Plots of the potential energy vs interatomic spacing, r, are shown below for all diatom sets associated with the interatomic potential. This calculation provides insights into the functional form of the potential's two-body interactions. A system consisting of only two atoms is created, and the potential energy is evaluated for the atoms separated by 0.02 Å <= r <= 6.0> Å in intervals of 0.02 Å. Two plots are shown: one for the "standard" interaction distance range, and one for small values of r. The small r plot is useful for determining whether the potential is suitable for radiation studies.
The calculation method used is available as the iprPy diatom_scan calculation method.
Clicking on the image of a plot will open an interactive version of it in a new tab. The underlying data for the plots can be downloaded by clicking on the links above each plot.
Notes and Disclaimers:
Version Information:
Plots of potential energy vs interatomic spacing, r, are shown below for a number of crystal structures. The structures are generated based on the ideal atomic positions and b/a and c/a lattice parameter ratios for a given crystal prototype. The size of the system is then uniformly scaled, and the energy calculated without relaxing the system. To obtain these plots, values of r are evaluated every 0.02 Å up to 6 Å.
The calculation method used is available as the iprPy E_vs_r_scan calculation method.
Clicking on the image of a plot will open an interactive version of it in a new tab. The underlying data for the plots can be downloaded by clicking on the links above each plot.
Notes and Disclaimers:
Version Information:
Computed lattice constants and cohesive/potential energies are displayed for a variety of crystal structures. The values displayed here are obtained using the following process.
The calculation methods used are implemented into iprPy as the following calculation styles
Notes and Disclaimers:
Version Information:
Download raw data (including filtered results)
Reference structure matches:
A1--Cu--fcc = mp-134, oqmd-8100, oqmd-1214503
A15--beta-W = oqmd-1214948, oqmd-1280406
A2--W--bcc = mp-998860, oqmd-1215126
A3'--alpha-La--double-hcp = mp-1183144, oqmd-1215394
A3--Mg--hcp = oqmd-1215215, oqmd-1215304
A4--C--dc = oqmd-1215483
A5--beta-Sn = oqmd-1215572
A6--In--bct = oqmd-1215661
| prototype | method | Ecoh (eV/atom) | Epot (eV/atom) | a0 (Å) | b0 (Å) | c0 (Å) | α (degrees) | β (degrees) | γ (degrees) |
|---|---|---|---|---|---|---|---|---|---|
| A1--Cu--fcc | dynamic | -3.36 | -3.36 | 4.05 | 4.05 | 4.05 | 90.0 | 90.0 | 90.0 |
| A15--beta-W | dynamic | -3.3469 | -3.3469 | 5.1467 | 5.1467 | 5.1467 | 90.0 | 90.0 | 90.0 |
| A3'--alpha-La--double-hcp | dynamic | -3.3439 | -3.3439 | 2.8458 | 2.8458 | 9.5344 | 90.0 | 90.0 | 120.0 |
| oqmd-1216017 | dynamic | -3.3395 | -3.3395 | 2.8376 | 2.8376 | 21.6845 | 90.0 | 90.0 | 120.0 |
| oqmd-1216017 | static | -3.3395 | -3.3395 | 2.8379 | 2.8379 | 21.6714 | 90.0 | 90.0 | 120.0 |
| A3--Mg--hcp | dynamic | -3.3322 | -3.3322 | 2.8191 | 2.8191 | 4.9445 | 90.0 | 90.0 | 120.0 |
| oqmd-1214770 | dynamic | -3.3221 | -3.3221 | 10.0139 | 10.0139 | 10.0139 | 90.0 | 90.0 | 90.0 |
| oqmd-1214859 | dynamic | -3.3209 | -3.3209 | 7.019 | 7.019 | 7.019 | 90.0 | 90.0 | 90.0 |
| oqmd-1214770 | box | -3.3197 | -3.3197 | 10.0175 | 10.0175 | 10.0175 | 90.0 | 90.0 | 90.0 |
| oqmd-1214859 | box | -3.3168 | -3.3168 | 7.0154 | 7.0154 | 7.0154 | 90.0 | 90.0 | 90.0 |
| mp-1244953 | dynamic | -3.2854 | -3.2854 | 11.4383 | 12.2939 | 12.5884 | 91.1 | 93.4 | 101.1 |
| mp-1245307 | dynamic | -3.2848 | -3.2848 | 11.9151 | 12.0824 | 12.1136 | 92.5 | 94.8 | 90.4 |
| mp-1245129 | dynamic | -3.2814 | -3.2814 | 11.5881 | 12.0857 | 12.6067 | 98.9 | 92.2 | 92.7 |
| mp-1245152 | dynamic | -3.2807 | -3.2807 | 11.7047 | 11.8705 | 12.5247 | 93.4 | 92.2 | 93.1 |
| mp-1245129 | static | -3.2765 | -3.2765 | 11.6712 | 11.939 | 12.5899 | 97.4 | 91.9 | 92.3 |
| mp-1244953 | static | -3.2722 | -3.2722 | 11.4354 | 12.3863 | 12.5108 | 90.0 | 100.4 | 93.2 |
| mp-1245067 | dynamic | -3.2705 | -3.2705 | 11.715 | 11.9646 | 12.6366 | 94.4 | 96.3 | 93.3 |
| mp-1245307 | static | -3.2671 | -3.2671 | 11.8369 | 12.0809 | 12.2189 | 90.2 | 93.2 | 92.5 |
| mp-1245152 | static | -3.2671 | -3.2671 | 11.4598 | 12.2906 | 12.4148 | 90.8 | 92.6 | 95.0 |
| mp-1245067 | static | -3.2566 | -3.2566 | 11.8066 | 12.189 | 12.433 | 93.6 | 98.7 | 92.6 |
| A2--W--bcc | static | -3.2545 | -3.2545 | 3.2354 | 3.2354 | 3.2354 | 90.0 | 90.0 | 90.0 |
| mp-1245129 | box | -3.2541 | -3.2541 | 11.7117 | 12.1208 | 12.4372 | 94.0 | 92.8 | 95.9 |
| mp-1244953 | box | -3.2472 | -3.2472 | 12.0478 | 12.0627 | 12.2688 | 86.7 | 80.5 | 87.3 |
| mp-1245152 | box | -3.2433 | -3.2433 | 11.9169 | 12.126 | 12.2354 | 92.2 | 91.7 | 96.3 |
| mp-1245307 | box | -3.2418 | -3.2418 | 11.9452 | 12.1653 | 12.1829 | 90.8 | 93.7 | 92.6 |
| mp-1245067 | box | -3.2304 | -3.2304 | 11.9648 | 12.269 | 12.2729 | 92.6 | 93.9 | 97.6 |
| oqmd-1215037 | box | -3.204 | -3.204 | 2.7991 | 4.9898 | 10.8154 | 90.0 | 90.0 | 90.0 |
| oqmd-1214681 | box | -3.0389 | -3.0389 | 4.3086 | 8.3969 | 4.4766 | 90.0 | 90.0 | 90.0 |
| A5--beta-Sn | static | -3.0359 | -3.0359 | 5.3506 | 5.3506 | 2.7773 | 90.0 | 90.0 | 90.0 |
| Ah--alpha-Po--sc | static | -2.9614 | -2.9614 | 2.7407 | 2.7407 | 2.7407 | 90.0 | 90.0 | 90.0 |
| mp-1239196 | static | -2.8144 | -2.8144 | 3.7409 | 3.7409 | 13.4205 | 90.0 | 90.0 | 90.0 |
| mp-1239196 | box | -2.8028 | -2.8028 | 3.7959 | 3.7959 | 13.3387 | 90.0 | 90.0 | 90.0 |
| A4--C--dc | static | -2.4691 | -2.4691 | 6.0465 | 6.0465 | 6.0465 | 90.0 | 90.0 | 90.0 |
Download raw data (including filtered results)
Reference structure matches:
| prototype | method | Ecoh (eV/atom) | Epot (eV/atom) | a0 (Å) | b0 (Å) | c0 (Å) | α (degrees) | β (degrees) | γ (degrees) |
|---|---|---|---|---|---|---|---|---|---|
| mp-30751 | static | -3.74 | -3.74 | 12.5652 | 14.5623 | 8.0151 | 90.0 | 90.0 | 90.0 |
| mp-30751 | box | -3.7151 | -3.7151 | 12.5235 | 14.4247 | 8.1804 | 90.0 | 90.0 | 90.0 |
| mp-1198336 | box | -3.7134 | -3.7134 | 8.1911 | 12.5179 | 14.4091 | 90.0 | 90.0 | 90.0 |
| oqmd-684912 | box | -3.674 | -3.674 | 8.1583 | 12.6496 | 14.5173 | 90.0 | 90.0 | 90.0 |
Download raw data (including filtered results)
Reference structure matches:
| prototype | method | Ecoh (eV/atom) | Epot (eV/atom) | a0 (Å) | b0 (Å) | c0 (Å) | α (degrees) | β (degrees) | γ (degrees) |
|---|---|---|---|---|---|---|---|---|---|
| mp-1229050 | dynamic | -3.9471 | -3.9471 | 12.6968 | 3.8615 | 15.1144 | 90.0 | 103.9 | 90.0 |
| mp-1229050 | static | -3.9469 | -3.9469 | 12.7155 | 3.8511 | 15.1574 | 90.0 | 103.9 | 90.0 |
| mp-1229050 | box | -3.9041 | -3.9041 | 12.3691 | 4.0328 | 15.0759 | 90.0 | 106.5 | 90.0 |
Download raw data (including filtered results)
Reference structure matches:
| prototype | method | Ecoh (eV/atom) | Epot (eV/atom) | a0 (Å) | b0 (Å) | c0 (Å) | α (degrees) | β (degrees) | γ (degrees) |
|---|---|---|---|---|---|---|---|---|---|
| mp-1215090 | static | -3.7445 | -3.7445 | 15.1139 | 7.9771 | 12.5889 | 90.0 | 108.4 | 90.0 |
| mp-1215090 | box | -3.7124 | -3.7124 | 15.053 | 8.1398 | 12.5371 | 90.0 | 107.8 | 90.0 |
Download raw data (including filtered results)
Reference structure matches:
| prototype | method | Ecoh (eV/atom) | Epot (eV/atom) | a0 (Å) | b0 (Å) | c0 (Å) | α (degrees) | β (degrees) | γ (degrees) |
|---|---|---|---|---|---|---|---|---|---|
| C1--CaF2--fluorite | dynamic | -3.8744 | -3.8744 | 5.6277 | 5.6277 | 5.6277 | 90.0 | 90.0 | 90.0 |
| oqmd-1231465 | static | -3.6437 | -3.6437 | 5.8453 | 5.8453 | 2.6928 | 90.0 | 90.0 | 90.0 |
| oqmd-1231465 | box | -3.6437 | -3.6437 | 5.8431 | 5.8431 | 2.6957 | 90.0 | 90.0 | 90.0 |
| oqmd-1238125 | static | -1.4939 | -1.4939 | 10.3221 | 10.3221 | 10.3221 | 90.0 | 90.0 | 90.0 |
Download raw data (including filtered results)
Reference structure matches:
| prototype | method | Ecoh (eV/atom) | Epot (eV/atom) | a0 (Å) | b0 (Å) | c0 (Å) | α (degrees) | β (degrees) | γ (degrees) |
|---|---|---|---|---|---|---|---|---|---|
| oqmd-425542 | box | -4.0256 | -4.0256 | 5.9343 | 5.9343 | 12.5401 | 90.0 | 90.0 | 120.0 |
Download raw data (including filtered results)
Reference structure matches:
L2_1--AlCu2Mn--heusler = oqmd-510001
| prototype | method | Ecoh (eV/atom) | Epot (eV/atom) | a0 (Å) | b0 (Å) | c0 (Å) | α (degrees) | β (degrees) | γ (degrees) |
|---|---|---|---|---|---|---|---|---|---|
| mp-1228913 | dynamic | -4.5531 | -4.5531 | 2.833 | 2.833 | 5.7717 | 90.0 | 90.0 | 90.0 |
| mp-1228913 | box | -4.553 | -4.553 | 2.8322 | 2.8322 | 5.7746 | 90.0 | 90.0 | 90.0 |
| L2_1--AlCu2Mn--heusler | dynamic | -4.5291 | -4.5291 | 5.6949 | 5.6949 | 5.6949 | 90.0 | 90.0 | 90.0 |
Download raw data (including filtered results)
Reference structure matches:
| prototype | method | Ecoh (eV/atom) | Epot (eV/atom) | a0 (Å) | b0 (Å) | c0 (Å) | α (degrees) | β (degrees) | γ (degrees) |
|---|---|---|---|---|---|---|---|---|---|
| C1--CaF2--fluorite | dynamic | -3.9147 | -3.9147 | 5.6383 | 5.6383 | 5.6383 | 90.0 | 90.0 | 90.0 |
| oqmd-1231494 | static | -3.6184 | -3.6184 | 5.8853 | 5.8853 | 2.6303 | 90.0 | 90.0 | 90.0 |
| oqmd-1231494 | box | -3.6043 | -3.6043 | 5.8621 | 5.8621 | 2.6813 | 90.0 | 90.0 | 90.0 |
| oqmd-1239581 | static | -2.2039 | -2.2039 | 10.8689 | 10.8689 | 10.8689 | 90.0 | 90.0 | 90.0 |
Download raw data (including filtered results)
Reference structure matches:
| prototype | method | Ecoh (eV/atom) | Epot (eV/atom) | a0 (Å) | b0 (Å) | c0 (Å) | α (degrees) | β (degrees) | γ (degrees) |
|---|---|---|---|---|---|---|---|---|---|
| mp-1229048 | dynamic | -4.5259 | -4.5259 | 2.8606 | 2.8606 | 13.6737 | 90.0 | 90.0 | 90.0 |
| mp-1229048 | box | -4.5246 | -4.5246 | 2.8578 | 2.8578 | 13.7094 | 90.0 | 90.0 | 90.0 |
| oqmd-425572 | box | -4.0265 | -4.0265 | 6.0679 | 6.0679 | 11.9452 | 90.0 | 90.0 | 120.0 |
Download raw data (including filtered results)
Reference structure matches:
D0_3--BiF3 = oqmd-310854
L1_2--AuCu3 = oqmd-349288
| prototype | method | Ecoh (eV/atom) | Epot (eV/atom) | a0 (Å) | b0 (Å) | c0 (Å) | α (degrees) | β (degrees) | γ (degrees) |
|---|---|---|---|---|---|---|---|---|---|
| oqmd-324802 | static | -3.7421 | -3.7421 | 5.5969 | 5.5969 | 4.0333 | 90.0 | 90.0 | 120.0 |
| oqmd-324802 | box | -3.7346 | -3.7346 | 5.5479 | 5.5479 | 4.0825 | 90.0 | 90.0 | 120.0 |
| D0_3--BiF3 | dynamic | -3.6699 | -3.6699 | 5.8931 | 5.8931 | 5.8931 | 90.0 | 90.0 | 90.0 |
| L1_2--AuCu3 | static | -3.6166 | -3.6166 | 3.8598 | 3.8598 | 3.8598 | 90.0 | 90.0 | 90.0 |
| A15--Cr3Si | dynamic | -3.499 | -3.499 | 4.5962 | 4.5962 | 4.5962 | 90.0 | 90.0 | 90.0 |
Download raw data (including filtered results)
Reference structure matches:
D0_3--BiF3 = oqmd-308055
L1_2--AuCu3 = oqmd-344444
| prototype | method | Ecoh (eV/atom) | Epot (eV/atom) | a0 (Å) | b0 (Å) | c0 (Å) | α (degrees) | β (degrees) | γ (degrees) |
|---|---|---|---|---|---|---|---|---|---|
| oqmd-319958 | dynamic | -3.8977 | -3.8977 | 5.3962 | 5.3962 | 4.3077 | 90.0 | 90.0 | 120.0 |
| oqmd-319958 | box | -3.8966 | -3.8966 | 5.3861 | 5.3861 | 4.3225 | 90.0 | 90.0 | 120.0 |
| L1_2--AuCu3 | dynamic | -3.8931 | -3.8931 | 3.8015 | 3.8015 | 3.8015 | 90.0 | 90.0 | 90.0 |
| oqmd-297529 | dynamic | -3.89 | -3.89 | 3.7973 | 3.7973 | 7.5992 | 90.0 | 90.0 | 90.0 |
| mp-622209 | dynamic | -3.8752 | -3.8752 | 6.2355 | 7.765 | 4.9097 | 90.0 | 90.0 | 90.0 |
| mp-622209 | static | -3.8752 | -3.8752 | 6.2357 | 7.7649 | 4.9096 | 90.0 | 90.0 | 90.0 |
| oqmd-10517 | box | -3.8668 | -3.8668 | 6.4974 | 7.5734 | 4.8338 | 90.0 | 90.0 | 90.0 |
| mp-622209 | box | -3.8657 | -3.8657 | 6.5247 | 7.5559 | 4.8226 | 90.0 | 90.0 | 90.0 |
| A15--Cr3Si | dynamic | -3.8388 | -3.8388 | 4.8404 | 4.8404 | 4.8404 | 90.0 | 90.0 | 90.0 |
| D0_3--BiF3 | static | -3.836 | -3.836 | 5.9891 | 5.9891 | 5.9891 | 90.0 | 90.0 | 90.0 |
Download raw data (including filtered results)
Reference structure matches:
| prototype | method | Ecoh (eV/atom) | Epot (eV/atom) | a0 (Å) | b0 (Å) | c0 (Å) | α (degrees) | β (degrees) | γ (degrees) |
|---|---|---|---|---|---|---|---|---|---|
| oqmd-18699 | dynamic | -4.1589 | -4.1589 | 3.9788 | 3.9788 | 4.8982 | 90.0 | 90.0 | 120.0 |
| oqmd-18699 | box | -4.1586 | -4.1586 | 3.9793 | 3.9793 | 4.8975 | 90.0 | 90.0 | 120.0 |
| mp-1057 | box | -4.1581 | -4.1581 | 3.9803 | 3.9803 | 4.8976 | 90.0 | 90.0 | 120.0 |
Download raw data (including filtered results)
Reference structure matches:
| prototype | method | Ecoh (eV/atom) | Epot (eV/atom) | a0 (Å) | b0 (Å) | c0 (Å) | α (degrees) | β (degrees) | γ (degrees) |
|---|---|---|---|---|---|---|---|---|---|
| mp-16514 | dynamic | -4.5821 | -4.5821 | 6.2753 | 7.538 | 3.7784 | 90.0 | 90.0 | 90.0 |
| oqmd-10518 | dynamic | -4.5821 | -4.5821 | 6.2754 | 7.538 | 3.7784 | 90.0 | 90.0 | 90.0 |
| mp-16514 | box | -4.5802 | -4.5802 | 6.2511 | 7.5391 | 3.79 | 90.0 | 90.0 | 90.0 |
| oqmd-10518 | box | -4.5801 | -4.5801 | 6.2464 | 7.5402 | 3.7918 | 90.0 | 90.0 | 90.0 |
Download raw data (including filtered results)
Reference structure matches:
| prototype | method | Ecoh (eV/atom) | Epot (eV/atom) | a0 (Å) | b0 (Å) | c0 (Å) | α (degrees) | β (degrees) | γ (degrees) |
|---|---|---|---|---|---|---|---|---|---|
| mp-1228713 | dynamic | -4.522 | -4.522 | 3.5371 | 3.5371 | 17.3694 | 90.0 | 90.0 | 90.0 |
| mp-1228713 | box | -4.5189 | -4.5189 | 3.5407 | 3.5407 | 17.2983 | 90.0 | 90.0 | 90.0 |
Download raw data (including filtered results)
Reference structure matches:
| prototype | method | Ecoh (eV/atom) | Epot (eV/atom) | a0 (Å) | b0 (Å) | c0 (Å) | α (degrees) | β (degrees) | γ (degrees) |
|---|---|---|---|---|---|---|---|---|---|
| oqmd-10519 | dynamic | -4.2658 | -4.2658 | 11.2751 | 11.2751 | 11.2751 | 90.0 | 90.0 | 90.0 |
| mp-16515 | box | -4.2655 | -4.2655 | 11.2772 | 11.2772 | 11.2772 | 90.0 | 90.0 | 90.0 |
| oqmd-10519 | box | -4.2654 | -4.2654 | 11.2758 | 11.2758 | 11.2758 | 90.0 | 90.0 | 90.0 |
Download raw data (including filtered results)
Reference structure matches:
| prototype | method | Ecoh (eV/atom) | Epot (eV/atom) | a0 (Å) | b0 (Å) | c0 (Å) | α (degrees) | β (degrees) | γ (degrees) |
|---|---|---|---|---|---|---|---|---|---|
| mp-196 | static | -3.8354 | -3.8354 | 7.7357 | 7.7357 | 7.27 | 90.0 | 90.0 | 120.0 |
| oqmd-5772 | box | -3.8086 | -3.8086 | 7.8101 | 7.8101 | 7.2419 | 90.0 | 90.0 | 120.0 |
| oqmd-19163 | box | -3.8076 | -3.8076 | 7.823 | 7.823 | 7.2257 | 90.0 | 90.0 | 120.0 |
| mp-196 | box | -3.8072 | -3.8072 | 7.8283 | 7.8283 | 7.2178 | 90.0 | 90.0 | 120.0 |
Download raw data (including filtered results)
Reference structure matches:
| prototype | method | Ecoh (eV/atom) | Epot (eV/atom) | a0 (Å) | b0 (Å) | c0 (Å) | α (degrees) | β (degrees) | γ (degrees) |
|---|---|---|---|---|---|---|---|---|---|
| mp-16488 | dynamic | -3.6592 | -3.6592 | 6.1818 | 6.3406 | 8.5951 | 90.0 | 98.0 | 90.0 |
| mp-16488 | box | -3.6484 | -3.6484 | 6.2551 | 6.2879 | 8.5687 | 90.0 | 98.1 | 90.0 |
| oqmd-10412 | box | -3.6472 | -3.6472 | 6.2582 | 6.2852 | 8.5694 | 90.0 | 98.1 | 90.0 |
Download raw data (including filtered results)
Reference structure matches:
| prototype | method | Ecoh (eV/atom) | Epot (eV/atom) | a0 (Å) | b0 (Å) | c0 (Å) | α (degrees) | β (degrees) | γ (degrees) |
|---|---|---|---|---|---|---|---|---|---|
| mp-1228742 | static | -3.804 | -3.804 | 7.8816 | 11.6207 | 15.2353 | 90.0 | 90.0 | 90.0 |
| mp-1228742 | box | -3.7844 | -3.7844 | 7.7369 | 11.9056 | 15.2273 | 90.0 | 90.0 | 90.0 |
Download raw data (including filtered results)
Reference structure matches:
B1--NaCl--rock-salt = oqmd-1105041
B2--CsCl = mp-284, oqmd-10411, oqmd-305856, oqmd-1217513
B3--ZnS--cubic-zinc-blende = oqmd-1218299
L1_0--AuCu = oqmd-337398
| prototype | method | Ecoh (eV/atom) | Epot (eV/atom) | a0 (Å) | b0 (Å) | c0 (Å) | α (degrees) | β (degrees) | γ (degrees) |
|---|---|---|---|---|---|---|---|---|---|
| B2--CsCl | dynamic | -4.5149 | -4.5149 | 2.7968 | 2.7968 | 2.7968 | 90.0 | 90.0 | 90.0 |
| B1--NaCl--rock-salt | static | -4.2799 | -4.2799 | 4.5847 | 4.5847 | 4.5847 | 90.0 | 90.0 | 90.0 |
| oqmd-1224493 | box | -3.8183 | -3.8183 | 3.9831 | 3.9831 | 4.5562 | 90.0 | 90.0 | 120.0 |
| B3--ZnS--cubic-zinc-blende | static | -3.1675 | -3.1675 | 5.2009 | 5.2009 | 5.2009 | 90.0 | 90.0 | 90.0 |
Download raw data (including filtered results)
Reference structure matches:
| prototype | method | Ecoh (eV/atom) | Epot (eV/atom) | a0 (Å) | b0 (Å) | c0 (Å) | α (degrees) | β (degrees) | γ (degrees) |
|---|---|---|---|---|---|---|---|---|---|
| C1--CaF2--fluorite | static | -4.15 | -4.15 | 5.3549 | 5.3549 | 5.3549 | 90.0 | 90.0 | 90.0 |
| oqmd-1238124 | static | -1.0439 | -1.0439 | 10.4218 | 10.4218 | 10.4218 | 90.0 | 90.0 | 90.0 |
Download raw data (including filtered results)
Reference structure matches:
L2_1--AlCu2Mn--heusler = mp-1214804, oqmd-411811
| prototype | method | Ecoh (eV/atom) | Epot (eV/atom) | a0 (Å) | b0 (Å) | c0 (Å) | α (degrees) | β (degrees) | γ (degrees) |
|---|---|---|---|---|---|---|---|---|---|
| mp-1214822 | dynamic | -4.5125 | -4.5125 | 3.8097 | 3.8097 | 6.1798 | 90.0 | 90.0 | 90.0 |
| L2_1--AlCu2Mn--heusler | static | -4.4981 | -4.4981 | 5.7033 | 5.7033 | 5.7033 | 90.0 | 90.0 | 90.0 |
| L2_1--AlCu2Mn--heusler | box | -4.4938 | -4.4938 | 5.5789 | 5.5789 | 5.5789 | 90.0 | 90.0 | 90.0 |
Download raw data (including filtered results)
Reference structure matches:
D0_3--BiF3 = oqmd-314260
L1_2--AuCu3 = mp-1018101, oqmd-345882
| prototype | method | Ecoh (eV/atom) | Epot (eV/atom) | a0 (Å) | b0 (Å) | c0 (Å) | α (degrees) | β (degrees) | γ (degrees) |
|---|---|---|---|---|---|---|---|---|---|
| mp-1080667 | dynamic | -4.5094 | -4.5094 | 4.8529 | 4.8529 | 3.9696 | 90.0 | 90.0 | 120.0 |
| oqmd-321396 | box | -4.4968 | -4.4968 | 4.8518 | 4.8518 | 3.9853 | 90.0 | 90.0 | 120.0 |
| mp-1080667 | box | -4.4914 | -4.4914 | 4.8546 | 4.8546 | 3.9888 | 90.0 | 90.0 | 120.0 |
| oqmd-303718 | dynamic | -4.4669 | -4.4669 | 3.3728 | 3.3728 | 6.8007 | 90.0 | 90.0 | 90.0 |
| L1_2--AuCu3 | dynamic | -4.4342 | -4.4342 | 3.3965 | 3.3965 | 3.3965 | 90.0 | 90.0 | 90.0 |
| D0_3--BiF3 | static | -4.3853 | -4.3853 | 5.5718 | 5.5718 | 5.5718 | 90.0 | 90.0 | 90.0 |
| A15--Cr3Si | static | -4.2286 | -4.2286 | 4.4249 | 4.4249 | 4.4249 | 90.0 | 90.0 | 90.0 |
| A15--Cr3Si | static | -0.0172 | -0.0172 | 11.6459 | 11.6459 | 11.6459 | 90.0 | 90.0 | 90.0 |
Download raw data (including filtered results)
Reference structure matches:
| prototype | method | Ecoh (eV/atom) | Epot (eV/atom) | a0 (Å) | b0 (Å) | c0 (Å) | α (degrees) | β (degrees) | γ (degrees) |
|---|---|---|---|---|---|---|---|---|---|
| mp-1228933 | dynamic | -4.4239 | -4.4239 | 2.5511 | 2.5511 | 29.3885 | 90.0 | 90.0 | 120.0 |
Download raw data (including filtered results)
Reference structure matches:
| prototype | method | Ecoh (eV/atom) | Epot (eV/atom) | a0 (Å) | b0 (Å) | c0 (Å) | α (degrees) | β (degrees) | γ (degrees) |
|---|---|---|---|---|---|---|---|---|---|
| oqmd-941101 | dynamic | -4.2329 | -4.2329 | 5.2722 | 5.2722 | 5.2722 | 90.0 | 90.0 | 90.0 |
| oqmd-859244 | dynamic | -4.033 | -4.033 | 5.4226 | 5.4226 | 5.4226 | 90.0 | 90.0 | 90.0 |
| oqmd-959934 | static | -3.7833 | -3.7833 | 5.4496 | 5.4496 | 5.4496 | 90.0 | 90.0 | 90.0 |
Download raw data (including filtered results)
Reference structure matches:
L2_1--AlCu2Mn--heusler = oqmd-528836
| prototype | method | Ecoh (eV/atom) | Epot (eV/atom) | a0 (Å) | b0 (Å) | c0 (Å) | α (degrees) | β (degrees) | γ (degrees) |
|---|---|---|---|---|---|---|---|---|---|
| L2_1--AlCu2Mn--heusler | static | -4.3183 | -4.3183 | 5.7381 | 5.7381 | 5.7381 | 90.0 | 90.0 | 90.0 |
| L2_1--AlCu2Mn--heusler | static | -4.3105 | -4.3105 | 5.5298 | 5.5298 | 5.5298 | 90.0 | 90.0 | 90.0 |
| L2_1--AlCu2Mn--heusler | box | -4.3094 | -4.3094 | 5.589 | 5.589 | 5.589 | 90.0 | 90.0 | 90.0 |
Download raw data (including filtered results)
Reference structure matches:
| prototype | method | Ecoh (eV/atom) | Epot (eV/atom) | a0 (Å) | b0 (Å) | c0 (Å) | α (degrees) | β (degrees) | γ (degrees) |
|---|---|---|---|---|---|---|---|---|---|
| mp-1228972 | dynamic | -4.5929 | -4.5929 | 3.5577 | 3.5577 | 7.1939 | 90.0 | 90.0 | 90.0 |
| mp-1228972 | box | -4.5736 | -4.5736 | 3.5633 | 3.5633 | 7.1782 | 90.0 | 90.0 | 90.0 |
Download raw data (including filtered results)
Reference structure matches:
B1--NaCl--rock-salt = oqmd-1103673
B2--CsCl = mp-1487, oqmd-10516, oqmd-94913, oqmd-94919, oqmd-304487
B3--ZnS--cubic-zinc-blende = oqmd-1218328
L1_0--AuCu = oqmd-336029
| prototype | method | Ecoh (eV/atom) | Epot (eV/atom) | a0 (Å) | b0 (Å) | c0 (Å) | α (degrees) | β (degrees) | γ (degrees) |
|---|---|---|---|---|---|---|---|---|---|
| B2--CsCl | dynamic | -4.5109 | -4.5109 | 2.832 | 2.832 | 2.832 | 90.0 | 90.0 | 90.0 |
| oqmd-1217542 | box | -4.5108 | -4.5108 | 4.0053 | 2.8317 | 4.0054 | 90.0 | 90.0 | 90.0 |
| oqmd-1228008 | dynamic | -4.3105 | -4.3105 | 2.6727 | 2.6727 | 3.9078 | 90.0 | 90.0 | 120.0 |
| oqmd-325571 | dynamic | -4.291 | -4.291 | 2.6767 | 2.6767 | 11.8332 | 90.0 | 90.0 | 120.0 |
| B1--NaCl--rock-salt | static | -3.9387 | -3.9387 | 4.7535 | 4.7535 | 4.7535 | 90.0 | 90.0 | 90.0 |
| oqmd-1224522 | box | -3.61 | -3.61 | 3.9522 | 3.9522 | 4.6397 | 90.0 | 90.0 | 120.0 |
| B3--ZnS--cubic-zinc-blende | static | -3.2481 | -3.2481 | 5.3052 | 5.3052 | 5.3052 | 90.0 | 90.0 | 90.0 |
Download raw data (including filtered results)
Reference structure matches:
| prototype | method | Ecoh (eV/atom) | Epot (eV/atom) | a0 (Å) | b0 (Å) | c0 (Å) | α (degrees) | β (degrees) | γ (degrees) |
|---|---|---|---|---|---|---|---|---|---|
| mp-1025044 | dynamic | -4.5942 | -4.5942 | 3.945 | 3.945 | 4.8324 | 90.0 | 90.0 | 120.0 |
| mp-1025044 | box | -4.5937 | -4.5937 | 3.9459 | 3.9459 | 4.8322 | 90.0 | 90.0 | 120.0 |
| C1--CaF2--fluorite | dynamic | -4.1393 | -4.1393 | 5.4214 | 5.4214 | 5.4214 | 90.0 | 90.0 | 90.0 |
| oqmd-1239580 | static | -2.1827 | -2.1827 | 10.9783 | 10.9783 | 10.9783 | 90.0 | 90.0 | 90.0 |
Download raw data (including filtered results)
Reference structure matches:
D0_3--BiF3 = mp-672232, oqmd-27902, oqmd-309416
L1_2--AuCu3 = mp-2593, oqmd-17890, oqmd-343083
| prototype | method | Ecoh (eV/atom) | Epot (eV/atom) | a0 (Å) | b0 (Å) | c0 (Å) | α (degrees) | β (degrees) | γ (degrees) |
|---|---|---|---|---|---|---|---|---|---|
| L1_2--AuCu3 | dynamic | -4.6315 | -4.6315 | 3.5332 | 3.5332 | 3.5332 | 90.0 | 90.0 | 90.0 |
| mp-1183232 | dynamic | -4.6279 | -4.6279 | 4.9907 | 4.9907 | 4.0638 | 90.0 | 90.0 | 120.0 |
| oqmd-298875 | dynamic | -4.625 | -4.625 | 3.6063 | 3.6063 | 6.6924 | 90.0 | 90.0 | 90.0 |
| oqmd-298875 | box | -4.6243 | -4.6243 | 3.5694 | 3.5694 | 6.8756 | 90.0 | 90.0 | 90.0 |
| oqmd-318597 | box | -4.6237 | -4.6237 | 4.9927 | 4.9927 | 4.0662 | 90.0 | 90.0 | 120.0 |
| mp-1183232 | box | -4.6221 | -4.6221 | 4.9934 | 4.9934 | 4.0666 | 90.0 | 90.0 | 120.0 |
| D0_3--BiF3 | dynamic | -4.5988 | -4.5988 | 5.5425 | 5.5425 | 5.5425 | 90.0 | 90.0 | 90.0 |
| A15--Cr3Si | dynamic | -4.5532 | -4.5532 | 4.4363 | 4.4363 | 4.4363 | 90.0 | 90.0 | 90.0 |
| A15--Cr3Si | dynamic | -0.0 | -0.0 | 11.28 | 11.28 | 11.28 | 90.0 | 90.0 | 90.0 |
| A15--Cr3Si | dynamic | -0.0 | -0.0 | 11.36 | 11.36 | 11.36 | 90.0 | 90.0 | 90.0 |
Download raw data (including filtered results)
Reference structure matches:
A1--Cu--fcc = mp-102, oqmd-592136, oqmd-594128, oqmd-1214517
A15--beta-W = oqmd-1214962, oqmd-1280314
A2--W--bcc = oqmd-1215140, oqmd-1215853
A3'--alpha-La--double-hcp = mp-1183710, oqmd-1215408
A3--Mg--hcp = mp-54, oqmd-592630, oqmd-637416, oqmd-1215318
A4--C--dc = oqmd-1215497
A5--beta-Sn = oqmd-1215586
A6--In--bct = oqmd-1215675
| prototype | method | Ecoh (eV/atom) | Epot (eV/atom) | a0 (Å) | b0 (Å) | c0 (Å) | α (degrees) | β (degrees) | γ (degrees) |
|---|---|---|---|---|---|---|---|---|---|
| A3--Mg--hcp | dynamic | -4.391 | -4.391 | 2.5187 | 2.5187 | 4.0557 | 90.0 | 90.0 | 120.0 |
| oqmd-1215229 | box | -4.3907 | -4.3907 | 2.5132 | 4.3718 | 4.0563 | 90.0 | 90.0 | 90.0 |
| oqmd-1216031 | dynamic | -4.3886 | -4.3886 | 2.5195 | 2.5195 | 18.3382 | 90.0 | 90.0 | 120.0 |
| A3'--alpha-La--double-hcp | dynamic | -4.3874 | -4.3874 | 2.5199 | 2.5199 | 8.1696 | 90.0 | 90.0 | 120.0 |
| A1--Cu--fcc | dynamic | -4.3849 | -4.3849 | 3.5642 | 3.5642 | 3.5642 | 90.0 | 90.0 | 90.0 |
| A2--W--bcc | static | -4.3273 | -4.3273 | 2.815 | 2.815 | 2.815 | 90.0 | 90.0 | 90.0 |
| oqmd-1214873 | dynamic | -4.294 | -4.294 | 6.1276 | 6.1276 | 6.1276 | 90.0 | 90.0 | 90.0 |
| oqmd-1214873 | box | -4.2925 | -4.2925 | 6.1258 | 6.1258 | 6.1258 | 90.0 | 90.0 | 90.0 |
| mp-669382 | static | -4.2784 | -4.2784 | 7.9274 | 7.9274 | 9.7311 | 90.0 | 90.0 | 120.0 |
| oqmd-1214784 | dynamic | -4.2741 | -4.2741 | 8.7681 | 8.7681 | 8.7681 | 90.0 | 90.0 | 90.0 |
| oqmd-594127 | box | -4.2721 | -4.2721 | 7.988 | 7.988 | 9.6136 | 90.0 | 90.0 | 120.0 |
| mp-669382 | box | -4.2712 | -4.2712 | 7.9455 | 7.9455 | 9.7032 | 90.0 | 90.0 | 120.0 |
| oqmd-1214784 | box | -4.2524 | -4.2524 | 8.78 | 8.78 | 8.78 | 90.0 | 90.0 | 90.0 |
| A15--beta-W | static | -4.2271 | -4.2271 | 4.5481 | 4.5481 | 4.5481 | 90.0 | 90.0 | 90.0 |
| mp-1193227 | static | -4.207 | -4.207 | 8.5055 | 8.5055 | 4.6153 | 90.0 | 90.0 | 90.0 |
| mp-1193227 | box | -4.1956 | -4.1956 | 8.5077 | 8.5077 | 4.6117 | 90.0 | 90.0 | 90.0 |
| oqmd-631034 | box | -4.1952 | -4.1952 | 8.511 | 8.511 | 4.6096 | 90.0 | 90.0 | 90.0 |
| oqmd-1215051 | box | -4.166 | -4.166 | 4.1982 | 9.0541 | 2.5434 | 90.0 | 90.0 | 90.0 |
| mp-1072089 | static | -4.1175 | -4.1175 | 6.6372 | 6.6372 | 6.6372 | 90.0 | 90.0 | 90.0 |
| oqmd-1214695 | box | -4.0727 | -4.0727 | 2.4381 | 2.4381 | 8.3967 | 90.0 | 90.0 | 90.0 |
| A5--beta-Sn | box | -3.9331 | -3.9331 | 4.6208 | 4.6208 | 2.4063 | 90.0 | 90.0 | 90.0 |
| Ah--alpha-Po--sc | static | -3.7608 | -3.7608 | 2.3711 | 2.3711 | 2.3711 | 90.0 | 90.0 | 90.0 |
| oqmd-1215942 | box | -3.2533 | -3.2533 | 4.015 | 4.015 | 4.4896 | 90.0 | 90.0 | 120.0 |
| A7--alpha-As | box | -3.2201 | -3.2201 | 3.208 | 3.208 | 10.3761 | 90.0 | 90.0 | 120.0 |
| A4--C--dc | static | -2.7275 | -2.7275 | 5.3436 | 5.3436 | 5.3436 | 90.0 | 90.0 | 90.0 |
| A6--In--bct | dynamic | -0.0228 | -0.0228 | 5.9363 | 5.9363 | 15.1751 | 90.0 | 90.0 | 90.0 |
| A4--C--dc | static | -0.0228 | -0.0228 | 13.7092 | 13.7092 | 13.7092 | 90.0 | 90.0 | 90.0 |
| A15--beta-W | static | -0.0172 | -0.0172 | 11.6459 | 11.6459 | 11.6459 | 90.0 | 90.0 | 90.0 |
Download raw data (including filtered results)
Reference structure matches:
| prototype | method | Ecoh (eV/atom) | Epot (eV/atom) | a0 (Å) | b0 (Å) | c0 (Å) | α (degrees) | β (degrees) | γ (degrees) |
|---|---|---|---|---|---|---|---|---|---|
| C1--CaF2--fluorite | dynamic | -3.7598 | -3.7598 | 5.4159 | 5.4159 | 5.4159 | 90.0 | 90.0 | 90.0 |
Download raw data (including filtered results)
Reference structure matches:
D0_3--BiF3 = oqmd-308248
L1_2--AuCu3 = mp-1008349, oqmd-344812
| prototype | method | Ecoh (eV/atom) | Epot (eV/atom) | a0 (Å) | b0 (Å) | c0 (Å) | α (degrees) | β (degrees) | γ (degrees) |
|---|---|---|---|---|---|---|---|---|---|
| mp-1226559 | static | -4.5839 | -4.5839 | 2.4615 | 2.4615 | 8.367 | 90.0 | 90.0 | 120.0 |
| mp-1226559 | box | -4.5633 | -4.5633 | 2.4607 | 2.4607 | 8.3291 | 90.0 | 90.0 | 120.0 |
| oqmd-297717 | dynamic | -4.4526 | -4.4526 | 3.6354 | 3.6354 | 7.1294 | 90.0 | 90.0 | 90.0 |
| mp-1183837 | dynamic | -4.4196 | -4.4196 | 5.1023 | 5.1023 | 4.0412 | 90.0 | 90.0 | 120.0 |
| mp-1183837 | box | -4.4196 | -4.4196 | 5.1027 | 5.1027 | 4.0412 | 90.0 | 90.0 | 120.0 |
| oqmd-320326 | box | -4.4196 | -4.4196 | 5.1019 | 5.1019 | 4.0413 | 90.0 | 90.0 | 120.0 |
| L1_2--AuCu3 | dynamic | -4.4179 | -4.4179 | 3.6216 | 3.6216 | 3.6216 | 90.0 | 90.0 | 90.0 |
| D0_3--BiF3 | static | -4.3216 | -4.3216 | 5.7818 | 5.7818 | 5.7818 | 90.0 | 90.0 | 90.0 |
| A15--Cr3Si | static | -4.2432 | -4.2432 | 4.4429 | 4.4429 | 4.4429 | 90.0 | 90.0 | 90.0 |
| A15--Cr3Si | static | -4.2296 | -4.2296 | 4.6379 | 4.6379 | 4.6379 | 90.0 | 90.0 | 90.0 |
| A15--Cr3Si | static | -0.0172 | -0.0172 | 11.6459 | 11.6459 | 11.6459 | 90.0 | 90.0 | 90.0 |
Download raw data (including filtered results)
Reference structure matches:
B1--NaCl--rock-salt = oqmd-1103760
B2--CsCl = mp-1006883, oqmd-304574
B3--ZnS--cubic-zinc-blende = oqmd-1219291
L1_0--AuCu = oqmd-336116
| prototype | method | Ecoh (eV/atom) | Epot (eV/atom) | a0 (Å) | b0 (Å) | c0 (Å) | α (degrees) | β (degrees) | γ (degrees) |
|---|---|---|---|---|---|---|---|---|---|
| oqmd-1228970 | static | -4.4644 | -4.4644 | 2.4398 | 2.4398 | 4.3795 | 90.0 | 90.0 | 120.0 |
| mp-1226063 | static | -4.4522 | -4.4522 | 2.4491 | 4.1085 | 4.4264 | 90.0 | 90.0 | 90.0 |
| oqmd-1219805 | dynamic | -4.4441 | -4.4441 | 4.0578 | 2.4767 | 4.5086 | 90.0 | 90.0 | 90.0 |
| oqmd-1219805 | box | -4.4409 | -4.4409 | 4.0582 | 2.4813 | 4.5168 | 90.0 | 90.0 | 90.0 |
| L1_0--AuCu | dynamic | -4.4367 | -4.4367 | 2.5706 | 2.5706 | 3.6255 | 90.0 | 90.0 | 90.0 |
| B2--CsCl | static | -4.2684 | -4.2684 | 2.9224 | 2.9224 | 2.9224 | 90.0 | 90.0 | 90.0 |
| B2--CsCl | dynamic | -4.219 | -4.219 | 2.7455 | 2.7455 | 2.7455 | 90.0 | 90.0 | 90.0 |
| B2--CsCl | box | -4.2072 | -4.2072 | 2.7951 | 2.7951 | 2.7951 | 90.0 | 90.0 | 90.0 |
| B1--NaCl--rock-salt | static | -3.7743 | -3.7743 | 4.9131 | 4.9131 | 4.9131 | 90.0 | 90.0 | 90.0 |
| B3--ZnS--cubic-zinc-blende | static | -2.815 | -2.815 | 5.3679 | 5.3679 | 5.3679 | 90.0 | 90.0 | 90.0 |
Download raw data (including filtered results)
Reference structure matches:
| prototype | method | Ecoh (eV/atom) | Epot (eV/atom) | a0 (Å) | b0 (Å) | c0 (Å) | α (degrees) | β (degrees) | γ (degrees) |
|---|---|---|---|---|---|---|---|---|---|
| C1--CaF2--fluorite | dynamic | -3.763 | -3.763 | 5.4301 | 5.4301 | 5.4301 | 90.0 | 90.0 | 90.0 |
Download raw data (including filtered results)
Reference structure matches:
D0_3--BiF3 = oqmd-309784
L1_2--AuCu3 = mp-1183751, oqmd-343276
| prototype | method | Ecoh (eV/atom) | Epot (eV/atom) | a0 (Å) | b0 (Å) | c0 (Å) | α (degrees) | β (degrees) | γ (degrees) |
|---|---|---|---|---|---|---|---|---|---|
| oqmd-299242 | dynamic | -4.4706 | -4.4706 | 3.6247 | 3.6247 | 7.0918 | 90.0 | 90.0 | 90.0 |
| A15--Cr3Si | dynamic | -4.4335 | -4.4335 | 4.3776 | 4.3776 | 4.3776 | 90.0 | 90.0 | 90.0 |
| L1_2--AuCu3 | dynamic | -4.4311 | -4.4311 | 3.6092 | 3.6092 | 3.6092 | 90.0 | 90.0 | 90.0 |
| mp-1183785 | dynamic | -4.4223 | -4.4223 | 5.0606 | 5.0606 | 4.0692 | 90.0 | 90.0 | 120.0 |
| mp-1183785 | box | -4.4208 | -4.4208 | 5.0601 | 5.0601 | 4.0718 | 90.0 | 90.0 | 120.0 |
| oqmd-318790 | box | -4.4194 | -4.4194 | 5.0603 | 5.0603 | 4.073 | 90.0 | 90.0 | 120.0 |
| D0_3--BiF3 | static | -4.3248 | -4.3248 | 5.7615 | 5.7615 | 5.7615 | 90.0 | 90.0 | 90.0 |
Download raw data (including filtered results)
Reference structure matches:
A1--Cu--fcc = mp-23, oqmd-676148, oqmd-1214550
A15--beta-W = oqmd-1214995, oqmd-1280360
A2--W--bcc = mp-1008728, oqmd-22516, oqmd-1215173
A3'--alpha-La--double-hcp = oqmd-1215441
A3--Mg--hcp = mp-10257, oqmd-677944, oqmd-1215351
A4--C--dc = oqmd-1215530
A5--beta-Sn = oqmd-1215619
A6--In--bct = oqmd-1215708
| prototype | method | Ecoh (eV/atom) | Epot (eV/atom) | a0 (Å) | b0 (Å) | c0 (Å) | α (degrees) | β (degrees) | γ (degrees) |
|---|---|---|---|---|---|---|---|---|---|
| A1--Cu--fcc | dynamic | -4.45 | -4.45 | 3.52 | 3.52 | 3.52 | 90.0 | 90.0 | 90.0 |
| A3'--alpha-La--double-hcp | dynamic | -4.4387 | -4.4387 | 2.4854 | 2.4854 | 8.1645 | 90.0 | 90.0 | 120.0 |
| oqmd-1216067 | dynamic | -4.4351 | -4.4351 | 2.4842 | 2.4842 | 18.4035 | 90.0 | 90.0 | 120.0 |
| oqmd-1216067 | static | -4.4351 | -4.4351 | 2.4843 | 2.4843 | 18.4039 | 90.0 | 90.0 | 120.0 |
| A3--Mg--hcp | dynamic | -4.4279 | -4.4279 | 2.4819 | 2.4819 | 4.1048 | 90.0 | 90.0 | 120.0 |
| oqmd-1215262 | box | -4.4273 | -4.4273 | 2.4737 | 4.3127 | 4.1049 | 90.0 | 90.0 | 90.0 |
| A15--beta-W | dynamic | -4.4193 | -4.4193 | 4.4342 | 4.4342 | 4.4342 | 90.0 | 90.0 | 90.0 |
| oqmd-1214906 | dynamic | -4.3975 | -4.3975 | 6.0662 | 6.0662 | 6.0662 | 90.0 | 90.0 | 90.0 |
| oqmd-1214906 | box | -4.3971 | -4.3971 | 6.0632 | 6.0632 | 6.0632 | 90.0 | 90.0 | 90.0 |
| oqmd-1214817 | dynamic | -4.3852 | -4.3852 | 8.626 | 8.626 | 8.626 | 90.0 | 90.0 | 90.0 |
| oqmd-1214817 | box | -4.3835 | -4.3835 | 8.6317 | 8.6317 | 8.6317 | 90.0 | 90.0 | 90.0 |
| A2--W--bcc | static | -4.3827 | -4.3827 | 2.7687 | 2.7687 | 2.7687 | 90.0 | 90.0 | 90.0 |
| oqmd-1215084 | box | -4.1378 | -4.1378 | 2.5103 | 4.2328 | 9.1147 | 90.0 | 90.0 | 90.0 |
| oqmd-1214728 | static | -4.0884 | -4.0884 | 2.4636 | 2.4636 | 8.1674 | 90.0 | 90.0 | 90.0 |
| oqmd-1214728 | box | -4.0883 | -4.0883 | 2.4659 | 2.4659 | 8.1654 | 90.0 | 90.0 | 90.0 |
| A5--beta-Sn | static | -3.8645 | -3.8645 | 4.6612 | 4.6612 | 2.4242 | 90.0 | 90.0 | 90.0 |
| mp-1014111 | box | -3.8631 | -3.8631 | 2.4596 | 2.4596 | 13.7998 | 90.0 | 90.0 | 120.0 |
| mp-1014111 | dynamic | -3.8631 | -3.8631 | 2.4596 | 2.4596 | 13.6791 | 90.0 | 90.0 | 120.0 |
| mp-1014111 | static | -3.8631 | -3.8631 | 2.4596 | 2.4596 | 13.7996 | 90.0 | 90.0 | 120.0 |
| Ah--alpha-Po--sc | static | -3.7264 | -3.7264 | 2.3965 | 2.3965 | 2.3965 | 90.0 | 90.0 | 90.0 |
| A7--alpha-As | box | -3.4485 | -3.4485 | 3.216 | 3.216 | 9.4817 | 90.0 | 90.0 | 120.0 |
| A4--C--dc | static | -3.0336 | -3.0336 | 5.2221 | 5.2221 | 5.2221 | 90.0 | 90.0 | 90.0 |
| A1--Cu--fcc | box | -0.0 | -0.0 | 7.3502 | 7.3502 | 7.3502 | 90.0 | 90.0 | 90.0 |
| A2--W--bcc | box | -0.0 | -0.0 | 6.0014 | 6.0014 | 6.0014 | 90.0 | 90.0 | 90.0 |
| A4--C--dc | box | -0.0 | -0.0 | 12.0028 | 12.0028 | 12.0028 | 90.0 | 90.0 | 90.0 |
| A3'--alpha-La--double-hcp | dynamic | -0.0 | -0.0 | 5.2 | 5.2 | 16.9831 | 90.0 | 90.0 | 120.0 |
| A1--Cu--fcc | dynamic | -0.0 | -0.0 | 7.3539 | 7.3539 | 7.3539 | 90.0 | 90.0 | 90.0 |
| A3--Mg--hcp | dynamic | -0.0 | -0.0 | 5.2 | 5.2 | 8.4916 | 90.0 | 90.0 | 120.0 |
| A2--W--bcc | dynamic | -0.0 | -0.0 | 6.0044 | 6.0044 | 6.0044 | 90.0 | 90.0 | 90.0 |
| Ah--alpha-Po--sc | dynamic | -0.0 | -0.0 | 5.2 | 5.2 | 5.2 | 90.0 | 90.0 | 90.0 |
| A6--In--bct | dynamic | -0.0 | -0.0 | 5.2 | 5.2 | 7.8 | 90.0 | 90.0 | 90.0 |
| A5--beta-Sn | dynamic | -0.0 | -0.0 | 10.0277 | 10.0277 | 5.5153 | 90.0 | 90.0 | 90.0 |
| A4--C--dc | dynamic | -0.0 | -0.0 | 12.0089 | 12.0089 | 12.0089 | 90.0 | 90.0 | 90.0 |
| A7--alpha-As | dynamic | -0.0 | -0.0 | 7.7689 | 7.7689 | 21.5741 | 90.0 | 90.0 | 120.0 |
| A15--beta-W | dynamic | -0.0 | -0.0 | 10.4 | 10.4 | 10.4 | 90.0 | 90.0 | 90.0 |
| A3--Mg--hcp | box | -0.0 | -0.0 | 5.2397 | 5.2397 | 8.5564 | 90.0 | 90.0 | 120.0 |
| A3'--alpha-La--double-hcp | box | -0.0 | -0.0 | 5.2397 | 5.2397 | 17.1127 | 90.0 | 90.0 | 120.0 |
| A1--Cu--fcc | box | -0.0 | -0.0 | 7.41 | 7.41 | 7.41 | 90.0 | 90.0 | 90.0 |
| A1--Cu--fcc | dynamic | -0.0 | -0.0 | 7.4105 | 7.4105 | 7.4105 | 90.0 | 90.0 | 90.0 |
| A3--Mg--hcp | dynamic | -0.0 | -0.0 | 5.24 | 5.24 | 8.5569 | 90.0 | 90.0 | 120.0 |
| A3'--alpha-La--double-hcp | dynamic | -0.0 | -0.0 | 5.24 | 5.24 | 17.1138 | 90.0 | 90.0 | 120.0 |
| A2--W--bcc | box | -0.0 | -0.0 | 6.0503 | 6.0503 | 6.0503 | 90.0 | 90.0 | 90.0 |
| A2--W--bcc | dynamic | -0.0 | -0.0 | 6.0506 | 6.0506 | 6.0506 | 90.0 | 90.0 | 90.0 |
| Ah--alpha-Po--sc | dynamic | -0.0 | -0.0 | 5.24 | 5.24 | 5.24 | 90.0 | 90.0 | 90.0 |
| A4--C--dc | box | -0.0 | -0.0 | 12.1005 | 12.1005 | 12.1005 | 90.0 | 90.0 | 90.0 |
| A5--beta-Sn | dynamic | -0.0 | -0.0 | 10.1049 | 10.1049 | 5.5577 | 90.0 | 90.0 | 90.0 |
| A6--In--bct | dynamic | -0.0 | -0.0 | 5.24 | 5.24 | 7.86 | 90.0 | 90.0 | 90.0 |
| A4--C--dc | dynamic | -0.0 | -0.0 | 12.1013 | 12.1013 | 12.1013 | 90.0 | 90.0 | 90.0 |
| A7--alpha-As | dynamic | -0.0 | -0.0 | 7.8286 | 7.8286 | 21.7401 | 90.0 | 90.0 | 120.0 |
| A15--beta-W | dynamic | -0.0 | -0.0 | 10.48 | 10.48 | 10.48 | 90.0 | 90.0 | 90.0 |
| A1--Cu--fcc | box | -0.0 | -0.0 | 7.4668 | 7.4668 | 7.4668 | 90.0 | 90.0 | 90.0 |
| A3'--alpha-La--double-hcp | box | -0.0 | -0.0 | 5.2798 | 5.2798 | 17.2439 | 90.0 | 90.0 | 120.0 |
| A3--Mg--hcp | box | -0.0 | -0.0 | 5.2798 | 5.2798 | 8.6219 | 90.0 | 90.0 | 120.0 |
| A1--Cu--fcc | dynamic | -0.0 | -0.0 | 7.467 | 7.467 | 7.467 | 90.0 | 90.0 | 90.0 |
| A3--Mg--hcp | dynamic | -0.0 | -0.0 | 5.28 | 5.28 | 8.6222 | 90.0 | 90.0 | 120.0 |
| A3'--alpha-La--double-hcp | dynamic | -0.0 | -0.0 | 5.28 | 5.28 | 17.2444 | 90.0 | 90.0 | 120.0 |
| A2--W--bcc | box | -0.0 | -0.0 | 6.0966 | 6.0966 | 6.0966 | 90.0 | 90.0 | 90.0 |
| A2--W--bcc | dynamic | -0.0 | -0.0 | 6.0968 | 6.0968 | 6.0968 | 90.0 | 90.0 | 90.0 |
| Ah--alpha-Po--sc | dynamic | -0.0 | -0.0 | 5.28 | 5.28 | 5.28 | 90.0 | 90.0 | 90.0 |
| A4--C--dc | box | -0.0 | -0.0 | 12.1933 | 12.1933 | 12.1933 | 90.0 | 90.0 | 90.0 |
| A6--In--bct | dynamic | -0.0 | -0.0 | 5.28 | 5.28 | 7.92 | 90.0 | 90.0 | 90.0 |
| A4--C--dc | dynamic | -0.0 | -0.0 | 12.1936 | 12.1936 | 12.1936 | 90.0 | 90.0 | 90.0 |
| A5--beta-Sn | dynamic | -0.0 | -0.0 | 10.182 | 10.182 | 5.6001 | 90.0 | 90.0 | 90.0 |
| A7--alpha-As | dynamic | -0.0 | -0.0 | 7.8884 | 7.8884 | 21.906 | 90.0 | 90.0 | 120.0 |
| A15--beta-W | dynamic | -0.0 | -0.0 | 10.56 | 10.56 | 10.56 | 90.0 | 90.0 | 90.0 |
| A3'--alpha-La--double-hcp | box | -0.0 | -0.0 | 5.3201 | 5.3201 | 17.3752 | 90.0 | 90.0 | 120.0 |
| A3--Mg--hcp | box | -0.0 | -0.0 | 5.3201 | 5.3201 | 8.6876 | 90.0 | 90.0 | 120.0 |
| A1--Cu--fcc | box | -0.0 | -0.0 | 7.5237 | 7.5237 | 7.5237 | 90.0 | 90.0 | 90.0 |
| A3--Mg--hcp | dynamic | -0.0 | -0.0 | 5.32 | 5.32 | 8.6875 | 90.0 | 90.0 | 120.0 |
| A3'--alpha-La--double-hcp | dynamic | -0.0 | -0.0 | 5.32 | 5.32 | 17.375 | 90.0 | 90.0 | 120.0 |
| A1--Cu--fcc | dynamic | -0.0 | -0.0 | 7.5236 | 7.5236 | 7.5236 | 90.0 | 90.0 | 90.0 |
| A2--W--bcc | box | -0.0 | -0.0 | 6.1431 | 6.1431 | 6.1431 | 90.0 | 90.0 | 90.0 |
| A2--W--bcc | dynamic | -0.0 | -0.0 | 6.143 | 6.143 | 6.143 | 90.0 | 90.0 | 90.0 |
| Ah--alpha-Po--sc | dynamic | -0.0 | -0.0 | 5.32 | 5.32 | 5.32 | 90.0 | 90.0 | 90.0 |
| A4--C--dc | box | -0.0 | -0.0 | 12.2861 | 12.2861 | 12.2861 | 90.0 | 90.0 | 90.0 |
| A4--C--dc | dynamic | -0.0 | -0.0 | 12.286 | 12.286 | 12.286 | 90.0 | 90.0 | 90.0 |
| A6--In--bct | dynamic | -0.0 | -0.0 | 5.32 | 5.32 | 7.98 | 90.0 | 90.0 | 90.0 |
| A5--beta-Sn | dynamic | -0.0 | -0.0 | 10.2591 | 10.2591 | 5.6425 | 90.0 | 90.0 | 90.0 |
| A7--alpha-As | dynamic | -0.0 | -0.0 | 7.9481 | 7.9481 | 22.072 | 90.0 | 90.0 | 120.0 |
| A15--beta-W | dynamic | -0.0 | -0.0 | 10.64 | 10.64 | 10.64 | 90.0 | 90.0 | 90.0 |
| A1--Cu--fcc | box | -0.0 | -0.0 | 7.5806 | 7.5806 | 7.5806 | 90.0 | 90.0 | 90.0 |
| A3'--alpha-La--double-hcp | box | -0.0 | -0.0 | 5.3603 | 5.3603 | 17.5066 | 90.0 | 90.0 | 120.0 |
| A3--Mg--hcp | box | -0.0 | -0.0 | 5.3603 | 5.3603 | 8.7533 | 90.0 | 90.0 | 120.0 |
| A2--W--bcc | box | -0.0 | -0.0 | 6.1895 | 6.1895 | 6.1895 | 90.0 | 90.0 | 90.0 |
| A3--Mg--hcp | dynamic | -0.0 | -0.0 | 5.36 | 5.36 | 8.7528 | 90.0 | 90.0 | 120.0 |
| A3'--alpha-La--double-hcp | dynamic | -0.0 | -0.0 | 5.36 | 5.36 | 17.5057 | 90.0 | 90.0 | 120.0 |
| A1--Cu--fcc | dynamic | -0.0 | -0.0 | 7.5802 | 7.5802 | 7.5802 | 90.0 | 90.0 | 90.0 |
| A4--C--dc | box | -0.0 | -0.0 | 12.3791 | 12.3791 | 12.3791 | 90.0 | 90.0 | 90.0 |
| A2--W--bcc | dynamic | -0.0 | -0.0 | 6.1892 | 6.1892 | 6.1892 | 90.0 | 90.0 | 90.0 |
| Ah--alpha-Po--sc | dynamic | -0.0 | -0.0 | 5.36 | 5.36 | 5.36 | 90.0 | 90.0 | 90.0 |
| A4--C--dc | dynamic | -0.0 | -0.0 | 12.3784 | 12.3784 | 12.3784 | 90.0 | 90.0 | 90.0 |
| A6--In--bct | dynamic | -0.0 | -0.0 | 5.36 | 5.36 | 8.04 | 90.0 | 90.0 | 90.0 |
| A5--beta-Sn | dynamic | -0.0 | -0.0 | 10.3363 | 10.3363 | 5.685 | 90.0 | 90.0 | 90.0 |
| A7--alpha-As | dynamic | -0.0 | -0.0 | 8.0079 | 8.0079 | 22.2379 | 90.0 | 90.0 | 120.0 |
| A15--beta-W | dynamic | -0.0 | -0.0 | 10.72 | 10.72 | 10.72 | 90.0 | 90.0 | 90.0 |
| A1--Cu--fcc | dynamic | -0.0 | -0.0 | 7.665 | 7.665 | 7.665 | 90.0 | 90.0 | 90.0 |
| A3--Mg--hcp | dynamic | -0.0 | -0.0 | 5.42 | 5.42 | 8.8508 | 90.0 | 90.0 | 120.0 |
| A3'--alpha-La--double-hcp | dynamic | -0.0 | -0.0 | 5.42 | 5.42 | 17.7016 | 90.0 | 90.0 | 120.0 |
| A2--W--bcc | dynamic | -0.0 | -0.0 | 6.2585 | 6.2585 | 6.2585 | 90.0 | 90.0 | 90.0 |
| Ah--alpha-Po--sc | dynamic | -0.0 | -0.0 | 5.42 | 5.42 | 5.42 | 90.0 | 90.0 | 90.0 |
| A6--In--bct | dynamic | -0.0 | -0.0 | 5.42 | 5.42 | 8.13 | 90.0 | 90.0 | 90.0 |
| A5--beta-Sn | dynamic | -0.0 | -0.0 | 10.452 | 10.452 | 5.7486 | 90.0 | 90.0 | 90.0 |
| A4--C--dc | dynamic | -0.0 | -0.0 | 12.517 | 12.517 | 12.517 | 90.0 | 90.0 | 90.0 |
| A7--alpha-As | dynamic | -0.0 | -0.0 | 8.0975 | 8.0975 | 22.4869 | 90.0 | 90.0 | 120.0 |
| A15--beta-W | dynamic | -0.0 | -0.0 | 10.84 | 10.84 | 10.84 | 90.0 | 90.0 | 90.0 |
| A1--Cu--fcc | dynamic | -0.0 | -0.0 | 7.7216 | 7.7216 | 7.7216 | 90.0 | 90.0 | 90.0 |
| A3'--alpha-La--double-hcp | dynamic | -0.0 | -0.0 | 5.46 | 5.46 | 17.8323 | 90.0 | 90.0 | 120.0 |
| A3--Mg--hcp | dynamic | -0.0 | -0.0 | 5.46 | 5.46 | 8.9161 | 90.0 | 90.0 | 120.0 |
| A2--W--bcc | dynamic | -0.0 | -0.0 | 6.3047 | 6.3047 | 6.3047 | 90.0 | 90.0 | 90.0 |
| Ah--alpha-Po--sc | dynamic | -0.0 | -0.0 | 5.46 | 5.46 | 5.46 | 90.0 | 90.0 | 90.0 |
| A6--In--bct | dynamic | -0.0 | -0.0 | 5.46 | 5.46 | 8.19 | 90.0 | 90.0 | 90.0 |
| A5--beta-Sn | dynamic | -0.0 | -0.0 | 10.5291 | 10.5291 | 5.791 | 90.0 | 90.0 | 90.0 |
| A4--C--dc | dynamic | -0.0 | -0.0 | 12.6093 | 12.6093 | 12.6093 | 90.0 | 90.0 | 90.0 |
| A7--alpha-As | dynamic | -0.0 | -0.0 | 8.1573 | 8.1573 | 22.6528 | 90.0 | 90.0 | 120.0 |
| A15--beta-W | dynamic | -0.0 | -0.0 | 10.92 | 10.92 | 10.92 | 90.0 | 90.0 | 90.0 |
| A1--Cu--fcc | dynamic | -0.0 | -0.0 | 7.7782 | 7.7782 | 7.7782 | 90.0 | 90.0 | 90.0 |
| A3--Mg--hcp | dynamic | -0.0 | -0.0 | 5.5 | 5.5 | 8.9815 | 90.0 | 90.0 | 120.0 |
| A3'--alpha-La--double-hcp | dynamic | -0.0 | -0.0 | 5.5 | 5.5 | 17.9629 | 90.0 | 90.0 | 120.0 |
| A2--W--bcc | dynamic | -0.0 | -0.0 | 6.3509 | 6.3509 | 6.3509 | 90.0 | 90.0 | 90.0 |
| Ah--alpha-Po--sc | dynamic | -0.0 | -0.0 | 5.5 | 5.5 | 5.5 | 90.0 | 90.0 | 90.0 |
| A5--beta-Sn | dynamic | -0.0 | -0.0 | 10.6063 | 10.6063 | 5.8334 | 90.0 | 90.0 | 90.0 |
| A6--In--bct | dynamic | -0.0 | -0.0 | 5.5 | 5.5 | 8.25 | 90.0 | 90.0 | 90.0 |
| A4--C--dc | dynamic | -0.0 | -0.0 | 12.7017 | 12.7017 | 12.7017 | 90.0 | 90.0 | 90.0 |
| A7--alpha-As | dynamic | -0.0 | -0.0 | 8.2171 | 8.2171 | 22.8188 | 90.0 | 90.0 | 120.0 |
| A15--beta-W | dynamic | -0.0 | -0.0 | 11.0 | 11.0 | 11.0 | 90.0 | 90.0 | 90.0 |
| A3'--alpha-La--double-hcp | dynamic | -0.0 | -0.0 | 5.54 | 5.54 | 18.0936 | 90.0 | 90.0 | 120.0 |
| A3--Mg--hcp | dynamic | -0.0 | -0.0 | 5.54 | 5.54 | 9.0468 | 90.0 | 90.0 | 120.0 |
| A1--Cu--fcc | dynamic | -0.0 | -0.0 | 7.8347 | 7.8347 | 7.8347 | 90.0 | 90.0 | 90.0 |
| A2--W--bcc | dynamic | -0.0 | -0.0 | 6.397 | 6.397 | 6.397 | 90.0 | 90.0 | 90.0 |
| Ah--alpha-Po--sc | dynamic | -0.0 | -0.0 | 5.54 | 5.54 | 5.54 | 90.0 | 90.0 | 90.0 |
| A4--C--dc | dynamic | -0.0 | -0.0 | 12.7941 | 12.7941 | 12.7941 | 90.0 | 90.0 | 90.0 |
| A5--beta-Sn | dynamic | -0.0 | -0.0 | 10.6834 | 10.6834 | 5.8759 | 90.0 | 90.0 | 90.0 |
| A6--In--bct | dynamic | -0.0 | -0.0 | 5.54 | 5.54 | 8.31 | 90.0 | 90.0 | 90.0 |
| A7--alpha-As | dynamic | -0.0 | -0.0 | 8.2768 | 8.2768 | 22.9847 | 90.0 | 90.0 | 120.0 |
| A15--beta-W | dynamic | -0.0 | -0.0 | 11.08 | 11.08 | 11.08 | 90.0 | 90.0 | 90.0 |
| A1--Cu--fcc | box | -0.0 | -0.0 | 7.8915 | 7.8915 | 7.8915 | 90.0 | 90.0 | 90.0 |
| A3--Mg--hcp | box | -0.0 | -0.0 | 5.5801 | 5.5801 | 9.1123 | 90.0 | 90.0 | 120.0 |
| A3'--alpha-La--double-hcp | box | -0.0 | -0.0 | 5.5801 | 5.5801 | 18.2247 | 90.0 | 90.0 | 120.0 |
| A3--Mg--hcp | dynamic | -0.0 | -0.0 | 5.58 | 5.58 | 9.1121 | 90.0 | 90.0 | 120.0 |
| A3'--alpha-La--double-hcp | dynamic | -0.0 | -0.0 | 5.58 | 5.58 | 18.2242 | 90.0 | 90.0 | 120.0 |
| A1--Cu--fcc | dynamic | -0.0 | -0.0 | 7.8913 | 7.8913 | 7.8913 | 90.0 | 90.0 | 90.0 |
| A2--W--bcc | box | -0.0 | -0.0 | 6.4434 | 6.4434 | 6.4434 | 90.0 | 90.0 | 90.0 |
| A2--W--bcc | dynamic | -0.0 | -0.0 | 6.4432 | 6.4432 | 6.4432 | 90.0 | 90.0 | 90.0 |
| Ah--alpha-Po--sc | dynamic | -0.0 | -0.0 | 5.58 | 5.58 | 5.58 | 90.0 | 90.0 | 90.0 |
| A4--C--dc | box | -0.0 | -0.0 | 12.8868 | 12.8868 | 12.8868 | 90.0 | 90.0 | 90.0 |
| A4--C--dc | dynamic | -0.0 | -0.0 | 12.8865 | 12.8865 | 12.8865 | 90.0 | 90.0 | 90.0 |
| A5--beta-Sn | dynamic | -0.0 | -0.0 | 10.7605 | 10.7605 | 5.9183 | 90.0 | 90.0 | 90.0 |
| A6--In--bct | dynamic | -0.0 | -0.0 | 5.58 | 5.58 | 8.37 | 90.0 | 90.0 | 90.0 |
| A7--alpha-As | dynamic | -0.0 | -0.0 | 8.3366 | 8.3366 | 23.1507 | 90.0 | 90.0 | 120.0 |
| A15--beta-W | dynamic | -0.0 | -0.0 | 11.16 | 11.16 | 11.16 | 90.0 | 90.0 | 90.0 |
| A1--Cu--fcc | dynamic | -0.0 | -0.0 | 7.9762 | 7.9762 | 7.9762 | 90.0 | 90.0 | 90.0 |
| A3--Mg--hcp | dynamic | -0.0 | -0.0 | 5.64 | 5.64 | 9.2101 | 90.0 | 90.0 | 120.0 |
| A3'--alpha-La--double-hcp | dynamic | -0.0 | -0.0 | 5.64 | 5.64 | 18.4202 | 90.0 | 90.0 | 120.0 |
| A2--W--bcc | dynamic | -0.0 | -0.0 | 6.5125 | 6.5125 | 6.5125 | 90.0 | 90.0 | 90.0 |
| Ah--alpha-Po--sc | dynamic | -0.0 | -0.0 | 5.64 | 5.64 | 5.64 | 90.0 | 90.0 | 90.0 |
| A6--In--bct | dynamic | -0.0 | -0.0 | 5.64 | 5.64 | 8.46 | 90.0 | 90.0 | 90.0 |
| A4--C--dc | dynamic | -0.0 | -0.0 | 13.025 | 13.025 | 13.025 | 90.0 | 90.0 | 90.0 |
| A5--beta-Sn | dynamic | -0.0 | -0.0 | 10.8762 | 10.8762 | 5.9819 | 90.0 | 90.0 | 90.0 |
| A7--alpha-As | dynamic | -0.0 | -0.0 | 8.4262 | 8.4262 | 23.3996 | 90.0 | 90.0 | 120.0 |
| A15--beta-W | dynamic | -0.0 | -0.0 | 11.28 | 11.28 | 11.28 | 90.0 | 90.0 | 90.0 |
| A2--W--bcc | box | -0.0 | -0.0 | 6.5216 | 6.5216 | 6.5216 | 90.0 | 90.0 | 90.0 |
| A1--Cu--fcc | box | -0.0 | -0.0 | 7.9993 | 7.9993 | 7.9993 | 90.0 | 90.0 | 90.0 |
| A1--Cu--fcc | box | -0.0 | -0.0 | 8.0321 | 8.0321 | 8.0321 | 90.0 | 90.0 | 90.0 |
| A3'--alpha-La--double-hcp | box | -0.0 | -0.0 | 5.6795 | 5.6795 | 18.5493 | 90.0 | 90.0 | 120.0 |
| A3--Mg--hcp | box | -0.0 | -0.0 | 5.6795 | 5.6795 | 9.2747 | 90.0 | 90.0 | 120.0 |
| A2--W--bcc | box | -0.0 | -0.0 | 6.5582 | 6.5582 | 6.5582 | 90.0 | 90.0 | 90.0 |
| A1--Cu--fcc | dynamic | -0.0 | -0.0 | 8.0327 | 8.0327 | 8.0327 | 90.0 | 90.0 | 90.0 |
| A3--Mg--hcp | dynamic | -0.0 | -0.0 | 5.68 | 5.68 | 9.2754 | 90.0 | 90.0 | 120.0 |
| A3'--alpha-La--double-hcp | dynamic | -0.0 | -0.0 | 5.68 | 5.68 | 18.5508 | 90.0 | 90.0 | 120.0 |
| A4--C--dc | box | -0.0 | -0.0 | 13.1164 | 13.1164 | 13.1164 | 90.0 | 90.0 | 90.0 |
| A2--W--bcc | dynamic | -0.0 | -0.0 | 6.5587 | 6.5587 | 6.5587 | 90.0 | 90.0 | 90.0 |
| Ah--alpha-Po--sc | dynamic | -0.0 | -0.0 | 5.68 | 5.68 | 5.68 | 90.0 | 90.0 | 90.0 |
| A6--In--bct | dynamic | -0.0 | -0.0 | 5.68 | 5.68 | 8.52 | 90.0 | 90.0 | 90.0 |
| A5--beta-Sn | dynamic | -0.0 | -0.0 | 10.9534 | 10.9534 | 6.0244 | 90.0 | 90.0 | 90.0 |
| A4--C--dc | dynamic | -0.0 | -0.0 | 13.1174 | 13.1174 | 13.1174 | 90.0 | 90.0 | 90.0 |
| A7--alpha-As | dynamic | -0.0 | -0.0 | 8.486 | 8.486 | 23.5656 | 90.0 | 90.0 | 120.0 |
| A15--beta-W | dynamic | -0.0 | -0.0 | 11.36 | 11.36 | 11.36 | 90.0 | 90.0 | 90.0 |
| A4--C--dc | box | 0.0 | 0.0 | 13.0362 | 13.0362 | 13.0362 | 90.0 | 90.0 | 90.0 |
| A15--beta-W | box | 0.0 | 0.0 | 10.9214 | 10.9214 | 10.9214 | 90.0 | 90.0 | 90.0 |
| A5--beta-Sn | box | 0.0 | 0.0 | 10.5302 | 10.5302 | 5.7939 | 90.0 | 90.0 | 90.0 |
| A4--C--dc | box | 0.0 | 0.0 | 12.611 | 12.611 | 12.611 | 90.0 | 90.0 | 90.0 |
| Ah--alpha-Po--sc | box | 0.0 | 0.0 | 5.4607 | 5.4607 | 5.4607 | 90.0 | 90.0 | 90.0 |
| A2--W--bcc | box | 0.0 | 0.0 | 6.3055 | 6.3055 | 6.3055 | 90.0 | 90.0 | 90.0 |
| A1--Cu--fcc | box | 0.0 | 0.0 | 7.7226 | 7.7226 | 7.7226 | 90.0 | 90.0 | 90.0 |
| A15--beta-W | box | 0.0 | 0.0 | 10.8413 | 10.8413 | 10.8413 | 90.0 | 90.0 | 90.0 |
| A4--C--dc | box | 0.0 | 0.0 | 12.5184 | 12.5184 | 12.5184 | 90.0 | 90.0 | 90.0 |
| A5--beta-Sn | box | 0.0 | 0.0 | 10.453 | 10.453 | 5.7512 | 90.0 | 90.0 | 90.0 |
| Ah--alpha-Po--sc | box | 0.0 | 0.0 | 5.4206 | 5.4206 | 5.4206 | 90.0 | 90.0 | 90.0 |
| A2--W--bcc | box | 0.0 | 0.0 | 6.2592 | 6.2592 | 6.2592 | 90.0 | 90.0 | 90.0 |
| A3--Mg--hcp | box | 0.0 | 0.0 | 5.4206 | 5.4206 | 8.8519 | 90.0 | 90.0 | 120.0 |
| A3'--alpha-La--double-hcp | box | 0.0 | 0.0 | 5.4206 | 5.4206 | 17.7038 | 90.0 | 90.0 | 120.0 |
| A1--Cu--fcc | box | 0.0 | 0.0 | 7.666 | 7.666 | 7.666 | 90.0 | 90.0 | 90.0 |
| A3--Mg--hcp | box | 0.0 | 0.0 | 5.1969 | 5.1969 | 8.4879 | 90.0 | 90.0 | 120.0 |
| A3'--alpha-La--double-hcp | box | 0.0 | 0.0 | 5.1969 | 5.1969 | 16.9757 | 90.0 | 90.0 | 120.0 |
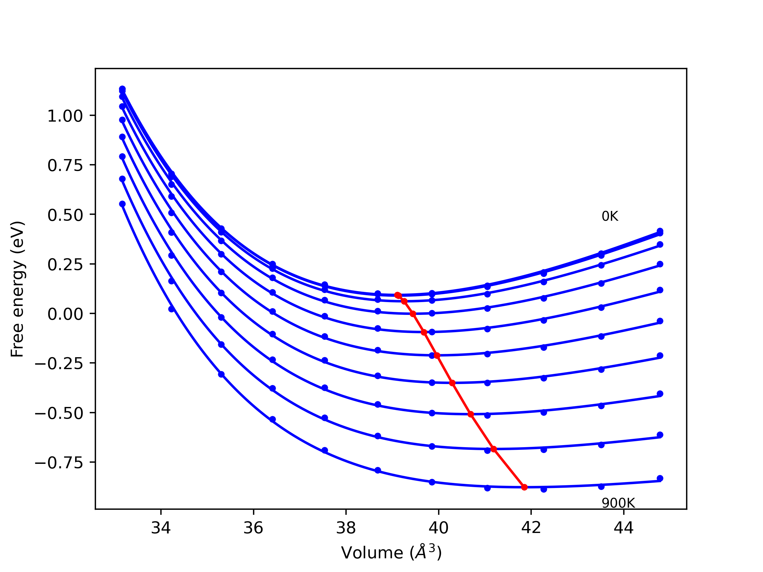
Static elastic constants are displayed for the unique structures identified in Crystal Structure Predictions above. The values displayed here are obtained by measuring the change in virial stresses due to applying small strains to the relaxed crystals. The initial structure and the strained states are all relaxed using force minimization.
The calculation method used is available as the iprPy elastic_constants_static calculation method.
Notes and Disclaimers:
Version Information:
| 113.782 | 61.539 | 61.539 | -0.000 | 0.000 | -0.000 |
| 61.539 | 113.782 | 61.539 | 0.000 | -0.000 | -0.000 |
| 61.539 | 61.539 | 113.782 | 0.000 | 0.000 | -0.000 |
| 0.000 | 0.000 | 0.000 | 31.596 | -0.000 | -0.000 |
| 0.000 | 0.000 | 0.000 | -0.000 | 31.596 | -0.000 |
| 0.000 | 0.000 | 0.000 | -0.000 | -0.000 | 31.596 |
| 113.782 | 61.539 | 61.539 | 0.000 | 0.000 | 0.000 |
| 61.539 | 113.782 | 61.539 | -0.000 | 0.000 | 0.000 |
| 61.539 | 61.539 | 113.782 | -0.000 | -0.000 | 0.000 |
| -0.000 | -0.000 | -0.000 | 31.596 | 0.000 | 0.000 |
| -0.000 | -0.000 | -0.000 | 0.000 | 31.596 | 0.000 |
| -0.000 | -0.000 | -0.000 | 0.000 | 0.000 | 31.596 |
| 113.782 | 61.539 | 61.539 | -0.000 | 0.000 | -0.000 |
| 61.539 | 113.782 | 61.539 | 0.000 | 0.000 | -0.000 |
| 61.539 | 61.539 | 113.782 | -0.000 | -0.000 | -0.000 |
| 0.000 | -0.000 | 0.000 | 31.596 | -0.000 | -0.000 |
| -0.000 | 0.000 | 0.000 | -0.000 | 31.596 | -0.000 |
| -0.000 | 0.000 | 0.000 | -0.000 | 0.000 | 31.596 |
| 113.782 | 61.539 | 61.539 | -0.000 | -0.000 | 0.000 |
| 61.539 | 113.782 | 61.539 | -0.000 | -0.000 | 0.000 |
| 61.539 | 61.539 | 113.782 | 0.000 | 0.000 | 0.000 |
| -0.000 | 0.000 | -0.000 | 31.596 | 0.000 | 0.000 |
| 0.000 | -0.000 | -0.000 | 0.000 | 31.596 | 0.000 |
| 0.000 | -0.000 | -0.000 | 0.000 | -0.000 | 31.596 |
| 113.782 | 61.539 | 61.539 | -0.000 | 0.000 | -0.000 |
| 61.539 | 113.782 | 61.539 | -0.000 | 0.000 | -0.000 |
| 61.539 | 61.539 | 113.782 | -0.000 | -0.000 | -0.000 |
| 0.000 | -0.000 | 0.000 | 31.596 | 0.000 | -0.000 |
| -0.000 | 0.000 | 0.000 | -0.000 | 31.596 | -0.000 |
| -0.000 | 0.000 | 0.000 | 0.000 | 0.000 | 31.596 |
| 113.782 | 61.539 | 61.539 | 0.000 | -0.000 | 0.000 |
| 61.539 | 113.782 | 61.539 | -0.000 | -0.000 | 0.000 |
| 61.539 | 61.539 | 113.782 | 0.000 | 0.000 | 0.000 |
| -0.000 | 0.000 | -0.000 | 31.596 | 0.000 | 0.000 |
| 0.000 | -0.000 | -0.000 | -0.000 | 31.596 | 0.000 |
| 0.000 | -0.000 | -0.000 | 0.000 | -0.000 | 31.596 |
| 206.375 | 83.952 | 83.952 | 0.000 | -0.000 | -0.000 |
| 83.952 | 206.375 | 83.952 | 0.000 | -0.000 | -0.000 |
| 83.952 | 83.952 | 206.375 | 0.000 | 0.000 | -0.000 |
| 0.000 | 0.000 | 0.000 | 47.095 | 0.000 | 0.000 |
| 0.000 | 0.000 | 0.000 | 0.000 | 47.095 | -0.000 |
| 0.000 | 0.000 | 0.000 | 0.000 | 0.000 | 47.095 |
| 206.375 | 83.952 | 83.952 | 0.000 | 0.000 | 0.000 |
| 83.952 | 206.375 | 83.952 | 0.000 | 0.000 | 0.000 |
| 83.952 | 83.952 | 206.375 | 0.000 | 0.000 | 0.000 |
| -0.000 | -0.000 | -0.000 | 47.095 | 0.000 | 0.000 |
| -0.000 | -0.000 | -0.000 | 0.000 | 47.095 | 0.000 |
| -0.000 | -0.000 | -0.000 | 0.000 | 0.000 | 47.095 |
| 206.713 | 83.783 | 83.783 | 0.000 | 0.000 | -0.000 |
| 83.783 | 206.713 | 83.783 | 0.000 | 0.000 | -0.000 |
| 83.783 | 83.783 | 206.713 | -0.000 | -0.000 | -0.000 |
| 0.000 | -0.000 | -0.000 | 47.095 | 0.000 | -0.000 |
| -0.000 | 0.000 | -0.000 | 0.000 | 47.095 | -0.000 |
| -0.000 | -0.000 | 0.000 | 0.000 | 0.000 | 47.095 |
| 206.375 | 83.952 | 83.952 | 0.000 | 0.000 | -0.000 |
| 83.952 | 206.375 | 83.952 | -0.000 | -0.000 | 0.000 |
| 83.952 | 83.952 | 206.375 | 0.000 | -0.000 | 0.000 |
| -0.000 | 0.000 | 0.000 | 47.095 | -0.000 | 0.000 |
| 0.000 | -0.000 | 0.000 | -0.000 | 47.095 | 0.000 |
| 0.000 | 0.000 | -0.000 | -0.000 | -0.000 | 47.095 |
| 206.375 | 83.952 | 83.952 | 0.000 | 0.000 | -0.000 |
| 83.952 | 206.375 | 83.952 | 0.000 | 0.000 | -0.000 |
| 83.952 | 83.952 | 206.375 | 0.000 | 0.000 | -0.000 |
| 0.000 | -0.000 | -0.000 | 43.066 | -0.000 | -0.000 |
| -0.000 | 0.000 | -0.000 | 0.000 | 43.066 | -0.000 |
| -0.000 | -0.000 | 0.000 | 0.000 | 0.000 | 43.066 |
| 206.713 | 83.783 | 83.783 | -0.000 | -0.000 | -0.000 |
| 83.783 | 206.713 | 83.783 | -0.000 | -0.000 | 0.000 |
| 83.783 | 83.783 | 206.713 | -0.000 | 0.000 | 0.000 |
| -0.000 | 0.000 | 0.000 | 43.066 | 0.000 | 0.000 |
| 0.000 | -0.000 | 0.000 | -0.000 | 43.066 | 0.000 |
| 0.000 | 0.000 | -0.000 | -0.000 | -0.000 | 43.066 |
| 6.596 | 63.792 | 63.792 | -0.000 | 0.000 | 0.000 |
| 63.792 | 6.596 | 63.792 | -0.000 | -0.000 | -0.000 |
| 63.792 | 63.792 | 6.596 | -0.000 | -0.000 | 0.000 |
| 0.000 | -0.000 | 0.000 | 23.332 | 0.000 | -0.000 |
| 0.000 | 0.000 | 0.000 | -0.000 | 23.332 | -0.000 |
| 0.000 | 0.000 | 0.000 | -0.000 | -0.000 | 23.332 |
| 6.596 | 63.792 | 63.792 | 0.000 | 0.000 | 0.000 |
| 63.792 | 6.596 | 63.792 | 0.000 | 0.000 | -0.000 |
| 63.792 | 63.792 | 6.596 | 0.000 | 0.000 | 0.000 |
| -0.000 | -0.000 | -0.000 | 23.332 | 0.000 | 0.000 |
| 0.000 | -0.000 | -0.000 | 0.000 | 23.332 | 0.000 |
| 0.000 | -0.000 | -0.000 | 0.000 | 0.000 | 23.332 |
| 6.596 | 63.792 | 63.792 | -0.000 | 0.000 | -0.000 |
| 63.792 | 6.596 | 63.792 | 0.000 | -0.000 | -0.000 |
| 63.792 | 63.792 | 6.596 | -0.000 | -0.000 | -0.000 |
| -0.000 | -0.000 | -0.000 | 23.332 | -0.000 | -0.000 |
| -0.000 | -0.000 | -0.000 | -0.000 | 23.332 | -0.000 |
| -0.000 | -0.000 | -0.000 | -0.000 | -0.000 | 23.332 |
| 6.596 | 63.792 | 63.792 | 0.000 | 0.000 | 0.000 |
| 63.792 | 6.596 | 63.792 | 0.000 | 0.000 | 0.000 |
| 63.792 | 63.792 | 6.596 | 0.000 | 0.000 | 0.000 |
| 0.000 | 0.000 | 0.000 | 23.332 | 0.000 | 0.000 |
| 0.000 | 0.000 | 0.000 | 0.000 | 23.332 | 0.000 |
| 0.000 | 0.000 | 0.000 | 0.000 | 0.000 | 23.332 |
| 6.596 | 63.792 | 63.792 | -0.000 | -0.000 | -0.000 |
| 63.792 | 6.596 | 63.792 | -0.000 | -0.000 | 0.000 |
| 63.792 | 63.792 | 6.596 | -0.000 | -0.000 | 0.000 |
| -0.000 | -0.000 | -0.000 | 23.332 | -0.000 | -0.000 |
| -0.000 | -0.000 | -0.000 | -0.000 | 23.332 | 0.000 |
| -0.000 | -0.000 | -0.000 | 0.000 | -0.000 | 23.332 |
| 6.596 | 63.792 | 63.792 | 0.000 | 0.000 | 0.000 |
| 63.792 | 6.596 | 63.792 | 0.000 | 0.000 | 0.000 |
| 63.792 | 63.792 | 6.596 | 0.000 | 0.000 | 0.000 |
| 0.000 | 0.000 | 0.000 | 23.332 | 0.000 | -0.000 |
| 0.000 | 0.000 | 0.000 | 0.000 | 23.332 | 0.000 |
| 0.000 | 0.000 | 0.000 | 0.000 | 0.000 | 23.332 |
| 117.217 | 58.522 | 52.124 | -0.000 | -0.000 | 0.000 |
| 58.056 | 117.683 | 52.124 | -0.000 | -0.000 | 0.000 |
| 52.124 | 52.124 | 92.889 | -0.000 | -0.000 | 0.000 |
| -0.000 | 0.000 | 0.000 | 20.421 | -0.000 | 0.000 |
| -0.000 | -0.000 | 0.000 | -0.000 | 20.421 | 0.000 |
| 0.000 | 0.000 | 0.000 | -0.000 | -0.000 | 29.347 |
| 117.683 | 58.056 | 52.124 | 0.000 | 0.000 | -0.000 |
| 58.522 | 117.217 | 52.124 | 0.000 | 0.000 | -0.000 |
| 52.124 | 52.124 | 92.889 | 0.000 | 0.000 | -0.000 |
| 0.000 | -0.000 | -0.000 | 20.421 | 0.000 | -0.000 |
| 0.000 | 0.000 | -0.000 | 0.000 | 20.421 | -0.000 |
| 0.000 | -0.000 | -0.000 | 0.000 | 0.000 | 29.347 |
| 117.217 | 58.522 | 52.124 | -0.000 | -0.000 | 0.000 |
| 58.056 | 117.683 | 52.124 | -0.000 | -0.000 | 0.000 |
| 52.124 | 52.124 | 92.889 | -0.000 | -0.000 | 0.000 |
| 0.000 | 0.000 | 0.000 | 20.421 | -0.000 | 0.000 |
| 0.000 | 0.000 | 0.000 | -0.000 | 20.421 | 0.000 |
| 0.000 | 0.000 | 0.000 | -0.000 | -0.000 | 29.814 |
| 117.683 | 58.056 | 52.124 | 0.000 | 0.000 | -0.000 |
| 58.056 | 117.683 | 52.124 | 0.000 | 0.000 | -0.000 |
| 52.124 | 52.124 | 92.889 | 0.000 | 0.000 | -0.000 |
| -0.000 | -0.000 | -0.000 | 20.421 | 0.000 | -0.000 |
| -0.000 | -0.000 | -0.000 | 0.000 | 20.421 | -0.000 |
| -0.000 | -0.000 | -0.000 | 0.000 | 0.000 | 29.814 |
| 117.218 | 58.522 | 52.124 | -0.000 | -0.000 | 0.000 |
| 58.522 | 117.218 | 52.124 | -0.000 | -0.000 | 0.000 |
| 52.124 | 52.124 | 92.889 | -0.000 | -0.000 | 0.000 |
| 0.000 | 0.000 | 0.000 | 20.421 | -0.000 | 0.000 |
| 0.000 | 0.000 | 0.000 | -0.000 | 20.421 | 0.000 |
| 0.000 | 0.000 | 0.000 | -0.000 | -0.000 | 29.347 |
| 117.217 | 58.522 | 52.124 | 0.000 | 0.000 | -0.000 |
| 58.522 | 117.217 | 52.124 | 0.000 | 0.000 | -0.000 |
| 52.124 | 52.124 | 92.889 | 0.000 | 0.000 | -0.000 |
| -0.000 | -0.000 | -0.000 | 20.421 | 0.000 | -0.000 |
| -0.000 | -0.000 | -0.000 | 0.000 | 20.421 | -0.000 |
| -0.000 | -0.000 | -0.000 | 0.000 | 0.000 | 29.347 |
| 116.050 | 55.539 | 45.278 | 0.000 | 0.000 | 0.000 |
| 55.446 | 116.144 | 45.278 | 0.000 | 0.000 | -0.000 |
| 45.278 | 45.278 | 69.922 | 0.000 | 0.000 | 0.000 |
| -0.000 | 0.000 | -0.000 | 11.181 | 0.000 | 0.000 |
| 0.000 | 0.000 | -0.000 | 0.000 | 11.181 | 0.000 |
| 0.000 | 0.000 | -0.000 | 0.000 | 0.000 | 30.256 |
| 116.144 | 55.446 | 45.278 | -0.000 | -0.000 | -0.000 |
| 55.539 | 116.050 | 45.278 | -0.000 | -0.000 | 0.000 |
| 45.278 | 45.278 | 69.922 | -0.000 | -0.000 | -0.000 |
| 0.000 | 0.000 | 0.000 | 11.181 | -0.000 | -0.000 |
| -0.000 | -0.000 | 0.000 | -0.000 | 11.181 | -0.000 |
| 0.000 | 0.000 | 0.000 | -0.000 | 0.000 | 30.256 |
| 116.051 | 55.539 | 45.278 | 0.000 | 0.000 | -0.000 |
| 55.539 | 116.051 | 45.278 | 0.000 | 0.000 | 0.000 |
| 45.278 | 45.278 | 69.922 | 0.000 | 0.000 | 0.000 |
| 0.000 | 0.000 | -0.000 | 11.181 | 0.000 | 0.000 |
| 0.000 | 0.000 | -0.000 | 0.000 | 11.181 | 0.000 |
| 0.000 | 0.000 | -0.000 | 0.000 | 0.000 | 30.256 |
| 116.144 | 55.446 | 45.278 | -0.000 | -0.000 | 0.000 |
| 55.446 | 116.144 | 45.278 | -0.000 | -0.000 | -0.000 |
| 45.278 | 45.278 | 69.922 | 0.000 | -0.000 | -0.000 |
| -0.000 | -0.000 | 0.000 | 11.181 | -0.000 | -0.000 |
| -0.000 | -0.000 | 0.000 | -0.000 | 11.181 | -0.000 |
| -0.000 | -0.000 | 0.000 | -0.000 | -0.000 | 30.256 |
| 116.051 | 55.540 | 45.278 | 0.000 | 0.000 | -0.000 |
| 55.540 | 116.051 | 45.278 | 0.000 | 0.000 | 0.000 |
| 45.278 | 45.278 | 69.922 | 0.000 | 0.000 | 0.000 |
| 0.000 | 0.000 | -0.000 | 11.181 | 0.000 | 0.000 |
| 0.000 | 0.000 | -0.000 | 0.000 | 11.181 | 0.000 |
| 0.000 | 0.000 | -0.000 | 0.000 | 0.000 | 30.349 |
| 116.050 | 55.539 | 45.278 | -0.000 | -0.000 | 0.000 |
| 55.539 | 116.050 | 45.278 | -0.000 | -0.000 | -0.000 |
| 45.278 | 45.278 | 69.923 | -0.000 | -0.000 | -0.000 |
| -0.000 | -0.000 | 0.000 | 11.181 | -0.000 | -0.000 |
| -0.000 | -0.000 | 0.000 | -0.000 | 11.181 | -0.000 |
| -0.000 | -0.000 | 0.000 | -0.000 | -0.000 | 30.349 |
| 29.621 | 34.953 | 34.953 | -0.000 | -0.000 | -0.000 |
| 34.953 | 29.621 | 34.953 | -0.000 | -0.000 | -0.000 |
| 34.952 | 34.952 | 29.621 | -0.000 | -0.000 | -0.000 |
| 0.000 | -0.000 | 0.000 | 33.534 | 0.000 | -0.000 |
| -0.000 | 0.000 | 0.000 | 0.000 | 33.534 | -0.000 |
| -0.000 | 0.000 | 0.000 | 0.000 | -0.000 | 33.534 |
| 29.621 | 34.952 | 34.952 | 0.000 | 0.000 | 0.000 |
| 34.952 | 29.621 | 34.952 | 0.000 | 0.000 | 0.000 |
| 34.952 | 34.952 | 29.621 | 0.000 | 0.000 | 0.000 |
| -0.000 | 0.000 | -0.000 | 33.534 | 0.000 | 0.000 |
| 0.000 | -0.000 | -0.000 | 0.000 | 33.534 | 0.000 |
| 0.000 | -0.000 | -0.000 | 0.000 | 0.000 | 33.534 |
| 29.621 | 34.953 | 34.953 | -0.000 | -0.000 | -0.000 |
| 34.953 | 29.621 | 34.953 | -0.000 | -0.000 | -0.000 |
| 34.953 | 34.953 | 29.621 | -0.000 | -0.000 | -0.000 |
| 0.000 | 0.000 | 0.000 | -16.340 | -0.000 | -0.000 |
| 0.000 | 0.000 | 0.000 | -0.000 | -16.340 | -0.000 |
| 0.000 | 0.000 | 0.000 | -0.000 | -0.000 | -16.340 |
| 29.621 | 34.952 | 34.952 | 0.000 | 0.000 | 0.000 |
| 34.952 | 29.621 | 34.952 | 0.000 | 0.000 | 0.000 |
| 34.952 | 34.952 | 29.621 | 0.000 | 0.000 | 0.000 |
| -0.000 | -0.000 | -0.000 | -16.340 | 0.000 | 0.000 |
| -0.000 | -0.000 | -0.000 | 0.000 | -16.340 | 0.000 |
| -0.000 | -0.000 | -0.000 | 0.000 | 0.000 | -16.340 |
| 29.622 | 34.953 | 34.953 | -0.000 | -0.000 | -0.000 |
| 34.953 | 29.622 | 34.953 | -0.000 | -0.000 | -0.000 |
| 34.953 | 34.953 | 29.622 | -0.000 | -0.000 | -0.000 |
| 0.000 | 0.000 | 0.000 | -16.340 | -0.000 | -0.000 |
| 0.000 | 0.000 | 0.000 | -0.000 | -16.340 | -0.000 |
| 0.000 | 0.000 | 0.000 | -0.000 | -0.000 | -16.340 |
| 29.621 | 34.952 | 34.952 | 0.000 | 0.000 | 0.000 |
| 34.952 | 29.621 | 34.952 | 0.000 | 0.000 | 0.000 |
| 34.952 | 34.952 | 29.621 | 0.000 | 0.000 | 0.000 |
| -0.000 | -0.000 | -0.000 | -16.340 | 0.000 | 0.000 |
| -0.000 | -0.000 | -0.000 | 0.000 | -16.340 | 0.000 |
| -0.000 | -0.000 | -0.000 | 0.000 | 0.000 | -16.340 |
| 136.139 | 24.708 | 14.286 | 0.000 | -0.000 | -0.000 |
| 24.708 | 136.139 | 14.286 | 0.000 | 0.000 | 0.000 |
| 14.286 | 14.286 | 61.281 | 0.000 | -0.000 | 0.000 |
| 0.000 | 0.000 | -0.000 | -17.233 | -0.000 | -0.000 |
| 0.000 | 0.000 | -0.000 | 0.000 | -17.233 | 0.000 |
| 0.000 | 0.000 | -0.000 | 0.000 | 0.000 | 6.516 |
| 136.139 | 24.708 | 14.286 | 0.000 | 0.000 | 0.000 |
| 24.708 | 136.139 | 14.286 | -0.000 | -0.000 | -0.000 |
| 14.286 | 14.286 | 61.281 | -0.000 | -0.000 | 0.000 |
| -0.000 | -0.000 | 0.000 | -17.233 | 0.000 | -0.000 |
| -0.000 | -0.000 | 0.000 | -0.000 | -17.233 | -0.000 |
| -0.000 | -0.000 | 0.000 | 0.000 | 0.000 | 6.516 |
| 136.139 | 24.708 | 14.286 | 0.000 | 0.000 | -0.000 |
| 24.708 | 136.139 | 14.286 | 0.000 | -0.000 | 0.000 |
| 14.286 | 14.286 | 61.282 | -0.000 | 0.000 | -0.000 |
| -0.000 | 0.000 | -0.000 | -17.233 | -0.000 | -0.000 |
| 0.000 | -0.000 | -0.000 | 0.000 | -17.233 | -0.000 |
| 0.000 | 0.000 | -0.000 | 0.000 | -0.000 | 6.516 |
| 136.139 | 24.708 | 14.286 | -0.000 | 0.000 | 0.000 |
| 24.708 | 136.139 | 14.286 | -0.000 | 0.000 | 0.000 |
| 14.286 | 14.286 | 61.281 | -0.000 | 0.000 | 0.000 |
| 0.000 | -0.000 | 0.000 | -17.233 | 0.000 | -0.000 |
| -0.000 | 0.000 | 0.000 | -0.000 | -17.233 | 0.000 |
| -0.000 | -0.000 | 0.000 | 0.000 | -0.000 | 6.516 |
| -2364.408 | 2525.395 | 14.226 | 0.000 | 0.000 | 0.000 |
| 2525.338 | -2364.351 | 14.226 | 0.000 | 0.000 | -0.000 |
| 14.286 | 14.286 | 61.282 | 0.000 | 0.000 | -0.000 |
| -0.000 | 0.000 | -0.000 | -17.233 | 0.000 | -0.000 |
| 0.000 | -0.000 | -0.000 | 0.000 | -17.233 | 0.000 |
| 0.000 | 0.000 | -0.000 | -0.000 | 0.000 | 6.516 |
| -2367.786 | 2528.491 | 14.346 | -0.000 | -0.000 | -0.000 |
| 2528.467 | -2367.762 | 14.346 | -0.000 | -0.000 | -0.000 |
| 14.286 | 14.286 | 61.281 | -0.000 | -0.000 | 0.000 |
| 0.000 | -0.000 | 0.000 | -17.233 | 0.000 | -0.000 |
| -0.000 | 0.000 | 0.000 | -0.000 | -17.233 | 0.000 |
| -0.000 | -0.000 | 0.000 | -0.000 | 0.000 | 6.516 |
| 108.675 | 1.441 | 1.441 | 0.000 | 0.000 | 0.000 |
| 1.441 | 108.675 | 1.441 | 0.000 | 0.000 | 0.000 |
| 1.441 | 1.441 | 108.675 | 0.000 | 0.000 | 0.000 |
| 0.000 | -0.000 | -0.000 | -8.537 | 0.000 | 0.000 |
| -0.000 | -0.000 | -0.000 | 0.000 | -8.537 | 0.000 |
| -0.000 | -0.000 | -0.000 | 0.000 | 0.000 | -8.537 |
| 108.675 | 1.441 | 1.441 | 0.000 | -0.000 | 0.000 |
| 1.441 | 108.675 | 1.441 | -0.000 | 0.000 | -0.000 |
| 1.441 | 1.441 | 108.675 | 0.000 | 0.000 | 0.000 |
| 0.000 | 0.000 | 0.000 | -8.537 | -0.000 | 0.000 |
| 0.000 | 0.000 | 0.000 | -0.000 | -8.537 | -0.000 |
| 0.000 | 0.000 | 0.000 | -0.000 | -0.000 | -8.537 |
| 108.675 | 1.441 | 1.441 | 0.000 | -0.000 | 0.000 |
| 1.441 | 108.675 | 1.441 | -0.000 | 0.000 | 0.000 |
| 1.441 | 1.441 | 108.675 | 0.000 | 0.000 | -0.000 |
| 0.000 | 0.000 | -0.000 | -8.537 | -0.000 | 0.000 |
| 0.000 | 0.000 | -0.000 | 0.000 | -8.537 | 0.000 |
| 0.000 | -0.000 | 0.000 | 0.000 | -0.000 | -8.537 |
| 108.675 | 1.441 | 1.441 | 0.000 | 0.000 | -0.000 |
| 1.441 | 108.675 | 1.441 | 0.000 | 0.000 | -0.000 |
| 1.441 | 1.441 | 108.675 | 0.000 | 0.000 | -0.000 |
| -0.000 | -0.000 | 0.000 | -8.537 | 0.000 | 0.000 |
| -0.000 | -0.000 | 0.000 | -0.000 | -8.537 | -0.000 |
| -0.000 | 0.000 | -0.000 | -0.000 | -0.000 | -8.537 |
| 108.676 | 1.441 | 1.441 | 0.000 | -0.000 | 0.000 |
| 1.441 | 108.676 | 1.441 | -0.000 | -0.000 | -0.000 |
| 1.441 | 1.441 | 108.676 | 0.000 | 0.000 | 0.000 |
| 0.000 | 0.000 | -0.000 | -8.537 | 0.000 | -0.000 |
| 0.000 | 0.000 | -0.000 | 0.000 | -8.537 | -0.000 |
| 0.000 | -0.000 | 0.000 | 0.000 | 0.000 | -8.537 |
| 108.674 | 1.441 | 1.441 | 0.000 | 0.000 | 0.000 |
| 1.441 | 108.674 | 1.441 | 0.000 | 0.000 | -0.000 |
| 1.441 | 1.441 | 108.674 | -0.000 | 0.000 | 0.000 |
| -0.000 | -0.000 | 0.000 | -8.537 | -0.000 | -0.000 |
| -0.000 | -0.000 | 0.000 | -0.000 | -8.537 | -0.000 |
| -0.000 | 0.000 | -0.000 | -0.000 | -0.000 | -8.537 |
| 52.504 | 46.203 | 38.878 | -0.000 | 0.000 | 0.000 |
| 46.203 | 52.504 | 38.878 | -0.000 | 0.000 | -0.000 |
| 37.191 | 37.191 | 101.671 | 0.000 | 0.000 | -0.000 |
| -1.053 | -1.053 | -0.182 | 2.142 | -0.000 | -0.000 |
| -1.053 | -1.053 | -0.182 | 0.000 | 2.142 | -0.000 |
| -0.000 | -0.000 | -0.000 | -0.000 | 0.000 | 39.265 |
| 26.214 | 59.980 | 37.799 | 0.000 | -0.000 | -0.000 |
| 59.980 | 26.214 | 37.799 | -0.000 | -0.000 | -0.000 |
| 38.227 | 38.227 | 101.850 | -0.000 | -0.000 | 0.000 |
| 1.053 | 1.053 | 0.182 | 2.142 | 0.000 | -0.000 |
| 1.053 | 1.053 | 0.182 | -0.000 | 2.142 | 0.000 |
| 0.000 | 0.000 | 0.000 | 0.000 | -0.000 | 39.265 |
| 52.504 | 46.203 | 38.878 | 0.000 | 0.000 | -0.000 |
| 46.203 | 52.504 | 38.878 | 0.000 | -0.000 | -0.000 |
| 38.878 | 38.878 | 101.962 | 0.000 | -0.000 | 0.000 |
| -0.068 | -0.068 | -0.012 | 21.599 | 0.000 | 0.000 |
| -0.068 | -0.068 | -0.012 | 0.000 | 21.599 | 0.000 |
| -0.000 | 0.000 | -0.000 | 0.000 | 0.000 | 39.265 |
| 25.747 | 59.514 | 37.718 | -0.000 | -0.000 | -0.000 |
| 59.514 | 25.747 | 37.718 | -0.000 | -0.000 | 0.000 |
| 37.761 | 37.761 | 101.769 | 0.000 | -0.000 | -0.000 |
| 0.068 | 0.068 | 0.012 | 21.599 | 0.000 | 0.000 |
| 0.068 | 0.068 | 0.012 | 0.000 | 21.599 | 0.000 |
| 0.000 | -0.000 | 0.000 | 0.000 | -0.000 | 39.265 |
| 52.503 | 46.203 | 38.878 | -0.000 | -0.000 | 0.000 |
| 46.203 | 52.503 | 38.878 | -0.000 | 0.000 | 0.000 |
| 38.878 | 38.878 | 101.962 | -0.000 | 0.000 | 0.000 |
| -0.011 | -0.011 | -0.002 | 2.058 | 0.000 | -0.000 |
| -0.011 | -0.011 | -0.002 | 0.000 | 2.058 | -0.000 |
| -0.000 | 0.000 | -0.000 | -0.000 | 0.000 | 39.265 |
| 36.793 | 42.504 | 37.204 | -0.000 | 0.000 | -0.000 |
| 42.504 | 36.793 | 37.204 | -0.000 | 0.000 | 0.000 |
| 37.714 | 37.714 | 101.760 | -0.000 | -0.000 | 0.000 |
| 0.011 | 0.011 | 0.002 | 2.058 | 0.000 | 0.000 |
| 0.011 | 0.011 | 0.002 | -0.000 | 2.058 | 0.000 |
| 0.000 | -0.000 | 0.000 | -0.000 | 0.000 | 39.265 |
| 51.793 | 39.155 | 36.705 | -0.000 | -0.000 | -0.000 |
| 39.155 | 51.793 | 36.705 | 0.000 | 0.000 | -0.000 |
| 35.489 | 35.489 | 97.763 | 0.000 | -0.000 | -0.000 |
| 0.000 | -0.000 | 0.000 | 21.278 | -0.000 | 0.000 |
| 0.000 | -0.000 | 0.000 | 0.000 | 21.278 | 0.000 |
| 0.000 | -0.000 | 0.000 | 0.000 | -0.000 | 35.365 |
| 51.793 | 39.155 | 36.705 | 0.000 | 0.000 | -0.000 |
| 39.155 | 51.793 | 36.705 | -0.000 | 0.000 | -0.000 |
| 35.489 | 35.489 | 97.763 | -0.000 | 0.000 | -0.000 |
| -0.000 | 0.000 | 0.000 | 21.278 | 0.000 | -0.000 |
| -0.000 | 0.000 | -0.000 | -0.000 | 21.278 | 0.000 |
| -0.000 | -0.000 | 0.000 | -0.000 | 0.000 | 35.365 |
| 51.793 | 39.155 | 36.705 | -0.000 | -0.000 | -0.000 |
| 39.155 | 51.793 | 36.705 | -0.000 | -0.000 | -0.000 |
| 36.163 | 36.163 | 97.835 | -0.000 | -0.000 | -0.000 |
| 0.000 | -0.000 | 0.000 | 21.278 | -0.000 | -0.000 |
| -0.000 | 0.000 | 0.000 | 0.000 | 21.278 | -0.000 |
| 0.000 | 0.000 | 0.000 | 0.000 | -0.000 | 35.365 |
| 51.793 | 39.155 | 36.705 | 0.000 | 0.000 | -0.000 |
| 39.155 | 51.793 | 36.705 | 0.000 | 0.000 | 0.000 |
| 36.163 | 36.163 | 97.835 | 0.000 | 0.000 | 0.000 |
| -0.000 | 0.000 | -0.000 | 21.278 | 0.000 | 0.000 |
| 0.000 | -0.000 | -0.000 | 0.000 | 21.278 | 0.000 |
| -0.000 | -0.000 | -0.000 | -0.000 | 0.000 | 35.365 |
| 28.296 | 50.176 | 36.032 | -0.000 | 0.000 | -0.000 |
| 50.176 | 28.296 | 36.032 | 0.000 | 0.000 | 0.000 |
| 36.163 | 36.163 | 97.836 | 0.000 | -0.000 | -0.000 |
| 0.000 | -0.000 | -0.000 | 5.360 | 0.000 | 0.000 |
| -0.000 | 0.000 | -0.000 | -0.000 | 5.360 | 0.000 |
| 0.000 | 0.000 | 0.000 | 0.000 | -0.000 | 35.365 |
| 28.296 | 50.176 | 36.032 | 0.000 | -0.000 | 0.000 |
| 50.176 | 28.296 | 36.032 | 0.000 | -0.000 | 0.000 |
| 36.163 | 36.163 | 97.835 | 0.000 | 0.000 | 0.000 |
| -0.000 | 0.000 | 0.000 | 5.360 | -0.000 | -0.000 |
| 0.000 | -0.000 | 0.000 | 0.000 | 5.360 | 0.000 |
| -0.000 | -0.000 | -0.000 | 0.000 | 0.000 | 35.365 |
| 1180.631 | -1944.452 | -427.312 | 613.921 | -100.586 | 695.346 |
| 91.704 | -115.487 | 44.010 | -17.534 | 325.685 | -99.524 |
| 92.612 | -173.765 | 92.440 | -16.131 | 325.638 | -99.941 |
| 32.359 | -230.475 | -11.968 | 10.241 | 326.084 | -101.354 |
| 1435.981 | -2714.440 | -407.554 | 730.048 | -165.431 | 743.245 |
| 32.660 | -228.419 | -9.508 | -14.736 | 323.252 | -74.448 |
| -335.267 | 859.321 | 200.086 | -329.514 | -333.279 | -278.581 |
| -359.424 | 890.976 | 195.200 | -328.338 | -331.860 | -275.431 |
| 57.532 | 55.259 | 110.516 | -1.289 | -0.267 | 0.585 |
| -33.974 | 229.261 | 8.656 | 39.182 | -325.089 | 100.439 |
| -1.587 | -0.460 | -0.267 | 0.701 | 30.877 | -0.699 |
| -856.827 | 1506.737 | 275.044 | -596.850 | -159.953 | -689.162 |
| 109.020 | 36.146 | 57.123 | -2.908 | 27.370 | -11.399 |
| 149.609 | -66.684 | 29.239 | 59.094 | 16.245 | 71.782 |
| 104.634 | -21.928 | 70.043 | 30.271 | 34.487 | 29.176 |
| 2.511 | -23.598 | -2.687 | 23.272 | 33.062 | -10.548 |
| 87.967 | -151.341 | -25.724 | 60.075 | 26.301 | 69.217 |
| 40.609 | -78.473 | -12.721 | 32.995 | 30.992 | 44.783 |
| 102.343 | 82.139 | 59.195 | -0.014 | -37.760 | 8.786 |
| -21.418 | 234.412 | 84.015 | -60.194 | -15.316 | -68.651 |
| 56.127 | 79.096 | 103.787 | -0.212 | -32.516 | 11.049 |
| -89.117 | 150.820 | 23.407 | -51.415 | -15.772 | -70.103 |
| -41.032 | 78.988 | 15.088 | -32.196 | -17.422 | -28.756 |
| -3.825 | 24.439 | 1.837 | 1.183 | -34.897 | 36.523 |
| 90.240 | 50.314 | 56.484 | 1.132 | 1.436 | 4.863 |
| 58.942 | 111.678 | 54.255 | -3.206 | 3.450 | 0.344 |
| 57.533 | 55.259 | 110.517 | -1.289 | -0.267 | 0.585 |
| 1.840 | -7.664 | -3.727 | 17.488 | 3.442 | 2.649 |
| -1.587 | -0.460 | -0.267 | 0.701 | 30.877 | -0.699 |
| -0.175 | 1.279 | 0.437 | -0.063 | -2.247 | 30.851 |
| 69.520 | 84.476 | 61.383 | -11.740 | 1.231 | -8.094 |
| 57.028 | 122.471 | 53.445 | -3.191 | -0.256 | 1.269 |
| 57.532 | 55.259 | 110.516 | -1.289 | -0.267 | 0.585 |
| -1.155 | 1.729 | -1.566 | 24.703 | -2.819 | 0.561 |
| -3.224 | 7.012 | 2.366 | -2.641 | 13.915 | -3.676 |
| -5.389 | 8.778 | 2.463 | -2.762 | -5.422 | 15.348 |
| 103.411 | -22.314 | 93.086 | -14.781 | 116.445 | 47.454 |
| 48.905 | 30.415 | 91.570 | -19.341 | 119.253 | 49.050 |
| 49.313 | -23.356 | 149.939 | -14.571 | 117.436 | 51.674 |
| 0.430 | 0.196 | 1.405 | 29.437 | -0.370 | 0.182 |
| -129.932 | -286.214 | 27.079 | 76.890 | 131.544 | 93.341 |
| -334.470 | -290.986 | -126.533 | 44.801 | 163.244 | 325.340 |
| 426.931 | 355.057 | 187.478 | -43.888 | -164.978 | -317.388 |
| 58.365 | 119.591 | 57.307 | -4.418 | 0.269 | -2.876 |
| 69.990 | 140.247 | 83.414 | 16.372 | -119.971 | -52.149 |
| 132.194 | 286.624 | -27.668 | -57.012 | -114.803 | -93.497 |
| 0.833 | 0.210 | -1.534 | -0.370 | 29.107 | 0.431 |
| 7.638 | 78.859 | -33.305 | 15.543 | -122.123 | -26.593 |
| 112.703 | 51.305 | 63.153 | -0.858 | 9.618 | 0.736 |
| 49.034 | 70.182 | 62.457 | 4.539 | 11.835 | 6.896 |
| 27.606 | 31.139 | 89.742 | 4.759 | 16.312 | 31.461 |
| 0.430 | 0.196 | 1.405 | 29.437 | -0.370 | 0.182 |
| -0.247 | -7.772 | 2.059 | -2.198 | 36.703 | 5.686 |
| -37.609 | -30.091 | -12.328 | 3.416 | 15.032 | 44.710 |
| 130.085 | 94.139 | 73.267 | -2.501 | -16.770 | -36.727 |
| 58.365 | 119.591 | 57.307 | -4.418 | 0.269 | -2.876 |
| 58.336 | 57.535 | 122.982 | 1.405 | -1.534 | -0.261 |
| 0.430 | 0.196 | 1.405 | 29.437 | -0.370 | 0.182 |
| 0.833 | 0.210 | -1.534 | -0.370 | 29.107 | 0.431 |
| 43.422 | 21.919 | 14.324 | -21.953 | -18.453 | -22.433 |
| 113.251 | 58.684 | 60.232 | 0.541 | -1.005 | -3.928 |
| 59.186 | 110.958 | 58.708 | -3.999 | 1.795 | -2.323 |
| 59.591 | 57.635 | 116.797 | 0.723 | -0.037 | 0.298 |
| 0.430 | 0.196 | 1.405 | 29.437 | -0.370 | 0.182 |
| 0.833 | 0.210 | -1.534 | -0.370 | 29.107 | 0.431 |
| -2.219 | -2.881 | -0.021 | 0.240 | -4.146 | 29.577 |
| 102.930 | 67.775 | 61.067 | 0.699 | -1.855 | -9.277 |
| 63.283 | 101.947 | 59.365 | -3.959 | -0.673 | -3.271 |
| 59.789 | 59.309 | 116.184 | 1.048 | -2.484 | -0.772 |
| 0.430 | 0.196 | 1.405 | 29.437 | -0.370 | 0.182 |
| 0.892 | 1.246 | -1.607 | -0.492 | 23.613 | -0.037 |
| -2.219 | -2.881 | -0.021 | 0.240 | -4.146 | 29.577 |
| 273.893 | -19.364 | 60.022 | 93.212 | -241.897 | 9.418 |
| 222.223 | 33.094 | 56.774 | 92.152 | -246.408 | 6.241 |
| 62.427 | 60.444 | 127.140 | -0.016 | -0.999 | 0.811 |
| 2713.433 | -5067.356 | 249.492 | 166.426 | -51.785 | -2432.389 |
| 162.580 | -78.930 | -5.776 | 95.048 | -218.402 | 6.236 |
| 2546.076 | -5730.161 | 449.437 | 38.033 | -14.788 | -2688.491 |
| -174.771 | 379.307 | 213.468 | -25.803 | 18.993 | 225.278 |
| -2479.764 | 5801.636 | -381.555 | -38.852 | 11.971 | 2693.063 |
| -97.441 | 140.612 | 123.192 | -94.756 | 245.661 | -6.538 |
| -163.162 | 76.275 | 4.116 | -67.063 | 247.624 | -7.556 |
| -2546.216 | 5723.745 | -453.134 | -38.241 | 27.258 | 2695.927 |
| 0.851 | -1.057 | 0.807 | 0.182 | 0.280 | 29.915 |
| 339.198 | -509.503 | 113.203 | 2.907 | 0.213 | -270.413 |
| 58.738 | 120.104 | 60.611 | -1.818 | 0.231 | -1.060 |
| 93.621 | 29.809 | 95.225 | 1.084 | -3.268 | -21.373 |
| 26.992 | -34.199 | -16.177 | 24.928 | -0.782 | -22.434 |
| 16.618 | -7.544 | -1.574 | 10.257 | 3.722 | -0.573 |
| 16.914 | -9.256 | 0.551 | 9.503 | -24.776 | 25.516 |
| -59.553 | 316.005 | 39.669 | -34.948 | -18.166 | 138.703 |
| 43.819 | 120.359 | 61.908 | -11.484 | 25.071 | -2.081 |
| 48.517 | 69.225 | 118.996 | -9.965 | 23.550 | 0.271 |
| -17.208 | 4.891 | -0.086 | 17.727 | 25.521 | -0.747 |
| -128.264 | 249.490 | -38.276 | -33.878 | -12.812 | 135.647 |
| -218.200 | 405.334 | -29.032 | -24.880 | 3.462 | 211.925 |
| 121.235 | 58.663 | 62.399 | -1.101 | 5.213 | 2.384 |
| 72.373 | 77.459 | 63.009 | 0.892 | 2.751 | -7.851 |
| 66.457 | 60.510 | 118.228 | 0.401 | -3.650 | 1.111 |
| 0.653 | -3.845 | -0.610 | 28.015 | -1.654 | 0.084 |
| 2.032 | -0.415 | -1.153 | 1.785 | 25.970 | -1.252 |
| 3.744 | -4.552 | -0.637 | 0.170 | -0.663 | 16.928 |
| 109.791 | 60.802 | 64.802 | -1.960 | 7.409 | 1.760 |
| 58.393 | 113.191 | 61.494 | -3.023 | 2.906 | -1.403 |
| 43.775 | 113.233 | 79.013 | -5.605 | -5.102 | 23.580 |
| -3.439 | 0.742 | 0.059 | 22.049 | 0.787 | 2.187 |
| -1.222 | 1.198 | -1.064 | -0.112 | 30.703 | -1.410 |
| -0.946 | -0.519 | 1.064 | -0.872 | 2.407 | 24.714 |
| -398.830 | -523.740 | 173.661 | -285.854 | -216.308 | -4.133 |
| -271.720 | -289.572 | 305.064 | -292.552 | -239.741 | -105.420 |
| -272.344 | -342.021 | 350.474 | -296.127 | -239.114 | -103.661 |
| -1472.011 | -2589.433 | -2416.749 | -1713.076 | 1744.910 | 1140.749 |
| 2.071 | 1.032 | 1.083 | 1.707 | 30.133 | 0.190 |
| -497.043 | -582.228 | 117.725 | -283.876 | -219.412 | 13.663 |
| 115.199 | 56.513 | 55.729 | 0.193 | 4.863 | 5.975 |
| 55.225 | 121.005 | 53.973 | 2.853 | 1.363 | -0.335 |
| 554.044 | 640.068 | -23.295 | 285.144 | 222.437 | 9.876 |
| -0.065 | 1.382 | -1.820 | 29.697 | 1.707 | 1.390 |
| 2.071 | 1.032 | 1.083 | 1.707 | 30.133 | 0.190 |
| 329.512 | 399.007 | -247.164 | 297.061 | 242.344 | 131.358 |
| 48.829 | 0.198 | 69.657 | -27.355 | -17.778 | 2.626 |
| -134.314 | -195.040 | -226.078 | -176.822 | 212.116 | 140.985 |
| -127.130 | -183.652 | -213.466 | -187.362 | 197.279 | 139.085 |
| -33.064 | -38.653 | 23.703 | -5.350 | -22.265 | -8.770 |
| -171.736 | -242.563 | -269.414 | -180.184 | 191.305 | 140.366 |
| 1.377 | -0.355 | 1.448 | 1.721 | 1.862 | 31.057 |
| 139.671 | 98.058 | 32.309 | 29.578 | 28.399 | 15.392 |
| 55.225 | 121.005 | 53.973 | 2.853 | 1.363 | -0.335 |
| 89.090 | 97.266 | 77.247 | 28.337 | 25.600 | 11.955 |
| 32.658 | 41.225 | -25.981 | 53.638 | 25.869 | 12.254 |
| 34.829 | 40.540 | -23.292 | 31.304 | 48.700 | 10.828 |
| 1.377 | -0.355 | 1.448 | 1.721 | 1.862 | 31.057 |
| 115.199 | 56.513 | 55.730 | 0.193 | 4.863 | 5.975 |
| 48.990 | 38.580 | 39.792 | -18.778 | 16.003 | 6.348 |
| 54.865 | 54.737 | 112.243 | -1.820 | 1.083 | 1.675 |
| -4.063 | -4.932 | -0.822 | 15.286 | -0.218 | 2.876 |
| -1.345 | -3.426 | 4.055 | -1.170 | 22.214 | -0.743 |
| -2.374 | -4.369 | 3.740 | -0.879 | -0.728 | 25.204 |
| 93.975 | 83.279 | 76.280 | 18.256 | -10.150 | -13.547 |
| 72.558 | 80.127 | 79.202 | 9.619 | -10.866 | -11.987 |
| 59.559 | 61.373 | 99.579 | 1.828 | 3.972 | 2.509 |
| 3.114 | 5.319 | -3.635 | 27.010 | 4.235 | 2.811 |
| 5.281 | 4.622 | -0.948 | 4.782 | 26.967 | 1.379 |
| 10.359 | 20.718 | 22.791 | 24.327 | -14.919 | -7.421 |
| -3001.132 | 782.950 | -1885.853 | 2621.645 | -896.367 | 1016.229 |
| -280.094 | -17.537 | 398.191 | -12.744 | -311.337 | 14.528 |
| 55.299 | 57.280 | 118.161 | -0.415 | 0.321 | 0.368 |
| -3027.796 | 728.445 | -1941.612 | 2596.626 | -902.764 | 1015.737 |
| 2.122 | 1.008 | 0.321 | 0.158 | 28.345 | -1.639 |
| -96.298 | -297.605 | 394.689 | -76.020 | -198.678 | 131.259 |
| 204.376 | 357.119 | -337.535 | 76.589 | 202.291 | -101.784 |
| 154.209 | 407.528 | -336.322 | 82.377 | 199.687 | -104.353 |
| 153.357 | 357.470 | -282.407 | 77.141 | 199.115 | -105.297 |
| 96.202 | 301.665 | -394.954 | 102.903 | 198.555 | -103.990 |
| 99.899 | 299.850 | -394.030 | 77.435 | 223.480 | -107.486 |
| 98.315 | 299.977 | -394.386 | 79.067 | 198.618 | -79.912 |
| 65.056 | 47.312 | 91.698 | -2.178 | -26.928 | 4.769 |
| 47.169 | 78.867 | 97.675 | -2.922 | -18.830 | 11.793 |
| -463.267 | 173.813 | -244.079 | 466.285 | -170.417 | 219.956 |
| -1.553 | 2.856 | -0.415 | 29.914 | 0.158 | 1.439 |
| -672.390 | 130.857 | -429.619 | 644.091 | -246.207 | 298.482 |
| -297.278 | 79.386 | -187.286 | 260.728 | -96.464 | 77.630 |
| 112.938 | 57.626 | 56.173 | -1.386 | 3.427 | 4.096 |
| 66.637 | 138.607 | 18.756 | 12.589 | 20.908 | -9.327 |
| 470.197 | -34.411 | 321.662 | -372.185 | 120.253 | -143.036 |
| -1.553 | 2.856 | -0.415 | 29.914 | 0.158 | 1.439 |
| 2.122 | 1.008 | 0.321 | 0.158 | 28.345 | -1.639 |
| 516.480 | -111.862 | 328.959 | -457.038 | 164.182 | -219.818 |
| 112.938 | 57.626 | 56.173 | -1.386 | 3.427 | 4.097 |
| 54.136 | 99.419 | 62.995 | 4.683 | -2.340 | 1.766 |
| 18.182 | 68.734 | 44.649 | 39.040 | -10.974 | 18.055 |
| -1.553 | 2.856 | -0.415 | 29.914 | 0.158 | 1.439 |
| -64.307 | 12.726 | -45.617 | 64.091 | -13.113 | 25.213 |
| -2.096 | 0.516 | 3.815 | 1.359 | -3.715 | 21.154 |
| 132.045 | 43.538 | 83.711 | -46.531 | 22.241 | -19.688 |
| 57.929 | 111.482 | 54.247 | 5.611 | 3.071 | 0.171 |
| 57.044 | 61.728 | 108.089 | 0.388 | 2.491 | -0.787 |
| -1.553 | 2.856 | -0.415 | 29.914 | 0.158 | 1.439 |
| 6.938 | 2.039 | -2.859 | -0.177 | 24.009 | -2.310 |
| 1.993 | 4.210 | -3.841 | 2.308 | 1.978 | 24.599 |
| 7.605 | -291.720 | 168.649 | 151.289 | 211.725 | 81.307 |
| -265.078 | -427.782 | 242.341 | 483.349 | 266.831 | 213.596 |
| -265.526 | -465.049 | 279.089 | 478.249 | 264.892 | 212.001 |
| -329.351 | -529.931 | 175.548 | 501.102 | 265.429 | 213.610 |
| -464.318 | -667.173 | 542.231 | 888.762 | 62.970 | 119.156 |
| -480.745 | -795.282 | 613.289 | 1437.641 | -358.988 | 116.027 |
| 125.444 | 61.656 | 59.966 | -0.418 | -0.589 | 0.118 |
| 393.099 | 634.245 | -111.001 | -475.452 | -263.287 | -209.442 |
| 676.344 | 1164.425 | -940.022 | -1488.905 | 370.477 | -93.899 |
| 462.569 | 671.174 | -541.011 | -868.054 | -48.065 | -117.210 |
| 462.747 | 670.535 | -538.816 | -887.740 | -33.501 | -120.812 |
| 108.338 | 356.016 | -106.967 | -150.108 | -209.175 | -54.125 |
| 55.384 | -13.777 | 124.626 | 141.644 | -35.545 | 9.200 |
| 51.667 | 79.554 | 74.788 | 20.267 | 22.813 | 9.633 |
| 50.852 | 28.796 | 124.721 | 14.138 | 19.060 | 8.376 |
| -0.486 | 1.082 | -0.997 | 34.247 | 0.205 | 1.508 |
| -1.807 | 1.355 | -2.526 | 0.205 | 31.027 | -0.419 |
| -47.748 | -64.320 | 55.478 | 91.792 | 6.026 | 29.647 |
| 149.477 | 131.822 | 9.143 | -89.850 | -4.851 | -12.490 |
| 96.909 | 156.289 | 48.013 | -43.975 | -24.724 | -19.066 |
| 60.059 | 63.505 | 121.560 | -0.997 | -2.526 | 0.227 |
| -0.486 | 1.082 | -0.997 | 34.247 | 0.205 | 1.508 |
| -1.807 | 1.355 | -2.526 | 0.205 | 31.027 | -0.419 |
| 44.935 | 69.424 | -52.608 | -85.820 | -3.623 | 5.687 |
| 125.444 | 61.656 | 59.966 | -0.418 | -0.589 | 0.118 |
| 61.509 | 122.005 | 63.367 | 5.922 | 1.383 | 0.891 |
| 60.768 | 60.657 | 114.953 | 0.510 | 0.013 | 1.047 |
| -1.608 | -2.552 | 0.022 | 30.866 | 2.424 | 2.378 |
| -1.807 | 1.355 | -2.526 | 0.205 | 31.027 | -0.419 |
| -4.941 | -3.275 | 2.280 | 7.056 | 4.387 | 22.104 |
| 109.723 | 69.191 | 61.691 | -4.926 | -2.966 | -2.689 |
| 61.509 | 122.004 | 63.367 | 5.922 | 1.383 | 0.891 |
| 60.059 | 63.505 | 121.560 | -0.997 | -2.526 | 0.227 |
| 3.564 | 8.860 | -5.774 | 11.797 | -0.331 | 1.559 |
| 1.944 | 6.700 | -1.957 | -4.015 | 15.518 | -2.613 |
| 4.133 | 12.923 | -6.616 | -11.313 | 3.660 | 15.442 |
| -502.190 | -889.686 | 382.765 | -1674.356 | -492.067 | 166.633 |
| 30.404 | -357.565 | 133.203 | -231.360 | -178.759 | 90.603 |
| 30.163 | -398.923 | 175.533 | -234.201 | -179.345 | 95.146 |
| -0.006 | 0.213 | -1.483 | 30.283 | 2.014 | 0.563 |
| -25.099 | -458.863 | 72.883 | -231.307 | -156.150 | 94.215 |
| -0.928 | -3.252 | 1.921 | 0.660 | 1.384 | 29.597 |
| 118.101 | 56.323 | 57.224 | 0.034 | 2.561 | 2.369 |
| 100.001 | 253.872 | 75.737 | 168.488 | 123.015 | -0.119 |
| 57.293 | 57.476 | 115.838 | -1.483 | -1.525 | 2.040 |
| 26.760 | 459.048 | -75.014 | 254.445 | 180.016 | -92.941 |
| 148.339 | 637.646 | -311.090 | 791.925 | 252.499 | 3.772 |
| -0.928 | -3.252 | 1.921 | 0.660 | 1.384 | 29.597 |
| 118.101 | 56.323 | 57.224 | 0.034 | 2.561 | 2.369 |
| 52.941 | 95.144 | 56.876 | -15.667 | -12.392 | -3.405 |
| 41.730 | -2.515 | 124.814 | -80.273 | -25.015 | 0.147 |
| -4.630 | -14.201 | -3.004 | 9.117 | -10.703 | 0.237 |
| 1.473 | 0.339 | -1.525 | 2.014 | 30.497 | 0.084 |
| -5.470 | -17.541 | 0.165 | -16.104 | -10.801 | 25.520 |
| 112.540 | 119.370 | 25.443 | 77.548 | 25.834 | 0.740 |
| 60.291 | 146.863 | 52.187 | 24.721 | 17.677 | -12.401 |
| 71.053 | 125.132 | 62.895 | 77.725 | 22.153 | 0.672 |
| 2.307 | 46.341 | -8.732 | 44.954 | 19.299 | -8.669 |
| 1.473 | 0.339 | -1.525 | 2.014 | 30.497 | 0.084 |
| -0.928 | -3.252 | 1.921 | 0.660 | 1.384 | 29.597 |
| 118.102 | 56.323 | 57.224 | 0.034 | 2.562 | 2.369 |
| 56.802 | 107.567 | 58.488 | -0.654 | -1.373 | -3.129 |
| 57.139 | 57.232 | 108.480 | -2.977 | -2.234 | 1.944 |
| -0.692 | -4.118 | -0.619 | 18.913 | -0.372 | 1.654 |
| 0.147 | -7.085 | 1.584 | -6.235 | 14.486 | 1.039 |
| -0.928 | -3.252 | 1.921 | 0.660 | 1.384 | 29.597 |
| 118.101 | 56.323 | 57.224 | 0.034 | 2.561 | 2.369 |
| 59.607 | 86.810 | 60.951 | 18.368 | 2.199 | -4.160 |
| 58.022 | 60.219 | 108.632 | 0.456 | 0.302 | 2.003 |
| -0.006 | 0.213 | -1.483 | 30.283 | 2.014 | 0.563 |
| 7.151 | 6.829 | -6.009 | 21.280 | 11.780 | 0.691 |
| -0.928 | -3.252 | 1.921 | 0.660 | 1.384 | 29.597 |
| -370.493 | -533.605 | 198.220 | 284.758 | -565.509 | -412.723 |
| 59.595 | 120.845 | 59.921 | 1.620 | 0.361 | -0.821 |
| -104.477 | -7.263 | 53.495 | -18.429 | -64.160 | -107.621 |
| -359.383 | -83.579 | 124.598 | 189.167 | -335.461 | -195.039 |
| 0.375 | 0.367 | 2.162 | -0.149 | 30.539 | 0.817 |
| -787.020 | -742.280 | 281.127 | 557.506 | -550.304 | -424.970 |
| 276.584 | 130.065 | 122.304 | 20.113 | 68.206 | 107.334 |
| 226.586 | 179.960 | 122.998 | 20.887 | 66.918 | 107.256 |
| 423.030 | 147.541 | -21.580 | -171.121 | 337.971 | 196.272 |
| 465.602 | 595.563 | -132.292 | -269.424 | 568.027 | 411.791 |
| 0.375 | 0.367 | 2.162 | -0.149 | 30.539 | 0.817 |
| 463.156 | 593.616 | -131.942 | -283.575 | 569.329 | 425.636 |
| 63.752 | 53.342 | 75.302 | 18.041 | -31.251 | -20.325 |
| 59.595 | 120.845 | 59.921 | 1.620 | 0.361 | -0.821 |
| 26.728 | 54.279 | 115.082 | 17.562 | -31.404 | -18.583 |
| -45.168 | -57.776 | 14.113 | 42.608 | -56.675 | -40.926 |
| -44.414 | -60.026 | 16.539 | 28.188 | -41.532 | -40.202 |
| -37.026 | -9.030 | 13.397 | 17.388 | -32.178 | -1.610 |
| 120.032 | 59.577 | 59.814 | 0.647 | 1.558 | -0.731 |
| 59.595 | 120.845 | 59.921 | 1.620 | 0.361 | -0.821 |
| 98.777 | 71.233 | 90.193 | -16.742 | 35.745 | 20.476 |
| 0.647 | 0.605 | 1.212 | 30.606 | -0.149 | 0.429 |
| 17.403 | 7.454 | 8.275 | 2.063 | 31.848 | 11.673 |
| -1.165 | -0.823 | 0.078 | 0.423 | 1.831 | 30.471 |
| 120.032 | 59.577 | 59.815 | 0.647 | 1.558 | -0.731 |
| 58.269 | 98.243 | 63.984 | 3.453 | -3.068 | -2.511 |
| 59.154 | 60.849 | 114.377 | 0.735 | 1.490 | -0.658 |
| -0.885 | 0.024 | 0.322 | 24.721 | -0.526 | -0.812 |
| -9.981 | -12.514 | 6.618 | 13.528 | 12.174 | -3.465 |
| -2.733 | -1.498 | -0.128 | 0.060 | 1.059 | 23.740 |
| 104.077 | 62.579 | 61.532 | -0.798 | 5.572 | 1.108 |
| 62.969 | 111.648 | 62.234 | 1.724 | 1.270 | 0.285 |
| 62.563 | 62.328 | 115.151 | 1.114 | 2.835 | 1.556 |
| 0.647 | 0.605 | 1.212 | 30.606 | -0.149 | 0.429 |
| 0.375 | 0.367 | 2.162 | -0.149 | 30.539 | 0.817 |
| 0.599 | -0.111 | 1.111 | 0.449 | 2.395 | 25.903 |
| 71.437 | -83.188 | -59.836 | 50.051 | -59.551 | 97.030 |
| 24.411 | -40.554 | -60.128 | 50.132 | -59.561 | 98.352 |
| 56.064 | 56.445 | 118.227 | 0.660 | -2.761 | 0.027 |
| -32.038 | -139.831 | -115.200 | 69.578 | -57.305 | 96.457 |
| -35.899 | -141.958 | -119.488 | 49.191 | -38.339 | 98.824 |
| -60.965 | -99.010 | -1.738 | -4.368 | -65.627 | 50.063 |
| 121.298 | 56.607 | 55.790 | 1.645 | -1.292 | 0.276 |
| 343.351 | 433.613 | 312.109 | -439.463 | 202.932 | -849.822 |
| 56.064 | 56.445 | 118.227 | 0.660 | -2.761 | 0.027 |
| 60.381 | 100.757 | 2.830 | 29.785 | 67.982 | -23.047 |
| -3.078 | -0.371 | -2.761 | 0.260 | 29.939 | 1.295 |
| 31.563 | 141.405 | 116.649 | -49.722 | 59.616 | -74.754 |
| 107.159 | 46.493 | 56.631 | 0.668 | -8.304 | 2.295 |
| 56.834 | 116.645 | 56.617 | 1.290 | -0.489 | 1.649 |
| 51.047 | 46.707 | 111.152 | 0.988 | -9.187 | 2.025 |
| -22.820 | -32.574 | -16.951 | 27.066 | -18.073 | 40.944 |
| -3.078 | -0.371 | -2.761 | 0.260 | 29.939 | 1.295 |
| -1.237 | 1.644 | -0.009 | -0.237 | 1.821 | 30.945 |
| 119.065 | 66.615 | 56.925 | 1.462 | 5.202 | -2.264 |
| 60.617 | 113.595 | 68.813 | -3.604 | 3.850 | -8.587 |
| 56.064 | 56.445 | 118.227 | 0.660 | -2.761 | 0.027 |
| 1.309 | 0.100 | 0.660 | 30.164 | 0.260 | -0.118 |
| 0.305 | 12.222 | 9.458 | -4.548 | 25.069 | -8.117 |
| -1.237 | 1.644 | -0.009 | -0.237 | 1.821 | 30.945 |
| 111.937 | 55.456 | 56.826 | 0.985 | -2.303 | 0.247 |
| 56.129 | 107.032 | 57.016 | 1.311 | -1.729 | 1.706 |
| 56.064 | 56.445 | 118.228 | 0.660 | -2.760 | 0.027 |
| 1.309 | 0.100 | 0.660 | 30.164 | 0.260 | -0.118 |
| -3.078 | -0.371 | -2.760 | 0.260 | 29.939 | 1.295 |
| -1.237 | 1.644 | -0.009 | -0.237 | 1.821 | 30.945 |
| 121.297 | 56.607 | 55.790 | 1.645 | -1.292 | 0.276 |
| 57.677 | 100.547 | 58.296 | 0.767 | -1.411 | 0.122 |
| 57.960 | 58.269 | 104.409 | 1.390 | -1.710 | -1.720 |
| 1.317 | 1.331 | 1.457 | 25.502 | 1.250 | -0.533 |
| -2.389 | 0.219 | -2.357 | 0.568 | 25.488 | 1.136 |
| -0.693 | 2.537 | -0.301 | -0.359 | 2.550 | 26.749 |
| 61.930 | 66.721 | -3.082 | 0.000 | 0.000 | -0.000 |
| 57.081 | 168.130 | 36.822 | -0.000 | 0.000 | -0.000 |
| -1.119 | 49.065 | 48.874 | 0.000 | 0.000 | -0.000 |
| -0.041 | 0.042 | -0.031 | -20.210 | 0.000 | -0.000 |
| 0.597 | -0.599 | 0.452 | -0.000 | 11.580 | -0.000 |
| -0.030 | 0.030 | -0.022 | 0.000 | 0.000 | -17.279 |
| 61.368 | 67.285 | -3.508 | 0.000 | -0.000 | 0.000 |
| 56.519 | 168.693 | 36.397 | 0.000 | -0.000 | 0.000 |
| -1.669 | 49.617 | 48.457 | 0.000 | -0.000 | 0.000 |
| 0.041 | -0.042 | 0.031 | -20.210 | -0.000 | 0.000 |
| -0.597 | 0.599 | -0.452 | 0.000 | 11.580 | 0.000 |
| 0.030 | -0.030 | 0.022 | 0.000 | -0.000 | -17.279 |
| 62.261 | 66.389 | -2.831 | -0.000 | 0.000 | -0.000 |
| 56.248 | 168.965 | 36.191 | 0.000 | 0.000 | -0.000 |
| -0.613 | 48.558 | 49.257 | 0.000 | 0.000 | -0.000 |
| -0.002 | 0.002 | -0.001 | -17.332 | -0.000 | -0.000 |
| 0.126 | -0.126 | 0.095 | -0.000 | 11.580 | 0.000 |
| -0.002 | 0.002 | -0.001 | -0.000 | 0.000 | -15.081 |
| 62.203 | 66.447 | -2.875 | -0.000 | -0.000 | 0.000 |
| 56.190 | 169.024 | 36.147 | -0.000 | -0.000 | 0.000 |
| -0.671 | 48.616 | 49.213 | 0.000 | -0.000 | 0.000 |
| 0.002 | -0.002 | 0.001 | -17.332 | -0.000 | 0.000 |
| -0.126 | 0.126 | -0.095 | 0.000 | 11.580 | -0.000 |
| 0.002 | -0.002 | 0.001 | 0.000 | -0.000 | -15.081 |
| 62.241 | 66.410 | -2.846 | 0.000 | 0.000 | -0.000 |
| 56.216 | 168.998 | 36.167 | 0.000 | 0.000 | -0.000 |
| -0.631 | 48.576 | 49.244 | 0.000 | -0.000 | -0.000 |
| -0.000 | 0.000 | 0.000 | -17.303 | 0.000 | -0.000 |
| 0.006 | -0.006 | 0.005 | -0.000 | 11.580 | -0.000 |
| -0.000 | 0.000 | -0.000 | 0.000 | -0.000 | -15.059 |
| 62.235 | 66.415 | -2.851 | -0.000 | 0.000 | 0.000 |
| 56.210 | 169.003 | 36.162 | -0.000 | -0.000 | 0.000 |
| -0.637 | 48.581 | 49.238 | -0.000 | -0.000 | 0.000 |
| 0.000 | -0.000 | -0.000 | -17.303 | -0.000 | 0.000 |
| -0.006 | 0.006 | -0.005 | -0.000 | 11.580 | 0.000 |
| 0.000 | -0.000 | 0.000 | 0.000 | -0.000 | -15.059 |
| 137.081 | 67.925 | 67.925 | 0.000 | 0.000 | -0.000 |
| 67.925 | 137.081 | 67.925 | 0.000 | 0.000 | -0.000 |
| 67.925 | 67.925 | 137.081 | 0.000 | -0.000 | 0.000 |
| 945.266 | 945.266 | 945.266 | 24.075 | 0.000 | 0.000 |
| 945.266 | 945.266 | 945.266 | 0.000 | 24.075 | -0.000 |
| 945.266 | 945.266 | 945.266 | 0.000 | -0.000 | 24.075 |
| -260.930 | -315.533 | -315.533 | -0.000 | -0.000 | -0.000 |
| -315.533 | -260.930 | -315.533 | -0.000 | -0.000 | -0.000 |
| -315.533 | -315.533 | -260.930 | -0.000 | -0.000 | -0.000 |
| -945.266 | -945.266 | -945.266 | 24.075 | 0.000 | 0.000 |
| -945.266 | -945.266 | -945.266 | 0.000 | 24.075 | 0.000 |
| -945.266 | -945.266 | -945.266 | 0.000 | -0.000 | 24.075 |
| 137.081 | 67.925 | 67.925 | -0.000 | -0.000 | -0.000 |
| 67.925 | 137.081 | 67.925 | -0.000 | -0.000 | -0.000 |
| 67.925 | 67.925 | 137.081 | -0.000 | -0.000 | -0.000 |
| 128.359 | 128.359 | 128.359 | 22.374 | -0.000 | -0.000 |
| 128.359 | 128.359 | 128.359 | -0.000 | 22.374 | -0.000 |
| 128.359 | 128.359 | 128.359 | -0.000 | -0.000 | 22.374 |
| 86.135 | 31.594 | 31.594 | -0.000 | -0.000 | -0.000 |
| 31.594 | 86.135 | 31.594 | -0.000 | -0.000 | -0.000 |
| 31.594 | 31.594 | 86.135 | -0.000 | -0.000 | -0.000 |
| -128.359 | -128.359 | -128.359 | 22.374 | 0.000 | 0.000 |
| -128.359 | -128.359 | -128.359 | 0.000 | 22.374 | 0.000 |
| -128.359 | -128.359 | -128.359 | 0.000 | 0.000 | 22.374 |
| 129.188 | 73.895 | 73.895 | 0.000 | 0.000 | 0.000 |
| 73.895 | 129.188 | 73.895 | 0.000 | 0.000 | 0.000 |
| 73.895 | 73.895 | 129.188 | 0.000 | 0.000 | 0.000 |
| -0.000 | -0.000 | -0.000 | 32.677 | -0.000 | -0.000 |
| -0.000 | -0.000 | -0.000 | -0.000 | 32.677 | -0.000 |
| -0.000 | -0.000 | -0.000 | 0.000 | -0.000 | 32.677 |
| 137.081 | 67.925 | 67.925 | 0.000 | -0.000 | 0.000 |
| 67.925 | 137.081 | 67.925 | -0.000 | 0.000 | 0.000 |
| 67.925 | 67.925 | 137.081 | -0.000 | -0.000 | 0.000 |
| 0.000 | 0.000 | 0.000 | 32.677 | 0.000 | 0.000 |
| 0.000 | 0.000 | 0.000 | -0.000 | 32.677 | 0.000 |
| 0.000 | 0.000 | 0.000 | 0.000 | 0.000 | 32.677 |
| 136.875 | 67.767 | 67.767 | -0.000 | -0.000 | -0.000 |
| 67.767 | 136.875 | 67.767 | -0.000 | -0.000 | -0.000 |
| 67.767 | 67.767 | 136.875 | -0.000 | -0.000 | -0.000 |
| 0.452 | 0.452 | 0.452 | 22.734 | 0.000 | 0.000 |
| 0.452 | 0.452 | 0.452 | 0.000 | 22.734 | 0.000 |
| 0.452 | 0.452 | 0.452 | 0.000 | 0.000 | 22.734 |
| 136.875 | 67.767 | 67.767 | -0.000 | -0.000 | 0.000 |
| 67.767 | 136.875 | 67.767 | 0.000 | 0.000 | -0.000 |
| 67.767 | 67.767 | 136.875 | -0.000 | 0.000 | -0.000 |
| -0.452 | -0.452 | -0.452 | 22.734 | -0.000 | -0.000 |
| -0.452 | -0.452 | -0.452 | -0.000 | 22.734 | -0.000 |
| -0.452 | -0.452 | -0.452 | -0.000 | -0.000 | 22.734 |
| 136.875 | 67.767 | 67.767 | 0.000 | -0.000 | 0.000 |
| 67.767 | 136.875 | 67.767 | -0.000 | -0.000 | -0.000 |
| 67.767 | 67.767 | 136.875 | -0.000 | -0.000 | 0.000 |
| -0.000 | -0.000 | -0.000 | 32.731 | -0.000 | -0.000 |
| -0.000 | -0.000 | -0.000 | -0.000 | 32.731 | -0.000 |
| -0.000 | -0.000 | -0.000 | -0.000 | -0.000 | 32.731 |
| 124.761 | 70.101 | 70.101 | -0.000 | -0.000 | -0.000 |
| 70.101 | 124.761 | 70.101 | -0.000 | -0.000 | -0.000 |
| 70.101 | 70.101 | 124.761 | -0.000 | -0.000 | -0.000 |
| 0.000 | 0.000 | 0.000 | 32.731 | -0.000 | -0.000 |
| 0.000 | 0.000 | 0.000 | -0.000 | 32.731 | -0.000 |
| 0.000 | 0.000 | 0.000 | -0.000 | -0.000 | 32.731 |
| 136.875 | 67.767 | 67.767 | 0.000 | 0.000 | 0.000 |
| 67.767 | 136.875 | 67.767 | 0.000 | -0.000 | -0.000 |
| 67.767 | 67.767 | 136.875 | -0.000 | -0.000 | 0.000 |
| -0.000 | -0.000 | -0.000 | 32.731 | -0.000 | -0.000 |
| -0.000 | -0.000 | -0.000 | -0.000 | 32.731 | -0.000 |
| -0.000 | -0.000 | -0.000 | -0.000 | -0.000 | 32.731 |
| 122.796 | 66.955 | 66.955 | 0.000 | 0.000 | 0.000 |
| 66.955 | 122.796 | 66.955 | 0.000 | 0.000 | -0.000 |
| 66.955 | 66.955 | 122.796 | -0.000 | 0.000 | 0.000 |
| 0.000 | 0.000 | 0.000 | 32.731 | 0.000 | 0.000 |
| 0.000 | 0.000 | 0.000 | 0.000 | 32.731 | 0.000 |
| 0.000 | 0.000 | 0.000 | 0.000 | 0.000 | 32.731 |
| 112.832 | 62.540 | 62.540 | 0.000 | 0.000 | -0.000 |
| 62.540 | 112.832 | 62.540 | -0.000 | 0.000 | 0.000 |
| 62.540 | 62.540 | 112.832 | -0.000 | -0.000 | 0.000 |
| -0.000 | -0.000 | -0.000 | 32.725 | 0.000 | 0.000 |
| -49.454 | -49.454 | -49.454 | 0.000 | -9.660 | 0.000 |
| -49.454 | -49.454 | -49.454 | 0.000 | 0.000 | -9.660 |
| 115.123 | 72.524 | 72.524 | -0.000 | -0.000 | -0.000 |
| 135.673 | 173.389 | 135.673 | -0.000 | -0.000 | -0.000 |
| 135.673 | 135.673 | 173.389 | -0.000 | -0.000 | -0.000 |
| -0.000 | -0.000 | -0.000 | 32.725 | 0.000 | 0.000 |
| 49.454 | 49.454 | 49.454 | -0.000 | -9.660 | -0.000 |
| 49.454 | 49.454 | 49.454 | -0.000 | -0.000 | -9.660 |
| 70.764 | 49.094 | 49.094 | 0.000 | 0.000 | 0.000 |
| 49.094 | 70.764 | 49.094 | 0.000 | 0.000 | 0.000 |
| 49.094 | 49.094 | 70.764 | 0.000 | 0.000 | 0.000 |
| -0.000 | -0.000 | 0.000 | 32.725 | 0.000 | 0.000 |
| -0.000 | -0.000 | 0.000 | 0.000 | 32.725 | 0.000 |
| -0.000 | 0.000 | -0.000 | 0.000 | 0.000 | 32.725 |
| 108.174 | 70.256 | 70.256 | -0.000 | -0.000 | -0.000 |
| 70.256 | 108.174 | 70.256 | -0.000 | 0.000 | -0.000 |
| 70.256 | 70.256 | 108.174 | -0.000 | -0.000 | 0.000 |
| 0.000 | 0.000 | -0.000 | 32.725 | 0.000 | 0.000 |
| 0.000 | 0.000 | -0.000 | -0.000 | 32.725 | 0.000 |
| 0.000 | -0.000 | 0.000 | -0.000 | 0.000 | 32.725 |
| 104.380 | 60.466 | 60.466 | 0.000 | 0.000 | 0.000 |
| 60.466 | 104.380 | 60.466 | 0.000 | 0.000 | 0.000 |
| 60.466 | 60.466 | 104.380 | 0.000 | 0.000 | 0.000 |
| -0.145 | -0.145 | -0.145 | 20.336 | 0.000 | 0.000 |
| -0.145 | -0.145 | -0.145 | 0.000 | 20.336 | 0.000 |
| -0.145 | -0.145 | -0.145 | 0.000 | 0.000 | 20.336 |
| 104.946 | 60.753 | 60.753 | -0.000 | -0.000 | -0.000 |
| 60.753 | 104.946 | 60.753 | -0.000 | -0.000 | -0.000 |
| 60.753 | 60.753 | 104.946 | -0.000 | -0.000 | -0.000 |
| 0.145 | 0.145 | 0.145 | 20.336 | -0.000 | -0.000 |
| 0.145 | 0.145 | 0.145 | -0.000 | 20.336 | -0.000 |
| 0.145 | 0.145 | 0.145 | -0.000 | -0.000 | 20.336 |
| 107.280 | 60.957 | 60.957 | 0.000 | 0.000 | 0.000 |
| 62.293 | 112.537 | 62.293 | -0.000 | -0.000 | -0.000 |
| 62.293 | 62.293 | 112.537 | -0.000 | -0.000 | -0.000 |
| -0.014 | -0.014 | -0.014 | 24.427 | 0.000 | 0.000 |
| -0.014 | -0.014 | -0.014 | 0.000 | 24.427 | 0.000 |
| -0.014 | -0.014 | -0.014 | 0.000 | 0.000 | 24.427 |
| 112.537 | 62.293 | 62.293 | -0.000 | 0.000 | 0.000 |
| 62.293 | 112.537 | 62.293 | 0.000 | -0.000 | 0.000 |
| 62.293 | 62.293 | 112.537 | 0.000 | 0.000 | -0.000 |
| 0.014 | 0.014 | 0.014 | 24.427 | -0.000 | -0.000 |
| 0.014 | 0.014 | 0.014 | -0.000 | 24.427 | -0.000 |
| 0.014 | 0.014 | 0.014 | -0.000 | -0.000 | 24.427 |
| 107.286 | 60.965 | 60.965 | 0.000 | 0.000 | 0.000 |
| 60.965 | 107.286 | 60.965 | 0.000 | 0.000 | 0.000 |
| 62.293 | 62.293 | 112.537 | 0.000 | -0.000 | -0.000 |
| -0.001 | -0.001 | -0.001 | 24.426 | 0.000 | 0.000 |
| -0.001 | -0.001 | -0.001 | 0.000 | 24.426 | 0.000 |
| -0.001 | -0.001 | -0.001 | 0.000 | 0.000 | 24.426 |
| 112.537 | 62.293 | 62.293 | -0.000 | 0.000 | 0.000 |
| 62.293 | 112.537 | 62.293 | 0.000 | -0.000 | 0.000 |
| 62.293 | 62.293 | 112.537 | 0.000 | 0.000 | -0.000 |
| 0.001 | 0.001 | 0.001 | 24.426 | -0.000 | -0.000 |
| 0.001 | 0.001 | 0.001 | -0.000 | 24.426 | -0.000 |
| 0.001 | 0.001 | 0.001 | -0.000 | -0.000 | 24.426 |
| 107.286 | 60.966 | 60.966 | 0.000 | 0.000 | 0.000 |
| 60.966 | 107.286 | 60.966 | 0.000 | 0.000 | 0.000 |
| 60.966 | 60.966 | 107.286 | 0.000 | 0.000 | 0.000 |
| -0.000 | -0.000 | -0.000 | 19.275 | 0.000 | 0.000 |
| -0.000 | -0.000 | -0.000 | 0.000 | 19.275 | 0.000 |
| -0.000 | -0.000 | -0.000 | 0.000 | 0.000 | 19.275 |
| 112.536 | 62.293 | 62.293 | 0.000 | -0.000 | 0.000 |
| 62.293 | 112.536 | 62.293 | 0.000 | 0.000 | -0.000 |
| 62.293 | 62.293 | 112.536 | -0.000 | 0.000 | 0.000 |
| 0.000 | 0.000 | -0.000 | 32.714 | -0.000 | 0.000 |
| 0.000 | 0.000 | -0.000 | -0.000 | 32.714 | 0.000 |
| 0.000 | 0.000 | 0.000 | -0.000 | -0.000 | 19.275 |
| 109.017 | 47.840 | 36.705 | 0.000 | -0.000 | -0.000 |
| 48.769 | 89.260 | 27.771 | -0.000 | -0.000 | -0.000 |
| 605.186 | -20.036 | 623.771 | 0.000 | 0.000 | -0.000 |
| 576.297 | -47.797 | 523.285 | -0.052 | 0.000 | -0.000 |
| 576.291 | -47.796 | 523.279 | 0.000 | -16.113 | 0.000 |
| 576.291 | -47.796 | 523.279 | -0.000 | -0.000 | 28.077 |
| 109.017 | 47.840 | 36.705 | -0.000 | 0.000 | 0.000 |
| -526.786 | 136.996 | -494.839 | 0.000 | 0.000 | -0.000 |
| 36.954 | 27.092 | 107.810 | -0.000 | 0.000 | 0.000 |
| -576.297 | 47.797 | -523.285 | -0.052 | -0.000 | -0.000 |
| -576.291 | 47.796 | -523.279 | -0.000 | -16.113 | 0.000 |
| -576.291 | 47.796 | -523.279 | 0.000 | 0.000 | 28.077 |
| 157.770 | 43.796 | 80.973 | 0.000 | -0.000 | -0.000 |
| 107.134 | 84.420 | 80.767 | -0.000 | -0.000 | -0.000 |
| 86.524 | 22.981 | 152.820 | -0.000 | -0.000 | 0.000 |
| 57.695 | -4.785 | 52.388 | -0.053 | -0.000 | 0.000 |
| -0.000 | -0.000 | -0.000 | 0.000 | 15.885 | -0.000 |
| -0.000 | -0.000 | -0.000 | -0.000 | -0.000 | 28.077 |
| 42.512 | 53.356 | -23.683 | -0.000 | 0.000 | 0.000 |
| -8.124 | 93.979 | -23.888 | 0.000 | 0.000 | 0.000 |
| -28.734 | 32.540 | 48.164 | -0.000 | 0.000 | -0.000 |
| -57.695 | 4.785 | -52.388 | -0.053 | 0.000 | 0.000 |
| 0.000 | 0.000 | 0.000 | -0.000 | 15.885 | 0.000 |
| 0.000 | 0.000 | 0.000 | -0.000 | 0.000 | 28.077 |
| 109.018 | 47.840 | 36.705 | 0.000 | -0.000 | 0.000 |
| 55.268 | 88.721 | 33.672 | -0.000 | -0.000 | -0.000 |
| 34.658 | 27.283 | 105.725 | -0.000 | 0.000 | 0.000 |
| 6.425 | -0.533 | 5.834 | -0.098 | -0.000 | -0.000 |
| 5.763 | -0.478 | 5.232 | 0.000 | -16.113 | -0.000 |
| 5.763 | -0.478 | 5.233 | -0.000 | -0.000 | 28.077 |
| 94.377 | 49.054 | 23.412 | -0.000 | 0.000 | -0.000 |
| 43.742 | 89.678 | 23.207 | 0.000 | 0.000 | -0.000 |
| 23.132 | 28.239 | 95.259 | -0.000 | -0.000 | -0.000 |
| -6.425 | 0.533 | -5.834 | -0.098 | 0.000 | -0.000 |
| -5.763 | 0.478 | -5.232 | -0.000 | -16.113 | 0.000 |
| -5.763 | 0.478 | -5.233 | 0.000 | 0.000 | 28.077 |
| 116.845 | 57.162 | 49.460 | 1.853 | -0.000 | 0.000 |
| 56.961 | 116.478 | 48.608 | -1.676 | 0.000 | 0.000 |
| 48.759 | 48.759 | 79.423 | -0.000 | -0.000 | 0.000 |
| 1.188 | -1.188 | -0.000 | 15.552 | 0.000 | -0.000 |
| -0.000 | -0.000 | -0.000 | -0.000 | 15.552 | 1.188 |
| 0.000 | 0.000 | 0.000 | -0.000 | 1.853 | 29.842 |
| 116.845 | 57.162 | 49.460 | 1.853 | 0.000 | 0.000 |
| 57.162 | 116.845 | 49.460 | -1.853 | 0.000 | -0.000 |
| 48.759 | 48.759 | 79.423 | 0.000 | 0.000 | -0.000 |
| 1.188 | -1.188 | 0.000 | 15.552 | 0.000 | 0.000 |
| 0.000 | 0.000 | 0.000 | 0.000 | 15.552 | 1.188 |
| -0.000 | -0.000 | -0.000 | 0.000 | 1.853 | 29.842 |
| 116.478 | 56.961 | 48.608 | 1.676 | 0.000 | 0.000 |
| 57.162 | 116.845 | 49.460 | -1.853 | 0.000 | 0.000 |
| 48.759 | 48.759 | 79.423 | -0.000 | 0.000 | 0.000 |
| 1.188 | -1.188 | 0.000 | 15.552 | 0.000 | 0.000 |
| 0.000 | 0.000 | 0.000 | -0.000 | 16.963 | 1.853 |
| 0.000 | 0.000 | 0.000 | 0.000 | 1.853 | 29.842 |
| 116.845 | 57.162 | 49.460 | 1.853 | 0.000 | 0.000 |
| 57.162 | 116.845 | 49.460 | -1.853 | 0.000 | 0.000 |
| 49.460 | 49.460 | 81.525 | -0.000 | 0.000 | -0.000 |
| 1.188 | -1.188 | -0.000 | 15.552 | -0.000 | -0.000 |
| -0.000 | -0.000 | -0.000 | 0.000 | 16.963 | 1.853 |
| -0.000 | -0.000 | -0.000 | -0.000 | 1.853 | 29.842 |
| 116.478 | 56.961 | 48.608 | 1.676 | 0.000 | 0.000 |
| 57.162 | 116.845 | 49.460 | -1.853 | 0.000 | -0.000 |
| 48.759 | 48.759 | 79.423 | -0.000 | 0.000 | 0.000 |
| 1.853 | -1.853 | 0.000 | 16.963 | -0.000 | -0.000 |
| 0.000 | 0.000 | 0.000 | -0.000 | 16.963 | 1.853 |
| 0.000 | 0.000 | 0.000 | 0.000 | 1.188 | 29.529 |
| 116.477 | 56.961 | 48.608 | 1.676 | -0.000 | 0.000 |
| 57.161 | 116.844 | 49.459 | -1.853 | -0.000 | 0.000 |
| 49.459 | 49.459 | 81.525 | 0.000 | 0.000 | -0.000 |
| 1.853 | -1.853 | -0.000 | 16.963 | -0.000 | -0.000 |
| -0.000 | -0.000 | -0.000 | 0.000 | 16.963 | 1.853 |
| -0.000 | -0.000 | -0.000 | -0.000 | 1.188 | 29.529 |
| 116.521 | 57.028 | 48.656 | 1.657 | 0.000 | -0.000 |
| 57.028 | 116.521 | 48.656 | -1.657 | 0.000 | 0.000 |
| 49.472 | 49.472 | 81.614 | 0.000 | -0.000 | -0.000 |
| 1.834 | -1.834 | 0.000 | 16.954 | 0.000 | -0.000 |
| -0.000 | 0.000 | 0.000 | -0.000 | 16.954 | 1.834 |
| -0.000 | 0.000 | 0.000 | 0.000 | 1.834 | 29.831 |
| 116.886 | 57.224 | 49.499 | 1.834 | 0.000 | 0.000 |
| 57.028 | 116.521 | 48.656 | -1.657 | -0.000 | 0.000 |
| 49.472 | 49.472 | 81.614 | -0.000 | 0.000 | 0.000 |
| 1.170 | -1.170 | 0.000 | 15.564 | 0.000 | 0.000 |
| -0.000 | -0.000 | -0.000 | 0.000 | 16.954 | 1.834 |
| 0.000 | -0.000 | -0.000 | -0.000 | 1.834 | 29.831 |
| 116.886 | 57.224 | 49.499 | 1.834 | 0.000 | -0.000 |
| 57.224 | 116.886 | 49.499 | -1.834 | 0.000 | -0.000 |
| 49.472 | 49.472 | 81.614 | -0.000 | 0.000 | 0.000 |
| 1.834 | -1.834 | 0.000 | 16.954 | -0.000 | -0.000 |
| 0.000 | 0.000 | 0.000 | -0.000 | 16.954 | 1.834 |
| 0.000 | 0.000 | 0.000 | 0.000 | 1.834 | 29.831 |
| 116.521 | 57.028 | 48.656 | 1.657 | -0.000 | 0.000 |
| 57.311 | 116.339 | 48.808 | -1.170 | -0.000 | 0.000 |
| 49.472 | 49.472 | 81.614 | 0.000 | -0.000 | 0.000 |
| 1.834 | -1.834 | -0.000 | 16.954 | -0.000 | 0.000 |
| -0.000 | -0.000 | -0.000 | 0.000 | 16.954 | 1.834 |
| -0.000 | -0.000 | -0.000 | -0.000 | 1.834 | 29.831 |
| 116.521 | 57.028 | 48.656 | 1.657 | -0.000 | -0.000 |
| 57.224 | 116.887 | 49.499 | -1.834 | -0.000 | -0.000 |
| 49.472 | 49.472 | 81.608 | 0.000 | 0.000 | -0.000 |
| 1.170 | -1.170 | -0.000 | 15.564 | -0.000 | -0.000 |
| 0.000 | 0.000 | -0.000 | 0.000 | 15.564 | 1.170 |
| 0.000 | 0.000 | 0.000 | 0.000 | 1.834 | 29.831 |
| 116.886 | 57.224 | 49.499 | 1.834 | -0.000 | 0.000 |
| 57.224 | 116.886 | 49.499 | -1.834 | -0.000 | 0.000 |
| 49.472 | 49.472 | 81.614 | -0.000 | -0.000 | 0.000 |
| 1.834 | -1.835 | 0.000 | 16.954 | 0.000 | 0.000 |
| -0.000 | -0.000 | 0.000 | -0.000 | 15.564 | 1.170 |
| -0.000 | -0.000 | -0.000 | -0.000 | 1.834 | 29.831 |
| 170.660 | 65.499 | 78.928 | -0.000 | 0.000 | 0.000 |
| -371.849 | 1780.139 | -571.483 | 0.000 | 0.000 | -0.000 |
| -3776.872 | 1410.694 | -1719.827 | -0.000 | 0.000 | -0.000 |
| -434.703 | 1613.115 | -643.106 | 42.802 | 0.000 | 0.000 |
| -434.703 | 1613.116 | -643.106 | 0.000 | 47.741 | 0.000 |
| -704.632 | 2034.747 | -1118.462 | 0.000 | 0.000 | 26.112 |
| 170.660 | 65.499 | 78.928 | 0.000 | -0.000 | -0.000 |
| 63.905 | 179.517 | 72.188 | 0.000 | -0.000 | -0.000 |
| 515.096 | -1541.583 | 833.906 | -0.000 | -0.000 | -0.000 |
| 704.630 | -2034.744 | 1118.460 | 34.622 | -0.000 | -0.000 |
| 434.703 | -1613.116 | 643.106 | -0.000 | 47.741 | 0.000 |
| 704.632 | -2034.747 | 1118.462 | -0.000 | -0.000 | 26.112 |
| -145.523 | 215.970 | -110.204 | -0.000 | 0.000 | -0.000 |
| 19.412 | 328.209 | 7.355 | 0.000 | 0.000 | 0.000 |
| -300.153 | 185.219 | -60.382 | -0.000 | 0.000 | 0.000 |
| -386.070 | 136.167 | -184.241 | 28.608 | 0.000 | 0.000 |
| -43.477 | 161.337 | -64.321 | 0.000 | 47.739 | 0.000 |
| -268.947 | 146.418 | -198.628 | -0.000 | 0.000 | 10.370 |
| 504.999 | -66.264 | 272.461 | 0.000 | -0.000 | 0.000 |
| 106.362 | 5.600 | 135.987 | -0.000 | -0.000 | -0.000 |
| 155.207 | -138.738 | 276.192 | -0.000 | -0.000 | 0.000 |
| 501.277 | -104.412 | 131.936 | 34.673 | -0.000 | -0.000 |
| 43.477 | -161.337 | 64.321 | -0.000 | 47.739 | -0.000 |
| 268.947 | -146.418 | 198.628 | 0.000 | -0.000 | 10.370 |
| 100.272 | 83.555 | 69.570 | -0.000 | 0.000 | 0.000 |
| 57.639 | 177.813 | 53.101 | 0.000 | 0.000 | 0.000 |
| 51.088 | 66.281 | 118.850 | -0.000 | 0.000 | -0.000 |
| 0.000 | 0.000 | 0.000 | 49.547 | 0.000 | 0.000 |
| -6.977 | 20.204 | -11.068 | 0.000 | 35.761 | 0.000 |
| -4.416 | 16.388 | -6.533 | 0.000 | 0.000 | 37.077 |
| 179.936 | 57.159 | 97.531 | -0.000 | -0.000 | 0.000 |
| 71.508 | 139.472 | 76.395 | -0.000 | -0.000 | 0.000 |
| 91.842 | 44.338 | 174.237 | -0.000 | -0.000 | -0.000 |
| 50.732 | -12.705 | 17.464 | 41.291 | -0.000 | 0.000 |
| 6.977 | -20.204 | 11.068 | -0.000 | 35.761 | -0.000 |
| 4.416 | -16.388 | 6.533 | -0.000 | -0.000 | 37.077 |
| 497.983 | -80.478 | -357.429 | 0.000 | -0.000 | -0.000 |
| 406.691 | 14.744 | -371.736 | 0.000 | -0.000 | -0.000 |
| 325.938 | -807.968 | -657.403 | 0.000 | -0.000 | -0.000 |
| -0.000 | 0.000 | 0.000 | 49.376 | -0.000 | 0.000 |
| 1180.245 | -838.883 | -1098.109 | 0.000 | 27.347 | -0.000 |
| 238.823 | -869.336 | -812.502 | 0.000 | -0.000 | 22.954 |
| 170.528 | 65.425 | 79.156 | 0.000 | -0.000 | -0.000 |
| -173.609 | 1023.717 | 875.794 | -0.000 | 0.000 | 0.000 |
| 77.641 | 71.445 | 206.019 | 0.000 | 0.000 | -0.000 |
| -0.000 | 0.000 | -0.000 | 49.376 | 0.000 | -0.000 |
| -1180.245 | 838.883 | 1098.109 | -0.000 | 27.347 | 0.000 |
| -238.823 | 869.336 | 812.502 | -0.000 | 0.000 | 22.954 |
| 188.703 | 49.455 | 40.204 | 0.000 | -0.000 | -0.000 |
| 89.110 | 67.853 | -17.918 | 0.000 | -0.000 | -0.000 |
| 77.641 | 71.445 | 206.019 | -0.000 | -0.000 | -0.000 |
| 117.942 | -83.834 | -109.759 | 33.348 | -0.000 | -0.000 |
| 34.352 | -14.441 | -44.182 | 0.000 | 44.375 | -0.000 |
| 0.000 | 0.000 | 0.000 | -0.000 | -0.000 | 42.340 |
| 170.528 | 65.425 | 79.156 | 0.000 | 0.000 | 0.000 |
| 64.050 | 178.527 | 71.585 | 0.000 | 0.000 | -0.000 |
| 77.641 | 71.445 | 206.019 | 0.000 | 0.000 | 0.000 |
| -117.942 | 83.834 | 109.759 | 33.348 | 0.000 | 0.000 |
| -34.352 | 14.441 | 44.182 | -0.000 | 44.375 | 0.000 |
| -0.000 | -0.000 | -0.000 | 0.000 | -0.000 | 42.340 |
| 156.408 | 62.362 | 80.492 | 0.000 | -0.000 | -0.000 |
| 64.050 | 178.527 | 71.585 | -0.000 | 0.000 | -0.000 |
| 77.641 | 71.445 | 206.020 | -0.000 | 0.000 | 0.000 |
| 0.000 | 0.000 | 0.000 | 49.376 | 0.000 | 0.000 |
| 3.472 | -1.460 | -4.466 | 0.000 | 44.250 | -0.000 |
| 12.024 | -8.152 | -10.877 | 0.000 | -0.000 | 14.619 |
| 135.966 | 75.462 | 97.866 | -0.000 | 0.000 | 0.000 |
| 60.169 | 164.202 | 74.452 | -0.000 | 0.000 | 0.000 |
| 77.641 | 71.444 | 206.018 | 0.000 | -0.000 | -0.000 |
| -0.000 | -0.000 | -0.000 | 49.376 | 0.000 | 0.000 |
| -3.472 | 1.460 | 4.466 | -0.000 | 44.250 | 0.000 |
| -12.024 | 8.152 | 10.877 | -0.000 | 0.000 | 14.619 |
| 1061.439 | 609.067 | -1333.571 | 0.000 | -0.000 | 0.000 |
| 334.450 | 1123.520 | -1769.264 | -0.000 | -0.000 | 0.000 |
| 359.599 | 1044.951 | -1741.624 | 0.000 | 0.000 | 0.000 |
| 264.392 | 1023.425 | -1789.207 | 6.540 | 0.000 | 0.000 |
| 0.000 | 0.000 | 0.000 | -0.000 | 54.275 | 0.000 |
| -2895.692 | -1739.295 | -510.057 | -0.000 | 0.000 | -27.241 |
| -752.720 | -481.890 | 1496.839 | -0.000 | 0.000 | 0.000 |
| -843.972 | -394.227 | 1481.970 | 0.000 | 0.000 | -0.000 |
| 889.475 | -17.195 | 1200.626 | -0.000 | -0.000 | -0.000 |
| -264.392 | -1023.425 | 1789.207 | 6.540 | -0.000 | -0.000 |
| -0.000 | -0.000 | -0.000 | 0.000 | 54.275 | -0.000 |
| 2895.692 | 1739.295 | 510.057 | 0.000 | 0.000 | -27.241 |
| 79.444 | -241.886 | -194.331 | -0.000 | 0.000 | 0.000 |
| -9.568 | 108.558 | -96.585 | 0.000 | -0.000 | 0.000 |
| -102.983 | -205.579 | -126.864 | -0.000 | -0.000 | 0.000 |
| -137.215 | -304.867 | -304.125 | 42.838 | -0.000 | 0.000 |
| -245.976 | -145.724 | 45.543 | -0.000 | 63.441 | -0.000 |
| -79.974 | 3.483 | -114.229 | 0.000 | 0.000 | -16.120 |
| 63.654 | 9.034 | 223.169 | 0.000 | 0.000 | 0.000 |
| 145.771 | 456.667 | 325.772 | 0.000 | -0.000 | 0.000 |
| 76.670 | 68.145 | 197.146 | -0.000 | -0.000 | -0.000 |
| -0.000 | -0.000 | -0.000 | 46.100 | 0.000 | -0.000 |
| 245.975 | 145.724 | -45.544 | 0.000 | 63.443 | -0.000 |
| 79.974 | -3.483 | 114.229 | -0.000 | 0.000 | -16.120 |
| 165.127 | 64.703 | 77.705 | -0.000 | 0.000 | 0.000 |
| 64.157 | 165.172 | 68.634 | -0.000 | 0.000 | 0.000 |
| 68.003 | 20.578 | 104.284 | -0.000 | 0.000 | 0.000 |
| -9.571 | -17.484 | -12.073 | 30.447 | -0.000 | -0.000 |
| -7.613 | -0.033 | -10.518 | -0.000 | 9.307 | 0.000 |
| -7.804 | -23.847 | -25.165 | -0.000 | 0.000 | 0.799 |
| 132.350 | 80.567 | 87.779 | -0.000 | 0.000 | 0.000 |
| 54.002 | 145.922 | 81.012 | -0.000 | 0.000 | -0.000 |
| 96.387 | 80.189 | 172.452 | 0.000 | -0.000 | -0.000 |
| 9.571 | 17.484 | 12.073 | 30.447 | -0.000 | -0.000 |
| 7.613 | 0.033 | 10.518 | -0.000 | 9.307 | -0.000 |
| 7.804 | 23.847 | 25.165 | 0.000 | 0.000 | 0.799 |
| -15829705.935 | 405946.433 | 10228372.094 | -67600.288 | 1498091.101 | 27232.507 |
| -15829866.436 | 406013.327 | 10228449.954 | -67588.154 | 1498082.620 | 27214.275 |
| -15829700.894 | 405971.712 | 10228380.422 | -67627.193 | 1498013.321 | 27267.005 |
| -15829967.171 | 405865.581 | 10228434.192 | -67541.881 | 1498117.031 | 27176.470 |
| -15829904.620 | 405871.281 | 10228357.922 | -67596.436 | 1498110.254 | 27211.144 |
| -15829923.630 | 405874.527 | 10228381.564 | -67605.131 | 1498086.115 | 27256.059 |
| 15830141.853 | -405802.934 | -10228367.627 | 67586.709 | -1498078.934 | -27195.838 |
| 15829968.030 | -405734.146 | -10228286.945 | 67599.816 | -1498087.977 | -27214.597 |
| 15830108.703 | -405768.898 | -10228364.465 | 67565.345 | -1498153.555 | -27156.937 |
| 15829822.897 | -405876.063 | -10228308.058 | 67651.235 | -1498050.489 | -27248.523 |
| 15829939.146 | -405879.663 | -10228378.470 | 67590.740 | -1498058.914 | -27218.146 |
| 15829910.321 | -405873.068 | -10228354.955 | 67582.972 | -1498084.056 | -27172.937 |
| -1582767.770 | 40655.089 | 1022836.662 | -6766.717 | 149812.533 | 2741.301 |
| -1582936.287 | 40727.559 | 1022918.556 | -6755.838 | 149806.000 | 2719.565 |
| -1582786.589 | 40692.881 | 1022838.986 | -6795.898 | 149730.955 | 2775.016 |
| -1583052.382 | 40577.232 | 1022916.937 | -6705.950 | 149848.669 | 2681.509 |
| -1582973.679 | 40579.926 | 1022829.503 | -6760.560 | 149835.883 | 2717.989 |
| -1582993.812 | 40588.554 | 1022850.772 | -6772.735 | 149810.068 | 2761.089 |
| 1583221.383 | -40515.836 | -1022845.748 | 6751.666 | -149807.455 | -2702.223 |
| 1583044.619 | -40446.566 | -1022756.322 | 6763.461 | -149810.976 | -2722.603 |
| 1583205.872 | -40474.519 | -1022855.986 | 6723.966 | -149889.326 | -2665.785 |
| 1582941.652 | -40592.471 | -1022768.147 | 6811.876 | -149773.005 | -2761.472 |
| 1583023.732 | -40590.211 | -1022847.240 | 6761.867 | -149780.402 | -2720.725 |
| 1582991.189 | -40586.271 | -1022823.401 | 6745.869 | -149807.198 | -2681.736 |
| -158062.323 | 4131.936 | 102261.458 | -683.024 | 14968.005 | 305.981 |
| -158243.292 | 4198.889 | 102365.107 | -672.786 | 14977.685 | 270.596 |
| -158106.681 | 4152.711 | 102276.955 | -691.035 | 14876.532 | 365.185 |
| -158338.019 | 4057.398 | 102376.967 | -626.383 | 15020.254 | 222.247 |
| -158281.308 | 4052.875 | 102279.348 | -679.024 | 15009.253 | 264.878 |
| -158303.548 | 4059.330 | 102299.013 | -689.464 | 14983.118 | 310.836 |
| 158532.287 | -3987.537 | -102297.071 | 665.828 | -14980.643 | -251.039 |
| 158353.781 | -3918.900 | -102205.326 | 680.691 | -14984.736 | -271.167 |
| 158470.497 | -3968.482 | -102338.054 | 647.799 | -15045.423 | -210.236 |
| 158228.151 | -4069.716 | -102184.064 | 728.325 | -14919.762 | -332.745 |
| 158314.533 | -4065.724 | -102295.721 | 676.057 | -14954.371 | -273.007 |
| 158291.851 | -4058.668 | -102267.739 | 664.833 | -14977.271 | -231.551 |
| 362.978 | 203.539 | -162.996 | -0.000 | 53.928 | -0.000 |
| 102.206 | 158.024 | 95.802 | -0.000 | -8.635 | 0.000 |
| 212.246 | 204.816 | -68.792 | -0.000 | 19.991 | -0.000 |
| -0.000 | 0.000 | 0.000 | 66.335 | 0.000 | -7.696 |
| 17.705 | -8.635 | -6.644 | -0.000 | 54.272 | -0.000 |
| -0.000 | 0.000 | 0.000 | -7.696 | -0.000 | 73.025 |
| 103.668 | -8.986 | 315.606 | 0.000 | -6.612 | 0.000 |
| -31.670 | 41.953 | 336.828 | 0.000 | -38.555 | 0.000 |
| 86.589 | 95.801 | 194.618 | 0.000 | -6.644 | 0.000 |
| 0.000 | -0.000 | -0.000 | 66.335 | 0.000 | -7.696 |
| 291.830 | -166.035 | 795.942 | -0.000 | 131.939 | -0.000 |
| 0.000 | -0.000 | -0.000 | -7.696 | 0.000 | 73.025 |
| 161.426 | 115.419 | -46.399 | -0.000 | 25.556 | -0.000 |
| 102.206 | 158.024 | 95.802 | 0.000 | -8.635 | -0.000 |
| 86.589 | 95.801 | 194.618 | -0.000 | -6.644 | 0.000 |
| 0.000 | 0.000 | 0.000 | 66.335 | 0.000 | -7.696 |
| 24.894 | 2.687 | -35.177 | -0.000 | 49.846 | -0.000 |
| 0.000 | 0.000 | 0.000 | -7.696 | 0.000 | 73.025 |
| 223.166 | 86.975 | 101.049 | 0.000 | 21.415 | 0.000 |
| 102.206 | 158.024 | 95.802 | 0.000 | -8.635 | 0.000 |
| 86.589 | 95.800 | 194.618 | 0.000 | -6.644 | 0.000 |
| -0.000 | -0.000 | -0.000 | 66.335 | -0.000 | -7.696 |
| 17.705 | -8.635 | -6.644 | 0.000 | 54.272 | 0.000 |
| -0.000 | -0.000 | -0.000 | -7.696 | -0.000 | 73.025 |
| 260.037 | 100.069 | 84.945 | 0.000 | 31.130 | -0.000 |
| 102.207 | 158.024 | 95.802 | -0.000 | -8.635 | -0.000 |
| 86.589 | 95.801 | 194.618 | 0.000 | -6.644 | -0.000 |
| 0.000 | 0.000 | 0.000 | 66.335 | 0.000 | -7.696 |
| 13.069 | -7.195 | -12.820 | -0.000 | 47.321 | -0.000 |
| -0.000 | 0.000 | 0.000 | -7.696 | -0.000 | 73.025 |
| 260.035 | 100.069 | 84.945 | 0.000 | 31.129 | 0.000 |
| 102.206 | 158.023 | 95.801 | -0.000 | -8.635 | 0.000 |
| 86.589 | 95.800 | 194.618 | 0.000 | -6.644 | 0.000 |
| -0.000 | -0.000 | -0.000 | 66.335 | -0.000 | -7.696 |
| 17.705 | -8.635 | -6.644 | 0.000 | 54.272 | 0.000 |
| 0.000 | -0.000 | -0.000 | -7.696 | 0.000 | 73.025 |
| -788.235 | 9612.142 | 3728.094 | -0.000 | -3393.183 | -0.000 |
| 73.819 | 167.838 | 67.443 | -0.000 | 1.428 | 0.000 |
| -1612.267 | 9745.768 | 3826.241 | -0.000 | -2835.327 | -0.000 |
| 0.000 | 0.000 | 0.000 | 43.597 | 0.000 | 2.737 |
| -1712.254 | 8523.876 | 2170.169 | -0.000 | -2249.903 | -0.000 |
| 0.000 | -0.000 | 0.000 | 2.145 | 0.000 | 50.633 |
| 1850.458 | -8436.928 | -2122.760 | 0.000 | 2289.083 | 0.000 |
| 2454.746 | -9384.395 | -3653.896 | -0.000 | 2963.094 | 0.000 |
| 154.660 | -791.078 | -1484.421 | 0.000 | 1462.498 | 0.000 |
| -0.000 | -0.000 | -0.000 | 43.597 | -0.000 | 2.737 |
| 1708.155 | -8522.076 | -2189.556 | 0.000 | 2313.114 | 0.000 |
| -0.000 | -0.000 | -0.000 | 2.145 | -0.000 | 50.633 |
| 188.430 | 552.886 | 283.983 | -0.000 | -211.238 | -0.000 |
| -81.623 | 959.628 | 288.748 | -0.000 | -229.175 | -0.000 |
| -177.292 | 1018.037 | 523.218 | -0.000 | -304.987 | -0.000 |
| 0.000 | 0.000 | 0.000 | 43.597 | 0.000 | 2.737 |
| -240.977 | 952.358 | 363.044 | -0.000 | -263.495 | -0.000 |
| -167.455 | 967.976 | 367.501 | 7.165 | -282.679 | 11.563 |
| 311.135 | -765.777 | -160.831 | 0.000 | 235.642 | 0.000 |
| 321.490 | -831.942 | -302.768 | -0.000 | 296.626 | 0.000 |
| 229.748 | -782.519 | -70.918 | 0.000 | 219.297 | 0.000 |
| -0.000 | -0.000 | -0.000 | 43.597 | -0.000 | 2.737 |
| -45.084 | -458.952 | -228.069 | 0.000 | 245.574 | -0.000 |
| 167.455 | -967.976 | -367.501 | 7.165 | 282.679 | 11.563 |
| 147.082 | 137.735 | 86.008 | 0.000 | -15.320 | -0.000 |
| 61.801 | 209.910 | 106.551 | -0.000 | -28.959 | -0.000 |
| 71.060 | 109.707 | 169.208 | -0.000 | -29.633 | -0.000 |
| -0.836 | 8.700 | 16.781 | 37.486 | -14.874 | 2.785 |
| -2.642 | 10.073 | 13.726 | -0.000 | 28.304 | -0.000 |
| -23.496 | 94.396 | 37.166 | 6.637 | -29.554 | 10.918 |
| 158.901 | 5.174 | 36.613 | 0.000 | 29.772 | 0.000 |
| 73.818 | 167.837 | 67.442 | 0.000 | 1.428 | -0.000 |
| 78.483 | -29.818 | 115.191 | 0.000 | 19.639 | 0.000 |
| 0.836 | -8.700 | -16.781 | 37.486 | 14.874 | 2.785 |
| 12.135 | -94.260 | -44.352 | 0.000 | 61.932 | 0.000 |
| 23.496 | -94.396 | -37.166 | 6.637 | 29.554 | 10.918 |
| 187.315 | 87.607 | 87.607 | 0.000 | 0.000 | -0.000 |
| 87.607 | 187.315 | 87.607 | 0.000 | -0.000 | -0.000 |
| 87.607 | 87.607 | 187.315 | 0.000 | 0.000 | -0.000 |
| -0.000 | -0.000 | 0.000 | 65.657 | -0.000 | -0.000 |
| -0.000 | 0.000 | 0.000 | -0.000 | 65.657 | 0.000 |
| -0.000 | -0.000 | 0.000 | 0.000 | 0.000 | 65.657 |
| 187.315 | 87.607 | 87.607 | -0.000 | -0.000 | -0.000 |
| 87.607 | 187.315 | 87.607 | -0.000 | 0.000 | -0.000 |
| 87.607 | 87.607 | 187.315 | -0.000 | -0.000 | -0.000 |
| 0.000 | 0.000 | 0.000 | 65.657 | -0.000 | 0.000 |
| 0.000 | -0.000 | 0.000 | -0.000 | 65.657 | -0.000 |
| 0.000 | 0.000 | -0.000 | -0.000 | -0.000 | 65.657 |
| 187.315 | 87.607 | 87.607 | 0.000 | 0.000 | 0.000 |
| 87.607 | 187.315 | 87.607 | 0.000 | -0.000 | 0.000 |
| 87.607 | 87.607 | 187.315 | 0.000 | 0.000 | 0.000 |
| 0.000 | -0.000 | -0.000 | 65.657 | -0.000 | 0.000 |
| -0.000 | 0.000 | -0.000 | -0.000 | 65.657 | 0.000 |
| -0.000 | -0.000 | 0.000 | 0.000 | 0.000 | 65.657 |
| 187.315 | 87.607 | 87.607 | -0.000 | 0.000 | 0.000 |
| 87.607 | 187.315 | 87.607 | 0.000 | -0.000 | -0.000 |
| 87.607 | 87.607 | 187.315 | 0.000 | 0.000 | 0.000 |
| -0.000 | 0.000 | 0.000 | 65.657 | 0.000 | 0.000 |
| 0.000 | -0.000 | 0.000 | 0.000 | 65.657 | 0.000 |
| 0.000 | 0.000 | -0.000 | -0.000 | 0.000 | 65.657 |
| 187.315 | 87.607 | 87.607 | 0.000 | 0.000 | 0.000 |
| 87.607 | 187.315 | 87.607 | 0.000 | 0.000 | 0.000 |
| 87.607 | 87.607 | 187.315 | 0.000 | 0.000 | 0.000 |
| 0.000 | -0.000 | -0.000 | 65.657 | -0.000 | -0.000 |
| -0.000 | 0.000 | -0.000 | -0.000 | 65.657 | -0.000 |
| -0.000 | -0.000 | 0.000 | 0.000 | 0.000 | 65.657 |
| 187.316 | 87.607 | 87.607 | -0.000 | -0.000 | -0.000 |
| 87.607 | 187.316 | 87.607 | -0.000 | -0.000 | 0.000 |
| 87.607 | 87.607 | 187.316 | -0.000 | 0.000 | -0.000 |
| -0.000 | 0.000 | 0.000 | 65.657 | 0.000 | 0.000 |
| 0.000 | -0.000 | 0.000 | 0.000 | 65.657 | -0.000 |
| 0.000 | 0.000 | -0.000 | -0.000 | 0.000 | 65.657 |
| 353.558 | 294.936 | 108.476 | 0.000 | 0.000 | -0.000 |
| 294.936 | 353.558 | 108.476 | -0.000 | -0.000 | -0.000 |
| 146.883 | 146.883 | 143.276 | 0.000 | -0.000 | -0.000 |
| 2.276 | 2.276 | -2.034 | -41.157 | 0.000 | -0.000 |
| 2.276 | 2.276 | -2.034 | 0.000 | -41.157 | -0.000 |
| 2.233 | 2.233 | -1.995 | 0.000 | 0.000 | 205.826 |
| 310.916 | 252.345 | 146.556 | -0.000 | -0.000 | 0.000 |
| 252.345 | 310.916 | 146.556 | 0.000 | -0.000 | 0.000 |
| 142.331 | 142.331 | 147.344 | 0.000 | -0.000 | 0.000 |
| -2.276 | -2.276 | 2.034 | -41.157 | -0.000 | 0.000 |
| -2.276 | -2.276 | 2.034 | 0.000 | -41.157 | 0.000 |
| -2.233 | -2.233 | 1.995 | -0.000 | -0.000 | 205.826 |
| 353.558 | 294.936 | 108.476 | 0.000 | 0.000 | -0.000 |
| 294.936 | 353.558 | 108.476 | 0.000 | 0.000 | 0.000 |
| 108.582 | 108.582 | 177.501 | -0.000 | 0.000 | -0.000 |
| 1.440 | 1.440 | -1.287 | -41.113 | 0.000 | 0.000 |
| 1.440 | 1.440 | -1.287 | -0.000 | -41.113 | 0.000 |
| 0.000 | 0.000 | 0.000 | 0.000 | 0.000 | 242.535 |
| 312.212 | 255.147 | 144.725 | -0.000 | -0.000 | -0.000 |
| 255.147 | 312.212 | 144.725 | -0.000 | 0.000 | -0.000 |
| 144.380 | 144.380 | 145.513 | -0.000 | -0.000 | 0.000 |
| -1.440 | -1.440 | 1.287 | -41.113 | 0.000 | 0.000 |
| -1.440 | -1.440 | 1.287 | -0.000 | -41.113 | -0.000 |
| -0.000 | -0.000 | -0.000 | -0.000 | -0.000 | 242.535 |
| 313.210 | 254.639 | 144.508 | 0.000 | 0.000 | -0.000 |
| 254.639 | 313.210 | 144.508 | -0.000 | 0.000 | -0.000 |
| 144.627 | 144.627 | 145.293 | 0.000 | 0.000 | -0.000 |
| 0.144 | 0.144 | -0.129 | -41.156 | 0.000 | 0.000 |
| 0.144 | 0.144 | -0.129 | -0.000 | -41.156 | 0.000 |
| 0.022 | 0.023 | -0.019 | 0.000 | 0.000 | 205.828 |
| 313.172 | 254.599 | 144.540 | -0.000 | -0.000 | 0.000 |
| 254.599 | 313.172 | 144.540 | -0.000 | -0.000 | 0.000 |
| 144.587 | 144.587 | 145.326 | -0.000 | -0.000 | 0.000 |
| -0.144 | -0.144 | 0.129 | -41.156 | -0.000 | 0.000 |
| -0.144 | -0.144 | 0.129 | -0.000 | -41.156 | -0.000 |
| -0.022 | -0.023 | 0.019 | -0.000 | -0.000 | 205.828 |
| 314.245 | 254.967 | 143.986 | 0.000 | 0.000 | -0.000 |
| 254.967 | 314.245 | 143.986 | -0.000 | 0.000 | 0.000 |
| 144.182 | 144.182 | 145.713 | 0.000 | 0.000 | -0.000 |
| 0.731 | 0.731 | -0.655 | -41.546 | 0.000 | -0.000 |
| 0.731 | 0.731 | -0.655 | 0.000 | -41.546 | -0.000 |
| 0.000 | 0.000 | 0.000 | 0.000 | 0.000 | 242.507 |
| 314.015 | 254.737 | 144.192 | -0.000 | -0.000 | 0.000 |
| 254.737 | 314.015 | 144.192 | -0.000 | -0.000 | 0.000 |
| 143.952 | 143.952 | 145.920 | -0.000 | -0.000 | 0.000 |
| -0.731 | -0.731 | 0.655 | -41.546 | -0.000 | 0.000 |
| -0.731 | -0.731 | 0.655 | -0.000 | -41.546 | 0.000 |
| -0.000 | -0.000 | 0.000 | -0.000 | -0.000 | 242.507 |
| 354.169 | 294.840 | 108.258 | 0.000 | 0.000 | 0.000 |
| 294.840 | 354.169 | 108.258 | 0.000 | 0.000 | 0.000 |
| 108.258 | 108.258 | 177.882 | -0.000 | -0.000 | 0.000 |
| 0.073 | 0.073 | -0.066 | -41.557 | 0.000 | -0.000 |
| 0.073 | 0.073 | -0.066 | 0.000 | -41.557 | -0.000 |
| 0.011 | 0.011 | -0.010 | -0.000 | 0.000 | 206.124 |
| 313.374 | 255.589 | 144.098 | -0.000 | -0.000 | 0.000 |
| 256.962 | 313.361 | 143.488 | -0.000 | -0.000 | 0.000 |
| 144.056 | 144.056 | 145.827 | -0.000 | -0.000 | 0.000 |
| -0.073 | -0.073 | 0.066 | -41.557 | -0.000 | 0.000 |
| -0.073 | -0.073 | 0.066 | 0.000 | -41.557 | 0.000 |
| -0.011 | -0.011 | 0.010 | -0.000 | -0.000 | 206.124 |
| 314.127 | 254.850 | 144.093 | 0.000 | -0.000 | -0.000 |
| 254.850 | 314.127 | 144.093 | 0.000 | 0.000 | -0.000 |
| 144.065 | 144.065 | 145.819 | 0.000 | 0.000 | -0.000 |
| 0.008 | 0.008 | -0.007 | -41.557 | 0.000 | -0.000 |
| 0.008 | 0.008 | -0.007 | 0.000 | -41.557 | -0.000 |
| 0.001 | 0.001 | 0.000 | 0.000 | 0.000 | 206.124 |
| 313.388 | 255.602 | 144.084 | 0.000 | -0.000 | 0.000 |
| 255.602 | 313.388 | 144.084 | -0.000 | -0.000 | -0.000 |
| 144.068 | 144.068 | 145.814 | -0.000 | -0.000 | 0.000 |
| -0.008 | -0.008 | 0.007 | -41.557 | -0.000 | 0.000 |
| -0.008 | -0.008 | 0.007 | -0.000 | -41.557 | 0.000 |
| -0.001 | -0.001 | -0.000 | -0.000 | -0.000 | 206.124 |
| 72.478 | 91.744 | 91.744 | 0.000 | 0.000 | 0.000 |
| 91.744 | 72.478 | 91.744 | 0.000 | 0.000 | 0.000 |
| 91.744 | 91.744 | 72.478 | 0.000 | 0.000 | 0.000 |
| 0.000 | 0.000 | 0.000 | -22.641 | 0.000 | 0.000 |
| 0.000 | 0.000 | 0.000 | 0.000 | -22.641 | 0.000 |
| 0.000 | 0.000 | -0.000 | 0.000 | 0.000 | -22.641 |
| 72.478 | 91.744 | 91.744 | 0.000 | -0.000 | -0.000 |
| 91.744 | 72.478 | 91.744 | -0.000 | 0.000 | -0.000 |
| 91.744 | 91.744 | 72.478 | -0.000 | -0.000 | 0.000 |
| 0.000 | -0.000 | -0.000 | -22.641 | -0.000 | -0.000 |
| -0.000 | 0.000 | -0.000 | -0.000 | -22.641 | -0.000 |
| -0.000 | -0.000 | 0.000 | -0.000 | -0.000 | -22.641 |
| 72.478 | 91.744 | 91.744 | 0.000 | 0.000 | 0.000 |
| 91.744 | 72.478 | 91.744 | 0.000 | 0.000 | 0.000 |
| 91.744 | 91.744 | 72.478 | 0.000 | 0.000 | 0.000 |
| -0.000 | -0.000 | -0.000 | -22.641 | 0.000 | 0.000 |
| -0.000 | -0.000 | -0.000 | 0.000 | -22.641 | 0.000 |
| -0.000 | -0.000 | -0.000 | 0.000 | 0.000 | -22.641 |
| 72.478 | 91.744 | 91.744 | -0.000 | -0.000 | -0.000 |
| 91.744 | 72.478 | 91.744 | -0.000 | -0.000 | -0.000 |
| 91.744 | 91.744 | 72.478 | -0.000 | -0.000 | -0.000 |
| 0.000 | 0.000 | 0.000 | -22.641 | -0.000 | -0.000 |
| 0.000 | 0.000 | 0.000 | -0.000 | -22.641 | -0.000 |
| 0.000 | 0.000 | 0.000 | -0.000 | -0.000 | -22.641 |
| 72.479 | 91.745 | 91.745 | 0.000 | 0.000 | 0.000 |
| 91.745 | 72.479 | 91.745 | 0.000 | 0.000 | 0.000 |
| 91.745 | 91.745 | 72.479 | 0.000 | 0.000 | 0.000 |
| -0.000 | -0.000 | -0.000 | -22.641 | 0.000 | 0.000 |
| -0.000 | -0.000 | -0.000 | 0.000 | -22.641 | 0.000 |
| -0.000 | -0.000 | -0.000 | 0.000 | 0.000 | -22.641 |
| 72.477 | 91.743 | 91.743 | -0.000 | -0.000 | -0.000 |
| 91.743 | 72.477 | 91.743 | -0.000 | -0.000 | -0.000 |
| 91.743 | 91.743 | 72.477 | -0.000 | -0.000 | -0.000 |
| 0.000 | 0.000 | 0.000 | -22.641 | -0.000 | -0.000 |
| 0.000 | 0.000 | 0.000 | -0.000 | -22.641 | -0.000 |
| 0.000 | 0.000 | 0.000 | -0.000 | -0.000 | -22.641 |
| 332.668 | 156.577 | 117.166 | -16.203 | 0.000 | 0.000 |
| 156.577 | 332.668 | 117.166 | 16.203 | -0.000 | 0.000 |
| 115.490 | 115.490 | 314.738 | 0.000 | 0.000 | 0.000 |
| -16.203 | 16.203 | -0.000 | 49.656 | -0.000 | -0.000 |
| -11.572 | -11.572 | 77.279 | 0.000 | 22.572 | -23.361 |
| -20.762 | -20.762 | 71.879 | 0.000 | -17.016 | -50.781 |
| 332.668 | 156.577 | 117.166 | -16.203 | 0.000 | -0.000 |
| 156.577 | 332.668 | 117.166 | 16.203 | -0.000 | 0.000 |
| 115.490 | 115.490 | 314.738 | -0.000 | -0.000 | -0.000 |
| -16.203 | 16.203 | -0.000 | 49.656 | -0.000 | -0.000 |
| 11.572 | 11.572 | -77.279 | -0.000 | 22.572 | -23.361 |
| 20.762 | 20.762 | -71.879 | -0.000 | -17.016 | -50.781 |
| 332.668 | 156.577 | 117.166 | -16.203 | 0.000 | 0.000 |
| 156.577 | 332.668 | 117.166 | 16.203 | 0.000 | -0.000 |
| 120.650 | 120.650 | 266.832 | 0.000 | -0.000 | 0.000 |
| -16.203 | 16.203 | 0.000 | 49.656 | 0.000 | -0.000 |
| -1.528 | -1.528 | 3.118 | -0.000 | -31.893 | -12.889 |
| 0.000 | 0.000 | 0.000 | -0.000 | -16.203 | 88.045 |
| 243.798 | 243.836 | 117.400 | -22.769 | 0.000 | 0.000 |
| 156.577 | 332.667 | 117.166 | 16.203 | -0.000 | -0.000 |
| 115.490 | 115.490 | 314.738 | -0.000 | -0.000 | -0.000 |
| -16.203 | 16.203 | -0.000 | 49.656 | -0.000 | -0.000 |
| 1.528 | 1.528 | -3.118 | 0.000 | -31.893 | -12.889 |
| -0.000 | -0.000 | -0.000 | 0.000 | -16.203 | 88.045 |
| 242.291 | 242.998 | 125.230 | -22.794 | 0.000 | 0.000 |
| 156.579 | 332.673 | 117.166 | 16.204 | 0.000 | 0.000 |
| 121.466 | 121.466 | 261.318 | 0.000 | 0.000 | 0.000 |
| -16.203 | 16.204 | 0.000 | 49.656 | 0.000 | -0.000 |
| -0.297 | -0.297 | 1.981 | -0.000 | -19.800 | -34.559 |
| -0.105 | -0.106 | 0.706 | 0.000 | -22.742 | 0.343 |
| 242.447 | 243.257 | 123.808 | -22.798 | -0.000 | -0.000 |
| 8623690.823 | 7942672.887 | 10573064.268 | -182221.666 | 9879.377 | -25800.825 |
| 115.490 | 115.490 | 314.737 | -0.000 | -0.000 | -0.000 |
| -16.203 | 16.203 | -0.000 | 49.656 | -0.000 | -0.000 |
| 0.297 | 0.297 | -1.981 | 0.000 | -19.800 | -34.559 |
| 0.105 | 0.106 | -0.706 | 0.000 | -22.742 | 0.343 |
| 239.199 | 115.780 | 115.780 | 0.000 | 0.000 | -0.000 |
| 115.780 | 239.199 | 115.780 | -0.000 | 0.000 | -0.000 |
| 115.780 | 115.780 | 239.199 | 0.000 | -0.000 | -0.000 |
| 0.000 | -0.000 | 0.000 | 113.167 | -0.000 | -0.000 |
| -0.000 | 0.000 | 0.000 | -0.000 | 113.167 | -0.000 |
| 0.000 | 0.000 | 0.000 | -0.000 | -0.000 | 113.167 |
| 239.199 | 115.780 | 115.780 | 0.000 | -0.000 | 0.000 |
| 115.780 | 239.199 | 115.780 | -0.000 | -0.000 | 0.000 |
| 115.780 | 115.780 | 239.199 | -0.000 | 0.000 | 0.000 |
| -0.000 | 0.000 | -0.000 | 113.167 | 0.000 | 0.000 |
| -0.000 | -0.000 | -0.000 | 0.000 | 113.167 | 0.000 |
| -0.000 | -0.000 | -0.000 | 0.000 | -0.000 | 113.167 |
| 239.199 | 115.780 | 115.780 | -0.000 | 0.000 | 0.000 |
| 115.780 | 239.199 | 115.780 | 0.000 | -0.000 | -0.000 |
| 115.780 | 115.780 | 239.199 | -0.000 | -0.000 | -0.000 |
| 0.000 | -0.000 | 0.000 | 113.167 | 0.000 | -0.000 |
| 0.000 | 0.000 | 0.000 | 0.000 | 113.167 | -0.000 |
| 0.000 | 0.000 | 0.000 | 0.000 | 0.000 | 113.167 |
| 239.199 | 115.780 | 115.780 | 0.000 | 0.000 | 0.000 |
| 115.780 | 239.199 | 115.780 | 0.000 | 0.000 | 0.000 |
| 115.780 | 115.780 | 239.199 | 0.000 | 0.000 | 0.000 |
| -0.000 | -0.000 | -0.000 | 113.167 | 0.000 | 0.000 |
| -0.000 | -0.000 | -0.000 | 0.000 | 113.167 | 0.000 |
| -0.000 | -0.000 | -0.000 | -0.000 | -0.000 | 113.167 |
| 239.199 | 115.780 | 115.780 | -0.000 | -0.000 | -0.000 |
| 115.780 | 239.199 | 115.780 | -0.000 | -0.000 | -0.000 |
| 115.780 | 115.780 | 239.199 | 0.000 | 0.000 | -0.000 |
| 0.000 | 0.000 | 0.000 | 113.167 | -0.000 | -0.000 |
| 0.000 | 0.000 | 0.000 | -0.000 | 113.167 | -0.000 |
| 0.000 | 0.000 | 0.000 | -0.000 | -0.000 | 113.167 |
| 239.199 | 115.780 | 115.780 | -0.000 | 0.000 | 0.000 |
| 115.780 | 239.199 | 115.780 | 0.000 | 0.000 | 0.000 |
| 115.780 | 115.780 | 239.199 | 0.000 | 0.000 | 0.000 |
| -0.000 | -0.000 | -0.000 | 113.167 | 0.000 | 0.000 |
| -0.000 | -0.000 | -0.000 | 0.000 | 113.167 | 0.000 |
| -0.000 | -0.000 | -0.000 | 0.000 | 0.000 | 113.167 |
| 226.351 | 132.748 | 126.162 | 0.000 | -0.000 | -0.000 |
| 132.748 | 226.351 | 126.162 | -0.000 | -0.000 | -0.000 |
| 125.658 | 125.658 | 250.376 | 0.000 | 0.000 | 0.000 |
| 0.000 | -0.000 | 0.000 | 109.589 | -0.000 | -0.000 |
| -0.000 | 0.000 | 0.000 | -0.000 | 109.589 | 0.000 |
| 0.000 | 0.000 | 0.000 | -0.000 | -0.000 | 114.503 |
| 226.351 | 132.748 | 126.162 | 0.000 | 0.000 | -0.000 |
| 132.748 | 226.351 | 126.162 | 0.000 | 0.000 | -0.000 |
| 126.448 | 126.448 | 249.553 | 0.000 | 0.000 | 0.000 |
| -0.000 | 0.000 | -0.000 | 109.589 | 0.000 | -0.000 |
| 0.000 | -0.000 | -0.000 | 0.000 | 109.589 | 0.000 |
| -0.000 | -0.000 | -0.000 | 0.000 | 0.000 | 114.503 |
| 226.351 | 132.748 | 126.162 | -0.000 | -0.000 | 0.000 |
| 132.748 | 226.351 | 126.162 | -0.000 | -0.000 | 0.000 |
| 126.448 | 126.448 | 249.553 | 0.000 | 0.000 | 0.000 |
| 0.000 | 0.000 | 0.000 | 111.183 | -0.000 | -0.000 |
| 0.000 | 0.000 | 0.000 | -0.000 | 111.183 | -0.000 |
| 0.000 | 0.000 | 0.000 | -0.000 | -0.000 | 114.503 |
| 226.351 | 132.748 | 126.162 | 0.000 | 0.000 | 0.000 |
| 132.748 | 226.351 | 126.162 | 0.000 | 0.000 | -0.000 |
| 126.448 | 126.448 | 249.553 | -0.000 | -0.000 | -0.000 |
| -0.000 | -0.000 | -0.000 | 111.183 | 0.000 | 0.000 |
| -0.000 | -0.000 | -0.000 | 0.000 | 111.183 | -0.000 |
| -0.000 | -0.000 | -0.000 | 0.000 | 0.000 | 114.503 |
| 226.352 | 132.749 | 126.162 | -0.000 | -0.000 | 0.000 |
| 132.749 | 226.352 | 126.162 | -0.000 | -0.000 | -0.000 |
| 126.448 | 126.448 | 249.552 | 0.000 | -0.000 | 0.000 |
| 0.000 | 0.000 | 0.000 | 109.589 | -0.000 | 0.000 |
| 0.000 | 0.000 | 0.000 | 0.000 | 109.589 | -0.000 |
| 0.000 | 0.000 | 0.000 | 0.000 | 0.000 | 114.503 |
| 226.350 | 132.748 | 126.162 | -0.000 | -0.000 | 0.000 |
| 132.748 | 226.350 | 126.162 | -0.000 | -0.000 | 0.000 |
| 126.447 | 126.447 | 249.553 | -0.000 | -0.000 | -0.000 |
| -0.000 | -0.000 | -0.000 | 109.589 | 0.000 | 0.000 |
| -0.000 | -0.000 | -0.000 | 0.000 | 109.589 | -0.000 |
| -0.000 | -0.000 | -0.000 | 0.000 | 0.000 | 114.503 |
| 226.093 | 132.974 | 126.060 | -0.000 | -0.000 | -0.000 |
| 133.742 | 226.860 | 125.286 | -0.000 | -0.000 | 0.000 |
| 126.060 | 126.060 | 248.257 | -0.000 | -0.000 | -0.000 |
| 0.000 | -0.000 | 0.000 | 109.135 | 0.000 | 0.000 |
| -0.000 | 0.000 | 0.000 | -0.000 | 109.135 | -0.000 |
| -0.000 | 0.000 | 0.000 | -0.000 | 0.000 | 115.008 |
| 226.093 | 132.974 | 126.060 | 0.000 | 0.000 | 0.000 |
| 132.974 | 226.093 | 126.060 | 0.000 | 0.000 | -0.000 |
| 126.060 | 126.060 | 248.257 | 0.000 | 0.000 | 0.000 |
| -0.000 | 0.000 | -0.000 | 109.135 | 0.000 | 0.000 |
| 0.000 | -0.000 | -0.000 | 0.000 | 109.135 | 0.000 |
| 0.000 | -0.000 | -0.000 | 0.000 | -0.000 | 115.008 |
| 226.093 | 132.974 | 126.060 | -0.000 | -0.000 | -0.000 |
| 132.974 | 226.093 | 126.060 | -0.000 | -0.000 | -0.000 |
| 125.286 | 125.286 | 249.038 | 0.000 | 0.000 | 0.000 |
| 0.000 | 0.000 | 0.000 | 109.135 | 0.000 | -0.000 |
| 0.000 | 0.000 | 0.000 | -0.000 | 109.135 | -0.000 |
| 0.000 | 0.000 | 0.000 | 0.000 | 0.000 | 115.008 |
| 226.860 | 133.742 | 125.286 | 0.000 | 0.000 | -0.000 |
| 133.742 | 226.860 | 125.286 | 0.000 | 0.000 | 0.000 |
| 126.060 | 126.060 | 248.257 | 0.000 | 0.000 | -0.000 |
| -0.000 | -0.000 | -0.000 | 109.135 | 0.000 | 0.000 |
| -0.000 | -0.000 | -0.000 | 0.000 | 109.135 | 0.000 |
| -0.000 | -0.000 | -0.000 | -0.000 | 0.000 | 115.008 |
| 226.094 | 132.975 | 126.060 | -0.000 | -0.000 | -0.000 |
| 132.975 | 226.094 | 126.060 | -0.000 | -0.000 | -0.000 |
| 126.060 | 126.060 | 248.257 | -0.000 | -0.000 | 0.000 |
| 0.000 | 0.000 | 0.000 | 109.135 | -0.000 | 0.000 |
| 0.000 | 0.000 | 0.000 | -0.000 | 109.135 | -0.000 |
| 0.000 | 0.000 | 0.000 | -0.000 | -0.000 | 115.008 |
| 226.092 | 132.974 | 126.060 | 0.000 | 0.000 | 0.000 |
| 132.974 | 226.092 | 126.060 | 0.000 | 0.000 | 0.000 |
| 126.060 | 126.060 | 248.257 | 0.000 | 0.000 | -0.000 |
| -0.000 | -0.000 | -0.000 | 109.135 | 0.000 | 0.000 |
| -0.000 | -0.000 | -0.000 | 0.000 | 109.135 | 0.000 |
| -0.000 | -0.000 | -0.000 | -0.000 | -0.000 | 115.008 |
| 140.540 | 83.900 | 83.900 | -0.000 | -0.000 | 0.000 |
| 83.900 | 140.540 | 83.900 | -0.000 | -0.000 | 0.000 |
| 83.900 | 83.900 | 140.539 | -0.000 | -0.000 | -0.000 |
| 0.000 | 0.000 | 0.000 | 65.893 | 0.000 | -0.000 |
| 0.000 | 0.000 | 0.000 | 0.000 | 65.893 | -0.000 |
| 0.000 | 0.000 | 0.000 | 0.000 | -0.000 | 65.893 |
| 140.539 | 83.900 | 83.900 | 0.000 | 0.000 | 0.000 |
| 83.900 | 140.539 | 83.900 | 0.000 | 0.000 | -0.000 |
| 83.900 | 83.900 | 140.539 | -0.000 | 0.000 | 0.000 |
| -0.000 | -0.000 | -0.000 | 65.893 | 0.000 | 0.000 |
| -0.000 | -0.000 | -0.000 | 0.000 | 65.893 | 0.000 |
| -0.000 | -0.000 | -0.000 | -0.000 | -0.000 | 65.893 |
| 140.540 | 83.900 | 83.900 | -0.000 | -0.000 | -0.000 |
| 83.900 | 140.540 | 83.900 | -0.000 | -0.000 | 0.000 |
| 83.900 | 83.900 | 140.540 | -0.000 | -0.000 | -0.000 |
| 0.000 | -0.000 | 0.000 | 65.893 | -0.000 | -0.000 |
| -0.000 | 0.000 | 0.000 | -0.000 | 65.893 | -0.000 |
| -0.000 | 0.000 | 0.000 | -0.000 | -0.000 | 65.893 |
| 140.539 | 83.900 | 83.900 | 0.000 | 0.000 | -0.000 |
| 83.900 | 140.539 | 83.900 | 0.000 | 0.000 | -0.000 |
| 83.900 | 83.900 | 140.539 | 0.000 | 0.000 | 0.000 |
| -0.000 | 0.000 | -0.000 | 65.893 | -0.000 | 0.000 |
| 0.000 | -0.000 | -0.000 | -0.000 | 65.893 | 0.000 |
| 0.000 | -0.000 | -0.000 | 0.000 | 0.000 | 65.893 |
| 140.540 | 83.900 | 83.900 | -0.000 | -0.000 | 0.000 |
| 83.900 | 140.540 | 83.900 | -0.000 | -0.000 | -0.000 |
| 83.900 | 83.900 | 140.540 | -0.000 | -0.000 | -0.000 |
| 0.000 | -0.000 | 0.000 | 65.893 | -0.000 | -0.000 |
| -0.000 | 0.000 | 0.000 | -0.000 | 65.893 | -0.000 |
| -0.000 | 0.000 | 0.000 | -0.000 | -0.000 | 65.893 |
| 140.539 | 83.900 | 83.900 | 0.000 | 0.000 | 0.000 |
| 83.900 | 140.539 | 83.900 | 0.000 | 0.000 | 0.000 |
| 83.900 | 83.900 | 140.539 | -0.000 | 0.000 | 0.000 |
| -0.000 | 0.000 | -0.000 | 65.893 | 0.000 | -0.000 |
| 0.000 | -0.000 | -0.000 | 0.000 | 65.893 | 0.000 |
| 0.000 | -0.000 | -0.000 | 0.000 | 0.000 | 65.893 |
| 133.559 | 125.416 | 56.069 | -0.000 | 0.000 | -0.000 |
| 125.416 | 133.559 | 56.069 | -0.000 | 0.000 | 0.000 |
| 58.813 | 58.813 | 160.752 | -0.000 | -0.000 | -0.000 |
| -0.122 | -0.122 | -18.592 | -60.020 | -0.000 | -0.000 |
| -0.122 | -0.122 | -18.592 | -0.000 | -60.020 | -0.000 |
| 0.000 | 0.000 | 0.000 | -0.000 | -0.000 | 90.430 |
| 129.794 | 129.374 | 70.755 | -0.000 | 0.000 | 0.000 |
| 129.374 | 129.794 | 70.755 | -0.000 | 0.000 | -0.000 |
| 58.861 | 58.861 | 168.041 | 0.000 | 0.000 | 0.000 |
| 0.122 | 0.122 | 18.592 | -60.020 | 0.000 | -0.000 |
| 0.122 | 0.122 | 18.592 | -0.000 | -60.020 | -0.000 |
| -0.000 | -0.000 | -0.000 | -0.000 | -0.000 | 90.430 |
| 133.559 | 125.416 | 56.069 | -0.000 | 0.000 | 0.000 |
| 125.416 | 133.559 | 56.069 | 0.000 | 0.000 | -0.000 |
| 58.835 | 58.835 | 164.032 | 0.000 | 0.000 | -0.000 |
| -0.013 | -0.013 | -2.017 | -68.219 | -0.000 | -0.000 |
| -0.013 | -0.013 | -2.017 | -0.000 | -68.219 | 0.000 |
| -0.002 | -0.002 | -0.349 | -0.000 | 0.000 | 89.766 |
| 133.559 | 125.416 | 56.069 | -0.000 | -0.000 | -0.000 |
| 125.416 | 133.559 | 56.069 | 0.000 | -0.000 | 0.000 |
| 58.839 | 58.839 | 164.761 | -0.000 | -0.000 | 0.000 |
| 0.013 | 0.013 | 2.017 | -68.219 | 0.000 | -0.000 |
| 0.013 | 0.013 | 2.017 | -0.000 | -68.219 | -0.000 |
| 0.002 | 0.002 | 0.349 | -0.000 | -0.000 | 89.766 |
| 123.040 | 135.894 | 52.846 | -0.000 | 0.000 | -0.000 |
| 135.894 | 123.040 | 52.846 | -0.000 | -0.000 | -0.000 |
| 58.837 | 58.837 | 164.361 | 0.000 | 0.000 | -0.000 |
| 0.000 | -0.000 | -0.036 | -68.311 | -0.000 | -0.000 |
| -0.000 | 0.000 | -0.036 | 0.000 | -68.311 | -0.000 |
| -0.000 | 0.000 | -0.035 | 0.000 | -0.000 | 89.766 |
| 6829112.639 | 6829002.244 | -3449855.225 | 0.000 | -0.000 | 0.000 |
| 135.899 | 123.045 | 53.700 | 0.000 | 0.000 | 0.000 |
| 58.837 | 58.837 | 164.432 | 0.000 | -0.000 | 0.000 |
| -0.000 | 0.000 | 0.036 | -68.311 | 0.000 | 0.000 |
| 0.000 | -0.000 | 0.036 | -0.000 | -68.311 | 0.000 |
| 0.000 | -0.000 | 0.035 | -0.000 | -0.000 | 89.766 |
| 63.038 | 50.986 | -2153.540 | -0.000 | -0.000 | -0.000 |
| 50.986 | 63.038 | -2153.540 | 0.000 | 0.000 | -0.000 |
| -20.370 | -20.370 | -2008.858 | 0.000 | -0.000 | -0.000 |
| -79.674 | -79.674 | -2212.829 | -66.354 | -0.000 | -0.000 |
| -79.674 | -79.674 | -2212.829 | -0.000 | -66.354 | -0.000 |
| -0.000 | 0.000 | -0.000 | 0.000 | 0.000 | 93.965 |
| 143.643 | 129.821 | 60.558 | 0.000 | -0.000 | 0.000 |
| 129.821 | 143.643 | 60.558 | -0.000 | 0.000 | 0.000 |
| 60.558 | 60.558 | 238.797 | -0.000 | 0.000 | 0.000 |
| 79.674 | 79.674 | 2212.829 | -66.354 | -0.000 | 0.000 |
| 79.674 | 79.674 | 2212.829 | -0.000 | -66.354 | 0.000 |
| 0.000 | -0.000 | 0.000 | -0.000 | -0.000 | 93.965 |
| 134.740 | 122.688 | -162.122 | 0.000 | 0.000 | -0.000 |
| 122.688 | 134.740 | -162.122 | 0.000 | -0.000 | -0.000 |
| 51.337 | 51.337 | -17.311 | -0.000 | 0.000 | -0.000 |
| -8.052 | -8.052 | -223.636 | 17.325 | -0.000 | -0.000 |
| -8.052 | -8.052 | -223.636 | -0.000 | 17.325 | -0.000 |
| -7.967 | -7.967 | -221.280 | 0.000 | -0.000 | 93.543 |
| 139.661 | 149.662 | 280.800 | -0.000 | 0.000 | 0.000 |
| 149.662 | 139.661 | 280.800 | 0.000 | 0.000 | 0.000 |
| 67.272 | 67.272 | 425.254 | 0.000 | 0.000 | 0.000 |
| 8.052 | 8.052 | 223.636 | 17.325 | -0.000 | 0.000 |
| 8.052 | 8.052 | 223.636 | 0.000 | 17.325 | 0.000 |
| 7.967 | 7.967 | 221.280 | -0.000 | 0.000 | 93.543 |
| -6959811.994 | -6959920.256 | 4322106.251 | 0.000 | -0.000 | -0.001 |
| -6959920.255 | -6959811.995 | 4322106.252 | 0.000 | 0.000 | 0.001 |
| 58.508 | 58.508 | 181.845 | 0.000 | -0.000 | -0.000 |
| -0.797 | -0.797 | -22.129 | -66.354 | 0.000 | -0.000 |
| -0.797 | -0.797 | -22.129 | -0.000 | -66.354 | -0.000 |
| -0.797 | -0.797 | -22.128 | -0.000 | -0.000 | 93.563 |
| 143.500 | 131.577 | 82.967 | 0.000 | 0.000 | 0.000 |
| 131.577 | 143.500 | 82.967 | -0.000 | -0.000 | 0.000 |
| 60.101 | 60.101 | 226.099 | 0.000 | 0.000 | 0.000 |
| 0.797 | 0.797 | 22.129 | -66.354 | 0.000 | 0.000 |
| 0.797 | 0.797 | 22.129 | -0.000 | -66.354 | 0.000 |
| 0.797 | 0.797 | 22.128 | -0.000 | 0.000 | 93.563 |
| 3.924 | 9.765 | 9.765 | 0.000 | 0.000 | 0.000 |
| 9.765 | 3.924 | 9.765 | 0.000 | 0.000 | 0.000 |
| 9.765 | 9.765 | 3.924 | 0.000 | 0.000 | -0.000 |
| 0.000 | -0.000 | -0.000 | -7.205 | 0.000 | 0.000 |
| -0.000 | -0.000 | -0.000 | 0.000 | -7.205 | -0.000 |
| 0.000 | -0.000 | -0.000 | -0.000 | -0.000 | -7.205 |
| 3.924 | 9.765 | 9.765 | 0.000 | -0.000 | -0.000 |
| 9.765 | 3.924 | 9.765 | -0.000 | 0.000 | 0.000 |
| 9.765 | 9.765 | 3.924 | 0.000 | 0.000 | 0.000 |
| 0.000 | -0.000 | 0.000 | -7.205 | -0.000 | 0.000 |
| -0.000 | 0.000 | 0.000 | -0.000 | -7.205 | 0.000 |
| 0.000 | -0.000 | 0.000 | -0.000 | 0.000 | -7.205 |
| 3.924 | 9.765 | 9.765 | 0.000 | 0.000 | 0.000 |
| 9.765 | 3.924 | 9.765 | 0.000 | -0.000 | 0.000 |
| 9.765 | 9.765 | 3.924 | 0.000 | 0.000 | 0.000 |
| 0.000 | -0.000 | 0.000 | 6.654 | -0.000 | -0.000 |
| -0.000 | 0.000 | 0.000 | -0.000 | 6.654 | -0.000 |
| -0.000 | 0.000 | 0.000 | -0.000 | -0.000 | 6.654 |
| 3.924 | 9.765 | 9.765 | -0.000 | -0.000 | 0.000 |
| 9.765 | 3.924 | 9.765 | -0.000 | -0.000 | 0.000 |
| 9.765 | 9.765 | 3.924 | -0.000 | -0.000 | 0.000 |
| -0.000 | 0.000 | -0.000 | 6.654 | -0.000 | 0.000 |
| 0.000 | -0.000 | -0.000 | -0.000 | 6.654 | 0.000 |
| 0.000 | -0.000 | -0.000 | -0.000 | 0.000 | 6.654 |
| 3.924 | 9.765 | 9.765 | 0.000 | 0.000 | -0.000 |
| 9.765 | 3.924 | 9.765 | 0.000 | 0.000 | 0.000 |
| 9.765 | 9.765 | 3.924 | 0.000 | 0.000 | 0.000 |
| -0.000 | -0.000 | -0.000 | -7.205 | -0.000 | -0.000 |
| -0.000 | -0.000 | -0.000 | -0.000 | -7.205 | -0.000 |
| -0.000 | -0.000 | -0.000 | -0.000 | 0.000 | -7.205 |
| 3.924 | 9.765 | 9.765 | 0.000 | -0.000 | -0.000 |
| 9.765 | 3.924 | 9.765 | -0.000 | 0.000 | 0.000 |
| 9.765 | 9.765 | 3.924 | -0.000 | -0.000 | 0.000 |
| 0.000 | 0.000 | 0.000 | -7.205 | -0.000 | 0.000 |
| 0.000 | 0.000 | 0.000 | -0.000 | -7.205 | -0.000 |
| 0.000 | 0.000 | 0.000 | -0.000 | -0.000 | -7.205 |
| 168.954 | 158.533 | 151.650 | 0.000 | 0.000 | -0.000 |
| 158.533 | 168.954 | 151.650 | 0.000 | -0.000 | -0.000 |
| 152.994 | 152.994 | 243.803 | 0.000 | 0.000 | 0.000 |
| 0.000 | 0.000 | 0.000 | 121.723 | 0.000 | 0.000 |
| -0.000 | 0.000 | 0.000 | 0.000 | 121.723 | -0.000 |
| 0.000 | 0.000 | 0.000 | 0.000 | 0.000 | 126.217 |
| 167.063 | 156.642 | 150.921 | -0.000 | -0.000 | 0.000 |
| 156.642 | 167.063 | 150.921 | -0.000 | -0.000 | 0.000 |
| 148.716 | 148.716 | 242.106 | 0.000 | -0.000 | -0.000 |
| -0.000 | -0.000 | -0.000 | 121.723 | -0.000 | 0.000 |
| -2.130 | -2.130 | -0.845 | -0.000 | 121.459 | 0.000 |
| -0.000 | -0.000 | -0.000 | -0.000 | -0.000 | 126.217 |
| 167.036 | 156.615 | 150.888 | 0.000 | 0.000 | -0.000 |
| 156.615 | 167.036 | 150.888 | 0.000 | 0.000 | -0.000 |
| 150.972 | 150.972 | 243.479 | 0.000 | 0.000 | 0.000 |
| 0.000 | -0.000 | 0.000 | 121.723 | 0.000 | -0.000 |
| -0.000 | 0.000 | 0.000 | 0.000 | 121.723 | 0.000 |
| 0.000 | 0.000 | 0.000 | 0.000 | -0.000 | 126.217 |
| 167.063 | 156.642 | 150.921 | -0.000 | -0.000 | -0.000 |
| 156.642 | 167.063 | 150.921 | -0.000 | -0.000 | 0.000 |
| 150.298 | 150.298 | 241.970 | -0.000 | 0.000 | 0.000 |
| -0.000 | 0.000 | -0.000 | 121.723 | -0.000 | 0.000 |
| 0.000 | -0.000 | -0.000 | -0.000 | 121.723 | 0.000 |
| -0.000 | -0.000 | -0.000 | -0.000 | -0.000 | 126.217 |
| 166.810 | 156.388 | 150.796 | 0.000 | 0.000 | 0.000 |
| 156.388 | 166.810 | 150.796 | 0.000 | 0.000 | -0.000 |
| 150.973 | 150.973 | 243.480 | 0.000 | 0.000 | 0.000 |
| 0.024 | 0.023 | 0.009 | 121.434 | 0.000 | -0.000 |
| 0.023 | 0.024 | 0.009 | 0.000 | 121.434 | -0.000 |
| 0.021 | 0.022 | 0.009 | 0.000 | 0.000 | 126.217 |
| 166.772 | 156.351 | 150.782 | -0.000 | -0.000 | 0.000 |
| 156.351 | 166.772 | 150.782 | -0.000 | -0.000 | 0.000 |
| 150.717 | 150.717 | 242.490 | -0.000 | -0.000 | 0.000 |
| -0.024 | -0.023 | -0.009 | 121.434 | -0.000 | 0.000 |
| -0.023 | -0.024 | -0.009 | -0.000 | 121.434 | 0.000 |
| -0.021 | -0.022 | -0.009 | -0.000 | -0.000 | 126.217 |
| 234.425 | 224.354 | 461.344 | -0.000 | -0.000 | 0.000 |
| 224.354 | 234.425 | 461.344 | 0.000 | 0.000 | 0.000 |
| 218.479 | 218.479 | 554.309 | 0.000 | 0.000 | 0.000 |
| 68.145 | 68.145 | 311.010 | 121.239 | -0.000 | 0.000 |
| 68.145 | 68.145 | 311.010 | 0.000 | 121.239 | 0.000 |
| -44.809 | -44.809 | 122.851 | -0.000 | -0.000 | 126.205 |
| 88.809 | 78.738 | -207.115 | 0.000 | 0.000 | -0.000 |
| 78.738 | 88.809 | -207.115 | 0.000 | 0.000 | -0.000 |
| 150.897 | 150.897 | 245.058 | -0.000 | 0.000 | -0.000 |
| -68.145 | -68.145 | -311.010 | 121.239 | -0.000 | -0.000 |
| -68.145 | -68.145 | -311.010 | -0.000 | 121.239 | -0.000 |
| 44.809 | 44.809 | -122.851 | 0.000 | 0.000 | 126.205 |
| 173.095 | 163.024 | 181.435 | -0.000 | -0.000 | 0.000 |
| 163.024 | 173.095 | 181.435 | -0.000 | -0.000 | 0.000 |
| 146.310 | 146.310 | 256.559 | -0.000 | 0.000 | 0.000 |
| -4.481 | -4.481 | 12.284 | 121.286 | -0.000 | 0.000 |
| -4.481 | -4.481 | 12.284 | -0.000 | 121.286 | 0.000 |
| 0.000 | 0.000 | 0.000 | 0.000 | -0.000 | 126.205 |
| 170.915 | 160.844 | 138.320 | 0.000 | -0.000 | 0.000 |
| 160.844 | 170.915 | 138.320 | 0.000 | 0.000 | 0.000 |
| 150.897 | 150.897 | 245.058 | -0.000 | -0.000 | -0.000 |
| 4.481 | 4.481 | -12.284 | 121.286 | 0.000 | -0.000 |
| 4.481 | 4.481 | -12.284 | 0.000 | 121.286 | -0.000 |
| -0.000 | -0.000 | -0.000 | 0.000 | 0.000 | 126.205 |
| 166.011 | 155.939 | 151.873 | -0.000 | 0.000 | 0.000 |
| 155.939 | 166.011 | 151.873 | 0.000 | -0.000 | 0.000 |
| 151.193 | 151.193 | 247.197 | -0.000 | -0.000 | 0.000 |
| 0.774 | 0.774 | 3.576 | 121.316 | 0.000 | 0.000 |
| 0.774 | 0.774 | 3.576 | 0.000 | 121.316 | 0.000 |
| 0.681 | 0.682 | 3.110 | 0.000 | -0.000 | 126.205 |
| 165.599 | 155.528 | 147.228 | -0.000 | -0.000 | -0.000 |
| 155.528 | 165.599 | 147.228 | 0.000 | -0.000 | -0.000 |
| 149.664 | 149.664 | 240.218 | -0.000 | 0.000 | 0.000 |
| -0.774 | -0.774 | -3.576 | 121.316 | -0.000 | -0.000 |
| -0.774 | -0.774 | -3.576 | -0.000 | 121.316 | -0.000 |
| -0.681 | -0.682 | -3.110 | 0.000 | -0.000 | 126.205 |
| 194.533 | 84.866 | 51.245 | -5.977 | 0.000 | -0.000 |
| 84.866 | 194.533 | 51.245 | 5.977 | 0.000 | 0.000 |
| 85.871 | 85.871 | 460.111 | 0.000 | 0.000 | 0.000 |
| -5.977 | 5.977 | 0.000 | 24.157 | -0.000 | -0.000 |
| 29.494 | 29.494 | 251.529 | -0.000 | 3.186 | -11.797 |
| 0.000 | 0.000 | -0.000 | 0.000 | -5.977 | 54.833 |
| 127.713 | 82.758 | -189.635 | -11.702 | -0.000 | 0.000 |
| 84.866 | 194.533 | 51.245 | 5.977 | -0.000 | 0.000 |
| 50.912 | 50.912 | 249.396 | 0.000 | -0.000 | 0.000 |
| -5.977 | 5.977 | -0.000 | 24.157 | -0.000 | 0.000 |
| -29.494 | -29.494 | -251.529 | -0.000 | 3.186 | -11.797 |
| -0.000 | -0.000 | -0.000 | 0.000 | -5.977 | 54.833 |
| 194.533 | 84.866 | 51.245 | -5.977 | 0.000 | 0.000 |
| 84.866 | 194.533 | 51.245 | 5.977 | 0.000 | 0.000 |
| 63.798 | 63.798 | 238.225 | -0.000 | 0.000 | -0.000 |
| -9.506 | 16.758 | 30.923 | -1.624 | 0.000 | 0.000 |
| 3.626 | 3.626 | 30.923 | -0.000 | -1.624 | -13.132 |
| 3.813 | 3.813 | 32.515 | 0.000 | -13.500 | 12.317 |
| 71.160 | 200.016 | 32.767 | -4.177 | -0.000 | -0.000 |
| 200.016 | 71.160 | 32.767 | 4.177 | -0.000 | -0.000 |
| 50.912 | 50.912 | 249.395 | -0.000 | -0.000 | 0.000 |
| -5.977 | 5.977 | -0.000 | 24.157 | -0.000 | 0.000 |
| -3.626 | -3.626 | -30.923 | 0.000 | -1.624 | -13.132 |
| -3.813 | -3.813 | -32.515 | -0.000 | -13.500 | 12.317 |
| 66.981 | 178.895 | 99.187 | 5.275 | 0.000 | -0.000 |
| 178.898 | 66.977 | 99.188 | -5.273 | 0.000 | -0.000 |
| 64.487 | 64.487 | 189.088 | 0.000 | 0.000 | 0.000 |
| -5.977 | 5.978 | 0.000 | 24.157 | 0.000 | -0.000 |
| 0.000 | 0.000 | 0.000 | 0.000 | 24.157 | -5.977 |
| 0.000 | 0.000 | 0.000 | 0.000 | -5.977 | 54.833 |
| -3143.282 | 3471.807 | -32.356 | -667.171 | -0.000 | -0.000 |
| 131.600 | 127.644 | 58.437 | 16.030 | -0.000 | -0.000 |
| 61.826 | 61.826 | 187.823 | -0.000 | -0.000 | -0.000 |
| -5.977 | 5.977 | -0.000 | 24.157 | -0.000 | -0.000 |
| -0.000 | -0.000 | -0.000 | -0.000 | 24.157 | -5.977 |
| -0.000 | -0.000 | -0.000 | -0.000 | -5.977 | 54.833 |
| 229.190 | 26.499 | 26.499 | -0.000 | -0.000 | 0.000 |
| 26.499 | 229.190 | 26.499 | -0.000 | 0.000 | 0.000 |
| 26.499 | 26.499 | 229.190 | 0.000 | 0.000 | 0.000 |
| 0.000 | 0.000 | 0.000 | 44.757 | 0.000 | 0.000 |
| 0.000 | 0.000 | 0.000 | -0.000 | 44.757 | 0.000 |
| 0.000 | 0.000 | -0.000 | -0.000 | 0.000 | 44.757 |
| 229.190 | 26.499 | 26.499 | 0.000 | 0.000 | -0.000 |
| 26.499 | 229.190 | 26.499 | 0.000 | 0.000 | -0.000 |
| 26.499 | 26.499 | 229.190 | 0.000 | 0.000 | -0.000 |
| -0.000 | 0.000 | -0.000 | 44.757 | 0.000 | -0.000 |
| -0.000 | -0.000 | 0.000 | 0.000 | 44.757 | -0.000 |
| -0.000 | -0.000 | 0.000 | -0.000 | -0.000 | 44.757 |
| 229.190 | 26.499 | 26.499 | -0.000 | -0.000 | 0.000 |
| 26.499 | 229.190 | 26.499 | -0.000 | -0.000 | 0.000 |
| 26.499 | 26.499 | 229.190 | -0.000 | -0.000 | 0.000 |
| 0.000 | 0.000 | 0.000 | 44.757 | 0.000 | 0.000 |
| 0.000 | 0.000 | 0.000 | -0.000 | 44.757 | 0.000 |
| 0.000 | 0.000 | -0.000 | -0.000 | -0.000 | 44.757 |
| 229.190 | 26.499 | 26.499 | 0.000 | 0.000 | -0.000 |
| 26.499 | 229.190 | 26.499 | 0.000 | 0.000 | 0.000 |
| 26.499 | 26.499 | 229.190 | 0.000 | 0.000 | -0.000 |
| -0.000 | -0.000 | -0.000 | 44.757 | 0.000 | -0.000 |
| -0.000 | -0.000 | -0.000 | 0.000 | 44.757 | -0.000 |
| -0.000 | -0.000 | 0.000 | 0.000 | 0.000 | 44.757 |
| 229.190 | 26.499 | 26.499 | -0.000 | -0.000 | 0.000 |
| 26.499 | 229.190 | 26.499 | -0.000 | -0.000 | 0.000 |
| 26.499 | 26.499 | 229.190 | -0.000 | -0.000 | 0.000 |
| -0.000 | 0.000 | 0.000 | 48.638 | -0.000 | 0.000 |
| 0.000 | -0.000 | 0.000 | -0.000 | 48.638 | 0.000 |
| 0.000 | 0.000 | -0.000 | -0.000 | -0.000 | 48.638 |
| 229.588 | 26.300 | 26.300 | 0.000 | 0.000 | -0.000 |
| 26.300 | 229.588 | 26.300 | 0.000 | 0.000 | -0.000 |
| 26.300 | 26.300 | 229.588 | 0.000 | 0.000 | -0.000 |
| 0.000 | -0.000 | -0.000 | 48.638 | 0.000 | -0.000 |
| -0.000 | 0.000 | -0.000 | 0.000 | 48.638 | -0.000 |
| -0.000 | -0.000 | 0.000 | 0.000 | 0.000 | 48.638 |
| 218.257 | 109.520 | 109.520 | 0.000 | 0.000 | -0.000 |
| 109.520 | 218.257 | 109.520 | 0.000 | 0.000 | 0.000 |
| 109.520 | 109.520 | 218.257 | -0.000 | -0.000 | 0.000 |
| 0.000 | 0.000 | 0.000 | 91.993 | 0.000 | 0.000 |
| 0.000 | 0.000 | 0.000 | 0.000 | 91.993 | -0.000 |
| 0.000 | 0.000 | 0.000 | -0.000 | -0.000 | 91.993 |
| 218.257 | 109.520 | 109.520 | 0.000 | -0.000 | -0.000 |
| 109.520 | 218.257 | 109.520 | -0.000 | 0.000 | -0.000 |
| 109.520 | 109.520 | 218.257 | -0.000 | -0.000 | 0.000 |
| -0.000 | -0.000 | -0.000 | 91.993 | -0.000 | 0.000 |
| 0.000 | -0.000 | -0.000 | -0.000 | 91.993 | 0.000 |
| -0.000 | -0.000 | -0.000 | -0.000 | -0.000 | 91.993 |
| 218.257 | 109.520 | 109.520 | -0.000 | -0.000 | -0.000 |
| 109.520 | 218.257 | 109.520 | 0.000 | -0.000 | -0.000 |
| 109.520 | 109.520 | 218.257 | -0.000 | -0.000 | -0.000 |
| 0.000 | 0.000 | 0.000 | 91.993 | 0.000 | 0.000 |
| 0.000 | 0.000 | 0.000 | 0.000 | 91.993 | 0.000 |
| 0.000 | 0.000 | 0.000 | -0.000 | -0.000 | 91.993 |
| 218.257 | 109.520 | 109.520 | 0.000 | 0.000 | -0.000 |
| 109.520 | 218.257 | 109.520 | 0.000 | 0.000 | 0.000 |
| 109.520 | 109.520 | 218.257 | -0.000 | -0.000 | 0.000 |
| -0.000 | -0.000 | -0.000 | 91.993 | 0.000 | 0.000 |
| -0.000 | -0.000 | -0.000 | -0.000 | 91.993 | 0.000 |
| -0.000 | -0.000 | -0.000 | -0.000 | 0.000 | 91.993 |
| 218.257 | 109.520 | 109.520 | 0.000 | 0.000 | -0.000 |
| 109.520 | 218.257 | 109.520 | 0.000 | 0.000 | -0.000 |
| 109.520 | 109.520 | 218.257 | 0.000 | 0.000 | -0.000 |
| 0.000 | 0.000 | 0.000 | 91.993 | 0.000 | -0.000 |
| 0.000 | 0.000 | 0.000 | 0.000 | 91.993 | -0.000 |
| 0.000 | 0.000 | 0.000 | 0.000 | 0.000 | 91.993 |
| 218.257 | 109.520 | 109.520 | -0.000 | 0.000 | 0.000 |
| 109.520 | 218.257 | 109.520 | -0.000 | -0.000 | 0.000 |
| 109.520 | 109.520 | 218.257 | -0.000 | -0.000 | 0.000 |
| -0.000 | -0.000 | -0.000 | 91.993 | 0.000 | -0.000 |
| -0.000 | -0.000 | -0.000 | 0.000 | 91.993 | -0.000 |
| -0.000 | -0.000 | -0.000 | -0.000 | -0.000 | 91.993 |
| 99.125 | 67.680 | 67.680 | 0.000 | 0.000 | 0.000 |
| 67.680 | 99.125 | 67.680 | 0.000 | 0.000 | -0.000 |
| 67.680 | 67.680 | 99.125 | 0.000 | 0.000 | -0.000 |
| -0.000 | 0.000 | 0.000 | 52.304 | 0.000 | -0.000 |
| 0.000 | -0.000 | 0.000 | 0.000 | 52.304 | -0.000 |
| 0.000 | 0.000 | -0.000 | 0.000 | 0.000 | 52.304 |
| 99.125 | 67.680 | 67.680 | 0.000 | -0.000 | -0.000 |
| 67.680 | 99.125 | 67.680 | -0.000 | 0.000 | -0.000 |
| 67.680 | 67.680 | 99.125 | -0.000 | -0.000 | -0.000 |
| 0.000 | -0.000 | 0.000 | 52.304 | 0.000 | -0.000 |
| -0.000 | 0.000 | 0.000 | 0.000 | 52.304 | 0.000 |
| -0.000 | -0.000 | 0.000 | -0.000 | -0.000 | 52.304 |
| 99.125 | 67.680 | 67.680 | 0.000 | 0.000 | 0.000 |
| 67.680 | 99.125 | 67.680 | 0.000 | 0.000 | -0.000 |
| 67.680 | 67.680 | 99.125 | -0.000 | -0.000 | -0.000 |
| -0.000 | 0.000 | 0.000 | 52.304 | 0.000 | -0.000 |
| 0.000 | -0.000 | 0.000 | 0.000 | 52.304 | -0.000 |
| 0.000 | 0.000 | -0.000 | -0.000 | 0.000 | 52.304 |
| 99.125 | 67.680 | 67.680 | -0.000 | -0.000 | -0.000 |
| 67.680 | 99.125 | 67.680 | -0.000 | -0.000 | 0.000 |
| 67.680 | 67.680 | 99.125 | -0.000 | -0.000 | 0.000 |
| 0.000 | -0.000 | -0.000 | 52.304 | -0.000 | 0.000 |
| -0.000 | 0.000 | -0.000 | -0.000 | 52.304 | -0.000 |
| -0.000 | -0.000 | 0.000 | 0.000 | -0.000 | 52.304 |
| 99.125 | 67.681 | 67.681 | 0.000 | 0.000 | 0.000 |
| 67.681 | 99.125 | 67.681 | 0.000 | 0.000 | -0.000 |
| 67.681 | 67.681 | 99.125 | -0.000 | -0.000 | 0.000 |
| -0.000 | 0.000 | 0.000 | 52.304 | -0.000 | -0.000 |
| 0.000 | -0.000 | 0.000 | 0.000 | 52.304 | -0.000 |
| 0.000 | 0.000 | -0.000 | 0.000 | 0.000 | 52.304 |
| 99.125 | 67.680 | 67.680 | 0.000 | -0.000 | -0.000 |
| 67.680 | 99.125 | 67.680 | -0.000 | 0.000 | 0.000 |
| 67.680 | 67.680 | 99.125 | 0.000 | -0.000 | 0.000 |
| 0.000 | -0.000 | -0.000 | 52.304 | -0.000 | -0.000 |
| -0.000 | 0.000 | -0.000 | -0.000 | 52.304 | -0.000 |
| -0.000 | -0.000 | 0.000 | -0.000 | -0.000 | 52.304 |
| -41.695 | 680.521 | 1714.679 | 0.000 | -888.782 | 0.000 |
| -1251.676 | -1805.858 | 3268.910 | 0.000 | -1050.387 | -0.000 |
| -96.074 | 708.391 | 1752.001 | 0.000 | -912.596 | -0.000 |
| -2007.510 | -6220.332 | 6052.336 | 58.639 | -1326.254 | -1.669 |
| 340.792 | 95.249 | 818.465 | 0.000 | -653.599 | 0.000 |
| -186.400 | 612.464 | 1627.062 | 2.295 | -905.419 | 31.640 |
| 2142.809 | 6267.382 | -5945.279 | -0.000 | 1343.718 | 0.000 |
| -277.830 | 120.684 | -728.543 | -0.000 | 704.466 | 0.000 |
| -263.094 | -0.386 | -670.995 | -0.000 | 699.974 | 0.000 |
| 2007.510 | 6220.332 | -6052.336 | 58.639 | 1326.254 | -1.669 |
| 184.918 | -609.860 | -1634.934 | 0.000 | 945.127 | -0.000 |
| 186.400 | -612.464 | -1627.062 | 2.295 | 905.419 | 31.640 |
| 192.551 | 80.556 | 166.208 | 0.000 | -53.776 | 0.000 |
| 44.718 | 265.645 | 264.194 | -0.000 | -89.734 | -0.000 |
| -260.976 | -799.739 | 874.286 | -0.000 | -154.177 | 0.000 |
| -18.638 | 61.247 | 162.711 | 64.773 | -90.545 | 2.420 |
| -20.121 | 63.825 | 154.799 | -0.000 | -50.787 | 0.000 |
| 34.693 | 9.358 | 82.157 | 3.076 | -70.277 | 38.893 |
| 123.389 | 61.842 | 1.894 | -0.000 | 86.721 | 0.000 |
| 82.450 | 144.093 | -61.969 | 0.000 | 91.457 | -0.000 |
| 502.834 | 1050.715 | -728.033 | -0.000 | 116.376 | -0.000 |
| 18.638 | -61.247 | -162.711 | 64.773 | 90.545 | 2.420 |
| -40.768 | -7.674 | -85.132 | -0.000 | 119.329 | 0.000 |
| -34.693 | -9.358 | -82.157 | 3.076 | 70.277 | 38.893 |
| 160.294 | 72.134 | 92.336 | 0.000 | 9.685 | -0.000 |
| 68.983 | 222.349 | 91.438 | -0.000 | 2.054 | -0.000 |
| 87.506 | 101.977 | 144.580 | -0.000 | -15.859 | 0.000 |
| -1.849 | 6.131 | 16.312 | 64.759 | -9.088 | 2.423 |
| -3.612 | 8.549 | 8.307 | -0.000 | 31.356 | 0.000 |
| -12.262 | -18.529 | 30.488 | 0.455 | -10.369 | 29.947 |
| 155.201 | 70.251 | 75.683 | -0.000 | 23.435 | 0.000 |
| 62.173 | 221.843 | 69.054 | -0.000 | 12.273 | -0.000 |
| 111.445 | 125.031 | 70.825 | -0.000 | -3.915 | 0.000 |
| 1.849 | -6.131 | -16.312 | 64.759 | 9.088 | 2.423 |
| -9.339 | 0.718 | -11.366 | -0.000 | 55.949 | 0.000 |
| 12.262 | 18.529 | -30.488 | 0.455 | 10.369 | 29.947 |
| 184.391 | 112.963 | 1.124 | 0.000 | -0.000 | -0.000 |
| 112.963 | 184.391 | 1.124 | 0.000 | -0.000 | -0.000 |
| 147.992 | 147.992 | 172.549 | 0.000 | 0.000 | -0.000 |
| 0.000 | 0.000 | 0.000 | 82.771 | -0.000 | -0.000 |
| 0.000 | 0.000 | -0.000 | 0.000 | 82.771 | -0.000 |
| 48.401 | 48.401 | -96.842 | -0.000 | -0.000 | 35.728 |
| 148.925 | 57.726 | 91.864 | -0.000 | 0.000 | 0.000 |
| 57.726 | 148.925 | 91.864 | -0.000 | -0.000 | 0.000 |
| 93.897 | 93.897 | 280.785 | -0.000 | 0.000 | 0.000 |
| 0.000 | -0.000 | 0.000 | 82.771 | 0.000 | 0.000 |
| 0.000 | -0.000 | 0.000 | -0.000 | 82.771 | 0.000 |
| -48.401 | -48.401 | 96.842 | 0.000 | -0.000 | 35.728 |
| 123.209 | 94.353 | 80.948 | 0.000 | -0.000 | -0.000 |
| 57.726 | 148.925 | 91.864 | 0.000 | -0.000 | -0.000 |
| 93.897 | 93.897 | 280.785 | 0.000 | 0.000 | -0.000 |
| -0.000 | -0.000 | 0.000 | 82.771 | -0.000 | -0.000 |
| -0.000 | -0.000 | 0.000 | 0.000 | 82.771 | -0.000 |
| 4.790 | 4.790 | -9.583 | 0.000 | -0.000 | 5.960 |
| 101.413 | 89.493 | 107.617 | -0.000 | 0.000 | 0.000 |
| 57.726 | 148.925 | 91.864 | 0.000 | 0.000 | 0.000 |
| 95.270 | 95.270 | 278.036 | 0.000 | 0.000 | 0.000 |
| 0.000 | 0.000 | -0.000 | 82.771 | 0.000 | 0.000 |
| 0.000 | 0.000 | -0.000 | -0.000 | 82.771 | -0.000 |
| -4.790 | -4.790 | 9.583 | -0.000 | 0.000 | 5.960 |
| 106.689 | 94.769 | 97.060 | -0.000 | -0.000 | -0.000 |
| 76.351 | 116.785 | 105.385 | -0.000 | -0.000 | 0.000 |
| 93.897 | 93.897 | 280.785 | 0.000 | -0.000 | -0.000 |
| 1.827 | 1.827 | -3.655 | 61.910 | -0.000 | -0.000 |
| -0.000 | -0.000 | 0.000 | 0.000 | 82.771 | -0.000 |
| 1.897 | 1.897 | -3.796 | 0.000 | -0.000 | 6.901 |
| 148.928 | 57.726 | 91.864 | -0.000 | -0.000 | 0.000 |
| 93.808 | 105.729 | 98.981 | -0.000 | 0.000 | 0.000 |
| 99.583 | 99.583 | 269.405 | 0.000 | 0.000 | 0.000 |
| -1.827 | -1.827 | 3.655 | 61.910 | 0.000 | 0.000 |
| 0.000 | 0.000 | -0.000 | -0.000 | 82.771 | -0.000 |
| -1.897 | -1.897 | 3.796 | -0.000 | 0.000 | 6.901 |
| 118.944 | 78.453 | 113.990 | -0.000 | 0.000 | 0.000 |
| 59.638 | 150.875 | 100.928 | -0.000 | 0.000 | 0.000 |
| 106.486 | 106.486 | 275.228 | 0.000 | 0.000 | -0.000 |
| 0.000 | -0.000 | -0.000 | 70.072 | -0.000 | 0.000 |
| -0.000 | 0.000 | -0.000 | 0.000 | 70.072 | -0.000 |
| -0.000 | 0.000 | -0.000 | -0.000 | -0.000 | 6.643 |
| 150.875 | 59.638 | 100.928 | 0.000 | -0.000 | 0.000 |
| 59.638 | 150.875 | 100.928 | 0.000 | 0.000 | -0.000 |
| 100.928 | 100.928 | 286.298 | 0.000 | 0.000 | 0.000 |
| -0.000 | 0.000 | 0.000 | 70.072 | -0.000 | -0.000 |
| 0.000 | -0.000 | 0.000 | 0.000 | 70.072 | 0.000 |
| 0.000 | -0.000 | 0.000 | 0.000 | 0.000 | 6.643 |
| 150.875 | 59.638 | 100.928 | 0.000 | 0.000 | -0.000 |
| 96.085 | 108.906 | 106.428 | 0.000 | 0.000 | -0.000 |
| 100.928 | 100.928 | 286.298 | -0.000 | -0.000 | 0.000 |
| -0.000 | -0.000 | 0.000 | 86.806 | 0.000 | 0.000 |
| -0.000 | 0.000 | 0.000 | -0.000 | 70.072 | -0.000 |
| -0.000 | -0.000 | -0.000 | -0.000 | 0.000 | 45.618 |
| 108.906 | 96.085 | 106.428 | 0.000 | -0.000 | -0.000 |
| 96.085 | 108.906 | 106.428 | 0.000 | -0.000 | 0.000 |
| 106.486 | 106.486 | 275.228 | -0.000 | -0.000 | -0.000 |
| 0.000 | 0.000 | -0.000 | 86.806 | -0.000 | -0.000 |
| 0.000 | -0.000 | -0.000 | 0.000 | 70.072 | 0.000 |
| 0.000 | 0.000 | 0.000 | 0.000 | -0.000 | 45.618 |
| 108.906 | 96.084 | 106.428 | -0.000 | 0.000 | -0.000 |
| 96.085 | 108.905 | 106.428 | 0.000 | 0.000 | -0.000 |
| 100.928 | 100.928 | 286.298 | -0.000 | 0.000 | 0.000 |
| -0.000 | -0.000 | -0.000 | 86.806 | 0.000 | 0.000 |
| -0.000 | -0.000 | -0.000 | 0.000 | 86.806 | 0.000 |
| -0.000 | -0.000 | -0.000 | -0.000 | 0.000 | 45.618 |
| 118.945 | 78.453 | 113.990 | -0.000 | -0.000 | 0.000 |
| 96.168 | 108.757 | 106.494 | -0.000 | -0.000 | 0.000 |
| 100.928 | 100.928 | 286.300 | -0.000 | -0.000 | -0.000 |
| 0.000 | 0.000 | 0.000 | 86.806 | 0.000 | -0.000 |
| 0.000 | 0.000 | 0.000 | -0.000 | 86.806 | 0.000 |
| 0.000 | 0.000 | 0.000 | 0.000 | -0.000 | 45.618 |
| 182.476 | 55.649 | 55.649 | -0.000 | 0.000 | -0.000 |
| 55.649 | 182.476 | 55.649 | -0.000 | -0.000 | -0.000 |
| 55.649 | 55.649 | 182.476 | -0.000 | -0.000 | 0.000 |
| -0.000 | -0.000 | -0.000 | 21.095 | 0.000 | -0.000 |
| -0.000 | -0.000 | -0.000 | 0.000 | 21.095 | 0.000 |
| -0.000 | -0.000 | 0.000 | -0.000 | 0.000 | 21.095 |
| 182.476 | 55.649 | 55.649 | 0.000 | -0.000 | -0.000 |
| 55.649 | 182.476 | 55.649 | 0.000 | -0.000 | 0.000 |
| 55.649 | 55.649 | 182.476 | 0.000 | -0.000 | -0.000 |
| 0.000 | 0.000 | 0.000 | 21.095 | -0.000 | -0.000 |
| 0.000 | 0.000 | 0.000 | 0.000 | 21.095 | -0.000 |
| 0.000 | 0.000 | -0.000 | 0.000 | -0.000 | 21.095 |
| 182.485 | 55.645 | 55.645 | -0.000 | 0.000 | 0.000 |
| 55.645 | 182.485 | 55.645 | -0.000 | 0.000 | 0.000 |
| 55.645 | 55.645 | 182.485 | -0.000 | 0.000 | -0.000 |
| -0.000 | -0.000 | -0.000 | 21.607 | 0.000 | -0.000 |
| -0.000 | -0.000 | -0.000 | -0.000 | 21.607 | -0.000 |
| -0.000 | -0.000 | -0.000 | -0.000 | 0.000 | 21.607 |
| 182.485 | 55.645 | 55.645 | 0.000 | -0.000 | 0.000 |
| 55.645 | 182.485 | 55.645 | 0.000 | -0.000 | -0.000 |
| 55.645 | 55.645 | 182.485 | 0.000 | 0.000 | -0.000 |
| 0.000 | 0.000 | 0.000 | 21.607 | 0.000 | -0.000 |
| 0.000 | 0.000 | 0.000 | 0.000 | 21.607 | 0.000 |
| 0.000 | 0.000 | 0.000 | 0.000 | -0.000 | 21.607 |
| 182.484 | 55.645 | 55.645 | -0.000 | 0.000 | -0.000 |
| 55.645 | 182.484 | 55.645 | -0.000 | 0.000 | -0.000 |
| 55.645 | 55.645 | 182.484 | -0.000 | -0.000 | -0.000 |
| -0.000 | -0.000 | -0.000 | 21.607 | 0.000 | -0.000 |
| -0.000 | -0.000 | -0.000 | -0.000 | 21.607 | -0.000 |
| -0.000 | -0.000 | -0.000 | -0.000 | 0.000 | 21.607 |
| 182.485 | 55.645 | 55.645 | 0.000 | 0.000 | 0.000 |
| 55.645 | 182.485 | 55.645 | 0.000 | -0.000 | 0.000 |
| 55.645 | 55.645 | 182.485 | 0.000 | -0.000 | -0.000 |
| 0.000 | 0.000 | 0.000 | 21.607 | 0.000 | -0.000 |
| 0.000 | 0.000 | 0.000 | 0.000 | 21.607 | 0.000 |
| 0.000 | 0.000 | 0.000 | 0.000 | -0.000 | 21.607 |
| 132.039 | 115.678 | 115.678 | -0.000 | -0.000 | 0.000 |
| 115.678 | 132.039 | 115.678 | -0.000 | -0.000 | 0.000 |
| 115.678 | 115.678 | 132.039 | -0.000 | -0.000 | 0.000 |
| 0.000 | 0.000 | 0.000 | 76.876 | -0.000 | 0.000 |
| 0.000 | 0.000 | 0.000 | -0.000 | 76.876 | 0.000 |
| 0.000 | 0.000 | 0.000 | -0.000 | -0.000 | 76.876 |
| 132.039 | 115.678 | 115.678 | 0.000 | 0.000 | -0.000 |
| 115.678 | 132.039 | 115.678 | 0.000 | 0.000 | -0.000 |
| 115.678 | 115.678 | 132.039 | 0.000 | 0.000 | -0.000 |
| -0.000 | -0.000 | -0.000 | 76.876 | 0.000 | 0.000 |
| -0.000 | -0.000 | -0.000 | 0.000 | 76.876 | -0.000 |
| -0.000 | -0.000 | -0.000 | 0.000 | 0.000 | 76.876 |
| 132.039 | 115.678 | 115.678 | -0.000 | -0.000 | 0.000 |
| 115.678 | 132.039 | 115.678 | -0.000 | -0.000 | 0.000 |
| 115.678 | 115.678 | 132.039 | -0.000 | -0.000 | 0.000 |
| 0.000 | -0.000 | 0.000 | 90.026 | -0.000 | 0.000 |
| -0.000 | 0.000 | 0.000 | -0.000 | 90.026 | -0.000 |
| -0.000 | 0.000 | 0.000 | -0.000 | -0.000 | 90.026 |
| 132.039 | 115.678 | 115.678 | 0.000 | 0.000 | -0.000 |
| 115.678 | 132.039 | 115.678 | 0.000 | 0.000 | -0.000 |
| 115.678 | 115.678 | 132.039 | 0.000 | 0.000 | -0.000 |
| -0.000 | 0.000 | -0.000 | 90.026 | 0.000 | -0.000 |
| 0.000 | -0.000 | -0.000 | 0.000 | 90.026 | 0.000 |
| 0.000 | -0.000 | -0.000 | 0.000 | 0.000 | 90.026 |
| 132.040 | 115.678 | 115.678 | -0.000 | -0.000 | 0.000 |
| 115.678 | 132.040 | 115.678 | -0.000 | -0.000 | 0.000 |
| 115.678 | 115.678 | 132.040 | -0.000 | -0.000 | 0.000 |
| 0.000 | -0.000 | 0.000 | 90.026 | -0.000 | 0.000 |
| -0.000 | 0.000 | 0.000 | -0.000 | 90.026 | 0.000 |
| -0.000 | 0.000 | 0.000 | -0.000 | -0.000 | 90.026 |
| 132.038 | 115.677 | 115.677 | 0.000 | 0.000 | -0.000 |
| 115.677 | 132.038 | 115.677 | 0.000 | 0.000 | -0.000 |
| 115.677 | 115.677 | 132.038 | 0.000 | 0.000 | -0.000 |
| -0.000 | 0.000 | -0.000 | 90.026 | 0.000 | -0.000 |
| 0.000 | -0.000 | -0.000 | 0.000 | 90.026 | -0.000 |
| 0.000 | -0.000 | -0.000 | 0.000 | 0.000 | 90.026 |
| 219.406 | 108.182 | 108.182 | 0.000 | -0.000 | 0.000 |
| 108.182 | 219.406 | 108.182 | 0.000 | 0.000 | 0.000 |
| 108.182 | 108.182 | 219.406 | 0.000 | 0.000 | 0.000 |
| -0.000 | 0.000 | 0.000 | 80.859 | 0.000 | 0.000 |
| 0.000 | -0.000 | 0.000 | 0.000 | 80.859 | 0.000 |
| 0.000 | 0.000 | -0.000 | 0.000 | 0.000 | 80.859 |
| 219.406 | 108.182 | 108.182 | -0.000 | 0.000 | 0.000 |
| 108.182 | 219.406 | 108.182 | 0.000 | -0.000 | -0.000 |
| 108.182 | 108.182 | 219.406 | -0.000 | -0.000 | -0.000 |
| 0.000 | -0.000 | -0.000 | 80.859 | -0.000 | -0.000 |
| -0.000 | 0.000 | -0.000 | -0.000 | 80.859 | -0.000 |
| -0.000 | -0.000 | 0.000 | -0.000 | -0.000 | 80.859 |
| 219.406 | 108.182 | 108.182 | 0.000 | 0.000 | 0.000 |
| 108.182 | 219.406 | 108.182 | 0.000 | 0.000 | -0.000 |
| 108.182 | 108.182 | 219.406 | -0.000 | -0.000 | 0.000 |
| -0.000 | 0.000 | 0.000 | 80.859 | 0.000 | 0.000 |
| 0.000 | -0.000 | 0.000 | 0.000 | 80.859 | 0.000 |
| 0.000 | 0.000 | -0.000 | 0.000 | 0.000 | 80.859 |
| 219.405 | 108.182 | 108.182 | -0.000 | -0.000 | -0.000 |
| 108.182 | 219.405 | 108.182 | 0.000 | -0.000 | -0.000 |
| 108.182 | 108.182 | 219.405 | -0.000 | -0.000 | -0.000 |
| 0.000 | -0.000 | -0.000 | 80.859 | -0.000 | -0.000 |
| -0.000 | 0.000 | -0.000 | 0.000 | 80.859 | -0.000 |
| -0.000 | -0.000 | 0.000 | 0.000 | -0.000 | 80.859 |
| 219.407 | 108.182 | 108.182 | 0.000 | 0.000 | 0.000 |
| 108.182 | 219.407 | 108.182 | 0.000 | 0.000 | 0.000 |
| 108.182 | 108.182 | 219.407 | 0.000 | -0.000 | 0.000 |
| -0.000 | 0.000 | 0.000 | 80.859 | 0.000 | 0.000 |
| 0.000 | -0.000 | 0.000 | 0.000 | 80.859 | 0.000 |
| 0.000 | 0.000 | -0.000 | 0.000 | 0.000 | 80.859 |
| 219.404 | 108.181 | 108.181 | -0.000 | 0.000 | 0.000 |
| 108.181 | 219.404 | 108.181 | 0.000 | -0.000 | 0.000 |
| 108.181 | 108.181 | 219.404 | 0.000 | 0.000 | -0.000 |
| 0.000 | -0.000 | -0.000 | 80.859 | -0.000 | -0.000 |
| -0.000 | 0.000 | -0.000 | -0.000 | 80.859 | 0.000 |
| -0.000 | -0.000 | 0.000 | -0.000 | 0.000 | 80.859 |
| 158.198 | 93.249 | 89.232 | -0.000 | 0.000 | -0.000 |
| 439.691 | 304.691 | 37.843 | 0.000 | -0.000 | 0.000 |
| 719.896 | 215.392 | 54.310 | -0.000 | 0.000 | -0.000 |
| 344.264 | 131.101 | -55.968 | 51.495 | -0.000 | 0.000 |
| -0.000 | -0.000 | 0.000 | -0.000 | 52.718 | -0.000 |
| 343.929 | 130.973 | -55.914 | 0.000 | -0.000 | 27.371 |
| 158.198 | 93.249 | 89.232 | 0.000 | -0.000 | 0.000 |
| -611.341 | 38.879 | 216.075 | -0.000 | 0.000 | 0.000 |
| -519.160 | -29.548 | 365.829 | 0.000 | -0.000 | 0.000 |
| -344.264 | -131.101 | 55.968 | 51.495 | 0.000 | -0.000 |
| -0.000 | -0.000 | 0.000 | 0.000 | 52.718 | 0.000 |
| -343.929 | -130.973 | 55.914 | -0.000 | 0.000 | 27.371 |
| 158.198 | 93.249 | 89.232 | -0.000 | 0.000 | -0.000 |
| 159.884 | 187.877 | 76.921 | -0.000 | 0.000 | -0.000 |
| 168.196 | 105.264 | 191.182 | -0.000 | 0.000 | 0.000 |
| 70.280 | 13.563 | -12.453 | 54.485 | 0.000 | 0.000 |
| -0.000 | -0.000 | -0.000 | -0.000 | 52.718 | -0.000 |
| 30.713 | 11.696 | -4.993 | 0.000 | -0.000 | 30.077 |
| 33.610 | 84.658 | 125.498 | 0.000 | -0.000 | 0.000 |
| 37.950 | 162.720 | 107.312 | 0.000 | -0.000 | -0.000 |
| 89.232 | 92.130 | 222.884 | 0.000 | -0.000 | 0.000 |
| -70.280 | -13.563 | 12.453 | 54.485 | -0.000 | -0.000 |
| 0.000 | 0.000 | 0.000 | -0.000 | 52.718 | 0.000 |
| -30.713 | -11.696 | 4.993 | -0.000 | 0.000 | 30.077 |
| 122.081 | 93.980 | 106.854 | -0.000 | -0.000 | 0.000 |
| 100.520 | 175.855 | 92.097 | 0.000 | -0.000 | 0.000 |
| 110.026 | 93.535 | 209.046 | -0.000 | -0.000 | 0.000 |
| 4.116 | 1.046 | -0.922 | 54.404 | -0.000 | -0.000 |
| 3.274 | 0.844 | -0.727 | 0.000 | 25.449 | -0.000 |
| 1.301 | 0.496 | -0.212 | -0.000 | -0.000 | 43.091 |
| 94.891 | 94.557 | 106.678 | -0.000 | 0.000 | 0.000 |
| 93.248 | 177.118 | 92.130 | 0.000 | -0.000 | 0.000 |
| 105.018 | 92.372 | 211.053 | -0.000 | 0.000 | 0.000 |
| -4.116 | -1.046 | 0.922 | 54.404 | 0.000 | 0.000 |
| -3.274 | -0.844 | 0.727 | 0.000 | 25.449 | 0.000 |
| -1.301 | -0.496 | 0.212 | -0.000 | 0.000 | 43.091 |
| 178.559 | 139.400 | 76.879 | 0.001 | 0.000 | -0.000 |
| 83.978 | 130.137 | 76.103 | 0.000 | 0.000 | 0.000 |
| 128.528 | 127.255 | 164.160 | 0.001 | 0.000 | -0.000 |
| 0.000 | -0.000 | -0.000 | 41.553 | 0.000 | 0.000 |
| 32.054 | 52.302 | -20.041 | 0.001 | 42.781 | -0.000 |
| 0.000 | -0.000 | -0.000 | 0.000 | -0.000 | 45.047 |
| 162.448 | 84.533 | 86.179 | -0.000 | 0.000 | -0.000 |
| 43.779 | 70.732 | 65.879 | -0.000 | -0.000 | 0.000 |
| 64.460 | 22.627 | 204.211 | -0.001 | -0.000 | 0.000 |
| -0.000 | 0.000 | 0.000 | 41.553 | -0.000 | -0.000 |
| -32.054 | -52.302 | 20.041 | -0.001 | 42.781 | 0.000 |
| 0.000 | 0.000 | -0.000 | -0.000 | 0.000 | 45.047 |
| 162.448 | 84.533 | 86.179 | 0.000 | -0.000 | 0.000 |
| 90.057 | 132.998 | 72.698 | 0.000 | 0.000 | -0.000 |
| 100.547 | 80.515 | 181.572 | 0.000 | 0.000 | -0.000 |
| 4.462 | 5.004 | -0.405 | 37.645 | 0.000 | -0.000 |
| -0.000 | -0.000 | -0.000 | 0.000 | 50.834 | 0.000 |
| 3.332 | 5.437 | -2.083 | 0.000 | 0.000 | 40.825 |
| 140.872 | 81.568 | 100.541 | -0.000 | -0.000 | 0.000 |
| 94.508 | 111.557 | 65.192 | 0.000 | -0.000 | 0.000 |
| 94.237 | 69.080 | 185.430 | -0.000 | -0.000 | 0.000 |
| -4.462 | -5.004 | 0.405 | 37.645 | -0.000 | 0.000 |
| 0.000 | 0.000 | 0.000 | -0.000 | 50.834 | -0.000 |
| -3.332 | -5.437 | 2.083 | -0.000 | -0.000 | 40.825 |
| 135.140 | 89.996 | 104.606 | 0.000 | 0.000 | -0.000 |
| 93.786 | 123.504 | 71.240 | 0.000 | 0.000 | -0.000 |
| 85.833 | 76.311 | 192.291 | 0.000 | -0.000 | 0.000 |
| -0.000 | -0.000 | -0.000 | 41.553 | 0.000 | 0.000 |
| 0.372 | 0.445 | -0.063 | 0.000 | 35.289 | -0.000 |
| -0.000 | -0.000 | -0.000 | 0.000 | 0.000 | 45.047 |
| 162.448 | 84.532 | 86.179 | -0.000 | -0.000 | -0.000 |
| 83.978 | 130.136 | 76.103 | -0.000 | -0.000 | -0.000 |
| 110.339 | 71.166 | 170.177 | 0.000 | 0.000 | 0.000 |
| 0.000 | 0.000 | 0.000 | 41.553 | -0.000 | -0.000 |
| -0.372 | -0.445 | 0.063 | -0.000 | 35.289 | 0.000 |
| 0.000 | 0.000 | 0.000 | -0.000 | 0.000 | 45.047 |
| -1043.000 | 178.057 | -986.930 | -0.000 | -0.000 | 0.000 |
| -1488.229 | 313.409 | -818.677 | 0.000 | 0.000 | -0.000 |
| -1040.437 | 170.959 | -876.760 | -0.000 | -0.000 | 0.000 |
| 1188.859 | -60.478 | -1467.889 | 53.805 | 0.000 | 0.000 |
| -1144.444 | 78.819 | -1087.666 | -0.000 | 25.504 | 0.000 |
| -1145.112 | 78.858 | -1087.517 | -0.000 | -0.000 | 46.038 |
| 1661.487 | -46.649 | 1028.661 | -0.000 | -0.000 | 0.000 |
| -1096.199 | 235.219 | 1562.287 | -0.000 | -0.000 | 0.000 |
| 1249.848 | 13.237 | 1298.245 | 0.000 | 0.000 | -0.000 |
| -1188.859 | 60.478 | 1467.889 | 53.805 | -0.000 | -0.000 |
| 1144.443 | -78.819 | 1087.666 | 0.000 | 25.504 | -0.000 |
| -1188.827 | 60.476 | 1467.849 | -0.000 | -0.000 | 37.668 |
| 230.966 | 86.646 | -49.144 | 0.000 | 0.000 | -0.000 |
| -15.024 | 183.949 | -16.339 | -0.000 | -0.000 | -0.000 |
| -45.705 | 108.647 | 113.847 | 0.000 | 0.000 | -0.000 |
| -112.570 | 7.772 | -109.285 | 56.270 | -0.000 | 0.000 |
| 118.310 | -6.019 | -146.078 | 0.000 | 21.137 | -0.000 |
| -113.099 | 7.804 | -109.271 | -0.000 | -0.000 | 45.963 |
| 3.106 | 98.899 | 243.229 | -0.000 | -0.000 | 0.000 |
| 211.133 | 168.324 | 202.003 | 0.000 | 0.000 | 0.000 |
| -8.512 | 99.754 | 358.439 | -0.000 | -0.000 | 0.000 |
| 112.570 | -7.772 | 109.285 | 56.270 | 0.000 | 0.000 |
| -118.310 | 6.019 | 146.078 | -0.000 | 21.137 | 0.000 |
| 113.099 | -7.804 | 109.271 | 0.000 | 0.000 | 45.963 |
| 99.804 | 92.850 | 104.985 | 0.000 | 0.000 | -0.000 |
| 104.135 | 174.420 | 80.066 | 0.000 | 0.000 | -0.000 |
| 89.232 | 92.137 | 222.896 | 0.000 | 0.000 | -0.000 |
| -12.112 | 0.932 | -10.696 | 54.707 | 0.000 | -0.000 |
| -12.257 | 0.943 | -9.946 | 0.000 | 21.404 | 0.000 |
| -5.706 | 0.451 | -12.505 | -0.000 | -0.000 | 43.393 |
| 158.221 | 93.257 | 89.232 | -0.000 | -0.000 | 0.000 |
| 81.507 | 175.277 | 108.189 | -0.000 | -0.000 | 0.000 |
| 109.246 | 94.549 | 217.457 | -0.000 | -0.000 | 0.000 |
| 12.112 | -0.932 | 10.696 | 54.707 | -0.000 | -0.000 |
| 12.257 | -0.943 | 9.946 | -0.000 | 21.404 | -0.000 |
| 5.706 | -0.451 | 12.505 | 0.000 | 0.000 | 43.393 |
| 163.037 | 84.570 | 86.170 | 0.000 | -0.000 | -0.000 |
| 139.052 | 116.051 | 35.508 | 0.000 | -0.000 | -0.000 |
| 85.730 | 75.946 | 191.583 | 0.000 | -0.000 | -0.000 |
| 30.601 | -10.475 | -22.718 | 38.920 | -0.000 | -0.000 |
| 30.897 | -10.576 | -22.937 | 0.000 | 40.105 | -0.000 |
| 47.515 | -8.952 | -35.986 | 0.000 | -0.000 | 37.653 |
| 163.037 | 84.570 | 86.170 | -0.000 | 0.000 | 0.000 |
| 84.055 | 130.276 | 75.872 | -0.000 | 0.000 | 0.000 |
| 70.599 | 83.995 | 202.491 | -0.000 | 0.000 | 0.000 |
| -30.601 | 10.475 | 22.718 | 38.919 | 0.000 | -0.000 |
| -30.897 | 10.576 | 22.937 | -0.000 | 40.105 | 0.000 |
| -47.515 | 8.952 | 35.986 | -0.000 | 0.000 | 37.653 |
| 141.597 | 87.428 | 100.491 | 0.000 | -0.000 | -0.000 |
| 84.055 | 130.275 | 75.872 | 0.000 | 0.000 | -0.000 |
| 114.183 | 70.964 | 167.139 | -0.000 | 0.000 | -0.000 |
| 4.818 | -0.905 | -3.650 | 38.173 | -0.000 | -0.000 |
| -0.000 | -0.000 | -0.000 | 0.000 | 50.733 | -0.000 |
| -0.000 | -0.000 | -0.000 | 0.000 | -0.000 | 45.162 |
| 130.888 | 90.583 | 108.258 | -0.000 | 0.000 | 0.000 |
| 84.055 | 130.276 | 75.872 | -0.000 | -0.000 | 0.000 |
| 85.730 | 75.946 | 191.583 | -0.000 | -0.000 | 0.000 |
| -4.818 | 0.905 | 3.650 | 38.173 | 0.000 | 0.000 |
| 0.000 | 0.000 | 0.000 | -0.000 | 50.733 | -0.000 |
| 0.000 | 0.000 | 0.000 | -0.000 | 0.000 | 45.162 |
| 163.037 | 84.570 | 86.170 | 0.000 | -0.000 | -0.000 |
| 84.055 | 130.275 | 75.872 | 0.000 | -0.000 | -0.000 |
| 107.235 | 73.260 | 175.090 | 0.000 | -0.000 | -0.000 |
| 0.487 | -0.092 | -0.369 | 38.143 | -0.000 | -0.000 |
| 0.396 | -0.136 | -0.294 | 0.000 | 37.123 | -0.000 |
| 0.425 | -0.146 | -0.315 | 0.000 | -0.000 | 37.946 |
| 163.037 | 84.570 | 86.170 | -0.000 | -0.000 | 0.000 |
| 89.361 | 124.851 | 73.364 | -0.000 | 0.000 | 0.000 |
| 106.132 | 73.595 | 175.914 | -0.000 | 0.000 | 0.000 |
| -0.487 | 0.092 | 0.369 | 38.143 | 0.000 | 0.000 |
| -0.396 | 0.136 | 0.294 | -0.000 | 37.123 | 0.000 |
| -0.425 | 0.146 | 0.315 | -0.000 | 0.000 | 37.946 |
| 209.982 | 123.633 | 109.185 | -0.000 | -0.000 | 0.000 |
| 123.633 | 209.982 | 109.185 | -0.000 | -0.000 | -0.000 |
| 109.185 | 109.185 | 224.833 | -0.000 | -0.000 | -0.000 |
| 0.000 | 0.000 | 0.000 | 81.556 | -0.000 | -0.000 |
| 0.000 | 0.000 | 0.000 | -0.000 | 81.556 | 0.000 |
| 0.000 | 0.000 | -0.000 | -0.000 | -0.000 | 82.877 |
| 222.877 | 110.739 | 109.185 | 0.000 | 0.000 | -0.000 |
| 110.739 | 222.877 | 109.185 | 0.000 | 0.000 | -0.000 |
| 109.185 | 109.185 | 224.833 | 0.000 | 0.000 | 0.000 |
| -0.000 | -0.000 | -0.000 | 81.556 | 0.000 | 0.000 |
| -0.000 | -0.000 | -0.000 | 0.000 | 81.556 | -0.000 |
| -0.000 | -0.000 | 0.000 | 0.000 | 0.000 | 82.877 |
| 209.982 | 123.634 | 109.185 | -0.000 | -0.000 | -0.000 |
| 123.634 | 209.982 | 109.185 | -0.000 | -0.000 | -0.000 |
| 109.185 | 109.185 | 224.833 | -0.000 | -0.000 | -0.000 |
| -0.000 | 0.000 | 0.000 | 81.556 | -0.000 | -0.000 |
| 0.000 | -0.000 | 0.000 | -0.000 | 81.556 | 0.000 |
| 0.000 | 0.000 | -0.000 | -0.000 | -0.000 | 82.877 |
| 222.877 | 110.739 | 109.185 | 0.000 | 0.000 | -0.000 |
| 110.739 | 222.877 | 109.185 | 0.000 | 0.000 | -0.000 |
| 109.185 | 109.185 | 224.833 | 0.000 | 0.000 | 0.000 |
| 0.000 | -0.000 | -0.000 | 81.556 | 0.000 | 0.000 |
| -0.000 | 0.000 | -0.000 | 0.000 | 81.556 | -0.000 |
| -0.000 | -0.000 | 0.000 | 0.000 | 0.000 | 82.877 |
| 209.984 | 123.634 | 109.186 | -0.000 | -0.000 | 0.000 |
| 123.634 | 209.984 | 109.186 | -0.000 | -0.000 | 0.000 |
| 109.186 | 109.186 | 224.835 | -0.000 | -0.000 | -0.000 |
| -0.000 | 0.001 | 0.001 | 81.556 | -0.000 | 0.000 |
| 0.001 | -0.000 | 0.001 | -0.000 | 81.556 | 0.000 |
| 0.000 | 0.000 | -0.000 | -0.000 | -0.000 | 82.877 |
| 209.981 | 123.633 | 109.184 | 0.000 | 0.000 | 0.000 |
| 123.633 | 209.981 | 109.184 | 0.000 | 0.000 | -0.000 |
| 109.184 | 109.184 | 224.831 | 0.000 | 0.000 | -0.000 |
| 0.000 | -0.001 | -0.001 | 81.556 | -0.000 | 0.000 |
| -0.001 | 0.000 | -0.001 | -0.000 | 81.556 | -0.000 |
| -0.000 | -0.000 | 0.000 | 0.000 | 0.000 | 82.877 |
| 230.804 | 96.321 | 76.000 | 0.000 | 0.000 | -0.000 |
| 96.321 | 230.804 | 76.000 | 0.000 | 0.000 | -0.000 |
| 81.300 | 81.300 | 183.287 | 0.000 | -0.000 | 0.000 |
| 0.000 | -0.000 | 0.000 | 49.004 | 0.000 | -0.000 |
| 0.000 | -0.000 | 0.000 | 0.000 | 49.004 | 0.000 |
| 0.388 | 0.388 | -0.342 | 0.000 | 0.000 | 46.469 |
| 215.703 | 95.016 | 83.232 | -0.000 | -0.000 | 0.000 |
| 96.321 | 230.804 | 76.000 | -0.000 | -0.000 | 0.000 |
| 76.634 | 76.634 | 187.401 | -0.000 | -0.000 | -0.000 |
| 0.000 | -0.000 | -0.000 | 49.004 | -0.000 | -0.000 |
| -0.000 | 0.000 | -0.000 | -0.000 | 49.004 | 0.000 |
| -0.388 | -0.388 | 0.342 | -0.000 | -0.000 | 46.469 |
| 230.805 | 96.321 | 76.000 | 0.000 | -0.000 | 0.000 |
| 96.321 | 230.805 | 76.000 | 0.000 | -0.000 | 0.000 |
| 76.634 | 76.634 | 187.401 | 0.000 | -0.000 | -0.000 |
| 0.000 | 0.000 | 0.000 | 49.004 | 0.000 | -0.000 |
| 0.000 | 0.000 | 0.000 | 0.000 | 49.004 | -0.000 |
| 0.039 | 0.039 | -0.034 | 0.000 | 0.000 | 46.447 |
| 230.804 | 96.321 | 76.000 | -0.000 | -0.000 | 0.000 |
| 96.321 | 230.804 | 76.000 | -0.000 | 0.000 | -0.000 |
| 81.209 | 81.209 | 183.368 | 0.000 | -0.000 | 0.000 |
| -0.000 | -0.000 | -0.000 | 49.004 | -0.000 | 0.000 |
| -0.000 | -0.000 | -0.000 | -0.000 | 49.004 | -0.000 |
| -0.039 | -0.039 | 0.034 | -0.000 | -0.000 | 46.447 |
| 215.688 | 95.135 | 83.187 | 0.000 | 0.000 | -0.000 |
| 96.321 | 230.805 | 76.000 | 0.000 | -0.000 | -0.000 |
| 81.218 | 81.218 | 183.360 | 0.000 | 0.000 | -0.000 |
| 0.000 | 0.000 | 0.000 | 49.004 | -0.000 | 0.000 |
| 0.000 | 0.000 | 0.000 | 0.000 | 49.004 | -0.000 |
| 0.004 | 0.004 | -0.004 | 0.000 | -0.000 | 46.446 |
| 230.803 | 96.320 | 76.000 | -0.000 | -0.000 | 0.000 |
| 112.671 | 204.150 | 80.541 | -0.000 | -0.000 | 0.000 |
| 76.634 | 76.634 | 187.400 | 0.000 | 0.000 | 0.000 |
| -0.000 | -0.000 | -0.000 | 49.004 | -0.000 | -0.000 |
| -0.000 | -0.000 | -0.000 | -0.000 | 49.004 | -0.000 |
| -0.004 | -0.004 | 0.004 | -0.000 | -0.000 | 46.446 |
| 225.307 | 94.211 | 76.539 | 0.000 | -0.000 | 0.000 |
| 94.211 | 225.307 | 76.539 | 0.000 | 0.000 | -0.000 |
| 76.538 | 76.538 | 188.348 | 0.000 | -0.000 | -0.000 |
| 0.000 | 0.000 | -0.000 | 49.039 | -0.000 | -0.000 |
| 2.855 | 2.855 | -2.421 | 0.000 | 37.763 | 0.000 |
| 0.000 | -0.000 | 0.000 | 0.000 | 0.000 | 65.548 |
| 225.307 | 94.211 | 76.539 | -0.000 | 0.000 | -0.000 |
| 92.214 | 208.985 | 84.306 | -0.000 | 0.000 | -0.000 |
| 80.852 | 80.852 | 184.690 | -0.000 | 0.000 | 0.000 |
| -2.855 | -2.855 | 2.421 | 37.763 | -0.000 | -0.000 |
| -2.855 | -2.855 | 2.421 | 0.000 | 37.763 | -0.000 |
| -0.000 | 0.000 | -0.000 | -0.000 | 0.000 | 65.548 |
| 208.922 | 92.946 | 84.023 | 0.000 | -0.000 | 0.000 |
| 94.211 | 225.307 | 76.539 | 0.000 | -0.000 | -0.000 |
| 81.387 | 81.387 | 184.237 | 0.000 | -0.000 | 0.000 |
| 0.000 | 0.000 | 0.000 | 49.039 | -0.000 | 0.000 |
| 0.000 | 0.000 | 0.000 | 0.000 | 49.039 | -0.000 |
| 0.000 | 0.000 | 0.000 | -0.000 | 0.000 | 65.548 |
| 225.307 | 94.211 | 76.539 | -0.000 | 0.000 | -0.000 |
| 94.211 | 225.307 | 76.539 | -0.000 | 0.000 | 0.000 |
| 81.290 | 81.290 | 184.319 | -0.000 | 0.000 | 0.000 |
| -0.000 | -0.000 | -0.000 | 49.039 | 0.000 | -0.000 |
| -0.000 | -0.000 | -0.000 | -0.000 | 49.039 | -0.000 |
| -0.000 | -0.000 | -0.000 | -0.000 | 0.000 | 65.548 |
| 225.309 | 94.212 | 76.539 | 0.000 | 0.000 | -0.000 |
| 92.884 | 208.933 | 84.045 | 0.000 | -0.000 | -0.000 |
| 81.343 | 81.343 | 184.275 | 0.000 | -0.000 | 0.000 |
| 0.032 | 0.032 | -0.027 | 36.427 | 0.000 | 0.000 |
| 0.000 | 0.000 | 0.000 | 0.000 | 49.039 | 0.000 |
| 0.000 | 0.000 | 0.000 | 0.000 | -0.000 | 65.548 |
| 208.931 | 92.869 | 84.050 | -0.000 | -0.000 | -0.000 |
| 111.819 | 196.366 | 81.343 | 0.000 | 0.000 | -0.000 |
| 76.538 | 76.538 | 188.348 | 0.000 | 0.000 | 0.000 |
| -0.032 | -0.032 | 0.027 | 36.427 | 0.000 | -0.000 |
| -0.000 | -0.000 | -0.000 | -0.000 | 49.039 | -0.000 |
| -0.000 | -0.000 | -0.000 | -0.000 | 0.000 | 65.548 |
| -1469.659 | -1580.334 | -803.844 | 15.570 | 0.000 | -0.000 |
| -1580.334 | -1469.659 | -803.844 | -15.570 | 0.000 | -0.000 |
| -1237.473 | -1237.473 | -627.993 | -0.000 | 0.000 | -0.000 |
| -1300.205 | -1322.419 | -857.010 | 46.329 | 0.000 | -0.000 |
| -1683.326 | -1683.326 | -878.051 | -0.000 | 48.732 | 15.567 |
| -1683.408 | -1683.408 | -878.094 | 0.000 | 15.567 | 55.328 |
| 1896.983 | 1786.342 | 952.262 | 15.564 | -0.000 | -0.000 |
| 1786.342 | 1896.983 | 952.262 | -15.564 | -0.000 | -0.000 |
| 1385.146 | 1385.146 | 1086.026 | -0.000 | -0.000 | -0.000 |
| 1322.520 | 1300.306 | 857.062 | 46.328 | -0.000 | -0.000 |
| 1683.326 | 1683.326 | 878.051 | -0.000 | 48.732 | 15.567 |
| 1683.408 | 1683.408 | 878.094 | -0.000 | 15.567 | 55.328 |
| 45.366 | -65.457 | -13.622 | 15.595 | 0.000 | 0.000 |
| -19.266 | 72.798 | -11.795 | -11.107 | 0.000 | 0.000 |
| -94.456 | -94.456 | 141.296 | 0.000 | 0.000 | -0.000 |
| -120.035 | -142.248 | -85.707 | 46.328 | 0.000 | -0.000 |
| -168.346 | -168.346 | -87.812 | -0.000 | 48.732 | 15.567 |
| 0.000 | -0.000 | 0.000 | 0.000 | 19.675 | 67.713 |
| 381.947 | 271.475 | 162.040 | 15.536 | -0.000 | 0.000 |
| 92.343 | 227.770 | 74.878 | -19.675 | -0.000 | 0.000 |
| 242.217 | 242.217 | 316.910 | -0.000 | -0.000 | -0.000 |
| 142.247 | 120.034 | 85.707 | 46.328 | -0.000 | -0.000 |
| 168.346 | 168.346 | 87.812 | 0.000 | 48.732 | 15.567 |
| -0.000 | 0.000 | -0.000 | -0.000 | 19.675 | 67.713 |
| 196.851 | 85.257 | 65.187 | 15.722 | 0.000 | 0.000 |
| 98.131 | 191.414 | 65.316 | -10.725 | 0.000 | 0.000 |
| 74.805 | 74.805 | 229.515 | 0.000 | 0.000 | 0.000 |
| -2.034 | -24.194 | -8.579 | 46.314 | 0.000 | -0.000 |
| 0.000 | 0.000 | 0.000 | -0.000 | 50.884 | 19.675 |
| -17.246 | -17.247 | -8.996 | 0.000 | 15.466 | 55.025 |
| 229.476 | 121.638 | 83.219 | 15.099 | -0.000 | 0.000 |
| 121.639 | 229.476 | 83.220 | -15.099 | -0.000 | -0.000 |
| 86.946 | 86.946 | 237.585 | 0.000 | -0.000 | -0.000 |
| 19.675 | -19.675 | -0.000 | 50.884 | -0.000 | 0.000 |
| -0.000 | -0.000 | -0.000 | 0.000 | 50.884 | 19.675 |
| 17.246 | 17.247 | 8.996 | -0.000 | 15.466 | 55.025 |
| -651.088 | -743.279 | -282.116 | 11.158 | 0.000 | 0.000 |
| -762.485 | -645.325 | -295.796 | -16.678 | 0.000 | 0.000 |
| -787.971 | -787.971 | -140.977 | 0.000 | 0.000 | 0.000 |
| -845.427 | -878.783 | -369.903 | 49.466 | 0.000 | 0.000 |
| -862.105 | -862.105 | -369.903 | 0.000 | 49.466 | 16.678 |
| -862.114 | -862.114 | -369.907 | 0.000 | 16.678 | 58.580 |
| 1078.902 | 961.743 | 444.019 | 16.678 | -0.000 | -0.000 |
| 92.569 | 228.145 | 75.057 | -19.731 | -0.000 | 0.000 |
| 75.057 | 75.057 | 229.355 | 0.000 | 0.000 | 0.000 |
| 19.731 | -19.731 | 0.000 | 51.066 | 0.000 | 0.000 |
| 862.105 | 862.105 | 369.903 | 0.000 | 49.466 | 16.678 |
| 862.114 | 862.114 | 369.907 | -0.000 | 16.678 | 58.580 |
| 130.458 | 13.317 | 37.073 | 16.675 | -0.000 | 0.000 |
| 13.317 | 130.458 | 37.073 | -16.675 | 0.000 | 0.000 |
| 75.057 | 75.057 | 229.355 | 0.000 | 0.000 | -0.000 |
| -69.560 | -102.914 | -37.002 | 49.465 | 0.000 | 0.000 |
| 0.000 | 0.000 | 0.000 | -0.000 | 51.066 | 19.731 |
| -86.324 | -86.324 | -37.039 | 0.000 | 16.674 | 58.568 |
| 228.145 | 92.569 | 75.057 | 19.731 | -0.000 | 0.000 |
| 92.569 | 228.145 | 75.057 | -19.731 | 0.000 | 0.000 |
| 160.342 | 160.342 | 265.916 | 0.000 | -0.000 | -0.000 |
| 102.914 | 69.560 | 37.002 | 49.465 | 0.000 | -0.000 |
| -0.000 | -0.000 | -0.000 | 0.000 | 51.066 | 19.731 |
| 86.324 | 86.324 | 37.039 | -0.000 | 16.674 | 58.568 |
| 228.146 | 92.570 | 75.057 | 19.731 | 0.000 | -0.000 |
| 104.094 | 195.447 | 70.589 | -10.960 | 0.000 | 0.000 |
| 65.504 | 65.504 | 225.224 | 0.000 | 0.000 | 0.000 |
| 1.875 | -18.970 | -3.545 | 46.112 | 0.000 | 0.000 |
| 0.000 | 0.000 | 0.000 | -0.000 | 51.066 | 19.731 |
| 0.000 | 0.000 | 0.000 | 0.000 | 19.731 | 67.788 |
| 228.144 | 92.569 | 75.057 | 19.731 | -0.000 | 0.000 |
| 111.250 | 224.856 | 78.331 | -16.089 | -0.000 | -0.000 |
| 75.057 | 75.057 | 229.354 | 0.000 | -0.000 | 0.000 |
| 19.731 | -19.731 | -0.000 | 51.066 | -0.000 | 0.000 |
| -0.000 | -0.000 | -0.000 | 0.000 | 51.066 | 19.731 |
| -0.000 | -0.000 | -0.000 | -0.000 | 19.731 | 67.788 |
| 209.352 | 101.635 | 72.810 | 15.093 | 0.000 | -0.000 |
| 101.635 | 209.352 | 72.810 | -15.093 | -0.000 | -0.000 |
| 72.802 | 72.802 | 228.471 | -0.000 | -0.000 | -0.000 |
| 19.701 | -19.701 | 0.000 | 50.973 | -0.000 | -0.000 |
| -2.132 | -2.132 | -1.064 | -0.000 | 47.454 | 12.985 |
| -1.857 | -1.857 | -0.927 | -0.000 | 13.851 | 50.113 |
| 205.342 | 113.772 | 74.838 | 10.602 | -0.000 | 0.000 |
| 92.471 | 227.988 | 74.985 | -19.701 | 0.000 | 0.000 |
| 74.943 | 74.943 | 229.503 | 0.000 | -0.000 | 0.000 |
| 19.701 | -19.701 | -0.000 | 50.973 | -0.000 | 0.000 |
| 2.132 | 2.132 | 1.064 | 0.000 | 47.454 | 12.985 |
| 1.857 | 1.857 | 0.927 | 0.000 | 13.851 | 50.113 |
| 227.988 | 92.471 | 74.986 | 19.701 | -0.000 | -0.000 |
| 103.948 | 209.022 | 73.323 | -14.655 | 0.000 | -0.000 |
| 74.943 | 74.943 | 229.503 | -0.000 | -0.000 | -0.000 |
| 10.234 | -10.409 | -0.056 | 45.977 | -0.000 | -0.000 |
| -0.301 | -0.301 | -0.150 | -0.000 | 46.013 | 10.235 |
| -0.038 | -0.038 | -0.034 | -0.000 | 10.360 | 45.855 |
| 208.922 | 104.535 | 73.449 | 14.541 | 0.000 | 0.000 |
| 92.471 | 227.988 | 74.985 | -19.701 | 0.000 | 0.000 |
| 74.943 | 74.943 | 229.503 | 0.000 | 0.000 | 0.000 |
| 10.535 | -9.934 | 0.150 | 46.013 | 0.000 | 0.000 |
| 0.301 | 0.301 | 0.150 | 0.000 | 46.013 | 10.235 |
| 0.038 | 0.038 | 0.034 | 0.000 | 10.360 | 45.855 |
| 204.222 | 112.811 | 74.210 | 10.756 | 0.000 | -0.000 |
| 104.209 | 208.978 | 73.379 | -14.604 | -0.000 | -0.000 |
| 73.936 | 73.936 | 229.036 | 0.000 | 0.000 | 0.000 |
| 19.701 | -19.701 | 0.000 | 50.973 | 0.000 | -0.000 |
| -0.030 | -0.030 | -0.015 | -0.000 | 45.986 | 10.182 |
| -0.019 | -0.019 | -0.010 | 0.000 | 13.630 | 49.444 |
| 227.987 | 92.471 | 74.985 | 19.701 | 0.000 | 0.000 |
| 104.267 | 208.967 | 73.391 | -14.593 | 0.000 | 0.000 |
| 73.958 | 73.958 | 229.044 | 0.000 | 0.000 | 0.000 |
| 10.212 | -10.152 | 0.015 | 45.985 | -0.000 | 0.000 |
| 0.030 | 0.030 | 0.015 | 0.000 | 45.986 | 10.182 |
| 0.019 | 0.019 | 0.010 | -0.000 | 13.630 | 49.444 |
| 186.663 | 184.629 | 173.370 | 0.000 | 0.000 | -0.000 |
| 171.673 | 316.296 | 125.594 | -0.000 | -0.000 | -0.000 |
| 173.960 | 121.267 | 327.545 | 0.000 | 0.000 | -0.000 |
| -10.286 | -4.767 | 3.825 | 81.981 | 0.000 | -0.000 |
| -12.503 | -7.166 | 6.110 | 0.000 | 130.673 | 0.000 |
| -13.118 | -7.704 | 6.608 | 0.000 | 0.000 | 139.586 |
| 186.663 | 184.629 | 173.370 | -0.000 | 0.000 | 0.000 |
| 192.489 | 325.965 | 117.831 | -0.000 | 0.000 | 0.000 |
| 173.960 | 121.267 | 327.545 | 0.000 | 0.000 | 0.000 |
| 10.286 | 4.767 | -3.825 | 81.981 | 0.000 | 0.000 |
| 12.503 | 7.166 | -6.110 | -0.000 | 130.673 | 0.000 |
| 13.118 | 7.704 | -6.608 | -0.000 | 0.000 | 139.586 |
| 181.316 | 181.983 | 175.538 | -0.000 | -0.000 | -0.000 |
| 184.494 | 322.505 | 120.542 | -0.000 | -0.000 | -0.000 |
| 173.960 | 121.267 | 327.545 | -0.000 | 0.000 | -0.000 |
| -1.308 | -0.768 | 0.659 | 81.981 | 0.000 | -0.000 |
| -1.413 | -0.655 | 0.525 | -0.000 | 131.480 | -0.000 |
| -1.327 | -0.765 | 0.653 | 0.000 | 0.000 | 139.551 |
| 183.291 | 182.885 | 174.817 | 0.000 | 0.000 | 0.000 |
| 184.494 | 322.505 | 120.542 | 0.000 | -0.000 | 0.000 |
| 177.631 | 123.317 | 325.809 | -0.000 | -0.000 | 0.000 |
| 1.308 | 0.768 | -0.659 | 81.981 | 0.000 | 0.000 |
| 1.413 | 0.655 | -0.525 | 0.000 | 131.480 | 0.000 |
| 1.327 | 0.765 | -0.653 | -0.000 | 0.000 | 139.551 |
| 180.641 | 180.622 | 176.906 | -0.000 | 0.000 | -0.000 |
| 184.495 | 322.506 | 120.543 | 0.000 | -0.000 | -0.000 |
| 177.299 | 123.986 | 325.058 | 0.000 | 0.000 | -0.000 |
| -0.107 | -0.049 | 0.041 | 81.981 | 0.000 | -0.000 |
| -0.159 | -0.073 | 0.059 | -0.000 | 131.322 | -0.000 |
| -0.000 | 0.000 | 0.000 | 0.000 | -0.000 | 141.100 |
| 186.664 | 184.629 | 173.370 | -0.000 | -0.000 | 0.000 |
| 184.493 | 322.504 | 120.541 | -0.000 | 0.000 | 0.000 |
| 173.959 | 121.266 | 327.544 | -0.000 | -0.000 | 0.000 |
| 0.107 | 0.049 | -0.041 | 81.981 | -0.000 | -0.000 |
| 0.159 | 0.073 | -0.059 | 0.000 | 131.322 | 0.000 |
| 0.000 | -0.000 | -0.000 | 0.000 | 0.000 | 141.100 |
| 196.084 | 183.309 | 175.798 | 0.000 | -0.000 | 0.000 |
| -729.374 | -2.381 | 382.567 | -0.000 | -0.000 | 0.000 |
| 175.798 | 125.971 | 329.893 | -0.000 | 0.000 | 0.000 |
| -910.601 | -324.490 | 255.677 | 86.724 | -0.000 | 0.000 |
| -853.387 | -279.628 | 218.036 | -0.000 | 132.230 | 0.000 |
| -853.331 | -279.583 | 217.999 | 0.000 | 0.000 | 139.062 |
| 1041.411 | 458.099 | -38.242 | -0.000 | -0.000 | -0.000 |
| 1091.832 | 646.600 | -128.789 | 0.000 | 0.000 | 0.000 |
| 1033.084 | 408.239 | 109.660 | 0.000 | -0.000 | -0.000 |
| 910.601 | 324.490 | -255.677 | 86.724 | 0.000 | -0.000 |
| 853.387 | 279.628 | -218.036 | 0.000 | 132.230 | -0.000 |
| 853.331 | 279.583 | -217.999 | 0.000 | -0.000 | 139.062 |
| 100.420 | 148.723 | 203.095 | -0.000 | -0.000 | 0.000 |
| 183.309 | 323.230 | 125.971 | 0.000 | -0.000 | 0.000 |
| 86.405 | 94.434 | 354.713 | -0.000 | -0.000 | 0.000 |
| -91.060 | -32.449 | 25.568 | 86.724 | -0.000 | -0.000 |
| -0.000 | 0.000 | 0.000 | -0.000 | 134.369 | 0.000 |
| -85.353 | -27.973 | 21.812 | 0.000 | 0.000 | 139.063 |
| 282.608 | 213.644 | 151.942 | 0.000 | 0.000 | -0.000 |
| 272.309 | 354.565 | 101.316 | 0.000 | 0.000 | -0.000 |
| 175.798 | 125.971 | 329.893 | 0.000 | -0.000 | -0.000 |
| 91.060 | 32.449 | -25.568 | 86.724 | 0.000 | -0.000 |
| 0.000 | -0.000 | -0.000 | 0.000 | 134.369 | -0.000 |
| 85.353 | 27.973 | -21.812 | 0.000 | -0.000 | 139.063 |
| 196.083 | 183.309 | 175.798 | 0.000 | -0.000 | 0.000 |
| 183.309 | 323.231 | 125.971 | 0.000 | -0.000 | 0.000 |
| 168.235 | 123.603 | 331.730 | 0.000 | 0.000 | 0.000 |
| -0.000 | 0.000 | 0.001 | 86.724 | -0.000 | 0.000 |
| -9.223 | -3.287 | 2.590 | -0.000 | 133.510 | 0.000 |
| -9.133 | -3.254 | 2.564 | -0.000 | -0.000 | 139.364 |
| 201.032 | 184.516 | 174.898 | 0.000 | 0.000 | -0.000 |
| 190.533 | 325.409 | 124.289 | 0.000 | -0.000 | -0.000 |
| 188.288 | 131.452 | 325.476 | 0.000 | -0.000 | -0.000 |
| 0.000 | -0.000 | -0.001 | 86.724 | 0.000 | -0.000 |
| 9.223 | 3.287 | -2.590 | 0.000 | 133.510 | -0.000 |
| 9.133 | 3.254 | -2.564 | 0.000 | 0.000 | 139.364 |
| -430.650 | -468.266 | 788.747 | 0.000 | 0.000 | 0.000 |
| -424.312 | -325.257 | 732.100 | 0.000 | 0.000 | 0.000 |
| -418.180 | -515.322 | 929.362 | 0.000 | 0.000 | 0.000 |
| 0.000 | 0.000 | 0.000 | 82.434 | -0.000 | 0.000 |
| -599.674 | -641.965 | 605.892 | 0.000 | 129.271 | 0.000 |
| 0.000 | 0.000 | -0.000 | 0.000 | 0.000 | 141.065 |
| 768.639 | 815.514 | -422.886 | -0.000 | 0.000 | -0.000 |
| 184.396 | 322.586 | 121.063 | 0.000 | 0.000 | -0.000 |
| 174.134 | 121.718 | 327.805 | -0.000 | -0.000 | -0.000 |
| -0.000 | -0.000 | -0.000 | 82.434 | -0.000 | -0.000 |
| 599.674 | 641.965 | -605.892 | -0.000 | 129.271 | -0.000 |
| -0.000 | -0.000 | 0.000 | -0.000 | 0.000 | 141.065 |
| 109.847 | 110.551 | 242.433 | 0.000 | 0.000 | -0.000 |
| 184.396 | 322.586 | 121.063 | 0.000 | -0.000 | 0.000 |
| 174.134 | 121.718 | 327.805 | 0.000 | 0.000 | 0.000 |
| -0.000 | 0.000 | 0.000 | 82.434 | 0.000 | 0.000 |
| -59.801 | -64.019 | 60.421 | 0.000 | 129.281 | 0.000 |
| -73.208 | -70.622 | 65.832 | 0.000 | -0.000 | 139.532 |
| 228.881 | 237.137 | 123.049 | -0.000 | -0.000 | -0.000 |
| 184.395 | 322.586 | 121.063 | -0.000 | -0.000 | -0.000 |
| 241.411 | 190.741 | 262.978 | -0.000 | 0.000 | -0.000 |
| 0.000 | -0.000 | -0.000 | 82.434 | 0.000 | -0.000 |
| 59.801 | 64.019 | -60.421 | 0.000 | 129.281 | -0.000 |
| 73.208 | 70.622 | -65.832 | -0.000 | 0.000 | 139.532 |
| 174.106 | 173.437 | 183.708 | 0.000 | 0.000 | 0.000 |
| 171.367 | 312.212 | 130.475 | 0.000 | 0.000 | 0.000 |
| 170.333 | 117.441 | 331.866 | 0.000 | 0.000 | 0.000 |
| -7.326 | -7.064 | 6.585 | 82.434 | -0.000 | 0.000 |
| -0.000 | -0.000 | 0.000 | 0.000 | 132.928 | 0.000 |
| -0.000 | 0.000 | -0.000 | 0.000 | 0.000 | 141.065 |
| 184.382 | 184.066 | 173.714 | 0.000 | -0.000 | 0.000 |
| 187.706 | 326.561 | 117.264 | 0.000 | 0.000 | -0.000 |
| 184.983 | 131.568 | 318.694 | 0.000 | 0.000 | -0.000 |
| 7.326 | 7.064 | -6.585 | 82.434 | 0.000 | -0.000 |
| 0.000 | 0.000 | -0.000 | -0.000 | 132.928 | -0.000 |
| 0.000 | -0.000 | 0.000 | -0.000 | -0.000 | 141.065 |
| 196.112 | 183.306 | 175.801 | -0.000 | -0.000 | 0.000 |
| 177.786 | 319.369 | 129.200 | -0.000 | -0.000 | 0.000 |
| 178.154 | 127.141 | 328.952 | 0.000 | 0.000 | 0.000 |
| 0.000 | 0.000 | -0.000 | 86.736 | 0.000 | 0.000 |
| 0.000 | 0.000 | -0.000 | 0.000 | 134.372 | 0.000 |
| 0.000 | 0.000 | -0.000 | -0.000 | 0.000 | 140.626 |
| 190.911 | 180.994 | 177.666 | -0.000 | -0.000 | -0.000 |
| 183.305 | 323.228 | 125.983 | 0.000 | -0.000 | -0.000 |
| 175.800 | 125.982 | 329.896 | 0.000 | -0.000 | -0.000 |
| -0.000 | -0.000 | 0.000 | 86.736 | 0.000 | -0.000 |
| -0.000 | -0.000 | 0.000 | 0.000 | 134.371 | 0.000 |
| -0.000 | -0.000 | 0.000 | -0.000 | -0.000 | 140.626 |
| 190.399 | 180.656 | 177.947 | 0.000 | 0.000 | 0.000 |
| 183.306 | 323.228 | 125.983 | -0.000 | 0.000 | -0.000 |
| 175.800 | 125.982 | 329.896 | -0.000 | 0.000 | 0.000 |
| -0.000 | 0.000 | 0.000 | 86.736 | 0.000 | 0.000 |
| -0.000 | 0.000 | 0.000 | -0.000 | 134.372 | 0.000 |
| -0.008 | -0.012 | 0.011 | 0.000 | 0.000 | 139.288 |
| 190.503 | 180.723 | 177.891 | 0.000 | -0.000 | -0.000 |
| 183.305 | 323.228 | 125.982 | -0.000 | -0.000 | -0.000 |
| 175.800 | 125.982 | 329.895 | 0.000 | -0.000 | -0.000 |
| 0.000 | -0.000 | -0.000 | 86.736 | -0.000 | -0.000 |
| 0.000 | -0.000 | -0.000 | -0.000 | 134.372 | -0.000 |
| 0.008 | 0.012 | -0.011 | -0.000 | -0.000 | 139.288 |
| 188.097 | 178.506 | 179.765 | -0.000 | -0.000 | -0.000 |
| 179.429 | 321.167 | 127.672 | 0.000 | 0.000 | -0.000 |
| 179.047 | 127.727 | 328.468 | 0.000 | 0.000 | 0.000 |
| -0.001 | -0.001 | 0.002 | 86.735 | 0.000 | 0.000 |
| -0.000 | 0.000 | 0.000 | 0.000 | 134.372 | 0.000 |
| -0.001 | -0.001 | 0.001 | 0.000 | 0.000 | 139.289 |
| 188.112 | 178.518 | 179.753 | 0.000 | -0.000 | -0.000 |
| 179.448 | 321.179 | 127.659 | -0.000 | -0.000 | -0.000 |
| 175.799 | 125.981 | 329.894 | -0.000 | -0.000 | -0.000 |
| 0.001 | 0.001 | -0.002 | 86.735 | -0.000 | -0.000 |
| 0.000 | -0.000 | -0.000 | 0.000 | 134.372 | -0.000 |
| 0.001 | 0.001 | -0.001 | -0.000 | -0.000 | 139.289 |
| -416.406 | -484.029 | -1577.790 | 0.000 | -0.000 | 0.000 |
| -484.029 | -416.406 | -1577.790 | -0.000 | 0.000 | 0.000 |
| -484.788 | -484.788 | -1524.907 | 0.000 | 0.000 | -0.000 |
| -1386.759 | -1386.759 | -2999.680 | 112.216 | 0.000 | 0.000 |
| -1386.759 | -1386.759 | -2999.680 | 0.000 | 112.216 | 0.000 |
| -1386.845 | -1386.845 | -2999.812 | -0.000 | 0.000 | 117.672 |
| 1252.674 | 1188.973 | 2647.950 | -0.000 | 0.000 | -0.000 |
| 1188.973 | 1252.674 | 2647.950 | -0.000 | -0.000 | -0.000 |
| 1185.647 | 1185.647 | 2699.701 | -0.000 | 0.000 | 0.000 |
| 1386.759 | 1386.759 | 2999.680 | 112.216 | 0.000 | -0.000 |
| 1386.759 | 1386.759 | 2999.680 | -0.000 | 112.216 | -0.000 |
| 1386.845 | 1386.845 | 2999.812 | 0.000 | -0.000 | 117.672 |
| 154.387 | 86.788 | -23.693 | -0.000 | 0.000 | 0.000 |
| 86.788 | 154.387 | -23.693 | 0.000 | 0.000 | 0.000 |
| 152.130 | 152.130 | 209.438 | 0.000 | 0.000 | 0.000 |
| -137.958 | -137.958 | -298.950 | 112.353 | 0.000 | 0.000 |
| -137.958 | -137.958 | -298.950 | -0.000 | 112.353 | 0.000 |
| -63.424 | -63.424 | -172.681 | -0.000 | -0.000 | 117.672 |
| 281.291 | 213.639 | 321.743 | -0.000 | -0.000 | 0.000 |
| 213.639 | 281.291 | 321.743 | 0.000 | -0.000 | -0.000 |
| 285.014 | 285.014 | 497.237 | -0.000 | -0.000 | -0.000 |
| 137.958 | 137.958 | 298.950 | 112.353 | -0.000 | 0.000 |
| 137.958 | 137.958 | 298.950 | 0.000 | 112.353 | -0.000 |
| 63.424 | 63.424 | 172.681 | -0.000 | 0.000 | 117.672 |
| 211.199 | 143.896 | 131.424 | 0.000 | 0.000 | -0.000 |
| 143.896 | 211.199 | 131.424 | 0.000 | 0.000 | 0.000 |
| 143.055 | 143.055 | 184.463 | 0.000 | 0.000 | 0.000 |
| 0.000 | -0.000 | 0.000 | 121.254 | -0.000 | 0.000 |
| -0.000 | 0.000 | 0.000 | -0.000 | 121.254 | -0.000 |
| -0.000 | 0.000 | 0.000 | 0.000 | -0.000 | 117.672 |
| 227.381 | 163.624 | 175.372 | -0.000 | -0.000 | 0.000 |
| 163.624 | 227.381 | 175.372 | 0.000 | -0.000 | -0.000 |
| 155.910 | 155.910 | 219.506 | -0.000 | 0.000 | 0.000 |
| -0.000 | 0.000 | -0.000 | 121.254 | 0.000 | -0.000 |
| 0.000 | -0.000 | -0.000 | 0.000 | 121.254 | -0.000 |
| 0.000 | -0.000 | -0.000 | 0.000 | -0.000 | 117.672 |
| 227.162 | 149.645 | 154.237 | 0.000 | 0.000 | 0.000 |
| 149.645 | 227.162 | 154.237 | 0.000 | 0.000 | 0.000 |
| 153.967 | 153.967 | 202.650 | 0.000 | -0.000 | 0.000 |
| -0.000 | 0.000 | 0.000 | 122.155 | -0.000 | -0.000 |
| -0.000 | 0.000 | 0.000 | 0.000 | 122.155 | -0.000 |
| -0.000 | 0.000 | 0.000 | 0.000 | 0.000 | 117.660 |
| 227.162 | 149.645 | 154.237 | -0.000 | -0.000 | 0.000 |
| 149.645 | 227.162 | 154.237 | -0.000 | -0.000 | 0.000 |
| 325.871 | 325.871 | 59.479 | -0.000 | -0.000 | -0.000 |
| 0.000 | -0.000 | -0.000 | 122.155 | -0.000 | -0.000 |
| 0.000 | -0.000 | -0.000 | -0.000 | 122.155 | 0.000 |
| 0.000 | -0.000 | -0.000 | -0.000 | 0.000 | 117.660 |
| 227.162 | 149.645 | 154.237 | 0.000 | 0.000 | -0.000 |
| 149.645 | 227.162 | 154.237 | 0.000 | 0.000 | 0.000 |
| 150.424 | 150.424 | 207.347 | 0.000 | 0.000 | -0.000 |
| 0.000 | -0.000 | 0.000 | 122.155 | -0.000 | -0.000 |
| -0.000 | 0.000 | 0.000 | 0.000 | 122.155 | -0.000 |
| -0.000 | 0.000 | 0.000 | 0.000 | -0.000 | 117.660 |
| 227.162 | 149.645 | 154.237 | -0.000 | -0.000 | 0.000 |
| 149.645 | 227.162 | 154.237 | -0.000 | -0.000 | -0.000 |
| 167.200 | 167.200 | 179.393 | -0.000 | -0.000 | -0.000 |
| -0.000 | 0.000 | -0.000 | 122.155 | -0.000 | 0.000 |
| 0.000 | -0.000 | -0.000 | -0.000 | 122.155 | 0.000 |
| 0.000 | -0.000 | -0.000 | -0.000 | -0.000 | 117.660 |
| 227.161 | 149.645 | 154.237 | 0.000 | -0.000 | -0.000 |
| 149.645 | 227.161 | 154.237 | 0.000 | 0.000 | 0.000 |
| 153.968 | 153.968 | 202.649 | 0.000 | -0.000 | -0.000 |
| 0.000 | -0.000 | 0.000 | 122.155 | -0.000 | 0.000 |
| -0.000 | 0.000 | 0.000 | 0.000 | 122.155 | 0.000 |
| -0.000 | 0.000 | 0.000 | 0.000 | 0.000 | 117.660 |
| 223.565 | 151.428 | 151.319 | 0.000 | 0.000 | 0.000 |
| 151.428 | 223.565 | 151.319 | 0.000 | 0.000 | 0.000 |
| 153.967 | 153.967 | 202.651 | -0.000 | -0.000 | 0.000 |
| -0.000 | 0.000 | -0.000 | 122.155 | -0.000 | 0.000 |
| 0.000 | -0.000 | -0.000 | -0.000 | 122.155 | 0.000 |
| 0.000 | -0.000 | -0.000 | -0.000 | -0.000 | 117.660 |
| 192.209 | 117.276 | 117.276 | -0.000 | -0.000 | 0.000 |
| 117.276 | 192.209 | 117.276 | -0.000 | -0.000 | 0.000 |
| 117.276 | 117.276 | 192.209 | 0.000 | -0.000 | 0.000 |
| 0.905 | 0.905 | 0.905 | 79.668 | -0.000 | 0.000 |
| 0.905 | 0.905 | 0.905 | -0.000 | 79.668 | 0.000 |
| 0.905 | 0.905 | 0.905 | 0.000 | 0.000 | 79.668 |
| 187.542 | 116.760 | 116.760 | 0.000 | 0.000 | 0.000 |
| 116.760 | 187.542 | 116.760 | 0.000 | 0.000 | 0.000 |
| 116.760 | 116.760 | 187.542 | 0.000 | 0.000 | 0.000 |
| -0.905 | -0.905 | -0.905 | 79.668 | -0.000 | -0.000 |
| -0.905 | -0.905 | -0.905 | 0.000 | 79.668 | -0.000 |
| -0.905 | -0.905 | -0.905 | -0.000 | -0.000 | 79.668 |
| 192.209 | 117.277 | 117.277 | -0.000 | -0.000 | 0.000 |
| 117.277 | 192.209 | 117.277 | -0.000 | -0.000 | 0.000 |
| 117.277 | 117.277 | 192.209 | -0.000 | -0.000 | -0.000 |
| 0.095 | 0.095 | 0.095 | 79.170 | 0.000 | 0.000 |
| 0.095 | 0.095 | 0.095 | -0.000 | 79.170 | 0.000 |
| 0.095 | 0.095 | 0.095 | 0.000 | -0.000 | 79.170 |
| 192.209 | 117.276 | 117.276 | 0.000 | 0.000 | 0.000 |
| 117.276 | 192.209 | 117.276 | 0.000 | 0.000 | -0.000 |
| 117.276 | 117.276 | 192.209 | -0.000 | -0.000 | 0.000 |
| -0.095 | -0.095 | -0.095 | 79.170 | 0.000 | -0.000 |
| -0.095 | -0.095 | -0.095 | 0.000 | 79.170 | -0.000 |
| -0.095 | -0.095 | -0.095 | 0.000 | -0.000 | 79.170 |
| 187.889 | 117.120 | 117.120 | -0.000 | -0.000 | 0.000 |
| 117.120 | 187.889 | 117.120 | -0.000 | -0.000 | 0.000 |
| 117.120 | 117.120 | 187.889 | -0.000 | 0.000 | -0.000 |
| 0.010 | 0.010 | 0.010 | 79.164 | -0.000 | 0.000 |
| 0.010 | 0.010 | 0.010 | 0.000 | 79.164 | -0.000 |
| 0.010 | 0.010 | 0.010 | -0.000 | 0.000 | 79.164 |
| 187.883 | 117.113 | 117.113 | 0.000 | 0.000 | -0.000 |
| 117.113 | 187.883 | 117.113 | 0.000 | 0.000 | 0.000 |
| 117.113 | 117.113 | 187.883 | 0.000 | -0.000 | 0.000 |
| -0.010 | -0.010 | -0.010 | 79.164 | -0.000 | -0.000 |
| -0.010 | -0.010 | -0.010 | -0.000 | 79.164 | -0.000 |
| -0.010 | -0.010 | -0.010 | 0.000 | -0.000 | 79.164 |
| 188.145 | 117.279 | 117.279 | 0.000 | -0.000 | 0.000 |
| 117.279 | 188.145 | 117.279 | -0.000 | -0.000 | 0.000 |
| 117.279 | 117.279 | 188.145 | 0.000 | 0.000 | 0.000 |
| 0.000 | -0.000 | 0.000 | 77.781 | -0.000 | -0.000 |
| -0.000 | 0.000 | 0.000 | 0.000 | 77.781 | -0.000 |
| -0.000 | 0.000 | 0.000 | 0.000 | 0.000 | 77.781 |
| 192.472 | 117.439 | 117.439 | -0.000 | 0.000 | -0.000 |
| 117.439 | 192.472 | 117.439 | -0.000 | 0.000 | 0.000 |
| 117.439 | 117.439 | 192.472 | 0.000 | 0.000 | -0.000 |
| -0.000 | 0.000 | -0.000 | 77.781 | 0.000 | -0.000 |
| 0.000 | -0.000 | -0.000 | -0.000 | 77.781 | -0.000 |
| 0.000 | -0.000 | -0.000 | -0.000 | 0.000 | 77.781 |
| 192.472 | 117.439 | 117.439 | -0.000 | 0.000 | 0.000 |
| 117.439 | 192.472 | 117.439 | 0.000 | 0.000 | -0.000 |
| 117.439 | 117.439 | 192.472 | -0.000 | 0.000 | 0.000 |
| 0.000 | -0.000 | 0.000 | 79.230 | 0.000 | 0.000 |
| -0.000 | 0.000 | 0.000 | 0.000 | 79.230 | 0.000 |
| -0.000 | 0.000 | 0.000 | 0.000 | -0.000 | 79.230 |
| 192.472 | 117.439 | 117.439 | -0.000 | 0.000 | 0.000 |
| 117.439 | 192.472 | 117.439 | -0.000 | 0.000 | -0.000 |
| 117.439 | 117.439 | 192.472 | -0.000 | -0.000 | 0.000 |
| -0.000 | 0.000 | -0.000 | 79.230 | -0.000 | 0.000 |
| 0.000 | -0.000 | -0.000 | -0.000 | 79.230 | -0.000 |
| 0.000 | -0.000 | -0.000 | -0.000 | -0.000 | 79.230 |
| 192.473 | 117.439 | 117.439 | 0.000 | 0.000 | -0.000 |
| 117.439 | 192.473 | 117.439 | 0.000 | 0.000 | 0.000 |
| 117.439 | 117.439 | 192.473 | 0.000 | -0.000 | 0.000 |
| 0.000 | 0.000 | 0.000 | 89.606 | -0.000 | 0.000 |
| 0.000 | 0.000 | 0.000 | 0.000 | 89.606 | 0.000 |
| 0.000 | 0.000 | 0.000 | 0.000 | 0.000 | 89.606 |
| 192.471 | 117.438 | 117.438 | 0.000 | 0.000 | 0.000 |
| 117.438 | 192.471 | 117.438 | -0.000 | -0.000 | -0.000 |
| 117.438 | 117.438 | 192.471 | -0.000 | 0.000 | 0.000 |
| -0.000 | -0.000 | -0.000 | 89.606 | -0.000 | 0.000 |
| -0.000 | -0.000 | -0.000 | -0.000 | 89.606 | -0.000 |
| -0.000 | -0.000 | -0.000 | -0.000 | -0.000 | 89.606 |
| 177.351 | 106.149 | 106.149 | -0.000 | 0.000 | 0.000 |
| 106.149 | 177.351 | 106.149 | -0.000 | 0.000 | 0.000 |
| 106.149 | 106.149 | 177.351 | -0.000 | 0.000 | -0.000 |
| 0.000 | -0.000 | 0.000 | 89.544 | -0.000 | 0.000 |
| 0.000 | 0.000 | 0.000 | -0.000 | 89.544 | 0.000 |
| -0.000 | 0.000 | 0.000 | -0.000 | -0.000 | 89.544 |
| 198.134 | 128.947 | 128.947 | 0.000 | -0.000 | 0.000 |
| 128.947 | 198.134 | 128.947 | 0.000 | -0.000 | -0.000 |
| 128.947 | 128.947 | 198.134 | -0.000 | -0.000 | -0.000 |
| -0.000 | 0.000 | -0.000 | 89.544 | -0.000 | -0.000 |
| -0.000 | -0.000 | -0.000 | 0.000 | 89.544 | -0.000 |
| 0.000 | -0.000 | -0.000 | 0.000 | 0.000 | 89.544 |
| 186.257 | 116.693 | 116.693 | -0.000 | -0.000 | 0.000 |
| 116.693 | 186.257 | 116.693 | -0.000 | 0.000 | 0.000 |
| 116.693 | 116.693 | 186.257 | 0.000 | -0.000 | 0.000 |
| 0.000 | 0.000 | 0.000 | 89.544 | 0.000 | -0.000 |
| 0.000 | 0.000 | 0.000 | -0.000 | 89.544 | 0.000 |
| 0.000 | 0.000 | 0.000 | -0.000 | -0.000 | 89.544 |
| 192.261 | 117.309 | 117.309 | 0.000 | -0.000 | -0.000 |
| 117.309 | 192.261 | 117.309 | 0.000 | 0.000 | 0.000 |
| 117.309 | 117.309 | 192.261 | 0.000 | 0.000 | -0.000 |
| -0.000 | -0.000 | -0.000 | 89.544 | -0.000 | -0.000 |
| -0.000 | -0.000 | -0.000 | -0.000 | 89.544 | -0.000 |
| -0.000 | -0.000 | -0.000 | 0.000 | -0.000 | 89.544 |
| 187.847 | 117.029 | 117.029 | -0.000 | -0.000 | 0.000 |
| 117.029 | 187.847 | 117.029 | -0.000 | 0.000 | -0.000 |
| 117.029 | 117.029 | 187.847 | -0.000 | 0.000 | -0.000 |
| 0.000 | 0.000 | 0.000 | 89.544 | 0.000 | 0.000 |
| 0.000 | 0.000 | 0.000 | 0.000 | 89.544 | -0.000 |
| 0.000 | 0.000 | 0.000 | -0.000 | 0.000 | 89.544 |
| 192.260 | 117.309 | 117.309 | 0.000 | 0.000 | -0.000 |
| 117.309 | 192.260 | 117.309 | -0.000 | 0.000 | -0.000 |
| 117.309 | 117.309 | 192.260 | 0.000 | -0.000 | -0.000 |
| -0.000 | -0.000 | -0.000 | 89.544 | -0.000 | -0.000 |
| -0.000 | -0.000 | -0.000 | 0.000 | 89.544 | -0.000 |
| -0.000 | -0.000 | -0.000 | 0.000 | 0.000 | 89.544 |
| 0.293 | 5.846 | 295.111 | -0.000 | -0.000 | -0.000 |
| 42.236 | 119.218 | 63.948 | -0.000 | -0.000 | -0.000 |
| 63.408 | 63.408 | 139.228 | -0.000 | -0.000 | 0.000 |
| -77.860 | -77.861 | 441.217 | 55.283 | -0.000 | 0.000 |
| -74.346 | -74.344 | 227.905 | -0.000 | 53.080 | -0.000 |
| -0.000 | 0.000 | 0.000 | -0.000 | -0.000 | 38.491 |
| 119.218 | 42.236 | 63.948 | 0.000 | 0.000 | 0.000 |
| 42.236 | 119.218 | 63.948 | 0.000 | 0.000 | -0.000 |
| 63.408 | 63.408 | 139.228 | 0.000 | -0.000 | 0.000 |
| 77.860 | 77.861 | -441.217 | 55.283 | 0.000 | -0.000 |
| 74.346 | 74.344 | -227.905 | 0.000 | 53.080 | 0.000 |
| 0.000 | -0.000 | -0.000 | 0.000 | 0.000 | 38.491 |
| 67.985 | 72.281 | 89.632 | -0.000 | -0.000 | -0.000 |
| 42.236 | 119.218 | 63.948 | -0.000 | -0.000 | 0.000 |
| 63.408 | 63.408 | 139.228 | -0.000 | -0.000 | 0.000 |
| 0.000 | 0.000 | 0.000 | 59.724 | -0.000 | -0.000 |
| 0.000 | 0.000 | 0.000 | -0.000 | 59.724 | -0.000 |
| -7.323 | -7.323 | 22.449 | -0.000 | -0.000 | -2.165 |
| 100.181 | 70.640 | 24.547 | 0.000 | 0.000 | -0.000 |
| 42.236 | 119.218 | 63.948 | 0.000 | 0.000 | -0.000 |
| 73.284 | 73.284 | 90.602 | 0.000 | -0.000 | -0.000 |
| -0.000 | -0.000 | -0.000 | 59.724 | 0.000 | -0.000 |
| -0.000 | -0.000 | -0.000 | 0.000 | 59.724 | -0.000 |
| 7.323 | 7.323 | -22.449 | 0.000 | 0.000 | -2.165 |
| 75.697 | 74.759 | 72.720 | -0.000 | -0.000 | -0.000 |
| 42.236 | 119.218 | 63.948 | -0.000 | -0.000 | 0.000 |
| 65.086 | 65.086 | 135.307 | -0.000 | -0.000 | -0.000 |
| -0.650 | -0.650 | 1.994 | 53.911 | -0.000 | -0.000 |
| 0.000 | 0.000 | 0.000 | -0.000 | 59.724 | -0.000 |
| -0.439 | -0.439 | 1.346 | -0.000 | -0.000 | 14.107 |
| 119.218 | 42.236 | 63.948 | 0.000 | 0.000 | -0.000 |
| 81.523 | 72.158 | 62.129 | 0.000 | 0.000 | 0.000 |
| 63.408 | 63.408 | 139.227 | 0.000 | 0.000 | 0.000 |
| 0.650 | 0.650 | -1.994 | 53.911 | 0.000 | 0.000 |
| -0.000 | -0.000 | -0.000 | 0.000 | 59.724 | 0.000 |
| 0.439 | 0.439 | -1.346 | 0.000 | 0.000 | 14.107 |
| -144.889 | -185.316 | 1680.488 | 0.000 | 0.000 | 0.000 |
| -185.319 | -144.886 | 1680.488 | 0.000 | 0.000 | 0.000 |
| 246.757 | 246.755 | 1648.879 | 0.000 | 0.000 | -0.000 |
| -243.945 | -243.942 | 1616.205 | 56.638 | 0.000 | 0.000 |
| -243.960 | -243.957 | 1616.308 | -0.000 | 56.637 | 0.000 |
| -243.945 | -243.941 | 1616.204 | 0.000 | 0.000 | 20.207 |
| 342.983 | 302.582 | -1551.922 | 0.000 | -0.000 | -0.000 |
| 302.585 | 342.980 | -1551.922 | -0.000 | -0.000 | -0.000 |
| 308.432 | 308.429 | -1482.871 | -0.000 | -0.000 | -0.000 |
| 243.945 | 243.942 | -1616.205 | 56.638 | -0.000 | -0.000 |
| 243.960 | 243.957 | -1616.308 | -0.000 | 56.637 | -0.000 |
| 243.945 | 243.941 | -1616.204 | -0.000 | -0.000 | 20.207 |
| 118.907 | 41.854 | 63.328 | 0.000 | 0.000 | -0.000 |
| 80.047 | 108.010 | 218.463 | 0.000 | 0.000 | -0.000 |
| 40.098 | 40.098 | 294.966 | 0.000 | 0.000 | 0.000 |
| -24.396 | -24.395 | 161.629 | 56.637 | 0.000 | 0.000 |
| -24.396 | -24.395 | 161.629 | 0.000 | 56.637 | 0.000 |
| -24.394 | -24.394 | 161.619 | -0.000 | 0.000 | 20.207 |
| 12.830 | 74.948 | -66.678 | -0.000 | -0.000 | -0.000 |
| 83.103 | 123.355 | -97.345 | -0.000 | -0.000 | -0.000 |
| 88.878 | 88.877 | -28.298 | -0.000 | -0.000 | -0.000 |
| -18.024 | -18.024 | -151.743 | 54.290 | -0.000 | 0.000 |
| 24.396 | 24.395 | -161.629 | -0.000 | 56.637 | -0.000 |
| 24.394 | 24.394 | -161.619 | -0.000 | -0.000 | 20.207 |
| 2634192.398 | 1192672.359 | 1275526.898 | -7825.827 | -13717.319 | -9567.260 |
| 65.747 | 89.186 | 84.274 | 0.000 | 0.000 | -0.000 |
| 62.120 | 62.121 | 149.620 | -0.000 | 0.000 | 0.000 |
| -2.452 | -2.452 | 16.245 | 56.621 | 0.000 | 0.000 |
| 0.000 | 0.000 | 0.000 | 0.000 | 59.808 | -0.000 |
| 1.153 | 1.153 | 18.239 | 0.000 | 0.000 | 10.800 |
| 118.906 | 41.854 | 63.328 | 0.000 | -0.000 | 0.000 |
| 90.861 | 48.109 | 54.455 | -0.000 | -0.000 | -0.000 |
| 62.969 | 62.969 | 136.295 | 0.000 | -0.000 | 0.000 |
| 2.452 | 2.452 | -16.245 | 56.621 | -0.000 | -0.000 |
| -0.000 | -0.000 | -0.000 | -0.000 | 59.808 | 0.000 |
| -1.153 | -1.153 | -18.239 | -0.000 | -0.000 | 10.800 |
| 234.722 | -437.552 | 127.257 | 0.000 | 11.530 | 0.000 |
| 178.150 | -370.051 | 118.092 | 0.000 | 3.200 | 0.000 |
| 82.509 | 82.021 | 160.144 | -0.000 | -2.916 | 0.000 |
| -0.000 | -0.000 | -0.000 | 50.217 | 0.000 | -0.885 |
| -6.020 | -1.655 | -2.916 | -0.000 | 50.198 | 0.000 |
| 137.356 | -547.543 | -69.575 | -1.040 | -15.630 | 35.734 |
| 151.437 | 81.974 | 82.097 | 0.000 | 1.073 | -0.000 |
| -48.498 | 699.577 | 142.717 | -0.000 | 11.162 | 0.000 |
| 82.509 | 82.021 | 160.144 | 0.000 | -2.916 | -0.000 |
| -0.000 | -0.000 | 0.000 | 50.217 | -0.000 | -0.885 |
| -144.581 | 543.493 | 66.206 | -0.000 | 61.959 | 0.000 |
| -137.356 | 547.543 | 69.575 | -1.040 | 15.630 | 35.734 |
| 151.437 | 81.974 | 82.097 | -0.000 | 1.073 | 0.000 |
| 96.155 | 99.107 | 76.048 | 0.000 | -5.968 | 0.000 |
| 81.119 | 13.426 | 136.965 | 0.000 | 0.057 | -0.000 |
| 0.000 | 0.000 | 0.000 | 50.217 | -0.000 | -0.885 |
| 6.480 | -58.584 | -10.296 | 0.000 | 44.823 | -0.000 |
| -0.205 | -54.536 | -7.124 | 4.025 | 5.935 | 32.109 |
| 151.437 | 81.974 | 82.097 | 0.000 | 1.073 | -0.000 |
| 82.208 | 173.995 | 82.021 | 0.000 | -1.655 | -0.000 |
| 82.509 | 82.021 | 160.144 | 0.000 | -2.916 | -0.000 |
| -0.000 | -0.000 | -0.000 | 50.217 | 0.000 | -0.885 |
| -6.593 | 48.703 | -0.287 | -0.000 | 40.733 | 0.000 |
| 0.205 | 54.536 | 7.124 | 4.025 | -5.935 | 32.109 |
| 143.314 | 83.111 | 81.017 | 0.000 | -0.162 | -0.000 |
| 83.069 | 141.723 | 63.294 | 0.000 | -5.080 | -0.000 |
| 83.002 | 64.344 | 143.622 | 0.000 | -5.544 | 0.000 |
| 1.243 | -4.957 | -0.630 | 37.380 | -0.142 | -1.025 |
| -5.789 | -8.169 | -3.858 | 0.000 | 47.059 | -0.000 |
| 1.138 | -4.538 | -0.577 | -1.013 | -0.130 | 37.451 |
| 151.437 | 81.974 | 82.097 | 0.000 | 1.073 | -0.000 |
| 82.208 | 173.995 | 82.021 | 0.000 | -1.655 | -0.000 |
| 79.954 | 76.299 | 143.059 | -0.000 | -5.918 | 0.000 |
| -1.243 | 4.957 | 0.630 | 37.380 | 0.142 | -1.025 |
| -6.020 | -1.655 | -2.916 | 0.000 | 50.198 | -0.000 |
| -1.138 | 4.538 | 0.577 | -1.013 | 0.130 | 37.451 |
| 168.599 | 102.328 | 83.030 | -0.000 | -0.000 | 0.000 |
| 104.528 | 179.065 | 76.315 | -0.000 | -0.000 | 0.000 |
| 83.802 | 74.887 | 185.433 | -0.000 | -0.000 | 0.000 |
| 0.000 | 0.000 | 0.000 | 48.125 | -0.000 | 0.000 |
| 0.000 | 0.000 | 0.000 | -0.000 | 54.976 | 0.000 |
| 0.000 | 0.000 | 0.000 | -0.000 | -0.000 | 74.120 |
| 168.599 | 102.328 | 83.030 | 0.000 | 0.000 | -0.000 |
| 104.528 | 179.065 | 76.315 | 0.000 | 0.000 | -0.000 |
| 83.802 | 74.887 | 185.433 | 0.000 | 0.000 | -0.000 |
| -0.000 | -0.000 | -0.000 | 48.125 | 0.000 | -0.000 |
| -0.000 | -0.000 | -0.000 | 0.000 | 54.976 | -0.000 |
| 0.000 | -0.000 | -0.000 | 0.000 | 0.000 | 74.120 |
| 168.599 | 102.329 | 83.030 | -0.000 | 0.000 | 0.000 |
| 104.528 | 179.066 | 76.315 | -0.000 | -0.000 | 0.000 |
| 83.802 | 74.887 | 185.434 | -0.000 | 0.000 | 0.000 |
| 0.000 | 0.000 | 0.000 | 48.125 | -0.000 | -0.000 |
| 0.000 | 0.000 | 0.000 | -0.000 | 54.976 | 0.000 |
| 0.000 | 0.000 | -0.000 | -0.000 | -0.000 | 74.120 |
| 168.599 | 102.328 | 83.030 | 0.000 | 0.000 | -0.000 |
| 104.528 | 179.065 | 76.315 | 0.000 | -0.000 | -0.000 |
| 90.469 | 80.061 | 166.395 | 0.000 | 0.101 | 0.000 |
| -0.000 | -0.000 | -0.000 | 48.125 | 0.000 | -0.000 |
| -0.000 | -0.000 | -0.000 | 0.000 | 54.976 | -0.000 |
| -0.000 | -0.000 | 0.000 | -0.000 | 0.000 | 74.120 |
| 163.981 | 101.290 | 83.951 | -0.000 | -0.011 | -0.000 |
| 103.084 | 165.594 | 79.461 | -0.000 | -0.011 | -0.000 |
| 78.433 | 75.699 | 155.020 | -0.000 | -0.006 | -0.000 |
| -11.205 | -4.684 | 3.362 | 9.059 | -0.003 | 0.000 |
| -5.454 | -1.964 | 2.187 | -0.000 | 46.283 | -0.000 |
| -0.706 | -0.344 | 0.946 | -0.000 | -0.011 | 69.030 |
| 168.599 | 102.328 | 83.030 | 0.000 | 0.000 | -0.000 |
| 109.592 | 149.513 | 76.856 | 0.000 | 0.006 | 0.000 |
| 84.483 | 77.406 | 173.028 | 0.000 | 0.012 | 0.000 |
| 11.205 | 4.684 | -3.362 | 9.059 | 0.003 | -0.000 |
| 5.454 | 1.964 | -2.187 | 0.000 | 46.296 | 0.000 |
| 0.706 | 0.344 | -0.946 | 0.000 | 0.011 | 69.030 |
| 718.123 | -27.282 | -27.282 | -0.000 | -0.000 | -0.000 |
| -27.282 | 718.123 | -27.282 | -0.000 | 0.000 | -0.000 |
| -27.282 | -27.282 | 718.123 | -0.000 | -0.000 | -0.000 |
| 0.000 | 0.000 | -0.000 | 27.722 | -0.000 | -0.000 |
| 0.000 | 0.000 | -0.000 | -0.000 | 27.722 | 0.000 |
| 0.000 | -0.000 | 0.000 | 0.000 | 0.000 | 27.722 |
| 718.123 | -27.282 | -27.282 | -0.000 | -0.000 | -0.000 |
| -27.282 | 718.123 | -27.282 | 0.000 | -0.000 | 0.000 |
| -27.282 | -27.282 | 718.123 | 0.000 | 0.000 | 0.000 |
| 0.000 | -0.000 | 0.000 | 27.722 | -0.000 | 0.000 |
| -0.000 | -0.000 | 0.000 | 0.000 | 27.722 | -0.000 |
| -0.000 | 0.000 | -0.000 | 0.000 | -0.000 | 27.722 |
| 718.124 | -27.282 | -27.282 | -0.000 | -0.000 | -0.000 |
| -27.282 | 718.124 | -27.282 | -0.000 | 0.000 | 0.000 |
| -27.282 | -27.282 | 718.124 | -0.000 | 0.000 | -0.000 |
| 0.000 | -0.000 | -0.000 | 27.722 | -0.000 | -0.000 |
| -0.000 | 0.000 | -0.000 | -0.000 | 27.722 | -0.000 |
| -0.000 | -0.000 | -0.000 | -0.000 | 0.000 | 27.722 |
| 718.122 | -27.282 | -27.282 | 0.000 | 0.000 | 0.000 |
| -27.282 | 718.122 | -27.282 | 0.000 | -0.000 | 0.000 |
| -27.282 | -27.282 | 718.122 | 0.000 | 0.000 | 0.000 |
| -0.000 | 0.000 | 0.000 | 27.722 | -0.000 | -0.000 |
| 0.000 | -0.000 | 0.000 | 0.000 | 27.722 | 0.000 |
| 0.000 | 0.000 | 0.000 | 0.000 | -0.000 | 27.722 |
| 718.134 | -27.283 | -27.283 | -0.000 | -0.000 | -0.000 |
| -27.283 | 718.134 | -27.283 | -0.000 | 0.000 | 0.000 |
| -27.283 | -27.283 | 718.134 | 0.000 | 0.000 | -0.000 |
| -0.000 | -0.000 | -0.000 | 27.722 | -0.000 | -0.000 |
| -0.000 | -0.000 | -0.000 | -0.000 | 27.722 | 0.000 |
| -0.000 | -0.000 | -0.000 | -0.000 | 0.000 | 27.722 |
| 718.111 | -27.282 | -27.282 | -0.000 | -0.000 | -0.000 |
| -27.282 | 718.111 | -27.282 | -0.000 | -0.000 | 0.000 |
| -27.282 | -27.282 | 718.111 | 0.000 | 0.000 | 0.000 |
| 0.000 | 0.000 | 0.000 | 27.722 | -0.000 | 0.000 |
| 0.000 | 0.000 | 0.000 | 0.000 | 27.722 | 0.000 |
| 0.000 | 0.000 | 0.000 | 0.000 | -0.000 | 27.722 |
| 254.807 | 104.778 | 104.778 | -0.000 | 0.000 | -0.000 |
| 104.778 | 254.807 | 104.778 | -0.000 | -0.000 | -0.000 |
| 104.778 | 104.778 | 254.807 | -0.000 | -0.000 | 0.000 |
| 0.000 | -0.000 | 0.000 | 130.953 | 0.000 | -0.000 |
| -0.000 | 0.000 | 0.000 | 0.000 | 130.953 | 0.000 |
| -0.000 | -0.000 | -0.000 | -0.000 | -0.000 | 130.953 |
| 254.807 | 104.778 | 104.778 | 0.000 | 0.000 | -0.000 |
| 104.778 | 254.807 | 104.778 | 0.000 | 0.000 | -0.000 |
| 104.778 | 104.778 | 254.807 | 0.000 | 0.000 | 0.000 |
| -0.000 | 0.000 | 0.000 | 130.953 | 0.000 | -0.000 |
| 0.000 | -0.000 | 0.000 | -0.000 | 130.953 | -0.000 |
| 0.000 | -0.000 | 0.000 | 0.000 | -0.000 | 130.953 |
| 254.807 | 104.778 | 104.778 | -0.000 | 0.000 | 0.000 |
| 104.778 | 254.807 | 104.778 | 0.000 | 0.000 | -0.000 |
| 104.778 | 104.778 | 254.807 | -0.000 | 0.000 | 0.000 |
| 0.000 | -0.000 | 0.000 | 130.953 | 0.000 | -0.000 |
| -0.000 | 0.000 | 0.000 | -0.000 | 130.953 | 0.000 |
| -0.000 | 0.000 | 0.000 | -0.000 | -0.000 | 130.953 |
| 254.807 | 104.778 | 104.778 | 0.000 | 0.000 | -0.000 |
| 104.778 | 254.807 | 104.778 | 0.000 | 0.000 | 0.000 |
| 104.778 | 104.778 | 254.807 | 0.000 | 0.000 | -0.000 |
| -0.000 | 0.000 | -0.000 | 130.953 | 0.000 | 0.000 |
| 0.000 | -0.000 | -0.000 | 0.000 | 130.953 | -0.000 |
| 0.000 | -0.000 | -0.000 | 0.000 | 0.000 | 130.953 |
| 254.808 | 104.779 | 104.779 | -0.000 | -0.000 | -0.000 |
| 104.779 | 254.808 | 104.779 | -0.000 | -0.000 | -0.000 |
| 104.779 | 104.779 | 254.808 | -0.000 | -0.000 | 0.000 |
| 0.000 | -0.000 | 0.000 | 130.953 | -0.000 | 0.000 |
| -0.000 | 0.000 | 0.000 | -0.000 | 130.953 | 0.000 |
| -0.000 | 0.000 | 0.000 | -0.000 | 0.000 | 130.953 |
| 254.806 | 104.778 | 104.778 | 0.000 | 0.000 | -0.000 |
| 104.778 | 254.806 | 104.778 | 0.000 | 0.000 | -0.000 |
| 104.778 | 104.778 | 254.806 | 0.000 | 0.000 | -0.000 |
| -0.000 | 0.000 | -0.000 | 130.953 | 0.000 | -0.000 |
| 0.000 | -0.000 | -0.000 | 0.000 | 130.953 | -0.000 |
| 0.000 | -0.000 | -0.000 | 0.000 | -0.000 | 130.953 |
| 130.952 | 206.761 | 206.761 | 0.000 | 0.000 | 0.000 |
| 206.761 | 130.952 | 206.761 | 0.000 | 0.000 | 0.000 |
| 206.761 | 206.761 | 130.952 | 0.000 | 0.000 | 0.000 |
| 0.000 | 0.000 | 0.000 | 190.984 | 0.000 | -0.000 |
| 0.000 | 0.000 | 0.000 | 0.000 | 190.984 | 0.000 |
| 0.000 | 0.000 | 0.000 | 0.000 | 0.000 | 190.984 |
| 130.952 | 206.761 | 206.761 | -0.000 | -0.000 | -0.000 |
| 206.761 | 130.952 | 206.761 | -0.000 | -0.000 | -0.000 |
| 206.761 | 206.761 | 130.952 | -0.000 | -0.000 | -0.000 |
| -0.000 | -0.000 | -0.000 | 190.984 | 0.000 | -0.000 |
| -0.000 | -0.000 | -0.000 | 0.000 | 190.984 | 0.000 |
| -0.000 | -0.000 | -0.000 | 0.000 | 0.000 | 190.984 |
| 130.952 | 206.762 | 206.762 | 0.000 | 0.000 | 0.000 |
| 206.762 | 130.952 | 206.762 | 0.000 | 0.000 | 0.000 |
| 206.762 | 206.762 | 130.952 | 0.000 | 0.000 | 0.000 |
| 0.000 | 0.000 | 0.000 | 190.984 | -0.000 | 0.000 |
| 0.000 | 0.000 | 0.000 | -0.000 | 190.984 | -0.000 |
| 0.000 | 0.000 | 0.000 | -0.000 | -0.000 | 190.984 |
| 130.951 | 206.761 | 206.761 | 0.000 | -0.000 | -0.000 |
| 206.761 | 130.951 | 206.761 | -0.000 | 0.000 | -0.000 |
| 206.761 | 206.761 | 130.951 | -0.000 | -0.000 | 0.000 |
| -0.000 | -0.000 | -0.000 | 190.984 | 0.000 | 0.000 |
| -0.000 | -0.000 | -0.000 | 0.000 | 190.984 | -0.000 |
| -0.000 | -0.000 | -0.000 | 0.000 | 0.000 | 190.984 |
| 130.954 | 206.764 | 206.764 | 0.000 | 0.000 | 0.000 |
| 206.764 | 130.954 | 206.764 | 0.000 | 0.000 | 0.000 |
| 206.764 | 206.764 | 130.954 | 0.000 | 0.000 | 0.000 |
| -0.000 | -0.000 | -0.000 | -71.235 | 0.000 | 0.000 |
| -0.000 | -0.000 | -0.000 | 0.000 | -71.235 | 0.000 |
| -0.000 | -0.000 | -0.000 | 0.000 | 0.000 | -71.235 |
| 130.949 | 206.759 | 206.759 | -0.000 | -0.000 | -0.000 |
| 206.759 | 130.949 | 206.759 | -0.000 | -0.000 | -0.000 |
| 206.759 | 206.759 | 130.949 | -0.000 | -0.000 | -0.000 |
| 0.000 | 0.000 | 0.000 | -71.235 | -0.000 | -0.000 |
| 0.000 | 0.000 | 0.000 | -0.000 | -71.235 | -0.000 |
| 0.000 | 0.000 | 0.000 | -0.000 | -0.000 | -71.235 |
| 181.737 | 202.576 | 44.717 | 0.000 | -0.000 | -0.000 |
| 202.576 | 181.737 | 44.717 | -0.000 | 0.000 | -0.000 |
| 44.717 | 44.717 | 813.660 | -0.000 | -0.000 | -0.000 |
| -0.000 | 0.000 | -0.000 | 17.468 | -0.000 | -0.000 |
| -0.000 | 0.000 | 0.000 | -0.000 | 17.468 | -0.000 |
| 0.000 | -0.000 | 0.000 | 0.000 | -0.000 | 85.425 |
| 277.581 | 106.732 | 44.717 | 0.000 | 0.000 | -0.000 |
| 106.732 | 277.581 | 44.717 | -0.000 | 0.000 | -0.000 |
| 44.717 | 44.717 | 813.660 | 0.000 | 0.000 | 0.000 |
| 0.000 | -0.000 | -0.000 | 17.468 | 0.000 | 0.000 |
| 0.000 | -0.000 | 0.000 | 0.000 | 17.468 | 0.000 |
| -0.000 | 0.000 | -0.000 | -0.000 | 0.000 | 85.425 |
| 277.581 | 106.732 | 44.717 | 0.000 | -0.000 | 0.000 |
| 203.542 | 180.771 | 44.717 | -0.000 | -0.000 | -0.000 |
| 44.717 | 44.717 | 813.662 | -0.000 | 0.000 | -0.000 |
| -0.000 | 0.000 | -0.000 | 17.468 | -0.000 | -0.000 |
| 0.000 | 0.000 | -0.000 | -0.000 | 17.468 | -0.000 |
| 0.000 | -0.000 | 0.000 | 0.000 | -0.000 | 85.425 |
| 178.799 | 205.514 | 44.717 | 0.000 | 0.000 | -0.000 |
| 106.732 | 277.581 | 44.717 | 0.000 | 0.000 | -0.000 |
| 44.717 | 44.717 | 813.658 | 0.000 | 0.000 | 0.000 |
| 0.000 | -0.000 | 0.000 | 17.468 | 0.000 | 0.000 |
| -0.000 | -0.000 | 0.000 | 0.000 | 17.468 | 0.000 |
| -0.000 | 0.000 | -0.000 | -0.000 | 0.000 | 85.425 |
| 181.742 | 202.572 | 44.717 | 0.000 | 0.000 | -0.000 |
| 106.732 | 277.582 | 44.717 | 0.000 | -0.000 | 0.000 |
| 44.717 | 44.717 | 813.680 | -0.000 | -0.000 | 0.000 |
| 0.000 | 0.000 | -0.000 | 17.468 | -0.000 | -0.000 |
| 0.000 | 0.000 | -0.000 | -0.000 | 17.468 | -0.000 |
| -16738323.880 | -16806952.819 | -22460978.033 | 5767.968 | -3994.369 | 41023.635 |
| 277.580 | 106.731 | 44.717 | -0.000 | 0.000 | 0.000 |
| 202.570 | 181.742 | 44.717 | -0.000 | -0.000 | 0.000 |
| 44.717 | 44.717 | 813.640 | -0.000 | 0.000 | 0.000 |
| -0.000 | -0.000 | 0.000 | 17.468 | 0.000 | -0.000 |
| -0.000 | -0.000 | 0.000 | 0.000 | 17.468 | 0.000 |
| 16575796.500 | 16537077.842 | 22049292.212 | 2672.361 | -17816.855 | 97034.335 |
| 123.358 | 109.879 | 109.879 | -0.000 | -0.000 | -0.000 |
| 109.879 | 123.358 | 109.879 | -0.000 | -0.000 | -0.000 |
| 109.879 | 109.879 | 123.358 | -0.000 | -0.000 | -0.000 |
| 0.000 | -0.000 | -0.000 | 71.658 | -0.000 | -0.000 |
| -0.000 | 0.000 | -0.000 | 0.000 | 71.658 | -0.000 |
| -0.000 | -0.000 | 0.000 | 0.000 | -0.000 | 71.658 |
| 123.358 | 109.879 | 109.879 | 0.000 | 0.000 | 0.000 |
| 109.879 | 123.358 | 109.879 | 0.000 | 0.000 | 0.000 |
| 109.879 | 109.879 | 123.358 | 0.000 | 0.000 | 0.000 |
| -0.000 | 0.000 | 0.000 | 71.658 | 0.000 | 0.000 |
| 0.000 | -0.000 | 0.000 | 0.000 | 71.658 | 0.000 |
| 0.000 | 0.000 | -0.000 | -0.000 | 0.000 | 71.658 |
| 123.358 | 109.879 | 109.879 | -0.000 | -0.000 | -0.000 |
| 109.879 | 123.358 | 109.879 | 0.000 | -0.000 | -0.000 |
| 109.879 | 109.879 | 123.358 | -0.000 | -0.000 | -0.000 |
| 0.000 | -0.000 | -0.000 | 71.658 | -0.000 | -0.000 |
| -0.000 | 0.000 | -0.000 | -0.000 | 71.658 | -0.000 |
| -0.000 | -0.000 | 0.000 | -0.000 | -0.000 | 71.658 |
| 123.358 | 109.879 | 109.879 | 0.000 | 0.000 | 0.000 |
| 109.879 | 123.358 | 109.879 | 0.000 | 0.000 | 0.000 |
| 109.879 | 109.879 | 123.358 | 0.000 | 0.000 | 0.000 |
| -0.000 | 0.000 | 0.000 | 71.658 | -0.000 | 0.000 |
| 0.000 | -0.000 | 0.000 | -0.000 | 71.658 | 0.000 |
| 0.000 | 0.000 | -0.000 | -0.000 | 0.000 | 71.658 |
| 123.358 | 109.879 | 109.879 | -0.000 | -0.000 | -0.000 |
| 109.879 | 123.358 | 109.879 | -0.000 | -0.000 | -0.000 |
| 109.879 | 109.879 | 123.358 | -0.000 | -0.000 | -0.000 |
| 0.000 | -0.000 | -0.000 | 71.658 | -0.000 | -0.000 |
| -0.000 | 0.000 | -0.000 | -0.000 | 71.658 | -0.000 |
| -0.000 | -0.000 | 0.000 | -0.000 | -0.000 | 71.658 |
| 123.358 | 109.878 | 109.878 | 0.000 | 0.000 | 0.000 |
| 109.878 | 123.358 | 109.878 | 0.000 | 0.000 | 0.000 |
| 109.878 | 109.878 | 123.358 | 0.000 | 0.000 | 0.000 |
| -0.000 | 0.000 | 0.000 | 71.658 | 0.000 | 0.000 |
| 0.000 | -0.000 | 0.000 | 0.000 | 71.658 | 0.000 |
| 0.000 | 0.000 | -0.000 | 0.000 | 0.000 | 71.658 |
| 29.884 | 42.933 | 42.933 | -0.000 | -0.000 | -0.000 |
| 42.933 | 29.884 | 42.933 | -0.000 | -0.000 | -0.000 |
| 42.933 | 42.933 | 29.884 | -0.000 | -0.000 | -0.000 |
| 0.000 | 0.000 | 0.000 | 39.386 | 0.000 | 0.000 |
| 0.000 | 0.000 | 0.000 | 0.000 | 39.386 | 0.000 |
| 0.000 | 0.000 | 0.000 | 0.000 | 0.000 | 39.386 |
| 29.884 | 42.933 | 42.933 | 0.000 | 0.000 | 0.000 |
| 42.933 | 29.884 | 42.933 | 0.000 | 0.000 | 0.000 |
| 42.933 | 42.933 | 29.884 | 0.000 | 0.000 | 0.000 |
| -0.000 | -0.000 | -0.000 | 39.386 | -0.000 | -0.000 |
| -0.000 | -0.000 | -0.000 | -0.000 | 39.386 | -0.000 |
| -0.000 | -0.000 | -0.000 | -0.000 | -0.000 | 39.386 |
| 29.884 | 42.933 | 42.933 | -0.000 | -0.000 | -0.000 |
| 42.933 | 29.884 | 42.933 | -0.000 | -0.000 | -0.000 |
| 42.933 | 42.933 | 29.884 | -0.000 | -0.000 | -0.000 |
| -0.000 | -0.000 | -0.000 | -17.665 | -0.000 | -0.000 |
| -0.000 | -0.000 | -0.000 | -0.000 | -17.665 | -0.000 |
| -0.000 | -0.000 | -0.000 | -0.000 | -0.000 | -17.665 |
| 29.884 | 42.933 | 42.933 | 0.000 | 0.000 | 0.000 |
| 42.933 | 29.884 | 42.933 | 0.000 | 0.000 | 0.000 |
| 42.933 | 42.933 | 29.884 | 0.000 | 0.000 | 0.000 |
| 0.000 | 0.000 | 0.000 | -17.665 | 0.000 | 0.000 |
| 0.000 | 0.000 | 0.000 | 0.000 | -17.665 | 0.000 |
| 0.000 | 0.000 | 0.000 | 0.000 | 0.000 | -17.665 |
| 29.885 | 42.934 | 42.934 | -0.000 | -0.000 | -0.000 |
| 42.934 | 29.885 | 42.934 | -0.000 | -0.000 | -0.000 |
| 42.934 | 42.934 | 29.885 | -0.000 | -0.000 | -0.000 |
| -0.000 | -0.000 | -0.000 | -17.665 | -0.000 | -0.000 |
| -0.000 | -0.000 | -0.000 | -0.000 | -17.665 | -0.000 |
| -0.000 | -0.000 | -0.000 | -0.000 | -0.000 | -17.665 |
| 29.883 | 42.933 | 42.933 | 0.000 | 0.000 | 0.000 |
| 42.933 | 29.883 | 42.933 | 0.000 | 0.000 | 0.000 |
| 42.933 | 42.933 | 29.883 | 0.000 | 0.000 | 0.000 |
| 0.000 | 0.000 | 0.000 | -17.665 | 0.000 | 0.000 |
| 0.000 | 0.000 | 0.000 | 0.000 | -17.665 | 0.000 |
| 0.000 | 0.000 | 0.000 | 0.000 | 0.000 | -17.665 |
| -81.876 | -5.388 | -5.387 | -0.000 | -0.000 | -0.000 |
| -5.388 | -81.876 | -5.387 | -0.000 | -0.000 | 0.000 |
| -5.388 | -5.388 | -81.876 | 0.000 | 0.000 | -0.000 |
| 0.000 | 0.000 | 0.000 | -47.620 | -0.000 | 0.000 |
| 0.000 | 0.000 | 0.000 | -0.000 | -47.620 | -0.000 |
| 0.000 | 0.000 | 0.000 | -0.000 | 0.000 | -47.620 |
| -81.876 | -5.388 | -5.388 | 0.000 | 0.000 | 0.000 |
| -5.388 | -81.876 | -5.388 | 0.000 | 0.000 | -0.000 |
| -5.388 | -5.388 | -81.876 | -0.000 | -0.000 | 0.000 |
| -0.000 | -0.000 | -0.000 | -47.620 | 0.000 | -0.000 |
| -0.000 | -0.000 | -0.000 | 0.000 | -47.620 | 0.000 |
| -0.000 | -0.000 | -0.000 | 0.000 | -0.000 | -47.620 |
| -81.876 | -5.387 | -5.387 | -0.000 | -0.000 | 0.000 |
| -5.387 | -81.876 | -5.387 | -0.000 | -0.000 | -0.000 |
| -5.387 | -5.387 | -81.876 | -0.000 | -0.000 | -0.000 |
| 0.000 | 0.000 | 0.000 | -47.620 | -0.000 | 0.000 |
| 0.000 | 0.000 | 0.000 | -0.000 | -47.620 | -0.000 |
| 0.000 | 0.000 | 0.000 | -0.000 | -0.000 | -47.620 |
| -81.877 | -5.388 | -5.388 | 0.000 | 0.000 | -0.000 |
| -5.388 | -81.877 | -5.388 | 0.000 | 0.000 | 0.000 |
| -5.388 | -5.388 | -81.877 | 0.000 | -0.000 | 0.000 |
| -0.000 | -0.000 | -0.000 | -47.620 | 0.000 | -0.000 |
| -0.000 | -0.000 | -0.000 | -0.000 | -47.620 | 0.000 |
| -0.000 | -0.000 | -0.000 | 0.000 | 0.000 | -47.620 |
| -81.873 | -5.386 | -5.386 | -0.000 | -0.000 | 0.000 |
| -5.386 | -81.873 | -5.386 | -0.000 | -0.000 | -0.000 |
| -5.386 | -5.386 | -81.873 | 0.000 | -0.000 | 0.000 |
| 0.001 | 0.002 | 0.002 | -46.657 | -0.000 | 0.000 |
| 0.002 | 0.001 | 0.002 | -0.000 | -46.657 | -0.000 |
| 0.002 | 0.002 | 0.001 | -0.000 | -0.000 | -46.657 |
| -81.880 | -5.389 | -5.389 | 0.000 | 0.000 | 0.000 |
| -5.389 | -81.880 | -5.389 | 0.000 | 0.000 | -0.000 |
| -5.389 | -5.389 | -81.880 | 0.000 | 0.000 | -0.000 |
| -0.001 | -0.002 | -0.002 | -46.657 | 0.000 | -0.000 |
| -0.002 | -0.001 | -0.002 | 0.000 | -46.657 | 0.000 |
| -0.002 | -0.002 | -0.001 | 0.000 | 0.000 | -46.657 |
| 112.905 | 101.699 | 101.699 | -0.000 | -0.000 | -0.000 |
| 101.699 | 112.905 | 101.699 | -0.000 | -0.000 | -0.000 |
| 101.699 | 101.699 | 112.905 | -0.000 | -0.000 | -0.000 |
| -0.000 | -0.000 | -0.000 | 62.804 | -0.000 | -0.000 |
| -0.000 | -0.000 | -0.000 | -0.000 | 62.804 | -0.000 |
| -0.000 | -0.000 | -0.000 | 0.000 | 0.000 | 62.804 |
| 112.905 | 101.699 | 101.699 | 0.000 | -0.000 | -0.000 |
| 101.699 | 112.905 | 101.699 | -0.000 | -0.000 | 0.000 |
| 101.699 | 101.699 | 112.905 | 0.000 | 0.000 | -0.000 |
| 0.000 | 0.000 | 0.000 | 62.804 | 0.000 | 0.000 |
| 0.000 | 0.000 | 0.000 | 0.000 | 62.804 | 0.000 |
| 0.000 | 0.000 | 0.000 | -0.000 | -0.000 | 62.804 |
| 112.905 | 101.699 | 101.699 | -0.000 | -0.000 | -0.000 |
| 101.699 | 112.905 | 101.699 | -0.000 | -0.000 | -0.000 |
| 101.699 | 101.699 | 112.905 | -0.000 | -0.000 | -0.000 |
| -0.000 | -0.000 | -0.000 | 62.804 | 0.000 | -0.000 |
| -0.000 | -0.000 | -0.000 | -0.000 | 62.804 | -0.000 |
| -0.000 | -0.000 | -0.000 | -0.000 | 0.000 | 62.804 |
| 112.905 | 101.699 | 101.699 | 0.000 | -0.000 | -0.000 |
| 101.699 | 112.905 | 101.699 | 0.000 | -0.000 | 0.000 |
| 101.699 | 101.699 | 112.905 | 0.000 | 0.000 | -0.000 |
| 0.000 | 0.000 | 0.000 | 62.804 | 0.000 | 0.000 |
| 0.000 | 0.000 | 0.000 | 0.000 | 62.804 | 0.000 |
| 0.000 | 0.000 | 0.000 | 0.000 | -0.000 | 62.804 |
| 112.902 | 101.697 | 101.697 | -0.000 | 0.000 | 0.000 |
| 101.697 | 112.902 | 101.697 | 0.000 | -0.000 | 0.000 |
| 101.697 | 101.697 | 112.902 | -0.000 | 0.000 | 0.000 |
| -0.000 | -0.002 | -0.002 | 55.776 | 0.000 | -0.000 |
| -0.002 | -0.000 | -0.002 | 0.000 | 55.776 | -0.000 |
| -0.002 | -0.002 | -0.000 | -0.000 | -0.000 | 55.776 |
| 112.908 | 101.701 | 101.701 | 0.000 | 0.000 | -0.000 |
| 101.701 | 112.908 | 101.701 | -0.000 | 0.000 | -0.000 |
| 101.701 | 101.701 | 112.908 | -0.000 | -0.000 | -0.000 |
| 0.000 | 0.002 | 0.002 | 55.776 | -0.000 | 0.000 |
| 0.002 | 0.000 | 0.002 | -0.000 | 55.776 | 0.000 |
| 0.002 | 0.002 | 0.000 | 0.000 | 0.000 | 55.776 |
| 432.083 | 116.244 | 207.126 | 0.000 | -0.000 | -0.000 |
| 116.244 | 432.083 | 207.126 | -0.000 | 0.000 | -0.000 |
| 207.126 | 207.126 | 294.369 | 0.000 | 0.000 | -0.000 |
| 0.000 | 0.000 | 0.000 | 143.275 | 0.000 | 0.000 |
| 0.000 | -0.000 | 0.000 | 0.000 | 143.275 | -0.000 |
| 0.000 | 0.000 | -0.000 | 0.000 | 0.000 | 56.685 |
| 457.013 | 91.314 | 207.126 | -0.000 | 0.000 | 0.000 |
| 91.314 | 457.013 | 207.126 | 0.000 | -0.000 | 0.000 |
| 207.126 | 207.126 | 294.369 | -0.000 | -0.000 | -0.000 |
| 0.000 | -0.000 | -0.000 | 143.275 | -0.000 | -0.000 |
| -0.000 | 0.000 | -0.000 | -0.000 | 143.275 | 0.000 |
| -0.000 | 0.000 | 0.000 | -0.000 | -0.000 | 56.685 |
| 457.013 | 91.314 | 207.126 | 0.000 | -0.000 | -0.000 |
| 91.314 | 457.013 | 207.126 | -0.000 | 0.000 | 0.000 |
| 207.126 | 207.126 | 294.369 | 0.000 | -0.000 | -0.000 |
| -0.000 | 0.000 | 0.000 | 143.275 | 0.000 | -0.000 |
| 0.000 | -0.000 | 0.000 | 0.000 | 143.275 | 0.000 |
| 0.000 | 0.000 | -0.000 | 0.000 | 0.000 | 56.685 |
| 432.083 | 116.244 | 207.125 | 0.000 | -0.000 | -0.000 |
| 116.244 | 432.083 | 207.125 | -0.000 | 0.000 | 0.000 |
| 207.125 | 207.125 | 294.369 | -0.000 | -0.000 | 0.000 |
| 0.000 | -0.000 | -0.000 | 143.275 | -0.000 | 0.000 |
| -0.000 | 0.000 | -0.000 | -0.000 | 143.275 | 0.000 |
| -0.000 | -0.000 | 0.000 | -0.000 | -0.000 | 56.685 |
| 432.085 | 116.245 | 207.127 | 0.000 | 0.000 | -0.000 |
| 116.245 | 432.085 | 207.127 | 0.000 | 0.000 | -0.000 |
| 207.126 | 207.126 | 294.369 | -0.000 | -0.000 | -0.000 |
| -0.000 | 0.000 | 0.000 | 143.275 | -0.000 | -0.000 |
| 0.000 | -0.000 | 0.000 | -0.000 | 143.275 | -0.000 |
| 0.000 | 0.000 | -0.000 | -0.000 | -0.000 | 56.685 |
| 432.082 | 116.244 | 207.125 | 0.000 | -0.000 | -0.000 |
| 116.244 | 432.082 | 207.125 | -0.000 | 0.000 | -0.000 |
| 207.125 | 207.125 | 294.369 | -0.000 | 0.000 | 0.000 |
| 0.000 | -0.000 | -0.000 | 143.275 | -0.000 | 0.000 |
| -0.000 | 0.000 | -0.000 | -0.000 | 143.275 | 0.000 |
| -0.000 | -0.000 | 0.000 | 0.000 | 0.000 | 56.685 |
| 570.927 | 21.648 | 21.648 | -0.000 | -0.000 | -0.000 |
| 21.648 | 570.927 | 21.648 | -0.000 | -0.000 | 0.000 |
| 21.648 | 21.648 | 570.927 | -0.000 | 0.000 | -0.000 |
| 0.000 | -0.000 | -0.000 | 23.447 | -0.000 | -0.000 |
| -0.000 | 0.000 | -0.000 | -0.000 | 23.447 | -0.000 |
| 0.000 | -0.000 | -0.000 | 0.000 | -0.000 | 23.447 |
| 570.927 | 21.648 | 21.648 | 0.000 | -0.000 | 0.000 |
| 21.648 | 570.927 | 21.648 | 0.000 | 0.000 | 0.000 |
| 21.648 | 21.648 | 570.927 | -0.000 | 0.000 | 0.000 |
| -0.000 | -0.000 | 0.000 | 23.447 | 0.000 | -0.000 |
| -0.000 | 0.000 | 0.000 | 0.000 | 23.447 | 0.000 |
| 0.000 | 0.000 | 0.000 | -0.000 | 0.000 | 23.447 |
| 570.928 | 21.648 | 21.648 | -0.000 | 0.000 | 0.000 |
| 21.648 | 570.928 | 21.648 | -0.000 | -0.000 | -0.000 |
| 21.648 | 21.648 | 570.928 | -0.000 | 0.000 | -0.000 |
| -0.000 | -0.000 | -0.000 | 19.970 | -0.000 | -0.000 |
| -0.000 | -0.000 | -0.000 | -0.000 | 19.970 | -0.000 |
| -0.000 | -0.000 | -0.000 | -0.000 | -0.000 | 19.970 |
| 570.972 | 21.626 | 21.626 | 0.000 | 0.000 | 0.000 |
| 21.626 | 570.972 | 21.626 | 0.000 | 0.000 | -0.000 |
| 21.626 | 21.626 | 570.972 | -0.000 | 0.000 | 0.000 |
| 0.000 | 0.000 | 0.000 | 19.970 | 0.000 | 0.000 |
| 0.000 | 0.000 | 0.000 | 0.000 | 19.970 | 0.000 |
| 0.000 | 0.000 | 0.000 | 0.000 | 0.000 | 19.970 |
| 570.931 | 21.648 | 21.648 | -0.000 | -0.000 | -0.000 |
| 21.648 | 570.931 | 21.648 | -0.000 | 0.000 | 0.000 |
| 21.648 | 21.648 | 570.931 | -0.000 | -0.000 | -0.000 |
| -0.000 | -0.000 | -0.000 | 19.970 | -0.000 | -0.000 |
| -0.000 | -0.000 | -0.000 | 0.000 | 19.970 | -0.000 |
| -0.000 | -0.000 | -0.000 | -0.000 | -0.000 | 19.970 |
| 570.969 | 21.626 | 21.626 | 0.000 | 0.000 | 0.000 |
| 21.626 | 570.969 | 21.626 | -0.000 | 0.000 | 0.000 |
| 21.626 | 21.626 | 570.969 | 0.000 | 0.000 | 0.000 |
| 0.000 | 0.000 | 0.000 | 19.970 | 0.000 | 0.000 |
| 0.000 | 0.000 | 0.000 | 0.000 | 19.970 | 0.000 |
| 0.000 | 0.000 | 0.000 | 0.000 | 0.000 | 19.970 |
| 2.260 | 0.000 | 0.000 | 0.000 | -0.000 | 0.000 |
| 0.000 | 2.260 | 0.000 | 0.000 | -0.000 | -0.000 |
| 0.000 | 0.000 | 2.260 | -0.000 | 0.000 | -0.000 |
| 0.000 | -0.000 | 0.000 | 0.000 | -0.000 | -0.000 |
| -0.000 | 0.000 | 0.000 | 0.000 | 0.000 | -0.000 |
| -0.000 | 0.000 | 0.000 | 0.000 | -0.000 | 0.000 |
| 2.260 | 0.000 | 0.000 | 0.000 | 0.000 | -0.000 |
| 0.000 | 2.260 | 0.000 | 0.000 | 0.000 | -0.000 |
| -0.000 | -0.000 | 2.260 | -0.000 | 0.000 | 0.000 |
| -0.000 | 0.000 | -0.000 | 0.000 | 0.000 | 0.000 |
| 0.000 | -0.000 | -0.000 | -0.000 | 0.000 | -0.000 |
| 0.000 | -0.000 | -0.000 | -0.000 | -0.000 | 0.000 |
| 2.260 | 0.000 | 0.000 | 0.000 | -0.000 | -0.000 |
| 0.000 | 2.260 | 0.000 | 0.000 | -0.000 | 0.000 |
| 0.000 | 0.000 | 2.260 | 0.000 | 0.000 | -0.000 |
| 0.000 | -0.000 | -0.000 | 0.000 | -0.000 | 0.000 |
| -0.000 | 0.000 | -0.000 | -0.000 | 0.000 | 0.000 |
| -0.000 | -0.000 | -0.000 | -0.000 | -0.000 | 0.000 |
| 2.260 | -0.000 | -0.000 | -0.000 | 0.000 | 0.000 |
| -0.000 | 2.260 | -0.000 | 0.000 | 0.000 | 0.000 |
| -0.000 | -0.000 | 2.260 | -0.000 | 0.000 | 0.000 |
| -0.000 | 0.000 | 0.000 | 0.000 | 0.000 | -0.000 |
| 0.000 | -0.000 | 0.000 | 0.000 | 0.000 | 0.000 |
| 0.000 | 0.000 | 0.000 | 0.000 | 0.000 | 0.000 |
| 2.260 | 0.000 | 0.000 | 0.000 | 0.000 | -0.000 |
| -0.000 | 2.260 | -0.000 | -0.000 | -0.000 | -0.000 |
| 0.000 | 0.000 | 2.260 | -0.000 | 0.000 | -0.000 |
| 0.000 | -0.000 | -0.000 | 0.000 | -0.000 | -0.000 |
| -0.000 | 0.000 | -0.000 | 0.000 | 0.000 | -0.000 |
| -0.000 | -0.000 | 0.000 | 0.000 | 0.000 | 0.000 |
| 2.261 | 0.000 | 0.000 | 0.000 | 0.000 | 0.000 |
| 0.000 | 2.261 | 0.000 | 0.000 | 0.000 | 0.000 |
| 0.000 | 0.000 | 2.261 | -0.000 | -0.000 | -0.000 |
| -0.000 | 0.000 | 0.000 | 0.000 | 0.000 | 0.000 |
| 0.000 | -0.000 | 0.000 | -0.000 | 0.000 | -0.000 |
| 0.000 | 0.000 | 0.000 | 0.000 | 0.000 | 0.000 |
| 165.787 | 171.973 | 171.973 | -0.000 | -0.000 | -0.000 |
| 171.973 | 165.787 | 171.973 | -0.000 | -0.000 | -0.000 |
| 171.973 | 171.973 | 165.787 | 0.000 | 0.000 | 0.000 |
| 0.000 | -0.000 | 0.000 | 169.302 | -0.000 | 0.000 |
| -0.000 | 0.000 | 0.000 | -0.000 | 169.302 | 0.000 |
| -0.000 | 0.000 | -0.000 | -0.000 | -0.000 | 169.302 |
| 165.787 | 171.973 | 171.973 | 0.000 | 0.000 | -0.000 |
| 171.973 | 165.787 | 171.973 | 0.000 | 0.000 | 0.000 |
| 171.973 | 171.973 | 165.787 | -0.000 | -0.000 | -0.000 |
| -0.000 | -0.000 | 0.000 | 169.302 | 0.000 | -0.000 |
| 0.000 | -0.000 | 0.000 | 0.000 | 169.302 | 0.000 |
| 0.000 | -0.000 | 0.000 | 0.000 | 0.000 | 169.302 |
| 165.787 | 171.973 | 171.973 | -0.000 | -0.000 | -0.000 |
| 171.973 | 165.787 | 171.973 | -0.000 | -0.000 | 0.000 |
| 171.973 | 171.973 | 165.787 | 0.000 | 0.000 | 0.000 |
| 0.000 | -0.000 | 0.000 | 169.302 | -0.000 | -0.000 |
| -0.000 | 0.000 | 0.000 | -0.000 | 169.302 | -0.000 |
| -0.000 | 0.000 | 0.000 | -0.000 | -0.000 | 169.302 |
| 165.787 | 171.973 | 171.973 | 0.000 | 0.000 | -0.000 |
| 171.973 | 165.787 | 171.973 | 0.000 | 0.000 | 0.000 |
| 171.973 | 171.973 | 165.787 | 0.000 | 0.000 | -0.000 |
| -0.000 | 0.000 | -0.000 | 169.302 | 0.000 | -0.000 |
| 0.000 | -0.000 | -0.000 | 0.000 | 169.302 | 0.000 |
| 0.000 | -0.000 | -0.000 | -0.000 | 0.000 | 169.302 |
| 165.788 | 171.974 | 171.974 | -0.000 | -0.000 | 0.000 |
| 171.974 | 165.788 | 171.974 | 0.000 | -0.000 | 0.000 |
| 171.974 | 171.974 | 165.788 | -0.000 | -0.000 | -0.000 |
| 0.000 | -0.000 | 0.000 | 169.301 | -0.000 | 0.000 |
| -0.000 | 0.000 | 0.000 | -0.000 | 169.301 | -0.000 |
| -0.000 | 0.000 | 0.000 | 0.000 | 0.000 | 169.302 |
| 165.787 | 171.973 | 171.973 | 0.000 | 0.000 | -0.000 |
| 171.973 | 165.787 | 171.973 | 0.000 | 0.000 | 0.000 |
| 171.973 | 171.973 | 165.787 | 0.000 | 0.000 | -0.000 |
| -0.000 | 0.000 | -0.000 | 169.301 | -0.000 | 0.000 |
| 0.000 | -0.000 | -0.000 | 0.000 | 169.301 | 0.000 |
| 0.000 | -0.000 | -0.000 | -0.000 | -0.000 | 169.302 |
| 313.257 | 140.124 | 140.124 | -0.000 | -0.000 | -0.000 |
| 140.124 | 313.257 | 140.124 | -0.000 | -0.000 | -0.000 |
| 140.124 | 140.124 | 313.257 | -0.000 | -0.000 | -0.000 |
| -0.000 | 0.000 | 0.000 | 255.799 | -0.000 | 0.000 |
| 0.000 | -0.000 | 0.000 | -0.000 | 255.799 | -0.000 |
| 0.000 | 0.000 | -0.000 | -0.000 | -0.000 | 255.799 |
| 313.257 | 140.124 | 140.124 | 0.000 | 0.000 | 0.000 |
| 140.124 | 313.257 | 140.124 | 0.000 | 0.000 | 0.000 |
| 140.124 | 140.124 | 313.257 | 0.000 | 0.000 | 0.000 |
| 0.000 | -0.000 | -0.000 | 255.799 | 0.000 | 0.000 |
| -0.000 | 0.000 | -0.000 | 0.000 | 255.799 | 0.000 |
| -0.000 | -0.000 | 0.000 | 0.000 | 0.000 | 255.799 |
| 313.258 | 140.124 | 140.124 | 0.000 | -0.000 | -0.000 |
| 140.124 | 313.258 | 140.124 | -0.000 | -0.000 | -0.000 |
| 140.124 | 140.124 | 313.258 | -0.000 | -0.000 | -0.000 |
| -0.000 | 0.000 | 0.000 | 255.799 | -0.000 | -0.000 |
| 0.000 | -0.000 | 0.000 | -0.000 | 255.799 | -0.000 |
| 0.000 | 0.000 | -0.000 | -0.000 | -0.000 | 255.799 |
| 313.257 | 140.124 | 140.124 | 0.000 | 0.000 | 0.000 |
| 140.124 | 313.257 | 140.124 | 0.000 | 0.000 | 0.000 |
| 140.124 | 140.124 | 313.257 | 0.000 | 0.000 | 0.000 |
| 0.000 | -0.000 | -0.000 | 255.799 | 0.000 | 0.000 |
| -0.000 | 0.000 | -0.000 | 0.000 | 255.799 | 0.000 |
| -0.000 | -0.000 | 0.000 | 0.000 | 0.000 | 255.799 |
| 313.261 | 140.125 | 140.125 | -0.000 | -0.000 | -0.000 |
| 140.125 | 313.261 | 140.125 | -0.000 | -0.000 | -0.000 |
| 140.125 | 140.125 | 313.261 | -0.000 | -0.000 | -0.000 |
| -0.000 | 0.001 | 0.001 | 255.799 | -0.000 | -0.000 |
| 0.001 | -0.000 | 0.001 | -0.000 | 255.799 | -0.000 |
| 0.001 | 0.001 | -0.000 | -0.000 | -0.000 | 255.799 |
| 313.253 | 140.123 | 140.123 | 0.000 | 0.000 | 0.000 |
| 140.123 | 313.253 | 140.123 | 0.000 | 0.000 | -0.000 |
| 140.123 | 140.123 | 313.253 | 0.000 | 0.000 | 0.000 |
| 0.000 | -0.001 | -0.001 | 255.799 | 0.000 | 0.000 |
| -0.001 | 0.000 | -0.001 | 0.000 | 255.799 | 0.000 |
| -0.001 | -0.001 | 0.000 | 0.000 | 0.000 | 255.799 |
| 378.155 | 75.030 | 20.857 | -0.000 | -0.000 | -0.000 |
| 75.030 | 378.155 | 20.857 | -0.000 | 0.000 | -0.000 |
| 20.857 | 20.857 | 404.935 | -0.000 | 0.000 | -0.000 |
| -0.000 | 0.000 | 0.000 | 90.792 | 0.000 | -0.000 |
| -0.030 | -0.030 | 0.032 | -0.000 | 81.215 | 0.000 |
| 0.000 | 0.000 | -0.000 | 0.000 | 0.000 | 151.563 |
| 349.798 | 86.292 | 29.832 | -0.000 | -0.000 | 0.000 |
| 86.292 | 349.798 | 29.832 | 0.000 | 0.000 | -0.000 |
| 20.857 | 20.857 | 404.935 | 0.000 | -0.000 | 0.000 |
| 0.000 | -0.000 | -0.000 | 90.792 | -0.000 | 0.000 |
| 0.030 | 0.030 | -0.032 | 0.000 | 81.215 | -0.000 |
| -0.000 | -0.000 | 0.000 | -0.000 | -0.000 | 151.563 |
| 326.191 | 119.863 | 24.600 | -0.000 | 0.000 | 0.000 |
| 86.257 | 349.825 | 29.836 | -0.000 | -0.000 | 0.000 |
| 24.808 | 24.808 | 400.787 | 0.000 | 0.000 | -0.000 |
| -0.003 | -0.003 | 0.003 | 81.215 | -0.000 | 0.000 |
| -0.003 | -0.003 | 0.003 | 0.000 | 81.215 | 0.000 |
| 0.000 | 0.000 | 0.000 | -0.000 | 0.000 | 151.563 |
| 349.819 | 86.263 | 29.835 | -0.000 | -0.000 | -0.000 |
| 86.263 | 349.819 | 29.835 | 0.000 | -0.000 | -0.000 |
| 20.857 | 20.857 | 404.935 | -0.000 | 0.000 | 0.000 |
| 0.003 | 0.003 | -0.003 | 81.215 | -0.000 | -0.000 |
| 0.003 | 0.003 | -0.003 | 0.000 | 81.215 | -0.000 |
| -0.000 | -0.000 | -0.000 | 0.000 | -0.000 | 151.563 |
| 349.827 | 86.260 | 29.836 | -0.000 | 0.000 | 0.000 |
| 75.031 | 378.159 | 20.857 | 0.000 | 0.000 | -0.000 |
| 24.809 | 24.809 | 400.788 | -0.000 | -0.000 | 0.000 |
| -0.000 | -0.000 | 0.001 | 81.215 | 0.000 | 0.000 |
| -0.000 | -0.000 | 0.001 | -0.000 | 81.215 | 0.000 |
| 0.000 | 0.001 | 0.000 | 0.000 | 0.000 | 151.563 |
| 349.817 | 86.260 | 29.835 | -0.000 | -0.000 | 0.000 |
| 86.260 | 349.818 | 29.835 | 0.000 | -0.000 | -0.000 |
| 24.808 | 24.808 | 400.785 | 0.000 | -0.000 | 0.000 |
| 0.000 | 0.000 | -0.001 | 81.215 | 0.000 | -0.000 |
| 0.000 | 0.000 | -0.001 | 0.000 | 81.215 | -0.000 |
| -0.000 | -0.001 | -0.000 | -0.000 | -0.000 | 151.563 |
| 473.605 | 191.500 | -96.019 | -0.000 | -0.000 | 0.000 |
| 229.806 | 434.851 | -95.779 | 0.000 | 0.000 | 0.000 |
| 19.475 | 19.475 | 395.667 | -0.000 | 0.000 | 0.000 |
| 0.000 | -0.000 | -0.000 | 87.073 | -0.000 | 0.000 |
| -0.000 | 0.000 | -0.000 | -0.000 | 87.073 | 0.000 |
| 0.000 | 0.000 | -0.000 | -0.000 | -0.000 | 149.149 |
| 375.285 | 76.986 | 17.817 | 0.000 | 0.000 | -0.000 |
| 76.986 | 375.285 | 17.817 | 0.000 | 0.000 | 0.000 |
| 19.475 | 19.475 | 395.667 | 0.000 | -0.000 | -0.000 |
| 0.000 | -0.000 | 0.000 | 87.073 | -0.000 | 0.000 |
| 0.000 | -0.000 | 0.000 | 0.000 | 87.073 | 0.000 |
| 0.000 | -0.000 | 0.000 | 0.000 | 0.000 | 149.149 |
| 375.285 | 76.986 | 17.817 | -0.000 | -0.000 | 0.000 |
| 76.986 | 375.285 | 17.817 | -0.000 | -0.000 | 0.000 |
| 34.225 | 34.225 | 379.889 | 0.000 | 0.000 | 0.000 |
| 0.000 | 0.000 | 0.000 | 87.073 | -0.000 | 0.000 |
| 11.501 | 11.501 | -12.303 | -0.000 | 84.845 | 0.000 |
| 12.979 | 12.979 | -13.884 | 0.000 | 0.000 | 139.592 |
| 375.284 | 76.986 | 17.817 | 0.000 | 0.000 | 0.000 |
| 76.986 | 375.284 | 17.817 | 0.000 | 0.000 | -0.000 |
| 12.279 | 12.279 | 403.365 | 0.000 | 0.000 | -0.000 |
| -0.000 | -0.000 | -0.000 | 87.073 | 0.000 | -0.000 |
| -11.501 | -11.501 | 12.303 | 0.000 | 84.845 | 0.000 |
| -12.979 | -12.979 | 13.884 | -0.000 | -0.000 | 139.592 |
| 375.289 | 76.986 | 17.817 | -0.000 | -0.000 | -0.000 |
| 76.987 | 375.288 | 17.817 | -0.000 | -0.000 | 0.000 |
| 24.349 | 24.349 | 390.455 | -0.000 | -0.000 | 0.000 |
| 0.000 | 0.000 | 0.001 | 87.073 | -0.000 | -0.000 |
| 3.368 | 3.368 | -3.602 | -0.000 | 80.548 | 0.000 |
| 4.861 | 4.862 | -5.200 | 0.000 | -0.000 | 113.356 |
| 351.708 | 83.389 | 27.000 | -0.000 | -0.000 | -0.000 |
| 76.985 | 375.281 | 17.817 | 0.000 | 0.000 | -0.000 |
| 22.154 | 22.154 | 392.799 | -0.000 | 0.000 | 0.000 |
| -0.000 | -0.000 | -0.001 | 87.073 | 0.000 | 0.000 |
| -3.368 | -3.368 | 3.602 | 0.000 | 80.548 | 0.000 |
| -4.861 | -4.862 | 5.200 | 0.000 | -0.000 | 113.356 |
| 344.718 | 144.013 | 125.358 | -0.000 | -0.000 | -0.000 |
| 144.013 | 344.718 | 125.358 | -0.000 | -0.000 | 0.000 |
| 125.358 | 125.358 | 315.246 | -0.000 | -0.000 | -0.000 |
| 0.000 | 0.000 | 0.000 | 244.350 | -0.000 | -0.000 |
| 0.000 | 0.000 | 0.000 | -0.000 | 244.350 | -0.000 |
| 0.000 | 0.000 | 0.000 | 0.000 | 0.000 | 261.688 |
| 356.847 | 131.884 | 125.358 | 0.000 | 0.000 | 0.000 |
| 131.884 | 356.847 | 125.358 | 0.000 | 0.000 | 0.000 |
| 125.358 | 125.358 | 315.246 | 0.000 | -0.000 | -0.000 |
| -0.000 | -0.000 | -0.000 | 244.350 | 0.000 | 0.000 |
| -0.000 | -0.000 | -0.000 | 0.000 | 244.350 | -0.000 |
| -0.000 | -0.000 | -0.000 | 0.000 | -0.000 | 261.688 |
| 344.718 | 144.014 | 125.358 | 0.000 | 0.000 | -0.000 |
| 144.014 | 344.718 | 125.358 | 0.000 | 0.000 | -0.000 |
| 125.358 | 125.358 | 315.247 | -0.000 | -0.000 | -0.000 |
| -0.000 | 0.000 | 0.000 | 244.350 | -0.000 | 0.000 |
| 0.000 | -0.000 | 0.000 | -0.000 | 244.350 | 0.000 |
| 0.000 | 0.000 | -0.000 | -0.000 | -0.000 | 261.688 |
| 344.717 | 144.013 | 125.358 | 0.000 | 0.000 | 0.000 |
| 144.013 | 344.717 | 125.358 | 0.000 | 0.000 | -0.000 |
| 125.358 | 125.358 | 315.246 | 0.000 | 0.000 | 0.000 |
| 0.000 | -0.000 | -0.000 | 244.350 | 0.000 | 0.000 |
| -0.000 | 0.000 | -0.000 | 0.000 | 244.350 | 0.000 |
| -0.000 | -0.000 | 0.000 | 0.000 | 0.000 | 261.688 |
| 344.721 | 144.015 | 125.359 | -0.000 | 0.000 | -0.000 |
| 144.015 | 344.721 | 125.359 | 0.000 | 0.000 | -0.000 |
| 125.359 | 125.359 | 315.250 | -0.000 | 0.000 | -0.000 |
| -0.000 | 0.001 | 0.001 | 244.350 | 0.000 | -0.000 |
| 0.001 | -0.000 | 0.001 | -0.000 | 244.350 | 0.000 |
| 0.001 | 0.001 | -0.000 | -0.000 | -0.000 | 261.688 |
| 356.844 | 131.883 | 125.357 | 0.000 | 0.000 | 0.000 |
| 131.883 | 356.844 | 125.357 | 0.000 | 0.000 | 0.000 |
| 125.357 | 125.357 | 315.243 | 0.000 | 0.000 | 0.000 |
| 0.000 | -0.001 | -0.001 | 244.350 | -0.000 | 0.000 |
| -0.001 | 0.000 | -0.001 | 0.000 | 244.350 | 0.000 |
| -0.001 | -0.001 | 0.000 | 0.000 | 0.000 | 261.688 |
| 329.643 | 121.021 | 21.064 | 0.000 | 0.000 | -0.000 |
| 77.570 | 379.874 | 17.466 | 0.000 | 0.000 | 0.000 |
| 19.040 | 19.040 | 397.640 | -0.000 | 0.000 | -0.000 |
| -0.000 | -0.000 | -0.000 | 87.939 | 0.000 | -0.000 |
| -0.000 | 0.000 | -0.000 | 0.000 | 87.939 | -0.000 |
| 0.000 | 0.000 | -0.000 | 0.000 | 0.000 | 151.152 |
| 379.874 | 77.570 | 17.466 | -0.000 | 0.000 | 0.000 |
| 87.877 | 353.240 | 26.129 | -0.000 | 0.000 | -0.000 |
| 22.857 | 22.857 | 393.590 | -0.000 | -0.000 | -0.000 |
| 0.000 | -0.000 | -0.000 | 87.939 | 0.000 | 0.000 |
| 0.000 | -0.000 | 0.000 | 0.000 | 87.939 | 0.000 |
| -0.000 | -0.000 | 0.000 | -0.000 | -0.000 | 151.152 |
| 353.241 | 87.877 | 26.129 | 0.000 | 0.000 | 0.000 |
| 77.570 | 379.875 | 17.466 | 0.000 | -0.000 | -0.000 |
| 22.857 | 22.857 | 393.590 | -0.000 | -0.000 | -0.000 |
| 0.000 | 0.000 | 0.000 | 87.939 | -0.000 | -0.000 |
| 0.000 | 0.000 | 0.000 | 0.000 | 78.171 | 0.000 |
| 0.000 | 0.000 | 0.000 | 0.000 | 0.000 | 151.152 |
| 379.874 | 77.570 | 17.466 | 0.000 | 0.000 | -0.000 |
| 77.570 | 379.874 | 17.466 | -0.000 | -0.000 | 0.000 |
| 19.040 | 19.040 | 397.639 | -0.000 | -0.000 | 0.000 |
| -0.000 | -0.000 | -0.000 | 87.939 | 0.000 | 0.000 |
| -0.000 | -0.000 | -0.000 | -0.000 | 78.171 | -0.000 |
| -0.000 | -0.000 | -0.000 | -0.000 | 0.000 | 151.152 |
| 353.244 | 87.877 | 26.129 | 0.000 | 0.000 | 0.000 |
| 87.878 | 353.243 | 26.129 | 0.000 | 0.000 | 0.000 |
| 22.857 | 22.857 | 393.591 | 0.000 | 0.000 | -0.000 |
| 0.000 | 0.000 | 0.000 | 87.939 | -0.000 | 0.000 |
| 0.000 | 0.000 | 0.000 | 0.000 | 87.939 | -0.000 |
| 0.000 | 0.001 | -0.000 | -0.000 | -0.000 | 109.054 |
| 329.639 | 121.021 | 21.064 | -0.000 | -0.000 | -0.000 |
| 87.877 | 353.237 | 26.129 | -0.000 | -0.000 | -0.000 |
| 19.040 | 19.040 | 397.638 | -0.000 | -0.000 | 0.000 |
| -0.000 | -0.000 | -0.000 | 87.939 | -0.000 | 0.000 |
| -0.000 | -0.000 | -0.000 | -0.000 | 87.939 | 0.000 |
| -0.000 | -0.001 | 0.000 | -0.000 | 0.000 | 109.054 |
| 228.547 | 90.897 | 100.222 | -65.743 | 0.000 | 0.000 |
| 90.897 | 228.547 | 100.222 | 65.743 | 0.000 | 0.000 |
| 132.158 | 132.158 | 526.606 | 0.000 | -0.000 | 0.000 |
| -30.678 | 101.134 | 169.637 | 81.800 | -0.000 | 0.000 |
| 35.228 | 35.228 | 169.637 | 0.000 | 81.800 | -65.906 |
| 35.228 | 35.228 | 169.636 | 0.000 | -65.906 | 68.444 |
| 228.547 | 90.897 | 100.222 | -65.743 | 0.000 | -0.000 |
| 54.729 | 191.616 | -72.814 | 65.906 | 0.000 | -0.000 |
| 100.222 | 100.222 | 370.681 | -0.000 | 0.000 | -0.000 |
| -65.743 | 65.743 | 0.000 | 82.243 | -0.000 | -0.000 |
| -35.228 | -35.228 | -169.637 | -0.000 | 81.800 | -65.906 |
| -35.228 | -35.228 | -169.636 | -0.000 | -65.906 | 68.444 |
| 228.547 | 90.897 | 100.222 | -65.743 | 0.000 | 0.000 |
| 90.897 | 228.547 | 100.222 | 65.743 | -0.000 | 0.000 |
| 100.222 | 100.222 | 370.681 | 0.000 | -0.000 | 0.000 |
| -63.036 | 70.738 | 17.207 | 79.567 | 0.000 | 0.000 |
| 0.000 | 0.000 | 0.000 | -0.000 | 82.243 | -65.743 |
| 3.580 | 3.580 | 17.237 | -0.000 | -65.909 | 68.438 |
| 228.546 | 90.897 | 100.222 | -65.743 | 0.000 | -0.000 |
| 85.380 | 218.804 | 77.812 | 66.693 | 0.000 | -0.000 |
| 93.383 | 93.383 | 339.897 | -0.000 | 0.000 | -0.000 |
| -65.743 | 65.743 | -0.000 | 82.243 | 0.000 | -0.000 |
| -0.000 | -0.000 | -0.000 | 0.000 | 82.243 | -65.743 |
| -3.580 | -3.580 | -17.237 | 0.000 | -65.909 | 68.438 |
| 222.808 | 89.810 | 97.498 | -66.800 | -0.000 | 0.000 |
| 89.810 | 222.808 | 97.498 | 66.800 | -0.000 | 0.000 |
| 100.222 | 100.222 | 370.682 | 0.000 | -0.000 | 0.000 |
| -65.743 | 65.743 | 0.001 | 82.243 | -0.000 | 0.000 |
| 0.791 | 0.791 | 3.809 | -0.000 | 81.249 | -66.109 |
| 0.000 | 0.001 | 0.000 | -0.000 | -65.743 | 68.825 |
| 219.658 | 93.026 | 93.883 | -68.592 | 0.000 | -0.000 |
| 88.973 | 225.465 | 92.674 | 65.990 | 0.000 | -0.000 |
| 100.221 | 100.221 | 370.679 | -0.000 | 0.000 | -0.000 |
| -65.743 | 65.743 | -0.001 | 82.242 | 0.000 | -0.000 |
| -0.791 | -0.791 | -3.809 | 0.000 | 81.249 | -66.109 |
| -0.000 | -0.001 | -0.000 | 0.000 | -65.743 | 68.825 |
| 261.462 | 196.360 | 196.360 | 0.000 | 0.000 | 0.000 |
| 196.360 | 261.462 | 196.360 | 0.000 | 0.000 | 0.000 |
| 196.360 | 196.360 | 261.462 | 0.000 | 0.000 | 0.000 |
| 0.000 | -0.000 | 0.000 | 169.690 | 0.000 | 0.000 |
| 0.000 | 0.000 | 0.000 | 0.000 | 169.690 | 0.000 |
| 0.000 | 0.000 | 0.000 | 0.000 | 0.000 | 169.690 |
| 261.462 | 196.360 | 196.360 | -0.000 | -0.000 | -0.000 |
| 196.360 | 261.462 | 196.360 | -0.000 | -0.000 | -0.000 |
| 196.360 | 196.360 | 261.462 | -0.000 | -0.000 | -0.000 |
| -0.000 | -0.000 | -0.000 | 169.690 | -0.000 | -0.000 |
| -0.000 | -0.000 | -0.000 | -0.000 | 169.690 | -0.000 |
| -0.000 | -0.000 | -0.000 | -0.000 | -0.000 | 169.690 |
| 261.462 | 196.361 | 196.361 | 0.000 | 0.000 | 0.000 |
| 196.361 | 261.462 | 196.361 | 0.000 | 0.000 | 0.000 |
| 196.361 | 196.361 | 261.462 | 0.000 | 0.000 | 0.000 |
| 0.000 | -0.000 | 0.000 | 169.690 | 0.000 | 0.000 |
| -0.000 | 0.000 | 0.000 | 0.000 | 169.690 | 0.000 |
| -0.000 | 0.000 | 0.000 | 0.000 | 0.000 | 169.690 |
| 261.462 | 196.360 | 196.360 | -0.000 | -0.000 | -0.000 |
| 196.360 | 261.462 | 196.360 | -0.000 | -0.000 | -0.000 |
| 196.360 | 196.360 | 261.462 | -0.000 | -0.000 | -0.000 |
| -0.000 | 0.000 | -0.000 | 169.690 | -0.000 | -0.000 |
| 0.000 | -0.000 | -0.000 | -0.000 | 169.690 | -0.000 |
| 0.000 | -0.000 | -0.000 | -0.000 | -0.000 | 169.690 |
| 261.463 | 196.361 | 196.361 | 0.000 | 0.000 | 0.000 |
| 196.361 | 261.463 | 196.361 | 0.000 | 0.000 | 0.000 |
| 196.361 | 196.361 | 261.463 | 0.000 | 0.000 | 0.000 |
| 0.000 | -0.000 | -0.000 | 61.662 | 0.000 | 0.000 |
| -0.000 | 0.000 | -0.000 | 0.000 | 61.662 | 0.000 |
| -0.000 | -0.000 | 0.000 | 0.000 | 0.000 | 61.662 |
| 261.461 | 196.360 | 196.360 | -0.000 | -0.000 | -0.000 |
| 196.360 | 261.461 | 196.360 | -0.000 | -0.000 | -0.000 |
| 196.360 | 196.360 | 261.461 | -0.000 | -0.000 | -0.000 |
| -0.000 | 0.000 | 0.000 | 61.662 | -0.000 | -0.000 |
| 0.000 | -0.000 | 0.000 | -0.000 | 61.662 | -0.000 |
| 0.000 | 0.000 | -0.000 | -0.000 | -0.000 | 61.662 |
| 613.409 | 243.096 | 243.096 | -0.000 | -0.000 | -0.000 |
| 243.096 | 613.409 | 243.096 | -0.000 | -0.000 | -0.000 |
| 243.096 | 243.096 | 613.409 | -0.000 | -0.000 | -0.000 |
| 0.000 | -0.000 | -0.000 | 137.684 | -0.000 | -0.000 |
| -0.000 | 0.000 | -0.000 | -0.000 | 137.684 | -0.000 |
| -0.000 | -0.000 | 0.000 | -0.000 | -0.000 | 137.684 |
| 613.409 | 243.096 | 243.096 | 0.000 | 0.000 | 0.000 |
| 243.096 | 613.409 | 243.096 | 0.000 | 0.000 | 0.000 |
| 243.096 | 243.096 | 613.409 | 0.000 | 0.000 | 0.000 |
| -0.000 | 0.000 | 0.000 | 137.685 | 0.000 | 0.000 |
| 0.000 | -0.000 | 0.000 | 0.000 | 137.685 | 0.000 |
| 0.000 | 0.000 | -0.000 | 0.000 | 0.000 | 137.685 |
| 613.409 | 243.096 | 243.096 | -0.000 | -0.000 | -0.000 |
| 243.096 | 613.409 | 243.096 | -0.000 | -0.000 | -0.000 |
| 243.096 | 243.096 | 613.409 | -0.000 | -0.000 | -0.000 |
| 0.000 | 0.000 | 0.000 | 205.659 | -0.000 | -0.000 |
| 0.000 | 0.000 | 0.000 | -0.000 | 205.659 | -0.000 |
| 0.000 | 0.000 | 0.000 | -0.000 | -0.000 | 205.659 |
| 613.409 | 243.096 | 243.096 | 0.000 | 0.000 | 0.000 |
| 243.096 | 613.409 | 243.096 | 0.000 | 0.000 | 0.000 |
| 243.096 | 243.096 | 613.409 | 0.000 | 0.000 | 0.000 |
| -0.000 | -0.000 | -0.000 | 205.659 | 0.000 | 0.000 |
| -0.000 | -0.000 | -0.000 | 0.000 | 205.659 | 0.000 |
| -0.000 | -0.000 | -0.000 | 0.000 | 0.000 | 205.659 |
| 613.409 | 243.098 | 243.098 | -0.000 | -0.000 | -0.000 |
| 243.098 | 613.409 | 243.098 | -0.000 | -0.000 | -0.000 |
| 243.098 | 243.098 | 613.409 | -0.000 | -0.000 | -0.000 |
| 0.000 | -0.000 | -0.000 | 137.685 | -0.000 | -0.000 |
| -0.000 | 0.000 | -0.000 | -0.000 | 137.685 | -0.000 |
| -0.000 | -0.000 | 0.000 | -0.000 | -0.000 | 137.685 |
| 613.408 | 243.095 | 243.095 | 0.000 | 0.000 | 0.000 |
| 243.095 | 613.408 | 243.095 | 0.000 | 0.000 | 0.000 |
| 243.095 | 243.095 | 613.408 | 0.000 | 0.000 | 0.000 |
| -0.000 | 0.000 | 0.000 | 137.685 | 0.000 | 0.000 |
| 0.000 | -0.000 | 0.000 | 0.000 | 137.685 | 0.000 |
| 0.000 | 0.000 | -0.000 | 0.000 | 0.000 | 137.685 |
| 159.934 | 187.974 | 187.974 | -0.000 | -0.000 | -0.000 |
| 187.974 | 159.934 | 187.974 | -0.000 | -0.000 | -0.000 |
| 187.974 | 187.974 | 159.934 | -0.000 | -0.000 | -0.000 |
| 0.000 | 0.000 | 0.000 | -8.850 | -0.000 | -0.000 |
| 0.000 | 0.000 | 0.000 | -0.000 | -8.850 | -0.000 |
| 0.000 | 0.000 | 0.000 | -0.000 | -0.000 | -8.850 |
| 159.934 | 187.974 | 187.974 | 0.000 | 0.000 | 0.000 |
| 187.974 | 159.934 | 187.974 | 0.000 | 0.000 | 0.000 |
| 187.974 | 187.974 | 159.934 | 0.000 | 0.000 | 0.000 |
| -0.000 | -0.000 | -0.000 | -8.850 | 0.000 | 0.000 |
| -0.000 | -0.000 | -0.000 | 0.000 | -8.850 | 0.000 |
| -0.000 | -0.000 | -0.000 | 0.000 | 0.000 | -8.850 |
| 159.934 | 187.974 | 187.974 | -0.000 | -0.000 | -0.000 |
| 187.974 | 159.934 | 187.974 | -0.000 | -0.000 | -0.000 |
| 187.974 | 187.974 | 159.934 | -0.000 | -0.000 | -0.000 |
| 0.000 | 0.000 | 0.000 | -8.850 | -0.000 | -0.000 |
| 0.000 | 0.000 | 0.000 | -0.000 | -8.850 | -0.000 |
| 0.000 | 0.000 | -0.000 | -0.000 | -0.000 | 49.290 |
| 159.934 | 187.974 | 187.974 | 0.000 | 0.000 | 0.000 |
| 187.974 | 159.934 | 187.974 | 0.000 | 0.000 | 0.000 |
| 187.974 | 187.974 | 159.934 | 0.000 | 0.000 | 0.000 |
| 0.000 | -0.000 | -0.000 | 49.290 | 0.000 | 0.000 |
| -0.000 | -0.000 | -0.000 | 0.000 | -8.850 | 0.000 |
| -0.000 | -0.000 | -0.000 | 0.000 | 0.000 | -8.850 |
| 159.934 | 187.975 | 187.975 | -0.000 | -0.000 | -0.000 |
| 187.975 | 159.934 | 187.975 | -0.000 | -0.000 | -0.000 |
| 187.975 | 187.975 | 159.934 | -0.000 | -0.000 | -0.000 |
| -0.000 | 0.000 | 0.000 | 49.290 | -0.000 | -0.000 |
| 0.000 | -0.000 | 0.000 | -0.000 | 49.290 | -0.000 |
| 0.000 | 0.000 | -0.000 | -0.000 | -0.000 | 49.290 |
| 159.933 | 187.973 | 187.973 | 0.000 | 0.000 | 0.000 |
| 187.973 | 159.933 | 187.973 | 0.000 | 0.000 | 0.000 |
| 187.973 | 187.973 | 159.933 | 0.000 | 0.000 | 0.000 |
| 0.000 | -0.000 | -0.000 | 49.290 | 0.000 | 0.000 |
| -0.000 | 0.000 | -0.000 | 0.000 | 49.290 | 0.000 |
| -0.000 | -0.000 | 0.000 | 0.000 | 0.000 | 49.290 |
| 70.534 | 132.486 | 132.486 | -0.000 | -0.000 | 0.000 |
| 132.486 | 70.534 | 132.486 | -0.000 | -0.000 | 0.000 |
| 132.486 | 132.486 | 70.534 | -0.000 | -0.000 | -0.000 |
| 0.000 | 0.000 | 0.000 | 108.266 | -0.000 | 0.000 |
| 0.000 | 0.000 | 0.000 | -0.000 | 108.266 | -0.000 |
| 0.000 | 0.000 | 0.000 | -0.000 | -0.000 | 108.266 |
| 70.534 | 132.486 | 132.486 | 0.000 | 0.000 | 0.000 |
| 132.486 | 70.534 | 132.486 | 0.000 | 0.000 | -0.000 |
| 132.486 | 132.486 | 70.534 | 0.000 | 0.000 | 0.000 |
| -0.000 | -0.000 | -0.000 | 108.266 | 0.000 | 0.000 |
| -0.000 | -0.000 | -0.000 | 0.000 | 108.266 | 0.000 |
| -0.000 | -0.000 | -0.000 | 0.000 | 0.000 | 108.266 |
| 70.535 | 132.487 | 132.487 | -0.000 | -0.000 | 0.000 |
| 132.487 | 70.535 | 132.487 | -0.000 | -0.000 | 0.000 |
| 132.487 | 132.487 | 70.535 | -0.000 | -0.000 | -0.000 |
| 0.000 | 0.000 | 0.000 | 108.266 | -0.000 | -0.000 |
| 0.000 | 0.000 | 0.000 | -0.000 | 108.266 | -0.000 |
| 0.000 | 0.000 | 0.000 | -0.000 | -0.000 | 108.266 |
| 70.533 | 132.486 | 132.486 | -0.000 | 0.000 | -0.000 |
| 132.486 | 70.533 | 132.486 | 0.000 | 0.000 | -0.000 |
| 132.486 | 132.486 | 70.533 | 0.000 | 0.000 | 0.000 |
| -0.000 | -0.000 | -0.000 | 108.266 | 0.000 | 0.000 |
| -0.000 | -0.000 | -0.000 | 0.000 | 108.266 | 0.000 |
| -0.000 | -0.000 | -0.000 | 0.000 | 0.000 | 108.266 |
| 70.542 | 132.491 | 132.491 | -0.000 | -0.000 | -0.000 |
| 132.491 | 70.542 | 132.491 | -0.000 | -0.000 | 0.000 |
| 132.491 | 132.491 | 70.542 | -0.000 | -0.000 | 0.000 |
| 0.001 | 0.004 | 0.004 | 108.266 | -0.000 | 0.000 |
| 0.004 | 0.001 | 0.004 | -0.000 | 108.266 | -0.000 |
| 0.004 | 0.004 | 0.002 | -0.000 | -0.000 | 110.275 |
| 70.526 | 132.482 | 132.482 | 0.000 | 0.000 | 0.000 |
| 132.482 | 70.526 | 132.482 | 0.000 | 0.000 | 0.000 |
| 132.482 | 132.482 | 70.526 | 0.000 | 0.000 | 0.000 |
| -0.001 | -0.004 | -0.004 | 108.266 | 0.000 | 0.000 |
| -0.004 | -0.001 | -0.004 | 0.000 | 108.266 | 0.000 |
| -0.004 | -0.004 | -0.002 | 0.000 | 0.000 | 110.275 |
| -187.520 | -22.828 | -22.828 | -0.000 | -0.000 | -0.000 |
| -22.828 | -187.520 | -22.828 | -0.000 | -0.000 | 0.000 |
| -22.828 | -22.828 | -187.520 | 0.000 | 0.000 | 0.000 |
| 0.000 | 0.000 | 0.000 | -42.815 | 0.000 | 0.000 |
| 0.000 | 0.000 | 0.000 | 0.000 | -42.815 | 0.000 |
| 0.000 | 0.000 | -0.000 | -0.000 | 0.000 | -42.815 |
| -187.520 | -22.828 | -22.828 | -0.000 | 0.000 | 0.000 |
| -22.828 | -187.520 | -22.828 | 0.000 | -0.000 | -0.000 |
| -22.828 | -22.828 | -187.520 | 0.000 | 0.000 | -0.000 |
| -0.000 | -0.000 | -0.000 | -42.815 | 0.000 | -0.000 |
| -0.000 | -0.000 | -0.000 | 0.000 | -42.815 | -0.000 |
| -0.000 | -0.000 | 0.000 | 0.000 | -0.000 | -42.815 |
| -187.520 | -22.828 | -22.828 | 0.000 | 0.000 | 0.000 |
| -22.828 | -187.520 | -22.828 | 0.000 | -0.000 | 0.000 |
| -22.828 | -22.828 | -187.520 | 0.000 | 0.000 | 0.000 |
| 0.000 | 0.000 | 0.000 | -47.485 | -0.000 | 0.000 |
| 0.000 | 0.000 | 0.000 | -0.000 | -47.485 | -0.000 |
| 0.000 | 0.000 | 0.000 | -0.000 | -0.000 | -47.485 |
| -187.520 | -22.828 | -22.828 | 0.000 | -0.000 | 0.000 |
| -22.828 | -187.520 | -22.828 | -0.000 | -0.000 | 0.000 |
| -22.828 | -22.828 | -187.520 | -0.000 | 0.000 | -0.000 |
| -0.000 | -0.000 | -0.000 | -47.485 | 0.000 | -0.000 |
| -0.000 | -0.000 | -0.000 | 0.000 | -47.485 | 0.000 |
| -0.000 | -0.000 | -0.000 | -0.000 | -0.000 | -47.485 |
| -187.517 | -22.827 | -22.827 | -0.000 | 0.000 | 0.000 |
| -22.827 | -187.517 | -22.827 | 0.000 | 0.000 | -0.000 |
| -22.827 | -22.827 | -187.517 | 0.000 | 0.000 | 0.000 |
| 0.001 | 0.001 | 0.001 | -42.815 | 0.000 | -0.000 |
| 0.001 | 0.001 | 0.001 | 0.000 | -42.815 | 0.000 |
| 0.001 | 0.001 | 0.001 | -0.000 | 0.000 | -42.815 |
| -187.523 | -22.829 | -22.829 | 0.000 | 0.000 | -0.000 |
| -22.829 | -187.523 | -22.829 | 0.000 | 0.000 | 0.000 |
| -22.829 | -22.829 | -187.523 | 0.000 | 0.000 | 0.000 |
| -0.001 | -0.001 | -0.001 | -42.815 | -0.000 | -0.000 |
| -0.001 | -0.001 | -0.001 | -0.000 | -42.815 | -0.000 |
| -0.001 | -0.001 | -0.001 | 0.000 | -0.000 | -42.815 |
| 71.749 | 138.542 | 138.542 | 0.000 | 0.000 | 0.000 |
| 138.542 | 71.749 | 138.542 | 0.000 | -0.000 | -0.000 |
| 138.542 | 138.542 | 71.749 | -0.000 | -0.000 | -0.000 |
| -0.000 | -0.000 | -0.000 | 116.015 | 0.000 | 0.000 |
| -0.000 | -0.000 | -0.000 | -0.000 | 116.015 | -0.000 |
| -0.000 | -0.000 | -0.000 | -0.000 | -0.000 | 116.015 |
| 71.749 | 138.542 | 138.542 | 0.000 | -0.000 | -0.000 |
| 138.542 | 71.749 | 138.542 | -0.000 | 0.000 | -0.000 |
| 138.542 | 138.542 | 71.749 | -0.000 | 0.000 | 0.000 |
| 0.000 | 0.000 | 0.000 | 116.015 | -0.000 | -0.000 |
| 0.000 | 0.000 | 0.000 | -0.000 | 116.015 | 0.000 |
| 0.000 | 0.000 | 0.000 | 0.000 | 0.000 | 116.015 |
| 71.749 | 138.542 | 138.542 | -0.000 | -0.000 | -0.000 |
| 138.542 | 71.749 | 138.542 | -0.000 | -0.000 | -0.000 |
| 138.542 | 138.542 | 71.749 | 0.000 | -0.000 | -0.000 |
| -0.000 | -0.000 | -0.000 | 118.476 | -0.000 | 0.000 |
| -0.000 | -0.000 | -0.000 | 0.000 | 118.476 | 0.000 |
| -0.000 | -0.000 | -0.000 | -0.000 | -0.000 | 118.476 |
| 71.749 | 138.542 | 138.542 | 0.000 | 0.000 | 0.000 |
| 138.542 | 71.749 | 138.542 | 0.000 | 0.000 | -0.000 |
| 138.542 | 138.542 | 71.749 | -0.000 | 0.000 | 0.000 |
| 0.000 | 0.000 | 0.000 | 118.476 | 0.000 | 0.000 |
| 0.000 | 0.000 | 0.000 | 0.000 | 118.476 | -0.000 |
| 0.000 | 0.000 | 0.000 | 0.000 | 0.000 | 118.476 |
| 71.747 | 138.541 | 138.541 | 0.000 | -0.000 | -0.000 |
| 138.541 | 71.747 | 138.541 | -0.000 | -0.000 | 0.000 |
| 138.541 | 138.541 | 71.747 | 0.000 | 0.000 | 0.000 |
| -0.000 | -0.001 | -0.001 | 118.476 | -0.000 | -0.000 |
| -0.001 | -0.000 | -0.001 | -0.000 | 118.476 | -0.000 |
| -0.001 | -0.001 | -0.000 | -0.000 | -0.000 | 118.476 |
| 71.750 | 138.542 | 138.542 | -0.000 | 0.000 | -0.000 |
| 138.542 | 71.750 | 138.542 | 0.000 | -0.000 | 0.000 |
| 138.542 | 138.542 | 71.750 | -0.000 | 0.000 | 0.000 |
| 0.000 | 0.001 | 0.001 | 118.476 | 0.000 | -0.000 |
| 0.001 | 0.000 | 0.001 | 0.000 | 118.476 | -0.000 |
| 0.001 | 0.001 | 0.000 | 0.000 | 0.000 | 118.476 |
| 280.312 | 160.617 | 165.809 | -0.000 | 0.000 | 0.000 |
| 160.617 | 280.312 | 165.809 | 0.000 | -0.000 | 0.000 |
| 165.809 | 165.809 | 317.898 | -0.000 | 0.000 | 0.000 |
| -270.470 | -270.470 | -131.854 | 125.022 | 0.000 | 0.000 |
| -270.470 | -270.470 | -131.854 | -0.000 | 125.022 | 0.000 |
| 0.000 | 0.000 | -0.000 | 0.000 | 0.000 | 121.868 |
| 549.450 | 431.488 | 297.436 | -0.000 | -0.000 | -0.000 |
| 431.488 | 549.450 | 297.436 | -0.000 | -0.000 | -0.000 |
| 436.052 | 436.052 | 449.641 | -0.000 | -0.000 | -0.000 |
| 270.470 | 270.470 | 131.854 | 125.022 | -0.000 | -0.000 |
| 270.470 | 270.470 | 131.854 | -0.000 | 125.022 | -0.000 |
| -0.000 | 0.000 | 0.000 | -0.000 | 0.000 | 121.868 |
| 251.931 | 133.970 | 152.396 | 0.000 | -0.000 | 0.000 |
| 133.970 | 251.931 | 152.396 | -0.000 | -0.000 | 0.000 |
| 138.535 | 138.535 | 304.602 | 0.000 | 0.000 | 0.000 |
| -0.000 | -0.000 | 0.000 | 126.369 | 0.000 | 0.000 |
| -0.000 | -0.000 | 0.000 | 0.000 | 126.369 | 0.000 |
| -27.047 | -27.047 | -13.185 | 0.000 | 0.000 | 121.868 |
| 280.313 | 160.617 | 165.809 | 0.000 | -0.000 | -0.000 |
| 160.617 | 280.313 | 165.809 | -0.000 | 0.000 | -0.000 |
| 192.629 | 192.629 | 330.973 | 0.000 | -0.000 | -0.000 |
| 0.000 | 0.000 | -0.000 | 126.369 | -0.000 | -0.000 |
| 0.000 | 0.000 | -0.000 | 0.000 | 126.369 | -0.000 |
| 27.047 | 27.047 | 13.185 | -0.000 | -0.000 | 121.868 |
| 276.262 | 158.306 | 164.259 | 0.000 | 0.000 | 0.000 |
| 158.306 | 276.262 | 164.259 | 0.000 | 0.000 | -0.000 |
| 162.877 | 162.877 | 316.468 | -0.000 | -0.000 | 0.000 |
| -0.000 | -0.000 | 0.000 | 126.369 | 0.000 | -0.000 |
| -0.000 | -0.000 | 0.000 | 0.000 | 126.369 | 0.000 |
| 0.000 | 0.000 | -0.000 | 0.000 | 0.000 | 121.868 |
| 280.313 | 160.616 | 165.808 | -0.000 | 0.000 | -0.000 |
| 160.616 | 280.313 | 165.808 | 0.000 | -0.000 | 0.000 |
| 168.286 | 168.286 | 319.106 | 0.000 | -0.000 | -0.000 |
| 0.000 | 0.000 | -0.000 | 126.369 | -0.000 | -0.000 |
| 0.000 | 0.000 | -0.000 | -0.000 | 126.369 | -0.000 |
| -0.000 | -0.000 | 0.000 | 0.000 | 0.000 | 121.868 |
| 282.555 | 159.110 | 165.801 | 0.000 | 0.000 | -0.000 |
| 159.110 | 282.555 | 165.801 | -0.000 | 0.000 | -0.000 |
| 165.266 | 165.266 | 312.268 | 0.000 | -0.000 | -0.000 |
| -0.066 | -0.066 | -0.025 | 125.148 | 0.000 | -0.000 |
| -0.066 | -0.066 | -0.025 | -0.000 | 125.148 | -0.000 |
| -0.000 | 0.000 | -0.000 | -0.000 | -0.000 | 120.860 |
| 282.693 | 159.269 | 165.857 | -0.000 | -0.000 | 0.000 |
| 159.269 | 282.693 | 165.857 | -0.000 | -0.000 | 0.000 |
| 165.412 | 165.412 | 312.323 | -0.000 | -0.000 | 0.000 |
| 0.066 | 0.066 | 0.025 | 125.148 | -0.000 | 0.000 |
| 0.066 | 0.066 | 0.025 | -0.000 | 125.148 | 0.000 |
| -0.000 | -0.000 | -0.000 | -0.000 | -0.000 | 120.860 |
| 282.617 | 159.181 | 165.826 | 0.000 | 0.000 | -0.000 |
| 159.181 | 282.617 | 165.826 | 0.000 | 0.000 | -0.000 |
| 165.332 | 165.332 | 312.293 | 0.000 | 0.000 | -0.000 |
| -0.010 | -0.010 | -0.004 | 124.755 | 0.000 | -0.000 |
| -0.010 | -0.010 | -0.004 | 0.000 | 124.755 | -0.000 |
| -0.007 | -0.007 | -0.003 | -0.000 | 0.000 | 120.860 |
| 282.631 | 159.197 | 165.832 | -0.000 | -0.000 | -0.000 |
| 159.197 | 282.631 | 165.832 | -0.000 | -0.000 | -0.000 |
| 165.509 | 165.509 | 312.359 | 0.000 | -0.000 | 0.000 |
| 0.010 | 0.010 | 0.004 | 124.755 | -0.000 | 0.000 |
| 0.010 | 0.010 | 0.004 | -0.000 | 124.755 | 0.000 |
| 0.007 | 0.007 | 0.003 | -0.000 | -0.000 | 120.860 |
| 282.621 | 159.239 | 165.838 | 0.000 | 0.000 | -0.000 |
| 159.239 | 282.621 | 165.838 | -0.000 | 0.000 | -0.000 |
| 165.510 | 165.510 | 312.359 | -0.000 | 0.000 | -0.000 |
| -0.001 | -0.001 | -0.000 | 124.755 | 0.000 | -0.000 |
| -0.001 | -0.001 | -0.000 | 0.000 | 124.755 | -0.000 |
| 0.000 | 0.000 | -0.000 | -0.000 | 0.000 | 120.860 |
| 282.624 | 159.240 | 165.838 | -0.000 | -0.000 | 0.000 |
| 159.240 | 282.624 | 165.838 | -0.000 | -0.000 | 0.000 |
| 165.339 | 165.339 | 312.296 | -0.000 | -0.000 | -0.000 |
| 0.001 | 0.001 | 0.000 | 124.755 | -0.000 | 0.000 |
| 0.001 | 0.001 | 0.000 | -0.000 | 124.755 | 0.000 |
| -0.000 | -0.000 | 0.000 | 0.000 | -0.000 | 120.860 |
| 374.735 | 61.740 | 61.740 | 0.000 | 0.000 | -0.000 |
| 61.740 | 374.735 | 61.740 | 0.000 | 0.000 | -0.000 |
| 61.740 | 61.740 | 374.735 | 0.000 | 0.000 | -0.000 |
| 0.000 | 0.000 | 0.000 | 10.074 | -0.000 | -0.000 |
| 0.000 | 0.000 | 0.000 | -0.000 | 10.074 | -0.000 |
| 0.000 | 0.000 | -0.000 | -0.000 | -0.000 | 10.074 |
| 374.735 | 61.740 | 61.740 | -0.000 | -0.000 | 0.000 |
| 61.740 | 374.735 | 61.740 | -0.000 | -0.000 | 0.000 |
| 61.740 | 61.740 | 374.735 | 0.000 | 0.000 | 0.000 |
| -0.000 | -0.000 | -0.000 | 10.074 | 0.000 | 0.000 |
| -0.000 | -0.000 | -0.000 | 0.000 | 10.074 | 0.000 |
| -0.000 | -0.000 | 0.000 | 0.000 | -0.000 | 10.074 |
| 374.735 | 61.740 | 61.740 | 0.000 | 0.000 | -0.000 |
| 61.740 | 374.735 | 61.740 | 0.000 | 0.000 | -0.000 |
| 61.740 | 61.740 | 374.735 | -0.000 | 0.000 | -0.000 |
| -0.000 | 0.000 | 0.000 | 10.074 | 0.000 | -0.000 |
| 0.000 | -0.000 | 0.000 | 0.000 | 10.074 | -0.000 |
| 0.000 | 0.000 | -0.000 | -0.000 | 0.000 | 10.074 |
| 374.734 | 61.740 | 61.740 | 0.000 | -0.000 | 0.000 |
| 61.740 | 374.734 | 61.740 | 0.000 | -0.000 | 0.000 |
| 61.740 | 61.740 | 374.734 | 0.000 | -0.000 | 0.000 |
| 0.000 | -0.000 | -0.000 | 10.074 | -0.000 | 0.000 |
| -0.000 | 0.000 | -0.000 | -0.000 | 10.074 | 0.000 |
| -0.000 | -0.000 | 0.000 | 0.000 | -0.000 | 10.074 |
| 374.739 | 61.740 | 61.740 | -0.000 | 0.000 | -0.000 |
| 61.740 | 374.739 | 61.740 | 0.000 | 0.000 | -0.000 |
| 61.740 | 61.740 | 374.739 | 0.000 | 0.000 | -0.000 |
| -0.000 | 0.000 | 0.000 | 10.074 | 0.000 | -0.000 |
| 0.000 | -0.000 | 0.000 | 0.000 | 10.074 | -0.000 |
| 0.000 | 0.000 | -0.000 | 0.000 | 0.000 | 10.074 |
| 374.730 | 61.739 | 61.739 | -0.000 | -0.000 | 0.000 |
| 61.739 | 374.730 | 61.739 | -0.000 | -0.000 | 0.000 |
| 61.739 | 61.739 | 374.730 | 0.000 | 0.000 | 0.000 |
| 0.000 | -0.000 | -0.000 | 10.074 | -0.000 | 0.000 |
| -0.000 | 0.000 | -0.000 | -0.000 | 10.074 | 0.000 |
| -0.000 | -0.000 | 0.000 | -0.000 | -0.000 | 10.074 |
| 190.815 | 142.861 | 142.861 | -0.000 | -0.000 | -0.000 |
| 142.861 | 190.815 | 142.861 | -0.000 | -0.000 | -0.000 |
| 142.861 | 142.861 | 190.815 | -0.000 | -0.000 | -0.000 |
| 0.000 | 0.000 | 0.000 | 121.476 | -0.000 | 0.000 |
| 0.000 | 0.000 | 0.000 | -0.000 | 121.476 | -0.000 |
| 0.000 | 0.000 | 0.000 | 0.000 | 0.000 | 121.476 |
| 190.815 | 142.861 | 142.861 | 0.000 | 0.000 | 0.000 |
| 142.861 | 190.815 | 142.861 | 0.000 | -0.000 | 0.000 |
| 142.861 | 142.861 | 190.815 | -0.000 | -0.000 | 0.000 |
| -0.000 | -0.000 | -0.000 | 121.476 | -0.000 | 0.000 |
| -0.000 | -0.000 | -0.000 | -0.000 | 121.476 | -0.000 |
| -0.000 | -0.000 | -0.000 | -0.000 | -0.000 | 121.476 |
| 190.816 | 142.861 | 142.861 | 0.000 | -0.000 | -0.000 |
| 142.861 | 190.816 | 142.861 | 0.000 | 0.000 | -0.000 |
| 142.861 | 142.861 | 190.816 | 0.000 | 0.000 | -0.000 |
| 0.000 | 0.000 | 0.000 | 121.476 | 0.000 | -0.000 |
| 0.000 | 0.000 | 0.000 | 0.000 | 121.476 | -0.000 |
| 0.000 | 0.000 | 0.000 | -0.000 | -0.000 | 121.476 |
| 190.815 | 142.861 | 142.861 | -0.000 | -0.000 | 0.000 |
| 142.861 | 190.815 | 142.861 | -0.000 | -0.000 | 0.000 |
| 142.861 | 142.861 | 190.815 | -0.000 | -0.000 | -0.000 |
| -0.000 | -0.000 | -0.000 | 121.476 | 0.000 | -0.000 |
| -0.000 | -0.000 | -0.000 | -0.000 | 121.476 | 0.000 |
| -0.000 | -0.000 | -0.000 | -0.000 | -0.000 | 121.476 |
| 190.817 | 142.861 | 142.861 | 0.000 | 0.000 | -0.000 |
| 142.861 | 190.817 | 142.861 | 0.000 | 0.000 | -0.000 |
| 142.861 | 142.861 | 190.817 | 0.000 | 0.000 | -0.000 |
| 0.000 | 0.000 | 0.000 | 121.476 | 0.000 | -0.000 |
| 0.000 | 0.000 | 0.000 | -0.000 | 121.476 | -0.000 |
| 0.000 | 0.000 | 0.000 | -0.000 | -0.000 | 121.476 |
| 190.814 | 142.860 | 142.860 | 0.000 | -0.000 | 0.000 |
| 142.860 | 190.814 | 142.860 | -0.000 | 0.000 | 0.000 |
| 142.860 | 142.860 | 190.814 | -0.000 | -0.000 | 0.000 |
| -0.000 | -0.000 | -0.000 | 121.476 | -0.000 | 0.000 |
| -0.000 | -0.000 | -0.000 | -0.000 | 121.476 | 0.000 |
| -0.000 | -0.000 | -0.000 | 0.000 | 0.000 | 121.476 |
| 24.384 | 53.342 | 53.342 | -0.000 | -0.000 | -0.000 |
| 53.342 | 24.384 | 53.342 | -0.000 | -0.000 | -0.000 |
| 53.342 | 53.342 | 24.384 | -0.000 | -0.000 | -0.000 |
| 0.000 | -0.000 | -0.000 | 38.694 | -0.000 | -0.000 |
| -0.000 | 0.000 | -0.000 | -0.000 | 38.694 | -0.000 |
| -0.000 | -0.000 | 0.000 | -0.000 | 0.000 | 38.694 |
| 24.384 | 53.342 | 53.342 | 0.000 | 0.000 | 0.000 |
| 53.342 | 24.384 | 53.342 | 0.000 | 0.000 | 0.000 |
| 53.342 | 53.342 | 24.384 | 0.000 | 0.000 | 0.000 |
| -0.000 | 0.000 | 0.000 | 38.694 | -0.000 | 0.000 |
| 0.000 | -0.000 | 0.000 | -0.000 | 38.694 | 0.000 |
| 0.000 | 0.000 | -0.000 | -0.000 | 0.000 | 38.694 |
| 24.384 | 53.342 | 53.342 | 0.000 | -0.000 | -0.000 |
| 53.342 | 24.384 | 53.342 | -0.000 | 0.000 | -0.000 |
| 53.342 | 53.342 | 24.384 | -0.000 | -0.000 | -0.000 |
| 0.000 | -0.000 | 0.000 | 38.694 | -0.000 | -0.000 |
| -0.000 | 0.000 | 0.000 | -0.000 | 38.694 | -0.000 |
| -0.000 | 0.000 | 0.000 | -0.000 | -0.000 | 38.694 |
| 24.384 | 53.342 | 53.342 | 0.000 | 0.000 | 0.000 |
| 53.342 | 24.384 | 53.342 | 0.000 | 0.000 | 0.000 |
| 53.342 | 53.342 | 24.384 | 0.000 | 0.000 | 0.000 |
| -0.000 | 0.000 | -0.000 | 38.694 | 0.000 | 0.000 |
| 0.000 | -0.000 | -0.000 | 0.000 | 38.694 | -0.000 |
| 0.000 | -0.000 | -0.000 | -0.000 | 0.000 | 38.694 |
| 24.384 | 53.342 | 53.342 | -0.000 | -0.000 | -0.000 |
| 53.342 | 24.384 | 53.342 | -0.000 | -0.000 | -0.000 |
| 53.342 | 53.342 | 24.384 | -0.000 | -0.000 | -0.000 |
| -0.000 | -0.000 | -0.000 | -25.599 | 0.000 | 0.000 |
| -0.000 | -0.000 | -0.000 | 0.000 | -25.599 | 0.000 |
| -0.000 | -0.000 | -0.000 | 0.000 | 0.000 | -25.599 |
| 24.384 | 53.341 | 53.341 | 0.000 | 0.000 | 0.000 |
| 53.341 | 24.384 | 53.341 | 0.000 | 0.000 | 0.000 |
| 53.341 | 53.341 | 24.384 | 0.000 | 0.000 | 0.000 |
| 0.000 | 0.000 | 0.000 | -25.599 | 0.000 | 0.000 |
| 0.000 | 0.000 | 0.000 | 0.000 | -25.599 | 0.000 |
| 0.000 | 0.000 | 0.000 | 0.000 | -0.000 | -25.599 |
| 288.177 | 142.858 | 45.256 | -0.000 | -0.000 | 0.000 |
| 142.853 | 191.081 | 142.812 | -0.000 | -0.000 | 0.000 |
| 45.265 | 142.826 | 288.102 | 0.000 | -0.000 | 0.000 |
| -0.000 | 0.000 | -0.000 | 121.445 | -0.000 | 0.000 |
| -0.000 | 0.000 | -0.000 | -0.000 | 23.885 | 0.000 |
| -0.000 | 0.000 | -0.000 | -0.000 | -0.000 | 121.464 |
| 288.177 | 142.858 | 45.256 | 0.000 | -0.000 | 0.000 |
| 142.853 | 191.081 | 142.813 | 0.000 | 0.000 | -0.000 |
| 45.265 | 142.826 | 288.102 | 0.000 | 0.000 | 0.000 |
| 0.000 | -0.000 | 0.000 | 121.445 | 0.000 | -0.000 |
| 0.000 | -0.000 | 0.000 | 0.000 | 23.885 | -0.000 |
| 0.000 | -0.000 | 0.000 | 0.000 | 0.000 | 121.464 |
| 288.177 | 142.858 | 45.256 | -0.000 | -0.000 | -0.000 |
| 142.853 | 191.081 | 142.813 | -0.000 | -0.000 | 0.000 |
| 45.265 | 142.826 | 288.102 | -0.000 | -0.000 | 0.000 |
| -0.000 | 0.000 | 0.000 | 121.445 | -0.000 | -0.000 |
| 0.000 | 0.000 | 0.000 | -0.000 | 23.885 | -0.000 |
| 0.000 | 0.000 | 0.000 | -0.000 | -0.000 | 121.464 |
| 288.177 | 142.858 | 45.256 | 0.000 | 0.000 | 0.000 |
| 142.853 | 191.081 | 142.812 | 0.000 | 0.000 | 0.000 |
| 45.265 | 142.826 | 288.102 | 0.000 | 0.000 | 0.000 |
| 0.000 | -0.000 | -0.000 | 121.445 | 0.000 | -0.000 |
| -0.000 | -0.000 | -0.000 | 0.000 | 23.885 | -0.000 |
| -0.000 | -0.000 | -0.000 | -0.000 | 0.000 | 121.464 |
| 288.179 | 142.859 | 45.257 | -0.000 | -0.000 | -0.000 |
| 142.854 | 191.083 | 142.813 | -0.000 | -0.000 | -0.000 |
| 45.265 | 142.826 | 288.104 | -0.000 | -0.000 | 0.000 |
| 0.000 | 0.000 | 0.001 | 121.445 | -0.000 | -0.000 |
| 0.000 | 0.000 | 0.000 | -0.000 | 23.885 | 0.000 |
| 0.000 | 0.000 | 0.000 | -0.000 | -0.000 | 121.464 |
| 288.175 | 142.857 | 45.256 | 0.000 | 0.000 | 0.000 |
| 142.853 | 191.079 | 142.812 | 0.000 | 0.000 | 0.000 |
| 45.265 | 142.825 | 288.100 | 0.000 | 0.000 | -0.000 |
| -0.000 | -0.000 | -0.001 | 121.445 | 0.000 | -0.000 |
| -0.000 | -0.000 | -0.000 | 0.000 | 23.885 | 0.000 |
| -0.000 | -0.000 | -0.000 | 0.000 | 0.000 | 121.464 |
| 101.047 | 134.461 | 4.449 | -0.000 | -0.000 | 0.000 |
| 67.159 | 168.349 | 4.449 | -0.000 | -0.000 | -0.000 |
| 4.450 | 4.450 | 279.329 | -0.000 | -0.000 | -0.000 |
| 0.000 | -0.000 | -0.000 | -15.448 | -0.000 | 0.000 |
| 0.000 | -0.000 | -0.000 | -0.000 | -15.448 | 0.000 |
| -0.000 | -0.000 | 0.000 | -0.000 | -0.000 | -16.707 |
| 101.047 | 134.461 | 4.449 | 0.000 | 0.000 | 0.000 |
| 67.159 | 168.349 | 4.449 | 0.000 | 0.000 | 0.000 |
| 4.450 | 4.450 | 279.329 | 0.000 | 0.000 | -0.000 |
| -0.000 | 0.000 | 0.000 | -15.448 | 0.000 | -0.000 |
| -0.000 | 0.000 | 0.000 | 0.000 | -15.448 | 0.000 |
| 0.000 | 0.000 | -0.000 | 0.000 | 0.000 | -16.707 |
| 168.349 | 67.159 | 4.450 | -0.000 | -0.000 | -0.000 |
| 67.159 | 168.349 | 4.450 | -0.000 | -0.000 | -0.000 |
| 4.450 | 4.450 | 279.329 | -0.000 | -0.000 | -0.000 |
| 0.000 | 0.000 | -0.000 | -15.448 | -0.000 | 0.000 |
| 0.000 | 0.000 | -0.000 | -0.000 | -15.448 | -0.000 |
| 0.000 | -0.000 | 0.000 | -0.000 | -0.000 | -16.707 |
| 99.393 | 136.115 | 4.449 | 0.000 | 0.000 | -0.000 |
| 67.159 | 168.349 | 4.449 | 0.000 | 0.000 | 0.000 |
| 4.450 | 4.450 | 279.329 | 0.000 | 0.000 | -0.000 |
| -0.000 | -0.000 | 0.000 | -15.448 | -0.000 | -0.000 |
| -0.000 | -0.000 | 0.000 | 0.000 | -15.448 | -0.000 |
| -0.000 | 0.000 | -0.000 | 0.000 | 0.000 | -16.707 |
| -12179329.295 | -12145968.633 | -12164571.557 | 40060.707 | 19905.959 | -13422.004 |
| 134.462 | 101.048 | 4.450 | -0.000 | -0.000 | -0.000 |
| 4.450 | 4.450 | 279.329 | -0.000 | -0.000 | -0.000 |
| 0.000 | 0.000 | -0.000 | -15.448 | -0.000 | 0.000 |
| 0.000 | 0.000 | -0.000 | -0.000 | -15.448 | -0.000 |
| 0.000 | -0.000 | 0.000 | 0.000 | -0.000 | 50.595 |
| 101.054 | 134.454 | 4.449 | 0.000 | 0.000 | 0.000 |
| 12147262.836 | 12218252.072 | 12302792.353 | 43261.699 | -1332.164 | -40096.491 |
| 4.450 | 4.450 | 279.329 | 0.000 | 0.000 | -0.000 |
| -0.000 | -0.000 | 0.000 | -15.448 | 0.000 | -0.000 |
| -0.000 | -0.000 | 0.000 | 0.000 | -15.448 | -0.000 |
| -0.000 | 0.000 | -0.000 | -0.000 | 0.000 | 50.595 |
| 265.687 | 138.937 | 111.033 | 0.000 | -0.000 | -0.000 |
| 117.766 | 286.858 | 111.033 | 0.000 | -0.000 | 0.000 |
| 111.033 | 111.033 | 300.065 | -0.000 | -0.000 | -0.000 |
| -0.000 | 0.000 | 0.000 | 82.549 | -0.000 | 0.000 |
| -0.000 | 0.000 | 0.000 | 0.000 | 82.549 | -0.000 |
| -0.000 | 0.000 | 0.000 | 0.000 | -0.000 | 63.375 |
| 265.687 | 138.937 | 111.033 | -0.000 | 0.000 | 0.000 |
| 117.766 | 286.858 | 111.033 | -0.000 | 0.000 | -0.000 |
| 111.033 | 111.033 | 300.065 | -0.000 | 0.000 | 0.000 |
| -0.000 | -0.000 | -0.000 | 82.549 | 0.000 | 0.000 |
| 0.000 | -0.000 | -0.000 | -0.000 | 82.549 | -0.000 |
| 0.000 | -0.000 | -0.000 | -0.000 | 0.000 | 63.375 |
| 286.858 | 117.766 | 111.033 | 0.000 | -0.000 | -0.000 |
| 138.937 | 265.687 | 111.033 | 0.000 | -0.000 | -0.000 |
| 111.033 | 111.033 | 300.065 | -0.000 | -0.000 | -0.000 |
| 0.000 | 0.000 | 0.000 | 82.549 | -0.000 | -0.000 |
| 0.000 | 0.000 | 0.000 | 0.000 | 82.549 | -0.000 |
| -0.000 | 0.000 | -0.000 | 0.000 | -0.000 | 63.375 |
| 265.686 | 138.937 | 111.033 | -0.000 | 0.000 | 0.000 |
| 138.937 | 265.686 | 111.033 | -0.000 | 0.000 | 0.000 |
| 111.033 | 111.033 | 300.065 | -0.000 | 0.000 | 0.000 |
| -0.000 | -0.000 | -0.000 | 82.549 | 0.000 | 0.000 |
| -0.000 | -0.000 | -0.000 | -0.000 | 82.549 | 0.000 |
| 0.000 | -0.000 | 0.000 | -0.000 | 0.000 | 63.375 |
| 265.688 | 138.938 | 111.034 | 0.000 | -0.000 | -0.000 |
| 117.767 | 286.859 | 111.034 | 0.000 | -0.000 | 0.000 |
| 111.034 | 111.034 | 300.066 | -0.000 | -0.000 | -0.000 |
| 0.000 | 0.000 | 0.000 | 82.549 | -0.000 | -0.000 |
| 0.000 | 0.000 | 0.000 | 0.000 | 82.549 | -0.000 |
| 0.000 | 0.000 | 0.000 | 0.000 | -0.000 | 84.546 |
| 265.685 | 138.937 | 111.033 | -0.000 | 0.000 | 0.000 |
| 138.936 | 265.686 | 111.033 | -0.000 | 0.000 | 0.000 |
| 111.033 | 111.033 | 300.064 | -0.000 | 0.000 | 0.000 |
| -0.000 | -0.000 | -0.000 | 82.549 | 0.000 | 0.000 |
| -0.000 | -0.000 | -0.000 | -0.000 | 82.549 | 0.000 |
| -0.000 | -0.000 | -0.000 | -0.000 | 0.000 | 84.546 |
| 255.904 | 107.471 | 87.491 | -36.283 | 0.000 | -0.000 |
| 107.471 | 255.904 | 87.491 | 36.283 | 0.000 | 0.000 |
| 87.491 | 87.491 | 274.675 | 0.000 | 0.000 | -0.000 |
| -36.283 | 36.283 | 0.000 | 57.746 | 0.000 | 0.000 |
| -0.000 | 0.000 | 0.000 | -0.000 | 57.746 | -36.283 |
| 0.000 | 0.000 | 0.000 | -0.000 | -36.283 | 74.217 |
| 255.904 | 107.471 | 87.491 | -36.283 | -0.000 | 0.000 |
| 107.471 | 255.904 | 87.491 | 36.283 | -0.000 | 0.000 |
| 87.491 | 87.491 | 274.675 | 0.000 | -0.000 | -0.000 |
| -36.283 | 36.283 | -0.000 | 57.746 | -0.000 | 0.000 |
| 0.000 | 0.000 | -0.000 | 0.000 | 57.746 | -36.283 |
| 0.000 | -0.000 | 0.000 | 0.000 | -36.283 | 74.217 |
| 255.904 | 107.471 | 87.491 | -36.283 | 0.000 | 0.000 |
| 107.471 | 255.904 | 87.491 | 36.283 | -0.000 | -0.000 |
| 87.491 | 87.491 | 274.675 | -0.000 | 0.000 | 0.000 |
| -36.283 | 36.283 | 0.000 | 57.746 | 0.000 | -0.000 |
| -0.000 | 0.000 | 0.000 | -0.000 | 57.746 | -36.283 |
| -0.000 | 0.000 | 0.000 | -0.000 | -36.283 | 74.217 |
| 255.904 | 107.471 | 87.491 | -36.283 | 0.000 | 0.000 |
| 107.471 | 255.904 | 87.491 | 36.283 | -0.000 | 0.000 |
| 87.491 | 87.491 | 274.675 | 0.000 | -0.000 | 0.000 |
| -36.283 | 36.283 | -0.000 | 57.746 | -0.000 | 0.000 |
| 0.000 | -0.000 | -0.000 | 0.000 | 57.746 | -36.283 |
| 0.000 | -0.000 | -0.000 | 0.000 | -36.283 | 74.217 |
| 255.905 | 107.471 | 87.491 | -36.284 | 0.000 | 0.000 |
| 107.471 | 255.905 | 87.491 | 36.284 | 0.000 | 0.000 |
| 87.492 | 87.492 | 274.676 | 0.000 | 0.000 | -0.000 |
| -36.283 | 36.283 | 0.000 | 57.746 | 0.000 | -0.000 |
| -0.000 | 0.000 | 0.000 | -0.000 | 57.746 | -36.283 |
| -0.000 | 0.000 | -0.000 | -0.000 | -36.283 | 74.217 |
| 255.902 | 107.470 | 87.491 | -36.283 | -0.000 | 0.000 |
| 107.470 | 255.903 | 87.491 | 36.283 | -0.000 | 0.000 |
| 87.491 | 87.491 | 274.674 | 0.000 | -0.000 | -0.000 |
| -36.283 | 36.283 | -0.000 | 57.746 | -0.000 | -0.000 |
| 0.000 | -0.000 | -0.000 | 0.000 | 57.746 | -36.283 |
| 0.000 | -0.000 | 0.000 | 0.000 | -36.283 | 74.217 |
| 158.286 | 101.763 | 101.763 | -0.000 | -0.000 | -0.000 |
| 101.763 | 158.286 | 101.763 | -0.000 | -0.000 | -0.000 |
| 101.763 | 101.763 | 158.286 | -0.000 | -0.000 | -0.000 |
| 0.000 | -0.000 | 0.000 | 83.634 | -0.000 | -0.000 |
| -0.000 | 0.000 | 0.000 | -0.000 | 83.634 | -0.000 |
| -0.000 | 0.000 | 0.000 | -0.000 | -0.000 | 83.634 |
| 158.286 | 101.763 | 101.763 | 0.000 | 0.000 | 0.000 |
| 101.763 | 158.286 | 101.763 | 0.000 | 0.000 | 0.000 |
| 101.763 | 101.763 | 158.286 | 0.000 | 0.000 | 0.000 |
| -0.000 | 0.000 | 0.000 | 83.634 | 0.000 | 0.000 |
| 0.000 | -0.000 | 0.000 | -0.000 | 83.634 | 0.000 |
| 0.000 | -0.000 | -0.000 | 0.000 | 0.000 | 83.634 |
| 158.286 | 101.763 | 101.763 | -0.000 | -0.000 | -0.000 |
| 101.763 | 158.286 | 101.763 | -0.000 | -0.000 | -0.000 |
| 101.763 | 101.763 | 158.286 | -0.000 | -0.000 | -0.000 |
| 0.000 | -0.000 | 0.000 | 83.634 | -0.000 | -0.000 |
| -0.000 | 0.000 | 0.000 | -0.000 | 83.634 | -0.000 |
| -0.000 | 0.000 | 0.000 | -0.000 | -0.000 | 83.634 |
| 158.286 | 101.763 | 101.763 | 0.000 | 0.000 | 0.000 |
| 101.763 | 158.286 | 101.763 | 0.000 | 0.000 | 0.000 |
| 101.763 | 101.763 | 158.286 | 0.000 | 0.000 | 0.000 |
| -0.000 | 0.000 | -0.000 | 83.634 | 0.000 | 0.000 |
| 0.000 | -0.000 | -0.000 | 0.000 | 83.634 | 0.000 |
| 0.000 | -0.000 | -0.000 | 0.000 | 0.000 | 83.634 |
| 158.287 | 101.763 | 101.763 | -0.000 | -0.000 | -0.000 |
| 101.763 | 158.287 | 101.763 | -0.000 | -0.000 | -0.000 |
| 101.763 | 101.763 | 158.287 | -0.000 | -0.000 | -0.000 |
| 0.000 | -0.000 | -0.000 | 25.203 | -0.000 | -0.000 |
| -0.000 | 0.000 | -0.000 | -0.000 | 25.203 | -0.000 |
| -0.000 | -0.000 | 0.000 | -0.000 | -0.000 | 25.203 |
| 158.285 | 101.763 | 101.763 | 0.000 | 0.000 | 0.000 |
| 101.763 | 158.285 | 101.763 | 0.000 | 0.000 | 0.000 |
| 101.763 | 101.763 | 158.285 | 0.000 | 0.000 | 0.000 |
| -0.000 | 0.000 | 0.000 | 25.203 | 0.000 | 0.000 |
| 0.000 | -0.000 | 0.000 | 0.000 | 25.203 | 0.000 |
| 0.000 | 0.000 | -0.000 | -0.000 | 0.000 | 25.203 |
| 336.764 | 141.108 | 97.169 | -49.132 | 0.000 | -0.000 |
| 141.108 | 336.764 | 97.169 | 49.132 | 0.000 | -0.000 |
| 96.459 | 96.459 | 356.277 | 0.000 | 0.000 | -0.000 |
| -49.132 | 49.132 | 0.000 | 52.807 | 0.000 | 0.000 |
| 0.000 | 0.000 | 0.000 | 0.000 | 52.807 | -49.132 |
| -0.029 | -0.029 | -0.028 | -0.000 | -51.483 | 94.448 |
| 333.812 | 142.646 | 97.465 | -50.060 | -0.000 | -0.000 |
| 142.646 | 333.812 | 97.465 | 50.060 | -0.000 | 0.000 |
| 97.169 | 97.169 | 365.846 | -0.000 | -0.000 | -0.000 |
| -49.132 | 49.132 | -0.000 | 52.807 | -0.000 | 0.000 |
| -0.000 | -0.000 | -0.000 | -0.000 | 52.807 | -49.132 |
| 0.029 | 0.029 | 0.028 | -0.000 | -51.483 | 94.448 |
| 333.790 | 142.597 | 97.476 | -50.054 | 0.000 | -0.000 |
| 143.964 | 332.716 | 96.837 | 51.506 | 0.000 | -0.000 |
| 97.169 | 97.169 | 365.846 | 0.000 | 0.000 | -0.000 |
| -51.486 | 51.480 | -0.003 | 50.488 | 0.000 | -0.000 |
| 0.000 | 0.000 | 0.000 | 0.000 | 52.807 | -49.132 |
| -0.003 | -0.003 | -0.003 | -0.000 | -51.483 | 94.449 |
| 336.763 | 141.108 | 97.169 | -49.132 | -0.000 | -0.000 |
| 141.108 | 336.763 | 97.169 | 49.132 | -0.000 | 0.000 |
| 97.169 | 97.169 | 365.846 | -0.000 | -0.000 | 0.000 |
| -49.132 | 49.132 | -0.000 | 52.807 | -0.000 | 0.000 |
| -0.000 | -0.000 | -0.000 | -0.000 | 52.807 | -49.132 |
| 0.003 | 0.003 | 0.003 | 0.000 | -51.483 | 94.449 |
| 332.721 | 143.967 | 96.840 | -51.506 | 0.000 | 0.000 |
| 142.601 | 333.793 | 97.476 | 50.055 | 0.000 | 0.000 |
| 97.169 | 97.169 | 365.848 | 0.000 | 0.000 | 0.000 |
| -49.132 | 49.132 | 0.000 | 52.807 | 0.000 | 0.000 |
| 0.000 | 0.000 | 0.000 | 0.000 | 52.807 | -49.132 |
| 0.000 | 0.000 | 0.000 | -0.000 | -49.132 | 97.828 |
| 336.762 | 141.108 | 97.168 | -49.132 | -0.000 | 0.000 |
| 142.601 | 333.790 | 97.475 | 50.055 | -0.000 | -0.000 |
| 96.495 | 96.495 | 356.326 | -0.000 | -0.000 | 0.000 |
| -49.132 | 49.132 | -0.000 | 52.807 | -0.000 | 0.000 |
| -0.000 | -0.000 | -0.000 | -0.000 | 52.807 | -49.132 |
| -0.000 | -0.000 | -0.000 | 0.000 | -49.132 | 97.828 |
| 336.078 | 140.680 | 96.915 | -49.042 | 0.000 | -0.000 |
| 140.680 | 336.078 | 96.915 | 49.042 | 0.000 | -0.000 |
| 96.749 | 96.749 | 366.053 | 0.000 | 0.000 | -0.000 |
| -51.659 | 50.698 | 1.265 | 50.620 | 0.000 | -0.000 |
| 0.000 | 0.000 | -0.000 | 0.000 | 52.513 | -49.042 |
| -0.229 | -0.229 | 0.603 | 0.000 | -50.060 | 95.249 |
| 333.040 | 142.546 | 96.645 | -50.061 | -0.000 | -0.000 |
| 142.546 | 333.040 | 96.645 | 50.060 | -0.000 | 0.000 |
| 96.749 | 96.749 | 366.053 | -0.000 | -0.000 | 0.000 |
| -50.698 | 51.659 | -1.265 | 50.620 | -0.000 | -0.000 |
| -0.000 | -0.000 | 0.000 | -0.000 | 52.513 | -49.042 |
| 0.229 | 0.229 | -0.603 | -0.000 | -50.060 | 95.249 |
| 336.079 | 140.680 | 96.915 | -49.042 | 0.000 | -0.000 |
| 143.411 | 332.014 | 96.688 | 51.425 | 0.000 | 0.000 |
| 96.749 | 96.749 | 366.053 | 0.000 | 0.000 | -0.000 |
| -49.042 | 49.042 | 0.000 | 52.513 | 0.000 | -0.000 |
| 0.000 | 0.000 | 0.000 | 0.000 | 52.513 | -49.042 |
| -0.023 | -0.023 | 0.060 | -0.000 | -50.050 | 95.271 |
| 333.102 | 142.203 | 97.165 | -49.976 | -0.000 | 0.000 |
| 143.566 | 332.019 | 96.436 | 51.440 | -0.000 | -0.000 |
| 96.749 | 96.749 | 366.052 | -0.000 | -0.000 | 0.000 |
| -51.404 | 51.410 | -0.130 | 50.183 | 0.000 | -0.000 |
| -0.000 | -0.000 | -0.000 | -0.000 | 52.513 | -49.042 |
| 0.023 | 0.023 | -0.060 | 0.000 | -50.050 | 95.271 |
| 336.080 | 140.680 | 96.915 | -49.043 | 0.000 | -0.000 |
| 140.680 | 336.080 | 96.915 | 49.043 | 0.000 | -0.000 |
| 97.535 | 97.535 | 360.261 | 0.000 | 0.000 | 0.000 |
| -49.042 | 49.043 | 0.000 | 52.513 | 0.000 | -0.000 |
| -0.005 | -0.006 | 0.015 | 0.000 | 50.253 | -51.593 |
| 0.000 | 0.000 | 0.000 | -0.000 | -49.042 | 97.699 |
| 333.102 | 142.173 | 97.213 | -49.970 | -0.000 | 0.000 |
| 142.174 | 333.101 | 97.213 | 49.970 | -0.000 | 0.000 |
| 96.749 | 96.749 | 366.051 | -0.000 | -0.000 | 0.000 |
| -49.043 | 49.042 | -0.000 | 52.513 | -0.000 | 0.000 |
| 0.005 | 0.006 | -0.015 | -0.000 | 50.253 | -51.593 |
| -0.000 | -0.000 | -0.000 | 0.000 | -49.042 | 97.699 |
| 6.628 | 9.226 | 9.226 | -0.000 | -0.000 | -0.000 |
| 9.226 | 6.628 | 9.226 | -0.000 | -0.000 | -0.000 |
| 9.226 | 9.226 | 6.628 | -0.000 | -0.000 | -0.000 |
| 0.000 | 0.000 | -0.000 | -3.893 | -0.000 | -0.000 |
| 0.000 | -0.000 | -0.000 | -0.000 | -3.893 | -0.000 |
| 0.000 | 0.000 | -0.000 | -0.000 | -0.000 | -3.893 |
| 6.628 | 9.226 | 9.226 | 0.000 | 0.000 | 0.000 |
| 9.226 | 6.628 | 9.226 | 0.000 | 0.000 | 0.000 |
| 9.226 | 9.226 | 6.628 | 0.000 | 0.000 | 0.000 |
| -0.000 | -0.000 | 0.000 | -3.893 | 0.000 | 0.000 |
| -0.000 | -0.000 | 0.000 | 0.000 | -3.893 | 0.000 |
| -0.000 | -0.000 | 0.000 | 0.000 | 0.000 | -3.893 |
| 6.628 | 9.226 | 9.226 | -0.000 | -0.000 | -0.000 |
| 9.226 | 6.628 | 9.226 | -0.000 | -0.000 | -0.000 |
| 9.226 | 9.226 | 6.628 | -0.000 | -0.000 | -0.000 |
| -0.000 | -0.000 | -0.000 | -3.893 | -0.000 | -0.000 |
| -0.000 | -0.000 | -0.000 | -0.000 | -3.893 | -0.000 |
| -0.000 | -0.000 | -0.000 | -0.000 | -0.000 | -3.893 |
| 6.628 | 9.226 | 9.226 | 0.000 | 0.000 | 0.000 |
| 9.226 | 6.628 | 9.226 | 0.000 | 0.000 | 0.000 |
| 9.226 | 9.226 | 6.628 | 0.000 | 0.000 | 0.000 |
| 0.000 | 0.000 | 0.000 | -3.893 | 0.000 | 0.000 |
| 0.000 | 0.000 | 0.000 | 0.000 | -3.893 | 0.000 |
| 0.000 | 0.000 | 0.000 | 0.000 | 0.000 | -3.893 |
| 6.628 | 9.226 | 9.226 | -0.000 | -0.000 | -0.000 |
| 9.226 | 6.628 | 9.226 | -0.000 | -0.000 | -0.000 |
| 9.226 | 9.226 | 6.628 | -0.000 | -0.000 | -0.000 |
| 0.000 | -0.000 | -0.000 | 8.225 | 0.000 | 0.000 |
| -0.000 | 0.000 | -0.000 | 0.000 | 8.225 | -0.000 |
| -0.000 | -0.000 | 0.000 | 0.000 | 0.000 | 8.225 |
| 6.628 | 9.226 | 9.226 | 0.000 | 0.000 | 0.000 |
| 9.226 | 6.628 | 9.226 | 0.000 | 0.000 | 0.000 |
| 9.226 | 9.226 | 6.628 | 0.000 | 0.000 | 0.000 |
| -0.000 | 0.000 | 0.000 | 8.225 | 0.000 | -0.000 |
| 0.000 | -0.000 | 0.000 | 0.000 | 8.225 | 0.000 |
| 0.000 | 0.000 | -0.000 | 0.000 | 0.000 | 8.225 |
| 349.749 | 105.664 | 105.664 | -0.000 | -0.000 | 0.000 |
| 105.664 | 349.749 | 105.664 | 0.000 | -0.000 | -0.000 |
| 105.664 | 105.664 | 349.749 | -0.000 | 0.000 | -0.000 |
| 0.000 | -0.000 | -0.000 | 54.163 | -0.000 | -0.000 |
| 0.000 | 0.000 | 0.000 | 0.000 | 54.163 | -0.000 |
| -0.000 | -0.000 | 0.000 | -0.000 | -0.000 | 54.163 |
| 349.749 | 105.664 | 105.664 | 0.000 | 0.000 | -0.000 |
| 105.664 | 349.749 | 105.664 | 0.000 | 0.000 | -0.000 |
| 105.664 | 105.664 | 349.749 | 0.000 | 0.000 | 0.000 |
| -0.000 | -0.000 | 0.000 | 54.163 | 0.000 | 0.000 |
| 0.000 | -0.000 | 0.000 | 0.000 | 54.163 | 0.000 |
| 0.000 | 0.000 | -0.000 | 0.000 | 0.000 | 54.163 |
| 349.749 | 105.664 | 105.664 | -0.000 | -0.000 | -0.000 |
| 105.664 | 349.749 | 105.664 | -0.000 | -0.000 | -0.000 |
| 105.664 | 105.664 | 349.749 | -0.000 | -0.000 | 0.000 |
| 0.000 | -0.000 | -0.000 | 54.163 | -0.000 | -0.000 |
| -0.000 | 0.000 | -0.000 | -0.000 | 54.163 | -0.000 |
| -0.000 | -0.000 | 0.000 | -0.000 | -0.000 | 54.163 |
| 349.749 | 105.664 | 105.664 | 0.000 | 0.000 | 0.000 |
| 107.517 | 346.042 | 107.517 | 0.000 | 0.000 | 0.000 |
| 107.517 | 107.517 | 346.042 | 0.000 | 0.000 | -0.000 |
| -0.000 | 0.000 | 0.000 | 54.163 | 0.000 | 0.000 |
| 0.000 | -0.000 | 0.000 | 0.000 | 54.163 | 0.000 |
| 0.000 | 0.000 | -0.000 | 0.000 | 0.000 | 54.163 |
| 349.750 | 105.664 | 105.664 | -0.000 | -0.000 | 0.000 |
| 105.664 | 349.750 | 105.664 | -0.000 | -0.000 | 0.000 |
| 105.664 | 105.664 | 349.750 | 0.000 | 0.000 | -0.000 |
| 0.000 | -0.000 | -0.000 | 54.163 | -0.000 | -0.000 |
| -0.000 | 0.000 | -0.000 | -0.000 | 54.163 | -0.000 |
| -0.000 | -0.000 | 0.000 | -0.000 | -0.000 | 69.890 |
| 346.041 | 107.517 | 107.517 | 0.000 | -0.000 | -0.000 |
| 107.517 | 346.041 | 107.517 | 0.000 | 0.000 | 0.000 |
| 107.517 | 107.517 | 346.041 | 0.000 | 0.000 | 0.000 |
| -0.000 | 0.000 | 0.000 | 54.163 | 0.000 | 0.000 |
| 0.000 | -0.000 | 0.000 | 0.000 | 54.163 | 0.000 |
| 0.000 | 0.000 | -0.000 | 0.000 | 0.000 | 69.890 |
| -0.000 | -0.000 | -0.000 | -0.000 | -0.000 | 0.000 |
| -0.000 | -0.000 | -0.000 | 0.000 | 0.000 | -0.000 |
| -0.000 | -0.000 | -0.000 | -0.000 | 0.000 | 0.000 |
| 0.000 | -0.000 | 0.000 | 0.000 | 0.000 | -0.000 |
| -0.000 | 0.000 | 0.000 | 0.000 | 0.000 | -0.000 |
| -0.000 | 0.000 | 0.000 | 0.000 | -0.000 | 0.000 |
| -0.000 | -0.000 | -0.000 | -0.000 | 0.000 | 0.000 |
| -0.000 | -0.000 | -0.000 | -0.000 | 0.000 | -0.000 |
| -0.000 | -0.000 | -0.000 | 0.000 | -0.000 | 0.000 |
| -0.000 | 0.000 | -0.000 | 0.000 | -0.000 | 0.000 |
| 0.000 | -0.000 | -0.000 | -0.000 | 0.000 | 0.000 |
| 0.000 | -0.000 | -0.000 | -0.000 | 0.000 | 0.000 |
| -0.000 | -0.000 | -0.000 | -0.000 | -0.000 | -0.000 |
| -0.000 | -0.000 | -0.000 | -0.000 | 0.000 | -0.000 |
| -0.000 | -0.000 | -0.000 | -0.000 | -0.000 | 0.000 |
| 0.000 | -0.000 | 0.000 | 0.000 | -0.000 | -0.000 |
| -0.000 | 0.000 | 0.000 | 0.000 | 0.000 | -0.000 |
| -0.000 | 0.000 | 0.000 | 0.000 | -0.000 | 0.000 |
| -0.000 | -0.000 | -0.000 | -0.000 | 0.000 | 0.000 |
| -0.000 | -0.000 | -0.000 | 0.000 | 0.000 | 0.000 |
| -0.000 | -0.000 | -0.000 | -0.000 | -0.000 | 0.000 |
| -0.000 | 0.000 | -0.000 | 0.000 | 0.000 | 0.000 |
| 0.000 | -0.000 | -0.000 | -0.000 | 0.000 | 0.000 |
| 0.000 | -0.000 | -0.000 | -0.000 | 0.000 | 0.000 |
| -0.000 | -0.000 | -0.000 | -0.000 | -0.000 | -0.000 |
| -0.000 | -0.000 | -0.000 | 0.000 | 0.000 | -0.000 |
| -0.000 | -0.000 | -0.000 | -0.000 | -0.000 | 0.000 |
| 0.000 | -0.000 | 0.000 | 0.000 | -0.000 | -0.000 |
| -0.000 | 0.000 | 0.000 | 0.000 | 0.000 | -0.000 |
| -0.000 | 0.000 | 0.000 | 0.000 | -0.000 | 0.000 |
| -0.000 | -0.000 | -0.000 | -0.000 | 0.000 | 0.000 |
| -0.000 | -0.000 | -0.000 | -0.000 | 0.000 | 0.000 |
| -0.000 | -0.000 | -0.000 | -0.000 | 0.000 | 0.000 |
| -0.000 | 0.000 | -0.000 | 0.000 | 0.000 | 0.000 |
| 0.000 | -0.000 | -0.000 | -0.000 | 0.000 | 0.000 |
| 0.000 | -0.000 | -0.000 | -0.000 | 0.000 | 0.000 |
| 0.000 | -0.000 | -0.000 | 0.000 | -0.000 | 0.000 |
| -0.000 | 0.000 | -0.000 | 0.000 | -0.000 | 0.000 |
| -0.000 | -0.000 | 0.000 | -0.000 | -0.000 | -0.000 |
| 0.000 | 0.000 | 0.000 | 0.000 | 0.000 | 0.000 |
| 0.000 | 0.000 | 0.000 | 0.000 | 0.000 | 0.000 |
| 0.000 | 0.000 | 0.000 | 0.000 | -0.000 | 0.000 |
| 0.000 | -0.000 | -0.000 | 0.000 | 0.000 | 0.000 |
| -0.000 | 0.000 | -0.000 | 0.000 | -0.000 | -0.000 |
| -0.000 | -0.000 | 0.000 | -0.000 | -0.000 | -0.000 |
| -0.000 | -0.000 | -0.000 | 0.000 | -0.000 | -0.000 |
| -0.000 | -0.000 | -0.000 | -0.000 | 0.000 | -0.000 |
| -0.000 | -0.000 | -0.000 | -0.000 | 0.000 | 0.000 |
| 0.000 | -0.000 | -0.000 | 0.000 | -0.000 | 0.000 |
| -0.000 | 0.000 | -0.000 | 0.000 | -0.000 | 0.000 |
| -0.000 | -0.000 | 0.000 | -0.000 | -0.000 | -0.000 |
| 0.000 | 0.000 | -0.000 | 0.000 | -0.000 | 0.000 |
| 0.000 | 0.000 | -0.000 | -0.000 | 0.000 | 0.000 |
| 0.000 | -0.000 | 0.000 | 0.000 | -0.000 | 0.000 |
| 0.000 | -0.000 | -0.000 | 0.000 | 0.000 | -0.000 |
| -0.000 | 0.000 | -0.000 | 0.000 | -0.000 | -0.000 |
| -0.000 | -0.000 | 0.000 | 0.000 | -0.000 | -0.000 |
| -0.000 | -0.000 | 0.000 | 0.000 | 0.000 | -0.000 |
| -0.000 | -0.000 | 0.000 | 0.000 | 0.000 | -0.000 |
| -0.000 | 0.000 | -0.000 | -0.000 | 0.000 | 0.000 |
| 0.000 | -0.000 | -0.000 | 0.000 | -0.000 | 0.000 |
| -0.000 | 0.000 | -0.000 | -0.000 | -0.000 | 0.000 |
| -0.000 | -0.000 | 0.000 | 0.000 | -0.000 | -0.000 |
| 0.000 | -0.000 | -0.000 | 0.000 | 0.000 | 0.000 |
| -0.000 | 0.000 | -0.000 | -0.000 | 0.000 | 0.000 |
| -0.000 | -0.000 | 0.000 | 0.000 | -0.000 | 0.000 |
| 0.000 | -0.000 | -0.000 | 0.000 | 0.000 | -0.000 |
| -0.000 | 0.000 | -0.000 | -0.000 | -0.000 | 0.000 |
| -0.000 | -0.000 | 0.000 | 0.000 | 0.000 | -0.000 |
| -0.000 | 0.000 | 0.000 | 0.000 | -0.000 | -0.000 |
| 0.000 | -0.000 | 0.000 | 0.000 | 0.000 | -0.000 |
| 0.000 | 0.000 | -0.000 | -0.000 | 0.000 | 0.000 |
| 197.345 | 180.708 | 180.708 | -0.000 | -0.000 | -0.000 |
| 180.708 | 197.345 | 180.708 | -0.000 | 0.000 | -0.000 |
| 180.708 | 180.708 | 197.345 | -0.000 | -0.000 | 0.000 |
| 0.000 | -0.000 | 0.000 | 138.943 | -0.000 | -0.000 |
| 0.000 | 0.000 | 0.000 | 0.000 | 138.943 | -0.000 |
| 0.000 | 0.000 | 0.000 | -0.000 | -0.000 | 138.943 |
| 197.345 | 180.708 | 180.708 | 0.000 | 0.000 | 0.000 |
| 180.708 | 197.345 | 180.708 | 0.000 | 0.000 | 0.000 |
| 180.708 | 180.708 | 197.345 | 0.000 | 0.000 | 0.000 |
| -0.000 | -0.000 | -0.000 | 138.943 | -0.000 | -0.000 |
| -0.000 | -0.000 | -0.000 | -0.000 | 138.943 | 0.000 |
| -0.000 | -0.000 | -0.000 | 0.000 | 0.000 | 138.943 |
| 197.345 | 180.708 | 180.708 | -0.000 | -0.000 | -0.000 |
| 180.708 | 197.345 | 180.708 | -0.000 | -0.000 | -0.000 |
| 180.708 | 180.708 | 197.345 | -0.000 | -0.000 | -0.000 |
| 0.000 | -0.000 | 0.000 | 138.943 | -0.000 | -0.000 |
| -0.000 | 0.000 | 0.000 | 0.000 | 138.943 | -0.000 |
| -0.000 | 0.000 | 0.000 | -0.000 | -0.000 | 138.943 |
| 197.345 | 180.708 | 180.708 | 0.000 | 0.000 | 0.000 |
| 180.708 | 197.345 | 180.708 | 0.000 | 0.000 | 0.000 |
| 180.708 | 180.708 | 197.345 | 0.000 | 0.000 | 0.000 |
| -0.000 | 0.000 | -0.000 | 138.943 | -0.000 | 0.000 |
| 0.000 | -0.000 | -0.000 | 0.000 | 138.943 | 0.000 |
| 0.000 | -0.000 | -0.000 | 0.000 | 0.000 | 138.943 |
| 197.346 | 180.709 | 180.709 | 0.000 | -0.000 | -0.000 |
| 180.709 | 197.346 | 180.709 | -0.000 | 0.000 | 0.000 |
| 180.709 | 180.709 | 197.346 | 0.000 | 0.000 | -0.000 |
| 0.000 | -0.000 | 0.000 | 138.943 | 0.000 | 0.000 |
| -0.000 | 0.000 | 0.000 | 0.000 | 138.943 | -0.000 |
| -0.000 | 0.000 | 0.000 | 0.000 | 0.000 | 138.943 |
| 197.343 | 180.708 | 180.708 | -0.000 | -0.000 | -0.000 |
| 180.708 | 197.343 | 180.708 | 0.000 | -0.000 | -0.000 |
| 180.708 | 180.708 | 197.343 | 0.000 | 0.000 | -0.000 |
| -0.000 | 0.000 | -0.000 | 138.943 | -0.000 | 0.000 |
| 0.000 | -0.000 | -0.000 | -0.000 | 138.943 | 0.000 |
| 0.000 | -0.000 | -0.000 | -0.000 | -0.000 | 138.943 |
| 238.177 | 166.416 | 166.416 | 0.000 | 0.000 | -0.000 |
| 166.416 | 238.177 | 166.416 | 0.000 | 0.000 | -0.000 |
| 166.416 | 166.416 | 238.177 | 0.000 | 0.000 | -0.000 |
| -0.000 | -0.000 | 0.000 | 130.179 | 0.000 | 0.000 |
| 0.000 | -0.000 | 0.000 | 0.000 | 130.179 | -0.000 |
| -0.000 | 0.000 | -0.000 | 0.000 | 0.000 | 130.179 |
| 238.177 | 166.416 | 166.416 | -0.000 | -0.000 | -0.000 |
| 166.416 | 238.177 | 166.416 | -0.000 | -0.000 | -0.000 |
| 166.416 | 166.416 | 238.177 | -0.000 | -0.000 | -0.000 |
| 0.000 | 0.000 | -0.000 | 130.179 | -0.000 | -0.000 |
| 0.000 | 0.000 | -0.000 | -0.000 | 130.179 | 0.000 |
| 0.000 | -0.000 | 0.000 | -0.000 | -0.000 | 130.179 |
| 238.177 | 166.416 | 166.416 | 0.000 | 0.000 | 0.000 |
| 166.416 | 238.177 | 166.416 | 0.000 | 0.000 | 0.000 |
| 166.416 | 166.416 | 238.177 | 0.000 | 0.000 | 0.000 |
| 0.000 | -0.000 | 0.000 | 130.179 | 0.000 | 0.000 |
| -0.000 | 0.000 | 0.000 | 0.000 | 130.179 | 0.000 |
| -0.000 | 0.000 | 0.000 | 0.000 | 0.000 | 130.179 |
| 238.177 | 166.416 | 166.416 | -0.000 | -0.000 | 0.000 |
| 166.416 | 238.177 | 166.416 | -0.000 | -0.000 | -0.000 |
| 166.416 | 166.416 | 238.177 | -0.000 | -0.000 | -0.000 |
| -0.000 | 0.000 | -0.000 | 130.179 | -0.000 | 0.000 |
| 0.000 | -0.000 | -0.000 | -0.000 | 130.179 | -0.000 |
| 0.000 | -0.000 | -0.000 | -0.000 | -0.000 | 130.179 |
| 238.175 | 166.416 | 166.416 | 0.000 | 0.000 | 0.000 |
| 166.416 | 238.175 | 166.416 | 0.000 | 0.000 | 0.000 |
| 166.416 | 166.416 | 238.175 | 0.000 | 0.000 | -0.000 |
| 0.000 | -0.000 | 0.000 | 130.179 | 0.000 | -0.000 |
| -0.000 | 0.000 | 0.000 | 0.000 | 130.179 | -0.000 |
| -0.000 | 0.000 | 0.000 | 0.000 | 0.000 | 130.179 |
| 238.179 | 166.415 | 166.415 | -0.000 | -0.000 | -0.000 |
| 166.415 | 238.179 | 166.415 | -0.000 | -0.000 | -0.000 |
| 166.415 | 166.415 | 238.179 | -0.000 | -0.000 | 0.000 |
| -0.000 | 0.000 | -0.000 | 130.179 | -0.000 | -0.000 |
| 0.000 | -0.000 | -0.000 | -0.000 | 130.179 | -0.000 |
| 0.000 | -0.000 | -0.000 | -0.000 | -0.000 | 130.179 |
| 348.553 | 162.172 | 129.313 | 0.000 | 0.000 | -0.000 |
| 137.174 | 338.140 | 97.537 | 0.000 | 0.000 | -0.000 |
| 115.108 | 115.108 | 331.979 | 0.000 | 0.000 | -0.000 |
| -0.000 | 0.000 | 0.000 | 60.843 | 0.000 | 0.000 |
| -0.000 | 0.000 | 0.000 | 0.000 | 60.843 | 0.000 |
| 17.827 | 17.827 | 31.993 | 0.000 | 0.000 | 93.191 |
| 338.140 | 137.174 | 97.537 | -0.000 | -0.000 | -0.000 |
| 137.174 | 338.140 | 97.537 | -0.000 | 0.000 | -0.000 |
| 79.531 | 79.531 | 268.132 | -0.000 | -0.000 | 0.000 |
| -0.000 | -0.000 | -0.000 | 60.843 | -0.000 | 0.000 |
| 0.000 | -0.000 | -0.000 | -0.000 | 60.843 | 0.000 |
| -17.827 | -17.827 | -31.993 | -0.000 | -0.000 | 93.191 |
| 306.833 | 171.795 | 100.512 | 0.000 | 0.000 | -0.000 |
| 137.174 | 338.140 | 97.537 | 0.000 | 0.000 | 0.000 |
| 99.098 | 99.098 | 303.248 | 0.000 | 0.000 | 0.000 |
| -0.000 | -0.000 | 0.000 | 60.843 | 0.000 | 0.000 |
| 1.788 | 1.788 | 3.210 | 0.000 | 60.660 | 0.000 |
| -0.000 | 0.000 | -0.000 | 0.000 | 0.000 | 100.483 |
| 338.139 | 137.174 | 97.537 | -0.000 | -0.000 | -0.000 |
| 137.174 | 338.139 | 97.537 | -0.000 | -0.000 | 0.000 |
| 95.541 | 95.541 | 296.863 | -0.000 | -0.000 | 0.000 |
| 0.000 | 0.000 | -0.000 | 60.843 | -0.000 | 0.000 |
| -1.788 | -1.788 | -3.210 | -0.000 | 60.660 | 0.000 |
| 0.000 | -0.000 | 0.000 | -0.000 | -0.000 | 100.483 |
| 305.232 | 170.203 | 97.646 | 0.000 | 0.000 | -0.000 |
| 137.174 | 338.140 | 97.537 | 0.000 | 0.000 | 0.000 |
| 97.538 | 97.538 | 300.447 | -0.000 | 0.000 | -0.000 |
| -0.000 | -0.000 | 0.000 | 60.843 | 0.000 | 0.000 |
| -0.000 | -0.000 | 0.000 | 0.000 | 60.843 | -0.000 |
| 0.716 | 0.717 | 1.286 | 0.000 | 0.000 | 71.169 |
| 338.139 | 137.174 | 97.537 | -0.000 | -0.000 | -0.000 |
| 137.173 | 338.139 | 97.537 | -0.000 | -0.000 | -0.000 |
| 97.141 | 97.141 | 299.735 | -0.000 | -0.000 | 0.000 |
| 0.000 | 0.000 | -0.000 | 60.843 | -0.000 | -0.000 |
| 0.000 | 0.000 | -0.000 | -0.000 | 60.843 | -0.000 |
| -0.716 | -0.717 | -1.286 | -0.000 | -0.000 | 71.169 |
| 158.278 | 21.916 | -168.301 | -0.000 | -0.000 | -0.000 |
| -3.261 | 183.445 | -168.309 | -0.000 | -0.000 | -0.000 |
| -50.236 | -50.236 | 33.544 | -0.000 | -0.000 | -0.000 |
| -0.000 | 0.000 | -0.000 | 60.792 | -0.000 | -0.000 |
| -0.000 | -0.000 | -0.000 | 0.000 | 60.792 | -0.000 |
| -0.000 | 0.000 | -0.000 | 0.000 | 0.000 | 100.506 |
| 477.183 | 290.477 | 361.531 | 0.000 | 0.000 | 0.000 |
| 136.576 | 337.587 | 96.827 | -0.000 | 0.000 | -0.000 |
| 243.494 | 243.494 | 563.369 | -0.000 | 0.000 | -0.000 |
| -0.000 | 0.000 | 0.000 | 60.792 | 0.000 | -0.000 |
| 0.000 | 0.000 | 0.000 | -0.000 | 60.792 | -0.000 |
| 0.000 | -0.000 | 0.000 | -0.000 | -0.000 | 100.506 |
| 337.587 | 136.576 | 96.827 | -0.000 | -0.000 | 0.000 |
| 136.576 | 337.587 | 96.827 | -0.000 | -0.000 | -0.000 |
| 96.845 | 96.845 | 298.846 | -0.000 | -0.000 | -0.000 |
| -14.688 | -14.688 | -26.493 | 60.609 | 0.000 | -0.000 |
| -14.686 | -14.686 | -26.491 | -0.000 | 59.995 | -0.000 |
| -14.687 | -14.686 | -26.491 | -0.000 | -0.000 | 68.181 |
| 337.587 | 136.576 | 96.827 | 0.000 | 0.000 | 0.000 |
| 158.362 | 345.024 | 123.185 | 0.000 | 0.000 | 0.000 |
| 96.845 | 96.845 | 298.846 | 0.000 | 0.000 | 0.000 |
| 14.688 | 14.688 | 26.493 | 60.609 | 0.000 | 0.000 |
| 14.686 | 14.686 | 26.491 | -0.000 | 59.995 | 0.000 |
| 14.687 | 14.686 | 26.491 | 0.000 | 0.000 | 68.181 |
| 337.587 | 136.576 | 96.828 | -0.000 | -0.000 | 0.000 |
| 143.509 | 326.695 | 93.257 | 0.000 | -0.000 | -0.000 |
| 95.160 | 95.160 | 295.807 | -0.000 | -0.000 | -0.000 |
| -0.000 | -0.000 | 0.000 | 60.792 | -0.000 | -0.000 |
| -0.000 | -0.000 | 0.000 | 0.000 | 60.792 | -0.000 |
| -0.000 | 0.000 | -0.000 | 0.000 | 0.000 | 100.506 |
| 337.586 | 136.575 | 96.827 | 0.000 | 0.000 | 0.000 |
| 170.247 | 306.612 | 99.260 | 0.000 | 0.000 | 0.000 |
| 98.097 | 98.097 | 301.104 | 0.000 | 0.000 | 0.000 |
| 0.000 | 0.000 | -0.000 | 60.792 | 0.000 | 0.000 |
| 0.000 | 0.000 | -0.000 | -0.000 | 60.792 | -0.000 |
| 0.000 | -0.000 | 0.000 | -0.000 | -0.000 | 100.506 |
| 272.987 | 162.954 | 159.254 | 0.000 | -0.000 | 0.000 |
| 162.954 | 272.987 | 159.254 | -0.000 | 0.000 | 0.000 |
| 159.254 | 159.254 | 59.012 | 0.000 | 0.000 | 0.000 |
| -0.000 | -0.000 | 0.000 | 122.602 | 0.000 | 0.000 |
| -0.000 | -0.000 | 0.000 | -0.000 | 122.602 | 0.000 |
| 0.000 | 0.000 | -0.000 | 0.000 | -0.000 | 125.084 |
| 272.987 | 162.954 | 159.254 | -0.000 | -0.000 | -0.000 |
| 162.954 | 272.987 | 159.254 | -0.000 | -0.000 | -0.000 |
| 159.254 | 159.254 | 59.012 | -0.000 | -0.000 | -0.000 |
| 0.000 | 0.000 | -0.000 | 122.602 | -0.000 | -0.000 |
| 0.000 | 0.000 | -0.000 | -0.000 | 122.602 | -0.000 |
| 0.000 | -0.000 | 0.000 | -0.000 | -0.000 | 125.084 |
| 273.516 | 162.425 | 159.254 | 0.000 | 0.000 | 0.000 |
| 162.425 | 273.516 | 159.254 | -0.000 | 0.000 | 0.000 |
| 159.254 | 159.254 | 59.012 | 0.000 | 0.000 | 0.000 |
| 0.000 | 0.000 | 0.000 | 122.602 | 0.000 | 0.000 |
| 0.000 | 0.000 | 0.000 | 0.000 | 122.602 | 0.000 |
| 0.000 | 0.000 | -0.000 | 0.000 | -0.000 | 125.084 |
| 272.987 | 162.954 | 159.253 | 0.000 | 0.000 | -0.000 |
| 162.954 | 272.987 | 159.253 | 0.000 | -0.000 | -0.000 |
| 159.253 | 159.253 | 59.012 | -0.000 | -0.000 | -0.000 |
| -0.000 | -0.000 | -0.000 | 122.602 | -0.000 | 0.000 |
| -0.000 | -0.000 | -0.000 | 0.000 | 122.602 | -0.000 |
| -0.000 | -0.000 | 0.000 | 0.000 | -0.000 | 125.084 |
| 272.987 | 162.955 | 159.254 | 0.000 | -0.000 | 0.000 |
| 162.955 | 272.987 | 159.254 | 0.000 | 0.000 | 0.000 |
| 159.254 | 159.254 | 59.012 | 0.000 | 0.000 | 0.000 |
| 0.000 | 0.000 | 0.000 | 122.602 | 0.000 | -0.000 |
| 0.000 | 0.000 | 0.000 | 0.000 | 122.602 | 0.000 |
| 0.000 | 0.000 | -0.000 | -0.000 | -0.000 | 125.084 |
| 273.516 | 162.425 | 159.253 | 0.000 | 0.000 | 0.000 |
| 162.425 | 273.516 | 159.253 | 0.000 | 0.000 | -0.000 |
| 159.253 | 159.253 | 59.012 | -0.000 | -0.000 | -0.000 |
| -0.000 | -0.000 | -0.000 | 122.602 | -0.000 | -0.000 |
| -0.000 | -0.000 | -0.000 | 0.000 | 122.602 | -0.000 |
| -0.000 | -0.000 | 0.000 | 0.000 | -0.000 | 125.084 |
| 293.877 | 154.816 | 181.090 | -0.000 | -0.000 | 0.000 |
| 154.816 | 293.877 | 181.090 | -0.000 | -0.000 | -0.000 |
| 181.090 | 181.090 | 237.803 | -0.000 | -0.000 | 0.000 |
| 0.000 | 0.000 | 0.000 | 142.999 | -0.000 | 0.000 |
| 0.000 | -0.000 | 0.000 | 0.000 | 142.999 | -0.000 |
| 0.000 | 0.000 | -0.000 | -0.000 | -0.000 | 116.760 |
| 293.877 | 154.816 | 181.090 | 0.000 | 0.000 | 0.000 |
| 154.816 | 293.877 | 181.090 | 0.000 | 0.000 | -0.000 |
| 181.090 | 181.090 | 237.802 | -0.000 | 0.000 | -0.000 |
| -0.000 | -0.000 | -0.000 | 142.999 | 0.000 | 0.000 |
| -0.000 | 0.000 | -0.000 | 0.000 | 142.999 | 0.000 |
| -0.000 | -0.000 | 0.000 | 0.000 | 0.000 | 116.760 |
| 292.969 | 155.724 | 181.090 | -0.000 | -0.000 | 0.000 |
| 155.724 | 292.969 | 181.090 | -0.000 | -0.000 | -0.000 |
| 181.090 | 181.090 | 237.803 | -0.000 | -0.000 | -0.000 |
| 0.000 | 0.000 | 0.000 | 142.498 | -0.000 | -0.000 |
| 0.000 | 0.000 | 0.000 | -0.000 | 142.498 | 0.000 |
| 0.000 | 0.000 | -0.000 | -0.000 | -0.000 | 116.760 |
| 292.969 | 155.724 | 181.090 | 0.000 | 0.000 | 0.000 |
| 155.724 | 292.969 | 181.090 | 0.000 | 0.000 | -0.000 |
| 181.090 | 181.090 | 237.802 | 0.000 | 0.000 | 0.000 |
| -0.000 | -0.000 | -0.000 | 142.498 | 0.000 | 0.000 |
| -0.000 | -0.000 | -0.000 | 0.000 | 142.498 | -0.000 |
| -0.000 | -0.000 | 0.000 | 0.000 | 0.000 | 116.760 |
| 292.969 | 155.725 | 181.090 | -0.000 | -0.000 | 0.000 |
| 155.725 | 292.969 | 181.090 | -0.000 | -0.000 | -0.000 |
| 181.091 | 181.091 | 237.807 | -0.000 | -0.000 | -0.000 |
| 0.000 | 0.000 | 0.001 | 142.999 | -0.000 | -0.000 |
| 0.000 | 0.000 | 0.001 | 0.000 | 142.999 | -0.000 |
| 0.000 | 0.000 | -0.000 | 0.000 | -0.000 | 116.760 |
| 293.876 | 154.815 | 181.089 | 0.000 | 0.000 | 0.000 |
| 154.815 | 293.876 | 181.089 | 0.000 | 0.000 | 0.000 |
| 181.089 | 181.089 | 237.798 | -0.000 | 0.000 | 0.000 |
| -0.000 | -0.000 | -0.001 | 142.999 | 0.000 | 0.000 |
| -0.000 | -0.000 | -0.001 | 0.000 | 142.999 | 0.000 |
| -0.000 | -0.000 | 0.000 | -0.000 | 0.000 | 116.760 |
| 306.859 | 165.856 | 95.666 | -0.000 | 0.000 | 0.000 |
| 136.394 | 337.421 | 96.662 | -0.000 | -0.000 | 0.000 |
| 96.669 | 96.669 | 298.482 | 0.000 | -0.000 | -0.000 |
| -0.049 | -0.049 | -0.089 | 60.016 | 0.000 | -0.000 |
| -0.049 | -0.049 | -0.089 | 0.000 | 60.016 | -0.000 |
| -0.000 | 0.000 | -0.000 | -0.000 | -0.000 | 100.514 |
| 337.421 | 136.394 | 96.662 | 0.000 | 0.000 | -0.000 |
| 168.450 | 305.155 | 96.471 | 0.000 | 0.000 | 0.000 |
| 96.669 | 96.669 | 298.482 | 0.000 | -0.000 | 0.000 |
| 0.049 | 0.049 | 0.089 | 60.016 | -0.000 | -0.000 |
| 0.049 | 0.049 | 0.089 | 0.000 | 60.016 | -0.000 |
| 0.000 | -0.000 | 0.000 | 0.000 | 0.000 | 100.514 |
| 306.603 | 166.190 | 95.737 | 0.000 | 0.000 | -0.000 |
| 166.190 | 306.603 | 95.737 | 0.000 | 0.000 | -0.000 |
| 96.452 | 96.452 | 298.090 | 0.000 | 0.000 | 0.000 |
| -0.005 | -0.005 | -0.009 | 60.000 | 0.000 | -0.000 |
| -0.005 | -0.005 | -0.009 | 0.000 | 60.000 | 0.000 |
| -0.005 | -0.005 | -0.009 | 0.000 | -0.000 | 68.426 |
| 337.421 | 136.394 | 96.662 | 0.000 | 0.000 | 0.000 |
| 136.394 | 337.421 | 96.662 | 0.000 | 0.000 | 0.000 |
| 96.455 | 96.455 | 298.094 | -0.000 | -0.000 | -0.000 |
| 0.005 | 0.005 | 0.009 | 60.000 | 0.000 | -0.000 |
| 0.005 | 0.005 | 0.009 | -0.000 | 60.000 | -0.000 |
| 0.005 | 0.005 | 0.009 | -0.000 | -0.000 | 68.426 |
| 337.422 | 136.395 | 96.662 | -0.000 | -0.000 | 0.000 |
| 166.223 | 306.577 | 95.744 | 0.000 | 0.000 | 0.000 |
| 96.669 | 96.669 | 298.483 | 0.000 | -0.000 | -0.000 |
| -0.000 | -0.001 | -0.001 | 60.000 | 0.000 | 0.000 |
| -0.000 | -0.000 | 0.000 | -0.000 | 60.796 | -0.000 |
| -0.000 | 0.000 | -0.000 | -0.000 | -0.000 | 100.514 |
| 337.421 | 136.394 | 96.662 | 0.000 | 0.000 | -0.000 |
| 166.228 | 306.574 | 95.745 | 0.000 | -0.000 | -0.000 |
| 96.669 | 96.669 | 298.481 | -0.000 | 0.000 | -0.000 |
| 0.000 | 0.001 | 0.001 | 60.000 | -0.000 | -0.000 |
| 0.000 | 0.000 | -0.000 | 0.000 | 60.796 | -0.000 |
| 0.000 | -0.000 | 0.000 | 0.000 | 0.000 | 100.514 |
| 275.781 | 158.989 | 158.989 | -0.000 | -0.000 | 0.000 |
| 158.989 | 275.781 | 158.989 | -0.000 | -0.000 | -0.000 |
| 158.989 | 158.989 | 275.781 | -0.000 | 0.000 | 0.000 |
| 0.000 | 0.000 | 0.000 | 108.249 | -0.000 | -0.000 |
| 0.000 | 0.000 | 0.000 | 0.000 | 108.249 | -0.000 |
| 0.000 | 0.000 | -0.000 | -0.000 | -0.000 | 108.249 |
| 275.781 | 158.989 | 158.989 | 0.000 | 0.000 | -0.000 |
| 158.989 | 275.781 | 158.989 | 0.000 | 0.000 | -0.000 |
| 158.989 | 158.989 | 275.781 | 0.000 | 0.000 | 0.000 |
| -0.000 | -0.000 | -0.000 | 108.249 | 0.000 | -0.000 |
| -0.000 | -0.000 | -0.000 | 0.000 | 108.249 | -0.000 |
| -0.000 | -0.000 | 0.000 | 0.000 | 0.000 | 108.249 |
| 275.781 | 158.989 | 158.989 | -0.000 | -0.000 | 0.000 |
| 158.989 | 275.781 | 158.989 | -0.000 | -0.000 | 0.000 |
| 158.989 | 158.989 | 275.781 | -0.000 | 0.000 | -0.000 |
| -0.000 | 0.000 | 0.000 | 108.249 | -0.000 | -0.000 |
| 0.000 | -0.000 | 0.000 | -0.000 | 108.249 | -0.000 |
| 0.000 | 0.000 | -0.000 | -0.000 | -0.000 | 108.249 |
| 275.781 | 158.989 | 158.989 | 0.000 | 0.000 | 0.000 |
| 158.989 | 275.781 | 158.989 | 0.000 | 0.000 | 0.000 |
| 158.989 | 158.989 | 275.781 | 0.000 | 0.000 | 0.000 |
| 0.000 | -0.000 | -0.000 | 108.249 | -0.000 | -0.000 |
| -0.000 | 0.000 | -0.000 | -0.000 | 108.249 | 0.000 |
| -0.000 | -0.000 | 0.000 | 0.000 | 0.000 | 108.249 |
| 275.782 | 158.990 | 158.990 | -0.000 | -0.000 | -0.000 |
| 158.990 | 275.782 | 158.990 | -0.000 | -0.000 | 0.000 |
| 158.990 | 158.990 | 275.782 | 0.000 | 0.000 | -0.000 |
| -0.000 | 0.000 | 0.001 | 108.249 | -0.000 | 0.000 |
| 0.000 | -0.000 | 0.001 | -0.000 | 108.249 | 0.000 |
| 0.000 | 0.001 | -0.000 | -0.000 | -0.000 | 108.249 |
| 275.781 | 158.989 | 158.989 | 0.000 | 0.000 | -0.000 |
| 158.989 | 275.781 | 158.989 | 0.000 | 0.000 | 0.000 |
| 158.989 | 158.989 | 275.781 | -0.000 | -0.000 | 0.000 |
| 0.000 | -0.000 | -0.001 | 108.249 | -0.000 | 0.000 |
| -0.000 | 0.000 | -0.001 | -0.000 | 108.249 | -0.000 |
| -0.000 | -0.001 | 0.000 | 0.000 | 0.000 | 108.249 |
| 418.074 | 77.188 | 77.188 | 0.000 | -0.000 | -0.000 |
| 77.188 | 418.074 | 77.188 | -0.000 | -0.000 | -0.000 |
| 77.188 | 77.188 | 418.074 | 0.000 | 0.000 | -0.000 |
| -0.000 | 0.000 | -0.000 | 17.599 | -0.000 | -0.000 |
| 0.000 | 0.000 | -0.000 | 0.000 | 17.599 | -0.000 |
| 0.000 | -0.000 | -0.000 | 0.000 | 0.000 | 17.599 |
| 420.108 | 76.171 | 76.171 | 0.000 | 0.000 | -0.000 |
| 76.171 | 420.108 | 76.171 | 0.000 | 0.000 | 0.000 |
| 76.171 | 76.171 | 420.108 | 0.000 | 0.000 | 0.000 |
| -0.000 | -0.000 | -0.000 | 17.599 | -0.000 | 0.000 |
| -0.000 | -0.000 | 0.000 | 0.000 | 17.599 | 0.000 |
| -0.000 | -0.000 | -0.000 | -0.000 | -0.000 | 17.599 |
| 418.074 | 77.188 | 77.188 | -0.000 | -0.000 | -0.000 |
| 77.188 | 418.074 | 77.188 | 0.000 | 0.000 | -0.000 |
| 76.171 | 76.171 | 420.108 | -0.000 | 0.000 | -0.000 |
| 0.000 | -0.000 | -0.000 | -55.545 | 0.000 | -0.000 |
| 0.000 | -0.000 | 0.000 | 0.000 | 17.599 | -0.000 |
| 0.000 | 0.000 | -0.000 | -0.000 | -0.000 | 17.599 |
| 418.074 | 77.188 | 77.188 | 0.000 | 0.000 | 0.000 |
| 77.188 | 418.074 | 77.188 | -0.000 | -0.000 | 0.000 |
| 77.188 | 77.188 | 418.074 | 0.000 | 0.000 | -0.000 |
| -0.000 | 0.000 | 0.000 | -55.545 | 0.000 | 0.000 |
| -0.000 | 0.000 | -0.000 | 0.000 | 17.599 | 0.000 |
| -0.000 | -0.000 | 0.000 | 0.000 | 0.000 | 17.599 |
| 420.111 | 76.171 | 76.171 | -0.000 | -0.000 | 0.000 |
| 76.171 | 420.111 | 76.171 | -0.000 | -0.000 | -0.000 |
| 76.171 | 76.171 | 420.111 | -0.000 | 0.000 | -0.000 |
| 0.000 | -0.000 | -0.000 | -55.545 | -0.000 | -0.000 |
| -0.000 | 0.000 | -0.000 | -0.000 | -55.545 | -0.000 |
| -0.000 | -0.000 | 0.000 | -0.000 | -0.000 | -55.545 |
| 420.105 | 76.171 | 76.171 | 0.000 | 0.000 | 0.000 |
| 76.171 | 420.105 | 76.171 | 0.000 | 0.000 | 0.000 |
| 76.171 | 76.171 | 420.105 | 0.000 | 0.000 | 0.000 |
| -0.000 | 0.000 | 0.000 | -55.545 | 0.000 | 0.000 |
| 0.000 | -0.000 | 0.000 | 0.000 | -55.545 | 0.000 |
| 0.000 | 0.000 | -0.000 | 0.000 | 0.000 | -55.545 |
| 2.260 | 0.000 | 0.000 | 0.000 | -0.000 | 0.000 |
| 0.000 | 2.260 | 0.000 | 0.000 | -0.000 | -0.000 |
| 0.000 | 0.000 | 2.260 | -0.000 | 0.000 | -0.000 |
| 0.000 | -0.000 | 0.000 | 0.000 | -0.000 | -0.000 |
| -0.000 | 0.000 | 0.000 | 0.000 | 0.000 | -0.000 |
| -0.000 | 0.000 | 0.000 | 0.000 | -0.000 | 0.000 |
| 2.260 | 0.000 | 0.000 | 0.000 | 0.000 | -0.000 |
| 0.000 | 2.260 | 0.000 | 0.000 | 0.000 | -0.000 |
| -0.000 | -0.000 | 2.260 | -0.000 | 0.000 | 0.000 |
| -0.000 | 0.000 | -0.000 | 0.000 | 0.000 | 0.000 |
| 0.000 | -0.000 | -0.000 | -0.000 | 0.000 | -0.000 |
| 0.000 | -0.000 | -0.000 | -0.000 | -0.000 | 0.000 |
| 2.260 | 0.000 | 0.000 | 0.000 | -0.000 | -0.000 |
| 0.000 | 2.260 | 0.000 | 0.000 | -0.000 | 0.000 |
| 0.000 | 0.000 | 2.260 | 0.000 | 0.000 | -0.000 |
| 0.000 | -0.000 | -0.000 | 0.000 | -0.000 | 0.000 |
| -0.000 | 0.000 | -0.000 | -0.000 | 0.000 | 0.000 |
| -0.000 | -0.000 | -0.000 | -0.000 | -0.000 | 0.000 |
| 2.260 | -0.000 | -0.000 | -0.000 | 0.000 | 0.000 |
| -0.000 | 2.260 | -0.000 | 0.000 | 0.000 | 0.000 |
| -0.000 | -0.000 | 2.260 | -0.000 | 0.000 | 0.000 |
| -0.000 | 0.000 | 0.000 | 0.000 | 0.000 | -0.000 |
| 0.000 | -0.000 | 0.000 | 0.000 | 0.000 | 0.000 |
| 0.000 | 0.000 | 0.000 | 0.000 | 0.000 | 0.000 |
| 2.260 | 0.000 | 0.000 | 0.000 | 0.000 | -0.000 |
| -0.000 | 2.260 | -0.000 | -0.000 | -0.000 | -0.000 |
| 0.000 | 0.000 | 2.260 | -0.000 | 0.000 | -0.000 |
| 0.000 | -0.000 | -0.000 | 0.000 | -0.000 | -0.000 |
| -0.000 | 0.000 | -0.000 | 0.000 | 0.000 | -0.000 |
| -0.000 | -0.000 | 0.000 | 0.000 | 0.000 | 0.000 |
| 2.261 | 0.000 | 0.000 | 0.000 | 0.000 | 0.000 |
| 0.000 | 2.261 | 0.000 | 0.000 | 0.000 | 0.000 |
| 0.000 | 0.000 | 2.261 | -0.000 | -0.000 | -0.000 |
| -0.000 | 0.000 | 0.000 | 0.000 | 0.000 | 0.000 |
| 0.000 | -0.000 | 0.000 | -0.000 | 0.000 | -0.000 |
| 0.000 | 0.000 | 0.000 | 0.000 | 0.000 | 0.000 |
| 179.703 | 190.052 | 190.052 | 0.000 | -0.000 | 0.000 |
| 190.052 | 179.703 | 190.052 | 0.000 | 0.000 | 0.000 |
| 190.052 | 190.052 | 179.703 | 0.000 | 0.000 | 0.000 |
| 0.000 | 0.000 | 0.000 | 174.056 | 0.000 | 0.000 |
| 0.000 | 0.000 | 0.000 | 0.000 | 174.056 | -0.000 |
| 0.000 | 0.000 | 0.000 | 0.000 | -0.000 | 174.056 |
| 179.703 | 190.052 | 190.052 | -0.000 | -0.000 | -0.000 |
| 190.052 | 179.703 | 190.052 | -0.000 | -0.000 | 0.000 |
| 190.052 | 190.052 | 179.703 | 0.000 | 0.000 | -0.000 |
| -0.000 | -0.000 | -0.000 | 174.056 | -0.000 | 0.000 |
| -0.000 | -0.000 | -0.000 | -0.000 | 174.056 | 0.000 |
| -0.000 | -0.000 | -0.000 | -0.000 | -0.000 | 174.056 |
| 179.703 | 190.052 | 190.052 | 0.000 | 0.000 | 0.000 |
| 190.052 | 179.703 | 190.052 | 0.000 | 0.000 | -0.000 |
| 190.052 | 190.052 | 179.703 | 0.000 | 0.000 | 0.000 |
| 0.000 | 0.000 | 0.000 | 174.056 | -0.000 | 0.000 |
| 0.000 | 0.000 | 0.000 | 0.000 | 174.056 | 0.000 |
| 0.000 | 0.000 | 0.000 | -0.000 | -0.000 | 174.056 |
| 179.703 | 190.051 | 190.051 | -0.000 | -0.000 | -0.000 |
| 190.051 | 179.703 | 190.051 | -0.000 | -0.000 | 0.000 |
| 190.051 | 190.051 | 179.703 | 0.000 | 0.000 | 0.000 |
| -0.000 | -0.000 | -0.000 | 174.056 | 0.000 | -0.000 |
| -0.000 | -0.000 | -0.000 | -0.000 | 174.056 | -0.000 |
| -0.000 | -0.000 | -0.000 | -0.000 | 0.000 | 174.056 |
| 179.704 | 190.052 | 190.052 | -0.000 | 0.000 | -0.000 |
| 190.052 | 179.704 | 190.052 | 0.000 | -0.000 | 0.000 |
| 190.052 | 190.052 | 179.704 | 0.000 | 0.000 | -0.000 |
| 0.001 | 0.000 | 0.001 | 174.056 | 0.000 | 0.000 |
| 0.000 | 0.001 | 0.001 | 0.000 | 174.056 | 0.000 |
| 0.000 | 0.001 | 0.001 | 0.000 | -0.000 | 174.056 |
| 179.703 | 190.051 | 190.051 | -0.000 | -0.000 | -0.000 |
| 190.051 | 179.703 | 190.051 | -0.000 | 0.000 | 0.000 |
| 190.051 | 190.051 | 179.703 | -0.000 | -0.000 | -0.000 |
| -0.001 | -0.000 | -0.001 | 174.056 | 0.000 | -0.000 |
| -0.000 | -0.001 | -0.001 | 0.000 | 174.056 | -0.000 |
| -0.000 | -0.001 | -0.001 | -0.000 | -0.000 | 174.056 |
| 323.737 | 134.906 | 120.523 | -0.000 | -0.000 | 0.000 |
| 134.906 | 323.737 | 120.523 | -0.000 | -0.000 | 0.000 |
| 120.523 | 120.523 | 343.699 | -0.000 | -0.000 | 0.000 |
| 0.000 | 0.000 | 0.000 | 82.544 | -0.000 | -0.000 |
| -0.000 | -0.000 | 0.000 | 0.000 | 82.544 | -0.000 |
| -0.000 | 0.000 | 0.000 | -0.000 | 0.000 | 94.415 |
| 323.737 | 134.906 | 120.523 | 0.000 | 0.000 | -0.000 |
| 146.325 | 312.318 | 120.523 | -0.000 | 0.000 | 0.000 |
| 120.523 | 120.523 | 343.699 | 0.000 | 0.000 | -0.000 |
| -0.000 | 0.000 | -0.000 | 82.544 | 0.000 | 0.000 |
| 0.000 | -0.000 | -0.000 | 0.000 | 82.544 | 0.000 |
| 0.000 | -0.000 | -0.000 | 0.000 | 0.000 | 94.415 |
| 312.319 | 146.325 | 120.523 | -0.000 | -0.000 | -0.000 |
| 146.325 | 312.319 | 120.523 | -0.000 | 0.000 | -0.000 |
| 120.523 | 120.523 | 343.699 | -0.000 | -0.000 | -0.000 |
| 0.000 | -0.000 | 0.000 | 82.544 | -0.000 | -0.000 |
| -0.000 | 0.000 | 0.000 | -0.000 | 82.544 | 0.000 |
| -0.000 | 0.000 | 0.000 | 0.000 | 0.000 | 94.415 |
| 312.318 | 146.325 | 120.523 | 0.000 | 0.000 | 0.000 |
| 146.325 | 312.318 | 120.523 | 0.000 | 0.000 | 0.000 |
| 120.523 | 120.523 | 343.699 | 0.000 | 0.000 | 0.000 |
| -0.000 | 0.000 | -0.000 | 82.544 | -0.000 | 0.000 |
| 0.000 | -0.000 | -0.000 | 0.000 | 82.544 | 0.000 |
| 0.000 | -0.000 | -0.000 | -0.000 | 0.000 | 94.415 |
| 323.739 | 134.906 | 120.523 | -0.000 | -0.000 | -0.000 |
| 146.326 | 312.319 | 120.523 | -0.000 | -0.000 | -0.000 |
| 120.524 | 120.524 | 343.701 | -0.000 | -0.000 | -0.000 |
| 0.000 | -0.000 | 0.000 | 82.544 | -0.000 | -0.000 |
| -0.000 | 0.000 | 0.000 | -0.000 | 82.544 | -0.000 |
| -0.000 | 0.000 | 0.000 | -0.000 | -0.000 | 94.415 |
| 312.317 | 146.325 | 120.524 | 0.000 | 0.000 | 0.000 |
| 134.906 | 323.736 | 120.523 | -0.000 | -0.000 | -0.000 |
| 120.523 | 120.523 | 343.696 | 0.000 | 0.000 | 0.000 |
| -0.000 | 0.000 | -0.000 | 82.544 | 0.000 | 0.000 |
| 0.000 | -0.000 | -0.000 | 0.000 | 82.544 | 0.000 |
| 0.000 | -0.000 | -0.000 | 0.000 | 0.000 | 94.415 |
| 325.901 | 129.521 | 119.303 | -0.000 | -0.000 | 0.000 |
| 145.600 | 309.822 | 119.303 | -0.000 | -0.000 | -0.000 |
| 119.303 | 119.303 | 357.189 | -0.000 | -0.000 | -0.000 |
| 0.000 | -0.000 | 0.000 | 92.337 | -0.000 | 0.000 |
| 0.000 | -0.000 | 0.000 | 0.000 | 92.337 | -0.000 |
| 0.000 | -0.000 | -0.000 | -0.000 | -0.000 | 82.111 |
| 325.901 | 129.521 | 119.303 | 0.000 | 0.000 | -0.000 |
| 145.600 | 309.822 | 119.303 | 0.000 | 0.000 | -0.000 |
| 119.303 | 119.303 | 357.189 | 0.000 | 0.000 | -0.000 |
| -0.000 | 0.000 | -0.000 | 92.337 | 0.000 | 0.000 |
| -0.000 | 0.000 | -0.000 | -0.000 | 92.337 | -0.000 |
| -0.000 | 0.000 | 0.000 | 0.000 | 0.000 | 82.111 |
| 325.906 | 129.523 | 119.307 | 0.000 | 0.000 | 0.000 |
| 129.522 | 325.906 | 119.306 | -0.000 | -0.000 | -0.000 |
| 119.306 | 119.306 | 357.192 | -0.000 | -0.000 | -0.000 |
| 0.001 | 0.002 | 0.001 | 92.338 | -0.000 | -0.000 |
| 0.002 | 0.000 | 0.001 | -0.000 | 92.339 | -0.000 |
| 0.001 | 0.000 | 0.001 | -0.000 | -0.000 | 98.190 |
| 325.901 | 129.521 | 119.303 | -0.000 | -0.000 | 0.000 |
| 145.600 | 309.822 | 119.303 | 0.000 | 0.000 | -0.000 |
| 119.303 | 119.303 | 357.189 | 0.000 | -0.000 | -0.000 |
| -0.001 | -0.002 | -0.001 | 92.338 | 0.000 | -0.000 |
| -0.002 | -0.000 | -0.001 | 0.000 | 92.339 | -0.000 |
| -0.001 | -0.000 | -0.001 | 0.000 | 0.000 | 98.190 |
| 309.833 | 145.601 | 119.308 | 0.000 | 0.000 | -0.000 |
| 145.599 | 309.833 | 119.307 | -0.000 | -0.000 | -0.000 |
| 119.308 | 119.308 | 357.195 | -0.000 | -0.000 | 0.000 |
| 0.001 | 0.002 | 0.002 | 92.339 | 0.000 | -0.000 |
| 0.003 | 0.001 | 0.002 | -0.000 | 92.339 | 0.000 |
| 0.003 | 0.001 | 0.002 | -0.000 | -0.000 | 82.113 |
| 325.899 | 129.521 | 119.303 | 0.000 | 0.000 | 0.000 |
| 145.600 | 309.821 | 119.303 | 0.000 | 0.000 | -0.000 |
| 119.303 | 119.303 | 357.187 | 0.000 | 0.000 | -0.000 |
| -0.001 | -0.002 | -0.002 | 92.339 | 0.000 | -0.000 |
| -0.003 | -0.001 | -0.002 | 0.000 | 92.339 | 0.000 |
| -0.003 | -0.001 | -0.002 | 0.000 | 0.000 | 82.113 |
| 62.655 | 110.554 | 110.554 | -0.000 | -0.000 | -0.000 |
| 110.554 | 62.655 | 110.554 | -0.000 | -0.000 | -0.000 |
| 110.554 | 110.554 | 62.655 | -0.000 | -0.000 | -0.000 |
| 0.000 | -0.000 | 0.000 | 99.111 | 0.000 | -0.000 |
| -0.000 | 0.000 | 0.000 | 0.000 | 99.111 | -0.000 |
| -0.000 | 0.000 | 0.000 | 0.000 | -0.000 | 99.111 |
| 62.655 | 110.554 | 110.554 | 0.000 | 0.000 | 0.000 |
| 110.554 | 62.655 | 110.554 | 0.000 | 0.000 | 0.000 |
| 110.554 | 110.554 | 62.655 | 0.000 | 0.000 | 0.000 |
| -0.000 | 0.000 | -0.000 | 99.111 | 0.000 | 0.000 |
| 0.000 | -0.000 | -0.000 | 0.000 | 99.111 | 0.000 |
| 0.000 | -0.000 | -0.000 | 0.000 | 0.000 | 99.111 |
| 62.655 | 110.554 | 110.554 | -0.000 | -0.000 | -0.000 |
| 110.554 | 62.655 | 110.554 | -0.000 | -0.000 | -0.000 |
| 110.554 | 110.554 | 62.655 | -0.000 | -0.000 | -0.000 |
| -0.000 | -0.000 | -0.000 | -44.122 | -0.000 | -0.000 |
| -0.000 | -0.000 | -0.000 | -0.000 | -44.122 | -0.000 |
| -0.000 | -0.000 | -0.000 | -0.000 | -0.000 | -44.122 |
| 62.655 | 110.554 | 110.554 | 0.000 | 0.000 | 0.000 |
| 110.554 | 62.655 | 110.554 | 0.000 | 0.000 | 0.000 |
| 110.554 | 110.554 | 62.655 | 0.000 | 0.000 | 0.000 |
| 0.000 | 0.000 | 0.000 | -44.122 | 0.000 | 0.000 |
| 0.000 | 0.000 | 0.000 | 0.000 | -44.122 | 0.000 |
| 0.000 | 0.000 | 0.000 | 0.000 | 0.000 | -44.122 |
| 62.655 | 110.554 | 110.554 | -0.000 | -0.000 | -0.000 |
| 110.554 | 62.655 | 110.554 | -0.000 | -0.000 | -0.000 |
| 110.554 | 110.554 | 62.655 | -0.000 | -0.000 | -0.000 |
| -0.000 | -0.000 | -0.000 | -44.123 | -0.000 | -0.000 |
| -0.000 | -0.000 | -0.000 | -0.000 | -44.123 | -0.000 |
| -0.000 | -0.000 | -0.000 | -0.000 | -0.000 | -44.123 |
| 62.655 | 110.554 | 110.554 | 0.000 | 0.000 | 0.000 |
| 110.554 | 62.655 | 110.554 | 0.000 | 0.000 | 0.000 |
| 110.554 | 110.554 | 62.655 | 0.000 | 0.000 | 0.000 |
| 0.000 | 0.000 | 0.000 | -44.123 | 0.000 | 0.000 |
| 0.000 | 0.000 | 0.000 | 0.000 | -44.123 | 0.000 |
| 0.000 | 0.000 | 0.000 | 0.000 | 0.000 | -44.123 |
| 1.239 | 1.239 | 1.239 | -0.000 | -0.000 | -0.000 |
| 1.239 | 1.239 | 1.239 | -0.000 | -0.000 | -0.000 |
| 1.239 | 1.239 | 1.239 | -0.000 | -0.000 | -0.000 |
| 0.000 | 0.000 | 0.000 | -0.020 | -0.000 | -0.000 |
| 0.000 | 0.000 | 0.000 | -0.000 | -0.020 | -0.000 |
| 0.000 | 0.000 | 0.000 | -0.000 | -0.000 | -0.020 |
| 1.239 | 1.239 | 1.239 | 0.000 | 0.000 | 0.000 |
| 1.239 | 1.239 | 1.239 | 0.000 | 0.000 | 0.000 |
| 1.239 | 1.239 | 1.239 | 0.000 | 0.000 | 0.000 |
| -0.000 | -0.000 | -0.000 | -0.020 | 0.000 | 0.000 |
| -0.000 | -0.000 | -0.000 | 0.000 | -0.020 | 0.000 |
| -0.000 | -0.000 | -0.000 | 0.000 | 0.000 | -0.020 |
| 1.239 | 1.239 | 1.239 | -0.000 | -0.000 | -0.000 |
| 1.239 | 1.239 | 1.239 | -0.000 | -0.000 | -0.000 |
| 1.239 | 1.239 | 1.239 | -0.000 | -0.000 | -0.000 |
| 0.000 | 0.000 | 0.000 | -0.020 | -0.000 | -0.000 |
| 0.000 | 0.000 | 0.000 | -0.000 | -0.020 | -0.000 |
| 0.000 | 0.000 | 0.000 | -0.000 | -0.000 | -0.020 |
| 1.239 | 1.239 | 1.239 | 0.000 | 0.000 | 0.000 |
| 1.239 | 1.239 | 1.239 | 0.000 | 0.000 | 0.000 |
| 1.239 | 1.239 | 1.239 | 0.000 | 0.000 | 0.000 |
| -0.000 | -0.000 | -0.000 | -0.020 | 0.000 | 0.000 |
| -0.000 | -0.000 | -0.000 | 0.000 | -0.020 | 0.000 |
| -0.000 | -0.000 | -0.000 | 0.000 | 0.000 | -0.020 |
| 1.239 | 1.239 | 1.239 | -0.000 | -0.000 | -0.000 |
| 1.239 | 1.239 | 1.239 | -0.000 | -0.000 | -0.000 |
| 1.239 | 1.239 | 1.239 | -0.000 | -0.000 | -0.000 |
| 0.000 | 0.000 | 0.000 | -0.020 | -0.000 | -0.000 |
| 0.000 | 0.000 | 0.000 | -0.000 | -0.020 | -0.000 |
| 0.000 | 0.000 | 0.000 | -0.000 | -0.000 | -0.020 |
| 1.239 | 1.239 | 1.239 | 0.000 | 0.000 | 0.000 |
| 1.239 | 1.239 | 1.239 | 0.000 | 0.000 | 0.000 |
| 1.239 | 1.239 | 1.239 | 0.000 | 0.000 | 0.000 |
| -0.000 | -0.000 | -0.000 | -0.020 | 0.000 | 0.000 |
| -0.000 | -0.000 | -0.000 | 0.000 | -0.020 | 0.000 |
| -0.000 | -0.000 | -0.000 | 0.000 | 0.000 | -0.020 |
| -374.144 | 933.952 | 96.487 | -0.000 | 0.000 | -0.000 |
| 933.952 | -374.144 | 96.487 | 0.000 | -0.000 | 0.000 |
| 96.487 | 96.487 | 469.627 | 0.000 | 0.000 | 0.000 |
| -0.000 | 0.000 | -0.000 | -35.552 | 0.000 | -0.000 |
| 0.000 | -0.000 | -0.000 | 0.000 | -35.552 | -0.000 |
| 0.000 | -0.000 | -0.000 | 0.000 | 0.000 | -42.496 |
| 478.050 | 81.758 | 96.487 | -0.000 | -0.000 | -0.000 |
| 81.758 | 478.050 | 96.487 | -0.000 | 0.000 | 0.000 |
| 96.487 | 96.487 | 469.627 | -0.000 | -0.000 | 0.000 |
| -0.000 | -0.000 | 0.000 | -35.552 | 0.000 | 0.000 |
| -0.000 | 0.000 | 0.000 | 0.000 | -35.552 | 0.000 |
| 0.000 | 0.000 | 0.000 | -0.000 | 0.000 | -42.496 |
| -374.145 | 933.953 | 96.487 | -0.000 | 0.000 | -0.000 |
| 933.953 | -374.145 | 96.487 | -0.000 | -0.000 | -0.000 |
| 96.487 | 96.487 | 469.628 | 0.000 | 0.000 | -0.000 |
| -0.000 | 0.000 | -0.000 | -35.552 | 0.000 | -0.000 |
| 0.000 | -0.000 | -0.000 | -0.000 | -35.552 | -0.000 |
| 0.000 | -0.000 | -0.000 | -0.000 | -0.000 | -42.496 |
| 478.050 | 81.758 | 96.487 | -0.000 | -0.000 | -0.000 |
| 81.758 | 478.050 | 96.487 | -0.000 | -0.000 | 0.000 |
| 96.487 | 96.487 | 469.627 | -0.000 | -0.000 | -0.000 |
| 0.000 | -0.000 | 0.000 | -35.552 | -0.000 | 0.000 |
| -0.000 | 0.000 | 0.000 | 0.000 | -35.552 | 0.000 |
| -0.000 | 0.000 | 0.000 | 0.000 | -0.000 | -42.496 |
| -374.157 | 933.962 | 96.488 | -0.000 | 0.000 | 0.000 |
| 933.962 | -374.157 | 96.488 | -0.000 | 0.000 | 0.000 |
| 96.487 | 96.487 | 469.631 | 0.000 | -0.000 | 0.000 |
| -0.000 | 0.000 | -0.000 | -35.552 | 0.000 | 0.000 |
| 0.000 | -0.000 | -0.000 | 0.000 | -35.552 | 0.000 |
| -0.000 | 0.000 | -0.000 | 0.000 | 0.000 | -42.496 |
| -530.521 | 1090.331 | 96.487 | -0.000 | -0.000 | -0.000 |
| 1090.331 | -530.521 | 96.487 | -0.000 | -0.000 | 0.000 |
| 96.487 | 96.487 | 469.624 | -0.000 | 0.000 | 0.000 |
| 0.000 | -0.000 | 0.000 | -35.552 | -0.000 | 0.000 |
| -0.000 | 0.000 | 0.000 | -0.000 | -35.552 | 0.000 |
| 0.000 | -0.000 | 0.000 | -0.000 | -0.000 | -42.496 |
| 3.304 | 3.411 | 0.000 | 0.000 | 0.000 | 0.000 |
| 3.411 | 3.304 | 0.000 | 0.000 | 0.000 | -0.000 |
| 0.000 | 0.000 | 0.000 | 0.000 | 0.000 | 0.000 |
| 0.000 | 0.000 | 0.000 | 0.000 | 0.000 | 0.000 |
| 0.000 | 0.000 | 0.000 | 0.000 | 0.000 | 0.000 |
| 0.000 | 0.000 | 0.000 | 0.000 | 0.000 | 0.000 |
| 3.304 | 3.411 | -0.000 | -0.000 | -0.000 | 0.000 |
| 3.411 | 3.304 | -0.000 | -0.000 | -0.000 | 0.000 |
| -0.000 | -0.000 | -0.000 | -0.000 | -0.000 | -0.000 |
| -0.000 | -0.000 | -0.000 | -0.000 | -0.000 | -0.000 |
| -0.000 | -0.000 | -0.000 | -0.000 | -0.000 | -0.000 |
| -0.000 | -0.000 | -0.000 | -0.000 | -0.000 | 0.000 |
| 3.304 | 3.410 | 0.000 | 0.000 | 0.000 | -0.000 |
| 3.410 | 3.304 | 0.000 | 0.000 | 0.000 | 0.000 |
| 0.000 | 0.000 | 0.000 | 0.000 | 0.000 | 0.000 |
| 0.000 | 0.000 | 0.000 | 0.000 | 0.000 | 0.000 |
| 0.000 | 0.000 | 0.000 | 0.000 | 0.000 | 0.000 |
| -0.000 | -0.000 | 0.000 | 0.000 | 0.000 | 0.000 |
| 3.304 | 3.411 | -0.000 | -0.000 | -0.000 | -0.000 |
| 3.411 | 3.304 | -0.000 | -0.000 | -0.000 | -0.000 |
| -0.000 | -0.000 | -0.000 | -0.000 | -0.000 | -0.000 |
| -0.000 | -0.000 | -0.000 | -0.000 | -0.000 | -0.000 |
| -0.000 | -0.000 | -0.000 | -0.000 | -0.000 | -0.000 |
| 0.000 | 0.000 | -0.000 | -0.000 | -0.000 | 0.000 |
| 3.304 | 3.410 | 0.000 | 0.000 | 0.000 | -0.000 |
| 3.410 | 3.304 | 0.000 | 0.000 | 0.000 | -0.000 |
| 0.000 | 0.000 | 0.000 | 0.000 | 0.000 | 0.000 |
| 0.000 | 0.000 | 0.000 | 0.000 | 0.000 | 0.000 |
| 0.000 | 0.000 | 0.000 | 0.000 | 0.000 | 0.000 |
| -0.000 | -0.000 | 0.000 | 0.000 | 0.000 | 0.000 |
| 3.305 | 3.411 | -0.000 | -0.000 | -0.000 | -0.000 |
| 3.411 | 3.305 | -0.000 | -0.000 | -0.000 | -0.000 |
| -0.000 | -0.000 | -0.000 | -0.000 | -0.000 | -0.000 |
| -0.000 | -0.000 | -0.000 | -0.000 | -0.000 | -0.000 |
| -0.000 | -0.000 | -0.000 | -0.000 | -0.000 | -0.000 |
| 0.000 | 0.000 | -0.000 | -0.000 | -0.000 | 0.000 |
| 27.327 | 10.340 | 67.149 | -37.638 | -0.000 | 0.000 |
| 10.340 | 27.327 | 67.149 | 37.638 | -0.000 | 0.000 |
| 58.519 | 58.519 | 86.321 | -0.000 | -0.000 | 0.000 |
| -37.638 | 37.638 | 0.000 | 59.787 | -0.000 | -0.000 |
| -0.015 | -0.016 | -0.013 | -0.000 | 59.787 | -37.638 |
| -0.015 | -0.016 | -0.013 | -0.000 | -37.638 | 8.494 |
| 27.358 | 10.371 | 67.174 | -37.638 | 0.000 | 0.000 |
| 10.355 | 27.343 | 67.162 | 37.638 | 0.000 | 0.000 |
| 58.519 | 58.519 | 86.321 | 0.000 | 0.000 | -0.000 |
| -37.623 | 37.654 | 0.013 | 59.787 | -0.000 | 0.000 |
| 0.015 | 0.016 | 0.013 | 0.000 | 59.787 | -37.638 |
| 0.015 | 0.016 | 0.013 | 0.000 | -37.638 | 8.494 |
| 27.341 | 10.354 | 67.160 | -37.639 | -0.000 | 0.000 |
| 10.354 | 27.341 | 67.160 | 37.639 | -0.000 | -0.000 |
| 58.519 | 58.519 | 86.321 | -0.000 | -0.000 | -0.000 |
| -37.638 | 37.638 | 0.000 | 59.787 | -0.000 | 0.000 |
| -0.002 | -0.002 | -0.001 | -0.000 | 59.787 | -37.638 |
| -0.002 | -0.002 | -0.001 | -0.000 | -37.638 | 8.494 |
| 27.344 | 10.357 | 67.163 | -37.638 | 0.000 | -0.000 |
| 10.357 | 27.344 | 67.163 | 37.638 | 0.000 | -0.000 |
| 58.521 | 58.521 | 86.322 | -0.000 | 0.000 | -0.000 |
| -37.639 | 37.638 | -0.000 | 59.787 | 0.000 | -0.000 |
| 0.002 | 0.002 | 0.001 | 0.000 | 59.787 | -37.638 |
| 0.002 | 0.002 | 0.001 | 0.000 | -37.638 | 8.494 |
| 27.343 | 10.355 | 67.162 | -37.639 | -0.000 | 0.000 |
| 10.355 | 27.343 | 67.162 | 37.639 | -0.000 | 0.000 |
| 58.520 | 58.520 | 86.321 | 0.000 | -0.000 | 0.000 |
| -37.639 | 37.638 | 0.000 | 59.787 | -0.000 | 0.000 |
| 0.000 | 0.000 | 0.000 | -0.000 | 59.787 | -37.638 |
| -0.000 | -0.000 | -0.000 | -0.000 | -37.638 | 8.494 |
| 27.343 | 10.355 | 67.161 | -37.638 | 0.000 | -0.000 |
| 10.355 | 27.342 | 67.161 | 37.638 | 0.000 | -0.000 |
| 58.519 | 58.519 | 86.320 | 0.000 | 0.000 | -0.000 |
| -37.638 | 37.639 | -0.000 | 59.787 | 0.000 | -0.000 |
| -0.000 | -0.000 | -0.000 | 0.000 | 59.787 | -37.638 |
| 0.000 | 0.000 | 0.000 | 0.000 | -37.638 | 8.494 |
| 557.435 | 70.977 | 70.977 | -0.000 | 0.000 | -0.000 |
| 70.977 | 557.435 | 70.977 | 0.000 | -0.000 | 0.000 |
| 70.977 | 70.977 | 557.435 | 0.000 | 0.000 | 0.000 |
| -0.000 | 0.000 | -0.000 | -38.605 | 0.000 | 0.000 |
| 0.000 | 0.000 | -0.000 | 0.000 | -38.605 | -0.000 |
| 0.000 | -0.000 | 0.000 | 0.000 | 0.000 | -38.605 |
| 557.435 | 70.977 | 70.977 | -0.000 | 0.000 | 0.000 |
| 70.977 | 557.435 | 70.977 | -0.000 | -0.000 | 0.000 |
| 70.977 | 70.977 | 557.435 | -0.000 | 0.000 | 0.000 |
| 0.000 | -0.000 | 0.000 | -38.605 | -0.000 | 0.000 |
| 0.000 | -0.000 | 0.000 | -0.000 | -38.605 | 0.000 |
| -0.000 | 0.000 | -0.000 | -0.000 | -0.000 | -38.605 |
| 557.435 | 70.977 | 70.977 | 0.000 | -0.000 | -0.000 |
| 70.977 | 557.435 | 70.977 | -0.000 | -0.000 | -0.000 |
| 70.977 | 70.977 | 557.435 | 0.000 | -0.000 | -0.000 |
| 0.000 | 0.000 | -0.000 | -38.605 | 0.000 | -0.000 |
| 0.000 | 0.000 | -0.000 | 0.000 | -38.605 | -0.000 |
| 0.000 | -0.000 | 0.000 | -0.000 | -0.000 | -38.605 |
| 557.435 | 70.977 | 70.977 | -0.000 | -0.000 | 0.000 |
| 70.977 | 557.435 | 70.977 | -0.000 | -0.000 | 0.000 |
| 70.977 | 70.977 | 557.435 | -0.000 | -0.000 | -0.000 |
| -0.000 | -0.000 | 0.000 | -38.605 | -0.000 | 0.000 |
| -0.000 | -0.000 | 0.000 | -0.000 | -38.605 | 0.000 |
| -0.000 | 0.000 | -0.000 | 0.000 | -0.000 | -38.605 |
| 557.440 | 70.977 | 70.977 | -0.000 | -0.000 | -0.000 |
| 70.977 | 557.440 | 70.977 | 0.000 | 0.000 | -0.000 |
| 70.977 | 70.977 | 557.440 | 0.000 | 0.000 | -0.000 |
| 0.000 | 0.000 | -0.000 | -38.605 | 0.000 | -0.000 |
| 0.000 | 0.000 | -0.000 | 0.000 | -38.605 | -0.000 |
| 0.000 | -0.000 | 0.000 | 0.000 | 0.000 | -38.605 |
| 557.431 | 70.976 | 70.976 | -0.000 | 0.000 | 0.000 |
| 70.976 | 557.431 | 70.976 | -0.000 | 0.000 | 0.000 |
| 70.976 | 70.976 | 557.431 | 0.000 | -0.000 | 0.000 |
| -0.000 | -0.000 | 0.000 | -38.605 | -0.000 | 0.000 |
| -0.000 | -0.000 | 0.000 | -0.000 | -38.605 | 0.000 |
| -0.000 | 0.000 | -0.000 | -0.000 | -0.000 | -38.605 |
| 259.711 | 167.342 | 167.342 | 0.000 | 0.000 | 0.000 |
| 167.342 | 259.711 | 167.342 | 0.000 | 0.000 | 0.000 |
| 167.342 | 167.342 | 259.711 | 0.000 | 0.000 | 0.000 |
| -0.000 | 0.000 | 0.000 | 104.074 | 0.000 | 0.000 |
| 0.000 | 0.000 | 0.000 | 0.000 | 104.074 | 0.000 |
| 0.000 | 0.000 | 0.000 | 0.000 | 0.000 | 104.074 |
| 259.711 | 167.342 | 167.342 | -0.000 | -0.000 | -0.000 |
| 167.342 | 259.711 | 167.342 | -0.000 | -0.000 | -0.000 |
| 167.342 | 167.342 | 259.711 | -0.000 | -0.000 | -0.000 |
| 0.000 | -0.000 | -0.000 | 104.074 | -0.000 | -0.000 |
| -0.000 | 0.000 | -0.000 | -0.000 | 104.074 | -0.000 |
| -0.000 | -0.000 | 0.000 | -0.000 | -0.000 | 104.074 |
| 259.711 | 167.342 | 167.342 | 0.000 | 0.000 | 0.000 |
| 167.342 | 259.711 | 167.342 | 0.000 | 0.000 | 0.000 |
| 167.342 | 167.342 | 259.711 | 0.000 | 0.000 | 0.000 |
| -0.000 | 0.000 | 0.000 | 104.074 | 0.000 | 0.000 |
| 0.000 | -0.000 | 0.000 | 0.000 | 104.074 | 0.000 |
| 0.000 | 0.000 | -0.000 | 0.000 | 0.000 | 104.074 |
| 259.711 | 167.342 | 167.342 | -0.000 | -0.000 | -0.000 |
| 167.342 | 259.711 | 167.342 | -0.000 | -0.000 | -0.000 |
| 167.342 | 167.342 | 259.711 | -0.000 | -0.000 | -0.000 |
| 0.000 | -0.000 | -0.000 | 104.074 | -0.000 | -0.000 |
| -0.000 | 0.000 | -0.000 | -0.000 | 104.074 | -0.000 |
| -0.000 | -0.000 | 0.000 | -0.000 | -0.000 | 104.074 |
| 259.712 | 167.343 | 167.343 | 0.000 | 0.000 | 0.000 |
| 167.343 | 259.712 | 167.343 | 0.000 | 0.000 | 0.000 |
| 167.343 | 167.343 | 259.712 | 0.000 | 0.000 | 0.000 |
| -0.000 | 0.000 | 0.000 | 104.074 | 0.000 | 0.000 |
| 0.000 | -0.000 | 0.000 | 0.000 | 104.074 | 0.000 |
| 0.000 | 0.000 | -0.000 | 0.000 | 0.000 | 104.074 |
| 259.710 | 167.342 | 167.342 | -0.000 | -0.000 | -0.000 |
| 167.342 | 259.710 | 167.342 | -0.000 | -0.000 | -0.000 |
| 167.342 | 167.342 | 259.710 | -0.000 | -0.000 | -0.000 |
| 0.000 | -0.000 | -0.000 | 104.074 | -0.000 | -0.000 |
| -0.000 | 0.000 | -0.000 | -0.000 | 104.074 | -0.000 |
| -0.000 | -0.000 | 0.000 | -0.000 | -0.000 | 104.074 |
| 309.519 | 130.687 | 236.656 | 0.000 | -0.000 | 0.001 |
| 130.687 | 309.519 | 236.656 | 0.000 | -0.000 | 0.001 |
| 82.919 | 82.919 | 520.301 | -0.000 | 0.000 | 0.001 |
| 218.661 | 218.661 | 3084.982 | -46.421 | 0.000 | 0.010 |
| 218.661 | 218.661 | 3084.982 | -0.000 | -46.421 | 0.010 |
| 0.000 | 0.000 | 0.000 | 0.000 | -0.000 | 73.374 |
| 295.058 | 164.684 | -300.643 | -0.000 | 0.000 | 0.000 |
| 164.684 | 295.058 | -300.643 | -0.000 | -0.000 | 0.000 |
| 105.221 | 105.221 | 401.974 | -0.000 | 0.000 | 0.000 |
| -218.661 | -218.661 | -3084.982 | -46.421 | 0.000 | -0.010 |
| -218.661 | -218.661 | -3084.982 | 0.000 | -46.421 | -0.010 |
| -0.000 | -0.000 | -0.000 | -0.000 | 0.000 | 73.374 |
| 365.356 | 132.836 | 105.821 | 0.000 | 0.000 | 0.000 |
| 132.836 | 365.356 | 105.821 | 0.000 | -0.000 | 0.000 |
| 110.042 | 110.042 | 436.178 | -0.000 | -0.000 | -0.000 |
| 43.372 | 43.372 | 292.006 | -41.209 | -0.000 | -0.000 |
| 43.367 | 43.367 | 292.023 | 0.000 | -41.210 | -0.000 |
| 0.000 | 0.000 | 0.000 | 0.000 | 0.000 | 73.374 |
| 307.923 | 179.438 | 66.854 | 0.000 | -0.000 | 0.000 |
| 179.438 | 307.923 | 66.854 | 0.000 | -0.000 | 0.000 |
| 107.056 | 107.056 | 354.028 | -0.000 | 0.000 | 0.000 |
| -43.367 | -43.367 | -292.023 | -41.210 | 0.000 | 0.000 |
| -43.367 | -43.367 | -292.023 | -0.000 | -41.210 | 0.000 |
| 2.600 | 2.600 | -12.740 | -0.000 | -0.000 | 44.942 |
| 299.892 | 190.495 | 114.219 | 0.000 | -0.000 | -0.000 |
| 190.495 | 299.892 | 114.219 | 0.000 | 0.000 | -0.000 |
| 105.221 | 105.221 | 401.977 | -0.000 | -0.000 | 0.000 |
| 4.837 | 4.837 | 19.200 | -11.312 | -0.000 | -0.000 |
| 4.837 | 4.837 | 19.200 | -0.000 | -11.312 | -0.000 |
| 0.404 | 0.404 | 10.308 | 0.000 | -0.000 | 15.168 |
| 327.797 | 163.364 | 108.825 | -0.000 | -0.000 | -0.000 |
| 163.364 | 327.797 | 108.825 | -0.000 | 0.000 | -0.000 |
| 109.260 | 109.260 | 391.577 | -0.000 | -0.000 | -0.000 |
| -4.837 | -4.837 | -19.200 | -11.312 | -0.000 | 0.000 |
| -4.837 | -4.837 | -19.200 | 0.000 | -11.312 | 0.000 |
| -0.404 | -0.404 | -10.308 | 0.000 | -0.000 | 15.168 |
| 322.591 | 129.269 | 110.359 | 0.000 | -0.000 | 0.000 |
| 143.360 | 308.499 | 110.359 | 0.000 | -0.000 | 0.000 |
| 111.912 | 111.912 | 327.006 | 0.000 | -0.000 | 0.000 |
| 0.000 | 0.000 | 0.000 | 85.107 | 0.000 | 0.000 |
| 0.000 | 0.000 | 0.000 | 0.000 | 85.107 | 0.000 |
| 0.000 | 0.000 | 0.000 | 0.000 | -0.000 | 96.661 |
| 308.499 | 143.360 | 110.359 | -0.000 | -0.000 | -0.000 |
| 129.269 | 322.591 | 110.359 | -0.000 | 0.000 | 0.000 |
| 111.912 | 111.912 | 327.006 | -0.000 | 0.000 | -0.000 |
| -0.000 | -0.000 | -0.000 | 85.107 | 0.000 | -0.000 |
| -0.000 | -0.000 | -0.000 | -0.000 | 85.107 | -0.000 |
| -0.000 | -0.000 | -0.000 | -0.000 | 0.000 | 96.661 |
| 308.499 | 143.360 | 110.359 | 0.000 | -0.000 | 0.000 |
| 129.269 | 322.591 | 110.359 | 0.000 | -0.000 | 0.000 |
| 111.912 | 111.912 | 327.006 | 0.000 | -0.000 | 0.000 |
| 0.000 | -0.000 | 0.000 | 85.107 | -0.000 | 0.000 |
| -0.000 | 0.000 | 0.000 | 0.000 | 85.107 | -0.000 |
| 0.000 | 0.000 | 0.000 | 0.000 | -0.000 | 96.661 |
| 322.590 | 129.269 | 110.359 | -0.000 | 0.000 | -0.000 |
| 129.269 | 322.590 | 110.359 | -0.000 | 0.000 | -0.000 |
| 111.912 | 111.912 | 327.005 | -0.000 | 0.000 | -0.000 |
| -0.000 | 0.000 | -0.000 | 85.107 | 0.000 | -0.000 |
| 0.000 | -0.000 | -0.000 | -0.000 | 85.107 | -0.000 |
| -0.000 | -0.000 | -0.000 | -0.000 | 0.000 | 96.661 |
| 308.501 | 143.360 | 110.359 | 0.000 | -0.000 | 0.000 |
| 129.269 | 322.592 | 110.359 | 0.000 | -0.000 | 0.000 |
| 111.912 | 111.912 | 327.007 | 0.000 | -0.000 | 0.000 |
| 0.000 | -0.000 | 0.000 | 85.107 | -0.000 | 0.000 |
| -0.000 | 0.000 | 0.000 | 0.000 | 85.107 | 0.000 |
| 0.000 | 0.001 | 0.000 | 0.000 | -0.000 | 96.661 |
| 308.497 | 143.360 | 110.359 | -0.000 | 0.000 | -0.000 |
| 143.360 | 308.498 | 110.359 | -0.000 | 0.000 | -0.000 |
| 111.911 | 111.911 | 327.004 | -0.000 | 0.000 | -0.000 |
| -0.000 | 0.000 | -0.000 | 85.107 | 0.000 | -0.000 |
| 0.000 | -0.000 | -0.000 | -0.000 | 85.107 | -0.000 |
| -0.000 | -0.001 | -0.000 | -0.000 | -0.000 | 96.661 |
| 339.956 | 136.752 | 94.324 | -0.000 | -0.000 | -0.000 |
| 136.752 | 339.956 | 94.324 | -0.000 | 0.000 | -0.000 |
| -154.798 | -154.798 | 899.098 | 0.000 | -0.000 | 0.000 |
| -0.000 | 0.000 | 0.000 | 54.314 | -0.000 | 0.000 |
| 0.000 | 0.000 | 0.000 | -0.000 | 54.314 | -0.000 |
| 0.000 | 0.000 | 0.000 | -0.000 | 0.000 | 101.602 |
| 555.165 | 421.253 | -436.032 | 0.000 | -0.000 | -0.000 |
| 2485.117 | 2223.157 | -4512.421 | -0.000 | 0.000 | -0.000 |
| 500.628 | 500.628 | -384.445 | 0.000 | -0.000 | -0.000 |
| -0.000 | -0.000 | -0.000 | 54.314 | 0.000 | 0.000 |
| -0.000 | -0.000 | -0.000 | 0.000 | 54.314 | 0.000 |
| -0.000 | -0.000 | -0.000 | 0.000 | -0.000 | 101.602 |
| 339.956 | 136.752 | 94.324 | -0.000 | -0.000 | -0.000 |
| 136.752 | 339.956 | 94.324 | -0.000 | -0.000 | -0.000 |
| 93.176 | 93.176 | 375.113 | 0.000 | -0.000 | 0.000 |
| 0.000 | 0.000 | 0.000 | 54.314 | -0.000 | -0.000 |
| 0.000 | 0.000 | 0.000 | -0.000 | 54.314 | -0.000 |
| -39.859 | -39.859 | 73.585 | -0.000 | -0.000 | 104.513 |
| 329.381 | 195.320 | 44.038 | 0.000 | -0.000 | -0.000 |
| 136.752 | 339.956 | 94.324 | 0.000 | 0.000 | 0.000 |
| 93.176 | 93.176 | 375.113 | 0.000 | 0.000 | 0.000 |
| -0.000 | -0.000 | -0.000 | 54.314 | 0.000 | -0.000 |
| -0.000 | -0.000 | -0.000 | 0.000 | 54.314 | -0.000 |
| 39.859 | 39.859 | -73.585 | 0.000 | -0.000 | 104.513 |
| 339.958 | 136.752 | 94.324 | -0.000 | 0.000 | 0.000 |
| 164.385 | 306.014 | 101.672 | -0.000 | -0.000 | 0.000 |
| 93.615 | 93.615 | 371.000 | 0.000 | 0.000 | 0.000 |
| 0.000 | 0.000 | 0.000 | 54.314 | -0.000 | -0.000 |
| -4.125 | -4.125 | 7.608 | -0.000 | 39.936 | -0.000 |
| -2.209 | -2.210 | 4.697 | -0.000 | -0.000 | 71.088 |
| 339.954 | 136.751 | 94.323 | 0.000 | 0.000 | -0.000 |
| 168.400 | 310.877 | 92.223 | 0.000 | -0.000 | -0.000 |
| 98.758 | 98.758 | 360.072 | 0.000 | 0.000 | -0.000 |
| -0.000 | -0.000 | -0.000 | 54.314 | 0.000 | 0.000 |
| 4.125 | 4.125 | -7.608 | 0.000 | 39.936 | -0.000 |
| 2.209 | 2.210 | -4.697 | 0.000 | -0.000 | 71.088 |
| 445.884 | 93.769 | 153.321 | 0.000 | 0.000 | 0.000 |
| 93.769 | 445.884 | 153.321 | 0.000 | 0.000 | -0.000 |
| 150.971 | 150.971 | 436.053 | 0.000 | 0.000 | 0.000 |
| -0.020 | -0.020 | 0.026 | -63.053 | 0.000 | 0.000 |
| -0.020 | -0.020 | 0.026 | 0.000 | -63.053 | 0.000 |
| 0.000 | 0.000 | -0.000 | 0.000 | 0.000 | -2.572 |
| 445.889 | 93.774 | 153.314 | -0.000 | -0.000 | -0.000 |
| 93.774 | 445.889 | 153.314 | -0.000 | -0.000 | -0.000 |
| 150.976 | 150.976 | 436.046 | -0.000 | -0.000 | -0.000 |
| 0.020 | 0.020 | -0.026 | -63.053 | -0.000 | 0.000 |
| 0.020 | 0.020 | -0.026 | -0.000 | -63.053 | -0.000 |
| -0.000 | -0.000 | 0.000 | -0.000 | -0.000 | -2.572 |
| 445.886 | 93.771 | 153.318 | 0.000 | 0.000 | 0.000 |
| 93.771 | 445.886 | 153.318 | 0.000 | 0.000 | -0.000 |
| 150.974 | 150.974 | 436.050 | -0.000 | -0.000 | 0.000 |
| -0.002 | -0.002 | 0.003 | -63.053 | 0.000 | 0.000 |
| -0.002 | -0.002 | 0.003 | 0.000 | -63.053 | 0.000 |
| -0.000 | -0.000 | 0.000 | 0.000 | 0.000 | -2.572 |
| 445.886 | 93.772 | 153.317 | -0.000 | -0.000 | 0.000 |
| 93.772 | 445.886 | 153.317 | -0.000 | -0.000 | -0.000 |
| 150.974 | 150.974 | 436.049 | 0.000 | 0.000 | -0.000 |
| 0.002 | 0.002 | -0.003 | -63.053 | -0.000 | -0.000 |
| 0.002 | 0.002 | -0.003 | -0.000 | -63.053 | -0.000 |
| 0.000 | 0.000 | -0.000 | -0.000 | -0.000 | -2.572 |
| 445.889 | 93.772 | 153.318 | 0.000 | 0.000 | 0.000 |
| 93.772 | 445.889 | 153.318 | 0.000 | 0.000 | 0.000 |
| 150.975 | 150.975 | 436.052 | 0.000 | 0.000 | 0.000 |
| -0.001 | -0.001 | 0.000 | -63.053 | 0.000 | 0.000 |
| -0.001 | -0.001 | 0.000 | 0.000 | -63.053 | 0.000 |
| -0.000 | -0.000 | 0.000 | 0.000 | 0.000 | -2.572 |
| 445.883 | 93.771 | 153.317 | -0.000 | -0.000 | -0.000 |
| 93.771 | 445.883 | 153.317 | -0.000 | -0.000 | -0.000 |
| 150.973 | 150.973 | 436.048 | -0.000 | -0.000 | -0.000 |
| 0.001 | 0.001 | -0.000 | -63.053 | -0.000 | -0.000 |
| 0.001 | 0.001 | -0.000 | -0.000 | -63.053 | -0.000 |
| 0.000 | 0.000 | -0.000 | -0.000 | -0.000 | -2.572 |
| -1566.920 | -1719.447 | -1719.447 | -0.000 | -0.000 | -0.000 |
| -1719.447 | -1566.920 | -1719.447 | -0.000 | -0.000 | -0.000 |
| -1719.447 | -1719.447 | -1566.920 | -0.000 | -0.000 | -0.000 |
| -1858.333 | -1858.333 | -1858.333 | 23.679 | -0.000 | -0.000 |
| -1858.333 | -1858.333 | -1858.333 | -0.000 | 23.679 | -0.000 |
| -1858.333 | -1858.333 | -1858.333 | -0.000 | -0.000 | 23.679 |
| 1344.179 | 1203.071 | 1203.071 | 0.000 | 0.000 | 0.000 |
| 1203.071 | 1344.179 | 1203.071 | 0.000 | 0.000 | 0.000 |
| 1203.071 | 1203.071 | 1344.179 | 0.000 | 0.000 | 0.000 |
| 0.000 | -0.000 | -0.000 | 62.144 | 0.000 | 0.000 |
| -0.000 | -0.000 | -0.000 | 0.000 | 62.144 | -0.000 |
| 1858.333 | 1858.333 | 1858.333 | 0.000 | 0.000 | 23.679 |
| 178.123 | 37.057 | 37.057 | -0.000 | -0.000 | -0.000 |
| 37.057 | 178.123 | 37.057 | -0.000 | -0.000 | -0.000 |
| 37.057 | 37.057 | 178.123 | -0.000 | -0.000 | -0.000 |
| -189.371 | -189.371 | -189.371 | 7.198 | -0.000 | -0.000 |
| -189.371 | -189.371 | -189.371 | -0.000 | 7.198 | -0.000 |
| -189.371 | -189.371 | -189.371 | -0.000 | -0.000 | 7.198 |
| 477.288 | 324.767 | 324.767 | 0.000 | 0.000 | 0.000 |
| 324.767 | 477.288 | 324.767 | 0.000 | 0.000 | 0.000 |
| 324.767 | 324.767 | 477.288 | 0.000 | 0.000 | 0.000 |
| 189.371 | 189.371 | 189.371 | 7.198 | 0.000 | 0.000 |
| 189.371 | 189.371 | 189.371 | 0.000 | 7.198 | 0.000 |
| 189.371 | 189.371 | 189.371 | 0.000 | 0.000 | 7.198 |
| 274.410 | 132.124 | 132.124 | -0.000 | -0.000 | -0.000 |
| 132.124 | 274.410 | 132.124 | -0.000 | -0.000 | -0.000 |
| 132.124 | 132.124 | 274.410 | -0.000 | -0.000 | -0.000 |
| -18.701 | -18.701 | -18.701 | 14.748 | -0.000 | -0.000 |
| -18.701 | -18.701 | -18.701 | -0.000 | 14.748 | -0.000 |
| -18.701 | -18.701 | -18.701 | -0.000 | -0.000 | 14.748 |
| 296.212 | 152.810 | 152.810 | 0.000 | 0.000 | 0.000 |
| 152.810 | 296.212 | 152.810 | 0.000 | 0.000 | 0.000 |
| 152.810 | 152.810 | 296.212 | 0.000 | 0.000 | 0.000 |
| 18.701 | 18.701 | 18.701 | 14.748 | 0.000 | 0.000 |
| 18.701 | 18.701 | 18.701 | 0.000 | 14.748 | 0.000 |
| 18.701 | 18.701 | 18.701 | 0.000 | 0.000 | 14.748 |
| 296.392 | 148.813 | 148.813 | 0.000 | 0.000 | 0.000 |
| 148.813 | 296.392 | 148.813 | 0.000 | 0.000 | 0.000 |
| 148.813 | 148.813 | 296.392 | 0.000 | 0.000 | 0.000 |
| 0.000 | 0.000 | 0.000 | 60.705 | -0.000 | -0.000 |
| 0.000 | 0.000 | 0.000 | -0.000 | 60.705 | -0.000 |
| 0.000 | 0.000 | 0.000 | -0.000 | -0.000 | 60.705 |
| 331.264 | 116.223 | 116.223 | 0.000 | 0.000 | 0.000 |
| 116.223 | 331.264 | 116.223 | 0.000 | 0.000 | 0.000 |
| 116.223 | 116.223 | 331.264 | 0.000 | 0.000 | 0.000 |
| -0.000 | -0.000 | -0.000 | 60.705 | 0.000 | 0.000 |
| -0.000 | -0.000 | -0.000 | 0.000 | 60.705 | 0.000 |
| -0.000 | -0.000 | -0.000 | 0.000 | 0.000 | 60.705 |
| 292.375 | 136.992 | 136.992 | -0.000 | 0.000 | 0.000 |
| 136.992 | 292.375 | 136.992 | -0.000 | 0.000 | 0.000 |
| 136.992 | 136.992 | 292.375 | 0.000 | 0.000 | 0.000 |
| 1.298 | 1.298 | 1.298 | 20.491 | 0.000 | 0.000 |
| 1.298 | 1.298 | 1.298 | 0.000 | 20.491 | 0.000 |
| 1.298 | 1.298 | 1.298 | 0.000 | 0.000 | 20.491 |
| 331.264 | 116.223 | 116.223 | 0.000 | 0.000 | 0.000 |
| 116.223 | 331.264 | 116.223 | 0.000 | 0.000 | 0.000 |
| 116.223 | 116.223 | 331.264 | 0.000 | 0.000 | 0.000 |
| -1.298 | -1.298 | -1.298 | 20.491 | -0.000 | -0.000 |
| -1.298 | -1.298 | -1.298 | -0.000 | 20.491 | -0.000 |
| -1.298 | -1.298 | -1.298 | -0.000 | -0.000 | 20.491 |
| 331.266 | 116.223 | 116.223 | -0.000 | -0.000 | -0.000 |
| 116.223 | 331.266 | 116.223 | -0.000 | -0.000 | -0.000 |
| 116.223 | 116.223 | 331.266 | -0.000 | -0.000 | -0.000 |
| -0.000 | 0.000 | 0.000 | 60.705 | -0.000 | -0.000 |
| 0.000 | -0.000 | 0.000 | 0.000 | 60.705 | -0.000 |
| 0.000 | 0.000 | -0.000 | -0.000 | -0.000 | 60.705 |
| 331.262 | 116.223 | 116.223 | 0.000 | 0.000 | 0.000 |
| 116.223 | 331.262 | 116.223 | 0.000 | 0.000 | 0.000 |
| 116.223 | 116.223 | 331.262 | 0.000 | 0.000 | 0.000 |
| 0.000 | -0.000 | -0.000 | 60.705 | 0.000 | 0.000 |
| -0.000 | 0.000 | -0.000 | 0.000 | 60.705 | 0.000 |
| -0.000 | -0.000 | 0.000 | 0.000 | 0.000 | 60.705 |
| 287.595 | 144.735 | 144.735 | 0.000 | -0.000 | -0.000 |
| 144.735 | 287.595 | 144.735 | -0.000 | 0.000 | 0.000 |
| 144.735 | 144.735 | 287.595 | -0.000 | -0.000 | 0.000 |
| 0.000 | 0.000 | 0.000 | 104.327 | 0.000 | -0.000 |
| 0.000 | 0.000 | 0.000 | 0.000 | 104.327 | 0.000 |
| 0.000 | 0.000 | 0.000 | -0.000 | -0.000 | 104.327 |
| 287.595 | 144.735 | 144.735 | 0.000 | 0.000 | -0.000 |
| 144.735 | 287.595 | 144.735 | 0.000 | 0.000 | -0.000 |
| 144.735 | 144.735 | 287.595 | 0.000 | 0.000 | -0.000 |
| 0.000 | -0.000 | -0.000 | 104.327 | 0.000 | 0.000 |
| -0.000 | -0.000 | -0.000 | 0.000 | 104.327 | 0.000 |
| -0.000 | -0.000 | -0.000 | -0.000 | -0.000 | 104.327 |
| 272.510 | 151.668 | 151.667 | 0.001 | -0.000 | 0.000 |
| 151.668 | 272.510 | 151.667 | 0.001 | -0.000 | 0.000 |
| 151.667 | 151.668 | 272.510 | 0.001 | -0.000 | 0.000 |
| 0.000 | 0.000 | 0.000 | 104.327 | -0.000 | 0.000 |
| -0.057 | -0.057 | -0.058 | 0.001 | 67.959 | 0.000 |
| -0.057 | -0.057 | -0.058 | 0.001 | -0.000 | 67.959 |
| 259.792 | 156.261 | 156.262 | -0.001 | 0.000 | -0.000 |
| 144.735 | 287.595 | 144.735 | 0.000 | 0.000 | 0.000 |
| 156.262 | 156.261 | 259.793 | -0.001 | 0.000 | -0.000 |
| -0.000 | -0.000 | -0.000 | 104.327 | 0.000 | 0.000 |
| 0.057 | 0.057 | 0.058 | -0.001 | 67.959 | -0.000 |
| 0.057 | 0.057 | 0.058 | -0.001 | 0.000 | 67.959 |
| 259.973 | 155.976 | 155.976 | 0.000 | -0.000 | 0.000 |
| 155.976 | 259.973 | 155.976 | 0.000 | -0.000 | 0.000 |
| 155.976 | 155.976 | 259.973 | 0.000 | -0.000 | 0.000 |
| -0.007 | -0.007 | -0.007 | 62.508 | -0.000 | 0.000 |
| -0.006 | -0.006 | -0.005 | 0.000 | 67.960 | 0.000 |
| -0.007 | -0.007 | -0.007 | 0.000 | -0.000 | 62.508 |
| 259.928 | 156.030 | 156.030 | -0.000 | 0.000 | -0.000 |
| 156.030 | 259.928 | 156.030 | -0.000 | 0.000 | -0.000 |
| 156.030 | 156.030 | 259.928 | -0.000 | 0.000 | -0.000 |
| 0.007 | 0.007 | 0.007 | 62.508 | 0.000 | -0.000 |
| 0.006 | 0.006 | 0.005 | -0.000 | 67.960 | -0.000 |
| 0.007 | 0.007 | 0.007 | -0.000 | 0.000 | 62.508 |
| 382.898 | 205.561 | 205.561 | 0.000 | 0.000 | 0.000 |
| 205.561 | 382.898 | 205.561 | 0.000 | 0.000 | 0.000 |
| 378.679 | 378.679 | 492.321 | 0.000 | 0.000 | -0.000 |
| 70.443 | 70.443 | 70.443 | 51.109 | 0.000 | -0.000 |
| 73.182 | 73.182 | 73.182 | 0.000 | 88.664 | 0.000 |
| 73.182 | 73.182 | 73.182 | 0.000 | 0.000 | 88.664 |
| 286.205 | 144.129 | 144.129 | 0.000 | -0.000 | -0.000 |
| 144.129 | 286.205 | 144.129 | -0.000 | -0.000 | -0.000 |
| -72.314 | -72.314 | 41.339 | -0.000 | -0.000 | 0.000 |
| -73.182 | -73.182 | -73.182 | 88.664 | -0.000 | -0.000 |
| -73.182 | -73.182 | -73.182 | -0.000 | 88.664 | -0.000 |
| -73.182 | -73.182 | -73.182 | -0.000 | -0.000 | 88.664 |
| 298.178 | 163.025 | 163.025 | 0.000 | 0.000 | 0.000 |
| 163.025 | 298.178 | 163.025 | 0.000 | 0.000 | 0.000 |
| 163.025 | 163.025 | 298.178 | 0.000 | 0.000 | 0.000 |
| 22.526 | 22.526 | 22.526 | 64.325 | 0.000 | -0.000 |
| 22.526 | 22.526 | 22.526 | 0.000 | 64.325 | -0.000 |
| 22.526 | 22.526 | 22.526 | 0.000 | 0.000 | 64.325 |
| 259.383 | 128.356 | 128.356 | -0.000 | -0.000 | -0.000 |
| 128.356 | 259.383 | 128.356 | -0.000 | -0.000 | -0.000 |
| 128.356 | 128.356 | 259.383 | -0.000 | -0.000 | -0.000 |
| -22.526 | -22.526 | -22.526 | 64.325 | -0.000 | 0.000 |
| -22.526 | -22.526 | -22.526 | -0.000 | 64.325 | 0.000 |
| -22.526 | -22.526 | -22.526 | -0.000 | -0.000 | 64.325 |
| 272.304 | 153.510 | 153.510 | 0.000 | 0.000 | 0.000 |
| 153.510 | 272.304 | 153.510 | 0.000 | 0.000 | 0.000 |
| 153.510 | 153.510 | 272.304 | 0.000 | 0.000 | 0.000 |
| 2.193 | 2.194 | 2.194 | 65.004 | 0.000 | 0.000 |
| 2.194 | 2.193 | 2.194 | 0.000 | 65.004 | 0.000 |
| 2.194 | 2.194 | 2.193 | 0.000 | 0.000 | 65.004 |
| 286.204 | 144.129 | 144.129 | -0.000 | -0.000 | -0.000 |
| 155.911 | 253.966 | 155.911 | -0.000 | -0.000 | -0.000 |
| 148.569 | 148.569 | 268.077 | -0.000 | -0.000 | -0.000 |
| -2.193 | -2.194 | -2.194 | 65.004 | -0.000 | -0.000 |
| -2.194 | -2.193 | -2.194 | -0.000 | 65.004 | -0.000 |
| -2.149 | -2.149 | -2.148 | -0.000 | -0.000 | 66.157 |
| 367.676 | 23.291 | 254.098 | 0.000 | -0.000 | 0.000 |
| 46.343 | 419.037 | 200.045 | 0.000 | 0.000 | 0.000 |
| 195.304 | 118.496 | 352.037 | 0.000 | -0.000 | -0.000 |
| -0.183 | -24.638 | 63.051 | 34.261 | -0.000 | 0.000 |
| 0.000 | -0.000 | 0.000 | -0.000 | 122.686 | 0.000 |
| -0.171 | -23.022 | 58.916 | 0.000 | 0.000 | -35.758 |
| 368.020 | 69.591 | 135.612 | 0.000 | 0.000 | -0.000 |
| 46.688 | 465.586 | 80.921 | 0.000 | 0.000 | -0.000 |
| 195.433 | 135.893 | 307.516 | 0.000 | -0.000 | 0.000 |
| 0.183 | 24.638 | -63.051 | 34.261 | 0.000 | -0.000 |
| -0.000 | -0.000 | -0.000 | 0.000 | 122.686 | -0.000 |
| 0.171 | 23.022 | -58.916 | -0.000 | 0.000 | -35.758 |
| 367.849 | 46.579 | 194.500 | -0.000 | -0.000 | -0.000 |
| 46.498 | 439.973 | 146.468 | 0.000 | -0.000 | 0.000 |
| 195.458 | 139.238 | 298.956 | 0.000 | 0.000 | -0.000 |
| -0.072 | -9.718 | 24.869 | -18.049 | -0.000 | -0.000 |
| -0.017 | -2.303 | 5.893 | 0.000 | 122.686 | -0.000 |
| -0.018 | -2.396 | 6.132 | -0.000 | 0.000 | -35.533 |
| 367.849 | 46.579 | 194.500 | -0.000 | 0.000 | -0.000 |
| 46.532 | 444.591 | 134.650 | 0.000 | 0.000 | 0.000 |
| 195.433 | 135.893 | 307.516 | -0.000 | 0.000 | -0.000 |
| 0.072 | 9.718 | -24.869 | -18.049 | -0.000 | -0.000 |
| 0.017 | 2.303 | -5.893 | 0.000 | 122.686 | -0.000 |
| 0.018 | 2.396 | -6.132 | 0.000 | -0.000 | -35.533 |
| 367.851 | 46.579 | 194.501 | 0.000 | -0.000 | 0.000 |
| 46.514 | 442.060 | 141.134 | -0.000 | -0.000 | -0.000 |
| 195.473 | 141.294 | 293.697 | -0.000 | 0.000 | 0.000 |
| -0.002 | -0.230 | 0.586 | -79.769 | -0.000 | 0.000 |
| -0.001 | -0.233 | 0.596 | -0.000 | 122.686 | 0.000 |
| 3445930.636 | -14865438.675 | -5662249.252 | 0.000 | -0.000 | -6718443.260 |
| 367.847 | 46.580 | 194.499 | 0.000 | 0.000 | -0.000 |
| 46.517 | 442.516 | 139.953 | 0.000 | 0.000 | 0.000 |
| 195.476 | 141.754 | 292.516 | 0.000 | -0.000 | 0.000 |
| 0.002 | 0.230 | -0.586 | -79.769 | 0.000 | -0.000 |
| 0.001 | 0.233 | -0.596 | -0.000 | 122.686 | -0.000 |
| -3445930.636 | 14865438.675 | 5662249.252 | 0.000 | -0.000 | -6718443.260 |
| 316.764 | 142.846 | 118.313 | -0.000 | -0.000 | -0.000 |
| 143.567 | 308.042 | 119.946 | -0.000 | -0.000 | -0.000 |
| 118.719 | 119.632 | 356.713 | -0.000 | -0.000 | -0.000 |
| -0.000 | 0.000 | 0.000 | 92.861 | -0.000 | 0.000 |
| 0.000 | 0.000 | 0.000 | -0.000 | 91.603 | -0.000 |
| -0.000 | 0.000 | -0.000 | -0.000 | 0.000 | 80.099 |
| 316.764 | 142.846 | 118.313 | 0.000 | -0.000 | 0.000 |
| 127.940 | 323.192 | 119.735 | -0.000 | -0.000 | 0.000 |
| 118.719 | 119.632 | 356.713 | 0.000 | -0.000 | 0.000 |
| -0.000 | 0.000 | -0.000 | 92.861 | -0.000 | -0.000 |
| 0.000 | -0.000 | -0.000 | 0.000 | 91.603 | -0.000 |
| 0.000 | -0.000 | 0.000 | 0.000 | -0.000 | 80.099 |
| 316.764 | 142.846 | 118.313 | -0.000 | 0.000 | -0.000 |
| 143.567 | 308.042 | 119.946 | -0.000 | -0.000 | -0.000 |
| 118.719 | 119.632 | 356.713 | -0.000 | -0.000 | -0.000 |
| 0.000 | -0.000 | 0.000 | 92.861 | -0.000 | 0.000 |
| 0.000 | 0.000 | 0.000 | -0.000 | 91.603 | 0.000 |
| -0.000 | 0.000 | -0.000 | -0.000 | 0.000 | 80.099 |
| 316.764 | 142.846 | 118.313 | 0.000 | -0.000 | 0.000 |
| 143.567 | 308.042 | 119.946 | 0.000 | -0.000 | 0.000 |
| 118.719 | 119.632 | 356.713 | 0.000 | 0.000 | 0.000 |
| -0.000 | 0.000 | -0.000 | 92.861 | -0.000 | -0.000 |
| -0.000 | -0.000 | -0.000 | 0.000 | 91.603 | 0.000 |
| 0.000 | -0.000 | 0.000 | 0.000 | -0.000 | 80.099 |
| 316.766 | 142.846 | 118.313 | -0.000 | -0.000 | 0.000 |
| 143.567 | 308.043 | 119.946 | -0.000 | -0.000 | 0.000 |
| 118.720 | 119.633 | 356.715 | -0.000 | -0.000 | -0.000 |
| 0.000 | -0.000 | 0.001 | 92.861 | 0.000 | 0.000 |
| 0.000 | 0.000 | 0.001 | -0.000 | 91.603 | -0.000 |
| -0.000 | 0.000 | -0.000 | -0.000 | -0.000 | 80.099 |
| 316.762 | 142.846 | 118.313 | 0.000 | -0.000 | 0.000 |
| 143.566 | 308.041 | 119.947 | 0.000 | -0.000 | 0.000 |
| 118.718 | 119.632 | 356.711 | 0.000 | 0.000 | 0.000 |
| -0.000 | 0.000 | -0.001 | 92.861 | -0.000 | 0.000 |
| -0.000 | -0.000 | -0.001 | 0.000 | 91.603 | -0.000 |
| 0.000 | -0.000 | 0.000 | 0.000 | 0.000 | 80.099 |
| -516203265.885 | -537046496.476 | -330364035.722 | 849434.282 | -8914505.960 | -6451521.498 |
| 121.943 | 317.672 | -0.302 | -0.000 | -0.000 | 0.000 |
| -0.302 | -0.302 | 446.663 | -0.000 | -0.000 | 0.000 |
| 0.000 | -0.000 | -0.000 | -29.087 | -0.000 | 0.000 |
| 0.000 | -0.000 | -0.000 | 0.000 | -29.087 | 0.000 |
| -0.000 | -0.000 | -0.000 | 0.000 | 0.000 | -51.854 |
| 317.672 | 121.943 | -0.302 | 0.000 | 0.000 | -0.000 |
| 121.943 | 317.672 | -0.302 | 0.000 | 0.000 | -0.000 |
| -0.302 | -0.302 | 446.662 | 0.000 | 0.000 | -0.000 |
| 0.000 | -0.000 | 0.000 | -29.087 | 0.000 | -0.000 |
| -0.000 | 0.000 | 0.000 | -0.000 | -29.087 | -0.000 |
| -0.000 | 0.000 | 0.000 | -0.000 | 0.000 | -51.854 |
| 167.955 | 271.660 | -0.302 | 0.000 | 0.000 | 0.000 |
| 271.663 | 167.952 | -0.302 | 0.000 | 0.000 | 0.000 |
| -0.302 | -0.302 | 446.663 | -0.000 | -0.000 | 0.000 |
| 0.000 | 0.000 | -0.000 | -29.087 | -0.000 | 0.000 |
| 0.000 | -0.000 | -0.000 | -0.000 | -29.087 | -0.000 |
| -0.000 | -0.000 | -0.000 | -0.000 | -0.000 | -51.854 |
| 167.952 | 271.663 | -0.302 | -0.000 | 0.000 | 0.000 |
| 121.943 | 317.672 | -0.302 | 0.000 | 0.000 | -0.000 |
| -0.302 | -0.302 | 446.662 | 0.000 | 0.000 | -0.000 |
| -0.000 | -0.000 | 0.000 | -29.087 | 0.000 | -0.000 |
| -0.000 | -0.000 | 0.000 | 0.000 | -29.087 | -0.000 |
| 0.000 | 0.000 | 0.000 | 0.000 | 0.000 | -51.854 |
| -5357203.130 | -5521073.821 | -3663607.366 | 46465.657 | -67283.193 | -69499.321 |
| -4423158.302 | -6089625.677 | -7456998.641 | 1340.819 | -2405.193 | -13085.509 |
| -0.302 | -0.302 | 446.666 | 0.000 | 0.000 | 0.000 |
| 0.000 | 0.000 | -0.000 | -29.087 | -0.000 | 0.000 |
| 0.000 | 0.000 | -0.000 | -0.000 | -29.087 | 0.000 |
| -6528227.172 | -6624759.767 | -6887016.587 | 8630.035 | -35301.934 | -206485.600 |
| 5257086.549 | 6805237.797 | 8216698.026 | -13748.908 | 24287.537 | -5005.960 |
| 271.668 | 167.945 | -0.302 | -0.000 | 0.000 | -0.000 |
| -0.302 | -0.302 | 446.659 | -0.000 | 0.000 | -0.000 |
| -0.000 | -0.000 | 0.000 | -29.087 | 0.000 | -0.000 |
| -0.000 | -0.000 | 0.000 | 0.000 | -29.087 | -0.000 |
| 6246928.367 | 6592867.083 | 6688004.701 | -11073.200 | 32239.508 | -186928.776 |
| 324.160 | 132.868 | 119.696 | 7.918 | -0.000 | 0.000 |
| 132.868 | 324.160 | 119.696 | -7.918 | -0.000 | -0.000 |
| 119.668 | 119.668 | 347.247 | -0.000 | -0.000 | -0.000 |
| 9.373 | -9.361 | 0.018 | 85.611 | 0.000 | 0.000 |
| 0.006 | 0.006 | 0.018 | 0.000 | 85.611 | 9.367 |
| -0.000 | 0.000 | -0.000 | -0.000 | 7.918 | 95.646 |
| 312.240 | 144.767 | 119.663 | 9.389 | 0.000 | -0.000 |
| 144.543 | 312.392 | 119.545 | -9.366 | 0.000 | -0.000 |
| 119.665 | 119.665 | 347.239 | 0.000 | 0.000 | -0.000 |
| 7.918 | -7.918 | -0.000 | 85.790 | 0.000 | -0.000 |
| -0.006 | -0.006 | -0.018 | -0.000 | 85.611 | 9.367 |
| 0.000 | -0.000 | 0.000 | 0.000 | 7.918 | 95.646 |
| 312.352 | 144.594 | 119.565 | 9.372 | 0.000 | 0.000 |
| 132.868 | 324.160 | 119.696 | -7.918 | -0.000 | 0.000 |
| 119.696 | 119.696 | 347.339 | -0.000 | -0.000 | 0.000 |
| 7.918 | -7.918 | 0.000 | 85.790 | 0.000 | 0.000 |
| 0.000 | 0.000 | 0.000 | 0.000 | 85.790 | 7.918 |
| 0.001 | 0.001 | 0.002 | 0.000 | 9.389 | 83.737 |
| 324.160 | 132.868 | 119.696 | 7.918 | 0.000 | -0.000 |
| 144.585 | 312.359 | 119.561 | -9.371 | -0.000 | -0.000 |
| 119.696 | 119.696 | 347.339 | 0.000 | -0.000 | -0.000 |
| 7.918 | -7.918 | -0.000 | 85.790 | 0.000 | 0.000 |
| -0.000 | -0.000 | -0.000 | -0.000 | 85.790 | 7.918 |
| -0.001 | -0.001 | -0.002 | -0.000 | 9.389 | 83.737 |
| 312.244 | 144.768 | 119.667 | 9.389 | -0.000 | 0.000 |
| 132.868 | 324.162 | 119.696 | -7.918 | -0.000 | -0.000 |
| 119.667 | 119.667 | 347.245 | 0.000 | 0.000 | 0.000 |
| 7.918 | -7.918 | 0.001 | 85.790 | -0.000 | 0.000 |
| 0.000 | 0.000 | 0.001 | 0.000 | 85.790 | 7.918 |
| 0.000 | 0.001 | 0.000 | 0.000 | 9.389 | 83.737 |
| 312.354 | 144.589 | 119.563 | 9.371 | 0.000 | -0.000 |
| 144.589 | 312.354 | 119.563 | -9.371 | 0.000 | -0.000 |
| 119.695 | 119.695 | 347.335 | -0.000 | 0.000 | -0.000 |
| 7.918 | -7.918 | -0.001 | 85.790 | -0.000 | 0.000 |
| -0.000 | -0.000 | -0.001 | -0.000 | 85.790 | 7.918 |
| -0.000 | -0.001 | -0.000 | -0.000 | 9.389 | 83.737 |
| 324.285 | 130.406 | 93.386 | -0.000 | 0.000 | 0.000 |
| 130.406 | 324.285 | 93.386 | 0.000 | -0.000 | 0.000 |
| 88.985 | 88.985 | 415.627 | -0.000 | -0.000 | 0.000 |
| 0.000 | 0.000 | -0.000 | 49.638 | -0.000 | 0.000 |
| 0.000 | 0.000 | -0.000 | -0.000 | 49.638 | -0.000 |
| 0.000 | 0.000 | -0.000 | -0.000 | 0.000 | 96.939 |
| 324.285 | 130.406 | 93.386 | -0.000 | -0.000 | -0.000 |
| 130.406 | 324.285 | 93.386 | -0.000 | 0.000 | -0.000 |
| 330.707 | 330.707 | -98.464 | 0.000 | 0.000 | 0.000 |
| -0.000 | -0.000 | 0.000 | 49.638 | 0.000 | -0.000 |
| -0.000 | -0.000 | 0.000 | -0.000 | 49.638 | -0.000 |
| -0.000 | -0.000 | 0.000 | 0.000 | 0.000 | 96.939 |
| 324.285 | 130.406 | 93.386 | -0.000 | -0.000 | -0.000 |
| 130.406 | 324.285 | 93.386 | 0.000 | -0.000 | 0.000 |
| 88.985 | 88.985 | 415.627 | -0.000 | 0.000 | -0.000 |
| 0.000 | 0.000 | 0.000 | 49.638 | -0.000 | 0.000 |
| 0.000 | 0.000 | 0.000 | 0.000 | 49.638 | -0.000 |
| -523.176 | -523.174 | 990.591 | -0.000 | -0.000 | 27.554 |
| 291.532 | 206.266 | 48.313 | 0.000 | 0.000 | -0.000 |
| 778.371 | 963.359 | -1104.504 | -0.000 | 0.000 | -0.000 |
| 88.985 | 88.985 | 415.627 | -0.000 | 0.000 | -0.000 |
| -0.000 | -0.000 | 0.000 | 49.638 | 0.000 | -0.000 |
| -0.000 | -0.000 | -0.000 | -0.000 | 49.638 | -0.000 |
| 523.176 | 523.174 | -990.591 | -0.000 | 0.000 | 27.554 |
| 211.261 | 134.559 | 200.224 | 0.000 | -0.000 | -0.000 |
| 130.406 | 324.287 | 93.386 | 0.000 | 0.000 | 0.000 |
| 90.342 | 90.342 | 409.905 | -0.000 | -0.000 | 0.000 |
| 0.000 | 0.000 | 0.000 | 49.638 | -0.000 | 0.000 |
| -37.085 | -37.085 | 69.789 | 0.000 | -4.134 | -0.000 |
| 0.000 | 0.000 | 0.000 | 0.000 | 0.000 | 96.939 |
| 324.283 | 130.406 | 93.386 | 0.000 | 0.000 | -0.000 |
| 130.406 | 324.283 | 93.386 | 0.000 | 0.000 | -0.000 |
| 95.877 | 95.877 | 397.410 | 0.000 | 0.000 | -0.000 |
| -0.000 | -0.000 | -0.000 | 49.638 | 0.000 | -0.000 |
| 37.085 | 37.085 | -69.789 | 0.000 | -4.134 | -0.000 |
| -0.000 | -0.000 | -0.000 | 0.000 | 0.000 | 96.939 |
| 343.523 | 138.340 | -37.727 | 0.000 | 0.000 | -0.010 |
| 138.340 | 343.523 | -37.727 | 0.000 | -0.000 | -0.010 |
| 100.131 | 100.131 | 251.584 | -0.000 | 0.000 | -0.010 |
| -7.143 | -7.143 | -145.553 | 42.211 | -0.000 | -0.010 |
| -7.143 | -7.143 | -145.553 | 0.000 | 42.211 | -0.010 |
| 0.000 | 0.000 | 0.000 | -0.000 | -0.000 | 73.568 |
| 357.803 | 152.631 | 253.383 | -0.000 | -0.000 | 0.010 |
| 152.631 | 357.803 | 253.383 | 0.000 | 0.000 | 0.010 |
| -2.299 | -2.299 | 896.369 | -0.000 | 0.000 | 0.010 |
| 7.143 | 7.143 | 145.553 | 42.211 | 0.000 | 0.010 |
| 7.143 | 7.143 | 145.553 | 0.000 | 42.211 | 0.010 |
| 7.146 | 7.146 | 145.608 | 0.000 | 0.000 | 58.848 |
| 366.153 | 133.128 | 105.917 | 0.000 | -0.000 | -0.000 |
| 133.128 | 366.153 | 105.917 | 0.000 | -0.000 | -0.000 |
| 106.570 | 106.570 | 382.556 | 0.000 | -0.000 | -0.001 |
| 11.079 | 11.079 | -50.245 | 39.404 | -0.000 | -0.001 |
| 11.079 | 11.079 | -50.245 | -0.000 | 39.404 | -0.001 |
| -0.715 | -0.715 | -14.569 | 0.000 | -0.000 | 58.829 |
| 351.330 | 146.239 | 122.407 | -0.000 | -0.000 | 0.001 |
| 146.239 | 351.330 | 122.407 | -0.000 | -0.000 | 0.001 |
| 99.514 | 99.514 | 436.131 | -0.000 | -0.000 | 0.001 |
| -11.079 | -11.079 | 50.245 | 39.404 | 0.000 | 0.001 |
| -11.079 | -11.079 | 50.245 | -0.000 | 39.404 | 0.001 |
| 0.715 | 0.715 | 14.569 | -0.000 | -0.000 | 58.831 |
| 261.500 | 233.255 | 104.493 | 0.000 | 0.000 | 0.000 |
| 233.255 | 261.500 | 104.493 | 0.000 | -0.000 | 0.000 |
| 109.269 | 109.269 | 389.899 | -0.000 | -0.000 | -0.000 |
| 1.452 | 1.452 | -6.091 | 38.545 | 0.000 | -0.000 |
| 1.452 | 1.452 | -6.091 | 0.000 | 38.545 | -0.000 |
| 1.657 | 1.657 | -6.725 | 0.000 | 0.000 | 40.412 |
| 272.795 | 216.855 | 111.100 | -0.000 | 0.000 | 0.000 |
| 225.061 | 265.531 | 112.943 | 0.000 | 0.000 | 0.000 |
| 107.090 | 107.090 | 399.942 | 0.000 | -0.000 | 0.000 |
| -1.452 | -1.452 | 6.091 | 38.545 | 0.000 | 0.000 |
| -1.452 | -1.452 | 6.091 | 0.000 | 38.545 | 0.000 |
| -0.522 | -0.522 | 3.012 | 0.000 | 0.000 | 24.483 |
| 396.537 | 297.156 | 297.156 | -0.000 | -0.000 | -0.000 |
| 297.156 | 396.537 | 297.156 | -0.000 | -0.000 | -0.000 |
| 297.156 | 297.156 | 396.537 | -0.000 | -0.000 | -0.000 |
| 0.000 | -0.000 | 0.000 | 272.085 | -0.000 | -0.000 |
| -0.000 | 0.000 | 0.000 | 0.000 | 272.085 | -0.000 |
| -0.000 | 0.000 | 0.000 | -0.000 | -0.000 | 272.085 |
| 396.537 | 297.156 | 297.156 | 0.000 | 0.000 | 0.000 |
| 297.156 | 396.537 | 297.156 | 0.000 | 0.000 | -0.000 |
| 297.156 | 297.156 | 396.537 | 0.000 | 0.000 | 0.000 |
| -0.000 | 0.000 | -0.000 | 272.085 | 0.000 | -0.000 |
| 0.000 | -0.000 | -0.000 | -0.000 | 272.085 | 0.000 |
| 0.000 | -0.000 | -0.000 | -0.000 | 0.000 | 272.085 |
| 396.537 | 297.156 | 297.156 | -0.000 | -0.000 | -0.000 |
| 297.156 | 396.537 | 297.156 | -0.000 | -0.000 | -0.000 |
| 297.156 | 297.156 | 396.537 | -0.000 | -0.000 | -0.000 |
| 0.000 | -0.000 | 0.000 | 272.085 | -0.000 | 0.000 |
| -0.000 | 0.000 | 0.000 | -0.000 | 272.085 | -0.000 |
| -0.000 | 0.000 | 0.000 | 0.000 | -0.000 | 272.085 |
| 396.537 | 297.155 | 297.155 | 0.000 | 0.000 | 0.000 |
| 297.155 | 396.537 | 297.155 | 0.000 | 0.000 | 0.000 |
| 297.155 | 297.155 | 396.537 | 0.000 | 0.000 | 0.000 |
| -0.000 | 0.000 | -0.000 | 272.085 | 0.000 | -0.000 |
| 0.000 | -0.000 | -0.000 | -0.000 | 272.085 | 0.000 |
| 0.000 | -0.000 | -0.000 | 0.000 | 0.000 | 272.085 |
| 396.537 | 297.156 | 297.156 | -0.000 | -0.000 | -0.000 |
| 297.156 | 396.537 | 297.156 | -0.000 | -0.000 | -0.000 |
| 297.156 | 297.156 | 396.537 | -0.000 | -0.000 | -0.000 |
| 0.000 | -0.000 | -0.000 | 89.985 | -0.000 | -0.000 |
| -0.000 | 0.000 | -0.000 | -0.000 | 89.985 | -0.000 |
| -0.000 | -0.000 | 0.000 | 0.000 | -0.000 | 89.985 |
| 396.536 | 297.155 | 297.155 | 0.000 | 0.000 | 0.000 |
| 297.155 | 396.536 | 297.155 | 0.000 | 0.000 | 0.000 |
| 297.155 | 297.155 | 396.536 | 0.000 | 0.000 | 0.000 |
| -0.000 | 0.000 | 0.000 | 89.985 | 0.000 | -0.000 |
| 0.000 | -0.000 | 0.000 | 0.000 | 89.985 | -0.000 |
| 0.000 | 0.000 | -0.000 | 0.000 | 0.000 | 89.985 |
| 774.964 | 145.046 | 145.046 | -0.000 | -0.000 | -0.000 |
| 145.046 | 774.964 | 145.046 | -0.000 | -0.000 | -0.000 |
| 145.046 | 145.046 | 774.964 | -0.000 | -0.000 | -0.000 |
| 0.000 | 0.000 | 0.000 | 105.734 | -0.000 | -0.000 |
| 0.000 | 0.000 | 0.000 | -0.000 | 105.734 | -0.000 |
| 0.000 | 0.000 | 0.000 | -0.000 | -0.000 | 105.734 |
| 771.287 | 146.885 | 146.885 | 0.000 | 0.000 | 0.000 |
| 146.885 | 771.287 | 146.885 | 0.000 | 0.000 | 0.000 |
| 145.046 | 145.046 | 774.964 | 0.000 | 0.000 | -0.000 |
| -0.000 | -0.000 | -0.000 | 105.734 | 0.000 | 0.000 |
| -0.000 | -0.000 | -0.000 | 0.000 | 105.734 | 0.000 |
| -0.000 | -0.000 | -0.000 | 0.000 | 0.000 | 105.734 |
| 771.289 | 146.885 | 146.885 | -0.000 | -0.000 | -0.000 |
| 146.885 | 771.289 | 146.885 | -0.000 | -0.000 | -0.000 |
| 146.885 | 146.885 | 771.289 | -0.000 | -0.000 | -0.000 |
| 0.000 | 0.000 | 0.000 | 8.596 | -0.000 | -0.000 |
| 0.000 | 0.000 | 0.000 | -0.000 | 8.596 | -0.000 |
| 0.000 | 0.000 | 0.000 | -0.000 | -0.000 | 8.596 |
| 774.962 | 145.046 | 145.046 | 0.000 | 0.000 | 0.000 |
| 145.046 | 774.962 | 145.046 | 0.000 | 0.000 | 0.000 |
| 145.046 | 145.046 | 774.962 | 0.000 | 0.000 | 0.000 |
| -0.000 | -0.000 | -0.000 | 8.596 | 0.000 | 0.000 |
| -0.000 | -0.000 | -0.000 | 0.000 | 8.596 | 0.000 |
| -0.000 | -0.000 | -0.000 | 0.000 | 0.000 | 8.596 |
| 771.304 | 146.889 | 146.889 | -0.000 | -0.000 | -0.000 |
| 146.889 | 771.304 | 146.889 | -0.000 | -0.000 | -0.000 |
| 146.889 | 146.889 | 771.304 | -0.000 | -0.000 | -0.000 |
| 0.004 | 0.001 | 0.001 | 8.596 | 0.000 | -0.000 |
| 0.001 | 0.004 | 0.001 | -0.000 | 8.596 | -0.000 |
| 0.001 | 0.001 | 0.004 | -0.000 | 0.000 | 8.596 |
| 771.270 | 146.881 | 146.881 | 0.000 | 0.000 | 0.000 |
| 146.881 | 771.270 | 146.881 | 0.000 | 0.000 | 0.000 |
| 146.881 | 146.881 | 771.270 | 0.000 | 0.000 | -0.000 |
| -0.004 | -0.001 | -0.001 | 8.596 | 0.000 | 0.000 |
| -0.001 | -0.004 | -0.001 | 0.000 | 8.596 | 0.000 |
| -0.001 | -0.001 | -0.004 | 0.000 | 0.000 | 8.596 |
| 275.141 | 51.149 | 51.149 | -0.000 | 0.000 | 0.000 |
| 51.149 | 275.141 | 51.149 | -0.000 | 0.000 | -0.000 |
| 51.149 | 51.149 | 275.141 | -0.000 | -0.000 | -0.000 |
| -0.000 | -0.000 | -0.000 | -53.736 | -0.000 | 0.000 |
| -0.000 | -0.000 | -0.000 | -0.000 | -53.736 | -0.000 |
| -0.000 | -0.000 | -0.000 | -0.000 | -0.000 | -53.736 |
| 275.141 | 51.149 | 51.149 | 0.000 | 0.000 | -0.000 |
| 51.149 | 275.141 | 51.149 | 0.000 | 0.000 | 0.000 |
| 51.149 | 51.149 | 275.141 | 0.000 | -0.000 | -0.000 |
| 0.000 | 0.000 | 0.000 | -53.736 | 0.000 | 0.000 |
| 0.000 | 0.000 | 0.000 | 0.000 | -53.736 | -0.000 |
| 0.000 | 0.000 | 0.000 | 0.000 | 0.000 | -53.736 |
| 276.752 | 50.344 | 50.344 | 0.000 | 0.000 | 0.000 |
| 50.344 | 276.752 | 50.344 | 0.000 | -0.000 | 0.000 |
| 50.344 | 50.344 | 276.752 | 0.000 | -0.000 | -0.000 |
| -0.000 | -0.000 | -0.000 | -53.736 | -0.000 | 0.000 |
| -0.000 | -0.000 | -0.000 | -0.000 | -53.736 | -0.000 |
| -0.000 | -0.000 | -0.000 | -0.000 | -0.000 | -53.736 |
| 275.141 | 51.149 | 51.149 | 0.000 | 0.000 | 0.000 |
| 51.149 | 275.141 | 51.149 | 0.000 | 0.000 | 0.000 |
| 51.149 | 51.149 | 275.141 | 0.000 | 0.000 | -0.000 |
| 0.000 | 0.000 | 0.000 | -53.736 | -0.000 | 0.000 |
| 0.000 | 0.000 | 0.000 | 0.000 | -53.736 | 0.000 |
| 0.000 | 0.000 | 0.000 | 0.000 | -0.000 | -53.736 |
| 276.749 | 50.342 | 50.342 | 0.000 | -0.000 | -0.000 |
| 50.342 | 276.749 | 50.342 | 0.000 | 0.000 | 0.000 |
| 50.342 | 50.342 | 276.749 | -0.000 | -0.000 | -0.000 |
| -0.001 | -0.000 | -0.001 | -53.736 | -0.000 | -0.000 |
| -0.000 | -0.001 | -0.001 | -0.000 | -53.736 | -0.000 |
| -0.000 | -0.001 | -0.001 | -0.000 | -0.000 | -53.736 |
| 275.144 | 51.151 | 51.151 | -0.000 | -0.000 | 0.000 |
| 51.151 | 275.144 | 51.151 | 0.000 | 0.000 | -0.000 |
| 51.151 | 51.151 | 275.144 | -0.000 | -0.000 | -0.000 |
| 0.001 | 0.000 | 0.001 | -53.736 | -0.000 | 0.000 |
| 0.000 | 0.001 | 0.001 | 0.000 | -53.736 | 0.000 |
| 0.000 | 0.001 | 0.001 | 0.000 | 0.000 | -53.736 |
| 2.260 | 0.000 | 0.000 | 0.000 | -0.000 | 0.000 |
| 0.000 | 2.260 | 0.000 | 0.000 | -0.000 | -0.000 |
| 0.000 | 0.000 | 2.260 | -0.000 | 0.000 | -0.000 |
| 0.000 | -0.000 | 0.000 | 0.000 | -0.000 | -0.000 |
| -0.000 | 0.000 | 0.000 | 0.000 | 0.000 | -0.000 |
| -0.000 | 0.000 | 0.000 | 0.000 | -0.000 | 0.000 |
| 2.260 | 0.000 | 0.000 | 0.000 | 0.000 | -0.000 |
| 0.000 | 2.260 | 0.000 | 0.000 | 0.000 | -0.000 |
| -0.000 | -0.000 | 2.260 | -0.000 | 0.000 | 0.000 |
| -0.000 | 0.000 | -0.000 | 0.000 | 0.000 | 0.000 |
| 0.000 | -0.000 | -0.000 | -0.000 | 0.000 | -0.000 |
| 0.000 | -0.000 | -0.000 | -0.000 | -0.000 | 0.000 |
| 2.260 | 0.000 | 0.000 | 0.000 | -0.000 | -0.000 |
| 0.000 | 2.260 | 0.000 | 0.000 | -0.000 | 0.000 |
| 0.000 | 0.000 | 2.260 | 0.000 | 0.000 | -0.000 |
| 0.000 | -0.000 | -0.000 | 0.000 | -0.000 | 0.000 |
| -0.000 | 0.000 | -0.000 | -0.000 | 0.000 | 0.000 |
| -0.000 | -0.000 | -0.000 | -0.000 | -0.000 | 0.000 |
| 2.260 | -0.000 | -0.000 | -0.000 | 0.000 | 0.000 |
| -0.000 | 2.260 | -0.000 | 0.000 | 0.000 | 0.000 |
| -0.000 | -0.000 | 2.260 | -0.000 | 0.000 | 0.000 |
| -0.000 | 0.000 | 0.000 | 0.000 | 0.000 | -0.000 |
| 0.000 | -0.000 | 0.000 | 0.000 | 0.000 | 0.000 |
| 0.000 | 0.000 | 0.000 | 0.000 | 0.000 | 0.000 |
| 2.260 | 0.000 | 0.000 | 0.000 | 0.000 | -0.000 |
| -0.000 | 2.260 | -0.000 | -0.000 | -0.000 | -0.000 |
| 0.000 | 0.000 | 2.260 | -0.000 | 0.000 | -0.000 |
| 0.000 | -0.000 | -0.000 | 0.000 | -0.000 | -0.000 |
| -0.000 | 0.000 | -0.000 | 0.000 | 0.000 | -0.000 |
| -0.000 | -0.000 | 0.000 | 0.000 | 0.000 | 0.000 |
| 2.261 | 0.000 | 0.000 | 0.000 | 0.000 | 0.000 |
| 0.000 | 2.261 | 0.000 | 0.000 | 0.000 | 0.000 |
| 0.000 | 0.000 | 2.261 | -0.000 | -0.000 | -0.000 |
| -0.000 | 0.000 | 0.000 | 0.000 | 0.000 | 0.000 |
| 0.000 | -0.000 | 0.000 | -0.000 | 0.000 | -0.000 |
| 0.000 | 0.000 | 0.000 | 0.000 | 0.000 | 0.000 |
| 163.077 | 160.358 | 160.358 | 0.000 | 0.000 | 0.000 |
| 160.358 | 163.077 | 160.358 | 0.000 | 0.000 | -0.000 |
| 160.358 | 160.358 | 163.077 | -0.000 | -0.000 | 0.000 |
| 0.000 | 0.000 | -0.000 | 114.578 | -0.000 | 0.000 |
| 0.000 | 0.000 | 0.000 | -0.000 | 114.578 | 0.000 |
| 0.000 | 0.000 | 0.000 | 0.000 | 0.000 | 114.578 |
| 163.077 | 160.358 | 160.358 | -0.000 | -0.000 | -0.000 |
| 160.358 | 163.077 | 160.358 | -0.000 | -0.000 | 0.000 |
| 160.358 | 160.358 | 163.077 | -0.000 | -0.000 | -0.000 |
| -0.000 | -0.000 | -0.000 | 114.578 | -0.000 | 0.000 |
| -0.000 | -0.000 | -0.000 | 0.000 | 114.578 | -0.000 |
| -0.000 | -0.000 | -0.000 | -0.000 | -0.000 | 114.578 |
| 163.077 | 160.358 | 160.358 | -0.000 | 0.000 | 0.000 |
| 160.358 | 163.077 | 160.358 | -0.000 | 0.000 | -0.000 |
| 160.358 | 160.358 | 163.077 | -0.000 | -0.000 | 0.000 |
| 0.000 | 0.000 | 0.000 | 114.607 | 0.000 | 0.000 |
| 0.000 | 0.000 | 0.000 | 0.000 | 114.607 | -0.000 |
| 0.000 | 0.000 | 0.000 | 0.000 | 0.000 | 114.607 |
| 163.077 | 160.358 | 160.358 | -0.000 | -0.000 | -0.000 |
| 160.358 | 163.077 | 160.358 | -0.000 | -0.000 | -0.000 |
| 160.358 | 160.358 | 163.077 | 0.000 | -0.000 | -0.000 |
| -0.000 | -0.000 | -0.000 | 114.607 | -0.000 | -0.000 |
| -0.000 | -0.000 | -0.000 | -0.000 | 114.607 | -0.000 |
| -0.000 | -0.000 | -0.000 | 0.000 | -0.000 | 114.607 |
| 163.077 | 160.359 | 160.359 | 0.000 | 0.000 | 0.000 |
| 160.359 | 163.077 | 160.359 | 0.000 | 0.000 | 0.000 |
| 160.359 | 160.359 | 163.077 | 0.000 | 0.000 | 0.000 |
| 0.000 | 0.000 | 0.000 | 114.578 | 0.000 | -0.000 |
| 0.000 | 0.000 | 0.000 | 0.000 | 114.578 | 0.000 |
| 0.000 | 0.000 | 0.000 | 0.000 | 0.000 | 114.578 |
| 163.076 | 160.358 | 160.358 | -0.000 | -0.000 | -0.000 |
| 160.358 | 163.076 | 160.358 | -0.000 | -0.000 | -0.000 |
| 160.358 | 160.358 | 163.076 | -0.000 | -0.000 | -0.000 |
| -0.000 | -0.000 | -0.000 | 114.578 | -0.000 | -0.000 |
| -0.000 | -0.000 | -0.000 | -0.000 | 114.578 | -0.000 |
| -0.000 | -0.000 | -0.000 | -0.000 | -0.000 | 114.578 |
| 372.370 | 176.647 | 176.647 | -0.000 | 0.000 | 0.000 |
| 176.647 | 372.370 | 176.647 | 0.000 | -0.000 | 0.000 |
| 176.647 | 176.647 | 372.370 | 0.000 | 0.000 | -0.000 |
| -0.000 | -0.000 | 0.000 | 107.145 | -0.000 | -0.000 |
| -0.000 | -0.000 | 0.000 | -0.000 | 107.145 | 0.000 |
| -0.000 | 0.000 | 0.000 | -0.000 | -0.000 | 107.145 |
| 372.370 | 176.647 | 176.647 | -0.000 | 0.000 | 0.000 |
| 176.647 | 372.370 | 176.647 | 0.000 | -0.000 | 0.000 |
| 176.647 | 176.647 | 372.370 | 0.000 | 0.000 | -0.000 |
| 0.000 | -0.000 | -0.000 | 107.145 | -0.000 | -0.000 |
| -0.000 | 0.000 | -0.000 | -0.000 | 107.145 | -0.000 |
| 0.000 | -0.000 | -0.000 | 0.000 | -0.000 | 107.145 |
| 372.370 | 176.647 | 176.647 | 0.000 | -0.000 | -0.000 |
| 176.647 | 372.370 | 176.647 | -0.000 | 0.000 | -0.000 |
| 176.647 | 176.647 | 372.370 | -0.000 | -0.000 | 0.000 |
| -0.000 | -0.000 | 0.000 | 107.145 | 0.000 | 0.000 |
| -0.000 | -0.000 | 0.000 | 0.000 | 107.145 | 0.000 |
| -0.000 | 0.000 | -0.000 | 0.000 | 0.000 | 107.145 |
| 372.370 | 176.647 | 176.647 | -0.000 | -0.000 | -0.000 |
| 176.647 | 372.370 | 176.647 | -0.000 | 0.000 | -0.000 |
| 176.647 | 176.647 | 372.370 | -0.000 | -0.000 | 0.000 |
| 0.000 | 0.000 | -0.000 | 107.145 | -0.000 | -0.000 |
| 0.000 | 0.000 | -0.000 | 0.000 | 107.145 | -0.000 |
| 0.000 | -0.000 | 0.000 | 0.000 | -0.000 | 107.145 |
| 372.368 | 176.648 | 176.648 | 0.000 | 0.000 | 0.000 |
| 176.648 | 372.368 | 176.648 | -0.000 | 0.000 | -0.000 |
| 176.648 | 176.648 | 372.368 | -0.000 | -0.000 | 0.000 |
| -0.000 | -0.000 | 0.000 | 107.145 | 0.000 | 0.000 |
| -0.000 | -0.000 | 0.000 | 0.000 | 107.145 | 0.000 |
| -0.000 | 0.000 | -0.000 | -0.000 | 0.000 | 107.145 |
| 372.372 | 176.647 | 176.647 | 0.000 | -0.000 | -0.000 |
| 176.647 | 372.372 | 176.647 | -0.000 | -0.000 | -0.000 |
| 176.647 | 176.647 | 372.372 | -0.000 | -0.000 | -0.000 |
| 0.000 | 0.000 | -0.000 | 107.145 | 0.000 | -0.000 |
| 0.000 | 0.000 | -0.000 | 0.000 | 107.145 | -0.000 |
| 0.000 | -0.000 | 0.000 | 0.000 | -0.000 | 107.145 |
| 381.259 | 177.007 | 163.961 | -0.000 | -0.000 | -0.000 |
| 171.377 | 391.812 | 165.137 | -0.000 | -0.000 | -0.000 |
| 165.185 | 165.185 | 362.326 | -0.000 | -0.000 | 0.000 |
| 0.000 | 0.000 | 0.000 | 113.793 | -0.000 | -0.000 |
| 0.000 | 0.000 | 0.000 | -0.000 | 113.173 | 0.000 |
| 0.000 | 0.000 | 0.000 | -0.000 | -0.000 | 98.517 |
| 391.812 | 171.377 | 165.137 | 0.000 | 0.000 | -0.000 |
| 177.007 | 381.259 | 163.961 | 0.000 | 0.000 | 0.000 |
| 164.601 | 164.601 | 362.047 | -0.000 | -0.000 | 0.000 |
| -0.000 | -0.000 | -0.000 | 113.793 | 0.000 | 0.000 |
| -0.000 | -0.000 | -0.000 | 0.000 | 113.173 | 0.000 |
| 0.000 | -0.000 | -0.000 | 0.000 | 0.000 | 98.517 |
| 381.259 | 177.007 | 163.961 | -0.000 | -0.000 | -0.000 |
| 171.377 | 391.812 | 165.137 | 0.000 | -0.000 | -0.000 |
| 164.601 | 164.601 | 362.047 | -0.000 | -0.000 | -0.000 |
| 0.000 | 0.000 | 0.000 | 113.173 | -0.000 | -0.000 |
| 0.000 | 0.000 | 0.000 | -0.000 | 113.793 | -0.000 |
| 0.000 | 0.000 | 0.000 | 0.000 | -0.000 | 98.517 |
| 391.812 | 171.377 | 165.137 | 0.000 | 0.000 | 0.000 |
| 171.377 | 391.812 | 165.137 | 0.000 | 0.000 | 0.000 |
| 165.185 | 165.185 | 362.326 | -0.000 | -0.000 | 0.000 |
| -0.000 | -0.000 | -0.000 | 113.173 | -0.000 | 0.000 |
| -0.000 | -0.000 | -0.000 | -0.000 | 113.793 | -0.000 |
| -0.000 | -0.000 | -0.000 | 0.000 | 0.000 | 98.517 |
| 381.261 | 177.008 | 163.963 | -0.000 | -0.000 | -0.000 |
| 182.977 | 377.828 | 164.569 | -0.000 | -0.000 | -0.000 |
| 164.603 | 164.603 | 362.044 | -0.000 | 0.000 | -0.000 |
| 0.001 | 0.002 | 0.002 | 113.173 | 0.000 | -0.000 |
| 0.002 | 0.001 | 0.002 | -0.000 | 113.173 | -0.000 |
| 0.000 | 0.000 | 0.000 | -0.000 | -0.000 | 98.517 |
| 391.809 | 171.376 | 165.135 | -0.000 | -0.000 | 0.000 |
| 182.800 | 377.853 | 164.530 | 0.000 | 0.000 | 0.000 |
| 165.182 | 165.182 | 362.329 | -0.000 | -0.000 | 0.000 |
| -0.001 | -0.002 | -0.002 | 113.173 | 0.000 | 0.000 |
| -0.002 | -0.001 | -0.002 | -0.000 | 113.173 | 0.000 |
| -0.000 | -0.000 | -0.000 | 0.000 | 0.000 | 98.517 |
| 377.259 | 182.440 | 163.951 | -0.000 | 0.000 | 0.000 |
| 176.686 | 380.635 | 163.378 | -0.000 | -0.000 | 0.000 |
| 164.562 | 164.562 | 360.408 | 0.000 | 0.000 | -0.000 |
| 0.000 | 0.000 | 0.000 | 113.271 | 0.000 | 0.000 |
| 0.000 | 0.000 | 0.000 | 0.000 | 113.271 | -0.000 |
| -0.000 | 0.000 | 0.000 | -0.000 | 0.000 | 98.395 |
| 391.158 | 171.071 | 164.561 | 0.000 | 0.000 | -0.000 |
| 171.071 | 391.158 | 164.561 | 0.000 | 0.000 | 0.000 |
| 163.973 | 163.973 | 360.124 | 0.000 | 0.000 | -0.000 |
| -0.000 | -0.000 | -0.000 | 113.271 | 0.000 | -0.000 |
| -0.000 | -0.000 | -0.000 | -0.000 | 113.271 | -0.000 |
| 0.000 | -0.000 | -0.000 | -0.000 | -0.000 | 98.395 |
| 391.159 | 171.071 | 164.562 | -0.000 | -0.000 | 0.000 |
| 171.071 | 391.159 | 164.562 | 0.000 | -0.000 | 0.000 |
| 164.562 | 164.562 | 360.408 | -0.000 | 0.000 | -0.000 |
| 0.000 | 0.000 | 0.000 | 113.271 | -0.000 | 0.000 |
| 0.000 | 0.000 | 0.000 | -0.000 | 112.643 | -0.000 |
| 0.000 | 0.000 | 0.000 | 0.000 | -0.000 | 98.395 |
| 391.158 | 171.071 | 164.561 | 0.000 | 0.000 | 0.000 |
| 176.686 | 380.635 | 163.378 | 0.000 | 0.000 | -0.000 |
| 163.972 | 163.972 | 360.124 | 0.000 | 0.000 | -0.000 |
| -0.000 | -0.000 | -0.000 | 113.271 | 0.000 | 0.000 |
| -0.000 | -0.000 | -0.000 | 0.000 | 112.643 | 0.000 |
| -0.000 | -0.000 | -0.000 | 0.000 | 0.000 | 98.395 |
| 391.161 | 171.072 | 164.564 | -0.000 | -0.000 | 0.000 |
| 176.687 | 380.637 | 163.380 | 0.000 | 0.000 | 0.000 |
| 164.564 | 164.564 | 360.406 | -0.000 | -0.000 | -0.000 |
| 0.001 | 0.002 | 0.002 | 113.271 | -0.000 | 0.000 |
| 0.002 | 0.001 | 0.002 | -0.000 | 113.271 | -0.000 |
| 0.000 | 0.000 | 0.000 | -0.000 | 0.000 | 98.395 |
| 391.156 | 171.070 | 164.559 | 0.000 | 0.000 | -0.000 |
| 182.439 | 377.257 | 163.949 | 0.000 | -0.000 | -0.000 |
| 164.559 | 164.559 | 360.411 | -0.000 | -0.000 | -0.000 |
| -0.001 | -0.002 | -0.002 | 113.271 | -0.000 | -0.000 |
| -0.002 | -0.001 | -0.002 | 0.000 | 113.271 | -0.000 |
| -0.000 | -0.000 | -0.000 | 0.000 | 0.000 | 98.395 |
| 313.829 | 236.396 | 190.982 | 0.000 | -0.000 | -0.000 |
| 181.659 | 376.134 | 200.439 | 0.000 | 0.000 | 0.000 |
| 183.767 | 183.767 | 528.941 | -0.000 | 0.000 | 0.000 |
| 0.000 | 0.000 | 0.000 | 50.093 | 0.000 | -0.000 |
| 0.000 | 0.000 | 0.000 | 0.000 | 50.093 | 0.000 |
| 0.000 | 0.000 | 0.000 | 0.000 | -0.000 | 59.054 |
| 376.134 | 181.659 | 200.439 | -0.000 | 0.000 | -0.000 |
| 189.553 | 345.668 | 172.231 | -0.000 | 0.000 | -0.000 |
| 183.767 | 183.767 | 528.941 | -0.000 | -0.000 | -0.000 |
| -0.000 | -0.000 | -0.000 | 50.093 | -0.000 | -0.000 |
| -0.000 | -0.000 | -0.000 | 0.000 | 50.093 | -0.000 |
| -0.000 | -0.000 | -0.000 | 0.000 | 0.000 | 59.054 |
| 376.135 | 181.659 | 200.439 | -0.000 | -0.000 | 0.000 |
| 181.659 | 376.135 | 200.439 | -0.000 | 0.000 | 0.000 |
| 199.050 | 199.050 | 567.136 | -0.000 | 0.000 | 0.000 |
| 0.000 | 0.000 | 0.000 | 50.093 | 0.000 | 0.000 |
| 0.000 | 0.000 | 0.000 | -0.000 | 119.746 | 0.000 |
| 0.000 | 0.000 | 0.000 | 0.000 | -0.000 | 59.054 |
| 376.134 | 181.659 | 200.439 | -0.000 | -0.000 | -0.000 |
| 189.553 | 345.667 | 172.231 | -0.000 | -0.000 | 0.000 |
| 183.767 | 183.767 | 528.941 | -0.000 | -0.000 | -0.000 |
| -0.000 | -0.000 | -0.000 | 50.093 | 0.000 | -0.000 |
| -0.000 | -0.000 | -0.000 | -0.000 | 119.746 | 0.000 |
| -0.000 | -0.000 | -0.000 | -0.000 | -0.000 | 59.054 |
| 345.674 | 189.554 | 172.234 | 0.000 | 0.000 | 0.000 |
| 189.554 | 345.675 | 172.234 | -0.000 | 0.000 | 0.000 |
| 183.771 | 183.771 | 528.948 | 0.000 | 0.000 | 0.000 |
| 0.001 | 0.002 | 0.002 | 50.093 | 0.000 | -0.000 |
| 0.002 | 0.001 | 0.002 | -0.000 | 50.093 | -0.000 |
| 0.002 | 0.001 | 0.001 | -0.000 | -0.000 | 59.054 |
| 345.662 | 189.551 | 172.228 | -0.000 | -0.000 | -0.000 |
| 189.552 | 345.661 | 172.229 | -0.000 | -0.000 | -0.000 |
| 183.765 | 183.765 | 528.936 | -0.000 | -0.000 | -0.000 |
| -0.001 | -0.002 | -0.002 | 50.093 | 0.000 | 0.000 |
| -0.002 | -0.001 | -0.002 | 0.000 | 50.093 | 0.000 |
| -0.002 | -0.001 | -0.001 | 0.000 | -0.000 | 59.054 |
| 391.926 | 160.879 | 173.250 | 0.000 | 0.000 | 0.000 |
| 160.879 | 391.926 | 173.250 | -0.000 | 0.000 | 0.000 |
| 173.250 | 173.250 | 307.097 | 0.000 | 0.000 | -0.000 |
| -0.000 | -0.000 | -0.000 | 107.955 | -0.000 | 0.000 |
| -0.000 | -0.000 | -0.000 | -0.000 | 107.955 | 0.000 |
| -0.000 | -0.000 | -0.000 | -0.000 | 0.000 | 98.187 |
| 391.926 | 160.879 | 173.250 | -0.000 | -0.000 | -0.000 |
| 160.879 | 391.926 | 173.250 | -0.000 | -0.000 | -0.000 |
| 173.250 | 173.250 | 307.097 | 0.000 | -0.000 | -0.000 |
| 0.000 | 0.000 | 0.000 | 107.955 | 0.000 | 0.000 |
| 0.000 | 0.000 | 0.000 | 0.000 | 107.955 | 0.000 |
| 0.000 | 0.000 | 0.000 | 0.000 | -0.000 | 98.187 |
| 391.926 | 160.879 | 173.250 | 0.000 | -0.000 | 0.000 |
| 160.879 | 391.926 | 173.250 | -0.000 | 0.000 | 0.000 |
| 173.250 | 173.250 | 307.097 | -0.000 | -0.000 | 0.000 |
| -0.000 | -0.000 | -0.000 | 107.955 | -0.000 | 0.000 |
| -0.000 | -0.000 | -0.000 | -0.000 | 107.955 | -0.000 |
| -0.000 | -0.000 | -0.000 | 0.000 | 0.000 | 98.187 |
| 391.926 | 160.879 | 173.250 | -0.000 | -0.000 | -0.000 |
| 160.879 | 391.926 | 173.250 | -0.000 | -0.000 | -0.000 |
| 173.250 | 173.250 | 307.097 | -0.000 | -0.000 | 0.000 |
| 0.000 | 0.000 | 0.000 | 107.955 | -0.000 | 0.000 |
| 0.000 | 0.000 | 0.000 | -0.000 | 107.955 | -0.000 |
| 0.000 | 0.000 | 0.000 | -0.000 | -0.000 | 98.187 |
| 391.923 | 160.879 | 173.250 | -0.000 | 0.000 | 0.000 |
| 160.879 | 391.923 | 173.250 | 0.000 | -0.000 | 0.000 |
| 173.250 | 173.250 | 307.096 | 0.000 | 0.000 | 0.000 |
| -0.000 | -0.000 | -0.000 | 107.955 | -0.000 | 0.000 |
| -0.000 | -0.000 | -0.000 | -0.000 | 107.955 | -0.000 |
| -0.000 | -0.000 | -0.000 | -0.000 | 0.000 | 98.187 |
| 391.929 | 160.879 | 173.250 | 0.000 | 0.000 | -0.000 |
| 160.879 | 391.929 | 173.250 | -0.000 | 0.000 | 0.000 |
| 173.250 | 173.250 | 307.098 | -0.000 | -0.000 | -0.000 |
| 0.000 | 0.000 | 0.000 | 107.955 | 0.000 | -0.000 |
| 0.000 | 0.000 | 0.000 | 0.000 | 107.955 | 0.000 |
| 0.000 | 0.000 | 0.000 | -0.000 | -0.000 | 98.187 |
| 388.835 | 180.527 | 166.484 | -0.000 | -0.000 | 0.000 |
| 171.246 | 391.548 | 164.906 | -0.000 | -0.000 | -0.000 |
| 164.927 | 164.927 | 361.297 | -0.000 | -0.000 | -0.000 |
| 0.000 | 0.000 | 0.000 | 113.583 | 0.000 | 0.000 |
| 3.473 | 3.473 | 1.669 | -0.000 | 113.322 | -0.000 |
| 0.000 | -0.000 | 0.000 | -0.000 | -0.000 | 110.151 |
| 381.691 | 170.537 | 162.367 | 0.000 | 0.000 | -0.000 |
| 171.246 | 391.548 | 164.906 | -0.000 | 0.000 | -0.000 |
| 164.927 | 164.927 | 361.297 | 0.000 | 0.000 | 0.000 |
| -0.000 | -0.000 | -0.000 | 113.583 | 0.000 | -0.000 |
| -3.473 | -3.473 | -1.669 | -0.000 | 113.322 | -0.000 |
| -0.000 | 0.000 | -0.000 | 0.000 | 0.000 | 110.151 |
| 391.548 | 171.246 | 164.906 | -0.000 | 0.000 | 0.000 |
| 171.246 | 391.548 | 164.906 | -0.000 | 0.000 | -0.000 |
| 164.683 | 164.683 | 361.179 | -0.000 | -0.000 | -0.000 |
| 0.000 | 0.000 | 0.000 | 113.583 | 0.000 | -0.000 |
| 0.599 | 0.599 | 0.288 | -0.000 | 113.134 | 0.000 |
| 0.000 | 0.000 | 0.000 | -0.000 | -0.000 | 110.151 |
| 381.621 | 175.615 | 163.570 | -0.000 | -0.000 | 0.000 |
| 175.615 | 381.621 | 163.570 | 0.000 | 0.000 | -0.000 |
| 164.927 | 164.927 | 361.297 | 0.000 | 0.000 | 0.000 |
| -0.599 | -0.599 | -0.288 | 113.134 | 0.000 | -0.000 |
| -0.599 | -0.599 | -0.288 | 0.000 | 113.134 | 0.000 |
| -0.000 | -0.000 | -0.000 | 0.000 | 0.000 | 110.151 |
| 391.550 | 171.246 | 164.908 | 0.000 | -0.000 | -0.000 |
| 171.246 | 391.550 | 164.908 | 0.000 | -0.000 | 0.000 |
| 164.377 | 164.377 | 361.029 | -0.000 | -0.000 | -0.000 |
| 0.001 | 0.002 | 0.002 | 113.583 | -0.000 | 0.000 |
| 0.036 | 0.035 | 0.019 | 0.000 | 112.958 | 0.000 |
| 0.099 | 0.100 | 0.048 | -0.000 | -0.000 | 98.479 |
| 381.074 | 176.734 | 163.706 | 0.000 | -0.000 | -0.000 |
| 171.245 | 391.546 | 164.904 | -0.000 | 0.000 | -0.000 |
| 164.304 | 164.304 | 361.001 | 0.000 | -0.000 | 0.000 |
| -0.001 | -0.002 | -0.002 | 113.583 | 0.000 | 0.000 |
| -0.036 | -0.035 | -0.019 | -0.000 | 112.958 | -0.000 |
| -0.099 | -0.100 | -0.048 | 0.000 | 0.000 | 98.479 |
| 299.881 | 30.751 | 30.751 | -0.000 | -0.000 | -0.000 |
| 30.751 | 299.881 | 30.751 | -0.000 | 0.000 | 0.000 |
| 30.751 | 30.751 | 299.881 | -0.000 | -0.000 | -0.000 |
| 0.000 | -0.000 | -0.000 | -27.801 | 0.000 | -0.000 |
| 0.000 | 0.000 | -0.000 | 0.000 | -27.801 | -0.000 |
| 0.000 | -0.000 | 0.000 | 0.000 | 0.000 | -27.801 |
| 299.881 | 30.751 | 30.751 | -0.000 | -0.000 | -0.000 |
| 30.751 | 299.881 | 30.751 | -0.000 | 0.000 | 0.000 |
| 30.751 | 30.751 | 299.881 | 0.000 | 0.000 | -0.000 |
| -0.000 | -0.000 | 0.000 | -27.801 | -0.000 | 0.000 |
| -0.000 | -0.000 | 0.000 | -0.000 | -27.801 | 0.000 |
| -0.000 | 0.000 | -0.000 | 0.000 | -0.000 | -27.801 |
| 299.881 | 30.751 | 30.751 | 0.000 | 0.000 | -0.000 |
| 30.751 | 299.881 | 30.751 | 0.000 | 0.000 | -0.000 |
| 30.751 | 30.751 | 299.881 | -0.000 | -0.000 | -0.000 |
| -0.000 | -0.000 | -0.000 | -27.801 | -0.000 | -0.000 |
| -0.000 | -0.000 | -0.000 | 0.000 | -27.801 | -0.000 |
| -0.000 | -0.000 | -0.000 | 0.000 | -0.000 | -27.801 |
| 299.880 | 30.751 | 30.751 | -0.000 | -0.000 | 0.000 |
| 30.751 | 299.880 | 30.751 | -0.000 | 0.000 | 0.000 |
| 30.751 | 30.751 | 299.880 | 0.000 | 0.000 | 0.000 |
| 0.000 | 0.000 | 0.000 | -27.801 | 0.000 | 0.000 |
| 0.000 | 0.000 | 0.000 | -0.000 | -27.801 | 0.000 |
| 0.000 | 0.000 | 0.000 | -0.000 | 0.000 | -27.801 |
| 299.882 | 30.751 | 30.751 | 0.000 | -0.000 | -0.000 |
| 30.751 | 299.882 | 30.751 | 0.000 | 0.000 | -0.000 |
| 30.751 | 30.751 | 299.882 | -0.000 | -0.000 | -0.000 |
| -0.000 | -0.000 | -0.000 | -27.801 | -0.000 | -0.000 |
| -0.000 | -0.000 | -0.000 | -0.000 | -27.801 | -0.000 |
| -0.000 | -0.000 | -0.000 | 0.000 | 0.000 | -27.801 |
| 299.880 | 30.751 | 30.751 | -0.000 | -0.000 | -0.000 |
| 30.751 | 299.880 | 30.751 | -0.000 | 0.000 | 0.000 |
| 30.751 | 30.751 | 299.880 | -0.000 | -0.000 | 0.000 |
| 0.000 | 0.000 | 0.000 | -27.801 | -0.000 | 0.000 |
| 0.000 | 0.000 | 0.000 | -0.000 | -27.801 | 0.000 |
| 0.000 | 0.000 | 0.000 | 0.000 | -0.000 | -27.801 |
| 478.432 | 357.229 | 357.229 | -0.000 | 0.000 | 0.000 |
| 357.229 | 478.432 | 357.229 | 0.000 | 0.000 | 0.000 |
| 357.229 | 357.229 | 478.432 | -0.000 | 0.000 | 0.000 |
| 0.000 | 0.000 | 0.000 | 310.012 | 0.000 | 0.000 |
| 0.000 | 0.000 | 0.000 | 0.000 | 310.012 | 0.000 |
| 0.000 | 0.000 | 0.000 | 0.000 | 0.000 | 310.012 |
| 478.432 | 357.229 | 357.229 | -0.000 | -0.000 | -0.000 |
| 357.229 | 478.432 | 357.229 | 0.000 | 0.000 | -0.000 |
| 357.229 | 357.229 | 478.432 | 0.000 | -0.000 | -0.000 |
| -0.000 | -0.000 | -0.000 | 310.012 | -0.000 | -0.000 |
| -0.000 | -0.000 | -0.000 | -0.000 | 310.012 | -0.000 |
| -0.000 | -0.000 | -0.000 | -0.000 | -0.000 | 310.012 |
| 478.433 | 357.229 | 357.229 | 0.000 | 0.000 | 0.000 |
| 357.229 | 478.433 | 357.229 | 0.000 | 0.000 | -0.000 |
| 357.229 | 357.229 | 478.433 | 0.000 | 0.000 | 0.000 |
| 0.000 | 0.001 | 0.001 | 310.012 | 0.000 | 0.000 |
| 0.001 | 0.000 | 0.001 | 0.000 | 310.012 | 0.000 |
| 0.001 | 0.001 | 0.000 | 0.000 | 0.000 | 310.012 |
| 478.431 | 357.228 | 357.228 | 0.000 | -0.000 | -0.000 |
| 357.228 | 478.431 | 357.228 | 0.000 | 0.000 | -0.000 |
| 357.228 | 357.228 | 478.431 | -0.000 | -0.000 | -0.000 |
| -0.000 | -0.001 | -0.001 | 310.012 | -0.000 | -0.000 |
| -0.001 | -0.000 | -0.001 | -0.000 | 310.012 | -0.000 |
| -0.001 | -0.001 | -0.000 | -0.000 | -0.000 | 310.012 |
| 478.445 | 357.236 | 357.236 | 0.000 | 0.000 | 0.000 |
| 357.236 | 478.445 | 357.236 | 0.000 | -0.000 | 0.000 |
| 357.236 | 357.236 | 478.445 | 0.000 | 0.000 | 0.000 |
| 0.002 | 0.007 | 0.007 | 310.012 | 0.000 | 0.000 |
| 0.007 | 0.002 | 0.007 | 0.000 | 310.012 | 0.000 |
| 0.007 | 0.007 | 0.002 | 0.000 | -0.000 | 310.012 |
| 478.419 | 357.221 | 357.221 | -0.000 | -0.000 | -0.000 |
| 357.221 | 478.419 | 357.221 | -0.000 | -0.000 | 0.000 |
| 357.221 | 357.221 | 478.419 | -0.000 | 0.000 | -0.000 |
| -0.002 | -0.007 | -0.007 | 310.012 | 0.000 | -0.000 |
| -0.007 | -0.002 | -0.007 | -0.000 | 310.012 | -0.000 |
| -0.007 | -0.007 | -0.002 | -0.000 | 0.000 | 310.012 |
| -463.823 | -213.124 | -213.124 | 0.000 | 0.000 | 0.000 |
| -213.124 | -463.823 | -213.124 | 0.000 | 0.000 | 0.000 |
| -213.124 | -213.124 | -463.823 | 0.000 | 0.000 | -0.000 |
| 0.000 | 0.000 | 0.000 | -255.739 | 0.000 | 0.000 |
| 0.000 | 0.000 | 0.000 | 0.000 | -255.739 | 0.000 |
| 0.000 | 0.000 | 0.000 | 0.000 | 0.000 | -255.739 |
| -463.823 | -213.124 | -213.124 | -0.000 | 0.000 | 0.000 |
| -213.124 | -463.823 | -213.124 | 0.000 | -0.000 | -0.000 |
| -213.124 | -213.124 | -463.823 | -0.000 | -0.000 | -0.000 |
| -0.000 | -0.000 | -0.000 | -255.739 | -0.000 | 0.000 |
| -0.000 | -0.000 | -0.000 | -0.000 | -255.739 | 0.000 |
| -0.000 | -0.000 | -0.000 | -0.000 | -0.000 | -255.739 |
| -463.823 | -213.124 | -213.124 | 0.000 | 0.000 | 0.000 |
| -213.124 | -463.823 | -213.124 | 0.000 | 0.000 | -0.000 |
| -213.124 | -213.124 | -463.823 | 0.000 | 0.000 | 0.000 |
| 0.000 | 0.000 | 0.000 | -255.739 | 0.000 | 0.000 |
| 0.000 | 0.000 | 0.000 | 0.000 | -255.739 | -0.000 |
| 0.000 | 0.000 | 0.000 | 0.000 | 0.000 | -255.739 |
| -463.824 | -213.124 | -213.124 | -0.000 | -0.000 | 0.000 |
| -213.124 | -463.824 | -213.124 | -0.000 | -0.000 | 0.000 |
| -213.124 | -213.124 | -463.824 | -0.000 | -0.000 | -0.000 |
| -0.000 | -0.000 | -0.000 | -255.739 | -0.000 | 0.000 |
| -0.000 | -0.000 | -0.000 | -0.000 | -255.739 | -0.000 |
| -0.000 | -0.000 | -0.000 | -0.000 | -0.000 | -255.739 |
| -463.819 | -213.123 | -213.123 | 0.000 | 0.000 | -0.000 |
| -213.123 | -463.819 | -213.123 | -0.000 | 0.000 | -0.000 |
| -213.123 | -213.123 | -463.819 | 0.000 | 0.000 | 0.000 |
| 0.001 | 0.002 | 0.002 | -255.739 | 0.000 | -0.000 |
| 0.002 | 0.001 | 0.002 | 0.000 | -255.739 | -0.000 |
| 0.002 | 0.002 | 0.001 | 0.000 | 0.000 | -255.739 |
| -463.827 | -213.126 | -213.126 | -0.000 | -0.000 | 0.000 |
| -213.126 | -463.827 | -213.126 | -0.000 | -0.000 | 0.000 |
| -213.126 | -213.126 | -463.827 | -0.000 | -0.000 | -0.000 |
| -0.001 | -0.002 | -0.002 | -255.739 | -0.000 | 0.000 |
| -0.002 | -0.001 | -0.002 | -0.000 | -255.739 | 0.000 |
| -0.002 | -0.002 | -0.001 | -0.000 | -0.000 | -255.739 |
| 129.630 | 148.137 | 148.137 | 0.000 | -0.000 | 0.000 |
| 148.137 | 129.630 | 148.137 | -0.000 | -0.000 | -0.000 |
| 148.137 | 148.137 | 129.630 | -0.000 | -0.000 | 0.000 |
| 0.000 | -0.000 | 0.000 | 114.251 | -0.000 | -0.000 |
| -0.000 | 0.000 | -0.000 | -0.000 | 114.251 | 0.000 |
| -0.000 | 0.000 | -0.000 | 0.000 | -0.000 | 114.251 |
| 129.630 | 148.137 | 148.137 | -0.000 | 0.000 | -0.000 |
| 148.137 | 129.630 | 148.137 | 0.000 | 0.000 | 0.000 |
| 148.137 | 148.137 | 129.630 | 0.000 | 0.000 | -0.000 |
| -0.000 | 0.000 | -0.000 | 114.251 | -0.000 | -0.000 |
| 0.000 | -0.000 | 0.000 | -0.000 | 114.251 | -0.000 |
| 0.000 | -0.000 | 0.000 | -0.000 | 0.000 | 114.251 |
| 129.630 | 148.137 | 148.137 | 0.000 | -0.000 | 0.000 |
| 148.137 | 129.630 | 148.137 | -0.000 | 0.000 | -0.000 |
| 148.137 | 148.137 | 129.630 | 0.000 | 0.000 | 0.000 |
| 0.000 | -0.000 | 0.000 | 114.251 | 0.000 | 0.000 |
| -0.000 | 0.000 | 0.000 | 0.000 | 114.251 | 0.000 |
| -0.000 | 0.000 | 0.000 | 0.000 | 0.000 | 114.251 |
| 129.630 | 148.137 | 148.137 | 0.000 | 0.000 | -0.000 |
| 148.137 | 129.630 | 148.137 | 0.000 | 0.000 | -0.000 |
| 148.137 | 148.137 | 129.630 | -0.000 | 0.000 | -0.000 |
| -0.000 | 0.000 | -0.000 | 114.251 | -0.000 | -0.000 |
| 0.000 | -0.000 | -0.000 | -0.000 | 114.251 | -0.000 |
| 0.000 | -0.000 | -0.000 | -0.000 | -0.000 | 114.251 |
| 129.631 | 148.137 | 148.137 | 0.000 | 0.000 | 0.000 |
| 148.137 | 129.631 | 148.137 | 0.000 | -0.000 | -0.000 |
| 148.137 | 148.137 | 129.631 | -0.000 | -0.000 | 0.000 |
| 0.000 | -0.000 | 0.000 | 114.251 | -0.000 | 0.000 |
| -0.000 | 0.000 | 0.000 | 0.000 | 114.251 | 0.000 |
| -0.000 | 0.000 | 0.000 | 0.000 | -0.000 | 114.251 |
| 129.629 | 148.136 | 148.136 | -0.000 | -0.000 | -0.000 |
| 148.136 | 129.629 | 148.136 | -0.000 | -0.000 | 0.000 |
| 148.136 | 148.136 | 129.629 | 0.000 | 0.000 | -0.000 |
| -0.000 | 0.000 | -0.000 | 114.251 | -0.000 | -0.000 |
| 0.000 | -0.000 | -0.000 | -0.000 | 114.251 | 0.000 |
| 0.000 | -0.000 | -0.000 | 0.000 | 0.000 | 114.251 |
| 150.988 | 141.354 | 141.354 | -0.000 | -0.000 | -0.000 |
| 141.354 | 150.988 | 141.354 | -0.000 | -0.000 | -0.000 |
| 141.354 | 141.354 | 150.988 | -0.000 | -0.000 | -0.000 |
| -0.000 | -0.000 | -0.000 | 128.601 | -0.000 | 0.000 |
| -0.000 | -0.000 | -0.000 | -0.000 | 128.601 | 0.000 |
| -0.000 | -0.000 | 0.000 | -0.000 | 0.000 | 128.601 |
| 150.988 | 141.354 | 141.354 | 0.000 | 0.000 | 0.000 |
| 141.354 | 150.988 | 141.354 | 0.000 | 0.000 | 0.000 |
| 141.354 | 141.354 | 150.988 | 0.000 | 0.000 | 0.000 |
| 0.000 | 0.000 | 0.000 | 128.601 | -0.000 | -0.000 |
| 0.000 | 0.000 | 0.000 | -0.000 | 128.601 | -0.000 |
| 0.000 | 0.000 | 0.000 | -0.000 | -0.000 | 128.601 |
| 150.988 | 141.354 | 141.354 | -0.000 | -0.000 | -0.000 |
| 141.354 | 150.988 | 141.354 | -0.000 | -0.000 | -0.000 |
| 141.354 | 141.354 | 150.988 | -0.000 | -0.000 | -0.000 |
| -0.000 | -0.000 | -0.000 | 128.601 | 0.000 | 0.000 |
| -0.000 | -0.000 | -0.000 | 0.000 | 128.601 | 0.000 |
| -0.000 | -0.000 | -0.000 | 0.000 | 0.000 | 128.601 |
| 150.988 | 141.354 | 141.354 | 0.000 | 0.000 | 0.000 |
| 141.354 | 150.988 | 141.354 | 0.000 | 0.000 | 0.000 |
| 141.354 | 141.354 | 150.988 | 0.000 | 0.000 | 0.000 |
| 0.000 | 0.000 | 0.000 | 128.601 | -0.000 | -0.000 |
| 0.000 | 0.000 | 0.000 | -0.000 | 128.601 | -0.000 |
| 0.000 | 0.000 | 0.000 | -0.000 | -0.000 | 128.601 |
| 150.988 | 141.354 | 141.354 | -0.000 | -0.000 | -0.000 |
| 141.354 | 150.988 | 141.354 | -0.000 | -0.000 | -0.000 |
| 141.354 | 141.354 | 150.988 | -0.000 | -0.000 | -0.000 |
| -0.000 | -0.000 | -0.000 | 1.485 | -0.000 | -0.000 |
| -0.000 | -0.000 | -0.000 | -0.000 | 1.485 | -0.000 |
| -0.000 | -0.000 | -0.000 | -0.000 | -0.000 | 1.485 |
| 150.989 | 141.354 | 141.354 | 0.000 | 0.000 | 0.000 |
| 141.354 | 150.989 | 141.354 | 0.000 | 0.000 | 0.000 |
| 141.354 | 141.354 | 150.989 | 0.000 | 0.000 | 0.000 |
| 0.000 | 0.000 | 0.000 | 1.485 | 0.000 | 0.000 |
| 0.000 | 0.000 | 0.000 | 0.000 | 1.485 | 0.000 |
| 0.000 | 0.000 | 0.000 | 0.000 | 0.000 | 1.485 |
| 331.881 | 170.270 | 188.323 | -0.000 | 0.000 | -0.000 |
| 170.270 | 331.881 | 188.323 | 0.000 | 0.000 | 0.000 |
| 188.323 | 188.323 | 500.901 | -0.000 | -0.000 | -0.000 |
| 0.000 | -0.000 | 0.000 | 133.765 | -0.000 | -0.000 |
| -0.000 | 0.000 | 0.000 | -0.000 | 133.765 | 0.000 |
| -0.000 | -0.000 | 0.000 | -0.000 | -0.000 | 120.233 |
| 331.881 | 170.270 | 188.323 | -0.000 | -0.000 | 0.000 |
| 170.270 | 331.881 | 188.323 | -0.000 | -0.000 | 0.000 |
| 188.323 | 188.323 | 500.901 | -0.000 | -0.000 | 0.000 |
| -0.000 | 0.000 | -0.000 | 133.765 | 0.000 | -0.000 |
| 0.000 | -0.000 | -0.000 | -0.000 | 133.765 | -0.000 |
| 0.000 | 0.000 | -0.000 | 0.000 | -0.000 | 120.233 |
| 331.881 | 170.270 | 188.323 | 0.000 | -0.000 | -0.000 |
| 170.270 | 331.881 | 188.323 | 0.000 | -0.000 | -0.000 |
| 188.323 | 188.323 | 500.900 | -0.000 | -0.000 | -0.000 |
| -0.000 | -0.000 | -0.000 | 133.765 | -0.000 | 0.000 |
| -0.000 | -0.000 | -0.000 | -0.000 | 133.765 | -0.000 |
| -0.000 | -0.000 | -0.000 | 0.000 | 0.000 | 120.233 |
| 331.881 | 170.270 | 188.323 | -0.000 | -0.000 | 0.000 |
| 170.270 | 331.881 | 188.323 | -0.000 | -0.000 | 0.000 |
| 188.323 | 188.323 | 500.901 | 0.000 | 0.000 | 0.000 |
| 0.000 | 0.000 | 0.000 | 133.765 | 0.000 | 0.000 |
| 0.000 | 0.000 | 0.000 | -0.000 | 133.765 | -0.000 |
| 0.000 | 0.000 | 0.000 | -0.000 | 0.000 | 120.233 |
| 331.881 | 170.270 | 188.323 | 0.000 | 0.000 | -0.000 |
| 170.270 | 331.881 | 188.323 | 0.000 | 0.000 | -0.000 |
| 188.324 | 188.324 | 500.896 | 0.000 | 0.000 | 0.000 |
| -0.000 | -0.000 | -0.000 | 133.765 | 0.000 | -0.000 |
| -0.000 | -0.000 | -0.000 | -0.000 | 133.765 | -0.000 |
| -0.001 | -0.001 | -0.000 | 0.000 | -0.000 | 120.233 |
| 331.880 | 170.271 | 188.323 | -0.000 | -0.000 | -0.000 |
| 170.271 | 331.880 | 188.323 | -0.000 | 0.000 | -0.000 |
| 188.323 | 188.323 | 500.905 | -0.000 | -0.000 | 0.000 |
| 0.000 | 0.000 | 0.000 | 133.765 | -0.000 | 0.000 |
| 0.000 | 0.000 | 0.000 | 0.000 | 133.765 | -0.000 |
| 0.001 | 0.001 | 0.000 | -0.000 | -0.000 | 120.233 |
| 787.963 | 388.975 | 238.200 | 0.000 | 0.000 | 0.000 |
| 388.975 | 703.282 | 112.697 | 0.000 | 0.000 | 0.000 |
| 238.200 | 112.697 | 435.764 | 0.000 | 0.000 | 0.000 |
| 0.000 | 0.000 | -0.000 | 46.414 | 0.000 | -0.000 |
| -0.000 | 0.000 | 0.000 | -0.000 | 171.466 | -0.000 |
| -0.000 | 0.000 | -0.000 | 0.000 | 0.000 | 339.240 |
| 787.963 | 388.975 | 238.200 | -0.000 | -0.000 | 0.000 |
| 388.975 | 703.282 | 112.697 | -0.000 | -0.000 | -0.000 |
| 238.200 | 112.697 | 435.764 | -0.000 | -0.000 | -0.000 |
| 0.000 | -0.000 | 0.000 | 46.414 | -0.000 | -0.000 |
| 0.000 | -0.000 | -0.000 | -0.000 | 171.466 | 0.000 |
| -0.000 | -0.000 | -0.000 | -0.000 | -0.000 | 339.240 |
| 787.963 | 388.975 | 238.200 | 0.000 | 0.000 | 0.000 |
| 388.975 | 703.282 | 112.697 | 0.000 | 0.000 | 0.000 |
| 238.200 | 112.697 | 435.764 | 0.000 | 0.000 | 0.000 |
| 0.000 | 0.000 | 0.000 | 46.414 | 0.000 | -0.000 |
| -0.000 | 0.000 | 0.000 | 0.000 | 171.466 | -0.000 |
| 0.000 | 0.000 | 0.000 | 0.000 | 0.000 | 339.240 |
| 787.963 | 388.975 | 238.200 | -0.000 | -0.000 | -0.000 |
| 388.975 | 703.281 | 112.697 | -0.000 | -0.000 | -0.000 |
| 238.200 | 112.697 | 435.764 | 0.000 | -0.000 | -0.000 |
| -0.000 | -0.000 | -0.000 | 46.414 | -0.000 | -0.000 |
| 0.000 | -0.000 | -0.000 | 0.000 | 171.466 | 0.000 |
| -0.000 | -0.000 | -0.000 | -0.000 | -0.000 | 339.240 |
| 787.963 | 388.977 | 238.200 | -0.000 | 0.000 | 0.000 |
| 388.978 | 703.286 | 112.698 | 0.000 | 0.000 | 0.000 |
| 238.200 | 112.697 | 435.765 | 0.000 | 0.000 | 0.000 |
| 0.000 | 0.001 | 0.000 | 46.414 | 0.000 | 0.000 |
| -0.000 | 0.000 | 0.000 | -0.000 | 171.466 | 0.000 |
| 0.001 | 0.003 | 0.000 | 0.000 | 0.000 | 339.240 |
| 787.963 | 388.973 | 238.199 | -0.000 | -0.000 | -0.000 |
| 388.972 | 703.278 | 112.696 | -0.000 | -0.000 | -0.000 |
| 238.199 | 112.697 | 435.763 | 0.000 | 0.000 | -0.000 |
| -0.000 | -0.001 | -0.000 | 46.414 | -0.000 | 0.000 |
| 0.000 | -0.000 | -0.000 | -0.000 | 171.466 | -0.000 |
| -0.001 | -0.003 | -0.000 | -0.000 | -0.000 | 339.240 |
| 528.927 | 238.646 | 224.288 | 0.000 | -0.000 | 0.000 |
| 236.716 | 461.211 | 183.267 | 0.000 | -0.000 | 0.000 |
| 221.068 | 183.123 | 589.419 | -0.000 | -0.000 | -0.000 |
| 0.000 | 0.000 | -0.000 | 151.025 | -0.000 | 0.000 |
| 0.000 | 0.000 | -0.000 | 0.000 | 186.593 | 0.000 |
| 0.000 | 0.000 | -0.000 | 0.000 | -0.000 | 199.475 |
| 528.927 | 238.646 | 224.288 | -0.000 | 0.000 | -0.000 |
| 236.716 | 461.211 | 183.267 | 0.000 | 0.000 | 0.000 |
| 235.577 | 207.956 | 626.353 | 0.000 | 0.000 | 0.000 |
| -0.000 | -0.000 | 0.000 | 151.025 | 0.000 | -0.000 |
| -0.000 | -0.000 | 0.000 | 0.000 | 186.593 | -0.000 |
| -0.000 | -0.000 | 0.000 | 0.000 | 0.000 | 199.475 |
| 528.168 | 236.161 | 221.265 | -0.000 | 0.000 | -0.000 |
| 236.716 | 461.212 | 183.267 | -0.000 | -0.000 | 0.000 |
| 221.265 | 182.508 | 589.044 | 0.000 | 0.000 | 0.000 |
| 0.000 | -0.000 | -0.000 | 120.767 | 0.000 | 0.000 |
| 0.000 | 0.000 | -0.000 | -0.000 | 185.983 | 0.000 |
| 0.000 | 0.000 | 0.000 | 0.000 | -0.000 | 199.475 |
| 528.168 | 236.161 | 221.264 | 0.000 | -0.000 | -0.000 |
| 236.161 | 460.972 | 182.508 | 0.000 | -0.000 | -0.000 |
| 221.264 | 182.508 | 589.044 | 0.000 | -0.000 | -0.000 |
| -0.000 | 0.000 | 0.000 | 120.767 | -0.000 | 0.000 |
| -0.000 | -0.000 | 0.000 | -0.000 | 185.983 | -0.000 |
| -0.000 | -0.000 | -0.000 | 0.000 | -0.000 | 199.475 |
| 528.926 | 238.648 | 224.289 | -0.000 | -0.000 | -0.000 |
| 236.163 | 460.975 | 182.509 | 0.000 | 0.000 | 0.000 |
| 221.265 | 182.509 | 589.044 | 0.000 | -0.000 | -0.000 |
| 0.000 | 0.000 | 0.000 | 120.906 | -0.000 | 0.000 |
| 0.001 | 0.001 | -0.000 | -0.000 | 186.593 | 0.000 |
| 0.002 | 0.002 | 0.001 | 0.000 | -0.000 | 199.475 |
| 528.929 | 238.643 | 224.286 | -0.000 | 0.000 | -0.000 |
| 236.159 | 460.969 | 182.507 | 0.000 | -0.000 | -0.000 |
| 221.067 | 183.122 | 589.419 | 0.000 | 0.000 | -0.000 |
| -0.000 | -0.000 | -0.000 | 120.906 | 0.000 | -0.000 |
| -0.001 | -0.001 | 0.000 | 0.000 | 186.593 | -0.000 |
| -0.002 | -0.002 | -0.001 | -0.000 | 0.000 | 199.475 |
| 512.512 | 226.107 | 216.605 | 0.000 | -0.000 | -0.000 |
| 233.982 | 465.009 | 202.304 | -0.000 | 0.000 | -0.000 |
| 214.336 | 177.297 | 587.386 | 0.000 | -0.000 | -0.000 |
| 0.001 | -0.000 | 0.000 | 120.347 | -0.000 | -0.000 |
| 0.000 | -0.000 | 0.000 | -0.000 | 183.689 | -0.000 |
| 0.000 | -0.000 | 0.000 | -0.000 | -0.000 | 190.501 |
| 518.074 | 233.674 | 229.358 | 0.000 | -0.000 | 0.000 |
| 233.982 | 465.009 | 202.304 | -0.000 | 0.000 | 0.000 |
| 214.336 | 177.298 | 587.387 | 0.000 | 0.000 | 0.000 |
| -0.001 | 0.000 | -0.000 | 120.347 | 0.000 | 0.000 |
| -0.000 | -0.000 | -0.000 | -0.000 | 186.490 | 0.000 |
| -0.000 | 0.000 | -0.000 | -0.000 | 0.000 | 190.501 |
| 511.846 | 223.994 | 213.955 | -0.000 | -0.000 | -0.000 |
| 224.302 | 448.006 | 176.541 | -0.000 | 0.000 | -0.000 |
| 214.502 | 176.779 | 587.075 | 0.000 | -0.000 | -0.000 |
| -0.000 | 0.000 | -0.000 | 120.227 | 0.000 | -0.000 |
| 0.000 | 0.000 | -0.000 | 0.000 | 186.490 | -0.000 |
| 0.000 | 0.000 | 0.000 | 0.000 | -0.000 | 190.501 |
| 512.513 | 226.108 | 216.606 | 0.000 | 0.000 | 0.000 |
| 224.831 | 448.232 | 177.295 | 0.000 | 0.000 | 0.000 |
| 214.502 | 176.779 | 587.075 | -0.000 | -0.000 | 0.000 |
| 0.000 | -0.000 | 0.000 | 120.227 | -0.000 | 0.000 |
| -0.000 | -0.000 | 0.000 | -0.000 | 186.490 | 0.000 |
| -0.000 | -0.000 | -0.000 | -0.000 | -0.000 | 190.501 |
| 511.845 | 223.997 | 213.957 | -0.000 | -0.000 | -0.000 |
| 224.834 | 448.235 | 177.296 | -0.000 | -0.000 | -0.000 |
| 214.503 | 176.780 | 587.075 | -0.000 | -0.000 | -0.000 |
| 0.000 | 0.000 | -0.000 | 120.227 | 0.000 | -0.000 |
| 0.001 | 0.001 | -0.000 | -0.000 | 183.689 | -0.000 |
| 0.002 | 0.002 | 0.001 | -0.000 | -0.000 | 190.501 |
| 518.076 | 233.671 | 229.357 | -0.000 | 0.000 | 0.000 |
| 224.300 | 448.003 | 176.540 | -0.000 | 0.000 | 0.000 |
| 214.501 | 176.778 | 587.075 | 0.000 | -0.000 | 0.000 |
| -0.000 | -0.000 | 0.000 | 120.227 | -0.000 | 0.000 |
| -0.001 | -0.001 | 0.000 | 0.000 | 183.689 | 0.000 |
| -0.002 | -0.002 | -0.001 | -0.000 | 0.000 | 190.501 |
| 243.345 | 114.572 | 71.975 | -0.000 | -0.000 | -0.000 |
| 114.572 | 243.345 | 71.975 | -0.000 | -0.000 | -0.000 |
| 71.975 | 71.975 | 356.344 | 0.000 | -0.000 | -0.000 |
| 0.000 | 0.000 | 0.000 | 7.248 | 0.000 | 0.000 |
| 0.000 | 0.000 | -0.000 | -0.000 | 7.248 | -0.000 |
| 0.000 | 0.000 | -0.000 | -0.000 | -0.000 | 64.386 |
| 243.345 | 114.572 | 71.975 | 0.000 | 0.000 | 0.000 |
| 114.572 | 243.345 | 71.975 | -0.000 | 0.000 | 0.000 |
| 71.975 | 71.975 | 356.344 | 0.000 | 0.000 | 0.000 |
| -0.000 | -0.000 | 0.000 | 7.248 | 0.000 | -0.000 |
| -0.000 | -0.000 | 0.000 | -0.000 | 7.248 | 0.000 |
| -0.000 | -0.000 | 0.000 | 0.000 | 0.000 | 64.387 |
| 243.346 | 114.572 | 71.975 | 0.000 | -0.000 | -0.000 |
| 114.572 | 243.346 | 71.975 | 0.000 | -0.000 | -0.000 |
| 71.975 | 71.975 | 356.344 | -0.000 | -0.000 | -0.000 |
| 0.000 | 0.000 | 0.000 | 7.248 | -0.000 | -0.000 |
| 0.000 | 0.000 | 0.000 | 0.000 | 7.248 | -0.000 |
| 0.000 | 0.000 | 0.000 | -0.000 | -0.000 | 64.387 |
| 120.935 | 236.976 | 71.974 | 0.000 | 0.000 | 0.000 |
| 114.571 | 243.344 | 71.975 | 0.000 | 0.000 | -0.000 |
| 71.975 | 71.975 | 356.344 | -0.000 | -0.000 | 0.000 |
| -0.000 | -0.000 | -0.000 | 7.248 | -0.000 | 0.000 |
| -0.000 | -0.000 | -0.000 | 0.000 | 7.248 | 0.000 |
| -0.000 | -0.000 | -0.000 | 0.000 | 0.000 | 64.387 |
| 243.354 | 114.575 | 71.977 | 0.000 | -0.000 | -0.000 |
| 192.576 | 165.374 | 71.981 | 0.000 | -0.000 | -0.000 |
| 71.976 | 71.976 | 356.345 | 0.000 | -0.000 | 0.000 |
| -0.001 | 0.003 | 0.000 | 7.248 | -0.000 | -0.000 |
| 0.003 | -0.001 | 0.000 | 0.000 | 7.248 | -0.000 |
| 0.046 | -0.001 | 0.009 | -0.000 | -0.000 | -58.020 |
| 204.323 | 153.573 | 71.972 | -0.000 | -0.000 | 0.000 |
| 153.580 | 204.316 | 71.972 | -0.000 | -0.000 | 0.000 |
| 71.974 | 71.974 | 356.343 | -0.000 | 0.000 | -0.000 |
| -0.000 | -0.001 | -0.000 | 7.248 | 0.000 | 0.000 |
| -0.003 | 0.001 | -0.000 | -0.000 | 7.248 | 0.000 |
| -0.046 | 0.001 | -0.009 | 0.000 | 0.000 | -58.020 |
| 415.736 | 291.899 | 291.899 | 0.000 | 0.000 | -0.000 |
| 291.899 | 415.736 | 291.899 | 0.000 | 0.000 | 0.000 |
| 291.899 | 291.899 | 415.736 | 0.000 | 0.000 | -0.000 |
| 0.000 | 0.000 | 0.000 | 263.673 | 0.000 | -0.000 |
| 0.000 | 0.000 | 0.000 | 0.000 | 263.673 | 0.000 |
| 0.000 | 0.000 | 0.000 | -0.000 | 0.000 | 263.673 |
| 415.736 | 291.899 | 291.899 | -0.000 | -0.000 | 0.000 |
| 291.899 | 415.736 | 291.899 | -0.000 | -0.000 | 0.000 |
| 291.899 | 291.899 | 415.736 | -0.000 | -0.000 | 0.000 |
| -0.000 | -0.000 | -0.000 | 263.673 | -0.000 | 0.000 |
| -0.000 | -0.000 | -0.000 | -0.000 | 263.673 | -0.000 |
| -0.000 | -0.000 | -0.000 | -0.000 | -0.000 | 263.673 |
| 415.736 | 291.900 | 291.900 | 0.000 | 0.000 | -0.000 |
| 291.900 | 415.736 | 291.900 | 0.000 | 0.000 | 0.000 |
| 291.900 | 291.900 | 415.736 | 0.000 | 0.000 | -0.000 |
| 0.000 | 0.000 | 0.000 | 263.673 | 0.000 | 0.000 |
| 0.000 | 0.000 | 0.000 | 0.000 | 263.673 | 0.000 |
| 0.000 | 0.000 | 0.000 | 0.000 | 0.000 | 263.673 |
| 415.736 | 291.899 | 291.899 | -0.000 | -0.000 | 0.000 |
| 291.899 | 415.736 | 291.899 | -0.000 | -0.000 | -0.000 |
| 291.899 | 291.899 | 415.736 | -0.000 | -0.000 | 0.000 |
| -0.000 | -0.000 | -0.000 | 263.673 | -0.000 | -0.000 |
| -0.000 | -0.000 | -0.000 | 0.000 | 263.673 | -0.000 |
| -0.000 | -0.000 | -0.000 | -0.000 | -0.000 | 263.673 |
| 415.737 | 291.900 | 291.900 | 0.000 | 0.000 | -0.000 |
| 291.900 | 415.737 | 291.900 | -0.000 | 0.000 | -0.000 |
| 291.900 | 291.900 | 415.737 | -0.000 | 0.000 | -0.000 |
| 0.000 | -0.000 | 0.000 | 95.675 | 0.000 | -0.000 |
| -0.000 | 0.000 | 0.000 | 0.000 | 95.675 | 0.000 |
| -0.000 | 0.000 | 0.000 | 0.000 | 0.000 | 95.675 |
| 415.735 | 291.898 | 291.898 | -0.000 | -0.000 | 0.000 |
| 291.898 | 415.735 | 291.898 | -0.000 | -0.000 | 0.000 |
| 291.898 | 291.898 | 415.735 | -0.000 | -0.000 | 0.000 |
| -0.000 | 0.000 | -0.000 | 95.675 | -0.000 | -0.000 |
| 0.000 | -0.000 | -0.000 | -0.000 | 95.675 | 0.000 |
| 0.000 | -0.000 | -0.000 | -0.000 | -0.000 | 95.675 |
| 889.478 | 319.280 | 319.280 | 0.000 | 0.000 | 0.000 |
| 319.280 | 889.478 | 319.280 | 0.000 | 0.000 | 0.000 |
| 319.280 | 319.280 | 889.478 | 0.000 | 0.000 | 0.000 |
| -0.000 | 0.000 | -0.000 | 209.432 | 0.000 | 0.000 |
| -0.000 | 0.000 | -0.000 | 0.000 | 209.432 | 0.000 |
| -0.000 | -0.000 | -0.000 | 0.000 | 0.000 | 209.432 |
| 865.717 | 331.160 | 331.160 | -0.000 | -0.000 | -0.000 |
| 331.160 | 865.717 | 331.160 | -0.000 | -0.000 | -0.000 |
| 331.160 | 331.160 | 865.717 | -0.000 | -0.000 | -0.000 |
| -0.000 | 0.000 | 0.000 | 209.432 | -0.000 | -0.000 |
| 0.000 | -0.000 | -0.000 | -0.000 | 209.432 | -0.000 |
| 0.000 | 0.000 | -0.000 | -0.000 | -0.000 | 209.432 |
| 889.479 | 319.280 | 319.280 | 0.000 | -0.000 | 0.000 |
| 319.280 | 889.479 | 319.280 | 0.000 | 0.000 | -0.000 |
| 319.280 | 319.280 | 889.479 | 0.000 | 0.000 | 0.000 |
| -0.000 | -0.000 | -0.000 | 209.432 | 0.000 | 0.000 |
| -0.000 | -0.000 | -0.000 | 0.000 | 209.432 | 0.000 |
| -0.000 | -0.000 | -0.000 | 0.000 | 0.000 | 209.432 |
| 889.478 | 319.280 | 319.280 | -0.000 | -0.000 | -0.000 |
| 319.280 | 889.478 | 319.280 | -0.000 | -0.000 | -0.000 |
| 319.280 | 319.280 | 889.478 | -0.000 | -0.000 | -0.000 |
| 0.000 | 0.000 | 0.000 | 209.432 | -0.000 | -0.000 |
| 0.000 | 0.000 | 0.000 | -0.000 | 209.432 | -0.000 |
| 0.000 | 0.000 | 0.000 | -0.000 | -0.000 | 209.432 |
| 865.718 | 331.161 | 331.161 | 0.000 | 0.000 | 0.000 |
| 331.161 | 865.718 | 331.161 | 0.000 | 0.000 | 0.000 |
| 331.161 | 331.161 | 865.718 | 0.000 | 0.000 | 0.000 |
| -0.000 | -0.000 | -0.000 | 278.049 | 0.000 | 0.000 |
| -0.000 | -0.000 | -0.000 | 0.000 | 278.049 | 0.000 |
| -0.000 | -0.000 | -0.000 | 0.000 | 0.000 | 278.049 |
| 865.716 | 331.160 | 331.160 | -0.000 | -0.000 | -0.000 |
| 331.160 | 865.716 | 331.160 | 0.000 | -0.000 | -0.000 |
| 331.160 | 331.160 | 865.716 | -0.000 | -0.000 | -0.000 |
| 0.000 | 0.000 | 0.000 | 278.049 | -0.000 | 0.000 |
| 0.000 | 0.000 | 0.000 | -0.000 | 278.049 | -0.000 |
| 0.000 | 0.000 | 0.000 | -0.000 | -0.000 | 278.049 |
| 125.810 | 144.686 | 144.686 | -0.000 | -0.000 | -0.000 |
| 144.686 | 125.810 | 144.686 | 0.000 | -0.000 | -0.000 |
| 144.686 | 144.686 | 125.810 | 0.000 | -0.000 | -0.000 |
| -0.000 | -0.000 | -0.000 | 114.903 | -0.000 | -0.000 |
| -0.000 | -0.000 | -0.000 | -0.000 | 114.903 | -0.000 |
| -0.000 | -0.000 | -0.000 | -0.000 | -0.000 | 114.903 |
| 125.810 | 144.686 | 144.686 | 0.000 | 0.000 | 0.000 |
| 144.686 | 125.810 | 144.686 | 0.000 | 0.000 | 0.000 |
| 144.686 | 144.686 | 125.810 | -0.000 | -0.000 | 0.000 |
| 0.000 | 0.000 | 0.000 | 114.903 | -0.000 | 0.000 |
| 0.000 | 0.000 | 0.000 | 0.000 | 114.903 | 0.000 |
| 0.000 | 0.000 | 0.000 | 0.000 | -0.000 | 114.903 |
| 125.810 | 144.685 | 144.685 | -0.000 | -0.000 | -0.000 |
| 144.685 | 125.810 | 144.685 | 0.000 | 0.000 | -0.000 |
| 144.685 | 144.685 | 125.810 | 0.000 | 0.000 | -0.000 |
| -0.000 | -0.000 | -0.000 | 116.022 | 0.000 | -0.000 |
| -0.000 | -0.000 | -0.000 | 0.000 | 116.022 | -0.000 |
| -0.000 | -0.000 | -0.000 | -0.000 | -0.000 | 116.022 |
| 125.810 | 144.686 | 144.686 | 0.000 | 0.000 | 0.000 |
| 144.686 | 125.810 | 144.686 | -0.000 | 0.000 | 0.000 |
| 144.686 | 144.686 | 125.810 | 0.000 | 0.000 | 0.000 |
| 0.000 | 0.000 | 0.000 | 116.022 | 0.000 | 0.000 |
| 0.000 | 0.000 | 0.000 | -0.000 | 116.022 | 0.000 |
| 0.000 | 0.000 | 0.000 | 0.000 | 0.000 | 116.022 |
| 125.810 | 144.685 | 144.685 | 0.000 | 0.000 | -0.000 |
| 144.685 | 125.810 | 144.685 | 0.000 | 0.000 | -0.000 |
| 144.685 | 144.685 | 125.810 | 0.000 | 0.000 | -0.000 |
| -0.000 | -0.001 | -0.000 | 116.022 | -0.000 | -0.000 |
| -0.001 | -0.000 | -0.000 | -0.000 | 116.022 | -0.000 |
| -0.001 | -0.000 | -0.000 | 0.000 | -0.000 | 116.022 |
| 125.810 | 144.686 | 144.686 | -0.000 | 0.000 | 0.000 |
| 144.686 | 125.810 | 144.686 | 0.000 | -0.000 | 0.000 |
| 144.686 | 144.686 | 125.810 | 0.000 | 0.000 | 0.000 |
| 0.000 | 0.001 | 0.000 | 116.022 | -0.000 | 0.000 |
| 0.001 | 0.000 | 0.000 | -0.000 | 116.022 | 0.000 |
| 0.001 | 0.000 | 0.000 | -0.000 | -0.000 | 116.022 |
| 328.476 | 149.222 | 149.222 | -0.000 | 0.000 | 0.000 |
| 149.222 | 328.476 | 149.222 | -0.000 | 0.000 | 0.000 |
| 149.222 | 149.222 | 328.476 | -0.000 | -0.000 | 0.000 |
| -0.000 | -0.000 | 0.000 | 112.301 | -0.000 | 0.000 |
| -0.000 | -0.000 | 0.000 | -0.000 | 112.301 | 0.000 |
| -0.000 | 0.000 | 0.000 | 0.000 | -0.000 | 112.301 |
| 328.476 | 149.222 | 149.222 | 0.000 | -0.000 | -0.000 |
| 149.222 | 328.476 | 149.222 | -0.000 | -0.000 | -0.000 |
| 149.222 | 149.222 | 328.476 | 0.000 | -0.000 | -0.000 |
| 0.000 | 0.000 | -0.000 | 112.301 | 0.000 | -0.000 |
| 0.000 | 0.000 | -0.000 | 0.000 | 112.301 | -0.000 |
| 0.000 | 0.000 | -0.000 | -0.000 | 0.000 | 112.301 |
| 328.476 | 149.222 | 149.222 | -0.000 | 0.000 | 0.000 |
| 149.222 | 328.476 | 149.222 | -0.000 | -0.000 | 0.000 |
| 149.222 | 149.222 | 328.476 | -0.000 | -0.000 | -0.000 |
| -0.000 | 0.000 | 0.000 | 112.301 | 0.000 | 0.000 |
| 0.000 | -0.000 | 0.000 | 0.000 | 112.301 | 0.000 |
| 0.000 | 0.000 | -0.000 | -0.000 | 0.000 | 112.301 |
| 328.476 | 149.222 | 149.222 | 0.000 | 0.000 | -0.000 |
| 149.222 | 328.476 | 149.222 | 0.000 | 0.000 | -0.000 |
| 149.222 | 149.222 | 328.476 | -0.000 | -0.000 | -0.000 |
| 0.000 | -0.000 | -0.000 | 112.301 | 0.000 | -0.000 |
| -0.000 | 0.000 | -0.000 | 0.000 | 112.301 | -0.000 |
| -0.000 | -0.000 | 0.000 | 0.000 | 0.000 | 112.301 |
| 328.474 | 149.222 | 149.222 | -0.000 | 0.000 | 0.000 |
| 149.222 | 328.474 | 149.222 | -0.000 | -0.000 | -0.000 |
| 149.222 | 149.222 | 328.474 | -0.000 | -0.000 | 0.000 |
| -0.000 | 0.000 | 0.000 | 112.301 | -0.000 | 0.000 |
| 0.000 | -0.000 | 0.000 | -0.000 | 112.301 | 0.000 |
| 0.000 | 0.000 | -0.000 | -0.000 | -0.000 | 112.301 |
| 328.478 | 149.221 | 149.221 | 0.000 | 0.000 | -0.000 |
| 149.221 | 328.478 | 149.221 | 0.000 | 0.000 | -0.000 |
| 149.221 | 149.221 | 328.478 | -0.000 | -0.000 | -0.000 |
| 0.000 | -0.000 | -0.000 | 112.301 | 0.000 | 0.000 |
| -0.000 | 0.000 | -0.000 | 0.000 | 112.301 | -0.000 |
| -0.000 | -0.000 | 0.000 | 0.000 | 0.000 | 112.301 |
| 373.557 | 149.040 | 130.157 | 0.000 | 0.000 | 0.000 |
| 149.040 | 373.557 | 130.157 | 0.000 | 0.000 | 0.000 |
| 130.472 | 130.472 | 382.149 | 0.000 | 0.000 | 0.000 |
| 0.000 | 0.000 | 0.000 | 98.986 | 0.000 | -0.000 |
| 0.000 | 0.000 | 0.000 | 0.000 | 98.986 | -0.000 |
| -0.133 | -0.133 | 0.377 | 0.000 | 0.000 | 98.754 |
| 359.474 | 163.059 | 130.247 | -0.000 | -0.000 | 0.000 |
| 149.040 | 373.557 | 130.157 | -0.000 | 0.000 | 0.000 |
| 130.544 | 130.544 | 381.944 | -0.000 | -0.000 | 0.000 |
| -0.000 | -0.000 | -0.000 | 98.986 | -0.000 | -0.000 |
| -0.000 | -0.000 | -0.000 | 0.000 | 98.986 | -0.000 |
| 0.133 | 0.133 | -0.377 | -0.000 | -0.000 | 98.754 |
| 359.445 | 163.001 | 130.372 | 0.000 | 0.000 | -0.000 |
| 163.001 | 359.445 | 130.372 | -0.000 | 0.000 | 0.000 |
| 130.505 | 130.505 | 382.057 | -0.000 | 0.000 | 0.000 |
| 0.000 | 0.000 | 0.000 | 98.986 | 0.000 | 0.000 |
| 0.000 | 0.000 | 0.000 | -0.000 | 98.986 | -0.000 |
| 0.000 | 0.000 | 0.000 | -0.000 | 0.000 | 112.258 |
| 359.450 | 163.010 | 130.351 | -0.000 | -0.000 | -0.000 |
| 149.040 | 373.556 | 130.157 | 0.000 | 0.000 | -0.000 |
| 130.339 | 130.339 | 382.526 | 0.000 | 0.000 | 0.000 |
| -0.000 | -0.000 | -0.000 | 98.986 | -0.000 | -0.000 |
| -0.000 | -0.000 | -0.000 | -0.000 | 98.986 | -0.000 |
| -0.000 | -0.000 | -0.000 | 0.000 | -0.000 | 112.258 |
| 373.559 | 149.041 | 130.159 | 0.000 | 0.000 | 0.000 |
| 163.006 | 359.449 | 130.364 | 0.000 | 0.000 | -0.000 |
| 130.342 | 130.342 | 382.528 | 0.000 | 0.000 | 0.000 |
| -0.000 | 0.000 | 0.005 | 98.274 | 0.000 | -0.000 |
| 0.002 | 0.001 | 0.002 | 0.000 | 98.986 | -0.000 |
| 0.000 | 0.000 | 0.001 | 0.000 | 0.000 | 112.258 |
| 360.185 | 161.987 | 130.755 | 0.000 | 0.000 | -0.000 |
| 149.040 | 373.554 | 130.155 | -0.000 | -0.000 | 0.000 |
| 130.506 | 130.506 | 382.043 | -0.000 | -0.000 | 0.000 |
| 0.000 | -0.000 | -0.005 | 98.274 | -0.000 | 0.000 |
| -0.002 | -0.001 | -0.002 | 0.000 | 98.986 | -0.000 |
| -0.000 | -0.000 | -0.001 | -0.000 | -0.000 | 112.258 |
| 375.562 | 149.804 | 132.807 | -0.000 | 0.000 | 0.000 |
| 149.804 | 375.562 | 132.807 | -0.000 | 0.000 | 0.000 |
| 132.807 | 132.807 | 384.142 | 0.000 | 0.000 | 0.000 |
| 0.000 | 0.000 | 0.000 | 101.155 | 0.000 | 0.000 |
| 0.000 | 0.000 | 0.000 | 0.000 | 100.435 | -0.000 |
| -0.000 | 0.000 | 0.000 | -0.000 | 0.000 | 112.879 |
| 375.562 | 149.804 | 132.807 | 0.000 | -0.000 | -0.000 |
| 162.894 | 362.063 | 133.404 | 0.000 | -0.000 | 0.000 |
| 132.973 | 132.973 | 383.655 | 0.000 | -0.000 | -0.000 |
| -0.000 | -0.000 | -0.000 | 101.155 | -0.000 | -0.000 |
| -0.000 | -0.000 | -0.000 | -0.000 | 100.435 | 0.000 |
| 0.000 | -0.000 | -0.000 | -0.000 | -0.000 | 112.879 |
| 375.562 | 149.805 | 132.807 | -0.000 | 0.000 | 0.000 |
| 162.894 | 362.064 | 133.404 | 0.000 | 0.000 | -0.000 |
| 132.807 | 132.807 | 384.142 | -0.000 | 0.000 | 0.000 |
| 0.000 | 0.000 | 0.000 | 101.155 | 0.000 | 0.000 |
| 0.000 | 0.000 | 0.000 | 0.000 | 101.155 | 0.000 |
| 0.000 | 0.000 | 0.000 | 0.000 | 0.000 | 112.879 |
| 375.562 | 149.804 | 132.807 | 0.000 | -0.000 | -0.000 |
| 149.804 | 375.562 | 132.807 | -0.000 | -0.000 | -0.000 |
| 132.807 | 132.807 | 384.141 | -0.000 | -0.000 | -0.000 |
| -0.000 | -0.000 | -0.000 | 101.155 | -0.000 | -0.000 |
| -0.000 | -0.000 | -0.000 | -0.000 | 101.155 | 0.000 |
| -0.000 | -0.000 | -0.000 | 0.000 | -0.000 | 112.879 |
| 375.564 | 149.805 | 132.809 | 0.000 | 0.000 | 0.000 |
| 149.805 | 375.564 | 132.809 | -0.000 | 0.000 | 0.000 |
| 132.809 | 132.809 | 384.144 | 0.000 | 0.000 | 0.000 |
| 0.001 | 0.002 | 0.002 | 100.435 | 0.000 | -0.000 |
| 0.002 | 0.001 | 0.002 | 0.000 | 100.435 | -0.000 |
| 0.000 | 0.000 | 0.001 | -0.000 | 0.000 | 112.879 |
| 375.560 | 149.804 | 132.805 | -0.000 | -0.000 | -0.000 |
| 162.893 | 362.062 | 133.402 | 0.000 | -0.000 | 0.000 |
| 132.804 | 132.804 | 384.139 | -0.000 | -0.000 | -0.000 |
| -0.001 | -0.002 | -0.002 | 100.435 | -0.000 | 0.000 |
| -0.002 | -0.001 | -0.002 | 0.000 | 100.435 | -0.000 |
| -0.000 | -0.000 | -0.001 | -0.000 | -0.000 | 112.879 |
| 341.863 | 130.993 | 140.226 | -0.000 | 0.000 | 0.000 |
| 130.993 | 341.863 | 140.226 | -0.000 | -0.000 | 0.000 |
| 140.226 | 140.226 | 258.121 | 0.000 | 0.000 | 0.000 |
| -0.000 | -0.000 | -0.000 | 105.570 | -0.000 | 0.000 |
| -0.000 | -0.000 | -0.000 | 0.000 | 105.570 | -0.000 |
| -0.000 | -0.000 | -0.000 | -0.000 | 0.000 | 95.325 |
| 341.863 | 130.993 | 140.226 | 0.000 | -0.000 | -0.000 |
| 130.993 | 341.863 | 140.226 | -0.000 | 0.000 | 0.000 |
| 140.226 | 140.226 | 258.121 | 0.000 | 0.000 | 0.000 |
| 0.000 | 0.000 | -0.000 | 105.570 | -0.000 | -0.000 |
| 0.000 | 0.000 | -0.000 | -0.000 | 105.570 | 0.000 |
| 0.000 | 0.000 | 0.000 | 0.000 | -0.000 | 95.325 |
| 341.863 | 130.993 | 140.226 | -0.000 | 0.000 | 0.000 |
| 130.993 | 341.863 | 140.226 | -0.000 | -0.000 | 0.000 |
| 140.226 | 140.226 | 258.121 | 0.000 | 0.000 | -0.000 |
| -0.000 | -0.000 | -0.000 | 104.361 | 0.000 | 0.000 |
| -0.000 | -0.000 | -0.000 | 0.000 | 104.361 | -0.000 |
| -0.000 | -0.000 | -0.000 | 0.000 | 0.000 | 95.325 |
| 343.584 | 129.272 | 140.226 | -0.000 | 0.000 | -0.000 |
| 129.272 | 343.584 | 140.226 | -0.000 | -0.000 | 0.000 |
| 140.226 | 140.226 | 258.122 | -0.000 | -0.000 | 0.000 |
| 0.000 | 0.000 | 0.000 | 104.361 | -0.000 | -0.000 |
| 0.000 | 0.000 | 0.000 | -0.000 | 104.361 | 0.000 |
| 0.000 | 0.000 | 0.000 | 0.000 | -0.000 | 95.325 |
| 341.860 | 130.993 | 140.226 | -0.000 | 0.000 | 0.000 |
| 130.993 | 341.860 | 140.226 | -0.000 | 0.000 | 0.000 |
| 140.226 | 140.226 | 258.120 | 0.000 | 0.000 | -0.000 |
| -0.001 | -0.000 | -0.000 | 104.361 | -0.000 | 0.000 |
| -0.000 | -0.001 | -0.000 | 0.000 | 104.361 | -0.000 |
| -0.001 | -0.000 | -0.001 | -0.000 | -0.000 | 95.325 |
| 343.586 | 129.273 | 140.226 | -0.000 | 0.000 | -0.000 |
| 129.273 | 343.586 | 140.226 | -0.000 | 0.000 | 0.000 |
| 140.226 | 140.226 | 258.123 | -0.000 | -0.000 | 0.000 |
| 0.001 | 0.000 | 0.000 | 104.361 | -0.000 | -0.000 |
| 0.000 | 0.001 | 0.000 | -0.000 | 104.361 | 0.000 |
| 0.001 | 0.000 | 0.001 | -0.000 | -0.000 | 95.325 |
| 170.132 | -46.152 | 678.805 | -0.000 | -0.000 | -0.000 |
| 148.390 | 371.972 | 128.271 | -0.000 | -0.000 | -0.000 |
| -69.430 | -69.430 | 930.416 | -0.000 | -0.000 | -0.000 |
| -198.129 | -198.129 | 550.362 | 97.184 | -0.000 | -0.000 |
| -198.129 | -198.129 | 550.362 | -0.000 | 97.184 | -0.000 |
| -198.130 | -198.130 | 550.364 | -0.000 | -0.000 | 108.142 |
| 566.392 | 350.107 | -421.922 | -0.000 | 0.000 | 0.000 |
| 350.107 | 566.392 | -421.922 | -0.000 | 0.000 | -0.000 |
| 326.832 | 326.832 | -170.320 | 0.000 | 0.000 | 0.000 |
| 198.129 | 198.129 | -550.362 | 97.184 | 0.000 | 0.000 |
| 198.129 | 198.129 | -550.362 | 0.000 | 97.184 | -0.000 |
| 198.130 | 198.130 | -550.364 | 0.000 | 0.000 | 108.142 |
| 338.188 | 142.426 | 183.478 | -0.000 | -0.000 | 0.000 |
| 148.391 | 371.972 | 128.271 | -0.000 | -0.000 | -0.000 |
| 128.528 | 128.528 | 380.528 | -0.000 | -0.000 | -0.000 |
| -19.813 | -19.813 | 55.036 | 96.714 | -0.000 | -0.000 |
| -19.813 | -19.813 | 55.038 | -0.000 | 97.184 | 0.000 |
| 0.000 | 0.000 | 0.000 | -0.000 | -0.000 | 111.791 |
| 371.971 | 148.390 | 128.271 | 0.000 | 0.000 | -0.000 |
| 148.390 | 371.971 | 128.271 | -0.000 | 0.000 | 0.000 |
| 128.528 | 128.528 | 380.527 | 0.000 | 0.000 | 0.000 |
| 19.813 | 19.813 | -55.038 | 97.184 | 0.000 | -0.000 |
| 19.813 | 19.813 | -55.038 | 0.000 | 97.184 | 0.000 |
| -0.000 | -0.000 | -0.000 | 0.000 | 0.000 | 111.791 |
| 366.063 | 150.059 | 134.166 | -0.000 | -0.000 | -0.000 |
| 148.391 | 371.974 | 128.273 | 0.000 | -0.000 | -0.000 |
| 128.531 | 128.531 | 380.531 | -0.000 | -0.000 | -0.000 |
| -1.981 | -1.980 | 5.506 | 96.714 | -0.000 | -0.000 |
| -1.984 | -1.985 | 5.519 | 0.000 | 97.184 | -0.000 |
| -2.062 | -2.062 | 5.730 | -0.000 | -0.000 | 107.992 |
| 359.941 | 164.257 | 122.936 | 0.000 | 0.000 | 0.000 |
| 164.257 | 359.942 | 122.936 | 0.000 | 0.000 | -0.000 |
| 128.525 | 128.525 | 380.525 | 0.000 | 0.000 | 0.000 |
| 1.981 | 1.980 | -5.506 | 96.714 | 0.000 | -0.000 |
| 1.984 | 1.985 | -5.519 | -0.000 | 97.184 | -0.000 |
| 2.062 | 2.062 | -5.730 | 0.000 | 0.000 | 107.992 |
| 241.342 | 150.824 | 150.824 | -0.000 | 0.000 | 0.000 |
| 150.824 | 241.342 | 150.824 | -0.000 | -0.000 | 0.000 |
| 150.824 | 150.824 | 241.342 | 0.000 | 0.000 | -0.000 |
| 0.000 | 0.000 | 0.000 | 127.344 | 0.000 | -0.000 |
| 0.000 | 0.000 | 0.000 | -0.000 | 127.344 | -0.000 |
| 0.000 | 0.000 | 0.000 | -0.000 | 0.000 | 127.344 |
| 241.342 | 150.824 | 150.824 | 0.000 | -0.000 | 0.000 |
| 150.824 | 241.342 | 150.824 | 0.000 | -0.000 | 0.000 |
| 150.824 | 150.824 | 241.342 | 0.000 | -0.000 | 0.000 |
| -0.000 | -0.000 | -0.000 | 127.344 | -0.000 | -0.000 |
| -0.000 | -0.000 | -0.000 | 0.000 | 127.344 | -0.000 |
| -0.000 | -0.000 | -0.000 | 0.000 | -0.000 | 127.344 |
| 241.342 | 150.824 | 150.824 | 0.000 | 0.000 | -0.000 |
| 150.824 | 241.342 | 150.824 | 0.000 | 0.000 | -0.000 |
| 150.824 | 150.824 | 241.342 | -0.000 | 0.000 | 0.000 |
| 0.000 | 0.000 | 0.000 | 127.344 | 0.000 | -0.000 |
| 0.000 | 0.000 | 0.000 | -0.000 | 127.344 | -0.000 |
| 0.000 | 0.000 | 0.000 | -0.000 | 0.000 | 127.344 |
| 241.342 | 150.824 | 150.824 | 0.000 | 0.000 | 0.000 |
| 150.824 | 241.342 | 150.824 | 0.000 | -0.000 | 0.000 |
| 150.824 | 150.824 | 241.342 | -0.000 | 0.000 | 0.000 |
| -0.000 | -0.000 | -0.000 | 127.344 | 0.000 | 0.000 |
| -0.000 | -0.000 | -0.000 | 0.000 | 127.344 | 0.000 |
| -0.000 | -0.000 | -0.000 | -0.000 | -0.000 | 127.344 |
| 241.342 | 150.825 | 150.825 | -0.000 | 0.000 | -0.000 |
| 150.825 | 241.342 | 150.825 | 0.000 | 0.000 | -0.000 |
| 150.825 | 150.825 | 241.342 | 0.000 | 0.000 | 0.000 |
| 0.000 | 0.000 | 0.000 | 127.344 | 0.000 | -0.000 |
| 0.000 | 0.000 | 0.000 | -0.000 | 127.344 | -0.000 |
| 0.000 | 0.000 | 0.000 | 0.000 | 0.000 | 127.344 |
| 241.341 | 150.824 | 150.824 | -0.000 | -0.000 | 0.000 |
| 150.824 | 241.341 | 150.824 | -0.000 | -0.000 | 0.000 |
| 150.824 | 150.824 | 241.341 | -0.000 | -0.000 | 0.000 |
| -0.000 | -0.000 | -0.000 | 127.344 | 0.000 | -0.000 |
| -0.000 | -0.000 | -0.000 | 0.000 | 127.344 | 0.000 |
| -0.000 | -0.000 | -0.000 | -0.000 | 0.000 | 127.344 |
| 0.000 | 0.000 | 0.000 | 0.000 | 0.000 | -0.000 |
| 0.000 | 0.000 | 0.000 | -0.000 | 0.000 | 0.000 |
| 0.000 | 0.000 | 0.000 | -0.000 | -0.000 | 0.000 |
| -0.000 | 0.000 | 0.000 | 0.000 | -0.000 | 0.000 |
| 0.000 | -0.000 | 0.000 | -0.000 | 0.000 | 0.000 |
| 0.000 | 0.000 | -0.000 | 0.000 | 0.000 | 0.000 |
| 0.000 | 0.000 | 0.000 | -0.000 | -0.000 | -0.000 |
| 0.000 | 0.000 | 0.000 | -0.000 | -0.000 | 0.000 |
| 0.000 | 0.000 | 0.000 | 0.000 | 0.000 | -0.000 |
| 0.000 | -0.000 | -0.000 | 0.000 | 0.000 | -0.000 |
| -0.000 | 0.000 | -0.000 | -0.000 | 0.000 | -0.000 |
| -0.000 | -0.000 | 0.000 | -0.000 | -0.000 | 0.000 |
| 0.000 | 0.000 | 0.000 | -0.000 | 0.000 | 0.000 |
| 0.000 | 0.000 | 0.000 | 0.000 | -0.000 | -0.000 |
| 0.000 | 0.000 | 0.000 | 0.000 | 0.000 | 0.000 |
| -0.000 | 0.000 | 0.000 | 0.000 | -0.000 | -0.000 |
| 0.000 | -0.000 | 0.000 | -0.000 | 0.000 | -0.000 |
| 0.000 | 0.000 | -0.000 | 0.000 | -0.000 | 0.000 |
| 0.000 | 0.000 | 0.000 | 0.000 | 0.000 | -0.000 |
| 0.000 | 0.000 | 0.000 | 0.000 | 0.000 | 0.000 |
| 0.000 | 0.000 | 0.000 | -0.000 | -0.000 | -0.000 |
| 0.000 | -0.000 | -0.000 | 0.000 | -0.000 | -0.000 |
| -0.000 | 0.000 | -0.000 | -0.000 | 0.000 | -0.000 |
| -0.000 | -0.000 | 0.000 | -0.000 | -0.000 | 0.000 |
| 0.000 | 0.000 | 0.000 | 0.000 | -0.000 | -0.000 |
| 0.000 | 0.000 | 0.000 | -0.000 | 0.000 | 0.000 |
| 0.000 | 0.000 | 0.000 | 0.000 | 0.000 | -0.000 |
| -0.000 | 0.000 | 0.000 | 0.000 | 0.000 | -0.000 |
| 0.000 | -0.000 | 0.000 | 0.000 | 0.000 | -0.000 |
| 0.000 | 0.000 | -0.000 | 0.000 | -0.000 | 0.000 |
| 0.000 | 0.000 | 0.000 | 0.000 | 0.000 | -0.000 |
| 0.000 | 0.000 | 0.000 | 0.000 | -0.000 | 0.000 |
| 0.000 | 0.000 | 0.000 | 0.000 | 0.000 | 0.000 |
| 0.000 | -0.000 | -0.000 | 0.000 | -0.000 | 0.000 |
| -0.000 | 0.000 | -0.000 | -0.000 | 0.000 | 0.000 |
| -0.000 | -0.000 | 0.000 | 0.000 | 0.000 | 0.000 |
| 0.000 | 0.000 | 0.000 | 0.000 | 0.000 | 0.000 |
| 0.000 | 0.000 | 0.000 | 0.000 | -0.000 | -0.000 |
| 0.000 | 0.000 | 0.000 | 0.000 | 0.000 | -0.000 |
| -0.000 | 0.000 | 0.000 | 0.000 | 0.000 | -0.000 |
| 0.000 | -0.000 | 0.000 | 0.000 | 0.000 | -0.000 |
| 0.000 | 0.000 | -0.000 | 0.000 | -0.000 | 0.000 |
| 0.000 | 0.000 | 0.000 | -0.000 | -0.000 | 0.000 |
| 0.000 | 0.000 | 0.000 | -0.000 | -0.000 | 0.000 |
| 0.000 | 0.000 | 0.000 | -0.000 | -0.000 | -0.000 |
| 0.000 | -0.000 | -0.000 | 0.000 | -0.000 | -0.000 |
| -0.000 | 0.000 | -0.000 | -0.000 | 0.000 | -0.000 |
| -0.000 | -0.000 | 0.000 | -0.000 | -0.000 | 0.000 |
| 0.000 | 0.000 | 0.000 | 0.000 | 0.000 | -0.000 |
| 0.000 | 0.000 | 0.000 | 0.000 | 0.000 | -0.000 |
| 0.000 | 0.000 | 0.000 | 0.000 | 0.000 | -0.000 |
| -0.000 | 0.000 | 0.000 | 0.000 | 0.000 | 0.000 |
| 0.000 | -0.000 | 0.000 | 0.000 | 0.000 | 0.000 |
| 0.000 | 0.000 | -0.000 | -0.000 | 0.000 | 0.000 |
| 0.000 | 0.000 | 0.000 | -0.000 | -0.000 | 0.000 |
| 0.000 | 0.000 | 0.000 | -0.000 | -0.000 | 0.000 |
| 0.000 | 0.000 | 0.000 | -0.000 | -0.000 | 0.000 |
| 0.000 | -0.000 | -0.000 | 0.000 | -0.000 | -0.000 |
| -0.000 | 0.000 | -0.000 | -0.000 | 0.000 | -0.000 |
| -0.000 | -0.000 | 0.000 | 0.000 | -0.000 | 0.000 |
| 0.000 | 0.000 | 0.000 | 0.000 | 0.000 | 0.000 |
| 0.000 | 0.000 | 0.000 | 0.000 | 0.000 | -0.000 |
| 0.000 | 0.000 | 0.000 | 0.000 | 0.000 | -0.000 |
| -0.000 | 0.000 | 0.000 | 0.000 | 0.000 | 0.000 |
| 0.000 | -0.000 | 0.000 | 0.000 | 0.000 | 0.000 |
| 0.000 | 0.000 | -0.000 | 0.000 | 0.000 | 0.000 |
| 0.000 | 0.000 | 0.000 | -0.000 | -0.000 | 0.000 |
| 0.000 | 0.000 | 0.000 | -0.000 | -0.000 | 0.000 |
| 0.000 | 0.000 | 0.000 | -0.000 | -0.000 | 0.000 |
| 0.000 | -0.000 | -0.000 | 0.000 | -0.000 | 0.000 |
| -0.000 | 0.000 | -0.000 | -0.000 | 0.000 | 0.000 |
| -0.000 | -0.000 | 0.000 | 0.000 | 0.000 | 0.000 |
| 0.000 | 0.000 | 0.000 | -0.000 | 0.000 | -0.000 |
| 0.000 | 0.000 | 0.000 | 0.000 | -0.000 | -0.000 |
| 0.000 | 0.000 | 0.000 | 0.000 | 0.000 | -0.000 |
| -0.000 | 0.000 | 0.000 | 0.000 | 0.000 | -0.000 |
| 0.000 | -0.000 | 0.000 | -0.000 | 0.000 | -0.000 |
| 0.000 | 0.000 | -0.000 | -0.000 | -0.000 | 0.000 |
| 0.000 | 0.000 | 0.000 | 0.000 | -0.000 | -0.000 |
| 0.000 | 0.000 | 0.000 | -0.000 | 0.000 | 0.000 |
| 0.000 | 0.000 | 0.000 | 0.000 | 0.000 | -0.000 |
| 0.000 | -0.000 | -0.000 | 0.000 | 0.000 | 0.000 |
| -0.000 | 0.000 | -0.000 | 0.000 | 0.000 | 0.000 |
| -0.000 | -0.000 | 0.000 | 0.000 | 0.000 | 0.000 |
| 0.000 | 0.000 | 0.000 | -0.000 | -0.000 | -0.000 |
| 0.000 | 0.000 | 0.000 | -0.000 | -0.000 | -0.000 |
| 0.000 | 0.000 | 0.000 | 0.000 | 0.000 | -0.000 |
| -0.000 | 0.000 | 0.000 | 0.000 | 0.000 | -0.000 |
| 0.000 | -0.000 | 0.000 | 0.000 | 0.000 | -0.000 |
| 0.000 | 0.000 | -0.000 | -0.000 | -0.000 | 0.000 |
| 0.000 | 0.000 | 0.000 | 0.000 | -0.000 | -0.000 |
| 0.000 | 0.000 | 0.000 | -0.000 | 0.000 | -0.000 |
| 0.000 | 0.000 | 0.000 | 0.000 | 0.000 | -0.000 |
| 0.000 | -0.000 | -0.000 | 0.000 | -0.000 | 0.000 |
| -0.000 | 0.000 | -0.000 | -0.000 | 0.000 | 0.000 |
| -0.000 | -0.000 | 0.000 | 0.000 | 0.000 | 0.000 |
| 0.000 | 0.000 | 0.000 | 0.000 | -0.000 | -0.000 |
| 0.000 | 0.000 | 0.000 | -0.000 | 0.000 | 0.000 |
| 0.000 | 0.000 | 0.000 | 0.000 | 0.000 | 0.000 |
| -0.000 | 0.000 | 0.000 | 0.000 | -0.000 | 0.000 |
| 0.000 | -0.000 | 0.000 | -0.000 | 0.000 | 0.000 |
| 0.000 | 0.000 | -0.000 | -0.000 | 0.000 | 0.000 |
| 0.000 | 0.000 | 0.000 | -0.000 | 0.000 | -0.000 |
| 0.000 | 0.000 | 0.000 | 0.000 | -0.000 | 0.000 |
| 0.000 | 0.000 | 0.000 | 0.000 | 0.000 | -0.000 |
| 0.000 | -0.000 | -0.000 | 0.000 | -0.000 | 0.000 |
| -0.000 | 0.000 | -0.000 | -0.000 | 0.000 | 0.000 |
| -0.000 | -0.000 | 0.000 | 0.000 | 0.000 | 0.000 |
| 0.000 | 0.000 | 0.000 | -0.000 | -0.000 | -0.000 |
| 0.000 | 0.000 | 0.000 | -0.000 | -0.000 | -0.000 |
| 0.000 | 0.000 | 0.000 | -0.000 | -0.000 | -0.000 |
| -0.000 | 0.000 | 0.000 | 0.000 | -0.000 | -0.000 |
| 0.000 | -0.000 | 0.000 | -0.000 | 0.000 | -0.000 |
| 0.000 | 0.000 | -0.000 | -0.000 | -0.000 | 0.000 |
| 0.000 | 0.000 | 0.000 | -0.000 | 0.000 | 0.000 |
| 0.000 | 0.000 | 0.000 | 0.000 | 0.000 | 0.000 |
| 0.000 | 0.000 | 0.000 | 0.000 | 0.000 | -0.000 |
| 0.000 | -0.000 | -0.000 | 0.000 | 0.000 | -0.000 |
| -0.000 | 0.000 | -0.000 | 0.000 | 0.000 | -0.000 |
| -0.000 | -0.000 | 0.000 | 0.000 | -0.000 | 0.000 |
| 0.000 | 0.000 | 0.000 | -0.000 | -0.000 | -0.000 |
| 0.000 | 0.000 | 0.000 | -0.000 | -0.000 | -0.000 |
| 0.000 | 0.000 | 0.000 | 0.000 | 0.000 | -0.000 |
| -0.000 | 0.000 | 0.000 | 0.000 | -0.000 | -0.000 |
| 0.000 | -0.000 | 0.000 | -0.000 | 0.000 | -0.000 |
| 0.000 | 0.000 | -0.000 | 0.000 | -0.000 | 0.000 |
| 0.000 | 0.000 | 0.000 | 0.000 | 0.000 | 0.000 |
| 0.000 | 0.000 | 0.000 | 0.000 | 0.000 | 0.000 |
| 0.000 | 0.000 | 0.000 | 0.000 | 0.000 | 0.000 |
| 0.000 | -0.000 | -0.000 | 0.000 | 0.000 | 0.000 |
| -0.000 | 0.000 | -0.000 | 0.000 | 0.000 | 0.000 |
| -0.000 | -0.000 | 0.000 | 0.000 | 0.000 | 0.000 |
| 0.000 | 0.000 | 0.000 | -0.000 | -0.000 | 0.000 |
| 0.000 | 0.000 | 0.000 | -0.000 | -0.000 | -0.000 |
| 0.000 | 0.000 | 0.000 | -0.000 | -0.000 | -0.000 |
| -0.000 | 0.000 | 0.000 | 0.000 | -0.000 | -0.000 |
| 0.000 | -0.000 | 0.000 | -0.000 | 0.000 | -0.000 |
| 0.000 | 0.000 | -0.000 | -0.000 | -0.000 | 0.000 |
| 0.000 | 0.000 | 0.000 | 0.000 | 0.000 | 0.000 |
| 0.000 | 0.000 | 0.000 | 0.000 | 0.000 | -0.000 |
| 0.000 | 0.000 | 0.000 | -0.000 | -0.000 | -0.000 |
| 0.000 | -0.000 | -0.000 | 0.000 | 0.000 | 0.000 |
| -0.000 | 0.000 | -0.000 | 0.000 | 0.000 | 0.000 |
| -0.000 | -0.000 | 0.000 | 0.000 | 0.000 | 0.000 |
| 0.000 | 0.000 | 0.000 | -0.000 | -0.000 | -0.000 |
| 0.000 | 0.000 | 0.000 | -0.000 | 0.000 | 0.000 |
| 0.000 | 0.000 | 0.000 | 0.000 | 0.000 | -0.000 |
| -0.000 | 0.000 | 0.000 | 0.000 | -0.000 | 0.000 |
| 0.000 | -0.000 | 0.000 | -0.000 | 0.000 | 0.000 |
| 0.000 | 0.000 | -0.000 | -0.000 | 0.000 | 0.000 |
| 0.000 | 0.000 | 0.000 | 0.000 | 0.000 | -0.000 |
| 0.000 | 0.000 | 0.000 | -0.000 | 0.000 | 0.000 |
| 0.000 | 0.000 | 0.000 | 0.000 | 0.000 | -0.000 |
| 0.000 | -0.000 | -0.000 | 0.000 | -0.000 | -0.000 |
| -0.000 | 0.000 | -0.000 | -0.000 | 0.000 | -0.000 |
| -0.000 | -0.000 | 0.000 | 0.000 | -0.000 | 0.000 |
| 0.000 | 0.000 | 0.000 | -0.000 | -0.000 | 0.000 |
| 0.000 | 0.000 | 0.000 | -0.000 | -0.000 | 0.000 |
| 0.000 | 0.000 | 0.000 | 0.000 | 0.000 | -0.000 |
| -0.000 | 0.000 | 0.000 | 0.000 | 0.000 | 0.000 |
| 0.000 | -0.000 | 0.000 | 0.000 | 0.000 | 0.000 |
| 0.000 | 0.000 | -0.000 | -0.000 | 0.000 | 0.000 |
| 0.000 | 0.000 | 0.000 | -0.000 | 0.000 | -0.000 |
| 0.000 | 0.000 | 0.000 | 0.000 | -0.000 | 0.000 |
| 0.000 | 0.000 | 0.000 | -0.000 | -0.000 | -0.000 |
| 0.000 | -0.000 | -0.000 | 0.000 | 0.000 | 0.000 |
| -0.000 | 0.000 | -0.000 | 0.000 | 0.000 | 0.000 |
| -0.000 | -0.000 | 0.000 | 0.000 | 0.000 | 0.000 |
| 0.000 | 0.000 | 0.000 | 0.000 | -0.000 | -0.000 |
| 0.000 | 0.000 | 0.000 | -0.000 | 0.000 | 0.000 |
| 0.000 | 0.000 | 0.000 | 0.000 | 0.000 | 0.000 |
| -0.000 | 0.000 | 0.000 | 0.000 | -0.000 | 0.000 |
| 0.000 | -0.000 | 0.000 | -0.000 | 0.000 | 0.000 |
| 0.000 | 0.000 | -0.000 | -0.000 | 0.000 | 0.000 |
| 0.000 | 0.000 | 0.000 | 0.000 | -0.000 | 0.000 |
| 0.000 | 0.000 | 0.000 | -0.000 | 0.000 | 0.000 |
| 0.000 | 0.000 | 0.000 | 0.000 | 0.000 | -0.000 |
| 0.000 | -0.000 | -0.000 | 0.000 | -0.000 | 0.000 |
| -0.000 | 0.000 | -0.000 | -0.000 | 0.000 | 0.000 |
| -0.000 | -0.000 | 0.000 | -0.000 | 0.000 | 0.000 |
| 0.000 | 0.000 | 0.000 | -0.000 | -0.000 | 0.000 |
| 0.000 | 0.000 | 0.000 | -0.000 | 0.000 | -0.000 |
| 0.000 | 0.000 | 0.000 | -0.000 | 0.000 | 0.000 |
| -0.000 | 0.000 | 0.000 | 0.000 | -0.000 | -0.000 |
| 0.000 | -0.000 | 0.000 | -0.000 | 0.000 | -0.000 |
| 0.000 | 0.000 | -0.000 | 0.000 | -0.000 | 0.000 |
| 0.000 | 0.000 | 0.000 | 0.000 | 0.000 | -0.000 |
| 0.000 | 0.000 | 0.000 | 0.000 | 0.000 | -0.000 |
| 0.000 | 0.000 | 0.000 | -0.000 | -0.000 | -0.000 |
| 0.000 | -0.000 | -0.000 | 0.000 | -0.000 | -0.000 |
| -0.000 | 0.000 | -0.000 | -0.000 | 0.000 | -0.000 |
| -0.000 | -0.000 | 0.000 | -0.000 | -0.000 | 0.000 |
| 0.000 | 0.000 | 0.000 | -0.000 | -0.000 | -0.000 |
| 0.000 | 0.000 | 0.000 | -0.000 | -0.000 | -0.000 |
| 0.000 | 0.000 | 0.000 | 0.000 | 0.000 | -0.000 |
| -0.000 | 0.000 | 0.000 | 0.000 | -0.000 | -0.000 |
| 0.000 | -0.000 | 0.000 | -0.000 | 0.000 | -0.000 |
| 0.000 | 0.000 | -0.000 | 0.000 | -0.000 | 0.000 |
| 0.000 | 0.000 | 0.000 | 0.000 | 0.000 | -0.000 |
| 0.000 | 0.000 | 0.000 | 0.000 | 0.000 | 0.000 |
| 0.000 | 0.000 | 0.000 | 0.000 | 0.000 | -0.000 |
| 0.000 | -0.000 | -0.000 | 0.000 | 0.000 | 0.000 |
| -0.000 | 0.000 | -0.000 | 0.000 | 0.000 | 0.000 |
| -0.000 | -0.000 | 0.000 | -0.000 | 0.000 | 0.000 |
| 0.000 | 0.000 | 0.000 | -0.000 | -0.000 | 0.000 |
| 0.000 | 0.000 | 0.000 | -0.000 | -0.000 | -0.000 |
| 0.000 | 0.000 | 0.000 | 0.000 | -0.000 | 0.000 |
| -0.000 | 0.000 | 0.000 | 0.000 | -0.000 | -0.000 |
| 0.000 | -0.000 | 0.000 | -0.000 | 0.000 | -0.000 |
| 0.000 | 0.000 | -0.000 | -0.000 | -0.000 | 0.000 |
| 0.000 | 0.000 | 0.000 | -0.000 | 0.000 | -0.000 |
| 0.000 | 0.000 | 0.000 | -0.000 | 0.000 | 0.000 |
| 0.000 | 0.000 | 0.000 | 0.000 | 0.000 | -0.000 |
| 0.000 | -0.000 | -0.000 | 0.000 | 0.000 | -0.000 |
| -0.000 | 0.000 | -0.000 | -0.000 | 0.000 | -0.000 |
| -0.000 | -0.000 | 0.000 | 0.000 | -0.000 | 0.000 |
| 0.000 | 0.000 | 0.000 | 0.000 | 0.000 | 0.000 |
| 0.000 | 0.000 | 0.000 | 0.000 | 0.000 | 0.000 |
| 0.000 | 0.000 | 0.000 | 0.000 | 0.000 | 0.000 |
| -0.000 | 0.000 | 0.000 | 0.000 | 0.000 | -0.000 |
| 0.000 | -0.000 | 0.000 | 0.000 | 0.000 | -0.000 |
| 0.000 | 0.000 | -0.000 | 0.000 | -0.000 | 0.000 |
| 0.000 | 0.000 | 0.000 | -0.000 | 0.000 | 0.000 |
| 0.000 | 0.000 | 0.000 | 0.000 | -0.000 | 0.000 |
| 0.000 | 0.000 | 0.000 | -0.000 | -0.000 | -0.000 |
| 0.000 | -0.000 | -0.000 | 0.000 | -0.000 | -0.000 |
| -0.000 | 0.000 | -0.000 | -0.000 | 0.000 | -0.000 |
| -0.000 | -0.000 | 0.000 | -0.000 | -0.000 | 0.000 |
| 0.000 | 0.000 | 0.000 | -0.000 | 0.000 | 0.000 |
| 0.000 | 0.000 | 0.000 | -0.000 | -0.000 | -0.000 |
| 0.000 | 0.000 | 0.000 | 0.000 | 0.000 | -0.000 |
| -0.000 | 0.000 | 0.000 | 0.000 | -0.000 | -0.000 |
| 0.000 | -0.000 | 0.000 | 0.000 | 0.000 | -0.000 |
| 0.000 | 0.000 | -0.000 | 0.000 | -0.000 | 0.000 |
| 0.000 | 0.000 | 0.000 | -0.000 | -0.000 | -0.000 |
| 0.000 | 0.000 | 0.000 | -0.000 | -0.000 | 0.000 |
| 0.000 | 0.000 | 0.000 | -0.000 | -0.000 | -0.000 |
| 0.000 | -0.000 | -0.000 | 0.000 | 0.000 | -0.000 |
| -0.000 | 0.000 | -0.000 | 0.000 | 0.000 | -0.000 |
| -0.000 | -0.000 | 0.000 | -0.000 | -0.000 | 0.000 |
| 0.000 | 0.000 | 0.000 | 0.000 | 0.000 | 0.000 |
| 0.000 | 0.000 | 0.000 | 0.000 | 0.000 | 0.000 |
| 0.000 | 0.000 | 0.000 | 0.000 | 0.000 | 0.000 |
| -0.000 | 0.000 | 0.000 | 0.000 | 0.000 | 0.000 |
| 0.000 | -0.000 | 0.000 | 0.000 | 0.000 | 0.000 |
| 0.000 | 0.000 | -0.000 | 0.000 | 0.000 | 0.000 |
| 0.000 | 0.000 | 0.000 | -0.000 | 0.000 | -0.000 |
| 0.000 | 0.000 | 0.000 | 0.000 | -0.000 | -0.000 |
| 0.000 | 0.000 | 0.000 | -0.000 | -0.000 | -0.000 |
| 0.000 | -0.000 | -0.000 | 0.000 | 0.000 | 0.000 |
| -0.000 | 0.000 | -0.000 | 0.000 | 0.000 | 0.000 |
| -0.000 | -0.000 | 0.000 | -0.000 | 0.000 | 0.000 |
| 0.000 | 0.000 | 0.000 | -0.000 | -0.000 | 0.000 |
| 0.000 | 0.000 | 0.000 | -0.000 | 0.000 | -0.000 |
| 0.000 | 0.000 | 0.000 | 0.000 | 0.000 | 0.000 |
| -0.000 | 0.000 | 0.000 | 0.000 | 0.000 | -0.000 |
| 0.000 | -0.000 | 0.000 | 0.000 | 0.000 | -0.000 |
| 0.000 | 0.000 | -0.000 | -0.000 | -0.000 | 0.000 |
| 0.000 | 0.000 | 0.000 | 0.000 | -0.000 | -0.000 |
| 0.000 | 0.000 | 0.000 | -0.000 | 0.000 | -0.000 |
| 0.000 | 0.000 | 0.000 | -0.000 | 0.000 | 0.000 |
| 0.000 | -0.000 | -0.000 | 0.000 | -0.000 | -0.000 |
| -0.000 | 0.000 | -0.000 | -0.000 | 0.000 | -0.000 |
| -0.000 | -0.000 | 0.000 | 0.000 | -0.000 | 0.000 |
| 0.000 | 0.000 | 0.000 | -0.000 | -0.000 | -0.000 |
| 0.000 | 0.000 | 0.000 | -0.000 | -0.000 | -0.000 |
| 0.000 | 0.000 | 0.000 | 0.000 | 0.000 | -0.000 |
| -0.000 | 0.000 | 0.000 | 0.000 | 0.000 | -0.000 |
| 0.000 | -0.000 | 0.000 | -0.000 | 0.000 | -0.000 |
| 0.000 | 0.000 | -0.000 | -0.000 | -0.000 | 0.000 |
| 0.000 | 0.000 | 0.000 | -0.000 | 0.000 | -0.000 |
| 0.000 | 0.000 | 0.000 | 0.000 | -0.000 | -0.000 |
| 0.000 | 0.000 | 0.000 | -0.000 | 0.000 | 0.000 |
| 0.000 | -0.000 | -0.000 | 0.000 | -0.000 | 0.000 |
| -0.000 | 0.000 | -0.000 | -0.000 | 0.000 | 0.000 |
| -0.000 | -0.000 | 0.000 | 0.000 | 0.000 | 0.000 |
| 0.000 | 0.000 | 0.000 | 0.000 | 0.000 | -0.000 |
| 0.000 | 0.000 | 0.000 | 0.000 | 0.000 | 0.000 |
| 0.000 | 0.000 | 0.000 | -0.000 | -0.000 | 0.000 |
| -0.000 | 0.000 | 0.000 | 0.000 | -0.000 | -0.000 |
| 0.000 | -0.000 | 0.000 | -0.000 | 0.000 | -0.000 |
| 0.000 | 0.000 | -0.000 | -0.000 | -0.000 | 0.000 |
| 0.000 | 0.000 | 0.000 | -0.000 | 0.000 | 0.000 |
| 0.000 | 0.000 | 0.000 | 0.000 | -0.000 | -0.000 |
| 0.000 | 0.000 | 0.000 | -0.000 | 0.000 | -0.000 |
| 0.000 | -0.000 | -0.000 | 0.000 | -0.000 | -0.000 |
| -0.000 | 0.000 | -0.000 | -0.000 | 0.000 | -0.000 |
| -0.000 | -0.000 | 0.000 | 0.000 | -0.000 | 0.000 |
| 0.000 | 0.000 | 0.000 | 0.000 | -0.000 | -0.000 |
| 0.000 | 0.000 | 0.000 | -0.000 | 0.000 | -0.000 |
| 0.000 | 0.000 | 0.000 | -0.000 | -0.000 | -0.000 |
| -0.000 | -0.000 | -0.000 | 0.000 | -0.000 | 0.000 |
| -0.000 | -0.000 | -0.000 | -0.000 | 0.000 | 0.000 |
| -0.000 | -0.000 | -0.000 | -0.000 | 0.000 | 0.000 |
| 0.000 | 0.000 | 0.000 | 0.000 | 0.000 | 0.000 |
| 0.000 | 0.000 | 0.000 | 0.000 | 0.000 | 0.000 |
| 0.000 | 0.000 | 0.000 | -0.000 | -0.000 | -0.000 |
| 0.000 | 0.000 | 0.000 | 0.000 | 0.000 | -0.000 |
| 0.000 | 0.000 | 0.000 | 0.000 | 0.000 | -0.000 |
| 0.000 | 0.000 | 0.000 | 0.000 | -0.000 | 0.000 |
| 0.000 | 0.000 | 0.000 | 0.000 | -0.000 | -0.000 |
| 0.000 | 0.000 | 0.000 | -0.000 | -0.000 | -0.000 |
| 0.000 | 0.000 | 0.000 | -0.000 | -0.000 | -0.000 |
| -0.000 | -0.000 | -0.000 | 0.000 | 0.000 | 0.000 |
| -0.000 | -0.000 | -0.000 | -0.000 | 0.000 | 0.000 |
| -0.000 | -0.000 | -0.000 | -0.000 | 0.000 | 0.000 |
| 0.000 | 0.000 | 0.000 | 0.000 | 0.000 | -0.000 |
| 0.000 | 0.000 | 0.000 | 0.000 | 0.000 | 0.000 |
| 0.000 | 0.000 | 0.000 | 0.000 | 0.000 | -0.000 |
| 0.000 | 0.000 | 0.000 | 0.000 | 0.000 | 0.000 |
| 0.000 | 0.000 | 0.000 | 0.000 | 0.000 | 0.000 |
| 0.000 | 0.000 | 0.000 | 0.000 | 0.000 | 0.000 |
| 0.000 | 0.000 | 0.000 | 0.000 | 0.000 | 0.000 |
| 0.000 | 0.000 | 0.000 | -0.000 | 0.000 | 0.000 |
| 0.000 | 0.000 | 0.000 | -0.000 | -0.000 | -0.000 |
| -0.000 | -0.000 | -0.000 | 0.000 | 0.000 | 0.000 |
| -0.000 | -0.000 | -0.000 | 0.000 | 0.000 | 0.000 |
| -0.000 | -0.000 | -0.000 | -0.000 | 0.000 | 0.000 |
| 0.000 | 0.000 | 0.000 | 0.000 | 0.000 | 0.000 |
| 0.000 | 0.000 | 0.000 | 0.000 | -0.000 | 0.000 |
| 0.000 | 0.000 | 0.000 | 0.000 | -0.000 | -0.000 |
| 0.000 | 0.000 | 0.000 | 0.000 | -0.000 | 0.000 |
| 0.000 | 0.000 | 0.000 | -0.000 | 0.000 | 0.000 |
| 0.000 | 0.000 | 0.000 | 0.000 | 0.000 | 0.000 |
| 0.000 | 0.000 | 0.000 | -0.000 | -0.000 | -0.000 |
| 0.000 | 0.000 | 0.000 | -0.000 | -0.000 | 0.000 |
| 0.000 | 0.000 | 0.000 | -0.000 | -0.000 | -0.000 |
| -0.000 | 0.000 | 0.000 | 0.000 | -0.000 | -0.000 |
| 0.000 | -0.000 | 0.000 | -0.000 | 0.000 | -0.000 |
| 0.000 | 0.000 | -0.000 | 0.000 | -0.000 | 0.000 |
| 0.000 | 0.000 | 0.000 | 0.000 | -0.000 | 0.000 |
| 0.000 | 0.000 | 0.000 | -0.000 | 0.000 | -0.000 |
| 0.000 | 0.000 | 0.000 | 0.000 | 0.000 | 0.000 |
| 0.000 | -0.000 | -0.000 | 0.000 | -0.000 | -0.000 |
| -0.000 | 0.000 | -0.000 | 0.000 | 0.000 | -0.000 |
| -0.000 | -0.000 | 0.000 | -0.000 | -0.000 | 0.000 |
| 0.000 | 0.000 | 0.000 | 0.000 | 0.000 | 0.000 |
| 0.000 | 0.000 | 0.000 | 0.000 | 0.000 | 0.000 |
| 0.000 | 0.000 | 0.000 | 0.000 | 0.000 | 0.000 |
| -0.000 | 0.000 | 0.000 | 0.000 | 0.000 | -0.000 |
| 0.000 | -0.000 | 0.000 | 0.000 | 0.000 | -0.000 |
| 0.000 | 0.000 | -0.000 | -0.000 | -0.000 | 0.000 |
| 0.000 | 0.000 | 0.000 | 0.000 | 0.000 | 0.000 |
| 0.000 | 0.000 | 0.000 | 0.000 | 0.000 | 0.000 |
| 0.000 | 0.000 | 0.000 | -0.000 | -0.000 | -0.000 |
| 0.000 | -0.000 | -0.000 | 0.000 | 0.000 | -0.000 |
| -0.000 | 0.000 | -0.000 | 0.000 | 0.000 | -0.000 |
| -0.000 | -0.000 | 0.000 | -0.000 | -0.000 | 0.000 |
| 0.000 | 0.000 | 0.000 | -0.000 | 0.000 | 0.000 |
| 0.000 | 0.000 | 0.000 | 0.000 | -0.000 | -0.000 |
| 0.000 | 0.000 | 0.000 | 0.000 | 0.000 | -0.000 |
| -0.000 | 0.000 | 0.000 | 0.000 | 0.000 | 0.000 |
| 0.000 | -0.000 | 0.000 | 0.000 | 0.000 | 0.000 |
| 0.000 | 0.000 | -0.000 | 0.000 | 0.000 | 0.000 |
| 0.000 | 0.000 | 0.000 | -0.000 | -0.000 | -0.000 |
| 0.000 | 0.000 | 0.000 | -0.000 | -0.000 | 0.000 |
| 0.000 | 0.000 | 0.000 | -0.000 | -0.000 | -0.000 |
| 0.000 | -0.000 | -0.000 | 0.000 | -0.000 | 0.000 |
| -0.000 | 0.000 | -0.000 | 0.000 | 0.000 | 0.000 |
| -0.000 | -0.000 | 0.000 | -0.000 | 0.000 | 0.000 |
| -0.000 | -0.000 | -0.000 | 0.000 | -0.000 | -0.000 |
| -0.000 | -0.000 | -0.000 | -0.000 | -0.000 | -0.000 |
| -0.000 | -0.000 | -0.000 | 0.000 | 0.000 | -0.000 |
| 0.000 | -0.000 | -0.000 | -0.000 | -0.000 | 0.000 |
| -0.000 | 0.000 | -0.000 | -0.000 | -0.000 | 0.000 |
| -0.000 | -0.000 | 0.000 | 0.000 | 0.000 | -0.000 |
| -0.000 | -0.000 | -0.000 | -0.000 | -0.000 | 0.000 |
| -0.000 | -0.000 | -0.000 | -0.000 | -0.000 | 0.000 |
| -0.000 | -0.000 | -0.000 | -0.000 | -0.000 | 0.000 |
| -0.000 | 0.000 | 0.000 | -0.000 | -0.000 | -0.000 |
| 0.000 | -0.000 | 0.000 | -0.000 | -0.000 | -0.000 |
| 0.000 | 0.000 | -0.000 | -0.000 | 0.000 | -0.000 |
| -0.000 | -0.000 | -0.000 | 0.000 | -0.000 | -0.000 |
| -0.000 | -0.000 | -0.000 | 0.000 | 0.000 | -0.000 |
| -0.000 | -0.000 | -0.000 | -0.000 | -0.000 | -0.000 |
| 0.000 | -0.000 | -0.000 | -0.000 | 0.000 | -0.000 |
| -0.000 | 0.000 | -0.000 | 0.000 | -0.000 | -0.000 |
| -0.000 | -0.000 | 0.000 | 0.000 | -0.000 | -0.000 |
| -0.000 | -0.000 | -0.000 | -0.000 | -0.000 | 0.000 |
| -0.000 | -0.000 | -0.000 | -0.000 | -0.000 | 0.000 |
| -0.000 | -0.000 | -0.000 | -0.000 | -0.000 | 0.000 |
| -0.000 | 0.000 | 0.000 | -0.000 | -0.000 | 0.000 |
| 0.000 | -0.000 | 0.000 | -0.000 | -0.000 | 0.000 |
| 0.000 | 0.000 | -0.000 | 0.000 | 0.000 | -0.000 |
| -0.000 | -0.000 | -0.000 | 0.000 | 0.000 | -0.000 |
| -0.000 | -0.000 | -0.000 | 0.000 | 0.000 | 0.000 |
| -0.000 | -0.000 | -0.000 | 0.000 | 0.000 | 0.000 |
| 0.000 | -0.000 | -0.000 | -0.000 | 0.000 | -0.000 |
| -0.000 | 0.000 | -0.000 | 0.000 | -0.000 | -0.000 |
| -0.000 | -0.000 | 0.000 | -0.000 | -0.000 | -0.000 |
| -0.000 | -0.000 | -0.000 | -0.000 | 0.000 | 0.000 |
| -0.000 | -0.000 | -0.000 | 0.000 | -0.000 | 0.000 |
| -0.000 | -0.000 | -0.000 | -0.000 | -0.000 | 0.000 |
| -0.000 | 0.000 | 0.000 | -0.000 | -0.000 | -0.000 |
| 0.000 | -0.000 | 0.000 | -0.000 | -0.000 | -0.000 |
| 0.000 | 0.000 | -0.000 | 0.000 | -0.000 | -0.000 |
| -0.000 | -0.000 | -0.000 | 0.000 | 0.000 | 0.000 |
| -0.000 | -0.000 | -0.000 | 0.000 | 0.000 | -0.000 |
| -0.000 | -0.000 | -0.000 | 0.000 | 0.000 | -0.000 |
| 0.000 | -0.000 | -0.000 | -0.000 | 0.000 | -0.000 |
| -0.000 | 0.000 | -0.000 | 0.000 | -0.000 | -0.000 |
| -0.000 | -0.000 | 0.000 | 0.000 | -0.000 | -0.000 |
| -0.000 | -0.000 | -0.000 | -0.000 | 0.000 | -0.000 |
| -0.000 | -0.000 | -0.000 | 0.000 | -0.000 | 0.000 |
| -0.000 | -0.000 | -0.000 | 0.000 | 0.000 | 0.000 |
| -0.000 | 0.000 | 0.000 | -0.000 | -0.000 | -0.000 |
| 0.000 | -0.000 | 0.000 | -0.000 | -0.000 | -0.000 |
| 0.000 | 0.000 | -0.000 | -0.000 | -0.000 | -0.000 |
| -0.000 | -0.000 | -0.000 | -0.000 | 0.000 | 0.000 |
| -0.000 | -0.000 | -0.000 | 0.000 | 0.000 | 0.000 |
| -0.000 | -0.000 | -0.000 | 0.000 | 0.000 | 0.000 |
| 0.000 | -0.000 | -0.000 | -0.000 | -0.000 | 0.000 |
| -0.000 | 0.000 | -0.000 | -0.000 | -0.000 | 0.000 |
| -0.000 | -0.000 | 0.000 | 0.000 | 0.000 | -0.000 |
| -0.000 | -0.000 | -0.000 | 0.000 | 0.000 | -0.000 |
| -0.000 | -0.000 | -0.000 | 0.000 | 0.000 | 0.000 |
| -0.000 | -0.000 | -0.000 | 0.000 | 0.000 | -0.000 |
| -0.000 | 0.000 | 0.000 | -0.000 | 0.000 | 0.000 |
| 0.000 | -0.000 | 0.000 | -0.000 | -0.000 | 0.000 |
| 0.000 | 0.000 | -0.000 | -0.000 | 0.000 | -0.000 |
| -0.000 | -0.000 | -0.000 | 0.000 | 0.000 | 0.000 |
| -0.000 | -0.000 | -0.000 | 0.000 | 0.000 | -0.000 |
| -0.000 | -0.000 | -0.000 | -0.000 | -0.000 | 0.000 |
| 0.000 | -0.000 | -0.000 | -0.000 | 0.000 | -0.000 |
| -0.000 | 0.000 | -0.000 | 0.000 | -0.000 | -0.000 |
| -0.000 | -0.000 | 0.000 | -0.000 | -0.000 | -0.000 |
| -0.000 | -0.000 | -0.000 | 0.000 | -0.000 | -0.000 |
| -0.000 | -0.000 | -0.000 | -0.000 | 0.000 | -0.000 |
| -0.000 | -0.000 | -0.000 | -0.000 | -0.000 | -0.000 |
| -0.000 | 0.000 | 0.000 | -0.000 | -0.000 | 0.000 |
| 0.000 | -0.000 | 0.000 | -0.000 | -0.000 | 0.000 |
| 0.000 | 0.000 | -0.000 | 0.000 | 0.000 | -0.000 |
| 0.000 | 0.000 | 0.000 | 0.000 | 0.000 | 0.000 |
| 0.000 | 0.000 | 0.000 | 0.000 | 0.000 | 0.000 |
| 0.000 | 0.000 | 0.000 | 0.000 | 0.000 | 0.000 |
| -0.000 | 0.000 | 0.000 | 0.000 | 0.000 | 0.000 |
| 0.000 | -0.000 | 0.000 | 0.000 | 0.000 | 0.000 |
| 0.000 | 0.000 | -0.000 | 0.000 | 0.000 | 0.000 |
| 0.000 | 0.000 | 0.000 | -0.000 | 0.000 | -0.000 |
| 0.000 | 0.000 | 0.000 | 0.000 | -0.000 | -0.000 |
| 0.000 | 0.000 | 0.000 | -0.000 | -0.000 | -0.000 |
| 0.000 | -0.000 | -0.000 | 0.000 | -0.000 | -0.000 |
| -0.000 | 0.000 | -0.000 | -0.000 | 0.000 | -0.000 |
| -0.000 | -0.000 | 0.000 | -0.000 | -0.000 | 0.000 |
| 0.000 | 0.000 | 0.000 | 0.000 | 0.000 | 0.000 |
| 0.000 | 0.000 | 0.000 | 0.000 | 0.000 | -0.000 |
| 0.000 | 0.000 | 0.000 | -0.000 | -0.000 | -0.000 |
| -0.000 | 0.000 | 0.000 | 0.000 | 0.000 | 0.000 |
| 0.000 | -0.000 | 0.000 | 0.000 | 0.000 | 0.000 |
| 0.000 | 0.000 | -0.000 | 0.000 | 0.000 | 0.000 |
| 0.000 | 0.000 | 0.000 | -0.000 | -0.000 | -0.000 |
| 0.000 | 0.000 | 0.000 | -0.000 | -0.000 | -0.000 |
| 0.000 | 0.000 | 0.000 | -0.000 | -0.000 | -0.000 |
| 0.000 | -0.000 | -0.000 | 0.000 | -0.000 | 0.000 |
| -0.000 | 0.000 | -0.000 | -0.000 | 0.000 | 0.000 |
| -0.000 | -0.000 | 0.000 | -0.000 | -0.000 | 0.000 |
| 0.000 | 0.000 | 0.000 | 0.000 | 0.000 | 0.000 |
| 0.000 | 0.000 | 0.000 | 0.000 | 0.000 | 0.000 |
| 0.000 | 0.000 | 0.000 | 0.000 | 0.000 | 0.000 |
| -0.000 | 0.000 | 0.000 | 0.000 | 0.000 | 0.000 |
| 0.000 | -0.000 | 0.000 | 0.000 | 0.000 | 0.000 |
| 0.000 | 0.000 | -0.000 | 0.000 | 0.000 | 0.000 |
| 0.000 | 0.000 | 0.000 | -0.000 | -0.000 | 0.000 |
| 0.000 | 0.000 | 0.000 | -0.000 | -0.000 | 0.000 |
| 0.000 | 0.000 | 0.000 | -0.000 | -0.000 | -0.000 |
| 0.000 | -0.000 | -0.000 | 0.000 | -0.000 | 0.000 |
| -0.000 | 0.000 | -0.000 | -0.000 | 0.000 | -0.000 |
| -0.000 | -0.000 | 0.000 | -0.000 | -0.000 | 0.000 |
| -0.000 | -0.000 | -0.000 | 0.000 | 0.000 | 0.000 |
| -0.000 | -0.000 | -0.000 | -0.000 | 0.000 | -0.000 |
| -0.000 | -0.000 | -0.000 | 0.000 | 0.000 | 0.000 |
| 0.000 | -0.000 | -0.000 | -0.000 | -0.000 | -0.000 |
| -0.000 | 0.000 | -0.000 | -0.000 | -0.000 | -0.000 |
| -0.000 | -0.000 | 0.000 | -0.000 | -0.000 | -0.000 |
| -0.000 | -0.000 | -0.000 | -0.000 | 0.000 | 0.000 |
| -0.000 | -0.000 | -0.000 | 0.000 | -0.000 | -0.000 |
| -0.000 | -0.000 | -0.000 | -0.000 | -0.000 | -0.000 |
| -0.000 | 0.000 | 0.000 | -0.000 | -0.000 | -0.000 |
| 0.000 | -0.000 | 0.000 | -0.000 | -0.000 | -0.000 |
| 0.000 | 0.000 | -0.000 | 0.000 | -0.000 | -0.000 |
| -0.000 | -0.000 | -0.000 | 0.000 | 0.000 | 0.000 |
| -0.000 | -0.000 | -0.000 | 0.000 | -0.000 | -0.000 |
| -0.000 | -0.000 | -0.000 | 0.000 | 0.000 | -0.000 |
| 0.000 | -0.000 | -0.000 | -0.000 | -0.000 | -0.000 |
| -0.000 | 0.000 | -0.000 | -0.000 | -0.000 | -0.000 |
| -0.000 | -0.000 | 0.000 | 0.000 | -0.000 | -0.000 |
| -0.000 | -0.000 | -0.000 | 0.000 | -0.000 | -0.000 |
| -0.000 | -0.000 | -0.000 | -0.000 | 0.000 | 0.000 |
| -0.000 | -0.000 | -0.000 | -0.000 | -0.000 | 0.000 |
| -0.000 | 0.000 | 0.000 | -0.000 | -0.000 | 0.000 |
| 0.000 | -0.000 | 0.000 | 0.000 | -0.000 | 0.000 |
| 0.000 | 0.000 | -0.000 | -0.000 | 0.000 | -0.000 |
| -0.000 | -0.000 | -0.000 | 0.000 | 0.000 | -0.000 |
| -0.000 | -0.000 | -0.000 | 0.000 | 0.000 | -0.000 |
| -0.000 | -0.000 | -0.000 | -0.000 | -0.000 | 0.000 |
| 0.000 | -0.000 | -0.000 | -0.000 | 0.000 | 0.000 |
| -0.000 | 0.000 | -0.000 | 0.000 | -0.000 | 0.000 |
| -0.000 | -0.000 | 0.000 | -0.000 | 0.000 | -0.000 |
| -0.000 | -0.000 | -0.000 | -0.000 | 0.000 | 0.000 |
| -0.000 | -0.000 | -0.000 | 0.000 | -0.000 | -0.000 |
| -0.000 | -0.000 | -0.000 | -0.000 | -0.000 | -0.000 |
| -0.000 | 0.000 | 0.000 | -0.000 | -0.000 | 0.000 |
| 0.000 | -0.000 | 0.000 | 0.000 | -0.000 | 0.000 |
| 0.000 | 0.000 | -0.000 | 0.000 | 0.000 | -0.000 |
| 0.000 | 0.000 | 0.000 | 0.000 | 0.000 | -0.000 |
| 0.000 | 0.000 | 0.000 | 0.000 | 0.000 | -0.000 |
| 0.000 | 0.000 | 0.000 | 0.000 | 0.000 | -0.000 |
| -0.000 | 0.000 | 0.000 | 0.000 | 0.000 | 0.000 |
| 0.000 | -0.000 | 0.000 | 0.000 | 0.000 | 0.000 |
| 0.000 | 0.000 | -0.000 | 0.000 | 0.000 | 0.000 |
| 0.000 | 0.000 | 0.000 | -0.000 | -0.000 | 0.000 |
| 0.000 | 0.000 | 0.000 | -0.000 | -0.000 | 0.000 |
| 0.000 | 0.000 | 0.000 | -0.000 | -0.000 | 0.000 |
| 0.000 | -0.000 | -0.000 | 0.000 | -0.000 | 0.000 |
| -0.000 | 0.000 | -0.000 | -0.000 | 0.000 | 0.000 |
| -0.000 | -0.000 | 0.000 | -0.000 | 0.000 | 0.000 |
| 0.000 | 0.000 | 0.000 | 0.000 | 0.000 | -0.000 |
| 0.000 | 0.000 | 0.000 | 0.000 | 0.000 | -0.000 |
| 0.000 | 0.000 | 0.000 | 0.000 | 0.000 | -0.000 |
| -0.000 | 0.000 | 0.000 | 0.000 | 0.000 | -0.000 |
| 0.000 | -0.000 | 0.000 | 0.000 | 0.000 | -0.000 |
| 0.000 | 0.000 | -0.000 | 0.000 | -0.000 | 0.000 |
| 0.000 | 0.000 | 0.000 | -0.000 | -0.000 | 0.000 |
| 0.000 | 0.000 | 0.000 | -0.000 | -0.000 | 0.000 |
| 0.000 | 0.000 | 0.000 | -0.000 | -0.000 | 0.000 |
| 0.000 | -0.000 | -0.000 | 0.000 | -0.000 | -0.000 |
| -0.000 | 0.000 | -0.000 | -0.000 | 0.000 | -0.000 |
| -0.000 | -0.000 | 0.000 | -0.000 | -0.000 | 0.000 |
| 0.000 | 0.000 | 0.000 | 0.000 | 0.000 | -0.000 |
| 0.000 | 0.000 | 0.000 | 0.000 | 0.000 | -0.000 |
| 0.000 | 0.000 | 0.000 | 0.000 | 0.000 | -0.000 |
| -0.000 | 0.000 | 0.000 | 0.000 | 0.000 | 0.000 |
| 0.000 | -0.000 | 0.000 | 0.000 | 0.000 | 0.000 |
| 0.000 | 0.000 | -0.000 | 0.000 | 0.000 | 0.000 |
| 0.000 | 0.000 | 0.000 | -0.000 | -0.000 | 0.000 |
| 0.000 | 0.000 | 0.000 | -0.000 | -0.000 | -0.000 |
| 0.000 | 0.000 | 0.000 | -0.000 | -0.000 | 0.000 |
| 0.000 | -0.000 | -0.000 | 0.000 | -0.000 | -0.000 |
| -0.000 | 0.000 | -0.000 | -0.000 | 0.000 | -0.000 |
| -0.000 | -0.000 | 0.000 | -0.000 | -0.000 | 0.000 |
| 0.000 | 0.000 | 0.000 | 0.000 | 0.000 | -0.000 |
| 0.000 | 0.000 | 0.000 | 0.000 | 0.000 | 0.000 |
| 0.000 | 0.000 | 0.000 | 0.000 | 0.000 | 0.000 |
| -0.000 | 0.000 | 0.000 | 0.000 | 0.000 | 0.000 |
| 0.000 | -0.000 | 0.000 | 0.000 | 0.000 | 0.000 |
| 0.000 | 0.000 | -0.000 | 0.000 | 0.000 | 0.000 |
| 0.000 | 0.000 | 0.000 | -0.000 | -0.000 | -0.000 |
| 0.000 | 0.000 | 0.000 | -0.000 | -0.000 | -0.000 |
| 0.000 | 0.000 | 0.000 | -0.000 | -0.000 | 0.000 |
| 0.000 | -0.000 | -0.000 | 0.000 | -0.000 | -0.000 |
| -0.000 | 0.000 | -0.000 | 0.000 | 0.000 | -0.000 |
| -0.000 | -0.000 | 0.000 | -0.000 | -0.000 | 0.000 |
| 0.000 | 0.000 | 0.000 | 0.000 | 0.000 | -0.000 |
| 0.000 | 0.000 | 0.000 | 0.000 | 0.000 | 0.000 |
| 0.000 | 0.000 | 0.000 | 0.000 | 0.000 | 0.000 |
| -0.000 | 0.000 | 0.000 | 0.000 | -0.000 | 0.000 |
| 0.000 | -0.000 | 0.000 | -0.000 | 0.000 | 0.000 |
| 0.000 | 0.000 | -0.000 | 0.000 | 0.000 | 0.000 |
| 0.000 | 0.000 | 0.000 | -0.000 | -0.000 | 0.000 |
| 0.000 | 0.000 | 0.000 | 0.000 | -0.000 | 0.000 |
| 0.000 | 0.000 | 0.000 | -0.000 | -0.000 | -0.000 |
| 0.000 | -0.000 | -0.000 | 0.000 | 0.000 | -0.000 |
| -0.000 | 0.000 | -0.000 | 0.000 | 0.000 | -0.000 |
| -0.000 | -0.000 | 0.000 | -0.000 | -0.000 | 0.000 |
| 0.000 | 0.000 | 0.000 | 0.000 | 0.000 | 0.000 |
| 0.000 | 0.000 | 0.000 | 0.000 | 0.000 | 0.000 |
| 0.000 | 0.000 | 0.000 | 0.000 | 0.000 | 0.000 |
| -0.000 | 0.000 | 0.000 | 0.000 | 0.000 | 0.000 |
| 0.000 | -0.000 | 0.000 | 0.000 | 0.000 | 0.000 |
| 0.000 | 0.000 | -0.000 | 0.000 | 0.000 | 0.000 |
| 0.000 | 0.000 | 0.000 | -0.000 | -0.000 | -0.000 |
| 0.000 | 0.000 | 0.000 | -0.000 | -0.000 | -0.000 |
| 0.000 | 0.000 | 0.000 | -0.000 | -0.000 | 0.000 |
| 0.000 | -0.000 | -0.000 | 0.000 | -0.000 | -0.000 |
| -0.000 | 0.000 | -0.000 | -0.000 | 0.000 | -0.000 |
| -0.000 | -0.000 | 0.000 | -0.000 | -0.000 | 0.000 |
| 0.000 | 0.000 | 0.000 | -0.000 | 0.000 | -0.000 |
| 0.000 | 0.000 | 0.000 | 0.000 | -0.000 | 0.000 |
| 0.000 | 0.000 | 0.000 | -0.000 | -0.000 | 0.000 |
| -0.000 | 0.000 | 0.000 | 0.000 | -0.000 | 0.000 |
| 0.000 | -0.000 | 0.000 | -0.000 | 0.000 | 0.000 |
| 0.000 | 0.000 | -0.000 | 0.000 | 0.000 | 0.000 |
| 0.000 | 0.000 | 0.000 | -0.000 | -0.000 | -0.000 |
| 0.000 | 0.000 | 0.000 | -0.000 | 0.000 | -0.000 |
| 0.000 | 0.000 | 0.000 | -0.000 | -0.000 | 0.000 |
| 0.000 | -0.000 | -0.000 | 0.000 | -0.000 | -0.000 |
| -0.000 | 0.000 | -0.000 | -0.000 | 0.000 | -0.000 |
| -0.000 | -0.000 | 0.000 | 0.000 | -0.000 | 0.000 |
| 0.000 | 0.000 | 0.000 | -0.000 | -0.000 | -0.000 |
| 0.000 | 0.000 | 0.000 | -0.000 | -0.000 | -0.000 |
| 0.000 | 0.000 | 0.000 | -0.000 | -0.000 | -0.000 |
| -0.000 | 0.000 | 0.000 | 0.000 | -0.000 | 0.000 |
| 0.000 | -0.000 | 0.000 | -0.000 | 0.000 | 0.000 |
| 0.000 | 0.000 | -0.000 | -0.000 | 0.000 | 0.000 |
| 0.000 | 0.000 | 0.000 | 0.000 | -0.000 | -0.000 |
| 0.000 | 0.000 | 0.000 | 0.000 | 0.000 | 0.000 |
| 0.000 | 0.000 | 0.000 | -0.000 | 0.000 | -0.000 |
| 0.000 | -0.000 | -0.000 | 0.000 | 0.000 | 0.000 |
| -0.000 | 0.000 | -0.000 | 0.000 | 0.000 | 0.000 |
| -0.000 | -0.000 | 0.000 | -0.000 | 0.000 | 0.000 |
| 0.000 | 0.000 | 0.000 | -0.000 | -0.000 | 0.000 |
| 0.000 | 0.000 | 0.000 | -0.000 | -0.000 | -0.000 |
| 0.000 | 0.000 | 0.000 | -0.000 | -0.000 | 0.000 |
| -0.000 | 0.000 | 0.000 | 0.000 | -0.000 | -0.000 |
| 0.000 | -0.000 | 0.000 | -0.000 | 0.000 | -0.000 |
| 0.000 | 0.000 | -0.000 | 0.000 | -0.000 | 0.000 |
| 0.000 | 0.000 | 0.000 | 0.000 | 0.000 | 0.000 |
| 0.000 | 0.000 | 0.000 | 0.000 | 0.000 | -0.000 |
| 0.000 | 0.000 | 0.000 | 0.000 | 0.000 | -0.000 |
| 0.000 | -0.000 | -0.000 | 0.000 | -0.000 | -0.000 |
| -0.000 | 0.000 | -0.000 | -0.000 | 0.000 | -0.000 |
| -0.000 | -0.000 | 0.000 | -0.000 | -0.000 | 0.000 |
| 0.000 | 0.000 | 0.000 | 0.000 | -0.000 | 0.000 |
| 0.000 | 0.000 | 0.000 | -0.000 | -0.000 | 0.000 |
| 0.000 | 0.000 | 0.000 | 0.000 | 0.000 | -0.000 |
| -0.000 | 0.000 | 0.000 | 0.000 | -0.000 | -0.000 |
| 0.000 | -0.000 | 0.000 | -0.000 | 0.000 | -0.000 |
| 0.000 | 0.000 | -0.000 | 0.000 | -0.000 | 0.000 |
| 0.000 | 0.000 | 0.000 | -0.000 | 0.000 | -0.000 |
| 0.000 | 0.000 | 0.000 | 0.000 | -0.000 | -0.000 |
| 0.000 | 0.000 | 0.000 | -0.000 | -0.000 | 0.000 |
| 0.000 | -0.000 | -0.000 | 0.000 | 0.000 | 0.000 |
| -0.000 | 0.000 | -0.000 | 0.000 | 0.000 | 0.000 |
| -0.000 | -0.000 | 0.000 | 0.000 | 0.000 | 0.000 |
| 0.000 | 0.000 | 0.000 | 0.000 | -0.000 | -0.000 |
| 0.000 | 0.000 | 0.000 | -0.000 | 0.000 | -0.000 |
| 0.000 | 0.000 | 0.000 | -0.000 | -0.000 | -0.000 |
| -0.000 | 0.000 | 0.000 | 0.000 | 0.000 | 0.000 |
| 0.000 | -0.000 | 0.000 | -0.000 | 0.000 | 0.000 |
| 0.000 | 0.000 | -0.000 | -0.000 | 0.000 | 0.000 |
| 0.000 | 0.000 | 0.000 | 0.000 | -0.000 | 0.000 |
| 0.000 | 0.000 | 0.000 | -0.000 | 0.000 | -0.000 |
| 0.000 | 0.000 | 0.000 | -0.000 | -0.000 | -0.000 |
| 0.000 | -0.000 | -0.000 | 0.000 | -0.000 | 0.000 |
| -0.000 | 0.000 | -0.000 | -0.000 | 0.000 | 0.000 |
| -0.000 | -0.000 | 0.000 | 0.000 | 0.000 | 0.000 |
| 0.000 | 0.000 | 0.000 | -0.000 | 0.000 | 0.000 |
| 0.000 | 0.000 | 0.000 | 0.000 | -0.000 | -0.000 |
| 0.000 | 0.000 | 0.000 | -0.000 | 0.000 | 0.000 |
| -0.000 | 0.000 | 0.000 | 0.000 | 0.000 | -0.000 |
| 0.000 | -0.000 | 0.000 | -0.000 | 0.000 | -0.000 |
| 0.000 | 0.000 | -0.000 | -0.000 | -0.000 | 0.000 |
| 0.000 | 0.000 | 0.000 | 0.000 | 0.000 | 0.000 |
| 0.000 | 0.000 | 0.000 | 0.000 | -0.000 | 0.000 |
| 0.000 | 0.000 | 0.000 | 0.000 | 0.000 | -0.000 |
| 0.000 | -0.000 | -0.000 | 0.000 | 0.000 | 0.000 |
| -0.000 | 0.000 | -0.000 | 0.000 | 0.000 | 0.000 |
| -0.000 | -0.000 | 0.000 | 0.000 | 0.000 | 0.000 |
| -0.000 | -0.000 | -0.000 | 0.000 | -0.000 | -0.000 |
| -0.000 | -0.000 | -0.000 | -0.000 | 0.000 | 0.000 |
| -0.000 | -0.000 | -0.000 | 0.000 | -0.000 | 0.000 |
| 0.000 | 0.000 | 0.000 | -0.000 | -0.000 | -0.000 |
| 0.000 | 0.000 | 0.000 | -0.000 | -0.000 | -0.000 |
| 0.000 | 0.000 | 0.000 | -0.000 | 0.000 | -0.000 |
| -0.000 | -0.000 | -0.000 | 0.000 | 0.000 | -0.000 |
| -0.000 | -0.000 | -0.000 | 0.000 | 0.000 | 0.000 |
| -0.000 | -0.000 | -0.000 | -0.000 | 0.000 | 0.000 |
| -0.000 | -0.000 | -0.000 | -0.000 | 0.000 | -0.000 |
| -0.000 | -0.000 | -0.000 | 0.000 | -0.000 | -0.000 |
| -0.000 | -0.000 | -0.000 | 0.000 | -0.000 | -0.000 |
| -0.000 | -0.000 | -0.000 | -0.000 | -0.000 | 0.000 |
| -0.000 | -0.000 | -0.000 | -0.000 | -0.000 | -0.000 |
| -0.000 | -0.000 | -0.000 | -0.000 | -0.000 | 0.000 |
| 0.000 | 0.000 | 0.000 | -0.000 | -0.000 | 0.000 |
| 0.000 | 0.000 | 0.000 | 0.000 | -0.000 | 0.000 |
| 0.000 | 0.000 | 0.000 | -0.000 | 0.000 | -0.000 |
| -0.000 | -0.000 | -0.000 | 0.000 | 0.000 | 0.000 |
| -0.000 | -0.000 | -0.000 | 0.000 | 0.000 | -0.000 |
| -0.000 | -0.000 | -0.000 | 0.000 | 0.000 | -0.000 |
| -0.000 | -0.000 | -0.000 | -0.000 | 0.000 | 0.000 |
| -0.000 | -0.000 | -0.000 | 0.000 | -0.000 | -0.000 |
| -0.000 | -0.000 | -0.000 | 0.000 | -0.000 | -0.000 |
| -0.000 | -0.000 | -0.000 | 0.000 | -0.000 | 0.000 |
| -0.000 | -0.000 | -0.000 | 0.000 | 0.000 | 0.000 |
| -0.000 | -0.000 | -0.000 | -0.000 | -0.000 | 0.000 |
| 0.000 | 0.000 | 0.000 | -0.000 | -0.000 | 0.000 |
| 0.000 | 0.000 | 0.000 | -0.000 | -0.000 | 0.000 |
| 0.000 | 0.000 | 0.000 | 0.000 | -0.000 | -0.000 |
| -0.000 | -0.000 | -0.000 | 0.000 | 0.000 | -0.000 |
| -0.000 | -0.000 | -0.000 | 0.000 | 0.000 | -0.000 |
| -0.000 | -0.000 | -0.000 | 0.000 | 0.000 | -0.000 |
| -0.000 | -0.000 | -0.000 | -0.000 | 0.000 | -0.000 |
| -0.000 | -0.000 | -0.000 | 0.000 | -0.000 | -0.000 |
| -0.000 | -0.000 | -0.000 | -0.000 | -0.000 | -0.000 |
| 0.000 | 0.000 | 0.000 | -0.000 | -0.000 | -0.000 |
| 0.000 | 0.000 | 0.000 | -0.000 | -0.000 | -0.000 |
| 0.000 | 0.000 | 0.000 | 0.000 | 0.000 | -0.000 |
| -0.000 | 0.000 | 0.000 | 0.000 | 0.000 | -0.000 |
| 0.000 | -0.000 | 0.000 | 0.000 | 0.000 | -0.000 |
| 0.000 | 0.000 | -0.000 | 0.000 | -0.000 | 0.000 |
| 0.000 | 0.000 | 0.000 | 0.000 | 0.000 | -0.000 |
| 0.000 | 0.000 | 0.000 | 0.000 | 0.000 | 0.000 |
| 0.000 | 0.000 | 0.000 | 0.000 | 0.000 | 0.000 |
| 0.000 | -0.000 | -0.000 | 0.000 | 0.000 | 0.000 |
| -0.000 | 0.000 | -0.000 | -0.000 | 0.000 | 0.000 |
| -0.000 | -0.000 | 0.000 | -0.000 | 0.000 | 0.000 |
| 0.000 | 0.000 | 0.000 | -0.000 | 0.000 | 0.000 |
| 0.000 | 0.000 | 0.000 | 0.000 | -0.000 | -0.000 |
| 0.000 | 0.000 | 0.000 | 0.000 | -0.000 | -0.000 |
| -0.000 | 0.000 | 0.000 | 0.000 | -0.000 | 0.000 |
| 0.000 | -0.000 | 0.000 | -0.000 | 0.000 | 0.000 |
| 0.000 | 0.000 | -0.000 | 0.000 | 0.000 | 0.000 |
| 0.000 | 0.000 | 0.000 | 0.000 | -0.000 | 0.000 |
| 0.000 | 0.000 | 0.000 | -0.000 | 0.000 | -0.000 |
| 0.000 | 0.000 | 0.000 | 0.000 | -0.000 | 0.000 |
| 0.000 | -0.000 | -0.000 | 0.000 | 0.000 | 0.000 |
| -0.000 | 0.000 | -0.000 | 0.000 | 0.000 | 0.000 |
| -0.000 | -0.000 | 0.000 | -0.000 | 0.000 | 0.000 |
| 0.000 | 0.000 | 0.000 | -0.000 | 0.000 | -0.000 |
| 0.000 | 0.000 | 0.000 | 0.000 | -0.000 | -0.000 |
| 0.000 | 0.000 | 0.000 | 0.000 | 0.000 | 0.000 |
| -0.000 | 0.000 | 0.000 | 0.000 | 0.000 | 0.000 |
| 0.000 | -0.000 | 0.000 | 0.000 | 0.000 | 0.000 |
| 0.000 | 0.000 | -0.000 | -0.000 | 0.000 | 0.000 |
| 0.000 | 0.000 | 0.000 | -0.000 | 0.000 | 0.000 |
| 0.000 | 0.000 | 0.000 | 0.000 | -0.000 | -0.000 |
| 0.000 | 0.000 | 0.000 | 0.000 | -0.000 | -0.000 |
| 0.000 | -0.000 | -0.000 | 0.000 | -0.000 | 0.000 |
| -0.000 | 0.000 | -0.000 | -0.000 | 0.000 | 0.000 |
| -0.000 | -0.000 | 0.000 | -0.000 | 0.000 | 0.000 |
| 0.000 | 0.000 | 0.000 | 0.000 | -0.000 | -0.000 |
| 0.000 | 0.000 | 0.000 | 0.000 | 0.000 | -0.000 |
| 0.000 | 0.000 | 0.000 | -0.000 | -0.000 | 0.000 |
| -0.000 | 0.000 | 0.000 | 0.000 | -0.000 | -0.000 |
| 0.000 | -0.000 | 0.000 | -0.000 | 0.000 | -0.000 |
| 0.000 | 0.000 | -0.000 | 0.000 | -0.000 | 0.000 |
| 0.000 | 0.000 | 0.000 | 0.000 | 0.000 | -0.000 |
| 0.000 | 0.000 | 0.000 | 0.000 | 0.000 | 0.000 |
| 0.000 | 0.000 | 0.000 | 0.000 | 0.000 | -0.000 |
| -0.000 | -0.000 | -0.000 | 0.000 | -0.000 | -0.000 |
| -0.000 | -0.000 | -0.000 | -0.000 | 0.000 | -0.000 |
| -0.000 | -0.000 | -0.000 | -0.000 | -0.000 | 0.000 |
| 0.000 | 0.000 | 0.000 | 0.000 | 0.000 | -0.000 |
| 0.000 | 0.000 | 0.000 | 0.000 | 0.000 | 0.000 |
| 0.000 | 0.000 | 0.000 | 0.000 | 0.000 | 0.000 |
| -0.000 | 0.000 | 0.000 | 0.000 | 0.000 | 0.000 |
| 0.000 | -0.000 | 0.000 | 0.000 | 0.000 | 0.000 |
| 0.000 | 0.000 | -0.000 | 0.000 | 0.000 | 0.000 |
| 0.000 | 0.000 | 0.000 | 0.000 | 0.000 | -0.000 |
| 0.000 | 0.000 | 0.000 | 0.000 | 0.000 | -0.000 |
| 0.000 | 0.000 | 0.000 | -0.000 | -0.000 | -0.000 |
| 0.000 | -0.000 | -0.000 | 0.000 | 0.000 | 0.000 |
| -0.000 | 0.000 | -0.000 | 0.000 | 0.000 | 0.000 |
| -0.000 | -0.000 | 0.000 | -0.000 | 0.000 | 0.000 |
| 0.000 | 0.000 | 0.000 | -0.000 | -0.000 | -0.000 |
| 0.000 | 0.000 | 0.000 | -0.000 | -0.000 | -0.000 |
| 0.000 | 0.000 | 0.000 | -0.000 | -0.000 | 0.000 |
| -0.000 | 0.000 | 0.000 | 0.000 | -0.000 | 0.000 |
| 0.000 | -0.000 | 0.000 | -0.000 | 0.000 | 0.000 |
| 0.000 | 0.000 | -0.000 | 0.000 | 0.000 | 0.000 |
| 0.000 | 0.000 | 0.000 | -0.000 | -0.000 | -0.000 |
| 0.000 | 0.000 | 0.000 | -0.000 | -0.000 | -0.000 |
| 0.000 | 0.000 | 0.000 | 0.000 | 0.000 | -0.000 |
| 0.000 | -0.000 | -0.000 | 0.000 | 0.000 | -0.000 |
| -0.000 | 0.000 | -0.000 | 0.000 | 0.000 | -0.000 |
| -0.000 | -0.000 | 0.000 | -0.000 | -0.000 | 0.000 |
| 0.000 | 0.000 | 0.000 | -0.000 | -0.000 | -0.000 |
| 0.000 | 0.000 | 0.000 | -0.000 | -0.000 | -0.000 |
| 0.000 | 0.000 | 0.000 | -0.000 | -0.000 | -0.000 |
| -0.000 | 0.000 | 0.000 | 0.000 | 0.000 | 0.000 |
| 0.000 | -0.000 | 0.000 | -0.000 | 0.000 | 0.000 |
| 0.000 | 0.000 | -0.000 | 0.000 | 0.000 | 0.000 |
| 0.000 | 0.000 | 0.000 | 0.000 | 0.000 | 0.000 |
| 0.000 | 0.000 | 0.000 | 0.000 | 0.000 | 0.000 |
| 0.000 | 0.000 | 0.000 | 0.000 | 0.000 | 0.000 |
| 0.000 | -0.000 | -0.000 | 0.000 | 0.000 | -0.000 |
| -0.000 | 0.000 | -0.000 | 0.000 | 0.000 | -0.000 |
| -0.000 | -0.000 | 0.000 | 0.000 | -0.000 | 0.000 |
| 0.000 | 0.000 | 0.000 | -0.000 | -0.000 | -0.000 |
| 0.000 | 0.000 | 0.000 | -0.000 | -0.000 | 0.000 |
| 0.000 | 0.000 | 0.000 | -0.000 | -0.000 | -0.000 |
| -0.000 | 0.000 | 0.000 | 0.000 | -0.000 | -0.000 |
| 0.000 | -0.000 | 0.000 | -0.000 | 0.000 | -0.000 |
| 0.000 | 0.000 | -0.000 | -0.000 | -0.000 | 0.000 |
| 0.000 | 0.000 | 0.000 | -0.000 | -0.000 | 0.000 |
| 0.000 | 0.000 | 0.000 | -0.000 | -0.000 | 0.000 |
| 0.000 | 0.000 | 0.000 | 0.000 | 0.000 | -0.000 |
| 0.000 | -0.000 | -0.000 | 0.000 | 0.000 | 0.000 |
| -0.000 | 0.000 | -0.000 | 0.000 | 0.000 | 0.000 |
| -0.000 | -0.000 | 0.000 | 0.000 | 0.000 | 0.000 |
| 0.000 | 0.000 | 0.000 | -0.000 | -0.000 | -0.000 |
| 0.000 | 0.000 | 0.000 | -0.000 | -0.000 | -0.000 |
| 0.000 | 0.000 | 0.000 | -0.000 | -0.000 | -0.000 |
| -0.000 | 0.000 | 0.000 | 0.000 | -0.000 | -0.000 |
| 0.000 | -0.000 | 0.000 | -0.000 | 0.000 | -0.000 |
| 0.000 | 0.000 | -0.000 | -0.000 | -0.000 | 0.000 |
| 0.000 | 0.000 | 0.000 | 0.000 | 0.000 | 0.000 |
| 0.000 | 0.000 | 0.000 | 0.000 | 0.000 | 0.000 |
| 0.000 | 0.000 | 0.000 | 0.000 | 0.000 | 0.000 |
| 0.000 | -0.000 | -0.000 | 0.000 | 0.000 | 0.000 |
| -0.000 | 0.000 | -0.000 | 0.000 | 0.000 | 0.000 |
| -0.000 | -0.000 | 0.000 | 0.000 | 0.000 | 0.000 |
| 382.371 | 118.700 | 118.700 | 0.000 | 0.000 | 0.000 |
| 118.700 | 382.371 | 118.700 | 0.000 | -0.000 | 0.000 |
| 118.700 | 118.700 | 382.371 | 0.000 | 0.000 | -0.000 |
| -0.000 | -0.000 | -0.000 | 93.256 | -0.000 | -0.000 |
| -0.000 | -0.000 | -0.000 | -0.000 | 93.256 | 0.000 |
| -0.000 | -0.000 | -0.000 | 0.000 | 0.000 | 93.256 |
| 382.371 | 118.700 | 118.700 | -0.000 | -0.000 | 0.000 |
| 118.700 | 382.371 | 118.700 | 0.000 | 0.000 | -0.000 |
| 118.700 | 118.700 | 382.371 | -0.000 | -0.000 | -0.000 |
| 0.000 | 0.000 | 0.000 | 93.256 | -0.000 | 0.000 |
| 0.000 | 0.000 | 0.000 | 0.000 | 93.256 | -0.000 |
| 0.000 | 0.000 | 0.000 | -0.000 | -0.000 | 93.256 |
| 382.371 | 118.700 | 118.700 | 0.000 | 0.000 | -0.000 |
| 118.700 | 382.371 | 118.700 | 0.000 | -0.000 | 0.000 |
| 118.700 | 118.700 | 382.371 | 0.000 | 0.000 | -0.000 |
| 0.000 | 0.000 | 0.000 | 79.155 | -0.000 | 0.000 |
| 0.000 | 0.000 | 0.000 | -0.000 | 79.155 | 0.000 |
| 0.000 | 0.000 | 0.000 | -0.000 | -0.000 | 79.155 |
| 385.956 | 116.908 | 116.908 | -0.000 | -0.000 | 0.000 |
| 116.908 | 385.956 | 116.908 | 0.000 | 0.000 | -0.000 |
| 116.908 | 116.908 | 385.956 | 0.000 | -0.000 | -0.000 |
| -0.000 | -0.000 | -0.000 | 79.155 | 0.000 | 0.000 |
| -0.000 | -0.000 | -0.000 | 0.000 | 79.155 | -0.000 |
| -0.000 | -0.000 | -0.000 | -0.000 | -0.000 | 79.155 |
| 385.957 | 116.908 | 116.908 | 0.000 | 0.000 | 0.000 |
| 116.908 | 385.957 | 116.908 | 0.000 | 0.000 | 0.000 |
| 116.908 | 116.908 | 385.957 | -0.000 | -0.000 | 0.000 |
| 0.000 | 0.000 | 0.000 | 79.155 | 0.000 | 0.000 |
| 0.000 | 0.000 | 0.000 | -0.000 | 79.155 | -0.000 |
| 0.000 | 0.000 | 0.000 | 0.000 | 0.000 | 79.155 |
| 382.370 | 118.700 | 118.700 | 0.000 | 0.000 | -0.000 |
| 118.700 | 382.370 | 118.700 | -0.000 | 0.000 | -0.000 |
| 118.700 | 118.700 | 382.370 | -0.000 | -0.000 | 0.000 |
| -0.000 | -0.000 | -0.000 | 79.155 | 0.000 | -0.000 |
| -0.000 | -0.000 | -0.000 | 0.000 | 79.155 | -0.000 |
| -0.000 | -0.000 | -0.000 | -0.000 | -0.000 | 79.155 |
| 0.000 | -0.000 | -0.000 | -0.000 | 0.000 | -0.000 |
| -0.000 | 0.000 | -0.000 | 0.000 | -0.000 | -0.000 |
| -0.000 | -0.000 | 0.000 | -0.000 | 0.000 | 0.000 |
| 0.000 | -0.000 | -0.000 | 0.000 | 0.000 | -0.000 |
| -0.000 | 0.000 | -0.000 | -0.000 | 0.000 | -0.000 |
| -0.000 | -0.000 | 0.000 | 0.000 | 0.000 | 0.000 |
| 0.000 | -0.000 | -0.000 | -0.000 | -0.000 | 0.000 |
| -0.000 | 0.000 | -0.000 | -0.000 | 0.000 | 0.000 |
| -0.000 | -0.000 | 0.000 | 0.000 | -0.000 | 0.000 |
| -0.000 | 0.000 | 0.000 | 0.000 | -0.000 | 0.000 |
| 0.000 | -0.000 | 0.000 | 0.000 | 0.000 | 0.000 |
| 0.000 | 0.000 | -0.000 | -0.000 | -0.000 | 0.000 |
| 0.000 | -0.000 | -0.000 | -0.000 | 0.000 | -0.000 |
| -0.000 | 0.000 | -0.000 | -0.000 | -0.000 | -0.000 |
| -0.000 | -0.000 | 0.000 | -0.000 | -0.000 | 0.000 |
| 0.000 | -0.000 | -0.000 | 0.000 | 0.000 | -0.000 |
| -0.000 | 0.000 | -0.000 | -0.000 | 0.000 | -0.000 |
| -0.000 | -0.000 | 0.000 | 0.000 | 0.000 | 0.000 |
| 0.000 | -0.000 | -0.000 | -0.000 | -0.000 | 0.000 |
| -0.000 | 0.000 | -0.000 | -0.000 | 0.000 | 0.000 |
| -0.000 | -0.000 | 0.000 | -0.000 | -0.000 | 0.000 |
| -0.000 | 0.000 | 0.000 | 0.000 | -0.000 | 0.000 |
| 0.000 | -0.000 | 0.000 | 0.000 | 0.000 | 0.000 |
| 0.000 | 0.000 | -0.000 | -0.000 | -0.000 | 0.000 |
| 0.000 | -0.000 | -0.000 | -0.000 | 0.000 | -0.000 |
| -0.000 | 0.000 | -0.000 | 0.000 | -0.000 | -0.000 |
| -0.000 | -0.000 | 0.000 | -0.000 | 0.000 | 0.000 |
| 0.000 | -0.000 | -0.000 | 0.000 | 0.000 | -0.000 |
| -0.000 | 0.000 | -0.000 | 0.000 | 0.000 | -0.000 |
| -0.000 | -0.000 | 0.000 | 0.000 | 0.000 | 0.000 |
| 0.000 | -0.000 | -0.000 | -0.000 | -0.000 | 0.000 |
| -0.000 | 0.000 | -0.000 | 0.000 | 0.000 | 0.000 |
| -0.000 | -0.000 | 0.000 | 0.000 | -0.000 | 0.000 |
| -0.000 | 0.000 | 0.000 | 0.000 | -0.000 | 0.000 |
| 0.000 | -0.000 | 0.000 | -0.000 | 0.000 | 0.000 |
| 0.000 | 0.000 | -0.000 | -0.000 | -0.000 | 0.000 |
| 0.000 | -0.000 | -0.000 | 0.000 | 0.000 | -0.000 |
| -0.000 | 0.000 | -0.000 | -0.000 | -0.000 | -0.000 |
| -0.000 | -0.000 | 0.000 | -0.000 | 0.000 | -0.000 |
| 0.000 | 0.000 | -0.000 | 0.000 | 0.000 | -0.000 |
| 0.000 | 0.000 | -0.000 | -0.000 | 0.000 | 0.000 |
| 0.000 | -0.000 | 0.000 | 0.000 | 0.000 | 0.000 |
| 0.000 | -0.000 | -0.000 | 0.000 | 0.000 | -0.000 |
| -0.000 | 0.000 | -0.000 | -0.000 | -0.000 | -0.000 |
| -0.000 | -0.000 | 0.000 | 0.000 | -0.000 | -0.000 |
| -0.000 | -0.000 | 0.000 | 0.000 | -0.000 | 0.000 |
| -0.000 | -0.000 | 0.000 | 0.000 | 0.000 | -0.000 |
| -0.000 | 0.000 | -0.000 | -0.000 | -0.000 | 0.000 |
| 0.000 | -0.000 | -0.000 | 0.000 | 0.000 | 0.000 |
| -0.000 | 0.000 | -0.000 | -0.000 | -0.000 | 0.000 |
| -0.000 | -0.000 | 0.000 | -0.000 | 0.000 | -0.000 |
| 0.000 | 0.000 | -0.000 | 0.000 | 0.000 | 0.000 |
| 0.000 | 0.000 | -0.000 | -0.000 | 0.000 | 0.000 |
| 0.000 | -0.000 | 0.000 | 0.000 | 0.000 | 0.000 |
| 0.000 | -0.000 | -0.000 | 0.000 | -0.000 | 0.000 |
| -0.000 | 0.000 | -0.000 | 0.000 | -0.000 | 0.000 |
| -0.000 | -0.000 | 0.000 | 0.000 | -0.000 | -0.000 |
| -0.000 | -0.000 | 0.000 | 0.000 | -0.000 | 0.000 |
| -0.000 | -0.000 | 0.000 | 0.000 | 0.000 | -0.000 |
| -0.000 | 0.000 | -0.000 | -0.000 | -0.000 | 0.000 |
| 0.000 | -0.000 | -0.000 | 0.000 | -0.000 | 0.000 |
| -0.000 | 0.000 | -0.000 | -0.000 | -0.000 | -0.000 |
| -0.000 | -0.000 | 0.000 | -0.000 | -0.000 | -0.000 |
| 0.000 | -0.000 | -0.000 | 0.000 | 0.000 | 0.000 |
| 0.000 | 0.000 | -0.000 | 0.000 | 0.000 | 0.000 |
| -0.000 | -0.000 | 0.000 | 0.000 | 0.000 | 0.000 |
| 0.000 | -0.000 | -0.000 | 0.000 | -0.000 | -0.000 |
| -0.000 | 0.000 | -0.000 | -0.000 | -0.000 | -0.000 |
| -0.000 | -0.000 | 0.000 | 0.000 | -0.000 | -0.000 |
| -0.000 | 0.000 | 0.000 | 0.000 | -0.000 | -0.000 |
| 0.000 | -0.000 | 0.000 | -0.000 | 0.000 | -0.000 |
| 0.000 | 0.000 | -0.000 | -0.000 | -0.000 | 0.000 |
| 0.000 | -0.000 | -0.000 | 0.000 | 0.000 | -0.000 |
| -0.000 | 0.000 | -0.000 | 0.000 | 0.000 | 0.000 |
| -0.000 | -0.000 | 0.000 | -0.000 | 0.000 | 0.000 |
| 0.000 | 0.000 | -0.000 | 0.000 | -0.000 | -0.000 |
| 0.000 | 0.000 | -0.000 | 0.000 | 0.000 | 0.000 |
| 0.000 | -0.000 | 0.000 | 0.000 | 0.000 | 0.000 |
| 0.000 | -0.000 | -0.000 | 0.000 | 0.000 | 0.000 |
| -0.000 | 0.000 | -0.000 | 0.000 | 0.000 | 0.000 |
| -0.000 | -0.000 | 0.000 | -0.000 | 0.000 | 0.000 |
| -0.000 | -0.000 | 0.000 | 0.000 | 0.000 | 0.000 |
| -0.000 | -0.000 | 0.000 | -0.000 | 0.000 | -0.000 |
| -0.000 | 0.000 | -0.000 | -0.000 | -0.000 | 0.000 |
| 0.000 | -0.000 | -0.000 | 0.000 | 0.000 | 0.000 |
| -0.000 | 0.000 | -0.000 | 0.000 | 0.000 | 0.000 |
| -0.000 | -0.000 | 0.000 | 0.000 | -0.000 | 0.000 |
| 0.000 | 0.000 | -0.000 | 0.000 | -0.000 | 0.000 |
| 0.000 | 0.000 | -0.000 | -0.000 | 0.000 | -0.000 |
| 0.000 | -0.000 | 0.000 | 0.000 | 0.000 | 0.000 |
| 0.000 | -0.000 | -0.000 | 0.000 | 0.000 | 0.000 |
| -0.000 | 0.000 | -0.000 | -0.000 | 0.000 | -0.000 |
| -0.000 | -0.000 | 0.000 | -0.000 | 0.000 | 0.000 |
| -0.000 | 0.000 | 0.000 | 0.000 | 0.000 | 0.000 |
| -0.000 | -0.000 | 0.000 | 0.000 | 0.000 | 0.000 |
| 0.000 | 0.000 | -0.000 | -0.000 | -0.000 | 0.000 |
| 0.000 | -0.000 | -0.000 | 0.000 | -0.000 | 0.000 |
| -0.000 | 0.000 | -0.000 | -0.000 | 0.000 | -0.000 |
| -0.000 | -0.000 | 0.000 | 0.000 | -0.000 | 0.000 |
| 0.000 | -0.000 | -0.000 | 0.000 | -0.000 | -0.000 |
| -0.000 | 0.000 | -0.000 | -0.000 | 0.000 | -0.000 |
| -0.000 | -0.000 | 0.000 | 0.000 | 0.000 | 0.000 |
| 0.000 | -0.000 | -0.000 | 0.000 | -0.000 | 0.000 |
| -0.000 | 0.000 | -0.000 | -0.000 | 0.000 | 0.000 |
| -0.000 | -0.000 | 0.000 | 0.000 | -0.000 | 0.000 |
| -0.000 | 0.000 | 0.000 | 0.000 | 0.000 | 0.000 |
| 0.000 | -0.000 | 0.000 | 0.000 | 0.000 | 0.000 |
| 0.000 | 0.000 | -0.000 | -0.000 | -0.000 | 0.000 |
| 0.000 | 0.000 | 0.000 | -0.000 | -0.000 | -0.000 |
| 0.000 | 0.000 | 0.000 | 0.000 | 0.000 | 0.000 |
| 0.000 | 0.000 | 0.000 | 0.000 | 0.000 | 0.000 |
| 0.000 | -0.000 | -0.000 | -0.000 | -0.000 | -0.000 |
| -0.000 | 0.000 | -0.000 | 0.000 | -0.000 | -0.000 |
| -0.000 | -0.000 | 0.000 | 0.000 | -0.000 | -0.000 |
| 0.000 | 0.000 | 0.000 | -0.000 | -0.000 | 0.000 |
| 0.000 | 0.000 | 0.000 | -0.000 | 0.000 | -0.000 |
| 0.000 | 0.000 | 0.000 | -0.000 | 0.000 | 0.000 |
| -0.000 | 0.000 | 0.000 | -0.000 | 0.000 | -0.000 |
| 0.000 | -0.000 | 0.000 | -0.000 | -0.000 | 0.000 |
| 0.000 | 0.000 | -0.000 | -0.000 | 0.000 | -0.000 |
| 0.000 | 0.000 | 0.000 | -0.000 | -0.000 | -0.000 |
| 0.000 | 0.000 | 0.000 | -0.000 | 0.000 | 0.000 |
| 0.000 | 0.000 | 0.000 | 0.000 | 0.000 | 0.000 |
| 0.000 | -0.000 | -0.000 | -0.000 | 0.000 | -0.000 |
| -0.000 | 0.000 | -0.000 | 0.000 | -0.000 | -0.000 |
| -0.000 | -0.000 | 0.000 | 0.000 | -0.000 | -0.000 |
| 0.000 | 0.000 | 0.000 | -0.000 | 0.000 | 0.000 |
| 0.000 | 0.000 | 0.000 | -0.000 | 0.000 | 0.000 |
| 0.000 | 0.000 | 0.000 | -0.000 | 0.000 | 0.000 |
| -0.000 | 0.000 | 0.000 | -0.000 | -0.000 | 0.000 |
| 0.000 | -0.000 | 0.000 | -0.000 | -0.000 | 0.000 |
| 0.000 | 0.000 | -0.000 | -0.000 | 0.000 | -0.000 |
| 0.000 | 0.000 | 0.000 | -0.000 | 0.000 | 0.000 |
| 0.000 | 0.000 | 0.000 | 0.000 | 0.000 | 0.000 |
| 0.000 | 0.000 | 0.000 | 0.000 | -0.000 | 0.000 |
| 0.000 | -0.000 | -0.000 | -0.000 | 0.000 | -0.000 |
| -0.000 | 0.000 | -0.000 | 0.000 | -0.000 | -0.000 |
| -0.000 | -0.000 | 0.000 | 0.000 | -0.000 | -0.000 |
| 0.000 | 0.000 | 0.000 | -0.000 | -0.000 | 0.000 |
| 0.000 | 0.000 | 0.000 | -0.000 | 0.000 | -0.000 |
| 0.000 | 0.000 | 0.000 | -0.000 | -0.000 | 0.000 |
| -0.000 | 0.000 | 0.000 | -0.000 | -0.000 | 0.000 |
| 0.000 | -0.000 | 0.000 | -0.000 | -0.000 | 0.000 |
| 0.000 | 0.000 | -0.000 | -0.000 | 0.000 | -0.000 |
| 0.000 | 0.000 | 0.000 | -0.000 | 0.000 | 0.000 |
| 0.000 | 0.000 | 0.000 | -0.000 | 0.000 | -0.000 |
| 0.000 | 0.000 | 0.000 | -0.000 | 0.000 | -0.000 |
| 0.000 | -0.000 | -0.000 | -0.000 | 0.000 | 0.000 |
| -0.000 | 0.000 | -0.000 | -0.000 | -0.000 | -0.000 |
| -0.000 | -0.000 | 0.000 | -0.000 | 0.000 | -0.000 |
| 0.000 | 0.000 | 0.000 | 0.000 | -0.000 | 0.000 |
| 0.000 | 0.000 | 0.000 | 0.000 | -0.000 | 0.000 |
| 0.000 | 0.000 | 0.000 | 0.000 | 0.000 | 0.000 |
| -0.000 | 0.000 | 0.000 | -0.000 | -0.000 | 0.000 |
| 0.000 | -0.000 | 0.000 | 0.000 | -0.000 | 0.000 |
| 0.000 | 0.000 | -0.000 | 0.000 | -0.000 | -0.000 |
| 0.000 | 0.000 | 0.000 | -0.000 | 0.000 | -0.000 |
| 0.000 | 0.000 | 0.000 | -0.000 | 0.000 | -0.000 |
| 0.000 | 0.000 | 0.000 | -0.000 | 0.000 | -0.000 |
| 0.000 | -0.000 | -0.000 | -0.000 | 0.000 | -0.000 |
| -0.000 | 0.000 | -0.000 | -0.000 | -0.000 | -0.000 |
| -0.000 | -0.000 | 0.000 | -0.000 | 0.000 | -0.000 |
| 0.000 | 0.000 | 0.000 | 0.000 | -0.000 | 0.000 |
| 0.000 | 0.000 | 0.000 | 0.000 | -0.000 | 0.000 |
| 0.000 | 0.000 | 0.000 | 0.000 | -0.000 | 0.000 |
| -0.000 | 0.000 | 0.000 | -0.000 | -0.000 | -0.000 |
| 0.000 | -0.000 | 0.000 | 0.000 | -0.000 | 0.000 |
| 0.000 | 0.000 | -0.000 | 0.000 | -0.000 | -0.000 |
| 0.000 | 0.000 | 0.000 | -0.000 | 0.000 | -0.000 |
| 0.000 | 0.000 | 0.000 | -0.000 | 0.000 | -0.000 |
| 0.000 | 0.000 | 0.000 | -0.000 | 0.000 | -0.000 |
| 0.000 | 0.000 | -0.000 | -0.000 | 0.000 | -0.000 |
| 0.000 | 0.000 | -0.000 | -0.000 | -0.000 | -0.000 |
| 0.000 | -0.000 | 0.000 | -0.000 | 0.000 | -0.000 |
| 0.000 | 0.000 | 0.000 | 0.000 | -0.000 | 0.000 |
| 0.000 | 0.000 | 0.000 | 0.000 | -0.000 | 0.000 |
| 0.000 | 0.000 | 0.000 | 0.000 | -0.000 | 0.000 |
| -0.000 | -0.000 | 0.000 | -0.000 | -0.000 | 0.000 |
| -0.000 | -0.000 | 0.000 | 0.000 | -0.000 | 0.000 |
| -0.000 | 0.000 | -0.000 | 0.000 | -0.000 | -0.000 |
| -0.000 | -0.000 | -0.000 | -0.000 | 0.000 | -0.000 |
| -0.000 | -0.000 | -0.000 | -0.000 | -0.000 | 0.000 |
| -0.000 | -0.000 | -0.000 | 0.000 | 0.000 | -0.000 |
| 0.000 | 0.000 | 0.000 | 0.000 | 0.000 | -0.000 |
| 0.000 | 0.000 | 0.000 | 0.000 | 0.000 | -0.000 |
| 0.000 | 0.000 | 0.000 | 0.000 | 0.000 | 0.000 |
| -0.000 | -0.000 | -0.000 | -0.000 | -0.000 | -0.000 |
| -0.000 | -0.000 | -0.000 | -0.000 | -0.000 | -0.000 |
| -0.000 | -0.000 | -0.000 | -0.000 | 0.000 | -0.000 |
| -0.000 | -0.000 | -0.000 | 0.000 | -0.000 | 0.000 |
| -0.000 | -0.000 | -0.000 | -0.000 | 0.000 | -0.000 |
| -0.000 | -0.000 | -0.000 | -0.000 | -0.000 | 0.000 |
| -0.000 | -0.000 | -0.000 | -0.000 | 0.000 | -0.000 |
| -0.000 | -0.000 | -0.000 | -0.000 | -0.000 | -0.000 |
| -0.000 | -0.000 | -0.000 | 0.000 | -0.000 | -0.000 |
| 0.000 | 0.000 | 0.000 | 0.000 | 0.000 | 0.000 |
| 0.000 | 0.000 | 0.000 | 0.000 | 0.000 | -0.000 |
| 0.000 | 0.000 | 0.000 | 0.000 | 0.000 | 0.000 |
| -0.000 | -0.000 | -0.000 | -0.000 | -0.000 | -0.000 |
| -0.000 | -0.000 | -0.000 | -0.000 | -0.000 | -0.000 |
| -0.000 | -0.000 | -0.000 | 0.000 | 0.000 | -0.000 |
| -0.000 | -0.000 | -0.000 | 0.000 | -0.000 | -0.000 |
| -0.000 | -0.000 | -0.000 | -0.000 | 0.000 | -0.000 |
| -0.000 | -0.000 | -0.000 | -0.000 | -0.000 | 0.000 |
| -0.000 | -0.000 | -0.000 | -0.000 | -0.000 | 0.000 |
| -0.000 | -0.000 | -0.000 | -0.000 | -0.000 | 0.000 |
| -0.000 | -0.000 | -0.000 | -0.000 | 0.000 | -0.000 |
| 0.000 | -0.000 | 0.000 | 0.000 | 0.000 | 0.000 |
| -0.000 | 0.000 | 0.000 | 0.000 | 0.000 | 0.000 |
| -0.000 | 0.000 | 0.000 | 0.000 | -0.000 | 0.000 |
| -0.000 | -0.000 | -0.000 | -0.000 | -0.000 | -0.000 |
| -0.000 | -0.000 | -0.000 | -0.000 | -0.000 | -0.000 |
| -0.000 | -0.000 | -0.000 | 0.000 | -0.000 | -0.000 |
| -0.000 | 0.000 | -0.000 | 0.000 | -0.000 | -0.000 |
| 0.000 | -0.000 | -0.000 | -0.000 | 0.000 | -0.000 |
| 0.000 | -0.000 | -0.000 | -0.000 | -0.000 | 0.000 |
| -0.000 | -0.000 | -0.000 | 0.000 | -0.000 | -0.000 |
| -0.000 | -0.000 | -0.000 | 0.000 | -0.000 | -0.000 |
| -0.000 | -0.000 | -0.000 | 0.000 | -0.000 | -0.000 |
| -0.000 | -0.000 | 0.000 | 0.000 | -0.000 | -0.000 |
| -0.000 | -0.000 | 0.000 | 0.000 | 0.000 | -0.000 |
| -0.000 | 0.000 | -0.000 | 0.000 | -0.000 | 0.000 |
| -0.000 | 0.000 | 0.000 | -0.000 | 0.000 | 0.000 |
| 0.000 | -0.000 | 0.000 | -0.000 | 0.000 | -0.000 |
| 0.000 | 0.000 | -0.000 | -0.000 | 0.000 | 0.000 |
| 0.000 | 0.000 | -0.000 | 0.000 | 0.000 | 0.000 |
| 0.000 | 0.000 | -0.000 | -0.000 | 0.000 | 0.000 |
| 0.000 | -0.000 | 0.000 | -0.000 | 0.000 | 0.000 |
| -0.000 | -0.000 | -0.000 | 0.000 | -0.000 | -0.000 |
| -0.000 | -0.000 | -0.000 | 0.000 | -0.000 | 0.000 |
| -0.000 | -0.000 | -0.000 | -0.000 | -0.000 | -0.000 |
| -0.000 | -0.000 | 0.000 | -0.000 | -0.000 | -0.000 |
| -0.000 | -0.000 | 0.000 | 0.000 | -0.000 | -0.000 |
| -0.000 | 0.000 | -0.000 | 0.000 | -0.000 | -0.000 |
| -0.000 | -0.000 | -0.000 | -0.000 | 0.000 | 0.000 |
| -0.000 | -0.000 | -0.000 | -0.000 | 0.000 | 0.000 |
| -0.000 | -0.000 | -0.000 | 0.000 | -0.000 | 0.000 |
| 0.000 | 0.000 | -0.000 | -0.000 | 0.000 | 0.000 |
| 0.000 | 0.000 | -0.000 | -0.000 | -0.000 | 0.000 |
| 0.000 | -0.000 | 0.000 | -0.000 | 0.000 | -0.000 |
| -0.000 | -0.000 | -0.000 | 0.000 | -0.000 | -0.000 |
| -0.000 | -0.000 | -0.000 | 0.000 | -0.000 | 0.000 |
| -0.000 | -0.000 | -0.000 | 0.000 | 0.000 | -0.000 |
| -0.000 | -0.000 | 0.000 | -0.000 | 0.000 | -0.000 |
| -0.000 | -0.000 | 0.000 | -0.000 | -0.000 | -0.000 |
| -0.000 | 0.000 | -0.000 | 0.000 | -0.000 | -0.000 |
| -0.000 | -0.000 | -0.000 | -0.000 | 0.000 | 0.000 |
| -0.000 | -0.000 | -0.000 | -0.000 | 0.000 | 0.000 |
| -0.000 | -0.000 | -0.000 | -0.000 | -0.000 | 0.000 |
| 0.000 | 0.000 | -0.000 | -0.000 | -0.000 | 0.000 |
| 0.000 | 0.000 | -0.000 | 0.000 | -0.000 | 0.000 |
| 0.000 | -0.000 | 0.000 | -0.000 | 0.000 | -0.000 |
| 0.000 | -0.000 | -0.000 | -0.000 | 0.000 | -0.000 |
| -0.000 | 0.000 | -0.000 | -0.000 | 0.000 | -0.000 |
| -0.000 | -0.000 | 0.000 | 0.000 | 0.000 | -0.000 |
| -0.000 | -0.000 | -0.000 | 0.000 | 0.000 | -0.000 |
| 0.000 | -0.000 | -0.000 | -0.000 | 0.000 | -0.000 |
| -0.000 | -0.000 | -0.000 | -0.000 | 0.000 | 0.000 |
| 0.000 | -0.000 | -0.000 | 0.000 | -0.000 | 0.000 |
| -0.000 | 0.000 | -0.000 | 0.000 | -0.000 | 0.000 |
| -0.000 | -0.000 | 0.000 | -0.000 | -0.000 | 0.000 |
| 0.000 | -0.000 | 0.000 | 0.000 | -0.000 | -0.000 |
| -0.000 | 0.000 | 0.000 | 0.000 | 0.000 | 0.000 |
| -0.000 | 0.000 | 0.000 | 0.000 | -0.000 | 0.000 |
| 0.000 | -0.000 | -0.000 | -0.000 | 0.000 | -0.000 |
| -0.000 | 0.000 | -0.000 | -0.000 | 0.000 | -0.000 |
| -0.000 | -0.000 | 0.000 | 0.000 | 0.000 | -0.000 |
| -0.000 | 0.000 | -0.000 | 0.000 | 0.000 | -0.000 |
| -0.000 | -0.000 | -0.000 | -0.000 | 0.000 | -0.000 |
| 0.000 | -0.000 | -0.000 | -0.000 | 0.000 | 0.000 |
| 0.000 | -0.000 | -0.000 | 0.000 | -0.000 | 0.000 |
| -0.000 | 0.000 | -0.000 | 0.000 | -0.000 | 0.000 |
| -0.000 | -0.000 | 0.000 | -0.000 | 0.000 | 0.000 |
| 0.000 | -0.000 | 0.000 | 0.000 | -0.000 | 0.000 |
| 0.000 | 0.000 | 0.000 | 0.000 | 0.000 | 0.000 |
| -0.000 | 0.000 | 0.000 | 0.000 | -0.000 | 0.000 |
| 0.000 | -0.000 | -0.000 | -0.000 | 0.000 | -0.000 |
| -0.000 | 0.000 | -0.000 | -0.000 | 0.000 | 0.000 |
| -0.000 | -0.000 | 0.000 | 0.000 | -0.000 | -0.000 |
| -0.000 | -0.000 | -0.000 | 0.000 | 0.000 | -0.000 |
| -0.000 | -0.000 | -0.000 | -0.000 | 0.000 | -0.000 |
| -0.000 | -0.000 | -0.000 | -0.000 | 0.000 | 0.000 |
| 0.000 | -0.000 | -0.000 | 0.000 | -0.000 | 0.000 |
| -0.000 | 0.000 | -0.000 | 0.000 | -0.000 | 0.000 |
| -0.000 | -0.000 | 0.000 | 0.000 | -0.000 | 0.000 |
| 0.000 | 0.000 | 0.000 | 0.000 | -0.000 | -0.000 |
| 0.000 | 0.000 | 0.000 | 0.000 | 0.000 | 0.000 |
| 0.000 | 0.000 | 0.000 | 0.000 | -0.000 | 0.000 |
| -0.000 | -0.000 | -0.000 | -0.000 | -0.000 | 0.000 |
| -0.000 | -0.000 | -0.000 | 0.000 | 0.000 | 0.000 |
| -0.000 | -0.000 | -0.000 | 0.000 | -0.000 | -0.000 |
| 0.000 | 0.000 | 0.000 | 0.000 | 0.000 | 0.000 |
| 0.000 | 0.000 | 0.000 | 0.000 | 0.000 | 0.000 |
| 0.000 | 0.000 | 0.000 | 0.000 | 0.000 | 0.000 |
| -0.000 | -0.000 | -0.000 | -0.000 | -0.000 | -0.000 |
| -0.000 | -0.000 | -0.000 | -0.000 | 0.000 | -0.000 |
| -0.000 | -0.000 | -0.000 | -0.000 | 0.000 | -0.000 |
| -0.000 | -0.000 | -0.000 | 0.000 | -0.000 | 0.000 |
| -0.000 | -0.000 | -0.000 | -0.000 | 0.000 | -0.000 |
| -0.000 | -0.000 | -0.000 | -0.000 | 0.000 | 0.000 |
| -0.000 | -0.000 | -0.000 | -0.000 | 0.000 | 0.000 |
| -0.000 | -0.000 | -0.000 | 0.000 | 0.000 | -0.000 |
| -0.000 | -0.000 | -0.000 | -0.000 | 0.000 | -0.000 |
| 0.000 | 0.000 | 0.000 | 0.000 | -0.000 | 0.000 |
| 0.000 | 0.000 | 0.000 | 0.000 | 0.000 | 0.000 |
| 0.000 | 0.000 | 0.000 | 0.000 | 0.000 | 0.000 |
| -0.000 | -0.000 | -0.000 | -0.000 | 0.000 | -0.000 |
| -0.000 | -0.000 | -0.000 | -0.000 | 0.000 | -0.000 |
| -0.000 | -0.000 | -0.000 | -0.000 | -0.000 | -0.000 |
| -0.000 | -0.000 | -0.000 | 0.000 | 0.000 | -0.000 |
| -0.000 | -0.000 | -0.000 | -0.000 | 0.000 | -0.000 |
| -0.000 | -0.000 | -0.000 | -0.000 | -0.000 | 0.000 |
| -0.000 | -0.000 | -0.000 | -0.000 | -0.000 | -0.000 |
| -0.000 | -0.000 | -0.000 | 0.000 | 0.000 | -0.000 |
| -0.000 | -0.000 | -0.000 | 0.000 | 0.000 | -0.000 |
| 0.000 | 0.000 | 0.000 | 0.000 | -0.000 | 0.000 |
| 0.000 | 0.000 | 0.000 | 0.000 | 0.000 | 0.000 |
| 0.000 | 0.000 | 0.000 | 0.000 | -0.000 | 0.000 |
| -0.000 | -0.000 | -0.000 | -0.000 | -0.000 | -0.000 |
| -0.000 | -0.000 | -0.000 | -0.000 | 0.000 | -0.000 |
| -0.000 | -0.000 | -0.000 | -0.000 | -0.000 | -0.000 |
| -0.000 | -0.000 | -0.000 | 0.000 | 0.000 | -0.000 |
| -0.000 | -0.000 | -0.000 | -0.000 | 0.000 | -0.000 |
| -0.000 | -0.000 | -0.000 | -0.000 | -0.000 | 0.000 |
| 0.000 | -0.000 | -0.000 | 0.000 | 0.000 | -0.000 |
| -0.000 | 0.000 | -0.000 | 0.000 | 0.000 | -0.000 |
| -0.000 | -0.000 | 0.000 | -0.000 | 0.000 | -0.000 |
| 0.000 | 0.000 | 0.000 | 0.000 | 0.000 | -0.000 |
| 0.000 | 0.000 | 0.000 | 0.000 | 0.000 | -0.000 |
| 0.000 | 0.000 | 0.000 | 0.000 | 0.000 | 0.000 |
| 0.000 | -0.000 | -0.000 | -0.000 | -0.000 | 0.000 |
| -0.000 | 0.000 | -0.000 | -0.000 | -0.000 | 0.000 |
| -0.000 | -0.000 | 0.000 | 0.000 | -0.000 | 0.000 |
| -0.000 | -0.000 | -0.000 | 0.000 | -0.000 | 0.000 |
| -0.000 | -0.000 | -0.000 | -0.000 | 0.000 | 0.000 |
| -0.000 | -0.000 | -0.000 | -0.000 | -0.000 | 0.000 |
| 0.000 | -0.000 | -0.000 | 0.000 | 0.000 | -0.000 |
| -0.000 | 0.000 | -0.000 | 0.000 | 0.000 | 0.000 |
| -0.000 | -0.000 | 0.000 | -0.000 | 0.000 | -0.000 |
| 0.000 | 0.000 | -0.000 | 0.000 | 0.000 | 0.000 |
| 0.000 | 0.000 | -0.000 | 0.000 | 0.000 | -0.000 |
| 0.000 | -0.000 | 0.000 | 0.000 | 0.000 | 0.000 |
| 0.000 | -0.000 | -0.000 | -0.000 | -0.000 | 0.000 |
| -0.000 | 0.000 | -0.000 | -0.000 | -0.000 | -0.000 |
| -0.000 | -0.000 | 0.000 | 0.000 | -0.000 | 0.000 |
| -0.000 | -0.000 | 0.000 | 0.000 | -0.000 | 0.000 |
| -0.000 | -0.000 | 0.000 | -0.000 | 0.000 | 0.000 |
| -0.000 | 0.000 | -0.000 | -0.000 | -0.000 | 0.000 |
| 0.000 | -0.000 | -0.000 | 0.000 | -0.000 | -0.000 |
| -0.000 | 0.000 | -0.000 | 0.000 | 0.000 | -0.000 |
| -0.000 | -0.000 | 0.000 | -0.000 | 0.000 | -0.000 |
| 0.000 | 0.000 | -0.000 | 0.000 | 0.000 | -0.000 |
| 0.000 | 0.000 | -0.000 | 0.000 | 0.000 | -0.000 |
| 0.000 | -0.000 | 0.000 | 0.000 | 0.000 | 0.000 |
| 0.000 | -0.000 | -0.000 | -0.000 | -0.000 | 0.000 |
| -0.000 | 0.000 | -0.000 | -0.000 | -0.000 | -0.000 |
| -0.000 | -0.000 | 0.000 | 0.000 | -0.000 | 0.000 |
| -0.000 | 0.000 | 0.000 | 0.000 | -0.000 | 0.000 |
| 0.000 | -0.000 | 0.000 | -0.000 | 0.000 | 0.000 |
| 0.000 | 0.000 | -0.000 | -0.000 | -0.000 | 0.000 |
| 0.000 | 0.000 | 0.000 | 0.000 | 0.000 | -0.000 |
| 0.000 | 0.000 | 0.000 | 0.000 | -0.000 | -0.000 |
| 0.000 | 0.000 | 0.000 | 0.000 | 0.000 | 0.000 |
| 0.000 | -0.000 | -0.000 | -0.000 | 0.000 | -0.000 |
| -0.000 | 0.000 | -0.000 | -0.000 | -0.000 | -0.000 |
| -0.000 | -0.000 | 0.000 | 0.000 | 0.000 | -0.000 |
| 0.000 | 0.000 | 0.000 | 0.000 | -0.000 | -0.000 |
| 0.000 | 0.000 | 0.000 | -0.000 | -0.000 | 0.000 |
| 0.000 | 0.000 | 0.000 | 0.000 | -0.000 | 0.000 |
| -0.000 | 0.000 | 0.000 | -0.000 | -0.000 | -0.000 |
| 0.000 | -0.000 | 0.000 | 0.000 | -0.000 | 0.000 |
| 0.000 | 0.000 | -0.000 | -0.000 | -0.000 | -0.000 |
| 0.000 | 0.000 | 0.000 | 0.000 | 0.000 | -0.000 |
| 0.000 | 0.000 | 0.000 | 0.000 | -0.000 | -0.000 |
| 0.000 | 0.000 | 0.000 | -0.000 | 0.000 | 0.000 |
| 0.000 | -0.000 | -0.000 | -0.000 | 0.000 | -0.000 |
| -0.000 | 0.000 | -0.000 | 0.000 | -0.000 | -0.000 |
| -0.000 | -0.000 | 0.000 | 0.000 | 0.000 | -0.000 |
| 0.000 | 0.000 | 0.000 | 0.000 | -0.000 | 0.000 |
| 0.000 | 0.000 | 0.000 | -0.000 | -0.000 | 0.000 |
| 0.000 | 0.000 | 0.000 | 0.000 | -0.000 | 0.000 |
| -0.000 | 0.000 | 0.000 | -0.000 | -0.000 | 0.000 |
| 0.000 | -0.000 | 0.000 | -0.000 | -0.000 | -0.000 |
| 0.000 | 0.000 | -0.000 | -0.000 | -0.000 | -0.000 |
| 0.000 | 0.000 | 0.000 | 0.000 | 0.000 | -0.000 |
| 0.000 | 0.000 | 0.000 | 0.000 | -0.000 | -0.000 |
| 0.000 | 0.000 | 0.000 | -0.000 | 0.000 | 0.000 |
| 0.000 | -0.000 | -0.000 | -0.000 | 0.000 | 0.000 |
| -0.000 | 0.000 | -0.000 | 0.000 | -0.000 | 0.000 |
| -0.000 | -0.000 | 0.000 | 0.000 | 0.000 | -0.000 |
| 0.000 | 0.000 | 0.000 | 0.000 | 0.000 | 0.000 |
| 0.000 | 0.000 | 0.000 | -0.000 | -0.000 | 0.000 |
| 0.000 | 0.000 | 0.000 | 0.000 | -0.000 | 0.000 |
| -0.000 | 0.000 | 0.000 | -0.000 | -0.000 | 0.000 |
| 0.000 | -0.000 | 0.000 | -0.000 | -0.000 | 0.000 |
| 0.000 | 0.000 | -0.000 | -0.000 | -0.000 | -0.000 |
| 0.000 | 0.000 | 0.000 | -0.000 | 0.000 | -0.000 |
| 0.000 | 0.000 | 0.000 | -0.000 | -0.000 | -0.000 |
| 0.000 | 0.000 | 0.000 | -0.000 | 0.000 | 0.000 |
| 0.000 | 0.000 | 0.000 | -0.000 | -0.000 | 0.000 |
| 0.000 | 0.000 | 0.000 | -0.000 | -0.000 | 0.000 |
| 0.000 | 0.000 | 0.000 | -0.000 | 0.000 | -0.000 |
| 0.000 | 0.000 | 0.000 | 0.000 | -0.000 | 0.000 |
| 0.000 | 0.000 | 0.000 | 0.000 | 0.000 | -0.000 |
| 0.000 | 0.000 | 0.000 | 0.000 | -0.000 | -0.000 |
| -0.000 | -0.000 | -0.000 | -0.000 | 0.000 | -0.000 |
| -0.000 | -0.000 | -0.000 | 0.000 | -0.000 | 0.000 |
| -0.000 | -0.000 | -0.000 | 0.000 | -0.000 | -0.000 |
| 0.000 | 0.000 | 0.000 | -0.000 | 0.000 | -0.000 |
| 0.000 | 0.000 | 0.000 | -0.000 | -0.000 | -0.000 |
| 0.000 | 0.000 | 0.000 | -0.000 | 0.000 | 0.000 |
| 0.000 | 0.000 | -0.000 | -0.000 | 0.000 | -0.000 |
| 0.000 | 0.000 | -0.000 | -0.000 | -0.000 | -0.000 |
| 0.000 | -0.000 | 0.000 | -0.000 | 0.000 | -0.000 |
| 0.000 | 0.000 | 0.000 | 0.000 | -0.000 | -0.000 |
| 0.000 | 0.000 | 0.000 | 0.000 | 0.000 | 0.000 |
| 0.000 | 0.000 | 0.000 | 0.000 | -0.000 | -0.000 |
| -0.000 | -0.000 | 0.000 | -0.000 | -0.000 | 0.000 |
| -0.000 | -0.000 | 0.000 | 0.000 | -0.000 | -0.000 |
| -0.000 | 0.000 | -0.000 | 0.000 | -0.000 | -0.000 |
| 0.000 | 0.000 | 0.000 | -0.000 | 0.000 | 0.000 |
| 0.000 | 0.000 | 0.000 | -0.000 | -0.000 | -0.000 |
| 0.000 | 0.000 | 0.000 | 0.000 | 0.000 | 0.000 |
| 0.000 | 0.000 | -0.000 | -0.000 | 0.000 | 0.000 |
| 0.000 | 0.000 | -0.000 | -0.000 | -0.000 | -0.000 |
| 0.000 | -0.000 | 0.000 | -0.000 | 0.000 | -0.000 |
| 0.000 | 0.000 | 0.000 | 0.000 | -0.000 | -0.000 |
| 0.000 | 0.000 | 0.000 | 0.000 | 0.000 | 0.000 |
| 0.000 | 0.000 | 0.000 | -0.000 | 0.000 | -0.000 |
| -0.000 | -0.000 | 0.000 | -0.000 | -0.000 | -0.000 |
| -0.000 | -0.000 | 0.000 | 0.000 | -0.000 | 0.000 |
| -0.000 | 0.000 | -0.000 | 0.000 | -0.000 | -0.000 |
| -0.000 | -0.000 | -0.000 | -0.000 | -0.000 | 0.000 |
| -0.000 | -0.000 | -0.000 | 0.000 | 0.000 | -0.000 |
| -0.000 | -0.000 | -0.000 | -0.000 | 0.000 | 0.000 |
| 0.000 | -0.000 | 0.000 | 0.000 | 0.000 | -0.000 |
| -0.000 | 0.000 | 0.000 | 0.000 | 0.000 | -0.000 |
| -0.000 | 0.000 | 0.000 | 0.000 | -0.000 | 0.000 |
| -0.000 | -0.000 | -0.000 | -0.000 | 0.000 | 0.000 |
| -0.000 | -0.000 | -0.000 | -0.000 | 0.000 | -0.000 |
| -0.000 | -0.000 | -0.000 | 0.000 | -0.000 | 0.000 |
| -0.000 | 0.000 | -0.000 | 0.000 | -0.000 | 0.000 |
| 0.000 | -0.000 | -0.000 | -0.000 | 0.000 | 0.000 |
| 0.000 | -0.000 | -0.000 | -0.000 | 0.000 | 0.000 |
| -0.000 | -0.000 | -0.000 | -0.000 | -0.000 | -0.000 |
| -0.000 | -0.000 | -0.000 | -0.000 | 0.000 | -0.000 |
| -0.000 | -0.000 | -0.000 | -0.000 | -0.000 | 0.000 |
| 0.000 | -0.000 | 0.000 | 0.000 | -0.000 | -0.000 |
| -0.000 | 0.000 | 0.000 | 0.000 | 0.000 | -0.000 |
| -0.000 | 0.000 | 0.000 | 0.000 | -0.000 | 0.000 |
| -0.000 | -0.000 | -0.000 | -0.000 | 0.000 | 0.000 |
| -0.000 | -0.000 | -0.000 | 0.000 | 0.000 | 0.000 |
| -0.000 | -0.000 | -0.000 | -0.000 | -0.000 | 0.000 |
| -0.000 | 0.000 | -0.000 | 0.000 | 0.000 | 0.000 |
| 0.000 | -0.000 | -0.000 | -0.000 | 0.000 | 0.000 |
| 0.000 | -0.000 | -0.000 | -0.000 | 0.000 | 0.000 |
| -0.000 | -0.000 | -0.000 | -0.000 | -0.000 | -0.000 |
| -0.000 | -0.000 | -0.000 | 0.000 | 0.000 | -0.000 |
| -0.000 | -0.000 | -0.000 | -0.000 | -0.000 | 0.000 |
| 0.000 | -0.000 | 0.000 | 0.000 | -0.000 | -0.000 |
| -0.000 | 0.000 | 0.000 | 0.000 | 0.000 | -0.000 |
| -0.000 | 0.000 | 0.000 | 0.000 | -0.000 | 0.000 |
| -0.000 | -0.000 | -0.000 | -0.000 | 0.000 | 0.000 |
| -0.000 | -0.000 | -0.000 | -0.000 | 0.000 | 0.000 |
| -0.000 | -0.000 | -0.000 | -0.000 | 0.000 | 0.000 |
| -0.000 | 0.000 | -0.000 | 0.000 | 0.000 | 0.000 |
| 0.000 | -0.000 | -0.000 | -0.000 | 0.000 | 0.000 |
| 0.000 | -0.000 | -0.000 | -0.000 | 0.000 | 0.000 |
| 0.000 | -0.000 | -0.000 | 0.000 | -0.000 | 0.000 |
| -0.000 | 0.000 | -0.000 | 0.000 | -0.000 | 0.000 |
| -0.000 | -0.000 | 0.000 | -0.000 | -0.000 | -0.000 |
| 0.000 | 0.000 | 0.000 | 0.000 | 0.000 | 0.000 |
| 0.000 | 0.000 | 0.000 | 0.000 | 0.000 | 0.000 |
| 0.000 | 0.000 | 0.000 | 0.000 | -0.000 | 0.000 |
| 0.000 | -0.000 | -0.000 | 0.000 | 0.000 | 0.000 |
| -0.000 | 0.000 | -0.000 | 0.000 | -0.000 | -0.000 |
| -0.000 | -0.000 | 0.000 | -0.000 | -0.000 | -0.000 |
| -0.000 | -0.000 | -0.000 | 0.000 | -0.000 | -0.000 |
| -0.000 | -0.000 | -0.000 | -0.000 | 0.000 | -0.000 |
| -0.000 | -0.000 | -0.000 | -0.000 | 0.000 | 0.000 |
| 0.000 | -0.000 | -0.000 | 0.000 | -0.000 | 0.000 |
| -0.000 | 0.000 | -0.000 | 0.000 | -0.000 | 0.000 |
| -0.000 | -0.000 | 0.000 | -0.000 | -0.000 | -0.000 |
| 0.000 | 0.000 | -0.000 | 0.000 | -0.000 | 0.000 |
| 0.000 | 0.000 | -0.000 | -0.000 | 0.000 | 0.000 |
| 0.000 | -0.000 | 0.000 | 0.000 | -0.000 | 0.000 |
| 0.000 | -0.000 | -0.000 | 0.000 | 0.000 | -0.000 |
| -0.000 | 0.000 | -0.000 | 0.000 | -0.000 | -0.000 |
| -0.000 | -0.000 | 0.000 | 0.000 | -0.000 | -0.000 |
| -0.000 | -0.000 | 0.000 | 0.000 | 0.000 | -0.000 |
| -0.000 | -0.000 | 0.000 | 0.000 | 0.000 | -0.000 |
| -0.000 | 0.000 | -0.000 | -0.000 | 0.000 | 0.000 |
| 0.000 | -0.000 | -0.000 | 0.000 | -0.000 | 0.000 |
| -0.000 | 0.000 | -0.000 | -0.000 | -0.000 | 0.000 |
| -0.000 | -0.000 | 0.000 | 0.000 | -0.000 | -0.000 |
| 0.000 | -0.000 | -0.000 | 0.000 | 0.000 | 0.000 |
| -0.000 | 0.000 | -0.000 | -0.000 | 0.000 | 0.000 |
| -0.000 | -0.000 | 0.000 | 0.000 | -0.000 | 0.000 |
| 0.000 | -0.000 | -0.000 | 0.000 | 0.000 | -0.000 |
| -0.000 | 0.000 | -0.000 | -0.000 | -0.000 | 0.000 |
| -0.000 | -0.000 | 0.000 | 0.000 | 0.000 | -0.000 |
| -0.000 | 0.000 | 0.000 | 0.000 | -0.000 | -0.000 |
| 0.000 | -0.000 | 0.000 | 0.000 | 0.000 | -0.000 |
| 0.000 | 0.000 | -0.000 | -0.000 | 0.000 | 0.000 |
| 141.657 | 152.341 | 152.341 | -0.000 | 0.000 | 0.000 |
| 152.341 | 141.657 | 152.341 | 0.000 | -0.000 | 0.000 |
| 152.341 | 152.341 | 141.657 | 0.000 | 0.000 | 0.000 |
| 0.000 | 0.000 | 0.000 | 127.206 | -0.000 | -0.000 |
| 0.000 | 0.000 | 0.000 | -0.000 | 127.206 | 0.000 |
| 0.000 | 0.000 | 0.000 | -0.000 | 0.000 | 127.206 |
| 141.657 | 152.341 | 152.341 | 0.000 | -0.000 | -0.000 |
| 152.341 | 141.657 | 152.341 | 0.000 | -0.000 | -0.000 |
| 152.341 | 152.341 | 141.657 | 0.000 | -0.000 | -0.000 |
| -0.000 | -0.000 | -0.000 | 127.206 | -0.000 | -0.000 |
| -0.000 | -0.000 | -0.000 | 0.000 | 127.206 | -0.000 |
| -0.000 | -0.000 | -0.000 | -0.000 | -0.000 | 127.206 |
| 141.657 | 152.341 | 152.341 | 0.000 | -0.000 | 0.000 |
| 152.341 | 141.657 | 152.341 | -0.000 | 0.000 | -0.000 |
| 152.341 | 152.341 | 141.657 | 0.000 | -0.000 | 0.000 |
| 0.000 | -0.000 | 0.000 | 127.206 | 0.000 | -0.000 |
| -0.000 | 0.000 | 0.000 | -0.000 | 127.206 | 0.000 |
| -0.000 | 0.000 | 0.000 | 0.000 | 0.000 | 127.206 |
| 141.657 | 152.341 | 152.341 | 0.000 | 0.000 | 0.000 |
| 152.341 | 141.657 | 152.341 | 0.000 | -0.000 | -0.000 |
| 152.341 | 152.341 | 141.657 | 0.000 | 0.000 | 0.000 |
| -0.000 | 0.000 | -0.000 | 127.206 | 0.000 | -0.000 |
| 0.000 | -0.000 | -0.000 | 0.000 | 127.206 | -0.000 |
| 0.000 | -0.000 | -0.000 | 0.000 | -0.000 | 127.206 |
| 141.658 | 152.341 | 152.341 | 0.000 | 0.000 | 0.000 |
| 152.341 | 141.658 | 152.341 | -0.000 | 0.000 | -0.000 |
| 152.341 | 152.341 | 141.658 | -0.000 | 0.000 | 0.000 |
| 0.000 | -0.000 | 0.000 | 127.206 | -0.000 | 0.000 |
| -0.000 | 0.000 | 0.000 | 0.000 | 127.206 | 0.000 |
| -0.000 | 0.000 | 0.000 | 0.000 | 0.000 | 127.206 |
| 141.656 | 152.340 | 152.340 | -0.000 | 0.000 | -0.000 |
| 152.340 | 141.656 | 152.340 | 0.000 | -0.000 | -0.000 |
| 152.340 | 152.340 | 141.656 | 0.000 | -0.000 | -0.000 |
| -0.000 | 0.000 | -0.000 | 127.206 | -0.000 | -0.000 |
| 0.000 | -0.000 | -0.000 | -0.000 | 127.206 | -0.000 |
| 0.000 | -0.000 | -0.000 | -0.000 | -0.000 | 127.206 |
| 0.000 | 0.000 | 0.000 | -0.000 | 0.000 | 0.000 |
| 0.000 | 0.000 | 0.000 | 0.000 | -0.000 | 0.000 |
| 0.000 | 0.000 | 0.000 | -0.000 | -0.000 | 0.000 |
| 0.000 | 0.000 | 0.000 | 0.000 | 0.000 | -0.000 |
| 0.000 | 0.000 | 0.000 | 0.000 | 0.000 | -0.000 |
| 0.000 | 0.000 | 0.000 | 0.000 | 0.000 | 0.000 |
| 0.000 | 0.000 | 0.000 | -0.000 | 0.000 | 0.000 |
| 0.000 | 0.000 | 0.000 | 0.000 | -0.000 | 0.000 |
| 0.000 | 0.000 | 0.000 | -0.000 | -0.000 | -0.000 |
| -0.000 | -0.000 | -0.000 | 0.000 | 0.000 | 0.000 |
| -0.000 | -0.000 | -0.000 | 0.000 | 0.000 | 0.000 |
| -0.000 | -0.000 | -0.000 | -0.000 | 0.000 | 0.000 |
| 0.000 | 0.000 | 0.000 | 0.000 | -0.000 | -0.000 |
| 0.000 | 0.000 | 0.000 | -0.000 | 0.000 | -0.000 |
| 0.000 | 0.000 | 0.000 | 0.000 | 0.000 | 0.000 |
| 0.000 | 0.000 | 0.000 | 0.000 | -0.000 | 0.000 |
| 0.000 | 0.000 | 0.000 | -0.000 | 0.000 | 0.000 |
| 0.000 | 0.000 | 0.000 | -0.000 | 0.000 | 0.000 |
| 0.000 | 0.000 | 0.000 | -0.000 | -0.000 | -0.000 |
| 0.000 | 0.000 | 0.000 | -0.000 | -0.000 | -0.000 |
| 0.000 | 0.000 | 0.000 | -0.000 | -0.000 | 0.000 |
| -0.000 | -0.000 | -0.000 | 0.000 | 0.000 | 0.000 |
| -0.000 | -0.000 | -0.000 | 0.000 | 0.000 | 0.000 |
| -0.000 | -0.000 | -0.000 | 0.000 | 0.000 | 0.000 |
| 0.000 | 0.000 | 0.000 | -0.000 | -0.000 | -0.000 |
| 0.000 | 0.000 | 0.000 | -0.000 | -0.000 | -0.000 |
| 0.000 | 0.000 | 0.000 | 0.000 | 0.000 | -0.000 |
| 0.000 | 0.000 | 0.000 | 0.000 | 0.000 | -0.000 |
| 0.000 | 0.000 | 0.000 | 0.000 | 0.000 | -0.000 |
| 0.000 | 0.000 | 0.000 | 0.000 | -0.000 | 0.000 |
| 0.000 | 0.000 | 0.000 | -0.000 | -0.000 | -0.000 |
| 0.000 | 0.000 | 0.000 | -0.000 | -0.000 | -0.000 |
| 0.000 | 0.000 | 0.000 | -0.000 | -0.000 | -0.000 |
| -0.000 | -0.000 | -0.000 | 0.000 | -0.000 | 0.000 |
| -0.000 | -0.000 | -0.000 | -0.000 | 0.000 | 0.000 |
| -0.000 | -0.000 | -0.000 | 0.000 | 0.000 | 0.000 |
| 0.000 | 0.000 | 0.000 | 0.000 | 0.000 | 0.000 |
| 0.000 | 0.000 | 0.000 | 0.000 | 0.000 | 0.000 |
| 0.000 | 0.000 | 0.000 | 0.000 | 0.000 | -0.000 |
| 0.000 | 0.000 | 0.000 | 0.000 | 0.000 | 0.000 |
| 0.000 | 0.000 | 0.000 | 0.000 | 0.000 | 0.000 |
| 0.000 | 0.000 | 0.000 | 0.000 | 0.000 | 0.000 |
| 0.000 | 0.000 | 0.000 | -0.000 | -0.000 | 0.000 |
| 0.000 | 0.000 | 0.000 | 0.000 | -0.000 | 0.000 |
| 0.000 | 0.000 | 0.000 | 0.000 | 0.000 | -0.000 |
| -0.000 | -0.000 | -0.000 | 0.000 | -0.000 | -0.000 |
| -0.000 | -0.000 | -0.000 | -0.000 | 0.000 | -0.000 |
| -0.000 | -0.000 | -0.000 | -0.000 | 0.000 | 0.000 |
| 0.000 | 0.000 | 0.000 | 0.000 | 0.000 | 0.000 |
| 0.000 | 0.000 | 0.000 | 0.000 | 0.000 | 0.000 |
| 0.000 | 0.000 | 0.000 | 0.000 | 0.000 | 0.000 |
| 0.000 | 0.000 | 0.000 | 0.000 | 0.000 | 0.000 |
| 0.000 | 0.000 | 0.000 | 0.000 | 0.000 | 0.000 |
| 0.000 | 0.000 | 0.000 | 0.000 | 0.000 | 0.000 |
| 0.000 | 0.000 | 0.000 | -0.000 | -0.000 | -0.000 |
| 0.000 | 0.000 | 0.000 | -0.000 | -0.000 | 0.000 |
| 0.000 | 0.000 | 0.000 | -0.000 | -0.000 | 0.000 |
| -0.000 | -0.000 | -0.000 | 0.000 | -0.000 | -0.000 |
| -0.000 | -0.000 | -0.000 | -0.000 | 0.000 | -0.000 |
| -0.000 | -0.000 | -0.000 | -0.000 | -0.000 | 0.000 |
| 0.000 | 0.000 | 0.000 | 0.000 | 0.000 | 0.000 |
| 0.000 | 0.000 | 0.000 | 0.000 | 0.000 | 0.000 |
| 0.000 | 0.000 | 0.000 | 0.000 | 0.000 | 0.000 |
| 0.000 | 0.000 | 0.000 | 0.000 | 0.000 | 0.000 |
| 0.000 | 0.000 | 0.000 | 0.000 | 0.000 | 0.000 |
| 0.000 | 0.000 | 0.000 | 0.000 | 0.000 | 0.000 |
| 0.000 | 0.000 | 0.000 | -0.000 | 0.000 | 0.000 |
| 0.000 | 0.000 | 0.000 | -0.000 | -0.000 | 0.000 |
| 0.000 | 0.000 | 0.000 | 0.000 | 0.000 | 0.000 |
| -0.000 | -0.000 | -0.000 | 0.000 | -0.000 | -0.000 |
| -0.000 | -0.000 | -0.000 | -0.000 | 0.000 | -0.000 |
| -0.000 | -0.000 | -0.000 | -0.000 | -0.000 | 0.000 |
| 0.000 | 0.000 | 0.000 | -0.000 | -0.000 | -0.000 |
| 0.000 | 0.000 | 0.000 | -0.000 | -0.000 | -0.000 |
| 0.000 | 0.000 | 0.000 | -0.000 | -0.000 | 0.000 |
| 0.000 | 0.000 | 0.000 | 0.000 | 0.000 | -0.000 |
| 0.000 | 0.000 | 0.000 | 0.000 | 0.000 | -0.000 |
| 0.000 | 0.000 | 0.000 | -0.000 | -0.000 | 0.000 |
| 0.000 | 0.000 | 0.000 | 0.000 | 0.000 | 0.000 |
| 0.000 | 0.000 | 0.000 | 0.000 | 0.000 | 0.000 |
| 0.000 | 0.000 | 0.000 | 0.000 | 0.000 | -0.000 |
| -0.000 | -0.000 | -0.000 | 0.000 | 0.000 | 0.000 |
| -0.000 | -0.000 | -0.000 | 0.000 | 0.000 | 0.000 |
| -0.000 | -0.000 | -0.000 | -0.000 | 0.000 | 0.000 |
| 0.000 | 0.000 | 0.000 | 0.000 | -0.000 | -0.000 |
| 0.000 | 0.000 | 0.000 | -0.000 | 0.000 | -0.000 |
| 0.000 | 0.000 | 0.000 | 0.000 | 0.000 | 0.000 |
| 0.000 | 0.000 | 0.000 | 0.000 | -0.000 | -0.000 |
| 0.000 | 0.000 | 0.000 | -0.000 | 0.000 | -0.000 |
| 0.000 | 0.000 | 0.000 | -0.000 | -0.000 | 0.000 |
| 0.000 | 0.000 | 0.000 | 0.000 | 0.000 | 0.000 |
| 0.000 | 0.000 | 0.000 | 0.000 | 0.000 | 0.000 |
| 0.000 | 0.000 | 0.000 | 0.000 | 0.000 | -0.000 |
| -0.000 | -0.000 | -0.000 | 0.000 | 0.000 | 0.000 |
| -0.000 | -0.000 | -0.000 | 0.000 | 0.000 | 0.000 |
| -0.000 | -0.000 | -0.000 | 0.000 | 0.000 | 0.000 |
| 0.000 | 0.000 | 0.000 | -0.000 | -0.000 | -0.000 |
| 0.000 | 0.000 | 0.000 | -0.000 | -0.000 | -0.000 |
| 0.000 | 0.000 | 0.000 | -0.000 | -0.000 | -0.000 |
| 0.000 | 0.000 | 0.000 | 0.000 | -0.000 | -0.000 |
| 0.000 | 0.000 | 0.000 | -0.000 | 0.000 | -0.000 |
| 0.000 | 0.000 | 0.000 | -0.000 | -0.000 | 0.000 |
| 0.000 | 0.000 | 0.000 | 0.000 | 0.000 | -0.000 |
| 0.000 | 0.000 | 0.000 | 0.000 | 0.000 | -0.000 |
| 0.000 | 0.000 | 0.000 | 0.000 | 0.000 | 0.000 |
| -0.000 | -0.000 | -0.000 | 0.000 | 0.000 | 0.000 |
| -0.000 | -0.000 | -0.000 | 0.000 | 0.000 | 0.000 |
| -0.000 | -0.000 | -0.000 | 0.000 | 0.000 | 0.000 |
| 0.000 | 0.000 | 0.000 | -0.000 | -0.000 | -0.000 |
| 0.000 | 0.000 | 0.000 | -0.000 | -0.000 | -0.000 |
| 0.000 | 0.000 | 0.000 | -0.000 | -0.000 | -0.000 |
| 0.000 | 0.000 | 0.000 | 0.000 | -0.000 | -0.000 |
| 0.000 | 0.000 | 0.000 | -0.000 | 0.000 | -0.000 |
| 0.000 | 0.000 | 0.000 | -0.000 | -0.000 | 0.000 |
| 0.000 | 0.000 | 0.000 | 0.000 | 0.000 | 0.000 |
| 0.000 | 0.000 | 0.000 | 0.000 | 0.000 | 0.000 |
| 0.000 | 0.000 | 0.000 | 0.000 | 0.000 | 0.000 |
| -0.000 | -0.000 | -0.000 | 0.000 | 0.000 | 0.000 |
| -0.000 | -0.000 | -0.000 | 0.000 | 0.000 | 0.000 |
| -0.000 | -0.000 | -0.000 | 0.000 | 0.000 | 0.000 |
| 0.000 | 0.000 | 0.000 | -0.000 | 0.000 | 0.000 |
| 0.000 | 0.000 | 0.000 | 0.000 | -0.000 | 0.000 |
| 0.000 | 0.000 | 0.000 | 0.000 | 0.000 | -0.000 |
| 0.000 | 0.000 | 0.000 | 0.000 | -0.000 | 0.000 |
| 0.000 | 0.000 | 0.000 | -0.000 | 0.000 | 0.000 |
| 0.000 | 0.000 | 0.000 | -0.000 | -0.000 | 0.000 |
| 0.000 | 0.000 | 0.000 | 0.000 | 0.000 | -0.000 |
| 0.000 | 0.000 | 0.000 | 0.000 | 0.000 | -0.000 |
| 0.000 | 0.000 | 0.000 | 0.000 | 0.000 | -0.000 |
| -0.000 | -0.000 | -0.000 | 0.000 | 0.000 | -0.000 |
| -0.000 | -0.000 | -0.000 | 0.000 | 0.000 | -0.000 |
| -0.000 | -0.000 | -0.000 | 0.000 | -0.000 | 0.000 |
| 0.000 | 0.000 | 0.000 | -0.000 | -0.000 | -0.000 |
| 0.000 | 0.000 | 0.000 | -0.000 | -0.000 | -0.000 |
| 0.000 | 0.000 | 0.000 | -0.000 | -0.000 | -0.000 |
| 0.000 | 0.000 | 0.000 | 0.000 | -0.000 | 0.000 |
| 0.000 | 0.000 | 0.000 | -0.000 | 0.000 | 0.000 |
| 0.000 | 0.000 | 0.000 | -0.000 | -0.000 | 0.000 |
| 0.000 | 0.000 | 0.000 | 0.000 | 0.000 | 0.000 |
| 0.000 | 0.000 | 0.000 | 0.000 | 0.000 | 0.000 |
| 0.000 | 0.000 | 0.000 | 0.000 | 0.000 | 0.000 |
| -0.000 | -0.000 | -0.000 | 0.000 | 0.000 | 0.000 |
| -0.000 | -0.000 | -0.000 | 0.000 | 0.000 | 0.000 |
| -0.000 | -0.000 | -0.000 | 0.000 | 0.000 | 0.000 |
| 0.000 | 0.000 | 0.000 | -0.000 | -0.000 | -0.000 |
| 0.000 | 0.000 | 0.000 | -0.000 | -0.000 | -0.000 |
| 0.000 | 0.000 | 0.000 | -0.000 | -0.000 | -0.000 |
| 0.000 | 0.000 | 0.000 | 0.000 | -0.000 | -0.000 |
| 0.000 | 0.000 | 0.000 | -0.000 | 0.000 | -0.000 |
| 0.000 | 0.000 | 0.000 | -0.000 | -0.000 | 0.000 |
| 0.000 | 0.000 | 0.000 | 0.000 | 0.000 | 0.000 |
| 0.000 | 0.000 | 0.000 | 0.000 | 0.000 | 0.000 |
| 0.000 | 0.000 | 0.000 | 0.000 | 0.000 | 0.000 |
| -0.000 | -0.000 | -0.000 | 0.000 | 0.000 | 0.000 |
| -0.000 | -0.000 | -0.000 | 0.000 | 0.000 | 0.000 |
| -0.000 | -0.000 | -0.000 | 0.000 | 0.000 | 0.000 |
| 0.000 | 0.000 | 0.000 | -0.000 | -0.000 | -0.000 |
| 0.000 | 0.000 | 0.000 | -0.000 | -0.000 | -0.000 |
| 0.000 | 0.000 | 0.000 | -0.000 | -0.000 | 0.000 |
| 0.000 | 0.000 | 0.000 | 0.000 | -0.000 | -0.000 |
| 0.000 | 0.000 | 0.000 | -0.000 | 0.000 | -0.000 |
| 0.000 | 0.000 | 0.000 | 0.000 | -0.000 | 0.000 |
| 0.000 | 0.000 | 0.000 | -0.000 | 0.000 | 0.000 |
| 0.000 | 0.000 | 0.000 | 0.000 | -0.000 | 0.000 |
| 0.000 | 0.000 | 0.000 | -0.000 | -0.000 | 0.000 |
| -0.000 | -0.000 | -0.000 | 0.000 | -0.000 | 0.000 |
| -0.000 | -0.000 | -0.000 | -0.000 | 0.000 | 0.000 |
| -0.000 | -0.000 | -0.000 | -0.000 | -0.000 | 0.000 |
| 0.000 | 0.000 | 0.000 | -0.000 | -0.000 | -0.000 |
| 0.000 | 0.000 | 0.000 | -0.000 | -0.000 | -0.000 |
| 0.000 | 0.000 | 0.000 | -0.000 | -0.000 | -0.000 |
| 0.000 | 0.000 | 0.000 | 0.000 | -0.000 | -0.000 |
| 0.000 | 0.000 | 0.000 | -0.000 | 0.000 | -0.000 |
| 0.000 | 0.000 | 0.000 | -0.000 | -0.000 | 0.000 |
| 0.000 | 0.000 | 0.000 | -0.000 | 0.000 | 0.000 |
| 0.000 | 0.000 | 0.000 | 0.000 | -0.000 | 0.000 |
| 0.000 | 0.000 | 0.000 | 0.000 | 0.000 | 0.000 |
| -0.000 | -0.000 | -0.000 | 0.000 | 0.000 | 0.000 |
| -0.000 | -0.000 | -0.000 | 0.000 | 0.000 | 0.000 |
| -0.000 | -0.000 | -0.000 | 0.000 | 0.000 | 0.000 |
| 0.000 | 0.000 | 0.000 | -0.000 | 0.000 | -0.000 |
| 0.000 | 0.000 | 0.000 | 0.000 | -0.000 | -0.000 |
| 0.000 | 0.000 | 0.000 | 0.000 | 0.000 | -0.000 |
| 0.000 | 0.000 | 0.000 | 0.000 | -0.000 | -0.000 |
| 0.000 | 0.000 | 0.000 | -0.000 | 0.000 | -0.000 |
| 0.000 | 0.000 | 0.000 | -0.000 | -0.000 | 0.000 |
| 0.000 | 0.000 | 0.000 | 0.000 | 0.000 | 0.000 |
| 0.000 | 0.000 | 0.000 | 0.000 | 0.000 | 0.000 |
| 0.000 | 0.000 | 0.000 | 0.000 | 0.000 | 0.000 |
| -0.000 | -0.000 | -0.000 | 0.000 | 0.000 | -0.000 |
| -0.000 | -0.000 | -0.000 | 0.000 | 0.000 | -0.000 |
| -0.000 | -0.000 | -0.000 | -0.000 | -0.000 | 0.000 |
| 0.000 | 0.000 | 0.000 | -0.000 | -0.000 | -0.000 |
| 0.000 | 0.000 | 0.000 | -0.000 | -0.000 | -0.000 |
| 0.000 | 0.000 | 0.000 | -0.000 | -0.000 | -0.000 |
| 0.000 | 0.000 | 0.000 | 0.000 | 0.000 | -0.000 |
| 0.000 | 0.000 | 0.000 | 0.000 | 0.000 | -0.000 |
| 0.000 | 0.000 | 0.000 | 0.000 | 0.000 | 0.000 |
| 0.000 | 0.000 | 0.000 | -0.000 | 0.000 | 0.000 |
| 0.000 | 0.000 | 0.000 | 0.000 | -0.000 | 0.000 |
| 0.000 | 0.000 | 0.000 | 0.000 | 0.000 | 0.000 |
| -0.000 | -0.000 | -0.000 | 0.000 | -0.000 | 0.000 |
| -0.000 | -0.000 | -0.000 | -0.000 | 0.000 | 0.000 |
| -0.000 | -0.000 | -0.000 | 0.000 | -0.000 | 0.000 |
| 0.000 | 0.000 | 0.000 | 0.000 | -0.000 | -0.000 |
| 0.000 | 0.000 | 0.000 | -0.000 | 0.000 | -0.000 |
| 0.000 | 0.000 | 0.000 | -0.000 | -0.000 | -0.000 |
| 0.000 | 0.000 | 0.000 | 0.000 | -0.000 | -0.000 |
| 0.000 | 0.000 | 0.000 | -0.000 | 0.000 | -0.000 |
| 0.000 | 0.000 | 0.000 | -0.000 | -0.000 | 0.000 |
| 0.000 | 0.000 | 0.000 | 0.000 | 0.000 | 0.000 |
| 0.000 | 0.000 | 0.000 | 0.000 | 0.000 | 0.000 |
| 0.000 | 0.000 | 0.000 | -0.000 | -0.000 | 0.000 |
| -0.000 | -0.000 | -0.000 | 0.000 | 0.000 | 0.000 |
| -0.000 | -0.000 | -0.000 | 0.000 | 0.000 | 0.000 |
| -0.000 | -0.000 | -0.000 | 0.000 | 0.000 | 0.000 |
| 0.000 | 0.000 | 0.000 | -0.000 | -0.000 | -0.000 |
| 0.000 | 0.000 | 0.000 | -0.000 | -0.000 | -0.000 |
| 0.000 | 0.000 | 0.000 | -0.000 | -0.000 | -0.000 |
| 0.000 | 0.000 | 0.000 | 0.000 | -0.000 | -0.000 |
| 0.000 | 0.000 | 0.000 | -0.000 | 0.000 | -0.000 |
| 0.000 | 0.000 | 0.000 | -0.000 | -0.000 | 0.000 |
| 0.000 | 0.000 | 0.000 | 0.000 | 0.000 | 0.000 |
| 0.000 | 0.000 | 0.000 | 0.000 | 0.000 | 0.000 |
| 0.000 | 0.000 | 0.000 | 0.000 | 0.000 | 0.000 |
| -0.000 | -0.000 | -0.000 | 0.000 | 0.000 | 0.000 |
| -0.000 | -0.000 | -0.000 | 0.000 | 0.000 | 0.000 |
| -0.000 | -0.000 | -0.000 | 0.000 | 0.000 | 0.000 |
| 0.000 | 0.000 | 0.000 | -0.000 | -0.000 | -0.000 |
| 0.000 | 0.000 | 0.000 | -0.000 | -0.000 | -0.000 |
| 0.000 | 0.000 | 0.000 | -0.000 | -0.000 | -0.000 |
| 0.000 | 0.000 | 0.000 | 0.000 | 0.000 | -0.000 |
| 0.000 | 0.000 | 0.000 | 0.000 | 0.000 | -0.000 |
| 0.000 | 0.000 | 0.000 | -0.000 | -0.000 | 0.000 |
| 0.000 | 0.000 | 0.000 | 0.000 | 0.000 | 0.000 |
| 0.000 | 0.000 | 0.000 | 0.000 | 0.000 | 0.000 |
| 0.000 | 0.000 | 0.000 | 0.000 | 0.000 | 0.000 |
| -0.000 | -0.000 | -0.000 | 0.000 | 0.000 | 0.000 |
| -0.000 | -0.000 | -0.000 | 0.000 | 0.000 | 0.000 |
| -0.000 | -0.000 | -0.000 | 0.000 | 0.000 | 0.000 |
| 0.000 | 0.000 | 0.000 | 0.000 | 0.000 | 0.000 |
| 0.000 | 0.000 | 0.000 | 0.000 | 0.000 | 0.000 |
| 0.000 | 0.000 | 0.000 | 0.000 | 0.000 | 0.000 |
| 0.000 | 0.000 | 0.000 | 0.000 | 0.000 | 0.000 |
| 0.000 | 0.000 | 0.000 | 0.000 | 0.000 | 0.000 |
| 0.000 | 0.000 | 0.000 | 0.000 | 0.000 | 0.000 |
| 0.000 | 0.000 | 0.000 | 0.000 | 0.000 | 0.000 |
| 0.000 | 0.000 | 0.000 | 0.000 | 0.000 | 0.000 |
| 0.000 | 0.000 | 0.000 | 0.000 | 0.000 | 0.000 |
| -0.000 | -0.000 | -0.000 | 0.000 | -0.000 | 0.000 |
| -0.000 | -0.000 | -0.000 | -0.000 | 0.000 | 0.000 |
| -0.000 | -0.000 | -0.000 | -0.000 | 0.000 | 0.000 |
| 0.000 | 0.000 | 0.000 | -0.000 | 0.000 | 0.000 |
| 0.000 | 0.000 | 0.000 | 0.000 | -0.000 | 0.000 |
| 0.000 | 0.000 | 0.000 | -0.000 | -0.000 | 0.000 |
| 0.000 | 0.000 | 0.000 | 0.000 | 0.000 | 0.000 |
| 0.000 | 0.000 | 0.000 | 0.000 | 0.000 | 0.000 |
| 0.000 | 0.000 | 0.000 | 0.000 | -0.000 | 0.000 |
| 0.000 | 0.000 | 0.000 | -0.000 | -0.000 | -0.000 |
| 0.000 | 0.000 | 0.000 | -0.000 | -0.000 | -0.000 |
| 0.000 | 0.000 | 0.000 | 0.000 | 0.000 | -0.000 |
| -0.000 | -0.000 | -0.000 | 0.000 | -0.000 | -0.000 |
| -0.000 | -0.000 | -0.000 | -0.000 | 0.000 | -0.000 |
| -0.000 | -0.000 | -0.000 | 0.000 | 0.000 | 0.000 |
| 0.000 | 0.000 | 0.000 | 0.000 | 0.000 | 0.000 |
| 0.000 | 0.000 | 0.000 | 0.000 | 0.000 | 0.000 |
| 0.000 | 0.000 | 0.000 | 0.000 | 0.000 | 0.000 |
| 0.000 | 0.000 | 0.000 | 0.000 | -0.000 | 0.000 |
| 0.000 | 0.000 | 0.000 | -0.000 | 0.000 | 0.000 |
| 0.000 | 0.000 | 0.000 | -0.000 | 0.000 | 0.000 |
| 0.000 | 0.000 | 0.000 | 0.000 | 0.000 | -0.000 |
| 0.000 | 0.000 | 0.000 | 0.000 | 0.000 | -0.000 |
| 0.000 | 0.000 | 0.000 | 0.000 | 0.000 | -0.000 |
| -0.000 | -0.000 | -0.000 | 0.000 | 0.000 | -0.000 |
| -0.000 | -0.000 | -0.000 | 0.000 | 0.000 | -0.000 |
| -0.000 | -0.000 | -0.000 | 0.000 | -0.000 | 0.000 |
| 0.000 | 0.000 | 0.000 | 0.000 | 0.000 | 0.000 |
| 0.000 | 0.000 | 0.000 | 0.000 | 0.000 | 0.000 |
| 0.000 | 0.000 | 0.000 | 0.000 | 0.000 | 0.000 |
| 0.000 | 0.000 | 0.000 | 0.000 | 0.000 | 0.000 |
| 0.000 | 0.000 | 0.000 | 0.000 | 0.000 | 0.000 |
| 0.000 | 0.000 | 0.000 | -0.000 | 0.000 | 0.000 |
| 0.000 | 0.000 | 0.000 | -0.000 | 0.000 | -0.000 |
| 0.000 | 0.000 | 0.000 | 0.000 | -0.000 | -0.000 |
| 0.000 | 0.000 | 0.000 | -0.000 | -0.000 | -0.000 |
| -0.000 | -0.000 | -0.000 | 0.000 | 0.000 | -0.000 |
| -0.000 | -0.000 | -0.000 | 0.000 | 0.000 | -0.000 |
| -0.000 | -0.000 | -0.000 | 0.000 | -0.000 | 0.000 |
| 0.000 | 0.000 | 0.000 | -0.000 | -0.000 | 0.000 |
| 0.000 | 0.000 | 0.000 | -0.000 | -0.000 | 0.000 |
| 0.000 | 0.000 | 0.000 | -0.000 | -0.000 | -0.000 |
| -0.000 | -0.000 | -0.000 | 0.000 | -0.000 | 0.000 |
| -0.000 | -0.000 | -0.000 | -0.000 | 0.000 | 0.000 |
| -0.000 | -0.000 | -0.000 | -0.000 | -0.000 | 0.000 |
| 0.000 | 0.000 | 0.000 | 0.000 | -0.000 | -0.000 |
| 0.000 | 0.000 | 0.000 | -0.000 | 0.000 | -0.000 |
| 0.000 | 0.000 | 0.000 | -0.000 | -0.000 | 0.000 |
| 0.000 | 0.000 | 0.000 | 0.000 | 0.000 | -0.000 |
| 0.000 | 0.000 | 0.000 | 0.000 | 0.000 | -0.000 |
| 0.000 | 0.000 | 0.000 | 0.000 | 0.000 | 0.000 |
| 0.000 | 0.000 | 0.000 | -0.000 | 0.000 | 0.000 |
| 0.000 | 0.000 | 0.000 | 0.000 | -0.000 | 0.000 |
| 0.000 | 0.000 | 0.000 | 0.000 | 0.000 | -0.000 |
| -0.000 | -0.000 | -0.000 | 0.000 | 0.000 | -0.000 |
| -0.000 | -0.000 | -0.000 | 0.000 | 0.000 | -0.000 |
| -0.000 | -0.000 | -0.000 | -0.000 | -0.000 | 0.000 |
| 0.000 | 0.000 | 0.000 | 0.000 | -0.000 | 0.000 |
| 0.000 | 0.000 | 0.000 | -0.000 | 0.000 | 0.000 |
| 0.000 | 0.000 | 0.000 | 0.000 | 0.000 | 0.000 |
| 0.000 | 0.000 | 0.000 | 0.000 | -0.000 | 0.000 |
| 0.000 | 0.000 | 0.000 | -0.000 | 0.000 | 0.000 |
| 0.000 | 0.000 | 0.000 | -0.000 | 0.000 | 0.000 |
| 0.000 | 0.000 | 0.000 | -0.000 | 0.000 | 0.000 |
| 0.000 | 0.000 | 0.000 | 0.000 | -0.000 | 0.000 |
| 0.000 | 0.000 | 0.000 | 0.000 | 0.000 | 0.000 |
| -0.000 | -0.000 | -0.000 | 0.000 | 0.000 | 0.000 |
| -0.000 | -0.000 | -0.000 | 0.000 | 0.000 | 0.000 |
| -0.000 | -0.000 | -0.000 | -0.000 | 0.000 | 0.000 |
| 0.000 | 0.000 | 0.000 | 0.000 | 0.000 | 0.000 |
| 0.000 | 0.000 | 0.000 | 0.000 | 0.000 | 0.000 |
| 0.000 | 0.000 | 0.000 | 0.000 | 0.000 | -0.000 |
| 0.000 | 0.000 | 0.000 | 0.000 | 0.000 | 0.000 |
| 0.000 | 0.000 | 0.000 | 0.000 | 0.000 | 0.000 |
| 0.000 | 0.000 | 0.000 | 0.000 | 0.000 | 0.000 |
| 0.000 | 0.000 | 0.000 | -0.000 | -0.000 | -0.000 |
| 0.000 | 0.000 | 0.000 | -0.000 | -0.000 | -0.000 |
| 0.000 | 0.000 | 0.000 | 0.000 | 0.000 | 0.000 |
| 0.000 | 0.000 | 0.000 | 0.000 | -0.000 | 0.000 |
| 0.000 | 0.000 | 0.000 | -0.000 | 0.000 | 0.000 |
| 0.000 | 0.000 | 0.000 | -0.000 | -0.000 | 0.000 |
| 0.000 | 0.000 | 0.000 | 0.000 | 0.000 | 0.000 |
| 0.000 | 0.000 | 0.000 | 0.000 | 0.000 | 0.000 |
| 0.000 | 0.000 | 0.000 | 0.000 | 0.000 | 0.000 |
| -0.000 | -0.000 | -0.000 | 0.000 | 0.000 | -0.000 |
| -0.000 | -0.000 | -0.000 | 0.000 | 0.000 | -0.000 |
| -0.000 | -0.000 | -0.000 | 0.000 | 0.000 | 0.000 |
| 0.000 | 0.000 | 0.000 | -0.000 | -0.000 | -0.000 |
| 0.000 | 0.000 | 0.000 | -0.000 | -0.000 | -0.000 |
| 0.000 | 0.000 | 0.000 | -0.000 | -0.000 | -0.000 |
| 0.000 | 0.000 | 0.000 | 0.000 | -0.000 | 0.000 |
| 0.000 | 0.000 | 0.000 | -0.000 | 0.000 | 0.000 |
| 0.000 | 0.000 | 0.000 | -0.000 | -0.000 | 0.000 |
| 0.000 | 0.000 | 0.000 | 0.000 | 0.000 | 0.000 |
| 0.000 | 0.000 | 0.000 | 0.000 | 0.000 | 0.000 |
| 0.000 | 0.000 | 0.000 | 0.000 | 0.000 | -0.000 |
| -0.000 | -0.000 | -0.000 | 0.000 | -0.000 | 0.000 |
| -0.000 | -0.000 | -0.000 | -0.000 | 0.000 | 0.000 |
| -0.000 | -0.000 | -0.000 | 0.000 | 0.000 | 0.000 |
| 0.000 | 0.000 | 0.000 | -0.000 | -0.000 | -0.000 |
| 0.000 | 0.000 | 0.000 | -0.000 | -0.000 | -0.000 |
| 0.000 | 0.000 | 0.000 | -0.000 | -0.000 | 0.000 |
| 0.000 | 0.000 | 0.000 | 0.000 | -0.000 | 0.000 |
| 0.000 | 0.000 | 0.000 | -0.000 | 0.000 | 0.000 |
| 0.000 | 0.000 | 0.000 | -0.000 | 0.000 | 0.000 |
| 0.000 | 0.000 | 0.000 | 0.000 | -0.000 | 0.000 |
| 0.000 | 0.000 | 0.000 | -0.000 | 0.000 | 0.000 |
| 0.000 | 0.000 | 0.000 | -0.000 | -0.000 | 0.000 |
| -0.000 | -0.000 | -0.000 | 0.000 | 0.000 | -0.000 |
| -0.000 | -0.000 | -0.000 | 0.000 | 0.000 | -0.000 |
| -0.000 | -0.000 | -0.000 | 0.000 | 0.000 | 0.000 |
| -0.000 | -0.000 | -0.000 | 0.000 | 0.000 | -0.000 |
| -0.000 | -0.000 | -0.000 | 0.000 | 0.000 | -0.000 |
| -0.000 | -0.000 | -0.000 | 0.000 | 0.000 | -0.000 |
| -0.000 | -0.000 | -0.000 | -0.000 | 0.000 | -0.000 |
| -0.000 | -0.000 | -0.000 | 0.000 | -0.000 | -0.000 |
| -0.000 | -0.000 | -0.000 | 0.000 | -0.000 | -0.000 |
| -0.000 | -0.000 | -0.000 | 0.000 | -0.000 | 0.000 |
| -0.000 | -0.000 | -0.000 | -0.000 | 0.000 | 0.000 |
| -0.000 | -0.000 | -0.000 | -0.000 | -0.000 | 0.000 |
| 0.000 | 0.000 | 0.000 | -0.000 | 0.000 | 0.000 |
| 0.000 | 0.000 | 0.000 | 0.000 | -0.000 | 0.000 |
| 0.000 | 0.000 | 0.000 | 0.000 | 0.000 | -0.000 |
| -0.000 | -0.000 | -0.000 | 0.000 | -0.000 | -0.000 |
| -0.000 | -0.000 | -0.000 | -0.000 | 0.000 | -0.000 |
| -0.000 | -0.000 | -0.000 | 0.000 | 0.000 | -0.000 |
| -0.000 | -0.000 | -0.000 | -0.000 | 0.000 | -0.000 |
| -0.000 | -0.000 | -0.000 | 0.000 | -0.000 | -0.000 |
| -0.000 | -0.000 | -0.000 | -0.000 | -0.000 | -0.000 |
| -0.000 | -0.000 | -0.000 | 0.000 | -0.000 | 0.000 |
| -0.000 | -0.000 | -0.000 | -0.000 | 0.000 | 0.000 |
| -0.000 | -0.000 | -0.000 | 0.000 | 0.000 | 0.000 |
| 0.000 | 0.000 | 0.000 | -0.000 | -0.000 | 0.000 |
| 0.000 | 0.000 | 0.000 | -0.000 | -0.000 | 0.000 |
| 0.000 | 0.000 | 0.000 | -0.000 | -0.000 | -0.000 |
| -0.000 | -0.000 | -0.000 | -0.000 | -0.000 | -0.000 |
| -0.000 | -0.000 | -0.000 | -0.000 | -0.000 | -0.000 |
| -0.000 | -0.000 | -0.000 | -0.000 | -0.000 | -0.000 |
| -0.000 | -0.000 | -0.000 | -0.000 | -0.000 | -0.000 |
| -0.000 | -0.000 | -0.000 | -0.000 | -0.000 | -0.000 |
| -0.000 | -0.000 | -0.000 | -0.000 | -0.000 | -0.000 |
| -0.000 | -0.000 | -0.000 | -0.000 | -0.000 | 0.000 |
| -0.000 | -0.000 | -0.000 | -0.000 | -0.000 | 0.000 |
| -0.000 | -0.000 | -0.000 | -0.000 | -0.000 | 0.000 |
| 0.000 | 0.000 | 0.000 | -0.000 | -0.000 | 0.000 |
| 0.000 | 0.000 | 0.000 | -0.000 | -0.000 | 0.000 |
| 0.000 | 0.000 | 0.000 | -0.000 | -0.000 | -0.000 |
| -0.000 | -0.000 | -0.000 | 0.000 | 0.000 | 0.000 |
| -0.000 | -0.000 | -0.000 | 0.000 | 0.000 | 0.000 |
| -0.000 | -0.000 | -0.000 | 0.000 | 0.000 | 0.000 |
| -0.000 | -0.000 | -0.000 | -0.000 | 0.000 | 0.000 |
| -0.000 | -0.000 | -0.000 | 0.000 | -0.000 | 0.000 |
| -0.000 | -0.000 | -0.000 | 0.000 | 0.000 | -0.000 |
| -0.000 | -0.000 | -0.000 | -0.000 | -0.000 | -0.000 |
| -0.000 | -0.000 | -0.000 | -0.000 | -0.000 | -0.000 |
| -0.000 | -0.000 | -0.000 | -0.000 | -0.000 | -0.000 |
| 0.000 | 0.000 | 0.000 | -0.000 | -0.000 | -0.000 |
| 0.000 | 0.000 | 0.000 | -0.000 | -0.000 | -0.000 |
| 0.000 | 0.000 | 0.000 | -0.000 | -0.000 | -0.000 |
| -0.000 | -0.000 | -0.000 | 0.000 | 0.000 | -0.000 |
| -0.000 | -0.000 | -0.000 | 0.000 | 0.000 | -0.000 |
| -0.000 | -0.000 | -0.000 | 0.000 | 0.000 | 0.000 |
| -0.000 | -0.000 | -0.000 | -0.000 | 0.000 | 0.000 |
| -0.000 | -0.000 | -0.000 | 0.000 | -0.000 | 0.000 |
| -0.000 | -0.000 | -0.000 | 0.000 | 0.000 | -0.000 |
| -0.000 | -0.000 | -0.000 | -0.000 | -0.000 | -0.000 |
| -0.000 | -0.000 | -0.000 | -0.000 | -0.000 | -0.000 |
| -0.000 | -0.000 | -0.000 | -0.000 | -0.000 | -0.000 |
| 0.000 | 0.000 | 0.000 | -0.000 | -0.000 | -0.000 |
| 0.000 | 0.000 | 0.000 | -0.000 | -0.000 | -0.000 |
| 0.000 | 0.000 | 0.000 | 0.000 | -0.000 | -0.000 |
| 0.000 | 0.000 | 0.000 | 0.000 | 0.000 | -0.000 |
| 0.000 | 0.000 | 0.000 | 0.000 | 0.000 | -0.000 |
| 0.000 | 0.000 | 0.000 | 0.000 | 0.000 | -0.000 |
| 0.000 | 0.000 | 0.000 | 0.000 | 0.000 | -0.000 |
| 0.000 | 0.000 | 0.000 | 0.000 | 0.000 | -0.000 |
| 0.000 | 0.000 | 0.000 | 0.000 | -0.000 | 0.000 |
| 0.000 | 0.000 | 0.000 | -0.000 | 0.000 | -0.000 |
| 0.000 | 0.000 | 0.000 | 0.000 | -0.000 | -0.000 |
| 0.000 | 0.000 | 0.000 | 0.000 | 0.000 | 0.000 |
| -0.000 | -0.000 | -0.000 | 0.000 | -0.000 | -0.000 |
| -0.000 | -0.000 | -0.000 | -0.000 | 0.000 | -0.000 |
| -0.000 | -0.000 | -0.000 | -0.000 | -0.000 | 0.000 |
| 0.000 | 0.000 | 0.000 | 0.000 | -0.000 | -0.000 |
| 0.000 | 0.000 | 0.000 | -0.000 | 0.000 | -0.000 |
| 0.000 | 0.000 | 0.000 | -0.000 | -0.000 | -0.000 |
| 0.000 | 0.000 | 0.000 | 0.000 | 0.000 | -0.000 |
| 0.000 | 0.000 | 0.000 | 0.000 | 0.000 | -0.000 |
| 0.000 | 0.000 | 0.000 | -0.000 | 0.000 | 0.000 |
| 0.000 | 0.000 | 0.000 | 0.000 | -0.000 | 0.000 |
| 0.000 | 0.000 | 0.000 | -0.000 | 0.000 | 0.000 |
| 0.000 | 0.000 | 0.000 | -0.000 | -0.000 | -0.000 |
| -0.000 | -0.000 | -0.000 | 0.000 | -0.000 | 0.000 |
| -0.000 | -0.000 | -0.000 | -0.000 | 0.000 | 0.000 |
| -0.000 | -0.000 | -0.000 | -0.000 | 0.000 | 0.000 |
| 0.000 | 0.000 | 0.000 | 0.000 | 0.000 | -0.000 |
| 0.000 | 0.000 | 0.000 | -0.000 | 0.000 | -0.000 |
| 0.000 | 0.000 | 0.000 | 0.000 | 0.000 | -0.000 |
| 0.000 | 0.000 | 0.000 | 0.000 | 0.000 | -0.000 |
| 0.000 | 0.000 | 0.000 | 0.000 | 0.000 | -0.000 |
| 0.000 | 0.000 | 0.000 | 0.000 | 0.000 | 0.000 |
| 0.000 | 0.000 | 0.000 | 0.000 | 0.000 | 0.000 |
| 0.000 | 0.000 | 0.000 | 0.000 | 0.000 | 0.000 |
| 0.000 | 0.000 | 0.000 | -0.000 | -0.000 | -0.000 |
| -0.000 | -0.000 | -0.000 | 0.000 | -0.000 | 0.000 |
| -0.000 | -0.000 | -0.000 | -0.000 | 0.000 | 0.000 |
| -0.000 | -0.000 | -0.000 | -0.000 | 0.000 | 0.000 |
| -0.000 | -0.000 | -0.000 | -0.000 | -0.000 | -0.000 |
| -0.000 | -0.000 | -0.000 | -0.000 | -0.000 | -0.000 |
| -0.000 | -0.000 | -0.000 | -0.000 | -0.000 | -0.000 |
| -0.000 | -0.000 | -0.000 | -0.000 | -0.000 | -0.000 |
| -0.000 | -0.000 | -0.000 | -0.000 | -0.000 | -0.000 |
| -0.000 | -0.000 | -0.000 | -0.000 | -0.000 | -0.000 |
| -0.000 | -0.000 | -0.000 | 0.000 | 0.000 | 0.000 |
| -0.000 | -0.000 | -0.000 | 0.000 | 0.000 | 0.000 |
| -0.000 | -0.000 | -0.000 | 0.000 | 0.000 | 0.000 |
| 0.000 | 0.000 | 0.000 | -0.000 | 0.000 | 0.000 |
| 0.000 | 0.000 | 0.000 | 0.000 | -0.000 | 0.000 |
| 0.000 | 0.000 | 0.000 | 0.000 | 0.000 | -0.000 |
| -0.000 | -0.000 | -0.000 | -0.000 | -0.000 | -0.000 |
| -0.000 | -0.000 | -0.000 | -0.000 | -0.000 | -0.000 |
| -0.000 | -0.000 | -0.000 | -0.000 | -0.000 | -0.000 |
| -0.000 | -0.000 | -0.000 | -0.000 | -0.000 | -0.000 |
| -0.000 | -0.000 | -0.000 | -0.000 | -0.000 | -0.000 |
| -0.000 | -0.000 | -0.000 | -0.000 | -0.000 | -0.000 |
| -0.000 | -0.000 | -0.000 | 0.000 | 0.000 | 0.000 |
| -0.000 | -0.000 | -0.000 | 0.000 | 0.000 | 0.000 |
| -0.000 | -0.000 | -0.000 | 0.000 | 0.000 | 0.000 |
| 0.000 | 0.000 | 0.000 | -0.000 | 0.000 | 0.000 |
| 0.000 | 0.000 | 0.000 | 0.000 | -0.000 | 0.000 |
| 0.000 | 0.000 | 0.000 | 0.000 | 0.000 | -0.000 |
| 0.000 | 0.000 | 0.000 | -0.000 | -0.000 | 0.000 |
| 0.000 | 0.000 | 0.000 | -0.000 | -0.000 | 0.000 |
| 0.000 | 0.000 | 0.000 | -0.000 | -0.000 | -0.000 |
| 0.000 | 0.000 | 0.000 | 0.000 | -0.000 | -0.000 |
| 0.000 | 0.000 | 0.000 | -0.000 | 0.000 | -0.000 |
| 0.000 | 0.000 | 0.000 | -0.000 | -0.000 | 0.000 |
| 0.000 | 0.000 | 0.000 | 0.000 | 0.000 | 0.000 |
| 0.000 | 0.000 | 0.000 | 0.000 | 0.000 | 0.000 |
| 0.000 | 0.000 | 0.000 | 0.000 | 0.000 | 0.000 |
| -0.000 | -0.000 | -0.000 | 0.000 | 0.000 | 0.000 |
| -0.000 | -0.000 | -0.000 | 0.000 | 0.000 | 0.000 |
| -0.000 | -0.000 | -0.000 | 0.000 | 0.000 | 0.000 |
| 0.000 | 0.000 | 0.000 | -0.000 | -0.000 | -0.000 |
| 0.000 | 0.000 | 0.000 | -0.000 | -0.000 | -0.000 |
| 0.000 | 0.000 | 0.000 | -0.000 | -0.000 | -0.000 |
| 0.000 | 0.000 | 0.000 | 0.000 | -0.000 | 0.000 |
| 0.000 | 0.000 | 0.000 | -0.000 | 0.000 | 0.000 |
| 0.000 | 0.000 | 0.000 | -0.000 | -0.000 | 0.000 |
| 0.000 | 0.000 | 0.000 | 0.000 | 0.000 | -0.000 |
| 0.000 | 0.000 | 0.000 | 0.000 | 0.000 | -0.000 |
| 0.000 | 0.000 | 0.000 | 0.000 | 0.000 | 0.000 |
| -0.000 | -0.000 | -0.000 | 0.000 | 0.000 | 0.000 |
| -0.000 | -0.000 | -0.000 | 0.000 | 0.000 | 0.000 |
| -0.000 | -0.000 | -0.000 | 0.000 | 0.000 | 0.000 |
| 0.000 | 0.000 | 0.000 | 0.000 | 0.000 | 0.000 |
| 0.000 | 0.000 | 0.000 | 0.000 | 0.000 | 0.000 |
| 0.000 | 0.000 | 0.000 | 0.000 | 0.000 | 0.000 |
| 0.000 | 0.000 | 0.000 | 0.000 | -0.000 | -0.000 |
| 0.000 | 0.000 | 0.000 | -0.000 | 0.000 | -0.000 |
| 0.000 | 0.000 | 0.000 | 0.000 | -0.000 | 0.000 |
| 0.000 | 0.000 | 0.000 | -0.000 | 0.000 | -0.000 |
| 0.000 | 0.000 | 0.000 | 0.000 | -0.000 | -0.000 |
| 0.000 | 0.000 | 0.000 | 0.000 | 0.000 | -0.000 |
| -0.000 | -0.000 | -0.000 | 0.000 | -0.000 | -0.000 |
| -0.000 | -0.000 | -0.000 | -0.000 | 0.000 | -0.000 |
| -0.000 | -0.000 | -0.000 | 0.000 | -0.000 | 0.000 |
| 0.000 | 0.000 | 0.000 | -0.000 | 0.000 | -0.000 |
| 0.000 | 0.000 | 0.000 | 0.000 | -0.000 | -0.000 |
| 0.000 | 0.000 | 0.000 | 0.000 | 0.000 | -0.000 |
| 0.000 | 0.000 | 0.000 | 0.000 | 0.000 | -0.000 |
| 0.000 | 0.000 | 0.000 | 0.000 | 0.000 | -0.000 |
| 0.000 | 0.000 | 0.000 | 0.000 | -0.000 | 0.000 |
| 0.000 | 0.000 | 0.000 | -0.000 | -0.000 | -0.000 |
| 0.000 | 0.000 | 0.000 | -0.000 | -0.000 | -0.000 |
| 0.000 | 0.000 | 0.000 | -0.000 | -0.000 | -0.000 |
| -0.000 | -0.000 | -0.000 | 0.000 | -0.000 | -0.000 |
| -0.000 | -0.000 | -0.000 | -0.000 | 0.000 | -0.000 |
| -0.000 | -0.000 | -0.000 | -0.000 | -0.000 | 0.000 |
| 0.000 | 0.000 | 0.000 | 0.000 | -0.000 | -0.000 |
| 0.000 | 0.000 | 0.000 | -0.000 | 0.000 | -0.000 |
| 0.000 | 0.000 | 0.000 | 0.000 | 0.000 | -0.000 |
| 0.000 | 0.000 | 0.000 | 0.000 | 0.000 | -0.000 |
| 0.000 | 0.000 | 0.000 | 0.000 | 0.000 | -0.000 |
| 0.000 | 0.000 | 0.000 | 0.000 | -0.000 | 0.000 |
| 0.000 | 0.000 | 0.000 | -0.000 | -0.000 | 0.000 |
| 0.000 | 0.000 | 0.000 | -0.000 | -0.000 | 0.000 |
| 0.000 | 0.000 | 0.000 | -0.000 | -0.000 | 0.000 |
| -0.000 | -0.000 | -0.000 | 0.000 | -0.000 | 0.000 |
| -0.000 | -0.000 | -0.000 | -0.000 | 0.000 | 0.000 |
| -0.000 | -0.000 | -0.000 | -0.000 | -0.000 | 0.000 |
| 0.000 | 0.000 | 0.000 | 0.000 | 0.000 | 0.000 |
| 0.000 | 0.000 | 0.000 | 0.000 | 0.000 | 0.000 |
| 0.000 | 0.000 | 0.000 | 0.000 | 0.000 | 0.000 |
| 0.000 | 0.000 | 0.000 | 0.000 | 0.000 | 0.000 |
| 0.000 | 0.000 | 0.000 | 0.000 | 0.000 | 0.000 |
| 0.000 | 0.000 | 0.000 | -0.000 | 0.000 | 0.000 |
| 0.000 | 0.000 | 0.000 | -0.000 | -0.000 | -0.000 |
| 0.000 | 0.000 | 0.000 | -0.000 | -0.000 | -0.000 |
| 0.000 | 0.000 | 0.000 | -0.000 | -0.000 | 0.000 |
| -0.000 | -0.000 | -0.000 | 0.000 | -0.000 | 0.000 |
| -0.000 | -0.000 | -0.000 | -0.000 | 0.000 | 0.000 |
| -0.000 | -0.000 | -0.000 | -0.000 | -0.000 | 0.000 |
| 0.000 | 0.000 | 0.000 | 0.000 | 0.000 | 0.000 |
| 0.000 | 0.000 | 0.000 | 0.000 | 0.000 | 0.000 |
| 0.000 | 0.000 | 0.000 | 0.000 | 0.000 | 0.000 |
| 0.000 | 0.000 | 0.000 | 0.000 | 0.000 | 0.000 |
| 0.000 | 0.000 | 0.000 | 0.000 | 0.000 | 0.000 |
| 0.000 | 0.000 | 0.000 | 0.000 | -0.000 | 0.000 |
| 0.000 | 0.000 | 0.000 | 0.000 | 0.000 | 0.000 |
| 0.000 | 0.000 | 0.000 | 0.000 | 0.000 | 0.000 |
| 0.000 | 0.000 | 0.000 | 0.000 | 0.000 | -0.000 |
| -0.000 | -0.000 | -0.000 | 0.000 | -0.000 | -0.000 |
| -0.000 | -0.000 | -0.000 | -0.000 | 0.000 | -0.000 |
| -0.000 | -0.000 | -0.000 | 0.000 | -0.000 | 0.000 |
| 0.000 | 0.000 | 0.000 | 0.000 | -0.000 | -0.000 |
| 0.000 | 0.000 | 0.000 | -0.000 | 0.000 | -0.000 |
| 0.000 | 0.000 | 0.000 | -0.000 | -0.000 | -0.000 |
| 0.000 | 0.000 | 0.000 | 0.000 | -0.000 | -0.000 |
| 0.000 | 0.000 | 0.000 | -0.000 | 0.000 | -0.000 |
| 0.000 | 0.000 | 0.000 | -0.000 | -0.000 | 0.000 |
| 0.000 | 0.000 | 0.000 | 0.000 | -0.000 | 0.000 |
| 0.000 | 0.000 | 0.000 | -0.000 | 0.000 | 0.000 |
| 0.000 | 0.000 | 0.000 | -0.000 | -0.000 | -0.000 |
| -0.000 | -0.000 | -0.000 | 0.000 | 0.000 | -0.000 |
| -0.000 | -0.000 | -0.000 | 0.000 | 0.000 | -0.000 |
| -0.000 | -0.000 | -0.000 | 0.000 | 0.000 | 0.000 |
| 0.000 | 0.000 | 0.000 | -0.000 | -0.000 | 0.000 |
| 0.000 | 0.000 | 0.000 | -0.000 | -0.000 | 0.000 |
| 0.000 | 0.000 | 0.000 | -0.000 | -0.000 | 0.000 |
| 0.000 | 0.000 | 0.000 | 0.000 | -0.000 | 0.000 |
| 0.000 | 0.000 | 0.000 | -0.000 | 0.000 | 0.000 |
| 0.000 | 0.000 | 0.000 | -0.000 | -0.000 | 0.000 |
| 0.000 | 0.000 | 0.000 | -0.000 | 0.000 | -0.000 |
| 0.000 | 0.000 | 0.000 | 0.000 | -0.000 | -0.000 |
| 0.000 | 0.000 | 0.000 | 0.000 | 0.000 | -0.000 |
| -0.000 | -0.000 | -0.000 | 0.000 | 0.000 | 0.000 |
| -0.000 | -0.000 | -0.000 | 0.000 | 0.000 | 0.000 |
| -0.000 | -0.000 | -0.000 | 0.000 | 0.000 | 0.000 |
| 0.000 | 0.000 | 0.000 | -0.000 | -0.000 | -0.000 |
| 0.000 | 0.000 | 0.000 | -0.000 | -0.000 | -0.000 |
| 0.000 | 0.000 | 0.000 | -0.000 | -0.000 | -0.000 |
| 0.000 | 0.000 | 0.000 | 0.000 | -0.000 | -0.000 |
| 0.000 | 0.000 | 0.000 | -0.000 | 0.000 | -0.000 |
| 0.000 | 0.000 | 0.000 | -0.000 | -0.000 | 0.000 |
| 0.000 | 0.000 | 0.000 | 0.000 | 0.000 | 0.000 |
| 0.000 | 0.000 | 0.000 | 0.000 | 0.000 | 0.000 |
| 0.000 | 0.000 | 0.000 | 0.000 | 0.000 | 0.000 |
| -0.000 | -0.000 | -0.000 | 0.000 | -0.000 | -0.000 |
| -0.000 | -0.000 | -0.000 | -0.000 | 0.000 | -0.000 |
| -0.000 | -0.000 | -0.000 | -0.000 | -0.000 | 0.000 |
| 0.000 | 0.000 | 0.000 | 0.000 | 0.000 | -0.000 |
| 0.000 | 0.000 | 0.000 | 0.000 | 0.000 | -0.000 |
| 0.000 | 0.000 | 0.000 | -0.000 | -0.000 | 0.000 |
| 0.000 | 0.000 | 0.000 | 0.000 | -0.000 | 0.000 |
| 0.000 | 0.000 | 0.000 | -0.000 | 0.000 | 0.000 |
| 0.000 | 0.000 | 0.000 | 0.000 | 0.000 | 0.000 |
| 0.000 | 0.000 | 0.000 | -0.000 | -0.000 | -0.000 |
| 0.000 | 0.000 | 0.000 | -0.000 | -0.000 | -0.000 |
| 0.000 | 0.000 | 0.000 | -0.000 | -0.000 | -0.000 |
| -0.000 | -0.000 | -0.000 | 0.000 | -0.000 | -0.000 |
| -0.000 | -0.000 | -0.000 | -0.000 | 0.000 | -0.000 |
| -0.000 | -0.000 | -0.000 | -0.000 | -0.000 | 0.000 |
| 0.000 | 0.000 | 0.000 | -0.000 | -0.000 | 0.000 |
| 0.000 | 0.000 | 0.000 | -0.000 | -0.000 | 0.000 |
| 0.000 | 0.000 | 0.000 | 0.000 | 0.000 | -0.000 |
| 0.000 | 0.000 | 0.000 | 0.000 | -0.000 | 0.000 |
| 0.000 | 0.000 | 0.000 | -0.000 | 0.000 | 0.000 |
| 0.000 | 0.000 | 0.000 | -0.000 | -0.000 | 0.000 |
| 0.000 | 0.000 | 0.000 | 0.000 | 0.000 | -0.000 |
| 0.000 | 0.000 | 0.000 | 0.000 | 0.000 | -0.000 |
| 0.000 | 0.000 | 0.000 | 0.000 | 0.000 | 0.000 |
| -0.000 | -0.000 | -0.000 | 0.000 | 0.000 | -0.000 |
| -0.000 | -0.000 | -0.000 | 0.000 | 0.000 | -0.000 |
| -0.000 | -0.000 | -0.000 | 0.000 | 0.000 | 0.000 |
| -0.000 | -0.000 | -0.000 | -0.000 | 0.000 | -0.000 |
| -0.000 | -0.000 | -0.000 | 0.000 | -0.000 | -0.000 |
| -0.000 | -0.000 | -0.000 | -0.000 | -0.000 | -0.000 |
| 0.000 | 0.000 | 0.000 | -0.000 | 0.000 | -0.000 |
| 0.000 | 0.000 | 0.000 | 0.000 | -0.000 | -0.000 |
| 0.000 | 0.000 | 0.000 | 0.000 | -0.000 | -0.000 |
| -0.000 | -0.000 | -0.000 | -0.000 | 0.000 | 0.000 |
| -0.000 | -0.000 | -0.000 | 0.000 | -0.000 | 0.000 |
| -0.000 | -0.000 | -0.000 | 0.000 | 0.000 | -0.000 |
| -0.000 | -0.000 | -0.000 | -0.000 | -0.000 | -0.000 |
| -0.000 | -0.000 | -0.000 | -0.000 | -0.000 | -0.000 |
| -0.000 | -0.000 | -0.000 | -0.000 | -0.000 | -0.000 |
| -0.000 | -0.000 | -0.000 | -0.000 | 0.000 | 0.000 |
| -0.000 | -0.000 | -0.000 | 0.000 | -0.000 | 0.000 |
| -0.000 | -0.000 | -0.000 | -0.000 | -0.000 | -0.000 |
| 0.000 | 0.000 | 0.000 | -0.000 | 0.000 | -0.000 |
| 0.000 | 0.000 | 0.000 | 0.000 | -0.000 | -0.000 |
| 0.000 | 0.000 | 0.000 | -0.000 | -0.000 | -0.000 |
| -0.000 | -0.000 | -0.000 | 0.000 | -0.000 | -0.000 |
| -0.000 | -0.000 | -0.000 | -0.000 | 0.000 | -0.000 |
| -0.000 | -0.000 | -0.000 | -0.000 | -0.000 | 0.000 |
| -0.000 | -0.000 | -0.000 | -0.000 | 0.000 | -0.000 |
| -0.000 | -0.000 | -0.000 | 0.000 | -0.000 | -0.000 |
| -0.000 | -0.000 | -0.000 | 0.000 | -0.000 | -0.000 |
| -0.000 | -0.000 | -0.000 | -0.000 | -0.000 | 0.000 |
| -0.000 | -0.000 | -0.000 | -0.000 | -0.000 | 0.000 |
| -0.000 | -0.000 | -0.000 | 0.000 | 0.000 | -0.000 |
| 0.000 | 0.000 | 0.000 | -0.000 | 0.000 | -0.000 |
| 0.000 | 0.000 | 0.000 | 0.000 | -0.000 | -0.000 |
| 0.000 | 0.000 | 0.000 | -0.000 | -0.000 | -0.000 |
| -0.000 | -0.000 | -0.000 | -0.000 | 0.000 | 0.000 |
| -0.000 | -0.000 | -0.000 | 0.000 | -0.000 | 0.000 |
| -0.000 | -0.000 | -0.000 | 0.000 | 0.000 | -0.000 |
| -0.000 | -0.000 | -0.000 | -0.000 | 0.000 | 0.000 |
| -0.000 | -0.000 | -0.000 | 0.000 | -0.000 | 0.000 |
| -0.000 | -0.000 | -0.000 | -0.000 | -0.000 | -0.000 |
| 0.000 | 0.000 | 0.000 | 0.000 | 0.000 | 0.000 |
| 0.000 | 0.000 | 0.000 | 0.000 | 0.000 | 0.000 |
| 0.000 | 0.000 | 0.000 | 0.000 | 0.000 | -0.000 |
| 0.000 | 0.000 | 0.000 | 0.000 | 0.000 | 0.000 |
| 0.000 | 0.000 | 0.000 | 0.000 | 0.000 | 0.000 |
| 0.000 | 0.000 | 0.000 | 0.000 | 0.000 | 0.000 |
| 0.000 | 0.000 | 0.000 | -0.000 | -0.000 | -0.000 |
| 0.000 | 0.000 | 0.000 | -0.000 | -0.000 | -0.000 |
| 0.000 | 0.000 | 0.000 | -0.000 | -0.000 | 0.000 |
| -0.000 | -0.000 | -0.000 | 0.000 | 0.000 | -0.000 |
| -0.000 | -0.000 | -0.000 | 0.000 | 0.000 | -0.000 |
| -0.000 | -0.000 | -0.000 | -0.000 | -0.000 | 0.000 |
| 0.000 | 0.000 | 0.000 | 0.000 | 0.000 | -0.000 |
| 0.000 | 0.000 | 0.000 | 0.000 | 0.000 | -0.000 |
| 0.000 | 0.000 | 0.000 | 0.000 | 0.000 | -0.000 |
| 0.000 | 0.000 | 0.000 | 0.000 | -0.000 | 0.000 |
| 0.000 | 0.000 | 0.000 | -0.000 | 0.000 | 0.000 |
| 0.000 | 0.000 | 0.000 | -0.000 | 0.000 | 0.000 |
| 0.000 | 0.000 | 0.000 | -0.000 | -0.000 | -0.000 |
| 0.000 | 0.000 | 0.000 | -0.000 | -0.000 | -0.000 |
| 0.000 | 0.000 | 0.000 | -0.000 | -0.000 | 0.000 |
| -0.000 | -0.000 | -0.000 | 0.000 | 0.000 | 0.000 |
| -0.000 | -0.000 | -0.000 | 0.000 | 0.000 | 0.000 |
| -0.000 | -0.000 | -0.000 | 0.000 | 0.000 | 0.000 |
| 0.000 | 0.000 | 0.000 | -0.000 | 0.000 | 0.000 |
| 0.000 | 0.000 | 0.000 | 0.000 | -0.000 | 0.000 |
| 0.000 | 0.000 | 0.000 | 0.000 | 0.000 | -0.000 |
| 0.000 | 0.000 | 0.000 | 0.000 | 0.000 | -0.000 |
| 0.000 | 0.000 | 0.000 | 0.000 | 0.000 | -0.000 |
| 0.000 | 0.000 | 0.000 | 0.000 | 0.000 | 0.000 |
| 0.000 | 0.000 | 0.000 | -0.000 | 0.000 | 0.000 |
| 0.000 | 0.000 | 0.000 | 0.000 | -0.000 | 0.000 |
| 0.000 | 0.000 | 0.000 | 0.000 | 0.000 | 0.000 |
| -0.000 | -0.000 | -0.000 | 0.000 | -0.000 | -0.000 |
| -0.000 | -0.000 | -0.000 | -0.000 | 0.000 | -0.000 |
| -0.000 | -0.000 | -0.000 | -0.000 | -0.000 | 0.000 |
| 0.000 | 0.000 | 0.000 | 0.000 | 0.000 | 0.000 |
| 0.000 | 0.000 | 0.000 | 0.000 | 0.000 | 0.000 |
| 0.000 | 0.000 | 0.000 | 0.000 | 0.000 | 0.000 |
| 0.000 | 0.000 | 0.000 | 0.000 | 0.000 | 0.000 |
| 0.000 | 0.000 | 0.000 | 0.000 | 0.000 | 0.000 |
| 0.000 | 0.000 | 0.000 | 0.000 | 0.000 | 0.000 |
| 0.000 | 0.000 | 0.000 | -0.000 | 0.000 | -0.000 |
| 0.000 | 0.000 | 0.000 | 0.000 | -0.000 | -0.000 |
| 0.000 | 0.000 | 0.000 | 0.000 | 0.000 | -0.000 |
| -0.000 | -0.000 | -0.000 | 0.000 | -0.000 | -0.000 |
| -0.000 | -0.000 | -0.000 | -0.000 | 0.000 | -0.000 |
| -0.000 | -0.000 | -0.000 | -0.000 | -0.000 | 0.000 |
| 0.000 | 0.000 | 0.000 | -0.000 | 0.000 | 0.000 |
| 0.000 | 0.000 | 0.000 | 0.000 | -0.000 | 0.000 |
| 0.000 | 0.000 | 0.000 | -0.000 | -0.000 | -0.000 |
| 0.000 | 0.000 | 0.000 | 0.000 | -0.000 | 0.000 |
| 0.000 | 0.000 | 0.000 | -0.000 | 0.000 | 0.000 |
| 0.000 | 0.000 | 0.000 | -0.000 | -0.000 | 0.000 |
| 0.000 | 0.000 | 0.000 | 0.000 | -0.000 | -0.000 |
| 0.000 | 0.000 | 0.000 | -0.000 | 0.000 | -0.000 |
| 0.000 | 0.000 | 0.000 | -0.000 | -0.000 | -0.000 |
| -0.000 | -0.000 | -0.000 | 0.000 | -0.000 | -0.000 |
| -0.000 | -0.000 | -0.000 | -0.000 | 0.000 | -0.000 |
| -0.000 | -0.000 | -0.000 | 0.000 | 0.000 | 0.000 |
| 0.000 | 0.000 | 0.000 | -0.000 | -0.000 | 0.000 |
| 0.000 | 0.000 | 0.000 | -0.000 | -0.000 | 0.000 |
| 0.000 | 0.000 | 0.000 | 0.000 | 0.000 | -0.000 |
| 0.000 | 0.000 | 0.000 | 0.000 | 0.000 | 0.000 |
| 0.000 | 0.000 | 0.000 | 0.000 | 0.000 | 0.000 |
| 0.000 | 0.000 | 0.000 | 0.000 | -0.000 | 0.000 |
| 0.000 | 0.000 | 0.000 | 0.000 | 0.000 | -0.000 |
| 0.000 | 0.000 | 0.000 | 0.000 | 0.000 | -0.000 |
| 0.000 | 0.000 | 0.000 | 0.000 | 0.000 | 0.000 |
| -0.000 | -0.000 | -0.000 | 0.000 | -0.000 | -0.000 |
| -0.000 | -0.000 | -0.000 | -0.000 | 0.000 | -0.000 |
| -0.000 | -0.000 | -0.000 | -0.000 | 0.000 | 0.000 |
| 0.000 | 0.000 | 0.000 | -0.000 | -0.000 | 0.000 |
| 0.000 | 0.000 | 0.000 | -0.000 | -0.000 | 0.000 |
| 0.000 | 0.000 | 0.000 | -0.000 | -0.000 | -0.000 |
| 0.000 | 0.000 | 0.000 | 0.000 | -0.000 | -0.000 |
| 0.000 | 0.000 | 0.000 | -0.000 | 0.000 | -0.000 |
| 0.000 | 0.000 | 0.000 | -0.000 | -0.000 | 0.000 |
| 0.000 | 0.000 | 0.000 | 0.000 | 0.000 | 0.000 |
| 0.000 | 0.000 | 0.000 | 0.000 | 0.000 | 0.000 |
| 0.000 | 0.000 | 0.000 | 0.000 | 0.000 | 0.000 |
| -0.000 | -0.000 | -0.000 | 0.000 | 0.000 | 0.000 |
| -0.000 | -0.000 | -0.000 | 0.000 | 0.000 | 0.000 |
| -0.000 | -0.000 | -0.000 | 0.000 | 0.000 | 0.000 |
| 0.000 | 0.000 | 0.000 | -0.000 | -0.000 | -0.000 |
| 0.000 | 0.000 | 0.000 | -0.000 | -0.000 | -0.000 |
| 0.000 | 0.000 | 0.000 | -0.000 | -0.000 | -0.000 |
| 0.000 | 0.000 | 0.000 | 0.000 | -0.000 | -0.000 |
| 0.000 | 0.000 | 0.000 | -0.000 | 0.000 | -0.000 |
| 0.000 | 0.000 | 0.000 | -0.000 | -0.000 | 0.000 |
| 0.000 | 0.000 | 0.000 | 0.000 | 0.000 | 0.000 |
| 0.000 | 0.000 | 0.000 | 0.000 | 0.000 | 0.000 |
| 0.000 | 0.000 | 0.000 | 0.000 | 0.000 | 0.000 |
| -0.000 | -0.000 | -0.000 | 0.000 | 0.000 | 0.000 |
| -0.000 | -0.000 | -0.000 | 0.000 | 0.000 | 0.000 |
| -0.000 | -0.000 | -0.000 | 0.000 | 0.000 | 0.000 |
| 0.000 | 0.000 | 0.000 | -0.000 | -0.000 | -0.000 |
| 0.000 | 0.000 | 0.000 | -0.000 | -0.000 | -0.000 |
| 0.000 | 0.000 | 0.000 | -0.000 | -0.000 | -0.000 |
| 0.000 | 0.000 | 0.000 | 0.000 | -0.000 | -0.000 |
| 0.000 | 0.000 | 0.000 | -0.000 | 0.000 | -0.000 |
| 0.000 | 0.000 | 0.000 | -0.000 | -0.000 | 0.000 |
| 0.000 | 0.000 | 0.000 | 0.000 | 0.000 | 0.000 |
| 0.000 | 0.000 | 0.000 | 0.000 | 0.000 | 0.000 |
| 0.000 | 0.000 | 0.000 | 0.000 | 0.000 | 0.000 |
| -0.000 | -0.000 | -0.000 | 0.000 | 0.000 | 0.000 |
| -0.000 | -0.000 | -0.000 | 0.000 | 0.000 | 0.000 |
| -0.000 | -0.000 | -0.000 | 0.000 | 0.000 | 0.000 |
| 322.802 | 123.144 | 83.807 | 0.000 | 0.000 | 0.000 |
| 123.144 | 322.802 | 83.807 | 0.000 | 0.000 | -0.000 |
| 83.807 | 83.807 | 303.450 | 0.000 | 0.000 | -0.000 |
| -0.000 | -0.000 | -0.000 | 60.513 | 0.000 | -0.000 |
| -0.000 | 0.000 | 0.000 | 0.000 | 60.513 | 0.000 |
| -0.000 | 0.000 | 0.000 | 0.000 | 0.000 | 99.829 |
| 300.786 | 145.160 | 83.807 | -0.000 | -0.000 | 0.000 |
| 123.144 | 322.802 | 83.807 | -0.000 | -0.000 | -0.000 |
| 83.807 | 83.807 | 303.450 | -0.000 | -0.000 | -0.000 |
| 0.000 | 0.000 | 0.000 | 60.513 | -0.000 | 0.000 |
| 0.000 | -0.000 | -0.000 | -0.000 | 60.513 | -0.000 |
| 0.000 | -0.000 | -0.000 | -0.000 | -0.000 | 99.829 |
| 322.802 | 123.144 | 83.807 | 0.000 | 0.000 | -0.000 |
| 145.160 | 300.786 | 83.807 | 0.000 | 0.000 | -0.000 |
| 83.807 | 83.807 | 303.450 | 0.000 | 0.000 | 0.000 |
| 0.000 | -0.000 | 0.000 | 60.513 | 0.000 | -0.000 |
| -0.000 | 0.000 | 0.000 | 0.000 | 60.513 | -0.000 |
| -0.000 | 0.000 | 0.000 | 0.000 | 0.000 | 99.829 |
| 322.802 | 123.144 | 83.807 | -0.000 | -0.000 | -0.000 |
| 123.144 | 322.802 | 83.807 | -0.000 | -0.000 | -0.000 |
| 83.807 | 83.807 | 303.450 | -0.000 | -0.000 | -0.000 |
| -0.000 | 0.000 | -0.000 | 60.513 | -0.000 | 0.000 |
| 0.000 | -0.000 | -0.000 | -0.000 | 60.513 | 0.000 |
| 0.000 | -0.000 | -0.000 | -0.000 | -0.000 | 99.829 |
| 300.792 | 145.161 | 83.807 | 0.000 | 0.000 | -0.000 |
| 145.163 | 300.792 | 83.807 | 0.000 | 0.000 | -0.000 |
| 83.807 | 83.807 | 303.451 | 0.000 | 0.000 | 0.000 |
| 0.000 | -0.000 | 0.000 | 60.513 | 0.000 | -0.000 |
| -0.000 | 0.000 | 0.000 | 0.000 | 60.513 | 0.000 |
| 0.000 | 0.001 | 0.000 | 0.000 | 0.000 | 99.829 |
| 322.801 | 123.144 | 83.807 | -0.000 | -0.000 | -0.000 |
| 123.144 | 322.801 | 83.807 | -0.000 | -0.000 | 0.000 |
| 83.807 | 83.807 | 303.449 | -0.000 | -0.000 | -0.000 |
| -0.000 | 0.000 | -0.000 | 60.513 | -0.000 | 0.000 |
| 0.000 | -0.000 | -0.000 | -0.000 | 60.513 | -0.000 |
| -0.000 | -0.001 | -0.000 | -0.000 | -0.000 | 99.829 |
| 0.000 | 0.000 | 0.000 | 0.000 | -0.000 | -0.000 |
| 0.000 | 0.000 | 0.000 | -0.000 | -0.000 | -0.000 |
| 0.000 | 0.000 | 0.000 | -0.000 | 0.000 | -0.000 |
| 0.000 | 0.000 | 0.000 | 0.000 | -0.000 | -0.000 |
| 0.000 | 0.000 | 0.000 | 0.000 | 0.000 | 0.000 |
| -0.000 | -0.000 | 0.000 | 0.000 | 0.000 | 0.000 |
| 0.000 | 0.000 | 0.000 | 0.000 | -0.000 | -0.000 |
| 0.000 | 0.000 | 0.000 | 0.000 | -0.000 | 0.000 |
| 0.000 | 0.000 | 0.000 | 0.000 | 0.000 | 0.000 |
| -0.000 | -0.000 | -0.000 | 0.000 | -0.000 | 0.000 |
| -0.000 | -0.000 | -0.000 | -0.000 | 0.000 | 0.000 |
| 0.000 | 0.000 | -0.000 | -0.000 | 0.000 | 0.000 |
| 0.000 | 0.000 | 0.000 | -0.000 | -0.000 | 0.000 |
| 0.000 | 0.000 | 0.000 | -0.000 | 0.000 | -0.000 |
| 0.000 | 0.000 | 0.000 | -0.000 | -0.000 | -0.000 |
| 0.000 | 0.000 | 0.000 | 0.000 | 0.000 | -0.000 |
| 0.000 | 0.000 | 0.000 | -0.000 | 0.000 | 0.000 |
| -0.000 | -0.000 | 0.000 | -0.000 | 0.000 | 0.000 |
| 0.000 | 0.000 | 0.000 | 0.000 | 0.000 | -0.000 |
| 0.000 | 0.000 | 0.000 | 0.000 | 0.000 | -0.000 |
| 0.000 | 0.000 | 0.000 | 0.000 | -0.000 | 0.000 |
| -0.000 | -0.000 | -0.000 | 0.000 | 0.000 | 0.000 |
| -0.000 | -0.000 | -0.000 | 0.000 | 0.000 | 0.000 |
| 0.000 | 0.000 | -0.000 | 0.000 | 0.000 | 0.000 |
| 0.000 | 0.000 | 0.000 | 0.000 | 0.000 | -0.000 |
| 0.000 | 0.000 | 0.000 | -0.000 | 0.000 | -0.000 |
| 0.000 | 0.000 | 0.000 | -0.000 | 0.000 | -0.000 |
| 0.000 | 0.000 | 0.000 | 0.000 | -0.000 | -0.000 |
| 0.000 | 0.000 | 0.000 | -0.000 | 0.000 | -0.000 |
| -0.000 | -0.000 | 0.000 | -0.000 | 0.000 | 0.000 |
| 0.000 | 0.000 | 0.000 | 0.000 | -0.000 | 0.000 |
| 0.000 | 0.000 | 0.000 | -0.000 | 0.000 | -0.000 |
| 0.000 | 0.000 | 0.000 | 0.000 | -0.000 | -0.000 |
| -0.000 | -0.000 | -0.000 | 0.000 | -0.000 | 0.000 |
| -0.000 | -0.000 | -0.000 | 0.000 | 0.000 | -0.000 |
| 0.000 | 0.000 | -0.000 | 0.000 | 0.000 | 0.000 |
| 0.000 | 0.000 | 0.000 | -0.000 | 0.000 | -0.000 |
| 0.000 | 0.000 | 0.000 | 0.000 | 0.000 | 0.000 |
| 0.000 | 0.000 | 0.000 | -0.000 | 0.000 | 0.000 |
| 0.000 | 0.000 | 0.000 | 0.000 | 0.000 | 0.000 |
| 0.000 | 0.000 | 0.000 | -0.000 | 0.000 | -0.000 |
| 0.000 | 0.000 | 0.000 | -0.000 | -0.000 | 0.000 |
| 0.000 | 0.000 | 0.000 | 0.000 | -0.000 | -0.000 |
| 0.000 | 0.000 | 0.000 | 0.000 | -0.000 | 0.000 |
| 0.000 | 0.000 | 0.000 | -0.000 | 0.000 | 0.000 |
| -0.000 | -0.000 | -0.000 | 0.000 | -0.000 | -0.000 |
| -0.000 | -0.000 | -0.000 | 0.000 | 0.000 | -0.000 |
| -0.000 | -0.000 | -0.000 | 0.000 | -0.000 | 0.000 |
| 0.000 | 0.000 | 0.000 | -0.000 | 0.000 | 0.000 |
| 0.000 | 0.000 | 0.000 | 0.000 | -0.000 | 0.000 |
| 0.000 | 0.000 | 0.000 | -0.000 | 0.000 | 0.000 |
| 0.000 | 0.000 | 0.000 | 0.000 | 0.000 | -0.000 |
| 0.000 | 0.000 | 0.000 | 0.000 | 0.000 | 0.000 |
| 0.000 | 0.000 | 0.000 | 0.000 | -0.000 | 0.000 |
| 0.000 | 0.000 | 0.000 | -0.000 | 0.000 | -0.000 |
| 0.000 | 0.000 | 0.000 | 0.000 | -0.000 | -0.000 |
| 0.000 | 0.000 | 0.000 | -0.000 | -0.000 | -0.000 |
| -0.000 | -0.000 | -0.000 | 0.000 | -0.000 | -0.000 |
| -0.000 | -0.000 | -0.000 | -0.000 | 0.000 | 0.000 |
| -0.000 | -0.000 | -0.000 | -0.000 | -0.000 | 0.000 |
| 0.000 | 0.000 | 0.000 | -0.000 | -0.000 | -0.000 |
| 0.000 | 0.000 | 0.000 | 0.000 | 0.000 | 0.000 |
| 0.000 | 0.000 | 0.000 | -0.000 | 0.000 | 0.000 |
| 0.000 | 0.000 | 0.000 | 0.000 | 0.000 | 0.000 |
| 0.000 | 0.000 | 0.000 | 0.000 | 0.000 | -0.000 |
| 0.000 | 0.000 | 0.000 | -0.000 | -0.000 | 0.000 |
| 0.000 | 0.000 | 0.000 | -0.000 | -0.000 | -0.000 |
| 0.000 | 0.000 | 0.000 | 0.000 | 0.000 | -0.000 |
| 0.000 | 0.000 | 0.000 | -0.000 | -0.000 | -0.000 |
| -0.000 | -0.000 | -0.000 | 0.000 | -0.000 | 0.000 |
| -0.000 | -0.000 | -0.000 | -0.000 | 0.000 | -0.000 |
| -0.000 | -0.000 | -0.000 | 0.000 | -0.000 | 0.000 |
| 0.000 | 0.000 | 0.000 | 0.000 | -0.000 | 0.000 |
| 0.000 | 0.000 | 0.000 | 0.000 | 0.000 | 0.000 |
| 0.000 | 0.000 | 0.000 | 0.000 | -0.000 | -0.000 |
| 0.000 | 0.000 | 0.000 | 0.000 | -0.000 | -0.000 |
| 0.000 | 0.000 | 0.000 | 0.000 | 0.000 | 0.000 |
| 0.000 | 0.000 | 0.000 | -0.000 | -0.000 | 0.000 |
| 0.000 | 0.000 | 0.000 | -0.000 | 0.000 | 0.000 |
| 0.000 | 0.000 | 0.000 | -0.000 | -0.000 | 0.000 |
| 0.000 | 0.000 | 0.000 | -0.000 | -0.000 | 0.000 |
| -0.000 | -0.000 | -0.000 | 0.000 | 0.000 | 0.000 |
| -0.000 | -0.000 | -0.000 | -0.000 | 0.000 | 0.000 |
| -0.000 | -0.000 | -0.000 | 0.000 | -0.000 | 0.000 |
| 0.000 | 0.000 | 0.000 | 0.000 | -0.000 | 0.000 |
| 0.000 | 0.000 | 0.000 | 0.000 | 0.000 | 0.000 |
| 0.000 | 0.000 | 0.000 | 0.000 | 0.000 | -0.000 |
| 0.000 | 0.000 | 0.000 | 0.000 | -0.000 | -0.000 |
| 0.000 | 0.000 | 0.000 | 0.000 | 0.000 | 0.000 |
| 0.000 | 0.000 | 0.000 | 0.000 | -0.000 | 0.000 |
| 0.000 | 0.000 | 0.000 | -0.000 | -0.000 | -0.000 |
| 0.000 | 0.000 | 0.000 | -0.000 | -0.000 | -0.000 |
| 0.000 | 0.000 | 0.000 | -0.000 | 0.000 | 0.000 |
| -0.000 | -0.000 | -0.000 | 0.000 | 0.000 | 0.000 |
| -0.000 | -0.000 | -0.000 | -0.000 | 0.000 | 0.000 |
| -0.000 | -0.000 | -0.000 | -0.000 | -0.000 | 0.000 |
| 0.000 | 0.000 | 0.000 | 0.000 | 0.000 | 0.000 |
| 0.000 | 0.000 | 0.000 | 0.000 | -0.000 | 0.000 |
| 0.000 | 0.000 | 0.000 | 0.000 | 0.000 | -0.000 |
| 0.000 | 0.000 | 0.000 | 0.000 | 0.000 | -0.000 |
| 0.000 | 0.000 | 0.000 | 0.000 | 0.000 | 0.000 |
| 0.000 | 0.000 | 0.000 | 0.000 | -0.000 | 0.000 |
| 0.000 | 0.000 | 0.000 | -0.000 | -0.000 | -0.000 |
| 0.000 | 0.000 | 0.000 | -0.000 | 0.000 | -0.000 |
| 0.000 | 0.000 | 0.000 | -0.000 | 0.000 | 0.000 |
| -0.000 | -0.000 | -0.000 | 0.000 | -0.000 | 0.000 |
| -0.000 | -0.000 | -0.000 | -0.000 | 0.000 | 0.000 |
| -0.000 | -0.000 | -0.000 | -0.000 | -0.000 | 0.000 |
| 0.000 | 0.000 | 0.000 | 0.000 | -0.000 | -0.000 |
| 0.000 | 0.000 | 0.000 | -0.000 | -0.000 | -0.000 |
| 0.000 | 0.000 | 0.000 | 0.000 | -0.000 | 0.000 |
| 0.000 | 0.000 | 0.000 | 0.000 | 0.000 | 0.000 |
| 0.000 | 0.000 | 0.000 | 0.000 | 0.000 | -0.000 |
| 0.000 | 0.000 | 0.000 | 0.000 | -0.000 | 0.000 |
| 0.000 | 0.000 | 0.000 | -0.000 | 0.000 | 0.000 |
| 0.000 | 0.000 | 0.000 | 0.000 | 0.000 | 0.000 |
| 0.000 | 0.000 | 0.000 | 0.000 | -0.000 | -0.000 |
| -0.000 | -0.000 | -0.000 | 0.000 | 0.000 | 0.000 |
| -0.000 | -0.000 | -0.000 | -0.000 | 0.000 | -0.000 |
| -0.000 | -0.000 | -0.000 | -0.000 | -0.000 | 0.000 |
| 0.000 | 0.000 | 0.000 | 0.000 | -0.000 | -0.000 |
| 0.000 | 0.000 | 0.000 | 0.000 | -0.000 | -0.000 |
| 0.000 | 0.000 | 0.000 | -0.000 | -0.000 | -0.000 |
| 0.000 | 0.000 | 0.000 | 0.000 | -0.000 | -0.000 |
| 0.000 | 0.000 | 0.000 | 0.000 | 0.000 | 0.000 |
| 0.000 | 0.000 | 0.000 | 0.000 | -0.000 | 0.000 |
| 0.000 | 0.000 | 0.000 | -0.000 | 0.000 | 0.000 |
| 0.000 | 0.000 | 0.000 | 0.000 | 0.000 | 0.000 |
| 0.000 | 0.000 | 0.000 | 0.000 | 0.000 | 0.000 |
| -0.000 | -0.000 | -0.000 | 0.000 | -0.000 | 0.000 |
| -0.000 | -0.000 | -0.000 | -0.000 | 0.000 | 0.000 |
| -0.000 | -0.000 | -0.000 | -0.000 | -0.000 | 0.000 |
| 0.000 | 0.000 | 0.000 | 0.000 | -0.000 | -0.000 |
| 0.000 | 0.000 | 0.000 | -0.000 | 0.000 | -0.000 |
| 0.000 | 0.000 | 0.000 | -0.000 | -0.000 | -0.000 |
| 0.000 | 0.000 | 0.000 | 0.000 | -0.000 | -0.000 |
| 0.000 | 0.000 | 0.000 | -0.000 | 0.000 | 0.000 |
| 0.000 | 0.000 | 0.000 | -0.000 | 0.000 | 0.000 |
| 0.000 | 0.000 | 0.000 | -0.000 | 0.000 | 0.000 |
| 0.000 | 0.000 | 0.000 | -0.000 | -0.000 | 0.000 |
| 0.000 | 0.000 | 0.000 | 0.000 | 0.000 | 0.000 |
| -0.000 | -0.000 | -0.000 | 0.000 | -0.000 | 0.000 |
| -0.000 | -0.000 | -0.000 | -0.000 | 0.000 | 0.000 |
| -0.000 | -0.000 | -0.000 | 0.000 | 0.000 | 0.000 |
| 0.000 | 0.000 | 0.000 | -0.000 | 0.000 | 0.000 |
| 0.000 | 0.000 | 0.000 | 0.000 | -0.000 | 0.000 |
| 0.000 | 0.000 | 0.000 | 0.000 | -0.000 | 0.000 |
| 0.000 | 0.000 | 0.000 | 0.000 | 0.000 | 0.000 |
| 0.000 | 0.000 | 0.000 | 0.000 | 0.000 | -0.000 |
| 0.000 | 0.000 | 0.000 | 0.000 | -0.000 | 0.000 |
| 0.000 | 0.000 | 0.000 | -0.000 | 0.000 | -0.000 |
| 0.000 | 0.000 | 0.000 | 0.000 | -0.000 | -0.000 |
| 0.000 | 0.000 | 0.000 | 0.000 | -0.000 | -0.000 |
| -0.000 | -0.000 | -0.000 | 0.000 | 0.000 | -0.000 |
| -0.000 | -0.000 | -0.000 | -0.000 | 0.000 | -0.000 |
| -0.000 | -0.000 | -0.000 | -0.000 | -0.000 | 0.000 |
| 0.000 | 0.000 | 0.000 | 0.000 | -0.000 | 0.000 |
| 0.000 | 0.000 | 0.000 | -0.000 | -0.000 | 0.000 |
| 0.000 | 0.000 | 0.000 | 0.000 | 0.000 | 0.000 |
| 0.000 | 0.000 | 0.000 | 0.000 | -0.000 | 0.000 |
| 0.000 | 0.000 | 0.000 | -0.000 | 0.000 | -0.000 |
| 0.000 | 0.000 | 0.000 | 0.000 | 0.000 | 0.000 |
| 0.000 | 0.000 | 0.000 | -0.000 | -0.000 | 0.000 |
| 0.000 | 0.000 | 0.000 | 0.000 | -0.000 | -0.000 |
| 0.000 | 0.000 | 0.000 | 0.000 | -0.000 | -0.000 |
| -0.000 | -0.000 | -0.000 | 0.000 | 0.000 | -0.000 |
| -0.000 | -0.000 | -0.000 | 0.000 | 0.000 | -0.000 |
| -0.000 | -0.000 | -0.000 | -0.000 | 0.000 | 0.000 |
| 0.000 | 0.000 | 0.000 | -0.000 | 0.000 | -0.000 |
| 0.000 | 0.000 | 0.000 | 0.000 | 0.000 | 0.000 |
| 0.000 | 0.000 | 0.000 | -0.000 | 0.000 | 0.000 |
| 0.000 | 0.000 | 0.000 | 0.000 | 0.000 | 0.000 |
| 0.000 | 0.000 | 0.000 | -0.000 | 0.000 | 0.000 |
| 0.000 | 0.000 | 0.000 | 0.000 | -0.000 | 0.000 |
| 0.000 | 0.000 | 0.000 | -0.000 | -0.000 | -0.000 |
| 0.000 | 0.000 | 0.000 | 0.000 | -0.000 | -0.000 |
| 0.000 | 0.000 | 0.000 | -0.000 | 0.000 | -0.000 |
| -0.000 | -0.000 | -0.000 | 0.000 | -0.000 | -0.000 |
| -0.000 | -0.000 | -0.000 | -0.000 | 0.000 | -0.000 |
| -0.000 | -0.000 | -0.000 | -0.000 | -0.000 | 0.000 |
| 0.000 | 0.000 | 0.000 | -0.000 | 0.000 | 0.000 |
| 0.000 | 0.000 | 0.000 | 0.000 | 0.000 | 0.000 |
| 0.000 | 0.000 | 0.000 | 0.000 | 0.000 | 0.000 |
| 0.000 | 0.000 | 0.000 | 0.000 | 0.000 | 0.000 |
| 0.000 | 0.000 | 0.000 | -0.000 | 0.000 | -0.000 |
| 0.000 | 0.000 | 0.000 | -0.000 | 0.000 | 0.000 |
| 0.000 | 0.000 | 0.000 | 0.000 | -0.000 | -0.000 |
| 0.000 | 0.000 | 0.000 | -0.000 | -0.000 | -0.000 |
| 0.000 | 0.000 | 0.000 | -0.000 | -0.000 | -0.000 |
| -0.000 | -0.000 | -0.000 | 0.000 | -0.000 | -0.000 |
| -0.000 | -0.000 | -0.000 | 0.000 | 0.000 | -0.000 |
| -0.000 | -0.000 | -0.000 | 0.000 | 0.000 | 0.000 |
| 0.000 | 0.000 | 0.000 | -0.000 | 0.000 | 0.000 |
| 0.000 | 0.000 | 0.000 | 0.000 | 0.000 | -0.000 |
| 0.000 | 0.000 | 0.000 | 0.000 | 0.000 | 0.000 |
| 0.000 | 0.000 | 0.000 | 0.000 | 0.000 | 0.000 |
| 0.000 | 0.000 | 0.000 | 0.000 | 0.000 | 0.000 |
| 0.000 | 0.000 | 0.000 | -0.000 | -0.000 | 0.000 |
| 0.000 | 0.000 | 0.000 | 0.000 | -0.000 | 0.000 |
| 0.000 | 0.000 | 0.000 | 0.000 | -0.000 | -0.000 |
| 0.000 | 0.000 | 0.000 | 0.000 | -0.000 | 0.000 |
| -0.000 | -0.000 | -0.000 | 0.000 | 0.000 | -0.000 |
| -0.000 | -0.000 | -0.000 | -0.000 | 0.000 | 0.000 |
| -0.000 | -0.000 | -0.000 | 0.000 | -0.000 | 0.000 |
| 0.000 | 0.000 | 0.000 | 0.000 | 0.000 | 0.000 |
| 0.000 | 0.000 | 0.000 | -0.000 | 0.000 | -0.000 |
| 0.000 | 0.000 | 0.000 | -0.000 | 0.000 | 0.000 |
| 0.000 | 0.000 | 0.000 | 0.000 | 0.000 | 0.000 |
| 0.000 | 0.000 | 0.000 | -0.000 | 0.000 | 0.000 |
| 0.000 | 0.000 | 0.000 | -0.000 | 0.000 | 0.000 |
| 0.000 | 0.000 | 0.000 | 0.000 | -0.000 | 0.000 |
| 0.000 | 0.000 | 0.000 | -0.000 | -0.000 | 0.000 |
| 0.000 | 0.000 | 0.000 | -0.000 | -0.000 | 0.000 |
| -0.000 | -0.000 | -0.000 | 0.000 | 0.000 | -0.000 |
| -0.000 | -0.000 | -0.000 | 0.000 | 0.000 | 0.000 |
| -0.000 | -0.000 | -0.000 | 0.000 | 0.000 | 0.000 |
| 0.000 | 0.000 | 0.000 | -0.000 | -0.000 | -0.000 |
| 0.000 | 0.000 | 0.000 | -0.000 | -0.000 | -0.000 |
| 0.000 | 0.000 | 0.000 | -0.000 | -0.000 | -0.000 |
| 0.000 | 0.000 | 0.000 | 0.000 | -0.000 | -0.000 |
| 0.000 | 0.000 | 0.000 | -0.000 | 0.000 | -0.000 |
| 0.000 | 0.000 | 0.000 | -0.000 | -0.000 | 0.000 |
| 0.000 | 0.000 | 0.000 | 0.000 | 0.000 | -0.000 |
| 0.000 | 0.000 | 0.000 | 0.000 | 0.000 | 0.000 |
| 0.000 | 0.000 | 0.000 | 0.000 | -0.000 | 0.000 |
| -0.000 | -0.000 | -0.000 | 0.000 | 0.000 | 0.000 |
| -0.000 | -0.000 | -0.000 | 0.000 | 0.000 | -0.000 |
| -0.000 | -0.000 | -0.000 | 0.000 | 0.000 | 0.000 |
| 0.000 | 0.000 | 0.000 | -0.000 | -0.000 | -0.000 |
| 0.000 | 0.000 | 0.000 | 0.000 | -0.000 | -0.000 |
| 0.000 | 0.000 | 0.000 | -0.000 | -0.000 | -0.000 |
| 0.000 | 0.000 | 0.000 | 0.000 | -0.000 | -0.000 |
| 0.000 | 0.000 | 0.000 | -0.000 | 0.000 | -0.000 |
| 0.000 | 0.000 | 0.000 | -0.000 | 0.000 | 0.000 |
| 0.000 | 0.000 | 0.000 | 0.000 | 0.000 | 0.000 |
| 0.000 | 0.000 | 0.000 | 0.000 | 0.000 | 0.000 |
| 0.000 | 0.000 | 0.000 | -0.000 | 0.000 | 0.000 |
| -0.000 | -0.000 | -0.000 | 0.000 | -0.000 | 0.000 |
| -0.000 | -0.000 | -0.000 | 0.000 | 0.000 | 0.000 |
| -0.000 | -0.000 | -0.000 | 0.000 | 0.000 | 0.000 |
| 0.000 | 0.000 | 0.000 | 0.000 | -0.000 | -0.000 |
| 0.000 | 0.000 | 0.000 | -0.000 | -0.000 | -0.000 |
| 0.000 | 0.000 | 0.000 | 0.000 | -0.000 | -0.000 |
| 0.000 | 0.000 | 0.000 | 0.000 | -0.000 | -0.000 |
| 0.000 | 0.000 | 0.000 | 0.000 | 0.000 | 0.000 |
| 0.000 | 0.000 | 0.000 | 0.000 | 0.000 | 0.000 |
| 0.000 | 0.000 | 0.000 | 0.000 | 0.000 | 0.000 |
| 0.000 | 0.000 | 0.000 | -0.000 | 0.000 | 0.000 |
| 0.000 | 0.000 | 0.000 | -0.000 | 0.000 | 0.000 |
| -0.000 | -0.000 | -0.000 | 0.000 | 0.000 | 0.000 |
| -0.000 | -0.000 | -0.000 | -0.000 | 0.000 | 0.000 |
| -0.000 | -0.000 | -0.000 | -0.000 | 0.000 | 0.000 |
| 0.000 | 0.000 | 0.000 | -0.000 | -0.000 | -0.000 |
| 0.000 | 0.000 | 0.000 | -0.000 | -0.000 | 0.000 |
| 0.000 | 0.000 | 0.000 | 0.000 | -0.000 | 0.000 |
| 0.000 | 0.000 | 0.000 | 0.000 | 0.000 | 0.000 |
| 0.000 | 0.000 | 0.000 | 0.000 | 0.000 | -0.000 |
| 0.000 | 0.000 | 0.000 | 0.000 | 0.000 | 0.000 |
| 0.000 | 0.000 | 0.000 | -0.000 | 0.000 | -0.000 |
| 0.000 | 0.000 | 0.000 | 0.000 | 0.000 | -0.000 |
| 0.000 | 0.000 | 0.000 | 0.000 | 0.000 | -0.000 |
| -0.000 | -0.000 | -0.000 | 0.000 | 0.000 | -0.000 |
| -0.000 | -0.000 | -0.000 | -0.000 | 0.000 | -0.000 |
| -0.000 | -0.000 | -0.000 | -0.000 | 0.000 | 0.000 |
| 0.000 | 0.000 | 0.000 | -0.000 | -0.000 | -0.000 |
| 0.000 | 0.000 | 0.000 | 0.000 | -0.000 | 0.000 |
| 0.000 | 0.000 | 0.000 | -0.000 | 0.000 | 0.000 |
| 0.000 | 0.000 | 0.000 | 0.000 | 0.000 | 0.000 |
| 0.000 | 0.000 | 0.000 | -0.000 | 0.000 | -0.000 |
| 0.000 | 0.000 | 0.000 | 0.000 | 0.000 | 0.000 |
| 0.000 | 0.000 | 0.000 | -0.000 | -0.000 | -0.000 |
| 0.000 | 0.000 | 0.000 | -0.000 | -0.000 | -0.000 |
| 0.000 | 0.000 | 0.000 | -0.000 | 0.000 | -0.000 |
| -0.000 | -0.000 | -0.000 | 0.000 | 0.000 | -0.000 |
| -0.000 | -0.000 | -0.000 | 0.000 | 0.000 | -0.000 |
| -0.000 | -0.000 | -0.000 | -0.000 | 0.000 | 0.000 |
| 0.000 | 0.000 | 0.000 | 0.000 | -0.000 | 0.000 |
| 0.000 | 0.000 | 0.000 | 0.000 | -0.000 | 0.000 |
| 0.000 | 0.000 | 0.000 | -0.000 | -0.000 | 0.000 |
| 0.000 | 0.000 | 0.000 | 0.000 | -0.000 | 0.000 |
| 0.000 | 0.000 | 0.000 | 0.000 | 0.000 | -0.000 |
| 0.000 | 0.000 | 0.000 | 0.000 | 0.000 | 0.000 |
| 0.000 | 0.000 | 0.000 | 0.000 | 0.000 | -0.000 |
| 0.000 | 0.000 | 0.000 | -0.000 | 0.000 | -0.000 |
| 0.000 | 0.000 | 0.000 | 0.000 | 0.000 | -0.000 |
| -0.000 | -0.000 | -0.000 | 0.000 | -0.000 | -0.000 |
| -0.000 | -0.000 | -0.000 | 0.000 | 0.000 | -0.000 |
| -0.000 | -0.000 | -0.000 | -0.000 | 0.000 | 0.000 |
| 0.000 | 0.000 | 0.000 | 0.000 | 0.000 | -0.000 |
| 0.000 | 0.000 | 0.000 | 0.000 | 0.000 | -0.000 |
| 0.000 | 0.000 | 0.000 | 0.000 | 0.000 | -0.000 |
| -0.000 | -0.000 | -0.000 | 0.000 | -0.000 | -0.000 |
| -0.000 | -0.000 | -0.000 | 0.000 | 0.000 | -0.000 |
| -0.000 | -0.000 | -0.000 | 0.000 | 0.000 | 0.000 |
| 0.000 | 0.000 | 0.000 | -0.000 | -0.000 | 0.000 |
| 0.000 | 0.000 | 0.000 | -0.000 | -0.000 | 0.000 |
| 0.000 | 0.000 | 0.000 | -0.000 | -0.000 | -0.000 |
| 0.000 | 0.000 | 0.000 | 0.000 | -0.000 | -0.000 |
| 0.000 | 0.000 | 0.000 | -0.000 | 0.000 | -0.000 |
| 0.000 | 0.000 | 0.000 | -0.000 | 0.000 | 0.000 |
| 0.000 | 0.000 | 0.000 | -0.000 | 0.000 | 0.000 |
| 0.000 | 0.000 | 0.000 | -0.000 | 0.000 | 0.000 |
| 0.000 | 0.000 | 0.000 | 0.000 | 0.000 | -0.000 |
| -0.000 | -0.000 | -0.000 | 0.000 | 0.000 | 0.000 |
| -0.000 | -0.000 | -0.000 | 0.000 | 0.000 | -0.000 |
| -0.000 | -0.000 | -0.000 | 0.000 | 0.000 | 0.000 |
| 0.000 | 0.000 | 0.000 | 0.000 | 0.000 | -0.000 |
| 0.000 | 0.000 | 0.000 | 0.000 | -0.000 | -0.000 |
| 0.000 | 0.000 | 0.000 | -0.000 | -0.000 | 0.000 |
| 0.000 | 0.000 | 0.000 | 0.000 | -0.000 | -0.000 |
| 0.000 | 0.000 | 0.000 | -0.000 | 0.000 | -0.000 |
| 0.000 | 0.000 | 0.000 | -0.000 | -0.000 | 0.000 |
| 0.000 | 0.000 | 0.000 | 0.000 | 0.000 | 0.000 |
| 0.000 | 0.000 | 0.000 | -0.000 | 0.000 | -0.000 |
| 0.000 | 0.000 | 0.000 | 0.000 | 0.000 | 0.000 |
| -0.000 | -0.000 | -0.000 | 0.000 | 0.000 | -0.000 |
| -0.000 | -0.000 | -0.000 | 0.000 | 0.000 | 0.000 |
| -0.000 | -0.000 | -0.000 | -0.000 | 0.000 | 0.000 |
| 0.000 | 0.000 | 0.000 | 0.000 | -0.000 | 0.000 |
| 0.000 | 0.000 | 0.000 | -0.000 | -0.000 | -0.000 |
| 0.000 | 0.000 | 0.000 | -0.000 | -0.000 | 0.000 |
| 0.000 | 0.000 | 0.000 | 0.000 | 0.000 | -0.000 |
| 0.000 | 0.000 | 0.000 | -0.000 | 0.000 | 0.000 |
| 0.000 | 0.000 | 0.000 | 0.000 | 0.000 | 0.000 |
| 0.000 | 0.000 | 0.000 | -0.000 | -0.000 | 0.000 |
| 0.000 | 0.000 | 0.000 | -0.000 | -0.000 | 0.000 |
| 0.000 | 0.000 | 0.000 | -0.000 | -0.000 | -0.000 |
| 0.000 | 0.000 | 0.000 | 0.000 | 0.000 | -0.000 |
| 0.000 | 0.000 | 0.000 | 0.000 | 0.000 | -0.000 |
| 0.000 | 0.000 | 0.000 | 0.000 | 0.000 | 0.000 |
| 0.000 | 0.000 | 0.000 | 0.000 | 0.000 | -0.000 |
| 0.000 | 0.000 | 0.000 | 0.000 | -0.000 | -0.000 |
| 0.000 | 0.000 | 0.000 | 0.000 | -0.000 | 0.000 |
| -0.000 | -0.000 | -0.000 | 0.000 | -0.000 | 0.000 |
| -0.000 | -0.000 | -0.000 | 0.000 | 0.000 | -0.000 |
| -0.000 | -0.000 | -0.000 | -0.000 | 0.000 | 0.000 |
| 0.000 | 0.000 | 0.000 | 0.000 | 0.000 | 0.000 |
| 0.000 | 0.000 | 0.000 | -0.000 | -0.000 | -0.000 |
| 0.000 | 0.000 | 0.000 | 0.000 | -0.000 | -0.000 |
| 0.000 | 0.000 | 0.000 | 0.000 | -0.000 | -0.000 |
| 0.000 | 0.000 | 0.000 | -0.000 | 0.000 | 0.000 |
| 0.000 | 0.000 | 0.000 | -0.000 | 0.000 | 0.000 |
| 0.000 | 0.000 | 0.000 | -0.000 | 0.000 | -0.000 |
| 0.000 | 0.000 | 0.000 | -0.000 | 0.000 | -0.000 |
| 0.000 | 0.000 | 0.000 | 0.000 | 0.000 | 0.000 |
| -0.000 | -0.000 | -0.000 | 0.000 | -0.000 | 0.000 |
| -0.000 | -0.000 | -0.000 | 0.000 | 0.000 | 0.000 |
| -0.000 | -0.000 | -0.000 | 0.000 | 0.000 | 0.000 |
| 0.000 | 0.000 | 0.000 | 0.000 | -0.000 | 0.000 |
| 0.000 | 0.000 | 0.000 | -0.000 | -0.000 | -0.000 |
| 0.000 | 0.000 | 0.000 | -0.000 | -0.000 | -0.000 |
| 0.000 | 0.000 | 0.000 | 0.000 | 0.000 | -0.000 |
| 0.000 | 0.000 | 0.000 | -0.000 | 0.000 | 0.000 |
| 0.000 | 0.000 | 0.000 | -0.000 | 0.000 | 0.000 |
| 0.000 | 0.000 | 0.000 | 0.000 | -0.000 | -0.000 |
| 0.000 | 0.000 | 0.000 | 0.000 | -0.000 | 0.000 |
| 0.000 | 0.000 | 0.000 | -0.000 | 0.000 | 0.000 |
| -0.000 | -0.000 | -0.000 | 0.000 | 0.000 | 0.000 |
| -0.000 | -0.000 | -0.000 | 0.000 | 0.000 | 0.000 |
| -0.000 | -0.000 | -0.000 | 0.000 | 0.000 | 0.000 |
| -0.000 | -0.000 | -0.000 | 0.000 | -0.000 | 0.000 |
| -0.000 | -0.000 | -0.000 | 0.000 | -0.000 | 0.000 |
| -0.000 | -0.000 | -0.000 | 0.000 | -0.000 | 0.000 |
| -0.000 | -0.000 | -0.000 | -0.000 | -0.000 | 0.000 |
| -0.000 | -0.000 | -0.000 | 0.000 | -0.000 | -0.000 |
| -0.000 | -0.000 | -0.000 | 0.000 | -0.000 | -0.000 |
| -0.000 | -0.000 | -0.000 | -0.000 | -0.000 | -0.000 |
| -0.000 | -0.000 | -0.000 | 0.000 | -0.000 | -0.000 |
| -0.000 | -0.000 | -0.000 | -0.000 | 0.000 | -0.000 |
| 0.000 | 0.000 | 0.000 | -0.000 | -0.000 | -0.000 |
| 0.000 | 0.000 | 0.000 | -0.000 | -0.000 | 0.000 |
| 0.000 | 0.000 | 0.000 | -0.000 | 0.000 | -0.000 |
| -0.000 | -0.000 | -0.000 | 0.000 | 0.000 | 0.000 |
| -0.000 | -0.000 | -0.000 | 0.000 | 0.000 | 0.000 |
| -0.000 | -0.000 | -0.000 | -0.000 | -0.000 | -0.000 |
| -0.000 | -0.000 | -0.000 | -0.000 | -0.000 | 0.000 |
| -0.000 | -0.000 | -0.000 | 0.000 | -0.000 | 0.000 |
| -0.000 | -0.000 | -0.000 | 0.000 | 0.000 | -0.000 |
| -0.000 | -0.000 | -0.000 | -0.000 | 0.000 | -0.000 |
| -0.000 | -0.000 | -0.000 | -0.000 | 0.000 | -0.000 |
| -0.000 | -0.000 | -0.000 | -0.000 | -0.000 | -0.000 |
| 0.000 | 0.000 | 0.000 | -0.000 | 0.000 | -0.000 |
| 0.000 | 0.000 | 0.000 | -0.000 | -0.000 | 0.000 |
| 0.000 | 0.000 | 0.000 | -0.000 | 0.000 | -0.000 |
| -0.000 | -0.000 | -0.000 | 0.000 | -0.000 | 0.000 |
| -0.000 | -0.000 | -0.000 | 0.000 | 0.000 | 0.000 |
| -0.000 | -0.000 | -0.000 | 0.000 | 0.000 | -0.000 |
| -0.000 | -0.000 | -0.000 | -0.000 | 0.000 | 0.000 |
| -0.000 | -0.000 | -0.000 | 0.000 | -0.000 | -0.000 |
| -0.000 | -0.000 | -0.000 | 0.000 | 0.000 | -0.000 |
| -0.000 | -0.000 | -0.000 | -0.000 | -0.000 | -0.000 |
| -0.000 | -0.000 | -0.000 | 0.000 | -0.000 | -0.000 |
| -0.000 | -0.000 | -0.000 | -0.000 | 0.000 | -0.000 |
| 0.000 | 0.000 | 0.000 | -0.000 | 0.000 | -0.000 |
| 0.000 | 0.000 | 0.000 | -0.000 | -0.000 | 0.000 |
| 0.000 | 0.000 | 0.000 | -0.000 | 0.000 | -0.000 |
| -0.000 | -0.000 | -0.000 | 0.000 | -0.000 | 0.000 |
| -0.000 | -0.000 | -0.000 | 0.000 | -0.000 | -0.000 |
| -0.000 | -0.000 | -0.000 | -0.000 | -0.000 | 0.000 |
| -0.000 | -0.000 | -0.000 | -0.000 | -0.000 | 0.000 |
| -0.000 | -0.000 | -0.000 | 0.000 | -0.000 | 0.000 |
| -0.000 | -0.000 | -0.000 | 0.000 | 0.000 | -0.000 |
| -0.000 | -0.000 | -0.000 | -0.000 | 0.000 | 0.000 |
| -0.000 | -0.000 | -0.000 | 0.000 | 0.000 | -0.000 |
| -0.000 | -0.000 | -0.000 | 0.000 | 0.000 | 0.000 |
| 0.000 | 0.000 | 0.000 | -0.000 | 0.000 | -0.000 |
| 0.000 | 0.000 | 0.000 | -0.000 | -0.000 | -0.000 |
| 0.000 | 0.000 | 0.000 | -0.000 | 0.000 | -0.000 |
| -0.000 | -0.000 | -0.000 | 0.000 | -0.000 | 0.000 |
| -0.000 | -0.000 | -0.000 | 0.000 | -0.000 | -0.000 |
| -0.000 | -0.000 | -0.000 | -0.000 | -0.000 | 0.000 |
| -0.000 | -0.000 | -0.000 | -0.000 | -0.000 | 0.000 |
| -0.000 | -0.000 | -0.000 | -0.000 | -0.000 | -0.000 |
| -0.000 | -0.000 | -0.000 | 0.000 | -0.000 | -0.000 |
| -0.000 | -0.000 | -0.000 | -0.000 | 0.000 | -0.000 |
| -0.000 | -0.000 | -0.000 | 0.000 | 0.000 | -0.000 |
| -0.000 | -0.000 | -0.000 | 0.000 | 0.000 | 0.000 |
| 0.000 | 0.000 | 0.000 | -0.000 | 0.000 | -0.000 |
| 0.000 | 0.000 | 0.000 | 0.000 | -0.000 | 0.000 |
| 0.000 | 0.000 | 0.000 | -0.000 | -0.000 | -0.000 |
| -0.000 | -0.000 | -0.000 | 0.000 | -0.000 | -0.000 |
| -0.000 | -0.000 | -0.000 | -0.000 | -0.000 | 0.000 |
| -0.000 | -0.000 | -0.000 | 0.000 | -0.000 | 0.000 |
| -0.000 | -0.000 | -0.000 | -0.000 | -0.000 | 0.000 |
| -0.000 | -0.000 | -0.000 | 0.000 | -0.000 | -0.000 |
| -0.000 | -0.000 | -0.000 | -0.000 | -0.000 | -0.000 |
| -0.000 | -0.000 | -0.000 | -0.000 | 0.000 | -0.000 |
| -0.000 | -0.000 | -0.000 | 0.000 | 0.000 | -0.000 |
| -0.000 | -0.000 | -0.000 | 0.000 | 0.000 | 0.000 |
| 0.000 | 0.000 | 0.000 | -0.000 | 0.000 | -0.000 |
| 0.000 | 0.000 | 0.000 | -0.000 | -0.000 | 0.000 |
| 0.000 | 0.000 | 0.000 | -0.000 | -0.000 | -0.000 |
| 0.000 | 0.000 | 0.000 | -0.000 | -0.000 | 0.000 |
| 0.000 | 0.000 | 0.000 | 0.000 | 0.000 | 0.000 |
| 0.000 | 0.000 | 0.000 | -0.000 | -0.000 | 0.000 |
| 0.000 | 0.000 | 0.000 | 0.000 | -0.000 | 0.000 |
| 0.000 | 0.000 | 0.000 | -0.000 | 0.000 | -0.000 |
| 0.000 | 0.000 | 0.000 | -0.000 | 0.000 | 0.000 |
| 0.000 | 0.000 | 0.000 | -0.000 | -0.000 | -0.000 |
| 0.000 | 0.000 | 0.000 | -0.000 | -0.000 | 0.000 |
| 0.000 | 0.000 | 0.000 | 0.000 | 0.000 | -0.000 |
| -0.000 | -0.000 | -0.000 | 0.000 | 0.000 | -0.000 |
| -0.000 | -0.000 | -0.000 | 0.000 | 0.000 | -0.000 |
| -0.000 | -0.000 | -0.000 | 0.000 | 0.000 | 0.000 |
| 0.000 | 0.000 | 0.000 | -0.000 | 0.000 | 0.000 |
| 0.000 | 0.000 | 0.000 | 0.000 | -0.000 | 0.000 |
| 0.000 | 0.000 | 0.000 | 0.000 | -0.000 | 0.000 |
| 0.000 | 0.000 | 0.000 | 0.000 | -0.000 | 0.000 |
| 0.000 | 0.000 | 0.000 | 0.000 | 0.000 | -0.000 |
| 0.000 | 0.000 | 0.000 | -0.000 | -0.000 | 0.000 |
| 0.000 | 0.000 | 0.000 | -0.000 | -0.000 | -0.000 |
| 0.000 | 0.000 | 0.000 | -0.000 | 0.000 | -0.000 |
| 0.000 | 0.000 | 0.000 | 0.000 | 0.000 | 0.000 |
| -0.000 | -0.000 | -0.000 | 0.000 | -0.000 | -0.000 |
| -0.000 | -0.000 | -0.000 | -0.000 | 0.000 | -0.000 |
| -0.000 | -0.000 | -0.000 | 0.000 | -0.000 | 0.000 |
| 0.000 | 0.000 | 0.000 | -0.000 | 0.000 | -0.000 |
| 0.000 | 0.000 | 0.000 | 0.000 | 0.000 | 0.000 |
| 0.000 | 0.000 | 0.000 | 0.000 | 0.000 | 0.000 |
| 0.000 | 0.000 | 0.000 | 0.000 | -0.000 | 0.000 |
| 0.000 | 0.000 | 0.000 | -0.000 | 0.000 | -0.000 |
| 0.000 | 0.000 | 0.000 | 0.000 | -0.000 | 0.000 |
| 0.000 | 0.000 | 0.000 | -0.000 | 0.000 | -0.000 |
| 0.000 | 0.000 | 0.000 | 0.000 | -0.000 | -0.000 |
| 0.000 | 0.000 | 0.000 | 0.000 | 0.000 | 0.000 |
| -0.000 | -0.000 | -0.000 | 0.000 | -0.000 | -0.000 |
| -0.000 | -0.000 | -0.000 | 0.000 | 0.000 | -0.000 |
| -0.000 | -0.000 | -0.000 | -0.000 | -0.000 | 0.000 |
| 0.000 | 0.000 | 0.000 | -0.000 | -0.000 | 0.000 |
| 0.000 | 0.000 | 0.000 | -0.000 | -0.000 | -0.000 |
| 0.000 | 0.000 | 0.000 | -0.000 | 0.000 | -0.000 |
| 0.000 | 0.000 | 0.000 | 0.000 | 0.000 | 0.000 |
| 0.000 | 0.000 | 0.000 | -0.000 | 0.000 | 0.000 |
| 0.000 | 0.000 | 0.000 | -0.000 | 0.000 | 0.000 |
| 0.000 | 0.000 | 0.000 | 0.000 | 0.000 | 0.000 |
| 0.000 | 0.000 | 0.000 | 0.000 | -0.000 | -0.000 |
| 0.000 | 0.000 | 0.000 | 0.000 | 0.000 | 0.000 |
| -0.000 | -0.000 | -0.000 | 0.000 | 0.000 | -0.000 |
| -0.000 | -0.000 | -0.000 | 0.000 | 0.000 | -0.000 |
| -0.000 | -0.000 | -0.000 | 0.000 | 0.000 | 0.000 |
| 0.000 | 0.000 | 0.000 | -0.000 | -0.000 | -0.000 |
| 0.000 | 0.000 | 0.000 | -0.000 | 0.000 | -0.000 |
| 0.000 | 0.000 | 0.000 | -0.000 | 0.000 | -0.000 |
| 0.000 | 0.000 | 0.000 | 0.000 | 0.000 | 0.000 |
| 0.000 | 0.000 | 0.000 | -0.000 | 0.000 | 0.000 |
| 0.000 | 0.000 | 0.000 | -0.000 | 0.000 | 0.000 |
| 0.000 | 0.000 | 0.000 | 0.000 | -0.000 | -0.000 |
| 0.000 | 0.000 | 0.000 | 0.000 | -0.000 | -0.000 |
| 0.000 | 0.000 | 0.000 | 0.000 | -0.000 | 0.000 |
| -0.000 | -0.000 | -0.000 | 0.000 | 0.000 | 0.000 |
| -0.000 | -0.000 | -0.000 | 0.000 | 0.000 | 0.000 |
| -0.000 | -0.000 | -0.000 | 0.000 | 0.000 | 0.000 |
| 0.000 | 0.000 | 0.000 | -0.000 | -0.000 | 0.000 |
| 0.000 | 0.000 | 0.000 | 0.000 | 0.000 | -0.000 |
| 0.000 | 0.000 | 0.000 | -0.000 | -0.000 | -0.000 |
| 0.000 | 0.000 | 0.000 | 0.000 | 0.000 | -0.000 |
| 0.000 | 0.000 | 0.000 | -0.000 | 0.000 | -0.000 |
| 0.000 | 0.000 | 0.000 | -0.000 | -0.000 | 0.000 |
| 0.000 | 0.000 | 0.000 | -0.000 | -0.000 | -0.000 |
| 0.000 | 0.000 | 0.000 | 0.000 | 0.000 | -0.000 |
| 0.000 | 0.000 | 0.000 | 0.000 | -0.000 | 0.000 |
| -0.000 | -0.000 | -0.000 | 0.000 | 0.000 | -0.000 |
| -0.000 | -0.000 | -0.000 | 0.000 | 0.000 | -0.000 |
| -0.000 | -0.000 | -0.000 | 0.000 | -0.000 | 0.000 |
| 0.000 | 0.000 | 0.000 | 0.000 | -0.000 | -0.000 |
| 0.000 | 0.000 | 0.000 | -0.000 | -0.000 | -0.000 |
| 0.000 | 0.000 | 0.000 | -0.000 | -0.000 | -0.000 |
| 0.000 | 0.000 | 0.000 | 0.000 | 0.000 | -0.000 |
| 0.000 | 0.000 | 0.000 | 0.000 | 0.000 | -0.000 |
| 0.000 | 0.000 | 0.000 | 0.000 | -0.000 | 0.000 |
| 0.000 | 0.000 | 0.000 | 0.000 | -0.000 | 0.000 |
| 0.000 | 0.000 | 0.000 | 0.000 | 0.000 | 0.000 |
| 0.000 | 0.000 | 0.000 | 0.000 | -0.000 | 0.000 |
| -0.000 | -0.000 | -0.000 | 0.000 | -0.000 | 0.000 |
| -0.000 | -0.000 | -0.000 | -0.000 | 0.000 | 0.000 |
| -0.000 | -0.000 | -0.000 | -0.000 | -0.000 | 0.000 |
| 0.000 | 0.000 | 0.000 | 0.000 | 0.000 | -0.000 |
| 0.000 | 0.000 | 0.000 | -0.000 | -0.000 | 0.000 |
| 0.000 | 0.000 | 0.000 | 0.000 | 0.000 | -0.000 |
| 0.000 | 0.000 | 0.000 | 0.000 | -0.000 | -0.000 |
| 0.000 | 0.000 | 0.000 | 0.000 | 0.000 | -0.000 |
| 0.000 | 0.000 | 0.000 | -0.000 | 0.000 | 0.000 |
| 0.000 | 0.000 | 0.000 | 0.000 | 0.000 | -0.000 |
| 0.000 | 0.000 | 0.000 | -0.000 | 0.000 | 0.000 |
| 0.000 | 0.000 | 0.000 | 0.000 | 0.000 | 0.000 |
| -0.000 | -0.000 | -0.000 | 0.000 | 0.000 | 0.000 |
| -0.000 | -0.000 | -0.000 | -0.000 | 0.000 | 0.000 |
| -0.000 | -0.000 | -0.000 | 0.000 | -0.000 | 0.000 |
| 0.000 | 0.000 | 0.000 | 0.000 | 0.000 | 0.000 |
| 0.000 | 0.000 | 0.000 | -0.000 | -0.000 | -0.000 |
| 0.000 | 0.000 | 0.000 | -0.000 | 0.000 | -0.000 |
| 0.000 | 0.000 | 0.000 | 0.000 | 0.000 | -0.000 |
| 0.000 | 0.000 | 0.000 | -0.000 | 0.000 | -0.000 |
| 0.000 | 0.000 | 0.000 | -0.000 | 0.000 | 0.000 |
| 0.000 | 0.000 | 0.000 | 0.000 | 0.000 | 0.000 |
| 0.000 | 0.000 | 0.000 | 0.000 | 0.000 | -0.000 |
| 0.000 | 0.000 | 0.000 | 0.000 | -0.000 | 0.000 |
| -0.000 | -0.000 | -0.000 | 0.000 | 0.000 | 0.000 |
| -0.000 | -0.000 | -0.000 | 0.000 | 0.000 | -0.000 |
| -0.000 | -0.000 | -0.000 | 0.000 | 0.000 | 0.000 |
| 0.000 | 0.000 | 0.000 | -0.000 | 0.000 | -0.000 |
| 0.000 | 0.000 | 0.000 | 0.000 | -0.000 | -0.000 |
| 0.000 | 0.000 | 0.000 | 0.000 | 0.000 | 0.000 |
| 0.000 | 0.000 | 0.000 | 0.000 | 0.000 | 0.000 |
| 0.000 | 0.000 | 0.000 | 0.000 | 0.000 | 0.000 |
| 0.000 | 0.000 | 0.000 | 0.000 | 0.000 | 0.000 |
| 0.000 | 0.000 | 0.000 | -0.000 | -0.000 | 0.000 |
| 0.000 | 0.000 | 0.000 | -0.000 | -0.000 | 0.000 |
| 0.000 | 0.000 | 0.000 | -0.000 | -0.000 | 0.000 |
| -0.000 | -0.000 | -0.000 | 0.000 | 0.000 | -0.000 |
| -0.000 | -0.000 | -0.000 | -0.000 | 0.000 | 0.000 |
| -0.000 | -0.000 | -0.000 | -0.000 | 0.000 | 0.000 |
| 0.000 | 0.000 | 0.000 | -0.000 | 0.000 | 0.000 |
| 0.000 | 0.000 | 0.000 | -0.000 | 0.000 | 0.000 |
| 0.000 | 0.000 | 0.000 | 0.000 | 0.000 | -0.000 |
| 0.000 | 0.000 | 0.000 | 0.000 | -0.000 | -0.000 |
| 0.000 | 0.000 | 0.000 | 0.000 | 0.000 | -0.000 |
| 0.000 | 0.000 | 0.000 | 0.000 | 0.000 | 0.000 |
| 0.000 | 0.000 | 0.000 | -0.000 | 0.000 | -0.000 |
| 0.000 | 0.000 | 0.000 | 0.000 | -0.000 | -0.000 |
| 0.000 | 0.000 | 0.000 | -0.000 | -0.000 | -0.000 |
| -0.000 | -0.000 | -0.000 | 0.000 | -0.000 | -0.000 |
| -0.000 | -0.000 | -0.000 | -0.000 | 0.000 | -0.000 |
| -0.000 | -0.000 | -0.000 | -0.000 | 0.000 | 0.000 |
| 0.000 | 0.000 | 0.000 | -0.000 | 0.000 | 0.000 |
| 0.000 | 0.000 | 0.000 | 0.000 | 0.000 | 0.000 |
| 0.000 | 0.000 | 0.000 | -0.000 | -0.000 | 0.000 |
| 0.000 | 0.000 | 0.000 | 0.000 | -0.000 | -0.000 |
| 0.000 | 0.000 | 0.000 | -0.000 | 0.000 | -0.000 |
| 0.000 | 0.000 | 0.000 | 0.000 | 0.000 | 0.000 |
| 0.000 | 0.000 | 0.000 | 0.000 | -0.000 | -0.000 |
| 0.000 | 0.000 | 0.000 | 0.000 | 0.000 | 0.000 |
| 0.000 | 0.000 | 0.000 | -0.000 | -0.000 | 0.000 |
| -0.000 | -0.000 | -0.000 | 0.000 | 0.000 | 0.000 |
| -0.000 | -0.000 | -0.000 | 0.000 | 0.000 | -0.000 |
| -0.000 | -0.000 | -0.000 | -0.000 | 0.000 | 0.000 |
| 0.000 | 0.000 | 0.000 | 0.000 | 0.000 | 0.000 |
| 0.000 | 0.000 | 0.000 | 0.000 | -0.000 | 0.000 |
| 0.000 | 0.000 | 0.000 | 0.000 | -0.000 | 0.000 |
| 0.000 | 0.000 | 0.000 | 0.000 | 0.000 | -0.000 |
| 0.000 | 0.000 | 0.000 | 0.000 | 0.000 | 0.000 |
| 0.000 | 0.000 | 0.000 | 0.000 | -0.000 | 0.000 |
| 0.000 | 0.000 | 0.000 | -0.000 | -0.000 | 0.000 |
| 0.000 | 0.000 | 0.000 | -0.000 | 0.000 | 0.000 |
| 0.000 | 0.000 | 0.000 | -0.000 | -0.000 | -0.000 |
| -0.000 | -0.000 | -0.000 | 0.000 | 0.000 | 0.000 |
| -0.000 | -0.000 | -0.000 | -0.000 | 0.000 | -0.000 |
| -0.000 | -0.000 | -0.000 | -0.000 | -0.000 | 0.000 |
| 0.000 | 0.000 | 0.000 | 0.000 | 0.000 | -0.000 |
| 0.000 | 0.000 | 0.000 | 0.000 | 0.000 | -0.000 |
| 0.000 | 0.000 | 0.000 | 0.000 | -0.000 | 0.000 |
| 0.000 | 0.000 | 0.000 | 0.000 | -0.000 | 0.000 |
| 0.000 | 0.000 | 0.000 | 0.000 | 0.000 | -0.000 |
| 0.000 | 0.000 | 0.000 | 0.000 | 0.000 | 0.000 |
| 0.000 | 0.000 | 0.000 | -0.000 | -0.000 | -0.000 |
| 0.000 | 0.000 | 0.000 | -0.000 | 0.000 | 0.000 |
| 0.000 | 0.000 | 0.000 | -0.000 | 0.000 | -0.000 |
| -0.000 | -0.000 | -0.000 | 0.000 | 0.000 | -0.000 |
| -0.000 | -0.000 | -0.000 | -0.000 | 0.000 | -0.000 |
| -0.000 | -0.000 | -0.000 | -0.000 | 0.000 | 0.000 |
| 0.000 | 0.000 | 0.000 | 0.000 | 0.000 | -0.000 |
| 0.000 | 0.000 | 0.000 | -0.000 | 0.000 | 0.000 |
| 0.000 | 0.000 | 0.000 | 0.000 | 0.000 | 0.000 |
| 0.000 | 0.000 | 0.000 | 0.000 | -0.000 | 0.000 |
| 0.000 | 0.000 | 0.000 | 0.000 | 0.000 | 0.000 |
| 0.000 | 0.000 | 0.000 | 0.000 | 0.000 | 0.000 |
| 0.000 | 0.000 | 0.000 | 0.000 | -0.000 | 0.000 |
| 0.000 | 0.000 | 0.000 | -0.000 | -0.000 | 0.000 |
| 0.000 | 0.000 | 0.000 | -0.000 | -0.000 | -0.000 |
| -0.000 | -0.000 | -0.000 | 0.000 | -0.000 | -0.000 |
| -0.000 | -0.000 | -0.000 | -0.000 | 0.000 | 0.000 |
| -0.000 | -0.000 | -0.000 | -0.000 | 0.000 | 0.000 |
| -0.000 | -0.000 | -0.000 | 0.000 | 0.000 | -0.000 |
| -0.000 | -0.000 | -0.000 | -0.000 | 0.000 | -0.000 |
| -0.000 | -0.000 | -0.000 | -0.000 | 0.000 | -0.000 |
| 0.000 | 0.000 | 0.000 | -0.000 | 0.000 | -0.000 |
| 0.000 | 0.000 | 0.000 | -0.000 | -0.000 | 0.000 |
| 0.000 | 0.000 | 0.000 | -0.000 | -0.000 | -0.000 |
| -0.000 | -0.000 | -0.000 | 0.000 | -0.000 | 0.000 |
| -0.000 | -0.000 | -0.000 | -0.000 | -0.000 | 0.000 |
| -0.000 | -0.000 | -0.000 | 0.000 | -0.000 | -0.000 |
| -0.000 | -0.000 | -0.000 | -0.000 | -0.000 | 0.000 |
| -0.000 | -0.000 | -0.000 | 0.000 | -0.000 | -0.000 |
| -0.000 | -0.000 | -0.000 | 0.000 | -0.000 | -0.000 |
| -0.000 | -0.000 | -0.000 | 0.000 | 0.000 | -0.000 |
| -0.000 | -0.000 | -0.000 | -0.000 | -0.000 | -0.000 |
| -0.000 | -0.000 | -0.000 | -0.000 | 0.000 | 0.000 |
| 0.000 | 0.000 | 0.000 | -0.000 | 0.000 | -0.000 |
| 0.000 | 0.000 | 0.000 | -0.000 | -0.000 | 0.000 |
| 0.000 | 0.000 | 0.000 | 0.000 | 0.000 | -0.000 |
| -0.000 | -0.000 | -0.000 | 0.000 | -0.000 | 0.000 |
| -0.000 | -0.000 | -0.000 | -0.000 | -0.000 | 0.000 |
| -0.000 | -0.000 | -0.000 | 0.000 | -0.000 | -0.000 |
| -0.000 | -0.000 | -0.000 | -0.000 | -0.000 | 0.000 |
| -0.000 | -0.000 | -0.000 | 0.000 | -0.000 | 0.000 |
| -0.000 | -0.000 | -0.000 | -0.000 | 0.000 | -0.000 |
| -0.000 | -0.000 | -0.000 | 0.000 | 0.000 | -0.000 |
| -0.000 | -0.000 | -0.000 | -0.000 | 0.000 | 0.000 |
| -0.000 | -0.000 | -0.000 | -0.000 | 0.000 | 0.000 |
| 0.000 | 0.000 | 0.000 | -0.000 | 0.000 | -0.000 |
| 0.000 | 0.000 | 0.000 | 0.000 | -0.000 | 0.000 |
| 0.000 | 0.000 | 0.000 | 0.000 | 0.000 | -0.000 |
| -0.000 | -0.000 | -0.000 | 0.000 | -0.000 | 0.000 |
| -0.000 | -0.000 | -0.000 | -0.000 | -0.000 | 0.000 |
| -0.000 | -0.000 | -0.000 | 0.000 | -0.000 | 0.000 |
| -0.000 | -0.000 | -0.000 | -0.000 | 0.000 | 0.000 |
| -0.000 | -0.000 | -0.000 | 0.000 | -0.000 | 0.000 |
| -0.000 | -0.000 | -0.000 | -0.000 | 0.000 | -0.000 |
| 0.000 | 0.000 | 0.000 | -0.000 | 0.000 | 0.000 |
| 0.000 | 0.000 | 0.000 | 0.000 | 0.000 | 0.000 |
| 0.000 | 0.000 | 0.000 | -0.000 | -0.000 | -0.000 |
| 0.000 | 0.000 | 0.000 | 0.000 | -0.000 | 0.000 |
| 0.000 | 0.000 | 0.000 | 0.000 | 0.000 | -0.000 |
| 0.000 | 0.000 | 0.000 | 0.000 | -0.000 | 0.000 |
| 0.000 | 0.000 | 0.000 | -0.000 | -0.000 | -0.000 |
| 0.000 | 0.000 | 0.000 | 0.000 | 0.000 | -0.000 |
| 0.000 | 0.000 | 0.000 | 0.000 | 0.000 | 0.000 |
| -0.000 | -0.000 | -0.000 | 0.000 | 0.000 | -0.000 |
| -0.000 | -0.000 | -0.000 | -0.000 | 0.000 | -0.000 |
| -0.000 | -0.000 | -0.000 | -0.000 | -0.000 | 0.000 |
| 0.000 | 0.000 | 0.000 | 0.000 | -0.000 | 0.000 |
| 0.000 | 0.000 | 0.000 | -0.000 | -0.000 | 0.000 |
| 0.000 | 0.000 | 0.000 | -0.000 | -0.000 | -0.000 |
| 0.000 | 0.000 | 0.000 | 0.000 | -0.000 | 0.000 |
| 0.000 | 0.000 | 0.000 | -0.000 | 0.000 | 0.000 |
| 0.000 | 0.000 | 0.000 | 0.000 | -0.000 | 0.000 |
| 0.000 | 0.000 | 0.000 | 0.000 | 0.000 | -0.000 |
| 0.000 | 0.000 | 0.000 | 0.000 | -0.000 | -0.000 |
| 0.000 | 0.000 | 0.000 | 0.000 | 0.000 | 0.000 |
| -0.000 | -0.000 | -0.000 | 0.000 | 0.000 | -0.000 |
| -0.000 | -0.000 | -0.000 | 0.000 | 0.000 | 0.000 |
| -0.000 | -0.000 | -0.000 | -0.000 | 0.000 | 0.000 |
| 0.000 | 0.000 | 0.000 | -0.000 | -0.000 | 0.000 |
| 0.000 | 0.000 | 0.000 | 0.000 | -0.000 | 0.000 |
| 0.000 | 0.000 | 0.000 | -0.000 | -0.000 | 0.000 |
| 0.000 | 0.000 | 0.000 | 0.000 | 0.000 | 0.000 |
| 0.000 | 0.000 | 0.000 | -0.000 | 0.000 | -0.000 |
| 0.000 | 0.000 | 0.000 | 0.000 | -0.000 | 0.000 |
| 0.000 | 0.000 | 0.000 | -0.000 | -0.000 | -0.000 |
| 0.000 | 0.000 | 0.000 | -0.000 | 0.000 | -0.000 |
| 0.000 | 0.000 | 0.000 | 0.000 | 0.000 | 0.000 |
| -0.000 | -0.000 | -0.000 | 0.000 | 0.000 | -0.000 |
| -0.000 | -0.000 | -0.000 | 0.000 | 0.000 | -0.000 |
| -0.000 | -0.000 | -0.000 | -0.000 | -0.000 | 0.000 |
| 0.000 | 0.000 | 0.000 | 0.000 | 0.000 | 0.000 |
| 0.000 | 0.000 | 0.000 | 0.000 | -0.000 | 0.000 |
| 0.000 | 0.000 | 0.000 | -0.000 | 0.000 | 0.000 |
| 0.000 | 0.000 | 0.000 | 0.000 | -0.000 | 0.000 |
| 0.000 | 0.000 | 0.000 | 0.000 | 0.000 | -0.000 |
| 0.000 | 0.000 | 0.000 | 0.000 | 0.000 | 0.000 |
| 0.000 | 0.000 | 0.000 | -0.000 | -0.000 | 0.000 |
| 0.000 | 0.000 | 0.000 | -0.000 | 0.000 | -0.000 |
| 0.000 | 0.000 | 0.000 | -0.000 | -0.000 | -0.000 |
| -0.000 | -0.000 | -0.000 | 0.000 | 0.000 | -0.000 |
| -0.000 | -0.000 | -0.000 | -0.000 | 0.000 | -0.000 |
| -0.000 | -0.000 | -0.000 | -0.000 | 0.000 | 0.000 |
| 0.000 | 0.000 | 0.000 | 0.000 | 0.000 | 0.000 |
| 0.000 | 0.000 | 0.000 | 0.000 | 0.000 | 0.000 |
| 0.000 | 0.000 | 0.000 | 0.000 | 0.000 | 0.000 |
| 0.000 | 0.000 | 0.000 | 0.000 | 0.000 | 0.000 |
| 0.000 | 0.000 | 0.000 | 0.000 | 0.000 | 0.000 |
| 0.000 | 0.000 | 0.000 | 0.000 | 0.000 | 0.000 |
| 0.000 | 0.000 | 0.000 | -0.000 | -0.000 | 0.000 |
| 0.000 | 0.000 | 0.000 | 0.000 | -0.000 | -0.000 |
| 0.000 | 0.000 | 0.000 | -0.000 | 0.000 | -0.000 |
| -0.000 | -0.000 | -0.000 | 0.000 | -0.000 | -0.000 |
| -0.000 | -0.000 | -0.000 | -0.000 | 0.000 | 0.000 |
| -0.000 | -0.000 | -0.000 | -0.000 | 0.000 | 0.000 |
| 0.000 | 0.000 | 0.000 | 0.000 | 0.000 | 0.000 |
| 0.000 | 0.000 | 0.000 | -0.000 | 0.000 | -0.000 |
| 0.000 | 0.000 | 0.000 | -0.000 | 0.000 | 0.000 |
| 0.000 | 0.000 | 0.000 | 0.000 | 0.000 | 0.000 |
| 0.000 | 0.000 | 0.000 | 0.000 | 0.000 | -0.000 |
| 0.000 | 0.000 | 0.000 | 0.000 | 0.000 | 0.000 |
| 0.000 | 0.000 | 0.000 | 0.000 | 0.000 | 0.000 |
| 0.000 | 0.000 | 0.000 | -0.000 | -0.000 | 0.000 |
| 0.000 | 0.000 | 0.000 | -0.000 | 0.000 | -0.000 |
| -0.000 | -0.000 | -0.000 | 0.000 | 0.000 | -0.000 |
| -0.000 | -0.000 | -0.000 | -0.000 | 0.000 | -0.000 |
| -0.000 | -0.000 | -0.000 | -0.000 | 0.000 | 0.000 |
| 321.328 | 122.498 | 71.685 | 0.000 | 0.000 | -0.000 |
| 145.286 | 298.540 | 71.685 | -0.000 | 0.000 | -0.000 |
| 71.685 | 71.685 | 260.499 | 0.000 | 0.000 | -0.000 |
| 0.000 | -0.000 | 0.000 | 48.626 | 0.000 | -0.000 |
| 0.000 | 0.000 | 0.000 | -0.000 | 48.626 | -0.000 |
| 0.000 | -0.000 | 0.000 | 0.000 | 0.000 | 76.627 |
| 298.540 | 145.286 | 71.685 | 0.000 | -0.000 | 0.000 |
| 122.498 | 321.328 | 71.685 | -0.000 | -0.000 | -0.000 |
| 71.685 | 71.685 | 260.499 | -0.000 | -0.000 | 0.000 |
| -0.000 | 0.000 | -0.000 | 48.626 | -0.000 | 0.000 |
| -0.000 | -0.000 | -0.000 | 0.000 | 48.626 | -0.000 |
| -0.000 | 0.000 | -0.000 | -0.000 | -0.000 | 76.627 |
| 298.540 | 145.286 | 71.685 | 0.000 | 0.000 | -0.000 |
| 122.498 | 321.328 | 71.685 | 0.000 | 0.000 | 0.000 |
| 71.685 | 71.685 | 260.499 | 0.000 | 0.000 | -0.000 |
| 0.000 | -0.000 | 0.000 | 48.626 | 0.000 | -0.000 |
| -0.000 | 0.000 | 0.000 | 0.000 | 48.626 | -0.000 |
| -0.000 | 0.000 | -0.000 | 0.000 | 0.000 | 76.627 |
| 298.539 | 145.286 | 71.685 | 0.000 | -0.000 | 0.000 |
| 122.498 | 321.328 | 71.685 | -0.000 | -0.000 | -0.000 |
| 71.685 | 71.685 | 260.499 | 0.000 | -0.000 | 0.000 |
| -0.000 | 0.000 | -0.000 | 48.626 | -0.000 | 0.000 |
| 0.000 | -0.000 | -0.000 | -0.000 | 48.626 | -0.000 |
| 0.000 | -0.000 | 0.000 | 0.000 | -0.000 | 76.627 |
| 298.541 | 145.286 | 71.685 | -0.000 | -0.000 | -0.000 |
| 145.287 | 298.540 | 71.685 | -0.000 | 0.000 | -0.000 |
| 71.685 | 71.685 | 260.499 | -0.000 | 0.000 | -0.000 |
| 0.000 | -0.000 | 0.000 | 48.626 | 0.000 | -0.000 |
| -0.000 | 0.000 | 0.000 | -0.000 | 48.626 | -0.000 |
| -0.000 | 0.000 | -0.000 | -0.000 | 0.000 | 76.627 |
| 298.539 | 145.286 | 71.685 | -0.000 | -0.000 | 0.000 |
| 122.497 | 321.327 | 71.685 | -0.000 | -0.000 | -0.000 |
| 71.685 | 71.685 | 260.498 | -0.000 | 0.000 | 0.000 |
| -0.000 | 0.000 | -0.000 | 48.626 | -0.000 | 0.000 |
| 0.000 | -0.000 | -0.000 | 0.000 | 48.626 | 0.000 |
| 0.000 | -0.000 | 0.000 | 0.000 | -0.000 | 76.627 |
| 0.000 | 0.000 | 0.000 | -0.000 | 0.000 | -0.000 |
| 0.000 | 0.000 | 0.000 | -0.000 | -0.000 | 0.000 |
| 0.000 | 0.000 | 0.000 | -0.000 | -0.000 | 0.000 |
| 0.000 | 0.000 | 0.000 | 0.000 | -0.000 | -0.000 |
| 0.000 | 0.000 | 0.000 | -0.000 | 0.000 | 0.000 |
| -0.000 | -0.000 | 0.000 | -0.000 | -0.000 | 0.000 |
| 0.000 | 0.000 | 0.000 | 0.000 | -0.000 | -0.000 |
| 0.000 | 0.000 | 0.000 | 0.000 | 0.000 | 0.000 |
| 0.000 | 0.000 | 0.000 | 0.000 | -0.000 | 0.000 |
| -0.000 | -0.000 | -0.000 | 0.000 | -0.000 | -0.000 |
| -0.000 | -0.000 | -0.000 | 0.000 | 0.000 | 0.000 |
| 0.000 | 0.000 | -0.000 | -0.000 | -0.000 | 0.000 |
| 0.000 | 0.000 | 0.000 | -0.000 | -0.000 | 0.000 |
| 0.000 | 0.000 | 0.000 | -0.000 | 0.000 | 0.000 |
| 0.000 | 0.000 | 0.000 | -0.000 | -0.000 | -0.000 |
| 0.000 | 0.000 | 0.000 | 0.000 | -0.000 | 0.000 |
| 0.000 | 0.000 | 0.000 | 0.000 | 0.000 | -0.000 |
| -0.000 | -0.000 | 0.000 | -0.000 | -0.000 | 0.000 |
| 0.000 | 0.000 | 0.000 | 0.000 | 0.000 | -0.000 |
| 0.000 | 0.000 | 0.000 | 0.000 | -0.000 | 0.000 |
| 0.000 | 0.000 | 0.000 | 0.000 | 0.000 | -0.000 |
| -0.000 | -0.000 | -0.000 | 0.000 | -0.000 | -0.000 |
| -0.000 | -0.000 | -0.000 | -0.000 | 0.000 | -0.000 |
| 0.000 | 0.000 | -0.000 | 0.000 | -0.000 | 0.000 |
| 0.000 | 0.000 | 0.000 | -0.000 | -0.000 | -0.000 |
| 0.000 | 0.000 | 0.000 | 0.000 | 0.000 | -0.000 |
| 0.000 | 0.000 | 0.000 | -0.000 | -0.000 | -0.000 |
| 0.000 | 0.000 | 0.000 | 0.000 | -0.000 | 0.000 |
| 0.000 | 0.000 | 0.000 | -0.000 | 0.000 | 0.000 |
| -0.000 | -0.000 | 0.000 | -0.000 | -0.000 | 0.000 |
| 0.000 | 0.000 | 0.000 | -0.000 | -0.000 | 0.000 |
| 0.000 | 0.000 | 0.000 | 0.000 | 0.000 | -0.000 |
| 0.000 | 0.000 | 0.000 | 0.000 | 0.000 | -0.000 |
| -0.000 | -0.000 | -0.000 | 0.000 | -0.000 | -0.000 |
| -0.000 | -0.000 | -0.000 | -0.000 | 0.000 | 0.000 |
| 0.000 | 0.000 | -0.000 | 0.000 | -0.000 | 0.000 |
| 0.000 | 0.000 | 0.000 | 0.000 | 0.000 | -0.000 |
| 0.000 | 0.000 | 0.000 | -0.000 | 0.000 | -0.000 |
| 0.000 | 0.000 | 0.000 | -0.000 | 0.000 | -0.000 |
| 0.000 | 0.000 | 0.000 | 0.000 | 0.000 | -0.000 |
| 0.000 | 0.000 | 0.000 | -0.000 | 0.000 | -0.000 |
| 0.000 | 0.000 | 0.000 | -0.000 | 0.000 | 0.000 |
| 0.000 | 0.000 | 0.000 | 0.000 | -0.000 | 0.000 |
| 0.000 | 0.000 | 0.000 | 0.000 | -0.000 | 0.000 |
| 0.000 | 0.000 | 0.000 | 0.000 | -0.000 | 0.000 |
| -0.000 | -0.000 | -0.000 | 0.000 | -0.000 | 0.000 |
| -0.000 | -0.000 | -0.000 | 0.000 | 0.000 | -0.000 |
| -0.000 | -0.000 | -0.000 | 0.000 | 0.000 | 0.000 |
| 0.000 | 0.000 | 0.000 | 0.000 | -0.000 | 0.000 |
| 0.000 | 0.000 | 0.000 | -0.000 | 0.000 | -0.000 |
| 0.000 | 0.000 | 0.000 | -0.000 | 0.000 | 0.000 |
| 0.000 | 0.000 | 0.000 | 0.000 | 0.000 | -0.000 |
| 0.000 | 0.000 | 0.000 | -0.000 | 0.000 | -0.000 |
| 0.000 | 0.000 | 0.000 | 0.000 | 0.000 | 0.000 |
| 0.000 | 0.000 | 0.000 | 0.000 | -0.000 | -0.000 |
| 0.000 | 0.000 | 0.000 | -0.000 | 0.000 | 0.000 |
| 0.000 | 0.000 | 0.000 | 0.000 | -0.000 | 0.000 |
| -0.000 | -0.000 | -0.000 | 0.000 | -0.000 | 0.000 |
| -0.000 | -0.000 | -0.000 | 0.000 | 0.000 | -0.000 |
| -0.000 | -0.000 | -0.000 | -0.000 | 0.000 | 0.000 |
| 0.000 | 0.000 | 0.000 | 0.000 | 0.000 | -0.000 |
| 0.000 | 0.000 | 0.000 | -0.000 | 0.000 | -0.000 |
| 0.000 | 0.000 | 0.000 | -0.000 | 0.000 | -0.000 |
| 0.000 | 0.000 | 0.000 | 0.000 | -0.000 | -0.000 |
| 0.000 | 0.000 | 0.000 | 0.000 | 0.000 | 0.000 |
| 0.000 | 0.000 | 0.000 | -0.000 | 0.000 | 0.000 |
| 0.000 | 0.000 | 0.000 | 0.000 | -0.000 | -0.000 |
| 0.000 | 0.000 | 0.000 | -0.000 | -0.000 | 0.000 |
| 0.000 | 0.000 | 0.000 | 0.000 | -0.000 | -0.000 |
| -0.000 | -0.000 | -0.000 | 0.000 | -0.000 | 0.000 |
| -0.000 | -0.000 | -0.000 | -0.000 | 0.000 | 0.000 |
| -0.000 | -0.000 | -0.000 | 0.000 | 0.000 | 0.000 |
| 0.000 | 0.000 | 0.000 | 0.000 | 0.000 | 0.000 |
| 0.000 | 0.000 | 0.000 | -0.000 | 0.000 | -0.000 |
| 0.000 | 0.000 | 0.000 | -0.000 | 0.000 | 0.000 |
| 0.000 | 0.000 | 0.000 | 0.000 | 0.000 | -0.000 |
| 0.000 | 0.000 | 0.000 | -0.000 | 0.000 | -0.000 |
| 0.000 | 0.000 | 0.000 | 0.000 | 0.000 | 0.000 |
| 0.000 | 0.000 | 0.000 | -0.000 | -0.000 | 0.000 |
| 0.000 | 0.000 | 0.000 | 0.000 | -0.000 | 0.000 |
| 0.000 | 0.000 | 0.000 | 0.000 | -0.000 | 0.000 |
| -0.000 | -0.000 | -0.000 | 0.000 | -0.000 | 0.000 |
| -0.000 | -0.000 | -0.000 | 0.000 | 0.000 | -0.000 |
| -0.000 | -0.000 | -0.000 | -0.000 | 0.000 | 0.000 |
| 0.000 | 0.000 | 0.000 | -0.000 | 0.000 | 0.000 |
| 0.000 | 0.000 | 0.000 | -0.000 | 0.000 | -0.000 |
| 0.000 | 0.000 | 0.000 | -0.000 | 0.000 | 0.000 |
| 0.000 | 0.000 | 0.000 | 0.000 | 0.000 | -0.000 |
| 0.000 | 0.000 | 0.000 | -0.000 | 0.000 | -0.000 |
| 0.000 | 0.000 | 0.000 | -0.000 | -0.000 | 0.000 |
| 0.000 | 0.000 | 0.000 | 0.000 | -0.000 | -0.000 |
| 0.000 | 0.000 | 0.000 | 0.000 | -0.000 | 0.000 |
| 0.000 | 0.000 | 0.000 | 0.000 | -0.000 | -0.000 |
| -0.000 | -0.000 | -0.000 | 0.000 | -0.000 | -0.000 |
| -0.000 | -0.000 | -0.000 | 0.000 | 0.000 | -0.000 |
| -0.000 | -0.000 | -0.000 | 0.000 | -0.000 | 0.000 |
| 0.000 | 0.000 | 0.000 | -0.000 | 0.000 | 0.000 |
| 0.000 | 0.000 | 0.000 | 0.000 | 0.000 | -0.000 |
| 0.000 | 0.000 | 0.000 | -0.000 | 0.000 | -0.000 |
| 0.000 | 0.000 | 0.000 | 0.000 | -0.000 | 0.000 |
| 0.000 | 0.000 | 0.000 | -0.000 | 0.000 | -0.000 |
| 0.000 | 0.000 | 0.000 | -0.000 | 0.000 | 0.000 |
| 0.000 | 0.000 | 0.000 | -0.000 | -0.000 | 0.000 |
| 0.000 | 0.000 | 0.000 | 0.000 | -0.000 | 0.000 |
| 0.000 | 0.000 | 0.000 | 0.000 | -0.000 | -0.000 |
| -0.000 | -0.000 | -0.000 | 0.000 | -0.000 | 0.000 |
| -0.000 | -0.000 | -0.000 | 0.000 | 0.000 | -0.000 |
| -0.000 | -0.000 | -0.000 | 0.000 | 0.000 | 0.000 |
| 0.000 | 0.000 | 0.000 | 0.000 | -0.000 | -0.000 |
| 0.000 | 0.000 | 0.000 | -0.000 | -0.000 | -0.000 |
| 0.000 | 0.000 | 0.000 | 0.000 | -0.000 | 0.000 |
| 0.000 | 0.000 | 0.000 | 0.000 | -0.000 | 0.000 |
| 0.000 | 0.000 | 0.000 | 0.000 | 0.000 | -0.000 |
| 0.000 | 0.000 | 0.000 | 0.000 | -0.000 | 0.000 |
| 0.000 | 0.000 | 0.000 | -0.000 | 0.000 | 0.000 |
| 0.000 | 0.000 | 0.000 | 0.000 | 0.000 | 0.000 |
| 0.000 | 0.000 | 0.000 | 0.000 | 0.000 | 0.000 |
| -0.000 | -0.000 | -0.000 | 0.000 | 0.000 | 0.000 |
| -0.000 | -0.000 | -0.000 | -0.000 | 0.000 | 0.000 |
| -0.000 | -0.000 | -0.000 | -0.000 | -0.000 | 0.000 |
| 0.000 | 0.000 | 0.000 | 0.000 | -0.000 | -0.000 |
| 0.000 | 0.000 | 0.000 | -0.000 | -0.000 | -0.000 |
| 0.000 | 0.000 | 0.000 | 0.000 | -0.000 | -0.000 |
| 0.000 | 0.000 | 0.000 | 0.000 | -0.000 | -0.000 |
| 0.000 | 0.000 | 0.000 | -0.000 | 0.000 | 0.000 |
| 0.000 | 0.000 | 0.000 | 0.000 | 0.000 | 0.000 |
| 0.000 | 0.000 | 0.000 | -0.000 | 0.000 | 0.000 |
| 0.000 | 0.000 | 0.000 | 0.000 | 0.000 | 0.000 |
| 0.000 | 0.000 | 0.000 | -0.000 | 0.000 | 0.000 |
| -0.000 | -0.000 | -0.000 | 0.000 | -0.000 | 0.000 |
| -0.000 | -0.000 | -0.000 | 0.000 | 0.000 | 0.000 |
| -0.000 | -0.000 | -0.000 | -0.000 | 0.000 | 0.000 |
| 0.000 | 0.000 | 0.000 | 0.000 | -0.000 | -0.000 |
| 0.000 | 0.000 | 0.000 | -0.000 | -0.000 | -0.000 |
| 0.000 | 0.000 | 0.000 | 0.000 | -0.000 | -0.000 |
| 0.000 | 0.000 | 0.000 | 0.000 | -0.000 | -0.000 |
| 0.000 | 0.000 | 0.000 | 0.000 | 0.000 | 0.000 |
| 0.000 | 0.000 | 0.000 | 0.000 | -0.000 | 0.000 |
| 0.000 | 0.000 | 0.000 | 0.000 | 0.000 | 0.000 |
| 0.000 | 0.000 | 0.000 | -0.000 | 0.000 | 0.000 |
| 0.000 | 0.000 | 0.000 | -0.000 | 0.000 | -0.000 |
| -0.000 | -0.000 | -0.000 | 0.000 | -0.000 | 0.000 |
| -0.000 | -0.000 | -0.000 | -0.000 | 0.000 | 0.000 |
| -0.000 | -0.000 | -0.000 | -0.000 | 0.000 | 0.000 |
| 0.000 | 0.000 | 0.000 | -0.000 | 0.000 | 0.000 |
| 0.000 | 0.000 | 0.000 | -0.000 | 0.000 | -0.000 |
| 0.000 | 0.000 | 0.000 | -0.000 | 0.000 | -0.000 |
| 0.000 | 0.000 | 0.000 | 0.000 | 0.000 | -0.000 |
| 0.000 | 0.000 | 0.000 | 0.000 | 0.000 | 0.000 |
| 0.000 | 0.000 | 0.000 | 0.000 | 0.000 | 0.000 |
| 0.000 | 0.000 | 0.000 | 0.000 | -0.000 | 0.000 |
| 0.000 | 0.000 | 0.000 | 0.000 | -0.000 | 0.000 |
| 0.000 | 0.000 | 0.000 | 0.000 | -0.000 | 0.000 |
| -0.000 | -0.000 | -0.000 | 0.000 | -0.000 | 0.000 |
| -0.000 | -0.000 | -0.000 | -0.000 | 0.000 | 0.000 |
| -0.000 | -0.000 | -0.000 | -0.000 | -0.000 | 0.000 |
| 0.000 | 0.000 | 0.000 | -0.000 | 0.000 | 0.000 |
| 0.000 | 0.000 | 0.000 | -0.000 | 0.000 | -0.000 |
| 0.000 | 0.000 | 0.000 | -0.000 | 0.000 | -0.000 |
| 0.000 | 0.000 | 0.000 | 0.000 | 0.000 | -0.000 |
| 0.000 | 0.000 | 0.000 | 0.000 | 0.000 | -0.000 |
| 0.000 | 0.000 | 0.000 | -0.000 | -0.000 | 0.000 |
| 0.000 | 0.000 | 0.000 | 0.000 | -0.000 | -0.000 |
| 0.000 | 0.000 | 0.000 | -0.000 | -0.000 | -0.000 |
| 0.000 | 0.000 | 0.000 | 0.000 | -0.000 | 0.000 |
| -0.000 | -0.000 | -0.000 | 0.000 | -0.000 | 0.000 |
| -0.000 | -0.000 | -0.000 | -0.000 | 0.000 | 0.000 |
| -0.000 | -0.000 | -0.000 | 0.000 | -0.000 | 0.000 |
| 0.000 | 0.000 | 0.000 | -0.000 | 0.000 | 0.000 |
| 0.000 | 0.000 | 0.000 | -0.000 | 0.000 | -0.000 |
| 0.000 | 0.000 | 0.000 | -0.000 | 0.000 | -0.000 |
| 0.000 | 0.000 | 0.000 | 0.000 | 0.000 | -0.000 |
| 0.000 | 0.000 | 0.000 | -0.000 | 0.000 | 0.000 |
| 0.000 | 0.000 | 0.000 | -0.000 | 0.000 | 0.000 |
| 0.000 | 0.000 | 0.000 | -0.000 | -0.000 | -0.000 |
| 0.000 | 0.000 | 0.000 | 0.000 | -0.000 | -0.000 |
| 0.000 | 0.000 | 0.000 | 0.000 | -0.000 | 0.000 |
| -0.000 | -0.000 | -0.000 | 0.000 | -0.000 | 0.000 |
| -0.000 | -0.000 | -0.000 | 0.000 | 0.000 | 0.000 |
| -0.000 | -0.000 | -0.000 | 0.000 | -0.000 | 0.000 |
| 0.000 | 0.000 | 0.000 | 0.000 | -0.000 | 0.000 |
| 0.000 | 0.000 | 0.000 | 0.000 | -0.000 | -0.000 |
| 0.000 | 0.000 | 0.000 | -0.000 | -0.000 | 0.000 |
| 0.000 | 0.000 | 0.000 | 0.000 | -0.000 | 0.000 |
| 0.000 | 0.000 | 0.000 | 0.000 | 0.000 | -0.000 |
| 0.000 | 0.000 | 0.000 | 0.000 | -0.000 | 0.000 |
| 0.000 | 0.000 | 0.000 | 0.000 | 0.000 | -0.000 |
| 0.000 | 0.000 | 0.000 | 0.000 | 0.000 | -0.000 |
| 0.000 | 0.000 | 0.000 | 0.000 | 0.000 | -0.000 |
| -0.000 | -0.000 | -0.000 | 0.000 | 0.000 | -0.000 |
| -0.000 | -0.000 | -0.000 | -0.000 | 0.000 | -0.000 |
| -0.000 | -0.000 | -0.000 | -0.000 | -0.000 | 0.000 |
| 0.000 | 0.000 | 0.000 | 0.000 | -0.000 | 0.000 |
| 0.000 | 0.000 | 0.000 | -0.000 | -0.000 | -0.000 |
| 0.000 | 0.000 | 0.000 | 0.000 | 0.000 | 0.000 |
| 0.000 | 0.000 | 0.000 | 0.000 | 0.000 | 0.000 |
| 0.000 | 0.000 | 0.000 | -0.000 | 0.000 | -0.000 |
| 0.000 | 0.000 | 0.000 | 0.000 | 0.000 | 0.000 |
| 0.000 | 0.000 | 0.000 | 0.000 | 0.000 | 0.000 |
| 0.000 | 0.000 | 0.000 | 0.000 | 0.000 | -0.000 |
| 0.000 | 0.000 | 0.000 | 0.000 | 0.000 | -0.000 |
| -0.000 | -0.000 | -0.000 | 0.000 | 0.000 | -0.000 |
| -0.000 | -0.000 | -0.000 | 0.000 | 0.000 | -0.000 |
| -0.000 | -0.000 | -0.000 | -0.000 | 0.000 | 0.000 |
| 0.000 | 0.000 | 0.000 | -0.000 | -0.000 | -0.000 |
| 0.000 | 0.000 | 0.000 | -0.000 | -0.000 | -0.000 |
| 0.000 | 0.000 | 0.000 | 0.000 | -0.000 | -0.000 |
| 0.000 | 0.000 | 0.000 | 0.000 | -0.000 | 0.000 |
| 0.000 | 0.000 | 0.000 | -0.000 | 0.000 | 0.000 |
| 0.000 | 0.000 | 0.000 | 0.000 | -0.000 | 0.000 |
| 0.000 | 0.000 | 0.000 | -0.000 | -0.000 | -0.000 |
| 0.000 | 0.000 | 0.000 | 0.000 | 0.000 | -0.000 |
| 0.000 | 0.000 | 0.000 | 0.000 | -0.000 | -0.000 |
| -0.000 | -0.000 | -0.000 | 0.000 | -0.000 | -0.000 |
| -0.000 | -0.000 | -0.000 | -0.000 | 0.000 | 0.000 |
| -0.000 | -0.000 | -0.000 | 0.000 | -0.000 | 0.000 |
| 0.000 | 0.000 | 0.000 | -0.000 | 0.000 | -0.000 |
| 0.000 | 0.000 | 0.000 | 0.000 | 0.000 | -0.000 |
| 0.000 | 0.000 | 0.000 | 0.000 | 0.000 | -0.000 |
| 0.000 | 0.000 | 0.000 | 0.000 | 0.000 | -0.000 |
| 0.000 | 0.000 | 0.000 | -0.000 | 0.000 | 0.000 |
| 0.000 | 0.000 | 0.000 | 0.000 | -0.000 | 0.000 |
| 0.000 | 0.000 | 0.000 | 0.000 | -0.000 | 0.000 |
| 0.000 | 0.000 | 0.000 | -0.000 | -0.000 | 0.000 |
| 0.000 | 0.000 | 0.000 | -0.000 | -0.000 | 0.000 |
| -0.000 | -0.000 | -0.000 | 0.000 | -0.000 | 0.000 |
| -0.000 | -0.000 | -0.000 | 0.000 | 0.000 | -0.000 |
| -0.000 | -0.000 | -0.000 | -0.000 | -0.000 | 0.000 |
| 0.000 | 0.000 | 0.000 | 0.000 | 0.000 | -0.000 |
| 0.000 | 0.000 | 0.000 | 0.000 | 0.000 | -0.000 |
| 0.000 | 0.000 | 0.000 | 0.000 | 0.000 | -0.000 |
| 0.000 | 0.000 | 0.000 | 0.000 | 0.000 | -0.000 |
| 0.000 | 0.000 | 0.000 | 0.000 | 0.000 | -0.000 |
| 0.000 | 0.000 | 0.000 | 0.000 | -0.000 | 0.000 |
| 0.000 | 0.000 | 0.000 | -0.000 | -0.000 | 0.000 |
| 0.000 | 0.000 | 0.000 | -0.000 | -0.000 | 0.000 |
| 0.000 | 0.000 | 0.000 | -0.000 | -0.000 | 0.000 |
| -0.000 | -0.000 | -0.000 | 0.000 | -0.000 | 0.000 |
| -0.000 | -0.000 | -0.000 | -0.000 | 0.000 | -0.000 |
| -0.000 | -0.000 | -0.000 | -0.000 | -0.000 | 0.000 |
| 0.000 | 0.000 | 0.000 | 0.000 | 0.000 | -0.000 |
| 0.000 | 0.000 | 0.000 | 0.000 | -0.000 | -0.000 |
| 0.000 | 0.000 | 0.000 | 0.000 | -0.000 | -0.000 |
| 0.000 | 0.000 | 0.000 | 0.000 | -0.000 | -0.000 |
| 0.000 | 0.000 | 0.000 | 0.000 | 0.000 | 0.000 |
| 0.000 | 0.000 | 0.000 | -0.000 | 0.000 | 0.000 |
| 0.000 | 0.000 | 0.000 | 0.000 | -0.000 | 0.000 |
| 0.000 | 0.000 | 0.000 | 0.000 | -0.000 | 0.000 |
| 0.000 | 0.000 | 0.000 | -0.000 | -0.000 | 0.000 |
| -0.000 | -0.000 | -0.000 | 0.000 | -0.000 | 0.000 |
| -0.000 | -0.000 | -0.000 | -0.000 | 0.000 | 0.000 |
| -0.000 | -0.000 | -0.000 | 0.000 | 0.000 | 0.000 |
| 0.000 | 0.000 | 0.000 | -0.000 | 0.000 | -0.000 |
| 0.000 | 0.000 | 0.000 | 0.000 | 0.000 | -0.000 |
| 0.000 | 0.000 | 0.000 | 0.000 | 0.000 | -0.000 |
| 0.000 | 0.000 | 0.000 | 0.000 | -0.000 | -0.000 |
| 0.000 | 0.000 | 0.000 | 0.000 | 0.000 | -0.000 |
| 0.000 | 0.000 | 0.000 | 0.000 | 0.000 | 0.000 |
| 0.000 | 0.000 | 0.000 | -0.000 | 0.000 | 0.000 |
| 0.000 | 0.000 | 0.000 | -0.000 | 0.000 | -0.000 |
| 0.000 | 0.000 | 0.000 | -0.000 | -0.000 | 0.000 |
| -0.000 | -0.000 | -0.000 | 0.000 | -0.000 | 0.000 |
| -0.000 | -0.000 | -0.000 | -0.000 | 0.000 | 0.000 |
| -0.000 | -0.000 | -0.000 | -0.000 | -0.000 | 0.000 |
| 0.000 | 0.000 | 0.000 | 0.000 | -0.000 | 0.000 |
| 0.000 | 0.000 | 0.000 | -0.000 | -0.000 | -0.000 |
| 0.000 | 0.000 | 0.000 | 0.000 | 0.000 | -0.000 |
| 0.000 | 0.000 | 0.000 | 0.000 | 0.000 | -0.000 |
| 0.000 | 0.000 | 0.000 | 0.000 | 0.000 | 0.000 |
| 0.000 | 0.000 | 0.000 | -0.000 | -0.000 | 0.000 |
| 0.000 | 0.000 | 0.000 | 0.000 | -0.000 | -0.000 |
| 0.000 | 0.000 | 0.000 | 0.000 | 0.000 | 0.000 |
| 0.000 | 0.000 | 0.000 | 0.000 | 0.000 | 0.000 |
| -0.000 | -0.000 | -0.000 | 0.000 | 0.000 | 0.000 |
| -0.000 | -0.000 | -0.000 | -0.000 | 0.000 | 0.000 |
| -0.000 | -0.000 | -0.000 | 0.000 | -0.000 | 0.000 |
| 0.000 | 0.000 | 0.000 | 0.000 | -0.000 | -0.000 |
| 0.000 | 0.000 | 0.000 | -0.000 | 0.000 | 0.000 |
| 0.000 | 0.000 | 0.000 | -0.000 | 0.000 | -0.000 |
| 0.000 | 0.000 | 0.000 | 0.000 | -0.000 | -0.000 |
| 0.000 | 0.000 | 0.000 | 0.000 | 0.000 | -0.000 |
| 0.000 | 0.000 | 0.000 | 0.000 | 0.000 | 0.000 |
| 0.000 | 0.000 | 0.000 | 0.000 | 0.000 | 0.000 |
| 0.000 | 0.000 | 0.000 | -0.000 | 0.000 | 0.000 |
| 0.000 | 0.000 | 0.000 | -0.000 | -0.000 | 0.000 |
| -0.000 | -0.000 | -0.000 | 0.000 | -0.000 | 0.000 |
| -0.000 | -0.000 | -0.000 | -0.000 | 0.000 | -0.000 |
| -0.000 | -0.000 | -0.000 | -0.000 | 0.000 | 0.000 |
| 0.000 | 0.000 | 0.000 | 0.000 | -0.000 | -0.000 |
| 0.000 | 0.000 | 0.000 | -0.000 | 0.000 | -0.000 |
| 0.000 | 0.000 | 0.000 | -0.000 | 0.000 | 0.000 |
| -0.000 | -0.000 | -0.000 | 0.000 | -0.000 | -0.000 |
| -0.000 | -0.000 | -0.000 | -0.000 | 0.000 | 0.000 |
| -0.000 | -0.000 | -0.000 | -0.000 | -0.000 | 0.000 |
| 0.000 | 0.000 | 0.000 | -0.000 | -0.000 | 0.000 |
| 0.000 | 0.000 | 0.000 | 0.000 | -0.000 | 0.000 |
| 0.000 | 0.000 | 0.000 | -0.000 | 0.000 | -0.000 |
| 0.000 | 0.000 | 0.000 | 0.000 | 0.000 | 0.000 |
| 0.000 | 0.000 | 0.000 | 0.000 | 0.000 | 0.000 |
| 0.000 | 0.000 | 0.000 | 0.000 | -0.000 | 0.000 |
| 0.000 | 0.000 | 0.000 | -0.000 | 0.000 | 0.000 |
| 0.000 | 0.000 | 0.000 | 0.000 | 0.000 | -0.000 |
| 0.000 | 0.000 | 0.000 | -0.000 | 0.000 | -0.000 |
| -0.000 | -0.000 | -0.000 | 0.000 | 0.000 | -0.000 |
| -0.000 | -0.000 | -0.000 | -0.000 | 0.000 | -0.000 |
| -0.000 | -0.000 | -0.000 | 0.000 | -0.000 | 0.000 |
| 0.000 | 0.000 | 0.000 | 0.000 | 0.000 | -0.000 |
| 0.000 | 0.000 | 0.000 | -0.000 | -0.000 | -0.000 |
| 0.000 | 0.000 | 0.000 | -0.000 | -0.000 | 0.000 |
| 0.000 | 0.000 | 0.000 | 0.000 | 0.000 | 0.000 |
| 0.000 | 0.000 | 0.000 | 0.000 | 0.000 | -0.000 |
| 0.000 | 0.000 | 0.000 | -0.000 | -0.000 | 0.000 |
| 0.000 | 0.000 | 0.000 | -0.000 | 0.000 | -0.000 |
| 0.000 | 0.000 | 0.000 | 0.000 | -0.000 | -0.000 |
| 0.000 | 0.000 | 0.000 | 0.000 | 0.000 | 0.000 |
| -0.000 | -0.000 | -0.000 | 0.000 | 0.000 | -0.000 |
| -0.000 | -0.000 | -0.000 | 0.000 | 0.000 | -0.000 |
| -0.000 | -0.000 | -0.000 | -0.000 | -0.000 | 0.000 |
| 0.000 | 0.000 | 0.000 | -0.000 | 0.000 | 0.000 |
| 0.000 | 0.000 | 0.000 | 0.000 | -0.000 | 0.000 |
| 0.000 | 0.000 | 0.000 | -0.000 | 0.000 | 0.000 |
| 0.000 | 0.000 | 0.000 | 0.000 | 0.000 | 0.000 |
| 0.000 | 0.000 | 0.000 | -0.000 | 0.000 | -0.000 |
| 0.000 | 0.000 | 0.000 | 0.000 | -0.000 | 0.000 |
| 0.000 | 0.000 | 0.000 | -0.000 | -0.000 | -0.000 |
| 0.000 | 0.000 | 0.000 | -0.000 | -0.000 | 0.000 |
| 0.000 | 0.000 | 0.000 | -0.000 | -0.000 | -0.000 |
| 0.000 | 0.000 | 0.000 | 0.000 | 0.000 | -0.000 |
| 0.000 | 0.000 | 0.000 | 0.000 | 0.000 | -0.000 |
| 0.000 | 0.000 | 0.000 | 0.000 | -0.000 | 0.000 |
| 0.000 | 0.000 | 0.000 | 0.000 | -0.000 | -0.000 |
| 0.000 | 0.000 | 0.000 | -0.000 | -0.000 | -0.000 |
| 0.000 | 0.000 | 0.000 | 0.000 | -0.000 | 0.000 |
| -0.000 | -0.000 | -0.000 | 0.000 | -0.000 | 0.000 |
| -0.000 | -0.000 | -0.000 | -0.000 | 0.000 | -0.000 |
| -0.000 | -0.000 | -0.000 | -0.000 | -0.000 | 0.000 |
| 0.000 | 0.000 | 0.000 | 0.000 | -0.000 | -0.000 |
| 0.000 | 0.000 | 0.000 | 0.000 | -0.000 | -0.000 |
| 0.000 | 0.000 | 0.000 | 0.000 | 0.000 | -0.000 |
| 0.000 | 0.000 | 0.000 | 0.000 | -0.000 | -0.000 |
| 0.000 | 0.000 | 0.000 | -0.000 | 0.000 | -0.000 |
| 0.000 | 0.000 | 0.000 | -0.000 | 0.000 | 0.000 |
| 0.000 | 0.000 | 0.000 | 0.000 | 0.000 | 0.000 |
| 0.000 | 0.000 | 0.000 | -0.000 | 0.000 | -0.000 |
| 0.000 | 0.000 | 0.000 | 0.000 | -0.000 | 0.000 |
| -0.000 | -0.000 | -0.000 | 0.000 | 0.000 | 0.000 |
| -0.000 | -0.000 | -0.000 | 0.000 | 0.000 | -0.000 |
| -0.000 | -0.000 | -0.000 | 0.000 | 0.000 | 0.000 |
| 0.000 | 0.000 | 0.000 | -0.000 | -0.000 | -0.000 |
| 0.000 | 0.000 | 0.000 | -0.000 | 0.000 | -0.000 |
| 0.000 | 0.000 | 0.000 | -0.000 | -0.000 | -0.000 |
| 0.000 | 0.000 | 0.000 | 0.000 | -0.000 | -0.000 |
| 0.000 | 0.000 | 0.000 | -0.000 | 0.000 | 0.000 |
| 0.000 | 0.000 | 0.000 | -0.000 | 0.000 | 0.000 |
| 0.000 | 0.000 | 0.000 | 0.000 | -0.000 | 0.000 |
| 0.000 | 0.000 | 0.000 | 0.000 | 0.000 | 0.000 |
| 0.000 | 0.000 | 0.000 | 0.000 | 0.000 | 0.000 |
| -0.000 | -0.000 | -0.000 | 0.000 | -0.000 | 0.000 |
| -0.000 | -0.000 | -0.000 | 0.000 | 0.000 | -0.000 |
| -0.000 | -0.000 | -0.000 | 0.000 | 0.000 | 0.000 |
| -0.000 | -0.000 | -0.000 | -0.000 | -0.000 | -0.000 |
| -0.000 | -0.000 | -0.000 | -0.000 | 0.000 | 0.000 |
| -0.000 | -0.000 | -0.000 | -0.000 | 0.000 | -0.000 |
| -0.000 | -0.000 | -0.000 | -0.000 | -0.000 | 0.000 |
| -0.000 | -0.000 | -0.000 | -0.000 | -0.000 | -0.000 |
| -0.000 | -0.000 | -0.000 | 0.000 | -0.000 | -0.000 |
| -0.000 | -0.000 | -0.000 | 0.000 | -0.000 | -0.000 |
| -0.000 | -0.000 | -0.000 | 0.000 | -0.000 | -0.000 |
| -0.000 | -0.000 | -0.000 | 0.000 | -0.000 | 0.000 |
| 0.000 | 0.000 | 0.000 | -0.000 | 0.000 | -0.000 |
| 0.000 | 0.000 | 0.000 | 0.000 | -0.000 | -0.000 |
| 0.000 | 0.000 | 0.000 | 0.000 | -0.000 | -0.000 |
| -0.000 | -0.000 | -0.000 | -0.000 | 0.000 | 0.000 |
| -0.000 | -0.000 | -0.000 | 0.000 | -0.000 | 0.000 |
| -0.000 | -0.000 | -0.000 | 0.000 | -0.000 | 0.000 |
| -0.000 | -0.000 | -0.000 | -0.000 | 0.000 | 0.000 |
| -0.000 | -0.000 | -0.000 | 0.000 | -0.000 | -0.000 |
| -0.000 | -0.000 | -0.000 | 0.000 | 0.000 | -0.000 |
| -0.000 | -0.000 | -0.000 | -0.000 | 0.000 | -0.000 |
| -0.000 | -0.000 | -0.000 | -0.000 | -0.000 | -0.000 |
| -0.000 | -0.000 | -0.000 | -0.000 | -0.000 | 0.000 |
| 0.000 | 0.000 | 0.000 | -0.000 | -0.000 | -0.000 |
| 0.000 | 0.000 | 0.000 | -0.000 | -0.000 | -0.000 |
| 0.000 | 0.000 | 0.000 | -0.000 | 0.000 | -0.000 |
| -0.000 | -0.000 | -0.000 | 0.000 | 0.000 | 0.000 |
| -0.000 | -0.000 | -0.000 | 0.000 | -0.000 | 0.000 |
| -0.000 | -0.000 | -0.000 | 0.000 | 0.000 | -0.000 |
| -0.000 | -0.000 | -0.000 | -0.000 | 0.000 | -0.000 |
| -0.000 | -0.000 | -0.000 | 0.000 | -0.000 | 0.000 |
| -0.000 | -0.000 | -0.000 | 0.000 | -0.000 | -0.000 |
| -0.000 | -0.000 | -0.000 | -0.000 | 0.000 | -0.000 |
| -0.000 | -0.000 | -0.000 | 0.000 | -0.000 | -0.000 |
| -0.000 | -0.000 | -0.000 | -0.000 | -0.000 | 0.000 |
| 0.000 | 0.000 | 0.000 | -0.000 | 0.000 | 0.000 |
| 0.000 | 0.000 | 0.000 | -0.000 | -0.000 | -0.000 |
| 0.000 | 0.000 | 0.000 | -0.000 | -0.000 | -0.000 |
| -0.000 | -0.000 | -0.000 | 0.000 | -0.000 | 0.000 |
| -0.000 | -0.000 | -0.000 | 0.000 | -0.000 | -0.000 |
| -0.000 | -0.000 | -0.000 | 0.000 | 0.000 | 0.000 |
| -0.000 | -0.000 | -0.000 | -0.000 | 0.000 | -0.000 |
| -0.000 | -0.000 | -0.000 | 0.000 | -0.000 | 0.000 |
| -0.000 | -0.000 | -0.000 | 0.000 | -0.000 | -0.000 |
| -0.000 | -0.000 | -0.000 | -0.000 | 0.000 | 0.000 |
| -0.000 | -0.000 | -0.000 | -0.000 | -0.000 | 0.000 |
| -0.000 | -0.000 | -0.000 | -0.000 | -0.000 | 0.000 |
| 0.000 | 0.000 | 0.000 | -0.000 | -0.000 | 0.000 |
| 0.000 | 0.000 | 0.000 | 0.000 | -0.000 | -0.000 |
| 0.000 | 0.000 | 0.000 | -0.000 | -0.000 | -0.000 |
| -0.000 | -0.000 | -0.000 | 0.000 | 0.000 | -0.000 |
| -0.000 | -0.000 | -0.000 | 0.000 | 0.000 | -0.000 |
| -0.000 | -0.000 | -0.000 | 0.000 | 0.000 | 0.000 |
| -0.000 | -0.000 | -0.000 | -0.000 | 0.000 | -0.000 |
| -0.000 | -0.000 | -0.000 | 0.000 | -0.000 | -0.000 |
| -0.000 | -0.000 | -0.000 | 0.000 | 0.000 | -0.000 |
| -0.000 | -0.000 | -0.000 | -0.000 | -0.000 | 0.000 |
| -0.000 | -0.000 | -0.000 | -0.000 | -0.000 | 0.000 |
| -0.000 | -0.000 | -0.000 | 0.000 | -0.000 | 0.000 |
| 0.000 | 0.000 | 0.000 | -0.000 | -0.000 | 0.000 |
| 0.000 | 0.000 | 0.000 | -0.000 | -0.000 | -0.000 |
| 0.000 | 0.000 | 0.000 | -0.000 | 0.000 | -0.000 |
| -0.000 | -0.000 | -0.000 | 0.000 | 0.000 | -0.000 |
| -0.000 | -0.000 | -0.000 | -0.000 | -0.000 | 0.000 |
| -0.000 | -0.000 | -0.000 | 0.000 | 0.000 | 0.000 |
| -0.000 | -0.000 | -0.000 | -0.000 | 0.000 | -0.000 |
| -0.000 | -0.000 | -0.000 | 0.000 | -0.000 | -0.000 |
| -0.000 | -0.000 | -0.000 | 0.000 | -0.000 | -0.000 |
| -0.000 | -0.000 | -0.000 | -0.000 | 0.000 | 0.000 |
| -0.000 | -0.000 | -0.000 | -0.000 | -0.000 | -0.000 |
| -0.000 | -0.000 | -0.000 | 0.000 | -0.000 | 0.000 |
| 0.000 | 0.000 | 0.000 | -0.000 | 0.000 | 0.000 |
| 0.000 | 0.000 | 0.000 | -0.000 | -0.000 | -0.000 |
| 0.000 | 0.000 | 0.000 | -0.000 | -0.000 | -0.000 |
| 0.000 | 0.000 | 0.000 | -0.000 | 0.000 | 0.000 |
| 0.000 | 0.000 | 0.000 | 0.000 | -0.000 | 0.000 |
| 0.000 | 0.000 | 0.000 | 0.000 | 0.000 | -0.000 |
| 0.000 | 0.000 | 0.000 | 0.000 | 0.000 | 0.000 |
| 0.000 | 0.000 | 0.000 | 0.000 | 0.000 | -0.000 |
| 0.000 | 0.000 | 0.000 | 0.000 | 0.000 | 0.000 |
| 0.000 | 0.000 | 0.000 | 0.000 | -0.000 | 0.000 |
| 0.000 | 0.000 | 0.000 | -0.000 | -0.000 | -0.000 |
| 0.000 | 0.000 | 0.000 | -0.000 | -0.000 | 0.000 |
| -0.000 | -0.000 | -0.000 | 0.000 | -0.000 | 0.000 |
| -0.000 | -0.000 | -0.000 | -0.000 | 0.000 | -0.000 |
| -0.000 | -0.000 | -0.000 | -0.000 | 0.000 | 0.000 |
| 0.000 | 0.000 | 0.000 | -0.000 | 0.000 | 0.000 |
| 0.000 | 0.000 | 0.000 | -0.000 | 0.000 | 0.000 |
| 0.000 | 0.000 | 0.000 | -0.000 | 0.000 | 0.000 |
| 0.000 | 0.000 | 0.000 | 0.000 | -0.000 | -0.000 |
| 0.000 | 0.000 | 0.000 | -0.000 | 0.000 | -0.000 |
| 0.000 | 0.000 | 0.000 | 0.000 | -0.000 | 0.000 |
| 0.000 | 0.000 | 0.000 | -0.000 | -0.000 | -0.000 |
| 0.000 | 0.000 | 0.000 | -0.000 | -0.000 | -0.000 |
| 0.000 | 0.000 | 0.000 | -0.000 | -0.000 | -0.000 |
| -0.000 | -0.000 | -0.000 | 0.000 | -0.000 | -0.000 |
| -0.000 | -0.000 | -0.000 | 0.000 | 0.000 | -0.000 |
| -0.000 | -0.000 | -0.000 | -0.000 | -0.000 | 0.000 |
| 0.000 | 0.000 | 0.000 | -0.000 | 0.000 | -0.000 |
| 0.000 | 0.000 | 0.000 | 0.000 | 0.000 | 0.000 |
| 0.000 | 0.000 | 0.000 | 0.000 | 0.000 | -0.000 |
| 0.000 | 0.000 | 0.000 | 0.000 | -0.000 | -0.000 |
| 0.000 | 0.000 | 0.000 | -0.000 | 0.000 | -0.000 |
| 0.000 | 0.000 | 0.000 | 0.000 | -0.000 | 0.000 |
| 0.000 | 0.000 | 0.000 | -0.000 | 0.000 | -0.000 |
| 0.000 | 0.000 | 0.000 | 0.000 | -0.000 | -0.000 |
| 0.000 | 0.000 | 0.000 | -0.000 | -0.000 | -0.000 |
| -0.000 | -0.000 | -0.000 | 0.000 | -0.000 | -0.000 |
| -0.000 | -0.000 | -0.000 | -0.000 | 0.000 | 0.000 |
| -0.000 | -0.000 | -0.000 | -0.000 | -0.000 | 0.000 |
| 0.000 | 0.000 | 0.000 | -0.000 | -0.000 | 0.000 |
| 0.000 | 0.000 | 0.000 | -0.000 | -0.000 | -0.000 |
| 0.000 | 0.000 | 0.000 | -0.000 | -0.000 | -0.000 |
| 0.000 | 0.000 | 0.000 | 0.000 | 0.000 | 0.000 |
| 0.000 | 0.000 | 0.000 | -0.000 | 0.000 | -0.000 |
| 0.000 | 0.000 | 0.000 | -0.000 | -0.000 | 0.000 |
| 0.000 | 0.000 | 0.000 | 0.000 | 0.000 | 0.000 |
| 0.000 | 0.000 | 0.000 | 0.000 | 0.000 | -0.000 |
| 0.000 | 0.000 | 0.000 | 0.000 | 0.000 | 0.000 |
| -0.000 | -0.000 | -0.000 | 0.000 | 0.000 | -0.000 |
| -0.000 | -0.000 | -0.000 | 0.000 | 0.000 | -0.000 |
| -0.000 | -0.000 | -0.000 | 0.000 | -0.000 | 0.000 |
| 0.000 | 0.000 | 0.000 | -0.000 | 0.000 | 0.000 |
| 0.000 | 0.000 | 0.000 | -0.000 | 0.000 | -0.000 |
| 0.000 | 0.000 | 0.000 | -0.000 | 0.000 | -0.000 |
| 0.000 | 0.000 | 0.000 | 0.000 | -0.000 | 0.000 |
| 0.000 | 0.000 | 0.000 | -0.000 | 0.000 | -0.000 |
| 0.000 | 0.000 | 0.000 | -0.000 | -0.000 | 0.000 |
| 0.000 | 0.000 | 0.000 | 0.000 | 0.000 | -0.000 |
| 0.000 | 0.000 | 0.000 | 0.000 | 0.000 | -0.000 |
| 0.000 | 0.000 | 0.000 | -0.000 | 0.000 | 0.000 |
| -0.000 | -0.000 | -0.000 | 0.000 | -0.000 | -0.000 |
| -0.000 | -0.000 | -0.000 | 0.000 | 0.000 | -0.000 |
| -0.000 | -0.000 | -0.000 | 0.000 | -0.000 | 0.000 |
| 0.000 | 0.000 | 0.000 | 0.000 | -0.000 | 0.000 |
| 0.000 | 0.000 | 0.000 | -0.000 | 0.000 | -0.000 |
| 0.000 | 0.000 | 0.000 | 0.000 | -0.000 | -0.000 |
| 0.000 | 0.000 | 0.000 | 0.000 | -0.000 | 0.000 |
| 0.000 | 0.000 | 0.000 | -0.000 | 0.000 | 0.000 |
| 0.000 | 0.000 | 0.000 | -0.000 | 0.000 | 0.000 |
| 0.000 | 0.000 | 0.000 | 0.000 | 0.000 | 0.000 |
| 0.000 | 0.000 | 0.000 | 0.000 | 0.000 | -0.000 |
| 0.000 | 0.000 | 0.000 | 0.000 | -0.000 | -0.000 |
| -0.000 | -0.000 | -0.000 | 0.000 | -0.000 | -0.000 |
| -0.000 | -0.000 | -0.000 | 0.000 | 0.000 | 0.000 |
| -0.000 | -0.000 | -0.000 | 0.000 | 0.000 | 0.000 |
| 0.000 | 0.000 | 0.000 | -0.000 | 0.000 | -0.000 |
| 0.000 | 0.000 | 0.000 | 0.000 | 0.000 | 0.000 |
| 0.000 | 0.000 | 0.000 | -0.000 | -0.000 | 0.000 |
| 0.000 | 0.000 | 0.000 | 0.000 | 0.000 | 0.000 |
| 0.000 | 0.000 | 0.000 | 0.000 | 0.000 | 0.000 |
| 0.000 | 0.000 | 0.000 | 0.000 | 0.000 | 0.000 |
| 0.000 | 0.000 | 0.000 | -0.000 | 0.000 | 0.000 |
| 0.000 | 0.000 | 0.000 | -0.000 | -0.000 | -0.000 |
| 0.000 | 0.000 | 0.000 | -0.000 | -0.000 | -0.000 |
| -0.000 | -0.000 | -0.000 | 0.000 | -0.000 | -0.000 |
| -0.000 | -0.000 | -0.000 | -0.000 | 0.000 | 0.000 |
| -0.000 | -0.000 | -0.000 | -0.000 | 0.000 | 0.000 |
| 0.000 | 0.000 | 0.000 | -0.000 | -0.000 | 0.000 |
| 0.000 | 0.000 | 0.000 | 0.000 | 0.000 | 0.000 |
| 0.000 | 0.000 | 0.000 | 0.000 | -0.000 | 0.000 |
| 0.000 | 0.000 | 0.000 | 0.000 | -0.000 | 0.000 |
| 0.000 | 0.000 | 0.000 | 0.000 | 0.000 | -0.000 |
| 0.000 | 0.000 | 0.000 | 0.000 | 0.000 | 0.000 |
| 0.000 | 0.000 | 0.000 | 0.000 | -0.000 | -0.000 |
| 0.000 | 0.000 | 0.000 | -0.000 | 0.000 | 0.000 |
| 0.000 | 0.000 | 0.000 | -0.000 | -0.000 | -0.000 |
| -0.000 | -0.000 | -0.000 | 0.000 | 0.000 | -0.000 |
| -0.000 | -0.000 | -0.000 | -0.000 | 0.000 | -0.000 |
| -0.000 | -0.000 | -0.000 | -0.000 | 0.000 | 0.000 |
| 0.000 | 0.000 | 0.000 | -0.000 | -0.000 | 0.000 |
| 0.000 | 0.000 | 0.000 | 0.000 | 0.000 | -0.000 |
| 0.000 | 0.000 | 0.000 | -0.000 | 0.000 | 0.000 |
| 0.000 | 0.000 | 0.000 | 0.000 | 0.000 | 0.000 |
| 0.000 | 0.000 | 0.000 | 0.000 | 0.000 | 0.000 |
| 0.000 | 0.000 | 0.000 | 0.000 | -0.000 | 0.000 |
| 0.000 | 0.000 | 0.000 | -0.000 | -0.000 | -0.000 |
| 0.000 | 0.000 | 0.000 | -0.000 | -0.000 | -0.000 |
| 0.000 | 0.000 | 0.000 | -0.000 | -0.000 | -0.000 |
| -0.000 | -0.000 | -0.000 | 0.000 | 0.000 | -0.000 |
| -0.000 | -0.000 | -0.000 | -0.000 | 0.000 | 0.000 |
| -0.000 | -0.000 | -0.000 | -0.000 | -0.000 | 0.000 |
| 0.000 | 0.000 | 0.000 | -0.000 | -0.000 | 0.000 |
| 0.000 | 0.000 | 0.000 | 0.000 | 0.000 | -0.000 |
| 0.000 | 0.000 | 0.000 | -0.000 | 0.000 | -0.000 |
| 0.000 | 0.000 | 0.000 | 0.000 | 0.000 | -0.000 |
| 0.000 | 0.000 | 0.000 | -0.000 | 0.000 | -0.000 |
| 0.000 | 0.000 | 0.000 | 0.000 | 0.000 | 0.000 |
| 0.000 | 0.000 | 0.000 | -0.000 | 0.000 | -0.000 |
| 0.000 | 0.000 | 0.000 | -0.000 | -0.000 | -0.000 |
| 0.000 | 0.000 | 0.000 | -0.000 | 0.000 | 0.000 |
| -0.000 | -0.000 | -0.000 | 0.000 | -0.000 | -0.000 |
| -0.000 | -0.000 | -0.000 | 0.000 | 0.000 | -0.000 |
| -0.000 | -0.000 | -0.000 | -0.000 | 0.000 | 0.000 |
| 0.000 | 0.000 | 0.000 | -0.000 | 0.000 | 0.000 |
| 0.000 | 0.000 | 0.000 | 0.000 | 0.000 | 0.000 |
| 0.000 | 0.000 | 0.000 | 0.000 | 0.000 | 0.000 |
| 0.000 | 0.000 | 0.000 | 0.000 | 0.000 | -0.000 |
| 0.000 | 0.000 | 0.000 | 0.000 | 0.000 | -0.000 |
| 0.000 | 0.000 | 0.000 | -0.000 | 0.000 | 0.000 |
| 0.000 | 0.000 | 0.000 | -0.000 | -0.000 | -0.000 |
| 0.000 | 0.000 | 0.000 | -0.000 | -0.000 | -0.000 |
| 0.000 | 0.000 | 0.000 | -0.000 | 0.000 | -0.000 |
| -0.000 | -0.000 | -0.000 | 0.000 | -0.000 | -0.000 |
| -0.000 | -0.000 | -0.000 | -0.000 | 0.000 | -0.000 |
| -0.000 | -0.000 | -0.000 | 0.000 | 0.000 | 0.000 |
| 0.000 | 0.000 | 0.000 | -0.000 | -0.000 | 0.000 |
| 0.000 | 0.000 | 0.000 | 0.000 | 0.000 | 0.000 |
| 0.000 | 0.000 | 0.000 | -0.000 | -0.000 | -0.000 |
| 0.000 | 0.000 | 0.000 | 0.000 | -0.000 | -0.000 |
| 0.000 | 0.000 | 0.000 | 0.000 | 0.000 | 0.000 |
| 0.000 | 0.000 | 0.000 | 0.000 | -0.000 | 0.000 |
| 0.000 | 0.000 | 0.000 | -0.000 | 0.000 | -0.000 |
| 0.000 | 0.000 | 0.000 | 0.000 | -0.000 | -0.000 |
| 0.000 | 0.000 | 0.000 | -0.000 | -0.000 | -0.000 |
| -0.000 | -0.000 | -0.000 | 0.000 | -0.000 | -0.000 |
| -0.000 | -0.000 | -0.000 | -0.000 | 0.000 | 0.000 |
| -0.000 | -0.000 | -0.000 | -0.000 | -0.000 | 0.000 |
| 0.000 | 0.000 | 0.000 | -0.000 | -0.000 | -0.000 |
| 0.000 | 0.000 | 0.000 | 0.000 | -0.000 | 0.000 |
| 0.000 | 0.000 | 0.000 | 0.000 | -0.000 | -0.000 |
| 0.000 | 0.000 | 0.000 | 0.000 | -0.000 | 0.000 |
| 0.000 | 0.000 | 0.000 | 0.000 | 0.000 | -0.000 |
| 0.000 | 0.000 | 0.000 | 0.000 | 0.000 | 0.000 |
| 0.000 | 0.000 | 0.000 | -0.000 | -0.000 | -0.000 |
| 0.000 | 0.000 | 0.000 | -0.000 | 0.000 | -0.000 |
| 0.000 | 0.000 | 0.000 | -0.000 | 0.000 | 0.000 |
| -0.000 | -0.000 | -0.000 | 0.000 | 0.000 | -0.000 |
| -0.000 | -0.000 | -0.000 | -0.000 | 0.000 | -0.000 |
| -0.000 | -0.000 | -0.000 | -0.000 | 0.000 | 0.000 |
| 0.000 | 0.000 | 0.000 | 0.000 | -0.000 | 0.000 |
| 0.000 | 0.000 | 0.000 | 0.000 | -0.000 | 0.000 |
| 0.000 | 0.000 | 0.000 | -0.000 | -0.000 | -0.000 |
| 0.000 | 0.000 | 0.000 | 0.000 | -0.000 | 0.000 |
| 0.000 | 0.000 | 0.000 | -0.000 | 0.000 | 0.000 |
| 0.000 | 0.000 | 0.000 | 0.000 | 0.000 | 0.000 |
| 0.000 | 0.000 | 0.000 | 0.000 | 0.000 | -0.000 |
| 0.000 | 0.000 | 0.000 | -0.000 | 0.000 | -0.000 |
| 0.000 | 0.000 | 0.000 | -0.000 | 0.000 | -0.000 |
| -0.000 | -0.000 | -0.000 | 0.000 | -0.000 | -0.000 |
| -0.000 | -0.000 | -0.000 | 0.000 | 0.000 | -0.000 |
| -0.000 | -0.000 | -0.000 | -0.000 | 0.000 | 0.000 |
| 0.000 | 0.000 | 0.000 | 0.000 | -0.000 | -0.000 |
| 0.000 | 0.000 | 0.000 | 0.000 | 0.000 | 0.000 |
| 0.000 | 0.000 | 0.000 | 0.000 | -0.000 | -0.000 |
| 0.000 | 0.000 | 0.000 | 0.000 | -0.000 | -0.000 |
| 0.000 | 0.000 | 0.000 | 0.000 | 0.000 | -0.000 |
| 0.000 | 0.000 | 0.000 | 0.000 | -0.000 | 0.000 |
| 0.000 | 0.000 | 0.000 | -0.000 | 0.000 | -0.000 |
| 0.000 | 0.000 | 0.000 | -0.000 | 0.000 | -0.000 |
| 0.000 | 0.000 | 0.000 | -0.000 | 0.000 | -0.000 |
| -0.000 | -0.000 | -0.000 | 0.000 | -0.000 | -0.000 |
| -0.000 | -0.000 | -0.000 | -0.000 | 0.000 | -0.000 |
| -0.000 | -0.000 | -0.000 | -0.000 | -0.000 | 0.000 |
| -0.000 | -0.000 | -0.000 | -0.000 | -0.000 | 0.000 |
| -0.000 | -0.000 | -0.000 | -0.000 | 0.000 | 0.000 |
| -0.000 | -0.000 | -0.000 | -0.000 | -0.000 | 0.000 |
| 0.000 | 0.000 | 0.000 | -0.000 | -0.000 | 0.000 |
| 0.000 | 0.000 | 0.000 | -0.000 | -0.000 | 0.000 |
| 0.000 | 0.000 | 0.000 | -0.000 | -0.000 | -0.000 |
| -0.000 | -0.000 | -0.000 | 0.000 | 0.000 | -0.000 |
| -0.000 | -0.000 | -0.000 | 0.000 | 0.000 | -0.000 |
| -0.000 | -0.000 | -0.000 | 0.000 | -0.000 | -0.000 |
| -0.000 | -0.000 | -0.000 | -0.000 | 0.000 | -0.000 |
| -0.000 | -0.000 | -0.000 | 0.000 | -0.000 | 0.000 |
| -0.000 | -0.000 | -0.000 | 0.000 | 0.000 | -0.000 |
| -0.000 | -0.000 | -0.000 | 0.000 | -0.000 | 0.000 |
| -0.000 | -0.000 | -0.000 | -0.000 | -0.000 | -0.000 |
| -0.000 | -0.000 | -0.000 | -0.000 | -0.000 | 0.000 |
| 0.000 | 0.000 | 0.000 | -0.000 | -0.000 | 0.000 |
| 0.000 | 0.000 | 0.000 | -0.000 | -0.000 | 0.000 |
| 0.000 | 0.000 | 0.000 | -0.000 | 0.000 | -0.000 |
| -0.000 | -0.000 | -0.000 | 0.000 | 0.000 | -0.000 |
| -0.000 | -0.000 | -0.000 | -0.000 | 0.000 | -0.000 |
| -0.000 | -0.000 | -0.000 | 0.000 | 0.000 | -0.000 |
| -0.000 | -0.000 | -0.000 | -0.000 | 0.000 | -0.000 |
| -0.000 | -0.000 | -0.000 | 0.000 | -0.000 | 0.000 |
| -0.000 | -0.000 | -0.000 | 0.000 | 0.000 | -0.000 |
| -0.000 | -0.000 | -0.000 | 0.000 | -0.000 | 0.000 |
| -0.000 | -0.000 | -0.000 | -0.000 | -0.000 | 0.000 |
| -0.000 | -0.000 | -0.000 | -0.000 | -0.000 | 0.000 |
| 0.000 | 0.000 | 0.000 | -0.000 | 0.000 | 0.000 |
| 0.000 | 0.000 | 0.000 | 0.000 | -0.000 | 0.000 |
| 0.000 | 0.000 | 0.000 | 0.000 | 0.000 | -0.000 |
| -0.000 | -0.000 | -0.000 | 0.000 | 0.000 | -0.000 |
| -0.000 | -0.000 | -0.000 | -0.000 | 0.000 | -0.000 |
| -0.000 | -0.000 | -0.000 | -0.000 | 0.000 | 0.000 |
| -0.000 | -0.000 | -0.000 | -0.000 | 0.000 | -0.000 |
| -0.000 | -0.000 | -0.000 | -0.000 | -0.000 | -0.000 |
| -0.000 | -0.000 | -0.000 | -0.000 | 0.000 | -0.000 |
| 0.000 | 0.000 | 0.000 | 0.000 | -0.000 | -0.000 |
| 0.000 | 0.000 | 0.000 | -0.000 | -0.000 | -0.000 |
| 0.000 | 0.000 | 0.000 | -0.000 | 0.000 | -0.000 |
| 0.000 | 0.000 | 0.000 | 0.000 | -0.000 | -0.000 |
| 0.000 | 0.000 | 0.000 | 0.000 | 0.000 | 0.000 |
| 0.000 | 0.000 | 0.000 | 0.000 | -0.000 | 0.000 |
| 0.000 | 0.000 | 0.000 | -0.000 | 0.000 | 0.000 |
| 0.000 | 0.000 | 0.000 | 0.000 | -0.000 | 0.000 |
| 0.000 | 0.000 | 0.000 | -0.000 | 0.000 | 0.000 |
| -0.000 | -0.000 | -0.000 | 0.000 | 0.000 | 0.000 |
| -0.000 | -0.000 | -0.000 | -0.000 | 0.000 | 0.000 |
| -0.000 | -0.000 | -0.000 | -0.000 | -0.000 | 0.000 |
| 0.000 | 0.000 | 0.000 | 0.000 | -0.000 | 0.000 |
| 0.000 | 0.000 | 0.000 | -0.000 | 0.000 | -0.000 |
| 0.000 | 0.000 | 0.000 | -0.000 | 0.000 | -0.000 |
| 0.000 | 0.000 | 0.000 | 0.000 | 0.000 | -0.000 |
| 0.000 | 0.000 | 0.000 | 0.000 | 0.000 | -0.000 |
| 0.000 | 0.000 | 0.000 | -0.000 | 0.000 | 0.000 |
| 0.000 | 0.000 | 0.000 | -0.000 | 0.000 | -0.000 |
| 0.000 | 0.000 | 0.000 | -0.000 | -0.000 | 0.000 |
| 0.000 | 0.000 | 0.000 | 0.000 | 0.000 | 0.000 |
| -0.000 | -0.000 | -0.000 | 0.000 | -0.000 | 0.000 |
| -0.000 | -0.000 | -0.000 | -0.000 | 0.000 | 0.000 |
| -0.000 | -0.000 | -0.000 | 0.000 | 0.000 | 0.000 |
| 0.000 | 0.000 | 0.000 | -0.000 | 0.000 | -0.000 |
| 0.000 | 0.000 | 0.000 | 0.000 | 0.000 | -0.000 |
| 0.000 | 0.000 | 0.000 | -0.000 | -0.000 | -0.000 |
| 0.000 | 0.000 | 0.000 | 0.000 | -0.000 | -0.000 |
| 0.000 | 0.000 | 0.000 | 0.000 | 0.000 | 0.000 |
| 0.000 | 0.000 | 0.000 | -0.000 | -0.000 | 0.000 |
| 0.000 | 0.000 | 0.000 | -0.000 | 0.000 | -0.000 |
| 0.000 | 0.000 | 0.000 | 0.000 | 0.000 | 0.000 |
| 0.000 | 0.000 | 0.000 | -0.000 | -0.000 | -0.000 |
| -0.000 | -0.000 | -0.000 | 0.000 | -0.000 | 0.000 |
| -0.000 | -0.000 | -0.000 | -0.000 | 0.000 | 0.000 |
| -0.000 | -0.000 | -0.000 | 0.000 | -0.000 | 0.000 |
| 0.000 | 0.000 | 0.000 | -0.000 | -0.000 | -0.000 |
| 0.000 | 0.000 | 0.000 | -0.000 | 0.000 | -0.000 |
| 0.000 | 0.000 | 0.000 | -0.000 | 0.000 | -0.000 |
| 0.000 | 0.000 | 0.000 | 0.000 | -0.000 | -0.000 |
| 0.000 | 0.000 | 0.000 | -0.000 | 0.000 | 0.000 |
| 0.000 | 0.000 | 0.000 | -0.000 | 0.000 | 0.000 |
| 0.000 | 0.000 | 0.000 | 0.000 | 0.000 | 0.000 |
| 0.000 | 0.000 | 0.000 | 0.000 | 0.000 | 0.000 |
| 0.000 | 0.000 | 0.000 | 0.000 | -0.000 | 0.000 |
| -0.000 | -0.000 | -0.000 | 0.000 | -0.000 | 0.000 |
| -0.000 | -0.000 | -0.000 | 0.000 | 0.000 | 0.000 |
| -0.000 | -0.000 | -0.000 | 0.000 | -0.000 | 0.000 |
| 0.000 | 0.000 | 0.000 | 0.000 | 0.000 | -0.000 |
| 0.000 | 0.000 | 0.000 | -0.000 | -0.000 | -0.000 |
| 0.000 | 0.000 | 0.000 | -0.000 | -0.000 | -0.000 |
| 0.000 | 0.000 | 0.000 | 0.000 | 0.000 | -0.000 |
| 0.000 | 0.000 | 0.000 | -0.000 | 0.000 | -0.000 |
| 0.000 | 0.000 | 0.000 | -0.000 | 0.000 | 0.000 |
| 0.000 | 0.000 | 0.000 | 0.000 | -0.000 | 0.000 |
| 0.000 | 0.000 | 0.000 | 0.000 | -0.000 | 0.000 |
| 0.000 | 0.000 | 0.000 | 0.000 | 0.000 | 0.000 |
| -0.000 | -0.000 | -0.000 | 0.000 | -0.000 | 0.000 |
| -0.000 | -0.000 | -0.000 | 0.000 | 0.000 | 0.000 |
| -0.000 | -0.000 | -0.000 | 0.000 | -0.000 | 0.000 |
| 0.000 | 0.000 | 0.000 | 0.000 | 0.000 | 0.000 |
| 0.000 | 0.000 | 0.000 | -0.000 | -0.000 | -0.000 |
| 0.000 | 0.000 | 0.000 | 0.000 | -0.000 | -0.000 |
| 0.000 | 0.000 | 0.000 | 0.000 | -0.000 | -0.000 |
| 0.000 | 0.000 | 0.000 | -0.000 | 0.000 | 0.000 |
| 0.000 | 0.000 | 0.000 | -0.000 | 0.000 | 0.000 |
| 0.000 | 0.000 | 0.000 | 0.000 | -0.000 | 0.000 |
| 0.000 | 0.000 | 0.000 | -0.000 | -0.000 | 0.000 |
| 0.000 | 0.000 | 0.000 | -0.000 | 0.000 | 0.000 |
| -0.000 | -0.000 | -0.000 | 0.000 | -0.000 | 0.000 |
| -0.000 | -0.000 | -0.000 | -0.000 | 0.000 | 0.000 |
| -0.000 | -0.000 | -0.000 | 0.000 | 0.000 | 0.000 |
| 37.163 | 61.603 | 61.603 | -0.000 | -0.000 | -0.000 |
| 61.603 | 37.163 | 61.603 | -0.000 | -0.000 | -0.000 |
| 61.603 | 61.603 | 37.163 | -0.000 | -0.000 | -0.000 |
| 0.000 | 0.000 | -0.000 | -36.852 | -0.000 | -0.000 |
| 0.000 | 0.000 | -0.000 | -0.000 | -36.852 | -0.000 |
| 0.000 | -0.000 | 0.000 | -0.000 | -0.000 | -36.852 |
| 37.163 | 61.603 | 61.603 | 0.000 | 0.000 | 0.000 |
| 61.603 | 37.163 | 61.603 | 0.000 | 0.000 | 0.000 |
| 61.603 | 61.603 | 37.163 | 0.000 | 0.000 | 0.000 |
| -0.000 | -0.000 | -0.000 | -36.852 | 0.000 | 0.000 |
| -0.000 | -0.000 | -0.000 | 0.000 | -36.852 | 0.000 |
| -0.000 | 0.000 | -0.000 | 0.000 | 0.000 | -36.852 |
| 37.163 | 61.603 | 61.603 | -0.000 | -0.000 | -0.000 |
| 61.603 | 37.163 | 61.603 | -0.000 | -0.000 | -0.000 |
| 61.603 | 61.603 | 37.163 | -0.000 | -0.000 | -0.000 |
| 0.000 | 0.000 | -0.000 | -36.852 | -0.000 | -0.000 |
| 0.000 | 0.000 | -0.000 | -0.000 | -36.852 | -0.000 |
| 0.000 | -0.000 | 0.000 | -0.000 | -0.000 | -36.852 |
| 37.163 | 61.603 | 61.603 | 0.000 | 0.000 | 0.000 |
| 61.603 | 37.163 | 61.603 | 0.000 | 0.000 | 0.000 |
| 61.603 | 61.603 | 37.163 | 0.000 | 0.000 | 0.000 |
| -0.000 | -0.000 | 0.000 | -36.852 | 0.000 | 0.000 |
| -0.000 | -0.000 | 0.000 | 0.000 | -36.852 | 0.000 |
| -0.000 | 0.000 | -0.000 | 0.000 | 0.000 | -36.852 |
| 37.163 | 61.603 | 61.603 | -0.000 | -0.000 | -0.000 |
| 61.603 | 37.163 | 61.603 | -0.000 | -0.000 | -0.000 |
| 61.603 | 61.603 | 37.163 | -0.000 | -0.000 | -0.000 |
| 0.000 | 0.000 | -0.000 | -36.852 | -0.000 | -0.000 |
| 0.000 | 0.000 | -0.000 | -0.000 | -36.852 | -0.000 |
| 0.000 | -0.000 | 0.000 | -0.000 | -0.000 | -36.852 |
| 37.163 | 61.603 | 61.603 | 0.000 | 0.000 | 0.000 |
| 61.603 | 37.163 | 61.603 | 0.000 | 0.000 | 0.000 |
| 61.603 | 61.603 | 37.163 | 0.000 | 0.000 | 0.000 |
| -0.000 | -0.000 | 0.000 | -36.852 | 0.000 | 0.000 |
| -0.000 | -0.000 | 0.000 | 0.000 | -36.852 | 0.000 |
| -0.000 | 0.000 | -0.000 | 0.000 | 0.000 | -36.852 |
| 0.000 | 0.000 | 0.000 | -0.000 | 0.000 | 0.000 |
| 0.000 | 0.000 | 0.000 | 0.000 | -0.000 | 0.000 |
| 0.000 | 0.000 | 0.000 | 0.000 | 0.000 | -0.000 |
| 0.000 | 0.000 | 0.000 | 0.000 | 0.000 | 0.000 |
| 0.000 | 0.000 | 0.000 | 0.000 | 0.000 | 0.000 |
| 0.000 | 0.000 | 0.000 | 0.000 | 0.000 | 0.000 |
| 0.000 | 0.000 | 0.000 | 0.000 | -0.000 | -0.000 |
| 0.000 | 0.000 | 0.000 | -0.000 | 0.000 | -0.000 |
| 0.000 | 0.000 | 0.000 | -0.000 | -0.000 | 0.000 |
| -0.000 | -0.000 | -0.000 | 0.000 | -0.000 | -0.000 |
| -0.000 | -0.000 | -0.000 | -0.000 | 0.000 | -0.000 |
| -0.000 | -0.000 | -0.000 | -0.000 | -0.000 | 0.000 |
| 0.000 | 0.000 | 0.000 | -0.000 | 0.000 | 0.000 |
| 0.000 | 0.000 | 0.000 | 0.000 | -0.000 | 0.000 |
| 0.000 | 0.000 | 0.000 | 0.000 | 0.000 | -0.000 |
| 0.000 | 0.000 | 0.000 | 0.000 | 0.000 | 0.000 |
| 0.000 | 0.000 | 0.000 | 0.000 | 0.000 | 0.000 |
| 0.000 | 0.000 | 0.000 | 0.000 | 0.000 | 0.000 |
| 0.000 | 0.000 | 0.000 | -0.000 | -0.000 | -0.000 |
| 0.000 | 0.000 | 0.000 | -0.000 | -0.000 | -0.000 |
| 0.000 | 0.000 | 0.000 | -0.000 | -0.000 | -0.000 |
| -0.000 | -0.000 | -0.000 | 0.000 | -0.000 | -0.000 |
| -0.000 | -0.000 | -0.000 | -0.000 | 0.000 | -0.000 |
| -0.000 | -0.000 | -0.000 | -0.000 | -0.000 | 0.000 |
| 0.000 | 0.000 | 0.000 | 0.000 | 0.000 | 0.000 |
| 0.000 | 0.000 | 0.000 | 0.000 | 0.000 | 0.000 |
| 0.000 | 0.000 | 0.000 | 0.000 | 0.000 | 0.000 |
| 0.000 | 0.000 | 0.000 | 0.000 | 0.000 | 0.000 |
| 0.000 | 0.000 | 0.000 | 0.000 | 0.000 | 0.000 |
| 0.000 | 0.000 | 0.000 | 0.000 | 0.000 | 0.000 |
| 0.000 | 0.000 | 0.000 | -0.000 | -0.000 | -0.000 |
| 0.000 | 0.000 | 0.000 | -0.000 | -0.000 | -0.000 |
| 0.000 | 0.000 | 0.000 | -0.000 | -0.000 | -0.000 |
| -0.000 | -0.000 | -0.000 | 0.000 | -0.000 | -0.000 |
| -0.000 | -0.000 | -0.000 | -0.000 | 0.000 | -0.000 |
| -0.000 | -0.000 | -0.000 | -0.000 | -0.000 | 0.000 |
| 0.000 | 0.000 | 0.000 | 0.000 | -0.000 | -0.000 |
| 0.000 | 0.000 | 0.000 | -0.000 | 0.000 | -0.000 |
| 0.000 | 0.000 | 0.000 | -0.000 | -0.000 | 0.000 |
| 0.000 | 0.000 | 0.000 | 0.000 | -0.000 | -0.000 |
| 0.000 | 0.000 | 0.000 | -0.000 | 0.000 | -0.000 |
| 0.000 | 0.000 | 0.000 | -0.000 | -0.000 | 0.000 |
| 0.000 | 0.000 | 0.000 | -0.000 | 0.000 | 0.000 |
| 0.000 | 0.000 | 0.000 | 0.000 | -0.000 | 0.000 |
| 0.000 | 0.000 | 0.000 | 0.000 | 0.000 | -0.000 |
| -0.000 | -0.000 | -0.000 | 0.000 | -0.000 | 0.000 |
| -0.000 | -0.000 | -0.000 | -0.000 | 0.000 | 0.000 |
| -0.000 | -0.000 | -0.000 | -0.000 | 0.000 | 0.000 |
| 0.000 | 0.000 | 0.000 | -0.000 | -0.000 | -0.000 |
| 0.000 | 0.000 | 0.000 | -0.000 | -0.000 | -0.000 |
| 0.000 | 0.000 | 0.000 | -0.000 | -0.000 | -0.000 |
| 0.000 | 0.000 | 0.000 | 0.000 | -0.000 | -0.000 |
| 0.000 | 0.000 | 0.000 | -0.000 | 0.000 | -0.000 |
| 0.000 | 0.000 | 0.000 | -0.000 | -0.000 | 0.000 |
| 0.000 | 0.000 | 0.000 | 0.000 | 0.000 | 0.000 |
| 0.000 | 0.000 | 0.000 | 0.000 | 0.000 | 0.000 |
| 0.000 | 0.000 | 0.000 | 0.000 | 0.000 | 0.000 |
| -0.000 | -0.000 | -0.000 | 0.000 | 0.000 | 0.000 |
| -0.000 | -0.000 | -0.000 | 0.000 | 0.000 | 0.000 |
| -0.000 | -0.000 | -0.000 | 0.000 | 0.000 | 0.000 |
| 0.000 | 0.000 | 0.000 | 0.000 | -0.000 | -0.000 |
| 0.000 | 0.000 | 0.000 | -0.000 | 0.000 | -0.000 |
| 0.000 | 0.000 | 0.000 | -0.000 | -0.000 | 0.000 |
| 0.000 | 0.000 | 0.000 | 0.000 | -0.000 | -0.000 |
| 0.000 | 0.000 | 0.000 | -0.000 | 0.000 | -0.000 |
| 0.000 | 0.000 | 0.000 | -0.000 | -0.000 | 0.000 |
| 0.000 | 0.000 | 0.000 | 0.000 | 0.000 | 0.000 |
| 0.000 | 0.000 | 0.000 | 0.000 | 0.000 | 0.000 |
| 0.000 | 0.000 | 0.000 | 0.000 | 0.000 | 0.000 |
| -0.000 | -0.000 | -0.000 | 0.000 | 0.000 | 0.000 |
| -0.000 | -0.000 | -0.000 | 0.000 | 0.000 | 0.000 |
| -0.000 | -0.000 | -0.000 | 0.000 | 0.000 | 0.000 |
| 0.000 | 0.000 | 0.000 | 0.000 | -0.000 | -0.000 |
| 0.000 | 0.000 | 0.000 | -0.000 | 0.000 | -0.000 |
| 0.000 | 0.000 | 0.000 | -0.000 | -0.000 | 0.000 |
| 0.000 | 0.000 | 0.000 | 0.000 | -0.000 | 0.000 |
| 0.000 | 0.000 | 0.000 | -0.000 | 0.000 | 0.000 |
| 0.000 | 0.000 | 0.000 | -0.000 | 0.000 | 0.000 |
| 0.000 | 0.000 | 0.000 | 0.000 | 0.000 | 0.000 |
| 0.000 | 0.000 | 0.000 | 0.000 | 0.000 | 0.000 |
| 0.000 | 0.000 | 0.000 | 0.000 | 0.000 | 0.000 |
| -0.000 | -0.000 | -0.000 | 0.000 | 0.000 | 0.000 |
| -0.000 | -0.000 | -0.000 | 0.000 | 0.000 | 0.000 |
| -0.000 | -0.000 | -0.000 | 0.000 | 0.000 | 0.000 |
| 0.000 | 0.000 | 0.000 | 0.000 | -0.000 | -0.000 |
| 0.000 | 0.000 | 0.000 | -0.000 | 0.000 | -0.000 |
| 0.000 | 0.000 | 0.000 | -0.000 | -0.000 | 0.000 |
| 0.000 | 0.000 | 0.000 | 0.000 | -0.000 | -0.000 |
| 0.000 | 0.000 | 0.000 | -0.000 | 0.000 | -0.000 |
| 0.000 | 0.000 | 0.000 | -0.000 | -0.000 | 0.000 |
| 0.000 | 0.000 | 0.000 | 0.000 | -0.000 | 0.000 |
| 0.000 | 0.000 | 0.000 | -0.000 | 0.000 | 0.000 |
| 0.000 | 0.000 | 0.000 | 0.000 | 0.000 | 0.000 |
| -0.000 | -0.000 | -0.000 | 0.000 | 0.000 | 0.000 |
| -0.000 | -0.000 | -0.000 | 0.000 | 0.000 | 0.000 |
| -0.000 | -0.000 | -0.000 | 0.000 | -0.000 | 0.000 |
| 0.000 | 0.000 | 0.000 | 0.000 | -0.000 | -0.000 |
| 0.000 | 0.000 | 0.000 | -0.000 | 0.000 | -0.000 |
| 0.000 | 0.000 | 0.000 | -0.000 | -0.000 | 0.000 |
| 0.000 | 0.000 | 0.000 | 0.000 | -0.000 | -0.000 |
| 0.000 | 0.000 | 0.000 | -0.000 | 0.000 | -0.000 |
| 0.000 | 0.000 | 0.000 | -0.000 | -0.000 | 0.000 |
| 0.000 | 0.000 | 0.000 | 0.000 | -0.000 | -0.000 |
| 0.000 | 0.000 | 0.000 | -0.000 | 0.000 | -0.000 |
| 0.000 | 0.000 | 0.000 | -0.000 | -0.000 | 0.000 |
| -0.000 | -0.000 | -0.000 | 0.000 | 0.000 | -0.000 |
| -0.000 | -0.000 | -0.000 | 0.000 | 0.000 | -0.000 |
| -0.000 | -0.000 | -0.000 | 0.000 | -0.000 | 0.000 |
| 0.000 | 0.000 | 0.000 | 0.000 | -0.000 | -0.000 |
| 0.000 | 0.000 | 0.000 | -0.000 | 0.000 | -0.000 |
| 0.000 | 0.000 | 0.000 | -0.000 | -0.000 | 0.000 |
| 0.000 | 0.000 | 0.000 | 0.000 | -0.000 | -0.000 |
| 0.000 | 0.000 | 0.000 | -0.000 | 0.000 | -0.000 |
| 0.000 | 0.000 | 0.000 | -0.000 | -0.000 | 0.000 |
| 0.000 | 0.000 | 0.000 | -0.000 | 0.000 | 0.000 |
| 0.000 | 0.000 | 0.000 | 0.000 | -0.000 | 0.000 |
| 0.000 | 0.000 | 0.000 | 0.000 | 0.000 | -0.000 |
| -0.000 | -0.000 | -0.000 | 0.000 | -0.000 | 0.000 |
| -0.000 | -0.000 | -0.000 | -0.000 | 0.000 | 0.000 |
| -0.000 | -0.000 | -0.000 | -0.000 | 0.000 | 0.000 |
| 0.000 | 0.000 | 0.000 | -0.000 | -0.000 | -0.000 |
| 0.000 | 0.000 | 0.000 | -0.000 | -0.000 | -0.000 |
| 0.000 | 0.000 | 0.000 | 0.000 | 0.000 | -0.000 |
| 0.000 | 0.000 | 0.000 | 0.000 | 0.000 | -0.000 |
| 0.000 | 0.000 | 0.000 | 0.000 | 0.000 | -0.000 |
| 0.000 | 0.000 | 0.000 | 0.000 | -0.000 | 0.000 |
| 0.000 | 0.000 | 0.000 | -0.000 | 0.000 | 0.000 |
| 0.000 | 0.000 | 0.000 | 0.000 | -0.000 | 0.000 |
| 0.000 | 0.000 | 0.000 | 0.000 | 0.000 | -0.000 |
| -0.000 | -0.000 | -0.000 | 0.000 | 0.000 | -0.000 |
| -0.000 | -0.000 | -0.000 | 0.000 | 0.000 | -0.000 |
| -0.000 | -0.000 | -0.000 | 0.000 | -0.000 | 0.000 |
| 0.000 | 0.000 | 0.000 | -0.000 | -0.000 | -0.000 |
| 0.000 | 0.000 | 0.000 | -0.000 | -0.000 | -0.000 |
| 0.000 | 0.000 | 0.000 | -0.000 | -0.000 | -0.000 |
| 0.000 | 0.000 | 0.000 | 0.000 | 0.000 | -0.000 |
| 0.000 | 0.000 | 0.000 | 0.000 | 0.000 | -0.000 |
| 0.000 | 0.000 | 0.000 | 0.000 | -0.000 | 0.000 |
| 0.000 | 0.000 | 0.000 | 0.000 | -0.000 | 0.000 |
| 0.000 | 0.000 | 0.000 | -0.000 | 0.000 | 0.000 |
| 0.000 | 0.000 | 0.000 | 0.000 | 0.000 | 0.000 |
| -0.000 | -0.000 | -0.000 | 0.000 | -0.000 | 0.000 |
| -0.000 | -0.000 | -0.000 | -0.000 | 0.000 | 0.000 |
| -0.000 | -0.000 | -0.000 | -0.000 | -0.000 | 0.000 |
| 0.000 | 0.000 | 0.000 | -0.000 | 0.000 | 0.000 |
| 0.000 | 0.000 | 0.000 | 0.000 | -0.000 | 0.000 |
| 0.000 | 0.000 | 0.000 | 0.000 | 0.000 | -0.000 |
| 0.000 | 0.000 | 0.000 | 0.000 | 0.000 | 0.000 |
| 0.000 | 0.000 | 0.000 | 0.000 | 0.000 | 0.000 |
| 0.000 | 0.000 | 0.000 | 0.000 | 0.000 | 0.000 |
| 0.000 | 0.000 | 0.000 | -0.000 | -0.000 | -0.000 |
| 0.000 | 0.000 | 0.000 | -0.000 | -0.000 | -0.000 |
| 0.000 | 0.000 | 0.000 | -0.000 | -0.000 | -0.000 |
| -0.000 | -0.000 | -0.000 | 0.000 | 0.000 | -0.000 |
| -0.000 | -0.000 | -0.000 | 0.000 | 0.000 | -0.000 |
| -0.000 | -0.000 | -0.000 | 0.000 | -0.000 | 0.000 |
| 0.000 | 0.000 | 0.000 | -0.000 | 0.000 | 0.000 |
| 0.000 | 0.000 | 0.000 | 0.000 | -0.000 | 0.000 |
| 0.000 | 0.000 | 0.000 | 0.000 | 0.000 | -0.000 |
| 0.000 | 0.000 | 0.000 | 0.000 | 0.000 | 0.000 |
| 0.000 | 0.000 | 0.000 | 0.000 | 0.000 | 0.000 |
| 0.000 | 0.000 | 0.000 | 0.000 | 0.000 | 0.000 |
| 0.000 | 0.000 | 0.000 | 0.000 | -0.000 | -0.000 |
| 0.000 | 0.000 | 0.000 | -0.000 | 0.000 | -0.000 |
| 0.000 | 0.000 | 0.000 | -0.000 | -0.000 | 0.000 |
| -0.000 | -0.000 | -0.000 | 0.000 | 0.000 | -0.000 |
| -0.000 | -0.000 | -0.000 | 0.000 | 0.000 | -0.000 |
| -0.000 | -0.000 | -0.000 | 0.000 | -0.000 | 0.000 |
| 0.000 | 0.000 | 0.000 | -0.000 | 0.000 | 0.000 |
| 0.000 | 0.000 | 0.000 | 0.000 | -0.000 | 0.000 |
| 0.000 | 0.000 | 0.000 | 0.000 | 0.000 | -0.000 |
| 0.000 | 0.000 | 0.000 | 0.000 | 0.000 | 0.000 |
| 0.000 | 0.000 | 0.000 | 0.000 | 0.000 | 0.000 |
| 0.000 | 0.000 | 0.000 | 0.000 | 0.000 | 0.000 |
| 0.000 | 0.000 | 0.000 | -0.000 | -0.000 | -0.000 |
| 0.000 | 0.000 | 0.000 | -0.000 | -0.000 | -0.000 |
| 0.000 | 0.000 | 0.000 | -0.000 | -0.000 | -0.000 |
| -0.000 | -0.000 | -0.000 | 0.000 | -0.000 | -0.000 |
| -0.000 | -0.000 | -0.000 | -0.000 | 0.000 | -0.000 |
| -0.000 | -0.000 | -0.000 | -0.000 | -0.000 | 0.000 |
| 0.000 | 0.000 | 0.000 | -0.000 | -0.000 | -0.000 |
| 0.000 | 0.000 | 0.000 | -0.000 | -0.000 | -0.000 |
| 0.000 | 0.000 | 0.000 | -0.000 | -0.000 | -0.000 |
| 0.000 | 0.000 | 0.000 | 0.000 | -0.000 | -0.000 |
| 0.000 | 0.000 | 0.000 | -0.000 | 0.000 | -0.000 |
| 0.000 | 0.000 | 0.000 | -0.000 | -0.000 | 0.000 |
| 0.000 | 0.000 | 0.000 | 0.000 | 0.000 | 0.000 |
| 0.000 | 0.000 | 0.000 | 0.000 | 0.000 | 0.000 |
| 0.000 | 0.000 | 0.000 | 0.000 | 0.000 | 0.000 |
| -0.000 | -0.000 | -0.000 | 0.000 | 0.000 | 0.000 |
| -0.000 | -0.000 | -0.000 | 0.000 | 0.000 | 0.000 |
| -0.000 | -0.000 | -0.000 | 0.000 | 0.000 | 0.000 |
| 0.000 | 0.000 | 0.000 | -0.000 | -0.000 | -0.000 |
| 0.000 | 0.000 | 0.000 | -0.000 | -0.000 | -0.000 |
| 0.000 | 0.000 | 0.000 | -0.000 | -0.000 | -0.000 |
| 0.000 | 0.000 | 0.000 | 0.000 | -0.000 | -0.000 |
| 0.000 | 0.000 | 0.000 | -0.000 | 0.000 | -0.000 |
| 0.000 | 0.000 | 0.000 | -0.000 | -0.000 | 0.000 |
| 0.000 | 0.000 | 0.000 | 0.000 | 0.000 | 0.000 |
| 0.000 | 0.000 | 0.000 | 0.000 | 0.000 | 0.000 |
| 0.000 | 0.000 | 0.000 | 0.000 | 0.000 | 0.000 |
| -0.000 | -0.000 | -0.000 | 0.000 | 0.000 | 0.000 |
| -0.000 | -0.000 | -0.000 | 0.000 | 0.000 | 0.000 |
| -0.000 | -0.000 | -0.000 | 0.000 | 0.000 | 0.000 |
| 0.000 | 0.000 | 0.000 | -0.000 | -0.000 | -0.000 |
| 0.000 | 0.000 | 0.000 | -0.000 | -0.000 | -0.000 |
| 0.000 | 0.000 | 0.000 | -0.000 | -0.000 | -0.000 |
| 0.000 | 0.000 | 0.000 | 0.000 | -0.000 | -0.000 |
| 0.000 | 0.000 | 0.000 | -0.000 | 0.000 | -0.000 |
| 0.000 | 0.000 | 0.000 | -0.000 | -0.000 | 0.000 |
| 0.000 | 0.000 | 0.000 | 0.000 | 0.000 | 0.000 |
| 0.000 | 0.000 | 0.000 | 0.000 | 0.000 | 0.000 |
| 0.000 | 0.000 | 0.000 | 0.000 | 0.000 | 0.000 |
| -0.000 | -0.000 | -0.000 | 0.000 | 0.000 | 0.000 |
| -0.000 | -0.000 | -0.000 | 0.000 | 0.000 | 0.000 |
| -0.000 | -0.000 | -0.000 | 0.000 | 0.000 | 0.000 |
| 0.000 | 0.000 | 0.000 | -0.000 | -0.000 | -0.000 |
| 0.000 | 0.000 | 0.000 | -0.000 | -0.000 | -0.000 |
| 0.000 | 0.000 | 0.000 | -0.000 | -0.000 | -0.000 |
| 0.000 | 0.000 | 0.000 | 0.000 | -0.000 | -0.000 |
| 0.000 | 0.000 | 0.000 | -0.000 | 0.000 | -0.000 |
| 0.000 | 0.000 | 0.000 | -0.000 | -0.000 | 0.000 |
| 0.000 | 0.000 | 0.000 | 0.000 | 0.000 | 0.000 |
| 0.000 | 0.000 | 0.000 | 0.000 | 0.000 | 0.000 |
| 0.000 | 0.000 | 0.000 | 0.000 | 0.000 | 0.000 |
| -0.000 | -0.000 | -0.000 | 0.000 | 0.000 | 0.000 |
| -0.000 | -0.000 | -0.000 | 0.000 | 0.000 | 0.000 |
| -0.000 | -0.000 | -0.000 | 0.000 | 0.000 | 0.000 |
| 0.000 | 0.000 | 0.000 | -0.000 | -0.000 | -0.000 |
| 0.000 | 0.000 | 0.000 | -0.000 | -0.000 | -0.000 |
| 0.000 | 0.000 | 0.000 | -0.000 | -0.000 | -0.000 |
| 0.000 | 0.000 | 0.000 | 0.000 | -0.000 | -0.000 |
| 0.000 | 0.000 | 0.000 | -0.000 | 0.000 | -0.000 |
| 0.000 | 0.000 | 0.000 | -0.000 | -0.000 | 0.000 |
| 0.000 | 0.000 | 0.000 | -0.000 | 0.000 | 0.000 |
| 0.000 | 0.000 | 0.000 | 0.000 | -0.000 | 0.000 |
| 0.000 | 0.000 | 0.000 | 0.000 | 0.000 | -0.000 |
| -0.000 | -0.000 | -0.000 | 0.000 | -0.000 | 0.000 |
| -0.000 | -0.000 | -0.000 | -0.000 | 0.000 | 0.000 |
| -0.000 | -0.000 | -0.000 | -0.000 | 0.000 | 0.000 |
| 0.000 | 0.000 | 0.000 | -0.000 | -0.000 | -0.000 |
| 0.000 | 0.000 | 0.000 | -0.000 | -0.000 | -0.000 |
| 0.000 | 0.000 | 0.000 | -0.000 | -0.000 | -0.000 |
| 0.000 | 0.000 | 0.000 | 0.000 | -0.000 | -0.000 |
| 0.000 | 0.000 | 0.000 | -0.000 | 0.000 | -0.000 |
| 0.000 | 0.000 | 0.000 | -0.000 | -0.000 | 0.000 |
| 0.000 | 0.000 | 0.000 | 0.000 | 0.000 | 0.000 |
| 0.000 | 0.000 | 0.000 | 0.000 | 0.000 | 0.000 |
| 0.000 | 0.000 | 0.000 | 0.000 | 0.000 | 0.000 |
| -0.000 | -0.000 | -0.000 | 0.000 | -0.000 | 0.000 |
| -0.000 | -0.000 | -0.000 | -0.000 | 0.000 | 0.000 |
| -0.000 | -0.000 | -0.000 | -0.000 | 0.000 | 0.000 |
| 0.000 | 0.000 | 0.000 | -0.000 | -0.000 | -0.000 |
| 0.000 | 0.000 | 0.000 | -0.000 | -0.000 | -0.000 |
| 0.000 | 0.000 | 0.000 | -0.000 | -0.000 | -0.000 |
| 0.000 | 0.000 | 0.000 | 0.000 | 0.000 | -0.000 |
| 0.000 | 0.000 | 0.000 | 0.000 | 0.000 | -0.000 |
| 0.000 | 0.000 | 0.000 | 0.000 | -0.000 | 0.000 |
| 0.000 | 0.000 | 0.000 | 0.000 | 0.000 | 0.000 |
| 0.000 | 0.000 | 0.000 | 0.000 | 0.000 | 0.000 |
| 0.000 | 0.000 | 0.000 | 0.000 | 0.000 | 0.000 |
| -0.000 | -0.000 | -0.000 | 0.000 | 0.000 | 0.000 |
| -0.000 | -0.000 | -0.000 | 0.000 | 0.000 | 0.000 |
| -0.000 | -0.000 | -0.000 | 0.000 | 0.000 | 0.000 |
| 0.000 | 0.000 | 0.000 | -0.000 | -0.000 | -0.000 |
| 0.000 | 0.000 | 0.000 | -0.000 | -0.000 | -0.000 |
| 0.000 | 0.000 | 0.000 | -0.000 | -0.000 | -0.000 |
| 0.000 | 0.000 | 0.000 | 0.000 | -0.000 | -0.000 |
| 0.000 | 0.000 | 0.000 | -0.000 | 0.000 | -0.000 |
| 0.000 | 0.000 | 0.000 | -0.000 | -0.000 | 0.000 |
| 0.000 | 0.000 | 0.000 | 0.000 | 0.000 | 0.000 |
| 0.000 | 0.000 | 0.000 | 0.000 | 0.000 | 0.000 |
| 0.000 | 0.000 | 0.000 | 0.000 | 0.000 | 0.000 |
| -0.000 | -0.000 | -0.000 | 0.000 | 0.000 | 0.000 |
| -0.000 | -0.000 | -0.000 | 0.000 | 0.000 | 0.000 |
| -0.000 | -0.000 | -0.000 | 0.000 | 0.000 | 0.000 |
| 0.000 | 0.000 | 0.000 | -0.000 | -0.000 | -0.000 |
| 0.000 | 0.000 | 0.000 | -0.000 | -0.000 | -0.000 |
| 0.000 | 0.000 | 0.000 | -0.000 | -0.000 | -0.000 |
| 0.000 | 0.000 | 0.000 | 0.000 | -0.000 | -0.000 |
| 0.000 | 0.000 | 0.000 | -0.000 | 0.000 | -0.000 |
| 0.000 | 0.000 | 0.000 | -0.000 | -0.000 | 0.000 |
| 0.000 | 0.000 | 0.000 | -0.000 | 0.000 | 0.000 |
| 0.000 | 0.000 | 0.000 | 0.000 | -0.000 | 0.000 |
| 0.000 | 0.000 | 0.000 | 0.000 | 0.000 | -0.000 |
| -0.000 | -0.000 | -0.000 | 0.000 | 0.000 | 0.000 |
| -0.000 | -0.000 | -0.000 | 0.000 | 0.000 | 0.000 |
| -0.000 | -0.000 | -0.000 | 0.000 | 0.000 | 0.000 |
| 0.000 | 0.000 | 0.000 | -0.000 | 0.000 | 0.000 |
| 0.000 | 0.000 | 0.000 | 0.000 | -0.000 | 0.000 |
| 0.000 | 0.000 | 0.000 | 0.000 | 0.000 | -0.000 |
| -0.000 | -0.000 | -0.000 | 0.000 | 0.000 | 0.000 |
| -0.000 | -0.000 | -0.000 | 0.000 | 0.000 | 0.000 |
| -0.000 | -0.000 | -0.000 | 0.000 | 0.000 | 0.000 |
| 0.000 | 0.000 | 0.000 | -0.000 | -0.000 | -0.000 |
| 0.000 | 0.000 | 0.000 | -0.000 | -0.000 | -0.000 |
| 0.000 | 0.000 | 0.000 | -0.000 | -0.000 | -0.000 |
| 0.000 | 0.000 | 0.000 | 0.000 | -0.000 | -0.000 |
| 0.000 | 0.000 | 0.000 | 0.000 | 0.000 | -0.000 |
| 0.000 | 0.000 | 0.000 | 0.000 | -0.000 | 0.000 |
| 0.000 | 0.000 | 0.000 | -0.000 | 0.000 | 0.000 |
| 0.000 | 0.000 | 0.000 | 0.000 | -0.000 | 0.000 |
| 0.000 | 0.000 | 0.000 | 0.000 | 0.000 | -0.000 |
| -0.000 | -0.000 | -0.000 | 0.000 | 0.000 | 0.000 |
| -0.000 | -0.000 | -0.000 | 0.000 | 0.000 | 0.000 |
| -0.000 | -0.000 | -0.000 | 0.000 | 0.000 | 0.000 |
| 0.000 | 0.000 | 0.000 | -0.000 | -0.000 | -0.000 |
| 0.000 | 0.000 | 0.000 | -0.000 | -0.000 | -0.000 |
| 0.000 | 0.000 | 0.000 | -0.000 | -0.000 | -0.000 |
| 0.000 | 0.000 | 0.000 | 0.000 | -0.000 | -0.000 |
| 0.000 | 0.000 | 0.000 | -0.000 | 0.000 | -0.000 |
| 0.000 | 0.000 | 0.000 | -0.000 | -0.000 | 0.000 |
| 0.000 | 0.000 | 0.000 | 0.000 | 0.000 | 0.000 |
| 0.000 | 0.000 | 0.000 | 0.000 | 0.000 | 0.000 |
| 0.000 | 0.000 | 0.000 | 0.000 | 0.000 | 0.000 |
| -0.000 | -0.000 | -0.000 | 0.000 | 0.000 | 0.000 |
| -0.000 | -0.000 | -0.000 | 0.000 | 0.000 | 0.000 |
| -0.000 | -0.000 | -0.000 | 0.000 | 0.000 | 0.000 |
| 0.000 | 0.000 | 0.000 | -0.000 | -0.000 | -0.000 |
| 0.000 | 0.000 | 0.000 | -0.000 | -0.000 | -0.000 |
| 0.000 | 0.000 | 0.000 | -0.000 | -0.000 | -0.000 |
| 0.000 | 0.000 | 0.000 | 0.000 | -0.000 | -0.000 |
| 0.000 | 0.000 | 0.000 | -0.000 | 0.000 | -0.000 |
| 0.000 | 0.000 | 0.000 | -0.000 | -0.000 | 0.000 |
| 0.000 | 0.000 | 0.000 | -0.000 | -0.000 | -0.000 |
| 0.000 | 0.000 | 0.000 | -0.000 | -0.000 | -0.000 |
| 0.000 | 0.000 | 0.000 | -0.000 | -0.000 | -0.000 |
| 0.000 | 0.000 | 0.000 | 0.000 | 0.000 | -0.000 |
| 0.000 | 0.000 | 0.000 | 0.000 | 0.000 | -0.000 |
| 0.000 | 0.000 | 0.000 | 0.000 | -0.000 | 0.000 |
| 0.000 | 0.000 | 0.000 | -0.000 | 0.000 | 0.000 |
| 0.000 | 0.000 | 0.000 | 0.000 | -0.000 | 0.000 |
| 0.000 | 0.000 | 0.000 | 0.000 | 0.000 | -0.000 |
| -0.000 | -0.000 | -0.000 | 0.000 | 0.000 | 0.000 |
| -0.000 | -0.000 | -0.000 | 0.000 | 0.000 | 0.000 |
| -0.000 | -0.000 | -0.000 | 0.000 | 0.000 | 0.000 |
| 0.000 | 0.000 | 0.000 | 0.000 | -0.000 | -0.000 |
| 0.000 | 0.000 | 0.000 | -0.000 | 0.000 | -0.000 |
| 0.000 | 0.000 | 0.000 | -0.000 | -0.000 | 0.000 |
| 0.000 | 0.000 | 0.000 | 0.000 | -0.000 | -0.000 |
| 0.000 | 0.000 | 0.000 | -0.000 | 0.000 | -0.000 |
| 0.000 | 0.000 | 0.000 | -0.000 | -0.000 | 0.000 |
| 0.000 | 0.000 | 0.000 | 0.000 | 0.000 | 0.000 |
| 0.000 | 0.000 | 0.000 | 0.000 | 0.000 | 0.000 |
| 0.000 | 0.000 | 0.000 | 0.000 | 0.000 | 0.000 |
| -0.000 | -0.000 | -0.000 | 0.000 | 0.000 | 0.000 |
| -0.000 | -0.000 | -0.000 | 0.000 | 0.000 | 0.000 |
| -0.000 | -0.000 | -0.000 | 0.000 | 0.000 | 0.000 |
| 0.000 | 0.000 | 0.000 | -0.000 | -0.000 | -0.000 |
| 0.000 | 0.000 | 0.000 | -0.000 | -0.000 | -0.000 |
| 0.000 | 0.000 | 0.000 | -0.000 | -0.000 | -0.000 |
| 0.000 | 0.000 | 0.000 | 0.000 | 0.000 | -0.000 |
| 0.000 | 0.000 | 0.000 | 0.000 | 0.000 | -0.000 |
| 0.000 | 0.000 | 0.000 | 0.000 | -0.000 | 0.000 |
| 0.000 | 0.000 | 0.000 | -0.000 | 0.000 | 0.000 |
| 0.000 | 0.000 | 0.000 | 0.000 | -0.000 | 0.000 |
| 0.000 | 0.000 | 0.000 | 0.000 | 0.000 | -0.000 |
| -0.000 | -0.000 | -0.000 | 0.000 | 0.000 | 0.000 |
| -0.000 | -0.000 | -0.000 | 0.000 | 0.000 | 0.000 |
| -0.000 | -0.000 | -0.000 | 0.000 | 0.000 | 0.000 |
| -0.000 | -0.000 | -0.000 | -0.000 | 0.000 | 0.000 |
| -0.000 | -0.000 | -0.000 | 0.000 | -0.000 | 0.000 |
| -0.000 | -0.000 | -0.000 | 0.000 | 0.000 | -0.000 |
| -0.000 | -0.000 | -0.000 | -0.000 | -0.000 | 0.000 |
| -0.000 | -0.000 | -0.000 | -0.000 | -0.000 | 0.000 |
| -0.000 | -0.000 | -0.000 | -0.000 | 0.000 | -0.000 |
| -0.000 | -0.000 | -0.000 | -0.000 | -0.000 | -0.000 |
| -0.000 | -0.000 | -0.000 | -0.000 | -0.000 | -0.000 |
| -0.000 | -0.000 | -0.000 | -0.000 | -0.000 | -0.000 |
| 0.000 | 0.000 | 0.000 | -0.000 | -0.000 | -0.000 |
| 0.000 | 0.000 | 0.000 | -0.000 | -0.000 | -0.000 |
| 0.000 | 0.000 | 0.000 | -0.000 | -0.000 | -0.000 |
| -0.000 | -0.000 | -0.000 | 0.000 | 0.000 | 0.000 |
| -0.000 | -0.000 | -0.000 | 0.000 | 0.000 | 0.000 |
| -0.000 | -0.000 | -0.000 | -0.000 | 0.000 | 0.000 |
| -0.000 | -0.000 | -0.000 | -0.000 | 0.000 | 0.000 |
| -0.000 | -0.000 | -0.000 | 0.000 | -0.000 | 0.000 |
| -0.000 | -0.000 | -0.000 | 0.000 | 0.000 | -0.000 |
| -0.000 | -0.000 | -0.000 | -0.000 | -0.000 | -0.000 |
| -0.000 | -0.000 | -0.000 | -0.000 | -0.000 | -0.000 |
| -0.000 | -0.000 | -0.000 | -0.000 | -0.000 | -0.000 |
| 0.000 | 0.000 | 0.000 | -0.000 | 0.000 | -0.000 |
| 0.000 | 0.000 | 0.000 | 0.000 | -0.000 | -0.000 |
| 0.000 | 0.000 | 0.000 | 0.000 | -0.000 | -0.000 |
| -0.000 | -0.000 | -0.000 | 0.000 | 0.000 | 0.000 |
| -0.000 | -0.000 | -0.000 | 0.000 | 0.000 | 0.000 |
| -0.000 | -0.000 | -0.000 | 0.000 | 0.000 | 0.000 |
| -0.000 | -0.000 | -0.000 | -0.000 | -0.000 | 0.000 |
| -0.000 | -0.000 | -0.000 | -0.000 | -0.000 | 0.000 |
| -0.000 | -0.000 | -0.000 | -0.000 | 0.000 | -0.000 |
| -0.000 | -0.000 | -0.000 | 0.000 | -0.000 | -0.000 |
| -0.000 | -0.000 | -0.000 | -0.000 | 0.000 | -0.000 |
| -0.000 | -0.000 | -0.000 | -0.000 | -0.000 | 0.000 |
| 0.000 | 0.000 | 0.000 | -0.000 | -0.000 | -0.000 |
| 0.000 | 0.000 | 0.000 | -0.000 | -0.000 | -0.000 |
| 0.000 | 0.000 | 0.000 | -0.000 | -0.000 | -0.000 |
| -0.000 | -0.000 | -0.000 | -0.000 | -0.000 | -0.000 |
| -0.000 | -0.000 | -0.000 | -0.000 | -0.000 | -0.000 |
| -0.000 | -0.000 | -0.000 | -0.000 | -0.000 | -0.000 |
| -0.000 | -0.000 | -0.000 | -0.000 | 0.000 | -0.000 |
| -0.000 | -0.000 | -0.000 | 0.000 | -0.000 | -0.000 |
| -0.000 | -0.000 | -0.000 | 0.000 | -0.000 | -0.000 |
| -0.000 | -0.000 | -0.000 | 0.000 | 0.000 | 0.000 |
| -0.000 | -0.000 | -0.000 | 0.000 | 0.000 | 0.000 |
| -0.000 | -0.000 | -0.000 | 0.000 | 0.000 | 0.000 |
| 0.000 | 0.000 | 0.000 | -0.000 | 0.000 | 0.000 |
| 0.000 | 0.000 | 0.000 | 0.000 | -0.000 | 0.000 |
| 0.000 | 0.000 | 0.000 | 0.000 | 0.000 | -0.000 |
| -0.000 | -0.000 | -0.000 | -0.000 | -0.000 | -0.000 |
| -0.000 | -0.000 | -0.000 | -0.000 | -0.000 | -0.000 |
| -0.000 | -0.000 | -0.000 | -0.000 | -0.000 | -0.000 |
| -0.000 | -0.000 | -0.000 | -0.000 | -0.000 | -0.000 |
| -0.000 | -0.000 | -0.000 | -0.000 | -0.000 | -0.000 |
| -0.000 | -0.000 | -0.000 | -0.000 | -0.000 | -0.000 |
| -0.000 | -0.000 | -0.000 | 0.000 | 0.000 | 0.000 |
| -0.000 | -0.000 | -0.000 | 0.000 | 0.000 | 0.000 |
| -0.000 | -0.000 | -0.000 | 0.000 | 0.000 | 0.000 |
| 0.000 | 0.000 | 0.000 | -0.000 | 0.000 | 0.000 |
| 0.000 | 0.000 | 0.000 | 0.000 | -0.000 | 0.000 |
| 0.000 | 0.000 | 0.000 | 0.000 | 0.000 | -0.000 |
| -0.000 | -0.000 | -0.000 | -0.000 | -0.000 | -0.000 |
| -0.000 | -0.000 | -0.000 | -0.000 | -0.000 | -0.000 |
| -0.000 | -0.000 | -0.000 | -0.000 | -0.000 | -0.000 |
| -0.000 | -0.000 | -0.000 | -0.000 | -0.000 | -0.000 |
| -0.000 | -0.000 | -0.000 | -0.000 | -0.000 | -0.000 |
| -0.000 | -0.000 | -0.000 | -0.000 | -0.000 | -0.000 |
| -0.000 | -0.000 | -0.000 | 0.000 | 0.000 | 0.000 |
| -0.000 | -0.000 | -0.000 | 0.000 | 0.000 | 0.000 |
| -0.000 | -0.000 | -0.000 | 0.000 | 0.000 | 0.000 |
| 0.000 | 0.000 | 0.000 | -0.000 | 0.000 | 0.000 |
| 0.000 | 0.000 | 0.000 | 0.000 | -0.000 | 0.000 |
| 0.000 | 0.000 | 0.000 | 0.000 | 0.000 | -0.000 |
| 0.000 | 0.000 | 0.000 | 0.000 | 0.000 | 0.000 |
| 0.000 | 0.000 | 0.000 | 0.000 | 0.000 | 0.000 |
| 0.000 | 0.000 | 0.000 | 0.000 | 0.000 | 0.000 |
| 0.000 | 0.000 | 0.000 | 0.000 | 0.000 | 0.000 |
| 0.000 | 0.000 | 0.000 | 0.000 | 0.000 | 0.000 |
| 0.000 | 0.000 | 0.000 | 0.000 | 0.000 | 0.000 |
| 0.000 | 0.000 | 0.000 | -0.000 | -0.000 | -0.000 |
| 0.000 | 0.000 | 0.000 | -0.000 | -0.000 | -0.000 |
| 0.000 | 0.000 | 0.000 | -0.000 | -0.000 | -0.000 |
| -0.000 | -0.000 | -0.000 | 0.000 | -0.000 | -0.000 |
| -0.000 | -0.000 | -0.000 | -0.000 | 0.000 | -0.000 |
| -0.000 | -0.000 | -0.000 | -0.000 | -0.000 | 0.000 |
| 0.000 | 0.000 | 0.000 | 0.000 | 0.000 | 0.000 |
| 0.000 | 0.000 | 0.000 | 0.000 | 0.000 | 0.000 |
| 0.000 | 0.000 | 0.000 | 0.000 | 0.000 | 0.000 |
| 0.000 | 0.000 | 0.000 | 0.000 | 0.000 | 0.000 |
| 0.000 | 0.000 | 0.000 | 0.000 | 0.000 | 0.000 |
| 0.000 | 0.000 | 0.000 | 0.000 | 0.000 | 0.000 |
| 0.000 | 0.000 | 0.000 | -0.000 | -0.000 | -0.000 |
| 0.000 | 0.000 | 0.000 | -0.000 | -0.000 | -0.000 |
| 0.000 | 0.000 | 0.000 | -0.000 | -0.000 | -0.000 |
| -0.000 | -0.000 | -0.000 | 0.000 | -0.000 | -0.000 |
| -0.000 | -0.000 | -0.000 | -0.000 | 0.000 | -0.000 |
| -0.000 | -0.000 | -0.000 | -0.000 | -0.000 | 0.000 |
| 0.000 | 0.000 | 0.000 | 0.000 | 0.000 | 0.000 |
| 0.000 | 0.000 | 0.000 | 0.000 | 0.000 | 0.000 |
| 0.000 | 0.000 | 0.000 | 0.000 | 0.000 | 0.000 |
| 0.000 | 0.000 | 0.000 | 0.000 | -0.000 | 0.000 |
| 0.000 | 0.000 | 0.000 | -0.000 | 0.000 | 0.000 |
| 0.000 | 0.000 | 0.000 | -0.000 | 0.000 | 0.000 |
| 0.000 | 0.000 | 0.000 | 0.000 | -0.000 | -0.000 |
| 0.000 | 0.000 | 0.000 | -0.000 | 0.000 | -0.000 |
| 0.000 | 0.000 | 0.000 | -0.000 | -0.000 | 0.000 |
| -0.000 | -0.000 | -0.000 | 0.000 | -0.000 | -0.000 |
| -0.000 | -0.000 | -0.000 | -0.000 | 0.000 | -0.000 |
| -0.000 | -0.000 | -0.000 | -0.000 | -0.000 | 0.000 |
| -0.000 | -0.000 | -0.000 | 0.000 | -0.000 | -0.000 |
| -0.000 | -0.000 | -0.000 | -0.000 | -0.000 | -0.000 |
| -0.000 | -0.000 | -0.000 | -0.000 | -0.000 | -0.000 |
| -0.000 | -0.000 | -0.000 | -0.000 | 0.000 | -0.000 |
| -0.000 | -0.000 | -0.000 | 0.000 | -0.000 | -0.000 |
| -0.000 | -0.000 | -0.000 | 0.000 | -0.000 | -0.000 |
| -0.000 | -0.000 | -0.000 | -0.000 | 0.000 | 0.000 |
| -0.000 | -0.000 | -0.000 | 0.000 | -0.000 | 0.000 |
| -0.000 | -0.000 | -0.000 | 0.000 | 0.000 | -0.000 |
| 0.000 | 0.000 | 0.000 | -0.000 | 0.000 | 0.000 |
| 0.000 | 0.000 | 0.000 | 0.000 | -0.000 | 0.000 |
| 0.000 | 0.000 | 0.000 | 0.000 | 0.000 | -0.000 |
| -0.000 | -0.000 | -0.000 | 0.000 | -0.000 | -0.000 |
| -0.000 | -0.000 | -0.000 | -0.000 | -0.000 | -0.000 |
| -0.000 | -0.000 | -0.000 | -0.000 | -0.000 | -0.000 |
| -0.000 | -0.000 | -0.000 | -0.000 | -0.000 | -0.000 |
| -0.000 | -0.000 | -0.000 | -0.000 | -0.000 | -0.000 |
| -0.000 | -0.000 | -0.000 | 0.000 | -0.000 | -0.000 |
| -0.000 | -0.000 | -0.000 | -0.000 | 0.000 | 0.000 |
| -0.000 | -0.000 | -0.000 | 0.000 | -0.000 | 0.000 |
| -0.000 | -0.000 | -0.000 | 0.000 | 0.000 | -0.000 |
| 0.000 | 0.000 | 0.000 | -0.000 | 0.000 | 0.000 |
| 0.000 | 0.000 | 0.000 | 0.000 | -0.000 | 0.000 |
| 0.000 | 0.000 | 0.000 | 0.000 | 0.000 | -0.000 |
| -0.000 | -0.000 | -0.000 | 0.000 | -0.000 | -0.000 |
| -0.000 | -0.000 | -0.000 | -0.000 | 0.000 | -0.000 |
| -0.000 | -0.000 | -0.000 | -0.000 | -0.000 | 0.000 |
| -0.000 | -0.000 | -0.000 | -0.000 | -0.000 | -0.000 |
| -0.000 | -0.000 | -0.000 | -0.000 | -0.000 | -0.000 |
| -0.000 | -0.000 | -0.000 | -0.000 | -0.000 | -0.000 |
| -0.000 | -0.000 | -0.000 | -0.000 | 0.000 | 0.000 |
| -0.000 | -0.000 | -0.000 | 0.000 | -0.000 | 0.000 |
| -0.000 | -0.000 | -0.000 | 0.000 | 0.000 | -0.000 |
| 0.000 | 0.000 | 0.000 | -0.000 | 0.000 | 0.000 |
| 0.000 | 0.000 | 0.000 | 0.000 | -0.000 | 0.000 |
| 0.000 | 0.000 | 0.000 | 0.000 | 0.000 | -0.000 |
| 0.000 | 0.000 | 0.000 | -0.000 | -0.000 | -0.000 |
| 0.000 | 0.000 | 0.000 | -0.000 | -0.000 | -0.000 |
| 0.000 | 0.000 | 0.000 | -0.000 | -0.000 | -0.000 |
| 0.000 | 0.000 | 0.000 | 0.000 | -0.000 | -0.000 |
| 0.000 | 0.000 | 0.000 | -0.000 | 0.000 | -0.000 |
| 0.000 | 0.000 | 0.000 | -0.000 | -0.000 | 0.000 |
| 0.000 | 0.000 | 0.000 | 0.000 | 0.000 | 0.000 |
| 0.000 | 0.000 | 0.000 | 0.000 | 0.000 | 0.000 |
| 0.000 | 0.000 | 0.000 | 0.000 | 0.000 | 0.000 |
| -0.000 | -0.000 | -0.000 | 0.000 | 0.000 | 0.000 |
| -0.000 | -0.000 | -0.000 | 0.000 | 0.000 | 0.000 |
| -0.000 | -0.000 | -0.000 | 0.000 | 0.000 | 0.000 |
| 0.000 | 0.000 | 0.000 | -0.000 | -0.000 | -0.000 |
| 0.000 | 0.000 | 0.000 | -0.000 | -0.000 | -0.000 |
| 0.000 | 0.000 | 0.000 | -0.000 | -0.000 | -0.000 |
| 0.000 | 0.000 | 0.000 | 0.000 | -0.000 | -0.000 |
| 0.000 | 0.000 | 0.000 | -0.000 | 0.000 | -0.000 |
| 0.000 | 0.000 | 0.000 | -0.000 | -0.000 | 0.000 |
| 0.000 | 0.000 | 0.000 | 0.000 | 0.000 | 0.000 |
| 0.000 | 0.000 | 0.000 | 0.000 | 0.000 | 0.000 |
| 0.000 | 0.000 | 0.000 | 0.000 | 0.000 | 0.000 |
| -0.000 | -0.000 | -0.000 | 0.000 | 0.000 | 0.000 |
| -0.000 | -0.000 | -0.000 | 0.000 | 0.000 | 0.000 |
| -0.000 | -0.000 | -0.000 | 0.000 | 0.000 | 0.000 |
| 0.000 | 0.000 | 0.000 | -0.000 | -0.000 | -0.000 |
| 0.000 | 0.000 | 0.000 | -0.000 | -0.000 | -0.000 |
| 0.000 | 0.000 | 0.000 | -0.000 | -0.000 | -0.000 |
| 0.000 | 0.000 | 0.000 | 0.000 | -0.000 | -0.000 |
| 0.000 | 0.000 | 0.000 | -0.000 | 0.000 | -0.000 |
| 0.000 | 0.000 | 0.000 | -0.000 | -0.000 | 0.000 |
| 0.000 | 0.000 | 0.000 | 0.000 | 0.000 | 0.000 |
| 0.000 | 0.000 | 0.000 | 0.000 | 0.000 | 0.000 |
| 0.000 | 0.000 | 0.000 | 0.000 | 0.000 | 0.000 |
| -0.000 | -0.000 | -0.000 | 0.000 | 0.000 | 0.000 |
| -0.000 | -0.000 | -0.000 | 0.000 | 0.000 | 0.000 |
| -0.000 | -0.000 | -0.000 | 0.000 | 0.000 | 0.000 |
| 0.000 | 0.000 | 0.000 | 0.000 | -0.000 | -0.000 |
| 0.000 | 0.000 | 0.000 | -0.000 | 0.000 | -0.000 |
| 0.000 | 0.000 | 0.000 | -0.000 | -0.000 | 0.000 |
| 0.000 | 0.000 | 0.000 | 0.000 | -0.000 | -0.000 |
| 0.000 | 0.000 | 0.000 | -0.000 | 0.000 | -0.000 |
| 0.000 | 0.000 | 0.000 | -0.000 | -0.000 | 0.000 |
| 0.000 | 0.000 | 0.000 | -0.000 | 0.000 | 0.000 |
| 0.000 | 0.000 | 0.000 | 0.000 | -0.000 | 0.000 |
| 0.000 | 0.000 | 0.000 | 0.000 | 0.000 | -0.000 |
| -0.000 | -0.000 | -0.000 | 0.000 | 0.000 | 0.000 |
| -0.000 | -0.000 | -0.000 | 0.000 | 0.000 | 0.000 |
| -0.000 | -0.000 | -0.000 | 0.000 | 0.000 | 0.000 |
| 0.000 | 0.000 | 0.000 | 0.000 | -0.000 | -0.000 |
| 0.000 | 0.000 | 0.000 | -0.000 | 0.000 | -0.000 |
| 0.000 | 0.000 | 0.000 | -0.000 | -0.000 | 0.000 |
| 0.000 | 0.000 | 0.000 | 0.000 | -0.000 | -0.000 |
| 0.000 | 0.000 | 0.000 | -0.000 | 0.000 | -0.000 |
| 0.000 | 0.000 | 0.000 | -0.000 | -0.000 | 0.000 |
| 0.000 | 0.000 | 0.000 | 0.000 | 0.000 | 0.000 |
| 0.000 | 0.000 | 0.000 | 0.000 | 0.000 | 0.000 |
| 0.000 | 0.000 | 0.000 | 0.000 | 0.000 | 0.000 |
| -0.000 | -0.000 | -0.000 | 0.000 | 0.000 | 0.000 |
| -0.000 | -0.000 | -0.000 | 0.000 | 0.000 | 0.000 |
| -0.000 | -0.000 | -0.000 | 0.000 | 0.000 | 0.000 |
| 0.000 | 0.000 | 0.000 | 0.000 | -0.000 | -0.000 |
| 0.000 | 0.000 | 0.000 | -0.000 | 0.000 | -0.000 |
| 0.000 | 0.000 | 0.000 | -0.000 | -0.000 | 0.000 |
| 0.000 | 0.000 | 0.000 | 0.000 | -0.000 | -0.000 |
| 0.000 | 0.000 | 0.000 | -0.000 | 0.000 | -0.000 |
| 0.000 | 0.000 | 0.000 | -0.000 | -0.000 | 0.000 |
| 0.000 | 0.000 | 0.000 | 0.000 | 0.000 | 0.000 |
| 0.000 | 0.000 | 0.000 | 0.000 | 0.000 | 0.000 |
| 0.000 | 0.000 | 0.000 | 0.000 | 0.000 | 0.000 |
| -0.000 | -0.000 | -0.000 | 0.000 | 0.000 | 0.000 |
| -0.000 | -0.000 | -0.000 | 0.000 | 0.000 | 0.000 |
| -0.000 | -0.000 | -0.000 | 0.000 | 0.000 | 0.000 |
| 0.000 | 0.000 | 0.000 | 0.000 | 0.000 | 0.000 |
| 0.000 | 0.000 | 0.000 | 0.000 | 0.000 | 0.000 |
| 0.000 | 0.000 | 0.000 | 0.000 | 0.000 | 0.000 |
| 0.000 | 0.000 | 0.000 | 0.000 | 0.000 | 0.000 |
| 0.000 | 0.000 | 0.000 | 0.000 | 0.000 | 0.000 |
| 0.000 | 0.000 | 0.000 | 0.000 | 0.000 | 0.000 |
| 0.000 | 0.000 | 0.000 | 0.000 | 0.000 | 0.000 |
| 0.000 | 0.000 | 0.000 | 0.000 | 0.000 | 0.000 |
| 0.000 | 0.000 | 0.000 | 0.000 | 0.000 | 0.000 |
| -0.000 | -0.000 | -0.000 | 0.000 | 0.000 | -0.000 |
| -0.000 | -0.000 | -0.000 | 0.000 | 0.000 | -0.000 |
| -0.000 | -0.000 | -0.000 | 0.000 | 0.000 | 0.000 |
| 0.000 | 0.000 | 0.000 | -0.000 | 0.000 | 0.000 |
| 0.000 | 0.000 | 0.000 | 0.000 | -0.000 | 0.000 |
| 0.000 | 0.000 | 0.000 | 0.000 | 0.000 | -0.000 |
| 0.000 | 0.000 | 0.000 | 0.000 | 0.000 | 0.000 |
| 0.000 | 0.000 | 0.000 | 0.000 | 0.000 | 0.000 |
| 0.000 | 0.000 | 0.000 | 0.000 | 0.000 | 0.000 |
| 0.000 | 0.000 | 0.000 | -0.000 | -0.000 | -0.000 |
| 0.000 | 0.000 | 0.000 | -0.000 | -0.000 | -0.000 |
| 0.000 | 0.000 | 0.000 | -0.000 | -0.000 | -0.000 |
| -0.000 | -0.000 | -0.000 | 0.000 | -0.000 | -0.000 |
| -0.000 | -0.000 | -0.000 | -0.000 | 0.000 | -0.000 |
| -0.000 | -0.000 | -0.000 | -0.000 | -0.000 | 0.000 |
| 0.000 | 0.000 | 0.000 | 0.000 | 0.000 | 0.000 |
| 0.000 | 0.000 | 0.000 | 0.000 | 0.000 | 0.000 |
| 0.000 | 0.000 | 0.000 | 0.000 | 0.000 | 0.000 |
| 0.000 | 0.000 | 0.000 | 0.000 | 0.000 | 0.000 |
| 0.000 | 0.000 | 0.000 | 0.000 | 0.000 | 0.000 |
| 0.000 | 0.000 | 0.000 | 0.000 | 0.000 | 0.000 |
| 0.000 | 0.000 | 0.000 | -0.000 | 0.000 | -0.000 |
| 0.000 | 0.000 | 0.000 | 0.000 | -0.000 | -0.000 |
| 0.000 | 0.000 | 0.000 | 0.000 | 0.000 | -0.000 |
| -0.000 | -0.000 | -0.000 | 0.000 | 0.000 | 0.000 |
| -0.000 | -0.000 | -0.000 | 0.000 | 0.000 | 0.000 |
| -0.000 | -0.000 | -0.000 | 0.000 | 0.000 | 0.000 |
| 0.000 | 0.000 | 0.000 | 0.000 | 0.000 | 0.000 |
| 0.000 | 0.000 | 0.000 | 0.000 | 0.000 | 0.000 |
| 0.000 | 0.000 | 0.000 | 0.000 | 0.000 | 0.000 |
| 0.000 | 0.000 | 0.000 | 0.000 | 0.000 | 0.000 |
| 0.000 | 0.000 | 0.000 | 0.000 | 0.000 | 0.000 |
| 0.000 | 0.000 | 0.000 | 0.000 | 0.000 | 0.000 |
| 0.000 | 0.000 | 0.000 | -0.000 | -0.000 | -0.000 |
| 0.000 | 0.000 | 0.000 | -0.000 | -0.000 | -0.000 |
| 0.000 | 0.000 | 0.000 | -0.000 | -0.000 | -0.000 |
| -0.000 | -0.000 | -0.000 | 0.000 | -0.000 | -0.000 |
| -0.000 | -0.000 | -0.000 | -0.000 | 0.000 | -0.000 |
| -0.000 | -0.000 | -0.000 | -0.000 | -0.000 | 0.000 |
| 0.000 | 0.000 | 0.000 | 0.000 | 0.000 | 0.000 |
| 0.000 | 0.000 | 0.000 | 0.000 | 0.000 | 0.000 |
| 0.000 | 0.000 | 0.000 | 0.000 | 0.000 | 0.000 |
| 0.000 | 0.000 | 0.000 | 0.000 | 0.000 | 0.000 |
| 0.000 | 0.000 | 0.000 | 0.000 | 0.000 | 0.000 |
| 0.000 | 0.000 | 0.000 | 0.000 | 0.000 | 0.000 |
| 0.000 | 0.000 | 0.000 | -0.000 | -0.000 | -0.000 |
| 0.000 | 0.000 | 0.000 | -0.000 | -0.000 | -0.000 |
| 0.000 | 0.000 | 0.000 | -0.000 | -0.000 | -0.000 |
| -0.000 | -0.000 | -0.000 | 0.000 | -0.000 | -0.000 |
| -0.000 | -0.000 | -0.000 | -0.000 | 0.000 | -0.000 |
| -0.000 | -0.000 | -0.000 | -0.000 | -0.000 | 0.000 |
| 0.000 | 0.000 | 0.000 | 0.000 | 0.000 | 0.000 |
| 0.000 | 0.000 | 0.000 | 0.000 | 0.000 | 0.000 |
| 0.000 | 0.000 | 0.000 | 0.000 | 0.000 | 0.000 |
| 0.000 | 0.000 | 0.000 | 0.000 | 0.000 | 0.000 |
| 0.000 | 0.000 | 0.000 | 0.000 | 0.000 | 0.000 |
| 0.000 | 0.000 | 0.000 | 0.000 | 0.000 | 0.000 |
| 0.000 | 0.000 | 0.000 | -0.000 | -0.000 | -0.000 |
| 0.000 | 0.000 | 0.000 | -0.000 | -0.000 | -0.000 |
| 0.000 | 0.000 | 0.000 | -0.000 | -0.000 | -0.000 |
| -0.000 | -0.000 | -0.000 | 0.000 | -0.000 | -0.000 |
| -0.000 | -0.000 | -0.000 | -0.000 | 0.000 | -0.000 |
| -0.000 | -0.000 | -0.000 | -0.000 | -0.000 | 0.000 |
| -0.000 | -0.000 | -0.000 | 0.000 | 0.000 | 0.000 |
| -0.000 | -0.000 | -0.000 | 0.000 | 0.000 | 0.000 |
| -0.000 | -0.000 | -0.000 | 0.000 | 0.000 | 0.000 |
| 0.000 | 0.000 | 0.000 | -0.000 | -0.000 | 0.000 |
| 0.000 | 0.000 | 0.000 | -0.000 | -0.000 | 0.000 |
| 0.000 | 0.000 | 0.000 | -0.000 | 0.000 | -0.000 |
| -0.000 | -0.000 | -0.000 | -0.000 | -0.000 | -0.000 |
| -0.000 | -0.000 | -0.000 | -0.000 | -0.000 | -0.000 |
| -0.000 | -0.000 | -0.000 | -0.000 | -0.000 | -0.000 |
| -0.000 | -0.000 | -0.000 | -0.000 | -0.000 | -0.000 |
| -0.000 | -0.000 | -0.000 | -0.000 | -0.000 | -0.000 |
| -0.000 | -0.000 | -0.000 | -0.000 | -0.000 | -0.000 |
| -0.000 | -0.000 | -0.000 | 0.000 | 0.000 | 0.000 |
| -0.000 | -0.000 | -0.000 | 0.000 | 0.000 | 0.000 |
| -0.000 | -0.000 | -0.000 | 0.000 | 0.000 | 0.000 |
| 0.000 | 0.000 | 0.000 | -0.000 | 0.000 | 0.000 |
| 0.000 | 0.000 | 0.000 | 0.000 | -0.000 | 0.000 |
| 0.000 | 0.000 | 0.000 | 0.000 | 0.000 | -0.000 |
| -0.000 | -0.000 | -0.000 | 0.000 | -0.000 | -0.000 |
| -0.000 | -0.000 | -0.000 | -0.000 | 0.000 | -0.000 |
| -0.000 | -0.000 | -0.000 | -0.000 | -0.000 | 0.000 |
| -0.000 | -0.000 | -0.000 | -0.000 | -0.000 | -0.000 |
| -0.000 | -0.000 | -0.000 | -0.000 | -0.000 | -0.000 |
| -0.000 | -0.000 | -0.000 | -0.000 | -0.000 | -0.000 |
| -0.000 | -0.000 | -0.000 | -0.000 | 0.000 | 0.000 |
| -0.000 | -0.000 | -0.000 | 0.000 | 0.000 | 0.000 |
| -0.000 | -0.000 | -0.000 | 0.000 | 0.000 | 0.000 |
| 0.000 | 0.000 | 0.000 | -0.000 | -0.000 | 0.000 |
| 0.000 | 0.000 | 0.000 | -0.000 | -0.000 | 0.000 |
| 0.000 | 0.000 | 0.000 | -0.000 | 0.000 | -0.000 |
| -0.000 | -0.000 | -0.000 | 0.000 | -0.000 | -0.000 |
| -0.000 | -0.000 | -0.000 | -0.000 | 0.000 | -0.000 |
| -0.000 | -0.000 | -0.000 | -0.000 | -0.000 | 0.000 |
| -0.000 | -0.000 | -0.000 | -0.000 | -0.000 | -0.000 |
| -0.000 | -0.000 | -0.000 | -0.000 | -0.000 | -0.000 |
| -0.000 | -0.000 | -0.000 | -0.000 | -0.000 | -0.000 |
| -0.000 | -0.000 | -0.000 | 0.000 | 0.000 | 0.000 |
| -0.000 | -0.000 | -0.000 | 0.000 | 0.000 | 0.000 |
| -0.000 | -0.000 | -0.000 | 0.000 | 0.000 | 0.000 |
| -0.000 | -0.000 | -0.000 | -0.000 | 0.000 | 0.000 |
| -0.000 | -0.000 | -0.000 | 0.000 | -0.000 | 0.000 |
| -0.000 | -0.000 | -0.000 | 0.000 | 0.000 | -0.000 |
| -0.000 | -0.000 | -0.000 | -0.000 | -0.000 | -0.000 |
| -0.000 | -0.000 | -0.000 | -0.000 | -0.000 | -0.000 |
| -0.000 | -0.000 | -0.000 | -0.000 | -0.000 | -0.000 |
| 0.000 | 0.000 | 0.000 | -0.000 | -0.000 | -0.000 |
| 0.000 | 0.000 | 0.000 | -0.000 | -0.000 | -0.000 |
| 0.000 | 0.000 | 0.000 | -0.000 | -0.000 | -0.000 |
| -0.000 | -0.000 | -0.000 | 0.000 | 0.000 | 0.000 |
| -0.000 | -0.000 | -0.000 | 0.000 | 0.000 | 0.000 |
| -0.000 | -0.000 | -0.000 | 0.000 | 0.000 | 0.000 |
| -0.000 | -0.000 | -0.000 | -0.000 | 0.000 | 0.000 |
| -0.000 | -0.000 | -0.000 | 0.000 | -0.000 | 0.000 |
| -0.000 | -0.000 | -0.000 | 0.000 | 0.000 | -0.000 |
| -0.000 | -0.000 | -0.000 | -0.000 | -0.000 | -0.000 |
| -0.000 | -0.000 | -0.000 | -0.000 | -0.000 | -0.000 |
| -0.000 | -0.000 | -0.000 | -0.000 | -0.000 | -0.000 |
| 0.000 | 0.000 | 0.000 | -0.000 | -0.000 | -0.000 |
| 0.000 | 0.000 | 0.000 | -0.000 | -0.000 | -0.000 |
| 0.000 | 0.000 | 0.000 | -0.000 | -0.000 | -0.000 |
| -0.000 | -0.000 | -0.000 | 0.000 | 0.000 | 0.000 |
| -0.000 | -0.000 | -0.000 | 0.000 | 0.000 | 0.000 |
| -0.000 | -0.000 | -0.000 | 0.000 | 0.000 | 0.000 |
| -0.000 | -0.000 | -0.000 | -0.000 | 0.000 | 0.000 |
| -0.000 | -0.000 | -0.000 | 0.000 | -0.000 | 0.000 |
| -0.000 | -0.000 | -0.000 | 0.000 | 0.000 | -0.000 |
| -0.000 | -0.000 | -0.000 | -0.000 | -0.000 | -0.000 |
| -0.000 | -0.000 | -0.000 | -0.000 | -0.000 | -0.000 |
| -0.000 | -0.000 | -0.000 | -0.000 | -0.000 | -0.000 |
| 0.000 | 0.000 | 0.000 | -0.000 | -0.000 | -0.000 |
| 0.000 | 0.000 | 0.000 | -0.000 | -0.000 | -0.000 |
| 0.000 | 0.000 | 0.000 | -0.000 | -0.000 | -0.000 |
| 0.000 | 0.000 | 0.000 | 0.000 | 0.000 | 0.000 |
| 0.000 | 0.000 | 0.000 | 0.000 | 0.000 | 0.000 |
| 0.000 | 0.000 | 0.000 | 0.000 | 0.000 | 0.000 |
| 0.000 | 0.000 | 0.000 | 0.000 | 0.000 | 0.000 |
| 0.000 | 0.000 | 0.000 | 0.000 | 0.000 | 0.000 |
| 0.000 | 0.000 | 0.000 | 0.000 | 0.000 | 0.000 |
| 0.000 | 0.000 | 0.000 | -0.000 | -0.000 | -0.000 |
| 0.000 | 0.000 | 0.000 | -0.000 | -0.000 | -0.000 |
| 0.000 | 0.000 | 0.000 | -0.000 | -0.000 | -0.000 |
| -0.000 | -0.000 | -0.000 | 0.000 | 0.000 | -0.000 |
| -0.000 | -0.000 | -0.000 | 0.000 | 0.000 | -0.000 |
| -0.000 | -0.000 | -0.000 | 0.000 | -0.000 | 0.000 |
| 0.000 | 0.000 | 0.000 | -0.000 | 0.000 | 0.000 |
| 0.000 | 0.000 | 0.000 | 0.000 | -0.000 | 0.000 |
| 0.000 | 0.000 | 0.000 | 0.000 | 0.000 | -0.000 |
| 0.000 | 0.000 | 0.000 | 0.000 | 0.000 | 0.000 |
| 0.000 | 0.000 | 0.000 | 0.000 | 0.000 | 0.000 |
| 0.000 | 0.000 | 0.000 | 0.000 | 0.000 | 0.000 |
| 0.000 | 0.000 | 0.000 | 0.000 | -0.000 | -0.000 |
| 0.000 | 0.000 | 0.000 | -0.000 | 0.000 | -0.000 |
| 0.000 | 0.000 | 0.000 | -0.000 | -0.000 | 0.000 |
| -0.000 | -0.000 | -0.000 | 0.000 | 0.000 | -0.000 |
| -0.000 | -0.000 | -0.000 | 0.000 | 0.000 | -0.000 |
| -0.000 | -0.000 | -0.000 | 0.000 | -0.000 | 0.000 |
| 0.000 | 0.000 | 0.000 | 0.000 | 0.000 | 0.000 |
| 0.000 | 0.000 | 0.000 | 0.000 | 0.000 | 0.000 |
| 0.000 | 0.000 | 0.000 | 0.000 | 0.000 | 0.000 |
| 0.000 | 0.000 | 0.000 | 0.000 | 0.000 | 0.000 |
| 0.000 | 0.000 | 0.000 | 0.000 | 0.000 | 0.000 |
| 0.000 | 0.000 | 0.000 | 0.000 | 0.000 | 0.000 |
| 0.000 | 0.000 | 0.000 | -0.000 | -0.000 | -0.000 |
| 0.000 | 0.000 | 0.000 | -0.000 | -0.000 | -0.000 |
| 0.000 | 0.000 | 0.000 | -0.000 | -0.000 | -0.000 |
| -0.000 | -0.000 | -0.000 | 0.000 | 0.000 | -0.000 |
| -0.000 | -0.000 | -0.000 | 0.000 | 0.000 | -0.000 |
| -0.000 | -0.000 | -0.000 | 0.000 | -0.000 | 0.000 |
| 0.000 | 0.000 | 0.000 | 0.000 | 0.000 | 0.000 |
| 0.000 | 0.000 | 0.000 | 0.000 | 0.000 | 0.000 |
| 0.000 | 0.000 | 0.000 | 0.000 | 0.000 | 0.000 |
| 0.000 | 0.000 | 0.000 | 0.000 | 0.000 | 0.000 |
| 0.000 | 0.000 | 0.000 | 0.000 | 0.000 | 0.000 |
| 0.000 | 0.000 | 0.000 | 0.000 | 0.000 | 0.000 |
| 0.000 | 0.000 | 0.000 | -0.000 | -0.000 | -0.000 |
| 0.000 | 0.000 | 0.000 | -0.000 | -0.000 | -0.000 |
| 0.000 | 0.000 | 0.000 | -0.000 | -0.000 | -0.000 |
| -0.000 | -0.000 | -0.000 | 0.000 | 0.000 | -0.000 |
| -0.000 | -0.000 | -0.000 | 0.000 | 0.000 | -0.000 |
| -0.000 | -0.000 | -0.000 | 0.000 | -0.000 | 0.000 |
| 0.000 | 0.000 | 0.000 | -0.000 | 0.000 | 0.000 |
| 0.000 | 0.000 | 0.000 | 0.000 | -0.000 | 0.000 |
| 0.000 | 0.000 | 0.000 | 0.000 | 0.000 | -0.000 |
| 0.000 | 0.000 | 0.000 | 0.000 | -0.000 | 0.000 |
| 0.000 | 0.000 | 0.000 | -0.000 | 0.000 | 0.000 |
| 0.000 | 0.000 | 0.000 | -0.000 | 0.000 | 0.000 |
| 0.000 | 0.000 | 0.000 | 0.000 | -0.000 | -0.000 |
| 0.000 | 0.000 | 0.000 | -0.000 | 0.000 | -0.000 |
| 0.000 | 0.000 | 0.000 | -0.000 | -0.000 | 0.000 |
| -0.000 | -0.000 | -0.000 | 0.000 | -0.000 | -0.000 |
| -0.000 | -0.000 | -0.000 | -0.000 | 0.000 | -0.000 |
| -0.000 | -0.000 | -0.000 | -0.000 | -0.000 | 0.000 |
| 0.000 | 0.000 | 0.000 | 0.000 | 0.000 | 0.000 |
| 0.000 | 0.000 | 0.000 | 0.000 | 0.000 | 0.000 |
| 0.000 | 0.000 | 0.000 | 0.000 | 0.000 | 0.000 |
| 0.000 | 0.000 | 0.000 | 0.000 | -0.000 | 0.000 |
| 0.000 | 0.000 | 0.000 | -0.000 | 0.000 | 0.000 |
| 0.000 | 0.000 | 0.000 | -0.000 | 0.000 | 0.000 |
| 0.000 | 0.000 | 0.000 | -0.000 | -0.000 | -0.000 |
| 0.000 | 0.000 | 0.000 | -0.000 | -0.000 | -0.000 |
| 0.000 | 0.000 | 0.000 | -0.000 | -0.000 | -0.000 |
| -0.000 | -0.000 | -0.000 | 0.000 | 0.000 | -0.000 |
| -0.000 | -0.000 | -0.000 | 0.000 | 0.000 | -0.000 |
| -0.000 | -0.000 | -0.000 | 0.000 | -0.000 | 0.000 |
| 196.223 | 10.285 | 28.440 | -0.000 | -0.000 | 0.000 |
| 10.285 | 196.223 | 28.440 | -0.000 | 0.000 | 0.000 |
| 28.440 | 28.440 | 208.036 | -0.000 | -0.000 | 0.000 |
| -0.000 | 0.000 | -0.000 | -47.198 | -0.000 | 0.000 |
| 0.000 | -0.000 | -0.000 | -0.000 | -47.198 | 0.000 |
| -0.000 | -0.000 | -0.000 | -0.000 | -0.000 | -36.494 |
| 196.223 | 10.285 | 28.440 | 0.000 | 0.000 | -0.000 |
| 10.285 | 196.223 | 28.440 | 0.000 | 0.000 | -0.000 |
| 28.440 | 28.440 | 208.036 | 0.000 | 0.000 | -0.000 |
| 0.000 | -0.000 | 0.000 | -47.198 | 0.000 | -0.000 |
| -0.000 | 0.000 | 0.000 | 0.000 | -47.198 | -0.000 |
| 0.000 | 0.000 | 0.000 | 0.000 | 0.000 | -36.494 |
| 196.223 | 10.285 | 28.440 | -0.000 | 0.000 | 0.000 |
| 10.285 | 196.223 | 28.440 | -0.000 | -0.000 | 0.000 |
| 28.440 | 28.440 | 208.036 | -0.000 | -0.000 | 0.000 |
| -0.000 | 0.000 | -0.000 | -47.198 | -0.000 | 0.000 |
| 0.000 | -0.000 | -0.000 | -0.000 | -47.198 | 0.000 |
| -0.000 | -0.000 | -0.000 | -0.000 | -0.000 | -36.494 |
| -616.501 | 823.010 | 28.441 | 0.000 | -0.000 | -0.000 |
| 823.010 | -616.501 | 28.441 | 0.000 | -0.000 | -0.000 |
| 28.440 | 28.440 | 208.036 | 0.000 | 0.000 | -0.000 |
| 0.000 | -0.000 | 0.000 | -47.198 | 0.000 | -0.000 |
| -0.000 | 0.000 | 0.000 | 0.000 | -47.198 | -0.000 |
| 0.000 | 0.000 | 0.000 | 0.000 | -0.000 | -36.494 |
| -12565.825 | 12772.069 | 27.132 | -0.001 | -0.000 | 0.000 |
| 12771.286 | -12565.042 | 27.132 | -0.000 | 0.000 | 0.000 |
| 28.440 | 28.440 | 208.036 | -0.000 | -0.000 | 0.000 |
| -0.000 | 0.000 | -0.000 | -47.198 | -0.000 | 0.000 |
| 0.000 | -0.000 | -0.000 | -0.000 | -47.198 | 0.000 |
| -0.000 | -0.000 | -0.000 | 0.000 | -0.000 | -36.494 |
| 7401689.848 | 9193214.001 | 3653983.647 | -16204.548 | 8624.384 | -181079.976 |
| 14649585.183 | 14981838.669 | 11961873.651 | -50212.968 | -155723.196 | 37997.833 |
| 28.441 | 28.441 | 208.036 | 0.000 | 0.000 | -0.000 |
| 0.000 | -0.000 | 0.000 | -47.198 | 0.000 | -0.000 |
| -0.000 | 0.000 | 0.000 | 0.000 | -47.198 | -0.000 |
| 0.000 | 0.000 | 0.000 | -0.000 | -0.000 | -36.494 |
| 0.000 | -0.000 | 0.000 | 0.000 | -0.000 | 0.000 |
| -0.000 | 0.000 | 0.000 | 0.000 | -0.000 | -0.000 |
| 0.000 | 0.000 | 0.000 | 0.000 | -0.000 | 0.000 |
| 0.000 | 0.000 | 0.000 | 0.000 | -0.000 | 0.000 |
| 0.000 | 0.000 | 0.000 | 0.000 | 0.000 | 0.000 |
| 0.000 | -0.000 | -0.000 | 0.000 | -0.000 | 0.000 |
| 0.000 | -0.000 | 0.000 | -0.000 | 0.000 | 0.000 |
| -0.000 | 0.000 | 0.000 | -0.000 | 0.000 | 0.000 |
| 0.000 | 0.000 | 0.000 | -0.000 | -0.000 | 0.000 |
| -0.000 | -0.000 | -0.000 | 0.000 | 0.000 | -0.000 |
| -0.000 | -0.000 | -0.000 | -0.000 | 0.000 | -0.000 |
| -0.000 | 0.000 | 0.000 | -0.000 | -0.000 | 0.000 |
| 0.000 | -0.000 | 0.000 | 0.000 | 0.000 | -0.000 |
| -0.000 | 0.000 | 0.000 | 0.000 | -0.000 | 0.000 |
| 0.000 | 0.000 | 0.000 | 0.000 | 0.000 | -0.000 |
| -0.000 | 0.000 | 0.000 | 0.000 | -0.000 | 0.000 |
| 0.000 | -0.000 | 0.000 | 0.000 | 0.000 | 0.000 |
| 0.000 | -0.000 | -0.000 | 0.000 | -0.000 | 0.000 |
| 0.000 | -0.000 | 0.000 | -0.000 | -0.000 | 0.000 |
| -0.000 | 0.000 | 0.000 | -0.000 | 0.000 | -0.000 |
| 0.000 | 0.000 | 0.000 | -0.000 | 0.000 | -0.000 |
| 0.000 | -0.000 | -0.000 | 0.000 | 0.000 | -0.000 |
| -0.000 | 0.000 | -0.000 | -0.000 | 0.000 | -0.000 |
| -0.000 | 0.000 | 0.000 | -0.000 | -0.000 | 0.000 |
| 0.000 | -0.000 | 0.000 | 0.000 | -0.000 | 0.000 |
| -0.000 | 0.000 | 0.000 | 0.000 | -0.000 | 0.000 |
| 0.000 | 0.000 | 0.000 | 0.000 | 0.000 | 0.000 |
| -0.000 | 0.000 | 0.000 | 0.000 | -0.000 | -0.000 |
| 0.000 | -0.000 | 0.000 | 0.000 | 0.000 | -0.000 |
| -0.000 | -0.000 | -0.000 | -0.000 | 0.000 | 0.000 |
| 0.000 | -0.000 | 0.000 | -0.000 | 0.000 | 0.000 |
| -0.000 | 0.000 | 0.000 | -0.000 | 0.000 | -0.000 |
| 0.000 | 0.000 | 0.000 | -0.000 | -0.000 | -0.000 |
| 0.000 | -0.000 | -0.000 | 0.000 | 0.000 | -0.000 |
| -0.000 | 0.000 | -0.000 | -0.000 | 0.000 | 0.000 |
| 0.000 | 0.000 | 0.000 | 0.000 | 0.000 | 0.000 |
| 0.000 | -0.000 | 0.000 | 0.000 | -0.000 | -0.000 |
| -0.000 | 0.000 | 0.000 | -0.000 | 0.000 | -0.000 |
| 0.000 | 0.000 | 0.000 | -0.000 | 0.000 | 0.000 |
| 0.000 | 0.000 | 0.000 | 0.000 | 0.000 | -0.000 |
| 0.000 | -0.000 | 0.000 | 0.000 | 0.000 | -0.000 |
| 0.000 | -0.000 | -0.000 | -0.000 | -0.000 | 0.000 |
| 0.000 | -0.000 | 0.000 | -0.000 | -0.000 | 0.000 |
| -0.000 | 0.000 | 0.000 | 0.000 | -0.000 | 0.000 |
| 0.000 | 0.000 | 0.000 | -0.000 | -0.000 | -0.000 |
| -0.000 | -0.000 | -0.000 | 0.000 | -0.000 | -0.000 |
| -0.000 | 0.000 | -0.000 | -0.000 | 0.000 | 0.000 |
| -0.000 | 0.000 | 0.000 | 0.000 | -0.000 | 0.000 |
| 0.000 | -0.000 | 0.000 | 0.000 | 0.000 | -0.000 |
| -0.000 | 0.000 | 0.000 | -0.000 | 0.000 | -0.000 |
| 0.000 | 0.000 | 0.000 | 0.000 | -0.000 | 0.000 |
| -0.000 | 0.000 | 0.000 | 0.000 | 0.000 | -0.000 |
| 0.000 | -0.000 | 0.000 | -0.000 | 0.000 | -0.000 |
| 0.000 | -0.000 | -0.000 | -0.000 | -0.000 | 0.000 |
| 0.000 | -0.000 | 0.000 | -0.000 | -0.000 | 0.000 |
| -0.000 | 0.000 | 0.000 | 0.000 | -0.000 | 0.000 |
| 0.000 | 0.000 | 0.000 | 0.000 | -0.000 | 0.000 |
| 0.000 | -0.000 | -0.000 | 0.000 | -0.000 | -0.000 |
| -0.000 | 0.000 | -0.000 | 0.000 | 0.000 | -0.000 |
| -0.000 | 0.000 | 0.000 | 0.000 | 0.000 | 0.000 |
| 0.000 | -0.000 | 0.000 | 0.000 | -0.000 | -0.000 |
| -0.000 | 0.000 | 0.000 | -0.000 | 0.000 | -0.000 |
| 0.000 | 0.000 | 0.000 | -0.000 | -0.000 | -0.000 |
| -0.000 | 0.000 | 0.000 | 0.000 | 0.000 | 0.000 |
| 0.000 | -0.000 | 0.000 | 0.000 | 0.000 | 0.000 |
| 0.000 | -0.000 | -0.000 | 0.000 | -0.000 | 0.000 |
| 0.000 | -0.000 | 0.000 | -0.000 | -0.000 | 0.000 |
| -0.000 | 0.000 | 0.000 | -0.000 | -0.000 | 0.000 |
| 0.000 | 0.000 | 0.000 | -0.000 | -0.000 | 0.000 |
| 0.000 | -0.000 | -0.000 | 0.000 | -0.000 | 0.000 |
| -0.000 | 0.000 | -0.000 | -0.000 | 0.000 | 0.000 |
| -0.000 | 0.000 | 0.000 | -0.000 | 0.000 | 0.000 |
| 0.000 | -0.000 | 0.000 | 0.000 | -0.000 | -0.000 |
| -0.000 | 0.000 | 0.000 | -0.000 | 0.000 | -0.000 |
| 0.000 | 0.000 | 0.000 | -0.000 | -0.000 | -0.000 |
| 0.000 | 0.000 | 0.000 | 0.000 | 0.000 | -0.000 |
| 0.000 | -0.000 | 0.000 | 0.000 | 0.000 | -0.000 |
| 0.000 | -0.000 | -0.000 | -0.000 | 0.000 | 0.000 |
| 0.000 | -0.000 | 0.000 | -0.000 | 0.000 | 0.000 |
| -0.000 | 0.000 | 0.000 | 0.000 | -0.000 | 0.000 |
| 0.000 | 0.000 | 0.000 | 0.000 | 0.000 | 0.000 |
| -0.000 | -0.000 | -0.000 | 0.000 | -0.000 | 0.000 |
| -0.000 | 0.000 | -0.000 | -0.000 | 0.000 | 0.000 |
| -0.000 | 0.000 | 0.000 | 0.000 | 0.000 | 0.000 |
| 0.000 | -0.000 | 0.000 | -0.000 | -0.000 | -0.000 |
| -0.000 | 0.000 | 0.000 | -0.000 | 0.000 | -0.000 |
| 0.000 | 0.000 | 0.000 | 0.000 | -0.000 | -0.000 |
| -0.000 | 0.000 | 0.000 | 0.000 | -0.000 | -0.000 |
| 0.000 | -0.000 | 0.000 | -0.000 | 0.000 | -0.000 |
| 0.000 | -0.000 | -0.000 | -0.000 | -0.000 | 0.000 |
| 0.000 | -0.000 | 0.000 | 0.000 | 0.000 | 0.000 |
| -0.000 | 0.000 | 0.000 | 0.000 | -0.000 | 0.000 |
| 0.000 | 0.000 | 0.000 | -0.000 | -0.000 | 0.000 |
| 0.000 | -0.000 | -0.000 | 0.000 | 0.000 | 0.000 |
| -0.000 | 0.000 | -0.000 | 0.000 | 0.000 | -0.000 |
| -0.000 | 0.000 | 0.000 | 0.000 | 0.000 | 0.000 |
| 0.000 | -0.000 | 0.000 | 0.000 | 0.000 | -0.000 |
| -0.000 | 0.000 | 0.000 | 0.000 | 0.000 | -0.000 |
| 0.000 | 0.000 | 0.000 | -0.000 | -0.000 | -0.000 |
| -0.000 | 0.000 | 0.000 | 0.000 | -0.000 | -0.000 |
| 0.000 | -0.000 | 0.000 | -0.000 | 0.000 | -0.000 |
| -0.000 | -0.000 | -0.000 | -0.000 | -0.000 | 0.000 |
| 0.000 | -0.000 | 0.000 | 0.000 | -0.000 | 0.000 |
| -0.000 | 0.000 | 0.000 | -0.000 | -0.000 | 0.000 |
| 0.000 | 0.000 | 0.000 | 0.000 | 0.000 | 0.000 |
| 0.000 | -0.000 | -0.000 | 0.000 | 0.000 | 0.000 |
| -0.000 | 0.000 | -0.000 | 0.000 | 0.000 | 0.000 |
| 0.000 | 0.000 | 0.000 | 0.000 | -0.000 | 0.000 |
| 0.000 | 0.000 | 0.000 | 0.000 | 0.000 | 0.000 |
| 0.000 | 0.000 | 0.000 | 0.000 | 0.000 | 0.000 |
| 0.000 | 0.000 | 0.000 | -0.000 | 0.000 | 0.000 |
| -0.000 | 0.000 | 0.000 | 0.000 | 0.000 | -0.000 |
| 0.000 | 0.000 | 0.000 | 0.000 | 0.000 | 0.000 |
| -0.000 | -0.000 | -0.000 | 0.000 | -0.000 | -0.000 |
| 0.000 | 0.000 | 0.000 | -0.000 | -0.000 | -0.000 |
| 0.000 | 0.000 | 0.000 | -0.000 | -0.000 | -0.000 |
| 0.000 | 0.000 | 0.000 | -0.000 | -0.000 | -0.000 |
| 0.000 | -0.000 | -0.000 | 0.000 | -0.000 | -0.000 |
| -0.000 | -0.000 | -0.000 | -0.000 | 0.000 | -0.000 |
| 0.000 | 0.000 | 0.000 | -0.000 | -0.000 | -0.000 |
| 0.000 | 0.000 | 0.000 | 0.000 | -0.000 | 0.000 |
| 0.000 | 0.000 | 0.000 | 0.000 | 0.000 | 0.000 |
| 0.000 | 0.000 | 0.000 | -0.000 | 0.000 | 0.000 |
| -0.000 | 0.000 | 0.000 | 0.000 | 0.000 | 0.000 |
| 0.000 | -0.000 | 0.000 | 0.000 | 0.000 | 0.000 |
| -0.000 | -0.000 | -0.000 | 0.000 | -0.000 | -0.000 |
| 0.000 | 0.000 | 0.000 | -0.000 | -0.000 | -0.000 |
| 0.000 | 0.000 | 0.000 | -0.000 | -0.000 | -0.000 |
| 0.000 | 0.000 | 0.000 | -0.000 | -0.000 | 0.000 |
| 0.000 | -0.000 | -0.000 | 0.000 | -0.000 | -0.000 |
| -0.000 | 0.000 | -0.000 | -0.000 | 0.000 | 0.000 |
| 0.000 | 0.000 | 0.000 | -0.000 | -0.000 | -0.000 |
| 0.000 | 0.000 | 0.000 | 0.000 | 0.000 | 0.000 |
| 0.000 | 0.000 | 0.000 | 0.000 | 0.000 | 0.000 |
| 0.000 | 0.000 | 0.000 | 0.000 | 0.000 | -0.000 |
| -0.000 | 0.000 | 0.000 | 0.000 | 0.000 | 0.000 |
| 0.000 | -0.000 | 0.000 | 0.000 | 0.000 | 0.000 |
| -0.000 | -0.000 | -0.000 | 0.000 | 0.000 | -0.000 |
| 0.000 | 0.000 | 0.000 | -0.000 | -0.000 | -0.000 |
| 0.000 | 0.000 | 0.000 | -0.000 | -0.000 | -0.000 |
| 0.000 | 0.000 | 0.000 | -0.000 | -0.000 | -0.000 |
| 0.000 | -0.000 | -0.000 | 0.000 | -0.000 | -0.000 |
| -0.000 | 0.000 | -0.000 | -0.000 | 0.000 | -0.000 |
| 0.000 | 0.000 | 0.000 | -0.000 | -0.000 | -0.000 |
| 0.000 | 0.000 | 0.000 | 0.000 | 0.000 | 0.000 |
| 0.000 | 0.000 | 0.000 | -0.000 | -0.000 | 0.000 |
| 0.000 | 0.000 | 0.000 | -0.000 | 0.000 | -0.000 |
| 0.000 | -0.000 | -0.000 | 0.000 | -0.000 | -0.000 |
| -0.000 | 0.000 | -0.000 | -0.000 | 0.000 | -0.000 |
| 0.000 | -0.000 | -0.000 | 0.000 | -0.000 | -0.000 |
| 0.000 | 0.000 | 0.000 | 0.000 | -0.000 | 0.000 |
| 0.000 | 0.000 | 0.000 | 0.000 | -0.000 | -0.000 |
| 0.000 | 0.000 | 0.000 | 0.000 | 0.000 | 0.000 |
| -0.000 | 0.000 | 0.000 | 0.000 | 0.000 | -0.000 |
| 0.000 | -0.000 | 0.000 | 0.000 | 0.000 | 0.000 |
| -0.000 | 0.000 | 0.000 | -0.000 | -0.000 | -0.000 |
| 0.000 | 0.000 | 0.000 | -0.000 | 0.000 | -0.000 |
| 0.000 | 0.000 | 0.000 | -0.000 | 0.000 | -0.000 |
| 0.000 | 0.000 | 0.000 | -0.000 | 0.000 | -0.000 |
| -0.000 | -0.000 | -0.000 | 0.000 | 0.000 | -0.000 |
| -0.000 | -0.000 | -0.000 | -0.000 | 0.000 | -0.000 |
| 0.000 | -0.000 | -0.000 | -0.000 | 0.000 | -0.000 |
| 0.000 | 0.000 | 0.000 | 0.000 | 0.000 | 0.000 |
| 0.000 | 0.000 | 0.000 | -0.000 | 0.000 | 0.000 |
| 0.000 | 0.000 | 0.000 | -0.000 | 0.000 | 0.000 |
| 0.000 | 0.000 | 0.000 | 0.000 | -0.000 | 0.000 |
| 0.000 | 0.000 | 0.000 | 0.000 | 0.000 | 0.000 |
| -0.000 | 0.000 | 0.000 | 0.000 | -0.000 | -0.000 |
| 0.000 | 0.000 | 0.000 | -0.000 | 0.000 | 0.000 |
| 0.000 | 0.000 | 0.000 | -0.000 | 0.000 | 0.000 |
| 0.000 | 0.000 | 0.000 | -0.000 | -0.000 | -0.000 |
| -0.000 | -0.000 | -0.000 | 0.000 | -0.000 | -0.000 |
| -0.000 | -0.000 | -0.000 | -0.000 | 0.000 | 0.000 |
| 0.000 | -0.000 | -0.000 | 0.000 | 0.000 | -0.000 |
| 0.000 | 0.000 | 0.000 | -0.000 | 0.000 | -0.000 |
| 0.000 | 0.000 | 0.000 | -0.000 | 0.000 | 0.000 |
| 0.000 | 0.000 | 0.000 | 0.000 | -0.000 | 0.000 |
| 0.000 | 0.000 | 0.000 | 0.000 | 0.000 | 0.000 |
| 0.000 | 0.000 | 0.000 | 0.000 | 0.000 | -0.000 |
| -0.000 | 0.000 | 0.000 | -0.000 | 0.000 | -0.000 |
| -0.000 | -0.000 | -0.000 | -0.000 | -0.000 | -0.000 |
| -0.000 | -0.000 | -0.000 | 0.000 | -0.000 | 0.000 |
| -0.000 | -0.000 | -0.000 | -0.000 | -0.000 | 0.000 |
| -0.000 | -0.000 | -0.000 | -0.000 | -0.000 | 0.000 |
| -0.000 | -0.000 | -0.000 | -0.000 | -0.000 | -0.000 |
| 0.000 | 0.000 | 0.000 | -0.000 | 0.000 | 0.000 |
| -0.000 | -0.000 | -0.000 | 0.000 | 0.000 | -0.000 |
| -0.000 | -0.000 | -0.000 | -0.000 | 0.000 | -0.000 |
| -0.000 | -0.000 | -0.000 | 0.000 | 0.000 | 0.000 |
| 0.000 | 0.000 | 0.000 | -0.000 | 0.000 | -0.000 |
| 0.000 | 0.000 | 0.000 | 0.000 | -0.000 | -0.000 |
| 0.000 | -0.000 | -0.000 | 0.000 | -0.000 | 0.000 |
| -0.000 | -0.000 | -0.000 | -0.000 | -0.000 | -0.000 |
| -0.000 | -0.000 | -0.000 | -0.000 | -0.000 | 0.000 |
| -0.000 | -0.000 | -0.000 | -0.000 | 0.000 | -0.000 |
| 0.000 | -0.000 | -0.000 | -0.000 | 0.000 | -0.000 |
| -0.000 | 0.000 | -0.000 | 0.000 | -0.000 | 0.000 |
| 0.000 | 0.000 | 0.000 | 0.000 | -0.000 | 0.000 |
| -0.000 | -0.000 | -0.000 | 0.000 | -0.000 | -0.000 |
| -0.000 | -0.000 | -0.000 | -0.000 | 0.000 | -0.000 |
| -0.000 | -0.000 | -0.000 | 0.000 | 0.000 | -0.000 |
| -0.000 | 0.000 | 0.000 | -0.000 | -0.000 | -0.000 |
| 0.000 | -0.000 | 0.000 | -0.000 | -0.000 | 0.000 |
| 0.000 | -0.000 | -0.000 | -0.000 | 0.000 | 0.000 |
| -0.000 | -0.000 | -0.000 | -0.000 | -0.000 | -0.000 |
| -0.000 | -0.000 | -0.000 | 0.000 | -0.000 | 0.000 |
| -0.000 | -0.000 | -0.000 | -0.000 | -0.000 | 0.000 |
| 0.000 | -0.000 | -0.000 | -0.000 | -0.000 | 0.000 |
| -0.000 | 0.000 | -0.000 | 0.000 | -0.000 | -0.000 |
| -0.000 | 0.000 | 0.000 | -0.000 | 0.000 | 0.000 |
| -0.000 | -0.000 | -0.000 | 0.000 | 0.000 | -0.000 |
| -0.000 | -0.000 | -0.000 | 0.000 | 0.000 | -0.000 |
| -0.000 | -0.000 | -0.000 | 0.000 | 0.000 | -0.000 |
| -0.000 | 0.000 | 0.000 | -0.000 | 0.000 | -0.000 |
| 0.000 | -0.000 | 0.000 | -0.000 | -0.000 | -0.000 |
| 0.000 | -0.000 | -0.000 | 0.000 | 0.000 | 0.000 |
| -0.000 | 0.000 | -0.000 | 0.000 | -0.000 | -0.000 |
| -0.000 | -0.000 | -0.000 | -0.000 | 0.000 | -0.000 |
| -0.000 | -0.000 | -0.000 | -0.000 | -0.000 | 0.000 |
| -0.000 | -0.000 | -0.000 | -0.000 | 0.000 | -0.000 |
| -0.000 | 0.000 | -0.000 | 0.000 | -0.000 | -0.000 |
| -0.000 | 0.000 | 0.000 | 0.000 | 0.000 | 0.000 |
| -0.000 | -0.000 | -0.000 | -0.000 | -0.000 | -0.000 |
| 0.000 | -0.000 | -0.000 | 0.000 | -0.000 | -0.000 |
| -0.000 | -0.000 | -0.000 | 0.000 | -0.000 | 0.000 |
| 0.000 | 0.000 | 0.000 | -0.000 | -0.000 | -0.000 |
| 0.000 | -0.000 | 0.000 | -0.000 | -0.000 | -0.000 |
| 0.000 | -0.000 | -0.000 | -0.000 | 0.000 | 0.000 |
| -0.000 | 0.000 | -0.000 | 0.000 | -0.000 | 0.000 |
| -0.000 | -0.000 | -0.000 | -0.000 | 0.000 | 0.000 |
| -0.000 | -0.000 | -0.000 | 0.000 | 0.000 | 0.000 |
| 0.000 | -0.000 | -0.000 | -0.000 | -0.000 | 0.000 |
| -0.000 | 0.000 | -0.000 | -0.000 | -0.000 | 0.000 |
| -0.000 | 0.000 | 0.000 | 0.000 | 0.000 | -0.000 |
| -0.000 | -0.000 | -0.000 | -0.000 | 0.000 | -0.000 |
| 0.000 | -0.000 | -0.000 | 0.000 | -0.000 | 0.000 |
| -0.000 | -0.000 | -0.000 | 0.000 | -0.000 | 0.000 |
| -0.000 | 0.000 | 0.000 | -0.000 | 0.000 | 0.000 |
| 0.000 | -0.000 | 0.000 | 0.000 | -0.000 | 0.000 |
| 0.000 | -0.000 | -0.000 | -0.000 | -0.000 | -0.000 |
| -0.000 | 0.000 | -0.000 | 0.000 | 0.000 | -0.000 |
| -0.000 | -0.000 | -0.000 | -0.000 | 0.000 | -0.000 |
| -0.000 | -0.000 | -0.000 | -0.000 | -0.000 | -0.000 |
| 0.000 | -0.000 | -0.000 | -0.000 | -0.000 | 0.000 |
| -0.000 | 0.000 | -0.000 | -0.000 | -0.000 | 0.000 |
| -0.000 | 0.000 | 0.000 | -0.000 | -0.000 | -0.000 |
| -0.000 | -0.000 | -0.000 | -0.000 | 0.000 | -0.000 |
| 0.000 | -0.000 | -0.000 | 0.000 | -0.000 | 0.000 |
| -0.000 | -0.000 | -0.000 | 0.000 | 0.000 | 0.000 |
| -0.000 | 0.000 | 0.000 | -0.000 | 0.000 | 0.000 |
| 0.000 | -0.000 | 0.000 | 0.000 | -0.000 | 0.000 |
| 0.000 | -0.000 | -0.000 | 0.000 | 0.000 | -0.000 |
| 0.000 | -0.000 | 0.000 | -0.000 | 0.000 | 0.000 |
| -0.000 | 0.000 | 0.000 | -0.000 | -0.000 | -0.000 |
| 0.000 | 0.000 | 0.000 | -0.000 | -0.000 | -0.000 |
| 0.000 | 0.000 | 0.000 | 0.000 | -0.000 | -0.000 |
| 0.000 | 0.000 | 0.000 | -0.000 | 0.000 | -0.000 |
| 0.000 | -0.000 | -0.000 | -0.000 | 0.000 | 0.000 |
| 0.000 | -0.000 | 0.000 | 0.000 | -0.000 | -0.000 |
| -0.000 | 0.000 | 0.000 | 0.000 | 0.000 | -0.000 |
| 0.000 | 0.000 | 0.000 | 0.000 | 0.000 | 0.000 |
| -0.000 | -0.000 | -0.000 | 0.000 | 0.000 | 0.000 |
| -0.000 | -0.000 | -0.000 | 0.000 | 0.000 | 0.000 |
| -0.000 | 0.000 | 0.000 | 0.000 | 0.000 | 0.000 |
| 0.000 | -0.000 | 0.000 | -0.000 | -0.000 | -0.000 |
| -0.000 | 0.000 | 0.000 | -0.000 | -0.000 | -0.000 |
| 0.000 | 0.000 | 0.000 | 0.000 | -0.000 | -0.000 |
| -0.000 | 0.000 | 0.000 | 0.000 | -0.000 | -0.000 |
| 0.000 | -0.000 | 0.000 | -0.000 | 0.000 | 0.000 |
| 0.000 | -0.000 | -0.000 | -0.000 | -0.000 | 0.000 |
| 0.000 | -0.000 | 0.000 | 0.000 | -0.000 | 0.000 |
| -0.000 | 0.000 | 0.000 | 0.000 | 0.000 | -0.000 |
| 0.000 | 0.000 | 0.000 | 0.000 | 0.000 | -0.000 |
| 0.000 | -0.000 | -0.000 | 0.000 | 0.000 | 0.000 |
| -0.000 | 0.000 | -0.000 | 0.000 | 0.000 | -0.000 |
| -0.000 | 0.000 | 0.000 | 0.000 | -0.000 | 0.000 |
| 0.000 | -0.000 | 0.000 | -0.000 | -0.000 | -0.000 |
| -0.000 | 0.000 | 0.000 | -0.000 | -0.000 | 0.000 |
| 0.000 | 0.000 | 0.000 | -0.000 | -0.000 | 0.000 |
| -0.000 | 0.000 | 0.000 | 0.000 | 0.000 | -0.000 |
| 0.000 | -0.000 | 0.000 | -0.000 | 0.000 | -0.000 |
| -0.000 | -0.000 | -0.000 | -0.000 | 0.000 | 0.000 |
| 0.000 | -0.000 | 0.000 | 0.000 | 0.000 | -0.000 |
| -0.000 | 0.000 | 0.000 | 0.000 | 0.000 | -0.000 |
| 0.000 | 0.000 | 0.000 | 0.000 | 0.000 | 0.000 |
| 0.000 | -0.000 | -0.000 | 0.000 | -0.000 | -0.000 |
| -0.000 | 0.000 | -0.000 | 0.000 | 0.000 | 0.000 |
| 0.000 | 0.000 | 0.000 | 0.000 | 0.000 | 0.000 |
| -0.000 | -0.000 | -0.000 | 0.000 | 0.000 | 0.000 |
| 0.000 | -0.000 | -0.000 | 0.000 | -0.000 | 0.000 |
| -0.000 | -0.000 | -0.000 | -0.000 | 0.000 | -0.000 |
| 0.000 | -0.000 | -0.000 | -0.000 | -0.000 | 0.000 |
| -0.000 | -0.000 | -0.000 | 0.000 | -0.000 | -0.000 |
| 0.000 | -0.000 | 0.000 | 0.000 | 0.000 | -0.000 |
| -0.000 | 0.000 | -0.000 | -0.000 | -0.000 | -0.000 |
| -0.000 | -0.000 | -0.000 | -0.000 | 0.000 | 0.000 |
| -0.000 | -0.000 | -0.000 | -0.000 | -0.000 | -0.000 |
| -0.000 | 0.000 | 0.000 | -0.000 | 0.000 | 0.000 |
| 0.000 | 0.000 | 0.000 | -0.000 | -0.000 | -0.000 |
| -0.000 | 0.000 | -0.000 | -0.000 | 0.000 | -0.000 |
| -0.000 | -0.000 | -0.000 | 0.000 | 0.000 | 0.000 |
| 0.000 | -0.000 | -0.000 | -0.000 | -0.000 | 0.000 |
| -0.000 | -0.000 | -0.000 | -0.000 | -0.000 | 0.000 |
| 0.000 | -0.000 | -0.000 | -0.000 | 0.000 | 0.000 |
| -0.000 | 0.000 | -0.000 | -0.000 | -0.000 | 0.000 |
| 0.000 | 0.000 | 0.000 | -0.000 | 0.000 | -0.000 |
| -0.000 | 0.000 | -0.000 | -0.000 | -0.000 | -0.000 |
| -0.000 | -0.000 | -0.000 | -0.000 | 0.000 | 0.000 |
| -0.000 | -0.000 | -0.000 | -0.000 | -0.000 | 0.000 |
| -0.000 | 0.000 | 0.000 | -0.000 | -0.000 | 0.000 |
| 0.000 | -0.000 | 0.000 | 0.000 | -0.000 | 0.000 |
| -0.000 | -0.000 | -0.000 | 0.000 | -0.000 | -0.000 |
| -0.000 | -0.000 | -0.000 | 0.000 | 0.000 | 0.000 |
| 0.000 | -0.000 | -0.000 | 0.000 | -0.000 | 0.000 |
| -0.000 | -0.000 | -0.000 | -0.000 | -0.000 | -0.000 |
| 0.000 | -0.000 | -0.000 | -0.000 | -0.000 | 0.000 |
| -0.000 | 0.000 | -0.000 | -0.000 | -0.000 | 0.000 |
| 0.000 | 0.000 | 0.000 | 0.000 | 0.000 | -0.000 |
| -0.000 | 0.000 | -0.000 | -0.000 | -0.000 | -0.000 |
| -0.000 | -0.000 | -0.000 | 0.000 | 0.000 | -0.000 |
| -0.000 | -0.000 | -0.000 | -0.000 | -0.000 | 0.000 |
| -0.000 | 0.000 | 0.000 | -0.000 | 0.000 | 0.000 |
| 0.000 | -0.000 | 0.000 | 0.000 | -0.000 | 0.000 |
| -0.000 | -0.000 | -0.000 | -0.000 | 0.000 | -0.000 |
| 0.000 | -0.000 | 0.000 | -0.000 | 0.000 | -0.000 |
| -0.000 | 0.000 | 0.000 | 0.000 | 0.000 | -0.000 |
| 0.000 | 0.000 | 0.000 | -0.000 | -0.000 | -0.000 |
| 0.000 | 0.000 | 0.000 | 0.000 | 0.000 | -0.000 |
| 0.000 | -0.000 | 0.000 | -0.000 | 0.000 | -0.000 |
| 0.000 | -0.000 | -0.000 | 0.000 | 0.000 | 0.000 |
| 0.000 | -0.000 | 0.000 | 0.000 | -0.000 | 0.000 |
| -0.000 | 0.000 | 0.000 | 0.000 | -0.000 | 0.000 |
| 0.000 | 0.000 | 0.000 | 0.000 | 0.000 | 0.000 |
| -0.000 | -0.000 | -0.000 | 0.000 | -0.000 | 0.000 |
| -0.000 | 0.000 | -0.000 | 0.000 | 0.000 | 0.000 |
| -0.000 | 0.000 | 0.000 | -0.000 | 0.000 | 0.000 |
| 0.000 | -0.000 | 0.000 | -0.000 | -0.000 | -0.000 |
| -0.000 | 0.000 | 0.000 | -0.000 | 0.000 | -0.000 |
| 0.000 | 0.000 | 0.000 | -0.000 | -0.000 | -0.000 |
| -0.000 | 0.000 | 0.000 | 0.000 | 0.000 | -0.000 |
| 0.000 | -0.000 | 0.000 | -0.000 | 0.000 | -0.000 |
| 0.000 | -0.000 | -0.000 | -0.000 | -0.000 | 0.000 |
| 0.000 | -0.000 | 0.000 | 0.000 | -0.000 | 0.000 |
| -0.000 | 0.000 | 0.000 | 0.000 | -0.000 | 0.000 |
| 0.000 | 0.000 | 0.000 | 0.000 | -0.000 | 0.000 |
| 0.000 | -0.000 | -0.000 | 0.000 | -0.000 | -0.000 |
| -0.000 | 0.000 | -0.000 | 0.000 | 0.000 | 0.000 |
| -0.000 | 0.000 | 0.000 | 0.000 | 0.000 | 0.000 |
| 0.000 | -0.000 | 0.000 | -0.000 | 0.000 | -0.000 |
| -0.000 | 0.000 | 0.000 | -0.000 | 0.000 | -0.000 |
| 0.000 | 0.000 | 0.000 | -0.000 | 0.000 | -0.000 |
| -0.000 | 0.000 | 0.000 | 0.000 | 0.000 | -0.000 |
| 0.000 | -0.000 | 0.000 | -0.000 | 0.000 | -0.000 |
| -0.000 | -0.000 | -0.000 | 0.000 | -0.000 | 0.000 |
| 0.000 | -0.000 | 0.000 | 0.000 | -0.000 | -0.000 |
| -0.000 | 0.000 | 0.000 | 0.000 | -0.000 | 0.000 |
| 0.000 | 0.000 | 0.000 | 0.000 | -0.000 | 0.000 |
| 0.000 | -0.000 | -0.000 | 0.000 | -0.000 | 0.000 |
| -0.000 | 0.000 | -0.000 | 0.000 | 0.000 | 0.000 |
| 0.000 | 0.000 | 0.000 | -0.000 | -0.000 | 0.000 |
| 0.000 | 0.000 | 0.000 | 0.000 | -0.000 | 0.000 |
| 0.000 | 0.000 | 0.000 | 0.000 | -0.000 | 0.000 |
| 0.000 | 0.000 | 0.000 | 0.000 | -0.000 | 0.000 |
| -0.000 | 0.000 | 0.000 | 0.000 | -0.000 | 0.000 |
| 0.000 | 0.000 | 0.000 | 0.000 | 0.000 | 0.000 |
| -0.000 | 0.000 | -0.000 | 0.000 | 0.000 | -0.000 |
| 0.000 | 0.000 | 0.000 | -0.000 | 0.000 | 0.000 |
| 0.000 | 0.000 | 0.000 | -0.000 | 0.000 | -0.000 |
| 0.000 | 0.000 | 0.000 | -0.000 | 0.000 | -0.000 |
| 0.000 | -0.000 | -0.000 | 0.000 | 0.000 | -0.000 |
| -0.000 | -0.000 | -0.000 | -0.000 | 0.000 | -0.000 |
| 0.000 | -0.000 | 0.000 | -0.000 | 0.000 | -0.000 |
| 0.000 | 0.000 | 0.000 | 0.000 | -0.000 | -0.000 |
| 0.000 | 0.000 | 0.000 | 0.000 | -0.000 | 0.000 |
| 0.000 | 0.000 | 0.000 | 0.000 | -0.000 | -0.000 |
| -0.000 | 0.000 | 0.000 | 0.000 | 0.000 | 0.000 |
| 0.000 | -0.000 | 0.000 | 0.000 | 0.000 | -0.000 |
| -0.000 | -0.000 | -0.000 | 0.000 | 0.000 | -0.000 |
| 0.000 | 0.000 | 0.000 | -0.000 | 0.000 | -0.000 |
| 0.000 | 0.000 | 0.000 | -0.000 | 0.000 | -0.000 |
| 0.000 | 0.000 | 0.000 | -0.000 | 0.000 | 0.000 |
| 0.000 | -0.000 | -0.000 | 0.000 | -0.000 | -0.000 |
| -0.000 | 0.000 | -0.000 | -0.000 | 0.000 | 0.000 |
| 0.000 | 0.000 | 0.000 | -0.000 | 0.000 | -0.000 |
| 0.000 | 0.000 | 0.000 | 0.000 | -0.000 | 0.000 |
| 0.000 | 0.000 | 0.000 | 0.000 | -0.000 | 0.000 |
| 0.000 | 0.000 | 0.000 | 0.000 | 0.000 | 0.000 |
| -0.000 | 0.000 | 0.000 | 0.000 | -0.000 | -0.000 |
| 0.000 | -0.000 | 0.000 | 0.000 | 0.000 | 0.000 |
| -0.000 | -0.000 | -0.000 | 0.000 | -0.000 | -0.000 |
| 0.000 | 0.000 | 0.000 | -0.000 | 0.000 | -0.000 |
| 0.000 | 0.000 | 0.000 | -0.000 | 0.000 | -0.000 |
| 0.000 | 0.000 | 0.000 | -0.000 | 0.000 | -0.000 |
| 0.000 | -0.000 | -0.000 | 0.000 | 0.000 | -0.000 |
| -0.000 | 0.000 | -0.000 | -0.000 | 0.000 | -0.000 |
| 0.000 | 0.000 | 0.000 | -0.000 | -0.000 | -0.000 |
| 0.000 | 0.000 | 0.000 | -0.000 | 0.000 | -0.000 |
| 0.000 | 0.000 | 0.000 | 0.000 | 0.000 | 0.000 |
| 0.000 | 0.000 | 0.000 | -0.000 | 0.000 | -0.000 |
| -0.000 | 0.000 | 0.000 | 0.000 | 0.000 | -0.000 |
| 0.000 | 0.000 | 0.000 | -0.000 | 0.000 | -0.000 |
| -0.000 | 0.000 | -0.000 | -0.000 | 0.000 | -0.000 |
| 0.000 | 0.000 | 0.000 | 0.000 | -0.000 | -0.000 |
| 0.000 | 0.000 | 0.000 | 0.000 | -0.000 | 0.000 |
| 0.000 | 0.000 | 0.000 | 0.000 | -0.000 | 0.000 |
| 0.000 | -0.000 | -0.000 | 0.000 | -0.000 | -0.000 |
| -0.000 | -0.000 | -0.000 | 0.000 | 0.000 | 0.000 |
| 0.000 | -0.000 | 0.000 | 0.000 | 0.000 | -0.000 |
| 0.000 | 0.000 | 0.000 | -0.000 | 0.000 | -0.000 |
| 0.000 | 0.000 | 0.000 | -0.000 | 0.000 | -0.000 |
| 0.000 | 0.000 | 0.000 | -0.000 | -0.000 | -0.000 |
| -0.000 | 0.000 | 0.000 | 0.000 | 0.000 | -0.000 |
| 0.000 | -0.000 | 0.000 | -0.000 | 0.000 | -0.000 |
| -0.000 | -0.000 | -0.000 | 0.000 | -0.000 | -0.000 |
| 0.000 | 0.000 | 0.000 | 0.000 | -0.000 | 0.000 |
| 0.000 | 0.000 | 0.000 | 0.000 | -0.000 | 0.000 |
| 0.000 | 0.000 | 0.000 | -0.000 | 0.000 | 0.000 |
| 0.000 | -0.000 | -0.000 | 0.000 | -0.000 | 0.000 |
| -0.000 | 0.000 | -0.000 | 0.000 | 0.000 | 0.000 |
| 0.000 | 0.000 | 0.000 | -0.000 | 0.000 | -0.000 |
| 0.000 | 0.000 | 0.000 | -0.000 | -0.000 | -0.000 |
| 0.000 | 0.000 | 0.000 | -0.000 | 0.000 | -0.000 |
| 0.000 | 0.000 | 0.000 | -0.000 | 0.000 | -0.000 |
| -0.000 | 0.000 | 0.000 | 0.000 | 0.000 | -0.000 |
| 0.000 | -0.000 | 0.000 | -0.000 | 0.000 | 0.000 |
| -0.000 | -0.000 | -0.000 | -0.000 | -0.000 | -0.000 |
| 0.000 | 0.000 | 0.000 | 0.000 | -0.000 | 0.000 |
| 0.000 | 0.000 | 0.000 | 0.000 | -0.000 | 0.000 |
| 0.000 | 0.000 | 0.000 | 0.000 | -0.000 | 0.000 |
| 0.000 | -0.000 | -0.000 | 0.000 | -0.000 | 0.000 |
| -0.000 | 0.000 | -0.000 | 0.000 | 0.000 | 0.000 |
| 0.000 | 0.000 | 0.000 | 0.000 | -0.000 | -0.000 |
| -0.000 | -0.000 | -0.000 | -0.000 | -0.000 | 0.000 |
| -0.000 | -0.000 | -0.000 | -0.000 | -0.000 | -0.000 |
| -0.000 | -0.000 | -0.000 | 0.000 | -0.000 | -0.000 |
| 0.000 | 0.000 | 0.000 | -0.000 | -0.000 | 0.000 |
| 0.000 | 0.000 | 0.000 | -0.000 | -0.000 | 0.000 |
| 0.000 | 0.000 | 0.000 | -0.000 | 0.000 | 0.000 |
| -0.000 | -0.000 | -0.000 | 0.000 | 0.000 | -0.000 |
| -0.000 | -0.000 | -0.000 | 0.000 | 0.000 | -0.000 |
| -0.000 | -0.000 | -0.000 | -0.000 | -0.000 | 0.000 |
| -0.000 | -0.000 | -0.000 | -0.000 | 0.000 | -0.000 |
| -0.000 | -0.000 | -0.000 | 0.000 | -0.000 | 0.000 |
| -0.000 | -0.000 | -0.000 | 0.000 | 0.000 | 0.000 |
| -0.000 | -0.000 | -0.000 | -0.000 | -0.000 | 0.000 |
| -0.000 | -0.000 | -0.000 | 0.000 | -0.000 | 0.000 |
| -0.000 | -0.000 | -0.000 | 0.000 | 0.000 | 0.000 |
| 0.000 | 0.000 | 0.000 | -0.000 | 0.000 | -0.000 |
| 0.000 | 0.000 | 0.000 | -0.000 | -0.000 | -0.000 |
| 0.000 | 0.000 | 0.000 | -0.000 | -0.000 | 0.000 |
| -0.000 | -0.000 | -0.000 | 0.000 | 0.000 | -0.000 |
| -0.000 | -0.000 | -0.000 | -0.000 | -0.000 | -0.000 |
| -0.000 | -0.000 | -0.000 | 0.000 | 0.000 | 0.000 |
| -0.000 | -0.000 | -0.000 | -0.000 | 0.000 | -0.000 |
| -0.000 | -0.000 | -0.000 | 0.000 | -0.000 | -0.000 |
| -0.000 | -0.000 | -0.000 | 0.000 | -0.000 | 0.000 |
| -0.000 | -0.000 | -0.000 | -0.000 | 0.000 | -0.000 |
| -0.000 | -0.000 | -0.000 | -0.000 | -0.000 | 0.000 |
| -0.000 | -0.000 | -0.000 | -0.000 | 0.000 | 0.000 |
| 0.000 | 0.000 | 0.000 | -0.000 | -0.000 | 0.000 |
| 0.000 | 0.000 | 0.000 | -0.000 | -0.000 | -0.000 |
| -0.000 | 0.000 | 0.000 | 0.000 | 0.000 | 0.000 |
| -0.000 | -0.000 | -0.000 | 0.000 | 0.000 | -0.000 |
| -0.000 | -0.000 | -0.000 | 0.000 | 0.000 | 0.000 |
| -0.000 | -0.000 | -0.000 | -0.000 | -0.000 | 0.000 |
| -0.000 | -0.000 | -0.000 | -0.000 | 0.000 | 0.000 |
| -0.000 | -0.000 | -0.000 | 0.000 | -0.000 | -0.000 |
| 0.000 | -0.000 | -0.000 | -0.000 | 0.000 | 0.000 |
| 0.000 | -0.000 | 0.000 | -0.000 | 0.000 | 0.000 |
| -0.000 | 0.000 | 0.000 | -0.000 | 0.000 | 0.000 |
| 0.000 | 0.000 | 0.000 | -0.000 | -0.000 | 0.000 |
| 0.000 | 0.000 | 0.000 | 0.000 | 0.000 | 0.000 |
| 0.000 | 0.000 | 0.000 | -0.000 | 0.000 | -0.000 |
| -0.000 | -0.000 | -0.000 | -0.000 | 0.000 | 0.000 |
| 0.000 | -0.000 | 0.000 | 0.000 | 0.000 | -0.000 |
| -0.000 | 0.000 | 0.000 | 0.000 | -0.000 | -0.000 |
| 0.000 | 0.000 | 0.000 | 0.000 | 0.000 | -0.000 |
| -0.000 | -0.000 | -0.000 | 0.000 | -0.000 | -0.000 |
| -0.000 | -0.000 | -0.000 | 0.000 | 0.000 | -0.000 |
| -0.000 | 0.000 | 0.000 | 0.000 | -0.000 | 0.000 |
| 0.000 | -0.000 | 0.000 | 0.000 | 0.000 | 0.000 |
| -0.000 | 0.000 | 0.000 | 0.000 | 0.000 | -0.000 |
| 0.000 | 0.000 | 0.000 | 0.000 | -0.000 | 0.000 |
| -0.000 | 0.000 | 0.000 | 0.000 | -0.000 | 0.000 |
| 0.000 | -0.000 | 0.000 | -0.000 | 0.000 | 0.000 |
| -0.000 | -0.000 | -0.000 | -0.000 | -0.000 | 0.000 |
| 0.000 | -0.000 | 0.000 | 0.000 | -0.000 | -0.000 |
| -0.000 | 0.000 | 0.000 | -0.000 | -0.000 | -0.000 |
| 0.000 | 0.000 | 0.000 | 0.000 | 0.000 | -0.000 |
| 0.000 | -0.000 | -0.000 | 0.000 | 0.000 | 0.000 |
| -0.000 | 0.000 | -0.000 | 0.000 | 0.000 | -0.000 |
| 0.000 | 0.000 | 0.000 | 0.000 | 0.000 | 0.000 |
| 0.000 | -0.000 | 0.000 | -0.000 | -0.000 | 0.000 |
| -0.000 | 0.000 | 0.000 | -0.000 | 0.000 | 0.000 |
| 0.000 | 0.000 | 0.000 | -0.000 | -0.000 | 0.000 |
| -0.000 | 0.000 | 0.000 | 0.000 | -0.000 | 0.000 |
| 0.000 | -0.000 | 0.000 | -0.000 | 0.000 | -0.000 |
| -0.000 | -0.000 | -0.000 | -0.000 | -0.000 | 0.000 |
| 0.000 | -0.000 | 0.000 | 0.000 | 0.000 | -0.000 |
| -0.000 | 0.000 | 0.000 | 0.000 | 0.000 | 0.000 |
| 0.000 | 0.000 | 0.000 | 0.000 | -0.000 | 0.000 |
| 0.000 | -0.000 | -0.000 | 0.000 | 0.000 | -0.000 |
| -0.000 | 0.000 | -0.000 | 0.000 | 0.000 | -0.000 |
| 0.000 | 0.000 | 0.000 | 0.000 | -0.000 | 0.000 |
| 0.000 | -0.000 | 0.000 | 0.000 | 0.000 | -0.000 |
| -0.000 | 0.000 | 0.000 | 0.000 | 0.000 | -0.000 |
| -0.000 | -0.000 | 0.000 | 0.000 | 0.000 | 0.000 |
| 0.000 | 0.000 | -0.000 | 0.000 | -0.000 | 0.000 |
| 0.000 | 0.000 | -0.000 | -0.000 | 0.000 | -0.000 |
| 0.000 | 0.000 | -0.000 | 0.000 | 0.000 | 0.000 |
| 0.000 | -0.000 | 0.000 | 0.000 | -0.000 | 0.000 |
| -0.000 | 0.000 | 0.000 | -0.000 | 0.000 | 0.000 |
| -0.000 | -0.000 | 0.000 | -0.000 | -0.000 | 0.000 |
| -0.000 | -0.000 | 0.000 | 0.000 | -0.000 | 0.000 |
| -0.000 | -0.000 | 0.000 | -0.000 | 0.000 | 0.000 |
| -0.000 | -0.000 | 0.000 | -0.000 | -0.000 | 0.000 |
| 0.000 | -0.000 | 0.000 | -0.000 | -0.000 | -0.000 |
| -0.000 | 0.000 | 0.000 | -0.000 | -0.000 | -0.000 |
| -0.000 | -0.000 | 0.000 | -0.000 | -0.000 | 0.000 |
| 0.000 | 0.000 | -0.000 | 0.000 | -0.000 | -0.000 |
| 0.000 | 0.000 | -0.000 | -0.000 | 0.000 | -0.000 |
| 0.000 | -0.000 | -0.000 | -0.000 | -0.000 | 0.000 |
| 0.000 | -0.000 | 0.000 | -0.000 | -0.000 | 0.000 |
| -0.000 | 0.000 | 0.000 | -0.000 | -0.000 | 0.000 |
| -0.000 | -0.000 | 0.000 | -0.000 | -0.000 | 0.000 |
| -0.000 | -0.000 | 0.000 | 0.000 | -0.000 | 0.000 |
| -0.000 | -0.000 | 0.000 | -0.000 | 0.000 | 0.000 |
| -0.000 | 0.000 | 0.000 | 0.000 | 0.000 | 0.000 |
| 0.000 | -0.000 | 0.000 | -0.000 | -0.000 | -0.000 |
| -0.000 | 0.000 | 0.000 | 0.000 | -0.000 | -0.000 |
| -0.000 | -0.000 | 0.000 | 0.000 | 0.000 | 0.000 |
| 0.000 | 0.000 | -0.000 | 0.000 | -0.000 | -0.000 |
| 0.000 | 0.000 | -0.000 | -0.000 | 0.000 | -0.000 |
| -0.000 | -0.000 | -0.000 | 0.000 | -0.000 | 0.000 |
| 0.000 | -0.000 | 0.000 | -0.000 | 0.000 | 0.000 |
| -0.000 | 0.000 | 0.000 | 0.000 | -0.000 | 0.000 |
| -0.000 | -0.000 | 0.000 | 0.000 | 0.000 | 0.000 |
| -0.000 | -0.000 | 0.000 | 0.000 | -0.000 | -0.000 |
| -0.000 | -0.000 | 0.000 | -0.000 | 0.000 | 0.000 |
| 0.000 | 0.000 | 0.000 | 0.000 | -0.000 | 0.000 |
| 0.000 | -0.000 | -0.000 | -0.000 | -0.000 | 0.000 |
| -0.000 | 0.000 | -0.000 | -0.000 | -0.000 | 0.000 |
| -0.000 | -0.000 | -0.000 | 0.000 | 0.000 | -0.000 |
| 0.000 | -0.000 | -0.000 | -0.000 | 0.000 | -0.000 |
| -0.000 | 0.000 | -0.000 | 0.000 | -0.000 | 0.000 |
| -0.000 | -0.000 | -0.000 | 0.000 | -0.000 | 0.000 |
| 0.000 | -0.000 | -0.000 | 0.000 | 0.000 | -0.000 |
| -0.000 | 0.000 | -0.000 | 0.000 | 0.000 | 0.000 |
| -0.000 | -0.000 | -0.000 | -0.000 | -0.000 | -0.000 |
| -0.000 | 0.000 | 0.000 | -0.000 | 0.000 | -0.000 |
| 0.000 | -0.000 | 0.000 | 0.000 | -0.000 | 0.000 |
| 0.000 | 0.000 | 0.000 | -0.000 | -0.000 | 0.000 |
| 0.000 | -0.000 | -0.000 | -0.000 | 0.000 | 0.000 |
| -0.000 | 0.000 | -0.000 | 0.000 | -0.000 | 0.000 |
| -0.000 | -0.000 | -0.000 | 0.000 | 0.000 | -0.000 |
| 0.000 | -0.000 | -0.000 | -0.000 | 0.000 | 0.000 |
| -0.000 | 0.000 | -0.000 | 0.000 | -0.000 | 0.000 |
| -0.000 | -0.000 | -0.000 | 0.000 | -0.000 | 0.000 |
| 0.000 | -0.000 | -0.000 | 0.000 | 0.000 | -0.000 |
| -0.000 | 0.000 | -0.000 | 0.000 | 0.000 | 0.000 |
| -0.000 | -0.000 | -0.000 | 0.000 | 0.000 | -0.000 |
| -0.000 | 0.000 | 0.000 | -0.000 | 0.000 | 0.000 |
| 0.000 | -0.000 | 0.000 | 0.000 | -0.000 | -0.000 |
| 0.000 | 0.000 | 0.000 | 0.000 | -0.000 | 0.000 |
| 0.000 | -0.000 | -0.000 | 0.000 | 0.000 | 0.000 |
| -0.000 | 0.000 | -0.000 | 0.000 | 0.000 | 0.000 |
| -0.000 | -0.000 | -0.000 | 0.000 | 0.000 | -0.000 |
| 0.000 | -0.000 | -0.000 | -0.000 | 0.000 | -0.000 |
| -0.000 | 0.000 | -0.000 | 0.000 | -0.000 | -0.000 |
| -0.000 | -0.000 | -0.000 | -0.000 | -0.000 | 0.000 |
| 0.000 | -0.000 | -0.000 | -0.000 | 0.000 | 0.000 |
| -0.000 | 0.000 | -0.000 | 0.000 | -0.000 | 0.000 |
| -0.000 | -0.000 | -0.000 | -0.000 | -0.000 | -0.000 |
| -0.000 | 0.000 | 0.000 | -0.000 | -0.000 | 0.000 |
| 0.000 | -0.000 | 0.000 | -0.000 | -0.000 | -0.000 |
| 0.000 | 0.000 | 0.000 | 0.000 | -0.000 | 0.000 |
| 0.000 | -0.000 | 0.000 | 0.000 | 0.000 | 0.000 |
| -0.000 | 0.000 | 0.000 | 0.000 | 0.000 | 0.000 |
| -0.000 | -0.000 | 0.000 | 0.000 | 0.000 | -0.000 |
| 0.000 | 0.000 | -0.000 | 0.000 | 0.000 | -0.000 |
| 0.000 | 0.000 | -0.000 | 0.000 | 0.000 | -0.000 |
| 0.000 | -0.000 | -0.000 | 0.000 | 0.000 | 0.000 |
| 0.000 | -0.000 | 0.000 | -0.000 | 0.000 | -0.000 |
| -0.000 | 0.000 | 0.000 | 0.000 | -0.000 | -0.000 |
| -0.000 | -0.000 | 0.000 | -0.000 | -0.000 | -0.000 |
| -0.000 | -0.000 | 0.000 | 0.000 | -0.000 | -0.000 |
| -0.000 | -0.000 | 0.000 | -0.000 | 0.000 | 0.000 |
| -0.000 | 0.000 | 0.000 | -0.000 | -0.000 | 0.000 |
| 0.000 | -0.000 | 0.000 | 0.000 | 0.000 | 0.000 |
| -0.000 | 0.000 | 0.000 | 0.000 | 0.000 | 0.000 |
| -0.000 | -0.000 | 0.000 | 0.000 | 0.000 | -0.000 |
| 0.000 | 0.000 | -0.000 | 0.000 | 0.000 | 0.000 |
| 0.000 | 0.000 | -0.000 | 0.000 | 0.000 | -0.000 |
| 0.000 | -0.000 | -0.000 | 0.000 | 0.000 | 0.000 |
| 0.000 | -0.000 | 0.000 | -0.000 | -0.000 | 0.000 |
| -0.000 | 0.000 | 0.000 | -0.000 | -0.000 | 0.000 |
| -0.000 | -0.000 | 0.000 | -0.000 | -0.000 | -0.000 |
| -0.000 | -0.000 | 0.000 | 0.000 | -0.000 | 0.000 |
| -0.000 | -0.000 | 0.000 | -0.000 | 0.000 | -0.000 |
| -0.000 | 0.000 | 0.000 | -0.000 | -0.000 | 0.000 |
| 0.000 | -0.000 | 0.000 | 0.000 | 0.000 | 0.000 |
| -0.000 | 0.000 | 0.000 | 0.000 | 0.000 | -0.000 |
| -0.000 | -0.000 | 0.000 | 0.000 | 0.000 | -0.000 |
| 0.000 | 0.000 | -0.000 | 0.000 | -0.000 | 0.000 |
| 0.000 | 0.000 | -0.000 | -0.000 | 0.000 | 0.000 |
| -0.000 | -0.000 | -0.000 | 0.000 | 0.000 | 0.000 |
| 0.000 | -0.000 | 0.000 | 0.000 | -0.000 | -0.000 |
| -0.000 | 0.000 | 0.000 | -0.000 | 0.000 | -0.000 |
| -0.000 | -0.000 | 0.000 | 0.000 | 0.000 | -0.000 |
| -0.000 | -0.000 | 0.000 | 0.000 | -0.000 | 0.000 |
| -0.000 | -0.000 | 0.000 | -0.000 | 0.000 | 0.000 |
| 0.000 | 0.000 | 0.000 | 0.000 | -0.000 | 0.000 |
| 0.000 | 0.000 | -0.000 | -0.000 | 0.000 | 0.000 |
| 0.000 | 0.000 | -0.000 | 0.000 | -0.000 | -0.000 |
| 0.000 | 0.000 | -0.000 | 0.000 | 0.000 | 0.000 |
| 0.000 | -0.000 | -0.000 | -0.000 | 0.000 | -0.000 |
| -0.000 | 0.000 | -0.000 | 0.000 | -0.000 | -0.000 |
| -0.000 | 0.000 | -0.000 | 0.000 | -0.000 | -0.000 |
| 0.000 | 0.000 | -0.000 | -0.000 | -0.000 | 0.000 |
| 0.000 | 0.000 | -0.000 | -0.000 | -0.000 | 0.000 |
| 0.000 | 0.000 | -0.000 | -0.000 | -0.000 | 0.000 |
| -0.000 | 0.000 | 0.000 | -0.000 | -0.000 | 0.000 |
| 0.000 | -0.000 | 0.000 | -0.000 | -0.000 | 0.000 |
| 0.000 | -0.000 | 0.000 | -0.000 | -0.000 | -0.000 |
| 0.000 | 0.000 | -0.000 | -0.000 | -0.000 | -0.000 |
| 0.000 | 0.000 | -0.000 | -0.000 | -0.000 | -0.000 |
| 0.000 | 0.000 | -0.000 | 0.000 | 0.000 | 0.000 |
| 0.000 | -0.000 | -0.000 | -0.000 | -0.000 | -0.000 |
| -0.000 | 0.000 | -0.000 | -0.000 | -0.000 | -0.000 |
| -0.000 | -0.000 | -0.000 | 0.000 | 0.000 | -0.000 |
| 0.000 | 0.000 | -0.000 | 0.000 | -0.000 | 0.000 |
| 0.000 | 0.000 | -0.000 | -0.000 | 0.000 | 0.000 |
| 0.000 | 0.000 | -0.000 | 0.000 | 0.000 | 0.000 |
| -0.000 | 0.000 | 0.000 | -0.000 | 0.000 | 0.000 |
| 0.000 | -0.000 | 0.000 | 0.000 | -0.000 | 0.000 |
| 0.000 | 0.000 | 0.000 | -0.000 | 0.000 | -0.000 |
| 0.000 | 0.000 | -0.000 | 0.000 | 0.000 | -0.000 |
| 0.000 | 0.000 | -0.000 | 0.000 | 0.000 | -0.000 |
| 0.000 | 0.000 | -0.000 | 0.000 | 0.000 | 0.000 |
| 0.000 | -0.000 | -0.000 | -0.000 | 0.000 | -0.000 |
| -0.000 | 0.000 | -0.000 | 0.000 | -0.000 | -0.000 |
| -0.000 | -0.000 | -0.000 | 0.000 | 0.000 | -0.000 |
| 0.000 | 0.000 | -0.000 | -0.000 | 0.000 | 0.000 |
| 0.000 | 0.000 | -0.000 | 0.000 | -0.000 | 0.000 |
| 0.000 | 0.000 | -0.000 | -0.000 | -0.000 | 0.000 |
| -0.000 | 0.000 | 0.000 | -0.000 | -0.000 | 0.000 |
| 0.000 | -0.000 | 0.000 | -0.000 | -0.000 | -0.000 |
| 0.000 | 0.000 | 0.000 | -0.000 | -0.000 | -0.000 |
| 0.000 | 0.000 | 0.000 | 0.000 | -0.000 | -0.000 |
| 0.000 | 0.000 | 0.000 | -0.000 | 0.000 | -0.000 |
| 0.000 | 0.000 | 0.000 | 0.000 | 0.000 | -0.000 |
| 0.000 | 0.000 | -0.000 | 0.000 | 0.000 | -0.000 |
| 0.000 | 0.000 | -0.000 | 0.000 | 0.000 | -0.000 |
| 0.000 | -0.000 | -0.000 | 0.000 | 0.000 | -0.000 |
| 0.000 | 0.000 | 0.000 | -0.000 | -0.000 | -0.000 |
| 0.000 | 0.000 | 0.000 | -0.000 | -0.000 | -0.000 |
| 0.000 | 0.000 | 0.000 | 0.000 | 0.000 | 0.000 |
| -0.000 | -0.000 | 0.000 | 0.000 | 0.000 | 0.000 |
| -0.000 | -0.000 | 0.000 | 0.000 | 0.000 | 0.000 |
| -0.000 | 0.000 | 0.000 | -0.000 | -0.000 | -0.000 |
| 0.000 | 0.000 | 0.000 | 0.000 | 0.000 | -0.000 |
| 0.000 | 0.000 | 0.000 | 0.000 | 0.000 | -0.000 |
| 0.000 | 0.000 | 0.000 | 0.000 | 0.000 | -0.000 |
| 0.000 | 0.000 | -0.000 | 0.000 | 0.000 | -0.000 |
| 0.000 | 0.000 | -0.000 | 0.000 | 0.000 | -0.000 |
| 0.000 | -0.000 | -0.000 | 0.000 | 0.000 | -0.000 |
| 0.000 | 0.000 | 0.000 | -0.000 | -0.000 | 0.000 |
| 0.000 | 0.000 | 0.000 | -0.000 | -0.000 | 0.000 |
| 0.000 | 0.000 | 0.000 | -0.000 | -0.000 | 0.000 |
| -0.000 | -0.000 | 0.000 | 0.000 | -0.000 | 0.000 |
| -0.000 | -0.000 | 0.000 | -0.000 | 0.000 | -0.000 |
| -0.000 | 0.000 | 0.000 | -0.000 | -0.000 | -0.000 |
| 0.000 | 0.000 | 0.000 | 0.000 | 0.000 | -0.000 |
| 0.000 | 0.000 | 0.000 | 0.000 | 0.000 | -0.000 |
| 0.000 | 0.000 | 0.000 | -0.000 | -0.000 | -0.000 |
| 0.000 | 0.000 | -0.000 | 0.000 | -0.000 | -0.000 |
| 0.000 | 0.000 | -0.000 | -0.000 | 0.000 | -0.000 |
| 0.000 | -0.000 | -0.000 | 0.000 | 0.000 | -0.000 |
| 0.000 | 0.000 | 0.000 | -0.000 | -0.000 | 0.000 |
| 0.000 | 0.000 | 0.000 | -0.000 | -0.000 | 0.000 |
| 0.000 | 0.000 | 0.000 | -0.000 | -0.000 | 0.000 |
| -0.000 | -0.000 | 0.000 | 0.000 | -0.000 | 0.000 |
| -0.000 | -0.000 | 0.000 | -0.000 | 0.000 | -0.000 |
| -0.000 | 0.000 | 0.000 | -0.000 | -0.000 | -0.000 |
| -0.000 | -0.000 | 0.000 | 0.000 | -0.000 | -0.000 |
| -0.000 | -0.000 | 0.000 | -0.000 | 0.000 | 0.000 |
| -0.000 | -0.000 | 0.000 | -0.000 | -0.000 | -0.000 |
| 0.000 | 0.000 | 0.000 | 0.000 | 0.000 | 0.000 |
| 0.000 | 0.000 | 0.000 | 0.000 | 0.000 | -0.000 |
| 0.000 | 0.000 | 0.000 | -0.000 | 0.000 | 0.000 |
| -0.000 | -0.000 | 0.000 | 0.000 | -0.000 | -0.000 |
| -0.000 | -0.000 | 0.000 | -0.000 | 0.000 | -0.000 |
| -0.000 | -0.000 | 0.000 | 0.000 | 0.000 | -0.000 |
| -0.000 | -0.000 | -0.000 | 0.000 | -0.000 | -0.000 |
| -0.000 | -0.000 | -0.000 | -0.000 | 0.000 | -0.000 |
| 0.000 | -0.000 | -0.000 | 0.000 | 0.000 | 0.000 |
| -0.000 | -0.000 | 0.000 | 0.000 | 0.000 | -0.000 |
| -0.000 | -0.000 | 0.000 | 0.000 | 0.000 | 0.000 |
| -0.000 | -0.000 | 0.000 | 0.000 | 0.000 | -0.000 |
| 0.000 | 0.000 | 0.000 | 0.000 | -0.000 | 0.000 |
| 0.000 | 0.000 | 0.000 | -0.000 | 0.000 | 0.000 |
| 0.000 | 0.000 | 0.000 | 0.000 | 0.000 | 0.000 |
| -0.000 | -0.000 | 0.000 | -0.000 | 0.000 | -0.000 |
| -0.000 | -0.000 | 0.000 | 0.000 | -0.000 | 0.000 |
| -0.000 | -0.000 | 0.000 | -0.000 | -0.000 | -0.000 |
| -0.000 | 0.000 | -0.000 | 0.000 | 0.000 | -0.000 |
| 0.000 | -0.000 | -0.000 | 0.000 | 0.000 | -0.000 |
| 0.000 | -0.000 | -0.000 | 0.000 | -0.000 | 0.000 |
| -0.000 | -0.000 | 0.000 | -0.000 | 0.000 | 0.000 |
| -0.000 | -0.000 | 0.000 | 0.000 | -0.000 | 0.000 |
| -0.000 | -0.000 | 0.000 | 0.000 | 0.000 | -0.000 |
| 0.000 | 0.000 | 0.000 | 0.000 | -0.000 | 0.000 |
| 0.000 | 0.000 | 0.000 | -0.000 | 0.000 | -0.000 |
| -0.000 | 0.000 | 0.000 | -0.000 | 0.000 | 0.000 |
| -0.000 | -0.000 | 0.000 | -0.000 | 0.000 | -0.000 |
| -0.000 | -0.000 | 0.000 | 0.000 | -0.000 | -0.000 |
| -0.000 | -0.000 | 0.000 | 0.000 | 0.000 | -0.000 |
| -0.000 | -0.000 | -0.000 | 0.000 | -0.000 | 0.000 |
| -0.000 | -0.000 | -0.000 | -0.000 | 0.000 | -0.000 |
| 0.000 | -0.000 | -0.000 | 0.000 | 0.000 | 0.000 |
| 0.000 | -0.000 | -0.000 | -0.000 | 0.000 | 0.000 |
| -0.000 | 0.000 | -0.000 | 0.000 | -0.000 | -0.000 |
| -0.000 | -0.000 | -0.000 | 0.000 | 0.000 | 0.000 |
| 0.000 | -0.000 | -0.000 | -0.000 | 0.000 | 0.000 |
| -0.000 | 0.000 | -0.000 | 0.000 | -0.000 | 0.000 |
| -0.000 | -0.000 | -0.000 | 0.000 | -0.000 | 0.000 |
| 0.000 | -0.000 | -0.000 | -0.000 | 0.000 | 0.000 |
| -0.000 | 0.000 | -0.000 | 0.000 | -0.000 | 0.000 |
| -0.000 | -0.000 | -0.000 | -0.000 | -0.000 | -0.000 |
| -0.000 | 0.000 | 0.000 | -0.000 | 0.000 | 0.000 |
| 0.000 | -0.000 | 0.000 | 0.000 | -0.000 | -0.000 |
| 0.000 | 0.000 | 0.000 | 0.000 | -0.000 | 0.000 |
| 0.000 | -0.000 | -0.000 | 0.000 | -0.000 | -0.000 |
| -0.000 | 0.000 | -0.000 | -0.000 | 0.000 | -0.000 |
| -0.000 | -0.000 | -0.000 | -0.000 | -0.000 | 0.000 |
| 0.000 | -0.000 | -0.000 | -0.000 | 0.000 | -0.000 |
| -0.000 | 0.000 | -0.000 | 0.000 | -0.000 | -0.000 |
| -0.000 | -0.000 | -0.000 | 0.000 | 0.000 | 0.000 |
| 0.000 | -0.000 | -0.000 | -0.000 | -0.000 | -0.000 |
| -0.000 | 0.000 | -0.000 | -0.000 | -0.000 | 0.000 |
| -0.000 | -0.000 | -0.000 | -0.000 | -0.000 | -0.000 |
| -0.000 | 0.000 | 0.000 | -0.000 | -0.000 | -0.000 |
| 0.000 | -0.000 | 0.000 | -0.000 | -0.000 | -0.000 |
| 0.000 | 0.000 | 0.000 | -0.000 | -0.000 | 0.000 |
| 0.000 | -0.000 | -0.000 | -0.000 | -0.000 | 0.000 |
| -0.000 | 0.000 | -0.000 | -0.000 | -0.000 | -0.000 |
| -0.000 | -0.000 | -0.000 | 0.000 | 0.000 | 0.000 |
| 0.000 | -0.000 | -0.000 | -0.000 | 0.000 | -0.000 |
| -0.000 | 0.000 | -0.000 | 0.000 | -0.000 | 0.000 |
| -0.000 | -0.000 | -0.000 | 0.000 | 0.000 | 0.000 |
| 0.000 | -0.000 | -0.000 | 0.000 | 0.000 | -0.000 |
| -0.000 | 0.000 | -0.000 | 0.000 | 0.000 | 0.000 |
| -0.000 | -0.000 | -0.000 | -0.000 | -0.000 | -0.000 |
| -0.000 | 0.000 | 0.000 | -0.000 | 0.000 | -0.000 |
| 0.000 | -0.000 | 0.000 | 0.000 | -0.000 | -0.000 |
| 0.000 | 0.000 | 0.000 | 0.000 | 0.000 | 0.000 |
| 0.000 | -0.000 | 0.000 | -0.000 | -0.000 | -0.000 |
| -0.000 | 0.000 | 0.000 | -0.000 | -0.000 | 0.000 |
| -0.000 | -0.000 | 0.000 | -0.000 | -0.000 | -0.000 |
| 0.000 | 0.000 | 0.000 | 0.000 | -0.000 | 0.000 |
| 0.000 | 0.000 | 0.000 | -0.000 | 0.000 | 0.000 |
| 0.000 | -0.000 | 0.000 | -0.000 | -0.000 | 0.000 |
| 0.000 | -0.000 | 0.000 | -0.000 | 0.000 | -0.000 |
| -0.000 | 0.000 | 0.000 | 0.000 | -0.000 | -0.000 |
| -0.000 | -0.000 | 0.000 | 0.000 | 0.000 | 0.000 |
| -0.000 | -0.000 | -0.000 | 0.000 | -0.000 | -0.000 |
| -0.000 | -0.000 | -0.000 | -0.000 | 0.000 | -0.000 |
| -0.000 | 0.000 | -0.000 | -0.000 | 0.000 | 0.000 |
| 0.000 | -0.000 | 0.000 | -0.000 | -0.000 | 0.000 |
| -0.000 | 0.000 | 0.000 | -0.000 | -0.000 | 0.000 |
| -0.000 | -0.000 | 0.000 | -0.000 | -0.000 | -0.000 |
| 0.000 | 0.000 | 0.000 | 0.000 | -0.000 | 0.000 |
| 0.000 | 0.000 | 0.000 | -0.000 | 0.000 | 0.000 |
| 0.000 | -0.000 | 0.000 | 0.000 | -0.000 | 0.000 |
| 0.000 | -0.000 | 0.000 | -0.000 | 0.000 | 0.000 |
| -0.000 | 0.000 | 0.000 | 0.000 | -0.000 | 0.000 |
| -0.000 | -0.000 | 0.000 | -0.000 | -0.000 | 0.000 |
| -0.000 | -0.000 | -0.000 | 0.000 | -0.000 | 0.000 |
| -0.000 | -0.000 | -0.000 | -0.000 | 0.000 | -0.000 |
| -0.000 | 0.000 | -0.000 | -0.000 | -0.000 | 0.000 |
| 0.000 | -0.000 | 0.000 | 0.000 | 0.000 | 0.000 |
| -0.000 | 0.000 | 0.000 | 0.000 | 0.000 | 0.000 |
| -0.000 | -0.000 | 0.000 | -0.000 | -0.000 | -0.000 |
| 0.000 | 0.000 | 0.000 | 0.000 | -0.000 | -0.000 |
| 0.000 | 0.000 | 0.000 | -0.000 | 0.000 | -0.000 |
| 0.000 | -0.000 | 0.000 | -0.000 | 0.000 | 0.000 |
| 0.000 | -0.000 | 0.000 | 0.000 | -0.000 | -0.000 |
| -0.000 | 0.000 | 0.000 | -0.000 | 0.000 | -0.000 |
| -0.000 | -0.000 | 0.000 | 0.000 | 0.000 | 0.000 |
| -0.000 | -0.000 | -0.000 | 0.000 | 0.000 | 0.000 |
| -0.000 | -0.000 | -0.000 | 0.000 | 0.000 | -0.000 |
| 0.000 | 0.000 | -0.000 | 0.000 | 0.000 | 0.000 |
| 0.000 | 0.000 | -0.000 | -0.000 | 0.000 | -0.000 |
| 0.000 | 0.000 | -0.000 | 0.000 | -0.000 | -0.000 |
| 0.000 | 0.000 | -0.000 | 0.000 | 0.000 | 0.000 |
| 0.000 | 0.000 | -0.000 | -0.000 | -0.000 | -0.000 |
| 0.000 | 0.000 | -0.000 | -0.000 | -0.000 | -0.000 |
| 0.000 | -0.000 | -0.000 | 0.000 | 0.000 | -0.000 |
| 0.000 | 0.000 | -0.000 | -0.000 | -0.000 | 0.000 |
| 0.000 | 0.000 | -0.000 | -0.000 | -0.000 | 0.000 |
| 0.000 | 0.000 | -0.000 | -0.000 | -0.000 | 0.000 |
| -0.000 | -0.000 | 0.000 | -0.000 | -0.000 | 0.000 |
| -0.000 | -0.000 | 0.000 | -0.000 | -0.000 | 0.000 |
| -0.000 | 0.000 | 0.000 | -0.000 | -0.000 | -0.000 |
| 0.000 | 0.000 | -0.000 | 0.000 | -0.000 | -0.000 |
| 0.000 | 0.000 | -0.000 | -0.000 | 0.000 | -0.000 |
| 0.000 | 0.000 | -0.000 | 0.000 | 0.000 | 0.000 |
| 0.000 | 0.000 | -0.000 | -0.000 | 0.000 | -0.000 |
| 0.000 | 0.000 | -0.000 | 0.000 | -0.000 | 0.000 |
| 0.000 | -0.000 | -0.000 | 0.000 | 0.000 | -0.000 |
| 0.000 | 0.000 | -0.000 | -0.000 | -0.000 | 0.000 |
| 0.000 | 0.000 | -0.000 | -0.000 | -0.000 | 0.000 |
| 0.000 | 0.000 | -0.000 | -0.000 | -0.000 | 0.000 |
| -0.000 | -0.000 | 0.000 | -0.000 | 0.000 | 0.000 |
| -0.000 | -0.000 | 0.000 | 0.000 | -0.000 | -0.000 |
| -0.000 | 0.000 | 0.000 | -0.000 | -0.000 | -0.000 |
| 0.000 | 0.000 | -0.000 | -0.000 | 0.000 | -0.000 |
| 0.000 | 0.000 | -0.000 | 0.000 | -0.000 | 0.000 |
| 0.000 | 0.000 | -0.000 | 0.000 | 0.000 | 0.000 |
| 0.000 | 0.000 | -0.000 | -0.000 | 0.000 | -0.000 |
| 0.000 | 0.000 | -0.000 | 0.000 | -0.000 | -0.000 |
| 0.000 | -0.000 | -0.000 | -0.000 | -0.000 | -0.000 |
| 0.000 | 0.000 | -0.000 | -0.000 | -0.000 | 0.000 |
| 0.000 | 0.000 | -0.000 | -0.000 | -0.000 | 0.000 |
| 0.000 | 0.000 | -0.000 | -0.000 | -0.000 | 0.000 |
| -0.000 | -0.000 | 0.000 | -0.000 | -0.000 | 0.000 |
| -0.000 | -0.000 | 0.000 | -0.000 | -0.000 | 0.000 |
| -0.000 | 0.000 | 0.000 | -0.000 | -0.000 | -0.000 |
| 0.000 | 0.000 | 0.000 | 0.000 | 0.000 | -0.000 |
| 0.000 | 0.000 | 0.000 | 0.000 | 0.000 | 0.000 |
| 0.000 | 0.000 | 0.000 | 0.000 | 0.000 | -0.000 |
| -0.000 | -0.000 | 0.000 | 0.000 | 0.000 | -0.000 |
| -0.000 | -0.000 | 0.000 | 0.000 | 0.000 | -0.000 |
| -0.000 | -0.000 | 0.000 | 0.000 | 0.000 | -0.000 |
| 0.000 | 0.000 | -0.000 | -0.000 | -0.000 | 0.000 |
| 0.000 | 0.000 | -0.000 | -0.000 | -0.000 | 0.000 |
| 0.000 | 0.000 | -0.000 | -0.000 | -0.000 | 0.000 |
| 0.000 | 0.000 | -0.000 | -0.000 | -0.000 | 0.000 |
| 0.000 | 0.000 | -0.000 | -0.000 | -0.000 | 0.000 |
| 0.000 | 0.000 | -0.000 | -0.000 | -0.000 | -0.000 |
| 0.000 | 0.000 | 0.000 | 0.000 | 0.000 | 0.000 |
| 0.000 | 0.000 | 0.000 | 0.000 | 0.000 | -0.000 |
| 0.000 | 0.000 | 0.000 | 0.000 | 0.000 | -0.000 |
| -0.000 | -0.000 | 0.000 | 0.000 | 0.000 | -0.000 |
| -0.000 | -0.000 | 0.000 | 0.000 | 0.000 | -0.000 |
| -0.000 | -0.000 | 0.000 | 0.000 | 0.000 | -0.000 |
| 0.000 | 0.000 | -0.000 | -0.000 | -0.000 | 0.000 |
| 0.000 | 0.000 | -0.000 | -0.000 | -0.000 | -0.000 |
| 0.000 | 0.000 | -0.000 | -0.000 | -0.000 | 0.000 |
| 0.000 | 0.000 | -0.000 | -0.000 | -0.000 | 0.000 |
| 0.000 | 0.000 | -0.000 | -0.000 | -0.000 | 0.000 |
| 0.000 | 0.000 | -0.000 | -0.000 | -0.000 | -0.000 |
| 0.000 | 0.000 | 0.000 | 0.000 | 0.000 | -0.000 |
| 0.000 | 0.000 | 0.000 | 0.000 | 0.000 | -0.000 |
| 0.000 | 0.000 | 0.000 | 0.000 | 0.000 | -0.000 |
| -0.000 | -0.000 | 0.000 | 0.000 | 0.000 | -0.000 |
| -0.000 | -0.000 | 0.000 | 0.000 | 0.000 | 0.000 |
| -0.000 | -0.000 | 0.000 | 0.000 | 0.000 | -0.000 |
| 0.000 | 0.000 | -0.000 | -0.000 | -0.000 | 0.000 |
| 0.000 | 0.000 | -0.000 | -0.000 | -0.000 | -0.000 |
| 0.000 | 0.000 | -0.000 | -0.000 | -0.000 | 0.000 |
| 0.000 | 0.000 | -0.000 | -0.000 | -0.000 | -0.000 |
| 0.000 | 0.000 | -0.000 | -0.000 | -0.000 | -0.000 |
| -0.000 | 0.000 | -0.000 | -0.000 | -0.000 | -0.000 |
| -0.000 | -0.000 | 0.000 | 0.000 | 0.000 | 0.000 |
| -0.000 | -0.000 | 0.000 | 0.000 | 0.000 | 0.000 |
| -0.000 | -0.000 | 0.000 | 0.000 | 0.000 | -0.000 |
| 0.000 | -0.000 | 0.000 | 0.000 | 0.000 | 0.000 |
| -0.000 | 0.000 | 0.000 | 0.000 | 0.000 | 0.000 |
| -0.000 | 0.000 | 0.000 | 0.000 | 0.000 | 0.000 |
| -0.000 | -0.000 | -0.000 | -0.000 | -0.000 | 0.000 |
| -0.000 | -0.000 | -0.000 | -0.000 | -0.000 | -0.000 |
| -0.000 | -0.000 | -0.000 | -0.000 | -0.000 | -0.000 |
| -0.000 | -0.000 | -0.000 | -0.000 | -0.000 | -0.000 |
| -0.000 | -0.000 | -0.000 | -0.000 | -0.000 | -0.000 |
| 0.000 | -0.000 | -0.000 | -0.000 | -0.000 | 0.000 |
| -0.000 | -0.000 | 0.000 | 0.000 | 0.000 | 0.000 |
| -0.000 | -0.000 | 0.000 | 0.000 | 0.000 | 0.000 |
| -0.000 | -0.000 | 0.000 | 0.000 | 0.000 | -0.000 |
| 0.000 | -0.000 | 0.000 | 0.000 | 0.000 | 0.000 |
| -0.000 | 0.000 | 0.000 | 0.000 | 0.000 | 0.000 |
| -0.000 | 0.000 | 0.000 | 0.000 | 0.000 | 0.000 |
| -0.000 | -0.000 | -0.000 | -0.000 | -0.000 | -0.000 |
| -0.000 | -0.000 | -0.000 | -0.000 | -0.000 | -0.000 |
| -0.000 | -0.000 | -0.000 | -0.000 | -0.000 | -0.000 |
| -0.000 | 0.000 | -0.000 | -0.000 | -0.000 | -0.000 |
| 0.000 | -0.000 | -0.000 | -0.000 | -0.000 | 0.000 |
| 0.000 | -0.000 | -0.000 | -0.000 | -0.000 | 0.000 |
| -0.000 | -0.000 | 0.000 | 0.000 | 0.000 | 0.000 |
| -0.000 | -0.000 | 0.000 | 0.000 | 0.000 | 0.000 |
| -0.000 | -0.000 | 0.000 | 0.000 | 0.000 | -0.000 |
| 0.000 | -0.000 | 0.000 | 0.000 | 0.000 | -0.000 |
| -0.000 | 0.000 | 0.000 | 0.000 | 0.000 | 0.000 |
| -0.000 | 0.000 | 0.000 | 0.000 | 0.000 | 0.000 |
| -0.000 | -0.000 | -0.000 | -0.000 | -0.000 | -0.000 |
| -0.000 | -0.000 | -0.000 | -0.000 | -0.000 | -0.000 |
| -0.000 | -0.000 | -0.000 | -0.000 | -0.000 | -0.000 |
| -0.000 | 0.000 | -0.000 | -0.000 | -0.000 | -0.000 |
| 0.000 | -0.000 | -0.000 | -0.000 | -0.000 | -0.000 |
| 0.000 | -0.000 | -0.000 | -0.000 | -0.000 | 0.000 |
| 0.000 | -0.000 | 0.000 | 0.000 | 0.000 | 0.000 |
| -0.000 | 0.000 | 0.000 | 0.000 | 0.000 | -0.000 |
| -0.000 | -0.000 | 0.000 | 0.000 | 0.000 | -0.000 |
| 0.000 | 0.000 | 0.000 | 0.000 | 0.000 | -0.000 |
| 0.000 | 0.000 | 0.000 | 0.000 | 0.000 | 0.000 |
| 0.000 | 0.000 | 0.000 | 0.000 | 0.000 | 0.000 |
| 0.000 | -0.000 | -0.000 | -0.000 | -0.000 | 0.000 |
| -0.000 | 0.000 | -0.000 | -0.000 | -0.000 | 0.000 |
| -0.000 | -0.000 | -0.000 | -0.000 | -0.000 | -0.000 |
| -0.000 | -0.000 | -0.000 | -0.000 | -0.000 | 0.000 |
| -0.000 | -0.000 | -0.000 | -0.000 | -0.000 | 0.000 |
| -0.000 | -0.000 | -0.000 | -0.000 | -0.000 | 0.000 |
| 0.000 | -0.000 | 0.000 | 0.000 | 0.000 | -0.000 |
| -0.000 | 0.000 | 0.000 | 0.000 | 0.000 | 0.000 |
| -0.000 | -0.000 | 0.000 | 0.000 | 0.000 | -0.000 |
| 0.000 | 0.000 | 0.000 | 0.000 | 0.000 | 0.000 |
| 0.000 | 0.000 | 0.000 | 0.000 | 0.000 | -0.000 |
| 0.000 | -0.000 | 0.000 | 0.000 | 0.000 | 0.000 |
| 0.000 | -0.000 | -0.000 | -0.000 | -0.000 | -0.000 |
| -0.000 | 0.000 | -0.000 | -0.000 | -0.000 | -0.000 |
| -0.000 | -0.000 | -0.000 | -0.000 | -0.000 | -0.000 |
| -0.000 | -0.000 | -0.000 | -0.000 | -0.000 | -0.000 |
| -0.000 | -0.000 | -0.000 | -0.000 | -0.000 | -0.000 |
| -0.000 | 0.000 | -0.000 | -0.000 | -0.000 | 0.000 |
| 0.000 | -0.000 | 0.000 | 0.000 | 0.000 | 0.000 |
| -0.000 | 0.000 | 0.000 | 0.000 | 0.000 | 0.000 |
| -0.000 | -0.000 | 0.000 | 0.000 | 0.000 | -0.000 |
| 0.000 | 0.000 | 0.000 | 0.000 | 0.000 | 0.000 |
| 0.000 | 0.000 | 0.000 | 0.000 | 0.000 | -0.000 |
| -0.000 | -0.000 | 0.000 | 0.000 | 0.000 | 0.000 |
| 0.000 | -0.000 | -0.000 | -0.000 | -0.000 | 0.000 |
| -0.000 | 0.000 | -0.000 | -0.000 | -0.000 | -0.000 |
| -0.000 | -0.000 | -0.000 | -0.000 | -0.000 | -0.000 |
| -0.000 | -0.000 | -0.000 | -0.000 | -0.000 | -0.000 |
| -0.000 | -0.000 | -0.000 | -0.000 | -0.000 | -0.000 |
| 0.000 | 0.000 | -0.000 | -0.000 | -0.000 | 0.000 |
| 62.414 | 44.205 | 132.796 | -41.531 | -0.000 | 0.000 |
| 44.205 | 62.414 | 132.796 | 41.531 | -0.000 | 0.000 |
| 119.970 | 119.970 | 99.797 | -0.000 | 0.000 | -0.000 |
| -41.531 | 41.531 | 0.000 | 74.568 | 0.000 | -0.000 |
| -0.000 | -0.000 | 0.000 | -0.000 | 74.568 | -41.531 |
| -0.000 | 0.000 | 0.000 | -0.000 | -41.531 | 9.105 |
| 62.414 | 44.205 | 132.796 | -41.531 | 0.000 | 0.000 |
| 44.205 | 62.414 | 132.796 | 41.531 | -0.000 | 0.000 |
| 119.970 | 119.970 | 99.797 | 0.000 | -0.000 | 0.000 |
| -41.531 | 41.531 | -0.000 | 74.568 | 0.000 | -0.000 |
| 0.000 | -0.000 | -0.000 | 0.000 | 74.568 | -41.531 |
| 0.000 | -0.000 | -0.000 | 0.000 | -41.531 | 9.105 |
| 62.414 | 44.205 | 132.796 | -41.531 | 0.000 | 0.000 |
| 44.205 | 62.414 | 132.796 | 41.531 | -0.000 | 0.000 |
| 119.970 | 119.970 | 99.797 | -0.000 | -0.000 | 0.000 |
| -41.531 | 41.531 | 0.000 | 74.568 | -0.000 | -0.000 |
| -0.000 | -0.000 | 0.000 | -0.000 | 74.568 | -41.531 |
| 0.000 | -0.000 | 0.000 | -0.000 | -41.531 | 9.105 |
| 62.414 | 44.205 | 132.796 | -41.531 | -0.000 | -0.000 |
| 44.205 | 62.414 | 132.796 | 41.531 | 0.000 | -0.000 |
| 119.970 | 119.970 | 99.797 | 0.000 | -0.000 | -0.000 |
| -41.531 | 41.531 | -0.000 | 74.568 | -0.000 | 0.000 |
| 0.000 | 0.000 | -0.000 | 0.000 | 74.568 | -41.531 |
| -0.000 | 0.000 | -0.000 | 0.000 | -41.531 | 9.105 |
| 62.414 | 44.205 | 132.796 | -41.531 | -0.000 | -0.000 |
| 44.205 | 62.415 | 132.796 | 41.531 | -0.000 | -0.000 |
| 119.970 | 119.970 | 99.796 | -0.000 | -0.000 | 0.000 |
| -41.531 | 41.531 | 0.000 | 74.568 | -0.000 | -0.000 |
| -0.000 | -0.000 | 0.000 | -0.000 | 74.568 | -41.531 |
| 0.000 | -0.000 | -0.000 | -0.000 | -41.531 | 9.105 |
| 62.414 | 44.204 | 132.795 | -41.531 | -0.000 | 0.000 |
| 44.205 | 62.414 | 132.795 | 41.531 | -0.000 | -0.000 |
| 119.969 | 119.969 | 99.797 | -0.000 | -0.000 | -0.000 |
| -41.531 | 41.531 | -0.000 | 74.568 | 0.000 | 0.000 |
| 0.000 | 0.000 | -0.000 | 0.000 | 74.568 | -41.531 |
| -0.000 | 0.000 | 0.000 | 0.000 | -41.531 | 9.105 |
| 0.000 | 0.000 | 0.000 | -0.000 | -0.000 | -0.000 |
| 0.000 | 0.000 | 0.000 | 0.000 | -0.000 | 0.000 |
| 0.000 | 0.000 | 0.000 | -0.000 | -0.000 | -0.000 |
| -0.000 | 0.000 | 0.000 | 0.000 | -0.000 | 0.000 |
| 0.000 | 0.000 | 0.000 | -0.000 | 0.000 | -0.000 |
| 0.000 | 0.000 | 0.000 | -0.000 | -0.000 | 0.000 |
| 0.000 | 0.000 | 0.000 | -0.000 | 0.000 | -0.000 |
| 0.000 | 0.000 | 0.000 | 0.000 | 0.000 | -0.000 |
| 0.000 | 0.000 | 0.000 | 0.000 | 0.000 | -0.000 |
| -0.000 | 0.000 | -0.000 | 0.000 | 0.000 | -0.000 |
| -0.000 | -0.000 | -0.000 | 0.000 | 0.000 | -0.000 |
| -0.000 | -0.000 | -0.000 | 0.000 | -0.000 | 0.000 |
| 0.000 | 0.000 | 0.000 | -0.000 | -0.000 | 0.000 |
| 0.000 | 0.000 | 0.000 | 0.000 | -0.000 | 0.000 |
| 0.000 | 0.000 | 0.000 | -0.000 | -0.000 | 0.000 |
| -0.000 | 0.000 | 0.000 | 0.000 | -0.000 | -0.000 |
| 0.000 | 0.000 | 0.000 | -0.000 | 0.000 | -0.000 |
| 0.000 | 0.000 | 0.000 | -0.000 | -0.000 | 0.000 |
| 0.000 | 0.000 | 0.000 | -0.000 | 0.000 | 0.000 |
| 0.000 | 0.000 | 0.000 | 0.000 | 0.000 | 0.000 |
| 0.000 | 0.000 | 0.000 | 0.000 | 0.000 | -0.000 |
| -0.000 | 0.000 | -0.000 | 0.000 | 0.000 | -0.000 |
| -0.000 | -0.000 | -0.000 | 0.000 | 0.000 | -0.000 |
| -0.000 | -0.000 | -0.000 | 0.000 | -0.000 | 0.000 |
| 0.000 | 0.000 | 0.000 | -0.000 | -0.000 | -0.000 |
| 0.000 | 0.000 | 0.000 | 0.000 | -0.000 | -0.000 |
| 0.000 | 0.000 | 0.000 | 0.000 | -0.000 | 0.000 |
| -0.000 | 0.000 | 0.000 | 0.000 | -0.000 | -0.000 |
| 0.000 | 0.000 | 0.000 | -0.000 | 0.000 | -0.000 |
| 0.000 | 0.000 | 0.000 | -0.000 | -0.000 | 0.000 |
| 0.000 | 0.000 | 0.000 | -0.000 | 0.000 | -0.000 |
| 0.000 | 0.000 | 0.000 | 0.000 | 0.000 | -0.000 |
| 0.000 | 0.000 | 0.000 | 0.000 | 0.000 | 0.000 |
| -0.000 | 0.000 | -0.000 | 0.000 | 0.000 | -0.000 |
| -0.000 | -0.000 | -0.000 | 0.000 | 0.000 | -0.000 |
| -0.000 | -0.000 | -0.000 | 0.000 | -0.000 | 0.000 |
| 0.000 | 0.000 | 0.000 | -0.000 | -0.000 | 0.000 |
| 0.000 | 0.000 | 0.000 | 0.000 | -0.000 | 0.000 |
| 0.000 | 0.000 | 0.000 | 0.000 | -0.000 | 0.000 |
| -0.000 | 0.000 | 0.000 | 0.000 | -0.000 | 0.000 |
| 0.000 | 0.000 | 0.000 | -0.000 | 0.000 | -0.000 |
| 0.000 | 0.000 | 0.000 | -0.000 | -0.000 | 0.000 |
| 0.000 | 0.000 | 0.000 | -0.000 | 0.000 | -0.000 |
| 0.000 | 0.000 | 0.000 | 0.000 | 0.000 | -0.000 |
| 0.000 | 0.000 | 0.000 | 0.000 | 0.000 | -0.000 |
| -0.000 | 0.000 | -0.000 | 0.000 | 0.000 | -0.000 |
| -0.000 | -0.000 | -0.000 | 0.000 | 0.000 | -0.000 |
| -0.000 | -0.000 | -0.000 | 0.000 | -0.000 | 0.000 |
| 0.000 | 0.000 | 0.000 | -0.000 | -0.000 | 0.000 |
| 0.000 | 0.000 | 0.000 | 0.000 | -0.000 | 0.000 |
| 0.000 | 0.000 | 0.000 | 0.000 | -0.000 | 0.000 |
| -0.000 | 0.000 | 0.000 | 0.000 | -0.000 | 0.000 |
| 0.000 | 0.000 | 0.000 | -0.000 | 0.000 | -0.000 |
| 0.000 | 0.000 | 0.000 | -0.000 | -0.000 | 0.000 |
| 0.000 | 0.000 | 0.000 | -0.000 | 0.000 | -0.000 |
| 0.000 | 0.000 | 0.000 | 0.000 | 0.000 | -0.000 |
| 0.000 | 0.000 | 0.000 | -0.000 | 0.000 | -0.000 |
| -0.000 | 0.000 | -0.000 | 0.000 | 0.000 | -0.000 |
| -0.000 | -0.000 | -0.000 | 0.000 | 0.000 | -0.000 |
| -0.000 | -0.000 | -0.000 | 0.000 | -0.000 | 0.000 |
| 0.000 | 0.000 | 0.000 | -0.000 | -0.000 | 0.000 |
| 0.000 | 0.000 | 0.000 | 0.000 | -0.000 | 0.000 |
| 0.000 | 0.000 | 0.000 | 0.000 | -0.000 | 0.000 |
| -0.000 | 0.000 | 0.000 | 0.000 | -0.000 | 0.000 |
| 0.000 | 0.000 | 0.000 | -0.000 | 0.000 | -0.000 |
| 0.000 | 0.000 | 0.000 | -0.000 | -0.000 | 0.000 |
| 0.000 | 0.000 | 0.000 | -0.000 | 0.000 | -0.000 |
| 0.000 | 0.000 | 0.000 | 0.000 | 0.000 | -0.000 |
| 0.000 | 0.000 | 0.000 | -0.000 | 0.000 | -0.000 |
| -0.000 | 0.000 | -0.000 | 0.000 | 0.000 | -0.000 |
| -0.000 | -0.000 | -0.000 | 0.000 | 0.000 | -0.000 |
| -0.000 | -0.000 | -0.000 | 0.000 | -0.000 | 0.000 |
| 0.000 | 0.000 | 0.000 | -0.000 | -0.000 | 0.000 |
| 0.000 | 0.000 | 0.000 | 0.000 | 0.000 | -0.000 |
| 0.000 | 0.000 | 0.000 | -0.000 | -0.000 | 0.000 |
| -0.000 | 0.000 | 0.000 | 0.000 | 0.000 | -0.000 |
| 0.000 | 0.000 | 0.000 | -0.000 | 0.000 | -0.000 |
| 0.000 | 0.000 | 0.000 | -0.000 | -0.000 | 0.000 |
| 0.000 | 0.000 | 0.000 | -0.000 | -0.000 | 0.000 |
| 0.000 | 0.000 | 0.000 | 0.000 | 0.000 | -0.000 |
| 0.000 | 0.000 | 0.000 | 0.000 | 0.000 | -0.000 |
| -0.000 | 0.000 | -0.000 | 0.000 | -0.000 | 0.000 |
| -0.000 | -0.000 | -0.000 | 0.000 | 0.000 | -0.000 |
| -0.000 | -0.000 | -0.000 | 0.000 | -0.000 | 0.000 |
| 0.000 | 0.000 | 0.000 | -0.000 | 0.000 | -0.000 |
| 0.000 | 0.000 | 0.000 | 0.000 | 0.000 | -0.000 |
| 0.000 | 0.000 | 0.000 | 0.000 | -0.000 | -0.000 |
| -0.000 | 0.000 | 0.000 | 0.000 | -0.000 | 0.000 |
| 0.000 | 0.000 | 0.000 | -0.000 | 0.000 | -0.000 |
| 0.000 | 0.000 | 0.000 | -0.000 | -0.000 | 0.000 |
| 0.000 | 0.000 | 0.000 | -0.000 | 0.000 | -0.000 |
| 0.000 | 0.000 | 0.000 | 0.000 | 0.000 | -0.000 |
| 0.000 | 0.000 | 0.000 | -0.000 | -0.000 | -0.000 |
| -0.000 | 0.000 | -0.000 | 0.000 | 0.000 | -0.000 |
| -0.000 | -0.000 | -0.000 | 0.000 | 0.000 | -0.000 |
| -0.000 | -0.000 | -0.000 | 0.000 | -0.000 | 0.000 |
| 0.000 | 0.000 | 0.000 | -0.000 | -0.000 | 0.000 |
| 0.000 | 0.000 | 0.000 | 0.000 | -0.000 | -0.000 |
| 0.000 | 0.000 | 0.000 | -0.000 | -0.000 | 0.000 |
| -0.000 | 0.000 | 0.000 | 0.000 | -0.000 | 0.000 |
| 0.000 | 0.000 | 0.000 | -0.000 | 0.000 | -0.000 |
| 0.000 | 0.000 | 0.000 | -0.000 | -0.000 | 0.000 |
| 0.000 | 0.000 | 0.000 | -0.000 | -0.000 | 0.000 |
| 0.000 | 0.000 | 0.000 | 0.000 | -0.000 | 0.000 |
| 0.000 | 0.000 | 0.000 | 0.000 | 0.000 | -0.000 |
| -0.000 | 0.000 | -0.000 | 0.000 | 0.000 | -0.000 |
| -0.000 | -0.000 | -0.000 | 0.000 | 0.000 | -0.000 |
| -0.000 | -0.000 | -0.000 | 0.000 | -0.000 | 0.000 |
| 0.000 | 0.000 | 0.000 | -0.000 | 0.000 | -0.000 |
| 0.000 | 0.000 | 0.000 | 0.000 | 0.000 | -0.000 |
| 0.000 | 0.000 | 0.000 | 0.000 | 0.000 | -0.000 |
| -0.000 | 0.000 | 0.000 | 0.000 | 0.000 | -0.000 |
| 0.000 | 0.000 | 0.000 | -0.000 | 0.000 | -0.000 |
| 0.000 | 0.000 | 0.000 | -0.000 | -0.000 | 0.000 |
| 0.000 | 0.000 | 0.000 | -0.000 | -0.000 | 0.000 |
| 0.000 | 0.000 | 0.000 | 0.000 | -0.000 | 0.000 |
| 0.000 | 0.000 | 0.000 | -0.000 | -0.000 | 0.000 |
| -0.000 | 0.000 | -0.000 | 0.000 | -0.000 | 0.000 |
| -0.000 | -0.000 | -0.000 | 0.000 | 0.000 | -0.000 |
| -0.000 | -0.000 | -0.000 | 0.000 | -0.000 | 0.000 |
| 0.000 | 0.000 | 0.000 | -0.000 | -0.000 | 0.000 |
| 0.000 | 0.000 | 0.000 | 0.000 | 0.000 | -0.000 |
| 0.000 | 0.000 | 0.000 | 0.000 | 0.000 | -0.000 |
| -0.000 | 0.000 | 0.000 | 0.000 | 0.000 | -0.000 |
| 0.000 | 0.000 | 0.000 | -0.000 | 0.000 | -0.000 |
| 0.000 | 0.000 | 0.000 | -0.000 | -0.000 | 0.000 |
| 0.000 | 0.000 | 0.000 | -0.000 | 0.000 | -0.000 |
| 0.000 | 0.000 | 0.000 | 0.000 | -0.000 | 0.000 |
| 0.000 | 0.000 | 0.000 | -0.000 | -0.000 | 0.000 |
| -0.000 | 0.000 | -0.000 | 0.000 | -0.000 | 0.000 |
| -0.000 | -0.000 | -0.000 | 0.000 | 0.000 | -0.000 |
| -0.000 | -0.000 | -0.000 | 0.000 | -0.000 | 0.000 |
| 0.000 | 0.000 | 0.000 | -0.000 | 0.000 | -0.000 |
| 0.000 | 0.000 | 0.000 | 0.000 | 0.000 | -0.000 |
| 0.000 | 0.000 | 0.000 | 0.000 | 0.000 | -0.000 |
| -0.000 | 0.000 | 0.000 | 0.000 | 0.000 | -0.000 |
| 0.000 | 0.000 | 0.000 | -0.000 | 0.000 | -0.000 |
| 0.000 | 0.000 | 0.000 | -0.000 | -0.000 | 0.000 |
| 0.000 | 0.000 | 0.000 | -0.000 | -0.000 | 0.000 |
| 0.000 | 0.000 | 0.000 | 0.000 | -0.000 | 0.000 |
| 0.000 | 0.000 | 0.000 | -0.000 | -0.000 | 0.000 |
| -0.000 | 0.000 | -0.000 | 0.000 | -0.000 | 0.000 |
| -0.000 | -0.000 | -0.000 | 0.000 | 0.000 | -0.000 |
| -0.000 | -0.000 | -0.000 | 0.000 | -0.000 | 0.000 |
| 0.000 | 0.000 | 0.000 | -0.000 | -0.000 | 0.000 |
| 0.000 | 0.000 | 0.000 | 0.000 | -0.000 | 0.000 |
| 0.000 | 0.000 | 0.000 | -0.000 | -0.000 | 0.000 |
| -0.000 | 0.000 | -0.000 | 0.000 | -0.000 | -0.000 |
| -0.000 | -0.000 | -0.000 | 0.000 | 0.000 | -0.000 |
| -0.000 | -0.000 | -0.000 | 0.000 | -0.000 | 0.000 |
| 0.000 | 0.000 | 0.000 | -0.000 | 0.000 | -0.000 |
| 0.000 | 0.000 | 0.000 | 0.000 | 0.000 | -0.000 |
| 0.000 | 0.000 | 0.000 | 0.000 | 0.000 | -0.000 |
| -0.000 | 0.000 | 0.000 | 0.000 | 0.000 | -0.000 |
| 0.000 | 0.000 | 0.000 | -0.000 | 0.000 | -0.000 |
| 0.000 | 0.000 | 0.000 | -0.000 | -0.000 | 0.000 |
| 0.000 | 0.000 | 0.000 | -0.000 | 0.000 | -0.000 |
| 0.000 | 0.000 | 0.000 | 0.000 | -0.000 | 0.000 |
| 0.000 | 0.000 | 0.000 | -0.000 | -0.000 | 0.000 |
| -0.000 | 0.000 | -0.000 | 0.000 | -0.000 | 0.000 |
| -0.000 | -0.000 | -0.000 | 0.000 | 0.000 | -0.000 |
| -0.000 | -0.000 | -0.000 | 0.000 | -0.000 | 0.000 |
| 0.000 | 0.000 | 0.000 | -0.000 | 0.000 | -0.000 |
| 0.000 | 0.000 | 0.000 | 0.000 | 0.000 | -0.000 |
| 0.000 | 0.000 | 0.000 | 0.000 | -0.000 | -0.000 |
| -0.000 | 0.000 | 0.000 | 0.000 | 0.000 | -0.000 |
| 0.000 | 0.000 | 0.000 | -0.000 | 0.000 | -0.000 |
| 0.000 | 0.000 | 0.000 | -0.000 | -0.000 | 0.000 |
| 0.000 | 0.000 | 0.000 | -0.000 | -0.000 | 0.000 |
| 0.000 | 0.000 | 0.000 | 0.000 | -0.000 | 0.000 |
| 0.000 | 0.000 | 0.000 | -0.000 | 0.000 | 0.000 |
| -0.000 | 0.000 | -0.000 | 0.000 | -0.000 | 0.000 |
| -0.000 | -0.000 | -0.000 | 0.000 | 0.000 | -0.000 |
| -0.000 | -0.000 | -0.000 | 0.000 | -0.000 | 0.000 |
| 0.000 | 0.000 | 0.000 | -0.000 | 0.000 | -0.000 |
| 0.000 | 0.000 | 0.000 | 0.000 | 0.000 | -0.000 |
| 0.000 | 0.000 | 0.000 | 0.000 | 0.000 | -0.000 |
| -0.000 | 0.000 | 0.000 | 0.000 | 0.000 | -0.000 |
| 0.000 | 0.000 | 0.000 | -0.000 | 0.000 | -0.000 |
| 0.000 | 0.000 | 0.000 | -0.000 | -0.000 | 0.000 |
| -0.000 | -0.000 | -0.000 | 0.000 | 0.000 | -0.000 |
| -0.000 | -0.000 | -0.000 | -0.000 | -0.000 | -0.000 |
| -0.000 | -0.000 | -0.000 | 0.000 | 0.000 | -0.000 |
| 0.000 | -0.000 | -0.000 | -0.000 | -0.000 | 0.000 |
| -0.000 | -0.000 | -0.000 | 0.000 | -0.000 | 0.000 |
| -0.000 | -0.000 | -0.000 | 0.000 | 0.000 | -0.000 |
| -0.000 | -0.000 | -0.000 | 0.000 | 0.000 | -0.000 |
| -0.000 | -0.000 | -0.000 | -0.000 | 0.000 | -0.000 |
| -0.000 | -0.000 | -0.000 | 0.000 | 0.000 | -0.000 |
| 0.000 | -0.000 | 0.000 | -0.000 | -0.000 | 0.000 |
| 0.000 | 0.000 | 0.000 | -0.000 | -0.000 | 0.000 |
| 0.000 | 0.000 | 0.000 | -0.000 | 0.000 | -0.000 |
| -0.000 | -0.000 | -0.000 | 0.000 | 0.000 | -0.000 |
| -0.000 | -0.000 | -0.000 | -0.000 | 0.000 | -0.000 |
| -0.000 | -0.000 | -0.000 | 0.000 | 0.000 | -0.000 |
| 0.000 | -0.000 | -0.000 | -0.000 | 0.000 | -0.000 |
| -0.000 | -0.000 | -0.000 | 0.000 | -0.000 | 0.000 |
| -0.000 | -0.000 | -0.000 | 0.000 | 0.000 | -0.000 |
| -0.000 | -0.000 | -0.000 | 0.000 | 0.000 | -0.000 |
| -0.000 | -0.000 | -0.000 | -0.000 | -0.000 | 0.000 |
| -0.000 | -0.000 | -0.000 | -0.000 | 0.000 | -0.000 |
| 0.000 | -0.000 | 0.000 | -0.000 | 0.000 | -0.000 |
| 0.000 | 0.000 | 0.000 | -0.000 | -0.000 | 0.000 |
| 0.000 | 0.000 | 0.000 | -0.000 | 0.000 | -0.000 |
| -0.000 | -0.000 | -0.000 | 0.000 | 0.000 | -0.000 |
| -0.000 | -0.000 | -0.000 | -0.000 | 0.000 | -0.000 |
| -0.000 | -0.000 | -0.000 | 0.000 | 0.000 | 0.000 |
| 0.000 | -0.000 | -0.000 | -0.000 | -0.000 | -0.000 |
| -0.000 | -0.000 | -0.000 | 0.000 | -0.000 | 0.000 |
| -0.000 | -0.000 | -0.000 | 0.000 | 0.000 | -0.000 |
| -0.000 | -0.000 | -0.000 | 0.000 | 0.000 | -0.000 |
| -0.000 | -0.000 | -0.000 | -0.000 | -0.000 | 0.000 |
| -0.000 | -0.000 | -0.000 | -0.000 | -0.000 | 0.000 |
| 0.000 | -0.000 | 0.000 | -0.000 | -0.000 | 0.000 |
| 0.000 | 0.000 | 0.000 | -0.000 | -0.000 | 0.000 |
| 0.000 | 0.000 | 0.000 | -0.000 | 0.000 | -0.000 |
| 0.000 | 0.000 | 0.000 | -0.000 | -0.000 | 0.000 |
| 0.000 | 0.000 | 0.000 | 0.000 | -0.000 | 0.000 |
| 0.000 | 0.000 | 0.000 | -0.000 | -0.000 | 0.000 |
| -0.000 | 0.000 | 0.000 | 0.000 | -0.000 | 0.000 |
| 0.000 | 0.000 | 0.000 | -0.000 | 0.000 | -0.000 |
| 0.000 | 0.000 | 0.000 | -0.000 | -0.000 | 0.000 |
| 0.000 | 0.000 | 0.000 | -0.000 | 0.000 | -0.000 |
| 0.000 | 0.000 | 0.000 | 0.000 | 0.000 | -0.000 |
| 0.000 | 0.000 | 0.000 | 0.000 | 0.000 | -0.000 |
| -0.000 | 0.000 | -0.000 | 0.000 | 0.000 | -0.000 |
| -0.000 | -0.000 | -0.000 | 0.000 | 0.000 | -0.000 |
| -0.000 | -0.000 | -0.000 | 0.000 | -0.000 | 0.000 |
| 0.000 | 0.000 | 0.000 | -0.000 | -0.000 | 0.000 |
| 0.000 | 0.000 | 0.000 | 0.000 | -0.000 | 0.000 |
| 0.000 | 0.000 | 0.000 | 0.000 | -0.000 | 0.000 |
| -0.000 | 0.000 | 0.000 | 0.000 | -0.000 | 0.000 |
| 0.000 | 0.000 | 0.000 | -0.000 | 0.000 | -0.000 |
| 0.000 | 0.000 | 0.000 | -0.000 | -0.000 | 0.000 |
| 0.000 | 0.000 | 0.000 | -0.000 | 0.000 | -0.000 |
| 0.000 | 0.000 | 0.000 | 0.000 | 0.000 | -0.000 |
| 0.000 | 0.000 | 0.000 | 0.000 | 0.000 | -0.000 |
| -0.000 | 0.000 | -0.000 | 0.000 | 0.000 | -0.000 |
| -0.000 | -0.000 | -0.000 | 0.000 | 0.000 | -0.000 |
| -0.000 | -0.000 | -0.000 | 0.000 | -0.000 | 0.000 |
| 0.000 | 0.000 | 0.000 | -0.000 | -0.000 | 0.000 |
| 0.000 | 0.000 | 0.000 | 0.000 | -0.000 | 0.000 |
| 0.000 | 0.000 | 0.000 | -0.000 | -0.000 | 0.000 |
| -0.000 | 0.000 | 0.000 | 0.000 | -0.000 | 0.000 |
| 0.000 | 0.000 | 0.000 | -0.000 | 0.000 | -0.000 |
| 0.000 | 0.000 | 0.000 | -0.000 | -0.000 | 0.000 |
| 0.000 | 0.000 | 0.000 | -0.000 | 0.000 | -0.000 |
| 0.000 | 0.000 | 0.000 | 0.000 | 0.000 | -0.000 |
| 0.000 | 0.000 | 0.000 | 0.000 | 0.000 | -0.000 |
| -0.000 | 0.000 | -0.000 | 0.000 | 0.000 | -0.000 |
| -0.000 | -0.000 | -0.000 | 0.000 | 0.000 | -0.000 |
| -0.000 | -0.000 | -0.000 | 0.000 | -0.000 | 0.000 |
| 0.000 | 0.000 | 0.000 | -0.000 | -0.000 | 0.000 |
| 0.000 | 0.000 | 0.000 | 0.000 | 0.000 | -0.000 |
| 0.000 | 0.000 | 0.000 | 0.000 | 0.000 | -0.000 |
| -0.000 | 0.000 | 0.000 | 0.000 | 0.000 | -0.000 |
| 0.000 | 0.000 | 0.000 | -0.000 | 0.000 | -0.000 |
| 0.000 | 0.000 | 0.000 | -0.000 | -0.000 | 0.000 |
| 0.000 | 0.000 | 0.000 | -0.000 | -0.000 | 0.000 |
| 0.000 | 0.000 | 0.000 | 0.000 | -0.000 | 0.000 |
| 0.000 | 0.000 | 0.000 | -0.000 | -0.000 | 0.000 |
| -0.000 | 0.000 | -0.000 | 0.000 | -0.000 | 0.000 |
| -0.000 | -0.000 | -0.000 | 0.000 | 0.000 | -0.000 |
| -0.000 | -0.000 | -0.000 | 0.000 | -0.000 | 0.000 |
| 0.000 | 0.000 | 0.000 | -0.000 | 0.000 | -0.000 |
| 0.000 | 0.000 | 0.000 | 0.000 | 0.000 | -0.000 |
| 0.000 | 0.000 | 0.000 | 0.000 | 0.000 | -0.000 |
| -0.000 | 0.000 | 0.000 | 0.000 | 0.000 | -0.000 |
| 0.000 | 0.000 | 0.000 | -0.000 | 0.000 | -0.000 |
| 0.000 | 0.000 | 0.000 | -0.000 | -0.000 | 0.000 |
| 0.000 | 0.000 | 0.000 | -0.000 | -0.000 | 0.000 |
| 0.000 | 0.000 | 0.000 | 0.000 | -0.000 | 0.000 |
| 0.000 | 0.000 | 0.000 | 0.000 | -0.000 | 0.000 |
| -0.000 | 0.000 | -0.000 | 0.000 | -0.000 | 0.000 |
| -0.000 | -0.000 | -0.000 | 0.000 | 0.000 | -0.000 |
| -0.000 | -0.000 | -0.000 | 0.000 | -0.000 | 0.000 |
| 0.000 | 0.000 | 0.000 | -0.000 | 0.000 | -0.000 |
| 0.000 | 0.000 | 0.000 | 0.000 | 0.000 | -0.000 |
| 0.000 | 0.000 | 0.000 | -0.000 | 0.000 | -0.000 |
| -0.000 | 0.000 | 0.000 | 0.000 | 0.000 | -0.000 |
| 0.000 | 0.000 | 0.000 | -0.000 | 0.000 | -0.000 |
| 0.000 | 0.000 | 0.000 | -0.000 | -0.000 | 0.000 |
| 0.000 | 0.000 | 0.000 | -0.000 | -0.000 | 0.000 |
| 0.000 | 0.000 | 0.000 | 0.000 | -0.000 | 0.000 |
| 0.000 | 0.000 | 0.000 | -0.000 | -0.000 | 0.000 |
| -0.000 | 0.000 | -0.000 | 0.000 | -0.000 | 0.000 |
| -0.000 | -0.000 | -0.000 | 0.000 | 0.000 | -0.000 |
| -0.000 | -0.000 | -0.000 | 0.000 | -0.000 | 0.000 |
| 0.000 | 0.000 | 0.000 | -0.000 | 0.000 | -0.000 |
| 0.000 | 0.000 | 0.000 | 0.000 | 0.000 | -0.000 |
| 0.000 | 0.000 | 0.000 | 0.000 | -0.000 | 0.000 |
| -0.000 | 0.000 | 0.000 | 0.000 | -0.000 | 0.000 |
| 0.000 | 0.000 | 0.000 | -0.000 | 0.000 | -0.000 |
| 0.000 | 0.000 | 0.000 | -0.000 | -0.000 | 0.000 |
| 0.000 | 0.000 | 0.000 | -0.000 | 0.000 | -0.000 |
| 0.000 | 0.000 | 0.000 | 0.000 | 0.000 | -0.000 |
| 0.000 | 0.000 | 0.000 | -0.000 | -0.000 | 0.000 |
| -0.000 | 0.000 | -0.000 | 0.000 | 0.000 | -0.000 |
| -0.000 | -0.000 | -0.000 | 0.000 | 0.000 | -0.000 |
| -0.000 | -0.000 | -0.000 | 0.000 | -0.000 | 0.000 |
| 0.000 | 0.000 | 0.000 | -0.000 | -0.000 | 0.000 |
| 0.000 | 0.000 | 0.000 | 0.000 | -0.000 | 0.000 |
| 0.000 | 0.000 | 0.000 | -0.000 | 0.000 | -0.000 |
| -0.000 | 0.000 | 0.000 | 0.000 | 0.000 | -0.000 |
| 0.000 | 0.000 | 0.000 | -0.000 | 0.000 | -0.000 |
| 0.000 | 0.000 | 0.000 | -0.000 | -0.000 | 0.000 |
| 0.000 | 0.000 | 0.000 | -0.000 | -0.000 | 0.000 |
| 0.000 | 0.000 | 0.000 | 0.000 | -0.000 | 0.000 |
| 0.000 | 0.000 | 0.000 | -0.000 | 0.000 | -0.000 |
| -0.000 | 0.000 | -0.000 | 0.000 | -0.000 | 0.000 |
| -0.000 | -0.000 | -0.000 | 0.000 | 0.000 | -0.000 |
| -0.000 | -0.000 | -0.000 | 0.000 | -0.000 | 0.000 |
| 0.000 | 0.000 | 0.000 | -0.000 | 0.000 | -0.000 |
| 0.000 | 0.000 | 0.000 | 0.000 | -0.000 | 0.000 |
| 0.000 | 0.000 | 0.000 | 0.000 | 0.000 | -0.000 |
| -0.000 | 0.000 | 0.000 | 0.000 | 0.000 | -0.000 |
| 0.000 | 0.000 | 0.000 | -0.000 | 0.000 | -0.000 |
| 0.000 | 0.000 | 0.000 | -0.000 | -0.000 | 0.000 |
| 0.000 | 0.000 | 0.000 | -0.000 | -0.000 | 0.000 |
| 0.000 | 0.000 | 0.000 | 0.000 | -0.000 | 0.000 |
| 0.000 | 0.000 | 0.000 | -0.000 | 0.000 | -0.000 |
| -0.000 | 0.000 | -0.000 | 0.000 | -0.000 | 0.000 |
| -0.000 | -0.000 | -0.000 | 0.000 | 0.000 | -0.000 |
| -0.000 | -0.000 | -0.000 | 0.000 | -0.000 | 0.000 |
| 0.000 | 0.000 | 0.000 | -0.000 | -0.000 | 0.000 |
| 0.000 | 0.000 | 0.000 | 0.000 | 0.000 | -0.000 |
| 0.000 | 0.000 | 0.000 | -0.000 | 0.000 | -0.000 |
| -0.000 | 0.000 | 0.000 | 0.000 | 0.000 | -0.000 |
| 0.000 | 0.000 | 0.000 | -0.000 | 0.000 | -0.000 |
| 0.000 | 0.000 | 0.000 | -0.000 | -0.000 | 0.000 |
| 0.000 | 0.000 | 0.000 | -0.000 | 0.000 | -0.000 |
| 0.000 | 0.000 | 0.000 | 0.000 | -0.000 | 0.000 |
| 0.000 | 0.000 | 0.000 | 0.000 | -0.000 | 0.000 |
| -0.000 | 0.000 | -0.000 | 0.000 | -0.000 | 0.000 |
| -0.000 | -0.000 | -0.000 | 0.000 | 0.000 | -0.000 |
| -0.000 | -0.000 | -0.000 | 0.000 | -0.000 | 0.000 |
| 0.000 | 0.000 | 0.000 | -0.000 | -0.000 | 0.000 |
| 0.000 | 0.000 | 0.000 | 0.000 | 0.000 | -0.000 |
| 0.000 | 0.000 | 0.000 | -0.000 | 0.000 | -0.000 |
| -0.000 | 0.000 | 0.000 | 0.000 | 0.000 | -0.000 |
| 0.000 | 0.000 | 0.000 | -0.000 | 0.000 | -0.000 |
| 0.000 | 0.000 | 0.000 | -0.000 | -0.000 | 0.000 |
| 0.000 | 0.000 | 0.000 | -0.000 | -0.000 | 0.000 |
| 0.000 | 0.000 | 0.000 | 0.000 | -0.000 | 0.000 |
| 0.000 | 0.000 | 0.000 | 0.000 | -0.000 | 0.000 |
| -0.000 | 0.000 | -0.000 | 0.000 | -0.000 | 0.000 |
| -0.000 | -0.000 | -0.000 | 0.000 | 0.000 | -0.000 |
| -0.000 | -0.000 | -0.000 | 0.000 | -0.000 | 0.000 |
| 0.000 | 0.000 | 0.000 | -0.000 | 0.000 | -0.000 |
| 0.000 | 0.000 | 0.000 | 0.000 | 0.000 | -0.000 |
| 0.000 | 0.000 | 0.000 | -0.000 | 0.000 | -0.000 |
| -0.000 | 0.000 | 0.000 | 0.000 | 0.000 | -0.000 |
| 0.000 | 0.000 | 0.000 | -0.000 | 0.000 | -0.000 |
| 0.000 | 0.000 | 0.000 | -0.000 | -0.000 | 0.000 |
| 0.000 | 0.000 | 0.000 | -0.000 | 0.000 | -0.000 |
| 0.000 | 0.000 | 0.000 | 0.000 | -0.000 | 0.000 |
| 0.000 | 0.000 | 0.000 | 0.000 | -0.000 | 0.000 |
| -0.000 | 0.000 | -0.000 | 0.000 | -0.000 | 0.000 |
| -0.000 | -0.000 | -0.000 | 0.000 | 0.000 | -0.000 |
| -0.000 | -0.000 | -0.000 | 0.000 | -0.000 | 0.000 |
| -0.000 | -0.000 | -0.000 | 0.000 | -0.000 | 0.000 |
| -0.000 | -0.000 | -0.000 | -0.000 | 0.000 | 0.000 |
| -0.000 | -0.000 | -0.000 | -0.000 | -0.000 | 0.000 |
| 0.000 | -0.000 | 0.000 | -0.000 | -0.000 | 0.000 |
| 0.000 | 0.000 | 0.000 | -0.000 | -0.000 | 0.000 |
| 0.000 | 0.000 | 0.000 | -0.000 | 0.000 | -0.000 |
| -0.000 | -0.000 | -0.000 | 0.000 | 0.000 | -0.000 |
| -0.000 | -0.000 | -0.000 | -0.000 | 0.000 | -0.000 |
| -0.000 | -0.000 | -0.000 | 0.000 | -0.000 | -0.000 |
| 0.000 | -0.000 | -0.000 | -0.000 | 0.000 | -0.000 |
| -0.000 | -0.000 | -0.000 | 0.000 | -0.000 | 0.000 |
| -0.000 | -0.000 | -0.000 | 0.000 | 0.000 | -0.000 |
| -0.000 | -0.000 | -0.000 | 0.000 | 0.000 | 0.000 |
| -0.000 | -0.000 | -0.000 | -0.000 | -0.000 | 0.000 |
| -0.000 | -0.000 | -0.000 | -0.000 | -0.000 | 0.000 |
| 0.000 | -0.000 | 0.000 | -0.000 | -0.000 | 0.000 |
| 0.000 | 0.000 | 0.000 | -0.000 | -0.000 | 0.000 |
| 0.000 | 0.000 | 0.000 | -0.000 | 0.000 | -0.000 |
| -0.000 | -0.000 | -0.000 | 0.000 | -0.000 | -0.000 |
| -0.000 | -0.000 | -0.000 | -0.000 | -0.000 | -0.000 |
| -0.000 | -0.000 | -0.000 | 0.000 | -0.000 | -0.000 |
| 0.000 | -0.000 | -0.000 | -0.000 | 0.000 | -0.000 |
| -0.000 | -0.000 | -0.000 | 0.000 | -0.000 | 0.000 |
| -0.000 | -0.000 | -0.000 | 0.000 | 0.000 | -0.000 |
| -0.000 | -0.000 | -0.000 | 0.000 | 0.000 | 0.000 |
| -0.000 | -0.000 | -0.000 | -0.000 | 0.000 | 0.000 |
| -0.000 | -0.000 | -0.000 | 0.000 | 0.000 | 0.000 |
| 0.000 | -0.000 | 0.000 | -0.000 | 0.000 | 0.000 |
| 0.000 | 0.000 | 0.000 | -0.000 | -0.000 | 0.000 |
| 0.000 | 0.000 | 0.000 | -0.000 | 0.000 | -0.000 |
| -0.000 | -0.000 | -0.000 | 0.000 | -0.000 | -0.000 |
| -0.000 | -0.000 | -0.000 | -0.000 | 0.000 | -0.000 |
| -0.000 | -0.000 | -0.000 | 0.000 | -0.000 | -0.000 |
| 0.000 | -0.000 | -0.000 | -0.000 | 0.000 | -0.000 |
| -0.000 | -0.000 | -0.000 | 0.000 | -0.000 | 0.000 |
| -0.000 | -0.000 | -0.000 | 0.000 | 0.000 | -0.000 |
| 0.000 | 0.000 | 0.000 | -0.000 | 0.000 | -0.000 |
| 0.000 | 0.000 | 0.000 | 0.000 | 0.000 | 0.000 |
| 0.000 | 0.000 | 0.000 | 0.000 | -0.000 | -0.000 |
| -0.000 | 0.000 | 0.000 | 0.000 | -0.000 | 0.000 |
| 0.000 | 0.000 | 0.000 | -0.000 | 0.000 | -0.000 |
| 0.000 | 0.000 | 0.000 | -0.000 | -0.000 | 0.000 |
| 0.000 | 0.000 | 0.000 | -0.000 | -0.000 | 0.000 |
| 0.000 | 0.000 | 0.000 | 0.000 | 0.000 | -0.000 |
| 0.000 | 0.000 | 0.000 | -0.000 | 0.000 | -0.000 |
| -0.000 | 0.000 | -0.000 | 0.000 | -0.000 | 0.000 |
| -0.000 | -0.000 | -0.000 | 0.000 | 0.000 | -0.000 |
| -0.000 | -0.000 | -0.000 | 0.000 | -0.000 | 0.000 |
| 0.000 | 0.000 | 0.000 | -0.000 | 0.000 | -0.000 |
| 0.000 | 0.000 | 0.000 | 0.000 | 0.000 | 0.000 |
| 0.000 | 0.000 | 0.000 | 0.000 | 0.000 | -0.000 |
| -0.000 | 0.000 | 0.000 | 0.000 | 0.000 | 0.000 |
| 0.000 | 0.000 | 0.000 | -0.000 | 0.000 | -0.000 |
| 0.000 | 0.000 | 0.000 | -0.000 | -0.000 | 0.000 |
| 0.000 | 0.000 | 0.000 | -0.000 | -0.000 | 0.000 |
| 0.000 | 0.000 | 0.000 | 0.000 | -0.000 | -0.000 |
| 0.000 | 0.000 | 0.000 | -0.000 | -0.000 | 0.000 |
| -0.000 | 0.000 | -0.000 | 0.000 | 0.000 | -0.000 |
| -0.000 | -0.000 | -0.000 | 0.000 | 0.000 | -0.000 |
| -0.000 | -0.000 | -0.000 | 0.000 | -0.000 | 0.000 |
| 0.000 | 0.000 | 0.000 | -0.000 | -0.000 | 0.000 |
| 0.000 | 0.000 | 0.000 | 0.000 | -0.000 | 0.000 |
| 0.000 | 0.000 | 0.000 | 0.000 | 0.000 | 0.000 |
| -0.000 | 0.000 | 0.000 | 0.000 | 0.000 | 0.000 |
| 0.000 | 0.000 | 0.000 | -0.000 | 0.000 | -0.000 |
| 0.000 | 0.000 | 0.000 | -0.000 | -0.000 | 0.000 |
| 0.000 | 0.000 | 0.000 | -0.000 | -0.000 | 0.000 |
| 0.000 | 0.000 | 0.000 | 0.000 | -0.000 | 0.000 |
| 0.000 | 0.000 | 0.000 | -0.000 | -0.000 | 0.000 |
| -0.000 | 0.000 | -0.000 | 0.000 | -0.000 | 0.000 |
| -0.000 | -0.000 | -0.000 | 0.000 | 0.000 | -0.000 |
| -0.000 | -0.000 | -0.000 | 0.000 | -0.000 | 0.000 |
| 223.337 | 23.865 | 23.865 | 0.000 | 0.000 | -0.000 |
| 23.865 | 223.337 | 23.865 | 0.000 | -0.000 | -0.000 |
| 23.865 | 23.865 | 223.337 | 0.000 | 0.000 | -0.000 |
| 0.000 | 0.000 | -0.000 | -27.327 | 0.000 | -0.000 |
| 0.000 | 0.000 | -0.000 | 0.000 | -27.327 | -0.000 |
| 0.000 | -0.000 | 0.000 | 0.000 | 0.000 | -27.327 |
| 223.337 | 23.865 | 23.865 | -0.000 | -0.000 | 0.000 |
| 23.865 | 223.337 | 23.865 | -0.000 | -0.000 | 0.000 |
| 23.865 | 23.865 | 223.337 | -0.000 | -0.000 | 0.000 |
| -0.000 | -0.000 | 0.000 | -27.327 | -0.000 | 0.000 |
| -0.000 | -0.000 | 0.000 | -0.000 | -27.327 | 0.000 |
| -0.000 | 0.000 | -0.000 | -0.000 | -0.000 | -27.327 |
| 223.337 | 23.865 | 23.865 | 0.000 | 0.000 | -0.000 |
| 23.865 | 223.337 | 23.865 | 0.000 | 0.000 | -0.000 |
| 23.865 | 23.865 | 223.337 | 0.000 | -0.000 | 0.000 |
| 0.000 | 0.000 | -0.000 | -27.327 | 0.000 | -0.000 |
| 0.000 | 0.000 | -0.000 | 0.000 | -27.327 | -0.000 |
| 0.000 | -0.000 | 0.000 | 0.000 | 0.000 | -27.327 |
| 223.337 | 23.865 | 23.865 | -0.000 | -0.000 | 0.000 |
| 23.865 | 223.337 | 23.865 | -0.000 | -0.000 | 0.000 |
| 23.865 | 23.865 | 223.337 | -0.000 | 0.000 | 0.000 |
| -0.000 | -0.000 | 0.000 | -27.327 | -0.000 | 0.000 |
| -0.000 | -0.000 | 0.000 | -0.000 | -27.327 | 0.000 |
| -0.000 | 0.000 | -0.000 | -0.000 | -0.000 | -27.327 |
| 223.337 | 23.865 | 23.865 | 0.000 | 0.000 | -0.000 |
| 23.865 | 223.337 | 23.865 | 0.000 | 0.000 | -0.000 |
| 23.865 | 23.865 | 223.337 | 0.000 | 0.000 | -0.000 |
| 0.000 | 0.000 | -0.000 | -27.327 | 0.000 | -0.000 |
| 0.000 | 0.000 | -0.000 | 0.000 | -27.327 | -0.000 |
| 0.000 | -0.000 | 0.000 | 0.000 | 0.000 | -27.327 |
| 223.337 | 23.865 | 23.865 | -0.000 | -0.000 | 0.000 |
| 23.865 | 223.337 | 23.865 | -0.000 | -0.000 | 0.000 |
| 23.865 | 23.865 | 223.337 | -0.000 | -0.000 | 0.000 |
| -0.000 | -0.000 | 0.000 | -27.327 | -0.000 | 0.000 |
| -0.000 | -0.000 | 0.000 | -0.000 | -27.327 | 0.000 |
| -0.000 | 0.000 | -0.000 | -0.000 | -0.000 | -27.327 |
| 0.000 | -0.000 | -0.000 | -0.000 | 0.000 | 0.000 |
| -0.000 | 0.000 | -0.000 | 0.000 | 0.000 | 0.000 |
| -0.000 | -0.000 | 0.000 | 0.000 | -0.000 | 0.000 |
| -0.000 | 0.000 | 0.000 | 0.000 | 0.000 | 0.000 |
| 0.000 | 0.000 | 0.000 | 0.000 | 0.000 | 0.000 |
| 0.000 | 0.000 | 0.000 | 0.000 | 0.000 | 0.000 |
| 0.000 | -0.000 | -0.000 | -0.000 | 0.000 | -0.000 |
| -0.000 | 0.000 | -0.000 | -0.000 | -0.000 | -0.000 |
| -0.000 | -0.000 | 0.000 | -0.000 | -0.000 | -0.000 |
| 0.000 | -0.000 | -0.000 | 0.000 | -0.000 | 0.000 |
| -0.000 | -0.000 | -0.000 | -0.000 | 0.000 | -0.000 |
| -0.000 | -0.000 | -0.000 | -0.000 | -0.000 | 0.000 |
| 0.000 | -0.000 | -0.000 | -0.000 | 0.000 | 0.000 |
| -0.000 | 0.000 | -0.000 | 0.000 | 0.000 | 0.000 |
| -0.000 | -0.000 | 0.000 | 0.000 | -0.000 | 0.000 |
| -0.000 | 0.000 | -0.000 | 0.000 | 0.000 | -0.000 |
| 0.000 | 0.000 | -0.000 | 0.000 | 0.000 | 0.000 |
| 0.000 | -0.000 | 0.000 | 0.000 | 0.000 | 0.000 |
| 0.000 | -0.000 | -0.000 | -0.000 | -0.000 | -0.000 |
| -0.000 | 0.000 | -0.000 | -0.000 | -0.000 | -0.000 |
| -0.000 | -0.000 | 0.000 | 0.000 | 0.000 | -0.000 |
| 0.000 | -0.000 | 0.000 | 0.000 | -0.000 | 0.000 |
| 0.000 | -0.000 | 0.000 | -0.000 | 0.000 | -0.000 |
| 0.000 | 0.000 | -0.000 | -0.000 | -0.000 | 0.000 |
| 0.000 | -0.000 | -0.000 | -0.000 | -0.000 | 0.000 |
| -0.000 | 0.000 | -0.000 | -0.000 | 0.000 | 0.000 |
| -0.000 | -0.000 | 0.000 | 0.000 | 0.000 | 0.000 |
| -0.000 | -0.000 | -0.000 | 0.000 | -0.000 | -0.000 |
| -0.000 | 0.000 | -0.000 | -0.000 | 0.000 | 0.000 |
| -0.000 | -0.000 | 0.000 | 0.000 | 0.000 | 0.000 |
| 0.000 | -0.000 | -0.000 | -0.000 | -0.000 | -0.000 |
| -0.000 | 0.000 | -0.000 | -0.000 | -0.000 | -0.000 |
| -0.000 | -0.000 | 0.000 | 0.000 | 0.000 | -0.000 |
| 0.000 | 0.000 | 0.000 | 0.000 | 0.000 | -0.000 |
| 0.000 | -0.000 | 0.000 | 0.000 | 0.000 | -0.000 |
| 0.000 | 0.000 | -0.000 | -0.000 | -0.000 | 0.000 |
| 0.000 | -0.000 | -0.000 | 0.000 | -0.000 | 0.000 |
| -0.000 | 0.000 | -0.000 | -0.000 | 0.000 | 0.000 |
| -0.000 | -0.000 | 0.000 | -0.000 | -0.000 | 0.000 |
| 0.000 | 0.000 | -0.000 | 0.000 | 0.000 | -0.000 |
| 0.000 | 0.000 | -0.000 | 0.000 | 0.000 | 0.000 |
| 0.000 | -0.000 | 0.000 | 0.000 | 0.000 | 0.000 |
| 0.000 | -0.000 | -0.000 | 0.000 | 0.000 | -0.000 |
| -0.000 | 0.000 | -0.000 | 0.000 | 0.000 | -0.000 |
| -0.000 | -0.000 | 0.000 | 0.000 | -0.000 | 0.000 |
| -0.000 | 0.000 | 0.000 | 0.000 | -0.000 | 0.000 |
| 0.000 | -0.000 | 0.000 | -0.000 | 0.000 | -0.000 |
| 0.000 | 0.000 | -0.000 | -0.000 | 0.000 | 0.000 |
| 0.000 | -0.000 | -0.000 | 0.000 | -0.000 | 0.000 |
| -0.000 | 0.000 | -0.000 | -0.000 | 0.000 | 0.000 |
| -0.000 | -0.000 | 0.000 | -0.000 | 0.000 | 0.000 |
| 0.000 | -0.000 | -0.000 | 0.000 | -0.000 | -0.000 |
| -0.000 | 0.000 | -0.000 | -0.000 | 0.000 | 0.000 |
| -0.000 | -0.000 | 0.000 | 0.000 | -0.000 | 0.000 |
| 0.000 | -0.000 | -0.000 | 0.000 | 0.000 | -0.000 |
| -0.000 | 0.000 | -0.000 | 0.000 | 0.000 | -0.000 |
| -0.000 | -0.000 | 0.000 | 0.000 | 0.000 | 0.000 |
| -0.000 | 0.000 | 0.000 | 0.000 | 0.000 | 0.000 |
| 0.000 | -0.000 | 0.000 | 0.000 | 0.000 | -0.000 |
| 0.000 | 0.000 | -0.000 | -0.000 | 0.000 | 0.000 |
| 0.000 | -0.000 | -0.000 | 0.000 | -0.000 | 0.000 |
| -0.000 | 0.000 | -0.000 | -0.000 | 0.000 | -0.000 |
| -0.000 | -0.000 | 0.000 | -0.000 | -0.000 | 0.000 |
| 0.000 | -0.000 | -0.000 | 0.000 | 0.000 | 0.000 |
| -0.000 | 0.000 | -0.000 | -0.000 | 0.000 | 0.000 |
| -0.000 | -0.000 | 0.000 | 0.000 | 0.000 | 0.000 |
| 0.000 | -0.000 | -0.000 | 0.000 | 0.000 | 0.000 |
| -0.000 | 0.000 | -0.000 | 0.000 | 0.000 | 0.000 |
| -0.000 | -0.000 | 0.000 | 0.000 | 0.000 | 0.000 |
| -0.000 | 0.000 | 0.000 | 0.000 | -0.000 | -0.000 |
| 0.000 | -0.000 | 0.000 | 0.000 | 0.000 | -0.000 |
| 0.000 | 0.000 | -0.000 | -0.000 | -0.000 | 0.000 |
| 0.000 | -0.000 | -0.000 | 0.000 | -0.000 | 0.000 |
| -0.000 | 0.000 | -0.000 | 0.000 | 0.000 | -0.000 |
| -0.000 | -0.000 | 0.000 | -0.000 | -0.000 | -0.000 |
| 0.000 | -0.000 | -0.000 | 0.000 | -0.000 | -0.000 |
| -0.000 | 0.000 | -0.000 | -0.000 | 0.000 | -0.000 |
| -0.000 | -0.000 | 0.000 | 0.000 | -0.000 | 0.000 |
| 0.000 | -0.000 | -0.000 | 0.000 | 0.000 | 0.000 |
| -0.000 | 0.000 | -0.000 | 0.000 | 0.000 | 0.000 |
| -0.000 | -0.000 | 0.000 | -0.000 | 0.000 | -0.000 |
| -0.000 | 0.000 | 0.000 | 0.000 | 0.000 | -0.000 |
| 0.000 | -0.000 | 0.000 | 0.000 | 0.000 | 0.000 |
| 0.000 | 0.000 | -0.000 | -0.000 | 0.000 | 0.000 |
| 0.000 | -0.000 | -0.000 | 0.000 | -0.000 | 0.000 |
| -0.000 | 0.000 | -0.000 | 0.000 | 0.000 | 0.000 |
| -0.000 | -0.000 | 0.000 | 0.000 | -0.000 | -0.000 |
| 0.000 | 0.000 | -0.000 | 0.000 | -0.000 | -0.000 |
| 0.000 | 0.000 | -0.000 | -0.000 | 0.000 | -0.000 |
| 0.000 | -0.000 | 0.000 | 0.000 | -0.000 | 0.000 |
| 0.000 | -0.000 | -0.000 | 0.000 | 0.000 | 0.000 |
| -0.000 | 0.000 | -0.000 | -0.000 | 0.000 | -0.000 |
| -0.000 | -0.000 | 0.000 | 0.000 | 0.000 | -0.000 |
| -0.000 | 0.000 | 0.000 | 0.000 | 0.000 | 0.000 |
| 0.000 | -0.000 | 0.000 | 0.000 | 0.000 | -0.000 |
| 0.000 | 0.000 | -0.000 | -0.000 | 0.000 | 0.000 |
| 0.000 | -0.000 | -0.000 | 0.000 | -0.000 | 0.000 |
| -0.000 | 0.000 | -0.000 | -0.000 | 0.000 | -0.000 |
| -0.000 | -0.000 | 0.000 | 0.000 | -0.000 | -0.000 |
| 0.000 | -0.000 | -0.000 | 0.000 | -0.000 | -0.000 |
| -0.000 | 0.000 | -0.000 | -0.000 | 0.000 | 0.000 |
| -0.000 | -0.000 | 0.000 | 0.000 | 0.000 | 0.000 |
| 0.000 | -0.000 | -0.000 | 0.000 | 0.000 | -0.000 |
| -0.000 | 0.000 | -0.000 | 0.000 | 0.000 | 0.000 |
| -0.000 | -0.000 | 0.000 | 0.000 | 0.000 | -0.000 |
| -0.000 | 0.000 | 0.000 | 0.000 | 0.000 | -0.000 |
| 0.000 | -0.000 | 0.000 | 0.000 | 0.000 | 0.000 |
| 0.000 | 0.000 | -0.000 | -0.000 | 0.000 | 0.000 |
| 0.000 | 0.000 | 0.000 | -0.000 | -0.000 | -0.000 |
| 0.000 | 0.000 | 0.000 | 0.000 | -0.000 | -0.000 |
| 0.000 | 0.000 | 0.000 | -0.000 | -0.000 | 0.000 |
| 0.000 | -0.000 | 0.000 | -0.000 | 0.000 | -0.000 |
| -0.000 | 0.000 | 0.000 | 0.000 | -0.000 | 0.000 |
| -0.000 | 0.000 | 0.000 | 0.000 | 0.000 | -0.000 |
| 0.000 | 0.000 | 0.000 | -0.000 | 0.000 | 0.000 |
| 0.000 | 0.000 | 0.000 | -0.000 | -0.000 | -0.000 |
| 0.000 | 0.000 | 0.000 | -0.000 | -0.000 | 0.000 |
| -0.000 | 0.000 | -0.000 | -0.000 | -0.000 | 0.000 |
| 0.000 | -0.000 | -0.000 | -0.000 | -0.000 | -0.000 |
| 0.000 | -0.000 | -0.000 | -0.000 | -0.000 | -0.000 |
| 0.000 | 0.000 | 0.000 | -0.000 | 0.000 | -0.000 |
| 0.000 | 0.000 | 0.000 | 0.000 | -0.000 | -0.000 |
| 0.000 | 0.000 | 0.000 | 0.000 | 0.000 | 0.000 |
| 0.000 | -0.000 | -0.000 | -0.000 | 0.000 | -0.000 |
| -0.000 | 0.000 | -0.000 | 0.000 | -0.000 | 0.000 |
| -0.000 | -0.000 | 0.000 | 0.000 | -0.000 | -0.000 |
| 0.000 | 0.000 | 0.000 | -0.000 | 0.000 | 0.000 |
| 0.000 | 0.000 | 0.000 | -0.000 | -0.000 | 0.000 |
| 0.000 | 0.000 | 0.000 | -0.000 | -0.000 | 0.000 |
| -0.000 | 0.000 | 0.000 | -0.000 | -0.000 | 0.000 |
| 0.000 | -0.000 | 0.000 | -0.000 | -0.000 | 0.000 |
| 0.000 | 0.000 | -0.000 | -0.000 | -0.000 | -0.000 |
| 0.000 | 0.000 | 0.000 | -0.000 | 0.000 | -0.000 |
| 0.000 | 0.000 | 0.000 | 0.000 | -0.000 | -0.000 |
| 0.000 | 0.000 | 0.000 | 0.000 | -0.000 | 0.000 |
| 0.000 | -0.000 | -0.000 | -0.000 | -0.000 | -0.000 |
| -0.000 | 0.000 | -0.000 | 0.000 | -0.000 | 0.000 |
| -0.000 | -0.000 | 0.000 | 0.000 | 0.000 | -0.000 |
| 0.000 | 0.000 | 0.000 | -0.000 | -0.000 | -0.000 |
| 0.000 | 0.000 | 0.000 | -0.000 | -0.000 | 0.000 |
| 0.000 | 0.000 | 0.000 | 0.000 | -0.000 | 0.000 |
| -0.000 | -0.000 | 0.000 | -0.000 | 0.000 | 0.000 |
| -0.000 | -0.000 | 0.000 | -0.000 | -0.000 | -0.000 |
| -0.000 | 0.000 | -0.000 | -0.000 | 0.000 | -0.000 |
| 0.000 | 0.000 | 0.000 | 0.000 | 0.000 | 0.000 |
| 0.000 | 0.000 | 0.000 | 0.000 | 0.000 | 0.000 |
| 0.000 | 0.000 | 0.000 | 0.000 | -0.000 | 0.000 |
| 0.000 | 0.000 | 0.000 | -0.000 | 0.000 | -0.000 |
| 0.000 | 0.000 | 0.000 | 0.000 | -0.000 | -0.000 |
| 0.000 | 0.000 | 0.000 | 0.000 | 0.000 | -0.000 |
| 0.000 | 0.000 | 0.000 | -0.000 | -0.000 | -0.000 |
| 0.000 | 0.000 | 0.000 | -0.000 | -0.000 | 0.000 |
| 0.000 | 0.000 | 0.000 | -0.000 | -0.000 | -0.000 |
| -0.000 | -0.000 | -0.000 | -0.000 | -0.000 | -0.000 |
| -0.000 | -0.000 | -0.000 | -0.000 | -0.000 | -0.000 |
| -0.000 | -0.000 | -0.000 | -0.000 | -0.000 | -0.000 |
| 0.000 | 0.000 | 0.000 | 0.000 | 0.000 | 0.000 |
| 0.000 | 0.000 | 0.000 | 0.000 | 0.000 | -0.000 |
| 0.000 | 0.000 | 0.000 | 0.000 | 0.000 | 0.000 |
| 0.000 | 0.000 | -0.000 | -0.000 | 0.000 | -0.000 |
| 0.000 | 0.000 | -0.000 | 0.000 | -0.000 | 0.000 |
| 0.000 | -0.000 | 0.000 | 0.000 | 0.000 | -0.000 |
| 0.000 | 0.000 | 0.000 | -0.000 | -0.000 | -0.000 |
| 0.000 | 0.000 | 0.000 | -0.000 | -0.000 | -0.000 |
| 0.000 | 0.000 | 0.000 | -0.000 | 0.000 | -0.000 |
| -0.000 | -0.000 | 0.000 | -0.000 | -0.000 | 0.000 |
| -0.000 | -0.000 | 0.000 | -0.000 | -0.000 | 0.000 |
| -0.000 | 0.000 | -0.000 | -0.000 | -0.000 | -0.000 |
| 0.000 | 0.000 | 0.000 | 0.000 | 0.000 | 0.000 |
| 0.000 | 0.000 | 0.000 | 0.000 | 0.000 | 0.000 |
| 0.000 | 0.000 | 0.000 | 0.000 | -0.000 | 0.000 |
| 0.000 | 0.000 | -0.000 | -0.000 | 0.000 | -0.000 |
| 0.000 | 0.000 | -0.000 | 0.000 | -0.000 | -0.000 |
| 0.000 | -0.000 | 0.000 | 0.000 | -0.000 | -0.000 |
| 0.000 | 0.000 | 0.000 | -0.000 | -0.000 | -0.000 |
| 0.000 | 0.000 | 0.000 | -0.000 | -0.000 | -0.000 |
| 0.000 | 0.000 | 0.000 | -0.000 | -0.000 | -0.000 |
| -0.000 | -0.000 | 0.000 | -0.000 | -0.000 | 0.000 |
| -0.000 | -0.000 | 0.000 | -0.000 | -0.000 | -0.000 |
| -0.000 | 0.000 | -0.000 | -0.000 | -0.000 | -0.000 |
| -0.000 | -0.000 | -0.000 | -0.000 | 0.000 | 0.000 |
| -0.000 | -0.000 | -0.000 | -0.000 | 0.000 | 0.000 |
| -0.000 | -0.000 | -0.000 | -0.000 | -0.000 | 0.000 |
| 0.000 | 0.000 | 0.000 | 0.000 | 0.000 | -0.000 |
| 0.000 | 0.000 | 0.000 | 0.000 | 0.000 | 0.000 |
| 0.000 | 0.000 | 0.000 | 0.000 | -0.000 | 0.000 |
| -0.000 | -0.000 | -0.000 | -0.000 | -0.000 | -0.000 |
| -0.000 | -0.000 | -0.000 | -0.000 | 0.000 | 0.000 |
| -0.000 | -0.000 | -0.000 | -0.000 | 0.000 | 0.000 |
| -0.000 | 0.000 | -0.000 | 0.000 | -0.000 | -0.000 |
| 0.000 | -0.000 | -0.000 | -0.000 | 0.000 | -0.000 |
| 0.000 | -0.000 | -0.000 | -0.000 | -0.000 | 0.000 |
| -0.000 | -0.000 | -0.000 | -0.000 | 0.000 | 0.000 |
| -0.000 | -0.000 | -0.000 | -0.000 | 0.000 | 0.000 |
| -0.000 | -0.000 | -0.000 | 0.000 | 0.000 | 0.000 |
| 0.000 | -0.000 | 0.000 | 0.000 | -0.000 | -0.000 |
| -0.000 | 0.000 | 0.000 | -0.000 | 0.000 | -0.000 |
| -0.000 | 0.000 | 0.000 | 0.000 | -0.000 | 0.000 |
| -0.000 | -0.000 | -0.000 | -0.000 | -0.000 | -0.000 |
| -0.000 | -0.000 | -0.000 | -0.000 | 0.000 | 0.000 |
| -0.000 | -0.000 | -0.000 | 0.000 | 0.000 | 0.000 |
| -0.000 | 0.000 | -0.000 | 0.000 | 0.000 | 0.000 |
| 0.000 | -0.000 | -0.000 | 0.000 | 0.000 | -0.000 |
| 0.000 | -0.000 | -0.000 | -0.000 | 0.000 | 0.000 |
| -0.000 | -0.000 | -0.000 | -0.000 | -0.000 | 0.000 |
| -0.000 | -0.000 | -0.000 | 0.000 | 0.000 | 0.000 |
| -0.000 | -0.000 | -0.000 | -0.000 | -0.000 | 0.000 |
| 0.000 | -0.000 | 0.000 | 0.000 | 0.000 | -0.000 |
| -0.000 | 0.000 | 0.000 | 0.000 | 0.000 | 0.000 |
| -0.000 | 0.000 | 0.000 | 0.000 | -0.000 | 0.000 |
| -0.000 | -0.000 | -0.000 | -0.000 | 0.000 | 0.000 |
| -0.000 | -0.000 | -0.000 | 0.000 | 0.000 | 0.000 |
| -0.000 | -0.000 | -0.000 | 0.000 | 0.000 | 0.000 |
| -0.000 | 0.000 | -0.000 | 0.000 | -0.000 | 0.000 |
| 0.000 | -0.000 | -0.000 | -0.000 | 0.000 | 0.000 |
| 0.000 | -0.000 | -0.000 | -0.000 | -0.000 | 0.000 |
| -0.000 | -0.000 | -0.000 | -0.000 | -0.000 | -0.000 |
| -0.000 | -0.000 | -0.000 | -0.000 | -0.000 | -0.000 |
| -0.000 | -0.000 | -0.000 | -0.000 | -0.000 | -0.000 |
| -0.000 | -0.000 | 0.000 | 0.000 | -0.000 | -0.000 |
| -0.000 | -0.000 | 0.000 | -0.000 | 0.000 | -0.000 |
| -0.000 | 0.000 | -0.000 | -0.000 | -0.000 | 0.000 |
| -0.000 | 0.000 | 0.000 | 0.000 | 0.000 | 0.000 |
| 0.000 | -0.000 | 0.000 | 0.000 | 0.000 | -0.000 |
| 0.000 | 0.000 | -0.000 | 0.000 | 0.000 | 0.000 |
| 0.000 | 0.000 | -0.000 | 0.000 | 0.000 | 0.000 |
| 0.000 | 0.000 | -0.000 | 0.000 | 0.000 | 0.000 |
| 0.000 | -0.000 | 0.000 | 0.000 | 0.000 | 0.000 |
| -0.000 | -0.000 | -0.000 | -0.000 | -0.000 | -0.000 |
| -0.000 | -0.000 | -0.000 | -0.000 | -0.000 | -0.000 |
| -0.000 | -0.000 | -0.000 | 0.000 | 0.000 | -0.000 |
| -0.000 | -0.000 | 0.000 | -0.000 | 0.000 | -0.000 |
| -0.000 | -0.000 | 0.000 | -0.000 | -0.000 | -0.000 |
| -0.000 | 0.000 | -0.000 | -0.000 | -0.000 | -0.000 |
| -0.000 | 0.000 | 0.000 | 0.000 | 0.000 | 0.000 |
| 0.000 | -0.000 | 0.000 | 0.000 | 0.000 | 0.000 |
| 0.000 | 0.000 | -0.000 | 0.000 | 0.000 | 0.000 |
| 0.000 | 0.000 | -0.000 | -0.000 | -0.000 | 0.000 |
| 0.000 | 0.000 | -0.000 | 0.000 | -0.000 | 0.000 |
| 0.000 | -0.000 | 0.000 | 0.000 | 0.000 | -0.000 |
| -0.000 | -0.000 | -0.000 | -0.000 | -0.000 | -0.000 |
| -0.000 | -0.000 | -0.000 | -0.000 | -0.000 | -0.000 |
| -0.000 | -0.000 | -0.000 | -0.000 | -0.000 | -0.000 |
| -0.000 | -0.000 | 0.000 | -0.000 | -0.000 | -0.000 |
| -0.000 | -0.000 | 0.000 | -0.000 | -0.000 | -0.000 |
| -0.000 | 0.000 | -0.000 | -0.000 | -0.000 | -0.000 |
| -0.000 | -0.000 | -0.000 | 0.000 | 0.000 | -0.000 |
| -0.000 | -0.000 | -0.000 | 0.000 | 0.000 | -0.000 |
| -0.000 | -0.000 | -0.000 | 0.000 | 0.000 | 0.000 |
| 0.000 | 0.000 | -0.000 | -0.000 | 0.000 | 0.000 |
| 0.000 | 0.000 | -0.000 | 0.000 | -0.000 | 0.000 |
| 0.000 | -0.000 | 0.000 | 0.000 | 0.000 | -0.000 |
| 0.000 | -0.000 | -0.000 | -0.000 | -0.000 | -0.000 |
| -0.000 | 0.000 | -0.000 | -0.000 | -0.000 | -0.000 |
| -0.000 | -0.000 | 0.000 | -0.000 | -0.000 | -0.000 |
| 0.000 | -0.000 | -0.000 | 0.000 | -0.000 | -0.000 |
| -0.000 | 0.000 | -0.000 | -0.000 | 0.000 | -0.000 |
| -0.000 | -0.000 | 0.000 | -0.000 | -0.000 | 0.000 |
| 0.000 | -0.000 | -0.000 | 0.000 | 0.000 | 0.000 |
| -0.000 | 0.000 | -0.000 | 0.000 | 0.000 | 0.000 |
| -0.000 | -0.000 | 0.000 | 0.000 | 0.000 | 0.000 |
| -0.000 | 0.000 | 0.000 | 0.000 | 0.000 | 0.000 |
| 0.000 | -0.000 | 0.000 | 0.000 | 0.000 | 0.000 |
| 0.000 | 0.000 | -0.000 | 0.000 | 0.000 | 0.000 |
| 0.000 | -0.000 | -0.000 | -0.000 | -0.000 | -0.000 |
| -0.000 | 0.000 | -0.000 | -0.000 | -0.000 | -0.000 |
| -0.000 | -0.000 | 0.000 | -0.000 | -0.000 | -0.000 |
| 0.000 | -0.000 | -0.000 | 0.000 | -0.000 | -0.000 |
| -0.000 | 0.000 | -0.000 | -0.000 | 0.000 | -0.000 |
| -0.000 | -0.000 | 0.000 | -0.000 | -0.000 | 0.000 |
| 0.000 | -0.000 | -0.000 | 0.000 | 0.000 | 0.000 |
| -0.000 | 0.000 | -0.000 | 0.000 | 0.000 | 0.000 |
| -0.000 | -0.000 | 0.000 | -0.000 | -0.000 | 0.000 |
| -0.000 | 0.000 | 0.000 | 0.000 | 0.000 | 0.000 |
| 0.000 | -0.000 | 0.000 | 0.000 | 0.000 | 0.000 |
| 0.000 | 0.000 | -0.000 | 0.000 | 0.000 | 0.000 |
| 0.000 | -0.000 | -0.000 | -0.000 | -0.000 | -0.000 |
| -0.000 | 0.000 | -0.000 | -0.000 | -0.000 | -0.000 |
| -0.000 | -0.000 | 0.000 | -0.000 | -0.000 | -0.000 |
| 0.000 | -0.000 | -0.000 | 0.000 | -0.000 | -0.000 |
| -0.000 | 0.000 | -0.000 | -0.000 | 0.000 | -0.000 |
| -0.000 | -0.000 | 0.000 | -0.000 | -0.000 | 0.000 |
| 0.000 | -0.000 | -0.000 | 0.000 | 0.000 | 0.000 |
| -0.000 | 0.000 | -0.000 | -0.000 | 0.000 | 0.000 |
| -0.000 | -0.000 | 0.000 | 0.000 | 0.000 | 0.000 |
| -0.000 | 0.000 | 0.000 | 0.000 | 0.000 | 0.000 |
| 0.000 | -0.000 | 0.000 | 0.000 | 0.000 | 0.000 |
| 0.000 | 0.000 | -0.000 | 0.000 | 0.000 | 0.000 |
| -0.000 | -0.000 | -0.000 | -0.000 | 0.000 | 0.000 |
| -0.000 | -0.000 | -0.000 | 0.000 | -0.000 | -0.000 |
| -0.000 | -0.000 | -0.000 | 0.000 | 0.000 | -0.000 |
| 0.000 | 0.000 | 0.000 | 0.000 | -0.000 | 0.000 |
| 0.000 | 0.000 | 0.000 | 0.000 | 0.000 | 0.000 |
| 0.000 | 0.000 | 0.000 | 0.000 | 0.000 | 0.000 |
| -0.000 | -0.000 | -0.000 | -0.000 | -0.000 | -0.000 |
| -0.000 | -0.000 | -0.000 | 0.000 | -0.000 | -0.000 |
| -0.000 | -0.000 | -0.000 | -0.000 | -0.000 | -0.000 |
| -0.000 | 0.000 | -0.000 | 0.000 | 0.000 | -0.000 |
| 0.000 | -0.000 | -0.000 | -0.000 | 0.000 | -0.000 |
| 0.000 | -0.000 | -0.000 | -0.000 | -0.000 | 0.000 |
| -0.000 | -0.000 | -0.000 | -0.000 | 0.000 | -0.000 |
| -0.000 | -0.000 | -0.000 | 0.000 | -0.000 | 0.000 |
| -0.000 | -0.000 | -0.000 | 0.000 | 0.000 | -0.000 |
| 0.000 | 0.000 | 0.000 | 0.000 | 0.000 | 0.000 |
| 0.000 | 0.000 | 0.000 | 0.000 | 0.000 | 0.000 |
| 0.000 | 0.000 | 0.000 | 0.000 | 0.000 | 0.000 |
| -0.000 | -0.000 | -0.000 | -0.000 | -0.000 | -0.000 |
| -0.000 | -0.000 | -0.000 | -0.000 | -0.000 | -0.000 |
| -0.000 | -0.000 | -0.000 | 0.000 | 0.000 | -0.000 |
| -0.000 | 0.000 | -0.000 | 0.000 | -0.000 | -0.000 |
| 0.000 | -0.000 | -0.000 | -0.000 | 0.000 | -0.000 |
| 0.000 | -0.000 | -0.000 | -0.000 | -0.000 | 0.000 |
| -0.000 | -0.000 | -0.000 | -0.000 | 0.000 | 0.000 |
| -0.000 | -0.000 | -0.000 | 0.000 | -0.000 | 0.000 |
| -0.000 | -0.000 | -0.000 | 0.000 | 0.000 | -0.000 |
| 0.000 | 0.000 | 0.000 | 0.000 | 0.000 | 0.000 |
| 0.000 | 0.000 | 0.000 | 0.000 | 0.000 | 0.000 |
| 0.000 | 0.000 | 0.000 | 0.000 | 0.000 | 0.000 |
| -0.000 | -0.000 | -0.000 | -0.000 | -0.000 | -0.000 |
| -0.000 | -0.000 | -0.000 | -0.000 | -0.000 | -0.000 |
| -0.000 | -0.000 | -0.000 | 0.000 | 0.000 | -0.000 |
| -0.000 | 0.000 | -0.000 | 0.000 | -0.000 | 0.000 |
| 0.000 | -0.000 | -0.000 | -0.000 | 0.000 | 0.000 |
| 0.000 | -0.000 | -0.000 | -0.000 | -0.000 | 0.000 |
| 0.000 | -0.000 | -0.000 | -0.000 | -0.000 | 0.000 |
| -0.000 | 0.000 | -0.000 | -0.000 | -0.000 | 0.000 |
| -0.000 | -0.000 | 0.000 | 0.000 | -0.000 | 0.000 |
| 0.000 | -0.000 | -0.000 | 0.000 | -0.000 | 0.000 |
| -0.000 | 0.000 | -0.000 | -0.000 | 0.000 | -0.000 |
| -0.000 | -0.000 | 0.000 | -0.000 | -0.000 | 0.000 |
| 0.000 | -0.000 | -0.000 | 0.000 | 0.000 | -0.000 |
| -0.000 | 0.000 | -0.000 | 0.000 | 0.000 | -0.000 |
| -0.000 | -0.000 | 0.000 | 0.000 | 0.000 | -0.000 |
| -0.000 | 0.000 | 0.000 | 0.000 | 0.000 | -0.000 |
| 0.000 | -0.000 | 0.000 | 0.000 | 0.000 | -0.000 |
| 0.000 | 0.000 | -0.000 | 0.000 | 0.000 | 0.000 |
| 0.000 | -0.000 | -0.000 | -0.000 | -0.000 | -0.000 |
| -0.000 | 0.000 | -0.000 | -0.000 | -0.000 | 0.000 |
| -0.000 | -0.000 | 0.000 | -0.000 | -0.000 | 0.000 |
| 0.000 | 0.000 | -0.000 | 0.000 | -0.000 | 0.000 |
| 0.000 | 0.000 | -0.000 | 0.000 | 0.000 | -0.000 |
| 0.000 | -0.000 | 0.000 | -0.000 | -0.000 | 0.000 |
| 0.000 | -0.000 | -0.000 | 0.000 | 0.000 | -0.000 |
| -0.000 | 0.000 | -0.000 | 0.000 | 0.000 | -0.000 |
| -0.000 | -0.000 | 0.000 | 0.000 | 0.000 | -0.000 |
| -0.000 | -0.000 | 0.000 | 0.000 | 0.000 | -0.000 |
| -0.000 | -0.000 | 0.000 | -0.000 | 0.000 | -0.000 |
| -0.000 | 0.000 | -0.000 | 0.000 | 0.000 | 0.000 |
| 0.000 | -0.000 | -0.000 | -0.000 | -0.000 | 0.000 |
| -0.000 | 0.000 | -0.000 | -0.000 | -0.000 | 0.000 |
| -0.000 | -0.000 | 0.000 | -0.000 | -0.000 | 0.000 |
| 0.000 | 0.000 | -0.000 | 0.000 | -0.000 | 0.000 |
| 0.000 | 0.000 | -0.000 | 0.000 | 0.000 | 0.000 |
| 0.000 | -0.000 | 0.000 | -0.000 | -0.000 | 0.000 |
| 0.000 | -0.000 | -0.000 | 0.000 | 0.000 | -0.000 |
| -0.000 | 0.000 | -0.000 | -0.000 | 0.000 | -0.000 |
| -0.000 | -0.000 | 0.000 | 0.000 | 0.000 | -0.000 |
| -0.000 | 0.000 | 0.000 | 0.000 | 0.000 | -0.000 |
| 0.000 | -0.000 | 0.000 | -0.000 | 0.000 | -0.000 |
| 0.000 | 0.000 | -0.000 | 0.000 | 0.000 | 0.000 |
| 0.000 | 0.000 | 0.000 | 0.000 | -0.000 | -0.000 |
| 0.000 | 0.000 | 0.000 | -0.000 | 0.000 | 0.000 |
| 0.000 | 0.000 | 0.000 | -0.000 | -0.000 | -0.000 |
| 0.000 | 0.000 | 0.000 | -0.000 | 0.000 | 0.000 |
| 0.000 | 0.000 | 0.000 | 0.000 | -0.000 | 0.000 |
| 0.000 | 0.000 | 0.000 | 0.000 | -0.000 | -0.000 |
| 0.000 | 0.000 | 0.000 | 0.000 | -0.000 | 0.000 |
| 0.000 | 0.000 | 0.000 | 0.000 | 0.000 | 0.000 |
| 0.000 | 0.000 | 0.000 | 0.000 | 0.000 | -0.000 |
| -0.000 | 0.000 | -0.000 | -0.000 | -0.000 | -0.000 |
| 0.000 | -0.000 | -0.000 | -0.000 | -0.000 | 0.000 |
| 0.000 | -0.000 | -0.000 | -0.000 | 0.000 | -0.000 |
| 0.000 | 0.000 | 0.000 | 0.000 | -0.000 | -0.000 |
| 0.000 | 0.000 | 0.000 | -0.000 | 0.000 | 0.000 |
| 0.000 | 0.000 | 0.000 | 0.000 | 0.000 | -0.000 |
| 0.000 | 0.000 | -0.000 | -0.000 | -0.000 | 0.000 |
| 0.000 | 0.000 | -0.000 | -0.000 | -0.000 | -0.000 |
| 0.000 | -0.000 | 0.000 | 0.000 | -0.000 | -0.000 |
| 0.000 | 0.000 | 0.000 | 0.000 | -0.000 | -0.000 |
| 0.000 | 0.000 | 0.000 | 0.000 | 0.000 | -0.000 |
| 0.000 | 0.000 | 0.000 | 0.000 | 0.000 | -0.000 |
| -0.000 | -0.000 | 0.000 | -0.000 | 0.000 | -0.000 |
| -0.000 | -0.000 | 0.000 | 0.000 | -0.000 | -0.000 |
| -0.000 | 0.000 | -0.000 | -0.000 | -0.000 | -0.000 |
| 0.000 | 0.000 | 0.000 | 0.000 | -0.000 | 0.000 |
| 0.000 | 0.000 | 0.000 | -0.000 | 0.000 | 0.000 |
| 0.000 | 0.000 | 0.000 | -0.000 | -0.000 | -0.000 |
| 0.000 | 0.000 | -0.000 | -0.000 | -0.000 | 0.000 |
| 0.000 | 0.000 | -0.000 | -0.000 | -0.000 | 0.000 |
| 0.000 | -0.000 | 0.000 | 0.000 | -0.000 | -0.000 |
| 0.000 | 0.000 | 0.000 | 0.000 | 0.000 | 0.000 |
| 0.000 | 0.000 | 0.000 | 0.000 | 0.000 | -0.000 |
| 0.000 | 0.000 | 0.000 | 0.000 | 0.000 | -0.000 |
| -0.000 | -0.000 | 0.000 | -0.000 | 0.000 | -0.000 |
| -0.000 | -0.000 | 0.000 | 0.000 | -0.000 | 0.000 |
| -0.000 | 0.000 | -0.000 | -0.000 | -0.000 | -0.000 |
| 0.000 | 0.000 | 0.000 | 0.000 | 0.000 | 0.000 |
| 0.000 | 0.000 | 0.000 | -0.000 | 0.000 | -0.000 |
| 0.000 | 0.000 | 0.000 | -0.000 | -0.000 | 0.000 |
| -0.000 | -0.000 | -0.000 | -0.000 | 0.000 | -0.000 |
| -0.000 | -0.000 | -0.000 | 0.000 | -0.000 | 0.000 |
| -0.000 | -0.000 | -0.000 | 0.000 | 0.000 | -0.000 |
| 0.000 | 0.000 | 0.000 | -0.000 | -0.000 | -0.000 |
| 0.000 | 0.000 | 0.000 | 0.000 | -0.000 | -0.000 |
| 0.000 | 0.000 | 0.000 | 0.000 | 0.000 | -0.000 |
| 0.000 | 0.000 | 0.000 | -0.000 | -0.000 | 0.000 |
| 0.000 | 0.000 | 0.000 | -0.000 | -0.000 | -0.000 |
| 0.000 | 0.000 | 0.000 | -0.000 | -0.000 | -0.000 |
| 0.000 | 0.000 | 0.000 | 0.000 | 0.000 | 0.000 |
| 0.000 | 0.000 | 0.000 | 0.000 | 0.000 | 0.000 |
| 0.000 | 0.000 | 0.000 | -0.000 | 0.000 | 0.000 |
| -0.000 | 0.000 | -0.000 | -0.000 | 0.000 | 0.000 |
| 0.000 | -0.000 | -0.000 | 0.000 | -0.000 | 0.000 |
| 0.000 | -0.000 | -0.000 | 0.000 | 0.000 | -0.000 |
| 0.000 | 0.000 | 0.000 | -0.000 | -0.000 | -0.000 |
| 0.000 | 0.000 | 0.000 | -0.000 | -0.000 | -0.000 |
| 0.000 | 0.000 | 0.000 | -0.000 | -0.000 | -0.000 |
| 0.000 | 0.000 | 0.000 | -0.000 | -0.000 | -0.000 |
| 0.000 | 0.000 | 0.000 | -0.000 | -0.000 | -0.000 |
| 0.000 | 0.000 | 0.000 | -0.000 | -0.000 | -0.000 |
| 0.000 | 0.000 | 0.000 | 0.000 | 0.000 | 0.000 |
| 0.000 | 0.000 | 0.000 | 0.000 | 0.000 | 0.000 |
| 0.000 | 0.000 | 0.000 | 0.000 | 0.000 | 0.000 |
| -0.000 | 0.000 | -0.000 | -0.000 | 0.000 | -0.000 |
| 0.000 | -0.000 | -0.000 | -0.000 | -0.000 | 0.000 |
| 0.000 | -0.000 | -0.000 | 0.000 | 0.000 | -0.000 |
| 0.000 | 0.000 | 0.000 | -0.000 | -0.000 | -0.000 |
| 0.000 | 0.000 | 0.000 | -0.000 | -0.000 | -0.000 |
| 0.000 | 0.000 | 0.000 | 0.000 | 0.000 | -0.000 |
| 0.000 | -0.000 | 0.000 | -0.000 | -0.000 | 0.000 |
| -0.000 | 0.000 | 0.000 | 0.000 | -0.000 | -0.000 |
| -0.000 | 0.000 | 0.000 | -0.000 | -0.000 | -0.000 |
| -0.000 | -0.000 | -0.000 | -0.000 | -0.000 | -0.000 |
| -0.000 | -0.000 | -0.000 | 0.000 | -0.000 | -0.000 |
| -0.000 | -0.000 | -0.000 | 0.000 | 0.000 | -0.000 |
| 0.000 | 0.000 | 0.000 | 0.000 | 0.000 | 0.000 |
| 0.000 | 0.000 | 0.000 | 0.000 | 0.000 | -0.000 |
| 0.000 | 0.000 | 0.000 | 0.000 | 0.000 | 0.000 |
| -0.000 | -0.000 | -0.000 | -0.000 | -0.000 | 0.000 |
| -0.000 | -0.000 | -0.000 | -0.000 | -0.000 | -0.000 |
| -0.000 | -0.000 | -0.000 | -0.000 | -0.000 | -0.000 |
| -0.000 | -0.000 | -0.000 | 0.000 | -0.000 | 0.000 |
| -0.000 | -0.000 | -0.000 | -0.000 | 0.000 | -0.000 |
| -0.000 | -0.000 | -0.000 | -0.000 | 0.000 | 0.000 |
| -0.000 | -0.000 | -0.000 | -0.000 | 0.000 | -0.000 |
| -0.000 | -0.000 | -0.000 | 0.000 | -0.000 | 0.000 |
| -0.000 | -0.000 | -0.000 | 0.000 | 0.000 | -0.000 |
| 0.000 | 0.000 | 0.000 | 0.000 | 0.000 | -0.000 |
| 0.000 | 0.000 | 0.000 | 0.000 | 0.000 | 0.000 |
| 0.000 | 0.000 | 0.000 | 0.000 | 0.000 | 0.000 |
| -0.000 | -0.000 | -0.000 | -0.000 | -0.000 | 0.000 |
| -0.000 | -0.000 | -0.000 | -0.000 | -0.000 | 0.000 |
| -0.000 | -0.000 | -0.000 | -0.000 | -0.000 | -0.000 |
| -0.000 | -0.000 | -0.000 | 0.000 | -0.000 | -0.000 |
| -0.000 | -0.000 | -0.000 | -0.000 | 0.000 | 0.000 |
| -0.000 | -0.000 | -0.000 | -0.000 | -0.000 | 0.000 |
| -0.000 | -0.000 | -0.000 | -0.000 | 0.000 | -0.000 |
| -0.000 | -0.000 | -0.000 | 0.000 | -0.000 | 0.000 |
| -0.000 | -0.000 | -0.000 | 0.000 | -0.000 | -0.000 |
| 0.000 | -0.000 | 0.000 | 0.000 | 0.000 | 0.000 |
| -0.000 | 0.000 | 0.000 | 0.000 | 0.000 | -0.000 |
| -0.000 | 0.000 | 0.000 | 0.000 | 0.000 | 0.000 |
| -0.000 | -0.000 | -0.000 | -0.000 | -0.000 | 0.000 |
| -0.000 | -0.000 | -0.000 | -0.000 | -0.000 | 0.000 |
| -0.000 | -0.000 | -0.000 | -0.000 | -0.000 | -0.000 |
| -0.000 | 0.000 | -0.000 | 0.000 | -0.000 | 0.000 |
| 0.000 | -0.000 | -0.000 | -0.000 | 0.000 | 0.000 |
| 0.000 | -0.000 | -0.000 | -0.000 | -0.000 | 0.000 |
| 0.000 | -0.000 | -0.000 | -0.000 | -0.000 | -0.000 |
| -0.000 | 0.000 | -0.000 | 0.000 | 0.000 | -0.000 |
| -0.000 | -0.000 | 0.000 | -0.000 | -0.000 | -0.000 |
| 0.000 | 0.000 | 0.000 | 0.000 | 0.000 | -0.000 |
| 0.000 | 0.000 | 0.000 | 0.000 | 0.000 | -0.000 |
| 0.000 | 0.000 | 0.000 | 0.000 | -0.000 | 0.000 |
| 0.000 | -0.000 | -0.000 | -0.000 | 0.000 | -0.000 |
| -0.000 | 0.000 | -0.000 | -0.000 | 0.000 | -0.000 |
| -0.000 | -0.000 | 0.000 | 0.000 | 0.000 | -0.000 |
| -0.000 | -0.000 | -0.000 | 0.000 | -0.000 | -0.000 |
| -0.000 | -0.000 | -0.000 | -0.000 | 0.000 | -0.000 |
| -0.000 | -0.000 | -0.000 | -0.000 | 0.000 | 0.000 |
| 0.000 | -0.000 | -0.000 | -0.000 | -0.000 | 0.000 |
| -0.000 | 0.000 | -0.000 | -0.000 | 0.000 | -0.000 |
| -0.000 | -0.000 | 0.000 | 0.000 | 0.000 | -0.000 |
| 0.000 | 0.000 | -0.000 | 0.000 | -0.000 | 0.000 |
| 0.000 | 0.000 | -0.000 | -0.000 | 0.000 | -0.000 |
| 0.000 | -0.000 | 0.000 | 0.000 | -0.000 | 0.000 |
| 0.000 | -0.000 | -0.000 | -0.000 | 0.000 | -0.000 |
| -0.000 | 0.000 | -0.000 | 0.000 | 0.000 | 0.000 |
| -0.000 | -0.000 | 0.000 | -0.000 | -0.000 | -0.000 |
| -0.000 | -0.000 | 0.000 | 0.000 | 0.000 | -0.000 |
| -0.000 | -0.000 | 0.000 | 0.000 | 0.000 | 0.000 |
| -0.000 | 0.000 | -0.000 | -0.000 | 0.000 | 0.000 |
| 0.000 | -0.000 | -0.000 | -0.000 | -0.000 | -0.000 |
| -0.000 | 0.000 | -0.000 | 0.000 | 0.000 | 0.000 |
| -0.000 | -0.000 | 0.000 | 0.000 | 0.000 | -0.000 |
| 0.000 | -0.000 | -0.000 | 0.000 | -0.000 | -0.000 |
| -0.000 | 0.000 | -0.000 | 0.000 | 0.000 | -0.000 |
| -0.000 | -0.000 | 0.000 | 0.000 | -0.000 | 0.000 |
| 0.000 | -0.000 | -0.000 | -0.000 | 0.000 | -0.000 |
| -0.000 | 0.000 | -0.000 | -0.000 | 0.000 | -0.000 |
| -0.000 | -0.000 | 0.000 | -0.000 | -0.000 | -0.000 |
| -0.000 | 0.000 | 0.000 | 0.000 | 0.000 | -0.000 |
| 0.000 | -0.000 | 0.000 | -0.000 | 0.000 | 0.000 |
| 0.000 | 0.000 | -0.000 | -0.000 | 0.000 | 0.000 |
| 76.268 | 13.601 | 3.605 | -0.000 | -0.000 | -0.000 |
| 7.508 | 19.750 | -9.586 | -0.000 | 0.000 | 0.000 |
| 0.517 | 7.116 | 53.388 | -0.000 | -0.000 | 0.000 |
| -0.195 | -0.535 | -0.628 | -0.504 | -0.000 | -0.000 |
| -1.346 | -3.700 | -4.339 | 0.000 | -16.251 | -0.000 |
| -0.524 | -1.441 | -1.689 | 0.000 | 0.000 | 16.332 |
| 72.545 | 4.548 | 2.217 | -0.000 | -0.000 | 0.000 |
| 7.599 | 21.153 | 1.113 | 0.000 | -0.000 | 0.000 |
| -0.504 | -0.993 | 2.227 | -0.000 | 0.000 | 0.000 |
| 0.195 | 0.535 | 0.628 | -0.504 | 0.000 | 0.000 |
| -327991524.064 | -531809852.835 | -1.607 | -0.001 | -0.446 | 0.000 |
| 0.524 | 1.441 | 1.689 | -0.000 | -0.000 | 16.332 |
| 71.765 | 2.417 | -0.178 | 0.000 | 0.000 | -0.000 |
| 6.860 | 19.251 | -0.111 | -0.000 | 0.000 | -0.000 |
| -3.156 | -7.592 | -0.111 | -0.000 | 0.000 | -0.000 |
| -0.019 | -0.053 | -0.063 | -0.482 | -0.000 | -0.000 |
| -0.139 | -0.382 | -0.448 | 0.000 | -16.636 | 0.000 |
| -0.052 | -0.144 | -0.169 | 0.000 | 0.000 | 16.332 |
| 71.900 | 2.787 | 0.255 | -0.000 | -0.000 | 0.000 |
| 6.995 | 19.597 | 0.111 | 0.000 | -0.000 | 0.000 |
| -3.022 | -7.246 | 0.111 | 0.000 | -0.000 | 0.000 |
| 0.019 | 0.053 | 0.063 | -0.482 | 0.000 | 0.000 |
| 0.139 | 0.382 | 0.448 | -0.000 | -16.636 | 0.000 |
| 0.052 | 0.144 | 0.169 | -0.000 | -0.000 | 16.332 |
| 71.826 | 2.583 | 0.017 | 0.000 | 0.000 | -0.000 |
| 6.921 | 19.407 | -0.011 | -0.000 | 0.000 | -0.000 |
| -3.095 | -7.437 | -0.012 | -0.000 | 0.000 | -0.000 |
| -0.002 | -0.005 | -0.006 | -0.482 | -0.000 | -0.000 |
| 3279915.204 | 5318098.494 | -0.012 | -0.000 | 0.007 | -0.000 |
| -0.005 | -0.014 | -0.017 | 0.000 | 0.000 | 16.332 |
| 71.839 | 2.620 | 0.060 | -0.000 | -0.000 | 0.000 |
| 6.934 | 19.441 | 0.011 | 0.000 | -0.000 | 0.000 |
| -3.082 | -7.402 | 0.012 | 0.000 | -0.000 | 0.000 |
| 0.002 | 0.005 | 0.006 | -0.482 | 0.000 | 0.000 |
| -3279915.205 | -5318098.494 | 0.012 | 0.000 | 0.007 | 0.000 |
| 0.005 | 0.014 | 0.017 | -0.000 | -0.000 | 16.332 |
| 266.478 | 47.150 | 75.760 | -0.000 | -0.000 | -0.000 |
| 47.150 | 266.478 | 75.760 | -0.000 | -0.000 | -0.000 |
| 69.260 | 69.260 | 225.589 | 0.000 | 0.000 | -0.000 |
| 2.203 | 2.203 | 0.671 | -77.065 | -0.000 | -0.000 |
| 2.203 | 2.203 | 0.671 | 0.000 | -77.065 | -0.000 |
| 2.203 | 2.203 | 0.671 | 0.000 | -0.000 | 11.656 |
| 235.704 | 16.376 | 66.385 | -0.000 | -0.000 | 0.000 |
| 16.376 | 235.704 | 66.385 | -0.000 | 0.000 | 0.000 |
| 64.853 | 64.853 | 224.247 | -0.000 | -0.000 | 0.000 |
| -2.203 | -2.203 | -0.671 | -77.065 | 0.000 | 0.000 |
| -2.203 | -2.203 | -0.671 | 0.000 | -77.065 | 0.000 |
| -2.203 | -2.203 | -0.671 | -0.000 | -0.000 | 11.656 |
| 238.128 | 18.799 | 67.124 | 0.000 | -0.000 | -0.000 |
| 18.799 | 238.128 | 67.124 | -0.000 | 0.000 | -0.000 |
| 75.760 | 75.760 | 227.570 | -0.000 | -0.000 | -0.000 |
| 0.000 | 0.000 | 0.000 | 43.570 | -0.000 | -0.000 |
| 0.000 | 0.000 | 0.000 | -0.000 | 43.570 | -0.000 |
| 0.220 | 0.220 | 0.067 | 0.000 | -0.000 | 11.656 |
| 237.687 | 18.359 | 66.989 | -0.000 | -0.000 | 0.000 |
| 18.359 | 237.687 | 66.989 | -0.000 | -0.000 | 0.000 |
| 66.836 | 66.836 | 224.851 | -0.000 | 0.000 | 0.000 |
| -0.000 | -0.000 | -0.000 | 43.570 | 0.000 | 0.000 |
| -0.000 | -0.000 | -0.000 | 0.000 | 43.570 | 0.000 |
| -0.220 | -0.220 | -0.067 | 0.000 | 0.000 | 11.656 |
| 237.930 | 18.601 | 67.063 | 0.000 | -0.000 | -0.000 |
| 18.601 | 237.930 | 67.063 | -0.000 | 0.000 | -0.000 |
| 67.079 | 67.079 | 224.926 | 0.000 | -0.000 | -0.000 |
| 0.022 | 0.022 | 0.006 | -77.065 | -0.000 | -0.000 |
| 0.022 | 0.022 | 0.006 | -0.000 | -77.065 | -0.000 |
| 0.022 | 0.022 | 0.007 | 0.000 | -0.000 | 11.656 |
| 237.885 | 18.557 | 67.050 | -0.000 | -0.000 | 0.000 |
| 18.557 | 237.885 | 67.050 | -0.000 | -0.000 | 0.000 |
| 67.034 | 67.034 | 224.910 | -0.000 | -0.000 | 0.000 |
| -0.022 | -0.022 | -0.006 | -77.065 | 0.000 | 0.000 |
| -0.022 | -0.022 | -0.006 | 0.000 | -77.065 | 0.000 |
| -0.022 | -0.022 | -0.007 | -0.000 | -0.000 | 11.656 |
| 237.222 | 18.953 | 67.156 | -0.000 | -0.000 | 0.000 |
| 18.953 | 237.222 | 67.156 | -0.000 | -0.000 | -0.000 |
| 67.034 | 67.034 | 224.491 | -0.000 | -0.000 | 0.000 |
| 0.186 | 0.186 | 0.056 | -76.818 | -0.000 | -0.000 |
| 0.186 | 0.186 | 0.056 | -0.000 | -76.818 | -0.000 |
| 0.042 | 0.042 | 0.013 | -0.000 | -0.000 | 12.083 |
| 237.137 | 18.869 | 67.131 | 0.000 | -0.000 | 0.000 |
| 18.869 | 237.137 | 67.131 | -0.000 | 0.000 | -0.000 |
| 66.949 | 66.949 | 224.466 | 0.000 | -0.000 | -0.000 |
| -0.186 | -0.186 | -0.056 | -76.818 | 0.000 | 0.000 |
| -0.186 | -0.186 | -0.056 | 0.000 | -76.818 | 0.000 |
| -0.042 | -0.042 | -0.013 | 0.000 | 0.000 | 12.083 |
| 237.184 | 18.916 | 67.145 | -0.000 | -0.000 | 0.000 |
| 18.916 | 237.184 | 67.145 | -0.000 | -0.000 | -0.000 |
| 75.571 | 75.571 | 227.058 | -0.000 | -0.000 | 0.000 |
| 0.019 | 0.019 | 0.006 | -76.818 | -0.000 | 0.000 |
| 0.019 | 0.019 | 0.006 | -0.000 | -76.818 | -0.000 |
| 0.004 | 0.004 | 0.001 | -0.000 | -0.000 | 12.083 |
| 237.175 | 18.907 | 67.142 | 0.000 | -0.000 | 0.000 |
| 18.907 | 237.175 | 67.142 | -0.000 | 0.000 | 0.000 |
| 66.987 | 66.987 | 224.477 | -0.000 | -0.000 | -0.000 |
| -0.019 | -0.019 | -0.006 | -76.818 | 0.000 | -0.000 |
| -0.019 | -0.019 | -0.006 | 0.000 | -76.818 | 0.000 |
| -0.004 | -0.004 | -0.001 | 0.000 | 0.000 | 12.083 |
| 237.181 | 18.912 | 67.144 | -0.000 | 0.000 | 0.000 |
| 18.912 | 237.181 | 67.144 | 0.000 | -0.000 | -0.000 |
| 66.992 | 66.992 | 224.481 | 0.000 | 0.000 | 0.000 |
| 0.002 | 0.002 | 0.000 | -76.818 | -0.000 | 0.000 |
| 0.002 | 0.002 | 0.000 | -0.000 | -76.818 | 0.000 |
| -0.000 | -0.000 | 0.000 | 0.000 | -0.000 | 12.083 |
| 237.179 | 18.911 | 67.143 | 0.000 | 0.000 | 0.000 |
| 18.911 | 237.179 | 67.143 | 0.000 | 0.000 | -0.000 |
| 66.991 | 66.991 | 224.477 | 0.000 | 0.000 | -0.000 |
| -0.002 | -0.002 | -0.000 | -76.818 | 0.000 | -0.000 |
| -0.002 | -0.002 | -0.000 | 0.000 | -76.818 | -0.000 |
| 0.000 | 0.000 | -0.000 | -0.000 | -0.000 | 12.083 |
| -249.433 | -441.089 | -441.089 | 0.000 | 0.000 | 0.000 |
| -441.089 | -249.433 | -441.089 | 0.000 | 0.000 | 0.000 |
| -441.089 | -441.089 | -249.433 | 0.000 | 0.000 | 0.000 |
| -888.324 | -888.324 | -888.324 | 60.413 | 0.000 | 0.000 |
| -888.324 | -888.324 | -888.324 | 0.000 | 60.413 | 0.000 |
| -888.324 | -888.324 | -888.324 | 0.000 | 0.000 | 60.413 |
| 846.964 | 655.293 | 655.293 | -0.000 | -0.000 | -0.000 |
| 655.293 | 846.964 | 655.293 | -0.000 | -0.000 | -0.000 |
| 655.293 | 655.293 | 846.964 | -0.000 | -0.000 | -0.000 |
| 888.324 | 888.324 | 888.324 | 60.413 | -0.000 | -0.000 |
| 888.324 | 888.324 | 888.324 | -0.000 | 60.413 | -0.000 |
| 888.324 | 888.324 | 888.324 | -0.000 | -0.000 | 60.413 |
| 210.649 | 16.037 | 16.037 | 0.000 | 0.000 | 0.000 |
| 16.037 | 210.649 | 16.037 | 0.000 | 0.000 | 0.000 |
| 16.037 | 16.037 | 210.649 | 0.000 | 0.000 | 0.000 |
| -88.821 | -88.821 | -88.821 | 60.406 | 0.000 | 0.000 |
| -88.821 | -88.821 | -88.821 | 0.000 | 60.406 | 0.000 |
| -88.821 | -88.821 | -88.821 | 0.000 | 0.000 | 60.406 |
| 388.282 | 193.628 | 193.628 | -0.000 | -0.000 | -0.000 |
| 193.628 | 388.282 | 193.628 | -0.000 | -0.000 | -0.000 |
| 193.628 | 193.628 | 388.282 | -0.000 | -0.000 | -0.000 |
| 88.821 | 88.821 | 88.821 | 60.406 | -0.000 | -0.000 |
| 88.821 | 88.821 | 88.821 | -0.000 | 60.406 | -0.000 |
| 88.821 | 88.821 | 88.821 | -0.000 | -0.000 | 60.406 |
| 317.698 | 100.551 | 100.551 | -0.000 | 0.000 | 0.000 |
| 100.551 | 317.698 | 100.551 | 0.000 | 0.000 | 0.000 |
| 100.551 | 100.551 | 317.698 | 0.000 | 0.000 | -0.000 |
| 0.000 | -0.000 | 0.000 | 77.738 | 0.000 | 0.000 |
| -0.000 | 0.000 | 0.000 | 0.000 | 77.738 | 0.000 |
| -0.000 | 0.000 | 0.000 | 0.000 | 0.000 | 77.738 |
| 304.908 | 112.285 | 112.285 | -0.000 | -0.000 | -0.000 |
| 112.285 | 304.908 | 112.285 | -0.000 | -0.000 | -0.000 |
| 112.285 | 112.285 | 304.908 | -0.000 | -0.000 | -0.000 |
| -0.000 | 0.000 | -0.000 | 77.738 | -0.000 | -0.000 |
| 0.000 | -0.000 | -0.000 | -0.000 | 77.738 | -0.000 |
| 0.000 | -0.000 | -0.000 | -0.000 | -0.000 | 77.738 |
| 315.944 | 99.621 | 99.621 | -0.000 | -0.000 | -0.000 |
| 99.621 | 315.944 | 99.621 | 0.000 | -0.000 | -0.000 |
| 99.621 | 99.621 | 315.944 | -0.000 | -0.000 | -0.000 |
| -0.000 | -0.000 | 0.000 | 77.510 | 0.000 | -0.000 |
| -0.000 | -0.000 | 0.000 | 0.000 | 77.510 | -0.000 |
| -0.000 | 0.000 | -0.000 | 0.000 | -0.000 | 77.510 |
| 315.944 | 99.621 | 99.621 | 0.000 | -0.000 | 0.000 |
| 99.621 | 315.944 | 99.621 | -0.000 | 0.000 | 0.000 |
| 99.621 | 99.621 | 315.944 | 0.000 | 0.000 | 0.000 |
| 0.000 | 0.000 | -0.000 | 77.510 | 0.000 | -0.000 |
| 0.000 | -0.000 | -0.000 | 0.000 | 77.510 | 0.000 |
| 0.000 | 0.000 | -0.000 | 0.000 | -0.000 | 77.510 |
| 337.976 | 149.143 | 149.143 | -0.000 | -0.000 | 0.000 |
| 149.143 | 337.976 | 149.143 | -0.000 | -0.000 | 0.000 |
| 149.143 | 149.143 | 337.976 | 0.000 | -0.000 | -0.000 |
| 0.000 | -0.000 | 0.000 | 77.510 | 0.000 | -0.000 |
| -0.000 | 0.000 | 0.000 | 0.000 | 77.510 | -0.000 |
| -0.000 | 0.000 | 0.000 | 0.000 | -0.000 | 77.510 |
| 315.944 | 99.621 | 99.621 | -0.000 | 0.000 | 0.000 |
| 99.621 | 315.944 | 99.621 | 0.000 | -0.000 | 0.000 |
| 99.621 | 99.621 | 315.944 | 0.000 | 0.000 | -0.000 |
| -0.000 | 0.000 | -0.000 | 77.510 | 0.000 | 0.000 |
| 0.000 | -0.000 | -0.000 | 0.000 | 77.510 | 0.000 |
| 0.000 | -0.000 | -0.000 | 0.000 | 0.000 | 77.510 |
| 315.945 | 99.622 | 99.622 | 0.000 | 0.000 | 0.000 |
| 99.622 | 315.945 | 99.622 | 0.000 | -0.000 | 0.000 |
| 99.622 | 99.622 | 315.945 | 0.000 | 0.000 | -0.000 |
| 0.000 | -0.000 | 0.000 | 77.510 | -0.000 | -0.000 |
| -0.000 | 0.000 | 0.000 | -0.000 | 77.510 | -0.000 |
| -0.000 | 0.000 | 0.000 | -0.000 | -0.000 | 77.510 |
| 315.943 | 99.621 | 99.621 | 0.000 | 0.000 | 0.000 |
| 99.621 | 315.943 | 99.621 | 0.000 | 0.000 | 0.000 |
| 99.621 | 99.621 | 315.943 | 0.000 | 0.000 | 0.000 |
| -0.000 | 0.000 | -0.000 | 77.510 | 0.000 | -0.000 |
| 0.000 | -0.000 | -0.000 | -0.000 | 77.510 | -0.000 |
| 0.000 | -0.000 | -0.000 | -0.000 | -0.000 | 77.510 |
| 235.548 | 111.632 | 111.632 | -0.000 | 0.000 | -0.000 |
| 111.632 | 235.548 | 111.632 | 0.000 | 0.000 | -0.000 |
| 111.632 | 111.632 | 235.548 | 0.000 | 0.000 | -0.000 |
| -0.000 | -0.000 | 0.000 | 96.000 | -0.000 | 0.000 |
| -0.000 | -0.000 | 0.000 | 0.000 | 96.000 | 0.000 |
| -0.000 | 0.000 | 0.000 | 0.000 | -0.000 | 96.000 |
| 256.866 | 119.089 | 119.089 | -0.000 | 0.000 | -0.000 |
| 119.089 | 256.866 | 119.089 | -0.000 | 0.000 | -0.000 |
| 119.089 | 119.089 | 256.866 | -0.000 | 0.000 | -0.000 |
| 0.000 | 0.000 | -0.000 | 96.000 | 0.000 | -0.000 |
| 0.000 | 0.000 | -0.000 | -0.000 | 96.000 | -0.000 |
| 0.000 | 0.000 | -0.000 | -0.000 | 0.000 | 96.000 |
| 249.075 | 117.587 | 117.587 | 0.000 | -0.000 | -0.000 |
| 117.587 | 249.075 | 117.587 | 0.000 | -0.000 | -0.000 |
| 117.587 | 117.587 | 249.075 | 0.000 | -0.000 | -0.000 |
| 0.000 | -0.000 | 0.000 | 96.000 | -0.000 | 0.000 |
| -0.000 | 0.000 | 0.000 | 0.000 | 96.000 | 0.000 |
| -0.000 | 0.000 | 0.000 | 0.000 | -0.000 | 96.000 |
| 257.547 | 117.846 | 117.846 | -0.000 | 0.000 | -0.000 |
| 117.846 | 257.547 | 117.846 | -0.000 | 0.000 | -0.000 |
| 117.846 | 117.846 | 257.547 | -0.000 | 0.000 | -0.000 |
| -0.000 | 0.000 | -0.000 | 96.000 | 0.000 | -0.000 |
| 0.000 | -0.000 | -0.000 | -0.000 | 96.000 | -0.000 |
| 0.000 | -0.000 | -0.000 | -0.000 | 0.000 | 96.000 |
| 256.565 | 117.603 | 117.603 | 0.000 | -0.000 | 0.000 |
| 117.603 | 256.565 | 117.603 | 0.000 | -0.000 | 0.000 |
| 117.603 | 117.603 | 256.565 | 0.000 | -0.000 | 0.000 |
| 0.000 | -0.000 | 0.000 | 96.000 | -0.000 | 0.000 |
| -0.129 | -0.129 | -0.129 | 0.000 | 77.508 | -0.000 |
| -0.129 | -0.129 | -0.129 | 0.000 | -0.000 | 77.508 |
| 266.115 | 118.738 | 118.738 | -0.000 | 0.000 | -0.000 |
| 118.738 | 266.115 | 118.738 | -0.000 | 0.000 | -0.000 |
| 118.738 | 118.738 | 266.115 | -0.000 | 0.000 | -0.000 |
| 0.129 | 0.129 | 0.129 | 77.508 | 0.000 | 0.000 |
| 0.129 | 0.129 | 0.129 | -0.000 | 77.508 | 0.000 |
| 0.129 | 0.129 | 0.129 | -0.000 | 0.000 | 77.508 |
| 265.088 | 117.971 | 117.971 | -0.000 | 0.000 | 0.000 |
| 117.971 | 265.088 | 117.971 | -0.000 | 0.000 | 0.000 |
| 117.971 | 117.971 | 265.088 | -0.000 | 0.000 | 0.000 |
| -0.011 | -0.011 | -0.011 | 77.287 | 0.000 | -0.000 |
| 0.144 | 0.144 | 0.144 | 0.000 | 80.577 | -0.000 |
| 0.144 | 0.144 | 0.144 | 0.000 | 0.000 | 80.577 |
| 249.858 | 117.895 | 117.895 | -0.000 | -0.000 | 0.000 |
| 117.895 | 249.858 | 117.895 | -0.000 | -0.000 | 0.000 |
| 117.895 | 117.895 | 249.858 | -0.000 | -0.000 | 0.000 |
| -0.144 | -0.144 | -0.144 | 80.577 | -0.000 | 0.000 |
| -0.144 | -0.144 | -0.144 | -0.000 | 80.577 | 0.000 |
| -0.144 | -0.144 | -0.144 | -0.000 | -0.000 | 80.577 |
| 255.685 | 116.876 | 116.876 | 0.000 | 0.000 | -0.000 |
| 116.876 | 255.685 | 116.876 | 0.000 | 0.000 | -0.000 |
| 116.876 | 116.876 | 255.685 | 0.000 | 0.000 | -0.000 |
| 0.014 | 0.014 | 0.014 | 80.572 | 0.000 | -0.000 |
| 0.014 | 0.014 | 0.014 | 0.000 | 80.572 | -0.000 |
| 0.014 | 0.014 | 0.014 | 0.000 | 0.000 | 80.572 |
| 255.683 | 116.856 | 116.856 | -0.000 | -0.000 | 0.000 |
| 116.856 | 255.683 | 116.856 | -0.000 | -0.000 | 0.000 |
| 116.856 | 116.856 | 255.683 | -0.000 | -0.000 | 0.000 |
| -0.000 | 0.000 | -0.000 | 95.768 | -0.000 | -0.000 |
| 0.000 | -0.000 | -0.000 | 0.000 | 95.768 | -0.000 |
| -0.014 | -0.014 | -0.014 | -0.000 | -0.000 | 80.572 |
| 255.684 | 116.867 | 116.867 | 0.000 | 0.000 | -0.000 |
| 116.867 | 255.684 | 116.867 | 0.000 | 0.000 | -0.000 |
| 116.867 | 116.867 | 255.684 | 0.000 | 0.000 | -0.000 |
| 0.001 | 0.001 | 0.002 | 80.572 | 0.000 | -0.000 |
| 0.001 | 0.001 | 0.002 | 0.000 | 80.572 | -0.000 |
| 0.001 | 0.002 | 0.001 | 0.000 | 0.000 | 80.572 |
| 265.088 | 117.971 | 117.971 | 0.000 | -0.000 | -0.000 |
| 117.971 | 265.088 | 117.971 | 0.000 | -0.000 | -0.000 |
| 117.971 | 117.971 | 265.088 | 0.000 | -0.000 | -0.000 |
| -0.001 | -0.001 | -0.002 | 80.572 | -0.000 | 0.000 |
| -0.001 | -0.001 | -0.002 | -0.000 | 80.572 | 0.000 |
| -0.001 | -0.002 | -0.001 | -0.000 | -0.000 | 80.572 |
| 281.061 | 116.269 | 64.985 | 0.000 | -0.000 | -0.000 |
| 145.694 | 232.205 | 10.231 | 0.000 | -0.000 | -0.000 |
| 67.155 | -13.500 | 174.964 | 0.000 | -0.000 | -0.000 |
| 30.060 | 2.805 | 24.779 | -44.099 | 0.000 | -0.000 |
| 29.874 | 2.788 | 24.625 | 0.000 | -111.629 | -0.000 |
| 29.874 | 2.788 | 24.625 | -0.000 | 0.000 | 88.294 |
| 221.314 | 110.694 | 15.735 | 0.000 | -0.000 | 0.000 |
| 85.947 | 226.630 | -39.019 | -0.000 | 0.000 | 0.000 |
| 67.155 | -13.500 | 174.964 | -0.000 | 0.000 | 0.000 |
| -30.060 | -2.805 | -24.779 | -44.099 | -0.000 | 0.000 |
| -29.874 | -2.788 | -24.625 | -0.000 | -111.629 | 0.000 |
| -29.874 | -2.788 | -24.625 | 0.000 | 0.000 | 88.294 |
| 282.715 | 116.424 | 66.348 | 0.000 | -0.000 | -0.000 |
| 118.762 | 229.692 | -11.969 | 0.000 | 0.000 | -0.000 |
| 67.155 | -13.500 | 174.964 | -0.000 | -0.000 | -0.000 |
| 5.040 | 0.470 | 4.155 | -44.201 | 0.000 | -0.000 |
| -0.000 | -0.000 | -0.000 | 0.000 | 34.681 | -0.000 |
| -0.000 | 0.000 | -0.000 | 0.000 | -0.000 | 88.294 |
| 282.714 | 116.424 | 66.348 | -0.000 | 0.000 | 0.000 |
| 112.833 | 229.139 | -16.856 | -0.000 | 0.000 | 0.000 |
| 38.180 | -16.204 | 151.080 | 0.000 | 0.000 | 0.000 |
| -5.040 | -0.470 | -4.155 | -44.201 | 0.000 | 0.000 |
| 0.000 | 0.000 | 0.000 | -0.000 | 34.681 | 0.000 |
| 0.000 | -0.000 | 0.000 | -0.000 | 0.000 | 88.294 |
| 282.715 | 116.424 | 66.348 | 0.000 | -0.000 | 0.000 |
| 116.119 | 229.445 | -14.148 | -0.000 | -0.000 | -0.000 |
| 41.466 | -15.897 | 153.789 | 0.000 | -0.000 | -0.000 |
| -9993543.934 | -1049148.777 | -20250897.235 | -8738098.690 | -0.000 | 0.000 |
| 1.453 | 0.135 | 1.198 | -0.000 | -111.575 | -0.000 |
| 0.299 | 0.028 | 0.246 | -0.000 | -0.000 | 88.294 |
| 250.888 | 113.454 | 40.114 | -0.000 | 0.000 | 0.000 |
| 115.521 | 229.389 | -14.639 | -0.000 | -0.000 | 0.000 |
| 40.868 | -15.952 | 153.296 | -0.000 | 0.000 | 0.000 |
| 9993543.934 | 1049148.777 | 20250897.235 | -8738098.690 | 0.000 | 0.000 |
| -1.453 | -0.135 | -1.198 | 0.000 | -111.575 | 0.000 |
| -0.299 | -0.028 | -0.246 | -0.000 | 0.000 | 88.294 |
| 302.128 | 142.599 | 69.672 | -0.000 | 0.000 | -0.000 |
| 143.618 | 299.454 | 73.638 | -0.000 | 0.000 | -0.000 |
| 70.213 | 73.143 | 260.467 | -0.000 | -0.000 | -0.000 |
| -0.000 | 0.000 | 0.000 | 49.834 | 0.000 | -0.000 |
| -0.000 | 0.000 | -0.000 | -0.000 | 47.427 | -0.000 |
| -0.000 | 0.000 | -0.000 | -0.000 | 0.000 | 74.903 |
| 302.128 | 142.599 | 69.672 | 0.000 | -0.000 | 0.000 |
| 143.618 | 299.454 | 73.638 | 0.000 | 0.000 | 0.000 |
| 70.213 | 73.142 | 260.467 | 0.000 | 0.000 | 0.000 |
| 0.000 | -0.000 | -0.000 | 49.834 | -0.000 | 0.000 |
| 0.000 | -0.000 | -0.000 | 0.000 | 47.427 | 0.000 |
| 0.000 | -0.000 | 0.000 | 0.000 | 0.000 | 74.903 |
| 302.128 | 142.599 | 69.672 | -0.000 | -0.000 | -0.000 |
| 143.618 | 299.453 | 73.638 | -0.000 | -0.000 | -0.000 |
| 70.204 | 73.151 | 260.467 | -0.000 | 0.000 | -0.000 |
| 0.000 | -0.000 | 0.000 | 49.839 | -0.000 | -0.000 |
| -0.000 | 0.000 | 0.000 | -0.000 | 47.427 | 0.000 |
| -0.000 | 0.000 | -0.000 | -0.000 | -0.000 | 74.902 |
| 302.128 | 142.599 | 69.672 | 0.000 | 0.000 | 0.000 |
| 143.618 | 299.453 | 73.638 | 0.000 | -0.000 | 0.000 |
| 70.204 | 73.151 | 260.467 | 0.000 | -0.000 | 0.000 |
| -0.000 | 0.000 | -0.000 | 49.834 | -0.000 | 0.000 |
| 0.000 | -0.000 | -0.000 | 0.000 | 47.427 | 0.000 |
| 0.000 | -0.000 | 0.000 | 0.000 | -0.000 | 74.902 |
| 302.129 | 142.599 | 69.672 | -0.000 | -0.000 | -0.000 |
| 143.619 | 299.454 | 73.638 | -0.000 | 0.000 | -0.000 |
| 70.204 | 73.151 | 260.468 | -0.000 | -0.000 | -0.000 |
| 0.000 | -0.000 | 0.000 | 49.834 | -0.000 | -0.000 |
| -0.000 | 0.000 | 0.000 | -0.000 | 47.427 | 0.000 |
| -0.000 | 0.000 | -0.000 | -0.000 | -0.000 | 74.902 |
| 302.127 | 142.599 | 69.672 | 0.000 | -0.000 | 0.000 |
| 143.617 | 299.453 | 73.638 | 0.000 | 0.000 | 0.000 |
| 70.204 | 73.151 | 260.467 | 0.000 | 0.000 | 0.000 |
| -0.000 | 0.000 | -0.000 | 49.839 | 0.000 | 0.000 |
| 0.000 | -0.000 | -0.000 | 0.000 | 47.427 | 0.000 |
| 0.000 | -0.000 | 0.000 | 0.000 | -0.000 | 74.902 |
| 321.058 | 162.825 | 146.829 | 9.822 | -0.000 | 0.000 |
| 162.825 | 321.058 | 146.829 | -9.822 | 0.000 | 0.000 |
| 79.718 | 79.718 | 288.911 | -0.000 | 0.000 | 0.000 |
| 13.102 | -13.102 | 0.000 | 56.519 | 0.000 | 0.000 |
| 19.441 | 19.441 | 67.476 | 0.000 | 56.417 | 12.463 |
| -0.000 | 0.000 | -0.000 | 0.000 | 13.102 | 99.692 |
| 322.296 | 122.913 | 79.718 | 13.102 | 0.000 | -0.000 |
| 122.913 | 322.296 | 79.718 | -13.102 | -0.000 | -0.000 |
| 79.718 | 79.718 | 288.911 | 0.000 | -0.000 | -0.000 |
| 13.102 | -13.102 | -0.000 | 56.519 | 0.000 | -0.000 |
| -19.441 | -19.441 | -67.476 | -0.000 | 56.417 | 12.463 |
| 0.000 | -0.000 | 0.000 | -0.000 | 13.102 | 99.692 |
| 319.913 | 129.335 | 86.724 | 12.400 | -0.000 | 0.000 |
| 122.913 | 322.296 | 79.718 | -13.102 | 0.000 | 0.000 |
| 79.718 | 79.718 | 288.911 | -0.000 | -0.000 | 0.000 |
| 13.102 | -13.102 | 0.000 | 56.519 | 0.000 | 0.000 |
| 1.949 | 1.949 | 6.763 | 0.000 | 56.417 | 12.461 |
| 0.000 | 0.000 | 0.000 | 0.000 | 13.102 | 99.692 |
| 315.757 | 125.031 | 72.046 | 12.412 | 0.000 | -0.000 |
| 122.913 | 322.296 | 79.718 | -13.102 | -0.000 | -0.000 |
| 79.718 | 79.718 | 288.911 | 0.000 | -0.000 | -0.000 |
| 13.102 | -13.102 | -0.000 | 56.519 | 0.000 | -0.000 |
| -1.949 | -1.949 | -6.763 | -0.000 | 56.417 | 12.461 |
| -0.000 | -0.000 | -0.000 | -0.000 | 13.102 | 99.692 |
| 322.298 | 122.913 | 79.718 | 13.102 | -0.000 | 0.000 |
| 122.914 | 322.298 | 79.718 | -13.102 | -0.000 | 0.000 |
| 79.549 | 79.549 | 288.327 | -0.000 | -0.000 | 0.000 |
| 10.016 | -9.628 | 0.675 | 55.996 | 0.000 | 0.000 |
| 0.194 | 0.195 | 0.675 | -0.000 | 55.996 | 9.822 |
| 0.000 | 0.000 | 0.000 | 0.000 | 13.102 | 99.692 |
| 322.295 | 122.913 | 79.718 | 13.102 | -0.000 | -0.000 |
| 122.913 | 322.295 | 79.718 | -13.102 | -0.000 | -0.000 |
| 79.160 | 79.160 | 286.976 | 0.000 | -0.000 | -0.000 |
| 12.089 | -12.561 | -0.820 | 56.395 | -0.000 | -0.000 |
| -0.194 | -0.195 | -0.675 | 0.000 | 55.996 | 9.822 |
| -0.000 | -0.000 | -0.000 | -0.000 | 13.102 | 99.692 |
| 303.153 | 141.012 | 78.011 | 10.131 | 0.000 | -0.000 |
| 122.887 | 322.249 | 79.696 | -13.100 | 0.000 | 0.000 |
| 79.697 | 79.697 | 288.869 | -0.000 | -0.000 | 0.000 |
| 9.820 | -9.820 | 0.000 | 55.992 | 0.000 | 0.000 |
| 0.000 | 0.000 | 0.000 | -0.000 | 55.992 | 9.820 |
| 0.000 | 0.000 | 0.000 | 0.000 | 9.820 | 79.117 |
| 303.153 | 141.012 | 78.011 | 10.131 | 0.000 | -0.000 |
| 141.012 | 303.153 | 78.011 | -10.131 | 0.000 | 0.000 |
| 79.697 | 79.697 | 288.869 | 0.000 | -0.000 | 0.000 |
| 13.100 | -13.100 | 0.000 | 56.516 | 0.000 | -0.000 |
| -0.000 | -0.000 | -0.000 | 0.000 | 55.992 | 9.820 |
| 0.000 | -0.000 | -0.000 | 0.000 | 9.820 | 79.117 |
| 322.249 | 122.887 | 79.696 | 13.100 | -0.000 | -0.000 |
| 141.012 | 303.153 | 78.011 | -10.131 | -0.000 | -0.000 |
| 79.697 | 79.697 | 288.869 | -0.000 | -0.000 | -0.000 |
| 9.820 | -9.820 | 0.000 | 55.992 | -0.000 | -0.000 |
| -0.000 | 0.000 | 0.000 | 0.000 | 56.516 | 13.100 |
| 0.000 | 0.000 | 0.000 | 0.000 | 13.100 | 99.681 |
| 322.249 | 122.887 | 79.696 | 13.100 | 0.000 | 0.000 |
| 122.887 | 322.249 | 79.696 | -13.100 | -0.000 | -0.000 |
| 79.334 | 79.334 | 287.610 | 0.000 | -0.000 | 0.000 |
| 9.820 | -9.820 | -0.000 | 55.992 | -0.000 | -0.000 |
| 0.000 | -0.000 | -0.000 | -0.000 | 56.516 | 13.100 |
| -0.000 | -0.000 | -0.000 | -0.000 | 13.100 | 99.681 |
| 322.250 | 122.887 | 79.696 | 13.100 | -0.000 | 0.000 |
| 122.887 | 322.250 | 79.696 | -13.100 | 0.000 | -0.000 |
| 79.697 | 79.697 | 288.870 | -0.000 | -0.000 | -0.000 |
| 13.100 | -13.100 | 0.000 | 56.516 | -0.000 | -0.000 |
| -0.000 | 0.000 | 0.000 | -0.000 | 55.992 | 9.820 |
| -0.000 | 0.000 | -0.000 | -0.000 | 9.820 | 79.117 |
| 303.151 | 141.012 | 78.011 | 10.131 | 0.000 | 0.000 |
| 122.886 | 322.248 | 79.695 | -13.100 | 0.000 | -0.000 |
| 79.334 | 79.334 | 287.609 | 0.000 | 0.000 | 0.000 |
| 9.820 | -9.820 | -0.000 | 55.992 | 0.000 | 0.000 |
| 0.000 | -0.000 | -0.000 | 0.000 | 55.992 | 9.820 |
| 0.000 | -0.000 | 0.000 | 0.000 | 9.820 | 79.117 |
Phonon band structures and crystal properties estimated from quasi-harmonic approximation (QHA) calculations are displayed for select crystals. The calculations were performed using phonopy and LAMMPS. For the phonon calculations, 3x3 supercells of the potential-specific relaxed crystals were used. The QHA calculations were based on 11 strain states ranging from -0.05 to 0.05.
The calculation method used is available as the iprPy phonon calculation method.
Notes and Disclaimers:
Version Information:
















































































































































































































































































































































































































































































Static free surface formation energies are displayed for select crystals. The values displayed here are obtained by taking a perfect periodic bulk crystal, slicing along a crystallographic plane, and using force minimization to statically relax the surfaces. The free surface formation energy is computed by comparing the energy of the defect system to the bulk system and dividing by the total surface area created by the cut.
The calculation method used is available as the iprPy surface_energy_static calculation method.
Notes and Disclaimers:
Version Information:
| Surface | γfs (mJ/m2) |
|---|---|
| (111) | 870.52 |
| (100) | 943.59 |
| (332) | 945.76 |
| (322) | 954.70 |
| (221) | 976.78 |
| (211) | 992.48 |
| (331) | 1000.30 |
| (110) | 1006.03 |
| (311) | 1012.24 |
| (321) | 1026.58 |
| (310) | 1036.94 |
| (320) | 1043.01 |
| (210) | 1045.76 |
| Surface | γfs (mJ/m2) |
|---|---|
| (211) 2 | 922.70 |
| (210) | 953.34 |
| (332) 2 | 962.21 |
| (321) 2 | 963.38 |
| (111) | 974.25 |
| (311) | 974.82 |
| (321) 1 | 980.04 |
| (221) | 980.74 |
| (322) | 984.81 |
| (100) | 988.97 |
| (331) | 996.18 |
| (320) | 1004.56 |
| (332) 1 | 1004.73 |
| (310) | 1004.98 |
| (211) 1 | 1021.56 |
| (110) | 1033.75 |
| Surface | γfs (mJ/m2) |
|---|---|
| (0001) | 834.42 |
| (1012) 2 | 900.74 |
| (2021) 1 | 921.17 |
| (1011) 1 | 926.45 |
| (2021) 2 | 979.79 |
| (1120) | 986.03 |
| (2131) 1 | 1004.26 |
| (2241) | 1005.56 |
| (2132) 2 | 1011.17 |
| (2132) 1 | 1018.70 |
| (1010) | 1019.21 |
| (1121) | 1019.76 |
| (2130) | 1027.47 |
| (1012) 1 | 1029.61 |
| (2112) | 1031.64 |
| (1011) 2 | 1040.47 |
| (2131) 2 | 1043.57 |
| Surface | γfs (mJ/m2) |
|---|---|
| (0001) | 821.59 |
| (1010) 1 | 898.88 |
| (1011) 2 | 899.29 |
| (2021) 1 | 920.57 |
| (1012) 1 | 958.25 |
| (1120) | 982.21 |
| (2130) 1 | 984.09 |
| (2112) | 984.64 |
| (1012) 2 | 990.95 |
| (2132) 1 | 1005.64 |
| (2131) 2 | 1009.33 |
| (2132) 2 | 1011.74 |
| (2241) | 1015.37 |
| (2131) 1 | 1022.90 |
| (1121) | 1029.45 |
| (2021) 2 | 1041.91 |
| (2130) 2 | 1065.95 |
| (1010) 2 | 1142.61 |
| (1011) 1 | 1157.98 |
| Surface | γfs (mJ/m2) |
|---|---|
| (111) | 2333.23 |
| (100) | 2470.12 |
| (332) | 2540.52 |
| (322) | 2565.77 |
| (110) | 2603.84 |
| (221) | 2628.74 |
| (311) | 2638.58 |
| (211) | 2658.85 |
| (331) | 2677.38 |
| (210) | 2680.76 |
| (320) | 2702.06 |
| (310) | 2707.19 |
| (321) | 2714.14 |
| Surface | γfs (mJ/m2) |
|---|---|
| (0001) | 2320.46 |
| (1012) 2 | 2418.62 |
| (1011) 1 | 2499.99 |
| (2021) 1 | 2504.02 |
| (1120) | 2586.63 |
| (2021) 2 | 2620.00 |
| (2241) | 2642.03 |
| (2132) 2 | 2671.20 |
| (1010) | 2671.46 |
| (2131) 1 | 2679.99 |
| (1121) | 2682.51 |
| (2112) | 2690.02 |
| (2130) | 2701.92 |
| (2132) 1 | 2714.97 |
| (2131) 2 | 2732.31 |
| (1012) 1 | 2741.73 |
| (1011) 2 | 2805.46 |
| Surface | γfs (mJ/m2) |
|---|---|
| (112) | -3346.21 |
| (211) | -1930.77 |
| (111) | -1280.07 |
| (110) | -830.05 |
| (201) | -700.37 |
| (101) | -630.76 |
| (100) | -279.62 |
| (001) | 0.00 |
| Surface | γfs (mJ/m2) |
|---|---|
| (111) | 1759.10 |
| (332) | 1930.13 |
| (100) | 1936.04 |
| (322) | 1950.52 |
| (221) | 2003.23 |
| (211) | 2040.04 |
| (331) | 2060.43 |
| (110) | 2087.08 |
| (311) | 2096.16 |
| (321) | 2124.99 |
| (310) | 2159.58 |
| (320) | 2173.26 |
| (210) | 2184.83 |
| Surface | γfs (mJ/m2) |
|---|---|
| (111) | 0.00 |
| (332) | 0.00 |
| (322) | 0.00 |
| (100) | 0.00 |
| (221) | 0.00 |
| (211) | 0.00 |
| (331) | 0.00 |
| (311) | 0.00 |
| (110) | 0.00 |
| (321) | 0.00 |
| (310) | 0.00 |
| (320) | 0.00 |
| (210) | 0.00 |
| Surface | γfs (mJ/m2) |
|---|---|
| (111) | 0.00 |
| (332) | 0.00 |
| (322) | 0.00 |
| (100) | 0.00 |
| (221) | 0.00 |
| (211) | 0.00 |
| (331) | 0.00 |
| (311) | 0.00 |
| (110) | 0.00 |
| (321) | 0.00 |
| (310) | 0.00 |
| (320) | 0.00 |
| (210) | 0.00 |
| Surface | γfs (mJ/m2) |
|---|---|
| (111) | 0.00 |
| (332) | 0.00 |
| (322) | 0.00 |
| (100) | 0.00 |
| (221) | 0.00 |
| (211) | 0.00 |
| (331) | 0.00 |
| (311) | 0.00 |
| (110) | 0.00 |
| (321) | 0.00 |
| (310) | 0.00 |
| (320) | 0.00 |
| (210) | 0.00 |
| Surface | γfs (mJ/m2) |
|---|---|
| (111) | 0.00 |
| (332) | 0.00 |
| (322) | 0.00 |
| (100) | 0.00 |
| (221) | 0.00 |
| (211) | 0.00 |
| (331) | 0.00 |
| (311) | 0.00 |
| (110) | 0.00 |
| (321) | 0.00 |
| (310) | 0.00 |
| (320) | 0.00 |
| (210) | 0.00 |
| Surface | γfs (mJ/m2) |
|---|---|
| (111) | 0.00 |
| (332) | 0.00 |
| (322) | 0.00 |
| (100) | 0.00 |
| (221) | 0.00 |
| (211) | 0.00 |
| (331) | 0.00 |
| (311) | 0.00 |
| (110) | 0.00 |
| (321) | 0.00 |
| (310) | 0.00 |
| (320) | 0.00 |
| (210) | 0.00 |
| Surface | γfs (mJ/m2) |
|---|---|
| (111) | 0.00 |
| (332) | 0.00 |
| (322) | 0.00 |
| (100) | 0.00 |
| (221) | 0.00 |
| (211) | 0.00 |
| (331) | 0.00 |
| (311) | 0.00 |
| (110) | 0.00 |
| (321) | 0.00 |
| (310) | 0.00 |
| (320) | 0.00 |
| (210) | 0.00 |
| Surface | γfs (mJ/m2) |
|---|---|
| (111) | 0.00 |
| (332) | 0.00 |
| (322) | 0.00 |
| (221) | 0.00 |
| (100) | 0.00 |
| (211) | 0.00 |
| (331) | 0.00 |
| (311) | 0.00 |
| (110) | 0.00 |
| (321) | 0.00 |
| (310) | 0.00 |
| (320) | 0.00 |
| (210) | 0.00 |
| Surface | γfs (mJ/m2) |
|---|---|
| (111) | 0.00 |
| (332) | 0.00 |
| (322) | 0.00 |
| (100) | 0.00 |
| (221) | 0.00 |
| (211) | 0.00 |
| (331) | 0.00 |
| (311) | 0.00 |
| (110) | 0.00 |
| (321) | 0.00 |
| (320) | 0.00 |
| (210) | 0.00 |
| Surface | γfs (mJ/m2) |
|---|---|
| (111) | 0.00 |
| (332) | 0.00 |
| (322) | 0.00 |
| (221) | 0.00 |
| (100) | 0.00 |
| (211) | 0.00 |
| (331) | 0.00 |
| (311) | 0.00 |
| (110) | 0.00 |
| (321) | 0.00 |
| (310) | 0.00 |
| (320) | 0.00 |
| (210) | 0.00 |
| Surface | γfs (mJ/m2) |
|---|---|
| (111) | 0.00 |
| (332) | 0.00 |
| (322) | 0.00 |
| (221) | 0.00 |
| (100) | 0.00 |
| (211) | 0.00 |
| (331) | 0.00 |
| (311) | 0.00 |
| (110) | 0.00 |
| (321) | 0.00 |
| (310) | 0.00 |
| (320) | 0.00 |
| (210) | 0.00 |
| Surface | γfs (mJ/m2) |
|---|---|
| (111) | 0.00 |
| (332) | 0.00 |
| (322) | 0.00 |
| (100) | 0.00 |
| (221) | 0.00 |
| (211) | 0.00 |
| (331) | 0.00 |
| (311) | 0.00 |
| (110) | 0.00 |
| (321) | 0.00 |
| (310) | 0.00 |
| (320) | 0.00 |
| (210) | 0.00 |
| Surface | γfs (mJ/m2) |
|---|---|
| (111) | 0.00 |
| (332) | 0.00 |
| (322) | 0.00 |
| (221) | 0.00 |
| (100) | 0.00 |
| (211) | 0.00 |
| (331) | 0.00 |
| (311) | 0.00 |
| (110) | 0.00 |
| (321) | 0.00 |
| (310) | 0.00 |
| (320) | 0.00 |
| (210) | 0.00 |
| Surface | γfs (mJ/m2) |
|---|---|
| (211) 2 | 1818.20 |
| (210) | 1888.49 |
| (332) 2 | 1908.46 |
| (321) 2 | 1922.98 |
| (311) | 1937.41 |
| (321) 1 | 1947.21 |
| (221) | 1953.31 |
| (322) | 1962.12 |
| (100) | 1963.17 |
| (331) | 1988.46 |
| (320) | 2003.20 |
| (310) | 2004.61 |
| (332) 1 | 2011.72 |
| (211) 1 | 2054.00 |
| (110) | 2061.62 |
| Surface | γfs (mJ/m2) |
|---|---|
| (100) | 0.00 |
| (310) | 0.00 |
| (210) | 0.00 |
| (320) | 0.00 |
| (110) | 0.00 |
| (311) | 0.00 |
| (321) 2 | 0.00 |
| (321) 1 | 0.00 |
| (331) | 0.00 |
| (211) 2 | 0.00 |
| (211) 1 | 0.00 |
| (221) | 0.00 |
| (322) | 0.00 |
| (332) 2 | 0.00 |
| (332) 1 | 0.00 |
| (111) | 0.00 |
| Surface | γfs (mJ/m2) |
|---|---|
| (100) | 0.00 |
| (310) | 0.00 |
| (210) | 0.00 |
| (320) | 0.00 |
| (110) | 0.00 |
| (311) | 0.00 |
| (321) 2 | 0.00 |
| (321) 1 | 0.00 |
| (331) | 0.00 |
| (211) 1 | 0.00 |
| (211) 2 | 0.00 |
| (221) | 0.00 |
| (322) | 0.00 |
| (332) 1 | 0.00 |
| (332) 2 | 0.00 |
| (111) | 0.00 |
| Surface | γfs (mJ/m2) |
|---|---|
| (100) | 0.00 |
| (310) | 0.00 |
| (210) | 0.00 |
| (320) | 0.00 |
| (110) | 0.00 |
| (311) | 0.00 |
| (321) 2 | 0.00 |
| (321) 1 | 0.00 |
| (331) | 0.00 |
| (211) 2 | 0.00 |
| (211) 1 | 0.00 |
| (221) | 0.00 |
| (322) | 0.00 |
| (332) 2 | 0.00 |
| (332) 1 | 0.00 |
| (111) | 0.00 |
| Surface | γfs (mJ/m2) |
|---|---|
| (100) | 0.00 |
| (310) | 0.00 |
| (210) | 0.00 |
| (320) | 0.00 |
| (110) | 0.00 |
| (311) | 0.00 |
| (321) 2 | 0.00 |
| (321) 1 | 0.00 |
| (331) | 0.00 |
| (211) 2 | 0.00 |
| (211) 1 | 0.00 |
| (221) | 0.00 |
| (322) | 0.00 |
| (332) 2 | 0.00 |
| (332) 1 | 0.00 |
| (111) | 0.00 |
| Surface | γfs (mJ/m2) |
|---|---|
| (100) | 0.00 |
| (310) | 0.00 |
| (210) | 0.00 |
| (320) | 0.00 |
| (110) | 0.00 |
| (311) | 0.00 |
| (321) 2 | 0.00 |
| (321) 1 | 0.00 |
| (331) | 0.00 |
| (211) 1 | 0.00 |
| (211) 2 | 0.00 |
| (221) | 0.00 |
| (322) | 0.00 |
| (332) 2 | 0.00 |
| (332) 1 | 0.00 |
| (111) | 0.00 |
| Surface | γfs (mJ/m2) |
|---|---|
| (100) | 0.00 |
| (310) | 0.00 |
| (210) | 0.00 |
| (320) | 0.00 |
| (110) | 0.00 |
| (311) | 0.00 |
| (321) 2 | 0.00 |
| (321) 1 | 0.00 |
| (331) | 0.00 |
| (211) 2 | 0.00 |
| (211) 1 | 0.00 |
| (221) | 0.00 |
| (322) | 0.00 |
| (332) 1 | 0.00 |
| (332) 2 | 0.00 |
| (111) | 0.00 |
| Surface | γfs (mJ/m2) |
|---|---|
| (100) | 0.00 |
| (310) | 0.00 |
| (210) | 0.00 |
| (320) | 0.00 |
| (110) | 0.00 |
| (311) | 0.00 |
| (321) 2 | 0.00 |
| (321) 1 | 0.00 |
| (331) | 0.00 |
| (211) 1 | 0.00 |
| (211) 2 | 0.00 |
| (221) | 0.00 |
| (322) | 0.00 |
| (332) 1 | 0.00 |
| (332) 2 | 0.00 |
| (111) | 0.00 |
| Surface | γfs (mJ/m2) |
|---|---|
| (100) | 0.00 |
| (310) | 0.00 |
| (210) | 0.00 |
| (320) | 0.00 |
| (110) | 0.00 |
| (311) | 0.00 |
| (321) 1 | 0.00 |
| (321) 2 | 0.00 |
| (331) | 0.00 |
| (211) 2 | 0.00 |
| (211) 1 | 0.00 |
| (221) | 0.00 |
| (322) | 0.00 |
| (332) 1 | 0.00 |
| (332) 2 | 0.00 |
| (111) | 0.00 |
| Surface | γfs (mJ/m2) |
|---|---|
| (100) | 0.00 |
| (310) | 0.00 |
| (210) | 0.00 |
| (320) | 0.00 |
| (110) | 0.00 |
| (311) | 0.00 |
| (321) 1 | 0.00 |
| (321) 2 | 0.00 |
| (331) | 0.00 |
| (211) 2 | 0.00 |
| (211) 1 | 0.00 |
| (221) | 0.00 |
| (322) | 0.00 |
| (332) 2 | 0.00 |
| (332) 1 | 0.00 |
| (111) | 0.00 |
| Surface | γfs (mJ/m2) |
|---|---|
| (100) | 0.00 |
| (310) | 0.00 |
| (210) | 0.00 |
| (320) | 0.00 |
| (110) | 0.00 |
| (311) | 0.00 |
| (321) 1 | 0.00 |
| (321) 2 | 0.00 |
| (331) | 0.00 |
| (211) 1 | 0.00 |
| (211) 2 | 0.00 |
| (221) | 0.00 |
| (322) | 0.00 |
| (332) 2 | 0.00 |
| (332) 1 | 0.00 |
| (111) | 0.00 |
| Surface | γfs (mJ/m2) |
|---|---|
| (100) | 0.00 |
| (310) | 0.00 |
| (210) | 0.00 |
| (320) | 0.00 |
| (110) | 0.00 |
| (311) | 0.00 |
| (321) 2 | 0.00 |
| (321) 1 | 0.00 |
| (331) | 0.00 |
| (211) 2 | 0.00 |
| (211) 1 | 0.00 |
| (221) | 0.00 |
| (322) | 0.00 |
| (332) 1 | 0.00 |
| (332) 2 | 0.00 |
| (111) | 0.00 |
| Surface | γfs (mJ/m2) |
|---|---|
| (100) | 0.00 |
| (310) | 0.00 |
| (210) | 0.00 |
| (320) | 0.00 |
| (110) | 0.00 |
| (311) | 0.00 |
| (321) 2 | 0.00 |
| (321) 1 | 0.00 |
| (331) | 0.00 |
| (211) 1 | 0.00 |
| (211) 2 | 0.00 |
| (221) | 0.00 |
| (322) | 0.00 |
| (332) 1 | 0.00 |
| (332) 2 | 0.00 |
| (111) | 0.00 |
| Surface | γfs (mJ/m2) |
|---|---|
| (110) | 0.00 |
| (321) | 0.00 |
| (331) | 0.00 |
| (211) | 0.00 |
| (320) | 0.00 |
| (221) | 0.00 |
| (322) | 0.00 |
| (332) | 0.00 |
| (111) | 0.00 |
| (210) | 0.00 |
| (311) | 0.00 |
| (310) | 0.00 |
| (100) | 0.00 |
| Surface | γfs (mJ/m2) |
|---|---|
| (110) | 0.00 |
| (321) | 0.00 |
| (331) | 0.00 |
| (211) | 0.00 |
| (320) | 0.00 |
| (221) | 0.00 |
| (322) | 0.00 |
| (332) | 0.00 |
| (111) | 0.00 |
| (210) | 0.00 |
| (311) | 0.00 |
| (310) | 0.00 |
| (100) | 0.00 |
| Surface | γfs (mJ/m2) |
|---|---|
| (110) | 0.00 |
| (321) | 0.00 |
| (331) | 0.00 |
| (211) | 0.00 |
| (320) | 0.00 |
| (221) | 0.00 |
| (322) | 0.00 |
| (332) | 0.00 |
| (111) | 0.00 |
| (210) | 0.00 |
| (311) | 0.00 |
| (310) | 0.00 |
| (100) | 0.00 |
| Surface | γfs (mJ/m2) |
|---|---|
| (110) | 0.00 |
| (321) | 0.00 |
| (331) | 0.00 |
| (211) | 0.00 |
| (320) | 0.00 |
| (221) | 0.00 |
| (322) | 0.00 |
| (332) | 0.00 |
| (111) | 0.00 |
| (210) | 0.00 |
| (311) | 0.00 |
| (310) | 0.00 |
| (100) | 0.00 |
| Surface | γfs (mJ/m2) |
|---|---|
| (110) | 0.00 |
| (321) | 0.00 |
| (331) | 0.00 |
| (211) | 0.00 |
| (320) | 0.00 |
| (221) | 0.00 |
| (322) | 0.00 |
| (332) | 0.00 |
| (111) | 0.00 |
| (210) | 0.00 |
| (311) | 0.00 |
| (310) | 0.00 |
| (100) | 0.00 |
| Surface | γfs (mJ/m2) |
|---|---|
| (110) | 0.00 |
| (321) | 0.00 |
| (331) | 0.00 |
| (211) | 0.00 |
| (320) | 0.00 |
| (221) | 0.00 |
| (322) | 0.00 |
| (332) | 0.00 |
| (111) | 0.00 |
| (210) | 0.00 |
| (311) | 0.00 |
| (310) | 0.00 |
| (100) | 0.00 |
| Surface | γfs (mJ/m2) |
|---|---|
| (110) | 0.00 |
| (321) | 0.00 |
| (331) | 0.00 |
| (211) | 0.00 |
| (320) | 0.00 |
| (221) | 0.00 |
| (322) | 0.00 |
| (332) | 0.00 |
| (111) | 0.00 |
| (210) | 0.00 |
| (311) | 0.00 |
| (310) | 0.00 |
| (100) | 0.00 |
| Surface | γfs (mJ/m2) |
|---|---|
| (110) | 0.00 |
| (321) | 0.00 |
| (331) | 0.00 |
| (211) | 0.00 |
| (320) | 0.00 |
| (221) | 0.00 |
| (322) | 0.00 |
| (332) | 0.00 |
| (111) | 0.00 |
| (210) | 0.00 |
| (311) | 0.00 |
| (310) | 0.00 |
| (100) | 0.00 |
| Surface | γfs (mJ/m2) |
|---|---|
| (110) | 0.00 |
| (321) | 0.00 |
| (331) | 0.00 |
| (211) | 0.00 |
| (320) | 0.00 |
| (221) | 0.00 |
| (322) | 0.00 |
| (332) | 0.00 |
| (111) | 0.00 |
| (210) | 0.00 |
| (311) | 0.00 |
| (100) | 0.00 |
| Surface | γfs (mJ/m2) |
|---|---|
| (110) | 0.00 |
| (321) | 0.00 |
| (331) | 0.00 |
| (211) | 0.00 |
| (320) | 0.00 |
| (221) | 0.00 |
| (322) | 0.00 |
| (332) | 0.00 |
| (111) | 0.00 |
| (210) | 0.00 |
| (311) | 0.00 |
| (310) | 0.00 |
| (100) | 0.00 |
| Surface | γfs (mJ/m2) |
|---|---|
| (110) | 0.00 |
| (321) | 0.00 |
| (331) | 0.00 |
| (211) | 0.00 |
| (320) | 0.00 |
| (221) | 0.00 |
| (322) | 0.00 |
| (332) | 0.00 |
| (111) | 0.00 |
| (210) | 0.00 |
| (311) | 0.00 |
| (310) | 0.00 |
| (100) | 0.00 |
| Surface | γfs (mJ/m2) |
|---|---|
| (110) | 0.00 |
| (321) | 0.00 |
| (331) | 0.00 |
| (211) | 0.00 |
| (320) | 0.00 |
| (221) | 0.00 |
| (322) | 0.00 |
| (332) | 0.00 |
| (111) | 0.00 |
| (210) | 0.00 |
| (311) | 0.00 |
| (310) | 0.00 |
| (100) | 0.00 |
| Surface | γfs (mJ/m2) |
|---|---|
| (0001) | 1727.42 |
| (2021) 1 | 1897.54 |
| (1011) 1 | 1912.47 |
| (2021) 2 | 2030.64 |
| (1120) | 2066.54 |
| (2131) 1 | 2097.36 |
| (2241) | 2108.72 |
| (2132) 2 | 2115.80 |
| (1010) | 2119.00 |
| (2132) 1 | 2127.49 |
| (1121) | 2138.76 |
| (1012) 1 | 2146.75 |
| (2130) | 2152.56 |
| (2112) | 2163.34 |
| (1011) 2 | 2165.66 |
| (2131) 2 | 2190.91 |
| Surface | γfs (mJ/m2) |
|---|---|
| (0001) | 0.00 |
| (1012) 2 | 0.00 |
| (2021) 1 | 0.00 |
| (1011) 1 | 0.00 |
| (2021) 2 | 0.00 |
| (1120) | 0.00 |
| (2131) 1 | 0.00 |
| (1010) | 0.00 |
| (2132) 2 | 0.00 |
| (2132) 1 | 0.00 |
| (2241) | 0.00 |
| (1012) 1 | 0.00 |
| (1121) | 0.00 |
| (2112) | 0.00 |
| (2130) | 0.00 |
| (1011) 2 | 0.00 |
| (2131) 2 | 0.00 |
| Surface | γfs (mJ/m2) |
|---|---|
| (0001) | 0.00 |
| (1012) 2 | 0.00 |
| (2021) 1 | 0.00 |
| (1011) 1 | 0.00 |
| (2021) 2 | 0.00 |
| (1120) | 0.00 |
| (2131) 1 | 0.00 |
| (1010) | 0.00 |
| (2132) 1 | 0.00 |
| (2132) 2 | 0.00 |
| (2241) | 0.00 |
| (1012) 1 | 0.00 |
| (1121) | 0.00 |
| (2112) | 0.00 |
| (2130) | 0.00 |
| (1011) 2 | 0.00 |
| (2131) 2 | 0.00 |
| Surface | γfs (mJ/m2) |
|---|---|
| (0001) | 0.00 |
| (1012) 2 | 0.00 |
| (2021) 1 | 0.00 |
| (1011) 1 | 0.00 |
| (2021) 2 | 0.00 |
| (1120) | 0.00 |
| (2131) 1 | 0.00 |
| (1010) | 0.00 |
| (2132) 1 | 0.00 |
| (2132) 2 | 0.00 |
| (2241) | 0.00 |
| (1012) 1 | 0.00 |
| (1121) | 0.00 |
| (2112) | 0.00 |
| (2130) | 0.00 |
| (1011) 2 | 0.00 |
| (2131) 2 | 0.00 |
| Surface | γfs (mJ/m2) |
|---|---|
| (0001) | 0.00 |
| (1012) 2 | 0.00 |
| (2021) 1 | 0.00 |
| (1011) 1 | 0.00 |
| (2021) 2 | 0.00 |
| (1120) | 0.00 |
| (2131) 1 | 0.00 |
| (1010) | 0.00 |
| (2132) 1 | 0.00 |
| (2132) 2 | 0.00 |
| (2241) | 0.00 |
| (1012) 1 | 0.00 |
| (1121) | 0.00 |
| (2112) | 0.00 |
| (2130) | 0.00 |
| (1011) 2 | 0.00 |
| (2131) 2 | 0.00 |
| Surface | γfs (mJ/m2) |
|---|---|
| (0001) | 0.00 |
| (1012) 2 | 0.00 |
| (2021) 1 | 0.00 |
| (1011) 1 | 0.00 |
| (2021) 2 | 0.00 |
| (1120) | 0.00 |
| (2131) 1 | 0.00 |
| (1010) | 0.00 |
| (2132) 2 | 0.00 |
| (2132) 1 | 0.00 |
| (2241) | 0.00 |
| (1012) 1 | 0.00 |
| (1121) | 0.00 |
| (2112) | 0.00 |
| (2130) | 0.00 |
| (1011) 2 | 0.00 |
| (2131) 2 | 0.00 |
| Surface | γfs (mJ/m2) |
|---|---|
| (0001) | 0.00 |
| (1012) 2 | 0.00 |
| (2021) 1 | 0.00 |
| (1011) 1 | 0.00 |
| (2021) 2 | 0.00 |
| (1120) | 0.00 |
| (2131) 1 | 0.00 |
| (1010) | 0.00 |
| (2132) 2 | 0.00 |
| (2132) 1 | 0.00 |
| (2241) | 0.00 |
| (1012) 1 | 0.00 |
| (1121) | 0.00 |
| (2112) | 0.00 |
| (2130) | 0.00 |
| (1011) 2 | 0.00 |
| (2131) 2 | 0.00 |
| Surface | γfs (mJ/m2) |
|---|---|
| (0001) | 0.00 |
| (1012) 2 | 0.00 |
| (2021) 1 | 0.00 |
| (1011) 1 | 0.00 |
| (2021) 2 | 0.00 |
| (1120) | 0.00 |
| (2131) 1 | 0.00 |
| (1010) | 0.00 |
| (2132) 2 | 0.00 |
| (2132) 1 | 0.00 |
| (2241) | 0.00 |
| (1012) 1 | 0.00 |
| (1121) | 0.00 |
| (2112) | 0.00 |
| (2130) | 0.00 |
| (1011) 2 | 0.00 |
| (2131) 2 | 0.00 |
| Surface | γfs (mJ/m2) |
|---|---|
| (0001) | 0.00 |
| (1012) 2 | 0.00 |
| (2021) 1 | 0.00 |
| (1011) 1 | 0.00 |
| (1120) | 0.00 |
| (2131) 1 | 0.00 |
| (1010) | 0.00 |
| (2132) 1 | 0.00 |
| (2132) 2 | 0.00 |
| (2241) | 0.00 |
| (1012) 1 | 0.00 |
| (1121) | 0.00 |
| (2112) | 0.00 |
| (2130) | 0.00 |
| (1011) 2 | 0.00 |
| (2131) 2 | 0.00 |
| Surface | γfs (mJ/m2) |
|---|---|
| (0001) | 0.00 |
| (1012) 2 | 0.00 |
| (2021) 1 | 0.00 |
| (1011) 1 | 0.00 |
| (2021) 2 | 0.00 |
| (1120) | 0.00 |
| (2131) 1 | 0.00 |
| (1010) | 0.00 |
| (2132) 1 | 0.00 |
| (2132) 2 | 0.00 |
| (2241) | 0.00 |
| (1012) 1 | 0.00 |
| (1121) | 0.00 |
| (2112) | 0.00 |
| (2130) | 0.00 |
| (1011) 2 | 0.00 |
| (2131) 2 | 0.00 |
| Surface | γfs (mJ/m2) |
|---|---|
| (0001) | 0.00 |
| (1012) 2 | 0.00 |
| (2021) 1 | 0.00 |
| (1011) 1 | 0.00 |
| (2021) 2 | 0.00 |
| (1120) | 0.00 |
| (2131) 1 | 0.00 |
| (1010) | 0.00 |
| (2132) 2 | 0.00 |
| (2132) 1 | 0.00 |
| (2241) | 0.00 |
| (1012) 1 | 0.00 |
| (1121) | 0.00 |
| (2112) | 0.00 |
| (2130) | 0.00 |
| (1011) 2 | 0.00 |
| (2131) 2 | 0.00 |
| Surface | γfs (mJ/m2) |
|---|---|
| (0001) | 0.00 |
| (1012) 2 | 0.00 |
| (2021) 1 | 0.00 |
| (1011) 1 | 0.00 |
| (2021) 2 | 0.00 |
| (1120) | 0.00 |
| (2131) 1 | 0.00 |
| (1010) | 0.00 |
| (2132) 1 | 0.00 |
| (2132) 2 | 0.00 |
| (2241) | 0.00 |
| (1012) 1 | 0.00 |
| (1121) | 0.00 |
| (2112) | 0.00 |
| (2130) | 0.00 |
| (1011) 2 | 0.00 |
| (2131) 2 | 0.00 |
| Surface | γfs (mJ/m2) |
|---|---|
| (0001) | 0.00 |
| (1012) 2 | 0.00 |
| (2021) 1 | 0.00 |
| (1011) 1 | 0.00 |
| (2021) 2 | 0.00 |
| (1120) | 0.00 |
| (2131) 1 | 0.00 |
| (1010) | 0.00 |
| (2132) 1 | 0.00 |
| (2132) 2 | 0.00 |
| (2241) | 0.00 |
| (1012) 1 | 0.00 |
| (1121) | 0.00 |
| (2112) | 0.00 |
| (2130) | 0.00 |
| (1011) 2 | 0.00 |
| (2131) 2 | 0.00 |
| Surface | γfs (mJ/m2) |
|---|---|
| (0001) | 0.00 |
| (1010) 1 | 0.00 |
| (1011) 2 | 0.00 |
| (2021) 1 | 0.00 |
| (2130) 1 | 0.00 |
| (1012) 2 | 0.00 |
| (1012) 1 | 0.00 |
| (2112) | 0.00 |
| (1120) | 0.00 |
| (2132) 2 | 0.00 |
| (2132) 1 | 0.00 |
| (2131) 2 | 0.00 |
| (2131) 1 | 0.00 |
| (2241) | 0.00 |
| (1121) | 0.00 |
| (2021) 2 | 0.00 |
| (2130) 2 | 0.00 |
| (1011) 1 | 0.00 |
| (1010) 2 | 0.00 |
| Surface | γfs (mJ/m2) |
|---|---|
| (0001) | 0.00 |
| (1010) 1 | 0.00 |
| (1011) 2 | 0.00 |
| (2021) 1 | 0.00 |
| (2130) 1 | 0.00 |
| (1012) 1 | 0.00 |
| (1012) 2 | 0.00 |
| (2112) | 0.00 |
| (1120) | 0.00 |
| (2132) 1 | 0.00 |
| (2132) 2 | 0.00 |
| (2131) 1 | 0.00 |
| (2131) 2 | 0.00 |
| (2241) | 0.00 |
| (1121) | 0.00 |
| (2021) 2 | 0.00 |
| (2130) 2 | 0.00 |
| (1011) 1 | 0.00 |
| (1010) 2 | 0.00 |
| Surface | γfs (mJ/m2) |
|---|---|
| (0001) | 0.00 |
| (1010) 1 | 0.00 |
| (1011) 2 | 0.00 |
| (2021) 1 | 0.00 |
| (2130) 1 | 0.00 |
| (1012) 1 | 0.00 |
| (1012) 2 | 0.00 |
| (2112) | 0.00 |
| (1120) | 0.00 |
| (2132) 2 | 0.00 |
| (2132) 1 | 0.00 |
| (2131) 2 | 0.00 |
| (2131) 1 | 0.00 |
| (2241) | 0.00 |
| (1121) | 0.00 |
| (2021) 2 | 0.00 |
| (2130) 2 | 0.00 |
| (1011) 1 | 0.00 |
| (1010) 2 | 0.00 |
| Surface | γfs (mJ/m2) |
|---|---|
| (0001) | 0.00 |
| (1010) 1 | 0.00 |
| (1011) 2 | 0.00 |
| (2021) 1 | 0.00 |
| (1012) 1 | 0.00 |
| (1012) 2 | 0.00 |
| (2112) | 0.00 |
| (1120) | 0.00 |
| (2132) 1 | 0.00 |
| (2132) 2 | 0.00 |
| (2131) 2 | 0.00 |
| (2131) 1 | 0.00 |
| (2241) | 0.00 |
| (1121) | 0.00 |
| (2021) 2 | 0.00 |
| (2130) 2 | 0.00 |
| (1011) 1 | 0.00 |
| (1010) 2 | 0.00 |
| Surface | γfs (mJ/m2) |
|---|---|
| (0001) | 0.00 |
| (1010) 1 | 0.00 |
| (1011) 2 | 0.00 |
| (2021) 1 | 0.00 |
| (2130) 1 | 0.00 |
| (1012) 1 | 0.00 |
| (1012) 2 | 0.00 |
| (2112) | 0.00 |
| (1120) | 0.00 |
| (2132) 2 | 0.00 |
| (2132) 1 | 0.00 |
| (2131) 2 | 0.00 |
| (2131) 1 | 0.00 |
| (2241) | 0.00 |
| (1121) | 0.00 |
| (2021) 2 | 0.00 |
| (2130) 2 | 0.00 |
| (1011) 1 | 0.00 |
| (1010) 2 | 0.00 |
| Surface | γfs (mJ/m2) |
|---|---|
| (0001) | 0.00 |
| (1010) 1 | 0.00 |
| (1011) 2 | 0.00 |
| (2021) 1 | 0.00 |
| (2130) 1 | 0.00 |
| (1012) 2 | 0.00 |
| (1012) 1 | 0.00 |
| (2112) | 0.00 |
| (1120) | 0.00 |
| (2132) 1 | 0.00 |
| (2132) 2 | 0.00 |
| (2131) 1 | 0.00 |
| (2131) 2 | 0.00 |
| (2241) | 0.00 |
| (1121) | 0.00 |
| (2021) 2 | 0.00 |
| (2130) 2 | 0.00 |
| (1011) 1 | 0.00 |
| (1010) 2 | 0.00 |
| Surface | γfs (mJ/m2) |
|---|---|
| (0001) | 0.00 |
| (1010) 1 | 0.00 |
| (1011) 2 | 0.00 |
| (2021) 1 | 0.00 |
| (2130) 1 | 0.00 |
| (1012) 1 | 0.00 |
| (1012) 2 | 0.00 |
| (2112) | 0.00 |
| (1120) | 0.00 |
| (2132) 2 | 0.00 |
| (2132) 1 | 0.00 |
| (2131) 1 | 0.00 |
| (2131) 2 | 0.00 |
| (2241) | 0.00 |
| (1121) | 0.00 |
| (2021) 2 | 0.00 |
| (2130) 2 | 0.00 |
| (1011) 1 | 0.00 |
| (1010) 2 | 0.00 |
| Surface | γfs (mJ/m2) |
|---|---|
| (0001) | 0.00 |
| (1010) 1 | 0.00 |
| (1011) 2 | 0.00 |
| (2021) 1 | 0.00 |
| (2130) 1 | 0.00 |
| (1012) 1 | 0.00 |
| (1012) 2 | 0.00 |
| (2112) | 0.00 |
| (1120) | 0.00 |
| (2132) 1 | 0.00 |
| (2132) 2 | 0.00 |
| (2131) 1 | 0.00 |
| (2131) 2 | 0.00 |
| (2241) | 0.00 |
| (1121) | 0.00 |
| (2021) 2 | 0.00 |
| (2130) 2 | 0.00 |
| (1011) 1 | 0.00 |
| (1010) 2 | 0.00 |
| Surface | γfs (mJ/m2) |
|---|---|
| (0001) | 0.00 |
| (1010) 1 | 0.00 |
| (1011) 2 | 0.00 |
| (2021) 1 | 0.00 |
| (2130) 1 | 0.00 |
| (1012) 1 | 0.00 |
| (1012) 2 | 0.00 |
| (2112) | 0.00 |
| (1120) | 0.00 |
| (2132) 1 | 0.00 |
| (2132) 2 | 0.00 |
| (2131) 1 | 0.00 |
| (2131) 2 | 0.00 |
| (2241) | 0.00 |
| (1121) | 0.00 |
| (2021) 2 | 0.00 |
| (2130) 2 | 0.00 |
| (1011) 1 | 0.00 |
| (1010) 2 | 0.00 |
| Surface | γfs (mJ/m2) |
|---|---|
| (0001) | 0.00 |
| (1010) 1 | 0.00 |
| (1011) 2 | 0.00 |
| (2021) 1 | 0.00 |
| (2130) 1 | 0.00 |
| (1012) 1 | 0.00 |
| (1012) 2 | 0.00 |
| (2112) | 0.00 |
| (1120) | 0.00 |
| (2132) 1 | 0.00 |
| (2132) 2 | 0.00 |
| (2131) 1 | 0.00 |
| (2131) 2 | 0.00 |
| (2241) | 0.00 |
| (1121) | 0.00 |
| (2021) 2 | 0.00 |
| (2130) 2 | 0.00 |
| (1011) 1 | 0.00 |
| (1010) 2 | 0.00 |
| Surface | γfs (mJ/m2) |
|---|---|
| (0001) | 0.00 |
| (1010) 1 | 0.00 |
| (1011) 2 | 0.00 |
| (2021) 1 | 0.00 |
| (2130) 1 | 0.00 |
| (1012) 2 | 0.00 |
| (1012) 1 | 0.00 |
| (2112) | 0.00 |
| (1120) | 0.00 |
| (2132) 1 | 0.00 |
| (2132) 2 | 0.00 |
| (2131) 1 | 0.00 |
| (2131) 2 | 0.00 |
| (2241) | 0.00 |
| (1121) | 0.00 |
| (2021) 2 | 0.00 |
| (2130) 2 | 0.00 |
| (1011) 1 | 0.00 |
| (1010) 2 | 0.00 |
| Surface | γfs (mJ/m2) |
|---|---|
| (0001) | 0.00 |
| (1010) 1 | 0.00 |
| (1011) 2 | 0.00 |
| (2021) 1 | 0.00 |
| (2130) 1 | 0.00 |
| (1012) 2 | 0.00 |
| (1012) 1 | 0.00 |
| (2112) | 0.00 |
| (1120) | 0.00 |
| (2132) 2 | 0.00 |
| (2132) 1 | 0.00 |
| (2131) 2 | 0.00 |
| (2131) 1 | 0.00 |
| (2241) | 0.00 |
| (1121) | 0.00 |
| (2021) 2 | 0.00 |
| (2130) 2 | 0.00 |
| (1011) 1 | 0.00 |
| (1010) 2 | 0.00 |
| Surface | γfs (mJ/m2) |
|---|---|
| (111) 2 | 0.00 |
| (331) 2 | 0.00 |
| (110) | 0.00 |
| (321) | 0.00 |
| (211) | 0.00 |
| (320) | 0.00 |
| (332) | 0.00 |
| (210) | 0.00 |
| (311) 2 | 0.00 |
| (311) 1 | 0.00 |
| (310) | 0.00 |
| (322) | 0.00 |
| (221) | 0.00 |
| (100) | 0.00 |
| (331) 1 | 0.00 |
| (111) 1 | 0.00 |
| Surface | γfs (mJ/m2) |
|---|---|
| (111) 2 | 0.00 |
| (331) 2 | 0.00 |
| (110) | 0.00 |
| (321) | 0.00 |
| (211) | 0.00 |
| (320) | 0.00 |
| (332) | 0.00 |
| (210) | 0.00 |
| (311) 2 | 0.00 |
| (311) 1 | 0.00 |
| (310) | 0.00 |
| (322) | 0.00 |
| (100) | 0.00 |
| (221) | 0.00 |
| (331) 1 | 0.00 |
| (111) 1 | 0.00 |
| Surface | γfs (mJ/m2) |
|---|---|
| (111) 2 | 0.00 |
| (331) 2 | 0.00 |
| (110) | 0.00 |
| (321) | 0.00 |
| (211) | 0.00 |
| (320) | 0.00 |
| (332) | 0.00 |
| (210) | 0.00 |
| (311) 2 | 0.00 |
| (311) 1 | 0.00 |
| (310) | 0.00 |
| (322) | 0.00 |
| (221) | 0.00 |
| (100) | 0.00 |
| (331) 1 | 0.00 |
| (111) 1 | 0.00 |
| Surface | γfs (mJ/m2) |
|---|---|
| (111) 2 | 0.00 |
| (331) 2 | 0.00 |
| (110) | 0.00 |
| (321) | 0.00 |
| (211) | 0.00 |
| (320) | 0.00 |
| (332) | 0.00 |
| (210) | 0.00 |
| (311) 1 | 0.00 |
| (311) 2 | 0.00 |
| (310) | 0.00 |
| (322) | 0.00 |
| (100) | 0.00 |
| (221) | 0.00 |
| (331) 1 | 0.00 |
| (111) 1 | 0.00 |
| Surface | γfs (mJ/m2) |
|---|---|
| (111) 2 | 0.00 |
| (331) 2 | 0.00 |
| (110) | 0.00 |
| (321) | 0.00 |
| (211) | 0.00 |
| (320) | 0.00 |
| (332) | 0.00 |
| (210) | 0.00 |
| (311) 2 | 0.00 |
| (311) 1 | 0.00 |
| (310) | 0.00 |
| (322) | 0.00 |
| (221) | 0.00 |
| (100) | 0.00 |
| (331) 1 | 0.00 |
| (111) 1 | 0.00 |
| Surface | γfs (mJ/m2) |
|---|---|
| (111) 2 | 0.00 |
| (331) 2 | 0.00 |
| (110) | 0.00 |
| (321) | 0.00 |
| (211) | 0.00 |
| (320) | 0.00 |
| (332) | 0.00 |
| (210) | 0.00 |
| (311) 2 | 0.00 |
| (311) 1 | 0.00 |
| (310) | 0.00 |
| (322) | 0.00 |
| (221) | 0.00 |
| (100) | 0.00 |
| (331) 1 | 0.00 |
| (111) 1 | 0.00 |
| Surface | γfs (mJ/m2) |
|---|---|
| (111) 2 | 0.00 |
| (331) 2 | 0.00 |
| (110) | 0.00 |
| (321) | 0.00 |
| (211) | 0.00 |
| (332) | 0.00 |
| (210) | 0.00 |
| (311) 1 | 0.00 |
| (311) 2 | 0.00 |
| (310) | 0.00 |
| (322) | 0.00 |
| (100) | 0.00 |
| (221) | 0.00 |
| (331) 1 | 0.00 |
| (111) 1 | 0.00 |
| Surface | γfs (mJ/m2) |
|---|---|
| (111) 2 | 0.00 |
| (331) 2 | 0.00 |
| (110) | 0.00 |
| (321) | 0.00 |
| (211) | 0.00 |
| (320) | 0.00 |
| (332) | 0.00 |
| (210) | 0.00 |
| (311) 2 | 0.00 |
| (311) 1 | 0.00 |
| (310) | 0.00 |
| (322) | 0.00 |
| (100) | 0.00 |
| (221) | 0.00 |
| (331) 1 | 0.00 |
| (111) 1 | 0.00 |
| Surface | γfs (mJ/m2) |
|---|---|
| (111) 2 | 0.00 |
| (331) 2 | 0.00 |
| (110) | 0.00 |
| (321) | 0.00 |
| (211) | 0.00 |
| (320) | 0.00 |
| (332) | 0.00 |
| (210) | 0.00 |
| (311) 2 | 0.00 |
| (311) 1 | 0.00 |
| (310) | 0.00 |
| (322) | 0.00 |
| (221) | 0.00 |
| (100) | 0.00 |
| (331) 1 | 0.00 |
| (111) 1 | 0.00 |
| Surface | γfs (mJ/m2) |
|---|---|
| (111) 2 | 0.00 |
| (331) 2 | 0.00 |
| (110) | 0.00 |
| (321) | 0.00 |
| (211) | 0.00 |
| (320) | 0.00 |
| (332) | 0.00 |
| (210) | 0.00 |
| (311) 2 | 0.00 |
| (311) 1 | 0.00 |
| (310) | 0.00 |
| (322) | 0.00 |
| (100) | 0.00 |
| (221) | 0.00 |
| (331) 1 | 0.00 |
| (111) 1 | 0.00 |
| Surface | γfs (mJ/m2) |
|---|---|
| (111) 2 | 0.00 |
| (331) 2 | 0.00 |
| (110) | 0.00 |
| (321) | 0.00 |
| (211) | 0.00 |
| (320) | 0.00 |
| (332) | 0.00 |
| (210) | 0.00 |
| (311) 2 | 0.00 |
| (311) 1 | 0.00 |
| (310) | 0.00 |
| (322) | 0.00 |
| (221) | 0.00 |
| (100) | 0.00 |
| (331) 1 | 0.00 |
| (111) 1 | 0.00 |
| Surface | γfs (mJ/m2) |
|---|---|
| (111) 2 | 0.00 |
| (331) 2 | 0.00 |
| (110) | 0.00 |
| (321) | 0.00 |
| (211) | 0.00 |
| (320) | 0.00 |
| (332) | 0.00 |
| (210) | 0.00 |
| (311) 2 | 0.00 |
| (311) 1 | 0.00 |
| (310) | 0.00 |
| (322) | 0.00 |
| (100) | 0.00 |
| (221) | 0.00 |
| (331) 1 | 0.00 |
| (111) 1 | 0.00 |
| Surface | γfs (mJ/m2) |
|---|---|
| (101) 1 | 0.00 |
| (112) | 0.00 |
| (001) | 0.00 |
| (201) | 0.00 |
| (111) | 0.00 |
| (100) | 0.00 |
| (211) 1 | 0.00 |
| (211) 2 | 0.00 |
| (110) | 0.00 |
| (101) 2 | 0.00 |
| Surface | γfs (mJ/m2) |
|---|---|
| (101) 1 | 0.00 |
| (112) | 0.00 |
| (001) | 0.00 |
| (201) | 0.00 |
| (111) | 0.00 |
| (100) | 0.00 |
| (211) 1 | 0.00 |
| (211) 2 | 0.00 |
| (110) | 0.00 |
| (101) 2 | 0.00 |
| Surface | γfs (mJ/m2) |
|---|---|
| (101) 1 | 0.00 |
| (112) | 0.00 |
| (001) | 0.00 |
| (201) | 0.00 |
| (111) | 0.00 |
| (100) | 0.00 |
| (211) 2 | 0.00 |
| (211) 1 | 0.00 |
| (110) | 0.00 |
| (101) 2 | 0.00 |
| Surface | γfs (mJ/m2) |
|---|---|
| (101) 1 | 0.00 |
| (112) | 0.00 |
| (001) | 0.00 |
| (201) | 0.00 |
| (111) | 0.00 |
| (100) | 0.00 |
| (211) 2 | 0.00 |
| (211) 1 | 0.00 |
| (110) | 0.00 |
| (101) 2 | 0.00 |
| Surface | γfs (mJ/m2) |
|---|---|
| (101) 1 | 0.00 |
| (112) | 0.00 |
| (001) | 0.00 |
| (201) | 0.00 |
| (111) | 0.00 |
| (100) | 0.00 |
| (211) 1 | 0.00 |
| (211) 2 | 0.00 |
| (110) | 0.00 |
| (101) 2 | 0.00 |
| Surface | γfs (mJ/m2) |
|---|---|
| (101) 1 | 0.00 |
| (112) | 0.00 |
| (001) | 0.00 |
| (201) | 0.00 |
| (111) | 0.00 |
| (100) | 0.00 |
| (211) 2 | 0.00 |
| (211) 1 | 0.00 |
| (110) | 0.00 |
| (101) 2 | 0.00 |
| Surface | γfs (mJ/m2) |
|---|---|
| (101) 1 | 0.00 |
| (112) | 0.00 |
| (001) | 0.00 |
| (201) | 0.00 |
| (111) | 0.00 |
| (100) | 0.00 |
| (211) 2 | 0.00 |
| (211) 1 | 0.00 |
| (110) | 0.00 |
| (101) 2 | 0.00 |
| Surface | γfs (mJ/m2) |
|---|---|
| (101) 1 | 0.00 |
| (112) | 0.00 |
| (001) | 0.00 |
| (201) | 0.00 |
| (111) | 0.00 |
| (100) | 0.00 |
| (211) 1 | 0.00 |
| (211) 2 | 0.00 |
| (110) | 0.00 |
| (101) 2 | 0.00 |
| Surface | γfs (mJ/m2) |
|---|---|
| (101) 1 | 0.00 |
| (112) | 0.00 |
| (001) | 0.00 |
| (201) | 0.00 |
| (111) | 0.00 |
| (100) | 0.00 |
| (211) 2 | 0.00 |
| (211) 1 | 0.00 |
| (110) | 0.00 |
| (101) 2 | 0.00 |
| Surface | γfs (mJ/m2) |
|---|---|
| (101) 1 | 0.00 |
| (112) | 0.00 |
| (001) | 0.00 |
| (201) | 0.00 |
| (111) | 0.00 |
| (100) | 0.00 |
| (211) 2 | 0.00 |
| (211) 1 | 0.00 |
| (110) | 0.00 |
| (101) 2 | 0.00 |
| Surface | γfs (mJ/m2) |
|---|---|
| (101) 1 | 0.00 |
| (112) | 0.00 |
| (001) | 0.00 |
| (201) | 0.00 |
| (111) | 0.00 |
| (100) | 0.00 |
| (211) 2 | 0.00 |
| (211) 1 | 0.00 |
| (110) | 0.00 |
| (101) 2 | 0.00 |
| Surface | γfs (mJ/m2) |
|---|---|
| (101) 1 | 0.00 |
| (112) | 0.00 |
| (001) | 0.00 |
| (201) | 0.00 |
| (111) | 0.00 |
| (100) | 0.00 |
| (211) 2 | 0.00 |
| (211) 1 | 0.00 |
| (110) | 0.00 |
| (101) 2 | 0.00 |
| Surface | γfs (mJ/m2) |
|---|---|
| (001) | 0.00 |
| (101) | 0.00 |
| (201) | 0.00 |
| (100) | 0.00 |
| (112) | 0.00 |
| (111) | 0.00 |
| (211) | 0.00 |
| (110) | 0.00 |
| Surface | γfs (mJ/m2) |
|---|---|
| (001) | 0.00 |
| (101) | 0.00 |
| (201) | 0.00 |
| (100) | 0.00 |
| (112) | 0.00 |
| (111) | 0.00 |
| (211) | 0.00 |
| (110) | 0.00 |
| Surface | γfs (mJ/m2) |
|---|---|
| (001) | 0.00 |
| (101) | 0.00 |
| (201) | 0.00 |
| (100) | 0.00 |
| (112) | 0.00 |
| (111) | 0.00 |
| (211) | 0.00 |
| (110) | 0.00 |
| Surface | γfs (mJ/m2) |
|---|---|
| (001) | 0.00 |
| (101) | 0.00 |
| (201) | 0.00 |
| (100) | 0.00 |
| (112) | 0.00 |
| (111) | 0.00 |
| (211) | 0.00 |
| (110) | 0.00 |
| Surface | γfs (mJ/m2) |
|---|---|
| (001) | 0.00 |
| (101) | 0.00 |
| (201) | 0.00 |
| (100) | 0.00 |
| (112) | 0.00 |
| (111) | 0.00 |
| (110) | 0.00 |
| Surface | γfs (mJ/m2) |
|---|---|
| (001) | 0.00 |
| (101) | 0.00 |
| (201) | 0.00 |
| (100) | 0.00 |
| (112) | 0.00 |
| (111) | 0.00 |
| (211) | 0.00 |
| (110) | 0.00 |
| Surface | γfs (mJ/m2) |
|---|---|
| (001) | 0.00 |
| (101) | 0.00 |
| (201) | 0.00 |
| (100) | 0.00 |
| (112) | 0.00 |
| (111) | 0.00 |
| (211) | 0.00 |
| (110) | 0.00 |
| Surface | γfs (mJ/m2) |
|---|---|
| (001) | 0.00 |
| (101) | 0.00 |
| (201) | 0.00 |
| (100) | 0.00 |
| (112) | 0.00 |
| (111) | 0.00 |
| (211) | 0.00 |
| (110) | 0.00 |
| Surface | γfs (mJ/m2) |
|---|---|
| (001) | 0.00 |
| (101) | 0.00 |
| (201) | 0.00 |
| (100) | 0.00 |
| (112) | 0.00 |
| (111) | 0.00 |
| (211) | 0.00 |
| (110) | 0.00 |
| Surface | γfs (mJ/m2) |
|---|---|
| (001) | 0.00 |
| (101) | 0.00 |
| (201) | 0.00 |
| (100) | 0.00 |
| (112) | 0.00 |
| (111) | 0.00 |
| (211) | 0.00 |
| (110) | 0.00 |
| Surface | γfs (mJ/m2) |
|---|---|
| (001) | 0.00 |
| (101) | 0.00 |
| (201) | 0.00 |
| (100) | 0.00 |
| (112) | 0.00 |
| (111) | 0.00 |
| (211) | 0.00 |
| (110) | 0.00 |
| Surface | γfs (mJ/m2) |
|---|---|
| (001) | 0.00 |
| (101) | 0.00 |
| (201) | 0.00 |
| (100) | 0.00 |
| (112) | 0.00 |
| (111) | 0.00 |
| (211) | 0.00 |
| (110) | 0.00 |
| Surface | γfs (mJ/m2) |
|---|---|
| (0001) 2 | -0.00 |
| (1011) 2 | 0.00 |
| (2112) 2 | 0.00 |
| (2131) 2 | 0.00 |
| (1012) 2 | 0.00 |
| (1121) 2 | 0.00 |
| (2241) 2 | 0.00 |
| (1120) | 0.00 |
| (2132) 2 | 0.00 |
| (2241) 1 | 0.00 |
| (2130) | 0.00 |
| (2112) 1 | 0.00 |
| (2021) 2 | 0.00 |
| (1121) 1 | 0.00 |
| (1010) | 0.00 |
| (2132) 1 | 0.00 |
| (1012) 1 | 0.00 |
| (2021) 1 | 0.00 |
| (2131) 1 | 0.00 |
| (1011) 1 | 0.00 |
| (0001) 1 | 0.00 |
| Surface | γfs (mJ/m2) |
|---|---|
| (0001) 2 | -0.00 |
| (1011) 2 | 0.00 |
| (2112) 2 | 0.00 |
| (2131) 2 | 0.00 |
| (1012) 2 | 0.00 |
| (1121) 2 | 0.00 |
| (2241) 2 | 0.00 |
| (1120) | 0.00 |
| (2132) 2 | 0.00 |
| (2241) 1 | 0.00 |
| (2130) | 0.00 |
| (2112) 1 | 0.00 |
| (2021) 2 | 0.00 |
| (1121) 1 | 0.00 |
| (1010) | 0.00 |
| (2132) 1 | 0.00 |
| (1012) 1 | 0.00 |
| (2021) 1 | 0.00 |
| (2131) 1 | 0.00 |
| (1011) 1 | 0.00 |
| (0001) 1 | 0.00 |
| Surface | γfs (mJ/m2) |
|---|---|
| (0001) 2 | 0.00 |
| (1011) 2 | 0.00 |
| (2112) 2 | 0.00 |
| (2131) 2 | 0.00 |
| (1012) 2 | 0.00 |
| (1121) 2 | 0.00 |
| (2241) 2 | 0.00 |
| (1120) | 0.00 |
| (2132) 2 | 0.00 |
| (2241) 1 | 0.00 |
| (2130) | 0.00 |
| (2112) 1 | 0.00 |
| (2021) 2 | 0.00 |
| (1121) 1 | 0.00 |
| (1010) | 0.00 |
| (2132) 1 | 0.00 |
| (1012) 1 | 0.00 |
| (2021) 1 | 0.00 |
| (2131) 1 | 0.00 |
| (1011) 1 | 0.00 |
| (0001) 1 | 0.00 |
| Surface | γfs (mJ/m2) |
|---|---|
| (0001) 2 | 0.00 |
| (1011) 2 | 0.00 |
| (2112) 2 | 0.00 |
| (2131) 2 | 0.00 |
| (1012) 2 | 0.00 |
| (1121) 2 | 0.00 |
| (2241) 2 | 0.00 |
| (1120) | 0.00 |
| (2132) 2 | 0.00 |
| (2241) 1 | 0.00 |
| (2130) | 0.00 |
| (2112) 1 | 0.00 |
| (2021) 2 | 0.00 |
| (1121) 1 | 0.00 |
| (1010) | 0.00 |
| (2132) 1 | 0.00 |
| (1012) 1 | 0.00 |
| (2021) 1 | 0.00 |
| (2131) 1 | 0.00 |
| (1011) 1 | 0.00 |
| (0001) 1 | 0.00 |
| Surface | γfs (mJ/m2) |
|---|---|
| (0001) 2 | -0.00 |
| (1011) 2 | 0.00 |
| (2112) 2 | 0.00 |
| (2131) 2 | 0.00 |
| (1012) 2 | 0.00 |
| (1121) 2 | 0.00 |
| (2241) 2 | 0.00 |
| (1120) | 0.00 |
| (2132) 2 | 0.00 |
| (2241) 1 | 0.00 |
| (2130) | 0.00 |
| (2112) 1 | 0.00 |
| (2021) 2 | 0.00 |
| (1121) 1 | 0.00 |
| (1010) | 0.00 |
| (2132) 1 | 0.00 |
| (1012) 1 | 0.00 |
| (2021) 1 | 0.00 |
| (2131) 1 | 0.00 |
| (1011) 1 | 0.00 |
| (0001) 1 | 0.00 |
| Surface | γfs (mJ/m2) |
|---|---|
| (0001) 2 | 0.00 |
| (1011) 2 | 0.00 |
| (2112) 2 | 0.00 |
| (2131) 2 | 0.00 |
| (1012) 2 | 0.00 |
| (1121) 2 | 0.00 |
| (2241) 2 | 0.00 |
| (1120) | 0.00 |
| (2132) 2 | 0.00 |
| (2241) 1 | 0.00 |
| (2130) | 0.00 |
| (2112) 1 | 0.00 |
| (2021) 2 | 0.00 |
| (1121) 1 | 0.00 |
| (1010) | 0.00 |
| (2132) 1 | 0.00 |
| (1012) 1 | 0.00 |
| (2021) 1 | 0.00 |
| (2131) 1 | 0.00 |
| (1011) 1 | 0.00 |
| (0001) 1 | 0.00 |
| Surface | γfs (mJ/m2) |
|---|---|
| (0001) 2 | -0.00 |
| (1011) 2 | 0.00 |
| (2112) 2 | 0.00 |
| (2131) 2 | 0.00 |
| (1012) 2 | 0.00 |
| (1121) 2 | 0.00 |
| (2241) 2 | 0.00 |
| (1120) | 0.00 |
| (2132) 2 | 0.00 |
| (2241) 1 | 0.00 |
| (2130) | 0.00 |
| (2112) 1 | 0.00 |
| (2021) 2 | 0.00 |
| (1121) 1 | 0.00 |
| (1010) | 0.00 |
| (2132) 1 | 0.00 |
| (1012) 1 | 0.00 |
| (2021) 1 | 0.00 |
| (2131) 1 | 0.00 |
| (1011) 1 | 0.00 |
| (0001) 1 | 0.00 |
| Surface | γfs (mJ/m2) |
|---|---|
| (0001) 2 | 0.00 |
| (1011) 2 | 0.00 |
| (2112) 2 | 0.00 |
| (2131) 2 | 0.00 |
| (1012) 2 | 0.00 |
| (1121) 2 | 0.00 |
| (2241) 2 | 0.00 |
| (1120) | 0.00 |
| (2132) 2 | 0.00 |
| (2241) 1 | 0.00 |
| (2130) | 0.00 |
| (2112) 1 | 0.00 |
| (2021) 2 | 0.00 |
| (1121) 1 | 0.00 |
| (1010) | 0.00 |
| (2132) 1 | 0.00 |
| (1012) 1 | 0.00 |
| (2021) 1 | 0.00 |
| (2131) 1 | 0.00 |
| (1011) 1 | 0.00 |
| (0001) 1 | 0.00 |
| Surface | γfs (mJ/m2) |
|---|---|
| (0001) 2 | 0.00 |
| (1011) 2 | 0.00 |
| (2112) 2 | 0.00 |
| (2131) 2 | 0.00 |
| (1012) 2 | 0.00 |
| (1121) 2 | 0.00 |
| (2241) 2 | 0.00 |
| (1120) | 0.00 |
| (2132) 2 | 0.00 |
| (2241) 1 | 0.00 |
| (2130) | 0.00 |
| (2112) 1 | 0.00 |
| (2021) 2 | 0.00 |
| (1121) 1 | 0.00 |
| (1010) | 0.00 |
| (2132) 1 | 0.00 |
| (1012) 1 | 0.00 |
| (2021) 1 | 0.00 |
| (2131) 1 | 0.00 |
| (1011) 1 | 0.00 |
| (0001) 1 | 0.00 |
| Surface | γfs (mJ/m2) |
|---|---|
| (0001) 2 | 0.00 |
| (1011) 2 | 0.00 |
| (2112) 2 | 0.00 |
| (2131) 2 | 0.00 |
| (1012) 2 | 0.00 |
| (1121) 2 | 0.00 |
| (2241) 2 | 0.00 |
| (1120) | 0.00 |
| (2132) 2 | 0.00 |
| (2241) 1 | 0.00 |
| (2130) | 0.00 |
| (2112) 1 | 0.00 |
| (2021) 2 | 0.00 |
| (1121) 1 | 0.00 |
| (1010) | 0.00 |
| (2132) 1 | 0.00 |
| (1012) 1 | 0.00 |
| (2021) 1 | 0.00 |
| (2131) 1 | 0.00 |
| (1011) 1 | 0.00 |
| (0001) 1 | 0.00 |
| Surface | γfs (mJ/m2) |
|---|---|
| (0001) 2 | 0.00 |
| (1011) 2 | 0.00 |
| (2112) 2 | 0.00 |
| (2131) 2 | 0.00 |
| (1012) 2 | 0.00 |
| (1121) 2 | 0.00 |
| (2241) 2 | 0.00 |
| (1120) | 0.00 |
| (2132) 2 | 0.00 |
| (2241) 1 | 0.00 |
| (2130) | 0.00 |
| (2112) 1 | 0.00 |
| (2021) 2 | 0.00 |
| (1121) 1 | 0.00 |
| (1010) | 0.00 |
| (2132) 1 | 0.00 |
| (1012) 1 | 0.00 |
| (2021) 1 | 0.00 |
| (2131) 1 | 0.00 |
| (1011) 1 | 0.00 |
| (0001) 1 | 0.00 |
| Surface | γfs (mJ/m2) |
|---|---|
| (0001) 2 | 0.00 |
| (1011) 2 | 0.00 |
| (2112) 2 | 0.00 |
| (2131) 2 | 0.00 |
| (1012) 2 | 0.00 |
| (1121) 2 | 0.00 |
| (2241) 2 | 0.00 |
| (1120) | 0.00 |
| (2132) 2 | 0.00 |
| (2241) 1 | 0.00 |
| (2130) | 0.00 |
| (2112) 1 | 0.00 |
| (2021) 2 | 0.00 |
| (1121) 1 | 0.00 |
| (1010) | 0.00 |
| (2132) 1 | 0.00 |
| (1012) 1 | 0.00 |
| (2021) 1 | 0.00 |
| (2131) 1 | 0.00 |
| (1011) 1 | 0.00 |
| (0001) 1 | 0.00 |
| Surface | γfs (mJ/m2) |
|---|---|
| (100) | 0.00 |
| (310) | 0.00 |
| (210) | 0.00 |
| (320) | 0.00 |
| (110) | 0.00 |
| (311) | 0.00 |
| (321) | 0.00 |
| (331) | 0.00 |
| (211) | 0.00 |
| (221) | 0.00 |
| (322) | 0.00 |
| (332) | 0.00 |
| (111) | 0.00 |
| Surface | γfs (mJ/m2) |
|---|---|
| (100) | 0.00 |
| (310) | 0.00 |
| (210) | 0.00 |
| (320) | 0.00 |
| (110) | 0.00 |
| (311) | 0.00 |
| (321) | 0.00 |
| (331) | 0.00 |
| (211) | 0.00 |
| (221) | 0.00 |
| (322) | 0.00 |
| (332) | 0.00 |
| (111) | 0.00 |
| Surface | γfs (mJ/m2) |
|---|---|
| (100) | 0.00 |
| (310) | 0.00 |
| (210) | 0.00 |
| (320) | 0.00 |
| (110) | 0.00 |
| (321) | 0.00 |
| (331) | 0.00 |
| (211) | 0.00 |
| (221) | 0.00 |
| (322) | 0.00 |
| (332) | 0.00 |
| (111) | 0.00 |
| Surface | γfs (mJ/m2) |
|---|---|
| (100) | 0.00 |
| (310) | 0.00 |
| (210) | 0.00 |
| (320) | 0.00 |
| (110) | 0.00 |
| (311) | 0.00 |
| (321) | 0.00 |
| (331) | 0.00 |
| (211) | 0.00 |
| (221) | 0.00 |
| (322) | 0.00 |
| (332) | 0.00 |
| (111) | 0.00 |
| Surface | γfs (mJ/m2) |
|---|---|
| (100) | 0.00 |
| (310) | 0.00 |
| (210) | 0.00 |
| (320) | 0.00 |
| (110) | 0.00 |
| (311) | 0.00 |
| (321) | 0.00 |
| (331) | 0.00 |
| (211) | 0.00 |
| (221) | 0.00 |
| (322) | 0.00 |
| (332) | 0.00 |
| (111) | 0.00 |
| Surface | γfs (mJ/m2) |
|---|---|
| (100) | 0.00 |
| (310) | 0.00 |
| (210) | 0.00 |
| (320) | 0.00 |
| (110) | 0.00 |
| (311) | 0.00 |
| (321) | 0.00 |
| (331) | 0.00 |
| (211) | 0.00 |
| (221) | 0.00 |
| (322) | 0.00 |
| (332) | 0.00 |
| (111) | 0.00 |
| Surface | γfs (mJ/m2) |
|---|---|
| (100) | 0.00 |
| (310) | 0.00 |
| (210) | 0.00 |
| (320) | 0.00 |
| (110) | 0.00 |
| (311) | 0.00 |
| (321) | 0.00 |
| (331) | 0.00 |
| (211) | 0.00 |
| (221) | 0.00 |
| (322) | 0.00 |
| (332) | 0.00 |
| (111) | 0.00 |
| Surface | γfs (mJ/m2) |
|---|---|
| (100) | 0.00 |
| (310) | 0.00 |
| (210) | 0.00 |
| (320) | 0.00 |
| (110) | 0.00 |
| (311) | 0.00 |
| (321) | 0.00 |
| (331) | 0.00 |
| (211) | 0.00 |
| (221) | 0.00 |
| (322) | 0.00 |
| (332) | 0.00 |
| (111) | 0.00 |
| Surface | γfs (mJ/m2) |
|---|---|
| (100) | 0.00 |
| (310) | 0.00 |
| (210) | 0.00 |
| (320) | 0.00 |
| (110) | 0.00 |
| (311) | 0.00 |
| (321) | 0.00 |
| (331) | 0.00 |
| (211) | 0.00 |
| (221) | 0.00 |
| (322) | 0.00 |
| (332) | 0.00 |
| (111) | 0.00 |
| Surface | γfs (mJ/m2) |
|---|---|
| (100) | 0.00 |
| (310) | 0.00 |
| (210) | 0.00 |
| (320) | 0.00 |
| (110) | 0.00 |
| (311) | 0.00 |
| (321) | 0.00 |
| (331) | 0.00 |
| (211) | 0.00 |
| (221) | 0.00 |
| (322) | 0.00 |
| (332) | 0.00 |
| (111) | 0.00 |
| Surface | γfs (mJ/m2) |
|---|---|
| (100) | 0.00 |
| (310) | 0.00 |
| (210) | 0.00 |
| (320) | 0.00 |
| (110) | 0.00 |
| (311) | 0.00 |
| (321) | 0.00 |
| (331) | 0.00 |
| (211) | 0.00 |
| (221) | 0.00 |
| (322) | 0.00 |
| (332) | 0.00 |
| (111) | 0.00 |
| Surface | γfs (mJ/m2) |
|---|---|
| (100) | 0.00 |
| (310) | 0.00 |
| (210) | 0.00 |
| (320) | 0.00 |
| (110) | 0.00 |
| (311) | 0.00 |
| (321) | 0.00 |
| (331) | 0.00 |
| (211) | 0.00 |
| (221) | 0.00 |
| (322) | 0.00 |
| (332) | 0.00 |
| (111) | 0.00 |
Static point defect formation energies, Ef, and elastic dipole tensors, pij, are displayed for select crystals. Relaxed defect configurations are obtained by taking a 12x12x12 supercell of a perfect periodic bulk crystal, inserting the point defect, and using force minimization to statically relax the atomic positions while keeping the system dimensions constant. Ef is computed by comparing the energy of the defect system to the same number of atoms in a perfect bulk crystal. pij is estimated as the difference in the system's global pressure with and without the defect multiplied by the system's volume.
Simple structural comparisons of the unrelaxed and relaxed defect configurations are used to help determine if the defect structure has relaxed to a different configuration. Relaxed structures that are identified as no longer consistent with the ideal defect definition are excluded from the table below. The only exception to this is if the lowest energy interstitial configuration does not coincide with a known ideal defect, its energies and pressure tensor are included under the listing "relaxed interstitial". The full list of calculation results including the transformed structures and the structural comparison values is included in the csv file available from the "Download raw data" link.
The calculation method used is available as the iprPy point_defect_static calculation method.
Notes and Disclaimers:
| Point Defect | Ef (eV) | p11 (eV) | p22 (eV) | p33 (eV) | p12 (eV) | p13 (eV) | p23 (eV) |
|---|---|---|---|---|---|---|---|
| vacancy | 0.675 | -4.034 | -4.034 | -4.034 | 0.000 | -0.000 | -0.000 |
| 1nn divacancy | 1.361 | -8.760 | -7.310 | -7.310 | 0.000 | -0.000 | 0.110 |
| 2nn divacancy | 1.378 | -7.914 | -7.914 | -7.867 | -0.000 | -0.000 | -0.000 |
| 100 dumbbell | 2.585 | 14.156 | 14.156 | 14.856 | 0.000 | -0.000 | -0.000 |
| octahedral interstitial | 2.786 | 13.343 | 13.343 | 13.343 | -0.000 | -0.000 | -0.000 |
| crowdion interstitial | 2.899 | 13.197 | 13.197 | 15.915 | 9.796 | 0.000 | 0.000 |
| 111 dumbbell | 3.000 | 13.738 | 13.738 | 13.738 | 4.842 | 4.842 | 4.842 |
| tetrahedral interstitial | 3.089 | 14.428 | 14.428 | 14.428 | 0.000 | 0.000 | 0.000 |
| Point Defect | Ef (eV) | p11 (eV) | p22 (eV) | p33 (eV) | p12 (eV) | p13 (eV) | p23 (eV) |
|---|---|---|---|---|---|---|---|
| vacancy | 0.736 | -3.657 | -3.657 | -4.564 | -0.000 | -0.000 | -0.000 |
| 0001 dumbbell | 1.738 | 5.279 | 5.279 | 12.801 | 0.000 | -0.000 | -0.000 |
| Point Defect | Ef (eV) | p11 (eV) | p22 (eV) | p33 (eV) | p12 (eV) | p13 (eV) | p23 (eV) |
|---|---|---|---|---|---|---|---|
| vacancy | 1.560 | -4.478 | -4.478 | -4.478 | 0.000 | 0.000 | -0.000 |
| 1nn divacancy | 2.919 | -10.593 | -8.874 | -8.874 | 0.000 | 0.000 | -0.060 |
| 2nn divacancy | 3.075 | -9.197 | -9.197 | -9.813 | -0.000 | 0.000 | 0.000 |
| 100 dumbbell | 4.830 | 34.856 | 34.856 | 32.412 | -0.000 | 0.000 | 0.000 |
| octahedral interstitial | 5.020 | 35.252 | 35.252 | 35.252 | -0.000 | -0.000 | -0.000 |
| Point Defect | Ef (eV) | p11 (eV) | p22 (eV) | p33 (eV) | p12 (eV) | p13 (eV) | p23 (eV) |
|---|---|---|---|---|---|---|---|
| vacancy | 1.571 | -2.195 | -2.195 | -2.195 | 0.000 | 0.000 | 0.000 |
| 1nn divacancy | 2.975 | -5.711 | -4.150 | -4.150 | 0.000 | 0.000 | 0.237 |
| 2nn divacancy | 3.125 | -4.528 | -4.528 | -4.473 | 0.000 | 0.000 | 0.000 |
| 100 dumbbell | 3.950 | 16.101 | 16.101 | 17.105 | 0.000 | 0.000 | 0.000 |
| 111 dumbbell | 4.217 | 14.076 | 14.076 | 14.076 | 7.020 | 7.020 | 7.020 |
| 110 dumbbell | 4.282 | 18.215 | 13.339 | 13.339 | -0.000 | -0.000 | 11.719 |
| crowdion interstitial | 4.283 | 13.361 | 13.361 | 18.248 | 11.738 | 0.000 | 0.000 |
| octahedral interstitial | 4.309 | 14.318 | 14.318 | 14.318 | 0.000 | 0.000 | 0.000 |
| tetrahedral interstitial | 4.430 | 14.097 | 14.097 | 14.097 | -0.000 | -0.000 | -0.000 |
| Point Defect | Ef (eV) | p11 (eV) | p22 (eV) | p33 (eV) | p12 (eV) | p13 (eV) | p23 (eV) |
|---|---|---|---|---|---|---|---|
| relaxed interstitial | -84.360 | -0.000 | -0.000 | 0.000 | 0.000 | 0.000 | -0.000 |
| 100 dumbbell | -48.477 | -0.000 | -0.000 | -0.000 | 0.000 | -0.000 | -0.000 |
| 111 dumbbell | -35.861 | 0.000 | 0.000 | 0.000 | 0.000 | 0.000 | 0.000 |
| octahedral interstitial | -14.375 | -0.000 | -0.000 | -0.000 | -0.000 | -0.000 | -0.000 |
| tetrahedral interstitial | -7.162 | 0.000 | 0.000 | 0.000 | 0.000 | 0.000 | 0.000 |
| vacancy | 0.000 | 0.000 | 0.000 | 0.000 | -0.000 | -0.000 | -0.000 |
| 1nn divacancy | 0.000 | 0.000 | 0.000 | 0.000 | -0.000 | -0.000 | -0.000 |
| 2nn divacancy | 0.000 | 0.000 | 0.000 | 0.000 | -0.000 | -0.000 | -0.000 |
| Point Defect | Ef (eV) | p11 (eV) | p22 (eV) | p33 (eV) | p12 (eV) | p13 (eV) | p23 (eV) |
|---|---|---|---|---|---|---|---|
| 100 dumbbell | -48.477 | -0.000 | -0.000 | -0.000 | -0.000 | 0.000 | 0.000 |
| 111 dumbbell | -35.861 | 0.000 | 0.000 | 0.000 | 0.000 | 0.000 | 0.000 |
| octahedral interstitial | -14.375 | -0.000 | -0.000 | -0.000 | -0.000 | -0.000 | -0.000 |
| tetrahedral interstitial | -7.162 | 0.000 | 0.000 | 0.000 | 0.000 | 0.000 | 0.000 |
| vacancy | 0.000 | 0.000 | 0.000 | 0.000 | 0.000 | 0.000 | -0.000 |
| 1nn divacancy | 0.000 | 0.000 | 0.000 | 0.000 | 0.000 | 0.000 | -0.000 |
| 2nn divacancy | 0.000 | 0.000 | 0.000 | 0.000 | 0.000 | 0.000 | -0.000 |
| Point Defect | Ef (eV) | p11 (eV) | p22 (eV) | p33 (eV) | p12 (eV) | p13 (eV) | p23 (eV) |
|---|---|---|---|---|---|---|---|
| 100 dumbbell | -48.477 | -0.000 | -0.000 | -0.000 | 0.000 | 0.000 | 0.000 |
| 111 dumbbell | -35.861 | -0.000 | -0.000 | -0.000 | -0.000 | -0.000 | -0.000 |
| octahedral interstitial | -14.375 | -0.000 | -0.000 | -0.000 | 0.000 | 0.000 | 0.000 |
| tetrahedral interstitial | -7.162 | 0.000 | 0.000 | 0.000 | 0.000 | 0.000 | 0.000 |
| vacancy | 0.000 | 0.000 | 0.000 | 0.000 | 0.000 | -0.000 | 0.000 |
| 1nn divacancy | 0.000 | 0.000 | 0.000 | 0.000 | 0.000 | -0.000 | -0.000 |
| 2nn divacancy | 0.000 | 0.000 | 0.000 | 0.000 | 0.000 | -0.000 | 0.000 |
| Point Defect | Ef (eV) | p11 (eV) | p22 (eV) | p33 (eV) | p12 (eV) | p13 (eV) | p23 (eV) |
|---|---|---|---|---|---|---|---|
| 111 dumbbell | -35.861 | -0.000 | -0.000 | -0.000 | -0.000 | -0.000 | -0.000 |
| crowdion interstitial | -14.486 | -0.000 | -0.000 | 0.000 | -0.000 | -0.000 | -0.000 |
| octahedral interstitial | -14.375 | -0.000 | -0.000 | -0.000 | -0.000 | -0.000 | -0.000 |
| tetrahedral interstitial | -7.162 | 0.000 | 0.000 | 0.000 | 0.000 | 0.000 | 0.000 |
| vacancy | 0.000 | -0.000 | -0.000 | -0.000 | 0.000 | 0.000 | 0.000 |
| 1nn divacancy | 0.000 | -0.000 | -0.000 | -0.000 | 0.000 | 0.000 | 0.000 |
| 2nn divacancy | 0.000 | -0.000 | -0.000 | -0.000 | 0.000 | 0.000 | 0.000 |
| Point Defect | Ef (eV) | p11 (eV) | p22 (eV) | p33 (eV) | p12 (eV) | p13 (eV) | p23 (eV) |
|---|---|---|---|---|---|---|---|
| 111 dumbbell | -35.861 | -0.000 | -0.000 | -0.000 | 0.000 | 0.000 | 0.000 |
| crowdion interstitial | -14.486 | 0.000 | 0.000 | -0.000 | -0.000 | -0.000 | -0.000 |
| octahedral interstitial | -14.375 | -0.000 | -0.000 | -0.000 | -0.000 | -0.000 | -0.000 |
| tetrahedral interstitial | -7.162 | 0.000 | 0.000 | 0.000 | -0.000 | -0.000 | -0.000 |
| vacancy | 0.000 | -0.000 | -0.000 | -0.000 | -0.000 | 0.000 | 0.000 |
| 1nn divacancy | 0.000 | -0.000 | -0.000 | -0.000 | -0.000 | 0.000 | 0.000 |
| 2nn divacancy | 0.000 | -0.000 | -0.000 | -0.000 | -0.000 | 0.000 | 0.000 |
| Point Defect | Ef (eV) | p11 (eV) | p22 (eV) | p33 (eV) | p12 (eV) | p13 (eV) | p23 (eV) |
|---|---|---|---|---|---|---|---|
| 111 dumbbell | -35.861 | 0.000 | 0.000 | 0.000 | 0.000 | 0.000 | 0.000 |
| octahedral interstitial | -14.375 | -0.000 | -0.000 | -0.000 | -0.000 | 0.000 | 0.000 |
| tetrahedral interstitial | -7.162 | 0.000 | 0.000 | 0.000 | -0.000 | -0.000 | -0.000 |
| vacancy | 0.000 | 0.000 | 0.000 | 0.000 | 0.000 | -0.000 | 0.000 |
| 1nn divacancy | 0.000 | 0.000 | 0.000 | 0.000 | 0.000 | -0.000 | -0.000 |
| 2nn divacancy | 0.000 | 0.000 | 0.000 | 0.000 | 0.000 | -0.000 | 0.000 |
| Point Defect | Ef (eV) | p11 (eV) | p22 (eV) | p33 (eV) | p12 (eV) | p13 (eV) | p23 (eV) |
|---|---|---|---|---|---|---|---|
| 111 dumbbell | -35.861 | -0.000 | -0.000 | -0.000 | 0.000 | 0.000 | 0.000 |
| 100 dumbbell | -29.782 | 0.000 | 0.000 | 0.000 | 0.000 | -0.000 | 0.000 |
| crowdion interstitial | -14.486 | 0.000 | 0.000 | 0.000 | 0.000 | -0.000 | -0.000 |
| octahedral interstitial | -14.375 | -0.000 | -0.000 | -0.000 | 0.000 | 0.000 | 0.000 |
| tetrahedral interstitial | -7.162 | 0.000 | 0.000 | 0.000 | 0.000 | 0.000 | 0.000 |
| vacancy | 0.000 | 0.000 | 0.000 | 0.000 | 0.000 | 0.000 | 0.000 |
| 1nn divacancy | 0.000 | 0.000 | 0.000 | 0.000 | 0.000 | -0.000 | -0.000 |
| 2nn divacancy | 0.000 | 0.000 | 0.000 | 0.000 | 0.000 | 0.000 | 0.000 |
| Point Defect | Ef (eV) | p11 (eV) | p22 (eV) | p33 (eV) | p12 (eV) | p13 (eV) | p23 (eV) |
|---|---|---|---|---|---|---|---|
| 111 dumbbell | -35.861 | 0.000 | 0.000 | 0.000 | 0.000 | 0.000 | 0.000 |
| 110 dumbbell | -30.546 | -0.000 | 0.000 | 0.000 | 0.000 | 0.000 | 0.000 |
| 100 dumbbell | -29.782 | -0.000 | -0.000 | 0.000 | -0.000 | -0.000 | -0.000 |
| octahedral interstitial | -14.375 | -0.000 | -0.000 | -0.000 | -0.000 | -0.000 | -0.000 |
| tetrahedral interstitial | -7.162 | 0.000 | 0.000 | 0.000 | 0.000 | 0.000 | 0.000 |
| vacancy | 0.000 | 0.000 | 0.000 | 0.000 | -0.000 | -0.000 | -0.000 |
| 1nn divacancy | 0.000 | 0.000 | 0.000 | 0.000 | -0.000 | -0.000 | -0.000 |
| 2nn divacancy | 0.000 | 0.000 | 0.000 | 0.000 | -0.000 | -0.000 | -0.000 |
| Point Defect | Ef (eV) | p11 (eV) | p22 (eV) | p33 (eV) | p12 (eV) | p13 (eV) | p23 (eV) |
|---|---|---|---|---|---|---|---|
| 111 dumbbell | -35.861 | 0.000 | 0.000 | 0.000 | 0.000 | 0.000 | 0.000 |
| 110 dumbbell | -30.546 | -0.000 | 0.000 | 0.000 | 0.000 | 0.000 | 0.000 |
| 100 dumbbell | -29.782 | -0.000 | -0.000 | 0.000 | 0.000 | 0.000 | 0.000 |
| octahedral interstitial | -14.375 | -0.000 | -0.000 | -0.000 | 0.000 | -0.000 | -0.000 |
| tetrahedral interstitial | -7.162 | 0.000 | 0.000 | 0.000 | -0.000 | -0.000 | -0.000 |
| vacancy | 0.000 | -0.000 | -0.000 | -0.000 | 0.000 | 0.000 | 0.000 |
| 1nn divacancy | 0.000 | -0.000 | -0.000 | -0.000 | 0.000 | 0.000 | 0.000 |
| 2nn divacancy | 0.000 | -0.000 | -0.000 | -0.000 | 0.000 | 0.000 | 0.000 |
| Point Defect | Ef (eV) | p11 (eV) | p22 (eV) | p33 (eV) | p12 (eV) | p13 (eV) | p23 (eV) |
|---|---|---|---|---|---|---|---|
| 110 dumbbell | -30.546 | -0.000 | -0.000 | -0.000 | -0.000 | -0.000 | -0.000 |
| 100 dumbbell | -24.585 | -0.000 | -0.000 | -0.000 | 0.000 | 0.000 | 0.000 |
| 111 dumbbell | -16.130 | -0.000 | -0.000 | -0.000 | 0.000 | 0.000 | 0.000 |
| octahedral interstitial | -14.375 | -0.000 | -0.000 | -0.000 | -0.000 | -0.000 | -0.000 |
| tetrahedral interstitial | -7.162 | 0.000 | 0.000 | 0.000 | 0.000 | 0.000 | 0.000 |
| vacancy | 0.000 | -0.000 | -0.000 | -0.000 | 0.000 | -0.000 | -0.000 |
| 1nn divacancy | 0.000 | -0.000 | -0.000 | -0.000 | 0.000 | -0.000 | 0.000 |
| 2nn divacancy | 0.000 | -0.000 | -0.000 | -0.000 | 0.000 | -0.000 | -0.000 |
| Point Defect | Ef (eV) | p11 (eV) | p22 (eV) | p33 (eV) | p12 (eV) | p13 (eV) | p23 (eV) |
|---|---|---|---|---|---|---|---|
| 110 dumbbell | -30.546 | 0.000 | -0.000 | -0.000 | 0.000 | 0.000 | -0.000 |
| 100 dumbbell | -24.585 | -0.000 | -0.000 | -0.000 | -0.000 | -0.000 | -0.000 |
| 111 dumbbell | -16.130 | 0.000 | 0.000 | 0.000 | 0.000 | 0.000 | 0.000 |
| octahedral interstitial | -14.375 | 0.000 | 0.000 | 0.000 | 0.000 | 0.000 | 0.000 |
| tetrahedral interstitial | -7.162 | 0.000 | 0.000 | 0.000 | 0.000 | 0.000 | 0.000 |
| vacancy | 0.000 | 0.000 | 0.000 | 0.000 | -0.000 | -0.000 | -0.000 |
| 1nn divacancy | 0.000 | 0.000 | 0.000 | 0.000 | -0.000 | -0.000 | -0.000 |
| 2nn divacancy | 0.000 | 0.000 | 0.000 | 0.000 | -0.000 | -0.000 | -0.000 |
| Point Defect | Ef (eV) | p11 (eV) | p22 (eV) | p33 (eV) | p12 (eV) | p13 (eV) | p23 (eV) |
|---|---|---|---|---|---|---|---|
| 110 dumbbell | -30.546 | -0.000 | -0.000 | -0.000 | 0.000 | 0.000 | -0.000 |
| 100 dumbbell | -24.585 | -0.000 | -0.000 | -0.000 | 0.000 | -0.000 | -0.000 |
| 111 dumbbell | -16.130 | -0.000 | -0.000 | -0.000 | 0.000 | 0.000 | 0.000 |
| octahedral interstitial | -14.375 | -0.000 | -0.000 | -0.000 | 0.000 | 0.000 | 0.000 |
| tetrahedral interstitial | -7.162 | 0.000 | 0.000 | 0.000 | 0.000 | 0.000 | 0.000 |
| vacancy | 0.000 | 0.000 | 0.000 | 0.000 | 0.000 | -0.000 | 0.000 |
| 1nn divacancy | 0.000 | 0.000 | 0.000 | 0.000 | 0.000 | -0.000 | -0.000 |
| 2nn divacancy | 0.000 | 0.000 | 0.000 | 0.000 | 0.000 | -0.000 | 0.000 |
| Point Defect | Ef (eV) | p11 (eV) | p22 (eV) | p33 (eV) | p12 (eV) | p13 (eV) | p23 (eV) |
|---|---|---|---|---|---|---|---|
| tetrahedral interstitial | -54.060 | -0.000 | 0.000 | -0.000 | -0.000 | -0.000 | -0.000 |
| 111 dumbbell | -48.462 | 0.000 | 0.000 | 0.000 | 0.000 | 0.000 | 0.000 |
| 100 dumbbell | -30.546 | -0.000 | -0.000 | 0.000 | -0.000 | -0.000 | -0.000 |
| 110 dumbbell | -29.782 | 0.000 | 0.000 | 0.000 | 0.000 | -0.000 | -0.000 |
| crowdion interstitial | -22.746 | -0.000 | -0.000 | -0.000 | -0.000 | -0.000 | -0.000 |
| octahedral interstitial | -14.375 | -0.000 | -0.000 | -0.000 | 0.000 | -0.000 | 0.000 |
| vacancy | 0.000 | 0.000 | 0.000 | 0.000 | 0.000 | 0.000 | 0.000 |
| 1nn divacancy | 0.000 | 0.000 | 0.000 | 0.000 | -0.000 | -0.000 | -0.000 |
| 2nn divacancy | 0.000 | 0.000 | 0.000 | 0.000 | 0.000 | 0.000 | 0.000 |
| Point Defect | Ef (eV) | p11 (eV) | p22 (eV) | p33 (eV) | p12 (eV) | p13 (eV) | p23 (eV) |
|---|---|---|---|---|---|---|---|
| tetrahedral interstitial | -54.060 | -0.000 | 0.000 | -0.000 | 0.000 | 0.000 | -0.000 |
| 111 dumbbell | -48.462 | 0.000 | 0.000 | 0.000 | 0.000 | 0.000 | 0.000 |
| 100 dumbbell | -30.546 | 0.000 | 0.000 | 0.000 | -0.000 | 0.000 | 0.000 |
| 110 dumbbell | -29.782 | -0.000 | -0.000 | -0.000 | -0.000 | -0.000 | -0.000 |
| crowdion interstitial | -22.746 | 0.000 | 0.000 | 0.000 | 0.000 | 0.000 | 0.000 |
| octahedral interstitial | -14.375 | -0.000 | -0.000 | -0.000 | 0.000 | 0.000 | -0.000 |
| vacancy | 0.000 | 0.000 | 0.000 | 0.000 | -0.000 | -0.000 | -0.000 |
| 1nn divacancy | 0.000 | 0.000 | 0.000 | 0.000 | -0.000 | -0.000 | -0.000 |
| 2nn divacancy | 0.000 | 0.000 | 0.000 | 0.000 | -0.000 | -0.000 | -0.000 |
| Point Defect | Ef (eV) | p11 (eV) | p22 (eV) | p33 (eV) | p12 (eV) | p13 (eV) | p23 (eV) |
|---|---|---|---|---|---|---|---|
| tetrahedral interstitial | -54.060 | 0.000 | -0.000 | 0.000 | -0.000 | 0.000 | 0.000 |
| 111 dumbbell | -48.462 | -0.000 | -0.000 | -0.000 | 0.000 | 0.000 | 0.000 |
| 100 dumbbell | -30.546 | 0.000 | 0.000 | -0.000 | -0.000 | 0.000 | 0.000 |
| 110 dumbbell | -29.782 | 0.000 | -0.000 | -0.000 | 0.000 | 0.000 | -0.000 |
| crowdion interstitial | -22.746 | -0.000 | -0.000 | -0.000 | 0.000 | 0.000 | 0.000 |
| octahedral interstitial | -14.375 | -0.000 | -0.000 | -0.000 | 0.000 | -0.000 | 0.000 |
| vacancy | 0.000 | 0.000 | 0.000 | 0.000 | 0.000 | -0.000 | -0.000 |
| 1nn divacancy | 0.000 | 0.000 | 0.000 | 0.000 | -0.000 | -0.000 | -0.000 |
| 2nn divacancy | 0.000 | 0.000 | 0.000 | 0.000 | 0.000 | -0.000 | -0.000 |
| Point Defect | Ef (eV) | p11 (eV) | p22 (eV) | p33 (eV) | p12 (eV) | p13 (eV) | p23 (eV) |
|---|---|---|---|---|---|---|---|
| 111 dumbbell | -48.462 | 0.000 | 0.000 | 0.000 | 0.000 | 0.000 | 0.000 |
| 100 dumbbell | -30.546 | 0.000 | 0.000 | -0.000 | -0.000 | -0.000 | -0.000 |
| 110 dumbbell | -29.782 | -0.000 | -0.000 | -0.000 | 0.000 | 0.000 | -0.000 |
| crowdion interstitial | -22.746 | -0.000 | -0.000 | -0.000 | 0.000 | 0.000 | 0.000 |
| octahedral interstitial | -14.375 | -0.000 | -0.000 | -0.000 | -0.000 | 0.000 | 0.000 |
| vacancy | 0.000 | -0.000 | -0.000 | -0.000 | -0.000 | -0.000 | -0.000 |
| 1nn divacancy | 0.000 | -0.000 | -0.000 | -0.000 | 0.000 | 0.000 | 0.000 |
| 2nn divacancy | 0.000 | -0.000 | -0.000 | -0.000 | -0.000 | -0.000 | -0.000 |
| Point Defect | Ef (eV) | p11 (eV) | p22 (eV) | p33 (eV) | p12 (eV) | p13 (eV) | p23 (eV) |
|---|---|---|---|---|---|---|---|
| 111 dumbbell | -48.462 | -0.000 | -0.000 | -0.000 | 0.000 | 0.000 | 0.000 |
| 100 dumbbell | -30.546 | -0.000 | -0.000 | -0.000 | -0.000 | 0.000 | 0.000 |
| 110 dumbbell | -29.782 | 0.000 | -0.000 | -0.000 | -0.000 | -0.000 | 0.000 |
| crowdion interstitial | -22.746 | -0.000 | -0.000 | -0.000 | 0.000 | 0.000 | 0.000 |
| octahedral interstitial | -14.375 | -0.000 | -0.000 | -0.000 | -0.000 | 0.000 | -0.000 |
| vacancy | 0.000 | -0.000 | -0.000 | -0.000 | 0.000 | 0.000 | 0.000 |
| 1nn divacancy | 0.000 | -0.000 | -0.000 | -0.000 | 0.000 | 0.000 | 0.000 |
| 2nn divacancy | 0.000 | -0.000 | -0.000 | -0.000 | 0.000 | 0.000 | 0.000 |
| Point Defect | Ef (eV) | p11 (eV) | p22 (eV) | p33 (eV) | p12 (eV) | p13 (eV) | p23 (eV) |
|---|---|---|---|---|---|---|---|
| 111 dumbbell | -48.462 | 0.000 | 0.000 | 0.000 | 0.000 | 0.000 | 0.000 |
| 100 dumbbell | -30.546 | -0.000 | -0.000 | -0.000 | -0.000 | 0.000 | 0.000 |
| 110 dumbbell | -29.782 | 0.000 | -0.000 | -0.000 | 0.000 | -0.000 | -0.000 |
| octahedral interstitial | -14.375 | -0.000 | -0.000 | -0.000 | 0.000 | 0.000 | -0.000 |
| crowdion interstitial | -3.417 | -0.000 | -0.000 | -0.000 | -0.000 | -0.000 | -0.000 |
| vacancy | 0.000 | 0.000 | 0.000 | 0.000 | 0.000 | 0.000 | 0.000 |
| 1nn divacancy | 0.000 | 0.000 | 0.000 | 0.000 | -0.000 | -0.000 | -0.000 |
| 2nn divacancy | 0.000 | 0.000 | 0.000 | 0.000 | 0.000 | 0.000 | 0.000 |
| Point Defect | Ef (eV) | p11 (eV) | p22 (eV) | p33 (eV) | p12 (eV) | p13 (eV) | p23 (eV) |
|---|---|---|---|---|---|---|---|
| 100 dumbbell | -30.546 | 0.000 | 0.000 | 0.000 | 0.000 | 0.000 | 0.000 |
| 110 dumbbell | -29.782 | 0.000 | 0.000 | 0.000 | 0.000 | 0.000 | -0.000 |
| octahedral interstitial | -14.375 | -0.000 | -0.000 | -0.000 | 0.000 | -0.000 | 0.000 |
| 111 dumbbell | -3.746 | -0.000 | -0.000 | -0.000 | -0.000 | -0.000 | -0.000 |
| crowdion interstitial | -3.417 | -0.000 | -0.000 | -0.000 | -0.000 | -0.000 | -0.000 |
| vacancy | 0.000 | 0.000 | 0.000 | 0.000 | 0.000 | 0.000 | 0.000 |
| 1nn divacancy | 0.000 | 0.000 | 0.000 | 0.000 | -0.000 | -0.000 | -0.000 |
| 2nn divacancy | 0.000 | 0.000 | 0.000 | 0.000 | 0.000 | 0.000 | 0.000 |
| Point Defect | Ef (eV) | p11 (eV) | p22 (eV) | p33 (eV) | p12 (eV) | p13 (eV) | p23 (eV) |
|---|---|---|---|---|---|---|---|
| 100 dumbbell | -30.546 | -0.000 | -0.000 | -0.000 | 0.000 | 0.000 | 0.000 |
| 110 dumbbell | -29.782 | -0.000 | -0.000 | -0.000 | 0.000 | 0.000 | -0.000 |
| octahedral interstitial | -14.375 | -0.000 | -0.000 | -0.000 | 0.000 | 0.000 | 0.000 |
| 111 dumbbell | -3.746 | -0.000 | -0.000 | -0.000 | -0.000 | -0.000 | -0.000 |
| crowdion interstitial | -3.417 | -0.000 | -0.000 | -0.000 | -0.000 | -0.000 | -0.000 |
| vacancy | 0.000 | 0.000 | 0.000 | 0.000 | -0.000 | 0.000 | 0.000 |
| 1nn divacancy | 0.000 | 0.000 | 0.000 | 0.000 | -0.000 | -0.000 | -0.000 |
| 2nn divacancy | 0.000 | 0.000 | 0.000 | 0.000 | -0.000 | 0.000 | 0.000 |
| Point Defect | Ef (eV) | p11 (eV) | p22 (eV) | p33 (eV) | p12 (eV) | p13 (eV) | p23 (eV) |
|---|---|---|---|---|---|---|---|
| 100 dumbbell | -30.546 | 0.000 | 0.000 | -0.000 | 0.000 | -0.000 | -0.000 |
| 110 dumbbell | -29.782 | 0.000 | 0.000 | 0.000 | -0.000 | -0.000 | -0.000 |
| octahedral interstitial | -14.375 | -0.000 | -0.000 | -0.000 | -0.000 | 0.000 | -0.000 |
| 111 dumbbell | -3.746 | -0.000 | -0.000 | -0.000 | -0.000 | -0.000 | -0.000 |
| crowdion interstitial | -3.417 | -0.000 | -0.000 | -0.000 | -0.000 | -0.000 | -0.000 |
| vacancy | 0.000 | -0.000 | -0.000 | -0.000 | 0.000 | 0.000 | 0.000 |
| 1nn divacancy | 0.000 | -0.000 | -0.000 | -0.000 | 0.000 | 0.000 | 0.000 |
| 2nn divacancy | 0.000 | -0.000 | -0.000 | -0.000 | 0.000 | 0.000 | 0.000 |
| Point Defect | Ef (eV) | p11 (eV) | p22 (eV) | p33 (eV) | p12 (eV) | p13 (eV) | p23 (eV) |
|---|---|---|---|---|---|---|---|
| 100 dumbbell | -30.546 | 0.000 | 0.000 | -0.000 | -0.000 | -0.000 | -0.000 |
| 110 dumbbell | -29.782 | -0.000 | -0.000 | -0.000 | 0.000 | 0.000 | -0.000 |
| octahedral interstitial | -14.375 | -0.000 | -0.000 | -0.000 | 0.000 | 0.000 | 0.000 |
| 111 dumbbell | -3.746 | -0.000 | -0.000 | -0.000 | -0.000 | -0.000 | -0.000 |
| crowdion interstitial | -3.417 | -0.000 | -0.000 | -0.000 | -0.000 | -0.000 | -0.000 |
| vacancy | 0.000 | -0.000 | -0.000 | -0.000 | 0.000 | -0.000 | -0.000 |
| 1nn divacancy | 0.000 | -0.000 | -0.000 | -0.000 | 0.000 | 0.000 | 0.000 |
| 2nn divacancy | 0.000 | -0.000 | -0.000 | -0.000 | 0.000 | -0.000 | -0.000 |
| Point Defect | Ef (eV) | p11 (eV) | p22 (eV) | p33 (eV) | p12 (eV) | p13 (eV) | p23 (eV) |
|---|---|---|---|---|---|---|---|
| 100 dumbbell | -30.546 | 0.000 | 0.000 | 0.000 | 0.000 | 0.000 | 0.000 |
| 110 dumbbell | -29.782 | -0.000 | -0.000 | -0.000 | -0.000 | -0.000 | -0.000 |
| octahedral interstitial | -14.375 | -0.000 | -0.000 | -0.000 | 0.000 | 0.000 | -0.000 |
| 111 dumbbell | -3.746 | -0.000 | -0.000 | -0.000 | -0.000 | -0.000 | -0.000 |
| crowdion interstitial | -3.417 | -0.000 | -0.000 | -0.000 | -0.000 | -0.000 | -0.000 |
| vacancy | 0.000 | 0.000 | 0.000 | 0.000 | 0.000 | -0.000 | -0.000 |
| 1nn divacancy | 0.000 | 0.000 | 0.000 | 0.000 | -0.000 | -0.000 | -0.000 |
| 2nn divacancy | 0.000 | 0.000 | 0.000 | 0.000 | 0.000 | -0.000 | -0.000 |
| Point Defect | Ef (eV) | p11 (eV) | p22 (eV) | p33 (eV) | p12 (eV) | p13 (eV) | p23 (eV) |
|---|---|---|---|---|---|---|---|
| 100 dumbbell | -30.546 | 0.000 | 0.000 | 0.000 | -0.000 | -0.000 | -0.000 |
| 110 dumbbell | -29.782 | -0.000 | 0.000 | 0.000 | 0.000 | 0.000 | -0.000 |
| octahedral interstitial | -14.375 | -0.000 | -0.000 | -0.000 | 0.000 | 0.000 | 0.000 |
| 111 dumbbell | -3.746 | -0.000 | -0.000 | -0.000 | -0.000 | -0.000 | -0.000 |
| crowdion interstitial | -3.417 | -0.000 | -0.000 | -0.000 | -0.000 | -0.000 | -0.000 |
| vacancy | 0.000 | 0.000 | 0.000 | 0.000 | -0.000 | -0.000 | -0.000 |
| 1nn divacancy | 0.000 | 0.000 | 0.000 | 0.000 | -0.000 | -0.000 | -0.000 |
| 2nn divacancy | 0.000 | 0.000 | 0.000 | 0.000 | -0.000 | -0.000 | -0.000 |
| Point Defect | Ef (eV) | p11 (eV) | p22 (eV) | p33 (eV) | p12 (eV) | p13 (eV) | p23 (eV) |
|---|---|---|---|---|---|---|---|
| relaxed interstitial | -110.391 | 0.000 | 0.000 | 0.000 | -0.000 | -0.000 | 0.000 |
| vacancy | 0.000 | 0.000 | 0.000 | 0.000 | 0.000 | 0.000 | 0.000 |
| Point Defect | Ef (eV) | p11 (eV) | p22 (eV) | p33 (eV) | p12 (eV) | p13 (eV) | p23 (eV) |
|---|---|---|---|---|---|---|---|
| vacancy | 0.000 | 0.000 | 0.000 | 0.000 | 0.000 | 0.000 | 0.000 |
| Point Defect | Ef (eV) | p11 (eV) | p22 (eV) | p33 (eV) | p12 (eV) | p13 (eV) | p23 (eV) |
|---|---|---|---|---|---|---|---|
| 0001 dumbbell | -16.980 | -0.000 | -0.000 | -0.000 | -0.000 | 0.000 | 0.000 |
| vacancy | 0.000 | 0.000 | 0.000 | 0.000 | -0.000 | 0.000 | -0.000 |
| Point Defect | Ef (eV) | p11 (eV) | p22 (eV) | p33 (eV) | p12 (eV) | p13 (eV) | p23 (eV) |
|---|---|---|---|---|---|---|---|
| 0001 dumbbell | -16.980 | -0.000 | -0.000 | -0.000 | 0.000 | 0.000 | 0.000 |
| vacancy | 0.000 | -0.000 | -0.000 | -0.000 | 0.000 | 0.000 | 0.000 |
| Point Defect | Ef (eV) | p11 (eV) | p22 (eV) | p33 (eV) | p12 (eV) | p13 (eV) | p23 (eV) |
|---|---|---|---|---|---|---|---|
| 0001 dumbbell | -16.980 | -0.000 | -0.000 | -0.000 | -0.000 | -0.000 | 0.000 |
| vacancy | 0.000 | -0.000 | -0.000 | -0.000 | 0.000 | 0.000 | -0.000 |
| Point Defect | Ef (eV) | p11 (eV) | p22 (eV) | p33 (eV) | p12 (eV) | p13 (eV) | p23 (eV) |
|---|---|---|---|---|---|---|---|
| 0001 dumbbell | -16.980 | 0.000 | 0.000 | 0.000 | -0.000 | 0.000 | -0.000 |
| vacancy | 0.000 | 0.000 | 0.000 | 0.000 | 0.000 | -0.000 | -0.000 |
| Point Defect | Ef (eV) | p11 (eV) | p22 (eV) | p33 (eV) | p12 (eV) | p13 (eV) | p23 (eV) |
|---|---|---|---|---|---|---|---|
| 0001 dumbbell | -16.980 | 0.000 | 0.000 | -0.000 | 0.000 | -0.000 | -0.000 |
| vacancy | 0.000 | 0.000 | 0.000 | 0.000 | -0.000 | 0.000 | 0.000 |
| Point Defect | Ef (eV) | p11 (eV) | p22 (eV) | p33 (eV) | p12 (eV) | p13 (eV) | p23 (eV) |
|---|---|---|---|---|---|---|---|
| 0001 dumbbell | -16.980 | -0.000 | -0.000 | -0.000 | 0.000 | -0.000 | 0.000 |
| vacancy | 0.000 | 0.000 | 0.000 | 0.000 | 0.000 | 0.000 | 0.000 |
| Point Defect | Ef (eV) | p11 (eV) | p22 (eV) | p33 (eV) | p12 (eV) | p13 (eV) | p23 (eV) |
|---|---|---|---|---|---|---|---|
| 0001 dumbbell | -16.980 | 0.000 | 0.000 | -0.000 | 0.000 | 0.000 | -0.000 |
| vacancy | 0.000 | -0.000 | -0.000 | -0.000 | 0.000 | -0.000 | 0.000 |
| Point Defect | Ef (eV) | p11 (eV) | p22 (eV) | p33 (eV) | p12 (eV) | p13 (eV) | p23 (eV) |
|---|---|---|---|---|---|---|---|
| 0001 dumbbell | -16.980 | 0.000 | 0.000 | 0.000 | -0.000 | -0.000 | 0.000 |
| vacancy | 0.000 | -0.000 | -0.000 | -0.000 | -0.000 | -0.000 | -0.000 |
| Point Defect | Ef (eV) | p11 (eV) | p22 (eV) | p33 (eV) | p12 (eV) | p13 (eV) | p23 (eV) |
|---|---|---|---|---|---|---|---|
| 0001 dumbbell | -16.980 | -0.000 | -0.000 | -0.000 | -0.000 | 0.000 | -0.000 |
| vacancy | 0.000 | 0.000 | 0.000 | 0.000 | -0.000 | 0.000 | -0.000 |
| Point Defect | Ef (eV) | p11 (eV) | p22 (eV) | p33 (eV) | p12 (eV) | p13 (eV) | p23 (eV) |
|---|---|---|---|---|---|---|---|
| 0001 dumbbell | -16.980 | 0.000 | 0.000 | 0.000 | 0.000 | -0.000 | 0.000 |
| vacancy | 0.000 | 0.000 | 0.000 | 0.000 | 0.000 | -0.000 | 0.000 |
| Point Defect | Ef (eV) | p11 (eV) | p22 (eV) | p33 (eV) | p12 (eV) | p13 (eV) | p23 (eV) |
|---|---|---|---|---|---|---|---|
| 100 dumbbell | -14.891 | -0.000 | -0.000 | 0.000 | -0.000 | -0.000 | -0.000 |
| 110 dumbbell | -9.202 | -0.000 | -0.000 | -0.000 | -0.000 | -0.000 | -0.000 |
| bond centered interstitial | -3.417 | -0.000 | -0.000 | -0.000 | -0.000 | -0.000 | -0.000 |
| tetragonal interstitial | -0.000 | -0.000 | -0.000 | -0.000 | -0.000 | -0.000 | -0.000 |
| vacancy | 0.000 | 0.000 | 0.000 | 0.000 | -0.000 | -0.000 | -0.000 |
| 1nn divacancy | 0.000 | 0.000 | 0.000 | 0.000 | -0.000 | -0.000 | -0.000 |
| Point Defect | Ef (eV) | p11 (eV) | p22 (eV) | p33 (eV) | p12 (eV) | p13 (eV) | p23 (eV) |
|---|---|---|---|---|---|---|---|
| 100 dumbbell | -14.891 | -0.000 | -0.000 | -0.000 | -0.000 | 0.000 | 0.000 |
| 110 dumbbell | -3.746 | -0.000 | -0.000 | -0.000 | -0.000 | -0.000 | -0.000 |
| bond centered interstitial | -3.417 | -0.000 | -0.000 | -0.000 | -0.000 | -0.000 | -0.000 |
| tetragonal interstitial | -0.000 | -0.000 | -0.000 | -0.000 | 0.000 | 0.000 | 0.000 |
| vacancy | 0.000 | 0.000 | 0.000 | 0.000 | 0.000 | 0.000 | 0.000 |
| 1nn divacancy | 0.000 | 0.000 | 0.000 | 0.000 | -0.000 | -0.000 | -0.000 |
| Point Defect | Ef (eV) | p11 (eV) | p22 (eV) | p33 (eV) | p12 (eV) | p13 (eV) | p23 (eV) |
|---|---|---|---|---|---|---|---|
| 100 dumbbell | -14.891 | 0.000 | 0.000 | -0.000 | -0.000 | -0.000 | -0.000 |
| 110 dumbbell | -3.746 | 0.000 | 0.000 | 0.000 | -0.000 | -0.000 | 0.000 |
| bond centered interstitial | -3.417 | -0.000 | -0.000 | -0.000 | -0.000 | -0.000 | -0.000 |
| tetragonal interstitial | -0.000 | -0.000 | -0.000 | -0.000 | -0.000 | -0.000 | -0.000 |
| vacancy | 0.000 | 0.000 | 0.000 | 0.000 | -0.000 | -0.000 | -0.000 |
| 1nn divacancy | 0.000 | 0.000 | 0.000 | 0.000 | -0.000 | -0.000 | -0.000 |
| Point Defect | Ef (eV) | p11 (eV) | p22 (eV) | p33 (eV) | p12 (eV) | p13 (eV) | p23 (eV) |
|---|---|---|---|---|---|---|---|
| 100 dumbbell | -14.891 | -0.000 | -0.000 | 0.000 | 0.000 | -0.000 | -0.000 |
| 110 dumbbell | -3.746 | -0.000 | -0.000 | -0.000 | 0.000 | 0.000 | -0.000 |
| bond centered interstitial | -3.417 | -0.000 | -0.000 | -0.000 | -0.000 | -0.000 | -0.000 |
| tetragonal interstitial | -0.000 | 0.000 | 0.000 | 0.000 | 0.000 | 0.000 | 0.000 |
| vacancy | 0.000 | -0.000 | -0.000 | -0.000 | 0.000 | 0.000 | 0.000 |
| 1nn divacancy | 0.000 | -0.000 | -0.000 | -0.000 | 0.000 | 0.000 | 0.000 |
| Point Defect | Ef (eV) | p11 (eV) | p22 (eV) | p33 (eV) | p12 (eV) | p13 (eV) | p23 (eV) |
|---|---|---|---|---|---|---|---|
| relaxed interstitial | -17.603 | -0.000 | -0.000 | -0.000 | 0.000 | 0.000 | 0.000 |
| 100 dumbbell | -14.891 | -0.000 | -0.000 | -0.000 | -0.000 | -0.000 | -0.000 |
| 110 dumbbell | -3.746 | -0.000 | -0.000 | -0.000 | -0.000 | -0.000 | -0.000 |
| bond centered interstitial | -3.417 | -0.000 | -0.000 | -0.000 | -0.000 | -0.000 | -0.000 |
| tetragonal interstitial | -0.000 | 0.000 | 0.000 | 0.000 | -0.000 | -0.000 | -0.000 |
| vacancy | 0.000 | -0.000 | -0.000 | -0.000 | -0.000 | -0.000 | -0.000 |
| 1nn divacancy | 0.000 | -0.000 | -0.000 | -0.000 | 0.000 | 0.000 | 0.000 |
| Point Defect | Ef (eV) | p11 (eV) | p22 (eV) | p33 (eV) | p12 (eV) | p13 (eV) | p23 (eV) |
|---|---|---|---|---|---|---|---|
| 100 dumbbell | -14.891 | -0.000 | -0.000 | -0.000 | 0.000 | -0.000 | -0.000 |
| 110 dumbbell | -3.746 | 0.000 | 0.000 | 0.000 | -0.000 | -0.000 | 0.000 |
| bond centered interstitial | -3.417 | -0.000 | -0.000 | -0.000 | -0.000 | -0.000 | -0.000 |
| hexagonal interstitial | -0.000 | -0.000 | -0.000 | -0.000 | 0.000 | 0.000 | 0.000 |
| tetragonal interstitial | -0.000 | -0.000 | -0.000 | -0.000 | -0.000 | -0.000 | -0.000 |
| vacancy | 0.000 | 0.000 | 0.000 | 0.000 | -0.000 | -0.000 | -0.000 |
| 1nn divacancy | 0.000 | 0.000 | 0.000 | 0.000 | -0.000 | -0.000 | -0.000 |
| Point Defect | Ef (eV) | p11 (eV) | p22 (eV) | p33 (eV) | p12 (eV) | p13 (eV) | p23 (eV) |
|---|---|---|---|---|---|---|---|
| 100 dumbbell | -14.891 | -0.000 | -0.000 | 0.000 | -0.000 | -0.000 | -0.000 |
| 110 dumbbell | -3.746 | 0.000 | 0.000 | 0.000 | -0.000 | -0.000 | 0.000 |
| bond centered interstitial | -3.417 | -0.000 | -0.000 | -0.000 | -0.000 | -0.000 | -0.000 |
| hexagonal interstitial | -0.000 | -0.000 | -0.000 | -0.000 | 0.000 | 0.000 | 0.000 |
| tetragonal interstitial | -0.000 | -0.000 | -0.000 | -0.000 | -0.000 | -0.000 | -0.000 |
| vacancy | 0.000 | 0.000 | 0.000 | 0.000 | -0.000 | -0.000 | -0.000 |
| 1nn divacancy | 0.000 | 0.000 | 0.000 | 0.000 | -0.000 | -0.000 | -0.000 |
| Point Defect | Ef (eV) | p11 (eV) | p22 (eV) | p33 (eV) | p12 (eV) | p13 (eV) | p23 (eV) |
|---|---|---|---|---|---|---|---|
| 100 dumbbell | -14.891 | 0.000 | 0.000 | -0.000 | 0.000 | 0.000 | 0.000 |
| 110 dumbbell | -3.746 | -0.000 | -0.000 | -0.000 | 0.000 | 0.000 | -0.000 |
| bond centered interstitial | -3.417 | -0.000 | -0.000 | -0.000 | -0.000 | -0.000 | -0.000 |
| tetragonal interstitial | -0.000 | -0.000 | -0.000 | -0.000 | 0.000 | 0.000 | 0.000 |
| vacancy | 0.000 | 0.000 | 0.000 | 0.000 | 0.000 | 0.000 | 0.000 |
| 1nn divacancy | 0.000 | 0.000 | 0.000 | 0.000 | -0.000 | -0.000 | -0.000 |
| hexagonal interstitial | 0.000 | -0.000 | -0.000 | -0.000 | 0.000 | 0.000 | 0.000 |
| Point Defect | Ef (eV) | p11 (eV) | p22 (eV) | p33 (eV) | p12 (eV) | p13 (eV) | p23 (eV) |
|---|---|---|---|---|---|---|---|
| 100 dumbbell | -14.891 | -0.000 | -0.000 | 0.000 | -0.000 | -0.000 | -0.000 |
| 110 dumbbell | -3.746 | -0.000 | -0.000 | -0.000 | -0.000 | -0.000 | -0.000 |
| bond centered interstitial | -3.417 | -0.000 | -0.000 | -0.000 | -0.000 | -0.000 | -0.000 |
| tetragonal interstitial | -0.000 | 0.000 | 0.000 | 0.000 | 0.000 | 0.000 | 0.000 |
| vacancy | 0.000 | -0.000 | -0.000 | -0.000 | 0.000 | 0.000 | 0.000 |
| 1nn divacancy | 0.000 | -0.000 | -0.000 | -0.000 | 0.000 | 0.000 | 0.000 |
| hexagonal interstitial | 0.000 | -0.000 | -0.000 | -0.000 | 0.000 | 0.000 | 0.000 |
| Point Defect | Ef (eV) | p11 (eV) | p22 (eV) | p33 (eV) | p12 (eV) | p13 (eV) | p23 (eV) |
|---|---|---|---|---|---|---|---|
| 100 dumbbell | -14.891 | 0.000 | 0.000 | -0.000 | 0.000 | 0.000 | 0.000 |
| 110 dumbbell | -3.746 | -0.000 | -0.000 | -0.000 | -0.000 | -0.000 | -0.000 |
| bond centered interstitial | -3.417 | -0.000 | -0.000 | -0.000 | -0.000 | -0.000 | -0.000 |
| tetragonal interstitial | -0.000 | 0.000 | 0.000 | 0.000 | -0.000 | -0.000 | -0.000 |
| vacancy | 0.000 | -0.000 | -0.000 | -0.000 | -0.000 | -0.000 | -0.000 |
| 1nn divacancy | 0.000 | -0.000 | -0.000 | -0.000 | 0.000 | 0.000 | 0.000 |
| hexagonal interstitial | 0.000 | 0.000 | 0.000 | 0.000 | -0.000 | -0.000 | -0.000 |
| Point Defect | Ef (eV) | p11 (eV) | p22 (eV) | p33 (eV) | p12 (eV) | p13 (eV) | p23 (eV) |
|---|---|---|---|---|---|---|---|
| 110 dumbbell | -3.746 | -0.000 | -0.000 | -0.000 | 0.000 | 0.000 | -0.000 |
| bond centered interstitial | -3.417 | -0.000 | -0.000 | -0.000 | -0.000 | -0.000 | -0.000 |
| tetragonal interstitial | -0.000 | -0.000 | -0.000 | -0.000 | -0.000 | -0.000 | -0.000 |
| vacancy | 0.000 | 0.000 | 0.000 | 0.000 | -0.000 | -0.000 | -0.000 |
| 1nn divacancy | 0.000 | 0.000 | 0.000 | 0.000 | -0.000 | -0.000 | -0.000 |
| hexagonal interstitial | 0.000 | 0.000 | 0.000 | 0.000 | -0.000 | -0.000 | -0.000 |
| Point Defect | Ef (eV) | p11 (eV) | p22 (eV) | p33 (eV) | p12 (eV) | p13 (eV) | p23 (eV) |
|---|---|---|---|---|---|---|---|
| 110 dumbbell | -3.746 | -0.000 | -0.000 | -0.000 | -0.000 | -0.000 | -0.000 |
| bond centered interstitial | -3.417 | -0.000 | -0.000 | -0.000 | -0.000 | -0.000 | -0.000 |
| hexagonal interstitial | -0.000 | 0.000 | 0.000 | 0.000 | -0.000 | -0.000 | -0.000 |
| tetragonal interstitial | -0.000 | -0.000 | -0.000 | -0.000 | 0.000 | 0.000 | 0.000 |
| vacancy | 0.000 | 0.000 | 0.000 | 0.000 | 0.000 | 0.000 | 0.000 |
| 1nn divacancy | 0.000 | 0.000 | 0.000 | 0.000 | -0.000 | -0.000 | -0.000 |
Plots of the atomic structure of dislocation cores are shown here. The dislocations were constructed using dislocation monopole configurations in which a straight dislocation is created in the center of the system using anisotropic elasticity and the elastic constants computed above. A cylindrical region centered around the dislocation is allowed to relax while the remaining atoms are held fixed. The relaxation consists of 1 million NVT steps at 10 K followed by an energy/force minimization. The final plots show the atomic configuration near the center of the monopole system, and display differential displacement arrows and Nye tensor color maps that are both taken with respect to the Burgers vector direction.
These plots show a wide range of final structures, some corresponding to expected dislocation structures and others not. While the characterizations are dislocation-type dependent, some general classification guidelines are listed here.
The calculation method used is available as the iprPy dislocation_monopole calculation method.
Links are provided above the images allowing for users to download the final defect configuration and a corresponding defect-free configuration if they wish to further analyze the structures or use them for subsequent simulations.
Notes and Disclaimers:
Version Information:
Plots of lattice and elastic constants are shown as a function of temperature. The 0K points were taken from the Crystal Structure Predictions and the Elastic Constants Predictions sections above for the unique crystal structures relaxed with the "dynamic" method. Starting from the 0 K relaxed crystal unit cells, supercell systems are created by replicating all three dimensions by the same multiplier to achieve at least 4000 atoms. The systems are then relaxed at 50 K and zero pressure using 1 million NPT steps. Lattice constants are estimated by averaging the measured box dimensions. Temperatures are iteratively increased by 50 K, with each subsequent relaxation calculation starting from the final atomic configuration at the previous temperature and relaxing for another 1 million steps.
The elastic constants are calculated using the deformation–fluctuation hybrid method. Starting from the final atomic configurations of the dynamic relaxations, the system is allowed to evolve at constant volume with a Langevin thermostat. The Born matrix is computed during this run by evaluating how the atomic forces would vary due to applied linear strain fields. The elastic constants can then be estimated using the averaged Born matrix values and the averaged stresses on the system.
The calculation methods used are available as the iprPy relax_dynamic and elastic_constants_dynamic calculation methods.
Clicking on the image of a plot will open an interactive version of it in a new tab. The underlying data for the plots can be downloaded by clicking on the links above each plot.
Notes and Disclaimers:
Version Information:
Plots of radial distribution functions at different temperatures and the temperature-dependent diffusion and viscosity are shown here for elemental liquids. Melt phases are constructed by starting with a 10x10x10 fcc super cell and relaxing with 50,000 NPT steps at zero pressure and a high melting temperature (3000 K for most potentials and elements). Following the melt, liquid structures are relaxed by running NPT for 10,000 steps over which the temperature is dropped by 50 K, then 50,000 NPT at the target temperature to estimate the equilibrium volume, followed by 20,000 NVT steps at the averaged equilibrium volume and target temperature. Structures from the NVT run are sampled to compute the radial distribution function of the liquid at the corresponding temperature.
The final relaxed configurations at each temperature explored are used as the initial configurations for the diffusion and viscosity calculations. For diffusion, the system is integrated for 100 runs of 2,000 NVT steps during which both the mean squared displacement (MSD) and the velocity auto correlation function (VACF) are computed. From these simulations, three estimates of diffusion are computed: one from the MSD of the full 200,000 step run, one in which the MSD is reset for each short run and then averaged, and one from the VACF computed for each short run and averaged. For viscosity, the Green-Kubo method is used which is evaluated during a 1 million step NVT run.
The calculation methods used are available as the iprPy relax_liquid_redo, diffusion_liquid, and viscosity_green_kubo calculation methods.
Clicking on the image of a plot will open an interactive version of it in a new tab. The underlying data for the plots can be downloaded by clicking on the links above each plot.
Notes and Disclaimers:
Version Information:
Plots of internal energy, Gibbs free energy, entropy, heat capacity and volume are shown here as a function of temperature for various crystal structures and liquid phases. The included crystal structures correspond to those in the Solid Structures vs. Temperature section, and the liquid phases to those in the Liquid Properties section. Internal energy and volume are taken from the associated structure relaxations mentioned in those previous sections. Constant pressure heat capacity is estimated using 3-point numerical derivatives of enthalpy versus temperature. Note that since all simulations done here are at 0 pressure, internal energy and enthalpy are equivalent.
The Gibbs energies of the phases are estimated using thermodynamic integration between the interatomic potential in question and a simpler model with known Gibbs free energy values. For solids, the reference model is an Einstein solid, while for liquids it is the Uhlenbeck-Ford potential. Besides a short run at the start of the solid calculations to estimate Einstein model spring constants, the two calculations proceed similarly. Starting with the final relaxation configurations, the systems are stabilized for 25,000 steps. Then, over the next 50,000 steps the potential is swapped out for the reference potential. The system is then stabilized for another 25,000 steps with the reference model before a reverse swap of 50,000 steps is performed. The simulation ends with one final 25,000 step stabilization period. From the simulation, the irreversible work of transformation is estimated and used to compute the absolute Gibbs free energy of the target phase and potential relative to the reference potential. Entropy is estimated as the difference in enthalpy and Gibbs free energy and divided by temperature.
The calculation methods used are available as the iprPy relax_dynamic, relax_liquid_redo, free_energy, and free_energy_liquid calculation methods.
Clicking on the image of a plot will open an interactive version of it in a new tab. The underlying data for the plots can be downloaded by clicking on the links above each plot.
Notes and Disclaimers:
Version Information:






