Plots of the potential energy vs interatomic spacing, r, are shown below for all diatom sets associated with the interatomic potential. This calculation provides insights into the functional form of the potential's two-body interactions. A system consisting of only two atoms is created, and the potential energy is evaluated for the atoms separated by 0.02 Å <= r <= 6.0> Å in intervals of 0.02 Å. Two plots are shown: one for the "standard" interaction distance range, and one for small values of r. The small r plot is useful for determining whether the potential is suitable for radiation studies.
The calculation method used is available as the iprPy diatom_scan calculation method.
Clicking on the image of a plot will open an interactive version of it in a new tab. The underlying data for the plots can be downloaded by clicking on the links above each plot.
Notes and Disclaimers:
Version Information:
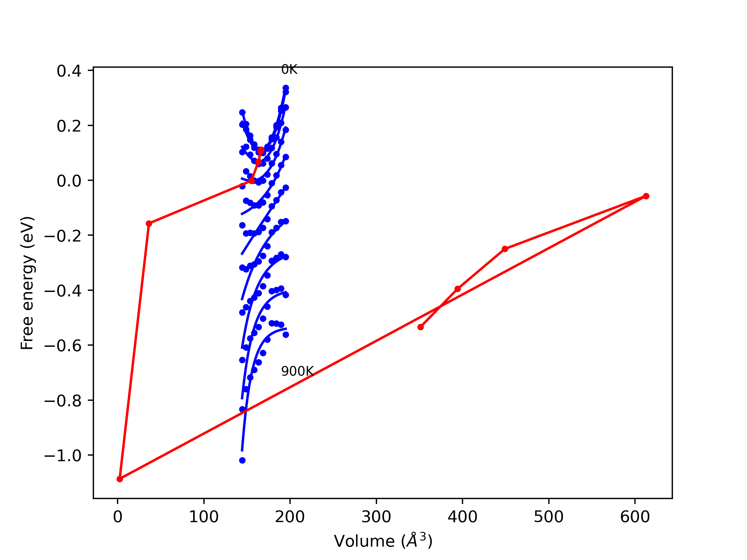
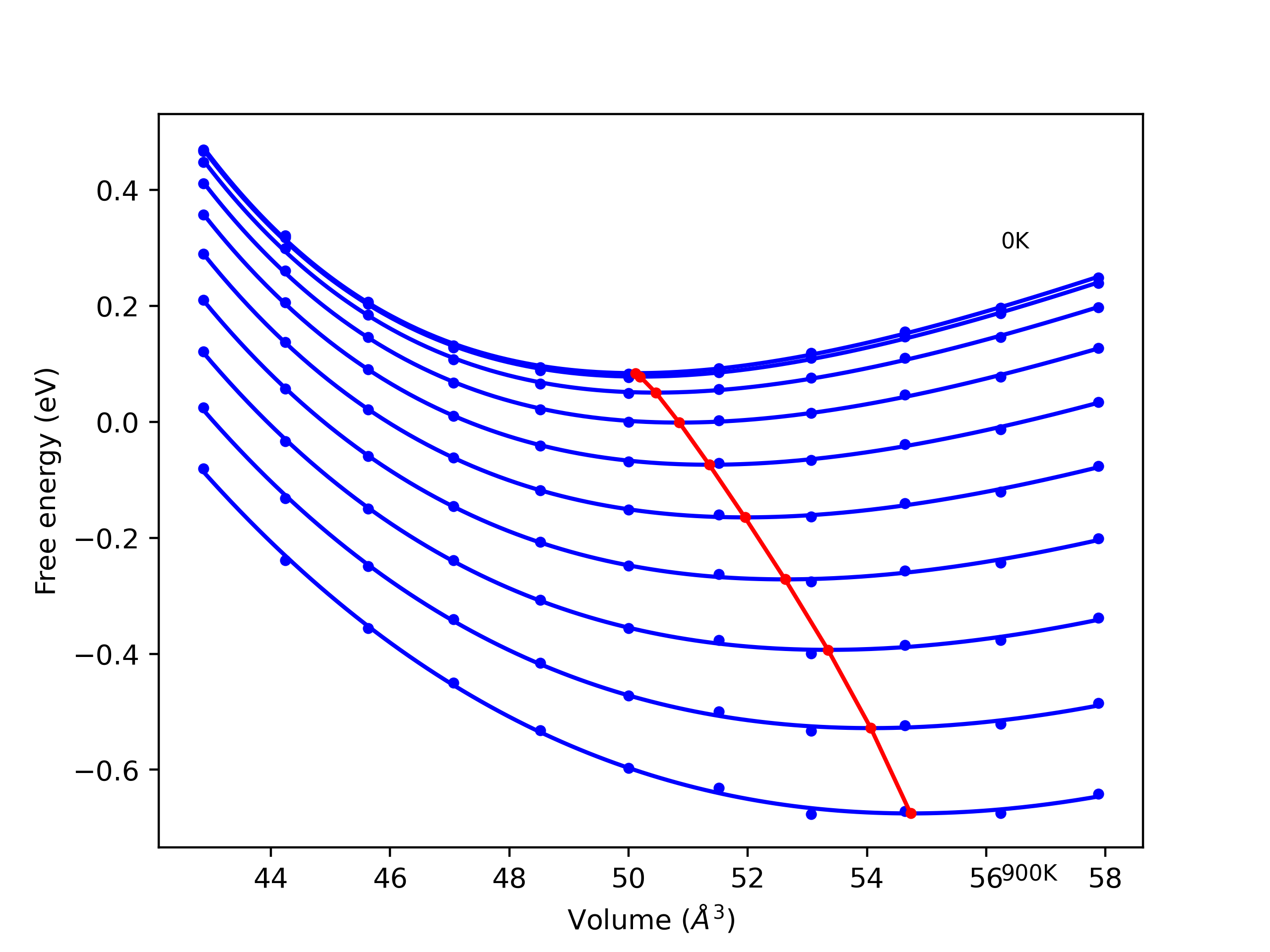
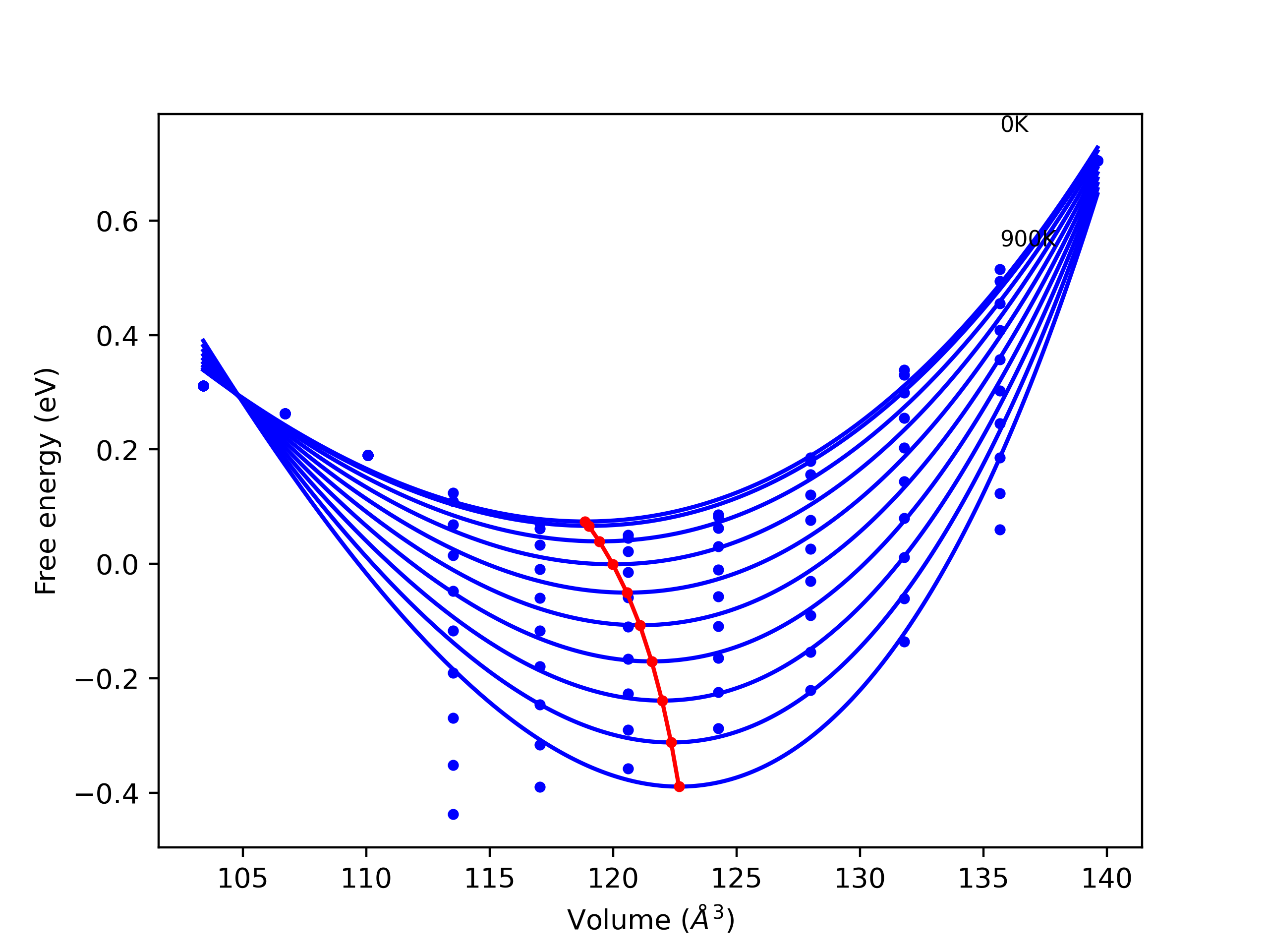
Plots of potential energy vs interatomic spacing, r, are shown below for a number of crystal structures. The structures are generated based on the ideal atomic positions and b/a and c/a lattice parameter ratios for a given crystal prototype. The size of the system is then uniformly scaled, and the energy calculated without relaxing the system. To obtain these plots, values of r are evaluated every 0.02 Å up to 6 Å.
The calculation method used is available as the iprPy E_vs_r_scan calculation method.
Clicking on the image of a plot will open an interactive version of it in a new tab. The underlying data for the plots can be downloaded by clicking on the links above each plot.
Notes and Disclaimers:
Version Information:
Computed lattice constants and cohesive/potential energies are displayed for a variety of crystal structures. The values displayed here are obtained using the following process.
The calculation methods used are implemented into iprPy as the following calculation styles
Notes and Disclaimers:
Version Information:
Download raw data (including filtered results)
Reference structure matches:
A1--Cu--fcc = mp-134, oqmd-8100, oqmd-1214503
A15--beta-W = oqmd-1214948, oqmd-1280406
A2--W--bcc = mp-998860, oqmd-1215126
A3'--alpha-La--double-hcp = mp-1183144, oqmd-1215394
A3--Mg--hcp = oqmd-1215215, oqmd-1215304
A4--C--dc = oqmd-1215483
A5--beta-Sn = oqmd-1215572
A6--In--bct = oqmd-1215661
| prototype | method | Ecoh (eV/atom) | Epot (eV/atom) | a0 (Å) | b0 (Å) | c0 (Å) | α (degrees) | β (degrees) | γ (degrees) |
|---|---|---|---|---|---|---|---|---|---|
| A1--Cu--fcc | dynamic | -3.381 | -3.381 | 4.0254 | 4.0254 | 4.0254 | 90.0 | 90.0 | 90.0 |
| A3'--alpha-La--double-hcp | dynamic | -3.3766 | -3.3766 | 2.8415 | 2.8415 | 9.3611 | 90.0 | 90.0 | 120.0 |
| oqmd-1216017 | dynamic | -3.3753 | -3.3753 | 2.84 | 2.84 | 21.1112 | 90.0 | 90.0 | 120.0 |
| A3--Mg--hcp | dynamic | -3.3726 | -3.3726 | 2.8368 | 2.8368 | 4.7142 | 90.0 | 90.0 | 120.0 |
| A3--Mg--hcp | box | -3.3726 | -3.3726 | 2.8368 | 2.8368 | 4.7142 | 90.0 | 90.0 | 120.0 |
| oqmd-1214770 | dynamic | -3.3233 | -3.3233 | 9.9218 | 9.9218 | 9.9218 | 90.0 | 90.0 | 90.0 |
| oqmd-1214770 | box | -3.323 | -3.323 | 9.9226 | 9.9226 | 9.9226 | 90.0 | 90.0 | 90.0 |
| oqmd-1214859 | dynamic | -3.3187 | -3.3187 | 6.9576 | 6.9576 | 6.9576 | 90.0 | 90.0 | 90.0 |
| oqmd-1214859 | box | -3.3186 | -3.3186 | 6.9558 | 6.9558 | 6.9558 | 90.0 | 90.0 | 90.0 |
| mp-1244953 | dynamic | -3.3138 | -3.3138 | 11.5842 | 11.9827 | 12.4333 | 86.5 | 80.8 | 88.2 |
| A2--W--bcc | static | -3.307 | -3.307 | 3.2142 | 3.2142 | 3.2142 | 90.0 | 90.0 | 90.0 |
| mp-1245129 | dynamic | -3.3042 | -3.3042 | 11.6449 | 11.8633 | 12.5214 | 82.7 | 86.3 | 87.1 |
| A15--beta-W | dynamic | -3.3037 | -3.3037 | 5.1021 | 5.1021 | 5.1021 | 90.0 | 90.0 | 90.0 |
| mp-1245152 | dynamic | -3.3037 | -3.3037 | 11.8312 | 12.0412 | 12.1697 | 99.6 | 90.5 | 90.5 |
| mp-1245067 | dynamic | -3.2993 | -3.2993 | 11.6659 | 11.988 | 12.5634 | 80.5 | 86.8 | 84.7 |
| mp-1245307 | dynamic | -3.2989 | -3.2989 | 11.869 | 12.0113 | 12.207 | 95.4 | 90.7 | 96.9 |
| mp-1244953 | static | -3.2942 | -3.2942 | 11.4947 | 12.336 | 12.4214 | 89.4 | 78.9 | 86.3 |
| mp-1245129 | static | -3.2906 | -3.2906 | 11.5979 | 11.9473 | 12.5873 | 83.7 | 89.3 | 87.2 |
| mp-1245307 | static | -3.2846 | -3.2846 | 11.7625 | 12.0413 | 12.3577 | 89.1 | 85.4 | 88.0 |
| mp-1245152 | static | -3.2834 | -3.2834 | 11.6428 | 12.1176 | 12.361 | 91.5 | 91.0 | 95.1 |
| mp-1244953 | box | -3.2759 | -3.2759 | 12.0037 | 12.0636 | 12.2788 | 86.3 | 80.6 | 87.2 |
| mp-1245067 | static | -3.2757 | -3.2757 | 11.8012 | 12.2397 | 12.3257 | 95.0 | 97.1 | 90.8 |
| mp-1245152 | box | -3.2734 | -3.2734 | 11.9028 | 12.0958 | 12.2389 | 92.0 | 91.8 | 96.0 |
| oqmd-1215037 | box | -3.2726 | -3.2726 | 2.8098 | 4.8836 | 10.3741 | 90.0 | 90.0 | 90.0 |
| mp-1245307 | box | -3.2682 | -3.2682 | 11.9501 | 12.1518 | 12.1552 | 90.6 | 92.4 | 93.9 |
| mp-1245067 | box | -3.2596 | -3.2596 | 11.9505 | 12.2726 | 12.2872 | 92.7 | 97.7 | 93.8 |
| mp-1245129 | box | -3.2531 | -3.2531 | 11.5531 | 12.0257 | 12.4445 | 94.5 | 93.9 | 98.0 |
| A5--beta-Sn | static | -3.1663 | -3.1663 | 5.2563 | 5.2563 | 2.7505 | 90.0 | 90.0 | 90.0 |
| oqmd-1214681 | box | -3.1318 | -3.1318 | 4.3486 | 8.3915 | 4.5232 | 90.0 | 90.0 | 90.0 |
| Ah--alpha-Po--sc | static | -3.1207 | -3.1207 | 2.7304 | 2.7304 | 2.7304 | 90.0 | 90.0 | 90.0 |
| mp-1239196 | static | -2.9872 | -2.9872 | 3.9274 | 3.9274 | 13.0121 | 90.0 | 90.0 | 90.0 |
| mp-1239196 | dynamic | -2.9872 | -2.9872 | 3.9135 | 3.9135 | 13.0414 | 90.0 | 90.0 | 90.0 |
| oqmd-1215928 | static | -2.8714 | -2.8714 | 4.5567 | 4.5567 | 5.0953 | 90.0 | 90.0 | 120.0 |
| A4--C--dc | static | -2.7946 | -2.7946 | 6.0878 | 6.0878 | 6.0878 | 90.0 | 90.0 | 90.0 |
| A1--Cu--fcc | dynamic | -0.9742 | -0.9742 | 6.9555 | 6.9555 | 6.9555 | 90.0 | 90.0 | 90.0 |
| A3'--alpha-La--double-hcp | dynamic | -0.9742 | -0.9742 | 4.9183 | 4.9183 | 16.063 | 90.0 | 90.0 | 120.0 |
| A3--Mg--hcp | dynamic | -0.9742 | -0.9742 | 4.9183 | 4.9183 | 8.0315 | 90.0 | 90.0 | 120.0 |
| A15--beta-W | static | -0.947 | -0.947 | 8.1801 | 8.1801 | 8.1801 | 90.0 | 90.0 | 90.0 |
| A2--W--bcc | static | -0.8558 | -0.8558 | 5.5509 | 5.5509 | 5.5509 | 90.0 | 90.0 | 90.0 |
| A5--beta-Sn | box | -0.6806 | -0.6806 | 9.5219 | 9.5219 | 4.9168 | 90.0 | 90.0 | 90.0 |
| Ah--alpha-Po--sc | dynamic | -0.6803 | -0.6803 | 4.9278 | 4.9278 | 4.9278 | 90.0 | 90.0 | 90.0 |
| A4--C--dc | dynamic | -0.5524 | -0.5524 | 11.3898 | 11.3898 | 11.3898 | 90.0 | 90.0 | 90.0 |
| A7--alpha-As | box | -0.4764 | -0.4764 | 7.3307 | 7.3307 | 20.8031 | 90.0 | 90.0 | 120.0 |
Download raw data (including filtered results)
Reference structure matches:
C1--CaF2--fluorite = mp-2647
| prototype | method | Ecoh (eV/atom) | Epot (eV/atom) | a0 (Å) | b0 (Å) | c0 (Å) | α (degrees) | β (degrees) | γ (degrees) |
|---|---|---|---|---|---|---|---|---|---|
| C1--CaF2--fluorite | static | -3.7108 | -3.7108 | 5.9561 | 5.9561 | 5.9561 | 90.0 | 90.0 | 90.0 |
| C1--CaF2--fluorite | static | -0.7759 | -0.7759 | 10.9627 | 10.9627 | 10.9627 | 90.0 | 90.0 | 90.0 |
Download raw data (including filtered results)
Reference structure matches:
| prototype | method | Ecoh (eV/atom) | Epot (eV/atom) | a0 (Å) | b0 (Å) | c0 (Å) | α (degrees) | β (degrees) | γ (degrees) |
|---|---|---|---|---|---|---|---|---|---|
| L2_1--AlCu2Mn--heusler | static | -3.8572 | -3.8572 | 6.4358 | 6.4358 | 6.4358 | 90.0 | 90.0 | 90.0 |
Download raw data (including filtered results)
Reference structure matches:
| prototype | method | Ecoh (eV/atom) | Epot (eV/atom) | a0 (Å) | b0 (Å) | c0 (Å) | α (degrees) | β (degrees) | γ (degrees) |
|---|---|---|---|---|---|---|---|---|---|
| C1--CaF2--fluorite | dynamic | -3.7718 | -3.7718 | 5.848 | 5.848 | 5.848 | 90.0 | 90.0 | 90.0 |
| C1--CaF2--fluorite | dynamic | -1.1961 | -1.1961 | 13.0206 | 13.0206 | 13.0206 | 90.0 | 90.0 | 90.0 |
| C1--CaF2--fluorite | dynamic | -0.8208 | -0.8208 | 10.1063 | 10.1063 | 10.1063 | 90.0 | 90.0 | 90.0 |
| C1--CaF2--fluorite | dynamic | -0.1383 | -0.1383 | 13.7 | 13.7 | 13.7 | 90.0 | 90.0 | 90.0 |
Download raw data (including filtered results)
Reference structure matches:
| prototype | method | Ecoh (eV/atom) | Epot (eV/atom) | a0 (Å) | b0 (Å) | c0 (Å) | α (degrees) | β (degrees) | γ (degrees) |
|---|---|---|---|---|---|---|---|---|---|
| mp-1183189 | dynamic | -3.6723 | -3.6723 | 3.9635 | 3.9635 | 8.2251 | 90.0 | 90.0 | 90.0 |
| L1_2--AuCu3 | static | -3.6441 | -3.6441 | 4.0349 | 4.0349 | 4.0349 | 90.0 | 90.0 | 90.0 |
| A15--Cr3Si | dynamic | -3.6276 | -3.6276 | 5.0462 | 5.0462 | 5.0462 | 90.0 | 90.0 | 90.0 |
| D0_3--BiF3 | static | -3.5949 | -3.5949 | 6.4584 | 6.4584 | 6.4584 | 90.0 | 90.0 | 90.0 |
| L1_2--AuCu3 | dynamic | -1.1022 | -1.1022 | 6.9245 | 6.9245 | 6.9245 | 90.0 | 90.0 | 90.0 |
| A15--Cr3Si | static | -1.0688 | -1.0688 | 8.2855 | 8.2855 | 8.2855 | 90.0 | 90.0 | 90.0 |
| D0_3--BiF3 | dynamic | -0.9774 | -0.9774 | 11.0373 | 11.0373 | 11.0373 | 90.0 | 90.0 | 90.0 |
Download raw data (including filtered results)
Reference structure matches:
| prototype | method | Ecoh (eV/atom) | Epot (eV/atom) | a0 (Å) | b0 (Å) | c0 (Å) | α (degrees) | β (degrees) | γ (degrees) |
|---|---|---|---|---|---|---|---|---|---|
| mp-16480 | dynamic | -3.9553 | -3.9553 | 7.5417 | 7.5417 | 45.8022 | 90.0 | 90.0 | 120.0 |
| mp-16480 | static | -3.9553 | -3.9553 | 7.5441 | 7.5441 | 45.7641 | 90.0 | 90.0 | 120.0 |
| mp-16480 | box | -3.9448 | -3.9448 | 7.6883 | 7.6883 | 44.0399 | 90.0 | 90.0 | 120.0 |
Download raw data (including filtered results)
Reference structure matches:
| prototype | method | Ecoh (eV/atom) | Epot (eV/atom) | a0 (Å) | b0 (Å) | c0 (Å) | α (degrees) | β (degrees) | γ (degrees) |
|---|---|---|---|---|---|---|---|---|---|
| L1_2--AuCu3 | dynamic | -3.5987 | -3.5987 | 3.9697 | 3.9697 | 3.9697 | 90.0 | 90.0 | 90.0 |
| A15--Cr3Si | static | -3.5526 | -3.5526 | 4.9877 | 4.9877 | 4.9877 | 90.0 | 90.0 | 90.0 |
| D0_3--BiF3 | static | -3.551 | -3.551 | 6.4183 | 6.4183 | 6.4183 | 90.0 | 90.0 | 90.0 |
| A15--Cr3Si | static | -1.0529 | -1.0529 | 8.0076 | 8.0076 | 8.0076 | 90.0 | 90.0 | 90.0 |
| L1_2--AuCu3 | dynamic | -0.9516 | -0.9516 | 6.6145 | 6.6145 | 6.6145 | 90.0 | 90.0 | 90.0 |
| A15--Cr3Si | static | -0.284 | -0.284 | 10.4353 | 10.4353 | 10.4353 | 90.0 | 90.0 | 90.0 |
| D0_3--BiF3 | static | -0.1608 | -0.1608 | 13.4435 | 13.4435 | 13.4435 | 90.0 | 90.0 | 90.0 |
Download raw data (including filtered results)
Reference structure matches:
| prototype | method | Ecoh (eV/atom) | Epot (eV/atom) | a0 (Å) | b0 (Å) | c0 (Å) | α (degrees) | β (degrees) | γ (degrees) |
|---|---|---|---|---|---|---|---|---|---|
| mp-1228120 | static | -3.4879 | -3.4879 | 2.9243 | 2.9243 | 32.5981 | 90.0 | 90.0 | 120.0 |
| mp-1228120 | box | -3.4845 | -3.4845 | 2.8978 | 2.8978 | 33.0029 | 90.0 | 90.0 | 120.0 |
Download raw data (including filtered results)
Reference structure matches:
| prototype | method | Ecoh (eV/atom) | Epot (eV/atom) | a0 (Å) | b0 (Å) | c0 (Å) | α (degrees) | β (degrees) | γ (degrees) |
|---|---|---|---|---|---|---|---|---|---|
| mp-1203554 | dynamic | -4.039 | -4.039 | 10.1737 | 10.1848 | 10.1911 | 90.1 | 90.2 | 90.0 |
| mp-1203554 | static | -4.039 | -4.039 | 10.1737 | 10.1846 | 10.1913 | 90.1 | 90.2 | 90.0 |
| mp-1203554 | box | -4.0237 | -4.0237 | 10.152 | 10.1584 | 10.1986 | 89.3 | 89.6 | 89.6 |
Download raw data (including filtered results)
Reference structure matches:
B2--CsCl = mp-10871
| prototype | method | Ecoh (eV/atom) | Epot (eV/atom) | a0 (Å) | b0 (Å) | c0 (Å) | α (degrees) | β (degrees) | γ (degrees) |
|---|---|---|---|---|---|---|---|---|---|
| B1--NaCl--rock-salt | static | -3.9252 | -3.9252 | 5.1481 | 5.1481 | 5.1481 | 90.0 | 90.0 | 90.0 |
| mp-1399 | box | -3.9027 | -3.9027 | 5.9452 | 3.4847 | 6.641 | 90.0 | 91.3 | 90.0 |
| B2--CsCl | static | -3.8782 | -3.8782 | 3.2047 | 3.2047 | 3.2047 | 90.0 | 90.0 | 90.0 |
| B4--ZnS--wurtzite | static | -3.7824 | -3.7824 | 2.9717 | 2.9717 | 9.1959 | 90.0 | 90.0 | 120.0 |
| B3--ZnS--cubic-zinc-blende | static | -3.5341 | -3.5341 | 5.6617 | 5.6617 | 5.6617 | 90.0 | 90.0 | 90.0 |
| B4--ZnS--wurtzite | box | -3.5295 | -3.5295 | 3.9945 | 3.9945 | 6.5583 | 90.0 | 90.0 | 120.0 |
| L1_0--AuCu | static | -1.1799 | -1.1799 | 4.5926 | 4.5926 | 7.2525 | 90.0 | 90.0 | 90.0 |
| B2--CsCl | dynamic | -1.1183 | -1.1183 | 5.5514 | 5.5514 | 5.5514 | 90.0 | 90.0 | 90.0 |
| L1_0--AuCu | box | -0.9894 | -0.9894 | 5.3132 | 5.3132 | 4.4064 | 90.0 | 90.0 | 90.0 |
| B1--NaCl--rock-salt | dynamic | -0.7232 | -0.7232 | 9.7219 | 9.7219 | 9.7219 | 90.0 | 90.0 | 90.0 |
| B3--ZnS--cubic-zinc-blende | dynamic | -0.5257 | -0.5257 | 11.2014 | 11.2014 | 11.2014 | 90.0 | 90.0 | 90.0 |
| B4--ZnS--wurtzite | dynamic | -0.5257 | -0.5257 | 7.92 | 7.92 | 12.936 | 90.0 | 90.0 | 120.0 |
| B4--ZnS--wurtzite | dynamic | -0.5257 | -0.5257 | 7.9199 | 7.9199 | 12.9363 | 90.0 | 90.0 | 120.0 |
| B4--ZnS--wurtzite | static | -0.5257 | -0.5257 | 7.9196 | 7.9196 | 12.9375 | 90.0 | 90.0 | 120.0 |
| B4--ZnS--wurtzite | box | -0.5257 | -0.5257 | 7.9184 | 7.9184 | 12.9411 | 90.0 | 90.0 | 120.0 |
| B2--CsCl | dynamic | -0.0191 | -0.0191 | 6.9149 | 6.9149 | 6.9149 | 90.0 | 90.0 | 90.0 |
| B1--NaCl--rock-salt | dynamic | 0.0189 | 0.0189 | 11.9646 | 11.9646 | 11.9646 | 90.0 | 90.0 | 90.0 |
Download raw data (including filtered results)
Reference structure matches:
| prototype | method | Ecoh (eV/atom) | Epot (eV/atom) | a0 (Å) | b0 (Å) | c0 (Å) | α (degrees) | β (degrees) | γ (degrees) |
|---|---|---|---|---|---|---|---|---|---|
| C1--CaF2--fluorite | dynamic | -3.9707 | -3.9707 | 5.9923 | 5.9923 | 5.9923 | 90.0 | 90.0 | 90.0 |
| mp-30550 | dynamic | -3.9666 | -3.9666 | 9.4357 | 17.3364 | 3.0279 | 90.0 | 90.0 | 90.0 |
| mp-30550 | static | -3.9666 | -3.9666 | 9.4358 | 17.3368 | 3.0279 | 90.0 | 90.0 | 90.0 |
| mp-569558 | dynamic | -3.9599 | -3.9599 | 7.1057 | 3.0128 | 9.32 | 90.0 | 90.0 | 90.0 |
| mp-569558 | static | -3.9599 | -3.9599 | 7.1057 | 3.0129 | 9.3197 | 90.0 | 90.0 | 90.0 |
| mp-30550 | box | -3.9595 | -3.9595 | 9.2835 | 17.5423 | 3.0467 | 90.0 | 90.0 | 90.0 |
| mp-1018179 | dynamic | -3.9466 | -3.9466 | 3.1653 | 3.1653 | 9.7439 | 90.0 | 90.0 | 90.0 |
| mp-569558 | box | -3.9439 | -3.9439 | 6.5932 | 3.3122 | 9.1774 | 90.0 | 90.0 | 90.0 |
| mp-1018179 | box | -3.9411 | -3.9411 | 3.1971 | 3.1971 | 9.5942 | 90.0 | 90.0 | 90.0 |
| C1--CaF2--fluorite | dynamic | -0.88 | -0.88 | 11.1282 | 11.1282 | 11.1282 | 90.0 | 90.0 | 90.0 |
| C1--CaF2--fluorite | dynamic | -0.0127 | -0.0127 | 13.8299 | 13.8299 | 13.8299 | 90.0 | 90.0 | 90.0 |
Download raw data (including filtered results)
Reference structure matches:
| prototype | method | Ecoh (eV/atom) | Epot (eV/atom) | a0 (Å) | b0 (Å) | c0 (Å) | α (degrees) | β (degrees) | γ (degrees) |
|---|---|---|---|---|---|---|---|---|---|
| L2_1--AlCu2Mn--heusler | static | -3.9072 | -3.9072 | 6.5319 | 6.5319 | 6.5319 | 90.0 | 90.0 | 90.0 |
| L2_1--AlCu2Mn--heusler | static | -1.551 | -1.551 | 8.7252 | 8.7252 | 8.7252 | 90.0 | 90.0 | 90.0 |
| L2_1--AlCu2Mn--heusler | static | -1.3199 | -1.3199 | 10.4925 | 10.4925 | 10.4925 | 90.0 | 90.0 | 90.0 |
| L2_1--AlCu2Mn--heusler | dynamic | -0.0453 | -0.0453 | 13.8103 | 13.8103 | 13.8103 | 90.0 | 90.0 | 90.0 |
Download raw data (including filtered results)
Reference structure matches:
| prototype | method | Ecoh (eV/atom) | Epot (eV/atom) | a0 (Å) | b0 (Å) | c0 (Å) | α (degrees) | β (degrees) | γ (degrees) |
|---|---|---|---|---|---|---|---|---|---|
| mp-1183223 | static | -3.9184 | -3.9184 | 5.9136 | 5.9136 | 4.4961 | 90.0 | 90.0 | 120.0 |
| mp-1183223 | box | -3.9182 | -3.9182 | 5.9077 | 5.9077 | 4.5054 | 90.0 | 90.0 | 120.0 |
| L1_2--AuCu3 | static | -3.9152 | -3.9152 | 4.0949 | 4.0949 | 4.0949 | 90.0 | 90.0 | 90.0 |
| D0_3--BiF3 | static | -3.8475 | -3.8475 | 6.5137 | 6.5137 | 6.5137 | 90.0 | 90.0 | 90.0 |
| A15--Cr3Si | static | -3.8066 | -3.8066 | 5.2189 | 5.2189 | 5.2189 | 90.0 | 90.0 | 90.0 |
| L1_2--AuCu3 | static | -1.2126 | -1.2126 | 6.4997 | 6.4997 | 6.4997 | 90.0 | 90.0 | 90.0 |
| A15--Cr3Si | dynamic | -1.1632 | -1.1632 | 8.9481 | 8.9481 | 8.9481 | 90.0 | 90.0 | 90.0 |
| D0_3--BiF3 | static | -1.1378 | -1.1378 | 10.8265 | 10.8265 | 10.8265 | 90.0 | 90.0 | 90.0 |
| L1_2--AuCu3 | dynamic | -0.7385 | -0.7385 | 7.7843 | 7.7843 | 7.7843 | 90.0 | 90.0 | 90.0 |
| D0_3--BiF3 | dynamic | -0.5237 | -0.5237 | 12.7145 | 12.7145 | 12.7145 | 90.0 | 90.0 | 90.0 |
| A15--Cr3Si | box | -0.187 | -0.187 | 10.7226 | 10.7226 | 10.7226 | 90.0 | 90.0 | 90.0 |
| A15--Cr3Si | static | -0.1111 | -0.1111 | 11.0916 | 11.0916 | 11.0916 | 90.0 | 90.0 | 90.0 |
Download raw data (including filtered results)
Reference structure matches:
| prototype | method | Ecoh (eV/atom) | Epot (eV/atom) | a0 (Å) | b0 (Å) | c0 (Å) | α (degrees) | β (degrees) | γ (degrees) |
|---|---|---|---|---|---|---|---|---|---|
| mp-1490 | static | -3.9186 | -3.9186 | 7.0257 | 7.0257 | 7.0257 | 90.0 | 90.0 | 90.0 |
| mp-1490 | box | -3.9155 | -3.9155 | 7.0237 | 7.0237 | 7.0237 | 90.0 | 90.0 | 90.0 |
| mp-1228956 | box | -3.8739 | -3.8739 | 4.7745 | 3.5677 | 10.291 | 90.0 | 91.6 | 90.0 |
Download raw data (including filtered results)
Reference structure matches:
| prototype | method | Ecoh (eV/atom) | Epot (eV/atom) | a0 (Å) | b0 (Å) | c0 (Å) | α (degrees) | β (degrees) | γ (degrees) |
|---|---|---|---|---|---|---|---|---|---|
| L2_1--AlCu2Mn--heusler | static | -3.8669 | -3.8669 | 6.5516 | 6.5516 | 6.5516 | 90.0 | 90.0 | 90.0 |
| L2_1--AlCu2Mn--heusler | dynamic | -3.7528 | -3.7528 | 13.021 | 13.021 | 13.021 | 90.0 | 90.0 | 90.0 |
| L2_1--AlCu2Mn--heusler | static | -1.2638 | -1.2638 | 9.3846 | 9.3846 | 9.3846 | 90.0 | 90.0 | 90.0 |
| L2_1--AlCu2Mn--heusler | dynamic | -0.1142 | -0.1142 | 13.6867 | 13.6867 | 13.6867 | 90.0 | 90.0 | 90.0 |
Download raw data (including filtered results)
Reference structure matches:
B2--CsCl = mp-1021666
| prototype | method | Ecoh (eV/atom) | Epot (eV/atom) | a0 (Å) | b0 (Å) | c0 (Å) | α (degrees) | β (degrees) | γ (degrees) |
|---|---|---|---|---|---|---|---|---|---|
| L1_0--AuCu | static | -7.3531 | -7.3531 | 6.1251 | 6.1251 | 7.2201 | 90.0 | 90.0 | 90.0 |
| L1_0--AuCu | box | -7.3411 | -7.3411 | 6.6951 | 6.6951 | 6.1251 | 90.0 | 90.0 | 90.0 |
| B2--CsCl | dynamic | -7.3291 | -7.3291 | 6.5106 | 6.5106 | 6.5106 | 90.0 | 90.0 | 90.0 |
| B1--NaCl--rock-salt | static | -3.868 | -3.868 | 5.0482 | 5.0482 | 5.0482 | 90.0 | 90.0 | 90.0 |
| B2--CsCl | static | -3.7801 | -3.7801 | 3.2693 | 3.2693 | 3.2693 | 90.0 | 90.0 | 90.0 |
| B3--ZnS--cubic-zinc-blende | static | -3.6681 | -3.6681 | 5.7151 | 5.7151 | 5.7151 | 90.0 | 90.0 | 90.0 |
| B4--ZnS--wurtzite | static | -3.6628 | -3.6628 | 4.0094 | 4.0094 | 6.6326 | 90.0 | 90.0 | 120.0 |
| B4--ZnS--wurtzite | box | -3.6625 | -3.6625 | 4.0281 | 4.0281 | 6.5737 | 90.0 | 90.0 | 120.0 |
| B1--NaCl--rock-salt | dynamic | -3.1147 | -3.1147 | 11.2765 | 11.2765 | 11.2765 | 90.0 | 90.0 | 90.0 |
| B2--CsCl | static | -1.0023 | -1.0023 | 4.6103 | 4.6103 | 4.6103 | 90.0 | 90.0 | 90.0 |
| L1_0--AuCu | static | -0.9956 | -0.9956 | 4.5923 | 4.5923 | 6.3273 | 90.0 | 90.0 | 90.0 |
| L1_0--AuCu | box | -0.9383 | -0.9383 | 4.0541 | 4.0541 | 5.1672 | 90.0 | 90.0 | 90.0 |
| B3--ZnS--cubic-zinc-blende | dynamic | -0.9073 | -0.9073 | 13.0196 | 13.0196 | 13.0196 | 90.0 | 90.0 | 90.0 |
| B4--ZnS--wurtzite | static | -0.9073 | -0.9073 | 9.2038 | 9.2038 | 15.0417 | 90.0 | 90.0 | 120.0 |
| B3--ZnS--cubic-zinc-blende | dynamic | -0.8491 | -0.8491 | 8.3387 | 8.3387 | 8.3387 | 90.0 | 90.0 | 90.0 |
| B4--ZnS--wurtzite | static | -0.737 | -0.737 | 5.863 | 5.863 | 9.7538 | 90.0 | 90.0 | 120.0 |
| B1--NaCl--rock-salt | dynamic | -0.6722 | -0.6722 | 9.1323 | 9.1323 | 9.1323 | 90.0 | 90.0 | 90.0 |
| B4--ZnS--wurtzite | box | -0.6499 | -0.6499 | 5.8914 | 5.8914 | 9.6721 | 90.0 | 90.0 | 120.0 |
| B1--NaCl--rock-salt | static | -0.64 | -0.64 | 8.525 | 8.525 | 8.525 | 90.0 | 90.0 | 90.0 |
| B3--ZnS--cubic-zinc-blende | dynamic | -0.5379 | -0.5379 | 10.5578 | 10.5578 | 10.5578 | 90.0 | 90.0 | 90.0 |
| B4--ZnS--wurtzite | static | -0.5379 | -0.5379 | 7.465 | 7.465 | 12.1924 | 90.0 | 90.0 | 120.0 |
| B4--ZnS--wurtzite | dynamic | -0.5379 | -0.5379 | 7.4649 | 7.4649 | 12.1929 | 90.0 | 90.0 | 120.0 |
| B4--ZnS--wurtzite | static | -0.5379 | -0.5379 | 7.4648 | 7.4648 | 12.1932 | 90.0 | 90.0 | 120.0 |
| B4--ZnS--wurtzite | dynamic | -0.5379 | -0.5379 | 7.4647 | 7.4647 | 12.1936 | 90.0 | 90.0 | 120.0 |
| B4--ZnS--wurtzite | box | -0.5379 | -0.5379 | 7.4635 | 7.4635 | 12.1975 | 90.0 | 90.0 | 120.0 |
| B3--ZnS--cubic-zinc-blende | dynamic | -0.468 | -0.468 | 9.1124 | 9.1124 | 9.1124 | 90.0 | 90.0 | 90.0 |
| B4--ZnS--wurtzite | static | -0.468 | -0.468 | 6.4422 | 6.4422 | 10.526 | 90.0 | 90.0 | 120.0 |
| B4--ZnS--wurtzite | dynamic | -0.468 | -0.468 | 6.442 | 6.442 | 10.5266 | 90.0 | 90.0 | 120.0 |
| B4--ZnS--wurtzite | box | -0.468 | -0.468 | 6.4417 | 6.4417 | 10.5276 | 90.0 | 90.0 | 120.0 |
| L1_0--AuCu | static | -0.187 | -0.187 | 5.9204 | 5.9204 | 8.372 | 90.0 | 90.0 | 90.0 |
| L1_0--AuCu | box | -0.1667 | -0.1667 | 5.7274 | 5.7274 | 8.6594 | 90.0 | 90.0 | 90.0 |
| B2--CsCl | dynamic | -0.1513 | -0.1513 | 6.8454 | 6.8454 | 6.8454 | 90.0 | 90.0 | 90.0 |
| B1--NaCl--rock-salt | dynamic | -0.1289 | -0.1289 | 11.8642 | 11.8642 | 11.8642 | 90.0 | 90.0 | 90.0 |
| B3--ZnS--cubic-zinc-blende | dynamic | -0.1037 | -0.1037 | 13.6991 | 13.6991 | 13.6991 | 90.0 | 90.0 | 90.0 |
| B4--ZnS--wurtzite | dynamic | -0.1037 | -0.1037 | 9.6841 | 9.6841 | 15.8267 | 90.0 | 90.0 | 120.0 |
| B4--ZnS--wurtzite | dynamic | -0.1037 | -0.1037 | 9.6736 | 9.6736 | 15.861 | 90.0 | 90.0 | 120.0 |
Download raw data (including filtered results)
Reference structure matches:
| prototype | method | Ecoh (eV/atom) | Epot (eV/atom) | a0 (Å) | b0 (Å) | c0 (Å) | α (degrees) | β (degrees) | γ (degrees) |
|---|---|---|---|---|---|---|---|---|---|
| C1--CaF2--fluorite | dynamic | -8.8356 | -8.8356 | 8.3036 | 8.3036 | 8.3036 | 90.0 | 90.0 | 90.0 |
| C1--CaF2--fluorite | dynamic | -4.8997 | -4.8997 | 13.021 | 13.021 | 13.021 | 90.0 | 90.0 | 90.0 |
| C1--CaF2--fluorite | dynamic | -3.834 | -3.834 | 6.1804 | 6.1804 | 6.1804 | 90.0 | 90.0 | 90.0 |
| C1--CaF2--fluorite | dynamic | -0.8135 | -0.8135 | 9.097 | 9.097 | 9.097 | 90.0 | 90.0 | 90.0 |
| C1--CaF2--fluorite | static | -0.6854 | -0.6854 | 10.3472 | 10.3472 | 10.3472 | 90.0 | 90.0 | 90.0 |
| C1--CaF2--fluorite | dynamic | -0.1009 | -0.1009 | 13.6896 | 13.6896 | 13.6896 | 90.0 | 90.0 | 90.0 |
Download raw data (including filtered results)
Reference structure matches:
| prototype | method | Ecoh (eV/atom) | Epot (eV/atom) | a0 (Å) | b0 (Å) | c0 (Å) | α (degrees) | β (degrees) | γ (degrees) |
|---|---|---|---|---|---|---|---|---|---|
| A15--Cr3Si | static | -19.581 | -19.581 | 6.3627 | 6.3627 | 6.3627 | 90.0 | 90.0 | 90.0 |
| A15--Cr3Si | static | -12.2724 | -12.2724 | 10.0862 | 10.0862 | 10.0862 | 90.0 | 90.0 | 90.0 |
| L1_2--AuCu3 | dynamic | -12.0987 | -12.0987 | 7.974 | 7.974 | 7.974 | 90.0 | 90.0 | 90.0 |
| D0_3--BiF3 | static | -3.7343 | -3.7343 | 6.5634 | 6.5634 | 6.5634 | 90.0 | 90.0 | 90.0 |
| L1_2--AuCu3 | static | -3.6883 | -3.6883 | 3.9743 | 3.9743 | 3.9743 | 90.0 | 90.0 | 90.0 |
| D0_3--BiF3 | dynamic | -3.6757 | -3.6757 | 13.0209 | 13.0209 | 13.0209 | 90.0 | 90.0 | 90.0 |
| A15--Cr3Si | static | -3.6361 | -3.6361 | 5.2144 | 5.2144 | 5.2144 | 90.0 | 90.0 | 90.0 |
| L1_2--AuCu3 | dynamic | -1.0116 | -1.0116 | 6.3918 | 6.3918 | 6.3918 | 90.0 | 90.0 | 90.0 |
| D0_3--BiF3 | dynamic | -0.9944 | -0.9944 | 9.1728 | 9.1728 | 9.1728 | 90.0 | 90.0 | 90.0 |
| A15--Cr3Si | static | -0.992 | -0.992 | 7.6203 | 7.6203 | 7.6203 | 90.0 | 90.0 | 90.0 |
| D0_3--BiF3 | static | -0.9161 | -0.9161 | 10.3037 | 10.3037 | 10.3037 | 90.0 | 90.0 | 90.0 |
| L1_2--AuCu3 | box | -0.8328 | -0.8328 | 5.5079 | 5.5079 | 5.5079 | 90.0 | 90.0 | 90.0 |
| A15--Cr3Si | dynamic | -0.1987 | -0.1987 | 10.5611 | 10.5611 | 10.5611 | 90.0 | 90.0 | 90.0 |
| L1_2--AuCu3 | dynamic | -0.1851 | -0.1851 | 8.3982 | 8.3982 | 8.3982 | 90.0 | 90.0 | 90.0 |
| D0_3--BiF3 | dynamic | -0.1333 | -0.1333 | 13.7164 | 13.7164 | 13.7164 | 90.0 | 90.0 | 90.0 |
| A15--Cr3Si | dynamic | -0.021 | -0.021 | 11.8936 | 11.8936 | 11.8936 | 90.0 | 90.0 | 90.0 |
Download raw data (including filtered results)
Reference structure matches:
A1--Cu--fcc = mp-81, oqmd-592562, oqmd-593868, oqmd-594005, oqmd-594521, oqmd-594522, oqmd-598514, oqmd-629973, oqmd-636381, oqmd-636382, oqmd-1214506
A15--beta-W = oqmd-1214951, oqmd-1280361
A2--W--bcc = oqmd-1215129
A3'--alpha-La--double-hcp = oqmd-1215397
A3--Mg--hcp = oqmd-1215307
A4--C--dc = oqmd-1215486
A5--beta-Sn = oqmd-1215575
A6--In--bct = oqmd-1215664
A7--alpha-As = oqmd-1215753
| prototype | method | Ecoh (eV/atom) | Epot (eV/atom) | a0 (Å) | b0 (Å) | c0 (Å) | α (degrees) | β (degrees) | γ (degrees) |
|---|---|---|---|---|---|---|---|---|---|
| A1--Cu--fcc | dynamic | -3.8612 | -3.8612 | 4.1499 | 4.1499 | 4.1499 | 90.0 | 90.0 | 90.0 |
| A1--Cu--fcc | dynamic | -3.8612 | -3.8612 | 4.1513 | 4.1513 | 4.1513 | 90.0 | 90.0 | 90.0 |
| A3'--alpha-La--double-hcp | dynamic | -3.8554 | -3.8554 | 2.9767 | 2.9767 | 9.3467 | 90.0 | 90.0 | 120.0 |
| oqmd-1216020 | dynamic | -3.8547 | -3.8547 | 2.9849 | 2.9849 | 20.9295 | 90.0 | 90.0 | 120.0 |
| oqmd-1216020 | box | -3.8543 | -3.8543 | 2.9861 | 2.9861 | 20.9053 | 90.0 | 90.0 | 120.0 |
| A3--Mg--hcp | dynamic | -3.8531 | -3.8531 | 3.0034 | 3.0034 | 4.5926 | 90.0 | 90.0 | 120.0 |
| mp-1008634 | box | -3.853 | -3.853 | 2.9981 | 5.2108 | 4.593 | 90.0 | 90.0 | 90.0 |
| oqmd-1215218 | box | -3.85 | -3.85 | 2.9651 | 5.2499 | 4.6112 | 90.0 | 90.0 | 90.0 |
| oqmd-1214684 | box | -3.8061 | -3.8061 | 5.0276 | 5.0309 | 5.754 | 90.0 | 90.0 | 90.0 |
| oqmd-1214773 | dynamic | -3.7972 | -3.7972 | 10.2034 | 10.2034 | 10.2034 | 90.0 | 90.0 | 90.0 |
| oqmd-1214773 | box | -3.7971 | -3.7971 | 10.203 | 10.203 | 10.203 | 90.0 | 90.0 | 90.0 |
| oqmd-1214862 | dynamic | -3.7885 | -3.7885 | 7.179 | 7.179 | 7.179 | 90.0 | 90.0 | 90.0 |
| A2--W--bcc | static | -3.7869 | -3.7869 | 3.3073 | 3.3073 | 3.3073 | 90.0 | 90.0 | 90.0 |
| oqmd-1214862 | box | -3.7836 | -3.7836 | 7.1663 | 7.1663 | 7.1663 | 90.0 | 90.0 | 90.0 |
| oqmd-1038224 | static | -3.7744 | -3.7744 | 4.7217 | 4.7217 | 2.8524 | 90.0 | 90.0 | 120.0 |
| oqmd-1038224 | box | -3.7744 | -3.7744 | 4.7209 | 4.7209 | 2.8524 | 90.0 | 90.0 | 120.0 |
| A15--beta-W | static | -3.7525 | -3.7525 | 5.279 | 5.279 | 5.279 | 90.0 | 90.0 | 90.0 |
| A5--beta-Sn | static | -3.6849 | -3.6849 | 5.3776 | 5.3776 | 2.7509 | 90.0 | 90.0 | 90.0 |
| Ah--alpha-Po--sc | dynamic | -3.6188 | -3.6188 | 2.7502 | 2.7502 | 2.7502 | 90.0 | 90.0 | 90.0 |
| A7--alpha-As | box | -3.6148 | -3.6148 | 3.7816 | 3.7816 | 10.0501 | 90.0 | 90.0 | 120.0 |
| oqmd-1215842 | box | -3.6138 | -3.6138 | 4.0335 | 4.0335 | 4.4145 | 90.0 | 90.0 | 120.0 |
| oqmd-1215931 | box | -3.3086 | -3.3086 | 4.6568 | 4.6568 | 5.4333 | 90.0 | 90.0 | 120.0 |
| A4--C--dc | static | -3.2223 | -3.2223 | 6.1876 | 6.1876 | 6.1876 | 90.0 | 90.0 | 90.0 |
| Ah--alpha-Po--sc | static | -1.6961 | -1.6961 | 3.8489 | 3.8489 | 3.8489 | 90.0 | 90.0 | 90.0 |
| A1--Cu--fcc | static | -1.4338 | -1.4338 | 6.1961 | 6.1961 | 6.1961 | 90.0 | 90.0 | 90.0 |
| A3'--alpha-La--double-hcp | static | -1.4338 | -1.4338 | 4.3814 | 4.3814 | 14.3096 | 90.0 | 90.0 | 120.0 |
| A3--Mg--hcp | static | -1.4338 | -1.4338 | 4.3814 | 4.3814 | 7.1548 | 90.0 | 90.0 | 120.0 |
| A1--Cu--fcc | dynamic | -1.4338 | -1.4338 | 6.1973 | 6.1973 | 6.1973 | 90.0 | 90.0 | 90.0 |
| A3'--alpha-La--double-hcp | dynamic | -1.4338 | -1.4338 | 4.3826 | 4.3826 | 14.3125 | 90.0 | 90.0 | 120.0 |
| A5--beta-Sn | dynamic | -1.0066 | -1.0066 | 8.7088 | 8.7088 | 4.5006 | 90.0 | 90.0 | 90.0 |
| A1--Cu--fcc | dynamic | -0.8357 | -0.8357 | 7.8429 | 7.8429 | 7.8429 | 90.0 | 90.0 | 90.0 |
| A3'--alpha-La--double-hcp | dynamic | -0.8357 | -0.8357 | 5.5457 | 5.5457 | 18.1123 | 90.0 | 90.0 | 120.0 |
| A3--Mg--hcp | dynamic | -0.8357 | -0.8357 | 5.5457 | 5.5457 | 9.0561 | 90.0 | 90.0 | 120.0 |
| Ah--alpha-Po--sc | static | -0.7644 | -0.7644 | 4.3929 | 4.3929 | 4.3929 | 90.0 | 90.0 | 90.0 |
| A7--alpha-As | static | -0.5996 | -0.5996 | 6.368 | 6.368 | 19.6824 | 90.0 | 90.0 | 120.0 |
| A7--alpha-As | dynamic | -0.5996 | -0.5996 | 6.4041 | 6.4041 | 19.5298 | 90.0 | 90.0 | 120.0 |
| A2--W--bcc | dynamic | -0.5701 | -0.5701 | 6.4037 | 6.4037 | 6.4037 | 90.0 | 90.0 | 90.0 |
| A4--C--dc | dynamic | -0.5188 | -0.5188 | 10.1506 | 10.1506 | 10.1506 | 90.0 | 90.0 | 90.0 |
| A15--beta-W | static | -0.491 | -0.491 | 9.9625 | 9.9625 | 9.9625 | 90.0 | 90.0 | 90.0 |
| Ah--alpha-Po--sc | dynamic | -0.4323 | -0.4323 | 5.5458 | 5.5458 | 5.5458 | 90.0 | 90.0 | 90.0 |
| A5--beta-Sn | dynamic | -0.4323 | -0.4323 | 10.7394 | 10.7394 | 5.5458 | 90.0 | 90.0 | 90.0 |
| A5--beta-Sn | box | -0.3259 | -0.3259 | 10.0316 | 10.0316 | 5.5457 | 90.0 | 90.0 | 90.0 |
| A4--C--dc | dynamic | -0.2915 | -0.2915 | 12.8075 | 12.8075 | 12.8075 | 90.0 | 90.0 | 90.0 |
| A7--alpha-As | dynamic | -0.22 | -0.22 | 8.8093 | 8.8093 | 18.1264 | 90.0 | 90.0 | 120.0 |
| A7--alpha-As | static | -0.22 | -0.22 | 8.2906 | 8.2906 | 22.9654 | 90.0 | 90.0 | 120.0 |
| A15--beta-W | static | -0.1111 | -0.1111 | 11.0916 | 11.0916 | 11.0916 | 90.0 | 90.0 | 90.0 |
Download raw data (including filtered results)
Reference structure matches:
| prototype | method | Ecoh (eV/atom) | Epot (eV/atom) | a0 (Å) | b0 (Å) | c0 (Å) | α (degrees) | β (degrees) | γ (degrees) |
|---|---|---|---|---|---|---|---|---|---|
| mp-1219349 | static | -3.9613 | -3.9613 | 9.6666 | 9.6666 | 9.6666 | 90.0 | 90.0 | 90.0 |
| mp-1219349 | box | -3.9493 | -3.9493 | 9.7039 | 9.7039 | 9.7039 | 90.0 | 90.0 | 90.0 |
Download raw data (including filtered results)
Reference structure matches:
| prototype | method | Ecoh (eV/atom) | Epot (eV/atom) | a0 (Å) | b0 (Å) | c0 (Å) | α (degrees) | β (degrees) | γ (degrees) |
|---|---|---|---|---|---|---|---|---|---|
| C1--CaF2--fluorite | dynamic | -4.1139 | -4.1139 | 6.0031 | 6.0031 | 6.0031 | 90.0 | 90.0 | 90.0 |
| oqmd-1231673 | box | -4.0292 | -4.0292 | 5.6329 | 5.6329 | 3.8592 | 90.0 | 90.0 | 90.0 |
| C1--CaF2--fluorite | static | -1.2273 | -1.2273 | 10.4428 | 10.4428 | 10.4428 | 90.0 | 90.0 | 90.0 |
| C1--CaF2--fluorite | dynamic | -1.1618 | -1.1618 | 9.2081 | 9.2081 | 9.2081 | 90.0 | 90.0 | 90.0 |
| C1--CaF2--fluorite | dynamic | -0.0529 | -0.0529 | 13.6976 | 13.6976 | 13.6976 | 90.0 | 90.0 | 90.0 |
Download raw data (including filtered results)
Reference structure matches:
| prototype | method | Ecoh (eV/atom) | Epot (eV/atom) | a0 (Å) | b0 (Å) | c0 (Å) | α (degrees) | β (degrees) | γ (degrees) |
|---|---|---|---|---|---|---|---|---|---|
| oqmd-425751 | static | -3.8663 | -3.8663 | 6.2386 | 6.2386 | 18.6407 | 90.0 | 90.0 | 120.0 |
Download raw data (including filtered results)
Reference structure matches:
D0_3--BiF3 = mp-1186998, oqmd-313099
L1_2--AuCu3 = oqmd-346755
| prototype | method | Ecoh (eV/atom) | Epot (eV/atom) | a0 (Å) | b0 (Å) | c0 (Å) | α (degrees) | β (degrees) | γ (degrees) |
|---|---|---|---|---|---|---|---|---|---|
| mp-972868 | static | -3.9094 | -3.9094 | 6.0511 | 6.0511 | 4.3995 | 90.0 | 90.0 | 120.0 |
| oqmd-302557 | box | -3.9072 | -3.9072 | 5.0671 | 5.0671 | 5.4769 | 90.0 | 90.0 | 90.0 |
| oqmd-302557 | static | -3.9036 | -3.9036 | 4.2937 | 4.2937 | 7.5581 | 90.0 | 90.0 | 90.0 |
| D0_3--BiF3 | static | -3.8817 | -3.8817 | 6.5529 | 6.5529 | 6.5529 | 90.0 | 90.0 | 90.0 |
| L1_2--AuCu3 | static | -3.8793 | -3.8793 | 4.1112 | 4.1112 | 4.1112 | 90.0 | 90.0 | 90.0 |
| oqmd-322269 | box | -3.8456 | -3.8456 | 7.3015 | 7.3015 | 3.2843 | 90.0 | 90.0 | 120.0 |
| A15--Cr3Si | static | -3.8111 | -3.8111 | 5.2594 | 5.2594 | 5.2594 | 90.0 | 90.0 | 90.0 |
| A15--Cr3Si | static | -1.8451 | -1.8451 | 6.5863 | 6.5863 | 6.5863 | 90.0 | 90.0 | 90.0 |
| D0_3--BiF3 | static | -1.8034 | -1.8034 | 8.9537 | 8.9537 | 8.9537 | 90.0 | 90.0 | 90.0 |
| L1_2--AuCu3 | static | -1.796 | -1.796 | 5.471 | 5.471 | 5.471 | 90.0 | 90.0 | 90.0 |
| L1_2--AuCu3 | box | -1.7285 | -1.7285 | 5.2396 | 5.2396 | 5.2396 | 90.0 | 90.0 | 90.0 |
| L1_2--AuCu3 | dynamic | -1.7181 | -1.7181 | 6.3282 | 6.3282 | 6.3282 | 90.0 | 90.0 | 90.0 |
| A15--Cr3Si | box | -0.1373 | -0.1373 | 10.6863 | 10.6863 | 10.6863 | 90.0 | 90.0 | 90.0 |
Download raw data (including filtered results)
Reference structure matches:
B1--NaCl--rock-salt = oqmd-1106148
B2--CsCl = oqmd-306963
B3--ZnS--cubic-zinc-blende = oqmd-1218508
L1_0--AuCu = oqmd-338505
| prototype | method | Ecoh (eV/atom) | Epot (eV/atom) | a0 (Å) | b0 (Å) | c0 (Å) | α (degrees) | β (degrees) | γ (degrees) |
|---|---|---|---|---|---|---|---|---|---|
| B1--NaCl--rock-salt | dynamic | -4.1248 | -4.1248 | 5.0772 | 5.0772 | 5.0772 | 90.0 | 90.0 | 90.0 |
| oqmd-1228187 | dynamic | -4.0797 | -4.0797 | 3.4771 | 3.4771 | 3.3126 | 90.0 | 90.0 | 120.0 |
| B4--ZnS--wurtzite | dynamic | -4.0564 | -4.0564 | 3.9057 | 3.9057 | 6.62 | 90.0 | 90.0 | 120.0 |
| B4--ZnS--wurtzite | box | -4.0533 | -4.0533 | 3.9356 | 3.9356 | 6.5318 | 90.0 | 90.0 | 120.0 |
| oqmd-1224701 | box | -4.0532 | -4.0532 | 3.9362 | 3.9362 | 6.5297 | 90.0 | 90.0 | 120.0 |
| B3--ZnS--cubic-zinc-blende | static | -4.0528 | -4.0528 | 5.6209 | 5.6209 | 5.6209 | 90.0 | 90.0 | 90.0 |
| B2--CsCl | static | -3.9198 | -3.9198 | 3.2723 | 3.2723 | 3.2723 | 90.0 | 90.0 | 90.0 |
| oqmd-1217721 | box | -3.8718 | -3.8718 | 4.7041 | 3.0932 | 4.8321 | 90.0 | 90.0 | 90.0 |
| L1_0--AuCu | dynamic | -1.6289 | -1.6289 | 4.4677 | 4.4677 | 6.3862 | 90.0 | 90.0 | 90.0 |
| B2--CsCl | static | -1.515 | -1.515 | 5.1667 | 5.1667 | 5.1667 | 90.0 | 90.0 | 90.0 |
| B2--CsCl | dynamic | -1.5083 | -1.5083 | 4.6157 | 4.6157 | 4.6157 | 90.0 | 90.0 | 90.0 |
| B1--NaCl--rock-salt | dynamic | -1.1635 | -1.1635 | 9.018 | 9.018 | 9.018 | 90.0 | 90.0 | 90.0 |
| B1--NaCl--rock-salt | static | -1.1381 | -1.1381 | 7.8229 | 7.8229 | 7.8229 | 90.0 | 90.0 | 90.0 |
| B3--ZnS--cubic-zinc-blende | dynamic | -0.8518 | -0.8518 | 10.4231 | 10.4231 | 10.4231 | 90.0 | 90.0 | 90.0 |
| B4--ZnS--wurtzite | dynamic | -0.8518 | -0.8518 | 7.3701 | 7.3701 | 12.0361 | 90.0 | 90.0 | 120.0 |
| B4--ZnS--wurtzite | dynamic | -0.8518 | -0.8518 | 7.3698 | 7.3698 | 12.0369 | 90.0 | 90.0 | 120.0 |
| B4--ZnS--wurtzite | static | -0.8518 | -0.8518 | 7.3693 | 7.3693 | 12.0387 | 90.0 | 90.0 | 120.0 |
| B4--ZnS--wurtzite | static | -0.8518 | -0.8518 | 7.3688 | 7.3688 | 12.0404 | 90.0 | 90.0 | 120.0 |
| B4--ZnS--wurtzite | box | -0.8518 | -0.8518 | 7.3683 | 7.3683 | 12.042 | 90.0 | 90.0 | 120.0 |
| L1_0--AuCu | dynamic | -0.2437 | -0.2437 | 5.9899 | 5.9899 | 7.4353 | 90.0 | 90.0 | 90.0 |
| B3--ZnS--cubic-zinc-blende | box | -0.2233 | -0.2233 | 8.3744 | 8.3744 | 8.3744 | 90.0 | 90.0 | 90.0 |
| B4--ZnS--wurtzite | static | -0.2143 | -0.2143 | 5.9107 | 5.9107 | 9.7234 | 90.0 | 90.0 | 120.0 |
| B4--ZnS--wurtzite | box | -0.2124 | -0.2124 | 5.9183 | 5.9183 | 9.6975 | 90.0 | 90.0 | 120.0 |
| B2--CsCl | dynamic | -0.1755 | -0.1755 | 6.5063 | 6.5063 | 6.5063 | 90.0 | 90.0 | 90.0 |
| B2--CsCl | dynamic | -0.078 | -0.078 | 6.8488 | 6.8488 | 6.8488 | 90.0 | 90.0 | 90.0 |
| L1_0--AuCu | static | -0.0778 | -0.0778 | 6.1783 | 6.1783 | 8.022 | 90.0 | 90.0 | 90.0 |
| B1--NaCl--rock-salt | dynamic | -0.0755 | -0.0755 | 11.2581 | 11.2581 | 11.2581 | 90.0 | 90.0 | 90.0 |
| B1--NaCl--rock-salt | dynamic | -0.0586 | -0.0586 | 11.8578 | 11.8578 | 11.8578 | 90.0 | 90.0 | 90.0 |
| B3--ZnS--cubic-zinc-blende | dynamic | -0.0394 | -0.0394 | 13.6873 | 13.6873 | 13.6873 | 90.0 | 90.0 | 90.0 |
| B4--ZnS--wurtzite | dynamic | -0.0394 | -0.0394 | 9.6763 | 9.6763 | 15.8114 | 90.0 | 90.0 | 120.0 |
| B4--ZnS--wurtzite | dynamic | -0.0394 | -0.0394 | 9.6761 | 9.6761 | 15.812 | 90.0 | 90.0 | 120.0 |
| B4--ZnS--wurtzite | static | -0.0394 | -0.0394 | 9.6759 | 9.6759 | 15.8126 | 90.0 | 90.0 | 120.0 |
| B4--ZnS--wurtzite | box | -0.0394 | -0.0394 | 9.6758 | 9.6758 | 15.8131 | 90.0 | 90.0 | 120.0 |
Download raw data (including filtered results)
Reference structure matches:
| prototype | method | Ecoh (eV/atom) | Epot (eV/atom) | a0 (Å) | b0 (Å) | c0 (Å) | α (degrees) | β (degrees) | γ (degrees) |
|---|---|---|---|---|---|---|---|---|---|
| C1--CaF2--fluorite | dynamic | -3.9023 | -3.9023 | 6.1326 | 6.1326 | 6.1326 | 90.0 | 90.0 | 90.0 |
| oqmd-1238854 | static | -3.2885 | -3.2885 | 11.0098 | 11.0098 | 11.0098 | 90.0 | 90.0 | 90.0 |
| C1--CaF2--fluorite | static | -1.0902 | -1.0902 | 10.3274 | 10.3274 | 10.3274 | 90.0 | 90.0 | 90.0 |
| C1--CaF2--fluorite | dynamic | -1.0608 | -1.0608 | 9.312 | 9.312 | 9.312 | 90.0 | 90.0 | 90.0 |
| C1--CaF2--fluorite | dynamic | -0.8328 | -0.8328 | 8.3414 | 8.3414 | 8.3414 | 90.0 | 90.0 | 90.0 |
| C1--CaF2--fluorite | dynamic | -0.1455 | -0.1455 | 13.0096 | 13.0096 | 13.0096 | 90.0 | 90.0 | 90.0 |
| C1--CaF2--fluorite | dynamic | -0.0516 | -0.0516 | 13.6872 | 13.6872 | 13.6872 | 90.0 | 90.0 | 90.0 |
Download raw data (including filtered results)
Reference structure matches:
D0_3--BiF3 = oqmd-311727
L1_2--AuCu3 = oqmd-348127
| prototype | method | Ecoh (eV/atom) | Epot (eV/atom) | a0 (Å) | b0 (Å) | c0 (Å) | α (degrees) | β (degrees) | γ (degrees) |
|---|---|---|---|---|---|---|---|---|---|
| oqmd-301185 | static | -3.9252 | -3.9252 | 3.5202 | 3.5202 | 11.0104 | 90.0 | 90.0 | 90.0 |
| D0_3--BiF3 | static | -3.8344 | -3.8344 | 6.5481 | 6.5481 | 6.5481 | 90.0 | 90.0 | 90.0 |
| L1_2--AuCu3 | static | -3.6857 | -3.6857 | 4.1388 | 4.1388 | 4.1388 | 90.0 | 90.0 | 90.0 |
| A15--Cr3Si | static | -3.6462 | -3.6462 | 5.2013 | 5.2013 | 5.2013 | 90.0 | 90.0 | 90.0 |
| A15--Cr3Si | box | -1.3531 | -1.3531 | 6.3253 | 6.3253 | 6.3253 | 90.0 | 90.0 | 90.0 |
| L1_2--AuCu3 | dynamic | -1.3456 | -1.3456 | 6.3566 | 6.3566 | 6.3566 | 90.0 | 90.0 | 90.0 |
| A15--Cr3Si | dynamic | -1.3302 | -1.3302 | 7.6662 | 7.6662 | 7.6662 | 90.0 | 90.0 | 90.0 |
| D0_3--BiF3 | dynamic | -1.3272 | -1.3272 | 9.1776 | 9.1776 | 9.1776 | 90.0 | 90.0 | 90.0 |
| D0_3--BiF3 | static | -1.2191 | -1.2191 | 10.3319 | 10.3319 | 10.3319 | 90.0 | 90.0 | 90.0 |
| L1_2--AuCu3 | box | -0.5537 | -0.5537 | 5.0658 | 5.0658 | 5.0658 | 90.0 | 90.0 | 90.0 |
| A15--Cr3Si | box | -0.4218 | -0.4218 | 10.0801 | 10.0801 | 10.0801 | 90.0 | 90.0 | 90.0 |
| L1_2--AuCu3 | box | -0.2493 | -0.2493 | 7.9674 | 7.9674 | 7.9674 | 90.0 | 90.0 | 90.0 |
| A15--Cr3Si | dynamic | -0.1635 | -0.1635 | 10.5493 | 10.5493 | 10.5493 | 90.0 | 90.0 | 90.0 |
| L1_2--AuCu3 | dynamic | -0.145 | -0.145 | 8.3985 | 8.3985 | 8.3985 | 90.0 | 90.0 | 90.0 |
| D0_3--BiF3 | dynamic | -0.1187 | -0.1187 | 13.0013 | 13.0013 | 13.0013 | 90.0 | 90.0 | 90.0 |
| D0_3--BiF3 | dynamic | -0.0962 | -0.0962 | 13.7186 | 13.7186 | 13.7186 | 90.0 | 90.0 | 90.0 |
| A15--Cr3Si | dynamic | -0.021 | -0.021 | 11.8936 | 11.8936 | 11.8936 | 90.0 | 90.0 | 90.0 |
Download raw data (including filtered results)
Reference structure matches:
A1--Cu--fcc = mp-27, oqmd-9287, oqmd-1214570
A15--beta-W = oqmd-1215015, oqmd-1236371, oqmd-1280410
A2--W--bcc = mp-1014212, oqmd-1215193
A3'--alpha-La--double-hcp = oqmd-1215461
A3--Mg--hcp = mp-10649, oqmd-9288, oqmd-1215371
A4--C--dc = mp-149, oqmd-5714, oqmd-12378, oqmd-1215550
A5--beta-Sn = mp-92, oqmd-18979, oqmd-1215639
A6--In--bct = mp-1056579, oqmd-691768, oqmd-1215728
A7--alpha-As = oqmd-1215817
Ah--alpha-Po--sc = oqmd-1215906
| prototype | method | Ecoh (eV/atom) | Epot (eV/atom) | a0 (Å) | b0 (Å) | c0 (Å) | α (degrees) | β (degrees) | γ (degrees) |
|---|---|---|---|---|---|---|---|---|---|
| A4--C--dc | dynamic | -4.6 | -4.6 | 5.4638 | 5.4638 | 5.4638 | 90.0 | 90.0 | 90.0 |
| oqmd-5764 | dynamic | -4.5921 | -4.5921 | 3.849 | 3.849 | 6.26 | 90.0 | 90.0 | 120.0 |
| oqmd-5764 | box | -4.5921 | -4.5921 | 3.8489 | 3.8489 | 6.2601 | 90.0 | 90.0 | 120.0 |
| mp-165 | box | -4.592 | -4.592 | 3.8487 | 3.8487 | 6.2605 | 90.0 | 90.0 | 120.0 |
| oqmd-22407 | static | -4.4727 | -4.4727 | 6.5472 | 6.5472 | 3.9632 | 90.0 | 90.0 | 90.0 |
| mp-1079297 | dynamic | -4.4687 | -4.4687 | 13.5919 | 3.8771 | 6.3745 | 90.0 | 96.5 | 90.0 |
| mp-999200 | box | -4.4644 | -4.4644 | 6.6512 | 6.6512 | 3.8893 | 90.0 | 90.0 | 90.0 |
| oqmd-22407 | box | -4.4637 | -4.4637 | 6.6561 | 6.6561 | 3.8861 | 90.0 | 90.0 | 90.0 |
| mp-1079297 | box | -4.4633 | -4.4633 | 13.6553 | 3.869 | 6.3561 | 90.0 | 96.2 | 90.0 |
| oqmd-22408 | box | -4.4627 | -4.4627 | 13.6634 | 3.8699 | 6.3525 | 90.0 | 96.2 | 90.0 |
| Ah--alpha-Po--sc | dynamic | -4.4505 | -4.4505 | 2.4921 | 2.4921 | 2.4921 | 90.0 | 90.0 | 90.0 |
| Ah--alpha-Po--sc | dynamic | -4.4505 | -4.4505 | 2.4926 | 2.4926 | 2.4926 | 90.0 | 90.0 | 90.0 |
| oqmd-717362 | dynamic | -4.4013 | -4.4013 | 14.4225 | 14.4225 | 14.4225 | 90.0 | 90.0 | 90.0 |
| oqmd-717362 | box | -4.4012 | -4.4012 | 14.4234 | 14.4234 | 14.4234 | 90.0 | 90.0 | 90.0 |
| mp-1203790 | dynamic | -4.3989 | -4.3989 | 10.1914 | 10.1914 | 16.6857 | 90.0 | 90.0 | 120.0 |
| mp-1203790 | box | -4.3985 | -4.3985 | 10.1885 | 10.1885 | 16.6873 | 90.0 | 90.0 | 120.0 |
| oqmd-717360 | dynamic | -4.3945 | -4.3945 | 10.0182 | 10.0182 | 10.0182 | 90.0 | 90.0 | 90.0 |
| oqmd-717360 | box | -4.3939 | -4.3939 | 10.0113 | 10.0113 | 10.0113 | 90.0 | 90.0 | 90.0 |
| mp-971662 | box | -4.3938 | -4.3938 | 10.0033 | 10.0033 | 10.0033 | 90.0 | 90.0 | 90.0 |
| mp-1196961 | dynamic | -4.3762 | -4.3762 | 10.0339 | 10.0339 | 10.0827 | 90.0 | 90.0 | 120.0 |
| mp-1196961 | static | -4.3762 | -4.3762 | 10.0338 | 10.0338 | 10.0829 | 90.0 | 90.0 | 120.0 |
| mp-1196961 | box | -4.374 | -4.374 | 10.0094 | 10.0094 | 10.1404 | 90.0 | 90.0 | 120.0 |
| mp-1095269 | dynamic | -4.3635 | -4.3635 | 3.8739 | 10.7685 | 12.565 | 90.0 | 90.0 | 90.0 |
| mp-1095269 | box | -4.3606 | -4.3606 | 3.8811 | 10.7594 | 12.5604 | 90.0 | 90.0 | 90.0 |
| mp-1204627 | dynamic | -4.3471 | -4.3471 | 16.3494 | 12.7452 | 9.7262 | 90.0 | 90.0 | 90.0 |
| mp-1204627 | static | -4.3471 | -4.3471 | 16.351 | 12.7445 | 9.726 | 90.0 | 90.0 | 90.0 |
| mp-1204627 | box | -4.3437 | -4.3437 | 16.4786 | 12.65 | 9.7634 | 90.0 | 90.0 | 90.0 |
| mp-1200830 | dynamic | -4.3263 | -4.3263 | 12.3252 | 12.3252 | 12.3252 | 90.0 | 90.0 | 90.0 |
| mp-1200830 | static | -4.3262 | -4.3262 | 12.325 | 12.325 | 12.325 | 90.0 | 90.0 | 90.0 |
| mp-1200830 | box | -4.3176 | -4.3176 | 12.3255 | 12.3255 | 12.3255 | 90.0 | 90.0 | 90.0 |
| mp-1199894 | dynamic | -4.3151 | -4.3151 | 25.0946 | 14.6815 | 9.8957 | 90.0 | 94.1 | 90.0 |
| mp-1199894 | static | -4.315 | -4.315 | 25.056 | 14.7169 | 9.8713 | 90.0 | 94.0 | 90.0 |
| mp-1244990 | dynamic | -4.3109 | -4.3109 | 12.3209 | 12.637 | 12.6979 | 107.2 | 99.3 | 98.6 |
| mp-971661 | static | -4.3102 | -4.3102 | 10.0599 | 10.0599 | 10.0599 | 90.0 | 90.0 | 90.0 |
| mp-971661 | box | -4.3096 | -4.3096 | 10.0562 | 10.0562 | 10.0562 | 90.0 | 90.0 | 90.0 |
| mp-1202745 | dynamic | -4.3053 | -4.3053 | 9.8384 | 9.8384 | 15.8907 | 90.0 | 90.0 | 120.0 |
| mp-1202745 | static | -4.3053 | -4.3053 | 9.8381 | 9.8381 | 15.8915 | 90.0 | 90.0 | 120.0 |
| mp-1202745 | box | -4.3031 | -4.3031 | 9.82 | 9.82 | 15.9459 | 90.0 | 90.0 | 120.0 |
| mp-1245041 | dynamic | -4.3024 | -4.3024 | 12.988 | 12.998 | 13.1957 | 68.5 | 74.4 | 73.4 |
| mp-168 | static | -4.3005 | -4.3005 | 6.4687 | 6.4687 | 6.4687 | 90.0 | 90.0 | 90.0 |
| mp-571520 | static | -4.2994 | -4.2994 | 9.3744 | 9.3744 | 5.3823 | 90.0 | 90.0 | 120.0 |
| mp-1201492 | dynamic | -4.2983 | -4.2983 | 17.2923 | 17.2923 | 17.2923 | 90.0 | 90.0 | 90.0 |
| mp-1244971 | dynamic | -4.2983 | -4.2983 | 11.7981 | 12.5614 | 13.4659 | 96.2 | 98.0 | 100.5 |
| mp-1244933 | dynamic | -4.2982 | -4.2982 | 12.1225 | 12.4083 | 12.617 | 77.3 | 82.0 | 79.2 |
| mp-1245242 | dynamic | -4.2947 | -4.2947 | 11.7672 | 12.686 | 12.9576 | 85.2 | 86.1 | 80.7 |
| mp-1201492 | box | -4.2878 | -4.2878 | 17.3271 | 17.3271 | 17.3271 | 90.0 | 90.0 | 90.0 |
| mp-1120747 | dynamic | -4.275 | -4.275 | 5.7778 | 5.7778 | 3.5188 | 90.0 | 90.0 | 120.0 |
| oqmd-78173 | box | -4.2601 | -4.2601 | 4.9831 | 6.8338 | 7.0741 | 90.0 | 90.0 | 90.0 |
| A7--alpha-As | box | -4.2588 | -4.2588 | 3.617 | 3.617 | 8.548 | 90.0 | 90.0 | 120.0 |
| oqmd-18984 | dynamic | -4.2555 | -4.2555 | 2.578 | 2.578 | 2.469 | 90.0 | 90.0 | 120.0 |
| oqmd-1214837 | dynamic | -4.2547 | -4.2547 | 10.1472 | 10.1472 | 10.1472 | 90.0 | 90.0 | 90.0 |
| mp-1204046 | dynamic | -4.2537 | -4.2537 | 10.0118 | 10.0118 | 23.4907 | 90.0 | 90.0 | 90.0 |
| mp-1204046 | static | -4.2537 | -4.2537 | 10.0115 | 10.0115 | 23.4934 | 90.0 | 90.0 | 90.0 |
| oqmd-717361 | dynamic | -4.2497 | -4.2497 | 7.6745 | 7.6745 | 7.6745 | 90.0 | 90.0 | 90.0 |
| oqmd-717361 | static | -4.248 | -4.248 | 7.6671 | 7.6671 | 7.6671 | 90.0 | 90.0 | 90.0 |
| mp-1245041 | static | -4.2439 | -4.2439 | 12.723 | 12.8147 | 13.0794 | 73.2 | 70.5 | 75.1 |
| mp-1244933 | static | -4.2352 | -4.2352 | 12.0738 | 12.652 | 12.7044 | 76.8 | 74.3 | 79.1 |
| mp-1244971 | static | -4.2295 | -4.2295 | 11.8188 | 12.7986 | 13.2822 | 99.0 | 96.6 | 100.8 |
| mp-1245242 | static | -4.2294 | -4.2294 | 12.4318 | 12.599 | 12.6135 | 82.6 | 80.3 | 84.0 |
| mp-1204046 | box | -4.2294 | -4.2294 | 10.0126 | 10.0126 | 24.1543 | 90.0 | 90.0 | 90.0 |
| mp-644693 | static | -4.2082 | -4.2082 | 4.0667 | 4.56 | 8.9222 | 90.8 | 98.1 | 102.5 |
| mp-1268191 | box | -4.2076 | -4.2076 | 6.8275 | 6.8275 | 2.4623 | 90.0 | 90.0 | 120.0 |
| mp-676011 | static | -4.197 | -4.197 | 4.7892 | 5.9558 | 6.5874 | 108.0 | 110.0 | 93.1 |
| mp-1244990 | static | -4.1941 | -4.1941 | 12.0071 | 12.3113 | 12.9673 | 104.5 | 101.1 | 97.8 |
| mp-571520 | box | -4.1883 | -4.1883 | 9.4312 | 9.4312 | 5.5706 | 90.0 | 90.0 | 120.0 |
| mp-1072544 | dynamic | -4.1871 | -4.1871 | 6.7229 | 6.7229 | 6.7229 | 90.0 | 90.0 | 90.0 |
| A5--beta-Sn | dynamic | -4.1858 | -4.1858 | 4.7707 | 4.7707 | 2.8415 | 90.0 | 90.0 | 90.0 |
| oqmd-18985 | box | -4.1815 | -4.1815 | 9.407 | 9.407 | 5.529 | 90.0 | 90.0 | 120.0 |
| oqmd-1214748 | static | -4.1739 | -4.1739 | 4.7446 | 7.5573 | 4.1493 | 90.0 | 90.0 | 90.0 |
| oqmd-717361 | box | -4.1623 | -4.1623 | 7.6427 | 7.6427 | 7.6427 | 90.0 | 90.0 | 90.0 |
| oqmd-1214748 | box | -4.1556 | -4.1556 | 4.8583 | 7.4105 | 4.0753 | 90.0 | 90.0 | 90.0 |
| mp-16220 | dynamic | -4.1461 | -4.1461 | 14.5743 | 14.5743 | 14.5743 | 90.0 | 90.0 | 90.0 |
| mp-1245041 | box | -4.1405 | -4.1405 | 12.8476 | 12.8617 | 12.9466 | 71.4 | 73.7 | 75.1 |
| mp-1244933 | box | -4.1308 | -4.1308 | 12.4771 | 12.496 | 12.7274 | 76.4 | 78.3 | 73.2 |
| mp-1245242 | box | -4.1207 | -4.1207 | 12.5075 | 12.6387 | 12.6896 | 80.7 | 81.4 | 82.8 |
| mp-1120447 | dynamic | -4.102 | -4.102 | 4.7039 | 5.565 | 7.0596 | 67.3 | 78.3 | 87.9 |
| mp-1120447 | static | -4.0979 | -4.0979 | 4.7493 | 5.5717 | 7.0199 | 67.7 | 78.3 | 86.1 |
| mp-1244990 | box | -4.0618 | -4.0618 | 12.1534 | 12.2953 | 12.8981 | 104.1 | 101.5 | 99.0 |
| oqmd-1215995 | box | -4.0539 | -4.0539 | 4.1278 | 4.1278 | 5.007 | 90.0 | 90.0 | 120.0 |
| oqmd-10215 | box | -4.0496 | -4.0496 | 14.557 | 14.557 | 14.557 | 90.0 | 90.0 | 90.0 |
| mp-16220 | box | -4.0476 | -4.0476 | 14.5558 | 14.5558 | 14.5558 | 90.0 | 90.0 | 90.0 |
| oqmd-1215995 | static | -3.9731 | -3.9731 | 4.0563 | 4.0563 | 7.6937 | 90.0 | 90.0 | 120.0 |
| mp-1120447 | box | -3.9562 | -3.9562 | 5.2199 | 5.6869 | 6.7171 | 72.0 | 71.5 | 84.2 |
| mp-1244971 | box | -3.8978 | -3.8978 | 10.4592 | 12.1272 | 13.3974 | 106.8 | 109.0 | 101.6 |
| A6--In--bct | static | -3.8262 | -3.8262 | 2.5059 | 2.5059 | 5.4125 | 90.0 | 90.0 | 90.0 |
| oqmd-78174 | static | -3.809 | -3.809 | 10.3874 | 4.9163 | 4.9739 | 90.0 | 90.0 | 90.0 |
| mp-644693 | box | -3.753 | -3.753 | 4.1057 | 5.4125 | 9.2235 | 73.2 | 88.6 | 69.7 |
| oqmd-1214926 | box | -3.728 | -3.728 | 6.8579 | 6.8579 | 6.8579 | 90.0 | 90.0 | 90.0 |
| A6--In--bct | static | -3.72 | -3.72 | 3.4753 | 3.4753 | 2.5628 | 90.0 | 90.0 | 90.0 |
| A6--In--bct | static | -3.7199 | -3.7199 | 3.4754 | 3.4754 | 2.5633 | 90.0 | 90.0 | 90.0 |
| mp-1120747 | box | -3.7037 | -3.7037 | 4.984 | 4.984 | 4.4169 | 90.0 | 90.0 | 120.0 |
| A2--W--bcc | static | -3.6933 | -3.6933 | 3.288 | 3.288 | 3.288 | 90.0 | 90.0 | 90.0 |
| oqmd-691764 | static | -3.6784 | -3.6784 | 2.7957 | 2.7957 | 7.1702 | 90.0 | 90.0 | 120.0 |
| A3'--alpha-La--double-hcp | static | -3.5388 | -3.5388 | 2.8118 | 2.8118 | 9.4111 | 90.0 | 90.0 | 120.0 |
| A1--Cu--fcc | static | -3.5357 | -3.5357 | 3.9951 | 3.9951 | 3.9951 | 90.0 | 90.0 | 90.0 |
| A1--Cu--fcc | static | -3.5032 | -3.5032 | 4.2256 | 4.2256 | 4.2256 | 90.0 | 90.0 | 90.0 |
| A15--beta-W | dynamic | -3.4996 | -3.4996 | 6.3914 | 6.3914 | 6.3914 | 90.0 | 90.0 | 90.0 |
| A15--beta-W | static | -3.496 | -3.496 | 5.2624 | 5.2624 | 5.2624 | 90.0 | 90.0 | 90.0 |
| A1--Cu--fcc | dynamic | -1.0879 | -1.0879 | 6.4008 | 6.4008 | 6.4008 | 90.0 | 90.0 | 90.0 |
| A3'--alpha-La--double-hcp | dynamic | -1.0879 | -1.0879 | 4.526 | 4.526 | 14.7819 | 90.0 | 90.0 | 120.0 |
| A3--Mg--hcp | dynamic | -1.0879 | -1.0879 | 4.526 | 4.526 | 7.391 | 90.0 | 90.0 | 120.0 |
| A15--beta-W | dynamic | -0.9623 | -0.9623 | 7.6941 | 7.6941 | 7.6941 | 90.0 | 90.0 | 90.0 |
| A2--W--bcc | dynamic | -0.9522 | -0.9522 | 4.6095 | 4.6095 | 4.6095 | 90.0 | 90.0 | 90.0 |
| A2--W--bcc | static | -0.8869 | -0.8869 | 5.1729 | 5.1729 | 5.1729 | 90.0 | 90.0 | 90.0 |
| A1--Cu--fcc | dynamic | -0.8014 | -0.8014 | 7.9732 | 7.9732 | 7.9732 | 90.0 | 90.0 | 90.0 |
| A3'--alpha-La--double-hcp | dynamic | -0.8014 | -0.8014 | 5.6379 | 5.6379 | 18.4134 | 90.0 | 90.0 | 120.0 |
| A3--Mg--hcp | dynamic | -0.8014 | -0.8014 | 5.6379 | 5.6379 | 9.2067 | 90.0 | 90.0 | 120.0 |
| A5--beta-Sn | box | -0.7325 | -0.7325 | 6.928 | 6.928 | 3.9218 | 90.0 | 90.0 | 90.0 |
| A5--beta-Sn | dynamic | -0.6683 | -0.6683 | 8.4688 | 8.4688 | 4.3724 | 90.0 | 90.0 | 90.0 |
| Ah--alpha-Po--sc | dynamic | -0.624 | -0.624 | 4.5179 | 4.5179 | 4.5179 | 90.0 | 90.0 | 90.0 |
| A7--alpha-As | static | -0.5899 | -0.5899 | 5.96 | 5.96 | 14.5913 | 90.0 | 90.0 | 120.0 |
| A4--C--dc | dynamic | -0.5794 | -0.5794 | 8.0872 | 8.0872 | 8.0872 | 90.0 | 90.0 | 90.0 |
| Ah--alpha-Po--sc | dynamic | -0.5734 | -0.5734 | 3.7745 | 3.7745 | 3.7745 | 90.0 | 90.0 | 90.0 |
| A4--C--dc | dynamic | -0.479 | -0.479 | 10.4366 | 10.4366 | 10.4366 | 90.0 | 90.0 | 90.0 |
| A15--beta-W | box | -0.279 | -0.279 | 10.0646 | 10.0646 | 10.0646 | 90.0 | 90.0 | 90.0 |
| A15--beta-W | dynamic | -0.1741 | -0.1741 | 10.5872 | 10.5872 | 10.5872 | 90.0 | 90.0 | 90.0 |
| A2--W--bcc | dynamic | -0.1682 | -0.1682 | 6.5092 | 6.5092 | 6.5092 | 90.0 | 90.0 | 90.0 |
| A3--Mg--hcp | dynamic | -0.1657 | -0.1657 | 5.9415 | 5.9415 | 9.7024 | 90.0 | 90.0 | 120.0 |
| A3'--alpha-La--double-hcp | dynamic | -0.1657 | -0.1657 | 5.9415 | 5.9415 | 19.4048 | 90.0 | 90.0 | 120.0 |
| A1--Cu--fcc | dynamic | -0.1657 | -0.1657 | 8.4025 | 8.4025 | 8.4025 | 90.0 | 90.0 | 90.0 |
| A2--W--bcc | dynamic | -0.121 | -0.121 | 6.8674 | 6.8674 | 6.8674 | 90.0 | 90.0 | 90.0 |
| Ah--alpha-Po--sc | dynamic | -0.0876 | -0.0876 | 5.9482 | 5.9482 | 5.9482 | 90.0 | 90.0 | 90.0 |
| A4--C--dc | dynamic | -0.0545 | -0.0545 | 13.7339 | 13.7339 | 13.7339 | 90.0 | 90.0 | 90.0 |
| A7--alpha-As | dynamic | -0.0411 | -0.0411 | 9.3099 | 9.3099 | 20.9076 | 90.0 | 90.0 | 120.0 |
| A7--alpha-As | static | -0.0411 | -0.0411 | 8.9101 | 8.9101 | 24.4469 | 90.0 | 90.0 | 120.0 |
| Ah--alpha-Po--sc | dynamic | -0.0279 | -0.0279 | 5.6357 | 5.6357 | 5.6357 | 90.0 | 90.0 | 90.0 |
| A15--beta-W | dynamic | -0.021 | -0.021 | 11.8936 | 11.8936 | 11.8936 | 90.0 | 90.0 | 90.0 |
| A4--C--dc | dynamic | 0.0293 | 0.0293 | 12.9835 | 12.9835 | 12.9835 | 90.0 | 90.0 | 90.0 |
| A7--alpha-As | static | 30.5986 | 30.5986 | 2.6593 | 2.6593 | 7.385 | 90.0 | 90.0 | 120.0 |
Static elastic constants are displayed for the unique structures identified in Crystal Structure Predictions above. The values displayed here are obtained by measuring the change in virial stresses due to applying small strains to the relaxed crystals. The initial structure and the strained states are all relaxed using force minimization.
The calculation method used is available as the iprPy elastic_constants_static calculation method.
Notes and Disclaimers:
Version Information:
| 98.565 | 45.930 | 45.930 | -0.000 | -0.000 | -0.000 |
| 45.930 | 98.565 | 45.930 | -0.000 | -0.000 | 0.000 |
| 45.930 | 45.930 | 98.565 | -0.000 | -0.000 | -0.000 |
| -0.000 | -0.000 | -0.000 | 39.327 | -0.000 | 0.000 |
| -0.000 | -0.000 | -0.000 | -0.000 | 39.327 | 0.000 |
| -0.000 | -0.000 | -0.000 | -0.000 | -0.000 | 39.327 |
| 98.564 | 45.930 | 45.930 | 0.000 | 0.000 | -0.000 |
| 45.930 | 98.564 | 45.930 | 0.000 | 0.000 | -0.000 |
| 45.930 | 45.930 | 98.564 | 0.000 | 0.000 | 0.000 |
| 0.000 | 0.000 | 0.000 | 39.327 | 0.000 | -0.000 |
| 0.000 | 0.000 | 0.000 | 0.000 | 39.327 | -0.000 |
| 0.000 | 0.000 | 0.000 | 0.000 | 0.000 | 39.327 |
| 98.566 | 45.932 | 45.932 | -0.000 | -0.000 | 0.000 |
| 45.932 | 98.566 | 45.932 | -0.000 | -0.000 | 0.000 |
| 45.932 | 45.932 | 98.566 | -0.000 | -0.000 | -0.000 |
| -0.000 | -0.000 | 0.000 | 39.327 | -0.000 | 0.000 |
| -0.000 | -0.000 | 0.000 | -0.000 | 39.327 | 0.000 |
| -0.000 | 0.000 | -0.000 | -0.000 | -0.000 | 39.327 |
| 98.563 | 45.928 | 45.928 | 0.000 | 0.000 | -0.000 |
| 45.928 | 98.563 | 45.928 | 0.000 | 0.000 | -0.000 |
| 45.928 | 45.928 | 98.563 | 0.000 | 0.000 | -0.000 |
| 0.000 | 0.000 | -0.000 | 39.327 | 0.000 | -0.000 |
| 0.000 | 0.000 | -0.000 | 0.000 | 39.327 | -0.000 |
| 0.000 | -0.000 | 0.000 | 0.000 | 0.000 | 39.327 |
| 98.583 | 45.948 | 45.948 | -0.000 | -0.000 | 0.000 |
| 45.948 | 98.583 | 45.948 | -0.000 | -0.000 | 0.000 |
| 45.948 | 45.948 | 98.583 | -0.000 | -0.000 | 0.000 |
| -0.000 | -0.000 | 0.000 | 39.327 | -0.000 | 0.000 |
| -0.000 | -0.000 | 0.000 | -0.000 | 39.327 | 0.000 |
| -0.000 | 0.000 | -0.000 | -0.000 | -0.000 | 39.327 |
| 98.546 | 45.912 | 45.912 | 0.000 | 0.000 | 0.000 |
| 45.912 | 98.546 | 45.912 | 0.000 | 0.000 | -0.000 |
| 45.912 | 45.912 | 98.546 | 0.000 | 0.000 | 0.000 |
| 0.000 | 0.000 | -0.000 | 39.327 | 0.000 | -0.000 |
| 0.000 | 0.000 | -0.000 | 0.000 | 39.327 | -0.000 |
| 0.000 | -0.000 | 0.000 | 0.000 | 0.000 | 39.327 |
| 28.392 | 14.172 | 14.172 | -0.000 | -0.000 | -0.000 |
| 14.172 | 28.392 | 14.172 | -0.000 | -0.000 | -0.000 |
| 14.172 | 14.172 | 28.392 | -0.000 | -0.000 | -0.000 |
| -0.000 | -0.000 | -0.000 | 14.170 | -0.000 | -0.000 |
| -0.000 | -0.000 | -0.000 | -0.000 | 14.170 | -0.000 |
| -0.000 | -0.000 | -0.000 | -0.000 | -0.000 | 14.170 |
| 28.392 | 14.172 | 14.172 | 0.000 | 0.000 | 0.000 |
| 14.172 | 28.392 | 14.172 | 0.000 | 0.000 | 0.000 |
| 14.172 | 14.172 | 28.392 | 0.000 | 0.000 | 0.000 |
| 0.000 | 0.000 | 0.000 | 14.170 | 0.000 | 0.000 |
| 0.000 | 0.000 | 0.000 | 0.000 | 14.170 | 0.000 |
| 0.000 | 0.000 | 0.000 | 0.000 | 0.000 | 14.170 |
| 28.392 | 14.172 | 14.172 | -0.000 | -0.000 | -0.000 |
| 14.172 | 28.392 | 14.172 | -0.000 | -0.000 | -0.000 |
| 14.172 | 14.172 | 28.392 | -0.000 | -0.000 | -0.000 |
| -0.000 | -0.000 | -0.000 | 14.170 | -0.000 | -0.000 |
| -0.000 | -0.000 | -0.000 | -0.000 | 14.170 | -0.000 |
| -0.000 | -0.000 | -0.000 | -0.000 | -0.000 | 14.170 |
| 28.392 | 14.172 | 14.172 | 0.000 | 0.000 | 0.000 |
| 14.172 | 28.392 | 14.172 | 0.000 | 0.000 | 0.000 |
| 14.172 | 14.172 | 28.392 | 0.000 | 0.000 | 0.000 |
| 0.000 | 0.000 | 0.000 | 14.170 | 0.000 | 0.000 |
| 0.000 | 0.000 | 0.000 | 0.000 | 14.170 | 0.000 |
| 0.000 | 0.000 | 0.000 | 0.000 | 0.000 | 14.170 |
| 28.392 | 14.172 | 14.172 | -0.000 | -0.000 | -0.000 |
| 14.172 | 28.392 | 14.172 | -0.000 | -0.000 | -0.000 |
| 14.172 | 14.172 | 28.392 | -0.000 | -0.000 | -0.000 |
| -0.000 | -0.000 | -0.000 | 14.170 | -0.000 | -0.000 |
| -0.000 | -0.000 | -0.000 | -0.000 | 14.170 | -0.000 |
| -0.000 | -0.000 | -0.000 | -0.000 | -0.000 | 14.170 |
| 28.392 | 14.172 | 14.172 | 0.000 | 0.000 | 0.000 |
| 14.172 | 28.392 | 14.172 | 0.000 | 0.000 | 0.000 |
| 14.172 | 14.172 | 28.392 | 0.000 | 0.000 | 0.000 |
| 0.000 | 0.000 | 0.000 | 14.170 | 0.000 | 0.000 |
| 0.000 | 0.000 | 0.000 | 0.000 | 14.170 | 0.000 |
| 0.000 | 0.000 | 0.000 | 0.000 | 0.000 | 14.170 |
| 152.871 | 34.981 | 34.981 | 0.000 | 0.000 | 0.000 |
| 34.981 | 152.871 | 34.981 | 0.000 | 0.000 | 0.000 |
| 34.981 | 34.981 | 152.871 | 0.000 | 0.000 | -0.000 |
| -0.000 | 0.000 | 0.000 | 22.060 | 0.000 | -0.000 |
| 0.000 | 0.000 | -0.000 | -0.000 | 22.060 | 0.000 |
| -0.000 | 0.000 | 0.000 | 0.000 | 0.000 | 22.060 |
| 152.870 | 34.980 | 34.980 | -0.000 | -0.000 | -0.000 |
| 34.980 | 152.870 | 34.980 | -0.000 | -0.000 | 0.000 |
| 34.980 | 34.980 | 152.870 | -0.000 | -0.000 | -0.000 |
| 0.000 | -0.000 | -0.000 | 22.060 | 0.000 | -0.000 |
| -0.000 | -0.000 | -0.000 | -0.000 | 22.060 | -0.000 |
| 0.000 | -0.000 | -0.000 | -0.000 | -0.000 | 22.060 |
| 153.707 | 34.563 | 34.563 | 0.000 | -0.000 | -0.000 |
| 34.563 | 153.707 | 34.563 | 0.000 | -0.000 | 0.000 |
| 34.563 | 34.563 | 153.707 | 0.000 | 0.000 | -0.000 |
| 0.000 | 0.000 | 0.000 | 22.060 | 0.000 | 0.000 |
| 0.000 | 0.000 | 0.000 | 0.000 | 22.060 | 0.000 |
| 0.000 | 0.000 | 0.000 | 0.000 | 0.000 | 22.060 |
| 152.869 | 34.980 | 34.980 | -0.000 | -0.000 | -0.000 |
| 34.980 | 152.869 | 34.980 | -0.000 | -0.000 | -0.000 |
| 34.980 | 34.980 | 152.869 | -0.000 | 0.000 | -0.000 |
| -0.000 | -0.000 | -0.000 | 22.060 | -0.000 | -0.000 |
| -0.000 | -0.000 | -0.000 | 0.000 | 22.060 | -0.000 |
| -0.000 | -0.000 | -0.000 | -0.000 | -0.000 | 22.060 |
| 153.716 | 34.571 | 34.571 | 0.000 | 0.000 | -0.000 |
| 34.571 | 153.716 | 34.571 | 0.000 | 0.000 | 0.000 |
| 34.571 | 34.571 | 153.716 | -0.000 | 0.000 | 0.000 |
| 0.000 | 0.000 | 0.000 | 22.060 | 0.000 | 0.000 |
| 0.000 | 0.000 | 0.000 | 0.000 | 22.060 | 0.000 |
| 0.000 | 0.000 | 0.000 | 0.000 | 0.000 | 22.060 |
| 152.860 | 34.972 | 34.972 | -0.000 | -0.000 | -0.000 |
| 34.972 | 152.860 | 34.972 | -0.000 | -0.000 | -0.000 |
| 34.972 | 34.972 | 152.860 | -0.000 | -0.000 | -0.000 |
| -0.000 | -0.000 | -0.000 | 22.060 | -0.000 | 0.000 |
| -0.000 | -0.000 | -0.000 | -0.000 | 22.060 | -0.000 |
| -0.000 | -0.000 | -0.000 | 0.000 | -0.000 | 22.060 |
| -44.447 | 39.534 | 39.534 | -0.000 | -0.000 | -0.000 |
| 39.534 | -44.447 | 39.534 | -0.000 | -0.000 | -0.000 |
| 39.534 | 39.534 | -44.447 | -0.000 | -0.000 | -0.000 |
| -0.000 | -0.000 | -0.000 | 4.067 | -0.000 | -0.000 |
| -0.000 | -0.000 | -0.000 | 0.000 | 4.067 | -0.000 |
| -0.000 | -0.000 | -0.000 | 0.000 | -0.000 | 4.067 |
| -4.667 | 19.644 | 19.644 | -0.000 | 0.000 | 0.000 |
| 19.644 | -4.667 | 19.644 | 0.000 | 0.000 | 0.000 |
| 19.644 | 19.644 | -4.667 | -0.000 | 0.000 | 0.000 |
| 0.000 | 0.000 | 0.000 | 4.067 | 0.000 | 0.000 |
| 0.000 | 0.000 | 0.000 | -0.000 | 4.067 | 0.000 |
| 0.000 | 0.000 | 0.000 | -0.000 | 0.000 | 4.067 |
| 12.569 | 11.026 | 11.026 | -0.000 | -0.000 | -0.000 |
| 11.026 | 12.569 | 11.026 | 0.000 | -0.000 | -0.000 |
| 11.026 | 11.026 | 12.569 | -0.000 | -0.000 | -0.000 |
| -0.000 | -0.000 | -0.000 | 4.067 | -0.000 | -0.000 |
| -0.000 | -0.000 | -0.000 | -0.000 | 4.067 | -0.000 |
| -0.000 | -0.000 | -0.000 | 0.000 | -0.000 | 4.067 |
| 3519905.135 | 3096842.540 | 2291338.920 | -3542.521 | -31276.647 | -8637.568 |
| 2380001.113 | 3503882.733 | 3151707.034 | -17704.482 | -36915.633 | -28393.532 |
| 3181538.128 | 2380965.725 | 3566927.374 | -36074.053 | 7680.718 | 4690.012 |
| 0.000 | 0.000 | 0.000 | 4.067 | 0.000 | 0.000 |
| 0.000 | 0.000 | 0.000 | -0.000 | 4.067 | 0.000 |
| 0.000 | 0.000 | 0.000 | -0.000 | 0.000 | 4.067 |
| -219637.088 | -416467.057 | -458102.224 | -1429.760 | -2940.819 | -1932.184 |
| -456308.730 | -212559.873 | -415682.215 | -2853.201 | -6843.236 | 640.380 |
| -419899.895 | -461471.588 | -207940.289 | -2432.726 | 2173.126 | -1682.623 |
| -0.000 | -0.000 | -0.000 | 4.067 | -0.000 | -0.000 |
| -0.000 | -0.000 | -0.000 | 0.000 | 4.067 | -0.000 |
| -0.000 | -0.000 | -0.000 | 0.000 | -0.000 | 4.067 |
| 372641.544 | 312059.941 | 215952.684 | -3166.041 | 1414.295 | -2576.804 |
| 226619.996 | 354996.420 | 301057.884 | -453.664 | -2945.139 | -7051.595 |
| 327882.784 | 223016.488 | 353690.560 | -1025.682 | 2529.206 | -7293.375 |
| 0.000 | 0.000 | 0.000 | 4.067 | 0.000 | 0.000 |
| 0.000 | 0.000 | 0.000 | 0.000 | 4.067 | 0.000 |
| 0.000 | 0.000 | 0.000 | -0.000 | 0.000 | 4.067 |
| 39.211 | 76.514 | 76.514 | 0.000 | -0.000 | 0.000 |
| 76.514 | 39.211 | 76.514 | 0.000 | 0.000 | 0.000 |
| 76.514 | 76.514 | 39.211 | 0.000 | 0.000 | -0.000 |
| 0.000 | 0.000 | 0.000 | 48.312 | 0.000 | 0.000 |
| 0.000 | 0.000 | 0.000 | 0.000 | 48.312 | 0.000 |
| 0.000 | 0.000 | 0.000 | 0.000 | -0.000 | 48.312 |
| 39.211 | 76.514 | 76.514 | -0.000 | 0.000 | -0.000 |
| 76.514 | 39.211 | 76.514 | -0.000 | -0.000 | -0.000 |
| 76.514 | 76.514 | 39.210 | -0.000 | 0.000 | 0.000 |
| -0.000 | -0.000 | -0.000 | 48.312 | -0.000 | 0.000 |
| -0.000 | -0.000 | -0.000 | -0.000 | 48.312 | 0.000 |
| -0.000 | -0.000 | -0.000 | -0.000 | -0.000 | 48.312 |
| 39.212 | 76.515 | 76.515 | 0.000 | -0.000 | 0.000 |
| 76.515 | 39.212 | 76.515 | 0.000 | -0.000 | -0.000 |
| 76.515 | 76.515 | 39.212 | 0.000 | -0.000 | 0.000 |
| 0.000 | 0.000 | 0.000 | 48.312 | -0.000 | 0.000 |
| 0.000 | 0.000 | 0.000 | 0.000 | 48.312 | -0.000 |
| 0.000 | 0.000 | 0.000 | 0.000 | -0.000 | 48.312 |
| 39.209 | 76.513 | 76.513 | -0.000 | 0.000 | 0.000 |
| 76.513 | 39.209 | 76.513 | -0.000 | 0.000 | -0.000 |
| 76.513 | 76.513 | 39.209 | -0.000 | -0.000 | -0.000 |
| -0.000 | -0.000 | -0.000 | 48.312 | -0.000 | -0.000 |
| -0.000 | -0.000 | -0.000 | -0.000 | 48.312 | 0.000 |
| -0.000 | -0.000 | -0.000 | -0.000 | 0.000 | 48.312 |
| 39.224 | 76.527 | 76.527 | 0.000 | 0.000 | -0.000 |
| 76.527 | 39.224 | 76.527 | 0.000 | 0.000 | 0.000 |
| 76.527 | 76.527 | 39.224 | 0.000 | -0.000 | -0.000 |
| 0.000 | 0.000 | 0.000 | 48.312 | 0.000 | 0.000 |
| 0.000 | 0.000 | 0.000 | 0.000 | 48.312 | 0.000 |
| 0.000 | 0.000 | 0.000 | 0.000 | -0.000 | 48.312 |
| 39.197 | 76.501 | 76.501 | -0.000 | 0.000 | 0.000 |
| 76.501 | 39.197 | 76.501 | -0.000 | -0.000 | 0.000 |
| 76.501 | 76.501 | 39.197 | -0.000 | -0.000 | 0.000 |
| -0.000 | -0.000 | -0.000 | 48.312 | -0.000 | 0.000 |
| -0.000 | -0.000 | -0.000 | -0.000 | 48.312 | 0.000 |
| -0.000 | -0.000 | -0.000 | -0.000 | -0.000 | 48.312 |
| 6.024 | 8.808 | 8.808 | 0.000 | -0.000 | 0.000 |
| 8.808 | 6.024 | 8.808 | -0.000 | -0.000 | -0.000 |
| 8.808 | 8.808 | 6.024 | -0.000 | -0.000 | 0.000 |
| -0.000 | -0.000 | -0.000 | 8.978 | -0.000 | 0.000 |
| -0.000 | -0.000 | -0.000 | -0.000 | 8.978 | 0.000 |
| -0.000 | -0.000 | -0.000 | -0.000 | -0.000 | 8.978 |
| 6.024 | 8.808 | 8.808 | 0.000 | 0.000 | -0.000 |
| 8.808 | 6.024 | 8.808 | 0.000 | 0.000 | -0.000 |
| 8.808 | 8.808 | 6.024 | -0.000 | 0.000 | -0.000 |
| 0.000 | 0.000 | 0.000 | 8.978 | 0.000 | 0.000 |
| 0.000 | 0.000 | 0.000 | 0.000 | 8.978 | 0.000 |
| 0.000 | 0.000 | 0.000 | 0.000 | 0.000 | 8.978 |
| 6.024 | 8.808 | 8.808 | -0.000 | -0.000 | -0.000 |
| 8.808 | 6.024 | 8.808 | -0.000 | -0.000 | 0.000 |
| 8.808 | 8.808 | 6.024 | -0.000 | -0.000 | -0.000 |
| -0.000 | -0.000 | -0.000 | 8.978 | -0.000 | -0.000 |
| -0.000 | -0.000 | -0.000 | -0.000 | 8.978 | 0.000 |
| -0.000 | -0.000 | -0.000 | -0.000 | -0.000 | 8.978 |
| 6.024 | 8.808 | 8.808 | -0.000 | 0.000 | 0.000 |
| 8.808 | 6.024 | 8.808 | 0.000 | 0.000 | -0.000 |
| 8.808 | 8.808 | 6.024 | -0.000 | 0.000 | -0.000 |
| 0.000 | 0.000 | 0.000 | 8.978 | 0.000 | 0.000 |
| 0.000 | 0.000 | 0.000 | 0.000 | 8.978 | -0.000 |
| 0.000 | 0.000 | 0.000 | 0.000 | 0.000 | 8.978 |
| 6.024 | 8.808 | 8.808 | -0.000 | -0.000 | -0.000 |
| 8.808 | 6.024 | 8.808 | -0.000 | -0.000 | 0.000 |
| 8.808 | 8.808 | 6.024 | -0.000 | -0.000 | 0.000 |
| -0.000 | -0.000 | -0.000 | 8.978 | -0.000 | 0.000 |
| -0.000 | -0.000 | -0.000 | -0.000 | 8.978 | -0.000 |
| -0.000 | -0.000 | -0.000 | -0.000 | -0.000 | 8.978 |
| 6.024 | 8.808 | 8.808 | 0.000 | 0.000 | -0.000 |
| 8.808 | 6.024 | 8.808 | 0.000 | 0.000 | 0.000 |
| 8.808 | 8.808 | 6.024 | 0.000 | 0.000 | -0.000 |
| 0.000 | 0.000 | 0.000 | 8.978 | 0.000 | 0.000 |
| 0.000 | 0.000 | 0.000 | -0.000 | 8.978 | -0.000 |
| 0.000 | 0.000 | 0.000 | 0.000 | 0.000 | 8.978 |
| 122.592 | 50.681 | 42.909 | 0.000 | -0.000 | -0.000 |
| 51.843 | 121.430 | 42.909 | -0.000 | -0.000 | -0.000 |
| 42.909 | 42.909 | 117.823 | -0.000 | -0.000 | -0.000 |
| 0.000 | 0.000 | 0.000 | 26.237 | -0.000 | -0.000 |
| 0.000 | -0.000 | 0.000 | -0.000 | 26.237 | -0.000 |
| 0.000 | 0.000 | -0.000 | -0.000 | -0.000 | 34.793 |
| 121.430 | 51.843 | 42.909 | 0.000 | 0.000 | 0.000 |
| 51.843 | 121.430 | 42.909 | 0.000 | -0.000 | 0.000 |
| 42.909 | 42.909 | 117.823 | 0.000 | -0.000 | 0.000 |
| -0.000 | 0.000 | -0.000 | 26.237 | 0.000 | 0.000 |
| -0.000 | 0.000 | -0.000 | 0.000 | 26.237 | 0.000 |
| -0.000 | -0.000 | 0.000 | 0.000 | 0.000 | 34.793 |
| 122.593 | 50.681 | 42.909 | -0.000 | -0.000 | -0.000 |
| 51.844 | 121.430 | 42.909 | -0.000 | -0.000 | -0.000 |
| 42.909 | 42.909 | 117.823 | -0.000 | -0.000 | -0.000 |
| 0.000 | 0.000 | 0.000 | 26.237 | -0.000 | -0.000 |
| 0.000 | 0.000 | 0.000 | -0.000 | 26.237 | -0.000 |
| 0.000 | 0.000 | 0.000 | -0.000 | -0.000 | 35.956 |
| 121.429 | 51.843 | 42.908 | 0.000 | 0.000 | 0.000 |
| 50.681 | 122.592 | 42.908 | 0.000 | 0.000 | 0.000 |
| 42.908 | 42.908 | 117.822 | 0.000 | 0.000 | 0.000 |
| -0.000 | -0.000 | -0.000 | 26.237 | 0.000 | 0.000 |
| -0.000 | -0.000 | -0.000 | 0.000 | 26.237 | 0.000 |
| -0.000 | -0.000 | -0.000 | 0.000 | 0.000 | 35.956 |
| 121.434 | 51.847 | 42.913 | -0.000 | -0.000 | -0.000 |
| 51.847 | 121.434 | 42.913 | -0.000 | -0.000 | -0.000 |
| 42.913 | 42.913 | 117.828 | -0.000 | -0.000 | -0.000 |
| 0.000 | 0.000 | 0.000 | 26.237 | -0.000 | -0.000 |
| 0.000 | 0.000 | 0.000 | -0.000 | 26.237 | -0.000 |
| 0.000 | 0.000 | -0.000 | -0.000 | -0.000 | 34.793 |
| 122.588 | 50.677 | 42.905 | 0.000 | 0.000 | 0.000 |
| 50.677 | 122.588 | 42.905 | 0.000 | 0.000 | 0.000 |
| 42.904 | 42.904 | 117.817 | 0.000 | 0.000 | 0.000 |
| -0.000 | -0.000 | -0.000 | 26.237 | 0.000 | 0.000 |
| -0.000 | -0.000 | -0.000 | 0.000 | 26.237 | 0.000 |
| -0.000 | -0.000 | 0.000 | 0.000 | 0.000 | 34.793 |
| 35.453 | 11.819 | 9.465 | 0.000 | 0.000 | 0.000 |
| 11.819 | 35.453 | 9.465 | 0.000 | 0.000 | 0.000 |
| 9.465 | 9.465 | 37.806 | 0.000 | -0.000 | -0.000 |
| -0.000 | -0.000 | -0.000 | 9.463 | -0.000 | -0.000 |
| -0.000 | -0.000 | -0.000 | 0.000 | 9.463 | -0.000 |
| -0.000 | -0.000 | -0.000 | 0.000 | -0.000 | 11.817 |
| 34.731 | 12.540 | 9.465 | -0.000 | 0.000 | 0.000 |
| 11.819 | 35.453 | 9.465 | -0.000 | -0.000 | -0.000 |
| 9.465 | 9.465 | 37.806 | -0.000 | 0.000 | 0.000 |
| 0.000 | 0.000 | 0.000 | 9.463 | 0.000 | 0.000 |
| 0.000 | 0.000 | 0.000 | -0.000 | 9.463 | 0.000 |
| 0.000 | 0.000 | 0.000 | -0.000 | 0.000 | 11.817 |
| 35.453 | 11.819 | 9.465 | 0.000 | 0.000 | -0.000 |
| 11.819 | 35.453 | 9.465 | 0.000 | 0.000 | 0.000 |
| 9.465 | 9.465 | 37.806 | 0.000 | -0.000 | -0.000 |
| -0.000 | -0.000 | -0.000 | 9.463 | -0.000 | -0.000 |
| -0.000 | -0.000 | -0.000 | 0.000 | 9.463 | 0.000 |
| -0.000 | -0.000 | -0.000 | 0.000 | 0.000 | 11.817 |
| 35.453 | 11.819 | 9.465 | -0.000 | 0.000 | 0.000 |
| 12.540 | 34.731 | 9.465 | -0.000 | 0.000 | 0.000 |
| 9.465 | 9.465 | 37.806 | -0.000 | 0.000 | 0.000 |
| 0.000 | 0.000 | 0.000 | 9.463 | 0.000 | 0.000 |
| 0.000 | 0.000 | 0.000 | -0.000 | 9.463 | 0.000 |
| 0.000 | 0.000 | 0.000 | -0.000 | 0.000 | 11.817 |
| 35.453 | 11.819 | 9.465 | 0.000 | 0.000 | 0.000 |
| 12.540 | 34.731 | 9.465 | 0.000 | -0.000 | -0.000 |
| 9.465 | 9.465 | 37.806 | 0.000 | -0.000 | -0.000 |
| -0.000 | -0.000 | -0.000 | 9.463 | 0.000 | 0.000 |
| -0.000 | -0.000 | -0.000 | 0.000 | 9.463 | 0.000 |
| -0.000 | -0.000 | -0.000 | 0.000 | -0.000 | 11.817 |
| 34.731 | 12.540 | 9.465 | -0.000 | 0.000 | 0.000 |
| 12.540 | 34.731 | 9.465 | -0.000 | 0.000 | 0.000 |
| 9.465 | 9.465 | 37.806 | -0.000 | 0.000 | 0.000 |
| 0.000 | 0.000 | 0.000 | 9.463 | -0.000 | -0.000 |
| 0.000 | 0.000 | 0.000 | -0.000 | 9.463 | -0.000 |
| 0.000 | 0.000 | 0.000 | -0.000 | 0.000 | 11.817 |
| 121.610 | 49.326 | 38.503 | 0.000 | 0.000 | 0.000 |
| 50.216 | 120.720 | 38.503 | 0.000 | 0.000 | -0.000 |
| 38.505 | 38.505 | 110.990 | 0.000 | 0.000 | 0.000 |
| 0.000 | 0.000 | -0.000 | 21.960 | 0.000 | 0.000 |
| 0.000 | 0.000 | -0.000 | 0.000 | 21.960 | 0.000 |
| 0.000 | 0.000 | -0.000 | 0.000 | 0.000 | 36.142 |
| 121.610 | 49.326 | 38.503 | -0.000 | 0.000 | 0.000 |
| 49.326 | 121.610 | 38.503 | -0.000 | -0.000 | -0.000 |
| 38.505 | 38.505 | 110.990 | -0.000 | -0.000 | 0.000 |
| -0.000 | -0.000 | 0.000 | 21.960 | 0.000 | 0.000 |
| -0.000 | -0.000 | 0.000 | -0.000 | 21.960 | -0.000 |
| -0.000 | -0.000 | 0.000 | -0.000 | -0.000 | 36.142 |
| 120.720 | 50.216 | 38.503 | 0.000 | -0.000 | 0.000 |
| 50.216 | 120.720 | 38.503 | 0.000 | 0.000 | 0.000 |
| 38.505 | 38.505 | 110.990 | 0.000 | -0.000 | -0.000 |
| -0.000 | -0.000 | -0.000 | 21.960 | -0.000 | -0.000 |
| -0.000 | -0.000 | -0.000 | 0.000 | 21.960 | -0.000 |
| -0.000 | 0.000 | -0.000 | 0.000 | -0.000 | 35.252 |
| 121.610 | 49.326 | 38.503 | -0.000 | -0.000 | -0.000 |
| 50.216 | 120.720 | 38.503 | -0.000 | 0.000 | -0.000 |
| 38.505 | 38.505 | 110.991 | -0.000 | -0.000 | 0.000 |
| 0.000 | 0.000 | 0.000 | 21.960 | -0.000 | -0.000 |
| 0.000 | 0.000 | 0.000 | -0.000 | 21.960 | -0.000 |
| 0.000 | -0.000 | 0.000 | -0.000 | 0.000 | 35.252 |
| 121.611 | 49.326 | 38.503 | -0.000 | -0.000 | 0.000 |
| 49.326 | 121.611 | 38.503 | 0.000 | -0.000 | 0.000 |
| 38.505 | 38.505 | 110.990 | 0.000 | -0.000 | 0.000 |
| -0.000 | -0.000 | -0.000 | 21.960 | -0.000 | 0.000 |
| -0.000 | -0.000 | -0.000 | 0.000 | 21.960 | -0.000 |
| 0.000 | 0.000 | -0.000 | 0.000 | 0.000 | 36.142 |
| 121.610 | 49.326 | 38.503 | -0.000 | -0.000 | -0.000 |
| 50.216 | 120.720 | 38.503 | -0.000 | -0.000 | -0.000 |
| 38.505 | 38.505 | 110.991 | -0.000 | 0.000 | 0.000 |
| 0.000 | 0.000 | 0.000 | 21.960 | 0.000 | -0.000 |
| 0.000 | 0.000 | 0.000 | -0.000 | 21.960 | 0.000 |
| -0.000 | -0.000 | 0.000 | -0.000 | -0.000 | 36.142 |
| 120.702 | 50.208 | 38.501 | 0.000 | -0.000 | -0.000 |
| 49.318 | 121.592 | 38.501 | 0.000 | -0.000 | -0.000 |
| 38.501 | 38.501 | 110.988 | 0.000 | 0.000 | -0.000 |
| -0.000 | 0.000 | -0.000 | 21.960 | -0.000 | -0.000 |
| -0.000 | 0.000 | 0.000 | -0.000 | 21.960 | -0.000 |
| -0.000 | 0.000 | 0.000 | -0.000 | -0.000 | 35.247 |
| 120.702 | 50.208 | 38.501 | -0.000 | 0.000 | 0.000 |
| 50.208 | 120.702 | 38.501 | -0.000 | -0.000 | -0.000 |
| 38.501 | 38.501 | 110.988 | -0.000 | 0.000 | 0.000 |
| 0.000 | -0.000 | 0.000 | 21.960 | 0.000 | 0.000 |
| 0.000 | -0.000 | -0.000 | -0.000 | 21.960 | 0.000 |
| 0.000 | -0.000 | -0.000 | -0.000 | 0.000 | 35.247 |
| 120.702 | 50.208 | 38.501 | -0.000 | 0.000 | -0.000 |
| 49.318 | 121.592 | 38.501 | -0.000 | -0.000 | -0.000 |
| 38.501 | 38.501 | 110.988 | -0.000 | -0.000 | -0.000 |
| -0.000 | -0.000 | -0.000 | 21.960 | 0.000 | 0.000 |
| -0.000 | -0.000 | -0.000 | -0.000 | 21.960 | -0.000 |
| -0.000 | 0.000 | -0.000 | 0.000 | -0.000 | 35.247 |
| 120.702 | 50.208 | 38.501 | -0.000 | 0.000 | 0.000 |
| 50.208 | 120.702 | 38.501 | -0.000 | 0.000 | 0.000 |
| 38.501 | 38.501 | 110.988 | -0.000 | 0.000 | 0.000 |
| 0.000 | 0.000 | 0.000 | 21.960 | 0.000 | 0.000 |
| 0.000 | 0.000 | 0.000 | -0.000 | 21.960 | 0.000 |
| 0.000 | -0.000 | 0.000 | 0.000 | 0.000 | 35.247 |
| 121.593 | 49.318 | 38.501 | -0.000 | 0.000 | -0.000 |
| 50.208 | 120.702 | 38.501 | -0.000 | -0.000 | -0.000 |
| 38.501 | 38.501 | 110.988 | 0.000 | 0.000 | -0.000 |
| -0.000 | -0.000 | -0.000 | 21.960 | 0.000 | -0.000 |
| -0.000 | -0.000 | -0.000 | 0.000 | 21.960 | -0.000 |
| -0.000 | 0.000 | -0.000 | -0.000 | -0.000 | 35.247 |
| 120.701 | 50.208 | 38.501 | 0.000 | 0.000 | 0.000 |
| 50.208 | 120.702 | 38.501 | 0.000 | 0.000 | 0.000 |
| 38.501 | 38.501 | 110.989 | -0.000 | -0.000 | 0.000 |
| 0.000 | 0.000 | 0.000 | 21.960 | 0.000 | 0.000 |
| 0.000 | 0.000 | 0.000 | -0.000 | 21.960 | 0.000 |
| 0.000 | -0.000 | 0.000 | 0.000 | 0.000 | 35.247 |
| 35.453 | 11.819 | 9.465 | -0.000 | -0.000 | -0.000 |
| 11.819 | 35.453 | 9.465 | -0.000 | -0.000 | 0.000 |
| 9.465 | 9.465 | 37.806 | -0.000 | -0.000 | 0.000 |
| -0.000 | -0.000 | -0.000 | 9.463 | -0.000 | 0.000 |
| -0.000 | 0.000 | -0.000 | 0.000 | 9.463 | -0.000 |
| -0.000 | -0.000 | -0.000 | -0.000 | -0.000 | 11.817 |
| 34.277 | 12.995 | 9.465 | -0.000 | 0.000 | -0.000 |
| 11.819 | 35.453 | 9.465 | 0.000 | 0.000 | -0.000 |
| 9.465 | 9.465 | 37.806 | 0.000 | 0.000 | -0.000 |
| 0.000 | 0.000 | 0.000 | 9.463 | 0.000 | -0.000 |
| 0.000 | -0.000 | 0.000 | 0.000 | 9.463 | -0.000 |
| 0.000 | 0.000 | 0.000 | 0.000 | 0.000 | 11.817 |
| 35.453 | 11.819 | 9.465 | -0.000 | -0.000 | -0.000 |
| 12.995 | 34.277 | 9.465 | -0.000 | -0.000 | 0.000 |
| 9.465 | 9.465 | 37.806 | -0.000 | -0.000 | 0.000 |
| -0.000 | -0.000 | -0.000 | 9.463 | -0.000 | 0.000 |
| -0.000 | -0.000 | -0.000 | -0.000 | 9.463 | 0.000 |
| -0.000 | -0.000 | -0.000 | 0.000 | -0.000 | 10.641 |
| 34.277 | 12.995 | 9.465 | -0.000 | 0.000 | -0.000 |
| 11.819 | 35.453 | 9.465 | 0.000 | 0.000 | -0.000 |
| 9.465 | 9.465 | 37.806 | -0.000 | 0.000 | -0.000 |
| 0.000 | 0.000 | 0.000 | 9.463 | 0.000 | -0.000 |
| 0.000 | 0.000 | 0.000 | 0.000 | 9.463 | -0.000 |
| 0.000 | 0.000 | 0.000 | 0.000 | 0.000 | 10.641 |
| 34.277 | 12.995 | 9.465 | -0.000 | -0.000 | 0.000 |
| 11.819 | 35.453 | 9.465 | 0.000 | -0.000 | -0.000 |
| 9.465 | 9.465 | 37.806 | 0.000 | -0.000 | 0.000 |
| -0.000 | -0.000 | -0.000 | 9.463 | -0.000 | 0.000 |
| -0.000 | -0.000 | -0.000 | -0.000 | 9.463 | 0.000 |
| -0.000 | -0.000 | -0.000 | 0.000 | -0.000 | 10.641 |
| 35.453 | 11.819 | 9.465 | 0.000 | 0.000 | 0.000 |
| 12.995 | 34.277 | 9.465 | 0.000 | 0.000 | -0.000 |
| 9.465 | 9.465 | 37.806 | 0.000 | 0.000 | -0.000 |
| 0.000 | 0.000 | 0.000 | 9.463 | 0.000 | -0.000 |
| 0.000 | 0.000 | 0.000 | 0.000 | 9.463 | -0.000 |
| 0.000 | 0.000 | 0.000 | 0.000 | 0.000 | 10.641 |
| 27.998 | 18.963 | 18.963 | -0.000 | -0.000 | -0.000 |
| 18.963 | 27.998 | 18.963 | -0.000 | -0.000 | -0.000 |
| 18.963 | 18.963 | 27.998 | -0.000 | -0.000 | -0.000 |
| 0.000 | 0.000 | 0.000 | 2.688 | -0.000 | -0.000 |
| 0.000 | 0.000 | 0.000 | -0.000 | 2.688 | -0.000 |
| 0.000 | 0.000 | 0.000 | -0.000 | -0.000 | 2.688 |
| 27.998 | 18.963 | 18.963 | 0.000 | 0.000 | 0.000 |
| 18.963 | 27.998 | 18.963 | 0.000 | 0.000 | 0.000 |
| 18.963 | 18.963 | 27.998 | 0.000 | 0.000 | 0.000 |
| 0.000 | -0.000 | 0.000 | 2.688 | 0.000 | 0.000 |
| -0.000 | 0.000 | -0.000 | 0.000 | 2.688 | -0.000 |
| -0.000 | -0.000 | -0.000 | 0.000 | 0.000 | 2.688 |
| 27.998 | 18.963 | 18.963 | -0.000 | -0.000 | -0.000 |
| 18.963 | 27.998 | 18.963 | -0.000 | -0.000 | -0.000 |
| 18.963 | 18.963 | 27.998 | -0.000 | -0.000 | -0.000 |
| 0.000 | 0.000 | 0.000 | 2.688 | -0.000 | 0.000 |
| 0.000 | 0.000 | 0.000 | -0.000 | 2.688 | -0.000 |
| 0.000 | 0.000 | 0.000 | -0.000 | -0.000 | 2.688 |
| 27.998 | 18.963 | 18.963 | 0.000 | 0.000 | 0.000 |
| 18.963 | 27.998 | 18.963 | 0.000 | 0.000 | 0.000 |
| 18.963 | 18.963 | 27.998 | 0.000 | 0.000 | 0.000 |
| -0.000 | -0.000 | -0.000 | 2.688 | 0.000 | 0.000 |
| -0.000 | -0.000 | -0.000 | 0.000 | 2.688 | 0.000 |
| -0.000 | -0.000 | -0.000 | 0.000 | 0.000 | 2.688 |
| 27.998 | 18.963 | 18.963 | -0.000 | -0.000 | -0.000 |
| 18.963 | 27.998 | 18.963 | -0.000 | -0.000 | -0.000 |
| 18.963 | 18.963 | 27.998 | -0.000 | -0.000 | -0.000 |
| 0.000 | 0.000 | 0.000 | 2.688 | -0.000 | 0.000 |
| 0.000 | 0.000 | 0.000 | -0.000 | 2.688 | -0.000 |
| 0.000 | 0.000 | 0.000 | -0.000 | -0.000 | 2.688 |
| 27.997 | 18.963 | 18.963 | 0.000 | 0.000 | 0.000 |
| 18.963 | 27.997 | 18.963 | 0.000 | 0.000 | 0.000 |
| 18.963 | 18.963 | 27.997 | 0.000 | 0.000 | 0.000 |
| -0.000 | -0.000 | -0.000 | 2.688 | 0.000 | 0.000 |
| -0.000 | -0.000 | -0.000 | 0.000 | 2.688 | 0.000 |
| -0.000 | -0.000 | -0.000 | 0.000 | 0.000 | 2.688 |
| 5.157 | 5.152 | 5.152 | 0.000 | 0.000 | -0.000 |
| 5.152 | 5.157 | 5.152 | 0.000 | 0.000 | -0.000 |
| 5.152 | 5.152 | 5.157 | 0.000 | 0.000 | 0.000 |
| -0.000 | -0.000 | -0.000 | 0.003 | -0.000 | 0.000 |
| -0.000 | -0.000 | -0.000 | -0.000 | 0.003 | 0.000 |
| -0.000 | -0.000 | -0.000 | -0.000 | 0.000 | 0.003 |
| 5.157 | 5.152 | 5.152 | 0.000 | 0.000 | 0.000 |
| 5.152 | 5.157 | 5.152 | 0.000 | 0.000 | 0.000 |
| 5.152 | 5.152 | 5.157 | 0.000 | 0.000 | 0.000 |
| 0.000 | 0.000 | 0.000 | 0.003 | 0.000 | -0.000 |
| 0.000 | 0.000 | 0.000 | 0.000 | 0.003 | -0.000 |
| 0.000 | 0.000 | 0.000 | 0.000 | -0.000 | 0.003 |
| 5.157 | 5.152 | 5.152 | -0.000 | 0.000 | -0.000 |
| 5.152 | 5.157 | 5.152 | 0.000 | -0.000 | -0.000 |
| 5.152 | 5.152 | 5.157 | 0.000 | 0.000 | -0.000 |
| -0.000 | -0.000 | -0.000 | 0.003 | 0.000 | 0.000 |
| -0.000 | -0.000 | -0.000 | 0.000 | 0.003 | 0.000 |
| -0.000 | -0.000 | -0.000 | 0.000 | 0.000 | 0.003 |
| 5.157 | 5.152 | 5.152 | -0.000 | -0.000 | 0.000 |
| 5.152 | 5.157 | 5.152 | -0.000 | -0.000 | 0.000 |
| 5.152 | 5.152 | 5.157 | -0.000 | -0.000 | 0.000 |
| 0.000 | 0.000 | 0.000 | 0.003 | 0.000 | -0.000 |
| 0.000 | 0.000 | 0.000 | 0.000 | 0.003 | -0.000 |
| 0.000 | 0.000 | 0.000 | 0.000 | -0.000 | 0.003 |
| 5.157 | 5.152 | 5.152 | -0.000 | -0.000 | -0.000 |
| 5.152 | 5.157 | 5.152 | -0.000 | -0.000 | -0.000 |
| 5.152 | 5.152 | 5.157 | -0.000 | -0.000 | -0.000 |
| -0.000 | -0.000 | -0.000 | 0.003 | -0.000 | 0.000 |
| -0.000 | -0.000 | -0.000 | -0.000 | 0.003 | 0.000 |
| -0.000 | -0.000 | -0.000 | -0.000 | 0.000 | 0.003 |
| 5.157 | 5.152 | 5.152 | 0.000 | -0.000 | 0.000 |
| 5.152 | 5.157 | 5.152 | -0.000 | 0.000 | 0.000 |
| 5.152 | 5.152 | 5.157 | -0.000 | -0.000 | 0.000 |
| 0.000 | 0.000 | 0.000 | 0.003 | 0.000 | -0.000 |
| 0.000 | 0.000 | 0.000 | 0.000 | 0.003 | -0.000 |
| 0.000 | 0.000 | 0.000 | 0.000 | -0.000 | 0.003 |
| 29.203 | 118.275 | 27.365 | -0.000 | -0.000 | -0.000 |
| 118.275 | 29.203 | 27.365 | -0.000 | -0.000 | 0.000 |
| 27.365 | 27.365 | 134.828 | -0.000 | 0.000 | -0.000 |
| -0.000 | -0.000 | -0.000 | -13.228 | -0.000 | 0.000 |
| 0.000 | -0.000 | -0.000 | 0.000 | -13.228 | -0.000 |
| 0.000 | -0.000 | -0.000 | 0.000 | -0.000 | -6.131 |
| 29.203 | 118.275 | 27.365 | 0.000 | 0.000 | 0.000 |
| 118.275 | 29.203 | 27.365 | 0.000 | 0.000 | 0.000 |
| 27.365 | 27.365 | 134.828 | -0.000 | 0.000 | 0.000 |
| 0.000 | 0.000 | 0.000 | -13.228 | 0.000 | 0.000 |
| -0.000 | 0.000 | 0.000 | 0.000 | -13.228 | 0.000 |
| -0.000 | 0.000 | 0.000 | -0.000 | 0.000 | -6.131 |
| 29.204 | 118.276 | 27.366 | -0.000 | -0.000 | -0.000 |
| 118.276 | 29.204 | 27.366 | -0.000 | -0.000 | 0.000 |
| 27.366 | 27.366 | 134.829 | -0.000 | -0.000 | -0.000 |
| -0.000 | -0.000 | -0.000 | -13.228 | -0.000 | -0.000 |
| -0.000 | -0.000 | -0.000 | 0.000 | -13.228 | -0.000 |
| -0.000 | -0.000 | -0.000 | -0.000 | -0.000 | -6.131 |
| 128.777 | 18.700 | 27.364 | -0.000 | -0.000 | 0.000 |
| 18.700 | 128.777 | 27.364 | -0.000 | -0.000 | 0.000 |
| 27.364 | 27.364 | 134.827 | -0.000 | 0.000 | 0.000 |
| 0.000 | 0.000 | 0.000 | -13.228 | 0.000 | -0.000 |
| 0.000 | 0.000 | 0.000 | -0.000 | -13.228 | 0.000 |
| 0.000 | 0.000 | 0.000 | -0.000 | 0.000 | -6.131 |
| -313.235 | 460.717 | 27.359 | -0.000 | -0.000 | 0.000 |
| 460.717 | -313.235 | 27.359 | -0.000 | -0.000 | 0.000 |
| 27.373 | 27.373 | 134.837 | -0.000 | -0.000 | 0.000 |
| -0.000 | -0.000 | -0.000 | -13.228 | -0.000 | -0.000 |
| -0.000 | -0.000 | -0.000 | 0.000 | -13.228 | -0.000 |
| -0.000 | -0.000 | -0.000 | 0.000 | -0.000 | -6.131 |
| -1542.439 | 1690.046 | 27.559 | -0.003 | -0.002 | -0.000 |
| 1682.690 | -1535.084 | 27.558 | -0.001 | -0.002 | 0.000 |
| 27.357 | 27.357 | 134.819 | 0.000 | 0.000 | 0.000 |
| 0.000 | 0.000 | 0.000 | -13.228 | 0.000 | -0.000 |
| 0.000 | 0.000 | 0.000 | -0.000 | -13.228 | 0.000 |
| 0.000 | 0.000 | 0.000 | -0.000 | -0.000 | -6.131 |
| 9.492 | 12.586 | -0.818 | 0.000 | -0.000 | 0.000 |
| 12.586 | 9.492 | -0.818 | -0.000 | 0.000 | 0.000 |
| -0.818 | -0.818 | 26.995 | 0.000 | -0.000 | 0.000 |
| -0.000 | -0.000 | -0.000 | -5.463 | -0.000 | 0.000 |
| -0.000 | 0.000 | -0.000 | -0.000 | -5.463 | 0.000 |
| -0.000 | 0.000 | -0.000 | 0.000 | -0.000 | 0.008 |
| 9.492 | 12.586 | -0.818 | -0.000 | 0.000 | -0.000 |
| 12.586 | 9.492 | -0.818 | 0.000 | -0.000 | -0.000 |
| -0.818 | -0.818 | 26.995 | -0.000 | 0.000 | -0.000 |
| 0.000 | 0.000 | 0.000 | -5.463 | 0.000 | 0.000 |
| 0.000 | -0.000 | 0.000 | 0.000 | -5.463 | -0.000 |
| 0.000 | -0.000 | 0.000 | -0.000 | 0.000 | 0.008 |
| -7543603.280 | -5461543.995 | -8827764.525 | -8145.293 | -78010.217 | 49042.003 |
| -6516798.722 | -8515240.848 | -8661062.238 | -50292.270 | 69316.655 | 33548.136 |
| -0.818 | -0.818 | 26.995 | 0.000 | -0.000 | 0.000 |
| 0.000 | -0.000 | -0.000 | -5.463 | 0.000 | -0.000 |
| -0.000 | 0.000 | -0.000 | 0.000 | -5.463 | 0.000 |
| -0.000 | -0.000 | 0.000 | 0.000 | -0.000 | 0.008 |
| 9.492 | 12.586 | -0.818 | -0.000 | 0.000 | 0.000 |
| 12.586 | 9.492 | -0.818 | 0.000 | -0.000 | -0.000 |
| -0.818 | -0.818 | 26.995 | -0.000 | 0.000 | -0.000 |
| -0.000 | 0.000 | 0.000 | -5.463 | -0.000 | -0.000 |
| 0.000 | -0.000 | 0.000 | -0.000 | -5.463 | -0.000 |
| 0.000 | 0.000 | -0.000 | -0.000 | 0.000 | 0.008 |
| -697061.567 | -652014.696 | -794706.120 | 892.705 | 529.094 | 155.175 |
| -599075.058 | -718103.963 | -860183.717 | 2193.825 | 22856.480 | -7020.618 |
| -0.818 | -0.818 | 26.994 | 0.000 | -0.000 | 0.000 |
| 0.000 | -0.000 | -0.000 | -5.463 | 0.000 | -0.000 |
| -0.000 | 0.000 | -0.000 | -0.000 | -5.463 | -0.000 |
| -0.000 | -0.000 | 0.000 | -0.000 | 0.000 | 0.008 |
| 582301.140 | 728247.475 | 887499.161 | -1657.835 | -1188.633 | -902.869 |
| 749385.929 | 638979.487 | 850714.400 | 7567.665 | 11839.247 | 14598.486 |
| -0.818 | -0.818 | 26.995 | -0.000 | 0.000 | -0.000 |
| -0.000 | 0.000 | 0.000 | -5.463 | -0.000 | -0.000 |
| 0.000 | -0.000 | 0.000 | -0.000 | -5.463 | -0.000 |
| 0.000 | 0.000 | -0.000 | 0.000 | 0.000 | 0.008 |
| 8.870 | 2.959 | 3.714 | -3.377 | -0.000 | 0.000 |
| -2.599 | -4.167 | -4.216 | -1.292 | -0.000 | 0.000 |
| 3.714 | 3.714 | 1.512 | 0.000 | -0.000 | 0.000 |
| 1.270 | -1.313 | -0.018 | -2.119 | -0.000 | 0.000 |
| -0.021 | -0.021 | -0.018 | 0.000 | -2.119 | 1.292 |
| -0.021 | -0.021 | -0.018 | 0.000 | 1.292 | -0.784 |
| -3.453 | 0.289 | -2.680 | 2.648 | 0.000 | -0.000 |
| 2.959 | 8.870 | 3.714 | 3.377 | 0.000 | -0.000 |
| 3.714 | 3.714 | 1.512 | -0.000 | 0.000 | -0.000 |
| -3.377 | 3.377 | 0.000 | 3.710 | 0.000 | -0.000 |
| 0.021 | 0.021 | 0.018 | -0.000 | -2.119 | 1.292 |
| 0.021 | 0.021 | 0.018 | -0.000 | 1.292 | -0.784 |
| -4.137 | -2.568 | -4.191 | 1.292 | -0.000 | 0.000 |
| 2.959 | 8.870 | 3.714 | 3.377 | -0.000 | 0.000 |
| 3.714 | 3.714 | 1.512 | 0.000 | -0.000 | 0.000 |
| 1.289 | -1.294 | -0.002 | -2.119 | 0.000 | -0.000 |
| -0.002 | -0.002 | -0.002 | 0.000 | -2.119 | 1.292 |
| -0.002 | -0.002 | -0.002 | 0.000 | 1.292 | -0.784 |
| -4.130 | -2.561 | -4.185 | 1.292 | -0.000 | 0.000 |
| 2.959 | 8.870 | 3.714 | 3.377 | 0.000 | -0.000 |
| 3.714 | 3.714 | 1.512 | -0.000 | 0.000 | -0.000 |
| -3.377 | 3.377 | 0.000 | 3.710 | 0.000 | -0.000 |
| 0.002 | 0.002 | 0.002 | -0.000 | -2.119 | 1.292 |
| 0.002 | 0.002 | 0.002 | -0.000 | 1.292 | -0.784 |
| -4.134 | -2.565 | -4.188 | 1.292 | -0.000 | 0.000 |
| -2.565 | -4.134 | -4.188 | -1.292 | -0.000 | 0.000 |
| -4.188 | -4.188 | -5.228 | -0.000 | 0.000 | -0.000 |
| 1.291 | -1.292 | -0.000 | -2.119 | 0.000 | -0.000 |
| -0.000 | -0.000 | -0.000 | 0.000 | -2.119 | 1.292 |
| -0.000 | -0.000 | -0.000 | 0.000 | 1.292 | -0.784 |
| -4.133 | -2.564 | -4.187 | 1.292 | -0.000 | 0.000 |
| 0.260 | -3.490 | -2.709 | -2.653 | -0.000 | 0.000 |
| -4.187 | -4.187 | -5.227 | 0.000 | -0.000 | 0.000 |
| 1.292 | -1.291 | 0.000 | -2.119 | 0.000 | -0.000 |
| 0.000 | 0.000 | 0.000 | -0.000 | -2.119 | 1.292 |
| 0.000 | 0.000 | 0.000 | -0.000 | 1.292 | -0.784 |
| 135.555 | 7.242 | 7.242 | 0.000 | 0.000 | -0.000 |
| 7.242 | 135.555 | 7.242 | 0.000 | 0.000 | -0.000 |
| 7.242 | 7.242 | 135.555 | 0.000 | 0.000 | -0.000 |
| 0.000 | -0.000 | -0.000 | -0.668 | -0.000 | -0.000 |
| -0.000 | 0.000 | -0.000 | 0.000 | -0.668 | -0.000 |
| -0.000 | -0.000 | 0.000 | 0.000 | -0.000 | -0.668 |
| 135.555 | 7.242 | 7.242 | -0.000 | 0.000 | 0.000 |
| 7.242 | 135.555 | 7.242 | 0.000 | -0.000 | 0.000 |
| 7.242 | 7.242 | 135.555 | -0.000 | -0.000 | 0.000 |
| -0.000 | 0.000 | 0.000 | -0.668 | -0.000 | 0.000 |
| 0.000 | -0.000 | 0.000 | 0.000 | -0.668 | 0.000 |
| 0.000 | 0.000 | -0.000 | -0.000 | -0.000 | -0.668 |
| 135.555 | 7.241 | 7.241 | 0.000 | -0.000 | -0.000 |
| 7.241 | 135.555 | 7.241 | -0.000 | 0.000 | -0.000 |
| 7.241 | 7.241 | 135.555 | 0.000 | -0.000 | -0.000 |
| -0.000 | -0.000 | -0.000 | -0.668 | -0.000 | -0.000 |
| -0.000 | -0.000 | -0.000 | 0.000 | -0.668 | -0.000 |
| -0.000 | -0.000 | -0.000 | 0.000 | 0.000 | -0.668 |
| 135.555 | 7.242 | 7.242 | -0.000 | -0.000 | 0.000 |
| 7.242 | 135.555 | 7.242 | 0.000 | 0.000 | -0.000 |
| 7.242 | 7.242 | 135.555 | -0.000 | -0.000 | 0.000 |
| 0.000 | 0.000 | 0.000 | -0.668 | 0.000 | -0.000 |
| 0.000 | 0.000 | 0.000 | -0.000 | -0.668 | 0.000 |
| 0.000 | 0.000 | 0.000 | -0.000 | -0.000 | -0.668 |
| 135.553 | 7.239 | 7.239 | -0.000 | 0.000 | 0.000 |
| 7.239 | 135.553 | 7.239 | 0.000 | 0.000 | -0.000 |
| 7.239 | 7.239 | 135.553 | -0.000 | 0.000 | -0.000 |
| -0.000 | -0.000 | -0.000 | -0.668 | -0.000 | -0.000 |
| -0.000 | -0.000 | -0.000 | 0.000 | -0.668 | -0.000 |
| -0.000 | -0.000 | -0.000 | -0.000 | 0.000 | -0.668 |
| 135.557 | 7.244 | 7.244 | -0.000 | 0.000 | 0.000 |
| 7.244 | 135.557 | 7.244 | -0.000 | -0.000 | 0.000 |
| 7.244 | 7.244 | 135.557 | 0.000 | 0.000 | 0.000 |
| 0.000 | 0.000 | 0.000 | -0.668 | 0.000 | 0.000 |
| 0.000 | 0.000 | 0.000 | -0.000 | -0.668 | 0.000 |
| 0.000 | 0.000 | 0.000 | 0.000 | 0.000 | -0.668 |
| 28.892 | 0.017 | 0.017 | -0.000 | 0.000 | 0.000 |
| 0.017 | 28.892 | 0.017 | 0.000 | -0.000 | -0.000 |
| 0.017 | 0.017 | 28.892 | -0.000 | -0.000 | -0.000 |
| 0.000 | 0.000 | -0.000 | 0.009 | 0.000 | 0.000 |
| 0.000 | 0.000 | -0.000 | 0.000 | 0.009 | -0.000 |
| 0.000 | -0.000 | 0.000 | 0.000 | 0.000 | 0.009 |
| 28.892 | 0.017 | 0.017 | -0.000 | -0.000 | -0.000 |
| 0.017 | 28.892 | 0.017 | -0.000 | 0.000 | 0.000 |
| 0.017 | 0.017 | 28.892 | 0.000 | 0.000 | 0.000 |
| -0.000 | -0.000 | 0.000 | 0.009 | 0.000 | 0.000 |
| -0.000 | -0.000 | 0.000 | 0.000 | 0.009 | -0.000 |
| -0.000 | 0.000 | -0.000 | -0.000 | 0.000 | 0.009 |
| 28.892 | 0.017 | 0.017 | -0.000 | 0.000 | 0.000 |
| 0.017 | 28.892 | 0.017 | 0.000 | 0.000 | -0.000 |
| 0.017 | 0.017 | 28.892 | -0.000 | -0.000 | 0.000 |
| 0.000 | 0.000 | -0.000 | 0.009 | -0.000 | 0.000 |
| 0.000 | 0.000 | -0.000 | -0.000 | 0.009 | -0.000 |
| 0.000 | -0.000 | 0.000 | -0.000 | 0.000 | 0.009 |
| 28.892 | 0.017 | 0.017 | 0.000 | 0.000 | 0.000 |
| 0.017 | 28.892 | 0.017 | 0.000 | 0.000 | -0.000 |
| 0.017 | 0.017 | 28.892 | -0.000 | -0.000 | -0.000 |
| -0.000 | -0.000 | 0.000 | 0.009 | 0.000 | -0.000 |
| -0.000 | -0.000 | 0.000 | 0.000 | 0.009 | -0.000 |
| -0.000 | 0.000 | -0.000 | -0.000 | -0.000 | 0.009 |
| 28.892 | 0.017 | 0.017 | -0.000 | -0.000 | 0.000 |
| 0.017 | 28.892 | 0.017 | -0.000 | -0.000 | 0.000 |
| 0.017 | 0.017 | 28.892 | 0.000 | 0.000 | -0.000 |
| -0.000 | -0.000 | -0.000 | 0.009 | -0.000 | 0.000 |
| -0.000 | -0.000 | -0.000 | 0.000 | 0.009 | -0.000 |
| -0.000 | -0.000 | -0.000 | -0.000 | 0.000 | 0.009 |
| 28.892 | 0.017 | 0.017 | -0.000 | 0.000 | 0.000 |
| 0.017 | 28.892 | 0.017 | 0.000 | 0.000 | 0.000 |
| 0.017 | 0.017 | 28.892 | 0.000 | 0.000 | 0.000 |
| 0.000 | 0.000 | 0.000 | 0.009 | 0.000 | 0.000 |
| 0.000 | 0.000 | 0.000 | 0.000 | 0.009 | 0.000 |
| 0.000 | 0.000 | 0.000 | 0.000 | -0.000 | 0.009 |
| 49.345 | 28.695 | 31.639 | 0.000 | 0.000 | 0.000 |
| 28.695 | 49.345 | 31.639 | -0.000 | 0.000 | 0.000 |
| 32.121 | 32.121 | 90.981 | 0.000 | -0.000 | 0.000 |
| -0.000 | -0.000 | -0.000 | 6.580 | -0.000 | 0.000 |
| -0.000 | -0.000 | -0.000 | 0.000 | 6.580 | 0.000 |
| -0.000 | -0.000 | -0.000 | -0.000 | -0.000 | 20.926 |
| 49.345 | 28.695 | 31.639 | -0.000 | 0.000 | -0.000 |
| 28.695 | 49.345 | 31.639 | -0.000 | 0.000 | -0.000 |
| 31.639 | 31.639 | 91.015 | 0.000 | 0.000 | -0.000 |
| 0.000 | 0.000 | 0.000 | 6.580 | 0.000 | 0.000 |
| 0.000 | 0.000 | 0.000 | 0.000 | 6.580 | -0.000 |
| 0.000 | 0.000 | 0.000 | 0.000 | -0.000 | 20.926 |
| 34.293 | 25.738 | 32.284 | 0.000 | 0.000 | 0.000 |
| 25.738 | 34.293 | 32.284 | -0.000 | -0.000 | 0.000 |
| 32.121 | 32.121 | 90.981 | 0.000 | 0.000 | 0.000 |
| -0.000 | 0.000 | 0.000 | 27.693 | -0.000 | 0.000 |
| 0.000 | -0.000 | 0.000 | -0.000 | 27.693 | 0.000 |
| -0.000 | 0.000 | -0.000 | 0.000 | 0.000 | 20.926 |
| 49.345 | 28.695 | 31.639 | -0.000 | 0.000 | -0.000 |
| 28.695 | 49.345 | 31.639 | -0.000 | 0.000 | -0.000 |
| 32.121 | 32.121 | 90.981 | -0.000 | 0.000 | 0.000 |
| 0.000 | -0.000 | -0.000 | 27.693 | -0.000 | -0.000 |
| -0.000 | 0.000 | -0.000 | 0.000 | 27.693 | -0.000 |
| 0.000 | -0.000 | 0.000 | -0.000 | 0.000 | 20.926 |
| 34.293 | 25.738 | 32.284 | 0.000 | 0.000 | 0.000 |
| 25.738 | 34.293 | 32.284 | 0.000 | -0.000 | 0.000 |
| 31.639 | 31.639 | 91.015 | -0.000 | -0.000 | 0.000 |
| -0.000 | -0.000 | -0.000 | 6.580 | -0.000 | 0.000 |
| -0.000 | -0.000 | -0.000 | 0.000 | 6.580 | 0.000 |
| -0.000 | 0.000 | -0.000 | 0.000 | 0.000 | 20.926 |
| 34.293 | 25.738 | 32.284 | 0.000 | -0.000 | -0.000 |
| 25.738 | 34.293 | 32.284 | -0.000 | -0.000 | -0.000 |
| 32.121 | 32.121 | 90.981 | -0.000 | -0.000 | -0.000 |
| 0.000 | 0.000 | 0.000 | 6.580 | 0.000 | -0.000 |
| 0.000 | 0.000 | 0.000 | -0.000 | 6.580 | -0.000 |
| 0.000 | -0.000 | 0.000 | -0.000 | 0.000 | 20.926 |
| 48.807 | 27.518 | 31.035 | -0.000 | -0.000 | 0.000 |
| 27.518 | 48.807 | 31.035 | -0.000 | 0.000 | 0.000 |
| 54.901 | 54.901 | 87.638 | -0.000 | -0.000 | 0.000 |
| 23.719 | 23.719 | -2.375 | 18.780 | 0.000 | 0.000 |
| 23.719 | 23.719 | -2.375 | -0.000 | 18.780 | 0.000 |
| -0.000 | -0.000 | -0.000 | -0.000 | 0.000 | 21.374 |
| 48.808 | 27.519 | 31.035 | 0.000 | -0.000 | -0.000 |
| 27.519 | 48.808 | 31.035 | 0.000 | -0.000 | -0.000 |
| 30.993 | 30.993 | 90.032 | 0.000 | -0.000 | -0.000 |
| -23.719 | -23.719 | 2.375 | 18.780 | 0.000 | -0.000 |
| -23.719 | -23.719 | 2.375 | 0.000 | 18.780 | -0.000 |
| 0.000 | 0.000 | 0.000 | 0.000 | -0.000 | 21.374 |
| 34.551 | 28.837 | 31.679 | -0.000 | 0.000 | 0.000 |
| 28.837 | 34.551 | 31.679 | -0.000 | -0.000 | 0.000 |
| 30.992 | 30.992 | 90.032 | -0.000 | 0.000 | 0.000 |
| -0.002 | -0.002 | -0.001 | 28.155 | 0.000 | 0.000 |
| -0.002 | -0.002 | -0.001 | -0.000 | 28.155 | 0.000 |
| 2.324 | 2.324 | -0.235 | -0.000 | -0.000 | 21.375 |
| 28.182 | 31.244 | 31.885 | 0.000 | 0.000 | -0.000 |
| 31.244 | 28.182 | 31.885 | 0.000 | 0.000 | -0.000 |
| 30.994 | 30.994 | 90.032 | 0.000 | -0.000 | -0.000 |
| 0.002 | 0.002 | 0.001 | 28.155 | -0.000 | -0.000 |
| 0.002 | 0.002 | 0.001 | 0.000 | 28.155 | -0.000 |
| -2.324 | -2.324 | 0.235 | 0.000 | 0.000 | 21.375 |
| 30.659 | 33.724 | 31.597 | -0.000 | -0.000 | 0.000 |
| 33.724 | 30.659 | 31.597 | -0.000 | -0.000 | 0.000 |
| 31.829 | 31.829 | 89.944 | -0.000 | 0.000 | 0.000 |
| 0.244 | 0.244 | -0.047 | 16.783 | -0.000 | 0.000 |
| 0.244 | 0.244 | -0.047 | -0.000 | 16.783 | 0.000 |
| 0.177 | 0.177 | -0.045 | -0.000 | -0.000 | 21.375 |
| 30.349 | 33.407 | 31.700 | 0.000 | 0.000 | -0.000 |
| 33.407 | 30.349 | 31.700 | 0.000 | 0.000 | -0.000 |
| 31.003 | 31.003 | 90.036 | 0.000 | -0.000 | -0.000 |
| -0.244 | -0.244 | 0.047 | 16.783 | 0.000 | -0.000 |
| -0.244 | -0.244 | 0.047 | 0.000 | 16.783 | -0.000 |
| -0.177 | -0.177 | 0.045 | 0.000 | 0.000 | 21.375 |
| 961.318 | 550.603 | 2091.541 | -537.960 | -692.966 | -1143.566 |
| 51.265 | 108.146 | 48.148 | -5.013 | -0.568 | -2.874 |
| 51.382 | 48.561 | 111.116 | 1.891 | 1.559 | 2.027 |
| 447.279 | -215.293 | 410.414 | -259.530 | -14.486 | -304.514 |
| 0.487 | -0.088 | 1.559 | 2.048 | 29.742 | -0.912 |
| 447.746 | -218.622 | 411.577 | -276.566 | -21.488 | -283.414 |
| 112.378 | 51.258 | 51.136 | -0.935 | -2.054 | -1.770 |
| -138.739 | 156.215 | -139.417 | 113.157 | 102.331 | 234.063 |
| -392.856 | 268.048 | -310.433 | 277.445 | 18.187 | 307.360 |
| -193.518 | 54.959 | -187.634 | 139.136 | 105.054 | 237.134 |
| -447.099 | 215.368 | -406.837 | 277.629 | 37.140 | 303.463 |
| -447.489 | 212.499 | -406.017 | 275.005 | 11.204 | 324.705 |
| 144.198 | 34.241 | 95.468 | -28.111 | -3.044 | -31.288 |
| 51.265 | 108.146 | 48.148 | -5.013 | -0.568 | -2.874 |
| 51.382 | 48.561 | 111.117 | 1.891 | 1.559 | 2.027 |
| -0.769 | 0.711 | 1.892 | 25.939 | 2.048 | -0.049 |
| 45.272 | -21.745 | 42.834 | -25.730 | 19.142 | -30.998 |
| 44.882 | -24.613 | 43.651 | -28.353 | -6.781 | -9.740 |
| 112.378 | 51.258 | 51.136 | -0.935 | -2.054 | -1.770 |
| 34.482 | 107.368 | 30.917 | 7.577 | 9.601 | 20.548 |
| 10.018 | 74.051 | 57.454 | 29.233 | 3.477 | 33.703 |
| -45.162 | 21.840 | -39.325 | 43.871 | 3.530 | 30.032 |
| 0.487 | -0.088 | 1.559 | 2.048 | 29.742 | -0.912 |
| -44.625 | 18.491 | -38.091 | 26.793 | -3.504 | 51.034 |
| 107.932 | 53.133 | 54.537 | -2.352 | -2.907 | -3.777 |
| 63.446 | 90.678 | 69.462 | -9.160 | -4.926 | -9.524 |
| 54.910 | 49.654 | 107.748 | 0.464 | 0.723 | 0.320 |
| 4.019 | -1.838 | 5.604 | 13.693 | 1.730 | -3.383 |
| 5.897 | -3.111 | 8.967 | -2.481 | 15.773 | -5.491 |
| -0.288 | -2.865 | 1.698 | -0.529 | -7.486 | 29.616 |
| 91.425 | 59.857 | 48.318 | 3.903 | 1.397 | 3.520 |
| 51.791 | 102.446 | 47.932 | -2.954 | 0.344 | -0.765 |
| 51.383 | 48.561 | 111.114 | 1.891 | 1.560 | 2.027 |
| -7.086 | 1.799 | -7.444 | 14.986 | 4.608 | 3.749 |
| -1.651 | 0.333 | -0.181 | 3.214 | 26.644 | 1.832 |
| -4.266 | -0.945 | -1.239 | 1.927 | -4.982 | 23.655 |
| 94.471 | 41.589 | 42.018 | -0.315 | -5.393 | -1.260 |
| 45.267 | 97.392 | 39.741 | 3.220 | -0.108 | -1.227 |
| -58987.315 | -27212.255 | -464.201 | 3887.889 | 5713.765 | -40101.332 |
| -0.045 | 2.126 | 3.838 | 22.483 | 2.863 | 1.226 |
| -1.275 | 1.019 | -0.064 | 2.863 | 23.898 | -0.258 |
| 13.638 | -7.148 | 1.256 | 5.829 | -2.596 | 25.649 |
| 59102.046 | 27314.090 | 599.494 | -3896.960 | -5710.749 | 40106.238 |
| 59079.001 | 27350.470 | 593.441 | -3880.141 | -5711.215 | 40105.985 |
| 59074.505 | 27293.935 | 643.777 | -3879.558 | -5712.858 | 40108.544 |
| -0.045 | 2.126 | 3.838 | 22.483 | 2.863 | 1.226 |
| -17.198 | 8.904 | 1.793 | -3.310 | 25.717 | -2.883 |
| -0.553 | -1.359 | 2.784 | 0.935 | -1.634 | 22.384 |
| 96.360 | 41.454 | 41.883 | 0.027 | -5.173 | -0.337 |
| 43.009 | 98.449 | 40.016 | 2.346 | 0.148 | -1.609 |
| 43.098 | 40.893 | 89.860 | 4.084 | -0.113 | 3.157 |
| -5901.518 | -2723.874 | -51.769 | 411.384 | 574.634 | -4008.670 |
| -0.279 | 0.708 | -0.162 | 3.159 | 23.873 | 0.045 |
| -0.553 | -1.359 | 2.784 | 0.935 | -1.634 | 22.384 |
| 5998.063 | 2767.716 | 97.474 | -389.009 | -576.125 | 4010.167 |
| 5945.885 | 2825.002 | 95.525 | -386.642 | -570.349 | 4009.765 |
| 42.384 | 41.180 | 89.947 | 3.838 | -0.064 | 2.992 |
| 5901.334 | 2728.085 | 59.448 | -366.466 | -568.900 | 4011.068 |
| 5902.497 | 2725.977 | 55.239 | -385.246 | -547.269 | 4010.447 |
| 5904.418 | 2723.559 | 58.007 | -386.980 | -572.677 | 4033.688 |
| 96.154 | 41.435 | 41.926 | 0.047 | -5.207 | -0.433 |
| -548.245 | -172.597 | 34.695 | 40.310 | 57.951 | -402.030 |
| 42.536 | 41.129 | 89.911 | 3.890 | -0.074 | 3.025 |
| -590.524 | -270.386 | -1.686 | 61.281 | 59.955 | -399.910 |
| -1.289 | 0.972 | -0.068 | 2.884 | 23.861 | -0.301 |
| 0.805 | -1.569 | 2.672 | 1.253 | -1.531 | 22.872 |
| 685.281 | 314.835 | 47.642 | -39.376 | -62.016 | 400.663 |
| 41.526 | 100.332 | 40.329 | 1.164 | 0.983 | -0.932 |
| 632.413 | 313.954 | 95.434 | -35.151 | -57.140 | 404.038 |
| 590.206 | 274.640 | 9.379 | -16.369 | -54.271 | 402.240 |
| 588.919 | 273.539 | 5.481 | -35.986 | -33.258 | 400.728 |
| 590.361 | 271.513 | 8.319 | -37.969 | -58.484 | 423.950 |
| -37304.747 | -25676.149 | -23045.637 | 23683.670 | -28541.358 | 31368.450 |
| -37743.620 | -25638.646 | -22285.842 | 23981.959 | -28674.702 | 31467.050 |
| -37744.323 | -25691.329 | -22246.715 | 23972.253 | -28673.139 | 31467.612 |
| -37375.841 | -25719.168 | -23129.333 | 23705.675 | -28521.843 | 31365.443 |
| -37371.118 | -25712.894 | -23132.357 | 23693.341 | -28491.022 | 31373.169 |
| -38235.000 | -25991.969 | -22002.727 | 23900.387 | -28994.920 | 31554.647 |
| 105.981 | 50.101 | 47.087 | 1.186 | 0.791 | -2.282 |
| 37841.680 | 25836.723 | 22395.905 | -23962.511 | 28675.845 | -31464.189 |
| 37393.162 | 25757.364 | 23270.594 | -23678.261 | 28503.311 | -31354.437 |
| 37346.280 | 25713.866 | 23175.737 | -23644.222 | 28514.089 | -31350.056 |
| 37791.095 | 25738.326 | 22345.826 | -23970.002 | 28696.620 | -31464.486 |
| 37771.145 | 25740.698 | 22378.030 | -23947.195 | 28682.092 | -31440.280 |
| 177.310 | 79.906 | -60.203 | -20.272 | 46.765 | -17.473 |
| -3724.666 | -2475.209 | -2189.824 | 2399.389 | -2868.021 | 3146.475 |
| -3729.871 | -2524.550 | -2137.463 | 2396.517 | -2866.896 | 3145.830 |
| -3736.521 | -2570.912 | -2313.926 | 2388.448 | -2852.325 | 3137.357 |
| 43.815 | 25.424 | -32.760 | 6.720 | 53.420 | -4.777 |
| -3781.607 | -2572.688 | -2232.947 | 2398.979 | -2861.852 | 3169.906 |
| 3870.933 | 2624.905 | 2285.499 | -2396.083 | 2867.154 | -3146.364 |
| 3832.112 | 2672.951 | 2281.978 | -2392.696 | 2867.169 | -3146.763 |
| 3828.879 | 2621.175 | 2327.325 | -2399.342 | 2868.318 | -3146.046 |
| 3781.030 | 2575.268 | 2232.116 | -2377.050 | 2867.880 | -3146.308 |
| 3778.338 | 2572.409 | 2234.739 | -2398.296 | 2887.702 | -3144.467 |
| 3702.669 | 2552.113 | 2356.515 | -2371.274 | 2831.584 | -3105.629 |
| -283.516 | -205.403 | -173.494 | 240.644 | -286.487 | 313.596 |
| -320.406 | -159.490 | -182.792 | 241.019 | -285.624 | 313.830 |
| -327.559 | -208.962 | -130.644 | 238.371 | -285.184 | 314.604 |
| -381.261 | -259.138 | -220.532 | 265.440 | -289.883 | 315.612 |
| -378.743 | -257.827 | -221.624 | 239.701 | -265.681 | 316.185 |
| -4.469 | -0.678 | 0.109 | 0.384 | 6.149 | 31.288 |
| 105.676 | 50.110 | 47.104 | 1.063 | 0.688 | -2.292 |
| 50.323 | 107.100 | 45.442 | 5.151 | 0.261 | -0.701 |
| 45.359 | 45.481 | 97.687 | -1.831 | -1.833 | 0.594 |
| 379.419 | 258.881 | 222.060 | -218.656 | 287.206 | -314.334 |
| 381.706 | 260.230 | 220.604 | -239.026 | 317.777 | -313.811 |
| 375.336 | 257.330 | 223.141 | -239.080 | 292.076 | -290.121 |
| 2810.326 | 729.954 | 911.074 | -992.929 | 121.950 | 1069.404 |
| 1948.625 | 625.567 | 628.725 | -659.690 | 0.677 | 742.025 |
| 1935.708 | 587.547 | 663.875 | -661.489 | -6.081 | 748.570 |
| -74487.311 | -6153.082 | -67303.298 | 20654.371 | -72274.905 | 23784.508 |
| -74247.945 | -6114.918 | -67215.729 | 20526.227 | -72229.809 | 23894.444 |
| 2685.758 | 676.792 | 852.195 | -974.242 | 115.173 | 1071.705 |
| -2611.052 | -624.839 | -810.652 | 983.552 | -107.441 | -1063.572 |
| -2612.970 | -590.909 | -800.165 | 965.383 | -109.751 | -1041.706 |
| -2699.063 | -639.940 | -788.728 | 994.606 | -119.511 | -1076.065 |
| 75615.424 | 6270.978 | 67828.246 | -21242.788 | 72543.158 | -23309.839 |
| 0.849 | -0.165 | 4.490 | -1.302 | 24.262 | -0.107 |
| -17.870 | -2.539 | -5.717 | -2.695 | -5.583 | 27.895 |
| 273.113 | 103.805 | 102.529 | -64.109 | 3.551 | 72.628 |
| 43.629 | 90.755 | 41.145 | 1.971 | -0.248 | 1.534 |
| -7369.154 | -565.288 | -6636.341 | 2050.237 | -7219.450 | 2391.501 |
| -7421.497 | -610.823 | -6721.088 | 2069.554 | -7225.361 | 2390.303 |
| -7431.309 | -612.564 | -6721.467 | 2055.254 | -7208.768 | 2385.932 |
| -7434.978 | -610.513 | -6725.013 | 2055.135 | -7224.806 | 2405.125 |
| 7499.730 | 659.541 | 6764.240 | -2050.226 | 7226.848 | -2393.273 |
| 7467.010 | 689.301 | 6763.447 | -2049.251 | 7223.521 | -2389.835 |
| 7544.323 | 667.116 | 6831.243 | -2083.846 | 7239.004 | -2361.255 |
| -190.986 | -54.960 | -58.760 | 83.727 | -1.324 | -74.865 |
| 7427.132 | 611.372 | 6725.989 | -2056.262 | 7241.147 | -2388.105 |
| 7419.387 | 613.310 | 6720.214 | -2051.983 | 7225.130 | -2372.133 |
| -665.473 | -13.102 | -629.931 | 208.555 | -719.663 | 234.885 |
| -701.433 | 18.142 | -631.532 | 210.025 | -723.522 | 238.083 |
| -700.450 | -17.710 | -590.124 | 206.562 | -719.471 | 236.671 |
| 0.118 | 0.246 | -0.489 | 24.156 | -1.380 | -0.027 |
| -742.372 | -61.186 | -669.476 | 204.854 | -705.614 | 238.163 |
| -744.206 | -58.733 | -672.593 | 204.497 | -721.525 | 257.891 |
| 820.604 | 110.123 | 715.494 | -203.360 | 725.264 | -241.813 |
| 29.415 | 74.893 | 37.402 | 8.166 | 0.024 | -5.373 |
| 811.660 | 109.395 | 774.009 | -215.299 | 728.435 | -230.056 |
| 750.888 | 62.479 | 674.893 | -190.420 | 722.502 | -236.075 |
| 1.603 | 0.006 | 4.734 | -1.155 | 24.640 | -0.252 |
| 739.170 | 63.294 | 671.258 | -205.439 | 723.198 | -220.563 |
| 105.406 | 48.101 | 52.180 | -0.250 | -0.108 | 4.317 |
| 50.377 | 105.820 | 50.818 | 3.865 | 1.500 | -5.970 |
| 52.729 | 47.931 | 97.717 | 2.153 | 2.565 | -1.984 |
| 0.123 | -0.005 | -3.504 | 29.365 | 0.903 | 2.649 |
| -1.156 | 2.931 | 0.144 | -2.792 | 30.852 | 0.599 |
| 2.797 | -5.569 | -2.465 | 1.593 | 3.151 | 27.511 |
| 32151.572 | 101293.244 | 78399.949 | -89064.246 | -50108.364 | 56966.733 |
| 32095.376 | 101349.755 | 78398.052 | -89059.246 | -50106.450 | 56955.996 |
| 52.753 | 49.611 | 100.243 | 1.098 | 0.912 | -2.119 |
| -0.283 | 2.744 | 1.098 | 27.692 | -2.132 | 2.231 |
| -3.870 | 1.768 | 1.296 | -1.802 | 29.995 | -0.484 |
| 0.988 | -6.345 | -1.696 | 2.253 | 2.579 | 26.794 |
| 106.171 | 48.593 | 52.061 | -0.629 | 0.008 | 4.623 |
| 49.872 | 105.044 | 50.210 | 4.391 | 1.882 | -6.126 |
| 52.938 | 49.858 | 100.415 | 0.927 | 0.804 | -2.061 |
| -3205.227 | -10122.471 | -7834.205 | 8934.663 | 5009.025 | -5694.325 |
| -3.151 | 1.741 | 0.485 | -1.855 | 30.557 | -0.168 |
| 1.350 | -6.189 | -1.851 | 2.121 | 2.692 | 26.928 |
| 105.498 | 48.308 | 52.394 | -0.389 | -0.244 | 4.340 |
| 49.570 | 105.347 | 50.993 | 4.231 | 1.356 | -6.284 |
| 53.082 | 50.378 | 101.049 | 0.588 | 0.393 | -2.044 |
| -0.859 | 1.974 | 0.550 | 28.223 | -1.794 | 2.048 |
| -3.057 | 2.032 | 0.825 | -2.047 | 30.337 | -0.152 |
| 0.999 | -5.672 | -0.690 | 1.831 | 1.916 | 26.727 |
| 105.595 | 48.407 | 52.361 | -0.454 | -0.201 | 4.400 |
| 49.820 | 104.840 | 50.176 | 4.461 | 1.923 | -6.156 |
| -267.225 | -962.219 | -682.899 | 891.323 | 501.737 | -571.602 |
| -320.999 | -1010.317 | -783.032 | 918.707 | 499.373 | -567.441 |
| -323.491 | -1010.621 | -782.986 | 888.721 | 531.594 | -569.751 |
| -319.165 | -1018.399 | -784.898 | 892.622 | 503.482 | -542.781 |
| 425.874 | 1060.820 | 835.966 | -891.076 | -501.382 | 573.989 |
| 369.990 | 1117.336 | 833.872 | -886.127 | -499.332 | 563.348 |
| 52.979 | 50.162 | 100.787 | 0.747 | 0.529 | -2.081 |
| 319.605 | 1014.511 | 784.149 | -862.550 | -502.945 | 571.684 |
| -3.249 | 1.784 | 0.654 | -1.871 | 30.402 | -0.215 |
| 1.026 | -5.976 | -1.185 | 2.020 | 2.230 | 26.717 |
| -52.406 | 3.742 | 29.197 | -107.561 | -27.520 | -23.879 |
| -324.177 | -216.919 | -526.871 | 190.807 | 513.970 | 21.311 |
| -295.142 | -66.753 | -107.541 | -64.290 | 106.902 | 22.301 |
| -0.647 | 1.504 | 2.987 | 29.536 | -1.005 | 0.228 |
| -381.661 | -289.688 | -582.233 | 191.416 | 524.234 | 17.986 |
| -148.073 | -48.539 | -22.975 | -107.222 | -28.682 | -0.800 |
| 104.321 | 49.021 | 49.264 | -0.506 | -1.466 | -0.063 |
| 49.061 | 103.094 | 50.269 | 0.321 | 0.176 | -0.242 |
| 49.064 | 50.389 | 101.224 | 2.987 | -1.239 | -0.753 |
| 348.754 | 123.592 | 195.373 | 82.980 | -108.303 | -23.496 |
| 351.122 | 124.324 | 192.797 | 65.481 | -90.940 | -25.004 |
| 348.910 | 123.335 | 191.751 | 66.690 | -109.233 | -6.130 |
| 104.322 | 49.021 | 49.264 | -0.506 | -1.466 | -0.063 |
| 5.343 | 65.404 | 16.016 | 3.055 | 34.405 | 0.770 |
| 36.268 | 48.513 | 91.712 | -7.897 | -3.440 | -3.319 |
| -15.504 | -3.740 | 0.639 | 13.120 | -3.938 | -2.631 |
| -32.537 | -11.177 | -19.102 | -8.152 | 26.553 | 0.498 |
| -73.624 | -192.588 | -41.923 | 23.304 | 116.223 | 10.424 |
| 120.723 | 68.227 | 73.083 | 6.739 | -10.781 | -2.302 |
| 67.027 | 99.066 | 55.443 | 10.824 | 3.384 | 2.202 |
| 49.064 | 50.389 | 101.224 | 2.987 | -1.239 | -0.753 |
| 34.824 | 12.717 | 21.991 | 22.692 | -12.202 | -2.633 |
| 2.628 | 0.136 | -1.239 | -1.005 | 28.209 | -0.783 |
| 15.251 | 4.611 | 1.326 | 10.526 | 0.554 | 25.522 |
| 104.326 | 49.023 | 49.266 | -0.506 | -1.467 | -0.063 |
| 49.062 | 103.097 | 50.270 | 0.323 | 0.177 | -0.243 |
| 49.065 | 50.389 | 101.225 | 2.985 | -1.240 | -0.753 |
| -3.452 | -0.708 | 0.889 | 16.296 | -0.459 | -0.059 |
| 0.911 | 0.192 | -0.998 | -2.344 | 22.722 | -1.421 |
| 0.438 | -0.237 | -0.703 | 0.268 | -1.912 | 28.170 |
| 97.529 | 52.574 | 51.527 | 0.577 | -0.666 | 0.302 |
| 49.059 | 103.091 | 50.268 | 0.320 | 0.176 | -0.241 |
| 49.063 | 50.388 | 101.224 | 2.988 | -1.238 | -0.753 |
| 0.860 | 1.564 | 3.066 | 24.622 | -1.023 | -0.016 |
| 3.921 | 1.209 | -0.521 | -0.179 | 22.950 | -0.958 |
| 3.504 | 1.337 | 0.994 | 0.413 | -3.482 | 17.186 |
| 42815.176 | 2329.034 | 6941.676 | -4199.241 | -17634.215 | 10483.823 |
| 42794.691 | 2376.893 | 6926.336 | -4181.709 | -17639.046 | 10484.473 |
| 42774.363 | 2332.640 | 6980.746 | -4194.482 | -17633.407 | 10482.278 |
| 42740.256 | 2283.560 | 6886.061 | -4165.528 | -17639.964 | 10486.977 |
| 42764.023 | 2123.111 | 6739.747 | -4110.127 | -17737.863 | 10522.255 |
| 42725.572 | 2272.908 | 6886.540 | -4193.878 | -17638.552 | 10515.050 |
| 90.158 | 243.618 | 366.792 | -69.990 | 123.067 | -151.622 |
| -37956.963 | -440.457 | 23002.374 | -2677.793 | 29563.239 | -13231.223 |
| -38024.293 | -511.256 | 23085.174 | -2717.674 | 29567.340 | -13227.034 |
| 1.873 | 0.737 | 1.394 | 26.997 | -2.036 | -0.791 |
| -38073.925 | -552.998 | 22998.067 | -2725.137 | 29590.504 | -13227.183 |
| -42758.116 | -2123.841 | -6742.219 | 4112.996 | 17759.772 | -10493.955 |
| -373.265 | -145.021 | -2975.376 | 699.369 | -1203.643 | 287.996 |
| 4317.627 | 313.996 | 737.929 | -419.066 | -1764.311 | 1049.242 |
| 43.524 | 45.367 | 93.983 | 1.394 | 1.426 | -2.171 |
| 1.470 | -19.258 | -28.969 | 29.452 | -14.174 | 14.713 |
| 4271.882 | 227.446 | 691.276 | -422.051 | -1742.071 | 1050.642 |
| 4274.124 | 213.261 | 671.955 | -411.396 | -1772.466 | 1074.639 |
| 95.753 | 67.257 | 74.972 | -3.760 | 12.829 | -16.655 |
| -4225.586 | -141.983 | -642.105 | 421.664 | 1762.741 | -1047.870 |
| -3757.674 | -6.285 | 2384.335 | -267.763 | 2958.027 | -1325.276 |
| 1.873 | 0.737 | 1.394 | 26.997 | -2.036 | -0.791 |
| -4274.070 | -228.905 | -686.988 | 417.069 | 1785.131 | -1046.669 |
| -3.222 | 0.105 | -1.791 | -0.803 | 2.721 | 26.985 |
| 527.780 | 69.938 | 114.802 | -40.319 | -174.219 | 102.093 |
| 45.407 | 92.352 | 45.325 | 2.226 | -0.699 | 0.065 |
| 43.618 | 45.456 | 93.579 | 1.618 | 1.439 | -2.259 |
| 1.644 | -1.256 | -1.430 | 24.391 | -3.159 | 0.829 |
| 426.753 | 21.934 | 70.666 | -44.081 | -155.004 | 106.992 |
| 424.585 | 23.593 | 66.518 | -42.331 | -173.453 | 128.099 |
| -336.053 | 28.216 | -22.554 | 43.533 | 178.605 | -107.744 |
| -380.174 | 63.503 | -20.374 | 43.127 | 176.550 | -105.094 |
| 44.732 | 47.994 | 94.433 | 0.551 | 2.938 | -2.389 |
| -425.848 | -21.986 | -67.124 | 65.534 | 174.516 | -105.636 |
| -0.790 | -0.818 | 2.072 | -2.471 | 24.736 | 1.935 |
| -430.392 | -20.306 | -69.672 | 40.583 | 180.566 | -83.000 |
| 51163.907 | 53917.503 | 852.887 | -6588.418 | 6411.888 | -52448.316 |
| 46.674 | 100.863 | 45.268 | -4.098 | 3.040 | 3.507 |
| 51100.033 | 53910.587 | 910.716 | -6586.573 | 6401.699 | -52448.359 |
| 51050.729 | 53867.354 | 800.292 | -6562.583 | 6409.242 | -52444.183 |
| 1.535 | -0.371 | -2.719 | -0.323 | 27.294 | -0.841 |
| 51052.001 | 53861.630 | 803.412 | -6586.401 | 6401.817 | -52419.749 |
| 109.333 | 48.908 | 47.944 | -0.726 | 1.385 | -2.066 |
| -51003.363 | -53763.146 | -755.463 | 6585.121 | -6404.778 | 52447.144 |
| 47.910 | 47.984 | 107.266 | -0.407 | -2.719 | -0.242 |
| -0.734 | 0.749 | -0.407 | 27.501 | -0.323 | -0.247 |
| 4.281 | 3.239 | 1.129 | 0.769 | 30.899 | -0.826 |
| 2.792 | 1.890 | 4.100 | 1.502 | -0.126 | 27.392 |
| 109.310 | 48.956 | 47.921 | -0.773 | 1.470 | -1.982 |
| 48.790 | 99.794 | 47.911 | -1.251 | -0.004 | -0.771 |
| 5152.773 | 5433.904 | 187.136 | -659.193 | 637.467 | -5244.884 |
| 5104.495 | 5387.023 | 79.939 | -631.135 | 640.122 | -5245.074 |
| 5106.733 | 5385.873 | 77.628 | -658.936 | 667.718 | -5245.640 |
| -0.350 | -1.657 | -0.252 | -0.046 | -3.392 | 28.031 |
| -4995.849 | -5337.114 | -32.241 | 657.873 | -638.737 | 5242.924 |
| 48.875 | 99.612 | 48.004 | -1.060 | -0.345 | -1.105 |
| -5057.509 | -5338.765 | 26.790 | 658.333 | -643.650 | 5244.433 |
| -5105.136 | -5385.547 | -79.500 | 687.017 | -641.193 | 5243.489 |
| 1.535 | -0.371 | -2.719 | -0.323 | 27.294 | -0.841 |
| -5105.647 | -5388.033 | -80.559 | 658.616 | -643.857 | 5272.932 |
| 109.102 | 49.239 | 47.816 | -1.024 | 1.934 | -1.514 |
| 559.318 | 638.330 | 55.947 | -67.165 | 64.107 | -525.162 |
| 558.450 | 586.658 | 115.293 | -66.281 | 61.375 | -524.707 |
| -0.742 | 0.698 | -0.426 | 27.503 | -0.390 | -0.288 |
| 1.527 | -0.353 | -2.729 | -0.342 | 27.324 | -0.808 |
| -0.337 | -1.399 | -0.246 | -0.179 | -3.033 | 28.193 |
| -401.279 | -489.301 | 40.255 | 65.183 | -62.261 | 522.579 |
| -461.524 | -438.842 | 40.139 | 64.695 | -63.931 | 523.656 |
| -462.629 | -490.686 | 99.215 | 65.466 | -66.814 | 524.228 |
| -0.725 | 0.730 | -0.397 | 27.516 | -0.357 | -0.280 |
| -508.958 | -538.915 | -10.731 | 65.520 | -36.687 | 523.678 |
| -0.090 | -1.248 | 0.097 | 0.013 | -2.962 | 28.031 |
| 4571.595 | 60242.747 | 9540.840 | -19819.793 | 19089.104 | -20807.858 |
| 824.802 | 13568.893 | 1775.924 | -3171.671 | 6980.235 | -4308.458 |
| 8323.289 | 57897.650 | 10085.192 | -24088.159 | 10741.634 | -21061.738 |
| 3704.345 | 61713.781 | 9545.476 | -19377.131 | 21371.246 | -21033.810 |
| 3374.742 | 46717.398 | 7287.133 | -14913.835 | 15904.872 | -16079.399 |
| 3606.817 | 61803.197 | 9516.088 | -19311.546 | 21548.655 | -20998.155 |
| -4503.456 | -60932.253 | -9674.972 | 20247.155 | -19076.934 | 21144.386 |
| -3007.804 | -19934.562 | -3125.444 | 8032.857 | -4788.099 | 7012.466 |
| -3847.555 | -61535.660 | -9465.133 | 19594.522 | -20740.042 | 21039.193 |
| -6188.579 | -42741.736 | -7253.463 | 17686.494 | -8366.254 | 15449.860 |
| -3844.075 | -61637.472 | -9522.483 | 19545.569 | -20792.449 | 21020.552 |
| 187.655 | -4002.857 | -311.837 | 183.230 | -3375.420 | 945.076 |
| -196.458 | 1316.586 | 124.268 | 112.364 | 1297.825 | -284.995 |
| -668.486 | 6357.358 | 669.225 | -474.879 | 4599.839 | -1773.527 |
| -626.750 | 5057.375 | 533.204 | -383.114 | 3811.442 | -1345.068 |
| 667.540 | 4632.456 | 796.905 | -1897.092 | 894.759 | -1677.202 |
| 829.559 | 5783.776 | 1004.635 | -2406.372 | 1111.427 | -2102.185 |
| 312.421 | 6236.960 | 916.136 | -1778.141 | 2350.340 | -2092.423 |
| -729.566 | -5744.191 | -954.635 | 2407.244 | -1072.985 | 2110.232 |
| -79.946 | -4400.454 | -596.562 | 1215.014 | -1885.583 | 1472.942 |
| -251.886 | -6097.757 | -825.211 | 1794.825 | -2302.952 | 2082.002 |
| -26.567 | 30.157 | 55.275 | -37.516 | -156.984 | -53.010 |
| -509.350 | -3507.568 | -585.632 | 1443.792 | -692.717 | 1260.383 |
| -311.583 | -6241.210 | -923.486 | 1836.012 | -2321.280 | 2123.245 |
| 168.235 | 559.849 | 139.400 | -218.024 | 86.719 | -188.263 |
| 83.069 | 545.146 | 122.117 | -147.281 | 153.677 | -158.047 |
| 126.356 | 624.601 | 203.520 | -239.544 | 94.500 | -213.457 |
| 36.197 | 621.418 | 102.775 | -179.192 | 216.890 | -210.380 |
| -1.784 | 214.922 | 29.649 | -35.485 | 144.078 | -65.546 |
| 36.714 | 621.707 | 96.992 | -193.401 | 215.400 | -195.235 |
| 20.372 | -535.470 | -50.338 | 224.318 | -125.988 | 211.246 |
| -34.804 | -495.730 | -53.870 | 245.083 | -108.645 | 214.025 |
| 10.102 | -567.580 | -12.798 | 204.102 | -202.377 | 212.520 |
| 45.293 | -34.201 | 17.201 | -40.342 | -125.207 | -6.175 |
| -0.487 | -11.826 | 4.597 | 2.494 | 4.872 | 0.292 |
| -79.492 | -577.380 | -102.005 | 245.331 | -95.798 | 239.189 |
| 63.306 | 46.331 | 1.291 | 0.000 | 0.000 | 0.000 |
| 51.637 | 98.708 | 55.507 | -0.000 | 0.000 | -0.000 |
| -2.847 | 53.645 | 35.812 | -0.000 | 0.000 | -0.000 |
| 0.000 | 0.000 | 0.000 | 30.051 | 0.000 | 0.000 |
| 0.000 | 0.000 | 0.000 | -0.000 | 15.840 | 0.000 |
| 6.792 | -4.761 | 6.798 | -0.000 | 0.000 | -2.942 |
| 40.381 | 70.017 | -29.520 | 0.000 | -0.000 | 0.000 |
| 28.888 | 115.882 | 31.470 | 0.000 | 0.000 | 0.000 |
| -28.526 | 81.548 | -0.117 | -0.000 | 0.000 | 0.000 |
| 0.000 | -0.000 | -0.000 | 30.051 | -0.000 | 0.000 |
| -0.000 | -0.000 | -0.000 | 0.000 | 15.840 | 0.000 |
| -6.792 | 4.761 | -6.798 | 0.000 | -0.000 | -2.942 |
| 82.637 | 32.187 | 21.254 | -0.000 | 0.000 | -0.000 |
| 28.888 | 115.882 | 31.470 | -0.000 | -0.000 | 0.000 |
| 21.506 | 35.021 | 61.793 | -0.000 | 0.000 | -0.000 |
| -0.000 | 0.000 | 0.000 | 30.051 | 0.000 | 0.000 |
| 0.368 | -0.258 | 0.368 | -0.000 | 9.643 | -0.000 |
| 0.000 | 0.000 | -0.000 | -0.000 | 0.000 | 23.122 |
| 60.119 | 48.550 | -1.884 | -0.000 | 0.000 | 0.000 |
| 28.888 | 115.882 | 31.470 | 0.000 | 0.000 | 0.000 |
| -24.288 | 77.935 | 4.788 | 0.000 | 0.000 | 0.000 |
| 0.000 | -0.000 | -0.000 | 30.051 | -0.000 | 0.000 |
| -0.368 | 0.258 | -0.368 | 0.000 | 9.643 | 0.000 |
| -0.000 | -0.000 | 0.000 | 0.000 | 0.000 | 23.122 |
| 60.443 | 48.329 | -1.561 | -0.000 | -0.000 | -0.000 |
| 28.889 | 115.883 | 31.471 | -0.000 | 0.000 | 0.000 |
| -5.249 | 55.239 | 33.504 | -0.000 | -0.000 | -0.000 |
| 0.026 | -0.022 | 0.030 | 2.296 | -0.000 | -0.000 |
| 0.037 | -0.026 | 0.037 | -0.000 | 9.642 | -0.000 |
| 0.000 | -0.000 | -0.000 | -0.000 | 0.000 | 23.122 |
| 60.378 | 48.366 | -1.625 | 0.000 | 0.000 | 0.000 |
| 28.887 | 115.881 | 31.469 | 0.000 | -0.000 | 0.000 |
| -23.867 | 77.572 | 5.276 | 0.000 | 0.000 | 0.000 |
| -0.026 | 0.022 | -0.030 | 2.296 | 0.000 | 0.000 |
| -0.037 | 0.026 | -0.037 | 0.000 | 9.642 | 0.000 |
| -0.000 | 0.000 | 0.000 | 0.000 | 0.000 | 23.122 |
| 125.438 | 49.889 | 49.889 | 0.000 | 0.000 | -0.000 |
| 49.889 | 125.438 | 49.889 | 0.000 | 0.000 | -0.000 |
| 49.889 | 49.889 | 125.438 | 0.000 | 0.000 | -0.000 |
| 1.026 | 1.026 | 1.026 | 15.522 | 0.000 | -0.000 |
| 1.026 | 1.026 | 1.026 | 0.000 | 15.522 | -0.000 |
| 1.026 | 1.026 | 1.026 | 0.000 | 0.000 | 15.522 |
| 125.438 | 49.889 | 49.889 | -0.000 | -0.000 | 0.000 |
| 49.889 | 125.438 | 49.889 | -0.000 | -0.000 | 0.000 |
| 49.889 | 49.889 | 125.438 | -0.000 | 0.000 | 0.000 |
| -1.026 | -1.026 | -1.026 | 15.522 | -0.000 | 0.000 |
| -1.026 | -1.026 | -1.026 | -0.000 | 15.522 | 0.000 |
| -1.026 | -1.026 | -1.026 | 0.000 | -0.000 | 15.522 |
| 115.783 | 53.613 | 53.613 | -0.000 | 0.000 | -0.000 |
| 53.613 | 115.783 | 53.613 | 0.000 | 0.000 | -0.000 |
| 53.613 | 53.613 | 115.783 | -0.000 | 0.000 | -0.000 |
| 0.095 | 0.095 | 0.095 | 16.170 | 0.000 | -0.000 |
| 0.095 | 0.095 | 0.095 | 0.000 | 16.170 | -0.000 |
| 0.095 | 0.095 | 0.095 | 0.000 | 0.000 | 16.170 |
| 112.306 | 53.381 | 53.381 | -0.000 | -0.000 | 0.000 |
| 53.381 | 112.306 | 53.381 | -0.000 | -0.000 | 0.000 |
| 53.381 | 53.381 | 112.306 | -0.000 | -0.000 | 0.000 |
| -0.095 | -0.095 | -0.095 | 16.170 | -0.000 | 0.000 |
| -0.095 | -0.095 | -0.095 | -0.000 | 16.170 | 0.000 |
| -0.095 | -0.095 | -0.095 | -0.000 | -0.000 | 16.170 |
| 115.612 | 53.562 | 53.562 | 0.000 | 0.000 | -0.000 |
| 53.562 | 115.612 | 53.562 | 0.000 | 0.000 | -0.000 |
| 53.562 | 53.562 | 115.612 | 0.000 | 0.000 | -0.000 |
| 0.000 | 0.000 | 0.000 | 24.135 | 0.000 | -0.000 |
| 0.000 | 0.000 | 0.000 | 0.000 | 24.135 | -0.000 |
| 0.000 | 0.000 | 0.000 | 0.000 | 0.000 | 24.135 |
| 115.550 | 53.531 | 53.531 | -0.000 | 0.000 | 0.000 |
| 53.531 | 115.550 | 53.531 | -0.000 | -0.000 | 0.000 |
| 53.531 | 53.531 | 115.550 | -0.000 | -0.000 | 0.000 |
| -0.000 | -0.000 | -0.000 | 24.135 | -0.000 | 0.000 |
| -0.000 | -0.000 | -0.000 | -0.000 | 24.135 | 0.000 |
| -0.000 | -0.000 | -0.000 | 0.000 | -0.000 | 24.135 |
| 121.850 | 46.428 | 46.428 | 0.000 | -0.000 | -0.000 |
| 46.428 | 121.850 | 46.428 | -0.000 | -0.000 | -0.000 |
| 46.428 | 46.428 | 121.850 | -0.000 | -0.000 | -0.000 |
| 19.147 | 19.147 | 19.147 | 15.737 | -0.000 | -0.000 |
| 19.147 | 19.147 | 19.147 | 0.000 | 15.737 | -0.000 |
| 19.147 | 19.147 | 19.147 | -0.000 | 0.000 | 15.737 |
| 121.850 | 46.428 | 46.428 | 0.000 | 0.000 | 0.000 |
| 46.428 | 121.850 | 46.428 | 0.000 | 0.000 | 0.000 |
| 46.428 | 46.428 | 121.850 | 0.000 | 0.000 | 0.000 |
| -19.147 | -19.147 | -19.147 | 15.737 | -0.000 | 0.000 |
| -19.147 | -19.147 | -19.147 | -0.000 | 15.737 | 0.000 |
| -19.147 | -19.147 | -19.147 | 0.000 | 0.000 | 15.737 |
| 114.958 | 51.603 | 51.603 | -0.000 | -0.000 | -0.000 |
| 51.603 | 114.958 | 51.603 | -0.000 | 0.000 | -0.000 |
| 51.603 | 51.603 | 114.958 | -0.000 | -0.000 | -0.000 |
| 0.000 | 0.000 | 0.000 | 24.092 | -0.000 | -0.000 |
| 0.000 | 0.000 | 0.000 | -0.000 | 24.092 | -0.000 |
| 0.000 | 0.000 | 0.000 | -0.000 | 0.000 | 24.092 |
| 121.850 | 46.428 | 46.428 | 0.000 | 0.000 | 0.000 |
| 46.428 | 121.850 | 46.428 | 0.000 | 0.000 | 0.000 |
| 46.428 | 46.428 | 121.850 | 0.000 | 0.000 | 0.000 |
| -0.000 | -0.000 | -0.000 | 24.092 | 0.000 | 0.000 |
| -0.000 | -0.000 | -0.000 | 0.000 | 24.092 | 0.000 |
| -0.000 | -0.000 | -0.000 | -0.000 | -0.000 | 24.092 |
| 112.492 | 50.352 | 50.352 | -0.000 | -0.000 | -0.000 |
| 50.352 | 112.492 | 50.352 | -0.000 | -0.000 | -0.000 |
| 50.352 | 50.352 | 112.492 | 0.000 | -0.000 | -0.000 |
| 0.000 | 0.000 | 0.000 | 24.092 | -0.000 | -0.000 |
| 0.000 | 0.000 | 0.000 | -0.000 | 24.092 | -0.000 |
| 0.000 | 0.000 | 0.000 | 0.000 | 0.000 | 24.092 |
| 111.618 | 50.120 | 50.120 | 0.000 | -0.000 | 0.000 |
| 50.120 | 111.618 | 50.120 | -0.000 | 0.000 | 0.000 |
| 50.120 | 50.120 | 111.618 | 0.000 | 0.000 | 0.000 |
| -0.000 | -0.000 | -0.000 | 24.092 | -0.000 | 0.000 |
| -0.000 | -0.000 | -0.000 | 0.000 | 24.092 | 0.000 |
| -0.000 | -0.000 | -0.000 | 0.000 | 0.000 | 24.092 |
| 84.321 | 49.138 | 49.138 | -0.000 | -0.000 | 0.000 |
| 49.138 | 84.321 | 49.138 | 0.000 | -0.000 | 0.000 |
| 49.138 | 49.138 | 84.321 | 0.000 | -0.000 | 0.000 |
| -1.920 | -1.920 | -1.920 | 17.722 | -0.000 | 0.000 |
| -1.920 | -1.920 | -1.920 | -0.000 | 17.722 | 0.000 |
| -1.920 | -1.920 | -1.920 | -0.000 | 0.000 | 17.722 |
| 86.168 | 49.426 | 49.426 | -0.000 | -0.000 | 0.000 |
| 49.426 | 86.168 | 49.426 | -0.000 | 0.000 | 0.000 |
| 49.426 | 49.426 | 86.168 | -0.000 | -0.000 | 0.000 |
| 1.920 | 1.920 | 1.920 | 17.722 | -0.000 | 0.000 |
| 1.920 | 1.920 | 1.920 | -0.000 | 17.722 | -0.000 |
| 1.920 | 1.920 | 1.920 | 0.000 | 0.000 | 17.722 |
| 85.523 | 49.165 | 49.165 | 0.000 | -0.000 | 0.000 |
| 49.165 | 85.523 | 49.165 | 0.000 | -0.000 | 0.000 |
| 49.165 | 49.165 | 85.523 | 0.000 | -0.000 | 0.000 |
| -0.042 | -0.042 | -0.042 | 20.410 | 0.000 | 0.000 |
| -0.042 | -0.042 | -0.042 | 0.000 | 20.410 | 0.000 |
| -0.042 | -0.042 | -0.042 | 0.000 | 0.000 | 20.410 |
| 92.238 | 46.535 | 46.535 | -0.000 | 0.000 | 0.000 |
| 46.535 | 92.238 | 46.535 | -0.000 | 0.000 | -0.000 |
| 46.535 | 46.535 | 92.238 | -0.000 | -0.000 | -0.000 |
| 0.042 | 0.042 | 0.042 | 20.410 | -0.000 | -0.000 |
| 0.042 | 0.042 | 0.042 | 0.000 | 20.410 | -0.000 |
| 0.042 | 0.042 | 0.042 | -0.000 | 0.000 | 20.410 |
| 92.249 | 46.547 | 46.547 | 0.000 | -0.000 | 0.000 |
| 46.547 | 92.249 | 46.547 | 0.000 | -0.000 | 0.000 |
| 46.547 | 46.547 | 92.249 | -0.000 | -0.000 | 0.000 |
| -0.004 | -0.004 | -0.004 | 20.414 | 0.000 | 0.000 |
| -0.004 | -0.004 | -0.004 | 0.000 | 20.414 | -0.000 |
| -0.004 | -0.004 | -0.004 | 0.000 | -0.000 | 20.414 |
| 92.228 | 46.526 | 46.526 | -0.000 | 0.000 | -0.000 |
| 46.526 | 92.228 | 46.526 | -0.000 | -0.000 | -0.000 |
| 46.526 | 46.526 | 92.228 | 0.000 | 0.000 | -0.000 |
| 0.004 | 0.004 | 0.004 | 20.414 | -0.000 | 0.000 |
| 0.004 | 0.004 | 0.004 | 0.000 | 20.414 | 0.000 |
| 0.004 | 0.004 | 0.004 | 0.000 | -0.000 | 20.414 |
| 91.809 | 46.148 | 46.148 | 0.000 | 0.000 | 0.000 |
| 46.148 | 91.809 | 46.148 | 0.000 | 0.000 | 0.000 |
| 46.148 | 46.148 | 91.809 | 0.000 | 0.000 | 0.000 |
| -0.000 | -0.000 | -0.000 | 20.351 | 0.000 | 0.000 |
| -0.000 | -0.000 | -0.000 | 0.000 | 20.351 | 0.000 |
| -0.000 | -0.000 | -0.000 | 0.000 | 0.000 | 20.351 |
| 91.809 | 46.148 | 46.148 | -0.000 | -0.000 | -0.000 |
| 46.148 | 91.809 | 46.148 | -0.000 | 0.000 | -0.000 |
| 46.148 | 46.148 | 91.809 | -0.000 | -0.000 | -0.000 |
| 0.000 | 0.000 | 0.000 | 20.351 | -0.000 | -0.000 |
| 0.000 | 0.000 | 0.000 | -0.000 | 20.351 | -0.000 |
| 0.000 | 0.000 | 0.000 | -0.000 | -0.000 | 20.351 |
| 85.240 | 48.827 | 48.827 | 0.000 | 0.000 | 0.000 |
| 48.827 | 85.240 | 48.827 | 0.000 | 0.000 | 0.000 |
| 48.827 | 48.827 | 85.240 | 0.000 | 0.000 | 0.000 |
| -0.000 | -0.000 | -0.000 | 30.195 | -0.000 | 0.000 |
| -0.000 | -0.000 | -0.000 | 0.000 | 30.195 | 0.000 |
| -0.000 | -0.000 | -0.000 | -0.000 | 0.000 | 30.195 |
| 85.244 | 48.831 | 48.831 | -0.000 | -0.000 | -0.000 |
| 48.831 | 85.244 | 48.831 | -0.000 | -0.000 | -0.000 |
| 48.831 | 48.831 | 85.244 | -0.000 | -0.000 | -0.000 |
| 0.000 | 0.000 | 0.000 | 30.195 | -0.000 | -0.000 |
| 0.000 | 0.000 | 0.000 | -0.000 | 30.195 | -0.000 |
| 0.000 | 0.000 | 0.000 | -0.000 | 0.000 | 30.195 |
| 85.224 | 48.811 | 48.811 | 0.000 | 0.000 | 0.000 |
| 48.811 | 85.224 | 48.811 | 0.000 | 0.000 | 0.000 |
| 48.811 | 48.811 | 85.224 | 0.000 | 0.000 | 0.000 |
| -0.000 | -0.000 | -0.000 | 30.195 | -0.000 | 0.000 |
| -0.000 | -0.000 | -0.000 | 0.000 | 30.195 | 0.000 |
| -0.000 | -0.000 | -0.000 | 0.000 | -0.000 | 30.195 |
| 80.216 | 49.826 | 49.826 | -0.000 | 0.000 | -0.000 |
| 49.826 | 80.216 | 49.826 | -0.000 | -0.000 | -0.000 |
| 49.826 | 49.826 | 80.216 | -0.000 | -0.000 | -0.000 |
| 0.000 | 0.000 | 0.000 | 30.195 | -0.000 | -0.000 |
| 0.000 | 0.000 | 0.000 | -0.000 | 30.195 | -0.000 |
| 0.000 | 0.000 | 0.000 | -0.000 | -0.000 | 30.195 |
| 132.563 | 62.072 | 42.036 | 0.000 | 0.000 | -0.000 |
| 62.042 | 137.636 | 22.487 | -0.000 | -0.000 | -0.000 |
| 44.652 | 23.004 | 141.893 | -0.000 | -0.000 | -0.000 |
| -0.000 | 0.000 | 0.000 | -7.273 | -0.000 | -0.000 |
| -0.000 | -0.000 | 0.000 | 0.000 | 15.679 | -0.000 |
| -0.000 | 0.000 | 0.000 | -0.000 | 0.000 | 35.094 |
| 132.563 | 62.072 | 42.036 | 0.000 | -0.000 | 0.000 |
| 62.042 | 137.637 | 22.487 | -0.000 | -0.000 | 0.000 |
| 43.192 | 22.706 | 142.761 | 0.000 | -0.000 | -0.000 |
| 0.000 | -0.000 | -0.000 | -7.273 | -0.000 | 0.000 |
| 0.000 | 0.000 | -0.000 | 0.000 | 15.679 | 0.000 |
| 0.000 | -0.000 | -0.000 | -0.000 | 0.000 | 35.094 |
| 132.563 | 62.072 | 42.035 | -0.000 | -0.000 | 0.000 |
| 62.042 | 137.636 | 22.486 | -0.000 | -0.000 | -0.000 |
| 43.994 | 22.869 | 142.283 | -0.000 | -0.000 | -0.000 |
| -0.000 | 0.000 | -0.000 | -7.273 | -0.000 | -0.000 |
| 0.073 | 0.015 | -0.043 | -0.000 | -6.833 | -0.000 |
| 0.000 | 0.000 | -0.000 | 0.000 | 0.000 | 35.094 |
| 129.219 | 61.390 | 44.025 | -0.000 | 0.000 | 0.000 |
| 62.043 | 137.637 | 22.488 | 0.000 | 0.000 | -0.000 |
| 41.978 | 22.459 | 143.484 | 0.000 | 0.000 | 0.000 |
| 0.000 | -0.000 | 0.000 | -7.273 | -0.000 | 0.000 |
| -0.073 | -0.015 | 0.043 | -0.000 | -6.833 | 0.000 |
| -0.000 | -0.000 | 0.000 | -0.000 | -0.000 | 35.094 |
| 132.558 | 62.066 | 42.029 | 0.000 | -0.000 | 0.000 |
| 62.035 | 137.628 | 22.478 | -0.000 | 0.000 | -0.000 |
| 41.970 | 22.449 | 143.475 | -0.000 | 0.000 | -0.000 |
| 0.072 | 0.015 | -0.043 | -8.198 | 0.000 | -0.000 |
| 0.007 | 0.001 | -0.004 | -0.000 | -6.833 | -0.000 |
| 0.000 | 0.000 | -0.000 | -0.000 | -0.000 | 35.094 |
| 129.288 | 61.409 | 43.992 | 0.000 | -0.000 | -0.000 |
| 62.049 | 137.644 | 22.495 | 0.000 | 0.000 | 0.000 |
| 41.985 | 22.467 | 143.491 | 0.000 | -0.000 | -0.000 |
| -0.072 | -0.015 | 0.043 | -8.198 | -0.000 | 0.000 |
| -0.007 | -0.001 | 0.004 | -0.000 | -6.833 | 0.000 |
| -0.000 | -0.000 | 0.000 | 0.000 | 0.000 | 35.094 |
| 72.559 | 38.613 | 9.976 | -0.000 | -0.000 | -0.000 |
| 83.618 | 27.553 | 9.976 | -0.000 | 0.000 | -0.000 |
| 9.976 | 9.976 | 119.551 | -0.000 | -0.000 | -0.000 |
| -0.000 | -0.000 | 0.000 | -14.141 | -0.000 | -0.000 |
| -0.000 | 0.000 | 0.000 | -0.000 | -14.141 | -0.000 |
| 0.000 | -0.000 | 0.000 | -0.000 | -0.000 | 16.973 |
| 72.559 | 38.613 | 9.976 | 0.000 | 0.000 | 0.000 |
| 83.618 | 27.553 | 9.976 | 0.000 | -0.000 | 0.000 |
| 9.976 | 9.976 | 119.551 | 0.000 | 0.000 | 0.000 |
| 0.000 | 0.000 | -0.000 | -14.141 | -0.000 | 0.000 |
| 0.000 | 0.000 | -0.000 | 0.000 | -14.141 | 0.000 |
| -0.000 | 0.000 | -0.000 | 0.000 | 0.000 | 16.973 |
| 25.088 | 86.084 | 9.976 | -0.000 | 0.000 | -0.000 |
| 83.618 | 27.553 | 9.976 | -0.000 | 0.000 | -0.000 |
| 9.976 | 9.976 | 119.550 | -0.000 | -0.000 | -0.000 |
| 0.000 | 0.000 | -0.000 | -14.141 | -0.000 | -0.000 |
| 0.000 | 0.000 | -0.000 | -0.000 | -14.141 | -0.000 |
| 0.000 | 0.000 | -0.000 | -0.000 | -0.000 | -28.032 |
| 25.087 | 86.084 | 9.976 | 0.000 | -0.000 | 0.000 |
| 83.618 | 27.554 | 9.976 | 0.000 | 0.000 | 0.000 |
| 9.976 | 9.976 | 119.551 | 0.000 | -0.000 | 0.000 |
| -0.000 | -0.000 | 0.000 | -14.141 | 0.000 | -0.000 |
| -0.000 | -0.000 | 0.000 | 0.000 | -14.141 | 0.000 |
| -0.000 | -0.000 | 0.000 | 0.000 | -0.000 | -28.032 |
| 72.559 | 38.612 | 9.975 | -0.000 | -0.000 | -0.000 |
| 1207055.702 | 2499071.531 | -4998299.342 | 0.388 | -0.000 | 0.010 |
| 9.974 | 9.974 | 119.548 | 0.000 | -0.000 | -0.000 |
| 0.000 | 0.000 | -0.000 | -14.141 | -0.000 | -0.000 |
| 0.000 | 0.000 | -0.000 | -0.000 | -14.141 | -0.000 |
| 0.000 | 0.000 | -0.000 | -0.000 | -0.000 | -28.032 |
| -1206970.318 | -2498959.032 | 4998304.861 | -0.388 | 0.000 | -0.014 |
| 4399134.124 | 4814120.712 | 5417702.171 | 11232.272 | -3167.454 | 33134.289 |
| 9.978 | 9.978 | 119.553 | -0.000 | 0.000 | 0.000 |
| -0.000 | -0.000 | 0.000 | -14.141 | 0.000 | 0.000 |
| -0.000 | -0.000 | 0.000 | 0.000 | -14.141 | 0.000 |
| -0.000 | -0.000 | 0.000 | 0.000 | 0.000 | -28.032 |
| 123.521 | 51.545 | 42.810 | 2.061 | 0.000 | -0.000 |
| 51.545 | 123.521 | 42.810 | -2.061 | -0.000 | 0.000 |
| 52.660 | 52.660 | 108.359 | -0.000 | -0.000 | 0.000 |
| 11.843 | 7.845 | -8.663 | 24.599 | -0.000 | -0.000 |
| 9.844 | 9.844 | -8.663 | 0.000 | 24.599 | 1.999 |
| -0.000 | 0.000 | 0.000 | -0.000 | 2.061 | 35.988 |
| 123.521 | 51.545 | 42.810 | 2.061 | -0.000 | 0.000 |
| 51.545 | 123.521 | 42.810 | -2.061 | 0.000 | -0.000 |
| 32.971 | 32.971 | 125.685 | 0.000 | -0.000 | -0.000 |
| -7.845 | -11.843 | 8.663 | 24.599 | -0.000 | 0.000 |
| -9.844 | -9.844 | 8.663 | 0.000 | 24.599 | 1.999 |
| 0.000 | -0.000 | -0.000 | 0.000 | 2.061 | 35.988 |
| 123.522 | 51.546 | 42.811 | 2.061 | 0.000 | -0.000 |
| 51.546 | 123.522 | 42.811 | -2.061 | 0.000 | -0.000 |
| 43.801 | 43.801 | 116.157 | -0.000 | 0.000 | 0.000 |
| 2.061 | -2.061 | 0.000 | 24.621 | 0.000 | -0.000 |
| 0.985 | 0.985 | -0.866 | 0.000 | 24.599 | 1.999 |
| 0.000 | 0.000 | 0.000 | 0.000 | 2.061 | 35.988 |
| 123.520 | 51.544 | 42.809 | 2.061 | -0.000 | 0.000 |
| 50.733 | 122.347 | 43.682 | -1.999 | 0.000 | 0.000 |
| 41.830 | 41.830 | 117.887 | 0.000 | 0.000 | -0.000 |
| 2.061 | -2.061 | -0.000 | 24.621 | -0.000 | -0.000 |
| -0.985 | -0.985 | 0.866 | -0.000 | 24.599 | 1.999 |
| -0.000 | -0.000 | -0.000 | -0.000 | 2.061 | 35.988 |
| 123.531 | 51.554 | 42.820 | 2.061 | -0.000 | -0.000 |
| 51.554 | 123.531 | 42.820 | -2.061 | 0.000 | -0.000 |
| 42.925 | 42.925 | 116.947 | -0.000 | -0.000 | 0.000 |
| 2.098 | -1.898 | -0.087 | 24.599 | 0.000 | -0.000 |
| 0.100 | 0.100 | -0.087 | 0.000 | 24.599 | 1.998 |
| 0.108 | 0.108 | -0.095 | 0.000 | 1.993 | 35.789 |
| 123.511 | 51.536 | 42.800 | 2.061 | -0.000 | 0.000 |
| 51.536 | 123.512 | 42.800 | -2.061 | 0.000 | -0.000 |
| 42.799 | 42.799 | 117.015 | 0.000 | -0.000 | 0.000 |
| 1.898 | -2.098 | 0.087 | 24.599 | 0.000 | 0.000 |
| -0.100 | -0.100 | 0.087 | -0.000 | 24.599 | 1.998 |
| -0.108 | -0.108 | 0.095 | -0.000 | 1.993 | 35.789 |
| 72.484 | 49.289 | 49.289 | -0.000 | -0.000 | -0.000 |
| 49.289 | 72.484 | 49.289 | -0.000 | -0.000 | 0.000 |
| 49.289 | 49.289 | 72.484 | -0.000 | 0.000 | 0.000 |
| 0.000 | 0.000 | 0.000 | 36.667 | -0.000 | 0.000 |
| 0.000 | 0.000 | 0.000 | -0.000 | 36.667 | -0.000 |
| 0.000 | 0.000 | 0.000 | -0.000 | -0.000 | 36.667 |
| 72.484 | 49.289 | 49.289 | 0.000 | 0.000 | 0.000 |
| 49.289 | 72.484 | 49.289 | 0.000 | 0.000 | 0.000 |
| 49.289 | 49.289 | 72.484 | 0.000 | 0.000 | 0.000 |
| -0.000 | -0.000 | -0.000 | 36.667 | -0.000 | -0.000 |
| -0.000 | -0.000 | -0.000 | 0.000 | 36.667 | 0.000 |
| -0.000 | -0.000 | -0.000 | 0.000 | 0.000 | 36.667 |
| 72.484 | 49.289 | 49.289 | 0.000 | -0.000 | -0.000 |
| 49.289 | 72.484 | 49.289 | -0.000 | -0.000 | 0.000 |
| 49.289 | 49.289 | 72.484 | 0.000 | -0.000 | 0.000 |
| 0.000 | -0.000 | -0.000 | -5.029 | -0.000 | -0.000 |
| -0.000 | 0.000 | -0.000 | -0.000 | -5.029 | -0.000 |
| -0.000 | -0.000 | 0.000 | -0.000 | -0.000 | -5.029 |
| 72.483 | 49.288 | 49.288 | 0.000 | 0.000 | -0.000 |
| 49.288 | 72.483 | 49.288 | 0.000 | 0.000 | 0.000 |
| 49.288 | 49.288 | 72.483 | 0.000 | 0.000 | 0.000 |
| -0.000 | 0.000 | 0.000 | -5.029 | 0.000 | -0.000 |
| 0.000 | -0.000 | 0.000 | 0.000 | -5.029 | -0.000 |
| 0.000 | 0.000 | -0.000 | 0.000 | 0.000 | -5.029 |
| 72.488 | 49.293 | 49.293 | -0.000 | 0.000 | -0.000 |
| 49.293 | 72.488 | 49.293 | -0.000 | -0.000 | -0.000 |
| 49.293 | 49.293 | 72.488 | -0.000 | -0.000 | 0.000 |
| 0.000 | -0.000 | -0.000 | -5.029 | 0.000 | -0.000 |
| -0.000 | 0.000 | -0.000 | 0.000 | -5.029 | 0.000 |
| -0.000 | -0.000 | 0.000 | -0.000 | -0.000 | -5.029 |
| 72.479 | 49.285 | 49.285 | 0.000 | 0.000 | -0.000 |
| 49.285 | 72.479 | 49.285 | 0.000 | 0.000 | -0.000 |
| 49.285 | 49.285 | 72.479 | 0.000 | 0.000 | 0.000 |
| -0.000 | 0.000 | 0.000 | -5.029 | 0.000 | -0.000 |
| 0.000 | -0.000 | 0.000 | 0.000 | -5.029 | 0.000 |
| 0.000 | 0.000 | -0.000 | -0.000 | 0.000 | -5.029 |
| 1.158 | 7.813 | 7.813 | -0.000 | -0.000 | -0.000 |
| 7.813 | 1.158 | 7.813 | -0.000 | -0.000 | -0.000 |
| 7.813 | 7.813 | 1.158 | -0.000 | -0.000 | -0.000 |
| -0.000 | 0.000 | 0.000 | 0.695 | 0.000 | -0.000 |
| 0.000 | -0.000 | 0.000 | -0.000 | 0.695 | 0.000 |
| 0.000 | -0.000 | 0.000 | -0.000 | 0.000 | 0.695 |
| 1.158 | 7.813 | 7.813 | 0.000 | 0.000 | 0.000 |
| 7.813 | 1.158 | 7.813 | 0.000 | 0.000 | -0.000 |
| 7.813 | 7.813 | 1.158 | -0.000 | 0.000 | 0.000 |
| 0.000 | 0.000 | -0.000 | 0.695 | -0.000 | -0.000 |
| -0.000 | 0.000 | -0.000 | 0.000 | 0.695 | 0.000 |
| -0.000 | -0.000 | -0.000 | 0.000 | -0.000 | 0.695 |
| 1.158 | 7.813 | 7.813 | -0.000 | -0.000 | -0.000 |
| 7.813 | 1.158 | 7.813 | -0.000 | 0.000 | 0.000 |
| 7.813 | 7.813 | 1.158 | 0.000 | 0.000 | -0.000 |
| -0.000 | -0.000 | 0.000 | 6.473 | 0.000 | 0.000 |
| -0.000 | -0.000 | 0.000 | -0.000 | 6.473 | -0.000 |
| -0.000 | 0.000 | 0.000 | -0.000 | -0.000 | 6.473 |
| 1.158 | 7.813 | 7.813 | 0.000 | -0.000 | 0.000 |
| 7.813 | 1.158 | 7.813 | 0.000 | 0.000 | 0.000 |
| 7.813 | 7.813 | 1.158 | 0.000 | 0.000 | 0.000 |
| 0.000 | 0.000 | -0.000 | 6.473 | -0.000 | -0.000 |
| 0.000 | 0.000 | -0.000 | 0.000 | 6.473 | 0.000 |
| 0.000 | -0.000 | -0.000 | 0.000 | 0.000 | 6.473 |
| 1.158 | 7.813 | 7.813 | -0.000 | 0.000 | -0.000 |
| 7.813 | 1.158 | 7.813 | -0.000 | 0.000 | -0.000 |
| 7.813 | 7.813 | 1.158 | 0.000 | 0.000 | 0.000 |
| -0.002 | 0.000 | 0.000 | -12.468 | 0.000 | -0.000 |
| 0.000 | -0.002 | 0.000 | -0.000 | -12.468 | -0.000 |
| 0.000 | 0.000 | -0.002 | -0.000 | -0.000 | -12.468 |
| 1.158 | 7.813 | 7.813 | -0.000 | -0.000 | -0.000 |
| 7.813 | 1.158 | 7.813 | -0.000 | 0.000 | 0.000 |
| 7.813 | 7.813 | 1.158 | 0.000 | 0.000 | 0.000 |
| 0.002 | -0.000 | -0.000 | -12.468 | 0.000 | 0.000 |
| -0.000 | 0.002 | -0.000 | 0.000 | -12.468 | 0.000 |
| -0.000 | -0.000 | 0.002 | 0.000 | 0.000 | -12.468 |
| 169.127 | 207.396 | 207.396 | -0.000 | 0.000 | 0.000 |
| 207.396 | 169.127 | 207.396 | -0.000 | 0.000 | 0.000 |
| 207.396 | 207.396 | 169.127 | -0.000 | -0.000 | 0.000 |
| 0.000 | -0.000 | -0.000 | 14.817 | 0.000 | -0.000 |
| -0.000 | -0.000 | -0.000 | -0.000 | 14.817 | 0.000 |
| -0.000 | -0.000 | 0.000 | 0.000 | 0.000 | 14.817 |
| 169.124 | 207.393 | 207.393 | 0.000 | -0.000 | 0.000 |
| 207.393 | 169.124 | 207.393 | 0.000 | -0.000 | -0.000 |
| 207.393 | 207.393 | 169.124 | -0.000 | -0.000 | 0.000 |
| -0.000 | 0.000 | -0.000 | 14.817 | -0.000 | -0.000 |
| 0.000 | 0.000 | 0.000 | 0.000 | 14.817 | -0.000 |
| 0.000 | -0.000 | -0.000 | -0.000 | -0.000 | 14.817 |
| 169.142 | 207.412 | 207.412 | -0.000 | -0.000 | 0.000 |
| 207.412 | 169.142 | 207.412 | -0.000 | 0.000 | -0.000 |
| 207.412 | 207.412 | 169.142 | 0.000 | 0.000 | 0.000 |
| 0.000 | -0.000 | 0.000 | 14.092 | 0.000 | 0.000 |
| -0.000 | 0.000 | 0.000 | -0.000 | 14.092 | 0.000 |
| -0.000 | 0.000 | 0.000 | -0.000 | 0.000 | 14.092 |
| 169.109 | 207.378 | 207.378 | 0.000 | -0.000 | 0.000 |
| 207.378 | 169.109 | 207.378 | 0.000 | -0.000 | -0.000 |
| 207.378 | 207.378 | 169.109 | 0.000 | -0.000 | -0.000 |
| -0.000 | 0.000 | -0.000 | 14.092 | -0.000 | 0.000 |
| 0.000 | -0.000 | -0.000 | 0.000 | 14.092 | -0.000 |
| 0.000 | -0.000 | -0.000 | 0.000 | -0.000 | 14.092 |
| 169.293 | 207.563 | 207.563 | 0.000 | 0.000 | 0.000 |
| 207.563 | 169.293 | 207.563 | -0.000 | 0.000 | 0.000 |
| 207.563 | 207.563 | 169.293 | -0.000 | 0.000 | 0.000 |
| 0.000 | -0.000 | 0.000 | 14.092 | 0.000 | -0.000 |
| -0.000 | 0.000 | 0.000 | -0.000 | 14.092 | 0.000 |
| -0.000 | 0.000 | 0.000 | -0.000 | 0.000 | 14.092 |
| 168.958 | 207.227 | 207.227 | 0.000 | -0.000 | -0.000 |
| 207.227 | 168.958 | 207.227 | 0.000 | -0.000 | -0.000 |
| 207.227 | 207.227 | 168.958 | 0.000 | -0.000 | 0.000 |
| -0.000 | 0.000 | -0.000 | 14.092 | -0.000 | -0.000 |
| 0.000 | -0.000 | -0.000 | 0.000 | 14.092 | -0.000 |
| 0.000 | -0.000 | -0.000 | 0.000 | -0.000 | 14.092 |
| 85.534 | 65.675 | 65.675 | 0.000 | 0.000 | 0.000 |
| 65.675 | 85.534 | 65.675 | -0.000 | 0.000 | -0.000 |
| 65.675 | 65.675 | 85.534 | 0.000 | 0.000 | 0.000 |
| 0.000 | 0.000 | 0.000 | 12.947 | -0.000 | -0.000 |
| 0.000 | 0.000 | 0.000 | -0.000 | 12.947 | -0.000 |
| 0.000 | 0.000 | 0.000 | -0.000 | 0.000 | 12.947 |
| 85.535 | 65.676 | 65.676 | 0.000 | -0.000 | -0.000 |
| 65.676 | 85.535 | 65.676 | 0.000 | 0.000 | 0.000 |
| 65.676 | 65.676 | 85.535 | 0.000 | 0.000 | -0.000 |
| -0.000 | -0.000 | -0.000 | 12.947 | 0.000 | 0.000 |
| -0.000 | -0.000 | -0.000 | 0.000 | 12.947 | 0.000 |
| -0.000 | -0.000 | -0.000 | -0.000 | -0.000 | 12.947 |
| 85.532 | 65.673 | 65.673 | -0.000 | -0.000 | -0.000 |
| 65.673 | 85.532 | 65.673 | 0.000 | 0.000 | 0.000 |
| 65.673 | 65.673 | 85.532 | -0.000 | -0.000 | 0.000 |
| 0.000 | 0.000 | 0.000 | 12.947 | -0.000 | -0.000 |
| 0.000 | 0.000 | 0.000 | -0.000 | 12.947 | 0.000 |
| 0.000 | 0.000 | 0.000 | -0.000 | 0.000 | 12.947 |
| 85.537 | 65.678 | 65.678 | 0.000 | -0.000 | 0.000 |
| 65.678 | 85.537 | 65.678 | -0.000 | -0.000 | -0.000 |
| 65.678 | 65.678 | 85.537 | 0.000 | -0.000 | -0.000 |
| -0.000 | -0.000 | -0.000 | 12.947 | 0.000 | 0.000 |
| -0.000 | -0.000 | -0.000 | 0.000 | 12.947 | -0.000 |
| -0.000 | -0.000 | -0.000 | -0.000 | -0.000 | 12.947 |
| 85.513 | 65.653 | 65.653 | -0.000 | 0.000 | -0.000 |
| 65.653 | 85.513 | 65.653 | -0.000 | 0.000 | 0.000 |
| 65.653 | 65.653 | 85.513 | -0.000 | -0.000 | -0.000 |
| 0.000 | 0.000 | 0.000 | 54.776 | 0.000 | 0.000 |
| 0.000 | 0.000 | 0.000 | 0.000 | 54.776 | -0.000 |
| 0.000 | 0.000 | 0.000 | -0.000 | -0.000 | 54.776 |
| 85.556 | 65.698 | 65.698 | 0.000 | -0.000 | -0.000 |
| 65.698 | 85.556 | 65.698 | -0.000 | 0.000 | -0.000 |
| 65.698 | 65.698 | 85.556 | 0.000 | -0.000 | -0.000 |
| -0.000 | -0.000 | -0.000 | 54.776 | -0.000 | -0.000 |
| -0.000 | -0.000 | -0.000 | 0.000 | 54.776 | 0.000 |
| -0.000 | -0.000 | -0.000 | 0.000 | 0.000 | 54.776 |
| 20.425 | 2.259 | 2.259 | -0.000 | -0.000 | -0.000 |
| 2.259 | 20.425 | 2.259 | 0.000 | -0.000 | 0.000 |
| 2.259 | 2.259 | 20.425 | 0.000 | 0.000 | -0.000 |
| -0.000 | -0.000 | 0.000 | 2.190 | -0.000 | -0.000 |
| -0.000 | -0.000 | 0.000 | 0.000 | 2.190 | -0.000 |
| -0.000 | -0.000 | 0.000 | 0.000 | -0.000 | 2.190 |
| 20.425 | 2.259 | 2.259 | -0.000 | -0.000 | 0.000 |
| 2.259 | 20.425 | 2.259 | -0.000 | -0.000 | -0.000 |
| 2.259 | 2.259 | 20.425 | -0.000 | 0.000 | -0.000 |
| 0.000 | 0.000 | -0.000 | 2.190 | 0.000 | 0.000 |
| 0.000 | 0.000 | -0.000 | 0.000 | 2.190 | 0.000 |
| 0.000 | 0.000 | -0.000 | -0.000 | 0.000 | 2.190 |
| 20.425 | 2.259 | 2.259 | 0.000 | 0.000 | -0.000 |
| 2.259 | 20.425 | 2.259 | 0.000 | -0.000 | -0.000 |
| 2.259 | 2.259 | 20.425 | -0.000 | -0.000 | 0.000 |
| -0.000 | -0.000 | -0.000 | 2.455 | -0.000 | -0.000 |
| -0.000 | -0.000 | -0.000 | 0.000 | 2.455 | -0.000 |
| -0.000 | -0.000 | -0.000 | -0.000 | -0.000 | 2.455 |
| 20.425 | 2.259 | 2.259 | -0.000 | -0.000 | -0.000 |
| 2.259 | 20.425 | 2.259 | -0.000 | 0.000 | -0.000 |
| 2.259 | 2.259 | 20.425 | -0.000 | 0.000 | 0.000 |
| 0.000 | 0.000 | 0.000 | 2.455 | 0.000 | -0.000 |
| 0.000 | 0.000 | 0.000 | -0.000 | 2.455 | 0.000 |
| 0.000 | 0.000 | 0.000 | 0.000 | 0.000 | 2.455 |
| 20.426 | 2.259 | 2.259 | 0.000 | -0.000 | -0.000 |
| 2.259 | 20.426 | 2.259 | 0.000 | -0.000 | -0.000 |
| 2.259 | 2.259 | 20.426 | -0.000 | -0.000 | -0.000 |
| -0.000 | -0.000 | -0.000 | 2.455 | 0.000 | 0.000 |
| -0.000 | -0.000 | -0.000 | 0.000 | 2.455 | -0.000 |
| -0.000 | -0.000 | -0.000 | -0.000 | -0.000 | 2.455 |
| 20.425 | 2.259 | 2.259 | -0.000 | -0.000 | -0.000 |
| 2.259 | 20.425 | 2.259 | -0.000 | -0.000 | 0.000 |
| 2.259 | 2.259 | 20.425 | -0.000 | 0.000 | -0.000 |
| 0.000 | 0.000 | 0.000 | 2.455 | 0.000 | 0.000 |
| 0.000 | 0.000 | 0.000 | -0.000 | 2.455 | -0.000 |
| 0.000 | 0.000 | 0.000 | 0.000 | 0.000 | 2.455 |
| 1155.064 | 1155.064 | 1155.064 | 0.000 | 0.000 | -0.000 |
| 1155.064 | 1155.064 | 1155.064 | 0.000 | 0.000 | -0.000 |
| 1155.064 | 1155.064 | 1155.064 | 0.000 | 0.000 | -0.000 |
| -0.000 | -0.000 | -0.000 | 0.000 | -0.000 | 0.000 |
| -0.000 | -0.000 | -0.000 | -0.000 | 0.000 | 0.000 |
| -0.000 | -0.000 | -0.000 | 0.000 | 0.000 | 0.000 |
| 1155.064 | 1155.064 | 1155.064 | -0.000 | 0.000 | 0.000 |
| 1155.064 | 1155.064 | 1155.064 | 0.000 | -0.000 | 0.000 |
| 1155.064 | 1155.064 | 1155.064 | -0.000 | -0.000 | -0.000 |
| 0.000 | 0.000 | 0.000 | 0.000 | 0.000 | 0.000 |
| 0.000 | 0.000 | 0.000 | 0.000 | 0.000 | 0.000 |
| 0.000 | 0.000 | 0.000 | 0.000 | -0.000 | 0.000 |
| 1155.065 | 1155.065 | 1155.065 | 0.000 | 0.000 | -0.000 |
| 1155.065 | 1155.065 | 1155.065 | 0.000 | 0.000 | -0.000 |
| 1155.065 | 1155.065 | 1155.065 | 0.000 | 0.000 | 0.000 |
| -0.000 | -0.000 | -0.000 | -0.000 | -0.000 | -0.000 |
| -0.000 | -0.000 | -0.000 | -0.000 | -0.000 | -0.000 |
| -0.000 | -0.000 | -0.000 | 0.000 | 0.000 | -0.000 |
| 1155.064 | 1155.063 | 1155.063 | -0.000 | -0.000 | 0.000 |
| 1155.063 | 1155.064 | 1155.063 | -0.000 | -0.000 | 0.000 |
| 1155.063 | 1155.063 | 1155.064 | -0.000 | -0.000 | 0.000 |
| 0.000 | 0.000 | 0.000 | -0.000 | -0.000 | 0.000 |
| 0.000 | 0.000 | 0.000 | -0.000 | -0.000 | 0.000 |
| 0.000 | 0.000 | 0.000 | -0.000 | -0.000 | -0.000 |
| 1155.070 | 1155.072 | 1155.072 | 0.000 | 0.000 | -0.000 |
| 1155.072 | 1155.070 | 1155.072 | 0.000 | 0.000 | -0.000 |
| 1155.072 | 1155.072 | 1155.070 | 0.000 | 0.000 | -0.000 |
| -0.001 | -0.001 | -0.001 | -0.015 | -0.000 | 0.000 |
| -0.001 | -0.001 | -0.001 | -0.000 | -0.015 | 0.000 |
| -0.001 | -0.001 | -0.001 | -0.000 | 0.000 | -0.015 |
| 1155.058 | 1155.056 | 1155.056 | -0.000 | -0.000 | 0.000 |
| 1155.056 | 1155.058 | 1155.056 | -0.000 | -0.000 | 0.000 |
| 1155.056 | 1155.056 | 1155.058 | -0.000 | -0.000 | 0.000 |
| 0.001 | 0.001 | 0.001 | -0.015 | -0.000 | 0.000 |
| 0.001 | 0.001 | 0.001 | -0.000 | -0.015 | 0.000 |
| 0.001 | 0.001 | 0.001 | -0.000 | -0.000 | -0.015 |
| 15.558 | 15.558 | 15.558 | 0.000 | -0.000 | 0.000 |
| 15.558 | 15.558 | 15.558 | -0.000 | 0.000 | 0.000 |
| 15.558 | 15.558 | 15.558 | 0.000 | 0.000 | 0.000 |
| -0.000 | -0.000 | -0.000 | 0.000 | 0.000 | 0.000 |
| -0.000 | -0.000 | -0.000 | 0.000 | 0.000 | 0.000 |
| -0.000 | -0.000 | -0.000 | -0.000 | 0.000 | 0.000 |
| 15.558 | 15.558 | 15.558 | -0.000 | -0.000 | -0.000 |
| 15.558 | 15.558 | 15.558 | -0.000 | -0.000 | -0.000 |
| 15.558 | 15.558 | 15.558 | -0.000 | -0.000 | -0.000 |
| 0.000 | 0.000 | 0.000 | 0.000 | -0.000 | 0.000 |
| 0.000 | 0.000 | 0.000 | -0.000 | 0.000 | 0.000 |
| 0.000 | 0.000 | 0.000 | -0.000 | -0.000 | 0.000 |
| 15.558 | 15.558 | 15.558 | 0.000 | -0.000 | 0.000 |
| 15.558 | 15.558 | 15.558 | -0.000 | 0.000 | 0.000 |
| 15.558 | 15.558 | 15.558 | 0.000 | 0.000 | 0.000 |
| -0.000 | -0.000 | -0.000 | 0.000 | 0.000 | 0.000 |
| -0.000 | -0.000 | -0.000 | 0.000 | 0.000 | 0.000 |
| -0.000 | -0.000 | -0.000 | 0.000 | 0.000 | 0.000 |
| 15.558 | 15.558 | 15.558 | -0.000 | -0.000 | -0.000 |
| 15.558 | 15.558 | 15.558 | -0.000 | -0.000 | -0.000 |
| 15.558 | 15.558 | 15.558 | -0.000 | -0.000 | -0.000 |
| 0.000 | 0.000 | 0.000 | 0.000 | 0.000 | -0.000 |
| 0.000 | 0.000 | 0.000 | 0.000 | 0.000 | -0.000 |
| 0.000 | 0.000 | 0.000 | 0.000 | -0.000 | 0.000 |
| 15.558 | 15.558 | 15.558 | 0.000 | 0.000 | -0.000 |
| 15.558 | 15.558 | 15.558 | 0.000 | 0.000 | -0.000 |
| 15.558 | 15.558 | 15.558 | 0.000 | 0.000 | 0.000 |
| -0.000 | -0.000 | -0.000 | 0.000 | 0.000 | 0.000 |
| -0.000 | -0.000 | -0.000 | 0.000 | 0.000 | 0.000 |
| -0.000 | -0.000 | -0.000 | 0.000 | 0.000 | 0.000 |
| 15.558 | 15.558 | 15.558 | -0.000 | -0.000 | -0.000 |
| 15.558 | 15.558 | 15.558 | -0.000 | -0.000 | -0.000 |
| 15.558 | 15.558 | 15.558 | -0.000 | -0.000 | -0.000 |
| 0.000 | 0.000 | 0.000 | 0.000 | -0.000 | -0.000 |
| 0.000 | 0.000 | 0.000 | -0.000 | 0.000 | -0.000 |
| 0.000 | 0.000 | 0.000 | -0.000 | -0.000 | 0.000 |
| 210.305 | 86.695 | 86.695 | -0.000 | -0.000 | -0.000 |
| 86.695 | 210.305 | 86.695 | 0.000 | -0.000 | -0.000 |
| 86.695 | 86.695 | 210.305 | 0.000 | -0.000 | 0.000 |
| 0.000 | 0.000 | -0.000 | 17.556 | -0.000 | 0.000 |
| 0.000 | 0.000 | -0.000 | 0.000 | 17.556 | -0.000 |
| 0.000 | 0.000 | -0.000 | 0.000 | -0.000 | 17.556 |
| 210.361 | 86.670 | 86.670 | -0.000 | -0.000 | 0.000 |
| 86.670 | 210.361 | 86.670 | -0.000 | -0.000 | -0.000 |
| 86.670 | 86.670 | 210.361 | -0.000 | 0.000 | -0.000 |
| -0.000 | -0.000 | 0.000 | 17.556 | 0.000 | 0.000 |
| -0.000 | -0.000 | 0.000 | -0.000 | 17.556 | 0.000 |
| -0.000 | -0.000 | 0.000 | -0.000 | 0.000 | 17.556 |
| 210.296 | 86.687 | 86.687 | 0.000 | -0.000 | 0.000 |
| 86.687 | 210.296 | 86.687 | 0.000 | 0.000 | -0.000 |
| 86.687 | 86.687 | 210.296 | 0.000 | -0.000 | -0.000 |
| 0.000 | 0.000 | 0.000 | 17.556 | -0.000 | -0.000 |
| 0.000 | 0.000 | 0.000 | 0.000 | 17.556 | -0.000 |
| 0.000 | 0.000 | -0.000 | 0.000 | -0.000 | 17.556 |
| 210.316 | 86.706 | 86.706 | -0.000 | 0.000 | 0.000 |
| 86.706 | 210.316 | 86.706 | -0.000 | 0.000 | -0.000 |
| 86.706 | 86.706 | 210.316 | -0.000 | 0.000 | 0.000 |
| -0.000 | -0.000 | -0.000 | 17.556 | 0.000 | -0.000 |
| -0.000 | -0.000 | -0.000 | -0.000 | 17.556 | 0.000 |
| -0.000 | -0.000 | 0.000 | -0.000 | 0.000 | 17.556 |
| 210.262 | 86.573 | 86.573 | 0.000 | 0.000 | -0.000 |
| 86.573 | 210.262 | 86.573 | 0.000 | 0.000 | 0.000 |
| 86.573 | 86.573 | 210.262 | 0.000 | -0.000 | -0.000 |
| 0.000 | 0.000 | 0.000 | 19.828 | -0.000 | -0.000 |
| 0.000 | 0.000 | 0.000 | 0.000 | 19.828 | -0.000 |
| 0.000 | 0.000 | 0.000 | 0.000 | 0.000 | 19.828 |
| 210.457 | 86.765 | 86.765 | -0.000 | -0.000 | 0.000 |
| 86.765 | 210.457 | 86.765 | -0.000 | -0.000 | 0.000 |
| 86.765 | 86.765 | 210.457 | -0.000 | 0.000 | 0.000 |
| -0.000 | -0.000 | -0.000 | 19.828 | -0.000 | -0.000 |
| -0.000 | -0.000 | -0.000 | -0.000 | 19.828 | 0.000 |
| -0.000 | -0.000 | -0.000 | -0.000 | 0.000 | 19.828 |
| 17.138 | 10.723 | 10.723 | -0.000 | -0.000 | 0.000 |
| 10.723 | 17.138 | 10.723 | -0.000 | -0.000 | 0.000 |
| 10.723 | 10.723 | 17.138 | -0.000 | -0.000 | 0.000 |
| 0.000 | -0.000 | -0.000 | 6.723 | -0.000 | 0.000 |
| -0.000 | 0.000 | -0.000 | -0.000 | 6.723 | 0.000 |
| -0.000 | -0.000 | 0.000 | -0.000 | -0.000 | 6.723 |
| 17.138 | 10.723 | 10.723 | 0.000 | 0.000 | -0.000 |
| 10.723 | 17.138 | 10.723 | 0.000 | 0.000 | -0.000 |
| 10.723 | 10.723 | 17.138 | 0.000 | 0.000 | -0.000 |
| -0.000 | 0.000 | 0.000 | 6.723 | 0.000 | -0.000 |
| 0.000 | -0.000 | 0.000 | 0.000 | 6.723 | -0.000 |
| 0.000 | 0.000 | -0.000 | 0.000 | 0.000 | 6.723 |
| 12.905 | 12.839 | 12.839 | -0.000 | -0.000 | 0.000 |
| 12.839 | 12.905 | 12.839 | -0.000 | 0.000 | 0.000 |
| 12.839 | 12.839 | 12.905 | -0.000 | -0.000 | 0.000 |
| 0.000 | -0.000 | -0.000 | 6.723 | -0.000 | 0.000 |
| -0.000 | 0.000 | -0.000 | -0.000 | 6.723 | 0.000 |
| -0.000 | -0.000 | 0.000 | -0.000 | -0.000 | 6.723 |
| 7.380 | 15.602 | 15.602 | 0.000 | 0.000 | -0.000 |
| 15.602 | 7.380 | 15.602 | 0.000 | 0.000 | -0.000 |
| 15.602 | 15.602 | 7.380 | 0.000 | 0.000 | -0.000 |
| -0.000 | 0.000 | 0.000 | 6.723 | 0.000 | -0.000 |
| 0.000 | -0.000 | 0.000 | 0.000 | 6.723 | -0.000 |
| 0.000 | 0.000 | -0.000 | 0.000 | 0.000 | 6.723 |
| 17.137 | 10.723 | 10.723 | -0.000 | -0.000 | 0.000 |
| 10.723 | 17.137 | 10.723 | -0.000 | -0.000 | 0.000 |
| 10.723 | 10.723 | 17.137 | -0.000 | 0.000 | 0.000 |
| 0.000 | -0.000 | -0.000 | 6.723 | -0.000 | 0.000 |
| -0.000 | 0.000 | -0.000 | -0.000 | 6.723 | 0.000 |
| -0.000 | -0.000 | 0.000 | -0.000 | -0.000 | 6.723 |
| 1196921.163 | 1159018.564 | 1191706.525 | -7813.876 | -3300.042 | 3206.325 |
| 1178705.043 | 1199207.316 | 1162634.900 | 6283.758 | 7190.494 | -2406.500 |
| 1155365.644 | 1190400.597 | 1203172.846 | -2297.908 | 9945.054 | -1731.240 |
| -0.000 | 0.000 | 0.000 | 6.723 | 0.000 | -0.000 |
| 0.000 | -0.000 | 0.000 | 0.000 | 6.723 | -0.000 |
| 0.000 | 0.000 | -0.000 | 0.000 | 0.000 | 6.723 |
| 15.738 | 57.186 | 57.186 | -0.000 | -0.000 | 0.000 |
| 57.186 | 15.738 | 57.186 | -0.000 | -0.000 | 0.000 |
| 57.186 | 57.186 | 15.738 | 0.000 | -0.000 | 0.000 |
| 0.000 | -0.000 | 0.000 | 33.751 | 0.000 | 0.000 |
| -0.000 | 0.000 | 0.000 | 0.000 | 33.751 | 0.000 |
| -0.000 | -0.000 | 0.000 | 0.000 | 0.000 | 33.751 |
| 15.737 | 57.185 | 57.185 | -0.000 | -0.000 | -0.000 |
| 57.185 | 15.737 | 57.185 | -0.000 | -0.000 | -0.000 |
| 57.185 | 57.185 | 15.737 | -0.000 | -0.000 | -0.000 |
| -0.000 | 0.000 | 0.000 | 33.751 | -0.000 | -0.000 |
| -0.000 | -0.000 | 0.000 | -0.000 | 33.751 | -0.000 |
| -0.000 | 0.000 | -0.000 | -0.000 | -0.000 | 33.751 |
| 15.744 | 57.192 | 57.192 | 0.000 | 0.000 | 0.000 |
| 57.192 | 15.744 | 57.192 | 0.000 | -0.000 | 0.000 |
| 57.192 | 57.192 | 15.744 | 0.000 | 0.000 | 0.000 |
| 0.000 | 0.000 | 0.000 | 30.835 | 0.000 | 0.000 |
| 0.000 | 0.000 | 0.000 | 0.000 | 30.835 | 0.000 |
| 0.000 | 0.000 | 0.000 | 0.000 | 0.000 | 30.835 |
| 15.731 | 57.179 | 57.179 | -0.000 | 0.000 | -0.000 |
| 57.179 | 15.731 | 57.179 | -0.000 | -0.000 | -0.000 |
| 57.179 | 57.179 | 15.731 | -0.000 | -0.000 | -0.000 |
| -0.000 | -0.000 | -0.000 | 30.835 | -0.000 | -0.000 |
| -0.000 | -0.000 | -0.000 | -0.000 | 30.835 | -0.000 |
| -0.000 | -0.000 | -0.000 | 0.000 | -0.000 | 30.835 |
| 15.802 | 57.249 | 57.249 | 0.000 | 0.000 | 0.000 |
| 57.249 | 15.802 | 57.249 | 0.000 | 0.000 | 0.000 |
| 57.249 | 57.249 | 15.802 | 0.000 | 0.000 | 0.000 |
| 0.000 | 0.000 | 0.000 | 33.751 | 0.000 | 0.000 |
| 0.000 | 0.000 | 0.000 | 0.000 | 33.751 | 0.000 |
| 0.000 | 0.000 | 0.000 | 0.000 | 0.000 | 33.751 |
| 15.674 | 57.122 | 57.122 | -0.000 | -0.000 | -0.000 |
| 57.122 | 15.674 | 57.122 | -0.000 | -0.000 | -0.000 |
| 57.122 | 57.122 | 15.674 | -0.000 | -0.000 | -0.000 |
| -0.000 | -0.000 | -0.000 | 33.751 | -0.000 | -0.000 |
| -0.000 | -0.000 | -0.000 | -0.000 | 33.751 | -0.000 |
| -0.000 | -0.000 | -0.000 | -0.000 | -0.000 | 33.751 |
| 14.807 | 10.831 | 10.831 | -0.000 | -0.000 | -0.000 |
| 10.831 | 14.807 | 10.831 | -0.000 | -0.000 | -0.000 |
| 10.831 | 10.831 | 14.807 | 0.000 | 0.000 | -0.000 |
| -0.000 | -0.000 | 0.000 | 9.744 | -0.000 | -0.000 |
| -0.000 | -0.000 | 0.000 | -0.000 | 9.744 | -0.000 |
| -0.000 | -0.000 | 0.000 | -0.000 | -0.000 | 9.744 |
| 14.807 | 10.831 | 10.831 | 0.000 | 0.000 | 0.000 |
| 10.831 | 14.807 | 10.831 | 0.000 | 0.000 | 0.000 |
| 10.831 | 10.831 | 14.807 | -0.000 | -0.000 | 0.000 |
| 0.000 | 0.000 | -0.000 | 9.744 | -0.000 | -0.000 |
| 0.000 | 0.000 | -0.000 | 0.000 | 9.744 | 0.000 |
| 0.000 | 0.000 | -0.000 | 0.000 | 0.000 | 9.744 |
| 14.807 | 10.831 | 10.831 | -0.000 | -0.000 | -0.000 |
| 10.831 | 14.807 | 10.831 | -0.000 | -0.000 | -0.000 |
| 10.831 | 10.831 | 14.807 | -0.000 | 0.000 | -0.000 |
| -0.000 | -0.000 | -0.000 | 9.744 | 0.000 | -0.000 |
| -0.000 | -0.000 | -0.000 | -0.000 | 9.744 | -0.000 |
| -0.000 | -0.000 | -0.000 | -0.000 | 0.000 | 9.744 |
| 14.807 | 10.831 | 10.831 | 0.000 | 0.000 | 0.000 |
| 10.831 | 14.807 | 10.831 | 0.000 | 0.000 | 0.000 |
| 10.831 | 10.831 | 14.807 | 0.000 | -0.000 | 0.000 |
| 0.000 | 0.000 | 0.000 | 9.744 | 0.000 | 0.000 |
| 0.000 | 0.000 | 0.000 | 0.000 | 9.744 | 0.000 |
| 0.000 | 0.000 | 0.000 | 0.000 | -0.000 | 9.744 |
| 14.807 | 10.831 | 10.831 | -0.000 | -0.000 | -0.000 |
| 10.831 | 14.807 | 10.831 | -0.000 | -0.000 | -0.000 |
| 10.831 | 10.831 | 14.807 | 0.000 | 0.000 | -0.000 |
| -0.000 | -0.000 | -0.000 | 10.410 | 0.000 | -0.000 |
| -0.000 | -0.000 | -0.000 | 0.000 | 10.410 | -0.000 |
| -0.000 | -0.000 | -0.000 | 0.000 | 0.000 | 10.410 |
| 14.808 | 10.831 | 10.831 | 0.000 | 0.000 | 0.000 |
| 10.831 | 14.808 | 10.831 | 0.000 | 0.000 | 0.000 |
| 10.831 | 10.831 | 14.808 | -0.000 | -0.000 | 0.000 |
| 0.000 | 0.000 | 0.000 | 10.410 | -0.000 | -0.000 |
| 0.000 | 0.000 | 0.000 | 0.000 | 10.410 | 0.000 |
| 0.000 | 0.000 | 0.000 | -0.000 | -0.000 | 10.410 |
| 142.484 | 126.828 | 126.828 | -0.000 | -0.000 | 0.000 |
| 126.828 | 142.484 | 126.828 | -0.000 | -0.000 | -0.000 |
| 126.828 | 126.828 | 142.484 | -0.000 | -0.000 | -0.000 |
| -0.000 | -0.000 | -0.000 | 1.604 | -0.000 | 0.000 |
| -0.000 | -0.000 | -0.000 | -0.000 | 1.604 | 0.000 |
| -0.000 | -0.000 | -0.000 | -0.000 | -0.000 | 1.604 |
| 142.487 | 126.830 | 126.830 | 0.000 | 0.000 | 0.000 |
| 126.830 | 142.487 | 126.830 | 0.000 | 0.000 | 0.000 |
| 126.830 | 126.830 | 142.487 | 0.000 | 0.000 | 0.000 |
| 0.000 | 0.000 | 0.000 | 1.604 | -0.000 | 0.000 |
| 0.000 | 0.000 | 0.000 | -0.000 | 1.604 | 0.000 |
| 0.000 | 0.000 | 0.000 | -0.000 | 0.000 | 1.604 |
| 142.474 | 126.817 | 126.817 | -0.000 | -0.000 | 0.000 |
| 126.817 | 142.474 | 126.817 | -0.000 | -0.000 | 0.000 |
| 126.817 | 126.817 | 142.474 | 0.000 | -0.000 | 0.000 |
| -0.000 | -0.000 | -0.000 | 1.604 | -0.000 | -0.000 |
| -0.000 | -0.000 | -0.000 | 0.000 | 1.604 | -0.000 |
| -0.000 | -0.000 | -0.000 | 0.000 | -0.000 | 1.604 |
| 142.497 | 126.841 | 126.841 | -0.000 | 0.000 | -0.000 |
| 126.841 | 142.497 | 126.841 | -0.000 | 0.000 | -0.000 |
| 126.841 | 126.841 | 142.497 | -0.000 | 0.000 | 0.000 |
| 0.000 | 0.000 | 0.000 | 1.604 | 0.000 | -0.000 |
| 0.000 | 0.000 | 0.000 | 0.000 | 1.604 | 0.000 |
| 0.000 | 0.000 | 0.000 | 0.000 | 0.000 | 1.604 |
| 142.368 | 126.712 | 126.712 | 0.000 | -0.000 | 0.000 |
| 126.712 | 142.368 | 126.712 | -0.000 | 0.000 | -0.000 |
| 126.712 | 126.712 | 142.368 | 0.000 | -0.000 | 0.000 |
| -0.000 | -0.000 | -0.000 | 1.604 | -0.000 | -0.000 |
| -0.000 | -0.000 | -0.000 | -0.000 | 1.604 | 0.000 |
| -0.000 | -0.000 | -0.000 | 0.000 | -0.000 | 1.604 |
| 142.603 | 126.946 | 126.946 | 0.000 | 0.000 | 0.000 |
| 126.946 | 142.603 | 126.946 | 0.000 | 0.000 | 0.000 |
| 126.946 | 126.946 | 142.603 | 0.000 | -0.000 | 0.000 |
| 0.000 | 0.000 | 0.000 | 1.604 | 0.000 | 0.000 |
| 0.000 | 0.000 | 0.000 | 0.000 | 1.604 | 0.000 |
| 0.000 | 0.000 | 0.000 | -0.000 | 0.000 | 1.604 |
| 32.629 | 16.292 | 16.292 | 0.000 | 0.000 | 0.000 |
| 16.292 | 32.629 | 16.292 | 0.000 | 0.000 | 0.000 |
| 16.292 | 16.292 | 32.629 | -0.000 | -0.000 | 0.000 |
| -0.000 | -0.000 | -0.000 | 16.094 | 0.000 | 0.000 |
| -0.000 | -0.000 | -0.000 | 0.000 | 16.094 | 0.000 |
| -0.000 | -0.000 | -0.000 | 0.000 | 0.000 | 16.094 |
| 32.629 | 16.292 | 16.292 | -0.000 | -0.000 | -0.000 |
| 16.292 | 32.629 | 16.292 | -0.000 | -0.000 | -0.000 |
| 16.292 | 16.292 | 32.629 | -0.000 | -0.000 | -0.000 |
| 0.000 | 0.000 | 0.000 | 16.094 | -0.000 | -0.000 |
| 0.000 | 0.000 | 0.000 | -0.000 | 16.094 | -0.000 |
| 0.000 | 0.000 | 0.000 | -0.000 | -0.000 | 16.094 |
| 32.629 | 16.292 | 16.292 | 0.000 | 0.000 | 0.000 |
| 16.292 | 32.629 | 16.292 | 0.000 | 0.000 | 0.000 |
| 16.292 | 16.292 | 32.629 | 0.000 | 0.000 | 0.000 |
| -0.000 | -0.000 | -0.000 | 16.094 | -0.000 | 0.000 |
| -0.000 | -0.000 | -0.000 | -0.000 | 16.094 | 0.000 |
| -0.000 | -0.000 | -0.000 | 0.000 | 0.000 | 16.094 |
| 32.629 | 16.292 | 16.292 | -0.000 | -0.000 | -0.000 |
| 16.292 | 32.629 | 16.292 | -0.000 | -0.000 | -0.000 |
| 16.292 | 16.292 | 32.629 | -0.000 | -0.000 | -0.000 |
| 0.000 | 0.000 | 0.000 | 16.094 | 0.000 | -0.000 |
| 0.000 | 0.000 | 0.000 | 0.000 | 16.094 | -0.000 |
| 0.000 | 0.000 | 0.000 | -0.000 | -0.000 | 16.094 |
| 32.629 | 16.292 | 16.292 | 0.000 | 0.000 | 0.000 |
| 16.292 | 32.629 | 16.292 | 0.000 | 0.000 | 0.000 |
| 16.292 | 16.292 | 32.629 | -0.000 | -0.000 | 0.000 |
| -0.000 | -0.000 | -0.000 | 16.094 | 0.000 | 0.000 |
| -0.000 | -0.000 | -0.000 | 0.000 | 16.094 | 0.000 |
| -0.000 | -0.000 | -0.000 | 0.000 | 0.000 | 16.094 |
| 32.630 | 16.292 | 16.292 | -0.000 | -0.000 | -0.000 |
| 16.292 | 32.630 | 16.292 | -0.000 | -0.000 | -0.000 |
| 16.292 | 16.292 | 32.630 | -0.000 | -0.000 | -0.000 |
| 0.000 | 0.000 | 0.000 | 16.094 | -0.000 | -0.000 |
| 0.000 | 0.000 | 0.000 | -0.000 | 16.094 | -0.000 |
| 0.000 | 0.000 | 0.000 | -0.000 | -0.000 | 16.094 |
| 155.561 | 128.133 | 166.818 | 0.000 | 0.000 | -0.000 |
| 128.133 | 155.561 | 166.818 | -0.000 | 0.000 | -0.000 |
| 166.817 | 166.817 | 251.735 | 0.000 | 0.000 | -0.000 |
| -0.000 | 0.000 | 0.000 | 21.519 | 0.000 | -0.000 |
| 0.000 | 0.000 | 0.000 | 0.000 | 21.519 | -0.000 |
| 0.000 | 0.000 | -0.000 | 0.000 | 0.000 | 5.951 |
| 154.017 | 129.681 | 166.820 | -0.000 | -0.000 | 0.000 |
| 129.681 | 154.017 | 166.820 | -0.000 | 0.000 | 0.000 |
| 166.820 | 166.820 | 251.738 | -0.000 | -0.000 | 0.000 |
| 0.000 | -0.000 | -0.000 | 21.519 | -0.000 | 0.000 |
| -0.000 | -0.000 | -0.000 | -0.000 | 21.519 | 0.000 |
| -0.000 | -0.000 | 0.000 | -0.000 | -0.000 | 5.951 |
| 154.007 | 129.671 | 166.809 | 0.000 | 0.000 | -0.000 |
| 129.671 | 154.007 | 166.809 | 0.000 | 0.000 | -0.000 |
| 166.807 | 166.807 | 251.723 | 0.000 | 0.000 | -0.000 |
| -0.000 | 0.000 | 0.000 | 20.999 | -0.000 | -0.000 |
| 0.000 | -0.000 | 0.000 | -0.000 | 20.999 | -0.000 |
| 0.000 | 0.000 | -0.000 | 0.000 | 0.000 | 5.951 |
| 154.024 | 129.689 | 166.829 | -0.000 | 0.000 | 0.000 |
| 129.689 | 154.024 | 166.829 | -0.000 | -0.000 | 0.000 |
| 166.831 | 166.831 | 251.751 | -0.000 | -0.000 | 0.000 |
| 0.000 | -0.000 | -0.000 | 20.999 | 0.000 | 0.000 |
| -0.000 | 0.000 | -0.000 | -0.000 | 20.999 | 0.000 |
| -0.000 | -0.000 | 0.000 | -0.000 | -0.000 | 5.951 |
| 155.476 | 128.048 | 166.718 | 0.000 | 0.000 | -0.000 |
| 128.048 | 155.476 | 166.718 | 0.000 | 0.000 | -0.000 |
| 166.700 | 166.700 | 251.597 | 0.000 | 0.000 | 0.000 |
| -0.000 | 0.000 | 0.000 | 21.519 | 0.000 | -0.000 |
| 0.000 | -0.000 | 0.000 | 0.000 | 21.519 | -0.000 |
| 0.000 | 0.000 | -0.000 | -0.000 | 0.000 | 5.951 |
| 154.102 | 129.766 | 166.920 | -0.000 | -0.000 | 0.000 |
| 129.766 | 154.102 | 166.920 | 0.000 | -0.000 | 0.000 |
| 166.937 | 166.937 | 251.877 | -0.000 | -0.000 | 0.000 |
| 0.000 | -0.000 | -0.000 | 21.519 | -0.000 | 0.000 |
| -0.000 | 0.000 | -0.000 | -0.000 | 21.519 | 0.000 |
| -0.000 | -0.000 | 0.000 | -0.000 | -0.000 | 5.951 |
| 1241.034 | 1205.083 | 2042.650 | 3.587 | -0.000 | -0.000 |
| 119.009 | 168.752 | 127.435 | -3.613 | 0.000 | -0.000 |
| 1205.025 | 1205.025 | 2068.040 | 0.000 | 0.000 | -0.000 |
| 3.613 | -3.613 | 0.000 | 23.828 | -0.000 | -0.000 |
| 0.000 | 0.000 | 0.000 | 0.000 | 23.828 | 3.613 |
| 1082.870 | 1082.870 | 1921.167 | 0.000 | 3.587 | 17.974 |
| 168.751 | 119.008 | 127.434 | 3.613 | -0.000 | -0.000 |
| 119.008 | 168.751 | 127.434 | -3.613 | 0.000 | 0.000 |
| 127.434 | 127.434 | 167.379 | 0.000 | -0.000 | 0.000 |
| 3.613 | -3.613 | -0.000 | 23.828 | 0.000 | -0.000 |
| -0.000 | -0.000 | -0.000 | -0.000 | 23.828 | 3.613 |
| -1082.870 | -1082.870 | -1921.167 | -0.000 | 3.587 | 17.974 |
| 230.233 | 188.451 | 317.633 | 3.739 | -0.000 | 0.000 |
| 230.504 | 266.476 | 313.610 | -3.588 | -0.000 | 0.000 |
| 127.438 | 127.438 | 167.384 | -0.000 | -0.000 | 0.000 |
| 3.614 | -3.613 | 0.000 | 23.828 | -0.000 | -0.000 |
| 0.000 | 0.000 | 0.000 | 0.000 | 23.828 | 3.613 |
| 109.228 | 109.228 | 220.580 | 0.000 | 3.674 | 16.672 |
| 49.847 | 13.924 | -70.647 | 3.586 | -0.000 | -0.000 |
| 119.005 | 168.748 | 127.431 | -3.613 | -0.000 | 0.000 |
| 127.431 | 127.431 | 167.376 | 0.000 | -0.000 | 0.000 |
| -105.557 | -112.906 | -220.584 | 18.613 | 0.000 | 0.000 |
| -0.000 | -0.000 | -0.000 | -0.000 | 23.828 | 3.613 |
| -109.228 | -109.228 | -220.580 | 0.000 | 3.674 | 16.672 |
| 169.214 | 127.407 | 143.263 | 3.738 | -0.000 | -0.000 |
| 127.398 | 169.214 | 143.245 | -3.738 | 0.000 | 0.000 |
| 132.572 | 132.572 | 162.495 | -0.000 | -0.000 | -0.000 |
| 10.549 | 3.071 | 19.450 | 21.705 | 0.000 | 0.000 |
| 6.810 | 6.810 | 19.450 | 0.000 | 21.705 | 3.739 |
| 6.827 | 6.827 | 19.499 | 0.000 | 3.739 | 20.865 |
| 147.004 | 111.398 | 102.115 | 3.576 | 0.000 | -0.000 |
| 118.977 | 168.719 | 127.400 | -3.613 | -0.000 | 0.000 |
| 117.032 | 117.032 | 135.692 | -0.000 | -0.000 | 0.000 |
| -3.071 | -10.549 | -19.450 | 21.705 | -0.000 | 0.000 |
| -6.810 | -6.810 | -19.450 | -0.000 | 21.705 | 3.739 |
| -6.827 | -6.827 | -19.499 | -0.000 | 3.739 | 20.865 |
| 142.947 | 102.118 | 118.053 | 4.399 | 0.000 | 0.000 |
| 102.118 | 142.947 | 118.053 | -4.399 | 0.000 | 0.000 |
| -198.391 | -198.391 | -340.738 | 0.000 | 0.000 | 0.000 |
| -306.440 | -314.267 | -487.635 | 17.567 | 0.000 | 0.000 |
| 0.000 | 0.000 | 0.000 | 0.000 | 23.052 | 4.399 |
| 0.000 | 0.000 | 0.000 | 0.000 | 4.399 | 20.415 |
| 142.948 | 102.118 | 118.054 | 4.399 | -0.000 | -0.000 |
| 102.118 | 142.948 | 118.054 | -4.399 | -0.000 | -0.000 |
| 346.087 | 346.087 | 219.767 | -0.000 | -0.000 | 0.000 |
| 4.399 | -4.399 | -0.000 | 23.052 | -0.000 | -0.000 |
| -0.000 | -0.000 | -0.000 | -0.000 | 23.052 | 4.399 |
| -0.000 | -0.000 | 0.000 | -0.000 | 4.399 | 20.415 |
| 142.945 | 102.115 | 118.050 | 4.399 | 0.000 | 0.000 |
| 102.115 | 142.945 | 118.050 | -4.399 | 0.000 | 0.000 |
| 83.686 | 83.686 | 135.591 | 0.000 | 0.000 | 0.000 |
| 4.399 | -4.398 | 0.000 | 23.052 | 0.000 | 0.000 |
| 0.000 | 0.000 | 0.000 | 0.000 | 23.052 | 4.399 |
| 0.000 | 0.000 | 0.000 | 0.000 | 4.399 | 20.415 |
| 142.951 | 102.122 | 118.058 | 4.399 | 0.000 | -0.000 |
| 121.750 | 154.817 | 117.383 | -4.471 | -0.000 | -0.000 |
| 141.999 | 141.999 | 194.941 | -0.000 | -0.000 | -0.000 |
| 46.723 | 38.805 | 51.799 | 16.344 | -0.000 | -0.000 |
| -0.000 | -0.000 | -0.000 | -0.000 | 23.052 | 4.399 |
| -0.000 | -0.000 | -0.000 | -0.000 | 4.399 | 20.415 |
| 126.799 | 97.008 | 103.167 | 4.367 | -0.000 | 0.000 |
| 102.083 | 142.917 | 118.015 | -4.399 | 0.000 | 0.000 |
| 106.932 | 106.932 | 145.318 | 0.000 | 0.000 | 0.000 |
| 2.007 | -6.937 | -0.784 | 19.405 | 0.000 | 0.000 |
| -3.247 | -3.248 | -5.446 | 0.000 | 17.231 | 3.840 |
| -4.423 | -4.422 | -5.267 | -0.000 | 3.957 | 15.841 |
| 134.943 | 100.630 | 111.792 | 4.459 | -0.000 | -0.000 |
| 103.923 | 136.927 | 117.859 | -3.938 | -0.000 | -0.000 |
| 113.595 | 113.595 | 151.934 | -0.000 | -0.000 | -0.000 |
| 4.397 | -4.403 | -0.003 | 23.052 | -0.000 | -0.000 |
| 3.247 | 3.248 | 5.446 | -0.000 | 17.231 | 3.840 |
| 4.423 | 4.422 | 5.267 | 0.000 | 3.957 | 15.841 |
| 199.906 | 54.162 | 54.162 | 0.000 | 0.000 | -0.000 |
| 54.162 | 199.906 | 54.162 | 0.000 | 0.000 | -0.000 |
| 54.162 | 54.162 | 199.906 | -0.000 | 0.000 | -0.000 |
| -0.000 | 0.000 | -0.000 | 23.803 | 0.000 | 0.000 |
| 0.000 | 0.000 | -0.000 | -0.000 | 23.803 | -0.000 |
| 0.000 | 0.000 | -0.000 | -0.000 | -0.000 | 23.803 |
| 199.906 | 54.162 | 54.162 | -0.000 | -0.000 | 0.000 |
| 54.162 | 199.906 | 54.162 | -0.000 | -0.000 | -0.000 |
| 54.162 | 54.162 | 199.906 | -0.000 | -0.000 | 0.000 |
| 0.000 | -0.000 | 0.000 | 23.803 | -0.000 | 0.000 |
| -0.000 | -0.000 | 0.000 | 0.000 | 23.803 | 0.000 |
| -0.000 | -0.000 | 0.000 | 0.000 | -0.000 | 23.803 |
| 199.906 | 54.162 | 54.162 | -0.000 | 0.000 | 0.000 |
| 54.162 | 199.906 | 54.162 | 0.000 | 0.000 | -0.000 |
| 54.162 | 54.162 | 199.906 | 0.000 | 0.000 | 0.000 |
| 0.000 | 0.000 | 0.000 | 23.803 | 0.000 | 0.000 |
| 0.000 | 0.000 | 0.000 | -0.000 | 23.803 | -0.000 |
| 0.000 | 0.000 | 0.000 | -0.000 | -0.000 | 23.803 |
| 199.929 | 54.149 | 54.149 | 0.000 | 0.000 | 0.000 |
| 54.149 | 199.929 | 54.149 | 0.000 | -0.000 | 0.000 |
| 54.149 | 54.149 | 199.929 | 0.000 | -0.000 | 0.000 |
| -0.000 | -0.000 | -0.000 | 23.803 | -0.000 | 0.000 |
| -0.000 | -0.000 | -0.000 | 0.000 | 23.803 | 0.000 |
| -0.000 | -0.000 | -0.000 | 0.000 | 0.000 | 23.803 |
| 199.931 | 54.151 | 54.151 | -0.000 | -0.000 | -0.000 |
| 54.151 | 199.931 | 54.151 | -0.000 | -0.000 | -0.000 |
| 54.151 | 54.151 | 199.931 | 0.000 | 0.000 | -0.000 |
| 0.000 | 0.000 | 0.000 | 23.803 | 0.000 | -0.000 |
| 0.000 | 0.000 | 0.000 | -0.000 | 23.803 | -0.000 |
| 0.000 | 0.000 | 0.000 | -0.000 | 0.000 | 23.803 |
| 199.904 | 54.160 | 54.160 | -0.000 | -0.000 | 0.000 |
| 54.160 | 199.904 | 54.160 | -0.000 | 0.000 | 0.000 |
| 54.160 | 54.160 | 199.904 | -0.000 | -0.000 | -0.000 |
| -0.000 | -0.000 | -0.000 | 23.803 | -0.000 | -0.000 |
| -0.000 | -0.000 | -0.000 | 0.000 | 23.803 | 0.000 |
| -0.000 | -0.000 | -0.000 | 0.000 | 0.000 | 23.803 |
| 20.551 | 10.492 | 10.492 | 0.000 | 0.000 | 0.000 |
| 10.492 | 20.551 | 10.492 | 0.000 | 0.000 | -0.000 |
| 10.492 | 10.492 | 20.551 | 0.000 | 0.000 | 0.000 |
| -0.000 | -0.000 | -0.000 | 10.190 | 0.000 | -0.000 |
| -0.000 | 0.000 | -0.000 | 0.000 | 10.190 | 0.000 |
| -0.000 | -0.000 | 0.000 | 0.000 | 0.000 | 10.190 |
| 20.106 | 10.714 | 10.714 | -0.000 | -0.000 | -0.000 |
| 10.714 | 20.106 | 10.714 | -0.000 | -0.000 | -0.000 |
| 10.714 | 10.714 | 20.106 | -0.000 | -0.000 | -0.000 |
| 0.000 | 0.000 | 0.000 | 10.190 | -0.000 | -0.000 |
| 0.000 | -0.000 | 0.000 | -0.000 | 10.190 | -0.000 |
| 0.000 | 0.000 | -0.000 | -0.000 | -0.000 | 10.190 |
| -9241900.849 | -9507514.045 | -9631811.938 | -7641.890 | 23604.997 | 62112.158 |
| -9464371.151 | -9363049.674 | -9250085.954 | 6848.151 | -29459.314 | -18793.607 |
| -9524424.179 | -9565657.624 | -9360131.100 | -72646.143 | -41623.453 | 29925.144 |
| -0.000 | -0.000 | -0.000 | 10.190 | 0.000 | 0.000 |
| -0.000 | -0.000 | -0.000 | 0.000 | 10.190 | 0.000 |
| -0.000 | -0.000 | -0.000 | 0.000 | 0.000 | 10.190 |
| 7228758.561 | 9379476.521 | 9834583.041 | -81229.838 | -1680.384 | -23652.442 |
| 10.714 | 20.106 | 10.714 | -0.000 | -0.000 | -0.000 |
| 9347782.601 | 9836958.438 | 7081841.852 | -15359.404 | 8319.135 | 33108.898 |
| 0.000 | 0.000 | 0.000 | 10.190 | -0.000 | 0.000 |
| 0.000 | 0.000 | 0.000 | -0.000 | 10.190 | -0.000 |
| 0.000 | 0.000 | 0.000 | -0.000 | -0.000 | 10.190 |
| -922972.419 | -941911.779 | -931972.615 | -2028.668 | -1601.258 | -4690.037 |
| -933385.448 | -929494.021 | -927905.534 | -704.130 | 2745.191 | -4327.331 |
| -929465.076 | -934370.913 | -920898.625 | -746.022 | -3590.666 | -7191.593 |
| -0.000 | -0.000 | -0.000 | 10.190 | 0.000 | -0.000 |
| -0.000 | -0.000 | -0.000 | 0.000 | 10.190 | 0.000 |
| -0.000 | -0.000 | -0.000 | 0.000 | 0.000 | 10.190 |
| 742243.040 | 921174.620 | 989665.814 | 716.313 | 4647.276 | 913.984 |
| 999013.630 | 737628.794 | 927066.373 | 2043.028 | 4013.664 | 2333.816 |
| 931249.458 | 992692.137 | 738289.763 | 7874.475 | 2492.663 | -263.765 |
| 0.000 | 0.000 | 0.000 | 10.190 | -0.000 | 0.000 |
| 0.000 | 0.000 | 0.000 | -0.000 | 10.190 | -0.000 |
| 0.000 | 0.000 | 0.000 | -0.000 | -0.000 | 10.190 |
| 23.237 | 9.206 | 9.206 | -0.000 | 0.000 | -0.000 |
| 9.206 | 23.237 | 9.206 | -0.000 | -0.000 | 0.000 |
| 9.206 | 9.206 | 23.237 | -0.000 | -0.000 | 0.000 |
| 0.000 | -0.000 | -0.000 | 2.691 | -0.000 | -0.000 |
| -0.000 | 0.000 | -0.000 | -0.000 | 2.691 | -0.000 |
| -0.000 | -0.000 | 0.000 | 0.000 | 0.000 | 2.691 |
| 23.237 | 9.206 | 9.206 | -0.000 | -0.000 | 0.000 |
| 9.206 | 23.237 | 9.206 | 0.000 | 0.000 | 0.000 |
| 9.206 | 9.206 | 23.237 | 0.000 | 0.000 | -0.000 |
| -0.000 | 0.000 | 0.000 | 2.691 | 0.000 | -0.000 |
| 0.000 | -0.000 | 0.000 | 0.000 | 2.691 | -0.000 |
| 0.000 | 0.000 | -0.000 | 0.000 | -0.000 | 2.691 |
| 23.237 | 9.206 | 9.206 | -0.000 | 0.000 | -0.000 |
| 9.206 | 23.237 | 9.206 | -0.000 | 0.000 | -0.000 |
| 9.206 | 9.206 | 23.237 | -0.000 | -0.000 | 0.000 |
| 0.000 | -0.000 | -0.000 | 2.691 | 0.000 | -0.000 |
| 0.000 | -0.000 | -0.000 | -0.000 | 0.804 | -0.000 |
| -0.000 | -0.000 | 0.000 | -0.000 | 0.000 | 2.691 |
| 23.237 | 9.206 | 9.206 | -0.000 | 0.000 | 0.000 |
| 9.206 | 23.237 | 9.206 | 0.000 | -0.000 | -0.000 |
| 9.206 | 9.206 | 23.237 | 0.000 | 0.000 | -0.000 |
| -0.000 | 0.000 | 0.000 | 2.691 | 0.000 | -0.000 |
| 0.000 | -0.000 | 0.000 | 0.000 | 2.691 | -0.000 |
| 0.000 | 0.000 | -0.000 | -0.000 | 0.000 | 2.691 |
| 17.442 | 12.105 | 12.105 | -0.000 | -0.000 | 0.000 |
| 12.105 | 17.442 | 12.105 | -0.000 | 0.000 | 0.000 |
| 12.105 | 12.105 | 17.442 | -0.000 | -0.000 | 0.000 |
| 0.000 | -0.000 | -0.000 | 2.691 | -0.000 | 0.000 |
| -0.000 | 0.000 | -0.000 | -0.000 | 2.691 | -0.000 |
| -0.000 | -0.000 | 0.000 | -0.000 | -0.000 | 2.691 |
| 15.204 | 13.220 | 13.220 | 0.000 | 0.000 | -0.000 |
| 13.220 | 15.204 | 13.220 | 0.000 | 0.000 | -0.000 |
| 13.220 | 13.220 | 15.204 | 0.000 | 0.000 | -0.000 |
| -0.000 | 0.000 | 0.000 | 2.691 | 0.000 | -0.000 |
| 0.000 | -0.000 | 0.000 | 0.000 | 2.691 | 0.000 |
| 0.000 | 0.000 | -0.000 | -0.000 | 0.000 | 2.691 |
| 52.110 | 89.700 | 89.700 | 0.000 | 0.000 | -0.000 |
| 89.700 | 52.110 | 89.700 | 0.000 | 0.000 | -0.000 |
| 89.700 | 89.700 | 52.110 | 0.000 | -0.000 | -0.000 |
| -0.000 | -0.000 | 0.000 | 32.566 | -0.000 | -0.000 |
| -0.000 | -0.000 | -0.000 | -0.000 | 32.566 | -0.000 |
| -0.000 | -0.000 | -0.000 | -0.000 | -0.000 | 32.566 |
| 52.110 | 89.700 | 89.700 | -0.000 | 0.000 | 0.000 |
| 89.700 | 52.110 | 89.700 | -0.000 | -0.000 | 0.000 |
| 89.700 | 89.700 | 52.110 | -0.000 | -0.000 | 0.000 |
| 0.000 | 0.000 | -0.000 | 32.566 | 0.000 | 0.000 |
| 0.000 | 0.000 | -0.000 | -0.000 | 32.566 | 0.000 |
| 0.000 | 0.000 | -0.000 | -0.000 | 0.000 | 32.566 |
| 52.112 | 89.701 | 89.701 | 0.000 | 0.000 | -0.000 |
| 89.701 | 52.112 | 89.701 | 0.000 | 0.000 | -0.000 |
| 89.701 | 89.701 | 52.112 | 0.000 | 0.000 | -0.000 |
| 0.000 | -0.000 | -0.000 | 32.566 | -0.000 | -0.000 |
| -0.000 | 0.000 | -0.000 | -0.000 | 32.566 | -0.000 |
| -0.000 | -0.000 | 0.000 | 0.000 | -0.000 | 32.566 |
| 52.109 | 89.698 | 89.698 | -0.000 | 0.000 | -0.000 |
| 89.698 | 52.109 | 89.698 | -0.000 | -0.000 | 0.000 |
| 89.698 | 89.698 | 52.109 | 0.000 | -0.000 | 0.000 |
| -0.000 | 0.000 | 0.000 | 32.566 | 0.000 | 0.000 |
| 0.000 | -0.000 | 0.000 | 0.000 | 32.566 | 0.000 |
| 0.000 | 0.000 | -0.000 | -0.000 | 0.000 | 32.566 |
| 52.127 | 89.717 | 89.717 | 0.000 | 0.000 | 0.000 |
| 89.717 | 52.127 | 89.717 | 0.000 | 0.000 | -0.000 |
| 89.717 | 89.717 | 52.127 | -0.000 | -0.000 | -0.000 |
| 0.000 | -0.000 | -0.000 | 27.753 | 0.000 | -0.000 |
| -0.000 | 0.000 | -0.000 | 0.000 | 27.753 | -0.000 |
| -0.000 | -0.000 | 0.000 | 0.000 | 0.000 | 27.753 |
| 52.093 | 89.682 | 89.682 | -0.000 | 0.000 | 0.000 |
| 89.682 | 52.093 | 89.682 | -0.000 | -0.000 | -0.000 |
| 89.682 | 89.682 | 52.093 | -0.000 | -0.000 | -0.000 |
| -0.000 | 0.000 | 0.000 | 27.753 | -0.000 | 0.000 |
| 0.000 | -0.000 | 0.000 | -0.000 | 27.753 | 0.000 |
| 0.000 | 0.000 | -0.000 | -0.000 | -0.000 | 27.753 |
| 33.734 | 33.734 | 33.734 | -0.000 | -0.000 | -0.000 |
| 33.734 | 33.734 | 33.734 | -0.000 | -0.000 | -0.000 |
| 33.734 | 33.734 | 33.734 | -0.000 | -0.000 | 0.000 |
| -0.000 | -0.000 | -0.000 | -88.906 | 0.000 | 0.000 |
| -0.000 | -0.000 | -0.000 | 0.000 | -88.906 | 0.000 |
| -0.000 | -0.000 | -0.000 | 0.000 | 0.000 | -88.906 |
| 33.734 | 33.734 | 33.734 | 0.000 | 0.000 | -0.000 |
| 33.734 | 33.734 | 33.734 | 0.000 | 0.000 | -0.000 |
| 33.734 | 33.734 | 33.734 | 0.000 | 0.000 | -0.000 |
| 0.000 | 0.000 | 0.000 | -88.906 | -0.000 | -0.000 |
| 0.000 | 0.000 | 0.000 | -0.000 | -88.906 | 0.000 |
| 0.000 | 0.000 | 0.000 | -0.000 | -0.000 | -88.906 |
| 33.734 | 33.734 | 33.734 | -0.000 | -0.000 | 0.000 |
| 33.734 | 33.734 | 33.734 | 0.000 | -0.000 | 0.000 |
| 33.734 | 33.734 | 33.734 | -0.000 | 0.000 | 0.000 |
| -558953.322 | -509728.284 | -457873.638 | -14201.587 | 379.018 | -14380.871 |
| -512414.679 | -572414.960 | -469118.515 | -1898.658 | -26239.088 | -10743.256 |
| -478282.735 | -438410.220 | -538892.801 | -3966.288 | -12877.201 | -34929.742 |
| 33.734 | 33.734 | 33.734 | -0.000 | 0.000 | -0.000 |
| 33.734 | 33.734 | 33.734 | 0.000 | -0.000 | 0.000 |
| 33.734 | 33.734 | 33.734 | 0.000 | -0.000 | -0.000 |
| 594672.470 | 480209.982 | 445806.820 | -92108.706 | -5261.781 | 7168.581 |
| 419361.685 | 581328.284 | 446788.560 | 7406.899 | -92117.600 | -374.470 |
| 473893.029 | 501381.465 | 735205.285 | -14412.957 | 17788.551 | -100115.939 |
| 33.736 | 33.736 | 33.736 | 0.000 | -0.000 | -0.000 |
| 33.736 | 33.736 | 33.736 | -0.000 | 0.000 | 0.000 |
| 33.736 | 33.736 | 33.736 | 0.000 | 0.000 | 0.000 |
| -56048.987 | -56513.065 | -47723.162 | -1909.315 | 1116.483 | -126.884 |
| -53473.612 | -59090.575 | -49103.966 | -864.378 | -2747.331 | -1366.231 |
| -53679.850 | -48612.521 | -56604.784 | -54.538 | -1198.635 | -2756.496 |
| 33.733 | 33.733 | 33.733 | -0.000 | -0.000 | -0.000 |
| 33.733 | 33.733 | 33.733 | -0.000 | -0.000 | -0.000 |
| 33.733 | 33.733 | 33.733 | 0.000 | 0.000 | 0.000 |
| 60077.451 | 55472.587 | 48919.979 | -3092.108 | 716.958 | -448.147 |
| 54870.483 | 61250.111 | 52504.368 | -361.720 | -1300.343 | 740.729 |
| 54070.860 | 50579.727 | 57483.645 | -802.426 | 1040.883 | -1686.320 |
| 147.357 | 90.501 | 90.501 | -0.000 | -0.000 | -0.000 |
| 90.501 | 147.357 | 90.501 | -0.000 | -0.000 | 0.000 |
| 90.501 | 90.501 | 147.357 | -0.000 | -0.000 | -0.000 |
| -0.000 | 0.000 | 0.000 | 38.168 | -0.000 | 0.000 |
| 0.000 | -0.000 | 0.000 | -0.000 | 38.168 | 0.000 |
| 0.000 | 0.000 | -0.000 | -0.000 | -0.000 | 38.168 |
| 147.357 | 90.501 | 90.501 | 0.000 | 0.000 | 0.000 |
| 90.501 | 147.357 | 90.501 | 0.000 | 0.000 | 0.000 |
| 90.501 | 90.501 | 147.357 | 0.000 | 0.000 | 0.000 |
| 0.000 | -0.000 | -0.000 | 38.168 | 0.000 | -0.000 |
| -0.000 | 0.000 | -0.000 | 0.000 | 38.168 | 0.000 |
| -0.000 | -0.000 | 0.000 | 0.000 | 0.000 | 38.168 |
| 147.358 | 90.502 | 90.502 | -0.000 | -0.000 | 0.000 |
| 90.502 | 147.358 | 90.502 | -0.000 | -0.000 | -0.000 |
| 90.502 | 90.502 | 147.358 | -0.000 | -0.000 | 0.000 |
| -0.000 | 0.000 | 0.000 | 38.168 | -0.000 | -0.000 |
| 0.000 | -0.000 | 0.000 | -0.000 | 38.168 | 0.000 |
| 0.000 | 0.000 | -0.000 | -0.000 | -0.000 | 38.168 |
| 147.356 | 90.500 | 90.500 | 0.000 | -0.000 | -0.000 |
| 90.500 | 147.356 | 90.500 | 0.000 | -0.000 | 0.000 |
| 90.500 | 90.500 | 147.356 | 0.000 | 0.000 | 0.000 |
| 0.000 | -0.000 | -0.000 | 38.168 | 0.000 | -0.000 |
| -0.000 | 0.000 | -0.000 | 0.000 | 38.168 | -0.000 |
| -0.000 | -0.000 | 0.000 | 0.000 | -0.000 | 38.168 |
| 147.365 | 90.508 | 90.508 | -0.000 | -0.000 | -0.000 |
| 90.508 | 147.365 | 90.508 | -0.000 | -0.000 | 0.000 |
| 90.508 | 90.508 | 147.365 | 0.000 | -0.000 | -0.000 |
| -0.000 | 0.000 | 0.000 | 38.168 | -0.000 | -0.000 |
| 0.000 | -0.000 | 0.000 | -0.000 | 38.168 | -0.000 |
| 0.000 | 0.000 | -0.000 | -0.000 | -0.000 | 38.168 |
| 147.349 | 90.493 | 90.493 | -0.000 | 0.000 | 0.000 |
| 90.493 | 147.349 | 90.493 | 0.000 | 0.000 | 0.000 |
| 90.493 | 90.493 | 147.349 | 0.000 | -0.000 | -0.000 |
| 0.000 | -0.000 | -0.000 | 38.168 | -0.000 | 0.000 |
| -0.000 | 0.000 | -0.000 | 0.000 | 38.168 | 0.000 |
| -0.000 | -0.000 | 0.000 | 0.000 | 0.000 | 38.168 |
| 19.364 | 9.202 | 9.202 | -0.000 | -0.000 | -0.000 |
| 9.202 | 19.364 | 9.202 | -0.000 | -0.000 | -0.000 |
| 9.202 | 9.202 | 19.364 | -0.000 | -0.000 | -0.000 |
| -0.000 | -0.000 | -0.000 | 9.244 | -0.000 | 0.000 |
| -0.000 | 0.000 | -0.000 | -0.000 | 9.244 | 0.000 |
| -0.000 | -0.000 | -0.000 | -0.000 | -0.000 | 9.244 |
| 19.364 | 9.202 | 9.202 | 0.000 | 0.000 | 0.000 |
| 9.202 | 19.364 | 9.202 | 0.000 | 0.000 | 0.000 |
| 9.202 | 9.202 | 19.364 | 0.000 | 0.000 | 0.000 |
| 0.000 | 0.000 | 0.000 | 9.244 | 0.000 | 0.000 |
| 0.000 | -0.000 | 0.000 | 0.000 | 9.244 | -0.000 |
| 0.000 | 0.000 | 0.000 | -0.000 | 0.000 | 9.244 |
| 19.364 | 9.202 | 9.202 | -0.000 | -0.000 | -0.000 |
| 9.202 | 19.364 | 9.202 | -0.000 | -0.000 | -0.000 |
| 9.202 | 9.202 | 19.364 | -0.000 | -0.000 | 0.000 |
| -0.000 | -0.000 | -0.000 | 9.244 | -0.000 | 0.000 |
| -0.000 | -0.000 | -0.000 | -0.000 | 9.244 | -0.000 |
| -0.000 | -0.000 | -0.000 | -0.000 | -0.000 | 9.244 |
| 19.364 | 9.202 | 9.202 | 0.000 | 0.000 | -0.000 |
| 9.202 | 19.364 | 9.202 | 0.000 | 0.000 | 0.000 |
| 9.202 | 9.202 | 19.364 | 0.000 | 0.000 | 0.000 |
| 0.000 | 0.000 | 0.000 | 9.244 | 0.000 | -0.000 |
| 0.000 | 0.000 | 0.000 | 0.000 | 9.244 | -0.000 |
| 0.000 | 0.000 | 0.000 | 0.000 | -0.000 | 9.244 |
| 19.363 | 9.202 | 9.202 | -0.000 | -0.000 | 0.000 |
| 9.202 | 19.363 | 9.202 | -0.000 | -0.000 | 0.000 |
| 9.202 | 9.202 | 19.363 | -0.000 | -0.000 | -0.000 |
| -0.000 | -0.000 | -0.000 | 9.244 | -0.000 | -0.000 |
| -0.000 | -0.000 | -0.000 | -0.000 | 9.244 | -0.000 |
| -0.000 | -0.000 | -0.000 | -0.000 | -0.000 | 9.244 |
| 19.364 | 9.202 | 9.202 | 0.000 | 0.000 | 0.000 |
| 9.202 | 19.364 | 9.202 | 0.000 | 0.000 | 0.000 |
| 9.202 | 9.202 | 19.364 | 0.000 | 0.000 | 0.000 |
| 0.000 | 0.000 | 0.000 | 9.244 | 0.000 | 0.000 |
| 0.000 | 0.000 | 0.000 | 0.000 | 9.244 | 0.000 |
| 0.000 | 0.000 | 0.000 | 0.000 | 0.000 | 9.244 |
| 105.722 | 65.677 | 73.372 | -8.287 | 0.000 | -0.000 |
| 65.677 | 105.722 | 73.372 | 8.287 | 0.000 | -0.000 |
| 814.529 | 814.529 | -277.737 | 0.000 | 0.000 | -0.000 |
| 527.711 | 544.262 | -452.987 | 33.059 | -0.000 | -0.000 |
| -0.000 | -0.000 | 0.000 | -0.000 | 33.086 | -8.287 |
| -0.000 | -0.000 | 0.000 | 0.000 | -8.287 | 20.023 |
| 105.722 | 65.676 | 73.372 | -8.287 | -0.000 | 0.000 |
| -681.586 | -641.601 | 477.035 | 8.248 | -0.000 | 0.000 |
| -462.082 | -462.082 | 579.897 | -0.000 | -0.000 | 0.000 |
| -8.287 | 8.287 | -0.000 | 33.086 | -0.000 | 0.000 |
| 0.000 | 0.000 | -0.000 | 0.000 | 33.086 | -8.287 |
| 0.000 | 0.000 | -0.000 | 0.000 | -8.287 | 20.023 |
| 156.795 | 116.767 | 28.161 | -8.276 | 0.000 | -0.000 |
| 116.767 | 156.795 | 28.161 | 8.276 | 0.000 | 0.000 |
| 127.505 | 127.505 | 81.610 | 0.000 | 0.000 | -0.000 |
| 45.323 | 61.874 | -45.299 | 33.059 | -0.000 | -0.000 |
| 74.142 | 74.142 | -40.444 | -0.000 | 32.995 | -8.248 |
| 0.000 | 0.000 | -0.000 | 0.000 | -8.287 | 20.023 |
| 105.721 | 65.676 | 73.372 | -8.287 | -0.000 | 0.000 |
| 65.676 | 105.721 | 73.372 | 8.287 | -0.000 | 0.000 |
| 73.980 | 73.980 | 127.420 | -0.000 | -0.000 | 0.000 |
| -61.874 | -45.323 | 45.299 | 33.059 | -0.000 | 0.000 |
| -74.142 | -74.142 | 40.444 | 0.000 | 32.995 | -8.248 |
| -0.000 | -0.000 | 0.000 | -0.000 | -8.287 | 20.023 |
| 108.683 | 68.655 | 68.824 | -8.276 | 0.000 | -0.000 |
| 65.682 | 105.727 | 73.372 | 8.287 | -0.000 | -0.000 |
| 80.597 | 80.597 | 122.667 | 0.000 | 0.000 | -0.000 |
| -2.912 | 13.639 | -4.533 | 33.059 | 0.000 | -0.000 |
| 7.496 | 7.496 | -4.027 | -0.000 | 32.993 | -8.247 |
| 5.361 | 5.361 | -4.531 | 0.000 | -8.276 | 20.014 |
| 105.716 | 65.671 | 73.371 | -8.287 | -0.000 | -0.000 |
| 57.594 | 97.621 | 78.073 | 8.275 | -0.000 | 0.000 |
| 73.982 | 73.982 | 127.424 | -0.000 | -0.000 | -0.000 |
| -13.638 | 2.913 | 4.532 | 33.059 | -0.000 | 0.000 |
| -7.496 | -7.496 | 4.027 | 0.000 | 32.993 | -8.247 |
| -5.361 | -5.361 | 4.531 | -0.000 | -8.276 | 20.014 |
| 103.950 | 82.653 | 99.385 | -11.110 | -0.000 | -0.000 |
| 97.934 | 119.377 | 103.549 | 11.159 | 0.000 | -0.000 |
| 99.468 | 99.468 | 148.627 | 0.000 | 0.000 | -0.000 |
| -11.159 | 11.159 | -0.000 | 32.164 | 0.000 | 0.000 |
| 0.436 | 0.436 | -0.056 | -0.000 | 32.141 | -11.125 |
| -0.000 | -0.000 | -0.000 | 0.000 | -11.159 | 10.721 |
| 119.376 | 97.933 | 103.548 | -11.159 | -0.000 | 0.000 |
| 83.481 | 104.795 | 100.048 | 11.116 | -0.000 | 0.000 |
| 97.518 | 97.518 | 148.652 | 0.000 | -0.000 | 0.000 |
| -11.561 | 10.689 | 0.056 | 32.141 | -0.000 | -0.000 |
| -0.436 | -0.436 | 0.056 | 0.000 | 32.141 | -11.125 |
| 0.000 | 0.000 | 0.000 | 0.000 | -11.159 | 10.721 |
| 119.383 | 97.940 | 103.553 | -11.159 | 0.000 | 0.000 |
| 83.066 | 104.372 | 99.712 | 11.113 | 0.000 | -0.000 |
| 97.932 | 97.932 | 148.454 | -0.000 | -0.000 | -0.000 |
| -11.159 | 11.159 | -0.000 | 32.164 | 0.000 | -0.000 |
| -0.012 | -0.012 | -0.020 | -0.000 | 31.974 | -10.871 |
| 0.000 | 0.000 | -0.000 | -0.000 | -11.159 | 10.721 |
| 101.644 | 80.463 | 97.863 | -11.072 | -0.000 | 0.000 |
| 97.927 | 119.370 | 103.543 | 11.159 | -0.000 | -0.000 |
| 98.016 | 98.016 | 148.467 | -0.000 | -0.000 | 0.000 |
| -11.222 | 10.665 | 0.036 | 32.021 | -0.000 | 0.000 |
| 0.012 | 0.012 | 0.020 | 0.000 | 31.974 | -10.871 |
| -0.000 | -0.000 | 0.000 | 0.000 | -11.159 | 10.721 |
| 101.537 | 80.963 | 97.952 | -10.872 | -0.000 | -0.000 |
| 80.549 | 101.731 | 97.905 | 11.073 | 0.000 | -0.000 |
| 98.179 | 98.179 | 148.505 | 0.000 | 0.000 | -0.000 |
| -11.159 | 11.158 | -0.000 | 32.164 | 0.000 | -0.000 |
| -0.039 | -0.039 | 0.000 | -0.000 | 31.974 | -10.872 |
| 0.000 | 0.000 | -0.000 | -0.000 | -11.159 | 10.721 |
| 119.309 | 97.866 | 103.497 | -11.159 | -0.000 | 0.000 |
| 97.866 | 119.309 | 103.497 | 11.159 | -0.000 | 0.000 |
| 103.507 | 103.507 | 150.695 | 0.000 | -0.000 | 0.000 |
| -11.159 | 11.159 | 0.000 | 32.163 | -0.000 | 0.000 |
| 0.039 | 0.039 | -0.000 | 0.000 | 31.974 | -10.872 |
| -0.000 | -0.000 | 0.000 | 0.000 | -11.159 | 10.721 |
| 108.704 | 802.336 | -1450.990 | 730.400 | -316.934 | 796.529 |
| 60.600 | 187.589 | 60.190 | -0.562 | 0.026 | -2.378 |
| -198.634 | 531.320 | -977.552 | 542.455 | -459.801 | 855.266 |
| -151.302 | 1013.681 | -1773.960 | 744.465 | -371.626 | 883.282 |
| -151.120 | 777.755 | -1374.988 | 1194.809 | -575.456 | 979.083 |
| -152.160 | 1010.271 | -1774.525 | 717.045 | -374.184 | 913.193 |
| 783.499 | 248.904 | 605.612 | -557.688 | -8.254 | -704.658 |
| 338.016 | -321.665 | 1185.044 | -541.907 | 464.829 | -861.068 |
| 533.740 | 15.840 | 167.339 | -251.623 | 127.202 | -667.328 |
| 150.949 | -776.432 | 1376.516 | -1170.295 | 599.228 | -980.992 |
| 652.001 | 179.985 | 538.566 | -558.477 | 26.896 | -702.292 |
| 149.224 | -1014.331 | 1772.612 | -717.113 | 371.682 | -855.009 |
| 111.075 | 118.019 | -43.393 | 52.766 | -45.602 | 82.022 |
| 75.639 | 227.975 | -100.458 | 82.691 | -46.308 | 56.784 |
| 41.273 | 115.350 | 27.095 | 54.597 | -43.910 | 81.857 |
| -0.892 | 0.927 | -1.994 | 66.582 | 2.084 | 0.469 |
| 0.764 | 0.205 | 2.865 | 2.084 | 66.816 | -0.197 |
| -18.966 | 72.660 | -134.720 | 118.544 | -64.126 | 122.101 |
| 146.281 | 4.224 | 227.027 | -73.352 | 30.619 | -82.087 |
| 124.605 | 119.513 | 84.298 | -22.531 | 11.922 | -66.997 |
| 78.583 | 2.188 | 291.969 | -74.574 | 34.165 | -80.731 |
| -0.892 | 0.927 | -1.994 | 66.581 | 2.084 | 0.469 |
| 64.218 | 19.426 | 55.697 | -57.608 | 34.180 | -71.868 |
| -3.539 | -2.375 | 0.498 | 0.290 | -1.021 | 67.667 |
| 132.611 | 76.503 | 60.190 | 3.756 | -3.433 | 4.235 |
| 72.423 | 138.834 | 76.452 | 3.540 | -1.194 | 3.901 |
| 71.697 | 83.343 | 119.180 | 7.756 | -0.609 | 8.668 |
| -4.356 | 2.881 | -2.493 | 29.781 | 0.730 | 5.417 |
| -0.532 | 8.372 | -12.137 | 9.908 | 25.614 | 7.782 |
| -3.538 | -2.375 | 0.498 | 0.291 | -1.021 | 67.666 |
| 143.971 | 75.108 | 76.230 | -3.366 | 0.849 | -8.907 |
| 76.073 | 131.655 | 80.105 | -5.042 | 6.526 | -10.516 |
| 79.757 | 76.069 | 146.318 | -4.175 | 4.473 | -5.541 |
| 5.777 | 3.819 | 2.311 | 24.189 | -1.363 | -5.499 |
| 4.230 | -0.888 | 12.541 | -3.126 | 30.552 | -7.369 |
| 0.352 | -1.914 | 0.130 | -1.421 | -0.263 | 24.463 |
| 367.555 | 365.438 | -76.474 | 16.299 | 155.307 | -454.355 |
| 326.527 | 403.559 | -78.086 | 15.700 | 159.063 | -458.471 |
| 301.925 | 640.199 | 68.441 | 441.800 | 335.442 | -506.103 |
| 0.645 | -1.367 | -1.545 | 66.996 | 0.484 | -0.222 |
| -2.407 | -0.073 | -0.839 | 0.484 | 65.183 | 2.412 |
| 1.288 | 0.600 | 0.322 | -0.220 | 2.560 | 65.043 |
| -121.567 | -202.295 | 236.274 | -15.701 | -161.921 | 461.041 |
| -162.559 | -164.059 | 234.598 | -16.301 | -158.162 | 456.916 |
| -489.718 | -274.875 | 302.997 | -393.971 | -264.623 | 533.018 |
| -238.042 | -573.368 | 77.138 | -407.620 | -337.261 | 507.212 |
| -2.407 | -0.073 | -0.839 | 0.484 | 65.183 | 2.412 |
| 1.288 | 0.600 | 0.322 | -0.220 | 2.560 | 65.043 |
| 179.649 | 106.359 | 52.010 | 38.758 | 24.296 | -51.805 |
| 105.885 | 148.114 | 62.756 | 1.267 | 16.044 | -45.775 |
| 103.330 | 105.816 | 107.936 | 1.055 | 15.404 | -43.979 |
| 0.645 | -1.367 | -1.545 | 66.996 | 0.484 | -0.222 |
| 29.636 | 46.414 | -10.802 | -0.075 | 52.855 | -58.961 |
| 57.800 | 34.011 | -16.803 | 37.696 | 26.193 | -23.903 |
| 71.962 | 36.823 | 86.138 | -39.724 | -28.251 | 53.924 |
| 15.725 | 88.376 | 86.931 | -38.707 | -27.357 | 52.997 |
| 13.748 | 34.602 | 143.572 | -38.910 | -26.598 | 54.062 |
| 0.645 | -1.367 | -1.545 | 66.996 | 0.484 | -0.222 |
| -32.290 | -46.693 | 8.263 | 1.853 | -6.019 | 60.829 |
| 1.288 | 0.600 | 0.322 | -0.220 | 2.560 | 65.043 |
| 138.846 | 74.033 | 66.858 | 2.179 | 1.043 | -4.317 |
| 77.106 | 141.583 | 71.751 | -0.472 | 1.298 | -3.259 |
| 73.593 | 71.547 | 134.247 | 2.654 | 1.751 | -3.532 |
| 4.687 | 3.274 | -1.405 | 31.661 | 3.821 | -6.334 |
| -1.371 | 1.996 | -1.379 | 0.610 | 30.386 | -0.922 |
| 4.050 | 1.860 | -0.361 | -0.187 | 3.135 | 25.312 |
| 138.159 | 73.955 | 75.597 | 0.283 | -4.098 | 5.962 |
| 73.699 | 137.486 | 73.984 | -0.694 | -0.934 | 3.176 |
| 72.165 | 70.893 | 141.945 | -0.913 | -1.444 | 3.915 |
| 0.645 | -1.367 | -1.545 | 66.996 | 0.484 | -0.222 |
| -7.270 | -3.828 | 1.417 | -1.723 | 24.905 | 5.256 |
| 0.852 | -1.819 | 1.665 | -0.393 | 1.083 | 31.873 |
| 229.087 | 64.886 | 64.886 | -0.000 | -0.000 | 0.000 |
| 64.886 | 229.087 | 64.886 | -0.000 | -0.000 | 0.000 |
| 64.886 | 64.886 | 229.087 | -0.000 | 0.000 | 0.000 |
| 0.000 | 0.000 | -0.000 | 4.925 | -0.000 | 0.000 |
| 0.000 | 0.000 | 0.000 | -0.000 | 4.925 | 0.000 |
| 0.000 | 0.000 | -0.000 | -0.000 | -0.000 | 4.925 |
| 229.087 | 64.886 | 64.886 | 0.000 | 0.000 | -0.000 |
| 64.886 | 229.087 | 64.886 | 0.000 | 0.000 | -0.000 |
| 64.886 | 64.886 | 229.087 | 0.000 | -0.000 | -0.000 |
| -0.000 | -0.000 | 0.000 | 4.925 | 0.000 | -0.000 |
| -0.000 | -0.000 | -0.000 | 0.000 | 4.925 | -0.000 |
| -0.000 | -0.000 | 0.000 | 0.000 | 0.000 | 4.925 |
| 229.088 | 64.887 | 64.887 | -0.000 | -0.000 | 0.000 |
| 64.887 | 229.088 | 64.887 | 0.000 | -0.000 | 0.000 |
| 64.887 | 64.887 | 229.088 | 0.000 | 0.000 | 0.000 |
| 0.000 | 0.000 | 0.000 | 4.925 | -0.000 | 0.000 |
| 0.000 | 0.000 | 0.000 | -0.000 | 4.925 | 0.000 |
| 0.000 | 0.000 | 0.000 | -0.000 | -0.000 | 4.925 |
| 229.086 | 64.885 | 64.885 | 0.000 | 0.000 | -0.000 |
| 64.885 | 229.086 | 64.885 | -0.000 | 0.000 | -0.000 |
| 64.885 | 64.885 | 229.086 | 0.000 | -0.000 | -0.000 |
| -0.000 | -0.000 | -0.000 | 4.925 | 0.000 | -0.000 |
| -0.000 | -0.000 | -0.000 | 0.000 | 4.925 | -0.000 |
| -0.000 | -0.000 | -0.000 | 0.000 | 0.000 | 4.925 |
| 229.095 | 64.893 | 64.893 | -0.000 | 0.000 | 0.000 |
| 64.893 | 229.095 | 64.893 | -0.000 | 0.000 | 0.000 |
| 64.893 | 64.893 | 229.095 | -0.000 | -0.000 | 0.000 |
| 0.000 | 0.000 | 0.000 | 4.925 | -0.000 | 0.000 |
| 0.000 | 0.000 | 0.000 | -0.000 | 4.925 | 0.000 |
| 0.000 | 0.000 | 0.000 | -0.000 | -0.000 | 4.925 |
| 229.079 | 64.879 | 64.879 | 0.000 | 0.000 | -0.000 |
| 64.879 | 229.079 | 64.879 | -0.000 | 0.000 | -0.000 |
| 64.879 | 64.879 | 229.079 | 0.000 | 0.000 | -0.000 |
| -0.000 | -0.000 | -0.000 | 4.925 | 0.000 | -0.000 |
| -0.000 | -0.000 | -0.000 | 0.000 | 4.925 | -0.000 |
| -0.000 | -0.000 | -0.000 | 0.000 | 0.000 | 4.925 |
| 32.186 | 0.876 | 0.876 | -0.000 | -0.000 | 0.000 |
| 0.876 | 32.186 | 0.876 | 0.000 | -0.000 | 0.000 |
| 0.876 | 0.876 | 32.186 | -0.000 | 0.000 | -0.000 |
| 0.000 | 0.000 | 0.000 | 0.006 | -0.000 | 0.000 |
| 0.000 | 0.000 | 0.000 | -0.000 | 0.006 | -0.000 |
| 0.000 | 0.000 | 0.000 | 0.000 | -0.000 | 0.006 |
| 32.186 | 0.876 | 0.876 | -0.000 | 0.000 | 0.000 |
| 0.876 | 32.186 | 0.876 | 0.000 | -0.000 | 0.000 |
| 0.876 | 0.876 | 32.186 | -0.000 | -0.000 | 0.000 |
| -0.000 | -0.000 | -0.000 | 0.006 | -0.000 | 0.000 |
| -0.000 | -0.000 | -0.000 | 0.000 | 0.006 | -0.000 |
| -0.000 | -0.000 | -0.000 | -0.000 | -0.000 | 0.006 |
| 32.186 | 0.876 | 0.876 | 0.000 | 0.000 | 0.000 |
| 0.876 | 32.186 | 0.876 | 0.000 | 0.000 | 0.000 |
| 0.876 | 0.876 | 32.186 | -0.000 | -0.000 | 0.000 |
| -0.000 | -0.000 | -0.000 | 0.006 | -0.000 | 0.000 |
| -0.000 | -0.000 | -0.000 | -0.000 | 0.006 | -0.000 |
| -0.000 | -0.000 | -0.000 | -0.000 | 0.000 | 0.006 |
| 32.186 | 0.876 | 0.876 | -0.000 | 0.000 | -0.000 |
| 0.876 | 32.186 | 0.876 | 0.000 | 0.000 | -0.000 |
| 0.876 | 0.876 | 32.186 | 0.000 | -0.000 | -0.000 |
| 0.000 | 0.000 | 0.000 | 0.006 | -0.000 | 0.000 |
| 0.000 | 0.000 | 0.000 | -0.000 | 0.006 | -0.000 |
| 0.000 | 0.000 | 0.000 | -0.000 | -0.000 | 0.006 |
| 32.186 | 0.876 | 0.876 | 0.000 | -0.000 | -0.000 |
| 0.876 | 32.186 | 0.876 | -0.000 | 0.000 | 0.000 |
| 0.876 | 0.876 | 32.186 | 0.000 | 0.000 | -0.000 |
| -0.000 | -0.000 | -0.000 | 0.006 | -0.000 | 0.000 |
| -0.000 | -0.000 | -0.000 | -0.000 | 0.006 | 0.000 |
| -0.000 | -0.000 | -0.000 | -0.000 | -0.000 | 0.006 |
| 32.186 | 0.876 | 0.876 | 0.000 | -0.000 | 0.000 |
| 0.876 | 32.186 | 0.876 | -0.000 | 0.000 | 0.000 |
| 0.876 | 0.876 | 32.186 | 0.000 | 0.000 | 0.000 |
| 0.000 | 0.000 | 0.000 | 0.006 | 0.000 | -0.000 |
| 0.000 | 0.000 | 0.000 | 0.000 | 0.006 | 0.000 |
| 0.000 | 0.000 | 0.000 | 0.000 | -0.000 | 0.006 |
| 76.214 | -1.604 | -1.604 | -0.000 | -0.000 | -0.000 |
| -1.604 | 76.214 | -1.604 | -0.000 | -0.000 | 0.000 |
| -1.604 | -1.604 | 76.214 | -0.000 | -0.000 | 0.000 |
| 0.000 | 0.000 | -0.000 | 0.000 | 0.000 | -0.000 |
| 0.000 | 0.000 | -0.000 | 0.000 | 0.000 | -0.000 |
| 0.000 | -0.000 | 0.000 | 0.000 | -0.000 | 0.000 |
| 76.214 | -1.604 | -1.604 | 0.000 | 0.000 | -0.000 |
| -1.604 | 76.214 | -1.604 | 0.000 | 0.000 | 0.000 |
| -1.604 | -1.604 | 76.214 | 0.000 | 0.000 | 0.000 |
| -0.000 | -0.000 | 0.000 | 0.000 | -0.000 | 0.000 |
| -0.000 | -0.000 | 0.000 | -0.000 | 0.000 | 0.000 |
| -0.000 | 0.000 | -0.000 | 0.000 | 0.000 | 0.000 |
| 76.214 | -1.605 | -1.605 | 0.000 | -0.000 | -0.000 |
| -1.605 | 76.214 | -1.605 | -0.000 | -0.000 | 0.000 |
| -1.605 | -1.605 | 76.214 | -0.000 | -0.000 | 0.000 |
| 0.000 | 0.000 | -0.000 | 0.000 | -0.000 | -0.000 |
| 0.000 | 0.000 | -0.000 | -0.000 | 0.000 | 0.000 |
| 0.000 | -0.000 | 0.000 | -0.000 | 0.000 | 0.000 |
| 76.214 | -1.604 | -1.604 | -0.000 | -0.000 | -0.000 |
| -1.604 | 76.214 | -1.604 | 0.000 | -0.000 | -0.000 |
| -1.604 | -1.604 | 76.214 | 0.000 | 0.000 | -0.000 |
| -0.000 | -0.000 | 0.000 | 0.000 | 0.000 | -0.000 |
| -0.000 | -0.000 | 0.000 | 0.000 | 0.000 | 0.000 |
| -0.000 | 0.000 | -0.000 | -0.000 | -0.000 | 0.000 |
| 76.215 | -1.605 | -1.605 | 0.000 | -0.000 | 0.000 |
| -1.605 | 76.215 | -1.605 | -0.000 | -0.000 | -0.000 |
| -1.605 | -1.605 | 76.215 | 0.000 | 0.000 | 0.000 |
| 0.000 | 0.000 | -0.000 | 0.000 | -0.000 | 0.000 |
| 0.000 | 0.000 | -0.000 | -0.000 | 0.000 | -0.000 |
| 0.000 | -0.000 | 0.000 | 0.000 | -0.000 | 0.000 |
| 76.213 | -1.604 | -1.604 | -0.000 | 0.000 | -0.000 |
| -1.604 | 76.213 | -1.604 | 0.000 | -0.000 | -0.000 |
| -1.604 | -1.604 | 76.213 | -0.000 | -0.000 | 0.000 |
| -0.000 | -0.000 | 0.000 | 0.000 | 0.000 | 0.000 |
| -0.000 | -0.000 | 0.000 | -0.000 | 0.000 | 0.000 |
| -0.000 | 0.000 | -0.000 | -0.000 | 0.000 | 0.000 |
| 270.059 | 307.764 | 307.764 | -0.000 | -0.000 | 0.000 |
| 307.764 | 270.059 | 307.764 | -0.000 | -0.000 | 0.000 |
| 307.764 | 307.764 | 270.059 | -0.000 | 0.000 | 0.000 |
| 0.000 | 0.000 | 0.000 | -6.010 | 0.000 | 0.000 |
| 0.000 | 0.000 | 0.000 | -0.000 | -6.010 | 0.000 |
| 0.000 | 0.000 | 0.000 | -0.000 | 0.000 | -6.010 |
| 270.064 | 307.769 | 307.769 | 0.000 | -0.000 | -0.000 |
| 307.769 | 270.064 | 307.769 | -0.000 | 0.000 | -0.000 |
| 307.769 | 307.769 | 270.064 | -0.000 | 0.000 | -0.000 |
| -0.000 | -0.000 | -0.000 | -6.010 | 0.000 | 0.000 |
| -0.000 | -0.000 | -0.000 | 0.000 | -6.010 | -0.000 |
| -0.000 | -0.000 | -0.000 | 0.000 | 0.000 | -6.010 |
| 270.038 | 307.742 | 307.742 | 0.000 | -0.000 | 0.000 |
| 307.742 | 270.038 | 307.742 | 0.000 | 0.000 | 0.000 |
| 307.742 | 307.742 | 270.038 | -0.000 | 0.000 | 0.000 |
| 0.000 | 0.000 | 0.000 | -6.010 | 0.000 | 0.000 |
| 0.000 | 0.000 | 0.000 | 0.000 | -6.010 | -0.000 |
| 0.000 | 0.000 | 0.000 | -0.000 | -0.000 | -6.010 |
| 270.086 | 307.791 | 307.791 | 0.000 | 0.000 | -0.000 |
| 307.791 | 270.086 | 307.791 | 0.000 | -0.000 | 0.000 |
| 307.791 | 307.791 | 270.086 | 0.000 | -0.000 | -0.000 |
| -0.000 | -0.000 | -0.000 | -6.010 | -0.000 | -0.000 |
| -0.000 | -0.000 | -0.000 | -0.000 | -6.010 | -0.000 |
| -0.000 | -0.000 | -0.000 | 0.000 | 0.000 | -6.010 |
| 269.821 | 307.524 | 307.524 | -0.000 | -0.000 | 0.000 |
| 307.524 | 269.821 | 307.524 | -0.000 | 0.000 | 0.000 |
| 307.524 | 307.524 | 269.821 | 0.000 | 0.000 | 0.000 |
| 0.000 | 0.000 | 0.000 | -6.010 | 0.000 | -0.000 |
| 0.000 | 0.000 | 0.000 | 0.000 | -6.010 | 0.000 |
| 0.000 | 0.000 | 0.000 | 0.000 | 0.000 | -6.010 |
| 270.303 | 308.008 | 308.008 | -0.000 | 0.000 | -0.000 |
| 308.008 | 270.303 | 308.008 | 0.000 | -0.000 | -0.000 |
| 308.008 | 308.008 | 270.303 | -0.000 | 0.000 | -0.000 |
| -0.000 | -0.000 | -0.000 | -6.010 | -0.000 | -0.000 |
| -0.000 | -0.000 | -0.000 | -0.000 | -6.010 | -0.000 |
| -0.000 | -0.000 | -0.000 | -0.000 | -0.000 | -6.010 |
| 86.898 | 15.278 | 15.278 | 0.000 | 0.000 | 0.000 |
| 15.278 | 86.898 | 15.278 | 0.000 | -0.000 | -0.000 |
| 15.278 | 15.278 | 86.898 | 0.000 | -0.000 | 0.000 |
| -0.000 | -0.000 | -0.000 | 12.998 | -0.000 | 0.000 |
| -0.000 | -0.000 | -0.000 | 0.000 | 12.998 | 0.000 |
| -0.000 | -0.000 | -0.000 | 0.000 | -0.000 | 12.998 |
| 86.898 | 15.278 | 15.278 | -0.000 | 0.000 | -0.000 |
| 15.278 | 86.898 | 15.278 | -0.000 | -0.000 | -0.000 |
| 15.278 | 15.278 | 86.898 | -0.000 | 0.000 | 0.000 |
| 0.000 | 0.000 | 0.000 | 12.998 | -0.000 | -0.000 |
| 0.000 | 0.000 | 0.000 | -0.000 | 12.998 | -0.000 |
| 0.000 | 0.000 | 0.000 | -0.000 | -0.000 | 12.998 |
| 86.898 | 15.278 | 15.278 | 0.000 | 0.000 | 0.000 |
| 15.278 | 86.898 | 15.278 | 0.000 | 0.000 | 0.000 |
| 15.278 | 15.278 | 86.898 | 0.000 | 0.000 | 0.000 |
| -0.000 | -0.000 | -0.000 | 12.998 | -0.000 | 0.000 |
| -0.000 | -0.000 | -0.000 | 0.000 | 12.998 | 0.000 |
| -0.000 | -0.000 | -0.000 | 0.000 | 0.000 | 12.998 |
| 86.898 | 15.278 | 15.278 | -0.000 | 0.000 | -0.000 |
| 15.278 | 86.898 | 15.278 | -0.000 | 0.000 | -0.000 |
| 15.278 | 15.278 | 86.898 | -0.000 | 0.000 | -0.000 |
| 0.000 | 0.000 | 0.000 | 12.998 | -0.000 | -0.000 |
| 0.000 | 0.000 | 0.000 | -0.000 | 12.998 | -0.000 |
| 0.000 | 0.000 | 0.000 | -0.000 | -0.000 | 12.998 |
| 86.896 | 15.278 | 15.278 | -0.000 | -0.000 | -0.000 |
| 15.278 | 86.896 | 15.278 | 0.000 | -0.000 | 0.000 |
| 15.278 | 15.278 | 86.896 | 0.000 | 0.000 | -0.000 |
| -0.000 | -0.000 | -0.000 | 12.998 | 0.000 | 0.000 |
| -0.000 | -0.000 | -0.000 | 0.000 | 12.998 | 0.000 |
| -0.000 | -0.000 | -0.000 | 0.000 | 0.000 | 12.998 |
| 86.899 | 15.278 | 15.278 | -0.000 | -0.000 | -0.000 |
| 15.278 | 86.899 | 15.278 | -0.000 | 0.000 | -0.000 |
| 15.278 | 15.278 | 86.899 | -0.000 | 0.000 | -0.000 |
| 0.000 | 0.000 | 0.000 | 12.998 | 0.000 | -0.000 |
| 0.000 | 0.000 | 0.000 | -0.000 | 12.998 | -0.000 |
| 0.000 | 0.000 | 0.000 | -0.000 | -0.000 | 12.998 |
| 110.480 | 110.480 | 110.480 | -0.000 | -0.000 | -0.000 |
| 110.480 | 110.480 | 110.480 | -0.000 | -0.000 | -0.000 |
| 110.480 | 110.480 | 110.480 | -0.000 | -0.000 | -0.000 |
| 0.000 | 0.000 | 0.000 | 111.161 | -0.000 | -0.000 |
| 0.000 | 0.000 | 0.000 | -0.000 | 111.161 | -0.000 |
| 0.000 | 0.000 | 0.000 | -0.000 | -0.000 | 111.161 |
| 110.480 | 110.480 | 110.480 | 0.000 | 0.000 | 0.000 |
| 110.480 | 110.480 | 110.480 | 0.000 | 0.000 | 0.000 |
| 110.480 | 110.480 | 110.480 | 0.000 | 0.000 | -0.000 |
| -0.000 | -0.000 | -0.000 | 111.161 | 0.000 | 0.000 |
| -0.000 | -0.000 | -0.000 | 0.000 | 111.161 | 0.000 |
| -0.000 | -0.000 | -0.000 | 0.000 | 0.000 | 111.161 |
| 110.480 | 110.480 | 110.480 | -0.000 | -0.000 | -0.000 |
| 110.480 | 110.480 | 110.480 | -0.000 | -0.000 | -0.000 |
| 110.480 | 110.480 | 110.480 | -0.000 | -0.000 | -0.000 |
| 0.000 | 0.000 | 0.000 | 111.161 | -0.000 | -0.000 |
| 0.000 | 0.000 | 0.000 | -0.000 | 111.161 | -0.000 |
| 0.000 | 0.000 | 0.000 | -0.000 | -0.000 | 111.161 |
| 110.480 | 110.480 | 110.480 | 0.000 | 0.000 | 0.000 |
| 110.480 | 110.480 | 110.480 | 0.000 | 0.000 | 0.000 |
| 110.480 | 110.480 | 110.480 | 0.000 | 0.000 | 0.000 |
| -0.000 | -0.000 | -0.000 | 111.161 | 0.000 | 0.000 |
| -0.000 | -0.000 | -0.000 | 0.000 | 111.161 | 0.000 |
| -0.000 | -0.000 | -0.000 | 0.000 | 0.000 | 111.161 |
| 110.480 | 110.481 | 110.481 | -0.000 | -0.000 | -0.000 |
| 110.481 | 110.480 | 110.481 | -0.000 | -0.000 | -0.000 |
| 110.481 | 110.481 | 110.480 | -0.000 | -0.000 | -0.000 |
| 0.001 | 0.001 | 0.001 | 111.161 | -0.000 | -0.000 |
| 0.001 | 0.001 | 0.001 | -0.000 | 111.161 | -0.000 |
| 0.001 | 0.001 | 0.001 | -0.000 | -0.000 | 111.161 |
| 110.480 | 110.479 | 110.479 | 0.000 | 0.000 | 0.000 |
| 110.479 | 110.480 | 110.479 | 0.000 | 0.000 | 0.000 |
| 110.479 | 110.479 | 110.480 | 0.000 | 0.000 | 0.000 |
| -0.001 | -0.001 | -0.001 | 111.161 | 0.000 | 0.000 |
| -0.001 | -0.001 | -0.001 | 0.000 | 111.161 | 0.000 |
| -0.001 | -0.001 | -0.001 | 0.000 | 0.000 | 111.161 |
| 53.329 | 52.177 | 52.177 | -0.000 | -0.000 | -0.000 |
| 52.177 | 53.329 | 52.177 | -0.000 | -0.000 | -0.000 |
| 52.177 | 52.177 | 53.329 | -0.000 | -0.000 | -0.000 |
| -0.000 | -0.000 | 0.000 | 52.255 | 0.000 | 0.000 |
| -0.000 | 0.000 | 0.000 | 0.000 | 52.255 | 0.000 |
| -0.000 | 0.000 | 0.000 | 0.000 | 0.000 | 52.255 |
| 53.329 | 52.176 | 52.176 | 0.000 | 0.000 | 0.000 |
| 52.176 | 53.329 | 52.176 | 0.000 | 0.000 | 0.000 |
| 52.176 | 52.176 | 53.329 | 0.000 | 0.000 | 0.000 |
| 0.000 | 0.000 | -0.000 | 52.255 | -0.000 | -0.000 |
| 0.000 | -0.000 | -0.000 | -0.000 | 52.255 | -0.000 |
| 0.000 | -0.000 | -0.000 | -0.000 | -0.000 | 52.255 |
| 53.329 | 52.177 | 52.177 | -0.000 | -0.000 | -0.000 |
| 52.177 | 53.329 | 52.177 | -0.000 | -0.000 | -0.000 |
| 52.177 | 52.177 | 53.329 | -0.000 | -0.000 | -0.000 |
| 0.000 | -0.000 | 0.000 | 52.255 | 0.000 | 0.000 |
| -0.000 | 0.000 | 0.000 | 0.000 | 52.255 | 0.000 |
| -0.000 | 0.000 | 0.000 | 0.000 | 0.000 | 52.255 |
| 53.329 | 52.176 | 52.176 | 0.000 | 0.000 | 0.000 |
| 52.176 | 53.329 | 52.176 | 0.000 | 0.000 | 0.000 |
| 52.176 | 52.176 | 53.329 | 0.000 | 0.000 | 0.000 |
| -0.000 | 0.000 | -0.000 | 52.255 | -0.000 | -0.000 |
| 0.000 | -0.000 | -0.000 | -0.000 | 52.255 | -0.000 |
| 0.000 | -0.000 | -0.000 | -0.000 | -0.000 | 52.255 |
| 53.330 | 52.178 | 52.178 | -0.000 | -0.000 | -0.000 |
| 52.178 | 53.330 | 52.178 | -0.000 | -0.000 | -0.000 |
| 52.178 | 52.178 | 53.330 | -0.000 | -0.000 | -0.000 |
| 0.000 | -0.000 | 0.000 | 52.255 | 0.000 | 0.000 |
| -0.000 | 0.000 | 0.000 | 0.000 | 52.255 | 0.000 |
| -0.000 | 0.000 | 0.000 | 0.000 | 0.000 | 52.255 |
| 53.328 | 52.175 | 52.175 | 0.000 | 0.000 | 0.000 |
| 52.175 | 53.328 | 52.175 | 0.000 | 0.000 | 0.000 |
| 52.175 | 52.175 | 53.328 | 0.000 | 0.000 | 0.000 |
| -0.000 | 0.000 | -0.000 | 52.255 | -0.000 | -0.000 |
| 0.000 | -0.000 | -0.000 | -0.000 | 52.255 | -0.000 |
| 0.000 | -0.000 | -0.000 | -0.000 | -0.000 | 52.255 |
| 5.219 | 5.215 | 5.215 | 0.000 | 0.000 | 0.000 |
| 5.215 | 5.219 | 5.215 | 0.000 | 0.000 | 0.000 |
| 5.215 | 5.215 | 5.219 | 0.000 | 0.000 | 0.000 |
| -0.000 | -0.000 | -0.000 | 0.002 | 0.000 | 0.000 |
| -0.000 | -0.000 | -0.000 | 0.000 | 0.002 | 0.000 |
| -0.000 | -0.000 | -0.000 | 0.000 | 0.000 | 0.002 |
| 5.219 | 5.215 | 5.215 | -0.000 | -0.000 | -0.000 |
| 5.215 | 5.219 | 5.215 | -0.000 | -0.000 | -0.000 |
| 5.215 | 5.215 | 5.219 | -0.000 | -0.000 | 0.000 |
| 0.000 | 0.000 | 0.000 | 0.002 | -0.000 | -0.000 |
| 0.000 | 0.000 | 0.000 | -0.000 | 0.002 | -0.000 |
| 0.000 | 0.000 | 0.000 | -0.000 | -0.000 | 0.002 |
| 5.219 | 5.215 | 5.215 | 0.000 | 0.000 | 0.000 |
| 5.215 | 5.219 | 5.215 | 0.000 | 0.000 | 0.000 |
| 5.215 | 5.215 | 5.219 | 0.000 | 0.000 | 0.000 |
| -0.000 | -0.000 | -0.000 | 0.002 | 0.000 | 0.000 |
| -0.000 | -0.000 | -0.000 | 0.000 | 0.002 | 0.000 |
| -0.000 | -0.000 | -0.000 | 0.000 | 0.000 | 0.002 |
| 5.219 | 5.215 | 5.215 | -0.000 | -0.000 | -0.000 |
| 5.215 | 5.219 | 5.215 | -0.000 | -0.000 | -0.000 |
| 5.215 | 5.215 | 5.219 | -0.000 | -0.000 | -0.000 |
| 0.000 | 0.000 | 0.000 | 0.002 | -0.000 | -0.000 |
| 0.000 | 0.000 | 0.000 | -0.000 | 0.002 | -0.000 |
| 0.000 | 0.000 | 0.000 | -0.000 | -0.000 | 0.002 |
| 5.219 | 5.215 | 5.215 | 0.000 | 0.000 | 0.000 |
| 5.215 | 5.219 | 5.215 | 0.000 | 0.000 | 0.000 |
| 5.215 | 5.215 | 5.219 | 0.000 | 0.000 | 0.000 |
| -0.000 | -0.000 | -0.000 | 0.002 | 0.000 | 0.000 |
| -0.000 | -0.000 | -0.000 | 0.000 | 0.002 | 0.000 |
| -0.000 | -0.000 | -0.000 | 0.000 | 0.000 | 0.002 |
| 5.219 | 5.215 | 5.215 | -0.000 | -0.000 | -0.000 |
| 5.215 | 5.219 | 5.215 | -0.000 | -0.000 | -0.000 |
| 5.215 | 5.215 | 5.219 | -0.000 | -0.000 | -0.000 |
| 0.000 | 0.000 | 0.000 | 0.002 | -0.000 | -0.000 |
| 0.000 | 0.000 | 0.000 | -0.000 | 0.002 | -0.000 |
| 0.000 | 0.000 | 0.000 | -0.000 | -0.000 | 0.002 |
| 18.135 | 7.407 | 18.652 | -0.000 | -0.000 | -0.000 |
| 7.407 | 18.135 | 18.652 | -0.000 | -0.000 | 0.000 |
| 18.652 | 18.652 | 51.664 | -0.000 | -0.000 | -0.000 |
| -0.000 | -0.000 | -0.000 | 18.614 | 0.000 | 0.000 |
| -0.000 | -0.000 | -0.000 | 0.000 | 18.614 | -0.000 |
| -0.000 | -0.000 | 0.000 | -0.000 | -0.000 | 7.488 |
| 18.135 | 7.407 | 18.652 | 0.000 | 0.000 | -0.000 |
| 7.407 | 18.135 | 18.652 | 0.000 | 0.000 | -0.000 |
| 18.652 | 18.652 | 51.664 | 0.000 | 0.000 | -0.000 |
| 0.000 | 0.000 | 0.000 | 18.614 | 0.000 | -0.000 |
| 0.000 | 0.000 | 0.000 | 0.000 | 18.614 | 0.000 |
| 0.000 | 0.000 | -0.000 | 0.000 | 0.000 | 7.488 |
| 18.135 | 7.407 | 18.652 | -0.000 | -0.000 | 0.000 |
| 7.407 | 18.135 | 18.652 | -0.000 | -0.000 | 0.000 |
| 18.652 | 18.652 | 51.664 | -0.000 | -0.000 | 0.000 |
| -0.000 | -0.000 | -0.000 | 18.614 | -0.000 | 0.000 |
| -0.000 | -0.000 | -0.000 | -0.000 | 18.614 | 0.000 |
| -0.000 | -0.000 | -0.000 | -0.000 | -0.000 | 7.488 |
| 18.135 | 7.407 | 18.652 | 0.000 | 0.000 | -0.000 |
| 7.407 | 18.135 | 18.652 | 0.000 | 0.000 | -0.000 |
| 18.652 | 18.652 | 51.664 | 0.000 | 0.000 | 0.000 |
| 0.000 | 0.000 | 0.000 | 18.614 | 0.000 | -0.000 |
| 0.000 | 0.000 | 0.000 | 0.000 | 18.614 | -0.000 |
| 0.000 | 0.000 | 0.000 | 0.000 | 0.000 | 7.488 |
| 18.135 | 7.407 | 18.652 | -0.000 | -0.000 | 0.000 |
| 7.407 | 18.135 | 18.652 | -0.000 | -0.000 | -0.000 |
| 18.652 | 18.652 | 51.664 | -0.000 | -0.000 | 0.000 |
| -0.000 | -0.000 | -0.000 | 18.614 | 0.000 | 0.000 |
| -0.000 | -0.000 | -0.000 | 0.000 | 18.614 | -0.000 |
| -0.000 | -0.000 | -0.000 | -0.000 | -0.000 | 7.488 |
| 18.136 | 7.407 | 18.652 | 0.000 | 0.000 | 0.000 |
| 7.407 | 18.136 | 18.652 | 0.000 | 0.000 | -0.000 |
| 18.652 | 18.652 | 51.664 | 0.000 | 0.000 | 0.000 |
| 0.000 | 0.000 | 0.000 | 18.614 | -0.000 | -0.000 |
| 0.000 | 0.000 | 0.000 | -0.000 | 18.614 | 0.000 |
| 0.000 | 0.000 | 0.000 | 0.000 | 0.000 | 7.488 |
| -98.256 | -26.254 | -18.757 | -0.000 | 0.000 | 0.000 |
| -26.254 | -98.256 | -18.757 | 0.000 | 0.000 | 0.000 |
| -18.757 | -18.757 | -14.172 | 0.000 | 0.000 | -0.000 |
| -0.000 | -0.000 | -0.000 | -18.545 | 0.000 | -0.000 |
| 0.000 | -0.000 | -0.000 | -0.000 | -18.545 | 0.000 |
| 0.000 | -0.000 | -0.000 | 0.000 | 0.000 | -26.961 |
| -98.256 | -26.254 | -18.757 | 0.000 | 0.000 | -0.000 |
| -26.254 | -98.256 | -18.757 | 0.000 | 0.000 | -0.000 |
| -18.757 | -18.757 | -14.172 | -0.000 | -0.000 | 0.000 |
| 0.000 | 0.000 | 0.000 | -18.545 | 0.000 | -0.000 |
| 0.000 | 0.000 | 0.000 | -0.000 | -18.545 | 0.000 |
| -0.000 | 0.000 | 0.000 | 0.000 | 0.000 | -26.961 |
| -98.256 | -26.254 | -18.757 | -0.000 | -0.000 | 0.000 |
| -26.254 | -98.256 | -18.757 | -0.000 | 0.000 | 0.000 |
| -18.757 | -18.757 | -14.172 | -0.000 | 0.000 | 0.000 |
| -0.000 | 0.000 | -0.000 | -18.545 | 0.000 | 0.000 |
| 0.000 | -0.000 | -0.000 | 0.000 | -18.545 | 0.000 |
| 0.000 | 0.000 | -0.000 | -0.000 | 0.000 | -26.961 |
| -98.256 | -26.254 | -18.757 | -0.000 | -0.000 | 0.000 |
| -26.254 | -98.256 | -18.757 | 0.000 | -0.000 | 0.000 |
| -18.757 | -18.757 | -14.172 | -0.000 | -0.000 | -0.000 |
| 0.000 | -0.000 | 0.000 | -18.545 | -0.000 | 0.000 |
| -0.000 | 0.000 | 0.000 | -0.000 | -18.545 | -0.000 |
| -0.000 | -0.000 | 0.000 | 0.000 | -0.000 | -26.961 |
| -98.258 | -26.254 | -18.758 | -0.000 | 0.000 | 0.000 |
| -26.254 | -98.258 | -18.758 | 0.000 | 0.000 | 0.000 |
| -18.758 | -18.758 | -14.173 | 0.000 | 0.000 | 0.000 |
| -0.000 | 0.000 | -0.000 | -18.545 | 0.000 | 0.000 |
| 0.000 | -0.000 | -0.000 | 0.000 | -18.545 | -0.000 |
| 0.000 | 0.000 | -0.000 | 0.000 | 0.000 | -26.961 |
| -98.254 | -26.253 | -18.757 | -0.000 | -0.000 | -0.000 |
| -26.253 | -98.254 | -18.757 | 0.000 | -0.000 | -0.000 |
| -18.757 | -18.757 | -14.172 | 0.000 | 0.000 | 0.000 |
| 0.000 | -0.000 | 0.000 | -18.545 | -0.000 | 0.000 |
| -0.000 | 0.000 | 0.000 | 0.000 | -18.545 | 0.000 |
| -0.000 | -0.000 | 0.000 | 0.000 | 0.000 | -26.961 |
| 104.388 | 123.840 | 211.015 | 0.000 | 52.552 | 0.000 |
| 47.299 | 122.197 | 198.052 | 0.000 | 11.684 | 0.000 |
| 43.201 | 104.009 | 241.048 | 0.000 | 13.950 | 0.000 |
| -60.773 | 14.840 | 117.312 | 27.548 | 53.353 | -0.768 |
| -45.762 | 15.415 | 108.840 | -0.000 | 62.223 | 0.000 |
| 0.000 | -0.000 | 0.000 | 0.850 | 0.000 | 34.297 |
| 164.691 | 103.237 | 99.075 | -0.000 | 4.351 | -0.000 |
| 102.558 | 124.281 | 96.962 | -0.000 | 0.856 | -0.000 |
| 156.876 | 97.163 | 46.211 | -0.000 | -5.267 | -0.000 |
| 60.773 | -14.840 | -117.312 | 27.548 | -53.353 | -0.768 |
| 2.057 | 0.302 | 4.720 | -0.000 | 32.549 | -0.000 |
| -0.000 | 0.000 | -0.000 | 0.850 | -0.000 | 34.297 |
| 150.991 | 108.841 | 111.146 | 0.000 | 12.004 | 0.000 |
| 97.898 | 118.844 | 111.661 | -0.000 | 3.238 | 0.000 |
| 94.082 | 103.881 | 149.772 | 0.000 | 5.353 | 0.000 |
| -6.138 | 0.360 | 10.535 | 30.182 | 1.038 | -0.178 |
| -2.739 | 1.867 | 13.660 | -0.000 | 30.287 | 0.000 |
| -5.768 | 0.338 | 9.899 | 0.404 | 0.975 | 33.901 |
| 164.692 | 103.239 | 99.076 | 0.000 | 4.351 | -0.000 |
| 111.347 | 113.234 | 92.621 | -0.000 | -2.173 | -0.000 |
| 106.338 | 99.924 | 133.231 | 0.000 | 3.276 | -0.000 |
| 6.138 | -0.360 | -10.535 | 30.182 | -1.038 | -0.178 |
| 2.057 | 0.302 | 4.719 | -0.000 | 32.548 | -0.000 |
| 5.768 | -0.338 | -9.899 | 0.404 | -0.975 | 33.901 |
| 158.655 | 104.480 | 103.073 | -0.000 | 5.019 | 0.000 |
| 103.785 | 115.369 | 105.178 | -0.000 | 3.112 | 0.000 |
| 100.946 | 100.864 | 141.541 | -0.000 | 4.189 | 0.000 |
| -1.023 | 0.060 | 1.756 | 27.657 | 0.173 | -0.494 |
| 2.057 | 0.302 | 4.721 | 0.000 | 32.549 | 0.000 |
| -1.206 | 0.071 | 2.069 | -0.082 | 0.204 | 33.469 |
| 159.273 | 104.549 | 101.546 | 0.000 | 4.888 | -0.000 |
| 105.783 | 115.020 | 102.149 | -0.000 | 2.853 | -0.000 |
| 101.866 | 100.490 | 140.553 | -0.000 | 4.032 | -0.000 |
| 1.023 | -0.060 | -1.756 | 27.657 | -0.173 | -0.494 |
| 5.520 | 3.512 | 0.664 | 0.000 | 23.795 | -0.000 |
| 1.206 | -0.071 | -2.069 | -0.082 | -0.204 | 33.469 |
| 166.507 | 110.469 | 110.469 | -0.000 | -0.000 | -0.000 |
| 110.469 | 166.507 | 110.469 | -0.000 | -0.000 | -0.000 |
| 110.469 | 110.469 | 166.507 | -0.000 | -0.000 | 0.000 |
| 0.000 | -0.000 | -0.000 | 46.650 | -0.000 | 0.000 |
| -0.000 | -0.000 | -0.000 | -0.000 | 46.650 | 0.000 |
| -0.000 | -0.000 | -0.000 | -0.000 | 0.000 | 46.650 |
| 166.507 | 110.469 | 110.469 | 0.000 | 0.000 | -0.000 |
| 110.469 | 166.507 | 110.469 | 0.000 | 0.000 | -0.000 |
| 110.469 | 110.469 | 166.507 | 0.000 | 0.000 | -0.000 |
| -0.000 | 0.000 | 0.000 | 46.650 | 0.000 | -0.000 |
| 0.000 | 0.000 | 0.000 | 0.000 | 46.650 | -0.000 |
| 0.000 | 0.000 | 0.000 | 0.000 | -0.000 | 46.650 |
| 166.508 | 110.470 | 110.470 | -0.000 | 0.000 | 0.000 |
| 110.470 | 166.508 | 110.470 | 0.000 | -0.000 | 0.000 |
| 110.470 | 110.470 | 166.508 | -0.000 | -0.000 | 0.000 |
| -0.000 | -0.000 | -0.000 | 46.650 | -0.000 | -0.000 |
| -0.000 | -0.000 | -0.000 | -0.000 | 46.650 | 0.000 |
| -0.000 | -0.000 | -0.000 | -0.000 | -0.000 | 46.650 |
| 166.506 | 110.468 | 110.468 | 0.000 | 0.000 | -0.000 |
| 110.468 | 166.506 | 110.468 | 0.000 | -0.000 | -0.000 |
| 110.468 | 110.468 | 166.506 | 0.000 | 0.000 | -0.000 |
| 0.000 | 0.000 | 0.000 | 46.650 | -0.000 | -0.000 |
| 0.000 | 0.000 | 0.000 | 0.000 | 46.650 | -0.000 |
| 0.000 | 0.000 | 0.000 | 0.000 | -0.000 | 46.650 |
| 166.517 | 110.479 | 110.479 | -0.000 | -0.000 | 0.000 |
| 110.479 | 166.517 | 110.479 | -0.000 | -0.000 | 0.000 |
| 110.479 | 110.479 | 166.517 | -0.000 | -0.000 | 0.000 |
| 0.000 | -0.000 | -0.000 | 22.004 | 0.000 | -0.000 |
| -0.000 | 0.000 | -0.000 | -0.000 | 22.004 | 0.000 |
| -0.000 | -0.000 | 0.000 | -0.000 | -0.000 | 22.004 |
| 166.497 | 110.459 | 110.459 | 0.000 | -0.000 | -0.000 |
| 110.459 | 166.497 | 110.459 | -0.000 | -0.000 | -0.000 |
| 110.459 | 110.459 | 166.497 | 0.000 | 0.000 | 0.000 |
| -0.000 | 0.000 | 0.000 | 22.004 | 0.000 | -0.000 |
| 0.000 | -0.000 | 0.000 | 0.000 | 22.004 | -0.000 |
| 0.000 | 0.000 | -0.000 | 0.000 | 0.000 | 22.004 |
| 102.165 | 8.714 | 8.714 | 0.000 | -0.000 | 0.000 |
| 8.714 | 102.165 | 8.714 | 0.000 | -0.000 | 0.000 |
| 8.714 | 8.714 | 102.165 | 0.000 | 0.000 | 0.000 |
| -0.000 | -0.000 | -0.000 | 7.432 | -0.000 | 0.000 |
| -0.000 | -0.000 | -0.000 | 0.000 | 7.432 | 0.000 |
| -0.000 | -0.000 | -0.000 | 0.000 | -0.000 | 7.432 |
| 102.165 | 8.714 | 8.714 | -0.000 | 0.000 | 0.000 |
| 8.714 | 102.165 | 8.714 | -0.000 | 0.000 | -0.000 |
| 8.714 | 8.714 | 102.165 | -0.000 | -0.000 | -0.000 |
| 0.000 | 0.000 | 0.000 | 7.432 | 0.000 | -0.000 |
| 0.000 | 0.000 | 0.000 | -0.000 | 7.432 | -0.000 |
| 0.000 | 0.000 | 0.000 | -0.000 | 0.000 | 7.432 |
| 102.165 | 8.714 | 8.714 | 0.000 | -0.000 | 0.000 |
| 8.714 | 102.165 | 8.714 | 0.000 | 0.000 | 0.000 |
| 8.714 | 8.714 | 102.165 | -0.000 | -0.000 | 0.000 |
| -0.000 | -0.000 | -0.000 | 7.432 | -0.000 | -0.000 |
| -0.000 | -0.000 | -0.000 | 0.000 | 7.432 | 0.000 |
| -0.000 | -0.000 | -0.000 | -0.000 | -0.000 | 7.432 |
| 102.165 | 8.714 | 8.714 | -0.000 | 0.000 | -0.000 |
| 8.714 | 102.165 | 8.714 | -0.000 | -0.000 | -0.000 |
| 8.714 | 8.714 | 102.165 | -0.000 | -0.000 | -0.000 |
| 0.000 | 0.000 | 0.000 | 7.432 | 0.000 | -0.000 |
| 0.000 | 0.000 | 0.000 | -0.000 | 7.432 | -0.000 |
| 0.000 | 0.000 | 0.000 | -0.000 | 0.000 | 7.432 |
| 102.163 | 8.714 | 8.714 | 0.000 | -0.000 | 0.000 |
| 8.714 | 102.163 | 8.714 | -0.000 | 0.000 | 0.000 |
| 8.714 | 8.714 | 102.163 | -0.000 | -0.000 | 0.000 |
| -0.000 | -0.000 | -0.000 | 7.432 | 0.000 | 0.000 |
| -0.000 | -0.000 | -0.000 | 0.000 | 7.432 | 0.000 |
| -0.000 | -0.000 | -0.000 | 0.000 | -0.000 | 7.432 |
| 102.167 | 8.714 | 8.714 | -0.000 | 0.000 | 0.000 |
| 8.714 | 102.167 | 8.714 | -0.000 | 0.000 | 0.000 |
| 8.714 | 8.714 | 102.167 | -0.000 | 0.000 | -0.000 |
| 0.000 | 0.000 | 0.000 | 7.432 | 0.000 | -0.000 |
| 0.000 | 0.000 | 0.000 | -0.000 | 7.432 | -0.000 |
| 0.000 | 0.000 | 0.000 | -0.000 | 0.000 | 7.432 |
| 55.224 | 55.224 | 55.224 | 0.000 | 0.000 | -0.000 |
| 55.224 | 55.224 | 55.224 | 0.000 | 0.000 | -0.000 |
| 55.224 | 55.224 | 55.224 | 0.000 | 0.000 | 0.000 |
| 0.000 | 0.000 | 0.000 | 0.000 | 0.000 | -0.000 |
| 0.000 | 0.000 | 0.000 | 0.000 | 0.000 | -0.000 |
| 0.000 | 0.000 | 0.000 | -0.000 | 0.000 | 0.000 |
| 55.224 | 55.224 | 55.224 | -0.000 | -0.000 | 0.000 |
| 55.224 | 55.224 | 55.224 | -0.000 | -0.000 | 0.000 |
| 55.224 | 55.224 | 55.224 | -0.000 | -0.000 | 0.000 |
| -0.000 | -0.000 | -0.000 | 0.000 | -0.000 | 0.000 |
| -0.000 | -0.000 | -0.000 | -0.000 | 0.000 | 0.000 |
| -0.000 | -0.000 | -0.000 | -0.000 | -0.000 | 0.000 |
| 55.224 | 55.224 | 55.224 | 0.000 | 0.000 | -0.000 |
| 55.224 | 55.224 | 55.224 | 0.000 | 0.000 | -0.000 |
| 55.224 | 55.224 | 55.224 | 0.000 | 0.000 | -0.000 |
| -0.000 | -0.000 | -0.000 | 0.000 | 0.000 | -0.000 |
| -0.000 | -0.000 | -0.000 | 0.000 | 0.000 | -0.000 |
| -0.000 | -0.000 | -0.000 | 0.000 | 0.000 | 0.000 |
| 55.224 | 55.224 | 55.224 | -0.000 | -0.000 | 0.000 |
| 55.224 | 55.224 | 55.224 | -0.000 | -0.000 | 0.000 |
| 55.224 | 55.224 | 55.224 | -0.000 | -0.000 | -0.000 |
| 0.000 | 0.000 | 0.000 | 0.000 | -0.000 | 0.000 |
| 0.000 | 0.000 | 0.000 | -0.000 | 0.000 | 0.000 |
| 0.000 | 0.000 | 0.000 | 0.000 | -0.000 | 0.000 |
| 55.224 | 55.224 | 55.224 | 0.000 | 0.000 | 0.000 |
| 55.224 | 55.224 | 55.224 | 0.000 | 0.000 | 0.000 |
| 55.224 | 55.224 | 55.224 | 0.000 | 0.000 | 0.000 |
| -0.000 | -0.000 | -0.000 | 0.000 | 0.000 | 0.000 |
| -0.000 | -0.000 | -0.000 | 0.000 | 0.000 | 0.000 |
| -0.000 | -0.000 | -0.000 | 0.000 | -0.000 | 0.000 |
| 55.224 | 55.223 | 55.223 | -0.000 | 0.000 | 0.000 |
| 55.223 | 55.224 | 55.223 | 0.000 | -0.000 | 0.000 |
| 55.223 | 55.223 | 55.224 | -0.000 | -0.000 | 0.000 |
| 0.000 | 0.000 | 0.000 | 0.000 | -0.000 | 0.000 |
| 0.000 | 0.000 | 0.000 | -0.000 | 0.000 | 0.000 |
| 0.000 | 0.000 | 0.000 | 0.000 | -0.000 | 0.000 |
| 256.459 | 252.275 | 238.953 | 0.000 | 0.000 | -0.000 |
| 252.275 | 256.459 | 238.953 | 0.000 | -0.000 | -0.000 |
| 238.552 | 238.552 | 266.923 | -0.000 | 0.000 | -0.000 |
| 0.696 | 0.696 | -0.101 | 55.100 | -0.000 | -0.000 |
| 0.696 | 0.696 | -0.101 | -0.000 | 55.100 | 0.000 |
| 0.355 | 0.355 | -0.051 | 0.000 | -0.000 | 50.497 |
| 259.229 | 255.045 | 238.554 | -0.000 | -0.000 | 0.000 |
| 255.045 | 259.229 | 238.554 | 0.000 | 0.000 | 0.000 |
| 238.651 | 238.651 | 266.910 | -0.000 | -0.000 | 0.000 |
| -0.696 | -0.696 | 0.101 | 55.100 | 0.000 | 0.000 |
| -0.696 | -0.696 | 0.101 | 0.000 | 55.100 | -0.000 |
| -0.355 | -0.355 | 0.051 | -0.000 | -0.000 | 50.497 |
| 259.218 | 255.034 | 238.544 | 0.000 | -0.000 | -0.000 |
| 255.034 | 259.218 | 238.544 | -0.000 | 0.000 | 0.000 |
| 238.545 | 238.545 | 266.918 | -0.000 | 0.000 | -0.000 |
| 0.086 | 0.086 | -0.012 | 55.008 | -0.000 | 0.000 |
| 0.086 | 0.086 | -0.012 | -0.000 | 55.008 | -0.000 |
| 0.036 | 0.036 | -0.005 | -0.000 | -0.000 | 50.497 |
| 259.237 | 255.053 | 238.561 | 0.000 | -0.000 | 0.000 |
| 255.053 | 259.237 | 238.561 | 0.000 | -0.000 | 0.000 |
| 238.977 | 238.977 | 266.870 | 0.000 | -0.000 | -0.000 |
| -0.086 | -0.086 | 0.012 | 55.008 | 0.000 | 0.000 |
| -0.086 | -0.086 | 0.012 | -0.000 | 55.008 | 0.000 |
| -0.036 | -0.036 | 0.005 | 0.000 | -0.000 | 50.497 |
| 256.020 | 251.834 | 238.924 | 0.000 | -0.000 | -0.000 |
| 251.834 | 256.020 | 238.924 | 0.000 | 0.000 | -0.000 |
| 238.478 | 238.478 | 266.860 | -0.000 | -0.000 | -0.000 |
| 0.009 | 0.009 | -0.001 | 55.006 | -0.000 | -0.000 |
| 0.009 | 0.009 | -0.001 | 0.000 | 55.006 | -0.000 |
| 0.004 | 0.004 | -0.000 | 0.000 | 0.000 | 50.497 |
| 256.189 | 252.007 | 239.087 | 0.000 | 0.000 | 0.000 |
| 252.007 | 256.189 | 239.087 | -0.000 | 0.000 | 0.000 |
| 238.627 | 238.627 | 266.987 | 0.000 | 0.000 | 0.000 |
| -0.009 | -0.009 | 0.001 | 55.006 | 0.000 | -0.000 |
| -0.009 | -0.009 | 0.001 | -0.000 | 55.006 | 0.000 |
| -0.004 | -0.004 | 0.000 | 0.000 | -0.000 | 50.497 |
| 844.513 | -794.321 | -294.907 | 0.000 | 0.000 | 0.000 |
| 1327.191 | -1026.401 | -471.305 | -0.000 | -0.000 | 0.000 |
| 799.616 | -812.449 | -340.222 | 0.000 | 0.000 | 0.000 |
| 687.478 | -915.000 | -407.275 | 28.229 | 0.000 | 0.000 |
| 687.477 | -914.999 | -407.275 | -0.000 | 29.604 | 0.000 |
| 0.000 | 0.000 | 0.000 | 0.000 | -0.000 | 35.807 |
| -1029.627 | 1272.311 | 687.674 | -0.000 | -0.000 | -0.000 |
| -568.366 | 1042.247 | 510.274 | -0.000 | 0.000 | -0.000 |
| 112.027 | 113.828 | 74.450 | -0.000 | 0.000 | -0.000 |
| -687.478 | 915.000 | 407.275 | 28.229 | -0.000 | -0.000 |
| -687.477 | 914.999 | 407.275 | -0.000 | 29.604 | -0.000 |
| -0.000 | -0.000 | -0.000 | -0.000 | 0.000 | 35.807 |
| 226.582 | 30.195 | 72.156 | -0.000 | 0.000 | 0.000 |
| 187.414 | 36.440 | 62.584 | -0.000 | -0.000 | 0.000 |
| 112.027 | 113.827 | 74.450 | 0.000 | -0.000 | 0.000 |
| 121.754 | -116.391 | -57.886 | 27.515 | -0.000 | 0.000 |
| 68.748 | -91.501 | -40.728 | 0.000 | 29.604 | 0.000 |
| 68.731 | -91.478 | -40.718 | -0.000 | -0.000 | 32.025 |
| 204.496 | 114.691 | 111.435 | -0.000 | 0.000 | -0.000 |
| 50.720 | 218.395 | 143.571 | 0.000 | 0.000 | -0.000 |
| 112.028 | 113.828 | 74.451 | -0.000 | -0.000 | -0.000 |
| -121.754 | 116.391 | 57.886 | 27.515 | 0.000 | -0.000 |
| -68.748 | 91.501 | 40.728 | -0.000 | 29.604 | -0.000 |
| -68.731 | 91.478 | 40.718 | -0.000 | -0.000 | 32.025 |
| 204.498 | 114.690 | 111.435 | -0.000 | 0.000 | 0.000 |
| 115.441 | 151.116 | 113.984 | -0.000 | -0.000 | 0.000 |
| 118.409 | 94.860 | 63.768 | 0.000 | -0.000 | 0.000 |
| 0.000 | 0.000 | 0.000 | 29.302 | 0.000 | 0.000 |
| 6.880 | -9.157 | -4.076 | -0.000 | 29.604 | 0.000 |
| 0.000 | 0.000 | 0.000 | 0.000 | 0.000 | 35.807 |
| 165.469 | 129.463 | 119.844 | -0.000 | -0.000 | -0.000 |
| 113.276 | 141.551 | 109.482 | -0.000 | 0.000 | -0.000 |
| 106.046 | 112.287 | 71.736 | 0.000 | -0.000 | -0.000 |
| -0.000 | -0.000 | -0.000 | 29.302 | 0.000 | -0.000 |
| -6.880 | 9.157 | 4.076 | -0.000 | 29.604 | -0.000 |
| -0.000 | -0.000 | -0.000 | 0.000 | -0.000 | 35.807 |
| 427.571 | 264.738 | 58.736 | 0.000 | 0.000 | -0.000 |
| 105.496 | 128.995 | 109.502 | 0.000 | -0.000 | -0.000 |
| 105.169 | 109.501 | 183.115 | 0.000 | 0.000 | -0.000 |
| 0.000 | -0.000 | -0.000 | 38.405 | -0.000 | -0.000 |
| -0.000 | -0.000 | -0.000 | 0.000 | 34.096 | -0.000 |
| 0.000 | -0.000 | 0.000 | 0.000 | 0.000 | 34.182 |
| -154.677 | -70.811 | 133.554 | -0.000 | 0.000 | 0.000 |
| 105.495 | 128.994 | 109.501 | -0.000 | 0.000 | 0.000 |
| -450.154 | -79.449 | 503.202 | -0.000 | -0.000 | 0.000 |
| -0.000 | 0.000 | 0.000 | 38.405 | 0.000 | 0.000 |
| 0.000 | 0.000 | 0.000 | -0.000 | 34.096 | 0.000 |
| -0.000 | 0.000 | -0.000 | -0.000 | 0.000 | 34.182 |
| 165.674 | 113.652 | 92.700 | 0.000 | -0.000 | -0.000 |
| 125.952 | 134.202 | 94.653 | 0.000 | 0.000 | -0.000 |
| 105.172 | 109.503 | 183.117 | 0.000 | -0.000 | -0.000 |
| 0.000 | 0.000 | 0.000 | 38.405 | -0.000 | -0.000 |
| 0.000 | 0.000 | 0.000 | 0.000 | 34.096 | -0.000 |
| 0.000 | 0.000 | 0.000 | 0.000 | 0.000 | 34.182 |
| 162.330 | 105.491 | 105.166 | -0.000 | -0.000 | 0.000 |
| 105.493 | 128.992 | 109.499 | -0.000 | -0.000 | 0.000 |
| 67.815 | 82.027 | 171.518 | -0.000 | -0.000 | 0.000 |
| -0.000 | -0.000 | -0.000 | 38.405 | -0.000 | 0.000 |
| -0.000 | -0.000 | -0.000 | -0.000 | 34.096 | 0.000 |
| -0.000 | -0.000 | -0.000 | -0.000 | 0.000 | 34.182 |
| 147.925 | 101.266 | 99.236 | 0.000 | -0.000 | -0.000 |
| 105.526 | 129.022 | 109.527 | 0.000 | -0.000 | -0.000 |
| 100.064 | 101.478 | 169.758 | 0.000 | -0.000 | -0.000 |
| 3.014 | 1.737 | -0.387 | 37.904 | -0.000 | -0.000 |
| 3.125 | 1.801 | -0.402 | 0.000 | 32.436 | -0.000 |
| 4.610 | 2.760 | -1.554 | 0.000 | -0.000 | 31.259 |
| 141.553 | 98.125 | 98.832 | -0.000 | 0.000 | 0.000 |
| 90.612 | 116.017 | 104.843 | -0.000 | 0.000 | 0.000 |
| 96.038 | 99.607 | 171.517 | -0.000 | -0.000 | 0.000 |
| -3.014 | -1.737 | 0.387 | 37.904 | 0.000 | 0.000 |
| -3.125 | -1.801 | 0.402 | -0.000 | 32.436 | 0.000 |
| -4.610 | -2.760 | 1.554 | -0.000 | -0.000 | 31.259 |
| 161.475 | 116.069 | 118.975 | 0.000 | 0.000 | -0.000 |
| 103.145 | 31.222 | 284.415 | -0.000 | 0.000 | -0.000 |
| 249.026 | 202.181 | -198.487 | -0.000 | 0.000 | 0.000 |
| -11.896 | -30.332 | 166.240 | 30.239 | 0.000 | 0.000 |
| 0.000 | 0.000 | 0.000 | 0.000 | 34.650 | -0.000 |
| -11.896 | -30.332 | 166.239 | -0.000 | 0.000 | 31.905 |
| 169.737 | 145.644 | -45.058 | 0.000 | -0.000 | 0.000 |
| 126.927 | 91.877 | -48.048 | 0.000 | -0.000 | -0.000 |
| 133.076 | 148.217 | 33.042 | 0.000 | -0.000 | 0.000 |
| 11.896 | 30.332 | -166.240 | 30.239 | -0.000 | -0.000 |
| -0.000 | -0.000 | -0.000 | 0.000 | 34.650 | 0.000 |
| 11.896 | 30.332 | -166.239 | 0.000 | -0.000 | 31.905 |
| 161.483 | 116.077 | 118.983 | 0.000 | 0.000 | -0.000 |
| 115.900 | 62.207 | 117.086 | 0.000 | 0.000 | -0.000 |
| 118.469 | 116.748 | 213.877 | -0.000 | 0.000 | -0.000 |
| -1.191 | -3.037 | 16.642 | 30.238 | 0.000 | 0.000 |
| -1.192 | -3.039 | 16.654 | -0.000 | 31.485 | 0.000 |
| -1.190 | -3.035 | 16.634 | -0.000 | 0.000 | 31.904 |
| 161.466 | 116.059 | 118.965 | 0.000 | -0.000 | 0.000 |
| 116.174 | 64.540 | 101.609 | 0.000 | -0.000 | 0.000 |
| 107.355 | 110.362 | 232.345 | 0.000 | -0.000 | -0.000 |
| 1.191 | 3.037 | -16.642 | 30.238 | -0.000 | 0.000 |
| 1.192 | 3.039 | -16.654 | 0.000 | 31.485 | 0.000 |
| 1.190 | 3.035 | -16.634 | 0.000 | -0.000 | 31.904 |
| 158.782 | 115.264 | 122.520 | -0.000 | 0.000 | -0.000 |
| 115.261 | 61.527 | 119.665 | -0.000 | 0.000 | -0.000 |
| 121.476 | 118.427 | 196.892 | -0.000 | 0.000 | -0.000 |
| -0.131 | -0.336 | 1.840 | 30.170 | 0.000 | -0.000 |
| 0.000 | 0.000 | 0.000 | -0.000 | 34.650 | -0.000 |
| -0.126 | -0.320 | 1.756 | -0.000 | 0.000 | 31.874 |
| 156.617 | 114.374 | 124.906 | 0.000 | 0.000 | -0.000 |
| 115.798 | 62.099 | 116.979 | 0.000 | -0.000 | 0.000 |
| 118.368 | 116.642 | 213.771 | 0.000 | -0.000 | 0.000 |
| 0.131 | 0.336 | -1.840 | 30.170 | -0.000 | -0.000 |
| -0.000 | -0.000 | -0.000 | 0.000 | 34.650 | 0.000 |
| 0.126 | 0.320 | -1.756 | 0.000 | -0.000 | 31.874 |
| 65.919 | 99.775 | 99.776 | 0.000 | -0.000 | -0.000 |
| 99.775 | 65.919 | 99.775 | -0.000 | -0.000 | -0.000 |
| 99.775 | 99.775 | 65.919 | -0.000 | -0.000 | -0.000 |
| -0.000 | -0.000 | -0.000 | -17.579 | -0.000 | -0.000 |
| -0.000 | -0.000 | 0.000 | -0.000 | -17.579 | -0.000 |
| -0.000 | -0.000 | 0.000 | -0.000 | -0.000 | -17.579 |
| 65.916 | 99.773 | 99.773 | 0.000 | -0.000 | 0.000 |
| 99.773 | 65.916 | 99.773 | 0.000 | 0.000 | 0.000 |
| 99.773 | 99.773 | 65.916 | 0.000 | 0.000 | 0.000 |
| 0.000 | 0.000 | 0.000 | -17.579 | 0.000 | 0.000 |
| 0.000 | 0.000 | 0.000 | 0.000 | -17.579 | 0.000 |
| 0.000 | 0.000 | -0.000 | 0.000 | 0.000 | -17.579 |
| 65.932 | 99.789 | 99.789 | -0.000 | -0.000 | -0.000 |
| 99.789 | 65.932 | 99.789 | -0.000 | -0.000 | -0.000 |
| 99.789 | 99.789 | 65.932 | 0.000 | 0.000 | -0.000 |
| -0.000 | -0.000 | -0.000 | -17.579 | -0.000 | -0.000 |
| -0.000 | -0.000 | -0.000 | -0.000 | -17.579 | -0.000 |
| -0.000 | -0.000 | -0.000 | -0.000 | -0.000 | -17.579 |
| 65.903 | 99.760 | 99.760 | -0.000 | 0.000 | 0.000 |
| 99.760 | 65.903 | 99.760 | 0.000 | -0.000 | 0.000 |
| 99.760 | 99.760 | 65.903 | -0.000 | 0.000 | 0.000 |
| 0.000 | 0.000 | 0.000 | -17.579 | 0.000 | 0.000 |
| 0.000 | 0.000 | 0.000 | 0.000 | -17.579 | 0.000 |
| 0.000 | 0.000 | 0.000 | 0.000 | 0.000 | -17.579 |
| 66.061 | 99.919 | 99.919 | -0.000 | -0.000 | -0.000 |
| 99.919 | 66.061 | 99.919 | 0.000 | -0.000 | -0.000 |
| 99.919 | 99.919 | 66.061 | -0.000 | -0.000 | -0.000 |
| -0.000 | -0.000 | -0.000 | -18.139 | -0.000 | -0.000 |
| -0.000 | -0.000 | -0.000 | -0.000 | -18.139 | -0.000 |
| -0.000 | -0.000 | -0.000 | -0.000 | -0.000 | -18.139 |
| 65.774 | 99.630 | 99.630 | -0.000 | 0.000 | 0.000 |
| 99.630 | 65.774 | 99.630 | -0.000 | 0.000 | 0.000 |
| 99.630 | 99.630 | 65.774 | 0.000 | 0.000 | 0.000 |
| 0.000 | 0.000 | 0.000 | -18.139 | 0.000 | 0.000 |
| 0.000 | 0.000 | 0.000 | 0.000 | -18.139 | 0.000 |
| 0.000 | 0.000 | 0.000 | 0.000 | 0.000 | -18.139 |
| 70.046 | 21.298 | 21.298 | -0.000 | -0.000 | -0.000 |
| 21.298 | 70.046 | 21.298 | -0.000 | -0.000 | -0.000 |
| 21.298 | 21.298 | 70.046 | -0.000 | -0.000 | -0.000 |
| -0.000 | 0.000 | 0.000 | 22.872 | -0.000 | -0.000 |
| 0.000 | -0.000 | 0.000 | -0.000 | 22.872 | -0.000 |
| 0.000 | 0.000 | -0.000 | -0.000 | -0.000 | 22.872 |
| 70.046 | 21.298 | 21.298 | 0.000 | 0.000 | 0.000 |
| 21.298 | 70.046 | 21.298 | 0.000 | 0.000 | 0.000 |
| 21.298 | 21.298 | 70.046 | 0.000 | 0.000 | 0.000 |
| 0.000 | -0.000 | -0.000 | 22.872 | 0.000 | 0.000 |
| -0.000 | 0.000 | -0.000 | 0.000 | 22.872 | 0.000 |
| -0.000 | -0.000 | 0.000 | 0.000 | -0.000 | 22.872 |
| 70.046 | 21.298 | 21.298 | -0.000 | -0.000 | -0.000 |
| 21.298 | 70.046 | 21.298 | -0.000 | -0.000 | -0.000 |
| 21.298 | 21.298 | 70.046 | -0.000 | -0.000 | -0.000 |
| -0.000 | 0.000 | 0.000 | 22.872 | -0.000 | -0.000 |
| 0.000 | -0.000 | 0.000 | -0.000 | 22.872 | -0.000 |
| 0.000 | 0.000 | -0.000 | -0.000 | -0.000 | 22.872 |
| 70.046 | 21.298 | 21.298 | 0.000 | 0.000 | 0.000 |
| 21.298 | 70.046 | 21.298 | 0.000 | 0.000 | 0.000 |
| 21.298 | 21.298 | 70.046 | 0.000 | 0.000 | 0.000 |
| 0.000 | -0.000 | -0.000 | 22.872 | 0.000 | 0.000 |
| -0.000 | 0.000 | -0.000 | 0.000 | 22.872 | 0.000 |
| -0.000 | -0.000 | 0.000 | 0.000 | 0.000 | 22.872 |
| 70.047 | 21.298 | 21.298 | -0.000 | -0.000 | -0.000 |
| 21.298 | 70.047 | 21.298 | -0.000 | -0.000 | -0.000 |
| 21.298 | 21.298 | 70.047 | -0.000 | 0.000 | -0.000 |
| -1504706.042 | -1397126.669 | -1234632.975 | -77.111 | 16953.364 | 7693.571 |
| -1386193.233 | -1486433.933 | -1212982.014 | 19914.510 | 9717.146 | -4284.899 |
| -1422613.332 | -1258099.510 | -1553699.063 | 13188.534 | -4162.234 | -7951.266 |
| 70.046 | 21.297 | 21.297 | 0.000 | 0.000 | 0.000 |
| 21.297 | 70.046 | 21.297 | 0.000 | 0.000 | 0.000 |
| 21.297 | 21.297 | 70.046 | 0.000 | 0.000 | 0.000 |
| 1532257.847 | 1352885.554 | 1233270.052 | 7099.915 | 14477.377 | 13037.870 |
| 1339901.701 | 1531140.686 | 1248030.774 | 9512.772 | 6738.614 | 9521.785 |
| 1356138.879 | 1244100.945 | 1530885.528 | 9183.162 | 20409.109 | -12275.155 |
| -0.437 | 16.368 | 16.368 | -0.000 | 0.000 | 0.000 |
| 16.368 | -0.437 | 16.368 | 0.000 | -0.000 | 0.000 |
| 16.368 | 16.368 | -0.437 | 0.000 | -0.000 | 0.000 |
| 0.000 | -0.000 | 0.000 | 16.122 | 0.000 | 0.000 |
| -0.000 | 0.000 | 0.000 | 0.000 | 16.122 | 0.000 |
| -0.000 | 0.000 | 0.000 | 0.000 | 0.000 | 16.122 |
| -0.437 | 16.368 | 16.368 | -0.000 | -0.000 | -0.000 |
| 16.368 | -0.437 | 16.368 | -0.000 | -0.000 | -0.000 |
| 16.368 | 16.368 | -0.437 | -0.000 | -0.000 | -0.000 |
| -0.000 | 0.000 | -0.000 | 16.122 | -0.000 | -0.000 |
| 0.000 | -0.000 | -0.000 | -0.000 | 16.122 | -0.000 |
| 0.000 | -0.000 | -0.000 | -0.000 | -0.000 | 16.122 |
| -0.437 | 16.368 | 16.368 | -0.000 | 0.000 | 0.000 |
| 16.368 | -0.437 | 16.368 | 0.000 | -0.000 | 0.000 |
| 16.368 | 16.368 | -0.437 | 0.000 | 0.000 | 0.000 |
| -0.000 | -0.000 | -0.000 | 16.122 | 0.000 | 0.000 |
| -0.000 | -0.000 | -0.000 | 0.000 | 16.122 | 0.000 |
| -0.000 | -0.000 | -0.000 | 0.000 | 0.000 | 16.122 |
| -0.437 | 16.368 | 16.368 | 0.000 | -0.000 | -0.000 |
| 16.368 | -0.437 | 16.368 | -0.000 | 0.000 | -0.000 |
| 16.368 | 16.368 | -0.437 | 0.000 | 0.000 | -0.000 |
| 0.000 | 0.000 | 0.000 | 16.122 | -0.000 | -0.000 |
| 0.000 | 0.000 | 0.000 | -0.000 | 16.122 | -0.000 |
| 0.000 | 0.000 | 0.000 | -0.000 | -0.000 | 16.122 |
| -0.438 | 16.368 | 16.368 | 0.000 | 0.000 | 0.000 |
| 16.368 | -0.438 | 16.368 | 0.000 | 0.000 | 0.000 |
| 16.368 | 16.368 | -0.438 | 0.000 | 0.000 | 0.000 |
| -672171.718 | -64748.388 | -64750.371 | -991694.403 | -0.000 | -0.000 |
| -64748.388 | -672171.718 | -64750.371 | -0.000 | -991694.403 | -0.000 |
| -64748.388 | -64750.371 | -672171.718 | -0.000 | -0.000 | -991694.403 |
| -0.436 | 16.368 | 16.368 | -0.000 | -0.000 | -0.000 |
| 16.368 | -0.436 | 16.368 | -0.000 | -0.000 | -0.000 |
| 16.368 | 16.368 | -0.436 | -0.000 | -0.000 | -0.000 |
| 672171.718 | 64748.388 | 64750.371 | -991694.403 | 0.000 | -0.000 |
| 64748.388 | 672171.718 | 64750.371 | 0.000 | -991694.403 | -0.000 |
| 64748.388 | 64750.371 | 672171.718 | 0.000 | 0.000 | -991694.403 |
| 63.914 | 63.913 | 63.913 | -0.000 | -0.000 | 0.000 |
| 63.913 | 63.914 | 63.913 | -0.000 | -0.000 | 0.000 |
| 63.913 | 63.913 | 63.914 | -0.000 | -0.000 | 0.000 |
| 0.000 | 0.000 | 0.000 | 30.650 | -0.000 | -0.000 |
| 0.000 | 0.000 | 0.000 | -0.000 | 30.650 | -0.000 |
| 0.000 | 0.000 | 0.000 | -0.000 | -0.000 | 30.650 |
| 63.914 | 63.913 | 63.913 | 0.000 | 0.000 | -0.000 |
| 63.913 | 63.914 | 63.913 | 0.000 | 0.000 | -0.000 |
| 63.913 | 63.913 | 63.914 | 0.000 | 0.000 | -0.000 |
| -0.000 | -0.000 | -0.000 | 30.650 | 0.000 | -0.000 |
| -0.000 | -0.000 | -0.000 | 0.000 | 30.650 | -0.000 |
| -0.000 | -0.000 | -0.000 | 0.000 | 0.000 | 30.650 |
| 63.914 | 63.913 | 63.913 | -0.000 | -0.000 | 0.000 |
| 63.913 | 63.914 | 63.913 | -0.000 | -0.000 | 0.000 |
| 63.913 | 63.913 | 63.914 | -0.000 | -0.000 | 0.000 |
| 0.000 | 0.000 | 0.000 | 30.650 | -0.000 | -0.000 |
| 0.000 | 0.000 | 0.000 | -0.000 | 30.650 | -0.000 |
| 0.000 | 0.000 | 0.000 | -0.000 | -0.000 | 30.650 |
| 63.914 | 63.913 | 63.913 | 0.000 | 0.000 | 0.000 |
| 63.913 | 63.914 | 63.913 | 0.000 | 0.000 | 0.000 |
| 63.913 | 63.913 | 63.914 | 0.000 | 0.000 | -0.000 |
| -0.000 | -0.000 | -0.000 | 30.650 | 0.000 | 0.000 |
| -0.000 | -0.000 | -0.000 | 0.000 | 30.650 | 0.000 |
| -0.000 | -0.000 | -0.000 | 0.000 | 0.000 | 30.650 |
| 63.914 | 63.913 | 63.913 | -0.000 | -0.000 | 0.000 |
| 63.913 | 63.914 | 63.913 | -0.000 | -0.000 | 0.000 |
| 63.913 | 63.913 | 63.914 | -0.000 | -0.000 | 0.000 |
| 0.000 | 0.000 | 0.000 | 30.650 | -0.000 | 0.000 |
| 0.000 | 0.000 | 0.000 | -0.000 | 30.650 | 0.000 |
| 0.000 | 0.000 | 0.000 | -0.000 | -0.000 | 30.650 |
| 63.915 | 63.913 | 63.913 | 0.000 | 0.000 | -0.000 |
| 63.913 | 63.915 | 63.913 | 0.000 | 0.000 | -0.000 |
| 63.913 | 63.913 | 63.915 | 0.000 | 0.000 | -0.000 |
| -0.000 | -0.000 | -0.000 | 30.650 | 0.000 | 0.000 |
| -0.000 | -0.000 | -0.000 | 0.000 | 30.650 | 0.000 |
| -0.000 | -0.000 | -0.000 | 0.000 | 0.000 | 30.650 |
| 211.107 | 110.943 | 110.943 | -0.000 | -0.000 | -0.000 |
| 110.943 | 211.107 | 110.943 | -0.000 | -0.000 | -0.000 |
| 110.943 | 110.943 | 211.107 | -0.000 | -0.000 | -0.000 |
| 0.000 | -0.000 | -0.000 | -7.099 | -0.000 | 0.000 |
| 0.000 | 0.000 | -0.000 | -0.000 | -7.099 | -0.000 |
| 0.000 | -0.000 | -0.000 | -0.000 | -0.000 | -7.099 |
| 210.984 | 111.002 | 111.002 | -0.000 | 0.000 | -0.000 |
| 111.002 | 210.984 | 111.002 | -0.000 | 0.000 | -0.000 |
| 111.002 | 111.002 | 210.984 | 0.000 | 0.000 | -0.000 |
| -0.000 | 0.000 | 0.000 | -7.099 | 0.000 | 0.000 |
| -0.000 | 0.000 | 0.000 | 0.000 | -7.099 | 0.000 |
| -0.000 | 0.000 | 0.000 | 0.000 | 0.000 | -7.099 |
| 210.990 | 111.008 | 111.008 | -0.000 | -0.000 | 0.000 |
| 111.008 | 210.990 | 111.008 | 0.000 | -0.000 | -0.000 |
| 111.008 | 111.008 | 210.990 | -0.000 | -0.000 | -0.000 |
| 0.000 | -0.000 | -0.000 | -14.787 | -0.000 | 0.000 |
| -0.000 | 0.000 | -0.000 | -0.000 | -14.787 | 0.000 |
| -0.000 | -0.000 | 0.000 | -0.000 | -0.000 | -14.787 |
| 211.101 | 110.937 | 110.937 | 0.000 | 0.000 | 0.000 |
| 110.937 | 211.101 | 110.937 | 0.000 | 0.000 | 0.000 |
| 110.937 | 110.937 | 211.101 | -0.000 | 0.000 | -0.000 |
| -0.000 | 0.000 | 0.000 | -14.787 | 0.000 | 0.000 |
| 0.000 | -0.000 | 0.000 | 0.000 | -14.787 | 0.000 |
| 0.000 | 0.000 | -0.000 | 0.000 | 0.000 | -14.787 |
| 211.037 | 111.054 | 111.054 | -0.000 | 0.000 | 0.000 |
| 111.054 | 211.037 | 111.054 | -0.000 | -0.000 | -0.000 |
| 111.054 | 111.054 | 211.037 | -0.000 | -0.000 | -0.000 |
| -1755848.012 | -1743349.515 | -1696524.322 | -97023.546 | -8139.050 | 23734.078 |
| -1766426.063 | -1716516.322 | -1755558.927 | -29153.185 | -122004.682 | 30292.544 |
| -1787306.372 | -1741278.449 | -1744152.033 | -3587.740 | -8044.283 | -141939.179 |
| 211.054 | 110.891 | 110.891 | 0.000 | 0.000 | 0.000 |
| 110.891 | 211.054 | 110.891 | 0.000 | 0.000 | -0.000 |
| 110.891 | 110.891 | 211.054 | 0.000 | 0.000 | 0.000 |
| 1761610.134 | 1724118.439 | 1770658.569 | -132417.176 | 7112.955 | -3255.832 |
| 1733955.111 | 1770928.976 | 1738251.816 | 12258.692 | -144374.399 | -16540.698 |
| 1800308.785 | 1683091.774 | 1659895.571 | 32255.311 | -24147.516 | -129364.831 |
| 79.196 | 29.098 | 29.098 | -0.000 | -0.000 | 0.000 |
| 29.098 | 79.196 | 29.098 | -0.000 | 0.000 | 0.000 |
| 29.098 | 29.098 | 79.196 | -0.000 | -0.000 | 0.000 |
| -0.000 | -0.000 | -0.000 | 26.893 | -0.000 | 0.000 |
| -0.000 | -0.000 | -0.000 | -0.000 | 26.893 | 0.000 |
| -0.000 | -0.000 | -0.000 | -0.000 | -0.000 | 26.893 |
| 79.196 | 29.098 | 29.098 | 0.000 | 0.000 | -0.000 |
| 29.098 | 79.196 | 29.098 | 0.000 | 0.000 | -0.000 |
| 29.098 | 29.098 | 79.196 | 0.000 | 0.000 | -0.000 |
| 0.000 | 0.000 | 0.000 | 26.893 | -0.000 | -0.000 |
| 0.000 | 0.000 | 0.000 | 0.000 | 26.893 | -0.000 |
| 0.000 | 0.000 | 0.000 | 0.000 | 0.000 | 26.893 |
| 80.239 | 28.576 | 28.576 | -0.000 | 0.000 | 0.000 |
| 28.576 | 80.239 | 28.576 | -0.000 | -0.000 | 0.000 |
| 28.576 | 28.576 | 80.239 | -0.000 | -0.000 | 0.000 |
| -0.000 | -0.000 | -0.000 | 26.893 | 0.000 | 0.000 |
| -0.000 | -0.000 | -0.000 | -0.000 | 26.893 | 0.000 |
| -0.000 | -0.000 | -0.000 | -0.000 | -0.000 | 26.893 |
| 80.239 | 28.577 | 28.577 | 0.000 | 0.000 | -0.000 |
| 28.577 | 80.239 | 28.577 | 0.000 | -0.000 | -0.000 |
| 28.577 | 28.577 | 80.239 | 0.000 | 0.000 | -0.000 |
| 0.000 | 0.000 | 0.000 | 26.893 | -0.000 | -0.000 |
| 0.000 | 0.000 | 0.000 | 0.000 | 26.893 | -0.000 |
| 0.000 | 0.000 | 0.000 | 0.000 | 0.000 | 26.893 |
| 80.238 | 28.576 | 28.576 | -0.000 | -0.000 | 0.000 |
| 28.576 | 80.238 | 28.576 | -0.000 | -0.000 | 0.000 |
| 28.576 | 28.576 | 80.238 | -0.000 | -0.000 | 0.000 |
| -0.000 | -0.000 | -0.000 | 26.893 | -0.000 | 0.000 |
| -0.000 | -0.000 | -0.000 | -0.000 | 26.893 | 0.000 |
| -0.000 | -0.000 | -0.000 | -0.000 | -0.000 | 26.893 |
| 79.197 | 29.099 | 29.099 | 0.000 | 0.000 | -0.000 |
| 29.099 | 79.197 | 29.099 | 0.000 | 0.000 | -0.000 |
| 29.099 | 29.099 | 79.197 | 0.000 | 0.000 | -0.000 |
| 0.000 | 0.000 | 0.000 | 26.893 | 0.000 | -0.000 |
| 0.000 | 0.000 | 0.000 | 0.000 | 26.893 | -0.000 |
| 0.000 | 0.000 | 0.000 | 0.000 | 0.000 | 26.893 |
| 185.843 | 241.111 | 241.111 | 0.000 | 0.000 | 0.000 |
| 241.111 | 185.843 | 241.111 | 0.000 | 0.000 | 0.000 |
| 241.111 | 241.111 | 185.843 | 0.000 | 0.000 | 0.000 |
| 0.000 | -0.000 | -0.000 | -0.555 | 0.000 | 0.000 |
| -0.000 | 0.000 | -0.000 | 0.000 | -0.555 | 0.000 |
| -0.000 | -0.000 | 0.000 | 0.000 | 0.000 | -0.555 |
| 185.843 | 241.111 | 241.111 | -0.000 | 0.000 | 0.000 |
| 241.111 | 185.843 | 241.111 | -0.000 | -0.000 | -0.000 |
| 241.111 | 241.111 | 185.843 | -0.000 | -0.000 | -0.000 |
| -0.000 | 0.000 | 0.000 | -0.555 | -0.000 | -0.000 |
| 0.000 | -0.000 | 0.000 | -0.000 | -0.555 | -0.000 |
| 0.000 | 0.000 | -0.000 | -0.000 | -0.000 | -0.555 |
| 185.843 | 241.111 | 241.111 | 0.000 | -0.000 | 0.000 |
| 241.111 | 185.843 | 241.111 | 0.000 | 0.000 | 0.000 |
| 241.111 | 241.111 | 185.843 | 0.000 | 0.000 | 0.000 |
| 0.000 | -0.000 | -0.000 | -0.555 | 0.000 | 0.000 |
| -0.000 | 0.000 | -0.000 | 0.000 | -0.555 | 0.000 |
| -0.000 | -0.000 | 0.000 | 0.000 | 0.000 | -0.555 |
| 185.843 | 241.111 | 241.111 | -0.000 | 0.000 | -0.000 |
| 241.111 | 185.843 | 241.111 | -0.000 | -0.000 | -0.000 |
| 241.111 | 241.111 | 185.843 | -0.000 | -0.000 | -0.000 |
| -0.000 | 0.000 | 0.000 | -0.555 | -0.000 | -0.000 |
| 0.000 | -0.000 | 0.000 | -0.000 | -0.555 | -0.000 |
| 0.000 | 0.000 | -0.000 | -0.000 | -0.000 | -0.555 |
| 185.845 | 241.111 | 241.111 | 0.000 | 0.000 | 0.000 |
| 241.111 | 185.845 | 241.111 | 0.000 | 0.000 | -0.000 |
| 241.111 | 241.111 | 185.845 | 0.000 | 0.000 | 0.000 |
| 0.000 | -0.000 | -0.000 | -0.555 | 0.000 | 0.000 |
| -0.000 | 0.000 | -0.000 | 0.000 | -0.555 | 0.000 |
| -0.000 | -0.000 | 0.000 | 0.000 | 0.000 | -0.555 |
| 185.841 | 241.111 | 241.111 | -0.000 | 0.000 | -0.000 |
| 241.111 | 185.841 | 241.111 | -0.000 | -0.000 | -0.000 |
| 241.111 | 241.111 | 185.841 | -0.000 | -0.000 | -0.000 |
| -0.000 | 0.000 | 0.000 | -0.555 | -0.000 | -0.000 |
| 0.000 | -0.000 | 0.000 | 0.000 | -0.555 | -0.000 |
| 0.000 | 0.000 | -0.000 | -0.000 | -0.000 | -0.555 |
| 24.260 | 0.000 | 0.000 | -0.000 | -0.000 | 0.000 |
| 0.000 | 24.260 | 0.000 | 0.000 | -0.000 | 0.000 |
| 0.000 | 0.000 | 24.260 | 0.000 | 0.000 | 0.000 |
| -0.000 | 0.000 | -0.000 | 0.000 | -0.000 | 0.000 |
| 0.000 | -0.000 | -0.000 | 0.000 | 0.000 | 0.000 |
| 0.000 | -0.000 | -0.000 | -0.000 | -0.000 | 0.000 |
| 24.260 | 0.000 | 0.000 | 0.000 | 0.000 | 0.000 |
| 0.000 | 24.260 | 0.000 | 0.000 | -0.000 | -0.000 |
| 0.000 | 0.000 | 24.260 | -0.000 | -0.000 | -0.000 |
| 0.000 | 0.000 | 0.000 | 0.000 | -0.000 | 0.000 |
| -0.000 | 0.000 | 0.000 | -0.000 | 0.000 | -0.000 |
| 0.000 | 0.000 | 0.000 | 0.000 | 0.000 | 0.000 |
| 24.260 | 0.000 | 0.000 | -0.000 | -0.000 | 0.000 |
| 0.000 | 24.260 | 0.000 | -0.000 | -0.000 | 0.000 |
| 0.000 | 0.000 | 24.260 | 0.000 | 0.000 | 0.000 |
| -0.000 | 0.000 | -0.000 | 0.000 | -0.000 | 0.000 |
| -0.000 | 0.000 | -0.000 | 0.000 | 0.000 | 0.000 |
| 0.000 | -0.000 | -0.000 | -0.000 | -0.000 | 0.000 |
| 24.260 | -0.000 | -0.000 | 0.000 | 0.000 | 0.000 |
| -0.000 | 24.260 | -0.000 | 0.000 | 0.000 | 0.000 |
| -0.000 | -0.000 | 24.260 | 0.000 | -0.000 | -0.000 |
| 0.000 | -0.000 | 0.000 | 0.000 | 0.000 | -0.000 |
| 0.000 | 0.000 | 0.000 | -0.000 | 0.000 | -0.000 |
| -0.000 | 0.000 | 0.000 | 0.000 | -0.000 | 0.000 |
| 24.259 | -0.000 | -0.000 | -0.000 | 0.000 | 0.000 |
| -0.000 | 24.259 | -0.000 | -0.000 | -0.000 | -0.000 |
| -0.000 | -0.000 | 24.259 | -0.000 | 0.000 | 0.000 |
| -0.000 | -0.000 | -0.000 | 0.000 | -0.000 | 0.000 |
| -0.000 | -0.000 | -0.000 | -0.000 | 0.000 | 0.000 |
| -0.000 | -0.000 | -0.000 | -0.000 | -0.000 | 0.000 |
| 24.260 | 0.000 | 0.000 | 0.000 | 0.000 | -0.000 |
| 0.000 | 24.260 | 0.000 | 0.000 | -0.000 | 0.000 |
| 0.000 | 0.000 | 24.260 | 0.000 | -0.000 | -0.000 |
| 0.000 | 0.000 | 0.000 | 0.000 | 0.000 | 0.000 |
| 0.000 | 0.000 | 0.000 | 0.000 | 0.000 | -0.000 |
| 0.000 | 0.000 | 0.000 | 0.000 | 0.000 | 0.000 |
| 130.885 | 165.930 | 165.930 | -0.000 | 0.000 | 0.000 |
| 165.930 | 130.885 | 165.930 | -0.000 | 0.000 | 0.000 |
| 165.930 | 165.930 | 130.885 | -0.000 | -0.000 | 0.000 |
| -0.000 | 0.000 | -0.000 | 10.209 | -0.000 | 0.000 |
| 0.000 | 0.000 | -0.000 | -0.000 | 10.209 | 0.000 |
| 0.000 | 0.000 | -0.000 | 0.000 | 0.000 | 10.209 |
| 130.884 | 165.929 | 165.929 | 0.000 | -0.000 | -0.000 |
| 165.929 | 130.884 | 165.929 | 0.000 | -0.000 | -0.000 |
| 165.929 | 165.929 | 130.884 | -0.000 | -0.000 | -0.000 |
| 0.000 | -0.000 | 0.000 | 10.209 | -0.000 | -0.000 |
| -0.000 | -0.000 | 0.000 | 0.000 | 10.209 | -0.000 |
| -0.000 | -0.000 | 0.000 | -0.000 | -0.000 | 10.209 |
| 130.889 | 165.934 | 165.934 | 0.000 | -0.000 | 0.000 |
| 165.934 | 130.889 | 165.934 | -0.000 | 0.000 | 0.000 |
| 165.934 | 165.934 | 130.889 | -0.000 | -0.000 | 0.000 |
| -0.000 | 0.000 | 0.000 | 10.209 | 0.000 | 0.000 |
| 0.000 | -0.000 | 0.000 | -0.000 | 10.209 | 0.000 |
| 0.000 | 0.000 | -0.000 | 0.000 | 0.000 | 10.209 |
| 130.880 | 165.925 | 165.925 | 0.000 | 0.000 | -0.000 |
| 165.925 | 130.880 | 165.925 | 0.000 | 0.000 | -0.000 |
| 165.925 | 165.925 | 130.880 | 0.000 | -0.000 | -0.000 |
| 0.000 | -0.000 | -0.000 | 10.209 | 0.000 | -0.000 |
| -0.000 | 0.000 | -0.000 | 0.000 | 10.209 | -0.000 |
| -0.000 | -0.000 | 0.000 | -0.000 | 0.000 | 10.209 |
| 130.931 | 165.976 | 165.976 | -0.000 | -0.000 | 0.000 |
| 165.976 | 130.931 | 165.976 | -0.000 | 0.000 | 0.000 |
| 165.976 | 165.976 | 130.931 | -0.000 | 0.000 | 0.000 |
| 0.000 | 0.000 | 0.000 | 37.506 | -0.000 | 0.000 |
| 0.000 | 0.000 | 0.000 | 0.000 | 37.506 | 0.000 |
| 0.000 | 0.000 | 0.000 | -0.000 | -0.000 | 37.506 |
| 130.838 | 165.884 | 165.884 | 0.000 | -0.000 | -0.000 |
| 165.884 | 130.838 | 165.884 | 0.000 | -0.000 | -0.000 |
| 165.884 | 165.884 | 130.838 | 0.000 | -0.000 | -0.000 |
| -0.000 | -0.000 | -0.000 | 37.506 | -0.000 | -0.000 |
| -0.000 | -0.000 | -0.000 | -0.000 | 37.506 | -0.000 |
| -0.000 | -0.000 | -0.000 | 0.000 | 0.000 | 37.506 |
| 14.930 | 14.056 | 14.056 | -0.000 | -0.000 | -0.000 |
| 14.056 | 14.930 | 14.056 | -0.000 | -0.000 | 0.000 |
| 14.056 | 14.056 | 14.930 | 0.000 | 0.000 | 0.000 |
| 0.000 | -0.000 | -0.000 | 11.423 | -0.000 | 0.000 |
| -0.000 | -0.000 | -0.000 | -0.000 | 11.423 | -0.000 |
| -0.000 | -0.000 | -0.000 | -0.000 | -0.000 | 11.423 |
| 14.930 | 14.056 | 14.056 | 0.000 | 0.000 | -0.000 |
| 14.056 | 14.930 | 14.056 | 0.000 | 0.000 | 0.000 |
| 14.056 | 14.056 | 14.930 | 0.000 | 0.000 | -0.000 |
| 0.000 | 0.000 | 0.000 | 11.423 | 0.000 | 0.000 |
| 0.000 | 0.000 | 0.000 | 0.000 | 11.423 | 0.000 |
| 0.000 | -0.000 | 0.000 | 0.000 | 0.000 | 11.423 |
| 14.930 | 14.056 | 14.056 | -0.000 | -0.000 | 0.000 |
| 14.056 | 14.930 | 14.056 | -0.000 | -0.000 | -0.000 |
| 14.056 | 14.056 | 14.930 | -0.000 | -0.000 | -0.000 |
| -0.000 | -0.000 | -0.000 | 11.423 | -0.000 | 0.000 |
| -0.000 | -0.000 | -0.000 | -0.000 | 11.423 | -0.000 |
| -0.000 | -0.000 | -0.000 | -0.000 | -0.000 | 11.423 |
| 14.930 | 14.056 | 14.056 | 0.000 | 0.000 | -0.000 |
| 14.056 | 14.930 | 14.056 | 0.000 | 0.000 | 0.000 |
| 14.056 | 14.056 | 14.930 | -0.000 | -0.000 | -0.000 |
| 0.000 | 0.000 | 0.000 | 11.423 | 0.000 | 0.000 |
| 0.000 | 0.000 | 0.000 | 0.000 | 11.423 | 0.000 |
| 0.000 | 0.000 | 0.000 | 0.000 | 0.000 | 11.423 |
| 14.929 | 14.056 | 14.056 | -0.000 | 0.000 | 0.000 |
| 14.056 | 14.929 | 14.056 | 0.000 | -0.000 | -0.000 |
| 14.056 | 14.056 | 14.929 | -0.000 | -0.000 | 0.000 |
| -0.000 | -0.000 | -0.000 | 11.423 | -0.000 | -0.000 |
| -0.000 | -0.000 | -0.000 | -0.000 | 11.423 | -0.000 |
| -0.000 | -0.000 | -0.000 | -0.000 | -0.000 | 11.423 |
| 14.932 | 14.056 | 14.056 | 0.000 | 0.000 | -0.000 |
| 14.056 | 14.932 | 14.056 | 0.000 | 0.000 | 0.000 |
| 14.056 | 14.056 | 14.932 | 0.000 | 0.000 | -0.000 |
| 0.000 | 0.000 | 0.000 | 11.423 | 0.000 | 0.000 |
| 0.000 | 0.000 | 0.000 | 0.000 | 11.423 | 0.000 |
| 0.000 | 0.000 | 0.000 | 0.000 | 0.000 | 11.423 |
| 23.223 | 23.223 | 23.223 | 0.000 | 0.000 | 0.000 |
| 23.223 | 23.223 | 23.223 | 0.000 | 0.000 | 0.000 |
| 23.223 | 23.223 | 23.223 | 0.000 | 0.000 | -0.000 |
| -0.000 | -0.000 | -0.000 | 10.500 | 0.000 | -0.000 |
| -0.000 | -0.000 | -0.000 | 0.000 | 10.500 | -0.000 |
| -0.000 | -0.000 | -0.000 | 0.000 | 0.000 | 10.500 |
| 23.223 | 23.223 | 23.223 | -0.000 | 0.000 | 0.000 |
| 23.223 | 23.223 | 23.223 | 0.000 | -0.000 | 0.000 |
| 23.223 | 23.223 | 23.223 | -0.000 | -0.000 | 0.000 |
| 0.000 | 0.000 | 0.000 | 10.500 | -0.000 | -0.000 |
| 0.000 | 0.000 | 0.000 | -0.000 | 10.500 | -0.000 |
| 0.000 | 0.000 | 0.000 | -0.000 | -0.000 | 10.500 |
| 23.223 | 23.223 | 23.223 | 0.000 | 0.000 | -0.000 |
| 23.223 | 23.223 | 23.223 | 0.000 | 0.000 | -0.000 |
| 23.223 | 23.223 | 23.223 | 0.000 | 0.000 | -0.000 |
| -0.000 | -0.000 | -0.000 | 10.500 | 0.000 | 0.000 |
| -0.000 | -0.000 | -0.000 | 0.000 | 10.500 | 0.000 |
| -0.000 | -0.000 | -0.000 | 0.000 | 0.000 | 10.500 |
| 23.223 | 23.223 | 23.223 | -0.000 | -0.000 | 0.000 |
| 23.223 | 23.223 | 23.223 | -0.000 | -0.000 | 0.000 |
| 23.223 | 23.223 | 23.223 | -0.000 | -0.000 | 0.000 |
| 0.000 | 0.000 | 0.000 | 10.500 | -0.000 | 0.000 |
| 0.000 | 0.000 | 0.000 | -0.000 | 10.500 | 0.000 |
| 0.000 | 0.000 | 0.000 | -0.000 | -0.000 | 10.500 |
| 23.223 | 23.223 | 23.223 | 0.000 | 0.000 | -0.000 |
| 23.223 | 23.223 | 23.223 | 0.000 | 0.000 | -0.000 |
| 23.223 | 23.223 | 23.223 | 0.000 | 0.000 | -0.000 |
| -0.000 | -0.000 | -0.000 | 10.500 | 0.000 | 0.000 |
| -0.000 | -0.000 | -0.000 | 0.000 | 10.500 | 0.000 |
| -0.000 | -0.000 | -0.000 | 0.000 | 0.000 | 10.500 |
| 23.224 | 23.224 | 23.224 | -0.000 | 0.000 | 0.000 |
| 23.224 | 23.224 | 23.224 | 0.000 | -0.000 | 0.000 |
| 23.224 | 23.224 | 23.224 | -0.000 | -0.000 | -0.000 |
| 0.000 | 0.000 | 0.000 | 10.500 | -0.000 | -0.000 |
| 0.000 | 0.000 | 0.000 | -0.000 | 10.500 | -0.000 |
| 0.000 | 0.000 | 0.000 | -0.000 | -0.000 | 10.500 |
| 277.135 | 255.973 | 255.973 | -0.000 | -0.000 | -0.000 |
| 255.973 | 277.135 | 255.973 | -0.000 | 0.000 | -0.000 |
| 255.973 | 255.973 | 277.135 | 0.000 | 0.000 | -0.000 |
| 0.000 | 0.000 | 0.000 | 24.522 | 0.000 | -0.000 |
| -0.000 | -0.000 | 0.000 | -0.000 | 24.522 | -0.000 |
| 0.000 | 0.000 | 0.000 | -0.000 | 0.000 | 24.522 |
| 277.140 | 255.978 | 255.978 | 0.000 | -0.000 | 0.000 |
| 255.978 | 277.140 | 255.978 | -0.000 | -0.000 | 0.000 |
| 255.978 | 255.978 | 277.140 | -0.000 | -0.000 | -0.000 |
| -0.000 | -0.000 | -0.000 | 24.522 | -0.000 | -0.000 |
| -0.000 | 0.000 | -0.000 | 0.000 | 24.522 | -0.000 |
| -0.000 | -0.000 | -0.000 | 0.000 | -0.000 | 24.522 |
| 277.115 | 255.953 | 255.953 | -0.000 | 0.000 | -0.000 |
| 255.953 | 277.115 | 255.953 | -0.000 | 0.000 | 0.000 |
| 255.953 | 255.953 | 277.115 | -0.000 | 0.000 | -0.000 |
| 0.000 | 0.000 | 0.000 | 24.522 | 0.000 | -0.000 |
| 0.000 | 0.000 | 0.000 | -0.000 | 24.522 | 0.000 |
| 0.000 | 0.000 | 0.000 | -0.000 | 0.000 | 24.522 |
| 277.160 | 255.998 | 255.998 | -0.000 | -0.000 | -0.000 |
| 255.998 | 277.160 | 255.998 | 0.000 | -0.000 | 0.000 |
| 255.998 | 255.998 | 277.160 | -0.000 | -0.000 | 0.000 |
| -0.000 | -0.000 | -0.000 | 24.522 | -0.000 | -0.000 |
| -0.000 | -0.000 | -0.000 | 0.000 | 24.522 | -0.000 |
| -0.000 | -0.000 | -0.000 | 0.000 | -0.000 | 24.522 |
| 276.912 | 255.750 | 255.750 | 0.000 | 0.000 | 0.000 |
| 255.750 | 276.912 | 255.750 | -0.000 | 0.000 | -0.000 |
| 255.750 | 255.750 | 276.912 | -0.000 | -0.000 | -0.000 |
| 0.000 | 0.000 | 0.000 | 24.522 | 0.000 | 0.000 |
| 0.000 | 0.000 | 0.000 | 0.000 | 24.522 | -0.000 |
| 0.000 | 0.000 | 0.000 | -0.000 | 0.000 | 24.522 |
| 277.363 | 256.201 | 256.201 | 0.000 | -0.000 | -0.000 |
| 256.201 | 277.363 | 256.201 | -0.000 | 0.000 | -0.000 |
| 256.201 | 256.201 | 277.363 | -0.000 | -0.000 | -0.000 |
| -0.000 | -0.000 | -0.000 | 24.522 | 0.000 | -0.000 |
| -0.000 | -0.000 | -0.000 | 0.000 | 24.522 | 0.000 |
| -0.000 | -0.000 | -0.000 | 0.000 | -0.000 | 24.522 |
| 16.956 | 8.128 | 8.128 | -0.000 | 0.000 | 0.000 |
| 8.128 | 16.956 | 8.128 | -0.000 | 0.000 | -0.000 |
| 8.128 | 8.128 | 16.956 | 0.000 | 0.000 | -0.000 |
| -0.000 | -0.000 | -0.000 | 8.298 | 0.000 | 0.000 |
| -0.000 | -0.000 | -0.000 | 0.000 | 8.298 | 0.000 |
| -0.000 | -0.000 | -0.000 | 0.000 | 0.000 | 8.298 |
| 16.957 | 8.128 | 8.128 | 0.000 | -0.000 | 0.000 |
| 8.128 | 16.957 | 8.128 | 0.000 | -0.000 | 0.000 |
| 8.128 | 8.128 | 16.957 | 0.000 | 0.000 | -0.000 |
| 0.000 | 0.000 | 0.000 | 8.298 | -0.000 | -0.000 |
| 0.000 | 0.000 | 0.000 | 0.000 | 8.298 | -0.000 |
| 0.000 | 0.000 | 0.000 | -0.000 | -0.000 | 8.298 |
| 16.956 | 8.128 | 8.128 | 0.000 | 0.000 | 0.000 |
| 8.128 | 16.956 | 8.128 | -0.000 | 0.000 | -0.000 |
| 8.128 | 8.128 | 16.956 | 0.000 | 0.000 | 0.000 |
| -0.000 | -0.000 | -0.000 | 8.298 | -0.000 | 0.000 |
| -0.000 | -0.000 | -0.000 | -0.000 | 8.298 | -0.000 |
| -0.000 | -0.000 | -0.000 | -0.000 | 0.000 | 8.298 |
| 16.957 | 8.128 | 8.128 | -0.000 | -0.000 | -0.000 |
| 8.128 | 16.957 | 8.128 | -0.000 | -0.000 | -0.000 |
| 8.128 | 8.128 | 16.957 | 0.000 | 0.000 | 0.000 |
| 0.000 | 0.000 | 0.000 | 8.298 | -0.000 | -0.000 |
| 0.000 | 0.000 | 0.000 | 0.000 | 8.298 | 0.000 |
| 0.000 | 0.000 | 0.000 | 0.000 | -0.000 | 8.298 |
| 16.956 | 8.128 | 8.128 | -0.000 | -0.000 | 0.000 |
| 8.128 | 16.956 | 8.128 | -0.000 | 0.000 | -0.000 |
| 8.128 | 8.128 | 16.956 | -0.000 | -0.000 | 0.000 |
| -0.000 | -0.000 | -0.000 | 8.298 | 0.000 | 0.000 |
| -0.000 | -0.000 | -0.000 | -0.000 | 8.298 | 0.000 |
| -0.000 | -0.000 | -0.000 | 0.000 | 0.000 | 8.298 |
| 16.957 | 8.128 | 8.128 | -0.000 | -0.000 | -0.000 |
| 8.128 | 16.957 | 8.128 | -0.000 | -0.000 | 0.000 |
| 8.128 | 8.128 | 16.957 | 0.000 | 0.000 | -0.000 |
| 0.000 | 0.000 | 0.000 | 8.298 | -0.000 | -0.000 |
| 0.000 | 0.000 | 0.000 | 0.000 | 8.298 | -0.000 |
| 0.000 | 0.000 | 0.000 | -0.000 | -0.000 | 8.298 |
| 52.031 | 25.875 | 25.875 | 0.000 | -0.000 | -0.000 |
| 25.875 | 52.031 | 25.875 | -0.000 | 0.000 | 0.000 |
| 25.875 | 25.875 | 52.031 | -0.000 | 0.000 | 0.000 |
| -0.000 | -0.000 | -0.000 | 25.876 | 0.000 | 0.000 |
| -0.000 | -0.000 | -0.000 | -0.000 | 25.876 | 0.000 |
| -0.000 | -0.000 | -0.000 | -0.000 | 0.000 | 25.876 |
| 52.031 | 25.875 | 25.875 | 0.000 | -0.000 | -0.000 |
| 25.875 | 52.031 | 25.875 | -0.000 | -0.000 | -0.000 |
| 25.875 | 25.875 | 52.031 | 0.000 | -0.000 | -0.000 |
| 0.000 | 0.000 | 0.000 | 25.876 | -0.000 | -0.000 |
| 0.000 | 0.000 | 0.000 | 0.000 | 25.876 | -0.000 |
| 0.000 | 0.000 | 0.000 | 0.000 | -0.000 | 25.876 |
| 52.031 | 25.875 | 25.875 | 0.000 | 0.000 | -0.000 |
| 25.875 | 52.031 | 25.875 | 0.000 | 0.000 | 0.000 |
| 25.875 | 25.875 | 52.031 | -0.000 | 0.000 | 0.000 |
| -0.000 | -0.000 | -0.000 | 25.876 | 0.000 | 0.000 |
| -0.000 | -0.000 | -0.000 | -0.000 | 25.876 | -0.000 |
| -0.000 | -0.000 | -0.000 | -0.000 | 0.000 | 25.876 |
| 52.031 | 25.875 | 25.875 | 0.000 | -0.000 | -0.000 |
| 25.875 | 52.031 | 25.875 | -0.000 | -0.000 | -0.000 |
| 25.875 | 25.875 | 52.031 | 0.000 | -0.000 | -0.000 |
| 0.000 | 0.000 | 0.000 | 25.876 | -0.000 | -0.000 |
| 0.000 | 0.000 | 0.000 | 0.000 | 25.876 | -0.000 |
| 0.000 | 0.000 | 0.000 | -0.000 | -0.000 | 25.876 |
| 52.030 | 25.874 | 25.874 | -0.000 | 0.000 | 0.000 |
| 25.874 | 52.030 | 25.874 | 0.000 | 0.000 | 0.000 |
| 25.874 | 25.874 | 52.030 | -0.000 | 0.000 | 0.000 |
| -0.000 | -0.001 | -0.000 | 25.876 | 0.000 | 0.000 |
| -0.001 | -0.000 | -0.000 | -0.000 | 25.876 | 0.000 |
| -0.001 | -0.000 | -0.000 | 0.000 | 0.000 | 25.876 |
| 52.032 | 25.875 | 25.875 | 0.000 | 0.000 | 0.000 |
| 25.875 | 52.032 | 25.875 | 0.000 | -0.000 | -0.000 |
| 25.875 | 25.875 | 52.032 | 0.000 | -0.000 | -0.000 |
| 0.000 | 0.001 | 0.000 | 25.876 | -0.000 | -0.000 |
| 0.001 | 0.000 | 0.000 | 0.000 | 25.876 | 0.000 |
| 0.001 | 0.000 | 0.000 | 0.000 | -0.000 | 25.876 |
| 160.311 | 108.995 | 112.515 | 0.000 | -0.000 | 0.000 |
| 109.167 | 167.884 | 106.223 | -0.000 | -0.000 | -0.000 |
| 106.223 | 106.223 | 186.657 | -0.000 | -0.000 | -0.000 |
| -0.000 | 0.000 | 0.000 | 35.344 | -0.000 | 0.000 |
| 0.248 | 0.248 | -0.403 | 0.000 | 26.912 | -0.000 |
| 0.000 | 0.000 | -0.000 | -0.000 | -0.000 | 29.359 |
| 167.882 | 109.164 | 106.221 | -0.000 | 0.000 | -0.000 |
| 109.164 | 167.882 | 106.221 | -0.000 | 0.000 | 0.000 |
| 106.221 | 106.221 | 186.656 | -0.000 | 0.000 | 0.000 |
| -0.000 | -0.000 | -0.000 | 35.344 | 0.000 | -0.000 |
| -0.248 | -0.248 | 0.403 | 0.000 | 26.912 | 0.000 |
| -0.000 | -0.000 | 0.000 | 0.000 | 0.000 | 29.359 |
| 167.896 | 109.179 | 106.233 | -0.000 | -0.000 | -0.000 |
| 124.020 | 148.655 | 109.808 | 0.000 | -0.000 | 0.000 |
| 106.231 | 106.231 | 186.665 | 0.000 | -0.000 | 0.000 |
| 0.000 | 0.000 | 0.000 | 35.344 | -0.000 | 0.000 |
| 0.000 | 0.000 | 0.000 | 0.000 | 35.344 | -0.000 |
| 0.000 | 0.000 | 0.000 | 0.000 | -0.000 | 29.359 |
| 160.351 | 108.869 | 112.550 | -0.000 | 0.000 | -0.000 |
| 123.981 | 148.616 | 109.807 | -0.000 | 0.000 | 0.000 |
| 106.213 | 106.213 | 186.649 | -0.000 | 0.000 | 0.000 |
| -0.000 | -0.000 | -0.000 | 35.344 | 0.000 | 0.000 |
| -0.000 | -0.000 | -0.000 | -0.000 | 35.344 | 0.000 |
| -0.000 | -0.000 | -0.000 | 0.000 | 0.000 | 29.359 |
| 160.491 | 109.025 | 112.667 | 0.000 | -0.000 | -0.000 |
| 109.295 | 168.014 | 106.331 | -0.000 | -0.000 | 0.000 |
| 106.314 | 106.314 | 186.736 | 0.000 | -0.000 | 0.000 |
| 0.000 | 0.000 | 0.001 | 35.344 | -0.000 | 0.000 |
| 0.003 | 0.003 | -0.004 | 0.000 | 26.891 | 0.000 |
| 0.005 | 0.005 | -0.007 | 0.000 | -0.000 | 13.272 |
| 167.752 | 109.036 | 106.113 | -0.000 | 0.000 | -0.000 |
| 123.867 | 148.502 | 109.700 | 0.000 | 0.000 | 0.000 |
| 106.130 | 106.130 | 186.578 | 0.000 | 0.000 | 0.000 |
| -0.000 | -0.000 | -0.001 | 35.344 | 0.000 | -0.000 |
| -0.003 | -0.003 | 0.004 | -0.000 | 26.891 | 0.000 |
| -0.005 | -0.005 | 0.007 | -0.000 | 0.000 | 13.272 |
| 148.970 | 174.567 | 180.015 | -0.000 | 0.000 | -0.000 |
| 174.567 | 148.970 | 180.015 | -0.000 | 0.000 | -0.000 |
| 181.772 | 181.772 | 148.458 | -0.000 | 0.000 | -0.000 |
| -0.778 | -0.778 | -0.864 | 49.863 | -0.000 | 0.000 |
| -0.778 | -0.778 | -0.864 | -0.000 | 49.863 | -0.000 |
| 0.000 | -0.000 | 0.000 | -0.000 | 0.000 | 17.276 |
| 150.666 | 175.731 | 181.604 | -0.000 | -0.000 | -0.000 |
| 145.383 | 179.935 | 181.004 | 0.000 | 0.000 | 0.000 |
| 182.266 | 182.266 | 149.006 | 0.000 | 0.000 | -0.000 |
| 0.778 | 0.778 | 0.864 | 49.863 | 0.000 | -0.000 |
| 0.778 | 0.778 | 0.864 | 0.000 | 49.863 | -0.000 |
| -0.000 | 0.000 | -0.000 | 0.000 | -0.000 | 17.276 |
| 179.921 | 145.369 | 180.991 | -0.000 | 0.000 | -0.000 |
| 145.369 | 179.921 | 180.991 | -0.000 | 0.000 | 0.000 |
| 181.399 | 181.399 | 148.044 | -0.000 | -0.000 | -0.000 |
| -0.081 | -0.081 | -0.090 | 49.863 | 0.000 | 0.000 |
| -0.081 | -0.081 | -0.090 | -0.000 | 49.863 | 0.000 |
| -0.000 | -0.000 | -0.000 | -0.000 | 0.000 | 17.276 |
| 150.202 | 174.835 | 180.846 | 0.000 | -0.000 | -0.000 |
| 145.394 | 179.946 | 181.015 | 0.000 | -0.000 | -0.000 |
| 181.784 | 181.784 | 148.469 | -0.000 | -0.000 | 0.000 |
| 0.081 | 0.081 | 0.090 | 49.863 | -0.000 | -0.000 |
| 0.081 | 0.081 | 0.090 | 0.000 | 49.863 | -0.000 |
| 0.000 | 0.000 | 0.000 | 0.000 | -0.000 | 17.276 |
| 179.806 | 145.257 | 180.886 | -0.000 | 0.000 | -0.000 |
| 174.645 | 149.970 | 180.637 | -0.000 | 0.000 | 0.000 |
| 181.663 | 181.663 | 148.356 | -0.000 | 0.000 | 0.000 |
| -0.008 | -0.008 | -0.009 | 49.861 | -0.000 | -0.000 |
| -0.008 | -0.008 | -0.009 | -0.000 | 49.861 | -0.000 |
| -0.000 | -0.001 | -0.000 | -0.000 | 0.000 | 17.276 |
| 149.961 | 175.087 | 180.832 | 0.000 | -0.000 | -0.000 |
| 174.906 | 150.240 | 180.886 | 0.000 | 0.000 | -0.000 |
| 181.605 | 181.605 | 148.253 | 0.000 | 0.000 | -0.000 |
| 0.008 | 0.008 | 0.009 | 49.861 | -0.000 | 0.000 |
| 0.008 | 0.008 | 0.009 | 0.000 | 49.861 | -0.000 |
| 0.000 | 0.001 | 0.000 | 0.000 | -0.000 | 17.276 |
| 191.691 | 199.002 | 184.663 | 0.000 | 24.405 | 0.000 |
| 197.380 | 234.018 | 220.021 | 0.000 | -20.966 | -0.000 |
| 184.102 | 230.230 | 269.724 | 0.000 | 10.946 | -0.000 |
| 0.000 | 0.000 | 0.000 | 48.828 | 0.000 | -14.655 |
| 68.231 | 39.374 | 47.439 | 0.000 | 25.454 | -0.000 |
| 0.000 | 0.000 | 0.000 | -15.067 | 0.000 | 28.713 |
| 145.085 | 208.452 | 183.691 | -0.000 | 43.632 | -0.000 |
| 198.622 | 232.632 | 229.735 | -0.000 | -13.856 | 0.000 |
| 103.039 | 136.056 | 195.834 | -0.000 | 15.297 | 0.000 |
| -0.000 | -0.000 | -0.000 | 48.828 | -0.000 | -14.655 |
| -9.604 | 4.770 | 18.078 | -0.000 | 52.571 | 0.000 |
| -0.000 | -0.000 | -0.000 | -15.067 | -0.000 | 28.713 |
| 140.801 | 144.362 | 134.236 | 0.000 | 22.252 | 0.000 |
| 198.605 | 232.612 | 229.716 | 0.000 | -13.856 | -0.000 |
| 133.928 | 174.388 | 218.687 | 0.000 | 8.948 | 0.000 |
| 4.832 | 5.789 | 4.024 | 46.624 | -0.596 | -14.416 |
| 24.366 | -13.444 | 10.946 | 0.000 | 31.128 | 0.000 |
| 0.000 | 0.000 | 0.000 | -15.067 | 0.000 | 28.713 |
| 148.099 | 151.160 | 142.789 | -0.000 | 23.944 | 0.000 |
| 198.636 | 232.648 | 229.749 | -0.000 | -13.856 | 0.000 |
| 184.117 | 230.246 | 269.740 | -0.000 | 10.946 | 0.000 |
| -4.832 | -5.789 | -4.024 | 46.624 | 0.596 | -14.416 |
| 24.366 | -13.444 | 10.946 | -0.000 | 31.128 | -0.000 |
| -0.000 | -0.000 | -0.000 | -15.067 | -0.000 | 28.713 |
| 137.160 | 148.721 | 137.349 | 0.000 | 21.332 | -0.000 |
| 150.227 | 177.450 | 180.973 | 0.000 | -14.963 | -0.000 |
| 137.884 | 178.827 | 223.466 | 0.000 | 9.510 | 0.000 |
| 0.000 | 0.000 | 0.000 | 48.828 | -0.000 | -14.655 |
| 24.366 | -13.444 | 10.946 | 0.000 | 31.129 | 0.000 |
| 0.000 | 0.000 | 0.000 | -15.067 | 0.000 | 28.713 |
| 140.847 | 146.206 | 136.312 | -0.000 | 23.033 | -0.000 |
| 152.209 | 179.660 | 183.133 | -0.000 | -14.788 | 0.000 |
| 140.972 | 181.795 | 226.797 | -0.000 | 10.061 | 0.000 |
| -0.000 | -0.000 | -0.000 | 48.828 | 0.000 | -14.655 |
| 22.704 | -15.142 | 9.517 | -0.000 | 31.037 | 0.000 |
| -0.000 | -0.000 | -0.000 | -15.067 | -0.000 | 28.713 |
| 56.601 | 28.837 | 28.837 | -0.000 | -0.000 | -0.000 |
| 28.837 | 56.601 | 28.837 | -0.000 | -0.000 | -0.000 |
| 28.837 | 28.837 | 56.601 | -0.000 | -0.000 | -0.000 |
| -56.383 | -56.383 | -56.383 | 6.367 | 0.000 | -0.000 |
| -56.383 | -56.383 | -56.383 | 0.000 | 6.367 | 0.000 |
| -56.383 | -56.383 | -56.383 | 0.000 | 0.000 | 6.367 |
| 91.772 | 73.071 | 73.071 | -0.000 | -0.000 | -0.000 |
| 73.071 | 91.772 | 73.071 | -0.000 | -0.000 | -0.000 |
| 73.071 | 73.071 | 91.772 | -0.000 | -0.000 | -0.000 |
| 56.383 | 56.383 | 56.383 | 6.367 | -0.000 | -0.000 |
| 56.383 | 56.383 | 56.383 | 0.000 | 6.367 | 0.000 |
| 56.383 | 56.383 | 56.383 | -0.000 | -0.000 | 6.367 |
| 56.601 | 28.838 | 28.838 | -0.000 | -0.000 | -0.000 |
| 28.838 | 56.601 | 28.838 | -0.000 | -0.000 | -0.000 |
| 28.838 | 28.838 | 56.601 | -0.000 | -0.000 | -0.000 |
| 0.000 | 0.000 | 0.000 | 18.081 | 0.000 | -0.000 |
| 0.000 | 0.000 | 0.000 | 0.000 | 18.081 | -0.000 |
| 0.000 | 0.000 | 0.000 | 0.000 | 0.000 | 18.081 |
| 56.600 | 28.837 | 28.837 | 0.000 | 0.000 | 0.000 |
| 28.837 | 56.600 | 28.837 | 0.000 | 0.000 | 0.000 |
| 28.837 | 28.837 | 56.600 | 0.000 | 0.000 | 0.000 |
| -0.000 | -0.000 | -0.000 | 18.081 | -0.000 | 0.000 |
| -0.000 | -0.000 | -0.000 | -0.000 | 18.081 | 0.000 |
| -0.000 | -0.000 | -0.000 | 0.000 | 0.000 | 18.081 |
| 35.034 | 32.687 | 32.687 | 0.000 | -0.000 | 0.000 |
| 32.687 | 35.034 | 32.687 | 0.000 | 0.000 | -0.000 |
| 32.687 | 32.687 | 35.034 | -0.000 | 0.000 | -0.000 |
| 0.000 | 0.000 | 0.000 | 18.081 | 0.000 | -0.000 |
| 0.000 | 0.000 | 0.000 | 0.000 | 18.081 | -0.000 |
| 0.000 | 0.000 | 0.000 | 0.000 | -0.000 | 18.081 |
| 56.596 | 28.834 | 28.834 | 0.000 | 0.000 | 0.000 |
| 28.834 | 56.596 | 28.834 | 0.000 | 0.000 | 0.000 |
| 28.834 | 28.834 | 56.596 | 0.000 | 0.000 | 0.000 |
| -0.000 | -0.000 | -0.000 | 18.081 | -0.000 | 0.000 |
| -0.000 | -0.000 | -0.000 | -0.000 | 18.081 | 0.000 |
| -0.000 | -0.000 | -0.000 | -0.000 | 0.000 | 18.081 |
| 212.318 | 183.230 | 183.230 | 0.000 | -0.000 | 0.000 |
| 183.230 | 212.318 | 183.230 | -0.000 | 0.000 | -0.000 |
| 183.230 | 183.230 | 212.318 | -0.000 | -0.000 | 0.000 |
| -0.000 | -0.000 | -0.000 | 18.850 | -0.000 | -0.000 |
| -0.000 | -0.000 | -0.000 | -0.000 | 18.850 | -0.000 |
| -0.000 | -0.000 | -0.000 | -0.000 | -0.000 | 18.850 |
| 212.319 | 183.231 | 183.231 | 0.000 | 0.000 | -0.000 |
| 183.231 | 212.319 | 183.231 | -0.000 | -0.000 | 0.000 |
| 183.231 | 183.231 | 212.319 | 0.000 | 0.000 | -0.000 |
| 0.000 | 0.000 | 0.000 | 18.850 | 0.000 | -0.000 |
| 0.000 | 0.000 | 0.000 | 0.000 | 18.850 | 0.000 |
| 0.000 | 0.000 | 0.000 | 0.000 | -0.000 | 18.850 |
| 200.746 | 184.818 | 184.818 | -0.000 | -0.000 | -0.000 |
| 184.818 | 200.746 | 184.818 | -0.000 | -0.000 | -0.000 |
| 184.818 | 184.818 | 200.746 | -0.000 | -0.000 | -0.000 |
| 0.451 | 0.451 | 0.451 | 10.727 | -0.000 | -0.000 |
| 0.451 | 0.451 | 0.451 | -0.000 | 10.727 | -0.000 |
| 0.451 | 0.451 | 0.451 | -0.000 | -0.000 | 10.727 |
| 212.326 | 183.238 | 183.238 | 0.000 | 0.000 | -0.000 |
| 183.238 | 212.326 | 183.238 | 0.000 | 0.000 | 0.000 |
| 183.238 | 183.238 | 212.326 | 0.000 | 0.000 | -0.000 |
| -0.451 | -0.451 | -0.451 | 10.727 | 0.000 | 0.000 |
| -0.451 | -0.451 | -0.451 | 0.000 | 10.727 | 0.000 |
| -0.451 | -0.451 | -0.451 | 0.000 | 0.000 | 10.727 |
| 212.239 | 183.155 | 183.155 | -0.000 | -0.000 | 0.000 |
| 183.155 | 212.239 | 183.155 | -0.000 | -0.000 | -0.000 |
| 183.155 | 183.155 | 212.239 | -0.000 | -0.000 | -0.000 |
| -0.001 | -0.001 | -0.001 | 18.850 | -0.000 | 0.000 |
| 0.046 | 0.046 | 0.046 | -0.000 | 10.441 | -0.000 |
| -0.001 | -0.001 | -0.001 | -0.000 | 0.000 | 18.850 |
| 212.398 | 183.306 | 183.306 | -0.000 | -0.000 | -0.000 |
| 183.306 | 212.398 | 183.306 | -0.000 | -0.000 | -0.000 |
| 183.306 | 183.306 | 212.398 | -0.000 | -0.000 | -0.000 |
| 0.001 | 0.001 | 0.001 | 18.850 | -0.000 | -0.000 |
| -0.046 | -0.046 | -0.046 | 0.000 | 10.441 | 0.000 |
| 0.001 | 0.001 | 0.001 | -0.000 | 0.000 | 18.850 |
| 366.786 | 351.723 | 351.723 | -0.000 | -0.000 | 0.000 |
| 351.723 | 366.786 | 351.723 | -0.000 | -0.000 | 0.000 |
| 351.723 | 351.723 | 366.786 | -0.000 | -0.000 | 0.000 |
| -0.000 | -0.000 | -0.000 | 5.937 | -0.000 | 0.000 |
| -0.000 | -0.000 | -0.000 | -0.000 | 5.937 | -0.000 |
| -0.000 | -0.000 | -0.000 | -0.000 | -0.000 | 5.937 |
| 366.791 | 351.728 | 351.728 | 0.000 | 0.000 | -0.000 |
| 351.728 | 366.791 | 351.728 | 0.000 | 0.000 | -0.000 |
| 351.728 | 351.728 | 366.791 | 0.000 | 0.000 | 0.000 |
| 0.000 | 0.000 | 0.000 | 5.937 | 0.000 | -0.000 |
| 0.000 | 0.000 | 0.000 | 0.000 | 5.937 | -0.000 |
| 0.000 | 0.000 | 0.000 | 0.000 | 0.000 | 5.937 |
| 366.762 | 351.698 | 351.698 | -0.000 | -0.000 | -0.000 |
| 351.698 | 366.762 | 351.698 | -0.000 | -0.000 | 0.000 |
| 351.698 | 351.698 | 366.762 | -0.000 | -0.000 | 0.000 |
| -0.000 | -0.000 | -0.000 | 5.937 | -0.000 | -0.000 |
| -0.000 | -0.000 | -0.000 | -0.000 | 5.937 | -0.000 |
| -0.000 | -0.000 | -0.000 | -0.000 | -0.000 | 5.937 |
| 366.815 | 351.752 | 351.752 | 0.000 | 0.000 | 0.000 |
| 351.752 | 366.815 | 351.752 | 0.000 | 0.000 | 0.000 |
| 351.752 | 351.752 | 366.815 | 0.000 | 0.000 | 0.000 |
| 0.000 | 0.000 | 0.000 | 5.937 | 0.000 | -0.000 |
| 0.000 | 0.000 | 0.000 | 0.000 | 5.937 | -0.000 |
| 0.000 | 0.000 | 0.000 | 0.000 | 0.000 | 5.937 |
| 366.520 | 351.458 | 351.458 | -0.000 | -0.000 | -0.000 |
| 351.458 | 366.520 | 351.458 | -0.000 | -0.000 | -0.000 |
| 351.458 | 351.458 | 366.520 | -0.000 | -0.000 | -0.000 |
| -0.000 | -0.000 | -0.000 | 5.937 | -0.000 | 0.000 |
| -0.000 | -0.000 | -0.000 | -0.000 | 5.937 | -0.000 |
| -0.000 | -0.000 | -0.000 | -0.000 | -0.000 | 5.937 |
| 367.057 | 351.993 | 351.993 | 0.000 | 0.000 | -0.000 |
| 351.993 | 367.057 | 351.993 | 0.000 | 0.000 | 0.000 |
| 351.993 | 351.993 | 367.057 | 0.000 | 0.000 | 0.000 |
| 0.000 | 0.000 | 0.000 | 5.937 | 0.000 | 0.000 |
| 0.000 | 0.000 | 0.000 | 0.000 | 5.937 | -0.000 |
| 0.000 | 0.000 | 0.000 | 0.000 | 0.000 | 5.937 |
| 40.312 | 3.321 | 3.321 | -0.000 | 0.000 | -0.000 |
| 3.321 | 40.312 | 3.321 | 0.000 | 0.000 | -0.000 |
| 3.321 | 3.321 | 40.312 | -0.000 | 0.000 | 0.000 |
| 0.000 | 0.000 | 0.000 | -7.553 | -0.000 | -0.000 |
| 0.000 | 0.000 | 0.000 | -0.000 | -7.553 | 0.000 |
| 0.000 | 0.000 | 0.000 | -0.000 | 0.000 | -7.553 |
| 40.312 | 3.321 | 3.321 | 0.000 | -0.000 | -0.000 |
| 3.321 | 40.312 | 3.321 | 0.000 | -0.000 | -0.000 |
| 3.321 | 3.321 | 40.312 | 0.000 | -0.000 | -0.000 |
| -0.000 | -0.000 | -0.000 | -7.553 | -0.000 | -0.000 |
| -0.000 | -0.000 | -0.000 | 0.000 | -7.553 | 0.000 |
| -0.000 | -0.000 | -0.000 | 0.000 | -0.000 | -7.553 |
| 40.312 | 3.321 | 3.321 | -0.000 | 0.000 | 0.000 |
| 3.321 | 40.312 | 3.321 | -0.000 | 0.000 | -0.000 |
| 3.321 | 3.321 | 40.312 | -0.000 | 0.000 | -0.000 |
| 0.000 | 0.000 | 0.000 | -7.553 | -0.000 | -0.000 |
| 0.000 | 0.000 | 0.000 | -0.000 | -7.553 | 0.000 |
| 0.000 | 0.000 | 0.000 | 0.000 | 0.000 | -7.553 |
| 40.312 | 3.321 | 3.321 | 0.000 | -0.000 | -0.000 |
| 3.321 | 40.312 | 3.321 | 0.000 | 0.000 | -0.000 |
| 3.321 | 3.321 | 40.312 | 0.000 | 0.000 | 0.000 |
| -0.000 | -0.000 | -0.000 | -7.553 | 0.000 | 0.000 |
| -0.000 | -0.000 | -0.000 | 0.000 | -7.553 | -0.000 |
| -0.000 | -0.000 | -0.000 | -0.000 | -0.000 | -7.553 |
| 40.312 | 3.322 | 3.322 | -0.000 | 0.000 | -0.000 |
| 3.322 | 40.312 | 3.322 | -0.000 | -0.000 | -0.000 |
| 3.322 | 3.322 | 40.312 | 0.000 | 0.000 | 0.000 |
| 0.000 | 0.000 | 0.000 | -7.553 | 0.000 | -0.000 |
| 0.000 | 0.000 | 0.000 | -0.000 | -7.553 | 0.000 |
| 0.000 | 0.000 | 0.000 | 0.000 | 0.000 | -7.553 |
| 40.311 | 3.320 | 3.320 | 0.000 | -0.000 | 0.000 |
| 3.320 | 40.311 | 3.320 | 0.000 | -0.000 | 0.000 |
| 3.320 | 3.320 | 40.311 | 0.000 | 0.000 | 0.000 |
| -0.000 | -0.000 | -0.000 | -7.553 | 0.000 | -0.000 |
| -0.000 | -0.000 | -0.000 | 0.000 | -7.553 | 0.000 |
| -0.000 | -0.000 | -0.000 | 0.000 | -0.000 | -7.553 |
| 4609.011 | 4609.008 | 4609.008 | -0.000 | -0.000 | 0.000 |
| 4609.008 | 4609.011 | 4609.008 | -0.000 | -0.000 | 0.000 |
| 4609.008 | 4609.008 | 4609.011 | 0.000 | 0.000 | -0.000 |
| 0.000 | 0.000 | 0.000 | 4608.081 | 0.000 | 0.000 |
| 0.000 | 0.000 | 0.000 | 0.000 | 4608.081 | 0.000 |
| 0.000 | 0.000 | 0.000 | 0.000 | 0.000 | 4608.081 |
| 4609.010 | 4609.007 | 4609.007 | 0.000 | -0.000 | 0.000 |
| 4609.007 | 4609.010 | 4609.007 | -0.000 | 0.000 | 0.000 |
| 4609.007 | 4609.007 | 4609.010 | -0.000 | -0.000 | 0.000 |
| -0.000 | -0.000 | -0.000 | 4608.081 | -0.000 | 0.000 |
| -0.000 | -0.000 | -0.000 | -0.000 | 4608.081 | 0.000 |
| -0.000 | -0.000 | -0.000 | -0.000 | -0.000 | 4608.081 |
| 4609.013 | 4609.011 | 4609.011 | -0.000 | -0.000 | -0.000 |
| 4609.011 | 4609.013 | 4609.011 | -0.000 | -0.000 | -0.000 |
| 4609.011 | 4609.011 | 4609.013 | -0.000 | -0.000 | 0.000 |
| -0.000 | -0.000 | -0.000 | 394.876 | -0.000 | 0.000 |
| -0.000 | -0.000 | -0.000 | -0.000 | 394.876 | 0.000 |
| -0.000 | -0.000 | -0.000 | -0.000 | 0.000 | 394.876 |
| 4609.008 | 4609.004 | 4609.004 | 0.000 | 0.000 | 0.000 |
| 4609.004 | 4609.008 | 4609.004 | 0.000 | 0.000 | 0.000 |
| 4609.004 | 4609.004 | 4609.008 | 0.000 | 0.000 | 0.000 |
| 0.000 | 0.000 | 0.000 | 394.876 | 0.000 | 0.000 |
| 0.000 | 0.000 | 0.000 | 0.000 | 394.876 | 0.000 |
| 0.000 | 0.000 | 0.000 | -0.000 | -0.000 | 394.876 |
| 4609.034 | 4609.040 | 4609.040 | 0.000 | 0.000 | -0.000 |
| 4609.040 | 4609.034 | 4609.040 | 0.000 | 0.000 | -0.000 |
| 4609.040 | 4609.040 | 4609.034 | 0.000 | 0.000 | -0.000 |
| -0.002 | -0.003 | -0.002 | 394.883 | 0.000 | -0.000 |
| -0.003 | -0.002 | -0.002 | 0.000 | 394.883 | -0.000 |
| -0.003 | -0.002 | -0.002 | 0.000 | -0.000 | 394.883 |
| 4608.987 | 4608.975 | 4608.975 | 0.000 | -0.000 | -0.000 |
| 4608.975 | 4608.987 | 4608.975 | -0.000 | 0.000 | -0.000 |
| 4608.975 | 4608.975 | 4608.987 | 0.000 | 0.000 | 0.000 |
| 0.002 | 0.003 | 0.002 | 394.883 | -0.000 | -0.000 |
| 0.003 | 0.002 | 0.002 | -0.000 | 394.883 | -0.000 |
| 0.003 | 0.002 | 0.002 | -0.000 | -0.000 | 394.883 |
| 24.849 | 24.847 | 24.847 | -0.000 | -0.000 | -0.000 |
| 24.847 | 24.849 | 24.847 | -0.000 | -0.000 | -0.000 |
| 24.847 | 24.847 | 24.849 | -0.000 | -0.000 | -0.000 |
| 0.000 | 0.000 | 0.000 | 24.873 | -0.000 | -0.000 |
| 0.000 | 0.000 | 0.000 | -0.000 | 24.873 | -0.000 |
| 0.000 | 0.000 | 0.000 | -0.000 | -0.000 | 24.873 |
| 24.849 | 24.847 | 24.847 | 0.000 | 0.000 | 0.000 |
| 24.847 | 24.849 | 24.847 | 0.000 | 0.000 | 0.000 |
| 24.847 | 24.847 | 24.849 | 0.000 | 0.000 | 0.000 |
| -0.000 | -0.000 | -0.000 | 24.873 | 0.000 | 0.000 |
| -0.000 | -0.000 | -0.000 | 0.000 | 24.873 | 0.000 |
| -0.000 | -0.000 | -0.000 | 0.000 | 0.000 | 24.873 |
| 24.849 | 24.847 | 24.847 | -0.000 | -0.000 | -0.000 |
| 24.847 | 24.849 | 24.847 | -0.000 | -0.000 | -0.000 |
| 24.847 | 24.847 | 24.849 | -0.000 | -0.000 | -0.000 |
| 0.000 | 0.000 | 0.000 | 24.873 | -0.000 | -0.000 |
| 0.000 | 0.000 | 0.000 | -0.000 | 24.873 | -0.000 |
| 0.000 | 0.000 | 0.000 | -0.000 | 0.000 | 24.873 |
| 24.849 | 24.847 | 24.847 | 0.000 | -0.000 | 0.000 |
| 24.847 | 24.849 | 24.847 | -0.000 | 0.000 | 0.000 |
| 24.847 | 24.847 | 24.849 | 0.000 | 0.000 | 0.000 |
| -0.000 | -0.000 | -0.000 | 24.873 | 0.000 | 0.000 |
| -0.000 | -0.000 | -0.000 | 0.000 | 24.873 | 0.000 |
| -0.000 | -0.000 | -0.000 | 0.000 | -0.000 | 24.873 |
| 24.850 | 24.848 | 24.848 | -0.000 | -0.000 | -0.000 |
| 24.848 | 24.850 | 24.848 | -0.000 | -0.000 | -0.000 |
| 24.848 | 24.848 | 24.850 | -0.000 | -0.000 | -0.000 |
| 0.000 | 0.000 | 0.000 | 24.873 | -0.000 | -0.000 |
| 0.000 | 0.000 | 0.000 | -0.000 | 24.873 | -0.000 |
| 0.000 | 0.000 | 0.000 | -0.000 | -0.000 | 24.873 |
| 24.849 | 24.847 | 24.847 | 0.000 | 0.000 | 0.000 |
| 24.847 | 24.849 | 24.847 | 0.000 | 0.000 | 0.000 |
| 24.847 | 24.847 | 24.849 | 0.000 | 0.000 | 0.000 |
| -0.000 | -0.000 | -0.000 | 24.873 | 0.000 | 0.000 |
| -0.000 | -0.000 | -0.000 | 0.000 | 24.873 | 0.000 |
| -0.000 | -0.000 | -0.000 | 0.000 | 0.000 | 24.873 |
| 238.305 | -35.642 | -35.642 | -0.000 | -0.000 | -0.000 |
| -35.642 | 238.305 | -35.642 | -0.000 | -0.000 | -0.000 |
| -35.642 | -35.642 | 238.305 | 0.000 | -0.000 | -0.000 |
| -0.000 | -0.000 | -0.000 | -24.278 | 0.000 | -0.000 |
| -0.000 | -0.000 | -0.000 | 0.000 | -24.278 | -0.000 |
| -0.000 | -0.000 | -0.000 | 0.000 | 0.000 | -24.278 |
| 238.304 | -35.643 | -35.643 | 0.000 | -0.000 | 0.000 |
| -35.643 | 238.304 | -35.643 | 0.000 | 0.000 | 0.000 |
| -35.643 | -35.643 | 238.304 | -0.000 | -0.000 | 0.000 |
| 0.000 | 0.000 | 0.000 | -24.278 | -0.000 | -0.000 |
| 0.000 | 0.000 | 0.000 | -0.000 | -24.278 | 0.000 |
| 0.000 | 0.000 | 0.000 | 0.000 | 0.000 | -24.278 |
| 238.307 | -35.642 | -35.642 | -0.000 | -0.000 | -0.000 |
| -35.642 | 238.307 | -35.642 | -0.000 | -0.000 | -0.000 |
| -35.642 | -35.642 | 238.307 | 0.000 | 0.000 | -0.000 |
| -0.000 | -0.000 | -0.000 | -24.278 | 0.000 | -0.000 |
| -0.000 | -0.000 | -0.000 | 0.000 | -24.278 | -0.000 |
| -0.000 | -0.000 | -0.000 | 0.000 | -0.000 | -24.278 |
| 238.302 | -35.643 | -35.643 | 0.000 | 0.000 | 0.000 |
| -35.643 | 238.302 | -35.643 | 0.000 | 0.000 | 0.000 |
| -35.643 | -35.643 | 238.302 | -0.000 | -0.000 | -0.000 |
| 0.000 | 0.000 | 0.000 | -24.278 | -0.000 | 0.000 |
| 0.000 | 0.000 | 0.000 | -0.000 | -24.278 | 0.000 |
| 0.000 | 0.000 | 0.000 | -0.000 | 0.000 | -24.278 |
| 238.331 | -35.636 | -35.636 | -0.000 | 0.000 | -0.000 |
| -35.636 | 238.331 | -35.636 | 0.000 | -0.000 | -0.000 |
| -35.636 | -35.636 | 238.331 | 0.000 | 0.000 | -0.000 |
| -0.004 | -0.003 | -0.003 | -24.278 | 0.000 | -0.000 |
| -0.003 | -0.004 | -0.003 | 0.000 | -24.278 | -0.000 |
| -0.003 | -0.003 | -0.004 | -0.000 | -0.000 | -24.278 |
| 238.277 | -35.648 | -35.648 | 0.000 | 0.000 | 0.000 |
| -35.648 | 238.277 | -35.648 | 0.000 | 0.000 | 0.000 |
| -35.648 | -35.648 | 238.277 | -0.000 | -0.000 | 0.000 |
| 0.004 | 0.003 | 0.003 | -24.278 | -0.000 | 0.000 |
| 0.003 | 0.004 | 0.003 | -0.000 | -24.278 | 0.000 |
| 0.003 | 0.003 | 0.004 | 0.000 | 0.000 | -24.278 |
| 0.278 | 4.420 | 4.420 | 0.000 | -0.000 | -0.000 |
| 4.420 | 0.278 | 4.420 | -0.000 | -0.000 | 0.000 |
| 4.420 | 4.420 | 0.278 | 0.000 | 0.000 | 0.000 |
| -0.000 | 0.000 | 0.000 | 2.330 | -0.000 | -0.000 |
| 0.000 | -0.000 | 0.000 | -0.000 | 2.330 | -0.000 |
| 0.000 | 0.000 | -0.000 | -0.000 | -0.000 | 2.330 |
| 0.278 | 4.420 | 4.420 | 0.000 | 0.000 | 0.000 |
| 4.420 | 0.278 | 4.420 | 0.000 | -0.000 | 0.000 |
| 4.420 | 4.420 | 0.278 | 0.000 | 0.000 | 0.000 |
| 0.000 | -0.000 | -0.000 | 2.330 | 0.000 | -0.000 |
| -0.000 | 0.000 | -0.000 | 0.000 | 2.330 | 0.000 |
| -0.000 | -0.000 | 0.000 | 0.000 | -0.000 | 2.330 |
| 0.278 | 4.420 | 4.420 | -0.000 | -0.000 | 0.000 |
| 4.420 | 0.278 | 4.420 | -0.000 | -0.000 | -0.000 |
| 4.420 | 4.420 | 0.278 | -0.000 | -0.000 | -0.000 |
| -0.000 | 0.000 | 0.000 | 2.330 | 0.000 | 0.000 |
| 0.000 | -0.000 | 0.000 | 0.000 | 2.330 | -0.000 |
| 0.000 | 0.000 | -0.000 | 0.000 | -0.000 | 2.330 |
| 0.278 | 4.420 | 4.420 | 0.000 | 0.000 | -0.000 |
| 4.420 | 0.278 | 4.420 | 0.000 | 0.000 | -0.000 |
| 4.420 | 4.420 | 0.278 | 0.000 | 0.000 | 0.000 |
| 0.000 | -0.000 | -0.000 | 2.330 | 0.000 | -0.000 |
| -0.000 | 0.000 | -0.000 | 0.000 | 2.330 | 0.000 |
| -0.000 | -0.000 | 0.000 | 0.000 | 0.000 | 2.330 |
| 0.278 | 4.420 | 4.420 | -0.000 | -0.000 | 0.000 |
| 4.420 | 0.278 | 4.420 | -0.000 | -0.000 | -0.000 |
| 4.420 | 4.420 | 0.278 | -0.000 | -0.000 | 0.000 |
| -0.000 | 0.000 | 0.000 | 2.330 | -0.000 | 0.000 |
| 0.000 | -0.000 | 0.000 | -0.000 | 2.330 | -0.000 |
| 0.000 | 0.000 | -0.000 | -0.000 | -0.000 | 2.330 |
| 0.278 | 4.420 | 4.420 | 0.000 | 0.000 | 0.000 |
| 4.420 | 0.278 | 4.420 | -0.000 | 0.000 | 0.000 |
| 4.420 | 4.420 | 0.278 | 0.000 | 0.000 | 0.000 |
| 0.000 | -0.000 | -0.000 | 2.330 | 0.000 | -0.000 |
| -0.000 | 0.000 | -0.000 | 0.000 | 2.330 | 0.000 |
| -0.000 | -0.000 | 0.000 | 0.000 | 0.000 | 2.330 |
| 20.039 | 0.566 | 0.566 | -0.000 | -0.000 | -0.000 |
| 0.566 | 20.039 | 0.566 | -0.000 | 0.000 | 0.000 |
| 0.566 | 0.566 | 20.039 | 0.000 | 0.000 | 0.000 |
| -0.000 | 0.000 | -0.000 | 0.008 | -0.000 | -0.000 |
| 0.000 | -0.000 | -0.000 | -0.000 | 0.008 | -0.000 |
| 0.000 | -0.000 | -0.000 | 0.000 | 0.000 | 0.008 |
| 20.039 | 0.566 | 0.566 | -0.000 | -0.000 | 0.000 |
| 0.566 | 20.039 | 0.566 | 0.000 | -0.000 | 0.000 |
| 0.566 | 0.566 | 20.039 | -0.000 | -0.000 | -0.000 |
| 0.000 | -0.000 | 0.000 | 0.008 | -0.000 | -0.000 |
| -0.000 | 0.000 | 0.000 | -0.000 | 0.008 | 0.000 |
| -0.000 | 0.000 | 0.000 | 0.000 | -0.000 | 0.008 |
| 20.039 | 0.566 | 0.566 | 0.000 | -0.000 | 0.000 |
| 0.566 | 20.039 | 0.566 | -0.000 | 0.000 | -0.000 |
| 0.566 | 0.566 | 20.039 | 0.000 | 0.000 | 0.000 |
| -0.000 | -0.000 | -0.000 | 0.008 | -0.000 | 0.000 |
| -0.000 | -0.000 | -0.000 | 0.000 | 0.008 | -0.000 |
| -0.000 | -0.000 | -0.000 | -0.000 | 0.000 | 0.008 |
| 20.039 | 0.566 | 0.566 | -0.000 | -0.000 | 0.000 |
| 0.566 | 20.039 | 0.566 | 0.000 | -0.000 | -0.000 |
| 0.566 | 0.566 | 20.039 | -0.000 | -0.000 | 0.000 |
| 0.000 | 0.000 | 0.000 | 0.008 | -0.000 | -0.000 |
| 0.000 | 0.000 | 0.000 | 0.000 | 0.008 | 0.000 |
| 0.000 | 0.000 | 0.000 | -0.000 | -0.000 | 0.008 |
| 20.039 | 0.566 | 0.566 | 0.000 | 0.000 | -0.000 |
| 0.566 | 20.039 | 0.566 | 0.000 | 0.000 | -0.000 |
| 0.566 | 0.566 | 20.039 | -0.000 | -0.000 | 0.000 |
| -0.000 | -0.000 | -0.000 | 0.008 | 0.000 | -0.000 |
| -0.000 | -0.000 | -0.000 | 0.000 | 0.008 | -0.000 |
| -0.000 | -0.000 | -0.000 | -0.000 | -0.000 | 0.008 |
| 20.039 | 0.566 | 0.566 | 0.000 | 0.000 | 0.000 |
| 0.566 | 20.039 | 0.566 | 0.000 | -0.000 | -0.000 |
| 0.566 | 0.566 | 20.039 | -0.000 | -0.000 | -0.000 |
| 0.000 | 0.000 | 0.000 | 0.008 | 0.000 | -0.000 |
| 0.000 | 0.000 | 0.000 | 0.000 | 0.008 | 0.000 |
| 0.000 | 0.000 | 0.000 | 0.000 | 0.000 | 0.008 |
| 8898.893 | 3.016 | 3.016 | -0.000 | -0.000 | -0.000 |
| 3.016 | 8898.893 | 3.016 | -0.000 | -0.000 | 0.000 |
| 3.016 | 3.016 | 8898.893 | 0.000 | -0.000 | -0.000 |
| -0.000 | 0.000 | -0.000 | 0.000 | -0.000 | 0.000 |
| 0.000 | -0.000 | -0.000 | -0.000 | 0.000 | 0.000 |
| 0.000 | -0.000 | -0.000 | -0.000 | -0.000 | 0.000 |
| 8898.889 | 3.016 | 3.016 | -0.000 | 0.000 | 0.000 |
| 3.016 | 8898.889 | 3.016 | 0.000 | 0.000 | 0.000 |
| 3.016 | 3.016 | 8898.889 | 0.000 | 0.000 | 0.000 |
| 0.000 | -0.000 | 0.000 | 0.000 | 0.000 | -0.000 |
| -0.000 | 0.000 | 0.000 | 0.000 | 0.000 | -0.000 |
| -0.000 | 0.000 | 0.000 | 0.000 | 0.000 | 0.000 |
| 8898.907 | 3.016 | 3.016 | -0.000 | -0.000 | -0.000 |
| 3.016 | 8898.907 | 3.016 | -0.000 | -0.000 | -0.000 |
| 3.016 | 3.016 | 8898.907 | -0.000 | -0.000 | -0.000 |
| -0.000 | 0.000 | -0.000 | 0.000 | -0.000 | -0.000 |
| 0.000 | -0.000 | -0.000 | 0.000 | 0.000 | -0.000 |
| 0.000 | -0.000 | -0.000 | -0.000 | -0.000 | 0.000 |
| 8898.875 | 3.016 | 3.016 | -0.000 | -0.000 | 0.000 |
| 3.016 | 8898.875 | 3.016 | -0.000 | -0.000 | 0.000 |
| 3.016 | 3.016 | 8898.875 | 0.000 | 0.000 | 0.000 |
| 0.000 | 0.000 | 0.000 | 0.000 | 0.000 | 0.000 |
| 0.000 | 0.000 | 0.000 | -0.000 | 0.000 | -0.000 |
| 0.000 | 0.000 | 0.000 | 0.000 | 0.000 | 0.000 |
| 8899.055 | 3.015 | 3.015 | 0.000 | 0.000 | 0.000 |
| 3.015 | 8899.055 | 3.015 | 0.000 | 0.000 | -0.000 |
| 3.015 | 3.015 | 8899.055 | -0.000 | -0.000 | 0.000 |
| -0.000 | -0.000 | -0.004 | 0.000 | -0.000 | 0.000 |
| -0.000 | -0.000 | -0.004 | -0.000 | 0.000 | -0.000 |
| -0.000 | -0.004 | -0.000 | -0.000 | -0.000 | 0.000 |
| 8898.727 | 3.016 | 3.016 | 0.000 | 0.000 | -0.000 |
| 3.016 | 8898.727 | 3.016 | 0.000 | 0.000 | 0.000 |
| 3.016 | 3.016 | 8898.727 | 0.000 | 0.000 | -0.000 |
| 0.000 | 0.000 | 0.004 | 0.000 | 0.000 | -0.000 |
| 0.000 | 0.000 | 0.004 | 0.000 | 0.000 | 0.000 |
| 0.000 | 0.004 | 0.000 | 0.000 | 0.000 | 0.000 |
| 55.309 | 0.928 | 0.928 | -0.000 | -0.000 | -0.000 |
| 0.928 | 55.309 | 0.928 | -0.000 | -0.000 | 0.000 |
| 0.928 | 0.928 | 55.309 | 0.000 | 0.000 | 0.000 |
| 0.000 | -0.000 | 0.000 | 0.000 | -0.000 | -0.000 |
| -0.000 | 0.000 | 0.000 | 0.000 | 0.000 | -0.000 |
| -0.000 | 0.000 | 0.000 | -0.000 | -0.000 | 0.000 |
| 55.309 | 0.928 | 0.928 | 0.000 | 0.000 | -0.000 |
| 0.928 | 55.309 | 0.928 | 0.000 | 0.000 | 0.000 |
| 0.928 | 0.928 | 55.309 | -0.000 | -0.000 | 0.000 |
| -0.000 | 0.000 | -0.000 | 0.000 | 0.000 | 0.000 |
| 0.000 | -0.000 | -0.000 | -0.000 | 0.000 | 0.000 |
| 0.000 | -0.000 | -0.000 | -0.000 | -0.000 | 0.000 |
| 55.309 | 0.928 | 0.928 | 0.000 | -0.000 | -0.000 |
| 0.928 | 55.309 | 0.928 | -0.000 | 0.000 | 0.000 |
| 0.928 | 0.928 | 55.309 | -0.000 | -0.000 | 0.000 |
| -0.000 | -0.000 | -0.000 | 0.000 | 0.000 | -0.000 |
| -0.000 | -0.000 | -0.000 | 0.000 | 0.000 | -0.000 |
| -0.000 | -0.000 | -0.000 | -0.000 | -0.000 | 0.000 |
| 55.308 | 0.928 | 0.928 | -0.000 | -0.000 | -0.000 |
| 0.928 | 55.308 | 0.928 | -0.000 | -0.000 | 0.000 |
| 0.928 | 0.928 | 55.308 | 0.000 | 0.000 | -0.000 |
| 0.000 | 0.000 | 0.000 | 0.000 | 0.000 | -0.000 |
| 0.000 | 0.000 | 0.000 | -0.000 | 0.000 | 0.000 |
| 0.000 | 0.000 | 0.000 | -0.000 | 0.000 | 0.000 |
| 55.310 | 0.928 | 0.928 | -0.000 | 0.000 | 0.000 |
| 0.928 | 55.310 | 0.928 | 0.000 | -0.000 | -0.000 |
| 0.928 | 0.928 | 55.310 | 0.000 | 0.000 | 0.000 |
| -0.000 | -0.000 | -0.000 | 0.000 | 0.000 | -0.000 |
| -0.000 | -0.000 | -0.000 | 0.000 | 0.000 | -0.000 |
| -0.000 | -0.000 | -0.000 | 0.000 | 0.000 | 0.000 |
| 55.307 | 0.928 | 0.928 | -0.000 | -0.000 | -0.000 |
| 0.928 | 55.307 | 0.928 | -0.000 | -0.000 | -0.000 |
| 0.928 | 0.928 | 55.307 | -0.000 | -0.000 | -0.000 |
| 0.000 | 0.000 | 0.000 | 0.000 | -0.000 | -0.000 |
| 0.000 | 0.000 | 0.000 | -0.000 | 0.000 | 0.000 |
| 0.000 | 0.000 | 0.000 | -0.000 | -0.000 | 0.000 |
| 146.049 | 113.983 | 113.983 | -0.000 | 0.000 | -0.000 |
| 113.983 | 146.049 | 113.983 | 0.000 | 0.000 | 0.000 |
| 113.983 | 113.983 | 146.049 | 0.000 | -0.000 | 0.000 |
| 0.000 | 0.000 | -0.000 | 18.845 | 0.000 | 0.000 |
| 0.000 | 0.000 | -0.000 | 0.000 | 18.845 | 0.000 |
| -0.000 | -0.000 | -0.000 | 0.000 | -0.000 | 18.845 |
| 146.049 | 113.983 | 113.983 | 0.000 | -0.000 | 0.000 |
| 113.983 | 146.049 | 113.983 | -0.000 | -0.000 | 0.000 |
| 113.983 | 113.983 | 146.049 | -0.000 | 0.000 | 0.000 |
| -0.000 | 0.000 | 0.000 | 18.845 | 0.000 | -0.000 |
| 0.000 | -0.000 | 0.000 | -0.000 | 18.845 | 0.000 |
| 0.000 | 0.000 | 0.000 | -0.000 | -0.000 | 18.845 |
| 146.051 | 113.985 | 113.985 | -0.000 | -0.000 | 0.000 |
| 113.985 | 146.051 | 113.985 | 0.000 | 0.000 | -0.000 |
| 113.985 | 113.985 | 146.051 | -0.000 | -0.000 | 0.000 |
| 0.000 | 0.000 | 0.000 | 18.845 | -0.000 | -0.000 |
| 0.000 | 0.000 | 0.000 | 0.000 | 18.845 | 0.000 |
| 0.000 | 0.000 | 0.000 | 0.000 | -0.000 | 18.845 |
| 146.047 | 113.981 | 113.981 | -0.000 | -0.000 | 0.000 |
| 113.981 | 146.047 | 113.981 | -0.000 | 0.000 | -0.000 |
| 113.981 | 113.981 | 146.047 | 0.000 | 0.000 | -0.000 |
| -0.000 | -0.000 | -0.000 | 18.845 | 0.000 | -0.000 |
| -0.000 | -0.000 | -0.000 | -0.000 | 18.845 | -0.000 |
| -0.000 | -0.000 | -0.000 | -0.000 | -0.000 | 18.845 |
| 146.070 | 114.004 | 114.004 | 0.000 | 0.000 | -0.000 |
| 114.004 | 146.070 | 114.004 | -0.000 | -0.000 | -0.000 |
| 114.004 | 114.004 | 146.070 | -0.000 | -0.000 | 0.000 |
| 0.000 | 0.000 | 0.000 | 18.845 | 0.000 | 0.000 |
| 0.000 | 0.000 | 0.000 | 0.000 | 18.845 | 0.000 |
| 0.000 | 0.000 | 0.000 | 0.000 | -0.000 | 18.845 |
| 146.028 | 113.962 | 113.962 | 0.000 | 0.000 | -0.000 |
| 113.962 | 146.028 | 113.962 | 0.000 | -0.000 | 0.000 |
| 113.962 | 113.962 | 146.028 | 0.000 | 0.000 | -0.000 |
| -0.000 | -0.000 | -0.000 | 18.845 | -0.000 | 0.000 |
| -0.000 | -0.000 | -0.000 | -0.000 | 18.845 | -0.000 |
| -0.000 | -0.000 | -0.000 | -0.000 | 0.000 | 18.845 |
| 29.944 | 4.549 | 4.549 | 0.000 | 0.000 | -0.000 |
| 4.549 | 29.944 | 4.549 | 0.000 | 0.000 | -0.000 |
| 4.549 | 4.549 | 29.944 | -0.000 | 0.000 | -0.000 |
| 0.000 | 0.000 | 0.000 | 2.738 | 0.000 | 0.000 |
| 0.000 | 0.000 | 0.000 | 0.000 | 2.738 | -0.000 |
| 0.000 | 0.000 | 0.000 | 0.000 | 0.000 | 2.738 |
| 29.944 | 4.549 | 4.549 | -0.000 | -0.000 | 0.000 |
| 4.549 | 29.944 | 4.549 | 0.000 | -0.000 | -0.000 |
| 4.549 | 4.549 | 29.944 | -0.000 | -0.000 | 0.000 |
| -0.000 | -0.000 | -0.000 | 2.738 | -0.000 | 0.000 |
| -0.000 | -0.000 | -0.000 | -0.000 | 2.738 | 0.000 |
| -0.000 | -0.000 | -0.000 | -0.000 | -0.000 | 2.738 |
| 29.944 | 4.549 | 4.549 | 0.000 | 0.000 | -0.000 |
| 4.549 | 29.944 | 4.549 | 0.000 | 0.000 | 0.000 |
| 4.549 | 4.549 | 29.944 | 0.000 | 0.000 | -0.000 |
| 0.000 | 0.000 | 0.000 | 2.738 | 0.000 | -0.000 |
| 0.000 | 0.000 | 0.000 | 0.000 | 2.738 | 0.000 |
| 0.000 | 0.000 | 0.000 | -0.000 | 0.000 | 2.738 |
| 29.944 | 4.549 | 4.549 | -0.000 | -0.000 | 0.000 |
| 4.549 | 29.944 | 4.549 | 0.000 | -0.000 | -0.000 |
| 4.549 | 4.549 | 29.944 | -0.000 | -0.000 | 0.000 |
| -0.000 | -0.000 | -0.000 | 2.738 | -0.000 | 0.000 |
| -0.000 | -0.000 | -0.000 | -0.000 | 2.738 | 0.000 |
| -0.000 | -0.000 | -0.000 | -0.000 | -0.000 | 2.738 |
| 29.944 | 4.549 | 4.549 | -0.000 | 0.000 | -0.000 |
| 4.549 | 29.944 | 4.549 | 0.000 | 0.000 | -0.000 |
| 4.549 | 4.549 | 29.944 | 0.000 | 0.000 | -0.000 |
| 0.000 | 0.000 | 0.000 | 2.738 | 0.000 | 0.000 |
| 0.000 | 0.000 | 0.000 | 0.000 | 2.738 | 0.000 |
| 0.000 | 0.000 | 0.000 | 0.000 | 0.000 | 2.738 |
| 29.944 | 4.549 | 4.549 | -0.000 | -0.000 | 0.000 |
| 4.549 | 29.944 | 4.549 | 0.000 | -0.000 | -0.000 |
| 4.549 | 4.549 | 29.944 | 0.000 | -0.000 | 0.000 |
| -0.000 | -0.000 | -0.000 | 2.738 | -0.000 | 0.000 |
| -0.000 | -0.000 | -0.000 | 0.000 | 2.738 | -0.000 |
| -0.000 | -0.000 | -0.000 | -0.000 | -0.000 | 2.738 |
| 9009.888 | 9009.888 | 9009.888 | -0.000 | -0.000 | 0.000 |
| 9009.888 | 9009.888 | 9009.888 | -0.000 | -0.000 | 0.000 |
| 9009.888 | 9009.888 | 9009.888 | -0.000 | -0.000 | 0.000 |
| 0.001 | 0.000 | 0.001 | 9009.219 | -0.000 | 0.000 |
| 0.000 | 0.001 | 0.001 | -0.000 | 9009.219 | 0.000 |
| 0.000 | 0.001 | 0.001 | -0.000 | 0.000 | 9009.219 |
| 9009.887 | 9009.887 | 9009.887 | -0.000 | -0.000 | -0.000 |
| 9009.887 | 9009.887 | 9009.887 | -0.000 | -0.000 | -0.000 |
| 9009.887 | 9009.887 | 9009.887 | -0.000 | -0.000 | -0.000 |
| -0.001 | -0.000 | -0.001 | 9009.219 | 0.000 | -0.000 |
| -0.000 | -0.001 | -0.001 | 0.000 | 9009.219 | -0.000 |
| -0.000 | -0.001 | -0.001 | -0.000 | -0.000 | 9009.219 |
| 9009.892 | 9009.894 | 9009.894 | -0.000 | -0.000 | -0.000 |
| 9009.894 | 9009.892 | 9009.894 | -0.000 | -0.000 | -0.000 |
| 9009.894 | 9009.894 | 9009.892 | 0.000 | 0.000 | -0.000 |
| 0.006 | 0.004 | 0.006 | 9009.219 | 0.000 | 0.000 |
| 0.004 | 0.006 | 0.006 | 0.000 | 9009.219 | 0.000 |
| 0.004 | 0.006 | 0.006 | 0.000 | 0.000 | 9009.219 |
| 9009.883 | 9009.881 | 9009.881 | -0.000 | 0.000 | 0.000 |
| 9009.881 | 9009.883 | 9009.881 | 0.000 | -0.000 | 0.000 |
| 9009.881 | 9009.881 | 9009.883 | 0.000 | 0.000 | 0.000 |
| -0.006 | -0.004 | -0.006 | 9009.219 | 0.000 | -0.000 |
| -0.004 | -0.006 | -0.006 | 0.000 | 9009.219 | -0.000 |
| -0.004 | -0.006 | -0.006 | 0.000 | -0.000 | 9009.219 |
| 9009.934 | 9009.952 | 9009.952 | -0.000 | -0.000 | -0.000 |
| 9009.952 | 9009.934 | 9009.952 | -0.000 | -0.000 | -0.000 |
| 9009.952 | 9009.952 | 9009.934 | -0.000 | -0.000 | -0.000 |
| 0.056 | 0.038 | 0.056 | 9009.219 | 0.000 | 0.000 |
| 0.038 | 0.056 | 0.056 | 0.000 | 9009.219 | 0.000 |
| 0.038 | 0.056 | 0.056 | 0.000 | 0.000 | 9009.219 |
| 9009.841 | 9009.823 | 9009.823 | 0.000 | 0.000 | -0.000 |
| 9009.823 | 9009.841 | 9009.823 | 0.000 | 0.000 | -0.000 |
| 9009.823 | 9009.823 | 9009.841 | 0.000 | 0.000 | -0.000 |
| -0.056 | -0.038 | -0.056 | 9009.219 | -0.000 | 0.000 |
| -0.038 | -0.056 | -0.056 | -0.000 | 9009.219 | 0.000 |
| -0.038 | -0.056 | -0.056 | 0.000 | 0.000 | 9009.219 |
| 28.473 | 28.473 | 28.473 | -0.000 | 0.000 | 0.000 |
| 28.473 | 28.473 | 28.473 | 0.000 | -0.000 | 0.000 |
| 28.473 | 28.473 | 28.473 | -0.000 | -0.000 | 0.000 |
| 0.000 | 0.000 | 0.000 | 26.725 | -0.000 | 0.000 |
| 0.000 | 0.000 | 0.000 | -0.000 | 26.725 | 0.000 |
| 0.000 | 0.000 | 0.000 | -0.000 | 0.000 | 26.725 |
| 28.473 | 28.473 | 28.473 | 0.000 | -0.000 | -0.000 |
| 28.473 | 28.473 | 28.473 | -0.000 | 0.000 | -0.000 |
| 28.473 | 28.473 | 28.473 | 0.000 | 0.000 | -0.000 |
| -0.000 | -0.000 | -0.000 | 26.725 | 0.000 | -0.000 |
| -0.000 | -0.000 | -0.000 | 0.000 | 26.725 | -0.000 |
| -0.000 | -0.000 | -0.000 | 0.000 | 0.000 | 26.725 |
| 28.473 | 28.473 | 28.473 | -0.000 | -0.000 | 0.000 |
| 28.473 | 28.473 | 28.473 | -0.000 | -0.000 | 0.000 |
| 28.473 | 28.473 | 28.473 | -0.000 | -0.000 | 0.000 |
| 0.000 | 0.000 | 0.000 | 26.725 | -0.000 | 0.000 |
| 0.000 | 0.000 | 0.000 | -0.000 | 26.725 | 0.000 |
| 0.000 | 0.000 | 0.000 | -0.000 | -0.000 | 26.725 |
| 28.473 | 28.473 | 28.473 | 0.000 | -0.000 | -0.000 |
| 28.473 | 28.473 | 28.473 | -0.000 | 0.000 | -0.000 |
| 28.473 | 28.473 | 28.473 | 0.000 | 0.000 | 0.000 |
| -0.000 | -0.000 | -0.000 | 26.725 | 0.000 | -0.000 |
| -0.000 | -0.000 | -0.000 | 0.000 | 26.725 | -0.000 |
| -0.000 | -0.000 | -0.000 | 0.000 | -0.000 | 26.725 |
| 28.473 | 28.473 | 28.473 | -0.000 | 0.000 | 0.000 |
| 28.473 | 28.473 | 28.473 | 0.000 | -0.000 | 0.000 |
| 28.473 | 28.473 | 28.473 | -0.000 | -0.000 | 0.000 |
| 0.000 | 0.000 | 0.000 | 26.725 | -0.000 | 0.000 |
| 0.000 | 0.000 | 0.000 | -0.000 | 26.725 | 0.000 |
| 0.000 | 0.000 | 0.000 | -0.000 | -0.000 | 26.725 |
| 28.473 | 28.473 | 28.473 | 0.000 | -0.000 | -0.000 |
| 28.473 | 28.473 | 28.473 | -0.000 | 0.000 | -0.000 |
| 28.473 | 28.473 | 28.473 | 0.000 | 0.000 | -0.000 |
| -0.000 | -0.000 | -0.000 | 26.725 | 0.000 | -0.000 |
| -0.000 | -0.000 | -0.000 | 0.000 | 26.725 | -0.000 |
| -0.000 | -0.000 | -0.000 | 0.000 | -0.000 | 26.725 |
| 42.074 | 45.109 | 45.109 | -0.000 | -0.000 | -0.000 |
| 45.109 | 42.074 | 45.109 | -0.000 | -0.000 | -0.000 |
| 45.109 | 45.109 | 42.074 | -0.000 | -0.000 | -0.000 |
| -0.000 | 0.000 | -0.000 | 7.603 | -0.000 | -0.000 |
| 0.000 | -0.000 | -0.000 | -0.000 | 7.603 | -0.000 |
| 0.000 | -0.000 | -0.000 | -0.000 | -0.000 | 7.603 |
| 42.074 | 45.109 | 45.109 | 0.000 | 0.000 | 0.000 |
| 45.109 | 42.074 | 45.109 | 0.000 | 0.000 | 0.000 |
| 45.109 | 45.109 | 42.074 | 0.000 | 0.000 | 0.000 |
| -0.000 | 0.000 | 0.000 | 7.603 | 0.000 | 0.000 |
| -0.000 | 0.000 | 0.000 | 0.000 | 7.603 | 0.000 |
| -0.000 | -0.000 | 0.000 | 0.000 | 0.000 | 7.603 |
| 42.074 | 45.109 | 45.109 | -0.000 | -0.000 | -0.000 |
| 45.109 | 42.074 | 45.109 | -0.000 | -0.000 | -0.000 |
| 45.109 | 45.109 | 42.074 | -0.000 | -0.000 | -0.000 |
| -0.000 | 0.000 | 0.000 | 7.603 | -0.000 | -0.000 |
| 0.000 | -0.000 | 0.000 | -0.000 | 7.603 | -0.000 |
| 0.000 | 0.000 | -0.000 | -0.000 | -0.000 | 7.603 |
| 42.074 | 45.108 | 45.108 | 0.000 | 0.000 | 0.000 |
| 45.108 | 42.074 | 45.108 | 0.000 | 0.000 | 0.000 |
| 45.108 | 45.108 | 42.074 | 0.000 | 0.000 | 0.000 |
| 0.000 | -0.000 | -0.000 | 7.603 | 0.000 | 0.000 |
| -0.000 | 0.000 | -0.000 | 0.000 | 7.603 | 0.000 |
| -0.000 | -0.000 | 0.000 | 0.000 | 0.000 | 7.603 |
| 42.076 | 45.111 | 45.111 | -0.000 | -0.000 | -0.000 |
| 45.111 | 42.076 | 45.111 | -0.000 | -0.000 | -0.000 |
| 45.111 | 45.111 | 42.076 | -0.000 | -0.000 | -0.000 |
| -0.000 | 0.000 | 0.000 | 7.603 | -0.000 | -0.000 |
| 0.000 | -0.000 | 0.000 | -0.000 | 7.603 | -0.000 |
| 0.000 | 0.000 | -0.000 | -0.000 | -0.000 | 7.603 |
| 42.073 | 45.107 | 45.107 | 0.000 | 0.000 | 0.000 |
| 45.107 | 42.073 | 45.107 | 0.000 | 0.000 | 0.000 |
| 45.107 | 45.107 | 42.073 | 0.000 | 0.000 | 0.000 |
| 0.000 | -0.000 | -0.000 | 7.603 | 0.000 | 0.000 |
| -0.000 | 0.000 | -0.000 | 0.000 | 7.603 | 0.000 |
| -0.000 | -0.000 | 0.000 | 0.000 | 0.000 | 7.603 |
| 3140.643 | 2474.358 | 2474.358 | 0.000 | 0.000 | 0.000 |
| 2474.358 | 3140.643 | 2474.358 | 0.000 | 0.000 | 0.000 |
| 2474.358 | 2474.358 | 3140.643 | 0.000 | 0.000 | 0.000 |
| -0.000 | -0.000 | 0.000 | 724.808 | 0.000 | 0.000 |
| -0.000 | 0.000 | -0.000 | 0.000 | 724.808 | 0.000 |
| -0.000 | -0.000 | 0.000 | 0.000 | 0.000 | 724.808 |
| 3140.643 | 2474.358 | 2474.358 | 0.000 | -0.000 | -0.000 |
| 2474.358 | 3140.643 | 2474.358 | -0.000 | 0.000 | -0.000 |
| 2474.358 | 2474.358 | 3140.643 | -0.000 | -0.000 | 0.000 |
| -0.000 | 0.000 | 0.000 | 724.808 | 0.000 | -0.000 |
| 0.000 | -0.000 | 0.000 | -0.000 | 724.808 | -0.000 |
| 0.000 | 0.000 | -0.000 | -0.000 | 0.000 | 724.808 |
| 3140.643 | 2474.358 | 2474.358 | 0.000 | 0.000 | 0.000 |
| 2474.358 | 3140.643 | 2474.358 | 0.000 | -0.000 | 0.000 |
| 2474.358 | 2474.358 | 3140.643 | 0.000 | 0.000 | 0.000 |
| -0.000 | -0.001 | -0.001 | 724.804 | -0.000 | -0.000 |
| -0.001 | -0.000 | -0.001 | 0.000 | 724.804 | 0.000 |
| -0.001 | -0.001 | -0.000 | -0.000 | -0.000 | 724.804 |
| 3140.644 | 2474.357 | 2474.357 | 0.000 | -0.000 | -0.000 |
| 2474.357 | 3140.644 | 2474.357 | -0.000 | 0.000 | -0.000 |
| 2474.357 | 2474.357 | 3140.644 | -0.000 | -0.000 | 0.000 |
| 0.000 | 0.001 | 0.001 | 724.804 | 0.000 | 0.000 |
| 0.001 | 0.000 | 0.001 | 0.000 | 724.804 | -0.000 |
| 0.001 | 0.001 | 0.000 | -0.000 | 0.000 | 724.804 |
| 3140.637 | 2474.362 | 2474.362 | -0.000 | 0.000 | 0.000 |
| 2474.362 | 3140.637 | 2474.362 | 0.000 | -0.000 | 0.000 |
| 2474.362 | 2474.362 | 3140.637 | 0.000 | 0.000 | -0.000 |
| -0.002 | -0.008 | -0.007 | 724.808 | -0.000 | -0.000 |
| -0.008 | -0.002 | -0.007 | -0.000 | 724.808 | 0.000 |
| -0.008 | -0.007 | -0.002 | -0.000 | -0.000 | 724.808 |
| 3140.650 | 2474.353 | 2474.353 | 0.000 | -0.000 | -0.000 |
| 2474.353 | 3140.650 | 2474.353 | -0.000 | 0.000 | -0.000 |
| 2474.353 | 2474.353 | 3140.650 | -0.000 | -0.000 | -0.000 |
| 0.002 | 0.008 | 0.007 | 724.808 | 0.000 | 0.000 |
| 0.008 | 0.002 | 0.007 | -0.000 | 724.808 | 0.000 |
| 0.008 | 0.007 | 0.002 | 0.000 | 0.000 | 724.808 |
| 4.453 | 4.452 | 4.452 | -0.000 | -0.000 | -0.000 |
| 4.452 | 4.453 | 4.452 | -0.000 | -0.000 | -0.000 |
| 4.452 | 4.452 | 4.453 | -0.000 | -0.000 | -0.000 |
| -0.000 | -0.000 | -0.000 | 0.001 | -0.000 | -0.000 |
| -0.000 | -0.000 | -0.000 | -0.000 | 0.001 | -0.000 |
| -0.000 | -0.000 | -0.000 | -0.000 | -0.000 | 0.001 |
| 4.453 | 4.452 | 4.452 | -0.000 | -0.000 | -0.000 |
| 4.452 | 4.453 | 4.452 | -0.000 | -0.000 | -0.000 |
| 4.452 | 4.452 | 4.453 | -0.000 | -0.000 | -0.000 |
| 0.000 | 0.000 | 0.000 | 0.001 | -0.000 | 0.000 |
| 0.000 | 0.000 | 0.000 | -0.000 | 0.001 | 0.000 |
| 0.000 | 0.000 | 0.000 | -0.000 | 0.000 | 0.001 |
| 4.453 | 4.452 | 4.452 | -0.000 | -0.000 | -0.000 |
| 4.452 | 4.453 | 4.452 | -0.000 | -0.000 | -0.000 |
| 4.452 | 4.452 | 4.453 | -0.000 | -0.000 | -0.000 |
| -0.000 | -0.000 | -0.000 | 0.001 | -0.000 | -0.000 |
| -0.000 | -0.000 | -0.000 | -0.000 | 0.001 | -0.000 |
| -0.000 | -0.000 | -0.000 | -0.000 | -0.000 | 0.001 |
| 4.453 | 4.452 | 4.452 | -0.000 | 0.000 | 0.000 |
| 4.452 | 4.453 | 4.452 | 0.000 | -0.000 | 0.000 |
| 4.452 | 4.452 | 4.453 | 0.000 | 0.000 | -0.000 |
| 0.000 | 0.000 | 0.000 | 0.001 | 0.000 | 0.000 |
| 0.000 | 0.000 | 0.000 | 0.000 | 0.001 | 0.000 |
| 0.000 | 0.000 | 0.000 | 0.000 | 0.000 | 0.001 |
| 4.453 | 4.452 | 4.452 | -0.000 | -0.000 | -0.000 |
| 4.452 | 4.453 | 4.452 | -0.000 | -0.000 | -0.000 |
| 4.452 | 4.452 | 4.453 | -0.000 | -0.000 | -0.000 |
| -0.000 | -0.000 | -0.000 | 0.001 | -0.000 | -0.000 |
| -0.000 | -0.000 | -0.000 | -0.000 | 0.001 | -0.000 |
| -0.000 | -0.000 | -0.000 | -0.000 | -0.000 | 0.001 |
| 4.453 | 4.451 | 4.451 | 0.000 | 0.000 | 0.000 |
| 4.451 | 4.453 | 4.451 | 0.000 | 0.000 | 0.000 |
| 4.451 | 4.451 | 4.453 | 0.000 | 0.000 | 0.000 |
| 0.000 | 0.000 | 0.000 | 0.001 | 0.000 | 0.000 |
| 0.000 | 0.000 | 0.000 | 0.000 | 0.001 | 0.000 |
| 0.000 | 0.000 | 0.000 | -0.000 | 0.000 | 0.001 |
| 3.764 | 3.760 | 3.760 | -0.000 | -0.000 | -0.000 |
| 3.760 | 3.764 | 3.760 | -0.000 | -0.000 | -0.000 |
| 3.760 | 3.760 | 3.764 | -0.000 | -0.000 | -0.000 |
| 0.000 | 0.000 | 0.000 | 0.002 | 0.000 | -0.000 |
| 0.000 | 0.000 | 0.000 | 0.000 | 0.002 | -0.000 |
| 0.000 | 0.000 | 0.000 | 0.000 | -0.000 | 0.002 |
| 3.764 | 3.760 | 3.760 | 0.000 | 0.000 | 0.000 |
| 3.760 | 3.764 | 3.760 | 0.000 | 0.000 | 0.000 |
| 3.760 | 3.760 | 3.764 | 0.000 | 0.000 | 0.000 |
| -0.000 | -0.000 | -0.000 | 0.002 | 0.000 | 0.000 |
| -0.000 | -0.000 | -0.000 | 0.000 | 0.002 | 0.000 |
| -0.000 | -0.000 | -0.000 | 0.000 | 0.000 | 0.002 |
| 3.764 | 3.760 | 3.760 | 0.000 | -0.000 | -0.000 |
| 3.760 | 3.764 | 3.760 | -0.000 | 0.000 | -0.000 |
| 3.760 | 3.760 | 3.764 | -0.000 | -0.000 | 0.000 |
| -0.000 | -0.000 | -0.000 | 0.002 | -0.000 | -0.000 |
| -0.000 | -0.000 | -0.000 | -0.000 | 0.002 | -0.000 |
| -0.000 | -0.000 | -0.000 | -0.000 | -0.000 | 0.002 |
| 3.764 | 3.760 | 3.760 | 0.000 | 0.000 | 0.000 |
| 3.760 | 3.764 | 3.760 | 0.000 | 0.000 | 0.000 |
| 3.760 | 3.760 | 3.764 | 0.000 | 0.000 | 0.000 |
| 0.000 | 0.000 | 0.000 | 0.002 | 0.000 | 0.000 |
| 0.000 | 0.000 | 0.000 | 0.000 | 0.002 | 0.000 |
| 0.000 | 0.000 | 0.000 | 0.000 | 0.000 | 0.002 |
| 3.764 | 3.760 | 3.760 | -0.000 | -0.000 | -0.000 |
| 3.760 | 3.764 | 3.760 | -0.000 | -0.000 | -0.000 |
| 3.760 | 3.760 | 3.764 | -0.000 | -0.000 | -0.000 |
| -0.000 | -0.000 | -0.000 | 0.002 | -0.000 | -0.000 |
| -0.000 | -0.000 | -0.000 | -0.000 | 0.002 | -0.000 |
| -0.000 | -0.000 | -0.000 | -0.000 | -0.000 | 0.002 |
| 3.764 | 3.760 | 3.760 | -0.000 | 0.000 | 0.000 |
| 3.760 | 3.764 | 3.760 | 0.000 | -0.000 | 0.000 |
| 3.760 | 3.760 | 3.764 | 0.000 | 0.000 | -0.000 |
| 0.000 | 0.000 | 0.000 | 0.002 | 0.000 | 0.000 |
| 0.000 | 0.000 | 0.000 | 0.000 | 0.002 | 0.000 |
| 0.000 | 0.000 | 0.000 | 0.000 | 0.000 | 0.002 |
| 580.688 | 580.688 | 580.688 | -0.000 | -0.000 | -0.000 |
| 580.688 | 580.688 | 580.688 | -0.000 | -0.000 | -0.000 |
| 580.688 | 580.688 | 580.688 | -0.000 | -0.000 | -0.000 |
| 0.000 | 0.000 | 0.000 | 0.000 | -0.000 | -0.000 |
| 0.000 | 0.000 | 0.000 | -0.000 | 0.000 | -0.000 |
| -0.000 | -0.000 | -0.000 | -0.000 | -0.000 | 0.000 |
| 580.688 | 580.688 | 580.688 | 0.000 | 0.000 | 0.000 |
| 580.688 | 580.688 | 580.688 | 0.000 | 0.000 | 0.000 |
| 580.688 | 580.688 | 580.688 | 0.000 | 0.000 | 0.000 |
| -0.000 | -0.000 | -0.000 | 0.000 | 0.000 | 0.000 |
| -0.000 | -0.000 | -0.000 | 0.000 | 0.000 | 0.000 |
| -0.000 | -0.000 | -0.000 | 0.000 | 0.000 | 0.000 |
| 580.688 | 580.688 | 580.688 | -0.000 | -0.000 | -0.000 |
| 580.688 | 580.688 | 580.688 | -0.000 | -0.000 | -0.000 |
| 580.688 | 580.688 | 580.688 | -0.000 | -0.000 | -0.000 |
| -0.000 | -0.000 | -0.000 | -0.000 | -0.000 | -0.000 |
| -0.000 | -0.000 | -0.000 | -0.000 | -0.000 | -0.000 |
| -0.000 | -0.000 | -0.000 | -0.000 | -0.000 | -0.000 |
| 580.688 | 580.688 | 580.688 | 0.000 | 0.000 | 0.000 |
| 580.688 | 580.688 | 580.688 | 0.000 | 0.000 | 0.000 |
| 580.688 | 580.688 | 580.688 | 0.000 | 0.000 | 0.000 |
| 0.000 | 0.000 | 0.000 | -0.000 | 0.000 | 0.000 |
| 0.000 | 0.000 | 0.000 | 0.000 | -0.000 | 0.000 |
| 0.000 | 0.000 | 0.000 | 0.000 | 0.000 | -0.000 |
| 580.691 | 580.692 | 580.692 | -0.000 | -0.000 | -0.000 |
| 580.692 | 580.691 | 580.692 | -0.000 | -0.000 | -0.000 |
| 580.692 | 580.692 | 580.691 | -0.000 | -0.000 | -0.000 |
| -0.001 | -0.001 | -0.001 | 0.000 | -0.000 | -0.000 |
| -0.001 | -0.001 | -0.001 | -0.000 | 0.000 | -0.000 |
| -0.001 | -0.001 | -0.001 | -0.000 | -0.000 | 0.000 |
| 580.685 | 580.684 | 580.684 | 0.000 | 0.000 | 0.000 |
| 580.684 | 580.685 | 580.684 | 0.000 | 0.000 | 0.000 |
| 580.684 | 580.684 | 580.685 | 0.000 | 0.000 | 0.000 |
| 0.001 | 0.001 | 0.001 | 0.000 | 0.000 | 0.000 |
| 0.001 | 0.001 | 0.001 | 0.000 | 0.000 | 0.000 |
| 0.001 | 0.001 | 0.001 | 0.000 | 0.000 | 0.000 |
| 7.640 | 7.640 | 7.640 | 0.000 | -0.000 | -0.000 |
| 7.640 | 7.640 | 7.640 | -0.000 | 0.000 | -0.000 |
| 7.640 | 7.640 | 7.640 | -0.000 | -0.000 | 0.000 |
| -0.000 | -0.000 | -0.000 | 0.000 | 0.000 | 0.000 |
| -0.000 | -0.000 | -0.000 | 0.000 | 0.000 | 0.000 |
| -0.000 | -0.000 | -0.000 | 0.000 | 0.000 | 0.000 |
| 7.640 | 7.640 | 7.640 | 0.000 | 0.000 | 0.000 |
| 7.640 | 7.640 | 7.640 | 0.000 | 0.000 | 0.000 |
| 7.640 | 7.640 | 7.640 | 0.000 | 0.000 | 0.000 |
| 0.000 | 0.000 | 0.000 | 0.000 | -0.000 | -0.000 |
| 0.000 | 0.000 | 0.000 | -0.000 | 0.000 | -0.000 |
| 0.000 | 0.000 | 0.000 | -0.000 | -0.000 | 0.000 |
| 7.640 | 7.640 | 7.640 | -0.000 | -0.000 | -0.000 |
| 7.640 | 7.640 | 7.640 | -0.000 | -0.000 | -0.000 |
| 7.640 | 7.640 | 7.640 | -0.000 | -0.000 | -0.000 |
| -0.000 | -0.000 | -0.000 | 0.000 | 0.000 | 0.000 |
| -0.000 | -0.000 | -0.000 | 0.000 | 0.000 | 0.000 |
| -0.000 | -0.000 | -0.000 | 0.000 | 0.000 | 0.000 |
| 7.640 | 7.640 | 7.640 | -0.000 | 0.000 | 0.000 |
| 7.640 | 7.640 | 7.640 | 0.000 | -0.000 | 0.000 |
| 7.640 | 7.640 | 7.640 | 0.000 | 0.000 | -0.000 |
| 0.000 | 0.000 | 0.000 | 0.000 | -0.000 | -0.000 |
| 0.000 | 0.000 | 0.000 | -0.000 | 0.000 | -0.000 |
| 0.000 | 0.000 | 0.000 | -0.000 | -0.000 | 0.000 |
| 7.640 | 7.640 | 7.640 | 0.000 | -0.000 | -0.000 |
| 7.640 | 7.640 | 7.640 | -0.000 | 0.000 | -0.000 |
| 7.640 | 7.640 | 7.640 | -0.000 | -0.000 | 0.000 |
| -0.000 | -0.000 | -0.000 | 0.000 | 0.000 | 0.000 |
| -0.000 | -0.000 | -0.000 | 0.000 | 0.000 | 0.000 |
| -0.000 | -0.000 | -0.000 | 0.000 | 0.000 | 0.000 |
| 7.640 | 7.640 | 7.640 | -0.000 | 0.000 | 0.000 |
| 7.640 | 7.640 | 7.640 | 0.000 | -0.000 | 0.000 |
| 7.640 | 7.640 | 7.640 | 0.000 | 0.000 | -0.000 |
| 0.000 | 0.000 | 0.000 | 0.000 | -0.000 | -0.000 |
| 0.000 | 0.000 | 0.000 | -0.000 | 0.000 | -0.000 |
| 0.000 | 0.000 | 0.000 | -0.000 | -0.000 | 0.000 |
| -20.448 | 1.938 | 28.360 | -0.000 | -0.000 | -0.000 |
| 1.938 | -20.448 | 28.360 | -0.000 | -0.000 | 0.000 |
| 28.360 | 28.360 | 52.296 | -0.000 | -0.000 | 0.000 |
| 0.000 | 0.000 | 0.000 | 26.779 | -0.000 | -0.000 |
| 0.000 | 0.000 | 0.000 | -0.000 | 26.779 | 0.000 |
| -0.000 | -0.000 | 0.000 | -0.000 | -0.000 | 1.984 |
| -20.448 | 1.938 | 28.360 | 0.000 | 0.000 | -0.000 |
| 1.938 | -20.448 | 28.360 | 0.000 | 0.000 | 0.000 |
| 28.360 | 28.360 | 52.296 | 0.000 | 0.000 | -0.000 |
| -0.000 | 0.000 | -0.000 | 26.779 | 0.000 | -0.000 |
| -0.000 | -0.000 | -0.000 | 0.000 | 26.779 | -0.000 |
| 0.000 | 0.000 | -0.000 | 0.000 | 0.000 | 1.984 |
| -20.448 | 1.938 | 28.360 | -0.000 | -0.000 | -0.000 |
| 1.938 | -20.448 | 28.360 | -0.000 | -0.000 | 0.000 |
| 28.360 | 28.360 | 52.296 | -0.000 | -0.000 | 0.000 |
| 0.000 | 0.000 | 0.000 | 26.779 | -0.000 | -0.000 |
| 0.000 | 0.000 | 0.000 | -0.000 | 26.779 | 0.000 |
| -0.000 | -0.000 | 0.000 | -0.000 | -0.000 | 1.984 |
| -20.448 | 1.938 | 28.360 | 0.000 | 0.000 | -0.000 |
| 1.938 | -20.448 | 28.360 | 0.000 | 0.000 | 0.000 |
| 28.360 | 28.360 | 52.296 | 0.000 | 0.000 | -0.000 |
| -0.000 | -0.000 | -0.000 | 26.779 | 0.000 | 0.000 |
| -0.000 | -0.000 | -0.000 | 0.000 | 26.779 | -0.000 |
| 0.000 | 0.000 | -0.000 | 0.000 | 0.000 | 1.984 |
| -20.447 | 1.938 | 28.360 | -0.000 | -0.000 | 0.000 |
| 1.938 | -20.447 | 28.360 | -0.000 | -0.000 | 0.000 |
| 28.360 | 28.360 | 52.296 | -0.000 | -0.000 | -0.000 |
| 0.000 | 0.000 | 0.000 | 26.779 | -0.000 | 0.000 |
| 0.000 | 0.000 | 0.000 | -0.000 | 26.779 | -0.000 |
| -0.000 | -0.000 | 0.000 | -0.000 | -0.000 | 1.984 |
| -20.448 | 1.938 | 28.360 | 0.000 | 0.000 | -0.000 |
| 1.938 | -20.448 | 28.360 | 0.000 | 0.000 | -0.000 |
| 28.360 | 28.360 | 52.296 | 0.000 | 0.000 | 0.000 |
| -0.000 | -0.000 | -0.000 | 26.779 | 0.000 | 0.000 |
| -0.000 | -0.000 | -0.000 | 0.000 | 26.779 | -0.000 |
| 0.000 | 0.000 | -0.000 | 0.000 | 0.000 | 1.984 |
| 25.672 | 5.857 | 11.105 | 0.000 | 0.000 | 0.000 |
| 5.857 | 25.672 | 11.105 | 0.000 | 0.000 | 0.000 |
| 11.105 | 11.105 | 21.550 | 0.000 | 0.000 | 0.000 |
| -0.000 | -0.000 | -0.000 | 11.232 | 0.000 | 0.000 |
| -0.000 | -0.000 | -0.000 | 0.000 | 11.232 | 0.000 |
| -0.000 | -0.000 | -0.000 | 0.000 | 0.000 | 5.935 |
| 25.672 | 5.857 | 11.105 | -0.000 | -0.000 | -0.000 |
| 5.857 | 25.672 | 11.105 | -0.000 | -0.000 | 0.000 |
| 11.105 | 11.105 | 21.550 | -0.000 | -0.000 | 0.000 |
| 0.000 | 0.000 | 0.000 | 11.232 | -0.000 | -0.000 |
| 0.000 | 0.000 | 0.000 | -0.000 | 11.232 | -0.000 |
| 0.000 | 0.000 | 0.000 | -0.000 | 0.000 | 5.935 |
| 25.672 | 5.857 | 11.105 | 0.000 | 0.000 | -0.000 |
| 5.857 | 25.672 | 11.105 | 0.000 | 0.000 | 0.000 |
| 11.105 | 11.105 | 21.550 | 0.000 | 0.000 | -0.000 |
| -0.000 | -0.000 | -0.000 | 11.232 | 0.000 | 0.000 |
| -0.000 | -0.000 | -0.000 | 0.000 | 11.232 | 0.000 |
| -0.000 | -0.000 | -0.000 | 0.000 | 0.000 | 5.935 |
| 25.672 | 5.857 | 11.105 | -0.000 | -0.000 | -0.000 |
| 5.857 | 25.672 | 11.105 | -0.000 | -0.000 | -0.000 |
| 11.105 | 11.105 | 21.550 | -0.000 | -0.000 | -0.000 |
| 0.000 | 0.000 | 0.000 | 11.232 | -0.000 | -0.000 |
| 0.000 | 0.000 | 0.000 | -0.000 | 11.232 | 0.000 |
| 0.000 | 0.000 | 0.000 | 0.000 | 0.000 | 5.935 |
| 25.671 | 5.857 | 11.105 | 0.000 | 0.000 | 0.000 |
| 5.857 | 25.671 | 11.105 | 0.000 | 0.000 | 0.000 |
| 11.105 | 11.105 | 21.550 | 0.000 | 0.000 | 0.000 |
| -0.000 | -0.000 | -0.000 | 11.232 | 0.000 | 0.000 |
| -0.000 | -0.000 | -0.000 | 0.000 | 11.232 | 0.000 |
| -0.000 | -0.000 | -0.000 | 0.000 | -0.000 | 5.935 |
| 25.672 | 5.857 | 11.105 | -0.000 | 0.000 | -0.000 |
| 5.857 | 25.672 | 11.105 | 0.000 | -0.000 | -0.000 |
| 11.105 | 11.105 | 21.550 | -0.000 | -0.000 | -0.000 |
| 0.000 | 0.000 | 0.000 | 11.232 | -0.000 | -0.000 |
| 0.000 | 0.000 | 0.000 | -0.000 | 11.232 | 0.000 |
| 0.000 | 0.000 | 0.000 | -0.000 | -0.000 | 5.935 |
| -28.441 | 0.681 | 34.413 | -0.000 | 0.000 | 0.000 |
| 0.681 | -28.441 | 34.413 | 0.000 | -0.000 | 0.000 |
| 34.413 | 34.413 | 55.326 | -0.000 | -0.000 | 0.000 |
| 0.000 | 0.000 | 0.000 | 26.555 | -0.000 | 0.000 |
| 0.000 | 0.000 | 0.000 | -0.000 | 26.555 | -0.000 |
| 0.000 | 0.000 | 0.000 | -0.000 | 0.000 | 11.617 |
| -28.441 | 0.681 | 34.413 | 0.000 | -0.000 | 0.000 |
| 0.681 | -28.441 | 34.413 | -0.000 | 0.000 | 0.000 |
| 34.413 | 34.413 | 55.326 | -0.000 | -0.000 | 0.000 |
| -0.000 | -0.000 | -0.000 | 26.555 | 0.000 | -0.000 |
| -0.000 | -0.000 | -0.000 | 0.000 | 26.555 | 0.000 |
| -0.000 | -0.000 | -0.000 | -0.000 | -0.000 | 11.617 |
| -28.441 | 0.681 | 34.413 | -0.000 | -0.000 | -0.000 |
| 0.681 | -28.441 | 34.413 | -0.000 | -0.000 | 0.000 |
| 34.413 | 34.413 | 55.326 | -0.000 | -0.000 | 0.000 |
| 0.000 | 0.000 | 0.000 | 26.555 | -0.000 | -0.000 |
| 0.000 | 0.000 | 0.000 | -0.000 | 26.555 | -0.000 |
| 0.000 | 0.000 | 0.000 | 0.000 | 0.000 | 11.617 |
| -28.441 | 0.681 | 34.413 | 0.000 | 0.000 | 0.000 |
| 0.681 | -28.441 | 34.413 | 0.000 | 0.000 | 0.000 |
| 34.413 | 34.413 | 55.326 | 0.000 | 0.000 | 0.000 |
| -0.000 | -0.000 | -0.000 | 26.555 | 0.000 | 0.000 |
| -0.000 | -0.000 | -0.000 | 0.000 | 26.555 | 0.000 |
| -0.000 | -0.000 | -0.000 | 0.000 | 0.000 | 11.617 |
| -28.441 | 0.681 | 34.413 | -0.000 | 0.000 | -0.000 |
| 0.681 | -28.441 | 34.413 | 0.000 | -0.000 | -0.000 |
| 34.413 | 34.413 | 55.327 | -0.000 | -0.000 | -0.000 |
| 0.000 | 0.000 | 0.000 | 26.555 | -0.000 | -0.000 |
| 0.000 | 0.000 | 0.000 | -0.000 | 26.555 | -0.000 |
| 0.000 | 0.000 | 0.000 | -0.000 | -0.000 | 11.617 |
| -28.441 | 0.680 | 34.413 | 0.000 | 0.000 | -0.000 |
| 0.680 | -28.441 | 34.413 | 0.000 | 0.000 | -0.000 |
| 34.413 | 34.413 | 55.325 | -0.000 | -0.000 | 0.000 |
| -0.000 | -0.000 | -0.000 | 26.555 | 0.000 | -0.000 |
| -0.000 | -0.000 | -0.000 | 0.000 | 26.555 | -0.000 |
| -0.000 | -0.000 | -0.000 | 0.000 | -0.000 | 11.617 |
| 75.344 | 15.493 | 31.257 | -0.000 | 0.000 | 0.000 |
| 15.493 | 75.344 | 31.257 | -0.000 | -0.000 | 0.000 |
| 31.257 | 31.257 | 65.756 | -0.000 | -0.000 | 0.000 |
| 0.000 | 0.000 | 0.000 | 30.950 | 0.000 | 0.000 |
| 0.000 | 0.000 | 0.000 | -0.000 | 30.950 | 0.000 |
| 0.000 | 0.000 | 0.000 | -0.000 | 0.000 | 15.478 |
| 75.344 | 15.493 | 31.257 | 0.000 | -0.000 | -0.000 |
| 15.493 | 75.344 | 31.257 | -0.000 | 0.000 | -0.000 |
| 31.257 | 31.257 | 65.756 | 0.000 | 0.000 | -0.000 |
| -0.000 | -0.000 | -0.000 | 30.950 | 0.000 | -0.000 |
| -0.000 | -0.000 | -0.000 | 0.000 | 30.950 | -0.000 |
| -0.000 | -0.000 | -0.000 | 0.000 | -0.000 | 15.478 |
| 75.344 | 15.493 | 31.257 | -0.000 | 0.000 | 0.000 |
| 15.493 | 75.344 | 31.257 | 0.000 | -0.000 | 0.000 |
| 31.257 | 31.257 | 65.756 | -0.000 | -0.000 | 0.000 |
| 0.000 | 0.000 | 0.000 | 30.950 | -0.000 | 0.000 |
| 0.000 | 0.000 | 0.000 | -0.000 | 30.950 | 0.000 |
| 0.000 | 0.000 | 0.000 | -0.000 | 0.000 | 15.478 |
| 75.344 | 15.493 | 31.257 | 0.000 | -0.000 | -0.000 |
| 15.493 | 75.344 | 31.257 | -0.000 | 0.000 | -0.000 |
| 31.257 | 31.257 | 65.755 | 0.000 | 0.000 | -0.000 |
| -0.000 | -0.000 | -0.000 | 30.950 | 0.000 | -0.000 |
| -0.000 | -0.000 | -0.000 | 0.000 | 30.950 | -0.000 |
| -0.000 | -0.000 | -0.000 | 0.000 | -0.000 | 15.478 |
| 75.346 | 15.493 | 31.257 | -0.000 | -0.000 | 0.000 |
| 15.493 | 75.346 | 31.257 | -0.000 | -0.000 | 0.000 |
| 31.257 | 31.257 | 65.757 | -0.000 | -0.000 | 0.000 |
| 0.000 | 0.000 | 0.000 | 30.950 | -0.000 | 0.000 |
| 0.000 | 0.000 | 0.000 | -0.000 | 30.950 | 0.000 |
| 0.000 | 0.000 | 0.000 | -0.000 | 0.000 | 15.478 |
| 75.343 | 15.493 | 31.257 | 0.000 | -0.000 | -0.000 |
| 15.493 | 75.343 | 31.257 | -0.000 | 0.000 | -0.000 |
| 31.256 | 31.256 | 65.754 | 0.000 | 0.000 | -0.000 |
| -0.000 | -0.000 | -0.000 | 30.950 | 0.000 | -0.000 |
| -0.000 | -0.000 | -0.000 | 0.000 | 30.950 | -0.000 |
| -0.000 | -0.000 | -0.000 | 0.000 | -0.000 | 15.478 |
| 10137.207 | 10137.207 | 8485.318 | 0.000 | 0.000 | 0.000 |
| 10137.207 | 10137.207 | 8485.318 | 0.000 | 0.000 | 0.000 |
| 8485.318 | 8485.318 | 7656.140 | 0.000 | 0.000 | -0.000 |
| 0.001 | 0.000 | 0.000 | 8483.813 | 0.000 | -0.000 |
| 0.000 | 0.001 | 0.000 | 0.000 | 8483.813 | -0.000 |
| 0.000 | 0.001 | 0.001 | -0.000 | -0.000 | 10136.130 |
| 10137.206 | 10137.205 | 8485.317 | -0.000 | -0.000 | -0.000 |
| 10137.205 | 10137.206 | 8485.317 | -0.000 | -0.000 | -0.000 |
| 8485.317 | 8485.317 | 7656.138 | -0.000 | -0.000 | 0.000 |
| -0.000 | -0.000 | -0.000 | 8483.813 | -0.000 | 0.000 |
| -0.000 | -0.000 | -0.000 | -0.000 | 8483.813 | 0.000 |
| -0.000 | -0.001 | -0.001 | -0.000 | 0.000 | 10136.130 |
| 10137.212 | 10137.214 | 8485.324 | 0.000 | -0.000 | -0.000 |
| 10137.214 | 10137.212 | 8485.324 | -0.000 | 0.000 | -0.000 |
| 8485.323 | 8485.323 | 7656.147 | 0.000 | 0.000 | 0.000 |
| 0.006 | 0.004 | 0.005 | 8483.813 | 0.000 | -0.000 |
| 0.004 | 0.006 | 0.005 | 0.000 | 8483.813 | -0.000 |
| 0.005 | 0.007 | 0.006 | -0.000 | -0.000 | 10136.129 |
| 10137.201 | 10137.199 | 8485.311 | -0.000 | -0.000 | -0.000 |
| 10137.199 | 10137.201 | 8485.311 | -0.000 | -0.000 | -0.000 |
| 8485.312 | 8485.312 | 7656.132 | -0.000 | -0.000 | 0.000 |
| -0.006 | -0.004 | -0.005 | 8483.813 | -0.000 | 0.000 |
| -0.004 | -0.006 | -0.005 | -0.000 | 8483.813 | 0.000 |
| -0.005 | -0.007 | -0.006 | -0.000 | 0.000 | 10136.129 |
| 10137.262 | 10137.282 | 8485.381 | 0.000 | -0.000 | -0.000 |
| 10137.282 | 10137.262 | 8485.381 | -0.000 | 0.000 | -0.000 |
| 8485.372 | 8485.372 | 7656.215 | 0.000 | 0.000 | 0.000 |
| 0.056 | 0.039 | 0.046 | 8483.813 | 0.000 | -0.000 |
| 0.039 | 0.056 | 0.046 | 0.000 | 8483.813 | -0.000 |
| 0.046 | 0.066 | 0.055 | -0.000 | -0.000 | 10136.129 |
| 10137.150 | 10137.130 | 8485.254 | -0.000 | -0.000 | 0.000 |
| 10137.130 | 10137.150 | 8485.254 | -0.000 | -0.000 | 0.000 |
| 8485.264 | 8485.264 | 7656.063 | -0.000 | -0.000 | 0.000 |
| -0.056 | -0.039 | -0.046 | 8483.813 | -0.000 | 0.000 |
| -0.039 | -0.056 | -0.046 | -0.000 | 8483.813 | 0.000 |
| -0.046 | -0.066 | -0.055 | 0.000 | -0.000 | 10136.129 |
| 115.875 | 77.179 | 77.179 | 0.000 | 0.000 | 0.000 |
| 77.179 | 115.875 | 77.179 | 0.000 | 0.000 | 0.000 |
| 77.179 | 77.179 | 115.875 | 0.000 | 0.000 | 0.000 |
| -0.000 | -0.000 | 0.000 | -0.707 | 0.000 | 0.000 |
| -0.000 | -0.000 | 0.000 | 0.000 | -0.707 | -0.000 |
| -0.000 | -0.000 | 0.000 | 0.000 | 0.000 | -0.707 |
| 115.878 | 77.179 | 77.179 | -0.000 | -0.000 | -0.000 |
| 77.179 | 115.878 | 77.179 | -0.000 | -0.000 | -0.000 |
| 77.179 | 77.179 | 115.878 | 0.000 | -0.000 | -0.000 |
| 0.000 | 0.000 | -0.000 | -0.707 | -0.000 | -0.000 |
| 0.000 | 0.000 | -0.000 | -0.000 | -0.707 | -0.000 |
| 0.000 | 0.000 | -0.000 | -0.000 | -0.000 | -0.707 |
| 115.861 | 77.176 | 77.176 | 0.000 | 0.000 | 0.000 |
| 77.176 | 115.861 | 77.176 | 0.000 | -0.000 | 0.000 |
| 77.176 | 77.176 | 115.861 | -0.000 | 0.000 | -0.000 |
| -0.000 | -0.000 | -0.000 | -0.707 | 0.000 | 0.000 |
| -0.000 | -0.000 | -0.000 | 0.000 | -0.707 | 0.000 |
| -0.000 | -0.000 | -0.000 | 0.000 | 0.000 | -0.707 |
| 115.893 | 77.182 | 77.182 | -0.000 | -0.000 | -0.000 |
| 77.182 | 115.893 | 77.182 | -0.000 | -0.000 | 0.000 |
| 77.182 | 77.182 | 115.893 | -0.000 | -0.000 | -0.000 |
| 0.000 | 0.000 | 0.000 | -0.707 | -0.000 | 0.000 |
| 0.000 | 0.000 | 0.000 | -0.000 | -0.707 | 0.000 |
| 0.000 | 0.000 | 0.000 | -0.000 | -0.000 | -0.707 |
| 115.718 | 77.150 | 77.150 | 0.000 | 0.000 | 0.000 |
| 77.150 | 115.718 | 77.150 | 0.000 | 0.000 | 0.000 |
| 77.150 | 77.150 | 115.718 | -0.000 | -0.000 | 0.000 |
| -0.000 | -0.000 | -0.000 | 16.893 | 0.000 | 0.000 |
| -0.000 | -0.000 | -0.000 | 0.000 | 16.893 | -0.000 |
| -0.000 | -0.000 | -0.000 | 0.000 | 0.000 | 16.893 |
| 116.036 | 77.208 | 77.208 | -0.000 | -0.000 | -0.000 |
| 77.208 | 116.036 | 77.208 | -0.000 | -0.000 | -0.000 |
| 77.208 | 77.208 | 116.036 | -0.000 | -0.000 | -0.000 |
| 0.000 | 0.000 | 0.000 | 16.893 | -0.000 | -0.000 |
| 0.000 | 0.000 | 0.000 | -0.000 | 16.893 | -0.000 |
| 0.000 | 0.000 | 0.000 | -0.000 | -0.000 | 16.893 |
| 37496.290 | 33276.168 | 33276.168 | 0.000 | -0.000 | -0.000 |
| 33276.168 | 37496.290 | 33276.168 | -0.000 | 0.000 | -0.000 |
| 33276.168 | 33276.168 | 37496.290 | 0.000 | -0.000 | 0.000 |
| 0.001 | 0.001 | 0.001 | 33278.300 | -0.000 | -0.001 |
| 0.001 | 0.002 | 0.001 | 0.000 | 33278.300 | 0.000 |
| 0.001 | 0.001 | 0.001 | 0.000 | -0.000 | 33278.300 |
| 37496.289 | 33276.166 | 33276.166 | 0.000 | 0.001 | 0.001 |
| 33276.165 | 37496.290 | 33276.166 | 0.000 | 0.000 | -0.000 |
| 33276.165 | 33276.166 | 37496.289 | -0.000 | 0.000 | 0.000 |
| -0.001 | -0.001 | -0.001 | 33278.300 | 0.000 | 0.001 |
| -0.001 | -0.002 | -0.001 | 0.000 | 33278.300 | -0.000 |
| -0.001 | -0.001 | -0.001 | -0.000 | 0.000 | 33278.300 |
| 37496.292 | 33276.179 | 33276.179 | 0.000 | -0.000 | -0.000 |
| 33276.179 | 37496.292 | 33276.179 | -0.000 | -0.000 | 0.000 |
| 33276.179 | 33276.179 | 37496.292 | 0.000 | -0.000 | -0.000 |
| -0.003 | -0.006 | -0.006 | 4720.074 | -0.000 | -0.000 |
| -0.006 | -0.003 | -0.006 | -0.000 | 4720.074 | -0.000 |
| -0.006 | -0.006 | -0.003 | 0.000 | -0.000 | 4720.074 |
| 37496.287 | 33276.154 | 33276.154 | -0.000 | 0.000 | 0.000 |
| 33276.154 | 37496.287 | 33276.154 | -0.000 | 0.000 | -0.000 |
| 33276.154 | 33276.154 | 37496.287 | 0.000 | -0.000 | 0.000 |
| 0.003 | 0.006 | 0.006 | 4720.074 | 0.000 | 0.000 |
| 0.006 | 0.003 | 0.006 | -0.000 | 4720.074 | 0.000 |
| 0.006 | 0.006 | 0.003 | 0.000 | 0.000 | 4720.074 |
| 37496.316 | 33276.291 | 33276.291 | 0.000 | -0.000 | -0.000 |
| 33276.291 | 37496.316 | 33276.291 | -0.000 | 0.000 | -0.000 |
| 33276.291 | 33276.291 | 37496.316 | -0.000 | 0.000 | 0.000 |
| -0.031 | -0.065 | -0.057 | 4720.074 | -0.000 | -0.000 |
| -0.065 | -0.031 | -0.057 | -0.000 | 4720.074 | -0.000 |
| -0.065 | -0.057 | -0.031 | -0.000 | -0.000 | 4720.074 |
| 37496.263 | 33276.043 | 33276.043 | 0.000 | -0.000 | -0.000 |
| 33276.043 | 37496.263 | 33276.043 | -0.000 | -0.000 | 0.000 |
| 33276.043 | 33276.043 | 37496.263 | 0.000 | 0.000 | -0.000 |
| 0.031 | 0.065 | 0.057 | 4720.074 | 0.000 | 0.000 |
| 0.065 | 0.031 | 0.057 | 0.000 | 4720.074 | -0.000 |
| 0.065 | 0.057 | 0.031 | -0.000 | 0.000 | 4720.074 |
| 35.401 | 7.471 | 7.471 | -0.000 | -0.000 | -0.000 |
| 7.471 | 35.401 | 7.471 | -0.000 | -0.000 | -0.000 |
| 7.471 | 7.471 | 35.401 | -0.000 | -0.000 | -0.000 |
| 0.000 | 0.000 | -0.000 | 5.423 | 0.000 | -0.000 |
| 0.000 | 0.000 | -0.000 | -0.000 | 5.423 | -0.000 |
| 0.000 | 0.000 | 0.000 | 0.000 | -0.000 | 5.423 |
| 35.401 | 7.471 | 7.471 | 0.000 | -0.000 | 0.000 |
| 7.471 | 35.401 | 7.471 | 0.000 | -0.000 | 0.000 |
| 7.471 | 7.471 | 35.401 | 0.000 | 0.000 | -0.000 |
| -0.000 | -0.000 | 0.000 | 5.423 | -0.000 | 0.000 |
| -0.000 | -0.000 | 0.000 | 0.000 | 5.423 | 0.000 |
| -0.000 | -0.000 | -0.000 | 0.000 | -0.000 | 5.423 |
| 35.401 | 7.471 | 7.471 | -0.000 | -0.000 | -0.000 |
| 7.471 | 35.401 | 7.471 | -0.000 | -0.000 | -0.000 |
| 7.471 | 7.471 | 35.401 | -0.000 | -0.000 | -0.000 |
| 0.000 | 0.000 | 0.000 | 5.423 | -0.000 | -0.000 |
| 0.000 | 0.000 | 0.000 | 0.000 | 5.423 | -0.000 |
| 0.000 | 0.000 | 0.000 | -0.000 | -0.000 | 5.423 |
| 35.401 | 7.471 | 7.471 | 0.000 | 0.000 | -0.000 |
| 7.471 | 35.401 | 7.471 | 0.000 | 0.000 | 0.000 |
| 7.471 | 7.471 | 35.401 | 0.000 | 0.000 | 0.000 |
| -0.000 | -0.000 | -0.000 | 5.423 | -0.000 | 0.000 |
| -0.000 | -0.000 | -0.000 | 0.000 | 5.423 | 0.000 |
| -0.000 | -0.000 | -0.000 | 0.000 | -0.000 | 5.423 |
| 35.401 | 7.471 | 7.471 | -0.000 | -0.000 | -0.000 |
| 7.471 | 35.401 | 7.471 | -0.000 | 0.000 | -0.000 |
| 7.471 | 7.471 | 35.401 | -0.000 | 0.000 | 0.000 |
| 0.000 | 0.000 | 0.000 | 6.626 | -0.000 | -0.000 |
| 0.000 | 0.000 | 0.000 | -0.000 | 6.626 | -0.000 |
| 0.000 | 0.000 | 0.000 | -0.000 | 0.000 | 6.626 |
| 35.401 | 7.471 | 7.471 | 0.000 | -0.000 | 0.000 |
| 7.471 | 35.401 | 7.471 | 0.000 | 0.000 | 0.000 |
| 7.471 | 7.471 | 35.401 | 0.000 | 0.000 | 0.000 |
| -0.000 | -0.000 | -0.000 | 6.626 | 0.000 | 0.000 |
| -0.000 | -0.000 | -0.000 | -0.000 | 6.626 | 0.000 |
| -0.000 | -0.000 | -0.000 | 0.000 | 0.000 | 6.626 |
| 3.365 | 4.245 | 4.245 | -0.000 | 0.000 | -0.000 |
| 4.245 | 3.365 | 4.245 | -0.000 | 0.000 | 0.000 |
| 4.245 | 4.245 | 3.365 | 0.000 | 0.000 | -0.000 |
| -0.000 | -0.000 | 0.000 | 1.911 | 0.000 | 0.000 |
| -0.000 | -0.000 | 0.000 | 0.000 | 1.911 | 0.000 |
| -0.000 | -0.000 | -0.000 | 0.000 | 0.000 | 1.911 |
| 3.365 | 4.245 | 4.245 | 0.000 | -0.000 | 0.000 |
| 4.245 | 3.365 | 4.245 | 0.000 | 0.000 | -0.000 |
| 4.245 | 4.245 | 3.365 | -0.000 | -0.000 | 0.000 |
| 0.000 | 0.000 | -0.000 | 1.911 | -0.000 | -0.000 |
| 0.000 | 0.000 | -0.000 | -0.000 | 1.911 | -0.000 |
| 0.000 | 0.000 | 0.000 | -0.000 | -0.000 | 1.911 |
| 3.365 | 4.245 | 4.245 | -0.000 | 0.000 | -0.000 |
| 4.245 | 3.365 | 4.245 | -0.000 | 0.000 | -0.000 |
| 4.245 | 4.245 | 3.365 | -0.000 | 0.000 | -0.000 |
| -0.000 | -0.000 | -0.000 | 1.911 | 0.000 | 0.000 |
| -0.000 | -0.000 | -0.000 | 0.000 | 1.911 | 0.000 |
| -0.000 | -0.000 | -0.000 | 0.000 | 0.000 | 1.911 |
| 3.365 | 4.245 | 4.245 | 0.000 | -0.000 | 0.000 |
| 4.245 | 3.365 | 4.245 | 0.000 | -0.000 | -0.000 |
| 4.245 | 4.245 | 3.365 | -0.000 | -0.000 | 0.000 |
| 0.000 | 0.000 | 0.000 | 1.911 | -0.000 | -0.000 |
| 0.000 | 0.000 | 0.000 | -0.000 | 1.911 | -0.000 |
| 0.000 | 0.000 | 0.000 | -0.000 | -0.000 | 1.911 |
| 3.364 | 4.245 | 4.245 | -0.000 | 0.000 | -0.000 |
| 4.245 | 3.364 | 4.245 | -0.000 | 0.000 | -0.000 |
| 4.245 | 4.245 | 3.364 | -0.000 | -0.000 | -0.000 |
| -0.001 | -0.000 | -0.000 | 0.813 | 0.000 | -0.000 |
| -0.000 | -0.001 | -0.000 | 0.000 | 0.813 | 0.000 |
| -0.000 | -0.000 | -0.001 | 0.000 | 0.000 | 0.813 |
| 3.366 | 4.245 | 4.245 | 0.000 | -0.000 | 0.000 |
| 4.245 | 3.366 | 4.245 | 0.000 | -0.000 | -0.000 |
| 4.245 | 4.245 | 3.366 | 0.000 | -0.000 | 0.000 |
| 0.001 | 0.000 | 0.000 | 0.813 | -0.000 | -0.000 |
| 0.000 | 0.001 | 0.000 | -0.000 | 0.813 | -0.000 |
| 0.000 | 0.000 | 0.001 | -0.000 | -0.000 | 0.813 |
| 4511.372 | 4511.372 | 4511.372 | -0.000 | -0.000 | -0.000 |
| 4511.372 | 4511.372 | 4511.372 | -0.000 | -0.000 | -0.000 |
| 4511.373 | 4511.373 | 4511.372 | -0.000 | -0.000 | -0.000 |
| -0.000 | -0.000 | -0.000 | -0.000 | -0.000 | -0.000 |
| -0.000 | -0.000 | -0.000 | -0.000 | -0.000 | -0.000 |
| -0.000 | -0.000 | -0.000 | -0.000 | -0.000 | 0.000 |
| 4511.372 | 4511.372 | 4511.372 | 0.000 | 0.000 | 0.000 |
| 4511.372 | 4511.372 | 4511.372 | 0.000 | 0.000 | 0.000 |
| 4511.372 | 4511.372 | 4511.372 | 0.000 | 0.000 | 0.000 |
| 0.000 | 0.000 | 0.000 | 0.000 | 0.000 | -0.000 |
| 0.000 | 0.000 | 0.000 | 0.000 | 0.000 | -0.000 |
| 0.000 | 0.000 | 0.000 | 0.000 | 0.000 | 0.000 |
| 4511.374 | 4511.375 | 4511.375 | -0.000 | -0.000 | -0.000 |
| 4511.375 | 4511.374 | 4511.375 | -0.000 | -0.000 | -0.000 |
| 4511.375 | 4511.375 | 4511.374 | -0.000 | -0.000 | -0.000 |
| -0.000 | -0.000 | -0.000 | -0.009 | -0.000 | 0.000 |
| -0.000 | -0.000 | -0.000 | -0.000 | -0.009 | 0.000 |
| -0.000 | -0.000 | -0.000 | -0.000 | -0.000 | -0.009 |
| 4511.370 | 4511.369 | 4511.369 | 0.000 | 0.000 | 0.000 |
| 4511.369 | 4511.370 | 4511.369 | 0.000 | 0.000 | 0.000 |
| 4511.369 | 4511.369 | 4511.370 | 0.000 | 0.000 | 0.000 |
| 0.000 | 0.000 | 0.000 | -0.009 | 0.000 | 0.000 |
| 0.000 | 0.000 | 0.000 | 0.000 | -0.009 | 0.000 |
| 0.000 | 0.000 | 0.000 | 0.000 | 0.000 | -0.009 |
| 4511.395 | 4511.404 | 4511.404 | -0.000 | -0.000 | -0.000 |
| 4511.404 | 4511.395 | 4511.404 | -0.000 | -0.000 | -0.000 |
| 4511.404 | 4511.404 | 4511.395 | -0.000 | -0.000 | -0.000 |
| -0.005 | -0.005 | -0.005 | 0.000 | -0.000 | -0.000 |
| -0.005 | -0.005 | -0.005 | -0.000 | 0.000 | -0.000 |
| -0.005 | -0.005 | -0.005 | -0.000 | -0.000 | 0.000 |
| 4511.349 | 4511.340 | 4511.340 | 0.000 | 0.000 | 0.000 |
| 4511.340 | 4511.349 | 4511.340 | 0.000 | 0.000 | 0.000 |
| 4511.340 | 4511.340 | 4511.349 | 0.000 | 0.000 | 0.000 |
| 0.005 | 0.005 | 0.005 | 0.000 | 0.000 | -0.000 |
| 0.005 | 0.005 | 0.005 | 0.000 | 0.000 | -0.000 |
| 0.005 | 0.005 | 0.005 | 0.000 | 0.000 | 0.000 |
| 13.965 | 13.965 | 13.965 | -0.000 | -0.000 | -0.000 |
| 13.965 | 13.965 | 13.965 | -0.000 | -0.000 | -0.000 |
| 13.965 | 13.965 | 13.965 | -0.000 | -0.000 | 0.000 |
| -0.000 | -0.000 | -0.000 | 0.000 | 0.000 | 0.000 |
| -0.000 | -0.000 | -0.000 | 0.000 | 0.000 | 0.000 |
| -0.000 | -0.000 | -0.000 | 0.000 | 0.000 | 0.000 |
| 13.965 | 13.965 | 13.965 | 0.000 | 0.000 | -0.000 |
| 13.965 | 13.965 | 13.965 | 0.000 | 0.000 | -0.000 |
| 13.965 | 13.965 | 13.965 | 0.000 | 0.000 | 0.000 |
| 0.000 | 0.000 | 0.000 | 0.000 | -0.000 | -0.000 |
| 0.000 | 0.000 | 0.000 | -0.000 | 0.000 | -0.000 |
| 0.000 | 0.000 | 0.000 | -0.000 | -0.000 | 0.000 |
| 13.965 | 13.965 | 13.965 | -0.000 | -0.000 | 0.000 |
| 13.965 | 13.965 | 13.965 | -0.000 | -0.000 | 0.000 |
| 13.965 | 13.965 | 13.965 | -0.000 | -0.000 | -0.000 |
| -0.000 | -0.000 | -0.000 | 0.000 | 0.000 | 0.000 |
| -0.000 | -0.000 | -0.000 | 0.000 | 0.000 | 0.000 |
| -0.000 | -0.000 | -0.000 | 0.000 | 0.000 | 0.000 |
| 13.965 | 13.965 | 13.965 | 0.000 | 0.000 | -0.000 |
| 13.965 | 13.965 | 13.965 | 0.000 | 0.000 | -0.000 |
| 13.965 | 13.965 | 13.965 | 0.000 | 0.000 | -0.000 |
| 0.000 | 0.000 | 0.000 | 0.000 | -0.000 | -0.000 |
| 0.000 | 0.000 | 0.000 | -0.000 | 0.000 | -0.000 |
| 0.000 | 0.000 | 0.000 | -0.000 | 0.000 | 0.000 |
| 13.966 | 13.966 | 13.966 | -0.000 | -0.000 | 0.000 |
| 13.966 | 13.966 | 13.966 | -0.000 | -0.000 | 0.000 |
| 13.966 | 13.966 | 13.966 | -0.000 | -0.000 | 0.000 |
| -0.000 | -0.000 | -0.000 | 0.000 | 0.000 | -0.000 |
| -0.000 | -0.000 | -0.000 | 0.000 | 0.000 | -0.000 |
| -0.000 | -0.000 | -0.000 | 0.000 | 0.000 | 0.000 |
| 13.965 | 13.965 | 13.965 | 0.000 | 0.000 | 0.000 |
| 13.965 | 13.965 | 13.965 | 0.000 | 0.000 | 0.000 |
| 13.965 | 13.965 | 13.965 | 0.000 | 0.000 | -0.000 |
| 0.000 | 0.000 | 0.000 | 0.000 | -0.000 | -0.000 |
| 0.000 | 0.000 | 0.000 | -0.000 | 0.000 | -0.000 |
| 0.000 | 0.000 | 0.000 | -0.000 | -0.000 | 0.000 |
| 253.704 | 234.309 | 234.309 | 0.000 | 0.000 | 0.000 |
| 234.309 | 253.704 | 234.309 | 0.000 | 0.000 | 0.000 |
| 234.309 | 234.309 | 253.704 | 0.000 | 0.000 | 0.000 |
| -0.000 | -0.000 | -0.000 | -87.160 | 0.000 | 0.000 |
| -0.000 | -0.000 | -0.000 | 0.000 | -87.160 | 0.000 |
| -0.000 | -0.000 | -0.000 | 0.000 | 0.000 | -87.160 |
| 272.740 | 224.798 | 224.798 | -0.000 | -0.000 | 0.000 |
| 224.798 | 272.740 | 224.798 | -0.000 | -0.000 | -0.000 |
| 224.798 | 224.798 | 272.740 | -0.000 | 0.000 | -0.000 |
| 0.000 | 0.000 | 0.000 | -87.160 | -0.000 | 0.000 |
| 0.000 | 0.000 | 0.000 | -0.000 | -87.160 | -0.000 |
| 0.000 | 0.000 | 0.000 | -0.000 | -0.000 | -87.160 |
| 253.683 | 234.287 | 234.287 | 0.000 | 0.000 | 0.000 |
| 234.287 | 253.683 | 234.287 | -0.000 | 0.000 | 0.000 |
| 234.287 | 234.287 | 253.683 | 0.000 | 0.000 | 0.000 |
| -0.000 | 0.000 | 0.000 | 2.238 | -0.000 | 0.000 |
| 0.000 | -0.000 | 0.000 | 0.000 | 2.238 | 0.000 |
| 0.000 | 0.000 | -0.000 | 0.000 | 0.000 | 2.238 |
| 272.761 | 224.820 | 224.820 | -0.000 | -0.000 | 0.000 |
| 224.820 | 272.761 | 224.820 | -0.000 | 0.000 | -0.000 |
| 224.820 | 224.820 | 272.761 | -0.000 | 0.000 | -0.000 |
| 0.000 | -0.000 | -0.000 | 2.238 | 0.000 | -0.000 |
| -0.000 | 0.000 | -0.000 | -0.000 | 2.238 | -0.000 |
| -0.000 | -0.000 | 0.000 | -0.000 | -0.000 | 2.238 |
| 253.468 | 234.073 | 234.073 | 0.000 | 0.000 | 0.000 |
| 234.073 | 253.468 | 234.073 | 0.000 | -0.000 | -0.000 |
| 234.073 | 234.073 | 253.468 | 0.000 | 0.000 | 0.000 |
| -0.001 | -0.001 | -0.001 | -87.160 | 0.000 | 0.000 |
| -0.001 | -0.001 | -0.001 | 0.000 | -87.160 | 0.000 |
| -0.001 | -0.001 | -0.001 | 0.000 | 0.000 | -87.160 |
| 253.945 | 234.550 | 234.550 | -0.000 | 0.000 | 0.000 |
| 234.550 | 253.945 | 234.550 | -0.000 | -0.000 | 0.000 |
| 234.550 | 234.550 | 253.945 | -0.000 | -0.000 | 0.000 |
| 0.001 | 0.001 | 0.001 | -87.160 | -0.000 | 0.000 |
| 0.001 | 0.001 | 0.001 | -0.000 | -87.160 | 0.000 |
| 0.001 | 0.001 | 0.001 | -0.000 | -0.000 | -87.160 |
| 38.309 | 13.663 | 13.663 | -0.000 | -0.000 | 0.000 |
| 13.663 | 38.309 | 13.663 | -0.000 | -0.000 | 0.000 |
| 13.663 | 13.663 | 38.309 | 0.000 | -0.000 | 0.000 |
| -0.000 | -0.000 | -0.000 | 6.344 | -0.000 | 0.000 |
| -0.000 | -0.000 | -0.000 | -0.000 | 6.344 | 0.000 |
| -0.000 | -0.000 | -0.000 | -0.000 | -0.000 | 6.344 |
| 38.309 | 13.663 | 13.663 | -0.000 | -0.000 | -0.000 |
| 13.663 | 38.309 | 13.663 | 0.000 | 0.000 | -0.000 |
| 13.663 | 13.663 | 38.309 | 0.000 | 0.000 | -0.000 |
| 0.000 | 0.000 | 0.000 | 6.344 | 0.000 | -0.000 |
| 0.000 | -0.000 | 0.000 | 0.000 | 6.344 | -0.000 |
| 0.000 | 0.000 | 0.000 | 0.000 | 0.000 | 6.344 |
| 38.309 | 13.663 | 13.663 | 0.000 | -0.000 | 0.000 |
| 13.663 | 38.309 | 13.663 | 0.000 | -0.000 | 0.000 |
| 13.663 | 13.663 | 38.309 | -0.000 | -0.000 | 0.000 |
| -0.000 | -0.000 | -0.000 | 6.344 | -0.000 | 0.000 |
| -0.000 | -0.000 | -0.000 | -0.000 | 6.344 | 0.000 |
| -0.000 | -0.000 | -0.000 | -0.000 | -0.000 | 6.344 |
| 41.134 | 12.251 | 12.251 | 0.000 | -0.000 | -0.000 |
| 12.251 | 41.134 | 12.251 | 0.000 | -0.000 | -0.000 |
| 12.251 | 12.251 | 41.134 | 0.000 | 0.000 | -0.000 |
| 0.000 | 0.000 | 0.000 | 6.344 | 0.000 | -0.000 |
| 0.000 | 0.000 | 0.000 | 0.000 | 6.344 | -0.000 |
| 0.000 | 0.000 | 0.000 | 0.000 | 0.000 | 6.344 |
| 38.308 | 13.663 | 13.663 | 0.000 | 0.000 | 0.000 |
| 13.663 | 38.308 | 13.663 | 0.000 | 0.000 | 0.000 |
| 13.663 | 13.663 | 38.308 | -0.000 | -0.000 | 0.000 |
| -0.000 | -0.000 | -0.000 | 6.344 | -0.000 | 0.000 |
| -0.000 | -0.000 | -0.000 | -0.000 | 6.344 | 0.000 |
| -0.000 | -0.000 | -0.000 | 0.000 | -0.000 | 6.344 |
| 38.310 | 13.663 | 13.663 | -0.000 | -0.000 | -0.000 |
| 13.663 | 38.310 | 13.663 | 0.000 | 0.000 | -0.000 |
| 13.663 | 13.663 | 38.310 | -0.000 | -0.000 | -0.000 |
| 0.000 | 0.000 | 0.000 | 6.344 | 0.000 | -0.000 |
| 0.000 | 0.000 | 0.000 | -0.000 | 6.344 | -0.000 |
| 0.000 | 0.000 | 0.000 | -0.000 | 0.000 | 6.344 |
| 32762.869 | 7713.106 | 7713.106 | -0.000 | -0.000 | -0.000 |
| 7713.106 | 32762.869 | 7713.106 | -0.000 | 0.000 | -0.000 |
| 7713.106 | 7713.106 | 32762.869 | -0.000 | -0.000 | -0.000 |
| -0.000 | -0.001 | -0.001 | -1.983 | -0.000 | -0.000 |
| -0.001 | -0.000 | -0.001 | -0.000 | -1.983 | -0.000 |
| -0.001 | -0.001 | -0.000 | -0.000 | -0.000 | -1.983 |
| 17217.408 | 15485.834 | 15485.834 | 0.000 | 0.000 | 0.000 |
| 15485.834 | 17217.408 | 15485.834 | -0.000 | 0.000 | 0.000 |
| 15485.834 | 15485.834 | 17217.408 | 0.000 | 0.000 | 0.000 |
| 0.000 | 0.001 | 0.001 | -1.983 | 0.000 | 0.000 |
| 0.001 | 0.000 | 0.001 | 0.000 | -1.983 | 0.000 |
| 0.001 | 0.001 | 0.000 | 0.000 | 0.000 | -1.983 |
| 17217.193 | 15485.948 | 15485.948 | 0.000 | -0.000 | -0.000 |
| 15485.948 | 17217.193 | 15485.948 | -0.000 | 0.000 | -0.000 |
| 15485.948 | 15485.948 | 17217.193 | 0.000 | 0.000 | 0.000 |
| 0.000 | -0.006 | -0.006 | -2.031 | -0.000 | -0.000 |
| -0.006 | 0.000 | -0.006 | -0.000 | -2.031 | -0.000 |
| -0.006 | -0.006 | 0.000 | -0.000 | -0.000 | -2.031 |
| 17217.225 | 15485.919 | 15485.919 | -0.000 | -0.000 | 0.000 |
| 15485.919 | 17217.225 | 15485.919 | 0.000 | -0.000 | 0.000 |
| 15485.919 | 15485.919 | 17217.225 | -0.000 | -0.000 | -0.000 |
| -0.000 | 0.006 | 0.006 | -2.031 | 0.000 | 0.000 |
| 0.006 | -0.000 | 0.006 | 0.000 | -2.031 | 0.000 |
| 0.006 | 0.006 | -0.000 | 0.000 | 0.000 | -2.031 |
| 17199.127 | 15495.037 | 15495.037 | -0.000 | -0.000 | -0.000 |
| 15495.037 | 17199.127 | 15495.037 | -0.000 | -0.000 | -0.000 |
| 15495.037 | 15495.037 | 17199.127 | -0.000 | -0.000 | -0.000 |
| 0.001 | -0.056 | -0.062 | -11.210 | -0.000 | -0.000 |
| -0.056 | 0.001 | -0.062 | -0.000 | -11.210 | -0.000 |
| -0.056 | -0.062 | 0.001 | -0.000 | -0.000 | -11.210 |
| 17214.405 | 15487.273 | 15487.273 | 0.000 | -0.000 | 0.000 |
| 15487.273 | 17214.405 | 15487.273 | -0.000 | 0.000 | 0.000 |
| 15487.273 | 15487.273 | 17214.405 | 0.000 | 0.000 | 0.000 |
| -0.001 | 0.056 | 0.062 | -11.210 | 0.000 | 0.000 |
| 0.056 | -0.001 | 0.062 | 0.000 | -11.210 | 0.000 |
| 0.056 | 0.062 | -0.001 | 0.000 | 0.000 | -11.210 |
| 71.020 | 19.203 | 19.203 | 0.000 | -0.000 | 0.000 |
| 19.203 | 71.020 | 19.203 | 0.000 | 0.000 | 0.000 |
| 19.203 | 19.203 | 71.020 | 0.000 | 0.000 | 0.000 |
| 0.000 | -0.000 | -0.000 | 0.440 | -0.000 | 0.000 |
| -0.000 | 0.000 | -0.000 | 0.000 | 0.440 | -0.000 |
| -0.000 | -0.000 | 0.000 | 0.000 | 0.000 | 0.440 |
| 71.020 | 19.203 | 19.203 | -0.000 | -0.000 | 0.000 |
| 19.203 | 71.020 | 19.203 | -0.000 | 0.000 | -0.000 |
| 19.203 | 19.203 | 71.020 | -0.000 | 0.000 | -0.000 |
| 0.000 | 0.000 | 0.000 | 0.440 | 0.000 | 0.000 |
| 0.000 | 0.000 | -0.000 | -0.000 | 0.440 | 0.000 |
| 0.000 | 0.000 | 0.000 | -0.000 | 0.000 | 0.440 |
| 71.020 | 19.203 | 19.203 | 0.000 | -0.000 | -0.000 |
| 19.203 | 71.020 | 19.203 | 0.000 | 0.000 | -0.000 |
| 19.203 | 19.203 | 71.020 | 0.000 | 0.000 | -0.000 |
| -0.000 | -0.000 | -0.000 | 0.440 | 0.000 | -0.000 |
| -0.000 | -0.000 | -0.000 | 0.000 | 0.440 | -0.000 |
| -0.000 | -0.000 | -0.000 | 0.000 | 0.000 | 0.440 |
| 71.021 | 19.203 | 19.203 | -0.000 | 0.000 | -0.000 |
| 19.203 | 71.021 | 19.203 | -0.000 | 0.000 | -0.000 |
| 19.203 | 19.203 | 71.021 | -0.000 | -0.000 | 0.000 |
| 0.000 | 0.000 | 0.000 | 0.440 | -0.000 | 0.000 |
| 0.000 | 0.000 | 0.000 | -0.000 | 0.440 | 0.000 |
| 0.000 | 0.000 | 0.000 | -0.000 | 0.000 | 0.440 |
| 71.020 | 19.203 | 19.203 | 0.000 | 0.000 | -0.000 |
| 19.203 | 71.020 | 19.203 | 0.000 | -0.000 | 0.000 |
| 19.203 | 19.203 | 71.020 | 0.000 | 0.000 | 0.000 |
| -0.000 | -0.000 | -0.000 | 0.440 | -0.000 | -0.000 |
| -0.000 | -0.000 | -0.000 | 0.000 | 0.440 | -0.000 |
| -0.000 | -0.000 | -0.000 | 0.000 | -0.000 | 0.440 |
| 71.021 | 19.203 | 19.203 | -0.000 | 0.000 | -0.000 |
| 19.203 | 71.021 | 19.203 | -0.000 | -0.000 | -0.000 |
| 19.203 | 19.203 | 71.021 | -0.000 | 0.000 | -0.000 |
| 0.000 | 0.000 | 0.000 | 0.440 | 0.000 | -0.000 |
| 0.000 | 0.000 | 0.000 | -0.000 | 0.440 | 0.000 |
| 0.000 | 0.000 | 0.000 | -0.000 | 0.000 | 0.440 |
| 17.199 | 0.000 | 0.000 | -0.000 | -0.000 | -0.000 |
| 0.000 | 17.199 | 0.000 | -0.000 | 0.000 | -0.000 |
| 0.000 | 0.000 | 17.199 | -0.000 | 0.000 | -0.000 |
| 0.000 | 0.000 | 0.000 | 0.000 | -0.000 | -0.000 |
| 0.000 | 0.000 | 0.000 | -0.000 | 0.000 | -0.000 |
| 0.000 | 0.000 | 0.000 | -0.000 | 0.000 | 0.000 |
| 17.199 | -0.000 | -0.000 | 0.000 | -0.000 | 0.000 |
| -0.000 | 17.199 | -0.000 | 0.000 | -0.000 | 0.000 |
| -0.000 | -0.000 | 17.199 | 0.000 | 0.000 | 0.000 |
| -0.000 | -0.000 | -0.000 | 0.000 | 0.000 | 0.000 |
| -0.000 | -0.000 | -0.000 | 0.000 | 0.000 | 0.000 |
| -0.000 | -0.000 | -0.000 | 0.000 | -0.000 | 0.000 |
| 17.199 | 0.000 | 0.000 | -0.000 | 0.000 | -0.000 |
| 0.000 | 17.199 | 0.000 | -0.000 | 0.000 | 0.000 |
| 0.000 | 0.000 | 17.199 | 0.000 | 0.000 | -0.000 |
| 0.000 | 0.000 | -0.000 | 0.000 | -0.000 | 0.000 |
| 0.000 | 0.000 | -0.000 | -0.000 | 0.000 | -0.000 |
| 0.000 | -0.000 | 0.000 | 0.000 | 0.000 | 0.000 |
| 17.199 | -0.000 | -0.000 | 0.000 | -0.000 | 0.000 |
| -0.000 | 17.199 | -0.000 | 0.000 | -0.000 | -0.000 |
| -0.000 | -0.000 | 17.199 | -0.000 | 0.000 | -0.000 |
| -0.000 | -0.000 | 0.000 | 0.000 | 0.000 | 0.000 |
| -0.000 | -0.000 | 0.000 | 0.000 | 0.000 | 0.000 |
| -0.000 | 0.000 | -0.000 | 0.000 | 0.000 | 0.000 |
| 17.199 | 0.000 | 0.000 | -0.000 | -0.000 | -0.000 |
| 0.000 | 17.199 | 0.000 | -0.000 | 0.000 | -0.000 |
| 0.000 | 0.000 | 17.199 | -0.000 | 0.000 | -0.000 |
| 0.000 | 0.000 | -0.000 | 0.000 | 0.000 | -0.000 |
| 0.000 | 0.000 | -0.000 | -0.000 | 0.000 | -0.000 |
| 0.000 | -0.000 | 0.000 | -0.000 | -0.000 | 0.000 |
| 17.199 | -0.000 | -0.000 | 0.000 | -0.000 | 0.000 |
| -0.000 | 17.199 | -0.000 | 0.000 | -0.000 | 0.000 |
| -0.000 | -0.000 | 17.199 | 0.000 | -0.000 | 0.000 |
| -0.000 | -0.000 | 0.000 | 0.000 | -0.000 | 0.000 |
| -0.000 | -0.000 | 0.000 | 0.000 | 0.000 | 0.000 |
| -0.000 | 0.000 | -0.000 | 0.000 | 0.000 | 0.000 |
| 124.222 | 108.925 | 108.925 | 0.000 | 0.000 | -0.000 |
| 108.925 | 124.222 | 108.925 | 0.000 | 0.000 | -0.000 |
| 108.925 | 108.925 | 124.222 | -0.000 | -0.000 | -0.000 |
| 0.000 | -0.000 | -0.000 | 6.823 | -0.000 | -0.000 |
| 0.000 | -0.000 | -0.000 | -0.000 | 6.823 | -0.000 |
| -0.000 | -0.000 | -0.000 | 0.000 | 0.000 | 6.823 |
| 124.219 | 108.922 | 108.922 | 0.000 | 0.000 | 0.000 |
| 108.922 | 124.219 | 108.922 | 0.000 | 0.000 | 0.000 |
| 108.922 | 108.922 | 124.219 | 0.000 | -0.000 | 0.000 |
| -0.000 | 0.000 | 0.000 | 6.823 | 0.000 | 0.000 |
| -0.000 | 0.000 | 0.000 | 0.000 | 6.823 | 0.000 |
| 0.000 | 0.000 | 0.000 | -0.000 | 0.000 | 6.823 |
| 124.233 | 108.936 | 108.936 | -0.000 | 0.000 | -0.000 |
| 108.936 | 124.233 | 108.936 | -0.000 | -0.000 | -0.000 |
| 108.936 | 108.936 | 124.233 | -0.000 | -0.000 | -0.000 |
| -0.000 | -0.000 | -0.000 | 6.823 | 0.000 | -0.000 |
| -0.000 | -0.000 | -0.000 | 0.000 | 6.823 | -0.000 |
| -0.000 | -0.000 | -0.000 | -0.000 | -0.000 | 6.823 |
| 124.208 | 108.911 | 108.911 | 0.000 | 0.000 | 0.000 |
| 108.911 | 124.208 | 108.911 | 0.000 | 0.000 | 0.000 |
| 108.911 | 108.911 | 124.208 | 0.000 | 0.000 | 0.000 |
| 0.000 | 0.000 | 0.000 | 6.823 | -0.000 | 0.000 |
| 0.000 | 0.000 | 0.000 | 0.000 | 6.823 | 0.000 |
| 0.000 | 0.000 | 0.000 | 0.000 | 0.000 | 6.823 |
| 124.345 | 109.049 | 109.049 | -0.000 | 0.000 | -0.000 |
| 109.049 | 124.345 | 109.049 | -0.000 | -0.000 | -0.000 |
| 109.049 | 109.049 | 124.345 | -0.000 | -0.000 | -0.000 |
| -0.000 | -0.000 | -0.000 | 6.823 | -0.000 | -0.000 |
| -0.000 | -0.000 | -0.000 | -0.000 | 6.823 | -0.000 |
| -0.000 | -0.000 | -0.000 | -0.000 | -0.000 | 6.823 |
| 124.096 | 108.799 | 108.799 | 0.000 | 0.000 | 0.000 |
| 108.799 | 124.096 | 108.799 | 0.000 | 0.000 | 0.000 |
| 108.799 | 108.799 | 124.096 | 0.000 | 0.000 | 0.000 |
| 0.000 | 0.000 | 0.000 | 6.823 | -0.000 | 0.000 |
| 0.000 | 0.000 | 0.000 | 0.000 | 6.823 | 0.000 |
| 0.000 | 0.000 | 0.000 | 0.000 | 0.000 | 6.823 |
| 51.767 | 9.521 | 9.521 | 0.000 | 0.000 | 0.000 |
| 9.521 | 51.767 | 9.521 | 0.000 | 0.000 | 0.000 |
| 9.521 | 9.521 | 51.767 | 0.000 | -0.000 | 0.000 |
| 0.000 | 0.000 | -0.000 | 8.718 | 0.000 | 0.000 |
| 0.000 | 0.000 | 0.000 | 0.000 | 8.718 | 0.000 |
| 0.000 | 0.000 | 0.000 | 0.000 | 0.000 | 8.718 |
| 51.767 | 9.521 | 9.521 | -0.000 | -0.000 | -0.000 |
| 9.521 | 51.767 | 9.521 | -0.000 | -0.000 | -0.000 |
| 9.521 | 9.521 | 51.767 | -0.000 | -0.000 | -0.000 |
| -0.000 | -0.000 | -0.000 | 8.718 | -0.000 | -0.000 |
| -0.000 | -0.000 | -0.000 | -0.000 | 8.718 | -0.000 |
| -0.000 | -0.000 | -0.000 | -0.000 | -0.000 | 8.718 |
| 51.767 | 9.521 | 9.521 | 0.000 | 0.000 | 0.000 |
| 9.521 | 51.767 | 9.521 | 0.000 | 0.000 | 0.000 |
| 9.521 | 9.521 | 51.767 | 0.000 | 0.000 | 0.000 |
| 0.000 | 0.000 | 0.000 | 9.866 | 0.000 | 0.000 |
| 0.000 | 0.000 | 0.000 | 0.000 | 9.866 | 0.000 |
| 0.000 | 0.000 | 0.000 | 0.000 | -0.000 | 9.866 |
| 51.767 | 9.521 | 9.521 | -0.000 | -0.000 | -0.000 |
| 9.521 | 51.767 | 9.521 | -0.000 | -0.000 | -0.000 |
| 9.521 | 9.521 | 51.767 | -0.000 | -0.000 | -0.000 |
| -0.000 | -0.000 | -0.000 | 9.866 | -0.000 | -0.000 |
| -0.000 | -0.000 | -0.000 | -0.000 | 9.866 | -0.000 |
| -0.000 | -0.000 | -0.000 | -0.000 | -0.000 | 9.866 |
| 51.767 | 9.521 | 9.521 | 0.000 | 0.000 | 0.000 |
| 9.521 | 51.767 | 9.521 | 0.000 | 0.000 | 0.000 |
| 9.521 | 9.521 | 51.767 | 0.000 | 0.000 | 0.000 |
| 0.000 | 0.000 | 0.000 | 8.718 | 0.000 | 0.000 |
| 0.000 | 0.000 | 0.000 | 0.000 | 8.718 | 0.000 |
| 0.000 | 0.000 | 0.000 | 0.000 | 0.000 | 8.718 |
| 51.767 | 9.521 | 9.521 | -0.000 | -0.000 | -0.000 |
| 9.521 | 51.767 | 9.521 | -0.000 | 0.000 | -0.000 |
| 9.521 | 9.521 | 51.767 | -0.000 | -0.000 | -0.000 |
| -0.000 | -0.000 | -0.000 | 8.718 | -0.000 | -0.000 |
| -0.000 | -0.000 | -0.000 | -0.000 | 8.718 | -0.000 |
| -0.000 | -0.000 | -0.000 | -0.000 | -0.000 | 8.718 |
| 3.879 | 11.871 | 11.871 | 0.000 | 0.000 | 0.000 |
| 11.871 | 3.879 | 11.871 | 0.000 | 0.000 | 0.000 |
| 11.871 | 11.871 | 3.879 | 0.000 | 0.000 | 0.000 |
| -0.000 | -0.000 | 0.000 | 11.996 | 0.000 | 0.000 |
| -0.000 | -0.000 | 0.000 | 0.000 | 11.996 | 0.000 |
| -0.000 | -0.000 | -0.000 | 0.000 | 0.000 | 11.996 |
| 3.880 | 11.871 | 11.871 | -0.000 | -0.000 | -0.000 |
| 11.871 | 3.880 | 11.871 | -0.000 | -0.000 | -0.000 |
| 11.871 | 11.871 | 3.880 | -0.000 | -0.000 | -0.000 |
| 0.000 | 0.000 | -0.000 | 11.996 | -0.000 | -0.000 |
| 0.000 | 0.000 | -0.000 | -0.000 | 11.996 | -0.000 |
| 0.000 | 0.000 | 0.000 | -0.000 | -0.000 | 11.996 |
| 3.879 | 11.871 | 11.871 | 0.000 | 0.000 | 0.000 |
| 11.871 | 3.879 | 11.871 | 0.000 | 0.000 | 0.000 |
| 11.871 | 11.871 | 3.879 | 0.000 | 0.000 | 0.000 |
| -0.000 | -0.000 | -0.000 | 10.541 | 0.000 | 0.000 |
| -0.000 | -0.000 | -0.000 | 0.000 | 10.541 | 0.000 |
| -0.000 | -0.000 | -0.000 | 0.000 | 0.000 | 10.541 |
| 3.880 | 11.871 | 11.871 | -0.000 | -0.000 | -0.000 |
| 11.871 | 3.880 | 11.871 | -0.000 | -0.000 | -0.000 |
| 11.871 | 11.871 | 3.880 | -0.000 | -0.000 | -0.000 |
| 0.000 | 0.000 | 0.000 | 10.541 | -0.000 | -0.000 |
| 0.000 | 0.000 | 0.000 | -0.000 | 10.541 | -0.000 |
| 0.000 | 0.000 | 0.000 | -0.000 | -0.000 | 10.541 |
| 3.879 | 11.871 | 11.871 | 0.000 | 0.000 | 0.000 |
| 11.871 | 3.879 | 11.871 | 0.000 | 0.000 | 0.000 |
| 11.871 | 11.871 | 3.879 | 0.000 | 0.000 | 0.000 |
| -0.000 | -0.000 | -0.000 | 10.541 | 0.000 | -0.000 |
| -0.000 | -0.000 | -0.000 | 0.000 | 10.541 | 0.000 |
| -0.000 | -0.000 | -0.000 | 0.000 | 0.000 | 10.541 |
| 3.880 | 11.871 | 11.871 | -0.000 | -0.000 | -0.000 |
| 11.871 | 3.880 | 11.871 | -0.000 | -0.000 | -0.000 |
| 11.871 | 11.871 | 3.880 | -0.000 | -0.000 | -0.000 |
| 0.000 | 0.000 | 0.000 | 10.541 | -0.000 | -0.000 |
| 0.000 | 0.000 | 0.000 | -0.000 | 10.541 | -0.000 |
| 0.000 | 0.000 | 0.000 | -0.000 | -0.000 | 10.541 |
| 4564.376 | 4564.376 | 4564.376 | -0.000 | -0.000 | -0.000 |
| 4564.376 | 4564.376 | 4564.376 | -0.000 | -0.000 | -0.000 |
| 4564.376 | 4564.376 | 4564.376 | -0.000 | -0.000 | 0.000 |
| 0.000 | 0.000 | 0.000 | 4564.811 | 0.000 | 0.000 |
| 0.000 | 0.000 | 0.000 | 0.000 | 4564.811 | 0.000 |
| 0.000 | 0.000 | 0.000 | -0.000 | 0.000 | 4564.811 |
| 4564.376 | 4564.376 | 4564.376 | 0.000 | 0.000 | -0.000 |
| 4564.376 | 4564.376 | 4564.376 | 0.000 | 0.000 | -0.000 |
| 4564.376 | 4564.376 | 4564.376 | 0.000 | 0.000 | 0.000 |
| -0.000 | -0.000 | -0.000 | 4564.811 | 0.000 | -0.000 |
| -0.000 | -0.000 | -0.000 | 0.000 | 4564.811 | -0.000 |
| -0.000 | -0.000 | -0.000 | -0.000 | 0.000 | 4564.811 |
| 4564.378 | 4564.379 | 4564.379 | -0.000 | -0.000 | 0.000 |
| 4564.379 | 4564.378 | 4564.379 | -0.000 | -0.000 | 0.000 |
| 4564.379 | 4564.379 | 4564.378 | -0.000 | -0.000 | -0.000 |
| -0.000 | -0.000 | -0.000 | 221.589 | -0.000 | 0.000 |
| -0.000 | -0.000 | -0.000 | -0.000 | 221.589 | 0.000 |
| -0.000 | -0.000 | -0.000 | -0.000 | 0.000 | 221.589 |
| 4564.374 | 4564.373 | 4564.373 | 0.000 | 0.000 | -0.000 |
| 4564.373 | 4564.374 | 4564.373 | 0.000 | 0.000 | -0.000 |
| 4564.373 | 4564.373 | 4564.374 | 0.000 | 0.000 | -0.000 |
| 0.000 | 0.000 | 0.000 | 221.589 | 0.000 | 0.000 |
| 0.000 | 0.000 | 0.000 | 0.000 | 221.589 | 0.000 |
| 0.000 | 0.000 | 0.000 | 0.000 | 0.000 | 221.589 |
| 4564.399 | 4564.408 | 4564.408 | -0.000 | -0.000 | 0.000 |
| 4564.408 | 4564.399 | 4564.408 | -0.000 | -0.000 | 0.000 |
| 4564.408 | 4564.408 | 4564.399 | -0.000 | -0.000 | -0.000 |
| -0.003 | -0.003 | -0.003 | 221.597 | -0.000 | -0.000 |
| -0.003 | -0.003 | -0.003 | -0.000 | 221.597 | -0.000 |
| -0.003 | -0.003 | -0.003 | -0.000 | -0.000 | 221.597 |
| 4564.353 | 4564.344 | 4564.344 | 0.000 | 0.000 | -0.000 |
| 4564.344 | 4564.353 | 4564.344 | 0.000 | 0.000 | -0.000 |
| 4564.344 | 4564.344 | 4564.353 | 0.000 | 0.000 | -0.000 |
| 0.003 | 0.003 | 0.003 | 221.597 | 0.000 | 0.000 |
| 0.003 | 0.003 | 0.003 | 0.000 | 221.597 | 0.000 |
| 0.003 | 0.003 | 0.003 | 0.000 | 0.000 | 221.597 |
| 36.759 | 36.758 | 36.758 | 0.000 | -0.000 | 0.000 |
| 36.758 | 36.759 | 36.758 | -0.000 | 0.000 | 0.000 |
| 36.758 | 36.758 | 36.759 | 0.000 | 0.000 | 0.000 |
| 0.000 | 0.000 | 0.000 | 31.537 | 0.000 | -0.000 |
| 0.000 | 0.000 | 0.000 | 0.000 | 31.537 | -0.000 |
| 0.000 | 0.000 | 0.000 | -0.000 | -0.000 | 31.537 |
| 36.759 | 36.758 | 36.758 | -0.000 | -0.000 | -0.000 |
| 36.758 | 36.759 | 36.758 | -0.000 | -0.000 | -0.000 |
| 36.758 | 36.758 | 36.759 | -0.000 | -0.000 | -0.000 |
| -0.000 | -0.000 | -0.000 | 31.537 | -0.000 | -0.000 |
| -0.000 | -0.000 | -0.000 | -0.000 | 31.537 | -0.000 |
| -0.000 | -0.000 | -0.000 | 0.000 | 0.000 | 31.537 |
| 36.759 | 36.758 | 36.758 | 0.000 | 0.000 | 0.000 |
| 36.758 | 36.759 | 36.758 | 0.000 | 0.000 | 0.000 |
| 36.758 | 36.758 | 36.759 | 0.000 | 0.000 | -0.000 |
| 0.000 | 0.000 | 0.000 | 31.537 | 0.000 | -0.000 |
| 0.000 | 0.000 | 0.000 | 0.000 | 31.537 | -0.000 |
| 0.000 | 0.000 | 0.000 | 0.000 | -0.000 | 31.537 |
| 36.759 | 36.758 | 36.758 | -0.000 | 0.000 | -0.000 |
| 36.758 | 36.759 | 36.758 | 0.000 | -0.000 | -0.000 |
| 36.758 | 36.758 | 36.759 | -0.000 | -0.000 | -0.000 |
| -0.000 | -0.000 | -0.000 | 31.537 | -0.000 | -0.000 |
| -0.000 | -0.000 | -0.000 | -0.000 | 31.537 | -0.000 |
| -0.000 | -0.000 | -0.000 | 0.000 | 0.000 | 31.537 |
| 36.760 | 36.758 | 36.758 | 0.000 | 0.000 | 0.000 |
| 36.758 | 36.760 | 36.758 | 0.000 | 0.000 | 0.000 |
| 36.758 | 36.758 | 36.760 | 0.000 | 0.000 | -0.000 |
| 0.000 | 0.000 | 0.000 | 31.537 | 0.000 | -0.000 |
| 0.000 | 0.000 | 0.000 | 0.000 | 31.537 | -0.000 |
| 0.000 | 0.000 | 0.000 | -0.000 | -0.000 | 31.537 |
| 36.759 | 36.758 | 36.758 | 0.000 | -0.000 | 0.000 |
| 36.758 | 36.759 | 36.758 | -0.000 | 0.000 | 0.000 |
| 36.758 | 36.758 | 36.759 | -0.000 | -0.000 | -0.000 |
| -0.000 | -0.000 | -0.000 | 31.537 | -0.000 | -0.000 |
| -0.000 | -0.000 | -0.000 | -0.000 | 31.537 | -0.000 |
| -0.000 | -0.000 | -0.000 | -0.000 | 0.000 | 31.537 |
| 281.743 | 254.366 | 254.366 | 0.000 | 0.000 | 0.000 |
| 254.366 | 281.743 | 254.366 | -0.000 | 0.000 | -0.000 |
| 254.366 | 254.366 | 281.743 | 0.000 | 0.000 | 0.000 |
| -0.000 | 0.000 | 0.000 | 57.921 | 0.000 | 0.000 |
| 0.000 | -0.000 | 0.000 | 0.000 | 57.921 | 0.000 |
| 0.000 | 0.000 | -0.000 | 0.000 | 0.000 | 57.921 |
| 281.744 | 254.367 | 254.367 | -0.000 | 0.000 | -0.000 |
| 254.367 | 281.744 | 254.367 | 0.000 | -0.000 | 0.000 |
| 254.367 | 254.367 | 281.744 | 0.000 | 0.000 | -0.000 |
| 0.000 | -0.000 | -0.000 | 57.921 | -0.000 | -0.000 |
| -0.000 | 0.000 | -0.000 | -0.000 | 57.921 | -0.000 |
| -0.000 | -0.000 | 0.000 | -0.000 | -0.000 | 57.921 |
| 281.741 | 254.364 | 254.364 | 0.000 | 0.000 | -0.000 |
| 254.364 | 281.741 | 254.364 | 0.000 | 0.000 | 0.000 |
| 254.364 | 254.364 | 281.741 | 0.000 | 0.000 | 0.000 |
| -0.000 | 0.000 | 0.000 | 57.921 | 0.000 | 0.000 |
| 0.000 | -0.000 | 0.000 | 0.000 | 57.921 | 0.000 |
| 0.000 | 0.000 | -0.000 | 0.000 | 0.000 | 57.921 |
| 281.746 | 254.369 | 254.369 | -0.000 | -0.000 | -0.000 |
| 254.369 | 281.746 | 254.369 | -0.000 | -0.000 | 0.000 |
| 254.369 | 254.369 | 281.746 | 0.000 | 0.000 | -0.000 |
| 0.000 | -0.000 | -0.000 | 57.921 | -0.000 | -0.000 |
| -0.000 | 0.000 | -0.000 | -0.000 | 57.921 | -0.000 |
| -0.000 | -0.000 | 0.000 | -0.000 | -0.000 | 57.921 |
| 281.721 | 254.346 | 254.346 | 0.000 | 0.000 | 0.000 |
| 254.346 | 281.721 | 254.346 | 0.000 | 0.000 | 0.000 |
| 254.346 | 254.346 | 281.721 | 0.000 | 0.000 | 0.000 |
| -0.000 | 0.000 | 0.001 | 57.921 | 0.000 | 0.000 |
| 0.000 | -0.000 | 0.001 | 0.000 | 57.921 | 0.000 |
| 0.000 | 0.001 | -0.000 | 0.000 | 0.000 | 57.921 |
| 281.766 | 254.387 | 254.387 | -0.000 | -0.000 | -0.000 |
| 254.387 | 281.766 | 254.387 | -0.000 | -0.000 | -0.000 |
| 254.387 | 254.387 | 281.766 | -0.000 | -0.000 | -0.000 |
| 0.000 | -0.000 | -0.001 | 57.921 | -0.000 | -0.000 |
| -0.000 | 0.000 | -0.001 | -0.000 | 57.921 | -0.000 |
| -0.000 | -0.001 | 0.000 | 0.000 | -0.000 | 57.921 |
| 13.940 | 30.492 | 30.492 | 0.000 | 0.000 | -0.000 |
| 30.492 | 13.940 | 30.492 | 0.000 | 0.000 | -0.000 |
| 30.492 | 30.492 | 13.940 | -0.000 | 0.000 | 0.000 |
| -0.000 | 0.000 | 0.000 | 29.982 | 0.000 | -0.000 |
| 0.000 | -0.000 | 0.000 | 0.000 | 29.982 | -0.000 |
| 0.000 | 0.000 | -0.000 | 0.000 | 0.000 | 29.982 |
| 13.940 | 30.492 | 30.492 | -0.000 | -0.000 | 0.000 |
| 30.492 | 13.940 | 30.492 | -0.000 | -0.000 | 0.000 |
| 30.492 | 30.492 | 13.940 | -0.000 | -0.000 | 0.000 |
| 0.000 | -0.000 | -0.000 | 29.982 | -0.000 | -0.000 |
| -0.000 | 0.000 | -0.000 | -0.000 | 29.982 | 0.000 |
| -0.000 | -0.000 | 0.000 | -0.000 | -0.000 | 29.982 |
| 13.940 | 30.492 | 30.492 | 0.000 | -0.000 | -0.000 |
| 30.492 | 13.940 | 30.492 | 0.000 | 0.000 | -0.000 |
| 30.492 | 30.492 | 13.940 | 0.000 | 0.000 | -0.000 |
| -0.000 | 0.000 | 0.000 | 29.982 | 0.000 | -0.000 |
| 0.000 | -0.000 | 0.000 | 0.000 | 29.982 | -0.000 |
| 0.000 | 0.000 | -0.000 | 0.000 | 0.000 | 29.982 |
| 13.940 | 30.492 | 30.492 | -0.000 | -0.000 | 0.000 |
| 30.492 | 13.940 | 30.492 | -0.000 | 0.000 | 0.000 |
| 30.492 | 30.492 | 13.940 | -0.000 | -0.000 | 0.000 |
| 0.000 | -0.000 | -0.000 | 29.982 | -0.000 | -0.000 |
| -0.000 | 0.000 | -0.000 | -0.000 | 29.982 | 0.000 |
| -0.000 | -0.000 | 0.000 | -0.000 | -0.000 | 29.982 |
| 13.942 | 30.492 | 30.492 | 0.000 | -0.000 | -0.000 |
| 30.492 | 13.942 | 30.492 | -0.000 | 0.000 | -0.000 |
| 30.492 | 30.492 | 13.942 | -0.000 | -0.000 | -0.000 |
| -0.000 | 0.000 | 0.000 | 29.982 | 0.000 | -0.000 |
| 0.000 | -0.000 | 0.000 | 0.000 | 29.982 | -0.000 |
| 0.000 | 0.000 | -0.000 | 0.000 | 0.000 | 29.982 |
| 13.938 | 30.492 | 30.492 | -0.000 | -0.000 | 0.000 |
| 30.492 | 13.938 | 30.492 | -0.000 | -0.000 | 0.000 |
| 30.492 | 30.492 | 13.938 | -0.000 | -0.000 | 0.000 |
| 0.000 | -0.000 | -0.000 | 29.982 | -0.000 | -0.000 |
| -0.000 | 0.000 | -0.000 | -0.000 | 29.982 | 0.000 |
| -0.000 | -0.000 | 0.000 | -0.000 | -0.000 | 29.982 |
| 28.634 | 14.262 | 14.262 | -0.000 | -0.000 | -0.000 |
| 14.262 | 28.634 | 14.262 | -0.000 | -0.000 | -0.000 |
| 14.262 | 14.262 | 28.634 | -0.000 | -0.000 | -0.000 |
| -0.000 | -0.000 | -0.000 | 14.321 | -0.000 | -0.000 |
| -0.000 | -0.000 | -0.000 | -0.000 | 14.321 | -0.000 |
| -0.000 | -0.000 | -0.000 | -0.000 | -0.000 | 14.321 |
| 28.634 | 14.262 | 14.262 | 0.000 | 0.000 | 0.000 |
| 14.262 | 28.634 | 14.262 | 0.000 | 0.000 | 0.000 |
| 14.262 | 14.262 | 28.634 | 0.000 | 0.000 | 0.000 |
| 0.000 | 0.000 | 0.000 | 14.321 | 0.000 | 0.000 |
| 0.000 | 0.000 | 0.000 | 0.000 | 14.321 | 0.000 |
| 0.000 | 0.000 | 0.000 | 0.000 | 0.000 | 14.321 |
| 28.634 | 14.262 | 14.262 | -0.000 | -0.000 | -0.000 |
| 14.262 | 28.634 | 14.262 | -0.000 | -0.000 | -0.000 |
| 14.262 | 14.262 | 28.634 | -0.000 | -0.000 | -0.000 |
| -0.000 | -0.000 | -0.000 | 14.321 | -0.000 | -0.000 |
| -0.000 | -0.000 | -0.000 | -0.000 | 14.321 | -0.000 |
| -0.000 | -0.000 | -0.000 | -0.000 | -0.000 | 14.321 |
| 28.634 | 14.262 | 14.262 | 0.000 | 0.000 | 0.000 |
| 14.262 | 28.634 | 14.262 | 0.000 | 0.000 | 0.000 |
| 14.262 | 14.262 | 28.634 | 0.000 | 0.000 | 0.000 |
| 0.000 | 0.000 | 0.000 | 14.321 | 0.000 | 0.000 |
| 0.000 | 0.000 | 0.000 | 0.000 | 14.321 | 0.000 |
| 0.000 | 0.000 | 0.000 | 0.000 | 0.000 | 14.321 |
| 28.634 | 14.262 | 14.262 | -0.000 | -0.000 | -0.000 |
| 14.262 | 28.634 | 14.262 | -0.000 | -0.000 | -0.000 |
| 14.262 | 14.262 | 28.634 | -0.000 | -0.000 | -0.000 |
| -0.000 | -0.000 | -0.000 | 14.321 | -0.000 | -0.000 |
| -0.000 | -0.000 | -0.000 | -0.000 | 14.321 | -0.000 |
| -0.000 | -0.000 | -0.000 | -0.000 | -0.000 | 14.321 |
| 28.634 | 14.262 | 14.262 | 0.000 | 0.000 | 0.000 |
| 14.262 | 28.634 | 14.262 | 0.000 | 0.000 | 0.000 |
| 14.262 | 14.262 | 28.634 | 0.000 | 0.000 | 0.000 |
| 0.000 | 0.000 | 0.000 | 14.321 | 0.000 | 0.000 |
| 0.000 | 0.000 | 0.000 | 0.000 | 14.321 | 0.000 |
| 0.000 | 0.000 | 0.000 | 0.000 | 0.000 | 14.321 |
| 24375.408 | 12187.664 | 12187.664 | 0.000 | 0.000 | 0.000 |
| 12187.664 | 24375.408 | 12187.664 | -0.000 | 0.000 | 0.000 |
| 12187.664 | 12187.664 | 24375.408 | -0.000 | -0.000 | 0.000 |
| -0.000 | 0.001 | 0.001 | 12196.297 | 0.000 | 0.000 |
| 0.001 | -0.000 | 0.001 | 0.000 | 12196.297 | 0.000 |
| 0.001 | 0.001 | -0.000 | 0.000 | 0.000 | 12196.297 |
| 24375.404 | 12187.661 | 12187.661 | -0.000 | -0.000 | -0.000 |
| 12187.661 | 24375.404 | 12187.661 | -0.000 | -0.000 | -0.000 |
| 12187.661 | 12187.661 | 24375.404 | 0.000 | 0.000 | -0.000 |
| 0.000 | -0.001 | -0.001 | 12196.297 | -0.000 | -0.000 |
| -0.001 | 0.000 | -0.001 | -0.000 | 12196.297 | -0.000 |
| -0.001 | -0.001 | 0.000 | -0.000 | -0.000 | 12196.297 |
| 24375.427 | 12187.675 | 12187.675 | 0.000 | 0.000 | 0.000 |
| 12187.675 | 24375.427 | 12187.675 | 0.000 | 0.000 | 0.000 |
| 12187.675 | 12187.675 | 24375.427 | 0.000 | 0.000 | 0.000 |
| -0.001 | 0.009 | 0.011 | 12196.297 | -0.000 | 0.000 |
| 0.009 | -0.001 | 0.011 | -0.000 | 12196.297 | 0.000 |
| 0.009 | 0.011 | -0.001 | -0.000 | 0.000 | 12196.298 |
| 24375.385 | 12187.650 | 12187.650 | -0.000 | -0.000 | -0.000 |
| 12187.650 | 24375.385 | 12187.650 | -0.000 | 0.000 | -0.000 |
| 12187.650 | 12187.650 | 24375.385 | -0.000 | -0.000 | -0.000 |
| 0.001 | -0.009 | -0.011 | 12196.297 | 0.000 | -0.000 |
| -0.009 | 0.001 | -0.011 | 0.000 | 12196.297 | -0.000 |
| -0.009 | -0.011 | 0.001 | 0.000 | -0.000 | 12196.297 |
| 24375.612 | 12187.789 | 12187.789 | 0.000 | -0.000 | 0.000 |
| 12187.789 | 24375.612 | 12187.789 | -0.000 | -0.000 | 0.000 |
| 12187.789 | 12187.789 | 24375.612 | 0.000 | 0.000 | 0.000 |
| -0.007 | 0.091 | 0.110 | 12196.297 | -0.000 | 0.000 |
| 0.091 | -0.007 | 0.110 | 0.000 | 12196.297 | 0.000 |
| 0.091 | 0.110 | -0.007 | 0.000 | -0.000 | 12196.297 |
| 24375.200 | 12187.536 | 12187.536 | 0.000 | 0.000 | 0.000 |
| 12187.536 | 24375.200 | 12187.536 | 0.000 | 0.000 | -0.000 |
| 12187.536 | 12187.536 | 24375.200 | -0.000 | 0.000 | -0.000 |
| 0.007 | -0.091 | -0.110 | 12196.297 | -0.000 | -0.000 |
| -0.091 | 0.007 | -0.110 | -0.000 | 12196.297 | -0.000 |
| -0.091 | -0.110 | 0.007 | -0.000 | -0.000 | 12196.297 |
| 75.525 | 36.691 | 36.691 | -0.000 | -0.000 | -0.000 |
| 36.691 | 75.525 | 36.691 | -0.000 | -0.000 | -0.000 |
| 36.691 | 36.691 | 75.525 | -0.000 | -0.000 | -0.000 |
| -0.000 | 0.000 | 0.000 | 37.044 | -0.000 | -0.000 |
| 0.000 | -0.000 | 0.000 | -0.000 | 37.044 | -0.000 |
| 0.000 | 0.000 | -0.000 | -0.000 | -0.000 | 37.044 |
| 75.525 | 36.691 | 36.691 | 0.000 | 0.000 | 0.000 |
| 36.691 | 75.525 | 36.691 | 0.000 | 0.000 | 0.000 |
| 36.691 | 36.691 | 75.525 | 0.000 | 0.000 | 0.000 |
| 0.000 | -0.000 | -0.000 | 37.044 | 0.000 | 0.000 |
| -0.000 | 0.000 | -0.000 | 0.000 | 37.044 | 0.000 |
| -0.000 | -0.000 | 0.000 | 0.000 | 0.000 | 37.044 |
| 75.526 | 36.692 | 36.692 | -0.000 | -0.000 | -0.000 |
| 36.692 | 75.526 | 36.692 | -0.000 | -0.000 | -0.000 |
| 36.692 | 36.692 | 75.526 | -0.000 | -0.000 | -0.000 |
| -0.000 | 0.000 | 0.000 | 37.044 | -0.000 | -0.000 |
| 0.000 | -0.000 | 0.000 | -0.000 | 37.044 | -0.000 |
| 0.000 | 0.000 | -0.000 | -0.000 | -0.000 | 37.044 |
| 75.525 | 36.691 | 36.691 | 0.000 | 0.000 | 0.000 |
| 36.691 | 75.525 | 36.691 | 0.000 | 0.000 | 0.000 |
| 36.691 | 36.691 | 75.525 | 0.000 | 0.000 | 0.000 |
| 0.000 | -0.000 | -0.000 | 37.044 | 0.000 | 0.000 |
| -0.000 | 0.000 | -0.000 | 0.000 | 37.044 | 0.000 |
| -0.000 | -0.000 | 0.000 | 0.000 | 0.000 | 37.044 |
| 75.527 | 36.692 | 36.692 | -0.000 | -0.000 | -0.000 |
| 36.692 | 75.527 | 36.692 | -0.000 | -0.000 | -0.000 |
| 36.692 | 36.692 | 75.527 | -0.000 | -0.000 | -0.000 |
| -0.000 | 0.000 | 0.000 | 37.044 | -0.000 | -0.000 |
| 0.000 | -0.000 | 0.000 | -0.000 | 37.044 | -0.000 |
| 0.000 | 0.000 | -0.000 | -0.000 | -0.000 | 37.044 |
| 75.524 | 36.691 | 36.691 | 0.000 | 0.000 | 0.000 |
| 36.691 | 75.524 | 36.691 | 0.000 | 0.000 | 0.000 |
| 36.691 | 36.691 | 75.524 | 0.000 | 0.000 | 0.000 |
| 0.000 | -0.000 | -0.000 | 37.044 | 0.000 | 0.000 |
| -0.000 | 0.000 | -0.000 | 0.000 | 37.044 | 0.000 |
| -0.000 | -0.000 | 0.000 | 0.000 | 0.000 | 37.044 |
| 94.199 | 86.213 | 86.213 | 0.000 | 0.000 | -0.000 |
| 86.213 | 94.199 | 86.213 | -0.000 | 0.000 | 0.000 |
| 86.213 | 86.213 | 94.199 | 0.000 | 0.000 | 0.000 |
| 0.000 | 0.000 | 0.000 | 17.401 | 0.000 | 0.000 |
| 0.000 | 0.000 | 0.000 | 0.000 | 17.401 | 0.000 |
| 0.000 | 0.000 | 0.000 | 0.000 | 0.000 | 17.401 |
| 94.196 | 86.211 | 86.211 | -0.000 | -0.000 | -0.000 |
| 86.211 | 94.196 | 86.211 | -0.000 | -0.000 | -0.000 |
| 86.211 | 86.211 | 94.196 | -0.000 | -0.000 | -0.000 |
| -0.000 | -0.000 | -0.000 | 17.401 | -0.000 | -0.000 |
| -0.000 | -0.000 | -0.000 | -0.000 | 17.401 | -0.000 |
| -0.000 | -0.000 | -0.000 | -0.000 | -0.000 | 17.401 |
| 94.211 | 86.226 | 86.226 | 0.000 | -0.000 | -0.000 |
| 86.226 | 94.211 | 86.226 | 0.000 | -0.000 | 0.000 |
| 86.226 | 86.226 | 94.211 | 0.000 | 0.000 | -0.000 |
| 0.000 | 0.000 | 0.000 | 17.401 | 0.000 | 0.000 |
| 0.000 | 0.000 | 0.000 | 0.000 | 17.401 | 0.000 |
| 0.000 | 0.000 | 0.000 | 0.000 | 0.000 | 17.401 |
| 94.183 | 86.198 | 86.198 | -0.000 | 0.000 | 0.000 |
| 86.198 | 94.183 | 86.198 | -0.000 | -0.000 | -0.000 |
| 86.198 | 86.198 | 94.183 | -0.000 | -0.000 | -0.000 |
| -0.000 | -0.000 | -0.000 | 17.401 | -0.000 | -0.000 |
| -0.000 | -0.000 | -0.000 | -0.000 | 17.401 | -0.000 |
| -0.000 | -0.000 | -0.000 | -0.000 | -0.000 | 17.401 |
| 94.335 | 86.350 | 86.350 | 0.000 | 0.000 | 0.000 |
| 86.350 | 94.335 | 86.350 | 0.000 | 0.000 | -0.000 |
| 86.350 | 86.350 | 94.335 | 0.000 | -0.000 | 0.000 |
| 0.000 | 0.000 | 0.000 | 17.401 | 0.000 | 0.000 |
| 0.000 | 0.000 | 0.000 | 0.000 | 17.401 | 0.000 |
| 0.000 | 0.000 | 0.000 | 0.000 | 0.000 | 17.401 |
| 94.059 | 86.074 | 86.074 | -0.000 | -0.000 | -0.000 |
| 86.074 | 94.059 | 86.074 | -0.000 | -0.000 | -0.000 |
| 86.074 | 86.074 | 94.059 | -0.000 | -0.000 | -0.000 |
| -0.000 | -0.000 | -0.000 | 17.401 | -0.000 | -0.000 |
| -0.000 | -0.000 | -0.000 | -0.000 | 17.401 | 0.000 |
| -0.000 | -0.000 | -0.000 | -0.000 | -0.000 | 17.401 |
| 114.865 | 106.823 | 106.823 | 0.000 | -0.000 | -0.000 |
| 106.823 | 114.865 | 106.823 | 0.000 | -0.000 | -0.000 |
| 106.823 | 106.823 | 114.865 | 0.000 | 0.000 | -0.000 |
| 0.000 | 0.000 | 0.000 | 17.418 | 0.000 | -0.000 |
| 0.000 | 0.000 | 0.000 | -0.000 | 17.418 | -0.000 |
| 0.000 | 0.000 | 0.000 | -0.000 | -0.000 | 17.418 |
| 114.871 | 106.828 | 106.828 | 0.000 | -0.000 | 0.000 |
| 106.828 | 114.871 | 106.828 | -0.000 | -0.000 | 0.000 |
| 106.828 | 106.828 | 114.871 | -0.000 | -0.000 | 0.000 |
| -0.000 | -0.000 | -0.000 | 17.418 | -0.000 | 0.000 |
| -0.000 | -0.000 | -0.000 | -0.000 | 17.418 | 0.000 |
| -0.000 | -0.000 | -0.000 | -0.000 | -0.000 | 17.418 |
| 114.838 | 106.796 | 106.796 | 0.000 | 0.000 | -0.000 |
| 106.796 | 114.838 | 106.796 | 0.000 | 0.000 | -0.000 |
| 106.796 | 106.796 | 114.838 | 0.000 | 0.000 | -0.000 |
| 0.000 | 0.000 | 0.000 | 17.418 | 0.000 | 0.000 |
| 0.000 | 0.000 | 0.000 | 0.000 | 17.418 | -0.000 |
| 0.000 | 0.000 | 0.000 | 0.000 | 0.000 | 17.418 |
| 114.897 | 106.855 | 106.855 | -0.000 | -0.000 | 0.000 |
| 106.855 | 114.897 | 106.855 | 0.000 | -0.000 | -0.000 |
| 106.855 | 106.855 | 114.897 | -0.000 | -0.000 | -0.000 |
| -0.000 | -0.000 | -0.000 | 17.418 | -0.000 | 0.000 |
| -0.000 | -0.000 | -0.000 | -0.000 | 17.418 | 0.000 |
| -0.000 | -0.000 | -0.000 | -0.000 | -0.000 | 17.418 |
| 114.575 | 106.533 | 106.533 | -0.000 | 0.000 | -0.000 |
| 106.533 | 114.575 | 106.533 | -0.000 | 0.000 | 0.000 |
| 106.533 | 106.533 | 114.575 | 0.000 | 0.000 | -0.000 |
| 0.000 | 0.000 | 0.000 | 17.418 | 0.000 | -0.000 |
| 0.000 | 0.000 | 0.000 | 0.000 | 17.418 | -0.000 |
| 0.000 | 0.000 | 0.000 | 0.000 | -0.000 | 17.418 |
| 115.160 | 107.118 | 107.118 | -0.000 | -0.000 | -0.000 |
| 107.118 | 115.160 | 107.118 | -0.000 | -0.000 | 0.000 |
| 107.118 | 107.118 | 115.160 | -0.000 | -0.000 | -0.000 |
| -0.000 | -0.000 | -0.000 | 17.418 | -0.000 | 0.000 |
| -0.000 | -0.000 | -0.000 | -0.000 | 17.418 | 0.000 |
| -0.000 | -0.000 | -0.000 | 0.000 | -0.000 | 17.418 |
| 13163626.379 | 9.615 | 9.615 | -0.000 | -0.000 | -0.000 |
| 9.615 | 13163626.379 | 9.615 | -0.000 | -0.000 | 0.000 |
| 9.615 | 9.615 | 13163626.379 | -0.000 | 0.000 | 0.000 |
| -0.000 | -0.000 | -0.000 | 10.203 | 0.000 | 0.000 |
| -0.000 | -0.000 | -0.000 | 0.000 | 10.203 | -0.000 |
| -0.000 | -0.000 | -0.000 | 0.000 | -0.000 | 10.203 |
| 19.275 | 9.611 | 9.611 | -0.000 | -0.000 | -0.000 |
| 9.611 | 19.275 | 9.611 | -0.000 | -0.000 | -0.000 |
| 9.611 | 9.611 | 19.275 | -0.000 | -0.000 | -0.000 |
| 0.000 | 0.000 | 0.000 | 10.203 | -0.000 | -0.000 |
| 0.000 | 0.000 | 0.000 | -0.000 | 10.203 | 0.000 |
| 0.000 | 0.000 | 0.000 | 0.000 | 0.000 | 10.203 |
| 1315950.139 | 9.615 | 9.615 | -0.000 | 0.000 | 0.000 |
| 9.615 | 1315950.139 | 9.615 | 0.000 | -0.000 | -0.000 |
| 9.615 | 9.615 | 1315950.139 | 0.000 | 0.000 | -0.000 |
| -0.000 | -0.000 | -0.000 | 10.203 | 0.000 | 0.000 |
| -0.000 | -0.000 | -0.000 | 0.000 | 10.203 | -0.000 |
| -0.000 | -0.000 | -0.000 | -0.000 | -0.000 | 10.203 |
| 19.275 | 9.611 | 9.611 | -0.000 | -0.000 | -0.000 |
| 9.611 | 19.275 | 9.611 | 0.000 | -0.000 | -0.000 |
| 9.611 | 9.611 | 19.275 | -0.000 | -0.000 | -0.000 |
| 0.000 | 0.000 | 0.000 | 10.203 | -0.000 | -0.000 |
| 0.000 | 0.000 | 0.000 | -0.000 | 10.203 | 0.000 |
| 0.000 | 0.000 | 0.000 | 0.000 | 0.000 | 10.203 |
| 131183.403 | 9.615 | 9.615 | 0.000 | -0.000 | -0.000 |
| 9.615 | 131183.403 | 9.615 | 0.000 | 0.000 | 0.000 |
| 9.615 | 9.615 | 131183.403 | 0.000 | 0.000 | 0.000 |
| -0.000 | -0.000 | -0.000 | 10.203 | 0.000 | 0.000 |
| -0.000 | -0.000 | -0.000 | 0.000 | 10.203 | -0.000 |
| -0.000 | -0.000 | -0.000 | 0.000 | -0.000 | 10.203 |
| 19.275 | 9.611 | 9.611 | -0.000 | 0.000 | 0.000 |
| 9.611 | 19.275 | 9.611 | 0.000 | -0.000 | -0.000 |
| 9.611 | 9.611 | 19.275 | -0.000 | -0.000 | -0.000 |
| 0.000 | 0.000 | 0.000 | 10.203 | -0.000 | -0.000 |
| 0.000 | 0.000 | 0.000 | -0.000 | 10.203 | 0.000 |
| 0.000 | 0.000 | 0.000 | 0.000 | 0.000 | 10.203 |
| 19.524 | 9.725 | 9.725 | 0.000 | 0.000 | 0.000 |
| 9.725 | 19.524 | 9.725 | 0.000 | 0.000 | 0.000 |
| 9.725 | 9.725 | 19.524 | 0.000 | 0.000 | 0.000 |
| -0.000 | -0.000 | -0.000 | 10.329 | 0.000 | 0.000 |
| -0.000 | -0.000 | -0.000 | 0.000 | 10.329 | -0.000 |
| -0.000 | -0.000 | -0.000 | 0.000 | -0.000 | 10.329 |
| 19.524 | 9.725 | 9.725 | -0.000 | -0.000 | -0.000 |
| 9.725 | 19.524 | 9.725 | -0.000 | -0.000 | -0.000 |
| 9.725 | 9.725 | 19.524 | -0.000 | -0.000 | -0.000 |
| 0.000 | 0.000 | 0.000 | 10.329 | -0.000 | -0.000 |
| 0.000 | 0.000 | 0.000 | -0.000 | 10.329 | 0.000 |
| 0.000 | 0.000 | 0.000 | -0.000 | 0.000 | 10.329 |
| 19.524 | 9.725 | 9.725 | 0.000 | 0.000 | 0.000 |
| 9.725 | 19.524 | 9.725 | 0.000 | 0.000 | 0.000 |
| 9.725 | 9.725 | 19.524 | 0.000 | 0.000 | 0.000 |
| -0.000 | -0.000 | -0.000 | 10.329 | 0.000 | 0.000 |
| -0.000 | -0.000 | -0.000 | 0.000 | 10.329 | -0.000 |
| -0.000 | -0.000 | -0.000 | 0.000 | -0.000 | 10.329 |
| 19.524 | 9.725 | 9.725 | -0.000 | -0.000 | -0.000 |
| 9.725 | 19.524 | 9.725 | -0.000 | -0.000 | -0.000 |
| 9.725 | 9.725 | 19.524 | -0.000 | -0.000 | -0.000 |
| 0.000 | 0.000 | 0.000 | 10.329 | -0.000 | -0.000 |
| 0.000 | 0.000 | 0.000 | -0.000 | 10.329 | 0.000 |
| 0.000 | 0.000 | 0.000 | -0.000 | 0.000 | 10.329 |
| 19.524 | 9.725 | 9.725 | 0.000 | 0.000 | 0.000 |
| 9.725 | 19.524 | 9.725 | 0.000 | 0.000 | -0.000 |
| 9.725 | 9.725 | 19.524 | 0.000 | -0.000 | 0.000 |
| -0.000 | -0.000 | -0.000 | 10.329 | 0.000 | 0.000 |
| -0.000 | -0.000 | -0.000 | 0.000 | 10.329 | -0.000 |
| -0.000 | -0.000 | -0.000 | 0.000 | 0.000 | 10.329 |
| 19.525 | 9.725 | 9.725 | -0.000 | -0.000 | -0.000 |
| 9.725 | 19.525 | 9.725 | -0.000 | -0.000 | -0.000 |
| 9.725 | 9.725 | 19.525 | -0.000 | -0.000 | -0.000 |
| 0.000 | 0.000 | 0.000 | 10.329 | -0.000 | -0.000 |
| 0.000 | 0.000 | 0.000 | -0.000 | 10.329 | 0.000 |
| 0.000 | 0.000 | 0.000 | -0.000 | 0.000 | 10.329 |
| 122.908 | 61.448 | 61.448 | -0.000 | -0.000 | -0.000 |
| 61.448 | 122.908 | 61.448 | -0.000 | -0.000 | 0.000 |
| 61.448 | 61.448 | 122.908 | 0.000 | -0.000 | -0.000 |
| -0.000 | -0.000 | -0.000 | 61.468 | -0.000 | -0.000 |
| -0.000 | -0.000 | -0.000 | -0.000 | 61.468 | 0.000 |
| -0.000 | -0.000 | -0.000 | -0.000 | 0.000 | 61.468 |
| 122.908 | 61.448 | 61.448 | 0.000 | 0.000 | 0.000 |
| 61.448 | 122.908 | 61.448 | 0.000 | 0.000 | 0.000 |
| 61.448 | 61.448 | 122.908 | 0.000 | 0.000 | 0.000 |
| 0.000 | 0.000 | 0.000 | 61.468 | 0.000 | 0.000 |
| 0.000 | 0.000 | 0.000 | 0.000 | 61.468 | -0.000 |
| 0.000 | 0.000 | 0.000 | 0.000 | -0.000 | 61.468 |
| 122.908 | 61.448 | 61.448 | -0.000 | -0.000 | -0.000 |
| 61.448 | 122.908 | 61.448 | -0.000 | -0.000 | -0.000 |
| 61.448 | 61.448 | 122.908 | -0.000 | -0.000 | -0.000 |
| -0.000 | -0.000 | -0.000 | 61.468 | -0.000 | -0.000 |
| -0.000 | -0.000 | -0.000 | -0.000 | 61.468 | 0.000 |
| -0.000 | -0.000 | -0.000 | -0.000 | 0.000 | 61.468 |
| 122.908 | 61.448 | 61.448 | 0.000 | -0.000 | -0.000 |
| 61.448 | 122.908 | 61.448 | -0.000 | 0.000 | 0.000 |
| 61.448 | 61.448 | 122.908 | 0.000 | 0.000 | 0.000 |
| 0.000 | 0.000 | 0.000 | 61.468 | 0.000 | 0.000 |
| 0.000 | 0.000 | 0.000 | 0.000 | 61.468 | -0.000 |
| 0.000 | 0.000 | 0.000 | -0.000 | -0.000 | 61.468 |
| 122.907 | 61.448 | 61.448 | -0.000 | -0.000 | -0.000 |
| 61.448 | 122.907 | 61.448 | -0.000 | -0.000 | -0.000 |
| 61.448 | 61.448 | 122.907 | -0.000 | -0.000 | -0.000 |
| -0.000 | -0.000 | -0.000 | 61.468 | -0.000 | -0.000 |
| -0.000 | -0.000 | -0.000 | -0.000 | 61.468 | 0.000 |
| -0.000 | -0.000 | -0.000 | 0.000 | 0.000 | 61.468 |
| 122.909 | 61.449 | 61.449 | 0.000 | 0.000 | 0.000 |
| 61.449 | 122.909 | 61.449 | 0.000 | 0.000 | 0.000 |
| 61.449 | 61.449 | 122.909 | 0.000 | 0.000 | 0.000 |
| 0.000 | 0.000 | 0.000 | 61.468 | 0.000 | 0.000 |
| 0.000 | 0.000 | 0.000 | 0.000 | 61.468 | -0.000 |
| 0.000 | 0.000 | 0.000 | -0.000 | -0.000 | 61.468 |
| 227.969 | 121.583 | 121.583 | -0.000 | 0.000 | 0.000 |
| 121.583 | 227.969 | 121.583 | 0.000 | 0.000 | 0.000 |
| 121.583 | 121.583 | 227.969 | 0.000 | 0.000 | -0.000 |
| 0.000 | 0.000 | 0.000 | 3.470 | 0.000 | -0.000 |
| 0.000 | 0.000 | 0.000 | 0.000 | 3.470 | -0.000 |
| 0.000 | 0.000 | 0.000 | -0.000 | -0.000 | 3.470 |
| 227.969 | 121.583 | 121.583 | -0.000 | -0.000 | -0.000 |
| 121.583 | 227.969 | 121.583 | -0.000 | 0.000 | -0.000 |
| 121.583 | 121.583 | 227.969 | -0.000 | -0.000 | -0.000 |
| -0.000 | -0.000 | -0.000 | 3.470 | -0.000 | 0.000 |
| -0.000 | -0.000 | -0.000 | 0.000 | 3.470 | 0.000 |
| -0.000 | -0.000 | -0.000 | 0.000 | 0.000 | 3.470 |
| 227.967 | 121.582 | 121.582 | -0.000 | -0.000 | -0.000 |
| 121.582 | 227.967 | 121.582 | -0.000 | -0.000 | 0.000 |
| 121.582 | 121.582 | 227.967 | 0.000 | 0.000 | 0.000 |
| 0.000 | 0.001 | 0.001 | -5.841 | 0.000 | -0.000 |
| 0.001 | 0.000 | 0.001 | 0.000 | -5.841 | -0.000 |
| 0.001 | 0.001 | 0.000 | 0.000 | 0.000 | -5.841 |
| 228.604 | 121.268 | 121.268 | 0.000 | -0.000 | 0.000 |
| 121.268 | 228.604 | 121.268 | 0.000 | 0.000 | 0.000 |
| 121.268 | 121.268 | 228.604 | 0.000 | 0.000 | 0.000 |
| -0.000 | -0.001 | -0.001 | -5.841 | -0.000 | -0.000 |
| -0.001 | -0.000 | -0.001 | -0.000 | -5.841 | 0.000 |
| -0.001 | -0.001 | -0.000 | -0.000 | -0.000 | -5.841 |
| 227.956 | 121.570 | 121.570 | -0.000 | 0.000 | -0.000 |
| 121.570 | 227.956 | 121.570 | 0.000 | 0.000 | -0.000 |
| 121.570 | 121.570 | 227.956 | -0.000 | -0.000 | -0.000 |
| 0.005 | 0.006 | 0.006 | 3.470 | 0.000 | 0.000 |
| 0.006 | 0.005 | 0.006 | 0.000 | 3.470 | -0.000 |
| 0.006 | 0.006 | 0.005 | -0.000 | -0.000 | 3.470 |
| 228.616 | 121.280 | 121.280 | 0.000 | 0.000 | 0.000 |
| 121.280 | 228.616 | 121.280 | 0.000 | -0.000 | 0.000 |
| 121.280 | 121.280 | 228.616 | 0.000 | -0.000 | 0.000 |
| -0.005 | -0.006 | -0.006 | 3.470 | -0.000 | 0.000 |
| -0.006 | -0.005 | -0.006 | -0.000 | 3.470 | 0.000 |
| -0.006 | -0.006 | -0.005 | 0.000 | 0.000 | 3.470 |
| -320.741 | 234.105 | 234.105 | 0.000 | -0.000 | -0.000 |
| 234.105 | -320.741 | 234.105 | -0.000 | 0.000 | -0.000 |
| 234.105 | 234.105 | -320.741 | 0.000 | 0.000 | 0.000 |
| -0.000 | -0.000 | -0.000 | 8.654 | 0.000 | 0.000 |
| -0.000 | -0.000 | -0.000 | 0.000 | 8.654 | 0.000 |
| -0.000 | -0.000 | -0.000 | 0.000 | 0.000 | 8.654 |
| 112782657.902 | 127807390.006 | 129139394.465 | -507494.752 | -48512.639 | 43724.419 |
| 132044135.932 | 111301792.394 | 129772079.039 | -769417.609 | -575217.152 | 723306.826 |
| 129783600.929 | 131980386.071 | 120964147.946 | 1208788.789 | 131988.673 | -1746532.414 |
| 0.000 | 0.000 | 0.000 | 8.654 | -0.000 | -0.000 |
| 0.000 | 0.000 | 0.000 | -0.000 | 8.654 | -0.000 |
| 0.000 | 0.000 | 0.000 | -0.000 | -0.000 | 8.654 |
| -12298679.924 | -7330633.684 | -8717753.499 | -57062.778 | 116613.547 | -80513.504 |
| -8821894.112 | -11493964.409 | -8488993.843 | -62730.619 | 187533.458 | 52740.288 |
| -7261423.376 | -7948564.916 | -10138087.923 | 52150.446 | 92907.228 | 46149.210 |
| -0.000 | -0.000 | -0.000 | 8.654 | 0.000 | 0.000 |
| -0.000 | -0.000 | -0.000 | 0.000 | 8.654 | 0.000 |
| -0.000 | -0.000 | -0.000 | 0.000 | 0.000 | 8.654 |
| 11898903.046 | 13071842.786 | 13210895.658 | -147739.377 | 92150.797 | -73100.520 |
| 12668323.676 | 12030252.519 | 13031132.166 | -16210.563 | -16395.524 | -119524.159 |
| 13232646.353 | 13493508.283 | 12757049.820 | 107815.887 | -96376.587 | 242091.612 |
| 0.000 | 0.000 | 0.000 | 8.654 | -0.000 | -0.000 |
| 0.000 | 0.000 | 0.000 | -0.000 | 8.654 | -0.000 |
| 0.000 | 0.000 | 0.000 | -0.000 | -0.000 | 8.654 |
| -1074677.846 | -714801.965 | -866383.911 | 1153.865 | 1720.685 | -18069.073 |
| -740170.925 | -1045667.610 | -647354.843 | -2334.210 | 15035.253 | 9443.686 |
| -818897.088 | -900547.152 | -1134453.182 | 246.255 | 4625.924 | 1210.083 |
| -0.000 | -0.001 | -0.001 | 8.654 | 0.000 | 0.000 |
| -0.001 | -0.000 | -0.001 | 0.000 | 8.654 | 0.000 |
| -0.001 | -0.001 | -0.000 | 0.000 | 0.000 | 8.654 |
| 1180857.703 | 1303100.479 | 1324309.345 | -6051.521 | -11395.474 | -1226.093 |
| 1305999.867 | 1173868.144 | 1317073.159 | -5492.467 | 5041.038 | 13628.603 |
| 1301645.995 | 1316680.100 | 1158846.069 | 2839.666 | 5028.301 | 14209.379 |
| 0.000 | 0.001 | 0.001 | 8.654 | -0.000 | -0.000 |
| 0.001 | 0.000 | 0.001 | 0.000 | 8.654 | -0.000 |
| 0.001 | 0.001 | 0.000 | -0.000 | -0.000 | 8.654 |
| 24.260 | -0.000 | -0.000 | -0.000 | 0.000 | -0.000 |
| -0.000 | 24.260 | -0.000 | -0.000 | 0.000 | 0.000 |
| -0.000 | -0.000 | 24.260 | 0.000 | -0.000 | -0.000 |
| -0.000 | 0.000 | -0.000 | 0.000 | 0.000 | -0.000 |
| 0.000 | -0.000 | -0.000 | -0.000 | 0.000 | -0.000 |
| 0.000 | -0.000 | -0.000 | -0.000 | 0.000 | 0.000 |
| 24.260 | 0.000 | 0.000 | 0.000 | -0.000 | -0.000 |
| 0.000 | 24.260 | 0.000 | 0.000 | -0.000 | -0.000 |
| 0.000 | 0.000 | 24.260 | -0.000 | 0.000 | 0.000 |
| 0.000 | -0.000 | 0.000 | 0.000 | -0.000 | 0.000 |
| -0.000 | 0.000 | 0.000 | 0.000 | 0.000 | 0.000 |
| -0.000 | 0.000 | 0.000 | 0.000 | -0.000 | 0.000 |
| 24.260 | -0.000 | -0.000 | -0.000 | 0.000 | -0.000 |
| -0.000 | 24.260 | -0.000 | -0.000 | 0.000 | 0.000 |
| -0.000 | -0.000 | 24.260 | 0.000 | -0.000 | -0.000 |
| -0.000 | 0.000 | -0.000 | 0.000 | 0.000 | -0.000 |
| 0.000 | -0.000 | -0.000 | -0.000 | 0.000 | -0.000 |
| 0.000 | -0.000 | -0.000 | -0.000 | 0.000 | 0.000 |
| 24.260 | 0.000 | 0.000 | 0.000 | -0.000 | 0.000 |
| 0.000 | 24.260 | 0.000 | 0.000 | -0.000 | -0.000 |
| 0.000 | 0.000 | 24.260 | -0.000 | -0.000 | 0.000 |
| 0.000 | -0.000 | 0.000 | 0.000 | -0.000 | -0.000 |
| -0.000 | 0.000 | 0.000 | -0.000 | 0.000 | 0.000 |
| -0.000 | 0.000 | 0.000 | 0.000 | -0.000 | 0.000 |
| 24.259 | -0.000 | -0.000 | -0.000 | 0.000 | -0.000 |
| -0.000 | 24.259 | -0.000 | -0.000 | 0.000 | 0.000 |
| -0.000 | -0.000 | 24.259 | -0.000 | 0.000 | -0.000 |
| -0.000 | -0.000 | -0.000 | 0.000 | 0.000 | -0.000 |
| -0.000 | -0.000 | -0.000 | -0.000 | 0.000 | -0.000 |
| -0.000 | -0.000 | -0.000 | -0.000 | 0.000 | 0.000 |
| 24.260 | 0.000 | 0.000 | 0.000 | -0.000 | 0.000 |
| 0.000 | 24.260 | 0.000 | 0.000 | -0.000 | 0.000 |
| 0.000 | 0.000 | 24.260 | 0.000 | -0.000 | -0.000 |
| 0.000 | 0.000 | 0.000 | 0.000 | 0.000 | -0.000 |
| -0.000 | 0.000 | 0.000 | 0.000 | 0.000 | 0.000 |
| 0.000 | 0.000 | 0.000 | 0.000 | -0.000 | 0.000 |
| 216.350 | 265.167 | 265.167 | -0.000 | -0.000 | 0.000 |
| 265.167 | 216.350 | 265.167 | -0.000 | -0.000 | -0.000 |
| 265.167 | 265.167 | 216.350 | 0.000 | 0.000 | 0.000 |
| -0.000 | -0.000 | -0.000 | 35.595 | -0.000 | -0.000 |
| -0.000 | -0.000 | -0.000 | -0.000 | 35.595 | -0.000 |
| -0.000 | -0.000 | -0.000 | -0.000 | -0.000 | 35.595 |
| 216.348 | 265.165 | 265.165 | 0.000 | 0.000 | 0.000 |
| 265.165 | 216.348 | 265.165 | 0.000 | -0.000 | 0.000 |
| 265.165 | 265.165 | 216.348 | 0.000 | 0.000 | 0.000 |
| 0.000 | 0.000 | 0.000 | 35.595 | -0.000 | 0.000 |
| 0.000 | 0.000 | 0.000 | 0.000 | 35.595 | 0.000 |
| 0.000 | 0.000 | 0.000 | 0.000 | 0.000 | 35.595 |
| 216.358 | 265.176 | 265.176 | -0.000 | -0.000 | -0.000 |
| 265.176 | 216.358 | 265.176 | 0.000 | 0.000 | 0.000 |
| 265.176 | 265.176 | 216.358 | -0.000 | -0.000 | -0.000 |
| 0.000 | 0.000 | 0.000 | 35.595 | -0.000 | -0.000 |
| 0.000 | 0.000 | 0.000 | 0.000 | 35.595 | 0.000 |
| 0.000 | 0.000 | 0.000 | 0.000 | 0.000 | 35.595 |
| 216.339 | 265.156 | 265.156 | 0.000 | -0.000 | 0.000 |
| 265.156 | 216.339 | 265.156 | 0.000 | 0.000 | -0.000 |
| 265.156 | 265.156 | 216.339 | 0.000 | -0.000 | -0.000 |
| -0.000 | -0.000 | -0.000 | 35.595 | 0.000 | 0.000 |
| -0.000 | -0.000 | -0.000 | 0.000 | 35.595 | -0.000 |
| -0.000 | -0.000 | -0.000 | 0.000 | 0.000 | 35.595 |
| 216.446 | 265.263 | 265.263 | -0.000 | -0.000 | 0.000 |
| 265.263 | 216.446 | 265.263 | -0.000 | -0.000 | -0.000 |
| 265.263 | 265.263 | 216.446 | -0.000 | 0.000 | -0.000 |
| 0.000 | 0.000 | 0.000 | 35.595 | -0.000 | 0.000 |
| 0.000 | 0.000 | 0.000 | 0.000 | 35.595 | -0.000 |
| 0.000 | 0.000 | 0.000 | -0.000 | 0.000 | 35.595 |
| 216.252 | 265.069 | 265.069 | 0.000 | 0.000 | -0.000 |
| 265.069 | 216.252 | 265.069 | 0.000 | -0.000 | 0.000 |
| 265.069 | 265.069 | 216.252 | 0.000 | -0.000 | -0.000 |
| -0.000 | -0.000 | -0.000 | 35.595 | -0.000 | 0.000 |
| -0.000 | -0.000 | -0.000 | 0.000 | 35.595 | 0.000 |
| -0.000 | -0.000 | -0.000 | 0.000 | 0.000 | 35.595 |
| 52.784 | 52.784 | 52.784 | 0.000 | 0.000 | -0.000 |
| 52.784 | 52.784 | 52.784 | 0.000 | 0.000 | -0.000 |
| 52.784 | 52.784 | 52.784 | 0.000 | 0.000 | 0.000 |
| -0.000 | -0.000 | -0.000 | 52.796 | 0.000 | -0.000 |
| -0.000 | -0.000 | -0.000 | 0.000 | 52.796 | -0.000 |
| -0.000 | -0.000 | -0.000 | 0.000 | 0.000 | 52.796 |
| 52.784 | 52.784 | 52.784 | -0.000 | -0.000 | -0.000 |
| 52.784 | 52.784 | 52.784 | -0.000 | -0.000 | -0.000 |
| 52.784 | 52.784 | 52.784 | -0.000 | -0.000 | -0.000 |
| 0.000 | 0.000 | 0.000 | 52.796 | -0.000 | 0.000 |
| 0.000 | 0.000 | 0.000 | -0.000 | 52.796 | 0.000 |
| 0.000 | 0.000 | 0.000 | -0.000 | -0.000 | 52.796 |
| 52.784 | 52.784 | 52.784 | 0.000 | -0.000 | 0.000 |
| 52.784 | 52.784 | 52.784 | -0.000 | 0.000 | 0.000 |
| 52.784 | 52.784 | 52.784 | 0.000 | 0.000 | 0.000 |
| -0.000 | -0.000 | -0.000 | 52.796 | 0.000 | 0.000 |
| -0.000 | -0.000 | -0.000 | 0.000 | 52.796 | 0.000 |
| -0.000 | -0.000 | -0.000 | 0.000 | 0.000 | 52.796 |
| 52.784 | 52.784 | 52.784 | -0.000 | -0.000 | -0.000 |
| 52.784 | 52.784 | 52.784 | -0.000 | -0.000 | -0.000 |
| 52.784 | 52.784 | 52.784 | -0.000 | -0.000 | -0.000 |
| 0.000 | 0.000 | 0.000 | 52.796 | -0.000 | -0.000 |
| 0.000 | 0.000 | 0.000 | -0.000 | 52.796 | -0.000 |
| 0.000 | 0.000 | 0.000 | -0.000 | -0.000 | 52.796 |
| 52.784 | 52.784 | 52.784 | 0.000 | 0.000 | 0.000 |
| 52.784 | 52.784 | 52.784 | 0.000 | 0.000 | 0.000 |
| 52.784 | 52.784 | 52.784 | 0.000 | 0.000 | 0.000 |
| -0.000 | -0.000 | -0.000 | 52.796 | 0.000 | -0.000 |
| -0.000 | -0.000 | -0.000 | 0.000 | 52.796 | -0.000 |
| -0.000 | -0.000 | -0.000 | 0.000 | 0.000 | 52.796 |
| 52.784 | 52.784 | 52.784 | -0.000 | -0.000 | 0.000 |
| 52.784 | 52.784 | 52.784 | -0.000 | -0.000 | 0.000 |
| 52.784 | 52.784 | 52.784 | -0.000 | -0.000 | -0.000 |
| 0.000 | 0.000 | 0.000 | 52.796 | -0.000 | 0.000 |
| 0.000 | 0.000 | 0.000 | -0.000 | 52.796 | 0.000 |
| 0.000 | 0.000 | 0.000 | -0.000 | -0.000 | 52.796 |
| 153.312 | 120.186 | 120.336 | 0.000 | -0.000 | -0.000 |
| 120.186 | 153.312 | 120.336 | 0.000 | -0.000 | -0.000 |
| 120.335 | 120.335 | 165.142 | -0.000 | 0.000 | 0.000 |
| 0.000 | 0.000 | 0.000 | 20.563 | -0.000 | -0.000 |
| 0.000 | 0.000 | 0.000 | 0.000 | 20.563 | -0.000 |
| -0.000 | 0.000 | 0.000 | 0.000 | -0.000 | 16.563 |
| 153.314 | 120.188 | 120.338 | -0.000 | 0.000 | -0.000 |
| 120.188 | 153.314 | 120.338 | 0.000 | 0.000 | 0.000 |
| 120.339 | 120.339 | 165.145 | -0.000 | 0.000 | 0.000 |
| -0.000 | -0.000 | -0.000 | 20.563 | 0.000 | 0.000 |
| -0.000 | -0.000 | -0.000 | -0.000 | 20.563 | 0.000 |
| 0.000 | -0.000 | -0.000 | 0.000 | 0.000 | 16.563 |
| 153.301 | 120.176 | 120.324 | 0.000 | -0.000 | -0.000 |
| 113.640 | 159.837 | 120.324 | -0.000 | -0.000 | 0.000 |
| 120.321 | 120.321 | 165.124 | 0.000 | -0.000 | -0.000 |
| 0.000 | 0.000 | 0.000 | 20.563 | -0.000 | -0.000 |
| 0.000 | 0.000 | 0.000 | 0.000 | 20.563 | 0.000 |
| 0.000 | 0.000 | 0.000 | -0.000 | -0.000 | 16.563 |
| 153.324 | 120.198 | 120.351 | 0.000 | 0.000 | 0.000 |
| 113.663 | 159.859 | 120.351 | 0.000 | 0.000 | -0.000 |
| 120.353 | 120.353 | 165.162 | -0.000 | -0.000 | -0.000 |
| -0.000 | -0.000 | -0.000 | 20.563 | 0.000 | -0.000 |
| -0.000 | -0.000 | -0.000 | -0.000 | 20.563 | -0.000 |
| -0.000 | -0.000 | -0.000 | 0.000 | 0.000 | 16.563 |
| 159.735 | 113.538 | 120.202 | -0.000 | -0.000 | 0.000 |
| 120.073 | 153.199 | 120.202 | -0.000 | -0.000 | -0.000 |
| 120.176 | 120.176 | 164.953 | 0.000 | -0.000 | 0.000 |
| 0.000 | 0.000 | 0.001 | 20.563 | -0.000 | 0.000 |
| 0.000 | 0.000 | 0.001 | -0.000 | 20.563 | 0.000 |
| 0.000 | 0.000 | 0.000 | -0.000 | -0.000 | 23.098 |
| 159.961 | 113.765 | 120.472 | 0.000 | 0.000 | -0.000 |
| 113.765 | 159.961 | 120.472 | -0.000 | 0.000 | -0.000 |
| 120.498 | 120.498 | 165.334 | -0.000 | 0.000 | -0.000 |
| -0.000 | -0.000 | -0.001 | 20.563 | 0.000 | 0.000 |
| -0.000 | -0.000 | -0.001 | -0.000 | 20.563 | -0.000 |
| -0.000 | -0.000 | -0.000 | -0.000 | 0.000 | 23.098 |
| 24.607 | 7.867 | 6.034 | -0.000 | -0.000 | -0.000 |
| 7.867 | 24.607 | 6.034 | -0.000 | -0.000 | -0.000 |
| 6.034 | 6.034 | 26.454 | 0.000 | 0.000 | -0.000 |
| -0.000 | -0.000 | -0.000 | 6.581 | 0.000 | -0.000 |
| -0.000 | -0.000 | -0.000 | -0.000 | 6.581 | 0.000 |
| -0.000 | -0.000 | -0.000 | -0.000 | -0.000 | 8.370 |
| 24.607 | 7.867 | 6.034 | 0.000 | -0.000 | 0.000 |
| 7.867 | 24.607 | 6.034 | 0.000 | 0.000 | 0.000 |
| 6.034 | 6.034 | 26.454 | -0.000 | -0.000 | 0.000 |
| 0.000 | 0.000 | 0.000 | 6.581 | 0.000 | 0.000 |
| 0.000 | 0.000 | 0.000 | 0.000 | 6.581 | 0.000 |
| 0.000 | 0.000 | 0.000 | 0.000 | 0.000 | 8.370 |
| 24.607 | 7.867 | 6.034 | -0.000 | -0.000 | 0.000 |
| 8.225 | 24.249 | 6.034 | -0.000 | -0.000 | -0.000 |
| 6.034 | 6.034 | 26.454 | 0.000 | -0.000 | -0.000 |
| -0.000 | -0.000 | -0.000 | 6.581 | 0.000 | -0.000 |
| -0.000 | -0.000 | -0.000 | -0.000 | 6.581 | -0.000 |
| -0.000 | -0.000 | -0.000 | -0.000 | 0.000 | 8.370 |
| 24.028 | 8.447 | 6.034 | 0.000 | 0.000 | 0.000 |
| 8.225 | 24.249 | 6.034 | 0.000 | -0.000 | 0.000 |
| 6.034 | 6.034 | 26.454 | 0.000 | 0.000 | 0.000 |
| 0.000 | 0.000 | 0.000 | 6.581 | 0.000 | 0.000 |
| 0.000 | 0.000 | 0.000 | 0.000 | 6.581 | 0.000 |
| 0.000 | 0.000 | 0.000 | 0.000 | 0.000 | 8.370 |
| 24.249 | 8.225 | 6.034 | -0.000 | 0.000 | -0.000 |
| 7.867 | 24.607 | 6.034 | -0.000 | -0.000 | -0.000 |
| 6.034 | 6.034 | 26.454 | 0.000 | 0.000 | -0.000 |
| -0.000 | -0.000 | -0.000 | 6.581 | 0.000 | -0.000 |
| -0.000 | -0.000 | -0.000 | 0.000 | 6.581 | -0.000 |
| -0.000 | -0.000 | -0.000 | -0.000 | -0.000 | 8.370 |
| 24.608 | 7.867 | 6.034 | 0.000 | 0.000 | 0.000 |
| 7.867 | 24.608 | 6.034 | 0.000 | 0.000 | 0.000 |
| 6.035 | 6.035 | 26.455 | -0.000 | -0.000 | 0.000 |
| 0.000 | 0.000 | 0.000 | 6.581 | -0.000 | 0.000 |
| 0.000 | 0.000 | 0.000 | 0.000 | 6.581 | -0.000 |
| 0.000 | 0.000 | 0.000 | 0.000 | 0.000 | 8.370 |
| 25.073 | 8.010 | 6.128 | -0.000 | 0.000 | 0.000 |
| 8.010 | 25.073 | 6.128 | 0.000 | -0.000 | 0.000 |
| 6.126 | 6.126 | 26.856 | 0.000 | 0.000 | -0.000 |
| -0.000 | -0.000 | -0.000 | 6.690 | 0.000 | 0.000 |
| -0.000 | -0.000 | -0.000 | 0.000 | 6.690 | 0.000 |
| -0.000 | -0.000 | -0.000 | 0.000 | -0.000 | 8.531 |
| 25.073 | 8.010 | 6.128 | 0.000 | -0.000 | 0.000 |
| 8.010 | 25.073 | 6.128 | -0.000 | 0.000 | -0.000 |
| 6.126 | 6.126 | 26.856 | -0.000 | -0.000 | -0.000 |
| 0.000 | 0.000 | 0.000 | 6.690 | -0.000 | -0.000 |
| 0.000 | 0.000 | 0.000 | -0.000 | 6.690 | 0.000 |
| 0.000 | 0.000 | 0.000 | -0.000 | 0.000 | 8.531 |
| 24.704 | 8.378 | 6.128 | 0.000 | 0.000 | -0.000 |
| 8.010 | 25.073 | 6.128 | 0.000 | -0.000 | 0.000 |
| 6.126 | 6.126 | 26.856 | 0.000 | 0.000 | -0.000 |
| -0.000 | -0.000 | -0.000 | 6.690 | 0.000 | 0.000 |
| -0.000 | -0.000 | -0.000 | 0.000 | 6.690 | -0.000 |
| -0.000 | -0.000 | -0.000 | 0.000 | -0.000 | 8.531 |
| 25.073 | 8.010 | 6.128 | -0.000 | 0.000 | -0.000 |
| 8.010 | 25.073 | 6.128 | -0.000 | 0.000 | -0.000 |
| 6.126 | 6.126 | 26.856 | -0.000 | -0.000 | -0.000 |
| 0.000 | 0.000 | 0.000 | 6.690 | -0.000 | -0.000 |
| 0.000 | 0.000 | 0.000 | 0.000 | 6.690 | -0.000 |
| 0.000 | 0.000 | 0.000 | 0.000 | -0.000 | 8.531 |
| 25.072 | 8.010 | 6.128 | 0.000 | -0.000 | 0.000 |
| 8.010 | 25.072 | 6.128 | 0.000 | 0.000 | 0.000 |
| 6.126 | 6.126 | 26.855 | 0.000 | 0.000 | 0.000 |
| -0.000 | -0.000 | -0.000 | 6.690 | 0.000 | -0.000 |
| -0.000 | -0.000 | -0.000 | 0.000 | 6.690 | -0.000 |
| -0.000 | -0.000 | -0.000 | 0.000 | 0.000 | 8.163 |
| 24.705 | 8.379 | 6.128 | 0.000 | -0.000 | 0.000 |
| 8.010 | 25.073 | 6.128 | 0.000 | 0.000 | -0.000 |
| 6.127 | 6.127 | 26.856 | -0.000 | -0.000 | -0.000 |
| 0.000 | 0.000 | 0.000 | 6.690 | -0.000 | 0.000 |
| 0.000 | 0.000 | 0.000 | -0.000 | 6.690 | -0.000 |
| 0.000 | 0.000 | 0.000 | -0.000 | -0.000 | 8.163 |
| 153.646 | 51.202 | 40.956 | 0.000 | 0.000 | 0.000 |
| 51.202 | 153.646 | 40.956 | 0.000 | 0.000 | 0.000 |
| 40.956 | 40.956 | 163.892 | -0.000 | 0.000 | 0.000 |
| 0.000 | -0.000 | -0.000 | 40.975 | -0.000 | 0.000 |
| -0.000 | -0.000 | -0.000 | 0.000 | 40.975 | 0.000 |
| -0.000 | -0.000 | -0.000 | 0.000 | -0.000 | 46.098 |
| 153.646 | 51.202 | 40.956 | -0.000 | 0.000 | -0.000 |
| 51.202 | 153.646 | 40.956 | -0.000 | 0.000 | -0.000 |
| 40.956 | 40.956 | 163.892 | -0.000 | -0.000 | -0.000 |
| 0.000 | 0.000 | 0.000 | 40.975 | 0.000 | -0.000 |
| 0.000 | 0.000 | 0.000 | -0.000 | 40.975 | 0.000 |
| 0.000 | 0.000 | 0.000 | -0.000 | 0.000 | 46.098 |
| 148.522 | 56.326 | 40.956 | 0.000 | -0.000 | 0.000 |
| 56.326 | 148.522 | 40.956 | 0.000 | -0.000 | 0.000 |
| 40.956 | 40.956 | 163.892 | 0.000 | 0.000 | 0.000 |
| -0.000 | -0.000 | -0.000 | 40.975 | -0.000 | 0.000 |
| -0.000 | -0.000 | -0.000 | 0.000 | 40.975 | 0.000 |
| -0.000 | -0.000 | -0.000 | 0.000 | -0.000 | 46.098 |
| 148.522 | 56.326 | 40.956 | -0.000 | 0.000 | -0.000 |
| 56.326 | 148.522 | 40.956 | -0.000 | 0.000 | -0.000 |
| 40.956 | 40.956 | 163.892 | -0.000 | -0.000 | -0.000 |
| 0.000 | 0.000 | 0.000 | 40.975 | 0.000 | -0.000 |
| 0.000 | 0.000 | 0.000 | -0.000 | 40.975 | -0.000 |
| 0.000 | 0.000 | 0.000 | -0.000 | 0.000 | 46.098 |
| 148.521 | 56.326 | 40.956 | 0.000 | -0.000 | 0.000 |
| 56.326 | 148.521 | 40.956 | 0.000 | -0.000 | 0.000 |
| 40.956 | 40.956 | 163.891 | -0.000 | 0.000 | 0.000 |
| -0.000 | -0.000 | -0.000 | 40.975 | -0.000 | 0.000 |
| -0.000 | -0.000 | -0.000 | 0.000 | 40.975 | 0.000 |
| -0.000 | -0.000 | -0.000 | 0.000 | -0.000 | 46.098 |
| 148.524 | 56.326 | 40.956 | -0.000 | 0.000 | -0.000 |
| 56.327 | 148.523 | 40.956 | -0.000 | 0.000 | -0.000 |
| 40.957 | 40.957 | 163.894 | -0.000 | -0.000 | -0.000 |
| 0.000 | 0.000 | 0.000 | 40.975 | 0.000 | -0.000 |
| 0.000 | 0.000 | 0.000 | -0.000 | 40.975 | -0.000 |
| 0.000 | 0.000 | 0.000 | -0.000 | 0.000 | 46.098 |
| 117.997 | 72.573 | 70.105 | -0.000 | 0.000 | 0.000 |
| 72.573 | 117.997 | 70.105 | -0.000 | 0.000 | 0.000 |
| 70.105 | 70.105 | 145.828 | -0.000 | 0.000 | 0.000 |
| 0.000 | 0.000 | 0.000 | 35.185 | -0.000 | -0.000 |
| 0.000 | -0.000 | 0.000 | -0.000 | 35.185 | 0.000 |
| 0.000 | -0.000 | 0.000 | -0.000 | 0.000 | 22.712 |
| 126.309 | 64.259 | 70.104 | 0.000 | 0.000 | 0.000 |
| 72.572 | 117.996 | 70.104 | 0.000 | -0.000 | -0.000 |
| 70.104 | 70.104 | 145.827 | 0.000 | -0.000 | -0.000 |
| -0.000 | 0.000 | -0.000 | 35.185 | -0.000 | 0.000 |
| -0.000 | 0.000 | -0.000 | 0.000 | 35.185 | -0.000 |
| -0.000 | 0.000 | -0.000 | 0.000 | -0.000 | 22.712 |
| 118.002 | 72.578 | 70.110 | -0.000 | -0.000 | 0.000 |
| 72.578 | 118.002 | 70.110 | -0.000 | 0.000 | 0.000 |
| 70.110 | 70.110 | 145.833 | -0.000 | -0.000 | -0.000 |
| 0.000 | 0.000 | 0.000 | 35.185 | 0.000 | 0.000 |
| 0.000 | 0.000 | 0.000 | -0.000 | 35.185 | 0.000 |
| -0.000 | 0.000 | 0.000 | -0.000 | 0.000 | 22.712 |
| 126.304 | 64.254 | 70.099 | 0.000 | -0.000 | 0.000 |
| 72.567 | 117.991 | 70.099 | 0.000 | 0.000 | -0.000 |
| 70.100 | 70.100 | 145.822 | 0.000 | -0.000 | -0.000 |
| -0.000 | -0.000 | -0.000 | 35.185 | -0.000 | -0.000 |
| -0.000 | -0.000 | -0.000 | 0.000 | 35.185 | -0.000 |
| 0.000 | -0.000 | -0.000 | 0.000 | -0.000 | 22.712 |
| 126.364 | 64.314 | 70.158 | -0.000 | -0.000 | -0.000 |
| 72.627 | 118.051 | 70.157 | -0.000 | 0.000 | 0.000 |
| 70.156 | 70.156 | 145.880 | -0.000 | -0.000 | 0.000 |
| 0.000 | 0.000 | 0.001 | 35.185 | 0.000 | 0.000 |
| 0.000 | 0.000 | 0.001 | -0.000 | 35.185 | 0.000 |
| -0.000 | 0.000 | 0.000 | -0.000 | 0.000 | 31.025 |
| 117.942 | 72.518 | 70.052 | 0.000 | -0.000 | -0.000 |
| 64.205 | 126.255 | 70.052 | 0.000 | 0.000 | -0.000 |
| 70.053 | 70.053 | 145.775 | -0.000 | -0.000 | 0.000 |
| -0.000 | -0.000 | -0.001 | 35.185 | -0.000 | -0.000 |
| -0.000 | -0.000 | -0.001 | 0.000 | 35.185 | -0.000 |
| 0.000 | -0.000 | -0.000 | 0.000 | -0.000 | 31.025 |
| 23.876 | 8.601 | 6.035 | 0.000 | 0.000 | 0.000 |
| 7.913 | 24.564 | 6.035 | 0.000 | 0.000 | 0.000 |
| 6.035 | 6.035 | 26.458 | 0.000 | 0.000 | 0.000 |
| -0.000 | -0.000 | -0.000 | 6.536 | 0.000 | 0.000 |
| -0.000 | -0.000 | -0.000 | 0.000 | 6.536 | 0.000 |
| -0.000 | -0.000 | -0.000 | -0.000 | 0.000 | 8.326 |
| 24.564 | 7.913 | 6.035 | 0.000 | -0.000 | -0.000 |
| 7.913 | 24.564 | 6.035 | -0.000 | -0.000 | -0.000 |
| 6.035 | 6.035 | 26.458 | -0.000 | -0.000 | -0.000 |
| 0.000 | 0.000 | 0.000 | 6.536 | -0.000 | -0.000 |
| 0.000 | 0.000 | 0.000 | 0.000 | 6.536 | 0.000 |
| 0.000 | 0.000 | 0.000 | -0.000 | -0.000 | 8.326 |
| 24.564 | 7.912 | 6.035 | -0.000 | 0.000 | 0.000 |
| 7.912 | 24.564 | 6.035 | 0.000 | 0.000 | 0.000 |
| 6.035 | 6.035 | 26.458 | -0.000 | 0.000 | 0.000 |
| -0.000 | -0.000 | -0.000 | 6.536 | 0.000 | 0.000 |
| -0.000 | -0.000 | -0.000 | 0.000 | 6.536 | 0.000 |
| -0.000 | -0.000 | -0.000 | -0.000 | 0.000 | 7.637 |
| 24.564 | 7.913 | 6.035 | 0.000 | -0.000 | -0.000 |
| 8.601 | 23.876 | 6.035 | 0.000 | -0.000 | -0.000 |
| 6.035 | 6.035 | 26.458 | -0.000 | -0.000 | -0.000 |
| 0.000 | 0.000 | 0.000 | 6.536 | -0.000 | -0.000 |
| 0.000 | 0.000 | 0.000 | 0.000 | 6.536 | -0.000 |
| 0.000 | 0.000 | 0.000 | 0.000 | -0.000 | 7.637 |
| 24.563 | 7.912 | 6.035 | 0.000 | 0.000 | 0.000 |
| 7.912 | 24.563 | 6.035 | -0.000 | 0.000 | 0.000 |
| 6.035 | 6.035 | 26.457 | 0.000 | 0.000 | 0.000 |
| -0.000 | -0.000 | -0.000 | 6.536 | 0.000 | 0.000 |
| -0.000 | -0.000 | -0.000 | 0.000 | 6.536 | 0.000 |
| -0.000 | -0.000 | -0.000 | -0.000 | 0.000 | 7.637 |
| 24.564 | 7.913 | 6.035 | 0.000 | -0.000 | -0.000 |
| 8.601 | 23.876 | 6.035 | 0.000 | -0.000 | -0.000 |
| 6.035 | 6.035 | 26.458 | 0.000 | -0.000 | -0.000 |
| 0.000 | 0.000 | 0.000 | 6.536 | -0.000 | -0.000 |
| 0.000 | 0.000 | 0.000 | -0.000 | 6.536 | -0.000 |
| 0.000 | 0.000 | 0.000 | -0.000 | -0.000 | 7.637 |
| 148.522 | 56.326 | 40.956 | -0.000 | -0.000 | 0.000 |
| 56.326 | 148.522 | 40.956 | -0.000 | -0.000 | 0.000 |
| 40.956 | 40.956 | 163.892 | -0.000 | 0.000 | 0.000 |
| -0.000 | -0.000 | -0.000 | 40.975 | -0.000 | 0.000 |
| -0.000 | 0.000 | -0.000 | 0.000 | 40.975 | 0.000 |
| -0.000 | -0.000 | 0.000 | -0.000 | 0.000 | 46.098 |
| 148.522 | 56.326 | 40.956 | 0.000 | 0.000 | -0.000 |
| 56.326 | 148.522 | 40.956 | 0.000 | 0.000 | -0.000 |
| 40.956 | 40.956 | 163.892 | 0.000 | 0.000 | -0.000 |
| 0.000 | 0.000 | 0.000 | 40.975 | 0.000 | -0.000 |
| 0.000 | -0.000 | 0.000 | -0.000 | 40.975 | 0.000 |
| 0.000 | 0.000 | -0.000 | 0.000 | -0.000 | 46.098 |
| 148.522 | 56.326 | 40.956 | -0.000 | -0.000 | 0.000 |
| 56.326 | 148.522 | 40.956 | -0.000 | -0.000 | 0.000 |
| 40.956 | 40.956 | 163.892 | -0.000 | 0.000 | 0.000 |
| -0.000 | -0.000 | -0.000 | 40.975 | -0.000 | 0.000 |
| -0.000 | -0.000 | -0.000 | -0.000 | 40.975 | 0.000 |
| -0.000 | -0.000 | -0.000 | -0.000 | 0.000 | 46.098 |
| 153.647 | 51.202 | 40.956 | 0.000 | -0.000 | 0.000 |
| 56.326 | 148.522 | 40.956 | 0.000 | 0.000 | -0.000 |
| 40.956 | 40.956 | 163.892 | 0.000 | 0.000 | -0.000 |
| 0.000 | 0.000 | 0.000 | 40.975 | 0.000 | -0.000 |
| 0.000 | 0.000 | 0.000 | 0.000 | 40.975 | -0.000 |
| 0.000 | 0.000 | 0.000 | 0.000 | -0.000 | 46.098 |
| 148.521 | 56.326 | 40.956 | -0.000 | 0.000 | 0.000 |
| 56.326 | 148.521 | 40.956 | -0.000 | -0.000 | 0.000 |
| 40.956 | 40.956 | 163.891 | -0.000 | 0.000 | 0.000 |
| -0.000 | -0.000 | -0.000 | 40.975 | -0.000 | 0.000 |
| -0.000 | -0.000 | -0.000 | -0.000 | 40.975 | 0.000 |
| -0.000 | -0.000 | -0.000 | -0.000 | 0.000 | 46.098 |
| 148.524 | 56.326 | 40.956 | 0.000 | -0.000 | -0.000 |
| 56.327 | 148.523 | 40.956 | 0.000 | 0.000 | -0.000 |
| 40.957 | 40.957 | 163.894 | 0.000 | 0.000 | -0.000 |
| 0.000 | 0.000 | 0.000 | 40.975 | 0.000 | -0.000 |
| 0.000 | 0.000 | 0.000 | 0.000 | 40.975 | -0.000 |
| 0.000 | 0.000 | 0.000 | 0.000 | -0.000 | 46.098 |
| 43.191 | 49.684 | 49.684 | -0.000 | -0.000 | -0.000 |
| 49.684 | 43.191 | 49.684 | -0.000 | -0.000 | -0.000 |
| 49.684 | 49.684 | 43.191 | -0.000 | -0.000 | -0.000 |
| 0.000 | 0.000 | -0.000 | 38.304 | 0.000 | -0.000 |
| -0.000 | 0.000 | 0.000 | 0.000 | 38.304 | -0.000 |
| -0.000 | 0.000 | 0.000 | 0.000 | -0.000 | 38.304 |
| 43.193 | 49.684 | 49.684 | 0.000 | 0.000 | 0.000 |
| 49.684 | 43.193 | 49.684 | 0.000 | 0.000 | 0.000 |
| 49.684 | 49.684 | 43.193 | 0.000 | 0.000 | 0.000 |
| -0.000 | -0.000 | 0.000 | 38.304 | 0.000 | -0.000 |
| 0.000 | -0.000 | -0.000 | 0.000 | 38.304 | 0.000 |
| 0.000 | -0.000 | -0.000 | 0.000 | 0.000 | 38.304 |
| 43.182 | 49.685 | 49.685 | -0.000 | -0.000 | -0.000 |
| 49.685 | 43.182 | 49.685 | -0.000 | -0.000 | -0.000 |
| 49.685 | 49.685 | 43.182 | -0.000 | -0.000 | -0.000 |
| 0.000 | -0.000 | 0.000 | 38.304 | 0.000 | -0.000 |
| -0.000 | 0.000 | 0.000 | 0.000 | 38.304 | 0.000 |
| -0.000 | 0.000 | 0.000 | 0.000 | -0.000 | 38.304 |
| 43.202 | 49.684 | 49.684 | -0.000 | 0.000 | 0.000 |
| 49.684 | 43.202 | 49.684 | 0.000 | -0.000 | 0.000 |
| 49.684 | 49.684 | 43.202 | 0.000 | 0.000 | -0.000 |
| -0.000 | 0.000 | -0.000 | 38.304 | -0.000 | -0.000 |
| 0.000 | -0.000 | -0.000 | -0.000 | 38.304 | 0.000 |
| 0.000 | -0.000 | -0.000 | -0.000 | 0.000 | 38.304 |
| 43.096 | 49.689 | 49.689 | -0.000 | -0.000 | -0.000 |
| 49.689 | 43.096 | 49.689 | -0.000 | -0.000 | -0.000 |
| 49.689 | 49.689 | 43.096 | -0.000 | -0.000 | 0.000 |
| -0.000 | -0.000 | -0.000 | -5.467 | -0.000 | -0.000 |
| -0.000 | -0.000 | -0.000 | -0.000 | -5.467 | -0.000 |
| -0.000 | -0.000 | -0.000 | -0.000 | -0.000 | -5.467 |
| 43.288 | 49.679 | 49.679 | -0.000 | 0.000 | 0.000 |
| 49.679 | 43.288 | 49.679 | 0.000 | -0.000 | 0.000 |
| 49.679 | 49.679 | 43.288 | 0.000 | 0.000 | -0.000 |
| 0.000 | 0.000 | 0.000 | -5.467 | 0.000 | 0.000 |
| 0.000 | 0.000 | 0.000 | 0.000 | -5.467 | 0.000 |
| 0.000 | 0.000 | 0.000 | 0.000 | 0.000 | -5.467 |
| 3.040 | 3.012 | 3.012 | -0.000 | -0.000 | -0.000 |
| 3.012 | 3.040 | 3.012 | -0.000 | -0.000 | -0.000 |
| 3.012 | 3.012 | 3.040 | -0.000 | -0.000 | -0.000 |
| -0.000 | -0.000 | -0.000 | 0.014 | -0.000 | 0.000 |
| -0.000 | -0.000 | -0.000 | -0.000 | 0.014 | 0.000 |
| -0.000 | -0.000 | -0.000 | 0.000 | 0.000 | 0.014 |
| 3.040 | 3.012 | 3.012 | 0.000 | 0.000 | 0.000 |
| 3.012 | 3.040 | 3.012 | 0.000 | 0.000 | 0.000 |
| 3.012 | 3.012 | 3.040 | 0.000 | 0.000 | 0.000 |
| 0.000 | 0.000 | 0.000 | 0.014 | -0.000 | -0.000 |
| 0.000 | 0.000 | 0.000 | -0.000 | 0.014 | -0.000 |
| 0.000 | 0.000 | 0.000 | -0.000 | -0.000 | 0.014 |
| 3.040 | 3.012 | 3.012 | -0.000 | -0.000 | -0.000 |
| 3.012 | 3.040 | 3.012 | -0.000 | -0.000 | -0.000 |
| 3.012 | 3.012 | 3.040 | -0.000 | -0.000 | -0.000 |
| -0.000 | -0.000 | -0.000 | 0.014 | -0.000 | 0.000 |
| -0.000 | -0.000 | -0.000 | -0.000 | 0.014 | 0.000 |
| -0.000 | -0.000 | -0.000 | -0.000 | 0.000 | 0.014 |
| 3.040 | 3.013 | 3.013 | 0.000 | 0.000 | 0.000 |
| 3.013 | 3.040 | 3.013 | 0.000 | 0.000 | 0.000 |
| 3.013 | 3.013 | 3.040 | 0.000 | 0.000 | 0.000 |
| 0.000 | 0.000 | 0.000 | 0.014 | 0.000 | -0.000 |
| 0.000 | 0.000 | 0.000 | 0.000 | 0.014 | -0.000 |
| 0.000 | 0.000 | 0.000 | 0.000 | -0.000 | 0.014 |
| 3.040 | 3.012 | 3.012 | -0.000 | -0.000 | -0.000 |
| 3.012 | 3.040 | 3.012 | -0.000 | -0.000 | -0.000 |
| 3.012 | 3.012 | 3.040 | -0.000 | -0.000 | -0.000 |
| -0.000 | -0.000 | -0.000 | 0.014 | 0.000 | 0.000 |
| -0.000 | -0.000 | -0.000 | 0.000 | 0.014 | 0.000 |
| -0.000 | -0.000 | -0.000 | 0.000 | 0.000 | 0.014 |
| 3.040 | 3.013 | 3.013 | 0.000 | 0.000 | 0.000 |
| 3.013 | 3.040 | 3.013 | 0.000 | 0.000 | 0.000 |
| 3.013 | 3.013 | 3.040 | 0.000 | 0.000 | 0.000 |
| 0.000 | 0.000 | 0.000 | 0.014 | -0.000 | -0.000 |
| 0.000 | 0.000 | 0.000 | -0.000 | 0.014 | -0.000 |
| 0.000 | 0.000 | 0.000 | -0.000 | -0.000 | 0.014 |
| 13.758 | 13.758 | 13.758 | -0.000 | -0.000 | -0.000 |
| 13.758 | 13.758 | 13.758 | -0.000 | -0.000 | -0.000 |
| 13.758 | 13.758 | 13.758 | -0.000 | -0.000 | -0.000 |
| -0.000 | -0.000 | -0.000 | 0.000 | -0.000 | -0.000 |
| -0.000 | -0.000 | -0.000 | -0.000 | 0.000 | -0.000 |
| -0.000 | -0.000 | -0.000 | -0.000 | -0.000 | 0.000 |
| 13.758 | 13.758 | 13.758 | 0.000 | 0.000 | 0.000 |
| 13.758 | 13.758 | 13.758 | 0.000 | 0.000 | 0.000 |
| 13.758 | 13.758 | 13.758 | 0.000 | 0.000 | 0.000 |
| 0.000 | 0.000 | 0.000 | 0.000 | 0.000 | 0.000 |
| 0.000 | 0.000 | 0.000 | 0.000 | 0.000 | 0.000 |
| 0.000 | 0.000 | 0.000 | 0.000 | 0.000 | 0.000 |
| 13.758 | 13.758 | 13.758 | -0.000 | -0.000 | -0.000 |
| 13.758 | 13.758 | 13.758 | -0.000 | -0.000 | -0.000 |
| 13.758 | 13.758 | 13.758 | -0.000 | -0.000 | -0.000 |
| -0.000 | -0.000 | -0.000 | -0.001 | -0.000 | -0.000 |
| -0.000 | -0.000 | -0.000 | -0.000 | -0.001 | -0.000 |
| -0.000 | -0.000 | -0.000 | -0.000 | -0.000 | -0.001 |
| 13.758 | 13.758 | 13.758 | 0.000 | 0.000 | 0.000 |
| 13.758 | 13.758 | 13.758 | 0.000 | 0.000 | 0.000 |
| 13.758 | 13.758 | 13.758 | 0.000 | 0.000 | 0.000 |
| 0.000 | 0.000 | 0.000 | -0.001 | 0.000 | 0.000 |
| 0.000 | 0.000 | 0.000 | 0.000 | -0.001 | 0.000 |
| 0.000 | 0.000 | 0.000 | 0.000 | 0.000 | -0.001 |
| 13.754 | 13.754 | 13.754 | -0.000 | -0.000 | -0.000 |
| 13.754 | 13.754 | 13.754 | -0.000 | -0.000 | -0.000 |
| 13.754 | 13.754 | 13.754 | -0.000 | -0.000 | -0.000 |
| -0.000 | -0.000 | -0.000 | -0.002 | -0.000 | -0.000 |
| -0.000 | -0.000 | -0.000 | -0.000 | -0.002 | -0.000 |
| -0.000 | -0.000 | -0.000 | -0.000 | -0.000 | -0.002 |
| 13.758 | 13.758 | 13.758 | 0.000 | 0.000 | 0.000 |
| 13.758 | 13.758 | 13.758 | 0.000 | 0.000 | 0.000 |
| 13.758 | 13.758 | 13.758 | 0.000 | 0.000 | 0.000 |
| 0.000 | 0.000 | 0.000 | -0.002 | 0.000 | 0.000 |
| 0.000 | 0.000 | 0.000 | 0.000 | -0.002 | 0.000 |
| 0.000 | 0.000 | 0.000 | 0.000 | 0.000 | -0.002 |
| 214.295 | 38.026 | 61.753 | -0.000 | 0.000 | 0.000 |
| 38.026 | 214.295 | 61.753 | -0.000 | -0.000 | 0.000 |
| 61.753 | 61.753 | 295.832 | -0.000 | 0.000 | -0.000 |
| 0.000 | -0.000 | -0.000 | 10.003 | 0.000 | -0.000 |
| -0.000 | 0.000 | -0.000 | -0.000 | 10.003 | 0.000 |
| -0.000 | -0.000 | -0.000 | 0.000 | 0.000 | -2.298 |
| 45.234 | 207.087 | 61.752 | -0.000 | -0.000 | -0.000 |
| 207.087 | 45.234 | 61.752 | 0.000 | -0.000 | 0.000 |
| 61.752 | 61.752 | 295.831 | 0.000 | -0.000 | 0.000 |
| -0.000 | 0.000 | 0.000 | 10.003 | -0.000 | 0.000 |
| 0.000 | -0.000 | 0.000 | 0.000 | 10.003 | 0.000 |
| 0.000 | 0.000 | -0.000 | -0.000 | 0.000 | -2.298 |
| 214.297 | 38.028 | 61.755 | 0.000 | -0.000 | -0.000 |
| 38.028 | 214.297 | 61.755 | -0.000 | 0.000 | -0.000 |
| 61.756 | 61.756 | 295.835 | 0.000 | 0.000 | -0.000 |
| -0.000 | -0.000 | -0.000 | -4.346 | -0.000 | -0.000 |
| -0.000 | -0.000 | -0.000 | 0.000 | -4.346 | -0.000 |
| -0.000 | -0.000 | 0.000 | -0.000 | 0.000 | -2.298 |
| 214.293 | 38.024 | 61.750 | 0.000 | 0.000 | 0.000 |
| 38.024 | 214.293 | 61.750 | -0.000 | -0.000 | 0.000 |
| 61.750 | 61.750 | 295.827 | 0.000 | 0.000 | 0.000 |
| 0.000 | 0.000 | 0.000 | -4.346 | -0.000 | 0.000 |
| 0.000 | 0.000 | 0.000 | 0.000 | -4.346 | 0.000 |
| 0.000 | 0.000 | -0.000 | 0.000 | -0.000 | -2.298 |
| 45.248 | 207.105 | 61.774 | 0.000 | -0.000 | -0.000 |
| 207.105 | 45.248 | 61.774 | -0.000 | 0.000 | -0.000 |
| 61.783 | 61.783 | 295.871 | -0.000 | 0.000 | -0.000 |
| -0.000 | -0.000 | -0.000 | -4.346 | -0.000 | -0.000 |
| -0.000 | -0.000 | -0.000 | -0.000 | -4.346 | -0.000 |
| -0.000 | -0.000 | 0.000 | 0.000 | -0.000 | -2.298 |
| 45.221 | 207.068 | 61.731 | -0.000 | 0.000 | 0.000 |
| 207.068 | 45.221 | 61.731 | 0.000 | -0.000 | -0.000 |
| 61.722 | 61.722 | 295.792 | 0.000 | 0.000 | 0.000 |
| 0.000 | 0.000 | 0.000 | -4.346 | 0.000 | -0.000 |
| 0.000 | 0.000 | 0.000 | 0.000 | -4.346 | 0.000 |
| 0.000 | 0.000 | -0.000 | -0.000 | 0.000 | -2.298 |
| 59.069 | 15.798 | 31.371 | 0.000 | -0.000 | 0.000 |
| 15.798 | 59.069 | 31.371 | 0.000 | 0.000 | 0.000 |
| 31.371 | 31.371 | 65.328 | -0.000 | -0.000 | 0.000 |
| -0.000 | 0.000 | -0.000 | 17.792 | 0.000 | -0.000 |
| 0.000 | -0.000 | -0.000 | 0.000 | 17.792 | 0.000 |
| -0.000 | -0.000 | -0.000 | -0.000 | -0.000 | 0.029 |
| 59.069 | 15.798 | 31.371 | -0.000 | -0.000 | 0.000 |
| 15.798 | 59.069 | 31.371 | 0.000 | -0.000 | -0.000 |
| 31.371 | 31.371 | 65.328 | 0.000 | 0.000 | -0.000 |
| 0.000 | -0.000 | 0.000 | 17.792 | -0.000 | -0.000 |
| -0.000 | 0.000 | 0.000 | -0.000 | 17.792 | -0.000 |
| 0.000 | 0.000 | 0.000 | 0.000 | 0.000 | 0.029 |
| 59.069 | 15.798 | 31.371 | 0.000 | 0.000 | -0.000 |
| 15.798 | 59.069 | 31.371 | 0.000 | 0.000 | 0.000 |
| 31.371 | 31.371 | 65.328 | -0.000 | -0.000 | 0.000 |
| -0.000 | 0.000 | -0.000 | 17.792 | 0.000 | 0.000 |
| 0.000 | -0.000 | -0.000 | 0.000 | 17.792 | -0.000 |
| -0.000 | -0.000 | -0.000 | -0.000 | -0.000 | 0.029 |
| 59.069 | 15.798 | 31.371 | -0.000 | -0.000 | -0.000 |
| 15.798 | 59.069 | 31.371 | -0.000 | -0.000 | -0.000 |
| 31.371 | 31.371 | 65.328 | 0.000 | 0.000 | -0.000 |
| 0.000 | -0.000 | 0.000 | 17.792 | -0.000 | 0.000 |
| -0.000 | 0.000 | 0.000 | -0.000 | 17.792 | 0.000 |
| 0.000 | 0.000 | 0.000 | 0.000 | 0.000 | 0.029 |
| 59.069 | 15.798 | 31.371 | 0.000 | 0.000 | 0.000 |
| 15.798 | 59.069 | 31.371 | 0.000 | 0.000 | 0.000 |
| 31.371 | 31.371 | 65.328 | -0.000 | -0.000 | 0.000 |
| -0.000 | 0.000 | -0.000 | 17.792 | 0.000 | 0.000 |
| 0.000 | -0.000 | -0.000 | 0.000 | 17.792 | 0.000 |
| -0.000 | -0.000 | -0.000 | 0.000 | 0.000 | 0.029 |
| 59.069 | 15.798 | 31.372 | -0.000 | -0.000 | 0.000 |
| 15.798 | 59.069 | 31.372 | -0.000 | -0.000 | -0.000 |
| 31.372 | 31.372 | 65.328 | 0.000 | 0.000 | -0.000 |
| 0.000 | -0.000 | 0.000 | 17.792 | -0.000 | 0.000 |
| -0.000 | 0.000 | 0.000 | -0.000 | 17.792 | -0.000 |
| 0.000 | 0.000 | 0.000 | -0.000 | -0.000 | 0.029 |
| -42.106 | -0.074 | -3.241 | 0.000 | -0.000 | -0.000 |
| -0.074 | -42.106 | -3.241 | -0.000 | -0.000 | -0.000 |
| -3.241 | -3.241 | 115.260 | -0.000 | -0.000 | 0.000 |
| -0.000 | 0.000 | -0.000 | -3.223 | -0.000 | -0.000 |
| 0.000 | 0.000 | -0.000 | 0.000 | -3.223 | 0.000 |
| 0.000 | 0.000 | -0.000 | 0.000 | -0.000 | 0.001 |
| -42.106 | -0.074 | -3.241 | -0.000 | 0.000 | 0.000 |
| -0.074 | -42.106 | -3.241 | 0.000 | 0.000 | -0.000 |
| -3.241 | -3.241 | 115.260 | -0.000 | 0.000 | 0.000 |
| 0.000 | -0.000 | 0.000 | -3.223 | 0.000 | -0.000 |
| -0.000 | -0.000 | 0.000 | -0.000 | -3.223 | 0.000 |
| -0.000 | -0.000 | 0.000 | -0.000 | 0.000 | 0.001 |
| -42.106 | -0.074 | -3.241 | 0.000 | -0.000 | 0.000 |
| -0.074 | -42.106 | -3.241 | -0.000 | -0.000 | 0.000 |
| -3.241 | -3.241 | 115.260 | 0.000 | -0.000 | -0.000 |
| -4021712.048 | -5820869.596 | -6136275.688 | -85303.302 | -986607.866 | 1829.004 |
| -5566488.098 | -5632069.980 | -6959857.201 | 336927.234 | -94639.002 | -2528.862 |
| -0.000 | 0.000 | 0.000 | 0.000 | -0.000 | 0.001 |
| 57339266.460 | 10993827.606 | 17535186.137 | 0.000 | -0.000 | 0.000 |
| 10993827.629 | 57339266.460 | 17535186.137 | 0.000 | -0.000 | 0.000 |
| -3.241 | -3.241 | 115.261 | 0.000 | 0.000 | -0.000 |
| 4254731.250 | 5829849.118 | 6248705.929 | -88278.769 | 1038572.632 | 2732.916 |
| 5567580.010 | 5658669.559 | 6970269.629 | -292546.837 | -94802.259 | -2257.367 |
| 0.000 | -0.000 | -0.000 | 0.000 | -0.000 | 0.001 |
| -1099342.612 | -5733926.915 | -1753519.083 | 0.000 | 0.000 | 0.000 |
| -5733926.915 | -1099342.610 | -1753519.083 | -0.000 | 0.000 | -0.000 |
| -3.241 | -3.241 | 115.259 | 0.000 | -0.000 | -0.000 |
| -500491.578 | -564778.459 | -686620.007 | -9316.615 | -92991.924 | 429.143 |
| -556839.211 | -573355.164 | -707585.374 | 79647.553 | -9522.610 | -657.768 |
| -0.000 | 0.000 | 0.000 | -0.000 | 0.000 | 0.001 |
| 5733966.929 | 1099382.660 | 1753527.752 | 0.000 | 0.000 | -0.000 |
| 1099382.661 | 5733966.929 | 1753527.752 | 0.000 | -0.000 | -0.000 |
| -3.241 | -3.241 | 115.262 | -0.000 | 0.000 | -0.000 |
| 496251.618 | 560821.268 | 675291.097 | -9273.454 | 85226.507 | 448.756 |
| 558156.273 | 572219.394 | 708485.490 | -73646.249 | -9644.969 | -617.256 |
| 0.000 | -0.000 | -0.000 | 0.000 | 0.000 | 0.001 |
| 43.791 | 43.791 | 5.832 | -0.000 | -0.000 | -0.000 |
| 43.791 | 43.791 | 5.832 | -0.000 | -0.000 | -0.000 |
| 5.832 | 5.832 | 100.437 | -0.000 | -0.000 | -0.000 |
| 0.000 | -0.000 | 0.000 | 0.000 | -0.000 | 0.000 |
| 0.000 | -0.000 | 0.000 | -0.000 | 0.000 | 0.000 |
| 0.000 | -0.000 | 0.000 | -0.000 | -0.000 | 0.000 |
| 43.791 | 43.791 | 5.832 | 0.000 | 0.000 | 0.000 |
| 43.791 | 43.791 | 5.832 | 0.000 | 0.000 | -0.000 |
| 5.832 | 5.832 | 100.437 | 0.000 | 0.000 | 0.000 |
| -0.000 | 0.000 | -0.000 | 0.000 | 0.000 | 0.000 |
| -0.000 | 0.000 | -0.000 | 0.000 | 0.000 | 0.000 |
| -0.000 | 0.000 | -0.000 | 0.000 | -0.000 | 0.000 |
| 43.791 | 43.791 | 5.832 | -0.000 | -0.000 | 0.000 |
| 43.791 | 43.791 | 5.832 | -0.000 | -0.000 | -0.000 |
| 5.832 | 5.832 | 100.437 | -0.000 | -0.000 | -0.000 |
| -0.000 | 0.000 | -0.000 | 0.000 | -0.000 | -0.000 |
| 0.000 | -0.000 | -0.000 | -0.000 | 0.000 | -0.000 |
| -0.000 | -0.000 | -0.000 | -0.000 | -0.000 | 0.000 |
| 43.792 | 43.791 | 5.832 | 0.000 | 0.000 | 0.000 |
| 43.791 | 43.792 | 5.832 | 0.000 | 0.000 | 0.000 |
| 5.832 | 5.832 | 100.437 | 0.000 | 0.000 | 0.000 |
| 0.000 | -0.000 | 0.000 | 0.000 | 0.000 | 0.000 |
| -0.000 | 0.000 | 0.000 | 0.000 | 0.000 | -0.000 |
| 0.000 | 0.000 | 0.000 | 0.000 | 0.000 | 0.000 |
| 43.791 | 43.791 | 5.832 | -0.000 | -0.000 | 0.000 |
| 43.791 | 43.791 | 5.832 | 0.000 | -0.000 | -0.000 |
| 5.832 | 5.832 | 100.436 | -0.000 | -0.000 | 0.000 |
| -0.000 | 0.000 | -0.000 | 0.000 | -0.000 | -0.000 |
| 0.000 | -0.000 | -0.000 | -0.000 | 0.000 | -0.000 |
| -0.000 | -0.000 | -0.000 | -0.000 | 0.000 | 0.000 |
| 43.792 | 43.791 | 5.832 | 0.000 | -0.000 | 0.000 |
| 43.791 | 43.792 | 5.832 | -0.000 | 0.000 | -0.000 |
| 5.832 | 5.832 | 100.438 | 0.000 | 0.000 | -0.000 |
| 0.000 | -0.000 | 0.000 | 0.000 | 0.000 | 0.000 |
| -0.000 | 0.000 | 0.000 | 0.000 | 0.000 | -0.000 |
| 0.000 | 0.000 | 0.000 | 0.000 | 0.000 | 0.000 |
| 58.672 | 18.672 | 63.094 | -50.175 | 0.000 | -0.000 |
| 18.672 | 58.672 | 63.094 | 50.175 | 0.000 | -0.000 |
| 63.090 | 63.090 | 43.717 | -0.000 | 0.000 | -0.000 |
| -50.175 | 50.175 | -0.000 | 63.277 | 0.000 | -0.000 |
| 0.000 | -0.000 | 0.000 | -0.000 | 63.277 | -50.175 |
| 0.000 | -0.000 | -0.000 | -0.000 | -50.175 | 20.000 |
| 58.672 | 18.671 | 63.094 | -50.175 | -0.000 | 0.000 |
| 18.671 | 58.672 | 63.094 | 50.175 | -0.000 | 0.000 |
| 63.090 | 63.090 | 43.717 | 0.000 | -0.000 | 0.000 |
| -50.175 | 50.175 | -0.000 | 63.277 | -0.000 | 0.000 |
| -0.000 | 0.000 | -0.000 | 0.000 | 63.277 | -50.175 |
| -0.000 | 0.000 | 0.000 | 0.000 | -50.175 | 20.000 |
| 58.673 | 18.673 | 63.096 | -50.175 | 0.000 | -0.000 |
| 18.673 | 58.673 | 63.096 | 50.175 | -0.000 | -0.000 |
| 63.092 | 63.092 | 43.719 | -0.000 | 0.000 | -0.000 |
| -50.175 | 50.175 | 0.000 | 63.277 | 0.000 | -0.000 |
| -0.000 | -0.000 | 0.000 | -0.000 | 63.277 | -50.175 |
| -0.000 | -0.000 | 0.000 | -0.000 | -50.175 | 20.000 |
| 58.671 | 18.670 | 63.092 | -50.175 | -0.000 | 0.000 |
| 18.670 | 58.671 | 63.092 | 50.175 | -0.000 | 0.000 |
| 63.088 | 63.088 | 43.715 | 0.000 | -0.000 | 0.000 |
| -50.175 | 50.175 | -0.000 | 63.277 | -0.000 | 0.000 |
| 0.000 | 0.000 | -0.000 | 0.000 | 63.277 | -50.175 |
| 0.000 | 0.000 | -0.000 | 0.000 | -50.175 | 20.000 |
| 58.686 | 18.687 | 63.111 | -50.175 | -0.000 | -0.000 |
| 18.686 | 58.686 | 63.111 | 50.175 | 0.000 | -0.000 |
| 63.109 | 63.109 | 43.738 | -0.000 | 0.000 | -0.000 |
| -50.175 | 50.175 | 0.000 | 63.277 | -0.000 | -0.000 |
| -0.000 | 0.000 | 0.000 | -0.000 | 63.277 | -50.175 |
| -0.000 | -0.000 | 0.000 | -0.000 | -50.175 | 20.000 |
| 58.658 | 18.656 | 63.077 | -50.175 | -0.000 | 0.000 |
| 18.657 | 58.658 | 63.077 | 50.175 | 0.000 | 0.000 |
| 63.071 | 63.071 | 43.696 | 0.000 | -0.000 | 0.000 |
| -50.175 | 50.175 | -0.000 | 63.277 | -0.000 | 0.000 |
| 0.000 | -0.000 | -0.000 | 0.000 | 63.277 | -50.175 |
| 0.000 | 0.000 | -0.000 | 0.000 | -50.175 | 20.000 |
| 300.381 | 5.673 | 5.673 | -0.000 | -0.000 | -0.000 |
| 5.673 | 300.381 | 5.673 | -0.000 | -0.000 | -0.000 |
| 5.673 | 5.673 | 300.381 | -0.000 | -0.000 | -0.000 |
| -0.000 | -0.000 | -0.000 | 16.463 | -0.000 | -0.000 |
| -0.000 | 0.000 | -0.000 | -0.000 | 16.463 | -0.000 |
| -0.000 | -0.000 | -0.000 | 0.000 | -0.000 | 16.463 |
| 300.381 | 5.673 | 5.673 | -0.000 | 0.000 | 0.000 |
| 5.673 | 300.381 | 5.673 | 0.000 | 0.000 | 0.000 |
| 5.673 | 5.673 | 300.381 | -0.000 | 0.000 | 0.000 |
| 0.000 | 0.000 | 0.000 | 16.463 | 0.000 | 0.000 |
| 0.000 | -0.000 | 0.000 | 0.000 | 16.463 | 0.000 |
| 0.000 | 0.000 | 0.000 | 0.000 | -0.000 | 16.463 |
| 300.380 | 5.672 | 5.672 | -0.000 | -0.000 | -0.000 |
| 5.672 | 300.380 | 5.672 | 0.000 | 0.000 | -0.000 |
| 5.672 | 5.672 | 300.380 | -0.000 | -0.000 | -0.000 |
| -0.000 | -0.000 | -0.000 | 16.463 | -0.000 | -0.000 |
| -0.000 | -0.000 | -0.000 | 0.000 | 16.463 | -0.000 |
| -0.000 | -0.000 | -0.000 | 0.000 | -0.000 | 16.463 |
| 300.383 | 5.675 | 5.675 | 0.000 | 0.000 | 0.000 |
| 5.675 | 300.383 | 5.675 | 0.000 | -0.000 | -0.000 |
| 5.675 | 5.675 | 300.383 | 0.000 | 0.000 | -0.000 |
| 0.000 | 0.000 | 0.000 | 16.463 | -0.000 | 0.000 |
| 0.000 | 0.000 | 0.000 | 0.000 | 16.463 | 0.000 |
| 0.000 | 0.000 | 0.000 | -0.000 | 0.000 | 16.463 |
| 300.366 | 5.659 | 5.659 | -0.000 | -0.000 | 0.000 |
| 5.659 | 300.366 | 5.659 | -0.000 | -0.000 | -0.000 |
| 5.659 | 5.659 | 300.366 | -0.000 | -0.000 | -0.000 |
| -0.000 | -0.000 | -0.001 | 16.463 | -0.000 | 0.000 |
| -0.000 | -0.000 | -0.001 | -0.000 | 16.463 | -0.000 |
| -0.000 | -0.001 | -0.000 | -0.000 | -0.000 | 16.463 |
| 300.396 | 5.688 | 5.688 | 0.000 | 0.000 | -0.000 |
| 5.688 | 300.396 | 5.688 | -0.000 | 0.000 | 0.000 |
| 5.688 | 5.688 | 300.396 | 0.000 | 0.000 | -0.000 |
| 0.000 | 0.000 | 0.001 | 16.463 | -0.000 | -0.000 |
| 0.000 | 0.000 | 0.001 | 0.000 | 16.463 | 0.000 |
| 0.000 | 0.001 | 0.000 | 0.000 | 0.000 | 16.463 |
| 20.669 | 32.598 | 32.598 | -0.000 | -0.000 | -0.000 |
| 32.598 | 20.669 | 32.598 | 0.000 | 0.000 | 0.000 |
| 32.598 | 32.598 | 20.669 | -0.000 | 0.000 | 0.000 |
| 0.000 | -0.000 | -0.000 | 33.013 | 0.000 | -0.000 |
| -0.000 | 0.000 | -0.000 | 0.000 | 33.013 | 0.000 |
| -0.000 | -0.000 | 0.000 | 0.000 | -0.000 | 33.013 |
| 20.669 | 32.598 | 32.598 | -0.000 | 0.000 | 0.000 |
| 32.598 | 20.669 | 32.598 | 0.000 | 0.000 | -0.000 |
| 32.598 | 32.598 | 20.669 | 0.000 | 0.000 | -0.000 |
| -0.000 | 0.000 | 0.000 | 33.013 | 0.000 | -0.000 |
| 0.000 | -0.000 | 0.000 | -0.000 | 33.013 | -0.000 |
| 0.000 | 0.000 | -0.000 | 0.000 | 0.000 | 33.013 |
| 20.668 | 32.598 | 32.598 | -0.000 | 0.000 | 0.000 |
| 32.598 | 20.668 | 32.598 | 0.000 | -0.000 | 0.000 |
| 32.598 | 32.598 | 20.668 | -0.000 | 0.000 | 0.000 |
| -0.000 | -0.000 | -0.000 | 33.013 | -0.000 | 0.000 |
| -0.000 | -0.000 | -0.000 | -0.000 | 33.013 | 0.000 |
| -0.000 | -0.000 | -0.000 | 0.000 | -0.000 | 33.013 |
| 20.669 | 32.598 | 32.598 | 0.000 | -0.000 | -0.000 |
| 32.598 | 20.669 | 32.598 | 0.000 | 0.000 | -0.000 |
| 32.598 | 32.598 | 20.669 | 0.000 | -0.000 | -0.000 |
| 0.000 | 0.000 | 0.000 | 33.013 | -0.000 | -0.000 |
| 0.000 | 0.000 | 0.000 | 0.000 | 33.013 | -0.000 |
| 0.000 | 0.000 | 0.000 | -0.000 | 0.000 | 33.013 |
| 20.667 | 32.597 | 32.597 | -0.000 | -0.000 | 0.000 |
| 32.597 | 20.667 | 32.597 | 0.000 | -0.000 | 0.000 |
| 32.597 | 32.597 | 20.667 | -0.000 | 0.000 | -0.000 |
| -0.000 | -0.001 | -0.001 | 33.013 | -0.000 | 0.000 |
| -0.001 | -0.000 | -0.001 | -0.000 | 33.013 | 0.000 |
| -0.001 | -0.001 | -0.000 | 0.000 | -0.000 | 33.013 |
| 20.671 | 32.599 | 32.599 | 0.000 | 0.000 | 0.000 |
| 32.599 | 20.671 | 32.599 | -0.000 | 0.000 | -0.000 |
| 32.599 | 32.599 | 20.671 | 0.000 | 0.000 | -0.000 |
| 0.000 | 0.001 | 0.001 | 33.013 | 0.000 | -0.000 |
| 0.001 | 0.000 | 0.001 | -0.000 | 33.013 | -0.000 |
| 0.001 | 0.001 | 0.000 | 0.000 | 0.000 | 33.013 |
| 20.088 | -0.469 | -0.469 | 0.000 | 0.000 | 0.000 |
| -0.469 | 20.088 | -0.469 | 0.000 | 0.000 | 0.000 |
| -0.469 | -0.469 | 20.088 | 0.000 | 0.000 | 0.000 |
| 0.000 | 0.000 | -0.000 | 0.047 | 0.000 | -0.000 |
| 0.000 | 0.000 | -0.000 | -0.000 | 0.047 | -0.000 |
| 0.000 | -0.000 | 0.000 | 0.000 | 0.000 | 0.047 |
| 20.088 | -0.469 | -0.469 | -0.000 | -0.000 | 0.000 |
| -0.469 | 20.088 | -0.469 | -0.000 | -0.000 | 0.000 |
| -0.469 | -0.469 | 20.088 | 0.000 | 0.000 | -0.000 |
| -0.000 | 0.000 | 0.000 | 0.047 | 0.000 | 0.000 |
| 0.000 | -0.000 | 0.000 | 0.000 | 0.047 | 0.000 |
| 0.000 | 0.000 | -0.000 | -0.000 | 0.000 | 0.047 |
| 20.088 | -0.469 | -0.469 | -0.000 | 0.000 | -0.000 |
| -0.469 | 20.088 | -0.469 | 0.000 | 0.000 | 0.000 |
| -0.469 | -0.469 | 20.088 | 0.000 | 0.000 | 0.000 |
| 0.000 | 0.000 | -0.000 | 0.047 | 0.000 | 0.000 |
| 0.000 | 0.000 | -0.000 | 0.000 | 0.047 | 0.000 |
| 0.000 | -0.000 | 0.000 | -0.000 | 0.000 | 0.047 |
| 20.088 | -0.469 | -0.469 | -0.000 | -0.000 | -0.000 |
| -0.469 | 20.088 | -0.469 | -0.000 | -0.000 | -0.000 |
| -0.469 | -0.469 | 20.088 | -0.000 | -0.000 | -0.000 |
| -0.000 | -0.000 | 0.000 | 0.047 | 0.000 | 0.000 |
| -0.000 | -0.000 | 0.000 | -0.000 | 0.047 | -0.000 |
| -0.000 | 0.000 | -0.000 | 0.000 | -0.000 | 0.047 |
| 20.087 | -0.469 | -0.469 | -0.000 | 0.000 | 0.000 |
| -0.469 | 20.087 | -0.469 | 0.000 | -0.000 | 0.000 |
| -0.469 | -0.469 | 20.087 | -0.000 | -0.000 | -0.000 |
| 0.000 | 0.000 | -0.000 | 0.047 | 0.000 | -0.000 |
| 0.000 | 0.000 | -0.000 | 0.000 | 0.047 | 0.000 |
| 0.000 | -0.000 | 0.000 | 0.000 | -0.000 | 0.047 |
| 20.089 | -0.469 | -0.469 | 0.000 | -0.000 | -0.000 |
| -0.469 | 20.089 | -0.469 | -0.000 | 0.000 | 0.000 |
| -0.469 | -0.469 | 20.089 | -0.000 | -0.000 | -0.000 |
| -0.000 | -0.000 | 0.000 | 0.047 | 0.000 | 0.000 |
| -0.000 | -0.000 | 0.000 | 0.000 | 0.047 | 0.000 |
| -0.000 | 0.000 | -0.000 | 0.000 | 0.000 | 0.047 |
| 93.431 | -0.008 | -0.008 | -0.000 | 0.000 | 0.000 |
| -0.008 | 93.431 | -0.008 | 0.000 | -0.000 | 0.000 |
| -0.008 | -0.008 | 93.431 | 0.000 | 0.000 | -0.000 |
| 0.000 | 0.000 | 0.000 | 0.000 | 0.000 | 0.000 |
| 0.000 | 0.000 | 0.000 | 0.000 | 0.000 | 0.000 |
| 0.000 | 0.000 | 0.000 | 0.000 | 0.000 | 0.000 |
| 93.431 | -0.008 | -0.008 | -0.000 | 0.000 | 0.000 |
| -0.008 | 93.431 | -0.008 | 0.000 | 0.000 | -0.000 |
| -0.008 | -0.008 | 93.431 | -0.000 | -0.000 | -0.000 |
| -0.000 | -0.000 | -0.000 | 0.000 | 0.000 | -0.000 |
| -0.000 | -0.000 | -0.000 | 0.000 | 0.000 | -0.000 |
| -0.000 | -0.000 | -0.000 | -0.000 | -0.000 | 0.000 |
| 93.431 | -0.008 | -0.008 | -0.000 | 0.000 | 0.000 |
| -0.008 | 93.431 | -0.008 | 0.000 | -0.000 | -0.000 |
| -0.008 | -0.008 | 93.431 | 0.000 | 0.000 | -0.000 |
| 0.000 | 0.000 | -0.000 | 0.000 | -0.000 | 0.000 |
| 0.000 | 0.000 | -0.000 | -0.000 | 0.000 | 0.000 |
| 0.000 | -0.000 | 0.000 | 0.000 | 0.000 | 0.000 |
| 93.431 | -0.008 | -0.008 | 0.000 | 0.000 | 0.000 |
| -0.008 | 93.431 | -0.008 | 0.000 | 0.000 | -0.000 |
| -0.008 | -0.008 | 93.431 | 0.000 | 0.000 | 0.000 |
| -0.000 | -0.000 | 0.000 | 0.000 | -0.000 | -0.000 |
| -0.000 | -0.000 | 0.000 | -0.000 | 0.000 | -0.000 |
| -0.000 | 0.000 | -0.000 | -0.000 | -0.000 | 0.000 |
| 93.430 | -0.008 | -0.008 | -0.000 | 0.000 | 0.000 |
| -0.008 | 93.430 | -0.008 | 0.000 | -0.000 | 0.000 |
| -0.008 | -0.008 | 93.430 | 0.000 | 0.000 | 0.000 |
| 0.000 | 0.000 | -0.000 | 0.000 | -0.000 | 0.000 |
| 0.000 | 0.000 | -0.000 | -0.000 | 0.000 | 0.000 |
| 0.000 | -0.000 | 0.000 | 0.000 | 0.000 | 0.000 |
| 93.432 | -0.008 | -0.008 | 0.000 | -0.000 | -0.000 |
| -0.008 | 93.432 | -0.008 | -0.000 | 0.000 | 0.000 |
| -0.008 | -0.008 | 93.432 | 0.000 | 0.000 | 0.000 |
| -0.000 | -0.000 | 0.000 | 0.000 | 0.000 | -0.000 |
| -0.000 | -0.000 | 0.000 | 0.000 | 0.000 | -0.000 |
| -0.000 | 0.000 | -0.000 | -0.000 | -0.000 | 0.000 |
| 218.854 | 177.643 | 153.394 | 0.000 | 0.000 | -0.000 |
| 177.643 | 218.854 | 153.394 | -0.000 | 0.000 | -0.000 |
| 153.409 | 153.409 | 258.734 | -0.000 | 0.000 | -0.000 |
| -0.000 | 0.000 | -0.000 | 0.434 | -0.000 | -0.000 |
| -0.000 | 0.000 | -0.000 | 0.000 | 0.434 | -0.000 |
| -0.000 | 0.000 | -0.000 | -0.000 | 0.000 | 4.997 |
| 218.852 | 177.641 | 153.392 | -0.000 | -0.000 | -0.000 |
| 177.641 | 218.852 | 153.392 | -0.000 | -0.000 | 0.000 |
| 153.406 | 153.406 | 258.731 | -0.000 | 0.000 | -0.000 |
| 0.000 | -0.000 | 0.000 | 0.434 | -0.000 | 0.000 |
| 0.000 | -0.000 | 0.000 | 0.000 | 0.434 | -0.000 |
| 0.000 | 0.000 | 0.000 | -0.000 | -0.000 | 4.997 |
| 218.863 | 177.653 | 153.404 | 0.000 | -0.000 | -0.000 |
| 193.261 | 203.255 | 153.404 | -0.000 | 0.000 | 0.000 |
| 153.419 | 153.419 | 258.744 | -0.000 | -0.000 | 0.000 |
| -0.000 | 0.000 | -0.000 | 0.434 | 0.000 | -0.000 |
| -0.000 | -0.000 | -0.000 | 0.000 | 0.434 | 0.000 |
| -0.000 | -0.000 | -0.000 | -0.000 | 0.000 | 4.997 |
| 203.233 | 193.239 | 153.382 | 0.000 | -0.000 | 0.000 |
| 193.239 | 203.233 | 153.382 | -0.000 | -0.000 | 0.000 |
| 153.396 | 153.396 | 258.721 | -0.000 | 0.000 | -0.000 |
| 0.000 | -0.000 | 0.000 | 0.434 | -0.000 | -0.000 |
| 0.000 | 0.000 | 0.000 | 0.000 | 0.434 | -0.000 |
| 0.000 | 0.000 | 0.000 | -0.000 | 0.000 | 4.997 |
| 218.960 | 177.750 | 153.503 | 0.000 | 0.000 | -0.000 |
| 193.358 | 203.351 | 153.503 | -0.000 | 0.000 | -0.000 |
| 153.521 | 153.521 | 258.851 | 0.000 | -0.000 | -0.000 |
| -0.000 | -0.000 | -0.000 | 0.434 | 0.000 | -0.000 |
| -0.000 | -0.000 | -0.000 | 0.000 | 0.434 | -0.000 |
| -0.000 | -0.000 | -0.000 | 0.000 | -0.000 | 20.605 |
| 203.137 | 193.142 | 153.282 | 0.000 | 0.000 | -0.000 |
| 177.534 | 218.745 | 153.282 | -0.000 | 0.000 | 0.000 |
| 153.294 | 153.294 | 258.613 | -0.000 | -0.000 | -0.000 |
| 0.000 | 0.000 | 0.000 | 0.434 | -0.000 | 0.000 |
| 0.000 | 0.000 | 0.000 | -0.000 | 0.434 | 0.000 |
| 0.000 | 0.000 | 0.000 | -0.000 | -0.000 | 20.605 |
| 186.810 | 145.387 | 123.282 | -0.000 | 0.000 | -0.000 |
| 145.387 | 186.810 | 123.282 | 0.000 | -0.000 | -0.000 |
| 123.282 | 123.282 | 230.788 | 0.000 | -0.000 | 0.000 |
| 0.000 | 0.000 | -0.000 | 0.466 | 0.000 | -0.000 |
| 0.000 | 0.000 | -0.000 | 0.000 | 0.466 | 0.000 |
| -0.000 | 0.000 | -0.000 | 0.000 | 0.000 | 5.102 |
| 186.809 | 145.386 | 123.281 | -0.000 | 0.000 | -0.000 |
| 145.386 | 186.809 | 123.281 | -0.000 | 0.000 | 0.000 |
| 123.281 | 123.281 | 230.787 | -0.000 | 0.000 | 0.000 |
| 0.000 | -0.000 | 0.000 | 0.466 | -0.000 | -0.000 |
| -0.000 | -0.000 | 0.000 | -0.000 | 0.466 | -0.000 |
| 0.000 | -0.000 | 0.000 | -0.000 | -0.000 | 5.102 |
| 186.814 | 145.391 | 123.286 | 0.000 | -0.000 | -0.000 |
| 145.391 | 186.814 | 123.286 | 0.000 | -0.000 | -0.000 |
| 123.286 | 123.286 | 230.792 | 0.000 | 0.000 | 0.000 |
| -0.000 | 0.000 | -0.000 | 0.466 | 0.000 | 0.000 |
| 0.000 | -0.000 | -0.000 | 0.000 | 0.466 | 0.000 |
| -0.000 | -0.000 | -0.000 | 0.000 | 0.000 | 5.102 |
| 171.195 | 160.991 | 123.277 | -0.000 | -0.000 | -0.000 |
| 160.991 | 171.195 | 123.277 | -0.000 | -0.000 | -0.000 |
| 123.277 | 123.277 | 230.784 | -0.000 | 0.000 | -0.000 |
| 0.000 | -0.000 | 0.000 | 0.466 | -0.000 | 0.000 |
| -0.000 | 0.000 | 0.000 | -0.000 | 0.466 | -0.000 |
| 0.000 | 0.000 | 0.000 | -0.000 | -0.000 | 5.102 |
| 171.247 | 161.044 | 123.326 | 0.000 | -0.000 | 0.000 |
| 161.044 | 171.247 | 123.326 | 0.000 | 0.000 | 0.000 |
| 123.323 | 123.323 | 230.827 | 0.000 | 0.000 | 0.000 |
| -0.000 | 0.000 | -0.000 | 0.466 | -0.000 | 0.000 |
| 0.000 | -0.000 | -0.000 | 0.000 | 0.466 | 0.000 |
| -0.000 | -0.000 | -0.000 | 0.000 | -0.000 | 20.711 |
| 171.152 | 160.948 | 123.237 | -0.000 | -0.000 | -0.000 |
| 145.339 | 186.762 | 123.237 | -0.000 | 0.000 | 0.000 |
| 123.241 | 123.241 | 230.749 | -0.000 | 0.000 | -0.000 |
| 0.000 | -0.000 | 0.000 | 0.466 | 0.000 | 0.000 |
| -0.000 | 0.000 | 0.000 | -0.000 | 0.466 | 0.000 |
| 0.000 | 0.000 | 0.000 | 0.000 | 0.000 | 20.711 |
| 222.178 | 160.395 | 185.930 | -0.000 | 0.000 | -0.000 |
| 160.435 | 220.829 | 185.234 | 0.000 | 0.000 | -0.000 |
| 185.937 | 185.201 | 230.381 | 0.000 | 0.000 | -0.000 |
| 0.000 | 0.000 | 0.000 | 17.694 | 0.000 | -0.000 |
| 0.000 | 0.000 | 0.000 | -0.000 | 18.080 | -0.000 |
| 0.000 | -0.000 | 0.000 | -0.000 | 0.000 | -23.124 |
| 222.182 | 160.399 | 185.934 | 0.000 | -0.000 | 0.000 |
| 160.439 | 220.833 | 185.237 | -0.000 | 0.000 | 0.000 |
| 185.940 | 185.204 | 230.384 | -0.000 | -0.000 | 0.000 |
| -0.000 | -0.000 | -0.000 | 17.694 | -0.000 | 0.000 |
| -0.000 | -0.000 | -0.000 | -0.000 | 18.080 | 0.000 |
| -0.000 | 0.000 | -0.000 | 0.000 | -0.000 | -23.124 |
| 222.159 | 160.376 | 185.913 | 0.000 | 0.000 | -0.000 |
| 160.417 | 220.811 | 185.217 | 0.000 | 0.000 | -0.000 |
| 185.922 | 185.185 | 230.367 | 0.000 | 0.000 | -0.000 |
| 0.000 | 0.000 | 0.000 | 17.694 | 0.000 | -0.000 |
| 0.000 | 0.000 | 0.000 | -0.000 | 18.080 | -0.000 |
| 0.000 | 0.000 | 0.000 | 0.000 | 0.000 | -23.124 |
| 222.200 | 160.418 | 185.950 | -0.000 | -0.000 | 0.000 |
| 160.458 | 220.852 | 185.254 | -0.000 | -0.000 | 0.000 |
| 185.956 | 185.219 | 230.398 | 0.000 | -0.000 | 0.000 |
| -0.000 | -0.000 | -0.000 | 17.694 | -0.000 | 0.000 |
| -0.000 | -0.000 | -0.000 | -0.000 | 18.080 | 0.000 |
| -0.000 | -0.000 | -0.000 | -0.000 | -0.000 | -23.124 |
| 221.974 | 160.191 | 185.744 | 0.000 | 0.000 | -0.000 |
| 160.232 | 220.627 | 185.048 | -0.000 | 0.000 | -0.000 |
| 185.767 | 185.031 | 230.228 | 0.000 | 0.000 | -0.000 |
| 0.000 | 0.000 | 0.000 | 17.694 | 0.000 | -0.000 |
| 0.000 | 0.000 | 0.000 | 0.000 | 18.080 | -0.000 |
| 0.000 | 0.000 | 0.000 | 0.000 | 0.000 | -23.124 |
| 222.385 | 160.603 | 186.120 | -0.000 | -0.000 | 0.000 |
| 160.643 | 221.035 | 185.423 | -0.000 | -0.000 | 0.000 |
| 186.111 | 185.374 | 230.537 | -0.000 | -0.000 | 0.000 |
| -0.000 | -0.000 | -0.000 | 17.694 | -0.000 | 0.000 |
| -0.000 | -0.000 | -0.000 | -0.000 | 18.080 | 0.000 |
| -0.000 | -0.000 | -0.000 | 0.000 | -0.000 | -23.124 |
| 2161.891 | 2120.241 | 2120.241 | 0.000 | 0.000 | -0.000 |
| 2120.241 | 2161.891 | 2120.241 | 0.000 | -0.000 | 0.000 |
| 2120.241 | 2120.241 | 2161.891 | 0.000 | -0.000 | 0.000 |
| 1384.421 | 1384.421 | 1384.421 | 5.175 | -0.000 | -0.000 |
| 1384.421 | 1384.421 | 1384.421 | 0.000 | 5.175 | 0.000 |
| 1384.421 | 1384.421 | 1384.421 | 0.000 | -0.000 | 5.175 |
| -1630.478 | -1679.615 | -1679.615 | -0.000 | -0.000 | 0.000 |
| -1679.615 | -1630.478 | -1679.615 | -0.000 | 0.000 | 0.000 |
| -1679.615 | -1679.615 | -1630.478 | -0.000 | 0.000 | -0.000 |
| -1384.421 | -1384.421 | -1384.421 | 5.175 | 0.000 | -0.000 |
| -1384.421 | -1384.421 | -1384.421 | -0.000 | 5.175 | 0.000 |
| -1384.421 | -1384.421 | -1384.421 | 0.000 | 0.000 | 5.175 |
| 429.064 | 376.578 | 376.578 | 0.000 | 0.000 | -0.000 |
| 376.578 | 429.064 | 376.578 | 0.000 | -0.000 | -0.000 |
| 376.578 | 376.578 | 429.064 | 0.000 | -0.000 | 0.000 |
| 138.209 | 138.209 | 138.209 | 5.197 | -0.000 | 0.000 |
| 138.209 | 138.209 | 138.209 | 0.000 | 5.197 | 0.000 |
| 138.209 | 138.209 | 138.209 | 0.000 | -0.000 | 5.197 |
| 92.393 | 50.091 | 50.091 | 0.000 | 0.000 | 0.000 |
| 50.091 | 92.393 | 50.091 | -0.000 | 0.000 | -0.000 |
| 50.091 | 50.091 | 92.393 | -0.000 | 0.000 | 0.000 |
| -138.209 | -138.209 | -138.209 | 5.197 | 0.000 | 0.000 |
| -138.209 | -138.209 | -138.209 | -0.000 | 5.197 | -0.000 |
| -138.209 | -138.209 | -138.209 | -0.000 | 0.000 | 5.197 |
| 302.036 | 253.619 | 253.619 | 0.000 | -0.000 | 0.000 |
| 253.619 | 302.036 | 253.619 | 0.000 | -0.000 | -0.000 |
| 253.619 | 253.619 | 302.036 | 0.000 | -0.000 | -0.000 |
| 0.000 | 0.000 | 0.000 | 18.065 | 0.000 | 0.000 |
| 0.000 | 0.000 | 0.000 | 0.000 | 18.065 | 0.000 |
| 0.000 | 0.000 | 0.000 | 0.000 | -0.000 | 18.065 |
| 266.465 | 219.378 | 219.378 | -0.000 | -0.000 | 0.000 |
| 219.378 | 266.465 | 219.378 | 0.000 | 0.000 | 0.000 |
| 219.378 | 219.378 | 266.465 | -0.000 | -0.000 | 0.000 |
| -0.000 | -0.000 | -0.000 | 18.065 | 0.000 | -0.000 |
| -0.000 | -0.000 | -0.000 | -0.000 | 18.065 | -0.000 |
| -0.000 | -0.000 | -0.000 | -0.000 | -0.000 | 18.065 |
| 319.707 | 265.832 | 265.832 | -0.000 | 0.000 | 0.000 |
| 265.832 | 319.707 | 265.832 | -0.000 | 0.000 | 0.000 |
| 265.832 | 265.832 | 319.707 | 0.000 | -0.000 | 0.000 |
| -0.000 | 0.000 | -0.000 | 18.053 | -0.000 | 0.000 |
| -0.000 | -0.000 | 0.000 | 0.000 | 18.053 | 0.000 |
| -0.000 | 0.000 | -0.000 | 0.000 | 0.000 | 18.053 |
| 355.281 | 281.488 | 281.488 | -0.000 | 0.000 | -0.000 |
| 281.488 | 355.281 | 281.488 | -0.000 | 0.000 | -0.000 |
| 281.488 | 281.488 | 355.281 | 0.000 | 0.000 | -0.000 |
| 0.000 | -0.000 | -0.000 | 18.053 | -0.000 | -0.000 |
| 0.000 | 0.000 | 0.000 | -0.000 | 18.053 | -0.000 |
| 0.000 | 0.000 | 0.000 | 0.000 | 0.000 | 18.053 |
| 355.262 | 281.469 | 281.469 | 0.000 | -0.000 | 0.000 |
| 281.469 | 355.262 | 281.469 | 0.000 | 0.000 | 0.000 |
| 281.469 | 281.469 | 355.262 | 0.000 | -0.000 | 0.000 |
| -0.234 | -0.234 | -0.234 | 8.105 | -0.000 | 0.000 |
| -0.234 | -0.234 | -0.234 | 0.000 | 8.105 | 0.000 |
| -0.234 | -0.234 | -0.234 | -0.000 | -0.000 | 8.105 |
| 355.297 | 281.503 | 281.503 | 0.000 | -0.000 | -0.000 |
| 281.503 | 355.297 | 281.503 | 0.000 | -0.000 | -0.000 |
| 281.503 | 281.503 | 355.297 | 0.000 | 0.000 | -0.000 |
| 0.234 | 0.234 | 0.234 | 8.105 | -0.000 | -0.000 |
| 0.234 | 0.234 | 0.234 | -0.000 | 8.105 | -0.000 |
| 0.234 | 0.234 | 0.234 | 0.000 | 0.000 | 8.105 |
| 355.109 | 281.314 | 281.314 | -0.000 | 0.000 | 0.000 |
| 281.314 | 355.109 | 281.314 | -0.000 | 0.000 | 0.000 |
| 281.314 | 281.314 | 355.109 | 0.000 | 0.000 | 0.000 |
| -0.196 | -0.196 | -0.196 | 5.097 | 0.000 | 0.000 |
| -0.196 | -0.196 | -0.196 | 0.000 | 5.097 | 0.000 |
| -0.196 | -0.196 | -0.196 | -0.000 | 0.000 | 5.097 |
| 336.693 | 276.725 | 276.725 | -0.000 | -0.000 | -0.000 |
| 276.725 | 336.693 | 276.725 | -0.000 | 0.000 | -0.000 |
| 276.725 | 276.725 | 336.693 | -0.000 | 0.000 | -0.000 |
| 0.196 | 0.196 | 0.196 | 5.097 | -0.000 | -0.000 |
| 0.196 | 0.196 | 0.196 | 0.000 | 5.097 | -0.000 |
| 0.196 | 0.196 | 0.196 | 0.000 | -0.000 | 5.097 |
| 210.214 | 161.510 | 161.510 | -0.000 | 0.000 | 0.000 |
| 161.510 | 210.214 | 161.510 | 0.000 | -0.000 | -0.000 |
| 161.510 | 161.510 | 210.214 | -0.000 | 0.000 | -0.000 |
| 23.123 | 23.123 | 23.123 | 13.046 | 0.003 | 0.003 |
| 23.123 | 23.123 | 23.123 | 0.003 | 13.046 | 0.003 |
| 23.123 | 23.123 | 23.123 | 0.003 | 0.003 | 13.046 |
| 210.212 | 161.507 | 161.507 | -0.000 | 0.000 | 0.000 |
| 161.507 | 210.212 | 161.507 | 0.000 | 0.000 | 0.000 |
| 161.507 | 161.507 | 210.212 | 0.000 | 0.000 | -0.000 |
| -23.123 | -23.123 | -23.123 | 13.042 | -0.003 | -0.003 |
| -23.123 | -23.123 | -23.123 | -0.003 | 13.042 | -0.003 |
| -23.123 | -23.123 | -23.123 | -0.003 | -0.003 | 13.042 |
| 193.280 | 158.069 | 158.069 | 0.000 | 0.000 | 0.000 |
| 158.069 | 193.280 | 158.069 | 0.000 | 0.000 | 0.000 |
| 158.069 | 158.069 | 193.280 | 0.000 | 0.000 | 0.000 |
| -3.819 | -3.819 | -3.819 | 15.373 | 0.000 | 0.000 |
| -3.819 | -3.819 | -3.819 | 0.000 | 15.373 | 0.000 |
| -3.819 | -3.819 | -3.819 | 0.000 | 0.000 | 15.373 |
| 181.451 | 170.760 | 170.760 | -0.001 | -0.001 | -0.001 |
| 170.760 | 181.451 | 170.760 | -0.001 | -0.001 | -0.001 |
| 170.760 | 170.760 | 181.451 | -0.001 | -0.001 | -0.001 |
| 3.819 | 3.819 | 3.819 | 15.373 | -0.000 | -0.000 |
| 3.819 | 3.819 | 3.819 | -0.000 | 15.373 | -0.000 |
| 3.819 | 3.819 | 3.819 | -0.000 | -0.000 | 15.373 |
| 182.294 | 167.065 | 167.065 | 0.000 | 0.000 | 0.000 |
| 167.065 | 182.294 | 167.065 | 0.000 | 0.000 | 0.000 |
| 167.065 | 167.065 | 182.294 | 0.000 | 0.000 | 0.000 |
| -0.951 | -0.951 | -0.951 | 19.145 | 0.000 | 0.000 |
| -0.951 | -0.951 | -0.951 | 0.000 | 19.145 | 0.000 |
| -0.951 | -0.951 | -0.951 | 0.000 | 0.000 | 19.145 |
| 195.500 | 165.581 | 165.581 | -0.000 | -0.000 | -0.000 |
| 165.581 | 195.500 | 165.581 | -0.000 | -0.000 | -0.000 |
| 165.581 | 165.581 | 195.500 | -0.000 | -0.000 | -0.000 |
| 0.951 | 0.951 | 0.951 | 19.145 | -0.000 | -0.000 |
| 0.951 | 0.951 | 0.951 | -0.000 | 19.145 | -0.000 |
| 0.951 | 0.951 | 0.951 | -0.000 | -0.000 | 19.145 |
| 18.113 | 27.983 | 27.983 | -0.000 | -0.000 | -0.000 |
| 27.983 | 18.113 | 27.983 | -0.000 | -0.000 | -0.000 |
| 27.983 | 27.983 | 18.113 | -0.000 | -0.000 | -0.000 |
| 0.000 | 0.000 | 0.000 | 30.905 | 0.000 | -0.000 |
| 0.000 | 0.000 | 0.000 | 0.000 | 30.905 | 0.000 |
| 0.000 | 0.000 | 0.000 | 0.000 | -0.000 | 30.905 |
| 73.860 | 129.170 | 129.170 | 0.000 | 0.000 | 0.000 |
| 129.170 | 73.860 | 129.170 | 0.000 | 0.000 | 0.000 |
| 129.170 | 129.170 | 73.860 | 0.000 | 0.000 | 0.000 |
| -0.000 | -0.000 | -0.000 | 30.905 | 0.000 | -0.000 |
| -0.000 | -0.000 | -0.000 | -0.000 | 30.905 | -0.000 |
| -0.000 | -0.000 | -0.000 | -0.000 | -0.000 | 30.905 |
| 143.367 | 93.899 | 93.899 | 0.000 | -0.000 | 0.000 |
| 93.899 | 143.367 | 93.899 | 0.000 | 0.000 | -0.000 |
| 93.899 | 93.899 | 143.367 | -0.000 | -0.000 | 0.000 |
| 0.000 | 0.000 | 0.000 | 30.905 | 0.000 | -0.000 |
| 0.000 | 0.000 | 0.000 | 0.000 | 30.905 | 0.000 |
| 0.000 | 0.000 | 0.000 | 0.000 | 0.000 | 30.905 |
| 143.356 | 93.888 | 93.888 | 0.000 | 0.000 | -0.000 |
| 93.888 | 143.356 | 93.888 | 0.000 | -0.000 | 0.000 |
| 93.888 | 93.888 | 143.356 | 0.000 | 0.000 | -0.000 |
| -0.000 | -0.000 | -0.000 | 30.905 | 0.000 | 0.000 |
| -0.000 | -0.000 | -0.000 | 0.000 | 30.905 | 0.000 |
| -0.000 | -0.000 | -0.000 | 0.000 | -0.000 | 30.905 |
| 130.484 | 100.236 | 100.236 | -0.000 | -0.000 | -0.000 |
| 100.236 | 130.484 | 100.236 | -0.000 | -0.000 | -0.000 |
| 100.236 | 100.236 | 130.484 | -0.000 | -0.000 | -0.000 |
| -0.002 | -0.002 | -0.002 | 18.354 | -0.000 | -0.000 |
| -0.002 | -0.002 | -0.002 | -0.000 | 18.354 | -0.000 |
| -0.002 | -0.002 | -0.002 | -0.000 | -0.000 | 18.354 |
| 143.306 | 93.840 | 93.840 | -0.000 | 0.000 | -0.000 |
| 93.840 | 143.306 | 93.840 | -0.000 | -0.000 | 0.000 |
| 93.840 | 93.840 | 143.306 | 0.000 | -0.000 | 0.000 |
| 0.002 | 0.002 | 0.002 | 18.354 | 0.000 | 0.000 |
| 0.002 | 0.002 | 0.002 | 0.000 | 18.354 | 0.000 |
| 0.002 | 0.002 | 0.002 | 0.000 | 0.000 | 18.354 |
| 135.713 | 95.785 | 93.317 | 0.000 | -0.000 | -0.000 |
| 89.852 | 158.181 | 91.653 | -0.000 | -0.000 | -0.000 |
| 94.140 | 91.848 | 157.867 | 0.000 | -0.000 | -0.000 |
| -0.000 | 0.000 | 0.000 | 34.152 | -0.000 | -0.000 |
| 0.000 | 0.000 | 0.000 | 0.000 | 30.579 | -0.000 |
| -0.000 | 0.000 | 0.000 | 0.000 | -0.000 | 20.927 |
| 135.712 | 95.784 | 93.316 | -0.000 | 0.000 | 0.000 |
| 89.851 | 158.180 | 91.652 | 0.000 | 0.000 | 0.000 |
| 94.139 | 91.846 | 157.866 | -0.000 | 0.000 | 0.000 |
| 0.000 | -0.000 | -0.000 | 34.152 | -0.000 | 0.000 |
| -0.000 | -0.000 | -0.000 | -0.000 | 30.579 | -0.000 |
| 0.000 | -0.000 | -0.000 | -0.000 | 0.000 | 20.927 |
| 135.719 | 95.790 | 93.322 | 0.000 | -0.000 | -0.000 |
| 96.788 | 151.989 | 92.028 | 0.000 | -0.000 | -0.000 |
| 94.145 | 91.852 | 157.872 | 0.000 | -0.000 | -0.000 |
| 0.000 | -0.000 | 0.000 | 34.152 | -0.000 | -0.000 |
| 0.000 | 0.000 | 0.000 | 0.000 | 30.579 | -0.000 |
| -0.000 | 0.000 | -0.000 | 0.000 | -0.000 | 20.927 |
| 135.706 | 95.778 | 93.310 | -0.000 | 0.000 | 0.000 |
| 89.846 | 158.175 | 91.647 | 0.000 | 0.000 | 0.000 |
| 94.133 | 91.842 | 157.861 | -0.000 | 0.000 | 0.000 |
| -0.000 | 0.000 | -0.000 | 34.152 | 0.000 | 0.000 |
| -0.000 | -0.000 | -0.000 | -0.000 | 30.579 | -0.000 |
| 0.000 | -0.000 | 0.000 | -0.000 | 0.000 | 20.927 |
| 135.778 | 95.845 | 93.378 | 0.000 | -0.000 | -0.000 |
| 96.838 | 152.035 | 92.074 | 0.000 | -0.000 | -0.000 |
| 94.196 | 91.899 | 157.920 | 0.000 | -0.000 | -0.000 |
| 0.000 | -0.000 | 0.000 | 34.152 | 0.000 | -0.000 |
| -0.000 | 0.000 | 0.000 | 0.000 | 30.579 | 0.000 |
| -0.000 | 0.000 | -0.000 | 0.000 | -0.000 | 20.927 |
| 135.647 | 95.723 | 93.255 | -0.000 | 0.000 | 0.000 |
| 96.727 | 151.933 | 91.971 | -0.000 | 0.000 | 0.000 |
| 94.082 | 91.795 | 157.812 | -0.000 | 0.000 | 0.000 |
| -0.000 | 0.000 | -0.000 | 34.152 | 0.000 | 0.000 |
| 0.000 | -0.000 | -0.000 | -0.000 | 30.579 | 0.000 |
| 0.000 | -0.000 | 0.000 | -0.000 | 0.000 | 20.927 |
| 79.082 | 31.874 | 49.464 | 53.856 | 0.000 | 0.000 |
| 31.874 | 79.082 | 49.464 | -53.856 | 0.000 | 0.000 |
| 49.464 | 49.464 | 23.371 | 0.000 | 0.000 | 0.000 |
| 53.856 | -53.856 | -0.000 | 43.442 | 0.000 | 0.000 |
| -0.000 | 0.000 | -0.000 | 0.000 | 43.442 | 53.856 |
| 0.000 | -0.000 | 0.000 | 0.000 | 53.856 | 23.604 |
| 79.081 | 31.874 | 49.464 | 53.856 | -0.000 | -0.000 |
| 31.874 | 79.081 | 49.464 | -53.856 | -0.000 | -0.000 |
| 49.464 | 49.464 | 23.371 | 0.000 | -0.000 | -0.000 |
| 53.856 | -53.856 | 0.000 | 43.442 | -0.000 | -0.000 |
| 0.000 | 0.000 | 0.000 | -0.000 | 43.442 | 53.856 |
| -0.000 | 0.000 | -0.000 | -0.000 | 53.856 | 23.604 |
| 79.082 | 31.875 | 49.464 | 53.856 | 0.000 | 0.000 |
| 31.875 | 79.082 | 49.464 | -53.856 | 0.000 | 0.000 |
| 49.464 | 49.464 | 23.371 | -0.000 | 0.000 | 0.000 |
| 53.856 | -53.856 | -0.000 | 43.442 | 0.000 | 0.000 |
| -0.000 | -0.000 | -0.000 | 0.000 | 43.442 | 53.856 |
| 0.000 | -0.000 | -0.000 | 0.000 | 53.856 | 23.604 |
| 79.081 | 31.874 | 49.463 | 53.856 | -0.000 | -0.000 |
| 31.874 | 79.081 | 49.463 | -53.856 | 0.000 | -0.000 |
| 49.464 | 49.464 | 23.371 | -0.000 | -0.000 | -0.000 |
| 53.856 | -53.856 | 0.000 | 43.442 | -0.000 | -0.000 |
| 0.000 | 0.000 | 0.000 | -0.000 | 43.442 | 53.856 |
| -0.000 | 0.000 | 0.000 | -0.000 | 53.856 | 23.604 |
| 79.087 | 31.880 | 49.469 | 53.856 | 0.000 | 0.000 |
| 31.880 | 79.087 | 49.469 | -53.856 | 0.000 | 0.000 |
| 49.468 | 49.468 | 23.374 | 0.000 | 0.000 | 0.000 |
| 53.856 | -53.856 | -0.000 | 43.442 | 0.000 | 0.000 |
| -0.000 | -0.000 | -0.000 | 0.000 | 43.442 | 53.856 |
| 0.000 | -0.000 | -0.000 | 0.000 | 53.856 | 23.604 |
| 79.076 | 31.868 | 49.459 | 53.855 | 0.000 | -0.000 |
| 31.869 | 79.075 | 49.459 | -53.855 | -0.000 | -0.000 |
| 49.460 | 49.460 | 23.368 | 0.000 | -0.000 | -0.000 |
| 53.856 | -53.855 | 0.000 | 43.442 | -0.000 | -0.000 |
| 0.000 | 0.000 | 0.000 | -0.000 | 43.442 | 53.856 |
| -0.000 | 0.000 | 0.000 | -0.000 | 53.856 | 23.604 |
| 50.834 | 64.671 | -9.373 | 0.000 | 0.000 | 0.000 |
| 64.671 | 50.834 | -9.373 | 0.000 | 0.000 | -0.000 |
| -9.373 | -9.373 | 88.919 | 0.000 | 0.000 | -0.000 |
| -0.000 | 0.000 | -0.000 | -8.453 | 0.000 | -0.000 |
| -0.000 | 0.000 | -0.000 | -0.000 | -8.453 | -0.000 |
| -0.000 | 0.000 | -0.000 | 0.000 | 0.000 | -6.918 |
| 50.834 | 64.671 | -9.373 | -0.000 | -0.000 | -0.000 |
| 64.671 | 50.834 | -9.373 | -0.000 | -0.000 | 0.000 |
| -9.373 | -9.373 | 88.919 | -0.000 | -0.000 | 0.000 |
| 0.000 | -0.000 | 0.000 | -8.453 | -0.000 | -0.000 |
| 0.000 | -0.000 | 0.000 | 0.000 | -8.453 | -0.000 |
| 0.000 | -0.000 | 0.000 | -0.000 | -0.000 | -6.918 |
| 88.408 | 27.097 | -9.373 | -0.000 | 0.000 | 0.000 |
| 27.097 | 88.408 | -9.373 | 0.000 | 0.000 | -0.000 |
| -9.373 | -9.373 | 88.919 | 0.000 | 0.000 | 0.000 |
| -0.000 | -0.000 | -0.000 | -8.453 | 0.000 | -0.000 |
| -0.000 | -0.000 | -0.000 | 0.000 | -8.453 | -0.000 |
| -0.000 | -0.000 | -0.000 | 0.000 | 0.000 | 30.656 |
| 50.686 | 64.818 | -9.373 | 0.000 | -0.000 | -0.000 |
| 27.097 | 88.408 | -9.373 | -0.000 | -0.000 | 0.000 |
| -9.373 | -9.373 | 88.919 | -0.000 | -0.000 | 0.000 |
| 0.000 | 0.000 | 0.000 | -8.453 | -0.000 | 0.000 |
| 0.000 | 0.000 | 0.000 | -0.000 | -8.453 | 0.000 |
| 0.000 | 0.000 | 0.000 | -0.000 | -0.000 | 30.656 |
| 50.686 | 64.818 | -9.372 | 0.000 | 0.000 | -0.000 |
| 27.097 | 88.407 | -9.372 | 0.000 | 0.000 | 0.000 |
| -9.371 | -9.371 | 88.920 | 0.000 | 0.000 | -0.000 |
| -0.000 | -0.000 | -0.000 | -8.453 | 0.000 | -0.000 |
| -0.000 | -0.000 | -0.000 | 0.000 | -8.453 | -0.000 |
| -0.000 | -0.000 | -0.000 | 0.000 | 0.000 | -6.918 |
| 50.837 | 64.669 | -9.374 | -0.000 | -0.000 | 0.000 |
| 27.097 | 88.408 | -9.374 | -0.000 | -0.000 | 0.000 |
| -9.375 | -9.375 | 88.918 | -0.000 | -0.000 | -0.000 |
| 0.000 | 0.000 | 0.000 | -8.453 | -0.000 | 0.000 |
| 0.000 | 0.000 | 0.000 | -0.000 | -8.453 | 0.000 |
| 0.000 | 0.000 | 0.000 | -0.000 | -0.000 | -6.918 |
| 175.858 | 138.295 | 65.602 | 4.505 | -0.000 | 0.000 |
| 132.938 | 181.169 | 65.561 | -3.481 | 0.000 | 0.000 |
| 269.667 | 269.667 | 339.412 | -0.000 | 0.000 | 0.000 |
| -110.023 | -116.985 | -198.126 | 24.785 | 0.000 | 0.000 |
| -0.000 | 0.000 | 0.000 | 0.000 | 24.820 | 3.302 |
| 0.000 | 0.000 | 0.000 | 0.000 | 3.302 | 25.049 |
| 408.220 | 359.990 | 461.892 | 3.481 | 0.000 | -0.000 |
| 248.932 | 299.030 | 269.665 | -3.302 | -0.000 | -0.000 |
| 377.227 | 377.227 | 527.163 | 0.000 | 0.000 | -0.000 |
| 116.985 | 110.023 | 198.126 | 24.785 | 0.000 | -0.000 |
| 0.000 | -0.000 | -0.000 | 0.000 | 24.820 | 3.302 |
| -0.000 | -0.000 | -0.000 | 0.000 | 3.302 | 25.049 |
| 283.160 | 234.952 | 243.605 | 3.484 | 0.000 | 0.000 |
| 248.944 | 299.041 | 269.677 | -3.302 | 0.000 | 0.000 |
| 269.678 | 269.678 | 339.423 | -0.000 | 0.000 | 0.000 |
| -7.878 | -14.841 | -19.828 | 24.785 | 0.000 | 0.000 |
| -0.000 | 0.000 | 0.000 | 0.000 | 24.820 | 3.302 |
| -11.588 | -11.588 | -20.227 | 0.000 | 3.485 | 24.096 |
| 299.020 | 248.923 | 269.655 | 3.302 | -0.000 | -0.000 |
| 248.923 | 299.020 | 269.655 | -3.302 | -0.000 | -0.000 |
| 275.063 | 275.063 | 348.840 | 0.000 | 0.000 | -0.000 |
| 14.841 | 7.878 | 19.828 | 24.785 | -0.000 | -0.000 |
| 0.000 | -0.000 | -0.000 | -0.000 | 24.820 | 3.302 |
| 11.588 | 11.588 | 20.227 | -0.000 | 3.485 | 24.096 |
| 299.135 | 249.038 | 269.777 | 3.302 | 0.000 | 0.000 |
| 244.970 | 292.961 | 260.837 | -3.504 | 0.000 | 0.000 |
| 269.784 | 269.784 | 339.538 | 0.000 | 0.000 | 0.000 |
| 3.370 | -5.640 | -1.981 | 24.589 | 0.000 | 0.000 |
| -1.222 | -1.222 | -2.132 | 0.000 | 24.783 | 3.495 |
| -1.135 | -1.135 | -1.981 | 0.000 | 4.505 | 18.782 |
| 298.926 | 248.829 | 269.555 | 3.302 | -0.000 | -0.000 |
| 248.829 | 298.926 | 269.555 | -3.302 | -0.000 | -0.000 |
| 269.548 | 269.548 | 339.283 | 0.000 | -0.000 | -0.000 |
| 3.302 | -3.302 | -0.000 | 24.820 | -0.000 | -0.000 |
| 1.222 | 1.222 | 2.132 | -0.000 | 24.783 | 3.495 |
| 1.135 | 1.135 | 1.981 | -0.000 | 4.505 | 18.782 |
| 252.842 | 214.367 | 221.983 | 4.646 | 0.000 | -0.000 |
| 207.989 | 259.263 | 221.907 | -3.404 | -0.000 | -0.000 |
| 222.173 | 222.173 | 284.431 | 0.000 | -0.000 | 0.000 |
| 3.790 | -3.596 | -0.340 | 25.403 | -0.000 | -0.000 |
| 0.000 | 0.000 | 0.000 | 0.000 | 25.459 | 3.404 |
| 0.327 | 0.327 | -1.151 | 0.000 | 4.383 | 20.595 |
| 255.967 | 210.413 | 223.448 | 3.959 | 0.000 | 0.000 |
| 207.990 | 259.265 | 221.909 | -3.404 | 0.000 | 0.000 |
| 221.827 | 221.827 | 285.656 | -0.000 | -0.000 | -0.000 |
| 3.404 | -3.404 | -0.000 | 25.459 | 0.000 | 0.000 |
| -0.000 | -0.000 | -0.000 | -0.000 | 25.459 | 3.404 |
| -0.327 | -0.327 | 1.151 | -0.000 | 4.383 | 20.595 |
| 254.362 | 212.134 | 223.197 | 4.282 | -0.000 | -0.000 |
| 207.981 | 259.256 | 221.899 | -3.404 | -0.000 | -0.000 |
| 222.109 | 222.109 | 284.611 | -0.000 | -0.000 | -0.000 |
| 3.404 | -3.404 | 0.000 | 25.459 | -0.000 | 0.000 |
| -0.000 | -0.000 | 0.000 | 0.000 | 25.459 | 3.404 |
| 0.041 | 0.041 | -0.146 | 0.000 | 4.643 | 19.255 |
| 259.273 | 207.998 | 221.918 | 3.404 | 0.000 | 0.000 |
| 207.998 | 259.273 | 221.918 | -3.404 | 0.000 | 0.000 |
| 222.119 | 222.119 | 284.677 | 0.000 | -0.000 | 0.000 |
| 3.404 | -3.404 | -0.000 | 25.459 | 0.000 | 0.000 |
| 0.000 | 0.000 | -0.000 | -0.000 | 25.459 | 3.404 |
| -0.041 | -0.041 | 0.146 | -0.000 | 4.643 | 19.255 |
| 254.465 | 211.836 | 223.145 | 4.243 | -0.000 | -0.000 |
| 211.836 | 254.465 | 223.145 | -4.243 | 0.000 | 0.000 |
| 222.007 | 222.007 | 284.524 | -0.000 | -0.000 | 0.000 |
| 4.650 | -4.641 | -0.014 | 25.218 | -0.000 | 0.000 |
| -0.000 | -0.000 | 0.000 | 0.000 | 25.459 | 3.404 |
| -0.000 | -0.000 | 0.000 | 0.000 | 3.404 | 25.637 |
| 259.350 | 208.075 | 222.007 | 3.404 | 0.000 | -0.000 |
| 212.046 | 254.634 | 223.356 | -4.247 | -0.000 | 0.000 |
| 221.940 | 221.940 | 285.784 | -0.000 | 0.000 | -0.000 |
| 3.404 | -3.404 | -0.000 | 25.459 | 0.000 | 0.000 |
| 0.000 | 0.000 | -0.000 | -0.000 | 25.459 | 3.404 |
| 0.000 | 0.000 | -0.000 | -0.000 | 3.404 | 25.637 |
| 210.133 | 173.369 | 173.369 | 0.000 | -0.000 | -0.000 |
| 173.369 | 210.133 | 173.369 | 0.000 | -0.000 | -0.000 |
| 173.369 | 173.369 | 210.133 | -0.000 | -0.000 | -0.000 |
| 1096.704 | 1096.704 | 1096.704 | 3.196 | 0.000 | -0.000 |
| 1096.704 | 1096.704 | 1096.704 | 0.000 | 3.196 | -0.000 |
| 1096.704 | 1096.704 | 1096.704 | 0.000 | -0.000 | 3.196 |
| 210.132 | 173.368 | 173.368 | 0.000 | -0.000 | 0.000 |
| 173.368 | 210.132 | 173.368 | -0.000 | 0.000 | 0.000 |
| 173.368 | 173.368 | 210.132 | -0.000 | -0.000 | 0.000 |
| -1096.704 | -1096.704 | -1096.704 | 3.196 | -0.000 | 0.000 |
| -1096.704 | -1096.704 | -1096.704 | 0.000 | 3.196 | 0.000 |
| -1096.704 | -1096.704 | -1096.704 | -0.000 | -0.000 | 3.196 |
| 309.813 | 281.473 | 281.473 | 0.000 | 0.000 | -0.000 |
| 281.473 | 309.813 | 281.473 | 0.000 | -0.000 | -0.000 |
| 281.473 | 281.473 | 309.813 | 0.000 | 0.000 | -0.000 |
| 155.006 | 155.006 | 155.006 | -3.052 | -0.000 | -0.000 |
| 155.007 | 155.007 | 155.007 | 0.000 | -3.052 | -0.000 |
| 155.006 | 155.006 | 155.006 | 0.000 | -0.000 | -3.052 |
| 210.128 | 173.364 | 173.364 | -0.000 | 0.000 | -0.000 |
| 173.364 | 210.128 | 173.364 | 0.000 | 0.000 | 0.000 |
| 173.364 | 173.364 | 210.128 | 0.000 | 0.000 | 0.000 |
| -155.006 | -155.006 | -155.006 | -3.052 | -0.000 | 0.000 |
| -169.286 | -169.286 | -169.286 | 0.000 | -8.553 | 0.000 |
| -169.286 | -169.286 | -169.286 | 0.000 | -0.000 | -8.553 |
| 210.179 | 173.414 | 173.414 | -0.000 | 0.000 | -0.000 |
| 173.414 | 210.179 | 173.414 | 0.000 | 0.000 | -0.000 |
| 173.414 | 173.414 | 210.179 | 0.000 | 0.000 | -0.000 |
| 0.000 | 0.000 | 0.000 | 24.205 | -0.000 | 0.000 |
| 0.000 | 0.000 | 0.000 | -0.000 | 24.205 | -0.000 |
| 0.000 | 0.000 | 0.000 | -0.000 | 0.000 | 24.205 |
| 189.603 | 159.597 | 159.597 | -0.000 | -0.000 | 0.000 |
| 159.597 | 189.603 | 159.597 | -0.000 | -0.000 | 0.000 |
| 159.597 | 159.597 | 189.603 | -0.000 | 0.000 | 0.000 |
| -0.000 | -0.000 | -0.000 | 24.205 | 0.000 | -0.000 |
| -0.000 | -0.000 | -0.000 | -0.000 | 24.205 | 0.000 |
| -0.000 | -0.000 | -0.000 | -0.000 | 0.000 | 24.205 |
| 151.442 | 122.915 | 122.915 | -0.000 | -0.000 | -0.000 |
| 122.915 | 151.442 | 122.915 | 0.000 | -0.000 | 0.000 |
| 122.915 | 122.915 | 151.442 | -0.000 | -0.000 | -0.000 |
| 0.000 | 0.000 | 0.000 | 11.339 | -0.000 | 0.000 |
| 0.000 | 0.000 | 0.000 | 0.000 | 11.339 | -0.000 |
| 0.000 | 0.000 | 0.000 | 0.000 | -0.000 | 11.339 |
| 151.442 | 122.916 | 122.916 | -0.000 | 0.000 | -0.000 |
| 122.916 | 151.442 | 122.916 | 0.000 | 0.000 | 0.000 |
| 122.916 | 122.916 | 151.442 | -0.000 | -0.000 | 0.000 |
| -0.000 | -0.000 | -0.000 | 11.339 | 0.000 | 0.000 |
| -0.000 | -0.000 | -0.000 | -0.000 | 11.339 | 0.000 |
| 0.000 | -0.000 | -0.000 | -0.000 | 0.000 | 11.339 |
| 151.439 | 122.912 | 122.912 | -0.000 | -0.000 | -0.000 |
| 122.912 | 151.439 | 122.912 | 0.000 | -0.000 | -0.000 |
| 122.912 | 122.912 | 151.439 | 0.000 | -0.000 | -0.000 |
| 0.000 | 0.000 | 0.000 | 36.399 | -0.000 | 0.000 |
| 0.000 | 0.000 | 0.000 | 0.000 | 36.399 | -0.000 |
| 0.000 | 0.000 | 0.000 | 0.000 | -0.000 | 36.399 |
| 151.445 | 122.919 | 122.919 | 0.000 | 0.000 | 0.000 |
| 122.919 | 151.445 | 122.919 | -0.000 | 0.000 | -0.000 |
| 122.919 | 122.919 | 151.445 | -0.000 | 0.000 | 0.000 |
| -0.000 | -0.000 | -0.000 | 36.399 | 0.000 | 0.000 |
| -0.000 | -0.000 | -0.000 | 0.000 | 36.399 | 0.000 |
| -0.000 | -0.000 | -0.000 | -0.000 | 0.000 | 36.399 |
| 151.411 | 122.883 | 122.883 | 0.000 | -0.000 | -0.000 |
| 122.883 | 151.411 | 122.883 | -0.000 | -0.000 | -0.000 |
| 122.883 | 122.883 | 151.411 | 0.000 | -0.000 | -0.000 |
| 0.000 | 0.000 | 0.000 | 11.339 | -0.000 | 0.000 |
| 0.000 | 0.000 | 0.000 | 0.000 | 11.339 | -0.000 |
| 0.000 | 0.000 | 0.000 | -0.000 | -0.000 | 11.339 |
| 151.474 | 122.948 | 122.948 | -0.000 | 0.000 | 0.000 |
| 122.948 | 151.474 | 122.948 | 0.000 | 0.000 | -0.000 |
| 122.948 | 122.948 | 151.474 | -0.000 | 0.000 | -0.000 |
| -0.000 | -0.000 | -0.000 | 11.339 | 0.000 | 0.000 |
| -0.000 | -0.000 | -0.000 | -0.000 | 11.339 | 0.000 |
| -0.000 | -0.000 | -0.000 | 0.000 | 0.000 | 11.339 |
| 37.519 | 13.081 | 13.081 | -0.000 | 0.000 | -0.000 |
| 13.081 | 37.519 | 13.081 | -0.000 | -0.000 | -0.000 |
| 13.081 | 13.081 | 37.519 | 0.000 | 0.000 | -0.000 |
| 0.000 | -0.000 | 0.000 | 8.723 | -0.000 | -0.000 |
| 0.000 | 0.000 | 0.000 | -0.000 | 8.723 | 0.000 |
| 0.000 | 0.000 | 0.000 | -0.000 | 0.000 | 8.723 |
| 37.519 | 13.081 | 13.081 | 0.000 | -0.000 | 0.000 |
| 13.081 | 37.519 | 13.081 | 0.000 | 0.000 | 0.000 |
| 13.081 | 13.081 | 37.519 | 0.000 | 0.000 | 0.000 |
| -0.000 | 0.000 | -0.000 | 8.723 | 0.000 | 0.000 |
| -0.000 | -0.000 | -0.000 | 0.000 | 8.723 | 0.000 |
| -0.000 | -0.000 | -0.000 | -0.000 | -0.000 | 8.723 |
| 37.519 | 13.081 | 13.081 | -0.000 | 0.000 | -0.000 |
| 13.081 | 37.519 | 13.081 | -0.000 | -0.000 | 0.000 |
| 13.081 | 13.081 | 37.519 | -0.000 | -0.000 | -0.000 |
| 0.000 | 0.000 | 0.000 | 8.723 | 0.000 | -0.000 |
| 0.000 | 0.000 | 0.000 | 0.000 | 8.723 | -0.000 |
| 0.000 | 0.000 | 0.000 | -0.000 | 0.000 | 8.723 |
| 37.519 | 13.081 | 13.081 | 0.000 | 0.000 | 0.000 |
| 13.081 | 37.519 | 13.081 | 0.000 | -0.000 | -0.000 |
| 13.081 | 13.081 | 37.519 | -0.000 | -0.000 | 0.000 |
| -0.000 | -0.000 | -0.000 | 8.723 | -0.000 | -0.000 |
| -0.000 | -0.000 | -0.000 | 0.000 | 8.723 | 0.000 |
| -0.000 | -0.000 | -0.000 | 0.000 | -0.000 | 8.723 |
| 37.519 | 13.081 | 13.081 | -0.000 | -0.000 | -0.000 |
| 13.081 | 37.519 | 13.081 | -0.000 | -0.000 | 0.000 |
| 13.081 | 13.081 | 37.519 | 0.000 | -0.000 | -0.000 |
| 0.000 | 0.000 | 0.000 | 13.039 | 0.000 | -0.000 |
| 0.000 | 0.000 | 0.000 | -0.000 | 13.039 | -0.000 |
| 0.000 | 0.000 | 0.000 | -0.000 | 0.000 | 13.039 |
| 37.519 | 13.081 | 13.081 | 0.000 | 0.000 | 0.000 |
| 13.081 | 37.519 | 13.081 | -0.000 | -0.000 | 0.000 |
| 13.081 | 13.081 | 37.519 | 0.000 | 0.000 | 0.000 |
| -0.000 | -0.000 | -0.000 | 13.039 | -0.000 | -0.000 |
| -0.000 | -0.000 | -0.000 | 0.000 | 13.039 | 0.000 |
| -0.000 | -0.000 | -0.000 | 0.000 | 0.000 | 13.039 |
| -13.761 | 21.261 | 21.261 | 0.000 | -0.000 | 0.000 |
| 21.261 | -13.761 | 21.261 | -0.000 | 0.000 | 0.000 |
| 21.261 | 21.261 | -13.761 | 0.000 | 0.000 | 0.000 |
| -0.000 | -0.000 | -0.000 | 21.459 | -0.000 | 0.000 |
| -0.000 | -0.000 | -0.000 | 0.000 | 21.459 | 0.000 |
| -0.000 | -0.000 | -0.000 | 0.000 | -0.000 | 21.459 |
| -13.761 | 21.261 | 21.261 | -0.000 | -0.000 | 0.000 |
| 21.261 | -13.761 | 21.261 | 0.000 | 0.000 | -0.000 |
| 21.261 | 21.261 | -13.761 | 0.000 | 0.000 | -0.000 |
| 0.000 | 0.000 | -0.000 | 21.459 | -0.000 | -0.000 |
| 0.000 | 0.000 | -0.000 | -0.000 | 21.459 | -0.000 |
| 0.000 | 0.000 | 0.000 | -0.000 | 0.000 | 21.459 |
| -13.761 | 21.261 | 21.261 | -0.000 | -0.000 | 0.000 |
| 21.261 | -13.761 | 21.261 | -0.000 | -0.000 | 0.000 |
| 21.261 | 21.261 | -13.761 | 0.000 | 0.000 | -0.000 |
| -10013604.021 | -10122311.170 | -9920150.818 | -1456226.358 | 57286.170 | -44012.946 |
| -10321362.214 | -9800201.325 | -10089891.309 | 26679.639 | -1520987.017 | 29447.795 |
| -10193014.935 | -9877920.698 | -9908465.043 | -5266.807 | -2034.858 | -1548728.801 |
| -13.761 | 21.261 | 21.261 | 0.000 | -0.000 | -0.000 |
| 21.261 | -13.761 | 21.261 | -0.000 | 0.000 | 0.000 |
| 21.261 | 21.261 | -13.761 | 0.000 | 0.000 | -0.000 |
| 10247330.638 | 10307105.058 | 9979240.980 | -1454980.817 | 46951.849 | -48143.516 |
| 10124975.436 | 10208175.325 | 10043363.841 | -28141.539 | -1505510.159 | -69752.536 |
| -111134.789 | -111132.701 | 5011016.803 | 0.001 | 0.003 | -10443122.424 |
| -13.761 | 21.261 | 21.261 | 0.000 | 0.000 | 0.000 |
| 21.261 | -13.761 | 21.261 | 0.000 | 0.000 | 0.000 |
| 21.261 | 21.261 | -13.761 | 0.000 | -0.000 | 0.000 |
| -501120.524 | 11115.660 | 11113.571 | -1044305.343 | 0.000 | -0.000 |
| 11115.660 | -501120.524 | 11113.571 | 0.000 | -1044305.343 | -0.000 |
| 11115.660 | 11113.571 | -501120.524 | 0.000 | -0.000 | -1044305.343 |
| -13.762 | 21.261 | 21.261 | -0.000 | 0.000 | -0.000 |
| 21.261 | -13.762 | 21.261 | 0.000 | -0.000 | -0.000 |
| 21.261 | 21.261 | -13.762 | -0.000 | -0.000 | 0.000 |
| 501120.524 | -11115.660 | -11113.571 | -1044305.343 | -0.000 | 0.000 |
| -11115.660 | 501120.524 | -11113.571 | -0.000 | -1044305.343 | 0.000 |
| -11115.660 | -11113.571 | 501120.524 | 0.000 | 0.000 | -1044305.343 |
| 10.584 | 10.582 | 10.582 | 0.000 | -0.000 | -0.000 |
| 10.582 | 10.584 | 10.582 | -0.000 | 0.000 | -0.000 |
| 10.582 | 10.582 | 10.584 | 0.000 | 0.000 | -0.000 |
| -0.000 | -0.000 | -0.000 | 0.001 | 0.000 | 0.000 |
| -0.000 | -0.000 | -0.000 | 0.000 | 0.001 | 0.000 |
| -0.000 | -0.000 | -0.000 | 0.000 | 0.000 | 0.001 |
| 10.584 | 10.582 | 10.582 | -0.000 | 0.000 | 0.000 |
| 10.582 | 10.584 | 10.582 | 0.000 | -0.000 | 0.000 |
| 10.582 | 10.582 | 10.584 | -0.000 | -0.000 | -0.000 |
| 0.000 | 0.000 | 0.000 | 0.001 | -0.000 | -0.000 |
| 0.000 | 0.000 | 0.000 | -0.000 | 0.001 | -0.000 |
| 0.000 | 0.000 | 0.000 | -0.000 | 0.000 | 0.001 |
| 10.584 | 10.582 | 10.582 | 0.000 | 0.000 | 0.000 |
| 10.582 | 10.584 | 10.582 | 0.000 | 0.000 | 0.000 |
| 10.582 | 10.582 | 10.584 | 0.000 | 0.000 | 0.000 |
| -0.000 | -0.000 | -0.000 | 0.001 | 0.000 | -0.000 |
| -0.000 | -0.000 | -0.000 | 0.000 | 0.001 | -0.000 |
| -0.000 | -0.000 | -0.000 | 0.000 | 0.000 | 0.001 |
| 10.584 | 10.582 | 10.582 | -0.000 | -0.000 | -0.000 |
| 10.582 | 10.584 | 10.582 | -0.000 | -0.000 | -0.000 |
| 10.582 | 10.582 | 10.584 | -0.000 | -0.000 | -0.000 |
| 0.000 | 0.000 | 0.000 | 0.001 | -0.000 | 0.000 |
| 0.000 | 0.000 | 0.000 | -0.000 | 0.001 | 0.000 |
| 0.000 | 0.000 | 0.000 | -0.000 | 0.000 | 0.001 |
| 10.584 | 10.582 | 10.582 | 0.000 | -0.000 | -0.000 |
| 10.582 | 10.584 | 10.582 | -0.000 | 0.000 | -0.000 |
| 10.582 | 10.582 | 10.584 | 0.000 | 0.000 | 0.000 |
| -0.000 | -0.000 | -0.000 | 0.001 | 0.000 | -0.000 |
| -0.000 | -0.000 | -0.000 | 0.000 | 0.001 | -0.000 |
| -0.000 | -0.000 | -0.000 | 0.000 | -0.000 | 0.001 |
| 10.584 | 10.582 | 10.582 | -0.000 | 0.000 | 0.000 |
| 10.582 | 10.584 | 10.582 | 0.000 | -0.000 | 0.000 |
| 10.582 | 10.582 | 10.584 | -0.000 | -0.000 | -0.000 |
| 0.000 | 0.000 | 0.000 | 0.001 | -0.000 | 0.000 |
| 0.000 | 0.000 | 0.000 | -0.000 | 0.001 | 0.000 |
| 0.000 | 0.000 | 0.000 | -0.000 | -0.000 | 0.001 |
| 83.780 | 115.914 | 95.324 | 0.000 | -0.000 | 0.000 |
| 115.914 | 83.780 | 95.324 | 0.000 | -0.000 | 0.000 |
| 76.385 | 76.385 | 176.564 | 0.000 | -0.000 | -0.000 |
| -0.000 | -0.000 | -0.000 | 41.544 | -0.000 | -0.000 |
| -0.000 | -0.000 | -0.000 | 0.000 | 41.544 | -0.000 |
| -0.177 | -0.177 | 0.415 | 0.000 | -0.000 | 71.390 |
| 4.703 | 194.887 | 95.447 | -0.000 | 0.000 | 0.000 |
| 194.887 | 4.703 | 95.447 | -0.000 | 0.000 | 0.000 |
| 88.376 | 88.376 | 148.409 | -0.000 | 0.000 | -0.000 |
| 0.000 | 0.000 | 0.000 | 41.544 | 0.000 | 0.000 |
| 0.000 | 0.000 | 0.000 | -0.000 | 41.544 | 0.000 |
| 0.177 | 0.177 | -0.415 | -0.000 | 0.000 | 71.390 |
| 83.636 | 116.209 | 95.144 | 0.000 | -0.000 | 0.000 |
| 116.209 | 83.636 | 95.144 | 0.000 | -0.000 | 0.000 |
| 88.088 | 88.088 | 149.081 | 0.000 | -0.000 | 0.000 |
| -0.000 | -0.000 | -0.000 | 41.544 | -0.000 | -0.000 |
| -0.000 | -0.000 | -0.000 | 0.000 | 41.544 | -0.000 |
| -0.018 | -0.018 | 0.041 | 0.000 | -0.000 | 71.393 |
| 83.599 | 116.278 | 95.111 | -0.000 | 0.000 | -0.000 |
| 116.278 | 83.599 | 95.111 | -0.000 | 0.000 | -0.000 |
| 88.142 | 88.142 | 148.962 | -0.000 | 0.000 | -0.000 |
| 0.000 | 0.000 | 0.000 | 41.544 | 0.000 | 0.000 |
| 0.000 | 0.000 | 0.000 | -0.000 | 41.544 | 0.000 |
| 0.018 | 0.018 | -0.041 | -0.000 | 0.000 | 71.393 |
| -3602487.474 | -3390204.619 | -3020214.985 | -2023.234 | 6527.836 | 671517.792 |
| -3462539.714 | -3556378.634 | -2949424.876 | 2911.976 | -1505.275 | 98145.664 |
| 76.374 | 76.374 | 176.554 | 0.000 | -0.000 | -0.000 |
| -0.003 | -0.003 | -0.003 | 41.544 | -0.000 | -0.000 |
| -0.003 | -0.003 | -0.003 | 0.000 | 41.544 | -0.000 |
| -0.006 | -0.006 | -0.002 | 0.000 | -0.000 | 71.393 |
| 3601623.554 | 3589621.693 | 3071278.061 | -4845.191 | -2579.120 | 229619.673 |
| 3711298.961 | 3631497.206 | 3136579.981 | -3453.467 | 3846.648 | 86372.750 |
| 88.138 | 88.138 | 149.013 | -0.000 | 0.000 | -0.000 |
| 0.003 | 0.003 | 0.003 | 41.544 | 0.000 | 0.000 |
| 0.003 | 0.003 | 0.003 | -0.000 | 41.544 | 0.000 |
| 0.006 | 0.006 | 0.002 | -0.000 | 0.000 | 71.393 |
| 202.256 | 110.887 | 110.887 | -0.000 | -0.000 | -0.000 |
| 110.887 | 202.256 | 110.887 | 0.000 | -0.000 | -0.000 |
| 110.887 | 110.887 | 202.256 | 0.000 | -0.000 | -0.000 |
| 17207063.372 | 2409582.745 | 489773.346 | -1602891.344 | -1496016.886 | 5816549.196 |
| 3197652.256 | 10473085.415 | -10680.438 | 3760642.287 | -1481395.514 | 205619.848 |
| 1798691.497 | 4605583.050 | 11596880.639 | -6550346.183 | -557880.264 | -5878590.034 |
| 202.410 | 110.805 | 110.805 | -0.000 | 0.000 | -0.000 |
| 110.805 | 202.410 | 110.805 | -0.000 | 0.000 | 0.000 |
| 110.805 | 110.805 | 202.410 | -0.000 | 0.000 | 0.000 |
| -14068108.502 | -10213192.258 | -5328009.380 | -5665136.735 | 3291489.689 | 3661469.261 |
| 1206619.768 | -20959058.789 | 3206675.406 | 696032.759 | -2816439.578 | -1165732.460 |
| -9164382.420 | -8162949.142 | -21532987.373 | 1422548.628 | 3266172.265 | 702694.282 |
| 202.431 | 110.826 | 110.826 | -0.000 | -0.000 | -0.000 |
| 110.826 | 202.431 | 110.826 | 0.000 | -0.000 | -0.000 |
| 110.826 | 110.826 | 202.431 | 0.000 | -0.000 | 0.000 |
| -0.000 | -0.000 | -0.000 | -2.496 | -0.000 | 0.000 |
| -0.000 | -0.000 | -0.000 | 0.000 | -2.496 | -0.000 |
| -0.000 | -0.000 | -0.000 | 0.000 | -0.000 | -2.496 |
| 202.392 | 110.787 | 110.787 | 0.000 | 0.000 | 0.000 |
| 110.787 | 202.392 | 110.787 | -0.000 | 0.000 | 0.000 |
| 110.787 | 110.787 | 202.392 | -0.000 | 0.000 | 0.000 |
| 0.000 | 0.000 | 0.000 | -2.496 | 0.000 | 0.000 |
| 0.000 | 0.000 | 0.000 | -0.000 | -2.496 | 0.000 |
| 0.000 | 0.000 | 0.000 | -0.000 | 0.000 | -2.496 |
| 202.450 | 111.079 | 111.079 | 0.000 | -0.000 | -0.000 |
| 111.079 | 202.450 | 111.079 | 0.000 | -0.000 | 0.000 |
| 111.079 | 111.079 | 202.450 | -0.000 | -0.000 | -0.000 |
| -0.000 | -0.000 | -0.000 | -2.496 | -0.000 | 0.000 |
| -0.000 | -0.000 | -0.000 | -0.000 | -2.496 | -0.000 |
| -0.000 | -0.000 | -0.000 | 0.000 | -0.000 | -2.496 |
| 202.216 | 110.613 | 110.613 | -0.000 | 0.000 | -0.000 |
| 110.613 | 202.216 | 110.613 | -0.000 | 0.000 | 0.000 |
| 110.613 | 110.613 | 202.216 | 0.000 | 0.000 | 0.000 |
| 0.000 | 0.000 | 0.000 | -2.496 | 0.000 | -0.000 |
| 0.000 | 0.000 | 0.000 | -0.000 | -2.496 | 0.000 |
| 0.000 | 0.000 | 0.000 | -0.000 | 0.000 | -2.496 |
| 105.562 | 43.339 | 43.339 | 0.000 | 0.000 | -0.000 |
| 43.339 | 105.562 | 43.339 | 0.000 | 0.000 | -0.000 |
| 43.339 | 43.339 | 105.562 | -0.000 | -0.000 | -0.000 |
| -0.000 | -0.000 | -0.000 | 60.476 | -0.000 | -0.000 |
| -0.000 | -0.000 | -0.000 | 0.000 | 60.476 | -0.000 |
| -0.000 | -0.000 | -0.000 | 0.000 | 0.000 | 60.476 |
| 105.562 | 43.339 | 43.339 | 0.000 | -0.000 | -0.000 |
| 43.339 | 105.562 | 43.339 | -0.000 | -0.000 | 0.000 |
| 43.339 | 43.339 | 105.562 | -0.000 | 0.000 | 0.000 |
| 0.000 | 0.000 | 0.000 | 60.476 | 0.000 | 0.000 |
| 0.000 | 0.000 | 0.000 | -0.000 | 60.476 | 0.000 |
| 0.000 | 0.000 | 0.000 | -0.000 | 0.000 | 60.476 |
| 105.562 | 43.339 | 43.339 | 0.000 | -0.000 | 0.000 |
| 43.339 | 105.562 | 43.339 | 0.000 | 0.000 | 0.000 |
| 43.339 | 43.339 | 105.562 | 0.000 | 0.000 | -0.000 |
| -0.000 | -0.000 | -0.000 | 60.476 | -0.000 | -0.000 |
| -0.000 | -0.000 | -0.000 | 0.000 | 60.476 | -0.000 |
| -0.000 | -0.000 | -0.000 | 0.000 | 0.000 | 60.476 |
| 9805548.836 | 20736262.898 | 20594926.356 | 459851.130 | 79138.841 | -163564.269 |
| 20911903.326 | 10036804.013 | 20517793.883 | 160704.059 | 203525.747 | -85669.552 |
| 21256331.848 | 21234777.208 | 11120328.122 | 164793.024 | 45869.165 | 48504.177 |
| 0.000 | 0.000 | 0.000 | 60.476 | -0.000 | -0.000 |
| 0.000 | 0.000 | 0.000 | -0.000 | 60.476 | 0.000 |
| 0.000 | 0.000 | 0.000 | -0.000 | 0.000 | 60.476 |
| -1688237.524 | -1215191.950 | -1123680.323 | 9399.028 | 6684.991 | -8209.809 |
| -1058056.090 | -1629003.421 | -1180590.348 | 16663.923 | 23579.581 | 5846.694 |
| -1141702.274 | -1124335.328 | -1673790.804 | 1117.347 | 16311.507 | 23624.429 |
| -0.001 | -0.001 | -0.001 | 60.476 | -0.000 | -0.000 |
| -0.001 | -0.001 | -0.001 | 0.000 | 60.476 | -0.000 |
| -0.001 | -0.001 | -0.001 | 0.000 | -0.000 | 60.476 |
| 105.568 | 43.339 | 43.339 | -0.000 | 0.000 | -0.000 |
| 43.339 | 105.568 | 43.339 | -0.000 | -0.000 | 0.000 |
| 43.339 | 43.339 | 105.568 | -0.000 | 0.000 | 0.000 |
| 0.001 | 0.001 | 0.001 | 60.476 | -0.000 | 0.000 |
| 0.001 | 0.001 | 0.001 | 0.000 | 60.476 | 0.000 |
| 0.001 | 0.001 | 0.001 | 0.000 | -0.000 | 60.476 |
| 28.737 | 8.076 | 8.076 | 0.000 | 0.000 | -0.000 |
| 8.076 | 28.737 | 8.076 | 0.000 | 0.000 | -0.000 |
| 8.076 | 8.076 | 28.737 | -0.000 | 0.000 | -0.000 |
| 0.000 | -0.000 | -0.000 | -0.540 | -0.000 | 0.000 |
| -0.000 | 0.000 | -0.000 | 0.000 | -0.540 | 0.000 |
| -0.000 | -0.000 | 0.000 | -0.000 | 0.000 | -0.540 |
| 28.737 | 8.076 | 8.076 | -0.000 | -0.000 | -0.000 |
| 8.076 | 28.737 | 8.076 | -0.000 | -0.000 | 0.000 |
| 8.076 | 8.076 | 28.737 | 0.000 | -0.000 | 0.000 |
| -0.000 | 0.000 | 0.000 | -0.540 | -0.000 | 0.000 |
| 0.000 | -0.000 | 0.000 | 0.000 | -0.540 | -0.000 |
| 0.000 | 0.000 | -0.000 | 0.000 | -0.000 | -0.540 |
| -2998047.512 | -3185284.775 | -3180597.535 | -7052.420 | 2548.543 | 88.898 |
| -3197469.592 | -2952778.714 | -3225452.988 | -11418.556 | -9391.363 | -13499.015 |
| -3160245.652 | -3201752.453 | -3054618.531 | 3449.368 | 11714.579 | -23211.448 |
| 0.000 | -0.000 | -0.000 | -0.540 | 0.000 | 0.000 |
| -0.000 | 0.000 | -0.000 | -0.000 | -0.540 | 0.000 |
| -0.000 | -0.000 | 0.000 | -0.000 | 0.000 | -0.540 |
| 2895653.492 | 3095484.336 | 2819448.796 | 8630.669 | -5280.879 | 7714.165 |
| 2743717.812 | 2858182.717 | 3097411.770 | 18658.715 | -3030.928 | -3014.827 |
| 3007879.754 | 2726210.660 | 2911078.433 | 10935.972 | 25083.187 | -3437.193 |
| -0.000 | 0.000 | 0.000 | -0.540 | -0.000 | -0.000 |
| 0.000 | -0.000 | 0.000 | -0.000 | -0.540 | -0.000 |
| 0.000 | 0.000 | -0.000 | 0.000 | -0.000 | -0.540 |
| -242808.665 | -179775.446 | -179775.453 | 0.000 | -0.000 | 0.000 |
| -179775.453 | -242808.665 | -179775.446 | 0.000 | -0.000 | 0.000 |
| -179775.446 | -179775.453 | -242808.665 | 0.000 | -0.000 | 0.000 |
| 0.000 | -0.000 | -0.000 | -0.540 | 0.000 | 0.000 |
| -0.000 | 0.000 | -0.000 | -0.000 | -0.540 | 0.000 |
| -0.000 | -0.000 | 0.000 | 0.000 | 0.000 | -0.540 |
| -354166.335 | 478277.231 | 478277.238 | -0.000 | 0.000 | -0.000 |
| 283973.434 | 296849.741 | 300449.654 | 1335.420 | -320.660 | 945.556 |
| 296926.562 | 281788.261 | 294333.776 | -409.052 | 896.452 | -525.178 |
| -0.000 | 0.000 | 0.000 | -0.540 | -0.000 | 0.000 |
| 0.000 | -0.000 | 0.000 | 0.000 | -0.540 | -0.000 |
| 0.000 | 0.000 | -0.000 | -0.000 | -0.000 | -0.540 |
| 151.612 | 177.699 | 177.699 | 0.000 | -0.000 | -0.000 |
| 177.699 | 151.612 | 177.699 | 0.000 | -0.000 | -0.000 |
| 177.699 | 177.699 | 151.612 | -0.000 | -0.000 | -0.000 |
| -0.000 | -0.000 | -0.000 | -9.188 | -0.000 | -0.000 |
| -0.000 | -0.000 | -0.000 | -0.000 | -9.188 | -0.000 |
| -0.000 | -0.000 | -0.000 | -0.000 | -0.000 | -9.188 |
| 151.614 | 177.701 | 177.701 | -0.000 | 0.000 | 0.000 |
| 177.701 | 151.614 | 177.701 | 0.000 | 0.000 | -0.000 |
| 177.701 | 177.701 | 151.614 | 0.000 | 0.000 | 0.000 |
| 0.000 | 0.000 | 0.000 | -9.188 | 0.000 | 0.000 |
| 0.000 | 0.000 | 0.000 | 0.000 | -9.188 | 0.000 |
| 0.000 | 0.000 | 0.000 | 0.000 | 0.000 | -9.188 |
| 151.602 | 177.689 | 177.689 | -0.000 | -0.000 | -0.000 |
| 177.689 | 151.602 | 177.689 | -0.000 | -0.000 | -0.000 |
| 177.689 | 177.689 | 151.602 | -0.000 | -0.000 | -0.000 |
| -0.000 | 0.000 | 0.000 | 19.457 | -0.000 | -0.000 |
| 0.000 | -0.000 | 0.000 | -0.000 | 19.457 | -0.000 |
| 0.000 | 0.000 | -0.000 | -0.000 | -0.000 | 19.457 |
| 151.624 | 177.711 | 177.711 | 0.000 | 0.000 | 0.000 |
| 177.711 | 151.624 | 177.711 | -0.000 | 0.000 | 0.000 |
| 177.711 | 177.711 | 151.624 | 0.000 | 0.000 | 0.000 |
| 0.000 | -0.000 | -0.000 | 19.457 | 0.000 | 0.000 |
| -0.000 | 0.000 | -0.000 | 0.000 | 19.457 | 0.000 |
| -0.000 | -0.000 | 0.000 | 0.000 | 0.000 | 19.457 |
| 151.507 | 177.594 | 177.594 | -0.000 | -0.000 | -0.000 |
| 177.594 | 151.507 | 177.594 | -0.000 | -0.000 | -0.000 |
| 177.594 | 177.594 | 151.507 | -0.000 | -0.000 | -0.000 |
| -0.000 | 0.000 | 0.000 | 19.457 | -0.000 | -0.000 |
| 0.000 | -0.000 | 0.000 | -0.000 | 19.457 | -0.000 |
| 0.000 | 0.000 | -0.000 | -0.000 | -0.000 | 19.457 |
| 151.719 | 177.806 | 177.806 | 0.000 | 0.000 | 0.000 |
| 177.806 | 151.719 | 177.806 | -0.000 | 0.000 | 0.000 |
| 177.806 | 177.806 | 151.719 | -0.000 | 0.000 | 0.000 |
| 0.000 | -0.000 | -0.000 | 19.457 | 0.000 | 0.000 |
| -0.000 | 0.000 | -0.000 | -0.000 | 19.457 | 0.000 |
| -0.000 | -0.000 | 0.000 | 0.000 | 0.000 | 19.457 |
| 76.594 | 28.290 | 28.290 | 0.000 | 0.000 | 0.000 |
| 28.290 | 76.594 | 28.290 | 0.000 | 0.000 | -0.000 |
| 28.290 | 28.290 | 76.594 | 0.000 | 0.000 | 0.000 |
| 0.000 | 0.000 | 0.000 | 27.719 | 0.000 | -0.000 |
| 0.000 | 0.000 | 0.000 | 0.000 | 27.719 | 0.000 |
| 0.000 | 0.000 | 0.000 | 0.000 | 0.000 | 27.719 |
| 76.594 | 28.290 | 28.290 | 0.000 | -0.000 | 0.000 |
| 28.290 | 76.594 | 28.290 | -0.000 | -0.000 | 0.000 |
| 28.290 | 28.290 | 76.594 | -0.000 | -0.000 | 0.000 |
| -0.000 | -0.000 | -0.000 | 27.719 | -0.000 | 0.000 |
| -0.000 | -0.000 | -0.000 | -0.000 | 27.719 | -0.000 |
| -0.000 | -0.000 | -0.000 | -0.000 | -0.000 | 27.719 |
| 76.594 | 28.290 | 28.290 | 0.000 | 0.000 | -0.000 |
| 28.290 | 76.594 | 28.290 | 0.000 | 0.000 | -0.000 |
| 28.290 | 28.290 | 76.594 | 0.000 | 0.000 | -0.000 |
| -0.000 | -0.000 | -0.000 | -14.788 | -0.000 | 0.000 |
| -0.000 | -0.000 | -0.000 | 0.000 | -14.788 | -0.000 |
| -0.000 | -0.000 | -0.000 | -0.000 | -0.000 | -14.788 |
| 76.594 | 28.290 | 28.290 | -0.000 | -0.000 | 0.000 |
| 28.290 | 76.594 | 28.290 | -0.000 | -0.000 | 0.000 |
| 28.290 | 28.290 | 76.594 | -0.000 | -0.000 | 0.000 |
| 0.000 | 0.000 | 0.000 | -14.788 | 0.000 | 0.000 |
| 0.000 | 0.000 | 0.000 | -0.000 | -14.788 | 0.000 |
| 0.000 | 0.000 | 0.000 | -0.000 | -0.000 | -14.788 |
| 76.594 | 28.291 | 28.291 | 0.000 | 0.000 | -0.000 |
| 28.291 | 76.594 | 28.291 | 0.000 | 0.000 | -0.000 |
| 28.291 | 28.291 | 76.594 | 0.000 | 0.000 | -0.000 |
| -0.000 | -0.000 | -0.000 | -14.788 | 0.000 | -0.000 |
| -0.000 | -0.000 | -0.000 | 0.000 | -14.788 | -0.000 |
| -0.000 | -0.000 | -0.000 | 0.000 | -0.000 | -14.788 |
| 76.594 | 28.290 | 28.290 | -0.000 | -0.000 | 0.000 |
| 28.290 | 76.594 | 28.290 | -0.000 | -0.000 | 0.000 |
| 28.290 | 28.290 | 76.594 | -0.000 | -0.000 | 0.000 |
| 0.000 | 0.000 | 0.000 | -14.788 | -0.000 | 0.000 |
| 0.000 | 0.000 | 0.000 | -0.000 | -14.788 | 0.000 |
| 0.000 | 0.000 | 0.000 | -0.000 | 0.000 | -14.788 |
| 320.987 | 335.191 | 335.191 | 0.000 | 0.000 | 0.000 |
| 335.191 | 320.987 | 335.191 | 0.000 | 0.000 | 0.000 |
| 335.191 | 335.191 | 320.987 | -0.000 | -0.000 | 0.000 |
| 0.000 | -0.000 | 0.000 | -1.092 | -0.000 | -0.000 |
| -0.000 | 0.000 | 0.000 | -0.000 | -1.092 | 0.000 |
| -0.000 | -0.000 | 0.000 | 0.000 | -0.000 | -1.092 |
| 320.995 | 335.198 | 335.198 | 0.000 | -0.000 | -0.000 |
| 335.198 | 320.995 | 335.198 | -0.000 | -0.000 | 0.000 |
| 335.198 | 335.198 | 320.995 | 0.000 | -0.000 | 0.000 |
| -0.000 | -0.000 | -0.000 | -1.092 | -0.000 | 0.000 |
| -0.000 | -0.000 | -0.000 | -0.000 | -1.092 | 0.000 |
| -0.000 | -0.000 | -0.000 | -0.000 | -0.000 | -1.092 |
| 320.955 | 335.159 | 335.159 | 0.000 | 0.000 | -0.000 |
| 335.159 | 320.955 | 335.159 | 0.000 | -0.000 | -0.000 |
| 335.159 | 335.159 | 320.955 | 0.000 | 0.000 | -0.000 |
| 0.000 | 0.000 | 0.000 | -1.092 | 0.000 | -0.000 |
| 0.000 | 0.000 | 0.000 | 0.000 | -1.092 | 0.000 |
| 0.000 | 0.000 | 0.000 | 0.000 | 0.000 | -1.092 |
| 321.027 | 335.230 | 335.230 | 0.000 | -0.000 | -0.000 |
| 335.230 | 321.027 | 335.230 | -0.000 | 0.000 | -0.000 |
| 335.230 | 335.230 | 321.027 | 0.000 | 0.000 | -0.000 |
| -0.000 | -0.000 | -0.000 | -1.092 | 0.000 | 0.000 |
| -0.000 | -0.000 | -0.000 | -0.000 | -1.092 | -0.000 |
| -0.000 | -0.000 | -0.000 | -0.000 | -0.000 | -1.092 |
| 320.635 | 334.838 | 334.838 | -0.000 | -0.000 | 0.000 |
| 334.838 | 320.635 | 334.838 | -0.000 | -0.000 | -0.000 |
| 334.838 | 334.838 | 320.635 | 0.000 | -0.000 | 0.000 |
| 0.000 | 0.000 | 0.000 | -1.092 | 0.000 | 0.000 |
| 0.000 | 0.000 | 0.000 | 0.000 | -1.092 | 0.000 |
| 0.000 | 0.000 | 0.000 | 0.000 | -0.000 | -1.092 |
| 321.348 | 335.551 | 335.551 | 0.000 | 0.000 | 0.000 |
| 335.551 | 321.348 | 335.551 | 0.000 | 0.000 | 0.000 |
| 335.551 | 335.551 | 321.348 | 0.000 | 0.000 | -0.000 |
| -0.000 | -0.000 | -0.000 | -1.092 | 0.000 | -0.000 |
| -0.000 | -0.000 | -0.000 | 0.000 | -1.092 | 0.000 |
| -0.000 | -0.000 | -0.000 | -0.000 | 0.000 | -1.092 |
| -192.781 | -78.022 | -78.022 | -0.000 | -0.000 | -0.000 |
| -78.022 | -192.781 | -78.022 | 0.000 | -0.000 | 0.000 |
| -78.022 | -78.022 | -192.781 | -0.000 | 0.000 | -0.000 |
| 0.000 | -0.000 | -0.000 | -67.718 | -0.000 | 0.000 |
| -0.000 | 0.000 | -0.000 | -0.000 | -67.718 | 0.000 |
| -0.000 | -0.000 | 0.000 | -0.000 | -0.000 | -67.718 |
| -192.781 | -78.022 | -78.022 | 0.000 | -0.000 | 0.000 |
| -78.022 | -192.781 | -78.022 | 0.000 | 0.000 | -0.000 |
| -78.022 | -78.022 | -192.781 | 0.000 | 0.000 | -0.000 |
| -0.000 | 0.000 | 0.000 | -67.718 | 0.000 | 0.000 |
| 0.000 | -0.000 | 0.000 | 0.000 | -67.718 | -0.000 |
| 0.000 | 0.000 | -0.000 | 0.000 | 0.000 | -67.718 |
| -192.781 | -78.022 | -78.022 | -0.000 | -0.000 | -0.000 |
| -78.022 | -192.781 | -78.022 | 0.000 | -0.000 | 0.000 |
| -78.022 | -78.022 | -192.781 | -0.000 | -0.000 | 0.000 |
| 0.000 | -0.000 | -0.000 | -67.718 | -0.000 | -0.000 |
| -0.000 | 0.000 | -0.000 | -0.000 | -67.718 | -0.000 |
| -0.000 | -0.000 | 0.000 | -0.000 | -0.000 | -67.718 |
| -192.781 | -78.021 | -78.021 | -0.000 | 0.000 | -0.000 |
| -78.021 | -192.781 | -78.021 | 0.000 | 0.000 | -0.000 |
| -78.021 | -78.021 | -192.781 | -0.000 | 0.000 | 0.000 |
| -0.000 | 0.000 | 0.000 | -67.718 | 0.000 | -0.000 |
| 0.000 | -0.000 | 0.000 | 0.000 | -67.718 | -0.000 |
| 0.000 | 0.000 | -0.000 | 0.000 | 0.000 | -67.718 |
| -192.782 | -78.024 | -78.024 | -0.000 | -0.000 | -0.000 |
| -78.024 | -192.782 | -78.024 | -0.000 | -0.000 | 0.000 |
| -78.024 | -78.024 | -192.782 | -0.000 | -0.000 | 0.000 |
| 0.000 | -0.001 | -0.001 | -67.718 | -0.000 | 0.000 |
| -0.001 | 0.000 | -0.001 | -0.000 | -67.718 | 0.000 |
| -0.001 | -0.001 | 0.000 | -0.000 | 0.000 | -67.718 |
| -192.780 | -78.019 | -78.019 | 0.000 | 0.000 | -0.000 |
| -78.019 | -192.780 | -78.019 | 0.000 | 0.000 | -0.000 |
| -78.019 | -78.019 | -192.780 | 0.000 | 0.000 | -0.000 |
| -0.000 | 0.001 | 0.001 | -67.718 | 0.000 | 0.000 |
| 0.001 | -0.000 | 0.001 | 0.000 | -67.718 | -0.000 |
| 0.001 | 0.001 | -0.000 | 0.000 | 0.000 | -67.718 |
| 136.601 | 25.651 | 25.651 | -0.000 | -0.000 | -0.000 |
| 25.651 | 136.601 | 25.651 | 0.000 | -0.000 | -0.000 |
| 25.651 | 25.651 | 136.601 | -0.000 | -0.000 | 0.000 |
| -0.000 | 0.000 | 0.000 | 26.892 | -0.000 | -0.000 |
| 0.000 | -0.000 | 0.000 | -0.000 | 26.892 | 0.000 |
| 0.000 | 0.000 | -0.000 | -0.000 | 0.000 | 26.892 |
| 136.601 | 25.651 | 25.651 | -0.000 | 0.000 | -0.000 |
| 25.651 | 136.601 | 25.651 | 0.000 | 0.000 | 0.000 |
| 25.651 | 25.651 | 136.601 | 0.000 | 0.000 | -0.000 |
| 0.000 | -0.000 | -0.000 | 26.892 | 0.000 | 0.000 |
| -0.000 | 0.000 | -0.000 | 0.000 | 26.892 | -0.000 |
| -0.000 | -0.000 | 0.000 | -0.000 | 0.000 | 26.892 |
| 136.601 | 25.651 | 25.651 | -0.000 | -0.000 | 0.000 |
| 25.651 | 136.601 | 25.651 | 0.000 | -0.000 | -0.000 |
| 25.651 | 25.651 | 136.601 | 0.000 | -0.000 | 0.000 |
| -0.000 | 0.000 | 0.000 | 26.892 | -0.000 | -0.000 |
| 0.000 | -0.000 | 0.000 | -0.000 | 26.892 | -0.000 |
| 0.000 | 0.000 | -0.000 | -0.000 | -0.000 | 26.892 |
| 136.601 | 25.651 | 25.651 | 0.000 | 0.000 | 0.000 |
| 25.651 | 136.601 | 25.651 | 0.000 | 0.000 | -0.000 |
| 25.651 | 25.651 | 136.601 | 0.000 | 0.000 | 0.000 |
| 0.000 | -0.000 | -0.000 | 26.892 | 0.000 | 0.000 |
| -0.000 | 0.000 | -0.000 | 0.000 | 26.892 | -0.000 |
| -0.000 | -0.000 | 0.000 | 0.000 | -0.000 | 26.892 |
| 136.599 | 25.651 | 25.651 | -0.000 | -0.000 | -0.000 |
| 25.651 | 136.599 | 25.651 | 0.000 | -0.000 | 0.000 |
| 25.651 | 25.651 | 136.599 | -0.000 | -0.000 | -0.000 |
| -0.000 | 0.000 | 0.000 | 26.892 | -0.000 | -0.000 |
| 0.000 | -0.000 | 0.000 | -0.000 | 26.892 | 0.000 |
| 0.000 | 0.000 | -0.000 | -0.000 | -0.000 | 26.892 |
| 136.603 | 25.651 | 25.651 | -0.000 | 0.000 | 0.000 |
| 25.651 | 136.603 | 25.651 | 0.000 | 0.000 | -0.000 |
| 25.651 | 25.651 | 136.603 | 0.000 | 0.000 | 0.000 |
| 0.000 | -0.000 | -0.000 | 26.892 | 0.000 | 0.000 |
| -0.000 | 0.000 | -0.000 | 0.000 | 26.892 | -0.000 |
| -0.000 | -0.000 | 0.000 | 0.000 | 0.000 | 26.892 |
| 49.412 | 24.487 | 24.487 | 0.000 | 0.000 | -0.000 |
| 24.487 | 49.412 | 24.487 | 0.000 | 0.000 | 0.000 |
| 24.487 | 24.487 | 49.412 | 0.000 | 0.000 | -0.000 |
| -0.000 | -0.000 | -0.000 | 24.697 | 0.000 | -0.000 |
| -0.000 | -0.000 | -0.000 | -0.000 | 24.697 | -0.000 |
| -0.000 | -0.000 | -0.000 | 0.000 | -0.000 | 24.697 |
| 49.412 | 24.487 | 24.487 | -0.000 | 0.000 | 0.000 |
| 24.487 | 49.412 | 24.487 | 0.000 | -0.000 | 0.000 |
| 24.487 | 24.487 | 49.412 | -0.000 | 0.000 | 0.000 |
| 0.000 | 0.000 | 0.000 | 24.697 | 0.000 | -0.000 |
| 0.000 | 0.000 | 0.000 | -0.000 | 24.697 | 0.000 |
| 0.000 | 0.000 | 0.000 | -0.000 | 0.000 | 24.697 |
| 49.412 | 24.487 | 24.487 | -0.000 | -0.000 | -0.000 |
| 24.487 | 49.412 | 24.487 | -0.000 | 0.000 | -0.000 |
| 24.487 | 24.487 | 49.412 | 0.000 | 0.000 | -0.000 |
| -0.000 | -0.000 | 0.000 | 24.697 | -0.000 | -0.000 |
| -0.000 | -0.000 | 0.000 | -0.000 | 24.697 | -0.000 |
| -0.000 | 0.000 | -0.000 | -0.000 | -0.000 | 24.697 |
| 49.412 | 24.487 | 24.487 | 0.000 | -0.000 | 0.000 |
| 24.487 | 49.412 | 24.487 | 0.000 | 0.000 | 0.000 |
| 24.487 | 24.487 | 49.412 | -0.000 | -0.000 | 0.000 |
| 0.000 | 0.000 | -0.000 | 24.697 | 0.000 | 0.000 |
| 0.000 | 0.000 | -0.000 | 0.000 | 24.697 | 0.000 |
| 0.000 | -0.000 | 0.000 | 0.000 | 0.000 | 24.697 |
| 49.412 | 24.487 | 24.487 | -0.000 | -0.000 | -0.000 |
| 24.487 | 49.412 | 24.487 | -0.000 | 0.000 | -0.000 |
| 24.487 | 24.487 | 49.412 | -0.000 | -0.000 | -0.000 |
| -0.000 | -0.000 | 0.000 | 24.697 | -0.000 | -0.000 |
| -0.000 | -0.000 | 0.000 | -0.000 | 24.697 | -0.000 |
| -0.000 | 0.000 | -0.000 | -0.000 | -0.000 | 24.697 |
| 49.412 | 24.487 | 24.487 | -0.000 | 0.000 | 0.000 |
| 24.487 | 49.412 | 24.487 | 0.000 | -0.000 | 0.000 |
| 24.487 | 24.487 | 49.412 | 0.000 | 0.000 | 0.000 |
| 0.000 | 0.000 | -0.000 | 24.697 | 0.000 | 0.000 |
| 0.000 | 0.000 | -0.000 | 0.000 | 24.697 | 0.000 |
| 0.000 | -0.000 | 0.000 | 0.000 | 0.000 | 24.697 |
| 193.612 | 166.227 | 207.944 | -0.000 | -0.000 | 0.000 |
| 166.227 | 193.612 | 207.944 | -0.000 | 0.000 | -0.000 |
| 186.955 | 186.955 | 279.212 | 0.000 | -0.000 | 0.000 |
| 0.000 | -0.000 | 0.000 | 33.154 | 0.000 | 0.000 |
| -0.000 | 0.000 | 0.000 | 0.000 | 33.154 | 0.000 |
| -3.251 | -3.251 | 19.546 | -0.000 | 0.000 | 13.674 |
| 200.071 | 172.771 | 168.840 | 0.000 | 0.000 | 0.000 |
| 172.771 | 200.071 | 168.840 | 0.000 | 0.000 | -0.000 |
| 191.563 | 191.563 | 251.494 | 0.000 | -0.000 | -0.000 |
| 0.000 | -0.000 | -0.000 | 33.154 | -0.000 | -0.000 |
| 0.000 | 0.000 | -0.000 | -0.000 | 33.154 | -0.000 |
| 3.251 | 3.251 | -19.546 | 0.000 | 0.000 | 13.674 |
| 186.128 | 179.935 | 189.318 | -0.000 | 0.000 | -0.000 |
| 166.819 | 200.026 | 186.966 | 0.000 | 0.000 | -0.000 |
| 188.163 | 188.163 | 272.027 | -0.000 | -0.000 | 0.000 |
| 0.000 | -0.000 | 0.000 | 33.154 | 0.000 | -0.000 |
| -0.920 | -0.920 | 5.532 | -0.000 | 14.260 | 0.000 |
| -0.758 | -0.758 | 4.557 | 0.000 | 0.000 | 9.773 |
| 200.000 | 166.793 | 186.942 | -0.000 | -0.000 | -0.000 |
| 175.404 | 191.748 | 185.861 | 0.000 | -0.000 | -0.000 |
| 186.943 | 186.943 | 279.200 | 0.000 | 0.000 | -0.000 |
| -0.000 | 0.000 | -0.000 | 33.154 | -0.000 | -0.000 |
| 0.920 | 0.920 | -5.532 | 0.000 | 14.260 | -0.000 |
| 0.758 | 0.758 | -4.557 | -0.000 | -0.000 | 9.773 |
| 200.145 | 166.933 | 187.077 | 0.000 | 0.000 | -0.000 |
| 166.933 | 200.145 | 187.077 | 0.000 | 0.000 | 0.000 |
| 187.069 | 187.069 | 279.320 | 0.000 | 0.000 | 0.000 |
| 0.000 | -0.000 | 0.000 | 33.154 | 0.000 | 0.000 |
| -0.000 | 0.000 | 0.000 | 0.000 | 33.154 | -0.000 |
| -0.094 | -0.094 | 0.567 | -0.000 | 0.000 | 8.109 |
| 186.235 | 180.331 | 186.812 | 0.000 | -0.000 | -0.000 |
| 166.678 | 199.881 | 186.831 | -0.000 | 0.000 | 0.000 |
| 188.372 | 188.372 | 269.846 | -0.000 | -0.000 | -0.000 |
| -0.000 | 0.000 | -0.000 | 33.154 | -0.000 | 0.000 |
| 0.000 | -0.000 | -0.000 | -0.000 | 33.154 | -0.000 |
| 0.094 | 0.094 | -0.567 | 0.000 | -0.000 | 8.109 |
| 106.244 | 144.718 | 139.152 | 0.000 | -0.000 | 0.000 |
| 144.718 | 106.244 | 139.152 | 0.000 | -0.000 | 0.000 |
| 139.152 | 139.152 | 196.660 | 0.000 | 0.000 | 0.000 |
| 0.000 | 0.000 | 0.000 | 7.895 | 0.000 | -0.000 |
| 0.000 | 0.000 | 0.000 | 0.000 | 7.895 | 0.000 |
| 0.000 | 0.000 | 0.000 | 0.000 | 0.000 | 9.423 |
| 106.243 | 144.717 | 139.151 | -0.000 | -0.000 | -0.000 |
| 144.717 | 106.243 | 139.151 | -0.000 | -0.000 | -0.000 |
| 139.151 | 139.151 | 196.659 | -0.000 | 0.000 | 0.000 |
| -0.000 | -0.000 | -0.000 | 7.895 | 0.000 | -0.000 |
| -0.000 | -0.000 | -0.000 | -0.000 | 7.895 | -0.000 |
| 0.000 | 0.000 | 0.000 | -0.000 | -0.000 | 9.423 |
| 106.250 | 144.724 | 139.157 | 0.000 | -0.000 | 0.000 |
| 144.724 | 106.250 | 139.157 | -0.000 | 0.000 | 0.000 |
| 139.157 | 139.157 | 196.665 | 0.000 | 0.000 | 0.000 |
| -0.000 | 0.000 | 0.000 | 21.723 | -0.000 | 0.000 |
| 0.000 | -0.000 | 0.000 | 0.000 | 21.723 | 0.000 |
| -0.000 | -0.000 | -0.000 | 0.000 | 0.000 | 9.423 |
| 106.237 | 144.711 | 139.146 | -0.000 | 0.000 | 0.000 |
| 144.711 | 106.237 | 139.146 | -0.000 | -0.000 | -0.000 |
| 139.146 | 139.146 | 196.655 | -0.000 | -0.000 | 0.000 |
| 0.000 | -0.000 | -0.000 | 21.723 | 0.000 | -0.000 |
| -0.000 | 0.000 | -0.000 | -0.000 | 21.723 | -0.000 |
| 0.000 | 0.000 | 0.000 | -0.000 | 0.000 | 9.423 |
| 106.308 | 144.783 | 139.206 | 0.000 | -0.000 | 0.000 |
| 144.783 | 106.308 | 139.206 | 0.000 | 0.000 | 0.000 |
| 139.203 | 139.203 | 196.710 | 0.000 | -0.000 | 0.000 |
| 0.000 | -0.000 | -0.000 | 7.895 | 0.000 | -0.000 |
| -0.000 | 0.000 | -0.000 | 0.000 | 7.895 | 0.000 |
| -0.000 | -0.000 | -0.000 | 0.000 | 0.000 | 9.423 |
| 106.179 | 144.653 | 139.097 | -0.000 | -0.000 | -0.000 |
| 144.653 | 106.179 | 139.097 | -0.000 | -0.000 | -0.000 |
| 139.100 | 139.100 | 196.609 | -0.000 | 0.000 | -0.000 |
| -0.000 | 0.000 | 0.000 | 7.895 | -0.000 | -0.000 |
| 0.000 | -0.000 | 0.000 | -0.000 | 7.895 | -0.000 |
| 0.000 | 0.000 | 0.000 | -0.000 | -0.000 | 9.423 |
| 192.129 | 151.576 | 169.739 | -0.000 | 0.000 | -0.000 |
| 151.576 | 192.129 | 169.739 | -0.000 | 0.000 | -0.000 |
| 169.739 | 169.739 | 284.207 | -0.000 | 0.000 | -0.000 |
| 0.000 | 0.000 | -0.000 | -38.952 | 0.000 | -0.000 |
| 0.000 | 0.000 | -0.000 | -0.000 | -38.952 | -0.000 |
| 0.000 | 0.000 | 0.000 | 0.000 | 0.000 | 10.126 |
| 188.395 | 155.310 | 169.739 | 0.000 | -0.000 | 0.000 |
| 155.310 | 188.395 | 169.739 | -0.000 | 0.000 | 0.000 |
| 169.739 | 169.739 | 284.207 | -0.000 | -0.000 | 0.000 |
| -0.000 | -0.000 | 0.000 | -38.952 | -0.000 | 0.000 |
| -0.000 | -0.000 | 0.000 | 0.000 | -38.952 | 0.000 |
| -0.000 | -0.000 | -0.000 | -0.000 | -0.000 | 10.126 |
| 192.128 | 151.575 | 169.738 | 0.000 | -0.000 | -0.000 |
| 151.575 | 192.128 | 169.738 | 0.000 | 0.000 | -0.000 |
| 169.737 | 169.737 | 284.205 | -0.000 | 0.000 | -0.000 |
| 0.000 | 0.000 | -0.000 | -38.952 | 0.000 | -0.000 |
| 0.000 | 0.000 | -0.000 | -0.000 | -38.952 | -0.000 |
| 0.000 | 0.000 | 0.000 | -0.000 | 0.000 | 10.126 |
| 188.396 | 155.311 | 169.740 | 0.000 | -0.000 | 0.000 |
| 155.311 | 188.396 | 169.740 | -0.000 | -0.000 | 0.000 |
| 169.741 | 169.741 | 284.209 | 0.000 | -0.000 | 0.000 |
| -0.000 | -0.000 | 0.000 | -38.952 | 0.000 | 0.000 |
| -0.000 | -0.000 | 0.000 | 0.000 | -38.952 | 0.000 |
| -0.000 | -0.000 | -0.000 | 0.000 | -0.000 | 10.126 |
| 192.118 | 151.566 | 169.726 | 0.000 | 0.000 | -0.000 |
| 151.566 | 192.118 | 169.726 | -0.000 | -0.000 | -0.000 |
| 169.722 | 169.722 | 284.188 | -0.000 | -0.000 | 0.000 |
| 0.000 | 0.000 | -0.000 | -38.952 | -0.000 | -0.000 |
| 0.000 | 0.000 | -0.000 | -0.000 | -38.952 | -0.000 |
| 0.000 | 0.000 | 0.000 | -0.000 | 0.000 | 10.126 |
| 192.139 | 151.587 | 169.752 | -0.000 | -0.000 | 0.000 |
| 151.587 | 192.139 | 169.752 | -0.000 | -0.000 | 0.000 |
| 169.756 | 169.756 | 284.226 | -0.000 | -0.000 | 0.000 |
| -0.000 | -0.000 | 0.000 | -38.952 | -0.000 | -0.000 |
| -0.000 | -0.000 | 0.000 | 0.000 | -38.952 | 0.000 |
| -0.000 | -0.000 | -0.000 | 0.000 | 0.000 | 10.126 |
| 101.712 | 107.946 | 137.311 | 0.000 | -0.000 | 0.000 |
| 76.721 | 147.825 | 151.735 | 0.000 | -0.000 | 0.000 |
| 151.107 | 151.107 | 251.978 | 0.000 | 0.000 | -0.000 |
| 0.000 | -0.000 | 0.000 | 48.109 | -0.000 | 0.000 |
| 0.000 | 0.000 | 0.000 | 0.000 | 48.109 | 0.000 |
| -0.000 | -0.000 | -0.000 | -0.000 | -0.000 | -3.431 |
| 101.710 | 107.945 | 137.310 | 0.000 | 0.000 | -0.000 |
| 76.720 | 147.823 | 151.734 | 0.000 | 0.000 | 0.000 |
| 137.259 | 137.259 | 225.145 | -0.000 | -0.000 | -0.000 |
| -0.000 | -0.000 | -0.000 | 48.109 | -0.000 | -0.000 |
| -0.000 | -0.000 | -0.000 | -0.000 | 48.109 | 0.000 |
| 0.000 | 0.000 | 0.000 | -0.000 | -0.000 | -3.431 |
| 87.905 | 123.755 | 139.247 | -0.000 | -0.000 | 0.000 |
| 107.952 | 101.717 | 137.318 | -0.000 | -0.000 | 0.000 |
| 151.116 | 151.116 | 251.989 | 0.000 | -0.000 | -0.000 |
| 0.000 | 0.000 | 0.000 | 48.138 | -0.000 | 0.000 |
| -0.000 | 0.000 | 0.000 | 0.000 | 48.109 | -0.000 |
| 0.000 | 0.000 | 0.000 | -0.000 | -0.000 | 35.552 |
| 87.893 | 123.744 | 139.233 | -0.000 | -0.000 | 0.000 |
| 123.744 | 87.893 | 139.233 | -0.000 | -0.000 | -0.000 |
| 137.251 | 137.251 | 225.134 | -0.000 | 0.000 | -0.000 |
| -0.000 | -0.000 | -0.000 | 48.138 | 0.000 | 0.000 |
| 0.000 | -0.000 | -0.000 | -0.000 | 48.109 | -0.000 |
| -0.000 | -0.000 | -0.000 | 0.000 | 0.000 | 35.552 |
| 87.958 | 123.804 | 139.312 | 0.000 | 0.000 | -0.000 |
| 76.782 | 147.888 | 151.816 | -0.000 | 0.000 | -0.000 |
| 137.353 | 137.353 | 225.263 | 0.000 | -0.000 | -0.000 |
| 0.000 | -0.000 | 0.000 | 48.109 | -0.000 | 0.000 |
| 0.000 | 0.000 | 0.000 | 0.000 | 48.138 | -0.000 |
| 0.001 | 0.001 | 0.001 | 0.000 | -0.000 | 35.552 |
| 98.200 | 111.840 | 137.720 | 0.000 | 0.000 | -0.000 |
| 76.659 | 147.760 | 151.654 | 0.000 | 0.000 | 0.000 |
| 137.167 | 137.167 | 225.028 | 0.000 | -0.000 | -0.000 |
| -0.000 | 0.000 | -0.000 | 48.109 | -0.000 | -0.000 |
| -0.000 | -0.000 | -0.000 | -0.000 | 48.138 | -0.000 |
| -0.001 | -0.001 | -0.001 | -0.000 | 0.000 | 35.552 |
| 384.759 | 122.354 | 122.354 | -0.000 | 0.000 | 0.000 |
| 122.354 | 384.759 | 122.354 | -0.000 | 0.000 | 0.000 |
| 122.354 | 122.354 | 384.759 | -0.000 | 0.000 | 0.000 |
| 0.000 | 0.000 | 0.000 | 41.864 | 0.000 | -0.000 |
| 0.000 | 0.000 | 0.000 | -0.000 | 41.864 | 0.000 |
| 0.000 | 0.000 | 0.000 | -0.000 | 0.000 | 41.864 |
| 384.760 | 122.355 | 122.355 | 0.000 | -0.000 | 0.000 |
| 122.355 | 384.760 | 122.355 | 0.000 | -0.000 | -0.000 |
| 122.355 | 122.355 | 384.760 | 0.000 | -0.000 | -0.000 |
| -0.000 | -0.000 | -0.000 | 41.864 | -0.000 | -0.000 |
| -0.000 | -0.000 | -0.000 | 0.000 | 41.864 | -0.000 |
| -0.000 | -0.000 | -0.000 | 0.000 | -0.000 | 41.864 |
| 384.756 | 122.351 | 122.351 | -0.000 | 0.000 | -0.000 |
| 122.351 | 384.756 | 122.351 | -0.000 | 0.000 | 0.000 |
| 122.351 | 122.351 | 384.756 | -0.000 | 0.000 | 0.000 |
| 0.000 | 0.000 | 0.000 | 41.864 | 0.000 | -0.000 |
| 0.000 | 0.000 | 0.000 | -0.000 | 41.864 | 0.000 |
| 0.000 | 0.000 | 0.000 | -0.000 | 0.000 | 41.864 |
| 384.763 | 122.358 | 122.358 | 0.000 | 0.000 | -0.000 |
| 122.358 | 384.763 | 122.358 | 0.000 | -0.000 | 0.000 |
| 122.358 | 122.358 | 384.763 | 0.000 | 0.000 | -0.000 |
| -0.000 | -0.000 | -0.000 | 41.864 | -0.000 | -0.000 |
| -0.000 | -0.000 | -0.000 | 0.000 | 41.864 | -0.000 |
| -0.000 | -0.000 | -0.000 | 0.000 | -0.000 | 41.864 |
| 384.726 | 122.317 | 122.317 | 0.000 | -0.000 | -0.000 |
| 122.317 | 384.726 | 122.317 | 0.000 | 0.000 | -0.000 |
| 122.317 | 122.317 | 384.726 | -0.000 | 0.000 | 0.000 |
| 0.000 | 0.001 | 0.001 | 41.864 | 0.000 | -0.000 |
| 0.001 | 0.000 | 0.001 | -0.000 | 41.864 | 0.000 |
| 0.001 | 0.001 | 0.000 | -0.000 | 0.000 | 41.864 |
| 384.793 | 122.392 | 122.392 | 0.000 | -0.000 | -0.000 |
| 122.392 | 384.793 | 122.392 | -0.000 | -0.000 | 0.000 |
| 122.392 | 122.392 | 384.793 | 0.000 | -0.000 | -0.000 |
| -0.000 | -0.001 | -0.001 | 41.864 | -0.000 | -0.000 |
| -0.001 | -0.000 | -0.001 | 0.000 | 41.864 | -0.000 |
| -0.001 | -0.001 | -0.000 | 0.000 | -0.000 | 41.864 |
| 165.996 | 46.653 | 46.653 | 0.000 | -0.000 | -0.000 |
| 46.653 | 165.996 | 46.653 | 0.000 | -0.000 | -0.000 |
| 46.653 | 46.653 | 165.996 | -0.000 | -0.000 | -0.000 |
| -0.000 | -0.000 | 0.000 | 18.953 | -0.000 | -0.000 |
| -0.000 | 0.000 | 0.000 | 0.000 | 18.953 | -0.000 |
| -0.000 | -0.000 | 0.000 | 0.000 | -0.000 | 18.953 |
| 165.996 | 46.653 | 46.653 | 0.000 | 0.000 | 0.000 |
| 46.653 | 165.996 | 46.653 | 0.000 | 0.000 | 0.000 |
| 46.653 | 46.653 | 165.996 | -0.000 | 0.000 | 0.000 |
| 0.000 | 0.000 | -0.000 | 18.953 | 0.000 | 0.000 |
| 0.000 | -0.000 | -0.000 | -0.000 | 18.953 | 0.000 |
| 0.000 | 0.000 | -0.000 | 0.000 | 0.000 | 18.953 |
| 165.996 | 46.653 | 46.653 | 0.000 | -0.000 | -0.000 |
| 46.653 | 165.996 | 46.653 | 0.000 | -0.000 | -0.000 |
| 46.653 | 46.653 | 165.996 | 0.000 | -0.000 | -0.000 |
| 0.000 | -0.000 | -0.000 | 18.953 | -0.000 | -0.000 |
| -0.000 | 0.000 | -0.000 | 0.000 | 18.953 | -0.000 |
| -0.000 | -0.000 | 0.000 | 0.000 | -0.000 | 18.953 |
| 165.996 | 46.653 | 46.653 | -0.000 | 0.000 | 0.000 |
| 46.653 | 165.996 | 46.653 | -0.000 | 0.000 | 0.000 |
| 46.653 | 46.653 | 165.996 | -0.000 | 0.000 | 0.000 |
| -0.000 | 0.000 | 0.000 | 18.953 | 0.000 | 0.000 |
| 0.000 | -0.000 | 0.000 | -0.000 | 18.953 | 0.000 |
| 0.000 | 0.000 | -0.000 | -0.000 | 0.000 | 18.953 |
| 165.998 | 46.653 | 46.653 | 0.000 | -0.000 | -0.000 |
| 46.653 | 165.998 | 46.653 | 0.000 | -0.000 | -0.000 |
| 46.653 | 46.653 | 165.998 | 0.000 | -0.000 | -0.000 |
| 0.000 | -0.000 | -0.000 | 18.953 | -0.000 | -0.000 |
| -0.000 | 0.000 | -0.000 | 0.000 | 18.953 | -0.000 |
| -0.000 | -0.000 | 0.000 | -0.000 | -0.000 | 18.953 |
| 165.994 | 46.653 | 46.653 | -0.000 | 0.000 | 0.000 |
| 46.653 | 165.994 | 46.653 | -0.000 | -0.000 | 0.000 |
| 46.653 | 46.653 | 165.994 | 0.000 | 0.000 | 0.000 |
| -0.000 | 0.000 | 0.000 | 18.953 | 0.000 | 0.000 |
| 0.000 | -0.000 | 0.000 | -0.000 | 18.953 | 0.000 |
| 0.000 | 0.000 | -0.000 | -0.000 | 0.000 | 18.953 |
| 60.415 | -0.045 | -0.045 | 0.000 | -0.000 | -0.000 |
| -0.045 | 60.415 | -0.045 | -0.000 | 0.000 | 0.000 |
| -0.045 | -0.045 | 60.415 | 0.000 | 0.000 | 0.000 |
| 0.000 | -0.000 | -0.000 | 0.031 | 0.000 | -0.000 |
| -0.000 | 0.000 | -0.000 | -0.000 | 0.031 | -0.000 |
| -0.000 | -0.000 | 0.000 | 0.000 | -0.000 | 0.031 |
| 60.415 | -0.045 | -0.045 | 0.000 | -0.000 | 0.000 |
| -0.045 | 60.415 | -0.045 | -0.000 | -0.000 | -0.000 |
| -0.045 | -0.045 | 60.415 | -0.000 | -0.000 | 0.000 |
| -0.000 | 0.000 | 0.000 | 0.031 | 0.000 | -0.000 |
| 0.000 | -0.000 | 0.000 | 0.000 | 0.031 | 0.000 |
| 0.000 | 0.000 | -0.000 | -0.000 | -0.000 | 0.031 |
| 60.415 | -0.045 | -0.045 | -0.000 | -0.000 | -0.000 |
| -0.045 | 60.415 | -0.045 | -0.000 | -0.000 | 0.000 |
| -0.045 | -0.045 | 60.415 | 0.000 | -0.000 | 0.000 |
| 0.000 | -0.000 | -0.000 | 0.031 | -0.000 | 0.000 |
| -0.000 | 0.000 | -0.000 | -0.000 | 0.031 | -0.000 |
| -0.000 | -0.000 | 0.000 | 0.000 | -0.000 | 0.031 |
| 60.415 | -0.045 | -0.045 | 0.000 | -0.000 | 0.000 |
| -0.045 | 60.415 | -0.045 | 0.000 | 0.000 | 0.000 |
| -0.045 | -0.045 | 60.415 | 0.000 | 0.000 | 0.000 |
| -0.000 | 0.000 | 0.000 | 0.031 | 0.000 | 0.000 |
| 0.000 | -0.000 | 0.000 | -0.000 | 0.031 | -0.000 |
| 0.000 | 0.000 | -0.000 | -0.000 | -0.000 | 0.031 |
| 60.415 | -0.045 | -0.045 | 0.000 | -0.000 | -0.000 |
| -0.045 | 60.415 | -0.045 | -0.000 | 0.000 | -0.000 |
| -0.045 | -0.045 | 60.415 | -0.000 | 0.000 | 0.000 |
| 0.000 | -0.000 | -0.000 | 0.031 | -0.000 | 0.000 |
| -0.000 | 0.000 | -0.000 | -0.000 | 0.031 | 0.000 |
| -0.000 | -0.000 | 0.000 | 0.000 | -0.000 | 0.031 |
| 60.415 | -0.045 | -0.045 | -0.000 | -0.000 | 0.000 |
| -0.045 | 60.415 | -0.045 | 0.000 | -0.000 | 0.000 |
| -0.045 | -0.045 | 60.415 | 0.000 | 0.000 | -0.000 |
| -0.000 | 0.000 | 0.000 | 0.031 | 0.000 | -0.000 |
| 0.000 | -0.000 | 0.000 | 0.000 | 0.031 | 0.000 |
| 0.000 | 0.000 | -0.000 | -0.000 | -0.000 | 0.031 |
| 164.220 | -1.128 | -1.128 | 0.000 | 0.000 | 0.000 |
| -1.128 | 164.220 | -1.128 | 0.000 | 0.000 | -0.000 |
| -1.128 | -1.128 | 164.220 | -0.000 | -0.000 | 0.000 |
| -0.000 | -0.000 | -0.000 | 0.002 | 0.000 | -0.000 |
| -0.000 | -0.000 | -0.000 | -0.000 | 0.002 | 0.000 |
| -0.000 | -0.000 | -0.000 | -0.000 | 0.000 | 0.002 |
| 164.220 | -1.128 | -1.128 | -0.000 | 0.000 | 0.000 |
| -1.128 | 164.220 | -1.128 | 0.000 | -0.000 | 0.000 |
| -1.128 | -1.128 | 164.220 | 0.000 | 0.000 | -0.000 |
| 0.000 | 0.000 | 0.000 | 0.002 | 0.000 | -0.000 |
| 0.000 | 0.000 | 0.000 | 0.000 | 0.002 | -0.000 |
| 0.000 | 0.000 | 0.000 | -0.000 | -0.000 | 0.002 |
| 164.221 | -1.128 | -1.128 | 0.000 | -0.000 | -0.000 |
| -1.128 | 164.221 | -1.128 | -0.000 | -0.000 | -0.000 |
| -1.128 | -1.128 | 164.221 | -0.000 | -0.000 | -0.000 |
| -0.000 | 0.000 | -0.000 | 0.002 | -0.000 | 0.000 |
| 0.000 | -0.000 | -0.000 | -0.000 | 0.002 | 0.000 |
| -0.000 | -0.000 | -0.000 | -0.000 | 0.000 | 0.002 |
| 164.220 | -1.128 | -1.128 | 0.000 | 0.000 | 0.000 |
| -1.128 | 164.220 | -1.128 | -0.000 | -0.000 | -0.000 |
| -1.128 | -1.128 | 164.220 | -0.000 | -0.000 | -0.000 |
| 0.000 | 0.000 | 0.000 | 0.002 | 0.000 | -0.000 |
| 0.000 | 0.000 | 0.000 | 0.000 | 0.002 | -0.000 |
| 0.000 | 0.000 | 0.000 | -0.000 | -0.000 | 0.002 |
| 164.222 | -1.129 | -1.129 | -0.000 | -0.000 | -0.000 |
| -1.129 | 164.222 | -1.129 | -0.000 | -0.000 | 0.000 |
| -1.129 | -1.129 | 164.222 | 0.000 | 0.000 | -0.000 |
| 0.000 | 0.000 | -0.000 | 0.002 | -0.000 | 0.000 |
| 0.000 | 0.000 | -0.000 | -0.000 | 0.002 | 0.000 |
| 0.000 | -0.000 | 0.000 | -0.000 | 0.000 | 0.002 |
| 164.219 | -1.128 | -1.128 | 0.000 | 0.000 | 0.000 |
| -1.128 | 164.219 | -1.128 | 0.000 | 0.000 | 0.000 |
| -1.128 | -1.128 | 164.219 | 0.000 | 0.000 | 0.000 |
| -0.000 | -0.000 | 0.000 | 0.002 | 0.000 | -0.000 |
| -0.000 | -0.000 | 0.000 | 0.000 | 0.002 | -0.000 |
| -0.000 | 0.000 | -0.000 | 0.000 | 0.000 | 0.002 |
| 41.080 | -1.483 | -1.483 | 0.000 | -0.000 | -0.000 |
| -1.483 | 41.080 | -1.483 | -0.000 | 0.000 | -0.000 |
| -1.483 | -1.483 | 41.080 | 0.000 | 0.000 | 0.000 |
| 0.000 | 0.000 | 0.000 | 0.001 | 0.000 | 0.000 |
| 0.000 | 0.000 | 0.000 | -0.000 | 0.001 | 0.000 |
| 0.000 | 0.000 | 0.000 | 0.000 | 0.000 | 0.001 |
| 41.080 | -1.483 | -1.483 | 0.000 | 0.000 | -0.000 |
| -1.483 | 41.080 | -1.483 | 0.000 | 0.000 | -0.000 |
| -1.483 | -1.483 | 41.080 | 0.000 | 0.000 | 0.000 |
| -0.000 | -0.000 | -0.000 | 0.001 | -0.000 | 0.000 |
| -0.000 | -0.000 | -0.000 | -0.000 | 0.001 | 0.000 |
| -0.000 | -0.000 | -0.000 | 0.000 | 0.000 | 0.001 |
| 41.080 | -1.483 | -1.483 | -0.000 | -0.000 | 0.000 |
| -1.483 | 41.080 | -1.483 | -0.000 | -0.000 | -0.000 |
| -1.483 | -1.483 | 41.080 | -0.000 | -0.000 | 0.000 |
| 0.000 | 0.000 | -0.000 | 0.001 | -0.000 | 0.000 |
| 0.000 | 0.000 | -0.000 | -0.000 | 0.001 | -0.000 |
| 0.000 | -0.000 | 0.000 | 0.000 | -0.000 | 0.001 |
| 41.080 | -1.483 | -1.483 | 0.000 | 0.000 | 0.000 |
| -1.483 | 41.080 | -1.483 | 0.000 | 0.000 | -0.000 |
| -1.483 | -1.483 | 41.080 | 0.000 | -0.000 | -0.000 |
| -0.000 | -0.000 | 0.000 | 0.001 | 0.000 | 0.000 |
| -0.000 | -0.000 | 0.000 | 0.000 | 0.001 | 0.000 |
| -0.000 | 0.000 | -0.000 | 0.000 | -0.000 | 0.001 |
| 41.081 | -1.483 | -1.483 | 0.000 | -0.000 | -0.000 |
| -1.483 | 41.081 | -1.483 | -0.000 | 0.000 | -0.000 |
| -1.483 | -1.483 | 41.081 | -0.000 | -0.000 | 0.000 |
| 0.000 | 0.000 | -0.000 | 0.001 | 0.000 | 0.000 |
| 0.000 | 0.000 | -0.000 | 0.000 | 0.001 | -0.000 |
| 0.000 | -0.000 | 0.000 | -0.000 | 0.000 | 0.001 |
| 41.081 | -1.483 | -1.483 | -0.000 | -0.000 | 0.000 |
| -1.483 | 41.081 | -1.483 | -0.000 | -0.000 | -0.000 |
| -1.483 | -1.483 | 41.081 | 0.000 | 0.000 | 0.000 |
| -0.000 | -0.000 | 0.000 | 0.001 | -0.000 | 0.000 |
| -0.000 | -0.000 | 0.000 | -0.000 | 0.001 | -0.000 |
| -0.000 | 0.000 | -0.000 | -0.000 | -0.000 | 0.001 |
| 200.453 | 177.506 | 177.506 | -0.000 | -0.000 | 0.000 |
| 177.506 | 200.453 | 177.506 | -0.000 | -0.000 | 0.000 |
| 177.506 | 177.506 | 200.453 | -0.000 | -0.000 | 0.000 |
| -0.000 | -0.000 | -0.000 | -22.413 | -0.000 | -0.000 |
| -0.000 | -0.000 | -0.000 | -0.000 | -22.413 | 0.000 |
| -0.000 | -0.000 | -0.000 | -0.000 | -0.000 | -22.413 |
| 200.455 | 177.508 | 177.508 | 0.000 | 0.000 | -0.000 |
| 177.508 | 200.455 | 177.508 | 0.000 | 0.000 | -0.000 |
| 177.508 | 177.508 | 200.455 | 0.000 | 0.000 | 0.000 |
| 0.000 | 0.000 | 0.000 | -22.413 | 0.000 | -0.000 |
| 0.000 | 0.000 | 0.000 | 0.000 | -22.413 | -0.000 |
| 0.000 | 0.000 | 0.000 | 0.000 | 0.000 | -22.413 |
| 200.441 | 177.494 | 177.494 | -0.000 | 0.000 | 0.000 |
| 177.494 | 200.441 | 177.494 | -0.000 | 0.000 | -0.000 |
| 177.494 | 177.494 | 200.441 | -0.000 | -0.000 | -0.000 |
| -0.000 | -0.000 | -0.000 | -22.413 | -0.000 | 0.000 |
| -0.000 | -0.000 | -0.000 | -0.000 | -22.413 | 0.000 |
| -0.000 | -0.000 | -0.000 | -0.000 | -0.000 | -22.413 |
| 200.467 | 177.520 | 177.520 | 0.000 | -0.000 | -0.000 |
| 177.520 | 200.467 | 177.520 | 0.000 | -0.000 | -0.000 |
| 177.520 | 177.520 | 200.467 | 0.000 | 0.000 | 0.000 |
| 0.000 | 0.000 | 0.000 | -22.413 | 0.000 | 0.000 |
| 0.000 | 0.000 | 0.000 | 0.000 | -22.413 | -0.000 |
| 0.000 | 0.000 | 0.000 | 0.000 | -0.000 | -22.413 |
| 200.321 | 177.375 | 177.375 | -0.000 | 0.000 | -0.000 |
| 177.375 | 200.321 | 177.375 | -0.000 | -0.000 | 0.000 |
| 177.375 | 177.375 | 200.321 | -0.000 | 0.000 | -0.000 |
| -0.000 | -0.000 | -0.000 | -22.413 | -0.000 | 0.000 |
| -0.000 | -0.000 | -0.000 | 0.000 | -22.413 | 0.000 |
| -0.000 | -0.000 | -0.000 | 0.000 | -0.000 | -22.413 |
| 200.587 | 177.639 | 177.639 | 0.000 | 0.000 | -0.000 |
| 177.639 | 200.587 | 177.639 | 0.000 | -0.000 | -0.000 |
| 177.639 | 177.639 | 200.587 | 0.000 | -0.000 | 0.000 |
| 0.000 | 0.000 | 0.000 | -22.413 | 0.000 | 0.000 |
| 0.000 | 0.000 | 0.000 | 0.000 | -22.413 | -0.000 |
| 0.000 | 0.000 | 0.000 | -0.000 | 0.000 | -22.413 |
| 59.081 | 15.821 | 15.821 | 0.000 | 0.000 | 0.000 |
| 15.821 | 59.081 | 15.821 | 0.000 | 0.000 | -0.000 |
| 15.821 | 15.821 | 59.081 | 0.000 | 0.000 | -0.000 |
| 0.000 | 0.000 | 0.000 | 14.899 | 0.000 | 0.000 |
| 0.000 | 0.000 | 0.000 | 0.000 | 14.899 | 0.000 |
| 0.000 | 0.000 | 0.000 | 0.000 | 0.000 | 14.899 |
| 59.081 | 15.821 | 15.821 | -0.000 | -0.000 | 0.000 |
| 15.821 | 59.081 | 15.821 | -0.000 | -0.000 | 0.000 |
| 15.821 | 15.821 | 59.081 | -0.000 | -0.000 | -0.000 |
| -0.000 | -0.000 | -0.000 | 14.899 | -0.000 | 0.000 |
| -0.000 | -0.000 | -0.000 | -0.000 | 14.899 | -0.000 |
| -0.000 | -0.000 | -0.000 | -0.000 | -0.000 | 14.899 |
| 59.081 | 15.821 | 15.821 | 0.000 | 0.000 | -0.000 |
| 15.821 | 59.081 | 15.821 | 0.000 | 0.000 | -0.000 |
| 15.821 | 15.821 | 59.081 | 0.000 | 0.000 | -0.000 |
| 0.000 | 0.000 | 0.000 | 14.899 | 0.000 | -0.000 |
| 0.000 | 0.000 | 0.000 | 0.000 | 14.899 | -0.000 |
| 0.000 | 0.000 | 0.000 | 0.000 | 0.000 | 14.899 |
| 59.081 | 15.821 | 15.821 | -0.000 | -0.000 | 0.000 |
| 15.821 | 59.081 | 15.821 | -0.000 | -0.000 | 0.000 |
| 15.821 | 15.821 | 59.081 | -0.000 | -0.000 | 0.000 |
| -0.000 | -0.000 | -0.000 | 14.899 | -0.000 | 0.000 |
| -0.000 | -0.000 | -0.000 | -0.000 | 14.899 | 0.000 |
| -0.000 | -0.000 | -0.000 | -0.000 | -0.000 | 14.899 |
| 59.081 | 15.821 | 15.821 | 0.000 | 0.000 | 0.000 |
| 15.821 | 59.081 | 15.821 | 0.000 | 0.000 | -0.000 |
| 15.821 | 15.821 | 59.081 | 0.000 | 0.000 | 0.000 |
| 0.000 | 0.000 | 0.000 | 14.899 | 0.000 | -0.000 |
| 0.000 | 0.000 | 0.000 | 0.000 | 14.899 | -0.000 |
| 0.000 | 0.000 | 0.000 | 0.000 | 0.000 | 14.899 |
| 59.081 | 15.820 | 15.820 | -0.000 | -0.000 | 0.000 |
| 15.820 | 59.081 | 15.820 | -0.000 | -0.000 | 0.000 |
| 15.820 | 15.820 | 59.081 | 0.000 | -0.000 | 0.000 |
| -0.000 | -0.000 | -0.000 | 14.899 | -0.000 | 0.000 |
| -0.000 | -0.000 | -0.000 | -0.000 | 14.899 | 0.000 |
| -0.000 | -0.000 | -0.000 | -0.000 | -0.000 | 14.899 |
| 2.119 | 20.075 | 20.075 | 0.000 | 0.000 | 0.000 |
| 20.075 | 2.119 | 20.075 | 0.000 | 0.000 | -0.000 |
| 20.075 | 20.075 | 2.119 | 0.000 | 0.000 | 0.000 |
| 0.000 | -0.000 | 0.000 | 19.986 | -0.000 | 0.000 |
| -0.000 | 0.000 | 0.000 | 0.000 | 19.986 | 0.000 |
| -0.000 | 0.000 | 0.000 | 0.000 | 0.000 | 19.986 |
| 2.119 | 20.075 | 20.075 | -0.000 | 0.000 | -0.000 |
| 20.075 | 2.119 | 20.075 | 0.000 | 0.000 | -0.000 |
| 20.075 | 20.075 | 2.119 | -0.000 | -0.000 | -0.000 |
| -0.000 | 0.000 | -0.000 | 19.986 | -0.000 | 0.000 |
| 0.000 | -0.000 | -0.000 | -0.000 | 19.986 | -0.000 |
| 0.000 | -0.000 | -0.000 | -0.000 | 0.000 | 19.986 |
| 2.119 | 20.075 | 20.075 | 0.000 | -0.000 | 0.000 |
| 20.075 | 2.119 | 20.075 | 0.000 | 0.000 | 0.000 |
| 20.075 | 20.075 | 2.119 | 0.000 | 0.000 | 0.000 |
| 0.000 | -0.000 | 0.000 | 19.986 | 0.000 | 0.000 |
| -0.000 | 0.000 | 0.000 | 0.000 | 19.986 | 0.000 |
| -0.000 | 0.000 | 0.000 | 0.000 | 0.000 | 19.986 |
| 2.119 | 20.075 | 20.075 | -0.000 | -0.000 | -0.000 |
| 20.075 | 2.119 | 20.075 | -0.000 | -0.000 | -0.000 |
| 20.075 | 20.075 | 2.119 | -0.000 | -0.000 | -0.000 |
| -0.000 | 0.000 | -0.000 | 19.986 | -0.000 | -0.000 |
| 0.000 | -0.000 | -0.000 | -0.000 | 19.986 | -0.000 |
| 0.000 | -0.000 | -0.000 | -0.000 | -0.000 | 19.986 |
| 2.118 | 20.075 | 20.075 | 0.000 | 0.000 | 0.000 |
| 20.075 | 2.118 | 20.075 | 0.000 | 0.000 | 0.000 |
| 20.075 | 20.075 | 2.118 | 0.000 | 0.000 | 0.000 |
| 0.000 | -0.000 | 0.000 | 19.986 | 0.000 | 0.000 |
| -0.000 | 0.000 | 0.000 | 0.000 | 19.986 | 0.000 |
| -0.000 | 0.000 | 0.000 | 0.000 | 0.000 | 19.986 |
| 2.119 | 20.075 | 20.075 | -0.000 | 0.000 | -0.000 |
| 20.075 | 2.119 | 20.075 | -0.000 | -0.000 | -0.000 |
| 20.075 | 20.075 | 2.119 | -0.000 | -0.000 | 0.000 |
| -0.000 | 0.000 | -0.000 | 19.986 | -0.000 | -0.000 |
| 0.000 | -0.000 | -0.000 | -0.000 | 19.986 | -0.000 |
| 0.000 | -0.000 | -0.000 | -0.000 | -0.000 | 19.986 |
| 205.966 | 205.957 | 205.957 | 0.000 | -0.000 | -0.000 |
| 205.957 | 205.966 | 205.957 | -0.000 | 0.000 | -0.000 |
| 205.957 | 205.957 | 205.966 | -0.000 | -0.000 | 0.000 |
| 0.000 | 0.000 | 0.000 | 205.960 | 0.000 | -0.000 |
| 0.000 | 0.000 | 0.000 | 0.000 | 205.960 | -0.000 |
| 0.000 | 0.000 | 0.000 | 0.000 | -0.000 | 205.960 |
| 205.966 | 205.957 | 205.957 | -0.000 | -0.000 | -0.000 |
| 205.957 | 205.966 | 205.957 | -0.000 | -0.000 | -0.000 |
| 205.957 | 205.957 | 205.966 | -0.000 | -0.000 | -0.000 |
| -0.000 | -0.000 | -0.000 | 205.960 | -0.000 | -0.000 |
| -0.000 | -0.000 | -0.000 | -0.000 | 205.960 | -0.000 |
| -0.000 | -0.000 | -0.000 | -0.000 | 0.000 | 205.960 |
| 205.966 | 205.957 | 205.957 | -0.000 | 0.000 | 0.000 |
| 205.957 | 205.966 | 205.957 | 0.000 | -0.000 | 0.000 |
| 205.957 | 205.957 | 205.966 | 0.000 | 0.000 | 0.000 |
| 0.000 | 0.000 | 0.000 | 205.960 | -0.000 | -0.000 |
| 0.000 | 0.000 | 0.000 | -0.000 | 205.960 | -0.000 |
| 0.000 | 0.000 | 0.000 | 0.000 | -0.000 | 205.960 |
| 205.966 | 205.957 | 205.957 | 0.000 | 0.000 | 0.000 |
| 205.957 | 205.966 | 205.957 | 0.000 | 0.000 | 0.000 |
| 205.957 | 205.957 | 205.966 | -0.000 | -0.000 | 0.000 |
| -0.000 | -0.000 | -0.000 | 205.960 | 0.000 | -0.000 |
| -0.000 | -0.000 | -0.000 | 0.000 | 205.960 | -0.000 |
| -0.000 | -0.000 | -0.000 | 0.000 | -0.000 | 205.960 |
| 205.966 | 205.958 | 205.958 | 0.000 | 0.000 | 0.000 |
| 205.958 | 205.966 | 205.958 | 0.000 | 0.000 | 0.000 |
| 205.958 | 205.958 | 205.966 | 0.000 | 0.000 | -0.000 |
| 0.001 | 0.001 | 0.001 | 205.960 | 0.000 | -0.000 |
| 0.001 | 0.001 | 0.001 | 0.000 | 205.960 | -0.000 |
| 0.001 | 0.001 | 0.001 | 0.000 | -0.000 | 205.960 |
| 205.965 | 205.956 | 205.956 | -0.000 | 0.000 | -0.000 |
| 205.956 | 205.965 | 205.956 | 0.000 | -0.000 | -0.000 |
| 205.956 | 205.956 | 205.965 | 0.000 | 0.000 | -0.000 |
| -0.001 | -0.001 | -0.001 | 205.960 | 0.000 | 0.000 |
| -0.001 | -0.001 | -0.001 | 0.000 | 205.960 | 0.000 |
| -0.001 | -0.001 | -0.001 | -0.000 | 0.000 | 205.960 |
| 21.232 | 21.227 | 21.227 | -0.000 | 0.000 | 0.000 |
| 21.227 | 21.232 | 21.227 | 0.000 | -0.000 | 0.000 |
| 21.227 | 21.227 | 21.232 | -0.000 | -0.000 | -0.000 |
| 0.000 | 0.000 | 0.000 | 25.133 | -0.000 | -0.000 |
| 0.000 | 0.000 | 0.000 | -0.000 | 25.133 | -0.000 |
| 0.000 | 0.000 | 0.000 | -0.000 | -0.000 | 25.133 |
| 21.232 | 21.227 | 21.227 | 0.000 | -0.000 | 0.000 |
| 21.227 | 21.232 | 21.227 | -0.000 | 0.000 | 0.000 |
| 21.227 | 21.227 | 21.232 | 0.000 | 0.000 | 0.000 |
| -0.000 | -0.000 | -0.000 | 25.133 | -0.000 | 0.000 |
| -0.000 | -0.000 | -0.000 | 0.000 | 25.133 | 0.000 |
| -0.000 | -0.000 | -0.000 | 0.000 | 0.000 | 25.133 |
| 21.232 | 21.227 | 21.227 | -0.000 | -0.000 | -0.000 |
| 21.227 | 21.232 | 21.227 | -0.000 | -0.000 | -0.000 |
| 21.227 | 21.227 | 21.232 | -0.000 | -0.000 | 0.000 |
| 0.000 | 0.000 | 0.000 | 25.133 | -0.000 | -0.000 |
| 0.000 | 0.000 | 0.000 | -0.000 | 25.133 | -0.000 |
| 0.000 | 0.000 | 0.000 | 0.000 | 0.000 | 25.133 |
| 21.232 | 21.227 | 21.227 | 0.000 | -0.000 | 0.000 |
| 21.227 | 21.232 | 21.227 | -0.000 | 0.000 | 0.000 |
| 21.227 | 21.227 | 21.232 | 0.000 | 0.000 | 0.000 |
| -0.000 | -0.000 | -0.000 | 25.133 | 0.000 | 0.000 |
| -0.000 | -0.000 | -0.000 | 0.000 | 25.133 | 0.000 |
| -0.000 | -0.000 | -0.000 | -0.000 | -0.000 | 25.133 |
| 21.232 | 21.227 | 21.227 | -0.000 | -0.000 | -0.000 |
| 21.227 | 21.232 | 21.227 | -0.000 | -0.000 | -0.000 |
| 21.227 | 21.227 | 21.232 | -0.000 | -0.000 | -0.000 |
| 0.000 | 0.000 | 0.000 | 25.133 | -0.000 | -0.000 |
| 0.000 | 0.000 | 0.000 | -0.000 | 25.133 | -0.000 |
| 0.000 | 0.000 | 0.000 | -0.000 | 0.000 | 25.133 |
| 21.232 | 21.227 | 21.227 | 0.000 | 0.000 | 0.000 |
| 21.227 | 21.232 | 21.227 | 0.000 | 0.000 | 0.000 |
| 21.227 | 21.227 | 21.232 | 0.000 | 0.000 | 0.000 |
| -0.000 | -0.000 | -0.000 | 25.133 | 0.000 | 0.000 |
| -0.000 | -0.000 | -0.000 | 0.000 | 25.133 | 0.000 |
| -0.000 | -0.000 | -0.000 | 0.000 | -0.000 | 25.133 |
| 75.055 | 96.835 | 96.835 | 0.000 | 0.000 | 0.000 |
| 96.835 | 75.055 | 96.835 | 0.000 | 0.000 | 0.000 |
| 96.835 | 96.835 | 75.055 | 0.000 | 0.000 | 0.000 |
| -0.000 | 0.000 | 0.000 | 33.501 | 0.000 | 0.000 |
| 0.000 | -0.000 | 0.000 | 0.000 | 33.501 | 0.000 |
| -0.000 | 0.000 | 0.000 | 0.000 | 0.000 | 33.501 |
| 75.055 | 96.835 | 96.835 | -0.000 | -0.000 | -0.000 |
| 96.835 | 75.055 | 96.835 | -0.000 | -0.000 | -0.000 |
| 96.835 | 96.835 | 75.055 | -0.000 | -0.000 | 0.000 |
| 0.000 | 0.000 | -0.000 | 33.501 | -0.000 | -0.000 |
| 0.000 | 0.000 | 0.000 | -0.000 | 33.501 | -0.000 |
| 0.000 | -0.000 | 0.000 | -0.000 | -0.000 | 33.501 |
| 75.058 | 96.838 | 96.838 | 0.000 | 0.000 | 0.000 |
| 96.838 | 75.058 | 96.838 | 0.000 | 0.000 | 0.000 |
| 96.838 | 96.838 | 75.058 | 0.000 | 0.000 | 0.000 |
| -0.000 | -0.000 | 0.000 | 33.501 | 0.000 | 0.000 |
| -0.000 | -0.000 | 0.000 | 0.000 | 33.501 | 0.000 |
| -0.000 | 0.000 | -0.000 | 0.000 | 0.000 | 33.501 |
| 75.052 | 96.831 | 96.831 | -0.000 | -0.000 | -0.000 |
| 96.831 | 75.052 | 96.831 | -0.000 | -0.000 | -0.000 |
| 96.831 | 96.831 | 75.052 | -0.000 | -0.000 | -0.000 |
| 0.000 | 0.000 | -0.000 | 33.501 | -0.000 | -0.000 |
| 0.000 | 0.000 | -0.000 | -0.000 | 33.501 | -0.000 |
| 0.000 | -0.000 | 0.000 | -0.000 | -0.000 | 33.501 |
| 75.088 | 96.869 | 96.869 | 0.000 | 0.000 | 0.000 |
| 96.869 | 75.088 | 96.869 | 0.000 | 0.000 | 0.000 |
| 96.869 | 96.869 | 75.088 | 0.000 | 0.000 | 0.000 |
| -0.000 | -0.000 | 0.000 | 33.501 | 0.000 | 0.000 |
| -0.000 | -0.000 | 0.000 | 0.000 | 33.501 | 0.000 |
| -0.000 | 0.000 | -0.000 | 0.000 | 0.000 | 33.501 |
| 75.022 | 96.801 | 96.801 | -0.000 | -0.000 | -0.000 |
| 96.801 | 75.022 | 96.801 | -0.000 | -0.000 | -0.000 |
| 96.801 | 96.801 | 75.022 | -0.000 | -0.000 | -0.000 |
| 0.000 | 0.000 | -0.000 | 33.501 | -0.000 | -0.000 |
| 0.000 | 0.000 | -0.000 | -0.000 | 33.501 | -0.000 |
| 0.000 | -0.000 | 0.000 | -0.000 | -0.000 | 33.501 |
| 386.691 | 240.302 | 240.302 | -0.000 | -0.000 | -0.000 |
| 240.302 | 386.691 | 240.302 | -0.000 | -0.000 | -0.000 |
| 240.302 | 240.302 | 386.691 | -0.000 | -0.000 | -0.000 |
| 0.000 | 0.000 | 0.000 | 151.335 | 0.000 | 0.000 |
| 0.000 | 0.000 | 0.000 | 0.000 | 151.335 | 0.000 |
| 0.000 | 0.000 | 0.000 | 0.000 | -0.000 | 151.335 |
| 386.691 | 240.302 | 240.302 | 0.000 | 0.000 | 0.000 |
| 240.302 | 386.691 | 240.302 | 0.000 | 0.000 | 0.000 |
| 240.302 | 240.302 | 386.691 | 0.000 | 0.000 | 0.000 |
| -0.000 | -0.000 | -0.000 | 151.335 | -0.000 | 0.000 |
| -0.000 | -0.000 | -0.000 | -0.000 | 151.335 | 0.000 |
| -0.000 | -0.000 | -0.000 | -0.000 | 0.000 | 151.335 |
| 386.691 | 240.302 | 240.302 | -0.000 | -0.000 | -0.000 |
| 240.302 | 386.691 | 240.302 | -0.000 | -0.000 | -0.000 |
| 240.302 | 240.302 | 386.691 | -0.000 | -0.000 | -0.000 |
| -0.000 | 0.000 | 0.000 | 151.335 | 0.000 | 0.000 |
| 0.000 | -0.000 | 0.000 | -0.000 | 151.335 | 0.000 |
| 0.000 | 0.000 | -0.000 | -0.000 | 0.000 | 151.335 |
| 386.691 | 240.302 | 240.302 | 0.000 | 0.000 | 0.000 |
| 240.302 | 386.691 | 240.302 | 0.000 | -0.000 | 0.000 |
| 240.302 | 240.302 | 386.691 | 0.000 | 0.000 | 0.000 |
| 0.000 | -0.000 | -0.000 | 151.335 | -0.000 | 0.000 |
| -0.000 | 0.000 | -0.000 | -0.000 | 151.335 | 0.000 |
| -0.000 | -0.000 | 0.000 | -0.000 | 0.000 | 151.335 |
| 386.694 | 240.304 | 240.304 | -0.000 | -0.000 | -0.000 |
| 240.304 | 386.694 | 240.304 | -0.000 | -0.000 | -0.000 |
| 240.304 | 240.304 | 386.694 | -0.000 | -0.000 | -0.000 |
| -0.000 | 0.001 | 0.001 | 151.335 | 0.000 | 0.000 |
| 0.001 | -0.000 | 0.001 | 0.000 | 151.335 | -0.000 |
| 0.001 | 0.001 | -0.000 | 0.000 | -0.000 | 151.335 |
| 386.689 | 240.300 | 240.300 | -0.000 | 0.000 | 0.000 |
| 240.300 | 386.689 | 240.300 | 0.000 | -0.000 | 0.000 |
| 240.300 | 240.300 | 386.689 | 0.000 | 0.000 | -0.000 |
| 0.000 | -0.001 | -0.001 | 151.335 | -0.000 | -0.000 |
| -0.001 | 0.000 | -0.001 | -0.000 | 151.335 | 0.000 |
| -0.001 | -0.001 | 0.000 | -0.000 | -0.000 | 151.335 |
| 11.593 | 11.575 | 11.575 | 0.000 | 0.000 | 0.000 |
| 11.575 | 11.593 | 11.575 | 0.000 | 0.000 | 0.000 |
| 11.575 | 11.575 | 11.593 | 0.000 | 0.000 | 0.000 |
| 0.000 | 0.000 | 0.000 | 0.009 | 0.000 | 0.000 |
| 0.000 | 0.000 | 0.000 | 0.000 | 0.009 | 0.000 |
| 0.000 | 0.000 | 0.000 | 0.000 | 0.000 | 0.009 |
| 11.593 | 11.575 | 11.575 | -0.000 | -0.000 | -0.000 |
| 11.575 | 11.593 | 11.575 | -0.000 | -0.000 | -0.000 |
| 11.575 | 11.575 | 11.593 | -0.000 | -0.000 | -0.000 |
| -0.000 | -0.000 | -0.000 | 0.009 | -0.000 | -0.000 |
| -0.000 | -0.000 | -0.000 | -0.000 | 0.009 | -0.000 |
| -0.000 | -0.000 | -0.000 | -0.000 | -0.000 | 0.009 |
| 11.593 | 11.575 | 11.575 | 0.000 | 0.000 | 0.000 |
| 11.575 | 11.593 | 11.575 | 0.000 | 0.000 | 0.000 |
| 11.575 | 11.575 | 11.593 | 0.000 | 0.000 | 0.000 |
| -0.000 | -0.000 | -0.000 | 0.009 | 0.000 | 0.000 |
| -0.000 | -0.000 | -0.000 | 0.000 | 0.009 | 0.000 |
| -0.000 | -0.000 | -0.000 | 0.000 | 0.000 | 0.009 |
| 11.593 | 11.575 | 11.575 | -0.000 | -0.000 | -0.000 |
| 11.575 | 11.593 | 11.575 | -0.000 | -0.000 | -0.000 |
| 11.575 | 11.575 | 11.593 | -0.000 | -0.000 | -0.000 |
| 0.000 | 0.000 | 0.000 | 0.009 | -0.000 | -0.000 |
| 0.000 | 0.000 | 0.000 | -0.000 | 0.009 | -0.000 |
| 0.000 | 0.000 | 0.000 | -0.000 | -0.000 | 0.009 |
| 11.593 | 11.575 | 11.575 | 0.000 | 0.000 | 0.000 |
| 11.575 | 11.593 | 11.575 | 0.000 | 0.000 | 0.000 |
| 11.575 | 11.575 | 11.593 | 0.000 | 0.000 | -0.000 |
| -0.000 | -0.000 | -0.000 | 0.009 | 0.000 | 0.000 |
| -0.000 | -0.000 | -0.000 | 0.000 | 0.009 | 0.000 |
| -0.000 | -0.000 | -0.000 | 0.000 | 0.000 | 0.009 |
| 11.593 | 11.575 | 11.575 | -0.000 | -0.000 | -0.000 |
| 11.575 | 11.593 | 11.575 | -0.000 | -0.000 | -0.000 |
| 11.575 | 11.575 | 11.593 | -0.000 | -0.000 | -0.000 |
| 0.000 | 0.000 | 0.000 | 0.009 | -0.000 | -0.000 |
| 0.000 | 0.000 | 0.000 | -0.000 | 0.009 | -0.000 |
| 0.000 | 0.000 | 0.000 | -0.000 | -0.000 | 0.009 |
| 5.596 | 5.595 | 5.595 | -0.000 | -0.000 | -0.000 |
| 5.595 | 5.596 | 5.595 | -0.000 | -0.000 | -0.000 |
| 5.595 | 5.595 | 5.596 | -0.000 | -0.000 | -0.000 |
| -0.000 | -0.000 | -0.000 | 0.000 | -0.000 | -0.000 |
| -0.000 | -0.000 | -0.000 | -0.000 | 0.000 | -0.000 |
| -0.000 | -0.000 | -0.000 | -0.000 | -0.000 | 0.000 |
| 5.596 | 5.595 | 5.595 | 0.000 | 0.000 | 0.000 |
| 5.595 | 5.596 | 5.595 | 0.000 | 0.000 | 0.000 |
| 5.595 | 5.595 | 5.596 | 0.000 | 0.000 | 0.000 |
| 0.000 | 0.000 | 0.000 | 0.000 | 0.000 | 0.000 |
| 0.000 | 0.000 | 0.000 | 0.000 | 0.000 | 0.000 |
| 0.000 | 0.000 | 0.000 | 0.000 | 0.000 | 0.000 |
| 5.596 | 5.595 | 5.595 | -0.000 | -0.000 | -0.000 |
| 5.595 | 5.596 | 5.595 | -0.000 | -0.000 | -0.000 |
| 5.595 | 5.595 | 5.596 | -0.000 | -0.000 | -0.000 |
| -0.000 | -0.000 | -0.000 | 0.000 | -0.000 | -0.000 |
| -0.000 | -0.000 | -0.000 | -0.000 | 0.000 | -0.000 |
| -0.000 | -0.000 | -0.000 | -0.000 | -0.000 | 0.000 |
| 5.596 | 5.595 | 5.595 | 0.000 | 0.000 | 0.000 |
| 5.595 | 5.596 | 5.595 | 0.000 | 0.000 | 0.000 |
| 5.595 | 5.595 | 5.596 | 0.000 | 0.000 | 0.000 |
| 0.000 | 0.000 | 0.000 | 0.000 | 0.000 | 0.000 |
| 0.000 | 0.000 | 0.000 | 0.000 | 0.000 | 0.000 |
| 0.000 | 0.000 | 0.000 | 0.000 | 0.000 | 0.000 |
| 5.596 | 5.596 | 5.596 | -0.000 | -0.000 | -0.000 |
| 5.596 | 5.596 | 5.596 | -0.000 | -0.000 | -0.000 |
| 5.596 | 5.596 | 5.596 | -0.000 | -0.000 | -0.000 |
| -0.000 | -0.000 | -0.000 | 0.000 | -0.000 | -0.000 |
| -0.000 | -0.000 | -0.000 | -0.000 | 0.000 | -0.000 |
| -0.000 | -0.000 | -0.000 | -0.000 | -0.000 | 0.000 |
| 5.596 | 5.595 | 5.595 | 0.000 | 0.000 | 0.000 |
| 5.595 | 5.596 | 5.595 | 0.000 | 0.000 | 0.000 |
| 5.595 | 5.595 | 5.596 | 0.000 | 0.000 | 0.000 |
| 0.000 | 0.000 | 0.000 | 0.000 | 0.000 | 0.000 |
| 0.000 | 0.000 | 0.000 | 0.000 | 0.000 | 0.000 |
| 0.000 | 0.000 | 0.000 | 0.000 | 0.000 | 0.000 |
| 37.377 | 10.446 | 21.701 | 0.000 | 0.000 | -0.000 |
| 10.446 | 37.377 | 21.701 | 0.000 | 0.000 | -0.000 |
| 21.701 | 21.701 | 44.676 | 0.000 | 0.000 | 0.000 |
| 0.000 | -0.000 | 0.000 | 21.619 | 0.000 | 0.000 |
| -0.000 | 0.000 | 0.000 | 0.000 | 21.619 | 0.000 |
| -0.000 | -0.000 | -0.000 | 0.000 | 0.000 | 10.606 |
| 37.377 | 10.446 | 21.701 | -0.000 | -0.000 | -0.000 |
| 10.446 | 37.377 | 21.701 | -0.000 | -0.000 | -0.000 |
| 21.701 | 21.701 | 44.676 | -0.000 | -0.000 | -0.000 |
| -0.000 | 0.000 | -0.000 | 21.619 | -0.000 | -0.000 |
| 0.000 | -0.000 | -0.000 | -0.000 | 21.619 | -0.000 |
| 0.000 | 0.000 | 0.000 | -0.000 | -0.000 | 10.606 |
| 37.377 | 10.446 | 21.701 | 0.000 | 0.000 | 0.000 |
| 10.446 | 37.377 | 21.701 | 0.000 | 0.000 | -0.000 |
| 21.701 | 21.701 | 44.676 | 0.000 | 0.000 | 0.000 |
| 0.000 | -0.000 | 0.000 | 21.619 | 0.000 | 0.000 |
| -0.000 | 0.000 | 0.000 | 0.000 | 21.619 | 0.000 |
| -0.000 | -0.000 | 0.000 | 0.000 | 0.000 | 10.606 |
| 37.377 | 10.446 | 21.701 | -0.000 | -0.000 | 0.000 |
| 10.446 | 37.377 | 21.701 | -0.000 | -0.000 | 0.000 |
| 21.701 | 21.701 | 44.676 | -0.000 | -0.000 | -0.000 |
| -0.000 | 0.000 | -0.000 | 21.619 | -0.000 | -0.000 |
| 0.000 | -0.000 | -0.000 | -0.000 | 21.619 | -0.000 |
| 0.000 | 0.000 | -0.000 | -0.000 | -0.000 | 10.606 |
| 37.377 | 10.446 | 21.701 | 0.000 | 0.000 | 0.000 |
| 10.446 | 37.377 | 21.701 | 0.000 | 0.000 | 0.000 |
| 21.701 | 21.701 | 44.676 | 0.000 | 0.000 | 0.000 |
| 0.000 | -0.000 | 0.000 | 21.619 | 0.000 | 0.000 |
| -0.000 | 0.000 | 0.000 | 0.000 | 21.619 | 0.000 |
| -0.000 | -0.000 | 0.000 | 0.000 | 0.000 | 10.606 |
| 37.377 | 10.446 | 21.701 | -0.000 | -0.000 | -0.000 |
| 10.446 | 37.377 | 21.701 | -0.000 | -0.000 | -0.000 |
| 21.701 | 21.701 | 44.676 | -0.000 | -0.000 | -0.000 |
| -0.000 | 0.000 | -0.000 | 21.619 | -0.000 | -0.000 |
| 0.000 | -0.000 | -0.000 | -0.000 | 21.619 | -0.000 |
| 0.000 | 0.000 | -0.000 | -0.000 | -0.000 | 10.606 |
| 418.013 | 196.475 | 302.626 | -0.000 | -0.000 | 0.000 |
| 196.475 | 418.013 | 302.626 | -0.000 | -0.000 | 0.000 |
| 302.626 | 302.626 | 466.149 | -0.000 | -0.000 | 0.000 |
| 0.000 | 0.000 | 0.000 | 302.314 | -0.000 | 0.000 |
| 0.000 | 0.000 | 0.000 | -0.000 | 302.314 | 0.000 |
| 0.000 | 0.000 | 0.000 | -0.000 | -0.000 | 196.200 |
| 418.013 | 196.475 | 302.626 | 0.000 | 0.000 | -0.000 |
| 196.475 | 418.013 | 302.626 | 0.000 | 0.000 | -0.000 |
| 302.626 | 302.626 | 466.149 | 0.000 | 0.000 | -0.000 |
| -0.000 | -0.000 | -0.000 | 302.314 | 0.000 | -0.000 |
| -0.000 | -0.000 | -0.000 | 0.000 | 302.314 | -0.000 |
| -0.000 | -0.000 | -0.000 | 0.000 | 0.000 | 196.200 |
| 418.014 | 196.475 | 302.626 | -0.000 | -0.000 | 0.000 |
| 196.475 | 418.014 | 302.626 | -0.000 | -0.000 | 0.000 |
| 302.626 | 302.626 | 466.149 | -0.000 | -0.000 | 0.000 |
| 0.000 | 0.000 | 0.000 | 302.314 | -0.000 | 0.000 |
| 0.000 | 0.000 | 0.000 | -0.000 | 302.314 | 0.000 |
| 0.000 | 0.000 | 0.000 | -0.000 | -0.000 | 196.200 |
| 418.013 | 196.475 | 302.626 | 0.000 | 0.000 | -0.000 |
| 196.475 | 418.013 | 302.626 | 0.000 | 0.000 | -0.000 |
| 302.626 | 302.626 | 466.148 | 0.000 | 0.000 | -0.000 |
| -0.000 | -0.000 | -0.000 | 302.314 | 0.000 | -0.000 |
| -0.000 | -0.000 | -0.000 | 0.000 | 302.314 | -0.000 |
| -0.000 | -0.000 | -0.000 | 0.000 | 0.000 | 196.200 |
| 418.020 | 196.476 | 302.627 | -0.000 | -0.000 | 0.000 |
| 196.476 | 418.020 | 302.627 | -0.000 | -0.000 | 0.000 |
| 302.628 | 302.628 | 466.151 | -0.000 | -0.000 | 0.000 |
| 0.001 | 0.001 | 0.002 | 302.314 | -0.000 | 0.000 |
| 0.001 | 0.001 | 0.002 | -0.000 | 302.314 | 0.000 |
| 0.000 | 0.001 | 0.001 | -0.000 | -0.000 | 196.200 |
| 418.007 | 196.475 | 302.625 | 0.000 | 0.000 | -0.000 |
| 196.475 | 418.007 | 302.625 | 0.000 | 0.000 | -0.000 |
| 302.624 | 302.624 | 466.146 | 0.000 | 0.000 | -0.000 |
| -0.001 | -0.001 | -0.002 | 302.314 | 0.000 | -0.000 |
| -0.001 | -0.001 | -0.002 | 0.000 | 302.314 | -0.000 |
| -0.000 | -0.001 | -0.001 | 0.000 | 0.000 | 196.200 |
| 106.278 | 11.346 | 22.626 | 0.000 | -0.000 | 0.000 |
| 11.346 | 106.278 | 22.626 | -0.000 | 0.000 | 0.000 |
| 22.626 | 22.626 | 41.763 | 0.000 | 0.000 | 0.000 |
| 0.000 | -0.000 | 0.000 | 29.266 | 0.000 | 0.000 |
| -0.000 | -0.000 | 0.000 | 0.000 | 29.266 | 0.000 |
| -0.000 | -0.000 | 0.000 | 0.000 | 0.000 | 17.344 |
| 106.276 | 11.346 | 22.626 | -0.000 | -0.000 | -0.000 |
| 11.346 | 106.276 | 22.626 | -0.000 | -0.000 | -0.000 |
| 22.626 | 22.626 | 41.763 | -0.000 | -0.000 | -0.000 |
| -0.000 | 0.000 | -0.000 | 29.266 | -0.000 | -0.000 |
| 0.000 | -0.000 | -0.000 | -0.000 | 29.266 | -0.000 |
| 0.000 | 0.000 | -0.000 | -0.000 | -0.000 | 17.344 |
| 106.288 | 11.346 | 22.626 | 0.000 | 0.000 | 0.000 |
| 11.346 | 106.288 | 22.626 | 0.000 | 0.000 | 0.000 |
| 22.626 | 22.626 | 41.763 | 0.000 | 0.000 | -0.000 |
| 0.000 | 0.000 | 0.000 | 29.266 | 0.000 | 0.000 |
| 0.000 | 0.000 | 0.000 | 0.000 | 29.266 | 0.000 |
| 0.000 | -0.000 | 0.000 | 0.000 | 0.000 | 17.344 |
| 106.265 | 11.345 | 22.626 | -0.000 | -0.000 | -0.000 |
| 11.345 | 106.265 | 22.626 | -0.000 | -0.000 | -0.000 |
| 22.626 | 22.626 | 41.763 | -0.000 | -0.000 | -0.000 |
| -0.000 | -0.000 | -0.000 | 29.266 | -0.000 | -0.000 |
| -0.000 | -0.000 | -0.000 | -0.000 | 29.266 | -0.000 |
| -0.000 | 0.000 | -0.000 | -0.000 | -0.000 | 17.344 |
| 106.391 | 11.346 | 22.627 | -0.000 | 0.000 | -0.000 |
| 11.346 | 106.391 | 22.627 | 0.000 | -0.000 | -0.000 |
| 22.626 | 22.626 | 41.763 | 0.000 | 0.000 | 0.000 |
| 0.000 | 0.000 | 0.000 | 29.266 | 0.000 | 0.000 |
| 0.000 | 0.000 | 0.000 | 0.000 | 29.266 | -0.000 |
| 0.000 | -0.000 | 0.000 | 0.000 | 0.000 | 17.344 |
| 106.163 | 11.345 | 22.626 | -0.000 | -0.000 | 0.000 |
| 11.345 | 106.163 | 22.626 | -0.000 | -0.000 | 0.000 |
| 22.626 | 22.626 | 41.763 | -0.000 | -0.000 | 0.000 |
| -0.000 | -0.000 | -0.000 | 29.266 | -0.000 | -0.000 |
| -0.000 | -0.000 | -0.000 | -0.000 | 29.266 | -0.000 |
| -0.000 | 0.000 | -0.000 | -0.000 | -0.000 | 17.344 |
| -49.560 | -38.770 | -7.599 | 0.000 | -0.000 | -0.000 |
| -42.247 | -315.931 | -30.968 | 0.000 | -0.000 | -0.000 |
| -8.221 | -28.114 | -10.460 | 0.000 | -0.000 | -0.000 |
| 0.000 | 0.000 | 0.000 | -9.665 | -0.000 | -0.000 |
| -0.000 | -0.000 | 0.000 | 0.000 | 31.182 | -0.000 |
| -0.000 | 0.000 | 0.000 | 0.000 | -0.000 | -22.199 |
| -49.552 | -38.765 | -7.591 | -0.000 | 0.000 | 0.000 |
| -42.243 | -315.948 | -30.964 | -0.000 | -0.000 | 0.000 |
| -8.214 | -28.108 | -10.454 | 0.000 | 0.000 | 0.000 |
| -0.000 | -0.000 | -0.000 | -9.665 | 0.000 | 0.000 |
| 0.000 | 0.000 | -0.000 | -0.000 | 31.182 | 0.000 |
| 0.000 | -0.000 | -0.000 | -0.000 | 0.000 | -22.199 |
| -49.593 | -38.795 | -7.631 | 0.000 | -0.000 | -0.000 |
| -42.266 | -315.857 | -30.987 | 0.000 | -0.000 | -0.000 |
| -8.252 | -28.138 | -10.491 | -0.000 | -0.000 | -0.000 |
| -0.000 | -0.000 | -0.000 | -9.665 | -0.000 | -0.000 |
| -0.000 | -0.000 | -0.000 | -0.000 | 31.182 | -0.000 |
| -0.000 | 0.000 | 0.000 | 0.000 | -0.000 | -22.199 |
| -49.519 | -38.739 | -7.559 | -0.000 | -0.000 | 0.000 |
| -42.224 | -316.022 | -30.946 | -0.000 | 0.000 | 0.000 |
| -8.183 | -28.084 | -10.423 | -0.000 | 0.000 | 0.000 |
| 0.000 | 0.000 | 0.000 | -9.665 | -0.000 | 0.000 |
| 0.000 | 0.000 | 0.000 | -0.000 | 31.182 | 0.000 |
| 0.000 | -0.000 | -0.000 | -0.000 | 0.000 | -22.199 |
| -49.925 | -39.048 | -7.953 | 0.000 | -0.000 | -0.000 |
| -42.458 | -315.118 | -31.173 | -0.000 | -0.000 | -0.000 |
| -8.567 | -28.377 | -10.798 | 0.000 | -0.000 | -0.000 |
| -0.000 | 0.017 | 0.041 | -9.691 | -0.000 | -0.000 |
| -0.001 | -0.000 | -0.000 | -0.000 | 31.182 | -0.000 |
| -0.000 | 0.000 | 0.000 | 0.000 | -0.000 | -22.199 |
| -49.187 | -38.486 | -7.237 | -0.000 | 0.000 | 0.000 |
| -42.032 | -316.775 | -30.794 | 0.000 | 0.000 | 0.000 |
| -7.868 | -27.909 | -10.272 | -0.000 | 0.000 | 0.000 |
| 0.000 | -0.017 | -0.041 | -9.691 | 0.000 | 0.000 |
| 0.001 | 0.000 | 0.000 | -0.000 | 31.182 | 0.000 |
| 0.000 | -0.000 | -0.000 | -0.000 | 0.000 | -22.199 |
| 128.959 | 22.726 | -6.726 | -0.000 | -0.000 | -0.000 |
| 22.726 | 128.959 | -6.726 | 0.000 | -0.000 | -0.000 |
| -6.726 | -6.726 | 150.139 | -0.000 | 0.000 | -0.000 |
| 0.000 | 0.000 | -0.000 | 3.634 | -0.000 | -0.000 |
| 0.000 | 0.000 | -0.000 | -0.000 | 3.634 | 0.000 |
| 0.000 | 0.000 | -0.000 | -0.000 | -0.000 | 8.810 |
| 128.959 | 22.726 | -6.726 | 0.000 | 0.000 | 0.000 |
| 22.726 | 128.959 | -6.726 | 0.000 | -0.000 | 0.000 |
| -6.726 | -6.726 | 150.139 | 0.000 | -0.000 | -0.000 |
| -0.000 | -0.000 | 0.000 | 3.634 | 0.000 | -0.000 |
| -0.000 | -0.000 | 0.000 | 0.000 | 3.634 | -0.000 |
| -0.000 | -0.000 | 0.000 | 0.000 | 0.000 | 8.810 |
| 69.234 | 46.161 | 25.526 | -0.000 | -0.000 | 0.000 |
| 51.188 | 68.740 | 21.498 | 0.000 | 0.000 | 0.000 |
| -6.726 | -6.726 | 150.139 | -0.000 | 0.000 | -0.000 |
| 0.000 | 0.000 | 0.000 | 3.634 | -0.000 | 0.000 |
| 0.000 | 0.000 | 0.000 | 0.000 | 3.634 | 0.000 |
| 0.000 | 0.000 | 0.000 | 0.000 | 0.000 | 53.116 |
| 68.740 | 51.188 | 21.497 | -0.000 | 0.000 | 0.000 |
| 22.726 | 128.959 | -6.726 | -0.000 | 0.000 | 0.000 |
| 21.540 | 21.540 | 99.899 | 0.000 | -0.000 | -0.000 |
| -0.000 | -0.000 | -0.000 | 3.634 | 0.000 | -0.000 |
| -0.000 | -0.000 | -0.000 | 0.000 | 3.634 | -0.000 |
| -0.000 | -0.000 | -0.000 | -0.000 | 0.000 | 53.116 |
| 68.661 | 51.254 | 21.513 | 0.000 | -0.000 | 0.000 |
| 46.164 | 69.234 | 25.528 | 0.000 | 0.000 | 0.000 |
| 21.541 | 21.541 | 99.898 | -0.000 | 0.000 | 0.000 |
| 0.000 | 0.000 | 0.000 | 21.649 | -0.000 | -0.000 |
| 0.000 | 0.000 | 0.000 | 0.000 | 3.634 | 0.000 |
| 0.000 | 0.000 | 0.000 | -0.000 | -0.000 | 8.810 |
| 128.957 | 22.725 | -6.726 | -0.000 | -0.000 | -0.000 |
| 51.186 | 68.739 | 21.495 | -0.000 | 0.000 | -0.000 |
| 21.539 | 21.539 | 99.899 | 0.000 | 0.000 | -0.000 |
| -0.000 | -0.000 | -0.000 | 21.649 | 0.000 | 0.000 |
| -0.000 | -0.000 | -0.000 | -0.000 | 3.634 | 0.000 |
| -0.000 | -0.000 | -0.000 | 0.000 | 0.000 | 8.810 |
| 71.449 | 48.856 | 34.343 | 0.000 | 0.000 | 0.000 |
| 48.856 | 71.449 | 34.343 | 0.000 | 0.000 | 0.000 |
| 29.153 | 29.153 | 111.510 | 0.000 | 0.000 | 0.000 |
| -0.031 | -0.031 | 0.054 | 5.840 | -0.000 | 0.000 |
| -0.000 | 0.000 | 0.000 | 0.000 | 23.574 | -0.000 |
| -0.000 | 0.000 | 0.000 | -0.000 | 0.000 | 53.798 |
| 132.497 | 24.902 | 1.919 | -0.000 | -0.000 | 0.000 |
| 48.924 | 71.496 | 34.243 | -0.000 | -0.000 | -0.000 |
| 29.208 | 29.208 | 111.413 | -0.000 | -0.000 | -0.000 |
| 0.031 | 0.031 | -0.054 | 5.840 | 0.000 | -0.000 |
| 0.000 | -0.000 | -0.000 | -0.000 | 23.574 | -0.000 |
| 0.000 | -0.000 | -0.000 | -0.000 | -0.000 | 53.798 |
| 132.498 | 24.903 | 1.919 | -0.000 | 0.000 | -0.000 |
| 48.887 | 71.471 | 34.299 | 0.000 | 0.000 | 0.000 |
| 29.178 | 29.178 | 111.466 | 0.000 | 0.000 | 0.000 |
| 0.000 | 0.000 | 0.000 | 23.574 | 0.000 | -0.000 |
| -0.003 | -0.003 | 0.005 | 0.000 | 5.840 | 0.000 |
| 0.005 | 0.005 | -0.008 | 0.000 | 0.000 | 8.800 |
| 132.496 | 24.901 | 1.918 | -0.000 | -0.000 | 0.000 |
| 48.892 | 71.474 | 34.287 | 0.000 | 0.000 | -0.000 |
| 0.226 | 0.226 | 162.079 | 0.000 | -0.000 | 0.000 |
| -0.000 | -0.000 | -0.000 | 23.574 | -0.000 | 0.000 |
| 0.003 | 0.003 | -0.005 | -0.000 | 5.840 | -0.000 |
| -0.005 | -0.005 | 0.008 | -0.000 | -0.000 | 8.800 |
| 132.505 | 24.909 | 1.925 | 0.000 | 0.000 | -0.000 |
| 24.909 | 132.505 | 1.925 | 0.000 | 0.000 | -0.000 |
| 29.185 | 29.185 | 111.462 | 0.000 | 0.000 | 0.000 |
| 0.000 | 0.000 | 0.000 | 23.574 | 0.000 | -0.000 |
| 0.000 | 0.000 | 0.000 | 0.000 | 23.574 | 0.000 |
| 0.000 | 0.000 | 0.000 | 0.000 | 0.000 | 53.798 |
| 132.489 | 24.894 | 1.913 | -0.000 | -0.000 | 0.000 |
| 24.895 | 132.489 | 1.913 | -0.000 | -0.000 | 0.000 |
| 29.175 | 29.175 | 111.460 | -0.000 | 0.000 | -0.000 |
| -0.000 | -0.000 | -0.000 | 23.574 | -0.000 | 0.000 |
| -0.000 | -0.000 | -0.000 | 0.000 | 23.574 | 0.000 |
| -0.000 | -0.000 | -0.000 | -0.000 | -0.000 | 53.798 |
| 337.370 | 248.454 | 310.978 | 0.000 | 0.000 | 0.000 |
| 248.454 | 337.370 | 310.978 | 0.000 | 0.000 | 0.000 |
| 310.979 | 310.979 | 434.293 | 0.000 | 0.000 | 0.000 |
| 0.000 | -0.000 | 0.000 | 31.121 | -0.000 | 0.000 |
| 0.000 | -0.000 | 0.000 | 0.000 | 31.121 | 0.000 |
| 0.000 | -0.000 | 0.000 | 0.000 | 0.000 | 44.458 |
| 364.366 | 221.457 | 310.978 | -0.000 | -0.000 | -0.000 |
| 248.453 | 337.369 | 310.978 | -0.000 | 0.000 | -0.000 |
| 310.977 | 310.977 | 434.291 | -0.000 | -0.000 | -0.000 |
| 0.000 | 0.000 | -0.000 | 31.121 | -0.000 | -0.000 |
| -0.000 | 0.000 | -0.000 | -0.000 | 31.121 | -0.000 |
| -0.000 | 0.000 | -0.000 | -0.000 | 0.000 | 44.458 |
| 337.373 | 248.457 | 310.983 | 0.000 | 0.000 | 0.000 |
| 221.461 | 364.370 | 310.983 | 0.000 | -0.000 | 0.000 |
| 310.984 | 310.984 | 434.300 | 0.000 | -0.000 | 0.000 |
| 0.000 | 0.000 | 0.000 | 31.121 | -0.000 | 0.000 |
| 0.000 | 0.000 | 0.000 | 0.000 | 31.121 | 0.000 |
| 0.000 | -0.000 | 0.000 | 0.000 | -0.000 | 71.454 |
| 364.363 | 221.454 | 310.973 | -0.000 | 0.000 | -0.000 |
| 248.450 | 337.366 | 310.973 | -0.000 | -0.000 | -0.000 |
| 310.972 | 310.972 | 434.284 | -0.000 | -0.000 | -0.000 |
| -0.000 | -0.000 | -0.000 | 31.121 | 0.000 | -0.000 |
| -0.000 | -0.000 | -0.000 | -0.000 | 31.121 | -0.000 |
| -0.000 | 0.000 | -0.000 | -0.000 | 0.000 | 71.454 |
| 337.405 | 248.488 | 311.024 | 0.000 | 0.000 | 0.000 |
| 248.488 | 337.405 | 311.024 | 0.000 | -0.000 | 0.000 |
| 311.039 | 311.039 | 434.373 | 0.000 | 0.000 | 0.000 |
| -0.000 | 0.000 | 0.000 | 31.121 | -0.000 | 0.000 |
| 0.000 | 0.000 | 0.000 | 0.000 | 31.121 | 0.000 |
| 0.000 | -0.000 | 0.000 | 0.000 | -0.000 | 44.458 |
| 337.335 | 248.419 | 310.932 | -0.000 | 0.000 | -0.000 |
| 248.421 | 337.333 | 310.932 | -0.000 | -0.000 | -0.000 |
| 310.917 | 310.917 | 434.210 | -0.000 | -0.000 | -0.000 |
| 0.000 | -0.000 | -0.000 | 31.121 | -0.000 | -0.000 |
| -0.000 | -0.000 | -0.000 | -0.000 | 31.121 | -0.000 |
| -0.000 | 0.000 | -0.000 | -0.000 | -0.000 | 44.458 |
| 145.727 | 112.170 | 112.170 | 0.000 | 0.000 | -0.000 |
| 112.170 | 145.727 | 112.170 | -0.000 | -0.000 | -0.000 |
| 112.170 | 112.170 | 145.727 | 0.000 | 0.000 | -0.000 |
| 0.000 | -0.000 | -0.000 | 16.846 | 0.000 | -0.000 |
| -0.000 | 0.000 | -0.000 | -0.000 | 16.846 | -0.000 |
| -0.000 | -0.000 | 0.000 | 0.000 | 0.000 | 16.846 |
| 145.727 | 112.171 | 112.171 | -0.000 | 0.000 | 0.000 |
| 112.171 | 145.727 | 112.171 | 0.000 | -0.000 | -0.000 |
| 112.171 | 112.171 | 145.727 | -0.000 | 0.000 | 0.000 |
| -0.000 | 0.000 | 0.000 | 16.846 | 0.000 | 0.000 |
| 0.000 | -0.000 | -0.000 | -0.000 | 16.846 | 0.000 |
| 0.000 | 0.000 | -0.000 | -0.000 | -0.000 | 16.846 |
| 145.726 | 112.170 | 112.170 | -0.000 | 0.000 | -0.000 |
| 112.170 | 145.726 | 112.170 | 0.000 | -0.000 | -0.000 |
| 112.170 | 112.170 | 145.726 | -0.000 | -0.000 | 0.000 |
| 0.000 | -0.000 | 0.000 | 16.846 | 0.000 | 0.000 |
| -0.000 | 0.000 | 0.000 | 0.000 | 16.846 | -0.000 |
| -0.000 | 0.000 | 0.000 | 0.000 | 0.000 | 16.846 |
| 145.728 | 112.171 | 112.171 | -0.000 | -0.000 | -0.000 |
| 112.171 | 145.728 | 112.171 | 0.000 | -0.000 | -0.000 |
| 112.171 | 112.171 | 145.728 | 0.000 | -0.000 | 0.000 |
| -0.000 | 0.000 | -0.000 | 16.846 | -0.000 | 0.000 |
| 0.000 | -0.000 | -0.000 | -0.000 | 16.846 | 0.000 |
| 0.000 | -0.000 | -0.000 | 0.000 | -0.000 | 16.846 |
| 145.721 | 112.163 | 112.163 | 0.000 | -0.000 | -0.000 |
| 112.163 | 145.721 | 112.163 | 0.000 | 0.000 | -0.000 |
| 112.163 | 112.163 | 145.721 | 0.000 | -0.000 | -0.000 |
| 0.000 | 0.000 | 0.000 | 36.020 | 0.000 | 0.000 |
| 0.000 | 0.000 | 0.000 | 0.000 | 36.020 | -0.000 |
| 0.000 | 0.000 | 0.000 | -0.000 | 0.000 | 36.020 |
| 145.733 | 112.178 | 112.178 | 0.000 | -0.000 | 0.000 |
| 112.178 | 145.733 | 112.178 | -0.000 | 0.000 | 0.000 |
| 112.178 | 112.178 | 145.733 | 0.000 | -0.000 | -0.000 |
| -0.000 | -0.000 | -0.000 | 36.020 | -0.000 | 0.000 |
| -0.000 | -0.000 | -0.000 | 0.000 | 36.020 | 0.000 |
| -0.000 | -0.000 | -0.000 | 0.000 | 0.000 | 36.020 |
| 2298.117 | 1651.686 | 1651.686 | -0.000 | 0.000 | -0.000 |
| 1651.686 | 2298.117 | 1651.686 | -0.000 | 0.000 | -0.000 |
| 1651.686 | 1651.686 | 2298.117 | -0.000 | 0.000 | 0.000 |
| -0.000 | -0.000 | -0.000 | 680.949 | 0.000 | -0.000 |
| -0.000 | -0.000 | -0.000 | -0.000 | 680.949 | -0.000 |
| -0.000 | -0.000 | -0.000 | 0.000 | 0.000 | 680.949 |
| 2298.117 | 1651.686 | 1651.686 | 0.000 | 0.000 | 0.000 |
| 1651.686 | 2298.117 | 1651.686 | 0.000 | -0.000 | -0.000 |
| 1651.686 | 1651.686 | 2298.117 | 0.000 | -0.000 | 0.000 |
| 0.000 | 0.000 | 0.000 | 680.949 | -0.000 | 0.000 |
| 0.000 | 0.000 | 0.000 | 0.000 | 680.949 | -0.000 |
| 0.000 | 0.000 | 0.000 | 0.000 | -0.000 | 680.949 |
| 2298.115 | 1651.686 | 1651.686 | -0.000 | 0.000 | -0.000 |
| 1651.686 | 2298.115 | 1651.686 | -0.000 | 0.000 | 0.000 |
| 1651.686 | 1651.686 | 2298.115 | -0.000 | 0.000 | -0.000 |
| -0.000 | -0.001 | -0.001 | 680.949 | 0.000 | -0.000 |
| -0.001 | -0.000 | -0.001 | -0.000 | 680.949 | -0.000 |
| -0.001 | -0.001 | -0.000 | 0.000 | 0.000 | 680.949 |
| 2298.118 | 1651.686 | 1651.686 | 0.000 | -0.000 | 0.000 |
| 1651.686 | 2298.118 | 1651.686 | 0.000 | -0.000 | 0.000 |
| 1651.686 | 1651.686 | 2298.118 | 0.000 | -0.000 | 0.000 |
| 0.000 | 0.001 | 0.001 | 680.949 | -0.000 | 0.000 |
| 0.001 | 0.000 | 0.001 | 0.000 | 680.949 | -0.000 |
| 0.001 | 0.001 | 0.000 | 0.000 | -0.000 | 680.949 |
| 2298.102 | 1651.685 | 1651.685 | -0.000 | 0.000 | 0.000 |
| 1651.685 | 2298.102 | 1651.685 | -0.000 | 0.000 | -0.000 |
| 1651.685 | 1651.685 | 2298.102 | 0.000 | -0.000 | -0.000 |
| -0.002 | -0.012 | -0.011 | 680.946 | 0.000 | -0.000 |
| -0.012 | -0.002 | -0.011 | 0.000 | 680.946 | -0.000 |
| -0.012 | -0.011 | -0.002 | 0.000 | 0.000 | 680.946 |
| 2298.132 | 1651.688 | 1651.688 | 0.000 | -0.000 | 0.000 |
| 1651.688 | 2298.132 | 1651.688 | 0.000 | 0.000 | -0.000 |
| 1651.688 | 1651.688 | 2298.132 | -0.000 | -0.000 | 0.000 |
| 0.002 | 0.012 | 0.011 | 680.946 | -0.000 | 0.000 |
| 0.012 | 0.002 | 0.011 | 0.000 | 680.946 | -0.000 |
| 0.012 | 0.011 | 0.002 | 0.000 | -0.000 | 680.946 |
| 31.730 | 2.281 | 2.281 | -0.000 | 0.000 | -0.000 |
| 2.281 | 31.730 | 2.281 | 0.000 | -0.000 | -0.000 |
| 2.281 | 2.281 | 31.730 | 0.000 | 0.000 | -0.000 |
| 0.000 | 0.000 | 0.000 | 1.255 | 0.000 | -0.000 |
| 0.000 | 0.000 | 0.000 | 0.000 | 1.255 | 0.000 |
| 0.000 | 0.000 | 0.000 | 0.000 | 0.000 | 1.255 |
| 31.730 | 2.281 | 2.281 | -0.000 | -0.000 | 0.000 |
| 2.281 | 31.730 | 2.281 | -0.000 | -0.000 | 0.000 |
| 2.281 | 2.281 | 31.730 | -0.000 | -0.000 | 0.000 |
| -0.000 | -0.000 | -0.000 | 1.255 | -0.000 | -0.000 |
| -0.000 | -0.000 | -0.000 | -0.000 | 1.255 | -0.000 |
| -0.000 | -0.000 | -0.000 | -0.000 | -0.000 | 1.255 |
| 31.730 | 2.281 | 2.281 | -0.000 | -0.000 | -0.000 |
| 2.281 | 31.730 | 2.281 | -0.000 | -0.000 | -0.000 |
| 2.281 | 2.281 | 31.730 | 0.000 | 0.000 | -0.000 |
| 0.000 | 0.000 | 0.000 | 1.255 | 0.000 | 0.000 |
| 0.000 | 0.000 | 0.000 | 0.000 | 1.255 | 0.000 |
| 0.000 | 0.000 | 0.000 | 0.000 | 0.000 | 1.255 |
| 31.730 | 2.281 | 2.281 | -0.000 | -0.000 | 0.000 |
| 2.281 | 31.730 | 2.281 | 0.000 | -0.000 | 0.000 |
| 2.281 | 2.281 | 31.730 | -0.000 | -0.000 | 0.000 |
| -0.000 | -0.000 | -0.000 | 1.255 | -0.000 | 0.000 |
| -0.000 | -0.000 | -0.000 | -0.000 | 1.255 | -0.000 |
| -0.000 | -0.000 | -0.000 | -0.000 | -0.000 | 1.255 |
| 31.731 | 2.281 | 2.281 | 0.000 | -0.000 | -0.000 |
| 2.281 | 31.731 | 2.281 | -0.000 | 0.000 | -0.000 |
| 2.281 | 2.281 | 31.731 | 0.000 | 0.000 | -0.000 |
| 0.000 | 0.000 | 0.000 | 1.206 | 0.000 | 0.000 |
| 0.000 | 0.000 | 0.000 | 0.000 | 1.206 | 0.000 |
| 0.000 | 0.000 | 0.000 | 0.000 | 0.000 | 1.206 |
| 31.730 | 2.281 | 2.281 | 0.000 | -0.000 | 0.000 |
| 2.281 | 31.730 | 2.281 | 0.000 | -0.000 | -0.000 |
| 2.281 | 2.281 | 31.730 | -0.000 | -0.000 | 0.000 |
| -0.000 | -0.000 | -0.000 | 1.206 | -0.000 | 0.000 |
| -0.000 | -0.000 | -0.000 | 0.000 | 1.206 | -0.000 |
| -0.000 | -0.000 | -0.000 | -0.000 | -0.000 | 1.206 |
| 8.003 | 11.824 | 11.824 | -0.000 | -0.000 | -0.000 |
| 11.824 | 8.003 | 11.824 | -0.000 | -0.000 | -0.000 |
| 11.824 | 11.824 | 8.003 | 0.000 | -0.000 | -0.000 |
| -0.000 | -0.000 | -0.000 | -4.354 | -0.000 | -0.000 |
| -0.000 | -0.000 | -0.000 | -0.000 | -4.354 | -0.000 |
| -0.000 | -0.000 | -0.000 | -0.000 | -0.000 | -4.354 |
| 8.003 | 11.824 | 11.824 | 0.000 | 0.000 | 0.000 |
| 11.824 | 8.003 | 11.824 | 0.000 | 0.000 | 0.000 |
| 11.824 | 11.824 | 8.003 | 0.000 | 0.000 | 0.000 |
| 0.000 | 0.000 | 0.000 | -4.354 | 0.000 | 0.000 |
| 0.000 | 0.000 | 0.000 | -0.000 | -4.354 | 0.000 |
| 0.000 | 0.000 | 0.000 | 0.000 | 0.000 | -4.354 |
| 8.003 | 11.824 | 11.824 | -0.000 | -0.000 | 0.000 |
| 11.824 | 8.003 | 11.824 | -0.000 | -0.000 | 0.000 |
| 11.824 | 11.824 | 8.003 | -0.000 | -0.000 | -0.000 |
| -0.000 | -0.000 | -0.000 | -4.354 | -0.000 | -0.000 |
| -0.000 | -0.000 | -0.000 | 0.000 | -4.354 | -0.000 |
| -0.000 | -0.000 | -0.000 | -0.000 | -0.000 | -4.354 |
| 8.003 | 11.824 | 11.824 | 0.000 | 0.000 | 0.000 |
| 11.824 | 8.003 | 11.824 | 0.000 | 0.000 | 0.000 |
| 11.824 | 11.824 | 8.003 | 0.000 | 0.000 | -0.000 |
| 0.000 | 0.000 | 0.000 | -4.354 | 0.000 | 0.000 |
| 0.000 | 0.000 | 0.000 | 0.000 | -4.354 | 0.000 |
| 0.000 | 0.000 | 0.000 | 0.000 | 0.000 | -4.354 |
| 8.002 | 11.824 | 11.824 | -0.000 | 0.000 | 0.000 |
| 11.824 | 8.002 | 11.824 | 0.000 | -0.000 | -0.000 |
| 11.824 | 11.824 | 8.002 | -0.000 | -0.000 | -0.000 |
| -0.002 | -0.000 | -0.000 | -4.354 | -0.000 | -0.000 |
| -0.000 | -0.002 | -0.000 | -0.000 | -4.354 | -0.000 |
| -0.000 | -0.000 | -0.002 | -0.000 | -0.000 | -4.354 |
| 8.004 | 11.824 | 11.824 | 0.000 | 0.000 | 0.000 |
| 11.824 | 8.004 | 11.824 | 0.000 | 0.000 | -0.000 |
| 11.824 | 11.824 | 8.004 | 0.000 | 0.000 | -0.000 |
| 0.002 | 0.000 | 0.000 | -4.354 | 0.000 | 0.000 |
| 0.000 | 0.002 | 0.000 | -0.000 | -4.354 | 0.000 |
| 0.000 | 0.000 | 0.002 | 0.000 | -0.000 | -4.354 |
| 105.921 | 105.918 | 105.918 | -0.000 | -0.000 | 0.000 |
| 105.918 | 105.921 | 105.918 | -0.000 | -0.000 | 0.000 |
| 105.918 | 105.918 | 105.921 | -0.000 | -0.000 | -0.000 |
| -0.000 | -0.000 | -0.000 | 0.002 | -0.000 | 0.000 |
| -0.000 | -0.000 | -0.000 | -0.000 | 0.002 | 0.000 |
| -0.000 | -0.000 | -0.000 | -0.000 | -0.000 | 0.002 |
| 105.921 | 105.918 | 105.918 | 0.000 | 0.000 | 0.000 |
| 105.918 | 105.921 | 105.918 | 0.000 | 0.000 | 0.000 |
| 105.918 | 105.918 | 105.921 | 0.000 | 0.000 | 0.000 |
| 0.000 | 0.000 | 0.000 | 0.002 | 0.000 | -0.000 |
| 0.000 | 0.000 | 0.000 | 0.000 | 0.002 | -0.000 |
| 0.000 | 0.000 | 0.000 | 0.000 | 0.000 | 0.002 |
| 105.921 | 105.918 | 105.918 | -0.000 | 0.000 | -0.000 |
| 105.918 | 105.921 | 105.918 | 0.000 | -0.000 | -0.000 |
| 105.918 | 105.918 | 105.921 | -0.000 | -0.000 | -0.000 |
| -0.000 | -0.000 | -0.000 | 0.002 | -0.000 | 0.000 |
| -0.000 | -0.000 | -0.000 | -0.000 | 0.002 | 0.000 |
| -0.000 | -0.000 | -0.000 | -0.000 | -0.000 | 0.002 |
| 105.921 | 105.918 | 105.918 | 0.000 | 0.000 | -0.000 |
| 105.918 | 105.921 | 105.918 | 0.000 | 0.000 | -0.000 |
| 105.918 | 105.918 | 105.921 | 0.000 | 0.000 | 0.000 |
| 0.000 | 0.000 | 0.000 | 0.002 | 0.000 | 0.000 |
| 0.000 | 0.000 | 0.000 | 0.000 | 0.002 | 0.000 |
| 0.000 | 0.000 | 0.000 | 0.000 | 0.000 | 0.002 |
| 105.921 | 105.918 | 105.918 | -0.000 | -0.000 | -0.000 |
| 105.918 | 105.921 | 105.918 | -0.000 | -0.000 | -0.000 |
| 105.918 | 105.918 | 105.921 | -0.000 | -0.000 | -0.000 |
| -0.000 | -0.000 | -0.000 | 0.002 | -0.000 | -0.000 |
| -0.000 | -0.000 | -0.000 | -0.000 | 0.002 | -0.000 |
| -0.000 | -0.000 | -0.000 | -0.000 | -0.000 | 0.002 |
| 105.921 | 105.917 | 105.917 | 0.000 | 0.000 | -0.000 |
| 105.917 | 105.921 | 105.917 | 0.000 | 0.000 | -0.000 |
| 105.917 | 105.917 | 105.921 | 0.000 | 0.000 | -0.000 |
| 0.000 | 0.000 | 0.000 | 0.002 | 0.000 | 0.000 |
| 0.000 | 0.000 | 0.000 | 0.000 | 0.002 | 0.000 |
| 0.000 | 0.000 | 0.000 | 0.000 | 0.000 | 0.002 |
| 11.260 | 11.258 | 11.258 | -0.000 | -0.000 | 0.000 |
| 11.258 | 11.260 | 11.258 | -0.000 | -0.000 | 0.000 |
| 11.258 | 11.258 | 11.260 | -0.000 | -0.000 | -0.000 |
| -0.000 | -0.000 | -0.000 | 0.001 | -0.000 | 0.000 |
| -0.000 | -0.000 | -0.000 | -0.000 | 0.001 | 0.000 |
| -0.000 | -0.000 | -0.000 | -0.000 | -0.000 | 0.001 |
| 11.260 | 11.258 | 11.258 | 0.000 | 0.000 | -0.000 |
| 11.258 | 11.260 | 11.258 | 0.000 | 0.000 | -0.000 |
| 11.258 | 11.258 | 11.260 | 0.000 | 0.000 | 0.000 |
| 0.000 | 0.000 | 0.000 | 0.001 | 0.000 | 0.000 |
| 0.000 | 0.000 | 0.000 | 0.000 | 0.001 | 0.000 |
| 0.000 | 0.000 | 0.000 | 0.000 | 0.000 | 0.001 |
| 11.260 | 11.258 | 11.258 | -0.000 | 0.000 | 0.000 |
| 11.258 | 11.260 | 11.258 | 0.000 | -0.000 | 0.000 |
| 11.258 | 11.258 | 11.260 | -0.000 | -0.000 | -0.000 |
| -0.000 | -0.000 | -0.000 | 0.001 | -0.000 | 0.000 |
| -0.000 | -0.000 | -0.000 | -0.000 | 0.001 | 0.000 |
| -0.000 | -0.000 | -0.000 | -0.000 | 0.000 | 0.001 |
| 11.260 | 11.258 | 11.258 | 0.000 | 0.000 | 0.000 |
| 11.258 | 11.260 | 11.258 | 0.000 | 0.000 | 0.000 |
| 11.258 | 11.258 | 11.260 | 0.000 | 0.000 | 0.000 |
| 0.000 | 0.000 | 0.000 | 0.001 | 0.000 | 0.000 |
| 0.000 | 0.000 | 0.000 | 0.000 | 0.001 | 0.000 |
| 0.000 | 0.000 | 0.000 | 0.000 | 0.000 | 0.001 |
| 11.260 | 11.258 | 11.258 | -0.000 | -0.000 | 0.000 |
| 11.258 | 11.260 | 11.258 | -0.000 | -0.000 | 0.000 |
| 11.258 | 11.258 | 11.260 | -0.000 | -0.000 | 0.000 |
| -0.000 | -0.000 | -0.000 | 0.001 | -0.000 | -0.000 |
| -0.000 | -0.000 | -0.000 | -0.000 | 0.001 | -0.000 |
| -0.000 | -0.000 | -0.000 | -0.000 | -0.000 | 0.001 |
| 11.260 | 11.258 | 11.258 | 0.000 | 0.000 | -0.000 |
| 11.258 | 11.260 | 11.258 | 0.000 | 0.000 | -0.000 |
| 11.258 | 11.258 | 11.260 | 0.000 | 0.000 | -0.000 |
| 0.000 | 0.000 | 0.000 | 0.001 | 0.000 | -0.000 |
| 0.000 | 0.000 | 0.000 | 0.000 | 0.001 | -0.000 |
| 0.000 | 0.000 | 0.000 | 0.000 | 0.000 | 0.001 |
| 40.184 | 31.756 | 31.756 | -0.000 | -0.000 | -0.000 |
| 31.756 | 40.184 | 31.756 | -0.000 | -0.000 | -0.000 |
| 31.756 | 31.756 | 40.184 | -0.000 | -0.000 | -0.000 |
| 0.000 | -0.000 | -0.000 | 33.435 | 0.000 | 0.000 |
| 0.000 | 0.000 | -0.000 | 0.000 | 33.435 | -0.000 |
| 0.000 | 0.000 | 0.000 | 0.000 | -0.000 | 33.435 |
| 40.184 | 31.756 | 31.756 | 0.000 | 0.000 | 0.000 |
| 31.756 | 40.184 | 31.756 | 0.000 | 0.000 | 0.000 |
| 31.756 | 31.756 | 40.184 | 0.000 | 0.000 | 0.000 |
| -0.000 | 0.000 | -0.000 | 33.435 | 0.000 | 0.000 |
| -0.000 | -0.000 | -0.000 | 0.000 | 33.435 | 0.000 |
| -0.000 | -0.000 | 0.000 | 0.000 | -0.000 | 33.435 |
| 40.184 | 31.755 | 31.755 | 0.000 | -0.000 | -0.000 |
| 31.755 | 40.184 | 31.755 | -0.000 | -0.000 | -0.000 |
| 31.755 | 31.755 | 40.184 | -0.000 | -0.000 | -0.000 |
| -0.000 | -0.000 | 0.000 | 9.866 | -0.000 | -0.000 |
| -0.000 | -0.000 | 0.000 | -0.000 | 9.866 | -0.000 |
| -0.000 | 0.000 | -0.000 | -0.000 | -0.000 | 9.866 |
| 40.184 | 31.756 | 31.756 | 0.000 | 0.000 | 0.000 |
| 31.756 | 40.184 | 31.756 | 0.000 | 0.000 | 0.000 |
| 31.756 | 31.756 | 40.184 | 0.000 | 0.000 | 0.000 |
| 0.000 | 0.000 | -0.000 | 9.866 | 0.000 | 0.000 |
| 0.000 | 0.000 | -0.000 | 0.000 | 9.866 | 0.000 |
| 0.000 | -0.000 | 0.000 | 0.000 | 0.000 | 9.866 |
| 40.181 | 31.753 | 31.753 | -0.000 | -0.000 | -0.000 |
| 31.753 | 40.181 | 31.753 | -0.000 | -0.000 | -0.000 |
| 31.753 | 31.753 | 40.181 | -0.000 | -0.000 | -0.000 |
| -0.000 | -0.000 | 0.000 | 9.866 | -0.000 | -0.000 |
| -0.000 | -0.000 | 0.000 | -0.000 | 9.866 | -0.000 |
| -0.000 | 0.000 | -0.000 | -0.000 | -0.000 | 9.866 |
| 40.187 | 31.759 | 31.759 | -0.000 | 0.000 | 0.000 |
| 31.759 | 40.187 | 31.759 | 0.000 | -0.000 | 0.000 |
| 31.759 | 31.759 | 40.187 | 0.000 | 0.000 | 0.000 |
| 0.000 | 0.000 | -0.000 | 9.866 | 0.000 | 0.000 |
| 0.000 | 0.000 | -0.000 | 0.000 | 9.866 | 0.000 |
| 0.000 | -0.000 | 0.000 | 0.000 | 0.000 | 9.866 |
| 437.391 | 426.758 | 426.758 | 0.000 | 0.000 | 0.000 |
| 426.758 | 437.391 | 426.758 | -0.000 | -0.000 | 0.000 |
| 426.758 | 426.758 | 437.391 | 0.000 | 0.000 | 0.000 |
| -0.000 | -0.000 | -0.000 | -29.245 | -0.000 | 0.000 |
| -0.000 | -0.000 | -0.000 | -0.000 | -29.245 | 0.000 |
| -0.000 | -0.000 | -0.000 | -0.000 | -0.000 | -29.245 |
| 425.504 | 432.703 | 432.703 | -0.000 | -0.000 | -0.000 |
| 432.703 | 425.504 | 432.703 | -0.000 | 0.000 | -0.000 |
| 432.703 | 432.703 | 425.504 | 0.000 | 0.000 | -0.000 |
| 0.000 | 0.000 | 0.000 | -29.245 | -0.000 | -0.000 |
| 0.000 | 0.000 | 0.000 | -0.000 | -29.245 | -0.000 |
| 0.000 | 0.000 | 0.000 | 0.000 | -0.000 | -29.245 |
| 437.387 | 426.754 | 426.754 | -0.000 | 0.000 | 0.000 |
| 426.754 | 437.387 | 426.754 | 0.000 | 0.000 | 0.000 |
| 426.754 | 426.754 | 437.387 | 0.000 | 0.000 | 0.000 |
| -51325958.827 | -33216300.223 | -35142546.321 | 2536856.771 | 440829.772 | -354606.302 |
| -34171402.976 | -49730539.755 | -33358970.912 | -670274.651 | 3447337.522 | 233534.872 |
| -34678128.009 | -38632037.605 | -51685902.688 | 32297.613 | -167119.818 | 3540830.699 |
| 437.397 | 426.763 | 426.763 | -0.000 | -0.000 | -0.000 |
| 426.763 | 437.397 | 426.763 | -0.000 | -0.000 | -0.000 |
| 426.763 | 426.763 | 437.397 | 0.000 | -0.000 | -0.000 |
| 67316735.731 | 67316735.731 | 67316735.731 | 37.894 | 0.000 | 0.000 |
| 67316735.731 | 67316735.731 | 67316735.731 | 0.000 | 37.894 | 0.000 |
| 67316735.731 | 67316735.731 | 67316735.731 | 0.000 | -0.000 | 37.894 |
| 425.455 | 432.656 | 432.656 | -0.000 | 0.000 | 0.000 |
| 432.656 | 425.455 | 432.656 | 0.000 | -0.000 | 0.000 |
| 432.656 | 432.656 | 425.455 | -0.000 | 0.000 | 0.000 |
| -5475153.736 | -3669843.090 | -3508768.467 | 277489.862 | 20718.721 | -26544.921 |
| -3713519.619 | -4943097.019 | -3416065.314 | -35002.053 | 244476.972 | -686.895 |
| -3757682.032 | -3817090.176 | -5430096.786 | -13608.156 | -13687.884 | 441027.159 |
| 425.552 | 432.750 | 432.750 | -0.000 | -0.000 | -0.000 |
| 432.750 | 425.552 | 432.750 | -0.000 | -0.000 | -0.000 |
| 432.750 | 432.750 | 425.552 | 0.000 | -0.000 | -0.000 |
| 6731673.573 | 6731673.573 | 6731673.573 | 37.894 | 0.000 | -0.000 |
| 6731673.573 | 6731673.573 | 6731673.573 | -0.000 | 37.894 | 0.000 |
| 6731673.573 | 6731673.573 | 6731673.573 | 0.000 | -0.000 | 37.894 |
| 5657.468 | 2056.389 | 2056.389 | 0.000 | 0.000 | 0.000 |
| 2056.389 | 5657.468 | 2056.389 | -0.000 | 0.000 | 0.000 |
| 2056.389 | 2056.389 | 5657.468 | 0.000 | 0.000 | 0.000 |
| -0.000 | 0.000 | 0.000 | 1927.796 | 0.000 | 0.000 |
| 0.000 | -0.000 | 0.000 | 0.000 | 1927.796 | 0.000 |
| 0.000 | 0.000 | -0.000 | -0.000 | -0.000 | 1927.796 |
| 6459.082 | 1655.583 | 1655.584 | -0.000 | -0.000 | -0.000 |
| 1655.584 | 6459.082 | 1655.583 | -0.000 | -0.000 | -0.000 |
| 1655.583 | 1655.584 | 6459.082 | -0.000 | -0.000 | -0.000 |
| 0.000 | -0.000 | -0.000 | 1927.796 | -0.000 | 0.000 |
| -0.000 | -0.000 | -0.000 | -0.000 | 1927.796 | -0.000 |
| -0.000 | -0.000 | 0.000 | 0.000 | -0.000 | 1927.796 |
| 5657.371 | 2056.435 | 2056.435 | 0.000 | 0.000 | 0.000 |
| 2056.435 | 5657.371 | 2056.435 | -0.000 | 0.000 | 0.000 |
| 2056.435 | 2056.435 | 5657.371 | 0.000 | 0.000 | -0.000 |
| -0.001 | 0.001 | 0.001 | 1927.796 | 0.000 | 0.000 |
| 0.001 | -0.001 | 0.001 | 0.000 | 1927.796 | -0.000 |
| 0.001 | 0.001 | -0.001 | 0.000 | -0.000 | 1927.796 |
| 5657.470 | 2056.392 | 2056.392 | -0.000 | -0.000 | -0.000 |
| 2056.392 | 5657.470 | 2056.392 | -0.000 | -0.000 | -0.000 |
| 2056.392 | 2056.392 | 5657.470 | -0.000 | -0.000 | -0.000 |
| 0.001 | -0.001 | -0.001 | 1927.796 | -0.000 | -0.000 |
| -0.001 | 0.001 | -0.001 | -0.000 | 1927.796 | -0.000 |
| -0.001 | -0.001 | 0.001 | 0.000 | 0.000 | 1927.796 |
| 5657.450 | 2056.368 | 2056.368 | 0.000 | -0.000 | 0.000 |
| 2056.368 | 5657.450 | 2056.368 | 0.000 | 0.000 | -0.000 |
| 2056.368 | 2056.368 | 5657.450 | 0.000 | -0.000 | 0.000 |
| -0.002 | 0.013 | 0.014 | 1436.032 | 0.000 | 0.000 |
| 0.013 | -0.002 | 0.014 | 0.000 | 1436.032 | 0.000 |
| 0.013 | 0.014 | -0.002 | -0.000 | 0.000 | 1436.032 |
| 5657.486 | 2056.412 | 2056.412 | -0.000 | -0.000 | 0.000 |
| 2056.412 | 5657.486 | 2056.412 | -0.000 | -0.000 | -0.000 |
| 2056.412 | 2056.412 | 5657.486 | -0.000 | -0.000 | -0.000 |
| 0.002 | -0.013 | -0.014 | 1436.032 | -0.000 | 0.000 |
| -0.013 | 0.002 | -0.014 | -0.000 | 1436.032 | 0.000 |
| -0.013 | -0.014 | 0.002 | -0.000 | -0.000 | 1436.032 |
| 56.259 | 20.436 | 20.436 | 0.000 | 0.000 | -0.000 |
| 20.436 | 56.259 | 20.436 | 0.000 | 0.000 | -0.000 |
| 20.436 | 20.436 | 56.259 | 0.000 | -0.000 | -0.000 |
| -0.000 | -0.000 | -0.000 | 10.454 | 0.000 | -0.000 |
| -0.000 | -0.000 | -0.000 | 0.000 | 10.454 | -0.000 |
| -0.000 | -0.000 | 0.000 | 0.000 | 0.000 | 10.454 |
| 54.610 | 21.260 | 21.260 | -0.000 | 0.000 | 0.000 |
| 21.260 | 54.610 | 21.260 | -0.000 | -0.000 | 0.000 |
| 21.260 | 21.260 | 54.610 | -0.000 | 0.000 | 0.000 |
| 0.000 | 0.000 | 0.000 | 10.454 | 0.000 | -0.000 |
| 0.000 | 0.000 | 0.000 | -0.000 | 10.454 | 0.000 |
| 0.000 | 0.000 | -0.000 | -0.000 | -0.000 | 10.454 |
| 56.259 | 20.436 | 20.436 | 0.000 | 0.000 | -0.000 |
| 20.436 | 56.259 | 20.436 | 0.000 | -0.000 | -0.000 |
| 20.436 | 20.436 | 56.259 | 0.000 | -0.000 | -0.000 |
| -0.000 | -0.000 | -0.000 | 10.454 | -0.000 | 0.000 |
| -0.000 | -0.000 | -0.000 | 0.000 | 10.454 | -0.000 |
| -0.000 | -0.000 | -0.000 | 0.000 | 0.000 | 10.454 |
| 56.259 | 20.436 | 20.436 | -0.000 | -0.000 | 0.000 |
| 20.436 | 56.259 | 20.436 | -0.000 | -0.000 | 0.000 |
| 20.436 | 20.436 | 56.259 | -0.000 | -0.000 | 0.000 |
| 0.000 | 0.000 | 0.000 | 10.454 | 0.000 | 0.000 |
| 0.000 | 0.000 | 0.000 | -0.000 | 10.454 | 0.000 |
| 0.000 | 0.000 | 0.000 | -0.000 | -0.000 | 10.454 |
| 56.259 | 20.436 | 20.436 | 0.000 | 0.000 | -0.000 |
| 20.436 | 56.259 | 20.436 | -0.000 | 0.000 | -0.000 |
| 20.436 | 20.436 | 56.259 | 0.000 | 0.000 | -0.000 |
| -0.000 | -0.000 | -0.000 | 10.454 | 0.000 | -0.000 |
| -0.000 | -0.000 | -0.000 | 0.000 | 10.454 | -0.000 |
| -0.000 | -0.000 | -0.000 | 0.000 | 0.000 | 10.454 |
| 54.610 | 21.259 | 21.259 | -0.000 | -0.000 | 0.000 |
| 21.259 | 54.610 | 21.259 | -0.000 | 0.000 | 0.000 |
| 21.259 | 21.259 | 54.610 | -0.000 | -0.000 | 0.000 |
| 0.000 | 0.000 | 0.000 | 10.454 | -0.000 | -0.000 |
| 0.000 | 0.000 | 0.000 | -0.000 | 10.454 | 0.000 |
| 0.000 | 0.000 | 0.000 | -0.000 | -0.000 | 10.454 |
| 155.053 | 527.450 | 527.450 | 0.000 | 0.000 | 0.000 |
| 527.450 | 155.053 | 527.450 | 0.000 | 0.000 | 0.000 |
| 527.450 | 527.450 | 155.053 | 0.000 | 0.000 | 0.000 |
| 0.000 | 0.000 | 0.000 | -46.334 | 0.000 | 0.000 |
| 0.000 | 0.000 | 0.000 | 0.000 | -46.334 | 0.000 |
| 0.000 | 0.000 | 0.000 | 0.000 | 0.000 | -46.334 |
| 155.047 | 527.453 | 527.453 | -0.000 | -0.000 | -0.000 |
| 527.453 | 155.047 | 527.453 | 0.000 | -0.000 | -0.000 |
| 527.453 | 527.453 | 155.047 | -0.000 | -0.000 | -0.000 |
| -0.000 | -0.000 | -0.000 | -46.334 | -0.000 | -0.000 |
| -0.000 | -0.000 | -0.000 | -0.000 | -46.334 | -0.000 |
| -0.000 | -0.000 | -0.000 | -0.000 | -0.000 | -46.334 |
| 155.079 | 527.440 | 527.440 | 0.000 | 0.000 | 0.000 |
| 527.440 | 155.079 | 527.440 | 0.000 | 0.000 | 0.000 |
| 527.440 | 527.440 | 155.079 | 0.000 | 0.000 | 0.000 |
| 0.000 | 0.001 | 0.001 | -46.334 | 0.000 | 0.000 |
| 0.001 | 0.000 | 0.001 | 0.000 | -46.334 | 0.000 |
| 0.001 | 0.001 | 0.000 | 0.000 | 0.000 | -46.334 |
| 155.021 | 527.464 | 527.464 | -0.000 | 0.000 | -0.000 |
| 527.464 | 155.021 | 527.464 | 0.000 | -0.000 | -0.000 |
| 527.464 | 527.464 | 155.021 | -0.000 | -0.000 | -0.000 |
| -0.000 | -0.001 | -0.001 | -46.334 | -0.000 | -0.000 |
| -0.001 | -0.000 | -0.001 | -0.000 | -46.334 | -0.000 |
| -0.001 | -0.001 | -0.000 | -0.000 | -0.000 | -46.334 |
| 155.128 | 527.438 | 527.438 | -0.000 | 0.000 | 0.000 |
| 527.438 | 155.128 | 527.438 | 0.000 | -0.000 | 0.000 |
| 527.438 | 527.438 | 155.128 | 0.000 | -0.000 | 0.000 |
| 0.003 | 0.006 | 0.006 | -46.331 | 0.000 | 0.000 |
| 0.006 | 0.003 | 0.006 | 0.000 | -46.331 | 0.000 |
| 0.006 | 0.006 | 0.003 | 0.000 | 0.000 | -46.331 |
| 154.973 | 527.465 | 527.465 | 0.000 | 0.000 | 0.000 |
| 527.465 | 154.973 | 527.465 | -0.000 | 0.000 | -0.000 |
| 527.465 | 527.465 | 154.973 | -0.000 | 0.000 | 0.000 |
| -0.003 | -0.006 | -0.006 | -46.331 | -0.000 | -0.000 |
| -0.006 | -0.003 | -0.006 | -0.000 | -46.331 | -0.000 |
| -0.006 | -0.006 | -0.003 | -0.000 | -0.000 | -46.331 |
| 81.501 | 27.127 | 27.127 | -0.000 | -0.000 | -0.000 |
| 27.127 | 81.501 | 27.127 | 0.000 | -0.000 | 0.000 |
| 27.127 | 27.127 | 81.501 | -0.000 | 0.000 | -0.000 |
| -0.000 | -0.000 | 0.000 | 0.508 | -0.000 | -0.000 |
| -0.000 | -0.000 | -0.000 | -0.000 | 0.508 | -0.000 |
| -0.000 | 0.000 | -0.000 | -0.000 | -0.000 | 0.508 |
| 81.501 | 27.127 | 27.127 | -0.000 | 0.000 | 0.000 |
| 27.127 | 81.501 | 27.127 | -0.000 | 0.000 | 0.000 |
| 27.127 | 27.127 | 81.501 | 0.000 | 0.000 | 0.000 |
| 0.000 | 0.000 | 0.000 | 0.508 | 0.000 | 0.000 |
| 0.000 | 0.000 | 0.000 | 0.000 | 0.508 | 0.000 |
| 0.000 | 0.000 | 0.000 | 0.000 | 0.000 | 0.508 |
| 81.501 | 27.127 | 27.127 | -0.000 | -0.000 | -0.000 |
| 27.127 | 81.501 | 27.127 | -0.000 | -0.000 | -0.000 |
| 27.127 | 27.127 | 81.501 | -0.000 | 0.000 | -0.000 |
| -0.000 | -0.000 | -0.000 | 0.508 | 0.000 | -0.000 |
| -0.000 | -0.000 | -0.000 | -0.000 | 0.508 | -0.000 |
| -0.000 | -0.000 | -0.000 | -0.000 | 0.000 | 0.508 |
| 81.501 | 27.127 | 27.127 | -0.000 | 0.000 | 0.000 |
| 27.127 | 81.501 | 27.127 | -0.000 | 0.000 | 0.000 |
| 27.127 | 27.127 | 81.501 | 0.000 | 0.000 | 0.000 |
| 0.000 | 0.000 | 0.000 | 0.508 | 0.000 | -0.000 |
| 0.000 | 0.000 | 0.000 | 0.000 | 0.508 | 0.000 |
| 0.000 | 0.000 | 0.000 | 0.000 | 0.000 | 0.508 |
| 81.499 | 27.127 | 27.127 | 0.000 | -0.000 | -0.000 |
| 27.127 | 81.499 | 27.127 | 0.000 | -0.000 | -0.000 |
| 27.127 | 27.127 | 81.499 | -0.000 | 0.000 | -0.000 |
| -0.000 | -0.000 | -0.000 | 0.508 | 0.000 | -0.000 |
| -0.000 | -0.000 | -0.000 | -0.000 | 0.508 | -0.000 |
| -0.000 | -0.000 | -0.000 | -0.000 | -0.000 | 0.508 |
| 81.503 | 27.127 | 27.127 | -0.000 | 0.000 | 0.000 |
| 27.127 | 81.503 | 27.127 | 0.000 | 0.000 | -0.000 |
| 27.127 | 27.127 | 81.503 | -0.000 | -0.000 | 0.000 |
| 0.000 | 0.000 | 0.000 | 0.508 | -0.000 | 0.000 |
| 0.000 | 0.000 | 0.000 | 0.000 | 0.508 | 0.000 |
| 0.000 | 0.000 | 0.000 | 0.000 | 0.000 | 0.508 |
| 17.199 | 0.000 | 0.000 | -0.000 | -0.000 | -0.000 |
| 0.000 | 17.199 | 0.000 | -0.000 | 0.000 | -0.000 |
| 0.000 | 0.000 | 17.199 | -0.000 | 0.000 | -0.000 |
| 0.000 | 0.000 | 0.000 | 0.000 | -0.000 | -0.000 |
| 0.000 | 0.000 | 0.000 | -0.000 | 0.000 | -0.000 |
| 0.000 | 0.000 | 0.000 | -0.000 | 0.000 | 0.000 |
| 17.199 | -0.000 | -0.000 | 0.000 | -0.000 | 0.000 |
| -0.000 | 17.199 | -0.000 | 0.000 | -0.000 | 0.000 |
| -0.000 | -0.000 | 17.199 | 0.000 | 0.000 | 0.000 |
| -0.000 | -0.000 | -0.000 | 0.000 | 0.000 | 0.000 |
| -0.000 | -0.000 | -0.000 | 0.000 | 0.000 | 0.000 |
| -0.000 | -0.000 | -0.000 | 0.000 | -0.000 | 0.000 |
| 17.199 | 0.000 | 0.000 | -0.000 | 0.000 | -0.000 |
| 0.000 | 17.199 | 0.000 | -0.000 | 0.000 | 0.000 |
| 0.000 | 0.000 | 17.199 | 0.000 | 0.000 | -0.000 |
| 0.000 | 0.000 | -0.000 | 0.000 | -0.000 | 0.000 |
| 0.000 | 0.000 | -0.000 | -0.000 | 0.000 | -0.000 |
| 0.000 | -0.000 | 0.000 | 0.000 | 0.000 | 0.000 |
| 17.199 | -0.000 | -0.000 | 0.000 | -0.000 | 0.000 |
| -0.000 | 17.199 | -0.000 | 0.000 | -0.000 | -0.000 |
| -0.000 | -0.000 | 17.199 | -0.000 | 0.000 | -0.000 |
| -0.000 | -0.000 | 0.000 | 0.000 | 0.000 | 0.000 |
| -0.000 | -0.000 | 0.000 | 0.000 | 0.000 | 0.000 |
| -0.000 | 0.000 | -0.000 | 0.000 | 0.000 | 0.000 |
| 17.199 | 0.000 | 0.000 | -0.000 | -0.000 | -0.000 |
| 0.000 | 17.199 | 0.000 | -0.000 | 0.000 | -0.000 |
| 0.000 | 0.000 | 17.199 | -0.000 | 0.000 | -0.000 |
| 0.000 | 0.000 | -0.000 | 0.000 | 0.000 | -0.000 |
| 0.000 | 0.000 | -0.000 | -0.000 | 0.000 | -0.000 |
| 0.000 | -0.000 | 0.000 | -0.000 | -0.000 | 0.000 |
| 17.199 | -0.000 | -0.000 | 0.000 | -0.000 | 0.000 |
| -0.000 | 17.199 | -0.000 | 0.000 | -0.000 | 0.000 |
| -0.000 | -0.000 | 17.199 | 0.000 | -0.000 | 0.000 |
| -0.000 | -0.000 | 0.000 | 0.000 | -0.000 | 0.000 |
| -0.000 | -0.000 | 0.000 | 0.000 | 0.000 | 0.000 |
| -0.000 | 0.000 | -0.000 | 0.000 | 0.000 | 0.000 |
| 289.703 | 269.342 | 269.342 | -0.000 | -0.000 | 0.000 |
| 269.342 | 289.703 | 269.342 | -0.000 | 0.000 | 0.000 |
| 269.342 | 269.342 | 289.703 | 0.000 | -0.000 | -0.000 |
| 0.000 | 0.000 | 0.000 | -13.116 | 0.000 | -0.000 |
| 0.000 | 0.000 | 0.000 | 0.000 | -13.116 | 0.000 |
| 0.000 | 0.000 | 0.000 | 0.000 | -0.000 | -13.116 |
| 289.699 | 269.338 | 269.338 | 0.000 | 0.000 | -0.000 |
| 269.338 | 289.699 | 269.338 | -0.000 | -0.000 | 0.000 |
| 269.338 | 269.338 | 289.699 | -0.000 | -0.000 | -0.000 |
| -0.000 | -0.000 | -0.000 | -13.116 | -0.000 | -0.000 |
| -0.000 | -0.000 | -0.000 | -0.000 | -13.116 | -0.000 |
| -0.000 | -0.000 | -0.000 | -0.000 | 0.000 | -13.116 |
| 289.718 | 269.357 | 269.357 | -0.000 | -0.000 | 0.000 |
| 269.357 | 289.718 | 269.357 | -0.000 | -0.000 | 0.000 |
| 269.357 | 269.357 | 289.718 | 0.000 | -0.000 | 0.000 |
| -0.000 | -0.000 | -0.000 | -13.116 | 0.000 | 0.000 |
| -0.000 | -0.000 | -0.000 | 0.000 | -13.116 | 0.000 |
| -0.000 | -0.000 | -0.000 | 0.000 | 0.000 | -13.116 |
| 289.684 | 269.323 | 269.323 | 0.000 | -0.000 | -0.000 |
| 269.323 | 289.684 | 269.323 | -0.000 | 0.000 | -0.000 |
| 269.323 | 269.323 | 289.684 | -0.000 | 0.000 | -0.000 |
| 0.000 | 0.000 | 0.000 | -13.116 | 0.000 | -0.000 |
| 0.000 | 0.000 | 0.000 | -0.000 | -13.116 | -0.000 |
| 0.000 | 0.000 | 0.000 | -0.000 | 0.000 | -13.116 |
| 289.872 | 269.512 | 269.512 | -0.000 | -0.000 | -0.000 |
| 269.512 | 289.872 | 269.512 | 0.000 | -0.000 | 0.000 |
| 269.512 | 269.512 | 289.872 | 0.000 | 0.000 | 0.000 |
| 0.000 | -0.000 | -0.000 | -2.656 | 0.000 | -0.000 |
| -0.000 | 0.000 | -0.000 | 0.000 | -2.656 | 0.000 |
| -0.000 | -0.000 | 0.000 | -0.000 | -0.000 | -2.656 |
| 289.530 | 269.168 | 269.168 | 0.000 | -0.000 | -0.000 |
| 269.168 | 289.530 | 269.168 | -0.000 | 0.000 | -0.000 |
| 269.168 | 269.168 | 289.530 | -0.000 | -0.000 | -0.000 |
| -0.000 | 0.000 | 0.000 | -2.656 | -0.000 | -0.000 |
| 0.000 | -0.000 | 0.000 | -0.000 | -2.656 | -0.000 |
| 0.000 | 0.000 | -0.000 | 0.000 | -0.000 | -2.656 |
| 63.285 | 11.898 | 11.898 | -0.000 | -0.000 | 0.000 |
| 11.898 | 63.285 | 11.898 | -0.000 | -0.000 | 0.000 |
| 11.898 | 11.898 | 63.285 | 0.000 | -0.000 | 0.000 |
| 0.000 | 0.000 | 0.000 | 12.430 | -0.000 | 0.000 |
| -0.000 | 0.000 | 0.000 | -0.000 | 12.430 | 0.000 |
| 0.000 | 0.000 | 0.000 | -0.000 | -0.000 | 12.430 |
| 63.285 | 11.898 | 11.898 | 0.000 | 0.000 | -0.000 |
| 11.898 | 63.285 | 11.898 | 0.000 | 0.000 | -0.000 |
| 11.898 | 11.898 | 63.285 | 0.000 | -0.000 | -0.000 |
| -0.000 | -0.000 | -0.000 | 12.430 | 0.000 | -0.000 |
| -0.000 | -0.000 | -0.000 | 0.000 | 12.430 | -0.000 |
| -0.000 | -0.000 | -0.000 | 0.000 | 0.000 | 12.430 |
| 63.285 | 11.898 | 11.898 | -0.000 | -0.000 | 0.000 |
| 11.898 | 63.285 | 11.898 | -0.000 | 0.000 | 0.000 |
| 11.898 | 11.898 | 63.285 | -0.000 | 0.000 | 0.000 |
| 0.000 | 0.000 | 0.000 | 12.430 | -0.000 | 0.000 |
| 0.000 | 0.000 | 0.000 | -0.000 | 12.430 | 0.000 |
| 0.000 | 0.000 | 0.000 | -0.000 | -0.000 | 12.430 |
| 63.285 | 11.898 | 11.898 | 0.000 | -0.000 | -0.000 |
| 11.898 | 63.285 | 11.898 | 0.000 | 0.000 | -0.000 |
| 11.898 | 11.898 | 63.285 | 0.000 | 0.000 | -0.000 |
| -0.000 | -0.000 | -0.000 | 12.430 | 0.000 | -0.000 |
| -0.000 | -0.000 | -0.000 | 0.000 | 12.430 | -0.000 |
| -0.000 | -0.000 | -0.000 | 0.000 | 0.000 | 12.430 |
| 63.285 | 11.898 | 11.898 | -0.000 | -0.000 | 0.000 |
| 11.898 | 63.285 | 11.898 | -0.000 | -0.000 | 0.000 |
| 11.898 | 11.898 | 63.285 | -0.000 | -0.000 | 0.000 |
| 0.000 | 0.000 | 0.000 | 12.430 | -0.000 | 0.000 |
| 0.000 | 0.000 | 0.000 | -0.000 | 12.430 | 0.000 |
| 0.000 | 0.000 | 0.000 | -0.000 | -0.000 | 12.430 |
| 63.285 | 11.898 | 11.898 | 0.000 | -0.000 | -0.000 |
| 11.898 | 63.285 | 11.898 | 0.000 | 0.000 | -0.000 |
| 11.898 | 11.898 | 63.285 | -0.000 | 0.000 | -0.000 |
| -0.000 | -0.000 | -0.000 | 12.430 | 0.000 | -0.000 |
| -0.000 | -0.000 | -0.000 | 0.000 | 12.430 | -0.000 |
| -0.000 | -0.000 | -0.000 | 0.000 | 0.000 | 12.430 |
| 7.020 | 15.568 | 15.568 | -0.000 | 0.000 | -0.000 |
| 15.568 | 7.020 | 15.568 | 0.000 | -0.000 | -0.000 |
| 15.568 | 15.568 | 7.020 | -0.000 | -0.000 | -0.000 |
| -0.000 | -0.000 | 0.000 | 15.728 | -0.000 | -0.000 |
| -0.000 | -0.000 | 0.000 | -0.000 | 15.728 | -0.000 |
| -0.000 | -0.000 | 0.000 | -0.000 | -0.000 | 15.728 |
| 7.020 | 15.568 | 15.568 | 0.000 | 0.000 | 0.000 |
| 15.568 | 7.020 | 15.568 | 0.000 | 0.000 | 0.000 |
| 15.568 | 15.568 | 7.020 | 0.000 | 0.000 | 0.000 |
| 0.000 | 0.000 | -0.000 | 15.728 | 0.000 | -0.000 |
| 0.000 | 0.000 | -0.000 | 0.000 | 15.728 | 0.000 |
| 0.000 | 0.000 | -0.000 | 0.000 | 0.000 | 15.728 |
| 7.020 | 15.568 | 15.568 | 0.000 | -0.000 | -0.000 |
| 15.568 | 7.020 | 15.568 | -0.000 | 0.000 | -0.000 |
| 15.568 | 15.568 | 7.020 | 0.000 | 0.000 | -0.000 |
| -0.000 | -0.000 | 0.000 | 15.728 | -0.000 | 0.000 |
| -0.000 | -0.000 | 0.000 | -0.000 | 15.728 | -0.000 |
| -0.000 | 0.000 | 0.000 | 0.000 | 0.000 | 15.728 |
| 7.020 | 15.568 | 15.568 | 0.000 | 0.000 | 0.000 |
| 15.568 | 7.020 | 15.568 | 0.000 | -0.000 | 0.000 |
| 15.568 | 15.568 | 7.020 | -0.000 | 0.000 | 0.000 |
| 0.000 | 0.000 | -0.000 | 15.728 | 0.000 | 0.000 |
| 0.000 | 0.000 | -0.000 | 0.000 | 15.728 | 0.000 |
| 0.000 | -0.000 | -0.000 | -0.000 | 0.000 | 15.728 |
| 7.019 | 15.568 | 15.568 | -0.000 | 0.000 | -0.000 |
| 15.568 | 7.019 | 15.568 | 0.000 | -0.000 | -0.000 |
| 15.568 | 15.568 | 7.019 | 0.000 | 0.000 | -0.000 |
| -0.000 | -0.000 | 0.000 | 15.728 | -0.000 | -0.000 |
| -0.000 | -0.000 | 0.000 | -0.000 | 15.728 | -0.000 |
| -0.000 | 0.000 | -0.000 | -0.000 | -0.000 | 15.728 |
| 7.021 | 15.568 | 15.568 | -0.000 | -0.000 | 0.000 |
| 15.568 | 7.021 | 15.568 | -0.000 | 0.000 | 0.000 |
| 15.568 | 15.568 | 7.021 | 0.000 | 0.000 | 0.000 |
| 0.000 | 0.000 | -0.000 | 15.728 | 0.000 | 0.000 |
| 0.000 | 0.000 | -0.000 | 0.000 | 15.728 | 0.000 |
| 0.000 | -0.000 | 0.000 | 0.000 | 0.000 | 15.728 |
| 163.194 | 163.190 | 163.190 | -0.000 | -0.000 | -0.000 |
| 163.190 | 163.194 | 163.190 | -0.000 | -0.000 | -0.000 |
| 163.190 | 163.190 | 163.194 | -0.000 | -0.000 | -0.000 |
| 0.000 | -0.000 | 0.000 | 145.852 | -0.000 | -0.000 |
| -0.000 | 0.000 | 0.000 | -0.000 | 145.852 | -0.000 |
| -0.000 | 0.000 | 0.000 | -0.000 | -0.000 | 145.852 |
| 163.194 | 163.190 | 163.190 | 0.000 | 0.000 | 0.000 |
| 163.190 | 163.194 | 163.190 | 0.000 | 0.000 | 0.000 |
| 163.190 | 163.190 | 163.194 | 0.000 | 0.000 | -0.000 |
| -0.000 | 0.000 | -0.000 | 145.852 | 0.000 | 0.000 |
| 0.000 | -0.000 | -0.000 | 0.000 | 145.852 | 0.000 |
| 0.000 | -0.000 | -0.000 | 0.000 | 0.000 | 145.852 |
| 163.194 | 163.190 | 163.190 | -0.000 | -0.000 | -0.000 |
| 163.190 | 163.194 | 163.190 | -0.000 | -0.000 | 0.000 |
| 163.190 | 163.190 | 163.194 | -0.000 | -0.000 | -0.000 |
| 0.000 | 0.000 | 0.000 | 145.852 | -0.000 | -0.000 |
| 0.000 | 0.000 | 0.000 | -0.000 | 145.852 | -0.000 |
| 0.000 | 0.000 | 0.000 | -0.000 | -0.000 | 145.852 |
| 163.194 | 163.190 | 163.190 | 0.000 | 0.000 | 0.000 |
| 163.190 | 163.194 | 163.190 | 0.000 | 0.000 | 0.000 |
| 163.190 | 163.190 | 163.194 | 0.000 | 0.000 | 0.000 |
| -0.000 | -0.000 | -0.000 | 145.852 | 0.000 | 0.000 |
| -0.000 | -0.000 | -0.000 | 0.000 | 145.852 | 0.000 |
| -0.000 | -0.000 | -0.000 | 0.000 | 0.000 | 145.852 |
| 163.194 | 163.190 | 163.190 | -0.000 | -0.000 | 0.000 |
| 163.190 | 163.194 | 163.190 | -0.000 | -0.000 | -0.000 |
| 163.190 | 163.190 | 163.194 | -0.000 | -0.000 | -0.000 |
| 0.000 | 0.000 | 0.000 | 145.852 | -0.000 | 0.000 |
| 0.000 | 0.000 | 0.000 | -0.000 | 145.852 | 0.000 |
| 0.000 | 0.000 | 0.000 | -0.000 | -0.000 | 145.852 |
| 163.194 | 163.190 | 163.190 | 0.000 | 0.000 | 0.000 |
| 163.190 | 163.194 | 163.190 | 0.000 | 0.000 | 0.000 |
| 163.190 | 163.190 | 163.194 | 0.000 | 0.000 | 0.000 |
| -0.000 | -0.000 | -0.000 | 145.852 | 0.000 | 0.000 |
| -0.000 | -0.000 | -0.000 | 0.000 | 145.852 | 0.000 |
| -0.000 | -0.000 | -0.000 | 0.000 | 0.000 | 145.852 |
| 32.942 | 32.938 | 32.938 | 0.000 | 0.000 | -0.000 |
| 32.938 | 32.942 | 32.938 | 0.000 | 0.000 | -0.000 |
| 32.938 | 32.938 | 32.942 | 0.000 | 0.000 | -0.000 |
| 0.000 | 0.000 | 0.000 | 29.296 | -0.000 | 0.000 |
| 0.000 | 0.000 | 0.000 | -0.000 | 29.296 | 0.000 |
| 0.000 | 0.000 | 0.000 | 0.000 | -0.000 | 29.296 |
| 32.942 | 32.938 | 32.938 | -0.000 | -0.000 | 0.000 |
| 32.938 | 32.942 | 32.938 | -0.000 | -0.000 | 0.000 |
| 32.938 | 32.938 | 32.942 | -0.000 | -0.000 | 0.000 |
| -0.000 | -0.000 | -0.000 | 29.296 | 0.000 | 0.000 |
| -0.000 | -0.000 | -0.000 | 0.000 | 29.296 | 0.000 |
| -0.000 | -0.000 | -0.000 | -0.000 | 0.000 | 29.296 |
| 32.942 | 32.938 | 32.938 | 0.000 | -0.000 | 0.000 |
| 32.938 | 32.942 | 32.938 | -0.000 | 0.000 | 0.000 |
| 32.938 | 32.938 | 32.942 | 0.000 | 0.000 | 0.000 |
| 0.000 | 0.000 | 0.000 | 29.296 | -0.000 | -0.000 |
| 0.000 | 0.000 | 0.000 | -0.000 | 29.296 | -0.000 |
| 0.000 | 0.000 | 0.000 | 0.000 | 0.000 | 29.296 |
| 32.942 | 32.938 | 32.938 | -0.000 | -0.000 | 0.000 |
| 32.938 | 32.942 | 32.938 | -0.000 | -0.000 | 0.000 |
| 32.938 | 32.938 | 32.942 | -0.000 | -0.000 | -0.000 |
| -0.000 | -0.000 | -0.000 | 29.296 | 0.000 | 0.000 |
| -0.000 | -0.000 | -0.000 | 0.000 | 29.296 | 0.000 |
| -0.000 | -0.000 | -0.000 | 0.000 | 0.000 | 29.296 |
| 32.942 | 32.938 | 32.938 | 0.000 | -0.000 | -0.000 |
| 32.938 | 32.942 | 32.938 | -0.000 | 0.000 | -0.000 |
| 32.938 | 32.938 | 32.942 | 0.000 | 0.000 | -0.000 |
| 0.000 | 0.000 | 0.000 | 29.296 | -0.000 | -0.000 |
| 0.000 | 0.000 | 0.000 | -0.000 | 29.296 | -0.000 |
| 0.000 | 0.000 | 0.000 | -0.000 | -0.000 | 29.296 |
| 32.942 | 32.938 | 32.938 | -0.000 | 0.000 | 0.000 |
| 32.938 | 32.942 | 32.938 | 0.000 | -0.000 | 0.000 |
| 32.938 | 32.938 | 32.942 | -0.000 | -0.000 | 0.000 |
| -0.000 | -0.000 | -0.000 | 29.296 | 0.000 | -0.000 |
| -0.000 | -0.000 | -0.000 | 0.000 | 29.296 | 0.000 |
| -0.000 | -0.000 | -0.000 | -0.000 | 0.000 | 29.296 |
| 35.893 | 95.663 | 95.663 | 0.000 | -0.000 | 0.000 |
| 95.663 | 35.893 | 95.663 | -0.000 | 0.000 | 0.000 |
| 95.663 | 95.663 | 35.893 | 0.000 | 0.000 | -0.000 |
| 0.000 | 0.000 | 0.000 | -11.253 | 0.000 | 0.000 |
| 0.000 | 0.000 | 0.000 | 0.000 | -11.253 | 0.000 |
| 0.000 | 0.000 | 0.000 | 0.000 | 0.000 | -11.253 |
| 35.891 | 95.662 | 95.662 | 0.000 | -0.000 | -0.000 |
| 95.662 | 35.891 | 95.662 | -0.000 | -0.000 | 0.000 |
| 95.662 | 95.662 | 35.891 | -0.000 | 0.000 | -0.000 |
| -0.000 | -0.000 | -0.000 | -11.253 | -0.000 | -0.000 |
| -0.000 | -0.000 | -0.000 | -0.000 | -11.253 | -0.000 |
| -0.000 | -0.000 | -0.000 | -0.000 | -0.000 | -11.253 |
| 35.900 | 95.671 | 95.671 | 0.000 | 0.000 | -0.000 |
| 95.671 | 35.900 | 95.671 | 0.000 | 0.000 | -0.000 |
| 95.671 | 95.671 | 35.900 | 0.000 | 0.000 | 0.000 |
| 0.000 | 0.000 | 0.000 | -11.253 | -0.000 | -0.000 |
| 0.000 | 0.000 | 0.000 | 0.000 | -11.253 | 0.000 |
| 0.000 | 0.000 | 0.000 | 0.000 | 0.000 | -11.253 |
| 35.884 | 95.654 | 95.654 | 0.000 | -0.000 | 0.000 |
| 95.654 | 35.884 | 95.654 | -0.000 | 0.000 | -0.000 |
| 95.654 | 95.654 | 35.884 | -0.000 | -0.000 | -0.000 |
| -0.000 | -0.000 | -0.000 | -11.253 | -0.000 | -0.000 |
| -0.000 | -0.000 | -0.000 | -0.000 | -11.253 | 0.000 |
| -0.000 | -0.000 | -0.000 | -0.000 | -0.000 | -11.253 |
| 35.975 | 95.745 | 95.745 | -0.000 | 0.000 | -0.000 |
| 95.745 | 35.975 | 95.745 | 0.000 | 0.000 | 0.000 |
| 95.745 | 95.745 | 35.975 | -0.000 | 0.000 | 0.000 |
| 0.000 | 0.000 | 0.000 | -11.253 | 0.000 | 0.000 |
| 0.000 | 0.000 | 0.000 | 0.000 | -11.253 | 0.000 |
| 0.000 | 0.000 | 0.000 | 0.000 | 0.000 | -11.253 |
| 35.809 | 95.580 | 95.580 | 0.000 | -0.000 | 0.000 |
| 95.580 | 35.809 | 95.580 | -0.000 | -0.000 | -0.000 |
| 95.580 | 95.580 | 35.809 | -0.000 | -0.000 | -0.000 |
| -0.000 | -0.000 | -0.000 | -11.253 | -0.000 | -0.000 |
| -0.000 | -0.000 | -0.000 | -0.000 | -11.253 | -0.000 |
| -0.000 | -0.000 | -0.000 | -0.000 | -0.000 | -11.253 |
| 2457.239 | 1144.561 | 1144.561 | 0.000 | 0.000 | 0.000 |
| 1144.561 | 2457.239 | 1144.561 | 0.000 | 0.000 | -0.000 |
| 1144.561 | 1144.561 | 2457.239 | 0.000 | 0.000 | 0.000 |
| -0.000 | 0.000 | 0.000 | 1144.145 | 0.000 | -0.000 |
| 0.000 | -0.000 | 0.000 | 0.000 | 1144.145 | 0.000 |
| 0.000 | 0.000 | -0.000 | 0.000 | 0.000 | 1144.145 |
| 2457.239 | 1144.561 | 1144.561 | -0.000 | -0.000 | -0.000 |
| 1144.561 | 2457.239 | 1144.561 | -0.000 | -0.000 | -0.000 |
| 1144.561 | 1144.561 | 2457.239 | -0.000 | -0.000 | -0.000 |
| 0.000 | -0.000 | -0.000 | 1144.145 | -0.000 | -0.000 |
| -0.000 | 0.000 | -0.000 | 0.000 | 1144.145 | -0.000 |
| -0.000 | -0.000 | 0.000 | -0.000 | -0.000 | 1144.145 |
| 2457.240 | 1144.561 | 1144.561 | 0.000 | 0.000 | 0.000 |
| 1144.561 | 2457.240 | 1144.561 | 0.000 | 0.000 | -0.000 |
| 1144.561 | 1144.561 | 2457.240 | -0.000 | -0.000 | -0.000 |
| -0.000 | 0.000 | 0.001 | 1144.145 | 0.000 | 0.000 |
| 0.000 | -0.000 | 0.001 | 0.000 | 1144.145 | 0.000 |
| 0.000 | 0.001 | -0.000 | 0.000 | 0.000 | 1144.145 |
| 2457.238 | 1144.560 | 1144.560 | -0.000 | 0.000 | -0.000 |
| 1144.560 | 2457.238 | 1144.560 | -0.000 | -0.000 | -0.000 |
| 1144.560 | 1144.560 | 2457.238 | -0.000 | -0.000 | -0.000 |
| 0.000 | -0.000 | -0.001 | 1144.145 | 0.000 | -0.000 |
| -0.000 | 0.000 | -0.001 | -0.000 | 1144.145 | -0.000 |
| -0.000 | -0.001 | 0.000 | -0.000 | -0.000 | 1144.145 |
| 2457.251 | 1144.569 | 1144.569 | 0.000 | 0.000 | 0.000 |
| 1144.569 | 2457.251 | 1144.569 | 0.000 | 0.000 | 0.000 |
| 1144.569 | 1144.569 | 2457.251 | 0.000 | 0.000 | 0.000 |
| -0.000 | 0.004 | 0.006 | 1144.145 | 0.000 | 0.000 |
| 0.004 | -0.000 | 0.006 | 0.000 | 1144.145 | 0.000 |
| 0.004 | 0.006 | -0.000 | 0.000 | 0.000 | 1144.145 |
| 2457.227 | 1144.552 | 1144.552 | -0.000 | -0.000 | -0.000 |
| 1144.552 | 2457.227 | 1144.552 | -0.000 | -0.000 | 0.000 |
| 1144.552 | 1144.552 | 2457.227 | -0.000 | -0.000 | -0.000 |
| 0.000 | -0.004 | -0.006 | 1144.145 | 0.000 | -0.000 |
| -0.004 | 0.000 | -0.006 | -0.000 | 1144.145 | -0.000 |
| -0.004 | -0.006 | 0.000 | 0.000 | -0.000 | 1144.145 |
| 29.456 | 14.596 | 14.596 | 0.000 | 0.000 | 0.000 |
| 14.596 | 29.456 | 14.596 | 0.000 | 0.000 | -0.000 |
| 14.596 | 14.596 | 29.456 | -0.000 | 0.000 | 0.000 |
| -0.000 | -0.000 | -0.000 | 14.798 | 0.000 | 0.000 |
| -0.000 | -0.000 | -0.000 | 0.000 | 14.798 | 0.000 |
| -0.000 | -0.000 | -0.000 | 0.000 | 0.000 | 14.798 |
| 29.456 | 14.596 | 14.596 | -0.000 | -0.000 | -0.000 |
| 14.596 | 29.456 | 14.596 | -0.000 | -0.000 | -0.000 |
| 14.596 | 14.596 | 29.456 | -0.000 | -0.000 | -0.000 |
| 0.000 | 0.000 | 0.000 | 14.798 | -0.000 | 0.000 |
| 0.000 | 0.000 | 0.000 | -0.000 | 14.798 | -0.000 |
| 0.000 | 0.000 | 0.000 | -0.000 | -0.000 | 14.798 |
| 29.456 | 14.596 | 14.596 | 0.000 | 0.000 | 0.000 |
| 14.596 | 29.456 | 14.596 | 0.000 | 0.000 | 0.000 |
| 14.596 | 14.596 | 29.456 | 0.000 | 0.000 | 0.000 |
| -0.000 | -0.000 | -0.000 | 14.798 | 0.000 | 0.000 |
| -0.000 | -0.000 | -0.000 | 0.000 | 14.798 | 0.000 |
| -0.000 | -0.000 | -0.000 | 0.000 | 0.000 | 14.798 |
| 29.456 | 14.596 | 14.596 | -0.000 | -0.000 | 0.000 |
| 14.596 | 29.456 | 14.596 | -0.000 | -0.000 | -0.000 |
| 14.596 | 14.596 | 29.456 | -0.000 | -0.000 | -0.000 |
| 0.000 | 0.000 | 0.000 | 14.798 | -0.000 | -0.000 |
| 0.000 | 0.000 | 0.000 | -0.000 | 14.798 | -0.000 |
| 0.000 | 0.000 | 0.000 | -0.000 | -0.000 | 14.798 |
| 29.456 | 14.596 | 14.596 | 0.000 | 0.000 | 0.000 |
| 14.596 | 29.456 | 14.596 | 0.000 | 0.000 | 0.000 |
| 14.596 | 14.596 | 29.456 | 0.000 | 0.000 | 0.000 |
| -0.000 | -0.000 | -0.000 | 14.798 | 0.000 | -0.000 |
| -0.000 | -0.000 | -0.000 | 0.000 | 14.798 | 0.000 |
| -0.000 | -0.000 | -0.000 | 0.000 | 0.000 | 14.798 |
| 29.456 | 14.596 | 14.596 | -0.000 | -0.000 | -0.000 |
| 14.596 | 29.456 | 14.596 | -0.000 | -0.000 | -0.000 |
| 14.596 | 14.596 | 29.456 | -0.000 | -0.000 | -0.000 |
| 0.000 | 0.000 | 0.000 | 14.798 | -0.000 | -0.000 |
| 0.000 | 0.000 | 0.000 | -0.000 | 14.798 | -0.000 |
| 0.000 | 0.000 | 0.000 | -0.000 | -0.000 | 14.798 |
| 561.127 | 277.834 | 277.834 | 0.000 | -0.000 | 0.000 |
| 277.834 | 561.127 | 277.834 | -0.000 | 0.000 | 0.000 |
| 277.834 | 277.834 | 561.127 | 0.000 | 0.000 | 0.000 |
| -0.000 | 0.000 | 0.000 | 286.534 | 0.000 | 0.000 |
| 0.000 | -0.000 | 0.000 | 0.000 | 286.534 | 0.000 |
| 0.000 | 0.000 | -0.000 | 0.000 | 0.000 | 286.534 |
| 561.127 | 277.834 | 277.834 | -0.000 | -0.000 | -0.000 |
| 277.834 | 561.127 | 277.834 | -0.000 | -0.000 | -0.000 |
| 277.834 | 277.834 | 561.127 | -0.000 | -0.000 | -0.000 |
| 0.000 | -0.000 | -0.000 | 286.534 | -0.000 | -0.000 |
| -0.000 | 0.000 | -0.000 | -0.000 | 286.534 | -0.000 |
| -0.000 | -0.000 | 0.000 | -0.000 | -0.000 | 286.534 |
| 561.127 | 277.834 | 277.834 | 0.000 | 0.000 | 0.000 |
| 277.834 | 561.127 | 277.834 | 0.000 | 0.000 | 0.000 |
| 277.834 | 277.834 | 561.127 | 0.000 | 0.000 | 0.000 |
| -0.000 | 0.000 | 0.000 | 286.534 | 0.000 | 0.000 |
| 0.000 | -0.000 | 0.000 | 0.000 | 286.534 | 0.000 |
| 0.000 | 0.000 | -0.000 | 0.000 | 0.000 | 286.534 |
| 561.127 | 277.834 | 277.834 | -0.000 | -0.000 | -0.000 |
| 277.834 | 561.127 | 277.834 | -0.000 | -0.000 | -0.000 |
| 277.834 | 277.834 | 561.127 | -0.000 | -0.000 | -0.000 |
| 0.000 | -0.000 | -0.000 | 286.534 | -0.000 | -0.000 |
| -0.000 | 0.000 | -0.000 | -0.000 | 286.534 | -0.000 |
| -0.000 | -0.000 | 0.000 | -0.000 | -0.000 | 286.534 |
| 561.129 | 277.835 | 277.835 | 0.000 | -0.000 | 0.000 |
| 277.835 | 561.129 | 277.835 | -0.000 | 0.000 | 0.000 |
| 277.835 | 277.835 | 561.129 | 0.000 | 0.000 | 0.000 |
| -0.001 | 0.002 | 0.002 | 286.534 | 0.000 | 0.000 |
| 0.002 | -0.001 | 0.002 | 0.000 | 286.534 | 0.000 |
| 0.002 | 0.002 | -0.001 | 0.000 | 0.000 | 286.534 |
| 561.124 | 277.833 | 277.833 | -0.000 | 0.000 | -0.000 |
| 277.833 | 561.124 | 277.833 | 0.000 | -0.000 | -0.000 |
| 277.833 | 277.833 | 561.124 | -0.000 | -0.000 | -0.000 |
| 0.001 | -0.002 | -0.002 | 286.534 | -0.000 | -0.000 |
| -0.002 | 0.001 | -0.002 | -0.000 | 286.534 | -0.000 |
| -0.002 | -0.002 | 0.001 | -0.000 | -0.000 | 286.534 |
| 86.772 | 43.028 | 43.028 | 0.000 | 0.000 | 0.000 |
| 43.028 | 86.772 | 43.028 | 0.000 | 0.000 | 0.000 |
| 43.028 | 43.028 | 86.772 | 0.000 | 0.000 | 0.000 |
| -0.000 | 0.000 | 0.000 | 43.230 | 0.000 | 0.000 |
| 0.000 | 0.000 | 0.000 | 0.000 | 43.230 | 0.000 |
| 0.000 | 0.000 | 0.000 | 0.000 | 0.000 | 43.230 |
| 86.772 | 43.028 | 43.028 | -0.000 | -0.000 | -0.000 |
| 43.028 | 86.772 | 43.028 | -0.000 | -0.000 | -0.000 |
| 43.028 | 43.028 | 86.772 | -0.000 | -0.000 | -0.000 |
| -0.000 | -0.000 | -0.000 | 43.230 | -0.000 | -0.000 |
| -0.000 | -0.000 | -0.000 | -0.000 | 43.230 | -0.000 |
| -0.000 | -0.000 | -0.000 | -0.000 | -0.000 | 43.230 |
| 86.772 | 43.028 | 43.028 | 0.000 | 0.000 | 0.000 |
| 43.028 | 86.772 | 43.028 | 0.000 | 0.000 | 0.000 |
| 43.028 | 43.028 | 86.772 | 0.000 | 0.000 | 0.000 |
| -0.000 | 0.000 | 0.000 | 43.230 | 0.000 | 0.000 |
| 0.000 | -0.000 | 0.000 | 0.000 | 43.230 | -0.000 |
| 0.000 | 0.000 | -0.000 | 0.000 | -0.000 | 43.230 |
| 86.772 | 43.028 | 43.028 | -0.000 | -0.000 | -0.000 |
| 43.028 | 86.772 | 43.028 | -0.000 | -0.000 | -0.000 |
| 43.028 | 43.028 | 86.772 | -0.000 | -0.000 | -0.000 |
| 0.000 | -0.000 | -0.000 | 43.230 | -0.000 | -0.000 |
| -0.000 | 0.000 | -0.000 | -0.000 | 43.230 | -0.000 |
| -0.000 | -0.000 | 0.000 | -0.000 | -0.000 | 43.230 |
| 86.773 | 43.029 | 43.029 | 0.000 | 0.000 | 0.000 |
| 43.029 | 86.773 | 43.029 | -0.000 | 0.000 | 0.000 |
| 43.029 | 43.029 | 86.773 | 0.000 | 0.000 | 0.000 |
| -0.000 | 0.000 | 0.000 | 43.230 | 0.000 | 0.000 |
| 0.000 | -0.000 | 0.000 | 0.000 | 43.230 | 0.000 |
| 0.000 | 0.000 | -0.000 | 0.000 | 0.000 | 43.230 |
| 86.771 | 43.028 | 43.028 | -0.000 | -0.000 | -0.000 |
| 43.028 | 86.771 | 43.028 | -0.000 | -0.000 | -0.000 |
| 43.028 | 43.028 | 86.771 | -0.000 | -0.000 | -0.000 |
| 0.000 | -0.000 | -0.000 | 43.230 | -0.000 | -0.000 |
| -0.000 | 0.000 | -0.000 | -0.000 | 43.230 | -0.000 |
| -0.000 | -0.000 | 0.000 | -0.000 | -0.000 | 43.230 |
| 578.128 | 506.974 | 453.635 | 0.000 | 0.000 | 0.000 |
| 506.974 | 578.128 | 453.635 | 0.000 | 0.000 | 0.000 |
| 453.635 | 453.635 | 609.736 | 0.000 | 0.000 | 0.000 |
| -0.000 | -0.000 | -0.000 | -7.881 | 0.000 | 0.000 |
| -0.000 | 0.000 | -0.000 | 0.000 | -7.881 | 0.000 |
| 0.000 | 0.000 | 0.000 | 0.000 | 0.000 | 125.431 |
| 578.131 | 506.976 | 453.637 | -0.000 | -0.000 | -0.000 |
| 506.976 | 578.131 | 453.637 | -0.000 | -0.000 | -0.000 |
| 453.638 | 453.638 | 609.739 | 0.000 | -0.000 | -0.000 |
| 0.000 | 0.000 | 0.000 | -7.881 | -0.000 | -0.000 |
| 0.000 | -0.000 | 0.000 | -0.000 | -7.881 | -0.000 |
| -0.000 | -0.000 | -0.000 | -0.000 | -0.000 | 125.431 |
| 591.099 | 493.982 | 453.623 | 0.000 | 0.000 | 0.000 |
| 493.982 | 591.099 | 453.623 | 0.000 | 0.000 | 0.000 |
| 453.621 | 453.621 | 609.720 | 0.000 | 0.000 | 0.000 |
| -0.000 | -0.000 | -0.000 | -7.039 | 0.000 | 0.000 |
| -0.000 | -0.000 | -0.000 | 0.000 | -7.039 | 0.000 |
| 0.000 | 0.000 | 0.000 | 0.000 | 0.000 | 125.431 |
| 591.122 | 494.005 | 453.650 | -0.000 | -0.000 | -0.000 |
| 494.005 | 591.122 | 453.650 | -0.000 | -0.000 | -0.000 |
| 453.651 | 453.651 | 609.755 | -0.000 | 0.000 | -0.000 |
| 0.000 | 0.000 | 0.000 | -7.039 | -0.000 | -0.000 |
| 0.000 | 0.000 | 0.000 | -0.000 | -7.039 | -0.000 |
| -0.000 | -0.000 | -0.000 | -0.000 | -0.000 | 125.431 |
| -2610914.198 | -2611384.709 | -8090415.550 | 1177.841 | 1991.912 | 444.007 |
| -2610624.809 | -2610212.524 | -8086921.385 | 1249.779 | -3489.683 | 89.627 |
| 453.483 | 453.483 | 609.563 | 0.000 | 0.000 | 0.000 |
| -0.000 | -0.000 | -0.000 | -7.881 | 0.000 | 0.000 |
| -0.000 | -0.000 | -0.000 | 0.000 | -7.881 | 0.000 |
| 0.000 | 0.001 | 0.000 | 0.000 | 0.000 | 125.431 |
| 591.226 | 494.110 | 453.770 | -0.000 | -0.000 | -0.000 |
| 494.110 | 591.226 | 453.770 | -0.000 | -0.000 | -0.000 |
| 453.789 | 453.789 | 609.912 | -0.000 | -0.000 | -0.000 |
| 0.000 | 0.000 | 0.000 | -7.881 | -0.000 | -0.000 |
| 0.000 | 0.000 | 0.000 | -0.000 | -7.881 | -0.000 |
| -0.000 | -0.001 | -0.000 | -0.000 | -0.000 | 125.431 |
| 714.672 | 716.619 | 716.619 | 0.000 | 0.000 | 0.000 |
| 716.619 | 714.672 | 716.619 | 0.000 | 0.000 | 0.000 |
| 716.619 | 716.619 | 714.672 | 0.000 | 0.000 | 0.000 |
| 0.000 | 0.000 | 0.000 | 69.683 | 0.000 | 0.000 |
| 0.000 | 0.000 | 0.000 | 0.000 | 69.683 | 0.000 |
| 0.000 | 0.000 | 0.000 | 0.000 | 0.000 | 69.683 |
| 714.694 | 716.641 | 716.641 | -0.000 | -0.000 | -0.000 |
| 716.641 | 714.694 | 716.641 | -0.000 | -0.000 | 0.000 |
| 716.641 | 716.641 | 714.694 | -0.000 | -0.000 | 0.000 |
| -0.000 | -0.000 | -0.000 | 69.683 | -0.000 | -0.000 |
| -0.000 | -0.000 | -0.000 | -0.000 | 69.683 | -0.000 |
| -0.000 | -0.000 | -0.000 | -0.000 | -0.000 | 69.683 |
| 714.574 | 716.521 | 716.521 | 0.000 | 0.000 | 0.000 |
| 716.521 | 714.574 | 716.521 | 0.000 | 0.000 | 0.000 |
| 716.521 | 716.521 | 714.574 | 0.000 | 0.000 | -0.000 |
| 0.000 | 0.000 | 0.000 | 69.683 | 0.000 | 0.000 |
| 0.000 | 0.000 | 0.000 | 0.000 | 69.683 | 0.000 |
| 0.000 | 0.000 | 0.000 | 0.000 | 0.000 | 69.683 |
| 714.792 | 716.739 | 716.739 | -0.000 | -0.000 | -0.000 |
| 716.739 | 714.792 | 716.739 | -0.000 | -0.000 | -0.000 |
| 716.739 | 716.739 | 714.792 | -0.000 | -0.000 | 0.000 |
| -0.000 | -0.000 | -0.000 | 69.683 | -0.000 | -0.000 |
| -0.000 | -0.000 | -0.000 | -0.000 | 69.683 | -0.000 |
| -0.000 | -0.000 | -0.000 | -0.000 | -0.000 | 69.683 |
| 713.594 | 715.541 | 715.541 | 0.000 | 0.000 | 0.000 |
| 715.541 | 713.594 | 715.541 | 0.000 | 0.000 | 0.000 |
| 715.541 | 715.541 | 713.594 | 0.000 | 0.000 | 0.000 |
| 0.001 | 0.001 | 0.001 | 69.683 | 0.000 | 0.000 |
| 0.001 | 0.001 | 0.001 | 0.000 | 69.683 | 0.000 |
| 0.001 | 0.001 | 0.001 | 0.000 | 0.000 | 69.683 |
| 715.772 | 717.719 | 717.719 | -0.000 | -0.000 | -0.000 |
| 717.719 | 715.772 | 717.719 | -0.000 | -0.000 | -0.000 |
| 717.719 | 717.719 | 715.772 | -0.000 | -0.000 | -0.000 |
| -0.001 | -0.001 | -0.001 | 69.683 | -0.000 | 0.000 |
| -0.001 | -0.001 | -0.001 | -0.000 | 69.683 | 0.000 |
| -0.001 | -0.001 | -0.001 | -0.000 | -0.000 | 69.683 |
| 122.298 | 204.822 | 204.822 | -0.000 | 0.000 | 0.000 |
| 204.822 | 122.298 | 204.822 | 0.000 | 0.000 | -0.000 |
| 204.822 | 204.822 | 122.298 | -0.000 | 0.000 | -0.000 |
| -0.000 | -0.000 | -0.000 | 3.032 | -0.000 | -0.000 |
| -0.000 | -0.000 | -0.000 | 0.000 | 3.032 | -0.000 |
| -0.000 | -0.000 | -0.000 | 0.000 | -0.000 | 3.032 |
| 122.291 | 204.815 | 204.815 | 0.000 | 0.000 | 0.000 |
| 204.815 | 122.291 | 204.815 | 0.000 | -0.000 | 0.000 |
| 204.815 | 204.815 | 122.291 | -0.000 | 0.000 | 0.000 |
| 0.000 | 0.000 | 0.000 | 3.032 | -0.000 | 0.000 |
| 0.000 | 0.000 | 0.000 | 0.000 | 3.032 | 0.000 |
| 0.000 | 0.000 | 0.000 | -0.000 | -0.000 | 3.032 |
| 122.329 | 204.853 | 204.853 | -0.000 | -0.000 | -0.000 |
| 204.853 | 122.329 | 204.853 | -0.000 | -0.000 | -0.000 |
| 204.853 | 204.853 | 122.329 | 0.000 | 0.000 | 0.000 |
| -0.000 | -0.000 | -0.000 | 3.032 | 0.000 | -0.000 |
| -0.000 | -0.000 | -0.000 | 0.000 | 3.032 | -0.000 |
| -0.000 | -0.000 | -0.000 | 0.000 | -0.000 | 3.032 |
| 122.261 | 204.784 | 204.784 | -0.000 | 0.000 | 0.000 |
| 204.784 | 122.261 | 204.784 | -0.000 | -0.000 | 0.000 |
| 204.784 | 204.784 | 122.261 | 0.000 | -0.000 | -0.000 |
| 0.000 | 0.000 | 0.000 | 3.032 | -0.000 | -0.000 |
| 0.000 | 0.000 | 0.000 | -0.000 | 3.032 | 0.000 |
| 0.000 | 0.000 | 0.000 | -0.000 | -0.000 | 3.032 |
| 122.637 | 205.163 | 205.163 | 0.000 | -0.000 | -0.000 |
| 205.163 | 122.637 | 205.163 | 0.000 | -0.000 | -0.000 |
| 205.163 | 205.163 | 122.637 | -0.000 | -0.000 | -0.000 |
| -0.000 | -0.001 | -0.001 | 3.032 | -0.000 | 0.000 |
| -0.001 | -0.000 | -0.001 | -0.000 | 3.032 | -0.000 |
| -0.001 | -0.001 | -0.000 | 0.000 | 0.000 | 3.032 |
| 121.952 | 204.475 | 204.475 | 0.000 | -0.000 | 0.000 |
| 204.475 | 121.952 | 204.475 | 0.000 | -0.000 | 0.000 |
| 204.475 | 204.475 | 121.952 | -0.000 | -0.000 | 0.000 |
| 0.000 | 0.001 | 0.001 | 3.032 | -0.000 | 0.000 |
| 0.001 | 0.000 | 0.001 | 0.000 | 3.032 | 0.000 |
| 0.001 | 0.001 | 0.000 | -0.000 | 0.000 | 3.032 |
| 179.844 | 89.880 | 89.880 | -0.000 | 0.000 | 0.000 |
| 89.880 | 179.844 | 89.880 | 0.000 | -0.000 | -0.000 |
| 89.880 | 89.880 | 179.844 | -0.000 | -0.000 | -0.000 |
| -0.000 | -0.000 | -0.000 | 89.925 | -0.000 | -0.000 |
| -0.000 | -0.000 | -0.000 | -0.000 | 89.925 | 0.000 |
| -0.000 | -0.000 | -0.000 | -0.000 | 0.000 | 89.925 |
| 179.844 | 89.880 | 89.880 | 0.000 | 0.000 | 0.000 |
| 89.880 | 179.844 | 89.880 | 0.000 | 0.000 | 0.000 |
| 89.880 | 89.880 | 179.844 | 0.000 | 0.000 | 0.000 |
| 0.000 | 0.000 | 0.000 | 89.925 | 0.000 | 0.000 |
| 0.000 | 0.000 | 0.000 | 0.000 | 89.925 | -0.000 |
| 0.000 | 0.000 | 0.000 | 0.000 | -0.000 | 89.925 |
| 179.844 | 89.880 | 89.880 | -0.000 | 0.000 | 0.000 |
| 89.880 | 179.844 | 89.880 | 0.000 | -0.000 | -0.000 |
| 89.880 | 89.880 | 179.844 | -0.000 | -0.000 | -0.000 |
| -0.000 | -0.000 | -0.000 | 89.925 | -0.000 | -0.000 |
| -0.000 | -0.000 | -0.000 | -0.000 | 89.925 | 0.000 |
| -0.000 | -0.000 | -0.000 | -0.000 | 0.000 | 89.925 |
| 179.844 | 89.880 | 89.880 | 0.000 | 0.000 | 0.000 |
| 89.880 | 179.844 | 89.880 | 0.000 | 0.000 | 0.000 |
| 89.880 | 89.880 | 179.844 | 0.000 | 0.000 | 0.000 |
| 0.000 | 0.000 | 0.000 | 89.925 | 0.000 | 0.000 |
| 0.000 | 0.000 | 0.000 | 0.000 | 89.925 | -0.000 |
| 0.000 | 0.000 | 0.000 | 0.000 | -0.000 | 89.925 |
| 179.844 | 89.880 | 89.880 | -0.000 | -0.000 | -0.000 |
| 89.880 | 179.844 | 89.880 | -0.000 | -0.000 | -0.000 |
| 89.880 | 89.880 | 179.844 | -0.000 | -0.000 | -0.000 |
| -0.000 | -0.000 | -0.000 | 89.925 | -0.000 | -0.000 |
| -0.000 | -0.000 | -0.000 | -0.000 | 89.925 | 0.000 |
| -0.000 | -0.000 | -0.000 | -0.000 | 0.000 | 89.925 |
| 179.845 | 89.880 | 89.880 | 0.000 | -0.000 | -0.000 |
| 89.880 | 179.845 | 89.880 | -0.000 | 0.000 | 0.000 |
| 89.880 | 89.880 | 179.845 | 0.000 | 0.000 | 0.000 |
| 0.000 | 0.000 | 0.000 | 89.925 | 0.000 | 0.000 |
| 0.000 | 0.000 | 0.000 | 0.000 | 89.925 | -0.000 |
| 0.000 | 0.000 | 0.000 | 0.000 | -0.000 | 89.925 |
| 1842.024 | 920.881 | 920.881 | 0.000 | 0.000 | 0.000 |
| 920.881 | 1842.024 | 920.881 | 0.000 | 0.000 | 0.000 |
| 920.881 | 920.881 | 1842.024 | 0.000 | 0.000 | 0.000 |
| -0.000 | 0.000 | 0.000 | 921.252 | 0.000 | 0.000 |
| 0.000 | 0.000 | 0.000 | 0.000 | 921.252 | -0.000 |
| 0.000 | 0.000 | 0.000 | 0.000 | -0.000 | 921.252 |
| 1842.024 | 920.881 | 920.881 | -0.000 | -0.000 | -0.000 |
| 920.881 | 1842.024 | 920.881 | -0.000 | -0.000 | -0.000 |
| 920.881 | 920.881 | 1842.024 | -0.000 | -0.000 | -0.000 |
| -0.000 | -0.000 | -0.000 | 921.252 | -0.000 | -0.000 |
| -0.000 | -0.000 | -0.000 | -0.000 | 921.252 | -0.000 |
| -0.000 | -0.000 | -0.000 | -0.000 | -0.000 | 921.252 |
| 1842.025 | 920.882 | 920.882 | 0.000 | 0.000 | 0.000 |
| 920.882 | 1842.025 | 920.882 | 0.000 | 0.000 | 0.000 |
| 920.882 | 920.882 | 1842.025 | 0.000 | 0.000 | 0.000 |
| -0.000 | 0.001 | 0.001 | 921.252 | 0.000 | 0.000 |
| 0.001 | -0.000 | 0.001 | 0.000 | 921.252 | -0.000 |
| 0.001 | 0.001 | -0.000 | 0.000 | -0.000 | 921.252 |
| 1842.022 | 920.880 | 920.880 | -0.000 | -0.000 | -0.000 |
| 920.880 | 1842.022 | 920.880 | -0.000 | -0.000 | -0.000 |
| 920.880 | 920.880 | 1842.022 | -0.000 | -0.000 | -0.000 |
| 0.000 | -0.001 | -0.001 | 921.252 | -0.000 | -0.000 |
| -0.001 | 0.000 | -0.001 | -0.000 | 921.252 | 0.000 |
| -0.001 | -0.001 | 0.000 | -0.000 | 0.000 | 921.252 |
| 1842.039 | 920.891 | 920.891 | 0.000 | 0.000 | 0.000 |
| 920.891 | 1842.039 | 920.891 | 0.000 | 0.000 | 0.000 |
| 920.891 | 920.891 | 1842.039 | 0.000 | 0.000 | 0.000 |
| -0.001 | 0.007 | 0.008 | 921.252 | 0.000 | 0.000 |
| 0.007 | -0.001 | 0.008 | 0.000 | 921.252 | -0.000 |
| 0.007 | 0.008 | -0.001 | 0.000 | -0.000 | 921.252 |
| 1842.009 | 920.872 | 920.872 | -0.000 | -0.000 | -0.000 |
| 920.872 | 1842.009 | 920.872 | -0.000 | -0.000 | -0.000 |
| 920.872 | 920.872 | 1842.009 | -0.000 | -0.000 | -0.000 |
| 0.001 | -0.007 | -0.008 | 921.252 | -0.000 | -0.000 |
| -0.007 | 0.001 | -0.008 | -0.000 | 921.252 | 0.000 |
| -0.007 | -0.008 | 0.001 | -0.000 | 0.000 | 921.252 |
| 58.725 | 29.766 | 29.766 | -0.000 | -0.000 | -0.000 |
| 29.766 | 58.725 | 29.766 | -0.000 | -0.000 | -0.000 |
| 29.766 | 29.766 | 58.725 | -0.000 | -0.000 | -0.000 |
| -0.000 | 0.000 | 0.000 | 28.976 | -0.000 | -0.000 |
| 0.000 | -0.000 | 0.000 | -0.000 | 28.976 | -0.000 |
| 0.000 | 0.000 | -0.000 | -0.000 | -0.000 | 28.976 |
| 58.725 | 29.766 | 29.766 | 0.000 | 0.000 | 0.000 |
| 29.766 | 58.725 | 29.766 | -0.000 | 0.000 | 0.000 |
| 29.766 | 29.766 | 58.725 | 0.000 | 0.000 | 0.000 |
| 0.000 | -0.000 | -0.000 | 28.976 | 0.000 | 0.000 |
| -0.000 | 0.000 | -0.000 | 0.000 | 28.976 | 0.000 |
| -0.000 | -0.000 | 0.000 | 0.000 | 0.000 | 28.976 |
| 58.725 | 29.766 | 29.766 | -0.000 | 0.000 | 0.000 |
| 29.766 | 58.725 | 29.766 | 0.000 | -0.000 | -0.000 |
| 29.766 | 29.766 | 58.725 | -0.000 | -0.000 | -0.000 |
| 0.000 | 0.000 | 0.000 | 28.976 | -0.000 | -0.000 |
| 0.000 | 0.000 | 0.000 | -0.000 | 28.976 | 0.000 |
| 0.000 | 0.000 | 0.000 | -0.000 | -0.000 | 28.976 |
| 58.725 | 29.766 | 29.766 | 0.000 | 0.000 | 0.000 |
| 29.766 | 58.725 | 29.766 | 0.000 | 0.000 | 0.000 |
| 29.766 | 29.766 | 58.725 | 0.000 | 0.000 | 0.000 |
| -0.000 | -0.000 | -0.000 | 28.976 | 0.000 | 0.000 |
| -0.000 | -0.000 | -0.000 | 0.000 | 28.976 | 0.000 |
| -0.000 | -0.000 | -0.000 | 0.000 | 0.000 | 28.976 |
| 58.726 | 29.767 | 29.767 | -0.000 | -0.000 | -0.000 |
| 29.767 | 58.726 | 29.767 | -0.000 | -0.000 | -0.000 |
| 29.767 | 29.767 | 58.726 | -0.000 | -0.000 | -0.000 |
| 0.000 | 0.000 | 0.000 | 28.976 | -0.000 | -0.000 |
| 0.000 | 0.000 | 0.000 | -0.000 | 28.976 | -0.000 |
| 0.000 | 0.000 | 0.000 | -0.000 | -0.000 | 28.976 |
| 58.724 | 29.765 | 29.765 | 0.000 | -0.000 | -0.000 |
| 29.765 | 58.724 | 29.765 | -0.000 | 0.000 | 0.000 |
| 29.765 | 29.765 | 58.724 | 0.000 | 0.000 | 0.000 |
| -0.000 | -0.000 | -0.000 | 28.976 | 0.000 | 0.000 |
| -0.000 | -0.000 | -0.000 | 0.000 | 28.976 | -0.000 |
| -0.000 | -0.000 | -0.000 | 0.000 | -0.000 | 28.976 |
| 261.371 | 236.049 | 236.049 | -0.000 | -0.000 | -0.000 |
| 236.049 | 261.371 | 236.049 | -0.000 | -0.000 | -0.000 |
| 236.049 | 236.049 | 261.371 | 0.000 | -0.000 | -0.000 |
| -0.000 | -0.000 | -0.000 | -46.158 | -0.000 | -0.000 |
| -0.000 | -0.000 | -0.000 | 0.000 | -46.158 | -0.000 |
| -0.000 | -0.000 | -0.000 | -0.000 | 0.000 | -46.158 |
| 261.333 | 236.079 | 236.079 | 0.000 | -0.000 | 0.000 |
| 236.079 | 261.333 | 236.079 | 0.000 | 0.000 | 0.000 |
| 236.079 | 236.079 | 261.333 | 0.000 | -0.000 | 0.000 |
| 0.000 | 0.000 | 0.000 | -46.158 | 0.000 | 0.000 |
| 0.000 | 0.000 | 0.000 | 0.000 | -46.158 | 0.000 |
| 0.000 | 0.000 | 0.000 | -0.000 | -0.000 | -46.158 |
| 261.336 | 236.015 | 236.015 | -0.000 | 0.000 | -0.000 |
| 236.015 | 261.336 | 236.015 | -0.000 | 0.000 | -0.000 |
| 236.015 | 236.015 | 261.336 | 0.000 | 0.000 | -0.000 |
| -0.001 | -0.001 | -0.001 | -43.712 | 0.000 | -0.000 |
| -0.001 | -0.001 | -0.001 | -0.000 | -43.712 | -0.000 |
| -0.001 | -0.001 | -0.001 | -0.000 | 0.000 | -43.712 |
| 261.368 | 236.113 | 236.113 | 0.000 | 0.000 | 0.000 |
| 236.113 | 261.368 | 236.113 | 0.000 | -0.000 | 0.000 |
| 236.113 | 236.113 | 261.368 | 0.000 | -0.000 | 0.000 |
| 0.001 | 0.001 | 0.001 | -43.712 | -0.000 | 0.000 |
| 0.001 | 0.001 | 0.001 | 0.000 | -43.712 | 0.000 |
| 0.001 | 0.001 | 0.001 | 0.000 | -0.000 | -43.712 |
| 260.993 | 235.676 | 235.676 | -0.000 | 0.000 | -0.000 |
| 235.676 | 260.993 | 235.676 | -0.000 | 0.000 | -0.000 |
| 235.676 | 235.676 | 260.993 | -0.000 | 0.000 | -0.000 |
| -0.011 | -0.013 | -0.013 | -43.712 | -0.000 | -0.000 |
| -0.013 | -0.011 | -0.013 | 0.000 | -43.712 | -0.000 |
| -0.013 | -0.013 | -0.011 | -0.000 | 0.000 | -43.712 |
| 261.711 | 236.452 | 236.452 | 0.000 | 0.000 | 0.000 |
| 236.452 | 261.711 | 236.452 | 0.000 | -0.000 | 0.000 |
| 236.452 | 236.452 | 261.711 | 0.000 | 0.000 | 0.000 |
| 0.011 | 0.013 | 0.013 | -43.712 | -0.000 | 0.000 |
| 0.013 | 0.011 | 0.013 | 0.000 | -43.712 | 0.000 |
| 0.013 | 0.013 | 0.011 | -0.000 | 0.000 | -43.712 |
| 17656.502 | 11571.313 | 11571.313 | -0.000 | 0.000 | -0.000 |
| 11571.313 | 17656.502 | 11571.313 | -0.000 | 0.000 | -0.000 |
| 11571.313 | 11571.313 | 17656.502 | -0.000 | 0.000 | -0.000 |
| -0.000 | 0.000 | 0.000 | 8361.584 | 0.000 | -0.000 |
| 0.000 | -0.000 | 0.000 | 0.000 | 8361.584 | -0.000 |
| 0.000 | 0.000 | -0.001 | 0.000 | 0.000 | 8361.584 |
| 24086.226 | 8356.446 | 8356.446 | -0.000 | 0.000 | 0.000 |
| 8356.446 | 24086.226 | 8356.446 | -0.000 | -0.000 | 0.000 |
| 8356.446 | 8356.446 | 24086.226 | -0.000 | -0.000 | 0.000 |
| 0.000 | -0.000 | -0.000 | 8361.584 | -0.000 | 0.000 |
| -0.000 | 0.000 | -0.000 | 0.000 | 8361.584 | 0.000 |
| -0.000 | -0.000 | 0.001 | -0.000 | -0.000 | 8361.584 |
| 17656.522 | 11571.323 | 11571.323 | -0.000 | 0.000 | -0.000 |
| 11571.323 | 17656.522 | 11571.323 | -0.000 | 0.000 | -0.000 |
| 11571.323 | 11571.323 | 17656.522 | 0.000 | 0.000 | -0.000 |
| -0.005 | 0.004 | 0.004 | 4620.064 | 0.000 | -0.000 |
| 0.004 | -0.005 | 0.004 | 0.000 | 4620.064 | -0.000 |
| 0.004 | 0.004 | -0.005 | -0.000 | 0.000 | 4620.064 |
| 17656.472 | 11571.302 | 11571.302 | -0.000 | -0.000 | 0.000 |
| 11571.302 | 17656.472 | 11571.302 | 0.000 | 0.000 | 0.000 |
| 11571.302 | 11571.302 | 17656.472 | 0.000 | 0.000 | 0.000 |
| 0.005 | -0.004 | -0.004 | 4620.064 | 0.000 | 0.000 |
| -0.004 | 0.005 | -0.004 | -0.000 | 4620.064 | 0.000 |
| -0.004 | -0.004 | 0.005 | -0.000 | 0.000 | 4620.064 |
| 17656.574 | 11571.501 | 11571.501 | 0.000 | -0.000 | -0.000 |
| 11571.501 | 17656.574 | 11571.501 | 0.000 | 0.000 | -0.000 |
| 11571.501 | 11571.501 | 17656.574 | 0.000 | 0.000 | -0.000 |
| -0.046 | 0.039 | 0.043 | 4619.953 | -0.000 | -0.000 |
| 0.039 | -0.046 | 0.043 | 0.000 | 4619.953 | -0.000 |
| 0.039 | 0.043 | -0.046 | 0.000 | 0.000 | 4619.953 |
| 17656.070 | 11571.299 | 11571.299 | -0.000 | 0.000 | 0.000 |
| 11571.299 | 17656.070 | 11571.299 | -0.000 | -0.000 | 0.000 |
| 11571.299 | 11571.299 | 17656.070 | 0.000 | 0.000 | 0.000 |
| 0.046 | -0.039 | -0.043 | 4619.953 | 0.000 | 0.000 |
| -0.039 | 0.046 | -0.043 | 0.000 | 4619.953 | 0.000 |
| -0.039 | -0.043 | 0.046 | -0.000 | -0.000 | 4619.953 |
| 47.227 | 14.017 | 14.017 | 0.000 | -0.000 | -0.000 |
| 14.017 | 47.227 | 14.017 | -0.000 | 0.000 | 0.000 |
| 14.017 | 14.017 | 47.227 | -0.000 | -0.000 | -0.000 |
| -0.000 | -0.000 | -0.000 | 12.472 | -0.000 | -0.000 |
| -0.000 | -0.000 | -0.000 | -0.000 | 12.472 | -0.000 |
| -0.000 | -0.000 | -0.000 | -0.000 | -0.000 | 12.472 |
| 47.227 | 14.017 | 14.017 | 0.000 | 0.000 | 0.000 |
| 14.017 | 47.227 | 14.017 | 0.000 | 0.000 | 0.000 |
| 14.017 | 14.017 | 47.227 | 0.000 | -0.000 | 0.000 |
| -0.000 | 0.000 | 0.000 | 12.472 | -0.000 | 0.000 |
| 0.000 | 0.000 | 0.000 | -0.000 | 12.472 | 0.000 |
| 0.000 | 0.000 | 0.000 | 0.000 | 0.000 | 12.472 |
| 47.227 | 14.017 | 14.017 | -0.000 | 0.000 | -0.000 |
| 14.017 | 47.227 | 14.017 | -0.000 | 0.000 | -0.000 |
| 14.017 | 14.017 | 47.227 | -0.000 | -0.000 | 0.000 |
| -0.000 | -0.000 | -0.000 | 15.617 | -0.000 | -0.000 |
| -0.000 | -0.000 | -0.000 | -0.000 | 15.617 | -0.000 |
| -0.000 | -0.000 | -0.000 | -0.000 | -0.000 | 15.617 |
| 47.227 | 14.017 | 14.017 | 0.000 | 0.000 | 0.000 |
| 14.017 | 47.227 | 14.017 | -0.000 | 0.000 | 0.000 |
| 14.017 | 14.017 | 47.227 | 0.000 | 0.000 | 0.000 |
| 0.000 | 0.000 | 0.000 | 15.617 | -0.000 | -0.000 |
| 0.000 | 0.000 | 0.000 | 0.000 | 15.617 | 0.000 |
| 0.000 | 0.000 | 0.000 | 0.000 | 0.000 | 15.617 |
| 47.227 | 14.017 | 14.017 | -0.000 | -0.000 | -0.000 |
| 14.017 | 47.227 | 14.017 | -0.000 | -0.000 | -0.000 |
| 14.017 | 14.017 | 47.227 | -0.000 | -0.000 | -0.000 |
| -0.000 | -0.000 | -0.000 | 12.472 | -0.000 | 0.000 |
| -0.000 | -0.000 | -0.000 | -0.000 | 12.472 | -0.000 |
| -0.000 | -0.000 | -0.000 | -0.000 | -0.000 | 12.472 |
| 47.227 | 14.017 | 14.017 | 0.000 | 0.000 | 0.000 |
| 14.017 | 47.227 | 14.017 | 0.000 | -0.000 | 0.000 |
| 14.017 | 14.017 | 47.227 | 0.000 | 0.000 | -0.000 |
| 0.000 | 0.000 | 0.000 | 12.472 | 0.000 | 0.000 |
| 0.000 | 0.000 | 0.000 | 0.000 | 12.472 | 0.000 |
| 0.000 | 0.000 | 0.000 | -0.000 | -0.000 | 12.472 |
| -13377399.592 | -8597371.087 | -6386979.584 | 986341.705 | 326394.787 | 97779.041 |
| 6325204.342 | -771722.074 | 3539584.089 | 7241.207 | 276266.874 | -359699.851 |
| 5967564.785 | 8047474.117 | 5079218.524 | 103643.162 | -1111154.470 | 269026.087 |
| 0.000 | 0.000 | 0.000 | -128.173 | -0.000 | 0.000 |
| 0.000 | 0.000 | 0.000 | -0.000 | -128.173 | 0.000 |
| 0.000 | 0.000 | 0.000 | -0.000 | -0.000 | -128.173 |
| -22632861.930 | -2359956.269 | -5926910.184 | -83580.711 | -83718.970 | -415343.873 |
| 4508139.245 | -6919773.890 | 8641592.374 | 141003.893 | 153860.453 | 811713.604 |
| 1300046.345 | -5071765.269 | -21179856.960 | -305629.003 | -571129.882 | 105471.389 |
| -0.000 | -0.000 | -0.000 | -128.173 | 0.000 | 0.000 |
| -0.000 | -0.000 | -0.000 | 0.000 | -128.173 | -0.000 |
| -0.000 | -0.000 | 0.000 | 0.000 | 0.000 | -128.173 |
| -572580.505 | -18871.227 | 815145.968 | -23754.007 | 34540.200 | -29433.857 |
| 34531.563 | -986119.886 | -349971.801 | -85533.310 | -5904.746 | -62258.011 |
| -238035.002 | -9944.154 | -239363.482 | -93192.795 | 73617.832 | -113288.159 |
| 0.000 | 0.000 | 0.000 | -128.173 | -0.000 | 0.000 |
| 0.000 | 0.000 | 0.000 | -0.000 | -128.173 | -0.000 |
| 0.000 | 0.000 | 0.000 | -0.000 | -0.000 | -128.173 |
| -1166563.307 | 449492.874 | 262489.433 | -29976.890 | 14260.667 | 7238.818 |
| -165839.390 | -1579757.657 | 157319.732 | 15275.885 | -18926.592 | 101225.157 |
| 73094.174 | 74772.320 | -1931720.109 | -22592.759 | 80718.273 | -90994.479 |
| -0.000 | -0.000 | -0.000 | -128.173 | 0.000 | 0.000 |
| -0.000 | -0.000 | -0.000 | 0.000 | -128.173 | -0.000 |
| -0.000 | -0.000 | -0.000 | 0.000 | 0.000 | -128.173 |
| -3018351.769 | 2014674.964 | 2014674.979 | -0.000 | -0.000 | -0.000 |
| 2014674.979 | -3018351.769 | 2014674.964 | 0.000 | -0.000 | -0.000 |
| 2014674.964 | 2014674.979 | -3018351.769 | 0.000 | 0.000 | -0.000 |
| 0.001 | 0.002 | 0.002 | -128.173 | -0.000 | -0.000 |
| 0.002 | 0.001 | 0.002 | -0.000 | -128.173 | -0.000 |
| 0.002 | 0.002 | 0.001 | -0.000 | -0.000 | -128.173 |
| -3932332.000 | 1752094.378 | 1752094.368 | -0.000 | 0.000 | 0.000 |
| 1752094.368 | -3932332.000 | 1752094.378 | 0.000 | 0.000 | -0.000 |
| 1752094.378 | 1752094.368 | -3932332.000 | -0.000 | 0.000 | -0.000 |
| -0.001 | -0.002 | -0.002 | -128.173 | 0.000 | 0.000 |
| -0.002 | -0.001 | -0.002 | 0.000 | -128.173 | -0.000 |
| -0.002 | -0.002 | -0.001 | 0.000 | 0.000 | -128.173 |
| 64.335 | 14.446 | 14.446 | -0.000 | 0.000 | -0.000 |
| 14.446 | 64.335 | 14.446 | -0.000 | 0.000 | -0.000 |
| 14.446 | 14.446 | 64.335 | 0.000 | 0.000 | 0.000 |
| 0.000 | -0.000 | -0.000 | 0.393 | 0.000 | -0.000 |
| 0.000 | -0.000 | -0.000 | -0.000 | 0.393 | -0.000 |
| 0.000 | -0.000 | 0.000 | -0.000 | 0.000 | 0.393 |
| 64.335 | 14.446 | 14.446 | -0.000 | -0.000 | -0.000 |
| 14.446 | 64.335 | 14.446 | 0.000 | -0.000 | 0.000 |
| 14.446 | 14.446 | 64.335 | -0.000 | -0.000 | 0.000 |
| -0.000 | 0.000 | 0.000 | 0.393 | -0.000 | 0.000 |
| -0.000 | 0.000 | 0.000 | 0.000 | 0.393 | 0.000 |
| -0.000 | 0.000 | -0.000 | 0.000 | -0.000 | 0.393 |
| 64.335 | 14.446 | 14.446 | 0.000 | 0.000 | 0.000 |
| 14.446 | 64.335 | 14.446 | 0.000 | 0.000 | 0.000 |
| 14.446 | 14.446 | 64.335 | 0.000 | 0.000 | -0.000 |
| 0.000 | -0.000 | -0.000 | 0.393 | 0.000 | -0.000 |
| -0.000 | 0.000 | -0.000 | -0.000 | 0.393 | -0.000 |
| -0.000 | -0.000 | 0.000 | 0.000 | 0.000 | 0.393 |
| 64.335 | 14.446 | 14.446 | -0.000 | -0.000 | 0.000 |
| 14.446 | 64.335 | 14.446 | -0.000 | -0.000 | -0.000 |
| 14.446 | 14.446 | 64.335 | 0.000 | -0.000 | 0.000 |
| -0.000 | 0.000 | 0.000 | 0.393 | -0.000 | -0.000 |
| 0.000 | -0.000 | 0.000 | 0.000 | 0.393 | 0.000 |
| 0.000 | 0.000 | -0.000 | -0.000 | -0.000 | 0.393 |
| 64.336 | 14.446 | 14.446 | 0.000 | 0.000 | -0.000 |
| 14.446 | 64.336 | 14.446 | 0.000 | 0.000 | -0.000 |
| 14.446 | 14.446 | 64.336 | -0.000 | -0.000 | 0.000 |
| 0.000 | -0.000 | -0.000 | 0.393 | 0.000 | -0.000 |
| -0.000 | 0.000 | -0.000 | -0.000 | 0.393 | 0.000 |
| -0.000 | -0.000 | 0.000 | 0.000 | 0.000 | 0.393 |
| 64.335 | 14.445 | 14.445 | -0.000 | -0.000 | -0.000 |
| 14.445 | 64.335 | 14.445 | 0.000 | -0.000 | 0.000 |
| 14.445 | 14.445 | 64.335 | 0.000 | -0.000 | 0.000 |
| -0.000 | 0.000 | 0.000 | 0.393 | -0.000 | 0.000 |
| 0.000 | -0.000 | 0.000 | -0.000 | 0.393 | 0.000 |
| 0.000 | 0.000 | -0.000 | 0.000 | -0.000 | 0.393 |
| 17.199 | 0.000 | 0.000 | -0.000 | -0.000 | -0.000 |
| 0.000 | 17.199 | 0.000 | -0.000 | 0.000 | -0.000 |
| 0.000 | 0.000 | 17.199 | -0.000 | 0.000 | -0.000 |
| 0.000 | 0.000 | 0.000 | 0.000 | -0.000 | -0.000 |
| 0.000 | 0.000 | 0.000 | -0.000 | 0.000 | -0.000 |
| 0.000 | 0.000 | 0.000 | -0.000 | 0.000 | 0.000 |
| 17.199 | -0.000 | -0.000 | 0.000 | -0.000 | 0.000 |
| -0.000 | 17.199 | -0.000 | 0.000 | -0.000 | 0.000 |
| -0.000 | -0.000 | 17.199 | 0.000 | 0.000 | 0.000 |
| -0.000 | -0.000 | -0.000 | 0.000 | 0.000 | 0.000 |
| -0.000 | -0.000 | -0.000 | 0.000 | 0.000 | 0.000 |
| -0.000 | -0.000 | -0.000 | 0.000 | -0.000 | 0.000 |
| 17.199 | 0.000 | 0.000 | -0.000 | 0.000 | -0.000 |
| 0.000 | 17.199 | 0.000 | -0.000 | 0.000 | 0.000 |
| 0.000 | 0.000 | 17.199 | 0.000 | 0.000 | -0.000 |
| 0.000 | 0.000 | -0.000 | 0.000 | -0.000 | 0.000 |
| 0.000 | 0.000 | -0.000 | -0.000 | 0.000 | -0.000 |
| 0.000 | -0.000 | 0.000 | 0.000 | 0.000 | 0.000 |
| 17.199 | -0.000 | -0.000 | 0.000 | -0.000 | 0.000 |
| -0.000 | 17.199 | -0.000 | 0.000 | -0.000 | -0.000 |
| -0.000 | -0.000 | 17.199 | -0.000 | 0.000 | -0.000 |
| -0.000 | -0.000 | 0.000 | 0.000 | 0.000 | 0.000 |
| -0.000 | -0.000 | 0.000 | 0.000 | 0.000 | 0.000 |
| -0.000 | 0.000 | -0.000 | 0.000 | 0.000 | 0.000 |
| 17.199 | 0.000 | 0.000 | -0.000 | -0.000 | -0.000 |
| 0.000 | 17.199 | 0.000 | -0.000 | 0.000 | -0.000 |
| 0.000 | 0.000 | 17.199 | -0.000 | 0.000 | -0.000 |
| 0.000 | 0.000 | -0.000 | 0.000 | 0.000 | -0.000 |
| 0.000 | 0.000 | -0.000 | -0.000 | 0.000 | -0.000 |
| 0.000 | -0.000 | 0.000 | -0.000 | -0.000 | 0.000 |
| 17.199 | -0.000 | -0.000 | 0.000 | -0.000 | 0.000 |
| -0.000 | 17.199 | -0.000 | 0.000 | -0.000 | 0.000 |
| -0.000 | -0.000 | 17.199 | 0.000 | -0.000 | 0.000 |
| -0.000 | -0.000 | 0.000 | 0.000 | -0.000 | 0.000 |
| -0.000 | -0.000 | 0.000 | 0.000 | 0.000 | 0.000 |
| -0.000 | 0.000 | -0.000 | 0.000 | 0.000 | 0.000 |
| 779.042 | 722.017 | 722.017 | -0.000 | 0.000 | -0.000 |
| 722.017 | 779.042 | 722.017 | -0.000 | 0.000 | -0.000 |
| 722.017 | 722.017 | 779.042 | 0.000 | 0.000 | -0.000 |
| -0.000 | -0.000 | -0.000 | -16.186 | 0.000 | -0.000 |
| -0.000 | -0.000 | -0.000 | -0.000 | -16.186 | 0.000 |
| -0.000 | -0.000 | -0.000 | 0.000 | 0.000 | -16.186 |
| 779.015 | 721.989 | 721.989 | 0.000 | -0.000 | -0.000 |
| 721.989 | 779.015 | 721.989 | 0.000 | -0.000 | -0.000 |
| 721.989 | 721.989 | 779.015 | 0.000 | 0.000 | -0.000 |
| 0.000 | 0.000 | 0.000 | -16.186 | -0.000 | 0.000 |
| 0.000 | 0.000 | 0.000 | 0.000 | -16.186 | -0.000 |
| 0.000 | 0.000 | 0.000 | 0.000 | -0.000 | -16.186 |
| 779.166 | 722.141 | 722.141 | -0.000 | 0.000 | 0.000 |
| 722.141 | 779.166 | 722.141 | -0.000 | -0.000 | -0.000 |
| 722.141 | 722.141 | 779.166 | -0.000 | 0.000 | 0.000 |
| -0.000 | -0.000 | -0.000 | -16.186 | -0.000 | -0.000 |
| -0.000 | -0.000 | -0.000 | -0.000 | -16.186 | -0.000 |
| -0.000 | -0.000 | -0.000 | 0.000 | 0.000 | -16.186 |
| 778.891 | 721.865 | 721.865 | 0.000 | -0.000 | 0.000 |
| 721.865 | 778.891 | 721.865 | 0.000 | 0.000 | -0.000 |
| 721.865 | 721.865 | 778.891 | 0.000 | -0.000 | 0.000 |
| 0.000 | 0.000 | 0.000 | -16.186 | 0.000 | -0.000 |
| 0.000 | 0.000 | 0.000 | 0.000 | -16.186 | 0.000 |
| 0.000 | 0.000 | 0.000 | -0.000 | -0.000 | -16.186 |
| 780.405 | 723.382 | 723.382 | -0.000 | 0.000 | 0.000 |
| 723.382 | 780.405 | 723.382 | -0.000 | -0.000 | -0.000 |
| 723.382 | 723.382 | 780.405 | -0.000 | -0.000 | -0.000 |
| -0.000 | -0.000 | -0.000 | -16.186 | 0.000 | 0.000 |
| -0.000 | -0.000 | -0.000 | -0.000 | -16.186 | -0.000 |
| -0.000 | -0.000 | -0.000 | -0.000 | 0.000 | -16.186 |
| 777.652 | 720.624 | 720.624 | 0.000 | -0.000 | 0.000 |
| 720.624 | 777.652 | 720.624 | -0.000 | 0.000 | -0.000 |
| 720.624 | 720.624 | 777.652 | 0.000 | 0.000 | -0.000 |
| 0.000 | 0.000 | 0.000 | -16.186 | -0.000 | 0.000 |
| 0.000 | 0.000 | 0.000 | -0.000 | -16.186 | 0.000 |
| 0.000 | 0.000 | 0.000 | -0.000 | -0.000 | -16.186 |
| 61.883 | 9.682 | 9.682 | -0.000 | 0.000 | 0.000 |
| 9.682 | 61.883 | 9.682 | -0.000 | -0.000 | 0.000 |
| 9.682 | 9.682 | 61.883 | 0.000 | 0.000 | 0.000 |
| 0.000 | 0.000 | 0.000 | 10.712 | 0.000 | -0.000 |
| 0.000 | 0.000 | 0.000 | -0.000 | 10.712 | 0.000 |
| 0.000 | 0.000 | 0.000 | 0.000 | -0.000 | 10.712 |
| 61.883 | 9.682 | 9.682 | 0.000 | 0.000 | 0.000 |
| 9.682 | 61.883 | 9.682 | 0.000 | -0.000 | 0.000 |
| 9.682 | 9.682 | 61.883 | 0.000 | 0.000 | -0.000 |
| -0.000 | -0.000 | -0.000 | 10.712 | -0.000 | 0.000 |
| -0.000 | -0.000 | -0.000 | 0.000 | 10.712 | -0.000 |
| -0.000 | -0.000 | -0.000 | 0.000 | -0.000 | 10.712 |
| 61.883 | 9.682 | 9.682 | 0.000 | -0.000 | 0.000 |
| 9.682 | 61.883 | 9.682 | -0.000 | 0.000 | 0.000 |
| 9.682 | 9.682 | 61.883 | -0.000 | 0.000 | 0.000 |
| 0.000 | 0.000 | 0.000 | 10.712 | -0.000 | -0.000 |
| 0.000 | 0.000 | 0.000 | -0.000 | 10.712 | 0.000 |
| 0.000 | 0.000 | 0.000 | -0.000 | -0.000 | 10.712 |
| 61.883 | 9.682 | 9.682 | -0.000 | 0.000 | -0.000 |
| 9.682 | 61.883 | 9.682 | -0.000 | -0.000 | -0.000 |
| 9.682 | 9.682 | 61.883 | -0.000 | -0.000 | -0.000 |
| -0.000 | -0.000 | -0.000 | 10.712 | 0.000 | -0.000 |
| -0.000 | -0.000 | -0.000 | 0.000 | 10.712 | 0.000 |
| -0.000 | -0.000 | -0.000 | 0.000 | -0.000 | 10.712 |
| 61.883 | 9.683 | 9.683 | -0.000 | 0.000 | 0.000 |
| 9.683 | 61.883 | 9.683 | -0.000 | 0.000 | 0.000 |
| 9.683 | 9.683 | 61.883 | 0.000 | 0.000 | -0.000 |
| 0.000 | 0.000 | 0.000 | 10.712 | -0.000 | -0.000 |
| 0.000 | 0.000 | 0.000 | -0.000 | 10.712 | -0.000 |
| 0.000 | 0.000 | 0.000 | -0.000 | 0.000 | 10.712 |
| 61.883 | 9.682 | 9.682 | 0.000 | -0.000 | -0.000 |
| 9.682 | 61.883 | 9.682 | -0.000 | 0.000 | -0.000 |
| 9.682 | 9.682 | 61.883 | -0.000 | -0.000 | -0.000 |
| -0.000 | -0.000 | -0.000 | 10.712 | -0.000 | 0.000 |
| -0.000 | -0.000 | -0.000 | 0.000 | 10.712 | -0.000 |
| -0.000 | -0.000 | -0.000 | 0.000 | -0.000 | 10.712 |
| 12.282 | 14.678 | 14.678 | 0.000 | -0.000 | -0.000 |
| 14.678 | 12.282 | 14.678 | -0.000 | 0.000 | 0.000 |
| 14.678 | 14.678 | 12.282 | -0.000 | -0.000 | -0.000 |
| -0.000 | -0.000 | -0.000 | 14.730 | 0.000 | -0.000 |
| -0.000 | -0.000 | -0.000 | 0.000 | 14.730 | -0.000 |
| -0.000 | -0.000 | -0.000 | 0.000 | -0.000 | 14.730 |
| 12.282 | 14.678 | 14.678 | -0.000 | 0.000 | 0.000 |
| 14.678 | 12.282 | 14.678 | -0.000 | -0.000 | -0.000 |
| 14.678 | 14.678 | 12.282 | -0.000 | -0.000 | 0.000 |
| 0.000 | 0.000 | 0.000 | 14.730 | -0.000 | 0.000 |
| 0.000 | 0.000 | -0.000 | -0.000 | 14.730 | 0.000 |
| 0.000 | 0.000 | 0.000 | -0.000 | 0.000 | 14.730 |
| 12.282 | 14.678 | 14.678 | -0.000 | -0.000 | 0.000 |
| 14.678 | 12.282 | 14.678 | -0.000 | -0.000 | 0.000 |
| 14.678 | 14.678 | 12.282 | 0.000 | -0.000 | 0.000 |
| -0.000 | -0.000 | -0.000 | 14.730 | 0.000 | -0.000 |
| -0.000 | -0.000 | -0.000 | 0.000 | 14.730 | -0.000 |
| -0.000 | -0.000 | -0.000 | 0.000 | -0.000 | 14.730 |
| 12.282 | 14.678 | 14.678 | 0.000 | 0.000 | -0.000 |
| 14.678 | 12.282 | 14.678 | 0.000 | 0.000 | 0.000 |
| 14.678 | 14.678 | 12.282 | -0.000 | 0.000 | -0.000 |
| 0.000 | 0.000 | 0.000 | 14.730 | 0.000 | -0.000 |
| 0.000 | 0.000 | 0.000 | -0.000 | 14.730 | 0.000 |
| 0.000 | 0.000 | 0.000 | 0.000 | 0.000 | 14.730 |
| 12.281 | 14.678 | 14.678 | 0.000 | -0.000 | -0.000 |
| 14.678 | 12.281 | 14.678 | -0.000 | -0.000 | 0.000 |
| 14.678 | 14.678 | 12.281 | 0.000 | -0.000 | 0.000 |
| -0.000 | -0.000 | -0.000 | 14.730 | -0.000 | -0.000 |
| -0.000 | -0.000 | -0.000 | 0.000 | 14.730 | 0.000 |
| -0.000 | -0.000 | -0.000 | 0.000 | -0.000 | 14.730 |
| 12.283 | 14.678 | 14.678 | -0.000 | -0.000 | -0.000 |
| 14.678 | 12.283 | 14.678 | -0.000 | -0.000 | -0.000 |
| 14.678 | 14.678 | 12.283 | -0.000 | -0.000 | -0.000 |
| 0.000 | 0.000 | 0.000 | 14.730 | -0.000 | -0.000 |
| 0.000 | 0.000 | 0.000 | -0.000 | 14.730 | 0.000 |
| 0.000 | 0.000 | 0.000 | -0.000 | -0.000 | 14.730 |
| 303.702 | 303.701 | 303.701 | 0.000 | 0.000 | -0.000 |
| 303.701 | 303.702 | 303.701 | 0.000 | 0.000 | -0.000 |
| 303.701 | 303.701 | 303.702 | 0.000 | 0.000 | 0.000 |
| 0.000 | 0.000 | 0.000 | 304.006 | 0.000 | 0.000 |
| 0.000 | 0.000 | 0.000 | 0.000 | 304.006 | 0.000 |
| 0.000 | 0.000 | 0.000 | 0.000 | 0.000 | 304.006 |
| 303.702 | 303.701 | 303.701 | -0.000 | -0.000 | -0.000 |
| 303.701 | 303.702 | 303.701 | -0.000 | -0.000 | -0.000 |
| 303.701 | 303.701 | 303.702 | -0.000 | -0.000 | -0.000 |
| -0.000 | -0.000 | -0.000 | 304.006 | -0.000 | -0.000 |
| -0.000 | -0.000 | -0.000 | -0.000 | 304.006 | -0.000 |
| -0.000 | -0.000 | -0.000 | -0.000 | -0.000 | 304.006 |
| 303.702 | 303.701 | 303.701 | 0.000 | -0.000 | 0.000 |
| 303.701 | 303.702 | 303.701 | -0.000 | 0.000 | 0.000 |
| 303.701 | 303.701 | 303.702 | 0.000 | 0.000 | 0.000 |
| 0.000 | 0.000 | 0.000 | 304.006 | 0.000 | 0.000 |
| 0.000 | 0.000 | 0.000 | 0.000 | 304.006 | 0.000 |
| 0.000 | 0.000 | 0.000 | 0.000 | 0.000 | 304.006 |
| 303.702 | 303.701 | 303.701 | -0.000 | -0.000 | -0.000 |
| 303.701 | 303.702 | 303.701 | -0.000 | -0.000 | -0.000 |
| 303.701 | 303.701 | 303.702 | -0.000 | -0.000 | -0.000 |
| -0.000 | -0.000 | -0.000 | 304.006 | -0.000 | -0.000 |
| -0.000 | -0.000 | -0.000 | -0.000 | 304.006 | -0.000 |
| -0.000 | -0.000 | -0.000 | -0.000 | -0.000 | 304.006 |
| 303.703 | 303.703 | 303.703 | 0.000 | 0.000 | 0.000 |
| 303.703 | 303.703 | 303.703 | 0.000 | 0.000 | 0.000 |
| 303.703 | 303.703 | 303.703 | 0.000 | 0.000 | 0.000 |
| 0.002 | 0.001 | 0.002 | 304.006 | 0.000 | 0.000 |
| 0.001 | 0.002 | 0.002 | 0.000 | 304.006 | 0.000 |
| 0.001 | 0.002 | 0.002 | 0.000 | 0.000 | 304.006 |
| 303.701 | 303.699 | 303.699 | -0.000 | -0.000 | -0.000 |
| 303.699 | 303.701 | 303.699 | -0.000 | -0.000 | -0.000 |
| 303.699 | 303.699 | 303.701 | -0.000 | -0.000 | 0.000 |
| -0.002 | -0.001 | -0.002 | 304.006 | -0.000 | 0.000 |
| -0.001 | -0.002 | -0.002 | -0.000 | 304.006 | 0.000 |
| -0.001 | -0.002 | -0.002 | -0.000 | -0.000 | 304.006 |
| 44.699 | 44.696 | 44.696 | 0.000 | -0.000 | -0.000 |
| 44.696 | 44.699 | 44.696 | -0.000 | 0.000 | -0.000 |
| 44.696 | 44.696 | 44.699 | 0.000 | 0.000 | 0.000 |
| 0.000 | 0.000 | 0.000 | 44.474 | 0.000 | -0.000 |
| 0.000 | 0.000 | 0.000 | 0.000 | 44.474 | -0.000 |
| 0.000 | 0.000 | 0.000 | 0.000 | 0.000 | 44.474 |
| 44.699 | 44.696 | 44.696 | -0.000 | -0.000 | -0.000 |
| 44.696 | 44.699 | 44.696 | -0.000 | -0.000 | -0.000 |
| 44.696 | 44.696 | 44.699 | -0.000 | -0.000 | -0.000 |
| -0.000 | -0.000 | -0.000 | 44.474 | -0.000 | 0.000 |
| -0.000 | -0.000 | -0.000 | -0.000 | 44.474 | 0.000 |
| -0.000 | -0.000 | -0.000 | 0.000 | 0.000 | 44.474 |
| 44.699 | 44.696 | 44.696 | -0.000 | 0.000 | -0.000 |
| 44.696 | 44.699 | 44.696 | 0.000 | -0.000 | -0.000 |
| 44.696 | 44.696 | 44.699 | 0.000 | 0.000 | -0.000 |
| 0.000 | 0.000 | 0.000 | 44.474 | 0.000 | -0.000 |
| 0.000 | 0.000 | 0.000 | 0.000 | 44.474 | -0.000 |
| 0.000 | 0.000 | 0.000 | -0.000 | 0.000 | 44.474 |
| 44.699 | 44.695 | 44.695 | -0.000 | 0.000 | -0.000 |
| 44.695 | 44.699 | 44.695 | 0.000 | -0.000 | -0.000 |
| 44.695 | 44.695 | 44.699 | -0.000 | -0.000 | -0.000 |
| -0.000 | -0.000 | -0.000 | 44.474 | -0.000 | 0.000 |
| -0.000 | -0.000 | -0.000 | -0.000 | 44.474 | 0.000 |
| -0.000 | -0.000 | -0.000 | -0.000 | -0.000 | 44.474 |
| 44.699 | 44.696 | 44.696 | 0.000 | 0.000 | -0.000 |
| 44.696 | 44.699 | 44.696 | 0.000 | 0.000 | -0.000 |
| 44.696 | 44.696 | 44.699 | 0.000 | 0.000 | 0.000 |
| 0.000 | 0.000 | 0.000 | 44.474 | 0.000 | -0.000 |
| 0.000 | 0.000 | 0.000 | 0.000 | 44.474 | -0.000 |
| 0.000 | 0.000 | 0.000 | 0.000 | 0.000 | 44.474 |
| 44.698 | 44.695 | 44.695 | -0.000 | 0.000 | 0.000 |
| 44.695 | 44.698 | 44.695 | 0.000 | -0.000 | 0.000 |
| 44.695 | 44.695 | 44.698 | -0.000 | -0.000 | 0.000 |
| -0.000 | -0.000 | -0.000 | 44.474 | -0.000 | 0.000 |
| -0.000 | -0.000 | -0.000 | -0.000 | 44.474 | 0.000 |
| -0.000 | -0.000 | -0.000 | -0.000 | -0.000 | 44.474 |
| 505.298 | 480.276 | 408.332 | 0.000 | 0.000 | 0.000 |
| 457.295 | 528.279 | 408.332 | 0.000 | -0.000 | 0.000 |
| 408.332 | 408.332 | 476.619 | 0.000 | 0.000 | 0.000 |
| -0.000 | -0.000 | -0.000 | -14.556 | 0.000 | 0.000 |
| -0.000 | 0.000 | -0.000 | -0.000 | -14.556 | 0.000 |
| 0.000 | 0.000 | 0.000 | 0.000 | 0.000 | 35.492 |
| 520.493 | 465.067 | 408.325 | 0.000 | -0.000 | -0.000 |
| 480.269 | 505.291 | 408.325 | -0.000 | 0.000 | -0.000 |
| 408.325 | 408.325 | 476.612 | -0.000 | -0.000 | 0.000 |
| -0.000 | 0.000 | 0.000 | -14.556 | 0.000 | -0.000 |
| 0.000 | -0.000 | 0.000 | 0.000 | -14.556 | 0.000 |
| -0.000 | -0.000 | -0.000 | -0.000 | -0.000 | 35.492 |
| 528.309 | 457.324 | 408.361 | 0.000 | -0.000 | -0.000 |
| 457.325 | 528.309 | 408.361 | -0.000 | -0.000 | -0.000 |
| 408.362 | 408.362 | 476.649 | 0.000 | -0.000 | -0.000 |
| -0.000 | -0.000 | -0.000 | -14.556 | 0.000 | 0.000 |
| -0.000 | -0.000 | -0.000 | -0.000 | -14.556 | -0.000 |
| 0.000 | 0.000 | 0.000 | 0.000 | -0.000 | 35.492 |
| 528.242 | 457.258 | 408.295 | 0.000 | 0.000 | 0.000 |
| 465.037 | 520.464 | 408.295 | 0.000 | 0.000 | -0.000 |
| 408.295 | 408.295 | 476.581 | -0.000 | -0.000 | 0.000 |
| 0.000 | 0.000 | 0.000 | -14.556 | -0.000 | -0.000 |
| 0.000 | 0.000 | 0.000 | -0.000 | -14.556 | -0.000 |
| -0.000 | -0.000 | -0.000 | -0.000 | -0.000 | 35.492 |
| 6933248.377 | 6186978.512 | 8864037.503 | -26342.730 | -34607.476 | -59411.272 |
| 480.604 | 505.627 | 408.657 | -0.000 | -0.000 | 0.000 |
| 408.661 | 408.661 | 476.956 | -0.000 | 0.000 | 0.000 |
| 0.000 | -0.000 | -0.000 | -14.556 | -0.000 | -0.000 |
| -0.000 | 0.000 | -0.000 | 0.000 | -14.556 | 0.000 |
| 0.000 | 0.001 | 0.000 | 0.000 | -0.000 | 35.492 |
| 504.961 | 479.942 | 407.999 | 0.000 | -0.000 | 0.000 |
| 464.739 | 520.164 | 407.999 | 0.000 | 0.000 | -0.000 |
| 407.995 | 407.995 | 476.275 | 0.000 | 0.000 | -0.000 |
| -0.000 | 0.000 | 0.000 | -14.556 | 0.000 | -0.000 |
| 0.000 | -0.000 | 0.000 | -0.000 | -14.556 | -0.000 |
| -0.000 | -0.001 | -0.000 | -0.000 | -0.000 | 35.492 |
| 217.325 | 82.361 | 59.918 | 0.000 | 0.000 | -0.000 |
| 82.361 | 217.325 | 59.918 | -0.000 | 0.000 | -0.000 |
| 59.918 | 59.918 | 239.768 | 0.000 | 0.000 | -0.000 |
| -0.000 | -0.000 | -0.000 | 59.961 | 0.000 | -0.000 |
| -0.000 | 0.000 | -0.000 | 0.000 | 59.961 | -0.000 |
| -0.000 | -0.000 | -0.000 | -0.000 | 0.000 | 67.482 |
| 224.807 | 74.878 | 59.918 | 0.000 | -0.000 | -0.000 |
| 82.361 | 217.325 | 59.918 | -0.000 | -0.000 | 0.000 |
| 59.918 | 59.918 | 239.768 | 0.000 | -0.000 | 0.000 |
| 0.000 | 0.000 | 0.000 | 59.961 | -0.000 | 0.000 |
| 0.000 | -0.000 | 0.000 | -0.000 | 59.961 | -0.000 |
| 0.000 | 0.000 | 0.000 | 0.000 | -0.000 | 67.482 |
| 224.807 | 74.878 | 59.918 | -0.000 | -0.000 | -0.000 |
| 74.878 | 224.807 | 59.918 | 0.000 | 0.000 | 0.000 |
| 59.918 | 59.918 | 239.768 | -0.000 | 0.000 | 0.000 |
| -0.000 | -0.000 | -0.000 | 59.961 | 0.000 | -0.000 |
| -0.000 | -0.000 | -0.000 | 0.000 | 59.961 | -0.000 |
| -0.000 | -0.000 | -0.000 | 0.000 | -0.000 | 67.482 |
| 217.325 | 82.361 | 59.918 | 0.000 | -0.000 | 0.000 |
| 74.878 | 224.807 | 59.918 | -0.000 | -0.000 | -0.000 |
| 59.918 | 59.918 | 239.768 | -0.000 | -0.000 | 0.000 |
| 0.000 | 0.000 | 0.000 | 59.961 | -0.000 | 0.000 |
| 0.000 | 0.000 | 0.000 | -0.000 | 59.961 | 0.000 |
| 0.000 | 0.000 | 0.000 | 0.000 | -0.000 | 67.482 |
| 224.807 | 74.878 | 59.918 | -0.000 | -0.000 | -0.000 |
| 82.361 | 217.325 | 59.918 | 0.000 | 0.000 | -0.000 |
| 59.918 | 59.918 | 239.768 | 0.000 | 0.000 | -0.000 |
| -0.000 | -0.000 | -0.000 | 59.961 | 0.000 | -0.000 |
| -0.000 | -0.000 | -0.000 | 0.000 | 59.961 | -0.000 |
| -0.000 | -0.000 | -0.000 | 0.000 | 0.000 | 67.482 |
| 217.325 | 82.361 | 59.918 | -0.000 | 0.000 | 0.000 |
| 74.878 | 224.808 | 59.918 | -0.000 | -0.000 | -0.000 |
| 59.918 | 59.918 | 239.768 | -0.000 | -0.000 | 0.000 |
| 0.000 | 0.000 | 0.000 | 59.961 | -0.000 | 0.000 |
| 0.000 | 0.000 | 0.000 | -0.000 | 59.961 | 0.000 |
| 0.000 | 0.000 | 0.000 | -0.000 | -0.000 | 67.482 |
| 2302.724 | 767.302 | 613.761 | -0.000 | 0.000 | 0.000 |
| 767.302 | 2302.724 | 613.761 | 0.000 | -0.000 | 0.000 |
| 613.761 | 613.761 | 2456.265 | -0.000 | 0.000 | 0.000 |
| 0.000 | 0.000 | 0.000 | 614.125 | 0.000 | 0.000 |
| 0.000 | 0.000 | 0.000 | 0.000 | 614.125 | -0.000 |
| 0.000 | 0.000 | -0.000 | -0.000 | -0.000 | 690.898 |
| 2225.911 | 844.115 | 613.761 | 0.000 | 0.000 | 0.000 |
| 844.114 | 2225.911 | 613.761 | -0.000 | 0.000 | 0.000 |
| 613.761 | 613.761 | 2456.265 | 0.000 | -0.000 | -0.000 |
| -0.000 | -0.000 | -0.000 | 614.125 | -0.000 | -0.000 |
| -0.000 | -0.000 | -0.000 | 0.000 | 614.125 | -0.000 |
| -0.000 | -0.000 | 0.000 | 0.000 | 0.000 | 690.898 |
| 2225.915 | 844.114 | 613.761 | -0.000 | 0.000 | -0.000 |
| 844.116 | 2225.913 | 613.761 | 0.000 | -0.000 | -0.000 |
| 613.761 | 613.761 | 2456.268 | -0.000 | 0.000 | 0.000 |
| 0.000 | 0.000 | 0.001 | 614.125 | -0.000 | 0.000 |
| 0.000 | 0.000 | 0.001 | 0.000 | 614.125 | 0.000 |
| 0.000 | 0.001 | -0.000 | -0.000 | -0.000 | 690.898 |
| 2225.907 | 844.115 | 613.760 | 0.000 | 0.000 | 0.000 |
| 844.113 | 2225.909 | 613.760 | 0.000 | 0.000 | 0.000 |
| 613.760 | 613.760 | 2456.262 | -0.000 | -0.000 | -0.000 |
| -0.000 | -0.000 | -0.001 | 614.125 | 0.000 | 0.000 |
| -0.000 | -0.000 | -0.001 | -0.000 | 614.125 | -0.000 |
| -0.000 | -0.001 | 0.000 | -0.000 | 0.000 | 690.898 |
| 2225.951 | 844.113 | 613.762 | -0.000 | -0.000 | -0.000 |
| 844.131 | 2225.933 | 613.762 | 0.000 | -0.000 | -0.000 |
| 613.769 | 613.769 | 2456.293 | -0.000 | 0.000 | 0.000 |
| 0.002 | 0.000 | 0.007 | 614.125 | -0.000 | -0.000 |
| 0.000 | 0.002 | 0.007 | -0.000 | 614.125 | -0.000 |
| 0.001 | 0.009 | -0.001 | -0.000 | -0.000 | 690.898 |
| 2225.871 | 844.116 | 613.759 | 0.000 | 0.000 | 0.000 |
| 844.098 | 2225.889 | 613.759 | 0.000 | 0.000 | 0.000 |
| 613.753 | 613.753 | 2456.237 | 0.000 | -0.000 | -0.000 |
| -0.002 | -0.000 | -0.007 | 614.125 | 0.000 | 0.000 |
| -0.000 | -0.002 | -0.007 | 0.000 | 614.125 | 0.000 |
| -0.001 | -0.009 | 0.001 | -0.000 | -0.000 | 690.898 |
| 70.803 | 27.352 | 20.102 | -0.000 | 0.000 | 0.000 |
| 27.352 | 70.803 | 20.102 | -0.000 | 0.000 | 0.000 |
| 20.102 | 20.102 | 78.053 | 0.000 | 0.000 | 0.000 |
| 0.000 | 0.000 | 0.000 | 19.311 | 0.000 | 0.000 |
| 0.000 | 0.000 | 0.000 | -0.000 | 19.311 | 0.000 |
| 0.000 | 0.000 | 0.000 | -0.000 | 0.000 | 21.725 |
| 73.220 | 24.935 | 20.102 | 0.000 | -0.000 | 0.000 |
| 24.935 | 73.220 | 20.102 | 0.000 | -0.000 | -0.000 |
| 20.102 | 20.102 | 78.053 | 0.000 | -0.000 | -0.000 |
| -0.000 | -0.000 | -0.000 | 19.311 | -0.000 | -0.000 |
| -0.000 | -0.000 | -0.000 | 0.000 | 19.311 | 0.000 |
| -0.000 | -0.000 | -0.000 | 0.000 | -0.000 | 21.725 |
| 70.803 | 27.352 | 20.102 | -0.000 | 0.000 | 0.000 |
| 24.935 | 73.220 | 20.102 | 0.000 | 0.000 | 0.000 |
| 20.102 | 20.102 | 78.054 | -0.000 | 0.000 | 0.000 |
| 0.000 | 0.000 | 0.000 | 19.311 | 0.000 | 0.000 |
| 0.000 | 0.000 | 0.000 | -0.000 | 19.311 | -0.000 |
| 0.000 | 0.000 | 0.000 | -0.000 | 0.000 | 21.725 |
| 70.803 | 27.352 | 20.102 | 0.000 | -0.000 | -0.000 |
| 27.352 | 70.803 | 20.102 | 0.000 | -0.000 | -0.000 |
| 20.102 | 20.102 | 78.053 | 0.000 | -0.000 | -0.000 |
| -0.000 | -0.000 | -0.000 | 19.311 | -0.000 | -0.000 |
| -0.000 | -0.000 | -0.000 | 0.000 | 19.311 | -0.000 |
| -0.000 | -0.000 | -0.000 | 0.000 | -0.000 | 21.725 |
| 70.805 | 27.353 | 20.102 | -0.000 | 0.000 | 0.000 |
| 27.353 | 70.805 | 20.102 | -0.000 | 0.000 | 0.000 |
| 20.102 | 20.102 | 78.055 | 0.000 | 0.000 | 0.000 |
| 0.000 | 0.000 | 0.000 | 19.311 | 0.000 | 0.000 |
| 0.000 | 0.000 | 0.000 | -0.000 | 19.311 | 0.000 |
| 0.000 | 0.000 | 0.000 | -0.000 | 0.000 | 21.725 |
| 70.801 | 27.352 | 20.102 | 0.000 | -0.000 | -0.000 |
| 27.352 | 70.802 | 20.102 | 0.000 | -0.000 | -0.000 |
| 20.101 | 20.101 | 78.052 | 0.000 | -0.000 | -0.000 |
| -0.000 | -0.000 | -0.000 | 19.311 | -0.000 | -0.000 |
| -0.000 | -0.000 | -0.000 | 0.000 | 19.311 | -0.000 |
| -0.000 | -0.000 | -0.000 | 0.000 | -0.000 | 21.725 |
| 224.828 | 74.858 | 59.918 | 0.000 | 0.000 | 0.000 |
| 74.858 | 224.828 | 59.918 | 0.000 | 0.000 | 0.000 |
| 59.918 | 59.918 | 239.768 | -0.000 | 0.000 | 0.000 |
| 0.000 | -0.000 | -0.000 | 59.959 | 0.000 | 0.000 |
| -0.000 | -0.000 | -0.000 | 0.000 | 59.959 | 0.000 |
| -0.000 | -0.000 | 0.000 | 0.000 | 0.000 | 67.506 |
| 217.348 | 82.337 | 59.918 | -0.000 | -0.000 | -0.000 |
| 82.337 | 217.348 | 59.918 | -0.000 | -0.000 | -0.000 |
| 59.918 | 59.918 | 239.768 | -0.000 | -0.000 | -0.000 |
| -0.000 | 0.000 | 0.000 | 59.959 | -0.000 | -0.000 |
| 0.000 | 0.000 | 0.000 | -0.000 | 59.959 | 0.000 |
| 0.000 | 0.000 | -0.000 | -0.000 | -0.000 | 67.506 |
| 217.348 | 82.337 | 59.918 | 0.000 | 0.000 | 0.000 |
| 74.858 | 224.828 | 59.918 | 0.000 | 0.000 | 0.000 |
| 59.918 | 59.918 | 239.768 | 0.000 | 0.000 | 0.000 |
| -0.000 | -0.000 | -0.000 | 59.959 | 0.000 | 0.000 |
| -0.000 | -0.000 | -0.000 | 0.000 | 59.959 | 0.000 |
| -0.000 | -0.000 | -0.000 | 0.000 | 0.000 | 67.506 |
| 217.349 | 82.337 | 59.918 | -0.000 | -0.000 | -0.000 |
| 82.337 | 217.349 | 59.918 | -0.000 | -0.000 | -0.000 |
| 59.918 | 59.918 | 239.768 | -0.000 | -0.000 | -0.000 |
| 0.000 | 0.000 | 0.000 | 59.959 | -0.000 | -0.000 |
| 0.000 | 0.000 | 0.000 | -0.000 | 59.959 | -0.000 |
| 0.000 | 0.000 | 0.000 | -0.000 | -0.000 | 67.506 |
| 217.348 | 82.337 | 59.918 | -0.000 | 0.000 | 0.000 |
| 82.337 | 217.348 | 59.918 | 0.000 | 0.000 | 0.000 |
| 59.918 | 59.918 | 239.768 | 0.000 | 0.000 | 0.000 |
| -0.000 | -0.000 | -0.000 | 59.959 | 0.000 | 0.000 |
| -0.000 | -0.000 | -0.000 | 0.000 | 59.959 | -0.000 |
| -0.000 | -0.000 | -0.000 | 0.000 | 0.000 | 67.506 |
| 217.349 | 82.337 | 59.918 | -0.000 | -0.000 | -0.000 |
| 82.337 | 217.349 | 59.918 | -0.000 | -0.000 | -0.000 |
| 59.918 | 59.918 | 239.768 | -0.000 | -0.000 | -0.000 |
| 0.000 | 0.000 | 0.000 | 59.959 | -0.000 | -0.000 |
| 0.000 | 0.000 | 0.000 | -0.000 | 59.959 | -0.000 |
| 0.000 | 0.000 | 0.000 | -0.000 | -0.000 | 67.506 |
| 2302.743 | 767.283 | 613.761 | 0.000 | -0.000 | 0.000 |
| 767.284 | 2302.743 | 613.761 | 0.000 | -0.000 | 0.000 |
| 613.761 | 613.761 | 2456.265 | 0.000 | -0.000 | -0.000 |
| 0.000 | 0.000 | 0.000 | 614.119 | -0.000 | -0.000 |
| 0.000 | -0.000 | 0.000 | 0.000 | 614.119 | -0.000 |
| 0.000 | 0.000 | 0.000 | 0.000 | -0.000 | 767.729 |
| 2225.911 | 844.114 | 613.761 | -0.000 | 0.000 | 0.000 |
| 844.114 | 2225.911 | 613.761 | -0.000 | 0.000 | 0.000 |
| 613.761 | 613.761 | 2456.265 | -0.000 | 0.000 | 0.000 |
| -0.000 | 0.000 | -0.000 | 614.119 | 0.000 | 0.000 |
| -0.000 | 0.000 | -0.000 | -0.000 | 614.119 | -0.000 |
| -0.000 | -0.000 | -0.000 | -0.000 | 0.000 | 767.729 |
| 2225.916 | 844.114 | 613.761 | 0.000 | -0.000 | -0.000 |
| 844.117 | 2225.913 | 613.761 | 0.000 | -0.000 | -0.000 |
| 613.761 | 613.761 | 2456.268 | 0.000 | -0.000 | 0.000 |
| 0.000 | 0.000 | 0.001 | 614.119 | -0.000 | -0.000 |
| 0.000 | 0.000 | 0.001 | 0.000 | 614.119 | -0.000 |
| 0.000 | 0.001 | -0.000 | 0.000 | -0.000 | 690.899 |
| 2225.907 | 844.115 | 613.760 | -0.000 | 0.000 | 0.000 |
| 844.112 | 2225.910 | 613.760 | -0.000 | 0.000 | 0.000 |
| 613.760 | 613.760 | 2456.262 | -0.000 | 0.000 | 0.000 |
| -0.000 | -0.000 | -0.001 | 614.119 | 0.000 | 0.000 |
| -0.000 | -0.000 | -0.001 | -0.000 | 614.119 | 0.000 |
| -0.000 | -0.001 | 0.000 | -0.000 | 0.000 | 690.899 |
| 2225.946 | 844.118 | 613.762 | 0.000 | -0.000 | -0.000 |
| 844.125 | 2225.939 | 613.762 | 0.000 | -0.000 | -0.000 |
| 613.769 | 613.769 | 2456.293 | 0.000 | -0.000 | 0.000 |
| 0.002 | 0.000 | 0.007 | 614.119 | -0.000 | -0.000 |
| 0.000 | 0.002 | 0.007 | 0.000 | 614.119 | -0.000 |
| 0.001 | 0.009 | -0.001 | 0.000 | -0.000 | 690.899 |
| 2225.877 | 844.110 | 613.759 | -0.000 | 0.000 | 0.000 |
| 844.103 | 2225.884 | 613.759 | -0.000 | 0.000 | 0.000 |
| 613.753 | 613.753 | 2456.237 | -0.000 | 0.000 | 0.000 |
| -0.002 | -0.000 | -0.007 | 614.119 | 0.000 | 0.000 |
| -0.000 | -0.002 | -0.007 | -0.000 | 614.119 | 0.000 |
| -0.001 | -0.009 | 0.001 | 0.000 | 0.000 | 690.899 |
| 70.803 | 27.352 | 20.102 | -0.000 | -0.000 | -0.000 |
| 27.352 | 70.803 | 20.102 | -0.000 | -0.000 | -0.000 |
| 20.102 | 20.102 | 78.053 | 0.000 | 0.000 | -0.000 |
| 0.000 | 0.000 | 0.000 | 19.309 | 0.000 | -0.000 |
| 0.000 | 0.000 | 0.000 | -0.000 | 19.309 | 0.000 |
| 0.000 | 0.000 | 0.000 | -0.000 | -0.000 | 21.725 |
| 70.803 | 27.352 | 20.102 | 0.000 | 0.000 | 0.000 |
| 27.352 | 70.803 | 20.102 | 0.000 | 0.000 | 0.000 |
| 20.102 | 20.102 | 78.053 | 0.000 | -0.000 | 0.000 |
| -0.000 | -0.000 | -0.000 | 19.309 | -0.000 | 0.000 |
| -0.000 | -0.000 | -0.000 | 0.000 | 19.309 | 0.000 |
| -0.000 | -0.000 | -0.000 | 0.000 | 0.000 | 21.725 |
| 70.803 | 27.352 | 20.102 | -0.000 | -0.000 | -0.000 |
| 27.352 | 70.803 | 20.102 | -0.000 | -0.000 | -0.000 |
| 20.102 | 20.102 | 78.054 | 0.000 | 0.000 | -0.000 |
| 0.000 | 0.000 | 0.000 | 19.309 | -0.000 | -0.000 |
| 0.000 | 0.000 | 0.000 | -0.000 | 19.309 | -0.000 |
| 0.000 | 0.000 | 0.000 | -0.000 | -0.000 | 21.725 |
| 70.803 | 27.352 | 20.102 | 0.000 | 0.000 | 0.000 |
| 27.352 | 70.803 | 20.102 | 0.000 | 0.000 | 0.000 |
| 20.102 | 20.102 | 78.053 | 0.000 | -0.000 | 0.000 |
| -0.000 | -0.000 | -0.000 | 19.309 | 0.000 | 0.000 |
| -0.000 | -0.000 | -0.000 | 0.000 | 19.309 | 0.000 |
| -0.000 | -0.000 | -0.000 | 0.000 | 0.000 | 21.725 |
| 70.805 | 27.353 | 20.102 | -0.000 | -0.000 | -0.000 |
| 27.353 | 70.804 | 20.102 | -0.000 | -0.000 | -0.000 |
| 20.102 | 20.102 | 78.055 | -0.000 | 0.000 | -0.000 |
| 0.000 | 0.000 | 0.000 | 19.309 | -0.000 | -0.000 |
| 0.000 | 0.000 | 0.000 | -0.000 | 19.309 | -0.000 |
| 0.000 | 0.000 | 0.000 | -0.000 | -0.000 | 21.725 |
| 70.801 | 27.352 | 20.102 | 0.000 | 0.000 | 0.000 |
| 27.352 | 70.802 | 20.102 | 0.000 | 0.000 | 0.000 |
| 20.101 | 20.101 | 78.052 | -0.000 | -0.000 | 0.000 |
| -0.000 | -0.000 | -0.000 | 19.309 | 0.000 | 0.000 |
| -0.000 | -0.000 | -0.000 | 0.000 | 19.309 | 0.000 |
| -0.000 | -0.000 | -0.000 | 0.000 | 0.000 | 21.725 |
| 126.853 | 50.164 | 50.164 | 0.000 | 0.000 | 0.000 |
| 50.164 | 126.853 | 50.164 | 0.000 | 0.000 | 0.000 |
| 50.164 | 50.164 | 126.853 | 0.000 | 0.000 | 0.000 |
| -0.000 | -0.000 | -0.000 | 92.869 | 0.000 | 0.000 |
| -0.000 | -0.000 | -0.000 | 0.000 | 92.869 | -0.000 |
| -0.000 | -0.000 | -0.000 | 0.000 | -0.000 | 92.869 |
| 126.853 | 50.164 | 50.164 | -0.000 | -0.000 | -0.000 |
| 50.164 | 126.853 | 50.164 | -0.000 | -0.000 | -0.000 |
| 50.164 | 50.164 | 126.853 | -0.000 | -0.000 | -0.000 |
| 0.000 | 0.000 | 0.000 | 92.869 | -0.000 | 0.000 |
| 0.000 | 0.000 | 0.000 | -0.000 | 92.869 | -0.000 |
| 0.000 | 0.000 | 0.000 | -0.000 | 0.000 | 92.869 |
| 126.852 | 50.163 | 50.163 | 0.000 | 0.000 | 0.000 |
| 50.163 | 126.852 | 50.163 | 0.000 | 0.000 | 0.000 |
| 50.163 | 50.163 | 126.852 | 0.000 | 0.000 | 0.000 |
| -0.000 | -0.000 | -0.000 | 92.869 | 0.000 | 0.000 |
| -0.000 | -0.000 | -0.000 | 0.000 | 92.869 | 0.000 |
| -0.000 | -0.000 | -0.000 | 0.000 | -0.000 | 92.869 |
| 126.854 | 50.165 | 50.165 | -0.000 | -0.000 | -0.000 |
| 50.165 | 126.854 | 50.165 | -0.000 | -0.000 | -0.000 |
| 50.165 | 50.165 | 126.854 | -0.000 | -0.000 | -0.000 |
| 0.000 | 0.000 | 0.000 | 92.869 | 0.000 | -0.000 |
| 0.000 | 0.000 | 0.000 | 0.000 | 92.869 | -0.000 |
| 0.000 | 0.000 | 0.000 | 0.000 | 0.000 | 92.869 |
| 126.844 | 50.156 | 50.156 | 0.000 | 0.000 | 0.000 |
| 50.156 | 126.844 | 50.156 | 0.000 | 0.000 | 0.000 |
| 50.156 | 50.156 | 126.844 | 0.000 | 0.000 | 0.000 |
| -0.001 | -0.000 | -0.000 | 66.096 | 0.000 | 0.000 |
| -0.000 | -0.001 | -0.000 | 0.000 | 66.096 | 0.000 |
| -0.000 | -0.000 | -0.001 | 0.000 | 0.000 | 66.096 |
| 126.861 | 50.172 | 50.172 | -0.000 | -0.000 | -0.000 |
| 50.172 | 126.861 | 50.172 | -0.000 | -0.000 | -0.000 |
| 50.172 | 50.172 | 126.861 | -0.000 | -0.000 | -0.000 |
| 0.001 | 0.000 | 0.000 | 66.096 | -0.000 | -0.000 |
| 0.000 | 0.001 | 0.000 | -0.000 | 66.096 | -0.000 |
| 0.000 | 0.000 | 0.001 | -0.000 | -0.000 | 66.096 |
| 2423.347 | 1720.349 | 1720.349 | -0.000 | -0.000 | -0.000 |
| 1720.349 | 2423.347 | 1720.349 | -0.000 | -0.000 | -0.000 |
| 1720.349 | 1720.349 | 2423.347 | -0.000 | -0.000 | -0.000 |
| -0.000 | 0.000 | 0.000 | 635.521 | -0.000 | -0.000 |
| 0.000 | -0.000 | 0.000 | -0.000 | 635.521 | -0.000 |
| 0.000 | 0.000 | -0.000 | -0.000 | -0.000 | 635.521 |
| 2423.346 | 1720.349 | 1720.349 | 0.000 | 0.000 | 0.000 |
| 1720.349 | 2423.346 | 1720.349 | 0.000 | 0.000 | 0.000 |
| 1720.349 | 1720.349 | 2423.346 | 0.000 | 0.000 | 0.000 |
| 0.000 | -0.000 | -0.000 | 635.521 | 0.000 | 0.000 |
| -0.000 | 0.000 | -0.000 | 0.000 | 635.521 | 0.000 |
| -0.000 | -0.000 | 0.000 | 0.000 | 0.000 | 635.521 |
| 2423.349 | 1720.351 | 1720.351 | -0.000 | -0.000 | -0.000 |
| 1720.351 | 2423.349 | 1720.351 | -0.000 | -0.000 | -0.000 |
| 1720.351 | 1720.351 | 2423.349 | -0.000 | -0.000 | -0.000 |
| -0.000 | 0.001 | 0.001 | 635.521 | -0.000 | -0.000 |
| 0.001 | -0.000 | 0.001 | -0.000 | 635.521 | -0.000 |
| 0.001 | 0.001 | -0.000 | -0.000 | -0.000 | 635.521 |
| 2423.344 | 1720.347 | 1720.347 | 0.000 | 0.000 | 0.000 |
| 1720.348 | 2423.344 | 1720.347 | 0.000 | 0.000 | 0.000 |
| 1720.348 | 1720.347 | 2423.344 | 0.000 | 0.000 | 0.000 |
| 0.000 | -0.001 | -0.001 | 635.521 | 0.000 | 0.000 |
| -0.001 | 0.000 | -0.001 | 0.000 | 635.521 | 0.000 |
| -0.001 | -0.001 | 0.000 | 0.000 | 0.000 | 635.521 |
| 2423.373 | 1720.365 | 1720.365 | -0.000 | -0.000 | -0.000 |
| 1720.365 | 2423.373 | 1720.365 | -0.000 | -0.000 | -0.000 |
| 1720.365 | 1720.365 | 2423.373 | -0.000 | -0.000 | -0.000 |
| -0.001 | 0.012 | 0.013 | 635.521 | -0.000 | -0.000 |
| 0.012 | -0.001 | 0.013 | -0.000 | 635.521 | -0.000 |
| 0.012 | 0.013 | -0.001 | -0.000 | -0.000 | 635.521 |
| 2423.320 | 1720.334 | 1720.334 | 0.000 | 0.000 | 0.000 |
| 1720.334 | 2423.320 | 1720.334 | 0.000 | 0.000 | 0.000 |
| 1720.334 | 1720.334 | 2423.320 | 0.000 | 0.000 | 0.000 |
| 0.001 | -0.012 | -0.013 | 635.521 | 0.000 | 0.000 |
| -0.012 | 0.001 | -0.013 | 0.000 | 635.521 | 0.000 |
| -0.012 | -0.013 | 0.001 | 0.000 | 0.000 | 635.521 |
| 4.888 | 4.881 | 4.881 | -0.000 | -0.000 | -0.000 |
| 4.881 | 4.888 | 4.881 | -0.000 | -0.000 | -0.000 |
| 4.881 | 4.881 | 4.888 | -0.000 | -0.000 | -0.000 |
| -0.000 | -0.000 | -0.000 | 0.050 | 0.000 | 0.000 |
| -0.000 | -0.000 | -0.000 | 0.000 | 0.050 | 0.000 |
| -0.000 | -0.000 | -0.000 | 0.000 | 0.000 | 0.050 |
| 4.888 | 4.881 | 4.881 | 0.000 | 0.000 | 0.000 |
| 4.881 | 4.888 | 4.881 | 0.000 | 0.000 | 0.000 |
| 4.881 | 4.881 | 4.888 | 0.000 | 0.000 | 0.000 |
| 0.000 | 0.000 | 0.000 | 0.050 | -0.000 | -0.000 |
| 0.000 | 0.000 | 0.000 | -0.000 | 0.050 | -0.000 |
| 0.000 | 0.000 | 0.000 | -0.000 | -0.000 | 0.050 |
| 4.888 | 4.881 | 4.881 | -0.000 | -0.000 | -0.000 |
| 4.881 | 4.888 | 4.881 | -0.000 | -0.000 | -0.000 |
| 4.881 | 4.881 | 4.888 | -0.000 | -0.000 | -0.000 |
| -0.000 | -0.000 | -0.000 | 0.050 | 0.000 | 0.000 |
| -0.000 | -0.000 | -0.000 | 0.000 | 0.050 | 0.000 |
| -0.000 | -0.000 | -0.000 | 0.000 | 0.000 | 0.050 |
| 4.888 | 4.881 | 4.881 | 0.000 | 0.000 | 0.000 |
| 4.881 | 4.888 | 4.881 | 0.000 | 0.000 | 0.000 |
| 4.881 | 4.881 | 4.888 | 0.000 | 0.000 | 0.000 |
| 0.000 | 0.000 | 0.000 | 0.050 | 0.000 | -0.000 |
| 0.000 | 0.000 | 0.000 | 0.000 | 0.050 | -0.000 |
| 0.000 | 0.000 | 0.000 | 0.000 | -0.000 | 0.050 |
| 4.888 | 4.881 | 4.881 | -0.000 | -0.000 | -0.000 |
| 4.881 | 4.888 | 4.881 | -0.000 | -0.000 | -0.000 |
| 4.881 | 4.881 | 4.888 | -0.000 | -0.000 | -0.000 |
| -0.000 | -0.000 | -0.000 | 0.050 | 0.000 | 0.000 |
| -0.000 | -0.000 | -0.000 | 0.000 | 0.050 | 0.000 |
| -0.000 | -0.000 | -0.000 | 0.000 | 0.000 | 0.050 |
| 4.888 | 4.881 | 4.881 | 0.000 | 0.000 | 0.000 |
| 4.881 | 4.888 | 4.881 | 0.000 | 0.000 | 0.000 |
| 4.881 | 4.881 | 4.888 | 0.000 | 0.000 | 0.000 |
| 0.000 | 0.000 | 0.000 | 0.050 | -0.000 | -0.000 |
| 0.000 | 0.000 | 0.000 | -0.000 | 0.050 | -0.000 |
| 0.000 | 0.000 | 0.000 | -0.000 | -0.000 | 0.050 |
| 4.989 | 4.989 | 4.989 | 0.000 | 0.000 | 0.000 |
| 4.989 | 4.989 | 4.989 | 0.000 | 0.000 | 0.000 |
| 4.989 | 4.989 | 4.989 | 0.000 | 0.000 | 0.000 |
| 0.000 | 0.000 | 0.000 | 0.001 | 0.000 | 0.000 |
| 0.000 | 0.000 | 0.000 | 0.000 | 0.001 | 0.000 |
| -0.000 | -0.000 | -0.000 | 0.000 | 0.000 | 0.001 |
| 4.989 | 4.989 | 4.989 | -0.000 | -0.000 | -0.000 |
| 4.989 | 4.989 | 4.989 | -0.000 | -0.000 | -0.000 |
| 4.989 | 4.989 | 4.989 | -0.000 | -0.000 | -0.000 |
| -0.000 | -0.000 | -0.000 | 0.001 | -0.000 | -0.000 |
| -0.000 | -0.000 | -0.000 | -0.000 | 0.001 | -0.000 |
| 0.000 | 0.000 | 0.000 | -0.000 | -0.000 | 0.001 |
| 4.989 | 4.989 | 4.989 | 0.000 | 0.000 | 0.000 |
| 4.989 | 4.989 | 4.989 | 0.000 | 0.000 | 0.000 |
| 4.989 | 4.989 | 4.989 | 0.000 | 0.000 | 0.000 |
| -0.000 | -0.000 | -0.000 | 0.001 | 0.000 | 0.000 |
| -0.000 | -0.000 | -0.000 | 0.000 | 0.001 | 0.000 |
| -0.000 | -0.000 | -0.000 | 0.000 | 0.000 | 0.001 |
| 4.989 | 4.989 | 4.989 | -0.000 | -0.000 | -0.000 |
| 4.989 | 4.989 | 4.989 | -0.000 | -0.000 | -0.000 |
| 4.989 | 4.989 | 4.989 | -0.000 | -0.000 | -0.000 |
| 0.000 | 0.000 | 0.000 | 0.001 | -0.000 | -0.000 |
| 0.000 | 0.000 | 0.000 | -0.000 | 0.001 | -0.000 |
| 0.000 | 0.000 | 0.000 | -0.000 | -0.000 | 0.001 |
| 4.989 | 4.989 | 4.989 | 0.000 | 0.000 | 0.000 |
| 4.989 | 4.989 | 4.989 | 0.000 | 0.000 | 0.000 |
| 4.989 | 4.989 | 4.989 | 0.000 | 0.000 | 0.000 |
| -0.000 | -0.000 | -0.000 | 0.001 | 0.000 | 0.000 |
| -0.000 | -0.000 | -0.000 | 0.000 | 0.001 | 0.000 |
| -0.000 | -0.000 | -0.000 | 0.000 | 0.000 | 0.001 |
| 4.990 | 4.990 | 4.990 | -0.000 | -0.000 | -0.000 |
| 4.990 | 4.990 | 4.990 | -0.000 | -0.000 | -0.000 |
| 4.990 | 4.990 | 4.990 | -0.000 | -0.000 | -0.000 |
| 0.000 | 0.000 | 0.000 | 0.001 | -0.000 | -0.000 |
| 0.000 | 0.000 | 0.000 | -0.000 | 0.001 | -0.000 |
| 0.000 | 0.000 | 0.000 | -0.000 | -0.000 | 0.001 |
| 10.463 | 10.462 | 10.462 | 0.000 | 0.000 | 0.000 |
| 10.462 | 10.463 | 10.462 | 0.000 | 0.000 | 0.000 |
| 10.462 | 10.462 | 10.463 | 0.000 | 0.000 | 0.000 |
| 0.000 | 0.000 | 0.000 | 0.000 | 0.000 | 0.000 |
| 0.000 | 0.000 | 0.000 | 0.000 | 0.000 | 0.000 |
| 0.000 | 0.000 | 0.000 | 0.000 | 0.000 | 0.000 |
| 10.463 | 10.462 | 10.462 | -0.000 | -0.000 | -0.000 |
| 10.462 | 10.463 | 10.462 | -0.000 | -0.000 | -0.000 |
| 10.462 | 10.462 | 10.463 | -0.000 | -0.000 | -0.000 |
| -0.000 | -0.000 | -0.000 | 0.000 | -0.000 | -0.000 |
| -0.000 | -0.000 | -0.000 | -0.000 | 0.000 | -0.000 |
| -0.000 | -0.000 | -0.000 | -0.000 | -0.000 | 0.000 |
| 10.463 | 10.462 | 10.462 | 0.000 | 0.000 | 0.000 |
| 10.462 | 10.463 | 10.462 | 0.000 | 0.000 | 0.000 |
| 10.462 | 10.462 | 10.463 | 0.000 | 0.000 | 0.000 |
| -0.000 | -0.000 | -0.000 | 0.000 | 0.000 | 0.000 |
| -0.000 | -0.000 | -0.000 | 0.000 | 0.000 | 0.000 |
| -0.000 | -0.000 | -0.000 | 0.000 | 0.000 | 0.000 |
| 10.463 | 10.462 | 10.462 | -0.000 | -0.000 | -0.000 |
| 10.462 | 10.463 | 10.462 | -0.000 | -0.000 | -0.000 |
| 10.462 | 10.462 | 10.463 | -0.000 | -0.000 | -0.000 |
| 0.000 | 0.000 | 0.000 | 0.000 | -0.000 | -0.000 |
| 0.000 | 0.000 | 0.000 | -0.000 | 0.000 | -0.000 |
| 0.000 | 0.000 | 0.000 | -0.000 | -0.000 | 0.000 |
| 10.463 | 10.462 | 10.462 | -0.000 | 0.000 | 0.000 |
| 10.462 | 10.463 | 10.462 | 0.000 | -0.000 | 0.000 |
| 10.462 | 10.462 | 10.463 | 0.000 | 0.000 | -0.000 |
| -0.000 | -0.000 | -0.000 | 0.000 | 0.000 | 0.000 |
| -0.000 | -0.000 | -0.000 | 0.000 | 0.000 | 0.000 |
| -0.000 | -0.000 | -0.000 | 0.000 | 0.000 | 0.000 |
| 10.463 | 10.462 | 10.462 | -0.000 | -0.000 | -0.000 |
| 10.462 | 10.463 | 10.462 | -0.000 | -0.000 | -0.000 |
| 10.462 | 10.462 | 10.463 | -0.000 | -0.000 | -0.000 |
| 0.000 | 0.000 | 0.000 | 0.000 | -0.000 | -0.000 |
| 0.000 | 0.000 | 0.000 | -0.000 | 0.000 | -0.000 |
| 0.000 | 0.000 | 0.000 | -0.000 | -0.000 | 0.000 |
| 485.884 | 328.589 | 353.561 | 0.000 | 0.000 | -0.000 |
| 328.589 | 485.884 | 353.561 | 0.000 | -0.000 | 0.000 |
| 353.561 | 353.561 | 349.349 | 0.000 | 0.000 | -0.000 |
| 0.000 | -0.000 | -0.000 | 52.700 | -0.000 | 0.000 |
| 0.000 | 0.000 | -0.000 | 0.000 | 52.700 | -0.000 |
| 0.000 | -0.000 | -0.000 | 0.000 | 0.000 | 124.916 |
| 485.884 | 328.589 | 353.561 | -0.000 | 0.000 | 0.000 |
| 328.588 | 485.884 | 353.561 | -0.000 | -0.000 | -0.000 |
| 353.561 | 353.561 | 349.349 | -0.000 | 0.000 | 0.000 |
| -0.000 | 0.000 | 0.000 | 52.700 | 0.000 | 0.000 |
| -0.000 | -0.000 | -0.000 | -0.000 | 52.700 | 0.000 |
| -0.000 | 0.000 | -0.000 | -0.000 | 0.000 | 124.916 |
| 485.885 | 328.590 | 353.563 | -0.000 | -0.000 | -0.000 |
| 328.590 | 485.885 | 353.563 | 0.000 | 0.000 | -0.000 |
| 353.563 | 353.563 | 349.352 | 0.000 | 0.000 | -0.000 |
| 0.000 | -0.000 | -0.000 | 52.700 | 0.000 | 0.000 |
| -0.000 | 0.000 | -0.000 | 0.000 | 52.700 | -0.000 |
| -0.000 | 0.000 | 0.000 | 0.000 | -0.000 | 124.916 |
| 485.883 | 328.587 | 353.559 | -0.000 | -0.000 | -0.000 |
| 328.587 | 485.883 | 353.559 | -0.000 | -0.000 | -0.000 |
| 353.559 | 353.559 | 349.346 | -0.000 | 0.000 | 0.000 |
| -0.000 | 0.000 | 0.000 | 52.700 | -0.000 | 0.000 |
| 0.000 | -0.000 | 0.000 | -0.000 | 52.700 | 0.000 |
| 0.000 | -0.000 | -0.000 | -0.000 | -0.000 | 124.916 |
| 485.898 | 328.604 | 353.579 | 0.000 | 0.000 | -0.000 |
| 328.604 | 485.898 | 353.579 | 0.000 | 0.000 | 0.000 |
| 353.583 | 353.583 | 349.377 | 0.000 | 0.000 | -0.000 |
| 0.000 | -0.000 | -0.000 | 52.700 | 0.000 | -0.000 |
| -0.000 | 0.000 | -0.000 | 0.000 | 52.700 | -0.000 |
| -0.000 | 0.000 | 0.000 | 0.000 | -0.000 | 124.916 |
| 485.870 | 328.573 | 353.544 | -0.000 | -0.000 | 0.000 |
| 328.573 | 485.870 | 353.544 | -0.000 | 0.000 | 0.000 |
| 353.539 | 353.539 | 349.321 | 0.000 | -0.000 | 0.000 |
| -0.000 | 0.000 | 0.000 | 52.700 | 0.000 | 0.000 |
| 0.000 | -0.000 | 0.000 | 0.000 | 52.700 | 0.000 |
| 0.000 | -0.000 | -0.000 | -0.000 | -0.000 | 124.916 |
| -66.618 | 102.916 | 29.616 | -0.000 | -0.000 | 0.000 |
| 102.916 | -66.618 | 29.616 | -0.000 | -0.000 | 0.000 |
| 29.616 | 29.616 | 109.348 | -0.000 | -0.000 | 0.000 |
| -60079846.061 | -231884574.197 | 51272281.414 | 38.051 | -0.000 | -2.549 |
| -186247976.287 | 57215057.688 | 74481621.851 | 12.766 | 49.973 | 48508502.894 |
| -0.000 | -0.000 | -0.000 | -0.000 | 0.000 | 48.976 |
| -66.617 | 102.916 | 29.616 | 0.000 | -0.000 | -0.000 |
| 102.916 | -66.617 | 29.616 | 0.000 | 0.000 | -0.000 |
| 29.616 | 29.616 | 109.348 | 0.000 | 0.000 | -0.000 |
| 60079846.061 | 231884574.197 | -51272281.414 | 38.049 | 0.000 | -2.541 |
| 186247976.206 | -57215058.296 | -74481622.036 | -12.764 | 49.976 | 48508503.202 |
| 0.000 | 0.000 | 0.000 | 0.000 | 0.000 | 48.976 |
| -66.618 | 102.916 | 29.616 | -0.000 | -0.000 | 0.000 |
| 102.916 | -66.618 | 29.616 | -0.000 | -0.000 | 0.000 |
| 29.616 | 29.616 | 109.348 | -0.000 | -0.000 | 0.000 |
| -6007984.606 | -23188457.411 | 5127228.142 | 30.316 | -0.000 | -0.036 |
| -23188457.411 | -6007984.606 | 5127228.142 | -0.000 | 30.316 | -0.043 |
| -0.000 | -0.000 | -0.000 | -0.000 | -0.000 | 48.976 |
| -66.617 | 102.916 | 29.616 | 0.000 | 0.000 | -0.000 |
| 102.916 | -66.617 | 29.616 | 0.000 | 0.000 | -0.000 |
| 29.616 | 29.616 | 109.347 | 0.000 | 0.000 | -0.000 |
| 6007984.606 | 23188457.411 | -5127228.142 | 30.316 | 0.000 | -0.036 |
| 23188457.411 | 6007984.606 | -5127228.142 | 0.000 | 30.316 | -0.043 |
| 0.000 | 0.000 | 0.000 | 0.000 | -0.000 | 48.976 |
| -66.620 | 102.916 | 29.617 | -0.000 | -0.000 | 0.000 |
| 102.916 | -66.620 | 29.617 | -0.000 | -0.000 | 0.000 |
| 29.616 | 29.616 | 109.350 | -0.000 | -0.000 | 0.000 |
| -600798.461 | -2318845.740 | 512722.815 | 30.335 | -0.000 | -0.000 |
| -2318845.740 | -600798.461 | 512722.815 | -0.000 | 30.335 | -0.000 |
| -0.001 | -0.001 | -0.000 | -0.000 | 0.000 | 48.976 |
| -66.615 | 102.916 | 29.615 | 0.000 | 0.000 | -0.000 |
| 102.916 | -66.615 | 29.615 | 0.000 | 0.000 | -0.000 |
| 29.616 | 29.616 | 109.346 | 0.000 | 0.000 | -0.000 |
| 600798.461 | 2318845.740 | -512722.815 | 30.335 | 0.000 | -0.000 |
| 2318845.740 | 600798.461 | -512722.815 | 0.000 | 30.335 | -0.000 |
| 0.001 | 0.001 | 0.000 | 0.000 | 0.000 | 48.976 |
| 31.981 | 1.210 | 9.568 | -0.000 | 0.000 | 0.000 |
| 1.210 | 31.981 | 9.568 | -0.000 | 0.000 | 0.000 |
| 9.568 | 9.568 | 31.865 | -0.000 | -0.000 | 0.000 |
| -0.000 | 0.000 | 0.000 | 9.252 | 0.000 | -0.000 |
| 0.000 | -0.000 | 0.000 | -0.000 | 9.252 | -0.000 |
| -0.000 | -0.000 | -0.000 | -0.000 | -0.000 | 0.009 |
| 31.981 | 1.210 | 9.568 | 0.000 | 0.000 | 0.000 |
| 1.210 | 31.981 | 9.568 | 0.000 | 0.000 | 0.000 |
| 9.568 | 9.568 | 31.865 | 0.000 | 0.000 | 0.000 |
| 0.000 | 0.000 | -0.000 | 9.252 | 0.000 | 0.000 |
| -0.000 | 0.000 | -0.000 | 0.000 | 9.252 | 0.000 |
| 0.000 | 0.000 | 0.000 | 0.000 | 0.000 | 0.009 |
| 31.981 | 1.210 | 9.568 | -0.000 | -0.000 | 0.000 |
| 1.210 | 31.981 | 9.568 | -0.000 | -0.000 | -0.000 |
| 9.568 | 9.568 | 31.865 | -0.000 | -0.000 | -0.000 |
| 0.000 | 0.000 | 0.000 | 9.252 | -0.000 | -0.000 |
| 0.000 | 0.000 | 0.000 | -0.000 | 9.252 | -0.000 |
| -0.000 | -0.000 | -0.000 | -0.000 | -0.000 | 0.009 |
| 31.981 | 1.210 | 9.568 | 0.000 | 0.000 | -0.000 |
| 1.210 | 31.981 | 9.568 | 0.000 | -0.000 | 0.000 |
| 9.568 | 9.568 | 31.865 | 0.000 | 0.000 | 0.000 |
| -0.000 | -0.000 | -0.000 | 9.252 | 0.000 | 0.000 |
| -0.000 | -0.000 | -0.000 | 0.000 | 9.252 | 0.000 |
| 0.000 | 0.000 | 0.000 | 0.000 | 0.000 | 0.009 |
| 31.981 | 1.210 | 9.568 | -0.000 | -0.000 | 0.000 |
| 1.210 | 31.981 | 9.568 | -0.000 | -0.000 | -0.000 |
| 9.568 | 9.568 | 31.864 | -0.000 | 0.000 | -0.000 |
| 0.000 | 0.000 | 0.000 | 9.252 | 0.000 | -0.000 |
| 0.000 | 0.000 | 0.000 | -0.000 | 9.252 | -0.000 |
| -0.000 | -0.000 | -0.000 | -0.000 | -0.000 | 0.009 |
| 31.981 | 1.210 | 9.568 | 0.000 | 0.000 | -0.000 |
| 1.210 | 31.981 | 9.568 | 0.000 | -0.000 | 0.000 |
| 9.568 | 9.568 | 31.865 | 0.000 | -0.000 | 0.000 |
| -0.000 | -0.000 | -0.000 | 9.252 | -0.000 | -0.000 |
| -0.000 | -0.000 | -0.000 | 0.000 | 9.252 | 0.000 |
| 0.000 | 0.000 | 0.000 | 0.000 | 0.000 | 0.009 |
| 747.722 | 411.489 | 496.698 | -0.000 | -0.000 | 0.000 |
| 411.489 | 747.722 | 496.698 | -0.000 | -0.000 | -0.000 |
| 496.703 | 496.703 | 760.659 | -0.000 | -0.000 | -0.000 |
| 0.000 | 0.000 | 0.000 | -23.524 | 0.000 | -0.000 |
| 0.000 | 0.000 | 0.000 | 0.000 | -23.524 | -0.000 |
| 0.000 | 0.000 | 0.000 | -0.000 | -0.000 | 77.385 |
| 747.699 | 411.467 | 496.669 | 0.000 | -0.000 | 0.000 |
| 411.467 | 747.699 | 496.669 | -0.000 | -0.000 | -0.000 |
| 496.665 | 496.665 | 760.610 | 0.000 | -0.000 | -0.000 |
| -0.000 | -0.000 | -0.000 | -23.524 | 0.000 | 0.000 |
| -0.000 | -0.000 | -0.000 | 0.000 | -23.524 | -0.000 |
| -0.000 | -0.000 | -0.000 | 0.000 | 0.000 | 77.385 |
| 747.822 | 411.589 | 496.828 | -0.000 | -0.000 | -0.000 |
| 411.589 | 747.822 | 496.828 | -0.000 | -0.000 | -0.000 |
| 496.871 | 496.871 | 760.877 | -0.000 | 0.000 | -0.000 |
| -0.000 | -0.000 | -0.000 | -23.524 | -0.000 | -0.000 |
| -0.000 | -0.000 | -0.000 | -0.000 | -23.524 | -0.000 |
| 0.000 | 0.000 | 0.000 | -0.000 | -0.000 | 77.385 |
| 747.599 | 411.367 | 496.540 | 0.000 | 0.000 | -0.000 |
| 411.367 | 747.599 | 496.540 | 0.000 | 0.000 | -0.000 |
| 496.497 | 496.497 | 760.392 | 0.000 | 0.000 | 0.000 |
| 0.000 | 0.000 | 0.000 | -23.524 | 0.000 | 0.000 |
| 0.000 | 0.000 | 0.000 | 0.000 | -23.524 | 0.000 |
| -0.000 | -0.000 | -0.000 | 0.000 | 0.000 | 77.385 |
| 748.824 | 412.591 | 498.127 | -0.000 | 0.000 | -0.000 |
| 412.591 | 748.824 | 498.127 | -0.000 | -0.000 | 0.000 |
| 498.555 | 498.555 | 763.062 | -0.000 | -0.000 | -0.000 |
| -0.000 | -0.000 | -0.000 | -23.524 | -0.000 | -0.000 |
| -0.000 | -0.000 | -0.000 | 0.000 | -23.524 | 0.000 |
| 0.001 | 0.001 | 0.001 | 0.000 | -0.000 | 77.385 |
| 746.597 | 410.365 | 495.240 | 0.000 | 0.000 | 0.000 |
| 410.365 | 746.597 | 495.240 | 0.000 | -0.000 | 0.000 |
| 494.812 | 494.812 | 758.207 | 0.000 | 0.000 | 0.000 |
| 0.000 | 0.000 | 0.000 | -23.524 | 0.000 | 0.000 |
| 0.000 | 0.000 | 0.000 | 0.000 | -23.524 | 0.000 |
| -0.001 | -0.001 | -0.001 | 0.000 | 0.000 | 77.385 |
| 1224.823 | 158.706 | 1326.380 | 0.000 | -0.000 | 0.000 |
| 158.706 | 1224.823 | 1326.380 | 0.000 | -0.000 | 0.000 |
| 1326.387 | 1326.387 | 5494.545 | 0.000 | -0.000 | 0.000 |
| 0.000 | 0.006 | 0.013 | 1200.457 | 0.000 | 0.000 |
| 0.006 | 0.000 | 0.013 | 0.000 | 1200.457 | 0.000 |
| 0.000 | -0.000 | 0.000 | -0.000 | -0.000 | 160.547 |
| 1224.815 | 158.703 | 1326.365 | -0.000 | -0.000 | 0.000 |
| 158.703 | 1224.815 | 1326.365 | -0.000 | -0.000 | 0.000 |
| 1326.358 | 1326.358 | 5494.429 | -0.000 | -0.000 | 0.000 |
| -0.000 | -0.006 | -0.013 | 1200.457 | -0.000 | 0.000 |
| -0.006 | -0.000 | -0.013 | 0.000 | 1200.457 | -0.000 |
| -0.000 | 0.000 | 0.000 | -0.000 | 0.000 | 160.547 |
| 1224.863 | 158.720 | 1326.447 | 0.000 | -0.000 | 0.000 |
| 158.720 | 1224.863 | 1326.447 | -0.000 | -0.000 | 0.000 |
| 1326.516 | 1326.516 | 5495.066 | 0.000 | 0.000 | 0.000 |
| 0.000 | 0.060 | 0.130 | 1200.457 | 0.000 | -0.000 |
| 0.060 | 0.000 | 0.130 | 0.000 | 1200.457 | -0.000 |
| 0.000 | 0.000 | -0.000 | 0.000 | -0.000 | 160.547 |
| 1224.775 | 158.689 | 1326.299 | -0.000 | 0.000 | -0.000 |
| 158.689 | 1224.775 | 1326.299 | -0.000 | -0.000 | -0.000 |
| 1326.229 | 1326.229 | 5493.908 | -0.000 | -0.000 | -0.000 |
| -0.000 | -0.060 | -0.130 | 1200.457 | 0.000 | -0.000 |
| -0.060 | -0.000 | -0.130 | -0.000 | 1200.457 | -0.000 |
| -0.000 | -0.000 | 0.000 | -0.000 | -0.000 | 160.547 |
| 1225.255 | 158.864 | 1327.113 | 0.000 | -0.000 | 0.000 |
| 158.864 | 1225.255 | 1327.113 | 0.000 | 0.000 | -0.000 |
| 1327.806 | 1327.806 | 5500.277 | 0.000 | -0.000 | 0.000 |
| 0.001 | 0.596 | 1.302 | 1200.457 | -0.000 | 0.000 |
| 0.596 | 0.001 | 1.302 | 0.000 | 1200.457 | 0.000 |
| 0.000 | 0.000 | -0.000 | 0.000 | -0.000 | 160.547 |
| 1224.383 | 158.545 | 1325.632 | -0.000 | 0.000 | 0.000 |
| 158.545 | 1224.383 | 1325.632 | -0.000 | -0.000 | -0.000 |
| 1324.939 | 1324.939 | 5488.698 | -0.000 | -0.000 | -0.000 |
| -0.001 | -0.596 | -1.302 | 1200.457 | 0.000 | -0.000 |
| -0.596 | -0.001 | -1.302 | -0.000 | 1200.457 | -0.000 |
| -0.000 | -0.000 | 0.000 | -0.000 | 0.000 | 160.547 |
| 888.026 | 91.901 | 676.202 | 0.000 | 0.000 | -0.000 |
| 91.901 | 888.026 | 676.202 | 0.000 | -0.000 | -0.000 |
| 676.927 | 676.927 | 2874.836 | -0.000 | 0.000 | -0.000 |
| 0.000 | 0.006 | 0.013 | 611.662 | 0.000 | -0.000 |
| 0.006 | 0.000 | 0.013 | 0.000 | 611.662 | -0.000 |
| 0.000 | 0.000 | 0.000 | 0.000 | 0.000 | 160.558 |
| 888.017 | 91.898 | 676.187 | 0.000 | -0.000 | 0.000 |
| 91.898 | 888.017 | 676.187 | -0.000 | -0.000 | 0.000 |
| 676.898 | 676.898 | 2874.720 | -0.000 | -0.000 | 0.000 |
| -0.000 | -0.006 | -0.013 | 611.662 | -0.000 | -0.000 |
| -0.006 | -0.000 | -0.013 | -0.000 | 611.662 | 0.000 |
| -0.000 | -0.000 | -0.000 | -0.000 | -0.000 | 160.558 |
| 888.065 | 91.915 | 676.269 | 0.000 | -0.000 | -0.000 |
| 91.915 | 888.065 | 676.269 | 0.000 | -0.000 | -0.000 |
| 677.055 | 677.055 | 2875.356 | 0.000 | 0.000 | 0.000 |
| 0.000 | 0.060 | 0.130 | 611.662 | -0.000 | 0.000 |
| 0.060 | 0.000 | 0.130 | 0.000 | 611.662 | -0.000 |
| 0.000 | 0.000 | -0.000 | -0.000 | -0.000 | 160.558 |
| 887.978 | 91.884 | 676.121 | 0.000 | 0.000 | 0.000 |
| 91.884 | 887.978 | 676.121 | -0.000 | -0.000 | 0.000 |
| 676.769 | 676.769 | 2874.200 | 0.000 | -0.000 | -0.000 |
| -0.000 | -0.060 | -0.130 | 611.662 | 0.000 | 0.000 |
| -0.060 | -0.000 | -0.130 | -0.000 | 611.662 | 0.000 |
| -0.000 | -0.000 | 0.000 | -0.000 | 0.000 | 160.558 |
| 888.456 | 92.057 | 676.933 | 0.000 | 0.000 | 0.000 |
| 92.057 | 888.456 | 676.933 | 0.000 | 0.000 | 0.000 |
| 678.341 | 678.341 | 2880.561 | -0.000 | 0.000 | 0.000 |
| 0.000 | 0.597 | 1.301 | 611.662 | -0.000 | -0.000 |
| 0.597 | 0.000 | 1.301 | 0.000 | 611.662 | -0.000 |
| 0.000 | 0.000 | -0.000 | 0.000 | -0.000 | 160.558 |
| 887.588 | 91.742 | 675.456 | -0.000 | -0.000 | 0.000 |
| 91.742 | 887.588 | 675.456 | -0.000 | -0.000 | -0.000 |
| 675.483 | 675.483 | 2868.995 | 0.000 | -0.000 | 0.000 |
| -0.000 | -0.597 | -1.301 | 611.662 | -0.000 | -0.000 |
| -0.597 | -0.000 | -1.301 | -0.000 | 611.662 | 0.000 |
| -0.000 | -0.000 | 0.000 | -0.000 | 0.000 | 160.558 |
| 7939.350 | 8007.430 | 5329.810 | 1755.362 | -0.026 | -0.000 |
| 8005.440 | 7937.380 | 5331.960 | -1755.420 | -0.024 | -0.000 |
| 5711.970 | 5711.980 | -2739.740 | 0.015 | -0.010 | 0.018 |
| 1751.360 | -1759.420 | 4.340 | -1993.023 | -0.002 | 0.013 |
| -0.040 | 0.000 | -0.010 | 0.002 | -1993.034 | 1755.405 |
| -0.040 | -0.010 | -0.010 | -0.007 | 1755.387 | -34.036 |
| 7940.400 | 8008.430 | 5328.700 | 1755.394 | 0.018 | -0.010 |
| 8007.480 | 7939.390 | 5329.750 | -1755.386 | 0.013 | -0.013 |
| 5714.010 | 5713.980 | -2741.940 | 0.002 | 0.015 | -0.001 |
| 1757.420 | -1753.390 | -2.170 | -1993.010 | 0.025 | -0.007 |
| 0.030 | 0.010 | 0.010 | 0.000 | -1992.999 | 1755.394 |
| 0.020 | 0.010 | 0.010 | 0.002 | 1755.419 | -34.045 |
| 7939.371 | 8007.459 | 5329.781 | 1755.404 | -0.003 | 0.001 |
| 8007.455 | 7939.376 | 5329.782 | -1755.409 | -0.001 | 0.001 |
| 5713.794 | 5713.794 | -2741.692 | -0.000 | -0.001 | 0.001 |
| 1755.397 | -1755.404 | 0.002 | -1993.018 | -0.001 | -0.000 |
| -0.005 | -0.002 | 0.002 | 0.002 | -1993.018 | 1755.400 |
| -0.001 | -0.001 | -0.002 | -0.000 | 1755.398 | -34.041 |
| 7939.471 | 8007.552 | 5329.678 | 1755.397 | -0.001 | -0.001 |
| 8007.657 | 7939.569 | 5329.572 | -1755.392 | 0.001 | -0.001 |
| 5713.994 | 5713.991 | -2741.957 | 0.001 | 0.002 | -0.000 |
| 1755.403 | -1755.397 | -0.001 | -1993.014 | 0.003 | -0.000 |
| 0.006 | 0.002 | -0.002 | -0.002 | -1993.015 | 1755.399 |
| 0.002 | 0.001 | 0.002 | 0.001 | 1755.402 | -34.042 |
| 7939.393 | 8007.486 | 5329.759 | 1755.444 | -0.000 | 0.000 |
| 8007.437 | 7939.402 | 5329.781 | -1755.471 | -0.000 | 0.000 |
| 5713.857 | 5713.857 | -2741.522 | -0.000 | -0.000 | 0.000 |
| 1755.389 | -1755.430 | 0.017 | -1993.029 | -0.000 | -0.000 |
| -0.030 | -0.011 | 0.017 | 0.013 | -1993.016 | 1755.400 |
| 0.019 | -0.010 | -0.010 | 0.015 | 1755.400 | -34.042 |
| 7939.352 | 8007.424 | 5329.808 | 1755.356 | 0.000 | -0.000 |
| 8007.454 | 7939.323 | 5329.808 | -1755.329 | 0.000 | 0.000 |
| 5713.992 | 5713.992 | -2742.190 | 0.000 | 0.000 | -0.000 |
| 1755.421 | -1755.360 | -0.028 | -1993.003 | 0.000 | -0.000 |
| 0.030 | 0.011 | -0.017 | -0.013 | -1993.016 | 1755.400 |
| -0.019 | 0.010 | 0.010 | -0.015 | 1755.400 | -34.042 |
| 594.963 | 165.109 | 165.109 | 0.000 | -0.000 | -0.000 |
| 165.109 | 594.963 | 165.109 | 0.000 | -0.000 | 0.000 |
| 165.109 | 165.109 | 594.963 | -0.000 | -0.000 | -0.000 |
| 0.000 | -0.000 | -0.000 | 81.472 | -0.000 | -0.000 |
| -0.000 | 0.000 | -0.000 | 0.000 | 81.472 | -0.000 |
| -0.000 | -0.000 | 0.000 | 0.000 | -0.000 | 81.472 |
| 594.951 | 165.097 | 165.097 | -0.000 | 0.000 | 0.000 |
| 165.097 | 594.951 | 165.097 | -0.000 | -0.000 | 0.000 |
| 165.097 | 165.097 | 594.951 | 0.000 | 0.000 | 0.000 |
| -0.000 | 0.000 | 0.000 | 81.472 | 0.000 | 0.000 |
| 0.000 | -0.000 | 0.000 | -0.000 | 81.472 | 0.000 |
| 0.000 | 0.000 | -0.000 | -0.000 | 0.000 | 81.472 |
| 595.016 | 165.161 | 165.161 | 0.000 | -0.000 | 0.000 |
| 165.161 | 595.016 | 165.161 | -0.000 | -0.000 | -0.000 |
| 165.161 | 165.161 | 595.016 | -0.000 | -0.000 | -0.000 |
| 0.000 | -0.000 | -0.000 | 81.472 | -0.000 | -0.000 |
| -0.000 | 0.000 | -0.000 | 0.000 | 81.472 | -0.000 |
| -0.000 | -0.000 | 0.000 | 0.000 | -0.000 | 81.472 |
| 594.899 | 165.045 | 165.045 | -0.000 | 0.000 | -0.000 |
| 165.045 | 594.899 | 165.045 | -0.000 | 0.000 | 0.000 |
| 165.045 | 165.045 | 594.899 | 0.000 | -0.000 | 0.000 |
| -0.000 | 0.000 | 0.000 | 81.472 | 0.000 | 0.000 |
| 0.000 | -0.000 | 0.000 | -0.000 | 81.472 | 0.000 |
| 0.000 | 0.000 | -0.000 | -0.000 | 0.000 | 81.472 |
| 595.542 | 165.686 | 165.686 | -0.000 | -0.000 | -0.000 |
| 165.686 | 595.542 | 165.686 | -0.000 | 0.000 | -0.000 |
| 165.686 | 165.686 | 595.542 | 0.000 | 0.000 | -0.000 |
| 0.000 | -0.000 | -0.000 | 81.472 | -0.000 | -0.000 |
| -0.000 | 0.000 | -0.000 | 0.000 | 81.472 | -0.000 |
| -0.000 | -0.000 | 0.000 | 0.000 | -0.000 | 81.472 |
| 594.372 | 164.520 | 164.520 | 0.000 | 0.000 | 0.000 |
| 164.520 | 594.372 | 164.520 | -0.000 | 0.000 | 0.000 |
| 164.520 | 164.520 | 594.372 | -0.000 | 0.000 | -0.000 |
| -0.000 | 0.000 | 0.000 | 81.472 | 0.000 | 0.000 |
| 0.000 | -0.000 | 0.000 | -0.000 | 81.472 | 0.000 |
| 0.000 | 0.000 | -0.000 | -0.000 | -0.000 | 81.472 |
| 438.312 | 6.713 | 6.713 | 0.000 | -0.000 | 0.000 |
| 6.713 | 438.312 | 6.713 | 0.000 | -0.000 | 0.000 |
| 6.713 | 6.713 | 438.312 | 0.000 | -0.000 | 0.000 |
| 0.000 | -0.000 | -0.000 | 82.858 | -0.000 | 0.000 |
| -0.000 | 0.000 | -0.000 | 0.000 | 82.858 | 0.000 |
| -0.000 | -0.000 | 0.000 | 0.000 | -0.000 | 82.858 |
| 438.334 | 6.735 | 6.735 | -0.000 | 0.000 | -0.000 |
| 6.735 | 438.334 | 6.735 | -0.000 | -0.000 | -0.000 |
| 6.735 | 6.735 | 438.334 | 0.000 | 0.000 | 0.000 |
| -0.000 | 0.000 | 0.000 | 82.858 | 0.000 | -0.000 |
| 0.000 | -0.000 | 0.000 | -0.000 | 82.858 | -0.000 |
| 0.000 | 0.000 | -0.000 | -0.000 | 0.000 | 82.858 |
| 438.213 | 6.614 | 6.614 | -0.000 | -0.000 | 0.000 |
| 6.614 | 438.213 | 6.614 | -0.000 | 0.000 | 0.000 |
| 6.614 | 6.614 | 438.213 | -0.000 | -0.000 | 0.000 |
| -0.000 | -0.000 | -0.000 | 82.858 | -0.000 | 0.000 |
| -0.000 | -0.000 | -0.000 | 0.000 | 82.858 | 0.000 |
| -0.000 | -0.000 | -0.000 | 0.000 | -0.000 | 82.858 |
| 438.432 | 6.834 | 6.834 | 0.000 | -0.000 | -0.000 |
| 6.834 | 438.432 | 6.834 | -0.000 | 0.000 | -0.000 |
| 6.834 | 6.834 | 438.432 | -0.000 | -0.000 | -0.000 |
| 0.000 | 0.000 | 0.000 | 82.858 | 0.000 | -0.000 |
| 0.000 | 0.000 | 0.000 | -0.000 | 82.858 | -0.000 |
| 0.000 | 0.000 | 0.000 | -0.000 | 0.000 | 82.858 |
| 437.227 | 5.628 | 5.628 | 0.000 | 0.000 | 0.000 |
| 5.628 | 437.227 | 5.628 | 0.000 | -0.000 | 0.000 |
| 5.628 | 5.628 | 437.227 | 0.000 | -0.000 | -0.000 |
| -0.000 | -0.001 | -0.001 | 82.858 | -0.000 | -0.000 |
| -0.001 | -0.000 | -0.001 | 0.000 | 82.858 | 0.000 |
| -0.001 | -0.001 | -0.000 | 0.000 | -0.000 | 82.858 |
| 439.419 | 7.820 | 7.820 | -0.000 | -0.000 | -0.000 |
| 7.820 | 439.419 | 7.820 | -0.000 | 0.000 | -0.000 |
| 7.820 | 7.820 | 439.419 | -0.000 | -0.000 | -0.000 |
| 0.000 | 0.001 | 0.001 | 82.858 | 0.000 | -0.000 |
| 0.001 | 0.000 | 0.001 | -0.000 | 82.858 | -0.000 |
| 0.001 | 0.001 | 0.000 | -0.000 | 0.000 | 82.858 |
| 124.278 | 36.552 | 36.552 | 0.000 | -0.000 | -0.000 |
| 36.552 | 124.278 | 36.552 | -0.000 | 0.000 | -0.000 |
| 36.552 | 36.552 | 124.278 | -0.000 | -0.000 | -0.000 |
| -0.000 | 0.000 | 0.000 | 36.630 | -0.000 | -0.000 |
| 0.000 | -0.000 | 0.000 | -0.000 | 36.630 | 0.000 |
| 0.000 | 0.000 | -0.000 | -0.000 | 0.000 | 36.630 |
| 124.278 | 36.552 | 36.552 | -0.000 | -0.000 | -0.000 |
| 36.552 | 124.278 | 36.552 | -0.000 | 0.000 | 0.000 |
| 36.552 | 36.552 | 124.278 | 0.000 | 0.000 | 0.000 |
| -0.000 | -0.000 | -0.000 | 36.630 | 0.000 | 0.000 |
| -0.000 | 0.000 | -0.000 | 0.000 | 36.630 | 0.000 |
| -0.000 | -0.000 | 0.000 | -0.000 | 0.000 | 36.630 |
| 124.278 | 36.552 | 36.552 | 0.000 | -0.000 | -0.000 |
| 36.552 | 124.278 | 36.552 | 0.000 | -0.000 | -0.000 |
| 36.552 | 36.552 | 124.278 | 0.000 | -0.000 | -0.000 |
| -0.000 | 0.000 | 0.000 | 36.630 | -0.000 | -0.000 |
| 0.000 | -0.000 | 0.000 | -0.000 | 36.630 | -0.000 |
| 0.000 | 0.000 | -0.000 | -0.000 | -0.000 | 36.630 |
| 124.278 | 36.552 | 36.552 | 0.000 | 0.000 | 0.000 |
| 36.552 | 124.278 | 36.552 | 0.000 | 0.000 | 0.000 |
| 36.552 | 36.552 | 124.278 | 0.000 | 0.000 | 0.000 |
| 0.000 | -0.000 | -0.000 | 36.630 | 0.000 | 0.000 |
| -0.000 | 0.000 | -0.000 | 0.000 | 36.630 | 0.000 |
| -0.000 | -0.000 | 0.000 | 0.000 | -0.000 | 36.630 |
| 124.277 | 36.553 | 36.553 | -0.000 | -0.000 | -0.000 |
| 36.553 | 124.277 | 36.553 | -0.000 | -0.000 | -0.000 |
| 36.553 | 36.553 | 124.277 | -0.000 | -0.000 | -0.000 |
| -0.000 | 0.000 | 0.000 | 36.630 | -0.000 | -0.000 |
| 0.000 | -0.000 | 0.000 | -0.000 | 36.630 | -0.000 |
| 0.000 | 0.000 | -0.000 | -0.000 | -0.000 | 36.630 |
| 124.279 | 36.552 | 36.552 | 0.000 | 0.000 | 0.000 |
| 36.552 | 124.279 | 36.552 | 0.000 | 0.000 | 0.000 |
| 36.552 | 36.552 | 124.279 | 0.000 | 0.000 | 0.000 |
| 0.000 | -0.000 | -0.000 | 36.630 | 0.000 | 0.000 |
| -0.000 | 0.000 | -0.000 | 0.000 | 36.630 | 0.000 |
| -0.000 | -0.000 | 0.000 | -0.000 | 0.000 | 36.630 |
| 29.738 | -0.003 | -0.003 | -0.000 | 0.000 | 0.000 |
| -0.003 | 29.738 | -0.003 | 0.000 | -0.000 | -0.000 |
| -0.003 | -0.003 | 29.738 | -0.000 | -0.000 | -0.000 |
| -0.000 | -0.000 | -0.000 | 0.013 | 0.000 | -0.000 |
| -0.000 | -0.000 | -0.000 | 0.000 | 0.013 | 0.000 |
| -0.000 | -0.000 | -0.000 | 0.000 | -0.000 | 0.013 |
| 29.738 | -0.003 | -0.003 | -0.000 | 0.000 | 0.000 |
| -0.003 | 29.738 | -0.003 | 0.000 | -0.000 | -0.000 |
| -0.003 | -0.003 | 29.738 | 0.000 | 0.000 | 0.000 |
| 0.000 | 0.000 | 0.000 | 0.013 | 0.000 | -0.000 |
| 0.000 | 0.000 | 0.000 | 0.000 | 0.013 | 0.000 |
| 0.000 | 0.000 | 0.000 | -0.000 | -0.000 | 0.013 |
| 29.738 | -0.003 | -0.003 | -0.000 | -0.000 | -0.000 |
| -0.003 | 29.738 | -0.003 | -0.000 | -0.000 | 0.000 |
| -0.003 | -0.003 | 29.738 | -0.000 | -0.000 | -0.000 |
| -0.000 | -0.000 | -0.000 | 0.013 | -0.000 | -0.000 |
| -0.000 | -0.000 | -0.000 | 0.000 | 0.013 | 0.000 |
| -0.000 | -0.000 | -0.000 | 0.000 | 0.000 | 0.013 |
| 29.738 | -0.003 | -0.003 | 0.000 | -0.000 | -0.000 |
| -0.003 | 29.738 | -0.003 | -0.000 | 0.000 | 0.000 |
| -0.003 | -0.003 | 29.738 | 0.000 | 0.000 | 0.000 |
| 0.000 | 0.000 | 0.000 | 0.013 | 0.000 | -0.000 |
| 0.000 | 0.000 | 0.000 | 0.000 | 0.013 | -0.000 |
| 0.000 | 0.000 | 0.000 | -0.000 | 0.000 | 0.013 |
| 29.738 | -0.003 | -0.003 | 0.000 | -0.000 | 0.000 |
| -0.003 | 29.738 | -0.003 | -0.000 | 0.000 | 0.000 |
| -0.003 | -0.003 | 29.738 | -0.000 | -0.000 | 0.000 |
| -0.000 | -0.000 | -0.000 | 0.013 | 0.000 | 0.000 |
| -0.000 | -0.000 | -0.000 | 0.000 | 0.013 | -0.000 |
| -0.000 | -0.000 | -0.000 | 0.000 | 0.000 | 0.013 |
| 29.738 | -0.003 | -0.003 | -0.000 | -0.000 | -0.000 |
| -0.003 | 29.738 | -0.003 | -0.000 | 0.000 | -0.000 |
| -0.003 | -0.003 | 29.738 | -0.000 | -0.000 | 0.000 |
| 0.000 | 0.000 | 0.000 | 0.013 | 0.000 | 0.000 |
| 0.000 | 0.000 | 0.000 | -0.000 | 0.013 | 0.000 |
| 0.000 | 0.000 | 0.000 | -0.000 | 0.000 | 0.013 |
| 250.122 | -0.303 | -0.303 | -0.000 | -0.000 | -0.000 |
| -0.303 | 250.122 | -0.303 | -0.000 | -0.000 | 0.000 |
| -0.303 | -0.303 | 250.122 | -0.000 | -0.000 | -0.000 |
| 0.000 | 0.000 | 0.000 | 0.000 | 0.000 | 0.000 |
| 0.000 | 0.000 | 0.000 | -0.000 | 0.000 | -0.000 |
| 0.000 | 0.000 | 0.000 | -0.000 | -0.000 | 0.000 |
| 250.122 | -0.303 | -0.303 | 0.000 | -0.000 | -0.000 |
| -0.303 | 250.122 | -0.303 | -0.000 | 0.000 | -0.000 |
| -0.303 | -0.303 | 250.122 | -0.000 | 0.000 | 0.000 |
| -0.000 | -0.000 | -0.000 | 0.000 | 0.000 | -0.000 |
| -0.000 | -0.000 | -0.000 | 0.000 | 0.000 | -0.000 |
| -0.000 | -0.000 | -0.000 | 0.000 | 0.000 | 0.000 |
| 250.122 | -0.303 | -0.303 | 0.000 | -0.000 | -0.000 |
| -0.303 | 250.122 | -0.303 | -0.000 | -0.000 | 0.000 |
| -0.303 | -0.303 | 250.122 | -0.000 | -0.000 | -0.000 |
| 0.000 | 0.000 | -0.000 | 0.000 | 0.000 | 0.000 |
| 0.000 | 0.000 | -0.000 | 0.000 | 0.000 | -0.000 |
| 0.000 | -0.000 | 0.000 | 0.000 | -0.000 | 0.000 |
| 250.122 | -0.303 | -0.303 | -0.000 | 0.000 | 0.000 |
| -0.303 | 250.122 | -0.303 | -0.000 | 0.000 | -0.000 |
| -0.303 | -0.303 | 250.122 | 0.000 | 0.000 | -0.000 |
| -0.000 | -0.000 | 0.000 | 0.000 | 0.000 | -0.000 |
| -0.000 | -0.000 | 0.000 | 0.000 | 0.000 | 0.000 |
| -0.000 | 0.000 | -0.000 | 0.000 | 0.000 | 0.000 |
| 250.126 | -0.303 | -0.303 | 0.000 | -0.000 | -0.000 |
| -0.303 | 250.126 | -0.303 | -0.000 | 0.000 | 0.000 |
| -0.303 | -0.303 | 250.126 | 0.000 | 0.000 | -0.000 |
| 0.000 | 0.000 | -0.000 | 0.000 | 0.000 | 0.000 |
| 0.000 | 0.000 | -0.000 | 0.000 | 0.000 | -0.000 |
| 0.000 | -0.000 | 0.000 | 0.000 | -0.000 | 0.000 |
| 250.118 | -0.303 | -0.303 | 0.000 | 0.000 | -0.000 |
| -0.303 | 250.118 | -0.303 | 0.000 | -0.000 | 0.000 |
| -0.303 | -0.303 | 250.118 | 0.000 | 0.000 | 0.000 |
| -0.000 | -0.000 | 0.000 | 0.000 | 0.000 | 0.000 |
| -0.000 | -0.000 | 0.000 | 0.000 | 0.000 | -0.000 |
| -0.000 | 0.000 | -0.000 | 0.000 | 0.000 | 0.000 |
| 88.330 | -0.001 | -0.001 | 0.000 | -0.000 | 0.000 |
| -0.001 | 88.330 | -0.001 | -0.000 | 0.000 | 0.000 |
| -0.001 | -0.001 | 88.330 | 0.000 | -0.000 | -0.000 |
| -0.000 | 0.000 | -0.000 | 0.001 | -0.000 | -0.000 |
| 0.000 | -0.000 | -0.000 | -0.000 | 0.001 | 0.000 |
| 0.000 | -0.000 | -0.000 | 0.000 | -0.000 | 0.001 |
| 88.330 | -0.001 | -0.001 | 0.000 | 0.000 | 0.000 |
| -0.001 | 88.330 | -0.001 | 0.000 | -0.000 | 0.000 |
| -0.001 | -0.001 | 88.330 | -0.000 | -0.000 | -0.000 |
| 0.000 | 0.000 | 0.000 | 0.001 | 0.000 | 0.000 |
| 0.000 | 0.000 | 0.000 | 0.000 | 0.001 | -0.000 |
| 0.000 | 0.000 | 0.000 | 0.000 | 0.000 | 0.001 |
| 88.330 | -0.001 | -0.001 | -0.000 | -0.000 | -0.000 |
| -0.001 | 88.330 | -0.001 | 0.000 | -0.000 | -0.000 |
| -0.001 | -0.001 | 88.330 | 0.000 | 0.000 | 0.000 |
| -0.000 | -0.000 | -0.000 | 0.001 | 0.000 | -0.000 |
| -0.000 | -0.000 | -0.000 | 0.000 | 0.001 | -0.000 |
| -0.000 | -0.000 | -0.000 | -0.000 | -0.000 | 0.001 |
| 88.330 | -0.001 | -0.001 | -0.000 | -0.000 | 0.000 |
| -0.001 | 88.330 | -0.001 | -0.000 | -0.000 | 0.000 |
| -0.001 | -0.001 | 88.330 | 0.000 | 0.000 | 0.000 |
| 0.000 | -0.000 | 0.000 | 0.001 | 0.000 | 0.000 |
| -0.000 | 0.000 | 0.000 | 0.000 | 0.001 | -0.000 |
| -0.000 | 0.000 | 0.000 | 0.000 | -0.000 | 0.001 |
| 88.332 | -0.001 | -0.001 | -0.000 | -0.000 | -0.000 |
| -0.001 | 88.332 | -0.001 | -0.000 | -0.000 | 0.000 |
| -0.001 | -0.001 | 88.332 | 0.000 | 0.000 | -0.000 |
| -0.000 | 0.000 | -0.000 | 0.001 | -0.000 | -0.000 |
| 0.000 | -0.000 | -0.000 | -0.000 | 0.001 | 0.000 |
| 0.000 | -0.000 | -0.000 | -0.000 | -0.000 | 0.001 |
| 88.328 | -0.001 | -0.001 | -0.000 | 0.000 | -0.000 |
| -0.001 | 88.328 | -0.001 | -0.000 | -0.000 | 0.000 |
| -0.001 | -0.001 | 88.328 | 0.000 | 0.000 | -0.000 |
| 0.000 | -0.000 | 0.000 | 0.001 | -0.000 | 0.000 |
| -0.000 | 0.000 | 0.000 | -0.000 | 0.001 | -0.000 |
| -0.000 | 0.000 | 0.000 | 0.000 | 0.000 | 0.001 |
| 218.772 | 69.024 | 69.024 | 0.000 | -0.000 | 0.000 |
| 69.024 | 218.772 | 69.024 | 0.000 | -0.000 | 0.000 |
| 69.024 | 69.024 | 218.772 | 0.000 | -0.000 | 0.000 |
| -0.000 | -0.000 | -0.000 | 62.462 | 0.000 | 0.000 |
| 0.000 | -0.000 | -0.000 | 0.000 | 62.462 | 0.000 |
| -0.000 | -0.000 | 0.000 | 0.000 | 0.000 | 62.462 |
| 218.772 | 69.024 | 69.024 | -0.000 | 0.000 | -0.000 |
| 69.024 | 218.772 | 69.024 | -0.000 | -0.000 | -0.000 |
| 69.024 | 69.024 | 218.772 | -0.000 | 0.000 | -0.000 |
| 0.000 | 0.000 | 0.000 | 62.462 | -0.000 | 0.000 |
| 0.000 | -0.000 | 0.000 | 0.000 | 62.462 | -0.000 |
| -0.000 | -0.000 | 0.000 | -0.000 | 0.000 | 62.462 |
| 218.771 | 69.023 | 69.023 | 0.000 | 0.000 | 0.000 |
| 69.023 | 218.771 | 69.023 | 0.000 | -0.000 | 0.000 |
| 69.023 | 69.023 | 218.771 | 0.000 | -0.000 | 0.000 |
| -0.000 | 0.000 | 0.000 | 29.109 | 0.000 | 0.000 |
| 0.000 | -0.000 | 0.000 | 0.000 | 29.109 | 0.000 |
| 0.000 | 0.000 | -0.000 | 0.000 | -0.000 | 29.109 |
| 184.847 | 85.987 | 85.987 | -0.000 | 0.000 | -0.000 |
| 85.987 | 184.847 | 85.987 | -0.000 | 0.000 | -0.000 |
| 85.987 | 85.987 | 184.847 | -0.000 | 0.000 | -0.000 |
| 0.000 | -0.000 | -0.000 | 29.109 | -0.000 | -0.000 |
| -0.000 | 0.000 | -0.000 | -0.000 | 29.109 | -0.000 |
| -0.000 | -0.000 | 0.000 | 0.000 | 0.000 | 29.109 |
| 184.841 | 85.983 | 85.983 | 0.000 | -0.000 | 0.000 |
| 85.983 | 184.841 | 85.983 | 0.000 | 0.000 | 0.000 |
| 85.983 | 85.983 | 184.841 | 0.000 | -0.000 | 0.000 |
| -0.000 | 0.000 | 0.000 | 29.109 | -0.000 | 0.000 |
| 0.000 | -0.000 | 0.000 | 0.000 | 29.109 | 0.000 |
| 0.000 | 0.000 | -0.000 | 0.000 | 0.000 | 29.109 |
| 218.781 | 69.027 | 69.027 | -0.000 | 0.000 | -0.000 |
| 69.027 | 218.781 | 69.027 | -0.000 | 0.000 | -0.000 |
| 69.027 | 69.027 | 218.781 | -0.000 | 0.000 | -0.000 |
| 0.000 | -0.000 | -0.000 | 29.109 | -0.000 | -0.000 |
| -0.000 | 0.000 | -0.000 | -0.000 | 29.109 | -0.000 |
| -0.000 | -0.000 | 0.000 | -0.000 | 0.000 | 29.109 |
| 264.338 | 26.771 | 62.762 | 0.000 | 14.662 | -0.000 |
| 40.933 | 198.318 | 81.960 | 0.000 | -11.726 | -0.000 |
| 60.982 | 60.418 | 195.041 | 0.000 | 15.729 | 0.000 |
| -5.239 | 0.642 | 4.036 | 67.385 | 1.171 | -5.672 |
| -1.439 | -11.669 | 10.189 | 0.000 | 58.828 | 0.000 |
| -7.675 | 0.851 | 5.383 | -5.094 | 1.722 | 38.416 |
| 264.338 | 26.771 | 62.762 | 0.000 | 14.662 | 0.000 |
| 54.846 | 195.991 | 72.626 | 0.000 | -14.591 | 0.000 |
| 71.815 | 78.287 | 158.427 | 0.000 | 4.739 | -0.000 |
| 5.239 | -0.642 | -4.036 | 67.385 | -1.171 | -5.672 |
| 5.597 | -27.589 | 15.729 | 0.000 | 80.100 | -0.000 |
| 7.675 | -0.851 | -5.383 | -5.094 | -1.722 | 38.416 |
| 213.619 | 51.398 | 67.982 | -0.000 | 5.494 | -0.000 |
| 48.858 | 199.074 | 78.706 | 0.000 | -16.567 | 0.000 |
| 65.739 | 79.299 | 162.713 | 0.000 | 5.977 | -0.000 |
| -0.613 | 0.116 | 0.416 | 67.258 | 0.120 | -5.504 |
| 2.511 | -10.675 | 4.466 | 0.000 | 57.908 | 0.000 |
| -0.590 | 0.072 | 0.455 | -4.324 | 0.132 | 42.993 |
| 264.338 | 26.771 | 62.762 | -0.000 | 14.662 | 0.000 |
| 29.894 | 233.053 | 60.418 | 0.000 | -27.590 | 0.000 |
| 60.982 | 60.418 | 195.041 | -0.000 | 15.729 | -0.000 |
| 0.613 | -0.116 | -0.416 | 67.258 | -0.120 | -5.504 |
| 5.597 | -27.589 | 15.729 | -0.000 | 80.100 | 0.000 |
| 0.590 | -0.072 | -0.455 | -4.324 | -0.132 | 42.993 |
| 214.172 | 51.337 | 67.542 | -0.000 | 5.363 | 0.000 |
| 49.396 | 198.919 | 78.383 | -0.000 | -16.645 | -0.000 |
| 72.521 | 78.303 | 159.301 | -0.000 | 4.680 | 0.000 |
| 0.000 | -0.000 | 0.000 | 90.666 | -0.000 | -16.357 |
| 5.597 | -27.589 | 15.729 | -0.000 | 80.100 | 0.000 |
| -0.086 | 0.026 | 0.045 | -5.027 | 0.013 | 39.367 |
| 207.003 | 46.804 | 75.678 | -0.000 | 10.867 | 0.000 |
| 49.774 | 197.454 | 77.796 | 0.000 | -13.327 | -0.000 |
| 73.859 | 77.239 | 158.977 | 0.000 | 5.634 | 0.000 |
| -0.000 | 0.000 | -0.000 | 90.666 | 0.000 | -16.357 |
| -0.350 | -16.208 | 5.881 | 0.000 | 60.552 | -0.000 |
| 0.086 | -0.026 | -0.045 | -5.027 | -0.013 | 39.367 |
| -1167.761 | 1250.669 | -550.511 | 0.000 | -619.762 | -0.000 |
| -1498.414 | 1448.698 | -206.055 | 0.000 | -658.495 | 0.000 |
| 61.271 | 58.697 | 191.723 | 0.000 | 14.483 | 0.000 |
| -1381.039 | 1201.380 | -620.396 | 61.264 | -624.964 | -4.736 |
| -1566.885 | 1329.998 | -346.401 | 0.000 | -618.740 | 0.000 |
| -0.000 | -0.000 | -0.000 | -17.138 | 0.000 | 53.296 |
| 1776.572 | -1297.834 | 427.627 | 0.000 | 687.777 | -0.000 |
| 1615.696 | -1145.134 | 423.859 | 0.000 | 663.194 | 0.000 |
| 1620.265 | -1175.995 | 435.487 | -0.000 | 647.018 | -0.000 |
| 1381.039 | -1201.380 | 620.396 | 61.264 | 624.964 | -4.736 |
| 4.676 | -28.865 | 14.483 | -0.000 | 81.362 | -0.000 |
| 0.000 | 0.000 | 0.000 | -17.138 | -0.000 | 53.296 |
| 48.904 | 180.971 | 42.878 | -0.000 | -58.545 | -0.000 |
| -111.808 | 333.107 | 39.442 | 0.000 | -83.177 | -0.000 |
| -63.511 | 192.801 | 96.602 | 0.000 | -55.696 | 0.000 |
| -137.385 | 119.512 | -61.718 | 61.410 | -62.171 | -4.799 |
| -137.996 | 102.944 | -58.237 | 0.000 | -2.520 | -0.000 |
| -154.555 | 124.924 | -27.771 | -6.749 | -64.267 | 39.604 |
| 263.062 | 23.289 | 63.797 | -0.000 | 12.923 | 0.000 |
| 200.589 | 72.140 | 103.797 | -0.000 | 49.185 | 0.000 |
| 215.057 | -46.737 | 217.486 | -0.000 | 68.867 | -0.000 |
| 137.385 | -119.512 | 61.718 | 61.410 | 62.171 | -4.799 |
| 137.768 | -136.882 | 65.572 | -0.000 | 122.114 | 0.000 |
| 154.555 | -124.924 | 27.771 | -6.749 | 64.267 | 39.604 |
| 263.064 | 23.290 | 63.796 | 0.000 | 12.925 | -0.000 |
| 33.045 | 209.022 | 72.751 | -0.000 | -21.132 | 0.000 |
| 55.542 | 87.126 | 153.258 | 0.000 | -0.688 | 0.000 |
| -12.118 | 10.531 | -5.453 | 64.726 | -5.478 | -6.223 |
| -12.702 | 0.380 | -0.622 | -0.000 | 52.368 | -0.000 |
| -0.001 | -0.003 | -0.004 | -17.138 | 0.002 | 53.296 |
| 221.283 | 32.630 | 80.124 | 0.000 | 16.450 | -0.000 |
| 62.264 | 185.002 | 79.005 | -0.000 | -8.147 | 0.000 |
| 83.522 | 67.623 | 158.541 | -0.000 | 9.376 | -0.000 |
| 12.118 | -10.531 | 5.453 | 64.726 | 5.478 | -6.223 |
| 20.582 | -26.875 | 5.028 | 0.000 | 64.617 | -0.000 |
| 0.001 | 0.003 | 0.004 | -17.138 | -0.002 | 53.296 |
| 247.231 | 44.060 | 36.433 | -0.000 | 0.000 | 0.000 |
| 89.895 | 224.965 | 99.911 | -0.000 | 0.000 | 0.000 |
| 36.429 | 60.087 | 178.805 | 0.000 | 0.000 | -0.000 |
| -58.664 | -16.090 | 86.289 | 64.386 | 0.000 | 0.000 |
| -0.000 | -0.000 | -0.000 | -0.000 | 73.395 | 0.000 |
| -0.000 | -0.000 | -0.000 | -0.000 | 0.000 | 83.894 |
| 187.320 | 108.990 | 20.160 | 0.000 | -0.000 | -0.000 |
| 44.059 | 300.971 | 60.090 | 0.000 | -0.000 | -0.000 |
| 36.429 | 60.087 | 178.805 | -0.000 | -0.000 | 0.000 |
| 58.664 | 16.090 | -86.289 | 64.386 | -0.000 | 0.000 |
| 0.000 | 0.000 | 0.000 | 0.000 | 73.395 | 0.000 |
| 0.000 | 0.000 | 0.000 | 0.000 | -0.000 | 83.894 |
| 201.950 | 70.049 | 40.809 | -0.000 | 0.000 | 0.000 |
| 68.313 | 275.993 | 64.338 | -0.000 | 0.000 | 0.000 |
| 40.258 | 62.489 | 158.969 | -0.000 | 0.000 | 0.000 |
| -0.000 | -0.003 | -0.001 | 84.086 | 0.000 | 0.000 |
| -0.892 | -0.561 | 1.473 | -0.000 | 55.459 | -0.000 |
| -0.000 | -0.002 | -0.000 | -0.000 | 0.000 | 83.894 |
| 210.799 | 70.513 | 36.816 | 0.000 | -0.000 | -0.000 |
| 69.162 | 277.548 | 61.846 | 0.000 | -0.000 | -0.000 |
| 42.844 | 64.114 | 151.608 | 0.000 | 0.000 | 0.000 |
| 0.000 | 0.003 | 0.001 | 84.086 | -0.000 | 0.000 |
| 0.892 | 0.561 | -1.473 | 0.000 | 55.459 | -0.000 |
| 0.000 | 0.002 | 0.000 | 0.000 | -0.000 | 83.894 |
| 207.345 | 70.238 | 38.689 | -0.000 | 0.000 | -0.000 |
| 44.041 | 300.833 | 60.063 | -0.000 | 0.000 | -0.000 |
| 36.429 | 60.081 | 178.803 | -0.000 | 0.000 | 0.000 |
| -0.003 | -0.026 | -0.006 | 84.086 | 0.000 | -0.000 |
| -0.086 | -0.058 | 0.140 | -0.000 | 56.300 | -0.000 |
| -0.003 | -0.018 | -0.003 | -0.000 | 0.000 | 83.894 |
| 247.231 | 44.063 | 36.434 | 0.000 | -0.000 | -0.000 |
| 68.061 | 277.721 | 62.883 | 0.000 | -0.000 | -0.000 |
| 41.433 | 63.231 | 155.823 | 0.000 | -0.000 | -0.000 |
| 0.003 | 0.026 | 0.006 | 84.086 | -0.000 | -0.000 |
| 0.086 | 0.058 | -0.140 | 0.000 | 56.300 | 0.000 |
| 0.003 | 0.018 | 0.003 | 0.000 | -0.000 | 83.894 |
| 186.743 | 48.993 | 29.759 | -0.000 | 0.000 | -0.000 |
| 35.191 | 115.524 | 34.315 | -0.000 | 0.000 | -0.000 |
| 32.777 | 30.682 | 170.739 | -0.000 | 0.000 | -0.000 |
| 0.000 | 0.000 | 0.000 | 54.549 | 0.000 | -0.000 |
| -0.000 | 0.000 | -0.000 | -0.000 | 70.696 | 0.000 |
| -17.318 | 3.989 | -6.987 | 0.000 | 0.000 | 52.393 |
| 243.465 | 25.135 | 33.217 | 0.000 | -0.000 | 0.000 |
| 24.623 | 147.567 | 30.610 | 0.000 | -0.000 | 0.000 |
| 49.272 | 45.647 | 152.954 | 0.000 | -0.000 | 0.000 |
| -0.000 | -0.000 | -0.000 | 54.549 | -0.000 | 0.000 |
| 0.000 | -0.000 | 0.000 | 0.000 | 70.696 | 0.000 |
| 17.318 | -3.989 | 6.987 | -0.000 | -0.000 | 52.393 |
| 243.465 | 25.135 | 33.217 | -0.000 | 0.000 | -0.000 |
| 24.624 | 147.571 | 30.611 | -0.000 | 0.000 | -0.000 |
| 37.002 | 42.685 | 149.840 | -0.000 | 0.000 | -0.000 |
| 0.000 | 0.001 | 0.000 | 54.549 | 0.000 | -0.000 |
| -0.716 | 0.157 | -0.841 | -0.000 | 51.278 | -0.000 |
| 0.000 | 0.000 | 0.000 | -0.000 | 0.000 | 64.987 |
| 205.616 | 42.447 | 38.608 | 0.000 | -0.000 | 0.000 |
| 24.623 | 147.564 | 30.610 | 0.000 | -0.000 | -0.000 |
| 38.468 | 42.708 | 150.874 | 0.000 | -0.000 | 0.000 |
| -0.000 | -0.001 | -0.000 | 54.549 | -0.000 | 0.000 |
| 0.716 | -0.157 | 0.841 | 0.000 | 51.278 | 0.000 |
| -0.000 | -0.000 | -0.000 | 0.000 | -0.000 | 64.987 |
| 243.465 | 25.135 | 33.217 | -0.000 | 0.000 | -0.000 |
| 24.628 | 147.603 | 30.617 | -0.000 | -0.000 | -0.000 |
| 37.641 | 42.668 | 150.347 | -0.000 | 0.000 | -0.000 |
| -0.086 | 0.040 | -0.102 | 16.540 | 0.000 | -0.000 |
| -0.000 | 0.001 | 0.000 | -0.000 | 70.696 | -0.000 |
| 0.000 | 0.004 | 0.001 | -0.000 | 0.000 | 64.987 |
| 204.225 | 42.945 | 38.045 | 0.000 | -0.000 | 0.000 |
| 24.619 | 147.531 | 30.603 | 0.000 | -0.000 | 0.000 |
| 38.882 | 43.578 | 141.682 | -0.000 | -0.000 | 0.000 |
| 0.086 | -0.040 | 0.102 | 16.540 | -0.000 | 0.000 |
| 0.000 | -0.001 | -0.000 | 0.000 | 70.696 | 0.000 |
| -0.000 | -0.004 | -0.001 | 0.000 | -0.000 | 64.987 |
| 131.392 | 83.501 | -42.122 | -237.210 | -139.442 | -70.365 |
| 58.977 | 207.400 | 46.650 | -60.887 | -14.779 | -26.132 |
| 94.828 | 118.702 | 159.252 | -35.272 | -26.977 | -22.984 |
| 12.965 | -4.743 | 24.468 | 65.052 | 2.829 | 0.574 |
| 34.048 | 77.298 | -84.567 | -167.968 | -3.669 | 5.780 |
| 55.564 | 74.998 | -70.058 | -162.523 | -35.018 | 49.947 |
| 210.054 | 32.288 | 177.211 | 267.627 | 44.380 | 47.844 |
| -3.634 | 71.287 | 137.980 | 154.812 | 25.253 | -9.999 |
| 127.687 | 61.324 | 260.393 | 242.027 | 97.555 | 74.496 |
| 60.842 | -3.025 | 132.004 | 272.861 | 105.857 | 70.306 |
| 43.616 | -12.421 | 104.814 | 248.970 | 148.307 | 71.335 |
| 4.150 | -1.489 | 4.481 | -0.478 | -15.711 | 53.017 |
| 168.073 | 54.536 | 78.522 | 12.789 | -18.765 | -2.272 |
| 55.764 | 170.397 | 43.990 | -22.265 | -7.682 | -3.675 |
| 79.405 | 70.434 | 162.541 | 6.903 | -12.371 | -0.071 |
| 20.583 | 13.152 | -4.485 | 20.475 | -4.509 | 2.283 |
| -5.280 | -6.630 | -7.772 | 2.829 | 58.440 | 2.026 |
| 4.030 | 2.063 | -6.710 | -26.109 | -27.462 | 29.280 |
| 159.303 | 48.364 | 94.489 | 40.517 | -12.817 | 8.389 |
| 44.185 | 146.596 | 70.185 | 16.898 | 8.331 | 4.599 |
| 75.085 | 56.083 | 169.836 | 19.865 | -8.193 | 5.516 |
| 12.965 | -4.743 | 24.468 | 65.052 | 2.829 | 0.574 |
| -4.115 | -3.212 | -9.097 | 4.487 | 41.580 | 1.083 |
| 2.218 | -8.289 | 6.995 | 6.643 | -11.483 | 49.370 |
| 159.839 | 49.839 | 83.138 | 16.764 | -21.693 | 1.984 |
| 42.718 | 153.682 | 54.811 | -13.110 | 1.012 | -1.191 |
| 79.033 | 63.448 | 135.797 | 3.388 | -12.857 | 1.019 |
| 17.707 | 2.476 | 7.809 | 35.386 | -1.027 | 0.703 |
| -14.106 | -1.948 | -8.076 | -2.744 | 25.132 | -6.184 |
| 5.897 | 0.368 | 3.030 | 0.232 | -12.417 | 40.084 |
| 156.641 | 49.756 | 84.602 | 19.636 | -21.770 | 2.634 |
| 42.491 | 149.814 | 59.463 | -5.614 | -0.247 | -0.386 |
| 80.882 | 63.105 | 136.129 | 6.284 | -7.919 | 3.242 |
| 16.235 | 1.070 | 4.864 | 37.161 | 0.539 | -0.104 |
| -13.292 | -2.656 | -7.137 | 1.215 | 27.052 | -5.642 |
| 8.391 | 0.877 | 4.660 | 2.349 | -13.897 | 38.795 |
| 246.998 | 90.583 | 105.068 | -0.000 | -0.000 | 0.000 |
| 86.418 | 241.659 | 100.169 | 0.000 | -0.000 | -0.000 |
| 105.068 | 105.068 | 415.669 | -0.000 | -0.000 | 0.000 |
| 0.086 | 0.086 | 0.089 | 64.799 | -0.000 | 0.000 |
| -0.000 | -0.000 | -0.000 | -0.000 | 77.287 | 0.000 |
| 0.054 | 0.054 | 0.056 | 0.000 | 0.000 | 75.858 |
| 241.637 | 86.395 | 100.145 | 0.000 | 0.000 | -0.000 |
| 86.395 | 241.637 | 100.145 | 0.000 | 0.000 | -0.000 |
| 100.560 | 100.560 | 411.020 | 0.000 | 0.000 | -0.000 |
| -0.086 | -0.086 | -0.089 | 64.799 | 0.000 | -0.000 |
| 0.000 | 0.000 | 0.000 | -0.000 | 77.287 | -0.000 |
| -0.054 | -0.054 | -0.056 | -0.000 | -0.000 | 75.858 |
| 240.021 | 88.911 | 100.609 | 0.000 | 0.000 | -0.000 |
| 90.585 | 247.000 | 105.070 | -0.000 | -0.000 | 0.000 |
| 100.575 | 100.575 | 411.035 | -0.000 | -0.000 | 0.000 |
| -0.000 | -0.000 | -0.000 | 77.287 | 0.000 | 0.000 |
| 0.009 | 0.009 | 0.009 | -0.000 | 64.798 | 0.000 |
| -0.013 | -0.013 | -0.013 | 0.000 | 0.000 | 75.220 |
| 246.995 | 90.581 | 105.066 | 0.000 | 0.000 | -0.000 |
| 86.403 | 241.645 | 100.154 | 0.000 | 0.000 | -0.000 |
| 100.570 | 100.570 | 411.031 | -0.000 | 0.000 | -0.000 |
| 0.000 | 0.000 | 0.000 | 77.287 | 0.000 | -0.000 |
| -0.009 | -0.009 | -0.009 | 0.000 | 64.798 | -0.000 |
| 0.013 | 0.013 | 0.013 | -0.000 | 0.000 | 75.220 |
| 241.670 | 86.425 | 100.174 | -0.000 | -0.000 | 0.000 |
| 86.425 | 241.669 | 100.174 | -0.000 | -0.000 | 0.000 |
| 105.085 | 105.085 | 415.677 | -0.000 | 0.000 | 0.000 |
| 0.001 | 0.001 | 0.001 | 64.798 | 0.000 | 0.000 |
| -0.000 | -0.000 | -0.001 | 0.000 | 77.287 | 0.000 |
| 0.000 | 0.001 | -0.000 | -0.000 | -0.000 | 78.207 |
| 246.974 | 90.563 | 105.050 | 0.000 | 0.000 | -0.000 |
| 86.387 | 241.627 | 100.140 | 0.000 | 0.000 | -0.000 |
| 100.557 | 100.557 | 411.027 | -0.000 | 0.000 | -0.000 |
| -0.001 | -0.001 | -0.001 | 64.798 | 0.000 | -0.000 |
| 0.000 | 0.000 | 0.001 | 0.000 | 77.287 | -0.000 |
| -0.000 | -0.001 | 0.000 | 0.000 | 0.000 | 78.207 |
| 311.353 | 86.326 | 91.407 | -0.000 | 0.000 | -0.000 |
| 215.199 | -187.282 | 673.134 | -0.000 | 0.000 | -0.000 |
| 90.945 | 57.295 | 210.475 | 0.000 | 0.000 | -0.000 |
| 107.637 | -342.201 | 595.235 | 37.917 | 0.000 | -0.000 |
| -0.000 | -0.000 | -0.000 | 0.000 | 103.441 | -0.000 |
| 42.925 | 55.979 | 252.811 | 0.000 | 0.000 | 71.973 |
| 1046.093 | -245.913 | -625.653 | -0.000 | 0.000 | 0.000 |
| 85.838 | 207.728 | 57.269 | -0.000 | -0.000 | 0.000 |
| 90.945 | 57.295 | 210.476 | -0.000 | -0.000 | 0.000 |
| -107.637 | 342.201 | -595.235 | 37.917 | 0.000 | -0.000 |
| 0.000 | 0.000 | 0.000 | -0.000 | 103.441 | 0.000 |
| -42.925 | -55.979 | -252.811 | -0.000 | -0.000 | 71.973 |
| 185.428 | 139.147 | 177.134 | 0.000 | 0.000 | -0.000 |
| 100.384 | 179.233 | 97.483 | 0.000 | 0.000 | -0.000 |
| 90.944 | 57.295 | 210.475 | 0.000 | -0.000 | -0.000 |
| 10.736 | -34.133 | 59.372 | 38.012 | 0.000 | -0.000 |
| 10.738 | -34.154 | 59.405 | -0.000 | 66.256 | -0.000 |
| 10.736 | -34.150 | 59.398 | 0.000 | -0.000 | 61.441 |
| 255.272 | 141.204 | 53.625 | 0.000 | 0.000 | 0.000 |
| 85.839 | 207.728 | 57.269 | -0.000 | 0.000 | 0.000 |
| 90.947 | 57.295 | 210.476 | -0.000 | -0.000 | 0.000 |
| -10.736 | 34.133 | -59.372 | 38.012 | 0.000 | 0.000 |
| -10.738 | 34.154 | -59.405 | -0.000 | 66.256 | 0.000 |
| -10.736 | 34.150 | -59.398 | -0.000 | 0.000 | 61.441 |
| 265.852 | 104.973 | 109.338 | 0.000 | 0.000 | -0.000 |
| 95.679 | 163.703 | 82.348 | -0.000 | 0.000 | -0.000 |
| 90.930 | 57.297 | 210.470 | 0.000 | -0.000 | -0.000 |
| 0.939 | -2.997 | 5.211 | 42.576 | 0.000 | -0.000 |
| -0.140 | 0.385 | 3.531 | 0.000 | 71.233 | -0.000 |
| -0.140 | 0.366 | 3.529 | 0.000 | 0.000 | 67.772 |
| 311.546 | 86.372 | 91.453 | -0.000 | -0.000 | 0.000 |
| 85.853 | 207.732 | 57.268 | -0.000 | -0.000 | 0.000 |
| 112.113 | 70.305 | 160.987 | -0.000 | -0.000 | 0.000 |
| -0.939 | 2.997 | -5.211 | 42.576 | -0.000 | 0.000 |
| 0.140 | -0.385 | -3.531 | 0.000 | 71.233 | 0.000 |
| 0.140 | -0.366 | -3.529 | -0.000 | -0.000 | 67.772 |
| 188.907 | 89.286 | 58.269 | -0.000 | 10.566 | -0.000 |
| -895.402 | -2019.476 | 2993.775 | -0.000 | -1215.984 | 0.000 |
| -912.170 | -2063.667 | 3012.401 | -0.000 | -1216.885 | -0.000 |
| -994.587 | -2145.954 | 2918.970 | 22.916 | -1217.819 | 0.931 |
| 6.136 | 2.205 | 0.667 | 0.000 | 66.716 | -0.000 |
| 592.227 | 1836.340 | 2613.888 | -3.238 | -1779.467 | 35.203 |
| -467.767 | -1746.188 | -2554.623 | -0.000 | 1778.710 | 0.000 |
| 1093.831 | 2271.672 | -2844.058 | 0.000 | 1219.627 | 0.000 |
| -527.657 | -1758.787 | -2497.734 | 0.000 | 1786.206 | 0.000 |
| 994.587 | 2145.954 | -2918.970 | 22.916 | 1217.819 | 0.931 |
| -1974.567 | -1757.540 | -3223.514 | 0.000 | 60.455 | 0.000 |
| -592.227 | -1836.340 | -2613.888 | -3.238 | 1779.467 | 35.203 |
| 300.023 | 272.807 | 408.444 | -0.000 | 4.045 | 0.000 |
| 154.732 | 317.921 | 339.189 | 0.000 | -176.736 | -0.000 |
| 57.840 | 67.670 | 154.109 | -0.000 | 0.667 | -0.000 |
| 0.000 | 0.000 | 0.000 | 64.824 | -0.000 | 4.251 |
| 68.903 | 193.541 | 264.375 | -0.000 | -140.359 | -0.000 |
| -99.302 | -214.257 | 291.436 | 0.913 | -121.590 | 30.489 |
| 76.858 | -82.649 | -196.770 | 0.000 | 182.484 | 0.000 |
| 109.385 | -94.788 | -252.286 | 0.000 | 34.707 | -0.000 |
| 84.736 | -123.906 | -236.970 | -0.000 | 32.501 | -0.000 |
| -0.000 | -0.000 | -0.000 | 64.824 | 0.000 | 4.251 |
| -198.593 | -191.278 | -313.031 | -0.000 | 30.693 | -0.000 |
| 99.302 | 214.257 | -291.436 | 0.913 | 121.590 | 30.489 |
| 125.477 | 76.979 | 99.513 | 0.000 | -7.040 | 0.000 |
| 102.157 | 143.574 | 106.928 | -0.000 | -17.128 | -0.000 |
| 57.844 | 67.677 | 154.114 | -0.000 | 0.665 | -0.000 |
| 0.000 | 0.000 | 0.000 | 64.824 | -0.000 | 4.251 |
| 6.137 | 2.206 | 0.667 | -0.000 | 66.716 | 0.000 |
| 5.455 | 15.602 | 27.481 | -2.711 | -17.049 | 33.034 |
| 117.814 | 64.136 | 44.662 | -0.000 | 12.942 | -0.000 |
| 95.923 | 91.722 | 53.521 | 0.000 | 5.392 | -0.000 |
| 56.121 | 67.059 | 68.963 | 0.000 | 3.992 | -0.000 |
| -0.000 | -0.000 | -0.000 | 64.824 | 0.000 | 4.251 |
| 8.188 | 16.981 | -24.074 | 0.000 | 25.502 | 0.000 |
| -5.455 | -15.602 | -27.481 | -2.711 | 17.049 | 33.034 |
| 1439.078 | 2066.810 | -4201.092 | 0.000 | -397.043 | 0.000 |
| 71.576 | 259.825 | 74.649 | 0.000 | -3.227 | 0.000 |
| -469.841 | 152.386 | -1001.409 | -0.000 | -374.895 | -0.000 |
| 1439.521 | 2856.397 | -4191.325 | 45.610 | -773.603 | -6.248 |
| 578.412 | 96.307 | -3210.158 | 0.000 | 491.653 | 0.000 |
| -564.306 | 57.309 | -1139.162 | -9.687 | -364.260 | 11.871 |
| -1268.084 | -1897.759 | 4375.515 | -0.000 | 411.137 | -0.000 |
| -488.366 | 67.847 | 3286.617 | -0.000 | -453.506 | -0.000 |
| 658.941 | 37.683 | 1277.698 | 0.000 | 353.690 | 0.000 |
| -1439.521 | -2856.397 | 4191.325 | 45.610 | 773.603 | -6.248 |
| -6.973 | -3.226 | -37.856 | -0.000 | 90.229 | 0.000 |
| 564.306 | -57.309 | 1139.162 | -9.687 | 364.260 | 11.871 |
| 151.064 | 100.535 | -235.927 | 0.000 | 46.577 | 0.000 |
| 104.830 | 274.041 | -334.538 | -0.000 | -37.973 | 0.000 |
| 38.654 | 100.904 | 24.059 | -0.000 | -46.553 | -0.000 |
| 57.610 | 10.735 | -319.870 | 43.785 | 44.059 | -3.339 |
| 26.985 | 92.533 | -422.184 | -0.000 | -4.165 | -0.000 |
| 57.894 | 10.724 | -319.754 | -3.317 | 44.249 | 21.130 |
| 36.656 | 78.473 | 402.455 | -0.000 | -41.923 | 0.000 |
| 32.977 | 164.276 | 402.931 | -0.000 | -54.994 | 0.000 |
| -46.103 | -106.304 | 569.432 | 0.000 | 38.304 | -0.000 |
| -57.610 | -10.735 | 319.870 | 43.785 | -44.059 | -3.339 |
| -26.695 | -87.083 | 401.346 | -0.000 | 73.646 | 0.000 |
| -57.894 | -10.724 | 319.754 | -3.317 | -44.249 | 21.130 |
| 103.820 | 88.276 | 81.172 | -0.000 | -3.311 | -0.000 |
| 71.580 | 259.759 | 74.651 | 0.000 | -3.225 | 0.000 |
| 86.338 | 83.844 | 125.198 | 0.000 | -9.708 | -0.000 |
| 3.179 | 7.782 | -40.222 | 45.576 | -2.689 | -6.444 |
| -7.055 | 0.203 | -25.524 | 0.000 | 30.597 | 0.000 |
| 0.002 | -0.001 | -0.001 | -4.078 | 0.001 | 61.356 |
| 92.932 | 72.914 | 120.465 | 0.000 | 5.491 | 0.000 |
| 93.818 | 188.420 | 101.914 | 0.000 | 3.348 | 0.000 |
| 74.655 | 68.641 | 191.100 | 0.000 | -4.548 | 0.000 |
| -3.179 | -7.782 | 40.222 | 45.576 | 2.689 | -6.444 |
| -2.913 | -9.596 | 15.994 | -0.000 | 40.319 | 0.000 |
| -0.002 | 0.001 | 0.001 | -4.078 | -0.001 | 61.356 |
| 216.571 | 57.365 | 57.365 | 0.000 | 0.000 | -0.000 |
| 57.365 | 216.571 | 57.365 | 0.000 | 0.000 | -0.000 |
| 57.365 | 57.365 | 216.571 | 0.000 | -0.000 | -0.000 |
| -0.000 | -0.000 | 0.000 | 69.284 | -0.000 | -0.000 |
| -0.000 | -0.000 | -0.000 | 0.000 | 69.284 | -0.000 |
| -0.000 | -0.000 | -0.000 | 0.000 | -0.000 | 69.284 |
| 181.307 | 74.596 | 74.596 | -0.000 | -0.000 | 0.000 |
| 74.596 | 181.307 | 74.596 | -0.000 | 0.000 | 0.000 |
| 74.596 | 74.596 | 181.307 | -0.000 | 0.000 | 0.000 |
| 0.000 | 0.000 | 0.000 | 69.284 | 0.000 | 0.000 |
| 0.000 | 0.000 | 0.000 | -0.000 | 69.284 | 0.000 |
| 0.000 | 0.000 | 0.000 | -0.000 | -0.000 | 69.284 |
| 181.876 | 72.739 | 72.739 | -0.000 | 0.000 | -0.000 |
| 72.739 | 181.876 | 72.739 | 0.000 | -0.000 | -0.000 |
| 72.739 | 72.739 | 181.876 | 0.000 | -0.000 | -0.000 |
| -0.180 | -0.180 | -0.180 | 42.573 | -0.000 | -0.000 |
| -0.180 | -0.180 | -0.180 | 0.000 | 42.573 | -0.000 |
| -0.180 | -0.180 | -0.180 | 0.000 | -0.000 | 42.573 |
| 216.572 | 57.365 | 57.365 | -0.000 | -0.000 | 0.000 |
| 57.365 | 216.572 | 57.365 | -0.000 | 0.000 | 0.000 |
| 57.365 | 57.365 | 216.572 | -0.000 | 0.000 | 0.000 |
| 0.180 | 0.180 | 0.180 | 42.573 | -0.000 | 0.000 |
| 0.180 | 0.180 | 0.180 | -0.000 | 42.573 | 0.000 |
| 0.180 | 0.180 | 0.180 | -0.000 | 0.000 | 42.573 |
| 182.095 | 72.706 | 72.706 | -0.000 | -0.000 | -0.000 |
| 72.706 | 182.095 | 72.706 | 0.000 | -0.000 | -0.000 |
| 72.706 | 72.706 | 182.095 | 0.000 | 0.000 | -0.000 |
| -0.000 | -0.000 | -0.000 | 69.284 | -0.000 | -0.000 |
| -0.000 | -0.000 | -0.000 | 0.000 | 69.284 | -0.000 |
| -0.000 | -0.000 | -0.000 | 0.000 | -0.000 | 69.284 |
| 216.574 | 57.366 | 57.366 | -0.000 | -0.000 | 0.000 |
| 57.366 | 216.574 | 57.366 | -0.000 | 0.000 | 0.000 |
| 57.366 | 57.366 | 216.574 | 0.000 | 0.000 | 0.000 |
| 0.000 | 0.000 | 0.000 | 69.284 | -0.000 | 0.000 |
| 0.000 | 0.000 | 0.000 | -0.000 | 69.284 | 0.000 |
| 0.000 | 0.000 | 0.000 | -0.000 | 0.000 | 69.284 |
| 429.871 | 318.941 | 318.941 | -0.000 | -0.000 | 0.000 |
| 318.941 | 429.871 | 318.941 | -0.000 | 0.000 | 0.000 |
| 318.941 | 318.941 | 429.871 | 0.000 | 0.000 | -0.000 |
| -0.000 | 0.000 | -0.000 | 69.331 | -0.000 | -0.000 |
| -0.000 | 0.000 | -0.000 | -0.000 | 69.331 | -0.000 |
| -0.000 | 0.000 | -0.000 | -0.000 | -0.000 | 69.331 |
| -64.036 | -174.971 | -174.971 | -0.000 | -0.000 | -0.000 |
| -174.971 | -64.036 | -174.971 | 0.000 | -0.000 | -0.000 |
| -174.971 | -174.971 | -64.036 | 0.000 | -0.000 | 0.000 |
| 0.000 | -0.000 | 0.000 | 69.331 | -0.000 | 0.000 |
| 0.000 | -0.000 | 0.000 | 0.000 | 69.331 | 0.000 |
| 0.000 | -0.000 | 0.000 | 0.000 | 0.000 | 69.331 |
| 135.222 | 67.983 | 67.983 | -0.000 | 0.000 | 0.000 |
| 67.983 | 135.222 | 67.983 | -0.000 | 0.000 | 0.000 |
| 67.983 | 67.983 | 135.222 | -0.000 | 0.000 | -0.000 |
| 22.495 | 22.495 | 22.495 | 40.285 | -0.000 | -0.000 |
| 22.495 | 22.495 | 22.495 | -0.000 | 40.285 | -0.000 |
| 22.495 | 22.495 | 22.495 | -0.000 | -0.000 | 40.285 |
| 168.574 | 103.517 | 103.517 | 0.000 | -0.000 | -0.000 |
| 103.517 | 168.574 | 103.517 | 0.000 | -0.000 | -0.000 |
| 103.517 | 103.517 | 168.574 | 0.000 | -0.000 | 0.000 |
| -22.495 | -22.495 | -22.495 | 40.285 | 0.000 | 0.000 |
| -22.495 | -22.495 | -22.495 | 0.000 | 40.285 | 0.000 |
| -22.495 | -22.495 | -22.495 | 0.000 | 0.000 | 40.285 |
| 217.071 | 57.611 | 57.611 | 0.000 | -0.000 | -0.000 |
| 57.611 | 217.071 | 57.611 | -0.000 | 0.000 | -0.000 |
| 57.611 | 57.611 | 217.071 | -0.000 | -0.000 | -0.000 |
| -0.000 | -0.000 | -0.000 | 69.331 | -0.000 | -0.000 |
| -0.000 | -0.000 | -0.000 | -0.000 | 69.331 | -0.000 |
| -0.000 | -0.000 | -0.000 | -0.000 | -0.000 | 69.331 |
| 177.995 | 70.287 | 70.287 | 0.000 | -0.000 | -0.000 |
| 70.287 | 177.995 | 70.287 | 0.000 | -0.000 | -0.000 |
| 70.287 | 70.287 | 177.995 | -0.000 | -0.000 | 0.000 |
| 0.000 | 0.000 | 0.000 | 69.331 | 0.000 | 0.000 |
| 0.000 | 0.000 | 0.000 | 0.000 | 69.331 | 0.000 |
| 0.000 | 0.000 | 0.000 | 0.000 | 0.000 | 69.331 |
| 360.180 | 304.427 | 304.426 | 0.000 | 0.000 | 0.000 |
| 304.426 | 360.180 | 304.427 | 0.000 | 0.000 | 0.000 |
| 304.427 | 304.426 | 360.180 | 0.000 | 0.000 | 0.000 |
| 235.749 | 235.749 | 235.749 | 26.907 | 0.000 | 0.000 |
| 235.749 | 235.749 | 235.749 | 0.000 | 26.907 | 0.000 |
| 235.749 | 235.749 | 235.749 | 0.000 | 0.000 | 26.907 |
| 44.260 | 16.521 | 16.521 | 0.000 | 0.000 | 0.000 |
| 16.521 | 44.260 | 16.522 | 0.000 | 0.000 | 0.000 |
| 16.522 | 16.521 | 44.260 | 0.000 | 0.000 | 0.000 |
| -235.749 | -235.749 | -235.749 | 26.907 | -0.000 | -0.000 |
| -235.749 | -235.749 | -235.749 | -0.000 | 26.907 | -0.000 |
| -235.749 | -235.749 | -235.749 | -0.000 | -0.000 | 26.907 |
| 184.308 | 56.696 | 56.696 | 0.000 | -0.000 | -0.000 |
| 56.696 | 184.308 | 56.696 | 0.000 | -0.000 | 0.000 |
| 56.696 | 56.696 | 184.308 | 0.000 | -0.000 | -0.000 |
| -0.000 | -0.000 | -0.000 | 59.627 | -0.000 | -0.000 |
| -0.000 | -0.000 | -0.000 | 0.000 | 59.627 | 0.000 |
| -0.000 | -0.000 | -0.000 | 0.000 | 0.000 | 59.627 |
| 106.031 | 76.112 | 76.112 | 0.000 | 0.000 | 0.000 |
| 76.112 | 106.031 | 76.112 | 0.000 | 0.000 | 0.000 |
| 76.112 | 76.112 | 106.031 | 0.000 | 0.000 | 0.000 |
| 0.000 | 0.000 | 0.000 | 59.627 | 0.000 | 0.000 |
| 0.000 | 0.000 | 0.000 | -0.000 | 59.627 | 0.000 |
| 0.000 | 0.000 | 0.000 | -0.000 | 0.000 | 59.627 |
| 131.256 | 73.659 | 73.661 | -0.000 | -0.000 | -0.000 |
| 73.661 | 131.256 | 73.659 | -0.000 | 0.000 | -0.000 |
| 73.659 | 73.661 | 131.256 | -0.000 | -0.000 | -0.000 |
| 0.454 | 0.449 | 0.452 | 30.243 | -0.000 | -0.000 |
| 0.452 | 0.454 | 0.449 | -0.000 | 30.243 | -0.000 |
| 0.449 | 0.452 | 0.454 | -0.000 | -0.000 | 30.243 |
| 184.319 | 56.694 | 56.692 | 0.000 | 0.000 | 0.000 |
| 56.692 | 184.319 | 56.694 | -0.000 | 0.000 | 0.000 |
| 56.694 | 56.692 | 184.319 | -0.000 | 0.000 | 0.000 |
| -0.454 | -0.449 | -0.452 | 30.243 | 0.000 | 0.000 |
| -0.452 | -0.454 | -0.449 | 0.000 | 30.243 | 0.000 |
| -0.449 | -0.452 | -0.454 | 0.000 | 0.000 | 30.243 |
| 178.616 | 52.304 | 52.304 | -0.000 | -0.000 | -0.000 |
| 52.304 | 178.616 | 52.304 | -0.000 | -0.000 | 0.000 |
| 52.304 | 52.304 | 178.616 | -0.000 | -0.000 | -0.000 |
| -0.000 | -0.000 | -0.000 | 59.229 | 0.000 | 0.000 |
| 543.442 | 543.174 | 543.396 | -0.025 | 23.289 | 0.026 |
| -0.000 | -0.000 | -0.000 | -0.000 | -0.000 | 59.229 |
| -45.233 | -117.619 | -117.513 | -0.012 | -0.002 | 0.012 |
| -117.492 | -45.358 | -117.514 | -0.012 | -0.002 | 0.012 |
| -117.493 | -117.618 | -45.254 | -0.012 | -0.002 | 0.012 |
| -543.079 | -542.811 | -543.033 | 23.329 | 0.004 | -0.026 |
| -543.078 | -542.811 | -543.033 | 0.025 | 23.308 | -0.026 |
| 0.000 | 0.000 | 0.000 | 0.000 | -0.000 | 59.229 |
| 178.616 | 52.304 | 52.304 | -0.000 | -0.000 | -0.000 |
| 52.304 | 178.616 | 52.304 | -0.000 | -0.000 | -0.000 |
| 52.304 | 52.304 | 178.616 | -0.000 | -0.000 | -0.000 |
| 64.186 | 64.184 | 64.186 | 26.163 | -0.000 | 0.000 |
| 64.186 | 64.184 | 64.186 | -0.000 | 26.164 | 0.000 |
| 64.186 | 64.184 | 64.186 | -0.000 | -0.000 | 26.164 |
| 99.902 | 63.735 | 63.721 | 0.002 | 0.000 | -0.002 |
| 63.718 | 99.917 | 63.721 | 0.002 | 0.000 | -0.002 |
| 63.718 | 63.735 | 99.904 | 0.002 | 0.000 | -0.002 |
| -64.186 | -64.184 | -64.186 | 26.164 | 0.000 | -0.000 |
| -64.186 | -64.184 | -64.186 | 0.000 | 26.164 | -0.000 |
| -64.186 | -64.184 | -64.186 | 0.000 | 0.000 | 26.163 |
| 131.186 | 71.076 | 71.078 | -0.000 | -0.000 | 0.000 |
| 71.077 | 131.186 | 71.077 | -0.000 | -0.000 | 0.000 |
| 71.077 | 71.077 | 131.186 | -0.000 | -0.000 | 0.000 |
| -0.001 | -0.002 | -0.002 | 59.229 | 0.000 | 0.000 |
| -0.002 | -0.001 | -0.002 | -0.000 | 59.229 | 0.000 |
| -0.002 | -0.002 | -0.001 | -0.000 | -0.000 | 59.229 |
| 121.748 | 67.289 | 67.288 | 0.000 | 0.000 | -0.000 |
| 67.287 | 121.749 | 67.288 | 0.000 | 0.000 | -0.000 |
| 67.289 | 67.288 | 121.749 | 0.000 | 0.000 | -0.000 |
| 0.001 | 0.002 | 0.002 | 59.229 | 0.000 | 0.000 |
| 0.002 | 0.001 | 0.002 | 0.000 | 59.229 | 0.000 |
| 0.002 | 0.002 | 0.001 | 0.000 | -0.000 | 59.229 |
| 171.929 | 49.775 | 75.360 | 1.401 | -0.000 | -0.000 |
| 49.775 | 171.929 | 75.360 | -1.401 | -0.000 | -0.000 |
| 75.498 | 75.498 | 212.290 | 0.000 | -0.000 | -0.000 |
| 1.401 | -1.401 | 0.000 | 77.091 | -0.000 | -0.000 |
| 74.848 | 74.848 | -174.804 | 0.000 | 19.068 | -2.195 |
| -0.000 | 0.000 | -0.000 | 0.000 | 1.401 | 61.077 |
| 2.189 | 1.526 | 284.411 | -2.169 | 0.000 | 0.000 |
| 49.775 | 171.929 | 75.360 | -1.401 | 0.000 | 0.000 |
| 75.498 | 75.498 | 212.289 | -0.000 | 0.000 | -0.000 |
| 1.401 | -1.401 | -0.000 | 77.091 | 0.000 | 0.000 |
| -74.848 | -74.848 | 174.804 | -0.000 | 19.068 | -2.195 |
| 0.000 | -0.000 | -0.000 | 0.000 | 1.401 | 61.077 |
| 102.788 | 76.083 | 89.629 | -1.404 | -0.000 | -0.000 |
| 49.775 | 171.929 | 75.360 | -1.401 | -0.000 | -0.000 |
| 75.498 | 75.498 | 212.292 | -0.000 | -0.000 | 0.000 |
| 1.401 | -1.401 | 0.000 | 77.091 | -0.000 | -0.000 |
| 0.000 | 0.000 | 0.000 | 0.000 | 77.091 | 1.401 |
| 5.989 | 5.989 | -13.986 | 0.000 | -1.476 | 12.119 |
| 93.606 | 63.956 | 115.616 | -1.317 | 0.000 | -0.000 |
| 49.775 | 171.929 | 75.360 | -1.401 | 0.000 | 0.000 |
| 100.586 | 100.586 | 166.556 | -0.000 | 0.000 | 0.000 |
| 1.401 | -1.401 | -0.000 | 77.091 | 0.000 | -0.000 |
| -0.000 | -0.000 | -0.000 | -0.000 | 77.091 | 1.401 |
| -5.989 | -5.989 | 13.986 | -0.000 | -1.476 | 12.119 |
| 120.583 | 64.305 | 93.677 | -0.535 | -0.000 | -0.000 |
| 64.305 | 120.583 | 93.677 | 0.535 | -0.000 | -0.000 |
| 100.169 | 100.169 | 152.976 | -0.000 | 0.000 | -0.000 |
| 1.401 | -1.400 | 0.003 | 77.091 | -0.000 | -0.000 |
| 0.000 | 0.000 | 0.003 | 0.001 | 77.091 | 1.401 |
| -0.000 | -0.000 | 0.000 | 0.000 | 1.401 | 61.077 |
| 171.931 | 49.776 | 75.359 | 1.401 | 0.000 | 0.000 |
| 49.776 | 171.931 | 75.359 | -1.401 | 0.000 | 0.000 |
| 75.495 | 75.495 | 212.270 | -0.000 | 0.000 | -0.000 |
| 1.401 | -1.401 | -0.003 | 77.092 | 0.000 | 0.000 |
| -0.000 | -0.000 | -0.003 | -0.001 | 77.091 | 1.401 |
| 0.000 | 0.000 | -0.000 | -0.000 | 1.401 | 61.077 |
| 43.971 | -4.096 | 259.124 | 2.738 | 0.000 | -0.000 |
| 50.509 | 173.467 | 72.525 | 0.506 | 0.000 | -0.000 |
| 72.527 | 72.527 | 193.990 | 0.000 | 0.000 | 0.000 |
| -131.842 | -117.317 | -2.791 | 41.607 | 0.000 | -0.000 |
| -124.579 | -124.579 | -2.791 | -0.000 | 41.607 | -7.263 |
| -35.942 | -35.942 | -12.584 | -0.000 | 1.986 | 9.855 |
| 129.270 | 109.344 | 115.502 | 1.981 | -0.000 | -0.000 |
| 109.344 | 129.270 | 115.502 | -1.981 | -0.000 | 0.000 |
| 219.656 | 219.656 | 147.147 | 0.000 | -0.000 | -0.000 |
| 37.930 | 33.957 | 12.585 | 22.478 | -0.000 | -0.000 |
| 124.579 | 124.579 | 2.791 | 0.000 | 41.607 | -7.263 |
| 35.942 | 35.942 | 12.584 | 0.000 | 1.986 | 9.855 |
| 107.572 | 45.309 | 94.408 | -6.810 | 0.000 | 0.000 |
| 45.309 | 107.572 | 94.408 | 6.810 | 0.000 | 0.000 |
| 72.527 | 72.527 | 193.990 | -0.000 | 0.000 | 0.000 |
| -0.506 | 0.506 | -0.000 | 73.786 | 0.000 | 0.000 |
| -3.469 | -3.469 | -1.215 | -0.000 | 24.261 | 1.900 |
| -0.000 | -0.000 | -0.000 | 0.000 | -0.506 | 61.479 |
| 173.467 | 50.510 | 72.526 | -0.506 | -0.000 | 0.000 |
| 50.510 | 173.467 | 72.526 | 0.506 | -0.000 | -0.000 |
| 105.780 | 105.780 | 137.028 | 0.000 | -0.000 | 0.000 |
| -0.506 | 0.506 | 0.000 | 73.786 | -0.000 | -0.000 |
| 3.469 | 3.469 | 1.215 | 0.000 | 24.261 | 1.900 |
| 0.000 | 0.000 | 0.000 | -0.000 | -0.506 | 61.479 |
| 120.181 | 65.487 | 92.594 | 1.142 | 0.000 | 0.000 |
| 50.507 | 173.464 | 72.523 | 0.505 | 0.000 | 0.000 |
| 94.551 | 94.551 | 150.295 | -0.000 | 0.000 | -0.000 |
| 0.884 | -1.353 | -0.082 | 40.354 | 0.000 | 0.000 |
| -0.001 | -0.000 | -0.000 | 0.000 | 73.786 | -0.506 |
| -0.000 | -0.000 | -0.000 | 0.000 | -0.506 | 61.479 |
| 118.621 | 61.384 | 94.978 | -4.348 | -0.000 | 0.000 |
| 50.512 | 173.470 | 72.527 | 0.506 | -0.000 | 0.000 |
| 95.229 | 95.229 | 138.145 | 0.000 | -0.000 | -0.000 |
| -2.355 | 4.405 | -0.575 | 39.628 | -0.000 | -0.000 |
| 0.001 | 0.000 | 0.000 | -0.000 | 73.786 | -0.506 |
| 0.000 | 0.000 | 0.000 | -0.000 | -0.506 | 61.479 |
| -2336.711 | -2375.706 | -293.992 | -0.000 | 0.000 | 0.000 |
| -1761.912 | -1681.882 | -2147.834 | -0.000 | -0.000 | 0.000 |
| -2387.944 | -2387.944 | -274.703 | -0.000 | -0.000 | 0.000 |
| -2464.008 | -2464.008 | -374.702 | 14.755 | 0.000 | 0.000 |
| 0.000 | -0.000 | 0.000 | -0.000 | 64.595 | 0.000 |
| -0.000 | -0.000 | 0.000 | -0.000 | -0.000 | 68.218 |
| 2591.171 | 2552.367 | 455.467 | -0.000 | -0.000 | -0.000 |
| 2550.310 | 2589.194 | 455.135 | -0.000 | -0.000 | -0.000 |
| 2537.890 | 2537.890 | 474.738 | -0.000 | 0.000 | -0.000 |
| 2464.008 | 2464.008 | 374.702 | 14.755 | 0.000 | 0.000 |
| -0.000 | 0.000 | -0.000 | 0.000 | 64.595 | -0.000 |
| 0.000 | 0.000 | -0.000 | -0.000 | 0.000 | 68.218 |
| -118.066 | -158.053 | 43.006 | -0.000 | -0.000 | 0.000 |
| 57.415 | 193.851 | 52.323 | 0.000 | -0.000 | 0.000 |
| -116.473 | -116.473 | -91.692 | -0.000 | -0.000 | 0.000 |
| -245.976 | -245.976 | -37.406 | 14.841 | -0.000 | -0.000 |
| 0.000 | 0.000 | 0.000 | -0.000 | 64.595 | 0.000 |
| -245.862 | -245.862 | -37.388 | -0.000 | 0.000 | 19.556 |
| 334.030 | 253.700 | 288.894 | -0.000 | -0.000 | -0.000 |
| 253.700 | 334.030 | 288.894 | -0.000 | 0.000 | -0.000 |
| 250.959 | 250.959 | 350.100 | 0.000 | -0.000 | -0.000 |
| 245.976 | 245.976 | 37.406 | 14.841 | 0.000 | -0.000 |
| -0.000 | -0.000 | -0.000 | 0.000 | 64.595 | 0.000 |
| 245.862 | 245.862 | 37.388 | -0.000 | 0.000 | 19.556 |
| 114.466 | 60.692 | 72.920 | -0.000 | -0.000 | -0.000 |
| 53.459 | 130.153 | 46.707 | 0.000 | -0.000 | 0.000 |
| 52.403 | 52.403 | 180.442 | -0.000 | 0.000 | 0.000 |
| 0.000 | 0.001 | 0.001 | 64.595 | -0.000 | -0.000 |
| 0.001 | 0.000 | 0.001 | 0.000 | 64.595 | 0.000 |
| -18.819 | -18.819 | -21.676 | -0.000 | -0.000 | 38.821 |
| 152.530 | 106.878 | 81.913 | -0.000 | 0.000 | -0.000 |
| 106.878 | 152.530 | 81.913 | 0.000 | 0.000 | -0.000 |
| 86.518 | 86.518 | 147.842 | 0.000 | 0.000 | -0.000 |
| -0.000 | -0.001 | -0.001 | 64.595 | 0.000 | -0.000 |
| -0.001 | -0.000 | -0.001 | -0.000 | 64.595 | -0.000 |
| 18.819 | 18.819 | 21.676 | 0.000 | 0.000 | 38.821 |
| -4217.361 | -4303.492 | -4080.717 | 0.000 | -0.000 | -0.000 |
| -2776.647 | -2775.424 | -4175.648 | 0.000 | -0.000 | -0.000 |
| 52.499 | 52.499 | 212.700 | 0.000 | 0.000 | -0.000 |
| -3511.220 | -3511.220 | -4078.617 | 35.803 | -0.000 | -0.000 |
| -2871.758 | -2871.758 | -4261.963 | 0.000 | -3.700 | -0.000 |
| -2871.760 | -2871.760 | -4261.966 | -0.000 | -0.000 | 0.621 |
| 3750.387 | 3678.670 | 3406.855 | -0.000 | 0.000 | 0.000 |
| 56.190 | 192.911 | 52.508 | -0.000 | 0.000 | 0.000 |
| 3671.692 | 3671.692 | 3497.484 | 0.000 | -0.000 | 0.000 |
| 3511.220 | 3511.220 | 4078.617 | 35.803 | 0.000 | 0.000 |
| 2871.758 | 2871.758 | 4261.963 | 0.000 | -3.700 | -0.000 |
| 2871.760 | 2871.760 | 4261.966 | -0.000 | 0.000 | 0.621 |
| -284.031 | -370.852 | -354.350 | 0.000 | -0.000 | -0.000 |
| 56.190 | 192.911 | 52.508 | 0.000 | -0.000 | -0.000 |
| -198.440 | -198.440 | -320.211 | -0.000 | -0.000 | -0.000 |
| -437.049 | -437.049 | -414.390 | 42.275 | -0.000 | -0.000 |
| 0.000 | 0.000 | 0.000 | 0.000 | 65.287 | 0.000 |
| 0.000 | 0.000 | 0.000 | -0.000 | -0.000 | 68.360 |
| 588.774 | 503.830 | 474.931 | 0.000 | 0.000 | 0.000 |
| 503.830 | 588.774 | 474.931 | -0.000 | 0.000 | 0.000 |
| 375.451 | 375.451 | 529.613 | 0.000 | 0.000 | 0.000 |
| 437.049 | 437.049 | 414.390 | 42.275 | 0.000 | 0.000 |
| -0.000 | -0.000 | -0.000 | -0.000 | 65.287 | 0.000 |
| 437.095 | 437.095 | 414.326 | 0.000 | 0.000 | 42.969 |
| 111.758 | 35.844 | 22.828 | -0.000 | -0.000 | -0.000 |
| 65.648 | 81.186 | 45.118 | 0.000 | -0.000 | -0.000 |
| 57.318 | 57.318 | 82.168 | 0.000 | -0.000 | -0.000 |
| -25.817 | -25.817 | -38.313 | 3.267 | -0.000 | -0.000 |
| -25.810 | -25.811 | -38.303 | -0.000 | 3.283 | 0.000 |
| -43.726 | -43.726 | -42.002 | 0.000 | -0.000 | 41.124 |
| 189.384 | 113.221 | 104.547 | -0.000 | 0.000 | 0.000 |
| 114.771 | 134.795 | 118.819 | -0.000 | 0.000 | 0.000 |
| 52.498 | 52.498 | 212.799 | 0.000 | 0.000 | 0.000 |
| 25.817 | 25.817 | 38.313 | 3.267 | 0.000 | 0.000 |
| 25.810 | 25.811 | 38.303 | -0.000 | 3.283 | 0.000 |
| 43.726 | 43.726 | 42.002 | 0.000 | 0.000 | 41.124 |
| 201.620 | 65.081 | 67.515 | -0.000 | -0.000 | -0.000 |
| 65.081 | 201.620 | 67.515 | -0.000 | -0.000 | -0.000 |
| 67.514 | 67.514 | 229.036 | -0.000 | -0.000 | -0.000 |
| -1966.731 | -1966.731 | 1074.631 | 33.182 | -0.000 | -0.000 |
| -1966.731 | -1966.731 | 1074.631 | 0.000 | 33.182 | -0.000 |
| -1965.971 | -1965.971 | 1074.216 | 0.000 | -0.000 | 35.712 |
| 2113.323 | 2057.309 | -998.558 | -0.000 | 0.000 | 0.000 |
| 2057.309 | 2113.323 | -998.558 | -0.000 | 0.000 | 0.000 |
| 67.514 | 67.514 | 229.038 | 0.000 | 0.000 | 0.000 |
| 1966.731 | 1966.731 | -1074.631 | 33.182 | 0.000 | 0.000 |
| 1966.731 | 1966.731 | -1074.631 | -0.000 | 33.182 | 0.000 |
| 1965.971 | 1965.971 | -1074.216 | -0.000 | 0.000 | 35.712 |
| -48.447 | -107.444 | 183.441 | 0.000 | -0.000 | -0.000 |
| -107.444 | -48.447 | 183.441 | 0.000 | -0.000 | -0.000 |
| 67.514 | 67.514 | 229.030 | -0.000 | -0.000 | -0.000 |
| 0.000 | -0.000 | -0.001 | 73.610 | -0.000 | -0.000 |
| -0.000 | 0.000 | -0.001 | -0.000 | 73.610 | -0.000 |
| -220.376 | -220.376 | -122.597 | 0.000 | -0.000 | 1.648 |
| 201.619 | 65.081 | 67.515 | 0.000 | 0.000 | -0.000 |
| 65.081 | 201.619 | 67.515 | 0.000 | 0.000 | 0.000 |
| 265.767 | 265.767 | 81.327 | -0.000 | 0.000 | 0.000 |
| -0.000 | 0.000 | 0.001 | 73.610 | 0.000 | 0.000 |
| 0.000 | -0.000 | 0.001 | 0.000 | 73.610 | 0.000 |
| 220.376 | 220.376 | 122.597 | -0.000 | 0.000 | 1.648 |
| 131.444 | 63.796 | 87.463 | 0.000 | -0.000 | -0.000 |
| 63.796 | 131.444 | 87.463 | 0.000 | -0.000 | -0.000 |
| 67.509 | 67.509 | 228.971 | 0.000 | -0.000 | 0.000 |
| -18.443 | -18.443 | 10.071 | 35.700 | -0.000 | -0.000 |
| -18.443 | -18.443 | 10.071 | 0.000 | 35.700 | -0.000 |
| -15.782 | -15.782 | -11.152 | 0.000 | -0.000 | 17.384 |
| 139.884 | 117.265 | 80.693 | -0.000 | 0.000 | 0.000 |
| 117.265 | 139.884 | 80.693 | -0.000 | 0.000 | 0.000 |
| 90.206 | 90.206 | 168.733 | -0.000 | 0.000 | 0.000 |
| 18.443 | 18.443 | -10.071 | 35.700 | 0.000 | -0.000 |
| 18.443 | 18.443 | -10.071 | -0.000 | 35.700 | 0.000 |
| 15.782 | 15.782 | 11.152 | -0.000 | 0.000 | 17.384 |
| 196.404 | 59.501 | 68.182 | -0.000 | 0.000 | 0.000 |
| 59.501 | 196.404 | 68.182 | -0.000 | 0.000 | -0.000 |
| 69.454 | 69.454 | 210.383 | -0.000 | 0.000 | 0.000 |
| -348.225 | -348.225 | 620.749 | 57.391 | 0.000 | 0.000 |
| -348.225 | -348.225 | 620.749 | 0.000 | 57.391 | -0.000 |
| -36.001 | -36.001 | 436.145 | -0.000 | 0.000 | 30.237 |
| 510.853 | 419.468 | -544.661 | 0.000 | 0.000 | -0.000 |
| 419.468 | 510.853 | -544.661 | 0.000 | 0.000 | -0.000 |
| 122.493 | 122.493 | -300.017 | 0.000 | -0.000 | -0.000 |
| 348.225 | 348.225 | -620.749 | 57.391 | -0.000 | 0.000 |
| 348.225 | 348.225 | -620.749 | -0.000 | 57.391 | 0.000 |
| 36.001 | 36.001 | -436.145 | 0.000 | -0.000 | 30.237 |
| 111.719 | 87.208 | 126.268 | -0.000 | -0.000 | 0.000 |
| 87.208 | 111.719 | 126.268 | -0.000 | 0.000 | 0.000 |
| 83.717 | 83.717 | 174.434 | 0.000 | -0.000 | -0.000 |
| -70.088 | -70.087 | -94.185 | 35.894 | 0.000 | -0.000 |
| -70.087 | -70.088 | -94.185 | -0.000 | 35.894 | -0.000 |
| 0.000 | 0.000 | 0.000 | -0.000 | 0.000 | 67.219 |
| 196.400 | 59.501 | 68.181 | 0.000 | -0.000 | -0.000 |
| 59.501 | 196.400 | 68.181 | 0.000 | 0.000 | -0.000 |
| 113.322 | 113.322 | 118.586 | -0.000 | 0.000 | 0.000 |
| 70.088 | 70.087 | 94.185 | 35.894 | -0.000 | -0.000 |
| 70.087 | 70.088 | 94.185 | 0.000 | 35.894 | -0.000 |
| -0.000 | -0.000 | -0.000 | 0.000 | -0.000 | 67.219 |
| 133.274 | 81.719 | 83.606 | -0.000 | 0.000 | 0.000 |
| 81.719 | 133.274 | 83.606 | -0.000 | 0.000 | 0.000 |
| 69.455 | 69.455 | 210.434 | -0.000 | 0.000 | 0.000 |
| -0.615 | -0.609 | 3.646 | 44.176 | 0.000 | -0.000 |
| -0.609 | -0.615 | 3.646 | -0.000 | 44.176 | -0.000 |
| 0.004 | 0.004 | 0.002 | -0.000 | 0.000 | 67.219 |
| 147.577 | 80.966 | 74.423 | 0.000 | 0.000 | -0.000 |
| 80.966 | 147.577 | 74.423 | 0.000 | -0.000 | 0.000 |
| 69.454 | 69.454 | 210.331 | 0.000 | 0.000 | 0.000 |
| 0.615 | 0.609 | -3.646 | 44.176 | -0.000 | -0.000 |
| 0.609 | 0.615 | -3.646 | 0.000 | 44.176 | 0.000 |
| -0.004 | -0.004 | -0.002 | 0.000 | -0.000 | 67.219 |
| -2900.858 | 174.315 | 2759.487 | -0.000 | -0.000 | 0.000 |
| -2598.370 | 769.834 | 2426.048 | 0.000 | 0.000 | 0.000 |
| -2688.949 | -129.277 | 1719.393 | -0.000 | 0.000 | -0.000 |
| -2682.569 | 556.111 | 2367.148 | 21.684 | -0.000 | 0.000 |
| -2682.587 | 556.114 | 2367.164 | 0.000 | 18.717 | 0.000 |
| -2682.593 | 556.115 | 2367.169 | 0.000 | -0.000 | 32.894 |
| 3099.036 | -21.093 | -2639.306 | 0.000 | 0.000 | -0.000 |
| 69.667 | 281.136 | 51.934 | 0.000 | 0.000 | 0.000 |
| 60.741 | 51.935 | 164.999 | 0.000 | -0.000 | 0.000 |
| 2682.569 | -556.111 | -2367.148 | 21.684 | 0.000 | -0.000 |
| 2682.587 | -556.114 | -2367.164 | -0.000 | 18.717 | 0.000 |
| 2682.593 | -556.115 | -2367.169 | -0.000 | 0.000 | 32.894 |
| 177.330 | 69.668 | 60.741 | -0.000 | -0.000 | -0.000 |
| -183.625 | 268.552 | 295.446 | 0.000 | -0.000 | -0.000 |
| 60.741 | 51.935 | 164.999 | -0.000 | -0.000 | -0.000 |
| -299.881 | 9.788 | 269.828 | 30.162 | -0.000 | 0.000 |
| -267.622 | 55.479 | 236.154 | 0.000 | 18.822 | 0.000 |
| -275.602 | -18.157 | 161.890 | -0.000 | -0.000 | 37.355 |
| 177.333 | 69.670 | 60.743 | -0.000 | 0.000 | 0.000 |
| 374.424 | 172.607 | -216.709 | -0.000 | 0.000 | 0.000 |
| 60.742 | 51.935 | 164.999 | 0.000 | -0.000 | 0.000 |
| 299.881 | -9.788 | -269.828 | 30.162 | -0.000 | 0.000 |
| 267.622 | -55.479 | -236.154 | -0.000 | 18.822 | 0.000 |
| 275.602 | 18.157 | -161.890 | 0.000 | 0.000 | 37.355 |
| 87.495 | 89.030 | 90.820 | 0.000 | -0.000 | 0.000 |
| 60.707 | 217.846 | 79.872 | 0.000 | -0.000 | 0.000 |
| 49.031 | 59.875 | 122.599 | 0.000 | -0.000 | 0.000 |
| -0.000 | -0.000 | -0.000 | 70.709 | -0.000 | -0.000 |
| -23.353 | 4.840 | 20.607 | 0.000 | 24.478 | 0.000 |
| -0.002 | -0.013 | 0.000 | -0.000 | -0.000 | 74.281 |
| 177.346 | 69.677 | 60.751 | 0.000 | -0.000 | 0.000 |
| 101.716 | 190.689 | 28.069 | 0.000 | -0.000 | -0.000 |
| 90.198 | 51.364 | 83.528 | -0.000 | 0.000 | -0.000 |
| 0.000 | 0.000 | 0.000 | 70.709 | 0.000 | 0.000 |
| 23.353 | -4.840 | -20.607 | -0.000 | 24.478 | 0.000 |
| 0.002 | 0.013 | -0.000 | 0.000 | -0.000 | 74.281 |
| -2680.845 | 372.508 | -1514.035 | -0.000 | -0.000 | -0.000 |
| 54.216 | 172.479 | 48.982 | 0.000 | -0.000 | 0.000 |
| 55.120 | 49.496 | 165.294 | -0.000 | 0.000 | -0.000 |
| -4328.735 | 194.418 | -892.389 | 41.145 | -0.000 | -0.000 |
| 0.000 | 0.000 | -0.000 | -0.000 | 61.274 | -0.000 |
| -4328.952 | 194.439 | -892.515 | 0.000 | -0.000 | 34.413 |
| 165.761 | 54.733 | 55.123 | -0.000 | 0.000 | -0.000 |
| 54.216 | 172.479 | 48.982 | 0.000 | 0.000 | 0.000 |
| 55.120 | 49.496 | 165.294 | 0.000 | 0.000 | -0.000 |
| 4328.735 | -194.418 | 892.389 | 41.145 | 0.000 | -0.000 |
| -0.000 | -0.000 | 0.000 | 0.000 | 61.274 | 0.000 |
| 4328.952 | -194.439 | 892.515 | -0.000 | 0.000 | 34.413 |
| 165.761 | 54.733 | 55.123 | 0.000 | -0.000 | 0.000 |
| 54.216 | 172.480 | 48.982 | -0.000 | 0.000 | 0.000 |
| -185.618 | 104.865 | -102.143 | 0.000 | 0.000 | 0.000 |
| -270.310 | 26.594 | -157.712 | -4.068 | -0.000 | 0.000 |
| -270.701 | 26.633 | -157.940 | -0.000 | -5.394 | -0.000 |
| -270.707 | 26.633 | -157.943 | 0.000 | -0.000 | -1.225 |
| 509.903 | 59.004 | 166.952 | 0.000 | 0.000 | -0.000 |
| 54.216 | 172.479 | 48.981 | 0.000 | 0.000 | 0.000 |
| 55.120 | 49.496 | 165.294 | 0.000 | 0.000 | -0.000 |
| 270.310 | -26.594 | 157.712 | -4.068 | 0.000 | 0.000 |
| 270.701 | -26.633 | 157.940 | 0.000 | -5.394 | -0.000 |
| 270.707 | -26.633 | 157.943 | -0.000 | 0.000 | -1.225 |
| 56.526 | 94.052 | 60.846 | -0.000 | -0.000 | 0.000 |
| 29.282 | 126.724 | 48.371 | 0.000 | -0.000 | 0.000 |
| 55.120 | 49.496 | 165.293 | -0.000 | -0.000 | 0.000 |
| 0.000 | -0.000 | -0.000 | 70.549 | -0.000 | 0.000 |
| 0.000 | 0.000 | 0.000 | -0.000 | 61.274 | 0.000 |
| -19.550 | 1.923 | -11.406 | 0.000 | -0.000 | 16.147 |
| 138.124 | 77.388 | 68.830 | 0.000 | -0.000 | -0.000 |
| 54.215 | 172.479 | 48.981 | -0.000 | 0.000 | -0.000 |
| 89.006 | 68.075 | 97.245 | 0.000 | 0.000 | -0.000 |
| -0.000 | 0.000 | 0.000 | 70.549 | 0.000 | 0.000 |
| -0.000 | -0.000 | -0.000 | 0.000 | 61.274 | 0.000 |
| 19.550 | -1.923 | 11.406 | 0.000 | 0.000 | 16.147 |
| -113922.391 | -13046.937 | -194416.639 | -50663.494 | -149099.094 | -38854.379 |
| -114099.524 | -12865.539 | -194385.433 | -50695.378 | -149078.317 | -38824.142 |
| -114100.514 | -13026.791 | -194236.111 | -50680.835 | -149073.138 | -38827.658 |
| -114240.540 | -13215.378 | -194546.320 | -50572.753 | -149069.303 | -38831.397 |
| -114250.774 | -13201.284 | -194536.600 | -50668.269 | -148993.160 | -38829.952 |
| -114248.464 | -13202.764 | -194539.107 | -50673.259 | -149088.458 | -38747.389 |
| 335.451 | 160.448 | 150.111 | 11.617 | -12.996 | -32.753 |
| 159.265 | 341.928 | 182.876 | -19.860 | 8.981 | -2.208 |
| 144.424 | 174.503 | 308.135 | -9.134 | 1.861 | 2.561 |
| 13.430 | -2.949 | 1.193 | 121.503 | 22.529 | 7.077 |
| 114245.953 | 13200.668 | 194566.598 | 50672.910 | 149163.040 | 38828.255 |
| -3.369 | -0.098 | 2.221 | 3.742 | -10.546 | 87.436 |
| 328.230 | 152.249 | 143.376 | 0.191 | -22.237 | -31.379 |
| 151.972 | 333.881 | 176.215 | -31.331 | -0.242 | -0.828 |
| -11279.143 | -1144.688 | -19146.722 | -5072.796 | -14902.859 | -3877.441 |
| 3.041 | -12.199 | -9.134 | 106.202 | 7.990 | 5.179 |
| -7.641 | -0.068 | 1.902 | 7.267 | 82.708 | 5.884 |
| -4.161 | -2.012 | 1.820 | 2.142 | -10.909 | 89.111 |
| 329.467 | 153.258 | 144.740 | 2.130 | -20.243 | -30.843 |
| 11576.701 | 1653.936 | 19631.036 | 5036.005 | 14907.624 | 3882.304 |
| 11571.614 | 1496.624 | 19765.229 | 5061.924 | 14913.359 | 3886.643 |
| 3.495 | -11.849 | -8.664 | 106.837 | 8.658 | 5.354 |
| 11419.785 | 1324.032 | 19458.693 | 5079.388 | 14993.538 | 3887.445 |
| 11421.511 | 1320.073 | 19457.295 | 5071.080 | 14897.456 | 3970.572 |
| 324.958 | 150.759 | 143.368 | -0.359 | -21.609 | -28.969 |
| -990.377 | 201.923 | -1769.033 | -538.130 | -1490.969 | -389.187 |
| -996.324 | 42.838 | -1635.812 | -513.746 | -1485.968 | -383.744 |
| 3.316 | -12.320 | -8.710 | 105.966 | 8.572 | 5.929 |
| -6.237 | 1.136 | 3.213 | 9.351 | 84.276 | 6.079 |
| -3.273 | -0.133 | 2.353 | 3.825 | -10.344 | 87.566 |
| 1467.483 | 287.376 | 2090.345 | 511.242 | 1471.444 | 356.051 |
| 152.059 | 333.847 | 176.261 | -31.078 | -0.052 | -0.757 |
| 148.876 | 179.408 | 303.293 | 1.345 | 6.970 | -0.845 |
| 1147.222 | 122.588 | 1937.738 | 613.794 | 1500.362 | 392.365 |
| 1139.896 | 139.620 | 1950.320 | 522.922 | 1573.775 | 388.636 |
| 1139.254 | 132.089 | 1947.776 | 510.815 | 1480.498 | 475.742 |
| 355.336 | 169.818 | 63.542 | 27.015 | -54.180 | -51.717 |
| 236.848 | 334.808 | 63.764 | 12.629 | -54.614 | -35.419 |
| 182.055 | 182.630 | 258.863 | 30.700 | -41.271 | -21.564 |
| -23616.911 | -30875.360 | 5887.877 | -21033.971 | -6894.215 | 7401.042 |
| 45.904 | 38.812 | -93.010 | 32.707 | 44.618 | -7.761 |
| 681.912 | 130459.817 | 206550.399 | 164226.997 | 10633.857 | 8581.831 |
| 243.792 | 100.894 | 222.866 | -34.884 | 28.898 | -33.037 |
| 84.908 | 259.025 | 237.479 | -58.503 | 44.148 | -6.410 |
| 48.625 | 105.219 | 436.650 | -39.491 | 53.932 | 1.835 |
| -1.039 | -5.968 | -0.504 | 99.864 | -1.739 | -1.076 |
| -609.264 | -130466.591 | -206570.710 | -164214.855 | -10589.439 | -8513.948 |
| -66.993 | -48.148 | 67.708 | -31.146 | 23.430 | 103.057 |
| -2520.579 | -3006.950 | 725.116 | -2098.329 | -663.535 | 770.254 |
| 204.302 | 13344.159 | 20803.256 | 16397.870 | 1065.737 | 835.636 |
| 130.818 | 150.752 | 332.826 | 2.086 | -2.929 | -13.062 |
| 4.980 | -2.892 | -7.443 | 102.320 | -5.723 | -2.165 |
| 2.369 | 1.905 | -6.135 | 0.960 | 85.262 | -2.468 |
| -0.677 | -8.827 | -22.761 | 4.419 | -24.477 | 91.300 |
| 288.627 | 136.658 | 138.934 | -3.895 | -11.146 | -38.930 |
| 22116.573 | 1851.459 | 465.243 | 664.423 | -2598.338 | -5866.120 |
| 119.573 | 142.895 | 350.570 | -4.794 | 6.176 | -11.289 |
| -8.211 | -10.763 | 10.725 | 95.110 | 3.862 | 0.112 |
| -11.596 | -5.274 | 10.230 | -5.702 | 94.358 | 0.179 |
| -72.123 | -13059.951 | -20670.077 | -16421.347 | -1086.183 | -757.355 |
| 299.681 | 1445.285 | 2195.153 | 1641.645 | 91.156 | 45.534 |
| 135.614 | 298.592 | 146.254 | -24.638 | 0.076 | -13.414 |
| 134.039 | 1451.600 | 2406.129 | 1641.211 | 107.616 | 72.334 |
| -0.528 | -6.407 | 0.664 | 99.397 | -1.511 | -1.292 |
| -151.026 | -67.432 | 50.900 | -61.124 | 39.959 | 53.510 |
| -10.165 | 1289.949 | 2053.426 | 1640.797 | 89.201 | 180.353 |
| 298.036 | 144.165 | 127.641 | 2.784 | -15.442 | -41.875 |
| 231.904 | 267.461 | 103.449 | 29.966 | 2.240 | -37.468 |
| 126.184 | 146.577 | 340.298 | -1.280 | 1.851 | -12.256 |
| -4.569 | -1310.098 | -2065.200 | -1543.615 | -108.283 | -86.872 |
| -11.257 | -1305.868 | -2064.914 | -1644.276 | -17.910 | -85.887 |
| -11.617 | -13.400 | -12.951 | -0.021 | -18.416 | 94.284 |
| -49674524.825 | -54445096.198 | -56536246.434 | -1187855.130 | -10178072.086 | -2687350.346 |
| -48737875.670 | -52477381.752 | -54801005.227 | -1610074.038 | -10733633.311 | -2525820.717 |
| -50723628.463 | -52555922.230 | -54585723.083 | -123797.256 | -11179649.043 | -2180347.050 |
| -49749580.777 | -54207727.452 | -54806639.571 | -1447378.225 | -10763811.467 | -2016325.942 |
| -48570405.447 | -54032084.841 | -54211156.858 | -2622376.020 | -10335478.159 | -2143795.249 |
| -49449696.191 | -52115448.247 | -53353188.409 | 10490.358 | -9899199.034 | -1657934.903 |
| 49288874.214 | 53187581.720 | 54017097.718 | 1711139.047 | 10767686.185 | 2177226.178 |
| 49217816.302 | 52087600.574 | 54443769.172 | 669458.144 | 10937856.567 | 2758855.239 |
| 48345956.463 | 54172176.208 | 55216128.636 | 1660540.196 | 9939697.333 | 3213563.154 |
| 50242100.974 | 55669095.167 | 54163548.906 | 1154633.284 | 10630262.978 | 1077540.670 |
| 49510921.364 | 52670515.118 | 54215262.530 | 857243.529 | 10821939.289 | 3130174.786 |
| 48412190.232 | 52276362.977 | 53182494.571 | 833065.528 | 9490884.688 | 2390443.626 |
| -4946970.804 | -5373506.161 | -5357623.680 | -165333.003 | -909906.552 | -238296.961 |
| -4869359.165 | -5249128.360 | -5365524.041 | 7112.283 | -958778.930 | -193503.683 |
| -4794378.371 | -5195730.938 | -5215834.765 | -40179.369 | -1031172.974 | -286096.335 |
| -4947820.218 | -5342842.972 | -5521177.741 | -188791.416 | -1113408.456 | -144218.957 |
| -4781573.103 | -5307673.925 | -5295174.446 | -106560.240 | -912401.346 | -260380.145 |
| -5101470.653 | -5457210.415 | -5593093.441 | -166696.976 | -969946.779 | -176919.055 |
| 4883205.467 | 5276209.110 | 5473870.055 | 135890.638 | 942553.760 | 203901.640 |
| 4808918.047 | 5166666.053 | 5203412.153 | 5375.548 | 970398.249 | 206071.561 |
| 4897827.536 | 5272416.982 | 5504902.015 | 39416.661 | 1012162.699 | 239816.228 |
| 4902727.999 | 5483079.751 | 5476619.914 | 89165.166 | 945247.867 | 271485.968 |
| 4814841.730 | 5296744.792 | 5385017.277 | 61719.728 | 960307.238 | 333267.486 |
| 4696347.562 | 5346811.155 | 5328531.464 | 129196.215 | 1067372.270 | 180522.296 |
| -479341.702 | -537602.795 | -560505.438 | -21829.271 | -105225.587 | -20937.833 |
| -472608.311 | -538826.850 | -530595.615 | -27435.925 | -96706.138 | -24494.014 |
| -474477.508 | -530935.295 | -541162.693 | -10686.028 | -99161.527 | -28918.020 |
| -478671.594 | -544134.494 | -541668.405 | -11232.501 | -104707.275 | -12216.456 |
| -479276.994 | -525423.340 | -537802.875 | -14534.796 | -96057.499 | -37699.553 |
| -467413.438 | -532836.811 | -540460.196 | -28108.197 | -100485.330 | -20723.733 |
| 479790.286 | 542664.001 | 524415.940 | 28400.945 | 104112.981 | 15447.886 |
| 482433.680 | 539571.894 | 547647.617 | 18216.627 | 104133.434 | 27464.290 |
| 495002.114 | 534127.726 | 537805.740 | 14901.225 | 103646.178 | 24785.408 |
| 479938.197 | 536190.874 | 536347.738 | 21871.108 | 112040.003 | 15708.852 |
| 475143.574 | 525112.747 | 531603.136 | 2397.209 | 108792.071 | 25636.185 |
| 501919.273 | 558371.306 | 564401.486 | 16993.725 | 106579.482 | 21453.721 |
| -310.601 | -9.965 | 373.671 | 37.500 | 89.162 | -31.596 |
| 106.267 | 266.835 | 103.320 | -4.735 | -12.280 | 2.189 |
| -394.508 | -3.048 | 460.164 | 22.619 | 82.150 | -34.755 |
| -493.368 | -118.819 | 259.224 | 78.639 | 83.360 | -38.845 |
| -174.358 | -162.912 | -124.897 | 758.608 | 332.831 | -88.558 |
| -991.610 | -72.277 | 371.463 | 803.992 | 610.212 | -23.490 |
| 1339.821 | 1307.439 | 800.645 | -800.971 | -635.923 | 568.905 |
| 1247.875 | 1440.870 | 800.200 | -816.363 | -662.545 | 562.748 |
| 582.851 | 192.123 | -98.158 | -37.271 | -72.265 | 31.901 |
| -1.783 | -21.428 | -21.221 | 92.542 | 14.396 | -7.157 |
| -31.134 | -14.877 | -7.616 | 14.396 | 88.285 | -3.207 |
| 1144.712 | 1221.299 | 702.813 | -812.946 | -642.478 | 619.807 |
| 67.371 | 87.804 | 132.913 | 75.394 | 65.110 | 7.146 |
| 106.267 | 266.834 | 103.321 | -4.736 | -12.280 | 2.187 |
| 2.640 | -20.977 | 162.930 | 72.457 | 62.805 | -50.017 |
| -40.692 | -14.273 | 19.675 | 41.264 | 5.254 | -1.132 |
| -32.222 | -49.315 | 68.684 | 93.543 | 61.071 | 3.048 |
| 15.442 | 0.797 | 15.280 | -4.560 | 12.716 | 79.975 |
| 304.582 | 103.136 | 116.382 | 1.162 | -8.829 | 28.655 |
| 142.659 | 174.941 | 68.098 | -4.218 | -9.582 | -0.345 |
| 194.892 | 86.681 | 153.535 | -91.137 | -57.750 | 12.930 |
| 55.314 | 6.202 | -34.159 | 33.092 | -10.701 | 5.960 |
| 10.162 | 12.725 | 16.532 | -71.698 | 7.005 | 10.080 |
| 109.650 | 14.366 | -26.840 | -83.445 | -54.935 | 52.894 |
| 200.369 | 101.336 | 110.882 | -1.482 | 3.962 | 11.436 |
| 86.498 | 158.918 | 85.008 | 6.704 | 0.346 | 1.048 |
| 101.359 | 91.336 | 203.472 | -8.390 | 2.683 | 5.578 |
| -3.242 | -11.202 | -12.413 | 49.219 | 6.799 | -1.484 |
| -10.964 | -11.467 | -3.065 | 6.110 | 51.821 | -1.356 |
| 15.442 | 0.795 | 15.281 | -4.563 | 12.716 | 79.968 |
| 175.972 | 95.882 | 95.497 | -11.889 | 1.216 | 13.159 |
| 102.621 | 180.621 | 87.473 | -8.145 | -8.191 | 1.846 |
| 116.588 | 107.138 | 299.762 | -21.209 | -7.603 | 16.652 |
| -1.206 | -11.678 | -13.526 | 40.391 | 3.621 | -1.477 |
| 4.751 | -6.050 | -2.989 | 0.545 | 34.446 | -0.175 |
| 7.784 | 4.632 | -2.977 | -8.777 | 3.226 | 37.512 |
| -2556.032 | -1815.604 | 2515.403 | 1027.807 | -624.271 | 1143.772 |
| -2018.838 | -1250.979 | 2358.567 | 835.540 | -516.422 | 1650.942 |
| 127.389 | 127.377 | 316.085 | -0.213 | 4.145 | 6.490 |
| -232.813 | 1103.501 | -8.472 | 974.029 | -205.154 | -483.772 |
| -541.996 | -282.327 | 60.345 | 539.015 | -439.707 | 373.625 |
| 12.483 | 2.179 | 8.109 | 0.114 | 30.417 | 81.839 |
| 314.012 | 121.971 | 126.682 | 5.444 | 29.284 | 24.094 |
| 362.142 | -855.599 | 137.818 | -890.576 | 206.278 | 488.635 |
| 2240.324 | 1497.085 | -2058.091 | -843.882 | 498.209 | -1597.135 |
| 1070.848 | -25.308 | -903.008 | -658.158 | -61.266 | -613.097 |
| 530.922 | 271.230 | -65.454 | -542.866 | 501.893 | -364.768 |
| 1066.530 | -26.714 | -899.375 | -714.793 | -45.727 | -561.397 |
| -90.086 | -68.290 | 355.769 | 109.331 | -54.568 | 131.119 |
| -151.341 | -22.147 | 344.857 | 114.424 | -60.569 | 128.653 |
| 127.388 | 127.376 | 316.084 | -0.214 | 4.143 | 6.489 |
| -407.533 | -281.313 | 273.789 | 196.783 | -40.259 | 174.690 |
| -59.703 | -29.920 | 3.774 | 54.804 | -16.070 | 39.887 |
| -205.292 | -127.132 | 230.030 | 83.348 | -37.482 | 189.975 |
| 314.009 | 121.971 | 126.682 | 5.444 | 29.284 | 24.093 |
| 549.355 | 563.254 | -195.865 | -126.331 | 36.253 | -169.345 |
| 473.909 | 392.795 | -24.887 | -128.527 | 22.674 | -163.310 |
| 417.230 | 273.311 | -276.002 | -102.558 | 51.394 | -168.866 |
| 207.217 | 139.880 | -235.074 | -77.774 | 90.594 | -160.597 |
| 30.513 | -105.693 | 8.677 | -90.495 | 40.165 | 95.964 |
| 160.645 | 106.479 | 135.876 | 17.076 | 2.844 | 28.713 |
| 95.748 | 169.606 | 124.493 | 23.999 | -3.629 | 26.179 |
| 103.637 | 105.757 | 219.403 | 3.775 | -6.807 | 5.606 |
| -14.741 | -8.710 | 17.274 | 48.818 | -0.726 | 14.180 |
| -48.123 | -32.455 | 21.548 | 19.488 | 41.244 | 20.789 |
| -23.870 | -11.755 | 26.685 | 12.043 | 12.714 | 49.609 |
| 227.502 | 144.412 | 91.911 | -4.595 | 9.834 | 2.288 |
| 121.780 | 206.345 | 95.613 | 11.019 | 0.890 | 3.589 |
| 131.638 | 127.666 | 177.186 | -10.035 | -4.146 | -7.634 |
| 40.272 | 31.513 | -28.753 | 33.897 | 7.571 | -17.311 |
| 22.146 | 19.026 | -31.078 | -7.023 | 48.697 | -7.307 |
| 36.742 | 33.784 | -19.767 | -9.961 | 23.445 | 19.438 |
| 326.611 | 151.027 | -61.041 | -472.420 | -105.916 | 125.304 |
| 231.730 | 244.027 | -54.929 | -475.832 | -87.704 | 137.674 |
| 92.865 | 111.954 | 260.570 | 5.072 | 6.394 | 2.039 |
| -38.057 | -451.346 | -273.900 | -238.653 | -77.868 | 48.196 |
| -29.109 | -446.406 | -263.390 | -283.993 | -30.921 | 44.102 |
| -39.064 | -450.219 | -270.314 | -276.929 | -87.565 | 86.802 |
| -21.900 | 28.347 | 446.119 | 568.674 | 227.377 | -90.516 |
| 144.783 | 665.863 | 378.954 | 272.540 | 81.324 | -42.157 |
| 140.327 | 97.306 | 117.235 | 200.915 | 27.721 | 24.166 |
| -2.168 | 3.904 | 5.071 | 84.611 | 1.450 | 9.786 |
| 39.836 | 454.958 | 276.560 | 281.782 | 122.285 | -40.684 |
| -5.625 | -4.315 | 0.147 | 9.455 | -19.960 | 74.481 |
| 265.619 | 106.788 | 90.553 | -4.395 | -10.999 | -23.633 |
| 112.883 | 160.981 | 54.743 | -54.450 | -14.488 | 12.627 |
| 92.865 | 111.954 | 260.572 | 5.073 | 6.394 | 2.039 |
| -2.168 | 3.905 | 5.072 | 84.612 | 1.450 | 9.786 |
| 5.272 | 12.318 | 6.394 | 1.450 | 71.547 | -0.201 |
| -8.008 | -44.248 | -27.157 | -22.161 | -18.464 | 48.377 |
| 159.679 | 51.211 | 102.501 | 61.462 | 40.304 | -39.970 |
| 103.438 | 163.833 | 96.083 | 14.693 | 6.129 | 2.793 |
| 81.882 | 66.749 | 163.052 | 47.192 | 42.228 | -21.434 |
| -2.168 | 3.904 | 5.071 | 84.611 | 1.450 | 9.786 |
| 8.793 | 49.023 | 33.435 | 27.004 | 53.065 | -2.490 |
| -1.174 | 45.334 | 26.599 | 34.250 | -3.462 | 40.781 |
| 191.518 | 101.841 | 101.106 | -1.513 | -6.635 | -12.964 |
| 109.640 | 222.451 | 104.947 | -15.984 | 4.733 | 0.245 |
| 102.139 | 103.649 | 204.246 | -5.320 | 5.611 | 2.300 |
| 5.323 | 9.632 | 0.687 | 26.627 | -4.023 | 5.156 |
| 5.006 | 0.730 | 3.849 | -3.635 | 48.082 | 1.900 |
| -2.444 | -0.984 | -0.035 | 2.553 | -9.711 | 40.324 |
| 189.803 | 99.857 | 99.580 | 1.102 | -6.436 | -12.072 |
| 110.321 | 220.009 | 109.449 | -10.260 | 5.165 | -0.019 |
| 103.977 | 110.827 | 201.910 | -1.506 | 6.911 | 1.559 |
| -2.168 | 3.901 | 5.065 | 84.605 | 1.451 | 9.786 |
| 3.697 | 5.563 | 4.608 | 1.178 | 41.950 | 2.199 |
| -4.384 | 4.359 | 2.443 | 9.284 | -11.383 | 48.073 |
| 238291.695 | 120567.248 | 160651.219 | 139074.307 | -195518.979 | -169374.041 |
| 87.300 | 247.504 | 86.131 | -23.335 | -3.312 | 3.701 |
| 107.592 | 90.962 | 285.903 | 4.615 | -0.565 | -8.930 |
| -0.478 | -1.859 | 0.456 | 73.406 | -6.090 | -3.951 |
| -16.958 | -4.596 | -5.962 | -14.815 | 82.972 | 5.754 |
| 7.629 | 3.302 | -8.821 | -3.171 | -11.495 | 80.619 |
| -237780.819 | -120387.755 | -160428.737 | -139061.433 | 195457.698 | 169316.946 |
| -237943.669 | -120230.454 | -160447.744 | -139083.881 | 195482.159 | 169347.316 |
| 107.592 | 90.962 | 285.904 | 4.615 | -0.566 | -8.930 |
| 2.620 | -2.913 | 4.615 | 78.762 | -7.340 | -4.599 |
| -9.198 | -6.845 | 3.232 | -2.226 | 80.481 | 3.546 |
| 7.629 | 3.302 | -8.821 | -3.171 | -11.495 | 80.619 |
| 257.800 | 90.642 | 113.450 | 8.337 | -32.777 | -29.912 |
| 23894.451 | 12294.198 | 16144.763 | 13889.351 | -19553.648 | -16931.663 |
| 108.112 | 90.693 | 286.870 | 5.701 | -0.923 | -8.897 |
| 23806.714 | 12044.611 | 16059.347 | 13986.456 | -19556.380 | -16939.186 |
| -13.283 | -5.544 | -1.971 | -9.093 | 81.971 | 4.535 |
| 23810.914 | 12051.301 | 16044.616 | 13902.849 | -19560.257 | -16853.969 |
| 258.129 | 90.730 | 113.293 | 8.569 | -32.561 | -30.323 |
| -23710.550 | -11800.573 | -15961.433 | -13922.418 | 19542.359 | 16936.048 |
| -23695.547 | -11957.066 | -15767.595 | -13901.223 | 19548.254 | 16925.549 |
| 3.339 | -3.138 | 5.521 | 79.942 | -7.596 | -4.779 |
| -23814.775 | -12052.722 | -16054.093 | -13913.946 | 19629.284 | 16937.880 |
| 7.369 | 3.437 | -9.315 | -3.714 | -11.316 | 80.598 |
| 256.670 | 90.546 | 113.677 | 8.226 | -32.655 | -29.509 |
| 90.512 | 246.124 | 90.616 | -17.670 | -4.663 | 3.106 |
| 2488.280 | 1295.444 | 1891.710 | 1396.160 | -1955.691 | -1702.190 |
| 3.013 | -3.130 | 5.385 | 79.544 | -7.611 | -4.564 |
| -13.049 | -5.584 | -1.678 | -8.712 | 81.683 | 4.473 |
| 2387.476 | 1208.264 | 1595.884 | 1386.614 | -1966.158 | -1612.905 |
| 257.287 | 90.677 | 113.455 | 8.544 | -32.447 | -30.079 |
| -2289.698 | -958.617 | -1514.800 | -1408.232 | 1950.270 | 1696.431 |
| -2272.062 | -1113.975 | -1319.052 | -1384.939 | 1954.011 | 1684.396 |
| 3.153 | -3.111 | 5.409 | 79.624 | -7.577 | -4.685 |
| -12.790 | -5.518 | -1.767 | -8.541 | 81.726 | 4.197 |
| 7.213 | 3.519 | -9.601 | -4.033 | -11.208 | 80.520 |
| 359.126 | 40.084 | 96.536 | 51.607 | -21.811 | 32.068 |
| 143.451 | 239.091 | 142.302 | 23.993 | -0.037 | 40.663 |
| 111.362 | 100.034 | 279.274 | 7.815 | -2.078 | -7.266 |
| 114.520 | -79.538 | 52.142 | 201.577 | -30.028 | 83.344 |
| 57.446 | -47.216 | -18.120 | 45.773 | 84.701 | 31.489 |
| 67.249 | -68.677 | 56.944 | 74.109 | -40.879 | 141.616 |
| 290524.527 | 10510.290 | 47592.888 | -22270.462 | 117461.218 | -54882.823 |
| -3338.823 | -237055.402 | -620.141 | 12134.388 | -1430.534 | 28468.695 |
| 38.016 | 153.701 | 295.092 | -46.976 | 1.726 | -46.240 |
| 290304.529 | 10398.252 | 47540.006 | -22123.757 | 117458.626 | -54812.456 |
| 290296.446 | 10394.550 | 47528.375 | -22222.418 | 117555.047 | -54817.708 |
| -64.232 | 34.631 | 9.032 | -52.112 | -14.502 | 52.864 |
| 296.729 | 85.692 | 110.143 | 5.074 | -18.539 | -1.055 |
| 95.250 | 243.137 | 98.269 | -3.432 | 7.384 | -16.473 |
| 453.466 | 23830.167 | 349.929 | -1206.809 | 141.586 | -2856.142 |
| -3.320 | 5.382 | 7.815 | 94.761 | -9.031 | 1.552 |
| -15.886 | 6.482 | -2.078 | -9.032 | 88.635 | -7.540 |
| 9.046 | -19.057 | -7.012 | 2.661 | -18.371 | 91.946 |
| 282.404 | 94.099 | 104.282 | -6.083 | -15.836 | -10.813 |
| 74.861 | 252.157 | 93.160 | -18.859 | 9.230 | -30.721 |
| -243.430 | -23622.700 | 210.964 | 1214.241 | -146.173 | 2836.266 |
| 29026.678 | 1044.875 | 4761.019 | -2127.405 | 11737.568 | -5479.923 |
| -356.489 | -23726.179 | -74.595 | 1206.875 | -55.921 | 2842.633 |
| -6.217 | -10.019 | -8.951 | -8.632 | -16.677 | 80.428 |
| 324.661 | 2460.321 | 117.201 | -119.796 | -3.572 | -288.149 |
| -2812.696 | 143.744 | -378.085 | 212.180 | -1166.015 | 530.086 |
| 325.895 | 2686.651 | 369.618 | -133.556 | 175.752 | -131.380 |
| 31.224 | 2378.460 | 15.033 | -27.446 | 5.487 | -283.345 |
| 233.539 | 2612.168 | 249.563 | -178.292 | 246.727 | -153.027 |
| 9.076 | -17.381 | -4.997 | 2.150 | -17.680 | 90.771 |
| 293.542 | 87.972 | 108.823 | 2.278 | -17.825 | -3.032 |
| 60.401 | -2133.967 | 88.298 | 116.621 | -6.696 | 267.935 |
| 113.832 | 98.258 | 276.184 | 9.225 | -1.956 | -6.101 |
| -3.620 | 5.673 | 7.587 | 94.087 | -8.882 | 1.268 |
| -12.084 | 3.865 | -4.517 | -6.782 | 88.229 | -5.846 |
| 5.869 | -16.550 | -6.188 | 0.216 | -18.015 | 89.802 |
| 94.337 | -2458.606 | -1326.383 | -89.348 | 449.065 | -655.968 |
| -383.041 | -1525.025 | 76.938 | -66.312 | 596.168 | -358.054 |
| 53.122 | -914.940 | -729.020 | 236.656 | 884.609 | 76.074 |
| 856.287 | -2370.500 | -2413.175 | 132.502 | 1205.912 | -210.353 |
| -29.692 | -956.442 | -905.298 | 238.869 | 907.054 | 88.682 |
| -33.490 | -951.807 | -902.428 | 236.010 | 863.210 | 121.162 |
| -120.032 | 3069.138 | 2746.826 | -92.954 | -1622.073 | 657.926 |
| 131.757 | 1132.129 | 1001.015 | -238.984 | -876.053 | -83.280 |
| -190.457 | 3050.181 | 2813.290 | -91.070 | -1605.626 | 664.506 |
| 48.005 | 1011.785 | 905.463 | -203.884 | -884.609 | -75.901 |
| 475.024 | 1710.524 | 28.635 | 66.033 | -537.303 | 353.263 |
| -12.465 | 6.909 | 0.568 | -3.729 | -3.049 | 83.823 |
| 265.473 | -297.328 | -312.108 | 34.165 | 229.016 | -102.572 |
| 96.142 | 68.128 | 5.592 | 22.342 | 83.267 | 8.515 |
| 165.714 | -157.857 | -62.622 | 8.047 | 122.794 | -13.523 |
| -3.331 | -247.269 | -142.776 | 32.773 | 44.594 | -65.556 |
| 76.311 | -240.676 | -244.069 | 9.173 | 168.491 | -15.521 |
| -59.476 | -171.845 | -0.993 | -10.547 | 52.572 | 18.351 |
| -8.026 | 573.002 | 467.382 | -4.860 | -366.269 | 69.314 |
| -3.946 | 553.308 | 459.611 | -21.539 | -250.274 | 97.691 |
| 94.126 | 339.421 | 329.914 | 7.448 | -48.322 | 67.398 |
| -26.285 | 301.250 | 265.448 | 19.504 | -158.155 | 66.123 |
| -96.378 | 231.946 | 243.337 | -10.126 | -74.784 | 23.852 |
| -89.695 | 233.675 | 250.813 | -11.531 | -125.981 | 60.900 |
| 171.646 | 67.954 | 63.289 | 5.217 | -4.705 | -11.667 |
| 100.257 | 172.321 | 90.137 | 1.858 | 4.126 | 1.083 |
| 89.217 | 58.180 | 156.432 | -0.166 | 11.923 | 3.628 |
| 3.397 | -17.657 | -14.702 | 40.789 | 3.418 | -7.213 |
| 3.111 | -33.127 | -33.326 | 0.363 | 61.082 | -1.272 |
| -6.714 | -8.376 | -6.745 | -0.165 | 4.214 | 39.634 |
| 228.408 | 116.748 | 101.482 | 4.675 | -17.570 | -16.214 |
| 111.011 | 283.192 | 108.584 | 8.669 | 1.146 | 7.641 |
| 105.996 | 120.812 | 222.914 | 1.727 | -5.417 | 5.098 |
| 4.303 | 13.249 | 8.977 | 35.793 | -7.093 | -2.213 |
| -44.147 | 49.908 | 47.266 | -0.261 | -17.243 | 8.243 |
| -15.541 | 43.514 | 44.902 | -1.296 | -34.747 | 40.520 |
| 456.136 | 296.703 | 290.345 | -0.000 | 0.000 | 0.000 |
| 276.425 | 476.658 | 290.251 | 0.000 | 0.000 | -0.000 |
| 281.154 | 281.154 | 801.749 | -0.000 | 0.000 | 0.000 |
| 0.000 | 0.000 | -0.000 | 117.071 | 0.000 | -0.000 |
| -0.000 | 0.000 | -0.000 | 0.000 | 117.072 | 0.000 |
| -0.000 | 0.000 | -0.000 | 0.000 | 0.000 | 100.116 |
| 463.140 | 289.674 | 290.357 | 0.000 | -0.000 | 0.000 |
| 289.674 | 463.140 | 290.357 | 0.000 | 0.000 | 0.000 |
| 281.145 | 281.145 | 801.759 | 0.000 | 0.000 | 0.000 |
| 0.000 | -0.000 | 0.000 | 117.072 | -0.000 | -0.000 |
| 0.000 | -0.000 | 0.000 | 0.000 | 117.072 | 0.000 |
| -0.006 | -0.006 | 0.005 | 0.000 | -0.000 | 86.712 |
| 476.654 | 276.422 | 290.246 | -0.000 | 0.000 | 0.000 |
| 296.692 | 456.129 | 290.345 | -0.000 | 0.000 | -0.000 |
| 281.144 | 281.144 | 801.746 | -0.000 | 0.000 | -0.000 |
| 0.002 | 0.002 | -0.002 | 93.849 | -0.000 | 0.000 |
| 0.002 | 0.002 | -0.002 | -0.000 | 93.849 | -0.000 |
| 0.001 | 0.001 | -0.001 | -0.000 | 0.000 | 86.713 |
| 476.662 | 276.430 | 290.256 | 0.000 | -0.000 | 0.000 |
| 276.430 | 476.662 | 290.256 | 0.000 | -0.000 | 0.000 |
| 281.068 | 281.068 | 801.829 | -0.000 | -0.000 | 0.000 |
| -0.002 | -0.002 | 0.002 | 93.849 | -0.000 | -0.000 |
| -0.002 | -0.002 | 0.002 | 0.000 | 93.849 | 0.000 |
| 0.000 | -0.000 | 0.000 | -0.000 | -0.000 | 100.116 |
| 456.090 | 296.653 | 290.298 | -0.000 | 0.000 | 0.000 |
| 276.384 | 476.616 | 290.200 | 0.000 | 0.000 | -0.000 |
| 281.000 | 281.000 | 801.749 | -0.000 | 0.000 | -0.000 |
| 0.000 | -0.000 | -0.000 | 117.072 | 0.000 | -0.000 |
| -0.000 | 0.000 | -0.000 | 0.000 | 117.072 | -0.000 |
| -0.000 | 0.000 | -0.000 | -0.000 | -0.000 | 86.713 |
| 463.186 | 289.723 | 290.404 | 0.000 | -0.000 | -0.000 |
| 289.725 | 463.185 | 290.404 | 0.000 | -0.000 | 0.000 |
| 281.211 | 281.211 | 801.828 | 0.000 | 0.000 | -0.000 |
| -0.000 | 0.000 | 0.000 | 117.072 | -0.000 | 0.000 |
| 0.000 | -0.000 | 0.000 | -0.000 | 117.072 | -0.000 |
| 0.000 | -0.000 | 0.000 | -0.000 | -0.000 | 86.713 |
| -268.055 | -314.983 | -314.983 | -0.000 | 0.000 | -0.000 |
| -314.983 | -268.055 | -314.983 | -0.000 | -0.000 | -0.000 |
| -314.983 | -314.983 | -268.055 | -0.000 | -0.000 | -0.000 |
| -346.664 | -346.665 | -346.665 | -198.622 | -0.000 | -0.000 |
| -346.665 | -346.664 | -346.665 | -0.000 | -198.622 | -0.000 |
| -346.665 | -346.665 | -346.664 | -0.000 | 0.000 | -198.622 |
| 142.330 | 80.899 | 80.899 | 0.000 | 0.000 | 0.000 |
| 80.899 | 142.330 | 80.899 | -0.000 | -0.000 | 0.000 |
| 80.899 | 80.899 | 142.330 | 0.000 | 0.000 | 0.000 |
| 346.664 | 346.665 | 346.665 | -198.622 | 0.000 | 0.000 |
| 346.665 | 346.664 | 346.665 | -0.000 | -198.622 | 0.000 |
| 346.665 | 346.665 | 346.664 | -0.000 | 0.000 | -198.622 |
| -80.750 | -122.417 | -122.417 | -0.000 | -0.000 | -0.000 |
| -122.417 | -80.750 | -122.417 | -0.000 | -0.000 | -0.000 |
| -122.417 | -122.417 | -80.750 | -0.000 | -0.000 | -0.000 |
| 0.003 | 0.003 | 0.003 | -11.981 | 0.000 | -0.000 |
| 0.003 | 0.003 | 0.003 | 0.000 | -11.981 | -0.000 |
| 0.003 | 0.003 | 0.003 | 0.000 | -0.000 | -11.981 |
| 142.330 | 80.899 | 80.899 | 0.000 | -0.000 | 0.000 |
| 80.899 | 142.330 | 80.899 | -0.000 | -0.000 | 0.000 |
| 80.899 | 80.899 | 142.330 | 0.000 | 0.000 | 0.000 |
| -0.003 | -0.003 | -0.003 | -11.981 | 0.000 | -0.000 |
| -0.003 | -0.003 | -0.003 | 0.000 | -11.981 | 0.000 |
| -0.003 | -0.003 | -0.003 | 0.000 | 0.000 | -11.981 |
| -64.660 | -104.482 | -104.482 | -0.000 | -0.000 | -0.000 |
| -104.482 | -64.660 | -104.482 | -0.000 | -0.000 | -0.000 |
| -104.482 | -104.482 | -64.660 | 0.000 | -0.000 | -0.000 |
| 0.028 | 0.029 | 0.029 | -11.981 | 0.000 | -0.000 |
| 0.029 | 0.028 | 0.029 | 0.000 | -11.981 | -0.000 |
| 0.029 | 0.029 | 0.028 | 0.000 | -0.000 | -11.981 |
| 142.322 | 80.893 | 80.893 | -0.000 | 0.000 | 0.000 |
| 80.893 | 142.322 | 80.893 | 0.000 | 0.000 | 0.000 |
| 80.893 | 80.893 | 142.322 | 0.000 | -0.000 | -0.000 |
| -0.028 | -0.029 | -0.029 | -11.981 | 0.000 | -0.000 |
| -0.029 | -0.028 | -0.029 | 0.000 | -11.981 | 0.000 |
| -0.029 | -0.029 | -0.028 | 0.000 | 0.000 | -11.981 |
| 253.191 | 83.271 | 83.271 | 0.000 | -0.000 | -0.000 |
| 83.271 | 253.191 | 83.271 | 0.000 | 0.000 | -0.000 |
| 83.271 | 83.271 | 253.191 | 0.000 | -0.000 | -0.000 |
| 0.000 | 0.000 | -0.000 | 47.273 | -0.000 | -0.000 |
| 0.000 | -0.000 | 0.000 | 0.000 | 47.273 | -0.000 |
| 0.000 | -0.000 | -0.000 | 0.000 | -0.000 | 47.273 |
| 253.191 | 83.271 | 83.271 | -0.000 | 0.000 | 0.000 |
| 83.271 | 253.191 | 83.271 | -0.000 | 0.000 | 0.000 |
| 83.271 | 83.271 | 253.191 | -0.000 | 0.000 | 0.000 |
| -0.000 | -0.000 | 0.000 | 47.273 | 0.000 | 0.000 |
| -0.000 | 0.000 | -0.000 | -0.000 | 47.273 | 0.000 |
| -0.000 | 0.000 | 0.000 | -0.000 | 0.000 | 47.273 |
| 197.622 | 59.893 | 59.893 | 0.000 | -0.000 | -0.000 |
| 59.893 | 197.622 | 59.893 | 0.000 | -0.000 | -0.000 |
| 59.893 | 59.893 | 197.622 | 0.000 | 0.000 | -0.000 |
| 0.000 | 0.000 | 0.000 | 47.273 | -0.000 | -0.000 |
| 0.000 | 0.000 | 0.000 | 0.000 | 47.273 | -0.000 |
| 0.000 | 0.000 | 0.000 | 0.000 | -0.000 | 47.273 |
| 197.621 | 59.892 | 59.892 | -0.000 | 0.000 | 0.000 |
| 59.892 | 197.621 | 59.892 | -0.000 | 0.000 | 0.000 |
| 59.892 | 59.892 | 197.621 | -0.000 | -0.000 | 0.000 |
| -0.000 | -0.000 | -0.000 | 47.273 | 0.000 | 0.000 |
| -0.000 | -0.000 | -0.000 | -0.000 | 47.273 | 0.000 |
| -0.000 | -0.000 | -0.000 | -0.000 | 0.000 | 47.273 |
| 253.198 | 83.277 | 83.278 | 0.000 | -0.000 | -0.000 |
| 83.278 | 253.198 | 83.277 | 0.000 | -0.000 | -0.000 |
| 83.277 | 83.278 | 253.198 | 0.000 | -0.000 | -0.000 |
| 0.001 | 0.001 | 0.001 | 47.273 | -0.000 | -0.000 |
| 0.001 | 0.001 | 0.001 | 0.000 | 47.273 | -0.000 |
| 0.001 | 0.001 | 0.001 | 0.000 | -0.000 | 47.273 |
| 199.874 | 68.848 | 68.848 | -0.000 | 0.000 | 0.000 |
| 68.848 | 199.874 | 68.848 | -0.000 | 0.000 | 0.000 |
| 68.848 | 68.848 | 199.874 | -0.000 | 0.000 | 0.000 |
| -0.001 | -0.001 | -0.001 | 47.273 | 0.000 | -0.000 |
| -0.001 | -0.001 | -0.001 | -0.000 | 47.273 | 0.000 |
| -0.001 | -0.001 | -0.001 | -0.000 | -0.000 | 47.273 |
| 134.112 | 6.251 | 20.211 | -17.698 | 7.126 | -0.000 |
| 6.251 | 134.112 | 20.211 | 17.698 | -7.126 | -0.000 |
| -343.916 | -343.916 | 754.595 | 0.000 | -0.000 | 0.000 |
| -384.328 | -314.880 | 734.651 | 2.158 | -0.000 | 0.822 |
| -269.391 | -288.911 | 880.615 | -0.000 | 46.582 | -21.735 |
| -278.285 | -278.285 | 879.369 | -9.797 | -21.674 | 36.057 |
| 407.873 | 390.169 | -759.565 | -36.002 | -1.419 | -0.000 |
| 6.251 | 134.112 | 20.211 | 17.698 | -7.126 | -0.000 |
| 20.730 | 20.730 | 133.788 | 0.000 | 0.000 | 0.000 |
| 257.416 | 300.886 | -880.615 | 46.582 | 0.000 | -9.760 |
| 281.224 | 272.603 | -815.652 | 0.000 | 30.574 | -26.779 |
| 350.717 | 350.717 | -736.990 | 0.847 | -34.778 | 12.536 |
| 134.112 | 6.251 | 20.211 | -17.698 | 7.126 | 0.000 |
| 6.251 | 134.112 | 20.211 | 17.698 | -7.126 | 0.000 |
| 20.730 | 20.730 | 133.788 | -0.000 | -0.000 | 0.000 |
| -17.698 | 17.698 | 0.000 | 57.511 | -0.000 | -7.126 |
| 7.126 | -7.126 | 0.000 | -0.000 | 57.511 | -17.698 |
| -0.000 | -0.000 | 0.000 | -7.126 | -17.698 | 63.930 |
| 93.929 | 34.681 | -22.725 | -29.099 | 1.804 | -0.000 |
| 41.342 | 110.689 | -52.853 | 22.716 | -8.812 | -0.000 |
| 59.016 | 59.016 | -40.380 | 0.000 | 0.000 | -0.000 |
| -17.698 | 17.698 | -0.000 | 57.511 | 0.000 | -7.126 |
| 23.476 | 18.846 | -44.467 | 0.000 | 24.006 | -28.003 |
| 24.051 | 24.051 | -50.540 | -1.658 | -29.411 | 28.686 |
| 87.300 | 9.506 | 34.515 | -23.264 | 6.885 | 0.000 |
| 7.898 | 93.546 | 27.088 | 24.712 | -3.852 | 0.000 |
| 23.438 | 23.438 | 65.282 | -0.000 | -0.000 | -0.000 |
| -24.793 | 22.375 | 2.540 | 38.373 | -0.000 | -4.378 |
| 3.169 | -5.587 | 2.540 | -0.000 | 38.372 | -23.585 |
| -1.463 | -1.463 | 3.073 | -3.801 | -24.820 | 42.498 |
| 92.736 | 13.355 | 22.145 | -23.393 | 6.489 | -0.000 |
| 6.252 | 134.113 | 20.211 | 17.697 | -7.126 | -0.000 |
| 27.020 | 27.020 | 54.123 | 0.000 | 0.000 | -0.000 |
| -22.376 | 24.793 | -2.540 | 38.372 | 0.000 | -4.378 |
| 7.126 | -7.126 | -0.000 | 0.000 | 57.511 | -17.698 |
| 1.463 | 1.463 | -3.073 | -3.801 | -24.820 | 42.498 |
| 484.842 | 339.330 | 364.019 | 0.000 | 0.000 | -0.000 |
| 340.452 | 508.870 | 372.449 | 0.000 | 0.000 | -0.000 |
| 364.549 | 371.851 | 370.596 | 0.000 | 0.000 | 0.000 |
| 0.002 | -0.001 | 0.000 | 59.615 | 0.000 | -0.000 |
| 0.002 | -0.001 | 0.000 | -0.000 | 45.033 | -0.000 |
| 0.000 | 0.000 | -0.000 | -0.000 | -0.000 | 125.458 |
| 484.830 | 339.343 | 364.019 | -0.000 | -0.000 | 0.000 |
| 340.440 | 508.883 | 372.449 | -0.000 | -0.000 | 0.000 |
| 370.776 | 366.468 | 371.104 | -0.000 | 0.000 | 0.000 |
| -0.002 | 0.001 | -0.000 | 59.615 | 0.000 | 0.000 |
| -0.002 | 0.001 | -0.000 | -0.000 | 45.033 | -0.000 |
| -0.000 | -0.000 | -0.000 | -0.000 | -0.000 | 125.458 |
| 484.829 | 339.329 | 364.010 | 0.000 | -0.000 | -0.000 |
| 340.440 | 508.870 | 372.441 | 0.000 | 0.000 | 0.000 |
| 364.530 | 371.849 | 370.583 | 0.000 | 0.000 | -0.000 |
| 0.000 | -0.000 | 0.000 | 59.615 | 0.000 | -0.000 |
| 0.000 | -0.000 | 0.000 | 0.000 | 45.033 | -0.000 |
| 0.000 | -0.000 | 0.000 | -0.000 | -0.000 | 125.458 |
| 561.663 | 272.885 | 370.263 | -0.000 | 0.000 | 0.000 |
| 340.452 | 508.884 | 372.457 | -0.000 | -0.000 | -0.000 |
| 364.550 | 371.871 | 370.609 | -0.000 | -0.000 | -0.000 |
| -0.000 | 0.000 | -0.000 | 59.615 | -0.000 | 0.000 |
| -0.000 | 0.000 | -0.000 | 0.000 | 45.033 | 0.000 |
| -0.000 | 0.000 | -0.000 | 0.000 | 0.000 | 125.458 |
| 484.762 | 339.268 | 363.930 | 0.000 | 0.000 | -0.000 |
| 340.379 | 508.811 | 372.366 | 0.000 | 0.000 | -0.000 |
| 364.431 | 371.755 | 370.463 | 0.000 | 0.000 | 0.000 |
| 0.000 | -0.000 | -0.000 | 59.615 | -0.000 | -0.000 |
| -0.000 | 0.000 | -0.000 | 0.000 | 53.887 | -0.000 |
| 0.000 | 0.000 | 0.000 | 0.000 | -0.000 | 125.458 |
| 484.909 | 339.406 | 364.108 | -0.000 | -0.000 | 0.000 |
| 340.513 | 508.942 | 372.532 | -0.000 | -0.000 | 0.000 |
| 364.649 | 371.966 | 370.729 | -0.000 | -0.000 | 0.000 |
| -0.000 | 0.000 | 0.000 | 59.615 | 0.000 | 0.000 |
| 0.000 | -0.000 | 0.000 | -0.000 | 53.887 | 0.000 |
| -0.000 | -0.000 | -0.000 | 0.000 | 0.000 | 125.458 |
| 138.148 | 68.633 | 68.633 | -0.000 | 0.000 | 0.000 |
| 68.633 | 138.148 | 68.633 | 0.000 | 0.000 | 0.000 |
| 68.633 | 68.633 | 138.148 | 0.000 | 0.000 | 0.000 |
| -25.466 | -25.466 | -25.466 | 21.751 | 0.000 | -0.000 |
| -25.466 | -25.466 | -25.466 | 0.000 | 21.751 | 0.000 |
| -25.466 | -25.466 | -25.466 | 0.000 | -0.000 | 21.751 |
| 134.403 | 97.258 | 97.258 | -0.000 | 0.000 | -0.000 |
| 97.258 | 134.403 | 97.258 | 0.000 | 0.000 | 0.000 |
| 97.258 | 97.258 | 134.403 | -0.000 | 0.000 | -0.000 |
| 25.466 | 25.466 | 25.466 | 21.751 | 0.000 | -0.000 |
| 25.466 | 25.466 | 25.466 | 0.000 | 21.751 | -0.000 |
| 25.466 | 25.466 | 25.466 | 0.000 | 0.000 | 21.751 |
| 138.150 | 68.634 | 68.634 | 0.000 | 0.000 | 0.000 |
| 68.634 | 138.150 | 68.634 | 0.000 | 0.000 | 0.000 |
| 68.634 | 68.634 | 138.150 | 0.000 | 0.000 | -0.000 |
| -0.000 | -0.000 | 0.000 | 63.241 | 0.000 | 0.000 |
| -0.000 | -0.000 | 0.000 | 0.000 | 63.241 | 0.000 |
| -0.000 | 0.000 | -0.000 | 0.000 | 0.000 | 63.241 |
| 116.036 | 77.073 | 77.073 | -0.000 | -0.000 | -0.000 |
| 77.073 | 116.036 | 77.073 | 0.000 | 0.000 | -0.000 |
| 77.073 | 77.073 | 116.036 | -0.000 | 0.000 | -0.000 |
| 0.000 | 0.000 | -0.000 | 63.241 | -0.000 | -0.000 |
| 0.000 | 0.000 | -0.000 | -0.000 | 63.241 | -0.000 |
| 0.000 | -0.000 | 0.000 | -0.000 | -0.000 | 63.241 |
| 113.647 | 75.729 | 75.729 | -0.000 | -0.000 | 0.000 |
| 75.729 | 113.647 | 75.729 | 0.000 | -0.000 | 0.000 |
| 75.729 | 75.729 | 113.647 | 0.000 | 0.000 | 0.000 |
| -0.000 | -0.000 | 0.000 | 63.241 | 0.000 | 0.000 |
| -0.000 | -0.000 | 0.000 | 0.000 | 63.241 | 0.000 |
| -0.000 | 0.000 | -0.000 | 0.000 | 0.000 | 63.241 |
| 138.126 | 68.616 | 68.616 | -0.000 | 0.000 | -0.000 |
| 68.616 | 138.126 | 68.616 | 0.000 | -0.000 | -0.000 |
| 68.616 | 68.616 | 138.126 | -0.000 | -0.000 | -0.000 |
| 0.000 | 0.000 | -0.000 | 63.241 | -0.000 | -0.000 |
| 0.000 | 0.000 | -0.000 | -0.000 | 63.241 | -0.000 |
| 0.000 | -0.000 | 0.000 | 0.000 | 0.000 | 63.241 |
| 137.256 | 66.340 | 66.340 | 0.000 | -0.000 | -0.000 |
| 66.340 | 137.256 | 66.340 | 0.000 | 0.000 | 0.000 |
| 66.340 | 66.340 | 137.256 | 0.000 | -0.000 | 0.000 |
| -0.000 | -0.000 | 0.000 | 63.258 | -0.000 | -0.000 |
| -0.000 | 0.000 | 0.000 | 0.000 | 63.258 | 0.000 |
| -0.000 | 0.000 | 0.000 | 0.000 | -0.000 | 63.258 |
| 137.256 | 66.340 | 66.340 | -0.000 | 0.000 | 0.000 |
| 66.340 | 137.256 | 66.340 | -0.000 | -0.000 | -0.000 |
| 66.340 | 66.340 | 137.256 | -0.000 | 0.000 | -0.000 |
| 0.000 | 0.000 | -0.000 | 63.258 | 0.000 | -0.000 |
| 0.000 | 0.000 | -0.000 | -0.000 | 63.258 | 0.000 |
| 0.000 | 0.000 | -0.000 | -0.000 | 0.000 | 63.258 |
| 114.035 | 73.508 | 73.508 | 0.000 | -0.000 | -0.000 |
| 73.508 | 114.035 | 73.508 | -0.000 | -0.000 | -0.000 |
| 73.508 | 73.508 | 114.035 | 0.000 | -0.000 | 0.000 |
| 2.391 | 2.391 | 2.391 | 27.573 | -0.000 | -0.000 |
| 2.391 | 2.391 | 2.391 | 0.000 | 27.573 | -0.000 |
| 2.391 | 2.391 | 2.391 | 0.000 | -0.000 | 27.573 |
| 106.918 | 67.951 | 67.951 | 0.000 | 0.000 | 0.000 |
| 67.951 | 106.918 | 67.951 | -0.000 | 0.000 | 0.000 |
| 67.951 | 67.951 | 106.918 | -0.000 | 0.000 | -0.000 |
| -2.391 | -2.391 | -2.391 | 27.573 | 0.000 | 0.000 |
| -2.391 | -2.391 | -2.391 | 0.000 | 27.573 | 0.000 |
| -2.391 | -2.391 | -2.391 | 0.000 | 0.000 | 27.573 |
| 112.113 | 71.552 | 71.552 | -0.000 | -0.000 | 0.000 |
| 71.552 | 112.113 | 71.552 | -0.000 | -0.000 | -0.000 |
| 71.552 | 71.552 | 112.113 | -0.000 | -0.000 | -0.000 |
| -0.000 | -0.000 | 0.000 | 63.258 | -0.000 | -0.000 |
| -0.000 | -0.000 | 0.000 | 0.000 | 63.258 | -0.000 |
| -0.000 | 0.000 | -0.000 | 0.000 | -0.000 | 63.258 |
| 107.450 | 69.890 | 69.890 | 0.000 | 0.000 | -0.000 |
| 69.890 | 107.450 | 69.890 | 0.000 | 0.000 | 0.000 |
| 69.890 | 69.890 | 107.450 | 0.000 | 0.000 | 0.000 |
| 0.000 | 0.000 | -0.000 | 63.258 | 0.000 | -0.000 |
| 0.000 | 0.000 | -0.000 | -0.000 | 63.258 | 0.000 |
| 0.000 | -0.000 | 0.000 | -0.000 | 0.000 | 63.258 |
| 199.521 | 66.375 | 66.375 | -0.000 | 0.000 | -0.000 |
| 66.375 | 199.521 | 66.375 | -0.000 | -0.000 | -0.000 |
| 66.375 | 66.375 | 199.521 | 0.000 | -0.000 | 0.000 |
| -1277.469 | -1277.469 | -1277.469 | 40.774 | 0.000 | -0.000 |
| -1277.469 | -1277.469 | -1277.469 | 0.000 | 40.774 | -0.000 |
| -1277.469 | -1277.469 | -1277.469 | -0.000 | 0.000 | 40.774 |
| 1432.989 | 1359.259 | 1359.259 | -0.000 | -0.000 | -0.000 |
| 1359.259 | 1432.989 | 1359.259 | -0.000 | -0.000 | -0.000 |
| 1359.259 | 1359.259 | 1432.989 | 0.000 | -0.000 | -0.000 |
| 1277.469 | 1277.469 | 1277.469 | 40.774 | -0.000 | 0.000 |
| 1277.469 | 1277.469 | 1277.469 | 0.000 | 40.774 | -0.000 |
| 1277.469 | 1277.469 | 1277.469 | 0.000 | -0.000 | 40.774 |
| 27.777 | -45.954 | -45.954 | -0.000 | -0.000 | 0.000 |
| -45.954 | 27.777 | -45.954 | -0.000 | -0.000 | -0.000 |
| -45.954 | -45.954 | 27.777 | -0.000 | 0.000 | 0.000 |
| -127.735 | -127.735 | -127.735 | 40.777 | 0.000 | 0.000 |
| -127.735 | -127.735 | -127.735 | -0.000 | 40.777 | -0.000 |
| -127.735 | -127.735 | -127.735 | -0.000 | 0.000 | 40.777 |
| 277.118 | 210.140 | 210.140 | -0.000 | -0.000 | 0.000 |
| 210.140 | 277.118 | 210.140 | 0.000 | 0.000 | -0.000 |
| 210.140 | 210.140 | 277.118 | -0.000 | -0.000 | 0.000 |
| 127.735 | 127.735 | 127.735 | 40.777 | -0.000 | 0.000 |
| 127.735 | 127.735 | 127.735 | 0.000 | 40.777 | 0.000 |
| 127.735 | 127.735 | 127.735 | 0.000 | -0.000 | 40.777 |
| 136.086 | 69.372 | 69.372 | -0.000 | 0.000 | 0.000 |
| 69.372 | 136.086 | 69.372 | -0.000 | -0.000 | 0.000 |
| 69.372 | 69.372 | 136.086 | -0.000 | 0.000 | -0.000 |
| -12.672 | -12.672 | -12.672 | 41.082 | -0.000 | 0.000 |
| -12.672 | -12.672 | -12.672 | -0.000 | 41.082 | -0.000 |
| -12.672 | -12.672 | -12.672 | 0.000 | 0.000 | 41.082 |
| 199.522 | 66.375 | 66.375 | 0.000 | -0.000 | -0.000 |
| 66.375 | 199.522 | 66.375 | 0.000 | -0.000 | -0.000 |
| 66.375 | 66.375 | 199.522 | 0.000 | 0.000 | -0.000 |
| 12.672 | 12.672 | 12.672 | 41.082 | -0.000 | 0.000 |
| 12.672 | 12.672 | 12.672 | 0.000 | 41.082 | 0.000 |
| 12.672 | 12.672 | 12.672 | -0.000 | -0.000 | 41.082 |
| 205.124 | 53.138 | 31.994 | 0.000 | -0.000 | 0.000 |
| 53.138 | 205.124 | 31.994 | 0.000 | -0.000 | 0.000 |
| 29.075 | 29.075 | 220.525 | 0.000 | -0.000 | 0.000 |
| 0.000 | 0.000 | -0.000 | 54.426 | -0.000 | 0.000 |
| 0.000 | 0.000 | -0.000 | 0.000 | 54.426 | 0.000 |
| -0.000 | -0.000 | 0.000 | 0.000 | -0.000 | 7.530 |
| 122.092 | 16.228 | 81.150 | -0.000 | 0.000 | -0.000 |
| 16.228 | 122.092 | 81.150 | -0.000 | 0.000 | -0.000 |
| 70.365 | 70.365 | 186.682 | -0.000 | 0.000 | -0.000 |
| -0.000 | -0.000 | 0.000 | 54.426 | 0.000 | -0.000 |
| -0.000 | -0.000 | 0.000 | -0.000 | 54.426 | -0.000 |
| 0.000 | 0.000 | -0.000 | -0.000 | 0.000 | 7.530 |
| 122.094 | 16.228 | 81.147 | 0.000 | -0.000 | 0.000 |
| 16.228 | 122.094 | 81.147 | 0.000 | -0.000 | -0.000 |
| 29.074 | 29.074 | 220.525 | 0.000 | -0.000 | 0.000 |
| 0.000 | 0.000 | -0.000 | 54.426 | -0.000 | -0.000 |
| 0.000 | 0.000 | -0.000 | 0.000 | 54.426 | 0.000 |
| -0.000 | -0.000 | -0.000 | 0.000 | -0.000 | 7.530 |
| 122.091 | 16.228 | 81.153 | -0.000 | 0.000 | -0.000 |
| 16.228 | 122.091 | 81.153 | -0.000 | 0.000 | 0.000 |
| 70.365 | 70.365 | 186.684 | -0.000 | 0.000 | 0.000 |
| -0.000 | -0.000 | 0.000 | 54.426 | 0.000 | -0.000 |
| -0.000 | -0.000 | 0.000 | -0.000 | 54.426 | -0.000 |
| 0.000 | 0.000 | 0.000 | -0.000 | 0.000 | 7.530 |
| 108.562 | 48.234 | 73.553 | 0.000 | -0.000 | 0.000 |
| 48.234 | 108.562 | 73.553 | 0.000 | -0.000 | 0.000 |
| 70.367 | 70.367 | 186.660 | 0.000 | -0.000 | 0.000 |
| -0.000 | 0.000 | -0.000 | 33.554 | -0.000 | 0.000 |
| 0.000 | -0.000 | -0.000 | 0.000 | 33.554 | 0.000 |
| 0.000 | 0.000 | -0.001 | -0.000 | -0.000 | 7.530 |
| 109.031 | 48.463 | 73.318 | 0.000 | 0.000 | -0.000 |
| 48.463 | 109.031 | 73.318 | -0.000 | 0.000 | -0.000 |
| 70.363 | 70.363 | 186.703 | 0.000 | 0.000 | -0.000 |
| 0.000 | -0.000 | 0.000 | 33.554 | 0.000 | 0.000 |
| -0.000 | 0.000 | 0.000 | -0.000 | 33.554 | -0.000 |
| -0.000 | -0.000 | 0.001 | -0.000 | 0.000 | 7.530 |
| 172.128 | 110.382 | 110.382 | 0.000 | -0.000 | -0.000 |
| 110.382 | 172.128 | 110.382 | -0.000 | -0.000 | 0.000 |
| 110.382 | 110.382 | 172.128 | -0.000 | -0.000 | -0.000 |
| -14.756 | -14.756 | -14.756 | -61.177 | -0.000 | -0.000 |
| -14.756 | -14.756 | -14.756 | 0.000 | -61.177 | -0.000 |
| -14.756 | -14.756 | -14.756 | -0.000 | -0.000 | -61.177 |
| 172.128 | 110.381 | 110.381 | 0.000 | 0.000 | 0.000 |
| 110.381 | 172.128 | 110.381 | -0.000 | 0.000 | 0.000 |
| 110.381 | 110.381 | 172.128 | 0.000 | 0.000 | 0.000 |
| 14.756 | 14.756 | 14.756 | -61.177 | 0.000 | 0.000 |
| 14.756 | 14.756 | 14.756 | 0.000 | -61.177 | 0.000 |
| 14.756 | 14.756 | 14.756 | 0.000 | 0.000 | -61.177 |
| 61.823 | 8.939 | 8.939 | -0.000 | -0.000 | -0.000 |
| 8.939 | 61.823 | 8.939 | 0.000 | -0.000 | -0.000 |
| 8.939 | 8.939 | 61.823 | 0.000 | -0.000 | -0.000 |
| 0.003 | 0.003 | 0.003 | 25.677 | -0.000 | 0.000 |
| 0.003 | 0.003 | 0.003 | -0.000 | 25.677 | -0.000 |
| 0.003 | 0.003 | 0.003 | -0.000 | -0.000 | 25.677 |
| 172.127 | 110.381 | 110.381 | 0.000 | 0.000 | 0.000 |
| 110.381 | 172.127 | 110.381 | -0.000 | 0.000 | 0.000 |
| 110.381 | 110.381 | 172.127 | 0.000 | -0.000 | 0.000 |
| -0.003 | -0.003 | -0.003 | 25.677 | 0.000 | 0.000 |
| -0.003 | -0.003 | -0.003 | -0.000 | 25.677 | 0.000 |
| -0.003 | -0.003 | -0.003 | 0.000 | 0.000 | 25.677 |
| 82.288 | 36.864 | 36.864 | -0.000 | -0.000 | -0.000 |
| 36.864 | 82.288 | 36.864 | 0.000 | -0.000 | -0.000 |
| 36.864 | 36.864 | 82.288 | -0.000 | 0.000 | -0.000 |
| 0.029 | 0.029 | 0.029 | 25.677 | -0.000 | -0.000 |
| 0.029 | 0.029 | 0.029 | -0.000 | 25.677 | -0.000 |
| 0.029 | 0.029 | 0.029 | -0.000 | -0.000 | 25.677 |
| 70.591 | 15.943 | 15.943 | -0.000 | 0.000 | 0.000 |
| 15.943 | 70.591 | 15.943 | -0.000 | 0.000 | 0.000 |
| 15.943 | 15.943 | 70.591 | 0.000 | 0.000 | 0.000 |
| -0.029 | -0.029 | -0.029 | 25.677 | 0.000 | 0.000 |
| -0.029 | -0.029 | -0.029 | -0.000 | 25.677 | 0.000 |
| -0.029 | -0.029 | -0.029 | -0.000 | 0.000 | 25.677 |
| 191.380 | 130.380 | 130.380 | -0.000 | 0.000 | 0.000 |
| 130.380 | 191.380 | 130.380 | -0.000 | 0.000 | 0.000 |
| 130.380 | 130.380 | 191.380 | -0.000 | 0.000 | 0.000 |
| 1.552 | 1.551 | 1.551 | 43.390 | 0.000 | 0.000 |
| 1.552 | 1.551 | 1.551 | -0.000 | 43.390 | 0.000 |
| 1.552 | 1.551 | 1.551 | -0.000 | 0.000 | 43.390 |
| 191.381 | 130.381 | 130.381 | 0.000 | -0.000 | -0.000 |
| 130.381 | 191.381 | 130.381 | 0.000 | 0.000 | -0.000 |
| 130.381 | 130.381 | 191.381 | 0.000 | 0.000 | 0.000 |
| -1.551 | -1.551 | -1.551 | 43.390 | -0.000 | -0.000 |
| -1.552 | -1.551 | -1.551 | 0.000 | 43.390 | -0.000 |
| -1.552 | -1.551 | -1.551 | 0.000 | -0.000 | 43.390 |
| 191.378 | 130.378 | 130.378 | -0.000 | 0.000 | 0.000 |
| 130.378 | 191.378 | 130.378 | -0.000 | -0.000 | 0.000 |
| 130.378 | 130.378 | 191.378 | -0.000 | 0.000 | 0.000 |
| 0.000 | 0.000 | 0.000 | 72.572 | 0.000 | 0.000 |
| 0.000 | 0.000 | 0.000 | -0.000 | 72.572 | 0.000 |
| 0.000 | 0.000 | 0.000 | -0.000 | 0.000 | 72.572 |
| 171.089 | 120.851 | 120.851 | 0.000 | 0.000 | -0.000 |
| 120.851 | 171.089 | 120.851 | 0.000 | 0.000 | -0.000 |
| 120.851 | 120.851 | 171.089 | 0.000 | -0.000 | -0.000 |
| -0.000 | -0.000 | -0.000 | 72.572 | -0.000 | -0.000 |
| -0.000 | -0.000 | -0.000 | 0.000 | 72.572 | -0.000 |
| -0.000 | -0.000 | -0.000 | -0.000 | -0.000 | 72.572 |
| 162.411 | 117.796 | 117.796 | -0.000 | 0.000 | 0.000 |
| 117.796 | 162.411 | 117.796 | -0.000 | 0.000 | 0.000 |
| 117.796 | 117.796 | 162.411 | -0.000 | -0.000 | 0.000 |
| 0.016 | 0.016 | 0.016 | 43.584 | 0.000 | 0.000 |
| 0.016 | 0.016 | 0.016 | -0.000 | 43.584 | 0.000 |
| 0.016 | 0.016 | 0.016 | -0.000 | 0.000 | 43.584 |
| 191.412 | 130.411 | 130.411 | 0.000 | 0.000 | 0.000 |
| 130.411 | 191.412 | 130.411 | -0.000 | 0.000 | -0.000 |
| 130.411 | 130.411 | 191.412 | 0.000 | -0.000 | -0.000 |
| -0.016 | -0.016 | -0.016 | 43.584 | 0.000 | -0.000 |
| -0.016 | -0.016 | -0.016 | 0.000 | 43.584 | -0.000 |
| -0.016 | -0.016 | -0.016 | -0.000 | -0.000 | 43.584 |
| 285.381 | 134.438 | 124.113 | 0.000 | 0.000 | 0.000 |
| 144.790 | 136.024 | 75.192 | -0.000 | -0.000 | 0.000 |
| 193.911 | 63.406 | 213.719 | 0.000 | 0.000 | 0.000 |
| -2.509 | -0.742 | -2.218 | 90.416 | -0.000 | 0.000 |
| -1.168 | -0.345 | -1.033 | -0.000 | 19.969 | -0.000 |
| -8.353 | -4.502 | -8.552 | 0.000 | 0.002 | -70.208 |
| 305.774 | 140.692 | 142.271 | -0.000 | -0.000 | -0.000 |
| 96.745 | 171.742 | 61.409 | -0.000 | -0.000 | -0.000 |
| 140.524 | 70.937 | 179.927 | 0.000 | -0.000 | -0.000 |
| 2.509 | 0.742 | 2.218 | 90.416 | 0.000 | -0.000 |
| 1.168 | 0.345 | 1.033 | -0.000 | 19.969 | -0.000 |
| 8.353 | 4.502 | 8.552 | -0.000 | -0.002 | -70.208 |
| 413.563 | 101.612 | 196.770 | 0.000 | 0.000 | 0.000 |
| 144.820 | 137.539 | 76.080 | 0.000 | -0.000 | 0.000 |
| 146.628 | 85.563 | 192.689 | 0.000 | -0.000 | 0.000 |
| 0.000 | 0.000 | -0.000 | 149.814 | 0.000 | 0.000 |
| -0.115 | -0.034 | -0.102 | 0.000 | 20.201 | 0.000 |
| 0.011 | 0.006 | 0.000 | 0.000 | 0.000 | 77.564 |
| 296.571 | 137.869 | 134.096 | -0.000 | -0.000 | -0.000 |
| 144.906 | 137.803 | 76.301 | -0.000 | 0.000 | -0.000 |
| 148.581 | 85.016 | 193.768 | -0.000 | 0.000 | -0.000 |
| -0.000 | -0.000 | 0.000 | 149.814 | -0.000 | -0.000 |
| 0.115 | 0.034 | 0.102 | -0.000 | 20.201 | 0.000 |
| -0.011 | -0.006 | -0.000 | 0.000 | -0.000 | 77.564 |
| 295.746 | 137.621 | 133.144 | 0.000 | 0.000 | 0.000 |
| 144.876 | 137.665 | 76.159 | 0.000 | -0.000 | 0.000 |
| 130.256 | 67.764 | 170.770 | 0.000 | 0.000 | 0.000 |
| -0.026 | -0.005 | -0.039 | 90.230 | 0.000 | 0.000 |
| -0.010 | -0.003 | -0.010 | -0.000 | 20.203 | 0.000 |
| 0.034 | -0.050 | -0.116 | 0.000 | 0.000 | -70.297 |
| 295.409 | 137.510 | 133.240 | -0.000 | -0.000 | -0.000 |
| 144.841 | 137.683 | 76.220 | 0.000 | 0.000 | -0.000 |
| 130.401 | 67.860 | 170.932 | -0.000 | -0.000 | -0.000 |
| 0.026 | 0.005 | 0.039 | 90.230 | -0.000 | -0.000 |
| 0.010 | 0.003 | 0.010 | 0.000 | 20.203 | -0.000 |
| -0.034 | 0.050 | 0.116 | -0.000 | -0.000 | -70.297 |
| -4807.576 | -5003.635 | -5003.635 | -0.000 | 0.000 | -0.000 |
| -5003.635 | -4807.576 | -5003.635 | -0.000 | -0.000 | -0.000 |
| -5003.635 | -5003.635 | -4807.576 | -0.000 | -0.000 | 0.000 |
| -4476.486 | -4476.486 | -4476.486 | 66.391 | -0.000 | -0.000 |
| -4476.486 | -4476.486 | -4476.486 | 0.000 | 66.391 | -0.000 |
| -4476.486 | -4476.486 | -4476.486 | -0.000 | -0.000 | 66.391 |
| 4784.207 | 4580.135 | 4580.135 | -0.000 | 0.000 | 0.000 |
| 4580.135 | 4784.207 | 4580.135 | -0.000 | 0.000 | -0.000 |
| 4580.135 | 4580.135 | 4784.207 | 0.000 | 0.000 | 0.000 |
| 4476.486 | 4476.486 | 4476.486 | 66.391 | 0.000 | -0.000 |
| 4476.486 | 4476.486 | 4476.486 | -0.000 | 66.391 | -0.000 |
| 4476.486 | 4476.486 | 4476.486 | 0.000 | 0.000 | 66.391 |
| -136.401 | -340.486 | -340.486 | 0.000 | -0.000 | -0.000 |
| -340.486 | -136.401 | -340.486 | -0.000 | -0.000 | -0.000 |
| -340.486 | -340.486 | -136.401 | 0.000 | -0.000 | 0.000 |
| -514.129 | -514.129 | -514.129 | 71.380 | -0.000 | -0.000 |
| -514.129 | -514.129 | -514.129 | -0.000 | 71.380 | -0.000 |
| -514.129 | -514.129 | -514.129 | -0.000 | -0.000 | 71.380 |
| 759.068 | 554.193 | 554.193 | -0.000 | 0.000 | 0.000 |
| 554.193 | 759.068 | 554.193 | -0.000 | 0.000 | 0.000 |
| 554.193 | 554.193 | 759.068 | 0.000 | 0.000 | 0.000 |
| 514.129 | 514.129 | 514.129 | 71.380 | 0.000 | 0.000 |
| 514.129 | 514.129 | 514.129 | 0.000 | 71.380 | 0.000 |
| 514.129 | 514.129 | 514.129 | -0.000 | 0.000 | 71.380 |
| 272.267 | 43.571 | 43.571 | 0.000 | -0.000 | -0.000 |
| 43.571 | 272.267 | 43.571 | -0.000 | -0.000 | 0.000 |
| 43.571 | 43.571 | 272.267 | -0.000 | -0.000 | 0.000 |
| -44.238 | -44.240 | -44.240 | 65.906 | -0.000 | -0.000 |
| -44.240 | -44.238 | -44.240 | 0.000 | 65.906 | -0.000 |
| -44.240 | -44.240 | -44.238 | -0.000 | -0.000 | 65.906 |
| 455.048 | 191.942 | 191.942 | 0.000 | 0.000 | -0.000 |
| 191.942 | 455.048 | 191.942 | 0.000 | 0.000 | 0.000 |
| 191.942 | 191.942 | 455.048 | 0.000 | 0.000 | -0.000 |
| 44.238 | 44.240 | 44.240 | 65.906 | 0.000 | -0.000 |
| 44.240 | 44.238 | 44.240 | 0.000 | 65.906 | 0.000 |
| 44.240 | 44.240 | 44.238 | 0.000 | 0.000 | 65.906 |
| 287.502 | 275.661 | 275.661 | -0.000 | -0.000 | -0.000 |
| 275.661 | 287.502 | 275.661 | -0.000 | -0.000 | 0.000 |
| 275.661 | 275.661 | 287.502 | -0.000 | -0.000 | -0.000 |
| 0.000 | 0.000 | 0.000 | 78.211 | -0.000 | -0.000 |
| 0.000 | 0.000 | 0.000 | 0.000 | 78.211 | 0.000 |
| 0.000 | 0.000 | 0.000 | 0.000 | -0.000 | 78.211 |
| 287.501 | 275.661 | 275.661 | -0.000 | 0.000 | -0.000 |
| 275.661 | 287.501 | 275.661 | 0.000 | 0.000 | -0.000 |
| 275.661 | 275.661 | 287.501 | -0.000 | 0.000 | -0.000 |
| -0.000 | -0.000 | -0.000 | 78.211 | 0.000 | -0.000 |
| -0.000 | -0.000 | -0.000 | 0.000 | 78.211 | 0.000 |
| -0.000 | -0.000 | -0.000 | -0.000 | 0.000 | 78.211 |
| 146.238 | 194.465 | 194.465 | 0.000 | -0.000 | 0.000 |
| 194.465 | 146.238 | 194.465 | -0.000 | -0.000 | 0.000 |
| 194.465 | 194.465 | 146.238 | 0.000 | 0.000 | -0.000 |
| 0.000 | 0.000 | 0.000 | 78.211 | -0.000 | 0.000 |
| 0.000 | 0.000 | 0.000 | 0.000 | 78.211 | 0.000 |
| 0.000 | 0.000 | 0.000 | 0.000 | -0.000 | 78.211 |
| 211.185 | 233.210 | 233.210 | -0.000 | 0.000 | 0.000 |
| 233.210 | 211.185 | 233.210 | 0.000 | 0.000 | 0.000 |
| 233.210 | 233.210 | 211.185 | 0.000 | -0.000 | 0.000 |
| -0.000 | -0.000 | -0.000 | 78.211 | -0.000 | 0.000 |
| -0.000 | -0.000 | -0.000 | -0.000 | 78.211 | 0.000 |
| -0.000 | -0.000 | -0.000 | 0.000 | 0.000 | 78.211 |
| 211.325 | 233.318 | 233.318 | 0.000 | -0.000 | -0.000 |
| 233.318 | 211.325 | 233.318 | 0.000 | 0.000 | -0.000 |
| 233.318 | 233.318 | 211.325 | 0.000 | -0.000 | 0.000 |
| 0.000 | 0.000 | 0.000 | 78.211 | -0.000 | -0.000 |
| 0.000 | 0.000 | 0.000 | -0.000 | 78.211 | 0.000 |
| 0.000 | 0.000 | 0.000 | -0.000 | -0.000 | 78.211 |
| 211.279 | 233.270 | 233.270 | -0.000 | -0.000 | -0.000 |
| 233.270 | 211.279 | 233.270 | 0.000 | 0.000 | 0.000 |
| 233.270 | 233.270 | 211.279 | -0.000 | 0.000 | 0.000 |
| -0.000 | -0.000 | -0.000 | 78.211 | 0.000 | 0.000 |
| -0.000 | -0.000 | -0.000 | -0.000 | 78.211 | 0.000 |
| -0.000 | -0.000 | -0.000 | 0.000 | 0.000 | 78.211 |
| 143.575 | 47.473 | 1.346 | 0.000 | -0.000 | -0.000 |
| 52.496 | 138.552 | 1.346 | 0.000 | -0.000 | -0.000 |
| 1.309 | 1.309 | 111.050 | 0.000 | -0.000 | -0.000 |
| 0.000 | -0.000 | -0.000 | 1.054 | -0.000 | -0.000 |
| 0.000 | -0.000 | -0.000 | 0.000 | 1.054 | -0.000 |
| 0.000 | 0.000 | -0.000 | 0.000 | -0.000 | 73.236 |
| 143.574 | 47.473 | 1.346 | -0.000 | 0.000 | 0.000 |
| 47.473 | 143.575 | 1.346 | -0.000 | 0.000 | 0.000 |
| 1.309 | 1.309 | 111.050 | -0.000 | 0.000 | 0.000 |
| -0.000 | 0.000 | 0.000 | 1.054 | 0.000 | 0.000 |
| -0.000 | 0.000 | 0.000 | -0.000 | 1.054 | 0.000 |
| -0.000 | -0.000 | 0.000 | -0.000 | 0.000 | 73.236 |
| 168.761 | 22.288 | 1.346 | 0.000 | -0.000 | -0.000 |
| 22.288 | 168.761 | 1.346 | 0.000 | -0.000 | -0.000 |
| 1.309 | 1.309 | 111.050 | 0.000 | -0.000 | -0.000 |
| 0.000 | 0.000 | 0.000 | 1.054 | -0.000 | -0.000 |
| 0.000 | 0.000 | 0.000 | 0.000 | 1.054 | -0.000 |
| 0.000 | 0.000 | 0.000 | -0.000 | -0.000 | 73.236 |
| 143.574 | 47.472 | 1.346 | -0.000 | 0.000 | 0.000 |
| 52.495 | 138.551 | 1.346 | -0.000 | 0.000 | -0.000 |
| 1.308 | 1.308 | 111.050 | -0.000 | 0.000 | 0.000 |
| -0.000 | -0.000 | -0.000 | 1.054 | 0.000 | 0.000 |
| -0.000 | -0.000 | -0.000 | -0.000 | 1.054 | 0.000 |
| -0.000 | -0.000 | -0.000 | 0.000 | 0.000 | 73.236 |
| 138.559 | 52.501 | 1.347 | 0.000 | -0.000 | -0.000 |
| 47.480 | 143.580 | 1.346 | 0.000 | -0.000 | -0.000 |
| 1.309 | 1.309 | 111.050 | -0.000 | -0.000 | -0.000 |
| 0.000 | 0.000 | 0.000 | 1.054 | -0.000 | -0.000 |
| 0.000 | 0.000 | 0.000 | 0.000 | 1.054 | -0.000 |
| 0.001 | -0.000 | 0.000 | 0.000 | -0.000 | 43.028 |
| 168.753 | 22.282 | 1.345 | -0.000 | 0.000 | 0.000 |
| 22.282 | 168.753 | 1.345 | -0.000 | 0.000 | 0.000 |
| 1.308 | 1.308 | 111.049 | 0.000 | 0.000 | 0.000 |
| -0.000 | -0.000 | -0.000 | 1.054 | 0.000 | 0.000 |
| -0.000 | -0.000 | -0.000 | -0.000 | 1.054 | 0.000 |
| -0.001 | 0.000 | -0.000 | -0.000 | 0.000 | 43.028 |
| 274.904 | 99.991 | 82.280 | -0.000 | -0.000 | 0.000 |
| 378.064 | -3.169 | 82.280 | 0.000 | 0.000 | 0.000 |
| 82.280 | 82.280 | 149.163 | -0.000 | -0.000 | 0.000 |
| 0.000 | -0.000 | -0.000 | -10.486 | -0.000 | 0.000 |
| 0.000 | -0.000 | -0.000 | 0.000 | -10.486 | 0.000 |
| 0.000 | -0.000 | 0.000 | -0.000 | -0.000 | 87.457 |
| -3.169 | 378.063 | 82.280 | -0.000 | -0.000 | -0.000 |
| 167.858 | 207.036 | 82.280 | 0.000 | 0.000 | -0.000 |
| 82.280 | 82.280 | 149.164 | -0.000 | -0.000 | -0.000 |
| -0.000 | -0.000 | 0.000 | -10.486 | 0.000 | -0.000 |
| -0.000 | 0.000 | 0.000 | -0.000 | -10.486 | -0.000 |
| -0.000 | 0.000 | -0.000 | 0.000 | 0.000 | 87.457 |
| 207.037 | 167.859 | 82.280 | -0.000 | -0.000 | 0.000 |
| 499.204 | -124.305 | 82.281 | 0.000 | 0.000 | 0.000 |
| 82.279 | 82.279 | 149.161 | -0.000 | 0.000 | 0.000 |
| 0.000 | 0.000 | 0.000 | -10.486 | 0.000 | 0.000 |
| 0.000 | 0.000 | 0.000 | -0.000 | -10.486 | -0.000 |
| 0.000 | 0.000 | -0.000 | -0.000 | -0.000 | 19.589 |
| 274.903 | 99.990 | 82.280 | 0.000 | 0.000 | -0.000 |
| 99.990 | 274.903 | 82.280 | 0.000 | 0.000 | -0.000 |
| 82.281 | 82.281 | 149.166 | 0.000 | 0.000 | -0.000 |
| -0.000 | -0.000 | -0.000 | -10.486 | -0.000 | -0.000 |
| -0.000 | -0.000 | -0.000 | -0.000 | -10.486 | -0.000 |
| -0.000 | -0.000 | 0.000 | 0.000 | 0.000 | 19.589 |
| -3.192 | 378.118 | 82.288 | 0.000 | 0.000 | 0.000 |
| 99.999 | 274.913 | 82.281 | -0.000 | -0.000 | -0.000 |
| 82.270 | 82.270 | 149.135 | 0.000 | 0.000 | 0.000 |
| 0.000 | 0.000 | 0.000 | -10.486 | 0.000 | 0.000 |
| 0.000 | 0.000 | 0.000 | 0.000 | -10.486 | -0.000 |
| 0.011 | 0.002 | 0.006 | 0.000 | -0.000 | -190.616 |
| -3.199 | 378.063 | 82.273 | -0.000 | 0.000 | 0.000 |
| 272.941 | 101.933 | 82.277 | 0.000 | 0.000 | -0.000 |
| 82.290 | 82.290 | 149.192 | 0.000 | 0.000 | -0.000 |
| -0.000 | -0.000 | -0.000 | -10.486 | -0.000 | -0.000 |
| -0.000 | -0.000 | -0.000 | -0.000 | -10.486 | -0.000 |
| -0.011 | -0.002 | -0.006 | -0.000 | -0.000 | -190.616 |
| 361.521 | 188.994 | 206.101 | 0.000 | -0.000 | -0.000 |
| 188.994 | 361.521 | 206.101 | 0.000 | -0.000 | -0.000 |
| 206.101 | 206.101 | 937.656 | -0.000 | -0.000 | -0.000 |
| 0.000 | 0.000 | -0.000 | 244.916 | 0.000 | -0.000 |
| 0.000 | 0.000 | 0.000 | -0.000 | 244.916 | -0.000 |
| 0.000 | 0.000 | 0.000 | 0.000 | -0.000 | 86.263 |
| 361.520 | 188.994 | 206.100 | 0.000 | 0.000 | 0.000 |
| 188.994 | 361.520 | 206.100 | 0.000 | 0.000 | 0.000 |
| 206.100 | 206.100 | 937.654 | 0.000 | 0.000 | 0.000 |
| -0.000 | -0.000 | 0.000 | 244.916 | 0.000 | 0.000 |
| -0.000 | -0.000 | 0.000 | -0.000 | 244.916 | 0.000 |
| -0.000 | -0.000 | -0.000 | -0.000 | 0.000 | 86.263 |
| 361.525 | 188.998 | 206.105 | -0.000 | -0.000 | -0.000 |
| 188.998 | 361.525 | 206.105 | -0.000 | -0.000 | -0.000 |
| 206.106 | 206.106 | 937.662 | 0.000 | -0.000 | -0.000 |
| 0.000 | 0.000 | -0.000 | 244.916 | -0.000 | -0.000 |
| 0.000 | 0.000 | -0.000 | -0.000 | 244.916 | -0.000 |
| 0.000 | 0.000 | 0.000 | -0.000 | -0.000 | 86.263 |
| 361.516 | 188.990 | 206.095 | -0.000 | 0.000 | 0.000 |
| 188.990 | 361.517 | 206.095 | -0.000 | -0.000 | 0.000 |
| 206.094 | 206.094 | 937.648 | 0.000 | -0.000 | 0.000 |
| -0.000 | -0.000 | 0.000 | 244.916 | 0.000 | 0.000 |
| -0.000 | -0.000 | 0.000 | 0.000 | 244.916 | 0.000 |
| -0.000 | -0.000 | -0.000 | 0.000 | 0.000 | 86.263 |
| 361.564 | 189.032 | 206.148 | 0.000 | -0.000 | -0.000 |
| 189.033 | 361.563 | 206.148 | -0.000 | -0.000 | -0.000 |
| 206.160 | 206.160 | 937.728 | -0.000 | 0.000 | -0.000 |
| 0.001 | 0.001 | -0.000 | 244.916 | -0.000 | -0.000 |
| 0.001 | 0.001 | -0.000 | -0.000 | 244.916 | -0.000 |
| 0.000 | 0.002 | 0.001 | 0.000 | -0.000 | 86.263 |
| 361.478 | 188.957 | 206.052 | 0.000 | 0.000 | 0.000 |
| 188.955 | 361.479 | 206.052 | -0.000 | 0.000 | 0.000 |
| 206.041 | 206.041 | 937.582 | 0.000 | 0.000 | 0.000 |
| -0.001 | -0.001 | 0.000 | 244.916 | 0.000 | 0.000 |
| -0.001 | -0.001 | 0.000 | 0.000 | 244.916 | 0.000 |
| -0.000 | -0.002 | -0.001 | -0.000 | 0.000 | 86.263 |
| 147.362 | 15.849 | 46.298 | -16.275 | -11.054 | -0.000 |
| 249.928 | 315.074 | -2300.798 | 27.892 | 3.636 | 0.000 |
| 46.898 | 46.898 | 212.891 | 0.000 | -0.000 | -0.000 |
| 203.985 | 259.841 | -2359.437 | 23.187 | -0.000 | 3.613 |
| 228.242 | 235.472 | -2358.867 | 0.000 | 23.198 | -27.925 |
| -0.000 | -0.000 | -0.000 | 11.054 | -16.275 | 65.757 |
| 147.363 | 15.849 | 46.299 | -16.275 | -11.054 | 0.000 |
| 15.849 | 147.363 | 46.299 | 16.275 | 11.054 | 0.000 |
| 46.899 | 46.899 | 212.893 | -0.000 | 0.000 | 0.000 |
| -16.275 | 16.275 | 0.000 | 68.406 | 0.000 | 11.054 |
| -235.527 | -228.300 | 2359.437 | -0.000 | 23.187 | -27.928 |
| -231.971 | -231.971 | 2360.029 | 3.612 | -27.931 | 32.462 |
| 109.556 | 40.198 | -169.242 | -27.155 | -4.106 | 0.000 |
| 15.848 | 147.361 | 46.296 | 16.275 | 11.053 | 0.000 |
| 73.083 | 73.083 | -115.539 | 0.000 | -0.000 | -0.000 |
| -16.275 | 16.273 | -0.003 | 68.407 | -0.001 | 11.054 |
| -11.055 | 11.053 | -0.003 | -0.000 | 68.407 | -16.275 |
| 22.743 | 22.743 | -231.387 | 3.757 | -27.703 | 33.113 |
| 73.277 | -15.357 | 271.857 | -21.699 | -10.355 | -0.000 |
| 15.849 | 147.363 | 46.300 | 16.274 | 11.054 | -0.000 |
| 18.045 | 18.045 | 339.390 | -0.000 | 0.000 | 0.000 |
| -16.274 | 16.276 | 0.003 | 68.406 | 0.001 | 11.054 |
| -11.053 | 11.054 | 0.003 | 0.000 | 68.405 | -16.275 |
| -22.743 | -22.743 | 231.387 | 3.757 | -27.703 | 33.114 |
| 109.290 | 19.072 | 34.792 | -23.506 | -6.431 | 0.001 |
| 19.072 | 109.289 | 34.792 | 23.511 | 6.433 | 0.001 |
| 61.859 | 61.859 | 88.635 | 0.000 | -0.000 | -0.000 |
| -19.117 | 26.746 | -22.244 | 44.739 | -0.008 | 8.918 |
| -5.110 | 12.739 | -22.244 | -0.003 | 44.742 | -22.934 |
| -0.001 | -0.002 | -0.004 | 11.053 | -16.276 | 65.756 |
| 147.373 | 15.853 | 46.317 | -16.273 | -11.062 | -0.000 |
| 16.246 | 102.318 | 65.905 | 24.221 | 5.981 | -0.001 |
| 46.938 | 46.938 | 212.998 | 0.000 | 0.000 | 0.000 |
| -24.084 | 21.508 | 13.217 | 43.114 | 0.007 | 6.894 |
| -12.329 | 5.779 | 22.861 | 0.004 | 44.927 | -23.004 |
| -3.629 | -3.630 | 24.140 | 9.761 | -22.671 | 41.487 |
| 238.708 | 69.089 | 33.462 | 0.000 | -0.000 | -0.000 |
| 69.089 | 238.708 | 33.462 | -0.000 | -0.000 | 0.000 |
| 93.486 | 93.486 | 181.405 | -0.000 | -0.000 | -0.000 |
| 18.574 | 18.574 | -16.595 | 43.986 | -0.000 | -0.000 |
| 18.574 | 18.574 | -16.595 | 0.000 | 43.986 | 0.000 |
| 21.016 | 21.017 | -18.777 | -0.000 | -0.000 | 15.431 |
| 238.708 | 69.089 | 33.462 | -0.000 | 0.000 | 0.000 |
| 69.089 | 238.708 | 33.462 | 0.000 | 0.000 | 0.000 |
| 56.338 | 56.338 | 214.596 | 0.000 | 0.000 | 0.000 |
| -18.574 | -18.574 | 16.595 | 43.986 | 0.000 | 0.000 |
| -18.574 | -18.574 | 16.595 | 0.000 | 43.986 | 0.000 |
| -21.016 | -21.017 | 18.777 | 0.000 | 0.000 | 15.431 |
| 238.709 | 69.089 | 33.462 | -0.000 | -0.000 | -0.000 |
| 69.089 | 238.709 | 33.462 | 0.000 | -0.000 | -0.000 |
| 33.461 | 33.461 | 235.035 | -0.000 | -0.000 | -0.000 |
| -0.000 | -0.000 | -0.000 | 62.614 | -0.000 | -0.000 |
| -0.000 | -0.000 | -0.000 | -0.000 | 62.614 | -0.000 |
| 3.581 | 3.581 | -3.200 | -0.000 | -0.000 | 13.623 |
| 161.553 | 49.744 | 76.571 | 0.000 | 0.000 | 0.000 |
| 49.744 | 161.553 | 76.571 | 0.000 | 0.000 | 0.000 |
| 33.461 | 33.461 | 235.035 | -0.000 | 0.000 | -0.000 |
| 0.000 | 0.000 | 0.000 | 62.614 | 0.000 | 0.000 |
| 0.000 | 0.000 | 0.000 | -0.000 | 62.614 | 0.000 |
| -3.581 | -3.581 | 3.200 | 0.000 | 0.000 | 13.623 |
| 171.419 | 31.364 | 80.380 | 0.000 | -0.000 | -0.000 |
| 31.364 | 171.419 | 80.380 | 0.000 | -0.000 | -0.000 |
| 75.155 | 75.155 | 197.790 | -0.000 | -0.000 | 0.000 |
| 0.246 | 0.246 | -0.220 | 43.987 | -0.000 | -0.000 |
| 0.246 | 0.246 | -0.220 | 0.000 | 43.987 | -0.000 |
| 0.000 | 0.000 | 0.000 | 0.000 | -0.000 | 17.998 |
| 163.227 | 51.416 | 75.071 | 0.000 | 0.000 | 0.000 |
| 51.416 | 163.227 | 75.071 | 0.000 | 0.000 | 0.000 |
| 74.725 | 74.725 | 198.160 | -0.000 | 0.000 | 0.000 |
| -0.246 | -0.246 | 0.220 | 43.987 | 0.000 | -0.000 |
| -0.246 | -0.246 | 0.220 | -0.000 | 43.987 | 0.000 |
| -0.000 | -0.000 | -0.000 | -0.000 | 0.000 | 17.998 |
| 78.950 | 17.914 | 92.770 | -0.000 | -0.000 | 0.000 |
| 17.914 | 78.950 | 92.770 | 0.000 | -0.000 | 0.000 |
| 25.931 | 25.931 | 219.124 | -0.000 | -0.000 | 0.000 |
| -30.889 | -30.889 | 26.803 | 37.081 | -0.000 | 0.000 |
| -30.889 | -30.889 | 26.803 | 0.000 | 37.081 | 0.000 |
| -0.000 | -0.000 | 0.000 | -0.000 | -0.000 | 11.597 |
| 198.190 | 46.043 | 28.834 | -0.000 | 0.000 | -0.000 |
| 46.043 | 198.190 | 28.834 | -0.000 | 0.000 | -0.000 |
| 25.931 | 25.931 | 219.124 | -0.000 | 0.000 | -0.000 |
| 30.889 | 30.889 | -26.803 | 37.081 | 0.000 | -0.000 |
| 30.889 | 30.889 | -26.803 | -0.000 | 37.081 | -0.000 |
| 0.000 | 0.000 | -0.000 | -0.000 | 0.000 | 11.597 |
| 198.186 | 46.039 | 28.832 | 0.000 | -0.000 | 0.000 |
| 46.039 | 198.186 | 28.832 | 0.000 | -0.000 | 0.000 |
| 64.234 | 64.234 | 185.887 | 0.000 | -0.000 | 0.000 |
| 0.000 | 0.000 | -0.000 | 54.499 | -0.000 | 0.000 |
| 0.000 | 0.000 | -0.000 | -0.000 | 54.499 | 0.000 |
| -5.321 | -5.321 | 4.617 | 0.000 | -0.000 | 7.713 |
| 119.975 | 15.448 | 76.044 | 0.000 | 0.000 | -0.000 |
| 15.448 | 119.975 | 76.044 | -0.000 | 0.000 | -0.000 |
| 25.932 | 25.932 | 219.125 | 0.000 | 0.000 | -0.000 |
| -0.000 | -0.000 | 0.000 | 54.499 | 0.000 | -0.000 |
| -0.000 | -0.000 | 0.000 | 0.000 | 54.499 | -0.000 |
| 5.321 | 5.321 | -4.617 | -0.000 | 0.000 | 7.713 |
| 117.929 | 12.515 | 78.178 | 0.000 | -0.000 | 0.000 |
| 12.515 | 117.929 | 78.178 | 0.000 | -0.000 | 0.000 |
| 66.620 | 66.620 | 183.798 | -0.000 | -0.000 | 0.000 |
| 0.000 | 0.000 | -0.000 | 54.499 | -0.000 | 0.000 |
| 0.000 | 0.000 | -0.000 | 0.000 | 54.499 | 0.000 |
| -0.002 | -0.002 | -0.001 | -0.000 | -0.000 | 11.597 |
| 105.688 | 44.673 | 69.587 | -0.000 | 0.000 | -0.000 |
| 44.673 | 105.688 | 69.587 | 0.000 | 0.000 | -0.000 |
| 67.145 | 67.145 | 183.384 | -0.000 | 0.000 | -0.000 |
| -0.000 | -0.000 | 0.000 | 54.499 | 0.000 | -0.000 |
| -0.000 | -0.000 | 0.000 | 0.000 | 54.499 | -0.000 |
| 0.002 | 0.002 | 0.001 | 0.000 | 0.000 | 11.597 |
| -1389.739 | 699.617 | -172.206 | -0.000 | -57.678 | 0.000 |
| -1480.286 | 1010.877 | -237.276 | -0.000 | -185.073 | 0.000 |
| -1475.003 | 717.700 | -76.896 | -0.000 | -77.865 | 0.000 |
| -1523.134 | 808.129 | -312.050 | 68.080 | -168.435 | -8.517 |
| -1276.188 | 823.168 | -553.647 | -0.000 | -346.155 | 0.000 |
| -1281.047 | 843.551 | -556.522 | -4.321 | -404.891 | 39.416 |
| 263.097 | 23.620 | 64.780 | -0.000 | 12.012 | -0.000 |
| 1330.966 | -652.799 | 639.389 | -0.000 | 387.805 | -0.000 |
| 1362.821 | -763.935 | 713.254 | 0.000 | 407.028 | -0.000 |
| 1523.134 | -808.129 | 312.050 | 68.080 | 168.435 | -8.517 |
| 1528.935 | -823.444 | 313.084 | 0.000 | 227.753 | -0.000 |
| 1281.047 | -843.551 | 556.522 | -4.321 | 404.891 | 39.416 |
| 50.679 | 127.724 | 49.945 | -0.000 | -7.287 | 0.000 |
| -109.797 | 262.081 | 55.061 | -0.000 | -23.112 | 0.000 |
| -47.775 | 162.799 | 104.064 | -0.000 | -37.672 | 0.000 |
| -0.000 | -0.002 | -0.002 | 93.918 | 0.001 | -18.996 |
| 3.622 | -31.187 | 11.504 | 0.000 | 82.741 | 0.000 |
| -152.469 | 80.861 | -31.175 | -8.837 | -16.805 | 40.969 |
| 354.223 | -32.817 | 111.783 | -0.000 | 25.992 | -0.000 |
| 195.407 | 122.617 | 106.218 | 0.000 | 0.535 | -0.000 |
| 62.555 | 63.396 | 197.563 | 0.000 | 11.504 | -0.000 |
| 0.000 | 0.002 | 0.002 | 93.918 | -0.001 | -18.996 |
| 158.355 | -96.067 | 32.390 | -0.000 | 76.043 | -0.000 |
| 152.469 | -80.861 | 31.175 | -8.837 | 16.805 | 40.969 |
| 199.021 | 59.338 | 67.450 | -0.000 | -0.372 | 0.000 |
| 34.588 | 203.436 | 76.181 | 0.000 | -15.349 | 0.000 |
| 62.536 | 86.226 | 156.180 | 0.000 | -0.704 | 0.000 |
| -15.681 | 6.638 | -2.479 | 67.997 | -0.910 | -8.531 |
| -12.401 | -7.348 | -2.125 | 0.000 | 58.127 | 0.000 |
| -10.989 | 7.233 | -4.777 | -6.454 | -3.472 | 41.495 |
| 225.287 | 42.562 | 76.403 | -0.000 | 7.290 | -0.000 |
| 58.594 | 191.596 | 84.559 | 0.000 | -15.880 | -0.000 |
| 92.378 | 71.570 | 161.260 | 0.000 | 3.229 | -0.000 |
| 15.681 | -6.638 | 2.479 | 67.997 | 0.910 | -8.531 |
| 9.112 | -24.007 | 5.375 | 0.000 | 61.809 | -0.000 |
| 10.989 | -7.233 | 4.777 | -6.454 | 3.472 | 41.495 |
| 185.511 | 41.072 | 50.090 | -0.000 | 0.000 | -0.000 |
| 39.145 | 216.109 | 34.242 | 0.000 | 0.000 | -0.000 |
| 34.251 | 34.251 | 321.935 | 0.000 | -0.000 | -0.000 |
| -0.000 | 0.000 | -0.000 | 65.841 | 0.000 | -0.000 |
| -0.000 | 0.000 | -0.000 | -0.000 | 65.841 | -0.000 |
| -0.130 | -0.130 | 0.143 | -0.000 | -0.000 | 69.969 |
| 185.676 | 41.304 | 49.870 | 0.000 | -0.000 | 0.000 |
| 41.304 | 185.676 | 49.870 | 0.000 | 0.000 | 0.000 |
| 34.251 | 34.251 | 321.935 | 0.000 | -0.000 | 0.000 |
| -0.000 | 0.000 | 0.000 | 65.841 | -0.000 | -0.000 |
| 0.000 | -0.000 | 0.000 | 0.000 | 65.841 | -0.000 |
| 0.130 | 0.130 | -0.143 | 0.000 | 0.000 | 69.969 |
| 185.075 | 45.139 | 48.083 | -0.000 | 0.000 | -0.000 |
| 41.176 | 185.585 | 49.991 | 0.000 | -0.000 | -0.000 |
| 34.251 | 34.251 | 321.935 | -0.000 | 0.000 | 0.000 |
| -0.000 | -0.000 | 0.000 | 65.841 | -0.000 | 0.000 |
| -0.000 | -0.000 | 0.000 | -0.000 | 65.841 | -0.000 |
| -0.000 | 0.000 | -0.000 | -0.000 | -0.000 | 88.482 |
| 216.109 | 39.145 | 34.242 | 0.000 | -0.000 | 0.000 |
| 41.199 | 185.601 | 49.969 | -0.000 | -0.000 | 0.000 |
| 34.251 | 34.251 | 321.935 | 0.000 | -0.000 | 0.000 |
| 0.000 | 0.000 | -0.000 | 65.841 | 0.000 | 0.000 |
| 0.000 | 0.000 | -0.000 | 0.000 | 65.841 | 0.000 |
| 0.000 | -0.000 | 0.000 | 0.000 | -0.000 | 88.482 |
| 185.592 | 41.187 | 49.982 | -0.000 | -0.000 | -0.000 |
| 45.148 | 185.086 | 48.072 | -0.000 | -0.000 | -0.000 |
| 48.080 | 48.080 | 306.649 | -0.000 | -0.000 | -0.000 |
| -0.000 | -0.000 | 0.000 | 65.841 | 0.000 | 0.000 |
| -0.000 | -0.000 | 0.000 | -0.000 | 65.841 | -0.000 |
| -0.001 | 0.000 | -0.000 | -0.000 | 0.000 | 88.482 |
| 185.596 | 41.189 | 49.978 | 0.000 | -0.000 | 0.000 |
| 39.144 | 216.110 | 34.242 | -0.000 | 0.000 | 0.000 |
| 34.250 | 34.250 | 321.933 | -0.000 | 0.000 | -0.000 |
| 0.000 | 0.000 | -0.000 | 65.841 | -0.000 | 0.000 |
| 0.000 | 0.000 | -0.000 | 0.000 | 65.841 | -0.000 |
| 0.001 | -0.000 | 0.000 | -0.000 | -0.000 | 88.482 |
| 185.115 | 45.145 | 48.051 | 0.000 | -0.000 | -0.000 |
| 41.185 | 185.623 | 49.960 | -0.000 | -0.000 | -0.000 |
| 34.229 | 34.229 | 321.908 | -0.000 | -0.000 | 0.000 |
| -0.000 | -0.000 | 0.000 | 56.741 | -0.000 | -0.000 |
| -0.000 | -0.000 | 0.000 | 0.000 | 56.741 | -0.000 |
| -0.000 | -0.000 | 0.000 | 0.000 | 0.000 | 69.985 |
| 185.115 | 45.145 | 48.051 | -0.000 | 0.000 | 0.000 |
| 41.185 | 185.623 | 49.960 | -0.000 | 0.000 | 0.000 |
| 34.229 | 34.229 | 321.908 | 0.000 | 0.000 | -0.000 |
| 0.000 | 0.000 | -0.000 | 56.741 | 0.000 | 0.000 |
| 0.000 | 0.000 | -0.000 | -0.000 | 56.741 | -0.000 |
| 0.000 | 0.000 | -0.000 | -0.000 | 0.000 | 69.985 |
| 185.115 | 45.145 | 48.051 | 0.000 | 0.000 | -0.000 |
| 39.133 | 216.128 | 34.229 | -0.000 | -0.000 | 0.000 |
| 48.051 | 48.051 | 306.624 | 0.000 | -0.000 | 0.000 |
| 0.000 | -0.000 | 0.000 | 65.844 | -0.000 | 0.000 |
| -0.000 | -0.000 | 0.000 | 0.000 | 56.741 | -0.000 |
| -0.000 | 0.000 | -0.000 | 0.000 | 0.000 | 69.985 |
| 185.623 | 41.185 | 49.960 | -0.000 | -0.000 | 0.000 |
| 41.185 | 185.623 | 49.960 | -0.000 | -0.000 | 0.000 |
| 48.051 | 48.051 | 306.624 | 0.000 | 0.000 | 0.000 |
| -0.000 | 0.000 | -0.000 | 65.844 | 0.000 | -0.000 |
| 0.000 | 0.000 | -0.000 | -0.000 | 56.741 | 0.000 |
| 0.000 | -0.000 | 0.000 | -0.000 | 0.000 | 69.985 |
| 185.623 | 41.185 | 49.960 | 0.000 | -0.000 | -0.000 |
| 45.146 | 185.117 | 48.050 | 0.000 | -0.000 | -0.000 |
| 48.048 | 48.048 | 306.629 | 0.000 | -0.000 | -0.000 |
| -0.000 | -0.000 | 0.000 | 56.741 | -0.000 | -0.000 |
| -0.000 | -0.000 | 0.000 | 0.000 | 56.741 | -0.000 |
| -0.001 | 0.000 | -0.000 | 0.000 | 0.000 | 69.985 |
| 185.623 | 41.185 | 49.960 | -0.000 | 0.000 | 0.000 |
| 39.132 | 216.129 | 34.228 | 0.000 | 0.000 | -0.000 |
| 34.228 | 34.228 | 321.907 | 0.000 | 0.000 | -0.000 |
| 0.000 | 0.000 | -0.000 | 56.741 | 0.000 | 0.000 |
| 0.000 | 0.000 | -0.000 | 0.000 | 56.741 | -0.000 |
| 0.001 | -0.000 | 0.000 | -0.000 | 0.000 | 69.985 |
| -898.994 | -975.791 | -975.791 | -0.000 | 0.000 | -0.000 |
| -975.791 | -898.994 | -975.791 | 0.000 | 0.000 | -0.000 |
| -975.791 | -975.791 | -898.994 | -0.000 | 0.000 | -0.000 |
| -939.612 | -939.612 | -939.612 | 41.722 | 0.000 | -0.000 |
| -939.612 | -939.612 | -939.612 | -0.000 | 41.722 | -0.000 |
| -939.612 | -939.612 | -939.612 | 0.000 | 0.000 | 41.722 |
| 1208.230 | 1131.428 | 1131.428 | 0.000 | -0.000 | 0.000 |
| 1131.428 | 1208.230 | 1131.428 | 0.000 | 0.000 | 0.000 |
| 1131.428 | 1131.428 | 1208.230 | -0.000 | -0.000 | -0.000 |
| 939.612 | 939.612 | 939.612 | 41.722 | -0.000 | 0.000 |
| 939.612 | 939.612 | 939.612 | 0.000 | 41.722 | -0.000 |
| 939.612 | 939.612 | 939.612 | 0.000 | -0.000 | 41.722 |
| 49.114 | -27.667 | -27.667 | 0.000 | 0.000 | -0.000 |
| -27.667 | 49.114 | -27.667 | -0.000 | 0.000 | 0.000 |
| -27.667 | -27.667 | 49.114 | 0.000 | 0.000 | 0.000 |
| -93.927 | -93.927 | -93.927 | 41.735 | -0.000 | -0.000 |
| -93.927 | -93.927 | -93.927 | 0.000 | 41.735 | -0.000 |
| -93.927 | -93.927 | -93.927 | 0.000 | 0.000 | 41.735 |
| 248.956 | 172.965 | 172.965 | -0.000 | -0.000 | 0.000 |
| 172.965 | 248.956 | 172.965 | 0.000 | -0.000 | 0.000 |
| 172.965 | 172.965 | 248.956 | 0.000 | 0.000 | 0.000 |
| 93.927 | 93.927 | 93.927 | 41.735 | 0.000 | 0.000 |
| 93.927 | 93.927 | 93.927 | 0.000 | 41.735 | 0.000 |
| 93.927 | 93.927 | 93.927 | 0.000 | -0.000 | 41.735 |
| 144.998 | 70.121 | 70.121 | -0.000 | 0.000 | -0.000 |
| 70.121 | 144.998 | 70.121 | -0.000 | 0.000 | 0.000 |
| 70.121 | 70.121 | 144.998 | -0.000 | 0.000 | -0.000 |
| -11.138 | -11.138 | -11.138 | 43.177 | -0.000 | -0.000 |
| -11.138 | -11.138 | -11.138 | 0.000 | 43.177 | -0.000 |
| -11.138 | -11.138 | -11.138 | -0.000 | 0.000 | 43.177 |
| 164.752 | 89.429 | 89.429 | 0.000 | -0.000 | 0.000 |
| 89.429 | 164.752 | 89.429 | 0.000 | -0.000 | 0.000 |
| 89.429 | 89.429 | 164.752 | -0.000 | -0.000 | 0.000 |
| 11.138 | 11.138 | 11.138 | 43.177 | 0.000 | -0.000 |
| 11.138 | 11.138 | 11.138 | 0.000 | 43.177 | 0.000 |
| 11.138 | 11.138 | 11.138 | 0.000 | -0.000 | 43.177 |
| 153.375 | 76.804 | 76.803 | 0.000 | -0.000 | 0.000 |
| 76.803 | 153.375 | 76.803 | 0.000 | -0.000 | 0.000 |
| 76.804 | 76.804 | 153.375 | 0.000 | -0.000 | 0.000 |
| 0.000 | -0.000 | 0.000 | 78.468 | -0.000 | 0.000 |
| -0.000 | 0.000 | 0.000 | 0.000 | 78.468 | 0.000 |
| -0.000 | 0.000 | 0.000 | 0.000 | -0.000 | 78.468 |
| 199.348 | 64.815 | 64.815 | -0.000 | 0.000 | -0.000 |
| 64.815 | 199.348 | 64.815 | -0.000 | 0.000 | -0.000 |
| 64.815 | 64.815 | 199.348 | -0.000 | 0.000 | -0.000 |
| -0.000 | 0.000 | -0.000 | 78.468 | 0.000 | -0.000 |
| -0.000 | 0.000 | -0.000 | -0.000 | 78.468 | -0.000 |
| -0.000 | 0.000 | -0.000 | -0.000 | 0.000 | 78.468 |
| 199.348 | 64.815 | 64.815 | 0.000 | -0.000 | 0.000 |
| 64.815 | 199.348 | 64.815 | 0.000 | -0.000 | 0.000 |
| 64.815 | 64.815 | 199.348 | 0.000 | 0.000 | 0.000 |
| -0.046 | -0.046 | -0.046 | 43.617 | -0.000 | 0.000 |
| -0.046 | -0.046 | -0.046 | 0.000 | 43.617 | 0.000 |
| -0.046 | -0.046 | -0.046 | 0.000 | -0.000 | 43.617 |
| 199.348 | 64.815 | 64.815 | -0.000 | 0.000 | -0.000 |
| 64.815 | 199.348 | 64.815 | -0.000 | 0.000 | -0.000 |
| 64.815 | 64.815 | 199.348 | -0.000 | 0.000 | -0.000 |
| 0.046 | 0.046 | 0.046 | 43.617 | 0.000 | -0.000 |
| 0.046 | 0.046 | 0.046 | -0.000 | 43.617 | -0.000 |
| 0.046 | 0.046 | 0.046 | -0.000 | 0.000 | 43.617 |
| 153.788 | 77.788 | 77.788 | 0.000 | -0.000 | 0.000 |
| 77.788 | 153.788 | 77.788 | 0.000 | -0.000 | 0.000 |
| 77.788 | 77.788 | 153.788 | 0.000 | -0.000 | 0.000 |
| -0.005 | -0.005 | -0.005 | 43.617 | -0.000 | 0.000 |
| -0.005 | -0.005 | -0.005 | 0.000 | 43.617 | 0.000 |
| -0.005 | -0.005 | -0.005 | 0.000 | -0.000 | 43.617 |
| 199.349 | 64.815 | 64.815 | -0.000 | 0.000 | -0.000 |
| 64.815 | 199.349 | 64.815 | -0.000 | 0.000 | -0.000 |
| 64.815 | 64.815 | 199.349 | -0.000 | -0.000 | -0.000 |
| 0.005 | 0.005 | 0.005 | 43.617 | 0.000 | -0.000 |
| 0.005 | 0.005 | 0.005 | -0.000 | 43.617 | -0.000 |
| 0.005 | 0.005 | 0.005 | -0.000 | 0.000 | 43.617 |
| 635.662 | 240.314 | 240.315 | 0.000 | -0.000 | 0.000 |
| 240.315 | 635.662 | 240.314 | 0.000 | -0.000 | 0.000 |
| 240.314 | 240.315 | 635.662 | -0.000 | -0.000 | 0.000 |
| -947.841 | -947.842 | -947.842 | 434.064 | -0.000 | 0.000 |
| -947.842 | -947.841 | -947.842 | 0.000 | 434.064 | 0.000 |
| -947.842 | -947.842 | -947.841 | 0.000 | -0.000 | 434.064 |
| 1176.600 | 991.188 | 991.187 | -0.000 | -0.000 | -0.000 |
| 991.187 | 1176.600 | 991.188 | -0.000 | 0.000 | -0.000 |
| 991.188 | 991.187 | 1176.600 | -0.000 | 0.000 | -0.000 |
| 947.841 | 947.842 | 947.842 | 434.064 | 0.000 | 0.000 |
| 947.842 | 947.841 | 947.842 | -0.000 | 434.064 | 0.000 |
| 947.842 | 947.842 | 947.841 | 0.000 | 0.000 | 434.064 |
| 197.946 | 74.999 | 75.018 | 0.000 | -0.000 | -0.000 |
| 75.018 | 197.946 | 74.999 | -0.000 | -0.000 | 0.000 |
| 74.999 | 75.018 | 197.946 | 0.000 | -0.000 | 0.000 |
| -90.304 | -90.330 | -90.330 | 79.716 | 0.000 | -0.000 |
| -90.330 | -90.304 | -90.330 | 0.000 | 79.716 | -0.000 |
| -90.330 | -90.330 | -90.304 | 0.000 | -0.000 | 79.716 |
| 387.270 | 267.960 | 267.939 | 0.000 | 0.000 | 0.000 |
| 267.939 | 387.270 | 267.960 | -0.000 | 0.000 | 0.000 |
| 267.960 | 267.939 | 387.270 | -0.000 | -0.000 | 0.000 |
| 90.304 | 90.330 | 90.330 | 79.716 | 0.000 | 0.000 |
| 90.330 | 90.304 | 90.330 | -0.000 | 79.716 | 0.000 |
| 90.330 | 90.330 | 90.304 | 0.000 | -0.000 | 79.716 |
| 325.867 | 142.473 | 142.577 | 0.000 | 0.000 | -0.000 |
| 142.577 | 325.867 | 142.473 | 0.000 | -0.000 | 0.000 |
| 142.473 | 142.577 | 325.867 | 0.000 | -0.000 | -0.000 |
| -6.967 | -6.946 | -6.947 | 92.862 | -0.000 | -0.000 |
| -6.947 | -6.967 | -6.946 | 0.000 | 92.862 | 0.000 |
| -6.946 | -6.947 | -6.967 | -0.000 | -0.000 | 92.862 |
| 333.310 | 147.121 | 147.033 | -0.000 | 0.000 | -0.000 |
| 147.033 | 333.310 | 147.121 | -0.000 | -0.000 | -0.000 |
| 147.121 | 147.033 | 333.310 | 0.000 | -0.000 | -0.000 |
| 6.967 | 6.946 | 6.947 | 92.862 | 0.000 | 0.000 |
| 6.947 | 6.967 | 6.946 | -0.000 | 92.862 | -0.000 |
| 6.946 | 6.947 | 6.967 | -0.000 | 0.000 | 92.862 |
| 193.962 | 77.019 | 77.019 | 0.000 | 0.000 | -0.000 |
| 77.019 | 193.962 | 77.019 | 0.000 | -0.000 | -0.000 |
| 77.019 | 77.019 | 193.962 | -0.000 | -0.000 | -0.000 |
| -1.600 | -1.600 | -1.600 | 47.215 | 0.000 | -0.000 |
| -1.600 | -1.600 | -1.600 | 0.000 | 47.215 | -0.000 |
| -1.600 | -1.600 | -1.600 | 0.000 | -0.000 | 47.215 |
| 204.504 | 79.878 | 79.878 | -0.000 | 0.000 | 0.000 |
| 79.878 | 204.504 | 79.878 | -0.000 | 0.000 | 0.000 |
| 79.878 | 79.878 | 204.504 | -0.000 | 0.000 | 0.000 |
| 1.600 | 1.600 | 1.600 | 47.215 | 0.000 | 0.000 |
| 1.600 | 1.600 | 1.600 | -0.000 | 47.215 | 0.000 |
| 1.600 | 1.600 | 1.600 | -0.000 | 0.000 | 47.215 |
| 240.326 | 61.644 | 61.643 | 0.000 | -0.000 | -0.000 |
| 61.643 | 240.326 | 61.644 | 0.000 | -0.000 | 0.000 |
| 61.644 | 61.643 | 240.326 | 0.000 | -0.000 | -0.000 |
| -0.162 | -0.161 | -0.162 | 46.928 | 0.000 | -0.000 |
| -0.162 | -0.162 | -0.161 | 0.000 | 46.928 | -0.000 |
| -0.161 | -0.162 | -0.162 | 0.000 | -0.000 | 46.928 |
| 193.107 | 77.005 | 77.005 | -0.000 | 0.000 | -0.000 |
| 77.005 | 193.107 | 77.005 | -0.000 | 0.000 | 0.000 |
| 77.005 | 77.005 | 193.107 | -0.000 | 0.000 | 0.000 |
| 0.162 | 0.161 | 0.162 | 46.928 | -0.000 | 0.000 |
| 0.162 | 0.162 | 0.161 | -0.000 | 46.928 | 0.000 |
| 0.161 | 0.162 | 0.162 | -0.000 | 0.000 | 46.928 |
| 240.362 | 61.660 | 61.653 | 0.000 | -0.000 | -0.000 |
| 61.653 | 240.362 | 61.660 | 0.000 | -0.000 | 0.000 |
| 61.660 | 61.653 | 240.362 | 0.000 | -0.000 | -0.000 |
| -0.010 | -0.004 | -0.007 | 44.285 | -0.000 | -0.000 |
| -0.007 | -0.010 | -0.004 | -0.000 | 44.285 | -0.000 |
| -0.004 | -0.007 | -0.010 | 0.000 | -0.000 | 44.285 |
| 240.283 | 61.624 | 61.632 | 0.000 | 0.000 | 0.000 |
| 61.632 | 240.283 | 61.624 | -0.000 | 0.000 | 0.000 |
| 61.624 | 61.632 | 240.283 | 0.000 | 0.000 | 0.000 |
| 0.010 | 0.004 | 0.007 | 44.285 | -0.000 | 0.000 |
| 0.007 | 0.010 | 0.004 | -0.000 | 44.285 | 0.000 |
| 0.004 | 0.007 | 0.010 | -0.000 | 0.000 | 44.285 |
| -2114.871 | -2200.690 | -2200.690 | 0.000 | -0.000 | -0.000 |
| -2200.690 | -2114.871 | -2200.690 | 0.000 | -0.000 | -0.000 |
| -2200.690 | -2200.690 | -2114.871 | 0.000 | -0.000 | -0.000 |
| -1937.917 | -1937.917 | -1937.917 | 32.702 | -0.000 | -0.000 |
| -1937.917 | -1937.917 | -1937.917 | 0.000 | 32.702 | -0.000 |
| -1937.917 | -1937.917 | -1937.917 | 0.000 | -0.000 | 32.702 |
| 2081.318 | 2022.497 | 2022.497 | -0.000 | 0.000 | 0.000 |
| 2022.497 | 2081.318 | 2022.497 | -0.000 | -0.000 | 0.000 |
| 2022.497 | 2022.497 | 2081.318 | -0.000 | 0.000 | 0.000 |
| 1937.917 | 1937.917 | 1937.917 | 32.702 | 0.000 | 0.000 |
| 1937.917 | 1937.917 | 1937.917 | -0.000 | 32.702 | 0.000 |
| 1937.917 | 1937.917 | 1937.917 | -0.000 | 0.000 | 32.702 |
| -50.343 | -108.929 | -108.929 | 0.000 | -0.000 | -0.000 |
| -108.929 | -50.343 | -108.929 | 0.000 | -0.000 | -0.000 |
| -108.929 | -108.929 | -50.343 | 0.000 | -0.000 | -0.000 |
| -193.633 | -193.634 | -193.634 | 32.734 | -0.000 | 0.000 |
| -193.634 | -193.633 | -193.634 | 0.000 | 32.734 | -0.000 |
| -193.634 | -193.634 | -193.633 | 0.000 | -0.000 | 32.734 |
| 387.441 | 301.964 | 301.964 | -0.000 | 0.000 | 0.000 |
| 301.964 | 387.441 | 301.964 | -0.000 | 0.000 | 0.000 |
| 301.964 | 301.964 | 387.441 | -0.000 | 0.000 | 0.000 |
| 193.633 | 193.634 | 193.634 | 32.734 | -0.000 | 0.000 |
| 193.634 | 193.633 | 193.634 | -0.000 | 32.734 | 0.000 |
| 193.634 | 193.634 | 193.633 | -0.000 | 0.000 | 32.734 |
| 124.832 | 55.657 | 55.657 | 0.000 | 0.000 | -0.000 |
| 55.657 | 124.832 | 55.657 | 0.000 | -0.000 | -0.000 |
| 55.657 | 55.657 | 124.832 | 0.000 | -0.000 | -0.000 |
| 0.001 | -0.007 | -0.007 | 71.602 | -0.000 | 0.000 |
| -0.007 | 0.001 | -0.007 | 0.000 | 71.602 | 0.000 |
| -0.007 | -0.007 | 0.001 | 0.000 | -0.000 | 71.602 |
| 179.075 | 99.659 | 99.659 | -0.000 | -0.000 | 0.000 |
| 99.659 | 179.075 | 99.659 | -0.000 | -0.000 | 0.000 |
| 99.659 | 99.659 | 179.075 | -0.000 | 0.000 | 0.000 |
| -0.001 | 0.007 | 0.007 | 71.602 | 0.000 | -0.000 |
| 0.007 | -0.001 | 0.007 | -0.000 | 71.602 | -0.000 |
| 0.007 | 0.007 | -0.001 | -0.000 | 0.000 | 71.602 |
| 156.614 | 81.644 | 81.644 | -0.000 | -0.000 | -0.000 |
| 81.644 | 156.614 | 81.644 | 0.000 | -0.000 | 0.000 |
| 81.644 | 81.644 | 156.614 | 0.000 | -0.000 | -0.000 |
| -0.014 | -0.014 | -0.014 | 42.690 | -0.000 | 0.000 |
| -0.014 | -0.014 | -0.014 | 0.000 | 42.690 | 0.000 |
| -0.014 | -0.014 | -0.014 | -0.000 | -0.000 | 42.690 |
| 156.661 | 81.668 | 81.668 | -0.000 | 0.000 | 0.000 |
| 81.668 | 156.661 | 81.668 | -0.000 | -0.000 | 0.000 |
| 81.668 | 81.668 | 156.661 | -0.000 | 0.000 | -0.000 |
| 0.014 | 0.014 | 0.014 | 42.690 | 0.000 | 0.000 |
| 0.014 | 0.014 | 0.014 | -0.000 | 42.690 | -0.000 |
| 0.014 | 0.014 | 0.014 | -0.000 | 0.000 | 42.690 |
| 205.171 | 66.497 | 66.497 | 0.000 | 0.000 | 0.000 |
| 66.497 | 205.171 | 66.497 | 0.000 | -0.000 | 0.000 |
| 66.497 | 66.497 | 205.171 | 0.000 | -0.000 | -0.000 |
| 0.000 | -0.001 | -0.001 | 72.835 | 0.000 | 0.000 |
| -0.001 | 0.000 | -0.001 | 0.000 | 72.835 | 0.000 |
| -0.001 | -0.001 | 0.000 | 0.000 | -0.000 | 72.835 |
| 205.174 | 66.498 | 66.498 | -0.000 | -0.000 | -0.000 |
| 66.498 | 205.174 | 66.498 | -0.000 | -0.000 | -0.000 |
| 66.498 | 66.498 | 205.174 | -0.000 | 0.000 | -0.000 |
| -0.000 | 0.001 | 0.001 | 72.835 | -0.000 | -0.000 |
| 0.001 | -0.000 | 0.001 | -0.000 | 72.835 | -0.000 |
| 0.001 | 0.001 | -0.000 | -0.000 | -0.000 | 72.835 |
| 156.630 | 81.654 | 81.654 | 0.000 | -0.000 | 0.000 |
| 81.654 | 156.630 | 81.654 | 0.000 | -0.000 | -0.000 |
| 81.654 | 81.654 | 156.630 | 0.000 | -0.000 | 0.000 |
| 0.001 | -0.007 | -0.007 | 72.835 | 0.000 | 0.000 |
| -0.007 | 0.001 | -0.007 | 0.000 | 72.835 | 0.000 |
| -0.007 | -0.007 | 0.001 | 0.000 | -0.000 | 72.835 |
| 156.645 | 81.658 | 81.658 | 0.000 | 0.000 | 0.000 |
| 81.658 | 156.645 | 81.658 | -0.000 | 0.000 | 0.000 |
| 81.658 | 81.658 | 156.645 | 0.000 | -0.000 | -0.000 |
| -0.001 | 0.007 | 0.007 | 72.835 | 0.000 | -0.000 |
| 0.007 | -0.001 | 0.007 | -0.000 | 72.835 | -0.000 |
| 0.007 | 0.007 | -0.001 | -0.000 | 0.000 | 72.835 |
| 805.928 | 275.340 | 272.972 | -0.000 | -0.000 | 0.000 |
| 266.998 | 484.450 | 448.914 | -0.000 | -0.000 | 0.000 |
| 269.513 | 453.785 | 708.091 | -0.000 | -0.000 | 0.000 |
| 0.013 | 0.033 | 0.021 | 248.309 | 0.000 | 0.000 |
| 0.013 | 0.033 | 0.021 | -0.000 | 105.100 | 0.000 |
| 0.013 | 0.033 | 0.021 | -0.000 | -0.000 | 81.300 |
| 805.904 | 275.276 | 272.931 | 0.000 | 0.000 | -0.000 |
| 266.987 | 484.420 | 448.894 | 0.000 | -0.000 | -0.000 |
| 269.501 | 453.754 | 708.071 | 0.000 | 0.000 | -0.000 |
| -0.013 | -0.033 | -0.021 | 248.309 | 0.000 | -0.000 |
| -0.013 | -0.033 | -0.021 | 0.000 | 105.100 | -0.000 |
| -0.013 | -0.033 | -0.021 | 0.000 | 0.000 | 81.300 |
| 805.909 | 275.302 | 272.945 | -0.000 | -0.000 | 0.000 |
| 266.989 | 484.439 | 448.904 | 0.000 | -0.000 | 0.000 |
| 269.507 | 453.780 | 708.087 | -0.000 | -0.000 | 0.000 |
| 0.000 | -0.000 | -0.000 | 248.309 | -0.000 | -0.000 |
| 0.001 | 0.003 | 0.002 | -0.000 | 105.100 | 0.000 |
| 0.001 | 0.003 | 0.002 | -0.000 | -0.000 | 81.300 |
| 805.923 | 275.314 | 272.957 | 0.000 | 0.000 | -0.000 |
| 267.008 | 484.460 | 448.922 | 0.000 | -0.000 | -0.000 |
| 269.521 | 453.794 | 708.100 | 0.000 | 0.000 | -0.000 |
| -0.000 | 0.000 | 0.000 | 248.309 | 0.000 | -0.000 |
| -0.001 | -0.003 | -0.002 | 0.000 | 105.100 | -0.000 |
| -0.001 | -0.003 | -0.002 | 0.000 | 0.000 | 81.300 |
| 805.836 | 275.219 | 272.873 | -0.000 | -0.000 | 0.000 |
| 266.896 | 484.332 | 448.814 | -0.000 | -0.000 | 0.000 |
| 269.436 | 453.699 | 708.017 | 0.000 | -0.000 | 0.000 |
| 0.000 | -0.000 | -0.000 | 248.309 | -0.000 | 0.000 |
| -0.001 | 0.000 | -0.000 | -0.000 | 105.100 | 0.000 |
| -0.001 | 0.000 | -0.000 | -0.000 | -0.000 | 81.300 |
| 805.996 | 275.398 | 273.029 | 0.000 | 0.000 | 0.000 |
| 267.103 | 484.571 | 449.015 | 0.000 | 0.000 | 0.000 |
| 269.590 | 453.872 | 708.167 | 0.000 | -0.000 | -0.000 |
| -0.000 | 0.000 | 0.000 | 248.309 | 0.000 | -0.000 |
| 0.001 | -0.000 | 0.000 | 0.000 | 105.100 | -0.000 |
| 0.001 | -0.000 | 0.000 | 0.000 | 0.000 | 81.300 |
Phonon band structures and crystal properties estimated from quasi-harmonic approximation (QHA) calculations are displayed for select crystals. The calculations were performed using phonopy and LAMMPS. For the phonon calculations, 3x3 supercells of the potential-specific relaxed crystals were used. The QHA calculations were based on 11 strain states ranging from -0.05 to 0.05.
The calculation method used is available as the iprPy phonon calculation method.
Notes and Disclaimers:
Version Information:
































































































































































































































































































































































































































































































Static free surface formation energies are displayed for select crystals. The values displayed here are obtained by taking a perfect periodic bulk crystal, slicing along a crystallographic plane, and using force minimization to statically relax the surfaces. The free surface formation energy is computed by comparing the energy of the defect system to the bulk system and dividing by the total surface area created by the cut.
The calculation method used is available as the iprPy surface_energy_static calculation method.
Notes and Disclaimers:
Version Information:
| Surface | γfs (mJ/m2) |
|---|---|
| (111) | 784.49 |
| (100) | 822.25 |
| (332) | 835.28 |
| (322) | 840.34 |
| (221) | 853.20 |
| (110) | 858.41 |
| (311) | 858.61 |
| (211) | 859.73 |
| (331) | 862.87 |
| (321) | 875.62 |
| (210) | 882.10 |
| (310) | 882.31 |
| (320) | 885.21 |
| Surface | γfs (mJ/m2) |
|---|---|
| (111) | 104.32 |
| (332) | 116.87 |
| (322) | 118.33 |
| (221) | 122.50 |
| (100) | 123.10 |
| (211) | 125.42 |
| (331) | 127.17 |
| (311) | 130.78 |
| (110) | 132.11 |
| (321) | 132.66 |
| (310) | 138.26 |
| (320) | 138.94 |
| (210) | 140.48 |
| Surface | γfs (mJ/m2) |
|---|---|
| (320) | 562.48 |
| (210) | 614.70 |
| (110) | 665.84 |
| (211) 2 | 670.16 |
| (310) | 675.63 |
| (321) 2 | 692.08 |
| (332) 2 | 692.67 |
| (322) | 696.33 |
| (111) | 698.97 |
| (221) | 700.19 |
| (321) 1 | 701.60 |
| (331) | 709.38 |
| (332) 1 | 709.74 |
| (311) | 710.40 |
| (211) 1 | 716.55 |
| (100) | 744.63 |
| Surface | γfs (mJ/m2) |
|---|---|
| (0001) | 773.43 |
| (1012) 2 | 806.66 |
| (1011) 1 | 824.15 |
| (2021) 1 | 826.51 |
| (1120) | 854.15 |
| (2021) 2 | 855.90 |
| (2241) | 868.13 |
| (2131) 1 | 870.35 |
| (2132) 2 | 872.36 |
| (1010) | 873.41 |
| (1121) | 877.17 |
| (2132) 1 | 880.19 |
| (2112) | 880.27 |
| (2130) | 882.20 |
| (1012) 1 | 888.77 |
| (2131) 2 | 892.96 |
| (1011) 2 | 904.26 |
| Surface | γfs (mJ/m2) |
|---|---|
| (0001) | 763.36 |
| (1010) 1 | 798.72 |
| (1011) 2 | 800.79 |
| (2021) 1 | 823.63 |
| (1012) 1 | 840.46 |
| (1120) | 848.11 |
| (2112) | 851.51 |
| (2130) 1 | 853.87 |
| (1012) 2 | 860.42 |
| (2131) 2 | 869.72 |
| (2132) 1 | 870.42 |
| (2241) | 873.22 |
| (2132) 2 | 877.00 |
| (1121) | 879.01 |
| (2131) 1 | 882.92 |
| (2021) 2 | 896.26 |
| (2130) 2 | 901.32 |
| (1010) 2 | 946.34 |
| (1011) 1 | 964.19 |
| Surface | γfs (mJ/m2) |
|---|---|
| (0001) | 104.32 |
| (1010) 1 | 111.56 |
| (1011) 2 | 115.47 |
| (2021) 1 | 117.09 |
| (2130) 1 | 128.62 |
| (1012) 2 | 129.06 |
| (1012) 1 | 130.19 |
| (2112) | 130.78 |
| (1120) | 132.06 |
| (2132) 2 | 133.11 |
| (2132) 1 | 133.52 |
| (2131) 1 | 133.52 |
| (2131) 2 | 134.21 |
| (2241) | 136.25 |
| (1121) | 137.31 |
| (2021) 2 | 138.39 |
| (2130) 2 | 146.50 |
| (1011) 1 | 153.27 |
| (1010) 2 | 155.64 |
| Surface | γfs (mJ/m2) |
|---|---|
| (111) 2 | 21.65 |
| (331) 2 | 25.81 |
| (110) | 26.51 |
| (321) | 30.93 |
| (211) | 31.95 |
| (320) | 32.10 |
| (332) | 34.72 |
| (210) | 35.00 |
| (311) 2 | 35.88 |
| (311) 1 | 35.89 |
| (310) | 37.64 |
| (322) | 40.29 |
| (100) | 40.76 |
| (221) | 41.79 |
| (331) 1 | 48.92 |
| (111) 1 | 79.83 |
| Surface | γfs (mJ/m2) |
|---|---|
| (100) | 40.40 |
| (310) | 52.32 |
| (210) | 55.92 |
| (320) | 58.16 |
| (110) | 59.85 |
| (321) | 69.33 |
| (331) | 69.66 |
| (211) | 71.35 |
| (221) | 73.00 |
| (322) | 74.98 |
| (332) | 75.34 |
| (111) | 77.58 |
| Surface | γfs (mJ/m2) |
|---|---|
| (111) | 793.67 |
| (332) | 837.78 |
| (322) | 846.14 |
| (221) | 858.74 |
| (100) | 866.21 |
| (211) | 872.38 |
| (331) | 876.74 |
| (110) | 882.28 |
| (311) | 885.71 |
| (321) | 892.20 |
| (320) | 909.12 |
| (210) | 910.08 |
| (310) | 914.12 |
| Surface | γfs (mJ/m2) |
|---|---|
| (111) | 311.78 |
| (332) | 347.08 |
| (322) | 351.16 |
| (221) | 362.65 |
| (100) | 363.70 |
| (211) | 370.63 |
| (331) | 375.29 |
| (311) | 384.66 |
| (110) | 387.46 |
| (321) | 389.66 |
| (310) | 404.62 |
| (320) | 405.98 |
| (210) | 409.57 |
| Surface | γfs (mJ/m2) |
|---|---|
| (111) | 119.00 |
| (332) | 132.21 |
| (322) | 133.75 |
| (221) | 138.01 |
| (100) | 138.38 |
| (211) | 140.99 |
| (331) | 142.68 |
| (311) | 146.11 |
| (110) | 147.02 |
| (321) | 148.01 |
| (310) | 153.53 |
| (320) | 153.94 |
| (210) | 155.24 |
| Surface | γfs (mJ/m2) |
|---|---|
| (110) | 76.13 |
| (321) | 86.45 |
| (331) | 86.63 |
| (211) | 88.10 |
| (320) | 89.91 |
| (221) | 89.98 |
| (322) | 91.69 |
| (332) | 92.14 |
| (111) | 93.68 |
| (210) | 96.82 |
| (311) | 97.88 |
| (310) | 102.88 |
| (100) | 108.84 |
| Surface | γfs (mJ/m2) |
|---|---|
| (0001) | 311.70 |
| (2021) 1 | 342.71 |
| (1012) 2 | 342.78 |
| (1011) 1 | 348.19 |
| (2021) 2 | 372.40 |
| (1120) | 387.27 |
| (2131) 1 | 388.16 |
| (1010) | 391.10 |
| (2132) 2 | 393.45 |
| (1012) 1 | 394.29 |
| (2241) | 394.32 |
| (1121) | 399.03 |
| (2112) | 401.69 |
| (2130) | 401.82 |
| (1011) 2 | 404.86 |
| (2131) 2 | 410.92 |
| Surface | γfs (mJ/m2) |
|---|---|
| (1010) 1 | 769.33 |
| (1011) 2 | 802.40 |
| (2021) 1 | 811.20 |
| (0001) | 812.52 |
| (2130) 1 | 830.41 |
| (1120) | 830.96 |
| (2112) | 842.64 |
| (2131) 2 | 851.62 |
| (2132) 1 | 853.99 |
| (2241) | 855.15 |
| (1121) | 857.52 |
| (2132) 2 | 860.45 |
| (2131) 1 | 861.73 |
| (1012) 1 | 870.31 |
| (1012) 2 | 892.19 |
| (2130) 2 | 895.52 |
| (2021) 2 | 925.97 |
| (1011) 1 | 989.84 |
| (1010) 2 | 1006.20 |
| Surface | γfs (mJ/m2) |
|---|---|
| (111) 2 | 45.78 |
| (331) 2 | 54.56 |
| (110) | 56.07 |
| (321) | 63.67 |
| (211) | 64.89 |
| (320) | 66.08 |
| (332) | 67.84 |
| (210) | 71.08 |
| (311) 2 | 71.92 |
| (311) 1 | 71.96 |
| (310) | 75.46 |
| (322) | 77.27 |
| (221) | 79.64 |
| (100) | 79.68 |
| (331) 1 | 91.45 |
| (111) 1 | 138.59 |
| Surface | γfs (mJ/m2) |
|---|---|
| (111) 2 | 16.13 |
| (331) 2 | 19.23 |
| (110) | 19.75 |
| (321) | 22.42 |
| (211) | 22.84 |
| (320) | 23.27 |
| (332) | 23.89 |
| (210) | 25.03 |
| (311) 2 | 25.32 |
| (311) 1 | 25.32 |
| (310) | 26.56 |
| (322) | 27.20 |
| (100) | 28.02 |
| (221) | 28.04 |
| (331) 1 | 32.19 |
| (111) 1 | 48.74 |
| Surface | γfs (mJ/m2) |
|---|---|
| (100) | 145.10 |
| (101) 1 | 201.89 |
| (110) | 209.54 |
| (201) | 210.58 |
| (211) 2 | 212.56 |
| (112) | 213.36 |
| (111) | 222.16 |
| (001) | 228.26 |
| (211) 1 | 248.98 |
| (101) 2 | 291.10 |
| Surface | γfs (mJ/m2) |
|---|---|
| (100) | 37.67 |
| (101) 1 | 52.04 |
| (110) | 53.56 |
| (201) | 54.35 |
| (112) | 55.02 |
| (001) | 58.67 |
| (111) | 63.26 |
| (211) 1 | 64.08 |
| (211) 2 | 64.22 |
| (101) 2 | 87.45 |
| Surface | γfs (mJ/m2) |
|---|---|
| (320) | -5570.13 |
| (310) | -4812.09 |
| (210) | -3128.14 |
| (100) | 562.23 |
| (110) | 727.36 |
| (311) | 772.57 |
| (321) | 806.88 |
| (331) | 808.08 |
| (211) | 816.21 |
| (221) | 834.63 |
| (322) | 846.01 |
| (332) | 851.11 |
| (111) | 857.76 |
| Surface | γfs (mJ/m2) |
|---|---|
| (100) | 36.48 |
| (310) | 46.26 |
| (210) | 49.11 |
| (320) | 50.80 |
| (110) | 51.86 |
| (311) | 55.34 |
| (321) | 58.91 |
| (331) | 59.02 |
| (211) | 60.04 |
| (221) | 61.31 |
| (322) | 62.49 |
| (332) | 62.79 |
| (111) | 63.85 |
| Surface | γfs (mJ/m2) |
|---|---|
| (111) | 263.25 |
| (100) | 283.23 |
| (322) | 289.04 |
| (332) | 291.30 |
| (211) | 300.38 |
| (221) | 303.45 |
| (311) | 306.26 |
| (331) | 313.10 |
| (321) | 317.78 |
| (110) | 321.37 |
| (310) | 321.95 |
| (210) | 328.66 |
| (320) | 329.86 |
| Surface | γfs (mJ/m2) |
|---|---|
| (111) | 16.30 |
| (332) | 18.83 |
| (322) | 19.13 |
| (221) | 20.03 |
| (100) | 20.46 |
| (211) | 20.68 |
| (331) | 21.10 |
| (311) | 22.04 |
| (321) | 22.16 |
| (110) | 22.55 |
| (310) | 23.46 |
| (320) | 23.74 |
| (210) | 24.03 |
| Surface | γfs (mJ/m2) |
|---|---|
| (311) | -10666.64 |
| (100) | 621.95 |
| (322) | 1444.00 |
| (210) | 1446.78 |
| (211) 2 | 2018.56 |
| (331) | 2053.24 |
| (332) 1 | 2061.35 |
| (221) | 2079.89 |
| (111) | 2196.69 |
| (332) 2 | 2235.82 |
| (110) | 2249.95 |
| (310) | 2253.93 |
| (321) 2 | 2265.82 |
| (321) 1 | 2284.07 |
| (211) 1 | 2391.44 |
| Surface | γfs (mJ/m2) |
|---|---|
| (320) | -17388.16 |
| (210) | -4975.02 |
| (331) | -1174.42 |
| (322) | -1049.95 |
| (211) 2 | -768.87 |
| (100) | -390.63 |
| (311) | -372.46 |
| (211) 1 | -264.24 |
| (221) | -35.10 |
| (321) 1 | 7.80 |
| (332) 1 | 166.03 |
| (332) 2 | 179.42 |
| (111) | 194.90 |
| (321) 2 | 209.94 |
| (110) | 219.50 |
| Surface | γfs (mJ/m2) |
|---|---|
| (321) 1 | -478.08 |
| (331) | -325.31 |
| (322) | -311.43 |
| (221) | -236.14 |
| (332) 1 | -221.21 |
| (320) | -219.07 |
| (310) | -174.00 |
| (210) | -129.78 |
| (211) 1 | -90.84 |
| (321) 2 | -40.92 |
| (311) | -16.16 |
| (111) | -3.62 |
| (211) 2 | -1.65 |
| (110) | 2.68 |
| (100) | 15.38 |
| Surface | γfs (mJ/m2) |
|---|---|
| (100) | 1.58 |
| (310) | 1.99 |
| (210) | 2.11 |
| (320) | 2.18 |
| (110) | 2.23 |
| (311) | 2.38 |
| (321) 2 | 2.53 |
| (321) 1 | 2.53 |
| (331) | 2.53 |
| (211) 1 | 2.57 |
| (211) 2 | 2.57 |
| (221) | 2.63 |
| (322) | 2.67 |
| (332) 2 | 2.69 |
| (332) 1 | 2.69 |
| (111) | 2.73 |
| Surface | γfs (mJ/m2) |
|---|---|
| (310) | 223.09 |
| (100) | 227.26 |
| (110) | 236.18 |
| (320) | 244.96 |
| (210) | 245.91 |
| (311) | 246.41 |
| (331) | 266.33 |
| (321) | 266.69 |
| (211) | 271.62 |
| (221) | 276.78 |
| (322) | 283.60 |
| (332) | 285.04 |
| (111) | 290.43 |
| Surface | γfs (mJ/m2) |
|---|---|
| (100) | 75.00 |
| (110) | 75.19 |
| (111) | 79.19 |
| (320) | 79.77 |
| (331) | 80.25 |
| (211) | 80.40 |
| (322) | 81.03 |
| (310) | 81.05 |
| (321) | 81.05 |
| (210) | 81.08 |
| (332) | 81.15 |
| (221) | 81.16 |
| (311) | 81.99 |
| Surface | γfs (mJ/m2) |
|---|---|
| (110) | 16.07 |
| (331) | 18.15 |
| (321) | 18.24 |
| (211) | 18.58 |
| (221) | 18.79 |
| (320) | 18.88 |
| (332) | 19.19 |
| (322) | 19.20 |
| (111) | 19.43 |
| (210) | 20.28 |
| (311) | 20.54 |
| (310) | 21.49 |
| (100) | 22.62 |
| Surface | γfs (mJ/m2) |
|---|---|
| (111) 2 | 1097.42 |
| (331) 2 | 1275.32 |
| (110) | 1308.21 |
| (211) | 1316.54 |
| (332) | 1345.82 |
| (321) | 1376.64 |
| (311) 1 | 1385.57 |
| (100) | 1417.23 |
| (320) | 1434.35 |
| (322) | 1441.99 |
| (221) | 1470.84 |
| (310) | 1474.99 |
| (210) | 1485.38 |
| (311) 2 | 1522.53 |
| (331) 1 | 1587.17 |
| (111) 1 | 1971.47 |
| Surface | γfs (mJ/m2) |
|---|---|
| (111) 2 | 28.57 |
| (331) 2 | 33.93 |
| (110) | 35.00 |
| (321) | 39.92 |
| (211) | 40.96 |
| (320) | 41.48 |
| (210) | 44.85 |
| (311) 2 | 45.48 |
| (311) 1 | 45.74 |
| (310) | 47.93 |
| (322) | 50.08 |
| (100) | 51.19 |
| (221) | 51.84 |
| (331) 1 | 60.13 |
| (111) 1 | 94.29 |
| Surface | γfs (mJ/m2) |
|---|---|
| (310) | -3078.10 |
| (210) | -2416.91 |
| (110) | -1382.46 |
| (111) 1 | -1313.73 |
| (111) 2 | -1266.60 |
| (100) | -1055.40 |
| Surface | γfs (mJ/m2) |
|---|---|
| (111) 2 | 2.62 |
| (331) 2 | 3.13 |
| (110) | 3.21 |
| (321) | 3.63 |
| (211) | 3.69 |
| (320) | 3.77 |
| (332) | 3.89 |
| (210) | 4.04 |
| (311) 2 | 4.08 |
| (311) 1 | 4.08 |
| (310) | 4.28 |
| (322) | 4.41 |
| (100) | 4.49 |
| (221) | 4.56 |
| (331) 1 | 5.23 |
| (111) 1 | 7.93 |
| Surface | γfs (mJ/m2) |
|---|---|
| (211) 1 | -7831.34 |
| (211) 2 | -5556.00 |
| (111) | -4702.22 |
| (201) | -1926.21 |
| (101) 2 | -1751.46 |
| (101) 1 | -1620.48 |
| (001) | -810.63 |
| (100) | 925.69 |
| (110) | 1306.80 |
| Surface | γfs (mJ/m2) |
|---|---|
| (201) | -350.24 |
| (111) | 5.65 |
| (100) | 73.80 |
| (101) 1 | 107.69 |
| (112) | 112.58 |
| (110) | 113.11 |
| (211) 2 | 119.00 |
| (001) | 120.89 |
| (211) 1 | 127.03 |
| (101) 2 | 139.79 |
| Surface | γfs (mJ/m2) |
|---|---|
| (100) | 987.58 |
| (310) | 1222.32 |
| (320) | 1307.85 |
| (110) | 1308.69 |
| (210) | 1322.71 |
| (311) | 1405.45 |
| (331) | 1477.54 |
| (321) | 1504.92 |
| (211) | 1507.67 |
| (221) | 1510.78 |
| (322) | 1539.08 |
| (332) | 1552.37 |
| (111) | 1587.54 |
| Surface | γfs (mJ/m2) |
|---|---|
| (331) | -29593.83 |
| (311) | -17000.85 |
| (321) | -448.74 |
| (211) | -100.60 |
| (322) | -49.52 |
| (111) | 139.04 |
| (332) | 144.23 |
| (221) | 147.31 |
| (100) | 148.68 |
| (310) | 163.16 |
| (110) | 165.43 |
| (210) | 165.90 |
| (320) | 167.18 |
| Surface | γfs (mJ/m2) |
|---|---|
| (100) | 58.67 |
| (310) | 75.09 |
| (210) | 79.95 |
| (320) | 82.91 |
| (110) | 84.96 |
| (311) | 91.34 |
| (321) | 97.40 |
| (331) | 97.71 |
| (211) | 99.74 |
| (221) | 101.93 |
| (322) | 104.29 |
| (332) | 104.78 |
| (111) | 107.21 |
| Surface | γfs (mJ/m2) |
|---|---|
| (221) | -127.72 |
| (321) | -81.72 |
| (331) | -31.44 |
| (332) | -23.92 |
| (111) | 18.50 |
| (100) | 18.95 |
| (322) | 20.12 |
| (110) | 20.57 |
| (211) | 20.79 |
| (310) | 21.18 |
| (320) | 21.39 |
| (210) | 21.48 |
| Surface | γfs (mJ/m2) |
|---|---|
| (100) | 7.85 |
| (310) | 9.72 |
| (210) | 10.23 |
| (320) | 10.52 |
| (110) | 10.63 |
| (311) | 11.08 |
| (331) | 11.73 |
| (321) | 11.74 |
| (211) | 11.80 |
| (221) | 12.03 |
| (322) | 12.12 |
| (111) | 12.16 |
| (332) | 12.18 |
Static point defect formation energies, Ef, and elastic dipole tensors, pij, are displayed for select crystals. Relaxed defect configurations are obtained by taking a 12x12x12 supercell of a perfect periodic bulk crystal, inserting the point defect, and using force minimization to statically relax the atomic positions while keeping the system dimensions constant. Ef is computed by comparing the energy of the defect system to the same number of atoms in a perfect bulk crystal. pij is estimated as the difference in the system's global pressure with and without the defect multiplied by the system's volume.
Simple structural comparisons of the unrelaxed and relaxed defect configurations are used to help determine if the defect structure has relaxed to a different configuration. Relaxed structures that are identified as no longer consistent with the ideal defect definition are excluded from the table below. The only exception to this is if the lowest energy interstitial configuration does not coincide with a known ideal defect, its energies and pressure tensor are included under the listing "relaxed interstitial". The full list of calculation results including the transformed structures and the structural comparison values is included in the csv file available from the "Download raw data" link.
The calculation method used is available as the iprPy point_defect_static calculation method.
Notes and Disclaimers:
| Point Defect | Ef (eV) | p11 (eV) | p22 (eV) | p33 (eV) | p12 (eV) | p13 (eV) | p23 (eV) |
|---|---|---|---|---|---|---|---|
| vacancy | 0.734 | -1.455 | -1.455 | -1.455 | -0.000 | -0.000 | -0.000 |
| 2nn divacancy | 1.437 | -3.034 | -3.034 | -2.948 | -0.000 | -0.000 | -0.000 |
| 1nn divacancy | 1.469 | -3.147 | -2.633 | -2.633 | -0.000 | -0.000 | 0.022 |
| 100 dumbbell | 2.555 | 16.578 | 16.578 | 15.642 | -0.000 | 0.000 | 0.000 |
| octahedral interstitial | 2.759 | 16.882 | 16.882 | 16.882 | -0.000 | -0.000 | -0.000 |
| crowdion interstitial | 2.884 | 16.585 | 16.585 | 20.169 | 9.443 | -0.000 | -0.000 |
| Point Defect | Ef (eV) | p11 (eV) | p22 (eV) | p33 (eV) | p12 (eV) | p13 (eV) | p23 (eV) |
|---|---|---|---|---|---|---|---|
| 100 dumbbell | -15.401 | -11.235 | -11.235 | -14.927 | 0.000 | -0.000 | 0.000 |
| 111 dumbbell | -5.184 | -6.008 | -6.008 | -6.008 | 1.755 | 1.755 | 1.755 |
| tetrahedral interstitial | -3.340 | -6.673 | -6.673 | -6.673 | -0.000 | -0.000 | -0.000 |
| vacancy | 0.522 | 0.096 | 0.096 | 0.096 | 0.000 | 0.000 | 0.000 |
| 1nn divacancy | 0.965 | 0.167 | 0.176 | 0.176 | 0.000 | 0.000 | -0.005 |
| 2nn divacancy | 1.051 | 0.199 | 0.199 | 0.189 | 0.000 | 0.000 | 0.000 |
| Point Defect | Ef (eV) | p11 (eV) | p22 (eV) | p33 (eV) | p12 (eV) | p13 (eV) | p23 (eV) |
|---|---|---|---|---|---|---|---|
| vacancy | 0.734 | -1.580 | -1.580 | -1.604 | -0.000 | 0.000 | -0.000 |
| Point Defect | Ef (eV) | p11 (eV) | p22 (eV) | p33 (eV) | p12 (eV) | p13 (eV) | p23 (eV) |
|---|---|---|---|---|---|---|---|
| relaxed interstitial | -13.130 | -6.239 | -3.198 | -5.477 | -0.506 | 0.287 | 0.020 |
| 0001 dumbbell | -8.638 | -7.182 | -7.182 | -2.755 | 0.000 | -0.000 | 0.000 |
| vacancy | 0.522 | 0.095 | 0.095 | 0.095 | 0.000 | 0.000 | 0.000 |
| Point Defect | Ef (eV) | p11 (eV) | p22 (eV) | p33 (eV) | p12 (eV) | p13 (eV) | p23 (eV) |
|---|---|---|---|---|---|---|---|
| vacancy | 0.303 | -2.387 | -2.387 | -2.387 | -0.000 | -0.000 | -0.000 |
| 1nn divacancy | 0.455 | -3.124 | -3.124 | -3.124 | -0.001 | -0.001 | -0.001 |
| Point Defect | Ef (eV) | p11 (eV) | p22 (eV) | p33 (eV) | p12 (eV) | p13 (eV) | p23 (eV) |
|---|---|---|---|---|---|---|---|
| vacancy | 0.881 | -3.600 | -3.600 | -3.600 | 0.000 | 0.000 | -0.000 |
| 2nn divacancy | 1.710 | -5.164 | -5.164 | -4.008 | -0.000 | 0.000 | -0.000 |
| 1nn divacancy | 1.723 | -5.458 | -2.549 | -2.549 | 0.000 | -0.000 | -0.649 |
| 100 dumbbell | 2.216 | 33.712 | 33.712 | 33.419 | 0.000 | 0.000 | 0.000 |
| tetrahedral interstitial | 2.802 | 36.220 | 36.220 | 36.220 | 0.000 | 0.000 | 0.000 |
| Point Defect | Ef (eV) | p11 (eV) | p22 (eV) | p33 (eV) | p12 (eV) | p13 (eV) | p23 (eV) |
|---|---|---|---|---|---|---|---|
| relaxed interstitial | -15221.818 | -354.793 | -472.511 | -480.182 | -42.499 | 11.034 | -125.024 |
| 100 dumbbell | -14.213 | -4.749 | -4.945 | -2.434 | -0.000 | -0.000 | 0.001 |
| 111 dumbbell | -10.245 | 0.238 | 0.238 | 0.238 | 0.506 | 0.506 | 0.506 |
| octahedral interstitial | -8.657 | -2.655 | -2.655 | -2.655 | -0.000 | -0.000 | -0.000 |
| tetrahedral interstitial | -6.394 | -0.670 | -0.670 | -0.670 | -0.000 | -0.000 | -0.000 |
| vacancy | 1.254 | 0.195 | 0.195 | 0.195 | 0.000 | 0.000 | 0.000 |
| 1nn divacancy | 2.312 | 0.540 | 0.939 | 0.939 | -0.000 | -0.000 | 0.023 |
| 2nn divacancy | 2.517 | 0.765 | 0.765 | 0.345 | 0.000 | 0.000 | 0.000 |
| Point Defect | Ef (eV) | p11 (eV) | p22 (eV) | p33 (eV) | p12 (eV) | p13 (eV) | p23 (eV) |
|---|---|---|---|---|---|---|---|
| 111 dumbbell | -11.455 | -4.858 | -4.858 | -4.858 | -2.073 | -2.073 | -2.073 |
| tetrahedral interstitial | -7.265 | -7.609 | -7.609 | -7.609 | -0.000 | -0.000 | -0.000 |
| 110 dumbbell | -5.861 | -8.480 | -1.601 | -1.601 | 0.000 | 0.000 | 0.486 |
| crowdion interstitial | -4.950 | -5.886 | -5.886 | -4.202 | -3.700 | 0.000 | 0.000 |
| octahedral interstitial | -1.074 | -4.663 | -4.663 | -4.663 | 0.000 | 0.000 | 0.000 |
| vacancy | 0.781 | 0.003 | 0.003 | 0.003 | 0.000 | 0.000 | 0.000 |
| 1nn divacancy | 1.436 | 0.006 | 0.006 | 0.006 | 0.000 | 0.000 | -0.000 |
| 2nn divacancy | 1.566 | 0.006 | 0.006 | 0.006 | 0.000 | 0.000 | 0.000 |
| Point Defect | Ef (eV) | p11 (eV) | p22 (eV) | p33 (eV) | p12 (eV) | p13 (eV) | p23 (eV) |
|---|---|---|---|---|---|---|---|
| tetrahedral interstitial | -9.387 | -17.933 | -17.934 | -17.933 | -0.000 | -0.000 | -0.000 |
| vacancy | 0.547 | 0.001 | 0.001 | 0.001 | 0.000 | 0.000 | 0.000 |
| 1nn divacancy | 0.957 | 0.002 | 0.002 | 0.002 | 0.000 | 0.000 | 0.000 |
| 2nn divacancy | 1.098 | -0.056 | -0.056 | -0.056 | -0.000 | 0.000 | -0.000 |
| Point Defect | Ef (eV) | p11 (eV) | p22 (eV) | p33 (eV) | p12 (eV) | p13 (eV) | p23 (eV) |
|---|---|---|---|---|---|---|---|
| vacancy | 0.777 | -4.426 | -4.426 | -3.838 | 0.000 | 0.000 | 0.000 |
| 0001 dumbbell | 3.142 | 27.514 | 27.514 | 36.382 | -0.000 | 0.000 | 0.000 |
| Point Defect | Ef (eV) | p11 (eV) | p22 (eV) | p33 (eV) | p12 (eV) | p13 (eV) | p23 (eV) |
|---|---|---|---|---|---|---|---|
| vacancy | 0.509 | -1.931 | -1.931 | -1.931 | 0.000 | 0.000 | 0.000 |
| 1nn divacancy | 0.763 | -2.864 | -2.864 | -2.864 | -0.003 | -0.003 | -0.003 |
| Point Defect | Ef (eV) | p11 (eV) | p22 (eV) | p33 (eV) | p12 (eV) | p13 (eV) | p23 (eV) |
|---|---|---|---|---|---|---|---|
| 100 dumbbell | -12.555 | -26.486 | -26.486 | -26.495 | 0.000 | 0.000 | 0.000 |
| tetragonal interstitial | -0.283 | -0.000 | -0.000 | -0.000 | 0.000 | 0.000 | 0.000 |
| Point Defect | Ef (eV) | p11 (eV) | p22 (eV) | p33 (eV) | p12 (eV) | p13 (eV) | p23 (eV) |
|---|---|---|---|---|---|---|---|
| 111 dumbbell | -16.271 | -7.140 | -7.140 | -7.140 | 3.529 | 3.529 | 3.529 |
| tetrahedral interstitial | -10.075 | -11.985 | -11.985 | -11.985 | -0.000 | -0.000 | -0.000 |
| 100 dumbbell | -8.671 | -105.276 | -105.276 | -27.481 | -0.000 | 0.000 | -0.000 |
| octahedral interstitial | -6.959 | -29.411 | -29.411 | -29.411 | -0.000 | -0.000 | 0.000 |
| vacancy | 1.797 | -1.258 | -1.258 | -1.258 | -0.000 | -0.000 | -0.000 |
| 1nn divacancy | 2.969 | -1.886 | -1.867 | -1.867 | -0.000 | -0.000 | 0.100 |
| 2nn divacancy | 3.252 | -2.199 | -2.199 | -2.019 | -0.000 | -0.000 | -0.000 |
| Point Defect | Ef (eV) | p11 (eV) | p22 (eV) | p33 (eV) | p12 (eV) | p13 (eV) | p23 (eV) |
|---|---|---|---|---|---|---|---|
| crowdion interstitial | -7.406 | -4.876 | -4.876 | -5.949 | -1.772 | 0.000 | 0.000 |
| 100 dumbbell | -1.561 | -1.623 | -1.623 | -2.927 | 0.000 | 0.000 | 0.000 |
| 111 dumbbell | -1.110 | 1.643 | 1.643 | 1.643 | 0.583 | 0.583 | 0.583 |
| octahedral interstitial | -0.899 | 1.653 | 1.653 | 1.653 | 0.000 | 0.000 | 0.000 |
| tetrahedral interstitial | -0.089 | 8.718 | 8.718 | 8.718 | 0.000 | 0.000 | 0.000 |
| vacancy | 0.108 | 0.366 | 0.366 | 0.366 | 0.000 | 0.000 | 0.000 |
| 1nn divacancy | 0.203 | 0.650 | 0.690 | 0.690 | 0.000 | 0.000 | -0.008 |
| 2nn divacancy | 0.221 | 0.760 | 0.760 | 0.717 | -0.000 | 0.000 | 0.000 |
| Point Defect | Ef (eV) | p11 (eV) | p22 (eV) | p33 (eV) | p12 (eV) | p13 (eV) | p23 (eV) |
|---|---|---|---|---|---|---|---|
| 110 dumbbell | -35.496 | 80.249 | 58.433 | 58.433 | 0.000 | 0.000 | -15.972 |
| tetrahedral interstitial | -11.108 | -1.927 | -0.600 | -1.927 | -0.000 | 0.000 | 0.000 |
| vacancy | 0.691 | 0.503 | 0.503 | 0.503 | 0.000 | 0.000 | 0.000 |
| 2nn divacancy | 1.260 | 0.957 | 0.957 | 0.208 | 0.000 | 0.000 | 0.000 |
| 1nn divacancy | 1.325 | 1.005 | 1.005 | 1.005 | 0.069 | 0.069 | 0.069 |
| Point Defect | Ef (eV) | p11 (eV) | p22 (eV) | p33 (eV) | p12 (eV) | p13 (eV) | p23 (eV) |
|---|---|---|---|---|---|---|---|
| octahedral interstitial | -6.048 | -183.809 | -184.800 | -183.095 | -0.000 | -0.000 | 0.000 |
| 100 dumbbell | -0.595 | -240.125 | -240.125 | -237.883 | 0.000 | -0.000 | -0.000 |
| tetrahedral interstitial | -0.487 | -203.854 | -205.868 | -203.854 | -0.000 | 0.000 | -0.000 |
| vacancy | 0.658 | -0.393 | -0.393 | -0.393 | 0.000 | 0.000 | 0.000 |
| 1nn divacancy | 1.151 | -0.757 | -0.757 | -0.757 | -0.022 | -0.022 | -0.022 |
| 2nn divacancy | 1.220 | -0.976 | -0.976 | -0.975 | -0.000 | 0.000 | -0.000 |
| Point Defect | Ef (eV) | p11 (eV) | p22 (eV) | p33 (eV) | p12 (eV) | p13 (eV) | p23 (eV) |
|---|---|---|---|---|---|---|---|
| crowdion interstitial | -4.106 | 14.375 | 14.375 | 14.375 | -5.302 | -5.302 | -5.302 |
| 100 dumbbell | -2.000 | -115.290 | -115.290 | -113.214 | -0.000 | -0.000 | -0.000 |
| 110 dumbbell | -1.265 | -79.501 | -80.729 | -80.729 | -0.000 | -0.000 | 1.777 |
| 111 dumbbell | -1.000 | 0.262 | 0.262 | 0.262 | 3.738 | 3.738 | 3.738 |
| tetrahedral interstitial | -0.635 | -48.901 | -49.304 | -48.901 | -0.000 | -0.000 | 0.000 |
| vacancy | 0.130 | 0.115 | 0.115 | 0.115 | -0.000 | -0.000 | -0.000 |
| 1nn divacancy | 0.227 | 0.211 | 0.211 | 0.211 | 0.004 | 0.004 | 0.004 |
| 2nn divacancy | 0.264 | 0.117 | 0.117 | 0.118 | -0.000 | -0.000 | -0.000 |
| Point Defect | Ef (eV) | p11 (eV) | p22 (eV) | p33 (eV) | p12 (eV) | p13 (eV) | p23 (eV) |
|---|---|---|---|---|---|---|---|
| vacancy | 2.715 | 1.637 | 1.637 | 1.637 | 0.000 | 0.000 | 0.000 |
| 100 dumbbell | 3.922 | 7.297 | 7.297 | 9.911 | -0.000 | 0.000 | 0.000 |
| tetragonal interstitial | 4.128 | 14.335 | 14.335 | 14.335 | -0.000 | -0.000 | -0.000 |
| 1nn divacancy | 4.342 | 1.949 | 1.949 | 1.949 | 0.270 | 0.270 | 0.270 |
| Point Defect | Ef (eV) | p11 (eV) | p22 (eV) | p33 (eV) | p12 (eV) | p13 (eV) | p23 (eV) |
|---|---|---|---|---|---|---|---|
| vacancy | 0.328 | 4.205 | 4.205 | 4.205 | -0.000 | -0.000 | 0.000 |
| 1nn divacancy | 0.493 | 6.501 | 6.501 | 6.501 | 0.000 | 0.000 | 0.000 |
| Point Defect | Ef (eV) | p11 (eV) | p22 (eV) | p33 (eV) | p12 (eV) | p13 (eV) | p23 (eV) |
|---|---|---|---|---|---|---|---|
| relaxed interstitial | -4233.558 | -37.221 | -37.190 | -37.219 | 3.817 | 3.793 | 3.828 |
| 1nn divacancy | -4220.762 | -49.844 | -49.882 | -49.881 | -5.715 | -5.737 | -5.715 |
| tetragonal interstitial | -0.078 | 0.332 | 0.332 | 0.332 | -0.000 | -0.000 | -0.000 |
| Point Defect | Ef (eV) | p11 (eV) | p22 (eV) | p33 (eV) | p12 (eV) | p13 (eV) | p23 (eV) |
|---|---|---|---|---|---|---|---|
| 100 dumbbell | -1.546 | -27.822 | -27.822 | -27.828 | -0.000 | -0.000 | -0.000 |
| tetragonal interstitial | -0.063 | 0.048 | 0.048 | 0.048 | -0.000 | -0.000 | -0.000 |
| vacancy | 0.054 | -0.579 | -0.579 | -0.579 | 0.000 | 0.000 | -0.000 |
| 1nn divacancy | 0.080 | -0.575 | -0.575 | -0.575 | -0.000 | -0.000 | -0.000 |
| hexagonal interstitial | 0.128 | -0.943 | -0.943 | -0.943 | 0.000 | 0.000 | 0.000 |
Plots of the atomic structure of dislocation cores are shown here. The dislocations were constructed using dislocation monopole configurations in which a straight dislocation is created in the center of the system using anisotropic elasticity and the elastic constants computed above. A cylindrical region centered around the dislocation is allowed to relax while the remaining atoms are held fixed. The relaxation consists of 1 million NVT steps at 10 K followed by an energy/force minimization. The final plots show the atomic configuration near the center of the monopole system, and display differential displacement arrows and Nye tensor color maps that are both taken with respect to the Burgers vector direction.
These plots show a wide range of final structures, some corresponding to expected dislocation structures and others not. While the characterizations are dislocation-type dependent, some general classification guidelines are listed here.
The calculation method used is available as the iprPy dislocation_monopole calculation method.
Links are provided above the images allowing for users to download the final defect configuration and a corresponding defect-free configuration if they wish to further analyze the structures or use them for subsequent simulations.
Notes and Disclaimers:
Version Information:
Plots of lattice and elastic constants are shown as a function of temperature. The 0K points were taken from the Crystal Structure Predictions and the Elastic Constants Predictions sections above for the unique crystal structures relaxed with the "dynamic" method. Starting from the 0 K relaxed crystal unit cells, supercell systems are created by replicating all three dimensions by the same multiplier to achieve at least 4000 atoms. The systems are then relaxed at 50 K and zero pressure using 1 million NPT steps. Lattice constants are estimated by averaging the measured box dimensions. Temperatures are iteratively increased by 50 K, with each subsequent relaxation calculation starting from the final atomic configuration at the previous temperature and relaxing for another 1 million steps.
The elastic constants are calculated using the deformation–fluctuation hybrid method. Starting from the final atomic configurations of the dynamic relaxations, the system is allowed to evolve at constant volume with a Langevin thermostat. The Born matrix is computed during this run by evaluating how the atomic forces would vary due to applied linear strain fields. The elastic constants can then be estimated using the averaged Born matrix values and the averaged stresses on the system.
The calculation methods used are available as the iprPy relax_dynamic and elastic_constants_dynamic calculation methods.
Clicking on the image of a plot will open an interactive version of it in a new tab. The underlying data for the plots can be downloaded by clicking on the links above each plot.
Notes and Disclaimers:
Version Information:
Plots of radial distribution functions at different temperatures and the temperature-dependent diffusion and viscosity are shown here for elemental liquids. Melt phases are constructed by starting with a 10x10x10 fcc super cell and relaxing with 50,000 NPT steps at zero pressure and a high melting temperature (3000 K for most potentials and elements). Following the melt, liquid structures are relaxed by running NPT for 10,000 steps over which the temperature is dropped by 50 K, then 50,000 NPT at the target temperature to estimate the equilibrium volume, followed by 20,000 NVT steps at the averaged equilibrium volume and target temperature. Structures from the NVT run are sampled to compute the radial distribution function of the liquid at the corresponding temperature.
The final relaxed configurations at each temperature explored are used as the initial configurations for the diffusion and viscosity calculations. For diffusion, the system is integrated for 100 runs of 2,000 NVT steps during which both the mean squared displacement (MSD) and the velocity auto correlation function (VACF) are computed. From these simulations, three estimates of diffusion are computed: one from the MSD of the full 200,000 step run, one in which the MSD is reset for each short run and then averaged, and one from the VACF computed for each short run and averaged. For viscosity, the Green-Kubo method is used which is evaluated during a 1 million step NVT run.
The calculation methods used are available as the iprPy relax_liquid_redo, diffusion_liquid, and viscosity_green_kubo calculation methods.
Clicking on the image of a plot will open an interactive version of it in a new tab. The underlying data for the plots can be downloaded by clicking on the links above each plot.
Notes and Disclaimers:
Version Information:
Plots of internal energy, Gibbs free energy, entropy, heat capacity and volume are shown here as a function of temperature for various crystal structures and liquid phases. The included crystal structures correspond to those in the Solid Structures vs. Temperature section, and the liquid phases to those in the Liquid Properties section. Internal energy and volume are taken from the associated structure relaxations mentioned in those previous sections. Constant pressure heat capacity is estimated using 3-point numerical derivatives of enthalpy versus temperature. Note that since all simulations done here are at 0 pressure, internal energy and enthalpy are equivalent.
The Gibbs energies of the phases are estimated using thermodynamic integration between the interatomic potential in question and a simpler model with known Gibbs free energy values. For solids, the reference model is an Einstein solid, while for liquids it is the Uhlenbeck-Ford potential. Besides a short run at the start of the solid calculations to estimate Einstein model spring constants, the two calculations proceed similarly. Starting with the final relaxation configurations, the systems are stabilized for 25,000 steps. Then, over the next 50,000 steps the potential is swapped out for the reference potential. The system is then stabilized for another 25,000 steps with the reference model before a reverse swap of 50,000 steps is performed. The simulation ends with one final 25,000 step stabilization period. From the simulation, the irreversible work of transformation is estimated and used to compute the absolute Gibbs free energy of the target phase and potential relative to the reference potential. Entropy is estimated as the difference in enthalpy and Gibbs free energy and divided by temperature.
The calculation methods used are available as the iprPy relax_dynamic, relax_liquid_redo, free_energy, and free_energy_liquid calculation methods.
Clicking on the image of a plot will open an interactive version of it in a new tab. The underlying data for the plots can be downloaded by clicking on the links above each plot.
Notes and Disclaimers:
Version Information:






