0.000 | -0.000 | 46.507 |
| 79.300 | 51.080 | 21.500 | 0.000 | 0.000 | 0.000 |
| 51.080 | 79.300 | 21.500 | 0.000 | -0.000 | -0.000 |
| 21.500 | 21.500 | 88.188 | 0.000 | 0.000 | -0.000 |
| 0.000 | 0.000 | -0.000 | 9.336 | 0.000 | -0.000 |
| -0.000 | 0.000 | -0.000 | 0.000 | 9.336 | 0.000 |
| 0.000 | 0.000 | -0.000 | 0.000 | -0.000 | 46.507 |
| 79.300 | 51.080 | 21.500 | -0.000 | 0.000 | -0.000 |
| 51.080 | 79.300 | 21.500 | -0.000 | -0.000 | -0.000 |
| 21.500 | 21.500 | 88.188 | -0.000 | -0.000 | -0.000 |
| -0.000 | -0.000 | 0.000 | 9.336 | -0.000 | -0.000 |
| -0.000 | -0.000 | 0.000 | -0.000 | 9.336 | -0.000 |
| -0.000 | -0.000 | -0.000 | -0.000 | 0.000 | 46.507 |
| 79.301 | 51.080 | 21.500 | 0.000 | 0.000 | 0.000 |
| 51.080 | 79.301 | 21.500 | 0.000 | 0.000 | 0.000 |
| 21.500 | 21.500 | 88.188 | 0.000 | -0.000 | 0.000 |
| 0.000 | 0.000 | -0.000 | 9.336 | 0.000 | -0.000 |
| 0.000 | 0.000 | -0.000 | 0.000 | 9.336 | 0.000 |
| 0.000 | 0.000 | 0.000 | 0.000 | 0.000 | 46.507 |
| 79.299 | 51.080 | 21.500 | -0.000 | 0.000 | -0.000 |
| 51.080 | 79.299 | 21.500 | -0.000 | -0.000 | -0.000 |
| 21.500 | 21.500 | 88.190 | -0.000 | -0.000 | 0.000 |
| -0.000 | -0.000 | 0.000 | 9.336 | -0.000 | 0.000 |
| -0.000 | -0.000 | 0.000 | -0.000 | 9.336 | -0.000 |
| -0.000 | -0.000 | -0.000 | -0.000 | -0.000 | 46.507 |
| 79.302 | 51.080 | 21.500 | 0.000 | 0.000 | -0.000 |
| 51.080 | 79.302 | 21.500 | 0.000 | -0.000 | 0.000 |
| 21.500 | 21.500 | 88.186 | 0.000 | -0.000 | 0.000 |
| 0.000 | 0.000 | -0.000 | 9.336 | 0.000 | -0.000 |
| 0.000 | 0.000 | -0.000 | 0.000 | 9.336 | 0.000 |
| 0.000 | 0.000 | 0.000 | 0.000 | 0.000 | 46.507 |
| 254.531 | 98.781 | 43.579 | -0.000 | 0.000 | -0.000 |
| 98.781 | 254.531 | 43.579 | 0.000 | 0.000 | -0.000 |
| 43.579 | 43.579 | 159.385 | 0.000 | -0.000 | 0.000 |
| -0.000 | 0.000 | -0.000 | 43.601 | 0.000 | 0.000 |
| 0.000 | -0.000 | -0.000 | 0.000 | 43.601 | 0.000 |
| -0.000 | 0.000 | -0.000 | -0.000 | -0.000 | 103.986 |
| 254.531 | 98.781 | 43.579 | -0.000 | -0.000 | -0.000 |
| 98.781 | 254.531 | 43.579 | -0.000 | -0.000 | -0.000 |
| 43.579 | 43.579 | 159.385 | 0.000 | -0.000 | 0.000 |
| 0.000 | -0.000 | 0.000 | 43.601 | -0.000 | 0.000 |
| -0.000 | 0.000 | 0.000 | -0.000 | 43.601 | -0.000 |
| 0.000 | 0.000 | 0.000 | 0.000 | 0.000 | 103.986 |
| 254.531 | 98.781 | 43.579 | 0.000 | -0.000 | 0.000 |
| 98.781 | 254.531 | 43.579 | 0.000 | -0.000 | 0.000 |
| 43.579 | 43.579 | 159.385 | -0.000 | 0.000 | 0.000 |
| -0.000 | 0.000 | -0.000 | 43.601 | 0.000 | 0.000 |
| 0.000 | -0.000 | -0.000 | -0.000 | 43.601 | -0.000 |
| -0.000 | 0.000 | -0.000 | 0.000 | 0.000 | 103.986 |
| 254.531 | 98.781 | 43.579 | -0.000 | 0.000 | -0.000 |
| 98.781 | 254.531 | 43.579 | 0.000 | 0.000 | 0.000 |
| 43.579 | 43.579 | 159.386 | 0.000 | 0.000 | 0.000 |
| 0.000 | -0.000 | 0.000 | 43.601 | -0.000 | 0.000 |
| -0.000 | 0.000 | 0.000 | -0.000 | 43.601 | 0.000 |
| 0.000 | -0.000 | 0.000 | -0.000 | 0.000 | 103.986 |
| 254.534 | 98.782 | 43.579 | 0.000 | 0.000 | 0.000 |
| 98.782 | 254.534 | 43.579 | 0.000 | -0.000 | -0.000 |
| 43.578 | 43.578 | 159.381 | 0.000 | -0.000 | 0.000 |
| -0.000 | 0.000 | -0.000 | 43.601 | -0.000 | 0.000 |
| 0.000 | -0.000 | -0.000 | 0.000 | 43.601 | -0.000 |
| -0.000 | 0.000 | -0.000 | -0.000 | -0.000 | 103.986 |
| 254.527 | 98.781 | 43.578 | -0.000 | 0.000 | -0.000 |
| 98.781 | 254.527 | 43.578 | -0.000 | 0.000 | 0.000 |
| 43.579 | 43.579 | 159.390 | 0.000 | -0.000 | -0.000 |
| 0.000 | -0.000 | 0.000 | 43.601 | 0.000 | 0.000 |
| -0.000 | 0.000 | 0.000 | -0.000 | 43.601 | 0.000 |
| 0.000 | -0.000 | 0.000 | -0.000 | 0.000 | 103.986 |
| 280.018 | 79.956 | 58.857 | -0.000 | -0.000 | -0.000 |
| 79.956 | 280.018 | 58.857 | -0.000 | 0.000 | -0.000 |
| 58.857 | 58.857 | 67.998 | -0.000 | 0.000 | -0.000 |
| -0.000 | -0.000 | -0.000 | 60.656 | 0.000 | -0.000 |
| -0.000 | -0.000 | -0.000 | -0.000 | 60.656 | -0.000 |
| 0.000 | 0.000 | -0.000 | -0.000 | 0.000 | 85.915 |
| 278.272 | 81.702 | 58.857 | 0.000 | -0.000 | 0.000 |
| 81.702 | 278.272 | 58.857 | 0.000 | -0.000 | 0.000 |
| 58.857 | 58.857 | 67.998 | 0.000 | -0.000 | 0.000 |
| 0.000 | 0.000 | 0.000 | 60.656 | -0.000 | -0.000 |
| 0.000 | 0.000 | 0.000 | 0.000 | 60.656 | 0.000 |
| -0.000 | -0.000 | 0.000 | 0.000 | -0.000 | 85.915 |
| 278.272 | 81.702 | 58.857 | -0.000 | 0.000 | -0.000 |
| 81.702 | 278.272 | 58.857 | -0.000 | -0.000 | -0.000 |
| 58.857 | 58.857 | 67.998 | -0.000 | 0.000 | -0.000 |
| -0.000 | -0.000 | -0.000 | 60.656 | -0.000 | -0.000 |
| -0.000 | -0.000 | -0.000 | -0.000 | 60.656 | -0.000 |
| 0.000 | 0.000 | -0.000 | -0.000 | 0.000 | 85.915 |
| 278.272 | 81.702 | 58.857 | -0.000 | -0.000 | 0.000 |
| 81.702 | 278.272 | 58.857 | 0.000 | -0.000 | 0.000 |
| 58.857 | 58.857 | 67.997 | -0.000 | 0.000 | 0.000 |
| 0.000 | 0.000 | 0.000 | 60.656 | -0.000 | 0.000 |
| 0.000 | 0.000 | 0.000 | 0.000 | 60.656 | 0.000 |
| -0.000 | -0.000 | 0.000 | -0.000 | -0.000 | 85.915 |
| 278.273 | 81.702 | 58.856 | -0.000 | 0.000 | -0.000 |
| 81.702 | 278.273 | 58.856 | -0.000 | 0.000 | -0.000 |
| 58.857 | 58.857 | 67.999 | -0.000 | 0.000 | -0.000 |
| -0.000 | -0.001 | -0.000 | 60.656 | 0.000 | 0.000 |
| -0.001 | -0.000 | -0.000 | -0.000 | 60.656 | -0.000 |
| 0.000 | 0.000 | -0.000 | -0.000 | 0.000 | 85.915 |
| 278.271 | 81.701 | 58.858 | -0.000 | -0.000 | 0.000 |
| 81.701 | 278.271 | 58.858 | 0.000 | -0.000 | 0.000 |
| 58.857 | 58.857 | 67.996 | 0.000 | -0.000 | 0.000 |
| 0.000 | 0.001 | 0.000 | 60.656 | -0.000 | 0.000 |
| 0.001 | 0.000 | 0.000 | 0.000 | 60.656 | 0.000 |
| -0.000 | -0.000 | 0.000 | 0.000 | -0.000 | 85.915 |
| 2.518 | 12.455 | -6.609 | -0.000 | 0.000 | -0.000 |
| 12.455 | 2.518 | -6.609 | -0.000 | 0.000 | -0.000 |
| -6.609 | -6.609 | -52.102 | 0.000 | 0.000 | -0.000 |
| -0.000 | 0.000 | -0.000 | -21.648 | -0.000 | -0.000 |
| 0.000 | 0.000 | -0.000 | -0.000 | -21.648 | -0.000 |
| -0.000 | -0.000 | -0.000 | -0.000 | 0.000 | 1.900 |
| 14.952 | 0.021 | -6.609 | 0.000 | 0.000 | 0.000 |
| 58791334.377 | 57541246.656 | 62862065.716 | -352223.142 | -995208.895 | 1237546.159 |
| -6.609 | -6.609 | -52.102 | -0.000 | -0.000 | 0.000 |
| 0.000 | -0.000 | 0.000 | -21.648 | -0.000 | 0.000 |
| -0.000 | -0.000 | 0.000 | 0.000 | -21.648 | 0.000 |
| 0.000 | 0.000 | 0.000 | 0.000 | 0.000 | 1.900 |
| -5809700.030 | -5841079.105 | -6256437.786 | 6845.477 | 37926.097 | -11817.060 |
| -5835039.096 | -5704128.182 | -6020091.379 | 13213.986 | -22250.841 | -42239.041 |
| -6.609 | -6.609 | -52.102 | -0.000 | 0.000 | 0.000 |
| -0.000 | 0.000 | -0.000 | -21.648 | 0.000 | -0.000 |
| 0.000 | -0.000 | -0.000 | -0.000 | -21.648 | -0.000 |
| -0.000 | -0.000 | -0.000 | -0.000 | 0.000 | 1.900 |
| 5557607.072 | 5418222.358 | 5971871.534 | 48628.399 | 27697.754 | -45976.217 |
| 5850126.678 | 6143601.040 | 6481456.404 | -21390.270 | -6144.819 | -41493.356 |
| -6.609 | -6.609 | -52.102 | -0.000 | 0.000 | -0.000 |
| 0.000 | -0.000 | 0.000 | -21.648 | 0.000 | 0.000 |
| -0.000 | 0.000 | 0.000 | 0.000 | -21.648 | 0.000 |
| 0.000 | 0.000 | 0.000 | -0.000 | -0.000 | 1.900 |
| -564373.865 | -618046.234 | -608098.220 | -5032.136 | 2684.609 | -7757.900 |
| -583127.448 | -566637.791 | -600359.562 | 6972.434 | 9438.791 | 4947.126 |
| -6.610 | -6.610 | -52.102 | 0.000 | -0.000 | -0.000 |
| -0.000 | 0.000 | -0.000 | -21.648 | -0.000 | -0.000 |
| 0.000 | -0.000 | -0.000 | -0.000 | -21.648 | -0.000 |
| -0.000 | -0.000 | -0.000 | 0.000 | -0.000 | 1.900 |
| 587571.487 | 578013.202 | 609430.619 | 874.963 | 9233.494 | -4721.054 |
| 610629.814 | 588014.192 | 630358.447 | 6378.472 | -4861.982 | -3291.871 |
| -6.609 | -6.609 | -52.102 | 0.000 | 0.000 | 0.000 |
| 0.000 | -0.000 | 0.000 | -21.648 | 0.000 | 0.000 |
| -0.000 | 0.000 | 0.000 | 0.000 | -21.648 | 0.000 |
| 0.000 | 0.000 | 0.000 | -0.000 | -0.000 | 1.900 |
| 26.541 | 9.595 | 5.911 | -0.000 | 0.000 | -0.000 |
| 9.595 | 26.541 | 5.911 | 0.000 | 0.000 | -0.000 |
| 5.911 | 5.911 | 16.537 | 0.000 | 0.000 | 0.000 |
| 0.000 | 0.000 | 0.000 | 6.134 | -0.000 | -0.000 |
| 0.000 | 0.000 | 0.000 | 0.000 | 6.134 | 0.000 |
| 0.000 | 0.000 | 0.000 | 0.000 | -0.000 | 10.375 |
| 26.541 | 9.595 | 5.911 | 0.000 | -0.000 | 0.000 |
| 9.595 | 26.541 | 5.911 | -0.000 | -0.000 | 0.000 |
| 5.911 | 5.911 | 16.537 | -0.000 | -0.000 | -0.000 |
| -0.000 | -0.000 | -0.000 | 6.134 | 0.000 | 0.000 |
| -0.000 | -0.000 | -0.000 | -0.000 | 6.134 | -0.000 |
| -0.000 | -0.000 | -0.000 | -0.000 | -0.000 | 10.375 |
| 26.449 | 9.687 | 5.911 | 0.000 | 0.000 | 0.000 |
| 9.687 | 26.449 | 5.911 | 0.000 | 0.000 | 0.000 |
| 5.911 | 5.911 | 16.537 | 0.000 | 0.000 | 0.000 |
| 0.000 | 0.000 | 0.000 | 6.134 | 0.000 | 0.000 |
| 0.000 | 0.000 | 0.000 | 0.000 | 6.134 | -0.000 |
| 0.000 | 0.000 | 0.000 | 0.000 | 0.000 | 10.375 |
| 26.449 | 9.686 | 5.911 | -0.000 | -0.000 | -0.000 |
| 9.686 | 26.449 | 5.911 | 0.000 | 0.000 | -0.000 |
| 5.911 | 5.911 | 16.537 | -0.000 | 0.000 | -0.000 |
| -0.000 | -0.000 | -0.000 | 6.134 | -0.000 | 0.000 |
| -0.000 | -0.000 | -0.000 | -0.000 | 6.134 | -0.000 |
| -0.000 | -0.000 | -0.000 | -0.000 | -0.000 | 10.375 |
| 26.450 | 9.687 | 5.911 | -0.000 | -0.000 | -0.000 |
| 9.687 | 26.450 | 5.911 | -0.000 | -0.000 | 0.000 |
| 5.911 | 5.911 | 16.537 | 0.000 | 0.000 | -0.000 |
| 0.000 | 0.000 | 0.000 | 6.134 | 0.000 | 0.000 |
| 0.000 | 0.000 | 0.000 | 0.000 | 6.134 | 0.000 |
| 0.000 | 0.000 | 0.000 | 0.000 | 0.000 | 10.375 |
| 26.449 | 9.686 | 5.911 | 0.000 | 0.000 | -0.000 |
| 9.686 | 26.449 | 5.911 | -0.000 | 0.000 | -0.000 |
| 5.911 | 5.911 | 16.537 | 0.000 | -0.000 | -0.000 |
| -0.000 | -0.000 | -0.000 | 6.134 | -0.000 | 0.000 |
| -0.000 | -0.000 | -0.000 | -0.000 | 6.134 | -0.000 |
| -0.000 | -0.000 | -0.000 | -0.000 | -0.000 | 10.375 |
| 9.316 | -0.061 | 0.565 | -0.000 | -0.000 | -0.000 |
| -0.061 | 9.316 | 0.565 | -0.000 | -0.000 | -0.000 |
| 0.565 | 0.565 | 10.751 | -0.000 | -0.000 | 0.000 |
| -0.000 | -0.000 | -0.000 | 0.001 | 0.000 | -0.000 |
| 0.000 | -0.000 | -0.000 | -0.000 | 0.001 | 0.000 |
| 0.000 | -0.000 | -0.000 | -0.000 | -0.000 | 0.001 |
| 9.316 | -0.061 | 0.565 | 0.000 | 0.000 | 0.000 |
| -0.061 | 9.316 | 0.565 | 0.000 | 0.000 | 0.000 |
| 0.565 | 0.565 | 10.751 | 0.000 | 0.000 | 0.000 |
| 0.000 | 0.000 | 0.000 | 0.001 | -0.000 | -0.000 |
| -0.000 | 0.000 | 0.000 | 0.000 | 0.001 | 0.000 |
| -0.000 | 0.000 | 0.000 | 0.000 | -0.000 | 0.001 |
| 9.316 | -0.061 | 0.565 | -0.000 | 0.000 | -0.000 |
| -0.061 | 9.316 | 0.565 | 0.000 | -0.000 | -0.000 |
| 0.565 | 0.565 | 10.751 | -0.000 | -0.000 | -0.000 |
| -0.000 | 0.000 | -0.000 | 0.001 | -0.000 | 0.000 |
| 0.000 | -0.000 | -0.000 | -0.000 | 0.001 | 0.000 |
| 0.000 | -0.000 | -0.000 | -0.000 | 0.000 | 0.001 |
| 9.316 | -0.061 | 0.565 | 0.000 | 0.000 | -0.000 |
| -0.061 | 9.316 | 0.565 | 0.000 | 0.000 | 0.000 |
| 0.565 | 0.565 | 10.751 | 0.000 | 0.000 | -0.000 |
| 0.000 | -0.000 | 0.000 | 0.001 | 0.000 | 0.000 |
| -0.000 | 0.000 | 0.000 | 0.000 | 0.001 | 0.000 |
| -0.000 | 0.000 | 0.000 | 0.000 | 0.000 | 0.001 |
| 7.174 | 2.080 | 0.565 | -0.000 | -0.000 | 0.000 |
| 2.080 | 7.174 | 0.565 | -0.000 | -0.000 | -0.000 |
| 0.565 | 0.565 | 10.750 | -0.000 | -0.000 | 0.000 |
| -0.000 | 0.000 | -0.000 | 0.001 | -0.000 | 0.000 |
| 0.000 | -0.000 | -0.000 | -0.000 | 0.001 | 0.000 |
| 0.000 | -0.000 | -0.000 | -0.000 | -0.000 | 0.001 |
| 6.706 | 2.549 | 0.565 | -0.000 | 0.000 | 0.000 |
| 2.549 | 6.706 | 0.565 | 0.000 | -0.000 | -0.000 |
| 0.565 | 0.565 | 10.751 | 0.000 | 0.000 | -0.000 |
| 0.000 | -0.000 | 0.000 | 0.001 | 0.000 | -0.000 |
| -0.000 | 0.000 | 0.000 | 0.000 | 0.001 | 0.000 |
| -0.000 | 0.000 | 0.000 | 0.000 | -0.000 | 0.001 |
| 1283.903 | 742.177 | 184.151 | -0.000 | -0.000 | -0.000 |
| 742.177 | 1283.903 | 184.151 | 0.000 | 0.000 | -0.000 |
| 184.151 | 184.151 | 2425.258 | 0.000 | 0.000 | -0.000 |
| 0.000 | -0.000 | 0.000 | 114.381 | -0.000 | -0.000 |
| -0.000 | 0.000 | -0.000 | -0.000 | 114.381 | -0.000 |
| 0.000 | 0.000 | -0.000 | -0.000 | 0.000 | -98.609 |
| 1283.903 | 742.176 | 184.151 | -0.000 | -0.000 | 0.000 |
| 742.176 | 1283.903 | 184.151 | 0.000 | -0.000 | 0.000 |
| 184.151 | 184.151 | 2425.258 | -0.000 | -0.000 | 0.000 |
| -0.000 | 0.000 | -0.000 | 114.381 | -0.000 | 0.000 |
| 0.000 | -0.000 | 0.000 | 0.000 | 114.381 | -0.000 |
| -0.000 | -0.000 | 0.000 | 0.000 | 0.000 | -98.609 |
| 1283.907 | 742.181 | 184.152 | -0.000 | 0.000 | -0.000 |
| 742.181 | 1283.907 | 184.152 | -0.000 | 0.000 | -0.000 |
| 184.152 | 184.152 | 2425.256 | 0.000 | -0.000 | -0.000 |
| -0.000 | -0.000 | 0.000 | 114.381 | -0.000 | 0.000 |
| -0.000 | -0.000 | 0.000 | 0.000 | 114.381 | -0.000 |
| -0.000 | -0.000 | 0.000 | 0.000 | 0.000 | -98.609 |
| 1283.898 | 742.172 | 184.149 | 0.000 | -0.000 | 0.000 |
| 742.172 | 1283.898 | 184.149 | 0.000 | -0.000 | 0.000 |
| 184.149 | 184.149 | 2425.260 | -0.000 | 0.000 | 0.000 |
| 0.000 | 0.000 | -0.000 | 114.381 | -0.000 | 0.000 |
| 0.000 | 0.000 | -0.000 | 0.000 | 114.381 | 0.000 |
| 0.000 | 0.000 | -0.000 | -0.000 | 0.000 | -98.609 |
| 1283.948 | 742.221 | 184.168 | 0.000 | -0.000 | -0.000 |
| 742.221 | 1283.948 | 184.168 | 0.000 | -0.000 | -0.000 |
| 184.164 | 184.164 | 2425.242 | -0.000 | -0.000 | -0.000 |
| -0.000 | -0.002 | 0.000 | 114.381 | 0.000 | -0.000 |
| -0.002 | -0.000 | 0.000 | -0.000 | 114.381 | -0.000 |
| -0.000 | -0.001 | 0.000 | -0.000 | 0.000 | -98.609 |
| 1283.858 | 742.131 | 184.133 | -0.000 | -0.000 | -0.000 |
| 742.131 | 1283.858 | 184.133 | -0.000 | -0.000 | 0.000 |
| 184.137 | 184.137 | 2425.274 | 0.000 | 0.000 | -0.000 |
| 0.000 | 0.002 | -0.000 | 114.381 | -0.000 | 0.000 |
| 0.002 | 0.000 | -0.000 | 0.000 | 114.381 | -0.000 |
| 0.000 | 0.001 | -0.000 | 0.000 | -0.000 | -98.609 |
| -271.489 | -40.872 | 126.774 | 0.000 | 0.000 | -0.000 |
| -40.872 | -271.489 | 126.774 | -0.000 | -0.000 | -0.000 |
| 126.774 | 126.774 | 559.042 | 0.000 | 0.000 | 0.000 |
| -0.000 | -0.000 | -0.000 | 45.149 | -0.000 | -0.000 |
| -0.000 | -0.000 | -0.000 | 0.000 | 45.149 | -0.000 |
| -0.000 | -0.000 | -0.000 | 0.000 | -0.000 | -60.800 |
| -271.489 | -40.872 | 126.774 | -0.000 | 0.000 | 0.000 |
| -40.872 | -271.489 | 126.774 | -0.000 | 0.000 | 0.000 |
| 126.774 | 126.774 | 559.043 | -0.000 | -0.000 | -0.000 |
| 0.000 | 0.000 | 0.000 | 45.149 | 0.000 | 0.000 |
| 0.000 | 0.000 | 0.000 | -0.000 | 45.149 | -0.000 |
| 0.000 | 0.000 | 0.000 | -0.000 | 0.000 | -60.800 |
| -271.492 | -40.873 | 126.773 | -0.000 | -0.000 | -0.000 |
| -40.873 | -271.492 | 126.773 | 0.000 | -0.000 | 0.000 |
| 126.772 | 126.772 | 559.040 | 0.000 | -0.000 | -0.000 |
| -0.000 | -0.000 | -0.000 | 45.149 | -0.000 | 0.000 |
| -0.000 | -0.000 | -0.000 | 0.000 | 45.149 | 0.000 |
| -0.000 | -0.000 | -0.000 | 0.000 | -0.000 | -60.800 |
| -271.487 | -40.871 | 126.775 | -0.000 | 0.000 | 0.000 |
| -40.871 | -271.487 | 126.775 | -0.000 | 0.000 | -0.000 |
| 126.776 | 126.776 | 559.045 | -0.000 | 0.000 | 0.000 |
| 0.000 | 0.000 | 0.000 | 45.149 | 0.000 | -0.000 |
| 0.000 | 0.000 | 0.000 | -0.000 | 45.149 | 0.000 |
| 0.000 | 0.000 | 0.000 | -0.000 | 0.000 | -60.800 |
| -271.514 | -40.886 | 126.760 | 0.000 | -0.000 | -0.000 |
| -40.886 | -271.514 | 126.760 | 0.000 | 0.000 | -0.000 |
| 126.757 | 126.757 | 559.017 | 0.000 | 0.000 | 0.000 |
| -0.001 | -0.002 | -0.001 | 45.149 | -0.000 | 0.000 |
| -0.002 | -0.001 | -0.001 | 0.000 | 45.149 | -0.000 |
| -0.004 | -0.004 | -0.001 | 0.000 | -0.000 | -60.800 |
| -271.464 | -40.859 | 126.788 | -0.000 | 0.000 | 0.000 |
| -40.859 | -271.464 | 126.788 | -0.000 | 0.000 | -0.000 |
| 126.791 | 126.791 | 559.067 | -0.000 | 0.000 | -0.000 |
| 0.001 | 0.002 | 0.001 | 45.149 | 0.000 | -0.000 |
| 0.002 | 0.001 | 0.001 | -0.000 | 45.149 | 0.000 |
| 0.004 | 0.004 | 0.001 | -0.000 | 0.000 | -60.800 |
| 408.205 | 147.855 | 219.551 | -0.000 | 0.000 | -0.000 |
| 147.855 | 408.205 | 219.551 | 0.000 | 0.000 | -0.000 |
| 219.551 | 219.551 | 861.258 | -0.000 | 0.000 | -0.000 |
| 0.000 | 0.000 | -0.000 | 233.200 | 0.000 | -0.000 |
| 0.000 | 0.000 | -0.000 | -0.000 | 233.200 | -0.000 |
| 0.000 | 0.000 | -0.000 | -0.000 | 0.000 | 168.905 |
| 408.205 | 147.855 | 219.551 | 0.000 | -0.000 | 0.000 |
| 147.855 | 408.205 | 219.551 | 0.000 | -0.000 | 0.000 |
| 219.551 | 219.551 | 861.258 | 0.000 | -0.000 | 0.000 |
| -0.000 | -0.000 | 0.000 | 233.200 | -0.000 | 0.000 |
| -0.000 | -0.000 | 0.000 | 0.000 | 233.200 | 0.000 |
| -0.000 | -0.000 | 0.000 | 0.000 | -0.000 | 168.905 |
| 408.205 | 147.855 | 219.551 | -0.000 | 0.000 | -0.000 |
| 147.855 | 408.205 | 219.551 | -0.000 | 0.000 | -0.000 |
| 219.551 | 219.551 | 861.257 | -0.000 | 0.000 | -0.000 |
| 0.000 | 0.000 | -0.000 | 233.200 | 0.000 | -0.000 |
| 0.000 | 0.000 | -0.000 | -0.000 | 233.200 | -0.000 |
| 0.000 | 0.000 | 0.000 | -0.000 | 0.000 | 168.905 |
| 408.204 | 147.855 | 219.550 | 0.000 | -0.000 | 0.000 |
| 147.855 | 408.204 | 219.550 | -0.000 | -0.000 | 0.000 |
| 219.550 | 219.550 | 861.259 | 0.000 | -0.000 | 0.000 |
| -0.000 | -0.000 | 0.000 | 233.200 | -0.000 | 0.000 |
| -0.000 | -0.000 | 0.000 | 0.000 | 233.200 | 0.000 |
| -0.000 | -0.000 | -0.000 | 0.000 | -0.000 | 168.905 |
| 408.208 | 147.856 | 219.552 | -0.000 | 0.000 | -0.000 |
| 147.856 | 408.208 | 219.552 | 0.000 | -0.000 | -0.000 |
| 219.551 | 219.551 | 861.247 | -0.000 | -0.000 | -0.000 |
| 0.000 | 0.001 | -0.000 | 233.200 | 0.000 | -0.000 |
| 0.001 | 0.000 | -0.000 | -0.000 | 233.200 | -0.000 |
| 0.001 | 0.001 | 0.000 | -0.000 | 0.000 | 168.905 |
| 408.201 | 147.854 | 219.549 | 0.000 | -0.000 | 0.000 |
| 147.854 | 408.201 | 219.549 | 0.000 | -0.000 | 0.000 |
| 219.550 | 219.550 | 861.269 | 0.000 | -0.000 | 0.000 |
| -0.000 | -0.001 | 0.000 | 233.200 | -0.000 | 0.000 |
| -0.001 | -0.000 | 0.000 | 0.000 | 233.200 | 0.000 |
| -0.001 | -0.001 | -0.000 | 0.000 | -0.000 | 168.905 |
| 426.570 | 49.007 | 162.218 | 0.000 | 0.000 | -0.000 |
| 49.007 | 426.570 | 162.218 | -0.000 | 0.000 | 0.000 |
| 162.218 | 162.218 | 12.804 | 0.000 | 0.000 | -0.000 |
| 0.000 | 0.000 | 0.000 | 188.283 | 0.000 | -0.000 |
| 0.000 | -0.000 | 0.000 | 0.000 | 188.283 | 0.000 |
| 0.000 | 0.000 | 0.000 | 0.000 | 0.000 | 74.258 |
| 426.570 | 49.007 | 162.218 | -0.000 | -0.000 | -0.000 |
| 49.007 | 426.570 | 162.218 | 0.000 | -0.000 | 0.000 |
| 162.218 | 162.218 | 12.804 | -0.000 | -0.000 | 0.000 |
| -0.000 | -0.000 | -0.000 | 188.283 | -0.000 | -0.000 |
| -0.000 | 0.000 | -0.000 | -0.000 | 188.283 | 0.000 |
| -0.000 | -0.000 | -0.000 | -0.000 | -0.000 | 74.258 |
| 426.571 | 49.008 | 162.218 | 0.000 | -0.000 | 0.000 |
| 49.008 | 426.571 | 162.218 | -0.000 | 0.000 | -0.000 |
| 162.218 | 162.218 | 12.805 | 0.000 | 0.000 | -0.000 |
| -0.000 | 0.000 | 0.000 | 188.283 | 0.000 | -0.000 |
| 0.000 | -0.000 | 0.000 | 0.000 | 188.283 | 0.000 |
| 0.000 | 0.000 | -0.000 | 0.000 | 0.000 | 74.258 |
| 426.570 | 49.007 | 162.218 | -0.000 | -0.000 | 0.000 |
| 49.007 | 426.570 | 162.218 | 0.000 | -0.000 | 0.000 |
| 162.218 | 162.218 | 12.803 | -0.000 | -0.000 | -0.000 |
| 0.000 | -0.000 | -0.000 | 188.283 | -0.000 | 0.000 |
| -0.000 | 0.000 | -0.000 | -0.000 | 188.283 | 0.000 |
| -0.000 | -0.000 | 0.000 | 0.000 | -0.000 | 74.258 |
| 426.576 | 49.009 | 162.219 | -0.000 | -0.000 | -0.000 |
| 49.009 | 426.576 | 162.219 | 0.000 | 0.000 | -0.000 |
| 162.219 | 162.219 | 12.811 | 0.000 | 0.000 | -0.000 |
| -0.000 | 0.001 | 0.001 | 188.283 | 0.000 | -0.000 |
| 0.001 | -0.000 | 0.001 | 0.000 | 188.283 | -0.000 |
| 0.002 | 0.002 | -0.000 | 0.000 | 0.000 | 74.258 |
| 426.564 | 49.006 | 162.216 | -0.000 | -0.000 | 0.000 |
| 49.006 | 426.564 | 162.216 | 0.000 | -0.000 | -0.000 |
| 162.217 | 162.217 | 12.797 | 0.000 | -0.000 | 0.000 |
| 0.000 | -0.001 | -0.001 | 188.283 | -0.000 | 0.000 |
| -0.001 | 0.000 | -0.001 | -0.000 | 188.283 | -0.000 |
| -0.002 | -0.002 | 0.000 | -0.000 | -0.000 | 74.258 |
| -111.484 | -19.354 | 0.433 | -0.000 | 0.000 | -0.000 |
| -19.354 | -111.484 | 0.433 | 0.000 | 0.000 | 0.000 |
| 0.433 | 0.433 | 141.536 | 0.000 | 0.000 | -0.000 |
| -0.000 | -0.000 | 0.000 | 2.714 | 0.000 | -0.000 |
| -0.000 | -0.000 | 0.000 | 0.000 | 2.714 | -0.000 |
| -0.000 | -0.000 | -0.000 | -0.000 | 0.000 | -15.517 |
| -111.484 | -19.354 | 0.433 | -0.000 | -0.000 | -0.000 |
| -19.354 | -111.484 | 0.433 | -0.000 | -0.000 | -0.000 |
| 0.433 | 0.433 | 141.536 | 0.000 | -0.000 | 0.000 |
| 0.000 | 0.000 | -0.000 | 2.714 | -0.000 | -0.000 |
| 0.000 | 0.000 | -0.000 | 0.000 | 2.714 | -0.000 |
| 0.000 | 0.000 | 0.000 | 0.000 | -0.000 | -15.517 |
| -111.485 | -19.354 | 0.433 | -0.000 | 0.000 | 0.000 |
| -19.354 | -111.485 | 0.433 | -0.000 | 0.000 | 0.000 |
| 0.434 | 0.434 | 141.536 | -0.000 | 0.000 | 0.000 |
| -0.000 | -0.000 | 0.000 | 2.714 | 0.000 | 0.000 |
| -0.000 | -0.000 | 0.000 | 0.000 | 2.714 | 0.000 |
| -0.000 | -0.000 | -0.000 | -0.000 | -0.000 | -15.517 |
| -111.484 | -19.354 | 0.433 | 0.000 | -0.000 | -0.000 |
| -19.354 | -111.484 | 0.433 | -0.000 | -0.000 | -0.000 |
| 0.433 | 0.433 | 141.536 | -0.000 | -0.000 | 0.000 |
| 0.000 | 0.000 | -0.000 | 2.714 | -0.000 | -0.000 |
| 0.000 | 0.000 | -0.000 | 0.000 | 2.714 | -0.000 |
| 0.000 | 0.000 | 0.000 | -0.000 | -0.000 | -15.517 |
| -111.487 | -19.354 | 0.433 | -0.000 | 0.000 | -0.000 |
| -19.354 | -111.487 | 0.433 | 0.000 | 0.000 | -0.000 |
| 0.434 | 0.434 | 141.539 | 0.000 | 0.000 | -0.000 |
| -0.000 | -0.000 | 0.001 | 2.714 | 0.000 | 0.000 |
| -0.000 | -0.000 | 0.001 | -0.000 | 2.714 | 0.000 |
| -0.000 | -0.000 | -0.000 | 0.000 | -0.000 | -15.517 |
| -111.482 | -19.354 | 0.434 | -0.000 | -0.000 | -0.000 |
| -19.354 | -111.482 | 0.434 | 0.000 | -0.000 | -0.000 |
| 0.433 | 0.433 | 141.533 | -0.000 | -0.000 | -0.000 |
| 0.000 | 0.000 | -0.001 | 2.714 | -0.000 | 0.000 |
| 0.000 | 0.000 | -0.001 | -0.000 | 2.714 | -0.000 |
| 0.000 | 0.000 | 0.000 | 0.000 | -0.000 | -15.517 |
| 29.545 | 13.333 | 8.184 | 0.000 | 0.000 | -0.000 |
| 13.333 | 29.545 | 8.184 | 0.000 | 0.000 | 0.000 |
| 8.184 | 8.184 | 18.174 | 0.000 | 0.000 | 0.000 |
| -0.000 | -0.000 | -0.000 | 8.265 | 0.000 | -0.000 |
| -0.000 | 0.000 | -0.000 | 0.000 | 8.265 | 0.000 |
| 0.000 | 0.000 | -0.000 | 0.000 | -0.000 | 13.616 |
| 29.545 | 13.333 | 8.184 | -0.000 | -0.000 | -0.000 |
| 13.333 | 29.545 | 8.184 | -0.000 | -0.000 | -0.000 |
| 8.184 | 8.184 | 18.174 | -0.000 | -0.000 | 0.000 |
| 0.000 | 0.000 | 0.000 | 8.265 | -0.000 | 0.000 |
| 0.000 | -0.000 | 0.000 | -0.000 | 8.265 | 0.000 |
| -0.000 | -0.000 | 0.000 | -0.000 | 0.000 | 13.616 |
| 29.545 | 13.333 | 8.184 | 0.000 | -0.000 | 0.000 |
| 13.333 | 29.545 | 8.184 | -0.000 | 0.000 | 0.000 |
| 8.184 | 8.184 | 18.174 | 0.000 | 0.000 | -0.000 |
| -0.000 | -0.000 | -0.000 | 8.265 | 0.000 | 0.000 |
| -0.000 | -0.000 | -0.000 | 0.000 | 8.265 | 0.000 |
| 0.000 | 0.000 | -0.000 | 0.000 | -0.000 | 13.616 |
| 29.545 | 13.333 | 8.184 | -0.000 | -0.000 | -0.000 |
| 13.333 | 29.545 | 8.184 | -0.000 | -0.000 | 0.000 |
| 8.184 | 8.184 | 18.174 | -0.000 | -0.000 | 0.000 |
| 0.000 | 0.000 | 0.000 | 8.265 | -0.000 | -0.000 |
| 0.000 | 0.000 | 0.000 | -0.000 | 8.265 | 0.000 |
| -0.000 | -0.000 | 0.000 | -0.000 | -0.000 | 13.616 |
| 29.545 | 13.333 | 8.184 | 0.000 | -0.000 | -0.000 |
| 13.333 | 29.545 | 8.184 | -0.000 | 0.000 | -0.000 |
| 8.184 | 8.184 | 18.174 | 0.000 | 0.000 | -0.000 |
| -0.000 | -0.000 | -0.000 | 8.265 | 0.000 | 0.000 |
| -0.000 | -0.000 | -0.000 | 0.000 | 8.265 | -0.000 |
| 0.000 | 0.000 | -0.000 | 0.000 | -0.000 | 13.616 |
| 29.545 | 13.332 | 8.184 | -0.000 | -0.000 | 0.000 |
| 13.332 | 29.545 | 8.184 | -0.000 | -0.000 | -0.000 |
| 8.184 | 8.184 | 18.174 | -0.000 | -0.000 | -0.000 |
| 0.000 | 0.000 | 0.000 | 8.265 | -0.000 | 0.000 |
| 0.000 | 0.000 | 0.000 | -0.000 | 8.265 | 0.000 |
| -0.000 | -0.000 | 0.000 | -0.000 | 0.000 | 13.616 |
| 1906.735 | 1404.880 | 370.012 | -71.866 | -0.000 | 0.000 |
| 1404.880 | 1906.735 | 370.012 | 71.866 | -0.000 | 0.000 |
| 370.023 | 370.023 | 1666.244 | -0.000 | 0.000 | 0.000 |
| -76.399 | 76.368 | 0.016 | 48.314 | -0.000 | 0.000 |
| -0.015 | -0.015 | 0.016 | 0.000 | 48.314 | -76.383 |
| -0.000 | -0.000 | -0.000 | -0.000 | -71.866 | 250.927 |
| 1906.736 | 1404.881 | 370.012 | -71.866 | 0.000 | -0.000 |
| 1278.050 | 1769.024 | 508.502 | 76.384 | 0.000 | -0.000 |
| 508.570 | 508.570 | 1521.187 | 0.000 | -0.000 | -0.000 |
| -76.368 | 76.399 | -0.016 | 48.314 | 0.000 | -0.000 |
| 0.015 | 0.015 | -0.016 | -0.000 | 48.314 | -76.384 |
| 0.000 | 0.000 | 0.000 | -0.000 | -71.866 | 250.927 |
| 1906.730 | 1404.876 | 370.010 | -71.866 | -0.000 | 0.000 |
| 1404.876 | 1906.730 | 370.010 | 71.866 | -0.000 | 0.000 |
| 370.021 | 370.021 | 1666.232 | -0.000 | -0.000 | -0.000 |
| -71.866 | 71.865 | -0.002 | 52.065 | -0.000 | 0.000 |
| -0.001 | -0.000 | -0.002 | 0.000 | 52.066 | -71.866 |
| -0.002 | -0.002 | 0.001 | -0.000 | -76.384 | 245.487 |
| 1906.741 | 1404.885 | 370.014 | -71.866 | 0.000 | -0.000 |
| 1289.105 | 1772.223 | 501.045 | 79.645 | 0.000 | -0.000 |
| 508.542 | 508.542 | 1521.238 | 0.000 | 0.000 | -0.000 |
| -76.382 | 76.385 | 0.001 | 48.314 | 0.000 | -0.000 |
| 0.001 | 0.000 | 0.002 | -0.000 | 52.066 | -71.866 |
| 0.002 | 0.002 | -0.001 | 0.000 | -76.384 | 245.487 |
| 1772.189 | 1289.077 | 501.014 | -79.647 | 0.000 | 0.000 |
| 1277.996 | 1768.967 | 508.502 | 76.385 | -0.000 | 0.000 |
| 508.572 | 508.572 | 1520.942 | 0.000 | -0.000 | 0.000 |
| -76.382 | 76.381 | -0.024 | 48.310 | -0.000 | 0.000 |
| -0.005 | -0.001 | -0.019 | 0.003 | 52.066 | -71.866 |
| -0.001 | -0.002 | -0.002 | -0.000 | -76.384 | 245.487 |
| 1769.024 | 1278.046 | 508.561 | -76.383 | 0.000 | -0.000 |
| 1404.928 | 1906.788 | 370.032 | 71.866 | 0.000 | -0.000 |
| 370.041 | 370.041 | 1666.376 | -0.000 | 0.000 | -0.000 |
| -71.865 | 71.871 | 0.019 | 52.069 | 0.000 | -0.000 |
| 0.005 | 0.001 | 0.019 | -0.003 | 52.066 | -71.866 |
| 0.001 | 0.002 | 0.002 | 0.000 | -76.384 | 245.487 |
| 1970.238 | 1469.276 | 419.464 | -67.418 | -0.000 | -0.000 |
| 1342.283 | 1827.409 | 563.828 | 75.079 | 0.000 | -0.000 |
| 566.398 | 566.398 | 1416.798 | 0.000 | 0.000 | -0.000 |
| -67.418 | 67.418 | 0.000 | 42.903 | -0.000 | 0.000 |
| -0.037 | -0.037 | 0.039 | 0.000 | 38.823 | -71.634 |
| -0.037 | -0.037 | 0.039 | 0.000 | -71.634 | 246.124 |
| 1970.237 | 1469.275 | 419.463 | -67.418 | -0.000 | -0.000 |
| 1469.275 | 1970.237 | 419.463 | 67.418 | 0.000 | 0.000 |
| 414.919 | 414.919 | 1578.891 | 0.000 | -0.000 | -0.000 |
| -71.597 | 71.671 | -0.039 | 38.823 | -0.000 | 0.000 |
| 0.037 | 0.037 | -0.039 | -0.000 | 38.823 | -71.634 |
| 0.037 | 0.037 | -0.039 | -0.000 | -71.634 | 246.124 |
| 1970.241 | 1469.280 | 419.465 | -67.418 | -0.000 | -0.000 |
| 1469.280 | 1970.241 | 419.465 | 67.418 | 0.000 | -0.000 |
| 566.473 | 566.473 | 1416.719 | 0.000 | 0.000 | -0.000 |
| -71.640 | 71.633 | 0.004 | 38.821 | 0.000 | -0.000 |
| -0.004 | -0.004 | 0.004 | 0.000 | 38.821 | -71.636 |
| -0.004 | -0.004 | 0.004 | -0.000 | -71.636 | 246.121 |
| 1824.247 | 1332.005 | 571.013 | -71.637 | -0.000 | 0.000 |
| 1332.005 | 1824.247 | 571.013 | 71.637 | -0.000 | 0.000 |
| 414.918 | 414.918 | 1578.891 | -0.000 | -0.000 | -0.000 |
| -71.633 | 71.640 | -0.004 | 38.821 | -0.000 | 0.000 |
| 0.004 | 0.004 | -0.004 | -0.000 | 38.821 | -71.636 |
| 0.004 | 0.004 | -0.004 | 0.000 | -71.636 | 246.121 |
| 1824.278 | 1332.035 | 571.039 | -71.637 | -0.000 | -0.000 |
| 1342.383 | 1827.504 | 563.775 | 75.080 | 0.000 | -0.000 |
| 414.932 | 414.932 | 1578.893 | 0.000 | -0.000 | -0.000 |
| -67.417 | 67.418 | 0.001 | 42.902 | 0.000 | -0.000 |
| 0.000 | 0.001 | 0.001 | 0.000 | 42.903 | -67.418 |
| -0.002 | -0.002 | -0.000 | -0.000 | -71.637 | 246.121 |
| 1824.213 | 1331.964 | 571.010 | -71.636 | -0.000 | 0.000 |
| 1469.233 | 1970.201 | 419.449 | 67.418 | 0.000 | 0.000 |
| 414.906 | 414.906 | 1578.889 | 0.000 | -0.000 | -0.000 |
| -67.419 | 67.418 | -0.001 | 42.903 | 0.000 | -0.000 |
| -0.000 | -0.001 | -0.001 | -0.000 | 42.903 | -67.418 |
| 0.002 | 0.002 | 0.000 | 0.000 | -71.637 | 246.121 |
| -823.437 | 399.835 | -199.807 | -160.376 | -0.000 | -0.000 |
| -158.312 | -251.738 | -137.597 | -3.069 | 0.000 | -0.000 |
| -111.402 | -111.402 | -211.317 | -0.000 | -0.000 | -0.000 |
| -162.716 | 158.038 | -21.473 | -112.658 | -0.000 | -0.000 |
| -0.000 | -0.000 | 0.000 | -0.000 | -65.369 | 3.069 |
| -2.339 | -2.339 | -21.473 | -0.000 | -160.377 | -611.636 |
| -251.738 | -158.312 | -137.597 | 3.069 | 0.000 | 0.000 |
| 404.513 | -818.759 | -156.861 | 160.376 | -0.000 | 0.000 |
| -116.147 | -116.147 | -254.877 | 0.000 | -0.000 | 0.000 |
| -158.037 | 162.715 | 21.473 | -112.657 | 0.000 | 0.000 |
| 0.000 | -0.000 | -0.000 | -0.000 | -65.369 | 3.069 |
| 2.339 | 2.339 | 21.473 | 0.000 | -160.376 | -611.636 |
| -251.738 | -158.312 | -137.597 | 3.069 | 0.000 | -0.000 |
| -158.312 | -251.738 | -137.597 | -3.069 | -0.000 | -0.000 |
| -116.465 | -116.465 | -257.796 | -0.000 | 0.000 | -0.000 |
| 38269949.427 | 202248485.873 | 379833509.742 | -7119605.589 | 1303419.222 | -1306977.834 |
| -0.234 | -0.234 | -2.147 | -0.000 | -112.658 | -160.376 |
| 184017825.015 | 101690522.049 | 364961604.513 | 5112201.057 | -5446412.435 | -106447118.211 |
| -251.737 | -158.312 | -137.597 | 3.069 | 0.000 | 0.000 |
| -38400532.369 | -200487915.790 | -377045341.893 | 6286045.296 | -717924.827 | 2145778.729 |
| -111.402 | -111.402 | -211.318 | -0.000 | 0.000 | 0.000 |
| -160.142 | 160.610 | 2.147 | -112.658 | 0.000 | 0.000 |
| 0.234 | 0.234 | 2.147 | 0.000 | -112.658 | -160.376 |
| -178541347.160 | -95818969.201 | -359618913.773 | -4409577.853 | -7419876.340 | -104214496.755 |
| -39699365.831 | 47321239.695 | 18137063.572 | 1002062.921 | -0.000 | -0.000 |
| 25940764.908 | 26189751.236 | 46351696.215 | 138133.100 | 45515.821 | 113360.209 |
| -116.438 | -116.438 | -257.552 | 0.000 | -0.000 | -0.000 |
| 3513297.052 | 19591100.984 | 36325983.242 | -480212.747 | 57850.124 | -15367.891 |
| -0.000 | -0.000 | 0.001 | -0.001 | -65.369 | 3.069 |
| -0.000 | -0.001 | -0.000 | -0.000 | 3.069 | -46.713 |
| -26209395.719 | -26139944.632 | -46284167.024 | -253287.598 | -117413.097 | -297294.867 |
| -4309206.065 | -20265308.322 | -37067814.579 | 612905.081 | -47837.193 | -151109.642 |
| -116.434 | -116.434 | -257.510 | 0.000 | 0.000 | 0.000 |
| -25795073.317 | -25753095.321 | -46081355.871 | -171557.034 | -49281.700 | -165749.639 |
| 0.000 | 0.000 | -0.001 | 0.001 | -65.369 | 3.069 |
| 0.000 | 0.001 | 0.000 | 0.000 | 3.069 | -46.713 |
| -25.534 | -9.087 | 10.353 | 15.048 | 0.000 | -0.000 |
| 6587.065 | 6387.661 | 9096.569 | -198.625 | -0.000 | 0.000 |
| 10.100 | 10.100 | 54.868 | -0.000 | 0.000 | -0.000 |
| 7006.395 | 6611.227 | 9511.060 | -357.515 | -0.000 | 0.000 |
| 0.000 | 0.000 | 0.000 | -0.000 | 8.794 | 15.048 |
| 6849.059 | 6849.059 | 9567.282 | 0.000 | 198.663 | -99.721 |
| -7310.448 | -7110.973 | -10037.932 | 198.697 | 0.000 | -0.000 |
| -9.087 | -25.534 | 10.353 | -15.048 | -0.000 | 0.000 |
| -7332.508 | -7332.508 | -10201.843 | -0.000 | 0.000 | -0.000 |
| -6611.227 | -7006.395 | -9511.060 | -357.516 | 0.000 | -0.000 |
| -0.000 | -0.000 | -0.000 | 0.000 | 8.794 | 15.048 |
| -6849.059 | -6849.059 | -9567.282 | -0.000 | 198.663 | -99.721 |
| -25.534 | -9.087 | 10.353 | 15.048 | -0.000 | -0.000 |
| 356.763 | 293.709 | 488.847 | -61.813 | -0.000 | -0.000 |
| 10.100 | 10.100 | 54.868 | -0.000 | -0.000 | -0.000 |
| 551.303 | 294.467 | 590.717 | -218.715 | -0.000 | -0.000 |
| 0.000 | 0.000 | 0.000 | -0.000 | 8.794 | 15.048 |
| 0.000 | -0.000 | 0.000 | -0.000 | 15.048 | -8.224 |
| -25.534 | -9.087 | 10.353 | 15.048 | 0.000 | 0.000 |
| -1015.740 | -1078.796 | -1428.372 | -61.814 | 0.000 | 0.000 |
| -1156.264 | -1156.264 | -1574.403 | -0.000 | 0.000 | -0.000 |
| 15.048 | -15.048 | -0.000 | 8.794 | -0.000 | 0.000 |
| -0.000 | -0.000 | -0.000 | 0.000 | 8.794 | 15.048 |
| -0.000 | 0.000 | -0.000 | 0.000 | 15.048 | -8.224 |
| -323.912 | -260.860 | -373.886 | 61.811 | -0.000 | -0.000 |
| -260.864 | -323.913 | -373.890 | -61.809 | -0.000 | -0.000 |
| -401.359 | -401.359 | -519.868 | 0.000 | -0.000 | 0.000 |
| 81.017 | -45.172 | 25.035 | -87.625 | -0.000 | -0.000 |
| 68.628 | 68.626 | 95.863 | -0.001 | -85.052 | 61.813 |
| 0.000 | -0.000 | 0.000 | -0.000 | 15.048 | -8.224 |
| -461.169 | -398.113 | -565.631 | 61.814 | 0.000 | 0.000 |
| -398.107 | -461.167 | -565.626 | -61.818 | 0.000 | 0.000 |
| -538.664 | -538.664 | -711.714 | -0.000 | 0.000 | -0.000 |
| 45.173 | -81.018 | -25.035 | -87.626 | 0.000 | 0.000 |
| -68.628 | -68.626 | -95.863 | 0.001 | -85.052 | 61.813 |
| -0.000 | 0.000 | -0.000 | 0.000 | 15.048 | -8.224 |
| 85.263 | 27.542 | 47.909 | -21.836 | 0.000 | 0.000 |
| -27.880 | -12.299 | -96.082 | -21.597 | 0.000 | 0.000 |
| 47.924 | 47.924 | 121.790 | 0.000 | -0.000 | 0.000 |
| 3.094 | -3.042 | 0.049 | -2.275 | -0.000 | 0.000 |
| 0.026 | 0.026 | 0.049 | -0.000 | -2.275 | 3.068 |
| 0.026 | 0.026 | 0.049 | -0.000 | 3.068 | 16.779 |
| -23.157 | -56.716 | -133.441 | 3.068 | 0.000 | -0.000 |
| 27.542 | 85.263 | 47.909 | 21.836 | 0.000 | -0.000 |
| -133.375 | -133.375 | -219.491 | 0.000 | 0.000 | -0.000 |
| 3.042 | -3.094 | -0.049 | -2.275 | 0.000 | -0.000 |
| -0.026 | -0.026 | -0.049 | 0.000 | -2.275 | 3.068 |
| -0.026 | -0.026 | -0.049 | 0.000 | 3.068 | 16.779 |
| -23.093 | -56.652 | -133.321 | 3.068 | -0.000 | 0.000 |
| 27.542 | 85.263 | 47.909 | 21.836 | -0.000 | 0.000 |
| -133.310 | -133.310 | -219.369 | -0.000 | 0.000 | 0.000 |
| -21.836 | 21.836 | 0.000 | 49.062 | -0.000 | 0.000 |
| 0.000 | 0.000 | 0.000 | -0.000 | 49.062 | -21.836 |
| 0.003 | 0.003 | 0.005 | 0.000 | 3.068 | 16.779 |
| -23.106 | -56.664 | -133.345 | 3.068 | 0.000 | -0.000 |
| -27.943 | -12.370 | -96.207 | -21.607 | 0.000 | -0.000 |
| 47.924 | 47.924 | 121.790 | -0.000 | 0.000 | -0.000 |
| -21.836 | 21.836 | -0.000 | 49.062 | 0.000 | -0.000 |
| -0.000 | -0.000 | -0.000 | 0.000 | 49.062 | -21.836 |
| -0.003 | -0.003 | -0.005 | -0.000 | 3.068 | 16.779 |
| -23.094 | -56.653 | -133.324 | 3.067 | -0.000 | 0.000 |
| -27.934 | -12.359 | -96.189 | -21.604 | -0.000 | 0.000 |
| -133.301 | -133.301 | -219.351 | -0.000 | 0.000 | 0.000 |
| 3.069 | -3.068 | 0.001 | -2.276 | 0.000 | 0.000 |
| 0.001 | 0.000 | 0.001 | -0.000 | 49.062 | -21.836 |
| 0.000 | 0.000 | 0.001 | 0.000 | 3.068 | 16.779 |
| -12.367 | -27.940 | -96.201 | 21.608 | 0.000 | -0.000 |
| -56.663 | -23.104 | -133.342 | -3.069 | -0.000 | -0.000 |
| -133.334 | -133.334 | -219.414 | 0.000 | -0.000 | -0.000 |
| 3.067 | -3.069 | -0.001 | -2.275 | 0.000 | -0.000 |
| -0.001 | -0.000 | -0.001 | 0.000 | 49.062 | -21.836 |
| -0.000 | -0.000 | -0.001 | -0.000 | 3.068 | 16.779 |
| 834.732 | 965.547 | 965.547 | 0.000 | 0.000 | 0.000 |
| 965.547 | 834.732 | 965.547 | -0.000 | -0.000 | -0.000 |
| 965.547 | 965.547 | 834.732 | -0.000 | -0.000 | -0.000 |
| -0.000 | -0.000 | -0.000 | 210.775 | 0.000 | -0.000 |
| -0.000 | -0.000 | -0.000 | -0.000 | 210.775 | -0.000 |
| -0.000 | 0.000 | -0.000 | -0.000 | -0.000 | 210.775 |
| 834.733 | 965.548 | 965.548 | 0.000 | -0.000 | 0.000 |
| 965.548 | 834.733 | 965.548 | 0.000 | -0.000 | 0.000 |
| 965.548 | 965.548 | 834.733 | 0.000 | -0.000 | 0.000 |
| 0.000 | 0.000 | 0.000 | 210.775 | -0.000 | 0.000 |
| 0.000 | 0.000 | 0.000 | 0.000 | 210.775 | 0.000 |
| 0.000 | 0.000 | 0.000 | 0.000 | -0.000 | 210.775 |
| 834.729 | 965.543 | 965.543 | -0.000 | -0.000 | -0.000 |
| 965.543 | 834.729 | 965.543 | -0.000 | -0.000 | -0.000 |
| 965.543 | 965.543 | 834.729 | -0.000 | -0.000 | 0.000 |
| -0.000 | 0.000 | 0.000 | 210.775 | 0.000 | -0.000 |
| 0.000 | -0.000 | 0.000 | -0.000 | 210.775 | -0.000 |
| 0.000 | 0.000 | -0.000 | -0.000 | 0.000 | 210.775 |
| 834.736 | 965.551 | 965.551 | -0.000 | -0.000 | 0.000 |
| 965.551 | 834.736 | 965.551 | 0.000 | -0.000 | 0.000 |
| 965.551 | 965.551 | 834.736 | -0.000 | -0.000 | 0.000 |
| 0.000 | -0.000 | -0.000 | 210.775 | -0.000 | -0.000 |
| -0.000 | 0.000 | -0.000 | 0.000 | 210.775 | 0.000 |
| -0.000 | -0.000 | 0.000 | -0.000 | 0.000 | 210.775 |
| 834.690 | 965.502 | 965.502 | 0.000 | 0.000 | 0.000 |
| 965.502 | 834.690 | 965.502 | -0.000 | 0.000 | 0.000 |
| 965.502 | 965.502 | 834.690 | -0.000 | 0.000 | -0.000 |
| -0.001 | -0.002 | -0.001 | 210.773 | 0.000 | -0.000 |
| -0.002 | -0.001 | -0.001 | -0.000 | 210.773 | -0.000 |
| -0.002 | -0.001 | -0.001 | -0.000 | 0.000 | 210.773 |
| 834.769 | 965.589 | 965.589 | -0.000 | -0.000 | 0.000 |
| 965.589 | 834.769 | 965.589 | 0.000 | 0.000 | 0.000 |
| 965.589 | 965.589 | 834.769 | -0.000 | -0.000 | 0.000 |
| 0.001 | 0.002 | 0.001 | 210.773 | -0.000 | 0.000 |
| 0.002 | 0.001 | 0.001 | 0.000 | 210.773 | 0.000 |
| 0.002 | 0.001 | 0.001 | 0.000 | -0.000 | 210.773 |
| 324.919 | 105.165 | 105.165 | -0.000 | -0.000 | -0.000 |
| 105.165 | 324.919 | 105.165 | -0.000 | -0.000 | -0.000 |
| 105.165 | 105.165 | 324.919 | -0.000 | -0.000 | -0.000 |
| 0.000 | -0.000 | -0.000 | 196.992 | -0.000 | -0.000 |
| -0.000 | 0.000 | -0.000 | -0.000 | 196.992 | -0.000 |
| -0.000 | -0.000 | 0.000 | -0.000 | -0.000 | 196.992 |
| 324.919 | 105.165 | 105.165 | 0.000 | 0.000 | 0.000 |
| 105.165 | 324.919 | 105.165 | 0.000 | 0.000 | 0.000 |
| 105.165 | 105.165 | 324.919 | 0.000 | 0.000 | 0.000 |
| -0.000 | 0.000 | 0.000 | 196.992 | 0.000 | -0.000 |
| 0.000 | -0.000 | 0.000 | 0.000 | 196.992 | 0.000 |
| 0.000 | 0.000 | -0.000 | 0.000 | 0.000 | 196.992 |
| 324.918 | 105.165 | 105.165 | -0.000 | 0.000 | 0.000 |
| 105.165 | 324.918 | 105.165 | -0.000 | -0.000 | 0.000 |
| 105.165 | 105.165 | 324.918 | -0.000 | -0.000 | -0.000 |
| 0.000 | -0.000 | -0.000 | 196.992 | -0.000 | 0.000 |
| -0.000 | 0.000 | -0.000 | -0.000 | 196.992 | -0.000 |
| -0.000 | -0.000 | 0.000 | -0.000 | -0.000 | 196.992 |
| 324.920 | 105.165 | 105.165 | 0.000 | 0.000 | -0.000 |
| 105.165 | 324.920 | 105.165 | 0.000 | 0.000 | 0.000 |
| 105.165 | 105.165 | 324.920 | 0.000 | 0.000 | -0.000 |
| -0.000 | 0.000 | 0.000 | 196.992 | 0.000 | 0.000 |
| 0.000 | -0.000 | 0.000 | 0.000 | 196.992 | 0.000 |
| 0.000 | 0.000 | -0.000 | -0.000 | 0.000 | 196.992 |
| 324.909 | 105.164 | 105.164 | -0.000 | -0.000 | -0.000 |
| 105.164 | 324.909 | 105.164 | -0.000 | -0.000 | -0.000 |
| 105.164 | 105.164 | 324.909 | 0.000 | -0.000 | 0.000 |
| 0.000 | -0.002 | -0.001 | 196.992 | -0.000 | -0.000 |
| -0.002 | 0.000 | -0.001 | -0.000 | 196.992 | -0.000 |
| -0.002 | -0.001 | 0.000 | -0.000 | -0.000 | 196.992 |
| 324.929 | 105.166 | 105.166 | 0.000 | 0.000 | -0.000 |
| 105.166 | 324.929 | 105.166 | 0.000 | 0.000 | -0.000 |
| 105.166 | 105.166 | 324.929 | 0.000 | 0.000 | 0.000 |
| -0.000 | 0.002 | 0.001 | 196.992 | 0.000 | -0.000 |
| 0.002 | -0.000 | 0.001 | 0.000 | 196.992 | 0.000 |
| 0.002 | 0.001 | -0.000 | 0.000 | 0.000 | 196.992 |
| 312.488 | 145.435 | 145.435 | -0.000 | -0.000 | -0.000 |
| 145.435 | 312.488 | 145.435 | -0.000 | -0.000 | -0.000 |
| 145.435 | 145.435 | 312.488 | -0.000 | -0.000 | -0.000 |
| -0.000 | -0.000 | -0.000 | 145.705 | -0.000 | -0.000 |
| -0.000 | -0.000 | -0.000 | -0.000 | 145.705 | -0.000 |
| -0.000 | -0.000 | -0.000 | -0.000 | -0.000 | 145.705 |
| 312.488 | 145.435 | 145.435 | 0.000 | 0.000 | 0.000 |
| 145.435 | 312.488 | 145.435 | 0.000 | 0.000 | 0.000 |
| 145.435 | 145.435 | 312.488 | 0.000 | 0.000 | 0.000 |
| 0.000 | 0.000 | 0.000 | 145.705 | 0.000 | 0.000 |
| 0.000 | 0.000 | 0.000 | 0.000 | 145.705 | 0.000 |
| 0.000 | 0.000 | 0.000 | 0.000 | 0.000 | 145.705 |
| 312.488 | 145.435 | 145.435 | -0.000 | 0.000 | -0.000 |
| 145.435 | 312.488 | 145.435 | -0.000 | -0.000 | 0.000 |
| 145.435 | 145.435 | 312.488 | -0.000 | -0.000 | -0.000 |
| -0.000 | -0.000 | -0.000 | 145.705 | -0.000 | -0.000 |
| -0.000 | -0.000 | -0.000 | -0.000 | 145.705 | -0.000 |
| -0.000 | -0.000 | -0.000 | -0.000 | -0.000 | 145.705 |
| 312.488 | 145.435 | 145.435 | 0.000 | 0.000 | 0.000 |
| 145.435 | 312.488 | 145.435 | 0.000 | 0.000 | 0.000 |
| 145.435 | 145.435 | 312.488 | 0.000 | 0.000 | 0.000 |
| 0.000 | 0.000 | 0.000 | 145.705 | 0.000 | 0.000 |
| 0.000 | 0.000 | 0.000 | 0.000 | 145.705 | 0.000 |
| 0.000 | 0.000 | 0.000 | 0.000 | 0.000 | 145.705 |
| 312.489 | 145.435 | 145.435 | -0.000 | -0.000 | -0.000 |
| 145.435 | 312.489 | 145.435 | -0.000 | -0.000 | -0.000 |
| 145.435 | 145.435 | 312.489 | -0.000 | -0.000 | -0.000 |
| -0.001 | -0.001 | -0.001 | 145.705 | -0.000 | -0.000 |
| -0.001 | -0.001 | -0.001 | -0.000 | 145.705 | -0.000 |
| -0.001 | -0.001 | -0.001 | -0.000 | -0.000 | 145.705 |
| 312.487 | 145.435 | 145.435 | 0.000 | -0.000 | 0.000 |
| 145.435 | 312.487 | 145.435 | 0.000 | 0.000 | 0.000 |
| 145.435 | 145.435 | 312.487 | 0.000 | 0.000 | 0.000 |
| 0.001 | 0.001 | 0.001 | 145.705 | 0.000 | -0.000 |
| 0.001 | 0.001 | 0.001 | 0.000 | 145.705 | 0.000 |
| 0.001 | 0.001 | 0.001 | -0.000 | 0.000 | 145.705 |
| 203.753 | 14.402 | 14.402 | -0.000 | -0.000 | 0.000 |
| 14.402 | 203.753 | 14.402 | -0.000 | 0.000 | 0.000 |
| 14.402 | 14.402 | 203.753 | -0.000 | 0.000 | 0.000 |
| 0.000 | -0.000 | -0.000 | 17.010 | -0.000 | -0.000 |
| -0.000 | 0.000 | -0.000 | -0.000 | 17.010 | 0.000 |
| -0.000 | -0.000 | 0.000 | -0.000 | -0.000 | 17.010 |
| 203.753 | 14.402 | 14.402 | -0.000 | -0.000 | -0.000 |
| 14.402 | 203.753 | 14.402 | -0.000 | -0.000 | 0.000 |
| 14.402 | 14.402 | 203.753 | 0.000 | 0.000 | 0.000 |
| -0.000 | 0.000 | 0.000 | 17.010 | -0.000 | 0.000 |
| 0.000 | -0.000 | 0.000 | 0.000 | 17.010 | 0.000 |
| 0.000 | 0.000 | -0.000 | 0.000 | 0.000 | 17.010 |
| 203.753 | 14.402 | 14.402 | -0.000 | -0.000 | 0.000 |
| 14.402 | 203.753 | 14.402 | -0.000 | 0.000 | 0.000 |
| 14.402 | 14.402 | 203.753 | 0.000 | -0.000 | 0.000 |
| 0.000 | -0.000 | -0.000 | 17.010 | -0.000 | -0.000 |
| -0.000 | 0.000 | -0.000 | -0.000 | 17.010 | -0.000 |
| -0.000 | -0.000 | 0.000 | -0.000 | -0.000 | 17.010 |
| 203.754 | 14.402 | 14.402 | -0.000 | -0.000 | -0.000 |
| 14.402 | 203.754 | 14.402 | 0.000 | -0.000 | 0.000 |
| 14.402 | 14.402 | 203.754 | 0.000 | -0.000 | 0.000 |
| -0.000 | 0.000 | 0.000 | 17.010 | 0.000 | 0.000 |
| 0.000 | -0.000 | 0.000 | 0.000 | 17.010 | -0.000 |
| 0.000 | 0.000 | -0.000 | 0.000 | 0.000 | 17.010 |
| 203.749 | 14.401 | 14.401 | -0.000 | -0.000 | -0.000 |
| 14.401 | 203.749 | 14.401 | -0.000 | -0.000 | 0.000 |
| 14.401 | 14.401 | 203.749 | -0.000 | 0.000 | 0.000 |
| 0.000 | -0.000 | -0.001 | 17.010 | -0.000 | 0.000 |
| -0.000 | 0.000 | -0.001 | -0.000 | 17.010 | 0.000 |
| -0.000 | -0.001 | 0.000 | -0.000 | -0.000 | 17.010 |
| 203.757 | 14.402 | 14.402 | 0.000 | -0.000 | -0.000 |
| 14.402 | 203.757 | 14.402 | -0.000 | 0.000 | 0.000 |
| 14.402 | 14.402 | 203.757 | 0.000 | 0.000 | -0.000 |
| -0.000 | 0.000 | 0.001 | 17.010 | -0.000 | -0.000 |
| 0.000 | -0.000 | 0.001 | 0.000 | 17.010 | -0.000 |
| 0.000 | 0.001 | -0.000 | 0.000 | 0.000 | 17.010 |
| 108.447 | 28.859 | 28.859 | 0.000 | -0.000 | -0.000 |
| 28.859 | 108.447 | 28.859 | 0.000 | -0.000 | -0.000 |
| 28.859 | 28.859 | 108.447 | 0.000 | 0.000 | -0.000 |
| 0.000 | -0.000 | 0.000 | 30.707 | -0.000 | -0.000 |
| 0.000 | -0.000 | 0.000 | -0.000 | 30.707 | -0.000 |
| -0.000 | 0.000 | -0.000 | -0.000 | -0.000 | 30.707 |
| 108.447 | 28.859 | 28.859 | 0.000 | 0.000 | 0.000 |
| 28.859 | 108.447 | 28.859 | 0.000 | 0.000 | 0.000 |
| 28.859 | 28.859 | 108.447 | -0.000 | 0.000 | 0.000 |
| 0.000 | 0.000 | -0.000 | 30.707 | 0.000 | 0.000 |
| -0.000 | 0.000 | -0.000 | 0.000 | 30.707 | 0.000 |
| -0.000 | -0.000 | 0.000 | 0.000 | 0.000 | 30.707 |
| 108.447 | 28.859 | 28.859 | 0.000 | -0.000 | -0.000 |
| 28.859 | 108.447 | 28.859 | 0.000 | -0.000 | -0.000 |
| 28.859 | 28.859 | 108.447 | 0.000 | -0.000 | -0.000 |
| -0.000 | -0.000 | 0.000 | 30.707 | 0.000 | -0.000 |
| -0.000 | -0.000 | 0.000 | -0.000 | 30.707 | -0.000 |
| -0.000 | 0.000 | -0.000 | -0.000 | -0.000 | 30.707 |
| 108.447 | 28.859 | 28.859 | 0.000 | 0.000 | 0.000 |
| 28.859 | 108.447 | 28.859 | 0.000 | 0.000 | 0.000 |
| 28.859 | 28.859 | 108.447 | 0.000 | 0.000 | 0.000 |
| 0.000 | 0.000 | -0.000 | 30.707 | 0.000 | 0.000 |
| 0.000 | 0.000 | -0.000 | 0.000 | 30.707 | 0.000 |
| 0.000 | -0.000 | 0.000 | 0.000 | 0.000 | 30.707 |
| 108.448 | 28.859 | 28.859 | -0.000 | -0.000 | -0.000 |
| 28.859 | 108.448 | 28.859 | -0.000 | -0.000 | -0.000 |
| 28.859 | 28.859 | 108.448 | 0.000 | 0.000 | -0.000 |
| -0.000 | -0.000 | 0.000 | 30.707 | -0.000 | -0.000 |
| -0.000 | -0.000 | 0.000 | -0.000 | 30.707 | -0.000 |
| -0.000 | 0.000 | -0.000 | 0.000 | -0.000 | 30.707 |
| 108.445 | 28.859 | 28.859 | 0.000 | 0.000 | 0.000 |
| 28.859 | 108.445 | 28.859 | -0.000 | -0.000 | 0.000 |
| 28.859 | 28.859 | 108.445 | 0.000 | 0.000 | 0.000 |
| 0.000 | 0.000 | -0.000 | 30.707 | 0.000 | 0.000 |
| 0.000 | 0.000 | -0.000 | 0.000 | 30.707 | 0.000 |
| 0.000 | -0.000 | 0.000 | 0.000 | 0.000 | 30.707 |
| 33.731 | 10.284 | 10.284 | 0.000 | 0.000 | 0.000 |
| 10.284 | 33.731 | 10.284 | 0.000 | -0.000 | 0.000 |
| 10.284 | 10.284 | 33.731 | 0.000 | -0.000 | -0.000 |
| 0.000 | 0.000 | 0.000 | 10.766 | -0.000 | 0.000 |
| 0.000 | 0.000 | 0.000 | 0.000 | 10.766 | 0.000 |
| 0.000 | 0.000 | 0.000 | 0.000 | -0.000 | 10.766 |
| 33.731 | 10.284 | 10.284 | -0.000 | 0.000 | 0.000 |
| 10.284 | 33.731 | 10.284 | -0.000 | 0.000 | 0.000 |
| 10.284 | 10.284 | 33.731 | 0.000 | 0.000 | -0.000 |
| -0.000 | -0.000 | -0.000 | 10.766 | 0.000 | 0.000 |
| -0.000 | -0.000 | -0.000 | -0.000 | 10.766 | -0.000 |
| -0.000 | -0.000 | -0.000 | -0.000 | 0.000 | 10.766 |
| 33.731 | 10.284 | 10.284 | 0.000 | 0.000 | 0.000 |
| 10.284 | 33.731 | 10.284 | 0.000 | -0.000 | -0.000 |
| 10.284 | 10.284 | 33.731 | -0.000 | -0.000 | 0.000 |
| -0.000 | 0.000 | 0.000 | 10.766 | -0.000 | -0.000 |
| 0.000 | -0.000 | 0.000 | 0.000 | 10.766 | 0.000 |
| 0.000 | 0.000 | -0.000 | 0.000 | -0.000 | 10.766 |
| 33.731 | 10.284 | 10.284 | -0.000 | -0.000 | -0.000 |
| 10.284 | 33.731 | 10.284 | -0.000 | 0.000 | -0.000 |
| 10.284 | 10.284 | 33.731 | 0.000 | 0.000 | -0.000 |
| 0.000 | -0.000 | -0.000 | 10.766 | 0.000 | -0.000 |
| -0.000 | 0.000 | -0.000 | -0.000 | 10.766 | -0.000 |
| -0.000 | -0.000 | 0.000 | -0.000 | 0.000 | 10.766 |
| 33.731 | 10.284 | 10.284 | 0.000 | 0.000 | 0.000 |
| 10.284 | 33.731 | 10.284 | 0.000 | -0.000 | -0.000 |
| 10.284 | 10.284 | 33.731 | -0.000 | -0.000 | -0.000 |
| -0.000 | 0.000 | 0.000 | 10.766 | -0.000 | -0.000 |
| 0.000 | -0.000 | 0.000 | -0.000 | 10.766 | 0.000 |
| 0.000 | 0.000 | -0.000 | 0.000 | 0.000 | 10.766 |
| 33.731 | 10.283 | 10.283 | -0.000 | 0.000 | -0.000 |
| 10.283 | 33.731 | 10.283 | -0.000 | 0.000 | 0.000 |
| 10.283 | 10.283 | 33.731 | 0.000 | 0.000 | 0.000 |
| 0.000 | -0.000 | -0.000 | 10.766 | 0.000 | 0.000 |
| -0.000 | 0.000 | -0.000 | -0.000 | 10.766 | -0.000 |
| -0.000 | -0.000 | 0.000 | -0.000 | -0.000 | 10.766 |
| 9.978 | -0.066 | -0.066 | 0.000 | -0.000 | -0.000 |
| -0.066 | 9.978 | -0.066 | -0.000 | 0.000 | 0.000 |
| -0.066 | -0.066 | 9.978 | 0.000 | 0.000 | 0.000 |
| -0.000 | -0.000 | -0.000 | 0.001 | 0.000 | 0.000 |
| -0.000 | -0.000 | -0.000 | 0.000 | 0.001 | 0.000 |
| -0.000 | -0.000 | -0.000 | 0.000 | 0.000 | 0.001 |
| 9.978 | -0.066 | -0.066 | 0.000 | 0.000 | 0.000 |
| -0.066 | 9.978 | -0.066 | -0.000 | 0.000 | 0.000 |
| -0.066 | -0.066 | 9.978 | 0.000 | 0.000 | 0.000 |
| 0.000 | 0.000 | 0.000 | 0.001 | -0.000 | -0.000 |
| 0.000 | 0.000 | 0.000 | 0.000 | 0.001 | -0.000 |
| 0.000 | 0.000 | 0.000 | -0.000 | -0.000 | 0.001 |
| 9.978 | -0.066 | -0.066 | 0.000 | 0.000 | 0.000 |
| -0.066 | 9.978 | -0.066 | 0.000 | 0.000 | 0.000 |
| -0.066 | -0.066 | 9.978 | 0.000 | 0.000 | 0.000 |
| -0.000 | -0.000 | -0.000 | 0.001 | 0.000 | 0.000 |
| -0.000 | -0.000 | -0.000 | 0.000 | 0.001 | 0.000 |
| -0.000 | -0.000 | -0.000 | 0.000 | -0.000 | 0.001 |
| 9.978 | -0.066 | -0.066 | -0.000 | -0.000 | -0.000 |
| -0.066 | 9.978 | -0.066 | -0.000 | -0.000 | 0.000 |
| -0.066 | -0.066 | 9.978 | 0.000 | 0.000 | -0.000 |
| 0.000 | 0.000 | 0.000 | 0.001 | -0.000 | 0.000 |
| 0.000 | 0.000 | 0.000 | -0.000 | 0.001 | -0.000 |
| 0.000 | 0.000 | 0.000 | -0.000 | 0.000 | 0.001 |
| 9.978 | -0.066 | -0.066 | -0.000 | 0.000 | 0.000 |
| -0.066 | 9.978 | -0.066 | 0.000 | -0.000 | -0.000 |
| -0.066 | -0.066 | 9.978 | -0.000 | -0.000 | -0.000 |
| 0.000 | 0.000 | -0.000 | 0.001 | 0.000 | 0.000 |
| 0.000 | 0.000 | -0.000 | 0.000 | 0.001 | -0.000 |
| 0.000 | -0.000 | 0.000 | 0.000 | 0.000 | 0.001 |
| 9.978 | -0.066 | -0.066 | 0.000 | -0.000 | -0.000 |
| -0.066 | 9.978 | -0.066 | -0.000 | 0.000 | -0.000 |
| -0.066 | -0.066 | 9.978 | -0.000 | -0.000 | 0.000 |
| -0.000 | -0.000 | 0.000 | 0.001 | -0.000 | -0.000 |
| -0.000 | -0.000 | 0.000 | -0.000 | 0.001 | 0.000 |
| -0.000 | 0.000 | -0.000 | -0.000 | -0.000 | 0.001 |
| 84.585 | 23.631 | 6.586 | -0.000 | -0.000 | -0.000 |
| 23.631 | 84.585 | 6.586 | -0.000 | -0.000 | -0.000 |
| 41.784 | 41.784 | 166.459 | -0.000 | -0.000 | -0.000 |
| 1.472 | 1.472 | -33.729 | 42.479 | -0.000 | -0.000 |
| 1.472 | 1.472 | -33.729 | -0.000 | 42.479 | -0.000 |
| 1.472 | 1.472 | -33.726 | 0.000 | -0.000 | 91.892 |
| 81.641 | 20.686 | 74.038 | -0.000 | -0.000 | 0.000 |
| 20.686 | 81.641 | 74.038 | -0.000 | 0.000 | 0.000 |
| 38.840 | 38.840 | 233.911 | 0.000 | 0.000 | 0.000 |
| -1.472 | -1.472 | 33.729 | 42.479 | 0.000 | 0.000 |
| -1.472 | -1.472 | 33.729 | 0.000 | 42.479 | 0.000 |
| -1.472 | -1.472 | 33.726 | 0.000 | 0.000 | 91.892 |
| 83.260 | 22.306 | 36.939 | 0.000 | -0.000 | -0.000 |
| 22.306 | 83.260 | 36.939 | -0.000 | -0.000 | -0.000 |
| 40.459 | 40.459 | 196.814 | -0.000 | -0.000 | -0.000 |
| -0.000 | -0.000 | -0.000 | 42.481 | -0.000 | -0.000 |
| -0.000 | -0.000 | -0.000 | 0.000 | 42.481 | -0.000 |
| -0.000 | 0.000 | 0.000 | -0.000 | 0.000 | 91.892 |
| 82.966 | 22.011 | 43.685 | 0.000 | 0.000 | 0.000 |
| 22.011 | 82.966 | 43.685 | 0.000 | 0.000 | 0.000 |
| 40.165 | 40.165 | 203.556 | 0.000 | 0.000 | 0.000 |
| 0.000 | 0.000 | 0.000 | 42.481 | 0.000 | 0.000 |
| 0.000 | 0.000 | 0.000 | 0.000 | 42.481 | 0.000 |
| 0.000 | -0.000 | -0.000 | 0.000 | 0.000 | 91.892 |
| 83.128 | 22.173 | 39.975 | -0.000 | -0.000 | -0.000 |
| 22.173 | 83.128 | 39.975 | -0.000 | -0.000 | -0.000 |
| 40.326 | 40.326 | 199.868 | -0.000 | -0.000 | -0.000 |
| 0.015 | 0.015 | -0.337 | 42.444 | -0.000 | -0.000 |
| 0.015 | 0.015 | -0.337 | -0.000 | 42.444 | -0.000 |
| 0.015 | 0.015 | -0.337 | 0.000 | -0.000 | 91.892 |
| 83.237 | 22.283 | 37.468 | 0.000 | 0.000 | 0.000 |
| 22.283 | 83.237 | 37.468 | -0.000 | 0.000 | 0.000 |
| 40.298 | 40.298 | 200.502 | 0.000 | 0.000 | 0.000 |
| -0.015 | -0.015 | 0.337 | 42.444 | 0.000 | 0.000 |
| -0.015 | -0.015 | 0.337 | 0.000 | 42.444 | 0.000 |
| -0.015 | -0.015 | 0.337 | 0.000 | 0.000 | 91.892 |
| 356.672 | 138.757 | 39.774 | 0.000 | -0.000 | -0.000 |
| 138.699 | 419.017 | 92.218 | -0.000 | -0.000 | -0.000 |
| 39.772 | 92.274 | 23.010 | -0.000 | -0.000 | 0.000 |
| -0.027 | -0.181 | -0.019 | 115.970 | -0.000 | -0.000 |
| -0.000 | -0.003 | -0.000 | 0.000 | 61.222 | 0.000 |
| 0.000 | 0.000 | 0.000 | 0.000 | 0.000 | 117.395 |
| 356.672 | 138.763 | 39.775 | 0.000 | 0.000 | -0.000 |
| 138.699 | 419.015 | 92.218 | 0.000 | -0.000 | -0.000 |
| 39.773 | 92.279 | 23.011 | 0.000 | -0.000 | 0.000 |
| 0.027 | 0.182 | 0.019 | 115.970 | -0.000 | -0.000 |
| 0.000 | 0.003 | 0.000 | 0.000 | 61.222 | 0.000 |
| -0.000 | -0.000 | -0.000 | 0.000 | 0.000 | 117.395 |
| 360.946 | 167.220 | 42.764 | -0.000 | -0.000 | -0.000 |
| 138.704 | 419.049 | 92.221 | -0.000 | 0.000 | -0.000 |
| 39.772 | 92.277 | 23.011 | -0.000 | -0.000 | 0.000 |
| 0.000 | -0.000 | 0.000 | 118.477 | -0.000 | 0.000 |
| 0.000 | -0.000 | 0.000 | 0.000 | 61.222 | 0.000 |
| 0.000 | 0.000 | 0.000 | 0.000 | -0.000 | 117.395 |
| 356.671 | 138.759 | 39.775 | 0.000 | 0.000 | -0.000 |
| 138.694 | 418.983 | 92.214 | 0.000 | 0.000 | -0.000 |
| 42.762 | 112.185 | 25.102 | -0.000 | -0.000 | -0.000 |
| -0.000 | 0.000 | -0.000 | 118.477 | -0.000 | 0.000 |
| -0.000 | 0.000 | -0.000 | 0.000 | 61.222 | -0.000 |
| -0.000 | -0.000 | -0.000 | -0.000 | 0.000 | 117.395 |
| 360.951 | 167.220 | 42.765 | 0.000 | -0.000 | -0.000 |
| 138.700 | 419.015 | 92.218 | -0.000 | 0.000 | 0.000 |
| 39.773 | 92.280 | 23.009 | -0.000 | 0.000 | 0.000 |
| 0.107 | 0.710 | 0.075 | 113.649 | -0.000 | 0.000 |
| 0.001 | 0.000 | 0.000 | -0.000 | 61.222 | -0.000 |
| 0.000 | 0.001 | 0.000 | -0.000 | 0.000 | 117.395 |
| 360.941 | 167.219 | 42.763 | 0.000 | 0.000 | 0.000 |
| 138.647 | 418.682 | 92.183 | 0.000 | 0.000 | 0.000 |
| 39.772 | 92.273 | 23.013 | 0.000 | -0.000 | 0.000 |
| -0.107 | -0.710 | -0.075 | 113.649 | 0.000 | -0.000 |
| -0.001 | -0.000 | -0.000 | 0.000 | 61.222 | -0.000 |
| -0.000 | -0.001 | -0.000 | 0.000 | -0.000 | 117.395 |
| 141.199 | 226.689 | 34.785 | -0.000 | 0.000 | 0.000 |
| 210.549 | 667.154 | 68.363 | -0.000 | 0.000 | 0.000 |
| 38.885 | 88.603 | 154.644 | -0.000 | -0.000 | 0.000 |
| -2.764 | -8.952 | -0.945 | 70.384 | -0.000 | -0.000 |
| -2.602 | -8.427 | -0.889 | 0.000 | 25.388 | 0.000 |
| -2.602 | -8.427 | -0.889 | 0.000 | 0.000 | 50.467 |
| 141.199 | 226.689 | 34.785 | -0.000 | 0.000 | -0.000 |
| 154.417 | 485.359 | 49.177 | -0.000 | 0.000 | -0.000 |
| 38.885 | 88.603 | 154.644 | 0.000 | -0.000 | -0.000 |
| 2.764 | 8.952 | 0.945 | 70.384 | -0.000 | 0.000 |
| 2.602 | 8.427 | 0.889 | -0.000 | 25.388 | 0.000 |
| 2.602 | 8.427 | 0.889 | -0.000 | -0.000 | 50.467 |
| 122.804 | 167.116 | 28.498 | 0.000 | 0.000 | 0.000 |
| 210.549 | 667.153 | 68.363 | -0.000 | 0.000 | -0.000 |
| 38.885 | 88.603 | 154.644 | 0.000 | 0.000 | 0.000 |
| -0.260 | -0.843 | -0.089 | 65.544 | -0.000 | -0.000 |
| -0.260 | -0.843 | -0.089 | 0.000 | 25.388 | 0.000 |
| -0.260 | -0.843 | -0.089 | 0.000 | 0.000 | 50.467 |
| 123.323 | 168.795 | 28.675 | 0.000 | -0.000 | -0.000 |
| 210.550 | 667.156 | 68.363 | 0.000 | -0.000 | -0.000 |
| 32.947 | 69.371 | 152.615 | -0.000 | -0.000 | -0.000 |
| 0.260 | 0.843 | 0.089 | 65.544 | 0.000 | 0.000 |
| 0.260 | 0.843 | 0.089 | -0.000 | 25.388 | -0.000 |
| 0.260 | 0.843 | 0.089 | -0.000 | -0.000 | 50.467 |
| 123.036 | 167.871 | 28.577 | -0.000 | 0.000 | 0.000 |
| 151.902 | 477.209 | 48.317 | 0.000 | 0.000 | 0.000 |
| 32.663 | 68.448 | 152.516 | 0.000 | 0.000 | 0.000 |
| -0.026 | -0.084 | -0.009 | 65.545 | 0.000 | 0.000 |
| -0.026 | -0.084 | -0.009 | 0.000 | 25.388 | 0.000 |
| -0.027 | -0.085 | -0.009 | 0.000 | 0.000 | 50.467 |
| 123.091 | 168.039 | 28.595 | 0.000 | -0.000 | -0.000 |
| 151.879 | 477.143 | 48.310 | 0.000 | 0.000 | -0.000 |
| 32.711 | 68.609 | 152.535 | -0.000 | -0.000 | -0.000 |
| 0.026 | 0.084 | 0.009 | 65.545 | -0.000 | -0.000 |
| 0.026 | 0.084 | 0.009 | -0.000 | 25.388 | 0.000 |
| 0.027 | 0.085 | 0.009 | -0.000 | -0.000 | 50.467 |
| 438.668 | 183.241 | 267.471 | 0.000 | 0.000 | -0.000 |
| 183.241 | 438.668 | 267.471 | 0.000 | 0.000 | -0.000 |
| 267.471 | 267.471 | 1148.858 | -0.000 | -0.000 | -0.000 |
| -0.000 | -0.000 | -0.000 | 172.770 | 0.000 | -0.000 |
| -0.000 | -0.000 | -0.000 | 0.000 | 172.770 | -0.000 |
| -0.000 | -0.000 | -0.000 | -0.000 | 0.000 | 173.912 |
| 438.668 | 183.241 | 267.471 | -0.000 | -0.000 | 0.000 |
| 183.241 | 438.668 | 267.471 | 0.000 | -0.000 | 0.000 |
| 267.471 | 267.471 | 1148.855 | -0.000 | -0.000 | 0.000 |
| 0.000 | 0.000 | 0.000 | 172.770 | -0.000 | 0.000 |
| 0.000 | -0.000 | 0.000 | 0.000 | 172.770 | 0.000 |
| 0.000 | 0.000 | 0.000 | 0.000 | -0.000 | 173.912 |
| 438.667 | 183.241 | 267.471 | -0.000 | 0.000 | -0.000 |
| 183.241 | 438.667 | 267.471 | -0.000 | 0.000 | -0.000 |
| 267.471 | 267.471 | 1148.869 | -0.000 | 0.000 | -0.000 |
| -0.000 | -0.000 | -0.000 | 172.770 | 0.000 | -0.000 |
| -0.000 | -0.000 | -0.000 | -0.000 | 172.770 | -0.000 |
| -0.000 | -0.000 | 0.000 | -0.000 | 0.000 | 173.912 |
| 438.668 | 183.241 | 267.471 | 0.000 | -0.000 | 0.000 |
| 183.241 | 438.668 | 267.471 | -0.000 | -0.000 | 0.000 |
| 267.470 | 267.470 | 1148.844 | 0.000 | -0.000 | 0.000 |
| 0.000 | 0.000 | 0.000 | 172.770 | -0.000 | 0.000 |
| 0.000 | 0.000 | 0.000 | 0.000 | 172.770 | 0.000 |
| 0.000 | 0.000 | -0.000 | -0.000 | -0.000 | 173.912 |
| 438.663 | 183.241 | 267.472 | 0.000 | 0.000 | -0.000 |
| 183.241 | 438.663 | 267.472 | 0.000 | 0.000 | -0.000 |
| 267.474 | 267.474 | 1148.983 | -0.000 | 0.000 | -0.000 |
| -0.000 | -0.001 | -0.002 | 172.770 | 0.000 | -0.000 |
| -0.001 | -0.000 | -0.002 | -0.000 | 172.770 | -0.000 |
| -0.001 | -0.001 | 0.000 | -0.000 | 0.000 | 173.912 |
| 438.672 | 183.241 | 267.469 | 0.000 | -0.000 | 0.000 |
| 183.241 | 438.672 | 267.469 | -0.000 | -0.000 | 0.000 |
| 267.467 | 267.467 | 1148.730 | 0.000 | -0.000 | 0.000 |
| 0.000 | 0.001 | 0.002 | 172.770 | -0.000 | 0.000 |
| 0.001 | 0.000 | 0.002 | -0.000 | 172.770 | 0.000 |
| 0.001 | 0.001 | -0.000 | 0.000 | -0.000 | 173.912 |
| -23.934 | -15.815 | 36.780 | 0.000 | 0.000 | 0.000 |
| -15.815 | -23.934 | 36.780 | 0.000 | 0.000 | 0.000 |
| 36.780 | 36.780 | 303.326 | 0.000 | 0.000 | 0.000 |
| -0.000 | -0.000 | -0.000 | 23.939 | -0.000 | 0.000 |
| -0.000 | -0.000 | -0.000 | -0.000 | 23.939 | 0.000 |
| 0.000 | 0.000 | -0.000 | -0.000 | -0.000 | -6.724 |
| -23.934 | -15.815 | 36.780 | -0.000 | -0.000 | -0.000 |
| -15.815 | -23.934 | 36.780 | 0.000 | 0.000 | -0.000 |
| 36.780 | 36.780 | 303.326 | 0.000 | 0.000 | -0.000 |
| -0.000 | 0.000 | 0.000 | 23.939 | 0.000 | -0.000 |
| 0.000 | -0.000 | 0.000 | 0.000 | 23.939 | -0.000 |
| -0.000 | -0.000 | 0.000 | 0.000 | 0.000 | -6.724 |
| -23.934 | -15.815 | 36.780 | -0.000 | -0.000 | -0.000 |
| -15.815 | -23.934 | 36.780 | -0.000 | -0.000 | 0.000 |
| 36.781 | 36.781 | 303.327 | 0.000 | -0.000 | 0.000 |
| -0.000 | -0.000 | -0.000 | 23.939 | -0.000 | 0.000 |
| -0.000 | -0.000 | -0.000 | -0.000 | 23.939 | 0.000 |
| 0.000 | 0.000 | -0.000 | -0.000 | -0.000 | -6.724 |
| -23.934 | -15.815 | 36.781 | 0.000 | -0.000 | -0.000 |
| -15.815 | -23.934 | 36.781 | 0.000 | 0.000 | 0.000 |
| 36.780 | 36.780 | 303.325 | 0.000 | 0.000 | -0.000 |
| 0.000 | 0.000 | 0.000 | 23.939 | -0.000 | -0.000 |
| 0.000 | 0.000 | 0.000 | 0.000 | 23.939 | -0.000 |
| -0.000 | -0.000 | 0.000 | 0.000 | 0.000 | -6.724 |
| -23.933 | -15.815 | 36.780 | -0.000 | -0.000 | 0.000 |
| -15.815 | -23.933 | 36.780 | -0.000 | 0.000 | 0.000 |
| 36.781 | 36.781 | 303.336 | -0.000 | -0.000 | 0.000 |
| -0.000 | -0.000 | -0.001 | 23.939 | -0.000 | 0.000 |
| -0.000 | -0.000 | -0.001 | -0.000 | 23.939 | 0.000 |
| 0.000 | 0.000 | -0.000 | -0.000 | -0.000 | -6.724 |
| -23.935 | -15.815 | 36.781 | 0.000 | -0.000 | -0.000 |
| -15.815 | -23.935 | 36.781 | 0.000 | 0.000 | -0.000 |
| 36.780 | 36.780 | 303.317 | 0.000 | 0.000 | -0.000 |
| 0.000 | 0.000 | 0.001 | 23.939 | 0.000 | -0.000 |
| 0.000 | 0.000 | 0.001 | 0.000 | 23.939 | -0.000 |
| -0.000 | -0.000 | 0.000 | 0.000 | 0.000 | -6.724 |
| 3116355.551 | -2909209.857 | -760634.159 | -56730.571 | -95163.049 | -602641.259 |
| 3474817.849 | -3021813.591 | -797224.121 | -78314.537 | -68711.598 | -666400.221 |
| 3281214.216 | -2949449.755 | -936835.134 | -64750.124 | -120894.809 | -592224.486 |
| 3367095.943 | -2831530.848 | -559322.564 | -24487.043 | -80596.562 | -672588.682 |
| 2999550.358 | -3080430.474 | -847210.362 | -67013.303 | -128312.713 | -584963.968 |
| 3307054.684 | -3112398.747 | -737448.826 | -59100.503 | -164348.832 | -665960.453 |
| -3232183.552 | 3121885.260 | 698551.952 | 78829.564 | 117505.389 | 585443.828 |
| -3409355.069 | 3088389.845 | 848486.935 | 84515.060 | 28937.989 | 558623.955 |
| -3317597.508 | 2948363.298 | 712737.997 | 147345.170 | 103708.289 | 642688.886 |
| -3183496.189 | 3209885.745 | 842479.006 | 206036.390 | 81801.968 | 747128.306 |
| -3200729.918 | 3375206.238 | 789291.641 | 158023.826 | 19932.946 | 721950.454 |
| -3123722.497 | 2837275.890 | 673533.940 | 23860.748 | 77375.285 | 704173.309 |
| 335481.057 | -299824.369 | -82693.579 | -8190.203 | -20936.826 | -74477.899 |
| 324545.304 | -296683.032 | -69181.694 | -11224.994 | -5760.008 | -67423.092 |
| 207475.089 | -179237.835 | -33601.837 | -2069.648 | -16218.611 | -61200.744 |
| 343098.149 | -304512.861 | -67675.081 | -11270.354 | -12511.799 | -70633.273 |
| 289336.564 | -258975.418 | -41513.633 | -7846.053 | -18141.122 | -75832.505 |
| 312523.668 | -296208.578 | -69358.946 | -11694.194 | -9294.130 | -74312.499 |
| -311164.916 | 281955.266 | 52668.146 | 3345.023 | 17411.144 | 67487.230 |
| -281434.608 | 309094.496 | 82560.679 | -1581.855 | 5248.682 | 69823.247 |
| -311462.856 | 291019.921 | 64825.682 | 3614.613 | 17268.946 | 65456.445 |
| -318421.348 | 315719.599 | 66618.704 | 14647.397 | 10871.468 | 71596.435 |
| -318953.520 | 285208.774 | 69024.437 | 7781.484 | 9437.664 | 72398.599 |
| -344623.825 | 271391.574 | 53956.232 | 3093.876 | 15882.515 | 66090.047 |
| 31771.596 | -33528.369 | -6871.540 | -1083.534 | -844.170 | -6880.982 |
| 29116.263 | -30547.150 | -7318.594 | -529.455 | -1864.632 | -6080.924 |
| 30799.046 | -30260.316 | -5355.388 | 306.798 | -835.039 | -6742.581 |
| 34631.561 | -34779.394 | -9467.732 | -1030.665 | -558.921 | -8079.873 |
| 31358.768 | -32571.489 | -8141.129 | -1048.969 | -532.176 | -6907.181 |
| 34480.298 | -30547.688 | -7129.780 | 70.911 | -1242.118 | -6148.586 |
| -31637.838 | 28751.167 | 6351.084 | 1156.914 | 935.615 | 5864.105 |
| -34353.937 | 29906.485 | 9268.471 | 1810.015 | 386.305 | 6407.695 |
| -29934.469 | 30614.124 | 8830.045 | -140.624 | 1853.615 | 7190.654 |
| -30842.390 | 27446.185 | 5736.535 | 335.990 | 1209.445 | 7573.139 |
| -36474.836 | 30663.917 | 6662.981 | 883.458 | 506.050 | 7578.076 |
| -32945.888 | 32783.471 | 9845.025 | 1391.269 | 966.444 | 6571.690 |
| 71.504 | 17.523 | 71.975 | -0.000 | 0.000 | -0.000 |
| 17.523 | 71.504 | 71.975 | 0.000 | 0.000 | -0.000 |
| 156.800 | 156.800 | 893.625 | 0.000 | 0.000 | -0.000 |
| -0.000 | -0.000 | 0.000 | 61.211 | -0.000 | -0.000 |
| -0.000 | 0.000 | -0.000 | 0.000 | 61.211 | -0.000 |
| 95.486 | 95.486 | 748.198 | -0.000 | -0.000 | 26.990 |
| -25.343 | -79.323 | -686.885 | 0.000 | -0.000 | 0.000 |
| 17.523 | 71.504 | 71.975 | -0.000 | 0.000 | 0.000 |
| -34.172 | -34.172 | -602.772 | 0.000 | 0.000 | 0.000 |
| 0.000 | 0.000 | 0.000 | 61.211 | 0.000 | 0.000 |
| 0.000 | -0.000 | -0.000 | -0.000 | 61.211 | 0.000 |
| -95.486 | -95.486 | -748.198 | 0.000 | 0.000 | 26.990 |
| 79.692 | 25.712 | 136.134 | -0.000 | 0.000 | -0.000 |
| 17.523 | 71.504 | 71.975 | -0.000 | 0.000 | -0.000 |
| 71.975 | 71.975 | 228.963 | -0.000 | 0.000 | -0.000 |
| -0.000 | -0.000 | -0.000 | 61.211 | 0.000 | -0.000 |
| 9.540 | 9.540 | 74.751 | 0.000 | 58.972 | -0.000 |
| -0.000 | 0.000 | -0.000 | 0.000 | 0.000 | 26.990 |
| 60.594 | 6.614 | -13.506 | 0.000 | 0.000 | 0.000 |
| 17.523 | 71.504 | 71.975 | 0.000 | 0.000 | 0.000 |
| 71.975 | 71.975 | 228.964 | -0.000 | -0.000 | 0.000 |
| 0.000 | 0.000 | 0.000 | 61.211 | -0.000 | 0.000 |
| -9.540 | -9.540 | -74.751 | -0.000 | 58.972 | 0.000 |
| 0.000 | -0.000 | 0.000 | -0.000 | 0.000 | 26.990 |
| 71.092 | 17.124 | 68.796 | 0.000 | 0.000 | -0.000 |
| 17.524 | 71.503 | 71.975 | -0.000 | -0.000 | -0.000 |
| 62.272 | 62.272 | 152.932 | 0.000 | 0.000 | -0.000 |
| -0.000 | -0.000 | -0.000 | 61.211 | -0.000 | -0.000 |
| -0.000 | -0.000 | -0.000 | -0.000 | 61.211 | -0.000 |
| -0.000 | 0.000 | -0.000 | -0.000 | 0.000 | 26.990 |
| 71.504 | 17.523 | 71.975 | -0.000 | -0.000 | -0.000 |
| 15.208 | 69.188 | 53.830 | 0.000 | -0.000 | 0.000 |
| 60.360 | 60.360 | 137.950 | -0.000 | -0.000 | 0.000 |
| 0.000 | 0.000 | 0.000 | 61.211 | -0.000 | 0.000 |
| 0.000 | 0.000 | 0.000 | 0.000 | 61.211 | 0.000 |
| 0.000 | -0.000 | 0.000 | 0.000 | 0.000 | 26.990 |
| 181.978 | 47.705 | 100.948 | -0.000 | 0.000 | -0.000 |
| 47.705 | 181.978 | 100.948 | -0.000 | -0.000 | 0.000 |
| 102.932 | 102.932 | 518.319 | -0.000 | 0.000 | 0.000 |
| 0.000 | 0.000 | 0.000 | 109.782 | -0.000 | 0.000 |
| 0.000 | 0.000 | 0.000 | -0.000 | 109.782 | -0.000 |
| -0.452 | -0.452 | -2.435 | -0.000 | 0.000 | 80.952 |
| 187.035 | 52.762 | 128.184 | -0.000 | -0.000 | -0.000 |
| 52.762 | 187.035 | 128.184 | -0.000 | -0.000 | 0.000 |
| 103.835 | 103.835 | 523.184 | 0.000 | -0.000 | -0.000 |
| -0.000 | -0.000 | -0.000 | 109.782 | 0.000 | 0.000 |
| -0.000 | -0.000 | -0.000 | 0.000 | 109.782 | -0.000 |
| 0.452 | 0.452 | 2.435 | 0.000 | -0.000 | 80.952 |
| 182.384 | 48.112 | 103.141 | 0.000 | 0.000 | -0.000 |
| 48.112 | 182.384 | 103.141 | 0.000 | 0.000 | -0.000 |
| 103.343 | 103.343 | 520.534 | -0.000 | 0.000 | 0.000 |
| 0.000 | -0.000 | -0.000 | 109.782 | 0.000 | 0.000 |
| -0.000 | 0.000 | -0.000 | -0.000 | 109.782 | -0.000 |
| -0.045 | -0.045 | -0.243 | -0.000 | 0.000 | 80.952 |
| 182.475 | 48.202 | 103.626 | 0.000 | -0.000 | 0.000 |
| 48.202 | 182.475 | 103.626 | 0.000 | -0.000 | -0.000 |
| 128.184 | 128.184 | 654.321 | 0.000 | -0.000 | 0.000 |
| -0.000 | 0.000 | 0.000 | 109.782 | -0.000 | 0.000 |
| 0.000 | -0.000 | 0.000 | -0.000 | 109.782 | -0.000 |
| 0.045 | 0.045 | 0.243 | -0.000 | -0.000 | 80.952 |
| 182.423 | 48.154 | 103.368 | -0.000 | 0.000 | -0.000 |
| 48.154 | 182.423 | 103.368 | -0.000 | -0.000 | -0.000 |
| 103.379 | 103.379 | 520.723 | 0.000 | 0.000 | -0.000 |
| 0.000 | -0.000 | -0.000 | 109.782 | 0.000 | 0.000 |
| -0.000 | 0.000 | -0.000 | 0.000 | 109.782 | 0.000 |
| -0.005 | -0.005 | -0.024 | -0.000 | 0.000 | 80.952 |
| 182.437 | 48.160 | 103.399 | 0.000 | -0.000 | 0.000 |
| 48.160 | 182.437 | 103.399 | 0.000 | 0.000 | -0.000 |
| 103.339 | 103.339 | 520.516 | -0.000 | -0.000 | 0.000 |
| -0.000 | 0.000 | 0.000 | 109.782 | -0.000 | 0.000 |
| 0.000 | -0.000 | 0.000 | -0.000 | 109.782 | 0.000 |
| 0.005 | 0.005 | 0.024 | -0.000 | -0.000 | 80.952 |
| -49.689 | -34.491 | 30.062 | 0.000 | -0.000 | -0.000 |
| -34.491 | -49.689 | 30.062 | 0.000 | -0.000 | -0.000 |
| 33.786 | 33.786 | 158.366 | -0.000 | -0.000 | -0.000 |
| -0.001 | -0.001 | -0.032 | 53.513 | -0.000 | -0.000 |
| -0.001 | -0.001 | -0.032 | -0.000 | 53.513 | -0.000 |
| -0.000 | -0.000 | -0.001 | -0.000 | 0.000 | 30.026 |
| -49.689 | -34.491 | 30.064 | 0.000 | 0.000 | 0.000 |
| -34.491 | -49.689 | 30.064 | 0.000 | 0.000 | 0.000 |
| 33.786 | 33.786 | 158.366 | -0.000 | 0.000 | 0.000 |
| 0.001 | 0.001 | 0.032 | 53.513 | 0.000 | 0.000 |
| 0.001 | 0.001 | 0.032 | 0.000 | 53.513 | 0.000 |
| 0.000 | 0.000 | 0.001 | 0.000 | -0.000 | 30.026 |
| -49.617 | -34.419 | 32.176 | 0.000 | -0.000 | -0.000 |
| -34.419 | -49.617 | 32.176 | -0.000 | -0.000 | -0.000 |
| 35.899 | 35.899 | 220.527 | -0.000 | -0.000 | -0.000 |
| -0.000 | -0.000 | -0.003 | 53.513 | -0.000 | -0.000 |
| -0.000 | -0.000 | -0.003 | 0.000 | 53.513 | -0.000 |
| -0.000 | -0.000 | -0.000 | -0.000 | -0.000 | 30.026 |
| -49.689 | -34.491 | 30.063 | 0.000 | 0.000 | 0.000 |
| -34.491 | -49.689 | 30.063 | 0.000 | 0.000 | 0.000 |
| 33.785 | 33.785 | 158.356 | 0.000 | 0.000 | 0.000 |
| 0.000 | 0.000 | 0.003 | 53.513 | 0.000 | -0.000 |
| 0.000 | 0.000 | 0.003 | 0.000 | 53.513 | 0.000 |
| 0.000 | 0.000 | 0.000 | 0.000 | 0.000 | 30.026 |
| -49.690 | -34.492 | 30.063 | -0.000 | -0.000 | -0.000 |
| -34.492 | -49.690 | 30.063 | -0.000 | -0.000 | -0.000 |
| 33.786 | 33.786 | 158.366 | -0.000 | -0.000 | -0.000 |
| 0.000 | -0.000 | 0.001 | 53.513 | -0.000 | -0.000 |
| -0.000 | 0.000 | 0.001 | -0.000 | 53.513 | -0.000 |
| -0.000 | -0.000 | 0.000 | 0.000 | -0.000 | 30.026 |
| -49.616 | -34.419 | 32.177 | -0.000 | 0.000 | 0.000 |
| -34.419 | -49.616 | 32.177 | -0.000 | -0.000 | 0.000 |
| 33.786 | 33.786 | 158.365 | -0.000 | 0.000 | 0.000 |
| -0.000 | 0.000 | -0.001 | 53.513 | 0.000 | 0.000 |
| 0.000 | -0.000 | -0.001 | 0.000 | 53.513 | 0.000 |
| 0.000 | 0.000 | -0.000 | -0.000 | 0.000 | 30.026 |
| 242.236 | 58.284 | 187.299 | 0.000 | -0.000 | 0.000 |
| 1.619 | 337.380 | 67.468 | -0.000 | -0.000 | 0.000 |
| 97.765 | 134.929 | 381.888 | 0.000 | -0.000 | 0.000 |
| -38.678 | -57.394 | -131.002 | 186.943 | -0.000 | 0.000 |
| -0.000 | -0.000 | 0.000 | -0.000 | 150.214 | -0.000 |
| -0.000 | -0.000 | 0.000 | -0.000 | -0.000 | 65.766 |
| 242.236 | 58.284 | 187.299 | -0.000 | 0.000 | -0.000 |
| 78.928 | 452.100 | 329.316 | 0.000 | 0.000 | -0.000 |
| 174.448 | 243.086 | 632.243 | 0.000 | 0.000 | -0.000 |
| 38.678 | 57.394 | 131.002 | 186.943 | 0.000 | -0.000 |
| 0.000 | 0.000 | 0.000 | -0.000 | 150.214 | -0.000 |
| 0.000 | 0.000 | -0.000 | 0.000 | 0.000 | 65.766 |
| 225.656 | 34.008 | 131.687 | -0.000 | -0.000 | 0.000 |
| 58.415 | 421.432 | 259.458 | -0.000 | -0.000 | 0.000 |
| 140.733 | 191.193 | 514.949 | 0.000 | -0.000 | 0.000 |
| -0.000 | 0.000 | 0.000 | 213.261 | -0.000 | 0.000 |
| -0.000 | -0.000 | -0.000 | 0.000 | 150.214 | 0.000 |
| -0.000 | 0.000 | -0.000 | 0.000 | -0.000 | 65.766 |
| 242.236 | 58.284 | 187.299 | 0.000 | 0.000 | -0.000 |
| 58.415 | 421.432 | 259.458 | 0.000 | 0.000 | -0.000 |
| 148.354 | 202.503 | 540.764 | -0.000 | 0.000 | -0.000 |
| 0.000 | -0.000 | -0.000 | 213.261 | -0.000 | -0.000 |
| 0.000 | 0.000 | 0.000 | 0.000 | 150.214 | -0.000 |
| 0.000 | -0.000 | 0.000 | -0.000 | 0.000 | 65.766 |
| 242.237 | 58.284 | 187.299 | 0.000 | -0.000 | 0.000 |
| 39.719 | 393.918 | 196.514 | -0.000 | -0.000 | 0.000 |
| 133.674 | 190.181 | 506.780 | 0.000 | -0.000 | 0.000 |
| -0.351 | -0.551 | -1.238 | 164.269 | -0.000 | 0.000 |
| -0.499 | -0.740 | -1.690 | 0.000 | 150.209 | 0.000 |
| -0.000 | 0.000 | -0.000 | -0.000 | -0.000 | 65.766 |
| 229.785 | 40.140 | 145.680 | 0.000 | 0.000 | -0.000 |
| 58.415 | 421.431 | 259.457 | 0.000 | 0.000 | -0.000 |
| 134.441 | 191.357 | 509.451 | 0.000 | 0.000 | -0.000 |
| 0.351 | 0.551 | 1.238 | 164.269 | 0.000 | -0.000 |
| 0.499 | 0.740 | 1.690 | -0.000 | 150.209 | -0.000 |
| 0.000 | -0.000 | 0.000 | -0.000 | 0.000 | 65.766 |
| 192.982 | 69.369 | 114.482 | 0.000 | 0.000 | 0.000 |
| 72.075 | 218.453 | 156.552 | 0.000 | 0.000 | 0.000 |
| 142.481 | 142.481 | 325.507 | 0.000 | -0.000 | 0.000 |
| 0.000 | 0.001 | 0.001 | 48.365 | -0.000 | 0.000 |
| -0.115 | -0.115 | -0.345 | 0.000 | -437.570 | 0.000 |
| 0.000 | 0.000 | 0.000 | 0.000 | 0.000 | 73.189 |
| 218.451 | 72.074 | 156.551 | -0.000 | 0.000 | -0.000 |
| 57.913 | 202.947 | 112.256 | -0.000 | -0.000 | -0.000 |
| 100.125 | 100.125 | 199.025 | -0.000 | -0.000 | -0.000 |
| -0.000 | -0.001 | -0.001 | 48.365 | -0.000 | -0.000 |
| 0.115 | 0.115 | 0.345 | -0.000 | -437.570 | -0.000 |
| -0.000 | -0.000 | -0.000 | -0.000 | -0.000 | 73.189 |
| 218.459 | 72.077 | 156.558 | 0.000 | -0.000 | 0.000 |
| 72.075 | 218.460 | 156.558 | 0.000 | 0.000 | 0.000 |
| 100.221 | 100.221 | 199.297 | 0.000 | 0.000 | 0.000 |
| 0.002 | 0.007 | 0.008 | 48.365 | 0.000 | 0.000 |
| 0.007 | 0.002 | 0.008 | 0.000 | 48.365 | 0.000 |
| 0.128 | 0.126 | 0.377 | 0.000 | 0.000 | 61.807 |
| 218.445 | 72.073 | 156.545 | -0.000 | -0.000 | -0.000 |
| 57.973 | 203.000 | 112.430 | -0.000 | -0.000 | -0.000 |
| 142.473 | 142.473 | 325.494 | -0.000 | 0.000 | -0.000 |
| -0.002 | -0.007 | -0.008 | 48.365 | 0.000 | -0.000 |
| -0.007 | -0.002 | -0.008 | -0.000 | 48.365 | -0.000 |
| -0.128 | -0.126 | -0.377 | -0.000 | -0.000 | 61.807 |
| 192.993 | 69.334 | 114.386 | 0.000 | 0.000 | 0.000 |
| 69.321 | 193.007 | 114.386 | 0.000 | 0.000 | 0.000 |
| 100.278 | 100.278 | 199.370 | 0.000 | 0.000 | 0.000 |
| 0.054 | 0.108 | 0.178 | -436.605 | 0.000 | 0.000 |
| -1.388 | -1.438 | -4.285 | 0.000 | -460.056 | 0.000 |
| 0.021 | 0.008 | 0.023 | 0.000 | 0.000 | 73.189 |
| 202.939 | 57.951 | 112.361 | -0.000 | -0.000 | -0.000 |
| 57.964 | 202.926 | 112.361 | -0.000 | -0.000 | -0.000 |
| 100.118 | 100.118 | 199.110 | -0.000 | -0.000 | -0.000 |
| -0.054 | -0.108 | -0.178 | -436.605 | -0.000 | -0.000 |
| 1.388 | 1.438 | 4.285 | -0.000 | -460.056 | -0.000 |
| -0.021 | -0.008 | -0.023 | -0.000 | -0.000 | 73.189 |
| 87.344 | 25.510 | 67.120 | 0.000 | 0.000 | 0.000 |
| 25.510 | 87.344 | 67.120 | 0.000 | -0.000 | 0.000 |
| 76.425 | 76.425 | 290.197 | 0.000 | 0.000 | 0.000 |
| 0.000 | 0.000 | 0.000 | 73.698 | 0.000 | 0.000 |
| -0.000 | -0.000 | -0.006 | 0.000 | 71.370 | -0.000 |
| 0.000 | 0.000 | 0.000 | -0.000 | 0.000 | 30.979 |
| 87.343 | 25.510 | 67.121 | -0.000 | -0.000 | 0.000 |
| 25.859 | 87.817 | 74.236 | 0.000 | -0.000 | -0.000 |
| 70.204 | 70.204 | 182.582 | -0.000 | 0.000 | -0.000 |
| -0.000 | -0.000 | -0.000 | 73.698 | -0.000 | -0.000 |
| 0.000 | 0.000 | 0.006 | -0.000 | 71.370 | 0.000 |
| -0.000 | -0.000 | -0.000 | 0.000 | -0.000 | 30.979 |
| 87.349 | 25.511 | 67.120 | 0.000 | 0.000 | 0.000 |
| 25.512 | 87.348 | 67.120 | 0.000 | 0.000 | 0.000 |
| 76.425 | 76.425 | 290.196 | 0.000 | 0.000 | 0.000 |
| 0.000 | 0.000 | -0.000 | 73.698 | 0.000 | 0.000 |
| 0.000 | 0.000 | -0.000 | 0.000 | 73.698 | -0.000 |
| 0.001 | 0.001 | -0.000 | 0.000 | 0.000 | 29.708 |
| 87.339 | 25.510 | 67.120 | -0.000 | -0.000 | 0.000 |
| 25.858 | 87.813 | 74.236 | -0.000 | -0.000 | -0.000 |
| 76.425 | 76.425 | 290.198 | -0.000 | -0.000 | -0.000 |
| -0.000 | -0.000 | 0.000 | 73.698 | -0.000 | -0.000 |
| -0.000 | -0.000 | 0.000 | -0.000 | 73.698 | -0.000 |
| -0.001 | -0.001 | 0.000 | -0.000 | -0.000 | 29.708 |
| 86.235 | 26.779 | 68.020 | 0.000 | 0.000 | -0.000 |
| 25.871 | 87.863 | 74.237 | 0.000 | 0.000 | 0.000 |
| 70.204 | 70.204 | 182.581 | -0.000 | 0.000 | 0.000 |
| 0.000 | 0.001 | -0.000 | 73.698 | 0.000 | -0.000 |
| 0.001 | 0.000 | -0.000 | -0.000 | 73.698 | 0.000 |
| 0.006 | 0.012 | 0.007 | 0.000 | 0.000 | 29.708 |
| 86.139 | 26.762 | 68.011 | 0.000 | -0.000 | 0.000 |
| 25.848 | 87.771 | 74.235 | -0.000 | -0.000 | -0.000 |
| 70.204 | 70.204 | 182.586 | -0.000 | -0.000 | 0.000 |
| -0.000 | -0.001 | 0.000 | 73.698 | -0.000 | -0.000 |
| -0.001 | -0.000 | 0.000 | 0.000 | 73.698 | 0.000 |
| -0.006 | -0.012 | -0.007 | -0.000 | -0.000 | 29.708 |
| 328.312 | 356.889 | 356.889 | -0.000 | -0.000 | 0.000 |
| 356.888 | 328.312 | 356.889 | -0.000 | -0.000 | 0.000 |
| 356.888 | 356.889 | 328.312 | -0.000 | -0.000 | 0.000 |
| 398.280 | 398.280 | 398.280 | 143.918 | -0.000 | 0.000 |
| 398.280 | 398.280 | 398.280 | -0.000 | 143.918 | 0.000 |
| 398.280 | 398.280 | 398.280 | -0.000 | -0.000 | 143.918 |
| 173.551 | 138.228 | 138.228 | 0.000 | 0.000 | -0.000 |
| 138.228 | 173.551 | 138.228 | 0.000 | 0.000 | -0.000 |
| 138.228 | 138.228 | 173.551 | 0.000 | 0.000 | -0.000 |
| -398.280 | -398.280 | -398.280 | 143.918 | 0.000 | -0.000 |
| -398.280 | -398.280 | -398.280 | -0.000 | 143.918 | -0.000 |
| -398.280 | -398.280 | -398.280 | 0.000 | 0.000 | 143.918 |
| 88.272 | 124.455 | 124.455 | -0.000 | -0.000 | 0.000 |
| 124.455 | 88.272 | 124.455 | -0.000 | -0.000 | 0.000 |
| 124.455 | 124.455 | 88.272 | -0.000 | -0.000 | 0.000 |
| 43.653 | 43.652 | 43.652 | 143.279 | -0.000 | 0.000 |
| 43.652 | 43.653 | 43.652 | 0.000 | 143.279 | 0.000 |
| 43.652 | 43.652 | 43.653 | 0.000 | -0.000 | 143.279 |
| 62.632 | 60.155 | 60.155 | 0.000 | 0.000 | -0.000 |
| 60.155 | 62.632 | 60.155 | 0.000 | 0.000 | -0.000 |
| 60.155 | 60.155 | 62.632 | 0.000 | 0.000 | -0.000 |
| -43.653 | -43.652 | -43.652 | 143.279 | 0.000 | -0.000 |
| -43.652 | -43.653 | -43.652 | 0.000 | 143.279 | -0.000 |
| -43.652 | -43.652 | -43.653 | 0.000 | 0.000 | 143.279 |
| 99.993 | 97.983 | 97.983 | -0.000 | -0.000 | 0.000 |
| 97.983 | 99.993 | 97.983 | -0.000 | -0.000 | 0.000 |
| 97.983 | 97.983 | 99.993 | -0.000 | -0.000 | 0.000 |
| 1.303 | 1.302 | 1.302 | 78.828 | -0.000 | 0.000 |
| 1.302 | 1.303 | 1.302 | -0.000 | 78.828 | -0.000 |
| 1.302 | 1.302 | 1.303 | -0.000 | -0.000 | 78.828 |
| 52.218 | 81.931 | 81.931 | 0.000 | 0.000 | -0.000 |
| 81.931 | 52.218 | 81.931 | 0.000 | 0.000 | -0.000 |
| 81.931 | 81.931 | 52.218 | 0.000 | 0.000 | -0.000 |
| -1.303 | -1.302 | -1.302 | 78.828 | 0.000 | -0.000 |
| -1.302 | -1.303 | -1.302 | 0.000 | 78.828 | -0.000 |
| -1.302 | -1.302 | -1.303 | 0.000 | 0.000 | 78.828 |
| 245.464 | 49.714 | 133.892 | -0.000 | -0.000 | 0.000 |
| 74.625 | 525.273 | 370.633 | -0.000 | -0.000 | 0.000 |
| 174.905 | 365.717 | 492.365 | 0.000 | -0.000 | -0.000 |
| -0.004 | 0.023 | -0.039 | 240.597 | -0.000 | 0.000 |
| 0.000 | 0.000 | -0.000 | -0.000 | 101.114 | 0.000 |
| -0.225 | 1.396 | -2.397 | -0.001 | -0.000 | 42.315 |
| 265.824 | 80.626 | 185.822 | 0.000 | 0.000 | -0.000 |
| 74.625 | 525.273 | 370.633 | 0.000 | 0.000 | -0.000 |
| 118.625 | 297.386 | 330.856 | -0.000 | 0.000 | -0.000 |
| 0.004 | -0.023 | 0.039 | 240.597 | 0.000 | -0.000 |
| -0.000 | -0.000 | 0.000 | 0.000 | 101.114 | -0.000 |
| 0.225 | -1.396 | 2.397 | 0.001 | 0.000 | 42.315 |
| 245.481 | 49.716 | 133.963 | -0.000 | -0.000 | 0.000 |
| 74.625 | 525.272 | 370.633 | -0.000 | -0.000 | 0.000 |
| 122.412 | 286.671 | 357.800 | -0.000 | -0.000 | 0.000 |
| -0.000 | 0.002 | -0.004 | 240.598 | -0.000 | 0.000 |
| -0.009 | 0.054 | -0.093 | -0.000 | 87.308 | 0.000 |
| -0.000 | -0.000 | -0.000 | -0.000 | -0.000 | 50.933 |
| 245.482 | 49.713 | 133.972 | 0.000 | 0.000 | -0.000 |
| 45.339 | 474.451 | 302.615 | 0.000 | 0.000 | -0.000 |
| 122.405 | 286.655 | 357.787 | 0.000 | 0.000 | -0.000 |
| 0.000 | -0.002 | 0.004 | 240.598 | 0.000 | -0.000 |
| 0.009 | -0.054 | 0.093 | 0.000 | 87.308 | -0.000 |
| 0.000 | 0.000 | 0.000 | -0.000 | 0.000 | 50.933 |
| 244.324 | 50.605 | 128.230 | -0.000 | -0.000 | 0.000 |
| 43.675 | 477.562 | 292.448 | -0.000 | -0.000 | 0.000 |
| 122.484 | 286.777 | 357.981 | -0.000 | -0.000 | 0.000 |
| -0.024 | -0.024 | -0.076 | 167.446 | -0.000 | 0.000 |
| -0.002 | 0.005 | -0.011 | -0.000 | 87.308 | 0.000 |
| -0.004 | 0.011 | -0.027 | -0.000 | -0.000 | 42.315 |
| 265.824 | 80.627 | 185.823 | 0.000 | 0.000 | -0.000 |
| 45.381 | 474.556 | 302.679 | 0.000 | 0.000 | -0.000 |
| 118.517 | 297.634 | 330.155 | 0.000 | -0.000 | -0.000 |
| 0.024 | 0.024 | 0.076 | 167.446 | 0.000 | -0.000 |
| 0.002 | -0.005 | 0.011 | 0.000 | 87.308 | -0.000 |
| 0.004 | -0.011 | 0.027 | 0.000 | 0.000 | 42.315 |
| 367.107 | 268.035 | 651.158 | 0.000 | -0.000 | 0.000 |
| 58.396 | 421.353 | 259.376 | -0.000 | 0.000 | 0.000 |
| 302.293 | 476.902 | 1139.060 | 0.000 | -0.000 | 0.000 |
| -0.000 | -0.000 | -0.000 | 213.238 | -0.000 | 0.000 |
| 128.223 | 210.377 | 467.898 | 0.000 | 150.240 | 0.000 |
| 128.248 | 210.418 | 467.990 | 0.000 | -0.000 | 65.384 |
| 242.216 | 58.250 | 187.292 | 0.000 | -0.000 | -0.000 |
| 58.396 | 421.353 | 259.376 | -0.000 | -0.000 | -0.000 |
| 186.711 | 258.650 | 669.591 | -0.000 | 0.000 | -0.000 |
| 0.000 | 0.000 | 0.000 | 213.238 | 0.000 | -0.000 |
| -128.223 | -210.377 | -467.898 | -0.000 | 150.240 | -0.000 |
| -128.248 | -210.418 | -467.990 | -0.000 | 0.000 | 65.384 |
| 242.216 | 58.250 | 187.292 | -0.000 | -0.000 | 0.000 |
| 21.456 | 390.483 | 174.149 | -0.000 | -0.000 | 0.000 |
| 186.711 | 258.650 | 669.590 | 0.000 | 0.000 | 0.000 |
| 8.282 | 13.588 | 30.221 | 182.651 | -0.000 | 0.000 |
| 12.826 | 21.044 | 46.805 | 0.000 | 150.240 | 0.000 |
| -0.000 | 0.000 | -0.000 | -0.000 | -0.000 | 65.769 |
| 221.073 | 26.024 | 114.245 | 0.000 | 0.000 | 0.000 |
| 58.396 | 421.353 | 259.376 | 0.000 | 0.000 | -0.000 |
| 137.495 | 185.183 | 502.135 | -0.000 | -0.000 | -0.000 |
| -8.282 | -13.588 | -30.221 | 182.651 | 0.000 | -0.000 |
| -12.826 | -21.044 | -46.805 | -0.000 | 150.240 | -0.000 |
| 0.000 | -0.000 | 0.000 | 0.000 | 0.000 | 65.769 |
| 222.565 | 36.405 | 132.913 | -0.000 | -0.000 | 0.000 |
| 35.336 | 392.430 | 190.083 | -0.000 | -0.000 | 0.000 |
| 132.517 | 190.477 | 506.404 | 0.000 | -0.000 | 0.000 |
| 0.722 | 1.185 | 2.636 | 186.555 | -0.000 | 0.000 |
| -1.581 | -0.230 | -1.828 | -0.000 | 150.174 | 0.000 |
| -0.000 | 0.000 | -0.000 | 0.000 | -0.000 | 65.769 |
| 228.903 | 38.710 | 142.550 | 0.000 | -0.000 | -0.000 |
| 38.280 | 392.657 | 193.154 | 0.000 | -0.000 | -0.000 |
| 144.008 | 195.854 | 525.880 | -0.000 | 0.000 | -0.000 |
| -0.722 | -1.185 | -2.636 | 186.555 | 0.000 | -0.000 |
| 1.581 | 0.230 | 1.828 | 0.000 | 150.174 | -0.000 |
| 0.000 | -0.000 | 0.000 | 0.000 | 0.000 | 65.769 |
| 755.113 | 215.863 | 312.898 | 0.000 | -0.000 | 0.000 |
| 215.863 | 755.113 | 312.898 | 0.000 | 0.000 | 0.000 |
| 312.897 | 312.897 | 2213.446 | -0.000 | 0.000 | -0.000 |
| 0.000 | -0.000 | 0.000 | 166.243 | -0.000 | -0.000 |
| 0.000 | -0.000 | 0.000 | 0.000 | 166.243 | -0.000 |
| -0.000 | 0.000 | 0.000 | 0.000 | 0.000 | 269.625 |
| 755.113 | 215.863 | 312.897 | -0.000 | 0.000 | 0.000 |
| 215.863 | 755.113 | 312.897 | -0.000 | -0.000 | 0.000 |
| 312.897 | 312.898 | 2213.446 | -0.000 | 0.000 | -0.000 |
| -0.000 | -0.000 | -0.000 | 166.243 | -0.000 | -0.000 |
| -0.000 | 0.000 | -0.000 | -0.000 | 166.243 | 0.000 |
| 0.000 | -0.000 | -0.000 | -0.000 | 0.000 | 269.625 |
| 755.113 | 215.863 | 312.898 | 0.000 | 0.000 | 0.000 |
| 215.863 | 755.112 | 312.898 | 0.000 | -0.000 | -0.000 |
| 312.897 | 312.897 | 2213.444 | 0.000 | -0.000 | 0.000 |
| 0.000 | 0.000 | 0.000 | 166.243 | -0.000 | -0.000 |
| 0.000 | 0.000 | 0.000 | 0.000 | 166.243 | -0.000 |
| -0.000 | 0.000 | 0.000 | 0.000 | 0.000 | 269.625 |
| 755.113 | 215.863 | 312.897 | -0.000 | -0.000 | 0.000 |
| 215.863 | 755.113 | 312.897 | -0.000 | 0.000 | 0.000 |
| 312.898 | 312.898 | 2213.448 | -0.000 | -0.000 | -0.000 |
| -0.000 | -0.000 | -0.000 | 166.243 | 0.000 | 0.000 |
| -0.000 | -0.000 | -0.000 | -0.000 | 166.243 | 0.000 |
| 0.000 | -0.000 | -0.000 | -0.000 | 0.000 | 269.625 |
| 755.114 | 215.862 | 312.902 | 0.000 | -0.000 | -0.000 |
| 215.866 | 755.109 | 312.902 | 0.000 | 0.000 | 0.000 |
| 312.897 | 312.897 | 2213.427 | 0.000 | -0.000 | -0.000 |
| 0.001 | 0.002 | 0.001 | 166.243 | -0.000 | 0.000 |
| 0.002 | 0.001 | 0.001 | 0.000 | 166.243 | 0.000 |
| -0.003 | 0.002 | 0.002 | 0.000 | -0.000 | 269.625 |
| 755.112 | 215.864 | 312.893 | -0.000 | 0.000 | 0.000 |
| 215.860 | 755.116 | 312.893 | -0.000 | 0.000 | 0.000 |
| 312.898 | 312.898 | 2213.465 | -0.000 | 0.000 | 0.000 |
| -0.001 | -0.002 | -0.001 | 166.243 | 0.000 | 0.000 |
| -0.002 | -0.001 | -0.001 | 0.000 | 166.243 | -0.000 |
| 0.003 | -0.002 | -0.002 | -0.000 | -0.000 | 269.625 |
| 2005.168 | 1410.504 | 501.458 | -0.000 | -0.000 | 0.000 |
| 1429.468 | 1986.203 | 501.458 | -0.000 | 0.000 | -0.000 |
| 501.459 | 501.459 | 1735.592 | -0.000 | -0.000 | 0.000 |
| 0.000 | 0.000 | -0.000 | 30.978 | -0.000 | 0.000 |
| 0.000 | 0.000 | 0.000 | -0.000 | 30.977 | 0.000 |
| 0.000 | -0.000 | -0.000 | -0.000 | -0.000 | 278.368 |
| 1986.204 | 1429.468 | 501.458 | -0.000 | 0.000 | -0.000 |
| 1429.468 | 1986.204 | 501.458 | 0.000 | 0.000 | -0.000 |
| 501.458 | 501.458 | 1735.591 | 0.000 | -0.000 | -0.000 |
| -0.000 | -0.000 | 0.000 | 30.978 | -0.000 | -0.000 |
| -0.000 | -0.000 | -0.000 | 0.000 | 30.978 | -0.000 |
| -0.000 | 0.000 | 0.000 | 0.000 | 0.000 | 278.368 |
| 2005.166 | 1410.503 | 501.458 | -0.000 | -0.000 | 0.000 |
| 1429.468 | 1986.202 | 501.458 | -0.000 | -0.000 | 0.000 |
| 501.459 | 501.459 | 1735.592 | -0.000 | -0.000 | -0.000 |
| 0.000 | 0.000 | 0.000 | 30.978 | -0.000 | 0.000 |
| 0.000 | 0.000 | 0.000 | -0.000 | 30.978 | 0.000 |
| -0.000 | -0.000 | -0.000 | -0.000 | -0.000 | 297.332 |
| 1984.573 | 1431.101 | 501.459 | -0.000 | 0.000 | -0.000 |
| 1429.469 | 1986.205 | 501.459 | 0.000 | 0.000 | -0.000 |
| 501.458 | 501.458 | 1735.591 | 0.000 | -0.000 | -0.000 |
| -0.000 | -0.000 | -0.000 | 30.978 | -0.000 | -0.000 |
| -0.000 | -0.000 | -0.000 | 0.000 | 30.978 | -0.000 |
| 0.000 | 0.000 | 0.000 | 0.000 | 0.000 | 297.332 |
| 1986.187 | 1429.463 | 501.457 | -0.000 | -0.000 | 0.000 |
| 1431.095 | 1984.555 | 501.457 | 0.000 | -0.000 | 0.000 |
| 501.467 | 501.467 | 1735.599 | -0.000 | -0.000 | 0.000 |
| 0.001 | 0.000 | 0.002 | 30.978 | -0.000 | 0.000 |
| 0.000 | 0.001 | 0.002 | -0.000 | 30.978 | 0.000 |
| -0.002 | -0.002 | -0.000 | -0.000 | -0.000 | 297.332 |
| 2005.182 | 1410.510 | 501.460 | -0.000 | 0.000 | -0.000 |
| 1410.511 | 2005.182 | 501.460 | 0.000 | 0.000 | -0.000 |
| 501.450 | 501.450 | 1735.584 | 0.000 | 0.000 | -0.000 |
| -0.001 | -0.000 | -0.002 | 30.978 | 0.000 | -0.000 |
| -0.000 | -0.001 | -0.002 | -0.000 | 30.978 | -0.000 |
| 0.002 | 0.002 | 0.000 | 0.000 | -0.000 | 297.332 |
| -49.972 | 729.671 | -180.675 | 0.000 | -0.000 | 0.000 |
| 291.644 | 388.050 | -180.675 | 0.000 | 0.000 | 0.000 |
| -180.674 | -180.674 | -962.419 | -0.000 | -0.000 | 0.000 |
| 0.000 | 0.000 | 0.000 | -276.240 | -0.000 | 0.000 |
| 0.000 | -0.000 | 0.000 | 0.000 | -276.240 | 0.000 |
| 0.001 | 0.002 | 0.000 | -0.000 | 0.000 | 48.200 |
| -50.001 | 729.671 | -180.675 | 0.000 | -0.000 | -0.000 |
| 729.677 | -50.008 | -180.675 | 0.000 | -0.000 | -0.000 |
| -180.674 | -180.674 | -962.419 | -0.000 | -0.000 | -0.000 |
| -0.000 | -0.000 | -0.000 | -276.241 | -0.000 | -0.000 |
| -0.000 | 0.000 | -0.000 | -0.000 | -276.241 | -0.000 |
| -0.001 | -0.002 | -0.000 | 0.000 | -0.000 | 48.200 |
| 388.123 | 291.656 | -180.674 | 0.000 | -0.000 | 0.000 |
| -72826530.416 | -71109303.940 | 125850290.222 | -22438798.839 | 13542.048 | 9277.985 |
| -180.674 | -180.674 | -962.419 | 0.000 | 0.000 | 0.000 |
| 0.000 | 0.000 | 0.000 | -276.241 | -0.000 | 0.000 |
| 0.000 | 0.000 | 0.000 | -0.000 | -276.241 | 0.000 |
| 0.046 | 0.041 | 0.001 | 0.000 | 0.000 | -389.829 |
| -50.137 | 729.670 | -180.676 | -0.000 | -0.000 | -0.000 |
| -81046777.344 | -73045830.239 | -27446348.345 | -57.353 | -32.697 | 6928655.185 |
| -180.675 | -180.675 | -962.418 | 0.000 | -0.000 | -0.000 |
| -0.000 | -0.000 | -0.000 | -276.241 | 0.000 | -0.000 |
| -0.000 | -0.000 | -0.000 | 0.000 | -276.241 | -0.000 |
| -0.046 | -0.041 | -0.001 | -0.000 | -0.000 | -389.829 |
| 8469472.454 | 8209802.361 | 3190741.782 | -418606.887 | 591974.333 | -270164.354 |
| -7418651.127 | -7574110.190 | 12399115.188 | 538248.471 | -152770.395 | 186831.048 |
| -180.671 | -180.671 | -962.422 | 0.000 | -0.000 | 0.000 |
| 0.001 | 0.003 | 0.002 | -276.241 | 0.000 | 0.000 |
| 0.003 | 0.000 | 0.002 | -0.000 | -276.241 | 0.000 |
| 0.120 | 0.183 | 0.001 | 0.000 | 0.000 | 48.200 |
| 7283755.310 | 7113588.015 | -12586563.337 | -2244729.240 | -1393.445 | 1294.201 |
| -8467863.993 | -8208061.986 | -3189667.153 | 418581.878 | -591934.186 | 270185.682 |
| -180.677 | -180.677 | -962.415 | 0.000 | 0.000 | -0.000 |
| -0.001 | -0.003 | -0.002 | -276.241 | -0.000 | -0.000 |
| -0.003 | -0.000 | -0.002 | 0.000 | -276.241 | -0.000 |
| -0.120 | -0.183 | -0.001 | -0.000 | -0.000 | 48.200 |
| 215.792 | 209.391 | 55.024 | -0.000 | 0.000 | -0.000 |
| 209.391 | 47.638 | 19.874 | -0.000 | -0.000 | -0.000 |
| 55.024 | 19.874 | 255.210 | -0.000 | 0.000 | 0.000 |
| -0.000 | -0.000 | -0.000 | -42.050 | -0.000 | -0.000 |
| -0.000 | -0.000 | -0.000 | 0.000 | 34.433 | -0.000 |
| -0.000 | -0.000 | -0.000 | -0.000 | -0.000 | -26.850 |
| 215.793 | 209.391 | 55.024 | -0.000 | -0.000 | 0.000 |
| 209.391 | 47.638 | 19.874 | -0.000 | -0.000 | 0.000 |
| 55.024 | 19.874 | 255.211 | -0.000 | 0.000 | 0.000 |
| 0.000 | 0.000 | 0.000 | -42.050 | -0.000 | 0.000 |
| 0.000 | 0.000 | 0.000 | 0.000 | 34.433 | 0.000 |
| 0.000 | 0.000 | 0.000 | 0.000 | 0.000 | -26.850 |
| 215.792 | 209.391 | 55.024 | 0.000 | -0.000 | -0.000 |
| 209.390 | 47.637 | 19.874 | -0.000 | -0.000 | -0.000 |
| 55.024 | 19.874 | 255.210 | -0.000 | 0.000 | -0.000 |
| -0.000 | -0.000 | -0.000 | -42.050 | -0.000 | -0.000 |
| -0.000 | -0.000 | -0.000 | 0.000 | 34.433 | -0.000 |
| -0.000 | -0.000 | -0.000 | -0.000 | 0.000 | -26.850 |
| 215.793 | 209.391 | 55.024 | 0.000 | -0.000 | 0.000 |
| 209.391 | 47.639 | 19.874 | 0.000 | 0.000 | 0.000 |
| 55.024 | 19.874 | 255.212 | 0.000 | -0.000 | 0.000 |
| 0.000 | 0.000 | 0.000 | -42.050 | 0.000 | 0.000 |
| 0.000 | 0.000 | 0.000 | -0.000 | 34.433 | 0.000 |
| 0.000 | 0.000 | 0.000 | -0.000 | 0.000 | -26.850 |
| 215.787 | 209.390 | 55.024 | -0.000 | 0.000 | -0.000 |
| 209.388 | 47.631 | 19.873 | 0.000 | -0.000 | -0.000 |
| 55.024 | 19.873 | 255.201 | 0.000 | -0.000 | -0.000 |
| -0.000 | -0.001 | -0.002 | -42.050 | 0.000 | -0.000 |
| -0.000 | -0.000 | -0.001 | -0.000 | 34.433 | -0.000 |
| -0.002 | -0.003 | -0.001 | -0.000 | -0.000 | -26.850 |
| 215.798 | 209.391 | 55.024 | -0.000 | -0.000 | 0.000 |
| 209.393 | 47.645 | 19.875 | -0.000 | 0.000 | 0.000 |
| 55.024 | 19.875 | 255.221 | 0.000 | 0.000 | 0.000 |
| 0.000 | 0.001 | 0.002 | -42.050 | 0.000 | 0.000 |
| 0.000 | 0.000 | 0.001 | 0.000 | 34.433 | 0.000 |
| 0.002 | 0.003 | 0.001 | 0.000 | 0.000 | -26.850 |
| -51.798 | 36.482 | 117.615 | 0.000 | -0.000 | -0.000 |
| 36.482 | -51.798 | 117.615 | -0.000 | 0.000 | -0.000 |
| 149.702 | 149.702 | 360.365 | 0.000 | -0.000 | 0.000 |
| -0.135 | -0.135 | -0.421 | 78.098 | 0.000 | -0.000 |
| -0.135 | -0.135 | -0.421 | 0.000 | 78.098 | -0.000 |
| -0.002 | -0.002 | -0.007 | 0.000 | 0.000 | 55.599 |
| -36.432 | 51.848 | 165.522 | 0.000 | -0.000 | 0.000 |
| 51.848 | -36.432 | 165.522 | -0.000 | -0.000 | 0.000 |
| 149.702 | 149.702 | 360.365 | -0.000 | -0.000 | -0.000 |
| 0.135 | 0.135 | 0.421 | 78.098 | -0.000 | 0.000 |
| 0.135 | 0.135 | 0.421 | -0.000 | 78.098 | 0.000 |
| 0.002 | 0.002 | 0.007 | -0.000 | -0.000 | 55.599 |
| -51.796 | 36.485 | 117.624 | 0.000 | 0.000 | -0.000 |
| 36.485 | -51.796 | 117.624 | 0.000 | 0.000 | -0.000 |
| 101.811 | 101.811 | 211.056 | -0.000 | 0.000 | 0.000 |
| -0.014 | -0.014 | -0.043 | 78.097 | 0.000 | 0.000 |
| -0.014 | -0.014 | -0.043 | 0.000 | 78.097 | -0.000 |
| -0.000 | -0.000 | -0.001 | 0.000 | 0.000 | 55.599 |
| -36.431 | 51.848 | 165.522 | -0.000 | -0.000 | -0.000 |
| 51.848 | -36.431 | 165.522 | -0.000 | -0.000 | 0.000 |
| 149.702 | 149.702 | 360.367 | 0.000 | 0.000 | -0.000 |
| 0.014 | 0.014 | 0.043 | 78.097 | -0.000 | 0.000 |
| 0.014 | 0.014 | 0.043 | -0.000 | 78.097 | 0.000 |
| 0.000 | 0.000 | 0.001 | -0.000 | -0.000 | 55.599 |
| -51.791 | 36.494 | 117.651 | 0.000 | 0.000 | -0.000 |
| 36.494 | -51.791 | 117.651 | 0.000 | -0.000 | -0.000 |
| 101.895 | 101.895 | 211.315 | 0.000 | 0.000 | 0.000 |
| 0.044 | 0.043 | 0.105 | 78.088 | 0.000 | -0.000 |
| 0.043 | 0.044 | 0.105 | 0.000 | 78.088 | 0.000 |
| 0.016 | 0.016 | 0.009 | 0.000 | 0.000 | 55.584 |
| -51.835 | 36.440 | 117.574 | -0.000 | -0.000 | -0.000 |
| 36.440 | -51.835 | 117.574 | -0.000 | -0.000 | 0.000 |
| 149.697 | 149.697 | 360.378 | -0.000 | -0.000 | 0.000 |
| -0.044 | -0.043 | -0.105 | 78.088 | -0.000 | -0.000 |
| -0.043 | -0.044 | -0.105 | -0.000 | 78.088 | 0.000 |
| -0.016 | -0.016 | -0.009 | -0.000 | -0.000 | 55.584 |
| 881.169 | 260.214 | 334.421 | 0.001 | 0.000 | 0.000 |
| 260.220 | 1028.010 | 427.203 | 0.001 | 0.000 | -0.000 |
| 359.513 | 464.081 | 2431.144 | -0.000 | 0.000 | 0.000 |
| 0.000 | 0.000 | -0.000 | 181.295 | 0.000 | 0.000 |
| -0.008 | -0.011 | -0.106 | 0.000 | 171.687 | 0.000 |
| -0.026 | -0.039 | -0.369 | 0.001 | 0.000 | 341.849 |
| 882.961 | 262.853 | 359.513 | -0.000 | -0.000 | -0.000 |
| 260.246 | 1028.048 | 427.564 | -0.001 | -0.000 | -0.000 |
| 334.614 | 427.402 | 2082.458 | -0.001 | -0.000 | 0.000 |
| -0.000 | -0.000 | -0.000 | 181.295 | -0.000 | 0.000 |
| 0.008 | 0.011 | 0.106 | -0.000 | 171.687 | -0.000 |
| 0.026 | 0.039 | 0.369 | -0.001 | -0.000 | 341.849 |
| 881.180 | 260.231 | 334.583 | 0.000 | 0.000 | 0.000 |
| 262.853 | 1031.890 | 464.082 | 0.000 | 0.000 | 0.000 |
| 359.514 | 464.083 | 2431.156 | 0.000 | 0.000 | -0.000 |
| -0.000 | -0.000 | -0.003 | 175.478 | 0.000 | -0.000 |
| -0.001 | -0.001 | -0.011 | 0.000 | 171.687 | -0.000 |
| -0.003 | -0.004 | -0.037 | 0.000 | -0.000 | 341.849 |
| 881.184 | 260.235 | 334.618 | -0.000 | -0.000 | 0.000 |
| 262.854 | 1031.889 | 464.080 | 0.000 | -0.000 | -0.000 |
| 359.512 | 464.079 | 2431.129 | -0.000 | -0.000 | 0.000 |
| 0.000 | 0.000 | 0.003 | 175.478 | -0.000 | 0.000 |
| 0.001 | 0.001 | 0.011 | -0.000 | 171.687 | -0.000 |
| 0.003 | 0.004 | 0.037 | -0.000 | -0.000 | 341.849 |
| 881.176 | 260.236 | 334.605 | 0.000 | 0.000 | 0.000 |
| 262.853 | 1031.892 | 464.088 | 0.000 | 0.000 | 0.000 |
| 334.608 | 427.397 | 2082.339 | 0.000 | 0.000 | 0.000 |
| 0.000 | 0.001 | -0.001 | 175.478 | 0.000 | 0.000 |
| 0.001 | 0.000 | -0.000 | 0.000 | 171.687 | -0.000 |
| 0.000 | -0.003 | -0.003 | 0.000 | 0.000 | 341.849 |
| 882.968 | 262.850 | 359.507 | -0.000 | -0.000 | -0.000 |
| 260.234 | 1028.026 | 427.377 | -0.000 | -0.000 | 0.000 |
| 334.593 | 427.369 | 2082.216 | -0.000 | -0.000 | 0.000 |
| -0.000 | -0.001 | 0.001 | 175.478 | -0.000 | -0.000 |
| -0.001 | -0.000 | 0.000 | -0.000 | 171.687 | -0.000 |
| -0.000 | 0.003 | 0.003 | -0.000 | -0.000 | 341.849 |
| 1353511.236 | 874696.971 | 618438.358 | -0.442 | -455264.036 | 1.009 |
| 1332331.519 | 863458.239 | 614026.979 | 1398.665 | -446863.299 | -3026.616 |
| 1335417.832 | 865214.997 | 618184.683 | 2797.771 | -446819.155 | -6054.238 |
| 1349344.937 | 874237.401 | 624740.585 | 3052.793 | -451090.367 | -6047.038 |
| 1355711.177 | 878656.481 | 630183.717 | -0.437 | -451989.853 | 0.998 |
| 1341309.760 | 869383.462 | 623930.910 | -5588.715 | -447064.156 | 11984.269 |
| -2981878.842 | -1948571.432 | -1507067.915 | -4199.052 | 937055.879 | 9086.617 |
| -1355461.919 | -878036.677 | -631068.583 | 0.436 | 451375.613 | -0.997 |
| -1356124.376 | -878636.788 | -628051.991 | 0.437 | 452945.871 | -0.999 |
| -1342086.287 | -869585.442 | -621800.140 | 5851.892 | 448473.551 | -12104.307 |
| -1347155.006 | -872286.715 | -619267.800 | 1399.549 | 452491.369 | -3028.634 |
| -1333691.803 | -864638.047 | -621976.409 | -8386.055 | 443795.202 | 18037.521 |
| 51918.557 | 31072.744 | 13107.596 | 419.566 | -21373.007 | -907.912 |
| 16950.290 | 11416.294 | 6573.460 | 0.014 | -6403.115 | -0.031 |
| 135923.623 | 88085.376 | 62989.931 | -0.044 | -45739.936 | 0.100 |
| 150172.515 | 97036.879 | 67384.977 | 3462.925 | -51184.671 | -6933.712 |
| 241037.029 | 158610.442 | 131748.526 | 7.290 | -71040.464 | -16.504 |
| 11632.772 | 7171.554 | 2366.098 | -10068.840 | -5277.412 | 21679.368 |
| -204336.520 | -136971.436 | -122034.094 | 416.258 | 56545.045 | -900.444 |
| -221632.964 | -145697.262 | -124728.265 | -139.896 | 63603.735 | 302.725 |
| -260443.160 | -170738.329 | -137158.834 | 139.931 | 78892.705 | -302.812 |
| -149016.758 | -96324.012 | -67146.733 | 3604.622 | 50661.891 | -7240.511 |
| -165280.712 | -106007.086 | -67569.090 | -4.590 | 59441.933 | 10.341 |
| -12408.335 | -7649.685 | -2523.847 | -10068.838 | 5629.260 | 21679.364 |
| 56599.237 | 35137.157 | 26151.109 | 489.414 | -17137.938 | -1059.038 |
| 52488.212 | 34219.589 | 24907.009 | 83.884 | -16261.605 | -181.515 |
| 11835.088 | 7414.248 | 3265.157 | 27.982 | -5302.085 | -60.553 |
| 16710.076 | 10301.637 | 3398.771 | 9448.119 | -7580.795 | -19886.386 |
| 19913.808 | 14005.796 | 18125.027 | -0.007 | -2454.534 | 0.016 |
| 47281.651 | 31214.100 | 26757.692 | 673.659 | -13357.979 | -1588.443 |
| 15567.172 | 6506.684 | -11912.017 | -0.008 | -13065.544 | 0.018 |
| 10413.650 | 5255.392 | -12401.413 | -13.973 | -11690.850 | 30.236 |
| -15484.432 | -10973.328 | -14939.940 | 27.960 | 1233.134 | -60.503 |
| -16671.298 | -10277.730 | -3390.884 | 9406.145 | 7563.203 | -19795.555 |
| -54398.730 | -34964.374 | -25646.944 | 42.449 | 17125.761 | -91.908 |
| -46522.304 | -30500.341 | -25908.529 | 343.183 | 12977.609 | -859.604 |
| 1623.880 | 1056.610 | 216.793 | 0.000 | 0.000 | -0.000 |
| 1056.610 | 1760.799 | 274.997 | 0.000 | 0.000 | -0.000 |
| 216.793 | 274.997 | 2361.973 | -0.000 | 0.000 | -0.000 |
| 0.000 | -0.000 | 0.000 | 115.962 | 0.000 | -0.000 |
| 0.000 | -0.000 | 0.000 | -0.000 | 78.438 | -0.000 |
| -0.000 | -0.000 | -0.000 | -0.000 | 0.000 | 127.637 |
| 1623.880 | 1056.610 | 216.792 | 0.000 | -0.000 | 0.000 |
| 1056.610 | 1760.799 | 274.997 | -0.000 | -0.000 | 0.000 |
| 216.792 | 274.997 | 2361.973 | -0.000 | -0.000 | 0.000 |
| -0.000 | 0.000 | -0.000 | 115.962 | -0.000 | 0.000 |
| -0.000 | -0.000 | -0.000 | -0.000 | 78.438 | 0.000 |
| 0.000 | 0.000 | -0.000 | -0.000 | -0.000 | 127.637 |
| 1623.880 | 1056.612 | 216.793 | -0.000 | 0.000 | -0.000 |
| 1056.613 | 1760.800 | 274.997 | -0.000 | 0.000 | -0.000 |
| 216.793 | 274.998 | 2361.971 | 0.000 | 0.000 | -0.000 |
| 0.000 | -0.000 | 0.000 | 115.962 | 0.000 | -0.000 |
| -0.000 | -0.000 | 0.000 | -0.000 | 78.438 | -0.000 |
| -0.000 | -0.000 | 0.000 | 0.000 | 0.000 | 127.637 |
| 1623.879 | 1056.608 | 216.792 | 0.000 | -0.000 | 0.000 |
| 1056.608 | 1760.798 | 274.996 | 0.000 | -0.000 | 0.000 |
| 216.792 | 274.996 | 2361.974 | 0.000 | 0.000 | 0.000 |
| -0.000 | 0.000 | -0.000 | 115.962 | -0.000 | 0.000 |
| 0.000 | 0.000 | -0.000 | -0.000 | 78.438 | 0.000 |
| 0.000 | 0.000 | -0.000 | 0.000 | -0.000 | 127.637 |
| 1623.885 | 1056.631 | 216.799 | 0.000 | 0.000 | -0.000 |
| 1056.633 | 1760.808 | 275.004 | 0.000 | 0.000 | -0.000 |
| 216.801 | 275.006 | 2361.957 | 0.000 | 0.000 | -0.000 |
| 0.000 | -0.001 | 0.001 | 115.962 | 0.000 | -0.000 |
| -0.000 | -0.000 | 0.001 | -0.000 | 78.438 | -0.000 |
| -0.003 | -0.003 | 0.000 | 0.000 | 0.000 | 127.637 |
| 1623.874 | 1056.590 | 216.786 | 0.000 | -0.000 | 0.000 |
| 1056.588 | 1760.790 | 274.989 | -0.000 | -0.000 | 0.000 |
| 216.784 | 274.987 | 2361.989 | -0.000 | -0.000 | 0.000 |
| -0.000 | 0.001 | -0.001 | 115.962 | 0.000 | 0.000 |
| 0.000 | 0.000 | -0.001 | 0.000 | 78.438 | 0.000 |
| 0.003 | 0.003 | -0.000 | 0.000 | -0.000 | 127.637 |
| 2.700 | -4.622 | -15.036 | 0.000 | -0.000 | 0.000 |
| -4.622 | 2.700 | -15.036 | -0.000 | 0.000 | 0.000 |
| -12.680 | -12.680 | -50.879 | 0.000 | 0.000 | 0.000 |
| -0.030 | -0.030 | 0.165 | -8.738 | -0.000 | 0.000 |
| -0.030 | -0.030 | 0.165 | -0.000 | -8.738 | 0.000 |
| -0.025 | -0.025 | 0.136 | -0.000 | 0.000 | -0.413 |
| 2.750 | -4.572 | -15.307 | -0.000 | 0.000 | -0.000 |
| -4.572 | 2.750 | -15.307 | -0.000 | -0.000 | 0.000 |
| -17.766 | -17.766 | -23.122 | 0.000 | 0.000 | 0.000 |
| 0.030 | 0.030 | -0.165 | -8.738 | 0.000 | -0.000 |
| 0.030 | 0.030 | -0.165 | -0.000 | -8.738 | -0.000 |
| 0.025 | 0.025 | -0.136 | 0.000 | 0.000 | -0.413 |
| 2.722 | -4.600 | -15.158 | 0.000 | -0.000 | -0.000 |
| -4.600 | 2.722 | -15.158 | -0.000 | 0.000 | 0.000 |
| -17.766 | -17.766 | -23.122 | 0.000 | -0.000 | 0.000 |
| -0.117 | -0.117 | 0.638 | -8.745 | 0.000 | -0.000 |
| -0.117 | -0.117 | 0.638 | -0.000 | -8.745 | -0.000 |
| -0.002 | -0.002 | 0.014 | -0.000 | 0.000 | -0.413 |
| 2.727 | -4.595 | -15.185 | 0.000 | -0.000 | -0.000 |
| -4.595 | 2.727 | -15.185 | 0.000 | 0.000 | -0.000 |
| -12.654 | -12.654 | -51.023 | 0.000 | 0.000 | -0.000 |
| 0.117 | 0.117 | -0.638 | -8.745 | -0.000 | 0.000 |
| 0.117 | 0.117 | -0.638 | -0.000 | -8.745 | -0.000 |
| 0.002 | 0.002 | -0.014 | 0.000 | 0.000 | -0.413 |
| 3.661 | -3.661 | -20.282 | -0.000 | 0.000 | 0.000 |
| -3.661 | 3.661 | -20.282 | -0.000 | -0.000 | 0.000 |
| -12.656 | -12.656 | -51.013 | -0.000 | 0.000 | 0.000 |
| 0.000 | 0.000 | 0.000 | -8.738 | 0.000 | 0.000 |
| 0.000 | 0.000 | 0.000 | -0.000 | -8.738 | 0.000 |
| -0.000 | -0.000 | 0.001 | -0.000 | -0.000 | -0.413 |
| 2.725 | -4.597 | -15.171 | -0.000 | -0.000 | 0.000 |
| -4.597 | 2.725 | -15.171 | -0.000 | -0.000 | -0.000 |
| -12.664 | -12.664 | -50.967 | -0.000 | -0.000 | -0.000 |
| -0.000 | -0.000 | -0.000 | -8.738 | 0.000 | -0.000 |
| -0.000 | -0.000 | -0.000 | 0.000 | -8.738 | 0.000 |
| 0.000 | 0.000 | -0.001 | -0.000 | -0.000 | -0.413 |
Phonon band structures and crystal properties estimated from quasi-harmonic approximation (QHA) calculations are displayed for select crystals. The calculations were performed using phonopy and LAMMPS. For the phonon calculations, 3x3 supercells of the potential-specific relaxed crystals were used. The QHA calculations were based on 11 strain states ranging from -0.05 to 0.05.
The calculation method used is available as the iprPy phonon calculation method.
Notes and Disclaimers:
Version Information:



































































































































































































































































































































































































































































































































































































































































































































































































































































































































Static free surface formation energies are displayed for select crystals. The values displayed here are obtained by taking a perfect periodic bulk crystal, slicing along a crystallographic plane, and using force minimization to statically relax the surfaces. The free surface formation energy is computed by comparing the energy of the defect system to the bulk system and dividing by the total surface area created by the cut.
The calculation method used is available as the iprPy surface_energy_static calculation method.
Notes and Disclaimers:
Version Information:
| Surface | γfs (mJ/m2) |
|---|---|
| (311) | -11477.69 |
| (100) | 2193.31 |
| (321) | 2424.87 |
| (332) | 2514.63 |
| (221) | 2535.98 |
| (110) | 2552.45 |
| (331) | 2557.27 |
| (210) | 2558.27 |
| (111) | 2633.35 |
| (322) | 2637.90 |
| (310) | 2930.73 |
| (211) | 2961.58 |
| (320) | 3037.37 |
| Surface | γfs (mJ/m2) |
|---|---|
| (100) | 79.36 |
| (111) | 82.45 |
| (332) | 86.15 |
| (322) | 87.46 |
| (221) | 87.69 |
| (331) | 88.91 |
| (311) | 89.01 |
| (211) | 89.10 |
| (310) | 89.10 |
| (110) | 89.57 |
| (210) | 91.12 |
| (321) | 91.16 |
| (320) | 91.63 |
| Surface | γfs (mJ/m2) |
|---|---|
| (111) | 125.95 |
| (332) | 139.74 |
| (322) | 141.33 |
| (221) | 145.77 |
| (100) | 146.31 |
| (211) | 148.84 |
| (331) | 150.60 |
| (311) | 154.08 |
| (110) | 154.97 |
| (321) | 156.03 |
| (310) | 161.88 |
| (320) | 162.18 |
| (210) | 163.50 |
| Surface | γfs (mJ/m2) |
|---|---|
| (111) | 26.94 |
| (332) | 29.86 |
| (322) | 30.20 |
| (100) | 31.11 |
| (221) | 31.13 |
| (211) | 31.78 |
| (331) | 32.15 |
| (311) | 32.87 |
| (110) | 33.04 |
| (321) | 33.30 |
| (310) | 34.47 |
| (320) | 34.57 |
| (210) | 34.84 |
| Surface | γfs (mJ/m2) |
|---|---|
| (211) 2 | 3241.44 |
| (210) | 3258.94 |
| (100) | 3290.16 |
| (332) 2 | 3307.07 |
| (311) | 3317.63 |
| (321) 2 | 3317.93 |
| (111) | 3331.62 |
| (221) | 3332.25 |
| (321) 1 | 3333.80 |
| (110) | 3344.56 |
| (331) | 3349.86 |
| (322) | 3352.65 |
| (310) | 3371.50 |
| (320) | 3373.46 |
| (332) 1 | 3391.07 |
| (211) 1 | 3397.81 |
| Surface | γfs (mJ/m2) |
|---|---|
| (321) 2 | -5146.59 |
| (321) 1 | -5135.74 |
| (320) | -4984.65 |
| (311) | -4478.51 |
| (310) | -4334.35 |
| (221) | -4296.14 |
| (211) 1 | -3475.44 |
| (210) | -3038.27 |
| (111) | -2469.60 |
| (110) | -1957.62 |
| (211) 2 | -777.35 |
| (100) | 20.52 |
| Surface | γfs (mJ/m2) |
|---|---|
| (100) | 2.00 |
| (310) | 2.53 |
| (210) | 2.69 |
| (320) | 2.78 |
| (110) | 2.83 |
| (311) | 3.02 |
| (321) 1 | 3.21 |
| (321) 2 | 3.21 |
| (331) | 3.22 |
| (211) 1 | 3.27 |
| (211) 2 | 3.27 |
| (221) | 3.34 |
| (322) | 3.40 |
| (332) 2 | 3.42 |
| (332) 1 | 3.42 |
| (111) | 3.47 |
| Surface | γfs (mJ/m2) |
|---|---|
| (110) | 3542.57 |
| (100) | 3588.20 |
| (320) | 3670.83 |
| (210) | 3683.74 |
| (310) | 3703.17 |
| (321) | 3740.33 |
| (331) | 3744.00 |
| (211) | 3768.53 |
| (311) | 3771.58 |
| (221) | 3785.02 |
| (111) | 3815.77 |
| (332) | 3819.17 |
| (322) | 3826.57 |
| Surface | γfs (mJ/m2) |
|---|---|
| (100) | 1071.73 |
| (111) | 1116.90 |
| (320) | 1138.80 |
| (331) | 1140.20 |
| (211) | 1147.38 |
| (322) | 1149.69 |
| (332) | 1150.18 |
| (221) | 1151.73 |
| (321) | 1154.48 |
| (210) | 1159.43 |
| (310) | 1161.43 |
| (311) | 1172.22 |
| Surface | γfs (mJ/m2) |
|---|---|
| (332) | -2595.85 |
| (311) | -2477.94 |
| (331) | -2362.39 |
| (322) | -2189.82 |
| (320) | -1752.94 |
| (221) | -1588.77 |
| (310) | -1495.47 |
| (210) | -1107.85 |
| (111) | -849.31 |
| (100) | 110.86 |
| (110) | 137.60 |
| (321) | 153.26 |
| (211) | 155.46 |
| Surface | γfs (mJ/m2) |
|---|---|
| (110) | 96.66 |
| (321) | 109.18 |
| (331) | 109.70 |
| (320) | 110.19 |
| (211) | 111.13 |
| (221) | 113.86 |
| (322) | 115.94 |
| (332) | 116.55 |
| (210) | 116.70 |
| (111) | 118.51 |
| (311) | 119.53 |
| (310) | 122.10 |
| (100) | 125.50 |
| Surface | γfs (mJ/m2) |
|---|---|
| (110) | 16.84 |
| (321) | 19.09 |
| (331) | 19.12 |
| (211) | 19.45 |
| (320) | 19.82 |
| (221) | 19.85 |
| (322) | 20.22 |
| (332) | 20.32 |
| (111) | 20.64 |
| (210) | 21.32 |
| (311) | 21.56 |
| (310) | 22.62 |
| (100) | 23.85 |
| Surface | γfs (mJ/m2) |
|---|---|
| (0001) | 2382.00 |
| (1120) | 2431.96 |
| (2021) 1 | 2434.72 |
| (1121) | 2438.19 |
| (1011) 1 | 2458.36 |
| (2241) | 2464.24 |
| (1011) 2 | 2491.92 |
| (2112) | 2504.29 |
| (1012) 2 | 2529.74 |
| (2131) 1 | 2532.20 |
| (2132) 1 | 2560.02 |
| (1010) | 2600.93 |
| (2132) 2 | 2614.31 |
| (2021) 2 | 2630.66 |
| (2130) | 2640.86 |
| (2131) 2 | 2722.38 |
| (1012) 1 | 2799.72 |
| Surface | γfs (mJ/m2) |
|---|---|
| (2132) 1 | -5932.22 |
| (2132) 2 | -4742.75 |
| (2021) 1 | -3234.99 |
| (1012) 1 | -2910.63 |
| (2021) 2 | -2863.48 |
| (1012) 2 | -2750.34 |
| (1011) 2 | -2140.66 |
| (1011) 1 | -2140.66 |
| (2112) | -1923.70 |
| (2130) 1 | -544.97 |
| (2241) | -519.98 |
| (2131) 1 | -425.26 |
| (1121) | -256.07 |
| (2131) 2 | -170.32 |
| (1010) 1 | -119.86 |
| (1120) | 152.18 |
| (1010) 2 | 623.43 |
| (2130) 2 | 642.28 |
| (0001) | 2572.03 |
| Surface | γfs (mJ/m2) |
|---|---|
| (1011) 2 | 2192.46 |
| (2112) | 2281.79 |
| (1012) 2 | 2370.96 |
| (0001) | 2372.41 |
| (2021) 1 | 2450.15 |
| (1120) | 2460.50 |
| (2241) | 2473.37 |
| (1121) | 2526.60 |
| (2130) 2 | 2546.55 |
| (1012) 1 | 2551.16 |
| (1010) 1 | 2570.10 |
| (2130) 1 | 2722.74 |
| (2021) 2 | 2736.01 |
| (2132) 2 | 2791.11 |
| (1010) 2 | 2851.02 |
| (1011) 1 | 2855.43 |
| (2132) 1 | 2961.03 |
| (2131) 2 | 2975.77 |
| Surface | γfs (mJ/m2) |
|---|---|
| (111) 2 | 556.51 |
| (331) 2 | 642.03 |
| (110) | 646.94 |
| (332) | 680.03 |
| (211) | 683.26 |
| (321) | 689.88 |
| (320) | 711.74 |
| (311) 1 | 717.34 |
| (322) | 722.15 |
| (311) 2 | 732.63 |
| (210) | 738.60 |
| (221) | 742.11 |
| (100) | 745.10 |
| (310) | 750.15 |
| (331) 1 | 800.20 |
| (111) 1 | 959.20 |
| Surface | γfs (mJ/m2) |
|---|---|
| (332) | -27487.35 |
| (331) 1 | -25530.79 |
| (322) | -24154.22 |
| (321) | -22078.18 |
| (320) | -21127.31 |
| (311) 2 | -19406.86 |
| (311) 1 | -19297.10 |
| (310) | -18818.03 |
| (221) | -17782.55 |
| (211) | -14306.37 |
| (210) | -13149.05 |
| (111) 1 | -10170.36 |
| (111) 2 | 54.90 |
| (100) | 56.43 |
| (331) 2 | 63.74 |
| (110) | 64.66 |
| Surface | γfs (mJ/m2) |
|---|---|
| (111) 2 | 7.59 |
| (331) 2 | 9.05 |
| (110) | 9.30 |
| (321) | 10.50 |
| (211) | 10.67 |
| (320) | 10.90 |
| (332) | 11.11 |
| (210) | 11.69 |
| (311) 2 | 11.79 |
| (311) 1 | 11.80 |
| (310) | 12.37 |
| (322) | 12.60 |
| (221) | 12.99 |
| (100) | 12.99 |
| (331) 1 | 14.86 |
| (111) 1 | 22.22 |
| Surface | γfs (mJ/m2) |
|---|---|
| (111) 2 | 17.55 |
| (331) 2 | 20.91 |
| (110) | 21.49 |
| (321) | 24.38 |
| (211) | 24.83 |
| (320) | 25.30 |
| (332) | 25.95 |
| (210) | 27.20 |
| (311) 2 | 27.51 |
| (311) 1 | 27.52 |
| (310) | 28.87 |
| (322) | 29.53 |
| (221) | 30.44 |
| (100) | 30.45 |
| (331) 1 | 34.94 |
| (111) 1 | 52.84 |
| Surface | γfs (mJ/m2) |
|---|---|
| (111) 2 | 3.51 |
| (331) 2 | 4.19 |
| (110) | 4.30 |
| (321) | 4.88 |
| (211) | 4.97 |
| (320) | 5.07 |
| (332) | 5.19 |
| (210) | 5.45 |
| (311) 2 | 5.51 |
| (311) 1 | 5.51 |
| (310) | 5.78 |
| (322) | 5.91 |
| (221) | 6.09 |
| (100) | 6.09 |
| (331) 1 | 6.99 |
| (111) 1 | 10.56 |
| Surface | γfs (mJ/m2) |
|---|---|
| (201) | -12578.26 |
| (111) | 2202.05 |
| (211) 1 | 2815.41 |
| (110) | 2956.06 |
| (100) | 3222.35 |
| (101) 1 | 3420.76 |
| (112) | 3743.32 |
| (211) 2 | 4036.58 |
| (101) 2 | 4486.48 |
| (001) | 5558.40 |
| Surface | γfs (mJ/m2) |
|---|---|
| (100) | 8.30 |
| (101) 1 | 11.38 |
| (110) | 11.74 |
| (201) | 11.89 |
| (112) | 12.03 |
| (001) | 12.84 |
| (111) | 13.81 |
| (211) 1 | 14.00 |
| (211) 2 | 14.00 |
| (101) 2 | 19.06 |
| Surface | γfs (mJ/m2) |
|---|---|
| (112) | -16899.18 |
| (211) | -10319.01 |
| (111) | -5759.40 |
| (110) | -5085.86 |
| (101) | -2862.70 |
| (201) | -1770.91 |
| (100) | -299.62 |
| (001) | 5069.90 |
| Surface | γfs (mJ/m2) |
|---|---|
| (0001) 2 | 337.17 |
| (1011) 2 | 533.83 |
| (1012) 2 | 602.46 |
| (2131) 2 | 612.18 |
| (1120) | 617.47 |
| (2112) 2 | 619.47 |
| (2241) 2 | 627.22 |
| (1121) 2 | 630.37 |
| (2021) 2 | 634.13 |
| (2132) 2 | 639.76 |
| (1010) | 646.85 |
| (2130) | 647.83 |
| (2241) 1 | 649.72 |
| (2112) 1 | 661.15 |
| (1012) 1 | 663.13 |
| (2132) 1 | 666.47 |
| (2021) 1 | 670.95 |
| (1121) 1 | 674.69 |
| (2131) 1 | 694.26 |
| (1011) 1 | 746.06 |
| (0001) 1 | 912.58 |
| Surface | γfs (mJ/m2) |
|---|---|
| (0001) 2 | 0.00 |
| (1011) 2 | 19.92 |
| (1012) 2 | 21.52 |
| (2112) 2 | 21.77 |
| (2131) 2 | 24.28 |
| (1121) 2 | 24.31 |
| (2241) 2 | 24.87 |
| (1120) | 25.06 |
| (2112) 1 | 25.60 |
| (2132) 2 | 26.04 |
| (2241) 1 | 26.99 |
| (1012) 1 | 27.01 |
| (2130) | 27.41 |
| (2021) 2 | 27.96 |
| (1121) 1 | 28.47 |
| (2132) 1 | 28.71 |
| (1010) | 29.13 |
| (2021) 1 | 31.59 |
| (2131) 1 | 32.59 |
| (1011) 1 | 40.35 |
| (0001) 1 | 51.37 |
| Surface | γfs (mJ/m2) |
|---|---|
| (332) | -65753.17 |
| (331) | -58153.00 |
| (322) | -57811.01 |
| (321) | -51097.19 |
| (320) | -46167.95 |
| (311) | -45880.70 |
| (310) | -41619.45 |
| (221) | -41178.09 |
| (211) | -32472.36 |
| (210) | -27432.49 |
| (111) | -23658.88 |
| (110) | -16621.66 |
| (100) | 1152.23 |
| Surface | γfs (mJ/m2) |
|---|---|
| (111) | 57.84 |
| (332) | 61.13 |
| (322) | 61.61 |
| (100) | 61.88 |
| (221) | 62.74 |
| (211) | 63.53 |
| (331) | 64.65 |
| (311) | 65.08 |
| (321) | 66.08 |
| (110) | 68.26 |
| (310) | 68.35 |
| (210) | 69.62 |
| (320) | 69.83 |
| Surface | γfs (mJ/m2) |
|---|---|
| (100) | 39.19 |
| (310) | 49.71 |
| (210) | 52.78 |
| (320) | 54.59 |
| (110) | 55.74 |
| (311) | 59.48 |
| (321) | 63.32 |
| (331) | 63.44 |
| (211) | 64.54 |
| (221) | 65.91 |
| (322) | 67.18 |
| (332) | 67.50 |
| (111) | 68.65 |
| Surface | γfs (mJ/m2) |
|---|---|
| (100) | 8.02 |
| (310) | 10.15 |
| (210) | 10.76 |
| (320) | 11.12 |
| (110) | 11.34 |
| (311) | 12.09 |
| (321) | 12.86 |
| (331) | 12.88 |
| (211) | 13.10 |
| (221) | 13.37 |
| (322) | 13.62 |
| (332) | 13.68 |
| (111) | 13.89 |
| Surface | γfs (mJ/m2) |
|---|---|
| (320) | -84889.12 |
| (311) | -80251.15 |
| (211) | -59005.20 |
| (210) | -25.94 |
| (321) | 59.58 |
| (100) | 120.71 |
| (310) | 142.39 |
| (110) | 154.32 |
| (331) | 160.95 |
| (332) | 167.36 |
| (111) | 168.80 |
| Surface | γfs (mJ/m2) |
|---|---|
| (111) | 185.42 |
| (332) | 205.32 |
| (322) | 207.61 |
| (221) | 213.97 |
| (211) | 218.35 |
| (331) | 220.84 |
| (311) | 225.69 |
| (110) | 226.80 |
| (321) | 228.65 |
| (310) | 236.62 |
| (320) | 237.18 |
| (210) | 239.00 |
| Surface | γfs (mJ/m2) |
|---|---|
| (111) | 61.54 |
| (332) | 67.79 |
| (322) | 68.49 |
| (100) | 69.80 |
| (221) | 70.46 |
| (211) | 71.79 |
| (331) | 72.54 |
| (311) | 73.92 |
| (110) | 74.13 |
| (321) | 74.94 |
| (310) | 77.13 |
| (320) | 77.36 |
| (210) | 77.87 |
| Surface | γfs (mJ/m2) |
|---|---|
| (211) 2 | 2302.57 |
| (210) | 2375.35 |
| (332) 2 | 2397.87 |
| (321) 2 | 2409.81 |
| (321) 1 | 2419.33 |
| (311) | 2420.33 |
| (322) | 2426.33 |
| (111) | 2428.68 |
| (100) | 2430.04 |
| (221) | 2433.19 |
| (331) | 2456.49 |
| (320) | 2459.95 |
| (310) | 2464.09 |
| (332) 1 | 2476.99 |
| (110) | 2481.50 |
| (211) 1 | 2497.76 |
| Surface | γfs (mJ/m2) |
|---|---|
| (100) | -16722.45 |
| Surface | γfs (mJ/m2) |
|---|---|
| (100) | 3.83 |
| (310) | 4.85 |
| (210) | 5.14 |
| (320) | 5.31 |
| (110) | 5.42 |
| (311) | 5.78 |
| (321) 2 | 6.14 |
| (321) 1 | 6.14 |
| (331) | 6.15 |
| (211) 2 | 6.26 |
| (211) 1 | 6.26 |
| (221) | 6.39 |
| (322) | 6.50 |
| (332) 1 | 6.53 |
| (332) 2 | 6.53 |
| (111) | 6.64 |
| Surface | γfs (mJ/m2) |
|---|---|
| (110) | 2421.44 |
| (320) | 2589.09 |
| (100) | 2636.86 |
| (210) | 2644.21 |
| (211) | 2646.99 |
| (321) | 2652.13 |
| (310) | 2653.15 |
| (331) | 2666.10 |
| (311) | 2702.54 |
| (221) | 2732.84 |
| (322) | 2743.48 |
| (332) | 2755.87 |
| (111) | 2776.61 |
| Surface | γfs (mJ/m2) |
|---|---|
| (100) | 186.20 |
| (110) | 206.11 |
| (310) | 209.14 |
| (320) | 212.90 |
| (210) | 212.98 |
| (311) | 230.33 |
| (321) | 232.78 |
| (331) | 233.29 |
| (211) | 236.84 |
| (221) | 241.95 |
| (322) | 246.30 |
| (332) | 247.46 |
| (111) | 251.21 |
| Surface | γfs (mJ/m2) |
|---|---|
| (110) | 161.80 |
| (320) | 180.60 |
| (321) | 182.78 |
| (331) | 183.04 |
| (211) | 185.89 |
| (210) | 188.93 |
| (221) | 189.72 |
| (322) | 193.07 |
| (332) | 193.94 |
| (100) | 194.09 |
| (310) | 194.95 |
| (311) | 195.65 |
| (111) | 196.58 |
| Surface | γfs (mJ/m2) |
|---|---|
| (110) | 37.45 |
| (321) | 42.26 |
| (331) | 42.27 |
| (211) | 42.91 |
| (320) | 43.69 |
| (221) | 43.76 |
| (322) | 44.51 |
| (332) | 44.69 |
| (111) | 45.23 |
| (210) | 46.78 |
| (311) | 47.29 |
| (310) | 49.43 |
| (100) | 51.69 |
| Surface | γfs (mJ/m2) |
|---|---|
| (111) 2 | 638.26 |
| (331) 2 | 753.24 |
| (332) | 761.51 |
| (110) | 769.95 |
| (211) | 771.42 |
| (321) | 795.05 |
| (322) | 802.83 |
| (311) 1 | 805.94 |
| (221) | 822.24 |
| (320) | 824.94 |
| (100) | 835.07 |
| (210) | 843.19 |
| (310) | 848.21 |
| (311) 2 | 848.42 |
| (331) 1 | 877.91 |
| (111) 1 | 1007.72 |
| Surface | γfs (mJ/m2) |
|---|---|
| (111) 2 | 23.18 |
| (331) 2 | 27.63 |
| (110) | 28.39 |
| (321) | 32.18 |
| (211) | 32.76 |
| (320) | 33.39 |
| (332) | 34.21 |
| (210) | 35.89 |
| (311) 2 | 36.29 |
| (311) 1 | 36.29 |
| (310) | 38.06 |
| (322) | 38.91 |
| (221) | 40.10 |
| (100) | 40.11 |
| (331) 1 | 45.99 |
| (111) 1 | 69.39 |
| Surface | γfs (mJ/m2) |
|---|---|
| (111) 2 | 7.72 |
| (331) 2 | 9.19 |
| (110) | 9.45 |
| (321) | 10.66 |
| (211) | 10.83 |
| (320) | 11.07 |
| (332) | 11.27 |
| (210) | 11.87 |
| (311) 2 | 11.96 |
| (311) 1 | 11.98 |
| (310) | 12.56 |
| (322) | 12.79 |
| (221) | 13.18 |
| (100) | 13.19 |
| (331) 1 | 15.09 |
| (111) 1 | 22.54 |
| Surface | γfs (mJ/m2) |
|---|---|
| (111) | -22801.27 |
| (211) 1 | -921.90 |
| (211) 2 | 46.63 |
| (100) | 65.49 |
| (101) 2 | 83.07 |
| (101) 1 | 94.66 |
| (112) | 98.34 |
| (110) | 100.03 |
| (001) | 106.39 |
| Surface | γfs (mJ/m2) |
|---|---|
| (110) | 185.75 |
| (101) | 217.17 |
| (211) | 219.55 |
| (111) | 226.17 |
| (112) | 234.58 |
| (201) | 236.64 |
| (100) | 244.34 |
| (001) | 307.25 |
| Surface | γfs (mJ/m2) |
|---|---|
| (100) | 53.53 |
| (310) | 67.67 |
| (210) | 71.76 |
| (320) | 74.16 |
| (110) | 75.61 |
| (311) | 80.57 |
| (321) | 85.69 |
| (331) | 85.80 |
| (211) | 87.24 |
| (221) | 89.03 |
| (322) | 90.68 |
| (332) | 91.09 |
| (111) | 92.47 |
| Surface | γfs (mJ/m2) |
|---|---|
| (100) | 17.83 |
| (310) | 22.35 |
| (210) | 23.64 |
| (320) | 24.38 |
| (110) | 24.77 |
| (311) | 26.30 |
| (331) | 27.90 |
| (321) | 27.91 |
| (211) | 28.34 |
| (221) | 28.87 |
| (322) | 29.35 |
| (332) | 29.47 |
| (111) | 29.79 |
| Surface | γfs (mJ/m2) |
|---|---|
| (321) | -595.51 |
| (320) | -388.44 |
| (311) | -185.73 |
| (211) | -28.29 |
| (310) | 282.66 |
| (210) | 314.95 |
| (111) | 1288.66 |
| (110) | 1344.43 |
| (332) | 1344.87 |
| (322) | 1351.84 |
| (221) | 1363.05 |
| (331) | 1371.00 |
| (100) | 1378.36 |
| Surface | γfs (mJ/m2) |
|---|---|
| (210) | 69.40 |
| (320) | 71.29 |
| (310) | 72.34 |
| (110) | 72.35 |
| (100) | 73.13 |
| (311) | 77.43 |
| (321) | 78.96 |
| (331) | 81.46 |
| (211) | 82.27 |
| (221) | 83.69 |
| (322) | 84.66 |
| (332) | 84.93 |
| (111) | 85.08 |
| Surface | γfs (mJ/m2) |
|---|---|
| (111) | 61.36 |
| (332) | 66.75 |
| (100) | 66.82 |
| (322) | 67.50 |
| (221) | 69.03 |
| (211) | 70.27 |
| (331) | 70.82 |
| (311) | 71.86 |
| (110) | 72.21 |
| (321) | 73.09 |
| (310) | 74.27 |
| (320) | 75.03 |
| (210) | 75.31 |
| Surface | γfs (mJ/m2) |
|---|---|
| (111) | 5.28 |
| (332) | 5.84 |
| (322) | 5.91 |
| (100) | 6.07 |
| (221) | 6.09 |
| (211) | 6.21 |
| (331) | 6.28 |
| (311) | 6.41 |
| (110) | 6.44 |
| (321) | 6.50 |
| (310) | 6.72 |
| (320) | 6.73 |
| (210) | 6.78 |
| Surface | γfs (mJ/m2) |
|---|---|
| (100) | -4870.42 |
| (211) 1 | 315.10 |
| (320) | 676.39 |
| (210) | 800.16 |
| (310) | 961.75 |
| (211) 2 | 1314.84 |
| (321) 2 | 1322.30 |
| (111) | 1338.65 |
| (311) | 1340.14 |
| (322) | 1340.34 |
| (332) 2 | 1340.77 |
| (110) | 1341.48 |
| (221) | 1344.16 |
| (331) | 1345.47 |
| (321) 1 | 1347.03 |
| (332) 1 | 1347.21 |
| Surface | γfs (mJ/m2) |
|---|---|
| (100) | 0.37 |
| (310) | 0.46 |
| (210) | 0.49 |
| (320) | 0.51 |
| (110) | 0.52 |
| (311) | 0.55 |
| (321) 1 | 0.59 |
| (321) 2 | 0.59 |
| (331) | 0.59 |
| (211) 2 | 0.60 |
| (211) 1 | 0.60 |
| (221) | 0.61 |
| (322) | 0.62 |
| (332) 1 | 0.63 |
| (332) 2 | 0.63 |
| (111) | 0.64 |
| Surface | γfs (mJ/m2) |
|---|---|
| (332) | -130785.26 |
| (331) | -120032.02 |
| (322) | -114651.61 |
| (321) | -109189.39 |
| (320) | -103841.38 |
| (311) | -95879.15 |
| (310) | -88367.12 |
| (221) | -83489.23 |
| (211) | -70714.77 |
| (210) | -62247.88 |
| (111) | -48734.67 |
| (100) | -25848.65 |
| (110) | 1810.27 |
| Surface | γfs (mJ/m2) |
|---|---|
| (332) | -100192.77 |
| (331) | -92809.92 |
| (322) | -85692.72 |
| (321) | -83532.42 |
| (320) | -71751.21 |
| (311) | -71514.28 |
| (310) | -60936.04 |
| (221) | -53863.50 |
| (210) | -43760.12 |
| (111) | -40938.75 |
| (100) | -11378.07 |
| (211) | 1514.87 |
| (110) | 1546.91 |
| Surface | γfs (mJ/m2) |
|---|---|
| (110) | 15.72 |
| (320) | 17.62 |
| (321) | 17.75 |
| (331) | 17.77 |
| (211) | 18.04 |
| (221) | 18.40 |
| (210) | 18.47 |
| (322) | 18.72 |
| (332) | 18.80 |
| (111) | 19.05 |
| (311) | 19.06 |
| (310) | 19.09 |
| (100) | 19.10 |
| Surface | γfs (mJ/m2) |
|---|---|
| (110) | 3.23 |
| (321) | 3.66 |
| (331) | 3.66 |
| (320) | 3.79 |
| (221) | 3.80 |
| (322) | 3.87 |
| (332) | 3.89 |
| (111) | 3.94 |
| (210) | 4.07 |
| (311) | 4.12 |
| (310) | 4.32 |
| (100) | 4.54 |
| Surface | γfs (mJ/m2) |
|---|---|
| (0001) | 61.36 |
| (1012) 2 | 64.68 |
| (2021) 1 | 66.42 |
| (1011) 1 | 66.71 |
| (2021) 2 | 70.44 |
| (1120) | 71.61 |
| (2131) 1 | 72.52 |
| (2241) | 72.99 |
| (2132) 2 | 73.06 |
| (1010) | 73.07 |
| (2132) 1 | 73.55 |
| (1012) 1 | 73.94 |
| (1121) | 73.95 |
| (2130) | 74.45 |
| (2112) | 74.59 |
| (1011) 2 | 74.73 |
| (2131) 2 | 75.71 |
| Surface | γfs (mJ/m2) |
|---|---|
| (0001) | 61.36 |
| (1011) 2 | 64.71 |
| (1010) 1 | 64.98 |
| (2021) 1 | 66.75 |
| (1012) 1 | 70.94 |
| (2130) 1 | 71.21 |
| (1120) | 71.54 |
| (2112) | 72.18 |
| (1012) 2 | 72.46 |
| (2131) 2 | 73.07 |
| (2132) 2 | 73.17 |
| (2132) 1 | 73.20 |
| (2241) | 73.91 |
| (2131) 1 | 74.00 |
| (1121) | 74.63 |
| (2021) 2 | 74.68 |
| (2130) 2 | 77.50 |
| (1010) 2 | 81.28 |
| (1011) 1 | 83.11 |
| Surface | γfs (mJ/m2) |
|---|---|
| (111) 2 | 246.08 |
| (332) | 269.95 |
| (211) | 272.33 |
| (110) | 273.32 |
| (100) | 273.64 |
| (311) 1 | 274.00 |
| (331) 2 | 274.29 |
| (322) | 276.24 |
| (221) | 280.24 |
| (321) | 281.74 |
| (310) | 285.04 |
| (320) | 285.91 |
| (210) | 286.42 |
| (331) 1 | 288.28 |
| (311) 2 | 289.36 |
| (111) 1 | 297.80 |
| Surface | γfs (mJ/m2) |
|---|---|
| (111) 2 | 6.79 |
| (331) 2 | 8.08 |
| (110) | 8.31 |
| (321) | 9.40 |
| (211) | 9.57 |
| (320) | 9.76 |
| (332) | 9.98 |
| (210) | 10.48 |
| (311) 2 | 10.58 |
| (311) 1 | 10.60 |
| (310) | 11.11 |
| (322) | 11.34 |
| (221) | 11.69 |
| (100) | 11.70 |
| (331) 1 | 13.40 |
| (111) 1 | 20.17 |
| Surface | γfs (mJ/m2) |
|---|---|
| (111) 2 | 0.66 |
| (331) 2 | 0.79 |
| (110) | 0.81 |
| (321) | 0.92 |
| (211) | 0.93 |
| (320) | 0.95 |
| (332) | 0.97 |
| (210) | 1.02 |
| (311) 2 | 1.03 |
| (311) 1 | 1.03 |
| (310) | 1.08 |
| (322) | 1.11 |
| (221) | 1.14 |
| (100) | 1.14 |
| (331) 1 | 1.31 |
| (111) 1 | 1.97 |
| Surface | γfs (mJ/m2) |
|---|---|
| (211) 1 | -68267.21 |
| (211) 2 | -66082.98 |
| (201) | -44164.73 |
| (111) | -37938.16 |
| (001) | -14211.13 |
| (101) 1 | -13831.07 |
| (101) 2 | -12575.66 |
| (112) | 256.45 |
| (100) | 262.13 |
| (110) | 277.77 |
| Surface | γfs (mJ/m2) |
|---|---|
| (100) | 30.37 |
| (112) | 33.86 |
| (110) | 35.88 |
| (101) 1 | 38.13 |
| (211) 2 | 39.55 |
| (201) | 40.41 |
| (111) | 41.45 |
| (001) | 44.02 |
| (211) 1 | 44.04 |
| (101) 2 | 50.83 |
| Surface | γfs (mJ/m2) |
|---|---|
| (101) | 60.11 |
| (110) | 66.00 |
| (001) | 66.40 |
| (201) | 68.53 |
| (112) | 70.39 |
| (211) | 70.50 |
| (100) | 72.15 |
| (111) | 73.51 |
| Surface | γfs (mJ/m2) |
|---|---|
| (2241) 2 | -15734.60 |
| (1121) 1 | -15709.01 |
| (2131) 1 | -15689.83 |
| (2241) 1 | -15659.80 |
| (2130) | -15225.00 |
| (2132) 1 | -15087.42 |
| (2132) 2 | -14383.88 |
| (1010) | -3692.02 |
| (2021) 1 | -3203.84 |
| (1121) 2 | -1807.21 |
| (2131) 2 | -1662.90 |
| (0001) 2 | -655.30 |
| (1011) 2 | -467.19 |
| (2021) 2 | -359.07 |
| (1120) | -302.54 |
| (2112) 2 | -170.16 |
| (1012) 2 | -108.30 |
| (2112) 1 | -73.40 |
| (0001) 1 | 218.17 |
| (1012) 1 | 230.81 |
| (1011) 1 | 636.32 |
| Surface | γfs (mJ/m2) |
|---|---|
| (100) | 585.57 |
| (110) | 595.89 |
| (210) | 609.73 |
| (320) | 611.28 |
| (310) | 614.19 |
| (321) | 619.32 |
| (211) | 622.73 |
| (311) | 628.59 |
| (331) | 630.79 |
| (221) | 638.63 |
| (322) | 647.61 |
| (332) | 650.20 |
| (111) | 656.14 |
| Surface | γfs (mJ/m2) |
|---|---|
| (100) | 26.68 |
| (310) | 31.85 |
| (210) | 33.14 |
| (110) | 33.69 |
| (320) | 33.76 |
| (311) | 34.76 |
| (111) | 35.94 |
| (331) | 36.00 |
| (211) | 36.21 |
| (321) | 36.36 |
| (221) | 36.44 |
| (332) | 36.54 |
| (322) | 36.57 |
| Surface | γfs (mJ/m2) |
|---|---|
| (100) | 1.53 |
| (310) | 1.93 |
| (210) | 2.04 |
| (320) | 2.11 |
| (110) | 2.15 |
| (311) | 2.29 |
| (321) | 2.43 |
| (331) | 2.44 |
| (211) | 2.48 |
| (221) | 2.53 |
| (322) | 2.57 |
| (332) | 2.58 |
| (111) | 2.62 |
Static point defect formation energies, Ef, and elastic dipole tensors, pij, are displayed for select crystals. Relaxed defect configurations are obtained by taking a 12x12x12 supercell of a perfect periodic bulk crystal, inserting the point defect, and using force minimization to statically relax the atomic positions while keeping the system dimensions constant. Ef is computed by comparing the energy of the defect system to the same number of atoms in a perfect bulk crystal. pij is estimated as the difference in the system's global pressure with and without the defect multiplied by the system's volume.
Simple structural comparisons of the unrelaxed and relaxed defect configurations are used to help determine if the defect structure has relaxed to a different configuration. Relaxed structures that are identified as no longer consistent with the ideal defect definition are excluded from the table below. The only exception to this is if the lowest energy interstitial configuration does not coincide with a known ideal defect, its energies and pressure tensor are included under the listing "relaxed interstitial". The full list of calculation results including the transformed structures and the structural comparison values is included in the csv file available from the "Download raw data" link.
The calculation method used is available as the iprPy point_defect_static calculation method.
Notes and Disclaimers:
| Point Defect | Ef (eV) | p11 (eV) | p22 (eV) | p33 (eV) | p12 (eV) | p13 (eV) | p23 (eV) |
|---|---|---|---|---|---|---|---|
| 100 dumbbell | 1.161 | -12.530 | -12.530 | -7.531 | 0.000 | 0.000 | 0.000 |
| octahedral interstitial | 1.388 | -7.702 | -7.702 | -7.702 | 0.000 | 0.000 | 0.000 |
| 111 dumbbell | 1.749 | -14.904 | -14.904 | -14.904 | 6.149 | 6.149 | 6.149 |
| tetrahedral interstitial | 2.194 | -21.807 | -21.807 | -21.807 | 0.000 | 0.000 | -0.000 |
| vacancy | 3.121 | 6.690 | 6.690 | 6.690 | 0.000 | 0.000 | 0.000 |
| 1nn divacancy | 5.966 | 13.395 | 13.347 | 13.347 | 0.000 | 0.000 | -0.334 |
| 2nn divacancy | 6.228 | 13.862 | 13.862 | 14.376 | 0.000 | 0.000 | 0.000 |
| Point Defect | Ef (eV) | p11 (eV) | p22 (eV) | p33 (eV) | p12 (eV) | p13 (eV) | p23 (eV) |
|---|---|---|---|---|---|---|---|
| 110 dumbbell | -24.718 | -35.088 | -26.803 | -26.803 | 0.000 | 0.000 | 12.484 |
| 111 dumbbell | -16.323 | -20.902 | -20.902 | -20.902 | 0.166 | 0.166 | 0.166 |
| 100 dumbbell | -3.825 | 6.688 | 6.688 | 8.111 | -0.000 | -0.000 | -0.000 |
| octahedral interstitial | -3.275 | 2.228 | 2.228 | 2.228 | -0.000 | 0.000 | 0.000 |
| vacancy | 0.234 | -0.318 | -0.318 | -0.318 | -0.000 | 0.000 | 0.000 |
| 1nn divacancy | 0.434 | -1.229 | -0.256 | -0.256 | -0.000 | 0.000 | -0.077 |
| 2nn divacancy | 0.456 | -0.699 | -0.699 | -1.504 | -0.000 | 0.000 | 0.000 |
| Point Defect | Ef (eV) | p11 (eV) | p22 (eV) | p33 (eV) | p12 (eV) | p13 (eV) | p23 (eV) |
|---|---|---|---|---|---|---|---|
| tetrahedral interstitial | -1.427 | -2.344 | -2.344 | -2.344 | -0.000 | -0.000 | -0.000 |
| 111 dumbbell | -1.249 | -6.232 | -6.232 | -6.232 | 0.891 | 0.891 | 0.891 |
| vacancy | 0.636 | 0.023 | 0.023 | 0.023 | -0.000 | -0.000 | -0.000 |
| 100 dumbbell | 0.663 | -5.824 | -5.824 | 4.576 | -0.000 | -0.000 | -0.000 |
| octahedral interstitial | 0.690 | 1.579 | 1.579 | 1.579 | -0.000 | -0.000 | -0.000 |
| 1nn divacancy | 1.173 | 0.042 | 0.038 | 0.038 | -0.000 | -0.000 | -0.005 |
| 2nn divacancy | 1.275 | 0.046 | 0.046 | 0.058 | -0.000 | -0.000 | -0.000 |
| Point Defect | Ef (eV) | p11 (eV) | p22 (eV) | p33 (eV) | p12 (eV) | p13 (eV) | p23 (eV) |
|---|---|---|---|---|---|---|---|
| 110 dumbbell | -6.442 | 1.440 | 0.657 | 0.657 | 0.000 | 0.000 | 0.100 |
| tetrahedral interstitial | -1.913 | -5.570 | -5.570 | -5.570 | 0.000 | 0.000 | 0.000 |
| 100 dumbbell | 0.037 | 0.411 | 0.411 | -2.599 | 0.000 | 0.000 | 0.000 |
| octahedral interstitial | 0.143 | 2.606 | 2.606 | 2.606 | 0.000 | 0.000 | 0.000 |
| vacancy | 0.180 | 0.016 | 0.016 | 0.016 | 0.000 | 0.000 | 0.000 |
| 1nn divacancy | 0.329 | 0.034 | 0.034 | 0.034 | 0.000 | 0.000 | 0.009 |
| 2nn divacancy | 0.359 | 0.028 | 0.028 | 0.019 | 0.000 | 0.000 | 0.000 |
| Point Defect | Ef (eV) | p11 (eV) | p22 (eV) | p33 (eV) | p12 (eV) | p13 (eV) | p23 (eV) |
|---|---|---|---|---|---|---|---|
| vacancy | 2.480 | -1.294 | -1.294 | -1.294 | 0.000 | 0.000 | 0.000 |
| 2nn divacancy | 4.774 | -1.759 | -1.759 | -3.773 | -0.000 | 0.000 | 0.000 |
| 1nn divacancy | 4.993 | -2.271 | -2.271 | -2.271 | 0.556 | 0.556 | 0.556 |
| 110 dumbbell | 5.309 | 18.059 | 15.718 | 15.718 | -0.000 | -0.000 | 4.233 |
| 111 dumbbell | 5.406 | 15.221 | 15.221 | 15.221 | 5.586 | 5.586 | 5.586 |
| crowdion interstitial | 5.463 | 7.618 | 7.618 | 7.618 | 3.703 | 3.703 | 3.703 |
| 100 dumbbell | 5.681 | 14.422 | 14.422 | 23.868 | 0.000 | -0.000 | -0.000 |
| tetrahedral interstitial | 5.755 | 27.564 | 17.883 | 27.564 | -0.000 | 0.000 | -0.000 |
| octahedral interstitial | 5.919 | 35.307 | 18.452 | 18.452 | 0.000 | 0.000 | 0.000 |
| Point Defect | Ef (eV) | p11 (eV) | p22 (eV) | p33 (eV) | p12 (eV) | p13 (eV) | p23 (eV) |
|---|---|---|---|---|---|---|---|
| crowdion interstitial | -3.157 | 9.108 | 9.108 | 9.108 | -2.221 | -2.221 | -2.221 |
| 111 dumbbell | -2.156 | 8.992 | 8.992 | 8.992 | -13.510 | -13.510 | -13.510 |
| 110 dumbbell | -0.529 | -127.382 | -38.720 | -38.720 | 0.000 | 0.000 | 19.826 |
| octahedral interstitial | 3.566 | -20.337 | -41.667 | -41.667 | -0.000 | 0.000 | 0.000 |
| vacancy | 3.696 | 0.681 | 0.681 | 0.681 | -0.000 | 0.000 | 0.000 |
| 1nn divacancy | 6.510 | 1.495 | 1.495 | 1.495 | -0.859 | -0.859 | -0.859 |
| 2nn divacancy | 6.942 | 3.250 | 3.250 | 2.311 | -0.000 | 0.000 | 0.000 |
| Point Defect | Ef (eV) | p11 (eV) | p22 (eV) | p33 (eV) | p12 (eV) | p13 (eV) | p23 (eV) |
|---|---|---|---|---|---|---|---|
| vacancy | 0.396 | 0.308 | 0.308 | 0.308 | -0.000 | -0.000 | -0.000 |
| 2nn divacancy | 0.693 | -0.129 | -0.129 | 2.608 | -0.000 | -0.000 | -0.000 |
| Point Defect | Ef (eV) | p11 (eV) | p22 (eV) | p33 (eV) | p12 (eV) | p13 (eV) | p23 (eV) |
|---|---|---|---|---|---|---|---|
| 111 dumbbell | -4.762 | 3.232 | 3.232 | 3.232 | -0.911 | -0.911 | -0.911 |
| crowdion interstitial | -3.714 | 0.420 | 0.420 | 0.420 | -2.749 | -2.749 | -2.749 |
| tetrahedral interstitial | -1.647 | -4.289 | -5.534 | -4.289 | 0.000 | 0.000 | 0.000 |
| 110 dumbbell | -0.676 | -4.018 | -1.935 | -1.935 | -0.000 | -0.000 | -1.805 |
| octahedral interstitial | -0.261 | 4.961 | 2.091 | 2.091 | 0.000 | 0.000 | 0.000 |
| vacancy | 0.499 | -0.336 | -0.336 | -0.336 | 0.000 | 0.000 | -0.000 |
| 100 dumbbell | 0.767 | -6.073 | -6.073 | -4.145 | 0.000 | 0.000 | 0.000 |
| 1nn divacancy | 0.896 | -0.311 | -0.311 | -0.311 | 0.184 | 0.184 | 0.184 |
| 2nn divacancy | 0.981 | -0.809 | -0.809 | -1.538 | 0.000 | 0.000 | -0.000 |
| Point Defect | Ef (eV) | p11 (eV) | p22 (eV) | p33 (eV) | p12 (eV) | p13 (eV) | p23 (eV) |
|---|---|---|---|---|---|---|---|
| 111 dumbbell | -6.448 | -3.608 | -3.608 | -3.608 | 1.896 | 1.896 | 1.896 |
| 100 dumbbell | -0.629 | -9.620 | -9.620 | -9.755 | 0.000 | 0.000 | 0.000 |
| 110 dumbbell | -0.291 | -4.899 | -4.963 | -4.963 | 0.000 | 0.000 | 0.728 |
| vacancy | 0.123 | 0.024 | 0.024 | 0.024 | 0.000 | 0.000 | 0.000 |
| 1nn divacancy | 0.214 | 0.044 | 0.044 | 0.044 | 0.003 | 0.003 | 0.003 |
| 2nn divacancy | 0.245 | -0.098 | -0.098 | -0.096 | -0.000 | 0.000 | -0.000 |
| Point Defect | Ef (eV) | p11 (eV) | p22 (eV) | p33 (eV) | p12 (eV) | p13 (eV) | p23 (eV) |
|---|---|---|---|---|---|---|---|
| relaxed interstitial | -169.218 | -4623.863 | -1779.885 | -2089.049 | -2459.816 | 0.000 | 0.000 |
| 0001 dumbbell | 1.957 | -14.640 | -14.640 | 13.720 | 0.000 | 0.000 | -0.000 |
| vacancy | 2.528 | 1.967 | 1.967 | -8.376 | -0.000 | 0.000 | 0.000 |
| Point Defect | Ef (eV) | p11 (eV) | p22 (eV) | p33 (eV) | p12 (eV) | p13 (eV) | p23 (eV) |
|---|---|---|---|---|---|---|---|
| 0001 dumbbell | 1.238 | -16.659 | -16.659 | -4.037 | 0.000 | 0.000 | 0.000 |
| vacancy | 3.028 | 6.703 | 6.703 | 13.076 | -0.000 | -0.000 | -0.000 |
| Point Defect | Ef (eV) | p11 (eV) | p22 (eV) | p33 (eV) | p12 (eV) | p13 (eV) | p23 (eV) |
|---|---|---|---|---|---|---|---|
| 100 dumbbell | -2.067 | -18.785 | -18.785 | -18.541 | 0.000 | 0.000 | 0.000 |
| tetragonal interstitial | -0.370 | -17.944 | -17.944 | -17.944 | 0.000 | 0.000 | 0.000 |
| vacancy | 1.924 | -0.526 | -0.526 | -0.526 | 0.000 | 0.000 | 0.000 |
| 1nn divacancy | 3.277 | -1.353 | -1.353 | -1.353 | -0.372 | -0.372 | -0.372 |
| Point Defect | Ef (eV) | p11 (eV) | p22 (eV) | p33 (eV) | p12 (eV) | p13 (eV) | p23 (eV) |
|---|---|---|---|---|---|---|---|
| relaxed interstitial | -10877.915 | -3816.582 | -3694.098 | -3763.671 | 66.231 | 9.026 | 31.571 |
| bond centered interstitial | -5.078 | -0.504 | -0.504 | -0.504 | -0.293 | -0.293 | -0.293 |
| hexagonal interstitial | -0.719 | 3.351 | 3.351 | 3.351 | -1.202 | -1.202 | -1.202 |
| tetragonal interstitial | -0.653 | -1.429 | -1.429 | -1.429 | 0.000 | 0.000 | 0.000 |
| vacancy | 0.412 | 1.298 | 1.298 | 1.298 | 0.000 | 0.000 | 0.000 |
| 1nn divacancy | 0.621 | 1.898 | 1.898 | 1.898 | -0.043 | -0.043 | -0.043 |
| Point Defect | Ef (eV) | p11 (eV) | p22 (eV) | p33 (eV) | p12 (eV) | p13 (eV) | p23 (eV) |
|---|---|---|---|---|---|---|---|
| bond centered interstitial | -5.547 | -5.133 | -5.133 | -5.133 | -0.018 | -0.018 | -0.018 |
| tetragonal interstitial | -0.729 | 1.960 | 1.960 | 1.960 | 0.000 | 0.000 | 0.000 |
| vacancy | 0.074 | 2.677 | 2.677 | 2.677 | 0.000 | 0.000 | 0.000 |
| 1nn divacancy | 0.110 | 3.574 | 3.574 | 3.574 | 0.001 | 0.001 | 0.001 |
| Point Defect | Ef (eV) | p11 (eV) | p22 (eV) | p33 (eV) | p12 (eV) | p13 (eV) | p23 (eV) |
|---|---|---|---|---|---|---|---|
| bond centered interstitial | -4.683 | -11.987 | -11.987 | -11.987 | 0.024 | 0.024 | 0.024 |
| 100 dumbbell | -0.018 | -7.731 | -7.731 | -7.751 | 0.000 | 0.000 | -0.000 |
| vacancy | 0.244 | 5.981 | 5.981 | 5.981 | 0.000 | 0.000 | 0.000 |
| 1nn divacancy | 0.366 | 7.881 | 7.881 | 7.881 | 0.002 | 0.002 | 0.002 |
| Point Defect | Ef (eV) | p11 (eV) | p22 (eV) | p33 (eV) | p12 (eV) | p13 (eV) | p23 (eV) |
|---|---|---|---|---|---|---|---|
| bond centered interstitial | -5.161 | -5.084 | -5.084 | -5.084 | -0.000 | -0.000 | -0.000 |
| 100 dumbbell | -0.814 | -31.992 | -31.992 | -31.961 | 0.000 | 0.000 | 0.000 |
| tetragonal interstitial | -0.062 | 0.003 | 0.003 | 0.003 | 0.000 | 0.000 | 0.000 |
| vacancy | 0.063 | -2.496 | -2.496 | -2.496 | 0.000 | 0.000 | 0.000 |
| 1nn divacancy | 0.094 | -2.760 | -2.760 | -2.760 | -0.000 | -0.000 | -0.000 |
| Point Defect | Ef (eV) | p11 (eV) | p22 (eV) | p33 (eV) | p12 (eV) | p13 (eV) | p23 (eV) |
|---|---|---|---|---|---|---|---|
| 100 dumbbell | -34.033 | -54.747 | -54.747 | -28.892 | -0.000 | -0.000 | -0.000 |
| 111 dumbbell | -33.409 | -31.527 | -31.527 | -31.527 | 3.048 | 3.048 | 3.048 |
| vacancy | 0.333 | 1.757 | 1.757 | 1.757 | -0.000 | -0.000 | -0.000 |
| 2nn divacancy | 0.634 | 3.895 | 3.895 | -0.621 | -0.000 | -0.000 | 0.000 |
| 1nn divacancy | 0.664 | 3.665 | 3.587 | 3.587 | -0.000 | -0.000 | 0.127 |
| Point Defect | Ef (eV) | p11 (eV) | p22 (eV) | p33 (eV) | p12 (eV) | p13 (eV) | p23 (eV) |
|---|---|---|---|---|---|---|---|
| tetrahedral interstitial | -1.696 | -2.229 | -2.229 | -2.229 | 0.000 | 0.000 | 0.000 |
| 111 dumbbell | -1.518 | -4.745 | -4.745 | -4.745 | 1.038 | 1.038 | 1.038 |
| vacancy | 0.991 | -0.074 | -0.074 | -0.074 | 0.000 | 0.000 | 0.000 |
| 1nn divacancy | 1.818 | -0.144 | -0.149 | -0.149 | 0.000 | 0.000 | -0.020 |
| 2nn divacancy | 1.982 | -0.142 | -0.142 | -0.118 | 0.000 | 0.000 | 0.000 |
| Point Defect | Ef (eV) | p11 (eV) | p22 (eV) | p33 (eV) | p12 (eV) | p13 (eV) | p23 (eV) |
|---|---|---|---|---|---|---|---|
| 111 dumbbell | -1.285 | -27.359 | -27.359 | -27.359 | 7.229 | 7.229 | 7.229 |
| tetrahedral interstitial | -0.999 | -0.909 | -0.909 | -0.909 | 0.000 | 0.000 | 0.000 |
| octahedral interstitial | 0.234 | 1.232 | 1.232 | 1.232 | 0.000 | 0.000 | 0.000 |
| vacancy | 0.450 | 0.229 | 0.229 | 0.229 | -0.000 | 0.000 | 0.000 |
| 100 dumbbell | 0.472 | 0.918 | 0.918 | 2.246 | 0.000 | 0.000 | 0.000 |
| 1nn divacancy | 0.825 | 0.441 | 0.451 | 0.451 | 0.000 | 0.000 | 0.057 |
| 2nn divacancy | 0.896 | 0.437 | 0.437 | 0.360 | 0.000 | 0.000 | 0.000 |
| Point Defect | Ef (eV) | p11 (eV) | p22 (eV) | p33 (eV) | p12 (eV) | p13 (eV) | p23 (eV) |
|---|---|---|---|---|---|---|---|
| vacancy | 2.045 | -0.486 | -0.486 | -0.486 | -0.000 | -0.000 | -0.000 |
| 2nn divacancy | 3.893 | -0.936 | -0.936 | -1.811 | -0.000 | -0.000 | -0.000 |
| 1nn divacancy | 3.997 | -0.542 | -0.542 | -0.542 | 0.335 | 0.335 | 0.335 |
| 110 dumbbell | 4.246 | 23.660 | 16.758 | 16.758 | 0.000 | 0.000 | 6.853 |
| 111 dumbbell | 4.779 | 15.007 | 15.007 | 15.007 | 9.589 | 9.589 | 9.589 |
| Point Defect | Ef (eV) | p11 (eV) | p22 (eV) | p33 (eV) | p12 (eV) | p13 (eV) | p23 (eV) |
|---|---|---|---|---|---|---|---|
| 111 dumbbell | -5.039 | 1.839 | 1.839 | 1.839 | -0.043 | -0.043 | -0.043 |
| vacancy | 0.742 | 0.536 | 0.536 | 0.536 | 0.000 | -0.000 | 0.000 |
| 2nn divacancy | 1.323 | 1.095 | 1.095 | -0.128 | 0.000 | -0.000 | -0.000 |
| 1nn divacancy | 1.425 | 1.003 | 1.003 | 1.003 | 0.109 | 0.109 | 0.109 |
| Point Defect | Ef (eV) | p11 (eV) | p22 (eV) | p33 (eV) | p12 (eV) | p13 (eV) | p23 (eV) |
|---|---|---|---|---|---|---|---|
| 110 dumbbell | -5.465 | 5.434 | 5.023 | 5.023 | 0.000 | 0.000 | -11.214 |
| 111 dumbbell | -4.760 | 2.426 | 2.426 | 2.426 | -1.198 | -1.198 | -1.198 |
| 100 dumbbell | -2.235 | 0.842 | 0.842 | 3.963 | 0.000 | -0.000 | 0.000 |
| tetrahedral interstitial | -1.076 | -5.332 | -6.516 | -5.332 | -0.000 | -0.000 | 0.000 |
| vacancy | 0.881 | 0.200 | 0.200 | 0.200 | 0.000 | -0.000 | -0.000 |
| 1nn divacancy | 1.597 | 0.249 | 0.249 | 0.249 | -0.143 | -0.143 | -0.143 |
| 2nn divacancy | 1.686 | 0.411 | 0.411 | 1.028 | -0.000 | -0.000 | 0.000 |
| Point Defect | Ef (eV) | p11 (eV) | p22 (eV) | p33 (eV) | p12 (eV) | p13 (eV) | p23 (eV) |
|---|---|---|---|---|---|---|---|
| crowdion interstitial | -5.287 | -43.990 | -43.990 | -43.990 | 9.105 | 9.105 | 9.105 |
| 100 dumbbell | -3.348 | -11.540 | -11.540 | -11.127 | -0.000 | 0.000 | 0.000 |
| 110 dumbbell | -0.090 | -23.155 | -24.676 | -24.676 | -0.000 | 0.000 | 2.517 |
| vacancy | 0.300 | 0.229 | 0.229 | 0.229 | -0.000 | 0.000 | 0.000 |
| 1nn divacancy | 0.525 | 0.408 | 0.408 | 0.408 | 0.021 | 0.021 | 0.021 |
| 2nn divacancy | 0.597 | 0.350 | 0.350 | 0.365 | -0.000 | 0.000 | -0.000 |
| Point Defect | Ef (eV) | p11 (eV) | p22 (eV) | p33 (eV) | p12 (eV) | p13 (eV) | p23 (eV) |
|---|---|---|---|---|---|---|---|
| tetragonal interstitial | -0.930 | -9.841 | -9.841 | -9.841 | -0.000 | 0.000 | -0.000 |
| vacancy | 1.677 | 1.130 | 1.130 | 1.130 | 0.000 | 0.000 | -0.000 |
| 1nn divacancy | 3.046 | 2.207 | 2.207 | 2.207 | -0.016 | -0.016 | -0.016 |
| Point Defect | Ef (eV) | p11 (eV) | p22 (eV) | p33 (eV) | p12 (eV) | p13 (eV) | p23 (eV) |
|---|---|---|---|---|---|---|---|
| bond centered interstitial | -4.764 | -19.362 | -19.362 | -19.362 | -0.019 | -0.019 | -0.019 |
| 100 dumbbell | -3.099 | -7.308 | -7.308 | -7.324 | 0.000 | -0.000 | -0.000 |
| tetragonal interstitial | -0.742 | -2.103 | -2.103 | -2.103 | -0.000 | -0.000 | -0.000 |
| vacancy | 0.330 | -4.040 | -4.040 | -4.040 | -0.000 | -0.000 | -0.000 |
| 1nn divacancy | 0.496 | -4.693 | -4.693 | -4.693 | -0.001 | -0.001 | -0.001 |
| Point Defect | Ef (eV) | p11 (eV) | p22 (eV) | p33 (eV) | p12 (eV) | p13 (eV) | p23 (eV) |
|---|---|---|---|---|---|---|---|
| 100 dumbbell | -3.652 | -13.275 | -13.275 | -13.351 | -0.000 | 0.000 | 0.000 |
| tetragonal interstitial | -0.138 | 0.016 | 0.016 | 0.016 | -0.000 | -0.000 | -0.000 |
| vacancy | 0.149 | -7.178 | -7.178 | -7.178 | 0.000 | -0.000 | -0.000 |
| 1nn divacancy | 0.224 | -9.925 | -9.925 | -9.925 | -0.004 | -0.004 | -0.004 |
| Point Defect | Ef (eV) | p11 (eV) | p22 (eV) | p33 (eV) | p12 (eV) | p13 (eV) | p23 (eV) |
|---|---|---|---|---|---|---|---|
| relaxed interstitial | -3459.159 | -2256.856 | -2481.964 | -2394.208 | -21.045 | 55.183 | -74.450 |
| 111 dumbbell | -5.497 | -4.688 | -4.688 | -4.688 | 0.975 | 0.975 | 0.975 |
| 110 dumbbell | -4.581 | -1.638 | -1.845 | -1.845 | 0.000 | -0.000 | -1.907 |
| tetrahedral interstitial | -3.104 | -2.808 | -2.808 | -2.808 | 0.000 | 0.000 | 0.000 |
| crowdion interstitial | -2.882 | -2.171 | -2.171 | -0.660 | -1.002 | -0.000 | -0.000 |
| vacancy | 0.885 | -0.650 | -0.650 | -0.650 | 0.000 | -0.000 | 0.000 |
| 1nn divacancy | 1.696 | -1.306 | -1.138 | -1.138 | 0.000 | -0.000 | 0.099 |
| 2nn divacancy | 1.734 | -1.210 | -1.210 | -1.429 | 0.000 | -0.000 | 0.000 |
| Point Defect | Ef (eV) | p11 (eV) | p22 (eV) | p33 (eV) | p12 (eV) | p13 (eV) | p23 (eV) |
|---|---|---|---|---|---|---|---|
| 111 dumbbell | -11.720 | 1.088 | 1.088 | 1.088 | 0.486 | 0.486 | 0.486 |
| tetrahedral interstitial | -6.846 | -0.690 | -0.690 | -0.690 | -0.000 | 0.000 | -0.000 |
| 100 dumbbell | -1.166 | -3.019 | -3.019 | -3.963 | -0.000 | -0.000 | -0.000 |
| octahedral interstitial | -0.666 | -1.600 | -1.600 | -1.600 | 0.000 | 0.000 | -0.000 |
| vacancy | 0.088 | 0.069 | 0.069 | 0.069 | -0.000 | 0.000 | -0.000 |
| 2nn divacancy | 0.154 | 0.145 | 0.145 | 0.007 | -0.000 | 0.000 | -0.000 |
| 1nn divacancy | 0.181 | 0.117 | 0.090 | 0.090 | 0.000 | -0.000 | -0.014 |
| Point Defect | Ef (eV) | p11 (eV) | p22 (eV) | p33 (eV) | p12 (eV) | p13 (eV) | p23 (eV) |
|---|---|---|---|---|---|---|---|
| 110 dumbbell | -6.881 | 3.093 | 1.088 | 1.088 | -0.000 | -0.000 | 0.144 |
| tetrahedral interstitial | -0.123 | -0.350 | -0.350 | -0.350 | -0.000 | -0.000 | -0.000 |
| 111 dumbbell | -0.027 | -1.222 | -1.222 | -1.222 | -0.090 | -0.090 | -0.090 |
| octahedral interstitial | 0.190 | -0.621 | -0.621 | -0.621 | -0.000 | 0.000 | -0.000 |
| vacancy | 0.223 | -0.045 | -0.045 | -0.045 | -0.000 | -0.000 | -0.000 |
| 1nn divacancy | 0.410 | -0.143 | -0.012 | -0.012 | -0.000 | 0.000 | -0.001 |
| 2nn divacancy | 0.442 | -0.095 | -0.095 | -0.290 | -0.000 | -0.000 | 0.000 |
| 100 dumbbell | 0.445 | 0.002 | 0.002 | 2.130 | -0.000 | -0.000 | 0.000 |
| Point Defect | Ef (eV) | p11 (eV) | p22 (eV) | p33 (eV) | p12 (eV) | p13 (eV) | p23 (eV) |
|---|---|---|---|---|---|---|---|
| 100 dumbbell | -0.196 | 0.196 | 0.196 | 0.005 | 0.000 | 0.000 | 0.000 |
| octahedral interstitial | -0.156 | 0.336 | 0.336 | 0.336 | 0.000 | 0.000 | 0.000 |
| 111 dumbbell | -0.132 | 0.039 | 0.039 | 0.039 | 0.011 | 0.011 | 0.011 |
| 110 dumbbell | -0.073 | -0.316 | -0.085 | -0.085 | 0.000 | 0.000 | 0.005 |
| crowdion interstitial | -0.012 | -0.525 | -0.525 | -0.250 | -0.326 | 0.000 | 0.000 |
| vacancy | 0.040 | 0.008 | 0.008 | 0.008 | 0.000 | 0.000 | 0.000 |
| 1nn divacancy | 0.073 | 0.016 | 0.016 | 0.016 | 0.000 | 0.000 | 0.002 |
| 2nn divacancy | 0.079 | 0.016 | 0.016 | 0.013 | 0.000 | 0.000 | 0.000 |
| tetrahedral interstitial | 0.095 | 0.012 | 0.012 | 0.012 | -0.000 | -0.000 | -0.000 |
| Point Defect | Ef (eV) | p11 (eV) | p22 (eV) | p33 (eV) | p12 (eV) | p13 (eV) | p23 (eV) |
|---|---|---|---|---|---|---|---|
| relaxed interstitial | -4460.448 | 90.547 | 112.989 | 95.474 | 12.439 | 2.205 | -16.421 |
| tetrahedral interstitial | -3.180 | -1.363 | 1.038 | -1.363 | -0.000 | 0.000 | 0.000 |
| octahedral interstitial | -2.874 | -2.014 | 0.433 | 0.433 | -0.000 | 0.000 | 0.000 |
| vacancy | 0.782 | -0.326 | -0.326 | -0.326 | -0.000 | 0.000 | 0.000 |
| 2nn divacancy | 1.512 | -0.439 | -0.439 | 0.061 | -0.000 | -0.000 | 0.000 |
| Point Defect | Ef (eV) | p11 (eV) | p22 (eV) | p33 (eV) | p12 (eV) | p13 (eV) | p23 (eV) |
|---|---|---|---|---|---|---|---|
| tetrahedral interstitial | -3.105 | 19.889 | -23.655 | 19.889 | 0.000 | 0.000 | -0.000 |
| crowdion interstitial | -3.027 | 7.593 | 7.593 | 7.593 | -1.582 | -1.582 | -1.582 |
| vacancy | 0.822 | 7.998 | 7.998 | 7.998 | -0.000 | -0.000 | 0.000 |
| 2nn divacancy | 1.654 | 17.349 | 17.349 | -10.840 | 0.000 | 0.000 | 0.000 |
| 1nn divacancy | 1.715 | 7.229 | 7.229 | 7.229 | 0.005 | 0.005 | 0.005 |
| Point Defect | Ef (eV) | p11 (eV) | p22 (eV) | p33 (eV) | p12 (eV) | p13 (eV) | p23 (eV) |
|---|---|---|---|---|---|---|---|
| 110 dumbbell | -0.175 | -7.314 | -11.525 | -11.525 | -0.000 | 0.000 | 2.642 |
| 100 dumbbell | -0.083 | -1.365 | -1.365 | 0.984 | -0.000 | 0.000 | 0.000 |
| octahedral interstitial | -0.070 | -1.451 | -0.441 | -0.441 | -0.000 | 0.000 | -0.000 |
| vacancy | 0.088 | -0.037 | -0.037 | -0.037 | -0.000 | 0.000 | 0.000 |
| tetrahedral interstitial | 0.094 | -0.038 | -0.479 | -0.038 | -0.000 | 0.000 | -0.000 |
| 1nn divacancy | 0.159 | -0.080 | -0.080 | -0.080 | -0.012 | -0.012 | -0.012 |
| 2nn divacancy | 0.170 | -0.067 | -0.067 | 0.030 | 0.000 | -0.000 | -0.000 |
| Point Defect | Ef (eV) | p11 (eV) | p22 (eV) | p33 (eV) | p12 (eV) | p13 (eV) | p23 (eV) |
|---|---|---|---|---|---|---|---|
| tetrahedral interstitial | -0.152 | -4.944 | -4.982 | -4.944 | -0.000 | -0.000 | -0.000 |
| 110 dumbbell | -0.151 | -10.812 | -11.024 | -11.024 | -0.000 | -0.000 | -0.065 |
| crowdion interstitial | -0.022 | 0.130 | 0.130 | 0.130 | -0.336 | -0.336 | -0.336 |
| vacancy | 0.026 | 0.008 | 0.008 | 0.008 | -0.000 | -0.000 | -0.000 |
| 1nn divacancy | 0.046 | 0.014 | 0.014 | 0.014 | 0.001 | 0.001 | 0.001 |
| 2nn divacancy | 0.053 | 0.015 | 0.015 | 0.015 | -0.000 | -0.000 | -0.000 |
| Point Defect | Ef (eV) | p11 (eV) | p22 (eV) | p33 (eV) | p12 (eV) | p13 (eV) | p23 (eV) |
|---|---|---|---|---|---|---|---|
| 0001 dumbbell | 0.157 | -1.133 | -1.133 | -0.517 | -0.000 | -0.000 | -0.000 |
| vacancy | 0.223 | -0.044 | -0.044 | -0.045 | -0.000 | 0.000 | 0.000 |
| Point Defect | Ef (eV) | p11 (eV) | p22 (eV) | p33 (eV) | p12 (eV) | p13 (eV) | p23 (eV) |
|---|---|---|---|---|---|---|---|
| bond centered interstitial | -3.921 | -1.975 | -1.975 | -1.975 | -1.176 | -1.176 | -1.176 |
| 100 dumbbell | -3.423 | 0.678 | 0.678 | 0.913 | 0.000 | 0.000 | 0.000 |
| hexagonal interstitial | -0.016 | 2.084 | 2.084 | 2.084 | 0.606 | 0.606 | 0.606 |
| tetragonal interstitial | 0.005 | -1.038 | -1.038 | -1.038 | 0.000 | 0.000 | 0.000 |
| vacancy | 0.478 | -0.019 | -0.019 | -0.019 | 0.000 | 0.000 | 0.000 |
| 1nn divacancy | 0.881 | -0.005 | -0.005 | -0.005 | 0.154 | 0.154 | 0.154 |
| Point Defect | Ef (eV) | p11 (eV) | p22 (eV) | p33 (eV) | p12 (eV) | p13 (eV) | p23 (eV) |
|---|---|---|---|---|---|---|---|
| bond centered interstitial | -5.231 | -2.220 | -2.220 | -2.220 | 0.004 | 0.004 | 0.004 |
| hexagonal interstitial | -0.266 | -1.763 | -1.763 | -1.763 | -0.005 | -0.005 | -0.005 |
| vacancy | 0.073 | 0.872 | 0.872 | 0.872 | 0.000 | 0.000 | 0.000 |
| 1nn divacancy | 0.109 | 1.345 | 1.345 | 1.345 | 0.000 | 0.000 | 0.000 |
| Point Defect | Ef (eV) | p11 (eV) | p22 (eV) | p33 (eV) | p12 (eV) | p13 (eV) | p23 (eV) |
|---|---|---|---|---|---|---|---|
| tetragonal interstitial | -0.013 | 0.000 | 0.000 | 0.000 | 0.000 | 0.000 | 0.000 |
| 100 dumbbell | -0.012 | -0.813 | -0.813 | -0.814 | 0.000 | 0.000 | 0.000 |
| vacancy | 0.013 | -0.008 | -0.008 | -0.008 | 0.000 | 0.000 | 0.000 |
| 1nn divacancy | 0.020 | -0.083 | -0.083 | -0.083 | -0.000 | -0.000 | -0.000 |
Plots of the atomic structure of dislocation cores are shown here. The dislocations were constructed using dislocation monopole configurations in which a straight dislocation is created in the center of the system using anisotropic elasticity and the elastic constants computed above. A cylindrical region centered around the dislocation is allowed to relax while the remaining atoms are held fixed. The relaxation consists of 1 million NVT steps at 10 K followed by an energy/force minimization. The final plots show the atomic configuration near the center of the monopole system, and display differential displacement arrows and Nye tensor color maps that are both taken with respect to the Burgers vector direction.
These plots show a wide range of final structures, some corresponding to expected dislocation structures and others not. While the characterizations are dislocation-type dependent, some general classification guidelines are listed here.
The calculation method used is available as the iprPy dislocation_monopole calculation method.
Links are provided above the images allowing for users to download the final defect configuration and a corresponding defect-free configuration if they wish to further analyze the structures or use them for subsequent simulations.
Notes and Disclaimers:
Version Information:
Plots of lattice and elastic constants are shown as a function of temperature. The 0K points were taken from the Crystal Structure Predictions and the Elastic Constants Predictions sections above for the unique crystal structures relaxed with the "dynamic" method. Starting from the 0 K relaxed crystal unit cells, supercell systems are created by replicating all three dimensions by the same multiplier to achieve at least 4000 atoms. The systems are then relaxed at 50 K and zero pressure using 1 million NPT steps. Lattice constants are estimated by averaging the measured box dimensions. Temperatures are iteratively increased by 50 K, with each subsequent relaxation calculation starting from the final atomic configuration at the previous temperature and relaxing for another 1 million steps.
The elastic constants are calculated using the deformation–fluctuation hybrid method. Starting from the final atomic configurations of the dynamic relaxations, the system is allowed to evolve at constant volume with a Langevin thermostat. The Born matrix is computed during this run by evaluating how the atomic forces would vary due to applied linear strain fields. The elastic constants can then be estimated using the averaged Born matrix values and the averaged stresses on the system.
The calculation methods used are available as the iprPy relax_dynamic and elastic_constants_dynamic calculation methods.
Clicking on the image of a plot will open an interactive version of it in a new tab. The underlying data for the plots can be downloaded by clicking on the links above each plot.
Notes and Disclaimers:
Version Information:
Plots of radial distribution functions at different temperatures and the temperature-dependent diffusion and viscosity are shown here for elemental liquids. Melt phases are constructed by starting with a 10x10x10 fcc super cell and relaxing with 50,000 NPT steps at zero pressure and a high melting temperature (3000 K for most potentials and elements). Following the melt, liquid structures are relaxed by running NPT for 10,000 steps over which the temperature is dropped by 50 K, then 50,000 NPT at the target temperature to estimate the equilibrium volume, followed by 20,000 NVT steps at the averaged equilibrium volume and target temperature. Structures from the NVT run are sampled to compute the radial distribution function of the liquid at the corresponding temperature.
The final relaxed configurations at each temperature explored are used as the initial configurations for the diffusion and viscosity calculations. For diffusion, the system is integrated for 100 runs of 2,000 NVT steps during which both the mean squared displacement (MSD) and the velocity auto correlation function (VACF) are computed. From these simulations, three estimates of diffusion are computed: one from the MSD of the full 200,000 step run, one in which the MSD is reset for each short run and then averaged, and one from the VACF computed for each short run and averaged. For viscosity, the Green-Kubo method is used which is evaluated during a 1 million step NVT run.
The calculation methods used are available as the iprPy relax_liquid_redo, diffusion_liquid, and viscosity_green_kubo calculation methods.
Clicking on the image of a plot will open an interactive version of it in a new tab. The underlying data for the plots can be downloaded by clicking on the links above each plot.
Notes and Disclaimers:
Version Information:
Plots of internal energy, Gibbs free energy, entropy, heat capacity and volume are shown here as a function of temperature for various crystal structures and liquid phases. The included crystal structures correspond to those in the Solid Structures vs. Temperature section, and the liquid phases to those in the Liquid Properties section. Internal energy and volume are taken from the associated structure relaxations mentioned in those previous sections. Constant pressure heat capacity is estimated using 3-point numerical derivatives of enthalpy versus temperature. Note that since all simulations done here are at 0 pressure, internal energy and enthalpy are equivalent.
The Gibbs energies of the phases are estimated using thermodynamic integration between the interatomic potential in question and a simpler model with known Gibbs free energy values. For solids, the reference model is an Einstein solid, while for liquids it is the Uhlenbeck-Ford potential. Besides a short run at the start of the solid calculations to estimate Einstein model spring constants, the two calculations proceed similarly. Starting with the final relaxation configurations, the systems are stabilized for 25,000 steps. Then, over the next 50,000 steps the potential is swapped out for the reference potential. The system is then stabilized for another 25,000 steps with the reference model before a reverse swap of 50,000 steps is performed. The simulation ends with one final 25,000 step stabilization period. From the simulation, the irreversible work of transformation is estimated and used to compute the absolute Gibbs free energy of the target phase and potential relative to the reference potential. Entropy is estimated as the difference in enthalpy and Gibbs free energy and divided by temperature.
The calculation methods used are available as the iprPy relax_dynamic, relax_liquid_redo, free_energy, and free_energy_liquid calculation methods.
Clicking on the image of a plot will open an interactive version of it in a new tab. The underlying data for the plots can be downloaded by clicking on the links above each plot.
Notes and Disclaimers:
Version Information:






