Plots of the potential energy vs interatomic spacing, r, are shown below for all diatom sets associated with the interatomic potential. This calculation provides insights into the functional form of the potential's two-body interactions. A system consisting of only two atoms is created, and the potential energy is evaluated for the atoms separated by 0.02 Å <= r <= 6.0> Å in intervals of 0.02 Å. Two plots are shown: one for the "standard" interaction distance range, and one for small values of r. The small r plot is useful for determining whether the potential is suitable for radiation studies.
The calculation method used is available as the iprPy diatom_scan calculation method.
Clicking on the image of a plot will open an interactive version of it in a new tab. The underlying data for the plots can be downloaded by clicking on the links above each plot.
Notes and Disclaimers:
Version Information:
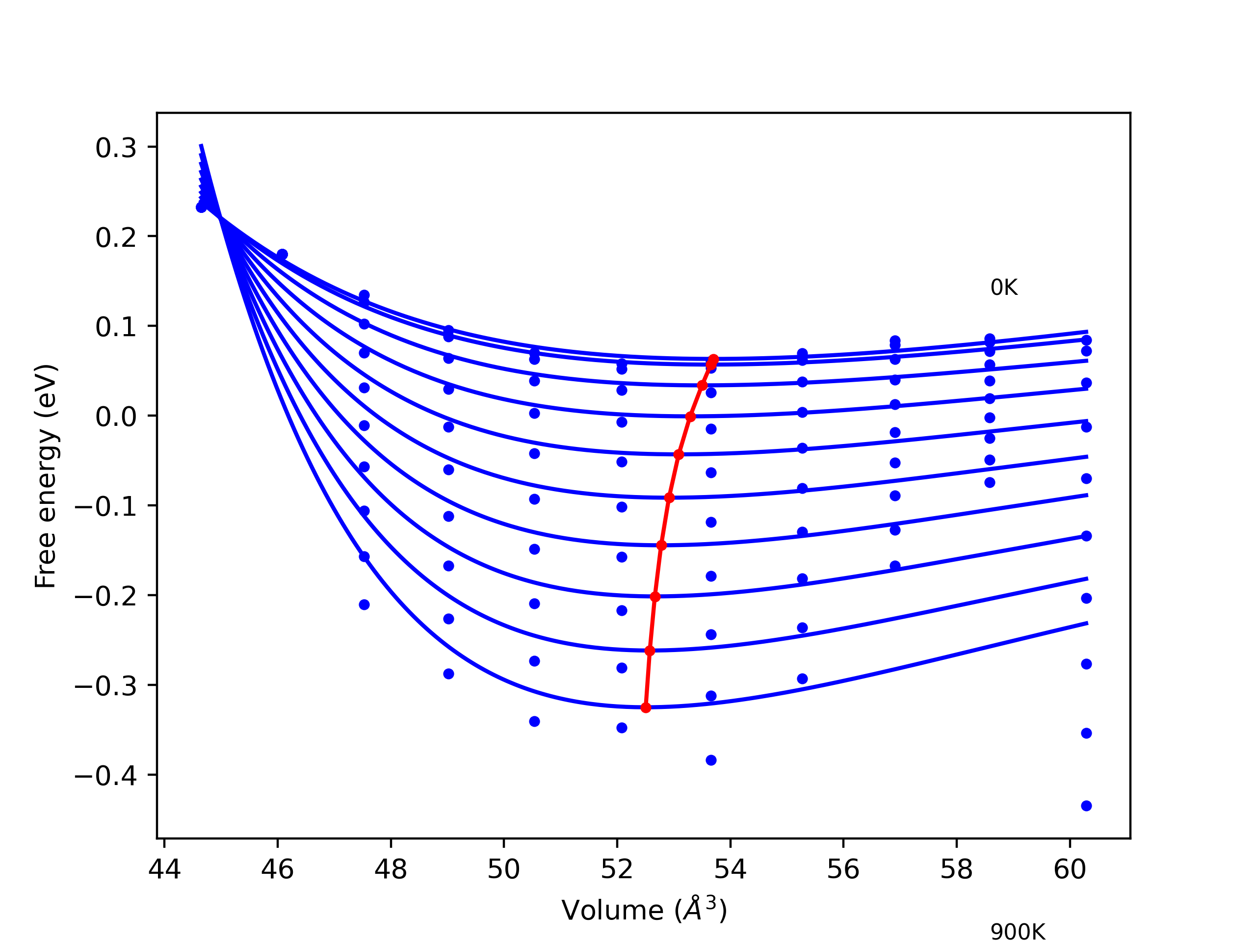
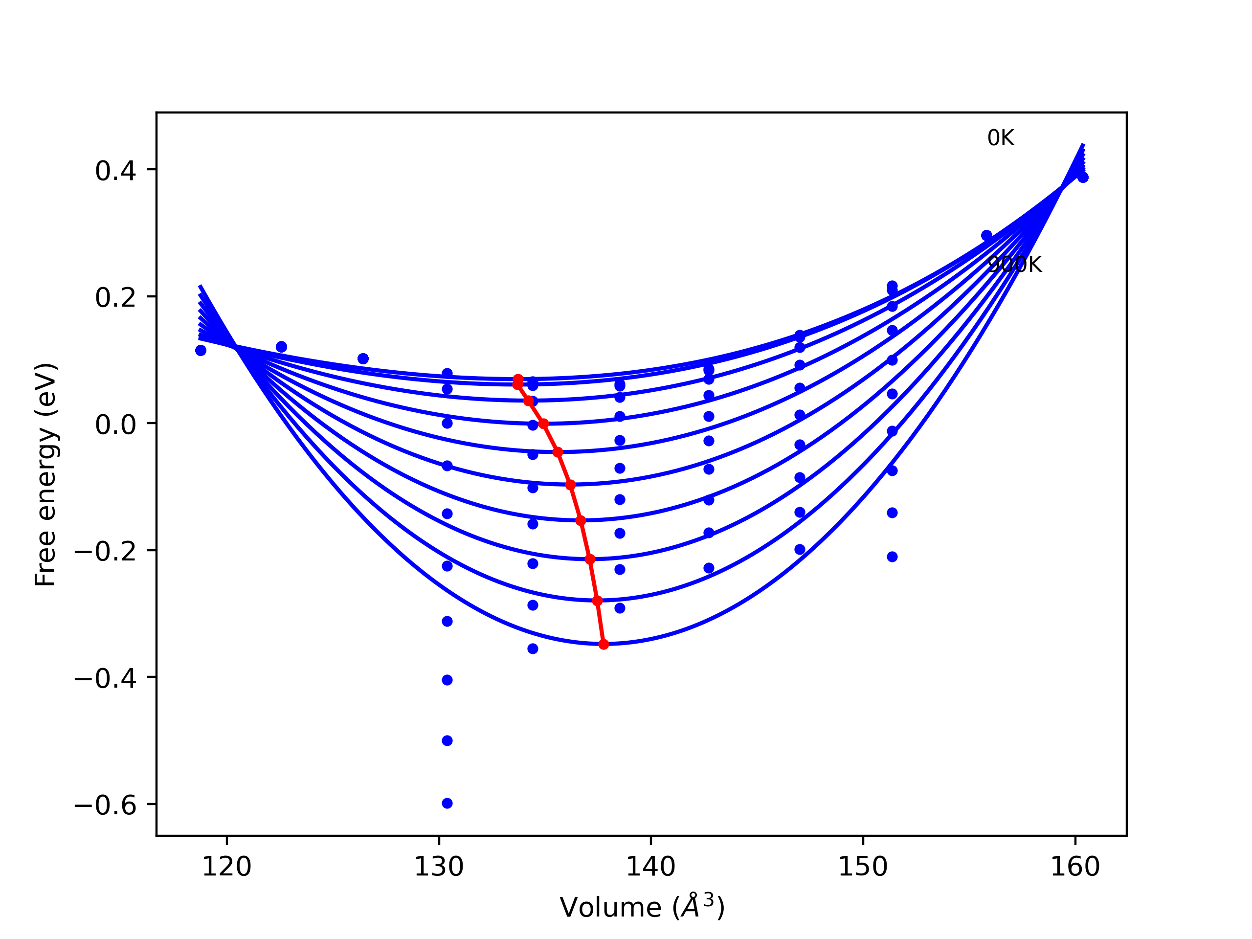
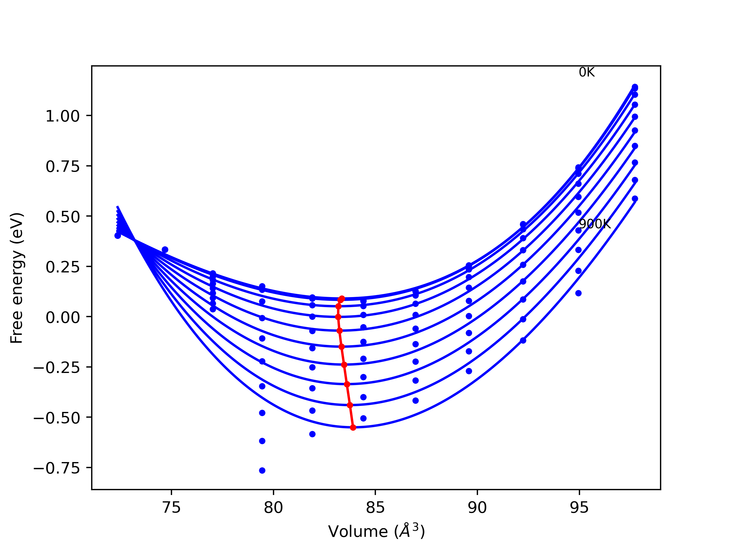
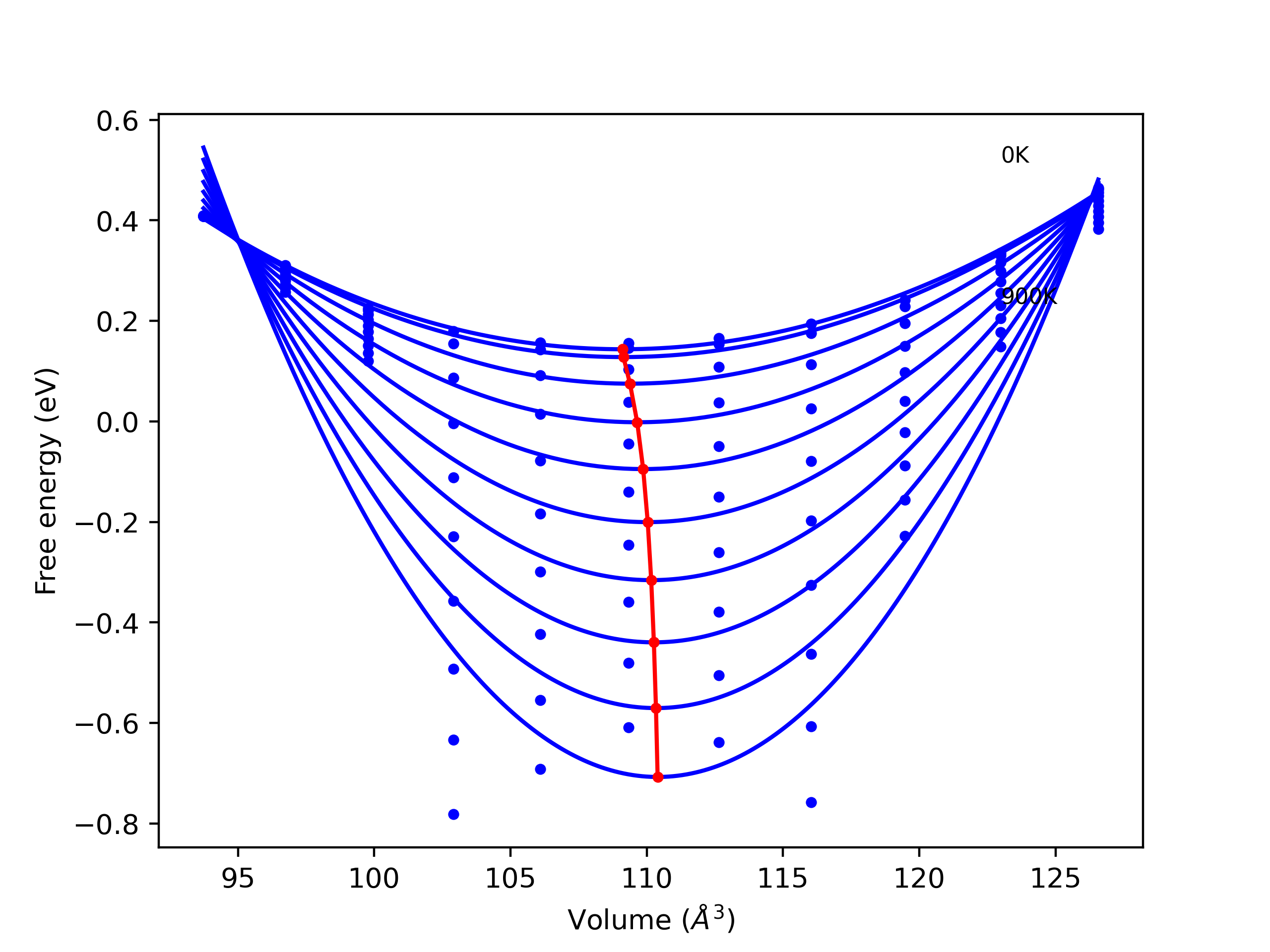
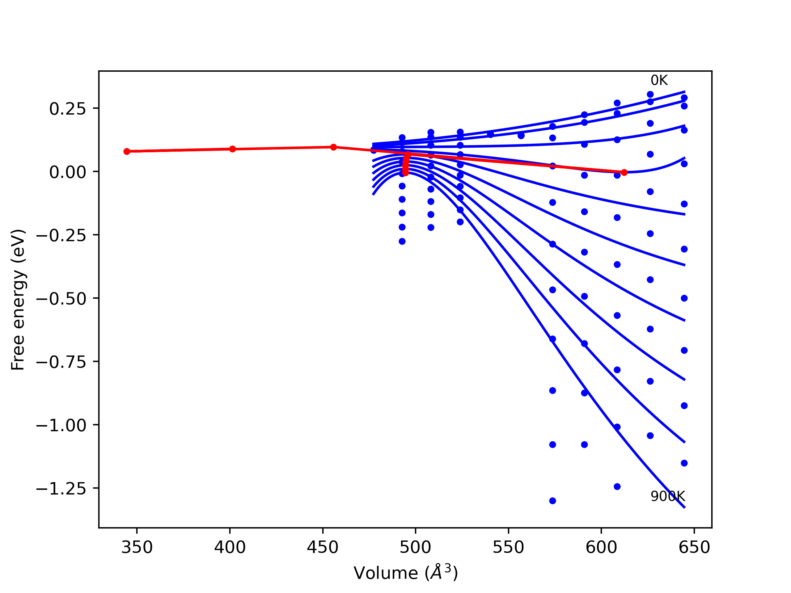
Plots of potential energy vs interatomic spacing, r, are shown below for a number of crystal structures. The structures are generated based on the ideal atomic positions and b/a and c/a lattice parameter ratios for a given crystal prototype. The size of the system is then uniformly scaled, and the energy calculated without relaxing the system. To obtain these plots, values of r are evaluated every 0.02 Å up to 6 Å.
The calculation method used is available as the iprPy E_vs_r_scan calculation method.
Clicking on the image of a plot will open an interactive version of it in a new tab. The underlying data for the plots can be downloaded by clicking on the links above each plot.
Notes and Disclaimers:
Version Information:
Computed lattice constants and cohesive/potential energies are displayed for a variety of crystal structures. The values displayed here are obtained using the following process.
The calculation methods used are implemented into iprPy as the following calculation styles
Notes and Disclaimers:
Version Information:
Download raw data (including filtered results)
Reference structure matches:
A1--Cu--fcc = mp-150, oqmd-7505, oqmd-1214525
A15--beta-W = oqmd-1214970
A2--W--bcc = mp-13, oqmd-8568, oqmd-22514, oqmd-1215148
A3'--alpha-La--double-hcp = oqmd-1215416
A3--Mg--hcp = mp-136, oqmd-30158, oqmd-51781, oqmd-1215326, oqmd-1215391
A4--C--dc = oqmd-1215505
A5--beta-Sn = oqmd-1215594
A6--In--bct = oqmd-1215683
Ah--alpha-Po--sc = mp-568345
| prototype | method | Ecoh (eV/atom) | Epot (eV/atom) | a0 (Å) | b0 (Å) | c0 (Å) | α (degrees) | β (degrees) | γ (degrees) |
|---|---|---|---|---|---|---|---|---|---|
| A2--W--bcc | dynamic | -4.3756 | -4.3756 | 2.8296 | 2.8296 | 2.8296 | 90.0 | 90.0 | 90.0 |
| A15--beta-W | dynamic | -4.2965 | -4.2965 | 4.451 | 4.451 | 4.451 | 90.0 | 90.0 | 90.0 |
| oqmd-1214792 | dynamic | -4.2852 | -4.2852 | 8.6761 | 8.6761 | 8.6761 | 90.0 | 90.0 | 90.0 |
| A1--Cu--fcc | static | -4.2836 | -4.2836 | 3.5225 | 3.5225 | 3.5225 | 90.0 | 90.0 | 90.0 |
| oqmd-1214792 | box | -4.2793 | -4.2793 | 8.6742 | 8.6742 | 8.6742 | 90.0 | 90.0 | 90.0 |
| A3'--alpha-La--double-hcp | static | -4.2652 | -4.2652 | 2.493 | 2.493 | 8.2453 | 90.0 | 90.0 | 120.0 |
| oqmd-1216039 | static | -4.2561 | -4.2561 | 2.4897 | 2.4897 | 18.5838 | 90.0 | 90.0 | 120.0 |
| A3--Mg--hcp | box | -4.2498 | -4.2498 | 2.5023 | 2.5023 | 4.1938 | 90.0 | 90.0 | 120.0 |
| oqmd-1214881 | static | -4.2306 | -4.2306 | 6.1564 | 6.1564 | 6.1564 | 90.0 | 90.0 | 90.0 |
| oqmd-1214881 | box | -4.2288 | -4.2288 | 6.1577 | 6.1577 | 6.1577 | 90.0 | 90.0 | 90.0 |
| mp-1245108 | dynamic | -4.2065 | -4.2065 | 10.175 | 10.2152 | 10.8841 | 90.8 | 91.8 | 92.9 |
| mp-1194030 | dynamic | -4.1998 | -4.1998 | 8.4685 | 8.4685 | 4.4929 | 90.0 | 90.0 | 90.0 |
| oqmd-21053 | static | -4.1809 | -4.1809 | 8.4213 | 8.4213 | 4.5121 | 90.0 | 90.0 | 90.0 |
| oqmd-21053 | box | -4.1797 | -4.1797 | 8.4246 | 8.4246 | 4.5098 | 90.0 | 90.0 | 90.0 |
| mp-1194030 | static | -4.1717 | -4.1717 | 8.4214 | 8.4214 | 4.5124 | 90.0 | 90.0 | 90.0 |
| mp-1194030 | box | -4.1707 | -4.1707 | 8.4239 | 8.4239 | 4.511 | 90.0 | 90.0 | 90.0 |
| mp-1245108 | static | -4.1478 | -4.1478 | 10.2992 | 10.3491 | 10.7261 | 90.8 | 91.7 | 91.9 |
| mp-1245108 | box | -4.1389 | -4.1389 | 10.3165 | 10.3603 | 10.7182 | 90.9 | 91.5 | 91.8 |
| oqmd-1215059 | box | -4.0837 | -4.0837 | 2.7374 | 3.9151 | 8.7489 | 90.0 | 90.0 | 90.0 |
| oqmd-1214703 | static | -4.0186 | -4.0186 | 2.8483 | 3.873 | 8.9764 | 90.0 | 90.0 | 90.0 |
| oqmd-1216039 | box | -3.9893 | -3.9893 | 2.4771 | 2.4771 | 20.6467 | 90.0 | 90.0 | 120.0 |
| A5--beta-Sn | static | -3.9441 | -3.9441 | 4.4457 | 4.4457 | 2.4427 | 90.0 | 90.0 | 90.0 |
| mp-1096950 | box | -3.9089 | -3.9089 | 2.4322 | 2.4322 | 2.2743 | 90.0 | 90.0 | 120.0 |
| Ah--alpha-Po--sc | static | -3.7773 | -3.7773 | 2.2835 | 2.2835 | 2.2835 | 90.0 | 90.0 | 90.0 |
| oqmd-21731 | box | -3.7772 | -3.7772 | 2.2835 | 2.2835 | 6.8505 | 90.0 | 90.0 | 90.0 |
| oqmd-1215950 | static | -3.4458 | -3.4458 | 3.9263 | 4.235 | 3.94 | 90.0 | 119.7 | 90.0 |
| oqmd-1215950 | box | -3.4458 | -3.4458 | 3.9266 | 4.235 | 3.94 | 90.0 | 119.7 | 90.0 |
| A4--C--dc | static | -3.0607 | -3.0607 | 5.2882 | 5.2882 | 5.2882 | 90.0 | 90.0 | 90.0 |
| Ah--alpha-Po--sc | static | -2.5651 | -2.5651 | 2.861 | 2.861 | 2.861 | 90.0 | 90.0 | 90.0 |
| A4--C--dc | dynamic | -2.2407 | -2.2407 | 6.9632 | 6.9632 | 6.9632 | 90.0 | 90.0 | 90.0 |
| A4--C--dc | static | -1.8671 | -1.8671 | 3.9491 | 3.9491 | 3.9491 | 90.0 | 90.0 | 90.0 |
| Ah--alpha-Po--sc | static | -1.6647 | -1.6647 | 3.3495 | 3.3495 | 3.3495 | 90.0 | 90.0 | 90.0 |
| A3'--alpha-La--double-hcp | dynamic | -0.9882 | -0.9882 | 4.9726 | 4.9726 | 16.2404 | 90.0 | 90.0 | 120.0 |
| A1--Cu--fcc | dynamic | -0.9882 | -0.9882 | 7.0323 | 7.0323 | 7.0323 | 90.0 | 90.0 | 90.0 |
| A3--Mg--hcp | dynamic | -0.9882 | -0.9882 | 4.9726 | 4.9726 | 8.1202 | 90.0 | 90.0 | 120.0 |
| A6--In--bct | dynamic | -0.8744 | -0.8744 | 4.1527 | 4.1527 | 8.0261 | 90.0 | 90.0 | 90.0 |
| A2--W--bcc | dynamic | -0.8696 | -0.8696 | 5.7646 | 5.7646 | 5.7646 | 90.0 | 90.0 | 90.0 |
| A15--beta-W | static | -0.7572 | -0.7572 | 8.527 | 8.527 | 8.527 | 90.0 | 90.0 | 90.0 |
| A2--W--bcc | dynamic | -0.7496 | -0.7496 | 5.0153 | 5.0153 | 5.0153 | 90.0 | 90.0 | 90.0 |
| A5--beta-Sn | static | -0.6847 | -0.6847 | 7.6653 | 7.6653 | 4.3186 | 90.0 | 90.0 | 90.0 |
| A5--beta-Sn | dynamic | -0.5566 | -0.5566 | 9.4313 | 9.4313 | 4.868 | 90.0 | 90.0 | 90.0 |
| Ah--alpha-Po--sc | static | -0.5338 | -0.5338 | 4.1322 | 4.1322 | 4.1322 | 90.0 | 90.0 | 90.0 |
| Ah--alpha-Po--sc | dynamic | -0.4941 | -0.4941 | 4.9726 | 4.9726 | 4.9726 | 90.0 | 90.0 | 90.0 |
| A3--Mg--hcp | dynamic | -0.4505 | -0.4505 | 4.1917 | 4.1917 | 6.845 | 90.0 | 90.0 | 120.0 |
| A3'--alpha-La--double-hcp | dynamic | -0.4505 | -0.4505 | 4.1917 | 4.1917 | 13.69 | 90.0 | 90.0 | 120.0 |
| A1--Cu--fcc | dynamic | -0.4505 | -0.4505 | 5.9279 | 5.9279 | 5.9279 | 90.0 | 90.0 | 90.0 |
| A5--beta-Sn | box | -0.4491 | -0.4491 | 7.1986 | 7.1986 | 5.597 | 90.0 | 90.0 | 90.0 |
| A3--Mg--hcp | dynamic | -0.4323 | -0.4323 | 5.8077 | 5.8077 | 9.484 | 90.0 | 90.0 | 120.0 |
| A3'--alpha-La--double-hcp | dynamic | -0.4323 | -0.4323 | 5.8077 | 5.8077 | 18.968 | 90.0 | 90.0 | 120.0 |
| A1--Cu--fcc | dynamic | -0.4323 | -0.4323 | 8.2134 | 8.2134 | 8.2134 | 90.0 | 90.0 | 90.0 |
| A7--alpha-As | dynamic | -0.354 | -0.354 | 8.0693 | 8.0693 | 15.6288 | 90.0 | 90.0 | 120.0 |
| A7--alpha-As | static | -0.354 | -0.354 | 7.9057 | 7.9057 | 16.7072 | 90.0 | 90.0 | 120.0 |
| A4--C--dc | dynamic | -0.3294 | -0.3294 | 11.4837 | 11.4837 | 11.4837 | 90.0 | 90.0 | 90.0 |
| A15--beta-W | dynamic | -0.3131 | -0.3131 | 10.2892 | 10.2892 | 10.2892 | 90.0 | 90.0 | 90.0 |
| A2--W--bcc | dynamic | -0.2882 | -0.2882 | 6.7062 | 6.7062 | 6.7062 | 90.0 | 90.0 | 90.0 |
| Ah--alpha-Po--sc | dynamic | -0.2161 | -0.2161 | 5.8077 | 5.8077 | 5.8077 | 90.0 | 90.0 | 90.0 |
| A1--Cu--fcc | box | -0.1854 | -0.1854 | 5.4865 | 5.4865 | 5.4865 | 90.0 | 90.0 | 90.0 |
| A4--C--dc | dynamic | -0.1441 | -0.1441 | 13.4124 | 13.4124 | 13.4124 | 90.0 | 90.0 | 90.0 |
| A7--alpha-As | dynamic | -0.1075 | -0.1075 | 8.406 | 8.406 | 25.6441 | 90.0 | 90.0 | 120.0 |
| A7--alpha-As | static | -0.1075 | -0.1075 | 8.4059 | 8.4059 | 26.1794 | 90.0 | 90.0 | 120.0 |
| A15--beta-W | dynamic | -0.0503 | -0.0503 | 11.6552 | 11.6552 | 11.6552 | 90.0 | 90.0 | 90.0 |
| A3--Mg--hcp | static | 442.9318 | 442.9318 | 1.62 | 1.62 | 2.6454 | 90.0 | 90.0 | 120.0 |
| A3'--alpha-La--double-hcp | static | 442.9903 | 442.9903 | 1.64 | 1.64 | 5.3562 | 90.0 | 90.0 | 120.0 |
| A2--W--bcc | static | 443.1527 | 443.1527 | 1.7321 | 1.7321 | 1.7321 | 90.0 | 90.0 | 90.0 |
| A15--beta-W | static | 444.6164 | 444.6164 | 2.52 | 2.52 | 2.52 | 90.0 | 90.0 | 90.0 |
| A7--alpha-As | static | 447.6058 | 447.6058 | 1.7331 | 1.7331 | 4.8127 | 90.0 | 90.0 | 120.0 |
Download raw data (including filtered results)
Reference structure matches:
| prototype | method | Ecoh (eV/atom) | Epot (eV/atom) | a0 (Å) | b0 (Å) | c0 (Å) | α (degrees) | β (degrees) | γ (degrees) |
|---|---|---|---|---|---|---|---|---|---|
| C1--CaF2--fluorite | static | -3.6898 | -3.6898 | 5.0435 | 5.0435 | 5.0435 | 90.0 | 90.0 | 90.0 |
| C1--CaF2--fluorite | dynamic | -0.9509 | -0.9509 | 9.9655 | 9.9655 | 9.9655 | 90.0 | 90.0 | 90.0 |
| C1--CaF2--fluorite | dynamic | -0.7467 | -0.7467 | 8.336 | 8.336 | 8.336 | 90.0 | 90.0 | 90.0 |
| C1--CaF2--fluorite | dynamic | 0.0383 | 0.0383 | 13.0589 | 13.0589 | 13.0589 | 90.0 | 90.0 | 90.0 |
Download raw data (including filtered results)
Reference structure matches:
| prototype | method | Ecoh (eV/atom) | Epot (eV/atom) | a0 (Å) | b0 (Å) | c0 (Å) | α (degrees) | β (degrees) | γ (degrees) |
|---|---|---|---|---|---|---|---|---|---|
| A15--Cr3Si | static | -3.8948 | -3.8948 | 4.3295 | 4.3295 | 4.3295 | 90.0 | 90.0 | 90.0 |
| D0_3--BiF3 | static | -3.8226 | -3.8226 | 5.3647 | 5.3647 | 5.3647 | 90.0 | 90.0 | 90.0 |
| L1_2--AuCu3 | static | -3.6509 | -3.6509 | 3.2624 | 3.2624 | 3.2624 | 90.0 | 90.0 | 90.0 |
| A15--Cr3Si | static | -1.12 | -1.12 | 7.957 | 7.957 | 7.957 | 90.0 | 90.0 | 90.0 |
| D0_3--BiF3 | static | -1.0673 | -1.0673 | 8.2659 | 8.2659 | 8.2659 | 90.0 | 90.0 | 90.0 |
| A15--Cr3Si | static | -1.0215 | -1.0215 | 6.2553 | 6.2553 | 6.2553 | 90.0 | 90.0 | 90.0 |
| D0_3--BiF3 | dynamic | -0.9369 | -0.9369 | 9.9568 | 9.9568 | 9.9568 | 90.0 | 90.0 | 90.0 |
| L1_2--AuCu3 | dynamic | -0.9265 | -0.9265 | 6.0087 | 6.0087 | 6.0087 | 90.0 | 90.0 | 90.0 |
| A15--Cr3Si | static | -0.758 | -0.758 | 6.8103 | 6.8103 | 6.8103 | 90.0 | 90.0 | 90.0 |
| L1_2--AuCu3 | dynamic | -0.7053 | -0.7053 | 6.9603 | 6.9603 | 6.9603 | 90.0 | 90.0 | 90.0 |
| D0_3--BiF3 | dynamic | -0.5464 | -0.5464 | 11.4056 | 11.4056 | 11.4056 | 90.0 | 90.0 | 90.0 |
| L1_2--AuCu3 | dynamic | -0.1519 | -0.1519 | 8.1393 | 8.1393 | 8.1393 | 90.0 | 90.0 | 90.0 |
| D0_3--BiF3 | dynamic | -0.1048 | -0.1048 | 13.2768 | 13.2768 | 13.2768 | 90.0 | 90.0 | 90.0 |
| A15--Cr3Si | dynamic | -0.0503 | -0.0503 | 11.6552 | 11.6552 | 11.6552 | 90.0 | 90.0 | 90.0 |
| A15--Cr3Si | box | -0.0349 | -0.0349 | 11.1132 | 11.1132 | 11.1132 | 90.0 | 90.0 | 90.0 |
| D0_3--BiF3 | static | 1595.7402 | 1595.7402 | 3.4641 | 3.4641 | 3.4641 | 90.0 | 90.0 | 90.0 |
| A15--Cr3Si | static | 1600.8484 | 1600.8484 | 2.4 | 2.4 | 2.4 | 90.0 | 90.0 | 90.0 |
| A15--Cr3Si | static | 1600.8529 | 1600.8529 | 2.32 | 2.32 | 2.32 | 90.0 | 90.0 | 90.0 |
| L1_2--AuCu3 | static | 1620.7993 | 1620.7993 | 1.7253 | 1.7253 | 1.7253 | 90.0 | 90.0 | 90.0 |
Download raw data (including filtered results)
Reference structure matches:
| prototype | method | Ecoh (eV/atom) | Epot (eV/atom) | a0 (Å) | b0 (Å) | c0 (Å) | α (degrees) | β (degrees) | γ (degrees) |
|---|---|---|---|---|---|---|---|---|---|
| B4--ZnS--wurtzite | dynamic | -3.8358 | -3.8358 | 4.0207 | 4.0207 | 6.6137 | 90.0 | 90.0 | 120.0 |
| B2--CsCl | static | -3.544 | -3.544 | 2.7158 | 2.7158 | 2.7158 | 90.0 | 90.0 | 90.0 |
| L1_0--AuCu | static | -3.4647 | -3.4647 | 2.3445 | 2.3445 | 3.4977 | 90.0 | 90.0 | 90.0 |
| L1_0--AuCu | box | -3.432 | -3.432 | 2.4266 | 2.4266 | 3.1632 | 90.0 | 90.0 | 90.0 |
| B1--NaCl--rock-salt | static | -3.1077 | -3.1077 | 4.1248 | 4.1248 | 4.1248 | 90.0 | 90.0 | 90.0 |
| B3--ZnS--cubic-zinc-blende | static | -3.0165 | -3.0165 | 4.2164 | 4.2164 | 4.2164 | 90.0 | 90.0 | 90.0 |
| B4--ZnS--wurtzite | box | -3.0002 | -3.0002 | 2.9519 | 2.9519 | 5.0133 | 90.0 | 90.0 | 120.0 |
| B3--ZnS--cubic-zinc-blende | static | -2.9916 | -2.9916 | 4.3767 | 4.3767 | 4.3767 | 90.0 | 90.0 | 90.0 |
| B3--ZnS--cubic-zinc-blende | static | -2.1967 | -2.1967 | 3.8521 | 3.8521 | 3.8521 | 90.0 | 90.0 | 90.0 |
| B3--ZnS--cubic-zinc-blende | box | -2.1448 | -2.1448 | 3.9145 | 3.9145 | 3.9145 | 90.0 | 90.0 | 90.0 |
| B3--ZnS--cubic-zinc-blende | dynamic | -2.0973 | -2.0973 | 5.669 | 5.669 | 5.669 | 90.0 | 90.0 | 90.0 |
| B4--ZnS--wurtzite | static | -2.0933 | -2.0933 | 4.0011 | 4.0011 | 6.5828 | 90.0 | 90.0 | 120.0 |
| B4--ZnS--wurtzite | static | -2.0933 | -2.0933 | 4.0009 | 4.0009 | 6.5828 | 90.0 | 90.0 | 120.0 |
| B4--ZnS--wurtzite | box | -2.0932 | -2.0932 | 4.0016 | 4.0016 | 6.5833 | 90.0 | 90.0 | 120.0 |
| B3--ZnS--cubic-zinc-blende | static | -2.0717 | -2.0717 | 5.0394 | 5.0394 | 5.0394 | 90.0 | 90.0 | 90.0 |
| B1--NaCl--rock-salt | dynamic | -2.0263 | -2.0263 | 5.4921 | 5.4921 | 5.4921 | 90.0 | 90.0 | 90.0 |
| B2--CsCl | dynamic | -1.209 | -1.209 | 4.1971 | 4.1971 | 4.1971 | 90.0 | 90.0 | 90.0 |
| B2--CsCl | dynamic | -1.2003 | -1.2003 | 4.9414 | 4.9414 | 4.9414 | 90.0 | 90.0 | 90.0 |
| L1_0--AuCu | dynamic | -1.1955 | -1.1955 | 4.1389 | 4.1389 | 6.3823 | 90.0 | 90.0 | 90.0 |
| B1--NaCl--rock-salt | dynamic | -1.1589 | -1.1589 | 7.1354 | 7.1354 | 7.1354 | 90.0 | 90.0 | 90.0 |
| L1_0--AuCu | static | -1.1488 | -1.1488 | 4.1316 | 4.1316 | 4.732 | 90.0 | 90.0 | 90.0 |
| L1_0--AuCu | box | -1.077 | -1.077 | 3.7924 | 3.7924 | 5.0936 | 90.0 | 90.0 | 90.0 |
| L1_0--AuCu | box | -1.0062 | -1.0062 | 2.8102 | 2.8102 | 7.6165 | 90.0 | 90.0 | 90.0 |
| B1--NaCl--rock-salt | static | -0.8265 | -0.8265 | 8.3128 | 8.3128 | 8.3128 | 90.0 | 90.0 | 90.0 |
| B2--CsCl | static | -0.7265 | -0.7265 | 3.7206 | 3.7206 | 3.7206 | 90.0 | 90.0 | 90.0 |
| B3--ZnS--cubic-zinc-blende | dynamic | -0.5105 | -0.5105 | 8.2865 | 8.2865 | 8.2865 | 90.0 | 90.0 | 90.0 |
| B4--ZnS--wurtzite | box | -0.5005 | -0.5005 | 5.8514 | 5.8514 | 9.6385 | 90.0 | 90.0 | 120.0 |
| B4--ZnS--wurtzite | dynamic | -0.4667 | -0.4667 | 7.0689 | 7.0689 | 11.5527 | 90.0 | 90.0 | 120.0 |
| B3--ZnS--cubic-zinc-blende | dynamic | -0.4667 | -0.4667 | 9.9996 | 9.9996 | 9.9996 | 90.0 | 90.0 | 90.0 |
| B4--ZnS--wurtzite | box | -0.0543 | -0.0543 | 9.5244 | 9.5244 | 10.5269 | 90.0 | 90.0 | 120.0 |
| L1_0--AuCu | dynamic | -0.0246 | -0.0246 | 5.757 | 5.757 | 7.8495 | 90.0 | 90.0 | 90.0 |
| B4--ZnS--wurtzite | dynamic | 0.0287 | 0.0287 | 9.2316 | 9.2316 | 15.0873 | 90.0 | 90.0 | 120.0 |
| B3--ZnS--cubic-zinc-blende | dynamic | 0.0287 | 0.0287 | 13.0589 | 13.0589 | 13.0589 | 90.0 | 90.0 | 90.0 |
| B1--NaCl--rock-salt | dynamic | 0.0431 | 0.0431 | 11.3094 | 11.3094 | 11.3094 | 90.0 | 90.0 | 90.0 |
| B2--CsCl | dynamic | 0.0574 | 0.0574 | 6.5295 | 6.5295 | 6.5295 | 90.0 | 90.0 | 90.0 |
| B2--CsCl | static | 2749.0249 | 2749.0249 | 1.7321 | 1.7321 | 1.7321 | 90.0 | 90.0 | 90.0 |
| B4--ZnS--wurtzite | static | 2750.2268 | 2750.2268 | 1.6012 | 1.6012 | 2.6147 | 90.0 | 90.0 | 120.0 |
| B1--NaCl--rock-salt | static | 2750.2426 | 2750.2426 | 2.24 | 2.24 | 2.24 | 90.0 | 90.0 | 90.0 |
| B3--ZnS--cubic-zinc-blende | static | 2750.2446 | 2750.2446 | 2.2632 | 2.2632 | 2.2632 | 90.0 | 90.0 | 90.0 |
| B1--NaCl--rock-salt | static | 2750.2756 | 2750.2756 | 2.08 | 2.08 | 2.08 | 90.0 | 90.0 | 90.0 |
| B3--ZnS--cubic-zinc-blende | static | 2750.2757 | 2750.2757 | 2.0785 | 2.0785 | 2.0785 | 90.0 | 90.0 | 90.0 |
Download raw data (including filtered results)
Reference structure matches:
| prototype | method | Ecoh (eV/atom) | Epot (eV/atom) | a0 (Å) | b0 (Å) | c0 (Å) | α (degrees) | β (degrees) | γ (degrees) |
|---|---|---|---|---|---|---|---|---|---|
| C1--CaF2--fluorite | static | -3.3829 | -3.3829 | 5.1268 | 5.1268 | 5.1268 | 90.0 | 90.0 | 90.0 |
| C1--CaF2--fluorite | static | -1.4179 | -1.4179 | 6.206 | 6.206 | 6.206 | 90.0 | 90.0 | 90.0 |
| C1--CaF2--fluorite | static | -0.9999 | -0.9999 | 8.3477 | 8.3477 | 8.3477 | 90.0 | 90.0 | 90.0 |
| C1--CaF2--fluorite | static | -0.8145 | -0.8145 | 9.7852 | 9.7852 | 9.7852 | 90.0 | 90.0 | 90.0 |
| C1--CaF2--fluorite | box | -0.7445 | -0.7445 | 7.4511 | 7.4511 | 7.4511 | 90.0 | 90.0 | 90.0 |
| C1--CaF2--fluorite | dynamic | 0.0383 | 0.0383 | 13.0589 | 13.0589 | 13.0589 | 90.0 | 90.0 | 90.0 |
| C1--CaF2--fluorite | static | 3517.8338 | 3517.8338 | 3.4641 | 3.4641 | 3.4641 | 90.0 | 90.0 | 90.0 |
Download raw data (including filtered results)
Reference structure matches:
| prototype | method | Ecoh (eV/atom) | Epot (eV/atom) | a0 (Å) | b0 (Å) | c0 (Å) | α (degrees) | β (degrees) | γ (degrees) |
|---|---|---|---|---|---|---|---|---|---|
| D0_3--BiF3 | dynamic | -3.8147 | -3.8147 | 5.5656 | 5.5656 | 5.5656 | 90.0 | 90.0 | 90.0 |
| L1_2--AuCu3 | static | -3.7152 | -3.7152 | 3.5174 | 3.5174 | 3.5174 | 90.0 | 90.0 | 90.0 |
| A15--Cr3Si | static | -3.671 | -3.671 | 4.4286 | 4.4286 | 4.4286 | 90.0 | 90.0 | 90.0 |
| L1_2--AuCu3 | static | -1.2359 | -1.2359 | 5.9715 | 5.9715 | 5.9715 | 90.0 | 90.0 | 90.0 |
| D0_3--BiF3 | dynamic | -1.2028 | -1.2028 | 8.8421 | 8.8421 | 8.8421 | 90.0 | 90.0 | 90.0 |
| A15--Cr3Si | dynamic | -1.167 | -1.167 | 7.4058 | 7.4058 | 7.4058 | 90.0 | 90.0 | 90.0 |
| A15--Cr3Si | dynamic | -1.1585 | -1.1585 | 6.8776 | 6.8776 | 6.8776 | 90.0 | 90.0 | 90.0 |
| A15--Cr3Si | dynamic | -1.1585 | -1.1585 | 6.8755 | 6.8755 | 6.8755 | 90.0 | 90.0 | 90.0 |
| D0_3--BiF3 | static | -1.1387 | -1.1387 | 9.6041 | 9.6041 | 9.6041 | 90.0 | 90.0 | 90.0 |
| A15--Cr3Si | static | -0.0229 | -0.0229 | 11.0586 | 11.0586 | 11.0586 | 90.0 | 90.0 | 90.0 |
| L1_2--AuCu3 | dynamic | 0.0 | 0.0 | 17.2376 | 17.2376 | 17.2376 | 90.0 | 90.0 | 90.0 |
| L1_2--AuCu3 | dynamic | 0.0 | 0.0 | 8.7634 | 8.7634 | 8.7634 | 90.0 | 90.0 | 90.0 |
| A15--Cr3Si | static | 3902.5427 | 3902.5427 | 2.48 | 2.48 | 2.48 | 90.0 | 90.0 | 90.0 |
| D0_3--BiF3 | static | 3902.5995 | 3902.5995 | 3.0022 | 3.0022 | 3.0022 | 90.0 | 90.0 | 90.0 |
| D0_3--BiF3 | static | 3902.725 | 3902.725 | 3.3255 | 3.3255 | 3.3255 | 90.0 | 90.0 | 90.0 |
| L1_2--AuCu3 | static | 3902.928 | 3902.928 | 1.7253 | 1.7253 | 1.7253 | 90.0 | 90.0 | 90.0 |
| L1_2--AuCu3 | static | 3903.0513 | 3903.0513 | 1.5556 | 1.5556 | 1.5556 | 90.0 | 90.0 | 90.0 |
Download raw data (including filtered results)
Reference structure matches:
| prototype | method | Ecoh (eV/atom) | Epot (eV/atom) | a0 (Å) | b0 (Å) | c0 (Å) | α (degrees) | β (degrees) | γ (degrees) |
|---|---|---|---|---|---|---|---|---|---|
| mp-1245108 | dynamic | -4.2251 | -4.2251 | 10.249 | 10.7317 | 11.4359 | 86.1 | 83.9 | 88.1 |
| A1--Cu--fcc | dynamic | -4.1892 | -4.1892 | 3.4386 | 3.4386 | 3.4386 | 90.0 | 90.0 | 90.0 |
| A3'--alpha-La--double-hcp | dynamic | -4.1607 | -4.1607 | 2.4332 | 2.4332 | 7.9244 | 90.0 | 90.0 | 120.0 |
| A3'--alpha-La--double-hcp | static | -4.1601 | -4.1601 | 2.4261 | 2.4261 | 8.0492 | 90.0 | 90.0 | 120.0 |
| oqmd-1216039 | dynamic | -4.1531 | -4.1531 | 2.4254 | 2.4254 | 18.1456 | 90.0 | 90.0 | 120.0 |
| oqmd-1216039 | box | -4.1529 | -4.1529 | 2.4298 | 2.4298 | 17.9592 | 90.0 | 90.0 | 120.0 |
| A3--Mg--hcp | dynamic | -4.1381 | -4.1381 | 2.4246 | 2.4246 | 4.0354 | 90.0 | 90.0 | 120.0 |
| oqmd-1214881 | dynamic | -4.0883 | -4.0883 | 5.9817 | 5.9817 | 5.9817 | 90.0 | 90.0 | 90.0 |
| oqmd-1214881 | static | -4.0576 | -4.0576 | 5.9476 | 5.9476 | 5.9476 | 90.0 | 90.0 | 90.0 |
| oqmd-1214881 | box | -4.0432 | -4.0432 | 5.9431 | 5.9431 | 5.9431 | 90.0 | 90.0 | 90.0 |
| mp-1245108 | static | -4.0287 | -4.0287 | 10.0466 | 10.2289 | 10.507 | 90.5 | 90.2 | 90.8 |
| oqmd-1214792 | static | -4.0275 | -4.0275 | 8.5135 | 8.5135 | 8.5135 | 90.0 | 90.0 | 90.0 |
| oqmd-1214792 | box | -4.0076 | -4.0076 | 8.5231 | 8.5231 | 8.5231 | 90.0 | 90.0 | 90.0 |
| mp-1194030 | static | -3.9781 | -3.9781 | 8.2208 | 8.2208 | 4.4179 | 90.0 | 90.0 | 90.0 |
| oqmd-21053 | static | -3.9698 | -3.9698 | 8.2283 | 8.2283 | 4.4051 | 90.0 | 90.0 | 90.0 |
| oqmd-21053 | box | -3.9617 | -3.9617 | 8.2389 | 8.2389 | 4.3933 | 90.0 | 90.0 | 90.0 |
| mp-1194030 | box | -3.9585 | -3.9585 | 8.2404 | 8.2404 | 4.3891 | 90.0 | 90.0 | 90.0 |
| mp-1245108 | box | -3.9504 | -3.9504 | 10.045 | 10.2492 | 10.4076 | 91.5 | 90.2 | 91.7 |
| A15--beta-W | static | -3.9273 | -3.9273 | 4.3998 | 4.3998 | 4.3998 | 90.0 | 90.0 | 90.0 |
| A7--alpha-As | dynamic | -3.9122 | -3.9122 | 3.2566 | 3.2566 | 11.3729 | 90.0 | 90.0 | 120.0 |
| A4--C--dc | static | -3.9058 | -3.9058 | 5.1507 | 5.1507 | 5.1507 | 90.0 | 90.0 | 90.0 |
| A6--In--bct | box | -3.9001 | -3.9001 | 2.0477 | 2.0477 | 7.7991 | 90.0 | 90.0 | 90.0 |
| A2--W--bcc | static | -3.8813 | -3.8813 | 2.7747 | 2.7747 | 2.7747 | 90.0 | 90.0 | 90.0 |
| A4--C--dc | static | -3.7994 | -3.7994 | 4.6133 | 4.6133 | 4.6133 | 90.0 | 90.0 | 90.0 |
| mp-1096950 | dynamic | -3.7965 | -3.7965 | 2.3278 | 2.3278 | 2.2557 | 90.0 | 90.0 | 120.0 |
| A5--beta-Sn | dynamic | -3.7355 | -3.7355 | 4.4189 | 4.4189 | 2.2272 | 90.0 | 90.0 | 90.0 |
| Ah--alpha-Po--sc | static | -3.5172 | -3.5172 | 2.187 | 2.187 | 2.187 | 90.0 | 90.0 | 90.0 |
| A7--alpha-As | box | -3.468 | -3.468 | 3.0015 | 3.0015 | 8.1871 | 90.0 | 90.0 | 120.0 |
| A4--C--dc | box | -3.4011 | -3.4011 | 4.8534 | 4.8534 | 4.8534 | 90.0 | 90.0 | 90.0 |
| A2--W--bcc | static | -2.9885 | -2.9885 | 2.3714 | 2.3714 | 2.3714 | 90.0 | 90.0 | 90.0 |
| A6--In--bct | static | -2.9711 | -2.9711 | 1.981 | 1.981 | 3.6716 | 90.0 | 90.0 | 90.0 |
| A15--beta-W | static | -2.9627 | -2.9627 | 3.831 | 3.831 | 3.831 | 90.0 | 90.0 | 90.0 |
| A1--Cu--fcc | static | -2.8418 | -2.8418 | 3.0034 | 3.0034 | 3.0034 | 90.0 | 90.0 | 90.0 |
| A5--beta-Sn | static | -2.7812 | -2.7812 | 3.7012 | 3.7012 | 2.1719 | 90.0 | 90.0 | 90.0 |
| A3--Mg--hcp | box | -2.6093 | -2.6093 | 2.1217 | 2.1217 | 3.6738 | 90.0 | 90.0 | 120.0 |
| A1--Cu--fcc | box | -2.5642 | -2.5642 | 3.0602 | 3.0602 | 3.0602 | 90.0 | 90.0 | 90.0 |
| Ah--alpha-Po--sc | dynamic | -2.4235 | -2.4235 | 2.5208 | 2.5208 | 2.5208 | 90.0 | 90.0 | 90.0 |
| Ah--alpha-Po--sc | box | -2.3693 | -2.3693 | 1.9578 | 1.9578 | 1.9578 | 90.0 | 90.0 | 90.0 |
| oqmd-21731 | box | -2.1914 | -2.1914 | 2.402 | 2.402 | 7.7475 | 90.0 | 90.0 | 90.0 |
| A4--C--dc | static | -1.8417 | -1.8417 | 3.8865 | 3.8865 | 3.8865 | 90.0 | 90.0 | 90.0 |
| A6--In--bct | dynamic | -1.3863 | -1.3863 | 4.0982 | 4.0982 | 6.1179 | 90.0 | 90.0 | 90.0 |
| A1--Cu--fcc | static | -1.3851 | -1.3851 | 5.9052 | 5.9052 | 5.9052 | 90.0 | 90.0 | 90.0 |
| A3--Mg--hcp | box | -1.3851 | -1.3851 | 4.1756 | 4.1756 | 6.8187 | 90.0 | 90.0 | 120.0 |
| A3'--alpha-La--double-hcp | box | -1.3851 | -1.3851 | 4.1756 | 4.1756 | 13.6374 | 90.0 | 90.0 | 120.0 |
| A2--W--bcc | dynamic | -1.3583 | -1.3583 | 4.5315 | 4.5315 | 4.5315 | 90.0 | 90.0 | 90.0 |
| A15--beta-W | dynamic | -1.3517 | -1.3517 | 7.2994 | 7.2994 | 7.2994 | 90.0 | 90.0 | 90.0 |
| A5--beta-Sn | static | -1.0277 | -1.0277 | 6.7058 | 6.7058 | 3.759 | 90.0 | 90.0 | 90.0 |
| Ah--alpha-Po--sc | static | -0.8187 | -0.8187 | 3.6381 | 3.6381 | 3.6381 | 90.0 | 90.0 | 90.0 |
| Ah--alpha-Po--sc | static | -0.7564 | -0.7564 | 3.1966 | 3.1966 | 3.1966 | 90.0 | 90.0 | 90.0 |
| Ah--alpha-Po--sc | box | -0.7564 | -0.7564 | 3.2008 | 3.2008 | 3.2008 | 90.0 | 90.0 | 90.0 |
| A4--C--dc | dynamic | -0.4579 | -0.4579 | 9.7374 | 9.7374 | 9.7374 | 90.0 | 90.0 | 90.0 |
| A6--In--bct | dynamic | 0.0 | 0.0 | 9.1106 | 9.1106 | 16.6586 | 90.0 | 90.0 | 90.0 |
| Ah--alpha-Po--sc | dynamic | 0.0 | 0.0 | 14.9434 | 14.9434 | 14.9434 | 90.0 | 90.0 | 90.0 |
| A1--Cu--fcc | dynamic | 0.0 | 0.0 | 13.9922 | 13.9922 | 13.9922 | 90.0 | 90.0 | 90.0 |
| A5--beta-Sn | dynamic | 0.0 | 0.0 | 15.4546 | 15.4546 | 8.0323 | 90.0 | 90.0 | 90.0 |
| A3'--alpha-La--double-hcp | dynamic | 0.0 | 0.0 | 6.2356 | 6.2356 | 21.8477 | 90.0 | 90.0 | 120.0 |
| A15--beta-W | box | 0.4212 | 0.4212 | 5.2105 | 5.2105 | 5.2105 | 90.0 | 90.0 | 90.0 |
| A2--W--bcc | box | 0.4411 | 0.4411 | 3.3203 | 3.3203 | 3.3203 | 90.0 | 90.0 | 90.0 |
| Ah--alpha-Po--sc | static | 5055.905 | 5055.905 | 1.0 | 1.0 | 1.0 | 90.0 | 90.0 | 90.0 |
| A5--beta-Sn | static | 5056.1612 | 5056.1612 | 2.0827 | 2.0827 | 1.1455 | 90.0 | 90.0 | 90.0 |
| A7--alpha-As | static | 5056.1802 | 5056.1802 | 1.3745 | 1.3745 | 3.817 | 90.0 | 90.0 | 120.0 |
| A2--W--bcc | static | 5056.2073 | 5056.2073 | 1.478 | 1.478 | 1.478 | 90.0 | 90.0 | 90.0 |
| A3--Mg--hcp | static | 5056.4698 | 5056.4698 | 1.32 | 1.32 | 2.1556 | 90.0 | 90.0 | 120.0 |
| A1--Cu--fcc | static | 5056.5666 | 5056.5666 | 1.7253 | 1.7253 | 1.7253 | 90.0 | 90.0 | 90.0 |
| A6--In--bct | static | 5056.572 | 5056.572 | 1.2 | 1.2 | 1.8 | 90.0 | 90.0 | 90.0 |
| A3'--alpha-La--double-hcp | static | 5056.5792 | 5056.5792 | 1.32 | 1.32 | 4.3111 | 90.0 | 90.0 | 120.0 |
| A1--Cu--fcc | static | 5056.6811 | 5056.6811 | 1.9799 | 1.9799 | 1.9799 | 90.0 | 90.0 | 90.0 |
| A6--In--bct | static | 5056.7234 | 5056.7234 | 1.34 | 1.34 | 2.01 | 90.0 | 90.0 | 90.0 |
| A4--C--dc | static | 5056.7436 | 5056.7436 | 2.217 | 2.217 | 2.217 | 90.0 | 90.0 | 90.0 |
| A15--beta-W | static | 5056.7632 | 5056.7632 | 2.48 | 2.48 | 2.48 | 90.0 | 90.0 | 90.0 |
| A4--C--dc | static | 5056.8844 | 5056.8844 | 3.0022 | 3.0022 | 3.0022 | 90.0 | 90.0 | 90.0 |
| Ah--alpha-Po--sc | static | 5057.2423 | 5057.2423 | 1.54 | 1.54 | 1.54 | 90.0 | 90.0 | 90.0 |
| A1--Cu--fcc | static | 5057.3746 | 5057.3746 | 2.2345 | 2.2345 | 2.2345 | 90.0 | 90.0 | 90.0 |
| Ah--alpha-Po--sc | static | 5057.4162 | 5057.4162 | 1.38 | 1.38 | 1.38 | 90.0 | 90.0 | 90.0 |
| A7--alpha-As | static | 5057.4737 | 5057.4737 | 2.0916 | 2.0916 | 5.8084 | 90.0 | 90.0 | 120.0 |
| A7--alpha-As | static | 5057.4818 | 5057.4818 | 1.9422 | 1.9422 | 5.3935 | 90.0 | 90.0 | 120.0 |
| A2--W--bcc | static | 5057.6579 | 5057.6579 | 1.9399 | 1.9399 | 1.9399 | 90.0 | 90.0 | 90.0 |
Static elastic constants are displayed for the unique structures identified in Crystal Structure Predictions above. The values displayed here are obtained by measuring the change in virial stresses due to applying small strains to the relaxed crystals. The initial structure and the strained states are all relaxed using force minimization.
The calculation method used is available as the iprPy elastic_constants_static calculation method.
Notes and Disclaimers:
Version Information:
| 201.871 | 173.136 | 173.136 | -0.000 | -0.000 | -0.000 |
| 173.136 | 201.871 | 173.136 | -0.000 | -0.000 | 0.000 |
| 173.136 | 173.136 | 201.871 | -0.000 | -0.000 | -0.000 |
| 0.000 | -0.000 | 0.000 | 55.272 | -0.000 | -0.000 |
| -0.000 | -0.000 | 0.000 | -0.000 | 55.272 | 0.000 |
| -0.000 | -0.000 | 0.000 | -0.000 | 0.000 | 55.272 |
| 201.872 | 173.137 | 173.137 | 0.000 | 0.000 | -0.000 |
| 173.137 | 201.872 | 173.137 | 0.000 | -0.000 | 0.000 |
| 173.137 | 173.137 | 201.872 | -0.000 | -0.000 | 0.000 |
| -0.000 | 0.000 | -0.000 | 55.272 | -0.000 | -0.000 |
| 0.000 | 0.000 | -0.000 | 0.000 | 55.272 | -0.000 |
| 0.000 | 0.000 | -0.000 | 0.000 | 0.000 | 55.272 |
| 201.866 | 173.132 | 173.132 | 0.000 | -0.000 | -0.000 |
| 173.132 | 201.866 | 173.132 | -0.000 | -0.000 | -0.000 |
| 173.132 | 173.132 | 201.866 | -0.000 | -0.000 | -0.000 |
| 0.000 | -0.000 | -0.000 | 55.272 | 0.000 | 0.000 |
| -0.000 | 0.000 | -0.000 | -0.000 | 55.272 | 0.000 |
| -0.000 | -0.000 | 0.000 | -0.000 | 0.000 | 55.272 |
| 201.876 | 173.141 | 173.141 | 0.000 | 0.000 | 0.000 |
| 173.141 | 201.876 | 173.141 | 0.000 | -0.000 | 0.000 |
| 173.141 | 173.141 | 201.876 | 0.000 | 0.000 | 0.000 |
| -0.000 | 0.000 | 0.000 | 55.272 | 0.000 | 0.000 |
| 0.000 | -0.000 | 0.000 | 0.000 | 55.272 | 0.000 |
| 0.000 | 0.000 | -0.000 | 0.000 | 0.000 | 55.272 |
| 201.822 | 173.091 | 173.091 | -0.000 | -0.000 | -0.000 |
| 173.091 | 201.822 | 173.091 | -0.000 | -0.000 | -0.000 |
| 173.091 | 173.091 | 201.822 | -0.000 | -0.000 | -0.000 |
| 0.000 | -0.000 | -0.000 | 55.272 | -0.000 | -0.000 |
| -0.000 | 0.000 | -0.000 | 0.000 | 55.272 | -0.000 |
| -0.000 | -0.000 | 0.000 | -0.000 | -0.000 | 55.272 |
| 201.921 | 173.182 | 173.182 | 0.000 | 0.000 | 0.000 |
| 173.182 | 201.921 | 173.182 | 0.000 | -0.000 | -0.000 |
| 173.182 | 173.182 | 201.921 | 0.000 | 0.000 | -0.000 |
| -0.000 | 0.000 | 0.000 | 55.272 | 0.000 | 0.000 |
| 0.000 | -0.000 | 0.000 | 0.000 | 55.272 | 0.000 |
| 0.000 | 0.000 | -0.000 | 0.000 | 0.000 | 55.272 |
| -201.481 | -32.923 | -32.923 | -0.000 | -0.000 | 0.000 |
| -32.923 | -201.481 | -32.923 | -0.000 | -0.000 | 0.000 |
| -32.923 | -32.923 | -201.481 | -0.000 | -0.000 | -0.000 |
| -0.000 | -0.000 | -0.000 | -32.809 | 0.000 | -0.000 |
| -0.000 | 0.000 | -0.000 | -0.000 | -32.809 | 0.000 |
| -0.000 | -0.000 | 0.000 | -0.000 | 0.000 | -32.809 |
| -201.481 | -32.923 | -32.923 | 0.000 | 0.000 | -0.000 |
| -32.923 | -201.481 | -32.923 | 0.000 | -0.000 | -0.000 |
| -32.923 | -32.923 | -201.481 | 0.000 | 0.000 | -0.000 |
| 0.000 | 0.000 | 0.000 | -32.809 | 0.000 | -0.000 |
| 0.000 | -0.000 | 0.000 | 0.000 | -32.809 | -0.000 |
| 0.000 | 0.000 | -0.000 | 0.000 | -0.000 | -32.809 |
| -201.481 | -32.923 | -32.923 | -0.000 | -0.000 | 0.000 |
| -32.923 | -201.481 | -32.923 | -0.000 | 0.000 | 0.000 |
| -32.923 | -32.923 | -201.481 | -0.000 | -0.000 | 0.000 |
| 0.000 | -0.000 | -0.000 | -32.809 | 0.000 | -0.000 |
| -0.000 | 0.000 | -0.000 | 0.000 | -32.809 | 0.000 |
| -0.000 | -0.000 | 0.000 | 0.000 | 0.000 | -32.809 |
| -201.481 | -32.923 | -32.923 | 0.000 | -0.000 | -0.000 |
| -32.923 | -201.481 | -32.923 | -0.000 | 0.000 | -0.000 |
| -32.923 | -32.923 | -201.481 | 0.000 | 0.000 | -0.000 |
| -0.000 | 0.000 | 0.000 | -32.809 | 0.000 | -0.000 |
| 0.000 | -0.000 | 0.000 | 0.000 | -32.809 | -0.000 |
| 0.000 | 0.000 | -0.000 | 0.000 | 0.000 | -32.809 |
| -201.480 | -32.923 | -32.923 | -0.000 | 0.000 | -0.000 |
| -32.923 | -201.480 | -32.923 | -0.000 | -0.000 | -0.000 |
| -32.923 | -32.923 | -201.480 | -0.000 | -0.000 | 0.000 |
| 0.000 | -0.000 | -0.000 | -32.809 | -0.000 | 0.000 |
| -0.000 | 0.000 | -0.000 | -0.000 | -32.809 | 0.000 |
| -0.000 | -0.000 | 0.000 | -0.000 | -0.000 | -32.809 |
| -201.481 | -32.922 | -32.922 | 0.000 | -0.000 | 0.000 |
| -32.922 | -201.481 | -32.922 | -0.000 | 0.000 | -0.000 |
| -32.922 | -32.922 | -201.481 | 0.000 | -0.000 | -0.000 |
| -0.000 | 0.000 | 0.000 | -32.809 | -0.000 | -0.000 |
| 0.000 | -0.000 | 0.000 | 0.000 | -32.809 | -0.000 |
| 0.000 | 0.000 | -0.000 | 0.000 | -0.000 | -32.809 |
| 192.061 | -3.546 | -3.546 | 0.000 | 0.000 | -0.000 |
| -3.546 | 192.061 | -3.546 | 0.000 | -0.000 | 0.000 |
| -3.546 | -3.546 | 192.061 | 0.000 | 0.000 | -0.000 |
| -0.000 | -0.000 | 0.000 | 8.245 | 0.000 | -0.000 |
| -0.000 | -0.000 | 0.000 | 0.000 | 8.245 | -0.000 |
| -0.000 | -0.000 | 0.000 | 0.000 | -0.000 | 8.245 |
| 192.061 | -3.546 | -3.546 | -0.000 | 0.000 | 0.000 |
| -3.546 | 192.061 | -3.546 | -0.000 | 0.000 | 0.000 |
| -3.546 | -3.546 | 192.061 | -0.000 | -0.000 | 0.000 |
| 0.000 | 0.000 | -0.000 | 8.245 | -0.000 | 0.000 |
| 0.000 | 0.000 | -0.000 | -0.000 | 8.245 | 0.000 |
| 0.000 | 0.000 | -0.000 | -0.000 | 0.000 | 8.245 |
| 192.062 | -3.546 | -3.546 | 0.000 | 0.000 | 0.000 |
| -3.546 | 192.062 | -3.546 | 0.000 | -0.000 | -0.000 |
| -3.546 | -3.546 | 192.062 | 0.000 | 0.000 | -0.000 |
| -0.000 | -0.000 | -0.000 | 8.245 | -0.000 | -0.000 |
| -0.000 | -0.000 | -0.000 | 0.000 | 8.245 | -0.000 |
| -0.000 | -0.000 | -0.000 | 0.000 | -0.000 | 8.245 |
| 192.060 | -3.546 | -3.546 | -0.000 | -0.000 | 0.000 |
| -3.546 | 192.060 | -3.546 | -0.000 | 0.000 | 0.000 |
| -3.546 | -3.546 | 192.060 | -0.000 | 0.000 | 0.000 |
| 0.000 | 0.000 | 0.000 | 8.245 | 0.000 | 0.000 |
| 0.000 | 0.000 | 0.000 | -0.000 | 8.245 | 0.000 |
| 0.000 | 0.000 | 0.000 | -0.000 | 0.000 | 8.245 |
| 192.066 | -3.546 | -3.546 | 0.000 | -0.000 | -0.000 |
| -3.546 | 192.066 | -3.546 | 0.000 | -0.000 | -0.000 |
| -3.546 | -3.546 | 192.066 | 0.000 | 0.000 | -0.000 |
| -0.000 | -0.000 | -0.000 | 8.245 | 0.000 | -0.000 |
| -0.000 | -0.000 | -0.000 | 0.000 | 8.245 | -0.000 |
| -0.000 | -0.000 | -0.000 | -0.000 | -0.000 | 8.245 |
| 192.056 | -3.546 | -3.546 | -0.000 | 0.000 | 0.000 |
| -3.546 | 192.056 | -3.546 | -0.000 | 0.000 | 0.000 |
| -3.546 | -3.546 | 192.056 | -0.000 | -0.000 | 0.000 |
| 0.000 | 0.000 | 0.000 | 8.245 | 0.000 | 0.000 |
| 0.000 | 0.000 | 0.000 | -0.000 | 8.245 | 0.000 |
| 0.000 | 0.000 | 0.000 | 0.000 | 0.000 | 8.245 |
| 108.845 | 53.305 | 53.305 | 0.000 | -0.000 | -0.000 |
| 53.305 | 108.845 | 53.305 | 0.000 | 0.000 | 0.000 |
| 53.305 | 53.305 | 108.845 | 0.000 | 0.000 | 0.000 |
| -0.000 | 0.000 | 0.000 | 56.527 | 0.000 | 0.000 |
| 0.000 | -0.000 | 0.000 | 0.000 | 56.527 | -0.000 |
| 0.000 | 0.000 | -0.000 | 0.000 | -0.000 | 56.527 |
| 108.845 | 53.305 | 53.305 | -0.000 | -0.000 | -0.000 |
| 53.305 | 108.845 | 53.305 | -0.000 | -0.000 | -0.000 |
| 53.305 | 53.305 | 108.845 | -0.000 | -0.000 | -0.000 |
| 0.000 | -0.000 | -0.000 | 56.527 | -0.000 | -0.000 |
| -0.000 | 0.000 | -0.000 | -0.000 | 56.527 | -0.000 |
| -0.000 | -0.000 | 0.000 | -0.000 | -0.000 | 56.527 |
| 108.845 | 53.305 | 53.305 | 0.000 | -0.000 | -0.000 |
| 53.305 | 108.845 | 53.305 | -0.000 | 0.000 | -0.000 |
| 53.305 | 53.305 | 108.845 | 0.000 | 0.000 | 0.000 |
| -0.000 | 0.000 | 0.000 | 56.527 | 0.000 | -0.000 |
| 0.000 | -0.000 | 0.000 | 0.000 | 56.527 | -0.000 |
| 0.000 | 0.000 | -0.000 | 0.000 | -0.000 | 56.527 |
| 108.845 | 53.305 | 53.305 | -0.000 | -0.000 | 0.000 |
| 53.305 | 108.845 | 53.305 | -0.000 | -0.000 | -0.000 |
| 53.305 | 53.305 | 108.845 | -0.000 | -0.000 | -0.000 |
| 0.000 | -0.000 | -0.000 | 56.527 | -0.000 | -0.000 |
| -0.000 | 0.000 | -0.000 | -0.000 | 56.527 | 0.000 |
| -0.000 | -0.000 | 0.000 | -0.000 | 0.000 | 56.527 |
| 108.846 | 53.305 | 53.305 | 0.000 | 0.000 | 0.000 |
| 53.305 | 108.846 | 53.305 | 0.000 | 0.000 | -0.000 |
| 53.305 | 53.305 | 108.846 | 0.000 | 0.000 | 0.000 |
| -0.000 | 0.000 | 0.000 | 56.527 | 0.000 | 0.000 |
| 0.000 | -0.000 | 0.000 | 0.000 | 56.527 | -0.000 |
| 0.000 | 0.000 | -0.000 | 0.000 | 0.000 | 56.527 |
| 108.845 | 53.304 | 53.304 | -0.000 | 0.000 | 0.000 |
| 53.304 | 108.845 | 53.304 | 0.000 | -0.000 | -0.000 |
| 53.304 | 53.304 | 108.845 | -0.000 | -0.000 | -0.000 |
| 0.000 | -0.000 | -0.000 | 56.527 | -0.000 | -0.000 |
| -0.000 | 0.000 | -0.000 | -0.000 | 56.527 | 0.000 |
| -0.000 | -0.000 | 0.000 | -0.000 | 0.000 | 56.527 |
| 56.473 | 27.861 | 27.861 | 0.000 | 0.000 | 0.000 |
| 27.861 | 56.473 | 27.861 | 0.000 | 0.000 | 0.000 |
| 27.861 | 27.861 | 56.473 | 0.000 | 0.000 | 0.000 |
| 0.000 | -0.000 | -0.000 | 30.140 | 0.000 | 0.000 |
| -0.000 | 0.000 | -0.000 | 0.000 | 30.140 | 0.000 |
| -0.000 | -0.000 | 0.000 | 0.000 | 0.000 | 30.140 |
| 56.473 | 27.861 | 27.861 | -0.000 | -0.000 | -0.000 |
| 27.861 | 56.473 | 27.861 | -0.000 | -0.000 | -0.000 |
| 27.861 | 27.861 | 56.473 | -0.000 | -0.000 | -0.000 |
| -0.000 | 0.000 | 0.000 | 30.140 | -0.000 | -0.000 |
| 0.000 | -0.000 | 0.000 | -0.000 | 30.140 | -0.000 |
| 0.000 | 0.000 | -0.000 | -0.000 | -0.000 | 30.140 |
| 56.473 | 27.861 | 27.861 | 0.000 | 0.000 | 0.000 |
| 27.861 | 56.473 | 27.861 | 0.000 | 0.000 | 0.000 |
| 27.861 | 27.861 | 56.473 | 0.000 | 0.000 | 0.000 |
| -0.000 | -0.000 | -0.000 | 30.140 | 0.000 | 0.000 |
| -0.000 | -0.000 | -0.000 | 0.000 | 30.140 | 0.000 |
| -0.000 | -0.000 | -0.000 | 0.000 | 0.000 | 30.140 |
| 56.473 | 27.861 | 27.861 | -0.000 | -0.000 | -0.000 |
| 27.861 | 56.473 | 27.861 | -0.000 | -0.000 | -0.000 |
| 27.861 | 27.861 | 56.473 | -0.000 | -0.000 | -0.000 |
| 0.000 | 0.000 | 0.000 | 30.140 | -0.000 | -0.000 |
| 0.000 | 0.000 | 0.000 | -0.000 | 30.140 | -0.000 |
| 0.000 | 0.000 | 0.000 | -0.000 | -0.000 | 30.140 |
| 56.472 | 27.861 | 27.861 | 0.000 | -0.000 | -0.000 |
| 27.861 | 56.472 | 27.861 | 0.000 | 0.000 | 0.000 |
| 27.861 | 27.861 | 56.472 | 0.000 | 0.000 | 0.000 |
| -0.000 | -0.000 | -0.000 | 30.140 | 0.000 | 0.000 |
| -0.000 | -0.000 | -0.000 | 0.000 | 30.140 | 0.000 |
| -0.000 | -0.000 | -0.000 | 0.000 | 0.000 | 30.140 |
| 56.473 | 27.861 | 27.861 | -0.000 | -0.000 | -0.000 |
| 27.861 | 56.473 | 27.861 | -0.000 | -0.000 | -0.000 |
| 27.861 | 27.861 | 56.473 | -0.000 | -0.000 | -0.000 |
| 0.000 | 0.000 | 0.000 | 30.140 | -0.000 | -0.000 |
| 0.000 | 0.000 | 0.000 | -0.000 | 30.140 | -0.000 |
| 0.000 | 0.000 | 0.000 | -0.000 | -0.000 | 30.140 |
| 1297980.999 | 913043.999 | 913043.001 | 0.404 | 0.674 | 0.094 |
| 913043.001 | 1297980.999 | 913041.999 | 0.527 | 0.392 | 0.037 |
| 913043.001 | 913043.999 | 1297980.001 | 0.097 | -0.125 | -0.026 |
| 1.002 | 0.998 | 0.000 | -1330220.813 | 0.263 | -0.015 |
| 0.000 | 0.998 | 0.000 | 0.371 | -1330220.464 | 0.027 |
| 1.002 | 0.998 | 1.002 | 0.117 | 0.399 | -1330220.868 |
| 1297977.998 | 913041.999 | 913042.997 | -0.513 | -1.097 | 0.034 |
| 913043.999 | 1297976.999 | 913043.999 | 0.279 | -0.001 | 0.113 |
| 913043.999 | 913041.999 | 1297977.998 | -0.258 | -0.466 | 0.086 |
| -0.000 | -0.998 | -0.000 | -1330221.338 | 0.068 | 0.061 |
| -0.000 | -0.998 | -0.000 | 0.017 | -1330220.865 | 0.001 |
| -0.000 | -0.998 | -0.000 | -0.520 | -0.642 | -1330220.846 |
| 1297990.100 | 913037.100 | 913037.000 | 0.027 | 0.075 | 0.000 |
| 913037.000 | 1297990.200 | 913037.000 | 0.049 | 0.035 | 0.006 |
| 913037.000 | 913037.200 | 1297990.100 | 0.059 | 0.096 | 0.003 |
| 43.100 | -16.000 | -21.300 | -1330194.352 | -0.007 | 0.002 |
| -16.300 | 43.600 | -21.600 | 0.024 | -1330193.368 | 0.003 |
| -16.300 | -21.100 | 43.200 | 0.048 | 0.050 | -1330194.286 |
| 1345895.600 | 889085.500 | 889085.600 | -0.031 | -0.085 | -0.001 |
| 889085.600 | 1345895.500 | 889085.600 | -0.015 | 0.004 | 0.004 |
| 889085.600 | 889085.500 | 1345895.600 | -0.096 | -0.041 | 0.009 |
| -43.200 | 16.000 | 21.400 | -1330193.910 | 0.015 | -0.003 |
| 16.300 | -43.700 | 21.700 | -0.003 | -1330193.251 | -0.003 |
| 16.300 | 21.200 | -43.300 | -0.028 | -0.000 | -1330193.818 |
| 1298086.650 | 912982.580 | 912982.570 | 0.001 | -0.002 | -0.000 |
| 912982.570 | 1298086.660 | 912982.570 | -0.005 | 0.008 | 0.001 |
| 912982.570 | 912982.580 | 1298086.650 | 0.002 | -0.006 | -0.000 |
| -2.050 | -3.780 | -3.250 | 382392.525 | -0.004 | 0.001 |
| -3.790 | -2.040 | -3.250 | 0.002 | 382392.519 | 0.000 |
| -3.790 | -3.250 | -2.050 | 0.004 | 0.001 | 382392.520 |
| 1297898.470 | 913090.360 | 913090.370 | -0.006 | -0.004 | -0.000 |
| 913090.370 | 1297898.460 | 913090.370 | -0.006 | 0.000 | -0.000 |
| 913090.370 | 913090.360 | 1297898.470 | -0.005 | 0.005 | -0.000 |
| 2.050 | 3.780 | 3.250 | 382392.514 | -0.006 | -0.001 |
| 3.790 | 2.040 | 3.250 | -0.003 | 382392.522 | 0.000 |
| 3.790 | 3.250 | 2.050 | -0.006 | -0.003 | 382392.520 |
| 900.787 | 356.231 | 356.231 | -0.000 | 0.000 | -0.000 |
| 356.231 | 900.787 | 356.231 | -0.000 | 0.000 | -0.000 |
| 356.231 | 356.231 | 900.787 | 0.000 | 0.000 | 0.000 |
| 0.000 | 0.000 | -0.000 | 112.753 | 0.000 | -0.000 |
| 0.000 | 0.000 | -0.000 | 0.000 | 112.753 | 0.000 |
| 0.000 | 0.000 | 0.000 | 0.000 | 0.000 | 112.753 |
| 900.789 | 356.233 | 356.233 | 0.000 | 0.000 | 0.000 |
| 356.233 | 900.789 | 356.233 | -0.000 | -0.000 | 0.000 |
| 356.233 | 356.233 | 900.789 | -0.000 | -0.000 | -0.000 |
| -0.000 | -0.000 | 0.000 | 112.753 | -0.000 | 0.000 |
| -0.000 | -0.000 | 0.000 | -0.000 | 112.753 | -0.000 |
| -0.000 | -0.000 | -0.000 | -0.000 | -0.000 | 112.753 |
| 901.438 | 355.888 | 355.888 | 0.000 | 0.000 | -0.000 |
| 355.888 | 901.438 | 355.888 | 0.000 | 0.000 | 0.000 |
| 355.888 | 355.888 | 901.438 | 0.000 | 0.000 | 0.000 |
| -0.000 | 0.000 | 0.000 | 134.148 | 0.000 | 0.000 |
| 0.000 | -0.000 | 0.000 | 0.000 | 134.148 | 0.000 |
| 0.000 | 0.000 | -0.000 | 0.000 | 0.000 | 134.148 |
| 901.464 | 355.913 | 355.913 | -0.000 | -0.000 | 0.000 |
| 355.913 | 901.464 | 355.913 | 0.000 | 0.000 | 0.000 |
| 355.913 | 355.913 | 901.464 | -0.000 | -0.000 | -0.000 |
| 0.000 | -0.000 | -0.000 | 134.148 | -0.000 | 0.000 |
| -0.000 | 0.000 | -0.000 | 0.000 | 134.148 | 0.000 |
| -0.000 | -0.000 | 0.000 | -0.000 | -0.000 | 134.148 |
| 900.661 | 356.109 | 356.109 | 0.000 | 0.000 | 0.000 |
| 356.109 | 900.661 | 356.109 | -0.000 | 0.000 | 0.000 |
| 356.109 | 356.109 | 900.661 | 0.000 | -0.000 | -0.000 |
| -0.000 | 0.001 | 0.001 | 112.752 | 0.000 | -0.000 |
| 0.001 | -0.000 | 0.001 | 0.000 | 112.752 | 0.000 |
| 0.001 | 0.001 | -0.000 | 0.000 | 0.000 | 112.752 |
| 901.570 | 356.022 | 356.022 | -0.000 | -0.000 | -0.000 |
| 356.022 | 901.570 | 356.022 | -0.000 | -0.000 | 0.000 |
| 356.022 | 356.022 | 901.570 | 0.000 | -0.000 | -0.000 |
| 0.000 | -0.001 | -0.001 | 112.752 | -0.000 | -0.000 |
| -0.001 | 0.000 | -0.001 | -0.000 | 112.752 | 0.000 |
| -0.001 | -0.001 | 0.000 | -0.000 | -0.000 | 112.752 |
| 8.428 | -1.067 | -1.067 | -0.000 | -0.000 | 0.000 |
| -1.067 | 8.428 | -1.067 | -0.000 | -0.000 | 0.000 |
| -1.067 | -1.067 | 8.428 | -0.000 | -0.000 | 0.000 |
| 0.000 | 0.000 | 0.000 | -0.203 | -0.000 | -0.000 |
| 0.000 | -0.000 | 0.000 | -0.000 | -0.203 | 0.000 |
| 0.000 | 0.000 | -0.000 | -0.000 | -0.000 | -0.203 |
| 7.304 | -0.505 | -0.505 | 0.000 | 0.000 | -0.000 |
| -0.505 | 7.304 | -0.505 | 0.000 | 0.000 | -0.000 |
| -0.505 | -0.505 | 7.304 | 0.000 | 0.000 | -0.000 |
| -0.000 | -0.000 | -0.000 | -0.203 | 0.000 | -0.000 |
| -0.000 | -0.000 | -0.000 | 0.000 | -0.203 | -0.000 |
| -0.000 | -0.000 | 0.000 | 0.000 | 0.000 | -0.203 |
| 7.304 | -0.505 | -0.505 | -0.000 | -0.000 | 0.000 |
| -0.505 | 7.304 | -0.505 | -0.000 | -0.000 | 0.000 |
| -0.505 | -0.505 | 7.304 | -0.000 | -0.000 | 0.000 |
| 0.000 | -0.000 | -0.000 | 0.830 | -0.000 | 0.000 |
| -0.000 | 0.000 | -0.000 | -0.000 | 0.830 | 0.000 |
| -0.000 | -0.000 | 0.000 | -0.000 | -0.000 | 0.830 |
| 7.304 | -0.505 | -0.505 | 0.000 | 0.000 | -0.000 |
| -0.505 | 7.304 | -0.505 | 0.000 | 0.000 | -0.000 |
| -0.505 | -0.505 | 7.304 | 0.000 | 0.000 | -0.000 |
| -0.000 | 0.000 | 0.000 | 0.830 | 0.000 | 0.000 |
| 0.000 | -0.000 | 0.000 | 0.000 | 0.830 | -0.000 |
| 0.000 | 0.000 | -0.000 | 0.000 | 0.000 | 0.830 |
| 7.304 | -0.505 | -0.505 | -0.000 | -0.000 | 0.000 |
| -0.505 | 7.304 | -0.505 | -0.000 | -0.000 | 0.000 |
| -0.505 | -0.505 | 7.304 | -0.000 | -0.000 | 0.000 |
| 0.000 | 0.000 | 0.000 | -0.203 | -0.000 | -0.000 |
| 0.000 | 0.000 | 0.000 | -0.000 | -0.203 | 0.000 |
| 0.000 | 0.000 | 0.000 | -0.000 | -0.000 | -0.203 |
| 7.304 | -0.505 | -0.505 | 0.000 | 0.000 | -0.000 |
| -0.505 | 7.304 | -0.505 | 0.000 | 0.000 | -0.000 |
| -0.505 | -0.505 | 7.304 | 0.000 | 0.000 | -0.000 |
| -0.000 | -0.000 | -0.000 | -0.203 | 0.000 | -0.000 |
| -0.000 | -0.000 | -0.000 | 0.000 | -0.203 | -0.000 |
| -0.000 | -0.000 | -0.000 | 0.000 | 0.000 | -0.203 |
| 25.943 | 5.913 | 5.913 | -0.000 | -0.000 | -0.000 |
| 5.913 | 25.943 | 5.913 | -0.000 | -0.000 | 0.000 |
| 5.913 | 5.913 | 25.943 | 0.000 | -0.000 | -0.000 |
| 0.000 | 0.000 | 0.000 | 0.629 | -0.000 | -0.000 |
| 0.000 | -0.000 | 0.000 | -0.000 | 0.629 | -0.000 |
| 0.000 | -0.000 | -0.000 | -0.000 | -0.000 | 0.629 |
| 25.943 | 5.914 | 5.914 | 0.000 | 0.000 | -0.000 |
| 5.914 | 25.943 | 5.914 | 0.000 | -0.000 | 0.000 |
| 5.914 | 5.914 | 25.943 | 0.000 | 0.000 | -0.000 |
| -0.000 | -0.000 | 0.000 | 0.629 | 0.000 | -0.000 |
| -0.000 | 0.000 | -0.000 | 0.000 | 0.629 | -0.000 |
| -0.000 | 0.000 | 0.000 | 0.000 | 0.000 | 0.629 |
| 25.943 | 5.913 | 5.913 | -0.000 | 0.000 | -0.000 |
| 5.913 | 25.943 | 5.913 | -0.000 | -0.000 | 0.000 |
| 5.913 | 5.913 | 25.943 | 0.000 | 0.000 | 0.000 |
| -0.000 | 0.000 | 0.000 | 0.629 | -0.000 | -0.000 |
| 0.000 | -0.000 | 0.000 | -0.000 | 0.629 | -0.000 |
| 0.000 | 0.000 | -0.000 | 0.000 | -0.000 | 0.629 |
| 25.943 | 5.914 | 5.914 | 0.000 | -0.000 | -0.000 |
| 5.914 | 25.943 | 5.914 | 0.000 | -0.000 | 0.000 |
| 5.914 | 5.914 | 25.943 | 0.000 | 0.000 | -0.000 |
| 0.000 | -0.000 | -0.000 | 0.629 | -0.000 | -0.000 |
| -0.000 | 0.000 | -0.000 | -0.000 | 0.629 | 0.000 |
| -0.000 | -0.000 | 0.000 | -0.000 | 0.000 | 0.629 |
| 25.943 | 5.913 | 5.913 | -0.000 | -0.000 | -0.000 |
| 5.913 | 25.943 | 5.913 | -0.000 | 0.000 | 0.000 |
| 5.913 | 5.913 | 25.943 | -0.000 | -0.000 | -0.000 |
| -0.000 | 0.000 | 0.000 | 0.629 | 0.000 | -0.000 |
| 0.000 | -0.000 | 0.000 | -0.000 | 0.629 | -0.000 |
| 0.000 | 0.000 | -0.000 | 0.000 | -0.000 | 0.629 |
| 25.943 | 5.914 | 5.914 | 0.000 | 0.000 | 0.000 |
| 5.914 | 25.943 | 5.914 | 0.000 | -0.000 | 0.000 |
| 5.914 | 5.914 | 25.943 | 0.000 | 0.000 | -0.000 |
| 0.000 | -0.000 | -0.000 | 0.629 | -0.000 | -0.000 |
| -0.000 | 0.000 | -0.000 | -0.000 | 0.629 | 0.000 |
| -0.000 | -0.000 | 0.000 | 0.000 | 0.000 | 0.629 |
| 11.711 | -0.000 | -0.000 | 0.000 | 0.000 | 0.000 |
| -0.000 | 11.711 | -0.000 | 0.000 | -0.000 | 0.000 |
| -0.000 | -0.000 | 11.711 | 0.000 | 0.000 | 0.000 |
| -0.000 | -0.000 | -0.000 | -0.000 | 0.000 | 0.000 |
| -0.000 | -0.000 | -0.000 | 0.000 | -0.000 | 0.000 |
| -0.000 | -0.000 | -0.000 | 0.000 | -0.000 | -0.000 |
| 11.711 | 0.000 | 0.000 | -0.000 | -0.000 | 0.000 |
| 0.000 | 11.711 | 0.000 | 0.000 | 0.000 | -0.000 |
| 0.000 | 0.000 | 11.711 | -0.000 | -0.000 | -0.000 |
| 0.000 | 0.000 | 0.000 | -0.000 | -0.000 | 0.000 |
| 0.000 | 0.000 | 0.000 | -0.000 | -0.000 | -0.000 |
| 0.000 | 0.000 | 0.000 | -0.000 | -0.000 | -0.000 |
| 11.711 | -0.000 | -0.000 | 0.000 | 0.000 | -0.000 |
| -0.000 | 11.711 | -0.000 | 0.000 | -0.000 | 0.000 |
| -0.000 | -0.000 | 11.711 | 0.000 | -0.000 | 0.000 |
| -0.000 | -0.000 | -0.000 | 0.000 | -0.000 | -0.000 |
| -0.000 | -0.000 | -0.000 | 0.000 | 0.000 | -0.000 |
| -0.000 | -0.000 | -0.000 | 0.000 | 0.000 | 0.000 |
| 11.711 | 0.000 | 0.000 | -0.000 | -0.000 | 0.000 |
| 0.000 | 11.711 | 0.000 | -0.000 | 0.000 | 0.000 |
| 0.000 | 0.000 | 11.711 | 0.000 | -0.000 | -0.000 |
| 0.000 | 0.000 | 0.000 | 0.000 | 0.000 | -0.000 |
| 0.000 | 0.000 | 0.000 | -0.000 | 0.000 | -0.000 |
| 0.000 | 0.000 | 0.000 | -0.000 | -0.000 | 0.000 |
| 11.710 | -0.000 | -0.000 | 0.000 | -0.000 | 0.000 |
| -0.000 | 11.710 | -0.000 | 0.000 | -0.000 | -0.000 |
| -0.000 | -0.000 | 11.710 | -0.000 | -0.000 | 0.000 |
| -0.000 | -0.000 | -0.000 | 0.000 | 0.000 | -0.000 |
| -0.000 | -0.000 | -0.000 | -0.000 | 0.000 | -0.000 |
| -0.000 | -0.000 | -0.000 | 0.000 | 0.000 | 0.000 |
| 11.711 | 0.000 | 0.000 | -0.000 | 0.000 | 0.000 |
| 0.000 | 11.711 | 0.000 | 0.000 | 0.000 | 0.000 |
| 0.000 | 0.000 | 11.711 | 0.000 | -0.000 | -0.000 |
| 0.000 | 0.000 | 0.000 | 0.000 | -0.000 | 0.000 |
| 0.000 | 0.000 | 0.000 | 0.000 | 0.000 | 0.000 |
| 0.000 | 0.000 | 0.000 | -0.000 | -0.000 | 0.000 |
| 1760746.001 | 860177.001 | 860178.001 | -0.001 | 0.015 | 0.006 |
| 860177.001 | 1760746.001 | 860178.001 | -0.103 | -0.098 | -0.000 |
| 860177.001 | 860177.001 | 1760746.001 | 0.011 | -0.149 | 0.017 |
| -0.998 | -0.998 | -0.998 | 613805.312 | -0.206 | 0.035 |
| -0.998 | -0.998 | -0.998 | 0.007 | 613805.246 | 0.010 |
| -0.998 | -0.998 | -0.998 | 0.065 | -0.002 | 613805.333 |
| 1760747.999 | 860178.999 | 860178.999 | 0.049 | -0.044 | 0.004 |
| 860178.999 | 1760747.999 | 860178.999 | -0.103 | 0.065 | -0.014 |
| 860178.999 | 860178.999 | 1760747.999 | 0.039 | 0.105 | -0.011 |
| 0.998 | 0.998 | 0.998 | 613805.260 | 0.090 | -0.008 |
| 0.998 | 0.998 | 0.998 | 0.014 | 613805.362 | 0.013 |
| 0.998 | 0.998 | 0.998 | -0.068 | -0.013 | 613805.307 |
| 1760740.600 | 860173.800 | 860173.800 | 0.002 | -0.001 | 0.001 |
| 860173.800 | 1760740.600 | 860173.800 | -0.000 | 0.000 | 0.001 |
| 860173.800 | 860173.800 | 1760740.600 | 0.007 | 0.009 | 0.004 |
| -4.400 | -4.700 | -4.600 | 613805.325 | -0.016 | 0.003 |
| -4.700 | -4.400 | -4.600 | -0.002 | 613805.318 | 0.002 |
| -4.700 | -4.600 | -4.400 | 0.006 | 0.000 | 613805.326 |
| 1760753.000 | 860182.700 | 860182.700 | 0.001 | 0.015 | -0.003 |
| 860182.700 | 1760753.000 | 860182.700 | 0.001 | -0.003 | 0.001 |
| 860182.700 | 860182.700 | 1760753.000 | 0.006 | 0.018 | -0.001 |
| 4.400 | 4.700 | 4.600 | 613805.319 | -0.001 | -0.001 |
| 4.700 | 4.400 | 4.600 | 0.008 | 613805.333 | -0.001 |
| 4.700 | 4.600 | 4.400 | -0.002 | 0.013 | 613805.323 |
| 1760685.190 | 860134.080 | 860134.080 | 0.000 | 0.000 | 0.000 |
| 860134.080 | 1760685.190 | 860134.080 | 0.000 | -0.000 | 0.000 |
| 860134.080 | 860134.080 | 1760685.190 | 0.001 | -0.001 | -0.000 |
| -43.840 | -46.420 | -45.650 | 613805.324 | -0.001 | 0.000 |
| -46.420 | -43.840 | -45.650 | 0.001 | 613805.323 | 0.000 |
| -46.420 | -45.650 | -43.840 | -0.000 | -0.001 | 613805.324 |
| 1760808.400 | 860222.490 | 860222.490 | 0.001 | 0.000 | -0.000 |
| 860222.490 | 1760808.400 | 860222.490 | -0.001 | 0.001 | -0.000 |
| 860222.490 | 860222.490 | 1760808.400 | -0.001 | -0.000 | -0.000 |
| 43.840 | 46.420 | 45.650 | 613805.323 | 0.003 | 0.000 |
| 46.420 | 43.840 | 45.650 | 0.000 | 613805.325 | -0.000 |
| 46.420 | 45.650 | 43.840 | 0.000 | -0.001 | 613805.324 |
| 250.393 | 108.035 | 108.035 | -0.000 | 0.000 | -0.000 |
| 108.035 | 250.393 | 108.035 | 0.000 | 0.000 | -0.000 |
| 108.035 | 108.035 | 250.393 | -0.000 | 0.000 | 0.000 |
| 0.000 | 0.000 | 0.000 | 110.068 | 0.000 | 0.000 |
| 0.000 | 0.000 | 0.000 | -0.000 | 110.068 | 0.000 |
| 0.000 | 0.000 | 0.000 | 0.000 | 0.000 | 110.068 |
| 250.393 | 108.035 | 108.035 | -0.000 | -0.000 | -0.000 |
| 108.035 | 250.393 | 108.035 | -0.000 | -0.000 | 0.000 |
| 108.035 | 108.035 | 250.393 | 0.000 | 0.000 | 0.000 |
| -0.000 | -0.000 | -0.000 | 110.068 | -0.000 | 0.000 |
| -0.000 | -0.000 | -0.000 | 0.000 | 110.068 | -0.000 |
| -0.000 | -0.000 | -0.000 | 0.000 | -0.000 | 110.068 |
| 250.394 | 108.035 | 108.035 | 0.000 | 0.000 | -0.000 |
| 108.035 | 250.394 | 108.035 | 0.000 | 0.000 | 0.000 |
| 108.035 | 108.035 | 250.394 | 0.000 | -0.000 | 0.000 |
| 0.000 | 0.000 | 0.000 | 110.068 | 0.000 | 0.000 |
| 0.000 | 0.000 | 0.000 | 0.000 | 110.068 | -0.000 |
| 0.000 | 0.000 | 0.000 | -0.000 | 0.000 | 110.068 |
| 250.393 | 108.035 | 108.035 | -0.000 | -0.000 | -0.000 |
| 108.035 | 250.393 | 108.035 | -0.000 | -0.000 | -0.000 |
| 108.035 | 108.035 | 250.393 | 0.000 | -0.000 | 0.000 |
| -0.000 | -0.000 | -0.000 | 110.068 | -0.000 | 0.000 |
| -0.000 | -0.000 | -0.000 | 0.000 | 110.068 | 0.000 |
| -0.000 | -0.000 | -0.000 | -0.000 | -0.000 | 110.068 |
| 250.396 | 108.038 | 108.038 | -0.000 | 0.000 | -0.000 |
| 108.038 | 250.396 | 108.038 | -0.000 | 0.000 | -0.000 |
| 108.038 | 108.038 | 250.396 | -0.000 | 0.000 | -0.000 |
| 0.000 | 0.000 | 0.001 | 110.068 | -0.000 | -0.000 |
| 0.000 | 0.000 | 0.001 | -0.000 | 110.068 | -0.000 |
| 0.000 | 0.001 | 0.000 | 0.000 | 0.000 | 110.068 |
| 250.391 | 108.033 | 108.033 | -0.000 | -0.000 | 0.000 |
| 108.033 | 250.391 | 108.033 | 0.000 | -0.000 | 0.000 |
| 108.033 | 108.033 | 250.391 | 0.000 | -0.000 | 0.000 |
| -0.000 | -0.000 | -0.001 | 110.068 | -0.000 | 0.000 |
| -0.000 | -0.000 | -0.001 | -0.000 | 110.068 | 0.000 |
| -0.000 | -0.001 | -0.000 | 0.000 | -0.000 | 110.068 |
| 144.575 | 14.804 | 14.804 | -0.000 | -0.000 | 0.000 |
| 14.804 | 144.575 | 14.804 | -0.000 | 0.000 | 0.000 |
| 14.804 | 14.804 | 144.575 | -0.000 | -0.000 | 0.000 |
| 0.000 | 0.000 | 0.000 | 16.935 | 0.000 | 0.000 |
| 0.000 | 0.000 | 0.000 | 0.000 | 16.935 | -0.000 |
| 0.000 | 0.000 | 0.000 | -0.000 | -0.000 | 16.935 |
| 144.575 | 14.804 | 14.804 | -0.000 | 0.000 | 0.000 |
| 14.804 | 144.575 | 14.804 | -0.000 | 0.000 | -0.000 |
| 14.804 | 14.804 | 144.575 | -0.000 | -0.000 | -0.000 |
| -0.000 | -0.000 | -0.000 | 16.935 | 0.000 | -0.000 |
| -0.000 | -0.000 | -0.000 | -0.000 | 16.935 | -0.000 |
| -0.000 | -0.000 | -0.000 | -0.000 | 0.000 | 16.935 |
| 144.575 | 14.804 | 14.804 | -0.000 | -0.000 | -0.000 |
| 14.804 | 144.575 | 14.804 | -0.000 | -0.000 | 0.000 |
| 14.804 | 14.804 | 144.575 | 0.000 | 0.000 | 0.000 |
| 0.000 | 0.000 | 0.000 | 16.935 | 0.000 | 0.000 |
| 0.000 | 0.000 | 0.000 | -0.000 | 16.935 | 0.000 |
| 0.000 | 0.000 | 0.000 | 0.000 | -0.000 | 16.935 |
| 144.575 | 14.804 | 14.804 | -0.000 | -0.000 | -0.000 |
| 14.804 | 144.575 | 14.804 | -0.000 | 0.000 | -0.000 |
| 14.804 | 14.804 | 144.575 | 0.000 | 0.000 | -0.000 |
| -0.000 | -0.000 | -0.000 | 16.935 | 0.000 | -0.000 |
| -0.000 | -0.000 | -0.000 | 0.000 | 16.935 | -0.000 |
| -0.000 | -0.000 | -0.000 | 0.000 | 0.000 | 16.935 |
| 144.577 | 14.804 | 14.804 | -0.000 | -0.000 | 0.000 |
| 14.804 | 144.577 | 14.804 | 0.000 | -0.000 | 0.000 |
| 14.804 | 14.804 | 144.577 | 0.000 | 0.000 | -0.000 |
| 0.000 | 0.000 | 0.000 | 16.935 | -0.000 | 0.000 |
| 0.000 | 0.000 | 0.000 | -0.000 | 16.935 | 0.000 |
| 0.000 | 0.000 | 0.000 | 0.000 | 0.000 | 16.935 |
| 144.573 | 14.804 | 14.804 | -0.000 | 0.000 | -0.000 |
| 14.804 | 144.573 | 14.804 | 0.000 | 0.000 | -0.000 |
| 14.804 | 14.804 | 144.573 | 0.000 | 0.000 | -0.000 |
| -0.000 | -0.000 | -0.000 | 16.935 | 0.000 | -0.000 |
| -0.000 | -0.000 | -0.000 | -0.000 | 16.935 | -0.000 |
| -0.000 | -0.000 | -0.000 | 0.000 | 0.000 | 16.935 |
| 96.501 | 38.608 | 38.608 | -0.000 | 0.000 | 0.000 |
| 38.608 | 96.501 | 38.608 | -0.000 | 0.000 | 0.000 |
| 38.608 | 38.608 | 96.501 | 0.000 | 0.000 | 0.000 |
| 0.000 | 0.000 | 0.000 | 42.840 | 0.000 | 0.000 |
| 0.000 | 0.000 | 0.000 | -0.000 | 42.840 | 0.000 |
| 0.000 | 0.000 | 0.000 | -0.000 | 0.000 | 42.840 |
| 96.501 | 38.608 | 38.608 | 0.000 | -0.000 | -0.000 |
| 38.608 | 96.501 | 38.608 | -0.000 | -0.000 | -0.000 |
| 38.608 | 38.608 | 96.501 | 0.000 | -0.000 | -0.000 |
| -0.000 | -0.000 | -0.000 | 42.840 | -0.000 | -0.000 |
| -0.000 | -0.000 | -0.000 | -0.000 | 42.840 | -0.000 |
| -0.000 | -0.000 | -0.000 | -0.000 | -0.000 | 42.840 |
| 96.501 | 38.608 | 38.608 | -0.000 | 0.000 | 0.000 |
| 38.608 | 96.501 | 38.608 | -0.000 | 0.000 | 0.000 |
| 38.608 | 38.608 | 96.501 | -0.000 | 0.000 | 0.000 |
| 0.000 | 0.000 | 0.000 | 42.840 | 0.000 | 0.000 |
| 0.000 | 0.000 | 0.000 | -0.000 | 42.840 | 0.000 |
| 0.000 | 0.000 | 0.000 | 0.000 | 0.000 | 42.840 |
| 96.502 | 38.608 | 38.608 | 0.000 | -0.000 | -0.000 |
| 38.608 | 96.502 | 38.608 | -0.000 | -0.000 | -0.000 |
| 38.608 | 38.608 | 96.502 | 0.000 | -0.000 | -0.000 |
| -0.000 | -0.000 | -0.000 | 42.840 | 0.000 | -0.000 |
| -0.000 | -0.000 | -0.000 | 0.000 | 42.840 | -0.000 |
| -0.000 | -0.000 | -0.000 | 0.000 | -0.000 | 42.840 |
| 96.499 | 38.608 | 38.608 | -0.000 | 0.000 | 0.000 |
| 38.608 | 96.499 | 38.608 | 0.000 | 0.000 | 0.000 |
| 38.608 | 38.608 | 96.499 | -0.000 | 0.000 | 0.000 |
| 0.000 | 0.000 | 0.000 | 42.840 | 0.000 | 0.000 |
| 0.000 | 0.000 | 0.000 | -0.000 | 42.840 | 0.000 |
| 0.000 | 0.000 | 0.000 | -0.000 | 0.000 | 42.840 |
| 96.503 | 38.608 | 38.608 | 0.000 | -0.000 | -0.000 |
| 38.608 | 96.503 | 38.608 | -0.000 | -0.000 | -0.000 |
| 38.608 | 38.608 | 96.503 | 0.000 | 0.000 | -0.000 |
| -0.000 | -0.000 | -0.000 | 42.840 | -0.000 | -0.000 |
| -0.000 | -0.000 | -0.000 | 0.000 | 42.840 | -0.000 |
| -0.000 | -0.000 | -0.000 | -0.000 | -0.000 | 42.840 |
| 22.982 | 22.861 | 22.861 | 0.000 | 0.000 | 0.000 |
| 22.861 | 22.982 | 22.861 | 0.000 | 0.000 | 0.000 |
| 22.861 | 22.861 | 22.982 | 0.000 | 0.000 | 0.000 |
| -0.000 | -0.000 | -0.000 | 24.629 | 0.000 | 0.000 |
| -0.000 | -0.000 | -0.000 | 0.000 | 24.629 | 0.000 |
| -0.000 | -0.000 | -0.000 | 0.000 | 0.000 | 24.629 |
| 22.982 | 22.861 | 22.861 | -0.000 | -0.000 | 0.000 |
| 22.861 | 22.982 | 22.861 | -0.000 | -0.000 | 0.000 |
| 22.861 | 22.861 | 22.982 | -0.000 | -0.000 | -0.000 |
| 0.000 | 0.000 | 0.000 | 24.629 | -0.000 | -0.000 |
| 0.000 | 0.000 | 0.000 | -0.000 | 24.629 | -0.000 |
| 0.000 | 0.000 | 0.000 | -0.000 | -0.000 | 24.629 |
| 22.982 | 22.861 | 22.861 | 0.000 | 0.000 | 0.000 |
| 22.861 | 22.982 | 22.861 | 0.000 | 0.000 | 0.000 |
| 22.861 | 22.861 | 22.982 | 0.000 | 0.000 | 0.000 |
| -0.000 | -0.000 | -0.000 | 24.629 | 0.000 | 0.000 |
| -0.000 | -0.000 | -0.000 | 0.000 | 24.629 | 0.000 |
| -0.000 | -0.000 | -0.000 | 0.000 | 0.000 | 24.629 |
| 22.982 | 22.861 | 22.861 | -0.000 | -0.000 | 0.000 |
| 22.861 | 22.982 | 22.861 | -0.000 | -0.000 | 0.000 |
| 22.861 | 22.861 | 22.982 | -0.000 | -0.000 | -0.000 |
| 0.000 | 0.000 | 0.000 | 24.629 | -0.000 | 0.000 |
| 0.000 | 0.000 | 0.000 | -0.000 | 24.629 | 0.000 |
| 0.000 | 0.000 | 0.000 | -0.000 | 0.000 | 24.629 |
| 22.982 | 22.861 | 22.861 | 0.000 | 0.000 | 0.000 |
| 22.861 | 22.982 | 22.861 | 0.000 | 0.000 | 0.000 |
| 22.861 | 22.861 | 22.982 | 0.000 | 0.000 | 0.000 |
| -0.000 | -0.000 | -0.000 | 24.629 | 0.000 | -0.000 |
| -0.000 | -0.000 | -0.000 | 0.000 | 24.629 | -0.000 |
| -0.000 | -0.000 | -0.000 | 0.000 | -0.000 | 24.629 |
| 22.983 | 22.861 | 22.861 | -0.000 | -0.000 | -0.000 |
| 22.861 | 22.983 | 22.861 | -0.000 | -0.000 | -0.000 |
| 22.861 | 22.861 | 22.983 | -0.000 | -0.000 | -0.000 |
| 0.000 | 0.000 | 0.000 | 24.629 | -0.000 | -0.000 |
| 0.000 | 0.000 | 0.000 | -0.000 | 24.629 | -0.000 |
| 0.000 | 0.000 | 0.000 | -0.000 | -0.000 | 24.629 |
| -594124.401 | -75547.900 | 153116.500 | -0.032 | -0.044 | -0.016 |
| 12124.300 | -682221.599 | 153083.200 | -0.097 | 0.055 | -31.185 |
| 163017.499 | 163017.601 | 522076.700 | -0.012 | 0.017 | -0.028 |
| -0.100 | 0.100 | 0.100 | -8750.649 | 0.048 | -0.071 |
| -0.200 | 0.200 | -0.100 | -0.008 | -8750.544 | -0.045 |
| -0.100 | 0.100 | 0.000 | -0.011 | -0.014 | -259288.058 |
| -769250.500 | 101263.199 | 153248.600 | 0.204 | -0.075 | 61.443 |
| -75547.900 | -594124.000 | 153116.500 | 0.029 | 0.047 | 0.027 |
| 163017.601 | 163017.499 | 522076.700 | -0.032 | -0.051 | 0.036 |
| -0.000 | -0.100 | -0.000 | -8750.652 | -0.001 | 0.029 |
| -0.000 | -0.200 | -0.000 | -0.002 | -8750.657 | 0.042 |
| 0.100 | -0.100 | 0.100 | 0.005 | -0.028 | -259287.954 |
| -779985.850 | 110133.190 | 153103.310 | -0.018 | -0.003 | -6.145 |
| -50300.060 | -619376.750 | 153116.290 | -0.003 | 0.014 | -0.870 |
| 162881.060 | 163150.280 | 522076.480 | -0.011 | -0.003 | -0.920 |
| -0.020 | -0.010 | -0.050 | -8750.667 | 0.000 | -0.005 |
| -17.990 | 17.860 | -0.060 | -0.006 | -8750.666 | -0.124 |
| -67.880 | 66.480 | -0.070 | -0.006 | 0.015 | -272693.781 |
| -594122.970 | -75547.830 | 153116.560 | -0.002 | -0.003 | 0.002 |
| -75547.710 | -594123.110 | 153116.550 | 0.005 | -0.005 | 0.006 |
| 163994.100 | 162209.370 | 522089.880 | 0.022 | -0.008 | 6.144 |
| 0.020 | 0.010 | 0.050 | -8750.658 | -0.014 | 0.002 |
| 18.000 | -17.860 | 0.060 | 0.004 | -8750.674 | 0.123 |
| 68.320 | -66.870 | 0.080 | -0.003 | -0.005 | -272779.547 |
| -594179.790 | -75504.419 | 153116.540 | -0.000 | 0.001 | -0.000 |
| -74024.694 | -595659.480 | 153116.556 | -0.000 | 0.001 | -0.006 |
| 162919.868 | 163098.365 | 522075.952 | -0.002 | -0.000 | -0.615 |
| -98.632 | 81.483 | -1.821 | -8750.666 | 0.001 | -0.615 |
| -48.011 | 43.368 | -0.840 | -0.001 | -8750.661 | -0.313 |
| -14.312 | 9.149 | 0.128 | -0.000 | 0.002 | -283659.399 |
| -597035.127 | -72624.769 | 153116.524 | 0.001 | -0.001 | 0.011 |
| -28765.235 | -640887.494 | 153116.275 | -0.001 | -0.002 | 0.159 |
| 163115.285 | 162936.812 | 522077.519 | 0.002 | -0.001 | 0.614 |
| 48.312 | -43.741 | 0.835 | -8750.662 | -0.001 | 0.312 |
| 47.740 | -43.145 | 0.836 | 0.001 | -8750.662 | 0.315 |
| 7.120 | -3.354 | -0.039 | 0.001 | -0.001 | -271093.328 |
| 173.258 | 39.778 | 28.338 | 0.000 | -0.000 | -0.000 |
| 67.112 | 145.923 | 28.338 | -0.000 | 0.000 | 0.000 |
| 28.338 | 28.338 | 194.103 | 0.000 | 0.000 | -0.000 |
| -0.000 | -0.000 | -0.000 | 34.498 | 0.000 | -0.000 |
| -0.000 | -0.000 | -0.000 | 0.000 | 34.498 | 0.000 |
| -0.000 | -0.000 | -0.000 | 0.000 | 0.000 | 39.405 |
| 173.259 | 39.778 | 28.339 | -0.000 | -0.000 | -0.000 |
| 39.778 | 173.259 | 28.339 | -0.000 | -0.000 | -0.000 |
| 28.339 | 28.339 | 194.103 | -0.000 | -0.000 | -0.000 |
| 0.000 | 0.000 | 0.000 | 34.498 | -0.000 | -0.000 |
| 0.000 | 0.000 | -0.000 | -0.000 | 34.498 | 0.000 |
| 0.000 | 0.000 | 0.000 | 0.000 | -0.000 | 39.405 |
| 145.920 | 67.109 | 28.335 | 0.000 | 0.000 | 0.000 |
| 70.651 | 142.378 | 28.335 | 0.000 | 0.000 | -0.000 |
| 28.336 | 28.336 | 194.101 | 0.000 | 0.000 | -0.000 |
| 0.000 | -0.000 | -0.000 | 34.498 | 0.000 | 0.000 |
| -0.000 | -0.000 | -0.000 | -0.000 | 34.498 | -0.000 |
| 0.000 | 0.000 | -0.000 | 0.000 | 0.000 | 66.740 |
| 145.927 | 67.116 | 28.341 | -0.000 | -0.000 | 0.000 |
| 39.782 | 173.262 | 28.341 | -0.000 | -0.000 | 0.000 |
| 28.341 | 28.341 | 194.105 | 0.000 | -0.000 | 0.000 |
| -0.000 | 0.000 | 0.000 | 34.498 | -0.000 | 0.000 |
| 0.000 | 0.000 | 0.000 | 0.000 | 34.498 | 0.000 |
| -0.000 | -0.000 | 0.000 | -0.000 | -0.000 | 66.740 |
| 173.223 | 39.742 | 28.308 | -0.000 | 0.000 | -0.000 |
| 67.077 | 145.885 | 28.307 | 0.000 | 0.000 | 0.000 |
| 28.313 | 28.313 | 194.082 | 0.000 | 0.000 | 0.000 |
| -0.000 | -0.000 | -0.000 | 34.498 | 0.000 | -0.000 |
| -0.000 | -0.000 | -0.000 | 0.000 | 34.498 | -0.000 |
| 0.000 | 0.000 | -0.000 | 0.000 | 0.000 | 66.740 |
| 159.627 | 53.482 | 28.369 | -0.000 | -0.000 | 0.000 |
| 68.918 | 144.191 | 28.369 | -0.000 | -0.000 | 0.000 |
| 28.364 | 28.364 | 194.124 | -0.000 | -0.000 | -0.000 |
| 0.000 | 0.000 | 0.000 | 34.498 | -0.000 | 0.000 |
| 0.000 | 0.000 | 0.000 | -0.000 | 34.498 | 0.000 |
| -0.000 | -0.000 | 0.000 | 0.000 | -0.000 | 66.740 |
| 101.856 | 26.953 | 56.160 | -0.000 | 0.000 | -0.000 |
| 26.953 | 101.856 | 56.160 | -0.000 | 0.000 | -0.000 |
| 56.160 | 56.160 | 72.649 | -0.000 | 0.000 | -0.000 |
| 0.000 | 0.000 | 0.000 | 67.196 | 0.000 | -0.000 |
| 0.000 | 0.000 | 0.000 | -0.000 | 67.196 | -0.000 |
| -0.000 | -0.000 | 0.000 | -0.000 | 0.000 | 11.639 |
| 101.856 | 26.953 | 56.160 | 0.000 | 0.000 | 0.000 |
| 52.765 | 76.044 | 56.160 | 0.000 | -0.000 | 0.000 |
| 56.160 | 56.160 | 72.649 | 0.000 | -0.000 | 0.000 |
| -0.000 | -0.000 | -0.000 | 67.196 | -0.000 | 0.000 |
| -0.000 | -0.000 | -0.000 | 0.000 | 67.196 | 0.000 |
| 0.000 | 0.000 | -0.000 | 0.000 | -0.000 | 11.639 |
| 76.044 | 52.765 | 56.160 | -0.000 | 0.000 | -0.000 |
| 52.765 | 76.044 | 56.160 | -0.000 | 0.000 | -0.000 |
| 56.160 | 56.160 | 72.649 | -0.000 | 0.000 | -0.000 |
| 0.000 | 0.000 | 0.000 | 67.196 | 0.000 | -0.000 |
| 0.000 | 0.000 | 0.000 | -0.000 | 67.196 | -0.000 |
| -0.000 | -0.000 | -0.000 | -0.000 | 0.000 | 11.639 |
| 101.856 | 26.953 | 56.160 | 0.000 | -0.000 | 0.000 |
| 52.765 | 76.044 | 56.160 | 0.000 | -0.000 | 0.000 |
| 56.160 | 56.160 | 72.649 | 0.000 | -0.000 | 0.000 |
| -0.000 | -0.000 | -0.000 | 67.196 | -0.000 | 0.000 |
| -0.000 | -0.000 | -0.000 | 0.000 | 67.196 | 0.000 |
| 0.000 | 0.000 | 0.000 | 0.000 | -0.000 | 11.639 |
| 76.044 | 52.766 | 56.160 | -0.000 | -0.000 | -0.000 |
| 52.766 | 76.044 | 56.160 | -0.000 | 0.000 | -0.000 |
| 56.161 | 56.161 | 72.650 | -0.000 | 0.000 | -0.000 |
| 0.001 | 0.000 | 0.001 | 67.196 | 0.000 | -0.000 |
| 0.000 | 0.001 | 0.001 | -0.000 | 67.196 | -0.000 |
| -0.000 | -0.000 | -0.000 | -0.000 | 0.000 | 11.639 |
| 76.043 | 52.765 | 56.159 | 0.000 | -0.000 | 0.000 |
| 52.764 | 76.044 | 56.159 | 0.000 | -0.000 | 0.000 |
| 56.159 | 56.159 | 72.649 | 0.000 | -0.000 | 0.000 |
| -0.001 | -0.000 | -0.001 | 67.196 | -0.000 | 0.000 |
| -0.000 | -0.001 | -0.001 | 0.000 | 67.196 | 0.000 |
| 0.000 | 0.000 | 0.000 | 0.000 | -0.000 | 11.639 |
| 132.679 | 48.642 | 34.134 | -0.000 | 0.000 | 0.000 |
| 48.642 | 132.679 | 34.134 | -0.000 | -0.000 | 0.000 |
| 34.134 | 34.134 | 147.187 | -0.000 | 0.000 | 0.000 |
| 0.000 | 0.000 | 0.000 | 37.299 | 0.000 | 0.000 |
| 0.000 | 0.000 | 0.000 | -0.000 | 37.299 | 0.000 |
| -0.000 | 0.000 | -0.000 | -0.000 | 0.000 | 42.019 |
| 137.549 | 43.772 | 34.134 | -0.000 | -0.000 | -0.000 |
| 43.772 | 137.549 | 34.134 | 0.000 | -0.000 | -0.000 |
| 34.134 | 34.134 | 147.187 | 0.000 | -0.000 | -0.000 |
| -0.000 | -0.000 | -0.000 | 37.299 | 0.000 | -0.000 |
| -0.000 | -0.000 | -0.000 | 0.000 | 37.299 | -0.000 |
| 0.000 | -0.000 | 0.000 | 0.000 | -0.000 | 42.019 |
| 137.550 | 43.772 | 34.134 | 0.000 | 0.000 | 0.000 |
| 48.642 | 132.680 | 34.134 | -0.000 | 0.000 | 0.000 |
| 34.134 | 34.134 | 147.187 | -0.000 | 0.000 | 0.000 |
| 0.000 | 0.000 | 0.000 | 37.299 | -0.000 | 0.000 |
| 0.000 | 0.000 | 0.000 | -0.000 | 37.299 | 0.000 |
| 0.000 | 0.000 | -0.000 | -0.000 | -0.000 | 42.019 |
| 132.679 | 48.642 | 34.134 | 0.000 | -0.000 | -0.000 |
| 43.772 | 137.549 | 34.134 | 0.000 | -0.000 | -0.000 |
| 34.134 | 34.134 | 147.187 | 0.000 | -0.000 | -0.000 |
| -0.000 | -0.000 | -0.000 | 37.299 | 0.000 | -0.000 |
| -0.000 | -0.000 | -0.000 | 0.000 | 37.299 | 0.000 |
| -0.000 | -0.000 | 0.000 | 0.000 | -0.000 | 42.019 |
| 137.551 | 43.772 | 34.134 | 0.000 | 0.000 | 0.000 |
| 48.642 | 132.681 | 34.134 | -0.000 | 0.000 | 0.000 |
| 34.134 | 34.134 | 147.189 | -0.000 | 0.000 | 0.000 |
| 0.000 | -0.000 | 0.000 | 37.299 | -0.000 | 0.000 |
| -0.000 | 0.000 | 0.000 | -0.000 | 37.299 | 0.000 |
| 0.000 | 0.000 | -0.000 | -0.000 | -0.000 | 42.019 |
| 132.678 | 48.641 | 34.134 | 0.000 | 0.000 | -0.000 |
| 48.641 | 132.678 | 34.134 | 0.000 | 0.000 | -0.000 |
| 34.133 | 34.133 | 147.186 | 0.000 | 0.000 | -0.000 |
| -0.000 | 0.000 | -0.000 | 37.299 | -0.000 | -0.000 |
| 0.000 | -0.000 | -0.000 | 0.000 | 37.299 | -0.000 |
| -0.000 | -0.000 | 0.000 | 0.000 | -0.000 | 42.019 |
| 69.456 | 25.434 | 17.305 | 0.000 | -0.000 | 0.000 |
| 25.434 | 69.456 | 17.305 | 0.000 | -0.000 | 0.000 |
| 17.305 | 17.305 | 77.585 | 0.000 | -0.000 | -0.000 |
| -0.000 | -0.000 | -0.000 | 19.491 | -0.000 | -0.000 |
| -0.000 | -0.000 | -0.000 | 0.000 | 19.491 | -0.000 |
| -0.000 | -0.000 | -0.000 | -0.000 | -0.000 | 24.774 |
| 69.456 | 25.434 | 17.305 | 0.000 | 0.000 | -0.000 |
| 25.434 | 69.456 | 17.305 | 0.000 | 0.000 | -0.000 |
| 17.305 | 17.305 | 77.585 | 0.000 | 0.000 | 0.000 |
| 0.000 | 0.000 | 0.000 | 19.491 | 0.000 | 0.000 |
| 0.000 | 0.000 | 0.000 | -0.000 | 19.491 | -0.000 |
| 0.000 | 0.000 | 0.000 | 0.000 | 0.000 | 24.774 |
| 69.456 | 25.434 | 17.305 | -0.000 | -0.000 | 0.000 |
| 25.434 | 69.456 | 17.305 | -0.000 | -0.000 | 0.000 |
| 17.305 | 17.305 | 77.585 | 0.000 | -0.000 | -0.000 |
| -0.000 | -0.000 | -0.000 | 19.491 | -0.000 | -0.000 |
| -0.000 | -0.000 | -0.000 | -0.000 | 19.491 | -0.000 |
| -0.000 | -0.000 | -0.000 | -0.000 | -0.000 | 22.011 |
| 69.456 | 25.434 | 17.305 | -0.000 | 0.000 | -0.000 |
| 25.434 | 69.456 | 17.305 | 0.000 | 0.000 | -0.000 |
| 17.305 | 17.305 | 77.586 | -0.000 | 0.000 | 0.000 |
| 0.000 | 0.000 | 0.000 | 19.491 | 0.000 | 0.000 |
| 0.000 | 0.000 | 0.000 | 0.000 | 19.491 | -0.000 |
| 0.000 | 0.000 | 0.000 | 0.000 | 0.000 | 22.011 |
| 72.218 | 22.671 | 17.305 | -0.000 | 0.000 | -0.000 |
| 25.434 | 69.455 | 17.305 | -0.000 | -0.000 | 0.000 |
| 17.304 | 17.304 | 77.584 | -0.000 | -0.000 | -0.000 |
| -0.000 | -0.000 | -0.000 | 19.491 | -0.000 | 0.000 |
| -0.000 | -0.000 | -0.000 | -0.000 | 19.491 | 0.000 |
| -0.000 | -0.000 | -0.000 | -0.000 | -0.000 | 22.011 |
| 69.457 | 25.434 | 17.305 | 0.000 | 0.000 | -0.000 |
| 25.434 | 69.457 | 17.305 | -0.000 | 0.000 | -0.000 |
| 17.305 | 17.305 | 77.587 | 0.000 | 0.000 | 0.000 |
| 0.000 | 0.000 | 0.000 | 19.491 | 0.000 | -0.000 |
| 0.000 | 0.000 | 0.000 | 0.000 | 19.491 | -0.000 |
| 0.000 | 0.000 | 0.000 | 0.000 | 0.000 | 22.011 |
| -409629.499 | -16220.701 | 204814.499 | 0.281 | -0.359 | -0.041 |
| 45084.499 | -470934.401 | 204814.599 | 0.472 | -0.500 | 0.049 |
| 200174.200 | 200183.899 | 376970.101 | 0.369 | -0.302 | -0.107 |
| -0.301 | -0.401 | 0.000 | 18668.078 | -0.671 | -0.172 |
| -0.401 | -0.100 | 0.100 | 0.058 | 18667.309 | -0.080 |
| 0.000 | -0.100 | 0.000 | 0.086 | -0.405 | -258012.462 |
| -470934.098 | 45084.300 | 204814.499 | -0.357 | 0.509 | 0.014 |
| -16220.699 | -409629.099 | 204814.401 | -0.650 | 0.199 | 0.019 |
| 200179.300 | 200179.099 | 376970.301 | -0.487 | 0.111 | 0.126 |
| 0.301 | 0.200 | 0.100 | 18667.498 | 0.551 | 0.141 |
| 0.301 | 0.200 | -0.000 | 0.134 | 18668.232 | 0.139 |
| 0.501 | 0.200 | -0.100 | -0.104 | 0.440 | -258012.351 |
| -470936.180 | 45087.640 | 204814.710 | 0.028 | -0.042 | -0.002 |
| -16220.400 | -409628.440 | 204814.470 | 0.010 | -0.022 | 0.003 |
| 200178.640 | 200179.600 | 376969.230 | 0.030 | -0.031 | -0.005 |
| -0.140 | 0.020 | -0.160 | 18667.828 | -0.009 | -0.019 |
| -0.030 | -0.130 | -0.130 | 0.007 | 18667.766 | -0.005 |
| 0.380 | 0.210 | 0.190 | 0.050 | -0.029 | -258012.574 |
| -470938.250 | 45087.260 | 204814.340 | -0.041 | -0.004 | 0.007 |
| 44563.520 | -470414.430 | 204814.350 | 0.003 | 0.096 | 0.012 |
| 200179.930 | 200178.810 | 376971.160 | -0.044 | 0.039 | 0.010 |
| 0.140 | 0.010 | 0.130 | 18667.749 | 0.022 | 0.012 |
| -0.010 | 0.150 | 0.130 | -0.008 | 18667.811 | 0.009 |
| -0.390 | -0.210 | -0.190 | -0.037 | 0.018 | -258012.569 |
| -470896.630 | 45059.338 | 204816.332 | 0.004 | -0.004 | -0.001 |
| 45085.783 | -470923.076 | 204816.332 | 0.001 | -0.005 | -0.002 |
| 200178.183 | 200178.288 | 376960.604 | 0.004 | -0.002 | -0.000 |
| -0.681 | -0.223 | -1.418 | 18667.797 | -0.004 | -0.001 |
| -0.225 | -0.679 | -1.418 | 0.003 | 18667.792 | -0.001 |
| 1.644 | 1.836 | -0.219 | 0.004 | -0.006 | -196704.334 |
| -470656.326 | 44794.141 | 204812.718 | -0.005 | 0.005 | 0.002 |
| -16222.281 | -409636.954 | 204814.861 | -0.003 | 0.003 | -0.001 |
| 200180.317 | 200180.204 | 376979.781 | -0.003 | 0.004 | 0.001 |
| 0.681 | 0.225 | 1.418 | 18667.788 | 0.002 | 0.001 |
| 0.225 | 0.678 | 1.418 | -0.006 | 18667.796 | 0.001 |
| -1.646 | -1.836 | 0.219 | -0.004 | 0.004 | -196704.331 |
| 245.072 | 219.399 | 96.425 | 0.000 | 0.000 | 0.000 |
| 219.399 | 245.072 | 96.425 | 0.000 | 0.000 | 0.000 |
| 96.425 | 96.425 | 175.073 | 0.000 | 0.000 | 0.000 |
| -0.000 | -0.000 | 0.000 | 8.446 | -0.000 | 0.000 |
| -0.000 | -0.000 | 0.000 | 0.000 | 8.446 | 0.000 |
| 0.000 | -0.000 | 0.000 | 0.000 | 0.000 | 79.664 |
| 245.071 | 219.398 | 96.424 | 0.000 | -0.000 | -0.000 |
| 152.570 | 311.898 | 96.424 | -0.000 | 0.000 | -0.000 |
| 96.424 | 96.424 | 175.073 | -0.000 | 0.000 | -0.000 |
| 0.000 | -0.000 | -0.000 | 8.446 | 0.000 | -0.000 |
| 0.000 | -0.000 | -0.000 | -0.000 | 8.446 | -0.000 |
| -0.000 | -0.000 | -0.000 | 0.000 | -0.000 | 79.664 |
| 181.773 | 282.707 | 96.429 | 0.000 | 0.000 | 0.000 |
| 259.114 | 205.366 | 96.429 | -0.000 | -0.000 | 0.000 |
| 96.428 | 96.428 | 175.076 | 0.000 | -0.000 | 0.000 |
| 0.000 | -0.000 | 0.000 | 8.446 | 0.000 | 0.000 |
| -0.000 | 0.000 | 0.000 | -0.000 | 8.446 | 0.000 |
| 0.000 | 0.000 | 0.000 | 0.000 | 0.000 | 79.664 |
| 311.893 | 152.565 | 96.420 | -0.000 | 0.000 | 0.000 |
| 259.101 | 205.359 | 96.420 | -0.000 | -0.000 | -0.000 |
| 96.421 | 96.421 | 175.070 | -0.000 | -0.000 | -0.000 |
| -0.000 | 0.000 | -0.000 | 8.446 | 0.000 | -0.000 |
| 0.000 | -0.000 | -0.000 | -0.000 | 8.446 | 0.000 |
| -0.000 | -0.000 | -0.000 | -0.000 | 0.000 | 79.664 |
| 278.540 | 186.041 | 96.470 | -0.000 | 0.000 | 0.000 |
| 152.627 | 311.956 | 96.471 | 0.000 | -0.000 | 0.000 |
| 96.463 | 96.463 | 175.106 | 0.000 | -0.000 | 0.000 |
| 0.001 | -0.001 | 0.001 | 8.446 | 0.000 | 0.000 |
| 0.000 | -0.000 | 0.001 | 0.000 | 8.446 | 0.000 |
| 0.000 | 0.000 | 0.000 | 0.000 | -0.000 | 79.664 |
| 245.019 | 219.343 | 96.379 | -0.000 | -0.000 | -0.000 |
| 239.191 | 225.173 | 96.379 | -0.000 | -0.000 | -0.000 |
| 96.386 | 96.386 | 175.040 | -0.000 | 0.000 | -0.000 |
| -0.001 | 0.001 | -0.001 | 8.446 | 0.000 | 0.000 |
| -0.000 | 0.000 | -0.001 | -0.000 | 8.446 | -0.000 |
| -0.000 | -0.000 | -0.000 | -0.000 | 0.000 | 79.664 |
| 75.782 | 53.027 | 56.160 | -0.000 | 0.000 | 0.000 |
| 53.027 | 75.782 | 56.160 | -0.000 | 0.000 | 0.000 |
| 56.160 | 56.160 | 72.649 | -0.000 | -0.000 | 0.000 |
| 0.000 | 0.000 | 0.000 | 66.441 | 0.000 | 0.000 |
| 0.000 | 0.000 | 0.000 | -0.000 | 66.441 | 0.000 |
| -0.000 | 0.000 | -0.000 | -0.000 | 0.000 | 11.377 |
| 75.782 | 53.027 | 56.160 | 0.000 | -0.000 | -0.000 |
| 53.027 | 75.782 | 56.160 | 0.000 | -0.000 | -0.000 |
| 56.160 | 56.160 | 72.649 | -0.000 | -0.000 | -0.000 |
| -0.000 | -0.000 | -0.000 | 66.441 | -0.000 | -0.000 |
| -0.000 | -0.000 | -0.000 | 0.000 | 66.441 | -0.000 |
| 0.000 | 0.000 | 0.000 | 0.000 | -0.000 | 11.377 |
| 75.782 | 53.027 | 56.160 | -0.000 | 0.000 | -0.000 |
| 27.599 | 101.211 | 56.160 | 0.000 | 0.000 | 0.000 |
| 56.160 | 56.160 | 72.649 | -0.000 | 0.000 | 0.000 |
| 0.000 | 0.000 | 0.000 | 66.441 | 0.000 | 0.000 |
| 0.000 | 0.000 | 0.000 | -0.000 | 66.441 | -0.000 |
| -0.000 | -0.000 | -0.000 | -0.000 | 0.000 | 11.377 |
| 75.782 | 53.027 | 56.160 | 0.000 | -0.000 | -0.000 |
| 53.027 | 75.782 | 56.160 | 0.000 | -0.000 | -0.000 |
| 56.160 | 56.160 | 72.649 | 0.000 | -0.000 | -0.000 |
| -0.000 | -0.000 | -0.000 | 66.441 | -0.000 | -0.000 |
| -0.000 | -0.000 | -0.000 | 0.000 | 66.441 | -0.000 |
| 0.000 | 0.000 | 0.000 | 0.000 | -0.000 | 11.377 |
| 75.783 | 53.027 | 56.160 | -0.000 | 0.000 | 0.000 |
| 53.029 | 75.781 | 56.160 | -0.000 | 0.000 | 0.000 |
| 56.161 | 56.161 | 72.650 | 0.000 | 0.000 | 0.000 |
| 0.001 | 0.000 | 0.001 | 66.441 | 0.000 | -0.000 |
| 0.000 | 0.001 | 0.001 | -0.000 | 66.441 | 0.000 |
| -0.000 | -0.000 | -0.000 | -0.000 | 0.000 | 11.377 |
| 75.781 | 53.027 | 56.159 | -0.000 | -0.000 | -0.000 |
| 53.026 | 75.783 | 56.159 | 0.000 | -0.000 | -0.000 |
| 56.159 | 56.159 | 72.649 | -0.000 | -0.000 | -0.000 |
| -0.001 | -0.000 | -0.001 | 66.441 | -0.000 | -0.000 |
| -0.000 | -0.001 | -0.001 | 0.000 | 66.441 | -0.000 |
| 0.000 | 0.000 | 0.000 | 0.000 | -0.000 | 11.377 |
| 132.676 | 48.645 | 34.134 | 0.000 | 0.000 | 0.000 |
| 48.645 | 132.676 | 34.134 | 0.000 | 0.000 | 0.000 |
| 34.134 | 34.134 | 147.187 | 0.000 | -0.000 | 0.000 |
| -0.000 | 0.000 | 0.000 | 37.242 | -0.000 | 0.000 |
| -0.000 | 0.000 | 0.000 | 0.000 | 37.242 | 0.000 |
| -0.000 | 0.000 | -0.000 | 0.000 | 0.000 | 42.016 |
| 132.676 | 48.645 | 34.134 | -0.000 | -0.000 | -0.000 |
| 48.645 | 132.676 | 34.134 | 0.000 | -0.000 | -0.000 |
| 34.134 | 34.134 | 147.187 | -0.000 | 0.000 | -0.000 |
| 0.000 | -0.000 | -0.000 | 37.242 | 0.000 | -0.000 |
| 0.000 | -0.000 | -0.000 | -0.000 | 37.242 | -0.000 |
| 0.000 | -0.000 | 0.000 | -0.000 | -0.000 | 42.016 |
| 137.497 | 43.824 | 34.134 | 0.000 | 0.000 | 0.000 |
| 43.824 | 137.497 | 34.134 | 0.000 | -0.000 | 0.000 |
| 34.134 | 34.134 | 147.187 | 0.000 | -0.000 | 0.000 |
| 0.000 | 0.000 | 0.000 | 37.242 | 0.000 | 0.000 |
| -0.000 | 0.000 | 0.000 | 0.000 | 37.242 | -0.000 |
| 0.000 | 0.000 | -0.000 | 0.000 | -0.000 | 42.016 |
| 132.676 | 48.645 | 34.134 | -0.000 | -0.000 | -0.000 |
| 48.645 | 132.676 | 34.134 | 0.000 | -0.000 | -0.000 |
| 34.134 | 34.134 | 147.187 | -0.000 | 0.000 | -0.000 |
| -0.000 | -0.000 | -0.000 | 37.242 | -0.000 | -0.000 |
| 0.000 | -0.000 | -0.000 | -0.000 | 37.242 | -0.000 |
| -0.000 | -0.000 | 0.000 | -0.000 | -0.000 | 42.016 |
| 132.678 | 48.645 | 34.134 | 0.000 | 0.000 | 0.000 |
| 48.645 | 132.677 | 34.134 | 0.000 | 0.000 | 0.000 |
| 34.134 | 34.134 | 147.189 | 0.000 | -0.000 | 0.000 |
| 0.000 | -0.000 | 0.000 | 37.242 | 0.000 | 0.000 |
| -0.000 | 0.000 | 0.000 | 0.000 | 37.242 | 0.000 |
| 0.000 | 0.000 | -0.000 | 0.000 | 0.000 | 42.016 |
| 132.675 | 48.645 | 34.134 | -0.000 | -0.000 | -0.000 |
| 48.644 | 132.675 | 34.134 | -0.000 | -0.000 | -0.000 |
| 34.133 | 34.133 | 147.186 | -0.000 | 0.000 | -0.000 |
| -0.000 | 0.000 | -0.000 | 37.242 | -0.000 | -0.000 |
| 0.000 | -0.000 | -0.000 | -0.000 | 37.242 | -0.000 |
| -0.000 | -0.000 | 0.000 | -0.000 | -0.000 | 42.016 |
| 69.450 | 25.440 | 17.305 | 0.000 | 0.000 | 0.000 |
| 22.759 | 72.131 | 17.305 | 0.000 | 0.000 | 0.000 |
| 17.305 | 17.305 | 77.585 | -0.000 | 0.000 | 0.000 |
| -0.000 | -0.000 | -0.000 | 19.398 | -0.000 | 0.000 |
| -0.000 | -0.000 | -0.000 | 0.000 | 19.398 | 0.000 |
| -0.000 | -0.000 | 0.000 | 0.000 | 0.000 | 22.005 |
| 69.450 | 25.440 | 17.305 | -0.000 | 0.000 | -0.000 |
| 22.759 | 72.131 | 17.305 | -0.000 | 0.000 | -0.000 |
| 17.305 | 17.305 | 77.585 | 0.000 | 0.000 | -0.000 |
| 0.000 | 0.000 | 0.000 | 19.398 | 0.000 | -0.000 |
| 0.000 | 0.000 | 0.000 | -0.000 | 19.398 | -0.000 |
| 0.000 | 0.000 | -0.000 | -0.000 | -0.000 | 22.005 |
| 69.450 | 25.440 | 17.305 | -0.000 | 0.000 | 0.000 |
| 25.440 | 69.450 | 17.305 | 0.000 | 0.000 | 0.000 |
| 17.305 | 17.305 | 77.585 | 0.000 | -0.000 | 0.000 |
| -0.000 | -0.000 | -0.000 | 19.398 | 0.000 | 0.000 |
| -0.000 | -0.000 | -0.000 | 0.000 | 19.398 | 0.000 |
| -0.000 | -0.000 | -0.000 | 0.000 | 0.000 | 22.005 |
| 69.450 | 25.440 | 17.305 | -0.000 | -0.000 | -0.000 |
| 25.440 | 69.450 | 17.305 | -0.000 | -0.000 | -0.000 |
| 17.305 | 17.305 | 77.586 | 0.000 | 0.000 | -0.000 |
| 0.000 | 0.000 | 0.000 | 19.398 | -0.000 | -0.000 |
| 0.000 | 0.000 | 0.000 | -0.000 | 19.398 | -0.000 |
| 0.000 | 0.000 | 0.000 | -0.000 | -0.000 | 22.005 |
| 69.449 | 25.440 | 17.305 | -0.000 | 0.000 | 0.000 |
| 25.440 | 69.449 | 17.305 | -0.000 | 0.000 | 0.000 |
| 17.304 | 17.304 | 77.584 | -0.000 | -0.000 | 0.000 |
| -0.000 | -0.000 | -0.000 | 19.398 | 0.000 | 0.000 |
| -0.000 | -0.000 | -0.000 | 0.000 | 19.398 | 0.000 |
| -0.000 | -0.000 | -0.000 | 0.000 | 0.000 | 22.005 |
| 69.451 | 25.440 | 17.305 | -0.000 | -0.000 | -0.000 |
| 25.441 | 69.451 | 17.305 | -0.000 | -0.000 | -0.000 |
| 17.305 | 17.305 | 77.587 | -0.000 | 0.000 | -0.000 |
| 0.000 | 0.000 | 0.000 | 19.398 | -0.000 | -0.000 |
| 0.000 | 0.000 | 0.000 | -0.000 | 19.398 | -0.000 |
| 0.000 | 0.000 | 0.000 | -0.000 | 0.000 | 22.005 |
| 300.534 | 52.454 | 52.454 | 0.000 | 0.000 | 0.000 |
| 52.454 | 300.534 | 52.454 | 0.000 | 0.000 | 0.000 |
| 52.454 | 52.454 | 300.534 | 0.000 | 0.000 | 0.000 |
| -0.000 | 0.000 | -0.000 | 502.573 | 0.000 | 0.000 |
| -0.000 | 0.000 | -0.000 | 0.000 | 502.573 | 0.000 |
| -0.000 | 0.000 | -0.000 | 0.000 | 0.000 | 502.573 |
| 300.534 | 52.454 | 52.454 | -0.000 | -0.000 | -0.000 |
| 52.454 | 300.534 | 52.454 | -0.000 | -0.000 | -0.000 |
| 52.454 | 52.454 | 300.534 | -0.000 | -0.000 | -0.000 |
| 0.000 | -0.000 | 0.000 | 502.573 | -0.000 | -0.000 |
| 0.000 | -0.000 | 0.000 | -0.000 | 502.573 | -0.000 |
| 0.000 | -0.000 | 0.000 | -0.000 | -0.000 | 502.573 |
| 300.535 | 52.454 | 52.454 | -0.000 | 0.000 | 0.000 |
| 52.454 | 300.535 | 52.454 | 0.000 | -0.000 | 0.000 |
| 52.454 | 52.454 | 300.535 | 0.000 | 0.000 | -0.000 |
| 0.000 | 0.000 | 0.000 | 502.573 | 0.000 | 0.000 |
| 0.000 | 0.000 | 0.000 | 0.000 | 502.573 | 0.000 |
| 0.000 | 0.000 | 0.000 | 0.000 | 0.000 | 502.573 |
| 300.533 | 52.454 | 52.454 | 0.000 | -0.000 | -0.000 |
| 52.454 | 300.533 | 52.454 | -0.000 | 0.000 | -0.000 |
| 52.454 | 52.454 | 300.533 | -0.000 | -0.000 | 0.000 |
| -0.000 | -0.000 | -0.000 | 502.573 | -0.000 | -0.000 |
| -0.000 | -0.000 | -0.000 | -0.000 | 502.573 | -0.000 |
| -0.000 | -0.000 | -0.000 | -0.000 | -0.000 | 502.573 |
| 300.544 | 52.453 | 52.453 | 0.000 | 0.000 | -0.000 |
| 52.453 | 300.544 | 52.453 | 0.000 | 0.000 | 0.000 |
| 52.453 | 52.453 | 300.544 | 0.000 | 0.000 | -0.000 |
| -0.001 | 0.004 | 0.003 | -339.709 | -0.000 | -0.000 |
| 0.004 | -0.001 | 0.003 | -0.000 | -339.709 | -0.000 |
| 0.004 | 0.003 | -0.001 | -0.000 | 0.000 | -339.709 |
| 300.523 | 52.455 | 52.455 | -0.000 | -0.000 | -0.000 |
| 52.455 | 300.523 | 52.455 | -0.000 | -0.000 | -0.000 |
| 52.455 | 52.455 | 300.523 | -0.000 | -0.000 | 0.000 |
| 0.001 | -0.004 | -0.003 | -339.709 | -0.000 | -0.000 |
| -0.004 | 0.001 | -0.003 | -0.000 | -339.709 | -0.000 |
| -0.004 | -0.003 | 0.001 | -0.000 | -0.000 | -339.709 |
| 130.033 | 157.949 | 157.949 | -0.000 | -0.000 | -0.000 |
| 157.949 | 130.033 | 157.949 | -0.000 | -0.000 | -0.000 |
| 157.949 | 157.949 | 130.033 | 0.000 | -0.000 | -0.000 |
| -0.000 | -0.000 | -0.000 | 49.714 | -0.000 | -0.000 |
| -0.000 | -0.000 | -0.000 | -0.000 | 49.714 | -0.000 |
| 0.000 | -0.000 | -0.000 | -0.000 | -0.000 | 49.714 |
| 130.034 | 157.951 | 157.951 | 0.000 | 0.000 | 0.000 |
| 157.951 | 130.034 | 157.951 | 0.000 | 0.000 | 0.000 |
| 157.951 | 157.951 | 130.034 | -0.000 | 0.000 | 0.000 |
| 0.000 | 0.000 | 0.000 | 49.714 | 0.000 | 0.000 |
| 0.000 | 0.000 | 0.000 | 0.000 | 49.714 | 0.000 |
| 0.000 | 0.000 | 0.000 | 0.000 | 0.000 | 49.714 |
| 130.027 | 157.944 | 157.944 | -0.000 | -0.000 | -0.000 |
| 157.944 | 130.027 | 157.944 | -0.000 | -0.000 | -0.000 |
| 157.944 | 157.944 | 130.027 | -0.000 | -0.000 | -0.000 |
| -0.000 | -0.000 | -0.000 | -5.003 | -0.000 | -0.000 |
| -0.000 | -0.000 | -0.000 | -0.000 | -5.003 | -0.000 |
| -0.000 | -0.000 | -0.000 | -0.000 | -0.000 | -5.003 |
| 130.039 | 157.956 | 157.956 | 0.000 | 0.000 | 0.000 |
| 157.956 | 130.039 | 157.956 | 0.000 | 0.000 | 0.000 |
| 157.956 | 157.956 | 130.039 | 0.000 | 0.000 | 0.000 |
| 0.000 | 0.000 | 0.000 | -5.003 | 0.000 | 0.000 |
| 0.000 | 0.000 | 0.000 | 0.000 | -5.003 | 0.000 |
| 0.000 | 0.000 | 0.000 | 0.000 | 0.000 | -5.003 |
| 129.971 | 157.887 | 157.887 | -0.000 | -0.000 | -0.000 |
| 157.887 | 129.971 | 157.887 | -0.000 | -0.000 | -0.000 |
| 157.887 | 157.887 | 129.971 | -0.000 | -0.000 | -0.000 |
| -0.000 | -0.000 | -0.000 | -5.003 | -0.000 | -0.000 |
| -0.000 | -0.000 | -0.000 | 0.000 | -5.003 | -0.000 |
| -0.000 | -0.000 | -0.000 | -0.000 | -0.000 | -5.003 |
| 130.096 | 158.013 | 158.013 | 0.000 | 0.000 | 0.000 |
| 158.013 | 130.096 | 158.013 | 0.000 | 0.000 | 0.000 |
| 158.013 | 158.013 | 130.096 | 0.000 | 0.000 | 0.000 |
| 0.000 | 0.000 | 0.000 | -5.003 | 0.000 | 0.000 |
| 0.000 | 0.000 | 0.000 | 0.000 | -5.003 | 0.000 |
| 0.000 | 0.000 | 0.000 | 0.000 | 0.000 | -5.003 |
| 255.547 | 104.426 | 104.426 | 0.000 | -0.000 | 0.000 |
| 104.426 | 255.547 | 104.426 | 0.000 | -0.000 | 0.000 |
| 104.426 | 104.426 | 255.547 | -0.000 | -0.000 | 0.000 |
| 0.000 | -0.000 | -0.000 | 96.599 | 0.000 | 0.000 |
| -0.000 | -0.000 | -0.000 | -0.000 | 96.599 | 0.000 |
| -0.000 | -0.000 | -0.000 | 0.000 | 0.000 | 96.599 |
| 255.547 | 104.426 | 104.426 | -0.000 | 0.000 | -0.000 |
| 104.426 | 255.547 | 104.426 | -0.000 | -0.000 | -0.000 |
| 104.426 | 104.426 | 255.547 | -0.000 | 0.000 | -0.000 |
| -0.000 | 0.000 | 0.000 | 96.599 | 0.000 | -0.000 |
| 0.000 | 0.000 | 0.000 | 0.000 | 96.599 | -0.000 |
| 0.000 | 0.000 | 0.000 | -0.000 | -0.000 | 96.599 |
| 255.546 | 104.426 | 104.426 | 0.000 | 0.000 | 0.000 |
| 104.426 | 255.546 | 104.426 | 0.000 | 0.000 | 0.000 |
| 104.426 | 104.426 | 255.546 | -0.000 | -0.000 | 0.000 |
| -0.000 | -0.000 | -0.000 | 97.260 | 0.000 | 0.000 |
| -0.000 | -0.000 | -0.000 | 0.000 | 97.260 | 0.000 |
| -0.000 | -0.000 | -0.000 | 0.000 | 0.000 | 97.260 |
| 255.547 | 104.426 | 104.426 | 0.000 | 0.000 | -0.000 |
| 104.426 | 255.547 | 104.426 | -0.000 | 0.000 | -0.000 |
| 104.426 | 104.426 | 255.547 | -0.000 | 0.000 | -0.000 |
| 0.000 | 0.000 | 0.000 | 97.260 | -0.000 | -0.000 |
| 0.000 | 0.000 | 0.000 | -0.000 | 97.260 | -0.000 |
| 0.000 | 0.000 | 0.000 | -0.000 | -0.000 | 97.260 |
| 255.543 | 104.426 | 104.426 | 0.000 | 0.000 | 0.000 |
| 104.426 | 255.543 | 104.426 | 0.000 | 0.000 | 0.000 |
| 104.426 | 104.426 | 255.543 | 0.000 | 0.000 | 0.000 |
| -0.000 | -0.001 | -0.001 | 97.260 | 0.000 | 0.000 |
| -0.001 | -0.000 | -0.001 | 0.000 | 97.260 | 0.000 |
| -0.001 | -0.001 | -0.000 | 0.000 | 0.000 | 97.260 |
| 255.550 | 104.427 | 104.427 | -0.000 | -0.000 | -0.000 |
| 104.427 | 255.550 | 104.427 | -0.000 | 0.000 | -0.000 |
| 104.427 | 104.427 | 255.550 | 0.000 | 0.000 | -0.000 |
| 0.000 | 0.001 | 0.001 | 97.260 | -0.000 | -0.000 |
| 0.001 | 0.000 | 0.001 | -0.000 | 97.260 | -0.000 |
| 0.001 | 0.001 | 0.000 | -0.000 | -0.000 | 97.260 |
| 10.998 | 10.994 | 10.994 | -0.000 | -0.000 | -0.000 |
| 10.994 | 10.998 | 10.994 | -0.000 | -0.000 | -0.000 |
| 10.994 | 10.994 | 10.998 | -0.000 | -0.000 | -0.000 |
| -0.000 | -0.000 | -0.000 | 0.002 | -0.000 | -0.000 |
| -0.000 | -0.000 | -0.000 | -0.000 | 0.002 | -0.000 |
| -0.000 | -0.000 | -0.000 | -0.000 | -0.000 | 0.002 |
| 10.998 | 10.994 | 10.994 | 0.000 | 0.000 | 0.000 |
| 10.994 | 10.998 | 10.994 | 0.000 | 0.000 | 0.000 |
| 10.994 | 10.994 | 10.998 | 0.000 | 0.000 | 0.000 |
| 0.000 | 0.000 | 0.000 | 0.002 | 0.000 | 0.000 |
| 0.000 | 0.000 | 0.000 | 0.000 | 0.002 | 0.000 |
| 0.000 | 0.000 | 0.000 | 0.000 | 0.000 | 0.002 |
| 10.998 | 10.994 | 10.994 | -0.000 | -0.000 | -0.000 |
| 10.994 | 10.998 | 10.994 | -0.000 | -0.000 | -0.000 |
| 10.994 | 10.994 | 10.998 | -0.000 | -0.000 | -0.000 |
| -0.000 | -0.000 | -0.000 | 0.002 | -0.000 | -0.000 |
| -0.000 | -0.000 | -0.000 | -0.000 | 0.002 | -0.000 |
| -0.000 | -0.000 | -0.000 | -0.000 | -0.000 | 0.002 |
| 10.998 | 10.994 | 10.994 | 0.000 | 0.000 | 0.000 |
| 10.994 | 10.998 | 10.994 | 0.000 | 0.000 | 0.000 |
| 10.994 | 10.994 | 10.998 | 0.000 | 0.000 | 0.000 |
| 0.000 | 0.000 | 0.000 | 0.002 | 0.000 | 0.000 |
| 0.000 | 0.000 | 0.000 | 0.000 | 0.002 | 0.000 |
| 0.000 | 0.000 | 0.000 | 0.000 | 0.000 | 0.002 |
| 10.998 | 10.994 | 10.994 | -0.000 | -0.000 | -0.000 |
| 10.994 | 10.998 | 10.994 | -0.000 | -0.000 | -0.000 |
| 10.994 | 10.994 | 10.998 | -0.000 | -0.000 | -0.000 |
| -0.000 | -0.000 | -0.000 | 0.002 | -0.000 | -0.000 |
| -0.000 | -0.000 | -0.000 | -0.000 | 0.002 | -0.000 |
| -0.000 | -0.000 | -0.000 | -0.000 | -0.000 | 0.002 |
| 10.998 | 10.993 | 10.993 | 0.000 | 0.000 | 0.000 |
| 10.993 | 10.998 | 10.993 | 0.000 | 0.000 | 0.000 |
| 10.993 | 10.993 | 10.998 | 0.000 | 0.000 | 0.000 |
| 0.000 | 0.000 | 0.000 | 0.002 | 0.000 | 0.000 |
| 0.000 | 0.000 | 0.000 | 0.000 | 0.002 | 0.000 |
| 0.000 | 0.000 | 0.000 | 0.000 | 0.000 | 0.002 |
| 5.736 | 5.720 | 5.720 | 0.000 | 0.000 | 0.000 |
| 5.720 | 5.736 | 5.720 | 0.000 | 0.000 | 0.000 |
| 5.720 | 5.720 | 5.736 | 0.000 | 0.000 | 0.000 |
| -0.000 | -0.000 | -0.000 | 0.008 | 0.000 | 0.000 |
| -0.000 | -0.000 | -0.000 | 0.000 | 0.008 | 0.000 |
| -0.000 | -0.000 | -0.000 | 0.000 | 0.000 | 0.008 |
| 5.736 | 5.720 | 5.720 | -0.000 | -0.000 | -0.000 |
| 5.720 | 5.736 | 5.720 | -0.000 | -0.000 | -0.000 |
| 5.720 | 5.720 | 5.736 | -0.000 | -0.000 | -0.000 |
| 0.000 | 0.000 | 0.000 | 0.008 | -0.000 | -0.000 |
| 0.000 | 0.000 | 0.000 | -0.000 | 0.008 | -0.000 |
| 0.000 | 0.000 | 0.000 | -0.000 | -0.000 | 0.008 |
| 5.736 | 5.720 | 5.720 | 0.000 | 0.000 | 0.000 |
| 5.720 | 5.736 | 5.720 | 0.000 | 0.000 | 0.000 |
| 5.720 | 5.720 | 5.736 | 0.000 | 0.000 | 0.000 |
| -0.000 | -0.000 | -0.000 | 0.008 | 0.000 | 0.000 |
| -0.000 | -0.000 | -0.000 | 0.000 | 0.008 | 0.000 |
| -0.000 | -0.000 | -0.000 | 0.000 | 0.000 | 0.008 |
| 5.736 | 5.720 | 5.720 | -0.000 | -0.000 | -0.000 |
| 5.720 | 5.736 | 5.720 | -0.000 | -0.000 | -0.000 |
| 5.720 | 5.720 | 5.736 | -0.000 | -0.000 | -0.000 |
| 0.000 | 0.000 | 0.000 | 0.008 | -0.000 | -0.000 |
| 0.000 | 0.000 | 0.000 | -0.000 | 0.008 | -0.000 |
| 0.000 | 0.000 | 0.000 | -0.000 | -0.000 | 0.008 |
| 5.735 | 5.720 | 5.720 | 0.000 | 0.000 | 0.000 |
| 5.720 | 5.735 | 5.720 | 0.000 | 0.000 | 0.000 |
| 5.720 | 5.720 | 5.735 | 0.000 | 0.000 | 0.000 |
| -0.000 | -0.000 | -0.000 | 0.008 | 0.000 | 0.000 |
| -0.000 | -0.000 | -0.000 | 0.000 | 0.008 | 0.000 |
| -0.000 | -0.000 | -0.000 | 0.000 | 0.000 | 0.008 |
| 5.736 | 5.720 | 5.720 | -0.000 | -0.000 | -0.000 |
| 5.720 | 5.736 | 5.720 | -0.000 | -0.000 | -0.000 |
| 5.720 | 5.720 | 5.736 | -0.000 | -0.000 | -0.000 |
| 0.000 | 0.000 | 0.000 | 0.008 | -0.000 | -0.000 |
| 0.000 | 0.000 | 0.000 | -0.000 | 0.008 | -0.000 |
| 0.000 | 0.000 | 0.000 | -0.000 | -0.000 | 0.008 |
| 462.376 | 176.665 | 95.883 | -0.000 | -0.000 | -0.000 |
| 176.665 | 462.376 | 95.883 | -0.000 | 0.000 | -0.000 |
| 95.883 | 95.883 | 274.073 | -0.000 | 0.000 | -0.000 |
| -0.000 | 0.000 | 0.000 | 20.405 | 0.000 | -0.000 |
| 0.000 | 0.000 | 0.000 | 0.000 | 20.405 | 0.000 |
| 0.000 | 0.000 | 0.000 | -0.000 | 0.000 | 17.808 |
| 462.374 | 176.664 | 95.882 | -0.000 | -0.000 | -0.000 |
| 176.664 | 462.374 | 95.882 | -0.000 | -0.000 | -0.000 |
| 95.882 | 95.882 | 274.073 | -0.000 | -0.000 | 0.000 |
| 0.000 | -0.000 | -0.000 | 20.405 | -0.000 | -0.000 |
| -0.000 | -0.000 | -0.000 | -0.000 | 20.405 | 0.000 |
| -0.000 | -0.000 | -0.000 | 0.000 | -0.000 | 17.808 |
| 462.383 | 176.673 | 95.887 | 0.000 | 0.000 | 0.000 |
| 176.673 | 462.383 | 95.887 | -0.000 | 0.000 | 0.000 |
| 95.884 | 95.884 | 274.074 | -0.000 | -0.000 | -0.000 |
| -0.000 | 0.000 | 0.000 | 20.405 | 0.000 | -0.000 |
| 0.000 | -0.000 | 0.000 | -0.000 | 20.405 | 0.000 |
| 0.000 | 0.000 | 0.000 | 0.000 | -0.000 | 17.808 |
| 462.367 | 176.657 | 95.879 | 0.000 | -0.000 | -0.000 |
| 176.657 | 462.367 | 95.879 | 0.000 | -0.000 | 0.000 |
| 95.881 | 95.881 | 274.072 | -0.000 | 0.000 | 0.000 |
| 0.000 | -0.000 | -0.000 | 20.405 | -0.000 | -0.000 |
| -0.000 | 0.000 | -0.000 | 0.000 | 20.405 | 0.000 |
| -0.000 | -0.000 | -0.000 | 0.000 | -0.000 | 17.808 |
| 462.453 | 176.745 | 95.922 | 0.000 | -0.000 | 0.000 |
| 176.745 | 462.453 | 95.922 | -0.000 | 0.000 | 0.000 |
| 95.902 | 95.902 | 274.083 | -0.000 | 0.000 | -0.000 |
| -0.000 | 0.001 | 0.000 | 20.405 | 0.000 | -0.000 |
| 0.001 | -0.000 | 0.000 | -0.000 | 20.405 | 0.000 |
| 0.001 | 0.000 | 0.000 | -0.000 | 0.000 | 17.808 |
| 462.297 | 176.585 | 95.843 | -0.000 | 0.000 | 0.000 |
| 176.585 | 462.297 | 95.843 | 0.000 | -0.000 | 0.000 |
| 95.863 | 95.863 | 274.063 | -0.000 | -0.000 | 0.000 |
| 0.000 | -0.001 | -0.000 | 20.405 | -0.000 | -0.000 |
| -0.001 | 0.000 | -0.000 | 0.000 | 20.405 | 0.000 |
| -0.001 | -0.000 | -0.000 | -0.000 | 0.000 | 17.808 |
| 19.358 | 65.014 | 12.539 | -0.000 | 0.000 | -0.000 |
| 65.014 | 19.358 | 12.539 | 0.000 | -0.000 | -0.000 |
| 12.539 | 12.539 | -120.389 | 0.000 | -0.000 | -0.000 |
| 79335784.666 | -165971329.878 | -79688534.910 | 14.639 | -0.000 | -0.002 |
| -165971330.045 | 79335784.682 | -79688534.907 | 0.000 | 14.644 | -0.000 |
| 0.000 | -0.000 | -0.000 | 0.000 | -0.000 | 70.299 |
| 95296326.145 | 76622640.026 | 119072850.806 | -1586893.186 | -522308.689 | 897159.281 |
| 77375683.830 | 98832253.766 | 126294503.988 | -528334.962 | -659542.460 | -624179.024 |
| 12.539 | 12.539 | -120.389 | 0.000 | 0.000 | 0.000 |
| -79335784.655 | 165971329.767 | 79688534.916 | 14.501 | -0.000 | -0.001 |
| 165971329.729 | -79335784.652 | 79688534.914 | 0.000 | 14.575 | -0.003 |
| -0.000 | 0.000 | 0.000 | -0.000 | -0.000 | 70.299 |
| -7316865.378 | -9352885.561 | -12511917.806 | -5245.052 | 85182.553 | -26747.207 |
| -9331044.768 | -7556929.767 | -12027860.219 | 41297.877 | 59872.950 | -1658.179 |
| 12.539 | 12.539 | -120.390 | 0.000 | -0.000 | 0.000 |
| 7933578.465 | -16597132.967 | -7968853.492 | 14.573 | 0.000 | 0.000 |
| -16597132.998 | 7933578.468 | -7968853.491 | -0.000 | 14.565 | 0.000 |
| -0.000 | -0.000 | -0.000 | 0.000 | -0.000 | 70.299 |
| 9858392.278 | 8118637.675 | 12426271.908 | -273686.647 | -72519.948 | 21123.630 |
| 8778764.123 | 10377307.955 | 13544270.578 | 26356.951 | -53392.009 | -128992.049 |
| 12.539 | 12.539 | -120.389 | -0.000 | 0.000 | 0.000 |
| -7933578.466 | 16597132.987 | 7968853.491 | 14.573 | 0.000 | 0.000 |
| 16597132.972 | -7933578.465 | 7968853.492 | 0.000 | 14.569 | -0.000 |
| 0.000 | 0.000 | 0.000 | -0.000 | 0.000 | 70.299 |
| -759744.213 | -865783.255 | -1226652.160 | 11291.140 | -5198.343 | 11928.287 |
| -922517.404 | -772858.561 | -1230495.829 | 7168.937 | 12716.679 | 4642.062 |
| 12.539 | 12.539 | -120.392 | -0.000 | -0.000 | -0.000 |
| 793357.847 | -1659713.303 | -796885.349 | 14.571 | -0.000 | -0.000 |
| -1659713.300 | 793357.847 | -796885.349 | 0.000 | 14.571 | -0.000 |
| -0.001 | -0.001 | -0.000 | 0.000 | -0.000 | 70.299 |
| 968273.102 | 780250.692 | 1160770.506 | 4021.335 | -2239.322 | -3729.044 |
| 791916.240 | 912629.488 | 1276815.665 | 3181.121 | 6266.144 | -19966.351 |
| 12.539 | 12.539 | -120.387 | 0.000 | 0.000 | 0.000 |
| -793357.847 | 1659713.299 | 796885.349 | 14.571 | 0.000 | 0.000 |
| 1659713.295 | -793357.846 | 796885.349 | 0.000 | 14.571 | 0.000 |
| 0.001 | 0.001 | 0.000 | -0.000 | 0.000 | 70.299 |
| 112.500 | 139.877 | 64.091 | 0.000 | -0.000 | -0.000 |
| 139.877 | 112.500 | 64.091 | -0.000 | 0.000 | -0.000 |
| 64.091 | 64.091 | 86.390 | -0.000 | -0.000 | -0.000 |
| 0.000 | -0.000 | -0.000 | 9.592 | -0.000 | -0.000 |
| -0.000 | -0.000 | -0.000 | -0.000 | 9.592 | 0.000 |
| -0.000 | -0.000 | -0.000 | -0.000 | 0.000 | 122.160 |
| 112.500 | 139.877 | 64.091 | -0.000 | 0.000 | 0.000 |
| 139.877 | 112.500 | 64.091 | 0.000 | -0.000 | -0.000 |
| 64.091 | 64.091 | 86.390 | 0.000 | 0.000 | -0.000 |
| -0.000 | 0.000 | 0.000 | 9.592 | 0.000 | 0.000 |
| 0.000 | 0.000 | 0.000 | 0.000 | 9.592 | 0.000 |
| 0.000 | 0.000 | 0.000 | 0.000 | -0.000 | 122.160 |
| 112.500 | 139.877 | 64.091 | 0.000 | -0.000 | 0.000 |
| 139.877 | 112.500 | 64.091 | -0.000 | 0.000 | 0.000 |
| 64.091 | 64.091 | 86.390 | -0.000 | -0.000 | 0.000 |
| -0.000 | -0.000 | -0.000 | 9.592 | -0.000 | -0.000 |
| -0.000 | -0.000 | -0.000 | -0.000 | 9.592 | 0.000 |
| -0.000 | -0.000 | -0.000 | -0.000 | 0.000 | 122.160 |
| 112.501 | 139.877 | 64.091 | -0.000 | -0.000 | 0.000 |
| 139.877 | 112.501 | 64.091 | -0.000 | -0.000 | -0.000 |
| 64.091 | 64.091 | 86.390 | 0.000 | 0.000 | -0.000 |
| 0.000 | 0.000 | 0.000 | 9.592 | 0.000 | 0.000 |
| 0.000 | 0.000 | 0.000 | 0.000 | 9.592 | -0.000 |
| 0.000 | 0.000 | 0.000 | 0.000 | -0.000 | 122.160 |
| 112.499 | 139.876 | 64.091 | 0.000 | 0.000 | 0.000 |
| 139.876 | 112.499 | 64.091 | -0.000 | 0.000 | 0.000 |
| 64.092 | 64.092 | 86.390 | -0.000 | -0.000 | -0.000 |
| -0.000 | -0.001 | -0.000 | 9.592 | -0.000 | -0.000 |
| -0.001 | -0.000 | -0.000 | -0.000 | 9.592 | 0.000 |
| -0.001 | -0.001 | -0.000 | 0.000 | -0.000 | 122.160 |
| 112.502 | 139.878 | 64.092 | -0.000 | -0.000 | 0.000 |
| 139.878 | 112.502 | 64.092 | -0.000 | -0.000 | 0.000 |
| 64.091 | 64.091 | 86.391 | 0.000 | 0.000 | -0.000 |
| 0.000 | 0.001 | 0.000 | 9.592 | 0.000 | 0.000 |
| 0.001 | 0.000 | 0.000 | 0.000 | 9.592 | 0.000 |
| 0.001 | 0.001 | 0.000 | 0.000 | 0.000 | 122.160 |
| 65.855 | 0.223 | 12.540 | 0.000 | -0.000 | 0.000 |
| 0.223 | 65.855 | 12.540 | -0.000 | -0.000 | -0.000 |
| 12.540 | 12.540 | 67.976 | -0.000 | -0.000 | 0.000 |
| 0.000 | 0.000 | 0.000 | 14.190 | 0.000 | -0.000 |
| 0.000 | 0.000 | 0.000 | 0.000 | 14.190 | 0.000 |
| 0.000 | -0.000 | -0.000 | -0.000 | -0.000 | 0.010 |
| 65.855 | 0.223 | 12.540 | 0.000 | 0.000 | -0.000 |
| 0.223 | 65.855 | 12.540 | 0.000 | 0.000 | -0.000 |
| 12.540 | 12.540 | 67.976 | -0.000 | 0.000 | 0.000 |
| -0.000 | -0.000 | -0.000 | 14.190 | -0.000 | -0.000 |
| -0.000 | -0.000 | -0.000 | -0.000 | 14.190 | -0.000 |
| -0.000 | 0.000 | 0.000 | -0.000 | 0.000 | 0.010 |
| 65.855 | 0.223 | 12.540 | -0.000 | -0.000 | 0.000 |
| 0.223 | 65.855 | 12.540 | -0.000 | -0.000 | 0.000 |
| 12.540 | 12.540 | 67.976 | 0.000 | -0.000 | 0.000 |
| -0.000 | 0.000 | 0.000 | 14.190 | -0.000 | -0.000 |
| 0.000 | -0.000 | 0.000 | 0.000 | 14.190 | 0.000 |
| -0.000 | -0.000 | -0.000 | -0.000 | -0.000 | 0.010 |
| 65.855 | 0.223 | 12.540 | 0.000 | 0.000 | 0.000 |
| 0.223 | 65.855 | 12.540 | -0.000 | 0.000 | -0.000 |
| 12.540 | 12.540 | 67.976 | 0.000 | 0.000 | -0.000 |
| 0.000 | -0.000 | -0.000 | 14.190 | 0.000 | -0.000 |
| -0.000 | 0.000 | -0.000 | 0.000 | 14.190 | 0.000 |
| 0.000 | 0.000 | 0.000 | 0.000 | 0.000 | 0.010 |
| 65.855 | 0.223 | 12.540 | -0.000 | -0.000 | 0.000 |
| 0.223 | 65.855 | 12.540 | -0.000 | -0.000 | -0.000 |
| 12.540 | 12.540 | 67.975 | -0.000 | -0.000 | 0.000 |
| -0.000 | 0.000 | 0.000 | 14.190 | -0.000 | 0.000 |
| 0.000 | -0.000 | 0.000 | 0.000 | 14.190 | -0.000 |
| -0.000 | -0.000 | -0.000 | -0.000 | -0.000 | 0.010 |
| 65.856 | 0.223 | 12.540 | 0.000 | 0.000 | 0.000 |
| 0.223 | 65.856 | 12.540 | 0.000 | 0.000 | 0.000 |
| 12.540 | 12.540 | 67.977 | 0.000 | 0.000 | -0.000 |
| 0.000 | -0.000 | -0.000 | 14.190 | -0.000 | 0.000 |
| -0.000 | 0.000 | -0.000 | -0.000 | 14.190 | 0.000 |
| 0.000 | 0.000 | 0.000 | 0.000 | 0.000 | 0.010 |
| 117.426 | 109.931 | 68.971 | 0.000 | 0.000 | 0.000 |
| 109.931 | 117.426 | 68.971 | 0.000 | 0.000 | 0.000 |
| 68.971 | 68.971 | 236.556 | 0.000 | 0.000 | 0.000 |
| 0.000 | 0.000 | 0.000 | 64.528 | 0.000 | 0.000 |
| 0.000 | 0.000 | 0.000 | 0.000 | 64.528 | 0.000 |
| -0.000 | -0.000 | 0.000 | 0.000 | 0.000 | 107.542 |
| 117.426 | 109.931 | 68.971 | -0.000 | -0.000 | -0.000 |
| 109.931 | 117.426 | 68.971 | -0.000 | -0.000 | -0.000 |
| 68.971 | 68.971 | 236.556 | -0.000 | -0.000 | -0.000 |
| -0.000 | -0.000 | -0.000 | 64.528 | -0.000 | -0.000 |
| -0.000 | -0.000 | -0.000 | -0.000 | 64.528 | 0.000 |
| 0.000 | 0.000 | -0.000 | -0.000 | 0.000 | 107.542 |
| 117.426 | 109.930 | 68.971 | 0.000 | 0.000 | 0.000 |
| 109.930 | 117.426 | 68.971 | 0.000 | 0.000 | 0.000 |
| 68.971 | 68.971 | 236.556 | 0.000 | 0.000 | 0.000 |
| 0.000 | -0.000 | 0.000 | 64.528 | 0.000 | 0.000 |
| -0.000 | 0.000 | 0.000 | 0.000 | 64.528 | 0.000 |
| -0.000 | -0.000 | 0.000 | 0.000 | 0.000 | 107.542 |
| 117.426 | 109.931 | 68.971 | -0.000 | -0.000 | -0.000 |
| 109.931 | 117.426 | 68.971 | -0.000 | -0.000 | -0.000 |
| 68.971 | 68.971 | 236.556 | -0.000 | -0.000 | -0.000 |
| -0.000 | 0.000 | -0.000 | 64.528 | -0.000 | -0.000 |
| 0.000 | -0.000 | -0.000 | -0.000 | 64.528 | 0.000 |
| 0.000 | 0.000 | -0.000 | -0.000 | -0.000 | 107.542 |
| 117.425 | 109.930 | 68.971 | 0.000 | 0.000 | -0.000 |
| 109.930 | 117.425 | 68.971 | 0.000 | 0.000 | 0.000 |
| 68.972 | 68.972 | 236.558 | 0.000 | 0.000 | 0.000 |
| 0.000 | -0.000 | 0.000 | 64.528 | 0.000 | 0.000 |
| -0.000 | 0.000 | 0.000 | 0.000 | 64.528 | 0.000 |
| -0.001 | -0.001 | 0.000 | 0.000 | 0.000 | 107.542 |
| 117.427 | 109.931 | 68.971 | -0.000 | -0.000 | -0.000 |
| 109.931 | 117.427 | 68.971 | -0.000 | -0.000 | -0.000 |
| 68.971 | 68.971 | 236.554 | -0.000 | -0.000 | -0.000 |
| -0.000 | 0.000 | -0.000 | 64.528 | -0.000 | -0.000 |
| 0.000 | -0.000 | -0.000 | -0.000 | 64.528 | -0.000 |
| 0.001 | 0.001 | -0.000 | -0.000 | -0.000 | 107.542 |
| 1303220.000 | 773020.998 | 551685.999 | -90504.101 | 6.622 | 0.232 |
| 773017.996 | 1303222.000 | 551685.999 | 90509.450 | 5.884 | 0.545 |
| 528958.996 | 528957.998 | -157584.001 | 0.807 | 8.259 | 0.342 |
| -90508.001 | 90508.999 | 0.000 | -1499.972 | 4.642 | -0.114 |
| -1.002 | 0.998 | 0.000 | -0.043 | -1497.531 | -90506.658 |
| -4.004 | -3.005 | -36.998 | 0.840 | -90502.485 | 265100.998 |
| 1303229.999 | 773026.003 | 551752.002 | -90507.867 | -4.834 | -0.578 |
| 773025.005 | 1303229.001 | 551752.002 | 90505.299 | -4.902 | 0.744 |
| 528960.002 | 528958.002 | -157586.001 | -1.902 | -2.653 | -0.185 |
| -90505.997 | 90505.003 | -0.000 | -1502.506 | -4.055 | -0.439 |
| -0.000 | -0.998 | -0.000 | -0.093 | -1507.345 | -90506.808 |
| 5.005 | 3.005 | 35.996 | -0.792 | -90511.425 | 265100.929 |
| 1303226.700 | 773025.999 | 551751.500 | -90506.668 | 0.371 | -0.024 |
| 773025.600 | 1303227.100 | 551751.500 | 90506.981 | 0.248 | 0.048 |
| 528958.600 | 528958.900 | -157588.500 | 0.090 | 0.467 | 0.013 |
| -90506.800 | 90506.600 | -0.500 | -1501.888 | 0.621 | 0.029 |
| -0.501 | -0.100 | -0.500 | 0.004 | -1501.595 | -90506.747 |
| -0.400 | -0.400 | -0.200 | -0.041 | -90506.276 | 265101.455 |
| 1303230.400 | 773026.000 | 551752.100 | -90506.793 | -0.325 | -0.030 |
| 773026.100 | 1303230.000 | 551752.200 | 90506.345 | -0.480 | -0.055 |
| 528960.900 | 528960.601 | -157570.000 | -0.064 | -0.480 | -0.011 |
| -90506.600 | 90507.100 | 0.400 | -1502.288 | -0.740 | -0.119 |
| 0.501 | 0.100 | 0.500 | -0.000 | -1502.572 | -90506.745 |
| 0.300 | 0.400 | 0.200 | 0.038 | -90507.269 | 265101.341 |
| 1303210.740 | 773024.000 | 551748.250 | -90507.618 | 0.082 | -0.003 |
| 773022.470 | 1303211.690 | 551745.620 | 90508.072 | 0.029 | 0.014 |
| 528954.570 | 528954.570 | -157613.250 | 0.003 | 0.048 | 0.002 |
| -90508.200 | 90502.340 | -4.910 | -1501.658 | 0.012 | -0.004 |
| -4.430 | -1.460 | -4.920 | -0.432 | -1502.059 | -90506.749 |
| -3.430 | -4.370 | -1.470 | -0.287 | -90506.706 | 265101.405 |
| 1303246.500 | 773027.620 | 551755.370 | -90505.885 | -0.014 | -0.007 |
| 773028.880 | 1303245.230 | 551755.370 | 90505.428 | -0.037 | -0.009 |
| 528963.470 | 528963.470 | -157557.930 | -0.027 | -0.063 | 0.004 |
| -90505.140 | 90511.300 | 6.220 | -1502.567 | -0.034 | -0.012 |
| 4.430 | 1.460 | 4.920 | 0.435 | -1502.171 | -90506.759 |
| 3.430 | 4.370 | 1.470 | 0.292 | -90506.801 | 265101.395 |
| 687.927 | -32.970 | -32.970 | -0.000 | 0.000 | -0.000 |
| -32.970 | 687.927 | -32.970 | 0.000 | -0.000 | -0.000 |
| -32.970 | -32.970 | 687.927 | 0.000 | 0.000 | -0.000 |
| -0.000 | 0.000 | -0.000 | 95.296 | 0.000 | -0.000 |
| -0.000 | 0.000 | -0.000 | 0.000 | 95.296 | -0.000 |
| -0.000 | -0.000 | -0.000 | 0.000 | -0.000 | 95.296 |
| 687.927 | -32.970 | -32.970 | -0.000 | -0.000 | 0.000 |
| -32.970 | 687.927 | -32.970 | -0.000 | -0.000 | 0.000 |
| -32.970 | -32.970 | 687.927 | -0.000 | -0.000 | 0.000 |
| 0.000 | -0.000 | 0.000 | 95.296 | -0.000 | 0.000 |
| 0.000 | -0.000 | 0.000 | -0.000 | 95.296 | 0.000 |
| 0.000 | 0.000 | 0.000 | 0.000 | -0.000 | 95.296 |
| 687.928 | -32.969 | -32.969 | 0.000 | -0.000 | -0.000 |
| -32.969 | 687.928 | -32.969 | -0.000 | 0.000 | -0.000 |
| -32.969 | -32.969 | 687.928 | 0.000 | 0.000 | -0.000 |
| 0.000 | 0.000 | 0.000 | 95.296 | 0.000 | -0.000 |
| 0.000 | 0.000 | 0.000 | -0.000 | 95.296 | -0.000 |
| 0.000 | 0.000 | 0.000 | -0.000 | 0.000 | 95.296 |
| 687.926 | -32.971 | -32.971 | -0.000 | -0.000 | 0.000 |
| -32.971 | 687.926 | -32.971 | -0.000 | -0.000 | 0.000 |
| -32.971 | -32.971 | 687.926 | -0.000 | -0.000 | 0.000 |
| -0.000 | -0.000 | -0.000 | 95.296 | 0.000 | 0.000 |
| -0.000 | -0.000 | -0.000 | -0.000 | 95.296 | 0.000 |
| -0.000 | -0.000 | -0.000 | 0.000 | -0.000 | 95.296 |
| 687.936 | -32.960 | -32.960 | -0.000 | 0.000 | -0.000 |
| -32.960 | 687.936 | -32.960 | 0.000 | 0.000 | 0.000 |
| -32.960 | -32.960 | 687.936 | 0.000 | 0.000 | 0.000 |
| 0.000 | 0.001 | 0.000 | 95.296 | 0.000 | -0.000 |
| 0.001 | 0.000 | 0.000 | 0.000 | 95.296 | -0.000 |
| 0.001 | 0.000 | 0.000 | -0.000 | 0.000 | 95.296 |
| 687.918 | -32.981 | -32.981 | -0.000 | -0.000 | 0.000 |
| -32.981 | 687.918 | -32.981 | -0.000 | -0.000 | 0.000 |
| -32.981 | -32.981 | 687.918 | -0.000 | 0.000 | 0.000 |
| -0.000 | -0.001 | -0.000 | 95.296 | 0.000 | 0.000 |
| -0.001 | -0.000 | -0.000 | -0.000 | 95.296 | 0.000 |
| -0.001 | -0.000 | -0.000 | 0.000 | -0.000 | 95.296 |
| 177.376 | 136.359 | 136.359 | 0.000 | 0.000 | -0.000 |
| 136.359 | 177.376 | 136.359 | 0.000 | -0.000 | -0.000 |
| 136.359 | 136.359 | 177.376 | 0.000 | -0.000 | -0.000 |
| 0.000 | 0.000 | 0.000 | 123.521 | 0.000 | -0.000 |
| 0.000 | 0.000 | 0.000 | 0.000 | 123.521 | -0.000 |
| 0.000 | 0.000 | 0.000 | -0.000 | 0.000 | 123.521 |
| 177.376 | 136.359 | 136.359 | 0.000 | -0.000 | 0.000 |
| 136.359 | 177.376 | 136.359 | 0.000 | -0.000 | -0.000 |
| 136.359 | 136.359 | 177.376 | 0.000 | 0.000 | -0.000 |
| -0.000 | -0.000 | -0.000 | 123.521 | 0.000 | -0.000 |
| -0.000 | -0.000 | -0.000 | 0.000 | 123.521 | 0.000 |
| -0.000 | -0.000 | -0.000 | 0.000 | -0.000 | 123.521 |
| 177.375 | 136.359 | 136.359 | -0.000 | 0.000 | -0.000 |
| 136.359 | 177.375 | 136.359 | 0.000 | -0.000 | 0.000 |
| 136.359 | 136.359 | 177.375 | -0.000 | -0.000 | 0.000 |
| 0.000 | 0.000 | 0.000 | 123.521 | 0.000 | -0.000 |
| 0.000 | 0.000 | 0.000 | 0.000 | 123.521 | 0.000 |
| 0.000 | 0.000 | 0.000 | 0.000 | 0.000 | 123.521 |
| 177.376 | 136.359 | 136.359 | -0.000 | -0.000 | 0.000 |
| 136.359 | 177.376 | 136.359 | 0.000 | -0.000 | -0.000 |
| 136.359 | 136.359 | 177.376 | -0.000 | 0.000 | -0.000 |
| -0.000 | -0.000 | -0.000 | 123.521 | -0.000 | 0.000 |
| -0.000 | -0.000 | -0.000 | 0.000 | 123.521 | 0.000 |
| -0.000 | -0.000 | -0.000 | 0.000 | 0.000 | 123.521 |
| 177.371 | 136.361 | 136.361 | -0.000 | 0.000 | -0.000 |
| 136.361 | 177.371 | 136.361 | 0.000 | -0.000 | 0.000 |
| 136.361 | 136.361 | 177.371 | 0.000 | 0.000 | -0.000 |
| 0.001 | 0.000 | 0.000 | 123.521 | 0.000 | -0.000 |
| 0.000 | 0.001 | 0.000 | 0.000 | 123.521 | -0.000 |
| 0.000 | 0.000 | 0.001 | -0.000 | 0.000 | 123.521 |
| 177.380 | 136.357 | 136.357 | 0.000 | -0.000 | -0.000 |
| 136.357 | 177.380 | 136.357 | -0.000 | 0.000 | 0.000 |
| 136.357 | 136.357 | 177.380 | 0.000 | 0.000 | -0.000 |
| -0.001 | -0.000 | -0.000 | 123.521 | -0.000 | 0.000 |
| -0.000 | -0.001 | -0.000 | -0.000 | 123.521 | 0.000 |
| -0.000 | -0.000 | -0.001 | -0.000 | -0.000 | 123.521 |
| 34.832 | 68.866 | 68.866 | 0.000 | -0.000 | -0.000 |
| 68.866 | 34.832 | 68.866 | 0.000 | -0.000 | -0.000 |
| 68.866 | 68.866 | 34.832 | -0.000 | -0.000 | -0.000 |
| -0.000 | -0.000 | -0.000 | 77.171 | -0.000 | -0.000 |
| -0.000 | -0.000 | -0.000 | 0.000 | 77.171 | -0.000 |
| -0.000 | -0.000 | -0.000 | -0.000 | -0.000 | 77.171 |
| 34.832 | 68.866 | 68.866 | -0.000 | 0.000 | 0.000 |
| 68.866 | 34.832 | 68.866 | 0.000 | 0.000 | 0.000 |
| 68.866 | 68.866 | 34.832 | -0.000 | 0.000 | 0.000 |
| 0.000 | 0.000 | 0.000 | 77.171 | -0.000 | 0.000 |
| 0.000 | 0.000 | 0.000 | 0.000 | 77.171 | 0.000 |
| 0.000 | 0.000 | 0.000 | -0.000 | 0.000 | 77.171 |
| 34.831 | 68.866 | 68.866 | 0.000 | 0.000 | -0.000 |
| 68.866 | 34.831 | 68.866 | 0.000 | 0.000 | -0.000 |
| 68.866 | 68.866 | 34.831 | 0.000 | 0.000 | -0.000 |
| -0.000 | -0.000 | -0.000 | 77.171 | 0.000 | -0.000 |
| -0.000 | -0.000 | -0.000 | 0.000 | 77.171 | -0.000 |
| -0.000 | -0.000 | -0.000 | 0.000 | -0.000 | 77.171 |
| 34.832 | 68.866 | 68.866 | 0.000 | 0.000 | 0.000 |
| 68.866 | 34.832 | 68.866 | 0.000 | -0.000 | 0.000 |
| 68.866 | 68.866 | 34.832 | -0.000 | -0.000 | 0.000 |
| 0.000 | 0.000 | 0.000 | 77.171 | 0.000 | 0.000 |
| 0.000 | 0.000 | 0.000 | 0.000 | 77.171 | 0.000 |
| 0.000 | 0.000 | 0.000 | 0.000 | 0.000 | 77.171 |
| 34.830 | 68.865 | 68.865 | 0.000 | -0.000 | -0.000 |
| 68.865 | 34.830 | 68.865 | 0.000 | 0.000 | -0.000 |
| 68.865 | 68.865 | 34.830 | 0.000 | 0.000 | -0.000 |
| -0.001 | -0.002 | -0.002 | 77.171 | 0.000 | -0.000 |
| -0.002 | -0.001 | -0.002 | 0.000 | 77.171 | -0.000 |
| -0.002 | -0.002 | -0.001 | -0.000 | -0.000 | 77.171 |
| 34.833 | 68.868 | 68.868 | 0.000 | -0.000 | 0.000 |
| 68.868 | 34.833 | 68.868 | -0.000 | -0.000 | 0.000 |
| 68.868 | 68.868 | 34.833 | -0.000 | 0.000 | 0.000 |
| 0.001 | 0.002 | 0.002 | 77.171 | -0.000 | 0.000 |
| 0.002 | 0.001 | 0.002 | 0.000 | 77.171 | 0.000 |
| 0.002 | 0.002 | 0.001 | 0.000 | -0.000 | 77.171 |
| 152.118 | 68.157 | 68.157 | 0.000 | 0.000 | 0.000 |
| 68.157 | 152.118 | 68.157 | 0.000 | 0.000 | 0.000 |
| 68.157 | 68.157 | 152.118 | -0.000 | 0.000 | 0.000 |
| 0.000 | -0.000 | -0.000 | 76.365 | 0.000 | -0.000 |
| -0.000 | 0.000 | -0.000 | -0.000 | 76.365 | -0.000 |
| -0.000 | -0.000 | 0.000 | 0.000 | -0.000 | 76.365 |
| 152.118 | 68.157 | 68.157 | -0.000 | -0.000 | -0.000 |
| 68.157 | 152.118 | 68.157 | 0.000 | -0.000 | 0.000 |
| 68.157 | 68.157 | 152.118 | 0.000 | 0.000 | -0.000 |
| -0.000 | 0.000 | 0.000 | 76.365 | 0.000 | -0.000 |
| 0.000 | -0.000 | 0.000 | -0.000 | 76.365 | -0.000 |
| 0.000 | 0.000 | -0.000 | -0.000 | 0.000 | 76.365 |
| 152.118 | 68.157 | 68.157 | 0.000 | 0.000 | 0.000 |
| 68.157 | 152.118 | 68.157 | 0.000 | 0.000 | -0.000 |
| 68.157 | 68.157 | 152.118 | 0.000 | -0.000 | 0.000 |
| -0.000 | -0.000 | -0.000 | 76.365 | -0.000 | 0.000 |
| -0.000 | -0.000 | -0.000 | -0.000 | 76.365 | 0.000 |
| -0.000 | -0.000 | -0.000 | -0.000 | -0.000 | 76.365 |
| 152.119 | 68.157 | 68.157 | 0.000 | 0.000 | -0.000 |
| 68.157 | 152.119 | 68.157 | -0.000 | 0.000 | -0.000 |
| 68.157 | 68.157 | 152.119 | -0.000 | 0.000 | 0.000 |
| 0.000 | 0.000 | 0.000 | 76.365 | 0.000 | -0.000 |
| 0.000 | 0.000 | 0.000 | 0.000 | 76.365 | 0.000 |
| 0.000 | 0.000 | 0.000 | 0.000 | 0.000 | 76.365 |
| 152.116 | 68.157 | 68.157 | 0.000 | -0.000 | 0.000 |
| 68.157 | 152.116 | 68.157 | -0.000 | -0.000 | -0.000 |
| 68.157 | 68.157 | 152.116 | -0.000 | -0.000 | 0.000 |
| -0.000 | -0.001 | -0.001 | 76.365 | -0.000 | 0.000 |
| -0.001 | -0.000 | -0.001 | 0.000 | 76.365 | -0.000 |
| -0.001 | -0.001 | -0.000 | 0.000 | -0.000 | 76.365 |
| 152.120 | 68.158 | 68.158 | -0.000 | 0.000 | 0.000 |
| 68.158 | 152.120 | 68.158 | 0.000 | 0.000 | -0.000 |
| 68.158 | 68.158 | 152.120 | 0.000 | -0.000 | 0.000 |
| 0.000 | 0.001 | 0.001 | 76.365 | -0.000 | -0.000 |
| 0.001 | 0.000 | 0.001 | 0.000 | 76.365 | 0.000 |
| 0.001 | 0.001 | 0.000 | -0.000 | 0.000 | 76.365 |
| 78.388 | -1.107 | -1.107 | 0.000 | -0.000 | 0.000 |
| -1.107 | 78.388 | -1.107 | -0.000 | 0.000 | -0.000 |
| -1.107 | -1.107 | 78.388 | -0.000 | -0.000 | 0.000 |
| 0.000 | -0.000 | -0.000 | 0.007 | -0.000 | -0.000 |
| -0.000 | 0.000 | -0.000 | 0.000 | 0.007 | 0.000 |
| -0.000 | -0.000 | 0.000 | -0.000 | -0.000 | 0.007 |
| 78.388 | -1.107 | -1.107 | -0.000 | 0.000 | -0.000 |
| -1.107 | 78.388 | -1.107 | 0.000 | -0.000 | 0.000 |
| -1.107 | -1.107 | 78.388 | 0.000 | 0.000 | 0.000 |
| -0.000 | -0.000 | 0.000 | 0.007 | -0.000 | 0.000 |
| -0.000 | -0.000 | 0.000 | -0.000 | 0.007 | -0.000 |
| -0.000 | 0.000 | -0.000 | 0.000 | 0.000 | 0.007 |
| 78.388 | -1.107 | -1.107 | -0.000 | -0.000 | -0.000 |
| -1.107 | 78.388 | -1.107 | -0.000 | -0.000 | -0.000 |
| -1.107 | -1.107 | 78.388 | 0.000 | 0.000 | -0.000 |
| 0.000 | 0.000 | -0.000 | 0.007 | -0.000 | 0.000 |
| 0.000 | 0.000 | -0.000 | -0.000 | 0.007 | 0.000 |
| 0.000 | -0.000 | 0.000 | -0.000 | -0.000 | 0.007 |
| 78.388 | -1.107 | -1.107 | -0.000 | 0.000 | 0.000 |
| -1.107 | 78.388 | -1.107 | 0.000 | -0.000 | 0.000 |
| -1.107 | -1.107 | 78.388 | 0.000 | 0.000 | -0.000 |
| -0.000 | -0.000 | 0.000 | 0.007 | -0.000 | 0.000 |
| -0.000 | -0.000 | 0.000 | 0.000 | 0.007 | -0.000 |
| -0.000 | 0.000 | -0.000 | 0.000 | 0.000 | 0.007 |
| 78.389 | -1.107 | -1.107 | -0.000 | -0.000 | -0.000 |
| -1.107 | 78.389 | -1.107 | -0.000 | -0.000 | 0.000 |
| -1.107 | -1.107 | 78.389 | 0.000 | 0.000 | 0.000 |
| 0.000 | 0.000 | -0.000 | 0.007 | 0.000 | 0.000 |
| 0.000 | 0.000 | -0.000 | 0.000 | 0.007 | 0.000 |
| 0.000 | -0.000 | 0.000 | -0.000 | 0.000 | 0.007 |
| 78.387 | -1.107 | -1.107 | 0.000 | 0.000 | -0.000 |
| -1.107 | 78.387 | -1.107 | 0.000 | 0.000 | -0.000 |
| -1.107 | -1.107 | 78.387 | -0.000 | -0.000 | 0.000 |
| -0.000 | -0.000 | 0.000 | 0.007 | 0.000 | -0.000 |
| -0.000 | -0.000 | 0.000 | 0.000 | 0.007 | -0.000 |
| -0.000 | 0.000 | -0.000 | 0.000 | 0.000 | 0.007 |
| 42.199 | -1.266 | -1.266 | -0.000 | -0.000 | -0.000 |
| -1.266 | 42.199 | -1.266 | -0.000 | -0.000 | -0.000 |
| -1.266 | -1.266 | 42.199 | -0.000 | -0.000 | -0.000 |
| 0.000 | 0.000 | 0.000 | 0.026 | -0.000 | 0.000 |
| 0.000 | 0.000 | 0.000 | -0.000 | 0.026 | -0.000 |
| 0.000 | 0.000 | 0.000 | -0.000 | -0.000 | 0.026 |
| 42.199 | -1.266 | -1.266 | 0.000 | 0.000 | 0.000 |
| -1.266 | 42.199 | -1.266 | 0.000 | 0.000 | 0.000 |
| -1.266 | -1.266 | 42.199 | -0.000 | -0.000 | -0.000 |
| -0.000 | -0.000 | -0.000 | 0.026 | -0.000 | -0.000 |
| -0.000 | -0.000 | -0.000 | 0.000 | 0.026 | 0.000 |
| -0.000 | -0.000 | -0.000 | 0.000 | 0.000 | 0.026 |
| 42.199 | -1.266 | -1.266 | 0.000 | 0.000 | 0.000 |
| -1.266 | 42.199 | -1.266 | 0.000 | 0.000 | 0.000 |
| -1.266 | -1.266 | 42.199 | 0.000 | 0.000 | -0.000 |
| 0.000 | 0.000 | -0.000 | 0.026 | -0.000 | -0.000 |
| 0.000 | 0.000 | -0.000 | 0.000 | 0.026 | -0.000 |
| 0.000 | -0.000 | 0.000 | -0.000 | -0.000 | 0.026 |
| 42.199 | -1.266 | -1.266 | -0.000 | 0.000 | -0.000 |
| -1.266 | 42.199 | -1.266 | 0.000 | 0.000 | -0.000 |
| -1.266 | -1.266 | 42.199 | 0.000 | 0.000 | 0.000 |
| -0.000 | -0.000 | 0.000 | 0.026 | 0.000 | 0.000 |
| -0.000 | -0.000 | 0.000 | 0.000 | 0.026 | 0.000 |
| -0.000 | 0.000 | -0.000 | -0.000 | 0.000 | 0.026 |
| 42.198 | -1.266 | -1.266 | 0.000 | -0.000 | -0.000 |
| -1.266 | 42.198 | -1.266 | 0.000 | 0.000 | 0.000 |
| -1.266 | -1.266 | 42.198 | 0.000 | 0.000 | 0.000 |
| 0.000 | 0.000 | -0.000 | 0.026 | 0.000 | 0.000 |
| 0.000 | 0.000 | -0.000 | 0.000 | 0.026 | 0.000 |
| 0.000 | -0.000 | 0.000 | 0.000 | -0.000 | 0.026 |
| 42.200 | -1.266 | -1.266 | 0.000 | 0.000 | 0.000 |
| -1.266 | 42.200 | -1.266 | 0.000 | 0.000 | 0.000 |
| -1.266 | -1.266 | 42.200 | 0.000 | 0.000 | -0.000 |
| -0.000 | -0.000 | 0.000 | 0.026 | -0.000 | -0.000 |
| -0.000 | -0.000 | 0.000 | -0.000 | 0.026 | 0.000 |
| -0.000 | 0.000 | -0.000 | -0.000 | 0.000 | 0.026 |
| 270.022 | 97.672 | 34.213 | -0.000 | 0.000 | 0.000 |
| 97.672 | 270.022 | 34.213 | -0.000 | -0.000 | 0.000 |
| 34.213 | 34.213 | -413.722 | 0.000 | -0.000 | -0.000 |
| -0.000 | 0.000 | -0.000 | -11.283 | 0.000 | 0.000 |
| 0.000 | -0.000 | -0.000 | 0.000 | -11.283 | 0.000 |
| -0.000 | 0.000 | 0.000 | -0.000 | 0.000 | 86.175 |
| 270.023 | 97.673 | 34.213 | 0.000 | 0.000 | -0.000 |
| 97.673 | 270.023 | 34.213 | -0.000 | 0.000 | -0.000 |
| 34.213 | 34.213 | -413.722 | 0.000 | -0.000 | -0.000 |
| 0.000 | -0.000 | 0.000 | -11.283 | 0.000 | -0.000 |
| -0.000 | 0.000 | 0.000 | 0.000 | -11.283 | -0.000 |
| 0.000 | -0.000 | -0.000 | 0.000 | -0.000 | 86.175 |
| 270.020 | 97.670 | 34.211 | 0.000 | 0.000 | 0.000 |
| 97.670 | 270.020 | 34.211 | -0.000 | 0.000 | 0.000 |
| 34.211 | 34.211 | -413.724 | 0.000 | -0.000 | 0.000 |
| -0.000 | 0.000 | -0.000 | -11.283 | 0.000 | -0.000 |
| 0.000 | -0.000 | -0.000 | -0.000 | -11.283 | 0.000 |
| -0.000 | 0.000 | 0.000 | 0.000 | -0.000 | 86.175 |
| 270.025 | 97.675 | 34.215 | -0.000 | -0.000 | -0.000 |
| 97.675 | 270.026 | 34.215 | 0.000 | -0.000 | -0.000 |
| 34.215 | 34.215 | -413.719 | 0.000 | -0.000 | -0.000 |
| 0.000 | -0.000 | 0.000 | -11.283 | -0.000 | -0.000 |
| -0.000 | 0.000 | 0.000 | 0.000 | -11.283 | -0.000 |
| 0.000 | -0.000 | -0.000 | 0.000 | 0.000 | 86.175 |
| 269.996 | 97.644 | 34.191 | -0.000 | 0.000 | 0.000 |
| 97.644 | 269.995 | 34.191 | -0.000 | 0.000 | 0.000 |
| 34.194 | 34.194 | -413.745 | 0.000 | 0.000 | 0.000 |
| -0.000 | 0.000 | -0.000 | -11.283 | -0.000 | -0.000 |
| 0.000 | -0.000 | -0.000 | -0.000 | -11.283 | 0.000 |
| -0.000 | 0.001 | 0.000 | -0.000 | 0.000 | 86.175 |
| 270.050 | 97.701 | 34.236 | 0.000 | -0.000 | -0.000 |
| 97.701 | 270.051 | 34.236 | 0.000 | -0.000 | -0.000 |
| 34.233 | 34.233 | -413.698 | -0.000 | -0.000 | -0.000 |
| 0.000 | -0.000 | 0.000 | -11.283 | 0.000 | -0.000 |
| -0.000 | 0.000 | 0.000 | 0.000 | -11.283 | -0.000 |
| 0.000 | -0.001 | -0.000 | 0.000 | -0.000 | 86.175 |
| 382.739 | 145.857 | 141.029 | 0.000 | -0.000 | 0.000 |
| 145.857 | 382.739 | 141.029 | 0.000 | -0.000 | 0.000 |
| 143.416 | 143.416 | 465.051 | 0.000 | -0.000 | 0.000 |
| 0.000 | 0.000 | 0.000 | 89.174 | -0.000 | 0.000 |
| 0.000 | 0.000 | 0.000 | 0.000 | 89.174 | 0.000 |
| 0.000 | 0.000 | 0.000 | 0.000 | 0.000 | 118.127 |
| 382.738 | 145.857 | 141.029 | -0.000 | 0.000 | -0.000 |
| 145.857 | 382.738 | 141.029 | 0.000 | -0.000 | -0.000 |
| 143.416 | 143.416 | 465.050 | -0.000 | -0.000 | -0.000 |
| -0.000 | -0.000 | -0.000 | 89.174 | -0.000 | -0.000 |
| -0.000 | -0.000 | -0.000 | -0.000 | 89.174 | -0.000 |
| -0.000 | -0.000 | 0.000 | -0.000 | 0.000 | 118.127 |
| 382.744 | 145.859 | 141.031 | 0.000 | -0.000 | 0.000 |
| 145.859 | 382.744 | 141.031 | 0.000 | 0.000 | 0.000 |
| 143.419 | 143.419 | 465.058 | 0.000 | 0.000 | 0.000 |
| 0.000 | 0.000 | 0.000 | 89.174 | -0.000 | 0.000 |
| 0.000 | 0.000 | 0.000 | 0.000 | 89.174 | 0.000 |
| 0.000 | 0.000 | 0.000 | 0.000 | 0.000 | 118.127 |
| 382.733 | 145.855 | 141.027 | -0.000 | -0.000 | -0.000 |
| 145.855 | 382.733 | 141.027 | -0.000 | 0.000 | -0.000 |
| 143.413 | 143.413 | 465.044 | -0.000 | 0.000 | -0.000 |
| -0.000 | -0.000 | -0.000 | 89.174 | -0.000 | -0.000 |
| -0.000 | -0.000 | -0.000 | -0.000 | 89.174 | -0.000 |
| -0.000 | -0.000 | -0.000 | -0.000 | 0.000 | 118.127 |
| 382.793 | 145.874 | 141.049 | 0.000 | -0.000 | 0.000 |
| 145.874 | 382.793 | 141.049 | 0.000 | -0.000 | 0.000 |
| 143.447 | 143.447 | 465.121 | 0.000 | -0.000 | 0.000 |
| 0.000 | 0.001 | 0.002 | 89.174 | -0.000 | 0.000 |
| 0.001 | 0.000 | 0.002 | 0.000 | 89.174 | 0.000 |
| 0.001 | 0.002 | 0.001 | 0.000 | -0.000 | 118.127 |
| 382.683 | 145.839 | 141.009 | -0.000 | 0.000 | -0.000 |
| 145.839 | 382.683 | 141.009 | 0.000 | -0.000 | -0.000 |
| 143.386 | 143.386 | 464.981 | -0.000 | 0.000 | -0.000 |
| -0.000 | -0.001 | -0.002 | 89.174 | -0.000 | -0.000 |
| -0.001 | -0.000 | -0.002 | 0.000 | 89.174 | -0.000 |
| -0.001 | -0.002 | -0.001 | -0.000 | -0.000 | 118.127 |
| 356.392 | 138.900 | 138.996 | -0.000 | -0.000 | 0.000 |
| 138.900 | 356.392 | 138.996 | -0.000 | -0.000 | -0.000 |
| 2782.336 | 2782.336 | -2601.205 | -0.000 | 0.000 | 0.000 |
| 3384.673 | 3384.673 | -1596.822 | 63.676 | 0.000 | 0.000 |
| 3384.673 | 3384.673 | -1596.822 | -0.000 | 63.676 | 0.000 |
| 3602.543 | 3602.543 | -1765.274 | 0.000 | 0.000 | 85.293 |
| 356.391 | 138.900 | 138.995 | 0.000 | 0.000 | -0.000 |
| 138.899 | 356.391 | 138.996 | 0.000 | -0.000 | -0.000 |
| -753.323 | -753.323 | 964.160 | 0.000 | -0.000 | 0.000 |
| -3384.673 | -3384.673 | 1596.822 | 63.676 | -0.000 | -0.000 |
| -3384.673 | -3384.673 | 1596.822 | 0.000 | 63.676 | -0.000 |
| -3602.543 | -3602.543 | 1765.274 | 0.000 | -0.000 | 85.293 |
| 356.397 | 138.901 | 138.998 | -0.000 | -0.000 | 0.000 |
| 138.901 | 356.397 | 138.998 | -0.000 | 0.000 | 0.000 |
| 141.229 | 141.229 | 476.039 | -0.000 | -0.000 | 0.000 |
| 0.000 | 0.000 | 0.000 | 89.830 | 0.000 | -0.000 |
| 0.000 | 0.000 | 0.000 | -0.000 | 89.830 | 0.000 |
| 338.570 | 338.570 | -157.281 | -0.000 | 0.000 | 69.602 |
| -65.007 | -67.506 | 420.660 | 0.000 | -0.000 | -0.000 |
| -67.506 | -65.007 | 420.660 | 0.000 | -0.000 | -0.000 |
| 141.223 | 141.223 | 476.025 | 0.000 | -0.000 | -0.000 |
| -0.000 | -0.000 | -0.000 | 89.830 | -0.000 | -0.000 |
| -0.000 | -0.000 | -0.000 | 0.000 | 89.830 | -0.000 |
| -338.570 | -338.570 | 157.281 | 0.000 | -0.000 | 69.602 |
| 289.300 | 189.638 | 109.886 | -0.000 | 0.000 | -0.000 |
| 189.638 | 289.300 | 109.886 | -0.000 | 0.000 | 0.000 |
| 141.257 | 141.257 | 476.103 | -0.000 | 0.000 | 0.000 |
| 0.000 | 0.001 | 0.002 | 89.830 | 0.000 | 0.000 |
| 0.001 | 0.000 | 0.002 | -0.000 | 89.830 | 0.000 |
| 15.380 | 15.381 | -17.412 | -0.000 | 0.000 | 60.065 |
| 227.264 | 167.421 | 144.807 | 0.000 | -0.000 | -0.000 |
| 167.421 | 227.264 | 144.807 | 0.000 | 0.000 | -0.000 |
| 97.531 | 97.531 | 459.370 | 0.000 | -0.000 | -0.000 |
| -0.000 | -0.001 | -0.002 | 89.830 | -0.000 | -0.000 |
| -0.001 | -0.000 | -0.002 | 0.000 | 89.830 | -0.000 |
| -15.380 | -15.381 | 17.412 | 0.000 | -0.000 | 60.065 |
| 659.782 | -120.584 | -188.573 | 344.263 | 241.008 | -66.357 |
| 678.896 | 163.396 | -28.492 | 278.906 | 448.174 | 63.474 |
| 515.833 | -124.964 | -105.314 | 341.835 | 246.012 | -71.970 |
| -123.373 | 285.203 | 446.549 | 736.953 | 441.886 | 179.009 |
| 747.960 | -194.839 | 50.567 | 452.162 | 649.223 | 126.793 |
| 578.736 | -28.601 | -126.511 | 289.347 | 443.484 | 124.156 |
| 279.899 | 103.040 | 107.842 | -1.704 | -1.214 | 5.225 |
| 105.445 | 225.489 | 98.947 | -9.465 | 4.959 | -5.135 |
| 110.873 | 99.836 | 213.913 | -5.651 | 3.963 | 1.814 |
| -750.628 | 194.324 | -44.748 | -405.214 | -599.042 | -125.439 |
| -409.255 | 228.050 | 299.672 | -342.097 | -174.910 | 70.186 |
| -402.143 | 219.319 | 296.227 | -341.851 | -243.532 | 137.671 |
| 294.888 | 100.448 | 94.046 | 29.015 | 42.920 | 13.838 |
| 105.446 | 225.490 | 98.947 | -9.465 | 4.959 | -5.135 |
| 166.760 | 95.948 | 162.614 | 27.653 | 47.159 | 6.204 |
| 40.325 | -30.591 | -32.619 | 94.044 | 27.281 | -4.242 |
| 53.891 | 1.856 | -9.595 | 32.697 | 101.409 | 5.506 |
| 62.208 | -6.299 | -13.153 | 31.742 | 43.997 | 63.439 |
| 180.674 | 105.398 | 119.259 | -28.233 | -45.861 | 0.284 |
| 64.719 | 225.320 | 127.542 | -42.724 | -19.908 | 2.785 |
| 51.984 | 100.906 | 187.520 | -29.530 | -41.643 | -7.322 |
| -56.739 | -4.937 | 11.714 | 22.627 | -40.318 | -3.840 |
| -3.648 | 4.779 | 3.963 | 1.573 | 81.145 | -2.501 |
| 2.564 | -5.092 | 1.767 | 2.339 | -1.165 | 78.022 |
| 240.995 | 102.744 | 105.356 | 3.240 | 2.948 | 8.043 |
| 110.753 | 188.479 | 96.327 | -4.605 | 8.855 | -3.220 |
| 110.817 | 99.770 | 213.825 | -5.652 | 3.957 | 1.808 |
| 4.009 | -10.406 | -5.859 | 62.297 | 5.598 | 2.284 |
| 0.433 | 2.002 | 0.454 | 6.480 | 69.907 | -2.639 |
| 7.489 | -6.687 | -2.936 | 6.641 | 1.624 | 64.865 |
| 222.781 | 103.769 | 105.563 | -3.415 | -7.521 | 7.650 |
| 101.101 | 203.327 | 100.865 | -11.650 | 1.827 | -3.626 |
| 103.493 | 98.541 | 174.410 | -3.431 | -1.808 | -1.365 |
| -4.433 | -5.931 | 0.014 | 56.161 | 0.483 | 3.700 |
| -9.296 | 4.462 | 4.144 | 1.260 | 52.633 | -2.004 |
| 0.077 | -1.166 | -1.756 | -2.244 | -5.709 | 47.459 |
| 87.371 | 91.915 | 5.731 | 0.001 | 0.000 | 0.000 |
| 91.217 | 238.363 | 47.390 | 0.001 | 0.000 | 0.000 |
| 5.210 | 47.533 | 124.078 | 0.001 | 0.000 | 0.000 |
| -0.082 | 0.020 | -0.001 | 34.824 | 0.000 | 0.000 |
| 0.000 | -0.000 | 0.000 | 0.000 | -23.363 | 0.000 |
| -0.848 | 0.208 | -0.011 | 0.001 | 0.000 | -71.945 |
| 88.849 | 91.552 | 5.749 | -0.001 | -0.000 | -0.000 |
| 62.079 | 245.517 | 47.023 | 0.000 | -0.000 | -0.000 |
| 6.732 | 47.159 | 124.097 | -0.001 | 0.000 | -0.000 |
| 0.082 | -0.020 | 0.001 | 34.824 | -0.000 | -0.000 |
| -0.000 | 0.000 | -0.000 | -0.000 | -23.363 | -0.000 |
| 0.848 | -0.208 | 0.011 | -0.001 | -0.000 | -71.945 |
| 88.040 | 91.755 | 5.742 | 0.000 | -0.000 | 0.000 |
| 62.082 | 245.520 | 47.025 | -0.000 | -0.000 | 0.000 |
| 7.456 | 46.984 | 124.108 | 0.000 | 0.000 | 0.000 |
| -0.008 | 0.002 | -0.000 | 34.824 | -0.000 | 0.000 |
| -0.067 | 0.016 | -0.001 | 0.000 | -23.363 | 0.000 |
| 0.000 | 0.000 | 0.000 | -0.000 | 0.000 | 67.826 |
| 209.793 | 61.852 | 7.269 | -0.000 | 0.000 | -0.000 |
| 62.077 | 245.515 | 47.021 | 0.000 | -0.000 | -0.000 |
| 7.453 | 46.980 | 124.105 | -0.000 | -0.000 | -0.000 |
| 0.008 | -0.002 | 0.000 | 34.824 | -0.000 | -0.000 |
| 0.067 | -0.016 | 0.001 | -0.000 | -23.363 | 0.000 |
| -0.000 | -0.000 | -0.000 | -0.000 | -0.000 | 67.826 |
| 88.141 | 91.766 | 5.766 | 0.000 | 0.000 | 0.000 |
| 91.979 | 238.206 | 47.418 | 0.000 | 0.000 | -0.000 |
| 5.935 | 47.375 | 124.102 | 0.000 | 0.000 | -0.000 |
| -0.001 | 0.001 | 0.001 | 34.824 | 0.000 | 0.000 |
| 0.000 | -0.000 | 0.000 | -0.000 | -23.363 | 0.000 |
| 1463965.102 | 5581589.386 | 1489490.183 | 0.000 | 0.000 | -8520873.717 |
| 88.079 | 91.701 | 5.714 | -0.000 | -0.000 | -0.000 |
| 91.937 | 238.156 | 47.381 | -0.000 | -0.000 | -0.000 |
| 5.912 | 47.340 | 124.072 | -0.000 | -0.000 | -0.000 |
| 0.001 | -0.001 | -0.001 | 34.824 | 0.000 | -0.000 |
| -0.000 | 0.000 | -0.000 | -0.000 | -23.363 | -0.000 |
| -1463965.102 | -5581589.386 | -1489490.183 | -0.000 | 0.000 | -8520873.717 |
| 7561603.540 | -150893.694 | 8312410.555 | -0.000 | 0.000 | -0.000 |
| 144.493 | 157.722 | 0.962 | 0.000 | 0.000 | -0.000 |
| 7561437.012 | -151034.445 | 8312628.892 | -0.000 | 0.000 | -0.000 |
| -383840606.789 | -575281690.753 | 235943278.619 | -146648893.340 | -30874964.688 | -69819042.263 |
| 3780980.017 | -75512.399 | 4156495.874 | -0.000 | 3908396.256 | -0.000 |
| 18.532 | 6.077 | 16.999 | 0.000 | 0.000 | 72.096 |
| 165.354 | 128.603 | 0.559 | 0.000 | -0.000 | -0.000 |
| 144.493 | 157.722 | 0.963 | 0.000 | 0.000 | -0.000 |
| 63.480 | 8.670 | 278.950 | -0.000 | -0.000 | 0.000 |
| 327668346.346 | 532791879.400 | -174205265.866 | -148020415.401 | 26213683.057 | -3250132.920 |
| -3780980.017 | 75512.399 | -4156495.874 | 0.000 | 3908396.256 | 0.000 |
| -18.532 | -6.077 | -16.999 | -0.000 | -0.000 | 72.096 |
| 756312.275 | -14970.243 | 831241.561 | -0.000 | 0.000 | -0.000 |
| 144.492 | 157.721 | 0.962 | -0.000 | 0.000 | -0.000 |
| 756145.746 | -15110.994 | 831459.899 | -0.000 | 0.000 | -0.000 |
| 0.000 | 0.000 | 0.000 | -45.328 | 0.000 | -0.000 |
| 377540.354 | -7732.885 | 415136.573 | -0.000 | 390948.144 | -0.000 |
| 0.000 | 0.000 | 0.000 | -0.000 | 0.000 | 72.096 |
| 232.073 | 150.483 | 61.762 | -0.000 | -0.000 | 0.000 |
| 126.838 | 151.933 | -15.232 | 0.000 | -0.000 | -0.000 |
| 17.424 | -6.433 | 236.702 | 0.000 | -0.000 | 0.000 |
| -0.000 | -0.000 | -0.000 | -45.328 | -0.000 | 0.000 |
| -377540.354 | 7732.885 | -415136.573 | 0.000 | 390948.144 | -0.000 |
| -0.000 | -0.000 | -0.000 | 0.000 | -0.000 | 72.096 |
| 75783.159 | -1377.901 | 83124.672 | -0.000 | 0.000 | -0.000 |
| 128.867 | 152.590 | -13.373 | -0.000 | 0.000 | -0.000 |
| 75616.631 | -1518.654 | 83343.012 | -0.000 | 0.000 | -0.000 |
| -3907419.089 | -5845767.290 | 1640510.172 | -1777149.336 | 257832.174 | 362811.753 |
| 37800.850 | -756.323 | 41554.892 | -0.000 | 39044.039 | -0.000 |
| -0.000 | 0.000 | 0.000 | 0.000 | 0.000 | 72.096 |
| 183.701 | 134.623 | 17.391 | -0.000 | -0.000 | -0.000 |
| 128.514 | 152.489 | -13.693 | 0.000 | -0.000 | 0.000 |
| 63.481 | 8.674 | 278.951 | -0.000 | -0.000 | -0.000 |
| 3501013.386 | 5855854.404 | -2069549.475 | -1536714.328 | -1073743.127 | 758497.867 |
| -37800.850 | 756.323 | -41554.892 | -0.000 | 39044.039 | 0.000 |
| 0.000 | -0.000 | -0.000 | -0.000 | -0.000 | 72.096 |
| 7401.890 | 7256.300 | 7256.300 | -0.000 | 0.000 | -0.000 |
| 7256.300 | 7401.890 | 7256.300 | -0.000 | 0.000 | -0.000 |
| 7256.300 | 7256.300 | 7401.890 | -0.000 | -0.000 | -0.000 |
| 6617.583 | 6617.583 | 6617.583 | 50.927 | 0.000 | -0.000 |
| 6617.583 | 6617.583 | 6617.583 | -0.000 | 50.927 | -0.000 |
| 6617.583 | 6617.583 | 6617.583 | -0.000 | 0.000 | 50.927 |
| -6370.181 | -6519.056 | -6519.056 | 0.000 | -0.000 | 0.000 |
| -6519.056 | -6370.181 | -6519.056 | 0.000 | -0.000 | 0.000 |
| -6519.056 | -6519.056 | -6370.181 | 0.000 | -0.000 | 0.000 |
| -6617.583 | -6617.583 | -6617.583 | 50.927 | -0.000 | 0.000 |
| -6617.583 | -6617.583 | -6617.583 | 0.000 | 50.927 | 0.000 |
| -6617.583 | -6617.583 | -6617.583 | 0.000 | -0.000 | 50.927 |
| 962.565 | 839.053 | 839.053 | -0.000 | 0.000 | -0.000 |
| 839.053 | 962.565 | 839.053 | -0.000 | -0.000 | -0.000 |
| 839.053 | 839.053 | 962.565 | -0.000 | 0.000 | -0.000 |
| 661.949 | 661.949 | 661.949 | 50.904 | 0.000 | -0.000 |
| 661.949 | 661.949 | 661.949 | -0.000 | 50.904 | -0.000 |
| 661.949 | 661.949 | 661.949 | 0.000 | 0.000 | 50.904 |
| -471.733 | -618.063 | -618.063 | 0.000 | -0.000 | 0.000 |
| -618.063 | -471.733 | -618.063 | 0.000 | -0.000 | 0.000 |
| -618.063 | -618.063 | -471.733 | 0.000 | -0.000 | 0.000 |
| -661.949 | -661.949 | -661.949 | 50.904 | -0.000 | 0.000 |
| -661.949 | -661.949 | -661.949 | 0.000 | 50.904 | 0.000 |
| -661.949 | -661.949 | -661.949 | -0.000 | -0.000 | 50.904 |
| 300.754 | 177.542 | 177.542 | -0.000 | 0.000 | 0.000 |
| 177.542 | 300.754 | 177.542 | 0.000 | 0.000 | -0.000 |
| 177.542 | 177.542 | 300.754 | -0.000 | 0.000 | -0.000 |
| 70.013 | 70.013 | 70.013 | 32.517 | -0.000 | -0.000 |
| 70.013 | 70.013 | 70.013 | -0.000 | 32.517 | -0.000 |
| 70.013 | 70.013 | 70.013 | 0.000 | 0.000 | 32.517 |
| 288.973 | 97.565 | 97.565 | 0.000 | -0.000 | 0.000 |
| 97.565 | 288.973 | 97.565 | 0.000 | -0.000 | 0.000 |
| 97.565 | 97.565 | 288.973 | 0.000 | -0.000 | 0.000 |
| -70.013 | -70.013 | -70.013 | 32.517 | -0.000 | 0.000 |
| -70.013 | -70.013 | -70.013 | 0.000 | 32.517 | 0.000 |
| -70.013 | -70.013 | -70.013 | 0.000 | -0.000 | 32.517 |
| 15.151 | -135.437 | -135.437 | 0.000 | 0.000 | 0.000 |
| -135.437 | 15.151 | -135.437 | 0.000 | -0.000 | 0.000 |
| -135.437 | -135.437 | 15.151 | -0.000 | 0.000 | -0.000 |
| -231.820 | -231.820 | -231.820 | 50.995 | 0.000 | 0.000 |
| -231.820 | -231.820 | -231.820 | 0.000 | 50.995 | 0.000 |
| -231.820 | -231.820 | -231.820 | 0.000 | 0.000 | 50.995 |
| 478.595 | 328.251 | 328.251 | -0.000 | -0.000 | -0.000 |
| 328.251 | 478.595 | 328.251 | -0.000 | -0.000 | -0.000 |
| 328.251 | 328.251 | 478.595 | 0.000 | 0.000 | -0.000 |
| 231.820 | 231.820 | 231.820 | 50.995 | -0.000 | -0.000 |
| 231.820 | 231.820 | 231.820 | 0.000 | 50.995 | -0.000 |
| 231.820 | 231.820 | 231.820 | 0.000 | -0.000 | 50.995 |
| 281.270 | 90.648 | 90.648 | 0.000 | 0.000 | 0.000 |
| 90.648 | 281.270 | 90.648 | 0.000 | 0.000 | 0.000 |
| 90.648 | 90.648 | 281.270 | 0.000 | 0.000 | -0.000 |
| -0.000 | -0.000 | -0.000 | 80.438 | 0.000 | 0.000 |
| -0.000 | -0.000 | -0.000 | 0.000 | 80.438 | 0.000 |
| -0.000 | -0.000 | -0.000 | 0.000 | 0.000 | 80.438 |
| 211.625 | 70.399 | 70.399 | -0.000 | 0.000 | -0.000 |
| 70.399 | 211.625 | 70.399 | -0.000 | -0.000 | -0.000 |
| 70.399 | 70.399 | 211.625 | -0.000 | 0.000 | -0.000 |
| 0.000 | 0.000 | 0.000 | 80.438 | -0.000 | -0.000 |
| 0.000 | 0.000 | 0.000 | -0.000 | 80.438 | -0.000 |
| 0.000 | 0.000 | 0.000 | 0.000 | -0.000 | 80.438 |
| 281.260 | 90.637 | 90.637 | -0.000 | 0.000 | 0.000 |
| 90.637 | 281.260 | 90.637 | 0.000 | 0.000 | -0.000 |
| 90.637 | 90.637 | 281.260 | 0.000 | 0.000 | 0.000 |
| -0.000 | -0.000 | -0.000 | 80.438 | 0.000 | 0.000 |
| -0.000 | -0.000 | -0.000 | 0.000 | 80.438 | 0.000 |
| -0.000 | -0.000 | -0.000 | 0.000 | 0.000 | 80.438 |
| 243.806 | 99.089 | 99.089 | -0.000 | -0.000 | -0.000 |
| 99.089 | 243.806 | 99.089 | -0.000 | -0.000 | 0.000 |
| 99.089 | 99.089 | 243.806 | -0.000 | -0.000 | 0.000 |
| 0.000 | 0.000 | 0.000 | 80.438 | -0.000 | -0.000 |
| 0.000 | 0.000 | 0.000 | -0.000 | 80.438 | -0.000 |
| 0.000 | 0.000 | 0.000 | -0.000 | -0.000 | 80.438 |
| 166.354 | 88.211 | 88.211 | -0.000 | -0.000 | -0.000 |
| 88.211 | 166.354 | 88.211 | -0.000 | -0.000 | -0.000 |
| 88.211 | 88.211 | 166.354 | -0.000 | -0.000 | -0.000 |
| 4.848 | 4.848 | 4.848 | 47.865 | 0.000 | -0.000 |
| 4.848 | 4.848 | 4.848 | 0.000 | 47.865 | -0.000 |
| 4.848 | 4.848 | 4.848 | 0.000 | -0.000 | 47.865 |
| 166.354 | 88.211 | 88.211 | 0.000 | 0.000 | -0.000 |
| 88.211 | 166.354 | 88.211 | 0.000 | 0.000 | -0.000 |
| 88.211 | 88.211 | 166.354 | 0.000 | 0.000 | -0.000 |
| -4.848 | -4.848 | -4.848 | 47.865 | -0.000 | 0.000 |
| -4.848 | -4.848 | -4.848 | -0.000 | 47.865 | 0.000 |
| -4.848 | -4.848 | -4.848 | -0.000 | -0.000 | 47.865 |
| 157.241 | 92.982 | 92.982 | 0.000 | -0.000 | -0.000 |
| 92.982 | 157.241 | 92.982 | 0.000 | -0.000 | -0.000 |
| 92.982 | 92.982 | 157.241 | 0.000 | -0.000 | -0.000 |
| -0.000 | -0.000 | 0.000 | 66.047 | -0.000 | -0.000 |
| -0.000 | -0.000 | 0.000 | -0.000 | 66.047 | 0.000 |
| -0.000 | 0.000 | -0.000 | -0.000 | -0.000 | 66.047 |
| 152.778 | 94.030 | 94.029 | -0.000 | 0.000 | 0.000 |
| 94.030 | 152.778 | 94.029 | -0.000 | 0.000 | 0.000 |
| 94.030 | 94.030 | 152.778 | -0.000 | 0.000 | 0.000 |
| 0.000 | 0.000 | -0.000 | 66.047 | 0.000 | -0.000 |
| 0.000 | 0.000 | -0.000 | 0.000 | 66.047 | -0.000 |
| 0.000 | -0.000 | 0.000 | 0.000 | 0.000 | 66.047 |
| 157.112 | 92.771 | 92.771 | 0.000 | -0.000 | -0.000 |
| 92.771 | 157.112 | 92.771 | 0.000 | -0.000 | -0.000 |
| 92.771 | 92.771 | 157.112 | 0.000 | -0.000 | -0.000 |
| 0.024 | 0.024 | 0.024 | 51.408 | -0.000 | -0.000 |
| 0.024 | 0.024 | 0.024 | 0.000 | 51.408 | -0.000 |
| 0.024 | 0.024 | 0.024 | 0.000 | -0.000 | 51.408 |
| 166.353 | 88.212 | 88.212 | 0.000 | -0.000 | -0.000 |
| 88.212 | 166.353 | 88.212 | 0.000 | 0.000 | 0.000 |
| 88.212 | 88.212 | 166.353 | -0.000 | 0.000 | -0.000 |
| -0.024 | -0.024 | -0.024 | 51.408 | 0.000 | 0.000 |
| -0.024 | -0.024 | -0.024 | -0.000 | 51.408 | 0.000 |
| -0.024 | -0.024 | -0.024 | -0.000 | 0.000 | 51.408 |
| 147.031 | 83.192 | 83.192 | 0.000 | 0.000 | -0.000 |
| 83.192 | 147.031 | 83.192 | 0.000 | -0.000 | -0.000 |
| 83.192 | 83.192 | 147.031 | 0.000 | 0.000 | -0.000 |
| -0.000 | -0.000 | -0.000 | 65.883 | -0.000 | -0.000 |
| -0.000 | -0.000 | 0.000 | -0.000 | 65.883 | -0.000 |
| -0.000 | -0.000 | -0.000 | -0.000 | -0.000 | 65.883 |
| 147.045 | 83.285 | 83.285 | -0.000 | -0.000 | 0.000 |
| 83.285 | 147.045 | 83.285 | -0.000 | -0.000 | 0.000 |
| 83.285 | 83.285 | 147.045 | -0.000 | -0.000 | 0.000 |
| 0.000 | 0.000 | -0.000 | 65.883 | -0.000 | 0.000 |
| 0.000 | -0.000 | 0.000 | -0.000 | 65.883 | 0.000 |
| 0.000 | 0.000 | 0.000 | 0.000 | 0.000 | 65.883 |
| 147.071 | 83.217 | 83.217 | 0.000 | 0.000 | -0.000 |
| 83.217 | 147.071 | 83.217 | 0.000 | 0.000 | -0.000 |
| 83.217 | 83.217 | 147.071 | 0.000 | 0.000 | -0.000 |
| -0.000 | -0.000 | -0.000 | 65.883 | 0.000 | -0.000 |
| -0.000 | -0.000 | -0.000 | -0.000 | 65.883 | -0.000 |
| -0.000 | -0.000 | -0.000 | -0.000 | 0.000 | 65.883 |
| 147.073 | 83.227 | 83.227 | -0.000 | -0.000 | 0.000 |
| 83.227 | 147.073 | 83.227 | -0.000 | -0.000 | 0.000 |
| 83.227 | 83.227 | 147.073 | -0.000 | -0.000 | 0.000 |
| 0.000 | 0.000 | 0.000 | 65.883 | 0.000 | 0.000 |
| 0.000 | 0.000 | 0.000 | 0.000 | 65.883 | 0.000 |
| 0.000 | 0.000 | 0.000 | 0.000 | 0.000 | 65.883 |
| 147.068 | 83.216 | 83.216 | 0.000 | 0.000 | -0.000 |
| 83.216 | 147.068 | 83.216 | 0.000 | -0.000 | -0.000 |
| 83.216 | 83.216 | 147.068 | 0.000 | -0.000 | 0.000 |
| -0.000 | -0.001 | -0.001 | 51.420 | 0.000 | -0.000 |
| -0.001 | -0.000 | -0.001 | 0.000 | 51.420 | -0.000 |
| -0.001 | -0.001 | -0.000 | 0.000 | 0.000 | 51.420 |
| 156.282 | 78.696 | 78.696 | 0.000 | -0.000 | 0.000 |
| 78.696 | 156.282 | 78.696 | 0.000 | 0.000 | 0.000 |
| 78.696 | 78.696 | 156.282 | 0.000 | -0.000 | 0.000 |
| 0.000 | 0.001 | 0.001 | 51.420 | -0.000 | 0.000 |
| 0.001 | 0.000 | 0.001 | -0.000 | 51.420 | 0.000 |
| 0.001 | 0.001 | 0.000 | -0.000 | -0.000 | 51.420 |
| 255.055 | 142.298 | 103.982 | 0.000 | -0.000 | -0.000 |
| 130.545 | 247.944 | 11.035 | -0.000 | -0.000 | 0.000 |
| 104.912 | 13.741 | 315.986 | -0.000 | -0.000 | 0.000 |
| -0.000 | 0.000 | 0.000 | -34.646 | -0.000 | 0.000 |
| -0.000 | 0.000 | 0.000 | -0.000 | -156.151 | -0.000 |
| 0.000 | 0.000 | 0.000 | 0.000 | 0.000 | 100.000 |
| 255.056 | 142.299 | 103.984 | -0.000 | 0.000 | -0.000 |
| 130.547 | 247.945 | 11.037 | 0.000 | 0.000 | 0.000 |
| 99.850 | 11.448 | 315.041 | 0.000 | 0.000 | 0.000 |
| 0.000 | -0.000 | -0.000 | -34.646 | 0.000 | 0.000 |
| 0.000 | -0.000 | -0.000 | 0.000 | -156.151 | 0.000 |
| -0.000 | -0.000 | -0.000 | 0.000 | 0.000 | 100.000 |
| 255.048 | 142.290 | 103.975 | 0.000 | -0.000 | 0.000 |
| 130.537 | 247.935 | 11.027 | 0.000 | 0.000 | 0.000 |
| 104.905 | 13.734 | 315.980 | 0.000 | 0.000 | -0.000 |
| 0.001 | 0.002 | 0.000 | -707.382 | 0.000 | -0.000 |
| -0.000 | 0.000 | -0.000 | 0.000 | -156.151 | -0.000 |
| 0.000 | 0.000 | 0.000 | -0.000 | -0.000 | 100.000 |
| 255.064 | 142.307 | 103.990 | 0.000 | 0.000 | -0.000 |
| 142.826 | 253.515 | 13.339 | -0.000 | 0.000 | -0.000 |
| 99.857 | 11.455 | 315.047 | -0.000 | 0.000 | 0.000 |
| -0.001 | -0.002 | -0.000 | -707.382 | -0.000 | 0.000 |
| 0.000 | -0.000 | 0.000 | 0.000 | -156.151 | 0.000 |
| 0.000 | -0.000 | -0.000 | 0.000 | 0.000 | 100.000 |
| 227.890 | 129.934 | 98.835 | -0.000 | 0.000 | -0.000 |
| 142.730 | 253.420 | 13.247 | -0.000 | 0.000 | -0.000 |
| 104.839 | 13.664 | 315.916 | 0.000 | 0.000 | 0.000 |
| 0.113 | 0.265 | 0.082 | -2357.341 | 0.000 | -0.000 |
| -0.002 | 0.001 | -0.001 | -0.000 | -156.151 | -0.000 |
| -0.000 | 0.001 | 0.000 | 0.000 | -0.000 | 100.000 |
| 228.077 | 130.122 | 99.004 | 0.000 | -0.000 | 0.000 |
| 142.903 | 253.592 | 13.414 | -0.000 | 0.000 | -0.000 |
| 104.986 | 13.819 | 316.058 | 0.000 | -0.000 | -0.000 |
| -0.113 | -0.265 | -0.082 | -2357.341 | -0.000 | 0.000 |
| 0.002 | -0.001 | 0.001 | 0.000 | -156.151 | 0.000 |
| 0.000 | -0.001 | -0.000 | -0.000 | 0.000 | 100.000 |
| 387.210 | 79.328 | -216.584 | -0.000 | 6.400 | -0.000 |
| 101.732 | 186.266 | -79.841 | 0.000 | -18.500 | -0.000 |
| 235.811 | 136.923 | -4.055 | 0.000 | 30.655 | 0.000 |
| 77.098 | 34.313 | -204.900 | 56.137 | 5.958 | 3.855 |
| 131.208 | 57.701 | -314.955 | 0.000 | 32.879 | 0.000 |
| 77.463 | 34.594 | -206.156 | 3.378 | -21.504 | 69.730 |
| 274.644 | 28.945 | 83.265 | -0.000 | 63.741 | 0.000 |
| -52.085 | 117.777 | 329.027 | -0.000 | -22.831 | -0.000 |
| 77.342 | 66.581 | 416.655 | -0.000 | -24.271 | 0.000 |
| -77.098 | -34.313 | 204.900 | 56.137 | -5.958 | 3.855 |
| 8.264 | 2.663 | 12.561 | -0.000 | 97.708 | 0.000 |
| -77.463 | -34.594 | 206.156 | 3.378 | 21.504 | 69.730 |
| 247.311 | 16.949 | 155.498 | -0.000 | 22.664 | -0.000 |
| 32.033 | 155.110 | 105.726 | 0.000 | 7.819 | 0.000 |
| 166.842 | 106.292 | 179.088 | 0.000 | 10.652 | -0.000 |
| 18.126 | 8.070 | -48.180 | 59.737 | 0.802 | 3.821 |
| 8.264 | 2.663 | 12.561 | -0.000 | 97.708 | -0.000 |
| 7.604 | 3.374 | -20.185 | 4.725 | 2.784 | 69.718 |
| 274.643 | 28.945 | 83.265 | -0.000 | 63.741 | 0.000 |
| 39.969 | 158.667 | 84.571 | -0.000 | 2.573 | -0.000 |
| 65.011 | 60.930 | 449.821 | -0.000 | 12.561 | -0.000 |
| -18.126 | -8.070 | 48.180 | 59.737 | -0.802 | 3.821 |
| 8.264 | 2.663 | 12.561 | -0.000 | 97.708 | -0.000 |
| -7.604 | -3.374 | 20.185 | 4.725 | -2.784 | 69.718 |
| 240.440 | 13.892 | 173.762 | 0.000 | 22.052 | -0.000 |
| 24.947 | 151.977 | 124.514 | 0.000 | 2.999 | 0.000 |
| 159.836 | 103.174 | 197.706 | 0.000 | 10.135 | -0.000 |
| 0.769 | 0.341 | -2.045 | 56.138 | 0.196 | 3.855 |
| 10.311 | 3.897 | 6.339 | -0.000 | 23.311 | 0.000 |
| 0.771 | 0.343 | -2.049 | 3.765 | 0.060 | 69.727 |
| 234.184 | 11.046 | 190.531 | 0.000 | 35.773 | 0.000 |
| 23.406 | 151.286 | 128.605 | -0.000 | 2.931 | 0.000 |
| 158.364 | 102.523 | 201.610 | -0.000 | 8.956 | -0.000 |
| -0.769 | -0.341 | 2.045 | 56.138 | -0.196 | 3.855 |
| 8.758 | 3.206 | 10.474 | -0.000 | 23.148 | -0.000 |
| -0.771 | -0.343 | 2.049 | 3.765 | -0.060 | 69.727 |
| 182.083 | -11.211 | 326.039 | -0.000 | -201.505 | 0.000 |
| -209.821 | 50.585 | 740.475 | -0.000 | -763.987 | -0.000 |
| 147.347 | 98.602 | 228.291 | 0.000 | -206.417 | 0.000 |
| -37.060 | -15.340 | 95.512 | 92.619 | -282.196 | 3.422 |
| -160.495 | -68.631 | 450.450 | 0.000 | -839.765 | 0.000 |
| 49.191 | 23.340 | -134.402 | 3.788 | -335.553 | 69.679 |
| 277.070 | 29.031 | 78.867 | -0.000 | 301.406 | 0.000 |
| 120.362 | 193.665 | -126.888 | 0.000 | 221.439 | 0.000 |
| 130.362 | 88.149 | 280.828 | -0.000 | 480.128 | 0.000 |
| 37.060 | 15.340 | -95.512 | 92.619 | 282.196 | 3.422 |
| 46.290 | 18.771 | -87.109 | 0.000 | 302.884 | 0.000 |
| -49.191 | -23.340 | 134.402 | 3.788 | 335.553 | 69.679 |
| 274.515 | 28.889 | 83.107 | -0.000 | 63.541 | -0.000 |
| 25.242 | 152.375 | 123.167 | -0.000 | -45.674 | 0.000 |
| 155.355 | 101.383 | 209.016 | -0.000 | -18.129 | 0.000 |
| -16.823 | -7.194 | 43.946 | 35.311 | -73.059 | 3.947 |
| 15.544 | 6.361 | -8.679 | -0.000 | -6.699 | -0.000 |
| -3.758 | -1.558 | 9.693 | 3.323 | -27.965 | 69.683 |
| 242.741 | 14.730 | 167.573 | -0.000 | 61.645 | 0.000 |
| -10.860 | 135.772 | 220.459 | -0.000 | 74.840 | 0.000 |
| 196.770 | 119.636 | 99.438 | -0.000 | 32.493 | -0.000 |
| 16.823 | 7.194 | -43.946 | 35.311 | 73.059 | 3.947 |
| 12.461 | 4.743 | 0.142 | -0.000 | 51.221 | 0.000 |
| 3.758 | 1.558 | -9.693 | 3.323 | 27.965 | 69.683 |
| 239.099 | 13.286 | 176.800 | 0.000 | 19.020 | -0.000 |
| 39.939 | 158.728 | 84.608 | 0.000 | 2.509 | 0.000 |
| 158.713 | 102.774 | 200.362 | 0.000 | 7.419 | 0.000 |
| -1.061 | -0.454 | 2.768 | 54.731 | -4.603 | 3.769 |
| 8.325 | 3.028 | 10.803 | -0.000 | 20.460 | -0.000 |
| 0.494 | 0.235 | -1.351 | 3.788 | -3.350 | 69.679 |
| 239.816 | 13.582 | 174.950 | 0.000 | 24.560 | 0.000 |
| 24.529 | 151.840 | 125.611 | 0.000 | 5.344 | -0.000 |
| 159.541 | 103.127 | 198.200 | -0.000 | 10.887 | 0.000 |
| 1.061 | 0.454 | -2.768 | 54.731 | 4.603 | 3.769 |
| 9.079 | 3.341 | 8.867 | -0.000 | 26.054 | -0.000 |
| 0.376 | 0.156 | -0.969 | 3.669 | 2.796 | 69.680 |
| 192.161 | 80.928 | -7.128 | -9.541 | 0.000 | 0.000 |
| 80.928 | 192.161 | -7.128 | 9.541 | 0.000 | 0.000 |
| -24.427 | -24.427 | 139.419 | 0.000 | 0.000 | 0.000 |
| -9.541 | 9.541 | 0.000 | -60.142 | 0.000 | 0.000 |
| -0.000 | -0.000 | -0.000 | -0.000 | -60.142 | -9.541 |
| -5.320 | -5.320 | -27.036 | 0.000 | -8.904 | 54.944 |
| 189.379 | 86.172 | -0.876 | -5.741 | -0.000 | -0.000 |
| 80.929 | 192.162 | -7.128 | 9.541 | -0.000 | -0.000 |
| -0.690 | -0.690 | 260.036 | -0.000 | -0.000 | -0.000 |
| -9.541 | 9.541 | 0.000 | -60.142 | -0.000 | -0.000 |
| 0.000 | 0.000 | 0.000 | -0.000 | -60.143 | -9.541 |
| 5.320 | 5.320 | 27.036 | 0.000 | -8.904 | 54.944 |
| 192.158 | 80.925 | -7.132 | -9.541 | 0.000 | 0.000 |
| 80.925 | 192.158 | -7.132 | 9.541 | 0.000 | 0.000 |
| -0.695 | -0.695 | 260.029 | 0.000 | 0.000 | 0.000 |
| -9.182 | 5.533 | -9.272 | -62.210 | 0.000 | 0.000 |
| -0.000 | -0.000 | -0.000 | -0.000 | -60.142 | -9.541 |
| -1.825 | -1.825 | -9.272 | 0.000 | -7.357 | 53.310 |
| 185.805 | 80.501 | -24.378 | -6.734 | -0.000 | -0.000 |
| 77.875 | 187.633 | -26.406 | 8.843 | -0.000 | -0.000 |
| -18.997 | -18.997 | 166.987 | 0.000 | -0.000 | -0.000 |
| -5.533 | 9.182 | 9.272 | -62.210 | -0.000 | -0.000 |
| 0.000 | 0.000 | 0.000 | 0.000 | -60.142 | -9.541 |
| 1.825 | 1.825 | 9.272 | -0.000 | -7.357 | 53.310 |
| 192.129 | 80.897 | -7.167 | -9.541 | 0.000 | 0.000 |
| 80.897 | 192.129 | -7.167 | 9.541 | 0.000 | 0.000 |
| -19.603 | -19.603 | 164.143 | 0.000 | 0.000 | 0.000 |
| -7.540 | 7.174 | -0.927 | -62.210 | 0.000 | 0.000 |
| -0.000 | -0.000 | -0.000 | -0.000 | -60.142 | -9.541 |
| -0.251 | -0.250 | -1.271 | 0.000 | -6.179 | 52.065 |
| 187.312 | 77.503 | -28.281 | -8.867 | -0.000 | -0.000 |
| 80.960 | 192.194 | -7.089 | 9.541 | -0.000 | -0.000 |
| -0.644 | -0.644 | 260.090 | 0.000 | -0.000 | -0.000 |
| -6.738 | 6.120 | -1.574 | -63.089 | -0.000 | -0.000 |
| 0.000 | 0.000 | 0.000 | 0.000 | -60.142 | -9.541 |
| 0.251 | 0.250 | 1.271 | -0.000 | -6.179 | 52.065 |
| 277.732 | 134.296 | 91.712 | 10.252 | 0.000 | 0.000 |
| 134.296 | 277.732 | 91.712 | -10.252 | 0.000 | -0.000 |
| 91.712 | 91.712 | 218.792 | -0.000 | 0.000 | -0.000 |
| 12.160 | -7.873 | -18.268 | 20.452 | 0.000 | -0.000 |
| -0.000 | 0.000 | -0.000 | -0.000 | 20.463 | 10.252 |
| -0.000 | 0.000 | -0.000 | -0.000 | 10.252 | 71.718 |
| 277.733 | 134.296 | 91.712 | 10.252 | -0.000 | 0.000 |
| 134.296 | 277.733 | 91.712 | -10.252 | -0.000 | 0.000 |
| 91.712 | 91.712 | 218.792 | 0.000 | -0.000 | 0.000 |
| 10.252 | -10.252 | 0.000 | 20.463 | -0.000 | 0.000 |
| 0.000 | -0.000 | 0.000 | -0.000 | 20.463 | 10.252 |
| 0.000 | -0.000 | 0.000 | 0.000 | 10.252 | 71.718 |
| 277.732 | 134.296 | 91.712 | 10.252 | 0.000 | -0.000 |
| 171.611 | 242.729 | 81.871 | -8.561 | 0.000 | -0.000 |
| 92.383 | 92.383 | 213.078 | -0.000 | 0.000 | -0.000 |
| 7.426 | -6.996 | -1.833 | 20.321 | 0.000 | -0.000 |
| -0.000 | -0.000 | -0.000 | 0.000 | 20.463 | 10.252 |
| 0.000 | -0.000 | -0.000 | 0.000 | 10.252 | 71.718 |
| 256.940 | 152.991 | 100.665 | 9.329 | -0.000 | 0.000 |
| 222.912 | 188.582 | 93.996 | -6.096 | -0.000 | 0.000 |
| 91.713 | 91.713 | 218.793 | 0.000 | -0.000 | 0.000 |
| 10.252 | -10.252 | 0.000 | 20.463 | -0.000 | 0.000 |
| 0.000 | 0.000 | 0.000 | -0.000 | 20.463 | 10.252 |
| -0.000 | 0.000 | 0.000 | -0.000 | 10.252 | 71.718 |
| 273.777 | 138.193 | 91.922 | 10.068 | 0.000 | -0.000 |
| 149.896 | 261.921 | 92.568 | -9.518 | 0.000 | -0.000 |
| 92.188 | 92.188 | 214.722 | -0.000 | 0.000 | -0.000 |
| 10.252 | -10.252 | -0.000 | 20.463 | 0.000 | -0.000 |
| -0.000 | -0.000 | -0.000 | 0.000 | 20.463 | 10.252 |
| 0.265 | 0.268 | -2.280 | -0.000 | 7.315 | 8.897 |
| 238.388 | 175.024 | 85.780 | 8.379 | -0.000 | 0.000 |
| 165.249 | 245.867 | 95.691 | -8.783 | -0.000 | 0.000 |
| 92.149 | 92.149 | 215.088 | 0.000 | -0.000 | 0.000 |
| 10.252 | -10.251 | 0.000 | 20.463 | -0.000 | 0.000 |
| 0.000 | 0.000 | 0.000 | -0.000 | 20.463 | 10.252 |
| -0.265 | -0.268 | 2.280 | 0.000 | 7.315 | 8.897 |
| 389.154 | 141.667 | 136.247 | -0.000 | -0.000 | 0.000 |
| 141.667 | 389.154 | 136.247 | -0.000 | -0.000 | -0.000 |
| 138.587 | 138.587 | 460.269 | -0.000 | 0.000 | 0.000 |
| 0.000 | 0.000 | 0.000 | 89.285 | 0.000 | 0.000 |
| 0.000 | 0.000 | 0.000 | -0.000 | 89.285 | 0.000 |
| 0.000 | 0.000 | -0.000 | -0.000 | 0.000 | 117.581 |
| 389.153 | 141.667 | 136.247 | 0.000 | -0.000 | 0.000 |
| 141.667 | 389.153 | 136.247 | 0.000 | -0.000 | 0.000 |
| 138.587 | 138.587 | 460.270 | 0.000 | -0.000 | -0.000 |
| -0.000 | -0.000 | -0.000 | 89.285 | 0.000 | -0.000 |
| -0.000 | -0.000 | -0.000 | 0.000 | 89.285 | -0.000 |
| -0.000 | -0.000 | 0.000 | 0.000 | 0.000 | 117.581 |
| 389.157 | 141.667 | 136.246 | -0.000 | -0.000 | -0.000 |
| 141.667 | 389.157 | 136.246 | -0.000 | -0.000 | 0.000 |
| 138.584 | 138.584 | 460.264 | -0.000 | 0.000 | 0.000 |
| -0.000 | 0.000 | 0.000 | 89.285 | -0.000 | 0.000 |
| 0.000 | -0.000 | 0.000 | -0.000 | 89.285 | 0.000 |
| 0.000 | 0.000 | -0.000 | -0.000 | -0.000 | 117.581 |
| 389.149 | 141.667 | 136.248 | 0.000 | 0.000 | -0.000 |
| 141.667 | 389.149 | 136.248 | 0.000 | -0.000 | 0.000 |
| 138.590 | 138.590 | 460.276 | 0.000 | 0.000 | 0.000 |
| 0.000 | -0.000 | -0.000 | 89.285 | 0.000 | -0.000 |
| -0.000 | 0.000 | -0.000 | 0.000 | 89.285 | -0.000 |
| -0.000 | -0.000 | 0.000 | 0.000 | 0.000 | 117.581 |
| 389.193 | 141.669 | 136.238 | -0.000 | -0.000 | -0.000 |
| 141.669 | 389.193 | 136.238 | -0.000 | -0.000 | -0.000 |
| 138.558 | 138.558 | 460.210 | -0.000 | -0.000 | -0.000 |
| -0.000 | 0.000 | 0.001 | 89.285 | 0.000 | 0.000 |
| 0.000 | -0.000 | 0.001 | -0.000 | 89.285 | -0.000 |
| 0.001 | 0.001 | -0.000 | -0.000 | -0.000 | 117.581 |
| 389.113 | 141.665 | 136.257 | 0.000 | 0.000 | 0.000 |
| 141.665 | 389.113 | 136.257 | 0.000 | -0.000 | -0.000 |
| 138.616 | 138.616 | 460.329 | 0.000 | 0.000 | -0.000 |
| 0.000 | -0.000 | -0.001 | 89.285 | 0.000 | -0.000 |
| -0.000 | 0.000 | -0.001 | 0.000 | 89.285 | -0.000 |
| -0.001 | -0.001 | 0.000 | 0.000 | 0.000 | 117.581 |
| 2790.944 | 2743.932 | -449.252 | -0.000 | -0.000 | 0.000 |
| 2743.932 | 2790.944 | -449.252 | -0.000 | -0.000 | 0.000 |
| 2039.387 | 2039.387 | -448.497 | -0.000 | -0.000 | 0.000 |
| 2536.486 | 2536.486 | -566.165 | 71.000 | -0.000 | 0.000 |
| 2536.486 | 2536.486 | -566.165 | 0.000 | 71.000 | 0.000 |
| 0.000 | 0.000 | -0.000 | -0.000 | -0.000 | 116.777 |
| 346.752 | 134.202 | 127.654 | 0.000 | 0.000 | -0.000 |
| 134.202 | 346.752 | 127.654 | 0.000 | 0.000 | -0.000 |
| 129.784 | 129.784 | 455.724 | -0.000 | 0.000 | -0.000 |
| -2536.486 | -2536.486 | 566.165 | 71.000 | 0.000 | -0.000 |
| -2536.486 | -2536.486 | 566.165 | 0.000 | 71.000 | -0.000 |
| -0.000 | -0.000 | 0.000 | 0.000 | 0.000 | 116.777 |
| 341.406 | 213.997 | 113.109 | -0.000 | -0.000 | 0.000 |
| 213.997 | 341.406 | 113.109 | -0.000 | -0.000 | 0.000 |
| 129.781 | 129.781 | 455.718 | -0.000 | -0.000 | 0.000 |
| 77.619 | 77.619 | -4.903 | 70.753 | 0.000 | 0.000 |
| 77.619 | 77.619 | -4.903 | 0.000 | 70.753 | 0.000 |
| 0.000 | 0.000 | -0.000 | 0.000 | -0.000 | 116.777 |
| 3.146 | 2.194 | 184.017 | -0.000 | 0.000 | -0.000 |
| 2.194 | 3.146 | 184.017 | 0.000 | 0.000 | -0.000 |
| 129.787 | 129.787 | 455.730 | 0.000 | 0.000 | -0.000 |
| -77.619 | -77.619 | 4.903 | 70.753 | 0.000 | -0.000 |
| -77.619 | -77.619 | 4.903 | 0.000 | 70.753 | -0.000 |
| -0.000 | -0.000 | 0.000 | 0.000 | 0.000 | 116.777 |
| 304.953 | 140.818 | 121.816 | -0.000 | 0.000 | 0.000 |
| 140.818 | 304.953 | 121.816 | -0.000 | -0.000 | 0.000 |
| 126.107 | 126.107 | 412.979 | -0.000 | -0.000 | 0.000 |
| 6.448 | 6.449 | -0.406 | 74.068 | -0.000 | 0.000 |
| 6.449 | 6.448 | -0.406 | -0.000 | 74.068 | 0.000 |
| 4.661 | 4.661 | -0.296 | -0.000 | -0.000 | 82.567 |
| 346.710 | 134.196 | 127.661 | 0.000 | 0.000 | -0.000 |
| 134.196 | 346.710 | 127.661 | 0.000 | 0.000 | -0.000 |
| 108.758 | 108.758 | 418.551 | 0.000 | 0.000 | -0.000 |
| -6.448 | -6.449 | 0.406 | 74.068 | 0.000 | -0.000 |
| -6.449 | -6.448 | 0.406 | -0.000 | 74.068 | -0.000 |
| -4.661 | -4.661 | 0.296 | 0.000 | 0.000 | 82.567 |
| 338.864 | 123.447 | 112.636 | 0.000 | 0.000 | 0.000 |
| 123.447 | 338.864 | 112.636 | 0.000 | 0.000 | 0.000 |
| 112.636 | 112.636 | 439.926 | 0.000 | 0.000 | 0.000 |
| 0.000 | 0.000 | 0.000 | 94.408 | 0.000 | 0.000 |
| 0.000 | 0.000 | 0.000 | 0.000 | 94.408 | 0.000 |
| 0.000 | 0.000 | 0.000 | 0.000 | 0.000 | 109.290 |
| 338.863 | 123.447 | 112.635 | -0.000 | -0.000 | -0.000 |
| 123.447 | 338.863 | 112.635 | -0.000 | -0.000 | -0.000 |
| 112.635 | 112.634 | 439.923 | -0.000 | 0.000 | -0.000 |
| -0.000 | -0.000 | -0.000 | 94.408 | -0.000 | -0.000 |
| -0.000 | -0.000 | -0.000 | -0.000 | 94.408 | -0.000 |
| -0.000 | -0.000 | -0.000 | -0.000 | -0.000 | 109.290 |
| 397.126 | 228.723 | 331.458 | 0.000 | 0.000 | 0.000 |
| 228.723 | 397.126 | 331.458 | 0.000 | 0.000 | 0.000 |
| 112.642 | 112.642 | 439.937 | 0.000 | 0.000 | 0.000 |
| 100.039 | 100.039 | 229.078 | 82.165 | 0.000 | 0.000 |
| 100.039 | 100.039 | 229.078 | 0.000 | 82.165 | 0.000 |
| 99.991 | 99.991 | 228.941 | 0.000 | 0.000 | 80.538 |
| 338.860 | 123.443 | 112.631 | -0.000 | -0.000 | -0.000 |
| 123.443 | 338.860 | 112.631 | -0.000 | -0.000 | -0.000 |
| 3.694 | 3.694 | 178.773 | -0.000 | -0.000 | -0.000 |
| -100.039 | -100.039 | -229.078 | 82.165 | -0.000 | -0.000 |
| -100.039 | -100.039 | -229.078 | -0.000 | 82.165 | -0.000 |
| -99.991 | -99.991 | -228.941 | -0.000 | -0.000 | 80.538 |
| 303.438 | 140.925 | 126.478 | 0.000 | 0.000 | 0.000 |
| 140.925 | 303.438 | 126.478 | 0.000 | 0.000 | 0.000 |
| 112.703 | 112.703 | 440.050 | 0.000 | 0.000 | -0.000 |
| 10.296 | 10.297 | 20.951 | 80.232 | 0.000 | 0.000 |
| 10.297 | 10.296 | 20.951 | 0.000 | 80.232 | 0.000 |
| 0.002 | 0.002 | 0.002 | 0.000 | 0.000 | 109.290 |
| 311.499 | 113.040 | 93.214 | -0.000 | -0.000 | -0.000 |
| 113.040 | 311.499 | 93.214 | -0.000 | -0.000 | -0.000 |
| 94.417 | 94.417 | 387.253 | -0.000 | -0.000 | -0.000 |
| -10.296 | -10.297 | -20.951 | 80.232 | -0.000 | 0.000 |
| -10.297 | -10.296 | -20.951 | -0.000 | 80.232 | -0.000 |
| -0.002 | -0.002 | -0.002 | -0.000 | -0.000 | 109.290 |
| 686.980 | -33.944 | -33.924 | -0.000 | 0.000 | 0.000 |
| -33.944 | 686.980 | -33.924 | 0.000 | 0.000 | 0.000 |
| -33.929 | -33.929 | 686.953 | -0.000 | 0.000 | 0.000 |
| -0.000 | 0.000 | -0.000 | 95.256 | 0.000 | 0.000 |
| 0.000 | 0.000 | -0.000 | -0.000 | 95.256 | 0.000 |
| 0.000 | 0.000 | -0.000 | -0.000 | 0.000 | 95.252 |
| 686.980 | -33.944 | -33.924 | 0.000 | -0.000 | -0.000 |
| -33.944 | 686.980 | -33.924 | 0.000 | -0.000 | -0.000 |
| -33.929 | -33.929 | 686.953 | 0.000 | -0.000 | -0.000 |
| 0.000 | -0.000 | 0.000 | 95.256 | -0.000 | -0.000 |
| -0.000 | -0.000 | 0.000 | 0.000 | 95.256 | -0.000 |
| -0.000 | -0.000 | 0.000 | 0.000 | -0.000 | 95.252 |
| 686.981 | -33.943 | -33.923 | -0.000 | 0.000 | 0.000 |
| -33.943 | 686.981 | -33.923 | 0.000 | 0.000 | 0.000 |
| -33.928 | -33.928 | 686.954 | 0.000 | 0.000 | 0.000 |
| 0.000 | 0.000 | 0.000 | 95.256 | 0.000 | 0.000 |
| 0.000 | 0.000 | 0.000 | 0.000 | 95.256 | 0.000 |
| 0.000 | 0.000 | -0.000 | -0.000 | 0.000 | 95.252 |
| 686.979 | -33.945 | -33.925 | 0.000 | -0.000 | -0.000 |
| -33.945 | 686.979 | -33.925 | 0.000 | -0.000 | -0.000 |
| -33.930 | -33.930 | 686.952 | 0.000 | -0.000 | -0.000 |
| -0.000 | -0.000 | -0.000 | 95.256 | -0.000 | -0.000 |
| -0.000 | -0.000 | -0.000 | 0.000 | 95.256 | -0.000 |
| -0.000 | -0.000 | 0.000 | 0.000 | -0.000 | 95.252 |
| 686.989 | -33.933 | -33.914 | -0.000 | 0.000 | 0.000 |
| -33.933 | 686.989 | -33.914 | -0.000 | 0.000 | 0.000 |
| -33.918 | -33.918 | 686.962 | -0.000 | 0.000 | 0.000 |
| 0.000 | 0.001 | 0.000 | 95.256 | 0.000 | 0.000 |
| 0.001 | 0.000 | 0.000 | -0.000 | 95.256 | 0.000 |
| 0.001 | 0.000 | 0.000 | -0.000 | 0.000 | 95.252 |
| 686.970 | -33.955 | -33.935 | 0.000 | -0.000 | -0.000 |
| -33.955 | 686.970 | -33.935 | 0.000 | -0.000 | -0.000 |
| -33.940 | -33.940 | 686.944 | 0.000 | -0.000 | -0.000 |
| -0.000 | -0.001 | -0.000 | 95.256 | -0.000 | -0.000 |
| -0.001 | -0.000 | -0.000 | 0.000 | 95.256 | -0.000 |
| -0.001 | -0.000 | -0.000 | 0.000 | -0.000 | 95.252 |
| 1036.960 | 458.988 | 458.988 | 0.000 | -0.000 | 0.000 |
| 458.988 | 1036.960 | 458.988 | 0.000 | -0.000 | 0.000 |
| 458.988 | 458.988 | 1036.960 | 0.000 | -0.000 | 0.000 |
| -0.001 | -0.001 | -0.001 | 231.256 | -0.000 | 0.000 |
| -0.001 | -0.001 | -0.001 | 0.000 | 231.256 | 0.000 |
| -0.001 | -0.001 | -0.001 | 0.000 | -0.000 | 231.256 |
| 1036.964 | 458.988 | 458.988 | -0.000 | 0.000 | -0.000 |
| 458.988 | 1036.964 | 458.988 | -0.000 | 0.000 | -0.000 |
| 458.988 | 458.988 | 1036.964 | -0.000 | 0.000 | -0.000 |
| 0.001 | 0.001 | 0.001 | 231.256 | 0.000 | -0.000 |
| 0.001 | 0.001 | 0.001 | -0.000 | 231.256 | -0.000 |
| 0.001 | 0.001 | 0.001 | -0.000 | 0.000 | 231.256 |
| 1036.944 | 458.985 | 458.985 | 0.000 | -0.000 | 0.000 |
| 458.985 | 1036.944 | 458.985 | 0.000 | -0.000 | 0.000 |
| 458.985 | 458.985 | 1036.944 | 0.000 | -0.000 | 0.000 |
| -0.006 | -0.006 | -0.006 | 231.256 | -0.000 | 0.000 |
| -0.006 | -0.006 | -0.006 | -0.000 | 231.256 | 0.000 |
| -0.006 | -0.006 | -0.006 | 0.000 | -0.000 | 231.256 |
| 1036.980 | 458.990 | 458.990 | -0.000 | 0.000 | -0.000 |
| 458.990 | 1036.980 | 458.990 | -0.000 | 0.000 | -0.000 |
| 458.990 | 458.990 | 1036.980 | -0.000 | 0.000 | -0.000 |
| 0.006 | 0.006 | 0.006 | 231.256 | 0.000 | -0.000 |
| 0.006 | 0.006 | 0.006 | -0.000 | 231.256 | -0.000 |
| 0.006 | 0.006 | 0.006 | -0.000 | 0.000 | 231.256 |
| 1036.785 | 458.964 | 458.964 | 0.000 | -0.000 | 0.000 |
| 458.964 | 1036.785 | 458.964 | 0.000 | -0.000 | 0.000 |
| 458.964 | 458.964 | 1036.785 | 0.000 | -0.000 | 0.000 |
| -0.057 | -0.062 | -0.062 | 231.256 | -0.000 | 0.000 |
| -0.062 | -0.057 | -0.062 | -0.000 | 231.256 | 0.000 |
| -0.062 | -0.062 | -0.057 | 0.000 | -0.000 | 231.256 |
| 1037.139 | 459.011 | 459.011 | -0.000 | 0.000 | -0.000 |
| 459.011 | 1037.139 | 459.011 | -0.000 | 0.000 | -0.000 |
| 459.011 | 459.011 | 1037.139 | -0.000 | 0.000 | -0.000 |
| 0.057 | 0.062 | 0.062 | 231.256 | 0.000 | -0.000 |
| 0.062 | 0.057 | 0.062 | -0.000 | 231.256 | -0.000 |
| 0.062 | 0.062 | 0.057 | -0.000 | 0.000 | 231.256 |
| 217.693 | 117.007 | 117.007 | -0.000 | -0.000 | -0.000 |
| 117.007 | 217.693 | 117.007 | -0.000 | -0.000 | -0.000 |
| 117.007 | 117.007 | 217.693 | -0.000 | -0.000 | -0.000 |
| -0.000 | 0.000 | 0.000 | 88.201 | -0.000 | 0.000 |
| 0.000 | -0.000 | 0.000 | -0.000 | 88.201 | -0.000 |
| 0.000 | 0.000 | -0.000 | -0.000 | -0.000 | 88.201 |
| 217.693 | 117.006 | 117.006 | 0.000 | 0.000 | 0.000 |
| 117.006 | 217.693 | 117.006 | 0.000 | 0.000 | 0.000 |
| 117.006 | 117.006 | 217.693 | 0.000 | 0.000 | -0.000 |
| 0.000 | -0.000 | -0.000 | 88.201 | 0.000 | 0.000 |
| -0.000 | 0.000 | -0.000 | 0.000 | 88.201 | 0.000 |
| -0.000 | -0.000 | 0.000 | 0.000 | 0.000 | 88.201 |
| 217.695 | 117.008 | 117.008 | -0.000 | -0.000 | -0.000 |
| 117.008 | 217.695 | 117.008 | -0.000 | -0.000 | 0.000 |
| 117.008 | 117.008 | 217.695 | -0.000 | -0.000 | -0.000 |
| -0.000 | 0.000 | 0.000 | 88.201 | -0.000 | 0.000 |
| 0.000 | -0.000 | 0.000 | -0.000 | 88.201 | 0.000 |
| 0.000 | 0.000 | -0.000 | -0.000 | -0.000 | 88.201 |
| 217.691 | 117.005 | 117.005 | 0.000 | 0.000 | 0.000 |
| 117.005 | 217.691 | 117.005 | 0.000 | 0.000 | -0.000 |
| 117.005 | 117.005 | 217.691 | -0.000 | -0.000 | 0.000 |
| 0.000 | -0.000 | -0.000 | 88.201 | 0.000 | 0.000 |
| -0.000 | 0.000 | -0.000 | 0.000 | 88.201 | 0.000 |
| -0.000 | -0.000 | 0.000 | 0.000 | 0.000 | 88.201 |
| 217.712 | 117.022 | 117.022 | -0.000 | 0.000 | 0.000 |
| 117.022 | 217.712 | 117.022 | 0.000 | -0.000 | 0.000 |
| 117.022 | 117.022 | 217.712 | 0.000 | -0.000 | -0.000 |
| -0.000 | 0.004 | 0.004 | 88.201 | -0.000 | -0.000 |
| 0.004 | -0.000 | 0.004 | -0.000 | 88.201 | -0.000 |
| 0.004 | 0.004 | -0.000 | -0.000 | -0.000 | 88.201 |
| 217.675 | 116.991 | 116.991 | 0.000 | 0.000 | 0.000 |
| 116.991 | 217.675 | 116.991 | 0.000 | 0.000 | 0.000 |
| 116.991 | 116.991 | 217.675 | 0.000 | 0.000 | 0.000 |
| 0.000 | -0.004 | -0.004 | 88.201 | 0.000 | 0.000 |
| -0.004 | 0.000 | -0.004 | 0.000 | 88.201 | 0.000 |
| -0.004 | -0.004 | 0.000 | 0.000 | 0.000 | 88.201 |
| 112.793 | 36.634 | 36.634 | -0.000 | -0.000 | -0.000 |
| 36.634 | 112.793 | 36.634 | -0.000 | -0.000 | -0.000 |
| 36.634 | 36.634 | 112.793 | -0.000 | -0.000 | -0.000 |
| 0.000 | 0.000 | 0.000 | 24.935 | -0.000 | 0.000 |
| 0.000 | 0.000 | 0.000 | 0.000 | 24.935 | -0.000 |
| 0.000 | 0.000 | 0.000 | 0.000 | 0.000 | 24.935 |
| 112.793 | 36.634 | 36.634 | 0.000 | 0.000 | 0.000 |
| 36.634 | 112.793 | 36.634 | 0.000 | 0.000 | -0.000 |
| 36.634 | 36.634 | 112.793 | 0.000 | 0.000 | 0.000 |
| -0.000 | -0.000 | -0.000 | 24.935 | -0.000 | 0.000 |
| -0.000 | -0.000 | -0.000 | -0.000 | 24.935 | 0.000 |
| -0.000 | -0.000 | -0.000 | -0.000 | -0.000 | 24.935 |
| 112.794 | 36.635 | 36.635 | -0.000 | -0.000 | 0.000 |
| 36.635 | 112.794 | 36.635 | -0.000 | -0.000 | -0.000 |
| 36.635 | 36.635 | 112.794 | -0.000 | -0.000 | -0.000 |
| 0.001 | 0.001 | 0.001 | 24.935 | 0.000 | -0.000 |
| 0.001 | 0.001 | 0.001 | 0.000 | 24.935 | -0.000 |
| 0.001 | 0.001 | 0.001 | -0.000 | 0.000 | 24.935 |
| 112.791 | 36.632 | 36.632 | -0.000 | 0.000 | -0.000 |
| 36.632 | 112.791 | 36.632 | 0.000 | 0.000 | -0.000 |
| 36.632 | 36.632 | 112.791 | 0.000 | 0.000 | -0.000 |
| -0.001 | -0.001 | -0.001 | 24.935 | 0.000 | -0.000 |
| -0.001 | -0.001 | -0.001 | -0.000 | 24.935 | 0.000 |
| -0.001 | -0.001 | -0.001 | 0.000 | 0.000 | 24.935 |
| 112.808 | 36.648 | 36.648 | 0.000 | -0.000 | -0.000 |
| 36.648 | 112.808 | 36.648 | 0.000 | -0.000 | -0.000 |
| 36.648 | 36.648 | 112.808 | -0.000 | -0.000 | -0.000 |
| 0.006 | 0.006 | 0.006 | 24.935 | -0.000 | -0.000 |
| 0.006 | 0.006 | 0.006 | 0.000 | 24.935 | -0.000 |
| 0.006 | 0.006 | 0.006 | 0.000 | -0.000 | 24.935 |
| 112.778 | 36.619 | 36.619 | 0.000 | 0.000 | 0.000 |
| 36.619 | 112.778 | 36.619 | -0.000 | 0.000 | 0.000 |
| 36.619 | 36.619 | 112.778 | -0.000 | -0.000 | 0.000 |
| -0.006 | -0.006 | -0.006 | 24.935 | 0.000 | 0.000 |
| -0.006 | -0.006 | -0.006 | 0.000 | 24.935 | 0.000 |
| -0.006 | -0.006 | -0.006 | 0.000 | 0.000 | 24.935 |
| 5.566 | 5.566 | 5.566 | 0.000 | 0.000 | -0.000 |
| 5.566 | 5.566 | 5.566 | 0.000 | 0.000 | -0.000 |
| 5.566 | 5.566 | 5.566 | 0.000 | 0.000 | -0.000 |
| -0.000 | -0.000 | -0.000 | 0.516 | -0.000 | -0.000 |
| -0.000 | -0.000 | -0.000 | -0.000 | 0.516 | -0.000 |
| -0.000 | -0.000 | -0.000 | -0.000 | -0.000 | 0.516 |
| 5.566 | 5.566 | 5.566 | -0.000 | -0.000 | -0.000 |
| 5.566 | 5.566 | 5.566 | -0.000 | -0.000 | -0.000 |
| 5.566 | 5.566 | 5.566 | -0.000 | -0.000 | 0.000 |
| 0.000 | 0.000 | 0.000 | 0.516 | 0.000 | -0.000 |
| 0.000 | 0.000 | 0.000 | 0.000 | 0.516 | -0.000 |
| 0.000 | 0.000 | 0.000 | 0.000 | -0.000 | 0.516 |
| 5.566 | 5.566 | 5.566 | 0.000 | 0.000 | -0.000 |
| 5.566 | 5.566 | 5.566 | 0.000 | 0.000 | -0.000 |
| 5.566 | 5.566 | 5.566 | 0.000 | 0.000 | -0.000 |
| -0.000 | -0.000 | -0.000 | 0.048 | 0.000 | -0.000 |
| -0.000 | -0.000 | -0.000 | 0.000 | 0.048 | -0.000 |
| -0.000 | -0.000 | -0.000 | -0.000 | 0.000 | 0.048 |
| 5.566 | 5.566 | 5.566 | -0.000 | -0.000 | -0.000 |
| 5.566 | 5.566 | 5.566 | -0.000 | -0.000 | -0.000 |
| 5.566 | 5.566 | 5.566 | -0.000 | -0.000 | 0.000 |
| 0.000 | 0.000 | 0.000 | 0.048 | -0.000 | 0.000 |
| 0.000 | 0.000 | 0.000 | -0.000 | 0.048 | 0.000 |
| 0.000 | 0.000 | 0.000 | -0.000 | 0.000 | 0.048 |
| 5.564 | 5.564 | 5.564 | 0.000 | 0.000 | -0.000 |
| 5.564 | 5.564 | 5.564 | 0.000 | 0.000 | -0.000 |
| 5.564 | 5.564 | 5.564 | 0.000 | 0.000 | 0.000 |
| -0.000 | -0.000 | -0.000 | 0.004 | 0.000 | 0.000 |
| -0.000 | -0.000 | -0.000 | 0.000 | 0.004 | 0.000 |
| -0.000 | -0.000 | -0.000 | 0.000 | 0.000 | 0.004 |
| 5.568 | 5.568 | 5.568 | -0.000 | -0.000 | -0.000 |
| 5.568 | 5.568 | 5.568 | -0.000 | -0.000 | -0.000 |
| 5.568 | 5.568 | 5.568 | -0.000 | -0.000 | 0.000 |
| 0.000 | 0.000 | 0.000 | 0.004 | -0.000 | 0.000 |
| 0.000 | 0.000 | 0.000 | -0.000 | 0.004 | 0.000 |
| 0.000 | 0.000 | 0.000 | -0.000 | -0.000 | 0.004 |
| 43219480.010 | 44658769.989 | 44658780.014 | 0.024 | -3.521 | 1.220 |
| 44658780.014 | 43219480.010 | 44658780.014 | -1.430 | -7.654 | 0.538 |
| 44658769.989 | 44658780.014 | 43219490.035 | 0.153 | 3.169 | 1.923 |
| -100.020 | -120.013 | -99.962 | 39161021.628 | -8.909 | 0.663 |
| -109.987 | -100.020 | -99.962 | -0.572 | 39161011.384 | 0.586 |
| -109.987 | -109.987 | -99.962 | 2.673 | -6.921 | 39161018.180 |
| 43109629.996 | 44714020.032 | 44714010.007 | 5.767 | -9.232 | -0.569 |
| 44714020.032 | 43109640.021 | 44714010.007 | 3.250 | 13.612 | -1.862 |
| 44714020.032 | 44714020.032 | 43109629.996 | 0.914 | 0.068 | -1.335 |
| 109.987 | 109.987 | 99.962 | 39161014.675 | 3.718 | -1.154 |
| 109.987 | 100.020 | 99.962 | 1.935 | 39161018.296 | -0.625 |
| 109.987 | 109.987 | 99.962 | -3.318 | 2.720 | 39161016.604 |
| 43108420.998 | 44712887.000 | 44712888.003 | 0.303 | -0.313 | 0.128 |
| 44712887.997 | 43108420.002 | 44712888.003 | -0.073 | -0.579 | 0.081 |
| 44712887.000 | 44712887.000 | 43108422.001 | -0.025 | -0.762 | 0.109 |
| -1034.003 | -1059.999 | -1049.997 | 39161018.279 | -0.507 | 0.126 |
| -1059.002 | -1035.005 | -1050.999 | 0.306 | 39161017.750 | 0.120 |
| -1059.002 | -1052.002 | -1034.003 | 0.225 | -0.060 | 39161018.378 |
| 43220647.000 | 44659931.005 | 44659929.000 | 0.450 | 0.093 | -0.038 |
| 44659931.005 | 43220646.003 | 44659929.000 | -0.513 | 0.596 | 0.036 |
| 44659931.005 | 44659931.005 | 43220645.997 | -0.536 | 0.828 | -0.133 |
| 1035.005 | 1059.999 | 1050.999 | 39160371.035 | 0.491 | -0.073 |
| 1059.999 | 1035.005 | 1050.999 | -0.353 | 39160371.505 | -0.095 |
| 1059.999 | 1052.002 | 1034.003 | -0.077 | 0.467 | 39160372.073 |
| 43208967.100 | 44648410.100 | 44648410.200 | -0.037 | -0.057 | 0.009 |
| 44648410.000 | 43208967.200 | 44648410.100 | -0.001 | 0.011 | 0.000 |
| 44648410.000 | 44648410.000 | 43208967.300 | -0.015 | -0.084 | 0.006 |
| -10346.100 | -10599.000 | -10519.500 | 39299492.077 | -0.023 | 0.008 |
| -10598.900 | -10346.100 | -10519.500 | -0.043 | 39299492.042 | 0.009 |
| -10598.900 | -10519.600 | -10346.000 | 0.015 | -0.062 | 39299492.084 |
| 43120169.400 | 44724367.100 | 44724367.000 | -0.000 | 0.053 | -0.008 |
| 44724367.200 | 43120169.200 | 44724367.100 | 0.012 | 0.053 | -0.008 |
| 44724352.600 | 44724352.600 | 43120198.300 | -0.001 | 0.048 | -0.010 |
| 10346.100 | 10598.900 | 10519.500 | 39299492.039 | 0.071 | -0.005 |
| 10598.900 | 10346.100 | 10519.500 | -0.015 | 39299492.105 | -0.007 |
| 10598.900 | 10519.600 | 10346.000 | -0.023 | 0.040 | 39299492.073 |
| 14487509.984 | 7081040.018 | 7081040.018 | -0.773 | -7.289 | -0.733 |
| 7081030.022 | 14487519.980 | 7081040.018 | -3.729 | -1.089 | -1.189 |
| 7081030.022 | 7081040.018 | 14487519.980 | -2.455 | -0.599 | 0.115 |
| -9.996 | 9.996 | 9.996 | 3146194.020 | -5.072 | -0.357 |
| 0.000 | 0.000 | 9.996 | -2.904 | 3146194.031 | -0.425 |
| 0.000 | 9.996 | 9.996 | -0.788 | 0.525 | 3146198.091 |
| 14487489.991 | 7080979.983 | 7080979.983 | 3.778 | 3.972 | 0.532 |
| 7080989.979 | 14487479.995 | 7080979.983 | 4.516 | 2.139 | 0.720 |
| 7080989.979 | 7080979.983 | 14487479.995 | 4.795 | 4.172 | -0.008 |
| 9.996 | -9.996 | -9.996 | 3146205.420 | -3.246 | 1.164 |
| -0.000 | -0.000 | -9.996 | 1.887 | 3146199.648 | 0.656 |
| -0.000 | -9.996 | -9.996 | 2.903 | 2.072 | 3146199.670 |
| 14488050.999 | 7081068.002 | 7081068.002 | -0.763 | 0.035 | -0.116 |
| 7081067.002 | 14488050.999 | 7081068.002 | -0.276 | -0.336 | -0.072 |
| 7081068.002 | 7081069.001 | 14488051.999 | -0.356 | 0.022 | -0.174 |
| 16.999 | 76.000 | 77.000 | 3146198.410 | -0.358 | -0.062 |
| 75.001 | 19.002 | 77.000 | -0.260 | 3146198.191 | -0.055 |
| 74.001 | 76.000 | 19.002 | -0.239 | -0.233 | 3146198.607 |
| 14486953.997 | 7080948.001 | 7080948.001 | 0.112 | 0.042 | 0.107 |
| 7080949.000 | 14486951.998 | 7080948.001 | 0.179 | -0.074 | 0.040 |
| 7080949.000 | 7080948.001 | 14486951.998 | -0.046 | -0.037 | 0.101 |
| -16.999 | -76.000 | -76.000 | 3146199.170 | 0.708 | 0.030 |
| -75.001 | -19.002 | -77.000 | 0.410 | 3146198.922 | 0.067 |
| -74.001 | -76.000 | -19.002 | 0.365 | 0.022 | 3146198.709 |
| 14492682.400 | 7081761.500 | 7081761.500 | -0.054 | 0.004 | -0.008 |
| 7081761.400 | 14492682.500 | 7081761.500 | -0.000 | -0.043 | -0.011 |
| 7081761.400 | 7081761.500 | 14492682.500 | -0.039 | 0.005 | -0.009 |
| 183.900 | 755.100 | 757.700 | 3146198.655 | -0.037 | -0.008 |
| 755.000 | 184.000 | 757.600 | -0.083 | 3146198.707 | -0.009 |
| 755.000 | 757.700 | 184.000 | -0.043 | -0.012 | 3146198.698 |
| 14482390.400 | 7080220.500 | 7080220.600 | 0.026 | 0.078 | 0.007 |
| 7080220.700 | 14482390.300 | 7080220.600 | 0.045 | 0.010 | 0.006 |
| 7080220.700 | 7080220.600 | 14482390.300 | 0.041 | -0.011 | 0.010 |
| -183.900 | -755.100 | -757.700 | 3146198.749 | 0.040 | 0.005 |
| -755.000 | -184.000 | -757.600 | 0.081 | 3146198.735 | 0.007 |
| -755.000 | -757.700 | -184.000 | 0.052 | 0.026 | 3146198.712 |
| 1741.874 | 650.803 | 650.803 | 0.000 | 0.000 | -0.000 |
| 650.803 | 1741.874 | 650.803 | 0.000 | 0.000 | -0.000 |
| 650.803 | 650.803 | 1741.874 | 0.000 | -0.000 | -0.000 |
| -0.000 | -0.000 | -0.000 | 315.659 | 0.000 | -0.000 |
| -0.000 | 0.000 | -0.000 | -0.000 | 315.659 | -0.000 |
| -0.000 | -0.000 | 0.000 | 0.000 | -0.000 | 315.659 |
| 1741.866 | 650.797 | 650.797 | -0.000 | -0.000 | 0.000 |
| 650.797 | 1741.866 | 650.797 | -0.000 | -0.000 | -0.000 |
| 650.797 | 650.797 | 1741.866 | -0.000 | -0.000 | 0.000 |
| 0.000 | 0.000 | 0.000 | 315.659 | -0.000 | -0.000 |
| 0.000 | -0.000 | 0.000 | 0.000 | 315.659 | 0.000 |
| 0.000 | 0.000 | 0.000 | -0.000 | -0.000 | 315.659 |
| 1741.910 | 650.829 | 650.829 | 0.000 | 0.000 | 0.000 |
| 650.829 | 1741.910 | 650.829 | 0.000 | -0.000 | 0.000 |
| 650.829 | 650.829 | 1741.910 | 0.000 | 0.000 | -0.000 |
| -0.000 | -0.000 | -0.000 | 315.659 | 0.000 | -0.000 |
| -0.000 | -0.000 | -0.000 | 0.000 | 315.659 | -0.000 |
| -0.000 | -0.000 | -0.000 | 0.000 | 0.000 | 315.659 |
| 1742.432 | 650.470 | 650.470 | -0.000 | -0.000 | -0.000 |
| 650.470 | 1742.432 | 650.470 | -0.000 | -0.000 | 0.000 |
| 650.470 | 650.470 | 1742.432 | 0.000 | -0.000 | -0.000 |
| 0.000 | 0.000 | 0.000 | 315.659 | -0.000 | -0.000 |
| 0.000 | 0.000 | 0.000 | 0.000 | 315.659 | -0.000 |
| 0.000 | 0.000 | 0.000 | -0.000 | -0.000 | 315.659 |
| 1742.871 | 650.787 | 650.787 | -0.000 | 0.000 | 0.000 |
| 650.787 | 1742.871 | 650.787 | 0.000 | 0.000 | -0.000 |
| 650.787 | 650.787 | 1742.871 | 0.000 | 0.000 | -0.000 |
| -0.000 | -0.005 | -0.005 | 226.306 | 0.000 | -0.000 |
| -0.005 | -0.000 | -0.005 | -0.000 | 226.306 | -0.000 |
| -0.005 | -0.005 | -0.000 | 0.000 | 0.000 | 226.306 |
| 1741.468 | 650.512 | 650.512 | 0.000 | -0.000 | 0.000 |
| 650.512 | 1741.468 | 650.512 | 0.000 | -0.000 | 0.000 |
| 650.512 | 650.512 | 1741.468 | -0.000 | -0.000 | 0.000 |
| 0.000 | 0.005 | 0.005 | 226.306 | -0.000 | 0.000 |
| 0.005 | 0.000 | 0.005 | -0.000 | 226.306 | 0.000 |
| 0.005 | 0.005 | 0.000 | 0.000 | -0.000 | 226.306 |
| 347.576 | 148.671 | 148.671 | -0.000 | -0.000 | 0.000 |
| 148.671 | 347.576 | 148.671 | -0.000 | -0.000 | -0.000 |
| 148.671 | 148.671 | 347.576 | 0.000 | -0.000 | 0.000 |
| -0.000 | 0.000 | 0.000 | 169.126 | -0.000 | 0.000 |
| 0.000 | -0.000 | 0.000 | -0.000 | 169.126 | 0.000 |
| 0.000 | 0.000 | -0.000 | 0.000 | -0.000 | 169.126 |
| 295.016 | 174.951 | 174.951 | 0.000 | 0.000 | -0.000 |
| 174.951 | 295.016 | 174.951 | 0.000 | 0.000 | -0.000 |
| 174.951 | 174.951 | 295.016 | -0.000 | -0.000 | 0.000 |
| 0.000 | -0.000 | -0.000 | 169.126 | 0.000 | 0.000 |
| -0.000 | 0.000 | -0.000 | -0.000 | 169.126 | -0.000 |
| -0.000 | -0.000 | 0.000 | 0.000 | 0.000 | 169.126 |
| 295.016 | 174.951 | 174.951 | -0.000 | -0.000 | 0.000 |
| 174.951 | 295.016 | 174.951 | 0.000 | -0.000 | 0.000 |
| 174.951 | 174.951 | 295.016 | -0.000 | -0.000 | 0.000 |
| -0.002 | 0.001 | 0.001 | -297.313 | 0.000 | -0.000 |
| 0.001 | -0.002 | 0.001 | 0.000 | -297.313 | -0.000 |
| 0.001 | 0.001 | -0.002 | 0.000 | 0.000 | -297.313 |
| 295.016 | 174.950 | 174.950 | 0.000 | 0.000 | 0.000 |
| 174.950 | 295.016 | 174.950 | -0.000 | 0.000 | -0.000 |
| 174.950 | 174.950 | 295.016 | -0.000 | 0.000 | 0.000 |
| 0.002 | -0.001 | -0.001 | -297.313 | -0.000 | -0.000 |
| -0.001 | 0.002 | -0.001 | -0.000 | -297.313 | -0.000 |
| -0.001 | -0.001 | 0.002 | -0.000 | -0.000 | -297.313 |
| 295.020 | 174.953 | 174.953 | 0.000 | -0.000 | -0.000 |
| 174.953 | 295.020 | 174.953 | -0.000 | -0.000 | 0.000 |
| 174.953 | 174.953 | 295.020 | -0.000 | -0.000 | 0.000 |
| -0.022 | 0.009 | 0.009 | -297.313 | 0.000 | 0.000 |
| 0.009 | -0.022 | 0.009 | 0.000 | -297.313 | -0.000 |
| 0.009 | 0.009 | -0.022 | -0.000 | -0.000 | -297.313 |
| 295.012 | 174.949 | 174.949 | 0.000 | 0.000 | -0.000 |
| 174.949 | 295.012 | 174.949 | 0.000 | -0.000 | -0.000 |
| 174.949 | 174.949 | 295.012 | -0.000 | 0.000 | 0.000 |
| 0.022 | -0.009 | -0.009 | -297.313 | 0.000 | 0.000 |
| -0.009 | 0.022 | -0.009 | -0.000 | -297.313 | -0.000 |
| -0.009 | -0.009 | 0.022 | -0.000 | -0.000 | -297.313 |
| 64.151 | 24.560 | 24.560 | -0.000 | 0.000 | -0.000 |
| 24.560 | 64.151 | 24.560 | 0.000 | 0.000 | 0.000 |
| 24.560 | 24.560 | 64.151 | -0.000 | 0.000 | 0.000 |
| 0.000 | -0.000 | -0.000 | 24.795 | -0.000 | -0.000 |
| -0.000 | 0.000 | -0.000 | -0.000 | 24.795 | -0.000 |
| -0.000 | -0.000 | 0.000 | -0.000 | 0.000 | 24.795 |
| 64.153 | 24.561 | 24.561 | 0.000 | -0.000 | -0.000 |
| 24.561 | 64.153 | 24.561 | -0.000 | -0.000 | 0.000 |
| 24.561 | 24.561 | 64.153 | -0.000 | 0.000 | -0.000 |
| -0.000 | 0.000 | 0.000 | 24.795 | 0.000 | -0.000 |
| 0.000 | -0.000 | 0.000 | 0.000 | 24.795 | 0.000 |
| 0.000 | 0.000 | -0.000 | 0.000 | 0.000 | 24.795 |
| 64.141 | 24.557 | 24.557 | -0.000 | -0.000 | 0.000 |
| 24.557 | 64.141 | 24.557 | -0.000 | 0.000 | 0.000 |
| 24.557 | 24.557 | 64.141 | 0.000 | 0.000 | 0.000 |
| 0.000 | -0.003 | -0.003 | 24.795 | 0.000 | 0.000 |
| -0.003 | 0.000 | -0.003 | -0.000 | 24.795 | -0.000 |
| -0.003 | -0.003 | 0.000 | -0.000 | -0.000 | 24.795 |
| 64.163 | 24.564 | 24.564 | 0.000 | -0.000 | -0.000 |
| 24.564 | 64.163 | 24.564 | -0.000 | -0.000 | -0.000 |
| 24.564 | 24.564 | 64.163 | 0.000 | 0.000 | -0.000 |
| -0.000 | 0.003 | 0.003 | 24.795 | -0.000 | 0.000 |
| 0.003 | -0.000 | 0.003 | -0.000 | 24.795 | -0.000 |
| 0.003 | 0.003 | -0.000 | 0.000 | 0.000 | 24.795 |
| 64.040 | 24.527 | 24.527 | -0.000 | -0.000 | 0.000 |
| 24.527 | 64.040 | 24.527 | 0.000 | 0.000 | 0.000 |
| 24.527 | 24.527 | 64.040 | -0.000 | -0.000 | -0.000 |
| 0.002 | -0.033 | -0.033 | 24.795 | -0.000 | -0.000 |
| -0.033 | 0.002 | -0.033 | -0.000 | 24.795 | 0.000 |
| -0.033 | -0.033 | 0.002 | -0.000 | -0.000 | 24.795 |
| 27417.071 | 18698.356 | 18698.361 | 0.000 | -0.000 | 0.000 |
| 18698.361 | 27417.071 | 18698.356 | -0.000 | 0.000 | 0.000 |
| 18698.355 | 18698.361 | 27417.071 | -0.000 | 0.000 | 0.000 |
| -0.002 | 0.033 | 0.033 | 24.795 | 0.000 | -0.000 |
| 0.033 | -0.002 | 0.033 | 0.000 | 24.795 | 0.000 |
| 0.033 | 0.033 | -0.002 | 0.000 | 0.000 | 24.795 |
| 129.230 | 44.977 | 44.977 | -0.000 | 0.000 | 0.000 |
| 44.977 | 129.230 | 44.977 | -0.000 | 0.000 | 0.000 |
| 44.977 | 44.977 | 129.230 | -0.000 | 0.000 | 0.000 |
| 0.000 | 0.000 | 0.000 | 44.829 | 0.000 | 0.000 |
| 0.000 | -0.000 | 0.000 | 0.000 | 44.829 | 0.000 |
| 0.000 | 0.000 | -0.000 | -0.000 | 0.000 | 44.829 |
| 129.230 | 44.977 | 44.977 | 0.000 | -0.000 | -0.000 |
| 44.977 | 129.230 | 44.977 | 0.000 | -0.000 | -0.000 |
| 44.977 | 44.977 | 129.230 | 0.000 | -0.000 | -0.000 |
| -0.000 | -0.000 | -0.000 | 44.829 | 0.000 | -0.000 |
| -0.000 | 0.000 | -0.000 | 0.000 | 44.829 | -0.000 |
| -0.000 | -0.000 | 0.000 | 0.000 | -0.000 | 44.829 |
| 129.231 | 44.977 | 44.977 | -0.000 | -0.000 | 0.000 |
| 44.977 | 129.231 | 44.977 | -0.000 | 0.000 | 0.000 |
| 44.977 | 44.977 | 129.231 | -0.000 | 0.000 | 0.000 |
| -0.000 | 0.000 | 0.000 | 44.829 | 0.000 | 0.000 |
| 0.000 | -0.000 | 0.000 | -0.000 | 44.829 | 0.000 |
| 0.000 | 0.000 | -0.000 | -0.000 | 0.000 | 44.829 |
| 129.230 | 44.977 | 44.977 | 0.000 | 0.000 | -0.000 |
| 44.977 | 129.230 | 44.977 | 0.000 | -0.000 | -0.000 |
| 44.977 | 44.977 | 129.230 | 0.000 | -0.000 | -0.000 |
| 0.000 | -0.000 | -0.000 | 44.829 | -0.000 | -0.000 |
| -0.000 | 0.000 | -0.000 | 0.000 | 44.829 | -0.000 |
| -0.000 | -0.000 | 0.000 | 0.000 | -0.000 | 44.829 |
| 129.238 | 44.978 | 44.978 | -0.000 | 0.000 | 0.000 |
| 44.978 | 129.238 | 44.978 | -0.000 | 0.000 | 0.000 |
| 44.978 | 44.978 | 129.238 | 0.000 | 0.000 | 0.000 |
| -0.000 | 0.001 | 0.001 | 45.055 | 0.000 | 0.000 |
| 0.001 | -0.000 | 0.001 | -0.000 | 45.055 | 0.000 |
| 0.001 | 0.001 | -0.000 | -0.000 | -0.000 | 45.055 |
| 129.223 | 44.975 | 44.975 | 0.000 | -0.000 | -0.000 |
| 44.975 | 129.223 | 44.975 | 0.000 | -0.000 | -0.000 |
| 44.975 | 44.975 | 129.223 | 0.000 | -0.000 | -0.000 |
| 0.000 | -0.001 | -0.001 | 45.055 | -0.000 | -0.000 |
| -0.001 | 0.000 | -0.001 | 0.000 | 45.055 | -0.000 |
| -0.001 | -0.001 | 0.000 | 0.000 | 0.000 | 45.055 |
| -10.567 | 0.000 | 0.000 | 0.000 | -0.000 | -0.000 |
| 0.000 | -10.567 | 0.000 | -0.000 | 0.000 | -0.000 |
| 0.000 | 0.000 | -10.567 | -0.000 | 0.000 | 0.000 |
| 0.000 | -0.000 | 0.000 | -0.000 | -0.000 | -0.000 |
| -0.000 | 0.000 | 0.000 | -0.000 | -0.000 | 0.000 |
| -0.000 | 0.000 | 0.000 | 0.000 | -0.000 | -0.000 |
| -10.567 | 0.000 | 0.000 | 0.000 | -0.000 | -0.000 |
| 0.000 | -10.567 | 0.000 | 0.000 | 0.000 | -0.000 |
| 0.000 | 0.000 | -10.567 | -0.000 | -0.000 | 0.000 |
| -0.000 | 0.000 | -0.000 | -0.000 | 0.000 | -0.000 |
| 0.000 | -0.000 | -0.000 | 0.000 | -0.000 | -0.000 |
| 0.000 | -0.000 | -0.000 | -0.000 | -0.000 | -0.000 |
| -10.567 | -0.000 | -0.000 | -0.000 | -0.000 | -0.000 |
| -0.000 | -10.567 | -0.000 | -0.000 | -0.000 | 0.000 |
| -0.000 | -0.000 | -10.567 | -0.000 | 0.000 | -0.000 |
| 0.000 | -0.000 | 0.000 | -0.000 | -0.000 | 0.000 |
| -0.000 | 0.000 | 0.000 | -0.000 | -0.000 | -0.000 |
| -0.000 | 0.000 | 0.000 | 0.000 | -0.000 | -0.000 |
| -10.567 | 0.000 | 0.000 | 0.000 | 0.000 | -0.000 |
| 0.000 | -10.567 | 0.000 | 0.000 | 0.000 | 0.000 |
| 0.000 | 0.000 | -10.567 | 0.000 | -0.000 | 0.000 |
| -0.000 | 0.000 | -0.000 | -0.000 | 0.000 | -0.000 |
| 0.000 | -0.000 | -0.000 | 0.000 | -0.000 | 0.000 |
| 0.000 | -0.000 | -0.000 | -0.000 | -0.000 | -0.000 |
| -10.567 | 0.000 | 0.000 | 0.000 | -0.000 | 0.000 |
| 0.000 | -10.567 | 0.000 | -0.000 | 0.000 | 0.000 |
| 0.000 | 0.000 | -10.567 | 0.000 | -0.000 | 0.000 |
| 0.000 | -0.000 | 0.000 | -0.000 | 0.000 | 0.000 |
| -0.000 | 0.000 | 0.000 | 0.000 | -0.000 | 0.000 |
| -0.000 | 0.000 | 0.000 | 0.000 | -0.000 | -0.000 |
| -10.567 | 0.000 | 0.000 | 0.000 | 0.000 | 0.000 |
| 0.000 | -10.567 | 0.000 | 0.000 | 0.000 | -0.000 |
| 0.000 | 0.000 | -10.567 | -0.000 | -0.000 | 0.000 |
| -0.000 | 0.000 | -0.000 | -0.000 | -0.000 | -0.000 |
| 0.000 | -0.000 | -0.000 | -0.000 | -0.000 | -0.000 |
| 0.000 | -0.000 | -0.000 | -0.000 | 0.000 | -0.000 |
| 11.711 | -0.000 | -0.000 | 0.000 | 0.000 | 0.000 |
| -0.000 | 11.711 | -0.000 | 0.000 | -0.000 | 0.000 |
| -0.000 | -0.000 | 11.711 | 0.000 | 0.000 | 0.000 |
| -0.000 | -0.000 | -0.000 | -0.000 | 0.000 | 0.000 |
| -0.000 | -0.000 | -0.000 | 0.000 | -0.000 | 0.000 |
| -0.000 | -0.000 | -0.000 | 0.000 | -0.000 | -0.000 |
| 11.711 | 0.000 | 0.000 | -0.000 | -0.000 | 0.000 |
| 0.000 | 11.711 | 0.000 | 0.000 | 0.000 | -0.000 |
| 0.000 | 0.000 | 11.711 | -0.000 | -0.000 | -0.000 |
| 0.000 | 0.000 | 0.000 | -0.000 | -0.000 | 0.000 |
| 0.000 | 0.000 | 0.000 | -0.000 | -0.000 | -0.000 |
| 0.000 | 0.000 | 0.000 | -0.000 | -0.000 | -0.000 |
| 11.711 | -0.000 | -0.000 | 0.000 | 0.000 | -0.000 |
| -0.000 | 11.711 | -0.000 | 0.000 | -0.000 | 0.000 |
| -0.000 | -0.000 | 11.711 | 0.000 | -0.000 | 0.000 |
| -0.000 | -0.000 | -0.000 | 0.000 | -0.000 | -0.000 |
| -0.000 | -0.000 | -0.000 | 0.000 | 0.000 | -0.000 |
| -0.000 | -0.000 | -0.000 | 0.000 | 0.000 | 0.000 |
| 11.711 | 0.000 | 0.000 | -0.000 | -0.000 | 0.000 |
| 0.000 | 11.711 | 0.000 | -0.000 | 0.000 | 0.000 |
| 0.000 | 0.000 | 11.711 | 0.000 | -0.000 | -0.000 |
| 0.000 | 0.000 | 0.000 | 0.000 | 0.000 | -0.000 |
| 0.000 | 0.000 | 0.000 | -0.000 | 0.000 | -0.000 |
| 0.000 | 0.000 | 0.000 | -0.000 | -0.000 | 0.000 |
| 11.710 | -0.000 | -0.000 | 0.000 | -0.000 | 0.000 |
| -0.000 | 11.710 | -0.000 | 0.000 | -0.000 | -0.000 |
| -0.000 | -0.000 | 11.710 | -0.000 | -0.000 | 0.000 |
| -0.000 | -0.000 | -0.000 | 0.000 | 0.000 | -0.000 |
| -0.000 | -0.000 | -0.000 | -0.000 | 0.000 | -0.000 |
| -0.000 | -0.000 | -0.000 | 0.000 | 0.000 | 0.000 |
| 11.711 | 0.000 | 0.000 | -0.000 | 0.000 | 0.000 |
| 0.000 | 11.711 | 0.000 | 0.000 | 0.000 | 0.000 |
| 0.000 | 0.000 | 11.711 | 0.000 | -0.000 | -0.000 |
| 0.000 | 0.000 | 0.000 | 0.000 | -0.000 | 0.000 |
| 0.000 | 0.000 | 0.000 | 0.000 | 0.000 | 0.000 |
| 0.000 | 0.000 | 0.000 | -0.000 | -0.000 | 0.000 |
| 7745776.999 | 3533491.992 | 3533489.005 | 4.046 | 2.302 | 0.559 |
| 3533491.992 | 7745776.999 | 3533489.005 | 1.613 | 5.032 | 0.490 |
| 3533490.003 | 3533491.992 | 7745776.001 | 4.434 | 5.130 | 0.487 |
| -2.004 | -0.998 | -0.991 | 1197392.112 | -0.491 | 0.360 |
| -0.998 | 0.000 | -0.991 | -1.125 | 1197391.994 | 0.396 |
| 0.000 | -2.004 | -2.994 | 1.053 | 1.599 | 1197391.319 |
| 7745748.001 | 3533496.998 | 3533497.996 | -3.029 | -1.145 | -0.406 |
| 3533495.001 | 7745744.999 | 3533498.994 | -0.204 | -3.645 | -0.588 |
| 3533494.003 | 3533496.000 | 7745751.003 | -1.824 | -1.530 | -0.423 |
| 3.002 | -0.000 | 1.996 | 1197389.613 | 0.000 | -0.356 |
| -0.000 | -0.000 | 1.996 | 1.009 | 1197389.193 | -0.449 |
| -0.000 | 2.004 | 2.994 | -0.700 | -1.170 | 1197390.395 |
| 7745907.800 | 3533476.800 | 3533476.100 | 0.119 | 0.407 | 0.040 |
| 3533476.400 | 7745908.101 | 3533476.100 | 0.315 | 0.154 | 0.031 |
| 3533476.400 | 3533476.500 | 7745907.701 | 0.178 | 0.185 | 0.047 |
| -12.500 | -6.400 | -6.600 | 879402.243 | 0.285 | 0.075 |
| -6.500 | -12.401 | -6.600 | -0.099 | 879402.285 | 0.039 |
| -6.400 | -6.500 | -12.600 | -0.053 | 0.057 | 879402.245 |
| 7745618.600 | 3533508.300 | 3533509.000 | -0.209 | -0.205 | -0.020 |
| 3533508.800 | 7745618.900 | 3533509.000 | -0.224 | -0.305 | -0.057 |
| 3533509.000 | 3533508.800 | 7745618.999 | -0.402 | -0.500 | -0.038 |
| 12.500 | 6.300 | 6.699 | 879402.233 | -0.017 | -0.033 |
| 6.400 | 12.401 | 6.699 | 0.119 | 879402.164 | -0.055 |
| 6.500 | 6.400 | 12.600 | 0.029 | -0.064 | 879402.156 |
| 7747210.080 | 3533331.010 | 3533330.990 | -0.015 | 0.004 | 0.004 |
| 3533331.040 | 7747210.090 | 3533330.990 | 0.002 | -0.006 | 0.005 |
| 3533331.040 | 3533331.000 | 7747210.050 | 0.009 | 0.018 | 0.005 |
| -105.400 | -54.000 | -53.720 | 1201564.475 | 0.012 | 0.005 |
| -54.000 | -105.410 | -53.720 | 0.007 | 1201564.476 | 0.005 |
| -54.000 | -53.700 | -105.420 | 0.016 | 0.005 | 1201564.477 |
| 7744316.570 | 3533654.240 | 3533654.270 | -0.028 | -0.036 | -0.005 |
| 3533654.240 | 7744316.590 | 3533654.260 | -0.024 | -0.034 | -0.005 |
| 3533654.230 | 3533654.210 | 7744316.620 | -0.002 | 0.000 | -0.005 |
| 105.410 | 54.010 | 53.720 | 1201564.464 | -0.002 | -0.004 |
| 54.010 | 105.410 | 53.720 | 0.001 | 1201564.462 | -0.004 |
| 54.000 | 53.700 | 105.420 | -0.016 | -0.000 | 1201564.465 |
| 965.828 | 858.200 | 858.200 | -0.000 | 0.000 | 0.000 |
| 858.200 | 965.828 | 858.200 | -0.000 | -0.000 | 0.000 |
| 858.200 | 858.200 | 965.828 | -0.000 | 0.000 | 0.000 |
| 0.000 | 0.000 | 0.000 | 283.789 | 0.000 | 0.000 |
| 0.000 | 0.000 | 0.000 | -0.000 | 283.789 | 0.000 |
| 0.000 | 0.000 | 0.000 | -0.000 | 0.000 | 283.789 |
| 965.828 | 858.199 | 858.199 | 0.000 | -0.000 | -0.000 |
| 858.199 | 965.828 | 858.199 | 0.000 | -0.000 | -0.000 |
| 858.199 | 858.199 | 965.828 | 0.000 | -0.000 | -0.000 |
| -0.000 | -0.000 | -0.000 | 283.789 | -0.000 | -0.000 |
| -0.000 | -0.000 | -0.000 | 0.000 | 283.789 | -0.000 |
| -0.000 | -0.000 | -0.000 | -0.000 | -0.000 | 283.789 |
| 965.830 | 858.205 | 858.205 | -0.000 | -0.000 | 0.000 |
| 858.205 | 965.830 | 858.205 | -0.000 | 0.000 | 0.000 |
| 858.205 | 858.205 | 965.830 | -0.000 | -0.000 | 0.000 |
| 0.001 | 0.001 | 0.001 | 136.285 | -0.000 | 0.000 |
| 0.001 | 0.001 | 0.001 | -0.000 | 136.285 | 0.000 |
| 0.001 | 0.001 | 0.001 | -0.000 | 0.000 | 136.285 |
| 965.825 | 858.194 | 858.194 | 0.000 | -0.000 | -0.000 |
| 858.194 | 965.825 | 858.194 | 0.000 | -0.000 | -0.000 |
| 858.194 | 858.194 | 965.825 | 0.000 | -0.000 | -0.000 |
| -0.001 | -0.001 | -0.001 | 136.285 | 0.000 | -0.000 |
| -0.001 | -0.001 | -0.001 | 0.000 | 136.285 | -0.000 |
| -0.001 | -0.001 | -0.001 | 0.000 | -0.000 | 136.285 |
| 965.854 | 858.252 | 858.252 | -0.000 | -0.000 | 0.000 |
| 858.252 | 965.854 | 858.252 | -0.000 | 0.000 | 0.000 |
| 858.252 | 858.252 | 965.854 | -0.000 | 0.000 | 0.000 |
| 0.011 | 0.012 | 0.012 | 136.285 | -0.000 | 0.000 |
| 0.012 | 0.011 | 0.012 | -0.000 | 136.285 | 0.000 |
| 0.012 | 0.012 | 0.011 | -0.000 | 0.000 | 136.285 |
| 965.801 | 858.147 | 858.147 | 0.000 | 0.000 | -0.000 |
| 858.147 | 965.801 | 858.147 | 0.000 | 0.000 | -0.000 |
| 858.147 | 858.147 | 965.801 | 0.000 | -0.000 | -0.000 |
| -0.011 | -0.012 | -0.012 | 136.285 | -0.000 | -0.000 |
| -0.012 | -0.011 | -0.012 | 0.000 | 136.285 | -0.000 |
| -0.012 | -0.012 | -0.011 | 0.000 | -0.000 | 136.285 |
| 199.365 | 85.607 | 85.607 | 0.000 | 0.000 | -0.000 |
| 85.607 | 199.365 | 85.607 | 0.000 | 0.000 | -0.000 |
| 85.607 | 85.607 | 199.365 | -0.000 | -0.000 | -0.000 |
| 0.000 | -0.000 | -0.000 | 93.419 | 0.000 | -0.000 |
| -0.000 | 0.000 | -0.000 | 0.000 | 93.419 | -0.000 |
| -0.000 | -0.000 | 0.000 | 0.000 | 0.000 | 93.419 |
| 199.365 | 85.607 | 85.607 | 0.000 | 0.000 | 0.000 |
| 85.607 | 199.365 | 85.607 | 0.000 | 0.000 | 0.000 |
| 85.607 | 85.607 | 199.365 | 0.000 | -0.000 | 0.000 |
| -0.000 | 0.000 | 0.000 | 93.419 | -0.000 | 0.000 |
| 0.000 | -0.000 | 0.000 | -0.000 | 93.419 | 0.000 |
| 0.000 | 0.000 | -0.000 | -0.000 | -0.000 | 93.419 |
| 199.364 | 85.607 | 85.607 | -0.000 | 0.000 | -0.000 |
| 85.607 | 199.364 | 85.607 | -0.000 | 0.000 | -0.000 |
| 85.607 | 85.607 | 199.364 | 0.000 | -0.000 | -0.000 |
| -28403504.067 | -21206322.883 | -21161958.212 | -217916.418 | 46991.403 | 100822.683 |
| -20387373.657 | -27086860.311 | -20276670.834 | 28422.512 | -172688.060 | -35241.948 |
| -18612798.752 | -18241638.541 | -26218316.244 | -8799.924 | -16850.009 | 119848.818 |
| 199.365 | 85.607 | 85.607 | -0.000 | -0.000 | 0.000 |
| 85.607 | 199.365 | 85.607 | -0.000 | -0.000 | 0.000 |
| 85.607 | 85.607 | 199.365 | -0.000 | -0.000 | 0.000 |
| 23594605.283 | 17793933.401 | 17781982.434 | -97979.413 | 299855.167 | 326872.630 |
| 18492396.609 | 24132048.277 | 18184656.956 | 166891.959 | 48028.734 | 297714.315 |
| 18477734.603 | 18669172.801 | 25040824.607 | 380252.183 | 516254.763 | -120181.887 |
| 199.359 | 85.606 | 85.606 | -0.000 | 0.000 | -0.000 |
| 85.606 | 199.359 | 85.606 | 0.000 | 0.000 | -0.000 |
| 85.606 | 85.606 | 199.359 | -0.000 | 0.000 | -0.000 |
| -2858829.493 | -1958567.726 | -2067749.871 | 29743.718 | -3624.355 | -871.885 |
| -1948469.111 | -2821745.896 | -2054162.053 | 20410.466 | 30255.947 | -7987.720 |
| -2150068.959 | -2196587.919 | -3074953.852 | -537.754 | 2989.581 | 14106.780 |
| 199.370 | 85.608 | 85.608 | 0.000 | -0.000 | 0.000 |
| 85.608 | 199.370 | 85.608 | -0.000 | -0.000 | 0.000 |
| 85.608 | 85.608 | 199.370 | -0.000 | -0.000 | 0.000 |
| 2584810.103 | 1888752.507 | 2057654.305 | 7816.990 | 6763.568 | 1663.274 |
| 1968824.390 | 2688017.646 | 2107073.261 | 6211.615 | -7094.054 | 11308.335 |
| 1817932.191 | 2006866.527 | 2554065.214 | 2301.851 | 15595.646 | 18193.314 |
| 164.723 | 56.387 | 56.387 | -0.000 | -0.000 | -0.000 |
| 56.387 | 164.723 | 56.387 | -0.000 | -0.000 | -0.000 |
| 56.387 | 56.387 | 164.723 | 0.000 | -0.000 | -0.000 |
| -0.000 | -0.000 | -0.000 | 45.755 | 0.000 | -0.000 |
| -0.000 | -0.000 | -0.000 | -0.000 | 45.755 | -0.000 |
| -0.000 | -0.000 | -0.000 | -0.000 | 0.000 | 45.755 |
| 164.722 | 56.388 | 56.388 | 0.000 | -0.000 | 0.000 |
| 56.388 | 164.722 | 56.388 | 0.000 | 0.000 | 0.000 |
| 56.388 | 56.388 | 164.722 | 0.000 | 0.000 | 0.000 |
| 0.000 | 0.000 | 0.000 | 45.755 | 0.000 | 0.000 |
| 0.000 | 0.000 | 0.000 | 0.000 | 45.755 | 0.000 |
| 0.000 | 0.000 | 0.000 | 0.000 | -0.000 | 45.755 |
| 164.726 | 56.387 | 56.387 | -0.000 | -0.000 | -0.000 |
| 56.387 | 164.726 | 56.387 | -0.000 | -0.000 | -0.000 |
| 56.387 | 56.387 | 164.726 | -0.000 | -0.000 | -0.000 |
| -0.000 | -0.000 | -0.000 | 45.755 | 0.000 | -0.000 |
| -0.000 | -0.000 | -0.000 | -0.000 | 45.755 | -0.000 |
| -0.000 | -0.000 | -0.000 | -0.000 | -0.000 | 45.755 |
| 164.719 | 56.388 | 56.388 | 0.000 | 0.000 | 0.000 |
| 56.388 | 164.719 | 56.388 | 0.000 | -0.000 | 0.000 |
| 56.388 | 56.388 | 164.719 | 0.000 | 0.000 | 0.000 |
| 0.000 | 0.000 | 0.000 | 45.755 | -0.000 | 0.000 |
| 0.000 | 0.000 | 0.000 | 0.000 | 45.755 | 0.000 |
| 0.000 | 0.000 | 0.000 | 0.000 | 0.000 | 45.755 |
| 164.758 | 56.379 | 56.379 | -0.000 | -0.000 | -0.000 |
| 56.379 | 164.758 | 56.379 | -0.000 | -0.000 | -0.000 |
| 56.379 | 56.379 | 164.758 | -0.000 | -0.000 | -0.000 |
| -0.004 | -0.005 | -0.005 | 45.755 | -0.000 | -0.000 |
| -0.005 | -0.004 | -0.005 | -0.000 | 45.755 | -0.000 |
| -0.005 | -0.005 | -0.004 | -0.000 | 0.000 | 45.755 |
| 164.688 | 56.396 | 56.396 | 0.000 | 0.000 | 0.000 |
| 56.396 | 164.688 | 56.396 | 0.000 | -0.000 | 0.000 |
| 56.396 | 56.396 | 164.688 | 0.000 | -0.000 | 0.000 |
| 0.004 | 0.005 | 0.005 | 45.755 | -0.000 | 0.000 |
| 0.005 | 0.004 | 0.005 | 0.000 | 45.755 | 0.000 |
| 0.005 | 0.005 | 0.004 | 0.000 | -0.000 | 45.755 |
| 54.063 | 20.629 | 20.629 | -0.000 | 0.000 | -0.000 |
| 20.629 | 54.063 | 20.629 | -0.000 | 0.000 | -0.000 |
| 20.629 | 20.629 | 54.063 | -0.000 | 0.000 | -0.000 |
| 0.000 | 0.000 | 0.000 | -1.330 | 0.000 | -0.000 |
| 0.000 | 0.000 | 0.000 | -0.000 | -1.330 | -0.000 |
| 0.000 | 0.000 | 0.000 | -0.000 | 0.000 | -1.330 |
| 54.063 | 20.628 | 20.628 | 0.000 | -0.000 | 0.000 |
| 20.628 | 54.063 | 20.628 | 0.000 | -0.000 | 0.000 |
| 20.628 | 20.628 | 54.063 | -0.000 | -0.000 | 0.000 |
| -0.000 | -0.000 | -0.000 | -1.330 | -0.000 | 0.000 |
| -0.000 | -0.000 | -0.000 | 0.000 | -1.330 | -0.000 |
| -0.000 | -0.000 | -0.000 | 0.000 | -0.000 | -1.330 |
| 54.063 | 20.629 | 20.629 | -0.000 | 0.000 | -0.000 |
| 20.629 | 54.063 | 20.629 | -0.000 | 0.000 | -0.000 |
| 20.629 | 20.629 | 54.063 | -0.000 | 0.000 | -0.000 |
| 0.001 | 0.001 | 0.001 | -1.330 | 0.000 | -0.000 |
| 0.001 | 0.001 | 0.001 | -0.000 | -1.330 | -0.000 |
| 0.001 | 0.001 | 0.001 | -0.000 | 0.000 | -1.330 |
| 54.062 | 20.628 | 20.628 | -0.000 | -0.000 | 0.000 |
| 20.628 | 54.062 | 20.628 | -0.000 | -0.000 | -0.000 |
| 20.628 | 20.628 | 54.062 | -0.000 | -0.000 | 0.000 |
| -0.001 | -0.001 | -0.001 | -1.330 | -0.000 | 0.000 |
| -0.001 | -0.001 | -0.001 | 0.000 | -1.330 | 0.000 |
| -0.001 | -0.001 | -0.001 | 0.000 | -0.000 | -1.330 |
| 54.063 | 20.631 | 20.631 | -0.000 | 0.000 | -0.000 |
| 20.631 | 54.063 | 20.631 | 0.000 | 0.000 | 0.000 |
| 20.631 | 20.631 | 54.063 | -0.000 | 0.000 | -0.000 |
| 0.008 | 0.008 | 0.008 | -1.330 | 0.000 | 0.000 |
| 0.008 | 0.008 | 0.008 | -0.000 | -1.330 | -0.000 |
| 0.008 | 0.008 | 0.008 | -0.000 | 0.000 | -1.330 |
| 54.062 | 20.626 | 20.626 | -0.000 | -0.000 | 0.000 |
| 20.626 | 54.062 | 20.626 | -0.000 | -0.000 | -0.000 |
| 20.626 | 20.626 | 54.062 | 0.000 | -0.000 | 0.000 |
| -0.008 | -0.008 | -0.008 | -1.330 | -0.000 | -0.000 |
| -0.008 | -0.008 | -0.008 | 0.000 | -1.330 | 0.000 |
| -0.008 | -0.008 | -0.008 | 0.000 | -0.000 | -1.330 |
| 9.485 | 9.422 | 9.422 | 0.000 | 0.000 | 0.000 |
| 9.422 | 9.485 | 9.422 | 0.000 | 0.000 | 0.000 |
| 9.422 | 9.422 | 9.485 | 0.000 | 0.000 | 0.000 |
| 0.000 | 0.000 | 0.000 | 8.567 | 0.000 | 0.000 |
| 0.000 | 0.000 | 0.000 | 0.000 | 8.567 | 0.000 |
| 0.000 | 0.000 | 0.000 | -0.000 | -0.000 | 8.567 |
| 9.485 | 9.422 | 9.422 | -0.000 | -0.000 | -0.000 |
| 9.422 | 9.485 | 9.422 | -0.000 | -0.000 | -0.000 |
| 9.422 | 9.422 | 9.485 | -0.000 | -0.000 | -0.000 |
| -0.000 | -0.000 | -0.000 | 8.567 | -0.000 | -0.000 |
| -0.000 | -0.000 | -0.000 | -0.000 | 8.567 | -0.000 |
| -0.000 | -0.000 | -0.000 | -0.000 | 0.000 | 8.567 |
| 9.485 | 9.422 | 9.422 | 0.000 | 0.000 | 0.000 |
| 9.422 | 9.485 | 9.422 | 0.000 | 0.000 | 0.000 |
| 9.422 | 9.422 | 9.485 | 0.000 | 0.000 | -0.000 |
| 0.000 | 0.000 | 0.000 | 8.567 | 0.000 | 0.000 |
| 0.000 | 0.000 | 0.000 | 0.000 | 8.567 | 0.000 |
| 0.000 | 0.000 | 0.000 | 0.000 | -0.000 | 8.567 |
| 9.485 | 9.422 | 9.422 | -0.000 | -0.000 | -0.000 |
| 9.422 | 9.485 | 9.422 | -0.000 | -0.000 | -0.000 |
| 9.422 | 9.422 | 9.485 | -0.000 | -0.000 | -0.000 |
| -0.000 | -0.000 | -0.000 | 8.567 | -0.000 | -0.000 |
| -0.000 | -0.000 | -0.000 | -0.000 | 8.567 | -0.000 |
| -0.000 | -0.000 | -0.000 | 0.000 | 0.000 | 8.567 |
| 9.485 | 9.422 | 9.422 | 0.000 | -0.000 | 0.000 |
| 9.422 | 9.485 | 9.422 | -0.000 | 0.000 | 0.000 |
| 9.422 | 9.422 | 9.485 | 0.000 | 0.000 | 0.000 |
| 0.000 | 0.000 | 0.000 | 8.567 | 0.000 | 0.000 |
| 0.000 | 0.000 | 0.000 | 0.000 | 8.567 | 0.000 |
| 0.000 | 0.000 | 0.000 | 0.000 | -0.000 | 8.567 |
| 9.485 | 9.422 | 9.422 | -0.000 | -0.000 | -0.000 |
| 9.422 | 9.485 | 9.422 | -0.000 | -0.000 | -0.000 |
| 9.422 | 9.422 | 9.485 | -0.000 | -0.000 | -0.000 |
| -0.000 | -0.000 | -0.000 | 8.567 | -0.000 | -0.000 |
| -0.000 | -0.000 | -0.000 | -0.000 | 8.567 | -0.000 |
| -0.000 | -0.000 | -0.000 | -0.000 | 0.000 | 8.567 |
| 8503259.937 | 7793830.038 | 7793830.038 | 0.434 | 0.980 | -0.642 |
| 7793840.005 | 8503249.970 | 7793830.038 | 1.577 | 0.943 | 0.083 |
| 7793840.005 | 7793820.070 | 8503259.937 | 3.790 | 11.320 | -0.384 |
| 9.967 | 10.025 | 9.967 | -383293.108 | 10.196 | 0.418 |
| 9.967 | 10.025 | 9.967 | 6.146 | -383289.621 | -0.035 |
| 19.992 | 10.025 | 9.967 | 4.535 | 5.742 | -383296.412 |
| 8503160.033 | 7793819.954 | 7793789.994 | -9.088 | -10.499 | 0.429 |
| 7793799.961 | 8503179.967 | 7793799.961 | -3.582 | -8.374 | 0.591 |
| 7793799.961 | 7793809.929 | 8503170.000 | -7.005 | -7.982 | -0.271 |
| -19.992 | -0.000 | -9.967 | -383301.120 | -4.071 | 0.721 |
| -19.992 | -10.025 | -9.967 | -4.539 | -383296.088 | 0.291 |
| -19.992 | -10.025 | -9.967 | -3.882 | -6.714 | -383296.584 |
| 8503614.997 | 7793913.003 | 7793914.000 | 0.625 | 0.179 | 0.024 |
| 7793914.000 | 8503613.004 | 7793914.000 | -0.015 | 0.732 | -0.070 |
| 7793914.000 | 7793913.003 | 8503614.997 | 0.551 | 0.806 | 0.045 |
| 53.000 | 96.004 | 95.998 | -383295.763 | 0.442 | 0.050 |
| 97.001 | 53.006 | 95.998 | 0.481 | -383295.970 | -0.041 |
| 95.998 | 95.002 | 53.000 | 0.364 | 0.377 | -383296.387 |
| 8502812.002 | 7793719.998 | 7793719.001 | -0.373 | -0.686 | 0.080 |
| 7793719.001 | 8502812.999 | 7793719.001 | -0.868 | -0.181 | 0.027 |
| 7793719.001 | 7793719.998 | 8502812.002 | 0.144 | 0.080 | -0.028 |
| -53.000 | -95.002 | -95.998 | -383296.575 | -0.086 | 0.005 |
| -95.998 | -53.006 | -95.998 | -0.638 | -383296.651 | -0.002 |
| -97.001 | -95.002 | -53.000 | -0.451 | -0.125 | -383296.308 |
| 8507217.800 | 7794783.300 | 7794783.300 | 0.048 | -0.006 | 0.008 |
| 7794783.400 | 8507217.800 | 7794783.300 | -0.046 | 0.047 | -0.005 |
| 7794783.400 | 7794783.201 | 8507217.900 | 0.001 | -0.028 | -0.002 |
| 525.600 | 955.500 | 954.500 | -383296.286 | 0.052 | 0.012 |
| 955.600 | 525.400 | 954.500 | 0.060 | -383296.284 | 0.002 |
| 955.700 | 954.400 | 525.400 | 0.038 | 0.008 | -383296.317 |
| 8499209.200 | 7792849.900 | 7792849.800 | -0.005 | 0.010 | 0.002 |
| 7792849.800 | 8499209.200 | 7792849.800 | -0.004 | -0.010 | 0.007 |
| 7792849.800 | 7792850.000 | 8499209.100 | 0.013 | 0.045 | 0.003 |
| -525.500 | -955.600 | -954.500 | -383296.329 | -0.048 | 0.003 |
| -955.700 | -525.400 | -954.500 | -0.062 | -383296.314 | 0.001 |
| -955.700 | -954.500 | -525.500 | -0.069 | -0.063 | -383296.302 |
| 1404.005 | 1283.496 | 1283.496 | 0.000 | 0.000 | 0.000 |
| 1283.496 | 1404.005 | 1283.496 | 0.000 | -0.000 | -0.000 |
| 1283.496 | 1283.496 | 1404.005 | -0.000 | 0.000 | 0.000 |
| -0.000 | -0.000 | -0.000 | 283.447 | 0.000 | 0.000 |
| -0.000 | -0.000 | -0.000 | 0.000 | 283.447 | 0.000 |
| -0.000 | -0.000 | -0.000 | 0.000 | -0.000 | 283.447 |
| 1403.994 | 1283.484 | 1283.484 | -0.000 | -0.000 | 0.000 |
| 1283.484 | 1403.994 | 1283.484 | -0.000 | -0.000 | -0.000 |
| 1283.484 | 1283.484 | 1403.994 | -0.000 | 0.000 | -0.000 |
| 0.000 | 0.000 | 0.000 | 283.447 | 0.000 | -0.000 |
| 0.000 | 0.000 | 0.000 | -0.000 | 283.447 | -0.000 |
| 0.000 | 0.000 | 0.000 | -0.000 | 0.000 | 283.447 |
| 1404.055 | 1283.550 | 1283.550 | 0.000 | 0.000 | 0.000 |
| 1283.550 | 1404.055 | 1283.550 | 0.000 | 0.000 | 0.000 |
| 1283.550 | 1283.550 | 1404.055 | 0.000 | 0.000 | 0.000 |
| -0.002 | -0.003 | -0.003 | 283.447 | -0.000 | 0.000 |
| -0.003 | -0.002 | -0.003 | 0.000 | 283.447 | 0.000 |
| -0.003 | -0.003 | -0.002 | 0.000 | -0.000 | 283.447 |
| 1403.945 | 1283.430 | 1283.430 | -0.000 | -0.000 | -0.000 |
| 1283.430 | 1403.945 | 1283.430 | -0.000 | 0.000 | -0.000 |
| 1283.430 | 1283.430 | 1403.945 | -0.000 | -0.000 | -0.000 |
| 0.002 | 0.003 | 0.003 | 283.447 | 0.000 | -0.000 |
| 0.003 | 0.002 | 0.003 | 0.000 | 283.447 | -0.000 |
| 0.003 | 0.003 | 0.002 | -0.000 | 0.000 | 283.447 |
| 1404.550 | 1284.093 | 1284.093 | 0.000 | 0.000 | 0.000 |
| 1284.093 | 1404.550 | 1284.093 | 0.000 | -0.000 | -0.000 |
| 1284.093 | 1284.093 | 1404.550 | -0.000 | -0.000 | 0.000 |
| -0.016 | -0.031 | -0.031 | 283.447 | 0.000 | 0.000 |
| -0.031 | -0.016 | -0.031 | 0.000 | 283.447 | 0.000 |
| -0.031 | -0.031 | -0.016 | 0.000 | -0.000 | 283.447 |
| 1403.450 | 1282.887 | 1282.887 | -0.000 | -0.000 | -0.000 |
| 1282.887 | 1403.450 | 1282.887 | -0.000 | -0.000 | 0.000 |
| 1282.887 | 1282.887 | 1403.450 | -0.000 | 0.000 | -0.000 |
| 0.016 | 0.031 | 0.031 | 283.447 | 0.000 | -0.000 |
| 0.031 | 0.016 | 0.031 | -0.000 | 283.447 | -0.000 |
| 0.031 | 0.031 | 0.016 | -0.000 | 0.000 | 283.447 |
| 76.736 | 28.507 | 28.507 | -0.000 | -0.000 | -0.000 |
| 28.507 | 76.736 | 28.507 | -0.000 | -0.000 | -0.000 |
| 28.507 | 28.507 | 76.736 | -0.000 | -0.000 | -0.000 |
| -0.000 | -0.000 | -0.000 | 34.602 | -0.000 | -0.000 |
| -0.000 | -0.000 | -0.000 | -0.000 | 34.602 | -0.000 |
| -0.000 | -0.000 | 0.000 | -0.000 | -0.000 | 34.602 |
| 76.736 | 28.507 | 28.507 | 0.000 | 0.000 | 0.000 |
| 28.507 | 76.736 | 28.507 | 0.000 | 0.000 | 0.000 |
| 28.507 | 28.507 | 76.736 | 0.000 | 0.000 | 0.000 |
| 0.000 | 0.000 | 0.000 | 34.602 | 0.000 | 0.000 |
| 0.000 | 0.000 | 0.000 | 0.000 | 34.602 | 0.000 |
| 0.000 | 0.000 | -0.000 | 0.000 | 0.000 | 34.602 |
| 76.736 | 28.507 | 28.507 | -0.000 | -0.000 | -0.000 |
| 28.507 | 76.736 | 28.507 | -0.000 | -0.000 | -0.000 |
| 28.507 | 28.507 | 76.736 | -0.000 | -0.000 | -0.000 |
| -0.000 | -0.000 | -0.000 | 34.602 | -0.000 | -0.000 |
| -0.000 | -0.000 | -0.000 | -0.000 | 34.602 | -0.000 |
| -0.000 | -0.000 | -0.000 | -0.000 | -0.000 | 34.602 |
| 76.736 | 28.507 | 28.507 | 0.000 | 0.000 | 0.000 |
| 28.507 | 76.736 | 28.507 | 0.000 | 0.000 | 0.000 |
| 28.507 | 28.507 | 76.736 | 0.000 | 0.000 | 0.000 |
| 0.000 | 0.000 | 0.000 | 34.602 | 0.000 | 0.000 |
| 0.000 | 0.000 | 0.000 | 0.000 | 34.602 | 0.000 |
| 0.000 | 0.000 | 0.000 | 0.000 | 0.000 | 34.602 |
| 76.738 | 28.507 | 28.507 | -0.000 | -0.000 | -0.000 |
| 28.507 | 76.738 | 28.507 | -0.000 | -0.000 | -0.000 |
| 28.507 | 28.507 | 76.738 | -0.000 | -0.000 | -0.000 |
| -0.000 | -0.000 | -0.000 | 34.602 | -0.000 | 0.000 |
| -0.000 | -0.000 | -0.000 | -0.000 | 34.602 | -0.000 |
| -0.000 | -0.000 | -0.000 | -0.000 | -0.000 | 34.602 |
| 76.734 | 28.508 | 28.508 | 0.000 | 0.000 | 0.000 |
| 28.508 | 76.734 | 28.508 | 0.000 | 0.000 | 0.000 |
| 28.508 | 28.508 | 76.734 | 0.000 | 0.000 | 0.000 |
| 0.000 | 0.000 | 0.000 | 34.602 | 0.000 | 0.000 |
| 0.000 | 0.000 | 0.000 | 0.000 | 34.602 | 0.000 |
| 0.000 | 0.000 | 0.000 | 0.000 | 0.000 | 34.602 |
| 57.548 | 28.529 | 28.529 | -0.000 | -0.000 | 0.000 |
| 28.529 | 57.548 | 28.529 | -0.000 | -0.000 | -0.000 |
| 28.529 | 28.529 | 57.548 | -0.000 | -0.000 | -0.000 |
| -0.000 | -0.000 | -0.000 | 29.637 | -0.000 | -0.000 |
| -0.000 | -0.000 | -0.000 | -0.000 | 29.637 | -0.000 |
| -0.000 | -0.000 | -0.000 | -0.000 | -0.000 | 29.637 |
| 57.548 | 28.529 | 28.529 | 0.000 | 0.000 | 0.000 |
| 28.529 | 57.548 | 28.529 | 0.000 | 0.000 | 0.000 |
| 28.529 | 28.529 | 57.548 | 0.000 | 0.000 | 0.000 |
| 0.000 | 0.000 | 0.000 | 29.637 | 0.000 | 0.000 |
| 0.000 | 0.000 | 0.000 | 0.000 | 29.637 | 0.000 |
| 0.000 | 0.000 | 0.000 | 0.000 | 0.000 | 29.637 |
| 57.548 | 28.529 | 28.529 | -0.000 | -0.000 | 0.000 |
| 28.529 | 57.548 | 28.529 | -0.000 | -0.000 | -0.000 |
| 28.529 | 28.529 | 57.548 | -0.000 | -0.000 | -0.000 |
| -0.000 | -0.000 | -0.000 | 29.637 | -0.000 | -0.000 |
| -0.000 | -0.000 | -0.000 | -0.000 | 29.637 | -0.000 |
| -0.000 | -0.000 | -0.000 | -0.000 | -0.000 | 29.637 |
| 57.548 | 28.529 | 28.529 | 0.000 | 0.000 | -0.000 |
| 28.529 | 57.548 | 28.529 | 0.000 | 0.000 | 0.000 |
| 28.529 | 28.529 | 57.548 | 0.000 | 0.000 | 0.000 |
| 0.000 | 0.000 | 0.000 | 29.637 | 0.000 | 0.000 |
| 0.000 | 0.000 | 0.000 | 0.000 | 29.637 | 0.000 |
| 0.000 | 0.000 | 0.000 | 0.000 | 0.000 | 29.637 |
| 57.547 | 28.529 | 28.529 | -0.000 | -0.000 | -0.000 |
| 28.529 | 57.547 | 28.529 | -0.000 | -0.000 | -0.000 |
| 28.529 | 28.529 | 57.547 | -0.000 | -0.000 | -0.000 |
| -0.000 | -0.001 | -0.000 | 29.637 | -0.000 | -0.000 |
| -0.001 | -0.000 | -0.000 | -0.000 | 29.637 | -0.000 |
| -0.001 | -0.000 | -0.000 | -0.000 | -0.000 | 29.637 |
| 57.549 | 28.530 | 28.530 | 0.000 | 0.000 | -0.000 |
| 28.530 | 57.549 | 28.530 | 0.000 | 0.000 | 0.000 |
| 28.530 | 28.530 | 57.549 | 0.000 | 0.000 | 0.000 |
| 0.000 | 0.001 | 0.000 | 29.637 | 0.000 | 0.000 |
| 0.001 | 0.000 | 0.000 | 0.000 | 29.637 | -0.000 |
| 0.001 | 0.000 | 0.000 | 0.000 | 0.000 | 29.637 |
| 23.197 | 11.532 | 11.532 | 0.000 | 0.000 | -0.000 |
| 11.532 | 23.197 | 11.532 | -0.000 | 0.000 | -0.000 |
| 11.532 | 11.532 | 23.197 | 0.000 | 0.000 | 0.000 |
| 0.000 | -0.000 | -0.000 | 12.213 | 0.000 | -0.000 |
| -0.000 | 0.000 | -0.000 | 0.000 | 12.213 | 0.000 |
| -0.000 | -0.000 | 0.000 | 0.000 | 0.000 | 12.213 |
| 23.197 | 11.532 | 11.532 | -0.000 | -0.000 | -0.000 |
| 11.532 | 23.197 | 11.532 | -0.000 | -0.000 | -0.000 |
| 11.532 | 11.532 | 23.197 | 0.000 | -0.000 | -0.000 |
| -0.000 | 0.000 | 0.000 | 12.213 | -0.000 | 0.000 |
| 0.000 | -0.000 | 0.000 | -0.000 | 12.213 | -0.000 |
| 0.000 | 0.000 | -0.000 | -0.000 | -0.000 | 12.213 |
| 23.197 | 11.532 | 11.532 | 0.000 | 0.000 | -0.000 |
| 11.532 | 23.197 | 11.532 | 0.000 | 0.000 | 0.000 |
| 11.532 | 11.532 | 23.197 | 0.000 | 0.000 | -0.000 |
| -0.000 | -0.000 | -0.000 | 12.213 | 0.000 | -0.000 |
| -0.000 | -0.000 | -0.000 | 0.000 | 12.213 | -0.000 |
| -0.000 | -0.000 | -0.000 | -0.000 | 0.000 | 12.213 |
| 23.197 | 11.532 | 11.532 | -0.000 | -0.000 | -0.000 |
| 11.532 | 23.197 | 11.532 | -0.000 | -0.000 | 0.000 |
| 11.532 | 11.532 | 23.197 | -0.000 | -0.000 | -0.000 |
| 0.000 | 0.000 | 0.000 | 12.213 | -0.000 | 0.000 |
| 0.000 | 0.000 | 0.000 | -0.000 | 12.213 | -0.000 |
| 0.000 | 0.000 | 0.000 | -0.000 | -0.000 | 12.213 |
| 23.197 | 11.532 | 11.532 | 0.000 | 0.000 | 0.000 |
| 11.532 | 23.197 | 11.532 | 0.000 | 0.000 | -0.000 |
| 11.532 | 11.532 | 23.197 | 0.000 | 0.000 | -0.000 |
| -0.000 | -0.000 | -0.000 | 12.213 | 0.000 | -0.000 |
| -0.000 | -0.000 | -0.000 | -0.000 | 12.213 | -0.000 |
| -0.000 | -0.000 | -0.000 | 0.000 | 0.000 | 12.213 |
| 23.197 | 11.532 | 11.532 | -0.000 | -0.000 | 0.000 |
| 11.532 | 23.197 | 11.532 | -0.000 | -0.000 | 0.000 |
| 11.532 | 11.532 | 23.197 | -0.000 | -0.000 | 0.000 |
| 0.000 | 0.000 | 0.000 | 12.213 | -0.000 | -0.000 |
| 0.000 | 0.000 | 0.000 | -0.000 | 12.213 | 0.000 |
| 0.000 | 0.000 | 0.000 | -0.000 | -0.000 | 12.213 |
| 34713899.906 | 24703180.084 | 24703189.993 | 29.709 | 54.595 | 0.686 |
| 24703200.018 | 34713890.114 | 24703189.993 | 33.828 | 52.376 | -1.226 |
| 24703200.018 | 24703180.084 | 34713860.038 | 25.662 | 63.040 | -2.050 |
| 19.934 | 10.142 | 10.142 | 5640104.329 | 38.045 | -3.633 |
| 30.076 | 0.000 | 10.142 | 1.770 | 5640133.903 | -1.915 |
| 30.076 | 10.142 | 0.000 | -0.705 | 55.687 | 5640072.818 |
| 34713860.038 | 24703179.851 | 24703169.942 | -19.540 | -50.810 | 0.864 |
| 24703150.008 | 34713879.972 | 24703169.942 | -17.842 | -51.929 | 2.948 |
| 24703170.059 | 24703199.902 | 34713879.972 | -33.066 | -53.989 | 3.282 |
| -10.025 | -0.000 | -0.000 | 5640049.192 | -49.899 | 0.443 |
| -19.934 | -0.000 | -0.000 | -2.592 | 5640020.772 | 2.855 |
| -19.934 | -10.142 | -0.000 | 2.716 | -60.972 | 5640076.105 |
| 34713880.007 | 24703261.010 | 24703260.007 | 2.081 | 5.071 | -0.392 |
| 24703264.006 | 34713879.016 | 24703260.007 | 2.099 | 6.210 | -0.308 |
| 24703263.003 | 24703260.007 | 34713878.014 | 2.530 | 5.347 | -0.316 |
| -2.996 | 80.005 | 81.007 | 5640076.562 | 5.779 | -0.294 |
| 81.998 | -5.992 | 81.007 | 2.907 | 5640080.339 | -0.158 |
| 81.007 | 81.007 | -3.998 | 3.228 | 4.751 | 5640074.816 |
| 34713884.006 | 24703093.995 | 24703092.981 | 0.593 | -5.347 | 0.291 |
| 24703092.001 | 34713884.997 | 24703093.995 | -0.923 | -4.933 | 0.248 |
| 24703092.001 | 24703092.981 | 34713884.997 | -0.197 | -4.567 | 0.217 |
| 2.996 | -80.005 | -81.007 | 5640073.147 | -6.008 | 0.190 |
| -81.998 | 5.992 | -81.007 | -3.100 | 5640069.234 | 0.199 |
| -81.998 | -81.007 | 3.998 | -3.252 | -4.326 | 5640075.195 |
| 34713849.701 | 24704022.101 | 24704022.101 | 0.099 | 0.565 | -0.010 |
| 24704022.399 | 34713849.501 | 24704022.101 | 0.226 | 0.518 | -0.023 |
| 24704022.300 | 24704022.101 | 34713849.600 | 0.282 | 0.646 | -0.005 |
| -47.201 | 799.501 | 805.800 | 5640075.170 | 0.536 | 0.001 |
| 799.700 | -47.299 | 805.800 | 0.140 | 5640075.558 | -0.014 |
| 799.700 | 805.901 | -47.400 | 0.385 | 0.543 | 5640074.978 |
| 34713912.900 | 24702332.300 | 24702332.099 | 0.014 | -0.674 | 0.020 |
| 24702331.999 | 34713913.198 | 24702332.099 | -0.070 | -0.492 | 0.022 |
| 24702331.999 | 24702332.300 | 34713913.099 | -0.112 | -0.445 | 0.033 |
| 47.099 | -799.501 | -805.800 | 5640074.790 | -0.648 | 0.030 |
| -799.700 | 47.299 | -805.800 | -0.147 | 5640074.487 | 0.018 |
| -799.799 | -805.901 | 47.499 | -0.372 | -0.596 | 5640075.001 |
| -12621219.923 | 7061749.986 | 7061770.037 | -0.870 | 13.002 | -1.047 |
| 7061770.037 | -12621210.014 | 7061760.012 | -6.461 | 12.790 | 6.195 |
| 7061770.037 | 7061749.986 | -12621209.897 | -8.179 | 19.491 | -2.904 |
| -5145049.992 | -12881209.916 | -4710649.900 | -4856876.164 | 1326.204 | -18742.772 |
| -11951989.937 | -4783800.009 | -4393880.008 | -7023.844 | -4877465.068 | 9589.098 |
| -12480560.007 | -4498999.986 | -5293229.961 | 6001.883 | 27107.846 | -4912514.016 |
| -12620919.979 | 7061799.996 | 7061789.971 | 11.381 | -18.343 | -1.084 |
| 7061789.971 | -12620910.070 | 7061789.971 | -1.618 | -24.201 | -0.855 |
| 7061799.996 | 7061799.996 | -12620930.004 | 14.934 | -14.315 | -1.572 |
| 6713599.972 | 17489070.030 | 6026759.897 | -5015094.791 | -1091.095 | -3176.473 |
| 16743029.988 | 6435860.001 | 5720609.985 | 8569.574 | -5020845.881 | 15507.531 |
| 16313079.980 | 5474480.021 | 6513729.945 | 11208.257 | 183629.205 | -4961564.304 |
| -12622489.002 | 7061559.004 | 7061560.006 | -0.023 | 0.485 | -0.202 |
| 7061560.006 | -12622486.997 | 7061561.009 | 0.816 | -0.036 | 0.087 |
| 7061560.006 | 7061556.998 | -12622488.000 | 0.084 | -0.230 | 0.402 |
| -72.998 | -214.997 | -213.994 | -4689611.703 | 1.944 | -0.268 |
| -214.997 | -72.998 | -213.994 | -0.149 | -4689611.175 | -0.048 |
| -213.994 | -214.997 | -71.996 | 0.454 | 1.550 | -4689611.531 |
| -12619641.002 | 7061986.001 | 7061986.001 | -0.620 | -2.503 | 0.221 |
| 7061987.004 | -12619643.998 | 7061987.004 | 0.707 | -0.997 | 0.165 |
| 7061988.006 | 7061988.006 | -12619643.007 | 1.476 | 1.036 | 0.345 |
| 72.998 | 213.994 | 213.994 | -4689611.315 | 0.543 | 0.021 |
| 213.003 | 72.998 | 213.994 | 0.571 | -4689612.523 | 0.049 |
| 213.994 | 214.997 | 71.996 | -0.469 | -0.704 | -4689611.667 |
| -12635300.000 | 7059634.699 | 7059634.900 | 0.040 | -0.003 | 0.028 |
| 7059634.600 | -12635300.000 | 7059634.900 | -0.009 | 0.163 | 0.026 |
| 7059634.600 | 7059634.699 | -12635299.801 | -0.050 | 0.018 | -0.004 |
| -722.700 | -2141.800 | -2141.199 | -4689611.585 | -0.018 | -0.005 |
| -2141.800 | -722.600 | -2141.199 | 0.047 | -4689611.488 | 0.009 |
| -2141.700 | -2141.299 | -722.400 | -0.029 | 0.013 | -4689611.589 |
| -12606830.100 | 7063911.000 | 7063910.900 | 0.148 | -0.172 | 0.005 |
| 7063911.100 | -12606830.200 | 7063910.900 | -0.129 | 0.096 | 0.004 |
| 7063911.200 | 7063911.000 | -12606830.200 | 0.148 | -0.121 | -0.003 |
| 722.700 | 2141.700 | 2141.199 | -4689611.612 | -0.006 | -0.030 |
| 2141.800 | 722.600 | 2141.199 | -0.044 | -4689611.751 | -0.008 |
| 2141.800 | 2141.299 | 722.400 | 0.017 | -0.081 | -4689611.590 |
| 1484.633 | 1286.709 | 1286.709 | -0.000 | 0.000 | -0.000 |
| 1286.709 | 1484.633 | 1286.709 | -0.000 | 0.000 | -0.000 |
| 1286.709 | 1286.709 | 1484.633 | -0.000 | 0.000 | -0.000 |
| 0.000 | 0.000 | 0.000 | 6.923 | 0.000 | -0.000 |
| 0.000 | 0.000 | 0.000 | -0.000 | 6.923 | -0.000 |
| 0.000 | 0.000 | 0.000 | -0.000 | 0.000 | 6.923 |
| 1484.623 | 1286.701 | 1286.701 | -0.000 | -0.000 | 0.000 |
| 1286.701 | 1484.623 | 1286.701 | 0.000 | -0.000 | 0.000 |
| 1286.701 | 1286.701 | 1484.623 | 0.000 | -0.000 | 0.000 |
| -0.000 | -0.000 | -0.000 | 6.923 | -0.000 | 0.000 |
| -0.000 | -0.000 | -0.000 | 0.000 | 6.923 | 0.000 |
| -0.001 | -0.000 | -0.000 | 0.000 | -0.000 | 6.923 |
| 1484.676 | 1286.742 | 1286.742 | -0.000 | 0.000 | -0.000 |
| 1286.742 | 1484.676 | 1286.742 | -0.000 | 0.000 | -0.000 |
| 1286.742 | 1286.742 | 1484.676 | 0.000 | 0.000 | -0.000 |
| 0.003 | 0.004 | 0.004 | 6.923 | 0.000 | -0.000 |
| 0.004 | 0.003 | 0.004 | -0.000 | 6.923 | -0.000 |
| 0.004 | 0.004 | 0.003 | -0.000 | 0.000 | 6.923 |
| 1484.579 | 1286.668 | 1286.668 | 0.000 | -0.000 | 0.000 |
| 1286.668 | 1484.579 | 1286.668 | 0.000 | -0.000 | 0.000 |
| 1286.668 | 1286.668 | 1484.579 | 0.000 | -0.000 | 0.000 |
| -0.003 | -0.004 | -0.004 | 6.923 | -0.000 | 0.000 |
| -0.004 | -0.003 | -0.004 | 0.000 | 6.923 | 0.000 |
| -0.004 | -0.004 | -0.003 | 0.000 | -0.000 | 6.923 |
| 1485.111 | 1287.070 | 1287.070 | -0.000 | 0.000 | -0.000 |
| 1287.070 | 1485.111 | 1287.070 | -0.000 | 0.000 | -0.000 |
| 1287.070 | 1287.070 | 1485.111 | 0.000 | 0.000 | -0.000 |
| 0.027 | 0.044 | 0.044 | 6.923 | 0.000 | -0.000 |
| 0.044 | 0.027 | 0.044 | -0.000 | 6.923 | -0.000 |
| 0.044 | 0.044 | 0.027 | -0.000 | 0.000 | 6.923 |
| 1484.144 | 1286.340 | 1286.340 | 0.000 | -0.000 | 0.000 |
| 1286.340 | 1484.144 | 1286.340 | 0.000 | -0.000 | 0.000 |
| 1286.340 | 1286.340 | 1484.144 | 0.000 | -0.000 | 0.000 |
| -0.027 | -0.044 | -0.044 | 6.923 | -0.000 | 0.000 |
| -0.044 | -0.027 | -0.044 | 0.000 | 6.923 | 0.000 |
| -0.044 | -0.044 | -0.027 | 0.000 | -0.000 | 6.923 |
| 206.382 | 109.433 | 109.433 | 0.000 | 0.000 | 0.000 |
| 109.433 | 206.382 | 109.433 | -0.000 | -0.000 | 0.000 |
| 109.433 | 109.433 | 206.382 | 0.000 | 0.000 | 0.000 |
| 0.000 | -0.000 | -0.000 | 48.079 | 0.000 | 0.000 |
| -0.000 | -0.000 | -0.000 | -0.000 | 48.079 | 0.000 |
| -0.000 | -0.000 | -0.000 | 0.000 | 0.000 | 48.079 |
| 206.385 | 109.434 | 109.434 | 0.000 | 0.000 | -0.000 |
| 109.434 | 206.385 | 109.434 | 0.000 | -0.000 | -0.000 |
| 109.434 | 109.434 | 206.385 | -0.000 | -0.000 | -0.000 |
| -0.000 | 0.000 | 0.000 | 48.079 | -0.000 | -0.000 |
| 0.000 | 0.000 | 0.000 | -0.000 | 48.079 | -0.000 |
| 0.000 | 0.000 | 0.000 | -0.000 | -0.000 | 48.079 |
| 206.369 | 109.429 | 109.429 | -0.000 | -0.000 | 0.000 |
| 109.429 | 206.369 | 109.429 | -0.000 | 0.000 | 0.000 |
| 109.429 | 109.429 | 206.369 | -0.000 | 0.000 | 0.000 |
| -0.000 | -0.002 | -0.002 | 48.079 | 0.000 | 0.000 |
| -0.002 | -0.000 | -0.002 | -0.000 | 48.079 | 0.000 |
| -0.002 | -0.002 | -0.000 | 0.000 | 0.000 | 48.079 |
| 206.398 | 109.438 | 109.438 | -0.000 | 0.000 | -0.000 |
| 109.438 | 206.398 | 109.438 | 0.000 | -0.000 | -0.000 |
| 109.438 | 109.438 | 206.398 | -0.000 | -0.000 | -0.000 |
| 0.000 | 0.002 | 0.002 | 48.079 | -0.000 | -0.000 |
| 0.002 | 0.000 | 0.002 | -0.000 | 48.079 | -0.000 |
| 0.002 | 0.002 | 0.000 | -0.000 | -0.000 | 48.079 |
| 206.239 | 109.389 | 109.389 | -0.000 | 0.000 | 0.000 |
| 109.389 | 206.239 | 109.389 | -0.000 | 0.000 | 0.000 |
| 109.389 | 109.389 | 206.239 | -0.000 | 0.000 | 0.000 |
| -0.000 | -0.017 | -0.017 | 48.079 | 0.000 | 0.000 |
| -0.017 | -0.000 | -0.017 | 0.000 | 48.079 | 0.000 |
| -0.017 | -0.017 | -0.000 | -0.000 | 0.000 | 48.079 |
| 206.528 | 109.479 | 109.479 | -0.000 | -0.000 | -0.000 |
| 109.479 | 206.528 | 109.479 | 0.000 | 0.000 | -0.000 |
| 109.479 | 109.479 | 206.528 | 0.000 | -0.000 | -0.000 |
| 0.000 | 0.017 | 0.017 | 48.079 | -0.000 | -0.000 |
| 0.017 | 0.000 | 0.017 | 0.000 | 48.079 | -0.000 |
| 0.017 | 0.017 | 0.000 | -0.000 | -0.000 | 48.079 |
| 380.563 | 286.836 | 286.836 | 0.000 | 0.000 | -0.000 |
| 286.836 | 380.563 | 286.836 | 0.000 | 0.000 | -0.000 |
| 286.836 | 286.836 | 380.563 | 0.000 | 0.000 | 0.000 |
| -0.000 | -0.001 | -0.000 | 261.153 | 0.000 | 0.000 |
| -0.001 | -0.000 | -0.000 | 0.000 | 261.153 | -0.000 |
| -0.000 | -0.000 | -0.000 | 0.000 | 0.000 | 261.153 |
| 380.562 | 286.837 | 286.837 | -0.000 | -0.000 | 0.000 |
| 286.837 | 380.562 | 286.837 | -0.000 | -0.000 | 0.000 |
| 286.837 | 286.837 | 380.562 | -0.000 | -0.000 | 0.000 |
| 0.000 | 0.001 | 0.000 | 261.153 | -0.000 | 0.000 |
| 0.000 | 0.000 | 0.000 | -0.000 | 261.153 | 0.000 |
| 0.000 | 0.000 | 0.000 | -0.000 | -0.000 | 261.153 |
| 380.565 | 286.832 | 286.832 | 0.000 | 0.000 | 0.000 |
| 286.832 | 380.565 | 286.832 | 0.000 | 0.000 | -0.000 |
| 286.832 | 286.832 | 380.565 | 0.000 | 0.000 | -0.000 |
| -0.005 | -0.005 | -0.005 | 261.153 | -0.000 | -0.000 |
| -0.005 | -0.005 | -0.005 | 0.000 | 261.153 | -0.000 |
| -0.005 | -0.005 | -0.005 | 0.000 | 0.000 | 261.153 |
| 380.560 | 286.841 | 286.841 | -0.000 | -0.000 | 0.000 |
| 286.841 | 380.560 | 286.841 | 0.000 | -0.000 | -0.000 |
| 286.841 | 286.841 | 380.560 | -0.000 | -0.000 | -0.000 |
| 0.005 | 0.005 | 0.005 | 261.153 | 0.000 | 0.000 |
| 0.005 | 0.005 | 0.005 | -0.000 | 261.153 | 0.000 |
| 0.005 | 0.005 | 0.005 | -0.000 | -0.000 | 261.153 |
| 380.583 | 286.789 | 286.789 | 0.000 | 0.000 | -0.000 |
| 286.789 | 380.583 | 286.789 | 0.000 | 0.000 | -0.000 |
| 286.789 | 286.789 | 380.583 | 0.000 | 0.000 | -0.000 |
| -0.050 | -0.050 | -0.050 | 261.153 | 0.000 | -0.000 |
| -0.050 | -0.050 | -0.050 | 0.000 | 261.153 | -0.000 |
| -0.050 | -0.050 | -0.050 | 0.000 | 0.000 | 261.153 |
| 380.541 | 286.884 | 286.884 | -0.000 | -0.000 | 0.000 |
| 286.884 | 380.541 | 286.884 | -0.000 | -0.000 | 0.000 |
| 286.884 | 286.884 | 380.541 | -0.000 | -0.000 | 0.000 |
| 0.050 | 0.050 | 0.050 | 261.153 | -0.000 | 0.000 |
| 0.050 | 0.050 | 0.050 | -0.000 | 261.153 | 0.000 |
| 0.050 | 0.050 | 0.050 | -0.000 | -0.000 | 261.153 |
| 82.003 | 44.207 | 44.207 | 0.000 | 0.000 | 0.000 |
| 44.207 | 82.003 | 44.207 | 0.000 | 0.000 | 0.000 |
| 44.207 | 44.207 | 82.003 | 0.000 | 0.000 | 0.000 |
| 0.000 | -0.000 | -0.000 | 27.772 | 0.000 | 0.000 |
| -0.000 | 0.000 | -0.000 | 0.000 | 27.772 | 0.000 |
| -0.000 | 0.000 | 0.000 | 0.000 | 0.000 | 27.772 |
| 82.003 | 44.207 | 44.207 | -0.000 | -0.000 | -0.000 |
| 44.207 | 82.003 | 44.207 | -0.000 | -0.000 | -0.000 |
| 44.207 | 44.207 | 82.003 | -0.000 | -0.000 | -0.000 |
| -0.000 | 0.000 | 0.000 | 27.772 | -0.000 | -0.000 |
| 0.000 | -0.000 | 0.000 | -0.000 | 27.772 | -0.000 |
| 0.000 | -0.000 | -0.000 | -0.000 | -0.000 | 27.772 |
| 82.002 | 44.207 | 44.207 | 0.000 | 0.000 | 0.000 |
| 44.207 | 82.002 | 44.207 | 0.000 | 0.000 | 0.000 |
| 44.207 | 44.207 | 82.002 | 0.000 | 0.000 | 0.000 |
| 0.000 | -0.000 | -0.000 | 27.772 | 0.000 | 0.000 |
| -0.000 | 0.000 | -0.000 | 0.000 | 27.772 | 0.000 |
| -0.000 | -0.000 | 0.000 | 0.000 | 0.000 | 27.772 |
| 82.005 | 44.207 | 44.207 | -0.000 | -0.000 | -0.000 |
| 44.207 | 82.005 | 44.207 | -0.000 | -0.000 | -0.000 |
| 44.207 | 44.207 | 82.005 | -0.000 | -0.000 | -0.000 |
| -0.000 | 0.000 | 0.000 | 27.772 | -0.000 | -0.000 |
| 0.000 | -0.000 | 0.000 | -0.000 | 27.772 | -0.000 |
| 0.000 | 0.000 | -0.000 | -0.000 | -0.000 | 27.772 |
| 81.990 | 44.207 | 44.207 | 0.000 | -0.000 | 0.000 |
| 44.207 | 81.990 | 44.207 | 0.000 | 0.000 | 0.000 |
| 44.207 | 44.207 | 81.990 | 0.000 | 0.000 | 0.000 |
| 0.000 | -0.000 | -0.000 | 27.772 | 0.000 | 0.000 |
| -0.000 | 0.000 | -0.000 | 0.000 | 27.772 | 0.000 |
| -0.000 | -0.000 | 0.000 | 0.000 | 0.000 | 27.772 |
| 82.017 | 44.206 | 44.206 | -0.000 | -0.000 | -0.000 |
| 44.206 | 82.017 | 44.206 | -0.000 | -0.000 | -0.000 |
| 44.206 | 44.206 | 82.017 | -0.000 | -0.000 | -0.000 |
| -0.000 | 0.000 | 0.000 | 27.772 | -0.000 | -0.000 |
| 0.000 | -0.000 | 0.000 | -0.000 | 27.772 | -0.000 |
| 0.000 | 0.000 | -0.000 | -0.000 | -0.000 | 27.772 |
| 19.281 | -0.000 | -0.000 | 0.000 | 0.000 | 0.000 |
| -0.000 | 19.281 | -0.000 | 0.000 | 0.000 | -0.000 |
| -0.000 | -0.000 | 19.281 | -0.000 | -0.000 | 0.000 |
| -0.000 | -0.000 | -0.000 | 0.000 | 0.000 | 0.000 |
| -0.000 | -0.000 | -0.000 | 0.000 | 0.000 | 0.000 |
| -0.000 | -0.000 | -0.000 | 0.000 | 0.000 | 0.000 |
| 19.281 | 0.000 | 0.000 | 0.000 | -0.000 | -0.000 |
| 0.000 | 19.281 | 0.000 | -0.000 | -0.000 | 0.000 |
| 0.000 | 0.000 | 19.281 | 0.000 | 0.000 | -0.000 |
| 0.000 | 0.000 | 0.000 | 0.000 | -0.000 | -0.000 |
| 0.000 | 0.000 | 0.000 | -0.000 | 0.000 | -0.000 |
| 0.000 | 0.000 | 0.000 | -0.000 | -0.000 | 0.000 |
| 19.279 | -0.000 | -0.000 | -0.000 | 0.000 | 0.000 |
| -0.000 | 19.279 | -0.000 | 0.000 | 0.000 | -0.000 |
| -0.000 | -0.000 | 19.279 | -0.000 | -0.000 | 0.000 |
| -0.000 | -0.000 | -0.000 | 0.000 | -0.000 | 0.000 |
| -0.000 | -0.000 | -0.000 | -0.000 | 0.000 | 0.000 |
| -0.000 | -0.000 | -0.000 | 0.000 | 0.000 | 0.000 |
| 19.283 | 0.000 | 0.000 | 0.000 | -0.000 | -0.000 |
| 0.000 | 19.283 | 0.000 | -0.000 | -0.000 | 0.000 |
| 0.000 | 0.000 | 19.283 | -0.000 | 0.000 | -0.000 |
| 0.000 | 0.000 | 0.000 | 0.000 | 0.000 | -0.000 |
| 0.000 | 0.000 | 0.000 | 0.000 | 0.000 | -0.000 |
| 0.000 | 0.000 | 0.000 | -0.000 | -0.000 | 0.000 |
| 19.263 | -0.000 | -0.000 | 0.000 | 0.000 | 0.000 |
| -0.000 | 19.263 | -0.000 | 0.000 | 0.000 | 0.000 |
| -0.000 | -0.000 | 19.263 | 0.000 | 0.000 | 0.000 |
| -0.000 | -0.000 | -0.000 | 0.000 | 0.000 | 0.000 |
| -0.000 | -0.000 | -0.000 | 0.000 | 0.000 | 0.000 |
| -0.000 | -0.000 | -0.000 | 0.000 | 0.000 | 0.000 |
| 19.299 | 0.000 | 0.000 | -0.000 | -0.000 | -0.000 |
| 0.000 | 19.299 | 0.000 | -0.000 | -0.000 | -0.000 |
| 0.000 | 0.000 | 19.299 | -0.000 | 0.000 | -0.000 |
| 0.000 | 0.000 | 0.000 | 0.000 | -0.000 | -0.000 |
| 0.000 | 0.000 | 0.000 | -0.000 | 0.000 | -0.000 |
| 0.000 | 0.000 | 0.000 | -0.000 | -0.000 | 0.000 |
| 15600979.989 | 7985069.997 | 7985069.997 | 0.310 | -1.816 | 0.336 |
| 7985069.997 | 15600979.989 | 7985069.997 | -1.661 | -0.075 | 0.257 |
| 7985069.997 | 7985069.997 | 15600979.989 | 0.154 | -0.389 | -0.018 |
| 0.000 | 0.000 | 0.000 | 5368389.943 | 0.225 | 0.114 |
| 0.000 | 0.000 | 0.000 | 0.500 | 5368389.897 | 0.251 |
| 0.000 | 0.000 | 0.000 | -0.474 | -0.145 | 5368389.693 |
| 15600919.997 | 7985069.997 | 7985069.997 | -0.927 | 0.646 | -0.221 |
| 7985069.997 | 15600919.997 | 7985069.997 | 0.075 | -0.871 | -0.097 |
| 7985069.997 | 7985069.997 | 15600919.997 | -0.549 | 0.301 | -0.036 |
| -0.000 | -0.000 | -0.000 | 5368388.905 | 0.408 | -0.234 |
| -0.000 | -0.000 | -0.000 | 0.304 | 5368389.736 | -0.289 |
| -0.000 | -0.000 | -0.000 | 0.200 | -0.056 | 5368389.697 |
| 15601232.999 | 7985041.000 | 7985042.000 | 0.054 | 0.117 | 0.023 |
| 7985041.000 | 15601232.999 | 7985042.000 | -0.030 | -0.124 | -0.016 |
| 7985041.000 | 7985042.000 | 15601232.999 | 0.016 | 0.025 | 0.022 |
| -35.999 | -30.000 | -28.999 | 5368389.765 | -0.039 | 0.010 |
| -30.000 | -37.000 | -28.999 | 0.130 | 5368389.723 | 0.008 |
| -30.000 | -28.999 | -35.999 | -0.066 | 0.028 | 5368389.765 |
| 15600662.001 | 7985097.001 | 7985097.001 | -0.140 | -0.017 | -0.003 |
| 7985097.001 | 15600662.001 | 7985097.001 | -0.014 | -0.145 | -0.013 |
| 7985097.001 | 7985097.001 | 15600662.001 | -0.049 | 0.072 | 0.004 |
| 35.999 | 30.000 | 28.999 | 5368389.751 | -0.002 | -0.020 |
| 30.000 | 37.000 | 28.999 | 0.112 | 5368389.710 | -0.006 |
| 30.000 | 28.999 | 35.999 | 0.089 | -0.162 | 5368389.758 |
| 15603800.700 | 7984788.400 | 7984788.400 | -0.008 | 0.012 | -0.001 |
| 7984788.400 | 15603800.800 | 7984788.400 | 0.009 | -0.004 | -0.002 |
| 7984788.300 | 7984788.400 | 15603800.800 | -0.016 | -0.013 | 0.001 |
| -367.500 | -301.200 | -294.200 | 5368389.771 | 0.003 | -0.002 |
| -301.200 | -367.500 | -294.200 | -0.004 | 5368389.769 | -0.001 |
| -301.200 | -294.200 | -367.500 | 0.007 | 0.002 | 5368389.754 |
| 15598094.700 | 7985350.600 | 7985350.600 | -0.014 | -0.011 | -0.002 |
| 7985350.600 | 15598094.600 | 7985350.600 | -0.012 | -0.007 | 0.000 |
| 7985350.600 | 7985350.600 | 15598094.700 | -0.004 | 0.007 | 0.000 |
| 367.500 | 301.200 | 294.200 | 5368389.754 | 0.000 | -0.001 |
| 301.200 | 367.500 | 294.200 | -0.001 | 5368389.754 | 0.000 |
| 301.200 | 294.300 | 367.500 | -0.006 | -0.002 | 5368389.753 |
| 1593.932 | 1399.719 | 1399.719 | -0.000 | -0.000 | -0.000 |
| 1399.719 | 1593.932 | 1399.719 | 0.000 | -0.000 | -0.000 |
| 1399.719 | 1399.719 | 1593.932 | 0.000 | -0.000 | -0.000 |
| 0.000 | -0.000 | -0.000 | 109.636 | -0.000 | -0.000 |
| -0.000 | 0.000 | -0.000 | -0.000 | 109.636 | -0.000 |
| -0.000 | -0.000 | 0.000 | -0.000 | -0.000 | 109.636 |
| 1593.913 | 1399.703 | 1399.703 | -0.000 | -0.000 | 0.000 |
| 1399.703 | 1593.913 | 1399.703 | -0.000 | 0.000 | 0.000 |
| 1399.703 | 1399.703 | 1593.913 | -0.000 | 0.000 | 0.000 |
| -0.000 | 0.000 | 0.000 | 109.636 | 0.000 | 0.000 |
| 0.000 | -0.000 | 0.000 | 0.000 | 109.636 | 0.000 |
| 0.000 | 0.000 | -0.000 | -0.000 | 0.000 | 109.636 |
| 1594.018 | 1399.792 | 1399.792 | 0.000 | 0.000 | -0.000 |
| 1399.792 | 1594.018 | 1399.792 | 0.000 | -0.000 | -0.000 |
| 1399.792 | 1399.792 | 1594.018 | 0.000 | -0.000 | -0.000 |
| 0.000 | -0.000 | -0.000 | 109.636 | -0.000 | -0.000 |
| -0.000 | 0.000 | -0.000 | 0.000 | 109.636 | -0.000 |
| -0.000 | -0.000 | 0.000 | 0.000 | -0.000 | 109.636 |
| 1593.827 | 1399.630 | 1399.630 | 0.000 | 0.000 | 0.000 |
| 1399.630 | 1593.827 | 1399.630 | 0.000 | 0.000 | 0.000 |
| 1399.630 | 1399.630 | 1593.827 | -0.000 | 0.000 | 0.000 |
| -0.000 | 0.000 | 0.000 | 109.636 | -0.000 | 0.000 |
| 0.000 | -0.000 | 0.000 | -0.000 | 109.636 | 0.000 |
| 0.000 | 0.000 | -0.000 | -0.000 | 0.000 | 109.636 |
| 1594.876 | 1400.517 | 1400.517 | 0.000 | -0.000 | -0.000 |
| 1400.517 | 1594.876 | 1400.517 | 0.000 | -0.000 | -0.000 |
| 1400.517 | 1400.517 | 1594.876 | 0.000 | 0.000 | -0.000 |
| 0.001 | -0.005 | -0.005 | 109.636 | -0.000 | -0.000 |
| -0.005 | 0.001 | -0.005 | 0.000 | 109.636 | -0.000 |
| -0.005 | -0.005 | 0.001 | -0.000 | -0.000 | 109.636 |
| 1592.970 | 1398.905 | 1398.905 | -0.000 | 0.000 | 0.000 |
| 1398.905 | 1592.970 | 1398.905 | -0.000 | -0.000 | 0.000 |
| 1398.905 | 1398.905 | 1592.970 | -0.000 | 0.000 | -0.000 |
| -0.001 | 0.005 | 0.005 | 109.636 | -0.000 | 0.000 |
| 0.005 | -0.001 | 0.005 | 0.000 | 109.636 | 0.000 |
| 0.005 | 0.005 | -0.001 | 0.000 | 0.000 | 109.636 |
| 908.417 | 155.648 | 155.648 | 0.000 | 0.000 | 0.000 |
| 155.648 | 908.417 | 155.648 | 0.000 | 0.000 | 0.000 |
| 155.648 | 155.648 | 908.417 | 0.000 | 0.000 | -0.000 |
| -0.000 | -0.000 | -0.000 | 163.839 | 0.000 | 0.000 |
| -0.000 | -0.000 | -0.000 | 0.000 | 163.839 | 0.000 |
| -0.000 | -0.000 | -0.000 | 0.000 | 0.000 | 163.839 |
| 908.418 | 155.648 | 155.648 | 0.000 | 0.000 | -0.000 |
| 155.648 | 908.418 | 155.648 | 0.000 | -0.000 | 0.000 |
| 155.648 | 155.648 | 908.418 | -0.000 | -0.000 | -0.000 |
| 0.000 | 0.000 | 0.000 | 163.839 | -0.000 | 0.000 |
| 0.000 | 0.000 | 0.000 | -0.000 | 163.839 | 0.000 |
| 0.000 | 0.000 | 0.000 | -0.000 | -0.000 | 163.839 |
| 908.415 | 155.648 | 155.648 | 0.000 | -0.000 | 0.000 |
| 155.648 | 908.415 | 155.648 | 0.000 | 0.000 | 0.000 |
| 155.648 | 155.648 | 908.415 | 0.000 | 0.000 | 0.000 |
| -0.000 | -0.001 | -0.001 | 163.839 | 0.000 | 0.000 |
| -0.001 | -0.000 | -0.001 | -0.000 | 163.839 | 0.000 |
| -0.001 | -0.001 | -0.000 | 0.000 | 0.000 | 163.839 |
| 908.419 | 155.649 | 155.649 | -0.000 | -0.000 | -0.000 |
| 155.649 | 908.419 | 155.649 | -0.000 | -0.000 | 0.000 |
| 155.649 | 155.649 | 908.419 | -0.000 | -0.000 | -0.000 |
| 0.000 | 0.001 | 0.001 | 163.839 | -0.000 | -0.000 |
| 0.001 | 0.000 | 0.001 | -0.000 | 163.839 | 0.000 |
| 0.001 | 0.001 | 0.000 | 0.000 | -0.000 | 163.839 |
| 908.398 | 155.643 | 155.643 | 0.000 | 0.000 | 0.000 |
| 155.643 | 908.398 | 155.643 | 0.000 | 0.000 | 0.000 |
| 155.643 | 155.643 | 908.398 | 0.000 | 0.000 | 0.000 |
| -0.004 | -0.006 | -0.006 | 163.839 | 0.000 | 0.000 |
| -0.006 | -0.004 | -0.006 | -0.000 | 163.839 | 0.000 |
| -0.006 | -0.006 | -0.004 | 0.000 | 0.000 | 163.839 |
| 908.437 | 155.654 | 155.654 | -0.000 | -0.000 | -0.000 |
| 155.654 | 908.437 | 155.654 | -0.000 | -0.000 | -0.000 |
| 155.654 | 155.654 | 908.437 | -0.000 | -0.000 | -0.000 |
| 0.004 | 0.006 | 0.006 | 163.839 | -0.000 | 0.000 |
| 0.006 | 0.004 | 0.006 | -0.000 | 163.839 | 0.000 |
| 0.006 | 0.006 | 0.004 | -0.000 | -0.000 | 163.839 |
| 198.943 | 98.025 | 98.025 | 0.000 | -0.000 | -0.000 |
| 98.025 | 198.943 | 98.025 | 0.000 | -0.000 | -0.000 |
| 98.025 | 98.025 | 198.943 | -0.000 | -0.000 | -0.000 |
| 0.000 | -0.000 | -0.000 | 93.191 | -0.000 | -0.000 |
| -0.000 | 0.000 | -0.000 | 0.000 | 93.191 | 0.000 |
| -0.000 | -0.000 | 0.000 | 0.000 | -0.000 | 93.191 |
| 198.943 | 98.025 | 98.025 | 0.000 | 0.000 | 0.000 |
| 98.025 | 198.943 | 98.025 | -0.000 | 0.000 | 0.000 |
| 98.025 | 98.025 | 198.943 | 0.000 | -0.000 | 0.000 |
| -0.000 | 0.000 | 0.000 | 93.191 | 0.000 | 0.000 |
| 0.000 | -0.000 | 0.000 | -0.000 | 93.191 | -0.000 |
| 0.000 | 0.000 | -0.000 | 0.000 | 0.000 | 93.191 |
| 198.941 | 98.024 | 98.024 | 0.000 | -0.000 | -0.000 |
| 98.024 | 198.941 | 98.024 | 0.000 | -0.000 | 0.000 |
| 98.024 | 98.024 | 198.941 | -0.000 | -0.000 | -0.000 |
| 0.000 | -0.001 | -0.001 | 93.191 | -0.000 | -0.000 |
| -0.001 | 0.000 | -0.001 | 0.000 | 93.191 | -0.000 |
| -0.001 | -0.001 | 0.000 | 0.000 | 0.000 | 93.191 |
| 198.945 | 98.026 | 98.026 | -0.000 | 0.000 | 0.000 |
| 98.026 | 198.945 | 98.026 | -0.000 | -0.000 | 0.000 |
| 98.026 | 98.026 | 198.945 | -0.000 | 0.000 | -0.000 |
| -0.000 | 0.001 | 0.001 | 93.191 | 0.000 | 0.000 |
| 0.001 | -0.000 | 0.001 | -0.000 | 93.191 | 0.000 |
| 0.001 | 0.001 | -0.000 | -0.000 | 0.000 | 93.191 |
| 198.925 | 98.016 | 98.016 | -0.000 | -0.000 | -0.000 |
| 98.016 | 198.925 | 98.016 | -0.000 | -0.000 | -0.000 |
| 98.016 | 98.016 | 198.925 | 0.000 | -0.000 | -0.000 |
| 0.002 | -0.010 | -0.010 | 93.191 | -0.000 | -0.000 |
| -0.010 | 0.002 | -0.010 | 0.000 | 93.191 | -0.000 |
| -0.010 | -0.010 | 0.002 | -0.000 | 0.000 | 93.191 |
| 198.961 | 98.035 | 98.035 | 0.000 | 0.000 | 0.000 |
| 98.035 | 198.961 | 98.035 | -0.000 | 0.000 | -0.000 |
| 98.035 | 98.035 | 198.961 | -0.000 | -0.000 | 0.000 |
| -0.002 | 0.010 | 0.010 | 93.191 | -0.000 | 0.000 |
| 0.010 | -0.002 | 0.010 | -0.000 | 93.191 | 0.000 |
| 0.010 | 0.010 | -0.002 | 0.000 | 0.000 | 93.191 |
| 61.107 | 15.726 | 15.726 | 0.000 | 0.000 | -0.000 |
| 15.726 | 61.107 | 15.726 | 0.000 | 0.000 | -0.000 |
| 15.726 | 15.726 | 61.107 | -0.000 | -0.000 | 0.000 |
| -0.000 | -0.000 | -0.000 | 16.606 | 0.000 | -0.000 |
| -0.000 | -0.000 | -0.000 | -0.000 | 16.606 | -0.000 |
| -0.000 | -0.000 | -0.000 | 0.000 | 0.000 | 16.606 |
| 61.107 | 15.726 | 15.726 | -0.000 | -0.000 | 0.000 |
| 15.726 | 61.107 | 15.726 | -0.000 | -0.000 | 0.000 |
| 15.726 | 15.726 | 61.107 | 0.000 | 0.000 | 0.000 |
| 0.000 | 0.000 | 0.000 | 16.606 | -0.000 | 0.000 |
| 0.000 | 0.000 | 0.000 | -0.000 | 16.606 | 0.000 |
| 0.000 | 0.000 | 0.000 | -0.000 | -0.000 | 16.606 |
| 61.106 | 15.726 | 15.726 | 0.000 | 0.000 | -0.000 |
| 15.726 | 61.106 | 15.726 | 0.000 | 0.000 | -0.000 |
| 15.726 | 15.726 | 61.106 | -0.000 | 0.000 | -0.000 |
| -0.001 | -0.001 | -0.001 | 16.606 | 0.000 | -0.000 |
| -0.001 | -0.001 | -0.001 | 0.000 | 16.606 | -0.000 |
| -0.001 | -0.001 | -0.001 | 0.000 | 0.000 | 16.606 |
| 61.108 | 15.727 | 15.727 | 0.000 | -0.000 | 0.000 |
| 15.727 | 61.108 | 15.727 | -0.000 | -0.000 | 0.000 |
| 15.727 | 15.727 | 61.108 | 0.000 | -0.000 | 0.000 |
| 0.001 | 0.001 | 0.001 | 16.606 | -0.000 | 0.000 |
| 0.001 | 0.001 | 0.001 | 0.000 | 16.606 | 0.000 |
| 0.001 | 0.001 | 0.001 | -0.000 | -0.000 | 16.606 |
| 61.096 | 15.719 | 15.719 | -0.000 | 0.000 | -0.000 |
| 15.719 | 61.096 | 15.719 | -0.000 | 0.000 | 0.000 |
| 15.719 | 15.719 | 61.096 | -0.000 | 0.000 | 0.000 |
| -0.007 | -0.008 | -0.007 | 16.606 | 0.000 | -0.000 |
| -0.008 | -0.007 | -0.007 | -0.000 | 16.606 | -0.000 |
| -0.008 | -0.007 | -0.007 | 0.000 | 0.000 | 16.606 |
| 61.118 | 15.734 | 15.734 | -0.000 | -0.000 | 0.000 |
| 15.734 | 61.118 | 15.734 | -0.000 | -0.000 | 0.000 |
| 15.734 | 15.734 | 61.118 | -0.000 | -0.000 | 0.000 |
| 0.007 | 0.008 | 0.007 | 16.606 | -0.000 | 0.000 |
| 0.008 | 0.007 | 0.007 | -0.000 | 16.606 | 0.000 |
| 0.008 | 0.007 | 0.007 | -0.000 | -0.000 | 16.606 |
| 11.132 | 11.132 | 11.132 | -0.000 | -0.000 | 0.000 |
| 11.132 | 11.132 | 11.132 | -0.000 | -0.000 | 0.000 |
| 11.132 | 11.132 | 11.132 | -0.000 | -0.000 | -0.000 |
| -0.000 | -0.000 | -0.000 | 11.132 | -0.000 | 0.000 |
| -0.000 | -0.000 | -0.000 | -0.000 | 11.132 | 0.000 |
| -0.000 | -0.000 | -0.000 | -0.000 | -0.000 | 11.132 |
| 11.132 | 11.132 | 11.132 | 0.000 | 0.000 | -0.000 |
| 11.132 | 11.132 | 11.132 | 0.000 | 0.000 | -0.000 |
| 11.132 | 11.132 | 11.132 | 0.000 | 0.000 | -0.000 |
| 0.000 | 0.000 | 0.000 | 11.132 | 0.000 | -0.000 |
| 0.000 | 0.000 | 0.000 | 0.000 | 11.132 | -0.000 |
| 0.000 | 0.000 | 0.000 | 0.000 | 0.000 | 11.132 |
| 11.132 | 11.132 | 11.132 | -0.000 | -0.000 | 0.000 |
| 11.132 | 11.132 | 11.132 | -0.000 | -0.000 | 0.000 |
| 11.132 | 11.132 | 11.132 | -0.000 | -0.000 | -0.000 |
| -0.000 | -0.000 | -0.000 | 11.132 | -0.000 | 0.000 |
| -0.000 | -0.000 | -0.000 | -0.000 | 11.132 | 0.000 |
| -0.000 | -0.000 | -0.000 | -0.000 | -0.000 | 11.132 |
| 11.132 | 11.132 | 11.132 | 0.000 | 0.000 | 0.000 |
| 11.132 | 11.132 | 11.132 | 0.000 | 0.000 | 0.000 |
| 11.132 | 11.132 | 11.132 | 0.000 | 0.000 | -0.000 |
| 0.000 | 0.000 | 0.000 | 11.132 | 0.000 | -0.000 |
| 0.000 | 0.000 | 0.000 | 0.000 | 11.132 | -0.000 |
| 0.000 | 0.000 | 0.000 | 0.000 | 0.000 | 11.132 |
| 11.129 | 11.129 | 11.129 | -0.000 | -0.000 | 0.000 |
| 11.129 | 11.129 | 11.129 | -0.000 | -0.000 | 0.000 |
| 11.129 | 11.129 | 11.129 | -0.000 | -0.000 | 0.000 |
| -0.003 | -0.003 | -0.003 | 11.132 | -0.000 | 0.000 |
| -0.003 | -0.003 | -0.003 | -0.000 | 11.132 | 0.000 |
| -0.003 | -0.003 | -0.003 | -0.000 | -0.000 | 11.132 |
| 11.136 | 11.136 | 11.136 | 0.000 | 0.000 | 0.000 |
| 11.136 | 11.136 | 11.136 | 0.000 | 0.000 | 0.000 |
| 11.136 | 11.136 | 11.136 | 0.000 | 0.000 | -0.000 |
| 0.003 | 0.003 | 0.003 | 11.132 | 0.000 | -0.000 |
| 0.003 | 0.003 | 0.003 | 0.000 | 11.132 | -0.000 |
| 0.003 | 0.003 | 0.003 | 0.000 | 0.000 | 11.132 |
| 5443059.913 | 21244509.846 | 21244549.830 | 53.622 | -9.906 | 2.568 |
| 21244519.871 | 5443049.888 | 21244549.830 | 9.377 | 31.177 | 2.906 |
| 21244519.871 | 21244529.896 | 5443049.888 | -8.527 | -27.852 | 2.872 |
| -70.061 | -30.076 | 0.000 | -21360412.528 | 21.616 | -2.026 |
| -20.167 | -70.061 | 9.909 | 19.447 | -21360419.950 | -0.761 |
| -10.142 | -30.076 | -70.061 | 6.990 | 15.480 | -21360424.034 |
| 4522870.081 | 20337270.069 | 20337370.206 | 26454584.021 | 22736434.521 | 25450870.356 |
| 20390550.075 | 4578819.975 | 20386840.117 | 22117201.826 | 25990982.653 | 25781157.852 |
| 20347720.084 | 20345990.014 | 4533910.076 | 22963549.669 | 23573678.531 | 22323007.501 |
| 100.137 | 30.076 | -0.000 | -21360447.939 | 19.737 | 1.185 |
| 10.142 | 100.137 | -0.000 | 2.259 | -21360430.384 | 1.579 |
| -0.000 | 19.934 | 70.061 | -4.909 | -9.729 | -21360432.836 |
| 5443802.989 | 21244734.996 | 21244738.995 | 0.211 | 2.685 | 0.103 |
| 21244737.992 | 5443803.000 | 21244737.992 | 1.592 | -1.432 | 0.320 |
| 21244737.992 | 21244734.996 | 5443803.980 | 1.809 | 1.668 | 0.327 |
| 21.986 | 219.998 | 223.996 | 2505467.512 | -1.491 | 0.039 |
| 221.991 | 21.986 | 223.996 | 0.280 | 2505467.093 | 0.084 |
| 222.982 | 217.993 | 20.995 | 0.745 | 1.337 | 2505465.791 |
| 5356150.017 | 21158023.007 | 21157771.021 | 1995076.967 | 2415783.997 | 2676210.609 |
| 21166253.005 | 5364089.000 | 21165794.008 | 2269918.133 | 1898865.407 | 2560249.652 |
| 21170267.022 | 21170219.005 | 5367864.018 | 2190825.204 | 2173406.673 | 2375458.723 |
| -21.986 | -219.998 | -223.996 | 2505464.420 | 0.315 | -0.119 |
| -221.991 | -19.992 | -223.996 | -1.887 | 2505464.289 | -0.193 |
| -221.991 | -222.003 | -20.995 | -6.659 | -1.661 | 2505465.309 |
| 5458506.999 | 21254271.199 | 21254247.498 | -245425.918 | -219329.362 | -245267.994 |
| 21253741.499 | 5457995.599 | 21253714.799 | -209080.956 | -236661.528 | -240952.029 |
| 21253837.499 | 21253836.800 | 5458103.499 | -208989.189 | -205621.181 | -277517.793 |
| 210.100 | 2226.200 | 2239.299 | 2505465.794 | 0.104 | 0.021 |
| 2226.298 | 209.999 | 2239.299 | 0.099 | 2505465.767 | 0.016 |
| 2226.298 | 2239.200 | 210.100 | 0.060 | 0.125 | 2505465.580 |
| 5434905.601 | 21242250.601 | 21242250.402 | 138.278 | 143.757 | 132.708 |
| 21242250.402 | 5434905.900 | 21242250.402 | 142.681 | 140.750 | 141.377 |
| 21242250.402 | 21242250.601 | 5434905.701 | 147.544 | 146.317 | 158.272 |
| -210.100 | -2226.098 | -2239.299 | 2505465.285 | 0.118 | 0.001 |
| -2226.298 | -209.999 | -2239.299 | 0.028 | 2505465.493 | -0.021 |
| -2226.198 | -2239.001 | -210.100 | -0.112 | -0.161 | 2505465.531 |
| 4260289.937 | 10189920.050 | 10189890.091 | -3.560 | -13.199 | -1.339 |
| 10189890.091 | 4260270.003 | 10189890.091 | -10.887 | -23.127 | -3.062 |
| 10189890.091 | 10189890.091 | 4260280.028 | -23.379 | -14.512 | -0.746 |
| 0.000 | 10.025 | 10.025 | -1163595.273 | -12.902 | -0.376 |
| 10.025 | 10.025 | 19.934 | -2.914 | -1163586.436 | -1.968 |
| 0.000 | 0.000 | 10.025 | -12.542 | -4.384 | -1163580.707 |
| 4260239.927 | 10189880.065 | 10189889.974 | -1.784 | 16.997 | 1.384 |
| 10189880.065 | 4260249.952 | 10189889.974 | 9.461 | 15.664 | 1.412 |
| 10189870.040 | 10189870.040 | 4260230.018 | 7.501 | -2.134 | 1.413 |
| -0.000 | -19.934 | -10.025 | -1163565.987 | 23.852 | 0.012 |
| -10.025 | -10.025 | -10.025 | 15.447 | -1163573.607 | 0.611 |
| -0.000 | -0.000 | -10.025 | -6.357 | -3.226 | -1163578.422 |
| 4260433.008 | 10189966.003 | 10189966.003 | -0.460 | -1.910 | -0.000 |
| 10189963.998 | 4260433.008 | 10189965.001 | -0.169 | 1.069 | -0.155 |
| 10189963.998 | 10189966.994 | 4260433.998 | -1.667 | -3.166 | -0.074 |
| 17.999 | 70.993 | 70.993 | -1163581.364 | 0.841 | -0.247 |
| 70.993 | 17.999 | 70.993 | -0.961 | -1163580.574 | -0.185 |
| 70.003 | 70.993 | 20.004 | -1.953 | -0.549 | -1163580.232 |
| 4254800.994 | 10184518.002 | 10184525.999 | -485503.117 | -513516.149 | -517771.800 |
| 10184674.001 | 4254962.006 | 10184684.003 | -499225.986 | -475461.423 | -516738.999 |
| 10184695.998 | 10184695.998 | 4254962.006 | -494097.763 | -498104.475 | -497620.969 |
| -19.002 | -70.993 | -70.993 | -1163578.709 | 1.293 | 0.063 |
| -72.008 | -19.002 | -70.993 | 2.140 | -1163578.643 | 0.067 |
| -70.993 | -70.993 | -20.004 | 0.209 | 0.379 | -1163580.195 |
| 4262412.200 | 10191072.000 | 10191072.100 | 32000.342 | 47289.848 | 46521.931 |
| 10191068.000 | 4262408.200 | 10191068.000 | 47536.942 | 31410.172 | 46529.912 |
| 10191073.300 | 10191073.300 | 4262413.800 | 47790.378 | 47785.401 | 30642.341 |
| 113342.401 | 30160.500 | 30077.700 | -42827178.973 | -0.074 | 0.132 |
| 30160.500 | 113342.300 | 30077.700 | -0.248 | -42827178.848 | 0.134 |
| 30160.500 | 30077.700 | 113342.300 | -0.055 | 0.130 | -42827178.816 |
| 4258070.300 | 10188667.200 | 10188666.501 | -39070.271 | -49610.834 | -49993.222 |
| 10188726.401 | 4258129.700 | 10188725.900 | -46405.557 | -36677.496 | -46897.971 |
| 10188666.700 | 10188666.800 | 4258069.800 | -49749.843 | -49850.885 | -35514.595 |
| -113342.200 | -30160.400 | -30077.700 | -42827176.056 | -0.127 | -0.144 |
| -30160.400 | -113342.300 | -30077.700 | -0.070 | -42827176.017 | -0.143 |
| -30160.500 | -30077.599 | -113342.300 | -0.016 | -0.093 | -42827176.094 |
| 73812.259 | 73501.719 | 73501.719 | 0.000 | -0.000 | 0.000 |
| 73501.720 | 73812.259 | 73501.720 | -0.000 | -0.000 | 0.000 |
| 73501.720 | 73501.720 | 73812.260 | 0.000 | -0.000 | -0.000 |
| 11999583322.381 | 11771334327.222 | 11844913693.833 | 55761646.101 | 7313394.235 | -2007471.033 |
| 11936928514.002 | 12121062446.372 | 11935370753.569 | 86110914.037 | 180137262.193 | 27820520.292 |
| 11812494439.531 | 11848602434.223 | 12071043159.066 | -40023150.486 | 33504992.037 | 66014530.456 |
| 73813.278 | 73502.721 | 73502.721 | -0.000 | 0.000 | 0.000 |
| 73502.721 | 73813.278 | 73502.721 | 0.000 | -0.000 | 0.000 |
| 73502.720 | 73502.720 | 73813.278 | 0.000 | 0.000 | 0.000 |
| -11905769043.243 | -11608488272.960 | -11660081132.145 | 51114928.374 | -60854938.070 | 1401551.825 |
| -11750480136.636 | -11886828282.144 | -11826242991.371 | -3347554.754 | -38186903.508 | 12599806.726 |
| -11514372826.827 | -11564446372.738 | -11786657970.214 | -3617091.464 | -8454471.872 | -70651358.557 |
| 73807.666 | 73497.206 | 73497.206 | -0.000 | -0.000 | 0.000 |
| 73497.206 | 73807.666 | 73497.206 | 0.000 | -0.000 | 0.000 |
| 73497.206 | 73497.206 | 73807.666 | 0.000 | -0.000 | -0.000 |
| 1198110878.982 | 1173754355.525 | 1180793664.543 | -1327841.495 | -1267838.766 | 868530.873 |
| 1201020653.329 | 1217528593.390 | 1193325953.448 | 3680104.779 | 7084568.077 | -4424577.125 |
| 1209544858.961 | 1211047643.948 | 1225687402.079 | -6305789.971 | 4568743.873 | 1391948.151 |
| 73817.869 | 73507.233 | 73507.233 | 0.000 | 0.000 | -0.000 |
| 73507.233 | 73817.869 | 73507.233 | -0.000 | 0.000 | 0.000 |
| 73507.233 | 73507.233 | 73817.869 | -0.000 | 0.000 | 0.000 |
| -1178646149.062 | -1155688555.636 | -1152937753.950 | -8362452.523 | -5995860.454 | 1467980.339 |
| -1201162276.091 | -1204617422.189 | -1186423082.947 | -8299413.730 | -200722.507 | -6976659.731 |
| -1199538870.919 | -1194652949.337 | -1221781396.998 | 589265.612 | -4080859.360 | -4274877.885 |
| 73761.752 | 73452.085 | 73452.085 | -0.000 | -0.000 | 0.000 |
| 73452.085 | 73761.752 | 73452.085 | -0.000 | -0.000 | -0.000 |
| 73452.085 | 73452.085 | 73761.752 | -0.000 | -0.000 | 0.000 |
| -21796733.177 | -24351715.047 | -24351711.096 | 1976229.908 | -0.001 | -0.001 |
| -24351715.047 | -21796733.177 | -24351711.095 | -0.001 | 1976229.908 | -0.002 |
| -24351715.047 | -24351711.095 | -21796733.177 | -0.001 | -0.001 | 1976229.907 |
| 73863.784 | 73552.353 | 73552.353 | -0.000 | 0.000 | -0.000 |
| 73552.353 | 73863.784 | 73552.353 | 0.000 | -0.000 | -0.000 |
| 73552.353 | 73552.353 | 73863.784 | 0.000 | -0.000 | -0.000 |
| 21796733.177 | 24351715.047 | 24351711.096 | 1976229.908 | 0.012 | 0.012 |
| 24351715.047 | 21796733.177 | 24351711.095 | 0.012 | 1976229.908 | 0.012 |
| 24351715.047 | 24351711.095 | 21796733.177 | 0.012 | 0.012 | 1976229.908 |
| -1039.345 | -2818.264 | -2818.264 | -0.000 | -0.000 | -0.000 |
| -2818.264 | -1039.345 | -2818.264 | -0.000 | -0.000 | -0.000 |
| -2818.264 | -2818.264 | -1039.345 | -0.000 | -0.000 | -0.000 |
| 11589291663.344 | 11541072925.911 | 11547628022.671 | 71790831.726 | -41360063.094 | 10084438.082 |
| 11628096490.652 | 11640195037.479 | 11565878428.132 | -35005582.321 | 73464069.387 | 62220389.918 |
| 11635076785.956 | 11585920489.729 | 11637691878.819 | 5304671.802 | -2701878.415 | 47283504.073 |
| -1039.340 | -2818.266 | -2818.266 | 0.000 | 0.000 | 0.000 |
| -2818.266 | -1039.340 | -2818.266 | 0.000 | 0.000 | 0.000 |
| -2818.266 | -2818.266 | -1039.340 | 0.000 | 0.000 | 0.000 |
| -11653696525.699 | -11598007829.986 | -11582854804.246 | 55045617.399 | 1437952.830 | 22217874.555 |
| -11602035988.353 | -11680486572.111 | -11595618509.874 | -25166526.201 | 64406087.057 | -23385130.061 |
| -11621761932.929 | -11637723182.221 | -11666874701.337 | 18663725.090 | 4955602.924 | 37547592.271 |
| -1039.366 | -2818.255 | -2818.255 | -0.000 | -0.000 | -0.000 |
| -2818.255 | -1039.366 | -2818.255 | -0.000 | -0.000 | -0.000 |
| -2818.255 | -2818.255 | -1039.366 | -0.000 | -0.000 | -0.000 |
| 1247689997.327 | 1275238116.533 | 1268960526.548 | 6645610.121 | -3536278.086 | -528570.937 |
| 1276304789.651 | 1253973468.952 | 1272159760.851 | -1588419.129 | 4020784.711 | 2290135.202 |
| 1274023102.424 | 1272025524.787 | 1254621472.017 | 2701697.459 | 97878.799 | 5807580.765 |
| -1039.319 | -2818.274 | -2818.274 | 0.000 | 0.000 | 0.000 |
| -2818.274 | -1039.319 | -2818.274 | 0.000 | 0.000 | -0.000 |
| -2818.274 | -2818.274 | -1039.319 | 0.000 | 0.000 | 0.000 |
| -1250828426.241 | -1275653835.620 | -1269290669.852 | 4941715.554 | -676001.828 | -491145.331 |
| -1273760934.939 | -1253933615.701 | -1279383979.977 | 70738.486 | 5215231.554 | -674794.969 |
| -1273446334.306 | -1274459510.732 | -1258996611.195 | -3267520.864 | 4198063.411 | 4336927.989 |
| -1039.575 | -2818.172 | -2818.172 | -0.000 | -0.000 | -0.000 |
| -2818.172 | -1039.575 | -2818.172 | -0.000 | -0.000 | -0.000 |
| -2818.172 | -2818.172 | -1039.575 | -0.000 | -0.000 | -0.000 |
| 127194893.865 | 128308915.008 | 128317949.937 | 101330.965 | -30442.407 | -50854.365 |
| 128373361.130 | 127949893.457 | 128243297.239 | -57275.842 | 259153.416 | 319353.450 |
| 127418390.716 | 127771886.939 | 126850749.910 | 171416.165 | -94005.456 | 91909.726 |
| -1039.110 | -2818.358 | -2818.358 | 0.000 | 0.000 | 0.000 |
| -2818.358 | -1039.110 | -2818.358 | 0.000 | 0.000 | 0.000 |
| -2818.358 | -2818.358 | -1039.110 | 0.000 | 0.000 | 0.000 |
| -127885765.789 | -128314738.927 | -128606596.672 | 465113.614 | 176696.751 | -220615.138 |
| -128064106.437 | -126962898.363 | -127849387.809 | 43690.839 | 320941.133 | -82679.385 |
| -128023268.283 | -127858637.582 | -127284661.134 | 244790.337 | 71305.073 | -68406.002 |
| 527.732 | 496.365 | 496.365 | -0.000 | -0.000 | 0.000 |
| 496.365 | 527.732 | 496.365 | -0.000 | -0.000 | 0.000 |
| 496.365 | 496.365 | 527.732 | -0.000 | -0.000 | 0.000 |
| 0.000 | 0.000 | 0.000 | -42.999 | 0.000 | -0.000 |
| 0.000 | 0.000 | 0.000 | 0.000 | -42.999 | 0.000 |
| 0.000 | 0.000 | 0.000 | -0.000 | -0.000 | -42.999 |
| 527.731 | 496.364 | 496.364 | -0.000 | 0.000 | -0.000 |
| 496.364 | 527.731 | 496.364 | 0.000 | -0.000 | -0.000 |
| 496.364 | 496.364 | 527.731 | 0.000 | 0.000 | 0.000 |
| -0.000 | -0.000 | -0.000 | -42.999 | 0.000 | 0.000 |
| -0.000 | -0.000 | -0.000 | -0.000 | -42.999 | 0.000 |
| -0.000 | -0.000 | -0.000 | 0.000 | 0.000 | -42.999 |
| 527.738 | 496.367 | 496.367 | -0.000 | -0.000 | 0.000 |
| 496.367 | 527.738 | 496.367 | -0.000 | -0.000 | -0.000 |
| 496.367 | 496.367 | 527.738 | -0.000 | -0.000 | -0.000 |
| 313175433.844 | 307895865.456 | 298679331.541 | 474171.622 | -1020911.230 | -1281808.819 |
| 313323321.049 | 313096363.627 | 297698774.607 | 535360.499 | 1489604.334 | -1987643.085 |
| 315699623.256 | 302922770.863 | 313833853.055 | 3486619.996 | -1937276.816 | 1387002.818 |
| 527.725 | 496.362 | 496.362 | 0.000 | 0.000 | -0.000 |
| 496.362 | 527.725 | 496.362 | 0.000 | 0.000 | -0.000 |
| 496.362 | 496.362 | 527.725 | 0.000 | 0.000 | -0.000 |
| -313594152.155 | -313342129.093 | -299500888.388 | 1803832.048 | -378999.949 | -36337.609 |
| -310411644.265 | -314576931.777 | -297381559.383 | 690060.422 | 1600407.319 | -510430.439 |
| -313776791.299 | -302582088.730 | -318200857.416 | -172333.331 | 1197936.657 | 100465.568 |
| 527.795 | 496.388 | 496.388 | -0.000 | -0.000 | 0.000 |
| 496.388 | 527.795 | 496.388 | -0.000 | -0.000 | -0.000 |
| 496.388 | 496.388 | 527.795 | -0.000 | -0.000 | 0.000 |
| 30851969.212 | 31016085.034 | 29580371.246 | 164558.584 | -236235.507 | 351688.303 |
| 31104682.871 | 30622909.091 | 29400584.299 | -15910.515 | 273438.081 | 279271.807 |
| 31374284.772 | 30159962.650 | 31453443.096 | -70926.213 | 106723.342 | 225849.550 |
| 527.668 | 496.341 | 496.341 | 0.000 | 0.000 | -0.000 |
| 496.341 | 527.668 | 496.341 | 0.000 | 0.000 | -0.000 |
| 496.341 | 496.341 | 527.668 | 0.000 | 0.000 | -0.000 |
| -30732225.906 | -31031130.950 | -29801171.158 | 100889.326 | 80881.381 | -145412.506 |
| -31018095.215 | -30667508.309 | -30028052.351 | -47969.044 | 143075.998 | 139462.721 |
| -30765392.726 | -29896026.358 | -30436089.063 | 76726.537 | -73001.361 | -45470.840 |
| 360.484 | 253.917 | 253.917 | -0.000 | -0.000 | -0.000 |
| 253.917 | 360.484 | 253.917 | -0.000 | -0.000 | -0.000 |
| 253.917 | 253.917 | 360.484 | -0.000 | -0.000 | -0.000 |
| -0.005 | -0.002 | -0.002 | -160.586 | -0.000 | -0.000 |
| -0.002 | -0.005 | -0.002 | -0.000 | -160.586 | -0.000 |
| -0.002 | -0.002 | -0.005 | -0.000 | -0.000 | -160.586 |
| 360.481 | 253.911 | 253.911 | 0.000 | 0.000 | 0.000 |
| 253.911 | 360.481 | 253.911 | 0.000 | 0.000 | 0.000 |
| 253.911 | 253.911 | 360.481 | 0.000 | 0.000 | 0.000 |
| 0.005 | 0.002 | 0.002 | -160.586 | 0.000 | 0.000 |
| 0.002 | 0.005 | 0.002 | 0.000 | -160.586 | 0.000 |
| 0.002 | 0.002 | 0.005 | 0.000 | 0.000 | -160.586 |
| 360.500 | 253.941 | 253.941 | -0.000 | -0.000 | -0.000 |
| 253.941 | 360.500 | 253.941 | -0.000 | -0.000 | -0.000 |
| 253.941 | 253.941 | 360.500 | -0.000 | -0.000 | -0.000 |
| -0.046 | -0.015 | -0.015 | -160.586 | -0.000 | -0.000 |
| -0.015 | -0.046 | -0.015 | -0.000 | -160.586 | -0.000 |
| -0.015 | -0.015 | -0.046 | -0.000 | -0.000 | -160.586 |
| 360.465 | 253.886 | 253.886 | 0.000 | 0.000 | 0.000 |
| 253.886 | 360.465 | 253.886 | 0.000 | 0.000 | 0.000 |
| 253.886 | 253.886 | 360.465 | 0.000 | 0.000 | 0.000 |
| 0.046 | 0.015 | 0.015 | -160.586 | 0.000 | 0.000 |
| 0.015 | 0.046 | 0.015 | 0.000 | -160.586 | 0.000 |
| 0.015 | 0.015 | 0.046 | 0.000 | 0.000 | -160.586 |
| 360.658 | 254.189 | 254.189 | -0.000 | -0.000 | -0.000 |
| 254.189 | 360.658 | 254.189 | -0.000 | -0.000 | -0.000 |
| 254.189 | 254.189 | 360.658 | -0.000 | -0.000 | -0.000 |
| -0.463 | -0.151 | -0.151 | -160.586 | -0.000 | -0.000 |
| -0.151 | -0.463 | -0.151 | -0.000 | -160.586 | -0.000 |
| -0.151 | -0.151 | -0.463 | -0.000 | -0.000 | -160.586 |
| 360.307 | 253.639 | 253.639 | 0.000 | 0.000 | -0.000 |
| 253.639 | 360.307 | 253.639 | 0.000 | 0.000 | -0.000 |
| 253.639 | 253.639 | 360.307 | 0.000 | 0.000 | -0.000 |
| 0.463 | 0.151 | 0.151 | -160.586 | 0.000 | 0.000 |
| 0.151 | 0.463 | 0.151 | 0.000 | -160.586 | 0.000 |
| 0.151 | 0.151 | 0.463 | 0.000 | 0.000 | -160.586 |
| 957.583 | 352.808 | 352.808 | -0.000 | -0.000 | -0.000 |
| 352.808 | 957.583 | 352.808 | -0.000 | -0.000 | -0.000 |
| 352.808 | 352.808 | 957.583 | -0.000 | -0.000 | -0.000 |
| 0.000 | -0.000 | 0.000 | 370.491 | -0.000 | 0.000 |
| -0.000 | 0.000 | 0.000 | -0.000 | 370.491 | -0.000 |
| -0.000 | -0.000 | 0.000 | -0.000 | -0.000 | 370.491 |
| 957.583 | 352.808 | 352.808 | 0.000 | 0.000 | 0.000 |
| 352.808 | 957.582 | 352.808 | 0.000 | 0.000 | 0.000 |
| 352.808 | 352.808 | 957.582 | 0.000 | 0.000 | 0.000 |
| -0.000 | 0.000 | 0.000 | 370.491 | 0.000 | 0.000 |
| 0.000 | -0.000 | 0.000 | 0.000 | 370.491 | 0.000 |
| 0.000 | -0.000 | -0.000 | 0.000 | 0.000 | 370.491 |
| 957.587 | 352.808 | 352.808 | -0.000 | -0.000 | -0.000 |
| 352.808 | 957.587 | 352.808 | -0.000 | -0.000 | -0.000 |
| 352.808 | 352.808 | 957.587 | -0.000 | -0.000 | -0.000 |
| 259614826.052 | 79287066.712 | 79287021.738 | -224870538.971 | 0.000 | 0.000 |
| 79287066.712 | 259614826.052 | 79287021.738 | 0.000 | -224870538.971 | 0.000 |
| 79287066.712 | 79287021.738 | 259614826.052 | 0.000 | 0.000 | -224870538.971 |
| 957.579 | 352.808 | 352.808 | -0.000 | 0.000 | 0.000 |
| 352.808 | 957.579 | 352.808 | 0.000 | -0.000 | 0.000 |
| 352.808 | 352.808 | 957.579 | 0.000 | 0.000 | -0.000 |
| -259614826.052 | -79287066.712 | -79287021.738 | -224870538.971 | 0.000 | -0.000 |
| -79287066.712 | -259614826.052 | -79287021.738 | -0.000 | -224870538.971 | -0.000 |
| -79287066.712 | -79287021.738 | -259614826.052 | -0.000 | -0.000 | -224870538.971 |
| 957.625 | 352.811 | 352.811 | -0.000 | -0.000 | -0.000 |
| 352.811 | 957.625 | 352.811 | -0.000 | -0.000 | -0.000 |
| 352.811 | 352.811 | 957.625 | -0.000 | -0.000 | -0.000 |
| 25961390.076 | 7928668.239 | 7928623.266 | -22486593.109 | 0.000 | 0.000 |
| 7928668.239 | 25961390.076 | 7928623.266 | 0.000 | -22486593.109 | 0.000 |
| 7928668.239 | 7928623.266 | 25961390.076 | 0.000 | 0.000 | -22486593.109 |
| 957.541 | 352.805 | 352.805 | 0.000 | 0.000 | 0.000 |
| 352.805 | 957.541 | 352.805 | 0.000 | 0.000 | 0.000 |
| 352.805 | 352.805 | 957.541 | 0.000 | 0.000 | 0.000 |
| -25961390.076 | -7928668.239 | -7928623.266 | -22486593.109 | -0.000 | -0.000 |
| -7928668.239 | -25961390.076 | -7928623.266 | -0.000 | -22486593.109 | -0.000 |
| -7928668.239 | -7928623.266 | -25961390.076 | -0.000 | -0.000 | -22486593.109 |
| 65.720 | 27.852 | 27.852 | 0.000 | 0.000 | -0.000 |
| 27.852 | 65.720 | 27.852 | 0.000 | 0.000 | 0.000 |
| 27.852 | 27.852 | 65.720 | -0.000 | 0.000 | -0.000 |
| -0.000 | -0.000 | -0.000 | 31.772 | 0.000 | -0.000 |
| -0.000 | -0.000 | -0.000 | -0.000 | 31.772 | -0.000 |
| -0.000 | -0.000 | -0.000 | -0.000 | 0.000 | 31.772 |
| 65.720 | 27.852 | 27.852 | -0.000 | -0.000 | -0.000 |
| 27.852 | 65.720 | 27.852 | -0.000 | -0.000 | 0.000 |
| 27.852 | 27.852 | 65.720 | 0.000 | -0.000 | -0.000 |
| 0.000 | 0.000 | 0.000 | 31.772 | -0.000 | 0.000 |
| 0.000 | 0.000 | 0.000 | -0.000 | 31.772 | 0.000 |
| 0.000 | 0.000 | 0.000 | -0.000 | -0.000 | 31.772 |
| 65.719 | 27.851 | 27.851 | -0.000 | -0.000 | -0.000 |
| 27.851 | 65.719 | 27.851 | -0.000 | 0.000 | -0.000 |
| 27.851 | 27.851 | 65.719 | -0.000 | -0.000 | -0.000 |
| -0.000 | -0.001 | -0.001 | 31.772 | 0.000 | -0.000 |
| -0.001 | -0.000 | -0.001 | -0.000 | 31.772 | -0.000 |
| -0.001 | -0.001 | -0.000 | -0.000 | 0.000 | 31.772 |
| 65.721 | 27.852 | 27.852 | -0.000 | -0.000 | 0.000 |
| 27.852 | 65.721 | 27.852 | -0.000 | -0.000 | 0.000 |
| 27.852 | 27.852 | 65.721 | -0.000 | -0.000 | -0.000 |
| 0.000 | 0.001 | 0.001 | 31.772 | -0.000 | 0.000 |
| 0.001 | 0.000 | 0.001 | 0.000 | 31.772 | 0.000 |
| 0.001 | 0.001 | 0.000 | -0.000 | -0.000 | 31.772 |
| 65.708 | 27.846 | 27.846 | 0.000 | 0.000 | -0.000 |
| 27.846 | 65.708 | 27.846 | 0.000 | 0.000 | -0.000 |
| 27.846 | 27.846 | 65.708 | 0.000 | 0.000 | -0.000 |
| -0.012 | -0.009 | -0.009 | 12.134 | 0.000 | 0.000 |
| -0.009 | -0.012 | -0.009 | 0.000 | 12.134 | 0.000 |
| -0.009 | -0.009 | -0.012 | 0.000 | 0.000 | 12.134 |
| 65.732 | 27.857 | 27.857 | 0.000 | -0.000 | 0.000 |
| 27.857 | 65.732 | 27.857 | -0.000 | -0.000 | 0.000 |
| 27.857 | 27.857 | 65.732 | 0.000 | 0.000 | 0.000 |
| 0.012 | 0.009 | 0.009 | 12.134 | -0.000 | -0.000 |
| 0.009 | 0.012 | 0.009 | -0.000 | 12.134 | -0.000 |
| 0.009 | 0.009 | 0.012 | -0.000 | -0.000 | 12.134 |
| 85.273 | 46.895 | 46.895 | 0.000 | 0.000 | 0.000 |
| 46.895 | 85.273 | 46.895 | 0.000 | 0.000 | 0.000 |
| 46.895 | 46.895 | 85.273 | 0.000 | 0.000 | 0.000 |
| 0.000 | 0.000 | 0.000 | 37.668 | 0.000 | 0.000 |
| 0.000 | 0.000 | 0.000 | 0.000 | 37.668 | 0.000 |
| 0.000 | 0.000 | -0.000 | 0.000 | 0.000 | 37.668 |
| 85.273 | 46.895 | 46.895 | -0.000 | -0.000 | -0.000 |
| 46.895 | 85.273 | 46.895 | -0.000 | -0.000 | -0.000 |
| 46.895 | 46.895 | 85.273 | -0.000 | -0.000 | -0.000 |
| -0.000 | -0.000 | -0.000 | 37.668 | -0.000 | -0.000 |
| -0.000 | -0.000 | -0.000 | -0.000 | 37.668 | -0.000 |
| -0.000 | -0.000 | 0.000 | -0.000 | -0.000 | 37.668 |
| 85.273 | 46.895 | 46.895 | 0.000 | 0.000 | 0.000 |
| 46.895 | 85.273 | 46.895 | 0.000 | 0.000 | 0.000 |
| 46.895 | 46.895 | 85.273 | 0.000 | 0.000 | 0.000 |
| -0.000 | 0.000 | 0.000 | 37.668 | 0.000 | 0.000 |
| 0.000 | -0.000 | 0.000 | 0.000 | 37.668 | 0.000 |
| 0.000 | 0.000 | -0.000 | 0.000 | 0.000 | 37.668 |
| 85.273 | 46.894 | 46.894 | -0.000 | -0.000 | -0.000 |
| 46.894 | 85.273 | 46.894 | -0.000 | -0.000 | -0.000 |
| 46.894 | 46.894 | 85.273 | -0.000 | -0.000 | -0.000 |
| 0.000 | -0.000 | -0.000 | 37.668 | -0.000 | -0.000 |
| -0.000 | 0.000 | -0.000 | -0.000 | 37.668 | -0.000 |
| -0.000 | -0.000 | 0.000 | -0.000 | -0.000 | 37.668 |
| 85.277 | 46.896 | 46.896 | 0.000 | 0.000 | 0.000 |
| 46.896 | 85.277 | 46.896 | 0.000 | 0.000 | 0.000 |
| 46.896 | 46.896 | 85.277 | 0.000 | 0.000 | 0.000 |
| -0.000 | 0.002 | 0.002 | 37.668 | 0.000 | 0.000 |
| 0.002 | -0.000 | 0.002 | 0.000 | 37.668 | 0.000 |
| 0.002 | 0.002 | -0.000 | 0.000 | 0.000 | 37.668 |
| 85.269 | 46.893 | 46.893 | -0.000 | -0.000 | -0.000 |
| 46.893 | 85.269 | 46.893 | -0.000 | -0.000 | -0.000 |
| 46.893 | 46.893 | 85.269 | -0.000 | -0.000 | -0.000 |
| 0.000 | -0.002 | -0.002 | 37.668 | -0.000 | -0.000 |
| -0.002 | 0.000 | -0.002 | -0.000 | 37.668 | -0.000 |
| -0.002 | -0.002 | 0.000 | -0.000 | -0.000 | 37.668 |
| 11.599 | 11.599 | 11.599 | 0.000 | -0.000 | -0.000 |
| 11.599 | 11.599 | 11.599 | -0.000 | 0.000 | -0.000 |
| 11.599 | 11.599 | 11.599 | -0.000 | -0.000 | 0.000 |
| -0.000 | -0.000 | -0.000 | 0.000 | 0.000 | 0.000 |
| -0.000 | -0.000 | -0.000 | 0.000 | 0.000 | 0.000 |
| -0.000 | -0.000 | -0.000 | 0.000 | 0.000 | 0.000 |
| 11.599 | 11.599 | 11.599 | 0.000 | 0.000 | 0.000 |
| 11.599 | 11.599 | 11.599 | 0.000 | 0.000 | 0.000 |
| 11.599 | 11.599 | 11.599 | 0.000 | 0.000 | 0.000 |
| 0.000 | 0.000 | 0.000 | -0.000 | -0.000 | -0.000 |
| 0.000 | 0.000 | 0.000 | -0.000 | -0.000 | -0.000 |
| 0.000 | 0.000 | 0.000 | -0.000 | -0.000 | -0.000 |
| 11.599 | 11.599 | 11.599 | -0.000 | -0.000 | 0.000 |
| 11.599 | 11.599 | 11.599 | -0.000 | -0.000 | 0.000 |
| 11.599 | 11.599 | 11.599 | -0.000 | -0.000 | -0.000 |
| -0.000 | -0.000 | -0.000 | 0.000 | 0.000 | 0.000 |
| -0.000 | -0.000 | -0.000 | 0.000 | 0.000 | 0.000 |
| -0.000 | -0.000 | -0.000 | 0.000 | 0.000 | 0.000 |
| 11.599 | 11.599 | 11.599 | -0.000 | 0.000 | -0.000 |
| 11.599 | 11.599 | 11.599 | 0.000 | -0.000 | -0.000 |
| 11.599 | 11.599 | 11.599 | 0.000 | 0.000 | -0.000 |
| 0.000 | 0.000 | 0.000 | -0.000 | -0.000 | -0.000 |
| 0.000 | 0.000 | 0.000 | -0.000 | -0.000 | -0.000 |
| 0.000 | 0.000 | 0.000 | -0.000 | -0.000 | -0.000 |
| 11.599 | 11.599 | 11.599 | -0.000 | 0.000 | 0.000 |
| 11.599 | 11.599 | 11.599 | 0.000 | -0.000 | 0.000 |
| 11.599 | 11.599 | 11.599 | 0.000 | 0.000 | 0.000 |
| -0.000 | -0.000 | -0.000 | 0.000 | 0.000 | 0.000 |
| -0.000 | -0.000 | -0.000 | 0.000 | 0.000 | 0.000 |
| -0.000 | -0.000 | -0.000 | 0.000 | 0.000 | 0.000 |
| 11.599 | 11.599 | 11.599 | 0.000 | 0.000 | 0.000 |
| 11.599 | 11.599 | 11.599 | 0.000 | 0.000 | 0.000 |
| 11.599 | 11.599 | 11.599 | 0.000 | 0.000 | 0.000 |
| 0.000 | 0.000 | 0.000 | -0.000 | -0.000 | -0.000 |
| 0.000 | 0.000 | 0.000 | -0.000 | -0.000 | -0.000 |
| 0.000 | 0.000 | 0.000 | -0.000 | -0.000 | -0.000 |
| 2.783 | 2.783 | 2.783 | -0.000 | -0.000 | -0.000 |
| 2.783 | 2.783 | 2.783 | -0.000 | -0.000 | -0.000 |
| 2.783 | 2.783 | 2.783 | -0.000 | -0.000 | -0.000 |
| -0.000 | -0.000 | -0.000 | -0.000 | -0.000 | -0.000 |
| -0.000 | -0.000 | -0.000 | -0.000 | -0.000 | -0.000 |
| -0.000 | -0.000 | -0.000 | -0.000 | -0.000 | -0.000 |
| 2.783 | 2.783 | 2.783 | 0.000 | 0.000 | 0.000 |
| 2.783 | 2.783 | 2.783 | 0.000 | 0.000 | 0.000 |
| 2.783 | 2.783 | 2.783 | 0.000 | 0.000 | 0.000 |
| 0.000 | 0.000 | 0.000 | 0.000 | 0.000 | 0.000 |
| 0.000 | 0.000 | 0.000 | 0.000 | 0.000 | 0.000 |
| 0.000 | 0.000 | 0.000 | 0.000 | 0.000 | 0.000 |
| 2.783 | 2.783 | 2.783 | -0.000 | -0.000 | -0.000 |
| 2.783 | 2.783 | 2.783 | -0.000 | -0.000 | -0.000 |
| 2.783 | 2.783 | 2.783 | -0.000 | -0.000 | -0.000 |
| -0.000 | -0.000 | -0.000 | -0.000 | -0.000 | -0.000 |
| -0.000 | -0.000 | -0.000 | -0.000 | -0.000 | -0.000 |
| -0.000 | -0.000 | -0.000 | -0.000 | -0.000 | -0.000 |
| 2.783 | 2.783 | 2.783 | 0.000 | 0.000 | 0.000 |
| 2.783 | 2.783 | 2.783 | 0.000 | 0.000 | 0.000 |
| 2.783 | 2.783 | 2.783 | 0.000 | 0.000 | 0.000 |
| 0.000 | 0.000 | 0.000 | 0.000 | 0.000 | 0.000 |
| 0.000 | 0.000 | 0.000 | 0.000 | 0.000 | 0.000 |
| 0.000 | 0.000 | 0.000 | 0.000 | 0.000 | 0.000 |
| 2.782 | 2.782 | 2.782 | -0.000 | -0.000 | -0.000 |
| 2.782 | 2.782 | 2.782 | -0.000 | -0.000 | -0.000 |
| 2.782 | 2.782 | 2.782 | -0.000 | -0.000 | -0.000 |
| -0.000 | -0.000 | -0.000 | -0.000 | -0.000 | -0.000 |
| -0.000 | -0.000 | -0.000 | -0.000 | -0.000 | -0.000 |
| -0.000 | -0.000 | -0.000 | -0.000 | -0.000 | -0.000 |
| 2.784 | 2.784 | 2.784 | 0.000 | 0.000 | 0.000 |
| 2.784 | 2.784 | 2.784 | 0.000 | 0.000 | 0.000 |
| 2.784 | 2.784 | 2.784 | 0.000 | 0.000 | 0.000 |
| 0.000 | 0.000 | 0.000 | 0.000 | 0.000 | 0.000 |
| 0.000 | 0.000 | 0.000 | 0.000 | 0.000 | 0.000 |
| 0.000 | 0.000 | 0.000 | 0.000 | 0.000 | 0.000 |
| 634.081 | 287.316 | 219.567 | -0.000 | 0.000 | -0.000 |
| 287.316 | 634.081 | 219.567 | -0.000 | 0.000 | 0.000 |
| 219.567 | 219.567 | 421.867 | -0.000 | 0.000 | 0.000 |
| 0.000 | 0.001 | 0.001 | -72.336 | -0.000 | 0.000 |
| 0.001 | 0.000 | 0.001 | -0.000 | -72.336 | 0.000 |
| 0.000 | 0.000 | 0.000 | -0.000 | 0.000 | -20.479 |
| 634.083 | 287.316 | 219.566 | 0.000 | 0.000 | -0.000 |
| 287.316 | 634.083 | 219.566 | 0.000 | -0.000 | -0.000 |
| 219.566 | 219.566 | 421.865 | 0.000 | 0.000 | -0.000 |
| -0.000 | -0.001 | -0.001 | -72.336 | 0.000 | 0.000 |
| -0.001 | -0.000 | -0.001 | 0.000 | -72.336 | -0.000 |
| -0.000 | -0.000 | -0.000 | 0.000 | -0.000 | -20.479 |
| 634.069 | 287.315 | 219.571 | -0.000 | 0.000 | 0.000 |
| 287.315 | 634.069 | 219.571 | -0.000 | -0.000 | 0.000 |
| 219.572 | 219.572 | 421.878 | -0.000 | -0.000 | -0.000 |
| 0.003 | 0.007 | 0.007 | -72.336 | -0.000 | 0.000 |
| 0.007 | 0.003 | 0.007 | -0.000 | -72.336 | -0.000 |
| 0.003 | 0.003 | 0.002 | -0.000 | 0.000 | -20.479 |
| 634.095 | 287.316 | 219.562 | 0.000 | -0.000 | 0.000 |
| 287.316 | 634.095 | 219.562 | 0.000 | -0.000 | 0.000 |
| 219.561 | 219.561 | 421.854 | 0.000 | -0.000 | -0.000 |
| -0.003 | -0.007 | -0.007 | -72.336 | -0.000 | -0.000 |
| -0.007 | -0.003 | -0.007 | 0.000 | -72.336 | -0.000 |
| -0.003 | -0.003 | -0.002 | 0.000 | -0.000 | -20.479 |
| 633.948 | 287.311 | 219.613 | -0.000 | -0.000 | 0.000 |
| 287.311 | 633.948 | 219.613 | -0.000 | 0.000 | 0.000 |
| 219.620 | 219.620 | 421.981 | -0.000 | 0.000 | 0.000 |
| 0.025 | 0.070 | 0.067 | -72.336 | 0.000 | 0.000 |
| 0.070 | 0.025 | 0.067 | -0.000 | -72.336 | 0.000 |
| 0.033 | 0.033 | 0.025 | -0.000 | 0.000 | -20.479 |
| 634.216 | 287.320 | 219.520 | 0.000 | -0.000 | -0.000 |
| 287.320 | 634.216 | 219.520 | 0.000 | 0.000 | -0.000 |
| 219.513 | 219.513 | 421.751 | 0.000 | -0.000 | -0.000 |
| -0.025 | -0.070 | -0.067 | -72.336 | -0.000 | -0.000 |
| -0.070 | -0.025 | -0.067 | 0.000 | -72.336 | -0.000 |
| -0.033 | -0.033 | -0.025 | 0.000 | -0.000 | -20.479 |
| 347.698 | 265.502 | 317.719 | -0.000 | -0.000 | 0.000 |
| 265.502 | 347.698 | 317.719 | -0.000 | -0.000 | 0.000 |
| 317.719 | 317.718 | 23.684 | -0.000 | -0.000 | 0.000 |
| -0.000 | -0.001 | -0.001 | -248.284 | 0.000 | 0.000 |
| -0.001 | -0.000 | -0.001 | 0.000 | -248.284 | 0.000 |
| -0.000 | -0.000 | -0.000 | -0.000 | -0.000 | -70.543 |
| 347.700 | 265.503 | 317.720 | 0.000 | -0.000 | -0.000 |
| 265.503 | 347.700 | 317.720 | 0.000 | 0.000 | -0.000 |
| 317.720 | 317.720 | 23.689 | 0.000 | -0.000 | -0.000 |
| 0.000 | 0.001 | 0.001 | -248.284 | -0.000 | -0.000 |
| 0.001 | 0.000 | 0.001 | 0.000 | -248.284 | -0.000 |
| 0.000 | 0.000 | 0.000 | 0.000 | 0.000 | -70.543 |
| 347.689 | 265.497 | 317.713 | -0.000 | 0.000 | 0.000 |
| 265.497 | 347.689 | 317.713 | -0.000 | 0.000 | 0.000 |
| 317.710 | 317.710 | 23.661 | -0.000 | 0.000 | 0.000 |
| -0.002 | -0.006 | -0.008 | -248.284 | 0.000 | 0.000 |
| -0.006 | -0.002 | -0.008 | -0.000 | -248.284 | 0.000 |
| -0.004 | -0.004 | -0.002 | -0.000 | -0.000 | -70.543 |
| 347.710 | 265.507 | 317.726 | -0.000 | -0.000 | -0.000 |
| 265.507 | 347.710 | 317.726 | 0.000 | -0.000 | -0.000 |
| 317.728 | 317.728 | 23.711 | 0.000 | -0.000 | -0.000 |
| 0.002 | 0.006 | 0.008 | -248.284 | 0.000 | -0.000 |
| 0.006 | 0.002 | 0.008 | 0.000 | -248.284 | -0.000 |
| 0.004 | 0.004 | 0.002 | 0.000 | 0.000 | -70.543 |
| 347.595 | 265.454 | 317.656 | 0.000 | -0.000 | 0.000 |
| 265.454 | 347.595 | 317.656 | -0.000 | 0.000 | 0.000 |
| 317.630 | 317.630 | 23.440 | -0.000 | 0.000 | 0.000 |
| -0.017 | -0.058 | -0.081 | -248.284 | 0.000 | 0.000 |
| -0.058 | -0.017 | -0.081 | -0.000 | -248.284 | 0.000 |
| -0.045 | -0.045 | -0.017 | -0.000 | 0.000 | -70.543 |
| 347.804 | 265.550 | 317.782 | 0.000 | -0.000 | -0.000 |
| 265.550 | 347.804 | 317.782 | 0.000 | -0.000 | -0.000 |
| 317.809 | 317.809 | 23.933 | 0.000 | 0.000 | -0.000 |
| 0.017 | 0.058 | 0.081 | -248.284 | -0.000 | -0.000 |
| 0.058 | 0.017 | 0.081 | 0.000 | -248.284 | -0.000 |
| 0.045 | 0.045 | 0.017 | 0.000 | -0.000 | -70.543 |
| -223.466 | -43.460 | -123.504 | -0.000 | -0.000 | 0.000 |
| -43.460 | -223.466 | -123.504 | -0.000 | -0.000 | 0.000 |
| -123.504 | -123.504 | 8.938 | 0.000 | -0.000 | -0.000 |
| -0.000 | -0.001 | -0.001 | -123.503 | -0.000 | 0.000 |
| -0.001 | -0.000 | -0.001 | -0.000 | -123.503 | 0.000 |
| -0.000 | -0.000 | -0.000 | -0.000 | -0.000 | -28.740 |
| -223.464 | -43.460 | -123.503 | 0.000 | 0.000 | -0.000 |
| -43.460 | -223.464 | -123.503 | 0.000 | 0.000 | 0.000 |
| -123.503 | -123.503 | 8.940 | 0.000 | 0.000 | -0.000 |
| 0.000 | 0.001 | 0.001 | -123.503 | 0.000 | -0.000 |
| 0.001 | 0.000 | 0.001 | 0.000 | -123.503 | -0.000 |
| 0.000 | 0.000 | 0.000 | 0.000 | -0.000 | -28.740 |
| -223.473 | -43.461 | -123.509 | -0.000 | 0.000 | 0.000 |
| -43.461 | -223.473 | -123.509 | 0.000 | -0.000 | -0.000 |
| -123.509 | -123.509 | 8.931 | -0.000 | 0.000 | -0.000 |
| -0.001 | -0.006 | -0.005 | -123.503 | -0.000 | 0.000 |
| -0.006 | -0.001 | -0.005 | -0.000 | -123.503 | 0.000 |
| -0.001 | -0.001 | -0.001 | -0.000 | -0.000 | -28.740 |
| -223.457 | -43.458 | -123.498 | -0.000 | 0.000 | -0.000 |
| -43.458 | -223.457 | -123.498 | 0.000 | -0.000 | -0.000 |
| -123.498 | -123.498 | 8.947 | 0.000 | -0.000 | -0.000 |
| 0.001 | 0.006 | 0.005 | -123.503 | -0.000 | -0.000 |
| 0.006 | 0.001 | 0.005 | 0.000 | -123.503 | -0.000 |
| 0.001 | 0.001 | 0.001 | -0.000 | 0.000 | -28.740 |
| -223.546 | -43.472 | -123.561 | -0.000 | -0.000 | 0.000 |
| -43.472 | -223.546 | -123.561 | 0.000 | 0.000 | 0.000 |
| -123.555 | -123.555 | 8.862 | -0.000 | 0.000 | 0.000 |
| -0.013 | -0.057 | -0.052 | -123.503 | -0.000 | 0.000 |
| -0.057 | -0.013 | -0.052 | -0.000 | -123.503 | 0.000 |
| -0.013 | -0.013 | -0.013 | 0.000 | -0.000 | -28.740 |
| -223.384 | -43.447 | -123.446 | 0.000 | 0.000 | -0.000 |
| -43.447 | -223.384 | -123.446 | -0.000 | 0.000 | -0.000 |
| -123.452 | -123.452 | 9.016 | 0.000 | 0.000 | -0.000 |
| 0.013 | 0.057 | 0.052 | -123.503 | -0.000 | -0.000 |
| 0.057 | 0.013 | 0.052 | 0.000 | -123.503 | -0.000 |
| 0.013 | 0.013 | 0.013 | 0.000 | 0.000 | -28.740 |
| -8.583 | 16.169 | 105.982 | -0.000 | 0.000 | 0.000 |
| 16.169 | -8.583 | 105.982 | -0.000 | 0.000 | 0.000 |
| 105.982 | 105.982 | 250.956 | -0.000 | 0.000 | 0.000 |
| 0.000 | 0.000 | 0.000 | 107.424 | 0.000 | 0.000 |
| 0.000 | 0.000 | 0.000 | -0.000 | 107.424 | 0.000 |
| 0.000 | 0.000 | 0.000 | -0.000 | 0.000 | 18.560 |
| -8.583 | 16.169 | 105.982 | 0.000 | 0.000 | -0.000 |
| 16.169 | -8.583 | 105.982 | 0.000 | 0.000 | -0.000 |
| 105.982 | 105.982 | 250.956 | 0.000 | 0.000 | -0.000 |
| -0.000 | -0.000 | -0.000 | 107.424 | 0.000 | -0.000 |
| -0.000 | -0.000 | -0.000 | 0.000 | 107.424 | -0.000 |
| -0.000 | -0.000 | -0.000 | 0.000 | 0.000 | 18.560 |
| -8.582 | 16.170 | 105.982 | -0.000 | -0.000 | 0.000 |
| 16.170 | -8.582 | 105.982 | -0.000 | 0.000 | 0.000 |
| 105.983 | 105.983 | 250.957 | -0.000 | -0.000 | 0.000 |
| 0.000 | 0.000 | 0.001 | 107.424 | 0.000 | -0.000 |
| 0.000 | 0.000 | 0.001 | -0.000 | 107.424 | 0.000 |
| 0.001 | 0.001 | 0.000 | -0.000 | -0.000 | 18.560 |
| -8.584 | 16.168 | 105.982 | 0.000 | 0.000 | -0.000 |
| 16.168 | -8.584 | 105.982 | 0.000 | -0.000 | -0.000 |
| 105.981 | 105.981 | 250.955 | -0.000 | -0.000 | -0.000 |
| -0.000 | -0.000 | -0.001 | 107.424 | 0.000 | -0.000 |
| -0.000 | -0.000 | -0.001 | 0.000 | 107.424 | -0.000 |
| -0.001 | -0.001 | -0.000 | 0.000 | -0.000 | 18.560 |
| -8.576 | 16.177 | 105.985 | -0.000 | 0.000 | 0.000 |
| 16.177 | -8.576 | 105.985 | -0.000 | 0.000 | 0.000 |
| 105.987 | 105.987 | 250.962 | -0.000 | -0.000 | 0.000 |
| 0.003 | 0.003 | 0.005 | 107.424 | -0.000 | 0.000 |
| 0.003 | 0.003 | 0.005 | -0.000 | 107.424 | 0.000 |
| 0.007 | 0.007 | 0.003 | -0.000 | -0.000 | 18.560 |
| -8.590 | 16.162 | 105.979 | -0.000 | 0.000 | -0.000 |
| 16.162 | -8.590 | 105.979 | 0.000 | -0.000 | 0.000 |
| 105.977 | 105.977 | 250.949 | 0.000 | 0.000 | -0.000 |
| -0.003 | -0.003 | -0.005 | 107.424 | 0.000 | -0.000 |
| -0.003 | -0.003 | -0.005 | 0.000 | 107.424 | -0.000 |
| -0.007 | -0.007 | -0.003 | 0.000 | 0.000 | 18.560 |
| 126.410 | 93.235 | 59.229 | -0.000 | -0.000 | -0.000 |
| 93.235 | 126.410 | 59.229 | 0.000 | -0.000 | -0.000 |
| 59.229 | 59.229 | 80.564 | 0.000 | -0.000 | 0.000 |
| 0.000 | 0.000 | 0.000 | 53.869 | -0.000 | 0.000 |
| 0.000 | 0.000 | 0.000 | 0.000 | 53.869 | -0.000 |
| -0.000 | -0.000 | 0.000 | -0.000 | -0.000 | 95.646 |
| 126.410 | 93.235 | 59.229 | -0.000 | 0.000 | -0.000 |
| 93.235 | 126.410 | 59.229 | -0.000 | 0.000 | -0.000 |
| 59.229 | 59.229 | 80.565 | -0.000 | 0.000 | 0.000 |
| -0.000 | -0.000 | -0.000 | 53.869 | -0.000 | -0.000 |
| -0.000 | -0.000 | -0.000 | -0.000 | 53.869 | 0.000 |
| 0.000 | 0.000 | -0.000 | -0.000 | 0.000 | 95.646 |
| 126.410 | 93.235 | 59.229 | -0.000 | -0.000 | -0.000 |
| 93.235 | 126.410 | 59.229 | -0.000 | -0.000 | 0.000 |
| 59.229 | 59.229 | 80.561 | -0.000 | -0.000 | 0.000 |
| 0.000 | 0.000 | 0.000 | 53.869 | -0.000 | -0.000 |
| 0.000 | 0.000 | 0.000 | -0.000 | 53.869 | -0.000 |
| -0.000 | -0.000 | 0.000 | 0.000 | -0.000 | 95.646 |
| 126.410 | 93.235 | 59.229 | -0.000 | 0.000 | 0.000 |
| 93.235 | 126.410 | 59.229 | 0.000 | 0.000 | -0.000 |
| 59.229 | 59.229 | 80.568 | 0.000 | 0.000 | 0.000 |
| -0.000 | -0.000 | -0.000 | 53.869 | 0.000 | -0.000 |
| -0.000 | -0.000 | -0.000 | 0.000 | 53.869 | 0.000 |
| 0.000 | 0.000 | -0.000 | 0.000 | 0.000 | 95.646 |
| 126.409 | 93.235 | 59.230 | 0.000 | 0.000 | -0.000 |
| 93.235 | 126.409 | 59.230 | 0.000 | 0.000 | -0.000 |
| 59.230 | 59.230 | 80.527 | 0.000 | -0.000 | -0.000 |
| 0.000 | 0.000 | 0.001 | 53.869 | -0.000 | -0.000 |
| 0.000 | 0.000 | 0.001 | 0.000 | 53.869 | 0.000 |
| -0.001 | -0.001 | 0.001 | 0.000 | -0.000 | 95.646 |
| 126.410 | 93.236 | 59.229 | -0.000 | 0.000 | -0.000 |
| 93.236 | 126.410 | 59.229 | -0.000 | 0.000 | 0.000 |
| 59.229 | 59.229 | 80.602 | 0.000 | 0.000 | -0.000 |
| -0.000 | -0.000 | -0.001 | 53.869 | 0.000 | 0.000 |
| -0.000 | -0.000 | -0.001 | -0.000 | 53.869 | 0.000 |
| 0.001 | 0.001 | -0.001 | -0.000 | 0.000 | 95.646 |
| 60.997 | 33.500 | 32.994 | 0.000 | 0.000 | -0.000 |
| 33.500 | 60.997 | 32.994 | 0.000 | 0.000 | 0.000 |
| 32.994 | 32.994 | 78.453 | 0.000 | 0.000 | 0.000 |
| 0.000 | -0.000 | 0.000 | 32.994 | -0.000 | 0.000 |
| -0.000 | 0.000 | 0.000 | -0.000 | 32.994 | 0.000 |
| -0.000 | -0.000 | 0.000 | 0.000 | 0.000 | 36.470 |
| 60.997 | 33.500 | 32.994 | -0.000 | -0.000 | -0.000 |
| 33.500 | 60.997 | 32.994 | -0.000 | -0.000 | -0.000 |
| 32.994 | 32.994 | 78.453 | -0.000 | -0.000 | -0.000 |
| -0.000 | 0.000 | -0.000 | 32.994 | -0.000 | -0.000 |
| 0.000 | -0.000 | -0.000 | -0.000 | 32.994 | -0.000 |
| 0.000 | 0.000 | -0.000 | -0.000 | -0.000 | 36.470 |
| 60.997 | 33.500 | 32.994 | 0.000 | 0.000 | -0.000 |
| 33.500 | 60.997 | 32.994 | 0.000 | 0.000 | 0.000 |
| 32.994 | 32.994 | 78.453 | 0.000 | 0.000 | 0.000 |
| -0.000 | -0.000 | -0.000 | 32.994 | 0.000 | 0.000 |
| -0.000 | -0.000 | -0.000 | 0.000 | 32.994 | 0.000 |
| -0.000 | -0.000 | -0.000 | -0.000 | 0.000 | 36.470 |
| 60.997 | 33.501 | 32.994 | -0.000 | -0.000 | -0.000 |
| 33.501 | 60.997 | 32.994 | -0.000 | -0.000 | -0.000 |
| 32.994 | 32.994 | 78.453 | -0.000 | -0.000 | -0.000 |
| 0.000 | 0.000 | 0.000 | 32.994 | -0.000 | -0.000 |
| 0.000 | 0.000 | 0.000 | -0.000 | 32.994 | 0.000 |
| 0.000 | 0.000 | 0.000 | 0.000 | -0.000 | 36.470 |
| 60.997 | 33.496 | 32.994 | 0.000 | 0.000 | -0.000 |
| 33.496 | 60.997 | 32.994 | 0.000 | 0.000 | 0.000 |
| 32.994 | 32.994 | 78.452 | 0.000 | 0.000 | 0.000 |
| -0.000 | -0.000 | -0.000 | 32.994 | 0.000 | 0.000 |
| -0.000 | -0.000 | -0.000 | 0.000 | 32.994 | 0.000 |
| -0.004 | -0.004 | -0.000 | 0.000 | 0.000 | 36.470 |
| 60.997 | 33.504 | 32.993 | -0.000 | -0.000 | 0.000 |
| 33.504 | 60.997 | 32.993 | -0.000 | -0.000 | -0.000 |
| 32.993 | 32.993 | 78.453 | -0.000 | -0.000 | -0.000 |
| 0.000 | 0.000 | 0.000 | 32.994 | -0.000 | -0.000 |
| 0.000 | 0.000 | 0.000 | -0.000 | 32.994 | -0.000 |
| 0.004 | 0.004 | 0.000 | -0.000 | -0.000 | 36.470 |
| 24.940 | 6.526 | 13.383 | -0.000 | -0.000 | 0.000 |
| 6.526 | 24.940 | 13.383 | -0.000 | -0.000 | 0.000 |
| 13.383 | 13.383 | 24.879 | -0.000 | -0.000 | -0.000 |
| -0.000 | -0.000 | -0.000 | 13.383 | -0.000 | -0.000 |
| -0.000 | -0.000 | -0.000 | -0.000 | 13.383 | 0.000 |
| -0.000 | -0.000 | -0.000 | 0.000 | 0.000 | 7.226 |
| 24.940 | 6.526 | 13.383 | 0.000 | -0.000 | -0.000 |
| 6.526 | 24.940 | 13.383 | -0.000 | 0.000 | -0.000 |
| 13.383 | 13.383 | 24.879 | 0.000 | 0.000 | -0.000 |
| 0.000 | 0.000 | 0.000 | 13.383 | 0.000 | 0.000 |
| 0.000 | 0.000 | 0.000 | 0.000 | 13.383 | -0.000 |
| 0.000 | 0.000 | 0.000 | 0.000 | -0.000 | 7.226 |
| 24.940 | 6.525 | 13.382 | -0.000 | -0.000 | 0.000 |
| 6.525 | 24.940 | 13.382 | -0.000 | -0.000 | -0.000 |
| 13.382 | 13.382 | 24.878 | -0.000 | -0.000 | 0.000 |
| -0.000 | -0.000 | -0.001 | 13.383 | -0.000 | 0.000 |
| -0.000 | -0.000 | -0.001 | -0.000 | 13.383 | -0.000 |
| -0.000 | -0.000 | -0.000 | -0.000 | 0.000 | 7.226 |
| 24.940 | 6.526 | 13.383 | 0.000 | 0.000 | -0.000 |
| 6.526 | 24.940 | 13.383 | 0.000 | 0.000 | -0.000 |
| 13.383 | 13.383 | 24.880 | 0.000 | 0.000 | -0.000 |
| 0.000 | 0.000 | 0.001 | 13.383 | 0.000 | -0.000 |
| 0.000 | 0.000 | 0.001 | 0.000 | 13.383 | -0.000 |
| 0.000 | 0.000 | 0.000 | 0.000 | -0.000 | 7.226 |
| 24.938 | 6.524 | 13.379 | -0.000 | 0.000 | 0.000 |
| 6.524 | 24.938 | 13.379 | 0.000 | -0.000 | 0.000 |
| 13.377 | 13.377 | 24.868 | -0.000 | -0.000 | -0.000 |
| -0.003 | -0.003 | -0.006 | 13.383 | -0.000 | 0.000 |
| -0.003 | -0.003 | -0.006 | -0.000 | 13.383 | 0.000 |
| -0.002 | -0.002 | -0.003 | 0.000 | 0.000 | 7.226 |
| 24.942 | 6.527 | 13.386 | 0.000 | -0.000 | -0.000 |
| 6.527 | 24.942 | 13.386 | -0.000 | 0.000 | 0.000 |
| 13.389 | 13.389 | 24.890 | 0.000 | 0.000 | 0.000 |
| 0.003 | 0.003 | 0.006 | 13.383 | 0.000 | 0.000 |
| 0.003 | 0.003 | 0.006 | 0.000 | 13.383 | 0.000 |
| 0.002 | 0.002 | 0.003 | 0.000 | -0.000 | 7.226 |
| 9331980.002 | 4960210.002 | 4960210.002 | -1.366 | -2.622 | 0.048 |
| 4960220.013 | 9331959.995 | 4960220.013 | 2.053 | -3.612 | -0.912 |
| 4960220.013 | 4960199.991 | 9331980.002 | 3.911 | 3.987 | -0.292 |
| 0.000 | -10.011 | 10.011 | 1515198.987 | -0.629 | 0.299 |
| 10.011 | -10.011 | 10.011 | 1.110 | 1515197.128 | 0.137 |
| 0.000 | 0.000 | 0.000 | 0.456 | -0.863 | 1515198.211 |
| 9331889.993 | 4960220.013 | 4960210.002 | -2.409 | -5.290 | -0.159 |
| 4960210.002 | 9331900.003 | 4960210.002 | -3.368 | 1.298 | -0.479 |
| 4960210.002 | 4960220.013 | 9331889.993 | 1.998 | 0.591 | -0.021 |
| -0.000 | 10.011 | -10.011 | 1515197.275 | 0.596 | -0.691 |
| -10.011 | 10.011 | -10.011 | -0.655 | 1515199.452 | 0.000 |
| -0.000 | -0.000 | -0.000 | -0.801 | -0.008 | 1515197.902 |
| 9332315.999 | 4960209.999 | 4960212.000 | -0.345 | -0.269 | 0.035 |
| 4960211.000 | 9332313.999 | 4960212.000 | 0.299 | -0.333 | 0.010 |
| 4960211.000 | 4960209.999 | 9332315.999 | 0.416 | 0.069 | 0.042 |
| -24.999 | 1.999 | 3.000 | -457040.745 | -0.274 | 0.013 |
| 3.000 | -26.000 | 3.000 | 0.183 | -457041.078 | -0.015 |
| 3.000 | 1.999 | -24.999 | 0.010 | -0.020 | -457041.015 |
| 9331552.000 | 4960215.000 | 4960213.999 | -0.165 | -0.102 | 0.079 |
| 4960213.999 | 9331553.001 | 4960213.999 | -0.309 | 0.064 | 0.001 |
| 4960213.999 | 4960215.000 | 9331552.000 | 0.200 | 0.286 | -0.027 |
| 24.999 | -1.999 | -3.000 | -457041.290 | -0.005 | 0.055 |
| -3.000 | 26.000 | -3.000 | -0.224 | -457041.166 | -0.005 |
| -3.000 | -1.999 | 24.999 | -0.034 | 0.108 | -457041.052 |
| 9335749.500 | 4960198.500 | 4960198.700 | 0.024 | 0.055 | 0.003 |
| 4960198.700 | 9335749.400 | 4960198.700 | 0.035 | 0.010 | -0.005 |
| 4960198.700 | 4960198.600 | 9335749.500 | 0.003 | 0.012 | -0.003 |
| -20239.200 | -17325.300 | -17288.500 | 19430397.523 | 0.004 | 0.002 |
| 119.000 | -61.900 | 120.400 | 0.022 | 1818870.789 | 0.003 |
| 119.000 | 120.300 | -61.800 | 0.023 | -0.000 | 1818870.812 |
| 9328118.500 | 4960227.000 | 4960226.900 | -0.027 | -0.036 | -0.011 |
| 4960227.000 | 9328118.500 | 4960226.900 | -0.058 | 0.031 | -0.007 |
| 4960227.000 | 4960227.100 | 9328118.500 | -0.036 | -0.016 | -0.005 |
| 51.000 | -148.400 | -148.700 | 1153557.991 | 0.003 | 0.000 |
| -148.500 | 51.100 | -148.700 | -0.023 | 1153557.164 | -0.002 |
| -148.500 | -148.600 | 51.000 | -0.015 | 0.009 | 1153567.914 |
| 326.951 | 244.987 | 244.986 | 0.000 | -0.000 | -0.000 |
| 244.986 | 326.951 | 244.986 | 0.000 | -0.000 | -0.000 |
| 244.986 | 244.986 | 326.951 | 0.000 | -0.000 | 0.000 |
| 0.000 | 0.000 | 0.000 | 31.921 | -0.000 | -0.000 |
| 0.000 | 0.000 | 0.000 | 0.000 | 31.921 | -0.000 |
| 0.000 | 0.000 | 0.000 | 0.000 | 0.000 | 31.921 |
| 326.953 | 244.986 | 244.986 | -0.000 | 0.000 | 0.000 |
| 244.986 | 326.953 | 244.986 | -0.000 | 0.000 | -0.000 |
| 244.986 | 244.986 | 326.953 | -0.000 | -0.000 | -0.000 |
| -0.000 | -0.000 | -0.000 | 31.921 | 0.000 | -0.000 |
| -0.000 | -0.000 | -0.000 | -0.000 | 31.921 | 0.000 |
| -0.000 | -0.000 | -0.000 | -0.000 | 0.000 | 31.921 |
| 326.938 | 244.989 | 244.989 | 0.000 | -0.000 | -0.000 |
| 244.989 | 326.938 | 244.989 | 0.000 | 0.000 | 0.000 |
| 244.989 | 244.989 | 326.938 | 0.000 | 0.000 | -0.000 |
| 0.005 | 0.002 | 0.002 | 31.921 | 0.000 | 0.000 |
| 0.002 | 0.005 | 0.002 | 0.000 | 31.921 | -0.000 |
| 0.002 | 0.002 | 0.005 | 0.000 | -0.000 | 31.921 |
| 326.966 | 244.983 | 244.983 | -0.000 | 0.000 | -0.000 |
| 244.983 | 326.966 | 244.983 | -0.000 | 0.000 | -0.000 |
| 244.983 | 244.983 | 326.966 | -0.000 | -0.000 | 0.000 |
| -0.005 | -0.002 | -0.002 | 31.921 | -0.000 | -0.000 |
| -0.002 | -0.005 | -0.002 | -0.000 | 31.921 | 0.000 |
| -0.002 | -0.002 | -0.005 | -0.000 | 0.000 | 31.921 |
| 326.815 | 245.016 | 245.016 | -0.000 | 0.000 | 0.000 |
| 245.016 | 326.815 | 245.016 | 0.000 | -0.000 | 0.000 |
| 245.016 | 245.016 | 326.815 | 0.000 | -0.000 | -0.000 |
| 0.047 | 0.021 | 0.021 | 31.921 | -0.000 | -0.000 |
| 0.021 | 0.047 | 0.021 | 0.000 | 31.921 | -0.000 |
| 0.021 | 0.021 | 0.047 | 0.000 | 0.000 | 31.921 |
| 327.089 | 244.956 | 244.956 | -0.000 | 0.000 | 0.000 |
| 244.956 | 327.089 | 244.956 | -0.000 | -0.000 | 0.000 |
| 244.956 | 244.956 | 327.089 | 0.000 | -0.000 | 0.000 |
| -0.047 | -0.021 | -0.021 | 31.921 | -0.000 | 0.000 |
| -0.021 | -0.047 | -0.021 | -0.000 | 31.921 | -0.000 |
| -0.021 | -0.021 | -0.047 | -0.000 | -0.000 | 31.921 |
| 77.996 | 54.540 | 54.540 | -0.000 | 0.000 | 0.000 |
| 54.540 | 77.996 | 54.540 | 0.000 | -0.000 | 0.000 |
| 54.540 | 54.540 | 77.996 | -0.000 | 0.000 | 0.000 |
| 0.000 | -0.000 | -0.000 | 2.014 | -0.000 | 0.000 |
| -0.000 | -0.000 | -0.000 | -0.000 | 2.014 | 0.000 |
| -0.000 | -0.000 | 0.000 | -0.000 | -0.000 | 2.014 |
| 77.996 | 54.540 | 54.540 | 0.000 | -0.000 | -0.000 |
| 54.540 | 77.996 | 54.540 | -0.000 | 0.000 | -0.000 |
| 54.540 | 54.540 | 77.996 | -0.000 | 0.000 | -0.000 |
| -0.000 | 0.000 | 0.000 | 2.014 | 0.000 | 0.000 |
| 0.000 | 0.000 | 0.000 | 0.000 | 2.014 | -0.000 |
| 0.000 | 0.000 | -0.000 | 0.000 | 0.000 | 2.014 |
| 77.994 | 54.541 | 54.541 | -0.000 | 0.000 | 0.000 |
| 54.541 | 77.994 | 54.541 | -0.000 | 0.000 | 0.000 |
| 54.541 | 54.541 | 77.994 | -0.000 | 0.000 | 0.000 |
| 0.000 | -0.002 | -0.002 | 2.014 | 0.000 | -0.000 |
| -0.002 | 0.000 | -0.002 | -0.000 | 2.014 | 0.000 |
| -0.002 | -0.002 | 0.000 | -0.000 | -0.000 | 2.014 |
| 77.998 | 54.540 | 54.540 | -0.000 | -0.000 | -0.000 |
| 54.540 | 77.998 | 54.540 | -0.000 | 0.000 | -0.000 |
| 54.540 | 54.540 | 77.998 | 0.000 | -0.000 | -0.000 |
| -0.000 | 0.002 | 0.002 | 2.014 | -0.000 | -0.000 |
| 0.002 | -0.000 | 0.002 | 0.000 | 2.014 | -0.000 |
| 0.002 | 0.002 | -0.000 | 0.000 | 0.000 | 2.014 |
| 77.976 | 54.548 | 54.548 | -0.000 | -0.000 | 0.000 |
| 54.548 | 77.976 | 54.548 | 0.000 | 0.000 | -0.000 |
| 54.548 | 54.548 | 77.976 | -0.000 | -0.000 | 0.000 |
| -8582990.433 | -6435290.257 | -4536709.697 | 357711.555 | 550758.987 | 766383.525 |
| -6783157.019 | -8074873.620 | -3771798.547 | 156333.139 | 277612.034 | 648400.184 |
| -4482799.966 | -6929210.004 | -8994574.207 | 543534.820 | 597055.192 | 398845.414 |
| 78.016 | 54.533 | 54.533 | 0.000 | 0.000 | -0.000 |
| 54.533 | 78.016 | 54.533 | 0.000 | -0.000 | -0.000 |
| 54.533 | 54.533 | 78.016 | 0.000 | -0.000 | -0.000 |
| 1725652.582 | -185772.751 | -185772.487 | -131963.981 | -0.001 | 0.001 |
| -185772.751 | 1725652.582 | -185772.487 | -0.001 | -131963.981 | 0.000 |
| 5417093.898 | 5578677.353 | 8146044.413 | 350195.787 | 464092.974 | -130833.235 |
| 930.516 | 168.122 | 168.122 | -0.000 | -0.000 | -0.000 |
| 168.122 | 930.516 | 168.122 | -0.000 | -0.000 | 0.000 |
| 168.122 | 168.122 | 930.516 | -0.000 | -0.000 | -0.000 |
| -0.000 | -0.000 | -0.000 | 70.541 | -0.000 | -0.000 |
| -0.000 | -0.000 | -0.000 | -0.000 | 70.541 | -0.000 |
| -0.000 | -0.000 | -0.000 | -0.000 | -0.000 | 70.541 |
| 930.532 | 168.124 | 168.124 | 0.000 | -0.000 | 0.000 |
| 168.124 | 930.532 | 168.124 | 0.000 | 0.000 | 0.000 |
| 168.124 | 168.124 | 930.532 | 0.000 | 0.000 | 0.000 |
| 0.000 | 0.000 | 0.000 | 70.541 | 0.000 | 0.000 |
| 0.000 | 0.000 | 0.000 | 0.000 | 70.541 | 0.000 |
| 0.000 | 0.000 | 0.000 | -0.000 | 0.000 | 70.541 |
| 930.445 | 168.114 | 168.114 | -0.000 | -0.000 | -0.000 |
| 168.114 | 930.445 | 168.114 | -0.000 | -0.000 | -0.000 |
| 168.114 | 168.114 | 930.445 | -0.000 | -0.000 | -0.000 |
| -0.004 | -0.004 | -0.004 | 70.541 | -0.000 | -0.000 |
| -0.004 | -0.004 | -0.004 | -0.000 | 70.541 | 0.000 |
| -0.004 | -0.004 | -0.004 | 0.000 | -0.000 | 70.541 |
| 930.604 | 168.132 | 168.132 | 0.000 | 0.000 | 0.000 |
| 168.132 | 930.604 | 168.132 | 0.000 | 0.000 | 0.000 |
| 168.132 | 168.132 | 930.604 | 0.000 | 0.000 | 0.000 |
| 0.004 | 0.004 | 0.004 | 70.541 | 0.000 | 0.000 |
| 0.004 | 0.004 | 0.004 | 0.000 | 70.541 | 0.000 |
| 0.004 | 0.004 | 0.004 | 0.000 | 0.000 | 70.541 |
| 929.730 | 168.030 | 168.030 | -0.000 | 0.000 | -0.000 |
| 168.030 | 929.730 | 168.030 | 0.000 | -0.000 | -0.000 |
| 168.030 | 168.030 | 929.730 | -0.000 | -0.000 | -0.000 |
| -0.040 | -0.036 | -0.036 | 70.541 | -0.000 | -0.000 |
| -0.036 | -0.040 | -0.036 | -0.000 | 70.541 | -0.000 |
| -0.036 | -0.036 | -0.040 | -0.000 | 0.000 | 70.541 |
| 931.319 | 168.216 | 168.216 | 0.000 | 0.000 | 0.000 |
| 168.216 | 931.319 | 168.216 | 0.000 | 0.000 | -0.000 |
| 168.216 | 168.216 | 931.319 | 0.000 | 0.000 | 0.000 |
| 0.040 | 0.036 | 0.036 | 70.541 | 0.000 | 0.000 |
| 0.036 | 0.040 | 0.036 | 0.000 | 70.541 | -0.000 |
| 0.036 | 0.036 | 0.040 | -0.000 | 0.000 | 70.541 |
| 94.467 | 32.483 | 32.483 | -0.000 | -0.000 | -0.000 |
| 32.483 | 94.467 | 32.483 | -0.000 | 0.000 | -0.000 |
| 32.483 | 32.483 | 94.467 | -0.000 | -0.000 | -0.000 |
| -0.000 | -0.000 | -0.000 | 29.933 | -0.000 | -0.000 |
| -0.000 | -0.000 | -0.000 | -0.000 | 29.933 | -0.000 |
| -0.000 | -0.000 | -0.000 | -0.000 | -0.000 | 29.933 |
| 94.467 | 32.484 | 32.484 | 0.000 | -0.000 | 0.000 |
| 32.484 | 94.467 | 32.484 | 0.000 | 0.000 | 0.000 |
| 32.484 | 32.484 | 94.467 | 0.000 | 0.000 | 0.000 |
| 0.000 | 0.000 | 0.000 | 29.933 | 0.000 | 0.000 |
| 0.000 | 0.000 | 0.000 | 0.000 | 29.933 | 0.000 |
| 0.000 | 0.000 | 0.000 | 0.000 | 0.000 | 29.933 |
| 94.467 | 32.483 | 32.483 | -0.000 | -0.000 | -0.000 |
| 32.483 | 94.467 | 32.483 | -0.000 | 0.000 | -0.000 |
| 32.483 | 32.483 | 94.467 | 0.000 | -0.000 | -0.000 |
| -0.001 | -0.001 | -0.001 | 29.933 | 0.000 | -0.000 |
| -0.001 | -0.001 | -0.001 | -0.000 | 29.933 | -0.000 |
| -0.001 | -0.001 | -0.001 | -0.000 | 0.000 | 29.933 |
| 94.468 | 32.484 | 32.484 | -0.000 | 0.000 | 0.000 |
| 32.484 | 94.468 | 32.484 | 0.000 | -0.000 | 0.000 |
| 32.484 | 32.484 | 94.468 | 0.000 | -0.000 | 0.000 |
| 0.001 | 0.001 | 0.001 | 29.933 | -0.000 | 0.000 |
| 0.001 | 0.001 | 0.001 | 0.000 | 29.933 | 0.000 |
| 0.001 | 0.001 | 0.001 | 0.000 | -0.000 | 29.933 |
| 94.461 | 32.478 | 32.478 | -0.000 | 0.000 | -0.000 |
| 32.478 | 94.461 | 32.478 | -0.000 | -0.000 | -0.000 |
| 32.478 | 32.478 | 94.461 | -0.000 | 0.000 | -0.000 |
| -0.005 | -0.005 | -0.005 | 29.933 | 0.000 | 0.000 |
| -0.005 | -0.005 | -0.005 | 0.000 | 29.933 | -0.000 |
| -0.005 | -0.005 | -0.005 | -0.000 | 0.000 | 29.933 |
| 94.473 | 32.489 | 32.489 | 0.000 | -0.000 | 0.000 |
| 32.489 | 94.473 | 32.489 | -0.000 | -0.000 | 0.000 |
| 32.489 | 32.489 | 94.473 | 0.000 | -0.000 | 0.000 |
| 0.005 | 0.005 | 0.005 | 29.933 | 0.000 | 0.000 |
| 0.005 | 0.005 | 0.005 | 0.000 | 29.933 | 0.000 |
| 0.005 | 0.005 | 0.005 | 0.000 | 0.000 | 29.933 |
| 14.119 | 14.422 | 14.422 | -0.000 | -0.000 | 0.000 |
| 14.422 | 14.119 | 14.422 | -0.000 | 0.000 | 0.000 |
| 14.422 | 14.422 | 14.119 | -0.000 | -0.000 | 0.000 |
| -0.000 | -0.000 | 0.000 | 0.172 | -0.000 | 0.000 |
| -0.000 | -0.000 | 0.000 | -0.000 | 0.172 | 0.000 |
| -0.000 | -0.000 | 0.000 | -0.000 | 0.000 | 0.172 |
| 14.119 | 14.422 | 14.422 | 0.000 | -0.000 | -0.000 |
| 14.422 | 14.119 | 14.422 | 0.000 | 0.000 | 0.000 |
| 14.422 | 14.422 | 14.119 | 0.000 | -0.000 | -0.000 |
| 0.000 | 0.000 | -0.000 | 0.172 | 0.000 | -0.000 |
| 0.000 | 0.000 | -0.000 | 0.000 | 0.172 | -0.000 |
| 0.000 | 0.000 | -0.000 | 0.000 | 0.000 | 0.172 |
| 14.118 | 14.421 | 14.421 | -0.000 | 0.000 | 0.000 |
| 14.421 | 14.118 | 14.421 | -0.000 | -0.000 | 0.000 |
| 14.421 | 14.421 | 14.118 | 0.000 | 0.000 | 0.000 |
| -0.000 | -0.000 | -0.000 | 0.172 | 0.000 | 0.000 |
| -0.000 | -0.000 | -0.000 | -0.000 | 0.172 | 0.000 |
| -0.000 | -0.000 | -0.000 | -0.000 | 0.000 | 0.172 |
| 14.119 | 14.422 | 14.422 | 0.000 | -0.000 | -0.000 |
| 14.422 | 14.119 | 14.422 | 0.000 | 0.000 | -0.000 |
| 14.422 | 14.422 | 14.119 | -0.000 | -0.000 | -0.000 |
| 0.000 | 0.000 | 0.000 | 0.172 | -0.000 | -0.000 |
| 0.000 | 0.000 | 0.000 | 0.000 | 0.172 | -0.000 |
| 0.000 | 0.000 | 0.000 | 0.000 | -0.000 | 0.172 |
| 14.114 | 14.417 | 14.417 | -0.000 | 0.000 | 0.000 |
| 14.417 | 14.114 | 14.417 | -0.000 | 0.000 | 0.000 |
| 14.417 | 14.417 | 14.114 | -0.000 | 0.000 | 0.000 |
| -0.000 | -0.000 | -0.000 | 0.172 | 0.000 | -0.000 |
| -0.000 | -0.000 | -0.000 | -0.000 | 0.172 | 0.000 |
| -0.000 | -0.000 | -0.000 | -0.000 | -0.000 | 0.172 |
| 14.124 | 14.427 | 14.427 | 0.000 | -0.000 | -0.000 |
| 14.427 | 14.124 | 14.427 | 0.000 | 0.000 | -0.000 |
| 14.427 | 14.427 | 14.124 | -0.000 | -0.000 | -0.000 |
| 0.000 | 0.000 | 0.000 | 0.172 | 0.000 | -0.000 |
| 0.000 | 0.000 | 0.000 | 0.000 | 0.172 | -0.000 |
| 0.000 | 0.000 | 0.000 | 0.000 | -0.000 | 0.172 |
| 5.566 | 5.566 | 5.566 | 0.000 | -0.000 | 0.000 |
| 5.566 | 5.566 | 5.566 | -0.000 | 0.000 | 0.000 |
| 5.566 | 5.566 | 5.566 | 0.000 | 0.000 | -0.000 |
| -0.000 | -0.000 | -0.000 | 0.516 | 0.000 | 0.000 |
| -0.000 | -0.000 | -0.000 | 0.000 | 0.516 | 0.000 |
| -0.000 | -0.000 | -0.000 | 0.000 | 0.000 | 0.516 |
| 5.566 | 5.566 | 5.566 | -0.000 | 0.000 | -0.000 |
| 5.566 | 5.566 | 5.566 | 0.000 | -0.000 | -0.000 |
| 5.566 | 5.566 | 5.566 | -0.000 | -0.000 | -0.000 |
| 0.000 | 0.000 | 0.000 | 0.516 | -0.000 | 0.000 |
| 0.000 | 0.000 | 0.000 | -0.000 | 0.516 | 0.000 |
| 0.000 | 0.000 | 0.000 | -0.000 | -0.000 | 0.516 |
| 5.566 | 5.566 | 5.566 | 0.000 | 0.000 | -0.000 |
| 5.566 | 5.566 | 5.566 | 0.000 | 0.000 | -0.000 |
| 5.566 | 5.566 | 5.566 | 0.000 | 0.000 | -0.000 |
| -0.000 | -0.000 | -0.000 | 0.048 | 0.000 | -0.000 |
| -0.000 | -0.000 | -0.000 | 0.000 | 0.048 | -0.000 |
| -0.000 | -0.000 | -0.000 | 0.000 | 0.000 | 0.048 |
| 5.566 | 5.566 | 5.566 | -0.000 | 0.000 | -0.000 |
| 5.566 | 5.566 | 5.566 | 0.000 | -0.000 | -0.000 |
| 5.566 | 5.566 | 5.566 | -0.000 | -0.000 | 0.000 |
| 0.000 | 0.000 | 0.000 | 0.048 | -0.000 | -0.000 |
| 0.000 | 0.000 | 0.000 | -0.000 | 0.048 | -0.000 |
| 0.000 | 0.000 | 0.000 | -0.000 | -0.000 | 0.048 |
| 5.564 | 5.564 | 5.564 | 0.000 | 0.000 | -0.000 |
| 5.564 | 5.564 | 5.564 | 0.000 | 0.000 | -0.000 |
| 5.564 | 5.564 | 5.564 | 0.000 | 0.000 | 0.000 |
| -0.000 | -0.000 | -0.000 | 0.004 | 0.000 | 0.000 |
| -0.000 | -0.000 | -0.000 | 0.000 | 0.004 | 0.000 |
| -0.000 | -0.000 | -0.000 | 0.000 | 0.000 | 0.004 |
| 5.568 | 5.568 | 5.568 | -0.000 | -0.000 | -0.000 |
| 5.568 | 5.568 | 5.568 | -0.000 | -0.000 | -0.000 |
| 5.568 | 5.568 | 5.568 | -0.000 | -0.000 | 0.000 |
| 0.000 | 0.000 | 0.000 | 0.004 | -0.000 | -0.000 |
| 0.000 | 0.000 | 0.000 | -0.000 | 0.004 | -0.000 |
| 0.000 | 0.000 | 0.000 | -0.000 | -0.000 | 0.004 |
| -5650659.941 | 6877919.976 | 6877909.950 | -6.066 | 10.934 | 1.889 |
| 6877920.092 | -5650649.974 | 6877919.976 | -15.112 | 8.882 | 0.605 |
| 6877910.009 | 6877919.976 | -5650640.007 | -4.667 | -3.057 | 1.387 |
| 184765266140.088 | 279819502810.035 | 279819482339.986 | -158074396609.673 | 2503.894 | 5781.127 |
| 279819452060.027 | 184765234219.996 | 279819465229.998 | 17258.672 | -158074384127.139 | 14482.568 |
| 279819550140.061 | 279819517910.000 | 184765292319.974 | 5592.542 | 7080.542 | -158074420652.299 |
| -6283560.027 | 7194369.990 | 7194360.023 | 5.482 | -0.444 | -1.848 |
| 7194379.957 | -6283589.986 | 7194369.990 | -2.101 | 6.024 | -1.721 |
| 7194379.957 | 7194369.990 | -6283579.961 | 4.439 | -4.553 | -3.358 |
| -184765263860.023 | -279819500949.985 | -279819460279.988 | -158074386049.467 | -2513.595 | 669.258 |
| -279819434090.018 | -184765222369.988 | -279819446159.999 | -10218.391 | -158074373502.301 | 1396.150 |
| -279819543920.039 | -279819518630.017 | -184765293990.009 | -1256.289 | 6824.842 | -158074416728.161 |
| -12562397.997 | 10341659.002 | 10341659.002 | 0.165 | -0.524 | 0.177 |
| 10341658.005 | -12562397.997 | 10341659.002 | -0.638 | 0.204 | 0.141 |
| 10341657.002 | 10341659.002 | -12562397.997 | -0.534 | 1.550 | 0.257 |
| 12489555145.007 | 22556640507.000 | 22556638743.998 | -12177959842.621 | 19.285 | 52.591 |
| 22556636951.007 | 12489552378.002 | 22556635189.998 | -20.688 | -12177958070.737 | 49.211 |
| 22556640478.002 | 22556638602.005 | 12489555099.001 | 35.746 | 142.930 | -12177959789.241 |
| -6178767.003 | 7142009.995 | 7142011.994 | -0.122 | 0.127 | -0.182 |
| 7142012.990 | -6178769.003 | 7142009.995 | 0.379 | -1.438 | -0.253 |
| 7142012.990 | 7142010.997 | -6178769.003 | 0.603 | -0.953 | -0.179 |
| -12489557852.005 | -22556644121.997 | -22556642223.000 | -12177961638.812 | -1.332 | 1.042 |
| -22556639267.005 | -12489554125.996 | -22556637480.997 | 50.276 | -12177959243.436 | 47.848 |
| -22556643583.001 | -22556641651.998 | -12489557466.001 | -55.446 | 87.416 | -12177961339.410 |
| -6463902.099 | 7284538.500 | 7284538.500 | 0.318 | 0.230 | 0.223 |
| 7284538.600 | -6463902.400 | 7284538.700 | 0.921 | 0.174 | 0.118 |
| 7284538.500 | 7284538.600 | -6463902.300 | 0.103 | 0.198 | 0.156 |
| 1847828865.100 | 2795862480.700 | 2795860168.500 | -1579940463.629 | 0.027 | 0.384 |
| 2795862484.100 | 1847828867.700 | 2795860169.800 | 1.790 | -1579940464.277 | 1.259 |
| 2795862477.700 | 2795860167.400 | 1847828863.700 | 0.983 | 0.983 | -1579940462.568 |
| -6251018.201 | 7178390.500 | 7178390.500 | -0.056 | -0.062 | -0.027 |
| 7178390.700 | -6251018.300 | 7178390.500 | 0.092 | 0.043 | -0.040 |
| 7178390.600 | 7178390.600 | -6251018.201 | 0.056 | -0.040 | -0.052 |
| -1847828868.700 | -2795862484.600 | -2795860172.100 | -1579940464.844 | -0.044 | 0.065 |
| -2795862483.401 | -1847828867.900 | -2795860170.600 | -0.070 | -1579940464.274 | 0.309 |
| -2795862482.300 | -2795860172.900 | -1847828867.700 | -0.277 | 0.177 | -1579940464.943 |
| 631.018 | 172.720 | 172.720 | -0.000 | -0.000 | 0.000 |
| 172.720 | 631.018 | 172.720 | 0.000 | -0.000 | 0.000 |
| 172.720 | 172.720 | 631.018 | 0.000 | 0.000 | 0.000 |
| 0.000 | 0.000 | 0.000 | 109.262 | 0.000 | -0.000 |
| 0.000 | 0.000 | 0.000 | -0.000 | 109.262 | -0.000 |
| 0.000 | 0.000 | 0.000 | 0.000 | 0.000 | 109.262 |
| 629.390 | 173.531 | 173.531 | -0.000 | -0.000 | 0.000 |
| 173.531 | 629.390 | 173.531 | 0.000 | -0.000 | -0.000 |
| 173.531 | 173.531 | 629.390 | 0.000 | -0.000 | 0.000 |
| -0.000 | -0.000 | -0.000 | 109.262 | -0.000 | -0.000 |
| -0.000 | -0.000 | -0.000 | -0.000 | 109.262 | 0.000 |
| -0.000 | -0.000 | -0.000 | -0.000 | -0.000 | 109.262 |
| 631.034 | 172.722 | 172.722 | -0.000 | 0.000 | -0.000 |
| 172.722 | 631.034 | 172.722 | 0.000 | 0.000 | -0.000 |
| 172.722 | 172.722 | 631.034 | 0.000 | 0.000 | -0.000 |
| 0.001 | 0.003 | 0.003 | 109.262 | 0.000 | -0.000 |
| 0.003 | 0.001 | 0.003 | 0.000 | 109.262 | -0.000 |
| 0.003 | 0.003 | 0.001 | 0.000 | -0.000 | 109.262 |
| 629.373 | 173.530 | 173.530 | -0.000 | -0.000 | 0.000 |
| 173.530 | 629.373 | 173.530 | -0.000 | -0.000 | 0.000 |
| 173.530 | 173.530 | 629.373 | 0.000 | -0.000 | 0.000 |
| -0.001 | -0.003 | -0.003 | 109.262 | -0.000 | -0.000 |
| -0.003 | -0.001 | -0.003 | -0.000 | 109.262 | -0.000 |
| -0.003 | -0.003 | -0.001 | 0.000 | -0.000 | 109.262 |
| 629.577 | 173.553 | 173.553 | 0.000 | -0.000 | 0.000 |
| 173.553 | 629.577 | 173.553 | 0.000 | 0.000 | 0.000 |
| 173.553 | 173.553 | 629.577 | -0.000 | 0.000 | 0.000 |
| 4593276.276 | 7806376.210 | 6348766.756 | -7088035.834 | 351391.309 | 319858.825 |
| 8580026.274 | 9877987.250 | 10270747.533 | 5826526.235 | -6766639.465 | 6068622.379 |
| 10524324.224 | 10513547.182 | 7822429.357 | 4105474.315 | 4401836.903 | -5734138.374 |
| 629.207 | 173.510 | 173.510 | -0.000 | -0.000 | 0.000 |
| 173.510 | 629.207 | 173.510 | -0.000 | -0.000 | 0.000 |
| 173.510 | 173.510 | 629.207 | -0.000 | 0.000 | 0.000 |
| -4001998.594 | -5784258.483 | -6162059.348 | -7930392.662 | 290090.491 | -308263.588 |
| -8149455.365 | -5550252.776 | -7758823.929 | -2366516.920 | -7220271.790 | 1666915.333 |
| -8169264.561 | -8247675.332 | -4195770.992 | -1686087.560 | 2549845.165 | -6806206.331 |
| 75.758 | 28.624 | 28.624 | 0.000 | 0.000 | -0.000 |
| 28.624 | 75.758 | 28.624 | -0.000 | -0.000 | -0.000 |
| 28.624 | 28.624 | 75.758 | 0.000 | -0.000 | -0.000 |
| -0.000 | 0.000 | 0.000 | 18.258 | -0.000 | -0.000 |
| 0.000 | -0.000 | 0.000 | -0.000 | 18.258 | -0.000 |
| 0.000 | 0.000 | -0.000 | -0.000 | -0.000 | 18.258 |
| 75.758 | 28.624 | 28.624 | -0.000 | -0.000 | 0.000 |
| 28.624 | 75.758 | 28.624 | 0.000 | 0.000 | 0.000 |
| 28.624 | 28.624 | 75.758 | 0.000 | 0.000 | -0.000 |
| 0.000 | -0.000 | -0.000 | 18.258 | -0.000 | 0.000 |
| -0.000 | 0.000 | -0.000 | -0.000 | 18.258 | 0.000 |
| -0.000 | -0.000 | 0.000 | 0.000 | 0.000 | 18.258 |
| 75.757 | 28.624 | 28.624 | 0.000 | -0.000 | -0.000 |
| 28.624 | 75.757 | 28.624 | 0.000 | -0.000 | -0.000 |
| 28.624 | 28.624 | 75.757 | 0.000 | -0.000 | -0.000 |
| -0.000 | 0.000 | 0.000 | 18.258 | -0.000 | -0.000 |
| 0.000 | -0.000 | 0.000 | -0.000 | 18.258 | -0.000 |
| 0.000 | 0.000 | -0.000 | -0.000 | -0.000 | 18.258 |
| 75.759 | 28.624 | 28.624 | -0.000 | 0.000 | -0.000 |
| 28.624 | 75.759 | 28.624 | 0.000 | -0.000 | 0.000 |
| 28.624 | 28.624 | 75.759 | 0.000 | 0.000 | -0.000 |
| 0.000 | -0.000 | -0.000 | 18.258 | 0.000 | -0.000 |
| -0.000 | 0.000 | -0.000 | 0.000 | 18.258 | 0.000 |
| -0.000 | -0.000 | 0.000 | 0.000 | 0.000 | 18.258 |
| 75.749 | 28.624 | 28.624 | 0.000 | -0.000 | -0.000 |
| 28.624 | 75.749 | 28.624 | 0.000 | -0.000 | -0.000 |
| 28.624 | 28.624 | 75.749 | -0.000 | -0.000 | 0.000 |
| -0.000 | 0.000 | 0.000 | 18.258 | -0.000 | 0.000 |
| 0.000 | -0.000 | 0.000 | 0.000 | 18.258 | -0.000 |
| 0.000 | 0.000 | -0.000 | -0.000 | -0.000 | 18.258 |
| 75.768 | 28.625 | 28.625 | -0.000 | -0.000 | 0.000 |
| 28.625 | 75.768 | 28.625 | -0.000 | 0.000 | 0.000 |
| 28.625 | 28.625 | 75.768 | -0.000 | 0.000 | 0.000 |
| 0.000 | -0.000 | -0.000 | 18.258 | 0.000 | 0.000 |
| -0.000 | 0.000 | -0.000 | 0.000 | 18.258 | 0.000 |
| -0.000 | -0.000 | 0.000 | 0.000 | 0.000 | 18.258 |
| 70.983 | 29.519 | 29.519 | 0.000 | -0.000 | 0.000 |
| 29.519 | 70.983 | 29.519 | 0.000 | -0.000 | 0.000 |
| 29.519 | 29.519 | 70.983 | 0.000 | -0.000 | 0.000 |
| -0.000 | 0.000 | 0.000 | 17.917 | -0.000 | 0.000 |
| 0.000 | -0.000 | 0.000 | 0.000 | 17.917 | 0.000 |
| 0.000 | 0.000 | -0.000 | 0.000 | 0.000 | 17.917 |
| 70.982 | 29.519 | 29.519 | -0.000 | 0.000 | -0.000 |
| 29.519 | 70.982 | 29.519 | -0.000 | -0.000 | -0.000 |
| 29.519 | 29.519 | 70.982 | -0.000 | 0.000 | -0.000 |
| 0.000 | -0.000 | -0.000 | 17.917 | 0.000 | -0.000 |
| -0.000 | 0.000 | -0.000 | -0.000 | 17.917 | -0.000 |
| -0.000 | -0.000 | -0.000 | -0.000 | -0.000 | 17.917 |
| 70.984 | 29.519 | 29.519 | 0.000 | -0.000 | 0.000 |
| 29.519 | 70.984 | 29.519 | 0.000 | 0.000 | 0.000 |
| 29.519 | 29.519 | 70.984 | -0.000 | 0.000 | 0.000 |
| -0.000 | 0.000 | 0.000 | 17.917 | 0.000 | 0.000 |
| 0.000 | -0.000 | 0.000 | -0.000 | 17.917 | 0.000 |
| 0.000 | 0.000 | -0.000 | -0.000 | 0.000 | 17.917 |
| 70.981 | 29.519 | 29.519 | 0.000 | 0.000 | -0.000 |
| 29.519 | 70.981 | 29.519 | -0.000 | 0.000 | -0.000 |
| 29.519 | 29.519 | 70.981 | 0.000 | -0.000 | -0.000 |
| 0.000 | -0.000 | -0.000 | 17.917 | -0.000 | -0.000 |
| -0.000 | 0.000 | -0.000 | -0.000 | 17.917 | -0.000 |
| -0.000 | -0.000 | 0.000 | -0.000 | 0.000 | 17.917 |
| 70.998 | 29.520 | 29.520 | -0.000 | -0.000 | -0.000 |
| 29.520 | 70.998 | 29.520 | -0.000 | 0.000 | 0.000 |
| 29.520 | 29.520 | 70.998 | 0.000 | -0.000 | 0.000 |
| -0.000 | 0.000 | 0.000 | 17.917 | -0.000 | 0.000 |
| 0.000 | -0.000 | 0.000 | -0.000 | 17.917 | 0.000 |
| 0.000 | 0.000 | -0.000 | -0.000 | 0.000 | 17.917 |
| 70.968 | 29.519 | 29.519 | -0.000 | 0.000 | -0.000 |
| 29.519 | 70.968 | 29.519 | -0.000 | 0.000 | -0.000 |
| 29.519 | 29.519 | 70.968 | 0.000 | 0.000 | -0.000 |
| 0.000 | -0.000 | -0.000 | 17.917 | 0.000 | 0.000 |
| -0.000 | 0.000 | -0.000 | 0.000 | 17.917 | -0.000 |
| -0.000 | -0.000 | 0.000 | 0.000 | -0.000 | 17.917 |
| 18.503 | -1.553 | -1.553 | 0.000 | 0.000 | 0.000 |
| -1.553 | 18.503 | -1.553 | -0.000 | -0.000 | -0.000 |
| -1.553 | -1.553 | 18.503 | 0.000 | -0.000 | -0.000 |
| 0.000 | 0.000 | 0.000 | 3.939 | -0.000 | -0.000 |
| 0.000 | 0.000 | 0.000 | 0.000 | 3.939 | 0.000 |
| 0.000 | 0.000 | 0.000 | 0.000 | -0.000 | 3.939 |
| 18.503 | -1.553 | -1.553 | -0.000 | -0.000 | -0.000 |
| -1.553 | 18.503 | -1.553 | -0.000 | -0.000 | -0.000 |
| -1.553 | -1.553 | 18.503 | -0.000 | 0.000 | -0.000 |
| -0.000 | -0.000 | -0.000 | 3.939 | 0.000 | -0.000 |
| -0.000 | -0.000 | -0.000 | -0.000 | 3.939 | 0.000 |
| -0.000 | -0.000 | -0.000 | 0.000 | 0.000 | 3.939 |
| 18.504 | -1.553 | -1.553 | -0.000 | -0.000 | 0.000 |
| -1.553 | 18.504 | -1.553 | 0.000 | 0.000 | -0.000 |
| -1.553 | -1.553 | 18.504 | -0.000 | -0.000 | -0.000 |
| 0.000 | 0.000 | 0.000 | 3.939 | -0.000 | 0.000 |
| 0.000 | 0.000 | 0.000 | 0.000 | 3.939 | 0.000 |
| 0.000 | 0.000 | 0.000 | -0.000 | -0.000 | 3.939 |
| 18.503 | -1.553 | -1.553 | 0.000 | 0.000 | 0.000 |
| -1.553 | 18.503 | -1.553 | 0.000 | 0.000 | 0.000 |
| -1.553 | -1.553 | 18.503 | 0.000 | -0.000 | 0.000 |
| -0.000 | -0.000 | -0.000 | 3.939 | 0.000 | 0.000 |
| -0.000 | -0.000 | -0.000 | -0.000 | 3.939 | -0.000 |
| -0.000 | -0.000 | -0.000 | 0.000 | 0.000 | 3.939 |
| 18.506 | -1.555 | -1.555 | -0.000 | 0.000 | 0.000 |
| -1.555 | 18.506 | -1.555 | -0.000 | -0.000 | 0.000 |
| -1.555 | -1.555 | 18.506 | 0.000 | 0.000 | -0.000 |
| 0.000 | 0.001 | 0.001 | 3.934 | 0.000 | 0.000 |
| 0.001 | 0.000 | 0.001 | 0.000 | 3.934 | 0.000 |
| 0.001 | 0.001 | 0.000 | -0.000 | -0.000 | 3.934 |
| 18.501 | -1.551 | -1.551 | 0.000 | 0.000 | 0.000 |
| -1.551 | 18.501 | -1.551 | 0.000 | 0.000 | -0.000 |
| -1.551 | -1.551 | 18.501 | -0.000 | -0.000 | 0.000 |
| -0.000 | -0.001 | -0.001 | 3.934 | -0.000 | -0.000 |
| -0.001 | -0.000 | -0.001 | -0.000 | 3.934 | -0.000 |
| -0.001 | -0.001 | -0.000 | -0.000 | 0.000 | 3.934 |
| 28.394 | 56.742 | 56.742 | 0.000 | 0.000 | 0.000 |
| 56.742 | 28.394 | 56.742 | 0.000 | 0.000 | -0.000 |
| 56.742 | 56.742 | 28.394 | 0.000 | 0.000 | -0.000 |
| 0.000 | -0.000 | -0.000 | 0.165 | 0.000 | -0.000 |
| -0.000 | 0.000 | -0.000 | 0.000 | 0.165 | -0.000 |
| -0.000 | -0.000 | 0.000 | 0.000 | 0.000 | 0.165 |
| 28.393 | 56.742 | 56.742 | -0.000 | 0.000 | 0.000 |
| 56.742 | 28.393 | 56.742 | -0.000 | -0.000 | 0.000 |
| 56.742 | 56.742 | 28.393 | -0.000 | -0.000 | 0.000 |
| -0.000 | 0.000 | 0.000 | 0.165 | -0.000 | 0.000 |
| 0.000 | -0.000 | 0.000 | -0.000 | 0.165 | 0.000 |
| 0.000 | 0.000 | -0.000 | -0.000 | -0.000 | 0.165 |
| 28.397 | 56.743 | 56.743 | 0.000 | -0.000 | -0.000 |
| 56.743 | 28.397 | 56.743 | -0.000 | 0.000 | 0.000 |
| 56.743 | 56.743 | 28.397 | 0.000 | 0.000 | -0.000 |
| 0.001 | -0.000 | -0.000 | 0.165 | 0.000 | -0.000 |
| -0.000 | 0.001 | -0.000 | 0.000 | 0.165 | -0.000 |
| -0.000 | -0.000 | 0.001 | 0.000 | 0.000 | 0.165 |
| 28.390 | 56.741 | 56.741 | -0.000 | 0.000 | 0.000 |
| 56.741 | 28.390 | 56.741 | 0.000 | -0.000 | 0.000 |
| 56.741 | 56.741 | 28.390 | -0.000 | -0.000 | 0.000 |
| -0.001 | 0.000 | 0.000 | 0.165 | -0.000 | 0.000 |
| 0.000 | -0.001 | 0.000 | -0.000 | 0.165 | 0.000 |
| 0.000 | 0.000 | -0.001 | -0.000 | 0.000 | 0.165 |
| 28.428 | 56.755 | 56.755 | 0.000 | 0.000 | 0.000 |
| 56.755 | 28.428 | 56.755 | 0.000 | 0.000 | -0.000 |
| 56.755 | 56.755 | 28.428 | 0.000 | 0.000 | -0.000 |
| 0.005 | -0.003 | -0.003 | 0.165 | 0.000 | -0.000 |
| -0.003 | 0.005 | -0.003 | 0.000 | 0.165 | -0.000 |
| -0.003 | -0.003 | 0.005 | -0.000 | -0.000 | 0.165 |
| 28.359 | 56.729 | 56.729 | -0.000 | -0.000 | -0.000 |
| 56.729 | 28.359 | 56.729 | -0.000 | -0.000 | 0.000 |
| 56.729 | 56.729 | 28.359 | -0.000 | -0.000 | 0.000 |
| -0.005 | 0.003 | 0.003 | 0.165 | -0.000 | 0.000 |
| 0.003 | -0.005 | 0.003 | -0.000 | 0.165 | 0.000 |
| 0.003 | 0.003 | -0.005 | 0.000 | -0.000 | 0.165 |
| -868690.022 | -1040200.000 | -1040210.026 | 18.971 | 3.279 | -2.602 |
| -1040239.985 | -868700.048 | -1040220.051 | -1.510 | -13.460 | -4.240 |
| -1040250.011 | -1040220.051 | -868690.022 | 9.256 | 15.181 | -5.401 |
| 22989.964 | -22690.020 | -22710.071 | -340827646.842 | -5.429 | -4.881 |
| -22690.020 | 22989.964 | -22700.045 | 17.984 | -340827662.050 | -4.248 |
| -22690.020 | -22700.045 | 22979.939 | 14.245 | -11.162 | -340827673.418 |
| -868479.957 | -1040189.975 | -1040179.950 | -9.440 | -5.189 | 6.520 |
| -1040179.950 | -868489.982 | -1040189.975 | -10.301 | -7.937 | 4.547 |
| -1040179.950 | -1040179.950 | -868489.982 | -35.317 | -9.601 | 5.665 |
| -22999.990 | 22690.020 | 22710.071 | -340827666.767 | 2.513 | 5.244 |
| 22690.020 | -22999.990 | 22700.045 | -20.444 | -340827654.439 | 3.840 |
| 22690.020 | 22700.045 | -22979.939 | -18.341 | 10.835 | -340827667.152 |
| -869681.004 | -1040533.005 | -1040533.005 | 1.152 | -0.512 | -0.773 |
| -1040534.007 | -869681.004 | -1040533.005 | 1.109 | -2.040 | -0.588 |
| -1040534.998 | -1040531.000 | -869683.009 | 0.936 | 1.308 | -0.452 |
| 78491.002 | -90209.002 | -90252.006 | -211706696.260 | -1.124 | -0.422 |
| -90209.002 | 78491.002 | -90252.006 | 1.062 | -211706698.788 | -0.452 |
| -90209.002 | -90251.003 | 78490.000 | 1.227 | -0.567 | -211706697.691 |
| -867508.000 | -1039866.996 | -1039868.989 | -0.563 | 1.221 | 0.488 |
| -1039866.996 | -867508.991 | -1039868.989 | -1.987 | 0.655 | 0.212 |
| -1039866.996 | -1039870.995 | -867505.995 | -1.196 | 2.181 | 0.217 |
| -78491.002 | 90207.999 | 90252.006 | -211706698.988 | 1.160 | 0.428 |
| 90206.997 | -78491.993 | 90252.006 | -1.370 | -211706696.780 | 0.456 |
| 90207.999 | 90251.003 | -78490.000 | -1.076 | 0.297 | -211706696.584 |
| -879469.501 | -1043541.801 | -1043542.101 | 0.213 | -0.277 | -0.038 |
| -1043541.900 | -879469.399 | -1043542.101 | 0.133 | 0.042 | -0.053 |
| -1043542.000 | -1043541.900 | -879469.401 | -0.062 | -0.461 | -0.070 |
| -1621.601 | -46592.700 | -46679.701 | -43372883.729 | 0.290 | -0.049 |
| -46592.700 | -1621.400 | -46679.801 | 0.196 | -43372884.033 | -0.050 |
| -46592.700 | -46679.600 | -1621.601 | 0.171 | -0.046 | -43372883.934 |
| -857721.799 | -1036858.500 | -1036858.399 | -0.197 | -0.154 | 0.061 |
| -1036858.700 | -857721.799 | -1036858.500 | -0.130 | -0.115 | 0.053 |
| -1036858.600 | -1036858.500 | -857721.599 | -0.240 | -0.018 | 0.039 |
| 1621.700 | 46592.800 | 46679.701 | -43372884.026 | -0.107 | 0.055 |
| 46592.800 | 1621.400 | 46679.801 | -0.104 | -43372883.898 | 0.042 |
| 46592.800 | 46679.600 | 1621.701 | -0.231 | 0.043 | -43372883.845 |
| -2286280.042 | 4870230.018 | 4870239.985 | 11.026 | -0.978 | -2.443 |
| 4870219.992 | -2286269.958 | 4870239.985 | -5.527 | -6.020 | -0.589 |
| 4870210.025 | 4870239.985 | -2286259.991 | 11.229 | -10.069 | -0.688 |
| -39040000.006 | -9924940.003 | -9924949.970 | -391898322.211 | -5.339 | -11.420 |
| -9924959.995 | -39040070.008 | -9924970.021 | 10.443 | -391898691.800 | -4.986 |
| -9924940.003 | -9924949.970 | -39039989.981 | 4.830 | -1.968 | -391898255.919 |
| -2286080.002 | 4870260.036 | 4870260.036 | -23.677 | 18.351 | 1.214 |
| 4870279.970 | -2286110.019 | 4870270.003 | 0.842 | -7.895 | 2.069 |
| 4870270.003 | 4870270.003 | -2286090.027 | -18.371 | -4.571 | -1.529 |
| 39040079.975 | 9924959.995 | 9924970.021 | -391898710.741 | 0.168 | 0.309 |
| 9924940.003 | 39040000.006 | 9924949.970 | -10.547 | -391898297.982 | 6.264 |
| 9924949.970 | 9924949.970 | 39040030.024 | -5.853 | 3.471 | -391898449.697 |
| -2287053.998 | 4870097.998 | 4870097.001 | 1.149 | -1.882 | 0.050 |
| 4870097.998 | -2287053.001 | 4870097.998 | 0.555 | -0.948 | -0.032 |
| 4870099.001 | 4870099.001 | -2287053.998 | 0.489 | 0.370 | -0.295 |
| -40.999 | -161.000 | -161.000 | -934638.843 | 0.826 | 0.058 |
| -161.000 | -40.999 | -161.997 | 0.875 | -934640.291 | -0.074 |
| -159.997 | -159.997 | -42.998 | 0.334 | -0.544 | -934640.388 |
| -2285304.000 | 4870393.000 | 4870394.002 | -1.010 | -1.516 | -0.060 |
| 4870394.002 | -2285303.003 | 4870394.002 | -1.864 | 1.349 | -0.021 |
| 4870394.002 | 4870394.002 | -2285302.000 | 0.221 | -0.143 | 0.365 |
| 42.002 | 161.000 | 161.000 | -934641.384 | 0.283 | 0.144 |
| 159.997 | 40.999 | 161.000 | -1.378 | -934640.656 | 0.060 |
| 159.997 | 159.997 | 42.998 | -0.594 | 0.822 | -934640.233 |
| -2294931.800 | 4868756.600 | 4868756.600 | 0.184 | -0.056 | -0.022 |
| 4868756.500 | -2294931.800 | 4868756.600 | -0.017 | -0.076 | -0.019 |
| 4868756.600 | 4868756.500 | -2294931.800 | -0.057 | -0.143 | -0.004 |
| -263.000 | -1496.600 | -1494.800 | -884090.190 | -0.001 | -0.009 |
| -1496.600 | -263.100 | -1494.700 | 0.064 | -884090.341 | -0.007 |
| -1496.600 | -1494.600 | -263.200 | 0.083 | -0.004 | -884090.336 |
| -2277423.900 | 4871735.300 | 4871735.100 | 0.002 | 0.082 | 0.017 |
| 4871735.000 | -2277423.800 | 4871735.100 | 0.064 | 0.164 | 0.010 |
| 4871735.000 | 4871735.200 | -2277423.800 | 0.030 | 0.198 | -0.017 |
| 263.000 | 1496.600 | 1494.800 | -884090.389 | 0.020 | 0.001 |
| 1496.600 | 263.200 | 1494.700 | -0.015 | -884090.218 | 0.008 |
| 1496.600 | 1494.600 | 263.200 | -0.069 | 0.057 | -884090.298 |
| 1346.805 | 1118.614 | 1118.614 | -0.000 | -0.000 | 0.000 |
| 1118.614 | 1346.805 | 1118.614 | -0.000 | -0.000 | 0.000 |
| 1118.614 | 1118.614 | 1346.805 | -0.000 | -0.000 | -0.000 |
| 0.000 | 0.000 | 0.000 | 198.194 | -0.000 | 0.000 |
| 0.000 | 0.000 | 0.000 | -0.000 | 198.194 | 0.000 |
| 0.000 | 0.000 | 0.000 | -0.000 | -0.000 | 198.194 |
| 1346.792 | 1118.605 | 1118.605 | 0.000 | 0.000 | -0.000 |
| 1118.605 | 1346.792 | 1118.605 | 0.000 | 0.000 | -0.000 |
| 1118.605 | 1118.605 | 1346.792 | 0.000 | 0.000 | -0.000 |
| -0.000 | -0.000 | -0.000 | 198.194 | 0.000 | -0.000 |
| -0.000 | -0.000 | -0.000 | 0.000 | 198.194 | -0.000 |
| -0.000 | -0.000 | -0.000 | 0.000 | 0.000 | 198.194 |
| 1346.861 | 1118.654 | 1118.654 | -0.000 | -0.000 | 0.000 |
| 1118.654 | 1346.861 | 1118.654 | -0.000 | -0.000 | 0.000 |
| 1118.654 | 1118.654 | 1346.861 | -0.000 | -0.000 | 0.000 |
| 0.012 | 0.003 | 0.003 | 74.091 | 0.000 | 0.000 |
| 0.003 | 0.012 | 0.003 | -0.000 | 74.091 | 0.000 |
| 0.003 | 0.003 | 0.012 | -0.000 | -0.000 | 74.091 |
| 1346.736 | 1118.566 | 1118.566 | 0.000 | -0.000 | -0.000 |
| 1118.566 | 1346.736 | 1118.566 | 0.000 | 0.000 | -0.000 |
| 1118.566 | 1118.566 | 1346.736 | 0.000 | 0.000 | -0.000 |
| -0.012 | -0.003 | -0.003 | 74.091 | 0.000 | -0.000 |
| -0.003 | -0.012 | -0.003 | 0.000 | 74.091 | -0.000 |
| -0.003 | -0.003 | -0.012 | 0.000 | 0.000 | 74.091 |
| 1347.423 | 1119.048 | 1119.048 | -0.000 | -0.000 | 0.000 |
| 1119.048 | 1347.423 | 1119.048 | -0.000 | -0.000 | 0.000 |
| 1119.048 | 1119.048 | 1347.423 | -0.000 | -0.000 | 0.000 |
| 0.121 | 0.030 | 0.030 | 74.091 | -0.000 | 0.000 |
| 0.030 | 0.121 | 0.030 | -0.000 | 74.091 | 0.000 |
| 0.030 | 0.030 | 0.121 | -0.000 | -0.000 | 74.091 |
| 1346.174 | 1118.171 | 1118.171 | 0.000 | 0.000 | 0.000 |
| 1118.171 | 1346.174 | 1118.171 | 0.000 | 0.000 | -0.000 |
| 1118.171 | 1118.171 | 1346.174 | 0.000 | 0.000 | -0.000 |
| -0.121 | -0.030 | -0.030 | 74.091 | 0.000 | -0.000 |
| -0.030 | -0.121 | -0.030 | 0.000 | 74.091 | -0.000 |
| -0.030 | -0.030 | -0.121 | 0.000 | 0.000 | 74.091 |
| 62.884 | 14.040 | 14.040 | 0.000 | 0.000 | 0.000 |
| 14.040 | 62.884 | 14.040 | -0.000 | 0.000 | 0.000 |
| 14.040 | 14.040 | 62.884 | -0.000 | -0.000 | 0.000 |
| 0.000 | 0.000 | 0.000 | 9.789 | 0.000 | -0.000 |
| 0.000 | 0.000 | 0.000 | 0.000 | 9.789 | 0.000 |
| 0.000 | 0.000 | 0.000 | 0.000 | 0.000 | 9.789 |
| 62.884 | 14.040 | 14.040 | -0.000 | -0.000 | -0.000 |
| 14.040 | 62.884 | 14.040 | -0.000 | -0.000 | 0.000 |
| 14.040 | 14.040 | 62.884 | -0.000 | -0.000 | -0.000 |
| -0.000 | -0.000 | -0.000 | 9.789 | -0.000 | -0.000 |
| -0.000 | -0.000 | -0.000 | -0.000 | 9.789 | -0.000 |
| -0.000 | -0.000 | -0.000 | -0.000 | -0.000 | 9.789 |
| 62.884 | 14.040 | 14.040 | 0.000 | 0.000 | 0.000 |
| 14.040 | 62.884 | 14.040 | 0.000 | 0.000 | 0.000 |
| 14.040 | 14.040 | 62.884 | 0.000 | 0.000 | 0.000 |
| 0.000 | 0.000 | 0.000 | 9.789 | 0.000 | 0.000 |
| 0.000 | 0.000 | 0.000 | 0.000 | 9.789 | 0.000 |
| 0.000 | 0.000 | 0.000 | 0.000 | 0.000 | 9.789 |
| 62.884 | 14.040 | 14.040 | -0.000 | -0.000 | -0.000 |
| 14.040 | 62.884 | 14.040 | -0.000 | -0.000 | -0.000 |
| 14.040 | 14.040 | 62.884 | -0.000 | -0.000 | -0.000 |
| -0.000 | -0.000 | -0.000 | 9.789 | -0.000 | -0.000 |
| -0.000 | -0.000 | -0.000 | -0.000 | 9.789 | -0.000 |
| -0.000 | -0.000 | -0.000 | -0.000 | -0.000 | 9.789 |
| 62.885 | 14.040 | 14.040 | 0.000 | 0.000 | 0.000 |
| 14.040 | 62.885 | 14.040 | 0.000 | 0.000 | -0.000 |
| 14.040 | 14.040 | 62.885 | -0.000 | -0.000 | 0.000 |
| 0.001 | 0.001 | 0.001 | 12.394 | 0.000 | 0.000 |
| 0.001 | 0.001 | 0.001 | 0.000 | 12.394 | 0.000 |
| 0.001 | 0.001 | 0.001 | 0.000 | 0.000 | 12.394 |
| 62.882 | 14.039 | 14.039 | -0.000 | -0.000 | -0.000 |
| 14.039 | 62.882 | 14.039 | -0.000 | -0.000 | -0.000 |
| 14.039 | 14.039 | 62.882 | -0.000 | -0.000 | -0.000 |
| -0.001 | -0.001 | -0.001 | 12.394 | -0.000 | -0.000 |
| -0.001 | -0.001 | -0.001 | 0.000 | 12.394 | 0.000 |
| -0.001 | -0.001 | -0.001 | -0.000 | -0.000 | 12.394 |
| -9.903 | 18.538 | 18.538 | -0.000 | -0.000 | -0.000 |
| 18.538 | -9.903 | 18.538 | -0.000 | 0.000 | -0.000 |
| 18.538 | 18.538 | -9.903 | -0.000 | -0.000 | -0.000 |
| -0.000 | -0.000 | -0.000 | 14.445 | -0.000 | -0.000 |
| -0.000 | -0.000 | -0.000 | -0.000 | 14.445 | -0.000 |
| -0.000 | -0.000 | -0.000 | -0.000 | -0.000 | 14.445 |
| -9.902 | 18.538 | 18.538 | 0.000 | -0.000 | 0.000 |
| 18.538 | -9.902 | 18.538 | 0.000 | -0.000 | 0.000 |
| 18.538 | 18.538 | -9.902 | 0.000 | 0.000 | 0.000 |
| 0.000 | 0.000 | 0.000 | 14.445 | 0.000 | -0.000 |
| 0.000 | 0.000 | 0.000 | 0.000 | 14.445 | -0.000 |
| 0.000 | 0.000 | 0.000 | 0.000 | 0.000 | 14.445 |
| -9.903 | 18.538 | 18.538 | -0.000 | -0.000 | 0.000 |
| 18.538 | -9.903 | 18.538 | -0.000 | -0.000 | -0.000 |
| 18.538 | 18.538 | -9.903 | -0.000 | -0.000 | -0.000 |
| -0.000 | -0.000 | -0.000 | 19.641 | -0.000 | 0.000 |
| -0.000 | -0.000 | -0.000 | -0.000 | 19.641 | 0.000 |
| -0.000 | -0.000 | -0.000 | 0.000 | -0.000 | 19.641 |
| -9.902 | 18.538 | 18.538 | 0.000 | 0.000 | 0.000 |
| 18.538 | -9.902 | 18.538 | 0.000 | 0.000 | 0.000 |
| 18.538 | 18.538 | -9.902 | 0.000 | 0.000 | -0.000 |
| 0.000 | 0.000 | 0.000 | 19.641 | 0.000 | 0.000 |
| 0.000 | 0.000 | 0.000 | -0.000 | 19.641 | -0.000 |
| 0.000 | 0.000 | 0.000 | -0.000 | 0.000 | 19.641 |
| -9.910 | 18.534 | 18.534 | -0.000 | -0.000 | -0.000 |
| 18.534 | -9.910 | 18.534 | -0.000 | 0.000 | -0.000 |
| 18.534 | 18.534 | -9.910 | -0.000 | -0.000 | 0.000 |
| -0.003 | -0.003 | -0.003 | 14.445 | -0.000 | -0.000 |
| -0.003 | -0.003 | -0.003 | -0.000 | 14.445 | -0.000 |
| -0.003 | -0.003 | -0.003 | -0.000 | -0.000 | 14.445 |
| -9.895 | 18.542 | 18.542 | 0.000 | 0.000 | 0.000 |
| 18.542 | -9.895 | 18.542 | 0.000 | 0.000 | 0.000 |
| 18.542 | 18.542 | -9.895 | 0.000 | 0.000 | 0.000 |
| 0.003 | 0.003 | 0.003 | 14.445 | 0.000 | 0.000 |
| 0.003 | 0.003 | 0.003 | 0.000 | 14.445 | 0.000 |
| 0.003 | 0.003 | 0.003 | 0.000 | 0.000 | 14.445 |
| 55756699.727 | 50598000.004 | 50598000.004 | 50.975 | 75.482 | 1.711 |
| 50598000.004 | 55756699.727 | 50598000.004 | 44.916 | 49.794 | -1.668 |
| 50598000.004 | 50598000.004 | 55756699.727 | 25.327 | 35.714 | 4.325 |
| 0.000 | 0.000 | 0.000 | 8252297.722 | 46.261 | 1.874 |
| 0.000 | 0.000 | 0.000 | 14.663 | 8252316.385 | 0.841 |
| 0.000 | 0.000 | 0.000 | 33.139 | 51.315 | 8252268.459 |
| 55756599.940 | 50598000.004 | 50598099.791 | -15.679 | -28.854 | -1.513 |
| 50598099.791 | 55756599.940 | 50598000.004 | -29.488 | -32.757 | -2.074 |
| 50598000.004 | 50598000.004 | 55756700.193 | -34.454 | -73.506 | -1.584 |
| -0.000 | -0.000 | -0.000 | 8252243.750 | -39.569 | -0.322 |
| -0.000 | -0.000 | -0.000 | 2.801 | 8252220.720 | -2.138 |
| -0.000 | -0.000 | -0.000 | -19.885 | -46.394 | 8252265.887 |
| 55756960.013 | 50597750.024 | 50597750.024 | 1.596 | 6.665 | 0.309 |
| 50597750.024 | 55756960.013 | 50597750.024 | 3.643 | 4.399 | 0.056 |
| 50597750.024 | 50597750.024 | 55756969.991 | 0.852 | 4.518 | 0.259 |
| -249.981 | -289.989 | -289.989 | 8252268.386 | 3.186 | 0.059 |
| -289.989 | -249.981 | -289.989 | 2.043 | 8252270.288 | 0.114 |
| -289.989 | -289.989 | -249.981 | 2.142 | 4.190 | 8252265.050 |
| 55756429.975 | 50598320.023 | 50598320.023 | -4.418 | -4.951 | -0.202 |
| 50598320.023 | 55756429.975 | 50598320.023 | -3.114 | -5.054 | -0.219 |
| 50598320.023 | 50598320.023 | 55756440.001 | -3.595 | -3.231 | -0.301 |
| 249.981 | 289.989 | 289.989 | 8252262.223 | -3.050 | -0.209 |
| 289.989 | 249.981 | 289.989 | -0.845 | 8252260.939 | -0.130 |
| 289.989 | 289.989 | 249.981 | -1.740 | -3.942 | 8252264.849 |
| 55759326.002 | 50595185.999 | 50595185.999 | 0.418 | 0.836 | 0.022 |
| 50595185.999 | 55759326.002 | 50595185.999 | 0.308 | 0.596 | 0.009 |
| 50595185.002 | 50595185.999 | 55759326.002 | 0.140 | 0.353 | 0.011 |
| -2501.998 | -2939.000 | -2924.997 | 8252265.293 | 0.623 | -0.000 |
| -2939.000 | -2501.998 | -2924.997 | 0.301 | 8252265.495 | 0.018 |
| -2939.000 | -2924.997 | -2501.998 | 0.308 | 0.659 | 8252265.021 |
| 55754073.998 | 50600886.001 | 50600886.999 | -0.306 | -0.452 | -0.016 |
| 50600886.999 | 55754073.998 | 50600886.999 | -0.333 | -0.398 | -0.021 |
| 50600886.999 | 50600886.999 | 55754073.998 | -0.218 | -0.571 | -0.021 |
| 2501.998 | 2939.000 | 2924.997 | 8252264.720 | -0.530 | 0.003 |
| 2939.000 | 2501.998 | 2924.997 | -0.271 | 8252264.554 | -0.014 |
| 2939.000 | 2924.997 | 2501.998 | -0.444 | -0.253 | 8252264.986 |
| 35958300.063 | 22986599.934 | 22986500.030 | 6.992 | 13.384 | 0.152 |
| 22986500.030 | 35958399.967 | 22986500.030 | 18.554 | 3.483 | -2.211 |
| 22986500.030 | 22986599.934 | 35958200.043 | 9.444 | 1.321 | -1.227 |
| 0.000 | 99.904 | 0.000 | 2140768.716 | 5.165 | -0.026 |
| 0.000 | 99.904 | 0.000 | 0.141 | 2140767.104 | -1.825 |
| 0.000 | 99.904 | 0.000 | 2.974 | 17.662 | 2140754.183 |
| 35957999.886 | 22986400.010 | 22986499.914 | -29.161 | -21.726 | 1.441 |
| 22986499.914 | 35957899.982 | 22986499.914 | -8.587 | -28.274 | 0.109 |
| 22986499.914 | 22986400.010 | 35957999.886 | -14.617 | -4.731 | 1.157 |
| -0.000 | -99.904 | -0.000 | 2140757.145 | -11.513 | 3.667 |
| -0.000 | -99.904 | -0.000 | 4.745 | 2140741.061 | 0.457 |
| -0.000 | -99.904 | -0.000 | -12.051 | -1.748 | 2140755.417 |
| 35959740.004 | 22986990.001 | 22986980.011 | 0.400 | -0.236 | -0.148 |
| 22986980.011 | 35959749.995 | 22986980.011 | 1.622 | 1.047 | -0.297 |
| 22986980.011 | 22986990.001 | 35959740.004 | 1.023 | 1.301 | -0.150 |
| 310.016 | 479.992 | 470.002 | 2140754.719 | 1.021 | 0.017 |
| 470.002 | 320.006 | 470.002 | 1.481 | 2140754.709 | -0.134 |
| 470.002 | 479.992 | 320.006 | -0.562 | -0.115 | 2140753.765 |
| 35956489.988 | 22986030.005 | 22986039.996 | 0.396 | -0.565 | 0.133 |
| 22986039.996 | 35956490.011 | 22986039.996 | 0.253 | -0.088 | 0.276 |
| 22986039.996 | 22986030.005 | 35956489.988 | 0.449 | -1.675 | 0.050 |
| -310.016 | -479.992 | -470.002 | 2140752.863 | -0.446 | -0.024 |
| -470.002 | -320.006 | -470.002 | -1.680 | 2140752.627 | 0.187 |
| -470.002 | -479.992 | -320.006 | 0.277 | -0.466 | 2140753.945 |
| 35974367.001 | 22991260.000 | 22991260.000 | 0.112 | 0.138 | 0.001 |
| 22991260.000 | 35974368.000 | 22991260.000 | -0.052 | -0.023 | 0.005 |
| 22991260.000 | 22991260.999 | 35974368.000 | 0.119 | 0.043 | 0.028 |
| 3171.000 | 4714.999 | 4712.001 | 2140754.129 | 0.131 | -0.032 |
| 4714.000 | 3171.999 | 4712.001 | 0.021 | 2140754.053 | -0.013 |
| 4714.000 | 4713.000 | 3171.000 | 0.062 | 0.067 | 2140753.987 |
| 35941865.000 | 22981756.000 | 22981756.000 | -0.219 | -0.098 | 0.037 |
| 22981756.999 | 35941864.001 | 22981756.000 | -0.117 | -0.226 | 0.010 |
| 22981756.000 | 22981755.001 | 35941865.000 | -0.116 | -0.120 | 0.023 |
| -3171.000 | -4714.999 | -4712.001 | 2140753.836 | -0.238 | 0.003 |
| -4714.000 | -3171.999 | -4712.001 | -0.018 | 2140753.889 | 0.012 |
| -4714.000 | -4713.000 | -3171.000 | -0.038 | -0.108 | 2140753.997 |
| 34.167 | 34.759 | 34.759 | 0.000 | -0.000 | 0.000 |
| 34.759 | 34.167 | 34.759 | 0.000 | -0.000 | 0.000 |
| 34.759 | 34.759 | 34.167 | 0.000 | 0.000 | 0.000 |
| -0.000 | -0.000 | -0.000 | 13.190 | -0.000 | 0.000 |
| -0.000 | -0.000 | -0.000 | 0.000 | 13.190 | 0.000 |
| -0.000 | -0.000 | -0.000 | 0.000 | -0.000 | 13.190 |
| 34.176 | 34.761 | 34.761 | -0.000 | -0.000 | -0.000 |
| 34.761 | 34.176 | 34.761 | -0.000 | 0.000 | -0.000 |
| 34.761 | 34.761 | 34.176 | -0.000 | 0.000 | -0.000 |
| 0.000 | 0.000 | 0.000 | 13.190 | -0.000 | -0.000 |
| 0.000 | 0.000 | 0.000 | -0.000 | 13.190 | -0.000 |
| 0.000 | 0.000 | 0.000 | -0.000 | 0.000 | 13.190 |
| 34.128 | 34.751 | 34.751 | 0.000 | -0.000 | 0.000 |
| 34.751 | 34.128 | 34.751 | 0.000 | -0.000 | 0.000 |
| 34.751 | 34.751 | 34.128 | 0.000 | 0.000 | 0.000 |
| -0.003 | -0.005 | -0.005 | 13.190 | 0.000 | 0.000 |
| -0.005 | -0.003 | -0.005 | 0.000 | 13.190 | 0.000 |
| -0.005 | -0.005 | -0.003 | 0.000 | -0.000 | 13.190 |
| 34.214 | 34.770 | 34.770 | -0.000 | 0.000 | -0.000 |
| 34.770 | 34.214 | 34.770 | -0.000 | 0.000 | -0.000 |
| 34.770 | 34.770 | 34.214 | -0.000 | -0.000 | -0.000 |
| 0.003 | 0.005 | 0.005 | 13.190 | 0.000 | -0.000 |
| 0.005 | 0.003 | 0.005 | -0.000 | 13.190 | -0.000 |
| 0.005 | 0.005 | 0.003 | -0.000 | -0.000 | 13.190 |
| 33.742 | 34.664 | 34.664 | 0.000 | 0.000 | 0.000 |
| 34.664 | 33.742 | 34.664 | 0.000 | -0.000 | 0.000 |
| 34.664 | 34.664 | 33.742 | 0.000 | -0.000 | 0.000 |
| -0.027 | -0.047 | -0.047 | 13.190 | 0.000 | 0.000 |
| -0.047 | -0.027 | -0.047 | 0.000 | 13.190 | 0.000 |
| -0.047 | -0.047 | -0.027 | 0.000 | -0.000 | 13.190 |
| 34.601 | 34.857 | 34.857 | -0.000 | 0.000 | -0.000 |
| 34.857 | 34.601 | 34.857 | -0.000 | -0.000 | -0.000 |
| 34.857 | 34.857 | 34.601 | -0.000 | -0.000 | -0.000 |
| 0.027 | 0.047 | 0.047 | 13.190 | 0.000 | -0.000 |
| 0.047 | 0.027 | 0.047 | -0.000 | 13.190 | -0.000 |
| 0.047 | 0.047 | 0.027 | -0.000 | 0.000 | 13.190 |
| -2.955 | 16.937 | 16.937 | 0.000 | 0.000 | 0.000 |
| 16.937 | -2.955 | 16.937 | 0.000 | 0.000 | 0.000 |
| 16.937 | 16.937 | -2.955 | -0.000 | 0.000 | 0.000 |
| 0.000 | 0.000 | 0.000 | 17.551 | 0.000 | 0.000 |
| 0.000 | 0.000 | 0.000 | 0.000 | 17.551 | 0.000 |
| 0.000 | 0.000 | 0.000 | 0.000 | 0.000 | 17.551 |
| -2.955 | 16.937 | 16.937 | -0.000 | -0.000 | -0.000 |
| 16.937 | -2.955 | 16.937 | -0.000 | -0.000 | -0.000 |
| 16.937 | 16.937 | -2.955 | -0.000 | -0.000 | 0.000 |
| -0.000 | -0.000 | -0.000 | 17.551 | -0.000 | -0.000 |
| -0.000 | -0.000 | -0.000 | -0.000 | 17.551 | -0.000 |
| -0.000 | -0.000 | -0.000 | -0.000 | -0.000 | 17.551 |
| -2.951 | 16.937 | 16.937 | 0.000 | 0.000 | 0.000 |
| 16.937 | -2.951 | 16.937 | 0.000 | 0.000 | 0.000 |
| 16.937 | 16.937 | -2.951 | 0.000 | 0.000 | 0.000 |
| 0.000 | 0.000 | 0.000 | 17.551 | 0.000 | 0.000 |
| 0.000 | 0.000 | 0.000 | 0.000 | 17.551 | 0.000 |
| 0.000 | 0.000 | 0.000 | 0.000 | 0.000 | 17.551 |
| -2.959 | 16.936 | 16.936 | -0.000 | -0.000 | -0.000 |
| 16.936 | -2.959 | 16.936 | -0.000 | -0.000 | -0.000 |
| 16.936 | 16.936 | -2.959 | -0.000 | -0.000 | 0.000 |
| -0.000 | -0.000 | -0.000 | 17.551 | -0.000 | 0.000 |
| -0.000 | -0.000 | -0.000 | -0.000 | 17.551 | -0.000 |
| -0.000 | -0.000 | -0.000 | -0.000 | -0.000 | 17.551 |
| -2.914 | 16.939 | 16.939 | 0.000 | 0.000 | 0.000 |
| 16.939 | -2.914 | 16.939 | -0.000 | 0.000 | 0.000 |
| 16.939 | 16.939 | -2.914 | -0.000 | 0.000 | 0.000 |
| 0.000 | 0.002 | 0.002 | 17.551 | 0.000 | -0.000 |
| 0.002 | 0.000 | 0.002 | 0.000 | 17.551 | 0.000 |
| 0.002 | 0.002 | 0.000 | 0.000 | 0.000 | 17.551 |
| -2.996 | 16.934 | 16.934 | -0.000 | -0.000 | -0.000 |
| 16.934 | -2.996 | 16.934 | -0.000 | -0.000 | -0.000 |
| 16.934 | 16.934 | -2.996 | -0.000 | -0.000 | -0.000 |
| -0.000 | -0.002 | -0.002 | 17.551 | -0.000 | 0.000 |
| -0.002 | -0.000 | -0.002 | -0.000 | 17.551 | -0.000 |
| -0.002 | -0.002 | -0.000 | -0.000 | -0.000 | 17.551 |
| 57497200.216 | 32315699.968 | 32315699.968 | -1.594 | -70.928 | -3.672 |
| 32315800.222 | 57497099.963 | 32315699.968 | 1.539 | 13.945 | -1.191 |
| 32315800.222 | 32315699.968 | 57497099.963 | 3.523 | -15.683 | -6.300 |
| 100.253 | 0.000 | 0.000 | 5304923.713 | 3.719 | -8.770 |
| 100.253 | 0.000 | 0.000 | 2.942 | 5304893.891 | -5.758 |
| 100.253 | 0.000 | 0.000 | -8.564 | -51.514 | 5304927.595 |
| 57496699.882 | 32315700.201 | 32315700.201 | 8.148 | 16.203 | 3.473 |
| 32315599.948 | 57496700.115 | 32315700.201 | 4.332 | 27.423 | 3.493 |
| 32315499.695 | 32315599.948 | 57496700.115 | 9.895 | 38.554 | 9.163 |
| -100.253 | -0.000 | -0.000 | 5304940.146 | -15.527 | 6.765 |
| -100.253 | -0.000 | -0.000 | -3.563 | 5304963.609 | 4.678 |
| -100.253 | -0.000 | -0.000 | 8.384 | 41.610 | 5304939.945 |
| 57499380.004 | 32316440.001 | 32316440.001 | -0.181 | -3.423 | -0.090 |
| 32316450.027 | 57499369.979 | 32316440.001 | -0.907 | -2.400 | -0.247 |
| 32316450.027 | 32316440.001 | 57499369.979 | -0.070 | -8.627 | -0.265 |
| 530.014 | 749.989 | 749.989 | 5304935.240 | -1.994 | -0.630 |
| 760.014 | 519.989 | 749.989 | -0.244 | 5304930.868 | -0.471 |
| 760.014 | 739.986 | 519.989 | -0.784 | -4.960 | 5304933.918 |
| 57494479.992 | 32314940.001 | 32314940.001 | -1.375 | 2.682 | 0.711 |
| 32314929.976 | 57494490.018 | 32314940.001 | 0.018 | 1.206 | 0.602 |
| 32314929.976 | 32314940.001 | 57494490.018 | -0.406 | 5.903 | 0.764 |
| -530.014 | -739.986 | -749.989 | 5304935.316 | 1.759 | 0.077 |
| -750.012 | -519.989 | -749.989 | 0.031 | 5304939.134 | 0.757 |
| -760.014 | -749.989 | -519.989 | 0.413 | 3.092 | 5304935.104 |
| 57521414.001 | 32323256.998 | 32323256.000 | 0.086 | -0.691 | -0.014 |
| 32323258.000 | 57521412.999 | 32323256.000 | -0.131 | -0.003 | -0.033 |
| 32323258.000 | 32323256.998 | 57521412.999 | -0.059 | -0.271 | -0.067 |
| 5285.001 | 7510.999 | 7508.999 | 5304934.566 | -0.150 | -0.089 |
| 7512.002 | 5283.999 | 7508.999 | 0.000 | 5304934.264 | -0.041 |
| 7512.002 | 7508.999 | 5284.999 | -0.097 | -0.461 | 5304934.538 |
| 57472447.998 | 32308121.002 | 32308121.002 | -0.119 | 0.400 | 0.077 |
| 32308119.999 | 57472449.001 | 32308121.002 | -0.038 | 0.003 | 0.080 |
| 32308119.999 | 32308121.002 | 57472449.001 | -0.117 | 0.754 | 0.059 |
| -5285.001 | -7510.999 | -7508.999 | 5304934.606 | 0.172 | 0.076 |
| -7512.002 | -5283.999 | -7508.999 | 0.015 | 5304935.027 | 0.064 |
| -7512.002 | -7508.999 | -5284.999 | 0.111 | 0.528 | 5304934.654 |
| -20911610.118 | -25320.156 | -25299.989 | -8.410 | -14.735 | -4.759 |
| -25310.014 | -20911610.118 | -25299.989 | 0.960 | -4.635 | -0.497 |
| -25310.014 | -25320.156 | -20911610.001 | -3.253 | -4.408 | 1.014 |
| -30.076 | -50.127 | -40.101 | -10547064.465 | -4.073 | -1.602 |
| -50.127 | -20.051 | -40.101 | -0.108 | -10547074.075 | -2.611 |
| -50.127 | -50.127 | -20.051 | -5.372 | -15.818 | -10547066.458 |
| -20910979.921 | -25209.877 | -25229.928 | 4.496 | 15.707 | 4.446 |
| -25219.902 | -20910979.921 | -25229.928 | 5.230 | 6.504 | 0.914 |
| -25219.902 | -25209.877 | -20910989.946 | -1.138 | 10.600 | -0.378 |
| 30.076 | 50.127 | 40.101 | -10547062.394 | 6.186 | 1.392 |
| 50.127 | 20.051 | 40.101 | -4.842 | -10547053.423 | 1.122 |
| 50.127 | 50.127 | 20.051 | 4.750 | 14.128 | -10547063.857 |
| -20914525.008 | -25755.011 | -25753.006 | -0.061 | -1.566 | -0.121 |
| -25754.008 | -20914526.011 | -25753.006 | 0.247 | -0.575 | -0.537 |
| -25754.008 | -25754.008 | -20914525.008 | -0.179 | -1.928 | -0.170 |
| -212.013 | -488.001 | -489.003 | -10547064.126 | -0.782 | -0.206 |
| -488.001 | -210.998 | -489.003 | -1.345 | -10547065.442 | -0.116 |
| -489.003 | -489.003 | -209.996 | -0.484 | -1.658 | -10547064.172 |
| -20908069.996 | -24773.985 | -24774.987 | -0.229 | 1.579 | 0.204 |
| -24773.985 | -20908069.996 | -24774.987 | -0.160 | 1.303 | 0.173 |
| -24773.985 | -24773.985 | -20908070.999 | 0.155 | 0.977 | 0.219 |
| 210.998 | 489.003 | 489.003 | -10547063.897 | 1.421 | 0.268 |
| 489.003 | 210.998 | 489.003 | 1.024 | -10547062.652 | 0.031 |
| 489.003 | 489.003 | 209.996 | 0.488 | 1.357 | -10547063.961 |
| -20943577.800 | -30165.000 | -30164.800 | 0.006 | -0.151 | -0.030 |
| -30164.900 | -20943577.800 | -30164.800 | 0.016 | -0.174 | -0.019 |
| -30165.000 | -30165.000 | -20943577.601 | -0.020 | -0.127 | -0.016 |
| -2114.100 | -4885.302 | -4895.800 | -10547064.143 | -0.123 | -0.017 |
| -4885.201 | -2114.100 | -4895.800 | 0.003 | -10547064.249 | -0.015 |
| -4885.302 | -4895.900 | -2114.000 | 0.020 | -0.116 | -10547064.153 |
| -20879018.799 | -20364.000 | -20364.100 | -0.007 | 0.143 | 0.009 |
| -20364.000 | -20879018.898 | -20364.100 | -0.062 | 0.018 | 0.018 |
| -20364.000 | -20364.000 | -20879018.999 | 0.030 | 0.001 | -0.001 |
| 2114.100 | 4885.302 | 4895.800 | -10547064.122 | 0.117 | 0.017 |
| 4885.201 | 2114.100 | 4895.800 | -0.012 | -10547064.024 | 0.017 |
| 4885.302 | 4895.900 | 2114.000 | -0.013 | 0.133 | -10547064.115 |
| -2084319.995 | 4014319.999 | 4014319.999 | 0.384 | -1.047 | 0.227 |
| 4014329.995 | -2084319.995 | 4014319.999 | 1.141 | 1.977 | 0.493 |
| 4014319.999 | 4014319.999 | -2084319.995 | 0.666 | -2.362 | 0.392 |
| -116380.006 | -116039.989 | -116529.978 | -1199584.369 | -14.856 | -122.338 |
| -116560.025 | -117099.994 | -117150.004 | -72.078 | -1199537.192 | -103.760 |
| -117130.012 | -117569.990 | -117620.000 | -69.527 | -91.232 | -1199561.024 |
| -2084269.985 | 4014360.012 | 4014370.009 | -3.258 | -0.719 | -0.351 |
| 4014360.012 | -2084269.985 | 4014360.012 | -2.965 | -0.513 | -0.328 |
| 4014370.009 | 4014370.009 | -2084269.985 | -3.216 | -2.065 | -0.764 |
| 115320.001 | 114930.004 | 115470.002 | -1199730.071 | 22.278 | -89.832 |
| 117009.999 | 117509.984 | 117579.986 | 48.359 | -1199792.934 | -70.881 |
| 117170.026 | 117690.002 | 117760.005 | 64.426 | -67.117 | -1199787.153 |
| -2096253.000 | 4002356.999 | 4002349.999 | -4.201 | 2.876 | -1.528 |
| 4002460.001 | -2096160.997 | 4002445.001 | -4.949 | -2.508 | -4.983 |
| 4002341.000 | 4002330.998 | -2096285.999 | -5.482 | -2.422 | -4.534 |
| -11879.002 | -11926.002 | -11951.998 | -1199817.029 | -5.541 | -3.507 |
| -11891.003 | -11858.001 | -11931.000 | -6.816 | -1199813.663 | -4.530 |
| -11930.000 | -11964.999 | -11901.999 | -5.824 | -4.944 | -1199810.312 |
| -2083936.002 | 4014674.998 | 4014674.998 | -0.284 | 0.057 | -0.014 |
| 4014674.998 | -2083936.002 | 4014676.003 | -0.125 | 0.028 | 0.022 |
| 4014674.998 | 4014676.003 | -2083936.002 | -0.033 | 0.054 | -0.003 |
| 11902.999 | 11935.001 | 11992.000 | -1199778.539 | 0.369 | 5.692 |
| 11862.000 | 11842.002 | 11915.000 | 5.749 | -1199785.205 | 3.973 |
| 11608.000 | 11646.000 | 11584.997 | 9.193 | 4.713 | -1199781.787 |
| -2086263.500 | 4012633.600 | 4012633.600 | 0.004 | -0.013 | 0.005 |
| 4012633.600 | -2086263.500 | 4012633.600 | 0.041 | 0.007 | 0.010 |
| 4012633.600 | 4012633.600 | -2086263.500 | -0.007 | -0.015 | 0.003 |
| -2206.500 | -2880.600 | -2884.900 | -1199779.446 | -0.145 | -0.669 |
| -2882.400 | -2210.100 | -2887.900 | -0.618 | -1199779.246 | -0.923 |
| -2866.600 | -2871.200 | -2194.800 | -0.740 | -1.020 | -1199779.215 |
| -2082324.500 | 4016053.700 | 4016053.700 | -0.022 | -0.002 | -0.000 |
| 4016053.700 | -2082324.500 | 4016053.700 | -0.008 | -0.009 | -0.005 |
| 4016053.700 | 4016053.600 | -2082324.500 | -0.034 | 0.001 | -0.000 |
| 2208.900 | 2882.400 | 2887.300 | -1199777.107 | 0.177 | -0.219 |
| 6072.100 | 5415.900 | 6093.300 | 1.826 | -1199775.852 | -0.278 |
| 2870.500 | 2874.800 | 2198.400 | 0.706 | 0.025 | -1199777.600 |
| 43357.997 | 44388.077 | 44388.077 | 0.000 | 0.000 | -0.000 |
| 44388.077 | 43357.997 | 44388.077 | -0.000 | 0.000 | -0.000 |
| 44388.078 | 44388.078 | 43357.997 | 0.000 | 0.000 | -0.000 |
| -0.000 | -0.000 | -0.000 | 359.710 | 0.000 | -0.000 |
| -0.000 | -0.000 | -0.000 | -0.000 | 359.710 | -0.000 |
| -0.000 | -0.000 | -0.001 | 0.000 | 0.000 | 359.710 |
| 43358.082 | 44388.169 | 44388.169 | -0.000 | 0.000 | 0.000 |
| 44388.169 | 43358.082 | 44388.169 | 0.000 | -0.000 | 0.000 |
| 44388.168 | 44388.168 | 43358.082 | -0.000 | -0.000 | 0.000 |
| 0.000 | 0.000 | 0.000 | 359.710 | -0.000 | 0.000 |
| 0.000 | 0.000 | 0.000 | -0.000 | 359.710 | 0.000 |
| 0.001 | 0.000 | 0.001 | 0.000 | -0.000 | 359.710 |
| 43357.611 | 44387.665 | 44387.665 | 0.000 | 0.000 | -0.000 |
| 44387.665 | 43357.611 | 44387.665 | -0.000 | 0.000 | -0.000 |
| 44387.665 | 44387.665 | 43357.611 | -0.000 | 0.000 | -0.000 |
| -0.001 | -0.001 | -0.001 | 359.710 | -0.000 | -0.000 |
| -0.001 | -0.001 | -0.001 | -0.000 | 359.710 | -0.000 |
| -0.001 | -0.001 | -0.001 | -0.000 | 0.000 | 359.710 |
| 43358.467 | 44388.580 | 44388.580 | 0.000 | -0.000 | 0.000 |
| 44388.580 | 43358.467 | 44388.580 | -0.000 | -0.000 | 0.000 |
| 44388.580 | 44388.580 | 43358.467 | 0.000 | -0.000 | 0.000 |
| 0.001 | 0.001 | 0.001 | 359.710 | -0.000 | 0.000 |
| 0.001 | 0.001 | 0.001 | -0.000 | 359.710 | 0.000 |
| 0.001 | 0.001 | 0.001 | 0.000 | -0.000 | 359.710 |
| 43353.761 | 44383.544 | 44383.544 | -0.000 | 0.000 | -0.000 |
| 44383.544 | 43353.761 | 44383.544 | 0.000 | 0.000 | -0.000 |
| 44383.544 | 44383.544 | 43353.761 | -0.000 | -0.000 | -0.000 |
| -0.015 | -0.013 | -0.012 | 359.710 | 0.000 | -0.000 |
| -0.013 | -0.015 | -0.012 | 0.000 | 359.710 | -0.000 |
| -0.013 | -0.012 | -0.015 | 0.000 | 0.000 | 359.710 |
| 43362.317 | 44392.701 | 44392.701 | -0.000 | -0.000 | -0.000 |
| 44392.701 | 43362.317 | 44392.701 | -0.000 | -0.000 | 0.000 |
| 44392.701 | 44392.701 | 43362.317 | 0.000 | -0.000 | 0.000 |
| 0.015 | 0.013 | 0.012 | 359.710 | -0.000 | 0.000 |
| 0.013 | 0.015 | 0.012 | 0.000 | 359.710 | 0.000 |
| 0.013 | 0.012 | 0.015 | 0.000 | -0.000 | 359.710 |
| -7058.418 | -7455.024 | -7455.024 | -0.000 | -0.000 | -0.000 |
| -7455.024 | -7058.418 | -7455.024 | -0.000 | -0.000 | -0.000 |
| -7455.024 | -7455.024 | -7058.418 | -0.000 | -0.000 | -0.000 |
| 0.001 | 0.002 | 0.002 | 699.830 | -0.000 | -0.000 |
| 0.002 | 0.001 | 0.002 | -0.000 | 699.830 | -0.000 |
| 0.002 | 0.002 | 0.001 | -0.000 | -0.000 | 699.830 |
| -7058.434 | -7455.034 | -7455.034 | 0.000 | 0.000 | -0.000 |
| -7455.034 | -7058.434 | -7455.034 | -0.000 | 0.000 | 0.000 |
| -7455.034 | -7455.034 | -7058.434 | 0.000 | -0.000 | 0.000 |
| -0.001 | -0.002 | -0.002 | 699.830 | 0.000 | 0.000 |
| -0.002 | -0.001 | -0.002 | 0.000 | 699.830 | 0.000 |
| -0.002 | -0.002 | -0.001 | 0.000 | -0.000 | 699.830 |
| -7058.349 | -7454.979 | -7454.979 | -0.000 | 0.000 | -0.000 |
| -7454.979 | -7058.349 | -7454.979 | -0.000 | 0.000 | 0.000 |
| -7454.979 | -7454.979 | -7058.349 | -0.000 | -0.000 | -0.000 |
| 0.007 | 0.019 | 0.019 | 699.830 | -0.000 | -0.000 |
| 0.019 | 0.007 | 0.019 | -0.000 | 699.830 | 0.000 |
| 0.019 | 0.019 | 0.007 | -0.000 | 0.000 | 699.830 |
| -7058.502 | -7455.080 | -7455.080 | -0.000 | -0.000 | 0.000 |
| -7455.080 | -7058.502 | -7455.080 | 0.000 | 0.000 | 0.000 |
| -7455.080 | -7455.080 | -7058.502 | 0.000 | 0.000 | -0.000 |
| -0.007 | -0.019 | -0.019 | 699.830 | -0.000 | 0.000 |
| -0.019 | -0.007 | -0.019 | -0.000 | 699.830 | 0.000 |
| -0.019 | -0.019 | -0.007 | 0.000 | -0.000 | 699.830 |
| -7057.661 | -7454.528 | -7454.528 | 0.000 | -0.000 | -0.000 |
| -7454.528 | -7057.661 | -7454.528 | -0.000 | 0.000 | -0.000 |
| -7454.528 | -7454.528 | -7057.661 | -0.000 | -0.000 | -0.000 |
| 0.068 | 0.190 | 0.192 | 699.830 | 0.000 | 0.000 |
| 0.190 | 0.068 | 0.192 | -0.000 | 699.830 | -0.000 |
| 0.190 | 0.192 | 0.068 | -0.000 | -0.000 | 699.830 |
| -7059.191 | -7455.531 | -7455.531 | 0.000 | -0.000 | 0.000 |
| -7455.531 | -7059.191 | -7455.531 | -0.000 | 0.000 | 0.000 |
| -7455.531 | -7455.531 | -7059.191 | 0.000 | -0.000 | 0.000 |
| -0.068 | -0.190 | -0.192 | 699.830 | -0.000 | 0.000 |
| -0.190 | -0.068 | -0.192 | 0.000 | 699.830 | 0.000 |
| -0.190 | -0.192 | -0.068 | 0.000 | 0.000 | 699.830 |
| 946.300 | 235.521 | 235.521 | 0.000 | -0.000 | -0.000 |
| 235.521 | 946.300 | 235.521 | 0.000 | 0.000 | 0.000 |
| 235.521 | 235.521 | 946.300 | 0.000 | 0.000 | -0.000 |
| -0.000 | -0.000 | -0.000 | 234.055 | 0.000 | -0.000 |
| -0.000 | -0.000 | -0.000 | 0.000 | 234.055 | -0.000 |
| -0.000 | -0.000 | -0.000 | 0.000 | 0.000 | 234.055 |
| 946.304 | 235.521 | 235.521 | -0.000 | -0.000 | 0.000 |
| 235.521 | 946.304 | 235.521 | -0.000 | 0.000 | 0.000 |
| 235.521 | 235.521 | 946.304 | -0.000 | 0.000 | -0.000 |
| 0.000 | 0.000 | 0.000 | 234.055 | 0.000 | 0.000 |
| 0.000 | 0.000 | 0.000 | 0.000 | 234.055 | 0.000 |
| 0.000 | 0.000 | 0.000 | -0.000 | 0.000 | 234.055 |
| 946.283 | 235.519 | 235.519 | 0.000 | -0.000 | -0.000 |
| 235.519 | 946.283 | 235.519 | 0.000 | 0.000 | 0.000 |
| 235.519 | 235.519 | 946.283 | 0.000 | -0.000 | -0.000 |
| -0.000 | -0.002 | -0.002 | 234.055 | -0.000 | 0.000 |
| -0.002 | -0.000 | -0.002 | -0.000 | 234.055 | -0.000 |
| -0.002 | -0.002 | -0.000 | 0.000 | 0.000 | 234.055 |
| 946.320 | 235.523 | 235.523 | -0.000 | 0.000 | -0.000 |
| 235.523 | 946.320 | 235.523 | 0.000 | 0.000 | 0.000 |
| 235.523 | 235.523 | 946.320 | 0.000 | -0.000 | 0.000 |
| 0.000 | 0.002 | 0.002 | 234.055 | 0.000 | 0.000 |
| 0.002 | 0.000 | 0.002 | -0.000 | 234.055 | 0.000 |
| 0.002 | 0.002 | 0.000 | -0.000 | 0.000 | 234.055 |
| 946.117 | 235.498 | 235.498 | 0.000 | 0.000 | 0.000 |
| 235.498 | 946.117 | 235.498 | 0.000 | -0.000 | 0.000 |
| 235.498 | 235.498 | 946.117 | -0.000 | -0.000 | -0.000 |
| -0.001 | -0.024 | -0.024 | 234.055 | 0.000 | -0.000 |
| -0.024 | -0.001 | -0.024 | 0.000 | 234.055 | -0.000 |
| -0.024 | -0.024 | -0.001 | 0.000 | 0.000 | 234.055 |
| 946.487 | 235.544 | 235.544 | -0.000 | -0.000 | -0.000 |
| 235.544 | 946.487 | 235.544 | 0.000 | -0.000 | -0.000 |
| 235.544 | 235.544 | 946.487 | 0.000 | 0.000 | 0.000 |
| 0.001 | 0.024 | 0.024 | 234.055 | 0.000 | -0.000 |
| 0.024 | 0.001 | 0.024 | -0.000 | 234.055 | 0.000 |
| 0.024 | 0.024 | 0.001 | -0.000 | -0.000 | 234.055 |
| 24.806 | 27.026 | 27.026 | 0.000 | -0.000 | -0.000 |
| 27.026 | 24.806 | 27.026 | -0.000 | -0.000 | -0.000 |
| 27.026 | 27.026 | 24.806 | -0.000 | -0.000 | -0.000 |
| -0.000 | 0.000 | 0.000 | 29.187 | -0.000 | -0.000 |
| 0.000 | -0.000 | 0.000 | -0.000 | 29.187 | -0.000 |
| 0.000 | 0.000 | -0.000 | -0.000 | -0.000 | 29.187 |
| 24.806 | 27.026 | 27.026 | 0.000 | 0.000 | 0.000 |
| 27.026 | 24.806 | 27.026 | 0.000 | 0.000 | 0.000 |
| 27.026 | 27.026 | 24.806 | 0.000 | 0.000 | 0.000 |
| 0.000 | -0.000 | -0.000 | 29.187 | -0.000 | 0.000 |
| -0.000 | 0.000 | -0.000 | 0.000 | 29.187 | 0.000 |
| -0.000 | -0.000 | 0.000 | 0.000 | 0.000 | 29.187 |
| 24.807 | 27.026 | 27.026 | -0.000 | -0.000 | -0.000 |
| 27.026 | 24.807 | 27.026 | 0.000 | -0.000 | -0.000 |
| 27.026 | 27.026 | 24.807 | -0.000 | -0.000 | -0.000 |
| -0.000 | 0.000 | 0.000 | 29.187 | 0.000 | -0.000 |
| 0.000 | -0.000 | 0.000 | 0.000 | 29.187 | -0.000 |
| 0.000 | 0.000 | -0.000 | -0.000 | -0.000 | 29.187 |
| 24.806 | 27.026 | 27.026 | 0.000 | 0.000 | 0.000 |
| 27.026 | 24.806 | 27.026 | 0.000 | 0.000 | 0.000 |
| 27.026 | 27.026 | 24.806 | -0.000 | 0.000 | 0.000 |
| 0.000 | -0.000 | -0.000 | 29.187 | 0.000 | 0.000 |
| -0.000 | 0.000 | -0.000 | 0.000 | 29.187 | 0.000 |
| -0.000 | -0.000 | 0.000 | 0.000 | 0.000 | 29.187 |
| 24.811 | 27.028 | 27.028 | -0.000 | -0.000 | -0.000 |
| 27.028 | 24.811 | 27.028 | -0.000 | -0.000 | -0.000 |
| 27.028 | 27.028 | 24.811 | -0.000 | -0.000 | -0.000 |
| -0.000 | 0.002 | 0.002 | 29.187 | -0.000 | -0.000 |
| 0.002 | -0.000 | 0.002 | -0.000 | 29.187 | -0.000 |
| 0.002 | 0.002 | -0.000 | -0.000 | -0.000 | 29.187 |
| 24.802 | 27.024 | 27.024 | 0.000 | 0.000 | 0.000 |
| 27.024 | 24.802 | 27.024 | 0.000 | 0.000 | 0.000 |
| 27.024 | 27.024 | 24.802 | 0.000 | 0.000 | 0.000 |
| 0.000 | -0.002 | -0.002 | 29.187 | 0.000 | 0.000 |
| -0.002 | 0.000 | -0.002 | -0.000 | 29.187 | 0.000 |
| -0.002 | -0.002 | 0.000 | 0.000 | -0.000 | 29.187 |
| -15917459.875 | 8761789.845 | 8761799.870 | -1.693 | -7.056 | 2.298 |
| 8761790.078 | -15917480.042 | 8761799.870 | -3.955 | -11.066 | 2.945 |
| 8761810.012 | 8761789.845 | -15917490.068 | -5.427 | -2.671 | 1.135 |
| -85854849.929 | -157015860.062 | -157016040.052 | -1975139119.541 | -68.948 | -27.950 |
| -157015929.890 | -85854690.106 | -157015960.082 | -87.642 | -1975138388.019 | -58.233 |
| -157016120.021 | -157015940.032 | -85854610.137 | 148.393 | 71.373 | -1975139139.886 |
| -42720770.058 | 22072370.165 | 22072370.165 | 2392.677 | -354.990 | 786.411 |
| 22063639.961 | -42703080.000 | 22063650.103 | -1260.577 | 481.031 | 153.632 |
| -118304540.049 | -118304539.933 | 223529360.104 | -333.924 | -158.052 | 96.185 |
| 85854769.959 | 157015950.057 | 157016030.143 | -1975139317.956 | -45.955 | 107.007 |
| 157016020.001 | 85854510.116 | 157016000.067 | 27.198 | -1975138404.856 | 83.505 |
| 157016129.930 | 157015960.082 | 85854570.035 | 95.562 | 36.494 | -1975139167.619 |
| -15968837.993 | 8787894.997 | 8787894.997 | -0.873 | 0.233 | -0.695 |
| 8787895.008 | -15968839.007 | 8787894.997 | -1.979 | -0.261 | -0.873 |
| 8773667.002 | 8773666.991 | -15940423.004 | -1370.710 | 442.919 | -652.618 |
| -31992.997 | 175506.987 | 175504.994 | -21658020.715 | -0.976 | 0.012 |
| 175507.010 | -31994.011 | 175504.994 | -0.999 | -21658020.186 | 0.101 |
| 175508.001 | 175505.996 | -31994.011 | -1.322 | -1.240 | -21658019.355 |
| -15817546.008 | 8711407.010 | 8711407.010 | -0.500 | 1.636 | -0.122 |
| 8711405.996 | -15817543.992 | 8711406.007 | 1.591 | 1.810 | -0.037 |
| 8711405.996 | 8711407.010 | -15817543.992 | 1.975 | 0.254 | -0.051 |
| 31992.997 | -175506.987 | -175504.994 | -21658018.431 | 0.381 | -0.064 |
| -175507.010 | 31994.011 | -175504.994 | 0.698 | -21658018.508 | -0.042 |
| -175508.001 | -175505.996 | 31994.011 | 1.419 | 0.525 | -21658019.551 |
| -15916259.700 | 8765435.898 | 8765435.898 | -0.599 | 0.305 | -0.311 |
| 8765435.901 | -15916259.801 | 8765435.799 | 0.440 | 0.393 | -0.156 |
| 8765435.901 | 8765435.799 | -15916259.801 | 0.194 | -0.023 | -0.510 |
| -2991.399 | 13763.799 | 13768.300 | -4380305.422 | -0.059 | 0.017 |
| 13764.000 | -2991.600 | 13768.199 | -0.056 | -4380305.453 | 0.013 |
| 13763.900 | 13768.099 | -2991.401 | 0.006 | 0.036 | -4380305.333 |
| -15438406.100 | 8518070.700 | 8518070.801 | 0.209 | 0.077 | -0.014 |
| 8518070.699 | -15438405.900 | 8518070.801 | 0.022 | 0.037 | -0.006 |
| 8518070.699 | 8518070.901 | -15438405.999 | 0.098 | 0.076 | -0.007 |
| 2991.399 | -13763.799 | -13768.300 | -4380305.247 | 0.164 | -0.002 |
| -13763.900 | 2991.701 | -13768.199 | 0.072 | -4380305.235 | -0.010 |
| -13764.000 | -13768.099 | 2991.401 | -0.012 | 0.116 | -4380305.352 |
| 9634.724 | 8602.179 | 8602.179 | -0.000 | -0.000 | -0.000 |
| 8602.179 | 9634.724 | 8602.179 | 0.000 | -0.000 | -0.000 |
| 8602.179 | 8602.179 | 9634.724 | -0.000 | -0.000 | -0.000 |
| 0.000 | -0.001 | -0.001 | 180.462 | 0.000 | -0.000 |
| -0.001 | -0.000 | -0.001 | -0.000 | 180.462 | -0.000 |
| -0.001 | -0.001 | 0.000 | -0.000 | -0.000 | 180.462 |
| 9634.719 | 8602.169 | 8602.169 | 0.000 | 0.000 | 0.000 |
| 8602.169 | 9634.720 | 8602.169 | 0.000 | 0.000 | 0.000 |
| 8602.169 | 8602.169 | 9634.720 | 0.000 | 0.000 | 0.000 |
| -0.000 | 0.001 | 0.001 | 180.462 | -0.000 | 0.000 |
| 0.001 | -0.000 | 0.001 | -0.000 | 180.462 | 0.000 |
| 0.001 | 0.001 | -0.000 | 0.000 | 0.000 | 180.462 |
| 9634.741 | 8602.221 | 8602.221 | 0.000 | 0.000 | -0.000 |
| 8602.221 | 9634.741 | 8602.221 | -0.000 | 0.000 | -0.000 |
| 8602.221 | 8602.221 | 9634.741 | 0.000 | 0.000 | -0.000 |
| -0.003 | -0.007 | -0.007 | 117.305 | -0.000 | -0.000 |
| -0.007 | -0.003 | -0.007 | -0.000 | 117.305 | -0.000 |
| -0.007 | -0.007 | -0.003 | 0.000 | -0.000 | 117.305 |
| 9634.703 | 8602.127 | 8602.127 | -0.000 | -0.000 | 0.000 |
| 8602.127 | 9634.703 | 8602.127 | -0.000 | 0.000 | 0.000 |
| 8602.127 | 8602.127 | 9634.703 | 0.000 | -0.000 | 0.000 |
| 0.003 | 0.007 | 0.007 | 117.305 | -0.000 | 0.000 |
| 0.007 | 0.003 | 0.007 | 0.000 | 117.305 | 0.000 |
| 0.007 | 0.007 | 0.003 | 0.000 | 0.000 | 117.305 |
| 9620.696 | 8609.747 | 8609.747 | -0.000 | 0.000 | -0.000 |
| 8609.747 | 9620.696 | 8609.747 | 0.000 | 0.000 | -0.000 |
| 8609.747 | 8609.747 | 9620.696 | 0.000 | 0.000 | -0.000 |
| -0.020 | -0.075 | -0.076 | 180.462 | 0.000 | -0.000 |
| -0.075 | -0.020 | -0.076 | -0.000 | 180.462 | -0.000 |
| -0.075 | -0.076 | -0.020 | 0.000 | -0.000 | 180.462 |
| 9620.343 | 8608.804 | 8608.804 | 0.000 | 0.000 | 0.000 |
| 8608.804 | 9620.343 | 8608.804 | 0.000 | 0.000 | 0.000 |
| 8608.804 | 8608.804 | 9620.343 | 0.000 | -0.000 | 0.000 |
| 0.020 | 0.075 | 0.076 | 180.462 | -0.000 | 0.000 |
| 0.075 | 0.020 | 0.076 | 0.000 | 180.462 | 0.000 |
| 0.075 | 0.076 | 0.020 | 0.000 | -0.000 | 180.462 |
| 622.142 | 273.906 | 273.906 | 0.000 | -0.000 | -0.000 |
| 273.906 | 622.142 | 273.906 | 0.000 | -0.000 | -0.000 |
| 273.906 | 273.906 | 622.142 | 0.000 | 0.000 | -0.000 |
| -0.000 | -0.001 | -0.001 | 164.980 | 0.000 | -0.000 |
| -0.001 | -0.000 | -0.001 | 0.000 | 164.980 | -0.000 |
| -0.001 | -0.001 | -0.000 | 0.000 | -0.000 | 164.980 |
| 626.493 | 271.735 | 271.735 | -0.000 | 0.000 | 0.000 |
| 271.735 | 626.493 | 271.735 | -0.000 | 0.000 | 0.000 |
| 271.735 | 271.735 | 626.493 | -0.000 | -0.000 | 0.000 |
| 0.000 | 0.001 | 0.001 | 164.980 | 0.000 | 0.000 |
| 0.001 | 0.000 | 0.001 | -0.000 | 164.980 | 0.000 |
| 0.001 | 0.001 | 0.000 | -0.000 | -0.000 | 164.980 |
| 626.465 | 271.727 | 271.728 | 0.000 | -0.000 | -0.000 |
| 271.727 | 626.465 | 271.728 | 0.000 | -0.000 | -0.000 |
| 271.727 | 271.727 | 626.465 | 0.000 | 0.000 | -0.000 |
| -0.004 | -0.007 | -0.007 | 164.980 | -0.000 | -0.000 |
| -0.007 | -0.004 | -0.007 | 0.000 | 164.980 | -0.000 |
| -0.007 | -0.007 | -0.004 | 0.000 | -0.000 | 164.980 |
| 626.515 | 271.741 | 271.741 | -0.000 | -0.000 | 0.000 |
| 271.741 | 626.515 | 271.741 | -0.000 | 0.000 | 0.000 |
| 271.741 | 271.741 | 626.515 | -0.000 | -0.000 | 0.000 |
| 0.004 | 0.007 | 0.007 | 164.980 | 0.000 | 0.000 |
| 0.007 | 0.004 | 0.007 | -0.000 | 164.980 | 0.000 |
| 0.007 | 0.007 | 0.004 | -0.000 | 0.000 | 164.980 |
| 621.905 | 273.834 | 273.834 | 0.000 | 0.000 | -0.000 |
| 273.834 | 621.905 | 273.834 | -0.000 | 0.000 | -0.000 |
| 273.834 | 273.834 | 621.905 | 0.000 | -0.000 | -0.000 |
| -0.037 | -0.067 | -0.066 | 164.980 | 0.000 | -0.000 |
| -0.067 | -0.037 | -0.066 | 0.000 | 164.980 | -0.000 |
| -0.067 | -0.066 | -0.037 | 0.000 | 0.000 | 164.980 |
| 626.738 | 271.804 | 271.804 | -0.000 | -0.000 | 0.000 |
| 271.804 | 626.738 | 271.804 | -0.000 | 0.000 | 0.000 |
| 271.804 | 271.804 | 626.738 | -0.000 | -0.000 | 0.000 |
| 0.037 | 0.067 | 0.066 | 164.980 | -0.000 | 0.000 |
| 0.067 | 0.037 | 0.066 | -0.000 | 164.980 | 0.000 |
| 0.067 | 0.066 | 0.037 | -0.000 | 0.000 | 164.980 |
| -193.878 | -102.564 | -102.564 | 0.000 | -0.000 | -0.000 |
| -102.564 | -193.878 | -102.564 | -0.000 | -0.000 | 0.000 |
| -102.564 | -102.564 | -193.878 | -0.000 | -0.000 | -0.000 |
| 0.000 | 0.000 | 0.000 | -55.411 | -0.000 | -0.000 |
| 0.000 | 0.000 | 0.000 | 0.000 | -55.411 | -0.000 |
| -3147362507.061 | -3123286628.012 | -3172989899.962 | 16504694.400 | 3679292.230 | 80287456.997 |
| -193.881 | -102.565 | -102.565 | 0.000 | 0.000 | 0.000 |
| -102.565 | -193.881 | -102.565 | 0.000 | 0.000 | 0.000 |
| 2144777030.862 | 2119668372.394 | 2222025626.918 | -8129662.848 | -15449702.170 | -20094367.286 |
| 3306907411.593 | 3245430778.238 | 3206405498.194 | 82468247.496 | -5879415.236 | -197293.841 |
| -0.000 | -0.000 | -0.000 | 0.000 | -55.411 | 0.000 |
| -0.000 | -0.000 | -0.000 | 0.000 | 0.000 | -55.411 |
| -193.868 | -102.562 | -102.562 | -0.000 | -0.000 | -0.000 |
| -102.562 | -193.868 | -102.562 | -0.000 | -0.000 | -0.000 |
| -102.562 | -102.562 | -193.868 | -0.000 | -0.000 | -0.000 |
| 0.001 | 0.003 | 0.003 | -55.411 | -0.000 | -0.000 |
| 0.003 | 0.001 | 0.003 | -0.000 | -55.411 | -0.000 |
| -310255780.248 | -309022937.740 | -310395744.105 | -1165126.121 | -1749025.774 | 7804391.638 |
| 225706293.295 | 215638279.631 | 210078379.637 | -2420069.071 | -194882.868 | 784612.272 |
| 211264047.265 | 224313362.905 | 215378186.498 | 2044731.588 | -2296161.058 | -119453.101 |
| 218167812.254 | 214208013.305 | 225755536.145 | 214563.608 | 1232413.652 | -1562738.404 |
| -0.001 | -0.003 | -0.003 | -55.411 | 0.000 | 0.000 |
| -0.003 | -0.001 | -0.003 | -0.000 | -55.411 | 0.000 |
| -0.003 | -0.003 | -0.001 | 0.000 | 0.000 | -55.411 |
| -21292453.545 | -23357925.599 | -23227019.982 | -228079.016 | 199245.952 | 59867.931 |
| -23688245.863 | -21919348.919 | -23484338.801 | -42959.090 | 77777.226 | 18822.235 |
| -23103302.407 | -22995898.544 | -21162775.985 | 19366.893 | 149901.117 | -115494.386 |
| -31666891.124 | -31019465.207 | -31287869.726 | 726615.174 | -69732.542 | 218021.114 |
| -31576354.724 | -32391594.073 | -31488922.045 | -153204.470 | 657854.851 | -204247.705 |
| -31571746.937 | -31739467.196 | -32526489.188 | -159668.153 | -83511.728 | 729321.127 |
| 22748249.054 | 21629651.758 | 21118703.017 | -128646.803 | -27207.501 | 88742.960 |
| 21724971.256 | 23067861.481 | 22077405.062 | -1418.729 | -317534.342 | -30144.118 |
| 21451834.237 | 21239788.058 | 22662651.761 | -35433.618 | -96435.852 | -330862.142 |
| 32460197.281 | 31334059.058 | 31483055.057 | 711552.924 | -94683.088 | 41238.219 |
| 31249936.394 | 31695571.337 | 31064797.468 | 133752.203 | 731235.248 | -206519.788 |
| 31031219.217 | 31334899.229 | 32260846.850 | -273761.682 | 207882.292 | 561173.324 |
| 28.316 | 12.205 | 12.205 | -0.000 | -0.000 | -0.000 |
| 12.205 | 28.316 | 12.205 | -0.000 | -0.000 | -0.000 |
| 12.205 | 12.205 | 28.316 | -0.000 | -0.000 | -0.000 |
| 0.000 | 0.000 | 0.000 | 12.037 | -0.000 | -0.000 |
| 0.000 | 0.000 | 0.000 | -0.000 | 12.037 | -0.000 |
| 0.000 | 0.000 | 0.000 | -0.000 | -0.000 | 12.037 |
| 29.640 | 11.543 | 11.543 | 0.000 | 0.000 | 0.000 |
| 11.543 | 29.640 | 11.543 | 0.000 | 0.000 | 0.000 |
| 11.543 | 11.543 | 29.640 | 0.000 | 0.000 | 0.000 |
| -0.000 | -0.000 | -0.000 | 12.037 | 0.000 | 0.000 |
| -0.000 | -0.000 | -0.000 | 0.000 | 12.037 | 0.000 |
| -0.000 | -0.000 | -0.000 | 0.000 | 0.000 | 12.037 |
| 29.642 | 11.543 | 11.543 | -0.000 | -0.000 | -0.000 |
| 11.543 | 29.642 | 11.543 | -0.000 | -0.000 | -0.000 |
| 11.543 | 11.543 | 29.642 | -0.000 | -0.000 | -0.000 |
| 0.000 | 0.000 | 0.000 | 12.037 | -0.000 | -0.000 |
| 0.000 | 0.000 | 0.000 | -0.000 | 12.037 | -0.000 |
| 0.000 | 0.000 | 0.000 | -0.000 | -0.000 | 12.037 |
| 29.638 | 11.543 | 11.543 | 0.000 | 0.000 | 0.000 |
| 11.543 | 29.638 | 11.543 | 0.000 | 0.000 | 0.000 |
| 11.543 | 11.543 | 29.638 | 0.000 | 0.000 | 0.000 |
| -0.000 | -0.000 | -0.000 | 12.037 | 0.000 | 0.000 |
| -0.000 | -0.000 | -0.000 | 0.000 | 12.037 | 0.000 |
| -0.000 | -0.000 | -0.000 | 0.000 | 0.000 | 12.037 |
| -998.471 | 1867.518 | 1867.518 | -0.000 | -0.000 | -0.000 |
| 1867.518 | -998.471 | 1867.518 | -0.000 | -0.000 | -0.000 |
| 1867.518 | 1867.518 | -998.471 | -0.000 | -0.000 | -0.000 |
| 0.001 | 0.001 | 0.001 | 12.037 | -0.000 | -0.000 |
| 0.001 | 0.001 | 0.001 | -0.000 | 12.037 | -0.000 |
| 0.001 | 0.001 | 0.001 | -0.000 | -0.000 | 12.037 |
| -1350.665 | -680.082 | -680.082 | 0.000 | 0.000 | 0.000 |
| -680.082 | -1350.665 | -680.082 | 0.000 | 0.000 | 0.000 |
| -680.082 | -680.082 | -1350.665 | 0.000 | 0.000 | 0.000 |
| -0.001 | -0.001 | -0.001 | 12.037 | 0.000 | 0.000 |
| -0.001 | -0.001 | -0.001 | 0.000 | 12.037 | 0.000 |
| -0.001 | -0.001 | -0.001 | 0.000 | 0.000 | 12.037 |
| -17578900.995 | -4842864.996 | -4842864.996 | 0.498 | 0.743 | -0.108 |
| -4842914.995 | -17578950.994 | -4842914.995 | 0.304 | 0.223 | -0.076 |
| -4842964.993 | -4842965.005 | -17579000.992 | -0.073 | 0.278 | -0.103 |
| 229.009 | 239.990 | 236.994 | -18875274.439 | 0.441 | -0.097 |
| 109.999 | 99.006 | 107.003 | 0.282 | -18875274.282 | -0.069 |
| 109.999 | 107.003 | 98.004 | -0.220 | -0.020 | -18875274.526 |
| -17578853.002 | -4843297.998 | -4843297.998 | 0.104 | -0.062 | 0.001 |
| -4843298.009 | -17578851.999 | -4843297.998 | -0.005 | -0.335 | 0.056 |
| -4843294.011 | -4843293.008 | -17578846.998 | 0.158 | 0.029 | 0.069 |
| -98.994 | -110.011 | -107.003 | -18875274.246 | -0.020 | 0.067 |
| -173.007 | -161.000 | -168.997 | 0.070 | -18875274.671 | 0.083 |
| -190.003 | -186.996 | -178.999 | 0.051 | -0.223 | -18875274.444 |
| -17580312.700 | -4842110.901 | -4842110.900 | 0.005 | 0.018 | -0.001 |
| -4842098.700 | -17580300.500 | -4842098.700 | 0.031 | 0.056 | -0.007 |
| -4842106.900 | -4842106.900 | -17580308.699 | 0.025 | 0.031 | -0.007 |
| 990.700 | 1103.701 | 1072.301 | -18875274.520 | 0.022 | -0.002 |
| 1110.901 | 997.800 | 1079.499 | 0.013 | -18875274.441 | -0.009 |
| 1122.399 | 1090.999 | 1009.400 | 0.032 | 0.074 | -18875274.485 |
| -17577644.600 | -4844256.500 | -4844256.500 | -0.002 | -0.023 | 0.004 |
| -4844264.501 | -17577652.601 | -4844264.500 | -0.024 | -0.052 | 0.011 |
| -4844248.601 | -4844248.600 | -17577636.501 | 0.012 | 0.018 | 0.010 |
| -1002.600 | -1115.600 | -1084.199 | -18875274.516 | -0.049 | 0.008 |
| -1102.400 | -989.401 | -1071.000 | 0.028 | -18875274.545 | 0.008 |
| -1104.700 | -1073.301 | -991.599 | 0.019 | 0.000 | -18875274.468 |
| -15969080.018 | -2754850.011 | -2754850.011 | 2.025 | 1.773 | 1.863 |
| -2754860.007 | -15969090.014 | -2754860.007 | -0.346 | -0.527 | -0.126 |
| -2754850.011 | -2754840.015 | -15969060.025 | 3.707 | 3.871 | 3.898 |
| 0.000 | 0.000 | 9.996 | -6346350.309 | -0.353 | 0.171 |
| 9.996 | 9.996 | 9.996 | 1.489 | -6346349.540 | 0.838 |
| 19.992 | 19.992 | 29.989 | 3.857 | 3.676 | -6346346.707 |
| -15969059.996 | -2754870.004 | -2754880.000 | -1.883 | -0.230 | -0.417 |
| -2754889.996 | -15969080.018 | -2754889.967 | -3.868 | -3.807 | -3.921 |
| -2754870.004 | -2754870.004 | -15969070.021 | -0.752 | -0.555 | -0.829 |
| -19.992 | -19.992 | -29.989 | -6346356.091 | -3.925 | -4.094 |
| -0.000 | -0.000 | -9.996 | -0.287 | -6346350.603 | -0.057 |
| -0.000 | -9.996 | -9.996 | 0.258 | -0.209 | -6346350.636 |
| -15969192.001 | -2754820.999 | -2754820.999 | -0.026 | -0.038 | 0.000 |
| -2754821.002 | -15969192.001 | -2754820.999 | 0.033 | 0.084 | -0.006 |
| -2754821.002 | -2754820.999 | -15969191.002 | 0.112 | 0.054 | 0.045 |
| 21.001 | 45.997 | 46.000 | -6346350.638 | 0.081 | 0.085 |
| 45.997 | 21.001 | 46.000 | 0.073 | -6346350.632 | 0.093 |
| 45.997 | 44.997 | 21.001 | 0.027 | -0.053 | -6346350.751 |
| -15968957.997 | -2754910.000 | -2754910.000 | -0.100 | 0.000 | 0.008 |
| -2754910.000 | -15968959.000 | -2754911.000 | -0.116 | -0.066 | -0.117 |
| -2754910.000 | -2754911.000 | -15968959.000 | -0.183 | -0.141 | -0.193 |
| -21.001 | -45.997 | -46.000 | -6346350.686 | 0.015 | 0.005 |
| -44.997 | -21.001 | -46.000 | -0.076 | -6346350.683 | 0.015 |
| -44.997 | -44.997 | -22.000 | 0.011 | 0.029 | -6346350.726 |
| -15970244.800 | -2754421.200 | -2754421.200 | 0.002 | -0.010 | -0.004 |
| -2754421.300 | -15970244.800 | -2754421.200 | -0.001 | -0.010 | -0.003 |
| -2754421.200 | -2754421.200 | -15970244.700 | 0.011 | 0.009 | 0.010 |
| 210.900 | 458.100 | 452.000 | -6346350.657 | 0.074 | 0.076 |
| 457.700 | 210.600 | 451.700 | 0.016 | -6346350.735 | 0.007 |
| 457.700 | 451.600 | 210.600 | -0.003 | 0.003 | -6346350.742 |
| -15967905.300 | -2755309.500 | -2755309.500 | -0.036 | -0.033 | -0.031 |
| -2755309.300 | -15967905.200 | -2755309.400 | 0.005 | -0.005 | 0.000 |
| -2755309.700 | -2755309.700 | -15967905.600 | -0.084 | -0.084 | -0.078 |
| -210.900 | -458.100 | -452.100 | -6346350.836 | -0.092 | -0.089 |
| -457.900 | -210.700 | -451.900 | -0.045 | -6346350.779 | -0.040 |
| -457.900 | -451.800 | -210.800 | -0.045 | -0.046 | -6346350.782 |
| 25210.411 | 25400.746 | 25400.746 | -0.000 | 0.000 | 0.000 |
| 25400.746 | 25210.411 | 25400.746 | -0.000 | -0.000 | -0.000 |
| 25400.745 | 25400.745 | 25210.411 | -0.000 | 0.000 | -0.000 |
| 0.001 | 0.000 | 0.000 | 60.790 | -0.000 | 0.000 |
| 0.000 | 0.001 | 0.000 | -0.000 | 60.790 | -0.000 |
| 0.001 | 0.001 | 0.001 | -0.000 | 0.000 | 60.790 |
| 25210.781 | 25401.107 | 25401.107 | 0.000 | -0.000 | 0.000 |
| 25401.107 | 25210.781 | 25401.107 | 0.000 | 0.000 | -0.000 |
| 25401.107 | 25401.107 | 25210.781 | 0.000 | -0.000 | -0.000 |
| -0.001 | -0.001 | -0.001 | 60.790 | 0.000 | 0.000 |
| -0.001 | -0.001 | -0.001 | 0.000 | 60.790 | -0.000 |
| -0.001 | -0.001 | -0.001 | 0.000 | 0.000 | 60.790 |
| 25208.740 | 25399.113 | 25399.113 | -0.000 | 0.000 | 0.000 |
| 25399.113 | 25208.740 | 25399.113 | 0.000 | 0.000 | 0.000 |
| 25399.113 | 25399.113 | 25208.740 | -0.000 | -0.000 | -0.000 |
| 0.011 | 0.004 | 0.004 | 60.790 | -0.000 | -0.000 |
| 0.004 | 0.011 | 0.004 | -0.000 | 60.790 | 0.000 |
| 0.004 | 0.004 | 0.011 | 0.000 | 0.000 | 60.790 |
| 25212.453 | 25402.741 | 25402.741 | 0.000 | -0.000 | -0.000 |
| 25402.741 | 25212.453 | 25402.741 | -0.000 | -0.000 | 0.000 |
| 25402.741 | 25402.741 | 25212.453 | -0.000 | 0.000 | -0.000 |
| -0.011 | -0.004 | -0.004 | 60.790 | -0.000 | -0.000 |
| -0.004 | -0.011 | -0.004 | 0.000 | 60.790 | -0.000 |
| -0.004 | -0.004 | -0.011 | -0.000 | 0.000 | 60.790 |
| 25192.034 | 25382.786 | 25382.786 | -0.000 | -0.000 | -0.000 |
| 25382.786 | 25192.034 | 25382.786 | -0.000 | 0.000 | 0.000 |
| 25382.786 | 25382.786 | 25192.034 | -0.000 | 0.000 | -0.000 |
| 0.106 | 0.041 | 0.041 | 60.790 | 0.000 | 0.000 |
| 0.041 | 0.106 | 0.041 | -0.000 | 60.790 | -0.000 |
| 0.041 | 0.041 | 0.106 | 0.000 | 0.000 | 60.790 |
| 25229.158 | 25419.067 | 25419.067 | 0.000 | -0.000 | -0.000 |
| 25419.067 | 25229.158 | 25419.067 | 0.000 | -0.000 | -0.000 |
| 25419.067 | 25419.067 | 25229.158 | -0.000 | -0.000 | -0.000 |
| -0.106 | -0.041 | -0.041 | 60.790 | 0.000 | -0.000 |
| -0.041 | -0.106 | -0.041 | -0.000 | 60.790 | 0.000 |
| -0.041 | -0.041 | -0.106 | 0.000 | -0.000 | 60.790 |
| -263.086 | 343.716 | 343.716 | -0.000 | 0.000 | -0.000 |
| 343.716 | -263.086 | 343.716 | 0.000 | 0.000 | -0.000 |
| 343.716 | 343.716 | -263.086 | -0.000 | 0.000 | -0.000 |
| 0.000 | 0.000 | 0.000 | 48.892 | 0.000 | -0.000 |
| 0.000 | 0.000 | 0.000 | 0.000 | 48.892 | -0.000 |
| 0.000 | 0.000 | 0.000 | -0.000 | 0.000 | 48.892 |
| -263.089 | 343.717 | 343.717 | 0.000 | -0.000 | 0.000 |
| 343.717 | -263.089 | 343.717 | -0.000 | -0.000 | 0.000 |
| 343.717 | 343.717 | -263.089 | 0.000 | -0.000 | 0.000 |
| -0.000 | -0.000 | -0.000 | 48.892 | -0.000 | 0.000 |
| -0.000 | -0.000 | -0.000 | 0.000 | 48.892 | 0.000 |
| -0.000 | -0.000 | -0.000 | -0.000 | -0.000 | 48.892 |
| -263.075 | 343.711 | 343.711 | -0.000 | -0.000 | 0.000 |
| 343.711 | -263.075 | 343.711 | -0.000 | -0.000 | -0.000 |
| 343.711 | 343.711 | -263.075 | 0.000 | 0.000 | -0.000 |
| 0.002 | 0.002 | 0.002 | 48.892 | 0.000 | -0.000 |
| 0.002 | 0.002 | 0.002 | 0.000 | 48.892 | -0.000 |
| 0.002 | 0.002 | 0.002 | 0.000 | 0.000 | 48.892 |
| -263.101 | 343.722 | 343.722 | 0.000 | -0.000 | 0.000 |
| 343.722 | -263.101 | 343.722 | -0.000 | -0.000 | -0.000 |
| 343.722 | 343.722 | -263.101 | -0.000 | -0.000 | 0.000 |
| -0.002 | -0.002 | -0.002 | 48.892 | 0.000 | 0.000 |
| -0.002 | -0.002 | -0.002 | -0.000 | 48.892 | 0.000 |
| -0.002 | -0.002 | -0.002 | 0.000 | -0.000 | 48.892 |
| -262.957 | 343.663 | 343.663 | 0.000 | 0.000 | -0.000 |
| 343.663 | -262.957 | 343.663 | 0.000 | -0.000 | -0.000 |
| 343.663 | 343.663 | -262.957 | 0.000 | 0.000 | -0.000 |
| 0.020 | 0.023 | 0.023 | 48.892 | -0.000 | -0.000 |
| 0.023 | 0.020 | 0.023 | 0.000 | 48.892 | -0.000 |
| 0.023 | 0.023 | 0.020 | -0.000 | 0.000 | 48.892 |
| -263.218 | 343.771 | 343.771 | 0.000 | -0.000 | -0.000 |
| 343.771 | -263.218 | 343.771 | -0.000 | 0.000 | 0.000 |
| 343.771 | 343.771 | -263.218 | 0.000 | -0.000 | 0.000 |
| -0.020 | -0.023 | -0.023 | 48.892 | 0.000 | 0.000 |
| -0.023 | -0.020 | -0.023 | -0.000 | 48.892 | 0.000 |
| -0.023 | -0.023 | -0.020 | 0.000 | -0.000 | 48.892 |
| -344.124 | -132.286 | -132.286 | -0.000 | -0.000 | 0.000 |
| -132.286 | -344.124 | -132.286 | -0.000 | 0.000 | 0.000 |
| -132.286 | -132.286 | -344.124 | -0.000 | -0.000 | -0.000 |
| -0.000 | -0.000 | -0.000 | -85.387 | 0.000 | 0.000 |
| -0.000 | -0.000 | -0.000 | 0.000 | -85.387 | -0.000 |
| -0.000 | -0.000 | -0.000 | -0.000 | 0.000 | -85.387 |
| -344.125 | -132.286 | -132.286 | 0.000 | -0.000 | 0.000 |
| -132.286 | -344.125 | -132.286 | 0.000 | 0.000 | 0.000 |
| -132.286 | -132.286 | -344.125 | 0.000 | 0.000 | 0.000 |
| 0.000 | 0.000 | 0.000 | -85.387 | 0.000 | 0.000 |
| 0.000 | 0.000 | 0.000 | 0.000 | -85.387 | 0.000 |
| 0.000 | 0.000 | 0.000 | 0.000 | 0.000 | -85.387 |
| -344.117 | -132.286 | -132.286 | -0.000 | -0.000 | -0.000 |
| -132.286 | -344.117 | -132.286 | -0.000 | 0.000 | -0.000 |
| -132.286 | -132.286 | -344.117 | 0.000 | -0.000 | -0.000 |
| -0.000 | -0.000 | -0.000 | -85.387 | 0.000 | -0.000 |
| -0.000 | -0.000 | -0.000 | -0.000 | -85.387 | -0.000 |
| -0.000 | -0.000 | -0.000 | -0.000 | -0.000 | -85.387 |
| -344.132 | -132.286 | -132.286 | 0.000 | 0.000 | 0.000 |
| -132.286 | -344.132 | -132.286 | 0.000 | -0.000 | 0.000 |
| -132.286 | -132.286 | -344.132 | 0.000 | -0.000 | 0.000 |
| 0.000 | 0.000 | 0.000 | -85.387 | 0.000 | 0.000 |
| 0.000 | 0.000 | 0.000 | 0.000 | -85.387 | -0.000 |
| 0.000 | 0.000 | 0.000 | 0.000 | -0.000 | -85.387 |
| -344.049 | -132.290 | -132.290 | -0.000 | -0.000 | -0.000 |
| -132.290 | -344.049 | -132.290 | -0.000 | -0.000 | -0.000 |
| -132.290 | -132.290 | -344.049 | -0.000 | 0.000 | -0.000 |
| -0.002 | -0.003 | -0.003 | -85.387 | 0.000 | 0.000 |
| -0.003 | -0.002 | -0.003 | -0.000 | -85.387 | -0.000 |
| -0.003 | -0.003 | -0.002 | -0.000 | -0.000 | -85.387 |
| -344.200 | -132.282 | -132.282 | -0.000 | 0.000 | 0.000 |
| -132.282 | -344.200 | -132.282 | 0.000 | -0.000 | 0.000 |
| -132.282 | -132.282 | -344.200 | -0.000 | 0.000 | 0.000 |
| 0.002 | 0.003 | 0.003 | -85.387 | -0.000 | 0.000 |
| 0.003 | 0.002 | 0.003 | 0.000 | -85.387 | -0.000 |
| 0.003 | 0.003 | 0.002 | 0.000 | 0.000 | -85.387 |
| 34.043 | 12.605 | 12.605 | 0.000 | 0.000 | 0.000 |
| 12.605 | 34.043 | 12.605 | 0.000 | 0.000 | 0.000 |
| 12.605 | 12.605 | 34.043 | 0.000 | 0.000 | 0.000 |
| 0.000 | 0.000 | -0.000 | 13.138 | -0.000 | 0.000 |
| 0.000 | 0.000 | -0.000 | 0.000 | 13.138 | 0.000 |
| -0.000 | 0.000 | 0.000 | 0.000 | 0.000 | 13.138 |
| 34.043 | 12.605 | 12.605 | -0.000 | -0.000 | -0.000 |
| 12.605 | 34.043 | 12.605 | -0.000 | -0.000 | -0.000 |
| 12.605 | 12.605 | 34.043 | -0.000 | -0.000 | -0.000 |
| -0.000 | -0.000 | 0.000 | 13.138 | -0.000 | -0.000 |
| -0.000 | -0.000 | 0.000 | -0.000 | 13.138 | -0.000 |
| 0.000 | 0.000 | -0.000 | -0.000 | -0.000 | 13.138 |
| 34.044 | 12.605 | 12.605 | 0.000 | 0.000 | 0.000 |
| 12.605 | 34.044 | 12.605 | 0.000 | 0.000 | 0.000 |
| 12.605 | 12.605 | 34.044 | 0.000 | 0.000 | 0.000 |
| 0.000 | 0.000 | 0.000 | 13.138 | -0.000 | 0.000 |
| 0.000 | 0.000 | 0.000 | -0.000 | 13.138 | 0.000 |
| 0.000 | 0.000 | 0.000 | 0.000 | 0.000 | 13.138 |
| 34.042 | 12.605 | 12.605 | -0.000 | -0.000 | -0.000 |
| 12.605 | 34.042 | 12.605 | -0.000 | -0.000 | -0.000 |
| 12.605 | 12.605 | 34.042 | -0.000 | -0.000 | -0.000 |
| -0.000 | -0.000 | -0.000 | 13.138 | -0.000 | -0.000 |
| -0.000 | -0.000 | -0.000 | -0.000 | 13.138 | -0.000 |
| -0.000 | -0.000 | -0.000 | -0.000 | -0.000 | 13.138 |
| 34.049 | 12.605 | 12.605 | 0.000 | 0.000 | 0.000 |
| 12.605 | 34.049 | 12.605 | 0.000 | 0.000 | 0.000 |
| 12.605 | 12.605 | 34.049 | -0.000 | -0.000 | 0.000 |
| 0.000 | 0.000 | 0.000 | 13.138 | 0.000 | 0.000 |
| 0.000 | 0.000 | 0.000 | 0.000 | 13.138 | 0.000 |
| 0.000 | 0.000 | 0.000 | 0.000 | 0.000 | 13.138 |
| 34.036 | 12.604 | 12.604 | -0.000 | -0.000 | -0.000 |
| 12.604 | 34.036 | 12.604 | -0.000 | -0.000 | -0.000 |
| 12.604 | 12.604 | 34.036 | -0.000 | -0.000 | -0.000 |
| -0.000 | -0.000 | -0.000 | 13.138 | -0.000 | -0.000 |
| -0.000 | -0.000 | -0.000 | -0.000 | 13.138 | -0.000 |
| -0.000 | -0.000 | -0.000 | -0.000 | -0.000 | 13.138 |
| 31774200.011 | 22888200.080 | 19191069.959 | -1.882 | -32.948 | 25.250 |
| 22888260.115 | 31774170.051 | 19191069.959 | -12.517 | -29.423 | 25.599 |
| 18833130.086 | 18833139.995 | -22271900.029 | 7.044 | -14.691 | 23.706 |
| -19.934 | -19.934 | 19.934 | 2654814.057 | -29.713 | 18.262 |
| -30.076 | -30.076 | 0.000 | 2.732 | 2654787.727 | 19.876 |
| -10404496129.929 | -7913218499.913 | -6058444530.060 | 2860040.972 | -18842114.491 | 176686235683.046 |
| 238978729570.004 | -240144317030.072 | 7081004190.059 | 28217.094 | 34.854 | 177.062 |
| 104478510070.068 | -93698450350.085 | 4794936020.083 | -2700.756 | 28.630 | 10.540 |
| 18833159.929 | 18833150.020 | -22271609.877 | -0.828 | 31.520 | -22.516 |
| 9.909 | 30.076 | -0.000 | 2654813.805 | 5.334 | -24.238 |
| 39.985 | 30.076 | -0.000 | -6.096 | 2654858.363 | -27.289 |
| 10405611030.002 | 7914920469.999 | 6061421820.076 | -2765316.389 | -18827305.065 | 176634025554.724 |
| -122994423616.998 | 148039122291.005 | -3287839356.007 | 1093.027 | -4.305 | 1.076 |
| -91938024964.989 | 110770304388.003 | 969096308.981 | -319.134 | -3.820 | 30.279 |
| 18833029.996 | 18833023.001 | -22273279.015 | 2.276 | -2.294 | 2.542 |
| -106.991 | -309.993 | -119.010 | 2654820.554 | -5.511 | 2.256 |
| -307.999 | -109.999 | -118.019 | -1.427 | 2654818.214 | 2.174 |
| 2730563624.999 | 3242308169.006 | 6139380213.990 | 1430.067 | 138.601 | 125808443360.117 |
| -120784456662.992 | 136604516119.997 | -14836908455.988 | -257.810 | 3.318 | 15.336 |
| 123057366695.996 | -148001768707.007 | 3324287462.997 | -1087.096 | 5.638 | -2.170 |
| 18833265.987 | 18833263.994 | -22270234.996 | 0.601 | 3.853 | -2.819 |
| 104.998 | 309.002 | 117.005 | 2654821.206 | 4.190 | -2.533 |
| 309.002 | 109.999 | 119.010 | 3.580 | 2654824.074 | -2.479 |
| -2730563718.992 | -3242308109.997 | -6139380202.997 | -1418.101 | 145.453 | 125808443174.413 |
| 29740315.301 | 24885907.699 | 19187602.200 | -0.141 | -0.464 | 0.171 |
| 24749805.200 | 29876487.900 | 19187642.900 | -0.030 | -0.238 | 0.180 |
| 18831964.600 | 18831964.500 | -22286984.802 | -0.249 | 0.007 | 0.270 |
| -1071.100 | -3089.199 | -1190.101 | 2654821.246 | -0.463 | 0.287 |
| -3089.199 | -1071.600 | -1189.900 | 0.160 | 2654821.028 | 0.269 |
| 45908711.900 | -34262997.599 | 301205578.700 | -89.576 | -62.780 | -7406782946.707 |
| 30293675.501 | 24405384.599 | 19194463.901 | -0.383 | 0.032 | -0.274 |
| 20584704.199 | 34115444.099 | 19194287.201 | 0.010 | 0.668 | -0.199 |
| 18834331.900 | 18834331.100 | -22256530.000 | 0.120 | 0.440 | -0.188 |
| 1070.999 | 3089.199 | 1190.101 | 2654821.220 | 0.090 | -0.255 |
| 3089.199 | 1071.600 | 1189.900 | -0.071 | 2654821.574 | -0.228 |
| -45908624.500 | 34263055.201 | -301205427.299 | 91.430 | -63.435 | -7406781293.691 |
| 627.841 | 214.334 | 194.506 | -0.000 | 0.000 | 0.000 |
| 214.334 | 627.841 | 194.506 | -0.000 | 0.000 | -0.000 |
| 194.506 | 194.506 | 561.375 | 0.000 | 0.000 | -0.000 |
| -0.000 | -0.000 | 0.000 | 161.283 | -0.000 | 0.000 |
| -0.000 | -0.000 | 0.000 | -0.000 | 161.283 | -0.000 |
| -0.000 | -0.000 | -0.000 | 0.000 | 0.000 | 207.373 |
| 627.843 | 214.335 | 194.506 | 0.000 | -0.000 | -0.000 |
| 213.716 | 628.462 | 194.506 | 0.000 | 0.000 | -0.000 |
| 194.505 | 194.505 | 561.369 | -0.000 | 0.000 | 0.000 |
| 0.000 | 0.000 | -0.000 | 161.283 | -0.000 | 0.000 |
| 0.000 | 0.000 | -0.000 | 0.000 | 161.283 | 0.000 |
| 0.000 | 0.000 | 0.000 | -0.000 | -0.000 | 207.373 |
| 628.450 | 213.713 | 194.505 | -0.000 | 0.000 | -0.000 |
| 213.714 | 628.450 | 194.505 | -0.000 | 0.000 | 0.000 |
| 194.509 | 194.509 | 561.403 | 0.000 | 0.000 | -0.000 |
| -0.000 | -0.001 | 0.003 | 161.283 | 0.000 | 0.000 |
| -0.001 | -0.000 | 0.003 | -0.000 | 161.283 | -0.000 |
| -0.003 | -0.002 | -0.000 | -0.000 | 0.000 | 206.754 |
| 627.853 | 214.337 | 194.506 | 0.000 | 0.000 | -0.000 |
| 214.336 | 627.854 | 194.506 | 0.000 | 0.000 | -0.000 |
| 194.502 | 194.502 | 561.340 | 0.000 | -0.000 | 0.000 |
| 0.000 | 0.001 | -0.003 | 161.283 | -0.000 | 0.000 |
| 0.001 | 0.000 | -0.003 | 0.000 | 161.283 | 0.000 |
| 0.003 | 0.002 | 0.000 | 0.000 | 0.000 | 206.754 |
| 628.355 | 213.691 | 194.502 | 0.000 | 0.000 | 0.000 |
| 214.321 | 627.721 | 194.502 | -0.000 | -0.000 | -0.000 |
| 194.541 | 194.541 | 561.687 | -0.000 | -0.000 | -0.000 |
| -0.002 | -0.007 | 0.028 | 161.283 | 0.000 | 0.000 |
| -0.007 | -0.002 | 0.028 | 0.000 | 161.283 | 0.000 |
| -0.029 | -0.019 | -0.002 | -0.000 | 0.000 | 206.754 |
| 627.953 | 214.358 | 194.509 | 0.000 | -0.000 | 0.000 |
| 213.733 | 628.574 | 194.509 | 0.000 | -0.000 | -0.000 |
| 194.470 | 194.470 | 561.057 | 0.000 | -0.000 | -0.000 |
| 0.002 | 0.007 | -0.028 | 161.283 | -0.000 | 0.000 |
| 0.007 | 0.002 | -0.028 | -0.000 | 161.283 | 0.000 |
| 0.029 | 0.019 | 0.002 | 0.000 | -0.000 | 206.754 |
| 783.060 | 277.801 | 255.726 | 0.000 | 0.000 | 0.000 |
| 277.801 | 783.060 | 255.726 | -0.000 | 0.000 | 0.000 |
| 255.726 | 255.726 | 944.607 | -0.000 | 0.000 | -0.000 |
| 0.000 | 0.000 | 0.000 | 235.642 | -0.000 | -0.000 |
| 0.000 | 0.000 | 0.000 | -0.000 | 235.642 | -0.000 |
| 0.000 | 0.000 | 0.000 | 0.000 | -0.000 | 252.629 |
| 793.572 | 267.287 | 255.726 | 0.000 | -0.000 | 0.000 |
| 277.801 | 783.059 | 255.726 | 0.000 | -0.000 | 0.000 |
| 255.726 | 255.726 | 944.594 | -0.000 | -0.000 | 0.000 |
| -0.000 | -0.000 | -0.000 | 235.642 | 0.000 | -0.000 |
| -0.000 | -0.000 | -0.000 | 0.000 | 235.642 | 0.000 |
| -0.000 | -0.000 | -0.000 | -0.000 | -0.000 | 252.629 |
| 783.068 | 277.803 | 255.726 | -0.000 | 0.000 | -0.000 |
| 267.289 | 793.582 | 255.726 | 0.000 | -0.000 | -0.000 |
| 255.727 | 255.727 | 944.664 | -0.000 | 0.000 | -0.000 |
| 0.000 | 0.000 | 0.002 | 235.642 | -0.000 | -0.000 |
| 0.000 | 0.000 | 0.002 | 0.000 | 235.642 | -0.000 |
| 0.001 | 0.002 | 0.000 | -0.000 | 0.000 | 263.143 |
| 783.050 | 277.800 | 255.726 | 0.000 | 0.000 | 0.000 |
| 277.799 | 783.051 | 255.726 | 0.000 | -0.000 | 0.000 |
| 255.725 | 255.725 | 944.537 | -0.000 | 0.000 | -0.000 |
| -0.000 | -0.000 | -0.002 | 235.642 | 0.000 | 0.000 |
| -0.000 | -0.000 | -0.002 | -0.000 | 235.642 | -0.000 |
| -0.001 | -0.002 | -0.000 | 0.000 | 0.000 | 263.143 |
| 783.149 | 277.815 | 255.729 | -0.000 | 0.000 | -0.000 |
| 277.824 | 783.140 | 255.729 | -0.000 | 0.000 | -0.000 |
| 255.740 | 255.740 | 945.233 | -0.000 | 0.000 | -0.000 |
| 0.000 | 0.003 | 0.018 | 235.642 | 0.000 | 0.000 |
| 0.003 | 0.001 | 0.018 | -0.000 | 235.642 | 0.000 |
| 0.012 | 0.021 | 0.002 | -0.000 | -0.000 | 252.629 |
| 782.970 | 277.787 | 255.723 | 0.000 | -0.000 | -0.000 |
| 267.266 | 793.488 | 255.725 | -0.000 | -0.000 | -0.000 |
| 255.712 | 255.712 | 943.968 | 0.000 | -0.000 | 0.000 |
| -0.000 | -0.003 | -0.018 | 235.642 | -0.000 | -0.000 |
| -0.003 | -0.001 | -0.018 | -0.000 | 235.642 | -0.000 |
| -0.012 | -0.021 | -0.002 | 0.000 | -0.000 | 252.629 |
| 38.041 | 33.990 | 6.828 | -0.000 | 0.000 | -0.000 |
| 17.225 | 54.806 | 6.828 | -0.000 | 0.000 | -0.000 |
| 6.828 | 6.828 | 65.203 | -0.000 | 0.000 | -0.000 |
| 0.000 | 0.000 | 0.000 | 8.656 | 0.000 | -0.000 |
| 0.000 | 0.000 | 0.000 | -0.000 | 8.656 | -0.000 |
| 0.000 | 0.000 | 0.000 | 0.000 | 0.000 | 18.790 |
| 38.041 | 33.990 | 6.828 | 0.000 | -0.000 | 0.000 |
| 33.990 | 38.041 | 6.828 | 0.000 | -0.000 | 0.000 |
| 6.828 | 6.828 | 65.202 | 0.000 | -0.000 | 0.000 |
| -0.000 | -0.000 | -0.000 | 8.656 | -0.000 | 0.000 |
| -0.000 | -0.000 | -0.000 | 0.000 | 8.656 | 0.000 |
| -0.000 | -0.000 | -0.000 | 0.000 | -0.000 | 18.790 |
| 43.587 | 28.445 | 6.828 | 0.000 | 0.000 | -0.000 |
| 17.225 | 54.806 | 6.828 | 0.000 | 0.000 | -0.000 |
| 6.828 | 6.828 | 65.203 | 0.000 | 0.000 | -0.000 |
| 0.000 | 0.000 | 0.000 | 8.656 | 0.000 | -0.000 |
| 0.000 | 0.000 | 0.000 | -0.000 | 8.656 | -0.000 |
| 0.000 | 0.000 | 0.000 | 0.000 | 0.000 | 18.790 |
| 54.805 | 17.225 | 6.828 | 0.000 | -0.000 | 0.000 |
| 17.225 | 54.805 | 6.828 | 0.000 | -0.000 | 0.000 |
| 6.828 | 6.828 | 65.202 | 0.000 | -0.000 | 0.000 |
| -0.000 | -0.000 | -0.000 | 8.656 | -0.000 | 0.000 |
| -0.000 | -0.000 | -0.000 | -0.000 | 8.656 | 0.000 |
| -0.000 | -0.000 | -0.000 | -0.000 | -0.000 | 18.790 |
| 40.822 | 31.219 | 6.829 | 0.000 | 0.000 | -0.000 |
| 24.933 | 47.108 | 6.828 | -0.000 | 0.000 | -0.000 |
| 6.830 | 6.830 | 65.210 | -0.000 | 0.000 | -0.000 |
| 0.001 | 0.000 | 0.002 | 8.656 | 0.000 | -0.000 |
| 0.001 | 0.000 | 0.002 | -0.000 | 8.656 | -0.000 |
| 0.001 | 0.003 | 0.000 | -0.000 | 0.000 | 7.571 |
| 38.031 | 33.988 | 6.826 | 0.000 | -0.000 | 0.000 |
| 28.441 | 43.579 | 6.827 | 0.000 | -0.000 | 0.000 |
| 6.826 | 6.826 | 65.195 | -0.000 | -0.000 | 0.000 |
| -0.001 | -0.000 | -0.002 | 8.656 | -0.000 | 0.000 |
| -0.001 | -0.000 | -0.002 | 0.000 | 8.656 | 0.000 |
| -0.001 | -0.003 | -0.000 | -0.000 | -0.000 | 7.571 |
| 3806970.051 | 10868549.956 | 9527290.117 | 15.037 | 42.116 | 9.351 |
| 10974540.040 | 3700969.941 | 9527290.117 | 4.550 | 38.488 | 3.960 |
| 9357350.037 | 9357359.946 | -32932180.009 | 35.439 | -0.780 | 9.397 |
| 10.142 | -60.152 | -30.076 | -5212053.482 | -3.200 | 7.652 |
| -39.985 | -20.167 | -30.076 | -15.271 | -5212066.730 | 11.555 |
| -109.929 | -60.152 | -19.934 | -12.923 | -18.052 | -3636553.221 |
| 3701849.956 | 10974690.070 | 9527429.889 | 6.846 | 26.554 | -8.470 |
| -4325020.044 | 19008510.194 | 9528379.964 | -9.099 | 26.873 | -7.155 |
| 9357400.047 | 9357400.047 | -32931929.958 | 2.811 | 12.583 | -8.430 |
| -0.000 | 50.127 | 39.985 | -5212068.363 | -1.888 | -10.956 |
| 50.010 | 20.167 | 30.076 | 12.613 | -5212056.403 | -10.315 |
| 99.904 | 60.152 | 19.934 | 6.961 | 0.164 | -3636577.021 |
| 3300608.004 | 11370064.985 | 9526727.008 | 0.567 | -1.741 | 1.259 |
| 264168876.014 | -267745396.020 | 6726203.010 | 1.613 | -0.322 | -2.361 |
| 9357130.004 | 9357127.987 | -32933290.012 | -3.087 | -0.331 | 1.523 |
| -203.992 | -619.006 | -242.998 | -5212060.252 | -2.105 | 0.607 |
| -615.999 | -205.006 | -242.007 | 0.040 | -5212060.644 | 1.092 |
| -5567.000 | -2327.009 | -1487.002 | -0.066 | -0.121 | -8907446.358 |
| 3705637.995 | 10975828.004 | 9527978.998 | -1.684 | -5.773 | -0.709 |
| 10869235.001 | 3812269.013 | 9527979.988 | -1.706 | 4.820 | -0.500 |
| 9357609.996 | 9357614.018 | -32930821.995 | 0.418 | 2.394 | -1.315 |
| 203.001 | 618.015 | 242.998 | -5212061.411 | 1.863 | -0.490 |
| 617.001 | 206.009 | 242.007 | -0.102 | -5212060.012 | -0.686 |
| 5567.000 | 2327.009 | 1487.002 | 0.124 | 1.563 | -8907446.483 |
| 3228173.801 | 11394245.299 | 9521009.600 | -0.051 | 0.239 | 0.106 |
| 10436772.701 | 4182532.199 | 9521169.400 | -0.033 | 0.098 | 0.092 |
| 9354960.500 | 9354960.398 | -32944397.200 | -0.048 | -0.095 | 0.114 |
| -2058.599 | -6171.200 | -2405.000 | -5212059.941 | -0.164 | 0.089 |
| -6177.400 | -2052.600 | -2405.099 | -0.139 | -5212059.891 | 0.074 |
| -12469.099 | -5776.001 | -2058.800 | 0.117 | -0.098 | -3530642.889 |
| 3851186.500 | 10879573.202 | 9533524.701 | 0.139 | 0.023 | -0.092 |
| 10874421.200 | 3856333.201 | 9533524.900 | -0.037 | 0.145 | -0.092 |
| 9359779.400 | 9359779.801 | -32919714.500 | -0.200 | 0.105 | -0.142 |
| 2058.599 | 6171.200 | 2405.000 | -5212059.942 | -0.003 | -0.088 |
| 6177.400 | 2052.701 | 2405.099 | 0.077 | -5212059.903 | -0.082 |
| 12469.299 | 5776.001 | 2058.900 | -0.042 | -0.000 | -3530643.058 |
| -4656.136 | -5048.351 | -3455.186 | -0.000 | -0.000 | 0.000 |
| 223.554 | -9928.703 | -3455.340 | -0.000 | 0.000 | 0.000 |
| -3455.186 | -3455.185 | -979.448 | -0.000 | -0.000 | 0.000 |
| -0.004 | 0.004 | 0.000 | 160.581 | 0.000 | 0.000 |
| -0.001 | -0.000 | 0.000 | -0.000 | 160.581 | 0.000 |
| -0.000 | 0.000 | -0.000 | -0.000 | 0.000 | 196.107 |
| -6802.431 | -2901.955 | -3455.164 | 0.000 | -0.000 | -0.000 |
| -5048.351 | -4656.137 | -3455.185 | 0.000 | -0.000 | -0.000 |
| -3455.186 | -3455.186 | -979.454 | 0.000 | -0.000 | -0.000 |
| 0.004 | -0.004 | -0.000 | 160.581 | -0.000 | -0.000 |
| 0.001 | 0.000 | -0.000 | 0.000 | 160.581 | -0.000 |
| 0.000 | 0.000 | 0.000 | -0.000 | -0.000 | 196.107 |
| -4656.134 | -5048.351 | -3455.191 | -0.000 | -0.000 | 0.000 |
| -5048.350 | -4656.135 | -3455.191 | -0.000 | 0.000 | 0.000 |
| -3455.182 | -3455.182 | -979.425 | -0.000 | 0.000 | 0.000 |
| -0.001 | -0.005 | 0.002 | 160.581 | 0.000 | 0.000 |
| -0.005 | -0.001 | 0.002 | -0.000 | 160.581 | 0.000 |
| 0.000 | 0.001 | -0.001 | -0.000 | 0.000 | 196.107 |
| -6802.294 | -2901.176 | -3454.971 | 0.000 | 0.000 | 0.000 |
| -5048.351 | -4656.138 | -3455.181 | 0.000 | 0.000 | -0.000 |
| -3455.190 | -3455.190 | -979.476 | 0.000 | -0.000 | -0.000 |
| 0.001 | 0.005 | -0.002 | 160.581 | 0.000 | -0.000 |
| 0.005 | 0.001 | -0.002 | 0.000 | 160.581 | -0.000 |
| -0.000 | -0.001 | 0.001 | 0.000 | -0.000 | 196.107 |
| 51506331.458 | 47637491.485 | 24967179.874 | -8710.032 | -16202.437 | 1775158.942 |
| 49834311.256 | 24530123.073 | 10204614.076 | -14734.425 | -4627.520 | 787226.798 |
| -3455.148 | -3455.148 | -979.196 | -0.000 | 0.000 | -0.000 |
| -0.420 | 0.359 | 0.020 | 160.580 | 0.000 | 0.000 |
| -0.047 | -0.015 | 0.020 | -0.000 | 160.581 | 0.000 |
| 41010138.476 | 45772077.798 | 18111977.506 | 31280.633 | 163627.570 | -10099057.435 |
| -49537844.135 | -21106413.348 | -9009465.739 | -38768.330 | 12505.339 | -967408.581 |
| -51599246.811 | -44628841.226 | -23014446.208 | 127179.559 | 17775.258 | -480112.331 |
| -3455.223 | -3455.223 | -979.706 | 0.000 | -0.000 | -0.000 |
| 0.420 | -0.359 | -0.020 | 160.580 | -0.000 | -0.000 |
| 0.047 | 0.015 | -0.020 | 0.000 | 160.581 | 0.000 |
| -45644059.322 | -48886217.436 | -22446183.371 | 47558.784 | 62988.403 | -7652022.553 |
| 568.967 | 210.587 | 170.961 | -0.000 | -0.000 | -0.000 |
| 210.587 | 568.967 | 170.961 | -0.000 | -0.000 | -0.000 |
| 170.961 | 170.961 | 571.850 | 0.000 | -0.000 | -0.000 |
| -0.000 | -0.000 | 0.000 | 108.609 | -0.000 | -0.000 |
| -0.000 | -0.000 | 0.000 | 0.000 | 108.609 | -0.000 |
| -0.000 | -0.000 | -0.000 | 0.000 | -0.000 | 184.345 |
| 568.970 | 210.587 | 170.962 | 0.000 | 0.000 | 0.000 |
| 205.433 | 574.124 | 170.962 | 0.000 | -0.000 | -0.000 |
| 170.961 | 170.961 | 571.849 | -0.000 | -0.000 | 0.000 |
| 0.000 | 0.000 | -0.000 | 108.609 | -0.000 | 0.000 |
| 0.000 | 0.000 | -0.000 | -0.000 | 108.609 | 0.000 |
| 0.000 | 0.000 | 0.000 | -0.000 | -0.000 | 184.345 |
| 574.112 | 205.431 | 170.959 | -0.000 | 0.000 | -0.000 |
| 205.431 | 574.112 | 170.959 | -0.000 | 0.000 | -0.000 |
| 170.961 | 170.961 | 571.855 | 0.000 | 0.000 | -0.000 |
| -0.001 | -0.002 | 0.000 | 108.609 | 0.000 | -0.000 |
| -0.002 | -0.001 | 0.000 | 0.000 | 108.609 | -0.000 |
| -0.002 | -0.002 | -0.001 | -0.000 | 0.000 | 184.345 |
| 574.133 | 205.435 | 170.964 | 0.000 | -0.000 | 0.000 |
| 210.587 | 568.983 | 170.964 | -0.000 | 0.000 | 0.000 |
| 170.962 | 170.962 | 571.845 | -0.000 | -0.000 | -0.000 |
| 0.001 | 0.002 | -0.000 | 108.609 | 0.000 | -0.000 |
| 0.002 | 0.001 | -0.000 | -0.000 | 108.609 | 0.000 |
| 0.002 | 0.002 | 0.001 | 0.000 | 0.000 | 184.345 |
| 574.018 | 205.410 | 170.937 | -0.000 | 0.000 | -0.000 |
| 205.412 | 574.017 | 170.937 | -0.000 | 0.000 | -0.000 |
| 170.957 | 170.957 | 571.898 | 0.000 | -0.000 | -0.000 |
| -0.006 | -0.023 | 0.003 | 108.609 | 0.000 | -0.000 |
| -0.023 | -0.006 | 0.003 | -0.000 | 108.609 | -0.000 |
| -0.022 | -0.020 | -0.007 | -0.000 | -0.000 | 184.345 |
| 569.092 | 210.608 | 170.989 | 0.000 | 0.000 | 0.000 |
| 205.454 | 574.228 | 170.986 | -0.000 | 0.000 | 0.000 |
| 170.966 | 170.966 | 571.802 | -0.000 | 0.000 | 0.000 |
| 0.006 | 0.023 | -0.003 | 108.609 | -0.000 | -0.000 |
| 0.023 | 0.006 | -0.003 | -0.000 | 108.609 | 0.000 |
| 0.022 | 0.020 | 0.007 | 0.000 | -0.000 | 184.345 |
| 32.816 | 39.215 | 6.828 | -0.000 | 0.000 | 0.000 |
| 17.523 | 54.508 | 6.828 | -0.000 | 0.000 | -0.000 |
| 6.828 | 6.828 | 65.203 | -0.000 | 0.000 | -0.000 |
| 0.000 | 0.000 | 0.000 | 8.322 | -0.000 | 0.000 |
| 0.000 | 0.000 | 0.000 | -0.000 | 8.322 | -0.000 |
| 0.000 | 0.000 | 0.000 | -0.000 | -0.000 | -3.200 |
| 32.816 | 39.215 | 6.828 | 0.000 | 0.000 | -0.000 |
| 17.523 | 54.508 | 6.828 | 0.000 | 0.000 | 0.000 |
| 6.828 | 6.828 | 65.202 | 0.000 | -0.000 | 0.000 |
| -0.000 | -0.000 | -0.000 | 8.322 | 0.000 | 0.000 |
| -0.000 | -0.000 | -0.000 | 0.000 | 8.322 | -0.000 |
| -0.000 | -0.000 | -0.000 | 0.000 | -0.000 | -3.200 |
| 32.817 | 39.215 | 6.828 | -0.000 | -0.000 | -0.000 |
| 39.215 | 32.817 | 6.828 | -0.000 | -0.000 | 0.000 |
| 6.828 | 6.828 | 65.203 | -0.000 | -0.000 | -0.000 |
| 0.000 | -0.000 | 0.000 | 8.322 | 0.000 | 0.000 |
| -0.000 | 0.000 | 0.000 | -0.000 | 8.322 | 0.000 |
| 0.000 | 0.000 | 0.000 | -0.000 | 0.000 | -3.200 |
| 54.507 | 17.523 | 6.828 | 0.000 | 0.000 | 0.000 |
| 17.523 | 54.507 | 6.828 | 0.000 | 0.000 | 0.000 |
| 6.828 | 6.828 | 65.202 | 0.000 | 0.000 | 0.000 |
| -0.000 | 0.000 | -0.000 | 8.322 | 0.000 | -0.000 |
| 0.000 | -0.000 | -0.000 | 0.000 | 8.322 | -0.000 |
| -0.000 | -0.000 | -0.000 | 0.000 | -0.000 | -3.200 |
| 32.828 | 39.214 | 6.831 | -0.000 | 0.000 | 0.000 |
| 39.218 | 32.824 | 6.831 | -0.000 | 0.000 | -0.000 |
| 6.830 | 6.830 | 65.210 | -0.000 | -0.000 | -0.000 |
| 0.001 | -0.000 | 0.002 | 8.322 | -0.000 | 0.000 |
| -0.000 | 0.001 | 0.002 | -0.000 | 8.322 | -0.000 |
| 0.002 | 0.003 | 0.003 | -0.000 | -0.000 | -3.200 |
| 32.803 | 39.216 | 6.825 | 0.000 | 0.000 | -0.000 |
| 39.211 | 32.808 | 6.825 | 0.000 | 0.000 | -0.000 |
| 6.826 | 6.826 | 65.195 | 0.000 | 0.000 | 0.000 |
| -0.001 | 0.000 | -0.002 | 8.322 | -0.000 | 0.000 |
| 0.000 | -0.001 | -0.002 | 0.000 | 8.322 | -0.000 |
| -0.002 | -0.003 | -0.003 | 0.000 | -0.000 | -3.200 |
| 16234000.000 | 20205599.966 | 20205699.987 | 2.953 | 12.389 | 7.051 |
| 20205699.987 | 16234000.000 | 20205699.987 | 13.212 | 12.562 | 8.211 |
| 20205699.987 | 20205699.987 | 16233999.767 | -3.116 | 18.349 | 2.550 |
| -100.020 | -100.020 | -100.020 | -2363495.918 | 107.464 | 51.241 |
| 0.000 | 0.000 | 0.000 | 6.694 | -2363169.699 | 3.216 |
| 0.000 | 0.000 | 0.000 | 14.032 | 31.792 | -2363251.075 |
| 16234200.041 | 20205699.987 | 20205600.199 | -6.322 | 12.247 | 2.773 |
| 20205599.966 | 16234200.041 | 20205699.987 | -9.202 | -13.594 | -2.654 |
| 20205800.007 | 20205800.007 | 16234300.061 | -91.780 | -217.243 | -79.091 |
| -0.000 | -0.000 | -0.000 | -2363175.521 | -2.117 | 4.203 |
| -0.000 | -0.000 | -0.000 | -0.187 | -2363255.228 | -4.786 |
| -0.000 | -0.000 | -0.000 | -5.512 | -8.232 | -2363218.817 |
| 16230359.987 | 20202869.997 | 20202869.974 | 1942.609 | 3677.845 | 1492.702 |
| 20202869.997 | 16230349.985 | 20202859.995 | 1944.962 | 3684.054 | 1494.414 |
| 20202879.999 | 20202869.997 | 16230349.985 | 1942.009 | 3676.403 | 1491.876 |
| -289.989 | -130.003 | -130.026 | -2363181.066 | 2.766 | 6.390 |
| -130.003 | -290.012 | -130.026 | 2.436 | -2363174.546 | 3.472 |
| -250.004 | -260.006 | -410.013 | 98.266 | 176.550 | -2369075.499 |
| 16235209.989 | 20205829.990 | 20205820.011 | -12.886 | -26.184 | -10.254 |
| 20205800.007 | 16235190.008 | 20205800.007 | 2.247 | 5.723 | 2.545 |
| 20205800.007 | 20205809.985 | 16235190.008 | 2.216 | 5.723 | 2.082 |
| 289.989 | 140.005 | 140.005 | -2363180.097 | 1.706 | 6.078 |
| 399.988 | 559.997 | 400.011 | -192.840 | -2376344.021 | -146.994 |
| 660.017 | 659.994 | 820.003 | -385.317 | -738.341 | -2389154.651 |
| 16223222.000 | 20204314.000 | 20204314.000 | 3.321 | 6.270 | 2.559 |
| 20204314.000 | 16223221.000 | 20204314.000 | 3.313 | 6.328 | 2.553 |
| 20204310.999 | 20204311.002 | 16223218.999 | 5.454 | 10.335 | 4.187 |
| -2974.000 | -1397.998 | -1400.001 | -2369333.848 | 20.319 | 13.495 |
| -1391.002 | -2968.001 | -1394.002 | 10.186 | -2368121.344 | 9.155 |
| -1436.001 | -1440.000 | -3013.001 | 36.098 | 59.725 | -2382629.301 |
| 16244981.000 | 20207027.001 | 20207027.001 | 3.072 | 5.830 | 2.346 |
| 20207027.001 | 16244981.000 | 20207027.001 | 3.121 | 5.978 | 2.454 |
| 20207027.001 | 20207027.001 | 16244981.000 | 3.290 | 6.132 | 2.520 |
| 2969.001 | 1394.000 | 1396.003 | -2365585.022 | -4.488 | 3.388 |
| 1389.001 | 2966.001 | 1392.002 | 2.492 | -2363169.824 | 3.293 |
| 1386.001 | 1388.999 | 2962.000 | 6.046 | 2.773 | -2363318.024 |
| 1550289.993 | -244110.005 | -244110.005 | 7.168 | 6.137 | 0.010 |
| -244110.005 | 1550279.996 | -244110.005 | 2.648 | 3.528 | -0.133 |
| -244110.005 | -244120.001 | 1550299.989 | 8.130 | 10.467 | 0.948 |
| 2782079.994 | -4392290.001 | -4392370.000 | -4608956063.710 | 2362.711 | 2914.092 |
| -4392290.001 | 2782079.994 | -4392370.000 | 2374.289 | -4608956066.018 | 2911.406 |
| -4392290.001 | -4392379.996 | 2782089.990 | 2379.540 | 2923.990 | -4608956099.877 |
| 1550540.014 | -244049.969 | -244070.020 | -1.878 | -5.046 | -0.896 |
| -244049.969 | 1550540.014 | -244070.020 | -5.336 | -2.751 | -0.979 |
| -244049.969 | -244060.024 | 1550530.018 | -4.185 | -6.004 | -1.134 |
| -2781929.993 | 4392109.982 | 4392190.039 | -4608966753.020 | -3355.145 | -2999.349 |
| 4392109.982 | -2781929.993 | 4392190.039 | -3361.738 | -4608966753.048 | -3000.586 |
| 4392109.982 | 4392200.035 | -2781939.989 | -3350.230 | -3033.230 | -4608966669.083 |
| 1549161.996 | -244356.998 | -244355.999 | -0.146 | 0.761 | 0.101 |
| -244356.998 | 1549161.996 | -244355.999 | 0.899 | -0.295 | 0.081 |
| -244356.998 | -244356.998 | 1549162.996 | 0.457 | 0.887 | 0.009 |
| -76.000 | -271.002 | -270.002 | -4081296.562 | 0.591 | 0.055 |
| -271.002 | -75.001 | -270.002 | 0.272 | -4081296.714 | 0.055 |
| -271.002 | -272.001 | -75.001 | 0.516 | 0.575 | -4081297.024 |
| 1551662.001 | -243813.998 | -243815.997 | -0.015 | 0.168 | -0.161 |
| -243814.998 | 1551662.001 | -243815.997 | -0.175 | -0.080 | -0.100 |
| -243814.998 | -243813.998 | 1551661.001 | -0.536 | -0.525 | -0.019 |
| 76.000 | 271.002 | 270.002 | -4081297.143 | -0.079 | -0.064 |
| 270.002 | 76.000 | 270.002 | -0.086 | -4081297.404 | -0.001 |
| 270.002 | 272.001 | 75.001 | 0.262 | -0.264 | -4081297.119 |
| 1537918.800 | -246796.500 | -246796.400 | -0.026 | 0.111 | 0.007 |
| -246796.500 | 1537918.800 | -246796.400 | 0.085 | 0.013 | -0.000 |
| -246796.500 | -246796.500 | 1537918.900 | 0.062 | 0.090 | -0.001 |
| -3862788.900 | -125480.200 | -125689.800 | -104359043.252 | 0.690 | 0.665 |
| -125480.200 | -3862788.900 | -125689.800 | 0.722 | -104359043.291 | 0.667 |
| -125480.200 | -125689.900 | -3862788.800 | 0.715 | 0.725 | -104359043.364 |
| 1562905.400 | -241375.200 | -241375.300 | -0.075 | -0.079 | -0.005 |
| -241375.100 | 1562905.400 | -241375.300 | -0.091 | -0.095 | -0.005 |
| -241375.100 | -241375.200 | 1562905.300 | -0.066 | -0.077 | -0.001 |
| 3862788.900 | 125480.200 | 125689.800 | -104359043.289 | -0.662 | -0.633 |
| 125480.200 | 3862788.900 | 125689.800 | -0.672 | -104359043.289 | -0.635 |
| 125480.200 | 125689.900 | 3862788.800 | -0.670 | -0.675 | -104359043.205 |
| 7731.519 | 7989.265 | 7989.265 | -0.000 | -0.000 | -0.000 |
| 7989.265 | 7731.519 | 7989.265 | -0.000 | -0.000 | -0.000 |
| 7989.265 | 7989.265 | 7731.519 | -0.000 | 0.000 | -0.000 |
| -0.000 | -0.001 | -0.001 | -225.486 | -0.000 | -0.000 |
| -0.001 | -0.000 | -0.001 | -0.000 | -225.486 | -0.000 |
| -0.001 | -0.001 | -0.000 | -0.000 | -0.000 | -225.486 |
| 7731.520 | 7989.248 | 7989.248 | 0.000 | 0.000 | 0.000 |
| 7989.248 | 7731.520 | 7989.248 | 0.000 | 0.000 | 0.000 |
| 7989.248 | 7989.248 | 7731.520 | 0.000 | 0.000 | 0.000 |
| 0.000 | 0.001 | 0.001 | -225.486 | 0.000 | 0.000 |
| 0.001 | 0.000 | 0.001 | 0.000 | -225.486 | 0.000 |
| 0.001 | 0.001 | 0.000 | 0.000 | -0.000 | -225.486 |
| 7731.514 | 7989.340 | 7989.340 | -0.000 | -0.000 | -0.000 |
| 7989.340 | 7731.514 | 7989.340 | -0.000 | -0.000 | 0.000 |
| 7989.340 | 7989.340 | 7731.514 | -0.000 | -0.000 | -0.000 |
| -0.002 | -0.014 | -0.014 | -225.486 | -0.000 | 0.000 |
| -0.014 | -0.002 | -0.014 | -0.000 | -225.486 | -0.000 |
| -0.014 | -0.014 | -0.002 | -0.000 | -0.000 | -225.486 |
| 7731.525 | 7989.172 | 7989.172 | 0.000 | 0.000 | 0.000 |
| 7989.172 | 7731.525 | 7989.172 | 0.000 | 0.000 | 0.000 |
| 7989.172 | 7989.172 | 7731.525 | 0.000 | -0.000 | -0.000 |
| 0.002 | 0.014 | 0.014 | -225.486 | 0.000 | -0.000 |
| 0.014 | 0.002 | 0.014 | 0.000 | -225.486 | 0.000 |
| 0.014 | 0.014 | 0.002 | 0.000 | 0.000 | -225.486 |
| 7731.466 | 7990.094 | 7990.094 | -0.000 | -0.000 | -0.000 |
| 7990.094 | 7731.466 | 7990.094 | -0.000 | -0.000 | -0.000 |
| 7990.094 | 7990.094 | 7731.466 | -0.000 | -0.000 | -0.000 |
| -0.020 | -0.142 | -0.143 | -225.486 | 0.000 | -0.000 |
| -0.142 | -0.020 | -0.143 | -0.000 | -225.486 | -0.000 |
| -0.142 | -0.143 | -0.020 | -0.000 | -0.000 | -225.486 |
| 7731.572 | 7988.419 | 7988.419 | 0.000 | 0.000 | 0.000 |
| 7988.419 | 7731.572 | 7988.419 | 0.000 | -0.000 | 0.000 |
| 7988.419 | 7988.419 | 7731.572 | 0.000 | 0.000 | 0.000 |
| 0.020 | 0.142 | 0.143 | -225.486 | -0.000 | 0.000 |
| 0.142 | 0.020 | 0.143 | 0.000 | -225.486 | 0.000 |
| 0.142 | 0.143 | 0.020 | 0.000 | -0.000 | -225.486 |
| 959.365 | 1097.315 | 1097.315 | 0.000 | 0.000 | 0.000 |
| 1097.315 | 959.365 | 1097.315 | 0.000 | 0.000 | 0.000 |
| 1097.315 | 1097.315 | 959.365 | 0.000 | 0.000 | 0.000 |
| -0.001 | -0.001 | -0.001 | 748.729 | 0.000 | -0.000 |
| -0.001 | -0.001 | -0.001 | 0.000 | 748.729 | 0.000 |
| -0.001 | -0.001 | -0.001 | 0.000 | -0.000 | 748.729 |
| 959.364 | 1097.317 | 1097.317 | -0.000 | -0.000 | -0.000 |
| 1097.317 | 959.364 | 1097.317 | -0.000 | -0.000 | -0.000 |
| 1097.317 | 1097.317 | 959.364 | -0.000 | -0.000 | -0.000 |
| 0.001 | 0.001 | 0.001 | 748.729 | 0.000 | -0.000 |
| 0.001 | 0.001 | 0.001 | -0.000 | 748.729 | 0.000 |
| 0.001 | 0.001 | 0.001 | -0.000 | 0.000 | 748.729 |
| 959.367 | 1097.304 | 1097.304 | 0.000 | 0.000 | 0.000 |
| 1097.304 | 959.367 | 1097.304 | 0.000 | 0.000 | 0.000 |
| 1097.304 | 1097.304 | 959.367 | 0.000 | 0.000 | 0.000 |
| 0.002 | 0.003 | 0.003 | 205.849 | 0.000 | 0.000 |
| 0.003 | 0.002 | 0.003 | 0.000 | 205.849 | 0.000 |
| 0.003 | 0.003 | 0.002 | 0.000 | 0.000 | 205.849 |
| 959.361 | 1097.327 | 1097.327 | -0.000 | -0.000 | -0.000 |
| 1097.327 | 959.361 | 1097.327 | -0.000 | -0.000 | -0.000 |
| 1097.327 | 1097.327 | 959.361 | -0.000 | -0.000 | -0.000 |
| -0.002 | -0.003 | -0.003 | 205.849 | -0.000 | -0.000 |
| -0.003 | -0.002 | -0.003 | -0.000 | 205.849 | -0.000 |
| -0.003 | -0.003 | -0.002 | -0.000 | -0.000 | 205.849 |
| 959.395 | 1097.202 | 1097.202 | 0.000 | 0.000 | 0.000 |
| 1097.202 | 959.395 | 1097.202 | 0.000 | 0.000 | 0.000 |
| 1097.202 | 1097.202 | 959.395 | 0.000 | 0.000 | 0.000 |
| 0.024 | 0.029 | 0.029 | 209.940 | 0.000 | 0.000 |
| 0.029 | 0.024 | 0.029 | 0.000 | 209.940 | 0.000 |
| 0.029 | 0.029 | 0.024 | 0.000 | 0.000 | 209.940 |
| 959.334 | 1097.429 | 1097.429 | -0.000 | -0.000 | -0.000 |
| 1097.429 | 959.334 | 1097.429 | -0.000 | -0.000 | -0.000 |
| 1097.429 | 1097.429 | 959.334 | -0.000 | -0.000 | -0.000 |
| -0.024 | -0.029 | -0.029 | 209.940 | -0.000 | -0.000 |
| -0.029 | -0.024 | -0.029 | -0.000 | 209.940 | -0.000 |
| -0.029 | -0.029 | -0.024 | -0.000 | -0.000 | 209.940 |
| -2531.947 | -1096.318 | -1096.318 | 0.000 | 0.000 | -0.000 |
| -1096.318 | -2531.947 | -1096.318 | 0.000 | 0.000 | 0.000 |
| -1096.318 | -1096.318 | -2531.947 | 0.000 | -0.000 | 0.000 |
| -0.001 | -0.001 | -0.001 | -971.257 | 0.000 | -0.000 |
| -0.001 | -0.001 | -0.001 | 0.000 | -971.257 | -0.000 |
| -0.001 | -0.001 | -0.001 | 0.000 | 0.000 | -971.257 |
| -2531.937 | -1096.315 | -1096.315 | -0.002 | -0.002 | -0.002 |
| -1096.315 | -2531.937 | -1096.315 | -0.002 | -0.002 | -0.002 |
| -1096.315 | -1096.315 | -2531.937 | -0.002 | -0.002 | -0.002 |
| 0.001 | 0.001 | 0.001 | -971.257 | 0.000 | 0.000 |
| 0.001 | 0.001 | 0.001 | 0.000 | -971.257 | -0.000 |
| 0.001 | 0.001 | 0.001 | -0.000 | -0.000 | -971.257 |
| -2531.991 | -1096.328 | -1096.328 | -0.000 | -0.000 | 0.000 |
| -1096.328 | -2531.991 | -1096.328 | 0.000 | 0.000 | 0.000 |
| -1096.328 | -1096.328 | -2531.991 | 0.000 | 0.000 | -0.000 |
| -33636174.585 | -41614846.398 | -38522851.105 | 3683675.164 | -2424754.096 | -1579613.430 |
| -38643321.907 | -22271997.019 | -37123302.749 | 1498625.249 | 5323998.171 | -4433987.060 |
| -40466228.315 | -43003967.633 | -37144865.610 | -1232233.042 | 282210.405 | 7191641.557 |
| -2531.893 | -1096.305 | -1096.305 | -0.000 | 0.000 | -0.000 |
| -1096.305 | -2531.893 | -1096.305 | 0.000 | -0.000 | -0.000 |
| -1096.305 | -1096.305 | -2531.893 | 0.000 | 0.000 | -0.000 |
| 30712375.538 | 40068387.954 | 38753026.719 | 928848.898 | -2370950.724 | -2174405.084 |
| 39553480.697 | 35740879.953 | 33035054.156 | -3818634.019 | 304688.871 | -2432442.432 |
| 31776223.886 | 39412601.134 | 27744419.293 | -1529417.182 | -3515995.097 | 2597858.144 |
| -2532.428 | -1096.436 | -1096.436 | 0.000 | 0.000 | 0.000 |
| -1096.436 | -2532.428 | -1096.436 | 0.000 | 0.000 | 0.000 |
| -1096.436 | -1096.436 | -2532.428 | 0.000 | 0.000 | 0.000 |
| -2494734.113 | -4018166.293 | -4014762.118 | 748391.299 | -136445.667 | -43749.871 |
| -4145672.658 | -2383987.586 | -4468155.409 | -86863.449 | 1357045.316 | -83713.099 |
| -3775272.913 | -4310335.627 | -2469204.409 | -78915.274 | 123701.126 | 1249467.968 |
| -2531.456 | -1096.197 | -1096.197 | -0.000 | 0.000 | -0.000 |
| -1096.197 | -2531.456 | -1096.197 | 0.000 | -0.000 | 0.000 |
| -1096.197 | -1096.197 | -2531.456 | -0.000 | -0.000 | 0.000 |
| 2408791.868 | 4488302.223 | 3638598.346 | 975771.191 | -256470.030 | 130946.938 |
| 3306407.658 | 2175545.356 | 3683190.442 | -93911.388 | 756094.446 | -367460.405 |
| 3433753.772 | 3048270.235 | 1917707.404 | -281021.944 | -199173.353 | 749062.746 |
| 2529.750 | 627.595 | 627.595 | 0.000 | 0.000 | -0.000 |
| 627.595 | 2529.750 | 627.595 | 0.000 | 0.000 | -0.000 |
| 627.595 | 627.595 | 2529.750 | 0.000 | 0.000 | -0.000 |
| 0.000 | 0.001 | 0.001 | -67.689 | 0.000 | 0.000 |
| 0.001 | 0.000 | 0.001 | 0.000 | -67.689 | -0.000 |
| 0.001 | 0.001 | 0.000 | 0.000 | 0.000 | -67.689 |
| 2529.765 | 627.598 | 627.598 | -0.000 | -0.000 | 0.000 |
| 627.598 | 2529.765 | 627.598 | -0.000 | -0.000 | -0.000 |
| 627.598 | 627.598 | 2529.765 | -0.000 | -0.000 | -0.000 |
| -0.000 | -0.001 | -0.001 | -67.689 | -0.000 | -0.000 |
| -0.001 | -0.000 | -0.001 | -0.000 | -67.689 | -0.000 |
| -0.001 | -0.001 | -0.000 | -0.000 | -0.000 | -67.689 |
| 2529.681 | 627.582 | 627.582 | 0.000 | 0.000 | 0.000 |
| 627.582 | 2529.681 | 627.582 | -0.000 | 0.000 | -0.000 |
| 627.582 | 627.582 | 2529.681 | 0.000 | 0.000 | -0.000 |
| 0.001 | 0.007 | 0.007 | -67.689 | 0.000 | 0.000 |
| 0.007 | 0.001 | 0.007 | 0.000 | -67.689 | 0.000 |
| 0.007 | 0.007 | 0.001 | 0.000 | 0.000 | -67.689 |
| 2529.834 | 627.611 | 627.611 | -0.000 | -0.000 | 0.000 |
| 627.611 | 2529.834 | 627.611 | -0.000 | -0.000 | 0.000 |
| 627.611 | 627.611 | 2529.834 | -0.000 | -0.000 | -0.000 |
| -0.001 | -0.007 | -0.007 | -67.689 | -0.000 | -0.000 |
| -0.007 | -0.001 | -0.007 | -0.000 | -67.689 | -0.000 |
| -0.007 | -0.007 | -0.001 | -0.000 | -0.000 | -67.689 |
| 2528.994 | 627.450 | 627.450 | 0.000 | 0.000 | -0.000 |
| 627.450 | 2528.994 | 627.450 | 0.000 | 0.000 | -0.000 |
| 627.450 | 627.450 | 2528.994 | 0.000 | 0.000 | 0.000 |
| 0.007 | 0.073 | 0.072 | -67.689 | 0.000 | 0.000 |
| 0.073 | 0.007 | 0.072 | 0.000 | -67.689 | -0.000 |
| 0.073 | 0.072 | 0.007 | 0.000 | 0.000 | -67.689 |
| 2530.520 | 627.742 | 627.742 | -0.000 | -0.000 | 0.000 |
| 627.742 | 2530.520 | 627.742 | -0.000 | -0.000 | 0.000 |
| 627.742 | 627.742 | 2530.520 | -0.000 | -0.000 | 0.000 |
| -0.007 | -0.073 | -0.072 | -67.689 | -0.000 | 0.000 |
| -0.073 | -0.007 | -0.072 | -0.000 | -67.689 | -0.000 |
| -0.073 | -0.072 | -0.007 | -0.000 | -0.000 | -67.689 |
| 5.281 | 5.261 | 5.261 | -0.000 | -0.000 | -0.000 |
| 5.261 | 5.281 | 5.261 | -0.000 | -0.000 | -0.000 |
| 5.261 | 5.261 | 5.281 | -0.000 | -0.000 | -0.000 |
| -0.000 | -0.000 | -0.000 | 0.016 | -0.000 | -0.000 |
| -0.000 | -0.000 | -0.000 | -0.000 | 0.016 | -0.000 |
| -0.000 | -0.000 | -0.000 | -0.000 | -0.000 | 0.016 |
| 5.281 | 5.261 | 5.261 | 0.000 | 0.000 | 0.000 |
| 5.261 | 5.281 | 5.261 | 0.000 | 0.000 | 0.000 |
| 5.261 | 5.261 | 5.281 | 0.000 | 0.000 | 0.000 |
| 0.000 | 0.000 | 0.000 | 0.016 | 0.000 | 0.000 |
| 0.000 | 0.000 | 0.000 | 0.000 | 0.016 | 0.000 |
| 0.000 | 0.000 | 0.000 | 0.000 | 0.000 | 0.016 |
| 5.281 | 5.261 | 5.261 | -0.000 | -0.000 | -0.000 |
| 5.261 | 5.281 | 5.261 | -0.000 | -0.000 | -0.000 |
| 5.261 | 5.261 | 5.281 | -0.000 | -0.000 | -0.000 |
| -0.000 | -0.000 | -0.000 | 0.016 | -0.000 | -0.000 |
| -0.000 | -0.000 | -0.000 | -0.000 | 0.016 | -0.000 |
| -0.000 | -0.000 | -0.000 | -0.000 | -0.000 | 0.016 |
| 5.281 | 5.261 | 5.261 | 0.000 | 0.000 | 0.000 |
| 5.261 | 5.281 | 5.261 | 0.000 | 0.000 | 0.000 |
| 5.261 | 5.261 | 5.281 | 0.000 | 0.000 | 0.000 |
| 0.000 | 0.000 | 0.000 | 0.016 | 0.000 | 0.000 |
| 0.000 | 0.000 | 0.000 | 0.000 | 0.016 | 0.000 |
| 0.000 | 0.000 | 0.000 | 0.000 | 0.000 | 0.016 |
| 5.281 | 5.261 | 5.261 | -0.000 | -0.000 | -0.000 |
| 5.261 | 5.281 | 5.261 | -0.000 | -0.000 | -0.000 |
| 5.261 | 5.261 | 5.281 | -0.000 | -0.000 | -0.000 |
| -0.000 | -0.000 | -0.000 | 0.016 | -0.000 | -0.000 |
| -0.000 | -0.000 | -0.000 | -0.000 | 0.016 | -0.000 |
| -0.000 | -0.000 | -0.000 | -0.000 | -0.000 | 0.016 |
| 5.281 | 5.261 | 5.261 | 0.000 | 0.000 | 0.000 |
| 5.261 | 5.281 | 5.261 | 0.000 | 0.000 | 0.000 |
| 5.261 | 5.261 | 5.281 | 0.000 | 0.000 | 0.000 |
| 0.000 | 0.000 | 0.000 | 0.016 | 0.000 | 0.000 |
| 0.000 | 0.000 | 0.000 | 0.000 | 0.016 | 0.000 |
| 0.000 | 0.000 | 0.000 | 0.000 | 0.000 | 0.016 |
| 12206200.090 | 18892200.074 | 5079899.870 | -29.514 | -15.892 | -0.090 |
| 18892100.054 | 12206200.090 | 5079899.870 | 1.037 | -31.318 | -1.230 |
| 2278200.145 | 8636700.094 | -51584199.923 | -460.910 | 5030.762 | -0.632 |
| -25799.857 | -50499.957 | -35599.974 | -262224624.588 | -13.089 | 0.244 |
| -51299.886 | -24899.908 | -35599.974 | 14.744 | -262224640.930 | 0.093 |
| -2387907700.018 | 2358490400.217 | -72921500.097 | 2016872.391 | 27933774.519 | -7861769.213 |
| 12206099.837 | 18892099.821 | 5080200.164 | -13.521 | -15.908 | -0.271 |
| 18892199.841 | 12206099.837 | 5080200.164 | -3.668 | -7.257 | -0.834 |
| 5457799.841 | 5457700.053 | -51582099.964 | 15.363 | 18.880 | 1.092 |
| 25799.857 | 50499.957 | 35599.974 | -262224382.621 | 8.137 | 0.475 |
| 51299.886 | 24899.908 | 35599.974 | -4.629 | -262224892.436 | 1.313 |
| 2369886000.006 | -2340888200.198 | 71928200.141 | -6134046.081 | 2733069.349 | -7857463.990 |
| -539476119.980 | 566838110.005 | 812559.999 | 0.555 | -0.854 | 0.030 |
| 566837839.997 | -539475849.995 | 812559.999 | -1.339 | 2.293 | -0.004 |
| -111290139.989 | 121463240.017 | -53405930.011 | -1795.396 | 173369.115 | 2.858 |
| -4929.995 | -9240.004 | -6770.017 | -52342705.881 | 0.545 | 0.140 |
| -9249.983 | -4909.991 | -6760.015 | 1.081 | -52342705.148 | 0.033 |
| -9.979 | -9.979 | -290.012 | 0.895 | -2.940 | -7844019.545 |
| 12083089.994 | 19014969.985 | 5080940.010 | 3.153 | 0.083 | -0.172 |
| 19014969.985 | 12083089.994 | 5080940.010 | -0.860 | 2.018 | -0.043 |
| 5459029.996 | 5459029.996 | -51573649.980 | 0.959 | 0.388 | -0.053 |
| 4929.995 | 9229.979 | 6760.015 | -52342705.893 | -1.743 | 0.018 |
| 9249.983 | 4909.991 | 6760.015 | -1.862 | -52342705.046 | -0.070 |
| 20.004 | 9.979 | 290.012 | 0.251 | -0.071 | -7844019.577 |
| -152471931.999 | 180465144.002 | 1354924.999 | 0.104 | 0.002 | 0.018 |
| 180465142.001 | -152471929.999 | 1354924.999 | 0.067 | -0.110 | 0.005 |
| -6545813.998 | 17356158.001 | -51863990.000 | 33821.690 | 14518.055 | -1.378 |
| -3304.999 | -9360.998 | -14001.002 | -23546704.135 | -0.171 | -0.007 |
| -9360.998 | -3304.999 | -14001.002 | -0.158 | -23546704.277 | 0.007 |
| -150.000 | -161.998 | -2847.000 | 0.047 | -0.227 | -7844019.419 |
| -24840361.001 | 56107217.999 | 5274971.002 | -0.123 | -0.090 | -0.004 |
| 56107218.999 | -24840361.001 | 5274971.002 | -0.083 | 0.121 | 0.001 |
| 5471833.998 | 5471833.998 | -51489058.998 | -0.086 | 0.031 | -0.001 |
| 3304.999 | 9360.998 | 14001.002 | -23546704.193 | 0.235 | -0.003 |
| 9360.998 | 3304.999 | 14001.002 | -0.028 | -23546704.200 | -0.007 |
| 149.000 | 161.998 | 2847.000 | -0.043 | 0.101 | -7844019.416 |
| 9811.147 | 8708.863 | 4772.177 | -0.000 | 0.000 | 0.000 |
| 8708.863 | 9811.147 | 4772.177 | -0.000 | 0.000 | -0.000 |
| 4772.175 | 4772.175 | 3964.643 | 0.000 | 0.000 | 0.000 |
| -0.000 | -0.000 | -0.001 | 446.881 | 0.000 | -0.000 |
| -0.000 | -0.000 | -0.001 | -0.000 | 446.881 | -0.000 |
| 0.000 | 0.000 | 0.000 | -0.000 | 0.000 | -59.772 |
| 9811.130 | 8708.846 | 4772.170 | 0.000 | -0.000 | -0.000 |
| 8708.846 | 9811.130 | 4772.170 | 0.000 | -0.000 | 0.000 |
| 4772.172 | 4772.172 | 3964.651 | -0.000 | -0.000 | 0.000 |
| 0.000 | 0.000 | 0.001 | 446.881 | 0.000 | -0.000 |
| 0.000 | 0.000 | 0.001 | 0.000 | 446.881 | 0.000 |
| -0.000 | -0.000 | -0.000 | 0.000 | 0.000 | -59.772 |
| 9807.854 | 8712.313 | 4772.212 | -0.000 | 0.000 | -0.000 |
| 8712.313 | 9807.854 | 4772.212 | -0.000 | 0.000 | -0.000 |
| 4772.188 | 4772.188 | 3964.607 | -0.000 | -0.000 | 0.000 |
| -0.001 | -0.002 | -0.005 | 466.281 | -0.000 | -0.000 |
| -0.002 | -0.001 | -0.006 | -0.000 | 446.881 | -0.000 |
| 0.003 | 0.003 | 0.000 | -0.000 | 0.000 | -59.772 |
| 9807.678 | 8712.140 | 4772.135 | 0.000 | -0.000 | 0.000 |
| 8712.140 | 9807.678 | 4772.135 | 0.000 | -0.000 | -0.000 |
| 4772.159 | 4772.159 | 3964.687 | 0.000 | -0.000 | 0.000 |
| 0.001 | 0.002 | 0.005 | 466.281 | -0.000 | 0.000 |
| 0.002 | 0.001 | 0.005 | 0.000 | 466.281 | 0.000 |
| -0.003 | -0.003 | -0.000 | 0.000 | -0.000 | -59.772 |
| 9808.650 | 8713.091 | 4772.558 | -0.000 | -0.000 | -0.000 |
| 8713.091 | 9808.650 | 4772.558 | -0.000 | 0.000 | -0.000 |
| 4772.317 | 4772.317 | 3964.248 | -0.000 | -0.000 | -0.000 |
| -0.012 | -0.022 | -0.059 | 446.881 | 0.000 | -0.000 |
| -0.022 | -0.012 | -0.059 | -0.000 | 446.881 | -0.000 |
| 0.033 | 0.032 | 0.002 | -0.000 | 0.000 | -59.772 |
| 9810.252 | 8707.990 | 4771.785 | 0.000 | -0.000 | 0.000 |
| 8707.990 | 9810.252 | 4771.785 | 0.000 | -0.000 | 0.000 |
| 4772.030 | 4772.030 | 3965.046 | 0.000 | -0.000 | 0.000 |
| 0.012 | 0.022 | 0.059 | 446.881 | -0.000 | 0.000 |
| 0.022 | 0.012 | 0.059 | 0.000 | 446.881 | 0.000 |
| -0.033 | -0.032 | -0.002 | 0.000 | -0.000 | -59.772 |
| 736.219 | 398.444 | 387.168 | -0.000 | -0.000 | 0.000 |
| 398.444 | 736.219 | 387.168 | -0.000 | 0.000 | 0.000 |
| 387.165 | 387.165 | 852.664 | -0.000 | -0.000 | 0.000 |
| 0.000 | 0.001 | 0.000 | 94.899 | 0.000 | -0.000 |
| 0.001 | 0.000 | 0.000 | 0.000 | 94.899 | 0.000 |
| 0.000 | 0.000 | 0.000 | -0.000 | -0.000 | 346.503 |
| 736.213 | 398.442 | 387.161 | 0.000 | -0.000 | -0.000 |
| 398.442 | 736.213 | 387.161 | 0.000 | -0.000 | -0.000 |
| 387.164 | 387.164 | 852.663 | 0.000 | 0.000 | -0.000 |
| -0.000 | -0.001 | -0.000 | 94.899 | -0.000 | -0.000 |
| -0.001 | -0.000 | -0.000 | 0.000 | 94.899 | -0.000 |
| -0.000 | -0.000 | -0.000 | 0.000 | 0.000 | 346.503 |
| 736.250 | 398.454 | 387.201 | -0.000 | -0.000 | 0.000 |
| 398.454 | 736.250 | 387.201 | -0.000 | -0.000 | 0.000 |
| 387.170 | 387.170 | 852.667 | -0.000 | 0.000 | 0.000 |
| 0.000 | 0.005 | 0.003 | 94.899 | -0.000 | 0.000 |
| 0.005 | 0.000 | 0.003 | -0.000 | 94.899 | 0.000 |
| 0.004 | 0.004 | 0.001 | -0.000 | -0.000 | 346.503 |
| 806.326 | 328.319 | 387.158 | 0.000 | 0.000 | -0.000 |
| 328.319 | 806.326 | 387.158 | 0.000 | 0.000 | -0.000 |
| 387.159 | 387.159 | 852.660 | 0.000 | 0.000 | -0.000 |
| -0.000 | -0.005 | -0.003 | 94.899 | 0.000 | -0.000 |
| -0.005 | -0.000 | -0.003 | 0.000 | 94.899 | -0.000 |
| -0.004 | -0.004 | -0.001 | 0.000 | 0.000 | 346.503 |
| 806.419 | 328.379 | 387.231 | -0.000 | -0.000 | 0.000 |
| 328.379 | 806.419 | 387.231 | -0.000 | -0.000 | 0.000 |
| 387.220 | 387.220 | 852.700 | -0.000 | -0.000 | 0.000 |
| 0.005 | 0.051 | 0.026 | 94.899 | 0.000 | -0.000 |
| 0.051 | 0.005 | 0.026 | -0.000 | 94.899 | 0.000 |
| 0.035 | 0.036 | 0.013 | -0.000 | 0.000 | 346.503 |
| 710.553 | 423.432 | 386.616 | 0.000 | 0.000 | -0.000 |
| 423.432 | 710.553 | 386.616 | 0.000 | 0.000 | -0.000 |
| 387.108 | 387.108 | 852.627 | 0.000 | 0.000 | -0.000 |
| -0.005 | -0.051 | -0.026 | 94.899 | 0.000 | -0.000 |
| -0.051 | -0.005 | -0.026 | 0.000 | 94.899 | -0.000 |
| -0.035 | -0.036 | -0.013 | -0.000 | 0.000 | 346.503 |
| 77.044 | -2.729 | 14.102 | 0.000 | -0.000 | -0.000 |
| -2.729 | 77.044 | 14.102 | 0.000 | -0.000 | 0.000 |
| 14.102 | 14.102 | 78.372 | 0.000 | 0.000 | 0.000 |
| 0.000 | 0.000 | 0.000 | 15.342 | 0.000 | 0.000 |
| 0.000 | 0.000 | 0.000 | 0.000 | 15.342 | 0.000 |
| 0.000 | 0.000 | -0.000 | 0.000 | -0.000 | -1.064 |
| 77.043 | -2.729 | 14.102 | -0.000 | 0.000 | -0.000 |
| -2.729 | 77.043 | 14.102 | -0.000 | 0.000 | -0.000 |
| 14.102 | 14.102 | 78.371 | -0.000 | 0.000 | -0.000 |
| -0.000 | -0.000 | -0.000 | 15.342 | -0.000 | 0.000 |
| -0.000 | -0.000 | -0.000 | -0.000 | 15.342 | -0.000 |
| -0.000 | -0.000 | 0.000 | -0.000 | 0.000 | -1.064 |
| 77.047 | -2.729 | 14.102 | 0.000 | -0.000 | 0.000 |
| -2.729 | 77.047 | 14.102 | 0.000 | 0.000 | 0.000 |
| 14.102 | 14.102 | 78.372 | 0.000 | -0.000 | 0.000 |
| 0.000 | 0.000 | 0.000 | 15.342 | 0.000 | 0.000 |
| 0.000 | 0.000 | 0.000 | 0.000 | 15.342 | 0.000 |
| 0.000 | 0.000 | 0.000 | 0.000 | 0.000 | -1.064 |
| 77.040 | -2.729 | 14.101 | -0.000 | 0.000 | -0.000 |
| -2.729 | 77.040 | 14.101 | -0.000 | -0.000 | -0.000 |
| 14.102 | 14.102 | 78.371 | -0.000 | 0.000 | -0.000 |
| -0.000 | -0.000 | -0.000 | 15.342 | -0.000 | -0.000 |
| -0.000 | -0.000 | -0.000 | -0.000 | 15.342 | -0.000 |
| -0.000 | -0.000 | -0.000 | -0.000 | -0.000 | -1.064 |
| 77.078 | -2.727 | 14.105 | 0.000 | 0.000 | -0.000 |
| -2.727 | 77.078 | 14.105 | 0.000 | -0.000 | 0.000 |
| 14.102 | 14.102 | 78.374 | 0.000 | 0.000 | 0.000 |
| 0.000 | 0.002 | 0.001 | 15.342 | -0.000 | 0.000 |
| 0.002 | 0.000 | 0.001 | 0.000 | 15.342 | 0.000 |
| 0.000 | 0.000 | 0.000 | 0.000 | 0.000 | -1.064 |
| 77.009 | -2.731 | 14.099 | -0.000 | 0.000 | 0.000 |
| -2.731 | 77.009 | 14.099 | -0.000 | 0.000 | -0.000 |
| 14.101 | 14.101 | 78.369 | 0.000 | 0.000 | -0.000 |
| -0.000 | -0.002 | -0.001 | 15.342 | 0.000 | 0.000 |
| -0.002 | -0.000 | -0.001 | -0.000 | 15.342 | -0.000 |
| -0.000 | -0.000 | -0.000 | -0.000 | 0.000 | -1.064 |
| 50775799.833 | 27636700.059 | 30078599.977 | -8.845 | -10.927 | 2.212 |
| 27636700.059 | 50775799.833 | 30078599.977 | -10.153 | -13.642 | 1.634 |
| 28812200.034 | 28812200.034 | 46168599.992 | -15.928 | -8.053 | 1.784 |
| 0.000 | 0.000 | -199.807 | 1621381.296 | -6.973 | 2.739 |
| 0.000 | 0.000 | -199.807 | -0.479 | 1621372.034 | 2.005 |
| 0.000 | 0.000 | 0.000 | 1.414 | -8.231 | 1712173.525 |
| 50775399.985 | 27636600.039 | 30078699.998 | -0.127 | 0.507 | -3.361 |
| 27636600.039 | 50775399.985 | 30078699.998 | -9.910 | 4.655 | -2.091 |
| 28812400.074 | 28812400.074 | 46169299.901 | -5.723 | 11.651 | -2.799 |
| -0.000 | -0.000 | 199.807 | 1621390.713 | 1.024 | -1.540 |
| -0.000 | -0.000 | 199.807 | -7.239 | 1621395.128 | -2.837 |
| -0.000 | -0.000 | -0.000 | 6.942 | 12.048 | 1712170.558 |
| 50777610.012 | 27636849.996 | 30077989.994 | 0.841 | -1.402 | 0.297 |
| 27636849.996 | 50777610.012 | 30077989.994 | -0.999 | -0.689 | 0.180 |
| 28810880.000 | 28810880.000 | 46165929.988 | 0.128 | -0.299 | 0.245 |
| -89.995 | -639.990 | -1429.986 | 1621386.437 | -1.202 | 0.045 |
| -639.990 | -79.993 | -1429.986 | 0.079 | 1621384.691 | 0.097 |
| 170.011 | 170.011 | -89.995 | -0.048 | -0.927 | 1712171.590 |
| 50773570.011 | 27636499.995 | 30079279.998 | 0.239 | 0.745 | -0.291 |
| 27636509.997 | 50773570.011 | 30079279.998 | 0.512 | 0.994 | -0.356 |
| 28813719.991 | 28813729.994 | 46171989.979 | 0.766 | 1.554 | -0.276 |
| 89.995 | 639.990 | 1429.986 | 1621386.176 | 0.482 | -0.169 |
| 639.990 | 79.993 | 1429.986 | 0.760 | 1621386.419 | -0.157 |
| -170.011 | -159.986 | 89.995 | -0.766 | -0.949 | 1712171.274 |
| 50795800.999 | 27638354.000 | 30072242.999 | -0.161 | -0.139 | 0.016 |
| 27638354.000 | 50795800.999 | 30072242.999 | -0.117 | -0.136 | 0.014 |
| 28798029.000 | 28798029.000 | 46138647.000 | -0.063 | -0.019 | 0.012 |
| -870.001 | -6438.999 | -14323.002 | 1621386.367 | -0.136 | 0.015 |
| -6438.999 | -870.001 | -14323.002 | 0.018 | 1621386.327 | 0.015 |
| 1633.999 | 1626.000 | -870.001 | 0.033 | -0.087 | 1712171.447 |
| 50755381.001 | 27634998.002 | 30085028.000 | 0.093 | 0.206 | -0.022 |
| 27634998.002 | 50755381.001 | 30085028.000 | 0.076 | 0.081 | -0.030 |
| 28826571.999 | 28826571.999 | 46199273.000 | -0.028 | 0.119 | -0.004 |
| 870.001 | 6438.999 | 14323.002 | 1621386.357 | 0.117 | -0.014 |
| 6438.999 | 870.001 | 14323.002 | 0.048 | 1621386.491 | -0.014 |
| -1633.999 | -1626.000 | 870.999 | 0.085 | 0.142 | 1712171.397 |
| 28476019.922 | 28009059.982 | -1814930.111 | 1.960 | 9.040 | -0.901 |
| 28009059.982 | 28476009.897 | -1814930.111 | 0.116 | 3.035 | -0.011 |
| -2005750.055 | -2005750.055 | 480492220.021 | 4.716 | 4.394 | 1.548 |
| -20.051 | -60.035 | 9.909 | -14769030.326 | 2.083 | -1.272 |
| -60.035 | -20.051 | 9.909 | -0.212 | -14769030.237 | -0.825 |
| -39.985 | -50.010 | -10.025 | 0.320 | 0.580 | 15436408.085 |
| 28476030.064 | 28009149.977 | -1814829.974 | -2.337 | 1.414 | -0.689 |
| 28009149.977 | 28476030.064 | -1814829.974 | 3.808 | 3.184 | 0.342 |
| -2005779.898 | -2005769.989 | 480495760.131 | -1.226 | -11.969 | -1.034 |
| 20.051 | 60.035 | -9.909 | -14769031.566 | -5.997 | 0.714 |
| 50.010 | 20.051 | -9.909 | -0.822 | -14769031.647 | 0.973 |
| 39.985 | 50.010 | 10.025 | -1.083 | 0.314 | 15436409.164 |
| 28475929.997 | 28008661.999 | -1815410.010 | 0.586 | 0.129 | -0.004 |
| 28008661.999 | 28475929.997 | -1815410.010 | -0.082 | 0.245 | 0.091 |
| -2005670.004 | -2005670.995 | 480476250.999 | -0.165 | -0.191 | -0.053 |
| -174.010 | -531.005 | 71.996 | -14769030.130 | 0.869 | 0.011 |
| -531.005 | -174.010 | 70.993 | 0.344 | -14769030.170 | -0.050 |
| -444.006 | -442.001 | -173.007 | 0.249 | 0.674 | 15436409.316 |
| 28476116.002 | 28009537.001 | -1814342.999 | -0.082 | 0.448 | 0.012 |
| 28009537.001 | 28476116.002 | -1814344.002 | -0.432 | -0.249 | 0.052 |
| -2005859.996 | -2005859.996 | 480511748.003 | -0.088 | -0.131 | -0.064 |
| 174.010 | 531.005 | -70.993 | -14769030.287 | 0.081 | 0.167 |
| 531.005 | 174.010 | -70.993 | 0.180 | -14769030.657 | 0.055 |
| 444.006 | 441.010 | 173.007 | 0.113 | -0.367 | 15436409.460 |
| 28475096.400 | 28004726.099 | -1820211.701 | -0.036 | 0.063 | 0.005 |
| 28004726.000 | 28475096.499 | -1820211.701 | 0.014 | -0.019 | -0.004 |
| -2004821.300 | -2004821.201 | 480316502.799 | 0.045 | -0.024 | -0.016 |
| -1739.901 | -5309.800 | 698.700 | -14769030.283 | 0.024 | -0.016 |
| -5309.800 | -1739.801 | 698.700 | 0.003 | -14769030.264 | 0.003 |
| -4438.100 | -4407.601 | -1739.700 | 0.002 | -0.019 | 15436409.383 |
| 28476949.100 | 28013472.100 | -1809542.399 | 0.018 | 0.040 | 0.016 |
| 28013472.000 | 28476949.100 | -1809542.399 | 0.003 | -0.021 | -0.012 |
| -2006709.799 | -2006709.700 | 480671495.901 | 0.011 | 0.004 | -0.003 |
| 1739.801 | 5309.800 | -698.700 | -14769030.308 | -0.001 | -0.005 |
| 5309.800 | 1739.801 | -698.700 | -0.013 | -14769030.288 | 0.004 |
| 4438.301 | 4407.601 | 1739.700 | 0.013 | -0.076 | 15436409.376 |
| 7418.733 | 6521.348 | 3869.938 | 0.000 | 0.000 | 0.000 |
| 6521.348 | 7418.733 | 3869.938 | 0.000 | 0.000 | 0.000 |
| 3869.924 | 3869.924 | 3619.287 | 0.000 | -0.000 | 0.000 |
| -0.000 | -0.001 | -0.000 | 149.675 | 0.000 | 0.000 |
| -0.001 | -0.000 | -0.000 | 0.000 | 149.675 | 0.000 |
| -0.002 | -0.002 | -0.000 | 0.000 | 0.000 | -224.767 |
| 7418.627 | 6521.236 | 3869.878 | -0.000 | 0.000 | -0.000 |
| 6521.236 | 7418.627 | 3869.878 | -0.000 | -0.000 | -0.000 |
| 3869.893 | 3869.893 | 3619.264 | -0.000 | -0.000 | -0.000 |
| 0.000 | 0.001 | 0.000 | 149.675 | -0.000 | 0.000 |
| 0.001 | 0.000 | 0.000 | -0.000 | 149.675 | -0.000 |
| 0.002 | 0.002 | 0.000 | -0.000 | -0.000 | -224.767 |
| 7419.213 | 6521.855 | 3870.209 | 0.000 | 0.000 | 0.000 |
| 6521.855 | 7419.213 | 3870.209 | 0.000 | 0.000 | 0.000 |
| 3870.066 | 3870.066 | 3619.389 | 0.000 | 0.000 | 0.000 |
| -0.004 | -0.007 | -0.001 | 149.675 | 0.000 | 0.000 |
| -0.007 | -0.004 | -0.001 | 0.000 | 149.675 | 0.000 |
| -0.022 | -0.022 | -0.004 | 0.000 | 0.000 | -224.767 |
| 7418.147 | 6520.729 | 3869.608 | -0.000 | -0.000 | -0.000 |
| 6520.729 | 7418.147 | 3869.608 | -0.000 | -0.000 | 0.000 |
| 3869.751 | 3869.751 | 3619.162 | -0.000 | 0.000 | -0.000 |
| 0.004 | 0.007 | 0.001 | 149.675 | 0.000 | -0.000 |
| 0.007 | 0.004 | 0.001 | -0.000 | 149.675 | -0.000 |
| 0.022 | 0.022 | 0.004 | -0.000 | -0.000 | -224.767 |
| 7424.009 | 6526.922 | 3872.910 | 0.000 | 0.000 | -0.000 |
| 6526.922 | 7424.009 | 3872.910 | 0.000 | 0.000 | 0.000 |
| 3871.483 | 3871.483 | 3620.409 | 0.000 | 0.000 | 0.000 |
| -0.042 | -0.072 | -0.009 | 149.675 | 0.000 | 0.000 |
| -0.072 | -0.042 | -0.009 | 0.000 | 149.675 | 0.000 |
| -0.221 | -0.222 | -0.045 | 0.000 | 0.000 | -224.767 |
| 7413.351 | 6515.663 | 3866.906 | -0.000 | -0.000 | -0.000 |
| 6515.663 | 7413.351 | 3866.906 | -0.000 | -0.000 | -0.000 |
| 3868.333 | 3868.333 | 3618.142 | -0.000 | -0.000 | -0.000 |
| 0.042 | 0.072 | 0.009 | 149.675 | -0.000 | -0.000 |
| 0.072 | 0.042 | 0.009 | -0.000 | 149.675 | -0.000 |
| 0.221 | 0.222 | 0.045 | -0.000 | 0.000 | -224.767 |
| 2469.818 | 1658.648 | 260.391 | -0.000 | 0.000 | 0.000 |
| 1658.648 | 2469.818 | 260.391 | 0.000 | 0.000 | 0.000 |
| 260.391 | 260.391 | 705.353 | 0.000 | 0.000 | 0.000 |
| -0.000 | -0.000 | -0.001 | 66.696 | -0.000 | 0.000 |
| -0.000 | -0.000 | -0.001 | -0.000 | 66.696 | 0.000 |
| 0.000 | 0.000 | -0.000 | 0.000 | -0.000 | -61.322 |
| 2469.823 | 1658.648 | 260.392 | -0.000 | 0.000 | -0.000 |
| 1658.648 | 2469.823 | 260.392 | -0.000 | 0.000 | -0.000 |
| 260.392 | 260.392 | 705.355 | 0.000 | 0.000 | -0.000 |
| 0.000 | 0.000 | 0.001 | 66.696 | 0.000 | -0.000 |
| 0.000 | 0.000 | 0.001 | -0.000 | 66.696 | -0.000 |
| -0.000 | -0.000 | 0.000 | -0.000 | 0.000 | -61.322 |
| 2469.798 | 1658.653 | 260.388 | 0.000 | -0.000 | 0.000 |
| 1658.653 | 2469.798 | 260.388 | 0.000 | -0.000 | -0.000 |
| 260.385 | 260.385 | 705.341 | -0.000 | -0.000 | 0.000 |
| -0.001 | -0.004 | -0.006 | 66.696 | 0.000 | 0.000 |
| -0.004 | -0.001 | -0.006 | 0.000 | 66.696 | 0.000 |
| 0.001 | 0.000 | -0.001 | 0.000 | 0.000 | -61.322 |
| 2469.844 | 1658.643 | 260.395 | -0.000 | -0.000 | 0.000 |
| 1658.643 | 2469.844 | 260.395 | 0.000 | 0.000 | 0.000 |
| 260.398 | 260.398 | 705.367 | -0.000 | 0.000 | -0.000 |
| 0.001 | 0.004 | 0.006 | 66.696 | 0.000 | -0.000 |
| 0.004 | 0.001 | 0.006 | 0.000 | 66.696 | 0.000 |
| -0.001 | -0.000 | 0.001 | -0.000 | 0.000 | -61.322 |
| 2469.591 | 1658.695 | 260.356 | 0.000 | -0.000 | -0.000 |
| 1658.695 | 2469.591 | 260.356 | -0.000 | -0.000 | 0.000 |
| 260.326 | 260.326 | 705.223 | 0.000 | -0.000 | 0.000 |
| -0.007 | -0.039 | -0.065 | 66.696 | 0.000 | 0.000 |
| -0.039 | -0.007 | -0.065 | 0.000 | 66.696 | -0.000 |
| 0.005 | 0.005 | -0.007 | 0.000 | 0.000 | -61.322 |
| 2470.050 | 1658.602 | 260.427 | -0.000 | 0.000 | -0.000 |
| 1658.602 | 2470.050 | 260.427 | 0.000 | -0.000 | -0.000 |
| 260.457 | 260.457 | 705.485 | -0.000 | 0.000 | -0.000 |
| 0.007 | 0.039 | 0.065 | 66.696 | 0.000 | -0.000 |
| 0.039 | 0.007 | 0.065 | 0.000 | 66.696 | 0.000 |
| -0.005 | -0.005 | 0.007 | -0.000 | 0.000 | -61.322 |
| 43.613 | 6.076 | 27.136 | -0.000 | -0.000 | 0.000 |
| 6.076 | 43.613 | 27.136 | -0.000 | -0.000 | -0.000 |
| 27.136 | 27.136 | 47.639 | -0.000 | -0.000 | -0.000 |
| 0.000 | -0.000 | 0.000 | 29.080 | -0.000 | -0.000 |
| -0.000 | 0.000 | 0.000 | -0.000 | 29.080 | 0.000 |
| -0.000 | -0.000 | 0.000 | -0.000 | -0.000 | 8.079 |
| 43.613 | 6.076 | 27.136 | 0.000 | 0.000 | 0.000 |
| 6.076 | 43.613 | 27.136 | -0.000 | 0.000 | 0.000 |
| 27.136 | 27.136 | 47.639 | 0.000 | 0.000 | -0.000 |
| -0.000 | 0.000 | -0.000 | 29.080 | 0.000 | 0.000 |
| 0.000 | -0.000 | -0.000 | 0.000 | 29.080 | -0.000 |
| 0.000 | 0.000 | -0.000 | 0.000 | 0.000 | 8.079 |
| 43.613 | 6.076 | 27.136 | -0.000 | -0.000 | 0.000 |
| 6.076 | 43.613 | 27.136 | -0.000 | -0.000 | -0.000 |
| 27.136 | 27.136 | 47.639 | -0.000 | -0.000 | 0.000 |
| 0.000 | 0.000 | 0.000 | 29.080 | -0.000 | 0.000 |
| 0.000 | 0.000 | 0.000 | -0.000 | 29.080 | -0.000 |
| -0.000 | -0.000 | 0.000 | -0.000 | -0.000 | 8.079 |
| 43.612 | 6.076 | 27.136 | 0.000 | 0.000 | -0.000 |
| 6.076 | 43.612 | 27.136 | 0.000 | 0.000 | 0.000 |
| 27.136 | 27.136 | 47.639 | 0.000 | 0.000 | -0.000 |
| -0.000 | -0.000 | -0.000 | 29.080 | 0.000 | 0.000 |
| -0.000 | -0.000 | -0.000 | 0.000 | 29.080 | -0.000 |
| 0.000 | 0.000 | -0.000 | 0.000 | 0.000 | 8.079 |
| 43.618 | 6.076 | 27.136 | -0.000 | -0.000 | -0.000 |
| 6.076 | 43.618 | 27.136 | -0.000 | -0.000 | -0.000 |
| 27.136 | 27.136 | 47.639 | -0.000 | -0.000 | 0.000 |
| 0.000 | 0.000 | 0.000 | 29.080 | -0.000 | -0.000 |
| 0.000 | 0.000 | 0.000 | -0.000 | 29.080 | 0.000 |
| -0.000 | -0.000 | 0.000 | -0.000 | -0.000 | 8.079 |
| 43.607 | 6.077 | 27.136 | 0.000 | 0.000 | 0.000 |
| 6.077 | 43.607 | 27.136 | 0.000 | 0.000 | -0.000 |
| 27.136 | 27.136 | 47.639 | 0.000 | 0.000 | 0.000 |
| -0.000 | -0.000 | -0.000 | 29.080 | 0.000 | 0.000 |
| -0.000 | -0.000 | -0.000 | 0.000 | 29.080 | 0.000 |
| 0.000 | 0.000 | -0.000 | 0.000 | 0.000 | 8.079 |
| 25531200.110 | 34968599.670 | 30222300.135 | 6999672.571 | -296.229 | 16.409 |
| 34968699.923 | 25531199.877 | 30222300.135 | -6999670.765 | -293.327 | 13.055 |
| 29851900.050 | 29851899.583 | 12658400.169 | -110.746 | -27.412 | -31.474 |
| 6999799.812 | -6999700.024 | 100.020 | -10211321.869 | -94.630 | -15.711 |
| 0.000 | 0.000 | 200.040 | 63.832 | -10211512.944 | 6999701.338 |
| 0.000 | 99.787 | 0.000 | 4.293 | 6999437.289 | -4718932.188 |
| 25530800.029 | 34969000.450 | 30222200.115 | 6999793.371 | 8.644 | -49.905 |
| 34968699.923 | 25530800.262 | 30222200.115 | -6999857.409 | 175.814 | -23.056 |
| 29851599.989 | 29851800.263 | 12657499.987 | 133.561 | 254.268 | -16.861 |
| 6999700.024 | -6999599.771 | -0.000 | -10211316.288 | 98.056 | -18.467 |
| -0.000 | -0.000 | -200.040 | -15.363 | -10211115.244 | 6999708.239 |
| -0.000 | -99.787 | -100.020 | 13.447 | 6999928.627 | -4718956.120 |
| 25534079.993 | 34969369.989 | 30222999.997 | 6999291.090 | -17.151 | -1.557 |
| 34969510.017 | 25533959.992 | 30222990.019 | -6999019.082 | -25.990 | 1.255 |
| 29852820.003 | 29852819.956 | 12663029.987 | -5.459 | -12.400 | 2.067 |
| 6999960.007 | -6998960.038 | 1080.009 | -10211322.777 | -5.852 | 1.998 |
| 760.014 | 239.979 | 1080.009 | -20.857 | -10211366.773 | 6999705.094 |
| 559.997 | 679.974 | 250.004 | -128.323 | 6999684.454 | -4718935.836 |
| 25527830.011 | 34968270.022 | 30221459.989 | 7000131.802 | 16.412 | -2.447 |
| 34968160.000 | 25527940.010 | 30221459.989 | -7000396.666 | 12.786 | -0.310 |
| 29850649.983 | 29850680.036 | 12652970.004 | 4.410 | 31.442 | 3.429 |
| 6999439.995 | -7000459.992 | -1080.009 | -10211370.089 | 6.659 | -1.390 |
| -750.012 | -239.979 | -1080.009 | 28.587 | -10211326.885 | 6999703.114 |
| -540.016 | -669.972 | -260.006 | 125.228 | 6999730.796 | -4718942.362 |
| 25562301.001 | 34974383.998 | 30229884.003 | 6995578.379 | -3.088 | -0.193 |
| 34975647.002 | 25561039.998 | 30229884.003 | -6992820.214 | -3.692 | 0.057 |
| 29862610.999 | 29862605.998 | 12708317.001 | -0.546 | -2.424 | 0.306 |
| 7002241.998 | -6992080.003 | 10831.002 | -10211055.995 | -3.149 | -0.246 |
| 7626.002 | 2536.998 | 10831.002 | -289.854 | -10211347.340 | 6999704.017 |
| 5509.000 | 6760.997 | 2538.000 | -1373.224 | 6999702.529 | -4718938.993 |
| 25499605.002 | 34963277.003 | 30214572.999 | 7003830.481 | 0.531 | 0.022 |
| 34962017.000 | 25500863.002 | 30214572.999 | -7006587.013 | 1.542 | -0.458 |
| 29840867.000 | 29840868.003 | 12607693.998 | -0.482 | 2.947 | -0.210 |
| 6997165.999 | -7007326.998 | -10831.002 | -10211633.340 | 0.305 | -0.011 |
| -7623.999 | -2536.998 | -10831.002 | 289.706 | -10211343.300 | 6999703.455 |
| -5509.000 | -6760.997 | -2538.000 | 1373.228 | 6999706.672 | -4718938.945 |
| 4927429.989 | 5347529.987 | 4508160.055 | -1690581.525 | 5.188 | -15.788 |
| 5347560.004 | 4927409.997 | 4508160.055 | 1690582.753 | 4.574 | -10.923 |
| 4338959.985 | 4338939.992 | -220359.951 | -7.678 | 15.021 | -18.593 |
| -1690580.020 | 1690530.010 | 10.025 | -1387915.322 | -12.590 | -8.978 |
| 0.000 | 0.000 | 0.000 | -4.843 | -1387907.349 | -1690595.364 |
| -10.025 | -10.025 | 0.000 | -3.464 | -1690564.188 | -210064.171 |
| 4927540.035 | 5347649.999 | 4508159.938 | -1690598.577 | -17.525 | 9.943 |
| 5347590.022 | 4927569.994 | 4508159.938 | 1690592.755 | -24.384 | 16.573 |
| 4338960.043 | 4339019.962 | -220540.057 | -9.082 | -17.066 | 14.565 |
| -1690569.995 | 1690629.972 | -10.025 | -1387925.583 | -12.675 | 5.186 |
| 10.025 | -0.000 | -0.000 | 5.852 | -1387926.893 | -1690567.808 |
| 10.025 | 10.025 | -0.000 | -0.586 | -1690593.037 | -210034.795 |
| 4927298.996 | 5347865.999 | 4506940.006 | -1690574.236 | 1.389 | -0.510 |
| 5347471.000 | 4926813.000 | 4508053.005 | 1690572.202 | 2.615 | -1.844 |
| 4338925.998 | 4338921.999 | -219732.994 | 1.371 | 0.115 | -1.766 |
| -1690615.004 | 1690474.999 | -40.999 | -1387893.087 | -0.658 | -1.286 |
| -102.002 | -34.995 | -40.999 | -23.068 | -1387915.918 | -1690582.253 |
| -148.999 | -113.001 | -34.995 | 1.133 | -1690580.803 | -210049.766 |
| 4928103.004 | 5347731.001 | 4508255.995 | -1690585.734 | -2.121 | 0.618 |
| 5347686.003 | 4928145.000 | 4508256.998 | 1690590.332 | -0.213 | 2.058 |
| 4339008.001 | 4339015.002 | -221175.005 | -1.266 | -1.700 | 0.134 |
| -1690547.001 | 1690687.000 | 40.999 | -1387940.786 | -0.966 | 1.443 |
| 102.002 | 34.995 | 40.999 | 22.653 | -1387918.542 | -1690579.378 |
| 148.002 | 113.001 | 33.999 | -0.203 | -1690582.361 | -210048.240 |
| 4921248.800 | 5346097.700 | 4507139.500 | -1690524.956 | 0.282 | -0.086 |
| 5346498.500 | 4920848.200 | 4507139.500 | 1690485.287 | 0.161 | -0.118 |
| 4338558.100 | 4338557.700 | -213244.299 | -0.010 | -0.099 | -0.076 |
| -1690921.300 | 1689560.700 | -414.099 | -1387679.775 | 0.124 | -0.121 |
| -1019.800 | -340.900 | -414.099 | -237.144 | -1387916.837 | -1690580.992 |
| -1487.901 | -1087.800 | -340.300 | 18.203 | -1690580.741 | -210049.229 |
| 4933711.000 | 5349058.800 | 4509169.600 | -1690637.013 | -0.086 | 0.165 |
| 5348657.600 | 4934111.900 | 4509169.700 | 1690676.473 | -0.182 | 0.108 |
| 4339376.600 | 4339377.000 | -227663.200 | 0.009 | -0.104 | 0.102 |
| -1690240.500 | 1691601.200 | 414.200 | -1388154.066 | -0.037 | -0.018 |
| 1019.800 | 340.900 | 414.099 | 237.096 | -1387917.097 | -1690580.801 |
| 1487.901 | 1087.800 | 340.300 | -18.233 | -1690581.021 | -210049.017 |
| 411709.985 | 2275049.974 | 199509.988 | -233788.144 | -2.738 | -0.279 |
| 2275039.977 | 411709.985 | 199509.988 | 233780.572 | -2.969 | 2.442 |
| 233419.993 | 233429.989 | -9566279.995 | -5.462 | 1.106 | -1.427 |
| -233800.023 | 233789.998 | 0.000 | -2939600.472 | -2.019 | -2.261 |
| 9.996 | 9.996 | 0.000 | -6.089 | -2939592.120 | -233780.677 |
| 9.996 | 9.996 | 9.996 | -3.065 | -233769.472 | -931666.825 |
| 411700.018 | 2275040.036 | 199500.021 | -233767.538 | -6.632 | 1.033 |
| 2275030.010 | 411720.010 | 199500.021 | 233780.603 | -18.998 | -1.421 |
| 233420.022 | 233420.022 | -9566180.004 | 7.188 | 11.292 | 3.253 |
| -233789.998 | 233770.006 | -9.996 | -2939593.675 | -27.202 | -1.640 |
| -0.000 | -9.996 | -0.000 | 6.720 | -2939604.231 | -233777.585 |
| -0.000 | -9.996 | -0.000 | 5.423 | -233785.610 | -931663.899 |
| 411799.000 | 2275037.999 | 199555.000 | -233789.271 | 0.657 | 0.294 |
| 2275069.998 | 411768.000 | 199553.998 | 233793.619 | 2.053 | -0.752 |
| 233437.998 | 233438.998 | -9566708.002 | -0.730 | 1.579 | -0.180 |
| -233762.003 | 233830.000 | 16.999 | -2939575.556 | 1.378 | -0.349 |
| 49.998 | 16.996 | 17.999 | -22.659 | -2939596.431 | -233779.420 |
| -1.003 | 30.997 | 16.999 | -2.965 | -233778.033 | -931664.382 |
| 411623.000 | 2275038.002 | 199455.000 | -233769.369 | -1.892 | 0.169 |
| 2275009.001 | 411653.003 | 199454.001 | 233763.857 | -0.708 | 0.607 |
| 233404.002 | 233404.002 | -9565748.999 | 0.681 | -0.403 | 0.304 |
| -233795.999 | 233728.001 | -16.999 | -2939618.996 | -1.319 | 0.189 |
| -49.998 | -16.996 | -17.999 | 22.982 | -2939598.238 | -233779.113 |
| 1.003 | -30.997 | -16.999 | 2.965 | -233779.795 | -931664.568 |
| 412595.800 | 2275032.500 | 200002.600 | -233873.807 | 0.088 | -0.052 |
| 2275343.800 | 412284.300 | 200002.600 | 233936.387 | 0.084 | -0.026 |
| 233592.300 | 233592.200 | -9571028.100 | -0.029 | 0.150 | 0.003 |
| -233612.800 | 234281.400 | 174.600 | -2939372.699 | 0.027 | -0.006 |
| 502.100 | 166.600 | 174.600 | -224.667 | -2939597.124 | -233779.324 |
| -9.300 | 301.200 | 166.400 | -31.586 | -233779.189 | -931664.486 |
| 410825.900 | 2275046.900 | 199006.600 | -233684.763 | -0.139 | -0.008 |
| 2274735.600 | 411137.200 | 199006.600 | 233622.230 | -0.061 | 0.008 |
| 233249.100 | 233249.100 | -9561430.100 | 0.049 | -0.042 | 0.023 |
| -233945.600 | 233277.200 | -174.600 | -2939821.673 | 0.038 | 0.028 |
| -502.100 | -166.600 | -174.600 | 224.673 | -2939597.232 | -233779.263 |
| 9.300 | -301.200 | -166.400 | 31.602 | -233779.349 | -931664.454 |
| 734.450 | 829.361 | 748.912 | -44.824 | -0.000 | 0.000 |
| 829.361 | 734.450 | 748.912 | 44.824 | -0.000 | 0.000 |
| 724.271 | 724.271 | 1136.407 | -0.000 | -0.000 | 0.000 |
| -195.940 | -105.376 | -128.952 | 149.906 | -0.000 | -0.000 |
| -150.658 | -150.658 | -128.951 | 0.000 | 149.906 | -45.282 |
| -0.000 | -0.000 | 0.000 | -0.000 | -46.639 | -47.400 |
| 1035.689 | 1130.600 | 1006.749 | -44.825 | 0.000 | -0.000 |
| 1467.090 | 1372.290 | 1294.807 | 46.639 | 0.000 | -0.000 |
| 1291.878 | 1291.878 | 1622.229 | -0.000 | 0.000 | -0.000 |
| -46.639 | 46.639 | -0.000 | 194.577 | 0.000 | -0.000 |
| 150.658 | 150.658 | 128.951 | -0.000 | 149.906 | -45.282 |
| 0.000 | 0.000 | -0.000 | 0.000 | -46.639 | -47.400 |
| 870.034 | 964.918 | 864.954 | -45.284 | -0.000 | 0.000 |
| 964.985 | 870.071 | 864.998 | 44.821 | -0.000 | 0.000 |
| 1291.883 | 1291.883 | 1622.259 | 0.000 | -0.000 | -0.000 |
| -60.345 | 30.220 | -12.887 | 149.897 | -0.000 | 0.000 |
| -11.283 | -11.284 | -9.653 | 0.001 | 149.813 | -45.279 |
| -0.003 | -0.002 | 0.000 | -0.000 | -46.639 | -47.400 |
| 1372.297 | 1467.090 | 1294.806 | -46.638 | 0.000 | 0.000 |
| 1467.089 | 1372.298 | 1294.806 | 46.637 | 0.000 | -0.000 |
| 889.879 | 889.879 | 1278.108 | 0.000 | 0.000 | -0.000 |
| -33.996 | 56.562 | 9.652 | 149.816 | 0.000 | 0.000 |
| 11.283 | 11.284 | 9.653 | -0.001 | 149.813 | -45.279 |
| 0.003 | 0.002 | -0.000 | 0.000 | -46.639 | -47.400 |
| 883.739 | 978.631 | 876.720 | -45.279 | -0.000 | 0.000 |
| 978.528 | 883.625 | 876.626 | 45.454 | -0.000 | 0.000 |
| 861.762 | 861.762 | 1254.527 | -0.000 | -0.000 | 0.000 |
| -46.386 | 44.186 | -0.891 | 149.891 | -0.000 | 0.000 |
| -1.306 | -1.315 | -1.072 | 0.008 | 149.900 | -45.282 |
| -0.027 | -0.016 | 0.000 | -0.004 | -46.639 | -47.400 |
| 885.900 | 980.775 | 878.490 | -45.283 | 0.000 | -0.000 |
| 980.793 | 885.916 | 878.505 | 44.859 | 0.000 | 0.000 |
| 875.718 | 875.718 | 1265.595 | -0.000 | 0.000 | -0.000 |
| -43.889 | 46.667 | 1.139 | 149.909 | 0.000 | -0.000 |
| 1.306 | 1.315 | 1.072 | -0.008 | 149.900 | -45.282 |
| 0.027 | 0.016 | -0.000 | 0.004 | -46.639 | -47.400 |
| 761.478 | 420.312 | -490.474 | 2.377 | 0.000 | 0.000 |
| 298.569 | 792.665 | 95.096 | -9.777 | 0.000 | 0.000 |
| 95.097 | 95.097 | 889.329 | 0.000 | 0.000 | 0.000 |
| 50.173 | 46.138 | -622.788 | 71.574 | 0.000 | 0.000 |
| 48.156 | 48.155 | -622.788 | 0.000 | 71.574 | 2.018 |
| -0.000 | -0.000 | -0.000 | 0.000 | 9.777 | 247.049 |
| 717.530 | 275.811 | 728.129 | 7.242 | -0.000 | -0.000 |
| 298.569 | 792.666 | 95.096 | -9.777 | -0.000 | -0.000 |
| 95.096 | 95.095 | 889.318 | 0.000 | 0.000 | -0.000 |
| -46.138 | -50.173 | 622.788 | 71.574 | -0.000 | -0.000 |
| -48.156 | -48.155 | 622.788 | -0.000 | 71.574 | 2.018 |
| 0.000 | 0.000 | -0.000 | -0.000 | 9.777 | 247.048 |
| 792.659 | 298.567 | 95.097 | 9.777 | 0.000 | 0.000 |
| 298.568 | 792.658 | 95.097 | -9.778 | 0.000 | 0.000 |
| 108.706 | 108.706 | 713.506 | 0.000 | 0.000 | 0.000 |
| 12.069 | -2.414 | -62.414 | 72.077 | 0.000 | 0.000 |
| 0.001 | 0.000 | 0.007 | 0.003 | 72.324 | 9.777 |
| 1.960 | 1.961 | -25.375 | 0.000 | 6.615 | 214.380 |
| 761.123 | 319.125 | 166.195 | 7.255 | -0.000 | -0.000 |
| 330.535 | 756.004 | 125.510 | -6.455 | -0.000 | -0.000 |
| 95.090 | 95.090 | 889.271 | -0.000 | -0.000 | -0.000 |
| 2.438 | -12.075 | 62.300 | 72.084 | -0.000 | -0.000 |
| -0.001 | -0.000 | -0.007 | -0.003 | 72.324 | 9.777 |
| -1.960 | -1.961 | 25.375 | -0.000 | 6.615 | 214.380 |
| 766.469 | 324.548 | 95.938 | 7.261 | 0.000 | 0.000 |
| 324.560 | 766.457 | 95.938 | -7.265 | -0.000 | 0.000 |
| 104.449 | 104.449 | 770.173 | -0.000 | 0.000 | 0.000 |
| 6.786 | -6.373 | -2.492 | 71.984 | -0.000 | 0.000 |
| 0.493 | 0.486 | -6.153 | 0.031 | 72.081 | 7.255 |
| -0.019 | -0.010 | 0.004 | 0.002 | 9.777 | 247.048 |
| 792.734 | 298.589 | 95.083 | 9.771 | -0.000 | -0.000 |
| 324.678 | 765.878 | 100.043 | -7.203 | -0.000 | -0.000 |
| 103.345 | 103.345 | 780.880 | -0.000 | -0.000 | -0.000 |
| 6.381 | -6.793 | 2.492 | 72.046 | -0.000 | -0.000 |
| -0.493 | -0.486 | 6.153 | -0.031 | 72.081 | 7.255 |
| 0.019 | 0.010 | -0.004 | -0.002 | 9.777 | 247.048 |
| -143671700.456 | 27169299.936 | 27169299.936 | 4.218 | -6.878 | -0.621 |
| 27169399.723 | -143671800.244 | 27169299.936 | -0.682 | -9.769 | -1.508 |
| 27169099.429 | 27169099.896 | -143672000.284 | 0.335 | -2.264 | -1.301 |
| 0.000 | -100.253 | -100.253 | -17677831.926 | -1.553 | -1.534 |
| 0.000 | -100.253 | -100.253 | -4.672 | -17677844.249 | -0.163 |
| 899.949 | 800.162 | 799.696 | -1.015 | -20.251 | -17677833.369 |
| -143673999.756 | 27168800.068 | 27168800.068 | 0.386 | 3.691 | 1.963 |
| 27169200.149 | -143673399.635 | 27169200.149 | 0.167 | 10.602 | 0.521 |
| 27169200.149 | 27169200.149 | -143673400.101 | -1.925 | 7.356 | 1.607 |
| -199.574 | -99.787 | -99.787 | -17677827.436 | 7.677 | 0.707 |
| -199.574 | -99.787 | -200.040 | -4.292 | -17677827.003 | 2.612 |
| -0.000 | 100.253 | 100.253 | -5.679 | 9.885 | -17677831.270 |
| -143665460.034 | 27168659.993 | 27168669.972 | 0.432 | -1.162 | -0.232 |
| 27168669.972 | -143665470.012 | 27168669.972 | -0.291 | -0.752 | -0.161 |
| 27168699.955 | 27168689.976 | -143665440.029 | 0.573 | -0.464 | -0.064 |
| -530.037 | -470.025 | -470.025 | -17677831.267 | -0.123 | -0.177 |
| -460.046 | -540.016 | -470.025 | -0.674 | -17677832.303 | -0.199 |
| -460.046 | -470.025 | -540.016 | -0.261 | -0.847 | -17677831.598 |
| -143680129.947 | 27169519.981 | 27169520.027 | 0.629 | 1.046 | 0.103 |
| 27169600.043 | -143680039.999 | 27169610.022 | -0.517 | 0.621 | 0.116 |
| 27169570.014 | 27169579.993 | -143680060.003 | 1.368 | 0.530 | 0.206 |
| 550.041 | 489.983 | 490.029 | -17677830.771 | 1.050 | 0.140 |
| 370.052 | 449.974 | 380.030 | -0.147 | -17677830.173 | 0.117 |
| 490.029 | 489.983 | 560.020 | -0.164 | 0.602 | -17677831.376 |
| -143600057.002 | 27164268.998 | 27164268.998 | -0.014 | -0.117 | -0.010 |
| 27164281.994 | -143600046.002 | 27164281.000 | -0.074 | -0.188 | -0.006 |
| 27164269.996 | 27164268.998 | -143600058.005 | -0.024 | -0.121 | -0.017 |
| -5576.004 | -4903.001 | -4853.000 | -17677831.495 | -0.083 | -0.017 |
| -4902.003 | -5576.004 | -4853.000 | 0.023 | -17677831.500 | -0.007 |
| -4902.003 | -4853.000 | -5576.000 | -0.047 | -0.089 | -17677831.527 |
| -143745400.994 | 27174047.003 | 27174046.999 | 0.037 | 0.107 | 0.016 |
| 27174046.006 | -143745400.000 | 27174046.001 | 0.011 | 0.088 | 0.007 |
| 27174046.006 | 27174047.003 | -143745400.000 | -0.068 | 0.134 | 0.011 |
| 5567.005 | 4894.001 | 4844.001 | -17677831.487 | 0.089 | 0.007 |
| 4898.002 | 5572.003 | 4849.004 | 0.065 | -17677831.420 | 0.022 |
| 4898.002 | 4848.999 | 5571.999 | -0.017 | 0.097 | -17677831.512 |
| -2559979.976 | 6976099.972 | 6976099.972 | -0.666 | 0.729 | 0.055 |
| 6976099.972 | -2559979.976 | 6976099.972 | -3.058 | -1.294 | 0.198 |
| 6976099.972 | 6976099.972 | -2559979.976 | -0.219 | 1.277 | -0.242 |
| 0.000 | 19.992 | 19.992 | 269062.032 | 1.179 | -0.337 |
| 19.992 | 0.000 | 19.992 | -2.669 | 269063.997 | 0.123 |
| 19.992 | 10.025 | 0.000 | -1.873 | 0.629 | 269064.003 |
| -2560459.969 | 6976070.012 | 6976070.012 | 0.870 | -1.024 | -0.128 |
| 6976070.012 | -2560459.969 | 6976070.012 | 2.037 | 0.127 | -0.388 |
| 6976070.012 | 6976070.012 | -2560459.969 | 3.283 | -1.964 | 0.160 |
| -10.025 | -19.992 | -19.992 | 269065.909 | -1.155 | -0.290 |
| -19.992 | -0.000 | -19.992 | 3.086 | 269062.730 | -0.179 |
| -19.992 | -10.025 | -0.000 | 1.973 | -0.331 | 269063.581 |
| -2557823.002 | 6976261.998 | 6976261.998 | -0.384 | -0.111 | 0.073 |
| 6976261.998 | -2557823.002 | 6976261.998 | -0.132 | 0.263 | 0.075 |
| 6976261.998 | 6976261.998 | -2557823.998 | -0.199 | -0.077 | 0.027 |
| 49.998 | 175.000 | 176.003 | 269063.603 | 0.043 | 0.043 |
| 175.000 | 49.998 | 176.003 | -0.146 | 269063.859 | 0.029 |
| 175.000 | 176.003 | 49.998 | -0.063 | 0.109 | 269063.797 |
| -2562614.000 | 6975909.001 | 6975909.001 | 0.381 | -0.152 | 0.010 |
| 6975909.001 | -2562614.000 | 6975909.001 | 0.278 | -0.050 | -0.034 |
| 6975909.001 | 6975909.001 | -2562614.000 | 0.281 | -0.098 | -0.034 |
| -49.998 | -175.000 | -176.003 | 269064.025 | -0.094 | -0.004 |
| -175.000 | -49.998 | -176.003 | 0.200 | 269063.766 | -0.030 |
| -175.000 | -176.003 | -49.998 | 0.090 | -0.084 | 269063.730 |
| -2536268.900 | 6977849.100 | 6977849.100 | -0.037 | -0.009 | 0.002 |
| 6977849.100 | -2536269.000 | 6977849.100 | -0.017 | -0.032 | -0.000 |
| 6977849.100 | 6977849.100 | -2536268.900 | 0.005 | 0.032 | 0.002 |
| 496.400 | 1752.500 | 1757.800 | 269063.722 | 0.004 | -0.004 |
| 1752.500 | 496.400 | 1757.800 | -0.020 | 269063.739 | 0.001 |
| 1752.500 | 1757.800 | 496.400 | -0.016 | 0.010 | 269063.748 |
| -2584168.300 | 6974322.400 | 6974322.400 | -0.001 | 0.000 | -0.001 |
| 6974322.400 | -2584168.200 | 6974322.400 | -0.002 | 0.011 | 0.003 |
| 6974322.400 | 6974322.400 | -2584168.300 | 0.002 | -0.024 | -0.005 |
| -496.400 | -1752.500 | -1757.800 | 269063.759 | 0.005 | 0.002 |
| -1752.500 | -496.400 | -1757.800 | 0.015 | 269063.730 | -0.001 |
| -1752.500 | -1757.800 | -496.400 | 0.016 | -0.015 | 269063.740 |
| -8525449.972 | -2367620.007 | -2367620.007 | -0.694 | -0.017 | 0.061 |
| -2367620.007 | -8525449.972 | -2367620.007 | -0.807 | 0.232 | 0.098 |
| -2367620.007 | -2367620.007 | -8525449.972 | -0.509 | 0.331 | 0.006 |
| 0.000 | -9.996 | -9.996 | -6385719.968 | 0.035 | -0.056 |
| -9.996 | 0.000 | -9.996 | -0.528 | -6385718.394 | -0.017 |
| -9.996 | -9.996 | 0.000 | -0.875 | 0.196 | -6385718.961 |
| -7951490.012 | -1775110.024 | -1692890.015 | -5626.884 | 197.370 | 1593.413 |
| -1793899.984 | -7933110.012 | -1693140.008 | -5621.576 | 196.270 | 1592.052 |
| -1793969.986 | -1775400.001 | -7851010.017 | -5623.151 | 197.339 | 1592.000 |
| -0.000 | 9.996 | 9.996 | -6385717.919 | -0.106 | 0.052 |
| 9.996 | -0.000 | 9.996 | 1.174 | -6385719.641 | 0.031 |
| 9.996 | 9.996 | -0.000 | 0.553 | 0.109 | -6385718.831 |
| -8525731.999 | -2367737.000 | -2367737.000 | -0.059 | 0.012 | -0.005 |
| -2367737.000 | -8525731.999 | -2367737.000 | -0.106 | -0.023 | -0.002 |
| -2367737.000 | -2367737.000 | -8525731.999 | -0.013 | 0.031 | -0.004 |
| -32.002 | -124.999 | -125.999 | -6385718.982 | 0.018 | -0.015 |
| -124.999 | -32.002 | -125.999 | -0.035 | -6385718.866 | -0.002 |
| -124.999 | -125.999 | -32.002 | -0.093 | 0.021 | -6385718.882 |
| -8467730.001 | -2308257.001 | -2300037.000 | -562.448 | 19.901 | 159.236 |
| -2310128.003 | -8465886.003 | -2300054.002 | -562.051 | 19.687 | 159.283 |
| -2310129.003 | -2308270.999 | -8457670.003 | -561.979 | 19.589 | 159.226 |
| 32.002 | 124.999 | 125.999 | -6385718.795 | -0.042 | 0.007 |
| 124.999 | 32.002 | 125.999 | 0.092 | -6385718.912 | 0.004 |
| 124.999 | 125.999 | 32.002 | 0.062 | -0.046 | -6385718.873 |
| -8534336.400 | -2374811.300 | -2375635.400 | 56.414 | -1.967 | -15.966 |
| -2374622.400 | -8534520.100 | -2375632.200 | 56.421 | -1.933 | -15.921 |
| -2374616.100 | -2374802.000 | -8535337.200 | 56.371 | -1.910 | -15.911 |
| -320.400 | -1246.400 | -1256.000 | -6385718.891 | -0.000 | -0.000 |
| -1246.400 | -320.400 | -1256.100 | -0.014 | -6385718.879 | -0.000 |
| -1246.400 | -1256.100 | -320.400 | -0.006 | 0.006 | -6385718.880 |
| -8522250.700 | -2366351.700 | -2366351.700 | 0.009 | -0.005 | 0.000 |
| -2366351.700 | -8522250.700 | -2366351.700 | 0.003 | -0.003 | -0.000 |
| -2366351.700 | -2366351.600 | -8522250.700 | 0.003 | -0.003 | 0.000 |
| 320.400 | 1246.400 | 1256.100 | -6385718.877 | -0.006 | -0.000 |
| 1246.400 | 320.400 | 1256.000 | 0.011 | -6385718.883 | 0.000 |
| 1246.400 | 1256.100 | 320.400 | 0.005 | -0.002 | -6385718.880 |
| 20212.241 | 19555.792 | 19555.792 | 0.000 | 0.000 | -0.000 |
| 19555.792 | 20212.241 | 19555.792 | 0.000 | -0.000 | -0.000 |
| 19555.792 | 19555.792 | 20212.241 | 0.000 | -0.000 | -0.000 |
| -0.001 | -0.000 | -0.000 | -234.255 | 0.000 | 0.000 |
| -0.000 | -0.001 | -0.000 | 0.000 | -234.255 | -0.000 |
| -0.000 | -0.000 | -0.001 | 0.000 | -0.000 | -234.255 |
| 20212.197 | 19555.755 | 19555.755 | -0.000 | 0.000 | -0.000 |
| 19555.755 | 20212.197 | 19555.755 | -0.000 | -0.000 | 0.000 |
| 19555.755 | 19555.755 | 20212.197 | -0.000 | -0.000 | -0.000 |
| 0.001 | 0.000 | 0.000 | -234.255 | -0.000 | 0.000 |
| 0.000 | 0.001 | 0.000 | -0.000 | -234.255 | 0.000 |
| 0.000 | 0.000 | 0.001 | -0.000 | 0.000 | -234.255 |
| 20212.445 | 19555.964 | 19555.964 | 0.000 | -0.000 | -0.000 |
| 19555.964 | 20212.445 | 19555.964 | 0.000 | -0.000 | -0.000 |
| 19555.964 | 19555.964 | 20212.445 | 0.000 | 0.000 | -0.000 |
| -0.001 | 0.002 | 0.002 | -234.255 | -0.000 | -0.000 |
| 0.002 | -0.001 | 0.002 | 0.000 | -234.255 | -0.000 |
| 0.002 | 0.002 | -0.001 | 0.000 | -0.000 | -234.255 |
| 20211.993 | 19555.583 | 19555.583 | -0.000 | 0.000 | 0.000 |
| 19555.583 | 20211.993 | 19555.583 | -0.000 | 0.000 | 0.000 |
| 19555.583 | 19555.583 | 20211.993 | -0.000 | -0.000 | 0.000 |
| 0.001 | -0.002 | -0.002 | -234.255 | 0.000 | -0.000 |
| -0.002 | 0.001 | -0.002 | -0.000 | -234.255 | 0.000 |
| -0.002 | -0.002 | 0.001 | -0.000 | -0.000 | -234.255 |
| 20214.480 | 19557.680 | 19557.680 | 0.000 | 0.000 | -0.000 |
| 19557.680 | 20214.480 | 19557.680 | 0.000 | 0.000 | -0.000 |
| 19557.680 | 19557.680 | 20214.480 | 0.000 | 0.000 | -0.000 |
| -0.008 | 0.022 | 0.022 | -234.255 | -0.000 | -0.000 |
| 0.022 | -0.008 | 0.022 | 0.000 | -234.255 | -0.000 |
| 0.022 | 0.022 | -0.008 | 0.000 | -0.000 | -234.255 |
| 20209.958 | 19553.867 | 19553.867 | -0.000 | 0.000 | 0.000 |
| 19553.867 | 20209.958 | 19553.867 | -0.000 | -0.000 | 0.000 |
| 19553.867 | 19553.867 | 20209.958 | -0.000 | -0.000 | 0.000 |
| 0.008 | -0.022 | -0.022 | -234.255 | -0.000 | -0.000 |
| -0.022 | 0.008 | -0.022 | -0.000 | -234.255 | 0.000 |
| -0.022 | -0.022 | 0.008 | -0.000 | -0.000 | -234.255 |
| 1625.575 | 1295.692 | 1295.692 | -0.000 | 0.000 | 0.000 |
| 1295.692 | 1625.575 | 1295.692 | 0.000 | 0.000 | 0.000 |
| 1295.692 | 1295.692 | 1625.575 | -0.000 | 0.000 | 0.000 |
| -0.001 | -0.001 | -0.001 | 29.779 | 0.000 | 0.000 |
| -0.001 | -0.001 | -0.001 | 0.000 | 29.779 | 0.000 |
| -0.001 | -0.001 | -0.001 | -0.000 | -0.000 | 29.779 |
| 1625.580 | 1295.693 | 1295.693 | 0.000 | -0.000 | 0.000 |
| 1295.693 | 1625.580 | 1295.693 | 0.000 | -0.000 | -0.000 |
| 1295.693 | 1295.693 | 1625.580 | -0.000 | -0.000 | 0.000 |
| 0.001 | 0.001 | 0.001 | 29.779 | -0.000 | -0.000 |
| 0.001 | 0.001 | 0.001 | -0.000 | 29.779 | -0.000 |
| 0.001 | 0.001 | 0.001 | 0.000 | -0.000 | 29.779 |
| 1625.553 | 1295.687 | 1295.687 | 0.000 | 0.000 | 0.000 |
| 1295.687 | 1625.553 | 1295.687 | 0.000 | 0.000 | 0.000 |
| 1295.687 | 1295.687 | 1625.553 | 0.000 | 0.000 | 0.000 |
| -0.006 | -0.008 | -0.008 | 29.779 | 0.000 | 0.000 |
| -0.008 | -0.006 | -0.008 | 0.000 | 29.779 | 0.000 |
| -0.008 | -0.008 | -0.006 | -0.000 | 0.000 | 29.779 |
| 1625.602 | 1295.698 | 1295.698 | 0.000 | -0.000 | -0.000 |
| 1295.698 | 1625.602 | 1295.698 | -0.000 | -0.000 | -0.000 |
| 1295.698 | 1295.698 | 1625.602 | -0.000 | -0.000 | -0.000 |
| 0.006 | 0.008 | 0.008 | 29.779 | -0.000 | -0.000 |
| 0.008 | 0.006 | 0.008 | 0.000 | 29.779 | -0.000 |
| 0.008 | 0.008 | 0.006 | 0.000 | -0.000 | 29.779 |
| 1625.335 | 1295.638 | 1295.638 | 0.000 | 0.000 | -0.000 |
| 1295.638 | 1625.335 | 1295.638 | 0.000 | 0.000 | -0.000 |
| 1295.638 | 1295.638 | 1625.335 | 0.000 | 0.000 | 0.000 |
| -0.056 | -0.083 | -0.083 | 29.779 | 0.000 | 0.000 |
| -0.083 | -0.056 | -0.083 | 0.000 | 29.779 | 0.000 |
| -0.083 | -0.083 | -0.056 | -0.000 | 0.000 | 29.779 |
| 1625.821 | 1295.748 | 1295.748 | -0.000 | 0.000 | 0.000 |
| 1295.748 | 1625.821 | 1295.748 | 0.000 | 0.000 | -0.000 |
| 1295.748 | 1295.748 | 1625.821 | -0.000 | -0.000 | -0.000 |
| 0.056 | 0.083 | 0.083 | 29.779 | 0.000 | -0.000 |
| 0.083 | 0.056 | 0.083 | -0.000 | 29.779 | -0.000 |
| 0.083 | 0.083 | 0.056 | 0.000 | -0.000 | 29.779 |
| -5312.019 | -2241.093 | -2241.093 | -0.000 | -0.000 | -0.000 |
| -2241.093 | -5312.019 | -2241.093 | 0.000 | -0.000 | -0.000 |
| -2241.093 | -2241.093 | -5312.019 | -0.000 | -0.000 | -0.000 |
| 0.002 | 0.004 | 0.004 | -2153.886 | -0.000 | -0.000 |
| 0.004 | 0.002 | 0.004 | 0.000 | -2153.886 | -0.000 |
| 0.004 | 0.004 | 0.002 | -0.000 | 0.000 | -2153.886 |
| -5312.046 | -2241.101 | -2241.101 | -0.000 | -0.000 | 0.000 |
| -2241.101 | -5312.046 | -2241.101 | -0.000 | -0.000 | 0.000 |
| -2241.101 | -2241.101 | -5312.046 | 0.000 | -0.000 | 0.000 |
| -0.002 | -0.004 | -0.004 | -2153.886 | -0.000 | 0.000 |
| -0.004 | -0.002 | -0.004 | -0.000 | -2153.886 | 0.000 |
| -0.004 | -0.004 | -0.002 | -0.000 | -0.000 | -2153.886 |
| -5311.896 | -2241.058 | -2241.058 | -0.000 | 0.000 | -0.000 |
| -2241.058 | -5311.896 | -2241.058 | -0.000 | -0.000 | -0.000 |
| -2241.058 | -2241.058 | -5311.896 | -0.000 | -0.000 | 0.000 |
| 0.020 | 0.040 | 0.040 | -2153.886 | -0.000 | -0.000 |
| 0.040 | 0.020 | 0.040 | 0.000 | -2153.886 | -0.000 |
| 0.040 | 0.040 | 0.020 | -0.000 | 0.000 | -2153.886 |
| -5312.170 | -2241.136 | -2241.136 | -0.000 | 0.000 | 0.000 |
| -2241.136 | -5312.170 | -2241.136 | -0.000 | -0.000 | 0.000 |
| -2241.136 | -2241.136 | -5312.170 | -0.000 | -0.000 | 0.000 |
| -0.020 | -0.040 | -0.040 | -2153.886 | 0.000 | 0.000 |
| -0.040 | -0.020 | -0.040 | 0.000 | -2153.886 | 0.000 |
| -0.040 | -0.040 | -0.020 | 0.000 | 0.000 | -2153.886 |
| -5310.665 | -2240.704 | -2240.704 | 0.000 | 0.000 | -0.000 |
| -2240.704 | -5310.665 | -2240.704 | 0.000 | 0.000 | -0.000 |
| -2240.704 | -2240.704 | -5310.665 | -0.000 | -0.000 | -0.000 |
| 0.196 | 0.400 | 0.397 | -2153.886 | 0.000 | -0.000 |
| 0.400 | 0.196 | 0.397 | -0.000 | -2153.886 | -0.000 |
| 0.400 | 0.397 | 0.196 | 0.000 | 0.000 | -2153.886 |
| -5313.401 | -2241.490 | -2241.490 | 0.000 | -0.000 | -0.000 |
| -2241.490 | -5313.401 | -2241.490 | 0.000 | 0.000 | 0.000 |
| -2241.490 | -2241.490 | -5313.401 | 0.000 | 0.000 | 0.000 |
| -0.196 | -0.400 | -0.397 | -2153.886 | -0.000 | 0.000 |
| -0.400 | -0.196 | -0.397 | -0.000 | -2153.886 | 0.000 |
| -0.400 | -0.397 | -0.196 | -0.000 | -0.000 | -2153.886 |
| 3031.686 | 1513.329 | 1513.329 | -0.000 | 0.000 | -0.000 |
| 1513.329 | 3031.686 | 1513.329 | -0.000 | 0.000 | 0.000 |
| 1513.329 | 1513.329 | 3031.686 | 0.000 | 0.000 | 0.000 |
| -0.001 | -0.001 | -0.001 | 1547.720 | 0.000 | -0.000 |
| -0.001 | -0.001 | -0.001 | 0.000 | 1547.720 | 0.000 |
| -0.001 | -0.001 | -0.001 | 0.000 | -0.000 | 1547.720 |
| 3031.687 | 1513.331 | 1513.331 | -0.000 | 0.000 | -0.000 |
| 1513.331 | 3031.687 | 1513.331 | -0.000 | -0.000 | 0.000 |
| 1513.331 | 1513.331 | 3031.687 | -0.000 | 0.000 | -0.000 |
| 0.001 | 0.001 | 0.001 | 1547.720 | -0.000 | -0.000 |
| 0.001 | 0.001 | 0.001 | -0.000 | 1547.720 | -0.000 |
| 0.001 | 0.001 | 0.001 | -0.000 | -0.000 | 1547.720 |
| 3031.679 | 1513.321 | 1513.321 | 0.000 | -0.000 | 0.000 |
| 1513.321 | 3031.679 | 1513.321 | -0.000 | 0.000 | 0.000 |
| 1513.321 | 1513.321 | 3031.679 | -0.000 | 0.000 | 0.000 |
| -0.006 | -0.010 | -0.009 | 1547.720 | 0.000 | -0.000 |
| -0.010 | -0.006 | -0.009 | 0.000 | 1547.720 | 0.000 |
| -0.010 | -0.009 | -0.006 | 0.000 | -0.000 | 1547.720 |
| 3031.694 | 1513.339 | 1513.339 | -0.000 | -0.000 | 0.000 |
| 1513.339 | 3031.694 | 1513.339 | 0.000 | -0.000 | 0.000 |
| 1513.339 | 1513.339 | 3031.694 | -0.000 | -0.000 | -0.000 |
| 0.006 | 0.010 | 0.009 | 1547.720 | -0.000 | -0.000 |
| 0.010 | 0.006 | 0.009 | 0.000 | 1547.720 | -0.000 |
| 0.010 | 0.009 | 0.006 | -0.000 | -0.000 | 1547.720 |
| 3031.609 | 1513.238 | 1513.238 | 0.000 | 0.000 | -0.000 |
| 1513.238 | 3031.609 | 1513.238 | 0.000 | 0.000 | -0.000 |
| 1513.238 | 1513.238 | 3031.609 | 0.000 | 0.000 | 0.000 |
| -0.062 | -0.096 | -0.094 | 1547.720 | -0.000 | 0.000 |
| -0.096 | -0.062 | -0.094 | 0.000 | 1547.720 | 0.000 |
| -0.096 | -0.094 | -0.062 | 0.000 | 0.000 | 1547.720 |
| 3031.764 | 1513.422 | 1513.422 | -0.000 | -0.000 | -0.000 |
| 1513.422 | 3031.764 | 1513.422 | -0.000 | -0.000 | -0.000 |
| 1513.422 | 1513.422 | 3031.764 | 0.000 | -0.000 | -0.000 |
| 0.062 | 0.096 | 0.094 | 1547.720 | -0.000 | -0.000 |
| 0.096 | 0.062 | 0.094 | -0.000 | 1547.720 | -0.000 |
| 0.096 | 0.094 | 0.062 | 0.000 | -0.000 | 1547.720 |
| 84.762 | 21.640 | 21.640 | -0.000 | -0.000 | -0.000 |
| 21.640 | 84.762 | 21.640 | 0.000 | -0.000 | 0.000 |
| 21.640 | 21.640 | 84.762 | 0.000 | 0.000 | 0.000 |
| 0.000 | 0.000 | 0.000 | 23.480 | -0.000 | -0.000 |
| 0.000 | 0.000 | 0.000 | 0.000 | 23.480 | -0.000 |
| 0.000 | 0.000 | 0.000 | -0.000 | -0.000 | 23.480 |
| 84.761 | 21.639 | 21.639 | -0.000 | 0.000 | -0.000 |
| 21.639 | 84.761 | 21.639 | -0.000 | 0.000 | 0.000 |
| 21.639 | 21.639 | 84.761 | -0.000 | -0.000 | -0.000 |
| -0.000 | -0.000 | -0.000 | 23.480 | 0.000 | -0.000 |
| -0.000 | -0.000 | -0.000 | -0.000 | 23.480 | 0.000 |
| -0.000 | -0.000 | -0.000 | 0.000 | 0.000 | 23.480 |
| 84.764 | 21.641 | 21.641 | 0.000 | -0.000 | -0.000 |
| 21.641 | 84.764 | 21.641 | 0.000 | -0.000 | 0.000 |
| 21.641 | 21.641 | 84.764 | 0.000 | -0.000 | -0.000 |
| 0.000 | 0.001 | 0.001 | 23.480 | -0.000 | 0.000 |
| 0.001 | 0.000 | 0.001 | -0.000 | 23.480 | -0.000 |
| 0.001 | 0.001 | 0.000 | 0.000 | -0.000 | 23.480 |
| 84.759 | 21.638 | 21.638 | -0.000 | 0.000 | 0.000 |
| 21.638 | 84.759 | 21.638 | -0.000 | 0.000 | -0.000 |
| 21.638 | 21.638 | 84.759 | -0.000 | 0.000 | 0.000 |
| -0.000 | -0.001 | -0.001 | 23.480 | 0.000 | -0.000 |
| -0.001 | -0.000 | -0.001 | -0.000 | 23.480 | 0.000 |
| -0.001 | -0.001 | -0.000 | 0.000 | 0.000 | 23.480 |
| 84.784 | 21.654 | 21.654 | 0.000 | -0.000 | -0.000 |
| 21.654 | 84.784 | 21.654 | -0.000 | -0.000 | 0.000 |
| 21.654 | 21.654 | 84.784 | 0.000 | 0.000 | 0.000 |
| 0.000 | 0.014 | 0.014 | 23.480 | -0.000 | -0.000 |
| 0.014 | 0.000 | 0.014 | -0.000 | 23.480 | 0.000 |
| 0.014 | 0.014 | 0.000 | 0.000 | -0.000 | 23.480 |
| 84.739 | 21.625 | 21.625 | -0.000 | 0.000 | 0.000 |
| 21.625 | 84.739 | 21.625 | -0.000 | 0.000 | -0.000 |
| 21.625 | 21.625 | 84.739 | -0.000 | 0.000 | 0.000 |
| -0.000 | -0.014 | -0.014 | 23.480 | 0.000 | -0.000 |
| -0.014 | -0.000 | -0.014 | -0.000 | 23.480 | 0.000 |
| -0.014 | -0.014 | -0.000 | -0.000 | 0.000 | 23.480 |
| -0.376 | -23.203 | -23.203 | -0.000 | 0.000 | -0.000 |
| -23.203 | -0.376 | -23.203 | 0.000 | 0.000 | -0.000 |
| -23.203 | -23.203 | -0.376 | 0.000 | 0.000 | -0.000 |
| -0.000 | -0.000 | -0.000 | -21.352 | 0.000 | -0.000 |
| -0.000 | -0.000 | -0.000 | 0.000 | -21.352 | -0.000 |
| -0.000 | -0.000 | -0.000 | 0.000 | 0.000 | -21.352 |
| -0.376 | -23.203 | -23.203 | -0.000 | -0.000 | 0.000 |
| -23.203 | -0.376 | -23.203 | -0.000 | -0.000 | 0.000 |
| -23.203 | -23.203 | -0.376 | -0.000 | -0.000 | 0.000 |
| 0.000 | 0.000 | 0.000 | -21.352 | -0.000 | 0.000 |
| 0.000 | 0.000 | 0.000 | -0.000 | -21.352 | 0.000 |
| 0.000 | 0.000 | 0.000 | -0.000 | -0.000 | -21.352 |
| -0.378 | -23.204 | -23.204 | 0.000 | 0.000 | -0.000 |
| -23.204 | -0.378 | -23.204 | -0.000 | 0.000 | -0.000 |
| -23.204 | -23.204 | -0.378 | 0.000 | 0.000 | -0.000 |
| -0.000 | -0.001 | -0.001 | -21.352 | 0.000 | -0.000 |
| -0.001 | -0.000 | -0.001 | 0.000 | -21.352 | -0.000 |
| -0.001 | -0.001 | -0.000 | 0.000 | 0.000 | -21.352 |
| -0.374 | -23.202 | -23.202 | -0.000 | -0.000 | 0.000 |
| -23.202 | -0.374 | -23.202 | -0.000 | -0.000 | -0.000 |
| -23.202 | -23.202 | -0.374 | -0.000 | -0.000 | 0.000 |
| 0.000 | 0.001 | 0.001 | -21.352 | -0.000 | 0.000 |
| 0.001 | 0.000 | 0.001 | -0.000 | -21.352 | 0.000 |
| 0.001 | 0.001 | 0.000 | -0.000 | -0.000 | -21.352 |
| -0.394 | -23.212 | -23.212 | 0.000 | 0.000 | -0.000 |
| -23.212 | -0.394 | -23.212 | 0.000 | 0.000 | -0.000 |
| -23.212 | -23.212 | -0.394 | 0.000 | 0.000 | -0.000 |
| -0.000 | -0.009 | -0.009 | -21.352 | 0.000 | -0.000 |
| -0.009 | -0.000 | -0.009 | 0.000 | -21.352 | -0.000 |
| -0.009 | -0.009 | -0.000 | 0.000 | 0.000 | -21.352 |
| -0.359 | -23.194 | -23.194 | -0.000 | -0.000 | 0.000 |
| -23.194 | -0.359 | -23.194 | -0.000 | -0.000 | 0.000 |
| -23.194 | -23.194 | -0.359 | 0.000 | -0.000 | -0.000 |
| 0.000 | 0.009 | 0.009 | -21.352 | -0.000 | 0.000 |
| 0.009 | 0.000 | 0.009 | -0.000 | -21.352 | 0.000 |
| 0.009 | 0.009 | 0.000 | -0.000 | -0.000 | -21.352 |
| 41.711 | -2.232 | -2.232 | 0.000 | -0.000 | 0.000 |
| -2.232 | 41.711 | -2.232 | 0.000 | -0.000 | -0.000 |
| -2.232 | -2.232 | 41.711 | 0.000 | -0.000 | -0.000 |
| 0.000 | -0.000 | -0.000 | -1.021 | -0.000 | -0.000 |
| -0.000 | -0.000 | -0.000 | 0.000 | -1.021 | -0.000 |
| -0.000 | -0.000 | 0.000 | 0.000 | -0.000 | -1.021 |
| 41.710 | -2.232 | -2.232 | -0.000 | 0.000 | -0.000 |
| -2.232 | 41.710 | -2.232 | -0.000 | 0.000 | 0.000 |
| -2.232 | -2.232 | 41.710 | -0.000 | 0.000 | 0.000 |
| -0.000 | 0.000 | 0.000 | -1.021 | 0.000 | 0.000 |
| 0.000 | 0.000 | 0.000 | -0.000 | -1.021 | 0.000 |
| 0.000 | 0.000 | -0.000 | -0.000 | 0.000 | -1.021 |
| 41.711 | -2.232 | -2.232 | 0.000 | -0.000 | -0.000 |
| -2.232 | 41.711 | -2.232 | 0.000 | -0.000 | 0.000 |
| -2.232 | -2.232 | 41.711 | 0.000 | -0.000 | -0.000 |
| 0.000 | -0.000 | -0.000 | -1.021 | -0.000 | -0.000 |
| -0.000 | 0.000 | -0.000 | 0.000 | -1.021 | -0.000 |
| -0.000 | -0.000 | 0.000 | 0.000 | -0.000 | -1.021 |
| 41.710 | -2.232 | -2.232 | -0.000 | 0.000 | -0.000 |
| -2.232 | 41.710 | -2.232 | -0.000 | 0.000 | 0.000 |
| -2.232 | -2.232 | 41.710 | -0.000 | 0.000 | -0.000 |
| -0.000 | 0.000 | 0.000 | -1.021 | 0.000 | 0.000 |
| 0.000 | -0.000 | 0.000 | -0.000 | -1.021 | 0.000 |
| 0.000 | 0.000 | -0.000 | -0.000 | 0.000 | -1.021 |
| 41.714 | -2.234 | -2.234 | 0.000 | 0.000 | -0.000 |
| -2.234 | 41.714 | -2.234 | 0.000 | 0.000 | -0.000 |
| -2.234 | -2.234 | 41.714 | 0.000 | -0.000 | 0.000 |
| 0.000 | -0.002 | -0.002 | -1.021 | -0.000 | -0.000 |
| -0.002 | 0.000 | -0.002 | 0.000 | -1.021 | -0.000 |
| -0.002 | -0.002 | 0.000 | 0.000 | -0.000 | -1.021 |
| 41.707 | -2.230 | -2.230 | -0.000 | 0.000 | 0.000 |
| -2.230 | 41.707 | -2.230 | -0.000 | 0.000 | -0.000 |
| -2.230 | -2.230 | 41.707 | -0.000 | -0.000 | 0.000 |
| -0.000 | 0.002 | 0.002 | -1.021 | 0.000 | 0.000 |
| 0.002 | -0.000 | 0.002 | -0.000 | -1.021 | 0.000 |
| 0.002 | 0.002 | -0.000 | -0.000 | 0.000 | -1.021 |
| 544.247 | 252.040 | -65.046 | -0.000 | -0.000 | -0.000 |
| 252.041 | 544.247 | -65.046 | 0.000 | 0.000 | 0.000 |
| -65.046 | -65.046 | 451.405 | 0.000 | 0.000 | 0.000 |
| -0.000 | -0.000 | -0.000 | 58.175 | 0.000 | 0.000 |
| -0.000 | -0.000 | -0.000 | 0.000 | 58.175 | 0.000 |
| -0.000 | -0.000 | -0.000 | 0.000 | -0.000 | 146.104 |
| 544.252 | 252.041 | -65.045 | -0.000 | 0.000 | 0.000 |
| 252.041 | 544.252 | -65.045 | -0.000 | -0.000 | -0.000 |
| -65.046 | -65.046 | 451.405 | -0.000 | -0.000 | -0.000 |
| 0.000 | 0.000 | 0.000 | 58.175 | -0.000 | -0.000 |
| 0.000 | 0.000 | 0.000 | -0.000 | 58.175 | -0.000 |
| 0.000 | 0.000 | 0.000 | 0.000 | 0.000 | 146.104 |
| 544.228 | 252.037 | -65.049 | 0.000 | 0.000 | 0.000 |
| 252.038 | 544.227 | -65.049 | -0.000 | 0.000 | 0.000 |
| -65.048 | -65.048 | 451.406 | 0.000 | 0.000 | 0.000 |
| -0.001 | -0.004 | -0.004 | 58.175 | 0.000 | 0.000 |
| -0.004 | -0.001 | -0.004 | 0.000 | 58.175 | 0.000 |
| -0.005 | -0.004 | -0.001 | 0.000 | 0.000 | 146.104 |
| 544.272 | 252.045 | -65.043 | 0.000 | 0.000 | -0.000 |
| 252.044 | 544.272 | -65.043 | 0.000 | -0.000 | -0.000 |
| -65.043 | -65.043 | 451.405 | -0.000 | -0.000 | -0.000 |
| 0.001 | 0.004 | 0.004 | 58.175 | -0.000 | -0.000 |
| 0.004 | 0.001 | 0.004 | -0.000 | 58.175 | -0.000 |
| 0.005 | 0.004 | 0.001 | -0.000 | -0.000 | 146.104 |
| 544.030 | 252.002 | -65.075 | -0.000 | 0.000 | 0.000 |
| 252.008 | 544.024 | -65.075 | 0.000 | 0.000 | 0.000 |
| -65.072 | -65.072 | 451.409 | 0.000 | 0.000 | 0.000 |
| -0.012 | -0.037 | -0.036 | 58.175 | 0.000 | 0.000 |
| -0.037 | -0.012 | -0.036 | 0.000 | 58.175 | 0.000 |
| -0.050 | -0.044 | -0.013 | 0.000 | 0.000 | 146.104 |
| 544.469 | 252.080 | -65.017 | -0.000 | -0.000 | -0.000 |
| 252.074 | 544.475 | -65.017 | -0.000 | -0.000 | -0.000 |
| -65.019 | -65.019 | 451.402 | 0.000 | -0.000 | -0.000 |
| 0.012 | 0.037 | 0.036 | 58.175 | -0.000 | -0.000 |
| 0.037 | 0.012 | 0.036 | -0.000 | 58.175 | -0.000 |
| 0.050 | 0.044 | 0.013 | -0.000 | -0.000 | 146.104 |
| 46027924.838 | 49065295.229 | 63353525.222 | -2526531.387 | -1047079.850 | 3355864.562 |
| 44615651.882 | 48791835.162 | 62344732.147 | -3652672.448 | -1886173.431 | 610126.583 |
| 32109681.536 | 31019095.199 | 45042978.115 | -2181360.254 | -195698.291 | 43305.293 |
| 42403138.837 | 44254371.755 | 57560513.503 | -2268680.680 | -1692909.537 | 712055.627 |
| 45214662.788 | 49476475.636 | 65933602.312 | -2386984.656 | -875863.588 | 1087470.909 |
| 51590912.762 | 54456333.895 | 67097619.248 | -1673516.271 | 1510894.898 | 954341.472 |
| -48954743.927 | -48208231.466 | -65246988.269 | 2001720.257 | -1266284.937 | -63329.514 |
| -44770387.658 | -45225210.454 | -58276853.816 | 2168944.194 | -186219.336 | -2113736.185 |
| -39992797.517 | -42552155.987 | -56374107.539 | 2654090.986 | -2405849.771 | -2791.670 |
| -46017544.795 | -45812685.868 | -63216928.518 | 1794145.831 | 1564135.021 | -1265412.183 |
| -39884569.048 | -42914931.440 | -57333736.311 | 2038108.172 | -171741.882 | 1057478.093 |
| -42594564.246 | -47913997.072 | -64426179.797 | 1674404.379 | 878378.330 | 883213.017 |
| 4180374.436 | 4225841.388 | 5535212.652 | -279052.234 | -13721.791 | 93631.188 |
| 4037760.669 | 4066373.503 | 5267624.197 | -299382.618 | 71603.467 | 134399.699 |
| 3717545.966 | 3748124.624 | 4884009.455 | -271773.679 | -76798.116 | 150787.455 |
| 4893067.513 | 5128657.617 | 6747892.343 | -194172.955 | 122028.509 | 143823.828 |
| 3702618.971 | 3888943.114 | 5129440.386 | -430326.057 | -96507.603 | 235867.046 |
| 4482478.048 | 4480623.223 | 5808147.203 | -395489.854 | -30041.351 | 109319.503 |
| -4428914.621 | -4624469.280 | -6391503.268 | 113120.374 | -92784.927 | -27364.853 |
| -4659321.340 | -4942681.456 | -6983494.545 | 90270.907 | -33233.703 | -32091.425 |
| -4792298.263 | -5472142.807 | -6557583.013 | 264702.838 | -163556.044 | -157948.558 |
| -4372825.897 | -4791122.943 | -6063378.379 | 394313.369 | 184788.319 | -25301.207 |
| -3594615.928 | -3644348.453 | -4947120.652 | 343500.794 | 208417.367 | -196699.847 |
| -4132321.309 | -4410629.057 | -5554300.818 | 431773.630 | 166253.612 | -135787.578 |
| 406056.857 | 446006.601 | 579349.961 | -31593.421 | -4953.627 | -1612.862 |
| 427658.790 | 471344.514 | 590454.651 | -31845.208 | 721.024 | 24099.665 |
| 450173.462 | 459659.248 | 578508.048 | -26355.090 | 12350.760 | 25554.645 |
| 403431.495 | 414517.455 | 543625.313 | -32464.505 | -10872.662 | -2057.773 |
| 423800.401 | 480337.558 | 567557.872 | -27646.507 | -17993.415 | 14140.127 |
| 423349.223 | 474339.053 | 627183.803 | -12502.861 | -3992.990 | -2798.269 |
| -457573.721 | -475912.537 | -625814.126 | 10268.416 | 14049.426 | 1507.022 |
| -399282.160 | -426668.067 | -520845.996 | 29724.374 | 1369.202 | 8954.960 |
| -395194.056 | -421703.049 | -568705.029 | 24979.242 | -7045.858 | -6134.108 |
| -425562.600 | -442728.231 | -598618.528 | 23499.533 | -4429.492 | -16623.615 |
| -374495.294 | -409698.649 | -513431.519 | 29732.065 | 15243.882 | -12121.509 |
| -459137.791 | -514972.914 | -646484.532 | 11896.307 | 8241.062 | -12270.563 |
| -3268.793 | -3286.983 | -4054.808 | 0.027 | 0.016 | 0.000 |
| -3286.837 | -3268.644 | -4054.627 | 0.027 | 0.016 | 0.000 |
| -3597.817 | -3597.817 | -3672.734 | 0.022 | 0.013 | 0.000 |
| -0.000 | -0.000 | -0.000 | 53.858 | 0.000 | 0.000 |
| -0.000 | -0.000 | -0.000 | -0.000 | 53.858 | 0.000 |
| -3520.253 | -3520.253 | -4094.827 | 0.027 | 0.016 | -27.743 |
| 3887.810 | 3841.702 | 4049.715 | -0.022 | -0.013 | -0.000 |
| 3841.702 | 3887.810 | 4049.715 | -0.022 | -0.013 | -0.000 |
| 199.903 | 199.903 | 591.659 | 0.000 | 0.000 | -0.000 |
| 0.000 | 0.000 | 0.000 | 53.858 | -0.000 | -0.000 |
| 0.000 | 0.000 | 0.000 | 0.000 | 53.858 | -0.000 |
| 3907.445 | 3907.445 | 4128.037 | -0.014 | -0.008 | -24.572 |
| -106.501 | -151.639 | -360.575 | 0.002 | 0.001 | 0.000 |
| -151.639 | -106.501 | -360.575 | 0.002 | 0.001 | 0.000 |
| 199.901 | 199.901 | 591.651 | 0.000 | 0.000 | 0.000 |
| -0.002 | -0.004 | -0.002 | 53.858 | -0.000 | 0.000 |
| -137.295 | -137.293 | 51.460 | 0.000 | 34.365 | 0.000 |
| -347.621 | -347.621 | -407.295 | 0.003 | 0.002 | -24.937 |
| 550.771 | 446.609 | 116.282 | -0.000 | -0.000 | -0.000 |
| 446.609 | 550.771 | 116.282 | -0.000 | -0.000 | -0.000 |
| 394.668 | 394.668 | 734.731 | -0.002 | -0.001 | -0.000 |
| 137.293 | 137.295 | -51.460 | 34.364 | -0.000 | -0.000 |
| 0.004 | 0.002 | 0.002 | 0.000 | 53.858 | -0.000 |
| 347.621 | 347.621 | 407.295 | -0.003 | -0.002 | -24.937 |
| 9570121.487 | 8784103.267 | 1855517.081 | 19647.692 | 7598.091 | -58522.841 |
| 8816050.856 | 9788466.128 | 2324733.912 | 1884.799 | -8723.295 | 71439.791 |
| 40.319 | 40.319 | 380.315 | 0.000 | 0.000 | 0.000 |
| 9268968.388 | 9667928.487 | 2650383.080 | -255717.561 | -32149.741 | -52547.260 |
| 9856347.833 | 9243952.700 | 2845574.134 | -52062.896 | -176598.101 | -19135.808 |
| -30.845 | -30.845 | -30.340 | 0.000 | 0.000 | 9.809 |
| -8980173.347 | -9183751.407 | -2300811.016 | -17076.192 | 50114.899 | -67761.919 |
| -9354722.226 | -8977645.916 | -2359000.813 | 28015.505 | 49835.848 | 45910.849 |
| 127.968 | 127.968 | 445.856 | -0.000 | -0.000 | -0.000 |
| -9305517.341 | -9618171.290 | -2888377.257 | -263539.102 | 46046.144 | -32471.259 |
| -9838204.221 | -9245502.654 | -2605867.193 | 128710.238 | -173685.265 | -50942.032 |
| 30.845 | 30.845 | 30.340 | -0.000 | -0.000 | 9.809 |
| -517.881 | 1351.327 | 2747.483 | 1596.431 | 453.516 | -1019.059 |
| -224.726 | 1432.125 | 602.946 | 535.839 | -47.455 | -16.650 |
| -223.999 | 1207.951 | 774.882 | 524.966 | -65.395 | -27.737 |
| -470.980 | 948.437 | 334.089 | 647.626 | -67.792 | -20.455 |
| -809.995 | 594.189 | 1293.784 | 1011.880 | 319.179 | -920.091 |
| -52.320 | 1159.161 | 5164.731 | 2575.620 | 1385.994 | -1346.730 |
| 497.543 | 270.352 | 267.275 | -4.072 | 8.484 | 3.954 |
| 266.677 | -781.058 | -4962.861 | -2559.735 | -1369.442 | 1400.691 |
| -128.552 | -2131.675 | -7408.218 | -3504.028 | -2180.316 | 2127.557 |
| 811.442 | -577.941 | -1291.859 | -931.383 | -243.173 | 926.587 |
| 4.461 | 15.511 | -4.752 | -2.169 | 127.693 | -6.240 |
| -2255.976 | -5415.516 | -11924.356 | -5251.507 | -2247.437 | 1500.393 |
| 229.752 | 336.115 | 452.220 | 158.185 | 48.055 | -93.654 |
| 140.066 | 500.704 | 485.670 | 161.591 | 63.138 | -95.543 |
| 141.387 | 306.024 | 493.850 | 98.854 | 25.971 | -91.688 |
| -47.234 | 95.845 | 30.324 | 169.610 | -9.289 | 4.038 |
| 4.461 | 15.511 | -4.751 | -2.169 | 127.693 | -6.240 |
| 1.426 | 10.508 | -0.502 | 9.948 | -2.883 | 126.323 |
| 274.635 | 98.750 | -353.178 | -248.698 | -136.280 | 143.447 |
| 293.154 | 392.274 | 232.404 | -48.051 | 23.979 | 13.246 |
| 282.512 | 119.096 | 42.990 | -159.424 | -38.500 | 101.425 |
| -13.857 | -237.387 | -770.183 | -325.400 | -232.562 | 234.254 |
| 4.461 | 15.511 | -4.752 | -2.169 | 127.693 | -6.240 |
| 51.912 | -82.388 | -33.393 | -43.701 | 4.640 | 105.608 |
| 497.581 | 270.372 | 267.310 | -4.097 | 8.505 | 3.928 |
| 223.571 | 430.531 | 262.453 | 17.931 | 22.228 | 0.773 |
| 189.041 | 249.249 | 360.724 | 22.301 | 14.513 | -9.328 |
| -5.162 | 11.789 | 0.573 | 120.566 | -3.569 | 6.352 |
| -6.275 | 27.135 | 25.953 | 7.360 | 73.891 | -9.874 |
| 3.865 | 22.677 | 69.887 | 47.737 | 21.211 | 41.514 |
| 497.534 | 270.348 | 267.271 | -4.069 | 8.492 | 3.959 |
| 239.905 | 432.031 | 240.959 | -5.613 | 15.152 | 16.780 |
| 245.972 | 251.540 | 423.925 | -8.950 | 0.658 | -0.338 |
| -4.098 | 1.125 | -6.001 | 142.070 | -2.188 | 8.136 |
| 9.044 | 10.163 | -10.609 | -14.785 | 76.721 | 7.190 |
| 1.408 | 10.497 | -0.521 | 9.962 | -2.901 | 126.335 |
| 329.039 | 152.750 | 149.051 | -3.173 | -8.729 | -3.674 |
| 155.705 | 353.022 | 155.220 | 9.843 | -5.720 | 18.627 |
| 179.405 | 188.042 | 421.613 | 18.230 | -0.076 | 0.271 |
| -0.751 | 9.640 | 27.053 | 76.294 | 4.295 | 0.040 |
| -6.473 | -6.161 | -0.083 | 5.037 | 79.474 | 0.063 |
| -5.516 | 17.107 | 0.272 | 2.493 | -4.631 | 126.851 |
| 328.917 | 152.144 | 149.513 | -3.130 | -8.443 | -2.884 |
| 155.876 | 352.624 | 155.759 | 9.878 | -5.437 | 19.334 |
| 179.405 | 188.042 | 421.613 | 18.230 | -0.076 | 0.271 |
| 0.138 | 11.077 | 24.172 | 86.664 | 5.607 | 1.426 |
| -4.301 | 2.552 | -0.076 | 5.575 | 114.718 | -1.932 |
| -5.516 | 17.107 | 0.272 | 2.493 | -4.631 | 126.851 |
| 416.290 | 186.230 | 179.396 | -4.098 | -4.322 | -9.961 |
| 155.781 | 352.842 | 155.461 | 9.859 | -5.593 | 18.946 |
| 179.405 | 188.042 | 421.616 | 18.230 | -0.075 | 0.270 |
| -3.164 | 12.341 | 22.836 | 98.892 | 3.698 | 1.102 |
| -4.302 | 2.552 | -0.076 | 5.574 | 114.718 | -1.932 |
| -0.057 | 19.179 | -4.072 | 1.079 | -3.148 | 102.106 |
| 416.291 | 186.230 | 179.396 | -4.098 | -4.322 | -9.962 |
| 186.914 | 438.352 | 187.613 | 5.595 | 2.421 | 17.104 |
| 137.864 | 146.594 | 293.491 | 23.667 | 0.319 | -2.996 |
| -3.146 | 12.305 | 22.904 | 98.805 | 3.721 | 1.171 |
| -6.399 | -6.492 | 0.252 | 5.009 | 79.599 | 0.506 |
| -5.516 | 17.106 | 0.273 | 2.493 | -4.631 | 126.851 |
| 268.080 | 138.429 | 126.956 | -0.864 | -3.557 | -2.524 |
| 186.919 | 438.393 | 187.614 | 5.592 | 2.421 | 17.116 |
| 137.717 | 146.603 | 293.401 | 23.667 | 0.357 | -3.029 |
| -4.004 | 8.645 | 18.232 | 129.609 | 5.576 | 2.625 |
| -8.046 | -5.118 | -0.009 | 3.849 | 89.834 | -1.105 |
| 1.937 | 20.578 | -3.152 | 0.990 | -1.018 | 93.158 |
| 281.450 | 141.887 | 132.683 | -0.999 | -6.055 | -3.024 |
| 137.623 | 284.422 | 133.593 | 7.967 | -7.046 | 21.499 |
| 179.430 | 188.084 | 421.723 | 18.198 | -0.035 | 0.245 |
| -3.169 | 12.446 | 22.913 | 98.939 | 3.671 | 1.061 |
| -6.386 | -6.523 | 0.282 | 4.991 | 79.352 | 0.468 |
| -0.080 | 19.094 | -4.074 | 1.036 | -3.161 | 102.053 |
| 314.610 | 158.471 | 18.106 | 0.000 | 0.000 | -0.000 |
| 142.497 | 447.832 | 117.080 | 0.000 | 0.000 | -0.000 |
| 10.482 | 125.429 | 460.205 | 0.000 | 0.000 | -0.000 |
| -6.462 | 0.856 | -2.810 | 50.011 | -0.000 | -0.000 |
| -0.000 | 0.000 | -0.000 | -0.000 | 17.460 | 0.000 |
| 0.001 | 0.000 | 0.000 | -0.000 | 0.000 | 121.700 |
| 346.905 | 154.192 | 32.153 | -0.000 | -0.000 | 0.000 |
| 174.796 | 443.554 | 131.126 | -0.000 | -0.000 | 0.000 |
| 42.783 | 121.152 | 474.252 | -0.000 | -0.000 | 0.000 |
| 6.462 | -0.856 | 2.810 | 50.011 | -0.000 | 0.000 |
| 0.000 | -0.000 | 0.000 | 0.000 | 17.460 | 0.000 |
| -0.001 | -0.000 | -0.000 | 0.000 | -0.000 | 121.700 |
| 329.162 | 156.556 | 24.423 | 0.000 | 0.000 | -0.000 |
| 142.691 | 447.811 | 117.164 | -0.000 | 0.000 | -0.000 |
| 25.015 | 123.505 | 466.524 | 0.000 | 0.000 | -0.000 |
| -0.611 | 0.082 | -0.266 | 50.497 | 0.000 | -0.000 |
| -1.617 | 0.214 | -0.704 | 0.000 | 17.460 | -0.000 |
| -4.324 | 0.573 | -1.895 | 0.000 | 0.000 | -183.222 |
| 451.263 | 140.362 | 77.545 | 0.000 | -0.000 | 0.000 |
| 142.682 | 447.802 | 117.162 | 0.000 | 0.000 | 0.000 |
| 28.251 | 123.077 | 467.933 | -0.000 | 0.000 | 0.000 |
| 0.611 | -0.082 | 0.266 | 50.497 | -0.000 | 0.000 |
| 1.617 | -0.214 | 0.704 | -0.000 | 17.460 | 0.000 |
| 4.324 | -0.573 | 1.895 | -0.000 | -0.000 | -183.222 |
| 330.797 | 156.458 | 25.013 | 0.000 | 0.000 | -0.000 |
| 158.535 | 445.756 | 124.046 | 0.000 | 0.000 | -0.000 |
| 26.441 | 123.317 | 467.140 | 0.000 | 0.000 | -0.000 |
| -0.064 | 0.017 | -0.029 | 50.502 | 0.000 | -0.000 |
| -0.182 | 0.025 | -0.083 | 0.000 | 17.460 | -0.000 |
| -0.594 | 0.087 | -0.406 | 0.000 | 0.000 | -183.317 |
| 330.717 | 156.205 | 25.246 | -0.000 | -0.000 | 0.000 |
| 158.758 | 445.631 | 124.160 | -0.000 | -0.000 | 0.000 |
| 26.824 | 123.265 | 467.317 | -0.000 | -0.000 | 0.000 |
| 0.064 | -0.017 | 0.029 | 50.502 | -0.000 | 0.000 |
| 0.182 | -0.025 | 0.083 | -0.000 | 17.460 | 0.000 |
| 0.594 | -0.087 | 0.406 | -0.000 | -0.000 | -183.317 |
| 1872.324 | 1737.019 | 1737.019 | 0.000 | -0.000 | 0.000 |
| 1737.019 | 1872.324 | 1737.019 | 0.000 | 0.000 | 0.000 |
| 1737.019 | 1737.019 | 1872.324 | 0.000 | 0.000 | 0.000 |
| 1772.925 | 1772.925 | 1772.925 | 52.233 | 0.000 | 0.000 |
| 1772.925 | 1772.925 | 1772.925 | -0.000 | 52.233 | 0.000 |
| 1772.925 | 1772.925 | 1772.925 | 0.000 | 0.000 | 52.233 |
| 913.586 | 733.860 | 733.860 | -0.000 | -0.000 | -0.000 |
| 733.860 | 913.586 | 733.860 | -0.000 | -0.000 | -0.000 |
| 733.860 | 733.860 | 913.586 | -0.000 | -0.000 | -0.000 |
| -1772.925 | -1772.925 | -1772.925 | 52.233 | -0.000 | -0.000 |
| -1772.925 | -1772.925 | -1772.925 | -0.000 | 52.233 | -0.000 |
| -1772.925 | -1772.925 | -1772.925 | -0.000 | -0.000 | 52.233 |
| 492.207 | 261.088 | 261.088 | 0.000 | -0.000 | 0.000 |
| 261.088 | 492.207 | 261.088 | -0.000 | -0.000 | 0.000 |
| 261.088 | 261.088 | 492.207 | 0.000 | 0.000 | 0.000 |
| 148.917 | 148.917 | 148.917 | 57.639 | 0.000 | 0.000 |
| 148.917 | 148.917 | 148.917 | 0.000 | 57.639 | 0.000 |
| 148.917 | 148.917 | 148.917 | 0.000 | 0.000 | 57.639 |
| 203.521 | 64.894 | 64.894 | 0.000 | -0.000 | -0.000 |
| 64.894 | 203.521 | 64.894 | -0.000 | -0.000 | -0.000 |
| 64.894 | 64.894 | 203.521 | -0.000 | -0.000 | -0.000 |
| -148.917 | -148.917 | -148.917 | 57.639 | -0.000 | -0.000 |
| -148.917 | -148.917 | -148.917 | 0.000 | 57.639 | -0.000 |
| -148.917 | -148.917 | -148.917 | -0.000 | 0.000 | 57.639 |
| 399.437 | 263.250 | 263.250 | 0.000 | 0.000 | 0.000 |
| 263.250 | 399.437 | 263.250 | 0.000 | 0.000 | 0.000 |
| 263.250 | 263.250 | 399.437 | -0.000 | 0.000 | 0.000 |
| 15.320 | 15.318 | 15.318 | 57.194 | 0.000 | 0.000 |
| 15.318 | 15.320 | 15.318 | -0.000 | 57.194 | 0.000 |
| 15.318 | 15.318 | 15.320 | 0.000 | 0.000 | 57.194 |
| 371.959 | 234.113 | 234.113 | -0.000 | -0.000 | -0.000 |
| 234.113 | 371.959 | 234.113 | -0.000 | -0.000 | -0.000 |
| 234.113 | 234.113 | 371.959 | 0.000 | -0.000 | -0.000 |
| -15.320 | -15.318 | -15.318 | 57.194 | -0.000 | -0.000 |
| -15.318 | -15.320 | -15.318 | 0.000 | 57.194 | -0.000 |
| -15.318 | -15.318 | -15.320 | 0.000 | -0.000 | 57.194 |
| 145.278 | 34.643 | 34.643 | -0.000 | -0.000 | 0.000 |
| 34.643 | 145.278 | 34.643 | -0.000 | -0.000 | 0.000 |
| 34.643 | 34.643 | 145.278 | -0.000 | -0.000 | -0.000 |
| 0.000 | 0.000 | 0.000 | 43.824 | 0.000 | 0.000 |
| 0.000 | 0.000 | 0.000 | -0.000 | 43.824 | -0.000 |
| 0.000 | 0.000 | 0.000 | -0.000 | -0.000 | 43.824 |
| 227.626 | 92.142 | 92.142 | 0.000 | -0.000 | -0.000 |
| 92.142 | 227.626 | 92.142 | 0.000 | 0.000 | 0.000 |
| 92.142 | 92.142 | 227.626 | 0.000 | 0.000 | 0.000 |
| -0.000 | -0.000 | -0.000 | 43.824 | 0.000 | -0.000 |
| -0.000 | -0.000 | -0.000 | 0.000 | 43.824 | 0.000 |
| -0.000 | -0.000 | -0.000 | -0.000 | 0.000 | 43.824 |
| 351.449 | 149.072 | 149.072 | -0.000 | -0.000 | 0.000 |
| 149.072 | 351.449 | 149.072 | 0.000 | -0.000 | -0.000 |
| 149.072 | 149.072 | 351.449 | 0.000 | -0.000 | 0.000 |
| 0.001 | 0.002 | 0.002 | 43.824 | -0.000 | -0.000 |
| 0.002 | 0.001 | 0.002 | -0.000 | 43.824 | -0.000 |
| 0.002 | 0.002 | 0.001 | 0.000 | 0.000 | 43.824 |
| 238.823 | 99.524 | 99.524 | 0.000 | 0.000 | 0.000 |
| 99.524 | 238.823 | 99.524 | 0.000 | 0.000 | -0.000 |
| 99.524 | 99.524 | 238.823 | -0.000 | -0.000 | -0.000 |
| -0.001 | -0.002 | -0.002 | 43.824 | 0.000 | -0.000 |
| -0.002 | -0.001 | -0.002 | -0.000 | 43.824 | 0.000 |
| -0.002 | -0.002 | -0.001 | 0.000 | 0.000 | 43.824 |
| 240.073 | 100.339 | 100.339 | -0.000 | 0.000 | -0.000 |
| 100.339 | 240.073 | 100.339 | -0.000 | -0.000 | -0.000 |
| 100.339 | 100.339 | 240.073 | -0.000 | -0.000 | -0.000 |
| 0.079 | 0.098 | 0.098 | 7.985 | -0.000 | 0.000 |
| 0.098 | 0.079 | 0.098 | -0.000 | 7.985 | -0.000 |
| 0.098 | 0.098 | 0.079 | -0.000 | -0.000 | 7.985 |
| 146.753 | 55.485 | 55.485 | 0.000 | 0.000 | -0.000 |
| 55.485 | 146.753 | 55.485 | 0.000 | -0.000 | -0.000 |
| 55.485 | 55.485 | 146.753 | 0.000 | -0.000 | -0.000 |
| -0.079 | -0.098 | -0.098 | 7.985 | 0.000 | 0.000 |
| -0.098 | -0.079 | -0.098 | 0.000 | 7.985 | 0.000 |
| -0.098 | -0.098 | -0.079 | 0.000 | 0.000 | 7.985 |
| 1942.953 | 1868.387 | 1868.387 | 0.000 | 0.000 | -0.000 |
| 1868.387 | 1942.953 | 1868.387 | -0.000 | 0.000 | -0.000 |
| 1868.387 | 1868.387 | 1942.953 | 0.000 | 0.000 | -0.000 |
| 1715.563 | 1715.562 | 1715.562 | 35.261 | 0.000 | -0.000 |
| 1715.562 | 1715.563 | 1715.562 | 0.000 | 35.261 | -0.000 |
| 1715.562 | 1715.562 | 1715.563 | -0.000 | 0.000 | 35.261 |
| -1361.569 | -1436.136 | -1436.136 | -0.000 | -0.000 | -0.000 |
| -1436.136 | -1361.569 | -1436.136 | 0.000 | -0.000 | -0.000 |
| -1436.136 | -1436.136 | -1361.569 | -0.000 | -0.000 | 0.000 |
| -1715.563 | -1715.562 | -1715.562 | 35.261 | -0.000 | 0.000 |
| -1715.562 | -1715.563 | -1715.562 | -0.000 | 35.261 | 0.000 |
| -1715.562 | -1715.562 | -1715.563 | -0.000 | -0.000 | 35.261 |
| 455.071 | 380.607 | 380.607 | 0.000 | 0.000 | 0.000 |
| 380.607 | 455.071 | 380.607 | 0.000 | 0.000 | -0.000 |
| 380.607 | 380.607 | 455.071 | 0.000 | 0.000 | -0.000 |
| 166.819 | 166.814 | 166.814 | 35.982 | 0.000 | -0.000 |
| 166.814 | 166.819 | 166.814 | 0.000 | 35.982 | -0.000 |
| 166.814 | 166.814 | 166.819 | 0.000 | 0.000 | 35.982 |
| 0.521 | -167.861 | -167.861 | -0.000 | -0.000 | 0.000 |
| -167.861 | 0.521 | -167.861 | 0.000 | -0.000 | 0.000 |
| -167.861 | -167.861 | 0.521 | -0.000 | -0.000 | 0.000 |
| -166.819 | -166.814 | -166.814 | 35.982 | -0.000 | -0.000 |
| -166.814 | -166.819 | -166.814 | 0.000 | 35.982 | 0.000 |
| -166.814 | -166.814 | -166.819 | -0.000 | -0.000 | 35.982 |
| 301.990 | 222.945 | 222.945 | -0.000 | 0.000 | 0.000 |
| 222.945 | 301.990 | 222.945 | 0.000 | 0.000 | -0.000 |
| 222.945 | 222.945 | 301.990 | -0.000 | 0.000 | -0.000 |
| 20.151 | 20.106 | 20.106 | 43.989 | 0.000 | -0.000 |
| 20.106 | 20.151 | 20.106 | 0.000 | 43.989 | -0.000 |
| 20.106 | 20.106 | 20.151 | 0.000 | 0.000 | 43.989 |
| 270.025 | 202.490 | 202.490 | 0.000 | -0.000 | -0.000 |
| 202.490 | 270.025 | 202.490 | -0.000 | -0.000 | 0.000 |
| 202.490 | 202.490 | 270.025 | -0.000 | -0.000 | 0.000 |
| -20.151 | -20.106 | -20.106 | 43.989 | -0.000 | -0.000 |
| -20.106 | -20.151 | -20.106 | -0.000 | 43.989 | 0.000 |
| -20.106 | -20.106 | -20.151 | -0.000 | -0.000 | 43.989 |
| 612.855 | 334.249 | 334.249 | -0.000 | -0.000 | -0.000 |
| 334.249 | 612.855 | 334.249 | -0.000 | -0.000 | -0.000 |
| 334.249 | 334.249 | 612.855 | 0.000 | -0.000 | -0.000 |
| 0.012 | 0.011 | 0.011 | 214.358 | -0.000 | -0.000 |
| 0.011 | 0.012 | 0.011 | 0.000 | 214.358 | -0.000 |
| 0.011 | 0.011 | 0.012 | 0.000 | -0.000 | 214.358 |
| 612.856 | 334.249 | 334.249 | -0.000 | 0.000 | 0.000 |
| 334.249 | 612.856 | 334.249 | 0.000 | 0.000 | 0.000 |
| 334.249 | 334.249 | 612.856 | 0.000 | 0.000 | 0.000 |
| -0.012 | -0.011 | -0.011 | 214.358 | 0.000 | 0.000 |
| -0.011 | -0.012 | -0.011 | -0.000 | 214.358 | 0.000 |
| -0.011 | -0.011 | -0.012 | -0.000 | 0.000 | 214.358 |
| 573.255 | 337.149 | 337.149 | 0.000 | -0.000 | -0.000 |
| 337.149 | 573.255 | 337.149 | 0.000 | -0.000 | -0.000 |
| 337.149 | 337.149 | 573.255 | 0.000 | -0.000 | -0.000 |
| 0.000 | -0.005 | -0.005 | 214.358 | -0.000 | -0.000 |
| -0.005 | 0.000 | -0.005 | 0.000 | 214.358 | -0.000 |
| -0.005 | -0.005 | 0.000 | 0.000 | 0.000 | 214.358 |
| 573.275 | 337.156 | 337.156 | -0.000 | 0.000 | 0.000 |
| 337.156 | 573.275 | 337.156 | -0.000 | 0.000 | 0.000 |
| 337.156 | 337.156 | 573.275 | -0.000 | 0.000 | 0.000 |
| -0.000 | 0.005 | 0.005 | 214.358 | 0.000 | 0.000 |
| 0.005 | -0.000 | 0.005 | -0.000 | 214.358 | 0.000 |
| 0.005 | 0.005 | -0.000 | -0.000 | 0.000 | 214.358 |
| 573.161 | 337.104 | 337.104 | 0.000 | -0.000 | -0.000 |
| 337.104 | 573.161 | 337.104 | 0.000 | -0.000 | -0.000 |
| 337.104 | 337.104 | 573.161 | 0.000 | 0.000 | -0.000 |
| -0.007 | -0.063 | -0.063 | 208.690 | -0.000 | -0.000 |
| -0.063 | -0.007 | -0.063 | 0.000 | 208.690 | -0.000 |
| -0.063 | -0.063 | -0.007 | 0.000 | -0.000 | 208.690 |
| 612.946 | 334.296 | 334.296 | -0.000 | 0.000 | 0.000 |
| 334.296 | 612.946 | 334.296 | 0.000 | 0.000 | 0.000 |
| 334.296 | 334.296 | 612.946 | -0.000 | 0.000 | 0.000 |
| 0.007 | 0.063 | 0.063 | 208.690 | 0.000 | 0.000 |
| 0.063 | 0.007 | 0.063 | -0.000 | 208.690 | 0.000 |
| 0.063 | 0.063 | 0.007 | -0.000 | 0.000 | 208.690 |
| 497.862 | 171.071 | 156.289 | 24.309 | 0.000 | -0.000 |
| 171.071 | 497.862 | 156.289 | -24.309 | 0.000 | -0.000 |
| 153.760 | 153.760 | 544.022 | 0.000 | -0.000 | -0.000 |
| 20.178 | -20.179 | -0.001 | 121.892 | 0.000 | -0.000 |
| -0.000 | -0.000 | -0.001 | 0.000 | 121.892 | 20.178 |
| -0.001 | -0.000 | -0.001 | 0.000 | 20.178 | 157.260 |
| 492.492 | 173.892 | 151.060 | 21.551 | 0.000 | 0.000 |
| 173.892 | 492.492 | 151.060 | -21.551 | -0.000 | 0.000 |
| 156.290 | 156.290 | 554.394 | -0.000 | -0.000 | -0.000 |
| 20.179 | -20.178 | 0.001 | 121.892 | 0.000 | 0.000 |
| 0.000 | 0.000 | 0.001 | -0.000 | 121.892 | 20.179 |
| 0.001 | 0.000 | 0.001 | -0.000 | 20.178 | 157.260 |
| 491.105 | 176.589 | 153.758 | 20.182 | 0.000 | -0.000 |
| 173.892 | 492.486 | 151.058 | -21.558 | -0.000 | -0.000 |
| 153.759 | 153.759 | 544.020 | 0.000 | -0.000 | -0.000 |
| 20.178 | -20.180 | -0.001 | 121.891 | 0.000 | -0.000 |
| -0.003 | -0.001 | -0.002 | 0.001 | 124.672 | 24.308 |
| -0.002 | -0.001 | -0.001 | 0.002 | 20.178 | 157.260 |
| 497.866 | 171.072 | 156.292 | 24.305 | 0.000 | 0.000 |
| 171.072 | 497.867 | 156.292 | -24.302 | -0.000 | -0.000 |
| 153.762 | 153.762 | 544.024 | -0.000 | 0.000 | 0.000 |
| 20.179 | -20.177 | 0.001 | 121.892 | -0.000 | 0.000 |
| 0.003 | 0.001 | 0.002 | -0.001 | 124.672 | 24.308 |
| 0.002 | 0.001 | 0.001 | -0.002 | 20.178 | 157.260 |
| 492.446 | 173.889 | 151.038 | 21.585 | 0.000 | -0.000 |
| 176.596 | 491.049 | 153.738 | -20.253 | 0.000 | -0.000 |
| 153.748 | 153.748 | 544.001 | 0.000 | -0.000 | -0.000 |
| 24.298 | -24.339 | -0.023 | 124.661 | 0.000 | -0.000 |
| -0.017 | -0.002 | -0.005 | 0.008 | 121.892 | 20.178 |
| -0.013 | -0.006 | -0.010 | 0.012 | 24.308 | 163.396 |
| 492.541 | 173.891 | 151.085 | 21.520 | -0.000 | 0.000 |
| 173.881 | 492.551 | 151.082 | -21.487 | -0.000 | 0.000 |
| 153.773 | 153.773 | 544.044 | -0.000 | 0.000 | 0.000 |
| 24.319 | -24.278 | 0.023 | 124.682 | 0.000 | 0.000 |
| 0.017 | 0.002 | 0.005 | -0.008 | 121.892 | 20.178 |
| 0.013 | 0.006 | 0.010 | -0.012 | 24.308 | 163.396 |
| 575.817 | 198.978 | 199.658 | 3.840 | 0.000 | -0.000 |
| 30.723 | 405.749 | -17.666 | -2.761 | 0.000 | 0.000 |
| 30.195 | 30.195 | 1015.725 | -0.000 | -0.000 | -0.000 |
| 3.840 | -3.840 | -0.000 | 165.004 | 0.000 | -0.000 |
| 0.000 | 0.000 | -0.000 | -0.000 | 165.004 | 3.840 |
| -0.000 | -0.000 | 0.000 | 0.000 | 3.840 | 188.420 |
| 575.818 | 198.978 | 199.658 | 3.840 | 0.000 | 0.000 |
| 369.699 | 741.728 | 415.882 | -0.973 | 0.000 | -0.000 |
| 367.754 | 367.754 | 1449.407 | 0.000 | -0.000 | 0.000 |
| 169.753 | 167.806 | 216.827 | 161.573 | -0.000 | 0.000 |
| -0.000 | -0.000 | 0.000 | 0.000 | 165.004 | 3.840 |
| 0.000 | 0.000 | -0.000 | -0.000 | 3.840 | 188.420 |
| 575.813 | 198.978 | 199.660 | 3.841 | 0.000 | -0.000 |
| 182.583 | 557.610 | 177.431 | -2.765 | 0.000 | -0.000 |
| 182.095 | 182.095 | 1210.739 | -0.000 | 0.000 | -0.000 |
| -14.081 | -19.605 | -21.642 | 163.710 | 0.000 | -0.000 |
| -16.890 | -16.891 | -21.702 | -0.001 | 163.705 | 2.760 |
| -0.001 | -0.001 | 0.001 | 0.000 | 3.840 | 188.420 |
| 575.822 | 198.979 | 199.656 | 3.840 | -0.000 | -0.000 |
| 216.317 | 591.343 | 220.757 | -2.759 | -0.000 | 0.000 |
| 199.578 | 199.578 | 1233.494 | 0.000 | 0.000 | -0.000 |
| 19.659 | 14.139 | 21.713 | 163.703 | 0.000 | 0.000 |
| 16.890 | 16.891 | 21.702 | 0.001 | 163.705 | 2.760 |
| 0.001 | 0.001 | -0.001 | -0.000 | 3.840 | 188.420 |
| 572.545 | 197.661 | 196.755 | 2.709 | 0.000 | -0.000 |
| 198.966 | 575.778 | 199.677 | -3.849 | -0.000 | 0.000 |
| 197.269 | 197.269 | 1228.956 | -0.000 | 0.000 | -0.000 |
| 0.741 | -4.504 | -2.451 | 163.558 | 0.000 | 0.000 |
| 0.018 | 0.006 | -0.015 | -0.013 | 165.004 | 3.840 |
| -1.839 | -1.848 | -2.350 | 0.002 | 2.667 | 187.433 |
| 575.865 | 198.983 | 199.639 | 3.835 | -0.000 | 0.000 |
| 201.461 | 576.221 | 201.454 | -2.578 | -0.000 | -0.000 |
| 200.680 | 200.680 | 1236.176 | 0.000 | -0.000 | 0.000 |
| 4.517 | -0.759 | 2.448 | 163.540 | -0.000 | 0.000 |
| -0.018 | -0.006 | 0.015 | 0.013 | 165.004 | 3.840 |
| 1.839 | 1.848 | 2.350 | -0.002 | 2.667 | 187.433 |
| 568.033 | 297.953 | 180.667 | 0.000 | 0.000 | -0.000 |
| 297.953 | 568.033 | 180.667 | -0.000 | 0.000 | -0.000 |
| 3492.311 | 3492.311 | 3680.804 | 0.106 | 0.121 | -0.000 |
| -0.000 | -0.000 | -0.000 | 26.526 | -0.000 | -0.000 |
| -0.000 | -0.000 | -0.000 | -0.000 | 26.526 | -0.000 |
| -0.000 | -0.000 | -0.000 | 0.000 | -0.000 | 158.249 |
| 568.037 | 297.954 | 180.668 | -0.000 | 0.000 | 0.000 |
| 297.954 | 568.037 | 180.668 | 0.000 | -0.000 | 0.000 |
| -2232.925 | -2232.925 | -3060.965 | -0.035 | -0.040 | 0.000 |
| 0.000 | 0.000 | 0.000 | 26.526 | -0.000 | 0.000 |
| 0.000 | 0.000 | 0.000 | 0.000 | 26.526 | 0.000 |
| 0.000 | 0.000 | 0.000 | -0.000 | 0.000 | 158.249 |
| 727.321 | 519.406 | 485.200 | 0.004 | 0.004 | -0.000 |
| 519.406 | 727.321 | 485.200 | 0.004 | 0.004 | -0.000 |
| 497.760 | 497.760 | 553.147 | 0.012 | 0.013 | -0.000 |
| -0.001 | -0.003 | -0.004 | 26.526 | 0.000 | -0.000 |
| -0.003 | -0.001 | -0.004 | 0.000 | 26.526 | -0.000 |
| -0.004 | -0.003 | -0.001 | -0.000 | -0.000 | 158.249 |
| -83751623.290 | -82984483.418 | -34900301.433 | 1215292.585 | -317694.455 | 649502.569 |
| -87786606.088 | -84880394.170 | -36836600.452 | 426873.339 | -101647.196 | 596255.869 |
| -61.285 | -61.285 | -62.466 | -0.003 | -0.003 | 0.000 |
| 0.001 | 0.003 | 0.004 | 26.526 | 0.000 | 0.000 |
| 0.003 | 0.001 | 0.004 | -0.000 | 26.526 | 0.000 |
| 0.004 | 0.003 | 0.001 | -0.000 | 0.000 | 158.249 |
| 8103982.451 | 8134757.892 | 3307124.381 | -38724.089 | 19076.368 | 25776.226 |
| 8776538.892 | 9075634.206 | 4393519.106 | 71169.854 | -22405.499 | 8557.311 |
| 177.317 | 177.317 | 266.637 | 0.001 | 0.001 | -0.000 |
| 96363.668 | 2265110.265 | -1772454.431 | -2342462.765 | 301.628 | 318.109 |
| 2265288.324 | 96262.167 | -1771938.628 | 465.035 | -2342666.527 | 204.829 |
| 39.947 | 39.947 | 32.668 | 0.002 | 0.002 | 81.424 |
| 393.387 | 237.684 | 106.127 | -0.001 | -0.001 | 0.000 |
| 237.684 | 393.387 | 106.127 | -0.001 | -0.001 | 0.000 |
| 107.616 | 107.616 | 198.943 | -0.002 | -0.002 | 0.000 |
| -96296.035 | -2264609.127 | 1772932.699 | -2342397.739 | -626.675 | 234.211 |
| -2264581.978 | -96128.902 | 1772735.000 | 692.774 | -2342186.364 | -203.552 |
| -39.942 | -39.942 | -32.667 | -0.002 | -0.002 | 81.424 |
| -496.299 | -649.983 | 1863.057 | 0.002 | -0.001 | 0.000 |
| -649.983 | -496.299 | 1863.057 | 0.002 | -0.001 | 0.000 |
| -1547.049 | -1547.049 | 864.551 | 0.006 | -0.003 | -0.000 |
| -1170.858 | -1170.858 | 2644.644 | 34.832 | -0.006 | 0.000 |
| -1170.858 | -1170.858 | 2644.644 | 0.013 | 34.814 | 0.000 |
| 0.000 | 0.000 | -0.000 | -0.000 | 0.000 | 181.297 |
| 2226.305 | 2077.299 | 11.200 | -0.006 | 0.003 | 0.000 |
| 2077.299 | 2226.305 | 11.200 | -0.006 | 0.003 | 0.000 |
| 959.439 | 959.439 | -1919.759 | -0.017 | 0.008 | -0.000 |
| 1170.858 | 1170.858 | -2644.644 | 34.807 | 0.006 | -0.000 |
| 1170.858 | 1170.858 | -2644.644 | -0.013 | 34.826 | -0.000 |
| -0.000 | -0.000 | 0.000 | 0.000 | 0.000 | 181.297 |
| 579.475 | 308.933 | 235.867 | -0.000 | 0.000 | 0.000 |
| 308.933 | 579.475 | 235.867 | -0.000 | 0.000 | 0.000 |
| 109.579 | 109.579 | 827.702 | 0.000 | -0.000 | 0.000 |
| -97.956 | -97.957 | 249.861 | 22.228 | -0.001 | 0.000 |
| -97.958 | -97.956 | 249.861 | 0.002 | 22.224 | 0.000 |
| -97.788 | -97.788 | 164.558 | 0.000 | -0.000 | 85.270 |
| 580.426 | 425.578 | 52.978 | -0.000 | 0.000 | -0.000 |
| 425.578 | 580.426 | 52.978 | -0.000 | 0.000 | -0.000 |
| 384.354 | 384.354 | 642.773 | -0.001 | 0.000 | -0.000 |
| 97.957 | 97.958 | -249.861 | 22.223 | 0.001 | -0.000 |
| 97.957 | 97.956 | -249.861 | -0.002 | 22.227 | -0.000 |
| 97.788 | 97.788 | -164.558 | -0.000 | 0.000 | 85.270 |
| 446.044 | 308.026 | 241.648 | 0.000 | -0.000 | 0.000 |
| 308.026 | 446.044 | 241.648 | 0.000 | -0.000 | 0.000 |
| 232.131 | 232.131 | 731.891 | 0.000 | -0.000 | 0.000 |
| -240316.439 | 2537225.980 | -1978361.548 | -2454831.031 | 2999.129 | 2882.974 |
| 2537097.249 | -241669.785 | -1976722.365 | -510.015 | -2455024.958 | -1659.923 |
| -10.060 | -10.060 | 22.111 | 0.000 | -0.000 | 22.592 |
| 477.584 | 342.017 | 214.008 | -0.000 | 0.000 | 0.000 |
| 342.017 | 477.584 | 214.008 | -0.000 | 0.000 | 0.000 |
| 207.005 | 207.005 | 629.141 | -0.000 | 0.000 | -0.000 |
| 11.124 | 11.134 | -18.681 | 78.528 | 0.000 | -0.000 |
| -2538579.529 | 239785.976 | 1975426.099 | 850.452 | -2454883.373 | -707.723 |
| 10.060 | 10.060 | -22.111 | -0.000 | 0.000 | 22.592 |
| -2120.743 | -471.130 | 521.784 | 0.000 | 0.000 | 0.000 |
| -471.130 | -2120.743 | 521.784 | 0.000 | -0.000 | 0.000 |
| 523.418 | 523.418 | 4846.620 | 0.000 | 0.000 | 0.000 |
| 0.000 | 0.001 | 0.005 | 586.697 | -0.000 | -0.000 |
| 0.001 | 0.000 | 0.005 | 0.000 | 586.697 | 0.000 |
| -0.001 | -0.001 | 0.000 | 0.000 | 0.000 | -401.612 |
| -2120.738 | -471.129 | 521.783 | 0.000 | -0.000 | 0.000 |
| -471.129 | -2120.738 | 521.783 | 0.000 | -0.000 | -0.000 |
| 523.407 | 523.407 | 4846.563 | -0.000 | -0.000 | 0.000 |
| -0.000 | -0.001 | -0.005 | 586.697 | -0.000 | 0.000 |
| -0.001 | -0.000 | -0.005 | -0.000 | 586.697 | -0.000 |
| 0.001 | 0.001 | -0.000 | -0.000 | -0.000 | -401.612 |
| -2120.764 | -471.137 | 521.791 | 0.000 | 0.000 | 0.000 |
| -471.137 | -2120.764 | 521.791 | -0.000 | -0.000 | 0.000 |
| 523.466 | 523.466 | 4846.874 | 0.000 | -0.000 | 0.000 |
| 0.001 | 0.007 | 0.053 | 586.697 | 0.000 | 0.000 |
| 0.007 | 0.001 | 0.053 | 0.000 | 586.697 | 0.000 |
| -0.007 | -0.007 | 0.001 | -0.000 | 0.000 | -401.612 |
| -2120.717 | -471.123 | 521.776 | -0.000 | -0.000 | 0.000 |
| -471.123 | -2120.717 | 521.776 | -0.000 | 0.000 | 0.000 |
| 523.359 | 523.359 | 4846.309 | -0.000 | -0.000 | -0.000 |
| -0.001 | -0.007 | -0.053 | 586.697 | -0.000 | -0.000 |
| -0.007 | -0.001 | -0.053 | -0.000 | 586.697 | 0.000 |
| 0.007 | 0.007 | -0.001 | -0.000 | -0.000 | -401.612 |
| -2120.972 | -471.198 | 521.859 | -0.000 | 0.000 | 0.000 |
| -471.198 | -2120.972 | 521.859 | 0.000 | -0.000 | -0.000 |
| 523.947 | 523.947 | 4849.419 | -0.000 | 0.000 | 0.000 |
| 0.014 | 0.074 | 0.533 | 586.697 | 0.000 | -0.000 |
| 0.074 | 0.014 | 0.533 | 0.000 | 586.697 | -0.000 |
| -0.067 | -0.067 | 0.015 | -0.000 | 0.000 | -401.612 |
| -2120.509 | -471.061 | 521.708 | 0.000 | -0.000 | 0.000 |
| -471.061 | -2120.509 | 521.708 | 0.000 | 0.000 | -0.000 |
| 522.877 | 522.877 | 4843.764 | 0.000 | 0.000 | -0.000 |
| -0.014 | -0.074 | -0.533 | 586.697 | -0.000 | 0.000 |
| -0.074 | -0.014 | -0.533 | -0.000 | 586.697 | 0.000 |
| 0.067 | 0.067 | -0.015 | 0.000 | -0.000 | -401.612 |
Phonon band structures and crystal properties estimated from quasi-harmonic approximation (QHA) calculations are displayed for select crystals. The calculations were performed using phonopy and LAMMPS. For the phonon calculations, 3x3 supercells of the potential-specific relaxed crystals were used. The QHA calculations were based on 11 strain states ranging from -0.05 to 0.05.
The calculation method used is available as the iprPy phonon calculation method.
Notes and Disclaimers:
Version Information:



































































































































































































































































































Static free surface formation energies are displayed for select crystals. The values displayed here are obtained by taking a perfect periodic bulk crystal, slicing along a crystallographic plane, and using force minimization to statically relax the surfaces. The free surface formation energy is computed by comparing the energy of the defect system to the bulk system and dividing by the total surface area created by the cut.
The calculation method used is available as the iprPy surface_energy_static calculation method.
Notes and Disclaimers:
Version Information:
| Surface | γfs (mJ/m2) |
|---|---|
| (320) | -84889.12 |
| (311) | -80251.15 |
| (211) | -59005.20 |
| (210) | -25.94 |
| (321) | 59.58 |
| (100) | 120.71 |
| (310) | 142.39 |
| (110) | 154.32 |
| (221) | 164.71 |
| (332) | 167.36 |
| (111) | 168.80 |
| Surface | γfs (mJ/m2) |
|---|---|
| (111) | 185.42 |
| (332) | 205.32 |
| (322) | 207.61 |
| (100) | 213.82 |
| (221) | 213.97 |
| (211) | 218.35 |
| (331) | 220.84 |
| (311) | 225.69 |
| (110) | 226.80 |
| (321) | 228.65 |
| (310) | 236.62 |
| (320) | 237.18 |
| (210) | 239.00 |
| Surface | γfs (mJ/m2) |
|---|---|
| (111) | 61.54 |
| (332) | 67.79 |
| (322) | 68.49 |
| (100) | 69.80 |
| (221) | 70.46 |
| (211) | 71.79 |
| (331) | 72.54 |
| (311) | 73.92 |
| (110) | 74.13 |
| (321) | 74.94 |
| (310) | 77.13 |
| (320) | 77.36 |
| (210) | 77.87 |
| Surface | γfs (mJ/m2) |
|---|---|
| (211) 2 | 2302.57 |
| (210) | 2375.35 |
| (332) 2 | 2397.87 |
| (321) 2 | 2409.81 |
| (321) 1 | 2419.33 |
| (311) | 2420.33 |
| (322) | 2426.33 |
| (111) | 2428.68 |
| (100) | 2430.04 |
| (221) | 2433.19 |
| (331) | 2456.49 |
| (320) | 2459.95 |
| (310) | 2464.09 |
| (332) 1 | 2476.99 |
| (110) | 2481.50 |
| (211) 1 | 2497.76 |
| Surface | γfs (mJ/m2) |
|---|---|
| (100) | -16722.45 |
| Surface | γfs (mJ/m2) |
|---|---|
| (100) | 3.83 |
| (310) | 4.85 |
| (210) | 5.14 |
| (320) | 5.31 |
| (110) | 5.42 |
| (311) | 5.78 |
| (321) 2 | 6.14 |
| (321) 1 | 6.14 |
| (331) | 6.15 |
| (211) 1 | 6.26 |
| (211) 2 | 6.26 |
| (221) | 6.39 |
| (322) | 6.50 |
| (332) 2 | 6.53 |
| (332) 1 | 6.53 |
| (111) | 6.64 |
| Surface | γfs (mJ/m2) |
|---|---|
| (110) | 2421.44 |
| (320) | 2589.09 |
| (100) | 2636.86 |
| (210) | 2644.21 |
| (211) | 2646.99 |
| (321) | 2652.13 |
| (310) | 2653.15 |
| (331) | 2666.10 |
| (311) | 2702.54 |
| (221) | 2732.84 |
| (322) | 2743.48 |
| (332) | 2755.87 |
| (111) | 2776.61 |
| Surface | γfs (mJ/m2) |
|---|---|
| (100) | 186.20 |
| (310) | 209.14 |
| (320) | 212.90 |
| (210) | 212.98 |
| (311) | 230.33 |
| (321) | 232.78 |
| (331) | 233.29 |
| (211) | 236.84 |
| (221) | 241.95 |
| (322) | 246.30 |
| (332) | 247.46 |
| (111) | 251.21 |
| Surface | γfs (mJ/m2) |
|---|---|
| (110) | 161.80 |
| (320) | 180.60 |
| (321) | 182.78 |
| (331) | 183.04 |
| (211) | 185.89 |
| (210) | 188.93 |
| (221) | 189.72 |
| (322) | 193.07 |
| (332) | 193.94 |
| (100) | 194.09 |
| (310) | 194.95 |
| (311) | 195.65 |
| (111) | 196.58 |
| Surface | γfs (mJ/m2) |
|---|---|
| (110) | 37.45 |
| (321) | 42.26 |
| (331) | 42.27 |
| (211) | 42.91 |
| (320) | 43.69 |
| (221) | 43.76 |
| (322) | 44.51 |
| (332) | 44.69 |
| (111) | 45.23 |
| (210) | 46.78 |
| (311) | 47.29 |
| (310) | 49.43 |
| (100) | 51.69 |
| Surface | γfs (mJ/m2) |
|---|---|
| (111) 2 | 638.26 |
| (331) 2 | 753.24 |
| (332) | 761.51 |
| (110) | 769.95 |
| (211) | 771.42 |
| (321) | 795.05 |
| (322) | 802.83 |
| (311) 1 | 805.94 |
| (221) | 822.24 |
| (320) | 824.94 |
| (100) | 835.07 |
| (210) | 843.19 |
| (310) | 848.21 |
| (311) 2 | 848.42 |
| (331) 1 | 877.91 |
| (111) 1 | 1007.72 |
| Surface | γfs (mJ/m2) |
|---|---|
| (111) 2 | 23.18 |
| (331) 2 | 27.63 |
| (110) | 28.39 |
| (321) | 32.18 |
| (211) | 32.76 |
| (320) | 33.39 |
| (332) | 34.21 |
| (210) | 35.89 |
| (311) 2 | 36.29 |
| (311) 1 | 36.29 |
| (310) | 38.06 |
| (221) | 40.10 |
| (100) | 40.11 |
| (331) 1 | 45.99 |
| (111) 1 | 69.39 |
| Surface | γfs (mJ/m2) |
|---|---|
| (111) 2 | 7.72 |
| (331) 2 | 9.19 |
| (110) | 9.45 |
| (321) | 10.66 |
| (211) | 10.83 |
| (320) | 11.07 |
| (332) | 11.27 |
| (311) 2 | 11.96 |
| (311) 1 | 11.98 |
| (310) | 12.56 |
| (322) | 12.79 |
| (221) | 13.18 |
| (100) | 13.19 |
| (331) 1 | 15.09 |
| (111) 1 | 22.54 |
| Surface | γfs (mJ/m2) |
|---|---|
| (111) | -23014.17 |
| (211) 1 | -61.74 |
| (211) 2 | 46.63 |
| (100) | 65.49 |
| (101) 2 | 83.07 |
| (101) 1 | 94.66 |
| (112) | 98.34 |
| (110) | 100.03 |
| (001) | 106.39 |
| Surface | γfs (mJ/m2) |
|---|---|
| (110) | 185.75 |
| (101) | 217.17 |
| (211) | 219.55 |
| (111) | 226.17 |
| (112) | 234.58 |
| (201) | 236.64 |
| (100) | 244.34 |
| (001) | 307.25 |
| Surface | γfs (mJ/m2) |
|---|---|
| (100) | 53.53 |
| (310) | 67.67 |
| (210) | 71.76 |
| (320) | 74.16 |
| (110) | 75.61 |
| (311) | 80.57 |
| (321) | 85.69 |
| (331) | 85.80 |
| (211) | 87.24 |
| (221) | 89.03 |
| (322) | 90.68 |
| (332) | 91.09 |
| (111) | 92.47 |
| Surface | γfs (mJ/m2) |
|---|---|
| (100) | 17.83 |
| (310) | 22.35 |
| (210) | 23.64 |
| (320) | 24.38 |
| (110) | 24.77 |
| (311) | 26.30 |
| (331) | 27.90 |
| (321) | 27.91 |
| (211) | 28.34 |
| (221) | 28.87 |
| (322) | 29.35 |
| (332) | 29.47 |
| (111) | 29.79 |
| Surface | γfs (mJ/m2) |
|---|---|
| (111) | 3336.23 |
| (332) | 3675.22 |
| (322) | 3764.07 |
| (221) | 3823.03 |
| (110) | 3901.35 |
| (321) | 3910.30 |
| (331) | 3929.09 |
| (311) | 3944.45 |
| (320) | 3992.14 |
| (211) | 4006.17 |
| (210) | 4025.35 |
| (310) | 4231.26 |
| (100) | 4339.71 |
| Surface | γfs (mJ/m2) |
|---|---|
| (332) | 0.00 |
| (211) | 0.00 |
| (110) | 0.00 |
| (331) | 0.00 |
| (111) | 0.00 |
| (320) | 0.00 |
| (322) | 0.00 |
| (311) | 0.00 |
| (221) | 0.00 |
| (100) | 0.00 |
| (210) | 0.00 |
| (310) | 0.00 |
| (321) | 0.00 |
| Surface | γfs (mJ/m2) |
|---|---|
| (211) 2 | 391.46 |
| (210) | 408.81 |
| (332) 2 | 413.23 |
| (311) | 416.05 |
| (310) | 419.39 |
| (321) 1 | 419.71 |
| (321) 2 | 420.59 |
| (221) | 424.36 |
| (111) | 424.84 |
| (322) | 425.15 |
| (100) | 428.69 |
| (331) | 431.02 |
| (320) | 434.85 |
| (110) | 438.41 |
| (332) 1 | 438.47 |
| (211) 1 | 449.63 |
| Surface | γfs (mJ/m2) |
|---|---|
| (211) | 257.12 |
| (311) | 271.97 |
| (310) | 289.87 |
| (320) | 299.88 |
| (321) | 326.58 |
| (210) | 327.06 |
| (332) | 371.61 |
| (322) | 400.35 |
| (100) | 420.73 |
| (110) | 437.45 |
| (331) | 483.06 |
| (221) | 497.64 |
| (111) | 513.18 |
| Surface | γfs (mJ/m2) |
|---|---|
| (0001) | 3261.83 |
| (2021) 1 | 3607.15 |
| (1011) 1 | 3647.75 |
| (1120) | 3683.76 |
| (2241) | 3724.77 |
| (2112) | 3728.39 |
| (1121) | 3755.25 |
| (2131) 1 | 3795.90 |
| (2132) 1 | 3806.22 |
| (2132) 2 | 3808.70 |
| (1012) 2 | 3809.59 |
| (2021) 2 | 3881.65 |
| (1012) 1 | 3888.18 |
| (1010) | 3913.96 |
| (1011) 2 | 4348.82 |
| Surface | γfs (mJ/m2) |
|---|---|
| (2130) | 0.00 |
| (2021) 2 | 0.00 |
| (0001) | 0.00 |
| (1012) 2 | 0.00 |
| (2132) 2 | 0.00 |
| (1010) | 0.00 |
| (1011) 1 | 0.00 |
| (2131) 1 | 0.00 |
| (1121) | 0.00 |
| (2132) 1 | 0.00 |
| (1012) 1 | 0.00 |
| (1120) | 0.00 |
| (2131) 2 | 0.00 |
| (2241) | 0.00 |
| (2021) 1 | 0.00 |
| (2112) | 0.00 |
| (1011) 2 | 0.00 |
| Surface | γfs (mJ/m2) |
|---|---|
| (111) 2 | 45.10 |
| (331) 2 | 53.75 |
| (110) | 55.23 |
| (321) | 62.55 |
| (211) | 63.67 |
| (320) | 64.92 |
| (332) | 66.45 |
| (210) | 69.74 |
| (311) 2 | 70.49 |
| (311) 1 | 70.50 |
| (310) | 73.94 |
| (322) | 75.53 |
| (221) | 77.85 |
| (100) | 77.86 |
| (331) 1 | 89.25 |
| (111) 1 | 134.42 |
| Surface | γfs (mJ/m2) |
|---|---|
| (211) 2 | -15666.50 |
| (110) | -13799.19 |
| (201) | -11641.55 |
| (100) | -6885.31 |
| (001) | -4351.95 |
| (101) 2 | -2245.02 |
| (112) | -2240.97 |
| Surface | γfs (mJ/m2) |
|---|---|
| (201) | 0.00 |
| (211) 1 | 0.00 |
| (112) | 0.00 |
| (110) | 0.00 |
| (101) 1 | 0.00 |
| (211) 2 | 0.00 |
| (100) | 0.00 |
| (001) | 0.00 |
| (111) | 0.00 |
| (101) 2 | 0.00 |
| Surface | γfs (mJ/m2) |
|---|---|
| (101) | 380.81 |
| (110) | 422.60 |
| (201) | 433.71 |
| (001) | 440.70 |
| (211) | 449.24 |
| (100) | 456.57 |
| (112) | 457.57 |
| (111) | 475.03 |
| Surface | γfs (mJ/m2) |
|---|---|
| (100) | 0.00 |
| (101) | 0.00 |
| (110) | 0.00 |
| (201) | 0.00 |
| (001) | 0.00 |
| (211) | 0.00 |
| (111) | 0.00 |
| (112) | 0.00 |
| Surface | γfs (mJ/m2) |
|---|---|
| (0001) 1 | 3384.15 |
| (1011) 2 | 3806.03 |
| (1120) | 4052.80 |
| (2131) 2 | 4087.94 |
| (2241) 1 | 4099.09 |
| (2112) 1 | 4106.96 |
| (2132) 2 | 4109.31 |
| (2021) 2 | 4117.64 |
| (1121) 1 | 4124.34 |
| (1012) 2 | 4127.73 |
| (2130) | 4199.27 |
| (2132) 1 | 4205.60 |
| (2241) 2 | 4222.21 |
| (2112) 2 | 4354.01 |
| (2021) 1 | 4373.47 |
| (1010) | 4379.16 |
| (2131) 1 | 4440.48 |
| (1012) 1 | 4453.76 |
| (1011) 1 | 5332.57 |
| (0001) 2 | 6948.43 |
| Surface | γfs (mJ/m2) |
|---|---|
| (111) | 4731.42 |
| (211) | 4813.88 |
| (322) | 4855.36 |
| (332) | 4891.02 |
| (221) | 4900.84 |
| (321) | 4983.13 |
| (311) | 4998.42 |
| (331) | 5017.06 |
| (110) | 5076.50 |
| (100) | 5143.34 |
| (210) | 5196.06 |
| (320) | 5219.33 |
| (310) | 5299.78 |
| Surface | γfs (mJ/m2) |
|---|---|
| (311) | 0.00 |
| (210) | 0.00 |
| (221) | 0.00 |
| (322) | 0.00 |
| (321) | 0.00 |
| (100) | 0.00 |
| (310) | 0.00 |
| (332) | 0.00 |
| (211) | 0.00 |
| (110) | 0.00 |
| (111) | 0.00 |
| (331) | 0.00 |
Static point defect formation energies, Ef, and elastic dipole tensors, pij, are displayed for select crystals. Relaxed defect configurations are obtained by taking a 12x12x12 supercell of a perfect periodic bulk crystal, inserting the point defect, and using force minimization to statically relax the atomic positions while keeping the system dimensions constant. Ef is computed by comparing the energy of the defect system to the same number of atoms in a perfect bulk crystal. pij is estimated as the difference in the system's global pressure with and without the defect multiplied by the system's volume.
Simple structural comparisons of the unrelaxed and relaxed defect configurations are used to help determine if the defect structure has relaxed to a different configuration. Relaxed structures that are identified as no longer consistent with the ideal defect definition are excluded from the table below. The only exception to this is if the lowest energy interstitial configuration does not coincide with a known ideal defect, its energies and pressure tensor are included under the listing "relaxed interstitial". The full list of calculation results including the transformed structures and the structural comparison values is included in the csv file available from the "Download raw data" link.
The calculation method used is available as the iprPy point_defect_static calculation method.
Notes and Disclaimers:
| Point Defect | Ef (eV) | p11 (eV) | p22 (eV) | p33 (eV) | p12 (eV) | p13 (eV) | p23 (eV) |
|---|---|---|---|---|---|---|---|
| 100 dumbbell | -34.033 | -54.747 | -54.747 | -28.892 | -0.000 | -0.000 | -0.000 |
| 111 dumbbell | -33.409 | -31.527 | -31.527 | -31.527 | 3.048 | 3.048 | 3.048 |
| vacancy | 0.333 | 1.757 | 1.757 | 1.757 | -0.000 | -0.000 | -0.000 |
| 2nn divacancy | 0.634 | 3.895 | 3.895 | -0.621 | -0.000 | -0.000 | 0.000 |
| 1nn divacancy | 0.664 | 3.665 | 3.587 | 3.587 | -0.000 | -0.000 | 0.127 |
| Point Defect | Ef (eV) | p11 (eV) | p22 (eV) | p33 (eV) | p12 (eV) | p13 (eV) | p23 (eV) |
|---|---|---|---|---|---|---|---|
| tetrahedral interstitial | -1.696 | -2.229 | -2.229 | -2.229 | -0.000 | -0.000 | -0.000 |
| 111 dumbbell | -1.518 | -4.745 | -4.745 | -4.745 | 1.038 | 1.038 | 1.038 |
| vacancy | 0.991 | -0.074 | -0.074 | -0.074 | -0.000 | -0.000 | -0.000 |
| 1nn divacancy | 1.818 | -0.144 | -0.149 | -0.149 | -0.000 | -0.000 | -0.020 |
| 2nn divacancy | 1.982 | -0.142 | -0.142 | -0.118 | -0.000 | -0.000 | -0.000 |
| Point Defect | Ef (eV) | p11 (eV) | p22 (eV) | p33 (eV) | p12 (eV) | p13 (eV) | p23 (eV) |
|---|---|---|---|---|---|---|---|
| 111 dumbbell | -1.285 | -27.359 | -27.359 | -27.359 | 7.229 | 7.229 | 7.229 |
| tetrahedral interstitial | -0.999 | -0.909 | -0.909 | -0.909 | 0.000 | 0.000 | 0.000 |
| octahedral interstitial | 0.234 | 1.232 | 1.232 | 1.232 | 0.000 | 0.000 | 0.000 |
| vacancy | 0.450 | 0.229 | 0.229 | 0.229 | -0.000 | 0.000 | 0.000 |
| 100 dumbbell | 0.472 | 0.918 | 0.918 | 2.246 | 0.000 | 0.000 | 0.000 |
| 1nn divacancy | 0.825 | 0.441 | 0.451 | 0.451 | 0.000 | 0.000 | 0.057 |
| 2nn divacancy | 0.896 | 0.437 | 0.437 | 0.360 | 0.000 | 0.000 | 0.000 |
| Point Defect | Ef (eV) | p11 (eV) | p22 (eV) | p33 (eV) | p12 (eV) | p13 (eV) | p23 (eV) |
|---|---|---|---|---|---|---|---|
| vacancy | 2.045 | -0.486 | -0.486 | -0.486 | -0.000 | -0.000 | -0.000 |
| 2nn divacancy | 3.893 | -0.936 | -0.936 | -1.811 | -0.000 | -0.000 | -0.000 |
| 1nn divacancy | 3.997 | -0.542 | -0.542 | -0.542 | 0.335 | 0.335 | 0.335 |
| 110 dumbbell | 4.246 | 23.660 | 16.758 | 16.758 | -0.000 | -0.000 | 6.853 |
| Point Defect | Ef (eV) | p11 (eV) | p22 (eV) | p33 (eV) | p12 (eV) | p13 (eV) | p23 (eV) |
|---|---|---|---|---|---|---|---|
| relaxed interstitial | -40.164 | -18.275 | -4.057 | -22.622 | 3.721 | -2.308 | -1.819 |
| 111 dumbbell | -5.039 | 1.839 | 1.839 | 1.839 | -0.043 | -0.043 | -0.043 |
| vacancy | 0.742 | 0.536 | 0.536 | 0.536 | 0.000 | 0.000 | 0.000 |
| 2nn divacancy | 1.323 | 1.095 | 1.095 | -0.128 | -0.000 | 0.000 | 0.000 |
| 1nn divacancy | 1.425 | 1.003 | 1.003 | 1.003 | 0.109 | 0.109 | 0.109 |
| Point Defect | Ef (eV) | p11 (eV) | p22 (eV) | p33 (eV) | p12 (eV) | p13 (eV) | p23 (eV) |
|---|---|---|---|---|---|---|---|
| 110 dumbbell | -5.465 | 5.434 | 5.023 | 5.023 | 0.000 | 0.000 | -11.214 |
| 111 dumbbell | -4.760 | 2.426 | 2.426 | 2.426 | -1.198 | -1.198 | -1.198 |
| 100 dumbbell | -2.235 | 0.842 | 0.842 | 3.963 | 0.000 | -0.000 | 0.000 |
| tetrahedral interstitial | -1.076 | -5.332 | -6.516 | -5.332 | -0.000 | -0.000 | 0.000 |
| vacancy | 0.881 | 0.200 | 0.200 | 0.200 | 0.000 | -0.000 | -0.000 |
| 1nn divacancy | 1.597 | 0.249 | 0.249 | 0.249 | -0.143 | -0.143 | -0.143 |
| 2nn divacancy | 1.686 | 0.411 | 0.411 | 1.028 | -0.000 | -0.000 | 0.000 |
| Point Defect | Ef (eV) | p11 (eV) | p22 (eV) | p33 (eV) | p12 (eV) | p13 (eV) | p23 (eV) |
|---|---|---|---|---|---|---|---|
| crowdion interstitial | -5.287 | -43.990 | -43.990 | -43.990 | 9.105 | 9.105 | 9.105 |
| 100 dumbbell | -3.348 | -11.540 | -11.540 | -11.127 | -0.000 | 0.000 | 0.000 |
| 110 dumbbell | -0.090 | -23.155 | -24.676 | -24.676 | -0.000 | 0.000 | 2.517 |
| vacancy | 0.300 | 0.229 | 0.229 | 0.229 | -0.000 | 0.000 | 0.000 |
| 1nn divacancy | 0.525 | 0.408 | 0.408 | 0.408 | 0.021 | 0.021 | 0.021 |
| 2nn divacancy | 0.597 | 0.350 | 0.350 | 0.365 | -0.000 | 0.000 | -0.000 |
| Point Defect | Ef (eV) | p11 (eV) | p22 (eV) | p33 (eV) | p12 (eV) | p13 (eV) | p23 (eV) |
|---|---|---|---|---|---|---|---|
| tetragonal interstitial | -0.930 | -9.841 | -9.841 | -9.841 | 0.000 | 0.000 | 0.000 |
| vacancy | 1.677 | 1.130 | 1.130 | 1.130 | 0.000 | 0.000 | 0.000 |
| 1nn divacancy | 3.046 | 2.207 | 2.207 | 2.207 | -0.016 | -0.016 | -0.016 |
| Point Defect | Ef (eV) | p11 (eV) | p22 (eV) | p33 (eV) | p12 (eV) | p13 (eV) | p23 (eV) |
|---|---|---|---|---|---|---|---|
| bond centered interstitial | -4.764 | -19.362 | -19.362 | -19.362 | -0.019 | -0.019 | -0.019 |
| 100 dumbbell | -3.099 | -7.308 | -7.308 | -7.324 | 0.000 | -0.000 | -0.000 |
| tetragonal interstitial | -0.742 | -2.103 | -2.103 | -2.103 | -0.000 | 0.000 | 0.000 |
| vacancy | 0.330 | -4.040 | -4.040 | -4.040 | -0.000 | 0.000 | 0.000 |
| 1nn divacancy | 0.496 | -4.693 | -4.693 | -4.693 | -0.001 | -0.001 | -0.001 |
| Point Defect | Ef (eV) | p11 (eV) | p22 (eV) | p33 (eV) | p12 (eV) | p13 (eV) | p23 (eV) |
|---|---|---|---|---|---|---|---|
| 100 dumbbell | -3.652 | -13.275 | -13.275 | -13.351 | -0.000 | 0.000 | 0.000 |
| tetragonal interstitial | -0.138 | 0.016 | 0.016 | 0.016 | -0.000 | -0.000 | -0.000 |
| vacancy | 0.149 | -7.178 | -7.178 | -7.178 | 0.000 | -0.000 | -0.000 |
| 1nn divacancy | 0.224 | -9.925 | -9.925 | -9.925 | -0.004 | -0.004 | -0.004 |
| Point Defect | Ef (eV) | p11 (eV) | p22 (eV) | p33 (eV) | p12 (eV) | p13 (eV) | p23 (eV) |
|---|---|---|---|---|---|---|---|
| 2nn divacancy | -1.060 | -3.250 | -3.250 | 0.222 | 0.000 | 0.000 | -0.000 |
| vacancy | -0.587 | -1.306 | -1.306 | -1.306 | 0.000 | -0.000 | -0.000 |
| 1nn divacancy | -0.455 | -1.219 | -3.052 | -3.052 | 0.000 | 0.000 | 0.672 |
| octahedral interstitial | 4.248 | 37.276 | 37.276 | 37.276 | 0.000 | 0.000 | 0.000 |
| 100 dumbbell | 4.430 | 37.982 | 37.982 | 27.708 | 0.000 | 0.000 | 0.000 |
| Point Defect | Ef (eV) | p11 (eV) | p22 (eV) | p33 (eV) | p12 (eV) | p13 (eV) | p23 (eV) |
|---|---|---|---|---|---|---|---|
| 111 dumbbell | -1.365 | -0.000 | -0.000 | -0.000 | 0.000 | 0.000 | 0.000 |
| tetrahedral interstitial | -0.911 | 0.000 | 0.000 | 0.000 | -0.000 | 0.000 | 0.000 |
| 110 dumbbell | -0.454 | -0.000 | -0.000 | -0.000 | -0.000 | -0.000 | -0.000 |
| crowdion interstitial | -0.453 | -0.000 | -0.000 | -0.000 | -0.000 | -0.000 | -0.000 |
| 100 dumbbell | 0.000 | -0.000 | -0.000 | -0.000 | -0.000 | -0.000 | -0.000 |
| octahedral interstitial | 0.000 | -0.000 | -0.000 | -0.000 | -0.000 | -0.000 | -0.000 |
| 1nn divacancy | 0.000 | -0.000 | -0.000 | -0.000 | -0.000 | -0.000 | -0.000 |
| vacancy | 0.000 | -0.000 | -0.000 | -0.000 | -0.000 | -0.000 | -0.000 |
| 2nn divacancy | 0.000 | -0.000 | -0.000 | -0.000 | -0.000 | -0.000 | -0.000 |
| Point Defect | Ef (eV) | p11 (eV) | p22 (eV) | p33 (eV) | p12 (eV) | p13 (eV) | p23 (eV) |
|---|---|---|---|---|---|---|---|
| vacancy | 1.136 | 4.314 | 4.314 | 4.314 | -0.000 | -0.000 | 0.000 |
| 110 dumbbell | 1.496 | 9.646 | 13.886 | 13.886 | -0.000 | 0.000 | 1.976 |
| 2nn divacancy | 1.685 | 38.403 | 38.403 | 32.164 | -0.000 | 0.000 | 0.000 |
| tetrahedral interstitial | 1.768 | -0.518 | 4.264 | -0.518 | 0.000 | -0.000 | -0.000 |
| 100 dumbbell | 1.805 | 7.955 | 7.955 | 9.700 | -0.000 | 0.000 | -0.000 |
| 1nn divacancy | 2.180 | 8.947 | 8.947 | 8.947 | -0.556 | -0.556 | -0.556 |
| Point Defect | Ef (eV) | p11 (eV) | p22 (eV) | p33 (eV) | p12 (eV) | p13 (eV) | p23 (eV) |
|---|---|---|---|---|---|---|---|
| relaxed interstitial | -8600.714 | -1396.431 | -1591.892 | -1473.559 | 159.655 | 138.021 | 167.406 |
| vacancy | 0.462 | -0.960 | -0.960 | -0.960 | -0.000 | -0.000 | -0.000 |
| 1nn divacancy | 0.693 | -1.386 | -1.386 | -1.386 | -0.001 | -0.001 | -0.001 |
Plots of the atomic structure of dislocation cores are shown here. The dislocations were constructed using dislocation monopole configurations in which a straight dislocation is created in the center of the system using anisotropic elasticity and the elastic constants computed above. A cylindrical region centered around the dislocation is allowed to relax while the remaining atoms are held fixed. The relaxation consists of 1 million NVT steps at 10 K followed by an energy/force minimization. The final plots show the atomic configuration near the center of the monopole system, and display differential displacement arrows and Nye tensor color maps that are both taken with respect to the Burgers vector direction.
These plots show a wide range of final structures, some corresponding to expected dislocation structures and others not. While the characterizations are dislocation-type dependent, some general classification guidelines are listed here.
The calculation method used is available as the iprPy dislocation_monopole calculation method.
Links are provided above the images allowing for users to download the final defect configuration and a corresponding defect-free configuration if they wish to further analyze the structures or use them for subsequent simulations.
Notes and Disclaimers:
Version Information:
Plots of lattice and elastic constants are shown as a function of temperature. The 0K points were taken from the Crystal Structure Predictions and the Elastic Constants Predictions sections above for the unique crystal structures relaxed with the "dynamic" method. Starting from the 0 K relaxed crystal unit cells, supercell systems are created by replicating all three dimensions by the same multiplier to achieve at least 4000 atoms. The systems are then relaxed at 50 K and zero pressure using 1 million NPT steps. Lattice constants are estimated by averaging the measured box dimensions. Temperatures are iteratively increased by 50 K, with each subsequent relaxation calculation starting from the final atomic configuration at the previous temperature and relaxing for another 1 million steps.
The elastic constants are calculated using the deformation–fluctuation hybrid method. Starting from the final atomic configurations of the dynamic relaxations, the system is allowed to evolve at constant volume with a Langevin thermostat. The Born matrix is computed during this run by evaluating how the atomic forces would vary due to applied linear strain fields. The elastic constants can then be estimated using the averaged Born matrix values and the averaged stresses on the system.
The calculation methods used are available as the iprPy relax_dynamic and elastic_constants_dynamic calculation methods.
Clicking on the image of a plot will open an interactive version of it in a new tab. The underlying data for the plots can be downloaded by clicking on the links above each plot.
Notes and Disclaimers:
Version Information:
Plots of radial distribution functions at different temperatures and the temperature-dependent diffusion and viscosity are shown here for elemental liquids. Melt phases are constructed by starting with a 10x10x10 fcc super cell and relaxing with 50,000 NPT steps at zero pressure and a high melting temperature (3000 K for most potentials and elements). Following the melt, liquid structures are relaxed by running NPT for 10,000 steps over which the temperature is dropped by 50 K, then 50,000 NPT at the target temperature to estimate the equilibrium volume, followed by 20,000 NVT steps at the averaged equilibrium volume and target temperature. Structures from the NVT run are sampled to compute the radial distribution function of the liquid at the corresponding temperature.
The final relaxed configurations at each temperature explored are used as the initial configurations for the diffusion and viscosity calculations. For diffusion, the system is integrated for 100 runs of 2,000 NVT steps during which both the mean squared displacement (MSD) and the velocity auto correlation function (VACF) are computed. From these simulations, three estimates of diffusion are computed: one from the MSD of the full 200,000 step run, one in which the MSD is reset for each short run and then averaged, and one from the VACF computed for each short run and averaged. For viscosity, the Green-Kubo method is used which is evaluated during a 1 million step NVT run.
The calculation methods used are available as the iprPy relax_liquid_redo, diffusion_liquid, and viscosity_green_kubo calculation methods.
Clicking on the image of a plot will open an interactive version of it in a new tab. The underlying data for the plots can be downloaded by clicking on the links above each plot.
Notes and Disclaimers:
Version Information:
Plots of internal energy, Gibbs free energy, entropy, heat capacity and volume are shown here as a function of temperature for various crystal structures and liquid phases. The included crystal structures correspond to those in the Solid Structures vs. Temperature section, and the liquid phases to those in the Liquid Properties section. Internal energy and volume are taken from the associated structure relaxations mentioned in those previous sections. Constant pressure heat capacity is estimated using 3-point numerical derivatives of enthalpy versus temperature. Note that since all simulations done here are at 0 pressure, internal energy and enthalpy are equivalent.
The Gibbs energies of the phases are estimated using thermodynamic integration between the interatomic potential in question and a simpler model with known Gibbs free energy values. For solids, the reference model is an Einstein solid, while for liquids it is the Uhlenbeck-Ford potential. Besides a short run at the start of the solid calculations to estimate Einstein model spring constants, the two calculations proceed similarly. Starting with the final relaxation configurations, the systems are stabilized for 25,000 steps. Then, over the next 50,000 steps the potential is swapped out for the reference potential. The system is then stabilized for another 25,000 steps with the reference model before a reverse swap of 50,000 steps is performed. The simulation ends with one final 25,000 step stabilization period. From the simulation, the irreversible work of transformation is estimated and used to compute the absolute Gibbs free energy of the target phase and potential relative to the reference potential. Entropy is estimated as the difference in enthalpy and Gibbs free energy and divided by temperature.
The calculation methods used are available as the iprPy relax_dynamic, relax_liquid_redo, free_energy, and free_energy_liquid calculation methods.
Clicking on the image of a plot will open an interactive version of it in a new tab. The underlying data for the plots can be downloaded by clicking on the links above each plot.
Notes and Disclaimers:
Version Information:






